US20110212918A1 - Boron-containing small molecules - Google Patents
Boron-containing small molecules Download PDFInfo
- Publication number
- US20110212918A1 US20110212918A1 US12/944,699 US94469910A US2011212918A1 US 20110212918 A1 US20110212918 A1 US 20110212918A1 US 94469910 A US94469910 A US 94469910A US 2011212918 A1 US2011212918 A1 US 2011212918A1
- Authority
- US
- United States
- Prior art keywords
- unsubstituted
- substituted
- exemplary embodiment
- alkyl
- compound
- Prior art date
- Legal status (The legal status is an assumption and is not a legal conclusion. Google has not performed a legal analysis and makes no representation as to the accuracy of the status listed.)
- Abandoned
Links
- 229910052796 boron Inorganic materials 0.000 title description 17
- ZOXJGFHDIHLPTG-UHFFFAOYSA-N Boron Chemical compound [B] ZOXJGFHDIHLPTG-UHFFFAOYSA-N 0.000 title description 14
- 150000003384 small molecules Chemical class 0.000 title 1
- 208000035143 Bacterial infection Diseases 0.000 claims abstract description 26
- 208000022362 bacterial infectious disease Diseases 0.000 claims abstract description 26
- 125000000217 alkyl group Chemical group 0.000 claims description 861
- 150000001875 compounds Chemical class 0.000 claims description 428
- 229910052739 hydrogen Inorganic materials 0.000 claims description 338
- 229910052731 fluorine Inorganic materials 0.000 claims description 206
- 150000003839 salts Chemical class 0.000 claims description 206
- 229910052736 halogen Inorganic materials 0.000 claims description 187
- 150000002367 halogens Chemical class 0.000 claims description 184
- 125000003118 aryl group Chemical group 0.000 claims description 156
- 125000001072 heteroaryl group Chemical group 0.000 claims description 150
- 125000000753 cycloalkyl group Chemical group 0.000 claims description 141
- 125000004404 heteroalkyl group Chemical group 0.000 claims description 141
- 125000000592 heterocycloalkyl group Chemical group 0.000 claims description 139
- 238000000034 method Methods 0.000 claims description 85
- 241000894006 Bacteria Species 0.000 claims description 75
- 125000004093 cyano group Chemical group *C#N 0.000 claims description 61
- 239000000203 mixture Substances 0.000 claims description 61
- 229910052801 chlorine Inorganic materials 0.000 claims description 49
- 239000002552 dosage form Substances 0.000 claims description 48
- 229910052794 bromium Inorganic materials 0.000 claims description 44
- 239000008194 pharmaceutical composition Substances 0.000 claims description 41
- 241001465754 Metazoa Species 0.000 claims description 35
- 239000003814 drug Substances 0.000 claims description 29
- 125000001715 oxadiazolyl group Chemical group 0.000 claims description 29
- 230000002401 inhibitory effect Effects 0.000 claims description 28
- 208000015181 infectious disease Diseases 0.000 claims description 23
- 239000000546 pharmaceutical excipient Substances 0.000 claims description 22
- 125000002971 oxazolyl group Chemical group 0.000 claims description 21
- 230000012010 growth Effects 0.000 claims description 16
- 241000282414 Homo sapiens Species 0.000 claims description 15
- 108090000364 Ligases Proteins 0.000 claims description 13
- 102000003960 Ligases Human genes 0.000 claims description 12
- 230000002147 killing effect Effects 0.000 claims description 12
- 238000009472 formulation Methods 0.000 claims description 11
- 239000013543 active substance Substances 0.000 claims description 8
- 108010071170 Leucine-tRNA ligase Proteins 0.000 claims description 7
- 238000011282 treatment Methods 0.000 claims description 7
- 238000004519 manufacturing process Methods 0.000 claims description 5
- 230000000699 topical effect Effects 0.000 claims description 4
- 125000005843 halogen group Chemical group 0.000 claims description 3
- 238000011321 prophylaxis Methods 0.000 claims description 3
- 102000043856 Leucine-tRNA ligase Human genes 0.000 claims 1
- 125000002887 hydroxy group Chemical group [H]O* 0.000 claims 1
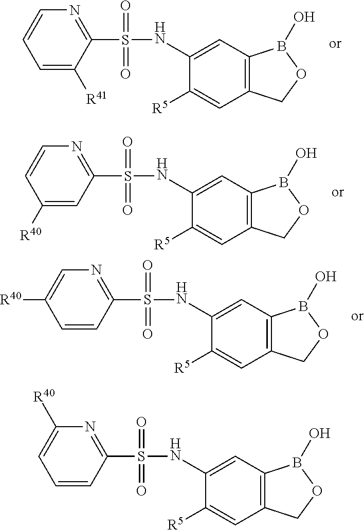
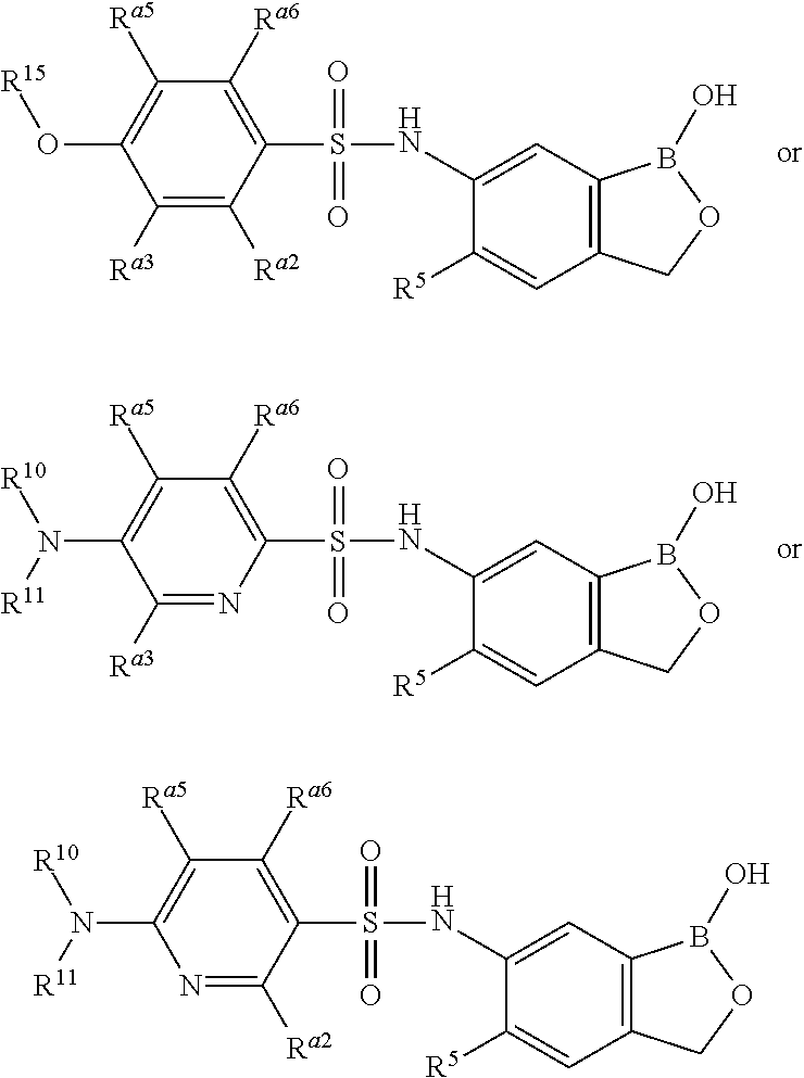
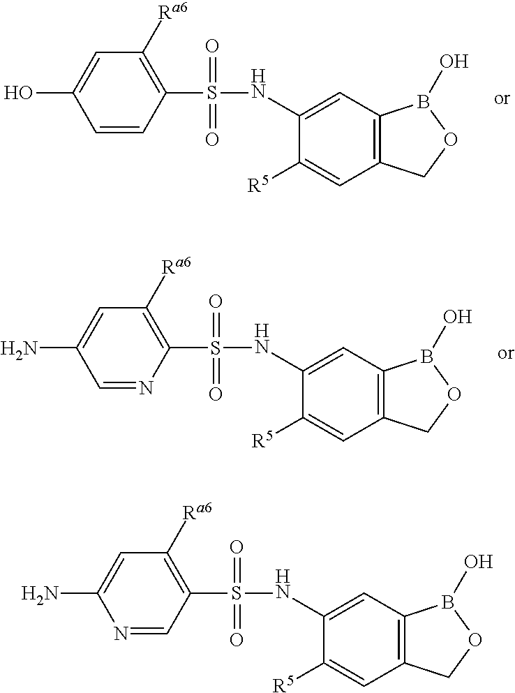
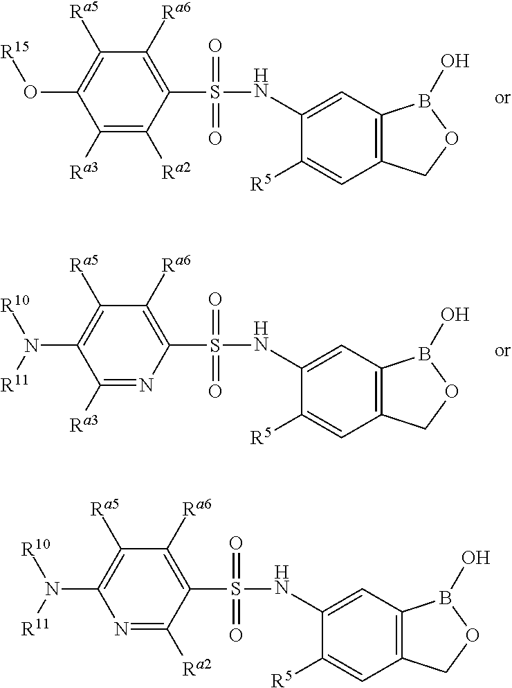
- -1 6-substituted benzoxaborole compounds Chemical class 0.000 abstract description 167
- 125000002496 methyl group Chemical group [H]C([H])([H])* 0.000 description 281
- 125000001495 ethyl group Chemical group [H]C([H])([H])C([H])([H])* 0.000 description 258
- 125000004051 hexyl group Chemical group [H]C([H])([H])C([H])([H])C([H])([H])C([H])([H])C([H])([H])C([H])([H])* 0.000 description 135
- 208000037265 diseases, disorders, signs and symptoms Diseases 0.000 description 114
- 201000010099 disease Diseases 0.000 description 112
- XEKOWRVHYACXOJ-UHFFFAOYSA-N Ethyl acetate Chemical compound CCOC(C)=O XEKOWRVHYACXOJ-UHFFFAOYSA-N 0.000 description 99
- 239000000243 solution Substances 0.000 description 82
- OKKJLVBELUTLKV-UHFFFAOYSA-N Methanol Chemical compound OC OKKJLVBELUTLKV-UHFFFAOYSA-N 0.000 description 63
- XLYOFNOQVPJJNP-UHFFFAOYSA-N water Chemical compound O XLYOFNOQVPJJNP-UHFFFAOYSA-N 0.000 description 53
- 125000002924 primary amino group Chemical group [H]N([H])* 0.000 description 51
- 239000000460 chlorine Substances 0.000 description 50
- YMWUJEATGCHHMB-UHFFFAOYSA-N Dichloromethane Chemical compound ClCCl YMWUJEATGCHHMB-UHFFFAOYSA-N 0.000 description 49
- IAZDPXIOMUYVGZ-WFGJKAKNSA-N Dimethyl sulfoxide Chemical compound [2H]C([2H])([2H])S(=O)C([2H])([2H])[2H] IAZDPXIOMUYVGZ-WFGJKAKNSA-N 0.000 description 49
- 239000001257 hydrogen Substances 0.000 description 49
- UFHFLCQGNIYNRP-UHFFFAOYSA-N Hydrogen Chemical compound [H][H] UFHFLCQGNIYNRP-UHFFFAOYSA-N 0.000 description 47
- 108700028939 Amino Acyl-tRNA Synthetases Proteins 0.000 description 44
- 229910001868 water Inorganic materials 0.000 description 44
- 102000052866 Amino Acyl-tRNA Synthetases Human genes 0.000 description 43
- YZCKVEUIGOORGS-OUBTZVSYSA-N Deuterium Chemical compound [2H] YZCKVEUIGOORGS-OUBTZVSYSA-N 0.000 description 42
- 229910052805 deuterium Inorganic materials 0.000 description 42
- 125000004356 hydroxy functional group Chemical group O* 0.000 description 42
- 244000005700 microbiome Species 0.000 description 42
- WYURNTSHIVDZCO-UHFFFAOYSA-N Tetrahydrofuran Chemical compound C1CCOC1 WYURNTSHIVDZCO-UHFFFAOYSA-N 0.000 description 38
- 235000019439 ethyl acetate Nutrition 0.000 description 38
- RTZKZFJDLAIYFH-UHFFFAOYSA-N Diethyl ether Chemical compound CCOCC RTZKZFJDLAIYFH-UHFFFAOYSA-N 0.000 description 37
- 125000000113 cyclohexyl group Chemical group [H]C1([H])C([H])([H])C([H])([H])C([H])(*)C([H])([H])C1([H])[H] 0.000 description 36
- 125000001511 cyclopentyl group Chemical group [H]C1([H])C([H])([H])C([H])([H])C([H])(*)C1([H])[H] 0.000 description 33
- 125000001995 cyclobutyl group Chemical group [H]C1([H])C([H])([H])C([H])(*)C1([H])[H] 0.000 description 32
- IJGRMHOSHXDMSA-UHFFFAOYSA-N Atomic nitrogen Chemical compound N#N IJGRMHOSHXDMSA-UHFFFAOYSA-N 0.000 description 31
- 125000001424 substituent group Chemical group 0.000 description 31
- VEXZGXHMUGYJMC-UHFFFAOYSA-N Hydrochloric acid Chemical compound Cl VEXZGXHMUGYJMC-UHFFFAOYSA-N 0.000 description 30
- PMZURENOXWZQFD-UHFFFAOYSA-L Sodium Sulfate Chemical compound [Na+].[Na+].[O-]S([O-])(=O)=O PMZURENOXWZQFD-UHFFFAOYSA-L 0.000 description 29
- 239000007787 solid Substances 0.000 description 29
- 238000005160 1H NMR spectroscopy Methods 0.000 description 28
- LFQSCWFLJHTTHZ-UHFFFAOYSA-N Ethanol Chemical compound CCO LFQSCWFLJHTTHZ-UHFFFAOYSA-N 0.000 description 28
- JUJWROOIHBZHMG-UHFFFAOYSA-N Pyridine Chemical compound C1=CC=NC=C1 JUJWROOIHBZHMG-UHFFFAOYSA-N 0.000 description 28
- 125000000582 cycloheptyl group Chemical group [H]C1([H])C([H])([H])C([H])([H])C([H])([H])C([H])(*)C([H])([H])C1([H])[H] 0.000 description 25
- 125000000640 cyclooctyl group Chemical group [H]C1([H])C([H])([H])C([H])([H])C([H])([H])C([H])(*)C([H])([H])C([H])([H])C1([H])[H] 0.000 description 24
- 229910052757 nitrogen Inorganic materials 0.000 description 24
- WEVYAHXRMPXWCK-UHFFFAOYSA-N Acetonitrile Chemical compound CC#N WEVYAHXRMPXWCK-UHFFFAOYSA-N 0.000 description 23
- 239000012044 organic layer Substances 0.000 description 23
- 150000003254 radicals Chemical class 0.000 description 23
- 125000001449 isopropyl group Chemical group [H]C([H])([H])C([H])(*)C([H])([H])[H] 0.000 description 22
- HEMHJVSKTPXQMS-UHFFFAOYSA-M Sodium hydroxide Chemical compound [OH-].[Na+] HEMHJVSKTPXQMS-UHFFFAOYSA-M 0.000 description 21
- 239000003921 oil Substances 0.000 description 20
- 239000000651 prodrug Substances 0.000 description 20
- 229940002612 prodrug Drugs 0.000 description 20
- QTBSBXVTEAMEQO-UHFFFAOYSA-N Acetic acid Chemical compound CC(O)=O QTBSBXVTEAMEQO-UHFFFAOYSA-N 0.000 description 19
- 235000019198 oils Nutrition 0.000 description 19
- 125000001436 propyl group Chemical group [H]C([*])([H])C([H])([H])C([H])([H])[H] 0.000 description 19
- 239000011541 reaction mixture Substances 0.000 description 19
- 239000012267 brine Substances 0.000 description 18
- BWHMMNNQKKPAPP-UHFFFAOYSA-L potassium carbonate Chemical compound [K+].[K+].[O-]C([O-])=O BWHMMNNQKKPAPP-UHFFFAOYSA-L 0.000 description 18
- HPALAKNZSZLMCH-UHFFFAOYSA-M sodium;chloride;hydrate Chemical compound O.[Na+].[Cl-] HPALAKNZSZLMCH-UHFFFAOYSA-M 0.000 description 18
- 239000002904 solvent Substances 0.000 description 18
- YLQBMQCUIZJEEH-UHFFFAOYSA-N tetrahydrofuran Natural products C=1C=COC=1 YLQBMQCUIZJEEH-UHFFFAOYSA-N 0.000 description 18
- VYPSYNLAJGMNEJ-UHFFFAOYSA-N Silicium dioxide Chemical compound O=[Si]=O VYPSYNLAJGMNEJ-UHFFFAOYSA-N 0.000 description 17
- 238000000746 purification Methods 0.000 description 17
- ZMANZCXQSJIPKH-UHFFFAOYSA-N Triethylamine Chemical compound CCN(CC)CC ZMANZCXQSJIPKH-UHFFFAOYSA-N 0.000 description 16
- 229910052938 sodium sulfate Inorganic materials 0.000 description 16
- 125000002023 trifluoromethyl group Chemical group FC(F)(F)* 0.000 description 16
- 239000007832 Na2SO4 Substances 0.000 description 15
- 238000003556 assay Methods 0.000 description 15
- 238000006243 chemical reaction Methods 0.000 description 15
- 239000012453 solvate Substances 0.000 description 15
- 150000001413 amino acids Chemical class 0.000 description 14
- 125000001797 benzyl group Chemical group [H]C1=C([H])C([H])=C(C([H])=C1[H])C([H])([H])* 0.000 description 14
- 125000005842 heteroatom Chemical group 0.000 description 14
- UMJSCPRVCHMLSP-UHFFFAOYSA-N pyridine Natural products COC1=CC=CN=C1 UMJSCPRVCHMLSP-UHFFFAOYSA-N 0.000 description 14
- 229940124597 therapeutic agent Drugs 0.000 description 14
- 238000002953 preparative HPLC Methods 0.000 description 13
- 239000007858 starting material Substances 0.000 description 13
- OTNUPHBMWRIGJT-UHFFFAOYSA-N 5-fluoro-1-hydroxy-3h-2,1-benzoxaborol-6-amine Chemical compound C1=C(F)C(N)=CC2=C1COB2O OTNUPHBMWRIGJT-UHFFFAOYSA-N 0.000 description 12
- 239000003242 anti bacterial agent Substances 0.000 description 12
- 125000004429 atom Chemical group 0.000 description 12
- 125000001559 cyclopropyl group Chemical group [H]C1([H])C([H])([H])C1([H])* 0.000 description 12
- 125000000449 nitro group Chemical group [O-][N+](*)=O 0.000 description 12
- 238000003756 stirring Methods 0.000 description 12
- 125000000474 3-butynyl group Chemical group [H]C#CC([H])([H])C([H])([H])* 0.000 description 11
- QGZKDVFQNNGYKY-UHFFFAOYSA-N Ammonia Chemical compound N QGZKDVFQNNGYKY-UHFFFAOYSA-N 0.000 description 11
- 206010035664 Pneumonia Diseases 0.000 description 11
- 239000002585 base Substances 0.000 description 11
- 229940079593 drug Drugs 0.000 description 11
- 238000003818 flash chromatography Methods 0.000 description 11
- 229910052740 iodine Inorganic materials 0.000 description 11
- 125000001425 triazolyl group Chemical group 0.000 description 11
- 125000004973 1-butenyl group Chemical group C(=CCC)* 0.000 description 10
- 125000004972 1-butynyl group Chemical group [H]C([H])([H])C([H])([H])C#C* 0.000 description 10
- 125000004974 2-butenyl group Chemical group C(C=CC)* 0.000 description 10
- 125000000069 2-butynyl group Chemical group [H]C([H])([H])C#CC([H])([H])* 0.000 description 10
- 125000004975 3-butenyl group Chemical group C(CC=C)* 0.000 description 10
- 241000283690 Bos taurus Species 0.000 description 10
- QAOWNCQODCNURD-UHFFFAOYSA-N Sulfuric acid Chemical compound OS(O)(=O)=O QAOWNCQODCNURD-UHFFFAOYSA-N 0.000 description 10
- 125000004432 carbon atom Chemical group C* 0.000 description 10
- 241000894007 species Species 0.000 description 10
- 239000000725 suspension Substances 0.000 description 10
- 102000004190 Enzymes Human genes 0.000 description 9
- 108090000790 Enzymes Proteins 0.000 description 9
- 241000193998 Streptococcus pneumoniae Species 0.000 description 9
- 239000002253 acid Substances 0.000 description 9
- 239000004480 active ingredient Substances 0.000 description 9
- 150000001412 amines Chemical class 0.000 description 9
- UENWRTRMUIOCKN-UHFFFAOYSA-N benzyl thiol Chemical compound SCC1=CC=CC=C1 UENWRTRMUIOCKN-UHFFFAOYSA-N 0.000 description 9
- 230000000694 effects Effects 0.000 description 9
- 229910000027 potassium carbonate Inorganic materials 0.000 description 9
- 239000000047 product Substances 0.000 description 9
- 239000000741 silica gel Substances 0.000 description 9
- 229910002027 silica gel Inorganic materials 0.000 description 9
- 229910052717 sulfur Inorganic materials 0.000 description 9
- DLFVBJFMPXGRIB-UHFFFAOYSA-N Acetamide Chemical compound CC(N)=O DLFVBJFMPXGRIB-UHFFFAOYSA-N 0.000 description 8
- WFDIJRYMOXRFFG-UHFFFAOYSA-N Acetic anhydride Chemical compound CC(=O)OC(C)=O WFDIJRYMOXRFFG-UHFFFAOYSA-N 0.000 description 8
- IAZDPXIOMUYVGZ-UHFFFAOYSA-N Dimethylsulphoxide Chemical compound CS(C)=O IAZDPXIOMUYVGZ-UHFFFAOYSA-N 0.000 description 8
- 241000588724 Escherichia coli Species 0.000 description 8
- DBTDEFJAFBUGPP-UHFFFAOYSA-N Methanethial Chemical compound S=C DBTDEFJAFBUGPP-UHFFFAOYSA-N 0.000 description 8
- KDLHZDBZIXYQEI-UHFFFAOYSA-N Palladium Chemical compound [Pd] KDLHZDBZIXYQEI-UHFFFAOYSA-N 0.000 description 8
- 230000003115 biocidal effect Effects 0.000 description 8
- 150000002148 esters Chemical class 0.000 description 8
- 235000019441 ethanol Nutrition 0.000 description 8
- 239000000706 filtrate Substances 0.000 description 8
- 238000004128 high performance liquid chromatography Methods 0.000 description 8
- 125000000956 methoxy group Chemical group [H]C([H])([H])O* 0.000 description 8
- 231100000252 nontoxic Toxicity 0.000 description 8
- 230000003000 nontoxic effect Effects 0.000 description 8
- 241000588626 Acinetobacter baumannii Species 0.000 description 7
- 241000589513 Burkholderia cepacia Species 0.000 description 7
- 241000588919 Citrobacter freundii Species 0.000 description 7
- 241000588697 Enterobacter cloacae Species 0.000 description 7
- 201000009906 Meningitis Diseases 0.000 description 7
- ZMXDDKWLCZADIW-UHFFFAOYSA-N N,N-Dimethylformamide Chemical compound CN(C)C=O ZMXDDKWLCZADIW-UHFFFAOYSA-N 0.000 description 7
- 241000607715 Serratia marcescens Species 0.000 description 7
- 241000193996 Streptococcus pyogenes Species 0.000 description 7
- 125000002947 alkylene group Chemical group 0.000 description 7
- 125000003710 aryl alkyl group Chemical group 0.000 description 7
- 239000012298 atmosphere Substances 0.000 description 7
- 230000010261 cell growth Effects 0.000 description 7
- 150000002240 furans Chemical class 0.000 description 7
- 125000000717 hydrazino group Chemical group [H]N([*])N([H])[H] 0.000 description 7
- 229910052760 oxygen Inorganic materials 0.000 description 7
- XHXFXVLFKHQFAL-UHFFFAOYSA-N phosphoryl trichloride Chemical compound ClP(Cl)(Cl)=O XHXFXVLFKHQFAL-UHFFFAOYSA-N 0.000 description 7
- 239000000843 powder Substances 0.000 description 7
- 238000002360 preparation method Methods 0.000 description 7
- 230000001225 therapeutic effect Effects 0.000 description 7
- 208000019206 urinary tract infection Diseases 0.000 description 7
- 239000003981 vehicle Substances 0.000 description 7
- 208000005577 Gastroenteritis Diseases 0.000 description 6
- 102100023339 Leucine-tRNA ligase, cytoplasmic Human genes 0.000 description 6
- CSNNHWWHGAXBCP-UHFFFAOYSA-L Magnesium sulfate Chemical compound [Mg+2].[O-][S+2]([O-])([O-])[O-] CSNNHWWHGAXBCP-UHFFFAOYSA-L 0.000 description 6
- GRYLNZFGIOXLOG-UHFFFAOYSA-N Nitric acid Chemical compound O[N+]([O-])=O GRYLNZFGIOXLOG-UHFFFAOYSA-N 0.000 description 6
- DNIAPMSPPWPWGF-UHFFFAOYSA-N Propylene glycol Chemical compound CC(O)CO DNIAPMSPPWPWGF-UHFFFAOYSA-N 0.000 description 6
- 241000589517 Pseudomonas aeruginosa Species 0.000 description 6
- 241000191967 Staphylococcus aureus Species 0.000 description 6
- 241000122973 Stenotrophomonas maltophilia Species 0.000 description 6
- 125000003917 carbamoyl group Chemical group [H]N([H])C(*)=O 0.000 description 6
- 239000000796 flavoring agent Substances 0.000 description 6
- 230000035772 mutation Effects 0.000 description 6
- 229910017604 nitric acid Inorganic materials 0.000 description 6
- QJGQUHMNIGDVPM-UHFFFAOYSA-N nitrogen group Chemical group [N] QJGQUHMNIGDVPM-UHFFFAOYSA-N 0.000 description 6
- 239000003208 petroleum Substances 0.000 description 6
- 238000010992 reflux Methods 0.000 description 6
- 239000000126 substance Substances 0.000 description 6
- 239000003765 sweetening agent Substances 0.000 description 6
- 238000012360 testing method Methods 0.000 description 6
- XXJGBENTLXFVFI-UHFFFAOYSA-N 1-amino-methylene Chemical compound N[CH2] XXJGBENTLXFVFI-UHFFFAOYSA-N 0.000 description 5
- XOQABDOICLHPIS-UHFFFAOYSA-N 1-hydroxy-2,1-benzoxaborole Chemical compound C1=CC=C2B(O)OCC2=C1 XOQABDOICLHPIS-UHFFFAOYSA-N 0.000 description 5
- 125000004206 2,2,2-trifluoroethyl group Chemical group [H]C([H])(*)C(F)(F)F 0.000 description 5
- OZAIFHULBGXAKX-UHFFFAOYSA-N 2-(2-cyanopropan-2-yldiazenyl)-2-methylpropanenitrile Chemical compound N#CC(C)(C)N=NC(C)(C)C#N OZAIFHULBGXAKX-UHFFFAOYSA-N 0.000 description 5
- NLXLAEXVIDQMFP-UHFFFAOYSA-N Ammonia chloride Chemical compound [NH4+].[Cl-] NLXLAEXVIDQMFP-UHFFFAOYSA-N 0.000 description 5
- 241000283707 Capra Species 0.000 description 5
- 241000700199 Cavia porcellus Species 0.000 description 5
- 241000588914 Enterobacter Species 0.000 description 5
- 241000194032 Enterococcus faecalis Species 0.000 description 5
- 241000194031 Enterococcus faecium Species 0.000 description 5
- 241000283073 Equus caballus Species 0.000 description 5
- 241000282326 Felis catus Species 0.000 description 5
- 241000287828 Gallus gallus Species 0.000 description 5
- 241000699694 Gerbillinae Species 0.000 description 5
- 241000588747 Klebsiella pneumoniae Species 0.000 description 5
- WMFOQBRAJBCJND-UHFFFAOYSA-M Lithium hydroxide Chemical compound [Li+].[OH-] WMFOQBRAJBCJND-UHFFFAOYSA-M 0.000 description 5
- 241000186359 Mycobacterium Species 0.000 description 5
- JGFZNNIVVJXRND-UHFFFAOYSA-N N,N-Diisopropylethylamine (DIPEA) Chemical compound CCN(C(C)C)C(C)C JGFZNNIVVJXRND-UHFFFAOYSA-N 0.000 description 5
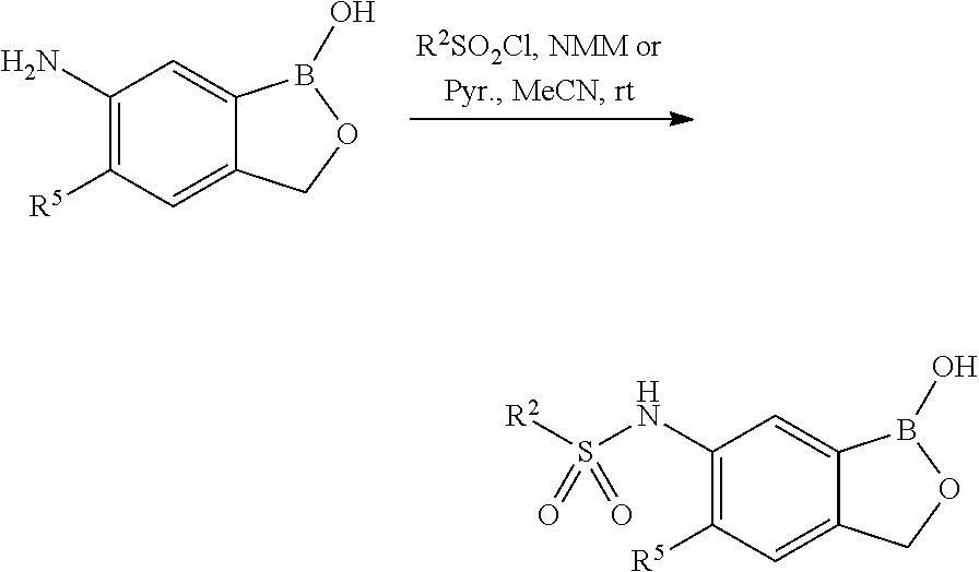
- SJRJJKPEHAURKC-UHFFFAOYSA-N N-Methylmorpholine Chemical compound CN1CCOCC1 SJRJJKPEHAURKC-UHFFFAOYSA-N 0.000 description 5
- 241000283973 Oryctolagus cuniculus Species 0.000 description 5
- 241001494479 Pecora Species 0.000 description 5
- 241000009328 Perro Species 0.000 description 5
- 241000588770 Proteus mirabilis Species 0.000 description 5
- 241000588768 Providencia Species 0.000 description 5
- 241000589516 Pseudomonas Species 0.000 description 5
- NPXOKRUENSOPAO-UHFFFAOYSA-N Raney nickel Chemical compound [Al].[Ni] NPXOKRUENSOPAO-UHFFFAOYSA-N 0.000 description 5
- 206010040047 Sepsis Diseases 0.000 description 5
- 241000282898 Sus scrofa Species 0.000 description 5
- 125000003342 alkenyl group Chemical group 0.000 description 5
- 125000000304 alkynyl group Chemical group 0.000 description 5
- 230000004071 biological effect Effects 0.000 description 5
- 230000015572 biosynthetic process Effects 0.000 description 5
- 244000309464 bull Species 0.000 description 5
- 239000002775 capsule Substances 0.000 description 5
- 239000007859 condensation product Substances 0.000 description 5
- 238000010511 deprotection reaction Methods 0.000 description 5
- 235000014113 dietary fatty acids Nutrition 0.000 description 5
- 239000000194 fatty acid Substances 0.000 description 5
- 229930195729 fatty acid Natural products 0.000 description 5
- 150000004665 fatty acids Chemical class 0.000 description 5
- 238000001914 filtration Methods 0.000 description 5
- 235000003599 food sweetener Nutrition 0.000 description 5
- 125000004474 heteroalkylene group Chemical group 0.000 description 5
- 230000005764 inhibitory process Effects 0.000 description 5
- 239000010410 layer Substances 0.000 description 5
- 238000004895 liquid chromatography mass spectrometry Methods 0.000 description 5
- 239000000463 material Substances 0.000 description 5
- VLKZOEOYAKHREP-UHFFFAOYSA-N n-Hexane Chemical class CCCCCC VLKZOEOYAKHREP-UHFFFAOYSA-N 0.000 description 5
- 229910000069 nitrogen hydride Inorganic materials 0.000 description 5
- 125000004430 oxygen atom Chemical group O* 0.000 description 5
- 230000036961 partial effect Effects 0.000 description 5
- 125000001997 phenyl group Chemical group [H]C1=C([H])C([H])=C(*)C([H])=C1[H] 0.000 description 5
- 239000002244 precipitate Substances 0.000 description 5
- 239000003755 preservative agent Substances 0.000 description 5
- BDERNNFJNOPAEC-UHFFFAOYSA-N propan-1-ol Chemical compound CCCO BDERNNFJNOPAEC-UHFFFAOYSA-N 0.000 description 5
- 229940031000 streptococcus pneumoniae Drugs 0.000 description 5
- 239000000375 suspending agent Substances 0.000 description 5
- DTQVDTLACAAQTR-UHFFFAOYSA-N trifluoroacetic acid Substances OC(=O)C(F)(F)F DTQVDTLACAAQTR-UHFFFAOYSA-N 0.000 description 5
- 238000010626 work up procedure Methods 0.000 description 5
- 125000004504 1,2,4-oxadiazolyl group Chemical group 0.000 description 4
- 125000001781 1,3,4-oxadiazolyl group Chemical group 0.000 description 4
- VTYYLEPIZMXCLO-UHFFFAOYSA-L Calcium carbonate Chemical compound [Ca+2].[O-]C([O-])=O VTYYLEPIZMXCLO-UHFFFAOYSA-L 0.000 description 4
- KZBUYRJDOAKODT-UHFFFAOYSA-N Chlorine Chemical compound ClCl KZBUYRJDOAKODT-UHFFFAOYSA-N 0.000 description 4
- 241000186216 Corynebacterium Species 0.000 description 4
- 241000588722 Escherichia Species 0.000 description 4
- IAYPIBMASNFSPL-UHFFFAOYSA-N Ethylene oxide Chemical compound C1CO1 IAYPIBMASNFSPL-UHFFFAOYSA-N 0.000 description 4
- JNCMHMUGTWEVOZ-UHFFFAOYSA-N F[CH]F Chemical compound F[CH]F JNCMHMUGTWEVOZ-UHFFFAOYSA-N 0.000 description 4
- 241000606768 Haemophilus influenzae Species 0.000 description 4
- KFZMGEQAYNKOFK-UHFFFAOYSA-N Isopropanol Chemical compound CC(C)O KFZMGEQAYNKOFK-UHFFFAOYSA-N 0.000 description 4
- 241000588748 Klebsiella Species 0.000 description 4
- PCLIMKBDDGJMGD-UHFFFAOYSA-N N-bromosuccinimide Chemical compound BrN1C(=O)CCC1=O PCLIMKBDDGJMGD-UHFFFAOYSA-N 0.000 description 4
- 241000588778 Providencia stuartii Species 0.000 description 4
- UIIMBOGNXHQVGW-UHFFFAOYSA-M Sodium bicarbonate Chemical compound [Na+].OC([O-])=O UIIMBOGNXHQVGW-UHFFFAOYSA-M 0.000 description 4
- NINIDFKCEFEMDL-UHFFFAOYSA-N Sulfur Chemical compound [S] NINIDFKCEFEMDL-UHFFFAOYSA-N 0.000 description 4
- HEDRZPFGACZZDS-MICDWDOJSA-N Trichloro(2H)methane Chemical compound [2H]C(Cl)(Cl)Cl HEDRZPFGACZZDS-MICDWDOJSA-N 0.000 description 4
- 230000002378 acidificating effect Effects 0.000 description 4
- 239000004599 antimicrobial Substances 0.000 description 4
- 239000007900 aqueous suspension Substances 0.000 description 4
- QVGXLLKOCUKJST-UHFFFAOYSA-N atomic oxygen Chemical compound [O] QVGXLLKOCUKJST-UHFFFAOYSA-N 0.000 description 4
- 125000001584 benzyloxycarbonyl group Chemical group C(=O)(OCC1=CC=CC=C1)* 0.000 description 4
- 230000037396 body weight Effects 0.000 description 4
- ILAHWRKJUDSMFH-UHFFFAOYSA-N boron tribromide Chemical compound BrB(Br)Br ILAHWRKJUDSMFH-UHFFFAOYSA-N 0.000 description 4
- 239000000969 carrier Substances 0.000 description 4
- 239000003054 catalyst Substances 0.000 description 4
- 239000003086 colorant Substances 0.000 description 4
- 239000012043 crude product Substances 0.000 description 4
- 125000004122 cyclic group Chemical group 0.000 description 4
- 239000000539 dimer Substances 0.000 description 4
- 239000002270 dispersing agent Substances 0.000 description 4
- 239000000839 emulsion Substances 0.000 description 4
- 206010014665 endocarditis Diseases 0.000 description 4
- 125000001153 fluoro group Chemical group F* 0.000 description 4
- UHCBBWUQDAVSMS-UHFFFAOYSA-N fluoroethane Chemical compound CCF UHCBBWUQDAVSMS-UHFFFAOYSA-N 0.000 description 4
- VUWZPRWSIVNGKG-UHFFFAOYSA-N fluoromethane Chemical compound F[CH2] VUWZPRWSIVNGKG-UHFFFAOYSA-N 0.000 description 4
- 235000013355 food flavoring agent Nutrition 0.000 description 4
- CBOIHMRHGLHBPB-UHFFFAOYSA-N hydroxymethyl Chemical compound O[CH2] CBOIHMRHGLHBPB-UHFFFAOYSA-N 0.000 description 4
- 238000000338 in vitro Methods 0.000 description 4
- 238000001727 in vivo Methods 0.000 description 4
- 239000003112 inhibitor Substances 0.000 description 4
- 125000000959 isobutyl group Chemical group [H]C([H])([H])C([H])(C([H])([H])[H])C([H])([H])* 0.000 description 4
- ZCSHNCUQKCANBX-UHFFFAOYSA-N lithium diisopropylamide Chemical compound [Li+].CC(C)[N-]C(C)C ZCSHNCUQKCANBX-UHFFFAOYSA-N 0.000 description 4
- MZRVEZGGRBJDDB-UHFFFAOYSA-N n-Butyllithium Substances [Li]CCCC MZRVEZGGRBJDDB-UHFFFAOYSA-N 0.000 description 4
- 239000001301 oxygen Substances 0.000 description 4
- 230000000144 pharmacologic effect Effects 0.000 description 4
- SCVFZCLFOSHCOH-UHFFFAOYSA-M potassium acetate Chemical compound [K+].CC([O-])=O SCVFZCLFOSHCOH-UHFFFAOYSA-M 0.000 description 4
- 230000000069 prophylactic effect Effects 0.000 description 4
- 239000011593 sulfur Substances 0.000 description 4
- 230000009885 systemic effect Effects 0.000 description 4
- 239000003826 tablet Substances 0.000 description 4
- DYHSDKLCOJIUFX-UHFFFAOYSA-N tert-butoxycarbonyl anhydride Chemical compound CC(C)(C)OC(=O)OC(=O)OC(C)(C)C DYHSDKLCOJIUFX-UHFFFAOYSA-N 0.000 description 4
- QAEDZJGFFMLHHQ-UHFFFAOYSA-N trifluoroacetic anhydride Chemical compound FC(F)(F)C(=O)OC(=O)C(F)(F)F QAEDZJGFFMLHHQ-UHFFFAOYSA-N 0.000 description 4
- 239000013638 trimer Substances 0.000 description 4
- 239000000080 wetting agent Substances 0.000 description 4
- 125000004178 (C1-C4) alkyl group Chemical group 0.000 description 3
- 125000006552 (C3-C8) cycloalkyl group Chemical group 0.000 description 3
- 125000004509 1,3,4-oxadiazol-2-yl group Chemical group O1C(=NN=C1)* 0.000 description 3
- USCKQKQTFCBECF-UHFFFAOYSA-N 1-hydroxy-3h-2,1-benzoxaborol-6-amine Chemical compound NC1=CC=C2COB(O)C2=C1 USCKQKQTFCBECF-UHFFFAOYSA-N 0.000 description 3
- HEHKDHZTHDUHDP-UHFFFAOYSA-N 2-(2-aminopyridin-3-yl)propan-2-ol Chemical compound CC(C)(O)C1=CC=CN=C1N HEHKDHZTHDUHDP-UHFFFAOYSA-N 0.000 description 3
- SJEMILBBWOIKIJ-UHFFFAOYSA-N 2-benzylsulfanyl-3-ethyl-5-nitropyridine Chemical compound CCC1=CC([N+]([O-])=O)=CN=C1SCC1=CC=CC=C1 SJEMILBBWOIKIJ-UHFFFAOYSA-N 0.000 description 3
- WHOGHXWXTNTFIH-UHFFFAOYSA-N 2-benzylsulfanyl-5-nitro-3-propan-2-ylpyridine Chemical compound CC(C)C1=CC([N+]([O-])=O)=CN=C1SCC1=CC=CC=C1 WHOGHXWXTNTFIH-UHFFFAOYSA-N 0.000 description 3
- WMCGPHRPLFIPCC-UHFFFAOYSA-N 2-chloro-3-ethyl-5-nitropyridine Chemical compound CCC1=CC([N+]([O-])=O)=CN=C1Cl WMCGPHRPLFIPCC-UHFFFAOYSA-N 0.000 description 3
- GZPDMPZBIPVXCI-UHFFFAOYSA-N 2-chloro-5-nitro-3-propan-2-ylpyridine Chemical compound CC(C)C1=CC([N+]([O-])=O)=CN=C1Cl GZPDMPZBIPVXCI-UHFFFAOYSA-N 0.000 description 3
- 125000002941 2-furyl group Chemical group O1C([*])=C([H])C([H])=C1[H] 0.000 description 3
- 125000000954 2-hydroxyethyl group Chemical group [H]C([*])([H])C([H])([H])O[H] 0.000 description 3
- YUCOXCFBGZMRBU-UHFFFAOYSA-N 3-ethyl-5-nitro-1h-pyridin-2-one Chemical compound CCC1=CC([N+]([O-])=O)=CN=C1O YUCOXCFBGZMRBU-UHFFFAOYSA-N 0.000 description 3
- WTAZAHLROWIQRC-UHFFFAOYSA-N 3-ethylpyridin-2-amine Chemical compound CCC1=CC=CN=C1N WTAZAHLROWIQRC-UHFFFAOYSA-N 0.000 description 3
- GHZOLPYPAQAMKG-UHFFFAOYSA-N 3-propan-2-ylpyridin-2-amine Chemical compound CC(C)C1=CC=CN=C1N GHZOLPYPAQAMKG-UHFFFAOYSA-N 0.000 description 3
- VHYFNPMBLIVWCW-UHFFFAOYSA-N 4-Dimethylaminopyridine Chemical compound CN(C)C1=CC=NC=C1 VHYFNPMBLIVWCW-UHFFFAOYSA-N 0.000 description 3
- XSNPCUCLBDEMFJ-UHFFFAOYSA-N 5-acetamido-3-ethylpyridine-2-sulfonyl chloride Chemical compound CCC1=CC(NC(C)=O)=CN=C1S(Cl)(=O)=O XSNPCUCLBDEMFJ-UHFFFAOYSA-N 0.000 description 3
- ROAULSKCEUTWSK-UHFFFAOYSA-N 5-acetamido-3-propan-2-ylpyridine-2-sulfonyl chloride Chemical compound CC(C)C1=CC(NC(C)=O)=CN=C1S(Cl)(=O)=O ROAULSKCEUTWSK-UHFFFAOYSA-N 0.000 description 3
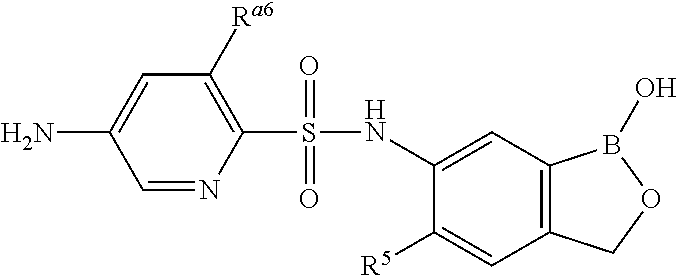
- PCMKAOYTDMIBNR-UHFFFAOYSA-N 5-amino-3-ethyl-n-(1-hydroxy-3h-2,1-benzoxaborol-6-yl)pyridine-2-sulfonamide Chemical compound CCC1=CC(N)=CN=C1S(=O)(=O)NC1=CC=C(COB2O)C2=C1 PCMKAOYTDMIBNR-UHFFFAOYSA-N 0.000 description 3
- DUYVMIOKWZXICN-UHFFFAOYSA-N 5-chloro-1-hydroxy-3h-2,1-benzoxaborol-6-amine Chemical compound C1=C(Cl)C(N)=CC2=C1COB2O DUYVMIOKWZXICN-UHFFFAOYSA-N 0.000 description 3
- GSBLYOYFLLRXAG-UHFFFAOYSA-N 5-nitro-3-propan-2-yl-1h-pyridin-2-one Chemical compound CC(C)C1=CC([N+]([O-])=O)=CN=C1O GSBLYOYFLLRXAG-UHFFFAOYSA-N 0.000 description 3
- WSXBPZQOVAAMHD-UHFFFAOYSA-N 6-benzylsulfanyl-5-ethylpyridin-3-amine Chemical compound CCC1=CC(N)=CN=C1SCC1=CC=CC=C1 WSXBPZQOVAAMHD-UHFFFAOYSA-N 0.000 description 3
- SCDAICTZKOLCKE-UHFFFAOYSA-N 6-benzylsulfanyl-5-propan-2-ylpyridin-3-amine Chemical compound CC(C)C1=CC(N)=CN=C1SCC1=CC=CC=C1 SCDAICTZKOLCKE-UHFFFAOYSA-N 0.000 description 3
- HBAQYPYDRFILMT-UHFFFAOYSA-N 8-[3-(1-cyclopropylpyrazol-4-yl)-1H-pyrazolo[4,3-d]pyrimidin-5-yl]-3-methyl-3,8-diazabicyclo[3.2.1]octan-2-one Chemical class C1(CC1)N1N=CC(=C1)C1=NNC2=C1N=C(N=C2)N1C2C(N(CC1CC2)C)=O HBAQYPYDRFILMT-UHFFFAOYSA-N 0.000 description 3
- 241000589291 Acinetobacter Species 0.000 description 3
- 241000186046 Actinomyces Species 0.000 description 3
- QGZKDVFQNNGYKY-UHFFFAOYSA-O Ammonium Chemical compound [NH4+] QGZKDVFQNNGYKY-UHFFFAOYSA-O 0.000 description 3
- 241000272525 Anas platyrhynchos Species 0.000 description 3
- 241000272814 Anser sp. Species 0.000 description 3
- 241000256844 Apis mellifera Species 0.000 description 3
- 241000193830 Bacillus <bacterium> Species 0.000 description 3
- 208000031729 Bacteremia Diseases 0.000 description 3
- 241000606125 Bacteroides Species 0.000 description 3
- 102000004506 Blood Proteins Human genes 0.000 description 3
- 108010017384 Blood Proteins Proteins 0.000 description 3
- 241000588807 Bordetella Species 0.000 description 3
- 241001416153 Bos grunniens Species 0.000 description 3
- 241000589562 Brucella Species 0.000 description 3
- OYPRJOBELJOOCE-UHFFFAOYSA-N Calcium Chemical compound [Ca] OYPRJOBELJOOCE-UHFFFAOYSA-N 0.000 description 3
- 241000282836 Camelus dromedarius Species 0.000 description 3
- 241000589876 Campylobacter Species 0.000 description 3
- 241000282994 Cervidae Species 0.000 description 3
- LZZYPRNAOMGNLH-UHFFFAOYSA-M Cetrimonium bromide Chemical group [Br-].CCCCCCCCCCCCCCCC[N+](C)(C)C LZZYPRNAOMGNLH-UHFFFAOYSA-M 0.000 description 3
- 241000606161 Chlamydia Species 0.000 description 3
- 208000006545 Chronic Obstructive Pulmonary Disease Diseases 0.000 description 3
- 241000193403 Clostridium Species 0.000 description 3
- 241000272201 Columbiformes Species 0.000 description 3
- 241001135265 Cronobacter sakazakii Species 0.000 description 3
- 108020004414 DNA Proteins 0.000 description 3
- 206010012735 Diarrhoea Diseases 0.000 description 3
- XTHFKEDIFFGKHM-UHFFFAOYSA-N Dimethoxyethane Chemical compound COCCOC XTHFKEDIFFGKHM-UHFFFAOYSA-N 0.000 description 3
- PEDCQBHIVMGVHV-UHFFFAOYSA-N Glycerine Chemical compound OCC(O)CO PEDCQBHIVMGVHV-UHFFFAOYSA-N 0.000 description 3
- 241000606790 Haemophilus Species 0.000 description 3
- 241000282412 Homo Species 0.000 description 3
- DGAQECJNVWCQMB-PUAWFVPOSA-M Ilexoside XXIX Chemical compound C[C@@H]1CC[C@@]2(CC[C@@]3(C(=CC[C@H]4[C@]3(CC[C@@H]5[C@@]4(CC[C@@H](C5(C)C)OS(=O)(=O)[O-])C)C)[C@@H]2[C@]1(C)O)C)C(=O)O[C@H]6[C@@H]([C@H]([C@@H]([C@H](O6)CO)O)O)O.[Na+] DGAQECJNVWCQMB-PUAWFVPOSA-M 0.000 description 3
- XEEYBQQBJWHFJM-UHFFFAOYSA-N Iron Chemical compound [Fe] XEEYBQQBJWHFJM-UHFFFAOYSA-N 0.000 description 3
- 241000588915 Klebsiella aerogenes Species 0.000 description 3
- 241001233242 Lontra Species 0.000 description 3
- 241000406668 Loxodonta cyclotis Species 0.000 description 3
- XCUAIINAJCDIPM-XVFCMESISA-N N(4)-hydroxycytidine Chemical compound O[C@@H]1[C@H](O)[C@@H](CO)O[C@H]1N1C(=O)NC(=NO)C=C1 XCUAIINAJCDIPM-XVFCMESISA-N 0.000 description 3
- LQZMLBORDGWNPD-UHFFFAOYSA-N N-iodosuccinimide Substances IN1C(=O)CCC1=O LQZMLBORDGWNPD-UHFFFAOYSA-N 0.000 description 3
- 241000272458 Numididae Species 0.000 description 3
- 229910019213 POCl3 Inorganic materials 0.000 description 3
- 241000606860 Pasteurella Species 0.000 description 3
- ZLMJMSJWJFRBEC-UHFFFAOYSA-N Potassium Chemical compound [K] ZLMJMSJWJFRBEC-UHFFFAOYSA-N 0.000 description 3
- 241000588769 Proteus <enterobacteria> Species 0.000 description 3
- CZPWVGJYEJSRLH-UHFFFAOYSA-N Pyrimidine Chemical compound C1=CN=CN=C1 CZPWVGJYEJSRLH-UHFFFAOYSA-N 0.000 description 3
- 241000283011 Rangifer Species 0.000 description 3
- 241000607142 Salmonella Species 0.000 description 3
- 241000607720 Serratia Species 0.000 description 3
- 241000191963 Staphylococcus epidermidis Species 0.000 description 3
- 241000272534 Struthio camelus Species 0.000 description 3
- 241000607598 Vibrio Species 0.000 description 3
- 241000607734 Yersinia <bacteria> Species 0.000 description 3
- 150000007513 acids Chemical class 0.000 description 3
- 229910021529 ammonia Inorganic materials 0.000 description 3
- 229940088710 antibiotic agent Drugs 0.000 description 3
- FJDQFPXHSGXQBY-UHFFFAOYSA-L caesium carbonate Chemical compound [Cs+].[Cs+].[O-]C([O-])=O FJDQFPXHSGXQBY-UHFFFAOYSA-L 0.000 description 3
- 239000011575 calcium Substances 0.000 description 3
- 229910052791 calcium Inorganic materials 0.000 description 3
- 238000004113 cell culture Methods 0.000 description 3
- 239000003795 chemical substances by application Substances 0.000 description 3
- 235000005911 diet Nutrition 0.000 description 3
- 230000037213 diet Effects 0.000 description 3
- 239000003085 diluting agent Substances 0.000 description 3
- 239000003651 drinking water Substances 0.000 description 3
- 235000020188 drinking water Nutrition 0.000 description 3
- 229940092559 enterobacter aerogenes Drugs 0.000 description 3
- 229940032049 enterococcus faecalis Drugs 0.000 description 3
- 229940047650 haemophilus influenzae Drugs 0.000 description 3
- 125000001188 haloalkyl group Chemical group 0.000 description 3
- XLYOFNOQVPJJNP-ZSJDYOACSA-N heavy water Substances [2H]O[2H] XLYOFNOQVPJJNP-ZSJDYOACSA-N 0.000 description 3
- 239000000543 intermediate Substances 0.000 description 3
- 238000001990 intravenous administration Methods 0.000 description 3
- 125000005647 linker group Chemical group 0.000 description 3
- 229940057995 liquid paraffin Drugs 0.000 description 3
- 229910052943 magnesium sulfate Inorganic materials 0.000 description 3
- NZZDEODTCXHCRS-UHFFFAOYSA-N methyl 2-aminopyridine-3-carboxylate Chemical compound COC(=O)C1=CC=CN=C1N NZZDEODTCXHCRS-UHFFFAOYSA-N 0.000 description 3
- 239000002480 mineral oil Substances 0.000 description 3
- 235000010446 mineral oil Nutrition 0.000 description 3
- BVUVLUIFIQXZHK-UHFFFAOYSA-N n-(1-hydroxy-3h-2,1-benzoxaborol-6-yl)-5-nitropyridine-2-sulfonamide Chemical compound C1=C2B(O)OCC2=CC=C1NS(=O)(=O)C1=CC=C([N+]([O-])=O)C=N1 BVUVLUIFIQXZHK-UHFFFAOYSA-N 0.000 description 3
- PZGYSCGFEAYCNG-UHFFFAOYSA-N n-(6-benzylsulfanyl-5-ethylpyridin-3-yl)acetamide Chemical compound CCC1=CC(NC(C)=O)=CN=C1SCC1=CC=CC=C1 PZGYSCGFEAYCNG-UHFFFAOYSA-N 0.000 description 3
- ARHCHYMIMRTABD-UHFFFAOYSA-N n-(6-benzylsulfanyl-5-propan-2-ylpyridin-3-yl)acetamide Chemical compound CC(C)C1=CC(NC(C)=O)=CN=C1SCC1=CC=CC=C1 ARHCHYMIMRTABD-UHFFFAOYSA-N 0.000 description 3
- UXNLXTIVHYDEKW-UHFFFAOYSA-N n-[5-ethyl-6-[(1-hydroxy-3h-2,1-benzoxaborol-6-yl)sulfamoyl]pyridin-3-yl]acetamide Chemical compound CCC1=CC(NC(C)=O)=CN=C1S(=O)(=O)NC1=CC=C(COB2O)C2=C1 UXNLXTIVHYDEKW-UHFFFAOYSA-N 0.000 description 3
- RFLHOHOLADMSAT-UHFFFAOYSA-N n-[6-[(1-hydroxy-3h-2,1-benzoxaborol-6-yl)sulfamoyl]-5-methylpyridin-3-yl]acetamide Chemical compound CC1=CC(NC(=O)C)=CN=C1S(=O)(=O)NC1=CC=C(COB2O)C2=C1 RFLHOHOLADMSAT-UHFFFAOYSA-N 0.000 description 3
- 230000007935 neutral effect Effects 0.000 description 3
- 125000004433 nitrogen atom Chemical group N* 0.000 description 3
- 239000004006 olive oil Substances 0.000 description 3
- 235000008390 olive oil Nutrition 0.000 description 3
- 125000004287 oxazol-2-yl group Chemical group [H]C1=C([H])N=C(*)O1 0.000 description 3
- 239000011591 potassium Substances 0.000 description 3
- 229910052700 potassium Inorganic materials 0.000 description 3
- 125000004076 pyridyl group Chemical group 0.000 description 3
- 230000002285 radioactive effect Effects 0.000 description 3
- 238000001953 recrystallisation Methods 0.000 description 3
- 229920006395 saturated elastomer Polymers 0.000 description 3
- 201000009890 sinusitis Diseases 0.000 description 3
- 239000011734 sodium Substances 0.000 description 3
- 229910052708 sodium Inorganic materials 0.000 description 3
- 235000015424 sodium Nutrition 0.000 description 3
- 125000004434 sulfur atom Chemical group 0.000 description 3
- 238000003786 synthesis reaction Methods 0.000 description 3
- 239000006188 syrup Substances 0.000 description 3
- 235000020357 syrup Nutrition 0.000 description 3
- 125000000999 tert-butyl group Chemical group [H]C([H])([H])C(*)(C([H])([H])[H])C([H])([H])[H] 0.000 description 3
- IQRKFAYMMZQJCK-UHFFFAOYSA-N tert-butyl n-(3-ethylpyridin-2-yl)carbamate Chemical compound CCC1=CC=CN=C1NC(=O)OC(C)(C)C IQRKFAYMMZQJCK-UHFFFAOYSA-N 0.000 description 3
- ORUGTGTZBRUQIT-UHFFFAOYSA-N tert-butyl n-pyridin-2-ylcarbamate Chemical compound CC(C)(C)OC(=O)NC1=CC=CC=N1 ORUGTGTZBRUQIT-UHFFFAOYSA-N 0.000 description 3
- 238000004809 thin layer chromatography Methods 0.000 description 3
- JOXIMZWYDAKGHI-UHFFFAOYSA-N toluene-4-sulfonic acid Chemical compound CC1=CC=C(S(O)(=O)=O)C=C1 JOXIMZWYDAKGHI-UHFFFAOYSA-N 0.000 description 3
- CSRZQMIRAZTJOY-UHFFFAOYSA-N trimethylsilyl iodide Substances C[Si](C)(C)I CSRZQMIRAZTJOY-UHFFFAOYSA-N 0.000 description 3
- 201000008297 typhoid fever Diseases 0.000 description 3
- 235000015112 vegetable and seed oil Nutrition 0.000 description 3
- 239000008158 vegetable oil Substances 0.000 description 3
- PUPZLCDOIYMWBV-UHFFFAOYSA-N (+/-)-1,3-Butanediol Chemical compound CC(O)CCO PUPZLCDOIYMWBV-UHFFFAOYSA-N 0.000 description 2
- CYPYTURSJDMMMP-WVCUSYJESA-N (1e,4e)-1,5-diphenylpenta-1,4-dien-3-one;palladium Chemical compound [Pd].[Pd].C=1C=CC=CC=1\C=C\C(=O)\C=C\C1=CC=CC=C1.C=1C=CC=CC=1\C=C\C(=O)\C=C\C1=CC=CC=C1.C=1C=CC=CC=1\C=C\C(=O)\C=C\C1=CC=CC=C1 CYPYTURSJDMMMP-WVCUSYJESA-N 0.000 description 2
- 125000000229 (C1-C4)alkoxy group Chemical group 0.000 description 2
- ZORQXIQZAOLNGE-UHFFFAOYSA-N 1,1-difluorocyclohexane Chemical compound FC1(F)CCCCC1 ZORQXIQZAOLNGE-UHFFFAOYSA-N 0.000 description 2
- RYHBNJHYFVUHQT-UHFFFAOYSA-N 1,4-Dioxane Chemical compound C1COCCO1 RYHBNJHYFVUHQT-UHFFFAOYSA-N 0.000 description 2
- VBICKXHEKHSIBG-UHFFFAOYSA-N 1-monostearoylglycerol Chemical compound CCCCCCCCCCCCCCCCCC(=O)OCC(O)CO VBICKXHEKHSIBG-UHFFFAOYSA-N 0.000 description 2
- IIZPXYDJLKNOIY-JXPKJXOSSA-N 1-palmitoyl-2-arachidonoyl-sn-glycero-3-phosphocholine Chemical compound CCCCCCCCCCCCCCCC(=O)OC[C@H](COP([O-])(=O)OCC[N+](C)(C)C)OC(=O)CCC\C=C/C\C=C/C\C=C/C\C=C/CCCCC IIZPXYDJLKNOIY-JXPKJXOSSA-N 0.000 description 2
- HZAXFHJVJLSVMW-UHFFFAOYSA-N 2-Aminoethan-1-ol Chemical compound NCCO HZAXFHJVJLSVMW-UHFFFAOYSA-N 0.000 description 2
- XTLZFKLCGWKQLY-UHFFFAOYSA-N 2-benzylsulfanyl-3-methyl-5-nitropyridine Chemical compound CC1=CC([N+]([O-])=O)=CN=C1SCC1=CC=CC=C1 XTLZFKLCGWKQLY-UHFFFAOYSA-N 0.000 description 2
- KQXCPTBNVMQRJP-UHFFFAOYSA-N 2-cyano-n-(5-fluoro-1-hydroxy-3h-2,1-benzoxaborol-6-yl)benzenesulfonamide Chemical compound C1=C2B(O)OCC2=CC(F)=C1NS(=O)(=O)C1=CC=CC=C1C#N KQXCPTBNVMQRJP-UHFFFAOYSA-N 0.000 description 2
- NQAYCMBZPAARNO-UHFFFAOYSA-N 2-cyanobenzenesulfonyl chloride Chemical compound ClS(=O)(=O)C1=CC=CC=C1C#N NQAYCMBZPAARNO-UHFFFAOYSA-N 0.000 description 2
- IZHVBANLECCAGF-UHFFFAOYSA-N 2-hydroxy-3-(octadecanoyloxy)propyl octadecanoate Chemical compound CCCCCCCCCCCCCCCCCC(=O)OCC(O)COC(=O)CCCCCCCCCCCCCCCCC IZHVBANLECCAGF-UHFFFAOYSA-N 0.000 description 2
- MKQNYQGIPARLKO-UHFFFAOYSA-N 2-methoxybenzenesulfonamide Chemical compound COC1=CC=CC=C1S(N)(=O)=O MKQNYQGIPARLKO-UHFFFAOYSA-N 0.000 description 2
- FPQQSJJWHUJYPU-UHFFFAOYSA-N 3-(dimethylamino)propyliminomethylidene-ethylazanium;chloride Chemical compound Cl.CCN=C=NCCCN(C)C FPQQSJJWHUJYPU-UHFFFAOYSA-N 0.000 description 2
- NHQDETIJWKXCTC-UHFFFAOYSA-N 3-chloroperbenzoic acid Chemical compound OOC(=O)C1=CC=CC(Cl)=C1 NHQDETIJWKXCTC-UHFFFAOYSA-N 0.000 description 2
- MITUZFVRJVFGBH-UHFFFAOYSA-N 3-ethyl-5-nitropyridin-2-amine Chemical compound CCC1=CC([N+]([O-])=O)=CN=C1N MITUZFVRJVFGBH-UHFFFAOYSA-N 0.000 description 2
- QOXOZONBQWIKDA-UHFFFAOYSA-N 3-hydroxypropyl Chemical compound [CH2]CCO QOXOZONBQWIKDA-UHFFFAOYSA-N 0.000 description 2
- JXRGUPLJCCDGKG-UHFFFAOYSA-N 4-nitrobenzenesulfonyl chloride Chemical compound [O-][N+](=O)C1=CC=C(S(Cl)(=O)=O)C=C1 JXRGUPLJCCDGKG-UHFFFAOYSA-N 0.000 description 2
- QVEGEXRFTYQOHB-UHFFFAOYSA-N 5-acetamido-3-methylpyridine-2-sulfonyl chloride Chemical compound CC(=O)NC1=CN=C(S(Cl)(=O)=O)C(C)=C1 QVEGEXRFTYQOHB-UHFFFAOYSA-N 0.000 description 2
- WIYUYZJTGXSFFK-UHFFFAOYSA-N 5-amino-n-(1-hydroxy-3h-2,1-benzoxaborol-6-yl)-3-methylpyridine-2-sulfonamide Chemical compound CC1=CC(N)=CN=C1S(=O)(=O)NC1=CC=C(COB2O)C2=C1 WIYUYZJTGXSFFK-UHFFFAOYSA-N 0.000 description 2
- DHNMPDSDKYWDBV-UHFFFAOYSA-N 5-chloro-1-hydroxy-6-nitro-3h-2,1-benzoxaborole Chemical compound ClC1=C([N+]([O-])=O)C=C2B(O)OCC2=C1 DHNMPDSDKYWDBV-UHFFFAOYSA-N 0.000 description 2
- FLCUBTGLOUZACX-UHFFFAOYSA-N 5-nitropyridine-2-sulfonyl chloride Chemical compound [O-][N+](=O)C1=CC=C(S(Cl)(=O)=O)N=C1 FLCUBTGLOUZACX-UHFFFAOYSA-N 0.000 description 2
- ZCZYNNIZAPNVGB-UHFFFAOYSA-N 6-benzylsulfanyl-5-methylpyridin-3-amine Chemical compound CC1=CC(N)=CN=C1SCC1=CC=CC=C1 ZCZYNNIZAPNVGB-UHFFFAOYSA-N 0.000 description 2
- 244000215068 Acacia senegal Species 0.000 description 2
- 235000006491 Acacia senegal Nutrition 0.000 description 2
- 241000589158 Agrobacterium Species 0.000 description 2
- 235000003911 Arachis Nutrition 0.000 description 2
- 244000105624 Arachis hypogaea Species 0.000 description 2
- 206010053555 Arthritis bacterial Diseases 0.000 description 2
- CIWBSHSKHKDKBQ-JLAZNSOCSA-N Ascorbic acid Chemical compound OC[C@H](O)[C@H]1OC(=O)C(O)=C1O CIWBSHSKHKDKBQ-JLAZNSOCSA-N 0.000 description 2
- 241000416162 Astragalus gummifer Species 0.000 description 2
- 241000193738 Bacillus anthracis Species 0.000 description 2
- 241000606124 Bacteroides fragilis Species 0.000 description 2
- 241001453380 Burkholderia Species 0.000 description 2
- OKTJSMMVPCPJKN-UHFFFAOYSA-N Carbon Chemical compound [C] OKTJSMMVPCPJKN-UHFFFAOYSA-N 0.000 description 2
- 241001647372 Chlamydia pneumoniae Species 0.000 description 2
- ZAMOUSCENKQFHK-UHFFFAOYSA-N Chlorine atom Chemical compound [Cl] ZAMOUSCENKQFHK-UHFFFAOYSA-N 0.000 description 2
- 241000588923 Citrobacter Species 0.000 description 2
- 241000193163 Clostridioides difficile Species 0.000 description 2
- QUSNBJAOOMFDIB-UHFFFAOYSA-N Ethylamine Chemical compound CCN QUSNBJAOOMFDIB-UHFFFAOYSA-N 0.000 description 2
- 241000192125 Firmicutes Species 0.000 description 2
- 229920000084 Gum arabic Polymers 0.000 description 2
- 241000589989 Helicobacter Species 0.000 description 2
- 208000004575 Infectious Arthritis Diseases 0.000 description 2
- 208000036209 Intraabdominal Infections Diseases 0.000 description 2
- 241000589242 Legionella pneumophila Species 0.000 description 2
- RJQXTJLFIWVMTO-TYNCELHUSA-N Methicillin Chemical compound COC1=CC=CC(OC)=C1C(=O)N[C@@H]1C(=O)N2[C@@H](C(O)=O)C(C)(C)S[C@@H]21 RJQXTJLFIWVMTO-TYNCELHUSA-N 0.000 description 2
- BAVYZALUXZFZLV-UHFFFAOYSA-N Methylamine Chemical compound NC BAVYZALUXZFZLV-UHFFFAOYSA-N 0.000 description 2
- 241000588653 Neisseria Species 0.000 description 2
- 244000038458 Nepenthes mirabilis Species 0.000 description 2
- 108091028043 Nucleic acid sequence Proteins 0.000 description 2
- 208000005141 Otitis Diseases 0.000 description 2
- 206010058674 Pelvic Infection Diseases 0.000 description 2
- 239000004698 Polyethylene Substances 0.000 description 2
- 241000186429 Propionibacterium Species 0.000 description 2
- 206010037596 Pyelonephritis Diseases 0.000 description 2
- SMWDFEZZVXVKRB-UHFFFAOYSA-N Quinoline Chemical compound N1=CC=CC2=CC=CC=C21 SMWDFEZZVXVKRB-UHFFFAOYSA-N 0.000 description 2
- 206010040070 Septic Shock Diseases 0.000 description 2
- 241000607768 Shigella Species 0.000 description 2
- CDBYLPFSWZWCQE-UHFFFAOYSA-L Sodium Carbonate Chemical compound [Na+].[Na+].[O-]C([O-])=O CDBYLPFSWZWCQE-UHFFFAOYSA-L 0.000 description 2
- 241000191940 Staphylococcus Species 0.000 description 2
- 241000191984 Staphylococcus haemolyticus Species 0.000 description 2
- 241000122971 Stenotrophomonas Species 0.000 description 2
- 241001478878 Streptobacillus Species 0.000 description 2
- 241000194017 Streptococcus Species 0.000 description 2
- 241000193985 Streptococcus agalactiae Species 0.000 description 2
- 241000187747 Streptomyces Species 0.000 description 2
- CZMRCDWAGMRECN-UGDNZRGBSA-N Sucrose Chemical compound O[C@H]1[C@H](O)[C@@H](CO)O[C@@]1(CO)O[C@@H]1[C@H](O)[C@@H](O)[C@H](O)[C@@H](CO)O1 CZMRCDWAGMRECN-UGDNZRGBSA-N 0.000 description 2
- 229930006000 Sucrose Natural products 0.000 description 2
- 206010044248 Toxic shock syndrome Diseases 0.000 description 2
- 231100000650 Toxic shock syndrome Toxicity 0.000 description 2
- 229920001615 Tragacanth Polymers 0.000 description 2
- 208000037386 Typhoid Diseases 0.000 description 2
- 206010046914 Vaginal infection Diseases 0.000 description 2
- 201000008100 Vaginitis Diseases 0.000 description 2
- 238000010521 absorption reaction Methods 0.000 description 2
- 235000010489 acacia gum Nutrition 0.000 description 2
- 230000001154 acute effect Effects 0.000 description 2
- 125000002252 acyl group Chemical group 0.000 description 2
- OIRDTQYFTABQOQ-KQYNXXCUSA-N adenosine group Chemical group [C@@H]1([C@H](O)[C@H](O)[C@@H](CO)O1)N1C=NC=2C(N)=NC=NC12 OIRDTQYFTABQOQ-KQYNXXCUSA-N 0.000 description 2
- 239000002671 adjuvant Substances 0.000 description 2
- 125000003545 alkoxy group Chemical group 0.000 description 2
- 125000003277 amino group Chemical group 0.000 description 2
- 150000008064 anhydrides Chemical class 0.000 description 2
- 230000000844 anti-bacterial effect Effects 0.000 description 2
- 125000004104 aryloxy group Chemical group 0.000 description 2
- 244000052616 bacterial pathogen Species 0.000 description 2
- CSKNSYBAZOQPLR-UHFFFAOYSA-N benzenesulfonyl chloride Chemical compound ClS(=O)(=O)C1=CC=CC=C1 CSKNSYBAZOQPLR-UHFFFAOYSA-N 0.000 description 2
- AGEZXYOZHKGVCM-UHFFFAOYSA-N benzyl bromide Chemical compound BrCC1=CC=CC=C1 AGEZXYOZHKGVCM-UHFFFAOYSA-N 0.000 description 2
- IPWKHHSGDUIRAH-UHFFFAOYSA-N bis(pinacolato)diboron Chemical compound O1C(C)(C)C(C)(C)OB1B1OC(C)(C)C(C)(C)O1 IPWKHHSGDUIRAH-UHFFFAOYSA-N 0.000 description 2
- 150000001639 boron compounds Chemical class 0.000 description 2
- GDTBXPJZTBHREO-UHFFFAOYSA-N bromine Chemical compound BrBr GDTBXPJZTBHREO-UHFFFAOYSA-N 0.000 description 2
- 206010006451 bronchitis Diseases 0.000 description 2
- 125000000484 butyl group Chemical group [H]C([*])([H])C([H])([H])C([H])([H])C([H])([H])[H] 0.000 description 2
- 229910000024 caesium carbonate Inorganic materials 0.000 description 2
- 229910000019 calcium carbonate Inorganic materials 0.000 description 2
- 235000010216 calcium carbonate Nutrition 0.000 description 2
- 239000001506 calcium phosphate Substances 0.000 description 2
- 229910000389 calcium phosphate Inorganic materials 0.000 description 2
- 235000011010 calcium phosphates Nutrition 0.000 description 2
- 150000004657 carbamic acid derivatives Chemical class 0.000 description 2
- 229910052799 carbon Inorganic materials 0.000 description 2
- 239000013553 cell monolayer Substances 0.000 description 2
- 125000001309 chloro group Chemical group Cl* 0.000 description 2
- 239000013078 crystal Substances 0.000 description 2
- 230000017858 demethylation Effects 0.000 description 2
- 238000010520 demethylation reaction Methods 0.000 description 2
- 238000001212 derivatisation Methods 0.000 description 2
- GVPWHKZIJBODOX-UHFFFAOYSA-N dibenzyl disulfide Chemical compound C=1C=CC=CC=1CSSCC1=CC=CC=C1 GVPWHKZIJBODOX-UHFFFAOYSA-N 0.000 description 2
- 208000035475 disorder Diseases 0.000 description 2
- 239000003937 drug carrier Substances 0.000 description 2
- 239000000890 drug combination Substances 0.000 description 2
- 208000019258 ear infection Diseases 0.000 description 2
- 230000029142 excretion Effects 0.000 description 2
- 125000000524 functional group Chemical group 0.000 description 2
- 239000007789 gas Substances 0.000 description 2
- 239000007903 gelatin capsule Substances 0.000 description 2
- 230000002068 genetic effect Effects 0.000 description 2
- 239000008187 granular material Substances 0.000 description 2
- 229940093915 gynecological organic acid Drugs 0.000 description 2
- 230000036541 health Effects 0.000 description 2
- 125000004446 heteroarylalkyl group Chemical group 0.000 description 2
- 125000005553 heteroaryloxy group Chemical group 0.000 description 2
- BXWNKGSJHAJOGX-UHFFFAOYSA-N hexadecan-1-ol Chemical compound CCCCCCCCCCCCCCCCO BXWNKGSJHAJOGX-UHFFFAOYSA-N 0.000 description 2
- FBPFZTCFMRRESA-UHFFFAOYSA-N hexane-1,2,3,4,5,6-hexol Chemical compound OCC(O)C(O)C(O)C(O)CO FBPFZTCFMRRESA-UHFFFAOYSA-N 0.000 description 2
- 150000002431 hydrogen Chemical class 0.000 description 2
- 230000007062 hydrolysis Effects 0.000 description 2
- 238000006460 hydrolysis reaction Methods 0.000 description 2
- NPZTUJOABDZTLV-UHFFFAOYSA-N hydroxybenzotriazole Substances O=C1C=CC=C2NNN=C12 NPZTUJOABDZTLV-UHFFFAOYSA-N 0.000 description 2
- 239000012442 inert solvent Substances 0.000 description 2
- 238000002347 injection Methods 0.000 description 2
- 239000007924 injection Substances 0.000 description 2
- 230000003834 intracellular effect Effects 0.000 description 2
- 235000010445 lecithin Nutrition 0.000 description 2
- 239000000787 lecithin Substances 0.000 description 2
- 229940067606 lecithin Drugs 0.000 description 2
- 229940115932 legionella pneumophila Drugs 0.000 description 2
- 239000012280 lithium aluminium hydride Substances 0.000 description 2
- YNESATAKKCNGOF-UHFFFAOYSA-N lithium bis(trimethylsilyl)amide Chemical compound [Li+].C[Si](C)(C)[N-][Si](C)(C)C YNESATAKKCNGOF-UHFFFAOYSA-N 0.000 description 2
- DLEDOFVPSDKWEF-UHFFFAOYSA-N lithium butane Chemical compound [Li+].CCC[CH2-] DLEDOFVPSDKWEF-UHFFFAOYSA-N 0.000 description 2
- 231100000053 low toxicity Toxicity 0.000 description 2
- 239000007937 lozenge Substances 0.000 description 2
- HQKMJHAJHXVSDF-UHFFFAOYSA-L magnesium stearate Chemical compound [Mg+2].CCCCCCCCCCCCCCCCCC([O-])=O.CCCCCCCCCCCCCCCCCC([O-])=O HQKMJHAJHXVSDF-UHFFFAOYSA-L 0.000 description 2
- 229910021645 metal ion Inorganic materials 0.000 description 2
- BDAGIHXWWSANSR-UHFFFAOYSA-N methanoic acid Natural products OC=O BDAGIHXWWSANSR-UHFFFAOYSA-N 0.000 description 2
- 229960003085 meticillin Drugs 0.000 description 2
- 230000000813 microbial effect Effects 0.000 description 2
- 239000001788 mono and diglycerides of fatty acids Substances 0.000 description 2
- 125000004573 morpholin-4-yl group Chemical group N1(CCOCC1)* 0.000 description 2
- DITXETLLLMBQLW-UHFFFAOYSA-N n-(1-hydroxy-3h-2,1-benzoxaborol-6-yl)-4-methoxybenzenesulfonamide Chemical class C1=CC(OC)=CC=C1S(=O)(=O)NC1=CC=C(COB2O)C2=C1 DITXETLLLMBQLW-UHFFFAOYSA-N 0.000 description 2
- QPFKNVAFZHGGTA-UHFFFAOYSA-N n-(5-chloro-1-hydroxy-3h-2,1-benzoxaborol-6-yl)-4-nitrobenzenesulfonamide Chemical compound C1=C2B(O)OCC2=CC(Cl)=C1NS(=O)(=O)C1=CC=C([N+]([O-])=O)C=C1 QPFKNVAFZHGGTA-UHFFFAOYSA-N 0.000 description 2
- NFBVOOLJIHZTGW-UHFFFAOYSA-N n-(5-chloro-1-hydroxy-3h-2,1-benzoxaborol-6-yl)benzenesulfonamide Chemical compound C1=C2B(O)OCC2=CC(Cl)=C1NS(=O)(=O)C1=CC=CC=C1 NFBVOOLJIHZTGW-UHFFFAOYSA-N 0.000 description 2
- OJEFTCYEXLUOLU-UHFFFAOYSA-N n-(6-benzylsulfanyl-5-methylpyridin-3-yl)acetamide Chemical compound CC1=CC(NC(=O)C)=CN=C1SCC1=CC=CC=C1 OJEFTCYEXLUOLU-UHFFFAOYSA-N 0.000 description 2
- DYFIWQAFVKFUKI-UHFFFAOYSA-N n-[4-[(1-hydroxy-3h-2,1-benzoxaborol-6-yl)sulfamoyl]phenyl]acetamide Chemical class C1=CC(NC(=O)C)=CC=C1S(=O)(=O)NC1=CC=C(COB2O)C2=C1 DYFIWQAFVKFUKI-UHFFFAOYSA-N 0.000 description 2
- WCCVWAPZAHRXCW-UHFFFAOYSA-N n-[4-[(5-fluoro-1-hydroxy-3h-2,1-benzoxaborol-6-yl)sulfamoyl]phenyl]acetamide Chemical compound C1=CC(NC(=O)C)=CC=C1S(=O)(=O)NC(C(=C1)F)=CC2=C1COB2O WCCVWAPZAHRXCW-UHFFFAOYSA-N 0.000 description 2
- 125000004123 n-propyl group Chemical group [H]C([H])([H])C([H])([H])C([H])([H])* 0.000 description 2
- 239000012299 nitrogen atmosphere Substances 0.000 description 2
- 239000000346 nonvolatile oil Substances 0.000 description 2
- 150000007524 organic acids Chemical class 0.000 description 2
- 235000005985 organic acids Nutrition 0.000 description 2
- XLYOFNOQVPJJNP-UHFFFAOYSA-O oxonium Chemical compound [OH3+] XLYOFNOQVPJJNP-UHFFFAOYSA-O 0.000 description 2
- 230000035515 penetration Effects 0.000 description 2
- 239000012071 phase Substances 0.000 description 2
- XUYJLQHKOGNDPB-UHFFFAOYSA-N phosphonoacetic acid Chemical compound OC(=O)CP(O)(O)=O XUYJLQHKOGNDPB-UHFFFAOYSA-N 0.000 description 2
- 125000003386 piperidinyl group Chemical group 0.000 description 2
- IUBQJLUDMLPAGT-UHFFFAOYSA-N potassium bis(trimethylsilyl)amide Chemical compound C[Si](C)(C)N([K])[Si](C)(C)C IUBQJLUDMLPAGT-UHFFFAOYSA-N 0.000 description 2
- QELSKZZBTMNZEB-UHFFFAOYSA-N propylparaben Chemical compound CCCOC(=O)C1=CC=C(O)C=C1 QELSKZZBTMNZEB-UHFFFAOYSA-N 0.000 description 2
- 230000002829 reductive effect Effects 0.000 description 2
- 201000001223 septic arthritis Diseases 0.000 description 2
- 239000000377 silicon dioxide Substances 0.000 description 2
- 206010040872 skin infection Diseases 0.000 description 2
- 229910000030 sodium bicarbonate Inorganic materials 0.000 description 2
- 235000011152 sodium sulphate Nutrition 0.000 description 2
- 235000011069 sorbitan monooleate Nutrition 0.000 description 2
- 239000001593 sorbitan monooleate Substances 0.000 description 2
- 229940035049 sorbitan monooleate Drugs 0.000 description 2
- 229940037649 staphylococcus haemolyticus Drugs 0.000 description 2
- 229940030998 streptococcus agalactiae Drugs 0.000 description 2
- 239000000758 substrate Substances 0.000 description 2
- 239000005720 sucrose Substances 0.000 description 2
- 238000002560 therapeutic procedure Methods 0.000 description 2
- 239000002562 thickening agent Substances 0.000 description 2
- 125000005309 thioalkoxy group Chemical group 0.000 description 2
- FYSNRJHAOHDILO-UHFFFAOYSA-N thionyl chloride Chemical compound ClS(Cl)=O FYSNRJHAOHDILO-UHFFFAOYSA-N 0.000 description 2
- 206010044008 tonsillitis Diseases 0.000 description 2
- QORWJWZARLRLPR-UHFFFAOYSA-H tricalcium bis(phosphate) Chemical compound [Ca+2].[Ca+2].[Ca+2].[O-]P([O-])([O-])=O.[O-]P([O-])([O-])=O QORWJWZARLRLPR-UHFFFAOYSA-H 0.000 description 2
- IMNIMPAHZVJRPE-UHFFFAOYSA-N triethylenediamine Chemical compound C1CN2CCN1CC2 IMNIMPAHZVJRPE-UHFFFAOYSA-N 0.000 description 2
- WJKHJLXJJJATHN-UHFFFAOYSA-N triflic anhydride Chemical compound FC(F)(F)S(=O)(=O)OS(=O)(=O)C(F)(F)F WJKHJLXJJJATHN-UHFFFAOYSA-N 0.000 description 2
- 125000004417 unsaturated alkyl group Chemical group 0.000 description 2
- 239000003039 volatile agent Substances 0.000 description 2
- LNAZSHAWQACDHT-XIYTZBAFSA-N (2r,3r,4s,5r,6s)-4,5-dimethoxy-2-(methoxymethyl)-3-[(2s,3r,4s,5r,6r)-3,4,5-trimethoxy-6-(methoxymethyl)oxan-2-yl]oxy-6-[(2r,3r,4s,5r,6r)-4,5,6-trimethoxy-2-(methoxymethyl)oxan-3-yl]oxyoxane Chemical compound CO[C@@H]1[C@@H](OC)[C@H](OC)[C@@H](COC)O[C@H]1O[C@H]1[C@H](OC)[C@@H](OC)[C@H](O[C@H]2[C@@H]([C@@H](OC)[C@H](OC)O[C@@H]2COC)OC)O[C@@H]1COC LNAZSHAWQACDHT-XIYTZBAFSA-N 0.000 description 1
- 125000004169 (C1-C6) alkyl group Chemical group 0.000 description 1
- WRIDQFICGBMAFQ-UHFFFAOYSA-N (E)-8-Octadecenoic acid Natural products CCCCCCCCCC=CCCCCCCC(O)=O WRIDQFICGBMAFQ-UHFFFAOYSA-N 0.000 description 1
- MIOPJNTWMNEORI-GMSGAONNSA-N (S)-camphorsulfonic acid Chemical compound C1C[C@@]2(CS(O)(=O)=O)C(=O)C[C@@H]1C2(C)C MIOPJNTWMNEORI-GMSGAONNSA-N 0.000 description 1
- LMDZBCPBFSXMTL-UHFFFAOYSA-N 1-Ethyl-3-(3-dimethylaminopropyl)carbodiimide Substances CCN=C=NCCCN(C)C LMDZBCPBFSXMTL-UHFFFAOYSA-N 0.000 description 1
- ASOKPJOREAFHNY-UHFFFAOYSA-N 1-Hydroxybenzotriazole Chemical group C1=CC=C2N(O)N=NC2=C1 ASOKPJOREAFHNY-UHFFFAOYSA-N 0.000 description 1
- IXPNQXFRVYWDDI-UHFFFAOYSA-N 1-methyl-2,4-dioxo-1,3-diazinane-5-carboximidamide Chemical compound CN1CC(C(N)=N)C(=O)NC1=O IXPNQXFRVYWDDI-UHFFFAOYSA-N 0.000 description 1
- 125000001637 1-naphthyl group Chemical group [H]C1=C([H])C([H])=C2C(*)=C([H])C([H])=C([H])C2=C1[H] 0.000 description 1
- 125000004214 1-pyrrolidinyl group Chemical group [H]C1([H])N(*)C([H])([H])C([H])([H])C1([H])[H] 0.000 description 1
- 125000001462 1-pyrrolyl group Chemical group [*]N1C([H])=C([H])C([H])=C1[H] 0.000 description 1
- JVQSPGGLAWHQEN-UHFFFAOYSA-N 2,2,2-trifluoro-n-[4-[(1-hydroxy-3h-2,1-benzoxaborol-6-yl)sulfamoyl]phenyl]acetamide Chemical class C1=C2B(O)OCC2=CC=C1NS(=O)(=O)C1=CC=C(NC(=O)C(F)(F)F)C=C1 JVQSPGGLAWHQEN-UHFFFAOYSA-N 0.000 description 1
- DDQPOYVWHPDXOX-UHFFFAOYSA-N 2,3-dinitrobenzenesulfonyl chloride Chemical compound [O-][N+](=O)C1=CC=CC(S(Cl)(=O)=O)=C1[N+]([O-])=O DDQPOYVWHPDXOX-UHFFFAOYSA-N 0.000 description 1
- DPOMXKNSANCBQH-UHFFFAOYSA-N 2,6-difluoro-n-(5-fluoro-1-hydroxy-3h-2,1-benzoxaborol-6-yl)benzenesulfonamide Chemical compound C1=C2B(O)OCC2=CC(F)=C1NS(=O)(=O)C1=C(F)C=CC=C1F DPOMXKNSANCBQH-UHFFFAOYSA-N 0.000 description 1
- UCTIQLLVPHRBAU-UHFFFAOYSA-N 2-(aminomethyl)-n-(5-fluoro-1-hydroxy-3h-2,1-benzoxaborol-6-yl)benzenesulfonamide Chemical compound NCC1=CC=CC=C1S(=O)(=O)NC(C(=C1)F)=CC2=C1COB2O UCTIQLLVPHRBAU-UHFFFAOYSA-N 0.000 description 1
- JLTBWYIUMFEOTN-UHFFFAOYSA-N 2-(trifluoromethoxy)benzenesulfonyl chloride Chemical compound FC(F)(F)OC1=CC=CC=C1S(Cl)(=O)=O JLTBWYIUMFEOTN-UHFFFAOYSA-N 0.000 description 1
- MFYSUUPKMDJYPF-UHFFFAOYSA-N 2-[(4-methyl-2-nitrophenyl)diazenyl]-3-oxo-n-phenylbutanamide Chemical compound C=1C=CC=CC=1NC(=O)C(C(=O)C)N=NC1=CC=C(C)C=C1[N+]([O-])=O MFYSUUPKMDJYPF-UHFFFAOYSA-N 0.000 description 1
- KZMKPNBEEOQKOR-UHFFFAOYSA-N 2-[(5-fluoro-1-hydroxy-3h-2,1-benzoxaborol-6-yl)sulfamoyl]benzamide Chemical compound NC(=O)C1=CC=CC=C1S(=O)(=O)NC(C(=C1)F)=CC2=C1COB2O KZMKPNBEEOQKOR-UHFFFAOYSA-N 0.000 description 1
- KPIVDNYJNOPGBE-UHFFFAOYSA-N 2-aminonicotinic acid Chemical compound NC1=NC=CC=C1C(O)=O KPIVDNYJNOPGBE-UHFFFAOYSA-N 0.000 description 1
- ICSNLGPSRYBMBD-UHFFFAOYSA-N 2-aminopyridine Chemical compound NC1=CC=CC=N1 ICSNLGPSRYBMBD-UHFFFAOYSA-N 0.000 description 1
- 125000004174 2-benzimidazolyl group Chemical group [H]N1C(*)=NC2=C([H])C([H])=C([H])C([H])=C12 0.000 description 1
- OSIOIGXJUZTWRI-UHFFFAOYSA-N 2-chloro-3-methyl-5-nitropyridine Chemical compound CC1=CC([N+]([O-])=O)=CN=C1Cl OSIOIGXJUZTWRI-UHFFFAOYSA-N 0.000 description 1
- XMRJXICXJTVGPL-UHFFFAOYSA-N 2-fluoro-n-(5-fluoro-1-hydroxy-3h-2,1-benzoxaborol-6-yl)benzenesulfonamide Chemical compound C1=C2B(O)OCC2=CC(F)=C1NS(=O)(=O)C1=CC=CC=C1F XMRJXICXJTVGPL-UHFFFAOYSA-N 0.000 description 1
- ZSZKAQCISWFDCQ-UHFFFAOYSA-N 2-fluorobenzenesulfonyl chloride Chemical compound FC1=CC=CC=C1S(Cl)(=O)=O ZSZKAQCISWFDCQ-UHFFFAOYSA-N 0.000 description 1
- QECYXMKYZQXEHM-UHFFFAOYSA-N 2-methoxy-4-nitrobenzenesulfonyl chloride Chemical compound COC1=CC([N+]([O-])=O)=CC=C1S(Cl)(=O)=O QECYXMKYZQXEHM-UHFFFAOYSA-N 0.000 description 1
- 125000004200 2-methoxyethyl group Chemical group [H]C([H])([H])OC([H])([H])C([H])([H])* 0.000 description 1
- 125000001622 2-naphthyl group Chemical group [H]C1=C([H])C([H])=C2C([H])=C(*)C([H])=C([H])C2=C1[H] 0.000 description 1
- 125000003903 2-propenyl group Chemical group [H]C([*])([H])C([H])=C([H])[H] 0.000 description 1
- 125000004105 2-pyridyl group Chemical group N1=C([*])C([H])=C([H])C([H])=C1[H] 0.000 description 1
- 125000000389 2-pyrrolyl group Chemical group [H]N1C([*])=C([H])C([H])=C1[H] 0.000 description 1
- 125000000175 2-thienyl group Chemical group S1C([*])=C([H])C([H])=C1[H] 0.000 description 1
- LQJBNNIYVWPHFW-UHFFFAOYSA-N 20:1omega9c fatty acid Natural products CCCCCCCCCCC=CCCCCCCCC(O)=O LQJBNNIYVWPHFW-UHFFFAOYSA-N 0.000 description 1
- AAWFUSFNPBRQDE-UHFFFAOYSA-N 3-fluoro-4-nitrobenzenesulfonyl chloride Chemical compound [O-][N+](=O)C1=CC=C(S(Cl)(=O)=O)C=C1F AAWFUSFNPBRQDE-UHFFFAOYSA-N 0.000 description 1
- WPQNZBRQXWVKTD-UHFFFAOYSA-N 3-fluoro-n-(5-fluoro-1-hydroxy-3h-2,1-benzoxaborol-6-yl)benzenesulfonamide Chemical compound C1=C2B(O)OCC2=CC(F)=C1NS(=O)(=O)C1=CC=CC(F)=C1 WPQNZBRQXWVKTD-UHFFFAOYSA-N 0.000 description 1
- OKYSUJVCDXZGKE-UHFFFAOYSA-N 3-fluorobenzenesulfonyl chloride Chemical compound FC1=CC=CC(S(Cl)(=O)=O)=C1 OKYSUJVCDXZGKE-UHFFFAOYSA-N 0.000 description 1
- 125000003682 3-furyl group Chemical group O1C([H])=C([*])C([H])=C1[H] 0.000 description 1
- WEKCARSGOYWTNL-UHFFFAOYSA-N 3-methyl-5-[(2,2,2-trifluoroacetyl)amino]pyridine-2-sulfonyl chloride Chemical compound CC1=CC(NC(=O)C(F)(F)F)=CN=C1S(Cl)(=O)=O WEKCARSGOYWTNL-UHFFFAOYSA-N 0.000 description 1
- 125000003349 3-pyridyl group Chemical group N1=C([H])C([*])=C([H])C([H])=C1[H] 0.000 description 1
- 125000001397 3-pyrrolyl group Chemical group [H]N1C([H])=C([*])C([H])=C1[H] 0.000 description 1
- 125000001541 3-thienyl group Chemical group S1C([H])=C([*])C([H])=C1[H] 0.000 description 1
- OSWFIVFLDKOXQC-UHFFFAOYSA-N 4-(3-methoxyphenyl)aniline Chemical compound COC1=CC=CC(C=2C=CC(N)=CC=2)=C1 OSWFIVFLDKOXQC-UHFFFAOYSA-N 0.000 description 1
- GRDXCFKBQWDAJH-UHFFFAOYSA-N 4-acetamidobenzenesulfonyl chloride Chemical compound CC(=O)NC1=CC=C(S(Cl)(=O)=O)C=C1 GRDXCFKBQWDAJH-UHFFFAOYSA-N 0.000 description 1
- IWXGRDKCAJHQNC-UHFFFAOYSA-N 4-amino-n-(5-chloro-1-hydroxy-3h-2,1-benzoxaborol-6-yl)benzenesulfonamide Chemical compound C1=CC(N)=CC=C1S(=O)(=O)NC(C(=C1)Cl)=CC2=C1COB2O IWXGRDKCAJHQNC-UHFFFAOYSA-N 0.000 description 1
- XWYQKTVQZNIXLE-UHFFFAOYSA-N 4-amino-n-(5-fluoro-1-hydroxy-3h-2,1-benzoxaborol-6-yl)benzenesulfonamide Chemical compound C1=CC(N)=CC=C1S(=O)(=O)NC(C(=C1)F)=CC2=C1COB2O XWYQKTVQZNIXLE-UHFFFAOYSA-N 0.000 description 1
- SLVWIXYQISNXFS-UHFFFAOYSA-N 4-amino-n-(5-fluoro-1-hydroxy-3h-2,1-benzoxaborol-6-yl)pyridine-2-sulfonamide Chemical compound NC1=CC=NC(S(=O)(=O)NC=2C(=CC=3COB(O)C=3C=2)F)=C1 SLVWIXYQISNXFS-UHFFFAOYSA-N 0.000 description 1
- 229960000549 4-dimethylaminophenol Drugs 0.000 description 1
- 150000008626 4-imidazolidinones Chemical class 0.000 description 1
- 125000000339 4-pyridyl group Chemical group N1=C([H])C([H])=C([*])C([H])=C1[H] 0.000 description 1
- KDDQRKBRJSGMQE-UHFFFAOYSA-N 4-thiazolyl Chemical group [C]1=CSC=N1 KDDQRKBRJSGMQE-UHFFFAOYSA-N 0.000 description 1
- HTAHXPVWJXLFNG-UHFFFAOYSA-N 5-amino-n-(1-hydroxy-3h-2,1-benzoxaborol-6-yl)-3-propan-2-ylpyridine-2-sulfonamide Chemical compound CC(C)C1=CC(N)=CN=C1S(=O)(=O)NC1=CC=C(COB2O)C2=C1 HTAHXPVWJXLFNG-UHFFFAOYSA-N 0.000 description 1
- HCECXUVILKHNEG-UHFFFAOYSA-N 5-amino-n-(1-hydroxy-3h-2,1-benzoxaborol-6-yl)pyridine-2-sulfonamide Chemical compound N1=CC(N)=CC=C1S(=O)(=O)NC1=CC=C(COB2O)C2=C1 HCECXUVILKHNEG-UHFFFAOYSA-N 0.000 description 1
- SLFJIUHEYRHUQX-UHFFFAOYSA-N 5-amino-n-(5-fluoro-1-hydroxy-3h-2,1-benzoxaborol-6-yl)-3-methylpyridine-2-sulfonamide Chemical compound CC1=CC(N)=CN=C1S(=O)(=O)NC(C(=C1)F)=CC2=C1COB2O SLFJIUHEYRHUQX-UHFFFAOYSA-N 0.000 description 1
- HMAFTPZYFJFEHK-UHFFFAOYSA-N 5-chloro-1-hydroxy-3h-2,1-benzoxaborole Chemical compound ClC1=CC=C2B(O)OCC2=C1 HMAFTPZYFJFEHK-UHFFFAOYSA-N 0.000 description 1
- BHQUBONFIYNJDA-UHFFFAOYSA-N 5-nitro-1h-pyridine-2-thione Chemical compound [O-][N+](=O)C1=CC=C(S)N=C1 BHQUBONFIYNJDA-UHFFFAOYSA-N 0.000 description 1
- CWDWFSXUQODZGW-UHFFFAOYSA-N 5-thiazolyl Chemical group [C]1=CN=CS1 CWDWFSXUQODZGW-UHFFFAOYSA-N 0.000 description 1
- LIOLGKVUWKFPOP-UHFFFAOYSA-N 6-amino-n-(5-fluoro-1-hydroxy-3h-2,1-benzoxaborol-6-yl)pyridine-3-sulfonamide Chemical compound C1=NC(N)=CC=C1S(=O)(=O)NC(C(=C1)F)=CC2=C1COB2O LIOLGKVUWKFPOP-UHFFFAOYSA-N 0.000 description 1
- MFNXODBGVQIFPM-UHFFFAOYSA-N 6-aminopyridine-3-sulfonyl chloride Chemical compound NC1=CC=C(S(Cl)(=O)=O)C=N1 MFNXODBGVQIFPM-UHFFFAOYSA-N 0.000 description 1
- ZCYVEMRRCGMTRW-UHFFFAOYSA-N 7553-56-2 Chemical group [I] ZCYVEMRRCGMTRW-UHFFFAOYSA-N 0.000 description 1
- QSBYPNXLFMSGKH-UHFFFAOYSA-N 9-Heptadecensaeure Natural products CCCCCCCC=CCCCCCCCC(O)=O QSBYPNXLFMSGKH-UHFFFAOYSA-N 0.000 description 1
- OZAIFHULBGXAKX-VAWYXSNFSA-N AIBN Substances N#CC(C)(C)\N=N\C(C)(C)C#N OZAIFHULBGXAKX-VAWYXSNFSA-N 0.000 description 1
- 241001541756 Acinetobacter calcoaceticus subsp. anitratus Species 0.000 description 1
- 208000020154 Acnes Diseases 0.000 description 1
- 241000186041 Actinomyces israelii Species 0.000 description 1
- 241000589155 Agrobacterium tumefaciens Species 0.000 description 1
- 102000009027 Albumins Human genes 0.000 description 1
- 108010088751 Albumins Proteins 0.000 description 1
- 241000588986 Alcaligenes Species 0.000 description 1
- GUBGYTABKSRVRQ-XLOQQCSPSA-N Alpha-Lactose Chemical compound O[C@@H]1[C@@H](O)[C@@H](O)[C@@H](CO)O[C@H]1O[C@@H]1[C@@H](CO)O[C@H](O)[C@H](O)[C@H]1O GUBGYTABKSRVRQ-XLOQQCSPSA-N 0.000 description 1
- 241000191412 Alternaria infectoria Species 0.000 description 1
- 239000005995 Aluminium silicate Substances 0.000 description 1
- 201000002909 Aspergillosis Diseases 0.000 description 1
- 208000036641 Aspergillus infections Diseases 0.000 description 1
- 206010003757 Atypical pneumonia Diseases 0.000 description 1
- KHBQMWCZKVMBLN-UHFFFAOYSA-N Benzenesulfonamide Chemical compound NS(=O)(=O)C1=CC=CC=C1 KHBQMWCZKVMBLN-UHFFFAOYSA-N 0.000 description 1
- 239000004342 Benzoyl peroxide Substances 0.000 description 1
- OMPJBNCRMGITSC-UHFFFAOYSA-N Benzoylperoxide Chemical compound C=1C=CC=CC=1C(=O)OOC(=O)C1=CC=CC=C1 OMPJBNCRMGITSC-UHFFFAOYSA-N 0.000 description 1
- 206010005098 Blastomycosis Diseases 0.000 description 1
- 208000003508 Botulism Diseases 0.000 description 1
- 241000589567 Brucella abortus Species 0.000 description 1
- 206010006500 Brucellosis Diseases 0.000 description 1
- COVZYZSDYWQREU-UHFFFAOYSA-N Busulfan Chemical compound CS(=O)(=O)OCCCCOS(C)(=O)=O COVZYZSDYWQREU-UHFFFAOYSA-N 0.000 description 1
- 239000002126 C01EB10 - Adenosine Substances 0.000 description 1
- 241000589874 Campylobacter fetus Species 0.000 description 1
- 241000589875 Campylobacter jejuni Species 0.000 description 1
- 241000222122 Candida albicans Species 0.000 description 1
- 206010007134 Candida infections Diseases 0.000 description 1
- OKTJSMMVPCPJKN-NJFSPNSNSA-N Carbon-14 Chemical compound [14C] OKTJSMMVPCPJKN-NJFSPNSNSA-N 0.000 description 1
- 241001647378 Chlamydia psittaci Species 0.000 description 1
- 241000606153 Chlamydia trachomatis Species 0.000 description 1
- 206010008631 Cholera Diseases 0.000 description 1
- 241000193155 Clostridium botulinum Species 0.000 description 1
- 241000193468 Clostridium perfringens Species 0.000 description 1
- 241000193449 Clostridium tetani Species 0.000 description 1
- 241000223205 Coccidioides immitis Species 0.000 description 1
- 229920002261 Corn starch Polymers 0.000 description 1
- 206010061788 Corneal infection Diseases 0.000 description 1
- 201000007336 Cryptococcosis Diseases 0.000 description 1
- 241000221204 Cryptococcus neoformans Species 0.000 description 1
- 241000186427 Cutibacterium acnes Species 0.000 description 1
- FBPFZTCFMRRESA-FSIIMWSLSA-N D-Glucitol Natural products OC[C@H](O)[C@H](O)[C@@H](O)[C@H](O)CO FBPFZTCFMRRESA-FSIIMWSLSA-N 0.000 description 1
- FBPFZTCFMRRESA-JGWLITMVSA-N D-glucitol Chemical compound OC[C@H](O)[C@@H](O)[C@H](O)[C@H](O)CO FBPFZTCFMRRESA-JGWLITMVSA-N 0.000 description 1
- BUDQDWGNQVEFAC-UHFFFAOYSA-N Dihydropyran Chemical compound C1COC=CC1 BUDQDWGNQVEFAC-UHFFFAOYSA-N 0.000 description 1
- 241000194033 Enterococcus Species 0.000 description 1
- 208000002633 Febrile Neutropenia Diseases 0.000 description 1
- PXGOKWXKJXAPGV-UHFFFAOYSA-N Fluorine Chemical compound FF PXGOKWXKJXAPGV-UHFFFAOYSA-N 0.000 description 1
- 206010016936 Folliculitis Diseases 0.000 description 1
- 206010016952 Food poisoning Diseases 0.000 description 1
- 208000019331 Foodborne disease Diseases 0.000 description 1
- 241000589601 Francisella Species 0.000 description 1
- 241000589602 Francisella tularensis Species 0.000 description 1
- 230000005526 G1 to G0 transition Effects 0.000 description 1
- 241000207202 Gardnerella Species 0.000 description 1
- 201000000628 Gas Gangrene Diseases 0.000 description 1
- 208000007882 Gastritis Diseases 0.000 description 1
- 108010010803 Gelatin Proteins 0.000 description 1
- 244000068988 Glycine max Species 0.000 description 1
- 235000010469 Glycine max Nutrition 0.000 description 1
- 206010018612 Gonorrhoea Diseases 0.000 description 1
- 239000007821 HATU Substances 0.000 description 1
- 241000590002 Helicobacter pylori Species 0.000 description 1
- 201000002563 Histoplasmosis Diseases 0.000 description 1
- GUBGYTABKSRVRQ-QKKXKWKRSA-N Lactose Natural products OC[C@H]1O[C@@H](O[C@H]2[C@H](O)[C@@H](O)C(O)O[C@@H]2CO)[C@H](O)[C@@H](O)[C@H]1O GUBGYTABKSRVRQ-QKKXKWKRSA-N 0.000 description 1
- 241000589248 Legionella Species 0.000 description 1
- 208000007764 Legionnaires' Disease Diseases 0.000 description 1
- 206010024229 Leprosy Diseases 0.000 description 1
- 240000007472 Leucaena leucocephala Species 0.000 description 1
- 235000010643 Leucaena leucocephala Nutrition 0.000 description 1
- 229910010084 LiAlH4 Inorganic materials 0.000 description 1
- 241000186781 Listeria Species 0.000 description 1
- 208000016604 Lyme disease Diseases 0.000 description 1
- FYYHWMGAXLPEAU-UHFFFAOYSA-N Magnesium Chemical compound [Mg] FYYHWMGAXLPEAU-UHFFFAOYSA-N 0.000 description 1
- 241000124008 Mammalia Species 0.000 description 1
- 241000588655 Moraxella catarrhalis Species 0.000 description 1
- 241000545499 Mycobacterium avium-intracellulare Species 0.000 description 1
- 241000187479 Mycobacterium tuberculosis Species 0.000 description 1
- 241000202934 Mycoplasma pneumoniae Species 0.000 description 1
- 150000001204 N-oxides Chemical class 0.000 description 1
- 206010028885 Necrotising fasciitis Diseases 0.000 description 1
- 241000588652 Neisseria gonorrhoeae Species 0.000 description 1
- 241000588650 Neisseria meningitidis Species 0.000 description 1
- 206010029803 Nosocomial infection Diseases 0.000 description 1
- 239000005642 Oleic acid Substances 0.000 description 1
- ZQPPMHVWECSIRJ-UHFFFAOYSA-N Oleic acid Natural products CCCCCCCCC=CCCCCCCCC(O)=O ZQPPMHVWECSIRJ-UHFFFAOYSA-N 0.000 description 1
- 206010033078 Otitis media Diseases 0.000 description 1
- 240000007019 Oxalis corniculata Species 0.000 description 1
- 235000016499 Oxalis corniculata Nutrition 0.000 description 1
- 206010033767 Paracoccidioides infections Diseases 0.000 description 1
- 201000000301 Paracoccidioidomycosis Diseases 0.000 description 1
- 229910002666 PdCl2 Inorganic materials 0.000 description 1
- 235000019483 Peanut oil Nutrition 0.000 description 1
- 201000005702 Pertussis Diseases 0.000 description 1
- 208000031956 Phaehyphomycosis Diseases 0.000 description 1
- 201000011404 Phaeohyphomycosis Diseases 0.000 description 1
- 201000007100 Pharyngitis Diseases 0.000 description 1
- 206010035148 Plague Diseases 0.000 description 1
- 229920003171 Poly (ethylene oxide) Polymers 0.000 description 1
- 206010054161 Pontiac fever Diseases 0.000 description 1
- 241001648298 Propionivibrio Species 0.000 description 1
- 102100032859 Protein AMBP Human genes 0.000 description 1
- 239000007868 Raney catalyst Substances 0.000 description 1
- 229910000564 Raney nickel Inorganic materials 0.000 description 1
- 208000004364 Rhinosporidiosis Diseases 0.000 description 1
- 241000606697 Rickettsia prowazekii Species 0.000 description 1
- 241000606695 Rickettsia rickettsii Species 0.000 description 1
- 206010039207 Rocky Mountain Spotted Fever Diseases 0.000 description 1
- 229910019994 S1-NH2 Inorganic materials 0.000 description 1
- 239000002262 Schiff base Substances 0.000 description 1
- 150000004753 Schiff bases Chemical class 0.000 description 1
- XUIMIQQOPSSXEZ-UHFFFAOYSA-N Silicon Chemical compound [Si] XUIMIQQOPSSXEZ-UHFFFAOYSA-N 0.000 description 1
- FAPWRFPIFSIZLT-UHFFFAOYSA-M Sodium chloride Chemical compound [Na+].[Cl-] FAPWRFPIFSIZLT-UHFFFAOYSA-M 0.000 description 1
- 241000589970 Spirochaetales Species 0.000 description 1
- 241001147691 Staphylococcus saprophyticus Species 0.000 description 1
- 229920002472 Starch Polymers 0.000 description 1
- 235000021355 Stearic acid Nutrition 0.000 description 1
- 206010043376 Tetanus Diseases 0.000 description 1
- 206010044314 Tracheobronchitis Diseases 0.000 description 1
- YZCKVEUIGOORGS-NJFSPNSNSA-N Tritium Chemical compound [3H] YZCKVEUIGOORGS-NJFSPNSNSA-N 0.000 description 1
- 208000034784 Tularaemia Diseases 0.000 description 1
- 208000025865 Ulcer Diseases 0.000 description 1
- 241000202921 Ureaplasma urealyticum Species 0.000 description 1
- 208000006374 Uterine Cervicitis Diseases 0.000 description 1
- 241000607626 Vibrio cholerae Species 0.000 description 1
- 241000607272 Vibrio parahaemolyticus Species 0.000 description 1
- 206010048038 Wound infection Diseases 0.000 description 1
- 241000607479 Yersinia pestis Species 0.000 description 1
- 206010061418 Zygomycosis Diseases 0.000 description 1
- WERKSKAQRVDLDW-ANOHMWSOSA-N [(2s,3r,4r,5r)-2,3,4,5,6-pentahydroxyhexyl] (z)-octadec-9-enoate Chemical compound CCCCCCCC\C=C/CCCCCCCC(=O)OC[C@H](O)[C@@H](O)[C@H](O)[C@H](O)CO WERKSKAQRVDLDW-ANOHMWSOSA-N 0.000 description 1
- NXQGGXCHGDYOHB-UHFFFAOYSA-L [1,1'-bis(diphenylphosphino)ferrocene]dichloropalladium (II) Substances [Fe+2].Cl[Pd]Cl.[CH-]1C=CC(P(C=2C=CC=CC=2)C=2C=CC=CC=2)=C1.[CH-]1C=CC(P(C=2C=CC=CC=2)C=2C=CC=CC=2)=C1 NXQGGXCHGDYOHB-UHFFFAOYSA-L 0.000 description 1
- 238000002835 absorbance Methods 0.000 description 1
- DPXJVFZANSGRMM-UHFFFAOYSA-N acetic acid;2,3,4,5,6-pentahydroxyhexanal;sodium Chemical compound [Na].CC(O)=O.OCC(O)C(O)C(O)C(O)C=O DPXJVFZANSGRMM-UHFFFAOYSA-N 0.000 description 1
- PBCJIPOGFJYBJE-UHFFFAOYSA-N acetonitrile;hydrate Chemical compound O.CC#N PBCJIPOGFJYBJE-UHFFFAOYSA-N 0.000 description 1
- 125000002777 acetyl group Chemical group [H]C([H])([H])C(*)=O 0.000 description 1
- 201000007691 actinomycosis Diseases 0.000 description 1
- 230000009471 action Effects 0.000 description 1
- 239000011149 active material Substances 0.000 description 1
- 229960005305 adenosine Drugs 0.000 description 1
- UDMBCSSLTHHNCD-KQYNXXCUSA-N adenosine 5'-monophosphate Chemical compound C1=NC=2C(N)=NC=NC=2N1[C@@H]1O[C@H](COP(O)(O)=O)[C@@H](O)[C@H]1O UDMBCSSLTHHNCD-KQYNXXCUSA-N 0.000 description 1
- 150000001298 alcohols Chemical class 0.000 description 1
- 235000010443 alginic acid Nutrition 0.000 description 1
- 239000000783 alginic acid Substances 0.000 description 1
- 229920000615 alginic acid Polymers 0.000 description 1
- 229960001126 alginic acid Drugs 0.000 description 1
- 150000004781 alginic acids Chemical class 0.000 description 1
- 150000001335 aliphatic alkanes Chemical class 0.000 description 1
- 150000001336 alkenes Chemical class 0.000 description 1
- 125000004450 alkenylene group Chemical group 0.000 description 1
- 125000003282 alkyl amino group Chemical group 0.000 description 1
- 125000004414 alkyl thio group Chemical group 0.000 description 1
- 125000005237 alkyleneamino group Chemical group 0.000 description 1
- 125000005238 alkylenediamino group Chemical group 0.000 description 1
- 125000005530 alkylenedioxy group Chemical group 0.000 description 1
- 125000005529 alkyleneoxy group Chemical group 0.000 description 1
- HSFWRNGVRCDJHI-UHFFFAOYSA-N alpha-acetylene Natural products C#C HSFWRNGVRCDJHI-UHFFFAOYSA-N 0.000 description 1
- 229910052782 aluminium Inorganic materials 0.000 description 1
- XAGFODPZIPBFFR-UHFFFAOYSA-N aluminium Chemical compound [Al] XAGFODPZIPBFFR-UHFFFAOYSA-N 0.000 description 1
- 235000012211 aluminium silicate Nutrition 0.000 description 1
- MDFFNEOEWAXZRQ-UHFFFAOYSA-N aminyl Chemical compound [NH2] MDFFNEOEWAXZRQ-UHFFFAOYSA-N 0.000 description 1
- 235000019270 ammonium chloride Nutrition 0.000 description 1
- 238000004458 analytical method Methods 0.000 description 1
- 238000010171 animal model Methods 0.000 description 1
- 230000000845 anti-microbial effect Effects 0.000 description 1
- 239000003963 antioxidant agent Substances 0.000 description 1
- 230000003078 antioxidant effect Effects 0.000 description 1
- 235000006708 antioxidants Nutrition 0.000 description 1
- 125000005160 aryl oxy alkyl group Chemical group 0.000 description 1
- 125000005165 aryl thioxy group Chemical group 0.000 description 1
- 125000000732 arylene group Chemical group 0.000 description 1
- 235000010323 ascorbic acid Nutrition 0.000 description 1
- 229960005070 ascorbic acid Drugs 0.000 description 1
- 239000011668 ascorbic acid Substances 0.000 description 1
- 238000011914 asymmetric synthesis Methods 0.000 description 1
- 125000000751 azo group Chemical group [*]N=N[*] 0.000 description 1
- 229940065181 bacillus anthracis Drugs 0.000 description 1
- 230000001580 bacterial effect Effects 0.000 description 1
- 235000013871 bee wax Nutrition 0.000 description 1
- 239000012166 beeswax Substances 0.000 description 1
- 230000008901 benefit Effects 0.000 description 1
- WPYMKLBDIGXBTP-UHFFFAOYSA-N benzoic acid group Chemical group C(C1=CC=CC=C1)(=O)O WPYMKLBDIGXBTP-UHFFFAOYSA-N 0.000 description 1
- 125000003236 benzoyl group Chemical group [H]C1=C([H])C([H])=C(C([H])=C1[H])C(*)=O 0.000 description 1
- 235000019400 benzoyl peroxide Nutrition 0.000 description 1
- 239000011230 binding agent Substances 0.000 description 1
- 238000002306 biochemical method Methods 0.000 description 1
- 125000000319 biphenyl-4-yl group Chemical group [H]C1=C([H])C([H])=C([H])C([H])=C1C1=C([H])C([H])=C([*])C([H])=C1[H] 0.000 description 1
- 230000000903 blocking effect Effects 0.000 description 1
- 210000004369 blood Anatomy 0.000 description 1
- 239000008280 blood Substances 0.000 description 1
- 230000008499 blood brain barrier function Effects 0.000 description 1
- 210000001218 blood-brain barrier Anatomy 0.000 description 1
- 210000004556 brain Anatomy 0.000 description 1
- 229940056450 brucella abortus Drugs 0.000 description 1
- 201000006824 bubonic plague Diseases 0.000 description 1
- 239000006172 buffering agent Substances 0.000 description 1
- 201000003984 candidiasis Diseases 0.000 description 1
- 125000003178 carboxy group Chemical group [H]OC(*)=O 0.000 description 1
- 239000001768 carboxy methyl cellulose Substances 0.000 description 1
- 239000012876 carrier material Substances 0.000 description 1
- 230000032823 cell division Effects 0.000 description 1
- 230000001413 cellular effect Effects 0.000 description 1
- 230000019522 cellular metabolic process Effects 0.000 description 1
- 208000015114 central nervous system disease Diseases 0.000 description 1
- 206010008323 cervicitis Diseases 0.000 description 1
- 229960000541 cetyl alcohol Drugs 0.000 description 1
- 201000004308 chancroid Diseases 0.000 description 1
- 230000008859 change Effects 0.000 description 1
- 238000012512 characterization method Methods 0.000 description 1
- 239000012069 chiral reagent Substances 0.000 description 1
- 229940038705 chlamydia trachomatis Drugs 0.000 description 1
- FZFAMSAMCHXGEF-UHFFFAOYSA-N chloro formate Chemical compound ClOC=O FZFAMSAMCHXGEF-UHFFFAOYSA-N 0.000 description 1
- 238000004587 chromatography analysis Methods 0.000 description 1
- 208000023652 chronic gastritis Diseases 0.000 description 1
- 201000003486 coccidioidomycosis Diseases 0.000 description 1
- 229940110456 cocoa butter Drugs 0.000 description 1
- 235000019868 cocoa butter Nutrition 0.000 description 1
- 239000003240 coconut oil Substances 0.000 description 1
- 235000019864 coconut oil Nutrition 0.000 description 1
- 230000002508 compound effect Effects 0.000 description 1
- 238000007796 conventional method Methods 0.000 description 1
- 238000001816 cooling Methods 0.000 description 1
- 239000008120 corn starch Substances 0.000 description 1
- 239000002537 cosmetic Substances 0.000 description 1
- 239000006071 cream Substances 0.000 description 1
- WZHCOOQXZCIUNC-UHFFFAOYSA-N cyclandelate Chemical compound C1C(C)(C)CC(C)CC1OC(=O)C(O)C1=CC=CC=C1 WZHCOOQXZCIUNC-UHFFFAOYSA-N 0.000 description 1
- 125000000392 cycloalkenyl group Chemical group 0.000 description 1
- 125000002993 cycloalkylene group Chemical group 0.000 description 1
- JCWIWBWXCVGEAN-UHFFFAOYSA-L cyclopentyl(diphenyl)phosphane;dichloropalladium;iron Chemical compound [Fe].Cl[Pd]Cl.[CH]1[CH][CH][CH][C]1P(C=1C=CC=CC=1)C1=CC=CC=C1.[CH]1[CH][CH][CH][C]1P(C=1C=CC=CC=1)C1=CC=CC=C1 JCWIWBWXCVGEAN-UHFFFAOYSA-L 0.000 description 1
- 125000004186 cyclopropylmethyl group Chemical group [H]C([H])(*)C1([H])C([H])([H])C1([H])[H] 0.000 description 1
- 239000012973 diazabicyclooctane Substances 0.000 description 1
- 206010013023 diphtheria Diseases 0.000 description 1
- 238000001035 drying Methods 0.000 description 1
- 239000003974 emollient agent Substances 0.000 description 1
- 239000003995 emulsifying agent Substances 0.000 description 1
- 239000003623 enhancer Substances 0.000 description 1
- 208000028104 epidemic louse-borne typhus Diseases 0.000 description 1
- 208000001606 epiglottitis Diseases 0.000 description 1
- IDGUHHHQCWSQLU-UHFFFAOYSA-N ethanol;hydrate Chemical compound O.CCO IDGUHHHQCWSQLU-UHFFFAOYSA-N 0.000 description 1
- QUPDWYMUPZLYJZ-UHFFFAOYSA-N ethyl Chemical group C[CH2] QUPDWYMUPZLYJZ-UHFFFAOYSA-N 0.000 description 1
- 125000002534 ethynyl group Chemical group [H]C#C* 0.000 description 1
- 238000000105 evaporative light scattering detection Methods 0.000 description 1
- 239000011737 fluorine Substances 0.000 description 1
- 235000013305 food Nutrition 0.000 description 1
- 235000019253 formic acid Nutrition 0.000 description 1
- 238000001640 fractional crystallisation Methods 0.000 description 1
- 229940118764 francisella tularensis Drugs 0.000 description 1
- 210000001035 gastrointestinal tract Anatomy 0.000 description 1
- 229920000159 gelatin Polymers 0.000 description 1
- 239000008273 gelatin Substances 0.000 description 1
- 235000019322 gelatine Nutrition 0.000 description 1
- 235000011852 gelatine desserts Nutrition 0.000 description 1
- 210000004392 genitalia Anatomy 0.000 description 1
- 229910052732 germanium Inorganic materials 0.000 description 1
- GNPVGFCGXDBREM-UHFFFAOYSA-N germanium atom Chemical compound [Ge] GNPVGFCGXDBREM-UHFFFAOYSA-N 0.000 description 1
- 229940074045 glyceryl distearate Drugs 0.000 description 1
- 229940075507 glyceryl monostearate Drugs 0.000 description 1
- 208000001786 gonorrhea Diseases 0.000 description 1
- 239000007902 hard capsule Substances 0.000 description 1
- 229940037467 helicobacter pylori Drugs 0.000 description 1
- 125000005549 heteroarylene group Chemical group 0.000 description 1
- 125000005326 heteroaryloxy alkyl group Chemical group 0.000 description 1
- 125000005378 heteroarylthioxy group Chemical group 0.000 description 1
- 125000000623 heterocyclic group Chemical group 0.000 description 1
- 125000004366 heterocycloalkenyl group Chemical group 0.000 description 1
- 125000006588 heterocycloalkylene group Chemical group 0.000 description 1
- 229940088597 hormone Drugs 0.000 description 1
- 239000005556 hormone Substances 0.000 description 1
- 150000004677 hydrates Chemical class 0.000 description 1
- 125000004435 hydrogen atom Chemical group [H]* 0.000 description 1
- 235000010979 hydroxypropyl methyl cellulose Nutrition 0.000 description 1
- 239000001866 hydroxypropyl methyl cellulose Substances 0.000 description 1
- 229920003088 hydroxypropyl methyl cellulose Polymers 0.000 description 1
- UFVKGYZPFZQRLF-UHFFFAOYSA-N hydroxypropyl methyl cellulose Chemical compound OC1C(O)C(OC)OC(CO)C1OC1C(O)C(O)C(OC2C(C(O)C(OC3C(C(O)C(O)C(CO)O3)O)C(CO)O2)O)C(CO)O1 UFVKGYZPFZQRLF-UHFFFAOYSA-N 0.000 description 1
- 239000005457 ice water Substances 0.000 description 1
- 239000003701 inert diluent Substances 0.000 description 1
- 239000012678 infectious agent Substances 0.000 description 1
- 238000001802 infusion Methods 0.000 description 1
- 229940102223 injectable solution Drugs 0.000 description 1
- 229940102213 injectable suspension Drugs 0.000 description 1
- 229910052500 inorganic mineral Inorganic materials 0.000 description 1
- 239000002198 insoluble material Substances 0.000 description 1
- 230000000968 intestinal effect Effects 0.000 description 1
- 238000007918 intramuscular administration Methods 0.000 description 1
- 238000007913 intrathecal administration Methods 0.000 description 1
- ZCYVEMRRCGMTRW-YPZZEJLDSA-N iodine-125 Chemical compound [125I] ZCYVEMRRCGMTRW-YPZZEJLDSA-N 0.000 description 1
- 229940044173 iodine-125 Drugs 0.000 description 1
- HVTICUPFWKNHNG-UHFFFAOYSA-N iodoethane Chemical compound CCI HVTICUPFWKNHNG-UHFFFAOYSA-N 0.000 description 1
- 150000002500 ions Chemical class 0.000 description 1
- QXJSBBXBKPUZAA-UHFFFAOYSA-N isooleic acid Natural products CCCCCCCC=CCCCCCCCCC(O)=O QXJSBBXBKPUZAA-UHFFFAOYSA-N 0.000 description 1
- 230000000155 isotopic effect Effects 0.000 description 1
- NLYAJNPCOHFWQQ-UHFFFAOYSA-N kaolin Chemical compound O.O.O=[Al]O[Si](=O)O[Si](=O)O[Al]=O NLYAJNPCOHFWQQ-UHFFFAOYSA-N 0.000 description 1
- 239000008101 lactose Substances 0.000 description 1
- 231100000518 lethal Toxicity 0.000 description 1
- 230000001665 lethal effect Effects 0.000 description 1
- 101150021684 leuS gene Proteins 0.000 description 1
- 239000007788 liquid Substances 0.000 description 1
- 239000003589 local anesthetic agent Substances 0.000 description 1
- 229960005015 local anesthetics Drugs 0.000 description 1
- 239000006210 lotion Substances 0.000 description 1
- 239000000314 lubricant Substances 0.000 description 1
- 239000011777 magnesium Substances 0.000 description 1
- 229910052749 magnesium Inorganic materials 0.000 description 1
- 159000000003 magnesium salts Chemical class 0.000 description 1
- 235000019359 magnesium stearate Nutrition 0.000 description 1
- 235000019341 magnesium sulphate Nutrition 0.000 description 1
- NXPHGHWWQRMDIA-UHFFFAOYSA-M magnesium;carbanide;bromide Chemical compound [CH3-].[Mg+2].[Br-] NXPHGHWWQRMDIA-UHFFFAOYSA-M 0.000 description 1
- 239000003550 marker Substances 0.000 description 1
- 238000001819 mass spectrum Methods 0.000 description 1
- 230000010534 mechanism of action Effects 0.000 description 1
- 238000013160 medical therapy Methods 0.000 description 1
- 238000002844 melting Methods 0.000 description 1
- 230000008018 melting Effects 0.000 description 1
- HRDXJKGNWSUIBT-UHFFFAOYSA-N methoxybenzene Chemical group [CH2]OC1=CC=CC=C1 HRDXJKGNWSUIBT-UHFFFAOYSA-N 0.000 description 1
- QSRRZKPKHJHIRB-UHFFFAOYSA-N methyl 4-[(2,5-dichloro-4-methylthiophen-3-yl)sulfonylamino]-2-hydroxybenzoate Chemical compound C1=C(O)C(C(=O)OC)=CC=C1NS(=O)(=O)C1=C(Cl)SC(Cl)=C1C QSRRZKPKHJHIRB-UHFFFAOYSA-N 0.000 description 1
- 229920000609 methyl cellulose Polymers 0.000 description 1
- 230000011987 methylation Effects 0.000 description 1
- 238000007069 methylation reaction Methods 0.000 description 1
- 235000010981 methylcellulose Nutrition 0.000 description 1
- 239000001923 methylcellulose Substances 0.000 description 1
- 235000010755 mineral Nutrition 0.000 description 1
- 239000011707 mineral Substances 0.000 description 1
- 150000007522 mineralic acids Chemical class 0.000 description 1
- 238000002156 mixing Methods 0.000 description 1
- 125000006682 monohaloalkyl group Chemical group 0.000 description 1
- 125000004572 morpholin-3-yl group Chemical group N1C(COCC1)* 0.000 description 1
- 201000007524 mucormycosis Diseases 0.000 description 1
- 230000036457 multidrug resistance Effects 0.000 description 1
- VMWJCFLUSKZZDX-UHFFFAOYSA-N n,n-dimethylmethanamine Chemical compound [CH2]N(C)C VMWJCFLUSKZZDX-UHFFFAOYSA-N 0.000 description 1
- LYIQOEKWJGDOCM-UHFFFAOYSA-N n-(1-hydroxy-3h-2,1-benzoxaborol-6-yl)benzenesulfonamide Chemical class C1=C2B(O)OCC2=CC=C1NS(=O)(=O)C1=CC=CC=C1 LYIQOEKWJGDOCM-UHFFFAOYSA-N 0.000 description 1
- NHDXSZOBIWJWHJ-UHFFFAOYSA-N n-(5-fluoro-1-hydroxy-3h-2,1-benzoxaborol-6-yl)-2-(trifluoromethoxy)benzenesulfonamide Chemical compound C1=C2B(O)OCC2=CC(F)=C1NS(=O)(=O)C1=CC=CC=C1OC(F)(F)F NHDXSZOBIWJWHJ-UHFFFAOYSA-N 0.000 description 1
- GFSLCMXDRLKCOR-UHFFFAOYSA-N n-(5-fluoro-1-hydroxy-3h-2,1-benzoxaborol-6-yl)-4-nitrobenzenesulfonamide Chemical compound C1=C2B(O)OCC2=CC(F)=C1NS(=O)(=O)C1=CC=C([N+]([O-])=O)C=C1 GFSLCMXDRLKCOR-UHFFFAOYSA-N 0.000 description 1
- DUQGDPZEWFPTTM-UHFFFAOYSA-N n-(5-fluoro-1-hydroxy-3h-2,1-benzoxaborol-6-yl)benzenesulfonamide Chemical compound C1=C2B(O)OCC2=CC(F)=C1NS(=O)(=O)C1=CC=CC=C1 DUQGDPZEWFPTTM-UHFFFAOYSA-N 0.000 description 1
- NLDXRMDUDHFJSW-UHFFFAOYSA-N n-(5-fluoro-1-hydroxy-3h-2,1-benzoxaborol-6-yl)pyridine-2-sulfonamide Chemical compound C1=C2B(O)OCC2=CC(F)=C1NS(=O)(=O)C1=CC=CC=N1 NLDXRMDUDHFJSW-UHFFFAOYSA-N 0.000 description 1
- VXQHGYSZULUEDT-UHFFFAOYSA-N n-[2-[(5-fluoro-1-hydroxy-3h-2,1-benzoxaborol-6-yl)sulfamoyl]pyridin-4-yl]acetamide Chemical compound CC(=O)NC1=CC=NC(S(=O)(=O)NC=2C(=CC=3COB(O)C=3C=2)F)=C1 VXQHGYSZULUEDT-UHFFFAOYSA-N 0.000 description 1
- JVRYXQIJTXFPCC-UHFFFAOYSA-N n-[6-[(1-hydroxy-3h-2,1-benzoxaborol-6-yl)sulfamoyl]-5-propan-2-ylpyridin-3-yl]acetamide Chemical compound CC(C)C1=CC(NC(C)=O)=CN=C1S(=O)(=O)NC1=CC=C(COB2O)C2=C1 JVRYXQIJTXFPCC-UHFFFAOYSA-N 0.000 description 1
- 125000004108 n-butyl group Chemical group [H]C([H])([H])C([H])([H])C([H])([H])C([H])([H])* 0.000 description 1
- 125000003136 n-heptyl group Chemical group [H]C([H])([H])C([H])([H])C([H])([H])C([H])([H])C([H])([H])C([H])([H])C([H])([H])* 0.000 description 1
- 125000001280 n-hexyl group Chemical group C(CCCCC)* 0.000 description 1
- 125000000740 n-pentyl group Chemical group [H]C([H])([H])C([H])([H])C([H])([H])C([H])([H])C([H])([H])* 0.000 description 1
- 201000007970 necrotizing fasciitis Diseases 0.000 description 1
- 231100000344 non-irritating Toxicity 0.000 description 1
- 231100000956 nontoxicity Toxicity 0.000 description 1
- GYCKQBWUSACYIF-UHFFFAOYSA-N o-hydroxybenzoic acid ethyl ester Natural products CCOC(=O)C1=CC=CC=C1O GYCKQBWUSACYIF-UHFFFAOYSA-N 0.000 description 1
- QIQXTHQIDYTFRH-UHFFFAOYSA-N octadecanoic acid Chemical compound CCCCCCCCCCCCCCCCCC(O)=O QIQXTHQIDYTFRH-UHFFFAOYSA-N 0.000 description 1
- OQCDKBAXFALNLD-UHFFFAOYSA-N octadecanoic acid Natural products CCCCCCCC(C)CCCCCCCCC(O)=O OQCDKBAXFALNLD-UHFFFAOYSA-N 0.000 description 1
- 239000003883 ointment base Substances 0.000 description 1
- ZQPPMHVWECSIRJ-KTKRTIGZSA-N oleic acid Chemical compound CCCCCCCC\C=C/CCCCCCCC(O)=O ZQPPMHVWECSIRJ-KTKRTIGZSA-N 0.000 description 1
- 230000003287 optical effect Effects 0.000 description 1
- 239000003960 organic solvent Substances 0.000 description 1
- 125000002524 organometallic group Chemical group 0.000 description 1
- OHENQANLQNOMAO-UHFFFAOYSA-N oxaborole Chemical class O1B=CC=C1 OHENQANLQNOMAO-UHFFFAOYSA-N 0.000 description 1
- 150000002917 oxazolidines Chemical class 0.000 description 1
- PIBWKRNGBLPSSY-UHFFFAOYSA-L palladium(II) chloride Chemical compound Cl[Pd]Cl PIBWKRNGBLPSSY-UHFFFAOYSA-L 0.000 description 1
- 239000012188 paraffin wax Substances 0.000 description 1
- 244000052769 pathogen Species 0.000 description 1
- 239000000312 peanut oil Substances 0.000 description 1
- 208000028169 periodontal disease Diseases 0.000 description 1
- 230000002093 peripheral effect Effects 0.000 description 1
- 229940124531 pharmaceutical excipient Drugs 0.000 description 1
- UYWQUFXKFGHYNT-UHFFFAOYSA-N phenylmethyl ester of formic acid Natural products O=COCC1=CC=CC=C1 UYWQUFXKFGHYNT-UHFFFAOYSA-N 0.000 description 1
- OJMIONKXNSYLSR-UHFFFAOYSA-N phosphorous acid Chemical class OP(O)O OJMIONKXNSYLSR-UHFFFAOYSA-N 0.000 description 1
- 230000000704 physical effect Effects 0.000 description 1
- 230000004962 physiological condition Effects 0.000 description 1
- 239000006187 pill Substances 0.000 description 1
- 125000000587 piperidin-1-yl group Chemical group [H]C1([H])N(*)C([H])([H])C([H])([H])C([H])([H])C1([H])[H] 0.000 description 1
- 125000004483 piperidin-3-yl group Chemical group N1CC(CCC1)* 0.000 description 1
- 239000013612 plasmid Substances 0.000 description 1
- 239000002798 polar solvent Substances 0.000 description 1
- 229920000573 polyethylene Polymers 0.000 description 1
- 229920001223 polyethylene glycol Polymers 0.000 description 1
- 125000006684 polyhaloalkyl group Polymers 0.000 description 1
- 235000010482 polyoxyethylene sorbitan monooleate Nutrition 0.000 description 1
- 239000000244 polyoxyethylene sorbitan monooleate Substances 0.000 description 1
- 229920000053 polysorbate 80 Polymers 0.000 description 1
- 239000001267 polyvinylpyrrolidone Substances 0.000 description 1
- 229920000036 polyvinylpyrrolidone Polymers 0.000 description 1
- 235000013855 polyvinylpyrrolidone Nutrition 0.000 description 1
- 235000011056 potassium acetate Nutrition 0.000 description 1
- 238000012746 preparative thin layer chromatography Methods 0.000 description 1
- 230000002335 preservative effect Effects 0.000 description 1
- 108090000765 processed proteins & peptides Proteins 0.000 description 1
- 230000001915 proofreading effect Effects 0.000 description 1
- VVWRJUBEIPHGQF-MDZDMXLPSA-N propan-2-yl (ne)-n-propan-2-yloxycarbonyliminocarbamate Chemical compound CC(C)OC(=O)\N=N\C(=O)OC(C)C VVWRJUBEIPHGQF-MDZDMXLPSA-N 0.000 description 1
- VVWRJUBEIPHGQF-UHFFFAOYSA-N propan-2-yl n-propan-2-yloxycarbonyliminocarbamate Chemical compound CC(C)OC(=O)N=NC(=O)OC(C)C VVWRJUBEIPHGQF-UHFFFAOYSA-N 0.000 description 1
- 229940055019 propionibacterium acne Drugs 0.000 description 1
- 235000013772 propylene glycol Nutrition 0.000 description 1
- 238000000159 protein binding assay Methods 0.000 description 1
- 238000000425 proton nuclear magnetic resonance spectrum Methods 0.000 description 1
- 125000000561 purinyl group Chemical group N1=C(N=C2N=CNC2=C1)* 0.000 description 1
- 125000003373 pyrazinyl group Chemical group 0.000 description 1
- JQJOGAGLBDBMLU-UHFFFAOYSA-N pyridine-2-sulfonyl chloride Chemical compound ClS(=O)(=O)C1=CC=CC=N1 JQJOGAGLBDBMLU-UHFFFAOYSA-N 0.000 description 1
- 125000005344 pyridylmethyl group Chemical group [H]C1=C([H])C([H])=C([H])C(=N1)C([H])([H])* 0.000 description 1
- 125000001453 quaternary ammonium group Chemical group 0.000 description 1
- 238000011084 recovery Methods 0.000 description 1
- 210000000664 rectum Anatomy 0.000 description 1
- 230000009467 reduction Effects 0.000 description 1
- 239000011369 resultant mixture Substances 0.000 description 1
- 238000012552 review Methods 0.000 description 1
- 229940046939 rickettsia prowazekii Drugs 0.000 description 1
- 229940075118 rickettsia rickettsii Drugs 0.000 description 1
- CVHZOJJKTDOEJC-UHFFFAOYSA-N saccharin Chemical compound C1=CC=C2C(=O)NS(=O)(=O)C2=C1 CVHZOJJKTDOEJC-UHFFFAOYSA-N 0.000 description 1
- 229940081974 saccharin Drugs 0.000 description 1
- 235000019204 saccharin Nutrition 0.000 description 1
- 239000000901 saccharin and its Na,K and Ca salt Substances 0.000 description 1
- 229930195734 saturated hydrocarbon Natural products 0.000 description 1
- 125000002914 sec-butyl group Chemical group [H]C([H])([H])C([H])([H])C([H])(*)C([H])([H])[H] 0.000 description 1
- 238000000926 separation method Methods 0.000 description 1
- 239000008159 sesame oil Substances 0.000 description 1
- 235000011803 sesame oil Nutrition 0.000 description 1
- 229910052710 silicon Inorganic materials 0.000 description 1
- 239000010703 silicon Substances 0.000 description 1
- 235000010413 sodium alginate Nutrition 0.000 description 1
- 239000000661 sodium alginate Substances 0.000 description 1
- 229940005550 sodium alginate Drugs 0.000 description 1
- 235000017557 sodium bicarbonate Nutrition 0.000 description 1
- 229910001467 sodium calcium phosphate Inorganic materials 0.000 description 1
- 229910000029 sodium carbonate Inorganic materials 0.000 description 1
- 235000019812 sodium carboxymethyl cellulose Nutrition 0.000 description 1
- 229920001027 sodium carboxymethylcellulose Polymers 0.000 description 1
- BEOOHQFXGBMRKU-UHFFFAOYSA-N sodium cyanoborohydride Chemical compound [Na+].[B-]C#N BEOOHQFXGBMRKU-UHFFFAOYSA-N 0.000 description 1
- 239000001488 sodium phosphate Substances 0.000 description 1
- 239000007901 soft capsule Substances 0.000 description 1
- 239000000600 sorbitol Substances 0.000 description 1
- 238000004611 spectroscopical analysis Methods 0.000 description 1
- 239000007921 spray Substances 0.000 description 1
- 238000010561 standard procedure Methods 0.000 description 1
- 239000008107 starch Substances 0.000 description 1
- 235000019698 starch Nutrition 0.000 description 1
- 239000008117 stearic acid Substances 0.000 description 1
- 239000007929 subcutaneous injection Substances 0.000 description 1
- 238000010254 subcutaneous injection Methods 0.000 description 1
- 125000000547 substituted alkyl group Chemical group 0.000 description 1
- QFGUZGATFHIPML-UHFFFAOYSA-N sulfamoyl carbamate Chemical class NC(=O)OS(N)(=O)=O QFGUZGATFHIPML-UHFFFAOYSA-N 0.000 description 1
- 230000006103 sulfonylation Effects 0.000 description 1
- 238000005694 sulfonylation reaction Methods 0.000 description 1
- YBBRCQOCSYXUOC-UHFFFAOYSA-N sulfuryl dichloride Chemical compound ClS(Cl)(=O)=O YBBRCQOCSYXUOC-UHFFFAOYSA-N 0.000 description 1
- 239000013589 supplement Substances 0.000 description 1
- 239000000829 suppository Substances 0.000 description 1
- 230000002459 sustained effect Effects 0.000 description 1
- 238000010189 synthetic method Methods 0.000 description 1
- 208000006379 syphilis Diseases 0.000 description 1
- 238000007910 systemic administration Methods 0.000 description 1
- 239000000454 talc Substances 0.000 description 1
- 235000012222 talc Nutrition 0.000 description 1
- 229910052623 talc Inorganic materials 0.000 description 1
- 125000005931 tert-butyloxycarbonyl group Chemical group [H]C([H])([H])C(OC(*)=O)(C([H])([H])[H])C([H])([H])[H] 0.000 description 1
- 125000004192 tetrahydrofuran-2-yl group Chemical group [H]C1([H])OC([H])(*)C([H])([H])C1([H])[H] 0.000 description 1
- 125000001412 tetrahydropyranyl group Chemical group 0.000 description 1
- CZDYPVPMEAXLPK-UHFFFAOYSA-N tetramethylsilane Chemical compound C[Si](C)(C)C CZDYPVPMEAXLPK-UHFFFAOYSA-N 0.000 description 1
- 231100001274 therapeutic index Toxicity 0.000 description 1
- 231100000331 toxic Toxicity 0.000 description 1
- 230000002588 toxic effect Effects 0.000 description 1
- 231100000419 toxicity Toxicity 0.000 description 1
- 230000001988 toxicity Effects 0.000 description 1
- 230000002103 transcriptional effect Effects 0.000 description 1
- GGUBFICZYGKNTD-UHFFFAOYSA-N triethyl phosphonoacetate Chemical compound CCOC(=O)CP(=O)(OCC)OCC GGUBFICZYGKNTD-UHFFFAOYSA-N 0.000 description 1
- RYFMWSXOAZQYPI-UHFFFAOYSA-K trisodium phosphate Chemical compound [Na+].[Na+].[Na+].[O-]P([O-])([O-])=O RYFMWSXOAZQYPI-UHFFFAOYSA-K 0.000 description 1
- 229910052722 tritium Inorganic materials 0.000 description 1
- 238000001665 trituration Methods 0.000 description 1
- 201000008827 tuberculosis Diseases 0.000 description 1
- 206010061393 typhus Diseases 0.000 description 1
- 208000000143 urethritis Diseases 0.000 description 1
- 235000013311 vegetables Nutrition 0.000 description 1
- 229940118696 vibrio cholerae Drugs 0.000 description 1
- 125000000391 vinyl group Chemical group [H]C([*])=C([H])[H] 0.000 description 1
- 229920002554 vinyl polymer Polymers 0.000 description 1
Images
Classifications
-
- C—CHEMISTRY; METALLURGY
- C07—ORGANIC CHEMISTRY
- C07F—ACYCLIC, CARBOCYCLIC OR HETEROCYCLIC COMPOUNDS CONTAINING ELEMENTS OTHER THAN CARBON, HYDROGEN, HALOGEN, OXYGEN, NITROGEN, SULFUR, SELENIUM OR TELLURIUM
- C07F5/00—Compounds containing elements of Groups 3 or 13 of the Periodic Table
- C07F5/02—Boron compounds
- C07F5/025—Boronic and borinic acid compounds
-
- A—HUMAN NECESSITIES
- A61—MEDICAL OR VETERINARY SCIENCE; HYGIENE
- A61P—SPECIFIC THERAPEUTIC ACTIVITY OF CHEMICAL COMPOUNDS OR MEDICINAL PREPARATIONS
- A61P31/00—Antiinfectives, i.e. antibiotics, antiseptics, chemotherapeutics
- A61P31/04—Antibacterial agents
Definitions
- 1-hydroxy-1,3-dihydro-benzo[c][1,2]oxaborole also sometimes known as 1-hydroxy-benzo[c][1,2]oxaborole or oxaboroles or cyclic boronic esters
- useful as antimicrobials have been described previously, such as in U.S. patent application Ser. Nos. 12/142,692; 11/505,591 and 11/357,687.
- a 1-hydroxy-1,3-dihydro-benzo[c][1,2]oxaborole has the following structure and substituent numbering system:
- the invention provides a compound having a structure which is
- R 5 is H or halogen; one of R a2 , R a3 , R a5 and R a6 is halogen or —NHC(O)OR 30 or alkyl substituted with —C(O)OR 30 or alkyl substituted with —S(O) 2 R 30 or alkyl substituted with halogen or alkyl substituted with hydroxy or alkyl substituted with cyano or alkyl substituted with —NHC(O)OR 30 or alkyl substituted with unsubstituted oxazolyl or alkyl substituted with alkyl substituted oxazolyl or alkyl substituted with unsubstituted oxadiazolyl or alkyl substituted with alkyl substituted oxadiazolyl or alkyl substituted with —C(O)NHR 35 , wherein R 30 is unsubstituted alkyl and R 35 is unsubstituted alkyl or unsubstituted cyclo
- the invention provides a combination comprising: a) a compound of the invention, or a pharmaceutically acceptable salt thereof; and b) a therapeutically active agent.
- the invention provides a pharmaceutical formulation comprising: a) a compound of the invention, or a pharmaceutically acceptable salt thereof; and b) a pharmaceutically acceptable excipient.
- the invention provides a method of killing or inhibiting the growth of a bacteria, said method comprising: contacting said bacteria with an effective amount of a compound of the invention or a combination of the invention, or a pharmaceutically acceptable salt thereof, thereby killing or inhibiting the growth of the bacteria.
- the invention provides a method of treating a bacterial infection comprising: administering to an animal suffering from said infection an effective amount of a compound of the invention, or a pharmaceutically-acceptable salt thereof, thereby treating the bacterial infection.
- the invention provides a method of inhibiting the editing domain of a t-RNA synthetase, comprising: contacting the synthetase with an effective amount of a compound of the invention, or a pharmaceutically-acceptable salt thereof, thereby inhibiting the synthetase.
- FIG. 1 displays biological data for exemplary compounds of the invention.
- an active agent includes a single active agent as well as two or more different active agents in combination. It is to be understood that present teaching is not limited to the specific dosage forms, carriers, or the like, disclosed herein and as such may vary.
- Ac is acetyl
- AcOH is acetic acid
- ACTBr cetyltrimethylammonium bromide
- AIBN is azobisisobutyronitrile or 2,2 azobisisobutyronitrile
- BnS is benzyl disulfide
- BnSH is benzyl thiol or benzyl mercaptan
- BnBr is benzyl bromide
- Boc is tert-butoxy carbonyl
- Boc 2 O is di-tert-butyl dicarbonate
- Bz is, in general, benzoyl
- BzOOH is benzoyl peroxide
- Cbz or Z is benzyloxycarbonyl or carboxybenzyl
- Cs 2 CO 3 is cesium carbonate
- CSA camphor sulfonic acid
- CTAB is cetyltrimethylammonium bromide
- Cy is cyclohexyl
- DABCO is 1,4-diazabicyclo[2.2.2]octane
- DCM is dichlor
- RT or rt or r.t. is room temperature; sat. is saturated; Si-amine or S 1 —NH 2 is amino-functionalized silica, available from SiliCycle; Si-pyr is pyridyl-functionalized silica, available from SiliCycle; TEA or Et 3 N is triethylamine; TFA is trifluoroacetic acid; Tf 2 O is trifluoromethanesulfonic anhydride; THF is tetrahydrofuran; TFAA is trifluoroacetic anhydride; THP is tetrahydropyranyl; TMSI is trimethylsilyl iodide; H 2 O is water; diNO 2 PhSO 2 Cl is dinitrophenyl sulfonyl chloride; 3-F-4-NO 2 -PhSO 2 Cl is 3-fluoro-4-nitrophenylsulfonyl chloride; 2-MeO
- Compound of the invention refers to the compounds discussed herein, salts (e.g. pharmaceutically acceptable salts), prodrugs, solvates and hydrates of these compounds.
- MIC or minimum inhibitory concentration
- poly as used herein means at least 2.
- a polyvalent metal ion is a metal ion having a valency of at least 2.
- Moiety refers to a radical of a molecule that is attached to the remainder of the molecule.
- the symbol whether utilized as a bond or displayed perpendicular to a bond, indicates the point at which the displayed moiety is attached to the remainder of the molecule.
- alkyl by itself or as part of another substituent, means, unless otherwise stated, a straight or branched chain, or cyclic hydrocarbon radical, or combination thereof, which may be fully saturated, mono- or polyunsaturated and can include di- and multivalent radicals, having the number of carbon atoms designated (i.e. C 1 -C 10 means one to ten carbons).
- the term “alkyl” means a straight or branched chain, or combinations thereof, which may be fully saturated, mono- or polyunsaturated and can include di- and multivalent radicals.
- saturated hydrocarbon radicals include, but are not limited to, groups such as methyl, ethyl, n-propyl, isopropyl, n-butyl, t-butyl, isobutyl, sec-butyl, cyclohexyl, (cyclohexyl)methyl, cyclopropylmethyl, homologs and isomers of, for example, n-pentyl, n-hexyl, n-heptyl, n-octyl, and the like.
- An unsaturated alkyl group is one having one or more double bonds or triple bonds.
- unsaturated alkyl groups include, but are not limited to, vinyl, 2-propenyl, crotyl, 2-isopentenyl, 2-(butadienyl), 2,4-pentadienyl, 3-(1,4-pentadienyl), ethynyl, 1- and 3-propynyl, 3-butynyl, and the higher homologs and isomers.
- alkylene by itself or as part of another substituent means a divalent radical derived from an alkane, as exemplified, but not limited, by —CH 2 CH 2 CH 2 CH 2 —.
- an alkyl (or alkylene) group will have from 1 to 24 carbon atoms, with those groups having 10 or fewer carbon atoms being preferred in the invention.
- a “lower alkyl” or “lower alkylene” is a shorter chain alkyl or alkylene group, generally having eight or fewer carbon atoms.
- alkenylene by itself or as part of another substituent means a divalent radical derived from an alkene.
- cycloalkylene by itself or as part of another substituent means a divalent radical derived from a cycloalkyl.
- heteroalkylene by itself or as part of another substituent means a divalent radical derived from an heteroalkane.
- heterocycloalkylene by itself or as part of another substituent means a divalent radical derived from an heteroalkane.
- arylene by itself or as part of another substituent means a divalent radical derived from an aryl.
- heteroarylene by itself or as part of another substituent means a divalent radical derived from heteroaryl.
- alkoxy alkylamino and “alkylthio” (or thioalkoxy) are used in their conventional sense, and refer to those alkyl groups attached to the remainder of the molecule via an oxygen atom, an amino group, or a sulfur atom, respectively.
- heteroalkyl by itself or in combination with another term, means, unless otherwise stated, a stable straight or branched chain, or cyclic hydrocarbon radical, or combinations thereof, consisting of the stated number of carbon atoms and at least one heteroatom.
- the term “heteroalkyl,” by itself or in combination with another term means a stable straight or branched chain, or combinations thereof, consisting of the stated number of carbon atoms and at least one heteroatom.
- the heteroatoms can be selected from the group consisting of B, O, N and S, and wherein the nitrogen and sulfur atoms may optionally be oxidized and the nitrogen heteroatom may optionally be quaternized.
- the heteroatom(s) B, O, N and S may be placed at any interior position of the heteroalkyl group or at the position at which the alkyl group is attached to the remainder of the molecule.
- Examples include, but are not limited to, —CH 2 —CH 2 —O—CH 3 , —CH 2 —CH 2 —NH—CH 3 , —CH 2 —CH 2 —N(CH 3 )—CH 3 , —CH 2 —S—CH 2 —CH 3 , —CH 2 —CH 2 , —S(O)—CH 3 , —CH 2 —CH 2 —S(O) 2 —CH 3 , —CH ⁇ CH—O—CH 3 , —CH 2 —CH ⁇ N—OCH 3 , and —CH ⁇ CH—N(CH 3 )—CH 3 .
- heteroalkylene by itself or as part of another substituent means a divalent radical derived from heteroalkyl, as exemplified, but not limited by, —CH 2 —CH 2 —S—CH 2 —CH 2 — and —CH 2 —S—CH 2 —CH 2 —NH—CH 2 —.
- heteroatoms can also occupy either or both of the chain termini (e.g., alkyleneoxy, alkylenedioxy, alkyleneamino, alkylenediamino, and the like).
- cycloalkyl and “heterocycloalkyl”, by themselves or in combination with other terms, represent, unless otherwise stated, cyclic versions of “alkyl” and “heteroalkyl”, respectively. Additionally, for heterocycloalkyl, a heteroatom can occupy the position at which the heterocycle is attached to the remainder of the molecule. Examples of cycloalkyl include, but are not limited to, cyclopentyl, cyclohexyl, 1-cyclohexenyl, 3-cyclohexenyl, cycloheptyl, and the like.
- heterocycloalkyl examples include, but are not limited to, 1-(1,2,5,6-tetrahydropyridyl), 1-piperidinyl, 2-piperidinyl, 3-piperidinyl, 4-morpholinyl, 3-morpholinyl, tetrahydrofuran-2-yl, tetrahydrofuran-3-yl, tetrahydrothien-2-yl, tetrahydrothien-3-yl, 1-piperazinyl, 2-piperazinyl, and the like.
- halo or “halogen,” by themselves or as part of another substituent, mean, unless otherwise stated, a fluorine, chlorine, bromine, or iodine atom. Additionally, terms such as “haloalkyl,” are meant to include monohaloalkyl and polyhaloalkyl.
- halo(C 1 -C 4 )alkyl is mean to include, but not be limited to, trifluoromethyl, 2,2,2-trifluoroethyl, 4-chlorobutyl, 3-bromopropyl, and the like.
- aryl means, unless otherwise stated, a polyunsaturated, aromatic, substituent that can be a single ring or multiple rings (preferably from 1 to 3 rings), which are fused together or linked covalently.
- heteroaryl refers to aryl groups (or rings) that contain from one to four heteroatoms.
- the heteroatom is selected from B, N, O, and S, wherein the nitrogen and sulfur atoms are optionally oxidized, and the nitrogen atom(s) are optionally quaternized.
- a heteroaryl group can be attached to the remainder of the molecule through a heteroatom.
- Non-limiting examples of aryl and heteroaryl groups include phenyl, 1-naphthyl, 2-naphthyl, 4-biphenyl, 1-pyrrolyl, 2-pyrrolyl, 3-pyrrolyl, 3-pyrazolyl, 2-imidazolyl, 4-imidazolyl, pyrazinyl, 2-oxazolyl, 4-oxazolyl, 2-phenyl-4-oxazolyl, 5-oxazolyl, 3-isoxazolyl, 4-isoxazolyl, 5-isoxazolyl, 2-thiazolyl, 4-thiazolyl, 5-thiazolyl, 2-furyl, 3-furyl, 2-thienyl, 3-thienyl, 2-pyridyl, 3-pyridyl, 4-pyridyl, 2-pyrimidyl, 4-pyrimidyl, 5-benzothiazolyl, purinyl, 2-benzimidazolyl, 5-indolyl, 1-isoquinoly
- aryl when used in combination with other terms (e.g., aryloxy, arylthioxy, arylalkyl) includes those radicals in which an aryl group is attached through the next moiety to the rest of the molecule.
- arylalkyl is meant to include those radicals in which an aryl group is attached to an alkyl group (e.g., benzyl, 1-(3-nitrophenyl)ethyl and the like).
- a substituent such as benzyl or 1-(3-nitrophenyl)ethyl can also be represented by ‘substituted alkyl’ wherein the ethyl radical is substituted with a 3-nitrophenyl moiety.
- aryloxy is meant to include those radicals in which an aryl group is attached to an oxygen atom.
- aryloxyalkyl is meant to include those radicals in which an aryl group is attached to an oxygen atom which is then attached to an alkyl group (e.g., phenoxymethyl, 3-(1-naphthyloxy)propyl, and the like).
- heteroaryl when used in combination with other terms (e.g., heteroaryloxy, heteroarylthioxy, heteroarylalkyl) includes those radicals in which a heteroaryl group is attached through the next moiety to the rest of the molecule.
- heteroarylalkyl is meant to include those radicals in which a heteroaryl group is attached to an alkyl group (e.g., pyridylmethyl and the like).
- heteroaryloxy is meant to include those radicals in which a heteroaryl group is attached to an oxygen atom.
- heteroaryloxyalkyl is meant to include those radicals in which an aryl group is attached to an oxygen atom which is then attached to an alkyl group. (e.g., 2-pyridyloxymethyl and the like).
- alkyl e.g., “alkyl,” “heteroalkyl,” “aryl” and “heteroaryl” are meant to include both substituted and unsubstituted forms of the indicated radical.
- Preferred substituents for each type of radical are provided below.
- R′, R′′, R′′′, R′′′′ and R′′′′′ each preferably independently refer to hydrogen, substituted or unsubstituted heteroalkyl, substituted or unsubstituted aryl, e.g., aryl substituted with 1-3 halogens, substituted or unsubstituted alkyl, alkoxy or thioalkoxy groups, or arylalkyl groups.
- each of the R groups is independently selected as are each R′, R′′, R′′′, R′′′′ and R′′′′′ groups when more than one of these groups is present.
- R′ and R′′ are attached to the same nitrogen atom, they can be combined with the nitrogen atom to form a 5-, 6-, or 7-membered ring.
- —NR′R 11 is meant to include, but not be limited to, 1-pyrrolidinyl and 4-morpholinyl.
- alkyl is meant to include groups including carbon atoms bound to groups other than hydrogen groups, such as haloalkyl (e.g., —CF 3 and —CH 2 CF 3 ) and acyl (e.g., —C(O)CH 3 , —C(O)CF 3 , —C(O)CH 2 OCH 3 , and the like).
- haloalkyl e.g., —CF 3 and —CH 2 CF 3
- acyl e.g., —C(O)CH 3 , —C(O)CF 3 , —C(O)CH 2 OCH 3 , and the like.
- substituents for the aryl and heteroaryl groups are generically referred to as “aryl group substituents.”
- the substituents are selected from, for example: —R′, —OR′, ⁇ O, ⁇ NR′, ⁇ N—OR′, —NR′R′′, —SR′, -halogen, —SiR′R′′R′′′, —OC(O)R′, —C(O)R′, —CO 2 R′, —CONR′R′′, —OC(O)NR′R′′, —NR′′C(O)R′, —NR′—C(O)NR′′R′′′, —NR′′C(O) 2 R′, —NR′′′′′—C(NR′R′′R′′′) ⁇ NR′′′′, —NR′′—C(NR′R′′) ⁇ NR′′′, —S(O)R′, —S(O) 2 R′, —S(O) 2 R′, —S(O) 2 R
- Two of the substituents on adjacent atoms of the aryl or heteroaryl ring may optionally be replaced with a substituent of the formula -T—C(O)—(CRR′) q —U—, wherein T and U are independently —NR—, —O—, —CRR′— or a single bond, and q is an integer from 0 to 3.
- two of the substituents on adjacent atoms of the aryl or heteroaryl ring may optionally be replaced with a substituent of the formula -A-(CH 2 ) r —B—, wherein A and B are independently —CRR′—, —O—, —NR—, —S—, —S(O)—, —S(O) 2 —, —S(O) 2 NR′— or a single bond, and r is an integer from 1 to 4.
- One of the single bonds of the new ring so formed may optionally be replaced with a double bond.
- two of the substituents on adjacent atoms of the aryl or heteroaryl ring may optionally be replaced with a substituent of the formula —(CRR′) s —X—(CR′′R′′′) d —, where s and d are independently integers from 0 to 3, and X is —O—, —NR′—, —S—, —S(O)—, —S(O) 2 —, or —S(O) 2 NR′—.
- the substituents R, R′, R′′ and R′′′ are preferably independently selected from hydrogen or substituted or unsubstituted (C 1 -C 6 )alkyl.
- Ring as used herein, means a substituted or unsubstituted cycloalkyl, substituted or unsubstituted heterocycloalkyl, substituted or unsubstituted aryl, or substituted or unsubstituted heteroaryl.
- a ring includes fused ring moieties. The number of atoms in a ring is typically defined by the number of members in the ring. For example, a “5- to 7-membered ring” means there are 5 to 7 atoms in the encircling arrangement. Unless otherwise specified, the ring optionally includes a heteroatom.
- the term “5- to 7-membered ring” includes, for example phenyl, pyridinyl and piperidinyl.
- the term “ring” further includes a ring system comprising more than one “ring”, wherein each “ring” is independently defined as above.
- heteroatom includes atoms other than carbon (C) and hydrogen (H). Examples include oxygen (O), nitrogen (N) sulfur (S), silicon (Si), germanium (Ge), aluminum (Al) and boron (B).
- R is a general abbreviation that represents a substituent group that is selected from substituted or unsubstituted alkyl, substituted or unsubstituted heteroalkyl, substituted or unsubstituted aryl, substituted or unsubstituted heteroaryl, substituted or unsubstituted cycloalkyl and substituted or unsubstituted heterocycloalkyl groups.
- ⁇ ективное amount of a drug, formulation, or permeant is meant a sufficient amount of a active agent to provide the desired local or systemic effect.
- a “Topically effective,” “Cosmetically effective,” “pharmaceutically effective,” or “therapeutically effective” amount refers to the amount of drug needed to effect the desired therapeutic result.
- pharmaceutically acceptable salt is meant to include a salt of a compound of the invention which is prepared with relatively nontoxic acids or bases, depending on the particular substituents found on the compounds described herein.
- base addition salts can be obtained by contacting the neutral form of such compounds with a sufficient amount of the desired base, either neat or in a suitable inert solvent.
- pharmaceutically acceptable base addition salts include sodium, potassium, calcium, ammonium, organic amino, or magnesium salt, or a similar salt.
- acid addition salts can be obtained by contacting the neutral form of such compounds with a sufficient amount of the desired acid, either neat or in a suitable inert solvent.
- Examples of pharmaceutically acceptable acid addition salts include those derived from inorganic acids like hydrochloric, hydrobromic, nitric, carbonic, monohydrogencarbonic, phosphoric, monohydrogenphosphoric, dihydrogenphosphoric, sulfuric, monohydrogensulfuric, hydriodic, or phosphorous acids and the like, as well as the salts derived from relatively nontoxic organic acids like acetic, propionic, isobutyric, maleic, malonic, benzoic, succinic, suberic, fumaric, lactic, mandelic, phthalic, benzenesulfonic, p-tolylsulfonic, citric, tartaric, methanesulfonic, and the like.
- inorganic acids like hydrochloric, hydrobromic, nitric, carbonic, monohydrogencarbonic, phosphoric, monohydrogenphosphoric, dihydrogenphosphoric, sulfuric, monohydrogensulfuric, hydriodic, or phosphorous acids and
- salts of amino acids such as arginate and the like, and salts of organic acids like glucuronic or galactunoric acids and the like (see, for example, Berge et al., “Pharmaceutical Salts”, Journal of Pharmaceutical Science 66: 1-19 (1977)).
- Certain specific compounds of the invention contain both basic and acidic functionalities that allow the compounds to be converted into either base or acid addition salts.
- the neutral forms of the compounds are preferably regenerated by contacting the salt with a base or acid and isolating the parent compounds in the conventional manner.
- the parent form of the compound differs from the various salt forms in certain physical properties, such as solubility in polar solvents.
- the invention provides compounds which are in a prodrug form.
- Prodrugs of the compounds described herein readily undergo chemical changes under physiological conditions to provide the compounds of the invention. Additionally, prodrugs can be converted to the compounds of the invention by chemical or biochemical methods in an ex vivo environment.
- Certain compounds of the invention can exist in unsolvated forms as well as solvated forms, including hydrated forms. In general, the solvated forms are equivalent to unsolvated forms and are encompassed within the scope of the invention. Certain compounds of the invention may exist in multiple crystalline or amorphous forms.
- Certain compounds of the invention possess asymmetric carbon atoms (optical centers) or double bonds; the racemates, diastereomers, geometric isomers and individual isomers are encompassed within the scope of the invention.
- the graphic representations of racemic, ambiscalemic and scalemic or enantiomerically pure compounds used herein are taken from Maehr, J. Chem. Ed. 1985, 62: 114-120. Solid and broken wedges are used to denote the absolute configuration of a stereocenter unless otherwise noted.
- the compounds described herein contain olefinic double bonds or other centers of geometric asymmetry, and unless specified otherwise, it is intended that the compounds include both E and Z geometric isomers. Likewise, all tautomeric forms are included.
- Compounds of the invention can exist in particular geometric or stereoisomeric forms.
- the invention contemplates all such compounds, including cis- and trans-isomers, ( ⁇ )- and (+)-enantiomers, (R)- and (S)-enantiomers, diastereomers, (D)-isomers, (L)-isomers, the racemic mixtures thereof, and other mixtures thereof, such as enantiomerically or diastereomerically enriched mixtures, as falling within the scope of the invention.
- Additional asymmetric carbon atoms can be present in a substituent such as an alkyl group. All such isomers, as well as mixtures thereof, are intended to be included in this invention.
- Optically active (R)- and (S)-isomers and d and/isomers can be prepared using chiral synthons or chiral reagents, or resolved using conventional techniques. If, for instance, a particular enantiomer of a compound of the invention is desired, it can be prepared by asymmetric synthesis, or by derivatization with a chiral auxiliary, where the resulting diastereomeric mixture is separated and the auxiliary group cleaved to provide the pure desired enantiomers.
- diastereomeric salts can be formed with an appropriate optically active acid or base, followed by resolution of the diastereomers thus formed by fractional crystallization or chromatographic means known in the art, and subsequent recovery of the pure enantiomers.
- separation of enantiomers and diastereomers is frequently accomplished using chromatography employing chiral, stationary phases, optionally in combination with chemical derivatization (e.g., formation of carbamates from amines).
- the compounds of the invention may also contain unnatural proportions of atomic isotopes at one or more of the atoms that constitute such compounds.
- the compounds may be radiolabeled with radioactive isotopes, such as for example tritium ( 3 H or T), iodine-125 ( 125 I) or carbon-14 ( 14 C). All isotopic variations of the compounds of the invention, whether radioactive or not, are intended to be encompassed within the scope of the invention.
- pharmaceutically acceptable carrier or “pharmaceutically acceptable vehicle” refers to any formulation or carrier medium that provides the appropriate delivery of an effective amount of an active agent as defined herein, does not interfere with the effectiveness of the biological activity of the active agent, and that is sufficiently non-toxic to the host or patient.
- Representative carriers include water, oils, both vegetable and mineral, cream bases, lotion bases, ointment bases and the like. These bases include suspending agents, thickeners, penetration enhancers, and the like. Their formulation is well known to those in the art of cosmetics and topical pharmaceuticals. Additional information concerning carriers can be found in Remington: The Science and Practice of Pharmacy, 21st Ed., Lippincott, Williams & Wilkins (2005) which is incorporated herein by reference.
- excipients is conventionally known to mean carriers, diluents and/or vehicles used in formulating drug compositions effective for the desired use.
- microbial infection or “infection by a microorganism” refers to any infection of a host tissue by an infectious agent including, but not limited to, bacteria or protozoa (see, e.g., Harrison's Principles of Internal Medicine, pp. 93-98 (Wilson et al., eds., 12th ed. 1991); Williams et al., J. of Medicinal Chem. 42:1481-1485 (1999), herein each incorporated by reference in their entirety).
- Bio medium refers to both in vitro and in vivo biological milieus.
- exemplary in vitro “biological media” include, but are not limited to, cell culture, tissue culture, homogenates, plasma and blood. In vivo applications are generally performed in mammals, preferably humans.
- the enzyme is an editing domain of a tRNA synthetase.
- Dative bonds are usually weaker than covalent bonds.
- a boron is covalently bonded to at least one oxygen, sulfur or nitrogen, and is at the same time datively bonded to an oxygen, sulfur or nitrogen, respectively, the dative bond and covalent bond between the boron and the two identical heteroatoms can interconvert or be in the form of a resonance hybrid.
- the electrons in such bonds may be partially or fully delocalized.
- Embodiments of the invention also encompass compounds that are poly- or multi-valent species, including, for example, species such as dimers, trimers, tetramers and higher homologs of the compounds of use in the invention or reactive analogues thereof.
- Salt counterion refers to positively charged ions that associate with a compound of the invention when the boron is fully negatively or partially negatively charged.
- salt counterions include H + , H 3 O + , ammonium, potassium, calcium, magnesium and sodium.
- the compounds comprising a boron bonded to a carbon and three heteroatoms can optionally contain a fully negatively charged boron or partially negatively charged boron, due to the nature of the dative bond between the boron and one of the oxygens. Due to the negative charge, a positively charged counterion may associate with this compound, thus forming a salt.
- positively charged counterions include H + , H 3 O + , calcium, sodium, ammonium and potassium. The salts of these compounds are implicitly contained in descriptions of these compounds.
- the invention provides novel boron compounds and methods for the preparation of these molecules.
- the invention further provides methods of treating bacterial infections, killing or inhibiting the growth of bacteria in part or wholly through the use of the compounds described herein.
- the invention is a combination of a compound of the invention and an antibiotic.
- the invention is a pharmaceutical formulation comprising a pharmaceutically acceptable excipient and a compound of the invention.
- the invention is a pharmaceutical formulation comprising a compound of the invention, an antibiotic, and a pharmaceutically acceptable excipient.
- the invention provides a compound of the invention.
- the invention provides a compound described herein, or a salt thereof.
- the salt of a compound described herein is a pharmaceutically acceptable salt.
- the invention provides a compound described herein, or a pharmaceutically acceptable salt thereof.
- the invention provides a compound described in a formula provided herein.
- the invention provides a compound described herein.
- the compound has a structure which is
- R 5 is H or halogen.
- R 5 is H.
- R 5 is halogen.
- the compound has a structure which is
- the compound has a structure which is
- the compound has a structure which is
- R 5 is H or halogen, and R 40 is nitro or amino or cyano or halogen.
- R 5 is H and R 40 is nitro or amino or F or Cl or Br.
- R 5 is F and R 40 is nitro or amino or F or Cl or Br.
- R 5 is Cl and R 40 is nitro or amino or F or Cl or Br.
- the compound has a structure which is
- R 5 is H or halogen
- R 40 is OR 41 , wherein OR 41 is H or methyl or trifluoromethyl or ethyl or propyl or isopropyl or butyl or t-butyl or isobutyl.
- R 5 is H and R 40 is OR 41 , wherein OR 41 is methyl or trifluoromethyl or ethyl or propyl or isopropyl.
- R 5 is F and R 40 is OR 41 , wherein OR 41 is methyl or trifluoromethyl or ethyl or propyl or isopropyl.
- R 5 is H and R 40 is OH.
- R 5 is F and R 40 is OH.
- the compound has a structure which is
- R 5 is H or halogen
- R 40 is CH 2 NH 2 or (CH 2 ) 2 NH 2 , or (CH 2 ) 3 NH 2 .
- the compound has a structure which is
- R 5 is H or halogen
- R 40 is C(O)NH 2 or NHC(O)R 42 , wherein R 42 is methyl or ethyl or propyl or isopropyl.
- R 5 is H and R 40 is C(O)NH 2 or NHC(O)R 42 , wherein R 42 is methyl or ethyl or propyl or isopropyl.
- R 5 is F and R 40 is C(O)NH 2 or NHC(O)R 42 , wherein R 42 is methyl or ethyl or propyl or isopropyl.
- the compound has a structure which is
- R 5 is H or halogen
- R 40 and R 41 are each independently selected from the group consisting of F, Cl, and Br.
- R 5 is H and R 40 is F and R 41 is F or Cl or Br.
- R 5 is F and R 40 is F and R 41 is F or Cl or Br.
- the compound has a structure which is
- R 5 , R 40 and R 41 are as described herein.
- the compound has a structure which is
- R 5 is H or halogen
- R 40 is amino or nitro or C(O)NH 2 or NHC(O)R 42 , wherein R 42 is methyl or ethyl or propyl or isopropyl.
- R 5 is H and R 40 is C(O)NH 2 or NHC(O)R 42 , wherein R 42 is methyl or ethyl or propyl or isopropyl.
- R 5 is F and R 40 is C(O)NH 2 or NHC(O)R 42 , wherein R 42 is methyl or ethyl or propyl or isopropyl.
- R 5 is H and R 40 is amino.
- R 5 is F and R 40 is amino.
- R 5 is H and R 40 is nitro.
- R 5 is F and R 40 is nitro.
- the compound has a structure which is
- R 5 is H or halogen
- R 40 is OR 41 , wherein OR 41 is H or methyl or trifluoromethyl or ethyl or propyl or isopropyl or butyl or t-butyl or isobutyl.
- R 5 is H and R 40 is OR 41 , wherein OR 41 is methyl or trifluoromethyl or ethyl or propyl or isopropyl.
- R 5 is F and R 40 is OR 41 , wherein OR 41 is methyl or trifluoromethyl or ethyl or propyl or isopropyl.
- R 5 is H and R 40 is OH.
- R 5 is F and R 40 is OH.
- the compound has a structure which is
- R 5 is H or halogen, and R 40 is amino.
- R 5 is H and R 40 is amino.
- R 5 is F and R 40 is amino.
- the compound, or a salt thereof has a structure which is
- R 5 is H or halogen
- one of R a2 , R a3 , R a4 , R a5 and R a6 is halogen and the remaining members of R a2 , R a3 , R a4 , R a5 and R a6 are H
- R 10 , R 11 and K are each a member independently selected from the group consisting of H, substituted or unsubstituted alkyl, substituted or unsubstituted heteroalkyl, substituted or unsubstituted cycloalkyl, substituted or unsubstituted heterocycloalkyl, substituted or unsubstituted aryl, and substituted or unsubstituted heteroaryl.
- R a2 , R a3 , R a4 , R a5 , R a6 , R 5 , R 10 , R 11 and R 15 are as described herein, and each hydrogen in said compound or a salt thereof can be replaced by deuterium.
- R 5 is halogen
- one of R a2 , R a3 , R a4 , R a5 and R a6 is F or Cl or Br and the remaining members of R a2 , R a3 , R a4 , R a5 and R a6 are H
- R are each a member independently selected from the group consisting of H, substituted or unsubstituted alkyl, substituted or unsubstituted heteroalkyl, substituted or unsubstituted cycloalkyl, substituted or unsubstituted heterocycloalkyl, substituted or unsubstituted aryl, and substituted or unsubstituted heteroaryl.
- R 5 is H
- one of R a2 , R a3 , R a4 , R a5 and R a6 is F or Cl or Br and the remaining members of R a2 , R a3 , R a4 , R a5 and R a6 are H
- R 10 , R 11 and R 15 are each a member independently selected from the group consisting of H, substituted or unsubstituted alkyl, substituted or unsubstituted heteroalkyl, substituted or unsubstituted cycloalkyl, substituted or unsubstituted heterocycloalkyl, substituted or unsubstituted aryl, and substituted or unsubstituted heteroaryl.
- the compound, or a salt thereof has a structure which is
- R 5 is H or halogen
- R a6 is halogen
- R 10 , R 11 , and R 15 are each a member independently selected from the group consisting of H, substituted or unsubstituted alkyl, substituted or unsubstituted heteroalkyl, substituted or unsubstituted cycloalkyl, substituted or unsubstituted heterocycloalkyl, substituted or unsubstituted aryl, and substituted or unsubstituted heteroaryl.
- R a6 , R 5 , R 15 , R 10 , and R 11 are as described herein, and each hydrogen in said compound or a salt thereof can be replaced by deuterium.
- R 5 is F
- R a6 is F or Cl or Br
- R 10 , R 11 and R 15 are each a member independently selected from the group consisting of H, substituted or unsubstituted alkyl, substituted or unsubstituted heteroalkyl, substituted or unsubstituted cycloalkyl, substituted or unsubstituted heterocycloalkyl, substituted or unsubstituted aryl, and substituted or unsubstituted heteroaryl.
- R 5 is H
- R a6 is F or Cl or Br
- R 10 , R 11 and R 15 are each a member independently selected from the group consisting of H, substituted or unsubstituted alkyl, substituted or unsubstituted heteroalkyl, substituted or unsubstituted cycloalkyl, substituted or unsubstituted heterocycloalkyl, substituted or unsubstituted aryl, and substituted or unsubstituted heteroaryl.
- the compound, or a salt thereof has a structure which is
- R 5 is H or halogen
- one of R a2 , R a3 , R a5 and R a6 is OR 20 and the remaining members of R a2 , R a3 , R a5 and R a6 are H
- R 20 is H or unsubstituted alkyl
- R 10 , R 11 and R 15 are each a member independently selected from the group consisting of H, substituted or unsubstituted alkyl, substituted or unsubstituted heteroalkyl, substituted or unsubstituted cycloalkyl, substituted or unsubstituted heterocycloalkyl, substituted or unsubstituted aryl, and substituted or unsubstituted heteroaryl.
- R a2 , R a3 , R a5 , R a6 , R 5 , R 15 , R 10 , and R 11 are as described herein, and each hydrogen in said compound or a salt thereof can be replaced by deuterium.
- R 5 is halogen
- one of R a2 , R a3 , R a5 and R a6 is OR 20 and the remaining members of R a2 , R a3 , R a5 and R a6 are H
- R 20 is H or unsubstituted alkyl
- R 10 , R 11 and R 15 are each a member independently selected from the group consisting of H, substituted or unsubstituted alkyl, substituted or unsubstituted heteroalkyl, substituted or unsubstituted cycloalkyl, substituted or unsubstituted heterocycloalkyl, substituted or unsubstituted aryl, and substituted or unsubstituted heteroaryl.
- R 5 is H
- one of R a2 , R a3 , R a5 and R a6 is OR 20 and the remaining members of R a2 , R a3 , R a5 and R a6 are H
- R 20 is H or unsubstituted alkyl
- R 10 , R 11 and R 15 are each a member independently selected from the group consisting of H, substituted or unsubstituted alkyl, substituted or unsubstituted heteroalkyl, substituted or unsubstituted cycloalkyl, substituted or unsubstituted heterocycloalkyl, substituted or unsubstituted aryl, and substituted or unsubstituted heteroaryl.
- the compound, or a salt thereof has a structure which is
- R 5 is H or halogen
- R a6 is OR 20
- R 20 is H or unsubstituted alkyl
- R 10 , R 11 and R 15 are each a member independently selected from the group consisting of H, substituted or unsubstituted alkyl, substituted or unsubstituted heteroalkyl, substituted or unsubstituted cycloalkyl, substituted or unsubstituted heterocycloalkyl, substituted or unsubstituted aryl, and substituted or unsubstituted heteroaryl.
- R a6 , R 5 , R 15 , R 10 , and R 11 are as described herein, and each hydrogen in said compound or a salt thereof can be replaced by deuterium.
- R 5 is F
- R a6 is OR 20
- R 20 is H or unsubstituted alkyl
- R 10 , R 11 and R 15 are each a member independently selected from the group consisting of H, substituted or unsubstituted alkyl, substituted or unsubstituted heteroalkyl, substituted or unsubstituted cycloalkyl, substituted or unsubstituted heterocycloalkyl, substituted or unsubstituted aryl, and substituted or unsubstituted heteroaryl.
- R 5 is H
- R a6 is OR 20
- R 20 is H or unsubstituted alkyl
- R 10 , R 11 and R 15 are each a member independently selected from the group consisting of H, substituted or unsubstituted alkyl, substituted or unsubstituted heteroalkyl, substituted or unsubstituted cycloalkyl, substituted or unsubstituted heterocycloalkyl, substituted or unsubstituted aryl, and substituted or unsubstituted heteroaryl.
- the compound, or a salt thereof has a structure which is
- R 5 is H or halogen
- R a6 is OR 20 , R 20 is H or unsubstituted alkyl.
- R 5 is F, R a6 is OH.
- R 5 is H, R a6 is OH.
- R 5 is F, R a6 is OCH 3 .
- R 5 is H, R a6 is OCH 3 .
- R 5 is F, R a6 is OCH 2 CH 3 .
- R 5 is H, R a6 is OCH 2 CH 3 .
- R 5 is F, R a6 is OR 20 , R 20 is unsubstituted C 3 alkyl.
- R 5 is H, R a6 is OR 20 , R 20 is unsubstituted C 3 alkyl.
- R 5 is F, R a6 is OR 20 , R 20 is unsubstituted C 4 alkyl.
- R 5 is H, R a6 is OR 20 , R 20 is unsubstituted C 4 alkyl.
- R 5 is F, R a6 is OR 20 , R 20 is unsubstituted C 5 alkyl.
- R 5 is H, R a6 is OR 20 , R 20 is unsubstituted C 5 alkyl. In an exemplary embodiment, R 5 is F, R a6 is OR 20 , R 20 is unsubstituted C 6 alkyl. In an exemplary embodiment, R 5 is H, R a6 is OR 20 , R 20 is unsubstituted C 6 alkyl.
- the compound, or a salt thereof has a structure which is
- R 5 is H or halogen
- one of R a2 , R a3 , R a5 and R a6 is cyano and the remaining members of R a2 , R a3 , R a5 and R a6 are H
- R 10 , R 11 and R 15 are each a member independently selected from the group consisting of H, substituted or unsubstituted alkyl, substituted or unsubstituted heteroalkyl, substituted or unsubstituted cycloalkyl, substituted or unsubstituted heterocycloalkyl, substituted or unsubstituted aryl, and substituted or unsubstituted heteroaryl.
- R a2 , R a3 , R a5 , R a6 , R 5 , R 15 , R 10 and R 11 are as described herein, and each hydrogen in said compound or a salt thereof can be replaced by deuterium.
- R 5 is halogen
- one of R a2 , R a3 , R a5 and R a6 is cyano and the remaining members of R a2 R a3 , R a5 and R a6 are H
- R 10 , R 11 and R 15 are each a member independently selected from the group consisting of H, substituted or unsubstituted alkyl, substituted or unsubstituted heteroalkyl, substituted or unsubstituted cycloalkyl, substituted or unsubstituted heterocycloalkyl, substituted or unsubstituted aryl, and substituted or unsubstituted heteroaryl.
- R 5 is H
- one of R a2 , R a3 , R a5 and R a6 is cyano and the remaining members of R a2 , R a3 , R a5 and R a6 are H
- R 10 , R 11 and R 15 are each a member independently selected from the group consisting of H, substituted or unsubstituted alkyl, substituted or unsubstituted heteroalkyl, substituted or unsubstituted cycloalkyl, substituted or unsubstituted heterocycloalkyl, substituted or unsubstituted aryl, and substituted or unsubstituted heteroaryl.
- the compound, or a salt thereof has a structure which is
- R 5 is H or halogen
- R a6 is cyano
- R 10 , R 11 and R 15 are each a member independently selected from the group consisting of H, substituted or unsubstituted alkyl, substituted or unsubstituted heteroalkyl, substituted or unsubstituted cycloalkyl, substituted or unsubstituted heterocycloalkyl, substituted or unsubstituted aryl, and substituted or unsubstituted heteroaryl.
- R a6 , R 5 , R 15 , R 10 , and R 11 are as described herein, and each hydrogen in said compound or a salt thereof can be replaced by deuterium.
- R 5 is F
- R a6 is cyano
- R 10 , R 11 and R 15 are each a member independently selected from the group consisting of H, substituted or unsubstituted alkyl, substituted or unsubstituted heteroalkyl, substituted or unsubstituted cycloalkyl, substituted or unsubstituted heterocycloalkyl, substituted or unsubstituted aryl, and substituted or unsubstituted heteroaryl.
- R 5 is H
- R a6 is cyano
- R 10 , R 11 and R 15 are each a member independently selected from the group consisting of H, substituted or unsubstituted alkyl, substituted or unsubstituted heteroalkyl, substituted or unsubstituted cycloalkyl, substituted or unsubstituted heterocycloalkyl, substituted or unsubstituted aryl, and substituted or unsubstituted heteroaryl.
- the compound, or a salt thereof has a structure which is
- R 5 is H or halogen
- R a6 is cyano.
- R 5 is F
- R a6 is cyano.
- R 5 is H
- R a6 is cyano.
- the compound, or a salt thereof has a structure which is
- R 5 is H or halogen
- one of R a2 , R a3 , R a5 and R a6 is unsubstituted alkyl and the remaining members of R a2 , R a3 , R a5 and R a6 are H
- R 10 , R 11 and R 15 are each a member independently selected from the group consisting of H, substituted or unsubstituted alkyl, substituted or unsubstituted heteroalkyl, substituted or unsubstituted cycloalkyl, substituted or unsubstituted heterocycloalkyl, substituted or unsubstituted aryl, and substituted or unsubstituted heteroaryl.
- R a2 , R a3 , R a5 , R a6 , R 5 , R 15 , R 10 , and R 11 are as described herein, and each hydrogen in said compound or a salt thereof can be replaced by deuterium.
- R 5 is halogen
- one of R a2 , R a3 , R a5 and R a6 is methyl or ethyl or unsubstituted C 3 alkyl or unsubstituted C 4 alkyl or unsubstituted C 5 alkyl or unsubstituted C 6 alkyl and the remaining members of R a2 , R a3 , R a5 and R a6 are H
- R 10 , R 11 and R 15 are each a member independently selected from the group consisting of H, substituted or unsubstituted alkyl, substituted or unsubstituted heteroalkyl, substituted or unsubstituted cycloalkyl, substituted or unsubstituted heterocycloalkyl, substituted or unsubstituted aryl, and substituted or unsubstituted heteroaryl.
- R 5 is H
- one of R a2 , R a3 , R a5 and R a6 is methyl or ethyl or unsubstituted C 3 alkyl or unsubstituted C 4 alkyl or unsubstituted C 5 alkyl or unsubstituted C 6 alkyl and the remaining members of R a2 , R a3 , R a5 and R a6 are H
- R 10 , R 11 and R 15 are each a member independently selected from the group consisting of H, substituted or unsubstituted alkyl, substituted or unsubstituted heteroalkyl, substituted or unsubstituted cycloalkyl, substituted or unsubstituted heterocycloalkyl, substituted or unsubstituted aryl, and substituted or unsubstituted heteroaryl.
- the compound, or a salt thereof has a structure which is
- R 5 is H or halogen
- R a6 is unsubstituted alkyl
- R 10 , R 11 and R 15 are each a member independently selected from the group consisting of H, substituted or unsubstituted alkyl, substituted or unsubstituted heteroalkyl, substituted or unsubstituted cycloalkyl, substituted or unsubstituted heterocycloalkyl, substituted or unsubstituted aryl, and substituted or unsubstituted heteroaryl.
- R a6 , R 5 , R 15 , R 10 , and R 11 are as described herein, and each hydrogen in said compound or a salt thereof can be replaced by deuterium.
- R 5 is halogen
- R a6 is methyl or ethyl or unsubstituted C 3 alkyl or unsubstituted C 4 alkyl or unsubstituted C 5 alkyl or unsubstituted C 6 alkyl
- R 10 , R 11 and R 15 are each a member independently selected from the group consisting of H, substituted or unsubstituted alkyl, substituted or unsubstituted heteroalkyl, substituted or unsubstituted cycloalkyl, substituted or unsubstituted heterocycloalkyl, substituted or unsubstituted aryl, and substituted or unsubstituted heteroaryl.
- R 5 is H
- R a6 is methyl or ethyl or unsubstituted C 3 alkyl or unsubstituted C 4 alkyl or unsubstituted C 5 alkyl or unsubstituted C 6 alkyl
- R 10 , R 11 and R 15 are each a member independently selected from the group consisting of H, substituted or unsubstituted alkyl, substituted or unsubstituted heteroalkyl, substituted or unsubstituted cycloalkyl, substituted or unsubstituted heterocycloalkyl, substituted or unsubstituted aryl, and substituted or unsubstituted heteroaryl.
- the compound, or a salt thereof has a structure which is
- R 5 is H or halogen
- R a6 is unsubstituted alkyl.
- R 5 is halogen
- R a6 is methyl or ethyl or unsubstituted C 3 alkyl or unsubstituted C 4 alkyl or unsubstituted C 5 alkyl or unsubstituted C 6 alkyl.
- R 5 is H
- R a6 is methyl or ethyl or unsubstituted C 3 alkyl or unsubstituted C 4 alkyl or unsubstituted C 5 alkyl or unsubstituted C 6 alkyl.
- R 5 is F, R a6 is CH 3 . In an exemplary embodiment, R 5 is H, R a6 is CH 3 . In an exemplary embodiment, R 5 is F, R a6 is CH 2 CH 3 . In an exemplary embodiment, R 5 is H, R a6 is CH 2 CH 3 . In an exemplary embodiment, R 5 is F, R a6 is unsubstituted C 3 alkyl. In an exemplary embodiment, R 5 is H, R a6 is unsubstituted C 3 alkyl. In an exemplary embodiment, R 5 is F, R a6 is unsubstituted C 4 alkyl.
- R 5 is H, R a6 is unsubstituted C 4 alkyl. In an exemplary embodiment, R 5 is F, R a6 is unsubstituted C 5 alkyl. In an exemplary embodiment, R 5 is H, R a6 is unsubstituted C 5 alkyl. In an exemplary embodiment, R 5 is F, R a6 is unsubstituted C 6 alkyl. In an exemplary embodiment, R 5 is H, R a6 is unsubstituted C 6 alkyl.
- the compound, or a salt thereof has a structure which is
- R 5 is H or halogen
- one of R a2 , R a3 , R a5 and R a6 is unsubstituted alkenyl or unsubstituted alkynyl and the remaining members of R a2 , R a3 , R a5 and R a6 are H
- R 10 , R 11 and R 15 are each a member independently selected from the group consisting of H, substituted or unsubstituted alkyl, substituted or unsubstituted heteroalkyl, substituted or unsubstituted cycloalkyl, substituted or unsubstituted heterocycloalkyl, substituted or unsubstituted aryl, and substituted or unsubstituted heteroaryl.
- R a2 , R a3 , R a5 , and R a6 are H, R 10 .
- R 11 and R 15 are as described herein, and each hydrogen in said compound or a salt thereof can be replaced by deuterium.
- R 5 is halogen
- one of R a2 , R a3 , R a5 and R a6 is prop-1-ynyl or prop-1-enyl or prop-2-ynyl or prop-2-enyl or but-1-ynyl or but-1-enyl or but-2-ynyl or but-2-enyl or but-3-ynyl or but-3-enyl
- the remaining members of R a2 , R a3 , R a5 and R a6 are H
- R 10 , R 11 and R 15 are each a member independently selected from the group consisting of H, substituted or unsubstituted alkyl, substituted or unsubstituted heteroalkyl, substituted or unsubstituted cycloalkyl, substituted or unsubstituted heterocycloalkyl, substituted or unsubstituted aryl, and substituted or unsubstituted heteroaryl.
- R 5 is H
- one of R a2 , R a3 , R a5 and R a6 is prop-1-ynyl or prop-1-enyl or prop-2-ynyl or prop-2-enyl or but-1-ynyl or but-1-enyl or but-2-ynyl or but-2-enyl or but-3-ynyl or but-3-enyl and the remaining members of R a2 , R a3 , R a5 and R a6 are H, R 10 , R 11 and R 15 are each a member independently selected from the group consisting of H, substituted or unsubstituted alkyl, substituted or unsubstituted heteroalkyl, substituted or unsubstituted cycloalkyl, substituted or unsubstituted heterocycloalkyl, substituted or unsubstituted aryl, and substituted or unsubstituted heteroaryl.
- the compound, or a salt thereof has a structure which is
- R 5 is H or halogen
- R a6 is unsubstituted alkenyl or unsubstituted alkynyl
- R 10 , R 11 and R 15 are each a member independently selected from the group consisting of H, substituted or unsubstituted alkyl, substituted or unsubstituted heteroalkyl, substituted or unsubstituted cycloalkyl, substituted or unsubstituted heterocycloalkyl, substituted or unsubstituted aryl, and substituted or unsubstituted heteroaryl.
- R a6 , R 5 , R 15 , R 10 and R 11 are as described herein, and each hydrogen in said compound or a salt thereof can be replaced by deuterium.
- R 5 is halogen
- R a6 is prop-1-ynyl or prop-1-enyl or prop-2-ynyl or prop-2-enyl or but-1-ynyl or but-1-enyl or but-2-ynyl or but-2-enyl or but-3-ynyl or but-3-enyl
- R 10 , R 11 and R 15 are each a member independently selected from the group consisting of H, substituted or unsubstituted alkyl, substituted or unsubstituted heteroalkyl, substituted or unsubstituted cycloalkyl, substituted or unsubstituted heterocycloalkyl, substituted or unsubstituted aryl, and substituted or unsubstituted heteroaryl.
- R 5 is H
- R a6 is prop-1-ynyl or prop-1-enyl or prop-2-ynyl or prop-2-enyl or but-1-ynyl or but-1-enyl or but-2-ynyl or but-2-enyl or but-3-ynyl or but-3-enyl
- R 10 , R 11 and R 15 are each a member independently selected from the group consisting of H, substituted or unsubstituted alkyl, substituted or unsubstituted heteroalkyl, substituted or unsubstituted cycloalkyl, substituted or unsubstituted heterocycloalkyl, substituted or unsubstituted aryl, and substituted or unsubstituted heteroaryl.
- the compound, or a salt thereof has a structure which is
- R 5 is H or halogen
- R a6 is unsubstituted alkenyl or unsubstituted alkynyl.
- R 5 is halogen
- R a6 is prop-1-ynyl or prop-1-enyl or prop-2-ynyl or prop-2-enyl or but-1-ynyl or but-1-enyl or but-2-ynyl or but-2-enyl or but-3-ynyl or but-3-enyl.
- R 5 is F
- R a6 is prop-1-ynyl or prop-1-enyl or prop-2-ynyl or prop-2-enyl or but-1-ynyl or but-1-enyl or but-2-ynyl or but-2-enyl or but-3-ynyl or but-3-enyl.
- R 5 is H
- R a6 is prop-1-ynyl or prop-1-enyl or prop-2-ynyl or prop-2-enyl or but-1-ynyl or but-1-enyl or but-2-ynyl or but-2-enyl or but-3-ynyl or but-3-enyl.
- the compound, or a salt thereof has a structure which is
- R 5 is H or halogen
- one of R a2 , R a3 , R a5 and R a6 is alkyl substituted with cyano and the remaining members of R a2 , R a3 , R a5 and R a6 are H
- R 10 , R 11 and R 15 are each a member independently selected from the group consisting of H, substituted or unsubstituted alkyl, substituted or unsubstituted heteroalkyl, substituted or unsubstituted cycloalkyl, substituted or unsubstituted heterocycloalkyl, substituted or unsubstituted aryl, and substituted or unsubstituted heteroaryl.
- R a2 , R a3 , R a5 , R a6 , R 5 , R 15 , R 10 , and R 11 are as described herein, and each hydrogen in said compound or a salt thereof can be replaced by deuterium.
- R 5 is halogen
- one of R a2 , R a3 , R a5 and R a6 is methyl substituted with cyano or ethyl substituted with cyano or C 3 alkyl substituted with cyano or C 4 alkyl substituted with cyano or C 5 alkyl substituted with cyano or C 6 alkyl substituted with cyano and the remaining members of R a2 , R a3 , R a5 and R a6 are H
- R 10 , R 11 and R 15 are each a member independently selected from the group consisting of H, substituted or unsubstituted alkyl, substituted or unsubstituted heteroalkyl, substituted or unsubstituted cycloalkyl, substituted or unsubstituted heterocycloalkyl, substituted or unsubstituted aryl, and substituted or unsubstituted heteroaryl.
- R 5 is H
- one of R a2 , R a3 , R a5 and R a6 is methyl substituted with cyano or ethyl substituted with cyano or C 3 alkyl substituted with cyano or C 4 alkyl substituted with cyano or C 5 alkyl substituted with cyano or C 6 alkyl substituted with cyano and the remaining members of R a2 , R a3 , R a5 and R a6 are H
- R 10 , R 11 and R 15 are each a member independently selected from the group consisting of H, substituted or unsubstituted alkyl, substituted or unsubstituted heteroalkyl, substituted or unsubstituted cycloalkyl, substituted or unsubstituted heterocycloalkyl, substituted or unsubstituted aryl, and substituted or unsubstituted heteroaryl.
- the compound, or a salt thereof has a structure which is
- R 5 is H or halogen
- R a6 is alkyl substituted with cyano
- R 10 , R 11 and R 15 are each a member independently selected from the group consisting of H, substituted or unsubstituted alkyl, substituted or unsubstituted heteroalkyl, substituted or unsubstituted cycloalkyl, substituted or unsubstituted heterocycloalkyl, substituted or unsubstituted aryl, and substituted or unsubstituted heteroaryl.
- R a6 , R 5 , R 15 , R 10 , and R 11 are as described herein, and each hydrogen in said compound or a salt thereof can be replaced by deuterium.
- R 5 is halogen
- R a6 is methyl substituted with cyano or ethyl substituted with cyano or C 3 alkyl substituted with cyano or C 4 alkyl substituted with cyano or C 5 alkyl substituted with cyano or C 6 alkyl substituted with cyano
- R 10 , R 11 and R 15 are each a member independently selected from the group consisting of H, substituted or unsubstituted alkyl, substituted or unsubstituted heteroalkyl, substituted or unsubstituted cycloalkyl, substituted or unsubstituted heterocycloalkyl, substituted or unsubstituted aryl, and substituted or unsubstituted heteroaryl.
- R 5 is H
- R a6 is methyl substituted with cyano or ethyl substituted with cyano or C 3 alkyl substituted with cyano or C 4 alkyl substituted with cyano or C 5 alkyl substituted with cyano or C 6 alkyl substituted with cyano
- R 10 , R 11 and R 15 are each a member independently selected from the group consisting of H, substituted or unsubstituted alkyl, substituted or unsubstituted heteroalkyl, substituted or unsubstituted cycloalkyl, substituted or unsubstituted heterocycloalkyl, substituted or unsubstituted aryl, and substituted or unsubstituted heteroaryl.
- the compound, or a salt thereof has a structure which is
- R 5 is H or halogen
- R a6 is alkyl substituted with cyano.
- R 5 is halogen
- R a6 is methyl substituted with cyano or ethyl substituted with cyano or C 3 alkyl substituted with cyano or C 4 alkyl substituted with cyano or C 5 alkyl substituted with cyano or C 6 alkyl substituted with cyano.
- R 5 is H, R a6 is methyl substituted with cyano or ethyl substituted with cyano or C 3 alkyl substituted with cyano or C 4 alkyl substituted with cyano or C 5 alkyl substituted with cyano or C 6 alkyl substituted with cyano.
- R 5 is F, R a6 is CH 2 CN.
- R 5 is H, R a6 is CH 2 CN.
- R 5 is F, R a6 is CH 2 CH 2 CN.
- R 5 is H, R a6 is CH 2 CH 2 CN.
- R 5 is F, R a6 is CH 2 CH 2 CH 2 CN. In an exemplary embodiment, R 5 is H, R a6 is CH 2 CH 2 CH 2 CN. In an exemplary embodiment, R 5 is F, R a6 is CH 2 CH 2 CH 2 CH 2 CN. In an exemplary embodiment, R 5 is H, R a6 is CH 2 CH 2 CH 2 CH 2 CN. In an exemplary embodiment, R 5 is F, R a6 is CH 2 CH 2 CH 2 CH 2 CH 2 CN. In an exemplary embodiment, R 5 is H, R a6 is CH 2 CH 2 CH 2 CH 2 CN. In an exemplary embodiment, R 5 is F, R a6 is CH 2 CH 2 CH 2 CH 2 CH 2 CN. In an exemplary embodiment, R 5 is H, R a6 is CH 2 CH 2 CH 2 CH 2 CH 2 CN. In an exemplary embodiment, R 5 is F, R a6 is CH 2 CH 2 CH 2 CH 2 CH 2 CN. In an exemplary embodiment, R 5 is H, R
- the compound, or a salt thereof has a structure which is
- R 5 is H or halogen
- one of R a2 , R a3 , R a5 and R a6 is alkyl substituted with hydroxy and the remaining members of R a2 , R a3 , R a5 and R a6 are H
- R 10 , R 11 and R 15 are each a member independently selected from the group consisting of H, substituted or unsubstituted alkyl, substituted or unsubstituted heteroalkyl, substituted or unsubstituted cycloalkyl, substituted or unsubstituted heterocycloalkyl, substituted or unsubstituted aryl, and substituted or unsubstituted heteroaryl.
- R a2 , R a3 , R a5 , R a6 , R 5 , R 15 , R 10 , and R 11 are as described herein, and each hydrogen in said compound or a salt thereof can be replaced by deuterium.
- R 5 is halogen
- one of R a2 , R a3 , R a5 and R a6 is methyl substituted with hydroxy or ethyl substituted with hydroxy or C 3 alkyl substituted with hydroxy or C 4 alkyl substituted with hydroxy or C 5 alkyl substituted with hydroxy or C 6 alkyl substituted with hydroxy and the remaining members of R a2 , R a3 , R a5 and R a6 are H
- R 10 , R 11 and R 15 are each a member independently selected from the group consisting of H, substituted or unsubstituted alkyl, substituted or unsubstituted heteroalkyl, substituted or unsubstituted cycloalkyl, substituted or unsubstituted heterocycloalkyl, substituted or unsubstituted aryl, and substituted or unsubstituted heteroaryl.
- R 5 is H
- one of R a2 , R a3 , R a5 and R a6 is methyl substituted with hydroxy or ethyl substituted with hydroxy or C 3 alkyl substituted with hydroxy or C 4 alkyl substituted with hydroxy or C 5 alkyl substituted with hydroxy or C 6 alkyl substituted with hydroxy and the remaining members of R a2 , R a3 , R a5 and R a6 are H
- R 10 , R 11 and R 15 are each a member independently selected from the group consisting of H, substituted or unsubstituted alkyl, substituted or unsubstituted heteroalkyl, substituted or unsubstituted cycloalkyl, substituted or unsubstituted heterocycloalkyl, substituted or unsubstituted aryl, and substituted or unsubstituted heteroaryl.
- the compound, or a salt thereof has a structure which is
- R 5 is H or halogen
- R a6 is alkyl substituted with hydroxy
- R 10 , R 11 and R 15 are each a member independently selected from the group consisting of H, substituted or unsubstituted alkyl, substituted or unsubstituted heteroalkyl, substituted or unsubstituted cycloalkyl, substituted or unsubstituted heterocycloalkyl, substituted or unsubstituted aryl, and substituted or unsubstituted heteroaryl.
- R a6 , R 5 , R 15 , R 10 , and R 11 are as described herein, and each hydrogen in said compound or a salt thereof can be replaced by deuterium.
- R 5 is halogen
- R a6 is methyl substituted with hydroxy or ethyl substituted with hydroxy or C 3 alkyl substituted with hydroxy or C 4 alkyl substituted with hydroxy or C 5 alkyl substituted with hydroxy or C 6 alkyl substituted with hydroxy
- R 10 , R 11 and R 15 are each a member independently selected from the group consisting of H, substituted or unsubstituted alkyl, substituted or unsubstituted heteroalkyl, substituted or unsubstituted cycloalkyl, substituted or unsubstituted heterocycloalkyl, substituted or unsubstituted aryl, and substituted or unsubstituted heteroaryl.
- R 5 is H
- R a6 is methyl substituted with hydroxy or ethyl substituted with hydroxy or C 3 alkyl substituted with hydroxy or C 4 alkyl substituted with hydroxy or C 5 alkyl substituted with hydroxy or C 6 alkyl substituted with hydroxy
- R 10 , R 11 and R 15 are each a member independently selected from the group consisting of H, substituted or unsubstituted alkyl, substituted or unsubstituted heteroalkyl, substituted or unsubstituted cycloalkyl, substituted or unsubstituted heterocycloalkyl, substituted or unsubstituted aryl, and substituted or unsubstituted heteroaryl.
- the compound, or a salt thereof has a structure which is
- R 5 is H or halogen
- R a6 is alkyl substituted with hydroxy.
- R 5 is halogen
- R a6 is methyl substituted with hydroxy or ethyl substituted with hydroxy or C 3 alkyl substituted with hydroxy or C 4 alkyl substituted with hydroxy or C 5 alkyl substituted with hydroxy or C 6 alkyl substituted with hydroxy.
- R 5 is H
- R a6 is methyl substituted with hydroxy or ethyl substituted with hydroxy or C 3 alkyl substituted with hydroxy or C 4 alkyl substituted with hydroxy or C 5 alkyl substituted with hydroxy or C 6 alkyl substituted with hydroxy.
- R 5 is F, R a6 is CH 2 OH. In an exemplary embodiment, R 5 is H, R a6 is CH 2 OH. In an exemplary embodiment, R 5 is F, R a6 is CH 2 CH 2 OH. In an exemplary embodiment, R 5 is H, R a6 is CH 2 CH 2 OH. In an exemplary embodiment, R 5 is F, R a6 is CH 2 CH 2 CH 2 OH. In an exemplary embodiment, R 5 is H, R a6 is CH 2 CH 2 OH. In an exemplary embodiment, R 5 is F, R a6 is CH 2 CH 2 CH 2 OH. In an exemplary embodiment, R 5 is H, R a6 is CH 2 CH 2 CH 2 OH. In an exemplary embodiment, R 5 is F, R a6 is CH 2 CH 2 CH 2 OH. In an exemplary embodiment, R 5 is H, R a6 is CH 2 CH 2 CH 2 OH. In an exemplary embodiment, R 5 is H, R a6 is CH 2 CH 2 CH 2 OH
- R 5 is F, R a6 is CH 2 CH 2 CH 2 CH 2 CH 2 OH. In an exemplary embodiment, R 5 is H, R a6 is CH 2 CH 2 CH 2 CH 2 CH 2 OH. In an exemplary embodiment, R 5 is F, R a6 is CH 2 CH 2 CH 2 CH 2 CH 2 CH 2 OH. In an exemplary embodiment, R 5 is H, R a6 is CH 2 CH 2 CH 2 CH 2 CH 2 OH.
- the compound, or a salt thereof has a structure which is
- R 5 is H or halogen
- one of R a2 , R a3 , R a5 and R a6 is alkyl substituted with OR 30 , wherein R 30 is unsubstituted alkyl, and the remaining members of R a2 , R a3 , R a5 and R a6 are H
- R 10 , R 11 and R 15 are each a member independently selected from the group consisting of H, substituted or unsubstituted alkyl, substituted or unsubstituted heteroalkyl, substituted or unsubstituted cycloalkyl, substituted or unsubstituted heterocycloalkyl, substituted or unsubstituted aryl, and substituted or unsubstituted heteroaryl.
- R a2 , R a3 , R a5 , R a6 , R 5 , R 15 , R 10 and R 11 are as described herein, and each hydrogen in said compound or a salt thereof can be replaced by deuterium.
- R 5 is halogen
- one of R a2 , R a3 , R a5 and R a6 is methyl substituted with OR 30 or ethyl substituted with OR 30 or C 3 alkyl substituted with OR 30 or C 4 alkyl substituted with OR 30 or C 5 alkyl substituted with OR 30 or C 6 alkyl substituted with OR 30 , wherein R 30 is unsubstituted alkyl, and the remaining members of R a2 , R a1 , R a5 and R a6 are and R a6 are H, R 10 , R 11 and R 15 are each a member independently selected from the group consisting of H, substituted or unsubstituted alkyl, substituted or unsubstituted heteroalkyl, substituted or unsubstituted cycloalkyl, substituted or unsubstituted heterocycloalkyl, substituted or unsubstituted aryl, and substituted or unsubstit
- R 5 is H
- one of R a2 , R a3 , R a5 and R a6 is methyl substituted with OR 30 or ethyl substituted with OR 30 or C 3 alkyl substituted with OR 30 or C 4 alkyl substituted with OR 30 or C 5 alkyl substituted with OR 30 or C 6 alkyl substituted with OR 30 , wherein R 30 is methyl or ethyl or unsubstituted C 3 alkyl or unsubstituted C 4 alkyl or unsubstituted C 5 alkyl or unsubstituted C 6 alkyl, and the remaining members of R a2 , R a3 , R a5 and R a6 are H, R 10 , R 11 and R 15 are each a member independently selected from the group consisting of H, substituted or unsubstituted alkyl, substituted or unsubstituted heteroalkyl, substituted or unsubstituted cycloalky
- the compound, or a salt thereof has a structure which is
- R 5 is H or halogen
- R a6 is alkyl substituted with OR 30 , wherein R 30 is unsubstituted alkyl
- R 10 , R 11 and R 15 are each a member independently selected from the group consisting of H, substituted or unsubstituted alkyl, substituted or unsubstituted heteroalkyl, substituted or unsubstituted cycloalkyl, substituted or unsubstituted heterocycloalkyl, substituted or unsubstituted aryl, and substituted or unsubstituted heteroaryl.
- R a6 , R 5 , R 15 , R 10 , and R 11 are as described herein, and each hydrogen in said compound or a salt thereof can be replaced by deuterium.
- R 5 is halogen
- R a6 is methyl substituted with OR 30 or ethyl substituted with OR 30 or C 3 alkyl substituted with OR 30 or C 4 alkyl substituted with OR 30 or C 5 alkyl substituted with OR 30 or C 6 alkyl substituted with OR 30 , wherein R 30 is unsubstituted alkyl
- R 10 , R 11 and R 15 are each a member independently selected from the group consisting of H, substituted or unsubstituted alkyl, substituted or unsubstituted heteroalkyl, substituted or unsubstituted cycloalkyl, substituted or unsubstituted heterocycloalkyl, substituted or unsubstituted aryl, and substituted or unsubstituted
- R 5 is H
- R a6 is methyl substituted with OR 30 or ethyl substituted with OR 30 or C 3 alkyl substituted with OR 30 or C 4 alkyl substituted with OR 30 or C 5 alkyl substituted with OR 30 or C 6 alkyl substituted with OR 30 , wherein R 30 is methyl or ethyl or unsubstituted C 3 alkyl or unsubstituted C 4 alkyl or unsubstituted C 5 alkyl or unsubstituted C 6 alkyl
- R 10 , R 11 and R 15 are each a member independently selected from the group consisting of H, substituted or unsubstituted alkyl, substituted or unsubstituted heteroalkyl, substituted or unsubstituted cycloalkyl, substituted or unsubstituted heterocycloalkyl, substituted or unsubstituted aryl, and substituted or unsubstituted heteroaryl.
- the compound, or a salt thereof has a structure which is
- R 5 is H or halogen
- R a6 is alkyl substituted with OR 30 , wherein R 30 is unsubstituted alkyl.
- R 5 is H or halogen
- R a2 is alkyl substituted with OR 30 , wherein R 30 is methyl or ethyl or unsubstituted C 3 alkyl or unsubstituted C 4 alkyl or unsubstituted C 5 alkyl or unsubstituted C 6 alkyl.
- R 5 is H
- R a6 is CH 2 OR 30 , wherein R 30 is methyl or ethyl or unsubstituted C 3 alkyl or unsubstituted C 4 alkyl or unsubstituted C 5 alkyl or unsubstituted C 6 alkyl.
- R 5 is H
- R a6 is CH 2 OR 30 , wherein R 30 is methyl or ethyl or unsubstituted C 3 alkyl.
- R 5 is F
- R a6 is CH 2 OR 30 , wherein R 30 is methyl or ethyl or unsubstituted C 3 alkyl or unsubstituted C 4 alkyl or unsubstituted C 5 alkyl or unsubstituted C 6 alkyl.
- R 5 is F
- R a6 is CH 2 OR 30 , wherein R 30 is methyl or ethyl or unsubstituted C 3 alkyl.
- R 5 is H
- R a6 is CH 2 CH 2 OR 30 , wherein R 30 is methyl or ethyl or unsubstituted C 3 alkyl or unsubstituted C 4 alkyl or unsubstituted C 5 alkyl or unsubstituted C 6 alkyl.
- R 5 is H
- R a6 is CH 2 CH 2 OR 30 , wherein R 30 is methyl or ethyl or unsubstituted C 3 alkyl.
- R 5 is F
- R a6 is CH 2 CH 2 OR 30 , wherein R 30 is methyl or ethyl or unsubstituted C 3 alkyl or unsubstituted C 4 alkyl or unsubstituted C 5 alkyl or unsubstituted C 6 alkyl.
- R 5 is F
- R a6 is CH 2 CH 2 OR 30 , wherein R 30 is methyl or ethyl or unsubstituted C 3 alkyl.
- R 5 is H
- R a6 is CH 2 CH 2 CH 2 OR 30 , wherein R 30 is methyl or ethyl or unsubstituted C 3 alkyl or unsubstituted C 4 alkyl or unsubstituted C 5 alkyl or unsubstituted C 6 alkyl.
- R 5 is H
- R a6 is CH 2 CH 2 CH 2 OR 30 , wherein R 30 is methyl or ethyl or unsubstituted C 3 alkyl.
- R 5 is F
- R a6 is CH 2 CH 2 CH 2 OR 30 , wherein R 30 is methyl or ethyl or unsubstituted C 3 alkyl or unsubstituted C 4 alkyl or unsubstituted C 5 alkyl or unsubstituted C 6 alkyl.
- R 5 is F
- R a6 is CH 2 CH 2 CH 2 OR 30 , wherein R 30 is methyl or ethyl or unsubstituted C 3 alkyl.
- the compound, or a salt thereof has a structure which is
- R 5 is H or halogen
- one of R a2 , R a3 , R a5 and R a6 is alkyl substituted with NH 2 and the remaining members of R a2 , R a3 , R a5 and R a6 are H
- R 10 , R 11 and R 15 are each a member independently selected from the group consisting of H, substituted or unsubstituted alkyl, substituted or unsubstituted heteroalkyl, substituted or unsubstituted cycloalkyl, substituted or unsubstituted heterocycloalkyl, substituted or unsubstituted aryl, and substituted or unsubstituted heteroaryl.
- R a2 , R a3 , R a5 , R a6 , R 5 , R 15 , R 10 , and R 11 are as described herein, and each hydrogen in said compound or a salt thereof can be replaced by deuterium.
- R 5 is halogen
- one of R a2 , R a3 , R a5 and R a6 is methyl substituted with NH 2 or ethyl substituted with NH 2 or C 3 alkyl substituted with NH 2 or C 4 alkyl substituted with NH 2 or C 5 alkyl substituted with NH 2 or C 6 alkyl substituted with NH 2 and the remaining members of R a2 , R a3 , R a5 and R a6 are H
- R 10 , R 11 and R 15 are each a member independently selected from the group consisting of H, substituted or unsubstituted alkyl, substituted or unsubstituted heteroalkyl, substituted or unsubstituted cycloalkyl, substituted or unsubstituted heterocycloalkyl, substituted or unsubstituted aryl, and substituted or unsubstituted heteroaryl.
- R 5 is H
- one of R a2 , R a3 , R a5 and R a6 is methyl substituted with NH 2 or ethyl substituted with NH 2 or C 3 alkyl substituted with NH 2 or C 4 alkyl substituted with NH 2 or C 5 alkyl substituted with NH 2 or C 6 alkyl substituted with NH 2 and the remaining members of R a2 , R a3 , R a5 and R a6 are H, R each a member independently selected from the group consisting of H, substituted or unsubstituted alkyl, substituted or unsubstituted heteroalkyl, substituted or unsubstituted cycloalkyl, substituted or unsubstituted heterocycloalkyl, substituted or unsubstituted aryl, and substituted or unsubstituted heteroaryl.
- the compound, or a salt thereof has a structure which is
- R 5 is H or halogen
- R a6 is alkyl substituted with NH 2
- R 10 , R 11 and R 15 are each a member independently selected from the group consisting of H, substituted or unsubstituted alkyl, substituted or unsubstituted heteroalkyl, substituted or unsubstituted cycloalkyl, substituted or unsubstituted heterocycloalkyl, substituted or unsubstituted aryl, and substituted or unsubstituted heteroaryl.
- R a6 , R 5 , R 15 , R 10 , and R 11 are as described herein, and each hydrogen in said compound or a salt thereof can be replaced by deuterium.
- R 5 is halogen
- R a6 is methyl substituted with NH 2 or ethyl substituted with NH 2 or C 3 alkyl substituted with NH 2 or C 4 alkyl substituted with NH 2 or C 5 alkyl substituted with NH 2 or C 6 alkyl substituted with NH 2
- R 10 , R 11 and R 15 are each a member independently selected from the group consisting of H, substituted or unsubstituted alkyl, substituted or unsubstituted heteroalkyl, substituted or unsubstituted cycloalkyl, substituted or unsubstituted heterocycloalkyl, substituted or unsubstituted aryl, and substituted or unsubstituted heteroaryl.
- R 5 is H
- R a6 is methyl substituted with NH 2 or ethyl substituted with NH 2 or C 3 alkyl substituted with NH 2 or C 4 alkyl substituted with NH 2 or C 5 alkyl substituted with NH 2 or C 6 alkyl substituted with NH 2
- R 10 , R 11 and R 15 are each a member independently selected from the group consisting of H, substituted or unsubstituted alkyl, substituted or unsubstituted heteroalkyl, substituted or unsubstituted cycloalkyl, substituted or unsubstituted heterocycloalkyl, substituted or unsubstituted aryl, and substituted or unsubstituted heteroaryl.
- the compound, or a salt thereof has a structure which is
- R 5 is H or halogen
- R a6 is alkyl substituted with NH 2 .
- R 5 is halogen
- R a6 is methyl substituted with NH 2 or ethyl substituted with NH 2 or C 3 alkyl substituted with NH 2 or C 4 alkyl substituted with NH 2 or C 5 alkyl substituted with NH 2 or C 6 alkyl substituted with NH 2 .
- R 5 is H
- R a6 is methyl substituted with NH 2 or ethyl substituted with NH 2 or C 3 alkyl substituted with NH 2 or C 4 alkyl substituted with NH 2 or C 5 alkyl substituted with NH 2 or C 6 alkyl substituted with NH 2 .
- R 5 is F
- R a6 is CH 2 NH 2 .
- R 5 is H
- R a6 is CH 2 NH 2 .
- R 5 is F
- R a6 is CH 2 CH 2 NH 2 .
- R 5 is H, R a6 is CH 2 CH 2 NH 2 .
- R 5 is F, R a6 is CH 2 CH 2 CH 2 NH 2 . In an exemplary embodiment, R 5 is H, R a6 is CH 2 CH 2 CH 2 NH 2 . In an exemplary embodiment, R 5 is F, R a6 is CH 2 CH 2 CH 2 CH 2 NH 2 . In an exemplary embodiment, R 5 is H, R a6 is CH 2 CH 2 CH 2 CH 2 NH 2 . In an exemplary embodiment, R 5 is F, R a6 is CH 2 CH 2 CH 2 CH 2 NH 2 . In an exemplary embodiment, R 5 is H, R a6 is CH 2 CH 2 CH 2 CH 2 NH 2 . In an exemplary embodiment, R 5 is H, R a6 is CH 2 CH 2 CH 2 CH 2 NH 2 .
- R 5 is F
- R a6 is CH 2 CH 2 CH 2 CH 2 CH 2 CH 2 CH 2 NH 2
- R 5 is H
- R a6 is CH 2 CH 2 CH 2 CH 2 CH 2 CH 2 NH 2 .
- the compound, or a salt thereof has a structure which is
- R 5 is H or halogen
- one of R a2 , R a3 , R a5 and R a6 is alkyl substituted with R 31 , wherein R 31 is halogen
- the remaining members of R a2 , R a3 , R a5 and R a6 are H
- R 10 , R 11 , and R 15 are each a member independently selected from the group consisting of H, substituted or unsubstituted alkyl, substituted or unsubstituted heteroalkyl, substituted or unsubstituted cycloalkyl, substituted or unsubstituted heterocycloalkyl, substituted or unsubstituted aryl, and substituted or unsubstituted heteroaryl.
- R a2 , R a3 , R a5 , R a6 , R 5 , R 15 , R 10 , and R 11 are as described herein, and each hydrogen in said compound or a salt thereof can be replaced by deuterium.
- R 5 is halogen
- one of R a2 , R a3 , R a5 and R a6 is methyl substituted with R 31 or ethyl substituted with R 31 or C 3 alkyl substituted with R 31 or C 4 alkyl substituted with R 31 or C 5 alkyl substituted with R 31 or C 6 alkyl substituted with R 31 , wherein R 31 is halogen, and the remaining members of R a2 , R a3 , R a5 and R a6 are H, R 10 , R 11 and R 15 are each a member independently selected from the group consisting of H, substituted or unsubstituted alkyl, substituted or unsubstituted heteroalkyl, substituted or unsubstituted cycloalkyl, substituted or unsubstituted heterocycloalkyl, substituted or unsubstituted aryl, and substituted or unsubstituted heteroaryl.
- R 5 is H
- one of R a2 , R a3 , R a5 and R a6 is methyl substituted with R 31 or ethyl substituted with R 31 or C 3 alkyl substituted with R 31 or C 4 alkyl substituted with R 31 or C 5 alkyl substituted with R 31 or C 6 alkyl substituted with R 31 , wherein R 31 is F or Cl or Br, and the remaining members of R a2 , R a3 , R a5 and R a6 are H, R 10 , R 11 and R 15 are each a member independently selected from the group consisting of H, substituted or unsubstituted alkyl, substituted or unsubstituted heteroalkyl, substituted or unsubstituted cycloalkyl, substituted or unsubstituted heterocycloalkyl, substituted or unsubstituted aryl, and substituted or unsubstituted heteroaryl.
- the compound, or a salt thereof has a structure which is
- R 5 is H or halogen
- R a6 is alkyl substituted with R 31
- R 31 is halogen
- R 10 , R 11 and R 15 are each a member independently selected from the group consisting of H, substituted or unsubstituted alkyl, substituted or unsubstituted heteroalkyl, substituted or unsubstituted cycloalkyl, substituted or unsubstituted heterocycloalkyl, substituted or unsubstituted aryl, and substituted or unsubstituted heteroaryl.
- R a6 , R 5 , R 15 , R 10 , and R 11 are as described herein, and each hydrogen in said compound or a salt thereof can be replaced by deuterium.
- R 5 is halogen
- R a6 is methyl substituted with R 31 or ethyl substituted with R 31 or C 3 alkyl substituted with R 31 or C 4 alkyl substituted with R 31 or C 5 alkyl substituted with R 31 or C 6 alkyl substituted with R 31
- R 31 is halogen
- R 10 , R 11 and R 15 are each a member independently selected from the group consisting of H, substituted or unsubstituted alkyl, substituted or unsubstituted heteroalkyl, substituted or unsubstituted cycloalkyl, substituted or unsubstituted heterocycloalkyl, substituted or unsubstituted aryl, and substituted or unsubstituted heteroaryl.
- R 5 is H
- R a6 is methyl substituted with R 31 or ethyl substituted with R 31 or C 3 alkyl substituted with R 31 or C 4 alkyl substituted with R 31 or C 5 alkyl substituted with R 31 or C 6 alkyl substituted with R 31
- R 31 is F or Cl or Br
- R 10 , R 11 and R 15 are each a member independently selected from the group consisting of H, substituted or unsubstituted alkyl, substituted or unsubstituted heteroalkyl, substituted or unsubstituted cycloalkyl, substituted or unsubstituted heterocycloalkyl, substituted or unsubstituted aryl, and substituted or unsubstituted heteroaryl.
- R 5 is H or halogen
- R a6 is alkyl substituted with two R 31 , wherein each R 31 is independently selected from F or Cl or Br or I
- R 10 , R 11 and R 15 are each a member independently selected from the group consisting of H, substituted or unsubstituted alkyl, substituted or unsubstituted heteroalkyl, substituted or unsubstituted cycloalkyl, substituted or unsubstituted heterocycloalkyl, substituted or unsubstituted aryl, and substituted or unsubstituted heteroaryl.
- R 5 is H or halogen
- R a6 is alkyl substituted with three R 31 , wherein each R 31 is independently selected from F or Cl or Br or I
- R 10 , R 11 and R 15 are each a member independently selected from the group consisting of H, substituted or unsubstituted alkyl, substituted or unsubstituted heteroalkyl, substituted or unsubstituted cycloalkyl, substituted or unsubstituted heterocycloalkyl, substituted or unsubstituted aryl, and substituted or unsubstituted heteroaryl.
- the compound, or a salt thereof has a structure which is
- R 5 is H or halogen
- R a6 is alkyl substituted with one R 31 , wherein R 31 is F or Cl or Br or I.
- R 5 is H or halogen
- R a6 is alkyl substituted with two R 31 , wherein each R 31 is independently selected from F or Cl or Br or I.
- R 5 is H or halogen
- R a6 is alkyl substituted with three R 31 , wherein each R 31 is independently selected from F or Cl or Br or I.
- R 5 is H or halogen
- R a6 is alkyl substituted with R 31 , wherein R 31 is F or Cl or Br.
- R 5 is H, R a6 is CH 2 F. In an exemplary embodiment, R 5 is F, R a6 is CH 2 F. In an exemplary embodiment, R 5 is H, R a6 is CHF 2 . In an exemplary embodiment, R 5 is F, R a6 is CHF 2 . In an exemplary embodiment, R 5 is H, R a6 is CF 3 . In an exemplary embodiment, R 5 is F, R a6 is CF 3 . In an exemplary embodiment, R 5 is H or halogen, R a6 is ethyl substituted with R 31 , wherein R 31 is F or Cl or Br.
- R 5 is H or halogen
- R a6 is ethyl substituted with two R 31 , wherein each R 31 is independently selected from F or Cl or Br.
- R 5 is H or halogen
- R a6 is ethyl substituted with three R 31 , wherein each R 31 is independently selected from F or Cl or Br.
- R 5 is H, R a6 is CH 2 CH 2 F.
- R 5 is F
- R a6 is CH 2 CH 2 F.
- R 5 is F, R a6 is CH 2 CHF 2 .
- R 5 is F, R a6 is CH 2 CHF 2 .
- R 5 is H, R a6 is CH 2 CF 3 . In an exemplary embodiment, R 5 is F, R a6 is CH 2 CF 3 . In an exemplary embodiment, R 5 is H or halogen, R a6 is C 3 alkyl substituted with R 31 , wherein R 31 is F or Cl or Br. In an exemplary embodiment, R 5 is H or halogen, R a6 is C 3 alkyl substituted with two R 31 , wherein each R 31 is independently selected from F or Cl or Br. In an exemplary embodiment, R 5 is H or halogen, R a6 is C 3 alkyl substituted with three R 31 , wherein each R 31 is independently selected from F or Cl or Br.
- R 5 is H, R a6 is CH 2 CH 2 CH 2 F. In an exemplary embodiment, R 5 is F, R a6 is CH 2 CH 2 CH 2 F. In an exemplary embodiment, R 5 is H, R a6 is CH 2 CH 2 CHF 2 . In an exemplary embodiment, R 5 is F, R a6 is CH 2 CH 2 CHF 2 . In an exemplary embodiment, R 5 is H, R a6 is CH 2 CH 2 CF 3 . In an exemplary embodiment, R 5 is F, R a6 is CH 2 CH 2 CF 3 .
- the compound, or a salt thereof has a structure which is
- R 5 is H or halogen
- R a5 is alkyl substituted with one R 31 , wherein R 31 is F or Cl or Br or I.
- R 5 is H or halogen
- R a5 is alkyl substituted with two R 31 , wherein each R 31 is independently selected from F or Cl or Br or I.
- R 5 is H or halogen
- R a5 is alkyl substituted with three R 31 , wherein each R 31 is independently selected from F or Cl or Br or I.
- R 5 is H or halogen
- R a5 is alkyl substituted with R 31 , wherein R 31 is F or Cl or Br.
- R 5 is H, R a5 is CH 2 F. In an exemplary embodiment, R 5 is F, R a5 is CH 2 F. In an exemplary embodiment, R 5 is H, R a5 is CHF 2 . In an exemplary embodiment, R 5 is F, R a5 is CHF 2 . In an exemplary embodiment, R 5 is H, R a5 is CF 3 . In an exemplary embodiment, R 5 is F, R a5 is CF 3 . In an exemplary embodiment, R 5 is H or halogen, R a5 is ethyl substituted with R 31 , wherein R 31 is F or Cl or Br.
- R 5 is H or halogen
- R a5 is ethyl substituted with two R 31 , wherein each R 31 is independently selected from F or Cl or Br.
- R 5 is H or halogen
- R a5 is ethyl substituted with three R 31 , wherein each R 31 is independently selected from F or Cl or Br.
- R 5 is H, R a5 is CH 2 CH 2 F.
- R 5 is F
- R a5 is CH 2 CH 2 F.
- R 5 is F, R a5 is CH 2 CHF 2 .
- R 5 is H, R a5 is CH 2 CF 3 . In an exemplary embodiment, R 5 is F, R a5 is CH 2 CF 3 . In an exemplary embodiment, R 5 is H or halogen, R a5 is C 3 alkyl substituted with R 31 , wherein R 31 is F or Cl or Br. In an exemplary embodiment, R 5 is H or halogen, R a5 is C 3 alkyl substituted with two R 31 , wherein each R 31 is independently selected from F or Cl or Br. In an exemplary embodiment, R 5 is H or halogen, R a5 is C 3 alkyl substituted with three R 31 , wherein each R 31 is independently selected from F or Cl or Br.
- R 5 is H, R a5 is CH 2 CH 2 CH 2 F. In an exemplary embodiment, R 5 is F, R a5 is CH 2 CH 2 CH 2 F. In an exemplary embodiment, R 5 is H, R a5 is CH 2 CH 2 CHF 2 . In an exemplary embodiment, R 5 is F, R a5 is CH 2 CH 2 CHF 2 . In an exemplary embodiment, R 5 is H, R a5 is CH 2 CH 2 CF 3 . In an exemplary embodiment, R 5 is F, R a5 is CH 2 CH 2 CF 3 .
- the compound, or a salt thereof has a structure which is
- R 5 is H or halogen
- one of R a2 , R a3 , R a5 and R a6 is alkyl substituted with —C(O)OR 30 , wherein R 30 is unsubstituted alkyl, and the remaining members of R a2 , R a3 , R a5 and R a6 are H
- R 10 , R 11 and R 15 are each a member independently selected from the group consisting of H, substituted or unsubstituted alkyl, substituted or unsubstituted heteroalkyl, substituted or unsubstituted cycloalkyl, substituted or unsubstituted heterocycloalkyl, substituted or unsubstituted aryl, and substituted or unsubstituted heteroaryl.
- R a2 , R a3 , R a5 , R a6 , R 5 , R 15 , R 10 , and R 11 are as described herein, and each hydrogen in said compound or a salt thereof can be replaced by deuterium.
- R 5 is halogen
- one of R a2 , R a3 , R a5 and R a6 is methyl substituted with —C(O)OR 30 or ethyl substituted with —C(O)OR 30 or C 3 alkyl substituted with —C(O)OR 30 or C 4 alkyl substituted with —C(O)OR 30 or C 5 alkyl substituted with —C(O)OR 30 or C 6 alkyl substituted with —C(O)OR 30 , wherein R 30 is unsubstituted alkyl, and the remaining members of R a2 , R a3 , R a5 and R a6 are H, R 10 , R 11 and R 15 are each a member independently selected from the group consisting of H, substituted or unsubstituted alkyl, substituted or unsubstituted heteroalkyl, substituted or unsubstituted cycloalkyl, substituted or unsubstit
- R 5 is H
- one of R a2 , R a3 , R a5 and R a6 is methyl substituted with —C(O)OR 30 or ethyl substituted with —C(O)OR 30 or C 3 alkyl substituted with —C(O)OR 30 or C 4 alkyl substituted with —C(O)OR 30 or C 5 alkyl substituted with —C(O)OR 30 or C 6 alkyl substituted with —C(O)OR 30 , wherein R 30 is methyl or ethyl or unsubstituted C 3 alkyl or unsubstituted C 4 alkyl or unsubstituted C 5 alkyl or unsubstituted C 6 alkyl, and the remaining members of R a2 , R a3 , R a5 and R a6 are H, R 10 , R 11 and R 15 are each a member independently selected from the group consisting of H, substituted or unsub
- the compound, or a salt thereof has a structure which is
- R 5 is H or halogen
- R a6 is alkyl substituted with —C(O)OR 30 , wherein R 30 is unsubstituted alkyl
- R 10 , R 11 and R 15 are each a member independently selected from the group consisting of H, substituted or unsubstituted alkyl, substituted or unsubstituted heteroalkyl, substituted or unsubstituted cycloalkyl, substituted or unsubstituted heterocycloalkyl, substituted or unsubstituted aryl, and substituted or unsubstituted heteroaryl.
- R a6 , R 5 , R 15 , R 10 , and R 11 are as described herein, and each hydrogen in said compound or a salt thereof can be replaced by deuterium.
- R 5 is halogen
- R a6 is methyl substituted with —C(O)OR 30 or ethyl substituted with —C(O)OR 30 or C 3 alkyl substituted with —C(O)OR 30 or C 4 alkyl substituted with —C(O)OR 30 or C 5 alkyl substituted with —C(O)OR 30 or C 6 alkyl substituted with —C(O)OR 30 , wherein R 30 is unsubstituted alkyl, R 10 , R 11 and R 15 are each a member independently selected from the group consisting of H, substituted or unsubstituted alkyl, substituted or unsubstituted heteroalkyl, substituted or unsubstituted cycloalkyl, substituted or
- R 5 is H
- R a6 is methyl substituted with —C(O)OR 30 or ethyl substituted with —C(O)OR 30 or C 3 alkyl substituted with —C(O)OR 30 or C 4 alkyl substituted with —C(O)OR 30 or C 5 alkyl substituted with —C(O)OR 30 or C 6 alkyl substituted with —C(O)OR 30
- R 30 is methyl or ethyl or unsubstituted C 3 alkyl or unsubstituted C 4 alkyl or unsubstituted C 5 alkyl or unsubstituted C 6 alkyl
- R 10 , R 11 and R 15 are each a member independently selected from the group consisting of H, substituted or unsubstituted alkyl, substituted or unsubstituted heteroalkyl, substituted or unsubstituted cycloalkyl, substituted or unsubstituted hetero
- the compound, or a salt thereof has a structure which is
- R 5 is H or halogen
- R a6 is alkyl substituted with —C(O)OR 30 , wherein R 30 is unsubstituted alkyl.
- R 5 is H or halogen
- R a6 is alkyl substituted with —C(O)OR 30 , wherein R 30 is methyl or ethyl or unsubstituted C 3 alkyl or unsubstituted C 4 alkyl or unsubstituted C 5 alkyl or unsubstituted C 6 alkyl.
- R 5 is H
- R a6 is CH 2 C(O)OR 30 , wherein R 30 is methyl or ethyl or unsubstituted C 3 alkyl or unsubstituted C 4 alkyl or unsubstituted C 5 alkyl or unsubstituted C 6 alkyl.
- R 5 is H
- R a6 is CH 2 C(O)OR 30 , wherein R 30 is methyl or ethyl or unsubstituted C 3 alkyl.
- R 5 is F
- R a6 is CH 2 C(O)OR 30 , wherein R 30 is methyl or ethyl or unsubstituted C 3 alkyl or unsubstituted C 4 alkyl or unsubstituted C 5 alkyl or unsubstituted C 6 alkyl.
- R 5 is F
- R a6 is CH 2 C(O)OR 30 , wherein R 30 is methyl or ethyl or unsubstituted C 3 alkyl.
- R 5 is H
- R a6 is CH 2 CH 2 C(O)OR 30 , wherein R 30 is methyl or ethyl or unsubstituted C 3 alkyl or unsubstituted C 4 alkyl or unsubstituted C 5 alkyl or unsubstituted C 6 alkyl.
- R 5 is H
- R a6 is CH 2 CH 2 C(O)OR 30 , wherein R 30 is methyl or ethyl or unsubstituted C 3 alkyl.
- R 5 is F
- R a6 is CH 2 CH 2 C(O)OR 30 , wherein R 30 is methyl or ethyl or unsubstituted C 3 alkyl or unsubstituted C 4 alkyl or unsubstituted C 5 alkyl or unsubstituted C 6 alkyl.
- R 5 is F
- R a6 is CH 2 CH 2 C(O)OR 30 , wherein R 30 is methyl or ethyl or unsubstituted C 3 alkyl.
- R 5 is H
- R a6 is CH 2 CH 2 CH 2 C(O)OR 30 , wherein R 30 is methyl or ethyl or unsubstituted C 3 alkyl or unsubstituted C 4 alkyl or unsubstituted C 5 alkyl or unsubstituted C 6 alkyl.
- R 5 is H
- R a6 is CH 2 CH 2 CH 2 C(O)OR 30 , wherein R 30 is methyl or ethyl or unsubstituted C 3 alkyl.
- R 5 is F
- R a6 is CH 2 CH 2 CH 2 C(O)OR 30 , wherein R 30 is methyl or ethyl or unsubstituted C 3 alkyl or unsubstituted C 4 alkyl or unsubstituted C 5 alkyl or unsubstituted C 6 alkyl.
- R 5 is F
- R a6 is CH 2 CH 2 CH 2 C(O)OR 30 , wherein R 30 is methyl or ethyl or unsubstituted C 3 alkyl.
- R 5 is H
- R a6 is CH 2 C(O)OCH(CH 3 ) 2 .
- R 5 is F, R a6 is CH 2 C(O)OCH(CH 3 ) 2 . In an exemplary embodiment, R 5 is H, R a6 is CH 2 CH 2 C(O)OCH(CH 3 ) 2 . In an exemplary embodiment, R 5 is F, R a6 is CH 2 CH 2 C(O)OCH(CH 3 ) 2 . In an exemplary embodiment, R 5 is H, R a6 is CH 2 CH 2 CH 2 C(O)OCH(CH 3 ) 2 . In an exemplary embodiment, R 5 is F, R a6 is CH 2 CH 2 CH 2 C(O)OCH(CH 3 ) 2 .
- R 5 is H, R a6 is CH 2 C(O)OC(CH 3 ) 3 . In an exemplary embodiment, R 5 is F, R a6 is CH 2 C(O)OC(CH 3 ) 3 . In an exemplary embodiment, R 5 is H, R a6 is CH 2 CH 2 C(O)OC(CH 3 ) 3 . In an exemplary embodiment, R 5 is F, R a6 is CH 2 CH 2 C(O)OC(CH 3 ) 3 . In an exemplary embodiment, R 5 is H, R a6 is CH 2 CH 2 C(O)OC(CH 3 ) 3 . In an exemplary embodiment, R 5 is F, R a6 is CH 2 CH 2 CH 2 C(O)OC(CH 3 ) 3 .
- the compound, or a salt thereof has a structure which is
- R 5 is H or halogen
- R a6 is alkyl substituted with —C(O)OH.
- R 5 is H
- R a6 is CH 2 C(O)OH.
- R a6 , R 5 , R 15 , R 10 , and R 11 are as described herein, and each hydrogen in said compound or a salt thereof can be replaced by deuterium.
- R 5 is F
- R a6 is CH 2 C(O)OH.
- R 5 is H, R a6 is CH 2 CH 2 C(O)OH.
- R 5 is F, R a6 is CH 2 CH 2 C(O)OH.
- R 5 is H, R a6 is CH 2 CH 2 CH 2 C(O)OH.
- R 5 is F, R a6 is CH 2 CH 2 CH 2 C(O)OH.
- R 5 is F, R a6 is CH 2 CH 2 CH 2 C(O)OH.
- the compound, or a salt thereof has a structure which is
- R 5 is H or halogen
- one of R a2 , R a3 , R a5 and R a6 is alkyl substituted with —C(O)NHR 35 , wherein R 35 is unsubstituted alkyl or unsubstituted cyclobutyl or unsubstituted cyclopentyl or unsubstituted cyclohexyl or unsubstituted cycloheptyl or unsubstituted cyclooctyl, and the remaining members of R a2 , R a3 , R a5 and R a6 are H, R 10 , R 11 and R 15 are each a member independently selected from the group consisting of H, substituted or unsubstituted alkyl, substituted or unsubstituted heteroalkyl, substituted or unsubstituted cycloalkyl, substituted or unsubstituted heterocycloalkyl, substituted or unsubstit
- R a2 , R a3 , R a5 , R a6 , R 5 , R 15 , R 10 , and R 11 are as described herein, and each hydrogen in said compound or a salt thereof can be replaced by deuterium.
- R 5 is halogen
- one of R a2 , R a3 , R a5 and R a6 is methyl substituted with —C(O)NHR 35 or ethyl substituted with —C(O)NHR 35 or C 3 alkyl substituted with —C(O)NHR 35 or C 4 alkyl substituted with —C(O)NHR 35 or C 5 alkyl substituted with —C(O)NHR 35 or C 6 alkyl substituted with —C(O)NHR 35
- R 35 is unsubstituted alkyl or unsubstituted cyclobutyl or unsubstituted cyclopentyl or unsubstituted cyclohexyl or unsubstituted cycloheptyl or unsubstituted cyclooctyl
- the remaining members of R a2 , R a3 , R a5 and R a6 are H
- R 5 is H
- one of R a2 , R a3 , R a5 and R a6 is methyl substituted with —C(O)NHR 35 or ethyl substituted with —C(O)NHR 35 or C 3 alkyl substituted with —C(O)NHR 35 or C 4 alkyl substituted with —C(O)NHR 35 , wherein R 35 is methyl or ethyl or unsubstituted C 3 alkyl or unsubstituted C 4 alkyl or unsubstituted cyclobutyl or unsubstituted cyclopentyl or unsubstituted cyclohexyl, and the remaining members of R a2 , R a3 , R a5 and R a6 are H, R 10 , R 11 and R 15 are each a member independently selected from the group consisting of H, substituted or unsubstituted alkyl, substituted or unsubstituted al
- the compound, or a salt thereof has a structure which is
- R 5 is H or halogen
- R a6 is alkyl substituted with —C(O)NHR 35 , wherein R 35 is unsubstituted alkyl or unsubstituted cyclobutyl or unsubstituted cyclopentyl or unsubstituted cyclohexyl or unsubstituted cycloheptyl or unsubstituted cyclooctyl
- R 10 , R 11 and R 15 are each a member independently selected from the group consisting of H, substituted or unsubstituted alkyl, substituted or unsubstituted heteroalkyl, substituted or unsubstituted cycloalkyl, substituted or unsubstituted heterocycloalkyl, substituted or unsubstituted aryl, and substituted or unsubstituted heteroaryl.
- R a6 , R 5 , R 15 R 10 , and R 11 are as described herein, and each hydrogen in said compound or a salt thereof can be replaced by deuterium.
- R 5 is halogen
- R a6 is methyl substituted with —C(O)NHR 35 or ethyl substituted with —C(O)NHR 35 or C 3 alkyl substituted with —C(O)NHR 35 or C 4 alkyl substituted with —C(O)NHR 35 or C 5 alkyl substituted with —C(O)NHR 35 or C 6 alkyl substituted with —C(O)NHR 35
- R 35 is unsubstituted alkyl or unsubstituted cyclobutyl or unsubstituted cyclopentyl or unsubstituted cyclohexyl or unsubstituted cycloheptyl or unsubstituted cyclooct
- R 5 is H
- R a6 is methyl substituted with —C(O)NHR 35 or ethyl substituted with —C(O)NHR 35 or C 3 alkyl substituted with —C(O)NHR 35 or C 4 alkyl substituted with —C(O)NHR 35 or C 5 alkyl substituted with —C(O)NHR 35 or C 6 alkyl substituted with —C(O)NHR 35
- R 35 is methyl or ethyl or unsubstituted C 3 alkyl or unsubstituted C 4 alkyl or unsubstituted C 5 alkyl or unsubstituted C 6 alkyl or unsubstituted cyclobutyl or unsubstituted cyclopentyl or unsubstituted cyclohexyl
- R 10 , R 11 and R 15 are each a member independently selected from the group consisting of H, substituted or unsubstit
- the compound, or a salt thereof has a structure which is
- R 5 is H or halogen
- R a6 is alkyl substituted with —C(O)NHR 35 , wherein R 35 is unsubstituted alkyl.
- R 5 is H or halogen
- R a6 is alkyl substituted with —C(O)NHR 35 , wherein R 35 is methyl or ethyl or unsubstituted C 3 alkyl or unsubstituted C 4 alkyl or unsubstituted C 5 alkyl or unsubstituted C 6 alkyl.
- R 5 is H
- R a6 is CH 2 C(O)NHR 35 , wherein R 35 is methyl or ethyl or unsubstituted C 3 alkyl or unsubstituted C 4 alkyl or unsubstituted C 5 alkyl or unsubstituted C 6 alkyl.
- R 5 is H
- R a6 is CH 2 C(O)NHR 35 , wherein R 35 is methyl or ethyl or unsubstituted C 3 alkyl.
- R 5 is F
- R a6 is CH 2 C(O)NHR 35 , wherein R 35 is methyl or ethyl or unsubstituted C 3 alkyl or unsubstituted C 4 alkyl or unsubstituted C 5 alkyl or unsubstituted C 6 alkyl.
- R 5 is F
- R a6 is CH 2 C(O)NHR 35 , wherein R 35 is methyl or ethyl or unsubstituted C 3 alkyl.
- R 5 is H
- R a6 is CH 2 CH 2 C(O)NHR 30 , wherein R 30 is methyl or ethyl or unsubstituted C 3 alkyl or unsubstituted C 4 alkyl or unsubstituted C 5 alkyl or unsubstituted C 6 alkyl.
- R 5 is H
- R a6 is CH 2 CH 2 C(O)NHR 30 , wherein R 30 is methyl or ethyl or unsubstituted C 3 alkyl.
- R 5 is F
- R a6 is CH 2 CH 2 C(O)NHR 30 , wherein R 30 is methyl or ethyl or unsubstituted C 3 alkyl or unsubstituted C 4 alkyl or unsubstituted C 5 alkyl or unsubstituted C 6 alkyl.
- R 5 is F
- R a6 is CH 2 CH 2 C(O)NHR 30 , wherein R 30 is methyl or ethyl or unsubstituted C 3 alkyl.
- R 5 is H
- R a6 is CH 2 CH 2 CH 2 C(O)NHR 30 , wherein R 30 is methyl or ethyl or unsubstituted C 3 alkyl or unsubstituted C 4 alkyl or unsubstituted C 5 alkyl or unsubstituted C 6 alkyl.
- R 5 is H
- R a6 is CH 2 CH 2 CH 2 C(O)NHR 30 , wherein R 30 is methyl or ethyl or unsubstituted C 3 alkyl.
- R 5 is F
- R a6 is CH 2 CH 2 CH 2 C(O)NHR 30 , wherein R 30 is methyl or ethyl or unsubstituted C 3 alkyl or unsubstituted C 4 alkyl or unsubstituted C 5 alkyl or unsubstituted C 6 alkyl.
- R 5 is F
- R a6 is CH 2 CH 2 CH 2 C(O)NHR 30 , wherein R 30 is methyl or ethyl or unsubstituted C 3 alkyl.
- the compound, or a salt thereof has a structure which is
- R 5 is H or halogen
- R a6 is alkyl substituted with —C(O)NHR 35 , wherein R 35 is unsubstituted cyclobutyl or unsubstituted cyclopentyl or unsubstituted cyclohexyl or unsubstituted cycloheptyl or unsubstituted cyclooctyl.
- R 5 is H or halogen
- R a6 is alkyl substituted with —C(O)NHR 35 , wherein R 35 is unsubstituted cyclobutyl or unsubstituted cyclopentyl or unsubstituted cyclohexyl or unsubstituted cycloheptyl or unsubstituted cyclooctyl.
- R 5 is H or halogen
- R a6 is alkyl substituted with —C(O)NHR 35 , wherein R 35 is unsubstituted cyclobutyl or unsubstituted cyclopentyl or unsubstituted cyclohexyl or unsubstituted cycloheptyl or unsubstituted cyclooctyl.
- R 5 is H
- R a6 is CH 2 C(O)NHR 35 , wherein R 35 is unsubstituted cyclobutyl or unsubstituted cyclopentyl or unsubstituted cyclohexyl or unsubstituted cycloheptyl or unsubstituted cyclooctyl.
- R 5 is H
- R a6 is CH 2 C(O)NHR 35 , wherein R 35 is unsubstituted cyclopropyl or unsubstituted cyclobutyl or unsubstituted cyclopentyl or unsubstituted cyclohexyl.
- R 5 is F
- R a6 is CH 2 C(O)NHR 35 , wherein R 35 is unsubstituted cyclobutyl or unsubstituted cyclopentyl or unsubstituted cyclohexyl or unsubstituted cycloheptyl or unsubstituted cyclooctyl.
- R 5 is F
- R a6 is CH 2 C(O)NHR 35 , wherein R 35 is unsubstituted cyclobutyl or unsubstituted cyclopentyl or unsubstituted cyclohexyl.
- R 5 is H
- R a6 is CH 2 CH 2 C(O)NHR 35 , wherein R 35 is unsubstituted cyclobutyl or unsubstituted cyclopentyl or unsubstituted cyclohexyl or unsubstituted cycloheptyl or unsubstituted cyclooctyl.
- R 5 is H
- R a6 is CH 2 CH 2 C(O)NHR 35 , wherein R 35 is unsubstituted cyclobutyl or unsubstituted cyclopentyl or unsubstituted cyclohexyl.
- R 5 is F
- R a6 is CH 2 CH 2 C(O)NHR 35 , wherein R 35 is unsubstituted cyclobutyl or unsubstituted cyclopentyl or unsubstituted cyclohexyl or unsubstituted cycloheptyl or unsubstituted cyclooctyl.
- R 5 is F
- R a6 is CH 2 CH 2 C(O)NHR 35 , wherein R 35 is unsubstituted cyclobutyl or unsubstituted cyclopentyl or unsubstituted cyclohexyl.
- R 5 is H
- R a6 is CH 2 CH 2 CH 2 C(O)NHR 35 , wherein R 35 is unsubstituted cyclobutyl or unsubstituted cyclopentyl or unsubstituted cyclohexyl or unsubstituted cycloheptyl or unsubstituted cyclooctyl.
- R 5 is H
- R a6 is CH 2 CH 2 CH 2 C(O)NHR 35 , wherein R 35 is unsubstituted cyclobutyl or unsubstituted cyclopentyl or unsubstituted cyclohexyl.
- R 5 is F
- R a6 is CH 2 CH 2 CH 2 C(O)NHR 35 , wherein R 35 is unsubstituted cyclobutyl or unsubstituted cyclopentyl or unsubstituted cyclohexyl or unsubstituted cycloheptyl or unsubstituted cyclooctyl.
- R 5 is F
- R a6 is CH 2 CH 2 CH 2 C(O)NHR 35 , wherein R 35 is unsubstituted cyclobutyl or unsubstituted cyclopentyl or unsubstituted cyclohexyl.
- the compound, or a salt thereof has a structure which is
- R 5 is H or halogen
- R a6 is alkyl substituted with —C(O)NHR 30 , wherein R 30 is alkyl substituted with alkenyl or alkynyl.
- R 5 is H or halogen
- R a6 is alkyl substituted with —C(O)NHR 30 , wherein R 30 is prop-1-ynyl or prop-1-enyl or prop-2-ynyl or prop-2-enyl or but-1-ynyl or but-1-enyl or but-2-ynyl or but-2-enyl or but-3-ynyl or but-3-enyl.
- R 5 is H
- R a6 is CH 2 C(O)NHR 30
- R 30 is prop-1-ynyl or prop-1-enyl or prop-2-ynyl or prop-2-enyl or but-1-ynyl or but-1-enyl or but-2-ynyl or but-2-enyl or but-3-ynyl or but-3-enyl.
- R 5 is F
- R a6 is CH 2 C(O)NHR 30
- R 30 is prop-1-ynyl or prop-1-enyl or prop-2-ynyl or prop-2-enyl or but-1-ynyl or but-1-enyl or but-2-ynyl or but-2-enyl or but-3-ynyl or but-3-enyl.
- the compound, or a salt thereof has a structure which is
- R 5 is H or halogen
- R a6 is alkyl substituted with —C(O)NHR 30 , wherein R 30 is benzyl.
- R 5 is H
- R a6 is CH 2 C(O)NHR 30 , wherein R 30 is benzyl.
- R 5 is F
- R a6 is CH 2 C(O)NHR 30 , wherein R 30 is benzyl.
- the compound, or a salt thereof has a structure which is
- R 5 is H or halogen
- R a6 is alkyl substituted with —C(O)NH 2 .
- R 5 is H, R a6 is CH 2 C(O)NH 2 .
- R 5 is F, R a6 is CH 2 C(O)NH 2 .
- R 5 is H, R a6 is CH 2 CH 2 C(O)NH 2 .
- R 5 is F, R a6 is CH 2 CH 2 C(O)NH 2 .
- R 5 is H, R a6 is CH 2 CH 2 CH 2 C(O)NH 2 .
- R 5 is F, R a6 is CH 2 CH 2 CH 2 C(O)NH 2 .
- the compound, or a salt thereof has a structure which is
- R 5 is H or halogen
- R a6 is alkyl substituted with —C(O)NH 2 .
- R 5 is H, R a6 is CH 2 C(O)NHNH 2 .
- R 5 is F, R a6 is CH 2 C(O)NHNH 2 .
- R 5 is H, R a6 is CH 2 CH 2 C(O)NHNH 2 .
- R 5 is F, R a6 is CH 2 CH 2 C(O)NHNH 2 .
- R 5 is H, R a6 is CH 2 CH 2 C(O)NHNH 2 .
- R 5 is F, R a6 is CH 2 CH 2 CH 2 C(O)NHNH 2 .
- the compound, or a salt thereof has a structure which is
- R 5 is H or halogen
- R a6 is alkyl substituted with —C(O)NHOR 30 wherein R 30 is unsubstituted alkyl.
- R 5 is H
- R a6 is CH 2 C(O)NHOR 30 wherein R 30 is methyl or ethyl or unsubstituted C 3 alkyl.
- R 5 is F
- R a6 is CH 2 C(O)NHOR 30 wherein R 30 is methyl or ethyl or unsubstituted C 3 alkyl.
- R 5 is H, R a6 is CH 2 CH 2 C(O)NHOR 30 wherein R 30 is methyl or ethyl or unsubstituted C 3 alkyl.
- R 5 is F, R a6 is CH 2 CH 2 C(O)NHOR 30 wherein R 30 is methyl or ethyl or unsubstituted C 3 alkyl.
- R 5 is H, R a6 is CH 2 CH 2 CH 2 C(O)NHOR 30 wherein R 30 is methyl or ethyl or unsubstituted C 3 alkyl.
- R 5 is F, R a6 is CH 2 CH 2 CH 2 C(O)NHOR 30 wherein R 30 is methyl or ethyl or unsubstituted C 3 alkyl.
- the compound, or a salt thereof has a structure which is
- R 5 is H or halogen
- R a6 is alkyl substituted with —C(O)NR 33 R 34 , wherein R 33 and R 34 , along with the nitrogen to which they are attached, form a 4 or 5 or 6 or 7 or 8 membered ring.
- R a6 , R 5 , R 15 , R 10 and R 11 are as described herein, and each hydrogen in said compound or a salt thereof can be replaced by deuterium.
- R 5 is H
- R a6 is CH 2 C(O)NR 33 R 34 , wherein R 33 and R 34 , along with the nitrogen to which they are attached, form a 4 or 5 or 6 or 7 or 8 membered ring.
- R 5 is F
- R a6 is CH 2 C(O)NR 33 R 34 , wherein R 33 and R 34 , along with the nitrogen to which they are attached, form a 4 or 5 or 6 or 7 or 8 membered ring.
- R 5 is H
- R a6 is CH 2 CH 2 C(O)NR 33 R 34 , wherein R 33 and R 34 , along with the nitrogen to which they are attached, form a 4 or 5 or 6 or 7 or 8 membered ring.
- R 5 is F
- R a6 is CH 2 CH 2 C(O)NR 33 R 34 , wherein R 33 and R 34 , along with the nitrogen to which they are attached, form a 4 or 5 or 6 or 7 or 8 membered ring.
- the compound, or a salt thereof has a structure which is
- R 5 is H or halogen
- one of R a2 , R a3 , R a5 and R a6 is alkyl substituted with —S(O) 2 R 30 , wherein R 30 is unsubstituted alkyl, and the remaining members of R a2 , R a3 , R a5 and R a6 are H
- R 10 , R 11 and R 15 are each a member independently selected from the group consisting of H, substituted or unsubstituted alkyl, substituted or unsubstituted heteroalkyl, substituted or unsubstituted cycloalkyl, substituted or unsubstituted heterocycloalkyl, substituted or unsubstituted aryl, and substituted or unsubstituted heteroaryl.
- R a2 , R a3 , R a5 , R a6 , R 5 , R 15 , R 10 , and R 11 are as described herein, and each hydrogen in said compound or a salt thereof can be replaced by deuterium.
- R 5 is halogen
- one of R a2 , R a3 , R a5 and R a6 is methyl substituted with —S(O) 2 R 30 or ethyl substituted with —S(O) 2 R 30 or C 3 alkyl substituted with —S(O) 2 R 30 or C 4 alkyl substituted with —S(O) 2 R 30 or C 5 alkyl substituted with —S(O) 2 R 30 or C 6 alkyl substituted with —S(O) 2 R 30 , wherein R 30 is unsubstituted alkyl, and the remaining members of R a2 , R a3 , R a5 and R a6 are H, R 10 , R 11 and R 15 are each a member independently selected from the group consisting of H, substituted or unsubstituted alkyl, substituted or unsubstituted heteroalkyl, substituted or unsubstituted cycloalkyl, substitute
- R 5 is H
- one of R a2 , R a3 , R a5 and R a6 is methyl substituted with —S(O) 2 R 30 or ethyl substituted with —S(O) 2 R 30 or C 3 alkyl substituted with —S(O) 2 R 30 or C 4 alkyl substituted with —S(O) 2 R 30 or C 5 alkyl substituted with —S(O) 2 R 30 or C 6 alkyl substituted with —S(O) 2 R 30 , wherein R 30 is methyl or ethyl or unsubstituted C 3 alkyl or unsubstituted C 4 alkyl or unsubstituted C 5 alkyl or unsubstituted C 6 alkyl, and the remaining members of R a2 , R a3 , R a5 and R a6 are H R 10 , R 11 and R 15 are each a member independently selected from the group consisting of H,
- the compound, or a salt thereof has a structure which is
- R 5 is H or halogen
- R a6 is alkyl substituted with —S(O) 2 R 30 , wherein R 30 is unsubstituted alkyl
- R 10 , R 11 and R 15 are each a member independently selected from the group consisting of H, substituted or unsubstituted alkyl, substituted or unsubstituted heteroalkyl, substituted or unsubstituted cycloalkyl, substituted or unsubstituted heterocycloalkyl, substituted or unsubstituted aryl, and substituted or unsubstituted heteroaryl.
- R a6 , R 5 , R 15 , R 10 , and R 11 are as described herein, and each hydrogen in said compound or a salt thereof can be replaced by deuterium.
- R 5 is halogen
- R a6 is methyl substituted with —S(O) 2 R 30 or ethyl substituted with —S(O) 2 R 30 or C 3 alkyl substituted with —S(O) 2 R 30 or C 4 alkyl substituted with —S(O) 2 R 30 or C 5 alkyl substituted with —S(O) 2 R 30 or C 6 alkyl substituted with —S(O) 2 R 30
- R 30 is unsubstituted alkyl
- R 10 , R 11 and R 15 are each a member independently selected from the group consisting of H, substituted or unsubstituted alkyl, substituted or unsubstituted heteroalkyl, substituted or unsubstituted cycloal
- R 5 is H
- R a6 is methyl substituted with —S(O) 2 R 30 or ethyl substituted with —S(O) 2 R 30 or C 3 alkyl substituted with —S(O) 2 R 30 or C 4 alkyl substituted with —S(O) 2 R 30 or C 5 alkyl substituted with —S(O) 2 R 30 or C 6 alkyl substituted with —S(O) 2 R 30
- R 30 is methyl or ethyl or unsubstituted C 3 alkyl or unsubstituted C 4 alkyl or unsubstituted C 5 alkyl or unsubstituted C 6 alkyl
- R 10 , R 11 and R 15 are each a member independently selected from the group consisting of H, substituted or unsubstituted alkyl, substituted or unsubstituted heteroalkyl, substituted or unsubstituted cycloalkyl, substituted or un
- the compound, or a salt thereof has a structure which is
- R 5 is H or halogen
- R a6 is alkyl substituted with —S(O) 2 R 30 , wherein R 30 is unsubstituted alkyl.
- R 5 is H or halogen
- R a6 is alkyl substituted with —S(O) 2 R 30 , wherein R 30 is methyl or ethyl or unsubstituted C 3 alkyl or unsubstituted C 4 alkyl or unsubstituted C 5 alkyl or unsubstituted C 6 alkyl.
- R 5 is H
- R a6 is CH 2 S(O) 2 R 30 , wherein R 30 is methyl or ethyl or unsubstituted C 3 alkyl or unsubstituted C 4 alkyl or unsubstituted C 5 alkyl or unsubstituted C 6 alkyl.
- R 5 is H
- R a6 is CH 2 S(O) 2 R 30 , wherein R 30 is methyl or ethyl or unsubstituted C 3 alkyl.
- R 5 is F
- R a6 is CH 2 S(O) 2 R 30 , wherein R 30 is methyl or ethyl or unsubstituted C 3 alkyl or unsubstituted C 4 alkyl or unsubstituted C 5 alkyl or unsubstituted C 6 alkyl.
- R 5 is F
- R a6 is CH 2 S(O) 2 R 30 , wherein R 30 is methyl or ethyl or unsubstituted C 3 alkyl.
- R 5 is H
- R a6 is CH 2 CH 2 S(O) 2 R 30 , wherein R 30 is methyl or ethyl or unsubstituted C 3 alkyl or unsubstituted C 4 alkyl or unsubstituted C 5 alkyl or unsubstituted C 6 alkyl.
- R 5 is H
- R a6 is CH 2 CH 2 S(O) 2 R 30 , wherein R 30 is methyl or ethyl or unsubstituted C 3 alkyl.
- R 5 is F
- R a6 is CH 2 CH 2 S(O) 2 R 30 , wherein R 30 is methyl or ethyl or unsubstituted C 3 alkyl or unsubstituted C 4 alkyl or unsubstituted C 5 alkyl or unsubstituted C 6 alkyl.
- R 5 is F
- R a6 is CH 2 CH 2 S(O) 2 R 30 , wherein R 30 is methyl or ethyl or unsubstituted C 3 alkyl.
- R 5 is H
- R a6 is CH 2 CH 2 CH 2 S(O) 2 R 30 , wherein R 30 is methyl or ethyl or unsubstituted C 3 alkyl or unsubstituted C 4 alkyl or unsubstituted C 5 alkyl or unsubstituted C 6 alkyl.
- R 5 is H
- R a6 is CH 2 CH 2 CH 2 S(O) 2 R 30 , wherein R 30 is methyl or ethyl or unsubstituted C 3 alkyl.
- R 5 is F
- R a6 is CH 2 CH 2 CH 2 S(O) 2 R 30 , wherein R 30 is methyl or ethyl or unsubstituted C 3 alkyl or unsubstituted C 4 alkyl or unsubstituted C 5 alkyl or unsubstituted C 6 alkyl.
- R 5 is F
- R a6 is CH 2 CH 2 CH 2 S(O) 2 R 30 , wherein R 30 is methyl or ethyl or unsubstituted C 3 alkyl.
- the compound, or a salt thereof has a structure which is
- R 5 is H or halogen
- one of R a2 , R a3 , R a5 and R a6 is alkyl substituted with —S(O)R 30 , wherein R 30 is unsubstituted alkyl
- R 30 is unsubstituted alkyl
- R 10 , R 11 and R 15 are each a member independently selected from the group consisting of H, substituted or unsubstituted alkyl, substituted or unsubstituted heteroalkyl, substituted or unsubstituted cycloalkyl, substituted or unsubstituted heterocycloalkyl, substituted or unsubstituted aryl, and substituted or unsubstituted heteroaryl.
- R a2 , R a3 , R a5 , R a6 , R 5 , R 15 , R 10 , and R 11 are as described herein, and each hydrogen in said compound or a salt thereof can be replaced by deuterium.
- R 5 is halogen
- one of R a2 , R a3 , R a5 and R a6 is methyl substituted with —S(O)R 30 or ethyl substituted with —S(O)R 30 or C 3 alkyl substituted with —S(O)R 30 or C 4 alkyl substituted with —S(O)R 30 or C 5 alkyl substituted with —S(O)R 30 or C 6 alkyl substituted with —S(O)R 30 , wherein R 30 is unsubstituted alkyl, and the remaining members of R a2 , R a3 , R a5 and R a6 are H, R 10 , R 11 and R 15 are each a member independently selected from the group consisting of H, substituted or unsubstituted alkyl, substituted or unsubstituted heteroalkyl, substituted or unsubstituted cycloalkyl, substituted or unsubstit
- R 5 is H
- one of R a2 , R a3 , R a5 and R a6 is methyl substituted with —S(O)R 30 or ethyl substituted with —S(O)R 30 or C 3 alkyl substituted with —S(O)R 30 or C 4 alkyl substituted with —S(O)R 30 or C 5 alkyl substituted with —S(O)R 30 or C 6 alkyl substituted with —S(O)R 30
- R 30 is methyl or ethyl or unsubstituted C 3 alkyl or unsubstituted C 4 alkyl or unsubstituted C 5 alkyl or unsubstituted C 6 alkyl
- R 10 , R 11 and R 15 are each a member independently selected from the group consisting of H, substituted or unsub
- the compound, or a salt thereof has a structure which is
- R 5 is H or halogen
- R a6 is alkyl substituted with —S(O)R 30 , wherein R 30 is unsubstituted alkyl
- R 10 , R 11 and R 15 are each a member independently selected from the group consisting of H, substituted or unsubstituted alkyl, substituted or unsubstituted heteroalkyl, substituted or unsubstituted cycloalkyl, substituted or unsubstituted heterocycloalkyl, substituted or unsubstituted aryl, and substituted or unsubstituted heteroaryl.
- R a6 , R 5 , R 15 , R 10 and R 11 are as described herein, and each hydrogen in said compound or a salt thereof can be replaced by deuterium.
- R 5 is halogen
- R a6 is methyl substituted with —S(O)R 30 or ethyl substituted with —S(O)R 30 or C 3 alkyl substituted with —S(O)R 30 or C 4 alkyl substituted with —S(O)R 30 or C 5 alkyl substituted with —S(O)R 30 or C 6 alkyl substituted with —S(O)R 30
- R 30 is unsubstituted alkyl
- R 10 , R 11 and R 15 are each a member independently selected from the group consisting of H, substituted or unsubstituted alkyl, substituted or unsubstituted heteroalkyl, substituted or unsubstituted cycloalkyl, substituted or unsub
- R 5 is H
- R a6 is methyl substituted with —S(O)R 30 or ethyl substituted with —S(O)R 30 or C 3 alkyl substituted with —S(O)R 30 or C 4 alkyl substituted with —S(O)R 30 or C 5 alkyl substituted with —S(O)R 30 or C 6 alkyl substituted with —S(O)R 30
- R 30 is methyl or ethyl or unsubstituted C 3 alkyl or unsubstituted C 4 alkyl or unsubstituted C 5 alkyl or unsubstituted C 6 alkyl
- R 10 , R 11 and R 15 are each a member independently selected from the group consisting of H, substituted or unsubstituted alkyl, substituted or unsubstituted heteroalkyl, substituted or unsubstituted cycloalkyl, substituted or unsubstituted hetero
- the compound, or a salt thereof has a structure which is
- R 5 is H or halogen
- R a6 is alkyl substituted with —S(O)R 30 , wherein R 30 is unsubstituted alkyl.
- R 5 is H or halogen
- R a6 is alkyl substituted with —S(O)R 30 , wherein R 30 is methyl or ethyl or unsubstituted C 3 alkyl or unsubstituted C 4 alkyl or unsubstituted C 5 alkyl or unsubstituted C 6 alkyl.
- R 5 is H
- R a6 is CH 2 S(O)R 30 , wherein R 30 is methyl or ethyl or unsubstituted C 3 alkyl or unsubstituted C 4 alkyl or unsubstituted C 5 alkyl or unsubstituted C 6 alkyl.
- R 5 is H
- R a6 is CH 2 S(O)R 30 , wherein R 30 is methyl or ethyl or unsubstituted C 3 alkyl.
- R 5 is F
- R a6 is CH 2 S(O)R 30 , wherein R 30 is methyl or ethyl or unsubstituted C 3 alkyl or unsubstituted C 4 alkyl or unsubstituted C 5 alkyl or unsubstituted C 6 alkyl.
- R 5 is F
- R a6 is CH 2 S(O)R 30 , wherein R 30 is methyl or ethyl or unsubstituted C 3 alkyl.
- R 5 is H
- R a6 is CH 2 CH 2 S(O)R 30 , wherein R 30 is methyl or ethyl or unsubstituted C 3 alkyl or unsubstituted C 4 alkyl or unsubstituted C 5 alkyl or unsubstituted C 6 alkyl.
- R 5 is H
- R a6 is CH 2 CH 2 S(O)R 30 , wherein R 30 is methyl or ethyl or unsubstituted C 3 alkyl.
- R 5 is F
- R a6 is CH 2 CH 2 S(O)R 30 , wherein R 30 is methyl or ethyl or unsubstituted C 3 alkyl or unsubstituted C 4 alkyl or unsubstituted C 5 alkyl or unsubstituted C 6 alkyl.
- R 5 is F
- R a6 is CH 2 CH 2 S(O)R 30 , wherein R 30 is methyl or ethyl or unsubstituted C 3 alkyl.
- R 5 is H
- R a6 is CH 2 CH 2 CH 2 S(O)R 30 , wherein R 30 is methyl or ethyl or unsubstituted C 3 alkyl or unsubstituted C 4 alkyl or unsubstituted C 5 alkyl or unsubstituted C 6 alkyl.
- R 5 is H
- R a6 is CH 2 CH 2 CH 2 S(O)R 30 , wherein R 30 is methyl or ethyl or unsubstituted C 3 alkyl.
- R 5 is F
- R a6 is CH 2 CH 2 CH 2 S(O)R 30 , wherein R 30 is methyl or ethyl or unsubstituted C 3 alkyl or unsubstituted C 4 alkyl or unsubstituted C 5 alkyl or unsubstituted C 6 alkyl.
- R 5 is F
- R a6 is CH 2 CH 2 CH 2 S(O)R 30 , wherein R 30 is methyl or ethyl or unsubstituted C 3 alkyl.
- the compound, or a salt thereof has a structure which is
- R 5 is H or halogen
- one of R a2 , R a3 , R a5 and R a6 is alkyl substituted with —NHS(O) 2 R 30 , wherein R 30 is unsubstituted alkyl or unsubstituted C 3 -C 8 cycloalkyl
- the remaining members of R a2 , R a3 , R a5 and R a6 are H are each a member independently selected from the group consisting of H, substituted or unsubstituted alkyl, substituted or unsubstituted heteroalkyl, substituted or unsubstituted cycloalkyl, substituted or unsubstituted heterocycloalkyl, substituted or unsubstituted aryl, and substituted or unsubstituted heteroaryl.
- R a2 , R a3 , R a5 , R a6 , R 5 , R 15 , R 10 , and R 11 are as described herein, and each hydrogen in said compound or a salt thereof can be replaced by deuterium.
- R 5 is halogen
- one of R a2 , R a3 , R a5 and R a6 is methyl substituted with —NHS(O) 2 R 30 or ethyl substituted with —NHS(O) 2 R 30 or C 3 alkyl substituted with —NHS(O) 2 R 30 or C 4 alkyl substituted with —NHS(O) 2 R 30 or C 5 alkyl substituted with —NHS(O) 2 R 30 or C 6 alkyl substituted with —NHS(O) 2 R 30 , wherein R 30 is methyl or ethyl or unsubstituted C 3 alkyl or unsubstituted C 4 alkyl or unsubstituted C 5 alkyl or unsubstituted C 6 alkyl or unsubstituted cyclopropyl or unsubstituted cyclobutyl or unsubstituted cyclopentyl or unsubstitute
- R 5 is H
- one of R a2 , R a3 , R a5 and R a6 is methyl substituted with —NHS(O) 2 R 30 or ethyl substituted with —NHS(O) 2 R 30 or C 3 alkyl substituted with —NHS(O) 2 R 30 or C 4 alkyl substituted with —NHS(O) 2 R 30 or C 5 alkyl substituted with —NHS(O) 2 R 30 or C 6 alkyl substituted with —NHS(O) 2 R 30 , wherein R 30 is methyl or ethyl or unsubstituted C 3 alkyl or unsubstituted C 4 alkyl or unsubstituted C 5 alkyl or unsubstituted C 6 alkyl or unsubstituted cyclopropyl or unsubstituted cyclobutyl or unsubstituted cyclopentyl or unsubstituted
- the compound, or a salt thereof has a structure which is
- R 5 is H or halogen
- R a6 is alkyl substituted with —NHS(O) 2 R 30 , wherein R 30 is unsubstituted alkyl or unsubstituted C 3 -C 8 cycloalkyl
- R 10 , R 11 and R 15 are each a member independently selected from the group consisting of H, substituted or unsubstituted alkyl, substituted or unsubstituted heteroalkyl, substituted or unsubstituted cycloalkyl, substituted or unsubstituted heterocycloalkyl, substituted or unsubstituted aryl, and substituted or unsubstituted heteroaryl.
- R a6 , R 5 , R 15 , R 10 , and R 11 are as described herein, and each hydrogen in said compound or a salt thereof can be replaced by deuterium.
- R 5 is halogen
- R a6 is methyl substituted with —NHS(O) 2 R 30 or ethyl substituted with —NHS(O) 2 R 30 or C 3 alkyl substituted with —NHS(O) 2 R 30 or C 4 alkyl substituted with —NHS(O) 2 R 30 or C 5 alkyl substituted with —NHS(O) 2 R 30 or C 6 alkyl substituted with —NHS(O) 2 R 30 , wherein R 30 is methyl or ethyl or unsubstituted C 3 alkyl or unsubstituted C 4 alkyl or unsubstituted C 5 alkyl or unsubstituted C 6 alkyl or unsubstituted cyclopropy
- R 5 is H
- R a6 is methyl substituted with —NHS(O) 2 R 30 or ethyl substituted with —NHS(O) 2 R 30 or C 3 alkyl substituted with —NHS(O) 2 R 30 or C 4 alkyl substituted with —NHS(O) 2 R 30 or C 5 alkyl substituted with —NHS(O) 2 R 30 or C 6 alkyl substituted with —NHS(O) 2 R 30 , wherein R 30 is methyl or ethyl or unsubstituted C 3 alkyl or unsubstituted C 4 alkyl or unsubstituted C 5 alkyl or unsubstituted C 6 alkyl or unsubstituted cyclopropyl or unsubstituted cyclobutyl or unsubstituted cyclopentyl or unsubstituted cyclohexyl or unsubstituted cyclohepty
- the compound, or a salt thereof has a structure which is
- R 5 is H or halogen
- R a6 is alkyl substituted with —NHS(O) 2 R 30 , wherein R 30 is unsubstituted alkyl or unsubstituted C 3 -C 8 cycloalkyl.
- R 5 is H or halogen
- R a6 is alkyl substituted with —NHS(O) 2 R 30 , wherein R 30 is methyl or ethyl or unsubstituted C 3 alkyl or unsubstituted C 4 alkyl or unsubstituted C 5 alkyl or unsubstituted C 6 alkyl or unsubstituted cyclopropyl or unsubstituted cyclobutyl or unsubstituted cyclopentyl or unsubstituted cyclohexyl or unsubstituted cycloheptyl or unsubstituted cyclooctyl.
- R 5 is H
- R a6 is CH 2 NHS(O) 2 R 30 , wherein R 30 is unsubstituted cyclopropyl or unsubstituted cyclobutyl or unsubstituted cyclopentyl or unsubstituted cyclohexyl or unsubstituted cycloheptyl or unsubstituted cyclooctyl.
- R 5 is F
- R a6 is CH 2 NHS(O) 2 R 30 , wherein R 30 is unsubstituted cyclopropyl or unsubstituted cyclobutyl or unsubstituted cyclopentyl or unsubstituted cyclohexyl or unsubstituted cycloheptyl or unsubstituted cyclooctyl.
- R 5 is H
- R a6 is CH 2 CH 2 NHS(O) 2 R 30
- R 30 is unsubstituted cyclopropyl or unsubstituted cyclobutyl or unsubstituted cyclopentyl or unsubstituted cyclohexyl or unsubstituted cycloheptyl or unsubstituted cyclooctyl.
- R 5 is F
- R a6 is CH 2 CH 2 NHS(O) 2 R 30 , wherein R 30 is unsubstituted cyclopropyl or unsubstituted cyclobutyl or unsubstituted cyclopentyl or unsubstituted cyclohexyl or unsubstituted cycloheptyl or unsubstituted cyclooctyl.
- R 5 is H
- R a6 is CH 2 CH 2 CH 2 NHS(O) 2 R 30 , wherein R 30 is unsubstituted cyclopropyl or unsubstituted cyclobutyl or unsubstituted cyclopentyl or unsubstituted cyclohexyl or unsubstituted cycloheptyl or unsubstituted cyclooctyl.
- R 5 is F
- R a6 is CH 2 CH 2 CH 2 NHS(O) 2 R 30 , wherein R 30 is unsubstituted cyclopropyl or unsubstituted cyclobutyl or unsubstituted cyclopentyl or unsubstituted cyclohexyl or unsubstituted cycloheptyl or unsubstituted cyclooctyl.
- the compound, or a salt thereof has a structure which is
- R 5 is H or halogen
- one of R a2 , R a3 , R a5 and R a6 is alkyl substituted with —NHC(O)OR 30 , wherein R 30 is unsubstituted alkyl, and the remaining members of R a2 , R a3 , R a5 and R a6 are H
- R 10 , R 11 and R 15 are each a member independently selected from the group consisting of H, substituted or unsubstituted alkyl, substituted or unsubstituted heteroalkyl, substituted or unsubstituted cycloalkyl, substituted or unsubstituted heterocycloalkyl, substituted or unsubstituted aryl, and substituted or unsubstituted heteroaryl.
- R a2 , R a3 , R a5 , R a6 , R 5 , R 15 , R 10 , and R 11 are as described herein, and each hydrogen in said compound or a salt thereof can be replaced by deuterium.
- R 5 is halogen
- one of R a2 , R a3 , R a5 and R a6 is methyl substituted with —NHC(O)OR 30 or ethyl substituted with —NHC(O)OR 30 or C 3 alkyl substituted with —NHC(O)OR 30 or C 4 alkyl substituted with —NHC(O)OR 30 or C 5 alkyl substituted with —NHC(O)OR 30 or C 6 alkyl substituted with —NHC(O)OR 30 , wherein R 30 is unsubstituted alkyl, and the remaining members of R a2 , R a3 , R a5 and R a6 are H, R 10 , R 11 and R 15 are each a member independently selected from the group consisting of H, substituted or unsubstituted alkyl, substituted or unsubstituted heteroalkyl, substituted or unsubstituted cycloalkyl, substitute
- R 5 is H
- one of R a2 , R a3 , R a5 and R a6 is methyl substituted with —NHC(O)OR 30 or ethyl substituted with —NHC(O)OR 30 or C 3 alkyl substituted with —NHC(O)OR 30 or C 4 alkyl substituted with —NHC(O)OR 30 or C 5 alkyl substituted with —NHC(O)OR 30 or C 6 alkyl substituted with —NHC(O)OR 30 , wherein R 30 is methyl or ethyl or unsubstituted C 3 alkyl or unsubstituted C 4 alkyl or unsubstituted C 5 alkyl or unsubstituted C 6 alkyl, and the remaining members of R a2 , R a3 , R a5 and R a6 are H, R 10 , R 11 and R 15 are each a member independently selected from the group consisting of H
- the compound, or a salt thereof has a structure which is
- R 5 is H or halogen
- R a6 is alkyl substituted with —NHC(O)OR 30 , wherein R 30 is unsubstituted alkyl
- R 10 , R 11 and R 15 are each a member independently selected from the group consisting of H, substituted or unsubstituted alkyl, substituted or unsubstituted heteroalkyl, substituted or unsubstituted cycloalkyl, substituted or unsubstituted heterocycloalkyl, substituted or unsubstituted aryl, and substituted or unsubstituted heteroaryl.
- R a6 , R 5 , R 15 , R 10 and R 11 are as described herein, and each hydrogen in said compound or a salt thereof can be replaced by deuterium.
- R 5 is halogen
- R a6 is methyl substituted with —NHC(O)OR 30 or ethyl substituted with —NHC(O)OR 30 or C 3 alkyl substituted with —NHC(O)OR 30 or C 4 alkyl substituted with —NHC(O)OR 30 or C 5 alkyl substituted with —NHC(O)OR 30 or C 6 alkyl substituted with —NHC(O)OR 30
- R 30 is unsubstituted alkyl
- R 10 , R 11 and R 15 are each a member independently selected from the group consisting of H, substituted or unsubstituted alkyl, substituted or unsubstituted heteroalkyl, substituted or unsubstituted cycloalkyl
- R 5 is H
- R a6 is methyl substituted with —NHC(O)OR 30 or ethyl substituted with —NHC(O)OR 30 or C 3 alkyl substituted with —NHC(O)OR 30 or C 4 alkyl substituted with —NHC(O)OR 30 or C 5 alkyl substituted with —NHC(O)OR 30 or C 6 alkyl substituted with —NHC(O)OR 30
- R 30 is methyl or ethyl or unsubstituted C 3 alkyl or unsubstituted C 4 alkyl or unsubstituted C 5 alkyl or unsubstituted C 6 alkyl
- R 10 , R 11 and R 15 are each a member independently selected from the group consisting of H, substituted or unsubstituted alkyl, substituted or unsubstituted heteroalkyl, substituted or unsubstituted cycloalkyl, substituted or un
- the compound, or a salt thereof has a structure which is
- R 5 is H or halogen
- R a6 is alkyl substituted with —NHC(O)OR 30 , wherein R 30 is unsubstituted alkyl.
- R 5 is H or halogen
- R a6 is alkyl substituted with —NHC(O)OR 30 , wherein R 30 is methyl or ethyl or unsubstituted C 3 alkyl or unsubstituted C 4 alkyl or unsubstituted C 5 alkyl or unsubstituted C 6 alkyl.
- R 5 is H
- R a6 is CH 2 NHC(O)OR 30 , wherein R 30 is methyl or ethyl or unsubstituted C 3 alkyl or unsubstituted C 4 alkyl or unsubstituted C 5 alkyl or unsubstituted C 6 alkyl.
- R 5 is H
- R a6 is CH 2 NHC(O)OR 30 , wherein R 30 is methyl or ethyl or unsubstituted C 3 alkyl.
- R 5 is F
- R a6 is CH 2 NHC(O)OR 30 , wherein R 30 is methyl or ethyl or unsubstituted C 3 alkyl or unsubstituted C 4 alkyl or unsubstituted C 5 alkyl or unsubstituted C 6 alkyl.
- R 5 is F
- R a6 is CH 2 NHC(O)OR 30 , wherein R 30 is methyl or ethyl or unsubstituted C 3 alkyl.
- R 5 is H
- R a6 is CH 2 CH 2 NHC(O)OR 30 , wherein R 30 is methyl or ethyl or unsubstituted C 3 alkyl or unsubstituted C 4 alkyl or unsubstituted C 5 alkyl or unsubstituted C 6 alkyl.
- R 5 is H
- R a6 is CH 2 CH 2 NHC(O)OR 30 , wherein R 30 is methyl or ethyl or unsubstituted C 3 alkyl.
- R 5 is F
- R a6 is CH 2 CH 2 NHC(O)OR 30 , wherein R 30 is methyl or ethyl or unsubstituted C 3 alkyl or unsubstituted C 4 alkyl or unsubstituted C 5 alkyl or unsubstituted C 6 alkyl.
- R 5 is F
- R a6 is CH 2 CH 2 NHC(O)OR 30 , wherein R 30 is methyl or ethyl or unsubstituted C 3 alkyl.
- R 5 is H
- R a6 is CH 2 CH 2 CH 2 NHC(O)OR 30 , wherein R 30 is methyl or ethyl or unsubstituted C 3 alkyl or unsubstituted C 4 alkyl or unsubstituted C 5 alkyl or unsubstituted C 6 alkyl.
- R 5 is H
- R a6 is CH 2 CH 2 CH 2 NHC(O)OR 30 , wherein R 30 is methyl or ethyl or unsubstituted C 3 alkyl.
- R 5 is F
- R a6 is CH 2 CH 2 CH 2 NHC(O)OR 30 , wherein R 30 is methyl or ethyl or unsubstituted C 3 alkyl or unsubstituted C 4 alkyl or unsubstituted C 5 alkyl or unsubstituted C 6 alkyl.
- R 5 is F
- R a6 is CH 2 CH 2 CH 2 NHC(O)OR 30 , wherein R 30 is methyl or ethyl or unsubstituted C 3 alkyl.
- R 5 is H
- R a6 is CH 2 NHC(O)OCH(CH 3 ) 2 .
- R 5 is F, R a6 is CH 2 NHC(O)OCH(CH 3 ) 2 . In an exemplary embodiment, R 5 is H, R a6 is CH 2 NHC(O)OCH 2 CH(CH 3 ) 2 . In an exemplary embodiment, R 5 is F, R a6 is CH 2 NHC(O)OCH 2 CH(CH 3 ) 2 . In an exemplary embodiment, R 5 is H, R a6 is CH 2 NHC(O)OCH(CH 2 CH 3 ) 2 . In an exemplary embodiment, R 5 is F, R a6 is CH 2 NHC(O)OCH(CH 2 CH 3 ) 2 .
- the compound, or a salt thereof has a structure which is
- R 5 is H or halogen
- R a6 is alkyl substituted with —NHC(O)OR 30 , wherein R 30 is benzyl.
- R 5 is H
- R a6 is CH 2 NHC(O)OR 30 , wherein R 30 is benzyl.
- R 5 is F
- R a6 is CH 2 NHC(O)OR 30 , wherein R 30 is benzyl.
- R 5 is H, R a6 is CH 2 CH 2 NHC(O)OR 30 , wherein R 30 is benzyl.
- R 5 is F
- R a6 is CH 2 CH 2 NHC(O)OR 30 , wherein R 30 is benzyl.
- R 5 is H
- R a6 is CH 2 CH 2 CH 2 NHC(O)OR 30 , wherein R 30 is benzyl.
- R 5 is F
- R a6 is CH 2 CH 2 CH 2 NHC(O)OR 30 , wherein R 30 is benzyl.
- the compound, or a salt thereof has a structure which is
- R 5 is H or halogen
- one of R a2 , R a3 , R a5 and R a6 is alkyl substituted with R 32 , wherein R 32 is unsubstituted oxazolyl or oxazolyl substituted with unsubstituted alkyl or unsubstituted oxadiazolyl or oxadiazolyl substituted with unsubstituted alkyl, and the remaining members of R a2 , R a3 , R a5 and R a6 are H, R 10 , R 11 and R 15 are each member independently selected from the group consisting of H, substituted or unsubstituted alkyl, substituted or unsubstituted heteroalkyl, substituted or unsubstituted cycloalkyl, substituted or unsubstituted heterocycloalkyl, substituted or unsubstituted aryl, and substituted or unsubstituted heteroaryl.
- R a2 , R a3 , R a5 , R a6 , R 5 , R 15 , R 10 , and R 11 are as described herein, and each hydrogen in said compound or a salt thereof can be replaced by deuterium.
- R 5 is halogen
- one of R a2 , R a3 , R a5 and R a6 is methyl substituted with R 32 or ethyl substituted with R 32 or C 3 alkyl substituted with R 32 or C 4 alkyl substituted with R 32 or C 5 alkyl substituted with R 32 or C 6 alkyl substituted with R 32 , wherein R 32 is unsubstituted oxazolyl or oxazolyl substituted with unsubstituted alkyl or unsubstituted oxadiazolyl or oxadiazolyl or substituted with unsubstituted alkyl, and the remaining members of R a2 , R a3 , R a5 and R a6 are H, R 10 , R 11 and R 15 are each a member independently selected from the group consisting of H, substituted or unsubstituted alkyl, substituted or unsubstituted heteroalkyl, substituted
- R 5 is H
- one of R a2 , R a3 , R a5 and R a6 is methyl substituted with R 32 or ethyl substituted with R 32 or C 3 alkyl substituted with R 32 or C 4 alkyl substituted with R 32 or C 5 alkyl substituted with R 32 or C 6 alkyl substituted with R 32 , wherein R 32 is unsubstituted oxazolyl or oxazolyl substituted with unsubstituted alkyl or unsubstituted oxadiazolyl or oxadiazolyl or substituted with unsubstituted alkyl, and the remaining members of R a2 , R a3 , R a5 and R a6 are H, R 10 , R 11 and R 15 are each a member independently selected from the group consisting of H, substituted or unsubstituted alkyl, substituted or unsubstituted heteroalkyl, substituted or un
- the compound, or a salt thereof has a structure which is
- R 5 is H or halogen
- R a6 is alkyl substituted with R 32
- R 32 is unsubstituted oxazolyl or oxazolyl substituted with unsubstituted alkyl or unsubstituted oxadiazolyl or oxadiazolyl or substituted with unsubstituted alkyl
- R 10 , R 11 and R 15 are each a member independently selected from the group consisting of H, substituted or unsubstituted alkyl, substituted or unsubstituted heteroalkyl, substituted or unsubstituted cycloalkyl, substituted or unsubstituted heterocycloalkyl, substituted or unsubstituted aryl, and substituted or unsubstituted heteroaryl.
- R a2 , R 5 , R 15 , R 10 , and R 11 are as described herein, and each hydrogen in said compound or a salt thereof can be replaced by deuterium.
- R 5 is halogen
- R a6 is methyl substituted with R 32 or ethyl substituted with R 32 or C 3 alkyl substituted with R 32 or C 4 alkyl substituted with R 32 or C 5 alkyl substituted with R 32 or C 6 alkyl substituted with R 32 , wherein R 32 is unsubstituted oxazolyl or oxazolyl substituted with unsubstituted alkyl or unsubstituted oxadiazolyl or oxadiazolyl or substituted with unsubstituted alkyl, R 10 , R 11 and R 15 are each a member independently selected from the group consisting of H, substituted or unsubstituted alkyl, substituted or unsubstituted heteroalky
- R 5 is H
- R a6 is methyl substituted with R 32 or ethyl substituted with R 32 or C 3 alkyl substituted with R 32 or C 4 alkyl substituted with R 32 or C 5 alkyl substituted with R 32 or C 6 alkyl substituted with R 32
- R 32 is unsubstituted oxazolyl or oxazolyl substituted with unsubstituted alkyl or unsubstituted oxadiazolyl or oxadiazolyl or substituted with unsubstituted alkyl
- R 10 , R 11 and R 15 are each a member independently selected from the group consisting of H, substituted or unsubstituted alkyl, substituted or unsubstituted heteroalkyl, substituted or unsubstituted cycloalkyl, substituted or unsubstituted heterocycloalkyl, substituted or unsubstituted aryl, and substituted or unsubsti
- the compound, or a salt thereof has a structure which is
- R 5 is H or halogen
- R a6 is alkyl substituted with R 32 , wherein R 32 is unsubstituted oxazolyl or oxazolyl substituted with unsubstituted alkyl or unsubstituted oxadiazolyl or oxadiazolyl or substituted with unsubstituted alkyl.
- R 5 is H or F
- R a6 is methyl substituted with unsubstituted oxazolyl.
- R 5 is H or F
- R a6 is methyl substituted with unsubstituted oxazol-2-yl.
- R 5 is H or F
- R a6 is methyl substituted with 4-methyl oxazol-2-yl.
- R 5 is H or F
- R a6 is methyl substituted with 5-methyl oxazol-2-yl.
- R 5 is H or F
- R a6 is methyl substituted with 4-ethyl oxazol-2-yl.
- R 5 is H or F
- R a6 is methyl substituted with 5-ethyl oxazol-2-yl.
- R 5 is H or F, R a6 is methyl substituted with 4-unsubstituted C 3 alkyl oxazol-2-yl.
- R 5 is H or F
- R a6 is methyl substituted with 5-unsubstituted C 3 alkyl oxazol-2-yl.
- R 5 is H or F
- R a6 is methyl substituted with 4-unsubstituted C 4 alkyl oxazol-2-yl.
- R 5 is H or F
- R a6 is methyl substituted with 5-unsubstituted C 4 alkyl oxazol-2-yl.
- R 5 is H or F
- R a6 is methyl substituted with 4-unsubstituted C 5 alkyl oxazol-2-yl.
- R 5 is H or F
- R a6 is methyl substituted with 5-unsubstituted C 5 alkyl oxazol-2-yl.
- R 5 is H or F
- R a6 is methyl substituted with 4-unsubstituted C 6 alkyl oxazol-2-yl.
- R 5 is H or F
- R a6 is methyl substituted with 5-unsubstituted C 6 alkyl oxazol-2-yl.
- R 5 is H or F
- R a6 is ethyl substituted with unsubstituted oxazol-2-yl.
- R 5 is H or F
- R a6 is ethyl substituted with 4-methyl oxazol-2-yl.
- R 5 is H or F
- R a6 is ethyl substituted with 5-methyl oxazol-2-yl.
- R 5 is H or F
- R a6 is ethyl substituted with 4-ethyl oxazol-2-yl.
- R 5 is H or F, R a6 is ethyl substituted with 5-ethyl oxazol-2-yl.
- R 5 is H or F
- R a6 is ethyl substituted with 4-unsubstituted C 3 alkyl oxazol-2-yl.
- R 5 is H or F
- R a6 is ethyl substituted with 5-unsubstituted C 3 alkyl oxazol-2-yl.
- R 5 is H or F
- R a6 is ethyl substituted with 4-unsubstituted C 4 alkyl oxazol-2-yl.
- R 5 is H or F
- R a6 is ethyl substituted with 5-unsubstituted C 4 alkyl oxazol-2-yl.
- R 5 is H or F
- R a6 is ethyl substituted with 4-unsubstituted C 5 alkyl oxazol-2-yl.
- R 5 is H or F
- R a6 is ethyl substituted with 5-unsubstituted C 5 alkyl oxazol-2-yl.
- R 5 is H or F
- R a6 is ethyl substituted with 4-unsubstituted C 6 alkyl oxazol-2-yl.
- R 5 is H or F
- R a6 is ethyl substituted with 5-unsubstituted C 6 alkyl oxazol-2-yl.
- R 5 is H or F
- R a6 is C 3 alkyl substituted with unsubstituted oxazol-2-yl.
- R 5 is H or F
- R a6 is C 3 alkyl substituted with 4-methyl oxazol-2-yl.
- R 5 is H or F
- R a6 is C 3 alkyl substituted with 5-methyl oxazol-2-yl.
- R 5 is H or F, R a6 is C 3 alkyl substituted with 4-ethyl oxazol-2-yl.
- R 5 is H or F
- R a6 is C 3 alkyl substituted with 5-ethyl oxazol-2-yl.
- R 5 is H or F
- R a6 is C 3 alkyl substituted with 4-unsubstituted C 3 alkyl oxazol-2-yl.
- R 5 is H or F
- R a6 is C 3 alkyl substituted with 5-unsubstituted C 3 alkyl oxazol-2-yl.
- R 5 is H or F
- R a6 is C 3 alkyl substituted with 4-unsubstituted C 4 alkyl oxazol-2-yl.
- R 5 is H or F
- R a6 is C 3 alkyl substituted with 5-unsubstituted C 4 alkyl oxazol-2-yl.
- R 5 is H or F
- R a6 is C 3 alkyl substituted with 4-unsubstituted C 5 alkyl oxazol-2-yl.
- R 5 is H or F
- R a6 is C 3 alkyl substituted with 5-unsubstituted C 5 alkyl oxazol-2-yl.
- R 5 is H or F
- R a6 is C 3 alkyl substituted with 4-unsubstituted C 6 alkyl oxazol-2-yl.
- R 5 is H or F
- R a6 is C 3 alkyl substituted with 5-unsubstituted C 6 alkyl oxazol-2-yl.
- the compound, or a salt thereof has a structure which is
- R 5 is H or halogen
- R a6 is alkyl substituted with R 32 , wherein R 32 is unsubstituted oxadiazolyl or oxadiazolyl or substituted with unsubstituted alkyl.
- R 5 is H or F
- R a6 is methyl substituted with unsubstituted oxadiazolyl.
- R 5 is H or F
- R a6 is methyl substituted with unsubstituted oxadiazol-2-yl.
- R 5 is H or F, R a6 is methyl substituted with unsubstituted 1,2,4 oxadiazol-2-yl.
- R 5 is H or F
- R a6 is methyl substituted with unsubstituted 1,3,4 oxadiazol-2-yl.
- R 5 is H or F
- R a6 is methyl substituted with 4-methyl oxadiazol-2-yl.
- R 5 is H or F
- R a6 is methyl substituted with 5-methyl oxadiazol-2-yl.
- R 5 is H or F
- R a6 is methyl substituted with 4-methyl 1,2,4 oxadiazol-2-yl.
- R 5 is H or F, R a6 is methyl substituted with 5-methyl 1,2,4 oxadiazol-2-yl.
- R 5 is H or F
- R a6 is methyl substituted with 4-methyl 1,3,4 oxadiazol-2-yl.
- R 5 is H or F
- R a6 is methyl substituted with 5-methyl 1,3,4 oxadiazol-2-yl.
- R 5 is H or F
- R a6 is methyl substituted with 4-ethyl oxadiazol-2-yl.
- R 5 is H or F
- R a6 is methyl substituted with 5-ethyl oxadiazol-2-yl.
- R 5 is H or F
- R a6 is methyl substituted with 4-ethyl 1,2,4 oxadiazol-2-yl.
- R 5 is H or F
- R a6 is methyl substituted with 5-ethyl 1,2,4 oxadiazol-2-yl.
- R 5 is H or F
- R a6 is methyl substituted with 4-ethyl 1,3,4 oxadiazol-2-yl.
- R 5 is H or F
- R a6 is methyl substituted with 5-ethyl 1,3,4 oxadiazol-2-yl.
- R 5 is H or F
- R a6 is methyl substituted with 4-unsubstituted C 3 alkyl oxadiazol-2-yl.
- R 5 is H or F
- R a6 is methyl substituted with 5-unsubstituted C 3 alkyl oxadiazol-2-yl.
- R 5 is H or F
- R a6 is methyl substituted with 4-unsubstituted C 3 alkyl 1,2,4 oxadiazol-2-yl.
- R 5 is H or F
- R a6 is methyl substituted with 5-unsubstituted C 3 alkyl 1,2,4 oxadiazol-2-yl.
- R 5 is H or F
- R a6 is methyl substituted with 4-unsubstituted C 3 alkyl 1,3,4 oxadiazol-2-yl.
- R 5 is H or F
- R a6 is methyl substituted with 5-unsubstituted C 3 alkyl 1,3,4 oxadiazol-2-yl.
- R 5 is H or F
- R a6 is methyl substituted with 4-unsubstituted C 4 alkyl oxadiazol-2-yl.
- R 5 is H or F
- R a6 is methyl substituted with 5-unsubstituted C 4 alkyl oxadiazol-2-yl.
- R 5 is H or F
- R a6 is methyl substituted with 4-unsubstituted C 4 alkyl 1,2,4 oxadiazol-2-yl.
- R 5 is H or F
- R a6 is methyl substituted with 5-unsubstituted C 4 alkyl 1,2,4 oxadiazol-2-yl.
- R 5 is H or F
- R a6 is methyl substituted with 4-unsubstituted C 4 alkyl 1,3,4 oxadiazol-2-yl.
- R 5 is H or F
- R a6 is methyl substituted with 5-unsubstituted C 4 alkyl 1,3,4 oxadiazol-2-yl.
- R 5 is H or F
- R a6 is methyl substituted with 4-unsubstituted C 5 alkyl oxadiazol-2-yl.
- R 5 is H or F
- R a6 is methyl substituted with 5-unsubstituted C 5 alkyl oxadiazol-2-yl.
- R 5 is H or F
- R a6 is methyl substituted with 4-unsubstituted C 5 alkyl 1,2,4 oxadiazol-2-yl.
- R 5 is H or F
- R a6 is methyl substituted with 5-unsubstituted C 5 alkyl 1,2,4 oxadiazol-2-yl.
- R 5 is H or F
- R a6 is methyl substituted with 4-unsubstituted C 5 alkyl 1,3,4 oxadiazol-2-yl.
- R 5 is H or F
- R a6 is methyl substituted with 5-unsubstituted C 5 alkyl 1,3,4 oxadiazol-2-yl.
- R 5 is H or F
- R a6 is methyl substituted with 4-unsubstituted C 6 alkyl oxadiazol-2-yl.
- R 5 is H or F
- R a6 is methyl substituted with 5-unsubstituted C 6 alkyl oxadiazol-2-yl.
- R 5 is H or F
- R a6 is methyl substituted with 4-unsubstituted C 6 alkyl 1,2,4 oxadiazol-2-yl.
- R 5 is H or F
- R a6 is methyl substituted with 5-unsubstituted C 6 alkyl 1,2,4 oxadiazol-2-yl.
- R 5 is H or F
- R a6 is methyl substituted with 4-unsubstituted C 6 alkyl 1,3,4 oxadiazol-2-yl.
- R 5 is H or F
- R a6 is methyl substituted with 5-unsubstituted C 6 alkyl 1,3,4 oxadiazol-2-yl.
- R 5 is H or F
- R a6 is ethyl substituted with unsubstituted oxadiazol-2-yl.
- R 5 is H or F
- R a6 is ethyl substituted with unsubstituted 1,2,4 oxadiazol-2-yl.
- R 5 is H or F
- R a6 is ethyl substituted with unsubstituted 1,3,4 oxadiazol-2-yl.
- R 5 is H or F
- R a6 is ethyl substituted with 4-methyl oxadiazol-2-yl.
- R 5 is H or F
- R a6 is ethyl substituted with 5-methyl oxadiazol-2-yl.
- R 5 is H or F
- R a6 is ethyl substituted with 4-methyl 1,2,4 oxadiazol-2-yl.
- R 5 is H or F
- R a6 is ethyl substituted with 5-methyl 1,2,4 oxadiazol-2-yl.
- R 5 is H or F, R a6 is ethyl substituted with 4-methyl 1,3,4 oxadiazol-2-yl.
- R 5 is H or F
- R a6 is ethyl substituted with 5-methyl 1,3,4 oxadiazol-2-yl.
- R 5 is H or F
- R a6 is ethyl substituted with 4-ethyl oxadiazol-2-yl.
- R 5 is H or F
- R a6 is ethyl substituted with 5-ethyl oxadiazol-2-yl.
- R 5 is H or F
- R a6 is ethyl substituted with 5-ethyl oxadiazol-2-yl.
- R 5 is H or F
- R a6 is ethyl substituted with 4-ethyl 1,2,4 oxadiazol-2-yl.
- R 5 is H or F
- R a6 is ethyl substituted with 5-ethyl 1,2,4 oxadiazol-2-yl.
- R 5 is H or F
- R a6 is ethyl substituted with 4-ethyl 1,3,4 oxadiazol-2-yl.
- R 5 is H or F
- R a6 is ethyl substituted with 5-ethyl 1,3,4 oxadiazol-2-yl.
- R 5 is H or F
- R a6 is ethyl substituted with 4-unsubstituted C 3 alkyl oxadiazol-2-yl.
- R 5 is H or F
- R a6 is ethyl substituted with 5-unsubstituted C 3 alkyl oxadiazol-2-yl.
- R 5 is H or F
- R a6 is ethyl substituted with 4-unsubstituted C 3 alkyl 1,2,4 oxadiazol-2-yl.
- R 5 is H or F
- R a6 is ethyl substituted with 5-unsubstituted C 3 alkyl 1,2,4 oxadiazol-2-yl.
- R 5 is H or F
- R a6 is ethyl substituted with 4-unsubstituted C 3 alkyl 1,3,4 oxadiazol-2-yl.
- R 5 is H or F
- R a6 is ethyl substituted with 5-unsubstituted C 3 alkyl 1,3,4 oxadiazol-2-yl.
- R 5 is H or F
- R a6 is ethyl substituted with 4-unsubstituted C 4 alkyl oxadiazol-2-yl.
- R 5 is H or F
- R a6 is ethyl substituted with 5-unsubstituted C 4 alkyl oxadiazol-2-yl.
- R 5 is H or F
- R a6 is ethyl substituted with 4-unsubstituted C 4 alkyl 1,2,4 oxadiazol-2-yl.
- R 5 is H or F
- R a6 is ethyl substituted with 5-unsubstituted C 4 alkyl 1,2,4 oxadiazol-2-yl.
- R 5 is H or F
- R a6 is ethyl substituted with 4-unsubstituted C 4 alkyl 1,3,4 oxadiazol-2-yl.
- R 5 is H or F
- R a6 is ethyl substituted with 5-unsubstituted C 4 alkyl 1,3,4 oxadiazol-2-yl.
- R 5 is H or F
- R a6 is ethyl substituted with 4-unsubstituted C 5 alkyl oxadiazol-2-yl.
- R 5 is H or F
- R a6 is ethyl substituted with 5-unsubstituted C 5 alkyl oxadiazol-2-yl.
- R 5 is H or F
- R a6 is ethyl substituted with 4-unsubstituted C 5 alkyl 1,2,4 oxadiazol-2-yl.
- R 5 is H or F
- R a6 is ethyl substituted with 5-unsubstituted C 5 alkyl 1,2,4 oxadiazol-2-yl.
- R 5 is H or F
- R a6 is ethyl substituted with 4-unsubstituted C 5 alkyl 1,3,4 oxadiazol-2-yl.
- R 5 is H or F
- R a6 is ethyl substituted with 5-unsubstituted C 5 alkyl 1,3,4 oxadiazol-2-yl.
- R 5 is H or F
- R a6 is ethyl substituted with 4-unsubstituted C 6 alkyl oxadiazol-2-yl.
- R 5 is H or F
- R a6 is ethyl substituted with 5-unsubstituted C 6 alkyl oxadiazol-2-yl.
- R 5 is H or F
- R a6 is ethyl substituted with 4-unsubstituted C 6 alkyl 1,2,4 oxadiazol-2-yl.
- R 5 is H or F
- R a6 is ethyl substituted with 5-unsubstituted C 6 alkyl 1,2,4 oxadiazol-2-yl.
- R 5 is H or F
- R a6 is ethyl substituted with 4-unsubstituted C 6 alkyl 1,3,4 oxadiazol-2-yl.
- R 5 is H or F
- R a6 is ethyl substituted with 5-unsubstituted C 6 alkyl 1,3,4 oxadiazol-2-yl.
- R 5 is H or F
- R a6 is C 3 alkyl substituted with unsubstituted oxadiazol-2-yl.
- R 5 is H or F
- R a6 is C 3 alkyl substituted with unsubstituted 1,2,4 oxadiazol-2-yl.
- R 5 is H or F
- R a6 is C 3 alkyl substituted with unsubstituted 1,3,4 oxadiazol-2-yl.
- R 5 is H or F
- R a6 is C 3 alkyl substituted with 4-methyl oxadiazol-2-yl.
- R 5 is H or F
- R a6 is C 3 alkyl substituted with 5-methyl oxadiazol-2-yl.
- R 5 is H or F
- R a6 is C 3 alkyl substituted with 4-methyl 1,2,4 oxadiazol-2-yl.
- R 5 is H or F
- R a6 is C 3 alkyl substituted with 5-methyl 1,2,4 oxadiazol-2-yl.
- R 5 is H or F, R a6 is C 3 alkyl substituted with 4-methyl 1,3,4 oxadiazol-2-yl.
- R 5 is H or F
- R a6 is C 3 alkyl substituted with 5-methyl 1,3,4 oxadiazol-2-yl.
- R 5 is H or F
- R a6 is C 3 alkyl substituted with 4-ethyl oxadiazol-2-yl.
- R 5 is H or F
- R a6 is C 3 alkyl substituted with 5-ethyl oxadiazol-2-yl.
- R 5 is H or F
- R a6 is C 3 alkyl substituted with 4-ethyl 1,2,4 oxadiazol-2-yl.
- R 5 is H or F
- R a6 is C 3 alkyl substituted with 5-ethyl 1,2,4 oxadiazol-2-yl.
- R 5 is H or F
- R a6 is C 3 alkyl substituted with 4-ethyl 1,3,4 oxadiazol-2-yl.
- R 5 is H or F
- R a6 is C 3 alkyl substituted with 5-ethyl 1,3,4 oxadiazol-2-yl.
- R 5 is H or F
- R a6 is C 3 alkyl substituted with 4-unsubstituted C 3 alkyl oxadiazol-2-yl.
- R 5 is H or F
- R a6 is C 3 alkyl substituted with 5-unsubstituted C 3 alkyl oxadiazol-2-yl.
- R 5 is H or F
- R a6 is C 3 alkyl substituted with 4-unsubstituted C 3 alkyl 1,2,4 oxadiazol-2-yl.
- R 5 is H or F
- R a6 is C 3 alkyl substituted with 5-unsubstituted C 3 alkyl 1,2,4 oxadiazol-2-yl.
- R 5 is H or F
- R a6 is C 3 alkyl substituted with 4-unsubstituted C 3 alkyl 1,3,4 oxadiazol-2-yl.
- R 5 is H or F
- R a6 is C 3 alkyl substituted with 5-unsubstituted C 3 alkyl 1,3,4 oxadiazol-2-yl.
- R 5 is H or F
- R a6 is C 3 alkyl substituted with 4-unsubstituted C 4 alkyl oxadiazol-2-yl.
- R 5 is H or F
- R a6 is C 3 alkyl substituted with 5-unsubstituted C 4 alkyl oxadiazol-2-yl.
- R 5 is H or F
- R a6 is C 3 alkyl substituted with 4-unsubstituted C 4 alkyl 1,2,4 oxadiazol-2-yl.
- R 5 is H or F
- R a6 is C 3 alkyl substituted with 5-unsubstituted C 4 alkyl 1,2,4 oxadiazol-2-yl.
- R 5 is H or F
- R a6 is C 3 alkyl substituted with 4-unsubstituted C 4 alkyl 1,3,4 oxadiazol-2-yl.
- R 5 is H or F
- R a6 is C 3 alkyl substituted with 5-unsubstituted C 4 alkyl 1,3,4 oxadiazol-2-yl.
- R 5 is H or F
- R a6 is C 3 alkyl substituted with 4-unsubstituted C 5 alkyl oxadiazol-2-yl.
- R 5 is H or F
- R a6 is C 3 alkyl substituted with 5-unsubstituted C 5 alkyl oxadiazol-2-yl.
- R 5 is H or F
- R a6 is C 3 alkyl substituted with 4-unsubstituted C 5 alkyl 1,2,4 oxadiazol-2-yl.
- R 5 is H or F
- R a6 is C 3 alkyl substituted with 5-unsubstituted C 5 alkyl 1,2,4 oxadiazol-2-yl.
- R 5 is H or F
- R a6 is C 3 alkyl substituted with 4-unsubstituted C 5 alkyl 1,3,4 oxadiazol-2-yl.
- R 5 is H or F
- R a6 is C 3 alkyl substituted with 5-unsubstituted C 5 alkyl 1,3,4 oxadiazol-2-yl.
- R 5 is H or F
- R a6 is C 3 alkyl substituted with 4-unsubstituted C 6 alkyl oxadiazol-2-yl.
- R 5 is H or F
- R a6 is C 3 alkyl substituted with 5-unsubstituted C 6 alkyl oxadiazol-2-yl.
- R 5 is H or F
- R a6 is C 3 alkyl substituted with 4-unsubstituted C 6 alkyl 1,2,4 oxadiazol-2-yl.
- R 5 is H or F
- R a6 is C 3 alkyl substituted with 5-unsubstituted C 6 alkyl 1,2,4 oxadiazol-2-yl.
- R 5 is H or F
- R a6 is C 3 alkyl substituted with 4-unsubstituted C 6 alkyl 1,3,4 oxadiazol-2-yl.
- R 5 is H or F
- R a6 is C 3 alkyl substituted with 5-unsubstituted C 6 alkyl 1,3,4 oxadiazol-2-yl.
- the compound, or a salt thereof has a structure which is
- R 5 is H or halogen
- one of R a2 , R a3 , R a5 and R a6 is unsubstituted furan or unsubstituted oxadiazolyl or unsubstituted triazolyl or alkyl substituted oxadiazolyl or alkyl substituted triazolyl or pyridine or pyrimidine
- the remaining members of R a2 , R a3 , R a5 , and R a6 are H
- R 10 , R 11 and R 15 are each a member independently selected from the group consisting of H, substituted or unsubstituted alkyl, substituted or unsubstituted heteroalkyl, substituted or unsubstituted cycloalkyl, substituted or unsubstituted heterocycloalkyl, substituted or unsubstituted aryl, and substituted or unsubstituted heteroaryl.
- R a2 , R a3 , R a5 , R a6 , R 5 , R 15 , R 10 , and R 11 are as described herein, and each hydrogen in said compound or a salt thereof can be replaced by deuterium.
- R 5 is H, R a6 is unsubstituted furan.
- R 5 is F, R a6 is unsubstituted furan.
- the compound, or a salt thereof has a structure which is
- R 5 is H or halogen
- R a6 is unsubstituted furan or unsubstituted oxadiazolyl or unsubstituted triazolyl or alkyl substituted oxadiazolyl or alkyl substituted triazolyl or pyridine or pyrimidine
- R 10 , R 11 and R 15 are each a member independently selected from the group consisting of H, substituted or unsubstituted alkyl, substituted or unsubstituted heteroalkyl, substituted or unsubstituted cycloalkyl, substituted or unsubstituted heterocycloalkyl, substituted or unsubstituted aryl, and substituted or unsubstituted heteroaryl.
- R a6 , R 5 , R 15 , R 10 and R 11 are as described herein, and each hydrogen in said compound or a salt thereof can be replaced by deuterium.
- the compound, or a salt thereof has a structure which is
- R 5 is H or halogen
- R a6 is unsubstituted furan or unsubstituted oxadiazolyl or unsubstituted triazolyl or alkyl substituted oxadiazolyl or alkyl substituted triazolyl or pyridine or pyrimidine.
- R 5 is H, R a6 is unsubstituted furan.
- R 5 is H, R a6 is unsubstituted furan-2-yl.
- R 5 is F, R a6 is unsubstituted furan.
- R 5 is F, R a6 is unsubstituted furan-2-yl.
- R 5 is H, R a6 is unsubstituted 1,2,4 oxadiazolyl. In an exemplary embodiment, R 5 is H, R a6 is unsubstituted 1,3,4 oxadiazolyl. In an exemplary embodiment, R 5 is F, R a6 is unsubstituted 1,2,4 oxadiazolyl. In an exemplary embodiment, R 5 is F, R a6 is unsubstituted 1,3,4 oxadiazolyl. In an exemplary embodiment, R 5 is H, R a6 is methyl substituted 1,2,4 oxadiazolyl.
- R 5 is H, R a6 is methyl substituted 1,3,4 oxadiazolyl. In an exemplary embodiment, R 5 is F, R a6 is methyl substituted 1,2,4 oxadiazolyl. In an exemplary embodiment, R 5 is F, R a6 is methyl substituted 1,3,4 oxadiazolyl. In an exemplary embodiment, R 5 is H, R a6 is unsubstituted triazolyl. In an exemplary embodiment, R 5 is F, R a6 is unsubstituted triazolyl. In an exemplary embodiment, R 5 is F, R a6 is methyl triazolyl.
- R 5 is H, R a6 is methyl substituted triazolyl. In an exemplary embodiment, R 5 is H, R a6 is methyl substituted triazolyl. In an exemplary embodiment, R 5 is F, R a6 is methyl substituted triazolyl.
- the compound, or a salt thereof has a structure which is
- R 5 is H or halogen
- one of R a2 , R a3 , R a5 and R a6 is —NHC(O)OR 30 , wherein R 30 is unsubstituted alkyl, and the remaining members of R a2 , R a3 , R a5 and R a6 are H
- R 10 , R 11 and R 15 are each a member independently selected from the group consisting of H, substituted or unsubstituted alkyl, substituted or unsubstituted heteroalkyl, substituted or unsubstituted cycloalkyl, substituted or unsubstituted heterocycloalkyl, substituted or unsubstituted aryl, and substituted or unsubstituted heteroaryl.
- R a2 , R a3 , R a5 , R a6 , R 5 , R 15 , R 10 , and R 11 are as described herein, and each hydrogen in said compound or a salt thereof can be replaced by deuterium.
- R 5 is halogen
- one of R a2 , R a3 , R a5 and R a6 is —NHC(O)OR 30 , wherein R 30 is methyl or ethyl or unsubstituted C 3 alkyl or unsubstituted C 4 alkyl or unsubstituted C 5 alkyl or unsubstituted C 6 alkyl, and the remaining members of R a2 , R a3 , R a5 and R a6 are H, R 10 , R 11 and R 15 are each a member independently selected from the group consisting of H, substituted or unsubstituted alkyl, substituted or unsubstituted heteroalkyl, substituted or unsubstituted cycloalkyl, substituted or unsubstituted heterocycloalkyl, substituted or unsubstituted aryl, and substituted or unsubstituted heteroaryl.
- R 5 is H
- one of R a2 , R a3 , R a5 and R a6 is —NHC(O)OR 30 , wherein R 30 is methyl or ethyl or unsubstituted C 3 alkyl or unsubstituted C 4 alkyl or unsubstituted C 5 alkyl or unsubstituted C 6 alkyl, and the remaining members of R a2 , R a3 , R a5 and R a6 are H, R 10 , R 11 and R 15 are each a member independently selected from the group consisting of H, substituted or unsubstituted alkyl, substituted or unsubstituted heteroalkyl, substituted or unsubstituted cycloalkyl, substituted or unsubstituted heterocycloalkyl, substituted or unsubstituted aryl, and substituted or unsubstituted heteroaryl.
- the compound, or a salt thereof has a structure which is
- R 5 is H or halogen
- R a6 is —NHC(O)OR 30
- R 30 is unsubstituted alkyl
- R 10 , R 11 and R 15 are each a member independently selected from the group consisting of H, substituted or unsubstituted alkyl, substituted or unsubstituted heteroalkyl, substituted or unsubstituted cycloalkyl, substituted or unsubstituted heterocycloalkyl, substituted or unsubstituted aryl, and substituted or unsubstituted heteroaryl.
- R a6 , R 5 , R 15 , R 10 , and R 11 are as described herein, and each hydrogen in said compound or a salt thereof can be replaced by deuterium.
- R 5 is halogen
- R a6 is —NHC(O)OR 30 , wherein R 30 is methyl or ethyl or unsubstituted C 3 alkyl or unsubstituted C 4 alkyl or unsubstituted C 5 alkyl or unsubstituted C 6 alkyl
- R 10 , R 11 and R 15 are each a member independently selected from the group consisting of H, substituted or unsubstituted alkyl, substituted or unsubstituted heteroalkyl, substituted or unsubstituted cycloalkyl, substituted or unsubstituted heterocycloalkyl, substituted or unsubstituted aryl, and substituted or unsubstituted heteroaryl.
- R 5 is H
- R a6 is —NHC(O)OR 30 , wherein R 30 is methyl or ethyl or unsubstituted C 3 alkyl or unsubstituted C 4 alkyl or unsubstituted C 5 alkyl or unsubstituted C 6 alkyl
- R 10 , R 11 and R 15 are each a member independently selected from the group consisting of H, substituted or unsubstituted alkyl, substituted or unsubstituted heteroalkyl, substituted or unsubstituted cycloalkyl, substituted or unsubstituted heterocycloalkyl, substituted or unsubstituted aryl, and substituted or unsubstituted heteroaryl.
- the compound, or a salt thereof has a structure which is
- R 5 is H or halogen
- R a6 is —NHC(O)OR 30 , wherein R 30 is unsubstituted alkyl.
- R 5 is H or halogen
- R a6 is —NHC(O)OR 30 , wherein R 30 is methyl or ethyl or unsubstituted C 3 alkyl or unsubstituted C 4 alkyl or unsubstituted C 5 alkyl or unsubstituted C 6 alkyl.
- R 5 is H
- R a6 is —NHC(O)OR 30 , wherein R 30 is methyl or ethyl or unsubstituted C 3 alkyl.
- R 5 is F
- R a6 is —NHC(O)OR 30 , wherein R 30 is methyl or ethyl or unsubstituted C 3 alkyl or unsubstituted C 4 alkyl or unsubstituted C 5 alkyl or unsubstituted C 6 alkyl.
- R 5 is F
- R a6 is —NHC(O)OR 30 , wherein R 30 is methyl or ethyl or unsubstituted C 3 alkyl.
- R 5 is H
- R a6 is —NHC(O)OCH(CH 3 ) 2 .
- R 5 is F
- R a6 is —NHC(O)OCH(CH 3 ) 2 .
- the compound, or a salt thereof has a structure which is
- R 5 is H or halogen
- R a6 is —NHC(O)NHR 30 , wherein R 30 is unsubstituted alkyl.
- R 5 is H or halogen
- R a6 is —NHC(O)NHR 30 , wherein R 30 is methyl or ethyl or unsubstituted C 3 alkyl or unsubstituted C 4 alkyl or unsubstituted C 5 alkyl or unsubstituted C 6 alkyl.
- R 5 is H
- R a6 is —NHC(O)NHR 30 , wherein R 30 is methyl or ethyl or unsubstituted C 3 alkyl.
- R 5 is F
- R a6 is —NHC(O)NHR 30 , wherein R 30 is methyl or ethyl or unsubstituted C 3 alkyl or unsubstituted C 4 alkyl or unsubstituted C 5 alkyl or unsubstituted C 6 alkyl.
- R 5 is F
- R a6 is —NHC(O)NHR 30 , wherein R 30 is methyl or ethyl or unsubstituted C 3 alkyl.
- the compound, or a salt thereof has a structure which is
- R a6 is —NHC(O)NH 2 .
- R 5 is H
- R a6 is —NHC(O)NH 2 .
- R 5 is F
- R a6 is —NHC(O)NH 2 .
- the compound, or a salt thereof has a structure which is
- R 5 is H or halogen
- two of R a2 , R a3 , R a5 and R a6 are each independently selected from the group consisting of methyl, ethyl, propyl and isopropyl, and the remaining members of R a2 , R a3 , R a5 , and R a6 are H
- R 10 , R 11 are each a member independently selected from the group consisting of H, substituted or unsubstituted alkyl, substituted or unsubstituted heteroalkyl, substituted or unsubstituted cycloalkyl, substituted or unsubstituted heterocycloalkyl, substituted or unsubstituted aryl, and substituted or unsubstituted heteroaryl.
- R a2 , R a3 , R a5 , R a6 , R 5 , R 10 , and R 11 are as described herein, and each hydrogen in said compound or a salt thereof can be replaced by deuterium.
- R 5 is F
- two of R a2 , R a3 , R a5 and R a6 are methyl, and the remaining members of R a2 , R a3 , R a5 and R a6 are H
- R 10 and R 11 are each a member independently selected from the group consisting of H, substituted or unsubstituted alkyl, substituted or unsubstituted heteroalkyl, substituted or unsubstituted cycloalkyl, substituted or unsubstituted heterocycloalkyl, substituted or unsubstituted aryl, and substituted or unsubstituted heteroaryl.
- R 5 is H
- two of R a2 , R a3 , R a5 and R a6 are methyl, and the remaining members of R a2 , R a3 , R a5 and R a6 are H
- R 10 and R 11 are each a member independently selected from the group consisting of H, substituted or unsubstituted alkyl, substituted or unsubstituted heteroalkyl, substituted or unsubstituted cycloalkyl, substituted or unsubstituted heterocycloalkyl, substituted or unsubstituted aryl, and substituted or unsubstituted heteroaryl.
- the compound, or a salt thereof has a structure which is
- R 5 is H or halogen
- two of R a2 , R a3 , R a5 and R a6 are each independently selected from the group consisting of methyl, ethyl, propyl and isopropyl, and the remaining members of R a2 , R a3 , R a5 and R a6 are H.
- R 5 is F
- two of R a2 , R a3 , R a5 and R a6 are methyl
- the remaining members of R a2 , R a3 , R a5 and R a6 are H.
- R 5 is H
- two of R a2 , R a3 , R a5 and R a6 are methyl, and the remaining members of R a2 , R a3 , R a5 and R a6 are H.
- the compound, or a salt thereof has a structure which is
- R 5 is H or halogen
- R a2 and R a6 are each independently selected from the group consisting of methyl, ethyl, propyl and isopropyl.
- R 5 is F
- R a2 and R a6 are methyl.
- R 5 is H, R a2 and R a6 are methyl.
- the compound, or a salt thereof has a structure which is
- R 5 is H or halogen
- R a3 and R a6 are each independently selected from the group consisting of methyl, ethyl, propyl and isopropyl.
- R 5 is F
- R a1 and R a6 are methyl.
- R 5 is H
- R a3 and R a6 are methyl.
- the compound, or a salt thereof has a structure which is
- R 5 is H or halogen
- two of R a2 , R a3 , R a5 and R a6 are each independently selected from the group consisting of F, Cl, Br, methyl, ethyl, propyl and isopropyl
- R 15 is selected from the group consisting of H, substituted or unsubstituted alkyl, substituted or unsubstituted heteroalkyl, substituted or unsubstituted cycloalkyl, substituted or unsubstituted heterocycloalkyl, substituted or unsubstituted aryl, and substituted or unsubstituted heteroaryl.
- R a2 , R a3 , R a5 , R a6 , R 5 , R 15 are as described herein, and each hydrogen in said compound or a salt thereof can be replaced by deuterium.
- R 5 is F
- two of R a2 , R a3 , R a5 and R a6 are methyl, and the remaining members of R a2 , R a3 , R a5 and R a6 are H
- R 15 is selected from the group consisting of H, substituted or unsubstituted alkyl, substituted or unsubstituted heteroalkyl, substituted or unsubstituted cycloalkyl, substituted or unsubstituted heterocycloalkyl, substituted or unsubstituted aryl, and substituted or unsubstituted heteroaryl.
- R 5 is H
- two of R a2 , R a3 , R a5 and R a6 are methyl, and the remaining members of R a2 , R a3 , R a5 and R a6 are H
- R 15 is selected from the group consisting of H, substituted or unsubstituted alkyl, substituted or unsubstituted heteroalkyl, substituted or unsubstituted cycloalkyl, substituted or unsubstituted heterocycloalkyl, substituted or unsubstituted aryl, and substituted or unsubstituted heteroaryl.
- R 5 is F
- two of R a2 , R a3 , R a5 and R a6 are chloro, and the remaining members of R a2 , R a3 , R a5 and R a6 are H
- R 15 is selected from the group consisting of H, substituted or unsubstituted alkyl, substituted or unsubstituted heteroalkyl, substituted or unsubstituted cycloalkyl, substituted or unsubstituted heterocycloalkyl, substituted or unsubstituted aryl, and substituted or unsubstituted heteroaryl.
- R 5 is H
- two of R a2 , R a3 , R a5 and R a6 are chloro, and the remaining members of R a2 , R a3 , R a5 and R a6 are H
- R 15 is selected from the group consisting of H, substituted or unsubstituted alkyl, substituted or unsubstituted heteroalkyl, substituted or unsubstituted cycloalkyl, substituted or unsubstituted heterocycloalkyl, substituted or unsubstituted aryl, and substituted or unsubstituted heteroaryl.
- the compound, or a salt thereof has a structure which is
- R 5 is H or halogen
- two of R a2 , R a3 , R a5 and R a6 are each independently selected from the group consisting of F, Cl, Br, methyl, ethyl, propyl and isopropyl, and the remaining members of R a2 , R a3 5 R a5 and R a6 are H.
- R 5 is F
- two of R a2 , R a3 , R a5 and R a6 are methyl
- the remaining members of R a2 , R a3 , R a5 and R a6 are H.
- R 5 is H
- two of R a2 , R a3 , R a5 and R a6 are methyl, and the remaining members of R a2 , R a3 , R a5 and R a6 are H.
- the compound, or a salt thereof has a structure which is
- R 5 is H or halogen
- R a2 and R a6 are each independently selected from the group consisting of F, Cl, Br, methyl, ethyl, propyl and isopropyl.
- R 5 is F
- R a2 and R a6 are methyl.
- R 5 is H
- R a2 and R a6 are F.
- the compound, or a salt thereof has a structure which is
- R 5 is H or halogen
- R a3 and R a5 are each independently selected from the group consisting of F or Cl.
- R 5 is F
- R a3 and R a6 are F or Cl.
- R 5 is H
- R a3 and R a6 are F or Cl.
- R 10 and/or R 11 can be a prodrug moiety.
- Prodrugs of amines are known in the art. See Krise et al., “Prodrugs of Amines” in Prodrugs ; Springer: 2007; Vol. V, Part III, 801-831.
- Examples of prodrugs for amines include, but are not limited to, N-acyl derivatives, carbamates, N-acyloxyalkyl derivatives, quaternary ammonium derivatives, N-oxides, N-Mannich bases, Schiff bases, enaminones, azo derivatives, oxazolidines, and 4-imidazolidinones.
- One of skill in the art will be able to select a suitable prodrug moiety.
- the prodrug moiety is an acyl derivative. In an exemplary embodiment, at least one of R 10 and R 11 is
- R p1 is a member selected from substituted or unsubstituted alkyl, substituted or unsubstituted arylalkyl, substituted or unsubstituted cycloalkyl, substituted or unsubstituted heterocycloalkyl, substituted or unsubstituted aryl and substituted or unsubstituted heteroaryl.
- R p1 is unsubstituted alkyl.
- R p1 is unsubstituted alkyl.
- R p1 is unsubstituted arylalkyl.
- R p1 is methyl.
- R p1 is CF 3 .
- the prodrug moiety is an ester. In an exemplary embodiment, at least one of R 10 and R 11 is
- R p2 is a member selected from substituted or unsubstituted alkyl, substituted or unsubstituted arylalkyl, substituted or unsubstituted cycloalkyl, substituted or unsubstituted heterocycloalkyl, substituted or unsubstituted aryl and substituted or unsubstituted heteroaryl.
- R p2 is unsubstituted alkyl.
- R p2 is methyl.
- R p2 is ethyl.
- R p2 is n-propyl.
- R p2 is isopropyl.
- R p2 is iso-butyl.
- R p2 is benzyl.
- the prodrug moiety is an ester. In an exemplary embodiment, at least one of R 10 and R 11 is
- R p3 and R p4 are members independently selected from substituted or unsubstituted alkyl, substituted or unsubstituted arylalkyl, substituted or unsubstituted cycloalkyl, substituted or unsubstituted heterocycloalkyl, substituted or unsubstituted aryl and substituted or unsubstituted heteroaryl.
- the invention provides poly- or multi-valent species of the compounds of the invention, including a dimer or a trimer. Another exemplary embodiment of the invention provides an anhydride of the compounds of the invention. In another exemplary embodiment, the invention provides poly- or multi-valent species of the compounds of the invention. In an exemplary embodiment, the invention provides a dimer of the compounds described herein. In an exemplary embodiment, the invention provides a dimer of the compounds described herein.
- the invention provides a trimer of the compounds described herein. In an exemplary embodiment, the invention provides a trimer of the compounds described herein.
- the compounds of the invention can form a hydrate with water, solvates with alcohols such as methanol, ethanol, propanol, and the like; adducts with amino compounds, such as ammonia, methylamine, ethylamine, and the like; adducts with acids, such as formic acid, acetic acid and the like; complexes with ethanolamine, quinoline, amino acids, and the like.
- alcohols such as methanol, ethanol, propanol, and the like
- amino compounds such as ammonia, methylamine, ethylamine, and the like
- acids such as formic acid, acetic acid and the like
- complexes with ethanolamine, quinoline, amino acids, and the like complexes with ethanolamine, quinoline, amino acids, and the like.
- the invention provides a compound described herein, or a salt, hydrate or solvate thereof, or a combination thereof.
- the invention provides a compound described herein, or a salt, hydrate or solvate thereof.
- the invention provides a compound described herein, or a salt thereof.
- the salt is a pharmaceutically acceptable salt.
- the invention provides a compound described herein, or a hydrate thereof.
- the invention provides a compound described herein, or a solvate thereof.
- the invention provides a compound described herein, or a prodrug thereof.
- the invention provides a salt of a compound described herein. In an exemplary embodiment, the invention provides a pharmaceutically acceptable salt of a compound described herein. In an exemplary embodiment, the invention provides a hydrate of a compound described herein. In an exemplary embodiment, the invention provides a solvate of a compound described herein. In an exemplary embodiment, the invention provides a prodrug of a compound described herein. In an exemplary embodiment, the invention provides a compound as described in FIG. 1 , or a salt thereof. In an exemplary embodiment, the invention provides a compound as described in FIG. 1 , or a pharmaceutically acceptable salt thereof.
- alkyl is linear alkyl. In another exemplary embodiment, alkyl is branched alkyl.
- heteroalkyl is linear heteroalkyl. In another exemplary embodiment, heteroalkyl is branched heteroalkyl.
- the compounds of the invention may also be used in combination with additional therapeutic agents.
- the invention thus provides, in a further aspect, a combination comprising a compound of the invention together with at least one additional therapeutic agent, or a salt, prodrug, hydrate or solvate thereof.
- the compound of the invention is a compound described herein, or a salt thereof.
- the additional therapeutic agent is a compound of the invention.
- the additional therapeutic agent includes a boron atom.
- the additional therapeutic agent does not contain a boron atom.
- the additional therapeutic agent is a compound described in section III a).
- each compound of the invention When a compound of the invention is used in combination with a second therapeutic agent active against the same disease state, the dose of each compound may differ from that when the compound is used alone. Appropriate doses will be readily appreciated by those skilled in the art. It will be appreciated that the amount of a compound of the invention required for use in treatment will vary with the nature of the condition being treated and the age and the condition of the patient and will be ultimately at the discretion of the attendant physician or veterinarian.
- the individual components of such combinations may be administered either simultaneously or sequentially in a unit dosage form.
- the unit dosage form may be a single or multiple unit dosage forms.
- the invention provides a combination in a single unit dosage form.
- An example of a single unit dosage form is a capsule wherein both the compound of the invention and the additional therapeutic agent are contained within the same capsule.
- the invention provides a combination in a two unit dosage form.
- An example of a two unit dosage form is a first capsule which contains the compound of the invention and a second capsule which contains the additional therapeutic agent.
- the term ‘single unit’ or ‘two unit’ or ‘multiple unit’ refers to the object which the animal (for example, a human) ingests, not to the interior components of the object. Appropriate doses of known therapeutic agents will be readily appreciated by those skilled in the art.
- an exemplary embodiment of the invention is a pharmaceutical formulation comprising a) a compound of the invention; b) an additional therapeutic agent and c) a pharmaceutically acceptable excipient.
- the pharmaceutical formulation is a unit dosage form.
- the pharmaceutical formulation is a single unit dosage form.
- the pharmaceutical formulation is a single unit dosage form which includes a compound of the invention; an antibiotic and a pharmaceutically acceptable excipient.
- the pharmaceutical formulation is a single unit dosage form which includes a compound of the invention; an antibiotic and at least one pharmaceutically acceptable excipient.
- the pharmaceutical formulation is a two unit dosage form.
- the pharmaceutical formulation is a two unit dosage form comprising a first unit dosage form and a second unit dosage form, wherein the first unit dosage form includes a) a compound of the invention and b) a first pharmaceutically acceptable excipient; and the second unit dosage form includes c) an additional therapeutic agent and d) a second pharmaceutically acceptable excipient.
- the pharmaceutical formulation is a two unit dosage form comprising a first unit dosage form and a second unit dosage form, wherein the first unit dosage form includes a) a compound of the invention and b) a first pharmaceutically acceptable excipient; and the second unit dosage form includes c) an antibiotic and d) a second pharmaceutically acceptable excipient.
- the sulfonyl chloride (1-1.2 equiv) and a base were added sequentially to a solution of the amine in MeCN (20 mL/g) at rt or cooled in an ice bath. After completion (typical duration O/N) the volatiles were removed in vacuo. H 2 O was added to the residue and the mixture adjusted to ⁇ pH 6 with dilute HCl. The aqueous layer was then extracted with organic solvent (typically EtOAc), and the combined organic fractions dried (either Na 2 SO 4 or MgSO 4 ), filtered, and concentrated in vacuo. The product was typically purified by either recrystallization from H 2 O, trituration with CH 2 Cl 2 or EtOAc, or flash chromatography.
- a base either NMM, K 2 CO 3 , or pyridine 3-4 equiv
- mutants in E. coli showing resistance to the compound were isolated. Characterization of mutants showed that they have an 32-256 fold increase in resistance to the compound over wildtype. The mutants were furthermore shown to be sensitive to various antibacterial agents with known modes of action, suggesting that the cellular target of the compound is distinct from the target of the other antibacterial agents.
- the leuS gene from the mutants was cloned onto a plasmid and their resistance was confirmed by MIC. The editing domain from these mutants were sequenced and the mutations were all located in the editing domain of this enzyme.
- Assays to determine whether, and how effectively, a particular compound binds to and/or inhibits the editing domain of a selected tRNA synthetase are also set forth herein, and additional assays are readily available to those of skill in the art. Briefly, in an exemplary assay, an improperly charged tRNA and a tRNA synthetase that is capable of editing the improperly charged tRNA are combined. The resulting mixture is contacted with the putative inhibitor and the degree of editing inhibition is observed.
- Another assay uses genetics to show that a drug works via the editing domain.
- the compound is first tested against a strain of cells over-expressing copies of the tRNA synthetase gene.
- the compound's effect on the over-expressing strain is compared with a control strain to determine whether the compound is active against the synthetase. If the minimum inhibitory concentration (MIC) is 2-fold higher in the strain with extra copies of the synthetase gene than the MIC of the inhibitor against a wild type cell, a further genetic screen is conducted to determine whether the increased resistance is due to mutations in the editing domain.
- the control strain is challenged against a high concentration of the inhibitor. The colonies surviving the challenge are isolated and DNA from these cells is isolated.
- the editing domain is amplified using a proof-reading PCR enzyme and the appropriate primers.
- the PCR product can be purified using standard procedures.
- the sequence amplified mutant DNA is compared to wild-type. If the mutant DNA bears mutations in the editing domain, such results would suggest that the compound binds to the editing domain and affects the editing function of the molecule through this domain.
- the compounds to be tested are present in the assays in ranges from about 1 pM to about 100 mM, preferably from about 1 pM to about 1 ⁇ M.
- Other compounds range from about 1 nM to about 100 nM, preferably from about 1 nM to about 1 ⁇ M.
- test compounds upon the function of the enzymes can also be measured by any suitable physiological change.
- functional consequences are determined using intact cells or animals, one can also measure a variety of effects such as transmitter release, hormone release, transcriptional changes to both known and uncharacterized genetic markers, changes in cell metabolism such as cell growth or pH changes, and changes in intracellular second messengers such as Ca 2+ , or cyclic nucleotides.
- the invention provides a method for identifying a compound which binds to an editing domain of a tRNA synthetase comprising: a) contacting said editing domain with a test compound under conditions suitable for binding; and b) detecting binding of said test compound to said editing domain.
- detecting binding of said compound comprises use of at least one detectable element, isotope, or chemical label attached to said compound.
- the element, isotope or chemical label is detected by a fluorescent, luminescent, radioactive, or absorbance readout.
- the contacting of said test compound with said editing domain also includes further contacting said test compound and said editing domain with a member selected from AMP and a molecule with a terminal adenosine.
- the tRNA synthetase is derived from leucyl tRNA synthetase.
- the tRNA synthetase is derived from a mutated tRNA synthetase, wherein said mutated tRNA synthetase comprises amino acid mutations in an editing domain.
- said editing domain of a tRNA synthetase comprises the amino acid sequence of a peptide sequence described herein.
- the invention provides a method for identifying a compound which binds to an editing domain of a tRNA synthetase, said assay comprising: a) contacting said editing domain of a tRNA synthetase with said compound under conditions suitable for binding of said compound with said editing domain of a tRNA synthetase; b) comparing a biological activity of said editing domain of a tRNA synthetase contacting said compound to said biological activity when not contacting said compound; and c) identifying said compound as binding to said editing domain of a tRNA synthetase if said biological activity of said editing domain of a tRNA synthetase is reduced when contacting said compound.
- the biological activity is hydrolysis of noncognate amino acid.
- the hydrolysis of said noncognate amino acid is detected through the use of one or more labels.
- the labels include a radiolabel, a fluorescent marker, an antibody, or a combination thereof.
- said labels can be detected using spectroscopy.
- said editing domain of a tRNA synthetase is derived from leucyl tRNA synthetase.
- the invention provides a method of generating a tRNA molecule with a noncognate amino acid comprising: a) creating or isolating a mutated tRNA synthetase with altered amino acid editing domains; and b) contacting a tRNA molecule with said mutated tRNA synthetase and a noncognate amino acid.
- the mutated tRNA synthetase contains one or more amino acid mutations in an editing domain.
- the mutated tRNA synthetase is unable to bind with a compound of the invention.
- the mutated tRNA synthetase is unable to bind with a compound described herein, or a pharmaceutically acceptable salt thereof. In another exemplary embodiment, the mutated tRNA synthetase is unable to bind with a compound according to a formula described herein, or a pharmaceutically acceptable salt thereof.
- the invention provides a composition that comprises one or more tRNA molecules attached to noncognate amino acids, wherein said tRNA molecules are synthesized using one or more mutated tRNA synthetases isolated from a microorganism or a cell line derived from a microorganism.
- the microorganism is a bacteria.
- said mutated tRNA synthetases contain amino acid mutations in their editing domains.
- the compounds of the invention can be utilized to inhibit an enzyme.
- the compounds of the invention and/or combinations of the invention exhibit potency against microorganisms, such as bacteria, and therefore have the potential to kill and/or inhibit the growth of microorganisms.
- the compounds of the invention and/or combinations of the invention exhibit potency against microorganisms, such as bacteria, and therefore have the potential to achieve therapeutic efficacy in the animals described herein.
- the compounds of the invention exhibit the ability of inhibiting the editing domain of tRNA synthetases, such as leucyl tRNA synthetase, of microorganisms, such as bacteria, and therefore have the potential to be used as editing domain inhibitors of microorganism tRNA synthetases.
- tRNA synthetases such as leucyl tRNA synthetase
- a method for binding to and/or inhibiting the editing domain of a tRNA synthetase comprises contacting a tRNA synthetase with a compound of the invention that inhibits the editing domain under conditions in which the tRNA synthetase interacts with its substrate to form an aminoacyl adenylate intermediate and, preferably, to form a charged tRNA.
- a compound of the invention that inhibits the editing domain under conditions in which the tRNA synthetase interacts with its substrate to form an aminoacyl adenylate intermediate and, preferably, to form a charged tRNA.
- the compound has a structure according to a formula described herein.
- the compound is described herein, or a salt, hydrate or solvate thereof, or a combination thereof.
- the invention provides a compound described herein, or a salt, hydrate or solvate thereof. In an exemplary embodiment, the invention provides a compound described herein, or a salt thereof. In an exemplary embodiment, the invention provides a compound described herein, or a salt thereof.
- the tRNA synthetase is contacted with an amount of compound of the invention sufficient to result in a detectable amount of tRNA synthetase inhibition. This method can be performed on a tRNA synthetase that is contained within an organism or which is outside an organism.
- the method is performed on a tRNA synthetase that is contained within a microorganism or a microbial cell that is in, or on the surface of, an animal.
- the animal is a human.
- the method results in a decrease in the amount of charged tRNA produced by the tRNA synthetase that has an inhibited editing domain.
- the inhibition takes place in a cell, such as a microorganism cell.
- the microorganism cell is a bacteria.
- the tRNA synthetase is leucyl tRNA synthetase.
- the invention provides a method of inhibiting conversion of a tRNA molecule into a charged tRNA molecule.
- the method involves contacting a tRNA synthetase with a compound of the invention effective to inhibit activity of an editing domain of said tRNA synthetase, under conditions sufficient to inhibit said activity, thereby inhibiting said conversion.
- the compound of the invention is a compound described herein, or a pharmaceutically acceptable salt thereof.
- the inhibition occurs within a cell, and the cell is a microorganism cell.
- the microorganism cell is a bacteria.
- the microorganism cell is a bacteria which is described herein.
- the enzyme is a leucyl tRNA synthetase of a bacteria described herein.
- the tRNA synthetase is leucyl tRNA synthetase.
- the compound has a K D, synthesis of greater than 100 ⁇ M against a synthetic domain of said tRNA synthetase.
- the mechanism of action of a compound of the invention is to inhibit the conversion of a tRNA molecule into a charged tRNA molecule by binding to and/or inhibiting at least the editing domain of the synthetase.
- the compounds of use in this method may also inhibit or otherwise interact with the synthetic domain (e.g., the active site of the synthetic domain).
- the editing domain is inhibited selectively in the presence of the synthetic domain.
- the synthetic domain is essentially uninhibited, while the editing domain is inhibited at least 50%, preferably at least 60%, more preferably at least 70%, still more preferably, at least 80% and even still more preferably at least 90% of the activity of the tRNA synthetase.
- the synthetic domain is inhibited by at most 50%, preferably at most 30%, preferably at most 20%, 10%, preferably at most 8%, more preferably at most 5%, still more preferably, at most 3% and even still more preferably at most 1%. Inhibition of the editing domain produces a decrease in the amount of the properly charged tRNA which results in retardation or cessation of cell growth and division.
- the ratio of a minimum concentration of said compound inhibiting said editing domain to a minimum concentration of said compound inhibiting said synthetic domain of said tRNA synthetase, represented as K D, edit /K D, synthesis is less than one.
- the K D, edit /K D, synthesis of the compound is a member selected from less than 0.5, less than 0.1 and less than 0.05.
- the compounds of the invention and/or combinations of the invention exhibit potency against microorganisms, such as bacteria, and therefore have the potential to treat, and/or prevent a microorganism infection, or kill and/or inhibit the growth of microorganisms.
- the invention provides a method of treating and/or preventing a microorganism infection, or a method of killing and/or inhibiting the growth of a microorganism, said method comprising: contacting said microorganism with an effective amount of a compound of the invention, thereby killing and/or inhibiting the growth of the microorganism.
- the invention provides a method of treating and/or preventing a microorganism infection, or a method of killing and/or inhibiting the growth of a microorganism, said method comprising: contacting said microorganism with an effective amount of a combination of the invention, thereby killing and/or inhibiting the growth of the microorganism.
- the invention provides a method of treating a bacterial infection comprising adminstering to an animal suffering from the infection an effective amount of a compound of the invention or a combination of the invention, or a pharmaceutically acceptable salt thereof, thereby treating the bacterial infection.
- the invention provides a method of treating a bacterial infection comprising adminstering to an animal suffering from the infection an effective amount of a compound of the invention, or a pharmaceutically acceptable salt thereof, and an effective amount of an antibiotic, or a pharmaceutically acceptable salt thereof, thereby treating the bacterial infection.
- the invention provides a method of preventing a bacterial infection comprising adminstering to an animal a prophylactic amount of a compound of the invention or a combination of the invention, or a pharmaceutically acceptable salt thereof, thereby treating the bacterial infection.
- the invention provides a method of preventing a bacterial infection comprising adminstering to an animal a prophylactic amount of a compound of the invention, or a pharmaceutically acceptable salt thereof.
- the microorganism is a bacteria.
- the compound or combination is described herein, or a salt, prodrug, hydrate or solvate thereof, or a combination thereof.
- the invention provides a compound or combination described herein, or a salt, hydrate or solvate thereof.
- the invention provides a compound or combination described herein, or a prodrug thereof.
- the invention provides a compound or combination described herein, or a salt thereof.
- the compound or combination of the invention is a compound or combination described herein, or a pharmaceutically acceptable salt thereof.
- the compound or compound of the combination is described by a formula listed herein, or a pharmaceutically acceptable salt thereof.
- the compound is part of a combination described herein.
- the compound is part of a pharmaceutical formulation described herein.
- the contacting occurs under conditions which permit entry of the compound into the organism. Such conditions are known to one skilled in the art and are described herein.
- the microorganism is inside, or on the surface of an animal.
- the animal is selected from the group consisting of human, cattle, deer, reindeer, goat, honey bee, pig, sheep, horse, cow, bull, dog, guinea pig, gerbil, rabbit, cat, camel, yak, elephant, ostrich, otter, chicken, duck, goose, guinea fowl, pigeon, swan, and turkey.
- the animal is a human.
- the microorganism infection is treated and or prevented, or the microorganism is killed or its growth is inhibited, through oral administration of the compound of the invention and/or the combination of the invention.
- the microorganism infection is treated and or prevented, or the microorganism is killed or its growth is inhibited through intravenous administration of the compound of the invention and/or the combination of the invention.
- the microorganism is a bacterium.
- an infection is caused by and/or associated with a microorganism, particularly a bacterium.
- the bacterium is a gram-positive bacteria.
- the gram-positive bacterium is selected from the group consisting of Staphylococcus species, Streptococcus species, Bacillus species, Mycobacterium species, Corynebacterium species ( Propionibacterium species), Clostridium species, Actinomyces species, Enterococcus species and Streptomyces species.
- the gram-positive bacterium is selected from the group consisting of Propionibacterium acnes, Staphylococcus aureus, Staphylococcus epidermidis, Staphylococcus saprophyticus, Staphylococcus haemolyticus, Streptococcus pyogenes, Streptococcus agalactiae, Streptococcus pneumoniae, Enterococcus faecalis, Enterococcus faecium, Bacillus anthracis, Mycobacterium avium - intracellulare, Mycobacterium tuberculosis, Acinetobacter baumanii, Corynebacterium diphtheria, Clostridium perfringens, Clostridium botulinum, Clostridium tetani , and Clostridium difficile .
- the gram-positive bacterium is selected from the group consisting of Staphylococcus aureus, Staphylococcus epidermidis, Streptococcus pneumoniae, Streptococcus pyogenes, Enterococcus faecalis, Enterococcus faecium, Clostridium difficile and Propionibacter acnes .
- the bacterium is a gram-negative bacterium.
- the gram-negative bacterium is selected from the group consisting of Acinetobacter species, Neisseria species, Pseudomonas species, Brucella species, Agrobacterium species, Bordetella species, Escherichia species, Shigelia species, Yersinia species, Salmonella species, Klebsiella species, Enterobacter species, Haemophilus species, Pasteurella species, Streptobacillus species, spirochetal species, Campylobacter species, Vibrio species, Helicobacter species, Bacteroides species, Citrobacter species, Proteus species, Providencia species, Serratia species, Stenotrophomonas species and Burkholderia species.
- the gram-negative bacterium is selected from the group consisting of Acinetobacter species, Pseudomonas species, Escherichia species, Klebsiella species, Enterobacter species, Bacteroides species, Citrobacter species, Proteus species, Providencia species, Serratia species, Stenotrophomonas species and Burkholderia species.
- the gram-negative bacterium is selected from the group consisting of Neisseria gonorrhoeae, Neisseria meningitidis, Pseudomonas aeruginosa, Legionella pneumophila, Escherichia coli, Yersinia pestis, Haemophilus influenzae, Helicobacter pylori, Campylobacter fetus, Campylobacter jejuni, Vibrio cholerae, Vibrio parahemolyticus, Trepomena pallidum, Actinomyces israelii, Rickettsia prowazekii, Rickettsia rickettsii, Chlamydia trachomatis, Chlamydia psittaci, Brucella abortus, Agrobacterium tumefaciens, Francisella tularensis, Klebsiella pneumoniae, Enterobacter cloa
- the gram-negative bacterium is selected from the group consisting of Pseudomonas aeruginosa, Escherichia coli, Haemophilus influenzae, Klebsiella pneumoniae, Enterobacter cloacae, Acinetobacter baumannii, Bacteroides fragilis, Citrobacter freundii, Proteus mirabilis, Providencia stuartii, Serratia marcescens, Stenotrophomonas maltophilia and Burkholderia cepacia .
- the gram-negative bacterium is selected from the group consisting of Enterobacter aerogenes, Enterobacter cloacae, Enterobacter sakazakii, Escherichia coli, Klebsiella pneumoniae, Proteus mirabilis, Serratia marcescens and Citrobacter freundii .
- the gram-negative bacterium is a Providencia spp.
- the gram-negative bacterium is an Enterobacter spp.
- the bacterium is a Pseudomonas species. In another exemplary embodiment, the bacterium is Pseudomonas aeruginosa . In another exemplary embodiment, the bacterium is selected from the group consisting of Pseudomonas aeruginosa, Acinetobacter baumannii, Stenotrophomonas maltophilia and Burkholderia cepacia . In another exemplary embodiment, the bacterium is Acinetobacter baumannii . In another exemplary embodiment, the bacterium is Stenotrophomonas maltophilia . In another exemplary embodiment, the bacterium is Burkholderia cepacia .
- the bacterium is Acinetobacter species. In another exemplary embodiment, the bacterium is Acinetobacter anitratus . In another exemplary embodiment, the bacterium is selected from the group consisting of Enterobacter aerogenes, Enterobacter cloacae, Enterobacter sakazakii, E. coli, K. pneumoniae , P. mirabilis, Serratia marcescens, Citrobacter freundii and Providencia spp. In another exemplary embodiment, the bacterium is selected from the group consisting of Enterobacter aerogenes, Enterobacter cloacae, Enterobacter sakazakii, E. coli, K. pneumoniae, P.
- the bacterium is selected from the group consisting of Pseudomonas aeruginosa, Acinetobacter baumannii, Stenotrophomonas maltophilia, Burkholderia cepacia .
- the bacterium is selected from the group consisting of S. aureus, S. pneumonia, S. pyogenes, E. faecalis , and E.
- the bacterium is selected from the group consisting of Viridans group Strep .
- the bacterium is selected from the group consisting of Strep. mitis, Strep. mutans, Strep. oxalis, Strep. sanguis, Strep. sobrinus and Strep. millari .
- the bacterium is S. pneumonia .
- the bacterium is H. influenzae .
- the bacterium is S. aureus .
- the bacterium is M. catarrhalis .
- the bacterium is M. pneumoniae .
- the bacterium is L. pneumoniae . In another exemplary embodiment, the bacterium is C. pneumoniae . In another exemplary embodiment, the bacterium is S. pyogenes . In another exemplary embodiment, the bacterium is an anaerobe. In another exemplary embodiment, the bacterium is an Alcaligenes species. In another exemplary embodiment, the bacterium is a B. cepacia . In another exemplary embodiment, the bacterium is selected from the group consisting of Enterobacter cloacae, Escherichia coli, Klebsiella pneumoniae, Proteus mirabilis, Providencia stuartii, Serratia marcescens , and Citrobacter freundii .
- the bacterium is resistant to methicillin. In another exemplary embodiment, the bacterium is methicillin-resistant staphylococcus aureus . In another exemplary embodiment, the bacterium is selected from the group consisting of Streptococcus pneumoniae, Haemophilus influenzae, Staphylococcus aureus, Mycobacterium catarrhalis, Mycobacterium pneumoniae, Legionella pneumophila and Chlamydia pneumoniae .
- the bacterium is selected from the group consisting of Enterobacter cloacae, Escherichia coli, Klebsiella pneumoniae, Proteus mirabilis, Serratia marcescens, Citrobacter freundii, Providencia stuartii, Pseudomonas aeruginosa, Acinetobacter baumannii, Stenotrophomonas maltophilia, Burkholderia cepacia, Staphylococcus aureus, Streptococcus pneumoniae, Streptococcus pyogenes, Enterococcus faecalis , and Enterococcus faecium .
- the bacterium is selected from the group consisting of Staphylococcus aureus, Staphylococcus epidermidis, Staphylococcus haemolyticus, Streptococcus pyogenes, Streptococcus agalactiae and Streptococcus pneumoniae.
- the microorganism is a bacterium, which is selected from the group consisting of acid-fast bacteria, including Mycobacterium species; bacilli, including Bacillus species, Corynebacterium species (also Propionibacterium ) and Clostridium species; filamentous bacteria, including Actinomyces species and Streptomyces species; bacilli, such as Pseudomonas species, Brucella species, Agrobacterium species, Bordetella species, Escherichia species, Shigella species, Yersinia species, Salmonella species, Klebsiella species, Enterobacter species, Haemophilus species, Pasteurella species, and Streptobacillus species; spirochetal species, Campylobacter species, Vibrio species; and intracellular bacteria including Rickettsiae species and Chlamydia species.
- acid-fast bacteria including Mycobacterium species
- bacilli including Bacillus species, Corynebacterium species (also Propion
- the compounds of the invention and/or combinations of the invention exhibit potency against microorganisms, such as bacteria, and therefore have the potential to be used to treat and/or prevent a micororganism infection, such as a bacterial infection.
- the invention provides a method of treating a bacterial infection comprising adminstering to an animal suffering from the infection an effective amount of a compound of the invention, or a pharmaceutically acceptable salt thereof, thereby treating the bacterial infection.
- the invention provides a method of treating a bacterial infection comprising adminstering to an animal suffering from the infection an effective amount of a compound of the invention, or a pharmaceutically acceptable salt thereof, and an effective amount of an antibiotic, or a pharmaceutically acceptable salt thereof, thereby treating the bacterial infection.
- the invention provides a method of preventing a bacterial infection comprising adminstering to an animal a prophylactic amount of a compound of the invention, or a pharmaceutically acceptable salt thereof, thereby treating the bacterial infection.
- the invention provides a method of preventing a bacterial infection comprising adminstering to an animal a prophylactic amount of a compound of the invention, or a pharmaceutically acceptable salt thereof, and an effective amount of an antibiotic, or a pharmaceutically acceptable salt thereof, thereby treating the bacterial infection.
- the compounds of the invention and/or combinations of the invention exhibit potency against microorganisms, such as bacteria, and therefore have the potential to achieve therapeutic efficacy in the animals described herein.
- the invention provides a method of treating and/or preventing a disease.
- the method includes administering to the animal a therapeutically effective amount of a compound of the invention, sufficient to treat and/or prevent the disease.
- the method includes administering to the animal a therapeutically effective amount of a combination of the invention, sufficient to treat and/or prevent the disease.
- the compound of the invention or the combination of the invention can be used in human or veterinary medical therapy, particularly in the treatment or prophylaxis of bacterial-associated disease.
- the compound is described herein, or a salt, prodrug, hydrate or solvate thereof, or a combination thereof.
- the invention provides a compound described herein, or a prodrug thereof.
- the invention provides a compound described herein, or a salt, hydrate or solvate thereof.
- the invention provides a compound described herein, or a salt thereof.
- the compound of the invention is a compound described herein, or a pharmaceutically acceptable salt thereof.
- the compound is a compound described herein, or a pharmaceutically acceptable salt thereof.
- the compound is according to a formula described herein, or a pharmaceutically acceptable salt thereof.
- the compound is part of a combination described herein.
- the compound is part of a pharmaceutical formulation described herein.
- the animal is selected from the group consisting of human, cattle, deer, reindeer, goat, honey bee, pig, sheep, horse, cow, bull, dog, guinea pig, gerbil, rabbit, cat, camel, yak, elephant, ostrich, otter, chicken, duck, goose, guinea fowl, pigeon, swan, and turkey.
- the animal is a human.
- the animal is selected from the group consisting of a human, cattle, goat, pig, sheep, horse, cow, bull, dog, guinea pig, gerbil, rabbit, cat, chicken and turkey.
- the disease is a systemic disease.
- the disease is a topical disease.
- the disease is treated through oral administration of a compound of the invention and/or a combination of the invention. In an exemplary embodiment, the disease is treated through intravenous administration of a compound of the invention and/or a combination of the invention.
- the invention provides a method of treating a systemic disease.
- the method involves contacting an animal with a compound of the invention and/or a combination of the invention.
- the disease is selected from the group consisting of candidiasis, aspergillosis, coccidioidomycosis, cryptococcosis, histoplasmosis, blastomycosis, paracoccidioidomycosis, zygomycosis, phaeohyphomycosis and rhinosporidiosis.
- the disease is associated with infection by a Gram-positive bacteria.
- the disease is associated with a Staphylococcus species.
- the disease is selected from the group consisting of pneumonia, gastroenteritis, toxic shock syndrome, community acquired pneumonia (CAP), meningitis, septic arthritis, urinary tract infection, bacteremia, endocarditis, osteomylitis, skin and skin-structure infection.
- the disease is associated with a Streptococcus species.
- the disease is selected from the group consisting of strep throat, skin infections, necrotizing fasciitis, toxic shock syndrome, pneumonia, otitis media and sinusitis.
- the disease is associated with an Actinomyces species. In another exemplary embodiment, the disease is actinomycosis. In an exemplary embodiment, the disease is associated with a Norcardia species. In another exemplary embodiment, the disease is pneumonia. In an exemplary embodiment, the disease is associated with a Corynebacterium species. In another exemplary embodiment, the disease is diptheria. In an exemplary embodiment, the disease is associated with a Listeria species. In another exemplary embodiment, the disease is meningitis. In an exemplary embodiment, the disease is associated with a Bacillus species. In another exemplary embodiment, the disease is anthrax or food poisoning. In an exemplary embodiment, the disease is associated with a Clostridium species.
- the disease is selected from the group consisting of botulism, tetanus, gas gangrene and diarrhea.
- the disease is associated with a Mycobacterium species.
- the disease is tuberculosis or leprosy.
- the disease is associated with infection by a Gram-negative bacteria.
- the disease is associated with a Neisseria species.
- the disease is selected from the group consisting of meningitis, gonorrhea, otitis extema and folliculitis.
- the disease is associated with an Escherichia species.
- the disease is selected from the group consisting of diarrhea, urinary tract infections, meningitis, sepsis and HAP.
- the disease is associated with a Shigella species.
- the disease is selected from the group consisting of diarrhea, bacteremia, endocarditis, meningitis and gastroenteritis.
- the disease is associated with a Salmonella species.
- the disease is selected from the group consisting of typhoid fever, supsis, gastroenteritis, endocarditis, sinusitis and meningitis.
- the disease is associated with a Yersinia species.
- the disease is selected from the group consisting of typhoid fever, bubonic plague, enteric fever and gastroenteritis.
- the disease is associated with a Klebsiella species.
- the disease is sepsis or urinary tract infection.
- the disease is associated with a Proteus species.
- the disease is an urinary tract infection.
- the disease is associated with an Enterobacter species.
- the disease is a hospital-acquired infection.
- the disease is associated with a Serratia species.
- the disease is selected from the group consisting of a urinary tract infection, skin and skin-structure infection and pneumonia.
- the disease is associated with a Vibrio species.
- the disease is cholera or gastroenteritis.
- the disease is associated with a Campylobacter species.
- the disease is gastroenteritis.
- the disease is associated with a Helicobacter species.
- the disease is chronic gastritis.
- the disease is associated with a Pseudomonas species.
- the disease is selected from the group consisting of pneumonia, osteomylitis, burn-wound infections, sepsis, UTIs, endocarditis, otitis and corneal infections.
- the disease is associated with a Bacteroides species.
- the disease is periodontal disease or aspriation pneumonia.
- the disease is associated with a Haemophilus species.
- the disease is selected from the group consisting of meningitis, epiglottitis, septic arthritis, sepsis, chancroid and vaginitis.
- the disease is associated with a Bordetella species.
- the disease is Whooping cough.
- the disease is associated with a Legionella species.
- the disease is pneumonia or pontiac fever.
- the disease is associated with a Francisella species.
- the disease is tularemia.
- the disease is associated with a Brucella species.
- the disease is brucellosis.
- the disease is associated with a Pasteurella species. In another exemplary embodiment, the disease is a skin infection. In an exemplary embodiment, the disease is associated with a Gardnerella species. In another exemplary embodiment, the disease is vaginitis. In an exemplary embodiment, the disease is associated with a Spirochetes species. In another exemplary embodiment, the disease is syphilis or Lyme disease. In an exemplary embodiment, the disease is associated with a Chlamydia species. In another exemplary embodiment, the disease is chlamydia. In an exemplary embodiment, the disease is associated with a Rickettsiae species. In another exemplary embodiment, the disease is Rocky Mountain spotted fever or typhus.
- the disease is associated with Mycoplasma pneumoniae . In another exemplary embodiment, the disease is tracheobronchitis or walking pneumonia. In an exemplary embodiment, the disease is associated with Ureaplasma urealyticum . In another exemplary embodiment, the disease is urethritis. In another exemplary embodiment, the disease is pyelonephritis. In another exemplary embodiment, the disease is an intra-abdominal infection. In another exemplary embodiment, the disease is febrile neutropenia. In another exemplary embodiment, the disease is a pelvic infection. In another exemplary embodiment, the disease is bacteraemia. In another exemplary embodiment, the disease is septicaemia.
- the disease is community acquired pneumonia (CAP).
- the disease is sinusitis.
- the disease is a urinary tract infection.
- the disease is a skin and skin-structure infection.
- the disease is pyelonephritis.
- the disease is intra-abdominal infection.
- the disease is an acute pelvic infection.
- the disease is tonsillitis.
- the disease is chronic obstructive pulmonary disease.
- the disease is an acute exacerbaton of chronic obstructive pulmonary disease.
- the disease is chronic obstructive pulmonary disease.
- the disease is pharyngitis.
- the disease is tonsillitis.
- the disease is Acute Exacerbation of Chronic Bronchitis (AECB).
- the disease is cervicitis.
- the disease is genital ulcer disease.
- the animal is selected from the group consisting of human, cattle, deer, reindeer, goat, honey bee, pig, sheep, horse, cow, bull, dog, guinea pig, gerbil, rabbit, cat, camel, yak, elephant, ostrich, otter, chicken, duck, goose, guinea fowl, pigeon, swan, and turkey.
- the animal is selected from the group consisting of a human, cattle, goat, pig, sheep, horse, cow, bull, dog, guinea pig, gerbil, rabbit, cat, chicken and turkey.
- the animal is a human.
- a compound of the invention for any of the methods described herein, a compound of the invention, a combination of the invention, a compound described herein or a pharmaceutically acceptable salt thereof, or combination described herein, and/or a pharmaceutical formulation described herein can be used.
- the invention provides a pharmaceutical formulation comprising: a) a compound of the invention; and b) a pharmaceutically acceptable excipient.
- the invention provides a pharmaceutical formulation comprising: a) a combination of the invention; and b) a pharmaceutically acceptable excipient.
- the compound is according to a formula described herein.
- the compound is according to an example described herein.
- the compound of the invention in the pharmaceutical formulation is a compound described herein.
- the compound of the invention in the pharmaceutical formulation is a pharmaceutically acceptable salt of a compound described herein.
- the compound of the invention is present in the pharmaceutical formulation in an amount of between about 0.0001% to about 60% (w/w). In an exemplary embodiment, the amount is between about 0.01% to about 10% (w/w). In an exemplary embodiment, the amount is between about 0.1% to about 10% (w/w). In an exemplary embodiment, the amount is between about 0.25% to about 6% (w/w). In an exemplary embodiment, the amount is between about 0.5% to about 5% (w/w). In an exemplary embodiment, the amount is between about 0.1% and about 1.0% (w/w). In an exemplary embodiment, the amount is between about 1.0% and about 2.0% (w/w). In an exemplary embodiment, the amount is between about 2.0% and about 3.0% (w/w). In an exemplary embodiment, the amount is between about 3.0% and about 4.0% (w/w). In an exemplary embodiment, the amount is between about 4.0% and about 5.0% (w/w).
- the pharmaceutical formulations of the invention can take a variety of forms adapted to the chosen route of administration. Those skilled in the art will recognize various synthetic methodologies that may be employed to prepare non-toxic pharmaceutical formulations incorporating the compounds described herein. Those skilled in the art will recognize a wide variety of non-toxic pharmaceutically acceptable solvents that may be used to prepare solvates of the compounds of the invention, such as water, ethanol, propylene glycol, mineral oil, vegetable oil and dimethylsulfoxide (DMSO).
- DMSO dimethylsulfoxide
- the pharmaceutical formulation of the invention may be administered orally, topically, intraperitoneally, parenterally, by inhalation or spray or rectally in unit dosage forms containing conventional non-toxic pharmaceutically acceptable carriers, adjuvants and vehicles. It is further understood that the best method of administration may be a combination of methods. Oral administration in the form of a pill, capsule, elixir, syrup, lozenge, troche, or the like is particularly preferred.
- parenteral as used herein includes subcutaneous injections, intradermal, intravascular (e.g., intravenous), intramuscular, spinal, intrathecal injection or like injection or infusion techniques.
- the pharmaceutical formulation is administered orally.
- the pharmaceutical formulation is administered intravenously.
- the pharmaceutical formulation is administered topically. In an exemplary embodiment, the pharmaceutical formulation is administered in a topically effective dose. In an exemplary embodiment, the pharmaceutical formulation is administered in a cosmetically effective dose. In an exemplary embodiment, the pharmaceutical formulation is administered in an orally effective dose.
- the pharmaceutical formulations containing compounds of the invention are preferably in a form suitable for oral use, for example, as tablets, troches, lozenges, aqueous or oily suspensions, dispersible powders or granules, emulsion, hard or soft capsules, or syrups or elixirs.
- compositions intended for oral use may be prepared according to any method known in the art for the manufacture of pharmaceutical formulations, and such compositions may contain one or more agents selected from the group consisting of sweetening agents, flavoring agents, coloring agents and preserving agents in order to provide pharmaceutically elegant and palatable preparations.
- Tablets may contain the active ingredient in admixture with non-toxic pharmaceutically acceptable excipients that are suitable for the manufacture of tablets.
- excipients may be for example, inert diluents, such as calcium carbonate, sodium carbonate, lactose, calcium phosphate or sodium phosphate; granulating and disintegrating agents, for example, corn starch, or alginic acid; binding agents, for example starch, gelatin or acacia; and lubricating agents, for example magnesium stearate, stearic acid or talc.
- the tablets may be uncoated or they may be coated by known techniques to delay disintegration and absorption in the gastrointestinal tract and thereby provide a sustained action over a longer period.
- a time delay material such as glyceryl monostearate or glyceryl distearate may be employed.
- Formulations for oral use may also be presented as hard gelatin capsules wherein the active ingredient is mixed with an inert solid diluent, for example, calcium carbonate, calcium phosphate or kaolin, or as soft gelatin capsules wherein the active ingredient is mixed with water or an oil medium, for example peanut oil, liquid paraffin or olive oil.
- an inert solid diluent for example, calcium carbonate, calcium phosphate or kaolin
- water or an oil medium for example peanut oil, liquid paraffin or olive oil.
- Aqueous suspensions contain the active materials in admixture with excipients suitable for the manufacture of aqueous suspensions.
- excipients are suspending agents, for example sodium carboxymethylcellulose, methylcellulose, hydroxypropylmethylcellulose, sodium alginate, polyvinylpyrrolidone, gum tragacanth and gum acacia; and dispersing or wetting agents, which may be a naturally-occurring phosphatide, for example, lecithin, or condensation products of an alkylene oxide with fatty acids, for example polyoxyethylene stearate, or condensation products of ethylene oxide with long chain aliphatic alcohols, for example heptadecaethyleneoxycetanol, or condensation products of ethylene oxide with partial esters derived from fatty acids and a hexitol such as polyoxyethylene sorbitol monooleate, or condensation products of ethylene oxide with partial esters derived from fatty acids and hexitol anhydrides, for example polyethylene sorbitan
- the aqueous suspensions may also contain one or more preservatives, for example ethyl, or n-propyl p-hydroxybenzoate, one or more coloring agents, one or more flavoring agents, and one or more sweetening agents, such as sucrose or saccharin.
- preservatives for example ethyl, or n-propyl p-hydroxybenzoate
- coloring agents for example ethyl, or n-propyl p-hydroxybenzoate
- flavoring agents for example ethyl, or n-propyl p-hydroxybenzoate
- sweetening agents such as sucrose or saccharin.
- Oily suspensions may be formulated by suspending the active ingredients in a vegetable oil, for example arachis oil, olive oil, sesame oil or coconut oil, or in a mineral oil such as liquid paraffin.
- the oily suspensions may contain a thickening agent, for example beeswax, hard paraffin or cetyl alcohol. Sweetening agents such as those set forth above, and flavoring agents may be added to provide palatable oral preparations. These compositions may be preserved by the addition of an anti-oxidant such as ascorbic acid.
- Dispersible powders and granules suitable for preparation of an aqueous suspension by the addition of water provide the active ingredient in admixture with a dispersing or wetting agent, suspending agent and one or more preservatives.
- a dispersing or wetting agent e.g., glycerol, glycerol, glycerol, glycerol, glycerol, glycerol, glycerin, glycerin, glycerin, glycerin, glycerin, sorbitol, sorbitol, sorbitol, sorbitol, sorbitol, sorbitol, sorbitol, sorbitol, sorbitol, sorbitol, glycerol, glycerol, glycerol, glycerol, glycerol, glycerol, glycerol, glycerol, glycerol
- compositions of the invention may also be in the form of oil-in-water emulsions and water-in-oil emulsions.
- the oily phase may be a vegetable oil, for example olive oil or arachis oil, or a mineral oil, for example liquid paraffin or mixtures of these.
- Suitable emulsifying agents may be naturally-occurring gums, for example gum acacia or gum tragacanth; naturally-occurring phosphatides, for example soy bean, lecithin, and esters or partial esters derived from fatty acids and hexitol; anhydrides, for example sorbitan monooleate; and condensation products of the said partial esters with ethylene oxide, for example polyoxyethylene sorbitan monooleate.
- the emulsions may also contain sweetening and flavoring agents.
- Syrups and elixirs may be formulated with sweetening agents, for example glycerol, propylene glycol, sorbitol or sucrose. Such formulations may also contain a demulcent, a preservative, and flavoring and coloring agents.
- the pharmaceutical formulations may be in the form of a sterile injectable aqueous or oleaginous suspension. This suspension may be formulated according to the known art using those suitable dispersing or wetting agents and suspending agents, which have been mentioned above.
- the sterile injectable preparation may also be a sterile injectable solution or suspension in a non-toxic parenterally acceptable diluent or solvent, for example as a solution in 1,3-butanediol.
- Suitable vehicles and solvents that may be employed are water, Ringer's solution and isotonic sodium chloride solution.
- sterile, fixed oils are conventionally employed as a solvent or suspending medium.
- any bland fixed oil may be employed including synthetic mono- or diglycerides.
- fatty acids such as oleic acid find use in the preparation of injectables.
- composition of the invention may also be administered in the form of suppositories, e.g., for rectal administration of the drug.
- suppositories e.g., for rectal administration of the drug.
- These compositions can be prepared by mixing the drug with a suitable non-irritating excipient that is solid at ordinary temperatures but liquid at the rectal temperature and will therefore melt in the rectum to release the drug.
- suitable non-irritating excipient that is solid at ordinary temperatures but liquid at the rectal temperature and will therefore melt in the rectum to release the drug.
- Such materials are cocoa butter and polyethylene glycols.
- compositions can be administered parenterally in a sterile medium.
- the drug depending on the vehicle and concentration used, can either be suspended or dissolved in the vehicle.
- adjuvants such as local anesthetics, preservatives and buffering agents can be dissolved in the vehicle.
- the composition containing the therapeutic compound may be added to the animal's feed or drinking water. Also, it will be convenient to formulate animal feed and drinking water products so that the animal takes in an appropriate quantity of the compound in its diet. It will further be convenient to present the compound in a composition as a premix for addition to the feed or drinking water. The composition can also added as a food or drink supplement for humans.
- Dosage levels of the order of from about 5 mg to about 250 mg per kilogram of body weight per day and more preferably from about 25 mg to about 150 mg per kilogram of body weight per day, are useful in the treatment of the above-indicated conditions.
- the amount of active ingredient that may be combined with the carrier materials to produce a unit dosage form will vary depending upon the condition being treated and the particular mode of administration. Unit dosage forms will generally contain between from about 1 mg to about 500 mg of an active ingredient.
- Frequency of dosage may also vary depending on the compound used and the particular disease treated. However, for treatment of most disorders, a dosage regimen of 4 times daily or less is preferred. It will be understood, however, that the specific dose level for any particular patient will depend upon a variety of factors including the activity of the specific compound employed, the age, body weight, general health, sex, diet, time of administration, route of administration and rate of excretion, drug combination and the severity of the particular disease undergoing therapy.
- the unit dosage form contains from about 1 mg to about 800 mg of a compound of the invention. In an exemplary embodiment, the unit dosage form contains from about 1 mg to about 500 mg of an active ingredient. In an exemplary embodiment, the unit dosage form contains from about 100 mg to about 800 mg of a compound of the invention. In an exemplary embodiment, the unit dosage form contains from about 200 mg to about 500 mg of a compound of the invention. In an exemplary embodiment, the unit dosage form contains from about 500 mg to about 800 mg of a compound of the invention. In an exemplary embodiment, the unit dosage form contains from about 1 mg to about 100 mg of a compound of the invention. In an exemplary embodiment, the unit dosage form contains from about 10 mg to about 100 mg of a compound of the invention.
- the unit dosage form contains from about 50 mg to about 100 mg of a compound of the invention. In an exemplary embodiment, the unit dosage form contains from about 25 mg to about 75 mg of a compound of the invention. In an exemplary embodiment, the unit dosage form contains from about 40 mg to about 60 mg of a compound of the invention. In an exemplary embodiment, the unit dosage form contains from about 75 mg to about 200 mg of a compound of the invention. In an exemplary embodiment, the unit dosage form contains from about 1 mg to about 5 mg of a compound of the invention. In an exemplary embodiment, the unit dosage form contains from about 10 mg to about 25 mg of a compound of the invention. In an exemplary embodiment, the unit dosage form contains from about 50 mg to about 350 mg of a compound of the invention. In an exemplary embodiment, the unit dosage form contains from about 200 mg to about 400 mg of a compound of the invention.
- the daily dosage contains from about 1 mg to about 800 mg of a compound of the invention. In an exemplary embodiment, the daily dosage contains from about 1 mg to about 500 mg of an active ingredient. In an exemplary embodiment, the daily dosage contains from about 100 mg to about 800 mg of a compound of the invention. In an exemplary embodiment, the daily dosage contains from about 200 mg to about 500 mg of a compound of the invention. In an exemplary embodiment, the daily dosage contains from about 500 mg to about 800 mg of a compound of the invention. In an exemplary embodiment, the daily dosage contains from about 1 mg to about 100 mg of a compound of the invention. In an exemplary embodiment, the daily dosage contains from about 10 mg to about 100 mg of a compound of the invention.
- the daily dosage contains from about 50 mg to about 100 mg of a compound of the invention. In an exemplary embodiment, the daily dosage contains from about 75 mg to about 200 mg of a compound of the invention. In an exemplary embodiment, the daily dosage contains from about 1 mg to about 5 mg of a compound of the invention. In an exemplary embodiment, the daily dosage contains from about 10 mg to about 25 mg of a compound of the invention. In an exemplary embodiment, the daily dosage contains from about 50 mg to about 350 mg of a compound of the invention. In an exemplary embodiment, the daily dosage contains from about 200 mg to about 400 mg of a compound of the invention.
- Preferred compounds of the invention will have desirable pharmacological properties that include, but are not limited to, oral bioavailability, low toxicity, low serum protein binding and desirable in vitro and in vivo half-lives. Penetration of the blood brain barrier for compounds used to treat CNS disorders is necessary, while low brain levels of compounds used to treat peripheral disorders are often preferred.
- compositions required for use in treatment will vary not only with the particular compound selected but also with the route of administration, the nature of the condition being treated and the age and condition of the patient and will ultimately be at the discretion of the attendant physician or clinician.
- Preferred compounds for use in the pharmaceutical formulations described herein will have certain pharmacological properties. Such properties include, but are not limited to, low toxicity, low serum protein binding and desirable in vitro and in vivo half-lives. Assays may be used to predict these desirable pharmacological properties. Assays used to predict bioavailability include transport across human intestinal cell monolayers, including Caco-2 cell monolayers. Serum protein binding may be predicted from albumin binding assays. Such assays are described in a review by Oravcova et al. (1996 , J. Chromat . B677: 1-27).
- Toxicity and therapeutic efficacy of such compounds can be determined by standard pharmaceutical procedures in cell cultures or experimental animals, e.g., for determining the LD50 (the dose lethal to 50% of the population) and the ED 50 (the dose therapeutically effective in 50% of the population).
- the dose ratio between toxic and therapeutic effects is the therapeutic index and it can be expressed as the ratio between LD 50 and ED 50 .
- Compounds that exhibit high therapeutic indices are preferred.
- the data obtained from these cell culture assays and animal studies can be used in formulating a range of dosage for use in humans.
- the dosage of such compounds lies preferably within a range of circulating concentrations that include the ED 50 with little or no toxicity.
- the dosage can vary within this range depending upon the unit dosage form employed and the route of administration utilized. The exact formulation, route of administration and dosage can be chosen by the individual physician in view of the patient's condition. (See, e.g. Fingl et al., 1975, in “The Pharmacological Basis of Therapeutics”,
- the compounds prepared by the methods, and from the intermediates, described herein will be administered in a therapeutically or cosmetically effective amount by any of the accepted modes of administration for agents that serve similar utilities. It will be understood, however, that the specific dose level for any particular patient will depend upon a variety of factors including the activity of the specific compound employed, the age, body weight, general health, sex, diet, time of administration, route of administration, and rate of excretion, drug combination, the severity of the particular disease undergoing therapy and the judgment of the prescribing physician.
- the drug can be administered from once or twice a day, or up to 3 or 4 times a day.
- Usual patient dosages for systemic administration range from 0.1 to 1000 mg/day, preferably, 1-500 mg/day, more preferably 10-200 mg/day, even more preferably 100-200 mg/day. Stated in terms of patient body surface areas, usual dosages range from 50-91 mg/m 2 /day.
- the amount of the compound in a pharmaceutical formulation can vary within the full range employed by those skilled in the art.
- the pharmaceutical formulation will contain, on a weight percent (wt %) basis, from about 0.01-10 wt % of the drug based on the total formulation, with the balance being one or more suitable pharmaceutical excipients.
- the compound is present at a level of about 0.1-3.0 wt %, more preferably, about 1.0 wt %.
- the invention is a compound having a structure which is a member selected from the group consisting of:
- R 5 is H or halogen; each R a2 , R a3 , R a4 , R a5 and R a6 is independently selected from the group consisting of H, —OR 10 , —NR 10 R 11 , —SR 10 , —S(O)R 10 , —S(O) 2 R 10 , —S(O) 2 NR 10 R 11 , —C(O)R 10 , —C(O)OR 10 , —C(O)NR 10 R 11 , nitro, cyano, halogen, substituted or unsubstituted alkyl, substituted or unsubstituted heteroalkyl, substituted or unsubstituted cycloalkyl, substituted or unsubstituted heterocycloalkyl, substituted or unsubstituted aryl, and substituted or unsubstituted heteroaryl, wherein each R 10 and each R 11 is independently selected from the group consisting of H, —
- R 5 is H or halogen; one of R a2 , R a3 , R a5 and R a6 is halogen or —NHC(O)OR 30 or alkyl substituted with —C(O)OR 30 or alkyl substituted with —S(O) 2 R 30 or alkyl substituted with halogen or alkyl substituted with hydroxy or alkyl substituted with cyano or alkyl substituted with —NHC(O)OR 30 or alkyl substituted with unsubstituted oxazolyl or alkyl substituted with alkyl substituted oxazolyl or alkyl substituted with unsubstituted oxadiazolyl or alkyl substituted with alkyl substituted oxadiazolyl or alkyl substituted with —C(O)NHR 35 , wherein R 30 is unsubstituted alkyl and R 35 is unsubstituted alkyl or unsubstituted cyclo
- R 5 is H or halogen
- one of R a2 , R a3 , R a5 and R a6 is halogen or —NHC(O)OR 30 or alkyl substituted with —C(O)OR 30 or alkyl substituted with —S(O) 2
- R 30 is unsubstituted alkyl and R 35 is unsubstituted alkyl or unsubstituted cycloalkyl
- R 10 and R 11 are independently selected from the group consisting of H, substituted or unsubstituted alkyl
- the compound has a structure which is selected from the group consisting of
- the compound has a structure which is selected from the group consisting of
- the compound has a structure which is selected from the group consisting of
- the compound has a structure which is selected from the group consisting of
- the compound has a structure which is selected from the group consisting of
- the compound has a structure which is selected from the group consisting of
- the compound has a structure which is selected from the group consisting of
- the compound has a structure which is selected from the group consisting of
- R a2 or R a6 is selected from the group consisting of OR 10 , —NR 10 R 11 , cyano, halogen, substituted or unsubstituted alkyl and substituted or unsubstituted heteroaryl, wherein each R 10 and each R 11 is independently selected from the group consisting of H, nitro, halogen, cyano, substituted or unsubstituted alkyl, substituted or unsubstituted heteroalkyl, substituted or unsubstituted cycloalkyl, substituted or unsubstituted heterocycloalkyl, substituted or unsubstituted aryl, and substituted or unsubstituted heteroaryl.
- R a2 or R a6 is selected from the group consisting of F, Cl, Br, I, OCH 3 , OH, CH 3 , CH 2 CH 3 , NHC(O)NH 2 , NHC(O)NHR 16 , —NR 10 R 11 , cyano, halogen, substituted or unsubstituted alkyl and substituted or unsubstituted heteroaryl, wherein R 16 is selected from the group consisting of unsubstituted alkyl, substituted or unsubstituted heteroalkyl, substituted or unsubstituted cycloalkyl, substituted or unsubstituted heterocycloalkyl, substituted or unsubstituted aryl, and substituted or unsubstituted heteroaryl.
- R a2 or R a6 is selected from the group consisting of cyano, F, Cl, Br, I, OCH 3 , OH, CF 3 , CH 3 , CH 2 CH 3 , CH(CH 3 ) 2 , CH 2 CH 2 Br, CH 2 CH 2 OH, CH 2 OH, CH 2 NH 2 , NH 2 , NHC(O)NH 2 , NHC(O)NHCH 3 , NHC(O)NHCH 2 CH 3 , NHC(O)OCH 3 , NHC(O)OCH 2 CH 3 , NHC(O)OCH(CH 3 ) 2 , NHC(O)OCH 2 CH(CH 3 ) 2 , NHC(O)CH 2 OH, NHC(O)CH 2 NH 2 , NHC(O)CH 2 N(CH 3 ) 2 , NHC(O)CF 3 , NHC(O)CH 3 , NHC(O)OC
- the compound has a structure which is
- the compound has a structure which is
- R a6 is F or Cl or Br.
- the compound has a structure which is
- R a6 is F or Cl or Br.
- R 5 is H.
- R 5 is F.
- R a6 is Cl.
- the invention is a combination comprising a) a compound according to any of the above paragraphs, or a pharmaceutically acceptable salt thereof; and b) at least one therapeutic agent.
- the invention is a pharmaceutical formulation comprising a) a compound according to any of the above paragraphs or a combination according to any of the above paragraphs, or a pharmaceutically acceptable salt thereof; and b) a pharmaceutically acceptable excipient.
- the formulation is a unit dosage form.
- the formulation is an oral unit dosage form or a topical unit dosage form.
- the invention is a method of killing or inhibiting the growth of a bacteria comprising: contacting said bacteria with an effective amount of a compound or a combination according to any of the above paragraphs, or a pharmaceutically acceptable salt thereof, thereby killing or inhibiting the growth of the bacteria.
- the invention is a method of treating a bacterial infection comprising: administering to an animal suffering from said infection an effective amount of a compound or a combination according to any of the above paragraphs, or a pharmaceutically acceptable salt thereof, thereby treating the bacterial infection.
- the animal is a human.
- the invention is a use of a compound or a combination according to any of the above paragraphs, or a pharmaceutically acceptable salt thereof, in the manufacture of a medicament for the treatment and/or prophylaxis of bacterial infection.
- the invention is a method of inhibiting the editing domain of a t-RNA synthetase, comprising: contacting the synthetase with an effective amount of a compound described herein, or a pharmaceutically-acceptable salt thereof, thereby inhibiting the synthetase.
- N-(4-(N-(5-fluoro-1-hydroxy-1,3-dihydrobenzo[c][1,2]oxaborol-6-yl)sulfamoyl)phenyl)acetamide (0.2 g, 0.59 mmol), 6N HCl (3 mL), AcOH (3 mL) was heated to 40° C. for 2 days. Purification: remove solvent, work up with EtOAc and 1N HCl, washed with brine, dry on Na 2 SO 4 , remove solvent. The title compound was recrystallized in EtOAc to give a light-yellow solid as product: yield 53.1 mg (29%).
- a solution of tert-butyl 3-ethylpyridin-2-ylcarbamate (6 g, 27.03 mmol, 1.00 equiv) in DCM/CF 3 COOH (30/10 mL) and stirred overnight at room temperature.
- the resulting solution was diluted with 10 mL of water, then adjusted to pH 9-10 with sodium hydroxide solution.
- the resulting solution was extracted with 2 ⁇ 20 mL of dichloromethane. The organic layers were combined, washed with 1 ⁇ 20 mL of brine, dried over anhydrous sodium sulfate and concentrated under vacuum.
- the crude product (200 mg) was purified by Prep-HPLC with the following conditions: Column, SunFire C18, 19 ⁇ 150 mm, Sum; Mobile phase, water (with 0.05% TFA) and acetonitrile; Grident: 25% acetonitrile up to 45% in 6 min, then up to 100% in 0.1 min); Detector, UV 254 nm. This resulted in 139.8 mg (46%) of 5-amino-3-ethyl-N-(1-hydroxy-1,3-dihydrobenzo[c][1,2]oxaborol-6-yl)pyridine-2-sulfonamide as a white solid.
- the crude product (350 mg) was purified by prep-HPLC with the following conditions: Column, SunFire C18, Sum, 19 ⁇ 150 mm; Mobile phase, water (with 0.1% formic acid) and methanol; Gradient, 30% methanol up to 60% in 7 min, up to 100% in 2 min, down to 30% in 3 min; Detector, UV 220 & 254 nm. This resulted in 0.11 g (12%) of 5-amino-N-(1-hydroxy-1,3-dihydrobenzo[c][1,2]oxaborol-6-yl)-3-isopropylpyridine-2-sulfonamide as a white solid.
- LC-MS (ES, m/z): 348 [M+H] + .
- Chlorine gas was bubbled slowly into a solution of methyl 6-(benzylthio)-5-cyanopyridin-3-ylcarbamate (5 g, 16.72 mmol, 1.00 equiv) in dichloromethane (75 mL) and water (25 mL) at 0° C. for 5 minutes. The resulting solution was stirred for 15 min at 0° C. The separated organic layer was dried over anhydrous sodium sulfate and concentrated under vacuum. This resulted in 4.8 g (crude) of methyl 6-(chlorosulfonyl)-5-cyanopyridin-3-ylcarbamate as a yellow solid.
Landscapes
- Chemical & Material Sciences (AREA)
- Organic Chemistry (AREA)
- Health & Medical Sciences (AREA)
- Chemical Kinetics & Catalysis (AREA)
- Oncology (AREA)
- General Chemical & Material Sciences (AREA)
- Medicinal Chemistry (AREA)
- Nuclear Medicine, Radiotherapy & Molecular Imaging (AREA)
- Communicable Diseases (AREA)
- Pharmacology & Pharmacy (AREA)
- Life Sciences & Earth Sciences (AREA)
- Animal Behavior & Ethology (AREA)
- General Health & Medical Sciences (AREA)
- Public Health (AREA)
- Veterinary Medicine (AREA)
- Pharmaceuticals Containing Other Organic And Inorganic Compounds (AREA)
Abstract
This invention relates to, among other items, 6-substituted benzoxaborole compounds and their use for treating bacterial infections.
Description
- This application claims the benefit of U.S. Provisional Pat. App. No. 61/260,384, filed Nov. 11, 2009, and U.S. Provisional Pat. App. No. 61/260,373, filed Nov. 11, 2009, each of which is incorporated by reference in its entirety for all purposes.
- The global rise of bacteria and other microorganisms resistant to antibiotics and antimicrobials in general, poses a major threat. Deployment of massive quantities of antimicrobial agents into the ecosphere during the past 60 years has introduced a powerful selective pressure for the emergence and spread of antimicrobial-resistant pathogens. Thus, there is a need to discover new broad spectrum antimicrobials, such as antibiotics, useful in combating microorganisms, especially those with multidrug-resistance.
- Boron-containing molecules, such as 1-hydroxy-1,3-dihydro-benzo[c][1,2]oxaborole (also sometimes known as 1-hydroxy-benzo[c][1,2]oxaborole or oxaboroles or cyclic boronic esters), useful as antimicrobials have been described previously, such as in U.S. patent application Ser. Nos. 12/142,692; 11/505,591 and 11/357,687. Generally speaking, a 1-hydroxy-1,3-dihydro-benzo[c][1,2]oxaborole has the following structure and substituent numbering system:
- Surprisingly, it has now been discovered that certain classes of 1-hydroxy-1,3-dihydro-benzo[c][1,2]oxaboroles which are substituted with at least two moieties on an aryl or heteroaryl sulfonamide moiety at the 6-position are surprisingly effective antibacterials. This, and other uses of these 1-hydroxy-1,3-dihydro-benzo[c][1,2]oxaboroles are described herein.
- In a first aspect, the invention provides a compound having a structure which is
- wherein R5 is H or halogen; one of Ra2, Ra3, Ra5 and Ra6 is halogen or —NHC(O)OR30 or alkyl substituted with —C(O)OR30 or alkyl substituted with —S(O)2R30 or alkyl substituted with halogen or alkyl substituted with hydroxy or alkyl substituted with cyano or alkyl substituted with —NHC(O)OR30 or alkyl substituted with unsubstituted oxazolyl or alkyl substituted with alkyl substituted oxazolyl or alkyl substituted with unsubstituted oxadiazolyl or alkyl substituted with alkyl substituted oxadiazolyl or alkyl substituted with —C(O)NHR35, wherein R30 is unsubstituted alkyl and R35 is unsubstituted alkyl or unsubstituted cycloalkyl, and the remaining members of Ra2, Ra3, Ra5 and Ra6 are H, R10 and R11 are independently selected from the group consisting of H, substituted or unsubstituted alkyl, substituted or unsubstituted heteroalkyl, substituted or unsubstituted cycloalkyl, substituted or unsubstituted heterocycloalkyl, substituted or unsubstituted aryl, and substituted or unsubstituted heteroaryl.
- In a second aspect, the invention provides a combination comprising: a) a compound of the invention, or a pharmaceutically acceptable salt thereof; and b) a therapeutically active agent.
- In a third aspect, the invention provides a pharmaceutical formulation comprising: a) a compound of the invention, or a pharmaceutically acceptable salt thereof; and b) a pharmaceutically acceptable excipient.
- In a fourth aspect, the invention provides a method of killing or inhibiting the growth of a bacteria, said method comprising: contacting said bacteria with an effective amount of a compound of the invention or a combination of the invention, or a pharmaceutically acceptable salt thereof, thereby killing or inhibiting the growth of the bacteria.
- In a fifth aspect, the invention provides a method of treating a bacterial infection comprising: administering to an animal suffering from said infection an effective amount of a compound of the invention, or a pharmaceutically-acceptable salt thereof, thereby treating the bacterial infection.
- In a sixth aspect, the invention provides a method of inhibiting the editing domain of a t-RNA synthetase, comprising: contacting the synthetase with an effective amount of a compound of the invention, or a pharmaceutically-acceptable salt thereof, thereby inhibiting the synthetase.
-
FIG. 1 displays biological data for exemplary compounds of the invention. - As used herein, the singular forms “a,” “an”, and “the” include plural references unless the context clearly dictates otherwise. For example, reference to “an active agent” includes a single active agent as well as two or more different active agents in combination. It is to be understood that present teaching is not limited to the specific dosage forms, carriers, or the like, disclosed herein and as such may vary.
- The abbreviations used herein generally have their conventional meaning within the chemical and biological arts.
- The following abbreviations have been used: Ac is acetyl; AcOH is acetic acid; ACTBr is cetyltrimethylammonium bromide; AIBN is azobisisobutyronitrile or 2,2 azobisisobutyronitrile; aq. is aqueous; Ar is aryl; B2pin2 is bis(pinacolato)diboron; Bn is, in general, benzyl [see Cbz for one example of an exception]; (BnS)2 is benzyl disulfide; BnSH is benzyl thiol or benzyl mercaptan; BnBr is benzyl bromide; Boc is tert-butoxy carbonyl; Boc2O is di-tert-butyl dicarbonate; Bz is, in general, benzoyl; BzOOH is benzoyl peroxide; Cbz or Z is benzyloxycarbonyl or carboxybenzyl; Cs2CO3 is cesium carbonate; CSA is camphor sulfonic acid; CTAB is cetyltrimethylammonium bromide; Cy is cyclohexyl; DABCO is 1,4-diazabicyclo[2.2.2]octane; DCM is dichloromethane or methylene chloride; DHP is dihydropyran; DIAD is diisopropyl azodicarboxylate; DIEA or DIPEA is N,N-diisopropylethylamine; DMAP is 4-(dimethylamino)pyridine; DME is 1,2-dimethoxyethane; DMF is N,N-dimethylformamide; DMSO is dimethylsulfoxide; equiv or eq. is equivalent; EtOAc is ethyl acetate; EtOH is ethanol; Et2O is diethyl ether; EDCI is N-(3-dimethylaminopropyl)-N′-ethylcarbodiimide hydrochloride; ELS is evaporative light scattering; equiv or eq is equivalent; h is hours; HATU is O-(7-azabenzotriazol-1-yl)-N,N,N′,N′-tetramethyluronium hexafluorophosphate; HOBt is N-hydroxybenzotriazole; HCl is hydrochloric acid; HPLC is high pressure liquid chromatography; ISCO Companion is automated flash chromatography equipment with fraction analysis by UV absorption available from Presearch; KOAc or AcOK is potassium acetate; K2CO3 is potassium carbonate; LiAlH4 or LAH is lithium aluminum hydride; LDA is lithium diisopropylamide; LHMDS is lithium bis(trimethylsilyl) amide; KHMDS is potassium bis(trimethylsilyl) amide; LiOH is lithium hydroxide; m-CPBA is 3-chloroperoxybenzoic acid; MeCN or ACN is methyl cyanide or cyanomethane or ethanenitrile or acetonitrile which are all names for the same compound; MeOH is methanol; MgSO4 is magnesium sulfate; mins or min is minutes; Mp or MP is melting point; NaCNBH3 is sodium cyanoborohydride; NaOH is sodium hydroxide; Na2SO4 is sodium sulfate; NBS is N-bromosuccinimide; NH4Cl is ammonium chloride; NIS is N-iodosuccinimide; N2 is nitrogen; NMM is N-methylmorpholine; n-BuLi is n-butyllithium; overnight is O/N; PdCl2(pddf) is 1,1′-Bis(diphenylphosphino) ferrocene]dichloropalladium(II); Pd/C is the catalyst known as palladium on carbon; Pd2(dba)3 is an organometallic catalyst known as tris(dibenzylideneacetone) dipalladium(0); Ra Ni or Raney Ni is Raney nickel; Ph is phenyl; PMB is p-methoxybenzyl; PrOH is 1-propanol; iPrOH is 2-propanol; POCl3 is phosphorus chloride oxide; PTSA is para-toluene sulfonic acid; Pyr. or Pyr or Py as used herein means Pyridine; RT or rt or r.t. is room temperature; sat. is saturated; Si-amine or S1—NH2 is amino-functionalized silica, available from SiliCycle; Si-pyr is pyridyl-functionalized silica, available from SiliCycle; TEA or Et3N is triethylamine; TFA is trifluoroacetic acid; Tf2O is trifluoromethanesulfonic anhydride; THF is tetrahydrofuran; TFAA is trifluoroacetic anhydride; THP is tetrahydropyranyl; TMSI is trimethylsilyl iodide; H2O is water; diNO2PhSO2Cl is dinitrophenyl sulfonyl chloride; 3-F-4-NO2-PhSO2Cl is 3-fluoro-4-nitrophenylsulfonyl chloride; 2-MeO-4-NO2-PhSO2Cl is 2-methoxy-4-nitrophenylsulfonyl chloride; and (EtO)2POCH2COOEt is a triethylester of phosphonoacetic acid known as triethyl phosphonoacetate.
- “Compound of the invention,” as used herein refers to the compounds discussed herein, salts (e.g. pharmaceutically acceptable salts), prodrugs, solvates and hydrates of these compounds.
- MIC, or minimum inhibitory concentration, is the point where the compound stops more than 50% of cell growth, preferably 60% of cell growth, preferably 70% of cell growth, preferably 80% of cell growth, preferably 90% of cell growth, relative to an untreated control.
- The term “poly” as used herein means at least 2. For example, a polyvalent metal ion is a metal ion having a valency of at least 2.
- “Moiety” refers to a radical of a molecule that is attached to the remainder of the molecule.
-
- The term “alkyl,” by itself or as part of another substituent, means, unless otherwise stated, a straight or branched chain, or cyclic hydrocarbon radical, or combination thereof, which may be fully saturated, mono- or polyunsaturated and can include di- and multivalent radicals, having the number of carbon atoms designated (i.e. C1-C10 means one to ten carbons). In some embodiments, the term “alkyl” means a straight or branched chain, or combinations thereof, which may be fully saturated, mono- or polyunsaturated and can include di- and multivalent radicals. Examples of saturated hydrocarbon radicals include, but are not limited to, groups such as methyl, ethyl, n-propyl, isopropyl, n-butyl, t-butyl, isobutyl, sec-butyl, cyclohexyl, (cyclohexyl)methyl, cyclopropylmethyl, homologs and isomers of, for example, n-pentyl, n-hexyl, n-heptyl, n-octyl, and the like. An unsaturated alkyl group is one having one or more double bonds or triple bonds. Examples of unsaturated alkyl groups include, but are not limited to, vinyl, 2-propenyl, crotyl, 2-isopentenyl, 2-(butadienyl), 2,4-pentadienyl, 3-(1,4-pentadienyl), ethynyl, 1- and 3-propynyl, 3-butynyl, and the higher homologs and isomers.
- The term “alkylene” by itself or as part of another substituent means a divalent radical derived from an alkane, as exemplified, but not limited, by —CH2CH2CH2CH2—. Typically, an alkyl (or alkylene) group will have from 1 to 24 carbon atoms, with those groups having 10 or fewer carbon atoms being preferred in the invention. A “lower alkyl” or “lower alkylene” is a shorter chain alkyl or alkylene group, generally having eight or fewer carbon atoms.
- The term “alkenylene” by itself or as part of another substituent means a divalent radical derived from an alkene.
- The term “cycloalkylene” by itself or as part of another substituent means a divalent radical derived from a cycloalkyl.
- The term “heteroalkylene” by itself or as part of another substituent means a divalent radical derived from an heteroalkane.
- The term “heterocycloalkylene” by itself or as part of another substituent means a divalent radical derived from an heteroalkane.
- The term “arylene” by itself or as part of another substituent means a divalent radical derived from an aryl.
- The term “heteroarylene” by itself or as part of another substituent means a divalent radical derived from heteroaryl.
- The terms “alkoxy,” “alkylamino” and “alkylthio” (or thioalkoxy) are used in their conventional sense, and refer to those alkyl groups attached to the remainder of the molecule via an oxygen atom, an amino group, or a sulfur atom, respectively.
- The term “heteroalkyl,” by itself or in combination with another term, means, unless otherwise stated, a stable straight or branched chain, or cyclic hydrocarbon radical, or combinations thereof, consisting of the stated number of carbon atoms and at least one heteroatom. In some embodiments, the term “heteroalkyl,” by itself or in combination with another term, means a stable straight or branched chain, or combinations thereof, consisting of the stated number of carbon atoms and at least one heteroatom. In an exemplary embodiment, the heteroatoms can be selected from the group consisting of B, O, N and S, and wherein the nitrogen and sulfur atoms may optionally be oxidized and the nitrogen heteroatom may optionally be quaternized. The heteroatom(s) B, O, N and S may be placed at any interior position of the heteroalkyl group or at the position at which the alkyl group is attached to the remainder of the molecule. Examples include, but are not limited to, —CH2—CH2—O—CH3, —CH2—CH2—NH—CH3, —CH2—CH2—N(CH3)—CH3, —CH2—S—CH2—CH3, —CH2—CH2, —S(O)—CH3, —CH2—CH2—S(O)2—CH3, —CH═CH—O—CH3, —CH2—CH═N—OCH3, and —CH═CH—N(CH3)—CH3. Up to two heteroatoms may be consecutive, such as, for example, —CH2—NH—OCH3. Similarly, the term “heteroalkylene” by itself or as part of another substituent means a divalent radical derived from heteroalkyl, as exemplified, but not limited by, —CH2—CH2—S—CH2—CH2— and —CH2—S—CH2—CH2—NH—CH2—. For heteroalkylene groups, heteroatoms can also occupy either or both of the chain termini (e.g., alkyleneoxy, alkylenedioxy, alkyleneamino, alkylenediamino, and the like). Still further, for alkylene and heteroalkylene linking groups, no orientation of the linking group is implied by the direction in which the formula of the linking group is written. For example, the formula —C(O)2R′— represents both —C(O)2R′— and —R′C(O)2—.
- The terms “cycloalkyl” and “heterocycloalkyl”, by themselves or in combination with other terms, represent, unless otherwise stated, cyclic versions of “alkyl” and “heteroalkyl”, respectively. Additionally, for heterocycloalkyl, a heteroatom can occupy the position at which the heterocycle is attached to the remainder of the molecule. Examples of cycloalkyl include, but are not limited to, cyclopentyl, cyclohexyl, 1-cyclohexenyl, 3-cyclohexenyl, cycloheptyl, and the like. Examples of heterocycloalkyl include, but are not limited to, 1-(1,2,5,6-tetrahydropyridyl), 1-piperidinyl, 2-piperidinyl, 3-piperidinyl, 4-morpholinyl, 3-morpholinyl, tetrahydrofuran-2-yl, tetrahydrofuran-3-yl, tetrahydrothien-2-yl, tetrahydrothien-3-yl, 1-piperazinyl, 2-piperazinyl, and the like.
- The terms “halo” or “halogen,” by themselves or as part of another substituent, mean, unless otherwise stated, a fluorine, chlorine, bromine, or iodine atom. Additionally, terms such as “haloalkyl,” are meant to include monohaloalkyl and polyhaloalkyl. For example, the term “halo(C1-C4)alkyl” is mean to include, but not be limited to, trifluoromethyl, 2,2,2-trifluoroethyl, 4-chlorobutyl, 3-bromopropyl, and the like.
- The term “aryl” means, unless otherwise stated, a polyunsaturated, aromatic, substituent that can be a single ring or multiple rings (preferably from 1 to 3 rings), which are fused together or linked covalently. The term “heteroaryl” refers to aryl groups (or rings) that contain from one to four heteroatoms. In an exemplary embodiment, the heteroatom is selected from B, N, O, and S, wherein the nitrogen and sulfur atoms are optionally oxidized, and the nitrogen atom(s) are optionally quaternized. A heteroaryl group can be attached to the remainder of the molecule through a heteroatom. Non-limiting examples of aryl and heteroaryl groups include phenyl, 1-naphthyl, 2-naphthyl, 4-biphenyl, 1-pyrrolyl, 2-pyrrolyl, 3-pyrrolyl, 3-pyrazolyl, 2-imidazolyl, 4-imidazolyl, pyrazinyl, 2-oxazolyl, 4-oxazolyl, 2-phenyl-4-oxazolyl, 5-oxazolyl, 3-isoxazolyl, 4-isoxazolyl, 5-isoxazolyl, 2-thiazolyl, 4-thiazolyl, 5-thiazolyl, 2-furyl, 3-furyl, 2-thienyl, 3-thienyl, 2-pyridyl, 3-pyridyl, 4-pyridyl, 2-pyrimidyl, 4-pyrimidyl, 5-benzothiazolyl, purinyl, 2-benzimidazolyl, 5-indolyl, 1-isoquinolyl, 5-isoquinolyl, 2-quinoxalinyl, 5-quinoxalinyl, 3-quinolyl, 6-quinolyl, dioxaborolane, dioxaborinane and dioxaborepane. Substituents for each of the above noted aryl and heteroaryl ring systems are selected from the group of acceptable substituents described below.
- For brevity, the term “aryl” when used in combination with other terms (e.g., aryloxy, arylthioxy, arylalkyl) includes those radicals in which an aryl group is attached through the next moiety to the rest of the molecule. Thus, the term “arylalkyl” is meant to include those radicals in which an aryl group is attached to an alkyl group (e.g., benzyl, 1-(3-nitrophenyl)ethyl and the like). A substituent such as benzyl or 1-(3-nitrophenyl)ethyl can also be represented by ‘substituted alkyl’ wherein the ethyl radical is substituted with a 3-nitrophenyl moiety. The term “aryloxy” is meant to include those radicals in which an aryl group is attached to an oxygen atom. The term “aryloxyalkyl” is meant to include those radicals in which an aryl group is attached to an oxygen atom which is then attached to an alkyl group (e.g., phenoxymethyl, 3-(1-naphthyloxy)propyl, and the like).
- For brevity, the term “heteroaryl” when used in combination with other terms (e.g., heteroaryloxy, heteroarylthioxy, heteroarylalkyl) includes those radicals in which a heteroaryl group is attached through the next moiety to the rest of the molecule. Thus, the term “heteroarylalkyl” is meant to include those radicals in which a heteroaryl group is attached to an alkyl group (e.g., pyridylmethyl and the like). The term “heteroaryloxy” is meant to include those radicals in which a heteroaryl group is attached to an oxygen atom. The term “heteroaryloxyalkyl” is meant to include those radicals in which an aryl group is attached to an oxygen atom which is then attached to an alkyl group. (e.g., 2-pyridyloxymethyl and the like).
- Each of the above terms (e.g., “alkyl,” “heteroalkyl,” “aryl” and “heteroaryl”) are meant to include both substituted and unsubstituted forms of the indicated radical. Preferred substituents for each type of radical are provided below.
- Substituents for the alkyl and heteroalkyl radicals (including those groups often referred to as alkylene, alkenyl, heteroalkylene, heteroalkenyl, alkynyl, cycloalkyl, heterocycloalkyl, cycloalkenyl, and heterocycloalkenyl) are generically referred to as “alkyl group substituents,” and they can be one or more of a variety of groups selected from, but not limited to: —R′, —OR′, ═O, =NR′, ═N—OR′, —NR′R″, —SR′, -halogen, —SiR′R″R′″, —OC(O)R′, —C(O)R′, —CO2R′, —CONR′R″, —OC(O)NR′R″, —NR″C(O)R′, —NR′—C(O)NR″R′″, —NR″C(O)2R′, —NR′—C(NR′R″R′″)═NR″″, —NR″—C(NR′R″)═NR′″, —S(O)R′, —S(O)2R′, —S(O)2NR′R″, —NR″SO2R′, —CN, —NO2, —N3, —CH(Ph)2, fluoro(C1-C4)alkoxy, and fluoro(C1-C4)alkyl, in a number ranging from zero to (2 m′+1), where m′ is the total number of carbon atoms in such radical. R′, R″, R′″, R″″ and R′″″ each preferably independently refer to hydrogen, substituted or unsubstituted heteroalkyl, substituted or unsubstituted aryl, e.g., aryl substituted with 1-3 halogens, substituted or unsubstituted alkyl, alkoxy or thioalkoxy groups, or arylalkyl groups. When a compound of the invention includes more than one R group, for example, each of the R groups is independently selected as are each R′, R″, R′″, R″″ and R′″″ groups when more than one of these groups is present. When R′ and R″ are attached to the same nitrogen atom, they can be combined with the nitrogen atom to form a 5-, 6-, or 7-membered ring. For example, —NR′R11 is meant to include, but not be limited to, 1-pyrrolidinyl and 4-morpholinyl. From the above discussion of substituents, one of skill in the art will understand that the term “alkyl” is meant to include groups including carbon atoms bound to groups other than hydrogen groups, such as haloalkyl (e.g., —CF3 and —CH2CF3) and acyl (e.g., —C(O)CH3, —C(O)CF3, —C(O)CH2OCH3, and the like).
- Similar to the substituents described for the alkyl radical, substituents for the aryl and heteroaryl groups are generically referred to as “aryl group substituents.” The substituents are selected from, for example: —R′, —OR′, ═O, ═NR′, ═N—OR′, —NR′R″, —SR′, -halogen, —SiR′R″R′″, —OC(O)R′, —C(O)R′, —CO2R′, —CONR′R″, —OC(O)NR′R″, —NR″C(O)R′, —NR′—C(O)NR″R′″, —NR″C(O)2R′, —NR′″″—C(NR′R″R′″)═NR″″, —NR″—C(NR′R″)═NR′″, —S(O)R′, —S(O)2R′, —S(O)2NR′R″, —NR″SO2R′, —CN, —NO2, —N3, —CH(Ph)2, fluoro(C1-C4)alkoxy, and fluoro(C1-C4)alkyl, in a number ranging from zero to the total number of open valences on the aromatic ring system; and where R′, R″, R′″, R″″ and R′″″ are preferably independently selected from hydrogen, substituted or unsubstituted alkyl, substituted or unsubstituted heteroalkyl, substituted or unsubstituted aryl and substituted or unsubstituted heteroaryl. When a compound of the invention includes more than one R group, for example, each of the R groups is independently selected as are each R′, R″, R′″, R″″ and R′″″ groups when more than one of these groups is present.
- Two of the substituents on adjacent atoms of the aryl or heteroaryl ring may optionally be replaced with a substituent of the formula -T—C(O)—(CRR′)q—U—, wherein T and U are independently —NR—, —O—, —CRR′— or a single bond, and q is an integer from 0 to 3. Alternatively, two of the substituents on adjacent atoms of the aryl or heteroaryl ring may optionally be replaced with a substituent of the formula -A-(CH2)r—B—, wherein A and B are independently —CRR′—, —O—, —NR—, —S—, —S(O)—, —S(O)2—, —S(O)2NR′— or a single bond, and r is an integer from 1 to 4. One of the single bonds of the new ring so formed may optionally be replaced with a double bond. Alternatively, two of the substituents on adjacent atoms of the aryl or heteroaryl ring may optionally be replaced with a substituent of the formula —(CRR′)s—X—(CR″R′″)d—, where s and d are independently integers from 0 to 3, and X is —O—, —NR′—, —S—, —S(O)—, —S(O)2—, or —S(O)2NR′—. The substituents R, R′, R″ and R′″ are preferably independently selected from hydrogen or substituted or unsubstituted (C1-C6)alkyl.
- “Ring” as used herein, means a substituted or unsubstituted cycloalkyl, substituted or unsubstituted heterocycloalkyl, substituted or unsubstituted aryl, or substituted or unsubstituted heteroaryl. A ring includes fused ring moieties. The number of atoms in a ring is typically defined by the number of members in the ring. For example, a “5- to 7-membered ring” means there are 5 to 7 atoms in the encircling arrangement. Unless otherwise specified, the ring optionally includes a heteroatom. Thus, the term “5- to 7-membered ring” includes, for example phenyl, pyridinyl and piperidinyl. The term “5- to 7-membered heterocycloalkyl ring”, on the other hand, would include pyridinyl and piperidinyl, but not phenyl. The term “ring” further includes a ring system comprising more than one “ring”, wherein each “ring” is independently defined as above.
- As used herein, the term “heteroatom” includes atoms other than carbon (C) and hydrogen (H). Examples include oxygen (O), nitrogen (N) sulfur (S), silicon (Si), germanium (Ge), aluminum (Al) and boron (B).
- The symbol “R” is a general abbreviation that represents a substituent group that is selected from substituted or unsubstituted alkyl, substituted or unsubstituted heteroalkyl, substituted or unsubstituted aryl, substituted or unsubstituted heteroaryl, substituted or unsubstituted cycloalkyl and substituted or unsubstituted heterocycloalkyl groups.
- By “effective” amount of a drug, formulation, or permeant is meant a sufficient amount of a active agent to provide the desired local or systemic effect. A “Topically effective,” “Cosmetically effective,” “pharmaceutically effective,” or “therapeutically effective” amount refers to the amount of drug needed to effect the desired therapeutic result.
- The term “pharmaceutically acceptable salt” is meant to include a salt of a compound of the invention which is prepared with relatively nontoxic acids or bases, depending on the particular substituents found on the compounds described herein. When compounds of the invention contain relatively acidic functionalities, base addition salts can be obtained by contacting the neutral form of such compounds with a sufficient amount of the desired base, either neat or in a suitable inert solvent. Examples of pharmaceutically acceptable base addition salts include sodium, potassium, calcium, ammonium, organic amino, or magnesium salt, or a similar salt. When compounds of the invention contain relatively basic functionalities, acid addition salts can be obtained by contacting the neutral form of such compounds with a sufficient amount of the desired acid, either neat or in a suitable inert solvent. Examples of pharmaceutically acceptable acid addition salts include those derived from inorganic acids like hydrochloric, hydrobromic, nitric, carbonic, monohydrogencarbonic, phosphoric, monohydrogenphosphoric, dihydrogenphosphoric, sulfuric, monohydrogensulfuric, hydriodic, or phosphorous acids and the like, as well as the salts derived from relatively nontoxic organic acids like acetic, propionic, isobutyric, maleic, malonic, benzoic, succinic, suberic, fumaric, lactic, mandelic, phthalic, benzenesulfonic, p-tolylsulfonic, citric, tartaric, methanesulfonic, and the like. Also included are salts of amino acids such as arginate and the like, and salts of organic acids like glucuronic or galactunoric acids and the like (see, for example, Berge et al., “Pharmaceutical Salts”, Journal of Pharmaceutical Science 66: 1-19 (1977)). Certain specific compounds of the invention contain both basic and acidic functionalities that allow the compounds to be converted into either base or acid addition salts.
- The neutral forms of the compounds are preferably regenerated by contacting the salt with a base or acid and isolating the parent compounds in the conventional manner. The parent form of the compound differs from the various salt forms in certain physical properties, such as solubility in polar solvents.
- In addition to salt forms, the invention provides compounds which are in a prodrug form. Prodrugs of the compounds described herein readily undergo chemical changes under physiological conditions to provide the compounds of the invention. Additionally, prodrugs can be converted to the compounds of the invention by chemical or biochemical methods in an ex vivo environment.
- Certain compounds of the invention can exist in unsolvated forms as well as solvated forms, including hydrated forms. In general, the solvated forms are equivalent to unsolvated forms and are encompassed within the scope of the invention. Certain compounds of the invention may exist in multiple crystalline or amorphous forms.
- Certain compounds of the invention possess asymmetric carbon atoms (optical centers) or double bonds; the racemates, diastereomers, geometric isomers and individual isomers are encompassed within the scope of the invention. The graphic representations of racemic, ambiscalemic and scalemic or enantiomerically pure compounds used herein are taken from Maehr, J. Chem. Ed. 1985, 62: 114-120. Solid and broken wedges are used to denote the absolute configuration of a stereocenter unless otherwise noted. When the compounds described herein contain olefinic double bonds or other centers of geometric asymmetry, and unless specified otherwise, it is intended that the compounds include both E and Z geometric isomers. Likewise, all tautomeric forms are included.
- Compounds of the invention can exist in particular geometric or stereoisomeric forms. The invention contemplates all such compounds, including cis- and trans-isomers, (−)- and (+)-enantiomers, (R)- and (S)-enantiomers, diastereomers, (D)-isomers, (L)-isomers, the racemic mixtures thereof, and other mixtures thereof, such as enantiomerically or diastereomerically enriched mixtures, as falling within the scope of the invention. Additional asymmetric carbon atoms can be present in a substituent such as an alkyl group. All such isomers, as well as mixtures thereof, are intended to be included in this invention.
- Optically active (R)- and (S)-isomers and d and/isomers can be prepared using chiral synthons or chiral reagents, or resolved using conventional techniques. If, for instance, a particular enantiomer of a compound of the invention is desired, it can be prepared by asymmetric synthesis, or by derivatization with a chiral auxiliary, where the resulting diastereomeric mixture is separated and the auxiliary group cleaved to provide the pure desired enantiomers. Alternatively, where the molecule contains a basic functional group, such as an amino group, or an acidic functional group, such as a carboxyl group, diastereomeric salts can be formed with an appropriate optically active acid or base, followed by resolution of the diastereomers thus formed by fractional crystallization or chromatographic means known in the art, and subsequent recovery of the pure enantiomers. In addition, separation of enantiomers and diastereomers is frequently accomplished using chromatography employing chiral, stationary phases, optionally in combination with chemical derivatization (e.g., formation of carbamates from amines).
- The compounds of the invention may also contain unnatural proportions of atomic isotopes at one or more of the atoms that constitute such compounds. For example, the compounds may be radiolabeled with radioactive isotopes, such as for example tritium (3H or T), iodine-125 (125I) or carbon-14 (14C). All isotopic variations of the compounds of the invention, whether radioactive or not, are intended to be encompassed within the scope of the invention.
- The term “pharmaceutically acceptable carrier” or “pharmaceutically acceptable vehicle” refers to any formulation or carrier medium that provides the appropriate delivery of an effective amount of an active agent as defined herein, does not interfere with the effectiveness of the biological activity of the active agent, and that is sufficiently non-toxic to the host or patient. Representative carriers include water, oils, both vegetable and mineral, cream bases, lotion bases, ointment bases and the like. These bases include suspending agents, thickeners, penetration enhancers, and the like. Their formulation is well known to those in the art of cosmetics and topical pharmaceuticals. Additional information concerning carriers can be found in Remington: The Science and Practice of Pharmacy, 21st Ed., Lippincott, Williams & Wilkins (2005) which is incorporated herein by reference.
- The term “excipients” is conventionally known to mean carriers, diluents and/or vehicles used in formulating drug compositions effective for the desired use.
- The term “microbial infection” or “infection by a microorganism” refers to any infection of a host tissue by an infectious agent including, but not limited to, bacteria or protozoa (see, e.g., Harrison's Principles of Internal Medicine, pp. 93-98 (Wilson et al., eds., 12th ed. 1991); Williams et al., J. of Medicinal Chem. 42:1481-1485 (1999), herein each incorporated by reference in their entirety).
- “Biological medium,” as used herein refers to both in vitro and in vivo biological milieus. Exemplary in vitro “biological media” include, but are not limited to, cell culture, tissue culture, homogenates, plasma and blood. In vivo applications are generally performed in mammals, preferably humans.
- “Inhibiting” and “blocking,” are used interchangeably herein to refer to the partial or full blockade of enzyme. In an exemplary embodiment, the enzyme is an editing domain of a tRNA synthetase.
- Boron is able to form dative bonds with oxygen, sulfur or nitrogen under some circumstances in this invention. Dative bonds are usually weaker than covalent bonds. In situations where a boron is covalently bonded to at least one oxygen, sulfur or nitrogen, and is at the same time datively bonded to an oxygen, sulfur or nitrogen, respectively, the dative bond and covalent bond between the boron and the two identical heteroatoms can interconvert or be in the form of a resonance hybrid. There is potential uncertainty surrounding the exact nature and extent of electron sharing in these situations. Generally, in boron compounds comprising both covalent and coordinate covalent (dative) bonds, the electrons in such bonds may be partially or fully delocalized.
- Embodiments of the invention also encompass compounds that are poly- or multi-valent species, including, for example, species such as dimers, trimers, tetramers and higher homologs of the compounds of use in the invention or reactive analogues thereof.
- “Salt counterion”, as used herein, refers to positively charged ions that associate with a compound of the invention when the boron is fully negatively or partially negatively charged. Examples of salt counterions include H+, H3O+, ammonium, potassium, calcium, magnesium and sodium.
- The compounds comprising a boron bonded to a carbon and three heteroatoms (such as three oxygens described in this section) can optionally contain a fully negatively charged boron or partially negatively charged boron, due to the nature of the dative bond between the boron and one of the oxygens. Due to the negative charge, a positively charged counterion may associate with this compound, thus forming a salt. Examples of positively charged counterions include H+, H3O+, calcium, sodium, ammonium and potassium. The salts of these compounds are implicitly contained in descriptions of these compounds.
- The invention provides novel boron compounds and methods for the preparation of these molecules. The invention further provides methods of treating bacterial infections, killing or inhibiting the growth of bacteria in part or wholly through the use of the compounds described herein. In another aspect, the invention is a combination of a compound of the invention and an antibiotic. In another aspect, the invention is a pharmaceutical formulation comprising a pharmaceutically acceptable excipient and a compound of the invention. In another aspect, the invention is a pharmaceutical formulation comprising a compound of the invention, an antibiotic, and a pharmaceutically acceptable excipient.
- In one aspect the invention provides a compound of the invention. In an exemplary embodiment, the invention provides a compound described herein, or a salt thereof. In an exemplary embodiment, the salt of a compound described herein is a pharmaceutically acceptable salt. In an exemplary embodiment, the invention provides a compound described herein, or a pharmaceutically acceptable salt thereof. In an exemplary embodiment, the invention provides a compound described in a formula provided herein. In an exemplary embodiment, the invention provides a compound described herein.
- In an exemplary embodiment, the compound has a structure which is
- wherein R5 is H or halogen. In an exemplary embodiment, R5 is H. In an exemplary embodiment, R5 is halogen.
- In an exemplary embodiment, the compound has a structure which is
- In an exemplary embodiment, the compound has a structure which is
- In an exemplary embodiment, the compound has a structure which is
- wherein R5 is H or halogen, and R40 is nitro or amino or cyano or halogen. In an exemplary embodiment, R5 is H and R40 is nitro or amino or F or Cl or Br. In an exemplary embodiment, R5 is F and R40 is nitro or amino or F or Cl or Br. In an exemplary embodiment, R5 is Cl and R40 is nitro or amino or F or Cl or Br.
- In an exemplary embodiment, the compound has a structure which is
- wherein R5 is H or halogen, and R40 is OR41, wherein OR41 is H or methyl or trifluoromethyl or ethyl or propyl or isopropyl or butyl or t-butyl or isobutyl. In an exemplary embodiment, R5 is H and R40 is OR41, wherein OR41 is methyl or trifluoromethyl or ethyl or propyl or isopropyl. In an exemplary embodiment, R5 is F and R40 is OR41, wherein OR41 is methyl or trifluoromethyl or ethyl or propyl or isopropyl. In an exemplary embodiment, R5 is H and R40 is OH. In an exemplary embodiment, R5 is F and R40 is OH.
- In an exemplary embodiment, the compound has a structure which is
- wherein R5 is H or halogen, and R40 is CH2NH2 or (CH2)2NH2, or (CH2)3NH2.
- In an exemplary embodiment, the compound has a structure which is
- wherein R5 is H or halogen, and R40 is C(O)NH2 or NHC(O)R42, wherein R42 is methyl or ethyl or propyl or isopropyl. In an exemplary embodiment, R5 is H and R40 is C(O)NH2 or NHC(O)R42, wherein R42 is methyl or ethyl or propyl or isopropyl. In an exemplary embodiment, R5 is F and R40 is C(O)NH2 or NHC(O)R42, wherein R42 is methyl or ethyl or propyl or isopropyl.
- In an exemplary embodiment, the compound has a structure which is
- wherein R5 is H or halogen, and R40 and R41 are each independently selected from the group consisting of F, Cl, and Br. In an exemplary embodiment, R5 is H and R40 is F and R41 is F or Cl or Br. In an exemplary embodiment, R5 is F and R40 is F and R41 is F or Cl or Br. In an exemplary embodiment, the compound has a structure which is
- wherein R5, R40 and R41 are as described herein.
- In an exemplary embodiment, the compound has a structure which is
- wherein R5 is H or halogen, and R40 is amino or nitro or C(O)NH2 or NHC(O)R42, wherein R42 is methyl or ethyl or propyl or isopropyl. In an exemplary embodiment, R5 is H and R40 is C(O)NH2 or NHC(O)R42, wherein R42 is methyl or ethyl or propyl or isopropyl. In an exemplary embodiment, R5 is F and R40 is C(O)NH2 or NHC(O)R42, wherein R42 is methyl or ethyl or propyl or isopropyl. In an exemplary embodiment, R5 is H and R40 is amino. In an exemplary embodiment, R5 is F and R40 is amino. In an exemplary embodiment, R5 is H and R40 is nitro. In an exemplary embodiment, R5 is F and R40 is nitro.
- In an exemplary embodiment, the compound has a structure which is
- wherein R5 is H or halogen, and R40 is OR41, wherein OR41 is H or methyl or trifluoromethyl or ethyl or propyl or isopropyl or butyl or t-butyl or isobutyl. In an exemplary embodiment, R5 is H and R40 is OR41, wherein OR41 is methyl or trifluoromethyl or ethyl or propyl or isopropyl. In an exemplary embodiment, R5 is F and R40 is OR41, wherein OR41 is methyl or trifluoromethyl or ethyl or propyl or isopropyl. In an exemplary embodiment, R5 is H and R40 is OH. In an exemplary embodiment, R5 is F and R40 is OH.
- In an exemplary embodiment, the compound has a structure which is
- wherein R5 is H or halogen, and R40 is amino. In an exemplary embodiment, R5 is H and R40 is amino. In an exemplary embodiment, R5 is F and R40 is amino. In an exemplary embodiment, the compound, or a salt thereof, has a structure which is
- wherein R5 is H or halogen, one of Ra2, Ra3, Ra4, Ra5 and Ra6 is halogen and the remaining members of Ra2, Ra3, Ra4, Ra5 and Ra6 are H, R10, R11 and K are each a member independently selected from the group consisting of H, substituted or unsubstituted alkyl, substituted or unsubstituted heteroalkyl, substituted or unsubstituted cycloalkyl, substituted or unsubstituted heterocycloalkyl, substituted or unsubstituted aryl, and substituted or unsubstituted heteroaryl. In an exemplary embodiment, Ra2, Ra3, Ra4, Ra5, Ra6, R5, R10, R11 and R15 are as described herein, and each hydrogen in said compound or a salt thereof can be replaced by deuterium. In an exemplary embodiment, R5 is halogen, one of Ra2, Ra3, Ra4, Ra5 and Ra6 is F or Cl or Br and the remaining members of Ra2, Ra3, Ra4, Ra5 and Ra6 are H, R are each a member independently selected from the group consisting of H, substituted or unsubstituted alkyl, substituted or unsubstituted heteroalkyl, substituted or unsubstituted cycloalkyl, substituted or unsubstituted heterocycloalkyl, substituted or unsubstituted aryl, and substituted or unsubstituted heteroaryl. In an exemplary embodiment, R5 is H, one of Ra2, Ra3, Ra4, Ra5 and Ra6 is F or Cl or Br and the remaining members of Ra2, Ra3, Ra4, Ra5 and Ra6 are H, R10, R11 and R15 are each a member independently selected from the group consisting of H, substituted or unsubstituted alkyl, substituted or unsubstituted heteroalkyl, substituted or unsubstituted cycloalkyl, substituted or unsubstituted heterocycloalkyl, substituted or unsubstituted aryl, and substituted or unsubstituted heteroaryl.
- In an exemplary embodiment, the compound, or a salt thereof, has a structure which is
- wherein R5 is H or halogen, Ra6 is halogen, R10, R11, and R15 are each a member independently selected from the group consisting of H, substituted or unsubstituted alkyl, substituted or unsubstituted heteroalkyl, substituted or unsubstituted cycloalkyl, substituted or unsubstituted heterocycloalkyl, substituted or unsubstituted aryl, and substituted or unsubstituted heteroaryl. In an exemplary embodiment, Ra6, R5, R15, R10, and R11 are as described herein, and each hydrogen in said compound or a salt thereof can be replaced by deuterium. In an exemplary embodiment, R5 is F, Ra6 is F or Cl or Br, R10, R11 and R15 are each a member independently selected from the group consisting of H, substituted or unsubstituted alkyl, substituted or unsubstituted heteroalkyl, substituted or unsubstituted cycloalkyl, substituted or unsubstituted heterocycloalkyl, substituted or unsubstituted aryl, and substituted or unsubstituted heteroaryl. In an exemplary embodiment, R5 is H, Ra6 is F or Cl or Br, R10, R11 and R15 are each a member independently selected from the group consisting of H, substituted or unsubstituted alkyl, substituted or unsubstituted heteroalkyl, substituted or unsubstituted cycloalkyl, substituted or unsubstituted heterocycloalkyl, substituted or unsubstituted aryl, and substituted or unsubstituted heteroaryl.
- In an exemplary embodiment, the compound, or a salt thereof, has a structure which is
- wherein R5 is H or halogen, one of Ra2, Ra3, Ra5 and Ra6 is OR20 and the remaining members of Ra2, Ra3, Ra5 and Ra6 are H, R20 is H or unsubstituted alkyl, and R10, R11 and R15 are each a member independently selected from the group consisting of H, substituted or unsubstituted alkyl, substituted or unsubstituted heteroalkyl, substituted or unsubstituted cycloalkyl, substituted or unsubstituted heterocycloalkyl, substituted or unsubstituted aryl, and substituted or unsubstituted heteroaryl. In an exemplary embodiment, Ra2, Ra3, Ra5, Ra6, R5, R15, R10, and R11 are as described herein, and each hydrogen in said compound or a salt thereof can be replaced by deuterium. In an exemplary embodiment, R5 is halogen, one of Ra2, Ra3, Ra5 and Ra6 is OR20 and the remaining members of Ra2, Ra3, Ra5 and Ra6 are H, R20 is H or unsubstituted alkyl, R10, R11 and R15 are each a member independently selected from the group consisting of H, substituted or unsubstituted alkyl, substituted or unsubstituted heteroalkyl, substituted or unsubstituted cycloalkyl, substituted or unsubstituted heterocycloalkyl, substituted or unsubstituted aryl, and substituted or unsubstituted heteroaryl. In an exemplary embodiment, R5 is H, one of Ra2, Ra3, Ra5 and Ra6 is OR20 and the remaining members of Ra2, Ra3, Ra5 and Ra6 are H, R20 is H or unsubstituted alkyl, R10, R11 and R15 are each a member independently selected from the group consisting of H, substituted or unsubstituted alkyl, substituted or unsubstituted heteroalkyl, substituted or unsubstituted cycloalkyl, substituted or unsubstituted heterocycloalkyl, substituted or unsubstituted aryl, and substituted or unsubstituted heteroaryl.
- In an exemplary embodiment, the compound, or a salt thereof, has a structure which is
- wherein R5 is H or halogen, Ra6 is OR20, R20 is H or unsubstituted alkyl, R10, R11 and R15 are each a member independently selected from the group consisting of H, substituted or unsubstituted alkyl, substituted or unsubstituted heteroalkyl, substituted or unsubstituted cycloalkyl, substituted or unsubstituted heterocycloalkyl, substituted or unsubstituted aryl, and substituted or unsubstituted heteroaryl. In an exemplary embodiment, Ra6, R5, R15, R10, and R11 are as described herein, and each hydrogen in said compound or a salt thereof can be replaced by deuterium. In an exemplary embodiment, R5 is F, Ra6 is OR20, R20 is H or unsubstituted alkyl, R10, R11 and R15 are each a member independently selected from the group consisting of H, substituted or unsubstituted alkyl, substituted or unsubstituted heteroalkyl, substituted or unsubstituted cycloalkyl, substituted or unsubstituted heterocycloalkyl, substituted or unsubstituted aryl, and substituted or unsubstituted heteroaryl. In an exemplary embodiment, R5 is H, Ra6 is OR20, R20 is H or unsubstituted alkyl, R10, R11 and R15 are each a member independently selected from the group consisting of H, substituted or unsubstituted alkyl, substituted or unsubstituted heteroalkyl, substituted or unsubstituted cycloalkyl, substituted or unsubstituted heterocycloalkyl, substituted or unsubstituted aryl, and substituted or unsubstituted heteroaryl.
- In an exemplary embodiment, the compound, or a salt thereof, has a structure which is
- wherein R5 is H or halogen, Ra6 is OR20, R20 is H or unsubstituted alkyl. In an exemplary embodiment, R5 is F, Ra6 is OH. In an exemplary embodiment, R5 is H, Ra6 is OH. In an exemplary embodiment, R5 is F, Ra6 is OCH3. In an exemplary embodiment, R5 is H, Ra6 is OCH3. In an exemplary embodiment, R5 is F, Ra6 is OCH2CH3. In an exemplary embodiment, R5 is H, Ra6 is OCH2CH3. In an exemplary embodiment, R5 is F, Ra6 is OR20, R20 is unsubstituted C3 alkyl. In an exemplary embodiment, R5 is H, Ra6 is OR20, R20 is unsubstituted C3 alkyl. In an exemplary embodiment, R5 is F, Ra6 is OR20, R20 is unsubstituted C4 alkyl. In an exemplary embodiment, R5 is H, Ra6 is OR20, R20 is unsubstituted C4 alkyl. In an exemplary embodiment, R5 is F, Ra6 is OR20, R20 is unsubstituted C5 alkyl. In an exemplary embodiment, R5 is H, Ra6 is OR20, R20 is unsubstituted C5 alkyl. In an exemplary embodiment, R5 is F, Ra6 is OR20, R20 is unsubstituted C6 alkyl. In an exemplary embodiment, R5 is H, Ra6 is OR20, R20 is unsubstituted C6 alkyl.
- In an exemplary embodiment, the compound, or a salt thereof, has a structure which is
- wherein R5 is H or halogen, one of Ra2, Ra3, Ra5 and Ra6 is cyano and the remaining members of Ra2, Ra3, Ra5 and Ra6 are H, R10, R11 and R15 are each a member independently selected from the group consisting of H, substituted or unsubstituted alkyl, substituted or unsubstituted heteroalkyl, substituted or unsubstituted cycloalkyl, substituted or unsubstituted heterocycloalkyl, substituted or unsubstituted aryl, and substituted or unsubstituted heteroaryl. In an exemplary embodiment, Ra2, Ra3, Ra5, Ra6, R5, R15, R10 and R11 are as described herein, and each hydrogen in said compound or a salt thereof can be replaced by deuterium. In an exemplary embodiment, R5 is halogen, one of Ra2, Ra3, Ra5 and Ra6 is cyano and the remaining members of Ra2Ra3, Ra5 and Ra6 are H, R10, R11 and R15 are each a member independently selected from the group consisting of H, substituted or unsubstituted alkyl, substituted or unsubstituted heteroalkyl, substituted or unsubstituted cycloalkyl, substituted or unsubstituted heterocycloalkyl, substituted or unsubstituted aryl, and substituted or unsubstituted heteroaryl. In an exemplary embodiment, R5 is H, one of Ra2, Ra3, Ra5 and Ra6 is cyano and the remaining members of Ra2, Ra3, Ra5 and Ra6 are H, R10, R11 and R15 are each a member independently selected from the group consisting of H, substituted or unsubstituted alkyl, substituted or unsubstituted heteroalkyl, substituted or unsubstituted cycloalkyl, substituted or unsubstituted heterocycloalkyl, substituted or unsubstituted aryl, and substituted or unsubstituted heteroaryl.
- In an exemplary embodiment, the compound, or a salt thereof, has a structure which is
- wherein R5 is H or halogen, Ra6 is cyano, R10, R11 and R15 are each a member independently selected from the group consisting of H, substituted or unsubstituted alkyl, substituted or unsubstituted heteroalkyl, substituted or unsubstituted cycloalkyl, substituted or unsubstituted heterocycloalkyl, substituted or unsubstituted aryl, and substituted or unsubstituted heteroaryl. In an exemplary embodiment, Ra6, R5, R15, R10, and R11 are as described herein, and each hydrogen in said compound or a salt thereof can be replaced by deuterium. In an exemplary embodiment, R5 is F, Ra6 is cyano, R10, R11 and R15 are each a member independently selected from the group consisting of H, substituted or unsubstituted alkyl, substituted or unsubstituted heteroalkyl, substituted or unsubstituted cycloalkyl, substituted or unsubstituted heterocycloalkyl, substituted or unsubstituted aryl, and substituted or unsubstituted heteroaryl. In an exemplary embodiment, R5 is H, Ra6 is cyano, R10, R11 and R15 are each a member independently selected from the group consisting of H, substituted or unsubstituted alkyl, substituted or unsubstituted heteroalkyl, substituted or unsubstituted cycloalkyl, substituted or unsubstituted heterocycloalkyl, substituted or unsubstituted aryl, and substituted or unsubstituted heteroaryl.
- In an exemplary embodiment, the compound, or a salt thereof, has a structure which is
- wherein R5 is H or halogen, Ra6 is cyano. In an exemplary embodiment, R5 is F, Ra6 is cyano. In an exemplary embodiment, R5 is H, Ra6 is cyano.
- In an exemplary embodiment, the compound, or a salt thereof, has a structure which is
- wherein R5 is H or halogen, one of Ra2, Ra3, Ra5 and Ra6 is unsubstituted alkyl and the remaining members of Ra2, Ra3, Ra5 and Ra6 are H, R10, R11 and R15 are each a member independently selected from the group consisting of H, substituted or unsubstituted alkyl, substituted or unsubstituted heteroalkyl, substituted or unsubstituted cycloalkyl, substituted or unsubstituted heterocycloalkyl, substituted or unsubstituted aryl, and substituted or unsubstituted heteroaryl. In an exemplary embodiment, Ra2, Ra3, Ra5, Ra6, R5, R15, R10, and R11 are as described herein, and each hydrogen in said compound or a salt thereof can be replaced by deuterium. In an exemplary embodiment, R5 is halogen, one of Ra2, Ra3, Ra5 and Ra6 is methyl or ethyl or unsubstituted C3 alkyl or unsubstituted C4 alkyl or unsubstituted C5 alkyl or unsubstituted C6 alkyl and the remaining members of Ra2, Ra3, Ra5 and Ra6 are H, R10, R11 and R15 are each a member independently selected from the group consisting of H, substituted or unsubstituted alkyl, substituted or unsubstituted heteroalkyl, substituted or unsubstituted cycloalkyl, substituted or unsubstituted heterocycloalkyl, substituted or unsubstituted aryl, and substituted or unsubstituted heteroaryl. In an exemplary embodiment, R5 is H, one of Ra2, Ra3, Ra5 and Ra6 is methyl or ethyl or unsubstituted C3 alkyl or unsubstituted C4 alkyl or unsubstituted C5 alkyl or unsubstituted C6 alkyl and the remaining members of Ra2, Ra3, Ra5 and Ra6 are H, R10, R11 and R15 are each a member independently selected from the group consisting of H, substituted or unsubstituted alkyl, substituted or unsubstituted heteroalkyl, substituted or unsubstituted cycloalkyl, substituted or unsubstituted heterocycloalkyl, substituted or unsubstituted aryl, and substituted or unsubstituted heteroaryl.
- In an exemplary embodiment, the compound, or a salt thereof, has a structure which is
- wherein R5 is H or halogen, Ra6 is unsubstituted alkyl, R10, R11 and R15 are each a member independently selected from the group consisting of H, substituted or unsubstituted alkyl, substituted or unsubstituted heteroalkyl, substituted or unsubstituted cycloalkyl, substituted or unsubstituted heterocycloalkyl, substituted or unsubstituted aryl, and substituted or unsubstituted heteroaryl. In an exemplary embodiment, Ra6, R5, R15, R10, and R11 are as described herein, and each hydrogen in said compound or a salt thereof can be replaced by deuterium. In an exemplary embodiment, R5 is halogen, Ra6 is methyl or ethyl or unsubstituted C3 alkyl or unsubstituted C4 alkyl or unsubstituted C5 alkyl or unsubstituted C6 alkyl, R10, R11 and R15 are each a member independently selected from the group consisting of H, substituted or unsubstituted alkyl, substituted or unsubstituted heteroalkyl, substituted or unsubstituted cycloalkyl, substituted or unsubstituted heterocycloalkyl, substituted or unsubstituted aryl, and substituted or unsubstituted heteroaryl. In an exemplary embodiment, R5 is H, Ra6 is methyl or ethyl or unsubstituted C3 alkyl or unsubstituted C4 alkyl or unsubstituted C5 alkyl or unsubstituted C6 alkyl, R10, R11 and R15 are each a member independently selected from the group consisting of H, substituted or unsubstituted alkyl, substituted or unsubstituted heteroalkyl, substituted or unsubstituted cycloalkyl, substituted or unsubstituted heterocycloalkyl, substituted or unsubstituted aryl, and substituted or unsubstituted heteroaryl.
- In an exemplary embodiment, the compound, or a salt thereof, has a structure which is
- wherein R5 is H or halogen, Ra6 is unsubstituted alkyl. In an exemplary embodiment, R5 is halogen, Ra6 is methyl or ethyl or unsubstituted C3 alkyl or unsubstituted C4 alkyl or unsubstituted C5 alkyl or unsubstituted C6 alkyl. In an exemplary embodiment, R5 is H, Ra6 is methyl or ethyl or unsubstituted C3 alkyl or unsubstituted C4 alkyl or unsubstituted C5 alkyl or unsubstituted C6 alkyl. In an exemplary embodiment, R5 is F, Ra6 is CH3. In an exemplary embodiment, R5 is H, Ra6 is CH3. In an exemplary embodiment, R5 is F, Ra6 is CH2CH3. In an exemplary embodiment, R5 is H, Ra6 is CH2CH3. In an exemplary embodiment, R5 is F, Ra6 is unsubstituted C3 alkyl. In an exemplary embodiment, R5 is H, Ra6 is unsubstituted C3 alkyl. In an exemplary embodiment, R5 is F, Ra6 is unsubstituted C4 alkyl. In an exemplary embodiment, R5 is H, Ra6 is unsubstituted C4 alkyl. In an exemplary embodiment, R5 is F, Ra6 is unsubstituted C5 alkyl. In an exemplary embodiment, R5 is H, Ra6 is unsubstituted C5 alkyl. In an exemplary embodiment, R5 is F, Ra6 is unsubstituted C6 alkyl. In an exemplary embodiment, R5 is H, Ra6 is unsubstituted C6 alkyl.
- In an exemplary embodiment, the compound, or a salt thereof, has a structure which is
- wherein R5 is H or halogen, one of Ra2, Ra3, Ra5 and Ra6 is unsubstituted alkenyl or unsubstituted alkynyl and the remaining members of Ra2, Ra3, Ra5 and Ra6 are H, R10, R11 and R15 are each a member independently selected from the group consisting of H, substituted or unsubstituted alkyl, substituted or unsubstituted heteroalkyl, substituted or unsubstituted cycloalkyl, substituted or unsubstituted heterocycloalkyl, substituted or unsubstituted aryl, and substituted or unsubstituted heteroaryl. In an exemplary embodiment, Ra2, Ra3, Ra5, and Ra6 are H, R10. R11 and R15 are as described herein, and each hydrogen in said compound or a salt thereof can be replaced by deuterium. In an exemplary embodiment, R5 is halogen, one of Ra2, Ra3, Ra5 and Ra6 is prop-1-ynyl or prop-1-enyl or prop-2-ynyl or prop-2-enyl or but-1-ynyl or but-1-enyl or but-2-ynyl or but-2-enyl or but-3-ynyl or but-3-enyl, and the remaining members of Ra2, Ra3, Ra5 and Ra6 are H, R10, R11 and R15 are each a member independently selected from the group consisting of H, substituted or unsubstituted alkyl, substituted or unsubstituted heteroalkyl, substituted or unsubstituted cycloalkyl, substituted or unsubstituted heterocycloalkyl, substituted or unsubstituted aryl, and substituted or unsubstituted heteroaryl. In an exemplary embodiment, R5 is H, one of Ra2, Ra3, Ra5 and Ra6 is prop-1-ynyl or prop-1-enyl or prop-2-ynyl or prop-2-enyl or but-1-ynyl or but-1-enyl or but-2-ynyl or but-2-enyl or but-3-ynyl or but-3-enyl and the remaining members of Ra2, Ra3, Ra5 and Ra6 are H, R10, R11 and R15 are each a member independently selected from the group consisting of H, substituted or unsubstituted alkyl, substituted or unsubstituted heteroalkyl, substituted or unsubstituted cycloalkyl, substituted or unsubstituted heterocycloalkyl, substituted or unsubstituted aryl, and substituted or unsubstituted heteroaryl.
- In an exemplary embodiment, the compound, or a salt thereof, has a structure which is
- wherein R5 is H or halogen, Ra6 is unsubstituted alkenyl or unsubstituted alkynyl, R10, R11 and R15 are each a member independently selected from the group consisting of H, substituted or unsubstituted alkyl, substituted or unsubstituted heteroalkyl, substituted or unsubstituted cycloalkyl, substituted or unsubstituted heterocycloalkyl, substituted or unsubstituted aryl, and substituted or unsubstituted heteroaryl. In an exemplary embodiment, Ra6, R5, R15, R10 and R11 are as described herein, and each hydrogen in said compound or a salt thereof can be replaced by deuterium. In an exemplary embodiment, R5 is halogen, Ra6 is prop-1-ynyl or prop-1-enyl or prop-2-ynyl or prop-2-enyl or but-1-ynyl or but-1-enyl or but-2-ynyl or but-2-enyl or but-3-ynyl or but-3-enyl, R10, R11 and R15 are each a member independently selected from the group consisting of H, substituted or unsubstituted alkyl, substituted or unsubstituted heteroalkyl, substituted or unsubstituted cycloalkyl, substituted or unsubstituted heterocycloalkyl, substituted or unsubstituted aryl, and substituted or unsubstituted heteroaryl. In an exemplary embodiment, R5 is H, Ra6 is prop-1-ynyl or prop-1-enyl or prop-2-ynyl or prop-2-enyl or but-1-ynyl or but-1-enyl or but-2-ynyl or but-2-enyl or but-3-ynyl or but-3-enyl, R10, R11 and R15 are each a member independently selected from the group consisting of H, substituted or unsubstituted alkyl, substituted or unsubstituted heteroalkyl, substituted or unsubstituted cycloalkyl, substituted or unsubstituted heterocycloalkyl, substituted or unsubstituted aryl, and substituted or unsubstituted heteroaryl.
- In an exemplary embodiment, the compound, or a salt thereof, has a structure which is
- wherein R5 is H or halogen, Ra6 is unsubstituted alkenyl or unsubstituted alkynyl. In an exemplary embodiment, R5 is halogen, Ra6 is prop-1-ynyl or prop-1-enyl or prop-2-ynyl or prop-2-enyl or but-1-ynyl or but-1-enyl or but-2-ynyl or but-2-enyl or but-3-ynyl or but-3-enyl. In an exemplary embodiment, R5 is F, Ra6 is prop-1-ynyl or prop-1-enyl or prop-2-ynyl or prop-2-enyl or but-1-ynyl or but-1-enyl or but-2-ynyl or but-2-enyl or but-3-ynyl or but-3-enyl. In an exemplary embodiment, R5 is H, Ra6 is prop-1-ynyl or prop-1-enyl or prop-2-ynyl or prop-2-enyl or but-1-ynyl or but-1-enyl or but-2-ynyl or but-2-enyl or but-3-ynyl or but-3-enyl.
- In an exemplary embodiment, the compound, or a salt thereof, has a structure which is
- wherein R5 is H or halogen, one of Ra2, Ra3, Ra5 and Ra6 is alkyl substituted with cyano and the remaining members of Ra2, Ra3, Ra5 and Ra6 are H, R10, R11 and R15 are each a member independently selected from the group consisting of H, substituted or unsubstituted alkyl, substituted or unsubstituted heteroalkyl, substituted or unsubstituted cycloalkyl, substituted or unsubstituted heterocycloalkyl, substituted or unsubstituted aryl, and substituted or unsubstituted heteroaryl. In an exemplary embodiment, Ra2, Ra3, Ra5, Ra6, R5, R15, R10, and R11 are as described herein, and each hydrogen in said compound or a salt thereof can be replaced by deuterium. In an exemplary embodiment, R5 is halogen, one of Ra2, Ra3, Ra5 and Ra6 is methyl substituted with cyano or ethyl substituted with cyano or C3 alkyl substituted with cyano or C4 alkyl substituted with cyano or C5 alkyl substituted with cyano or C6 alkyl substituted with cyano and the remaining members of Ra2, Ra3, Ra5 and Ra6 are H, R10, R11 and R15 are each a member independently selected from the group consisting of H, substituted or unsubstituted alkyl, substituted or unsubstituted heteroalkyl, substituted or unsubstituted cycloalkyl, substituted or unsubstituted heterocycloalkyl, substituted or unsubstituted aryl, and substituted or unsubstituted heteroaryl. In an exemplary embodiment, R5 is H, one of Ra2, Ra3, Ra5 and Ra6 is methyl substituted with cyano or ethyl substituted with cyano or C3 alkyl substituted with cyano or C4 alkyl substituted with cyano or C5 alkyl substituted with cyano or C6 alkyl substituted with cyano and the remaining members of Ra2, Ra3, Ra5 and Ra6 are H, R10, R11 and R15 are each a member independently selected from the group consisting of H, substituted or unsubstituted alkyl, substituted or unsubstituted heteroalkyl, substituted or unsubstituted cycloalkyl, substituted or unsubstituted heterocycloalkyl, substituted or unsubstituted aryl, and substituted or unsubstituted heteroaryl.
- In an exemplary embodiment, the compound, or a salt thereof, has a structure which is
- wherein R5 is H or halogen, Ra6 is alkyl substituted with cyano, R10, R11 and R15 are each a member independently selected from the group consisting of H, substituted or unsubstituted alkyl, substituted or unsubstituted heteroalkyl, substituted or unsubstituted cycloalkyl, substituted or unsubstituted heterocycloalkyl, substituted or unsubstituted aryl, and substituted or unsubstituted heteroaryl. In an exemplary embodiment, Ra6, R5, R15, R10, and R11 are as described herein, and each hydrogen in said compound or a salt thereof can be replaced by deuterium. In an exemplary embodiment, R5 is halogen, Ra6 is methyl substituted with cyano or ethyl substituted with cyano or C3 alkyl substituted with cyano or C4 alkyl substituted with cyano or C5 alkyl substituted with cyano or C6 alkyl substituted with cyano, R10, R11 and R15 are each a member independently selected from the group consisting of H, substituted or unsubstituted alkyl, substituted or unsubstituted heteroalkyl, substituted or unsubstituted cycloalkyl, substituted or unsubstituted heterocycloalkyl, substituted or unsubstituted aryl, and substituted or unsubstituted heteroaryl. In an exemplary embodiment, R5 is H, Ra6 is methyl substituted with cyano or ethyl substituted with cyano or C3 alkyl substituted with cyano or C4 alkyl substituted with cyano or C5 alkyl substituted with cyano or C6 alkyl substituted with cyano, R10, R11 and R15 are each a member independently selected from the group consisting of H, substituted or unsubstituted alkyl, substituted or unsubstituted heteroalkyl, substituted or unsubstituted cycloalkyl, substituted or unsubstituted heterocycloalkyl, substituted or unsubstituted aryl, and substituted or unsubstituted heteroaryl.
- In an exemplary embodiment, the compound, or a salt thereof, has a structure which is
- wherein R5 is H or halogen, Ra6 is alkyl substituted with cyano. In an exemplary embodiment, R5 is halogen, Ra6 is methyl substituted with cyano or ethyl substituted with cyano or C3 alkyl substituted with cyano or C4 alkyl substituted with cyano or C5 alkyl substituted with cyano or C6 alkyl substituted with cyano. In an exemplary embodiment, R5 is H, Ra6 is methyl substituted with cyano or ethyl substituted with cyano or C3 alkyl substituted with cyano or C4 alkyl substituted with cyano or C5 alkyl substituted with cyano or C6 alkyl substituted with cyano. In an exemplary embodiment, R5 is F, Ra6 is CH2CN. In an exemplary embodiment, R5 is H, Ra6 is CH2CN. In an exemplary embodiment, R5 is F, Ra6 is CH2CH2CN. In an exemplary embodiment, R5 is H, Ra6 is CH2CH2CN. In an exemplary embodiment, R5 is F, Ra6 is CH2CH2CH2CN. In an exemplary embodiment, R5 is H, Ra6 is CH2CH2CH2CN. In an exemplary embodiment, R5 is F, Ra6 is CH2CH2CH2CH2CN. In an exemplary embodiment, R5 is H, Ra6 is CH2CH2CH2CH2CN. In an exemplary embodiment, R5 is F, Ra6 is CH2CH2CH2CH2CH2CN. In an exemplary embodiment, R5 is H, Ra6 is CH2CH2CH2CH2CH2CN. In an exemplary embodiment, R5 is F, Ra6 is CH2CH2CH2CH2CH2CH2CN. In an exemplary embodiment, R5 is H, Ra6 is CH2CH2CH2CH2CH2CH2CN.
- In an exemplary embodiment, the compound, or a salt thereof, has a structure which is
- wherein R5 is H or halogen, one of Ra2, Ra3, Ra5 and Ra6 is alkyl substituted with hydroxy and the remaining members of Ra2, Ra3, Ra5 and Ra6 are H, R10, R11 and R15 are each a member independently selected from the group consisting of H, substituted or unsubstituted alkyl, substituted or unsubstituted heteroalkyl, substituted or unsubstituted cycloalkyl, substituted or unsubstituted heterocycloalkyl, substituted or unsubstituted aryl, and substituted or unsubstituted heteroaryl. In an exemplary embodiment, Ra2, Ra3, Ra5, Ra6, R5, R15, R10, and R11 are as described herein, and each hydrogen in said compound or a salt thereof can be replaced by deuterium. In an exemplary embodiment, R5 is halogen, one of Ra2, Ra3, Ra5 and Ra6 is methyl substituted with hydroxy or ethyl substituted with hydroxy or C3 alkyl substituted with hydroxy or C4 alkyl substituted with hydroxy or C5 alkyl substituted with hydroxy or C6 alkyl substituted with hydroxy and the remaining members of Ra2, Ra3, Ra5 and Ra6 are H, R10, R11 and R15 are each a member independently selected from the group consisting of H, substituted or unsubstituted alkyl, substituted or unsubstituted heteroalkyl, substituted or unsubstituted cycloalkyl, substituted or unsubstituted heterocycloalkyl, substituted or unsubstituted aryl, and substituted or unsubstituted heteroaryl. In an exemplary embodiment, R5 is H, one of Ra2, Ra3, Ra5 and Ra6 is methyl substituted with hydroxy or ethyl substituted with hydroxy or C3 alkyl substituted with hydroxy or C4 alkyl substituted with hydroxy or C5 alkyl substituted with hydroxy or C6 alkyl substituted with hydroxy and the remaining members of Ra2, Ra3, Ra5 and Ra6 are H, R10, R11 and R15 are each a member independently selected from the group consisting of H, substituted or unsubstituted alkyl, substituted or unsubstituted heteroalkyl, substituted or unsubstituted cycloalkyl, substituted or unsubstituted heterocycloalkyl, substituted or unsubstituted aryl, and substituted or unsubstituted heteroaryl.
- In an exemplary embodiment, the compound, or a salt thereof, has a structure which is
- wherein R5 is H or halogen, Ra6 is alkyl substituted with hydroxy, R10, R11 and R15 are each a member independently selected from the group consisting of H, substituted or unsubstituted alkyl, substituted or unsubstituted heteroalkyl, substituted or unsubstituted cycloalkyl, substituted or unsubstituted heterocycloalkyl, substituted or unsubstituted aryl, and substituted or unsubstituted heteroaryl. In an exemplary embodiment, Ra6, R5, R15, R10, and R11 are as described herein, and each hydrogen in said compound or a salt thereof can be replaced by deuterium. In an exemplary embodiment, R5 is halogen, Ra6 is methyl substituted with hydroxy or ethyl substituted with hydroxy or C3 alkyl substituted with hydroxy or C4 alkyl substituted with hydroxy or C5 alkyl substituted with hydroxy or C6 alkyl substituted with hydroxy, R10, R11 and R15 are each a member independently selected from the group consisting of H, substituted or unsubstituted alkyl, substituted or unsubstituted heteroalkyl, substituted or unsubstituted cycloalkyl, substituted or unsubstituted heterocycloalkyl, substituted or unsubstituted aryl, and substituted or unsubstituted heteroaryl. In an exemplary embodiment, R5 is H, Ra6 is methyl substituted with hydroxy or ethyl substituted with hydroxy or C3 alkyl substituted with hydroxy or C4 alkyl substituted with hydroxy or C5 alkyl substituted with hydroxy or C6 alkyl substituted with hydroxy, R10, R11 and R15 are each a member independently selected from the group consisting of H, substituted or unsubstituted alkyl, substituted or unsubstituted heteroalkyl, substituted or unsubstituted cycloalkyl, substituted or unsubstituted heterocycloalkyl, substituted or unsubstituted aryl, and substituted or unsubstituted heteroaryl.
- In an exemplary embodiment, the compound, or a salt thereof, has a structure which is
- wherein R5 is H or halogen, Ra6 is alkyl substituted with hydroxy. In an exemplary embodiment, R5 is halogen, Ra6 is methyl substituted with hydroxy or ethyl substituted with hydroxy or C3 alkyl substituted with hydroxy or C4 alkyl substituted with hydroxy or C5 alkyl substituted with hydroxy or C6 alkyl substituted with hydroxy. In an exemplary embodiment, R5 is H, Ra6 is methyl substituted with hydroxy or ethyl substituted with hydroxy or C3 alkyl substituted with hydroxy or C4 alkyl substituted with hydroxy or C5 alkyl substituted with hydroxy or C6 alkyl substituted with hydroxy. In an exemplary embodiment, R5 is F, Ra6 is CH2OH. In an exemplary embodiment, R5 is H, Ra6 is CH2OH. In an exemplary embodiment, R5 is F, Ra6 is CH2CH2OH. In an exemplary embodiment, R5 is H, Ra6 is CH2CH2OH. In an exemplary embodiment, R5 is F, Ra6 is CH2CH2CH2OH. In an exemplary embodiment, R5 is H, Ra6 is CH2CH2CH2OH. In an exemplary embodiment, R5 is F, Ra6 is CH2CH2CH2CH2OH. In an exemplary embodiment, R5 is H, Ra6 is CH2CH2CH2CH2OH. In an exemplary embodiment, R5 is F, Ra6 is CH2CH2CH2CH2CH2OH. In an exemplary embodiment, R5 is H, Ra6 is CH2CH2CH2CH2CH2OH. In an exemplary embodiment, R5 is F, Ra6 is CH2CH2CH2CH2CH2CH2OH. In an exemplary embodiment, R5 is H, Ra6 is CH2CH2CH2CH2CH2CH2OH.
- In an exemplary embodiment, the compound, or a salt thereof, has a structure which is
- wherein R5 is H or halogen, one of Ra2, Ra3, Ra5 and Ra6 is alkyl substituted with OR30, wherein R30 is unsubstituted alkyl, and the remaining members of Ra2, Ra3, Ra5 and Ra6 are H, R10, R11 and R15 are each a member independently selected from the group consisting of H, substituted or unsubstituted alkyl, substituted or unsubstituted heteroalkyl, substituted or unsubstituted cycloalkyl, substituted or unsubstituted heterocycloalkyl, substituted or unsubstituted aryl, and substituted or unsubstituted heteroaryl. In an exemplary embodiment, Ra2, Ra3, Ra5, Ra6, R5, R15, R10 and R11 are as described herein, and each hydrogen in said compound or a salt thereof can be replaced by deuterium. In an exemplary embodiment, R5 is halogen, one of Ra2, Ra3, Ra5 and Ra6 is methyl substituted with OR30 or ethyl substituted with OR30 or C3 alkyl substituted with OR30 or C4 alkyl substituted with OR30 or C5 alkyl substituted with OR30 or C6 alkyl substituted with OR30, wherein R30 is unsubstituted alkyl, and the remaining members of Ra2, Ra1, Ra5 and Ra6 are and Ra6 are H, R10, R11 and R15 are each a member independently selected from the group consisting of H, substituted or unsubstituted alkyl, substituted or unsubstituted heteroalkyl, substituted or unsubstituted cycloalkyl, substituted or unsubstituted heterocycloalkyl, substituted or unsubstituted aryl, and substituted or unsubstituted heteroaryl. In an exemplary embodiment, R5 is H, one of Ra2, Ra3, Ra5 and Ra6 is methyl substituted with OR30 or ethyl substituted with OR30 or C3 alkyl substituted with OR30 or C4 alkyl substituted with OR30 or C5 alkyl substituted with OR30 or C6 alkyl substituted with OR30, wherein R30 is methyl or ethyl or unsubstituted C3 alkyl or unsubstituted C4 alkyl or unsubstituted C5 alkyl or unsubstituted C6 alkyl, and the remaining members of Ra2, Ra3, Ra5 and Ra6 are H, R10, R11 and R15 are each a member independently selected from the group consisting of H, substituted or unsubstituted alkyl, substituted or unsubstituted heteroalkyl, substituted or unsubstituted cycloalkyl, substituted or unsubstituted heterocycloalkyl, substituted or unsubstituted aryl, and substituted or unsubstituted heteroaryl.
- In an exemplary embodiment, the compound, or a salt thereof, has a structure which is
- wherein R5 is H or halogen, Ra6 is alkyl substituted with OR30, wherein R30 is unsubstituted alkyl, R10, R11 and R15 are each a member independently selected from the group consisting of H, substituted or unsubstituted alkyl, substituted or unsubstituted heteroalkyl, substituted or unsubstituted cycloalkyl, substituted or unsubstituted heterocycloalkyl, substituted or unsubstituted aryl, and substituted or unsubstituted heteroaryl. In an exemplary embodiment, Ra6, R5, R15, R10, and R11 are as described herein, and each hydrogen in said compound or a salt thereof can be replaced by deuterium. In an exemplary embodiment, R5 is halogen, Ra6 is methyl substituted with OR30 or ethyl substituted with OR30 or C3 alkyl substituted with OR30 or C4 alkyl substituted with OR30 or C5 alkyl substituted with OR30 or C6 alkyl substituted with OR30, wherein R30 is unsubstituted alkyl, R10, R11 and R15 are each a member independently selected from the group consisting of H, substituted or unsubstituted alkyl, substituted or unsubstituted heteroalkyl, substituted or unsubstituted cycloalkyl, substituted or unsubstituted heterocycloalkyl, substituted or unsubstituted aryl, and substituted or unsubstituted heteroaryl. In an exemplary embodiment, R5 is H, Ra6 is methyl substituted with OR30 or ethyl substituted with OR30 or C3 alkyl substituted with OR30 or C4 alkyl substituted with OR30 or C5 alkyl substituted with OR30 or C6 alkyl substituted with OR30, wherein R30 is methyl or ethyl or unsubstituted C3 alkyl or unsubstituted C4 alkyl or unsubstituted C5 alkyl or unsubstituted C6 alkyl, R10, R11 and R15 are each a member independently selected from the group consisting of H, substituted or unsubstituted alkyl, substituted or unsubstituted heteroalkyl, substituted or unsubstituted cycloalkyl, substituted or unsubstituted heterocycloalkyl, substituted or unsubstituted aryl, and substituted or unsubstituted heteroaryl.
- In an exemplary embodiment, the compound, or a salt thereof, has a structure which is
- wherein R5 is H or halogen, Ra6 is alkyl substituted with OR30, wherein R30 is unsubstituted alkyl. In an exemplary embodiment, R5 is H or halogen, Ra2 is alkyl substituted with OR30, wherein R30 is methyl or ethyl or unsubstituted C3 alkyl or unsubstituted C4 alkyl or unsubstituted C5 alkyl or unsubstituted C6 alkyl. In an exemplary embodiment, R5 is H, Ra6 is CH2OR30, wherein R30 is methyl or ethyl or unsubstituted C3 alkyl or unsubstituted C4 alkyl or unsubstituted C5 alkyl or unsubstituted C6 alkyl. In an exemplary embodiment, R5 is H, Ra6 is CH2OR30, wherein R30 is methyl or ethyl or unsubstituted C3 alkyl. In an exemplary embodiment, R5 is F, Ra6 is CH2OR30, wherein R30 is methyl or ethyl or unsubstituted C3 alkyl or unsubstituted C4 alkyl or unsubstituted C5 alkyl or unsubstituted C6 alkyl. In an exemplary embodiment, R5 is F, Ra6 is CH2OR30, wherein R30 is methyl or ethyl or unsubstituted C3 alkyl. In an exemplary embodiment, R5 is H, Ra6 is CH2CH2OR30, wherein R30 is methyl or ethyl or unsubstituted C3 alkyl or unsubstituted C4 alkyl or unsubstituted C5 alkyl or unsubstituted C6 alkyl. In an exemplary embodiment, R5 is H, Ra6 is CH2CH2OR30, wherein R30 is methyl or ethyl or unsubstituted C3 alkyl. In an exemplary embodiment, R5 is F, Ra6 is CH2CH2OR30, wherein R30 is methyl or ethyl or unsubstituted C3 alkyl or unsubstituted C4 alkyl or unsubstituted C5 alkyl or unsubstituted C6 alkyl. In an exemplary embodiment, R5 is F, Ra6 is CH2CH2OR30, wherein R30 is methyl or ethyl or unsubstituted C3 alkyl. In an exemplary embodiment, R5 is H, Ra6 is CH2CH2CH2OR30, wherein R30 is methyl or ethyl or unsubstituted C3 alkyl or unsubstituted C4 alkyl or unsubstituted C5 alkyl or unsubstituted C6 alkyl. In an exemplary embodiment, R5 is H, Ra6 is CH2CH2CH2OR30, wherein R30 is methyl or ethyl or unsubstituted C3 alkyl. In an exemplary embodiment, R5 is F, Ra6 is CH2CH2CH2OR30, wherein R30 is methyl or ethyl or unsubstituted C3 alkyl or unsubstituted C4 alkyl or unsubstituted C5 alkyl or unsubstituted C6 alkyl. In an exemplary embodiment, R5 is F, Ra6 is CH2CH2CH2OR30, wherein R30 is methyl or ethyl or unsubstituted C3 alkyl.
- In an exemplary embodiment, the compound, or a salt thereof, has a structure which is
- wherein R5 is H or halogen, one of Ra2, Ra3, Ra5 and Ra6 is alkyl substituted with NH2 and the remaining members of Ra2, Ra3, Ra5 and Ra6 are H, R10, R11 and R15 are each a member independently selected from the group consisting of H, substituted or unsubstituted alkyl, substituted or unsubstituted heteroalkyl, substituted or unsubstituted cycloalkyl, substituted or unsubstituted heterocycloalkyl, substituted or unsubstituted aryl, and substituted or unsubstituted heteroaryl. In an exemplary embodiment, Ra2, Ra3, Ra5, Ra6, R5, R15, R10, and R11 are as described herein, and each hydrogen in said compound or a salt thereof can be replaced by deuterium. In an exemplary embodiment, R5 is halogen, one of Ra2, Ra3, Ra5 and Ra6 is methyl substituted with NH2 or ethyl substituted with NH2 or C3 alkyl substituted with NH2 or C4 alkyl substituted with NH2 or C5 alkyl substituted with NH2 or C6 alkyl substituted with NH2 and the remaining members of Ra2, Ra3, Ra5 and Ra6 are H, R10, R11 and R15 are each a member independently selected from the group consisting of H, substituted or unsubstituted alkyl, substituted or unsubstituted heteroalkyl, substituted or unsubstituted cycloalkyl, substituted or unsubstituted heterocycloalkyl, substituted or unsubstituted aryl, and substituted or unsubstituted heteroaryl. In an exemplary embodiment, R5 is H, one of Ra2, Ra3, Ra5 and Ra6 is methyl substituted with NH2 or ethyl substituted with NH2 or C3 alkyl substituted with NH2 or C4 alkyl substituted with NH2 or C5 alkyl substituted with NH2 or C6 alkyl substituted with NH2 and the remaining members of Ra2, Ra3, Ra5 and Ra6 are H, R each a member independently selected from the group consisting of H, substituted or unsubstituted alkyl, substituted or unsubstituted heteroalkyl, substituted or unsubstituted cycloalkyl, substituted or unsubstituted heterocycloalkyl, substituted or unsubstituted aryl, and substituted or unsubstituted heteroaryl.
- In an exemplary embodiment, the compound, or a salt thereof, has a structure which is
- wherein R5 is H or halogen, Ra6 is alkyl substituted with NH2, R10, R11 and R15 are each a member independently selected from the group consisting of H, substituted or unsubstituted alkyl, substituted or unsubstituted heteroalkyl, substituted or unsubstituted cycloalkyl, substituted or unsubstituted heterocycloalkyl, substituted or unsubstituted aryl, and substituted or unsubstituted heteroaryl. In an exemplary embodiment, Ra6, R5, R15, R10, and R11 are as described herein, and each hydrogen in said compound or a salt thereof can be replaced by deuterium. In an exemplary embodiment, R5 is halogen, Ra6 is methyl substituted with NH2 or ethyl substituted with NH2 or C3 alkyl substituted with NH2 or C4 alkyl substituted with NH2 or C5 alkyl substituted with NH2 or C6 alkyl substituted with NH2, R10, R11 and R15 are each a member independently selected from the group consisting of H, substituted or unsubstituted alkyl, substituted or unsubstituted heteroalkyl, substituted or unsubstituted cycloalkyl, substituted or unsubstituted heterocycloalkyl, substituted or unsubstituted aryl, and substituted or unsubstituted heteroaryl. In an exemplary embodiment, R5 is H, Ra6 is methyl substituted with NH2 or ethyl substituted with NH2 or C3 alkyl substituted with NH2 or C4 alkyl substituted with NH2 or C5 alkyl substituted with NH2 or C6 alkyl substituted with NH2, R10, R11 and R15 are each a member independently selected from the group consisting of H, substituted or unsubstituted alkyl, substituted or unsubstituted heteroalkyl, substituted or unsubstituted cycloalkyl, substituted or unsubstituted heterocycloalkyl, substituted or unsubstituted aryl, and substituted or unsubstituted heteroaryl.
- In an exemplary embodiment, the compound, or a salt thereof, has a structure which is
- wherein R5 is H or halogen, Ra6 is alkyl substituted with NH2. In an exemplary embodiment, R5 is halogen, Ra6 is methyl substituted with NH2 or ethyl substituted with NH2 or C3 alkyl substituted with NH2 or C4 alkyl substituted with NH2 or C5 alkyl substituted with NH2 or C6 alkyl substituted with NH2. In an exemplary embodiment, R5 is H, Ra6 is methyl substituted with NH2 or ethyl substituted with NH2 or C3 alkyl substituted with NH2 or C4 alkyl substituted with NH2 or C5 alkyl substituted with NH2 or C6 alkyl substituted with NH2. In an exemplary embodiment, R5 is F, Ra6 is CH2NH2. In an exemplary embodiment, R5 is H, Ra6 is CH2NH2. In an exemplary embodiment, R5 is F, Ra6 is CH2CH2NH2. In an exemplary embodiment, R5 is H, Ra6 is CH2CH2NH2. In an exemplary embodiment, R5 is F, Ra6 is CH2CH2CH2NH2. In an exemplary embodiment, R5 is H, Ra6 is CH2CH2CH2NH2. In an exemplary embodiment, R5 is F, Ra6 is CH2CH2CH2CH2NH2. In an exemplary embodiment, R5 is H, Ra6 is CH2CH2CH2CH2NH2. In an exemplary embodiment, R5 is F, Ra6 is CH2CH2CH2CH2CH2NH2. In an exemplary embodiment, R5 is H, Ra6 is CH2CH2CH2CH2CH2NH2. In an exemplary embodiment, R5 is F, Ra6 is CH2CH2CH2CH2CH2CH2NH2. In an exemplary embodiment, R5 is H, Ra6 is CH2CH2CH2CH2CH2CH2NH2.
- In an exemplary embodiment, the compound, or a salt thereof, has a structure which is
- wherein R5 is H or halogen, one of Ra2, Ra3, Ra5 and Ra6 is alkyl substituted with R31, wherein R31 is halogen, and the remaining members of Ra2, Ra3, Ra5 and Ra6 are H, R10, R11, and R15 are each a member independently selected from the group consisting of H, substituted or unsubstituted alkyl, substituted or unsubstituted heteroalkyl, substituted or unsubstituted cycloalkyl, substituted or unsubstituted heterocycloalkyl, substituted or unsubstituted aryl, and substituted or unsubstituted heteroaryl. In an exemplary embodiment, Ra2, Ra3, Ra5, Ra6, R5, R15, R10, and R11 are as described herein, and each hydrogen in said compound or a salt thereof can be replaced by deuterium. In an exemplary embodiment, R5 is halogen, one of Ra2, Ra3, Ra5 and Ra6 is methyl substituted with R31 or ethyl substituted with R31 or C3 alkyl substituted with R31 or C4 alkyl substituted with R31 or C5 alkyl substituted with R31 or C6 alkyl substituted with R31, wherein R31 is halogen, and the remaining members of Ra2, Ra3, Ra5 and Ra6 are H, R10, R11 and R15 are each a member independently selected from the group consisting of H, substituted or unsubstituted alkyl, substituted or unsubstituted heteroalkyl, substituted or unsubstituted cycloalkyl, substituted or unsubstituted heterocycloalkyl, substituted or unsubstituted aryl, and substituted or unsubstituted heteroaryl. In an exemplary embodiment, R5 is H, one of Ra2, Ra3, Ra5 and Ra6 is methyl substituted with R31 or ethyl substituted with R31 or C3 alkyl substituted with R31 or C4 alkyl substituted with R31 or C5 alkyl substituted with R31 or C6 alkyl substituted with R31, wherein R31 is F or Cl or Br, and the remaining members of Ra2, Ra3, Ra5 and Ra6 are H, R10, R11 and R15 are each a member independently selected from the group consisting of H, substituted or unsubstituted alkyl, substituted or unsubstituted heteroalkyl, substituted or unsubstituted cycloalkyl, substituted or unsubstituted heterocycloalkyl, substituted or unsubstituted aryl, and substituted or unsubstituted heteroaryl.
- In an exemplary embodiment, the compound, or a salt thereof, has a structure which is
- wherein R5 is H or halogen, Ra6 is alkyl substituted with R31, wherein R31 is halogen, R10, R11 and R15 are each a member independently selected from the group consisting of H, substituted or unsubstituted alkyl, substituted or unsubstituted heteroalkyl, substituted or unsubstituted cycloalkyl, substituted or unsubstituted heterocycloalkyl, substituted or unsubstituted aryl, and substituted or unsubstituted heteroaryl. In an exemplary embodiment, Ra6, R5, R15, R10, and R11 are as described herein, and each hydrogen in said compound or a salt thereof can be replaced by deuterium. In an exemplary embodiment, R5 is halogen, Ra6 is methyl substituted with R31 or ethyl substituted with R31 or C3 alkyl substituted with R31 or C4 alkyl substituted with R31 or C5 alkyl substituted with R31 or C6 alkyl substituted with R31, wherein R31 is halogen, R10, R11 and R15 are each a member independently selected from the group consisting of H, substituted or unsubstituted alkyl, substituted or unsubstituted heteroalkyl, substituted or unsubstituted cycloalkyl, substituted or unsubstituted heterocycloalkyl, substituted or unsubstituted aryl, and substituted or unsubstituted heteroaryl. In an exemplary embodiment, R5 is H, Ra6 is methyl substituted with R31 or ethyl substituted with R31 or C3 alkyl substituted with R31 or C4 alkyl substituted with R31 or C5 alkyl substituted with R31 or C6 alkyl substituted with R31, wherein R31 is F or Cl or Br, R10, R11 and R15 are each a member independently selected from the group consisting of H, substituted or unsubstituted alkyl, substituted or unsubstituted heteroalkyl, substituted or unsubstituted cycloalkyl, substituted or unsubstituted heterocycloalkyl, substituted or unsubstituted aryl, and substituted or unsubstituted heteroaryl. In an exemplary embodiment, R5 is H or halogen, Ra6 is alkyl substituted with two R31, wherein each R31 is independently selected from F or Cl or Br or I, R10, R11 and R15 are each a member independently selected from the group consisting of H, substituted or unsubstituted alkyl, substituted or unsubstituted heteroalkyl, substituted or unsubstituted cycloalkyl, substituted or unsubstituted heterocycloalkyl, substituted or unsubstituted aryl, and substituted or unsubstituted heteroaryl. In an exemplary embodiment, R5 is H or halogen, Ra6 is alkyl substituted with three R31, wherein each R31 is independently selected from F or Cl or Br or I, R10, R11 and R15 are each a member independently selected from the group consisting of H, substituted or unsubstituted alkyl, substituted or unsubstituted heteroalkyl, substituted or unsubstituted cycloalkyl, substituted or unsubstituted heterocycloalkyl, substituted or unsubstituted aryl, and substituted or unsubstituted heteroaryl.
- In an exemplary embodiment, the compound, or a salt thereof, has a structure which is
- wherein R5 is H or halogen, Ra6 is alkyl substituted with one R31, wherein R31 is F or Cl or Br or I. In an exemplary embodiment, R5 is H or halogen, Ra6 is alkyl substituted with two R31, wherein each R31 is independently selected from F or Cl or Br or I. In an exemplary embodiment, R5 is H or halogen, Ra6 is alkyl substituted with three R31, wherein each R31 is independently selected from F or Cl or Br or I. In an exemplary embodiment, R5 is H or halogen, Ra6 is alkyl substituted with R31, wherein R31 is F or Cl or Br. In an exemplary embodiment, R5 is H, Ra6 is CH2F. In an exemplary embodiment, R5 is F, Ra6 is CH2F. In an exemplary embodiment, R5 is H, Ra6 is CHF2. In an exemplary embodiment, R5 is F, Ra6 is CHF2. In an exemplary embodiment, R5 is H, Ra6 is CF3. In an exemplary embodiment, R5 is F, Ra6 is CF3. In an exemplary embodiment, R5 is H or halogen, Ra6 is ethyl substituted with R31, wherein R31 is F or Cl or Br. In an exemplary embodiment, R5 is H or halogen, Ra6 is ethyl substituted with two R31, wherein each R31 is independently selected from F or Cl or Br. In an exemplary embodiment, R5 is H or halogen, Ra6 is ethyl substituted with three R31, wherein each R31 is independently selected from F or Cl or Br. In an exemplary embodiment, R5 is H, Ra6 is CH2CH2F. In an exemplary embodiment, R5 is F, Ra6 is CH2CH2F. In an exemplary embodiment, R5 is H, Ra6 is CH2CHF2. In an exemplary embodiment, R5 is F, Ra6 is CH2CHF2. In an exemplary embodiment, R5 is H, Ra6 is CH2CF3. In an exemplary embodiment, R5 is F, Ra6 is CH2CF3. In an exemplary embodiment, R5 is H or halogen, Ra6 is C3 alkyl substituted with R31, wherein R31 is F or Cl or Br. In an exemplary embodiment, R5 is H or halogen, Ra6 is C3 alkyl substituted with two R31, wherein each R31 is independently selected from F or Cl or Br. In an exemplary embodiment, R5 is H or halogen, Ra6 is C3 alkyl substituted with three R31, wherein each R31 is independently selected from F or Cl or Br. In an exemplary embodiment, R5 is H, Ra6 is CH2CH2CH2F. In an exemplary embodiment, R5 is F, Ra6 is CH2CH2CH2F. In an exemplary embodiment, R5 is H, Ra6 is CH2CH2CHF2. In an exemplary embodiment, R5 is F, Ra6 is CH2CH2CHF2. In an exemplary embodiment, R5 is H, Ra6 is CH2CH2CF3. In an exemplary embodiment, R5 is F, Ra6 is CH2CH2CF3.
- In an exemplary embodiment, the compound, or a salt thereof, has a structure which is
- wherein R5 is H or halogen, Ra5 is alkyl substituted with one R31, wherein R31 is F or Cl or Br or I. In an exemplary embodiment, R5 is H or halogen, Ra5 is alkyl substituted with two R31, wherein each R31 is independently selected from F or Cl or Br or I. In an exemplary embodiment, R5 is H or halogen, Ra5 is alkyl substituted with three R31, wherein each R31 is independently selected from F or Cl or Br or I. In an exemplary embodiment, R5 is H or halogen, Ra5 is alkyl substituted with R31, wherein R31 is F or Cl or Br. In an exemplary embodiment, R5 is H, Ra5 is CH2F. In an exemplary embodiment, R5 is F, Ra5 is CH2F. In an exemplary embodiment, R5 is H, Ra5 is CHF2. In an exemplary embodiment, R5 is F, Ra5 is CHF2. In an exemplary embodiment, R5 is H, Ra5 is CF3. In an exemplary embodiment, R5 is F, Ra5 is CF3. In an exemplary embodiment, R5 is H or halogen, Ra5 is ethyl substituted with R31, wherein R31 is F or Cl or Br. In an exemplary embodiment, R5 is H or halogen, Ra5 is ethyl substituted with two R31, wherein each R31 is independently selected from F or Cl or Br. In an exemplary embodiment, R5 is H or halogen, Ra5 is ethyl substituted with three R31, wherein each R31 is independently selected from F or Cl or Br. In an exemplary embodiment, R5 is H, Ra5 is CH2CH2F. In an exemplary embodiment, R5 is F, Ra5 is CH2CH2F. In an exemplary embodiment, R5 is H, Ra5 is CH2CHF2. In an exemplary embodiment, R5 is F, Ra5 is CH2CHF2. In an exemplary embodiment, R5 is H, Ra5 is CH2CF3. In an exemplary embodiment, R5 is F, Ra5 is CH2CF3. In an exemplary embodiment, R5 is H or halogen, Ra5 is C3 alkyl substituted with R31, wherein R31 is F or Cl or Br. In an exemplary embodiment, R5 is H or halogen, Ra5 is C3 alkyl substituted with two R31, wherein each R31 is independently selected from F or Cl or Br. In an exemplary embodiment, R5 is H or halogen, Ra5 is C3 alkyl substituted with three R31, wherein each R31 is independently selected from F or Cl or Br. In an exemplary embodiment, R5 is H, Ra5 is CH2CH2CH2F. In an exemplary embodiment, R5 is F, Ra5 is CH2CH2CH2F. In an exemplary embodiment, R5 is H, Ra5 is CH2CH2CHF2. In an exemplary embodiment, R5 is F, Ra5 is CH2CH2CHF2. In an exemplary embodiment, R5 is H, Ra5 is CH2CH2CF3. In an exemplary embodiment, R5 is F, Ra5 is CH2CH2CF3.
- In an exemplary embodiment, the compound, or a salt thereof, has a structure which is
- wherein R5 is H or halogen, one of Ra2, Ra3, Ra5 and Ra6 is alkyl substituted with —C(O)OR30, wherein R30 is unsubstituted alkyl, and the remaining members of Ra2, Ra3, Ra5 and Ra6 are H, R10, R11 and R15 are each a member independently selected from the group consisting of H, substituted or unsubstituted alkyl, substituted or unsubstituted heteroalkyl, substituted or unsubstituted cycloalkyl, substituted or unsubstituted heterocycloalkyl, substituted or unsubstituted aryl, and substituted or unsubstituted heteroaryl. In an exemplary embodiment, Ra2, Ra3, Ra5, Ra6, R5, R15, R10, and R11 are as described herein, and each hydrogen in said compound or a salt thereof can be replaced by deuterium. In an exemplary embodiment, R5 is halogen, one of Ra2, Ra3, Ra5 and Ra6 is methyl substituted with —C(O)OR30 or ethyl substituted with —C(O)OR30 or C3 alkyl substituted with —C(O)OR30 or C4 alkyl substituted with —C(O)OR30 or C5 alkyl substituted with —C(O)OR30 or C6 alkyl substituted with —C(O)OR30, wherein R30 is unsubstituted alkyl, and the remaining members of Ra2, Ra3, Ra5 and Ra6 are H, R10, R11 and R15 are each a member independently selected from the group consisting of H, substituted or unsubstituted alkyl, substituted or unsubstituted heteroalkyl, substituted or unsubstituted cycloalkyl, substituted or unsubstituted heterocycloalkyl, substituted or unsubstituted aryl, and substituted or unsubstituted heteroaryl. In an exemplary embodiment, R5 is H, one of Ra2, Ra3, Ra5 and Ra6 is methyl substituted with —C(O)OR30 or ethyl substituted with —C(O)OR30 or C3 alkyl substituted with —C(O)OR30 or C4 alkyl substituted with —C(O)OR30 or C5 alkyl substituted with —C(O)OR30 or C6 alkyl substituted with —C(O)OR30, wherein R30 is methyl or ethyl or unsubstituted C3 alkyl or unsubstituted C4 alkyl or unsubstituted C5 alkyl or unsubstituted C6 alkyl, and the remaining members of Ra2, Ra3, Ra5 and Ra6 are H, R10, R11 and R15 are each a member independently selected from the group consisting of H, substituted or unsubstituted alkyl, substituted or unsubstituted heteroalkyl, substituted or unsubstituted cycloalkyl, substituted or unsubstituted heterocycloalkyl, substituted or unsubstituted aryl, and substituted or unsubstituted heteroaryl.
- In an exemplary embodiment, the compound, or a salt thereof, has a structure which is
- wherein R5 is H or halogen, Ra6 is alkyl substituted with —C(O)OR30, wherein R30 is unsubstituted alkyl, R10, R11 and R15 are each a member independently selected from the group consisting of H, substituted or unsubstituted alkyl, substituted or unsubstituted heteroalkyl, substituted or unsubstituted cycloalkyl, substituted or unsubstituted heterocycloalkyl, substituted or unsubstituted aryl, and substituted or unsubstituted heteroaryl. In an exemplary embodiment, Ra6, R5, R15, R10, and R11 are as described herein, and each hydrogen in said compound or a salt thereof can be replaced by deuterium. In an exemplary embodiment, R5 is halogen, Ra6 is methyl substituted with —C(O)OR30 or ethyl substituted with —C(O)OR30 or C3 alkyl substituted with —C(O)OR30 or C4 alkyl substituted with —C(O)OR30 or C5 alkyl substituted with —C(O)OR30 or C6 alkyl substituted with —C(O)OR30, wherein R30 is unsubstituted alkyl, R10, R11 and R15 are each a member independently selected from the group consisting of H, substituted or unsubstituted alkyl, substituted or unsubstituted heteroalkyl, substituted or unsubstituted cycloalkyl, substituted or unsubstituted heterocycloalkyl, substituted or unsubstituted aryl, and substituted or unsubstituted heteroaryl. In an exemplary embodiment, R5 is H, Ra6 is methyl substituted with —C(O)OR30 or ethyl substituted with —C(O)OR30 or C3 alkyl substituted with —C(O)OR30 or C4 alkyl substituted with —C(O)OR30 or C5 alkyl substituted with —C(O)OR30 or C6 alkyl substituted with —C(O)OR30, wherein R30 is methyl or ethyl or unsubstituted C3 alkyl or unsubstituted C4 alkyl or unsubstituted C5 alkyl or unsubstituted C6 alkyl, R10, R11 and R15 are each a member independently selected from the group consisting of H, substituted or unsubstituted alkyl, substituted or unsubstituted heteroalkyl, substituted or unsubstituted cycloalkyl, substituted or unsubstituted heterocycloalkyl, substituted or unsubstituted aryl, and substituted or unsubstituted heteroaryl.
- In an exemplary embodiment, the compound, or a salt thereof, has a structure which is
- wherein R5 is H or halogen, Ra6 is alkyl substituted with —C(O)OR30, wherein R30 is unsubstituted alkyl. In an exemplary embodiment, R5 is H or halogen, Ra6 is alkyl substituted with —C(O)OR30, wherein R30 is methyl or ethyl or unsubstituted C3 alkyl or unsubstituted C4 alkyl or unsubstituted C5 alkyl or unsubstituted C6 alkyl. In an exemplary embodiment, R5 is H, Ra6 is CH2C(O)OR30, wherein R30 is methyl or ethyl or unsubstituted C3 alkyl or unsubstituted C4 alkyl or unsubstituted C5 alkyl or unsubstituted C6 alkyl. In an exemplary embodiment, R5 is H, Ra6 is CH2C(O)OR30, wherein R30 is methyl or ethyl or unsubstituted C3 alkyl. In an exemplary embodiment, R5 is F, Ra6 is CH2C(O)OR30, wherein R30 is methyl or ethyl or unsubstituted C3 alkyl or unsubstituted C4 alkyl or unsubstituted C5 alkyl or unsubstituted C6 alkyl. In an exemplary embodiment, R5 is F, Ra6 is CH2C(O)OR30, wherein R30 is methyl or ethyl or unsubstituted C3 alkyl. In an exemplary embodiment, R5 is H, Ra6 is CH2CH2C(O)OR30, wherein R30 is methyl or ethyl or unsubstituted C3 alkyl or unsubstituted C4 alkyl or unsubstituted C5 alkyl or unsubstituted C6 alkyl. In an exemplary embodiment, R5 is H, Ra6 is CH2CH2C(O)OR30, wherein R30 is methyl or ethyl or unsubstituted C3 alkyl. In an exemplary embodiment, R5 is F, Ra6 is CH2CH2C(O)OR30, wherein R30 is methyl or ethyl or unsubstituted C3 alkyl or unsubstituted C4 alkyl or unsubstituted C5 alkyl or unsubstituted C6 alkyl. In an exemplary embodiment, R5 is F, Ra6 is CH2CH2C(O)OR30, wherein R30 is methyl or ethyl or unsubstituted C3 alkyl. In an exemplary embodiment, R5 is H, Ra6 is CH2CH2CH2C(O)OR30, wherein R30 is methyl or ethyl or unsubstituted C3 alkyl or unsubstituted C4 alkyl or unsubstituted C5 alkyl or unsubstituted C6 alkyl. In an exemplary embodiment, R5 is H, Ra6 is CH2CH2CH2C(O)OR30, wherein R30 is methyl or ethyl or unsubstituted C3 alkyl. In an exemplary embodiment, R5 is F, Ra6 is CH2CH2CH2C(O)OR30, wherein R30 is methyl or ethyl or unsubstituted C3 alkyl or unsubstituted C4 alkyl or unsubstituted C5 alkyl or unsubstituted C6 alkyl. In an exemplary embodiment, R5 is F, Ra6 is CH2CH2CH2C(O)OR30, wherein R30 is methyl or ethyl or unsubstituted C3 alkyl. In an exemplary embodiment, R5 is H, Ra6 is CH2C(O)OCH(CH3)2. In an exemplary embodiment, R5 is F, Ra6 is CH2C(O)OCH(CH3)2. In an exemplary embodiment, R5 is H, Ra6 is CH2CH2C(O)OCH(CH3)2. In an exemplary embodiment, R5 is F, Ra6 is CH2CH2C(O)OCH(CH3)2. In an exemplary embodiment, R5 is H, Ra6 is CH2CH2CH2C(O)OCH(CH3)2. In an exemplary embodiment, R5 is F, Ra6 is CH2CH2CH2C(O)OCH(CH3)2. In an exemplary embodiment, R5 is H, Ra6 is CH2C(O)OC(CH3)3. In an exemplary embodiment, R5 is F, Ra6 is CH2C(O)OC(CH3)3. In an exemplary embodiment, R5 is H, Ra6 is CH2CH2C(O)OC(CH3)3. In an exemplary embodiment, R5 is F, Ra6 is CH2CH2C(O)OC(CH3)3. In an exemplary embodiment, R5 is H, Ra6 is CH2CH2CH2C(O)OC(CH3)3. In an exemplary embodiment, R5 is F, Ra6 is CH2CH2CH2C(O)OC(CH3)3.
- In an exemplary embodiment, the compound, or a salt thereof, has a structure which is
- wherein R5 is H or halogen, Ra6 is alkyl substituted with —C(O)OH. In an exemplary embodiment, R5 is H, Ra6 is CH2C(O)OH. In an exemplary embodiment, Ra6, R5, R15, R10, and R11 are as described herein, and each hydrogen in said compound or a salt thereof can be replaced by deuterium. In an exemplary embodiment, R5 is F, Ra6 is CH2C(O)OH. In an exemplary embodiment, R5 is H, Ra6 is CH2CH2C(O)OH. In an exemplary embodiment, R5 is F, Ra6 is CH2CH2C(O)OH. In an exemplary embodiment, R5 is H, Ra6 is CH2CH2CH2C(O)OH. In an exemplary embodiment, R5 is F, Ra6 is CH2CH2CH2C(O)OH.
- In an exemplary embodiment, the compound, or a salt thereof, has a structure which is
- wherein R5 is H or halogen, one of Ra2, Ra3, Ra5 and Ra6 is alkyl substituted with —C(O)NHR35, wherein R35 is unsubstituted alkyl or unsubstituted cyclobutyl or unsubstituted cyclopentyl or unsubstituted cyclohexyl or unsubstituted cycloheptyl or unsubstituted cyclooctyl, and the remaining members of Ra2, Ra3, Ra5 and Ra6 are H, R10, R11 and R15 are each a member independently selected from the group consisting of H, substituted or unsubstituted alkyl, substituted or unsubstituted heteroalkyl, substituted or unsubstituted cycloalkyl, substituted or unsubstituted heterocycloalkyl, substituted or unsubstituted aryl, and substituted or unsubstituted heteroaryl. In an exemplary embodiment, Ra2, Ra3, Ra5, Ra6, R5, R15, R10, and R11 are as described herein, and each hydrogen in said compound or a salt thereof can be replaced by deuterium. In an exemplary embodiment, R5 is halogen, one of Ra2, Ra3, Ra5 and Ra6 is methyl substituted with —C(O)NHR35 or ethyl substituted with —C(O)NHR35 or C3 alkyl substituted with —C(O)NHR35 or C4 alkyl substituted with —C(O)NHR35 or C5 alkyl substituted with —C(O)NHR35 or C6 alkyl substituted with —C(O)NHR35, wherein R35 is unsubstituted alkyl or unsubstituted cyclobutyl or unsubstituted cyclopentyl or unsubstituted cyclohexyl or unsubstituted cycloheptyl or unsubstituted cyclooctyl, and the remaining members of Ra2, Ra3, Ra5 and Ra6 are H, R10, R11 and R15 are each a member independently selected from the group consisting of H, substituted or unsubstituted alkyl, substituted or unsubstituted heteroalkyl, substituted or unsubstituted cycloalkyl, substituted or unsubstituted heterocycloalkyl, substituted or unsubstituted aryl, and substituted or unsubstituted heteroaryl. In an exemplary embodiment, R5 is H, one of Ra2, Ra3, Ra5 and Ra6 is methyl substituted with —C(O)NHR35 or ethyl substituted with —C(O)NHR35 or C3 alkyl substituted with —C(O)NHR35 or C4 alkyl substituted with —C(O)NHR35, wherein R35 is methyl or ethyl or unsubstituted C3 alkyl or unsubstituted C4 alkyl or unsubstituted cyclobutyl or unsubstituted cyclopentyl or unsubstituted cyclohexyl, and the remaining members of Ra2, Ra3, Ra5 and Ra6 are H, R10, R11 and R15 are each a member independently selected from the group consisting of H, substituted or unsubstituted alkyl, substituted or unsubstituted heteroalkyl, substituted or unsubstituted cycloalkyl, substituted or unsubstituted heterocycloalkyl, substituted or unsubstituted aryl, and substituted or unsubstituted heteroaryl.
- In an exemplary embodiment, the compound, or a salt thereof, has a structure which is
- wherein R5 is H or halogen, Ra6 is alkyl substituted with —C(O)NHR35, wherein R35 is unsubstituted alkyl or unsubstituted cyclobutyl or unsubstituted cyclopentyl or unsubstituted cyclohexyl or unsubstituted cycloheptyl or unsubstituted cyclooctyl, R10, R11 and R15 are each a member independently selected from the group consisting of H, substituted or unsubstituted alkyl, substituted or unsubstituted heteroalkyl, substituted or unsubstituted cycloalkyl, substituted or unsubstituted heterocycloalkyl, substituted or unsubstituted aryl, and substituted or unsubstituted heteroaryl. In an exemplary embodiment, Ra6, R5, R15R10, and R11 are as described herein, and each hydrogen in said compound or a salt thereof can be replaced by deuterium. In an exemplary embodiment, R5 is halogen, Ra6 is methyl substituted with —C(O)NHR35 or ethyl substituted with —C(O)NHR35 or C3 alkyl substituted with —C(O)NHR35 or C4 alkyl substituted with —C(O)NHR35 or C5 alkyl substituted with —C(O)NHR35 or C6 alkyl substituted with —C(O)NHR35, wherein R35 is unsubstituted alkyl or unsubstituted cyclobutyl or unsubstituted cyclopentyl or unsubstituted cyclohexyl or unsubstituted cycloheptyl or unsubstituted cyclooctyl, R10, R11 and R15 are each a member independently selected from the group consisting of H, substituted or unsubstituted alkyl, substituted or unsubstituted heteroalkyl, substituted or unsubstituted cycloalkyl, substituted or unsubstituted heterocycloalkyl, substituted or unsubstituted aryl, and substituted or unsubstituted heteroaryl. In an exemplary embodiment, R5 is H, Ra6 is methyl substituted with —C(O)NHR35 or ethyl substituted with —C(O)NHR35 or C3 alkyl substituted with —C(O)NHR35 or C4 alkyl substituted with —C(O)NHR35 or C5 alkyl substituted with —C(O)NHR35 or C6 alkyl substituted with —C(O)NHR35, wherein R35 is methyl or ethyl or unsubstituted C3 alkyl or unsubstituted C4 alkyl or unsubstituted C5 alkyl or unsubstituted C6 alkyl or unsubstituted cyclobutyl or unsubstituted cyclopentyl or unsubstituted cyclohexyl, R10, R11 and R15 are each a member independently selected from the group consisting of H, substituted or unsubstituted alkyl, substituted or unsubstituted heteroalkyl, substituted or unsubstituted cycloalkyl, substituted or unsubstituted heterocycloalkyl, substituted or unsubstituted aryl, and substituted or unsubstituted heteroaryl.
- In an exemplary embodiment, the compound, or a salt thereof, has a structure which is
- wherein R5 is H or halogen, Ra6 is alkyl substituted with —C(O)NHR35, wherein R35 is unsubstituted alkyl. In an exemplary embodiment, R5 is H or halogen, Ra6 is alkyl substituted with —C(O)NHR35, wherein R35 is methyl or ethyl or unsubstituted C3 alkyl or unsubstituted C4 alkyl or unsubstituted C5 alkyl or unsubstituted C6 alkyl. In an exemplary embodiment, R5 is H, Ra6 is CH2C(O)NHR35, wherein R35 is methyl or ethyl or unsubstituted C3 alkyl or unsubstituted C4 alkyl or unsubstituted C5 alkyl or unsubstituted C6 alkyl. In an exemplary embodiment, R5 is H, Ra6 is CH2C(O)NHR35, wherein R35 is methyl or ethyl or unsubstituted C3 alkyl. In an exemplary embodiment, R5 is F, Ra6 is CH2C(O)NHR35, wherein R35 is methyl or ethyl or unsubstituted C3 alkyl or unsubstituted C4 alkyl or unsubstituted C5 alkyl or unsubstituted C6 alkyl. In an exemplary embodiment, R5 is F, Ra6 is CH2C(O)NHR35, wherein R35 is methyl or ethyl or unsubstituted C3 alkyl. In an exemplary embodiment, R5 is H, Ra6 is CH2CH2C(O)NHR30, wherein R30 is methyl or ethyl or unsubstituted C3 alkyl or unsubstituted C4 alkyl or unsubstituted C5 alkyl or unsubstituted C6 alkyl. In an exemplary embodiment, R5 is H, Ra6 is CH2CH2C(O)NHR30, wherein R30 is methyl or ethyl or unsubstituted C3 alkyl. In an exemplary embodiment, R5 is F, Ra6 is CH2CH2C(O)NHR30, wherein R30 is methyl or ethyl or unsubstituted C3 alkyl or unsubstituted C4 alkyl or unsubstituted C5 alkyl or unsubstituted C6 alkyl. In an exemplary embodiment, R5 is F, Ra6 is CH2CH2C(O)NHR30, wherein R30 is methyl or ethyl or unsubstituted C3 alkyl. In an exemplary embodiment, R5 is H, Ra6 is CH2CH2CH2C(O)NHR30, wherein R30 is methyl or ethyl or unsubstituted C3 alkyl or unsubstituted C4 alkyl or unsubstituted C5 alkyl or unsubstituted C6 alkyl. In an exemplary embodiment, R5 is H, Ra6 is CH2CH2CH2C(O)NHR30, wherein R30 is methyl or ethyl or unsubstituted C3 alkyl. In an exemplary embodiment, R5 is F, Ra6 is CH2CH2CH2C(O)NHR30, wherein R30 is methyl or ethyl or unsubstituted C3 alkyl or unsubstituted C4 alkyl or unsubstituted C5 alkyl or unsubstituted C6 alkyl. In an exemplary embodiment, R5 is F, Ra6 is CH2CH2CH2C(O)NHR30, wherein R30 is methyl or ethyl or unsubstituted C3 alkyl.
- In an exemplary embodiment, the compound, or a salt thereof, has a structure which is
- wherein R5 is H or halogen, Ra6 is alkyl substituted with —C(O)NHR35, wherein R35 is unsubstituted cyclobutyl or unsubstituted cyclopentyl or unsubstituted cyclohexyl or unsubstituted cycloheptyl or unsubstituted cyclooctyl. In an exemplary embodiment, R5 is H or halogen, Ra6 is alkyl substituted with —C(O)NHR35, wherein R35 is unsubstituted cyclobutyl or unsubstituted cyclopentyl or unsubstituted cyclohexyl or unsubstituted cycloheptyl or unsubstituted cyclooctyl. In an exemplary embodiment, R5 is H or halogen, Ra6 is alkyl substituted with —C(O)NHR35, wherein R35 is unsubstituted cyclobutyl or unsubstituted cyclopentyl or unsubstituted cyclohexyl or unsubstituted cycloheptyl or unsubstituted cyclooctyl. In an exemplary embodiment, R5 is H, Ra6 is CH2C(O)NHR35, wherein R35 is unsubstituted cyclobutyl or unsubstituted cyclopentyl or unsubstituted cyclohexyl or unsubstituted cycloheptyl or unsubstituted cyclooctyl. In an exemplary embodiment, R5 is H, Ra6 is CH2C(O)NHR35, wherein R35 is unsubstituted cyclopropyl or unsubstituted cyclobutyl or unsubstituted cyclopentyl or unsubstituted cyclohexyl. In an exemplary embodiment, R5 is F, Ra6 is CH2C(O)NHR35, wherein R35 is unsubstituted cyclobutyl or unsubstituted cyclopentyl or unsubstituted cyclohexyl or unsubstituted cycloheptyl or unsubstituted cyclooctyl. In an exemplary embodiment, R5 is F, Ra6 is CH2C(O)NHR35, wherein R35 is unsubstituted cyclobutyl or unsubstituted cyclopentyl or unsubstituted cyclohexyl. In an exemplary embodiment, R5 is H, Ra6 is CH2CH2C(O)NHR35, wherein R35 is unsubstituted cyclobutyl or unsubstituted cyclopentyl or unsubstituted cyclohexyl or unsubstituted cycloheptyl or unsubstituted cyclooctyl. In an exemplary embodiment, R5 is H, Ra6 is CH2CH2C(O)NHR35, wherein R35 is unsubstituted cyclobutyl or unsubstituted cyclopentyl or unsubstituted cyclohexyl. In an exemplary embodiment, R5 is F, Ra6 is CH2CH2C(O)NHR35, wherein R35 is unsubstituted cyclobutyl or unsubstituted cyclopentyl or unsubstituted cyclohexyl or unsubstituted cycloheptyl or unsubstituted cyclooctyl. In an exemplary embodiment, R5 is F, Ra6 is CH2CH2C(O)NHR35, wherein R35 is unsubstituted cyclobutyl or unsubstituted cyclopentyl or unsubstituted cyclohexyl. In an exemplary embodiment, R5 is H, Ra6 is CH2CH2CH2C(O)NHR35, wherein R35 is unsubstituted cyclobutyl or unsubstituted cyclopentyl or unsubstituted cyclohexyl or unsubstituted cycloheptyl or unsubstituted cyclooctyl. In an exemplary embodiment, R5 is H, Ra6 is CH2CH2CH2C(O)NHR35, wherein R35 is unsubstituted cyclobutyl or unsubstituted cyclopentyl or unsubstituted cyclohexyl. In an exemplary embodiment, R5 is F, Ra6 is CH2CH2CH2C(O)NHR35, wherein R35 is unsubstituted cyclobutyl or unsubstituted cyclopentyl or unsubstituted cyclohexyl or unsubstituted cycloheptyl or unsubstituted cyclooctyl. In an exemplary embodiment, R5 is F, Ra6 is CH2CH2CH2C(O)NHR35, wherein R35 is unsubstituted cyclobutyl or unsubstituted cyclopentyl or unsubstituted cyclohexyl.
- In an exemplary embodiment, the compound, or a salt thereof, has a structure which is
- wherein R5 is H or halogen, Ra6 is alkyl substituted with —C(O)NHR30, wherein R30 is alkyl substituted with alkenyl or alkynyl. In an exemplary embodiment, R5 is H or halogen, Ra6 is alkyl substituted with —C(O)NHR30, wherein R30 is prop-1-ynyl or prop-1-enyl or prop-2-ynyl or prop-2-enyl or but-1-ynyl or but-1-enyl or but-2-ynyl or but-2-enyl or but-3-ynyl or but-3-enyl. In an exemplary embodiment, R5 is H, Ra6 is CH2C(O)NHR30, wherein R30 is prop-1-ynyl or prop-1-enyl or prop-2-ynyl or prop-2-enyl or but-1-ynyl or but-1-enyl or but-2-ynyl or but-2-enyl or but-3-ynyl or but-3-enyl. In an exemplary embodiment, R5 is F, Ra6 is CH2C(O)NHR30, wherein R30 is prop-1-ynyl or prop-1-enyl or prop-2-ynyl or prop-2-enyl or but-1-ynyl or but-1-enyl or but-2-ynyl or but-2-enyl or but-3-ynyl or but-3-enyl.
- In an exemplary embodiment, the compound, or a salt thereof, has a structure which is
- wherein R5 is H or halogen, Ra6 is alkyl substituted with —C(O)NHR30, wherein R30 is benzyl. In an exemplary embodiment, R5 is H, Ra6 is CH2C(O)NHR30, wherein R30 is benzyl. In an exemplary embodiment, R5 is F, Ra6 is CH2C(O)NHR30, wherein R30 is benzyl.
- In an exemplary embodiment, the compound, or a salt thereof, has a structure which is
- wherein R5 is H or halogen, Ra6 is alkyl substituted with —C(O)NH2. In an exemplary embodiment, R5 is H, Ra6 is CH2C(O)NH2. In an exemplary embodiment, R5 is F, Ra6 is CH2C(O)NH2. In an exemplary embodiment, R5 is H, Ra6 is CH2CH2C(O)NH2. In an exemplary embodiment, R5 is F, Ra6 is CH2CH2C(O)NH2. In an exemplary embodiment, R5 is H, Ra6 is CH2CH2CH2C(O)NH2. In an exemplary embodiment, R5 is F, Ra6 is CH2CH2CH2C(O)NH2.
- In an exemplary embodiment, the compound, or a salt thereof, has a structure which is
- wherein R5 is H or halogen, Ra6 is alkyl substituted with —C(O)NHNH2. In an exemplary embodiment, R5 is H, Ra6 is CH2C(O)NHNH2. In an exemplary embodiment, R5 is F, Ra6 is CH2C(O)NHNH2. In an exemplary embodiment, R5 is H, Ra6 is CH2CH2C(O)NHNH2. In an exemplary embodiment, R5 is F, Ra6 is CH2CH2C(O)NHNH2. In an exemplary embodiment, R5 is H, Ra6 is CH2CH2CH2C(O)NHNH2. In an exemplary embodiment, R5 is F, Ra6 is CH2CH2CH2C(O)NHNH2.
- In an exemplary embodiment, the compound, or a salt thereof, has a structure which is
- wherein R5 is H or halogen, Ra6 is alkyl substituted with —C(O)NHOR30 wherein R30 is unsubstituted alkyl. In an exemplary embodiment, R5 is H, Ra6 is CH2C(O)NHOR30 wherein R30 is methyl or ethyl or unsubstituted C3 alkyl. In an exemplary embodiment, R5 is F, Ra6 is CH2C(O)NHOR30 wherein R30 is methyl or ethyl or unsubstituted C3 alkyl. In an exemplary embodiment, R5 is H, Ra6 is CH2CH2C(O)NHOR30 wherein R30 is methyl or ethyl or unsubstituted C3 alkyl. In an exemplary embodiment, R5 is F, Ra6 is CH2CH2C(O)NHOR30 wherein R30 is methyl or ethyl or unsubstituted C3 alkyl. In an exemplary embodiment, R5 is H, Ra6 is CH2CH2CH2C(O)NHOR30 wherein R30 is methyl or ethyl or unsubstituted C3 alkyl. In an exemplary embodiment, R5 is F, Ra6 is CH2CH2CH2C(O)NHOR30 wherein R30 is methyl or ethyl or unsubstituted C3 alkyl.
- In an exemplary embodiment, the compound, or a salt thereof, has a structure which is
- wherein R5 is H or halogen, Ra6 is alkyl substituted with —C(O)NR33R34, wherein R33 and R34, along with the nitrogen to which they are attached, form a 4 or 5 or 6 or 7 or 8 membered ring. In an exemplary embodiment, Ra6, R5, R15, R10 and R11 are as described herein, and each hydrogen in said compound or a salt thereof can be replaced by deuterium. In an exemplary embodiment, R5 is H, Ra6 is CH2C(O)NR33R34, wherein R33 and R34, along with the nitrogen to which they are attached, form a 4 or 5 or 6 or 7 or 8 membered ring. In an exemplary embodiment, R5 is F, Ra6 is CH2C(O)NR33R34, wherein R33 and R34, along with the nitrogen to which they are attached, form a 4 or 5 or 6 or 7 or 8 membered ring. In an exemplary embodiment, R5 is H, Ra6 is CH2CH2C(O)NR33R34, wherein R33 and R34, along with the nitrogen to which they are attached, form a 4 or 5 or 6 or 7 or 8 membered ring. In an exemplary embodiment, R5 is F, Ra6 is CH2CH2C(O)NR33R34, wherein R33 and R34, along with the nitrogen to which they are attached, form a 4 or 5 or 6 or 7 or 8 membered ring.
- In an exemplary embodiment, the compound, or a salt thereof, has a structure which is
- wherein R5 is H or halogen, one of Ra2, Ra3, Ra5 and Ra6 is alkyl substituted with —S(O)2R30, wherein R30 is unsubstituted alkyl, and the remaining members of Ra2, Ra3, Ra5 and Ra6 are H, R10, R11 and R15 are each a member independently selected from the group consisting of H, substituted or unsubstituted alkyl, substituted or unsubstituted heteroalkyl, substituted or unsubstituted cycloalkyl, substituted or unsubstituted heterocycloalkyl, substituted or unsubstituted aryl, and substituted or unsubstituted heteroaryl. In an exemplary embodiment, Ra2, Ra3, Ra5, Ra6, R5, R15, R10, and R11 are as described herein, and each hydrogen in said compound or a salt thereof can be replaced by deuterium. In an exemplary embodiment, R5 is halogen, one of Ra2, Ra3, Ra5 and Ra6 is methyl substituted with —S(O)2R30 or ethyl substituted with —S(O)2R30 or C3 alkyl substituted with —S(O)2R30 or C4 alkyl substituted with —S(O)2R30 or C5alkyl substituted with —S(O)2R30 or C6 alkyl substituted with —S(O)2R30, wherein R30 is unsubstituted alkyl, and the remaining members of Ra2, Ra3, Ra5 and Ra6 are H, R10, R11 and R15 are each a member independently selected from the group consisting of H, substituted or unsubstituted alkyl, substituted or unsubstituted heteroalkyl, substituted or unsubstituted cycloalkyl, substituted or unsubstituted heterocycloalkyl, substituted or unsubstituted aryl, and substituted or unsubstituted heteroaryl. In an exemplary embodiment, R5 is H, one of Ra2, Ra3, Ra5 and Ra6 is methyl substituted with —S(O)2R30 or ethyl substituted with —S(O)2R30 or C3 alkyl substituted with —S(O)2R30 or C4 alkyl substituted with —S(O)2R30 or C5 alkyl substituted with —S(O)2R30 or C6 alkyl substituted with —S(O)2R30, wherein R30 is methyl or ethyl or unsubstituted C3 alkyl or unsubstituted C4 alkyl or unsubstituted C5 alkyl or unsubstituted C6 alkyl, and the remaining members of Ra2, Ra3, Ra5 and Ra6 are H R10, R11 and R15 are each a member independently selected from the group consisting of H, substituted or unsubstituted alkyl, substituted or unsubstituted heteroalkyl, substituted or unsubstituted cycloalkyl, substituted or unsubstituted heterocycloalkyl, substituted or unsubstituted aryl, and substituted or unsubstituted heteroaryl.
- In an exemplary embodiment, the compound, or a salt thereof, has a structure which is
- wherein R5 is H or halogen, Ra6 is alkyl substituted with —S(O)2R30, wherein R30 is unsubstituted alkyl, R10, R11 and R15 are each a member independently selected from the group consisting of H, substituted or unsubstituted alkyl, substituted or unsubstituted heteroalkyl, substituted or unsubstituted cycloalkyl, substituted or unsubstituted heterocycloalkyl, substituted or unsubstituted aryl, and substituted or unsubstituted heteroaryl. In an exemplary embodiment, Ra6, R5, R15, R10, and R11 are as described herein, and each hydrogen in said compound or a salt thereof can be replaced by deuterium. In an exemplary embodiment, R5 is halogen, Ra6 is methyl substituted with —S(O)2R30 or ethyl substituted with —S(O)2R30 or C3 alkyl substituted with —S(O)2R30 or C4 alkyl substituted with —S(O)2R30 or C5 alkyl substituted with —S(O)2R30 or C6 alkyl substituted with —S(O)2R30, wherein R30 is unsubstituted alkyl, R10, R11 and R15 are each a member independently selected from the group consisting of H, substituted or unsubstituted alkyl, substituted or unsubstituted heteroalkyl, substituted or unsubstituted cycloalkyl, substituted or unsubstituted heterocycloalkyl, substituted or unsubstituted aryl, and substituted or unsubstituted heteroaryl. In an exemplary embodiment, R5 is H, Ra6 is methyl substituted with —S(O)2R30 or ethyl substituted with —S(O)2R30 or C3 alkyl substituted with —S(O)2R30 or C4 alkyl substituted with —S(O)2R30 or C5 alkyl substituted with —S(O)2R30 or C6 alkyl substituted with —S(O)2R30, wherein R30 is methyl or ethyl or unsubstituted C3 alkyl or unsubstituted C4 alkyl or unsubstituted C5 alkyl or unsubstituted C6 alkyl, R10, R11 and R15 are each a member independently selected from the group consisting of H, substituted or unsubstituted alkyl, substituted or unsubstituted heteroalkyl, substituted or unsubstituted cycloalkyl, substituted or unsubstituted heterocycloalkyl, substituted or unsubstituted aryl, and substituted or unsubstituted heteroaryl.
- In an exemplary embodiment, the compound, or a salt thereof, has a structure which is
- wherein R5 is H or halogen, Ra6 is alkyl substituted with —S(O)2R30, wherein R30 is unsubstituted alkyl. In an exemplary embodiment, R5 is H or halogen, Ra6 is alkyl substituted with —S(O)2R30, wherein R30 is methyl or ethyl or unsubstituted C3 alkyl or unsubstituted C4 alkyl or unsubstituted C5 alkyl or unsubstituted C6 alkyl. In an exemplary embodiment, R5 is H, Ra6 is CH2S(O)2R30, wherein R30 is methyl or ethyl or unsubstituted C3 alkyl or unsubstituted C4 alkyl or unsubstituted C5 alkyl or unsubstituted C6 alkyl. In an exemplary embodiment, R5 is H, Ra6 is CH2S(O)2R30, wherein R30 is methyl or ethyl or unsubstituted C3 alkyl. In an exemplary embodiment, R5 is F, Ra6 is CH2S(O)2R30, wherein R30 is methyl or ethyl or unsubstituted C3 alkyl or unsubstituted C4 alkyl or unsubstituted C5 alkyl or unsubstituted C6 alkyl. In an exemplary embodiment, R5 is F, Ra6 is CH2S(O)2R30, wherein R30 is methyl or ethyl or unsubstituted C3 alkyl. In an exemplary embodiment, R5 is H, Ra6 is CH2CH2S(O)2R30, wherein R30 is methyl or ethyl or unsubstituted C3 alkyl or unsubstituted C4 alkyl or unsubstituted C5 alkyl or unsubstituted C6 alkyl. In an exemplary embodiment, R5 is H, Ra6 is CH2CH2S(O)2R30, wherein R30 is methyl or ethyl or unsubstituted C3 alkyl. In an exemplary embodiment, R5 is F, Ra6 is CH2CH2S(O)2R30, wherein R30 is methyl or ethyl or unsubstituted C3 alkyl or unsubstituted C4 alkyl or unsubstituted C5 alkyl or unsubstituted C6 alkyl. In an exemplary embodiment, R5 is F, Ra6 is CH2CH2S(O)2R30, wherein R30 is methyl or ethyl or unsubstituted C3 alkyl. In an exemplary embodiment, R5 is H, Ra6 is CH2CH2CH2S(O)2R30, wherein R30 is methyl or ethyl or unsubstituted C3 alkyl or unsubstituted C4 alkyl or unsubstituted C5 alkyl or unsubstituted C6 alkyl. In an exemplary embodiment, R5 is H, Ra6 is CH2CH2CH2S(O)2R30, wherein R30 is methyl or ethyl or unsubstituted C3 alkyl. In an exemplary embodiment, R5 is F, Ra6 is CH2CH2CH2S(O)2R30, wherein R30 is methyl or ethyl or unsubstituted C3 alkyl or unsubstituted C4 alkyl or unsubstituted C5 alkyl or unsubstituted C6 alkyl. In an exemplary embodiment, R5 is F, Ra6 is CH2CH2CH2S(O)2R30, wherein R30 is methyl or ethyl or unsubstituted C3 alkyl.
- In an exemplary embodiment, the compound, or a salt thereof, has a structure which is
- wherein R5 is H or halogen, one of Ra2, Ra3, Ra5 and Ra6 is alkyl substituted with —S(O)R30, wherein R30 is unsubstituted alkyl, and the remaining members of Ra2, Ra3, Ra5 and Ra6 are H, R10, R11 and R15 are each a member independently selected from the group consisting of H, substituted or unsubstituted alkyl, substituted or unsubstituted heteroalkyl, substituted or unsubstituted cycloalkyl, substituted or unsubstituted heterocycloalkyl, substituted or unsubstituted aryl, and substituted or unsubstituted heteroaryl. In an exemplary embodiment, Ra2, Ra3, Ra5, Ra6, R5, R15, R10, and R11 are as described herein, and each hydrogen in said compound or a salt thereof can be replaced by deuterium. In an exemplary embodiment, R5 is halogen, one of Ra2, Ra3, Ra5 and Ra6 is methyl substituted with —S(O)R30 or ethyl substituted with —S(O)R30 or C3 alkyl substituted with —S(O)R30 or C4 alkyl substituted with —S(O)R30 or C5 alkyl substituted with —S(O)R30 or C6 alkyl substituted with —S(O)R30, wherein R30 is unsubstituted alkyl, and the remaining members of Ra2, Ra3, Ra5 and Ra6 are H, R10, R11 and R15 are each a member independently selected from the group consisting of H, substituted or unsubstituted alkyl, substituted or unsubstituted heteroalkyl, substituted or unsubstituted cycloalkyl, substituted or unsubstituted heterocycloalkyl, substituted or unsubstituted aryl, and substituted or unsubstituted heteroaryl. In an exemplary embodiment, R5 is H, one of Ra2, Ra3, Ra5 and Ra6 is methyl substituted with —S(O)R30 or ethyl substituted with —S(O)R30 or C3 alkyl substituted with —S(O)R30 or C4 alkyl substituted with —S(O)R30 or C5 alkyl substituted with —S(O)R30 or C6 alkyl substituted with —S(O)R30, wherein R30 is methyl or ethyl or unsubstituted C3 alkyl or unsubstituted C4 alkyl or unsubstituted C5 alkyl or unsubstituted C6 alkyl, and the remaining members of Ra2, Ra3, Ra5 and Ra6 are H, R10, R11 and R15 are each a member independently selected from the group consisting of H, substituted or unsubstituted alkyl, substituted or unsubstituted heteroalkyl, substituted or unsubstituted cycloalkyl, substituted or unsubstituted heterocycloalkyl, substituted or unsubstituted aryl, and substituted or unsubstituted heteroaryl.
- In an exemplary embodiment, the compound, or a salt thereof, has a structure which is
- wherein R5 is H or halogen, Ra6 is alkyl substituted with —S(O)R30, wherein R30 is unsubstituted alkyl, R10, R11 and R15 are each a member independently selected from the group consisting of H, substituted or unsubstituted alkyl, substituted or unsubstituted heteroalkyl, substituted or unsubstituted cycloalkyl, substituted or unsubstituted heterocycloalkyl, substituted or unsubstituted aryl, and substituted or unsubstituted heteroaryl. In an exemplary embodiment, Ra6, R5, R15, R10 and R11 are as described herein, and each hydrogen in said compound or a salt thereof can be replaced by deuterium. In an exemplary embodiment, R5 is halogen, Ra6 is methyl substituted with —S(O)R30 or ethyl substituted with —S(O)R30 or C3 alkyl substituted with —S(O)R30 or C4 alkyl substituted with —S(O)R30 or C5 alkyl substituted with —S(O)R30 or C6 alkyl substituted with —S(O)R30, wherein R30 is unsubstituted alkyl, R10, R11 and R15 are each a member independently selected from the group consisting of H, substituted or unsubstituted alkyl, substituted or unsubstituted heteroalkyl, substituted or unsubstituted cycloalkyl, substituted or unsubstituted heterocycloalkyl, substituted or unsubstituted aryl, and substituted or unsubstituted heteroaryl. In an exemplary embodiment, R5 is H, Ra6 is methyl substituted with —S(O)R30 or ethyl substituted with —S(O)R30 or C3 alkyl substituted with —S(O)R30 or C4 alkyl substituted with —S(O)R30 or C5 alkyl substituted with —S(O)R30 or C6 alkyl substituted with —S(O)R30, wherein R30 is methyl or ethyl or unsubstituted C3 alkyl or unsubstituted C4 alkyl or unsubstituted C5 alkyl or unsubstituted C6 alkyl, R10, R11 and R15 are each a member independently selected from the group consisting of H, substituted or unsubstituted alkyl, substituted or unsubstituted heteroalkyl, substituted or unsubstituted cycloalkyl, substituted or unsubstituted heterocycloalkyl, substituted or unsubstituted aryl, and substituted or unsubstituted heteroaryl.
- In an exemplary embodiment, the compound, or a salt thereof, has a structure which is
- wherein R5 is H or halogen, Ra6 is alkyl substituted with —S(O)R30, wherein R30 is unsubstituted alkyl. In an exemplary embodiment, R5 is H or halogen, Ra6 is alkyl substituted with —S(O)R30, wherein R30 is methyl or ethyl or unsubstituted C3 alkyl or unsubstituted C4 alkyl or unsubstituted C5 alkyl or unsubstituted C6 alkyl. In an exemplary embodiment, R5 is H, Ra6 is CH2S(O)R30, wherein R30 is methyl or ethyl or unsubstituted C3 alkyl or unsubstituted C4 alkyl or unsubstituted C5 alkyl or unsubstituted C6 alkyl. In an exemplary embodiment, R5 is H, Ra6 is CH2S(O)R30, wherein R30 is methyl or ethyl or unsubstituted C3 alkyl. In an exemplary embodiment, R5 is F, Ra6 is CH2S(O)R30, wherein R30 is methyl or ethyl or unsubstituted C3 alkyl or unsubstituted C4 alkyl or unsubstituted C5 alkyl or unsubstituted C6 alkyl. In an exemplary embodiment, R5 is F, Ra6 is CH2S(O)R30, wherein R30 is methyl or ethyl or unsubstituted C3 alkyl. In an exemplary embodiment, R5 is H, Ra6 is CH2CH2S(O)R30, wherein R30 is methyl or ethyl or unsubstituted C3 alkyl or unsubstituted C4 alkyl or unsubstituted C5 alkyl or unsubstituted C6 alkyl. In an exemplary embodiment, R5 is H, Ra6 is CH2CH2S(O)R30, wherein R30 is methyl or ethyl or unsubstituted C3 alkyl. In an exemplary embodiment, R5 is F, Ra6 is CH2CH2S(O)R30, wherein R30 is methyl or ethyl or unsubstituted C3 alkyl or unsubstituted C4 alkyl or unsubstituted C5 alkyl or unsubstituted C6 alkyl. In an exemplary embodiment, R5 is F, Ra6 is CH2CH2S(O)R30, wherein R30 is methyl or ethyl or unsubstituted C3 alkyl. In an exemplary embodiment, R5 is H, Ra6 is CH2CH2CH2S(O)R30, wherein R30 is methyl or ethyl or unsubstituted C3 alkyl or unsubstituted C4 alkyl or unsubstituted C5 alkyl or unsubstituted C6 alkyl. In an exemplary embodiment, R5 is H, Ra6 is CH2CH2CH2S(O)R30, wherein R30 is methyl or ethyl or unsubstituted C3 alkyl. In an exemplary embodiment, R5 is F, Ra6 is CH2CH2CH2S(O)R30, wherein R30 is methyl or ethyl or unsubstituted C3 alkyl or unsubstituted C4 alkyl or unsubstituted C5 alkyl or unsubstituted C6 alkyl. In an exemplary embodiment, R5 is F, Ra6 is CH2CH2CH2S(O)R30, wherein R30 is methyl or ethyl or unsubstituted C3 alkyl.
- In an exemplary embodiment, the compound, or a salt thereof, has a structure which is
- wherein R5 is H or halogen, one of Ra2, Ra3, Ra5 and Ra6 is alkyl substituted with —NHS(O)2R30, wherein R30 is unsubstituted alkyl or unsubstituted C3-C8 cycloalkyl, and the remaining members of Ra2, Ra3, Ra5 and Ra6 are H are each a member independently selected from the group consisting of H, substituted or unsubstituted alkyl, substituted or unsubstituted heteroalkyl, substituted or unsubstituted cycloalkyl, substituted or unsubstituted heterocycloalkyl, substituted or unsubstituted aryl, and substituted or unsubstituted heteroaryl. In an exemplary embodiment, Ra2, Ra3, Ra5, Ra6, R5, R15, R10, and R11 are as described herein, and each hydrogen in said compound or a salt thereof can be replaced by deuterium. In an exemplary embodiment, R5 is halogen, one of Ra2, Ra3, Ra5 and Ra6 is methyl substituted with —NHS(O)2R30 or ethyl substituted with —NHS(O)2R30 or C3 alkyl substituted with —NHS(O)2R30 or C4 alkyl substituted with —NHS(O)2R30 or C5 alkyl substituted with —NHS(O)2R30 or C6 alkyl substituted with —NHS(O)2R30, wherein R30 is methyl or ethyl or unsubstituted C3 alkyl or unsubstituted C4 alkyl or unsubstituted C5 alkyl or unsubstituted C6 alkyl or unsubstituted cyclopropyl or unsubstituted cyclobutyl or unsubstituted cyclopentyl or unsubstituted cyclohexyl or unsubstituted cycloheptyl or unsubstituted cyclooctyl, and the remaining members of Ra2, Ra3, Ra5 and Ra6 are H, R10, R11 and R15 are each a member independently selected from the group consisting of H, substituted or unsubstituted alkyl, substituted or unsubstituted heteroalkyl, substituted or unsubstituted cycloalkyl, substituted or unsubstituted heterocycloalkyl, substituted or unsubstituted aryl, and substituted or unsubstituted heteroaryl. In an exemplary embodiment, R5 is H, one of Ra2, Ra3, Ra5 and Ra6 is methyl substituted with —NHS(O)2R30 or ethyl substituted with —NHS(O)2R30 or C3 alkyl substituted with —NHS(O)2R30 or C4 alkyl substituted with —NHS(O)2R30 or C5 alkyl substituted with —NHS(O)2R30 or C6 alkyl substituted with —NHS(O)2R30, wherein R30 is methyl or ethyl or unsubstituted C3 alkyl or unsubstituted C4 alkyl or unsubstituted C5 alkyl or unsubstituted C6 alkyl or unsubstituted cyclopropyl or unsubstituted cyclobutyl or unsubstituted cyclopentyl or unsubstituted cyclohexyl or unsubstituted cycloheptyl or unsubstituted cyclooctyl, and the remaining members of Ra2, Ra3, Ra5, and Ra6 are H, R10, R11 and R15 are each a member independently selected from the group consisting of H, substituted or unsubstituted alkyl, substituted or unsubstituted heteroalkyl, substituted or unsubstituted cycloalkyl, substituted or unsubstituted heterocycloalkyl, substituted or unsubstituted aryl, and substituted or unsubstituted heteroaryl.
- In an exemplary embodiment, the compound, or a salt thereof, has a structure which is
- wherein R5 is H or halogen, Ra6 is alkyl substituted with —NHS(O)2R30, wherein R30 is unsubstituted alkyl or unsubstituted C3-C8 cycloalkyl, R10, R11 and R15 are each a member independently selected from the group consisting of H, substituted or unsubstituted alkyl, substituted or unsubstituted heteroalkyl, substituted or unsubstituted cycloalkyl, substituted or unsubstituted heterocycloalkyl, substituted or unsubstituted aryl, and substituted or unsubstituted heteroaryl. In an exemplary embodiment, Ra6, R5, R15, R10, and R11 are as described herein, and each hydrogen in said compound or a salt thereof can be replaced by deuterium. In an exemplary embodiment, R5 is halogen, Ra6 is methyl substituted with —NHS(O)2R30 or ethyl substituted with —NHS(O)2R30 or C3 alkyl substituted with —NHS(O)2R30 or C4 alkyl substituted with —NHS(O)2R30 or C5 alkyl substituted with —NHS(O)2R30 or C6 alkyl substituted with —NHS(O)2R30, wherein R30 is methyl or ethyl or unsubstituted C3 alkyl or unsubstituted C4 alkyl or unsubstituted C5 alkyl or unsubstituted C6 alkyl or unsubstituted cyclopropyl or unsubstituted cyclobutyl or unsubstituted cyclopentyl or unsubstituted cyclohexyl or unsubstituted cycloheptyl or unsubstituted cyclooctyl, R10, R11 and R15 are each a member independently selected from the group consisting of H, substituted or unsubstituted alkyl, substituted or unsubstituted heteroalkyl, substituted or unsubstituted cycloalkyl, substituted or unsubstituted heterocycloalkyl, substituted or unsubstituted aryl, and substituted or unsubstituted heteroaryl. In an exemplary embodiment, R5 is H, Ra6 is methyl substituted with —NHS(O)2R30 or ethyl substituted with —NHS(O)2R30 or C3 alkyl substituted with —NHS(O)2R30 or C4 alkyl substituted with —NHS(O)2R30 or C5 alkyl substituted with —NHS(O)2R30 or C6 alkyl substituted with —NHS(O)2R30, wherein R30 is methyl or ethyl or unsubstituted C3 alkyl or unsubstituted C4 alkyl or unsubstituted C5 alkyl or unsubstituted C6 alkyl or unsubstituted cyclopropyl or unsubstituted cyclobutyl or unsubstituted cyclopentyl or unsubstituted cyclohexyl or unsubstituted cycloheptyl or unsubstituted cyclooctyl, R10, R11 and R15 are each a member independently selected from the group consisting of H, substituted or unsubstituted alkyl, substituted or unsubstituted heteroalkyl, substituted or unsubstituted cycloalkyl, substituted or unsubstituted heterocycloalkyl, substituted or unsubstituted aryl, and substituted or unsubstituted heteroaryl.
- In an exemplary embodiment, the compound, or a salt thereof, has a structure which is
- wherein R5 is H or halogen, Ra6 is alkyl substituted with —NHS(O)2R30, wherein R30 is unsubstituted alkyl or unsubstituted C3-C8 cycloalkyl. In an exemplary embodiment, R5 is H or halogen, Ra6 is alkyl substituted with —NHS(O)2R30, wherein R30 is methyl or ethyl or unsubstituted C3 alkyl or unsubstituted C4 alkyl or unsubstituted C5 alkyl or unsubstituted C6 alkyl or unsubstituted cyclopropyl or unsubstituted cyclobutyl or unsubstituted cyclopentyl or unsubstituted cyclohexyl or unsubstituted cycloheptyl or unsubstituted cyclooctyl. In an exemplary embodiment, R5 is H, Ra6 is CH2NHS(O)2R30, wherein R30 is unsubstituted cyclopropyl or unsubstituted cyclobutyl or unsubstituted cyclopentyl or unsubstituted cyclohexyl or unsubstituted cycloheptyl or unsubstituted cyclooctyl. In an exemplary embodiment, R5 is F, Ra6 is CH2NHS(O)2R30, wherein R30 is unsubstituted cyclopropyl or unsubstituted cyclobutyl or unsubstituted cyclopentyl or unsubstituted cyclohexyl or unsubstituted cycloheptyl or unsubstituted cyclooctyl. In an exemplary embodiment, R5 is H, Ra6 is CH2CH2NHS(O)2R30, wherein R30 is unsubstituted cyclopropyl or unsubstituted cyclobutyl or unsubstituted cyclopentyl or unsubstituted cyclohexyl or unsubstituted cycloheptyl or unsubstituted cyclooctyl. In an exemplary embodiment, R5 is F, Ra6 is CH2CH2NHS(O)2R30, wherein R30 is unsubstituted cyclopropyl or unsubstituted cyclobutyl or unsubstituted cyclopentyl or unsubstituted cyclohexyl or unsubstituted cycloheptyl or unsubstituted cyclooctyl. In an exemplary embodiment, R5 is H, Ra6 is CH2CH2CH2NHS(O)2R30, wherein R30 is unsubstituted cyclopropyl or unsubstituted cyclobutyl or unsubstituted cyclopentyl or unsubstituted cyclohexyl or unsubstituted cycloheptyl or unsubstituted cyclooctyl. In an exemplary embodiment, R5 is F, Ra6 is CH2CH2CH2NHS(O)2R30, wherein R30 is unsubstituted cyclopropyl or unsubstituted cyclobutyl or unsubstituted cyclopentyl or unsubstituted cyclohexyl or unsubstituted cycloheptyl or unsubstituted cyclooctyl.
- In an exemplary embodiment, the compound, or a salt thereof, has a structure which is
- wherein R5 is H or halogen, one of Ra2, Ra3, Ra5 and Ra6 is alkyl substituted with —NHC(O)OR30, wherein R30 is unsubstituted alkyl, and the remaining members of Ra2, Ra3, Ra5 and Ra6 are H, R10, R11 and R15 are each a member independently selected from the group consisting of H, substituted or unsubstituted alkyl, substituted or unsubstituted heteroalkyl, substituted or unsubstituted cycloalkyl, substituted or unsubstituted heterocycloalkyl, substituted or unsubstituted aryl, and substituted or unsubstituted heteroaryl. In an exemplary embodiment, Ra2, Ra3, Ra5, Ra6, R5, R15, R10, and R11 are as described herein, and each hydrogen in said compound or a salt thereof can be replaced by deuterium. In an exemplary embodiment, R5 is halogen, one of Ra2, Ra3, Ra5 and Ra6 is methyl substituted with —NHC(O)OR30 or ethyl substituted with —NHC(O)OR30 or C3 alkyl substituted with —NHC(O)OR30 or C4 alkyl substituted with —NHC(O)OR30 or C5 alkyl substituted with —NHC(O)OR30 or C6 alkyl substituted with —NHC(O)OR30, wherein R30 is unsubstituted alkyl, and the remaining members of Ra2, Ra3, Ra5 and Ra6 are H, R10, R11 and R15 are each a member independently selected from the group consisting of H, substituted or unsubstituted alkyl, substituted or unsubstituted heteroalkyl, substituted or unsubstituted cycloalkyl, substituted or unsubstituted heterocycloalkyl, substituted or unsubstituted aryl, and substituted or unsubstituted heteroaryl. In an exemplary embodiment, R5 is H, one of Ra2, Ra3, Ra5 and Ra6 is methyl substituted with —NHC(O)OR30 or ethyl substituted with —NHC(O)OR30 or C3 alkyl substituted with —NHC(O)OR30 or C4 alkyl substituted with —NHC(O)OR30 or C5 alkyl substituted with —NHC(O)OR30 or C6 alkyl substituted with —NHC(O)OR30, wherein R30 is methyl or ethyl or unsubstituted C3 alkyl or unsubstituted C4 alkyl or unsubstituted C5 alkyl or unsubstituted C6 alkyl, and the remaining members of Ra2, Ra3, Ra5 and Ra6 are H, R10, R11 and R15 are each a member independently selected from the group consisting of H, substituted or unsubstituted alkyl, substituted or unsubstituted heteroalkyl, substituted or unsubstituted cycloalkyl, substituted or unsubstituted heterocycloalkyl, substituted or unsubstituted aryl, and substituted or unsubstituted heteroaryl.
- In an exemplary embodiment, the compound, or a salt thereof, has a structure which is
- wherein R5 is H or halogen, Ra6 is alkyl substituted with —NHC(O)OR30, wherein R30 is unsubstituted alkyl, R10, R11 and R15 are each a member independently selected from the group consisting of H, substituted or unsubstituted alkyl, substituted or unsubstituted heteroalkyl, substituted or unsubstituted cycloalkyl, substituted or unsubstituted heterocycloalkyl, substituted or unsubstituted aryl, and substituted or unsubstituted heteroaryl. In an exemplary embodiment, Ra6, R5, R15, R10 and R11 are as described herein, and each hydrogen in said compound or a salt thereof can be replaced by deuterium. In an exemplary embodiment, R5 is halogen, Ra6 is methyl substituted with —NHC(O)OR30 or ethyl substituted with —NHC(O)OR30 or C3 alkyl substituted with —NHC(O)OR30 or C4 alkyl substituted with —NHC(O)OR30 or C5 alkyl substituted with —NHC(O)OR30 or C6 alkyl substituted with —NHC(O)OR30, wherein R30 is unsubstituted alkyl, R10, R11 and R15 are each a member independently selected from the group consisting of H, substituted or unsubstituted alkyl, substituted or unsubstituted heteroalkyl, substituted or unsubstituted cycloalkyl, substituted or unsubstituted heterocycloalkyl, substituted or unsubstituted aryl, and substituted or unsubstituted heteroaryl. In an exemplary embodiment, R5 is H, Ra6 is methyl substituted with —NHC(O)OR30 or ethyl substituted with —NHC(O)OR30 or C3 alkyl substituted with —NHC(O)OR30 or C4 alkyl substituted with —NHC(O)OR30 or C5 alkyl substituted with —NHC(O)OR30 or C6 alkyl substituted with —NHC(O)OR30, wherein R30 is methyl or ethyl or unsubstituted C3 alkyl or unsubstituted C4 alkyl or unsubstituted C5 alkyl or unsubstituted C6 alkyl, R10, R11 and R15 are each a member independently selected from the group consisting of H, substituted or unsubstituted alkyl, substituted or unsubstituted heteroalkyl, substituted or unsubstituted cycloalkyl, substituted or unsubstituted heterocycloalkyl, substituted or unsubstituted aryl, and substituted or unsubstituted heteroaryl.
- In an exemplary embodiment, the compound, or a salt thereof, has a structure which is
- wherein R5 is H or halogen, Ra6 is alkyl substituted with —NHC(O)OR30, wherein R30 is unsubstituted alkyl. In an exemplary embodiment, R5 is H or halogen, Ra6 is alkyl substituted with —NHC(O)OR30, wherein R30 is methyl or ethyl or unsubstituted C3 alkyl or unsubstituted C4 alkyl or unsubstituted C5 alkyl or unsubstituted C6 alkyl. In an exemplary embodiment, R5 is H, Ra6 is CH2NHC(O)OR30, wherein R30 is methyl or ethyl or unsubstituted C3 alkyl or unsubstituted C4 alkyl or unsubstituted C5 alkyl or unsubstituted C6 alkyl. In an exemplary embodiment, R5 is H, Ra6 is CH2NHC(O)OR30, wherein R30 is methyl or ethyl or unsubstituted C3 alkyl. In an exemplary embodiment, R5 is F, Ra6 is CH2NHC(O)OR30, wherein R30 is methyl or ethyl or unsubstituted C3 alkyl or unsubstituted C4 alkyl or unsubstituted C5 alkyl or unsubstituted C6 alkyl. In an exemplary embodiment, R5 is F, Ra6 is CH2NHC(O)OR30, wherein R30 is methyl or ethyl or unsubstituted C3 alkyl. In an exemplary embodiment, R5 is H, Ra6 is CH2CH2NHC(O)OR30, wherein R30 is methyl or ethyl or unsubstituted C3 alkyl or unsubstituted C4 alkyl or unsubstituted C5 alkyl or unsubstituted C6 alkyl. In an exemplary embodiment, R5 is H, Ra6 is CH2CH2NHC(O)OR30, wherein R30 is methyl or ethyl or unsubstituted C3 alkyl. In an exemplary embodiment, R5 is F, Ra6 is CH2CH2NHC(O)OR30, wherein R30 is methyl or ethyl or unsubstituted C3 alkyl or unsubstituted C4 alkyl or unsubstituted C5 alkyl or unsubstituted C6 alkyl. In an exemplary embodiment, R5 is F, Ra6 is CH2CH2NHC(O)OR30, wherein R30 is methyl or ethyl or unsubstituted C3 alkyl. In an exemplary embodiment, R5 is H, Ra6 is CH2CH2CH2NHC(O)OR30, wherein R30 is methyl or ethyl or unsubstituted C3 alkyl or unsubstituted C4 alkyl or unsubstituted C5 alkyl or unsubstituted C6 alkyl. In an exemplary embodiment, R5 is H, Ra6 is CH2CH2CH2NHC(O)OR30, wherein R30 is methyl or ethyl or unsubstituted C3 alkyl. In an exemplary embodiment, R5 is F, Ra6 is CH2CH2CH2NHC(O)OR30, wherein R30 is methyl or ethyl or unsubstituted C3 alkyl or unsubstituted C4 alkyl or unsubstituted C5 alkyl or unsubstituted C6 alkyl. In an exemplary embodiment, R5 is F, Ra6 is CH2CH2CH2NHC(O)OR30, wherein R30 is methyl or ethyl or unsubstituted C3 alkyl. In an exemplary embodiment, R5 is H, Ra6 is CH2NHC(O)OCH(CH3)2. In an exemplary embodiment, R5 is F, Ra6 is CH2NHC(O)OCH(CH3)2. In an exemplary embodiment, R5 is H, Ra6 is CH2NHC(O)OCH2CH(CH3)2. In an exemplary embodiment, R5 is F, Ra6 is CH2NHC(O)OCH2CH(CH3)2. In an exemplary embodiment, R5 is H, Ra6 is CH2NHC(O)OCH(CH2CH3)2. In an exemplary embodiment, R5 is F, Ra6 is CH2NHC(O)OCH(CH2CH3)2.
- In an exemplary embodiment, the compound, or a salt thereof, has a structure which is
- wherein R5 is H or halogen, Ra6 is alkyl substituted with —NHC(O)OR30, wherein R30 is benzyl. In an exemplary embodiment, R5 is H, Ra6 is CH2NHC(O)OR30, wherein R30 is benzyl. In an exemplary embodiment, R5 is F, Ra6 is CH2NHC(O)OR30, wherein R30 is benzyl. In an exemplary embodiment, R5 is H, Ra6 is CH2CH2NHC(O)OR30, wherein R30 is benzyl. In an exemplary embodiment, R5 is F, Ra6 is CH2CH2NHC(O)OR30, wherein R30 is benzyl. In an exemplary embodiment, R5 is H, Ra6 is CH2CH2CH2NHC(O)OR30, wherein R30 is benzyl. In an exemplary embodiment, R5 is F, Ra6 is CH2CH2CH2NHC(O)OR30, wherein R30 is benzyl.
- In an exemplary embodiment, the compound, or a salt thereof, has a structure which is
- wherein R5 is H or halogen, one of Ra2, Ra3, Ra5 and Ra6 is alkyl substituted with R32, wherein R32 is unsubstituted oxazolyl or oxazolyl substituted with unsubstituted alkyl or unsubstituted oxadiazolyl or oxadiazolyl substituted with unsubstituted alkyl, and the remaining members of Ra2, Ra3, Ra5 and Ra6 are H, R10, R11 and R15 are each member independently selected from the group consisting of H, substituted or unsubstituted alkyl, substituted or unsubstituted heteroalkyl, substituted or unsubstituted cycloalkyl, substituted or unsubstituted heterocycloalkyl, substituted or unsubstituted aryl, and substituted or unsubstituted heteroaryl. In an exemplary embodiment, Ra2, Ra3, Ra5, Ra6, R5, R15, R10, and R11 are as described herein, and each hydrogen in said compound or a salt thereof can be replaced by deuterium. In an exemplary embodiment, R5 is halogen, one of Ra2, Ra3, Ra5 and Ra6 is methyl substituted with R32 or ethyl substituted with R32 or C3 alkyl substituted with R32 or C4 alkyl substituted with R32 or C5 alkyl substituted with R32 or C6 alkyl substituted with R32, wherein R32 is unsubstituted oxazolyl or oxazolyl substituted with unsubstituted alkyl or unsubstituted oxadiazolyl or oxadiazolyl or substituted with unsubstituted alkyl, and the remaining members of Ra2, Ra3, Ra5 and Ra6 are H, R10, R11 and R15 are each a member independently selected from the group consisting of H, substituted or unsubstituted alkyl, substituted or unsubstituted heteroalkyl, substituted or unsubstituted cycloalkyl, substituted or unsubstituted heterocycloalkyl, substituted or unsubstituted aryl, and substituted or unsubstituted heteroaryl. In an exemplary embodiment, R5 is H, one of Ra2, Ra3, Ra5 and Ra6 is methyl substituted with R32 or ethyl substituted with R32 or C3 alkyl substituted with R32 or C4 alkyl substituted with R32 or C5 alkyl substituted with R32 or C6 alkyl substituted with R32, wherein R32 is unsubstituted oxazolyl or oxazolyl substituted with unsubstituted alkyl or unsubstituted oxadiazolyl or oxadiazolyl or substituted with unsubstituted alkyl, and the remaining members of Ra2, Ra3, Ra5 and Ra6 are H, R10, R11 and R15 are each a member independently selected from the group consisting of H, substituted or unsubstituted alkyl, substituted or unsubstituted heteroalkyl, substituted or unsubstituted cycloalkyl, substituted or unsubstituted heterocycloalkyl, substituted or unsubstituted aryl, and substituted or unsubstituted heteroaryl.
- In an exemplary embodiment, the compound, or a salt thereof, has a structure which is
- wherein R5 is H or halogen, Ra6 is alkyl substituted with R32, wherein R32 is unsubstituted oxazolyl or oxazolyl substituted with unsubstituted alkyl or unsubstituted oxadiazolyl or oxadiazolyl or substituted with unsubstituted alkyl, R10, R11 and R15 are each a member independently selected from the group consisting of H, substituted or unsubstituted alkyl, substituted or unsubstituted heteroalkyl, substituted or unsubstituted cycloalkyl, substituted or unsubstituted heterocycloalkyl, substituted or unsubstituted aryl, and substituted or unsubstituted heteroaryl. In an exemplary embodiment, Ra2, R5, R15, R10, and R11 are as described herein, and each hydrogen in said compound or a salt thereof can be replaced by deuterium. In an exemplary embodiment, R5 is halogen, Ra6 is methyl substituted with R32 or ethyl substituted with R32 or C3 alkyl substituted with R32 or C4 alkyl substituted with R32 or C5 alkyl substituted with R32 or C6 alkyl substituted with R32, wherein R32 is unsubstituted oxazolyl or oxazolyl substituted with unsubstituted alkyl or unsubstituted oxadiazolyl or oxadiazolyl or substituted with unsubstituted alkyl, R10, R11 and R15 are each a member independently selected from the group consisting of H, substituted or unsubstituted alkyl, substituted or unsubstituted heteroalkyl, substituted or unsubstituted cycloalkyl, substituted or unsubstituted heterocycloalkyl, substituted or unsubstituted aryl, and substituted or unsubstituted heteroaryl. In an exemplary embodiment, R5 is H, Ra6 is methyl substituted with R32 or ethyl substituted with R32 or C3 alkyl substituted with R32 or C4 alkyl substituted with R32 or C5 alkyl substituted with R32 or C6 alkyl substituted with R32, wherein R32 is unsubstituted oxazolyl or oxazolyl substituted with unsubstituted alkyl or unsubstituted oxadiazolyl or oxadiazolyl or substituted with unsubstituted alkyl, R10, R11 and R15 are each a member independently selected from the group consisting of H, substituted or unsubstituted alkyl, substituted or unsubstituted heteroalkyl, substituted or unsubstituted cycloalkyl, substituted or unsubstituted heterocycloalkyl, substituted or unsubstituted aryl, and substituted or unsubstituted heteroaryl.
- In an exemplary embodiment, the compound, or a salt thereof, has a structure which is
- wherein R5 is H or halogen, Ra6 is alkyl substituted with R32, wherein R32 is unsubstituted oxazolyl or oxazolyl substituted with unsubstituted alkyl or unsubstituted oxadiazolyl or oxadiazolyl or substituted with unsubstituted alkyl. In an exemplary embodiment, R5 is H or F, Ra6 is methyl substituted with unsubstituted oxazolyl. In an exemplary embodiment, R5 is H or F, Ra6 is methyl substituted with unsubstituted oxazol-2-yl. In an exemplary embodiment, R5 is H or F, Ra6 is methyl substituted with 4-methyl oxazol-2-yl. In an exemplary embodiment, R5 is H or F, Ra6 is methyl substituted with 5-methyl oxazol-2-yl. In an exemplary embodiment, R5 is H or F, Ra6 is methyl substituted with 4-ethyl oxazol-2-yl. In an exemplary embodiment, R5 is H or F, Ra6 is methyl substituted with 5-ethyl oxazol-2-yl. In an exemplary embodiment, R5 is H or F, Ra6 is methyl substituted with 4-unsubstituted C3 alkyl oxazol-2-yl. In an exemplary embodiment, R5 is H or F, Ra6 is methyl substituted with 5-unsubstituted C3 alkyl oxazol-2-yl. In an exemplary embodiment, R5 is H or F, Ra6 is methyl substituted with 4-unsubstituted C4 alkyl oxazol-2-yl. In an exemplary embodiment, R5 is H or F, Ra6 is methyl substituted with 5-unsubstituted C4 alkyl oxazol-2-yl. In an exemplary embodiment, R5 is H or F, Ra6 is methyl substituted with 4-unsubstituted C5 alkyl oxazol-2-yl. In an exemplary embodiment, R5 is H or F, Ra6 is methyl substituted with 5-unsubstituted C5 alkyl oxazol-2-yl. In an exemplary embodiment, R5 is H or F, Ra6 is methyl substituted with 4-unsubstituted C6 alkyl oxazol-2-yl. In an exemplary embodiment, R5 is H or F, Ra6 is methyl substituted with 5-unsubstituted C6 alkyl oxazol-2-yl. In an exemplary embodiment, R5 is H or F, Ra6 is ethyl substituted with unsubstituted oxazol-2-yl. In an exemplary embodiment, R5 is H or F, Ra6 is ethyl substituted with 4-methyl oxazol-2-yl. In an exemplary embodiment, R5 is H or F, Ra6 is ethyl substituted with 5-methyl oxazol-2-yl. In an exemplary embodiment, R5 is H or F, Ra6 is ethyl substituted with 4-ethyl oxazol-2-yl. In an exemplary embodiment, R5 is H or F, Ra6 is ethyl substituted with 5-ethyl oxazol-2-yl. In an exemplary embodiment, R5 is H or F, Ra6 is ethyl substituted with 4-unsubstituted C3 alkyl oxazol-2-yl. In an exemplary embodiment, R5 is H or F, Ra6 is ethyl substituted with 5-unsubstituted C3 alkyl oxazol-2-yl. In an exemplary embodiment, R5 is H or F, Ra6 is ethyl substituted with 4-unsubstituted C4 alkyl oxazol-2-yl. In an exemplary embodiment, R5 is H or F, Ra6 is ethyl substituted with 5-unsubstituted C4 alkyl oxazol-2-yl. In an exemplary embodiment, R5 is H or F, Ra6 is ethyl substituted with 4-unsubstituted C5 alkyl oxazol-2-yl. In an exemplary embodiment, R5 is H or F, Ra6 is ethyl substituted with 5-unsubstituted C5 alkyl oxazol-2-yl. In an exemplary embodiment, R5 is H or F, Ra6 is ethyl substituted with 4-unsubstituted C6 alkyl oxazol-2-yl. In an exemplary embodiment, R5 is H or F, Ra6 is ethyl substituted with 5-unsubstituted C6 alkyl oxazol-2-yl. In an exemplary embodiment, R5 is H or F, Ra6 is C3 alkyl substituted with unsubstituted oxazol-2-yl. In an exemplary embodiment, R5 is H or F, Ra6 is C3 alkyl substituted with 4-methyl oxazol-2-yl. In an exemplary embodiment, R5 is H or F, Ra6 is C3 alkyl substituted with 5-methyl oxazol-2-yl. In an exemplary embodiment, R5 is H or F, Ra6 is C3 alkyl substituted with 4-ethyl oxazol-2-yl. In an exemplary embodiment, R5 is H or F, Ra6 is C3 alkyl substituted with 5-ethyl oxazol-2-yl. In an exemplary embodiment, R5 is H or F, Ra6 is C3 alkyl substituted with 4-unsubstituted C3 alkyl oxazol-2-yl. In an exemplary embodiment, R5 is H or F, Ra6 is C3 alkyl substituted with 5-unsubstituted C3 alkyl oxazol-2-yl. In an exemplary embodiment, R5 is H or F, Ra6 is C3 alkyl substituted with 4-unsubstituted C4 alkyl oxazol-2-yl. In an exemplary embodiment, R5 is H or F, Ra6 is C3 alkyl substituted with 5-unsubstituted C4 alkyl oxazol-2-yl. In an exemplary embodiment, R5 is H or F, Ra6 is C3 alkyl substituted with 4-unsubstituted C5 alkyl oxazol-2-yl. In an exemplary embodiment, R5 is H or F, Ra6 is C3 alkyl substituted with 5-unsubstituted C5 alkyl oxazol-2-yl. In an exemplary embodiment, R5 is H or F, Ra6 is C3 alkyl substituted with 4-unsubstituted C6 alkyl oxazol-2-yl. In an exemplary embodiment, R5 is H or F, Ra6 is C3 alkyl substituted with 5-unsubstituted C6 alkyl oxazol-2-yl.
- In an exemplary embodiment, the compound, or a salt thereof, has a structure which is
- wherein R5 is H or halogen, Ra6 is alkyl substituted with R32, wherein R32 is unsubstituted oxadiazolyl or oxadiazolyl or substituted with unsubstituted alkyl. In an exemplary embodiment, R5 is H or F, Ra6 is methyl substituted with unsubstituted oxadiazolyl. In an exemplary embodiment, R5 is H or F, Ra6 is methyl substituted with unsubstituted oxadiazol-2-yl. In an exemplary embodiment, R5 is H or F, Ra6 is methyl substituted with
1,2,4 oxadiazol-2-yl. In an exemplary embodiment, R5 is H or F, Ra6 is methyl substituted withunsubstituted 1,3,4 oxadiazol-2-yl. In an exemplary embodiment, R5 is H or F, Ra6 is methyl substituted with 4-methyl oxadiazol-2-yl. In an exemplary embodiment, R5 is H or F, Ra6 is methyl substituted with 5-methyl oxadiazol-2-yl. In an exemplary embodiment, R5 is H or F, Ra6 is methyl substituted with 4-unsubstituted 1,2,4 oxadiazol-2-yl. In an exemplary embodiment, R5 is H or F, Ra6 is methyl substituted with 5-methyl 1,2,4 oxadiazol-2-yl. In an exemplary embodiment, R5 is H or F, Ra6 is methyl substituted with 4-methyl 1,3,4 oxadiazol-2-yl. In an exemplary embodiment, R5 is H or F, Ra6 is methyl substituted with 5-methyl 1,3,4 oxadiazol-2-yl. In an exemplary embodiment, R5 is H or F, Ra6 is methyl substituted with 4-ethyl oxadiazol-2-yl. In an exemplary embodiment, R5 is H or F, Ra6 is methyl substituted with 5-ethyl oxadiazol-2-yl. In an exemplary embodiment, R5 is H or F, Ra6 is methyl substituted with 4-methyl 1,2,4 oxadiazol-2-yl. In an exemplary embodiment, R5 is H or F, Ra6 is methyl substituted with 5-ethyl 1,2,4 oxadiazol-2-yl. In an exemplary embodiment, R5 is H or F, Ra6 is methyl substituted with 4-ethyl 1,3,4 oxadiazol-2-yl. In an exemplary embodiment, R5 is H or F, Ra6 is methyl substituted with 5-ethyl 1,3,4 oxadiazol-2-yl. In an exemplary embodiment, R5 is H or F, Ra6 is methyl substituted with 4-unsubstituted C3 alkyl oxadiazol-2-yl. In an exemplary embodiment, R5 is H or F, Ra6 is methyl substituted with 5-unsubstituted C3 alkyl oxadiazol-2-yl. In an exemplary embodiment, R5 is H or F, Ra6 is methyl substituted with 4-unsubstituted C3 alkyl 1,2,4 oxadiazol-2-yl. In an exemplary embodiment, R5 is H or F, Ra6 is methyl substituted with 5-unsubstituted C3 alkyl 1,2,4 oxadiazol-2-yl. In an exemplary embodiment, R5 is H or F, Ra6 is methyl substituted with 4-unsubstituted C3 alkyl 1,3,4 oxadiazol-2-yl. In an exemplary embodiment, R5 is H or F, Ra6 is methyl substituted with 5-unsubstituted C3 alkyl 1,3,4 oxadiazol-2-yl. In an exemplary embodiment, R5 is H or F, Ra6 is methyl substituted with 4-unsubstituted C4 alkyl oxadiazol-2-yl. In an exemplary embodiment, R5 is H or F, Ra6 is methyl substituted with 5-unsubstituted C4 alkyl oxadiazol-2-yl. In an exemplary embodiment, R5 is H or F, Ra6 is methyl substituted with 4-unsubstituted C4 alkyl 1,2,4 oxadiazol-2-yl. In an exemplary embodiment, R5 is H or F, Ra6 is methyl substituted with 5-unsubstituted C4 alkyl 1,2,4 oxadiazol-2-yl. In an exemplary embodiment, R5 is H or F, Ra6 is methyl substituted with 4-unsubstituted C4 alkyl 1,3,4 oxadiazol-2-yl. In an exemplary embodiment, R5 is H or F, Ra6 is methyl substituted with 5-unsubstituted C4 alkyl 1,3,4 oxadiazol-2-yl. In an exemplary embodiment, R5 is H or F, Ra6 is methyl substituted with 4-unsubstituted C5 alkyl oxadiazol-2-yl. In an exemplary embodiment, R5 is H or F, Ra6 is methyl substituted with 5-unsubstituted C5 alkyl oxadiazol-2-yl. In an exemplary embodiment, R5 is H or F, Ra6 is methyl substituted with 4-unsubstituted C5 alkyl 1,2,4 oxadiazol-2-yl. In an exemplary embodiment, R5 is H or F, Ra6 is methyl substituted with 5-unsubstituted C5 alkyl 1,2,4 oxadiazol-2-yl. In an exemplary embodiment, R5 is H or F, Ra6 is methyl substituted with 4-unsubstituted C5 alkyl 1,3,4 oxadiazol-2-yl. In an exemplary embodiment, R5 is H or F, Ra6 is methyl substituted with 5-unsubstituted C5 alkyl 1,3,4 oxadiazol-2-yl. In an exemplary embodiment, R5 is H or F, Ra6 is methyl substituted with 4-unsubstituted C6 alkyl oxadiazol-2-yl. In an exemplary embodiment, R5 is H or F, Ra6 is methyl substituted with 5-unsubstituted C6 alkyl oxadiazol-2-yl. In an exemplary embodiment, R5 is H or F, Ra6 is methyl substituted with 4-unsubstituted C6 alkyl 1,2,4 oxadiazol-2-yl. In an exemplary embodiment, R5 is H or F, Ra6 is methyl substituted with 5-unsubstituted C6 alkyl 1,2,4 oxadiazol-2-yl. In an exemplary embodiment, R5 is H or F, Ra6 is methyl substituted with 4-unsubstituted C6 alkyl 1,3,4 oxadiazol-2-yl. In an exemplary embodiment, R5 is H or F, Ra6 is methyl substituted with 5-unsubstituted C6 alkyl 1,3,4 oxadiazol-2-yl. In an exemplary embodiment, R5 is H or F, Ra6 is ethyl substituted with unsubstituted oxadiazol-2-yl. In an exemplary embodiment, R5 is H or F, Ra6 is ethyl substituted withethyl 1,2,4 oxadiazol-2-yl. In an exemplary embodiment, R5 is H or F, Ra6 is ethyl substituted withunsubstituted 1,3,4 oxadiazol-2-yl. In an exemplary embodiment, R5 is H or F, Ra6 is ethyl substituted with 4-methyl oxadiazol-2-yl. In an exemplary embodiment, R5 is H or F, Ra6 is ethyl substituted with 5-methyl oxadiazol-2-yl. In an exemplary embodiment, R5 is H or F, Ra6 is ethyl substituted with 4-unsubstituted 1,2,4 oxadiazol-2-yl. In an exemplary embodiment, R5 is H or F, Ra6 is ethyl substituted with 5-methyl 1,2,4 oxadiazol-2-yl. In an exemplary embodiment, R5 is H or F, Ra6 is ethyl substituted with 4-methyl 1,3,4 oxadiazol-2-yl. In an exemplary embodiment, R5 is H or F, Ra6 is ethyl substituted with 5-methyl 1,3,4 oxadiazol-2-yl. In an exemplary embodiment, R5 is H or F, Ra6 is ethyl substituted with 4-ethyl oxadiazol-2-yl. In an exemplary embodiment, R5 is H or F, Ra6 is ethyl substituted with 5-ethyl oxadiazol-2-yl. In an exemplary embodiment, R5 is H or F, Ra6 is ethyl substituted with 5-ethyl oxadiazol-2-yl. In an exemplary embodiment, R5 is H or F, Ra6 is ethyl substituted with 4-methyl 1,2,4 oxadiazol-2-yl. In an exemplary embodiment, R5 is H or F, Ra6 is ethyl substituted with 5-ethyl 1,2,4 oxadiazol-2-yl. In an exemplary embodiment, R5 is H or F, Ra6 is ethyl substituted with 4-ethyl 1,3,4 oxadiazol-2-yl. In an exemplary embodiment, R5 is H or F, Ra6 is ethyl substituted with 5-ethyl 1,3,4 oxadiazol-2-yl. In an exemplary embodiment, R5 is H or F, Ra6 is ethyl substituted with 4-unsubstituted C3 alkyl oxadiazol-2-yl. In an exemplary embodiment, R5 is H or F, Ra6 is ethyl substituted with 5-unsubstituted C3 alkyl oxadiazol-2-yl. In an exemplary embodiment, R5 is H or F, Ra6 is ethyl substituted with 4-unsubstituted C3 alkyl 1,2,4 oxadiazol-2-yl. In an exemplary embodiment, R5 is H or F, Ra6 is ethyl substituted with 5-unsubstituted C3 alkyl 1,2,4 oxadiazol-2-yl. In an exemplary embodiment, R5 is H or F, Ra6 is ethyl substituted with 4-unsubstituted C3 alkyl 1,3,4 oxadiazol-2-yl. In an exemplary embodiment, R5 is H or F, Ra6 is ethyl substituted with 5-unsubstituted C3 alkyl 1,3,4 oxadiazol-2-yl. In an exemplary embodiment, R5 is H or F, Ra6 is ethyl substituted with 4-unsubstituted C4 alkyl oxadiazol-2-yl. In an exemplary embodiment, R5 is H or F, Ra6 is ethyl substituted with 5-unsubstituted C4 alkyl oxadiazol-2-yl. In an exemplary embodiment, R5 is H or F, Ra6 is ethyl substituted with 4-unsubstituted C4 alkyl 1,2,4 oxadiazol-2-yl. In an exemplary embodiment, R5 is H or F, Ra6 is ethyl substituted with 5-unsubstituted C4 alkyl 1,2,4 oxadiazol-2-yl. In an exemplary embodiment, R5 is H or F, Ra6 is ethyl substituted with 4-unsubstituted C4 alkyl 1,3,4 oxadiazol-2-yl. In an exemplary embodiment, R5 is H or F, Ra6 is ethyl substituted with 5-unsubstituted C4 alkyl 1,3,4 oxadiazol-2-yl. In an exemplary embodiment, R5 is H or F, Ra6 is ethyl substituted with 4-unsubstituted C5 alkyl oxadiazol-2-yl. In an exemplary embodiment, R5 is H or F, Ra6 is ethyl substituted with 5-unsubstituted C5 alkyl oxadiazol-2-yl. In an exemplary embodiment, R5 is H or F, Ra6 is ethyl substituted with 4-unsubstituted C5 alkyl 1,2,4 oxadiazol-2-yl. In an exemplary embodiment, R5 is H or F, Ra6 is ethyl substituted with 5-unsubstituted C5 alkyl 1,2,4 oxadiazol-2-yl. In an exemplary embodiment, R5 is H or F, Ra6 is ethyl substituted with 4-unsubstituted C5 alkyl 1,3,4 oxadiazol-2-yl. In an exemplary embodiment, R5 is H or F, Ra6 is ethyl substituted with 5-unsubstituted C5 alkyl 1,3,4 oxadiazol-2-yl. In an exemplary embodiment, R5 is H or F, Ra6 is ethyl substituted with 4-unsubstituted C6 alkyl oxadiazol-2-yl. In an exemplary embodiment, R5 is H or F, Ra6 is ethyl substituted with 5-unsubstituted C6 alkyl oxadiazol-2-yl. In an exemplary embodiment, R5 is H or F, Ra6 is ethyl substituted with 4-unsubstituted C6 alkyl 1,2,4 oxadiazol-2-yl. In an exemplary embodiment, R5 is H or F, Ra6 is ethyl substituted with 5-unsubstituted C6 alkyl 1,2,4 oxadiazol-2-yl. In an exemplary embodiment, R5 is H or F, Ra6 is ethyl substituted with 4-unsubstituted C6 alkyl 1,3,4 oxadiazol-2-yl. In an exemplary embodiment, R5 is H or F, Ra6 is ethyl substituted with 5-unsubstituted C6 alkyl 1,3,4 oxadiazol-2-yl. In an exemplary embodiment, R5 is H or F, Ra6 is C3 alkyl substituted with unsubstituted oxadiazol-2-yl. In an exemplary embodiment, R5 is H or F, Ra6 is C3 alkyl substituted withethyl 1,2,4 oxadiazol-2-yl. In an exemplary embodiment, R5 is H or F, Ra6 is C3 alkyl substituted withunsubstituted 1,3,4 oxadiazol-2-yl. In an exemplary embodiment, R5 is H or F, Ra6 is C3 alkyl substituted with 4-methyl oxadiazol-2-yl. In an exemplary embodiment, R5 is H or F, Ra6 is C3 alkyl substituted with 5-methyl oxadiazol-2-yl. In an exemplary embodiment, R5 is H or F, Ra6 is C3 alkyl substituted with 4-unsubstituted 1,2,4 oxadiazol-2-yl. In an exemplary embodiment, R5 is H or F, Ra6 is C3 alkyl substituted with 5-methyl 1,2,4 oxadiazol-2-yl. In an exemplary embodiment, R5 is H or F, Ra6 is C3 alkyl substituted with 4-methyl 1,3,4 oxadiazol-2-yl. In an exemplary embodiment, R5 is H or F, Ra6 is C3 alkyl substituted with 5-methyl 1,3,4 oxadiazol-2-yl. In an exemplary embodiment, R5 is H or F, Ra6 is C3 alkyl substituted with 4-ethyl oxadiazol-2-yl. In an exemplary embodiment, R5 is H or F, Ra6 is C3 alkyl substituted with 5-ethyl oxadiazol-2-yl. In an exemplary embodiment, R5 is H or F, Ra6 is C3 alkyl substituted with 4-methyl 1,2,4 oxadiazol-2-yl. In an exemplary embodiment, R5 is H or F, Ra6 is C3 alkyl substituted with 5-ethyl 1,2,4 oxadiazol-2-yl. In an exemplary embodiment, R5 is H or F, Ra6 is C3 alkyl substituted with 4-ethyl 1,3,4 oxadiazol-2-yl. In an exemplary embodiment, R5 is H or F, Ra6 is C3 alkyl substituted with 5-ethyl 1,3,4 oxadiazol-2-yl. In an exemplary embodiment, R5 is H or F, Ra6 is C3 alkyl substituted with 4-unsubstituted C3 alkyl oxadiazol-2-yl. In an exemplary embodiment, R5 is H or F, Ra6 is C3 alkyl substituted with 5-unsubstituted C3 alkyl oxadiazol-2-yl. In an exemplary embodiment, R5 is H or F, Ra6 is C3 alkyl substituted with 4-unsubstituted C3 alkyl 1,2,4 oxadiazol-2-yl. In an exemplary embodiment, R5 is H or F, Ra6 is C3 alkyl substituted with 5-unsubstituted C3 alkyl 1,2,4 oxadiazol-2-yl. In an exemplary embodiment, R5 is H or F, Ra6 is C3 alkyl substituted with 4-unsubstituted C3 alkyl 1,3,4 oxadiazol-2-yl. In an exemplary embodiment, R5 is H or F, Ra6 is C3 alkyl substituted with 5-unsubstituted C3 alkyl 1,3,4 oxadiazol-2-yl. In an exemplary embodiment, R5 is H or F, Ra6 is C3 alkyl substituted with 4-unsubstituted C4 alkyl oxadiazol-2-yl. In an exemplary embodiment, R5 is H or F, Ra6 is C3 alkyl substituted with 5-unsubstituted C4 alkyl oxadiazol-2-yl. In an exemplary embodiment, R5 is H or F, Ra6 is C3 alkyl substituted with 4-unsubstituted C4 alkyl 1,2,4 oxadiazol-2-yl. In an exemplary embodiment, R5 is H or F, Ra6 is C3 alkyl substituted with 5-unsubstituted C4 alkyl 1,2,4 oxadiazol-2-yl. In an exemplary embodiment, R5 is H or F, Ra6 is C3 alkyl substituted with 4-unsubstituted C4 alkyl 1,3,4 oxadiazol-2-yl. In an exemplary embodiment, R5 is H or F, Ra6 is C3 alkyl substituted with 5-unsubstituted C4 alkyl 1,3,4 oxadiazol-2-yl. In an exemplary embodiment, R5 is H or F, Ra6 is C3 alkyl substituted with 4-unsubstituted C5 alkyl oxadiazol-2-yl. In an exemplary embodiment, R5 is H or F, Ra6 is C3 alkyl substituted with 5-unsubstituted C5 alkyl oxadiazol-2-yl. In an exemplary embodiment, R5 is H or F, Ra6 is C3 alkyl substituted with 4-unsubstituted C5 alkyl 1,2,4 oxadiazol-2-yl. In an exemplary embodiment, R5 is H or F, Ra6 is C3 alkyl substituted with 5-unsubstituted C5 alkyl 1,2,4 oxadiazol-2-yl. In an exemplary embodiment, R5 is H or F, Ra6 is C3 alkyl substituted with 4-unsubstituted C5 alkyl 1,3,4 oxadiazol-2-yl. In an exemplary embodiment, R5 is H or F, Ra6 is C3 alkyl substituted with 5-unsubstituted C5 alkyl 1,3,4 oxadiazol-2-yl. In an exemplary embodiment, R5 is H or F, Ra6 is C3 alkyl substituted with 4-unsubstituted C6 alkyl oxadiazol-2-yl. In an exemplary embodiment, R5 is H or F, Ra6 is C3 alkyl substituted with 5-unsubstituted C6 alkyl oxadiazol-2-yl. In an exemplary embodiment, R5 is H or F, Ra6 is C3 alkyl substituted with 4-unsubstituted C6 alkyl 1,2,4 oxadiazol-2-yl. In an exemplary embodiment, R5 is H or F, Ra6 is C3 alkyl substituted with 5-unsubstituted C6 alkyl 1,2,4 oxadiazol-2-yl. In an exemplary embodiment, R5 is H or F, Ra6 is C3 alkyl substituted with 4-unsubstituted C6 alkyl 1,3,4 oxadiazol-2-yl. In an exemplary embodiment, R5 is H or F, Ra6 is C3 alkyl substituted with 5-unsubstituted C6 alkyl 1,3,4 oxadiazol-2-yl.ethyl - In an exemplary embodiment, the compound, or a salt thereof, has a structure which is
- wherein R5 is H or halogen, one of Ra2, Ra3, Ra5 and Ra6 is unsubstituted furan or unsubstituted oxadiazolyl or unsubstituted triazolyl or alkyl substituted oxadiazolyl or alkyl substituted triazolyl or pyridine or pyrimidine, and the remaining members of Ra2, Ra3, Ra5, and Ra6 are H, R10, R11 and R15 are each a member independently selected from the group consisting of H, substituted or unsubstituted alkyl, substituted or unsubstituted heteroalkyl, substituted or unsubstituted cycloalkyl, substituted or unsubstituted heterocycloalkyl, substituted or unsubstituted aryl, and substituted or unsubstituted heteroaryl. In an exemplary embodiment, Ra2, Ra3, Ra5, Ra6, R5, R15, R10, and R11 are as described herein, and each hydrogen in said compound or a salt thereof can be replaced by deuterium. In an exemplary embodiment, R5 is H, Ra6 is unsubstituted furan. In an exemplary embodiment, R5 is F, Ra6 is unsubstituted furan.
- In an exemplary embodiment, the compound, or a salt thereof, has a structure which is
- wherein R5 is H or halogen, Ra6 is unsubstituted furan or unsubstituted oxadiazolyl or unsubstituted triazolyl or alkyl substituted oxadiazolyl or alkyl substituted triazolyl or pyridine or pyrimidine, R10, R11 and R15 are each a member independently selected from the group consisting of H, substituted or unsubstituted alkyl, substituted or unsubstituted heteroalkyl, substituted or unsubstituted cycloalkyl, substituted or unsubstituted heterocycloalkyl, substituted or unsubstituted aryl, and substituted or unsubstituted heteroaryl. In an exemplary embodiment, Ra6, R5, R15, R10 and R11 are as described herein, and each hydrogen in said compound or a salt thereof can be replaced by deuterium.
- In an exemplary embodiment, the compound, or a salt thereof, has a structure which is
- wherein R5 is H or halogen, Ra6 is unsubstituted furan or unsubstituted oxadiazolyl or unsubstituted triazolyl or alkyl substituted oxadiazolyl or alkyl substituted triazolyl or pyridine or pyrimidine. In an exemplary embodiment, R5 is H, Ra6 is unsubstituted furan. In an exemplary embodiment, R5 is H, Ra6 is unsubstituted furan-2-yl. In an exemplary embodiment, R5 is F, Ra6 is unsubstituted furan. In an exemplary embodiment, R5 is F, Ra6 is unsubstituted furan-2-yl. In an exemplary embodiment, R5 is H, Ra6 is unsubstituted 1,2,4 oxadiazolyl. In an exemplary embodiment, R5 is H, Ra6 is unsubstituted 1,3,4 oxadiazolyl. In an exemplary embodiment, R5 is F, Ra6 is unsubstituted 1,2,4 oxadiazolyl. In an exemplary embodiment, R5 is F, Ra6 is unsubstituted 1,3,4 oxadiazolyl. In an exemplary embodiment, R5 is H, Ra6 is methyl substituted 1,2,4 oxadiazolyl. In an exemplary embodiment, R5 is H, Ra6 is methyl substituted 1,3,4 oxadiazolyl. In an exemplary embodiment, R5 is F, Ra6 is methyl substituted 1,2,4 oxadiazolyl. In an exemplary embodiment, R5 is F, Ra6 is methyl substituted 1,3,4 oxadiazolyl. In an exemplary embodiment, R5 is H, Ra6 is unsubstituted triazolyl. In an exemplary embodiment, R5 is F, Ra6 is unsubstituted triazolyl. In an exemplary embodiment, R5 is F, Ra6 is methyl triazolyl. In an exemplary embodiment, R5 is H, Ra6 is methyl substituted triazolyl. In an exemplary embodiment, R5 is H, Ra6 is methyl substituted triazolyl. In an exemplary embodiment, R5 is F, Ra6 is methyl substituted triazolyl.
- In an exemplary embodiment, the compound, or a salt thereof, has a structure which is
- wherein R5 is H or halogen, one of Ra2, Ra3, Ra5 and Ra6 is —NHC(O)OR30, wherein R30 is unsubstituted alkyl, and the remaining members of Ra2, Ra3, Ra5 and Ra6 are H, R10, R11 and R15 are each a member independently selected from the group consisting of H, substituted or unsubstituted alkyl, substituted or unsubstituted heteroalkyl, substituted or unsubstituted cycloalkyl, substituted or unsubstituted heterocycloalkyl, substituted or unsubstituted aryl, and substituted or unsubstituted heteroaryl. In an exemplary embodiment, Ra2, Ra3, Ra5, Ra6, R5, R15, R10, and R11 are as described herein, and each hydrogen in said compound or a salt thereof can be replaced by deuterium. In an exemplary embodiment, R5 is halogen, one of Ra2, Ra3, Ra5 and Ra6 is —NHC(O)OR30, wherein R30 is methyl or ethyl or unsubstituted C3 alkyl or unsubstituted C4 alkyl or unsubstituted C5 alkyl or unsubstituted C6 alkyl, and the remaining members of Ra2, Ra3, Ra5 and Ra6 are H, R10, R11 and R15 are each a member independently selected from the group consisting of H, substituted or unsubstituted alkyl, substituted or unsubstituted heteroalkyl, substituted or unsubstituted cycloalkyl, substituted or unsubstituted heterocycloalkyl, substituted or unsubstituted aryl, and substituted or unsubstituted heteroaryl. In an exemplary embodiment, R5 is H, one of Ra2, Ra3, Ra5 and Ra6 is —NHC(O)OR30, wherein R30 is methyl or ethyl or unsubstituted C3 alkyl or unsubstituted C4 alkyl or unsubstituted C5 alkyl or unsubstituted C6 alkyl, and the remaining members of Ra2, Ra3, Ra5 and Ra6 are H, R10, R11 and R15 are each a member independently selected from the group consisting of H, substituted or unsubstituted alkyl, substituted or unsubstituted heteroalkyl, substituted or unsubstituted cycloalkyl, substituted or unsubstituted heterocycloalkyl, substituted or unsubstituted aryl, and substituted or unsubstituted heteroaryl.
- In an exemplary embodiment, the compound, or a salt thereof, has a structure which is
- wherein R5 is H or halogen, Ra6 is —NHC(O)OR30, wherein R30 is unsubstituted alkyl, R10, R11 and R15 are each a member independently selected from the group consisting of H, substituted or unsubstituted alkyl, substituted or unsubstituted heteroalkyl, substituted or unsubstituted cycloalkyl, substituted or unsubstituted heterocycloalkyl, substituted or unsubstituted aryl, and substituted or unsubstituted heteroaryl. In an exemplary embodiment, Ra6, R5, R15, R10, and R11 are as described herein, and each hydrogen in said compound or a salt thereof can be replaced by deuterium. In an exemplary embodiment, R5 is halogen, Ra6 is —NHC(O)OR30, wherein R30 is methyl or ethyl or unsubstituted C3 alkyl or unsubstituted C4 alkyl or unsubstituted C5 alkyl or unsubstituted C6 alkyl, R10, R11 and R15 are each a member independently selected from the group consisting of H, substituted or unsubstituted alkyl, substituted or unsubstituted heteroalkyl, substituted or unsubstituted cycloalkyl, substituted or unsubstituted heterocycloalkyl, substituted or unsubstituted aryl, and substituted or unsubstituted heteroaryl. In an exemplary embodiment, R5 is H, Ra6 is —NHC(O)OR30, wherein R30 is methyl or ethyl or unsubstituted C3 alkyl or unsubstituted C4 alkyl or unsubstituted C5 alkyl or unsubstituted C6 alkyl, R10, R11 and R15 are each a member independently selected from the group consisting of H, substituted or unsubstituted alkyl, substituted or unsubstituted heteroalkyl, substituted or unsubstituted cycloalkyl, substituted or unsubstituted heterocycloalkyl, substituted or unsubstituted aryl, and substituted or unsubstituted heteroaryl.
- In an exemplary embodiment, the compound, or a salt thereof, has a structure which is
- wherein R5 is H or halogen, Ra6 is —NHC(O)OR30, wherein R30 is unsubstituted alkyl. In an exemplary embodiment, R5 is H or halogen, Ra6 is —NHC(O)OR30, wherein R30 is methyl or ethyl or unsubstituted C3 alkyl or unsubstituted C4 alkyl or unsubstituted C5 alkyl or unsubstituted C6 alkyl. In an exemplary embodiment, R5 is H, Ra6 is —NHC(O)OR30, wherein R30 is methyl or ethyl or unsubstituted C3 alkyl. In an exemplary embodiment, R5 is F, Ra6 is —NHC(O)OR30, wherein R30 is methyl or ethyl or unsubstituted C3 alkyl or unsubstituted C4 alkyl or unsubstituted C5 alkyl or unsubstituted C6 alkyl. In an exemplary embodiment, R5 is F, Ra6 is —NHC(O)OR30, wherein R30 is methyl or ethyl or unsubstituted C3 alkyl. In an exemplary embodiment, R5 is H, Ra6 is —NHC(O)OCH(CH3)2. In an exemplary embodiment, R5 is F, Ra6 is —NHC(O)OCH(CH3)2.
- In an exemplary embodiment, the compound, or a salt thereof, has a structure which is
- wherein R5 is H or halogen, Ra6 is —NHC(O)NHR30, wherein R30 is unsubstituted alkyl. In an exemplary embodiment, R5 is H or halogen, Ra6 is —NHC(O)NHR30, wherein R30 is methyl or ethyl or unsubstituted C3 alkyl or unsubstituted C4 alkyl or unsubstituted C5 alkyl or unsubstituted C6 alkyl. In an exemplary embodiment, R5 is H, Ra6 is —NHC(O)NHR30, wherein R30 is methyl or ethyl or unsubstituted C3 alkyl. In an exemplary embodiment, R5 is F, Ra6 is —NHC(O)NHR30, wherein R30 is methyl or ethyl or unsubstituted C3 alkyl or unsubstituted C4 alkyl or unsubstituted C5 alkyl or unsubstituted C6 alkyl. In an exemplary embodiment, R5 is F, Ra6 is —NHC(O)NHR30, wherein R30 is methyl or ethyl or unsubstituted C3 alkyl.
- In an exemplary embodiment, the compound, or a salt thereof, has a structure which is
- wherein R5 is H or halogen, Ra6 is —NHC(O)NH2. In an exemplary embodiment, R5 is H, Ra6 is —NHC(O)NH2. In an exemplary embodiment, R5 is F, Ra6 is —NHC(O)NH2.
- In an exemplary embodiment, the compound, or a salt thereof, has a structure which is
- wherein R5 is H or halogen, two of Ra2, Ra3, Ra5 and Ra6 are each independently selected from the group consisting of methyl, ethyl, propyl and isopropyl, and the remaining members of Ra2, Ra3, Ra5, and Ra6 are H, R10, R11 are each a member independently selected from the group consisting of H, substituted or unsubstituted alkyl, substituted or unsubstituted heteroalkyl, substituted or unsubstituted cycloalkyl, substituted or unsubstituted heterocycloalkyl, substituted or unsubstituted aryl, and substituted or unsubstituted heteroaryl. In an exemplary embodiment, Ra2, Ra3, Ra5, Ra6, R5, R10, and R11 are as described herein, and each hydrogen in said compound or a salt thereof can be replaced by deuterium. In an exemplary embodiment, R5 is F, two of Ra2, Ra3, Ra5 and Ra6 are methyl, and the remaining members of Ra2, Ra3, Ra5 and Ra6 are H, R10 and R11 are each a member independently selected from the group consisting of H, substituted or unsubstituted alkyl, substituted or unsubstituted heteroalkyl, substituted or unsubstituted cycloalkyl, substituted or unsubstituted heterocycloalkyl, substituted or unsubstituted aryl, and substituted or unsubstituted heteroaryl. In an exemplary embodiment, R5 is H, two of Ra2, Ra3, Ra5 and Ra6 are methyl, and the remaining members of Ra2, Ra3, Ra5 and Ra6 are H, R10 and R11 are each a member independently selected from the group consisting of H, substituted or unsubstituted alkyl, substituted or unsubstituted heteroalkyl, substituted or unsubstituted cycloalkyl, substituted or unsubstituted heterocycloalkyl, substituted or unsubstituted aryl, and substituted or unsubstituted heteroaryl.
- In an exemplary embodiment, the compound, or a salt thereof, has a structure which is
- wherein R5 is H or halogen, two of Ra2, Ra3, Ra5 and Ra6 are each independently selected from the group consisting of methyl, ethyl, propyl and isopropyl, and the remaining members of Ra2, Ra3, Ra5 and Ra6 are H. In an exemplary embodiment, R5 is F, two of Ra2, Ra3, Ra5 and Ra6 are methyl, and the remaining members of Ra2, Ra3, Ra5 and Ra6 are H. In an exemplary embodiment, R5 is H, two of Ra2, Ra3, Ra5 and Ra6 are methyl, and the remaining members of Ra2, Ra3, Ra5 and Ra6 are H.
- In an exemplary embodiment, the compound, or a salt thereof, has a structure which is
- wherein R5 is H or halogen, Ra2 and Ra6 are each independently selected from the group consisting of methyl, ethyl, propyl and isopropyl. In an exemplary embodiment, R5 is F, Ra2 and Ra6 are methyl. In an exemplary embodiment, R5 is H, Ra2 and Ra6 are methyl.
- In an exemplary embodiment, the compound, or a salt thereof, has a structure which is
- wherein R5 is H or halogen, Ra3 and Ra6 are each independently selected from the group consisting of methyl, ethyl, propyl and isopropyl. In an exemplary embodiment, R5 is F, Ra1 and Ra6 are methyl. In an exemplary embodiment, R5 is H, Ra3 and Ra6 are methyl.
- In an exemplary embodiment, the compound, or a salt thereof, has a structure which is
- wherein R5 is H or halogen, two of Ra2, Ra3, Ra5 and Ra6 are each independently selected from the group consisting of F, Cl, Br, methyl, ethyl, propyl and isopropyl, and the remaining members of Ra2, Ra3 5Ra5 and Ra6 are H, R15 is selected from the group consisting of H, substituted or unsubstituted alkyl, substituted or unsubstituted heteroalkyl, substituted or unsubstituted cycloalkyl, substituted or unsubstituted heterocycloalkyl, substituted or unsubstituted aryl, and substituted or unsubstituted heteroaryl. In an exemplary embodiment, Ra2, Ra3, Ra5, Ra6, R5, R15 are as described herein, and each hydrogen in said compound or a salt thereof can be replaced by deuterium. In an exemplary embodiment, R5 is F, two of Ra2, Ra3, Ra5 and Ra6 are methyl, and the remaining members of Ra2, Ra3, Ra5 and Ra6 are H, R15 is selected from the group consisting of H, substituted or unsubstituted alkyl, substituted or unsubstituted heteroalkyl, substituted or unsubstituted cycloalkyl, substituted or unsubstituted heterocycloalkyl, substituted or unsubstituted aryl, and substituted or unsubstituted heteroaryl. In an exemplary embodiment, R5 is H, two of Ra2, Ra3, Ra5 and Ra6 are methyl, and the remaining members of Ra2, Ra3, Ra5 and Ra6 are H, R15 is selected from the group consisting of H, substituted or unsubstituted alkyl, substituted or unsubstituted heteroalkyl, substituted or unsubstituted cycloalkyl, substituted or unsubstituted heterocycloalkyl, substituted or unsubstituted aryl, and substituted or unsubstituted heteroaryl. In an exemplary embodiment, R5 is F, two of Ra2, Ra3, Ra5 and Ra6 are chloro, and the remaining members of Ra2, Ra3, Ra5 and Ra6 are H, R15 is selected from the group consisting of H, substituted or unsubstituted alkyl, substituted or unsubstituted heteroalkyl, substituted or unsubstituted cycloalkyl, substituted or unsubstituted heterocycloalkyl, substituted or unsubstituted aryl, and substituted or unsubstituted heteroaryl. In an exemplary embodiment, R5 is H, two of Ra2, Ra3, Ra5 and Ra6 are chloro, and the remaining members of Ra2, Ra3, Ra5 and Ra6 are H, R15 is selected from the group consisting of H, substituted or unsubstituted alkyl, substituted or unsubstituted heteroalkyl, substituted or unsubstituted cycloalkyl, substituted or unsubstituted heterocycloalkyl, substituted or unsubstituted aryl, and substituted or unsubstituted heteroaryl.
- In an exemplary embodiment, the compound, or a salt thereof, has a structure which is
- wherein R5 is H or halogen, two of Ra2, Ra3, Ra5 and Ra6 are each independently selected from the group consisting of F, Cl, Br, methyl, ethyl, propyl and isopropyl, and the remaining members of Ra2, Ra3 5Ra5 and Ra6 are H. In an exemplary embodiment, R5 is F, two of Ra2, Ra3, Ra5 and Ra6 are methyl, and the remaining members of Ra2, Ra3, Ra5 and Ra6 are H. In an exemplary embodiment, R5 is H, two of Ra2, Ra3, Ra5 and Ra6 are methyl, and the remaining members of Ra2, Ra3, Ra5 and Ra6 are H.
- In an exemplary embodiment, the compound, or a salt thereof, has a structure which is
- wherein R5 is H or halogen, Ra2 and Ra6 are each independently selected from the group consisting of F, Cl, Br, methyl, ethyl, propyl and isopropyl. In an exemplary embodiment, R5 is F, Ra2 and Ra6 are methyl. In an exemplary embodiment, R5 is H, Ra2 and Ra6 are F.
- In an exemplary embodiment, the compound, or a salt thereof, has a structure which is
- wherein R5 is H or halogen, Ra3 and Ra5 are each independently selected from the group consisting of F or Cl. In an exemplary embodiment, R5 is F, Ra3 and Ra6 are F or Cl. In an exemplary embodiment, R5 is H, Ra3 and Ra6 are F or Cl.
- In various embodiments of the invention, R10 and/or R11 can be a prodrug moiety. Prodrugs of amines are known in the art. See Krise et al., “Prodrugs of Amines” in Prodrugs; Springer: 2007; Vol. V, Part III, 801-831. Examples of prodrugs for amines include, but are not limited to, N-acyl derivatives, carbamates, N-acyloxyalkyl derivatives, quaternary ammonium derivatives, N-oxides, N-Mannich bases, Schiff bases, enaminones, azo derivatives, oxazolidines, and 4-imidazolidinones. One of skill in the art will be able to select a suitable prodrug moiety.
- In an exemplary embodiment, the prodrug moiety is an acyl derivative. In an exemplary embodiment, at least one of R10 and R11 is
- wherein Rp1 is a member selected from substituted or unsubstituted alkyl, substituted or unsubstituted arylalkyl, substituted or unsubstituted cycloalkyl, substituted or unsubstituted heterocycloalkyl, substituted or unsubstituted aryl and substituted or unsubstituted heteroaryl. In an exemplary embodiment, Rp1 is unsubstituted alkyl. In an exemplary embodiment, Rp1 is unsubstituted alkyl. In an exemplary embodiment, Rp1 is unsubstituted arylalkyl. In an exemplary embodiment, Rp1 is methyl. In another exemplary embodiment Rp1 is CF3.
- In an exemplary embodiment, the prodrug moiety is an ester. In an exemplary embodiment, at least one of R10 and R11 is
- wherein Rp2 is a member selected from substituted or unsubstituted alkyl, substituted or unsubstituted arylalkyl, substituted or unsubstituted cycloalkyl, substituted or unsubstituted heterocycloalkyl, substituted or unsubstituted aryl and substituted or unsubstituted heteroaryl. In an exemplary embodiment, Rp2 is unsubstituted alkyl. In an exemplary embodiment, Rp2 is methyl. In another exemplary embodiment Rp2 is ethyl. In another exemplary embodiment Rp2 is n-propyl. In another exemplary embodiment Rp2 is isopropyl. In another exemplary embodiment Rp2 is iso-butyl. In another exemplary embodiment Rp2 is benzyl.
- In an exemplary embodiment, the prodrug moiety is an ester. In an exemplary embodiment, at least one of R10 and R11 is
- wherein Rp3 and Rp4 are members independently selected from substituted or unsubstituted alkyl, substituted or unsubstituted arylalkyl, substituted or unsubstituted cycloalkyl, substituted or unsubstituted heterocycloalkyl, substituted or unsubstituted aryl and substituted or unsubstituted heteroaryl.
- In an exemplary embodiment, the invention provides poly- or multi-valent species of the compounds of the invention, including a dimer or a trimer. Another exemplary embodiment of the invention provides an anhydride of the compounds of the invention. In another exemplary embodiment, the invention provides poly- or multi-valent species of the compounds of the invention. In an exemplary embodiment, the invention provides a dimer of the compounds described herein. In an exemplary embodiment, the invention provides a dimer of the compounds described herein.
- In an exemplary embodiment, the invention provides a trimer of the compounds described herein. In an exemplary embodiment, the invention provides a trimer of the compounds described herein.
- The compounds of the invention can form a hydrate with water, solvates with alcohols such as methanol, ethanol, propanol, and the like; adducts with amino compounds, such as ammonia, methylamine, ethylamine, and the like; adducts with acids, such as formic acid, acetic acid and the like; complexes with ethanolamine, quinoline, amino acids, and the like.
- In an exemplary embodiment, the invention provides a compound described herein, or a salt, hydrate or solvate thereof, or a combination thereof. In an exemplary embodiment, the invention provides a compound described herein, or a salt, hydrate or solvate thereof. In an exemplary embodiment, the invention provides a compound described herein, or a salt thereof. In an exemplary embodiment, the salt is a pharmaceutically acceptable salt. In an exemplary embodiment, the invention provides a compound described herein, or a hydrate thereof. In an exemplary embodiment, the invention provides a compound described herein, or a solvate thereof. In an exemplary embodiment, the invention provides a compound described herein, or a prodrug thereof. In an exemplary embodiment, the invention provides a salt of a compound described herein. In an exemplary embodiment, the invention provides a pharmaceutically acceptable salt of a compound described herein. In an exemplary embodiment, the invention provides a hydrate of a compound described herein. In an exemplary embodiment, the invention provides a solvate of a compound described herein. In an exemplary embodiment, the invention provides a prodrug of a compound described herein. In an exemplary embodiment, the invention provides a compound as described in
FIG. 1 , or a salt thereof. In an exemplary embodiment, the invention provides a compound as described inFIG. 1 , or a pharmaceutically acceptable salt thereof. - In an exemplary embodiment, alkyl is linear alkyl. In another exemplary embodiment, alkyl is branched alkyl.
- In an exemplary embodiment, heteroalkyl is linear heteroalkyl. In another exemplary embodiment, heteroalkyl is branched heteroalkyl.
- The compounds of the invention may also be used in combination with additional therapeutic agents. The invention thus provides, in a further aspect, a combination comprising a compound of the invention together with at least one additional therapeutic agent, or a salt, prodrug, hydrate or solvate thereof. In an exemplary embodiment, the compound of the invention is a compound described herein, or a salt thereof. In an exemplary embodiment, the additional therapeutic agent is a compound of the invention. In an exemplary embodiment, the additional therapeutic agent includes a boron atom. In an exemplary embodiment, the additional therapeutic agent does not contain a boron atom. In an exemplary embodiment, the additional therapeutic agent is a compound described in section III a).
- When a compound of the invention is used in combination with a second therapeutic agent active against the same disease state, the dose of each compound may differ from that when the compound is used alone. Appropriate doses will be readily appreciated by those skilled in the art. It will be appreciated that the amount of a compound of the invention required for use in treatment will vary with the nature of the condition being treated and the age and the condition of the patient and will be ultimately at the discretion of the attendant physician or veterinarian.
- The individual components of such combinations may be administered either simultaneously or sequentially in a unit dosage form. The unit dosage form may be a single or multiple unit dosage forms. In an exemplary embodiment, the invention provides a combination in a single unit dosage form. An example of a single unit dosage form is a capsule wherein both the compound of the invention and the additional therapeutic agent are contained within the same capsule. In an exemplary embodiment, the invention provides a combination in a two unit dosage form. An example of a two unit dosage form is a first capsule which contains the compound of the invention and a second capsule which contains the additional therapeutic agent. Thus the term ‘single unit’ or ‘two unit’ or ‘multiple unit’ refers to the object which the animal (for example, a human) ingests, not to the interior components of the object. Appropriate doses of known therapeutic agents will be readily appreciated by those skilled in the art.
- The combinations referred to herein may conveniently be presented for use in the form of a pharmaceutical formulation. Thus, an exemplary embodiment of the invention is a pharmaceutical formulation comprising a) a compound of the invention; b) an additional therapeutic agent and c) a pharmaceutically acceptable excipient. In an exemplary embodiment, the pharmaceutical formulation is a unit dosage form. In an exemplary embodiment, the pharmaceutical formulation is a single unit dosage form. In an exemplary embodiment, the pharmaceutical formulation is a single unit dosage form which includes a compound of the invention; an antibiotic and a pharmaceutically acceptable excipient. In an exemplary embodiment, the pharmaceutical formulation is a single unit dosage form which includes a compound of the invention; an antibiotic and at least one pharmaceutically acceptable excipient. In an exemplary embodiment, the pharmaceutical formulation is a two unit dosage form. In an exemplary embodiment, the pharmaceutical formulation is a two unit dosage form comprising a first unit dosage form and a second unit dosage form, wherein the first unit dosage form includes a) a compound of the invention and b) a first pharmaceutically acceptable excipient; and the second unit dosage form includes c) an additional therapeutic agent and d) a second pharmaceutically acceptable excipient. In an exemplary embodiment, the pharmaceutical formulation is a two unit dosage form comprising a first unit dosage form and a second unit dosage form, wherein the first unit dosage form includes a) a compound of the invention and b) a first pharmaceutically acceptable excipient; and the second unit dosage form includes c) an antibiotic and d) a second pharmaceutically acceptable excipient.
- Compounds of use in the invention can be prepared using commercially available starting materials, known intermediates, or by using the synthetic methods published in references described and incorporated by reference herein, such as U.S. patent application Ser. Nos. 12/142,692 and U.S. Pat. Pubs. US20060234981, US20070155699 and US20070293457.
- The following general procedures were used as indicated in generating the examples and can be applied, using the knowledge of one of skill in the art, to other appropriate compounds to obtain additional analogues.
-
- The sulfonyl chloride (1-1.2 equiv) and a base (either NMM, K2CO3, or pyridine 3-4 equiv) were added sequentially to a solution of the amine in MeCN (20 mL/g) at rt or cooled in an ice bath. After completion (typical duration O/N) the volatiles were removed in vacuo. H2O was added to the residue and the mixture adjusted to ˜
pH 6 with dilute HCl. The aqueous layer was then extracted with organic solvent (typically EtOAc), and the combined organic fractions dried (either Na2SO4 or MgSO4), filtered, and concentrated in vacuo. The product was typically purified by either recrystallization from H2O, trituration with CH2Cl2 or EtOAc, or flash chromatography. -
- Boron tribromide (3-5 equiv. 1M solution) was added slowly to an ice-cold solution of the methoxybenzenesulfonamide in DCM at 0° C. The reaction was allowed to stir at rt and monitored by TLC. The mixture was purified as: ice was added slowly and worked up with DCM, the organic layer was washed with brine, dried over Na2SO4 and dried in vacuo. Further purification was carried out by flash chromatography or preparative HPLC when required.
-
- The acetamide and 1:1 6N HCl: AcOH (5 equiv) were heated to 40° C. for 2 days. Purification involved removal of solvent, work up with EtOAc and 1N HCl, washed with brine, dry on Na2SO4 and removal of solvent. The product was recrystallized in EtOAc or purified by flash chromatography or preparative TLC when required.
-
- A mixture of starting material, Pd/C (10% wet, 0.2 equiv) in methanol was placed under a hydrogen atmosphere at 50 psi. The reaction was monitored by LC/MS. The catalyst was filtered off through a pad of Celite® and the solvent was evaporated to give the amine. The product was purified by flash chromatography or preparative HPLC when required.
-
- A mixture of starting material, the chloroformate (5 equiv.) in THF was stirred at r.t. or heated to 60° C. if required. The reaction was monitored by LC/MS. The mixture was dried in vacuo. The crude product was carried on to next step or purified by flash chromatography or preparative HPLC when required.
-
- The acetamide and NH3 (7M in MeOH, 5 equiv) was heated to 80° C. for 2 hrs. The reaction was monitored by LC/MS. Purification: remove solvent. The product was recrystallized in EtOAc/MeOH or purified by flash chromatography or preparative HPLC when required.
-
- MeI (1.5 equiv) was added dropwise to solution of the benzenesulfonamide and K2CO3 (3 equiv) in DMF. The reaction was allowed to stir at r.t. and monitored by TLC. The mixture was then worked up with EtOAc, H2O, brine, dried over Na2SO4 and dried in vacuo. Further purification was carried out by flash chromatography when required.
-
- Boron tribromide (3-5 equiv. 1M solution) was added slowly to an ice-cold solution of the methoxybenzenesulfonamide in DCM at 0° C. The reaction was allowed to stir at rt and monitored by TLC. Purification: ice was added slowly and worked up with DCM, the organic layer was washed brine, dried over Na2SO4 and dried in vacuo.; Further purification was carried out by flash chromatography or preparative HPLC when required.
-
- General Procedure 17: the acetamide and 1:1 6N HCl: AcOH (5 equiv) was heated to 40° C. for 2 days. Purification: remove solvent, work up with EtOAc and 1N HCl, washed with brine, dry on Na2SO4, remove solvent. The product was recrystallized in EtOAc or purified by flash chromatography or preparative HPLC when required.
-
- General Procedure 20: the acetamide and NH3 (7M in MeOH, 5 equiv) was heated to 80° C. for 2 hrs. The reaction was monitored by LC/MS. Purification: remove solvent, The product was recrystallized in EtOAc/MeOH or purified by flash chromatography or preparative HPLC when required.
- Art-recognized techniques of genetics and molecular biology are of use to identify compounds that bind to and/or inhibit an enzyme, such as a tRNA synthetase. Moreover, these techniques are of use to distinguish whether a compound binds to and/or inhibits a particular domain of the enzyme. For example, for LeuRS, these techniques can distinguish whether a compound binds to and/or inhibits the synthetic domain, the editing domain, or both the editing and synthetic domains. LeuRS can be obtained from Genscript (Piscataway, N.J.) and also obtained from Prof. Susan Martinez (University of Illinois, Champaign, Ill.).
- In an exemplary assay, activity of a representative compound against the editing domain was confirmed. To identify the target of a novel boron-containing antibacterial compound, mutants in E. coli showing resistance to the compound were isolated. Characterization of mutants showed that they have an 32-256 fold increase in resistance to the compound over wildtype. The mutants were furthermore shown to be sensitive to various antibacterial agents with known modes of action, suggesting that the cellular target of the compound is distinct from the target of the other antibacterial agents. The leuS gene from the mutants was cloned onto a plasmid and their resistance was confirmed by MIC. The editing domain from these mutants were sequenced and the mutations were all located in the editing domain of this enzyme.
- Assays to determine whether, and how effectively, a particular compound binds to and/or inhibits the editing domain of a selected tRNA synthetase are also set forth herein, and additional assays are readily available to those of skill in the art. Briefly, in an exemplary assay, an improperly charged tRNA and a tRNA synthetase that is capable of editing the improperly charged tRNA are combined. The resulting mixture is contacted with the putative inhibitor and the degree of editing inhibition is observed.
- Another assay uses genetics to show that a drug works via the editing domain. In this assay, the compound is first tested against a strain of cells over-expressing copies of the tRNA synthetase gene. The compound's effect on the over-expressing strain is compared with a control strain to determine whether the compound is active against the synthetase. If the minimum inhibitory concentration (MIC) is 2-fold higher in the strain with extra copies of the synthetase gene than the MIC of the inhibitor against a wild type cell, a further genetic screen is conducted to determine whether the increased resistance is due to mutations in the editing domain. In this second screen, the control strain is challenged against a high concentration of the inhibitor. The colonies surviving the challenge are isolated and DNA from these cells is isolated. The editing domain is amplified using a proof-reading PCR enzyme and the appropriate primers. The PCR product can be purified using standard procedures. The sequence amplified mutant DNA is compared to wild-type. If the mutant DNA bears mutations in the editing domain, such results would suggest that the compound binds to the editing domain and affects the editing function of the molecule through this domain.
- Generally, the compounds to be tested are present in the assays in ranges from about 1 pM to about 100 mM, preferably from about 1 pM to about 1 μM. Other compounds range from about 1 nM to about 100 nM, preferably from about 1 nM to about 1 μM.
- The effects of the test compounds upon the function of the enzymes can also be measured by any suitable physiological change. When the functional consequences are determined using intact cells or animals, one can also measure a variety of effects such as transmitter release, hormone release, transcriptional changes to both known and uncharacterized genetic markers, changes in cell metabolism such as cell growth or pH changes, and changes in intracellular second messengers such as Ca2+, or cyclic nucleotides.
- Utilizing the assays set forth herein and others readily available in the art, those of skill in the art will be able to readily and routinely determine other compounds and classes of compounds that operate to bind to and/or inhibit the editing domain of tRNA synthetases.
- In another aspect, the invention provides a method for identifying a compound which binds to an editing domain of a tRNA synthetase comprising: a) contacting said editing domain with a test compound under conditions suitable for binding; and b) detecting binding of said test compound to said editing domain. In an exemplary embodiment, detecting binding of said compound comprises use of at least one detectable element, isotope, or chemical label attached to said compound. In an exemplary embodiment, the element, isotope or chemical label is detected by a fluorescent, luminescent, radioactive, or absorbance readout. In an exemplary embodiment, the contacting of said test compound with said editing domain also includes further contacting said test compound and said editing domain with a member selected from AMP and a molecule with a terminal adenosine. In an exemplary embodiment, the tRNA synthetase is derived from leucyl tRNA synthetase. In an exemplary embodiment, the tRNA synthetase is derived from a mutated tRNA synthetase, wherein said mutated tRNA synthetase comprises amino acid mutations in an editing domain. In another exemplary embodiment, wherein said editing domain of a tRNA synthetase comprises the amino acid sequence of a peptide sequence described herein.
- In another aspect, the invention provides a method for identifying a compound which binds to an editing domain of a tRNA synthetase, said assay comprising: a) contacting said editing domain of a tRNA synthetase with said compound under conditions suitable for binding of said compound with said editing domain of a tRNA synthetase; b) comparing a biological activity of said editing domain of a tRNA synthetase contacting said compound to said biological activity when not contacting said compound; and c) identifying said compound as binding to said editing domain of a tRNA synthetase if said biological activity of said editing domain of a tRNA synthetase is reduced when contacting said compound. In an exemplary embodiment, the biological activity is hydrolysis of noncognate amino acid. In another exemplary embodiment, the hydrolysis of said noncognate amino acid is detected through the use of one or more labels. In another exemplary embodiment, the labels include a radiolabel, a fluorescent marker, an antibody, or a combination thereof. In another exemplary embodiment, said labels can be detected using spectroscopy. In another exemplary embodiment, said editing domain of a tRNA synthetase is derived from leucyl tRNA synthetase.
- In another aspect, the invention provides a method of generating a tRNA molecule with a noncognate amino acid comprising: a) creating or isolating a mutated tRNA synthetase with altered amino acid editing domains; and b) contacting a tRNA molecule with said mutated tRNA synthetase and a noncognate amino acid. In another exemplary embodiment, the mutated tRNA synthetase contains one or more amino acid mutations in an editing domain. In another exemplary embodiment, the mutated tRNA synthetase is unable to bind with a compound of the invention. In another exemplary embodiment, the mutated tRNA synthetase is unable to bind with a compound described herein, or a pharmaceutically acceptable salt thereof. In another exemplary embodiment, the mutated tRNA synthetase is unable to bind with a compound according to a formula described herein, or a pharmaceutically acceptable salt thereof.
- In another aspect, the invention provides a composition that comprises one or more tRNA molecules attached to noncognate amino acids, wherein said tRNA molecules are synthesized using one or more mutated tRNA synthetases isolated from a microorganism or a cell line derived from a microorganism. In an exemplary embodiment, the microorganism is a bacteria. In an exemplary embodiment, wherein said mutated tRNA synthetases contain amino acid mutations in their editing domains.
- Amino acid and nucleotide sequences of use in the invention are published in references described and incorporated by reference herein, such as U.S. patent application Ser. Nos. 12/142,692 and U.S. Pat. Pubs. US20060234981, US20070155699 and US20070293457.
- In another aspect, the compounds of the invention can be utilized to inhibit an enzyme. In another aspect, the compounds of the invention and/or combinations of the invention exhibit potency against microorganisms, such as bacteria, and therefore have the potential to kill and/or inhibit the growth of microorganisms. In another aspect, the compounds of the invention and/or combinations of the invention exhibit potency against microorganisms, such as bacteria, and therefore have the potential to achieve therapeutic efficacy in the animals described herein.
- In an exemplary embodiment, the compounds of the invention exhibit the ability of inhibiting the editing domain of tRNA synthetases, such as leucyl tRNA synthetase, of microorganisms, such as bacteria, and therefore have the potential to be used as editing domain inhibitors of microorganism tRNA synthetases.
- According to another aspect of the invention, a method for binding to and/or inhibiting the editing domain of a tRNA synthetase is provided which comprises contacting a tRNA synthetase with a compound of the invention that inhibits the editing domain under conditions in which the tRNA synthetase interacts with its substrate to form an aminoacyl adenylate intermediate and, preferably, to form a charged tRNA. Such conditions are known to those skilled in the art. In an exemplary embodiment, the compound has a structure according to a formula described herein. In an exemplary embodiment, the compound is described herein, or a salt, hydrate or solvate thereof, or a combination thereof. In an exemplary embodiment, the invention provides a compound described herein, or a salt, hydrate or solvate thereof. In an exemplary embodiment, the invention provides a compound described herein, or a salt thereof. In an exemplary embodiment, the invention provides a compound described herein, or a salt thereof. The tRNA synthetase is contacted with an amount of compound of the invention sufficient to result in a detectable amount of tRNA synthetase inhibition. This method can be performed on a tRNA synthetase that is contained within an organism or which is outside an organism. In an exemplary embodiment, the method is performed on a tRNA synthetase that is contained within a microorganism or a microbial cell that is in, or on the surface of, an animal. In an exemplary embodiment, the animal is a human. The method results in a decrease in the amount of charged tRNA produced by the tRNA synthetase that has an inhibited editing domain. In an exemplary embodiment, the inhibition takes place in a cell, such as a microorganism cell. In another exemplary embodiment, the microorganism cell is a bacteria. In another exemplary embodiment, the tRNA synthetase is leucyl tRNA synthetase.
- In an exemplary embodiment, the invention provides a method of inhibiting conversion of a tRNA molecule into a charged tRNA molecule. The method involves contacting a tRNA synthetase with a compound of the invention effective to inhibit activity of an editing domain of said tRNA synthetase, under conditions sufficient to inhibit said activity, thereby inhibiting said conversion. In an exemplary embodiment, the compound of the invention is a compound described herein, or a pharmaceutically acceptable salt thereof. In an exemplary embodiment, the inhibition occurs within a cell, and the cell is a microorganism cell. In another exemplary embodiment, the microorganism cell is a bacteria. In another exemplary embodiment, the microorganism cell is a bacteria which is described herein. In another exemplary embodiment, the enzyme is a leucyl tRNA synthetase of a bacteria described herein. In another exemplary embodiment, the tRNA synthetase is leucyl tRNA synthetase. In another exemplary embodiment, the compound has a KD, synthesis of greater than 100 μM against a synthetic domain of said tRNA synthetase.
- In certain embodiments, the mechanism of action of a compound of the invention is to inhibit the conversion of a tRNA molecule into a charged tRNA molecule by binding to and/or inhibiting at least the editing domain of the synthetase. The compounds of use in this method may also inhibit or otherwise interact with the synthetic domain (e.g., the active site of the synthetic domain). In a presently preferred embodiment, the editing domain is inhibited selectively in the presence of the synthetic domain. In a preferred embodiment, the synthetic domain is essentially uninhibited, while the editing domain is inhibited at least 50%, preferably at least 60%, more preferably at least 70%, still more preferably, at least 80% and even still more preferably at least 90% of the activity of the tRNA synthetase. In another preferred embodiment, the synthetic domain is inhibited by at most 50%, preferably at most 30%, preferably at most 20%, 10%, preferably at most 8%, more preferably at most 5%, still more preferably, at most 3% and even still more preferably at most 1%. Inhibition of the editing domain produces a decrease in the amount of the properly charged tRNA which results in retardation or cessation of cell growth and division.
- In another exemplary embodiment, the ratio of a minimum concentration of said compound inhibiting said editing domain to a minimum concentration of said compound inhibiting said synthetic domain of said tRNA synthetase, represented as KD, edit/KD, synthesis, is less than one. In another exemplary embodiment, the KD, edit/KD, synthesis of the compound is a member selected from less than 0.5, less than 0.1 and less than 0.05.
- The compounds of the invention and/or combinations of the invention exhibit potency against microorganisms, such as bacteria, and therefore have the potential to treat, and/or prevent a microorganism infection, or kill and/or inhibit the growth of microorganisms.
- In a further aspect, the invention provides a method of treating and/or preventing a microorganism infection, or a method of killing and/or inhibiting the growth of a microorganism, said method comprising: contacting said microorganism with an effective amount of a compound of the invention, thereby killing and/or inhibiting the growth of the microorganism. In a further aspect, the invention provides a method of treating and/or preventing a microorganism infection, or a method of killing and/or inhibiting the growth of a microorganism, said method comprising: contacting said microorganism with an effective amount of a combination of the invention, thereby killing and/or inhibiting the growth of the microorganism.
- In a further aspect, the invention provides a method of treating a bacterial infection comprising adminstering to an animal suffering from the infection an effective amount of a compound of the invention or a combination of the invention, or a pharmaceutically acceptable salt thereof, thereby treating the bacterial infection. In an exemplary embodiment, the invention provides a method of treating a bacterial infection comprising adminstering to an animal suffering from the infection an effective amount of a compound of the invention, or a pharmaceutically acceptable salt thereof, and an effective amount of an antibiotic, or a pharmaceutically acceptable salt thereof, thereby treating the bacterial infection.
- In a further aspect, the invention provides a method of preventing a bacterial infection comprising adminstering to an animal a prophylactic amount of a compound of the invention or a combination of the invention, or a pharmaceutically acceptable salt thereof, thereby treating the bacterial infection. In an exemplary embodiment, the invention provides a method of preventing a bacterial infection comprising adminstering to an animal a prophylactic amount of a compound of the invention, or a pharmaceutically acceptable salt thereof.
- In an exemplary embodiment, the microorganism is a bacteria. In an exemplary embodiment, the compound or combination is described herein, or a salt, prodrug, hydrate or solvate thereof, or a combination thereof. In an exemplary embodiment, the invention provides a compound or combination described herein, or a salt, hydrate or solvate thereof. In an exemplary embodiment, the invention provides a compound or combination described herein, or a prodrug thereof. In an exemplary embodiment, the invention provides a compound or combination described herein, or a salt thereof. In another exemplary embodiment, the compound or combination of the invention is a compound or combination described herein, or a pharmaceutically acceptable salt thereof. In another exemplary embodiment, the compound or compound of the combination is described by a formula listed herein, or a pharmaceutically acceptable salt thereof. In an exemplary embodiment, the compound is part of a combination described herein. In an exemplary embodiment, the compound is part of a pharmaceutical formulation described herein. In another exemplary embodiment, the contacting occurs under conditions which permit entry of the compound into the organism. Such conditions are known to one skilled in the art and are described herein.
- In another aspect, the microorganism is inside, or on the surface of an animal. In an exemplary embodiment, the animal is selected from the group consisting of human, cattle, deer, reindeer, goat, honey bee, pig, sheep, horse, cow, bull, dog, guinea pig, gerbil, rabbit, cat, camel, yak, elephant, ostrich, otter, chicken, duck, goose, guinea fowl, pigeon, swan, and turkey. In another exemplary embodiment, the animal is a human.
- In an exemplary embodiment, the microorganism infection is treated and or prevented, or the microorganism is killed or its growth is inhibited, through oral administration of the compound of the invention and/or the combination of the invention. In an exemplary embodiment, the microorganism infection is treated and or prevented, or the microorganism is killed or its growth is inhibited through intravenous administration of the compound of the invention and/or the combination of the invention.
- In an exemplary embodiment, the microorganism is a bacterium. In an exemplary embodiment, an infection is caused by and/or associated with a microorganism, particularly a bacterium. In an exemplary embodiment, the bacterium is a gram-positive bacteria. In another exemplary embodiment, the gram-positive bacterium is selected from the group consisting of Staphylococcus species, Streptococcus species, Bacillus species, Mycobacterium species, Corynebacterium species (Propionibacterium species), Clostridium species, Actinomyces species, Enterococcus species and Streptomyces species. In another exemplary embodiment, the gram-positive bacterium is selected from the group consisting of Propionibacterium acnes, Staphylococcus aureus, Staphylococcus epidermidis, Staphylococcus saprophyticus, Staphylococcus haemolyticus, Streptococcus pyogenes, Streptococcus agalactiae, Streptococcus pneumoniae, Enterococcus faecalis, Enterococcus faecium, Bacillus anthracis, Mycobacterium avium-intracellulare, Mycobacterium tuberculosis, Acinetobacter baumanii, Corynebacterium diphtheria, Clostridium perfringens, Clostridium botulinum, Clostridium tetani, and Clostridium difficile. In another exemplary embodiment, the gram-positive bacterium is selected from the group consisting of Staphylococcus aureus, Staphylococcus epidermidis, Streptococcus pneumoniae, Streptococcus pyogenes, Enterococcus faecalis, Enterococcus faecium, Clostridium difficile and Propionibacter acnes. In another exemplary embodiment, the bacterium is a gram-negative bacterium. In another exemplary embodiment, the gram-negative bacterium is selected from the group consisting of Acinetobacter species, Neisseria species, Pseudomonas species, Brucella species, Agrobacterium species, Bordetella species, Escherichia species, Shigelia species, Yersinia species, Salmonella species, Klebsiella species, Enterobacter species, Haemophilus species, Pasteurella species, Streptobacillus species, spirochetal species, Campylobacter species, Vibrio species, Helicobacter species, Bacteroides species, Citrobacter species, Proteus species, Providencia species, Serratia species, Stenotrophomonas species and Burkholderia species. In another exemplary embodiment, the gram-negative bacterium is selected from the group consisting of Acinetobacter species, Pseudomonas species, Escherichia species, Klebsiella species, Enterobacter species, Bacteroides species, Citrobacter species, Proteus species, Providencia species, Serratia species, Stenotrophomonas species and Burkholderia species. In another exemplary embodiment, the gram-negative bacterium is selected from the group consisting of Neisseria gonorrhoeae, Neisseria meningitidis, Pseudomonas aeruginosa, Legionella pneumophila, Escherichia coli, Yersinia pestis, Haemophilus influenzae, Helicobacter pylori, Campylobacter fetus, Campylobacter jejuni, Vibrio cholerae, Vibrio parahemolyticus, Trepomena pallidum, Actinomyces israelii, Rickettsia prowazekii, Rickettsia rickettsii, Chlamydia trachomatis, Chlamydia psittaci, Brucella abortus, Agrobacterium tumefaciens, Francisella tularensis, Klebsiella pneumoniae, Enterobacter cloacae, Acinetobacter baumannii, Bacteroides fragilis, Citrobacter freundii, Proteus mirabilis, Providencia stuartii, Serratia marcescens, Stenotrophomonas maltophilia and Burkholderia cepacia. In another exemplary embodiment, the gram-negative bacterium is selected from the group consisting of Pseudomonas aeruginosa, Escherichia coli, Haemophilus influenzae, Klebsiella pneumoniae, Enterobacter cloacae, Acinetobacter baumannii, Bacteroides fragilis, Citrobacter freundii, Proteus mirabilis, Providencia stuartii, Serratia marcescens, Stenotrophomonas maltophilia and Burkholderia cepacia. In another exemplary embodiment, the gram-negative bacterium is selected from the group consisting of Enterobacter aerogenes, Enterobacter cloacae, Enterobacter sakazakii, Escherichia coli, Klebsiella pneumoniae, Proteus mirabilis, Serratia marcescens and Citrobacter freundii. In another exemplary embodiment, the gram-negative bacterium is a Providencia spp. In another exemplary embodiment, the gram-negative bacterium is an Enterobacter spp.
- In another exemplary embodiment, the bacterium is a Pseudomonas species. In another exemplary embodiment, the bacterium is Pseudomonas aeruginosa. In another exemplary embodiment, the bacterium is selected from the group consisting of Pseudomonas aeruginosa, Acinetobacter baumannii, Stenotrophomonas maltophilia and Burkholderia cepacia. In another exemplary embodiment, the bacterium is Acinetobacter baumannii. In another exemplary embodiment, the bacterium is Stenotrophomonas maltophilia. In another exemplary embodiment, the bacterium is Burkholderia cepacia. In another exemplary embodiment, the bacterium is Acinetobacter species. In another exemplary embodiment, the bacterium is Acinetobacter anitratus. In another exemplary embodiment, the bacterium is selected from the group consisting of Enterobacter aerogenes, Enterobacter cloacae, Enterobacter sakazakii, E. coli, K. pneumoniae , P. mirabilis, Serratia marcescens, Citrobacter freundii and Providencia spp. In another exemplary embodiment, the bacterium is selected from the group consisting of Enterobacter aerogenes, Enterobacter cloacae, Enterobacter sakazakii, E. coli, K. pneumoniae, P. mirabilis, Serratia marcescens, Citrobacter freundii, Providencia spp., S. aureus, S. pneumonia, S. pyogenes, E. faecalis, and E. faecium. In another exemplary embodiment, the bacterium is selected from the group consisting of Pseudomonas aeruginosa, Acinetobacter baumannii, Stenotrophomonas maltophilia, Burkholderia cepacia. In another exemplary embodiment, the bacterium is selected from the group consisting of S. aureus, S. pneumonia, S. pyogenes, E. faecalis, and E. faecium. In another exemplary embodiment, the bacterium is selected from the group consisting of Viridans group Strep. In another exemplary embodiment, the bacterium is selected from the group consisting of Strep. mitis, Strep. mutans, Strep. oxalis, Strep. sanguis, Strep. sobrinus and Strep. millari. In another exemplary embodiment, the bacterium is S. pneumonia. In another exemplary embodiment, the bacterium is H. influenzae. In another exemplary embodiment, the bacterium is S. aureus. In another exemplary embodiment, the bacterium is M. catarrhalis. In another exemplary embodiment, the bacterium is M. pneumoniae. In another exemplary embodiment, the bacterium is L. pneumoniae. In another exemplary embodiment, the bacterium is C. pneumoniae. In another exemplary embodiment, the bacterium is S. pyogenes. In another exemplary embodiment, the bacterium is an anaerobe. In another exemplary embodiment, the bacterium is an Alcaligenes species. In another exemplary embodiment, the bacterium is a B. cepacia. In another exemplary embodiment, the bacterium is selected from the group consisting of Enterobacter cloacae, Escherichia coli, Klebsiella pneumoniae, Proteus mirabilis, Providencia stuartii, Serratia marcescens, and Citrobacter freundii. In another exemplary embodiment, the bacterium is resistant to methicillin. In another exemplary embodiment, the bacterium is methicillin-resistant staphylococcus aureus. In another exemplary embodiment, the bacterium is selected from the group consisting of Streptococcus pneumoniae, Haemophilus influenzae, Staphylococcus aureus, Mycobacterium catarrhalis, Mycobacterium pneumoniae, Legionella pneumophila and Chlamydia pneumoniae. In another exemplary embodiment, the bacterium is selected from the group consisting of Enterobacter cloacae, Escherichia coli, Klebsiella pneumoniae, Proteus mirabilis, Serratia marcescens, Citrobacter freundii, Providencia stuartii, Pseudomonas aeruginosa, Acinetobacter baumannii, Stenotrophomonas maltophilia, Burkholderia cepacia, Staphylococcus aureus, Streptococcus pneumoniae, Streptococcus pyogenes, Enterococcus faecalis, and Enterococcus faecium. In another exemplary embodiment, the bacterium is selected from the group consisting of Staphylococcus aureus, Staphylococcus epidermidis, Staphylococcus haemolyticus, Streptococcus pyogenes, Streptococcus agalactiae and Streptococcus pneumoniae.
- In an exemplary embodiment, the microorganism is a bacterium, which is selected from the group consisting of acid-fast bacteria, including Mycobacterium species; bacilli, including Bacillus species, Corynebacterium species (also Propionibacterium) and Clostridium species; filamentous bacteria, including Actinomyces species and Streptomyces species; bacilli, such as Pseudomonas species, Brucella species, Agrobacterium species, Bordetella species, Escherichia species, Shigella species, Yersinia species, Salmonella species, Klebsiella species, Enterobacter species, Haemophilus species, Pasteurella species, and Streptobacillus species; spirochetal species, Campylobacter species, Vibrio species; and intracellular bacteria including Rickettsiae species and Chlamydia species.
- The compounds of the invention and/or combinations of the invention exhibit potency against microorganisms, such as bacteria, and therefore have the potential to be used to treat and/or prevent a micororganism infection, such as a bacterial infection.
- In a further aspect, the invention provides a method of treating a bacterial infection comprising adminstering to an animal suffering from the infection an effective amount of a compound of the invention, or a pharmaceutically acceptable salt thereof, thereby treating the bacterial infection. In an exemplary embodiment, the invention provides a method of treating a bacterial infection comprising adminstering to an animal suffering from the infection an effective amount of a compound of the invention, or a pharmaceutically acceptable salt thereof, and an effective amount of an antibiotic, or a pharmaceutically acceptable salt thereof, thereby treating the bacterial infection.
- In a further aspect, the invention provides a method of preventing a bacterial infection comprising adminstering to an animal a prophylactic amount of a compound of the invention, or a pharmaceutically acceptable salt thereof, thereby treating the bacterial infection. In an exemplary embodiment, the invention provides a method of preventing a bacterial infection comprising adminstering to an animal a prophylactic amount of a compound of the invention, or a pharmaceutically acceptable salt thereof, and an effective amount of an antibiotic, or a pharmaceutically acceptable salt thereof, thereby treating the bacterial infection.
- The compounds of the invention and/or combinations of the invention exhibit potency against microorganisms, such as bacteria, and therefore have the potential to achieve therapeutic efficacy in the animals described herein.
- In another aspect, the invention provides a method of treating and/or preventing a disease. In an exemplary embodiment, the method includes administering to the animal a therapeutically effective amount of a compound of the invention, sufficient to treat and/or prevent the disease. In an exemplary embodiment, the method includes administering to the animal a therapeutically effective amount of a combination of the invention, sufficient to treat and/or prevent the disease. In an exemplary embodiment, the compound of the invention or the combination of the invention can be used in human or veterinary medical therapy, particularly in the treatment or prophylaxis of bacterial-associated disease. In an exemplary embodiment, the compound is described herein, or a salt, prodrug, hydrate or solvate thereof, or a combination thereof. In an exemplary embodiment, the invention provides a compound described herein, or a prodrug thereof. In an exemplary embodiment, the invention provides a compound described herein, or a salt, hydrate or solvate thereof. In an exemplary embodiment, the invention provides a compound described herein, or a salt thereof. In another exemplary embodiment, the compound of the invention is a compound described herein, or a pharmaceutically acceptable salt thereof. In an exemplary embodiment, the compound is a compound described herein, or a pharmaceutically acceptable salt thereof. In an exemplary embodiment, the compound is according to a formula described herein, or a pharmaceutically acceptable salt thereof. In an exemplary embodiment, the compound is part of a combination described herein. In an exemplary embodiment, the compound is part of a pharmaceutical formulation described herein. In another exemplary embodiment, the animal is selected from the group consisting of human, cattle, deer, reindeer, goat, honey bee, pig, sheep, horse, cow, bull, dog, guinea pig, gerbil, rabbit, cat, camel, yak, elephant, ostrich, otter, chicken, duck, goose, guinea fowl, pigeon, swan, and turkey. In another exemplary embodiment, the animal is a human. In another exemplary embodiment, the animal is selected from the group consisting of a human, cattle, goat, pig, sheep, horse, cow, bull, dog, guinea pig, gerbil, rabbit, cat, chicken and turkey. In another exemplary embodiment, the disease is a systemic disease. In another exemplary embodiment, the disease is a topical disease.
- In an exemplary embodiment, the disease is treated through oral administration of a compound of the invention and/or a combination of the invention. In an exemplary embodiment, the disease is treated through intravenous administration of a compound of the invention and/or a combination of the invention.
- Systemic Diseases
- In another aspect, the invention provides a method of treating a systemic disease. The method involves contacting an animal with a compound of the invention and/or a combination of the invention.
- In an exemplary embodiment, the disease is selected from the group consisting of candidiasis, aspergillosis, coccidioidomycosis, cryptococcosis, histoplasmosis, blastomycosis, paracoccidioidomycosis, zygomycosis, phaeohyphomycosis and rhinosporidiosis.
- In another exemplary embodiment, the disease is associated with infection by a Gram-positive bacteria. In an exemplary embodiment, the disease is associated with a Staphylococcus species. In another exemplary embodiment, the disease is selected from the group consisting of pneumonia, gastroenteritis, toxic shock syndrome, community acquired pneumonia (CAP), meningitis, septic arthritis, urinary tract infection, bacteremia, endocarditis, osteomylitis, skin and skin-structure infection. In an exemplary embodiment, the disease is associated with a Streptococcus species. In another exemplary embodiment, the disease is selected from the group consisting of strep throat, skin infections, necrotizing fasciitis, toxic shock syndrome, pneumonia, otitis media and sinusitis. In an exemplary embodiment, the disease is associated with an Actinomyces species. In another exemplary embodiment, the disease is actinomycosis. In an exemplary embodiment, the disease is associated with a Norcardia species. In another exemplary embodiment, the disease is pneumonia. In an exemplary embodiment, the disease is associated with a Corynebacterium species. In another exemplary embodiment, the disease is diptheria. In an exemplary embodiment, the disease is associated with a Listeria species. In another exemplary embodiment, the disease is meningitis. In an exemplary embodiment, the disease is associated with a Bacillus species. In another exemplary embodiment, the disease is anthrax or food poisoning. In an exemplary embodiment, the disease is associated with a Clostridium species. In another exemplary embodiment, the disease is selected from the group consisting of botulism, tetanus, gas gangrene and diarrhea. In an exemplary embodiment, the disease is associated with a Mycobacterium species. In another exemplary embodiment, the disease is tuberculosis or leprosy.
- In another exemplary embodiment, the disease is associated with infection by a Gram-negative bacteria. In an exemplary embodiment, the disease is associated with a Neisseria species. In another exemplary embodiment, the disease is selected from the group consisting of meningitis, gonorrhea, otitis extema and folliculitis. In an exemplary embodiment, the disease is associated with an Escherichia species. In another exemplary embodiment, the disease is selected from the group consisting of diarrhea, urinary tract infections, meningitis, sepsis and HAP. In an exemplary embodiment, the disease is associated with a Shigella species. In another exemplary embodiment, the disease is selected from the group consisting of diarrhea, bacteremia, endocarditis, meningitis and gastroenteritis. In an exemplary embodiment, the disease is associated with a Salmonella species. In another exemplary embodiment, the disease is selected from the group consisting of typhoid fever, supsis, gastroenteritis, endocarditis, sinusitis and meningitis. In an exemplary embodiment, the disease is associated with a Yersinia species. In another exemplary embodiment, the disease is selected from the group consisting of typhoid fever, bubonic plague, enteric fever and gastroenteritis. In an exemplary embodiment, the disease is associated with a Klebsiella species. In another exemplary embodiment, the disease is sepsis or urinary tract infection. In an exemplary embodiment, the disease is associated with a Proteus species. In another exemplary embodiment, the disease is an urinary tract infection. In an exemplary embodiment, the disease is associated with an Enterobacter species. In another exemplary embodiment, the disease is a hospital-acquired infection. In an exemplary embodiment, the disease is associated with a Serratia species. In another exemplary embodiment, the disease is selected from the group consisting of a urinary tract infection, skin and skin-structure infection and pneumonia. In an exemplary embodiment, the disease is associated with a Vibrio species. In another exemplary embodiment, the disease is cholera or gastroenteritis. In an exemplary embodiment, the disease is associated with a Campylobacter species. In another exemplary embodiment, the disease is gastroenteritis. In an exemplary embodiment, the disease is associated with a Helicobacter species. In another exemplary embodiment, the disease is chronic gastritis. In an exemplary embodiment, the disease is associated with a Pseudomonas species. In another exemplary embodiment, the disease is selected from the group consisting of pneumonia, osteomylitis, burn-wound infections, sepsis, UTIs, endocarditis, otitis and corneal infections. In an exemplary embodiment, the disease is associated with a Bacteroides species. In another exemplary embodiment, the disease is periodontal disease or aspriation pneumonia. In an exemplary embodiment, the disease is associated with a Haemophilus species. In another exemplary embodiment, the disease is selected from the group consisting of meningitis, epiglottitis, septic arthritis, sepsis, chancroid and vaginitis. In an exemplary embodiment, the disease is associated with a Bordetella species. In another exemplary embodiment, the disease is Whooping cough. In an exemplary embodiment, the disease is associated with a Legionella species. In another exemplary embodiment, the disease is pneumonia or pontiac fever. In an exemplary embodiment, the disease is associated with a Francisella species. In another exemplary embodiment, the disease is tularemia. In an exemplary embodiment, the disease is associated with a Brucella species. In another exemplary embodiment, the disease is brucellosis. In an exemplary embodiment, the disease is associated with a Pasteurella species. In another exemplary embodiment, the disease is a skin infection. In an exemplary embodiment, the disease is associated with a Gardnerella species. In another exemplary embodiment, the disease is vaginitis. In an exemplary embodiment, the disease is associated with a Spirochetes species. In another exemplary embodiment, the disease is syphilis or Lyme disease. In an exemplary embodiment, the disease is associated with a Chlamydia species. In another exemplary embodiment, the disease is chlamydia. In an exemplary embodiment, the disease is associated with a Rickettsiae species. In another exemplary embodiment, the disease is Rocky Mountain spotted fever or typhus.
- In an exemplary embodiment, the disease is associated with Mycoplasma pneumoniae. In another exemplary embodiment, the disease is tracheobronchitis or walking pneumonia. In an exemplary embodiment, the disease is associated with Ureaplasma urealyticum. In another exemplary embodiment, the disease is urethritis. In another exemplary embodiment, the disease is pyelonephritis. In another exemplary embodiment, the disease is an intra-abdominal infection. In another exemplary embodiment, the disease is febrile neutropenia. In another exemplary embodiment, the disease is a pelvic infection. In another exemplary embodiment, the disease is bacteraemia. In another exemplary embodiment, the disease is septicaemia.
- In another exemplary embodiment, the disease is community acquired pneumonia (CAP). In another exemplary embodiment, the disease is sinusitis. In another exemplary embodiment, the disease is a urinary tract infection. In another exemplary embodiment, the disease is a skin and skin-structure infection. In another exemplary embodiment, the disease is pyelonephritis. In another exemplary embodiment, the disease is intra-abdominal infection. In another exemplary embodiment, the disease is an acute pelvic infection. In another exemplary embodiment, the disease is tonsillitis.
- In another exemplary embodiment, the disease is chronic obstructive pulmonary disease. In an exemplary embodiment, the disease is an acute exacerbaton of chronic obstructive pulmonary disease. In an exemplary embodiment, the disease is chronic obstructive pulmonary disease. In an exemplary embodiment, the disease is pharyngitis. In an exemplary embodiment, the disease is tonsillitis. In an exemplary embodiment, the disease is Acute Exacerbation of Chronic Bronchitis (AECB). In an exemplary embodiment, the disease is cervicitis. In an exemplary embodiment, the disease is genital ulcer disease.
- In an exemplary embodiment, for any of the methods described herein, the animal is selected from the group consisting of human, cattle, deer, reindeer, goat, honey bee, pig, sheep, horse, cow, bull, dog, guinea pig, gerbil, rabbit, cat, camel, yak, elephant, ostrich, otter, chicken, duck, goose, guinea fowl, pigeon, swan, and turkey. In another exemplary embodiment, for any of the methods described herein, the animal is selected from the group consisting of a human, cattle, goat, pig, sheep, horse, cow, bull, dog, guinea pig, gerbil, rabbit, cat, chicken and turkey. In another exemplary embodiment, for any of the methods described herein, the animal is a human.
- In an exemplary embodiment, for any of the methods described herein, a compound of the invention, a combination of the invention, a compound described herein or a pharmaceutically acceptable salt thereof, or combination described herein, and/or a pharmaceutical formulation described herein can be used.
- In another aspect, the invention provides a pharmaceutical formulation comprising: a) a compound of the invention; and b) a pharmaceutically acceptable excipient. In another aspect, the invention provides a pharmaceutical formulation comprising: a) a combination of the invention; and b) a pharmaceutically acceptable excipient. In an exemplary embodiment, the compound is according to a formula described herein. In an exemplary embodiment, the compound is according to an example described herein. In an exemplary embodiment, the compound of the invention in the pharmaceutical formulation is a compound described herein. In an exemplary embodiment, the compound of the invention in the pharmaceutical formulation is a pharmaceutically acceptable salt of a compound described herein.
- In an exemplary embodiment, the compound of the invention is present in the pharmaceutical formulation in an amount of between about 0.0001% to about 60% (w/w). In an exemplary embodiment, the amount is between about 0.01% to about 10% (w/w). In an exemplary embodiment, the amount is between about 0.1% to about 10% (w/w). In an exemplary embodiment, the amount is between about 0.25% to about 6% (w/w). In an exemplary embodiment, the amount is between about 0.5% to about 5% (w/w). In an exemplary embodiment, the amount is between about 0.1% and about 1.0% (w/w). In an exemplary embodiment, the amount is between about 1.0% and about 2.0% (w/w). In an exemplary embodiment, the amount is between about 2.0% and about 3.0% (w/w). In an exemplary embodiment, the amount is between about 3.0% and about 4.0% (w/w). In an exemplary embodiment, the amount is between about 4.0% and about 5.0% (w/w).
- The pharmaceutical formulations of the invention can take a variety of forms adapted to the chosen route of administration. Those skilled in the art will recognize various synthetic methodologies that may be employed to prepare non-toxic pharmaceutical formulations incorporating the compounds described herein. Those skilled in the art will recognize a wide variety of non-toxic pharmaceutically acceptable solvents that may be used to prepare solvates of the compounds of the invention, such as water, ethanol, propylene glycol, mineral oil, vegetable oil and dimethylsulfoxide (DMSO).
- The pharmaceutical formulation of the invention may be administered orally, topically, intraperitoneally, parenterally, by inhalation or spray or rectally in unit dosage forms containing conventional non-toxic pharmaceutically acceptable carriers, adjuvants and vehicles. It is further understood that the best method of administration may be a combination of methods. Oral administration in the form of a pill, capsule, elixir, syrup, lozenge, troche, or the like is particularly preferred. The term parenteral as used herein includes subcutaneous injections, intradermal, intravascular (e.g., intravenous), intramuscular, spinal, intrathecal injection or like injection or infusion techniques. In an exemplary embodiment, the pharmaceutical formulation is administered orally. In an exemplary embodiment, the pharmaceutical formulation is administered intravenously. In an exemplary embodiment, the pharmaceutical formulation is administered topically. In an exemplary embodiment, the pharmaceutical formulation is administered in a topically effective dose. In an exemplary embodiment, the pharmaceutical formulation is administered in a cosmetically effective dose. In an exemplary embodiment, the pharmaceutical formulation is administered in an orally effective dose.
- The pharmaceutical formulations containing compounds of the invention are preferably in a form suitable for oral use, for example, as tablets, troches, lozenges, aqueous or oily suspensions, dispersible powders or granules, emulsion, hard or soft capsules, or syrups or elixirs.
- Compositions intended for oral use may be prepared according to any method known in the art for the manufacture of pharmaceutical formulations, and such compositions may contain one or more agents selected from the group consisting of sweetening agents, flavoring agents, coloring agents and preserving agents in order to provide pharmaceutically elegant and palatable preparations. Tablets may contain the active ingredient in admixture with non-toxic pharmaceutically acceptable excipients that are suitable for the manufacture of tablets. These excipients may be for example, inert diluents, such as calcium carbonate, sodium carbonate, lactose, calcium phosphate or sodium phosphate; granulating and disintegrating agents, for example, corn starch, or alginic acid; binding agents, for example starch, gelatin or acacia; and lubricating agents, for example magnesium stearate, stearic acid or talc. The tablets may be uncoated or they may be coated by known techniques to delay disintegration and absorption in the gastrointestinal tract and thereby provide a sustained action over a longer period. For example, a time delay material such as glyceryl monostearate or glyceryl distearate may be employed.
- Formulations for oral use may also be presented as hard gelatin capsules wherein the active ingredient is mixed with an inert solid diluent, for example, calcium carbonate, calcium phosphate or kaolin, or as soft gelatin capsules wherein the active ingredient is mixed with water or an oil medium, for example peanut oil, liquid paraffin or olive oil.
- Aqueous suspensions contain the active materials in admixture with excipients suitable for the manufacture of aqueous suspensions. Such excipients are suspending agents, for example sodium carboxymethylcellulose, methylcellulose, hydroxypropylmethylcellulose, sodium alginate, polyvinylpyrrolidone, gum tragacanth and gum acacia; and dispersing or wetting agents, which may be a naturally-occurring phosphatide, for example, lecithin, or condensation products of an alkylene oxide with fatty acids, for example polyoxyethylene stearate, or condensation products of ethylene oxide with long chain aliphatic alcohols, for example heptadecaethyleneoxycetanol, or condensation products of ethylene oxide with partial esters derived from fatty acids and a hexitol such as polyoxyethylene sorbitol monooleate, or condensation products of ethylene oxide with partial esters derived from fatty acids and hexitol anhydrides, for example polyethylene sorbitan monooleate. The aqueous suspensions may also contain one or more preservatives, for example ethyl, or n-propyl p-hydroxybenzoate, one or more coloring agents, one or more flavoring agents, and one or more sweetening agents, such as sucrose or saccharin.
- Oily suspensions may be formulated by suspending the active ingredients in a vegetable oil, for example arachis oil, olive oil, sesame oil or coconut oil, or in a mineral oil such as liquid paraffin. The oily suspensions may contain a thickening agent, for example beeswax, hard paraffin or cetyl alcohol. Sweetening agents such as those set forth above, and flavoring agents may be added to provide palatable oral preparations. These compositions may be preserved by the addition of an anti-oxidant such as ascorbic acid.
- Dispersible powders and granules suitable for preparation of an aqueous suspension by the addition of water provide the active ingredient in admixture with a dispersing or wetting agent, suspending agent and one or more preservatives. Suitable dispersing or wetting agents and suspending agents are exemplified by those already mentioned above. Additional excipients, for example sweetening, flavoring and coloring agents, may also be present.
- Pharmaceutical formulations of the invention may also be in the form of oil-in-water emulsions and water-in-oil emulsions. The oily phase may be a vegetable oil, for example olive oil or arachis oil, or a mineral oil, for example liquid paraffin or mixtures of these. Suitable emulsifying agents may be naturally-occurring gums, for example gum acacia or gum tragacanth; naturally-occurring phosphatides, for example soy bean, lecithin, and esters or partial esters derived from fatty acids and hexitol; anhydrides, for example sorbitan monooleate; and condensation products of the said partial esters with ethylene oxide, for example polyoxyethylene sorbitan monooleate. The emulsions may also contain sweetening and flavoring agents.
- Syrups and elixirs may be formulated with sweetening agents, for example glycerol, propylene glycol, sorbitol or sucrose. Such formulations may also contain a demulcent, a preservative, and flavoring and coloring agents. The pharmaceutical formulations may be in the form of a sterile injectable aqueous or oleaginous suspension. This suspension may be formulated according to the known art using those suitable dispersing or wetting agents and suspending agents, which have been mentioned above. The sterile injectable preparation may also be a sterile injectable solution or suspension in a non-toxic parenterally acceptable diluent or solvent, for example as a solution in 1,3-butanediol. Among the acceptable vehicles and solvents that may be employed are water, Ringer's solution and isotonic sodium chloride solution. In addition, sterile, fixed oils are conventionally employed as a solvent or suspending medium. For this purpose any bland fixed oil may be employed including synthetic mono- or diglycerides. In addition, fatty acids such as oleic acid find use in the preparation of injectables.
- The composition of the invention may also be administered in the form of suppositories, e.g., for rectal administration of the drug. These compositions can be prepared by mixing the drug with a suitable non-irritating excipient that is solid at ordinary temperatures but liquid at the rectal temperature and will therefore melt in the rectum to release the drug. Such materials are cocoa butter and polyethylene glycols.
- Alternatively, the compositions can be administered parenterally in a sterile medium. The drug, depending on the vehicle and concentration used, can either be suspended or dissolved in the vehicle. Advantageously, adjuvants such as local anesthetics, preservatives and buffering agents can be dissolved in the vehicle.
- For administration to non-human animals, the composition containing the therapeutic compound may be added to the animal's feed or drinking water. Also, it will be convenient to formulate animal feed and drinking water products so that the animal takes in an appropriate quantity of the compound in its diet. It will further be convenient to present the compound in a composition as a premix for addition to the feed or drinking water. The composition can also added as a food or drink supplement for humans.
- Dosage levels of the order of from about 5 mg to about 250 mg per kilogram of body weight per day and more preferably from about 25 mg to about 150 mg per kilogram of body weight per day, are useful in the treatment of the above-indicated conditions. The amount of active ingredient that may be combined with the carrier materials to produce a unit dosage form will vary depending upon the condition being treated and the particular mode of administration. Unit dosage forms will generally contain between from about 1 mg to about 500 mg of an active ingredient.
- Frequency of dosage may also vary depending on the compound used and the particular disease treated. However, for treatment of most disorders, a dosage regimen of 4 times daily or less is preferred. It will be understood, however, that the specific dose level for any particular patient will depend upon a variety of factors including the activity of the specific compound employed, the age, body weight, general health, sex, diet, time of administration, route of administration and rate of excretion, drug combination and the severity of the particular disease undergoing therapy.
- In an exemplary embodiment, the unit dosage form contains from about 1 mg to about 800 mg of a compound of the invention. In an exemplary embodiment, the unit dosage form contains from about 1 mg to about 500 mg of an active ingredient. In an exemplary embodiment, the unit dosage form contains from about 100 mg to about 800 mg of a compound of the invention. In an exemplary embodiment, the unit dosage form contains from about 200 mg to about 500 mg of a compound of the invention. In an exemplary embodiment, the unit dosage form contains from about 500 mg to about 800 mg of a compound of the invention. In an exemplary embodiment, the unit dosage form contains from about 1 mg to about 100 mg of a compound of the invention. In an exemplary embodiment, the unit dosage form contains from about 10 mg to about 100 mg of a compound of the invention. In an exemplary embodiment, the unit dosage form contains from about 50 mg to about 100 mg of a compound of the invention. In an exemplary embodiment, the unit dosage form contains from about 25 mg to about 75 mg of a compound of the invention. In an exemplary embodiment, the unit dosage form contains from about 40 mg to about 60 mg of a compound of the invention. In an exemplary embodiment, the unit dosage form contains from about 75 mg to about 200 mg of a compound of the invention. In an exemplary embodiment, the unit dosage form contains from about 1 mg to about 5 mg of a compound of the invention. In an exemplary embodiment, the unit dosage form contains from about 10 mg to about 25 mg of a compound of the invention. In an exemplary embodiment, the unit dosage form contains from about 50 mg to about 350 mg of a compound of the invention. In an exemplary embodiment, the unit dosage form contains from about 200 mg to about 400 mg of a compound of the invention.
- In an exemplary embodiment, the daily dosage contains from about 1 mg to about 800 mg of a compound of the invention. In an exemplary embodiment, the daily dosage contains from about 1 mg to about 500 mg of an active ingredient. In an exemplary embodiment, the daily dosage contains from about 100 mg to about 800 mg of a compound of the invention. In an exemplary embodiment, the daily dosage contains from about 200 mg to about 500 mg of a compound of the invention. In an exemplary embodiment, the daily dosage contains from about 500 mg to about 800 mg of a compound of the invention. In an exemplary embodiment, the daily dosage contains from about 1 mg to about 100 mg of a compound of the invention. In an exemplary embodiment, the daily dosage contains from about 10 mg to about 100 mg of a compound of the invention. In an exemplary embodiment, the daily dosage contains from about 50 mg to about 100 mg of a compound of the invention. In an exemplary embodiment, the daily dosage contains from about 75 mg to about 200 mg of a compound of the invention. In an exemplary embodiment, the daily dosage contains from about 1 mg to about 5 mg of a compound of the invention. In an exemplary embodiment, the daily dosage contains from about 10 mg to about 25 mg of a compound of the invention. In an exemplary embodiment, the daily dosage contains from about 50 mg to about 350 mg of a compound of the invention. In an exemplary embodiment, the daily dosage contains from about 200 mg to about 400 mg of a compound of the invention.
- Preferred compounds of the invention will have desirable pharmacological properties that include, but are not limited to, oral bioavailability, low toxicity, low serum protein binding and desirable in vitro and in vivo half-lives. Penetration of the blood brain barrier for compounds used to treat CNS disorders is necessary, while low brain levels of compounds used to treat peripheral disorders are often preferred.
- The amount of the composition required for use in treatment will vary not only with the particular compound selected but also with the route of administration, the nature of the condition being treated and the age and condition of the patient and will ultimately be at the discretion of the attendant physician or clinician.
- Preferred compounds for use in the pharmaceutical formulations described herein will have certain pharmacological properties. Such properties include, but are not limited to, low toxicity, low serum protein binding and desirable in vitro and in vivo half-lives. Assays may be used to predict these desirable pharmacological properties. Assays used to predict bioavailability include transport across human intestinal cell monolayers, including Caco-2 cell monolayers. Serum protein binding may be predicted from albumin binding assays. Such assays are described in a review by Oravcova et al. (1996, J. Chromat. B677: 1-27).
- Toxicity and therapeutic efficacy of such compounds can be determined by standard pharmaceutical procedures in cell cultures or experimental animals, e.g., for determining the LD50 (the dose lethal to 50% of the population) and the ED50 (the dose therapeutically effective in 50% of the population). The dose ratio between toxic and therapeutic effects is the therapeutic index and it can be expressed as the ratio between LD50 and ED50. Compounds that exhibit high therapeutic indices are preferred. The data obtained from these cell culture assays and animal studies can be used in formulating a range of dosage for use in humans. The dosage of such compounds lies preferably within a range of circulating concentrations that include the ED50 with little or no toxicity. The dosage can vary within this range depending upon the unit dosage form employed and the route of administration utilized. The exact formulation, route of administration and dosage can be chosen by the individual physician in view of the patient's condition. (See, e.g. Fingl et al., 1975, in “The Pharmacological Basis of Therapeutics”, Ch. 1, p. 1).
- In general, the compounds prepared by the methods, and from the intermediates, described herein will be administered in a therapeutically or cosmetically effective amount by any of the accepted modes of administration for agents that serve similar utilities. It will be understood, however, that the specific dose level for any particular patient will depend upon a variety of factors including the activity of the specific compound employed, the age, body weight, general health, sex, diet, time of administration, route of administration, and rate of excretion, drug combination, the severity of the particular disease undergoing therapy and the judgment of the prescribing physician. The drug can be administered from once or twice a day, or up to 3 or 4 times a day.
- Usual patient dosages for systemic administration range from 0.1 to 1000 mg/day, preferably, 1-500 mg/day, more preferably 10-200 mg/day, even more preferably 100-200 mg/day. Stated in terms of patient body surface areas, usual dosages range from 50-91 mg/m2/day.
- The amount of the compound in a pharmaceutical formulation can vary within the full range employed by those skilled in the art. Typically, the pharmaceutical formulation will contain, on a weight percent (wt %) basis, from about 0.01-10 wt % of the drug based on the total formulation, with the balance being one or more suitable pharmaceutical excipients. Preferably, the compound is present at a level of about 0.1-3.0 wt %, more preferably, about 1.0 wt %.
- Exemplary embodiments are summarized herein below.
- In an exemplary embodiment, the invention is a compound having a structure which is a member selected from the group consisting of:
- wherein R5 is H or halogen; each Ra2, Ra3, Ra4, Ra5 and Ra6 is independently selected from the group consisting of H, —OR10, —NR10R11, —SR10, —S(O)R10, —S(O)2R10, —S(O)2NR10R11, —C(O)R10, —C(O)OR10, —C(O)NR10R11, nitro, cyano, halogen, substituted or unsubstituted alkyl, substituted or unsubstituted heteroalkyl, substituted or unsubstituted cycloalkyl, substituted or unsubstituted heterocycloalkyl, substituted or unsubstituted aryl, and substituted or unsubstituted heteroaryl, wherein each R10 and each R11 is independently selected from the group consisting of H, nitro, halogen, cyano, substituted or unsubstituted alkyl, substituted or unsubstituted heteroalkyl, substituted or unsubstituted cycloalkyl, substituted or unsubstituted heterocycloalkyl, substituted or unsubstituted aryl, and substituted or unsubstituted heteroaryl; with the proviso that R10 and R11, together with the atoms to which they are attached, are optionally combined to form a 5- to 7-membered substituted or unsubstituted heterocycloalkyl ring; with the proviso that when R5 is H, at least two members selected from the group consisting of Ra2, Ra3, Ra4, Ra5 and Ra6 are not H; with the proviso that when the structure is according to formula (I), and R5 is H, at least one member selected from the group consisting of Ra2, Ra3, Ra4, Ra5 and Ra6 is not a member selected from the group consisting of H, halogen, unsubstituted alkyl and halosubstituted alkyl; with the proviso that Ra2 and Ra3, together with the atoms to which they are attached, are optionally joined to form a 4 to 8 membered ring; with the proviso that Ra3 and Ra4, together with the atoms to which they are attached, are optionally joined to form a 4 to 8 membered ring; with the proviso that Ra4 and Ra5, together with the atoms to which they are attached, are optionally joined to form a 4 to 8 membered ring; with the proviso that Ra5 and Ra6, together with the atoms to which they are attached, are optionally joined to form a 4 to 8 membered ring; or a salt, hydrate or solvate thereof.
- In an exemplary embodiment, according to any of the above paragraphs,
- wherein R5 is H or halogen; one of Ra2, Ra3, Ra5 and Ra6 is halogen or —NHC(O)OR30 or alkyl substituted with —C(O)OR30 or alkyl substituted with —S(O)2R30 or alkyl substituted with halogen or alkyl substituted with hydroxy or alkyl substituted with cyano or alkyl substituted with —NHC(O)OR30 or alkyl substituted with unsubstituted oxazolyl or alkyl substituted with alkyl substituted oxazolyl or alkyl substituted with unsubstituted oxadiazolyl or alkyl substituted with alkyl substituted oxadiazolyl or alkyl substituted with —C(O)NHR35, wherein R30 is unsubstituted alkyl and R35 is unsubstituted alkyl or unsubstituted cycloalkyl, and the remaining members of Ra2, Ra3, Ra5 and Ra6 are H, R10 and R11 are independently selected from the group consisting of H, substituted or unsubstituted alkyl, substituted or unsubstituted heteroalkyl, substituted or unsubstituted cycloalkyl, substituted or unsubstituted heterocycloalkyl, substituted or unsubstituted aryl, and substituted or unsubstituted heteroaryl.
- In an exemplary embodiment, according to any of the above paragraphs, wherein R5 is H or halogen; one of Ra2, Ra3, Ra5 and Ra6 is halogen or —NHC(O)OR30 or alkyl substituted with —C(O)OR30 or alkyl substituted with —S(O)2R30 or alkyl substituted with halogen or alkyl substituted with hydroxy or alkyl substituted with cyano or alkyl substituted with —NHC(O)OR30 or alkyl substituted with —C(O)NHR35, wherein R30 is unsubstituted alkyl and R35 is unsubstituted alkyl or unsubstituted cycloalkyl, and the remaining members of Ra2, Ra3, Ra5 and Ra6 are H, R10 and R11 are independently selected from the group consisting of H, substituted or unsubstituted alkyl, substituted or unsubstituted heteroalkyl, substituted or unsubstituted cycloalkyl, substituted or unsubstituted heterocycloalkyl, substituted or unsubstituted aryl, and substituted or unsubstituted heteroaryl.
- In an exemplary embodiment, according to the above paragraph, the compound has a structure which is selected from the group consisting of
- In an exemplary embodiment, according to any of the above paragraphs, the compound has a structure which is selected from the group consisting of
- In an exemplary embodiment, according to any of the above paragraphs, the compound has a structure which is selected from the group consisting of
- In an exemplary embodiment, according to any of the above paragraphs, the compound has a structure which is selected from the group consisting of
- In an exemplary embodiment, according to any of the above paragraphs, the compound has a structure which is selected from the group consisting of
- In an exemplary embodiment, according to any of the above paragraphs, the compound has a structure which is selected from the group consisting of
- In an exemplary embodiment, according to any of the above paragraphs, the compound has a structure which is selected from the group consisting of
- In an exemplary embodiment, according to any of the above paragraphs, the compound has a structure which is selected from the group consisting of
- In an exemplary embodiment, according to any of the above paragraphs, wherein Ra2 or Ra6 is selected from the group consisting of OR10, —NR10R11, cyano, halogen, substituted or unsubstituted alkyl and substituted or unsubstituted heteroaryl, wherein each R10 and each R11 is independently selected from the group consisting of H, nitro, halogen, cyano, substituted or unsubstituted alkyl, substituted or unsubstituted heteroalkyl, substituted or unsubstituted cycloalkyl, substituted or unsubstituted heterocycloalkyl, substituted or unsubstituted aryl, and substituted or unsubstituted heteroaryl.
- In an exemplary embodiment, according to any of the above paragraphs, wherein Ra2 or Ra6 is selected from the group consisting of F, Cl, Br, I, OCH3, OH, CH3, CH2CH3, NHC(O)NH2, NHC(O)NHR16, —NR10R11, cyano, halogen, substituted or unsubstituted alkyl and substituted or unsubstituted heteroaryl, wherein R16 is selected from the group consisting of unsubstituted alkyl, substituted or unsubstituted heteroalkyl, substituted or unsubstituted cycloalkyl, substituted or unsubstituted heterocycloalkyl, substituted or unsubstituted aryl, and substituted or unsubstituted heteroaryl.
- In an exemplary embodiment, according to any of the above paragraphs, wherein Ra2 or Ra6 is selected from the group consisting of cyano, F, Cl, Br, I, OCH3, OH, CF3, CH3, CH2CH3, CH(CH3)2, CH2CH2Br, CH2CH2OH, CH2OH, CH2NH2, NH2, NHC(O)NH2, NHC(O)NHCH3, NHC(O)NHCH2CH3, NHC(O)OCH3, NHC(O)OCH2CH3, NHC(O)OCH(CH3)2, NHC(O)OCH2CH(CH3)2, NHC(O)CH2OH, NHC(O)CH2NH2, NHC(O)CH2N(CH3)2, NHC(O)CF3, NHC(O)CH3, NHC(O)OCH2CFH2, NHC(O)OR30, NHC(O)CH2OR31, NHC(O)OCH2R31, NHC(O)O(CH2)2OCH3, NHC(O)R32, CH2C(O)OH, CH2C(O)OCH3, CH2C(O)OCH2CH3, CH2C(O)NH2, CH2C(O)NHCH3, CH2C(O)NHCH2CH3, CH2C(O)NH(CH2)2CH3, CH2C(O)NH(CH2)3CH3, NHCH2R33, wherein R30 is cyclohexyl, R31 is phenyl, R32 is pyridinyl, and R33 is heteroaryl.
- In an exemplary embodiment, according to any of the above paragraphs, the compound has a structure which is
- In an exemplary embodiment, according to any of the above paragraphs, the compound has a structure which is
- wherein Ra6 is F or Cl or Br.
- In an exemplary embodiment, according to any of the above paragraphs, the compound has a structure which is
- wherein Ra6 is F or Cl or Br.
- In an exemplary embodiment, according to any of the above paragraphs, R5 is H.
- In an exemplary embodiment, according to any of the above paragraphs, R5 is F.
- In an exemplary embodiment, according to any of the above paragraphs, Ra6 is Cl.
- In an exemplary embodiment, the invention is a combination comprising a) a compound according to any of the above paragraphs, or a pharmaceutically acceptable salt thereof; and b) at least one therapeutic agent.
- In an exemplary embodiment, the invention is a pharmaceutical formulation comprising a) a compound according to any of the above paragraphs or a combination according to any of the above paragraphs, or a pharmaceutically acceptable salt thereof; and b) a pharmaceutically acceptable excipient.
- In an exemplary embodiment, according to any of the above paragraphs, the formulation is a unit dosage form.
- In an exemplary embodiment, according to any of the above paragraphs, the formulation is an oral unit dosage form or a topical unit dosage form.
- In an exemplary embodiment, the invention is a method of killing or inhibiting the growth of a bacteria comprising: contacting said bacteria with an effective amount of a compound or a combination according to any of the above paragraphs, or a pharmaceutically acceptable salt thereof, thereby killing or inhibiting the growth of the bacteria.
- In an exemplary embodiment, the invention is a method of treating a bacterial infection comprising: administering to an animal suffering from said infection an effective amount of a compound or a combination according to any of the above paragraphs, or a pharmaceutically acceptable salt thereof, thereby treating the bacterial infection.
- In an exemplary embodiment, according to any of the above paragraphs, the animal is a human.
- In an exemplary embodiment, the invention is a use of a compound or a combination according to any of the above paragraphs, or a pharmaceutically acceptable salt thereof, in the manufacture of a medicament for the treatment and/or prophylaxis of bacterial infection.
- In an exemplary embodiment, the invention is a method of inhibiting the editing domain of a t-RNA synthetase, comprising: contacting the synthetase with an effective amount of a compound described herein, or a pharmaceutically-acceptable salt thereof, thereby inhibiting the synthetase.
- The invention is further illustrated by the Examples that follow. The Examples are not intended to define or limit the scope of the invention.
- Proton NMR are recorded on Varian AS 300 spectrometer and chemical shifts are reported as δ (ppm) down field from tetramethylsilane. Mass spectra are determined on Micromass Quattro II.
-
- To a solution of concentration HNO3 (75 mL) at −60° C. was added 5-chloro-3H-benzo[c][1,2]oxaborol-1-ol (2.5 g, 14.84 mmol) portion-wise and the resulting solution stirred at −30° C. over a period of 3 h. The reaction was then poured into crushed ice and the precipitate that formed was filtered, washed with cold water and vacuum dried generating 2.62 g (82%) of the title compound as a tan color powder. 1H NMR (400 MHz, DMSO-d6+D2O) δ (ppm): 8.30 (s, 1H), 7.86 (s, 1H), 5.07 (s, 2H).
- To a solution of 5-chloro-6-nitro-3H-benzo[c][1,2]oxaborol-1-ol (2.5 g, 11.7 mmol) in 70 mL of methanol and 20 mL of 2M NH3 in MeOH was added Raney Ni (1.0 g). The vessel was charged with a hydrogen atmosphere at 50 psi for 4 h. The reaction mixture was then filtered, washed with methanol and the combined filtrate evaporated in vacuo. To the residue was added diethyl ether (20 mL) and then evaporated to dryness twice affording. The material was then dissolved in minimum amount of THF and 4M HCl in dioxane was added. After 4 h at room temperature, the precipitate that formed was filtered, washed with diethyl ether and dried in vacuo generating 2.3 g (89%) of the title compound. 1H NMR (400 MHz, DMSO-d6+D2O) δ (ppm): 7.43 (s, 1H), 7.40 (s, 1H), 4.84 (s, 2H); MS (ESI) m/z=183 (M+1, positive).
- To a solution of 6-amino-5-chloro-3H-benzo[c][1,2]oxaborol-1-ol; hydrochloride (0.30 g, 1.36 mmol) in 25 mL of anhydrous pyridine was added benzenesulfonyl chloride (0.175 ml, 1.36 mmol) and the resulting yellowish solution heated to 50° C. overnight under nitrogen atmosphere. Pyridine was removed in vacuo and the residue treated with 30 mL of 2N HCl. The resulting suspension was sonicated for 30 minutes and the fine precipitate that formed was filtered. The precipitate was re-crystallized from an EtOAc (20 mL) and MeOH (0.2 mL) mixture.
- The resulting crystals were heated in water and the subsequent suspension was lyophilized producing 0.135 g (30%) of the title compound as a white solid. 1H NMR (400 MHz, DMSO-d6) δ (ppm): 9.97 (s, 1H), 9.36 (s, 1H), 7.68-7.65 (m, 3H), 7.63-7.59 (m, 1H), 7.54-7.50 (m, 2H), 7.44 (s, 1H), 4.90 (s, 2H); MS (ESI) m/z=322 (M−1, negative); HPLC purity: 97.78% (MaxPlot 200-400 nm), 98.53% (220 nm); Anal. Calcd for C13H11BClNO4S: C, 48.26%; H, 3.43%; N, 4.33. Found: C, 47.98%; H, 3.48%; N, 4.45.
-
- To a solution of 6-amino-5-chloro-3H-benzo[c][1,2]oxaborol-1-ol; hydrochloride (0.30 g, 1.36 mmol) in 20 mL of anhydrous pyridine was added 4-nitro-benzenesulfonyl chloride (0.302 g, 1.36 mmol) and the resulting reddish solution heated to 50° C. overnight under nitrogen atmosphere. Pyridine was removed in vacuo and the residue treated with 30 mL of 2N HCl. The solid that formed was filtered and washed with water and dried in vacuo. The material obtained was recrystallized twice from methanol. The crystals were then suspended in 20 mL of H2O and sonicated for 4 h at 70° C. to form a fine white suspension which was lyophilized generating 0.107 g (21%) of the title compound as a white solid. 1H NMR (400 MHz, DMSO-d6) δ (ppm): 10.43 (s, 1H), 9.38 (s, 1H), 8.37 (d, J=8.8 Hz, 2H), 7.90 (d, J=9.2 Hz, 2H), 7.60 (s, 1H), 7.50 (s, 1H), 4.91 (s, 2H); MS (ESI) m/z=367 (M−1, negative); HPLC purity: 98.66% (MaxPlot 200-400 nm), 99.13% (220 nm).
-
- To a solution of N-(5-chloro-1-hydroxy-1,3-dihydro-benzo[c][1,2]oxaborol-6-yl)-4-nitro-benzenesulfonamide (0.402 g, 1.09 mmol) in methanol (100 ml) was added 5 mL of 2N NH3 in MeOH and the resulting solution was added Raney Ni (0.1 g). The vessel was charged with hydrogen at 50 psi for 2 h. The reaction mixture was filtered, washed with methanol and the combined filtrate evaporated to dryness. Diethyl ether was added to the residue and evaporated twice to form a powdery material. This was dissolved in 5 mL of anhydrous THF and to it was added 10 mL of 1M HCl in ether solution. The precipitate that formed was sonicated for 1 h and filtered. Purification was accomplished by Preparative HPLC generating 15 mg (3%) of the title compound as a tan solid. 1H NMR (400 MHz, DMSO-d6+D2O) δ (ppm): 7.64 (brs, 1H), 7.41 (brs, 1H), 7.31-7.27 (m, 2H), 6.55-6.51 (m, 2H), 4.86 (s, 2H); MS (ESI) m/z=337 (M−1, negative); HPLC purity: 95.77% (MaxPlot 200-400 nm); 96.71% (220 nm).
-
- General Procedure 1: Starting Materials 6-amino-5-fluorobenzo[c][1,2]oxaborol-1(3H)-ol and benzenesulfonyl chloride. 1H NMR (400 MHz, DMSO-d6) δ ppm 10.15 (s, 1H), 9.25 (bs., 1H), 7.70 (m, 2H), 7.64 (m, 2H), 7.53 (m, 2H), 7.21 (d, J=7.6 Hz, 1H), 4.89 (s, 2H). MS (ESI): m/z=306.1 (M−H, negative).
-
- General Procedure 1: Starting Materials 6-amino-5-fluorobenzo[c][1,2]oxaborol-1(3H)-ol and 3-fluoro benzenesulfonyl chloride. 1H NMR (400 MHz, DMSO-d6) δ ppm 10.27 (s, 1H), 9.30 (s., 1H), 7.62 (m, 2H), 7.52 (m, 3H), 7.24 (d, J=10.4 Hz, 1H), 4.91 (s, 2H). MS (ESI): m/z=324.1 (M−H, negative).
-
- General Procedure 1: Starting Materials 6-amino-5-fluorobenzo[c][1,2]oxaborol-1(3H)-ol and 2-fluoro benzenesulfonyl chloride. 1H NMR (400 MHz, DMSO-d6) δ ppm 10.36 (s, 1H), 9.29 (s., 1H), 7.67 (m, 3H), 7.45 (t, J=8.4, 2.4 Hz, 1H), 7.31 (t, J=8 Hz, 1H), 7.23 (d, J=10 Hz, 1H), 4.91 (s, 2H). MS (ESI): m/z=324.1 (M−H, negative).
-
- General Procedure 1: Starting Materials 6-amino-5-fluorobenzo[c][1,2]oxaborol-1(3H)-ol and 2-trifluoromethoxy benzenesulfonyl chloride. 1H NMR (400 MHz, DMSO-d6) δ ppm 10.27 (s, 1H), 9.29 (s., 1H), 7.81 (d, J=8 Hz, 1H), 7.77 (dm, 1H), 7.65 (d, J=7.6 Hz, 1H), 7.56 (d, J=8 Hz, 1H), 7.49 (d, J=10 Hz, 1H), 7.23 (d, J=10.4 Hz, 1H), 4.91 (s, 2H). MS (ESI): m/z=390.1 (M−H, negative).
-
- 6-amino-5-fluorobenzo[c][1,2]oxaborol-1(3H)-ol (0.33 g, 2 mmol), 2-cyanobenzene-1-sulfonyl chloride (0.52 g, 2.56 mmol), pyridine (1 mL), dichloromethane (5 mL), 0° C.-rt, O/N. Purification: remove solvent, work up with EtOAc and 3N HCl, washed with brine, dry on Na2SO4, remove solvent. The title compound was purified by preparative HPLC to give a white powder: yield 116 mg (17%). 1H NMR (400 MHz, DMSO-d6) δ ppm 11.25 (s, 1H), 9.71 (s, 1H), 9.47 (br. s., 1H), 9.09 (s, 1H), 7.94 (m, 2H), 7.67 (m, 1H), 7.55 (m, 3H), 5.04 (s, 2H). MS (ESI): m/z=351.0 (M+H, positive).
-
- General Procedure 1: Starting Materials 6-amino-5-fluorobenzo[c][1,2]oxaborol-1(3H)-ol and 4-acetamidobenzene-1-sulfonyl chloride. 1H NMR (400 MHz, DMSO-d6) δ ppm 10.33 (s, 1H), 9.99 (s, 1H), 9.33 (s., 1H), 7.79 (d, J=8.4 Hz, 2H), 7.61 (m, 3H), 7.20 (d, J=10 Hz, 1H), 4.89 (s, 2H), 2.06 (s, 3H). MS (ESI): m/z=363.0 (M−H, negative).
-
- General Procedure 1: Starting Materials 6-amino-5-fluorobenzo[c][1,2]oxaborol-1(3H)-ol and 4-nitrobenzenesulfonyl chloride. 1H NMR (400 MHz, DMSO-d6) δ ppm 10.53 (s, 1H), 9.33 (s., 1H), 8.40 (dd, J=6.8, 0.8 Hz, 2 H), 7.95 (dd, J=6.8, 2.0 Hz, 2H), 7.61 (d, J=7.6 Hz, 1H), 7.25 (d, J=10 Hz, 1H), 4.91 (s, 2H). MS (ESI): m/z=351.0 (M−H, negative).
-
- N-(4-(N-(5-fluoro-1-hydroxy-1,3-dihydrobenzo[c][1,2]oxaborol-6-yl)sulfamoyl)phenyl)acetamide (0.2 g, 0.59 mmol), 6N HCl (3 mL), AcOH (3 mL) was heated to 40° C. for 2 days. Purification: remove solvent, work up with EtOAc and 1N HCl, washed with brine, dry on Na2SO4, remove solvent. The title compound was recrystallized in EtOAc to give a light-yellow solid as product: yield 53.1 mg (29%). 1H NMR (400 MHz, DMSO-d6) δ (ppm): 9.58 (s, 1H), 9.28 (s, 1H), 7.66 (d, J=7.6 Hz, 1H), 7.32 (d, J=8 Hz, 2H), 7.18 (d, J=10 Hz, 1H), 6.52 (d, J=8.4 Hz, 2H), 5.95 (s, 2H), 4.89 (s, 2H); MS (ESI): m/z=321.0 (M−H, negative).
-
- General Procedure 1: Starting Materials 6-amino-5-fluorobenzo[c][1,2]oxaborol-1(3H)-ol and 2-cyanobenzene-1-sulfonyl chloride. 1H NMR (400 MHz, DMSO-d6) δ ppm 10.55 (s, 1H), 9.33 (s., 1H), 8.09 (dd, J=7.2, 1.6 Hz, 1H), 7.87 (m, 3H), 7.62 (d, J=8 Hz, 1H), 7.25 (d, J=10 Hz, 1H), 4.92 (s, 2H). MS (ESI): m/z=331.1 (M−H, negative).
-
- 2-cyano-N-(5-fluoro-1-hydroxy-1,3-dihydrobenzo[c][1,2]oxaborol-6-yl)benzenesulfonamide (0.16 g, 1 mmol), Raney Ni (2 equiv w/w), 2.0 M NH3 in EtOH (5 mL), and absolute EtOH (20 mL/1 g) was shaken under an atmosphere of H2 (40-50 psi) for 3 h at rt. Purification: The resultant mixture was filtered through a pad of Celite and washed with EtOH. The filtrate was concentrated in vacuo to give the free amine. The title compound was purified by preparative HPLC to give a white powder: yield 23 mg (13%). 1H NMR (400 MHz, DMSO-d6) δ ppm 10.40 (s, 1H), 9.33 (bs., 1H), 8.24 (b, 3H), 7.73 (m, 2H), 7.64 (d, J=7.6 Hz, 2H), 7.55 (dd, J=8, 1.2 Hz, 1H), 7.23 (d, J=10.4 Hz, 1H), 4.92 (s, 2H), 4.36 (d, J=5.2 Hz, 2H). MS (ESI): m/z=337.0 (M+H, positive).
-
- General Procedure 1: Starting Materials 6-amino-5-fluorobenzo[c][1,2]oxaborol-1(3H)-ol and 2,6-fluoro benzenesulfonyl chloride. 1H NMR (400 MHz, DMSO-d6) δ ppm 10.66 (s, 1H), 9.32 (s., 1H), 7.68 (m, 2H), 7.27 (m, 3H), 4.93 (s, 2H). MS (ESI): m/z=342.1 (M−H, negative).
-
- General Procedure 1: Starting Materials 6-amino-5-fluorobenzo[c][1,2]oxaborol-1(3H)-ol and pyridine-2-sulfonyl chloride. 1H NMR (400 MHz, DMSO-d6) δ ppm 10.28 (s, 1H), 9.28 (s., 1H), 8.73 (d, J=4.8 Hz, 1H), 8.04 (dt, J=7.6, 1.6 Hz, 1H), 7.85 (d, J=7.6 Hz, 1H), 7.66 (m, 2H), 7.22 (d, J=10.4 Hz, 1H), 4.90 (s, 2H). MS (ESI): m/z=309.1 (M+H, positive).
-
- To an ice-cold solution of 5-nitro-pyridine-2-thiol (1.27 g, 8.13 mmol) in 1N aqueous HCl (25 mL) and acetic acid (5 mL) was vigorously bubbled chlorine (gas) for 15 min, followed by nitrogen for 5 min. the solid was collected by filtration, washed with cold 1N aqueous HCl and water and dried in vacuo: yield 842 mg (47%). 1H NMR (400 MHz, CHLOROFORM-d) δ ppm 9.60 (d, J=2.0 Hz, 1H), 8.84 (dd, J=8.6, 2.3 Hz, 1H), 8.35 (d, J=8.6 Hz, 1H).
- General Procedure 1: 6-amino-3H-benzo[c][1,2]oxaborol-1-ol (0.2 g, 1.34 mmol), MeCN (4 mL), pyridine (0.22 mL, 2.69 mmol), and 5-nitro-pyridine-2-sulfonyl chloride (0.3 g, 1.34 mmol). Purification by filtration from water and wash with water and ethyl acetate generated 380 mg (84%) of the title compound as an orange solid. mp 211-213° C.; 1H NMR (400 MHz, DMSO-d6) δ ppm 10.85 (s, 1H), 9.45 (d, J=2.2 Hz, 1H), 9.22 (s, 1H), 8.78 (dd, J=8.6, 2.5 Hz, 1H), 8.16 (d, J=8.6 Hz, 1H), 7.52 (s, 1H), 7.34-7.15 (m, 2H), 4.88 (s, 2H); MS (ESI) m/z=334 (M−1, negative); HPLC purity: 93.99% (MaxPlot 200-400 nm), 93.92% (220 nm).
-
- A mixture of 5-Nitro-pyridine-2-sulfonic acid (1-hydroxy-1,3-dihydro-benzo[c][1,2]oxaborol-6-yl)-amide (1.51 g, 4.51 mmol)) and 10% Pd on carbon (1.51 g, 1:1 w/w substrate to catalyst) in THF (30 mL) and methanol (135 mL) was shaken under an atmosphere of H2 (40 psi) in a Parr shaker. Once the reaction was complete (30 min), the mixture was filtered through Celite. The filtrate was concentrated in vacuo and the residue dissolved in acetonitrile—water, washed with ethyl ether and lyophilized to provide the title compound as a yellow solid: yield 827 mg (60%). 1H NMR (400 MHz, DMSO-d6) δ ppm 10.10 (s, 1H), 9.17 (br. s., 1H), 7.90 (d, J=2.5 Hz, 1H), 7.56 (d, J=8.6 Hz, 1H), 7.47 (s, 1H), 7.27-7.13 (m, 2H), 6.89 (dd, J=8.6, 2.5 Hz, 1H), 6.17 (br. s., 2H), 4.86 (s, 2H); MS (ESI): m/z=304 (M−1, negative); HPLC purity: 95.56% (MaxPlot 200-400 nm), 95.55% (220 nm).
-
- General Procedure 3: Starting Materials N-(2-(N-(5-fluoro-1-hydroxy-1,3-dihydrobenzo[c][1,2]oxaborol-6-yl)sulfamoyl)pyridin-4-yl)acetamide, 6N HCl and AcOH. 1H NMR (400 MHz, DMSO-d6) δ (ppm): 10.34 (s, 1H), 9.30 (bs, 1H), 8.03 (d, J=6 Hz, 1H), 7.49 (d, J=1.6 Hz, 1H), 7.24 (m, 2H), 7.04 (d, J=2.4 Hz, 1H), 6.59 (dd, J=5.6, 2.4 Hz, 1H), 6.82 (bs, 2H), 4.89 (s, 2H); MS (ESI): m/z=306.1 (M+H, positive).
-
- To a stirred solution of 6-aminopyridine-3-sulfonyl chloride (251 mg, 1.30 mmol) and 6-amino-5-fluorobenzo[c][1,2]oxaborol-1(3H)-ol (218 mg, 1.30 mmol) in 5 mL of ACN was added pyridine (210 uL, 2.6 mmol) dropwise. The reaction mixture was stirred at room temperature for 16 hours. After quenched with water, the solvent was removed in vacuo. The residue was extracted with ethyl acetate three times, and washed with water and brine. The organic layer was dried over Na2SO4, and concentrated to give a yellow residue. The crude residue was purified by prep HPLC (SunFire
Prep C18 OBD 5 uM 30×50 mm column) to give 135 mg of the title compound as a white solid. MS calcd for (C12H11BFN3O4S): 323.1, MS found (ESI negative): (M−H)−=322.1. 1H NMR (DMSO-d6) δ (ppm): 9.80 (s, 1H), 9.20 (bs, 1H), 8.06 (s, 1H), 7.50 (d, 1H), 7.55 (d, 1H), 7.17 (d, 1H), 6.45 (d, 1H), 4.84 (s, 2H). -
- To a solution of phenyl-methanethiol (4.12 mL, 31.87 mmol) in THF (25 mL) was added K2CO3 (5.20 g, 37.66 mmol) and the resulting suspension was heated at 60° C. for 30 min. A solution of 2-chloro-3-methyl-5-nitro-pyridine (5.00 g, 28.97 mmol) in THF (10 mL) was added dropwise and the mixture was heated to reflux. After ON, the mixture was cooled and the volatiles were removed in vacuo. The residue was treated with ethyl acetate and water. The layers were separated and the aqueous layer was extracted twice with ethyl acetate and the combined organic layer was washed with brine, dried over Na2SO4, filtered and concentrated in vacuo. Purification was accomplished by Biotage® (SP4, Silica gel 100 g SNAP™ column, eluting with 75%-100% DCM in hexanes) produced 5.83 g (77%) of the title compound as a pale yellow solid. 1H NMR (400 MHz, CHLOROFORM-d) δ ppm 9.15 (d, J=2.0 Hz, 1H), 8.08 (s, 1H), 7.42 (d, J=7.4 Hz, 2H), 7.39-7.18 (m, 3H), 4.55 (s, 2H), 2.33 (s, 3H).
- To a solution of 2-benzylsulfanyl-3-methyl-5-nitro-pyridine (1.4 g, 5.38 mmol) in ethanol (20 mL) and water (5 mL) was added iron powder (3 g, 53.8 mmol) and concentrated HCl (0.25 mL). The mixture was heated to reflux for 2 h. After cooling to room temperature, the insoluble material was removed by filtration through Celite® and washed with 4:1 ethanol-water. The filtrate was concentrated in vacuo and the pH adjusted to −8 with 20% aqueous NaOH. The mixture was extracted with DCM (2×) and the combined organic layer was washed with brine, dried over Na2SO4, filtered and concentrated in vacuo generating 1.26 g (quantitative) of the title compound that was used in the next step without further purification. 1H NMR (400 MHz, CHLOROFORM-d) δ ppm 7.89 (d, J=2.3 Hz, 1H), 7.43-7.13 (m, 7H), 6.76 (d, J=2.0 Hz, 1H), 4.38 (s, 2H), 2.15 (s, 3H); MS (ESI) m/z=231 (M+1, positive).
- To a solution of 6-benzylsulfanyl-5-methyl-pyridin-3-ylamine (1.24 g, 5.38 mmol) in THF (10 mL) at 0° C. was added triethylamine (1.12 mL, 8.07 mmol). After 10 min, acetic anhydride (0.763 mL, 8.07 mmol) was added. The ice bath was removed. After overnight, slightly acidic water (dilute HCl) was added and the mixture was extracted with ethyl acetate. The organic layer was washed with brine, dried over Na2SO4, filtered and concentrated in vacuo generating 1.02 g (70%) of the title compound that was used in the next step without further purification. 1H NMR (400 MHz, CHLOROFORM-d) δ ppm 8.31 (s, 1H), 7.77 (s, 1H), 7.40 (d, J=7.4 Hz, 2H), 7.35-7.17 (m, 3H), 7.08 (br. s., 1H), 4.45 (s, 2H), 2.23 (s, 3H), 2.19 (s, 3H).
- Through a solution of N-(6-benzylsulfanyl-5-methyl-pyridin-3-yl)-acetamide (1.02 g, 3.75 mmol) in DCM (25 mL) and water (5 mL) cooled in an ice bath was vigorously bubbled chlorine for 15 min. After 15 min of additional stirring, nitrogen was bubbled through the reaction mixture for 30 min. The layers were separated and the organic layer was dried over Na2SO4, filtered and concentrated in vacuo generating 1.142 g of the title compound as yellow oil that was used in the next step without further purification.
- General Procedure 1: 6-amino-3H-benzo[c][1,2]oxaborol-1-ol (558 mg, 3.75 mmol), pyridine (0.606 mL, 7.49 mmol), acetonitrile (10 mL) and 5-acetylamino-3-methyl-pyridine-2-sulfonyl chloride (3.75 mmol). The residue was repeatedly washed with DCM and after drying in vacuo 0.714 g (53% for 2 steps) of the title compound was isolated as a red powder. 1H NMR (400 MHz, DMSO-d6) δ ppm 10.43 (s, 1H), 10.42 (s, 1H), 9.19 (br. s., 1H), 8.56 (d, J=1.7 Hz, 1H), 8.01 (s, 1 H), 7.52 (s, 1H), 7.25 (s, 2H), 4.88 (s, 2H), 2.53 (s, 3H), 2.08 (s, 3H); MS (ESI) m/z=362 (M+1, positive); HPLC purity: 97.65% (MaxPlot 200-400 nm), 97.61% (220 nm).
-
- To a solution of N-(6-(N-(1-hydroxy-1,3-dihydrobenzo[c][1,2]oxaborol-6-yl)sulfamoyl)-5-methylpyridin-3-yl)acetamide (592 mg, 1.64 mmol) in 1,4-dioxane (30 mL) was added 6 M HCl (10 mL), and the mixture was stirred at 100° C. for 4 h. The pH was adjusted to 7 with aqueous NaOH, and the mixture was extracted with ethyl acetate. The organic layer was washed with water and brine and dried on anhydrous sodium sulfate. The solvent was removed under reduced pressure and the residue was triturated with small amount of ethyl acetate to give 5-amino-N-(1-hydroxy-1,3-dihydrobenzo[c][1,2]oxaborol-6-yl)-3-methylpyridine-2-sulfonamide (60 mg, 11%). 1H NMR (400 MHz, DMSO-d6) δ (ppm) 2.37 (s, 3H), 4.85 (s, 2H), 5.98 (br s, 2H), 6.71 (d, J=1.5 Hz, 1H), 7.20 (s, 2H), 7.45 (s, 1H), 7.66 (d, J=2.2 Hz, 1H), 9.15 (s, 1H), 10.1 (s, 1H).
-
- General Procedure 1: 6-amino-5-fluorobenzo[c][1,2]oxaborol-1(3H)-ol (485 mg, 3 mmol), 3-methyl-5-(2,2,2-trifluoroacetamido)pyridine-2-sulfonyl chloride (302 mg, 1 mmol), pyridine (400 mg, 5 mmol), rt, 0.5 hour. Removed solvent, the crude was dissolved in MeOH (5 ml), treated with ammonia (2 ml, 7N in MeOH), heated at 100° C. for 2 hours in a sealed tube. After cooled down to rt, concentrated, the result solid was purified by prep HPLC (SunFire
Prep C18 OBD 5 uM 30×50 mm column). Title compound was obtained as white powder. MS calcd for (C13H13BN3O4FS): 337.13, MS found (ESI negative): (M−H)−=336.1. 1H NMR (400 MHz, DMSO-d6) δ (ppm): 9.77 (s, 1H), 7.66 (d, J=2.4 Hz, 1H), 7.64 (s, 1H), 7.18 (d, J=10.4 Hz, 1H), 6.74 (d, J=2 Hz, 1H), 4.87 (s, 2H), 2.33 (s, 3H). -
- Into a 500-mL round-bottom flask were placed a solution of pyridin-2-amine (30 g, 319.15 mmol, 1.00 equiv) in tetrahydrofuran (200 mL) and (Boc)2O (83.5 g, 383.03 mmol, 1.20 equiv). The resulting solution was heated to reflux overnight. The resulting mixture was cooled and concentrated under vacuum. The residue was applied onto a silica gel column and eluted with ethyl acetate/petroleum ether (1:20). This resulted in 15.5 g (24%) of tert-butyl pyridin-2-ylcarbamate as a white solid.
- Into a 500-mL 3-necked round-bottom flask was placed a solution of tert-butyl pyridin-2-ylcarbamate (15.5 g, 79.90 mmol, 1.00 equiv) in tetrahydrofuran (200 mL). This was followed by the addition of n-BuLi (2.5M, 70.4 mL, 2.20 equiv) dropwise with stirring at −78° C. The reaction mixture was stirred 2 h at −78° C., then added iodoethane (18.72 g, 120.00 mmol, 1.50 equiv) dropwise with stirring at −78° C. The resulting solution was stirred overnight at room temperature, then quenched by the addition of 50 mL of NH4Cl solution. The resulting mixture was extracted with 3×50 ml, of ethyl acetate. The organic layers were combined, washed with 1×30 mL of brine, dried and concentrated under vacuum. The residue was applied onto a silica gel column and eluted with ethyl acetate/petroleum ether (1:20-1:10). This resulted in 6.5 g (35%) of tert-butyl 3-ethylpyridin-2-ylcarbamate as a light yellow solid.
- Into a 50-mL round-bottom flask was placed a solution of tert-butyl 3-ethylpyridin-2-ylcarbamate (6 g, 27.03 mmol, 1.00 equiv) in DCM/CF3COOH (30/10 mL) and stirred overnight at room temperature. The resulting solution was diluted with 10 mL of water, then adjusted to pH 9-10 with sodium hydroxide solution. The resulting solution was extracted with 2×20 mL of dichloromethane. The organic layers were combined, washed with 1×20 mL of brine, dried over anhydrous sodium sulfate and concentrated under vacuum. The residue was applied onto a silica gel column and eluted with ethyl acetate/petroleum ether (1:5). This resulted in 3 g (86%) of 3-ethylpyridin-2-amine as a yellow solid.
- Into a 50-mL 3-necked round-bottom flask was placed a solution of 3-ethylpyridin-2-amine (1 g, 8.20 mmol, 1.00 equiv) in sulfuric acid (4.8 mL), then added a mixture of HNO3 (0.7 ml) and sulfuric acid (0.7 ml) dropwise at 0-5° C. The resulting solution was stirred overnight at room temperature. LCMS showed the reaction was completed. The reaction mixture was used in the next step directly without further work up.
- Into a 50-mL 3-necked round-bottom flask was placed a solution of 3-ethyl-5-nitropyridin-2-amine (˜800 mg, 4.79 mmol, 1.00 equiv) in sulfuric acid and HNO3, then added HNO3 (0.7 mL) dropwise at below 40° C. The resulting mixture was poured into 20 ml water and heated to 120° C. until no N2 evolution. The reaction mixture was cooled with a water/ice bath. The isolated solid was collected by filtration and washed with 10 ml of water. This resulted in 0.7 g (83%) of 3-ethyl-5-nitropyridin-2-ol as a light yellow solid.
- A solution of 3-ethyl-5-nitropyridin-2-ol (500 mg, 2.98 mmol, 1.00 equiv) in POCl3 (10 mL) was heated to reflux for 5 hr. The reaction mixture was cooled and concentrated under vacuum. The residue was diluted with 10 mL of water, then adjusted to pH 8-9 with sodium bicarbonate solution. The resulting solution was extracted with 2×20 mL of ether. The organic layers were combined, dried over anhydrous sodium sulfate and concentrated under vacuum. This resulted in 0.5 g (86%) of 2-chloro-3-ethyl-5-nitropyridine as a yellow oil.
- Into a 50-mL round-bottom flask were placed a solution of phenylmethanethiol (370 mg, 2.98 mmol, 1.10 equiv) in tetrahydrofuran (50 mL) and potassium carbonate (482 mg, 3.49 mmol, 1.30 equiv), then added a solution of 2-chloro-3-ethyl-5-nitropyridine (500 mg, 2.69 mmol, 1.00 equiv) in tetrahydrofuran (10 mL) dropwise with stirring. The resulting solution was heated to reflux overnight. The resulting mixture was cooled and concentrated under vacuum. The residue was diluted with 20 mL of water, then extracted with 4×20 mL of ethyl acetate. The organic layers were combined, washed with 1×20 mL of brine, dried over anhydrous sodium sulfate and concentrated under vacuum. The residue was applied onto a silica gel column and eluted with ethyl acetate/petroleum ether (1:100). This resulted in 0.65 g (84%) of 2-(benzylthio)-3-ethyl-5-nitropyridine as a yellow solid.
- Into a 50-mL round-bottom flask were placed a solution of 2-(benzylthio)-3-ethyl-5-nitropyridine (650 mg, 2.37 mmol, 1.00 equiv) in ethanol/H2O (10/2.5 mL), Fe (1.33 g, 23.75 mmol, 10.00 equiv) and HCl (0.125 mL). The resulting mixture was heated to reflux for 2 hr. The reaction mixture was cooled and filtered. The filtrate was concentrated under vacuum. This resulted in 0.53 g (87%) of 6-(benzylthio)-5-ethylpyridin-3-amine as a yellow oil.
- Into a 50-mL 3-necked round-bottom flask purged and maintained with an inert atmosphere of nitrogen were placed a solution of 6-(benzylthio)-5-ethylpyridin-3-amine (530 mg, 2.17 mmol, 1.00 equiv) in tetrahydrofuran (5 mL) and triethylamine (320 mg, 3.17 mmol, 1.50 equiv). This was followed by the addition of Ac2O (320 mg, 3.14 mmol, 1.50 equiv) dropwise with stirring at 0° C. The resulting solution was stirred for 3 h at room temperature, then concentrated under vacuum. The residue was diluted with 5 mL of water, then extracted with 2×10 mL of ethyl acetate. The organic layers were combined, washed with 1×5 mL of brine, dried over anhydrous sodium sulfate and concentrated under vacuum. The residue was applied onto a silica gel column and eluted with ethyl acetate/petroleum ether (1:5). This resulted in 0.45 g (69%) of N-(6-(benzylthio)-5-ethylpyridin-3-yl)acetamide as a yellow solid.
- Into a 50-mL 3-necked round-bottom flask was placed a solution of N-(6-(benzylthio)-5-ethylpyridin-3-yl)acetamide (450 mg, 1.57 mmol, 1.00 equiv) in DCM/H2O (10/2 mL). The solution was cooled in an ice bath, then slowly bubbled Cl2 into the reaction mixture for 15 min. The reaction mixture was stirred for additional 15 min. Nitrogen was then bubbled into the reaction mixture for 30 min to remove any excess Cl2. The reaction mixture was diluted with DCM. The separated organic layer was dried over Na2SO4 and concentrated under vacuum. This resulted in 0.4 g (92%) of 5-acetamido-3-ethylpyridine-2-sulfonyl chloride as a yellow oil.
- Into a 50-mL 3-necked round-bottom flask purged and maintained with an inert atmosphere of nitrogen were placed a solution of 6-aminobenzo[c][1,2]oxaborol-1(3H)-ol (200 mg, 1.34 mmol, 1.00 equiv) in CH3CN (15 mL), potassium carbonate (575 mg, 4.17 mmol, 3.00 equiv) and 5-acetamido-3-ethylpyridine-2-sulfonyl chloride (400 mg, 1.53 mmol, 1.10 equiv). The resulting solution was stirred for 1 h at 0° C. The reaction was then quenched by the addition of 5 mL of water. The resulting mixture was concentrated under vacuum. The residue was diluted with 20 mL of water, then adjusted to
pH 6 with 2N HCl. The resulting solution was extracted with 3×20 ml, of ethyl acetate. The organic layers were combined, dried and concentrated under vacuum. The residue was applied onto a silica gel column and eluted with dichloromethane/methanol (30:1). This resulted in 345 mg (65%) of N-(5-ethyl-6-(N-(1-hydroxy-1,3-dihydrobenzo[c][1,2]oxaborol-6-yl)sulfamoyl)pyridin-3-yl)acetamide as a yellow solid. - Into a 100-mL round-bottom flask was placed a solution of N-(5-ethyl-6-(N-(1-hydroxy-1,3-dihydrobenzo[c][1,2]oxaborol-6-yl)sulfamoyl)pyridin-3-yl)acetamide (345 mg, 0.92 mmol, 1.00 equiv) in tetrahydrofuran (20 mL) and HCl (10%, 20 mL). The resulting solution was stirred overnight at 60° C. The reaction mixture was cooled and concentrated under vacuum. The crude product (200 mg) was purified by Prep-HPLC with the following conditions: Column, SunFire C18, 19×150 mm, Sum; Mobile phase, water (with 0.05% TFA) and acetonitrile; Grident: 25% acetonitrile up to 45% in 6 min, then up to 100% in 0.1 min); Detector, UV 254 nm. This resulted in 139.8 mg (46%) of 5-amino-3-ethyl-N-(1-hydroxy-1,3-dihydrobenzo[c][1,2]oxaborol-6-yl)pyridine-2-sulfonamide as a white solid. LC-MS-(ES, m/z): 334 [M+H]+. H-NMR-(DMSO-d6, 300 MHz, ppm): 10.149 (1H, s), 7.179 (1H, s), 7.696-7.688 (1H, d, J=2.8), 7.501 (1H, s), 7.235 (2H, s), 6.37 (2H, s), 6.804-6.796 (1H, d, J=2.4), 6.012 (2H, s), 4.876 (2H, s), 2.879-2.805 (2H, m), 1.157-1.107 (3H, m).
-
- Into a 250-mL round-bottom flask was placed a solution of 2-aminonicotinic acid (15 g, 108.70 mmol, 1.00 equiv) in methanol (100 mL), then added thionyl chloride (38.5 g, 326.27 mmol, 3.00 equiv) dropwise at 0° C. The resulting solution was stirred overnight at 70° C. in an oil bath. The resulting mixture was cooled and concentrated under vacuum. The residue was diluted with 30 mL of water, then adjusted to pH 7-8 with NaHCO3 solution. The resulting solution was extracted with 3×40 mL of ethyl acetate. The organic layers were combined, dried over anhydrous sodium sulfate and concentrated under vacuum. The crude product was purified by re-crystallization from ether. This resulted in 8 g (42%) of methyl 2-aminonicotinate as a white solid.
- Into a 250-mL 3-necked round-bottom flask purged and maintained with an inert atmosphere of nitrogen was placed a solution of methyl 2-aminonicotinate (8 g, 52.63 mmol, 1.00 equiv) in tetrahydrofuran (100 mL). This was followed by the addition of methylmagnesium bromide (70 mL, 4.00 equiv) dropwise with stirring at −20° C. The resulting solution was stirred for 2.5 h at room temperature, then quenched by the addition of 60 mL of NH4Cl solution. The resulting solution was extracted with 3×50 ml, of ethyl acetate. The organic layers were combined, dried over anhydrous sodium sulfate and concentrated under vacuum. This resulted in 6.6 g (73%) of 2-(2-aminopyridin-3-yl)propan-2-ol as a white solid.
- A mixture of 2-(2-aminopyridin-3-yl)propan-2-ol (6 g, 39.47 mmol, 1.00 equiv), P (3.67 g, 118.39 mmol, 3.00 equiv) and HI (30 mL) was stirred overnight at 150° C. in an oil bath. The reaction mixture was cooled and filtered. The filtrate was washed with 3×10 mL of ether. The aqueous layer was adjusted to pH 6-7 with ammonia. The resulting solution was extracted with 3×10 mL of ethyl acetate. The organic layers were combined, dried over anhydrous sodium sulfate and concentrated under vacuum. The residue was applied onto a silica gel column and eluted with ethyl acetate/petroleum ether (1:3). This resulted in 4.6 g (77%) of 3-isopropylpyridin-2-amine as a white solid.
- Into a 100-mL round-bottom flask was placed a solution of 3-isopropylpyridin-2-amine (4.6 g, 33.82 mmol, 1.00 equiv) in sulfuric acid (22 mL). This was followed by the addition of mixture of sulfuric acid (3.2 mL) and HNO3 (3.2 mL) dropwise with stirring at 5° C. The resulting solution was stirred overnight at 30° C. in an oil bath. A second batch of HNO3 (3.2 mL) was added dropwise with stirring at below 40° C. The reaction mixture was then poured into 40 ml of water and heated to 120° C. The reaction mixture was cooled rapidly by placing in an ice-bath and by adding ice directly to the reaction mixture. The isolated solid was collected by filtration. This resulted in 3.1 g (46%) of 3-isopropyl-5-nitropyridin-2-ol as a yellow solid.
- A solution of 3-isopropyl-5-nitropyridin-2-ol (100 mg, 0.55 mmol, 1.00 equiv) in POCl3 (10 mL) was stirred for 4 h at 100° C. in an oil bath. The resulting mixture was cooled and concentrated under vacuum. The residue was diluted with ice water and adjusted to pH 7 with sodium hydroxide solution. The resulting solution was extracted with 3×20 mL of ether. The organic layers were combined, dried over anhydrous sodium sulfate and concentrated under vacuum. This resulted in 96 mg (79%) of 2-chloro-3-isopropyl-5-nitropyridine as a red oil.
- Into a 50-mL round-bottom flask was placed a solution of phenylmethanethiol (70 mg, 0.56 mmol, 1.10 equiv) in tetrahydrofuran (10 mL), then added potassium carbonate (90 mg, 0.65 mmol, 1.30 equiv). The resulting mixture was stirred for 30 min at 60° C. in an oil bath. This was followed by the addition of a solution of 2-chloro-3-isopropyl-5-nitropyridine (100 mg, 0.50 mmol, 1.00 equiv) in tetrahydrofuran (5 mL) dropwise with stirring. The resulting solution was stirred for an additional 3 h at 70° C. in an oil bath. The resulting mixture was cooled and concentrated under vacuum. The residue was diluted with 10 mL of water, then extracted with 3×10 mL of ethyl acetate. The organic layers were combined, dried over anhydrous sodium sulfate and concentrated under vacuum. The residue was applied onto a silica gel column and eluted with PE/EtOAc (80:1). This resulted in 0.089 g (55%) of 2-(benzylthio)-3-isopropyl-5-nitropyridine as a yellow oil.
- A mixture of 2-(benzylthio)-3-isopropyl-5-nitropyridine (2.5 g, 8.68 mmol, 1.00 equiv), ethanol (50 mL), water (12 mL), Fe (4.86 g, 86.79 mmol, 10.00 equiv) and HCl (0.75 mL) was stirred for 2 h at 100° C. in an oil bath. The reaction mixture was cooled to room temperature and filtered. The filtrate was diluted with EtOH/H2O(4:1), then concentrated under vacuum. The residual solution was adjusted to
pH 8 with sodium hydroxide solution (20%). The resulting solution was extracted with 2×40 mL of dichloromethane. The organic layers were combined, washed with 2×20 ml, of brine, dried over anhydrous sodium sulfate and concentrated under vacuum. This resulted in 2.1 g (86%) of 6-(benzylthio)-5-isopropylpyridin-3-amine as a yellow oil. - Into a 100-mL round-bottom flask was placed a solution of 6-(benzylthio)-5-isopropylpyridin-3-amine (2.1 g, 8.14 mmol, 1.00 equiv) in tetrahydrofuran (20 mL) and triethylamine (1.23 g, 12.18 mmol, 1.50 equiv), then added acetic anhydride (1.24 g, 12.16 mmol, 1.50 equiv) at 0° C. The resulting solution was stirred overnight at room temperature. The reaction was then quenched by the addition of 10 mL of HCl (4M). The resulting solution was extracted with 3×20 mL of ethyl acetate. The organic layers were combined, washed with 1×20 mL of brine, dried over anhydrous sodium sulfate and concentrated under vacuum. This resulted in 2.15 g (77%) of N-(6-(benzylthio)-5-isopropylpyridin-3-yl)acetamide as a yellow oil.
- Cl2 gas was bubbled into a solution of N-(6-(benzylthio)-5-isopropylpyridin-3-yl)acetamide (2.1 g, 7.00 mmol, 1.00 equiv) in DCM (50 mL) and water (10 mL) for 15 min at 0° C. The resulting solution was stirred for 15 min at room temperature, then bubbled with N2 for 30 min at 0° C. The resulting solution was extracted with 2×10 mL of dichloromethane. The organic layers were combined, dried over anhydrous sodium sulfate and concentrated under vacuum. The crude product was purified by re-crystallization from hexane. This resulted in 1.9 g (85%) of 5-acetamido-3-isopropylpyridine-2-sulfonyl chloride as a yellow solid.
- Into a 50-mL 3-necked round-bottom flask were placed a solution of 5-acetamido-3-isopropylpyridine-2-sulfonyl chloride (1 g, 3.62 mmol, 1.10 equiv) in MeCN (10 mL) and potassium carbonate (1.36 g, 9.86 mmol, 3.00 equiv). The resulting mixture was stirred for 10 min at 0° C., then added a solution of 6-aminobenzo[c][1,2]oxaborol-1(3H)-ol (490 mg, 3.29 mmol, 1.00 equiv) in MeCN (5 mL) dropwise with stirring at 0° C. The resulting solution was stirred for an additional 30 min at room temperature, then concentrated under vacuum. The residue was diluted with 10 mL of water, then adjusted to
pH 6 with HCl. The resulting solution was extracted with 3×20 mL of ethyl acetate. The organic layers were combined, dried over anhydrous sodium sulfate and concentrated under vacuum. The residue was applied onto a silica gel column and eluted with dichloromethane/methanol (100:1). This resulted in 1.03 g (73%) of N-{6-[(1-hydroxy-1,3-dihydro-2,1-benzoxaborol-6-yl)sulfamoyl]-5-(propan-2-yl)pyridin-3-yl}acetamide as a yellow solid. - A solution of N-{6-[(1-hydroxy-1,3-dihydro-2,1-benzoxaborol-6-yl)sulfamoyl]-5-(propan-2-yl)pyridin-3-yl}acetamide (1 g, 2.57 mmol, 1.00 equiv) in tetrahydrofuran (50 mL) and HCl (50 mL, 10%) was stirred overnight at 60° C. in an oil bath. The resulting mixture was cooled and concentrated under vacuum. The crude product (350 mg) was purified by prep-HPLC with the following conditions: Column, SunFire C18, Sum, 19×150 mm; Mobile phase, water (with 0.1% formic acid) and methanol; Gradient, 30% methanol up to 60% in 7 min, up to 100% in 2 min, down to 30% in 3 min; Detector, UV 220 & 254 nm. This resulted in 0.11 g (12%) of 5-amino-N-(1-hydroxy-1,3-dihydrobenzo[c][1,2]oxaborol-6-yl)-3-isopropylpyridine-2-sulfonamide as a white solid. LC-MS (ES, m/z): 348 [M+H]+. 1H-NMR (300 MHz, DMSO-d6, ppm): 9.176 (1H, s), 10.145 (1H, s), 7.679 (1H, d, J=2.4 Hz), 7.515 (1H, s), 7.272 (2H, m), 6.948 (1H, d, J=2.4 Hz), 5.969 (2H, s), 4.879 (2H, s), 3.794 (1H, m), 1.135 (6H, d, J=6.9 Hz).
-
- General Procedure 1: Starting Materials 6-amino-5-fluorobenzo[c][1,2]oxaborol-1(3H)-ol and 2-chloro-4-nitrobenzene-1-sulfonyl chloride. 1H NMR (400 MHz, DMSO-d6) δ ppm 10.73 (s, 1H), 9.28 (bs., 1H), 8.51 (d, J=2.4 Hz, 1H), 8.28 (dd, J=8.8, 2.0 Hz, 1H), 8.09 (d, J=8.8 Hz, 1H), 7.62 (d, J=8.0 Hz, 1H), 7.27 (d, J=10 Hz, 1H), 4.92 (s, 2H). MS (ESI): m/z=385.0 (M−H, negative).
-
- Into a 500-mL 3-necked round-bottom flask was placed 3-(trifluoromethyl)pyridin-2-ol (10 g, 61.35 mmol, 1.00 equiv), then added sulfuric acid (98%) (40 mL) dropwise with stirring at 0° C. This was followed by the addition of HNO3 (50 mL) dropwise with stirring at 0° C. The resulting solution was stirred overnight at 40° C. The reaction was quenched by the addition of 500 mL of water, then extracted with 3×200 mL of ether. The organic layers were combined, dried and concentrated under vacuum. This resulted in 6.5 g (51%) of 5-nitro-3-(trifluoromethyl)pyridin-2-ol as a white solid.
- Into a 250-mL round-bottom flask was placed a solution of 5-nitro-3-(trifluoromethyl)pyridin-2-ol (5 g, 24.04 mmol, 1.00 equiv) in POCl3 (270.5 g) and PCl5 (14 g, 67.31 mmol, 2.80 equiv). The resulting solution was stirred for 2 h at 120° C. The reaction was then cooled and quenched by the addition of 800 mL of water/ice. The pH value of the solution was adjusted to 9 with sodium carbonate solution (60%). The resulting solution was extracted with 2×200 mL of dichloromethane. The organic layers were combined, dried over anhydrous sodium sulfate and concentrated under vacuum. This resulted in 3.1 g (57%) of 2-chloro-5-nitro-3-(trifluoromethyl)pyridine as a yellow solid.
- Into a 100-mL 3-necked round-bottom flask was placed a solution of phenylmethanethiol (2 g, 16.13 mmol, 1.10 equiv) in tetrahydrofuran (50 mL), then added potassium carbonate (1.6 g, 11.59 mmol, 1.30 equiv). The resulting solution was stirred for 30 min at 60° C. This was followed by the addition of a solution of 2-chloro-5-nitro-3-(trifluoromethyl)pyridine (2 g, 8.85 mmol, 1.00 equiv) in tetrahydrofuran (10 mL) dropwise with stirring at 60° C. The resulting solution was refluxed overnight. The reaction mixture was cooled and concentrated under vacuum. The residue was applied onto a silica gel column and eluted with ethyl acetate/petroleum ether (1:20). This resulted in 1.9 g (68%) of 2-(benzylthio)-5-nitro-3-(trifluoromethyl)pyridine as a yellow solid.
- Into a 250-mL round-bottom flask were placed a solution of 2-(benzylthio)-5-nitro-3-(trifluoromethyl)pyridine (2.1 g, 6.69 mmol, 1.00 equiv) in ethanol (50 mL), Fe (3.7 g, 66.07 mmol, 10.00 equiv) and acetic acid (5 mL). The resulting mixture was refluxed for 3 h. The reaction mixture was cooled and filtered. The filtrate was concentrated under vacuum. The residue was applied onto a silica gel column and eluted with dichloromethane/methanol (100:1). This resulted in 1.8 g (95%) of 6-(benzylthio)-5-(trifluoromethyl)pyridin-3-amine as a yellow solid.
- Into a 100-mL round-bottom flask was placed a solution of 6-(benzylthio)-5-(trifluoromethyl)pyridin-3-amine (1.8 g, 6.34 mmol, 1.00 equiv) in dichloromethane (50 mL), then added TEA (1.3 g, 12.87 mmol, 2.00 equiv). This was followed by the addition of (CF3CO)2O (2 g, 9.52 mmol, 1.50 equiv) dropwise with stirring at 0° C. The resulting solution was stirred for 30 min at room temperature, then quenched by the addition of 100 mL of water. The resulting solution was extracted with 3×100 mL of dichloromethane. The organic layers were combined, dried and concentrated under vacuum. The residue was applied onto a silica gel column and eluted with ethyl acetate/petroleum ether (1:20). This resulted in 2.0 g (83%) of N-(6-(benzylthio)-5-(trifluoromethyl)pyridin-3-yl)-2,2,2-trifluoroacetamide as a white solid.
- Into a 100-mL 3-necked round-bottom flask was placed a solution of N-(6-(benzylthio)-5-(trifluoromethyl)pyridin-3-yl)-2,2,2-trifluoroacetamide (700 mg, 1.84 mmol, 1.00 equiv) in dichloromethane (17.5 mL) and water (3.5 mL). Cl2 gas was bubbled into the reaction mixture at 0° C. The resulting solution was stirred for 15 min at 0-5° C. The reaction mixture was dried over anhydrous sodium sulfate and concentrated under vacuum. This resulted in 650 mg (crude) of 5-(2,2,2-trifluoroacetamido)-3-(trifluoromethyl)pyridine-2-sulfonyl chloride as a yellow solid.
- Into a 100-mL 3-necked round-bottom flask were placed a solution of 6-aminobenzo[c][1,2]oxaborol-1(3H)-ol (250 mg, 1.68 mmol, 1.00 equiv) in CH3CN (20 mL) and potassium carbonate (926 mg, 6.71 mmol, 4.00 equiv). This was followed by the addition of a solution of 5-(2,2,2-trifluoroacetamido)-3-(trifluoromethyl)pyridine-2-sulfonyl chloride (716 mg, 2.01 mmol, 1.20 equiv) in CH3CN (10 mL) dropwise with stirring at 0° C. The resulting solution was stirred for 30 min at room temperature, then concentrated under vacuum. The residue was diluted with 50 mL of water, then adjusted to
pH 6 with HCl (1 mol/L). The resulting solution was extracted with 3×100 mL of ethyl acetate. The organic layers were combined, dried and concentrated under vacuum. The residue was applied onto a silica gel column and eluted with dichloromethane/methanol (50:1). This resulted in 400 mg (crude) of 2,2,2-trifluoro-N-(6-(N-(1-hydroxy-1,3-dihydrobenzo[c][1,2]oxaborol-6-yl)sulfamoyl)-5-(trifluoromethyl)pyridin-3-yl)acetamide as a yellow solid. - Into a 100-mL round-bottom flask was placed a solution of 2,2,2-trifluoro-N-(6-(N-(1-hydroxy-1,3-dihydrobenzo[c][1,2]oxaborol-6-yl)sulfamoyl)-5-(trifluoromethyl)pyridin-3-yl)acetamide (300 mg, 0.64 mmol, 1.00 equiv) in tetrahydrofuran (50 mL), then added potassium carbonate (aq) (40 mL). The resulting mixture was stirred overnight at 40° C., then concentrated under vacuum. The residue was diluted with 50 mL of water, then adjusted to pH 7 with HCl (1 mol/L). The resulting solution was extracted with 3×100 mL of ethyl acetate. The organic layers were combined, dried and concentrated under vacuum. The collected fractions were combined and concentrated under vacuum. The crude product (400 mg) was purified by Prep-HPLC with the following conditions: Column, SunFire C18, 19×150 mm, Sum; Mobile phase, water (with 0.1% TFA) and MeOH; Gradient: 40% MeOH up to 70% in 10 min). This resulted in 109.5 mg (46%) of 5-amino-N-(1-hydroxy-1,3-dihydrobenzo[c][1,2]oxaborol-6-yl)-3-(trifluoromethyl)pyridine-2-sulfonamide as a yellow solid. The compound exhibited a melting point of 157-159° C. LC-MS-(ES, m/z): 374 [M+H]+. 1H NMR-(300 MHz, DMSO-d6): 4.894 (2H, s), 6.598 (2H, s), 7.278-7.332 (3H, d, 16.2 Hz), 7.548 (1H, s), 8.022 (1H, s), 9.206 (1H, s), 10.432 (1H, s).
-
- A solution of 2-chloronicotinonitrile (20 g, 144.93 mmol, 1.00 equiv) and MeONa (15.7 g, 290.74 mmol, 2.00 equiv) in methanol (300 mL) was stirred overnight at room temperature. The resulting mixture was concentrated under vacuum. The residue was diluted with 500 mL of water, then extracted with 3×200 mL of dichloromethane. The organic layers were combined, dried and concentrated under vacuum. This resulted in 17 g (88%) of 2-methoxynicotinonitrile as a white solid.
- A solution of 2-methoxynicotinonitrile (10 g, 74.63 mmol, 1.00 equiv) in HBr/AcOH (20 mL) was stirred for 30 min at 70° C. The reaction mixture was cooled and filtered. The filter cake was washed with 2×200 mL of ether. This resulted in 7.5 g (50%) of 2-hydroxynicotinonitrile hydrobromide as a yellow solid.
- Into a 1000-mL 3-necked round-bottom flask was placed a solution of 2-hydroxynicotinonitrile hydrobromide (100 g, 500.00 mmol, 1.00 equiv) in acetic anhydride (250 mL). This was followed by the addition of a solution of fuming nitric acid (35 mL) in acetic anhydride (65 mL) dropwise with stirring at 0° C. The resulting solution was stirred for 30 min at room temperature, then quenched by the addition of 500 mL of ether. The isolated solid was collected by filtration and washed with 3×50 mL of ether. This resulted in 39 g (47%) of 2-hydroxy-5-nitronicotinonitrile as a yellow solid.
- Into a 1000-mL round-bottom flask were placed 2-hydroxy-5-nitronicotinonitrile (40 g, 242.42 mmol, 1.00 equiv), POCl3 (845 g) and PCl5 (141 g, 677.88 mmol, 2.80 equiv). The resulting solution was heated to reflux for 3 h. The reaction mixture was cooled and quenched by the addition of 2000 mL of water/ice.
- The pH value of the solution was adjusted to 8 with potassium carbonate solution, then it was extracted with 3×200 mL of dichloromethane. The organic layers were combined, dried and concentrated under vacuum. This resulted in 40 g (90%) of 2-chloro-5-nitronicotinonitrile as a yellow solid.
- Into a 1000-mL 4-necked round-bottom flask were placed a solution of 2-chloro-5-nitronicotinonitrile (40 g, 218.58 mmol, 1.00 equiv) in tetrahydrofuran (500 mL) and potassium carbonate (39.2 g, 284.06 mmol, 1.30 equiv). The resulting mixture was stirred for 30 min at 60° C., then added phenylmethanethiol (30 g, 241.94 mmol, 1.10 equiv) dropwise. The resulting solution was then heated to reflux overnight. The resulting mixture was cooled and concentrated under vacuum. The residue was applied onto a silica gel column and eluted with ethyl acetate/petroleum ether (1:50-1:10). This resulted in 43 g (73%) of 2-(benzylthio)-5-nitronicotinonitrile as a yellow solid.
- Into a 2000-mL 4-necked round-bottom flask were placed a solution of 2-(benzylthio)-5-nitronicotinonitrile (50 g, 184.50 mmol, 1.00 equiv) in ethanol (1000 mL) and Fe (103 g, 1.84 mol, 10.00 equiv). This was followed by the addition of AcOH (66.4 g, 1.11 mol, 6.00 equiv) dropwise with stirring. The resulting solution was heated to reflux for 5 h. The reaction mixture was cooled and filtered. The filtrate was concentrated under vacuum. The residue was applied onto a silica gel column and eluted with dichloromethane/methanol (100:1). This resulted in 36 g (81%) of 5-amino-2-(benzylthio)nicotinonitrile as a yellow solid.
- Into a 500-mL round-bottom flask was placed a solution of 5-amino-2-(benzylthio)nicotinonitrile (24 g, 99.59 mmol, 1.00 equiv) in pyridine (250 mL). This was followed by the addition of methyl carbonochloridate (10.3 g, 109.57 mmol, 1.10 equiv) dropwise with stirring at 0° C. The resulting solution was stirred for 1 h at room temperature, then it was concentrated under vacuum. The residue was diluted with 200 ml, of water. The resulting solution was extracted with 3×100 mL of ethyl acetate. The organic layers were combined, dried and concentrated under vacuum. The residue was applied onto a silica gel column and eluted with ethyl acetate/petroleum ether (1:20-1:5). This resulted in 25 g (84%) of methyl 6-(benzylthio)-5-cyanopyridin-3-ylcarbamate as a yellow solid.
- Chlorine gas was bubbled slowly into a solution of methyl 6-(benzylthio)-5-cyanopyridin-3-ylcarbamate (5 g, 16.72 mmol, 1.00 equiv) in dichloromethane (75 mL) and water (25 mL) at 0° C. for 5 minutes. The resulting solution was stirred for 15 min at 0° C. The separated organic layer was dried over anhydrous sodium sulfate and concentrated under vacuum. This resulted in 4.8 g (crude) of methyl 6-(chlorosulfonyl)-5-cyanopyridin-3-ylcarbamate as a yellow solid.
- Into a 250-mL round-bottom flask were placed a solution of 6-aminobenzo[c][1,2]oxaborol-1(3H)-ol (2.98 g, 20.00 mmol, 1.00 equiv) in CH3CN (50 mL) and potassium carbonate (11.1 g, 80.43 mmol, 4.00 equiv). This was followed by the addition of a solution of methyl 6-(chlorosulfonyl)-5-cyanopyridin-3-ylcarbamate (6.6 g, 23.91 mmol, 1.20 equiv) in CH3CN (10 mL) dropwise with stirring at 0° C. The resulting solution was stirred for 1 h at room temperature, then it was concentrated under vacuum. The residue was adjusted to pH 4-6 with HCl (10%), then extracted with 3×50 mL of ethyl acetate. The organic layers were combined, dried and concentrated under vacuum. The residue was applied onto a silica gel column and eluted with dichloromethane/methanol (100:1-50:1). This resulted in 5 g (64%) of the title compound as a yellow solid.
- A mixture of methyl 5-cyano-6-(N-(1-hydroxy-1,3-dihydrobenzo[c][1,2]oxaborol-6-yl)sulfamoyl)pyridin-3-ylcarbamate (3 g, 7.73 mmol, 1.00 equiv) and Raney Ni (6 g, 103.45 mmol, 13.38 equiv) in NH3 solution (2M in methanol, 100 mL) was stirred for 3 h at room temperature under a hydrogen atmosphere. The solid was filtered out. The filtrate was concentrated under vacuum. The residue was applied onto a silica gel column and eluted with dichloromethane/methanol (20:1-5:1). This resulted in 1.8 g (59%) of the title compound as a yellow solid.
- Into a 100-mL round-bottom flask was placed a solution of methyl 5-(aminomethyl)-6-(N-(1-hydroxy-1,3-dihydrobenzo[c][1,2]oxaborol-6-yl)sulfamoyl)pyridin-3-ylcarbamate (600 mg, 1.53 mmol, 1.00 equiv) in ethanol (10 mL), then added a solution of potassium hydroxide (171 mg, 3.05 mmol, 2.00 equiv) in water (10 mL). The resulting solution was stirred for 1 h at 90° C. The reaction mixture was cooled and adjusted to pH 7 with HCl (10%). The resulting mixture was concentrated under vacuum. This resulted in 500 mg (crude) of 5-amino-3-(aminomethyl)-N-(1-hydroxy-1,3-dihydrobenzo[c][1,2]oxaborol-6-yl)pyridine-2-sulfonamide as a yellow solid.
- Into a 50-mL round-bottom flask was placed a solution of 5-amino-3-(aminomethyl)-N-(1-hydroxy-1,3-dihydrobenzo[c][1,2]oxaborol-6-yl)pyridine-2-sulfonamide (300 mg, 0.90 mmol, 1.00 equiv) and Boc2O (392 mg, 1.80 mmol, 2.00 equiv) in methanol (10 mL), then added a solution of potassium carbonate (211 mg, 1.53 mmol, 2.00 equiv) in water (20 mL). The resulting solution was stirred for 2 h at room temperature. Then it was adjusted to pH 7 with HCl (10%). The resulting solution was extracted with 3×20 mL of ethyl acetate. The organic layers were combined, dried and concentrated under vacuum. The residue was applied onto a silica gel column and eluted with ethyl acetate/petroleum ether (20:1-5:1). This resulted in 301 mg (75%) of the title compound as a yellow solid.
- HCl gas was bubbled slowly into a solution of tert-butyl (5-amino-2-(N-(1-hydroxy-1,3-dihydrobenzo[c][1,2]oxaborol-6-yl)sulfamoyl)pyridin-3-yl)methylcarbamate (300 mg, 0.69 mmol, 1.00 equiv) in methanol (30 mL) for 30 min at room temperature. The resulting mixture was concentrated under vacuum. The residue was washed with 1×20 mL of ether. This resulted in 126 mg (47%) of the title compound as a yellow solid. LC-MS-(ES, m/z): 335 [M+H]+. 1H-NMR-(300 MHz, DMSO-d6, ppm): 4.165-4.355 (m, 4H), 4.888 (s, 2H), 6.952-6.960 (d, J=2.4 Hz, 1H), 7.086 (s, 1H), 7.249-7.253 (d, J=1.2 Hz, 2H), 7.425 (s, 1H), 7.532 (s, 1H), 7.840-7.848 (d, J=2.4 Hz, 1H), 8.414 (s, 2H), 10.365 (s, 1H).
-
- Into a 50-mL round-bottom flask was placed a solution of 5-amino-3-(aminomethyl)-N-(1-hydroxy-1,3-dihydrobenzo[c][1,2]oxaborol-6-yl)pyridine-2-sulfonamide (300 mg, 0.90 mmol, 1.00 equiv) and Boc2O (392 mg, 1.80 mmol, 2.00 equiv) in methanol (10 mL), then added a solution of potassium carbonate (211 mg, 1.53 mmol, 2.00 equiv) in water (20 mL). After stirred for 2 h at room temperature, the reaction mixture was adjusted to pH 7 with HCl (10%). The resulting solution was extracted with 3×20 mL of ethyl acetate. The organic layers were combined, dried and concentrated under vacuum. The residue was applied onto a silica gel column and eluted with ethyl acetate/petroleum ether (20:1-5:1). This resulted in 301 mg (75%) of the title compound as a yellow solid. LC-MS-(ES, m/z): 435 [M+H]+. 1H-NMR-(300 MHz, DMSO-d6, ppm): 1.418 (m, 9H), 4.405-4.427 (d, J=6.6 Hz, 2H), 4.877 (s, 1H), 6.205 (s, 2H), 6.838 (s, 1H), 7.237 (s, 3H), 7.499 (s, 1H), 7.703-7.711 (d, J=2.4 Hz, 1H), 9.185 (s, 1H), 10.220 (s, 1H).
-
- Into a 50-mL round-bottom flask were placed a solution of methyl 2-(N-(1-hydroxy-1,3-dihydrobenzo[c][1,2]oxaborol-6-yl)sulfamoyl)-5-(2,2,2-trifluoroacetamido)nicotinate (100 mg, 0.22 mmol, 1.00 equiv) in tetrahydrofuran/H2O (1:1, 20 mL) and lithium hydroxide hydrate (91 mg, 2.17 mmol, 10.00 equiv). The resulting solution was stirred overnight at room temperature. The reaction progress was monitored by LCMS. The resulting solution was washed with 20 mL of ethyl acetate. The aqueous layer was adjusted to pH 5-6 with HCl (4 mol/L). The resulting solution was extracted with 3×20 mL of ethyl acetate. The organic layer was dried over anhydrous sodium sulfate and concentrated under vacuum. The crude product was purified by re-crystallization from ethyl ether. This resulted in 30 mg (39.5%) of the title compound as a yellow solid. LC-MS-(ES, m/z): 350 [M+H]+. 1H-NMR-(300 MHz, DMSO-d6, ppm): 13.38 (s, 1H), 10.15 (s, 1H), 9.17 (s, 1H), 7.88-7.87 (d, J=2.4 Hz, 1H), 7.48-7.47 (d, J=1.2 Hz, 1H), 7.28-7.20 (m, 2H), 6.94-6.93 (d, J=2.7 Hz, 1H), 6.32 (s, 2H), 4.87 (s, 2H).
-
- A solution of 2-hydroxy-5-nitrobenzoic acid (6.5 g, 35.52 mmol, 1.00 equiv) in phosphoryl trichloride (112.4 g, 739.47 mmol, 20.82 equiv) was stirred for 4 h at 120° C. in an oil bath. The resulting mixture was cooled and concentrated under vacuum. The residue was diluted with 20 mL of THF, then added dropwise to 50 mL of water/ice. The resulting solution was adjusted to pH 4-5 with saturated NaHCO3 solution, followed by extraction with 3×30 mL of tetrahydrofuran/Et2O (1:2). The organic layers were combined, dried over anhydrous sodium sulfate and concentrated under vacuum. This resulted in 4.5 g (63%) of 2-chloro-5-nitronicotinic acid as a yellow solid.
- Into a 500-mL round-bottom flask were placed a solution of phenylmethanethiol (3 g, 24.19 mmol, 1.08 equiv) in tetrahydrofuran (200 mL) and potassium carbonate (7 g, 50.72 mmol, 2.27 equiv). The resulting solution was stirred for 30 min at room temperature. This was followed by the addition of 2-chloro-5-nitrobenzoic acid (4.5 g, 22.39 mmol, 1.00 equiv) in several batches. The resulting solution was heated to reflux overnight in an oil bath. The reaction mixture was cooled and concentrated under vacuum. The residue was diluted with 100 mL of water and adjusted to pH 5-6 with HCl (4 mol/L). The resulting solution was extracted with 2×200 mL of ethyl acetate. The organic layers were combined, dried over anhydrous sodium sulfate and concentrated under vacuum. This resulted in 5.7 g (88%) of 2-(benzylthio)-5-nitrobenzoic acid as a yellow solid.
- Into a 250-mL round-bottom flask was placed a solution of 2-(benzylthio)-5-nitronicotinic acid (5.7 g, 19.66 mmol, 1.00 equiv) in methanol (100 mL), then added sulfuryl dichloride (28 g, 235.29 mmol, 11.97 equiv). The resulting solution was heated to reflux overnight in an oil bath. The reaction mixture was cooled to room temperature with an ice water bath. The isolated solid was collected by filtration. This resulted in 4 g (67%) of methyl 2-(benzylthio)-5-nitronicotinate as a yellow solid.
- Into a 250-mL round-bottom flask were placed a solution of methyl 2-(benzylthio)-5-nitronicotinate (4 g, 13.16 mmol, 1.00 equiv) in ethanol (100 mL) and iron (7.4 g, 132.14 mmol, 10.04 equiv), then added acetic acid (4.7 g, 78.33 mmol, 5.95 equiv). The resulting mixture was heated to reflux for 30 min in an oil bath. The reaction mixture was cooled and filtered. The filter cake was washed with 3×50 mL of methanol. The filtrate was concentrated under vacuum. The residue was applied onto a silica gel column and eluted with ethyl acetate/petroleum ether (2:1). The collected fractions were combined and concentrated under vacuum. This resulted in 4.6 g (crude) of methyl 5-amino-2-(benzylthio) nicotinate as a brown oil.
- Into a 250-mL 3-necked round-bottom flask was placed a solution of methyl 5-amino-2-(benzylthio)nicotinate (3.6 g, 13.14 mmol, 1.00 equiv) in dichloromethane (60 mL) and TEA (2.6 g, 25.74 mmol, 1.96 equiv). This was followed by the addition of TFAA (4.1 g, 19.52 mmol, 1.49 equiv) dropwise with stirring at 0° C. The resulting solution was stirred for 2.5 h at room temperature. The reaction was then quenched by the addition of 50 mL of water. The resulting solution was extracted with 2×50 mL of dichloromethane. The organic layers were combined, dried and concentrated under vacuum. The residue was applied onto a silica gel column and eluted with ethyl acetate/petroleum ether (1:7). The collected fractions were combined and concentrated under vacuum. This resulted in 3.2 g (66%) of methyl 2-(benzylthio)-5-(2,2,2-trifluoroacetamido) nicotinate as a white solid.
- Chlorine gas was bubbled slowly into a solution of methyl 2-(benzylthio)-5-(2,2,2-trifluoroacetamido) nicotinate (3.2 g, 8.65 mmol, 1.00 equiv) in DCM/H2O (2:1, 40 mL) for 15 min. Excess chlorine gas was removed by bubbling nitrogen gas through the reaction solution for 15 minutes. The resulting solution was extracted with 2×50 mL of dichloromethane. The organic layers were combined, dried over anhydrous sodium sulfate and concentrated under vacuum. The crude product was directly used in the next step.
- Into a 50-mL 3-necked round-bottom flask were placed a solution of 6-aminobenzo[c][1,2]oxaborol-1(3H)-ol (1 g, 6.71 mmol, 0.93 equiv) in acetonitrile (20 mL) and potassium carbonate (3.7 g, 26.81 mmol, 3.72 equiv). This was followed by the addition of a solution of methyl 2-(chlorosulfonyl)-5-(2,2,2-trifluoroacetamido) nicotinate (2.5 g, 7.20 mmol, 1.00 equiv) in acetonitrile (5 mL) dropwise with stirring at 0° C. The resulting solution was stirred for 2 h at room temperature, then it was concentrated under vacuum. The residue was diluted with 50 mL of H2O, then it was adjusted to pH 5-6 with HCl (4 mol/L). The resulting solution was extracted with 2×100 mL of ethyl acetate. The organic layers were combined, dried over anhydrous sodium sulfate and concentrated under vacuum. The residue was applied onto a silica gel column and eluted with ethyl acetate/petroleum ether (1:3). The collected fractions were combined and concentrated under vacuum. This resulted in 2.3 g (70%) of the title compound as a yellow solid.
- Into a 100-mL round-bottom flask was placed a solution of methyl 2-(N-(1-hydroxy-1,3-dihydrobenzo[c][1,2]oxaborol-6-yl)sulfamoyl)-5-(2,2,2-trifluoroacetamido)nicotinate (500 mg, 1.09 mmol, 1.00 equiv) in ethanol (40 mL), then added a solution of ethanamine in H2O (70% wt, 2 mL). The resulting solution was heated to reflux for 30 min in an oil bath. The reaction progress was monitored by LC-MS. Once reaction was completed, the reaction mixture was cooled and concentrated under vacuum. The crude product (300 mg) was purified by Prep-HPLC with the following conditions: Column, SunFire Prep C18, Sum, 19×150 mm; Mobile phase, water (with 0.1% formic acid) and CH3CN; Gradient, 25% CH3CN up to 35% in 4 min, up to 100% in 1.5 min; Detector, UV 220 & 254 nm. This resulted in 0.12 g (29%) of the title compound as a light yellow solid. LC-MS-(ES, m/z): 377 [M+H]+. 1H-NMR-(300 MHz, DMSO-d6, ppm): 9.75 (s, 1H), 9.17 (s, 1H), 8.37-8.33 (t, J=5.4 Hz, 1H), 7.83-7.82 (d, J=2.4 Hz, 1H), 7.48 (s, 1H), 7.31-7.21 (m, 2H), 6.83-6.82 (d, J=1.8 Hz, 1H), 6.27 (s, 2H), 4.88 (s, 2H), 3.28-3.19 (m, 2H), 2.52-2.51 (t, J=1.8 Hz, 3H).
-
- Into a 250-mL round-bottom flask was placed a solution of 5-amino-2-(benzylthio)nicotinonitrile (3.5 g, 14.52 mmol, 1.00 equiv) in dichloromethane (50 mL) and TEA (3 g, 29.70 mmol, 2.05 equiv). This was followed by the addition of trifluoroacetic anhydride (4.8 g, 22.86 mmol, 1.57 equiv) dropwise with stirring at 0° C. After stirred for 1 h at room temperature, the resulting mixture was diluted with 20 ml, of water. The separated organic layer was dried over anhydrous sodium sulfate and concentrated under vacuum. The residue was applied onto a silica gel column and eluted with ethyl acetate/petroleum ether (1:20). This resulted in 4 g (82%) of N-(6-(benzylthio)-5-cyanopyridin-3-yl)-2,2,2-trifluoroacetamide as a yellow solid.
- Chlorine gas was bubbled into a solution of N-(6-(benzylthio)-5-cyanopyridin-3-yl)-2,2,2-trifluoroacetamide (4 g, 11.87 mmol, 1.00 equiv) in dichloromethane (100 mL) and water (20 mL) for 15 min. Then nitrogen is bubbled through the reaction mixture for 30 min. The organic layer was dried over anhydrous sodium sulfate and concentrated under vacuum. This resulted in 4 g of 3-cyano-5-(2,2,2-trifluoroacetamido) pyridine-2-sulfonyl chloride as light red oil.
- Into a 250-mL 3-necked round-bottom flask were placed a solution of 6-aminobenzo[c][1,2]oxaborol-1(3H)-ol (1.5 g, 10.07 mmol, 0.88 equiv) in acetonitrile (50 mL) and potassium carbonate (6.5 g, 47.10 mmol, 4.11 equiv). This was followed by the addition of a solution of 3-cyano-5-(2,2,2-trifluoroacetamido) pyridine-2-sulfonyl chloride (4 g, 11.46 mmol, 1.00 equiv, 90%) in acetonitrile (40 mL) dropwise with stirring at 0° C. The resulting solution was stirred for 30 min at room temperature, then it was diluted with 30 mL of water. The resulting solution was extracted with 3×50 ml, of ethyl acetate. The organic layers were combined, dried over anhydrous sodium sulfate and concentrated under vacuum. The residue was applied onto a silica gel column and eluted with ethyl acetate/petroleum ether (1:51:1). This resulted in 2.6 g (51%) of the title compound as a yellow solid.
- Into a 100-mL round-bottom flask were placed a solution of N-(5-cyano-6-(N-(1-hydroxy-1,3-dihydrobenzo[c][1,2]oxaborol-6-yl)sulfamoyl)pyridin-3-yl)-2,2,2-trifluoroacetamide (500 mg, 1.12 mmol, 1.00 equiv, 95%) in ethanol (50 mL), acetohydrazide (870 mg, 11.76 mmol, 10.54 equiv) and EtONa (240 mg, 3.53 mmol, 3.17 equiv). The resulting solution was heated to reflux for 3 days. The reaction progress was monitored by LC-MS. Once the reaction was completed, the resulting mixture was cooled and concentrated under vacuum. The residue was applied onto a silica gel column and eluted with dichloromethane/methanol (100:1). This resulted in 127.2 mg (29%) of 5-amino-N-(1-hydroxy-1,3-dihydrobenzo[c][1,2]oxaborol-6-yl)-3-(5-methyl-4H-1,2,4-triazol-3-yl)pyridine-2-sulfonamide as a light yellow solid. LC-MS (ES, m/z): 387 [M+H]+. 1H-NMR—(300 MHz, DMSO-d6, ppm): 14.053 (s, 1H), 10.355 (s, 1H), 9.188 (s, 1H), 7.816 (s, 1H), 7.518 (s, 1H), 7.282-7.261 (d, 3H), 6.274 (s, 2H), 4.893 (s, 2H).
-
- Into a 250-mL round-bottom flask was placed 2-hydroxy-5-nitrobenzoic acid (15 g, 81.97 mmol, 1.00 equiv), then added phosphoryl trichloride (90.9 g, 598.03 mmol, 7.30 equiv). The resulting solution was heated to reflux for 4 h in an oil bath. The resulting mixture was cooled and concentrated under vacuum. The residue was diluted with 20 mL of tetrahydrofuran, then quenched by the addition of 50 mL of water/ice. The pH value of the solution was adjusted to 4-5 with saturated NaHCO3 solution. The resulting solution was extracted with 3×30 mL of tetrahydrofuran/Et2O (1:2). The organic layers were combined, dried over anhydrous sodium sulfate and concentrated under vacuum. This resulted in 8.6 g (52%) of 2-chloro-5-nitrobenzoic acid as a yellow solid.
- Into a 500-mL round-bottom flask was placed a solution of phenylmethanethiol (7 g, 56.45 mmol, 1.33 equiv) in tetrahydrofuran (200 mL), then added potassium carbonate (13.5 g, 97.83 mmol, 2.31 equiv). The reaction mixture was stirred for 30 min at room temperature. This was followed by the addition of 2-chloro-5-nitrobenzoic acid (8.6 g, 42.36 mmol, 1.00 equiv) in several batches. The resulting solution was heated to reflux overnight in an oil bath. The resulting mixture was cooled and concentrated under vacuum. The residue was diluted with 100 mL of water and was adjusted to pH 5-6 with HCl (4 mol/L). The resulting solution was extracted with 2×200 mL of ethyl acetate. The organic layers were combined, dried over anhydrous sodium sulfate and concentrated under vacuum. This resulted in 10 g (81%) of 2-(benzylthio)-5-nitrobenzoic acid as a brown solid.
- Into a 250-mL round-bottom flask were placed 2-(benzylthio)-5-nitronicotinic acid (8 g, 27.59 mmol, 1.00 equiv), acetohydrazide (10.2 g, 137.84 mmol, 5.00 equiv) and phosphoryl trichloride (85.2 mL). The resulting solution was heated to reflux for 2 h in an oil bath. The resulting mixture was cooled and concentrated under vacuum. The residue was diluted with 50 mL of tetrahydrofuran, then quenched by the addition of 150 mL of water/ice. The pH value of the solution was adjusted to 9-10 with saturated NaHCO3 solution. The resulting solution was extracted with 2×100 mL of ethyl acetate. The organic layers were combined, dried and concentrated under vacuum. The residue was applied onto a silica gel column and eluted with ethyl acetate/petroleum ether (1:6). The collected fractions were combined and concentrated under vacuum. This resulted in 4 g (44%) of 2-(2-(benzylthio)-5-nitropyridin-3-yl)-5-methyl-1,3,4-oxadiazole as a yellow solid.
- Into a 500-mL round-bottom flask were placed a solution of 2-(2-(benzylthio)-5-nitropyridin-3-yl)-5-methyl-1,3,4-oxadiazole (4 g, 12.20 mmol, 1.00 equiv) in ethanol (150 mL) and iron (6.8 g, 121.43 mmol, 9.96 equiv). This was followed by the addition of a solution of acetic acid (4.4 g, 73.33 mmol, 6.01 equiv) in ethanol (50 mL) dropwise while the reaction mixture was heated to reflux. The resulting solution was refluxed for 30 min in an oil bath, then it was cooled. The solid was filtered out. The filtrate was concentrated under vacuum. The residue was applied onto a silica gel column and eluted with dichloromethane/methanol (1:10). The collected fractions were combined and concentrated under vacuum. This resulted in 1.6 g (44%) of 6-(benzylthio)-5-(5-methyl-1,3,4-oxadiazol-2-yl)pyridin-3-amine as a brown solid.
- Into a 50-mL 3-necked round-bottom flask was placed a solution of 6-(benzylthio)-5-(5-methyl-1,3,4-oxadiazol-2-yl)pyridin-3-amine (850 mg, 2.85 mmol, 1.00 equiv) in DCM/H2O (2:1, 30 mL). This was followed by the addition of dichloromethane saturated with chlorine gas (15 mL) dropwise with stirring at 0° C. After stirred for 30 minutes at 0° C. in a water/ice bath, the reaction mixture was diluted with DCM. The separated organic layer was dried and concentrated under vacuum. The crude solid was directly used in the next step.
- Into a 50-mL 3-necked round-bottom flask were placed a solution of 6-aminobenzo[c][1,2]oxaborol-1(3H)-ol (350 mg, 2.35 mmol, 0.98 equiv) in acetonitrile (20 mL) and potassium carbonate (1.2 g, 8.70 mmol, 3.62 equiv). This was followed by the addition of a solution of 5-amino-3-(5-methyl-1,3,4-oxadiazol-2-yl)pyridine-2-sulfonyl chloride (660 mg, 2.40 mmol, 1.00 equiv, crude) in acetonitrile (5 mL) dropwise with stirring at 0° C. The resulting solution was stirred for 2 h at room temperature. The reaction progress was monitored by LC-MS. The resulting mixture was concentrated under vacuum. The residue was diluted with 50 mL of H2O, then adjusted to pH 5-6 with HCl (4 mol/L). The resulting solution was extracted with 2×100 mL of ethyl acetate. The organic layers were combined, dried over anhydrous sodium sulfate and concentrated under vacuum. The crude product (300 mg) was purified by Prep-HPLC with the following conditions: Column, SunFire Prep C18, Sum, 19×100 mm; Mobile phase, water (with 0.1% formic acid) and CH3CN; Gradient, 20% CH3CN up to 40% in 6 min; Detector, UV 254 nm. This resulted in 120 mg (13%) of 5-amino-N-(1-hydroxy-1,3-dihydrobenzo[c][1,2]oxaborol-6-yl)-3-(5-methyl-1,3,4-oxadiazol-2-yl)pyridine-2-sulfonamide as a light-yellow solid. LC-MS-(ES, m/z): 388 [M+H]+. 1H-NMR-(300 MHz, DMSO-d6, ppm): 10.29 (s, 1H), 9.19 (s, 1H), 8.06-8.05 (d, J=2.4 Hz, 1H), 7.46 (s, 1H), 7.26-7.17 (m, 2H), 7.10-7.09 (d, J=2.7 Hz, 1H), 6.53 (s, 2H), 4.89 (s, 2H), 3.55 (s, 3H).
-
- Into a 100-mL round-bottom flask were placed a solution of N-(5-cyano-6-(N-(1-hydroxy-1,3-dihydrobenzo[c][1,2]oxaborol-6-yl)sulfamoyl)pyridin-3-yl)-2,2,2-trifluoroacetamide (2 g, 4.46 mmol, 1.00 equiv, 95%) in methanol (50 mL), NH2OH.HCl (1 g, 14.49 mmol, 3.25 equiv) and TEA (2 g, 19.80 mmol, 4.44 equiv). The resulting solution was stirred for 3 h at room temperature, then it was concentrated under vacuum. The residue was dissolved in 50 mL of EtOAc. The resulting mixture was washed with 1×20 mL of water. The organic layer was dried over anhydrous sodium sulfate and concentrated under vacuum. This resulted in 2.1 g (92%) of the title compound as a yellow solid.
- Into a 50-mL round-bottom flask was placed a solution of 2,2,2-trifluoro-N-(6-(N-(1-hydroxy-1,3-dihydrobenzo[c][1,2]oxaborol-6-yl)sulfamoyl)-5-(N-hydroxycarbamimidoyl)pyridin-3-yl)acetamide (2.1 g, 4.12 mmol, 1.00 equiv, 90%) in AcOH (30 mL) and acetic anhydride (1 g, 9.80 mmol, 2.38 equiv). The resulting solution was stirred for 4 h at 100° C. The resulting mixture was cooled and concentrated under vacuum. The residue was applied onto a silica gel column and eluted with dichloromethane/methanol (100:1). This resulted in 0.8 g (36%) of the title compound as a yellow solid.
- Into a 100-mL round-bottom flask were placed a solution of 2,2,2-trifluoro-N-(6-(N-(1-hydroxy-1,3-dihydrobenzo[c][1,2]oxaborol-6-yl)sulfamoyl)-5-(5-methyl-1,2,4-oxadiazol-3-yl)pyridin-3-yl)acetamide (400 mg, 0.75 mmol, 1.00 equiv, 90%) in methanol/H2O (50:1, 50 mL) and potassium carbonate (200 mg, 1.45 mmol, 1.94 equiv). The resulting solution was stirred for 4 days at room temperature. The reaction progress was monitored by LC-MS. Once reaction was completed, the reaction mixture was adjusted to pH 7 with AcOH. The resulting mixture was concentrated under vacuum. The crude product (200 mg) was purified by Prep-HPLC with the following conditions: Column, Atlantis T3, Sum, 19×150 mm; Mobile phase, water (with 0.05% TFA) and CH3CN; Gradient, 20% CH3CN up to 23% in 3 min, hold at 23% for 9 min, up to 100% in 0.1 min, hold at 100% for 1.9 min; Detector, UV 220 nm. This resulted in 70.2 mg (24%) of the title compound as a white solid. LC-MS-(ES, m/z): 388 [M+H]+. 1H-NMR— (300 MHz, DMSO-d6, ppm): 10.109 (s, 1H), 9.115 (s, 1H), 8.011 (s, 1H), 7.470 (s, 1H), 7.229 (s, 2H), 7.006 (s, 1H), 6.441 (s, 2H), 4.887 (s, 2H), 2.693 (s, 3H).
-
- Into a 250-mL round-bottom flask was placed a solution of phenylmethanethiol (7.1 g, 57.26 mmol, 1.10 equiv) in tetrahydrofuran (40 mL) and potassium carbonate (9.34 g, 67.68 mmol, 1.30 equiv). The resulting solution was stirred for 30 min at 60° C. in an oil bath. This was followed by the addition of a solution of 2,3-dichloro-5-nitropyridine (10 g, 52.08 mmol, 1.00 equiv) in tetrahydrofuran (20 mL) dropwise with stirring. The resulting solution was refluxed for an additional 4 h. The reaction mixture was then cooled and quenched by the addition of 30 mL of water. The resulting solution was extracted with 50 mL of ethyl acetate. The organic layers were combined, washed with brine, dried and concentrated under vacuum. This resulted in 14.6 g (95%) of 2-(benzylthio)-3-chloro-5-nitropyridine as a brown solid.
- Into a 250-mL round-bottom flask were placed a solution of 2-(benzylthio)-3-chloro-5-nitropyridine (7 g, 25.00 mmol, 1.00 equiv) in ethanol (140 mL) and water (35 mL), Fe (14 g, 250.00 mmol, 10.00 equiv) and HCl (3.5 mL). The resulting mixture was heated to reflux for 2 h in an oil bath. The reaction mixture was cooled and filtered. The filtrate was concentrated under vacuum. The residue was diluted with water and adjusted to
pH 8 with sodium hydroxide solution (20%). The resulting solution was extracted with 3×50 mL of dichloromethane. The organic layers were combined, dried over anhydrous sodium sulfate and concentrated under vacuum. This resulted in 6 g (92%) of 6-(benzylthio)-5-chloropyridin-3-amine as red oil. - To a 100-mL round-bottom flask was added a solution of 6-(benzylthio)-5-chloropyridin-3-amine (6 g, 24.00 mmol, 1.00 equiv) in tetrahydrofuran (60 mL) and triethylamine (3.6 g, 35.64 mmol, 1.50 equiv). The resulting solution was stirred for 10 min. Then acetic anhydride (3.7 g, 36.27 mmol, 1.50 equiv) was added. The resulting solution was stirred for 7 h at room temperature. The reaction was then quenched by the addition of 5 mL of HCl (2M). The resulting solution was extracted with 3×50 mL of ethyl acetate. The organic layers were combined, washed with brine, dried over anhydrous sodium sulfate and concentrated under vacuum. The residue was applied onto a silica gel column and eluted with ethyl acetate/petroleum ether (1:2). This resulted in 5.7 g (77%) of N-(6-(benzylthio)-5-chloropyridin-3-yl)acetamide as a yellow solid.
- A 250-mL 3-necked round-bottom flask was added a solution of N-(6-(benzylthio)-5-chloropyridin-3-yl)acetamide (2 g, 6.85 mmol, 1.00 equiv) in DCM (50 mL) and water (10 mL). The resulting solution was vigorously bubbled with Cl2 gas for 15 min at 0° C. The resulting solution was extracted with 2×30 mL of dichloromethane. The organic layers were combined, dried over anhydrous sodium sulfate and concentrated under vacuum. This resulted in 1.63 g (86%) of 5-acetamido-3-chloropyridine-2-sulfonyl chloride as a yellow solid.
- Into a 50-mL round-bottom flask were placed a solution of 6-aminobenzo[c][1,2]oxaborol-1(3H)-ol (200 mg, 1.34 mmol, 1.00 equiv) in CH3CN (10 mL), 5-acetamido-3-chloropyridine-2-sulfonyl chloride (400 mg, 1.49 mmol, 1.10 equiv) and potassium carbonate (648 mg, 4.70 mmol, 3.50 equiv). The resulting solution was stirred for 1 min at room temperature, then quenched by the addition of 10 mL of water. The pH value of the solution was adjusted to 6 with HCl. The resulting solution was extracted with 3×20 mL of ethyl acetate. The organic layers were combined, dried over anhydrous sodium sulfate and concentrated under vacuum. This resulted in 500 mg (98%) of N-{5-chloro-6-[(1-hydroxy-1,3-dihydro-2,1-benzoxaborol-6-yl)sulfamoyl]pyridin-3-yl}acetamide as a yellow solid.
- Into a 50-mL round-bottom flask was placed a solution of N-{5-chloro-6-[(1-hydroxy-1,3-dihydro-2,1-benzoxaborol-6-yl)sulfamoyl]pyridin-3-yl}acetamide (500 mg, 1.31 mmol, 1.00 equiv) in tetrahydrofuran (25 mL) and HCl (10%, 25 mL). The resulting solution was heated to reflux overnight. The resulting mixture was cooled and concentrated under vacuum. The crude product (500 mg) was purified by prep-HPLC with the following conditions: Column, SunFire C18, 19×150 mm, Sum; Mobile phase, water (with 0.05% TFA) and methanol; Gradient: 30% methanol up to 50% in 6 min, up to 100% in 1 min, down to 30% in 1 min; Detector, UV 254 nm and 220 nm. This resulted in 102 mg (23%) of 5-amino-3-chloro-N-(1-hydroxy-1,3-dihydrobenzo[c][1,2]oxaborol-6-yl)pyridine-2-sulfonamide as a white solid. LC-MS-(ES, m/z): 340 [M+H]+. 1H-NMR-(300 MHz, CD3OD, ppm): 7.78 (1H, d, J=2.4 Hz), 7.43 (1H, s), 7.30 (2H, m), 7.02 (1H, d, J=2.4 Hz), 4.99 (2H, s).
-
- Into a 250-mL round-bottom flask were placed a solution of phenylmethanethiol (2.89 g, 23.31 mmol, 1.10 equiv) in tetrahydrofuran (40 mL) and potassium carbonate (3.8 g, 27.54 mmol, 1.30 equiv). The resulting mixture was stirred for 30 min at 60° C., then added a solution of 3-bromo-2-chloro-5-nitropyridine (5 g, 21.19 mmol, 1.00 equiv) in tetrahydrofuran (20 mL) dropwise with stirring. The resulting solution was refluxed overnight, then cooled and quenched by the addition of 30 mL of water. The resulting solution was extracted with 50 mL of ethyl acetate. The organic layers were combined, washed with brine, dried and concentrated under vacuum. This resulted in 6 g (83%) of 2-(benzylthio)-3-bromo-5-nitropyridine as a yellow solid.
- Into a 250-mL round-bottom flask were placed a solution of 2-(benzylthio)-3-bromo-5-nitropyridine (6 g, 18.52 mmol, 1.00 equiv) in ethanol (120 mL) and water (30 mL), Fe (10.3 g, 183.93 mmol, 10.00 equiv) and HCl (2.5 mL, 1.00 equiv). The resulting mixture was heated to reflux for 2 h in an oil bath. The reaction mixture was cooled and filtered. The filtrate was concentrated under vacuum to remove most of EtOH. The residual solution was adjusted to
pH 8 with sodium hydroxide solution (20%). The resulting solution was extracted with 3×50 mL of dichloromethane. The organic layers were combined, dried over anhydrous sodium sulfate and concentrated under vacuum. This resulted in 4.2 g (74%) of 6-(benzylthio)-5-bromopyridin-3-amine as a red oil. - To a 100-mL round-bottom flask was added a solution of 6-(benzylthio)-5-bromopyridin-3-amine (4.2 g, 14.29 mmol, 1.00 equiv) in tetrahydrofuran (42 mL) and triethylamine (2.15 g, 21.29 mmol, 1.50 equiv), then added acetic anhydride (2.17 g, 21.27 mmol, 1.50 equiv) at 0° C. The resulting solution was stirred for 7 h at room temperature, then quenched by the addition of 5 mL of HCl (2M). The resulting solution was extracted with 3×50 mL of ethyl acetate. The organic layers were combined, washed with brine, dried over anhydrous sodium sulfate and concentrated under vacuum. The residue was applied onto a silica gel column and eluted with ethyl acetate/petroleum ether (1:2). This resulted in 4.1 g (81%) of N-(6-(benzylthio)-5-bromopyridin-3-yl)acetamide as a yellow solid.
- Cl2 gas was bubbled into a solution of N-(6-(benzylthio)-5-bromopyridin-3-yl)acetamide (1.5 g, 4.46 mmol, 1.00 equiv) in DCM 37.5 mL) and water (7.5 mL) for 15 min at 0° C. The resulting solution was extracted with 2×30 mL of dichloromethane. The organic layers were combined, dried over anhydrous sodium sulfate and concentrated under vacuum. This resulted in 1.5 g(crude) of 5-acetamido-3-bromopyridine-2-sulfonyl chloride as a yellow solid.
- Into a 50-mL round-bottom flask was placed a solution of 6-aminobenzo[c][1,2]oxaborol-1(3H)-ol (200 mg, 1.34 mmol, 1.00 equiv) in CH3CN (20 mL), 5-acetamido-3-bromopyridine-2-sulfonyl chloride (460 mg, 1.47 mmol, 1.10 equiv) and potassium carbonate (648 mg, 4.70 mmol, 3.50 equiv). The resulting solution was stirred for 30 min at room temperature, then quenched by the addition of 10 mL of water. The pH value of the solution was adjusted to 6 with HCl. The resulting solution was extracted with 3×20 mL of ethyl acetate. The organic layers were combined, dried over anhydrous sodium sulfate and concentrated under vacuum. This resulted in 500 mg (crude) of N-{5-bromo-6-[(1-hydroxy-1,3-dihydro-2,1-benzoxaborol-6-yl)sulfamoyl]pyridin-3-yl}acetamide as a red oil.
- A solution of N-{5-bromo-6-[(1-hydroxy-1,3-dihydro-2,1-benzoxaborol-6-yl)sulfamoyl]pyridin-3-yl}acetamide (500 mg, 1.18 mmol, 1.00 equiv) in tetrahydrofuran (25 mL) and HCl (10%, 25 mL) was heated to reflux overnight in an oil bath. The resulting solution was cooled and extracted with 3×25 mL of ethyl acetate. The organic layers were combined, dried over anhydrous calcium chloride and concentrated under vacuum. The crude product (350 mg) was purified by prep-HPLC with the following conditions: Column, SunFire C18, 19×150 mm, 5 um; Mobile phase, water (with 0.1% formic acid) and methanol; Gradient, 30% methanol up to 80% in 8 min; Detector, UV 254 nm. This resulted in 200 mg (43%) of 5-amino-3-bromo-N-(1-hydroxy-1,3-dihydrobenzo[c][1,2]oxaborol-6-yl)pyridine-2-sulfonamide as a light yellow solid. LC-MS (ES, m/z): 386 [M+H]+. 1H-NMR (DMSO-d6, 300 MHz, ppm): 10.31 (1H, s), 9.21 (1H, s), 7.81 (1H, d, J=2.1 Hz), 7.51 (1H, s), 7.22 (3H, m), 6.37 (2H, s), 4.88 (2H, s).
-
- Into a 50-mL round-bottom flask was placed a solution of N-(5-(benzylthio)-4-chloropyridin-2-yl)acetamide (2.8 g, 9.59 mmol, 1.00 equiv) in DMSO (10 mL), KF (4 g, 68.97 mmol, 7.19 equiv) and Me4NCl (50 mg). The resulting solution was stirred for 4 days at 130° C. in an oil bath. The reaction mixture was then cooled and quenched by the addition of 20 mL of water. The resulting solution was extracted with 3×20 mL of ethyl acetate. The organic layers were combined, dried over anhydrous sodium sulfate and concentrated under vacuum. The residue was applied onto a silica gel column and eluted with ethyl acetate/hexane (1/15˜1/5). This resulted in 0.3 g (crude) of N-(5-(benzylthio)-4-fluoropyridin-2-yl)acetamide as a white solid.
- Chlorine gas was bubbled slowly into a solution of N-(5-(benzylthio)-4-fluoropyridin-2-yl)acetamide (160 mg, 0.58 mmol, 1.00 equiv) in dichloromethane (5 mL) and water (1 mL) cooled at 0° C. in an ice bath for 10 min. The reaction mixture was then bubbled with nitrogen for 30 min. The reaction was then quenched by the addition of 5 mL of water. The resulting solution was extracted with 2×10 mL of dichloromethane. The organic layers were combined, dried over anhydrous sodium sulfate and concentrated under vacuum. This resulted in 100 mg (crude) of 6-acetamido-4-fluoropyridine-3-sulfonyl chloride as a yellow solid.
- Into a 50-mL 3-necked round-bottom flask was placed a solution of 6-acetamido-4-fluoropyridine-3-sulfonyl chloride (100 mg, 0.40 mmol, 1.00 equiv) in CH3CN (10 mL), then added 6-aminobenzo[c][1,2]oxaborol-1(3H)-ol (86 mg, 0.58 mmol, 1.00 equiv) and potassium carbonate (320 mg, 2.32 mmol, 4.00 equiv). The resulting mixture was stirred for 1 h at 0° C. in an ice/salt bath. The pH value of the solution was adjusted to 6 with HCl (10%), followed by extraction with 3×10 mL of ethyl acetate. The organic layers were combined, dried over anhydrous sodium sulfate and concentrated under vacuum. The residue was applied onto a silica gel column and eluted with DCM/MeOH (1:20). This resulted in 0.05 g (32%) of N-(4-fluoro-5-(N-(1-hydroxy-1,3-dihydrobenzo[c][1,2]oxaborol-6-yl)sulfamoyl)pyridin-2-yl)acetamide as a white solid.
- A solution of N-(4-fluoro-5-(N-(1-hydroxy-1,3-dihydrobenzo[c][1,2]oxaborol-6-yl)sulfamoyl)pyridin-2-yl)acetamide (200 mg, 0.55 mmol, 1.00 equiv) in tetrahydrofuran (5 mL) and HCl (5 mL, 35%) was stirred for 1.5 h at 60° C. in an oil bath. The resulting mixture was cooled and concentrated under vacuum. The residue was purified by preparative-HPLC with the following conditions: Column, SunFire Prep C18, 5 um, 19×100 mm; Mobile phase, water (with 0.1% formic acid) and CH3CN; Gradient, CH3CN starting from 20% and increasing to 28% in 6 min, then to 100% in 1 min, decreasing to 20% in 1 min; Detector, UV 220 nm. This resulted in 43.8 mg (25%) of 6-amino-4-fluoro-N-(1-hydroxy-1,3-dihydrobenzo[c][1,2]oxaborol-6-yl)pyridine-3-sulfonamide as a white solid. LC-MS-(ES, m/z): 324 [M+H]+. 1H-NMR (300 MHz, DMSO-d6, ppm): 4.886 (2H, s), 6.158-6.201 (1H, d, J=12.9 Hz), 7.15-7.21 (3H, m), 7.26-7.30 (1H, m), 7.492-7.498 (1H, d, J=1.8 Hz), 8.188-8.225 (1H, d, J=11.1 Hz), 9.237 (1H, s), 10.306 (1H, s).
-
- Into a 100-mL round-bottom flask were placed a solution of 4-chloropyridin-2-amine (5.9 g, 46.09 mmol, 1.00 equiv) in N,N-dimethylformamide (30 mL) and NIS (13.35 g, 59.33 mmol, 1.30 equiv). The resulting solution was stirred overnight at room temperature, then quenched by the addition of 10 mL of Na2S2O3 solution. The resulting solution was extracted with 3×50 mL of ethyl acetate. The organic layers were combined, dried over anhydrous sodium sulfate and concentrated under vacuum. The crude product was re-crystallized from ether/hexane in the ratio of 1:1. This resulted in 11 g (crude) of 4-chloro-5-iodopyridin-2-amine as a yellow solid.
- Sodium (480 mg, 20.87 mmol, 1.50 equiv) was added to methanol (20 mL) in portions. The resulting solution was stirred for 1 hr at reflux. Then added Cu (360 mg, 5.62 mmol, 0.30 equiv), phenylmethanethiol (2.81 g, 22.66 mmol, 1.20 equiv) and 4-chloro-5-iodopyridin-2-amine (4.8 g, 18.90 mmol, 1.00 equiv). The resulting mixture was heated to reflux for an additional 6 h. The reaction mixture was then cooled and quenched by the addition of H2O. The resulting solution was extracted with 3×30 ml of ethyl acetate. The organic layers combined, dried and concentrated under vacuum. The residue was applied onto a silica gel column and eluted with EtOAc:PE (1/10). This resulted in 5 g (crude) of 5-(benzylthio)-4-chloropyridin-2-amine as a yellow solid.
- Into a 100-mL 3-necked round-bottom flask was placed a solution of 5-(benzylthio)-4-chloropyridin-2-amine (4.5 g, 18.00 mmol, 1.00 equiv) in acetic anhydride (9.6 g) and triethylamine (9.59 g, 94.95 mmol, 5.00 equiv). The resulting solution was stirred for 3 h at 60° C. in an oil bath. The resulting mixture was cooled and concentrated under vacuum. The residue was applied onto a silica gel column and eluted with ethyl acetate/petroleum ether (1/20). This resulted in 2 g (crude) of N-(5-(benzylthio)-4-chloropyridin-2-yl)acetamide as a white solid.
- Chlorine gas was bubbled slowly into a solution of N-(5-(benzylthio)-4-chloropyridin-2-yl)acetamide (1.07 g, 3.65 mmol, 1.00 equiv) in dichloromethane (25 mL) and water (5 mL) for 10 min at 0° C. in an ice/salt bath. The reaction mixture was then bubbled with nitrogen gas for 20 min and stirred for 10 min at 0° C. in an ice/salt bath. The resulting solution was diluted with water, followed by extraction with 2×50 mL of dichloromethane. The organic layers were combined, dried over anhydrous sodium sulfate and concentrated under vacuum. The crude product was used in the next step directly without further purification.
- Into a 100-mL 3-necked round-bottom flask purged and maintained with an inert atmosphere of nitrogen were placed 6-amino-3H-benzo[c][1,2]oxaborol-1-ol (546 mg, 3.66 mmol, 1.00 equiv), a solution of potassium carbonate (2.02 g, 14.64 mmol, 4.00 equiv) in CH3CN (20 mL) at 0° C. This was followed by the addition of 6-acetamido-4-chloropyridine-3-sulfonyl chloride (1 g, 3.72 mmol, 1.00 equiv). The resulting solution was stirred for 1 h at room temperature, then quenched by the addition of water. The pH value of the solution was adjusted to 6 with HCl (1M), then extracted with ethyl acetate. The organic layers were combined, dried over anhydrous sodium sulfate and concentrated under vacuum. The residue was applied onto a silica gel column and eluted with dichloromethane/methanol (1:20). This resulted in 500 mg (28%) of the title compound as a white solid.
- A solution of N-(4-chloro-5-(N-(1-hydroxy-1,3-dihydrobenzo[c][1,2]oxaborol-6-yl)sulfamoyl)pyridin-2-yl)acetamide (300 mg, 0.79 mmol, 1.00 equiv) in tetrahydrofuran (10 mL) and HCl (10 mL, 10%) was heated to reflux for 3 h in an oil bath. The resulting mixture was cooled and concentrated under vacuum to remove THF. The residual mixture was cooled with an ice bath. The isolated solid was collected by filtration. This resulted in 0.2 g (73%) of 6-amino-4-chloro-N-(1-hydroxy-1,3-dihydrobenzo[c][1,2]oxaborol-6-yl)pyridine-3-sulfonamide as a white solid. LC-MS-(ES, m/z): 340[M+H]+. 1H NMR-(400 MHz, DMSO-d6, ppm): 4.77 (2H, s), 6.63 (1H, s), 7.20-7.29 (2H, m), 7.50 (1H, s), 8.38 (1H, s), 10.36 (1H, s).
-
- Into a 250-mL 3-necked round-bottom flask was placed a solution of NaNO2 (10.2 g, 147.83 mmol, 3.78 equiv) in water (10 mL). This was followed by the addition of a solution of (E)-2,3-dibromo-4-oxobut-2-enoic acid (10 g, 39.06 mmol, 1.00 equiv) in ethanol (10 mL) dropwise with stirring at 54° C. over 18 min. The resulting solution was stirred for 30 min at 54° C. The reaction mixture was cooled to 5° C. and filtered. The filter cake was washed with 60 mL of ethanol. The filtrate was concentrated under vacuum. This resulted in 5 g (crude) of 2-nitro-1,3-dioxopropan-2-ide as a yellow solid.
- Into a 500-mL 3-neck-round-bottom flask was placed a solution of 2-nitro-1,3-dioxopropan-2-ide (31.4 g, 225.90 mmol, 1.00 equiv) in water (400 mL). This was followed by the addition of 2-cyanoacetamide (16.4 g, 195.24 mmol, 0.91 equiv) at 20° C. To this was added N,N,N-triethylbenzenaminium hydroxide (7 g, 35.90 mmol, 0.16 equiv) at 20° C. The resulting solution was stirred for 30 min at 30° C. The reaction mixture was cooled to 0° C. with an ice/salt bath. The isolated solid was collected by filtration and purified by re-crystallization from H2O (20 mL). This resulted in 4 g (10%) of 2-hydroxy-5-nitronicotinonitrile as a yellow solid.
- A solution of 2-hydroxy-5-nitronicotinonitrile (10 g, 60.61 mmol, 1.00 equiv) in POCl3 (122.6 g) and PCl5 (35 g, 168.27 mmol, 2.80 equiv) was stirred for 2 h at 120° C. The reaction mixture was cooled and quenched by the addition of 800 mL of water/ice. The pH value of the solution was adjusted to >7 with sodium carbonate solution (60%). The resulting solution was extracted with 2×200 mL of dichloromethane. The organic layers were combined, dried and concentrated under vacuum. This resulted in 10.1 g (91%) of 2-chloro-5-nitronicotinonitrile as a yellow solid.
- Into a 100-mL 3-necked round-bottom flask was placed a solution of phenylmethanethiol (1.4 g, 11.29 mmol, 1.10 equiv) in tetrahydrofuran (40 mL), then added potassium carbonate (1.9 g, 13.77 mmol, 1.30 equiv). The resulting mixture was stirred for 30 min at 60° C. This was followed by the addition of a solution of 2-chloro-5-nitronicotinonitrile (1.9 g, 10.38 mmol, 1.00 equiv) in tetrahydrofuran (10 mL) dropwise with stirring at 60° C. The resulting solution was refluxed overnight. The resulting mixture was cooled and concentrated under vacuum. The residue was applied onto a silica gel column and eluted with ethyl acetate/petroleum ether (1:50). This resulted in 1.9 g (61%) of 2-(benzylthio)-5-nitronicotinonitrile as a yellow solid.
- A mixture of 2-(benzylthio)-5-nitronicotinonitrile (3.9 g, 14.39 mmol, 1.00 equiv), ethanol (100 mL), Fe (8.1 g, 144.64 mmol, 10.00 equiv) and acetic acid (10 mL) was refluxed for 3 h. The reaction mixture was cooled and filtered. The filtrate was concentrated under vacuum. The residue was applied onto a silica gel column and eluted with dichloromethane/methanol (100:1). This resulted in 3.4 g (98%) of 5-amino-2-(benzylthio)nicotinonitrile as a yellow solid.
- Into a 100-mL round-bottom flask was placed a solution of 5-amino-2-(benzylthio)nicotinonitrile (3.4 g, 14.11 mmol, 1.00 equiv) in dichloromethane (50 mL) and TEA (2.8 g, 27.72 mmol, 2.00 equiv). This was followed by the addition of (CF3C0)2O (4.4 g, 20.95 mmol, 1.50 equiv) dropwise with stirring at 0° C. The resulting solution was stirred for 15 min at 0-5° C., then quenched by the addition of 100 mL of water. The resulting solution was extracted with 3×100 mL of dichloromethane. The organic layers were combined, and concentrated under vacuum. The residue was applied onto a silica gel column and eluted with ethyl acetate/petroleum ether (1:20). This resulted in 3.5 g (74%) of N-(6-(benzylthio)-5-cyanopyridin-3-yl)-2,2,2-trifluoroacetamide as a white solid.
- Cl2 (gas) was bubbled into a solution of N-(6-(benzylthio)-5-cyanopyridin-3-yl)-2,2,2-trifluoroacetamide (3.37 g, 10.00 mmol, 1.00 equiv) in dichloromethane (75 mL) and water (15 mL) at 0° C. in 15 min. The resulting solution was stirred for 15 min at room temperature, then dried over anhydrous sodium sulfate and concentrated under vacuum. This resulted in 3.0 g (96%) of 3-cyano-5-(2,2,2-trifluoroacetamido) pyridine-2-sulfonyl chloride as a yellow oil.
- Into a 100-mL round-bottom flask were placed a solution of 6-aminobenzo[c][1,2]oxaborol-1(3H)-ol (200 mg, 1.34 mmol, 1.00 equiv) in CH3CN (50 mL) and potassium carbonate (741 mg, 5.37 mmol, 4.00 equiv). This was followed by the addition of a solution of 3-cyano-5-(2,2,2-trifluoroacetamido) pyridine-2-sulfonyl chloride (504 mg, 1.61 mmol, 1.20 equiv) in CH3CN (10 mL) dropwise with stirring at 0° C. The resulting solution was stirred for 30 min at room temperature, then concentrated under vacuum. The residue was diluted with 50 mL of water, then adjusted to
pH 6 with HCl (1 mol/L). The resulting solution was extracted with 3×100 mL of ethyl acetate. The organic layers were combined, dried and concentrated under vacuum. The residue was applied onto a silica gel column and eluted with dichloromethane/methanol (100:1-50:1). This resulted in 300 mg (crude) of N-(5-cyano-6-(N-(1-hydroxy-1,3-dihydrobenzo[c][1,2]oxaborol-6-yl)sulfamoyl)pyridin-3-yl)-2,2,2-trifluoroacetamide as a yellow solid. - Into a 250-mL round-bottom flask was placed a solution of N-(5-cyano-6-(N-(1-hydroxy-1,3-dihydrobenzo[c][1,2]oxaborol-6-yl)sulfamoyl)pyridin-3-yl)-2,2,2-trifluoroacetamide (300 mg, 0.70 mmol, 1.00 equiv) in methanol (50 mL), then added potassium carbonate solution (50 mL). The resulting solution was stirred for 18 h at room temperature, then concentrated under vacuum. The residue was diluted with 50 mL of water. The pH value of the solution was adjusted to 7 with HCl (1 mol/L). The resulting solution was extracted with 2×100 mL of ethyl acetate. The organic layers were combined, dried and concentrated under vacuum. The residue was washed with 1×10 mL of methanol and dried. This resulted in 104 mg (43%) of 5-amino-3-cyano-N-(1-hydroxy-1,3-dihydrobenzo[c][1,2]oxaborol-6-yl)pyridine-2-sulfonamide as a yellow solid. The compound exhibited a melting point of 234-237° C. LC-MS (ES, m/z): 331 [M+H]+. 1H-NMR (300 MHz, DMSO-d6): 4.898 (2H, s), 6.639 (2H, s), 7.236-7.287 (2H, m), 7.485-7.489 (1H, d, J=1.2 Hz), 8.085-8.092 (1H, d, J=2.1 Hz), 9.201 (1H, s), 10.484 (1H, s).
-
- Into a 500-mL round-bottom flask were placed a solution of 2-chloroisonicotinonitrile (11.0 g, 79.71 mmol, 1.00 equiv) in pyridine (250 mL), (4-methoxyphenyl)methanamine (12.4 g, 90.51 mmol, 1.14 equiv) and sodium bicarbonate (15.0 g, 178.57 mmol, 2.20 equiv). The resulting mixture was heated to reflux overnight in an oil bath. The resulting mixture was cooled and concentrated under vacuum. The crude product was purified by re-crystallization from EtOAc. This resulted in 7.5 g (crude) of 2-(4-methoxybenzylamino)isonicotinonitrile as a yellow solid.
- A solution of 2-(4-methoxybenzylamino)isonicotinonitrile (3.59 g, 15.08 mmol, 1.00 equiv) in trifluoroacetic acid (40 mL) was stirred for 3 h at 60° C. The resulting mixture was cooled and concentrated under vacuum. The residue was diluted with water, then adjusted to pH 9-10 with potassium carbonate solution. The resulting solution was extracted with ethyl acetate. The organic layers were combined, dried and concentrated under vacuum. The residue was applied onto a silica gel column and eluted with ethyl acetate/petroleum ether (1/4). This resulted in 1.8 g (crude) of 2-aminoisonicotinonitrile as a yellow solid.
- Into a 100-mL round-bottom flask was placed a solution of 2-aminoisonicotinonitrile (1.8 g, 15.13 mmol, 1.00 equiv) in N,N-dimethylformamide (20 mL), then added NIS (4.42 g, 19.64 mmol, 1.30 equiv). The resulting solution was stirred overnight at room temperature, then quenched by the addition of 30 mL of Na2S2O3 solution. The resulting solution was extracted with 3×15 mL of ethyl acetate. The organic layers were combined, dried over anhydrous sodium sulfate and concentrated under vacuum. The residue was applied onto a silica gel column and eluted with ethyl acetate/petroleum ether (1/10). This resulted in 2.6 g (70%) of 2-amino-5-iodoisonicotinonitrile as a yellow solid.
- Sodium (101 mg, 4.39 mmol, 1.20 equiv) was added to methanol (15 mL) and stirred for 20 min at room temperature. Then added Cu (80 mg, 1.25 mmol, 0.30 equiv), phenylmethanethiol (610 mg, 4.92 mmol, 1.20 equiv) and 2-amino-5-iodoisonicotinonitrile (1.0 g, 4.08 mmol, 1.00 equiv). The resulting solution was heated to reflux for an additional 6 h. The reaction mixture was cooled with a water bath, then diluted with 100 ml of water. The resulting solution was extracted with 3×50 ml of ethyl acetate. The organic layers were combined, dried over anhydrous sodium sulfate and concentrated under vacuum. The residue was applied onto a silica gel column and eluted with EA:PE (1:10). This resulted in 0.2 g (20%) of 2-amino-5-(benzylthio)isonicotinonitrile as a yellow solid.
- A solution of 2-amino-5-(benzylthio)isonicotinonitrile (2 g, 8.30 mmol, 1.00 equiv) in acetic anhydride (4 g) and triethylamine (4 g, 39.60 mmol, 5.00 equiv) was stirred for 5 h at 60° C. in an oil bath. The resulting mixture was cooled and concentrated under vacuum. The residue was applied onto a silica gel column and eluted with ethyl acetate/petroleum ether (1:20). This resulted in 2.2 g (94%) of N-(5-(benzylthio)-4-cyanopyridin-2-yl)acetamide as a light yellow solid.
- Chlorine gas was bubbled slowly into a solution of N-(5-(benzylthio)-2-cyanopyridin-4-yl)acetamide (665 mg, 2.35 mmol, 1.00 equiv) in dichloromethane (15 mL) and water (5 mL) cooled at 0° C. in a water/ice bath for 10 min. The reaction was then quenched by the addition of 10 mL of water. The resulting solution was extracted with 2×10 mL of dichloromethane. The organic layers were combined, dried over anhydrous sodium sulfate and concentrated under vacuum. This resulted in 0.6 g (crude) of 4-acetamido-6-cyanopyridine-3-sulfonyl chloride as a yellow solid.
- Into a 50-mL 3-necked round-bottom flask was placed a solution of 4-acetamido-6-cyanopyridine-3-sulfonyl chloride (600 mg, 1.00 equiv, crude) in CH3CN (10 mL), then added 6-aminobenzo[c][1,2]oxaborol-1(3H)-ol (305 mg, 2.05 mmol, 1.00 equiv) and potassium carbonate (276 mg, 2.00 mmol, 4.00 equiv). The resulting mixture was stirred for 1 h at 0° C. in a water/ice bath. The pH value of the solution was adjusted to 6 with HCl (10%), then it was extracted with 3×10 mL of ethyl acetate. The organic layers were combined, dried over anhydrous sodium sulfate and concentrated under vacuum. This resulted in 0.2 g (crude) of N-(4-cyano-5-(N-(1-hydroxy-1,3-dihydrobenzo[c][1,2]oxaborol-6-yl)sulfamoyl)pyridin-2-yl)acetamide as a white solid.
- A solution of N-(4-cyano-5-(N-(1-hydroxy-1,3-dihydrobenzo[c][1,2]oxaborol-6-yl)sulfamoyl)pyridin-2-yl)acetamide (500 mg, 1.34 mmol, 1.00 equiv) in tetrahydrofuran (10 mL) and HCl (10%, 10 mL) was stirred for 3 h at 60° C. in an oil bath. The resulting mixture was cooled and concentrated under vacuum. The crude product (0.4 g) was purified by preparative-HPLC with the following conditions: Column, SunFire Prep C18, Sum, 19×150 mm; Mobile phase, water (with 0.05% TFA) and CH3CN; Gradient, MeCN starting at 25%, increasing to 34% in 6 min, then to 100% in 1.5 min; Detector, uv 220&254 nm. This resulted in 0.2 g (45%) of 6-amino-4-cyano-N-(1-hydroxy-1,3-dihydrobenzo[c][1,2]oxaborol-6-yl)pyridine-3-sulfonamide as a white solid. LC-MS-(ES, m/z): 331 [M+H]+. 1H-NMR-(300 MHz, DMSO-d6, ppm): 4.901 (2H, s), 6.825 (1H, s), 7.181-7.321 (2H, m), 7.479 (1H, s), 8.406 (1H, s), 9.250 (1H, s), 10.414 (1H, s).
-
- Into a 2000-mL 4-necked round-bottom flask was placed a solution of 2-hydroxynicotinic acid (98 g, 705.04 mmol, 1.00 equiv) in sulfuric acid (280 mL). This was followed by the addition of HNO3 (70 mL) dropwise with stirring. The resulting solution was stirred for 5 h at 50° C. The reaction was then cooled and quenched by the addition of 2000 mL of water/ice. The solid was collected by filtration and dried in an oven under reduced pressure. This resulted in 100 g (69%) of 2-hydroxy-5-nitronicotinic acid as a yellow solid.
- A solution of 2-hydroxy-5-nitronicotinic acid (100 g, 543.48 mmol, 1.00 equiv) in POCl3 (250 mL) was heated to reflux for 3 hr. The resulting mixture was cooled and concentrated under vacuum. The residue was then quenched by the addition of 2000 mL of water/ice. The resulting solution was extracted with 4×300 mL of ethyl acetate and 2×300 mL of THF/Et2O (1:1). The organic layers were combined, washed with 1×1000 mL of brine, dried over anhydrous sodium sulfate and concentrated under vacuum. This resulted in 115 g (crude) of 2-chloro-5-nitronicotinic acid as a yellow solid.
- Into a 3000-mL 4-necked round-bottom flask was placed a solution of phenylmethanethiol (77.65 g, 626.21 mmol, 1.00 equiv) in tetrahydrofuran (1800 mL), then added potassium carbonate (180.69 g, 1.31 mol, 2.30 equiv). The resulting mixture was heated to reflux for 1 hr. This was followed by the addition of a solution of 2-chloro-5-nitronicotinic acid (115 g, 569.31 mmol, 1.00 equiv) in tetrahydrofuran (400 mL) in portions. The resulting solution was refluxed for an additional 5 h. The reaction mixture was then cooled and quenched by the addition of 1000 mL of water. The pH value of the solution was adjusted to 3-4 with HCl (12 mol/L). The resulting solution was extracted with 3×1500 mL of ethyl acetate. The organic layers were combined, washed with 1×1000 mL of brine, dried over anhydrous sodium sulfate and concentrated under vacuum. The residue was washed with 3×500 mL of petroleum ether and dried. This resulted in 130 g (72%) of 2-(benzylthio)-5-nitronicotinic acid as a yellow solid.
- Into a 3000-mL 4-necked round-bottom flask were placed a solution of 2-(benzylthio)-5-nitronicotinic acid (130 g, 448.28 mmol, 1.00 equiv) in tert-butanol (1500 mL), triethylamine (58.86 g, 582.77 mmol, 1.30 equiv) and DPPA (147.9 g, 537.82 mmol, 1.20 equiv). The resulting solution was heated to reflux overnight. The reaction mixture was cooled and concentrated under vacuum. The residue diluted with 2000 ml, of water, then adjusted to
pH 8 with sodium carbonate. The resulting solution was diluted with 2000 ml of H2O and 500 ml of EtOAc. The isolated solid was collected by filtration and dried. This resulted in 148 g (82%) of tert-butyl 2-(benzylthio)-5-nitropyridin-3-ylcarbamate as a yellow solid. - Into a 3000-mL 4-necked round-bottom flask were placed a solution of tert-butyl 2-(benzylthio)-5-nitropyridin-3-ylcarbamate (125 g, 346.26 mmol, 1.00 equiv) in methanol (1500 mL) and H2O (150 mL), Fe (116.3 g, 2.08 mol, 6.00 equiv) and NH4Cl (110.1 g, 2.08 mol, 6.00 equiv). The resulting mixture was heated to reflux overnight. The reaction mixture was cooled and filtered. The filtrate was concentrated under vacuum. The solid was collected by filtration, washed 2 times with 500 ml of water and dried in an oven under reduced pressure. This resulted in 120 g (crude) of tert-butyl 5-amino-2-(benzylthio)pyridin-3-ylcarbamate as a yellow solid.
- Into a 3000-mL 4-necked round-bottom flask was placed a solution of tert-butyl 5-amino-2-(benzylthio)pyridin-3-ylcarbamate (120 g, 362.54 mmol, 1.00 equiv) in tetrahydrofuran/H2O (1:1, 2 L), then added sodium carbonate (57.6 g, 538.3 mmol, 1.30 equiv). This was followed by the addition of Cbz-Cl (74 g, 435.29 mmol, 1.20 equiv) dropwise with stirring at 0° C. The resulting solution was stirred overnight at room temperature. The reaction was then quenched by the addition of 500 mL of NH4Cl solution. The resulting solution was extracted with 3×500 mL of ethyl acetate. The organic layers were combined, dried over anhydrous sodium sulfate and concentrated under vacuum. The residue was applied onto a silica gel column and eluted with ethyl acetate/petroleum ether (1:20-1:10). This resulted in 102 g (58%) of the title compound as a yellow solid.
- Into a 500-mL round-bottom flask was placed a solution of tert-butyl 5-(benzylcarbamoyl-amino-2-(benzylthio)pyridin-3-ylcarbamate (10 g, 21.51 mmol, 1.00 equiv) in acetic acid (150 mL) and water (70 mL), then added NCS (11.4 g, 85.71 mmol, 3.99 equiv). After stirred for 30 min at room temperature, the reaction mixture was extracted with 2×200 mL of ethyl acetate. The organic layers were combined, washed with 1×200 mL of water. The organic layer was diluted with 200 ml of water, then added potassium carbonate solution till
pH 8 was reached. The separated organic layer was washed with 1×100 mL of brine, dried over sodium sulfate and concentrated under vacuum. This resulted in 9 g (76%) of benzyl 5-(tert-butyl carbamoylamino)-6-(N-(1-hydroxy-1,3-dihydrobenzo[c][1,2]oxaborol-5-yl)sulfamoyl)pyridin-3-ylcarbamate as a yellow oil. The product was used in the next step directly. - A solution of benzyl 5-(tert-butyl carbamoylamino)-6-(N-(1-hydroxy-1,3-dihydrobenzo[c][1,2]oxaborol-5-yl)sulfamoyl)pyridin-3-ylcarbamate (74 g, 126.90 mmol, 1.00 equiv, 95%) in DCM/CF3COOH (400/100 mL) was stirred for 5 h at room temperature. The reaction was quenched by the addition of 500 mL of water. The pH value of the solution was adjusted to 8-9 with potassium carbonate solution. The solid was collected by filtration. The filtrate was extracted with 500 mL of dichloromethane. The filter cake and aqueous layer were combined. The resulting solution was adjusted to pH 4-5 with HCl (6N), then extracted with 2×200 mL of ethyl acetate. All the organic layers were combined, washed with 100 mL of brine, dried over sodium sulfate and concentrated under vacuum. The residue was applied onto a silica gel column and eluted with DCM:MeOH (100:1-50:1). This resulted in 44.36 g (79%) of the title compound as a light yellow solid. The compound exhibited a melting point of 174-176° C. LC-MS (ES, m/z): 455 [M+H]+. 1H-NMR (300 MHz, DMSO-d6, ppm): 10.30 (s, 1H), 10.12 (s, 1H), 9.20 (s, 1H), 7.80 (s, 1H), 7.73-7.80 (m, 7H), 7.19-7.26 (m, 2H), 6.19 (s, 2H), 5.16-5.19 (d, J=9 Hz, 2H), 4.88 (s, 2H).
-
- A mixture of Palladium carbon (0.2 g) and benzyl N-5-amino-6-[(1-hydroxy-1,3-dihydro-2,1-benzoxaborol-6-yl)sulfamoyl]pyridin-3-ylcarbamate (900 mg, 1.98 mmol, 1.00 equiv) in methanol (20 mL) was stirred overnight at room temperature under a hydrogen atmosphere. The solid was filtered out. The filtrate was concentrated under vacuum. The residue was applied onto a silica gel column with dichloromethane/methanol (20/1). The crude product (500 mg) was purified by prep-HPLC with the following conditions: Column, SunFire C18, Sum, 19×100 mm; Mobile phase: water and acetonitrile; Gradient: 10% acetonitrile up to 50% in 7 min; Detector, UV 254 nm. This resulted in 75.7 mg (12%) of 3,5-diamino-N-(1-hydroxy-1,3-dihydrobenzo[c][1,2]oxaborol-5-yl)pyridine-2-sulfonamide as a white solid. LC-MS-(ES, m/z): 321 [M+H]+. 1H-NMR-(300 MHz, DMSO-d6, ppm): 9.17 (1H, s), 7.46 (1H, s), 7.19-7.20 (3H, d, J=3 Hz), 6.11-6.12 (1H, d, J=3 Hz), 5.80-5.82 (4H, d, J=6 Hz), 4.87 (2H, s).
-
- Into a 100-mL round-bottom flask was placed a solution of methyl 5-(aminomethyl)-6-(N-(1-hydroxy-1,3-dihydrobenzo[c][1,2]oxaborol-6-yl)sulfamoyl)pyridin-3-ylcarbamate (1 g, 2.55 mmol, 1.00 equiv) in AcOH (20 mL), then added a solution of KOCN (200 mg, 2.47 mmol, 1.10 equiv) in H2O (20 mL). The resulting solution was stirred overnight at room temperature. The resulting mixture was concentrated under vacuum. The residue was applied onto a silica gel column and eluted with DCM:MeOH (100:1-20:1). This resulted in 400 mg (36%) of the title compound as a yellow solid.
- Into a 100-mL round-bottom flask was placed a solution of methyl 6-(N-(1-hydroxy-1,3-dihydrobenzo[c][1,2]oxaborol-6-yl)sulfamoyl)-5-(ureidomethyl)pyridin-3-ylcarbamate (300 mg, 0.69 mmol, 1.00 equiv) in ethanol (10 mL), then added a solution of potassium hydroxide (77 mg, 1.38 mmol, 2.00 equiv) in water (10 mL). The resulting solution was stirred for 1 h at 90° C. The reaction mixture was cooled and adjusted to pH 7 with HCl (10%). The resulting mixture was concentrated under vacuum. The residue was applied onto a silica gel column and eluted with ethyl acetate/petroleum ether (1:20-3:1). The crude product (400 mg) was purified by Prep-HPLC with the following conditions: Column, SunFire Prep C18, 19×150 mm, Sum; Mobile phase, water (with 0.05% TFA) and CH3CN; Gradient, 10% CH3CN up to 28% in 6 min, up to 100% in 1.5 min, down to 10% in 1.5 min; Detector, UV 254 nm. This resulted in 167.9 mg (64%) of the title compound as a white solid. LC-MS (ES, m/z): 378 [M+H]+. 1H-NMR (300 MHz, DMSO-d6, ppm): 4.426-4.446 (d, J=6 Hz, 2H), 4.878 (s, 2H), 5.720 (s, 2H), 6.163 (s, 2H), 6.376-6.417 (t, 1H), 6.905-6.913 (d, J=2.4 Hz, 1H), 7.237-7.241 (d, J=1.2 Hz, 2H), 7.515 (s, 1H), 7.700-7.708 (d, J=2.4 Hz, 1H), 9.235 (s, 1H), 10.219 (s, 1H).
-
- Into a 30-mL sealed tube were placed a solution of Benzyl 5-amino-6-(N-(1-hydroxy-1,3-dihydrobenzo[c][1,2]oxaborol-6-yl)sulfamoyl)pyridin-3-ylcarbamate (500 mg, 1.10 mmol, 1.00 equiv) in tetrahydrofuran (15 mL) and isocyanatoethane (800 mg, 11.27 mmol, 10.00 equiv). The resulting solution was stirred overnight at 70° C. The reaction was then cooled and quenched by the addition of 3 mL of methanol. The resulting mixture was concentrated under vacuum. This resulted in 0.5 g (52%) of crude benzyl 5-(3-ethylureido)-6-(N-(1-hydroxy-1,3-dihydrobenzo[c][1,2]oxaborol-6-yl)sulfamoyl)pyridin-3-ylcarbamate as light yellow oil which was used in the next step directly without further purification.
- A mixture of benzyl 5-(3-ethylureido)-6-(N-(1-hydroxy-1,3-dihydrobenzo[c][1,2]oxaborol-6-yl)sulfamoyl)pyridin-3-ylcarbamate (500 mg, 0.57 mmol, 1.00 equiv, 60%) and Pd/C (500 mg, 41.67 mmol, 72.92 equiv) in methanol (20 mL) was stirred overnight at room temperature under a hydrogen atmosphere. The solid was filtered out. The filtrate was concentrated under vacuum. The crude product (200 mg) was purified by Prep-HPLC with the following conditions: Column, SunFire Prep C18, Sum, 19×100 mm; Mobile phase, water (with 0.1% formic acid) and CH3CN; This resulted in 33.4 mg (15%) of the title compound as a white solid (m.p. 195-197° C.). LC-MS (ES, m/z): 392 [M+H]+. 1H-NMR (400 MHz, DMSO-d6, ppm): 10.28 (s, 1H), 9.14 (s, 1H), 8.41 (s, 1H), 7.75-7.76 (d, 1H, J=4 Hz), 7.48 (s, 2H), 7.37 (s, 1H), 7.24 (s, 2H), 6.08 (s, 2H), 4.88 (s, 2H), 3.04-3.09 (m, 2H), 1.04-1.07 (m, 3H).
-
- A solution of tert-butyl 5-(benzyloxycarbonylamino)-2-(benzylthio)pyridin-3-ylcarbamate (4.65 g, 10.00 mmol, 1.00 equiv) in DCM (40 mL) and TFA (10 mL) was stirred overnight at room temperature. The reaction was quenched by the addition of 10 mL of water and then adjusted to pH 8-9 with sodium hydroxide solution. The resulting solution was extracted with 2×20 mL of dichloromethane. The organic layers were combined, dried and concentrated under vacuum. The residue was applied onto a silica gel column and eluted with ethyl acetate/petroleum ether (1:10-1:5). This resulted in 3.5 g (96%) of benzyl 5-amino-6-(benzylthio)pyridin-3-ylcarbamate as a yellow solid.
- Into a 50-mL round-bottom flask was placed a solution of benzyl 5-amino-6-(benzylthio)pyridin-3-ylcarbamate (1.5 g, 4.11 mmol, 1.00 equiv) in pyridine (10 mL). This was followed by the addition of methanesulfonyl chloride (560 mg, 4.91 mmol, 1.20 equiv) dropwise with stirring at 0° C. The resulting solution was stirred for 3 h at room temperature. Then it was concentrated under vacuum. The residue was diluted with 30 mL of EtOAc and washed with 1×20 mL of 1N HCl and 1×10 mL of brine. The organic layer was dried over anhydrous sodium sulfate and concentrated under vacuum. This resulted in 1.2 g (66%) of benzyl 6-(benzylthio)-5-(methylsulfonamido)pyridin-3-ylcarbamate as a yellow solid.
- Chlorine gas was bubbled slowly into a solution of benzyl 6-(benzylthio)-5-(methylsulfonamido)pyridin-3-ylcarbamate (660 mg, 1.49 mmol, 1.00 equiv) in DCM (10 mL) and water (2 mL) for 5 min at 0-5° C. The resulting solution was stirred for 30 min at 0-5° C., then it was diluted with water (10 mL) and DCM (20 mL). The separated organic layer was dried over sodium sulfate and concentrated under vacuum. This resulted in 600 mg (48%) of benzyl 6-(chlorosulfonyl)-5-(methylsulfonamido)pyridin-3-ylcarbamate as a yellow solid.
- Into a 50-mL 3-necked round-bottom flask purged and maintained with an inert atmosphere of nitrogen were placed a solution of 6-aminobenzo[c][1,2]oxaborol-1(3H)-ol (213.4 mg, 1.43 mmol, 1.00 equiv) in CH3CN (15 mL) and potassium carbonate (592.8 mg, 4.30 mmol, 3.00 equiv). This was followed by the addition of a solution of benzyl 6-(chlorosulfonyl)-5-(methylsulfonamido)pyridin-3-ylcarbamate (600 mg, 0.86 mmol, 1.00 equiv, 60%) in CH3CN (5 mL) dropwise with stirring at 0° C. The resulting solution was stirred for 30 min at room temperature, then quenched by the addition of 10 mL of water. The resulting mixture was concentrated under vacuum. The residual solution was adjusted to
pH 4 with 6N HCl, then extracted with 3×20 ml, of ethyl acetate. The organic layers were combined, washed with 2×10 mL of brine, dried over anhydrous sodium sulfate and concentrated under vacuum. The residue was applied onto a silica gel column and eluted with dichloromethane/methanol (100:1-50:1). This resulted in 640 mg (76%) of benzyl 6-(N-(1-hydroxy-1,3-dihydrobenzo[c][1,2]oxaborol-6-yl)sulfamoyl)-5-(methylsulfonamido)pyridin-3-ylcarbamate as a yellow solid. - A mixture of benzyl 6-(N-(1-hydroxy-1,3-dihydrobenzo[c][1,2]oxaborol-6-yl)sulfamoyl)-5-(methylsulfonamido)pyridin-3-ylcarbamate (840 mg, 1.58 mmol, 1.00 equiv) and Palladium carbon (1 g, 83.33 mmol, 52.78 equiv) in methanol (20 mL) was stirred overnight at room temperature under a hydrogen atmosphere. The solid was filtered out. The filtrate was concentrated under vacuum. The crude product (300 mg) was purified by Prep-HPLC with the following conditions: Column, SunFire Prep C18, 5 um, 19×100 mm; Mobile phase, water (with 0.1% formic acid) and CH3CN; Gradient, 20% CH3CN up to 40% in 6 min, up to 100% in 1 min, down to 20% in 1 min; Detector, UV 220 & 254 nm. This resulted in 200.3 mg (32%) of the title compound as a white solid (m.p. 209-210° C.). LC-MS-(ES, m/z): 399 [M+H]+. 1H-NMR— (300 MHz, DMSO-d6, ppm): 10.46 (s, 1H), 9.23 (s, 1H), 8.88 (s, 1H), 7.67 (s, 1H), 7.50 (s, 1H), 7.18-7.29 (m, 2H), 7.03-7.04 (d, 1H, J=3 Hz), 6.43 (s, 2H), 4.89 (s, 2H), 3.03 (s, 3H).
-
- Into a 50-mL 3-necked round-bottom flask purged and maintained with an inert atmosphere of nitrogen were placed a solution of benzyl 5-amino-6-(N-(1-hydroxy-1,3-dihydrobenzo[c][1,2]oxaborol-6-yl)sulfamoyl)pyridin-3-ylcarbamate (500 mg, 1.02 mmol, 1.00 equiv, 93%) in 1,4-dioxane (20 mL), 2-chloro-5-nitropyridine (210 mg, 1.33 mmol, 1.20 equiv), Pd2(dba)3 (20 mg, 0.02 mmol, 0.02 equiv), Xantphos (40 mg, 0.07 mmol, 0.06 equiv) and potassium carbonate (215 mg, 1.56 mmol, 1.40 equiv). The resulting mixture was stirred for 3 h at 80° C. in an oil bath. The resulting mixture was cooled and concentrated under vacuum. The residue was applied onto a silica gel column and eluted with ethyl acetate/petroleum ether (1:1). This resulted in 520 mg (71%) of the title compound as a yellow solid.
- A mixture of benzyl 6-(N-(1-hydroxy-1,3-dihydrobenzo[c][1,2]oxaborol-6-yl)sulfamoyl)-5-(5-nitropyridin-2-ylamino)pyridin-3-ylcarbamate (520 mg, 0.72 mmol, 1.00 equiv, 80%) and Palladium carbon (10%, 500 mg) in methanol (50 mL) was stirred for 12 h at room temperature under a hydrogen atmosphere. The solid was filtered out. The filtrate was concentrated under vacuum. The crude product (362 mg) was purified by Prep-HPLC with the following conditions: Column, SunFire Prep C18, 5 um, 19×150 mm; Mobile phase: water and CH3CN; Gradient, 15% CH3CN up to 30% in 8 min, up to 100% in 2 min; Detector, UV 220 & 254 nm. This resulted in 103.6 mg (35%) of the title compound as a brown solid. LC-MS (ES, m/z): 413 [M+H]+. 1H-NMR (300 MHz, DMSO-d6, ppm): 10.24 (1H, s), 9.18 (1H, s), 8.21 (1H, s), 7.66 (1H, d, J=2.7 Hz), 7.51 (1H, s), 7.41 (2H, d, J=2.1 Hz), 7.36 (2H, d, J=2.1 Hz), 6.99 (1H, m), 5.98 (2H, s), 5.05 (2H, m), 4.84 (2H, s).
-
- Into a 50-mL 3-necked round-bottom flask were placed a solution of benzyl 5-amino-6-(N-(1-hydroxy-1,3-dihydrobenzo[c][1,2]oxaborol-6-yl)sulfamoyl)pyridin-3-ylcarbamate (400 mg, 0.88 mmol, 1.00 equiv) in dioxane (25 mL), 6-chloronicotinonitrile (146 mg, 1.06 mmol, 1.20 equiv), potassium carbonate (170 mg, 1.23 mmol, 1.40 equiv), Pd2(dba)3 (16 mg, 0.02 mmol, 0.02 equiv) and Xantphos (30 mg, 0.05 mmol, 0.06 equiv). The resulting solution was stirred for 1 h at 90° C., then it was cooled and concentrated under vacuum. The residue was applied onto a silica gel column and eluted with ethyl acetate. This resulted in 450 mg (87%) of the title compound as an orange solid.
- A mixture of benzyl 5-(5-cyanopyridin-2-ylamino)-6-(N-(1-hydroxy-1,3-dihydrobenzo[c][1,2]oxaborol-6-yl)sulfamoyl)pyridin-3-ylcarbamate (450 mg, 0.81 mmol, 1.00 equiv) and Pd(OH)2/C (450 mg, 2.25 mmol, 1.00 equiv) in ethanol/EtOAc(10/10 mL) was stirred for 4.5 h at room temperature under a hydrogen atmosphere. The solid was filtered out. The filtrate was concentrated under vacuum. The crude product (300 mg) was purified by Prep-HPLC with the following conditions: Column, SunFire Prep C18, Sum, 19×150 mm; Mobile phase, water (with 0.05% TFA) and CH3CN; Gradient, 22% CH3CN up to 42% in 6 min, up to 100% in 1 min; Detector, UV 220 & 254 nm. This resulted in 160 mg (47%) of the title compound as a white solid. LC-MS (ES, m/z): 423 [M+H]+. 1H-NMR (DMSO-d6, 300 MHz, ppm): 10.23 (s, 1H), 9.14 (s, 1H), 8.95 (s, 1H), 8.50 (J=2.1 Hz, d, 1H), 7.94 (J=2.4, 8.7 Hz, dd, 1H), 7.63 (J=2.4 Hz, d, 1H), 7.54 (J=2.1 Hz, d, 1H), 7.44 (s, 1H), 7.14 (d, 2H), 6.90 (J=8.7 Hz, d, 1H), 6.23 (s, 2H), 4.78 (s, 2H).
-
- Into a 50-mL 3-necked round-bottom flask purged and maintained with an inert atmosphere of nitrogen were placed a solution of benzyl-N-5-amino-6-[(1-hydroxy-1,3-dihydro-2,1-benzoxaborol-6-yl)sulfamoyl]pyridin-3-ylcarbamate (1000 mg, 2.05 mmol, 1.00 equiv, 93%) in 1,4-dioxane (20 mL), 2-chloropyrazine (301 mg, 2.65 mmol, 1.20 equiv), Pd2(dba)3 (40 mg, 0.04 mmol, 0.02 equiv), Xantphos (80 mg, 0.14 mmol, 0.06 equiv) and potassium carbonate (425 mg, 3.08 mmol, 1.40 equiv). The resulting solution was stirred for 6 h at 80° C. in an oil bath. Then it was cooled and concentrated under vacuum. The residue was applied onto a silica gel column and eluted with ethyl acetate/petroleum ether (1:1). This resulted in 600 mg (44%) of the title compound as a yellow solid.
- A mixture of benzyl 6-(N-(1-hydroxy-1,3-dihydrobenzo[c][1,2]oxaborol-6-yl)sulfamoyl)-5-(pyrazin-2-ylamino)pyridin-3-ylcarbamate (600 mg, 0.90 mmol, 1.00 equiv, 80%) and Palladium carbon (500 mg) in methanol (30 mL) was stirred overnight at room temperature under a hydrogen atmosphere. The solid was filtered out. The filtrate was concentrated under vacuum. The crude product (300 mg) was purified by Prep-HPLC with the following conditions: Column, Atlantis T3, Sum, 19×150 mm; Mobile phase, water (with 0.05% TFA) and CH3CN; Gradient, 20% CH3CN up to 30% in 8 min; Detector, UV 254 nm. This resulted in 39.6 g (11%) of the title compound as a yellow solid. LC-MS-(ES, m/z): 399 [M+H]+. 1H-NMR-(300 MHz, DMSO-d6, ppm): 10.26 (1H, s), 9.13 (1H, m), 8.77 (1H, s), 8.23 (1H, s), 8.11 (1H, s), 8.04 (1H, J=2.7 Hz, d), 7.73 (1H, J=2.4 Hz, d), 7.56 (1H, J=2.1 Hz, d), 7.46 (1H, s), 7.17 (2H, s), 6.21 (2H, m), 4.78 (2H, s).
-
- Into a 50-mL 3-necked round-bottom flask purged and maintained with an inert atmosphere of nitrogen were placed a solution of benzyl-N-5-amino-6-[(1-hydroxy-1,3-dihydro-2,1-benzoxaborol-6-yl)sulfamoyi]pyridin-3-ylcarbamate (800 mg, 1.64 mmol, 1.00 equiv, 93%) in 1,4-dioxane (30 mL), 2-bromopyrimidine (336 mg, 2.11 mmol, 1.20 equiv), Pd2(dba)3 (40 mg, 0.04 mmol, 0.02 equiv), Xantphos (80 mg, 0.14 mmol, 0.06 equiv) and sodium 2-methylpropan-2-olate (338 mg, 3.52 mmol, 2.00 equiv). The resulting mixture was stirred for 6 h at 110° C. in an oil bath, then it was cooled and concentrated under vacuum. The residue was applied onto a silica gel column and eluted with ethyl acetate/petroleum ether (1:1). This resulted in 500 mg (46%) of the title compound as a yellow solid.
- A mixture of benzyl 6-(N-(1-hydroxy-1,3-dihydrobenzo[c][1,2]oxaborol-6-yl)sulfamoyl)-5-(pyrimidin-2-ylamino)pyridin-3-ylcarbamate (500 mg, 0.75 mmol, 1.00 equiv, 80%) and palladium on carbon (500 mg) in methanol (50 mL) was stirred overnight at room temperature under a hydrogen atmosphere. The solid was filtered out. The filtrate was concentrated under vacuum. The residue was applied onto a silica gel column and eluted with methanol/DCM (1/10). This resulted in 80.9 mg (27%) of the title compound as a light yellow solid. LC-MS-(ES, m/z): 399 [M+H]+. 1H-NMR-(300 MHz, DMSO-d6, ppm): 10.36 (1H, s), 9.37 (1H, s), 9.18 (1H, s), 8.52 (2H, J=5.1 Hz, d), 8.11 (1H, J=2.4 Hz, d), 7.56 (1H, J=2.4 Hz, d), 7.50 (1H, s), 7.20 (2H, J=1.5 Hz, d), 6.99 (1H, m), 6.25 (2H, s), 4.82 (2H, s).
-
- Methyl chloroformate (1.23 g, 13 mmol) was added to the solution of benzyl 5-amino-6-(N-(1-hydroxy-1,3-dihydrobenzo[c][1,2]oxaborol-6-yl)sulfamoyl)pyridin-3-ylcarbamate (820 mg, 1.8 mmol) in THF (12 ml) at rt. Stirring was kept for 2 days. Removed solvent, diluted with EtOAc (100 ml), washed with water (20 ml×2) and brine (20 ml×2), dried over Na2SO4. Concentrated to give off white solid. The mixture of the crude and Pd/C (500 mg, 10 wt %) in MeOH (20 ml), was degassed with Nitrogene, then placed under hydrogen atmosphere at 50 psi for 4 hours. The catalyst was filtered with a pad of Celite, washed with MeOH (100 ml), the solution was then concentrated. The crude was purified by prep HPLC (SunFire
Prep C18 OBD 5 uM 30×50 mm column). The title compound was obtained as white powder. MS calcd for (C14H15BN4O6S): 378.169, MS found (ESI negative): (M−H)−=377.0. 1H NMR (400 MHz, DMSO-d6) δ (ppm): 10.35 (s, 1H), 9.19 (s, 1H), 8.95 (s, 1H), 7.59 (d, J=2.4 Hz, 1H), 7.57 (d, J=2.4 Hz, 1H), 7.46 (d, J=1.6 Hz, 1H), 7.23 (d, J=8 Hz, 1H), 7.14 (dd, J=8.4 Hz, 1H), 6.32 (bs, 2H), 4.86 (s, 2H), 3.64 (s, 3H). -
- Ethyl chloroformate (570 mg, 3.5 mmol) was added to the solution of benzyl 5-amino-6-(N-(1-hydroxy-1,3-dihydrobenzo[c][1,2]oxaborol-6-yl)sulfamoyl)pyridin-3-ylcarbamate (227 mg, 0.5 mmol) in THF (8 ml) at rt. Stirring was kept for 2 days. Removed solvent, diluted with EtOAc (100 ml), washed with water (20 ml×2) and brine (20 ml×2), dried over Na2SO4. Concentrated to give off white solid. The mixture of the crude and Pd/C (100 mg, 10 wt %) in MeOH (20 ml), was degassed with Nitrogene, then placed under hydrogen atmosphere at 50 psi for 4 hours. The catalyst was filtered with a pad of Celite, washed with MeOH (100 ml), the solution was then concentrated. The crude was purified by prep HPLC (SunFire
Prep C18 OBD 5 uM 30×50 mm column). The title compound was obtained as white powder, yield 91 mg. MS calcd for (C15H17BN4O6S): 392.195, MS found (ESI negative): (M−H)−=391.0. 1H NMR (400 MHz, DMSO-d6) δ (ppm): 10.35 (s, 1H), 8.90 (s, 1H), 7.62 (d, J=2.4 Hz, 1H), 7.57 (d, J=2.4 Hz, 1H), 7.46 (d, J=2 Hz, 1H), 7.23 (d, J=8 Hz, 1H), 7.14 (dd, J=8 Hz, 1H), 4.83 (s, 2H). -
-
General Procedure 4 and 5: Starting material—benzyl 5-amino-6-(N-(1-hydroxy-1,3-dihydrobenzo[c][1,2]oxaborol-6-yl)sulfamoyl)pyridin-3-ylcarbamate and 2-fluoroethyl carbonochloridate. Preparative HPLC was applied for the purification and give the title compound as white powder yield 108 mg. 1H NMR (400 MHz, DMSO-d6) δ (ppm): 10.40 (s, 1H), 9.19 (bs, 1H), 9.05 (s, 1H), 7.61 (m, 2H), 7.47 (d, J=1.6 Hz, 1H), 7.25 (d, J=8.4 Hz, 1H), 7.18 (dd, J=8.0, 2 Hz, 1H), 6.38 (bs, 2H), 4.87 (s, 2H), 4.71 (t, J=4 Hz, 2H), 4.59 (t, J=4 Hz, 2H), 4.36 (t, J=4 Hz, 2H), 4.29 (t, J=4 Hz, 2H); MS (ESI) m/z=409.1 (M−H, negative). -
- 2-Benzyloxyethyl chloroformate (2.7 ml, 15 mmol) was added to the solution of benzyl 5-amino-6-(N-(1-hydroxy-1,3-dihydrobenzo[c][1,2]oxaborol-6-yl)sulfamoyl)pyridin-3-ylcarbamate (910 mg, 2 mmol) in THF (20 ml) at rt. Stirring was kept for 2 days. Removed solvent, diluted with EtOAc (200 ml), washed with water (20 ml×2) and brine (20 ml×2), dried over Na2SO4. Concentrated to give off white solid. The mixture of the crude and Pd/C (500 mg, 10 wt %) in MeOH (20 ml), was degassed with nitrogen, then placed under hydrogen atmosphere at 50 psi for 4 hours. The catalyst was filtered with a pad of Celite, washed with MeOH (100 ml), the solution was then concentrated. The crude was purified by prep HPLC (SunFire
Prep C18 OBD 5 uM 30×50 mm column). MS calcd for (C15H17BN4O7S): 408.09, MS found (ESI negative): (M−H)−=407.1. 1H NMR (400 MHz, DMSO-d6) δ (ppm): 10.39 (s, 1H), 8.96 (s, 1H), 7.64 (d, J=2.4 Hz, 1H), 7.57 (d, J=2.4 Hz, 1H), 7.45 (d, J=1.6 Hz, 1H), 7.24 (d, J=8.4 Hz, 1H), 7.16 (dd, J=8.4 Hz, 1H), 4.86 (s, 2H), 4.06 (t, J=4.8 Hz, 2H), 3.58 (t, J=4.8 Hz, 2H). -
- 2-Benzyloxyethyl chloroformate (2.7 ml, 15 mmol) was added to the solution of benzyl 5-amino-6-(N-(1-hydroxy-1,3-dihydrobenzo[c][1,2]oxaborol-6-yl)sulfamoyl)pyridin-3-ylcarbamate (910 mg, 2 mmol) in THF (20 ml) at rt. Stirring was kept for 2 days. Removed solvent, diluted with EtOAc (200 ml), washed with water (20 ml×2) and brine (20 ml×2), dried over Na2SO4. Concentrated to give off white solid. The mixture of the crude and Pd/C (500 mg, 10 wt %) in MeOH (20 ml), was degassed with Nitrogen, then placed under hydrogen atmosphere at 50 psi for 4 hours. The catalyst was filtered with a pad of Celite, washed with MeOH (100 ml), the solution was then concentrated. The crude was purified by prep HPLC (SunFire
Prep C18 OBD 5 uM 30×50 mm column). MS calcd for (C22H23BN4O7S): 498.14, MS found (ESI negative): (M−H)−=497.1. 1H NMR (400 MHz, DMSO-d6) δ (ppm): 10.39 (s, 1H), 9.00 (s, 1H), 7.62 (d, J=2.4 Hz, 1H), 7.58 (d, J=2.4 Hz, 1H), 7.45 (d, J=1.6 Hz, 1H), 7.35-7.25 (m, 5H), 7.22 (d, J=8.4 Hz, 1H), 7.16 (dd, J=8.4 Hz, 1H), 4.84 (s, 2H), 4.51 (s, 2H), 4.22 (t, J=6 Hz, 2H), 3.64 (t, J=4.8 Hz, 2H). -
- Allyl chloroformate (5 ml, 48 mmol) was added to the solution of benzyl 5-amino-6-(N-(1-hydroxy-1,3-dihydrobenzo[c][1,2]oxaborol-6-yl)sulfamoyl)pyridin-3-ylcarbamate (910 mg, 2 mmol) in THF (50 ml) at rt. Stirring was kept for 2 days. Removed solvent, diluted with EtOAc (300 ml), washed with water (40 ml×2) and brine (40 ml×2), dried over Na2SO4. Concentrated to give off white solid. The mixture of the crude (1.62 g, 3 mmol) and Pd/C (900 mg, 10 wt %) in MeOH (30 ml), was degassed with Nitrogen, then placed under hydrogen atmosphere at 50 psi for 4 hours. The catalyst was filtered with a pad of Celite, washed with MeOH (100 ml), the solution was then concentrated. The crude was purified by prep HPLC (SunFire
Prep C18 OBD 5 uM 30×50 mm column). MS calcd for (C16H19BN4O6S): 406.11, MS found (ESI negative): (M−H)−=405.1. 1H NMR (400 MHz, DMSO-d6) δ (ppm): 10.34 (s, 1H), 9.17 (s, 1H), 8.92 (s, 1H), 7.62 (d, J=2 Hz, 1H), 7.57 (d, J=2 Hz, 1H), 7.45 (d, J=1.6 Hz, 1H), 7.24 (d, J=8.4 Hz, 1H), 7.15 (dd, J=8 Hz, 1H), 6.30 (s, 2H), 4.86 (s, 2H), 4.00 (t, J=6.4 Hz, 2H), 1.61 (m, 2H), 0.88 (t, J=7.2 Hz, 3H). -
-
General Procedure 4 and 5: Starting Material compound benzyl 5-amino-6-(N-(1-hydroxy-1,3-dihydrobenzo[c][1,2]oxaborol-6-yl)sulfamoyl)pyridin-3-ylcarbamate and isobutyl carbonochloridate. 1H NMR (400 MHz, DMSO-d6) δ (ppm): 10.36 (s, 1H), 9.20 (bs, 1H), 8.96 (s, 1H), 7.63 (d, J=2.4 Hz, 1H), 7.59 (d, J=2.4 Hz, 1H), 7.47 (d, J=2.4 Hz, 1H), 7.24 (d, J=8 Hz, 1H), 7.16 (dd, J=8.0, 2 Hz, 1H), 4.87 (s, 2H), 3.86 (d, J=6.8 Hz, 2H), 1.91 (m, 1H), 0.89 (d, J=6.8 Hz, 6H); MS (ESI) m/z=419.1 (M−H, negative). -
- Hexyl chloroformate (2.45 ml, 15 mmol) was added to the solution of benzyl 5-amino-6-(N-(1-hydroxy-1,3-dihydrobenzo[c][1,2]oxaborol-6-yl)sulfamoyl)pyridin-3-ylcarbamate (910 mg, 2 mmol) in THF (20 ml) at rt. Stirring was kept for 2 days. Removed solvent, diluted with EtOAc (100 ml), washed with water (20 ml×2) and brine (20 ml×2), dried over Na2SO4. Concentrated to give off white solid. The mixture of the crude and Pd/C (100 mg, 10 wt %) in MeOH (20 ml), was degassed with nitrogen, then placed under hydrogen atmosphere at 50 psi for 4 hours. The catalyst was filtered with a pad of Celite, washed with MeOH (100 ml), the solution was then concentrated. The crude was purified by prep HPLC (SunFire
Prep C18 OBD 5 uM 30×50 mm column). The title compound was obtained as white powder. MS calcd for (C19H25BN4O6S): 448.16, MS found (ESI negative): (M−H)−=447.1. 1H NMR (400 MHz, DMSO-d6) δ (ppm): 10.30 (s, 1H), 9.11 (br, 1H), 8.86 (s, 1H), 7.57 (d, J=2 Hz, 1H), 7.52 (d, J=2.4 Hz, 1H), 7.40 (s, 1H), 7.18 (d, J=8 Hz, 1H), 7.08 (dd, J=8 Hz, 1H), 6.26 (br, 2H), 4.81 (s, 2H), 3.98 (t, J=6.8 Hz, 2H), 1.53 (m, J=6.4 Hz, 2H), 1.22 (s, 6H), 0.81 (t, J=6.8 Hz, 3H). -
-
General Procedure 4 and 5: Starting Materials. 1H NMR (400 MHz, DMSO-d6) δ (ppm): 10.35 (s, 1H), 9.20 (bs, 1H), 8.84 (s, 1H), 7.65 (d, J=2.4 Hz, 1H), 7.58 (d, J=2.4 Hz, 1H), 7.47 (s, 1H), 7.24 (d, J=8 Hz, 1H), 7.15 (dd, J=8, 2 Hz, 1H), 6.32 (bs, 2H), 5.03 (m, 1H), 4.88 (s, 2H), 1.84 (m, 2H), 1.65 (m, 4H), 1.57 (m, 2H); S (ESI) m/z=431.1 (M−H, negative). -
- Cyclohexyl chloroformate (2.44 g, 15 mmol) was added to the solution of benzyl 5-amino-6-(N-(1-hydroxy-1,3-dihydrobenzo[c][1,2]oxaborol-6-yl)sulfamoyl)pyridin-3-ylcarbamate (910 mg, 2 mmol) in THF (12 ml) at rt. Stirring was kept for 2 days. Removed solvent, diluted with EtOAc (200 ml), washed with water (20 ml×2) and brine (20 ml×2), dried over Na2SO4. Concentrated to give off white solid. The mixture of the crude and Pd/C (500 mg, 10 wt %) in MeOH (20 ml), was degassed with Nitrogene, then placed under hydrogen atmosphere at 50 psi for 4 hours. The catalyst was filtered with a pad of Celite, washed with MeOH (100 ml), the solution was then concentrated. The crude was purified by prep HPLC (SunFire
Prep C18 OBD 5 uM 30×50 mm column). The title compound was obtained as light yellow powder. MS calcd for (C19H23BN4O6S): 446.28, MS found (ESI negative): (M−H)−=445.1 1H NMR (400 MHz, DMSO-d6) δ (ppm): 10.35 (s, 1H), 9.18 (bs, 1H), 8.73 (s, 1H), 7.64 (d, J=2.4 Hz, 1H), 7.57 (d, J=2 Hz, 1H), 7.45 (d, J=1.6 Hz, 1H), 7.23 (d, J=8 Hz, 1H), 7.14 (dd, J=8.4 Hz, 1H), 6.30 (bs, 2H), 4.86 (s, 2H), 3.65 (s, 2H), 1.90-1.20 (m, 9H). -
- Phenyl chloroformate (1.8 ml, 14 mmol) was added to the solution of benzyl 5-amino-6-(N-(1-hydroxy-1,3-dihydrobenzo[c][1,2]oxaborol-6-yl)sulfamoyl)pyridin-3-ylcarbamate (910 mg, 2 mmol) in THF (20 ml) at rt. Stirring was kept for 2 days. Removed solvent, diluted with EtOAc (100 ml), washed with water (20 ml×2) and brine (20 ml×2), dried over Na2SO4. Concentrated and got off white solid. The crude was treated with HBr (in acetic acid, 5 ml), stirred at r.t. for 4 hours, concentrated. The residue was dissolved in DMSO then purified by prep HPLC (SunFire
Prep C18 OBD 5 uM 30×50 mm column). The title compound was obtained as off white powder, yield 240 mg. MS calcd for (C19H17BN4O6S): 440.10, MS found (ESI positive): (M+H)+=441.0. 1H NMR (400 MHz, DMSO-d6) δ (ppm): 10.41 (s, 1H), 9.35 (s, 1H), 9.21 (s, 1H), 7.63 (d, J=1.6 Hz, 1H), 7.56 (d, J=1.6 Hz, 1H), 7.50 (s, 1H), 7.42 (t, J=8 Hz, 2H), 7.26 (m, 3H), 7.19 (d, J=7.6 Hz, 2H), 6.36 (s, 2H), 4.87 (s, 2H). -
- General Procedure 1: Starting Materials 6-amino-5-fluorobenzo[c][1,2]oxaborol-1(3H)-ol and 4-methoxybenzenesulfonyl chloride. 1H NMR (400 MHz, DMSO-d6) δ ppm 9.97 (s, 1H), 9.32 (s., 1H), 7.64 (m, 3H), 7.21 (d, J=10 Hz, 1H), 7.05 (d, J=8.8 Hz, 2H), 4.89 (s, 2H), 3.80 (s, 3H). MS (ESI): m/z=336.0 (M−H, negative).
-
- N-(5-fluoro-1-hydroxy-1,3-dihydrobenzo[c][1,2]oxaborol-6-yl)-4-methoxybenzenesulfonamide (0.2 g, 0.59 mmol), DCM (5 mL), was added boron tribromide 1M solution in DCM (1.7 ml, 1.78 mmol) at 0° C. overnight. Purification: ice was added and worked up with EtOAc; preparative HPLC was applied for the purification and give product as
white powder yield 5 mg (1%). 1H NMR (400 MHz, DMSO-d6) δ (ppm): 10.41 (s, 1H), 9.81 (s, 1H)), 9.29 (s, 1H), 7.64 (d, J=7.6 Hz, 1H), 7.51 (d, J=8 Hz, 2H), 7.20 (d, J=10 Hz, 1H), 6.83 (d, J=8.4 Hz, 2H), 4.89 (s, 2H); MS (ESI): m/z=322.0 (M−H, negative). -
- To a solution of 2-bromo-5-methoxy-pyridine (2.0 g, 10.6 mmol) in THF (20 mL) at −78° C. was added n-BuLi (1.6 M in hexane, 6.65 mL, 10.64 mmol). After 20 min, dibenzyldisulfide (3.15 g, 12.7 mmol) was added and the mixture was stirred for 1 h in an ice bath and 1 h at ambient temperature. Saturated aqueous ammonium chloride was added and the mixture was extracted with ethyl acetate. The organic layer was washed with water, brine, dried over Na2SO4, filtered and concentrated in vacuo. Partial purification was accomplished by flash silica gel column chromatography (Biotage®, 15-40% ethyl acetate in hexanes gradient) resulting in 1.086 g of the title compound that was used without further purification in the next step.
- Through a solution of 2-benzylsulfanyl-5-methoxy-pyridine (1.086 g) in DCM (25 mL) and water (5 mL) at 0° C. was bubbled chlorine for 15 min. The mixture was stirred for 15 min before bubbling nitrogen for 15 min. The organic layer was separated, dried over Na2SO4, filtered and concentrated in vacuo providing the 1.039 g (47% over 2 steps) of the title compound that was directly used in the next step without further purification. 1H NMR (400 MHz, CHLOROFORM-d) δ ppm 8.43 (d, J=2.7 Hz, 1H), 8.08 (d, J=9.0 Hz, 1H), 7.66 (dd, J=9.0, 2.7 Hz, 1H), 4.00 (s, 3H).
- General Procedure 1: 6-amino-3H-benzo[c][1,2]oxaborol-1-ol (0.400, 2.68 mmol), pyridine (0.434 mL, 5.37 mmol), acetonitrile (10 mL), and 5-methoxy-pyridine-2-sulfonyl chloride (1.039 g, 2.68 mmol). Purification was accomplished by Biotage® silica gel chromatography (50 g SNAP™ column, eluting with 2-25% MeOH in DCM gradient) followed by lyophilizing from an acetonitrile-water mixture produced 0.691 g (80%) of the title compound. 1H NMR (400 MHz, DMSO-d6) δ ppm 10.39 (s, 1H), 9.20 (s, 1H), 8.37 (d, J=2.7 Hz, 1H), 7.88 (d, J=9.0 Hz, 1H), 7.58-7.47 (m, 2H), 7.36 (d, J=4.7 Hz, 1H), 7.31-7.16 (m, 1H), 4.87 (s, 2H), 3.87 (s, 3H).
- To a solution of 5-methoxy-pyridine-2-sulfonic acid (1-hydroxy-1,3-dihydro-benzo[c][1,2]oxaborol-6-yl)-amide (0.690 g, 2.16 mmol) in DCM (35 mL) at 0° C. was added BBr3 (1 M in DCM, 8.62 mL, 8.62 mmol). After 3 h, the ice bath was removed and after an additional 3 h at room temperature more BBr3 (1 M in DCM, 2.16 mL, 2.16 mmol) was added. After overnight, the mixture was poured into crushed ice. After the ice melted the solid was collected by filtration, washed with water and dried in vacuo generating 291 mg of crude material. The organic layer of the filtrate was separated and dried in vacuo producing another 321 mg of crude material. The two fractions (291 mg and 321 mg) were combined, dissolved in 10% MeOH in EtOAc and dried in vacuo producing 585 mg of crude material. 1H NMR (400 MHz, DMSO-d6) δ (ppm): 10.94 (s, 1H). 10.28 (s, 1H), 9.83 (s, 1H), 9.20 (bs, 1H), 8.16 (d, J=2.8 Hz, 1H), 7.76 (d, J=8.4 Hz, 1H), 7.47 (s, 1H), 7.24 (m, 3H), 4.86 (s, 2H); MS (ESI) m/z=305.0 (M−H, negative).
-
- To a solution of 6-amino-3H-benzo[c][1,2]oxaborol-1-ol (0.25 g, 1.34 mmol) in anhydrous pyridine (30 mL) at 5° C. was added 4-methoxy-3-methyl-benzenesulfonyl chloride (0.29 g, 1.34 mmol). After overnight at room temperature, the volatiles were removed in vacuo. The residue was treated with H2O (80 mL) and sonicated for 4 h. The fine precipitate that formed was filtered, washed with water and dried in vacuo generating 0.22 g (48%) as a yellow solid. 1H NMR (400 MHz, DMSO-d6) δ (ppm): 10.06 (brs, 1H), 9.21 (s, 1H), 7.56-7.53 (m, 2H), 7.48 (d, J=1.6 Hz, 1H), 7.25 (d, J=8.0 Hz, 1H), 7.17 (dd, J=8.2, 1.8 Hz, 1H), 7.02 (d, J=9.2 Hz, 1H), 4.87 (s, 2H), 3.81 (s, 3H), 2.13 (s, 3H); MS (ESI) m/z=332 (M−1, negative); HPLC purity: 97.58% (MaxPlot 200-400 nm), 97.89% (220 nm).
-
- To a suspension of N-(1-hydroxy-1,3-dihydro-benzo[c][1,2]oxaborol-6-yl)-4-methoxy-3-methyl-benzenesulfonamide (0.80 g, 2.40 mmol) in 100 mL of anhydrous DCM at 5° C. was added 1N solution of BBr3 in DCM (3 mL). The resulting solution stirred at room temperature overnight. The precipitate that formed was filtered, washed with DCM and briefly dried before suspending in water. The gummy material formed was extracted into EtOAc, and the organic layer was dried over Na2SO4, filtered and concentrated in vacuo. This was further purified through preparative HPLC affording 0.030 g (3% yield) of the title compound as a white solid. 1H NMR (400 MHz, DMSO-d6) δ (ppm): 10.33 (brs, 1H), 9.98 (brs, 1H), 9.21 (s, 1H), 7.47 (d, J=2.5 Hz, 2H), 7.5 (d, J=1.9 Hz, 2H), 7.36 (dd, J=8.6, 2.6 Hz, 1H), 7.22 (d, J=8.0 Hz, 1H), 7.14 (dd, J=8.2, 1.8 Hz, 1H), 6.79 (d, J=8.4 Hz, 1H), 4.85 (s, 2H), 2.07 (s, 3H); MS (ESI) m/z=318 (M−1, negative); HPLC purity: 99.91% (MaxPlot 200-400 nm), 99.83% (220 nm).
-
- General Procedure 1: 6-amino-3H-benzo[c][1,2]oxaborol-1-ol (721 mg, 3.62 mmol), pyridine (10 mL), and 4-methoxy-2-methyl-benzenesulfonyl chloride (800 mg, 3.62 mmol). Purification: Column chromatography using 50-70% EtOAc in hexane. Product was isolated as a light-yellow solid: yield 900 mg (75%). 1H NMR (400 MHz, DMSO-d6) δ ppm 10.19 (s, 1H), 9.18 (s, 1H), 7.77 (d, J=8.6 Hz, 1H), 7.43 (d, J=1.6 Hz, 1H), 7.24-7.19 (m, 1H), 7.15 (d, J=2.0 Hz, 1H), 6.87 (d, J=2.0 Hz, 1H), 6.83 (d, J=9.0 Hz, 1H), 4.84 (s, 2H), 3.74 (s, 3H), 2.53 (s, 3H); MS (ESI) m/z=332 (M−1, negative); HPLC purity: 96.93% (MaxPlot 200-400 nm), 97.02% (220 nm).
-
- To a solution of N-(1-hydroxy-1,3-dihydro-benzo[c][1,2]oxaborol-6-yl)-4-methoxy-2-methyl-benzenesulfonamide (400 mg, 1.20 mmol) in DCM (10 mL) was added BBr3 (1M in DCM, 3.60 mL, 3.6 mmol). After overnight at rt, water was added and the CH2Cl2 layer was separated, dried over MgSO4, filtered and concentrated in vacuo. Purification was accomplished by preparative HPLC generating 140 mg (36%) of the title compound as a white solid. 1H NMR (400 MHz, DMSO-d6) δ ppm 10.25 (s, 1H), 10.11 (s, 1H), 9.18 (s, 1H), 7.69 (d, J=8.6 Hz, 1H), 7.43 (s, 1H), 7.20-7.25 (m, 1H), 7.11-7.17 (m, 1H), 6.57-6.70 (m, 2H), 4.86 (s, 2H), 2.48 (s, 3H); MS (ESI) m/z=318 (M−1, negative); HPLC purity: 99.12% (MaxPlot 200-400 nm), 99.49% (220 nm).
-
- General Procedure 1: Starting Materials 6-amino-5-fluorobenzo[c][1,2]oxaborol-1(3H)-ol and 4-methoxy-2-methylbenzene-1-sulfonyl chloride. 1H NMR (400 MHz, DMSO-d6) δ ppm 9.95 (s, 1H), 9.30 (s., 1H), 7.67 (d, J=7.6 Hz, 1H), 7.59 (d, J=8.8 Hz, 1H), 7.19 (d, J=10.4 Hz, 1H), 6.93 (d, J=2.4 Hz, 1H), 6.80 (dd, J=8.8, 2.8 Hz, 1H), 4.89 (s, 2H), 3.78 (s, 3H), 2.57 (s, 2H). MS (ESI): m/z=350.0 (M−H, negative).
-
- Boron tribromide (3.4 mL, 3.4 mmol, 1M solution) was added drop-wise slowly to an ice-cold solution of the N-(5-fluoro-1-hydroxy-1,3-dihydrobenzo[c][1,2]oxaborol-6-yl)-4-methoxy-2-methylbenzenesulfonamide (0.4 g, 1.13 mmol) in DCM at 0° C. The reaction was allowed to stir at r.t. and monitored by LC/MS. Purification: ice was added slowly to the mixture and worked up with DCM, the organic layer was washed with brine, dried over Na2SO4 and dried in vacuo. Further purification was carried out by preparative HPLC to give title product N-(5-fluoro-1-hydroxy-1,3-dihydrobenzo[c][1,2]oxaborol-6-yl)-4-hydroxy-2-methylbenzene sulfonamide (35 mg, yield: 9.2%) 1H NMR (400 MHz, DMSO-d6) δ (ppm): 10.26 (bs, 1H), 9.83 (s, 1H), 9.30 (bs, 1H), 7.65 (d, J=7.6 Hz, 1H), 7.49 (d, J=8.8 Hz, 1H), 7.19 (d, J=10.4 Hz, 1H), 6.71 (d, J=2.4 Hz, 1H), 6.58 (dd, J=8.8, 2.4 Hz, 1H), 4.89 (s, 2H), 2.50 (s, 3H); MS (ESI) m/z=336.1 (M−H, negative).
-
- General Procedure 1: 6-amino-3H-benzo[c][1,2]oxaborol-1-ol (200 mg, 1.3 mmol), 5-(chlorosulfonyl)salicylic acid (378 mg, 1.6 mmol), pyridine (0.4 mL, 5.2 mmol), DMSO (2 mL), and MeCN (10 mL) at rt O/N. 1 M HCl (5 mL) was added and the mixture was concentrated in vacuo at 40° C. The remaining DMSO solution was purified by RP-Biotage (10-100% MeOH/0.1% aq TFA). The major fraction was concentrated in vacuo at 40° C. and then lyophilized to give the title compound as a white solid: yield; 95 mg (21%). 1H NMR (400 MHz, DMSO-d6+HCl) δ (ppm): 10.24 (s, 1H), 8.08-8.07 (m, 1H), 7.76-7.73 (m, 1H), 7.44-7.43 (m, 1H), 7.23-7.21 (m, 1H), 7.14-7.12 (m, 1H), 7.05-7.03 (m, 1H), 4.83 (s, 2H); MS (ESI) m/z=348 (M−1, negative); HPLC purity: 98.77% (MaxPlot 200-400 nm), 98.61% (220 nm).
-
- Ethyl 3-methoxyphenyl acetate (3.0 mL, 15 mmol) was added dropwise to chlorosulfonic acid (10 mL, 0.15 mol) at 0° C. The mixture was allowed to warm to rt and stirred for 3 h. The mixture was then diluted with H2O and the precipitate was isolated by filtration to give the title compound as a white solid: yield; 2.4 g (52%). 1H NMR (400 MHz, DMSO-d6) δ (ppm): 7.64-7.62 (m, 1H), 6.76-6.73 (m, 2H), 4.00 (q, J=7.0 Hz, 2H), 3.99 (s, 2H), 3.71 (s, 3H), 1.14 (t, J=7.3 Hz, 3H), 4.88 (s, 2H).
- General Procedure 1: 6-amino-3H-benzo[c][1,2]oxaborol-1-ol (750 mg, 5.0 mmol), (2-chlorosulfonyl-5-methoxy-phenyl)-acetic acid ethyl ester (1.77 g, 6.0 mmol), pyridine (1.5 mL, 20 mmol), DMSO (5.0 mL), and MeCN (20 mL) at rt O/N. The mixture was concentrated in vacuo at 40° C. and the remaining DMSO soln was purified by RP-Biotage (10-100% MeOH/0.1% aq TFA). The major fraction was concentrated in vacuo, then lyophilized from MeCN/H2O to give the title compound as a pale yellow solid: yield; 643 mg (32%). 1H NMR (400 MHz, DMSO-d6) δ (ppm): 10.19 (s, 1H), 9.21 (s, 1H), 7.76-7.74 (m, 1H), 7.44-7.43 (m, 1H), 7.25-7.23 (m, 1H), 7.13-7.10 (m, 1H), 6.96-6.92 (m, 2H), 4.87 (s, 2H), 4.05 (q, J=7.3 Hz, 2H), 4.02 (s, 2H), 4.05 (t, J=7.3 Hz, 3H); MS (ESI) m/z=404 (M−1, negative); HPLC purity: 93.84% (MaxPlot 200-400 nm), 94.60% (220 nm).
-
- A mixture of [2-(1-hydroxy-1,3-dihydro-benzo[c][1,2]oxaborol-6-ylsulfamoyl)-5-methoxy-phenyl]-acetic acid ethyl ester (590 mg, 1.5 mmol), LiOH (105 mg, 4.4 mmol), H2O (10 mL), and MeOH (30 mL) was stirred at rt O/N. 1 M HCl (5 mL) was added and the mixture was concentrated in vacuo at 40° C. The residue was purified by RP-Biotage (10-100% MeOH/0.1% aq TFA). The major fraction was concentrated in vacuo at 40° C. and then lyophilized to give the title compound as a white solid: yield; 239 mg (42%). 1H NMR (400 MHz, DMSO-d6) δ (ppm): 12.28 (bs, 1H), 10.13 (s, 1H), 9.19 (s, 1H), 7.73-7.71 (m, 1H), 7.43-7.42 (m, 1H), 7.23-7.21 (m, 1H), 7.12-7.11 (m, 1H), 6.93-6.89 (m, 2H), 4.85 (s, 2H), 3.93 (s, 2H), 3.75 (s, 3H); MS (ESI) m/z=378 (M+H, positive); HPLC purity: 98.23% (MaxPlot 200-400 nm), 97.92% (220 nm).
-
- 1 M BBr3 (4.5 mL, 4.5 mmol) was added to a solution of [2-(1-hydroxy-1,3-dihydro-benzo[c][1,2]oxaborol-6-ylsulfamoyl)-5-methoxy-phenyl]-acetic acid (170 mg, 0.45 mmol) in CH2Cl2 (10 mL) at rt resulting in the formation of a fine suspension. After stirring at rt O/N the mixture was concentrated in vacuo at 40° C. The residue was purified by RP-Biotage (10-100% MeOH/0.1% aq TFA). The major fraction was concentrated in vacuo at 40° C. and then lyophilized to give the title compound as a white solid: yield; 32 mg (20%). 1H NMR (400 MHz, DMSO-d6) δ (ppm): 10.34 (s, 1H), 10.07 (s, 1H), 9.20 (s, 1H), 7.65-7.62 (m, 1H), 7.43-7.42 (m, 1H), 7.24-7.22 (m, 1H), 7.13-7.10 (m, 1H), 6.73-6.68 (m, 2H), 4.87 (s, 2H), 3.89 (s, 2H); MS (ESI) m/z=364 (M+H, positive); HPLC purity: 94.07% (MaxPlot 200-400 nm), 92.99% (220 nm).
-
- 1-Methoxy-3-methyl-benzene (10.0 g, 81.85 mmol) was added to H2SO4 (conc.) (15 mL) and stirred for 1 h at rt. The reaction mixture was then poured into cooled brine solution (200 mL). After 30 min, the white solid that precipitated was filtered and dried to afford the title compound (15.6 g, 94%). 1H NMR (400 MHz, DMSO-d6) δ ppm 7.62 (d, J=9.2 Hz, 1H), 6.69-6.58 (m, 2H), 3.71 (s, 3H), 2.41 (s, 3H).
- To a solution of 4-methoxy-2-methyl-benzenesulfonic acid (15.6 g, 77.13 mmol) in KOH (100 mL, 1.5 M) was heated to 80° C. and KMnO4 (50.0 g, 316.39 mmol) was added in portions at the same temperature. After 1 h, the reaction was cooled and the black solid was removed by filtration through Celite. The filtrate was concentrated to half of the volume under reduced pressure and acidified with conc. HCl to
pH 1 and cooled in an ice bath. The white precipitate that formed was collected by filtration and after drying generated 4.86 g (27%) of the title compound. 1H NMR (400 MHz, DMSO-d6) δ ppm 7.77 (d, J=9.2 Hz, 1H), 7.26 (d, J=3.1 Hz, 1 H), 7.09 (dd, J=9.2, 3.1 Hz, 1H), 3.81 (s, 3H). - A suspension of 5-methoxy-2-sulfo-benzoic acid (4.86 g, 20.92 mmol) in benzene (50 mL) containing SOCl2 (2.98 g, 25.11 mmol) was stirred O/N at 80° C. Half of the solvent was removed under reduced pressure. After cooling in an ice-water bath, the solid precipitate was filtered and dried generating 4.30 g (96%) of the title compound. 1H NMR (400 MHz, CHLOROFORM-d) δ ppm 7.88 (d, J=9.0 Hz, 1 H), 7.54-7.43 (m, 2H), 3.99 (s, 3H).
- A solution of 5-methoxy-1,1-dioxo-1H-1λ6-benzo[c][1,2]oxathiol-3-one (4.30 g, 20.07 mmol) in MeOH (20 mL) was stirred at 50° C. for 2 h. The reaction mixture was then concentrated under reduced pressure to give a thick liquid that on standing partially crystallized. Yield 4.20 g, 85%. 1H NMR (400 MHz, DMSO-d6) δ ppm 7.62 (d, J=9.2 Hz, 1H), 6.96 (dd, J=9.2, 3.4 Hz, 1H), 6.77 (d, J=2.2 Hz, 1H), 3.77 (s, 3H), 3.70 (s, 3H).
- A mixture of 5-methoxy-2-sulfo-benzoic acid methyl ester (4.20 g, 17.05 mmol) and PCl5 (4.26 g, 20.46 mmol) was heated at 100° C. for 3 h. The volatile component (POCl3) was removed under reduced pressure, and the residue was dissolved in Et2O. The ethereal solution was washed several times with ice-water and dried over MgSO4. Filtration and evaporation of the solvent afforded the target compound (3.60 g, 80%). 1H NMR (400 MHz, DMSO-d6) δ ppm 7.62 (d, J=9.4 Hz, 1H), 6.96 (dd, J=9.4, 3.1 Hz, 1H), 6.76 (d, J=2.8 Hz, 1H), 3.77 (s, 3H), 3.69 (s, 3H).
- General Procedure 1: 6-amino-3H-benzo[c][1,2]oxaborol-1-ol (2.02 g, 13.60 mmol), pyridine (15 mL), and 2-chloro-sulfonyl-5-methoxy-benzoic acid methyl ester (3.60 g, 13.60 mmol). Purification: Column chromatography using 50-70% EtOAc in hexane. Product was isolated as a light-yellow solid: yield 2.8 g (55%). 1H NMR (400 MHz, DMSO-d6) δ ppm 9.91 (s, 1H), 9.22 (s, 1H), 7.74 (d, J=9.4 Hz, 1H), 7.48 (d, J=2.2 Hz, 1H), 7.31-7.24 (m, 1H), 7.22-7.11 (m, 3H), 4.89 (s, 2H), 3.83 (s, 3H), 3.81 (s, 3H), MS (ESI) m/z=376 (M−1, negative).
- To a solution in 2-(1-hydroxy-1,3-dihydro-benzo[c][1,2]oxaborol-6-ylsulfamoyl)-5-methoxy-benzoic acid methyl ester (1.0 g, 2.65 mmol) and MeOH (0.42 mL, 10.6 mmol) in THF (20 mL) at 0° C. was added LiBH4 (2.65 mL, 2M in THF). The reaction mixture was stirred for 3 h at rt. Slowly HCl (1M, 20 mL) was added. After 30 min. the THF was removed in vacuo. Water and ethyl acetate were added and the organic layer was separated, dried over MgSO4, filtered and concentrated in vacuo generating 800 mg (86%) of the title compound as a white solid. mp.>280° C. (decomp.); 1H NMR (400 MHz, DMSO-d6) δ ppm 10.18 (s, 1H), 9.21 (s, 1H), 7.76 (d, J=9.2 Hz, 1H), 7.44 (d, J=2.1 Hz, 1H), 7.25-7.23 (m, 2H), 7.14 (dd, J=8.6, 2.2 Hz, 1H), 6.88 (dd, J=9.2, 3 Hz, 1H), 5.59-5.33 (m, 1H), 4.86 (s, 4H), 3.79 (s, 3H); MS (ESI) m/z=348 (M−1, negative); HPLC purity: 94.19% (MaxPlot 200-400 nm), 94.30% (220 nm).
-
- To a solution of N-(1-hydroxy-1,3-dihydro-benzo[c][1,2]oxaborol-6-yl)-2-hydroxymethyl-4-methoxy-benzenesulfonamide (300 mg, 0.86 mmol) in DCM (5 mL) was added BBr3 (1M in DCM, 2 mL, 2.0 mmol) and stirred overnight at rt. The reaction mixture was quenched with H2O and organic materials were extracted with CH2Cl2 and dried over MgSO4. Filtration and evaporation of the solvent afforded the title compound (200 mg, 58%) as a white solid. 1H NMR (400 MHz, DMSO-d6) δ ppm 10.62 (s, 1H), 10.33 (s, 1H), 9.26 (br. s., 1H), 7.76 (d, J=8.6 Hz, 1H), 7.50 (d, J=1.6 Hz, 1H), 7.31 (d, J=8.2 Hz, 1H), 7.19 (d, J=8.2 Hz, 1H), 7.03 (d, J=2.7 Hz, 1H), 6.84 (dd, J=8.6, 2.3 Hz, 1H), 4.98 (s, 2H), 4.93 (s, 2H); MS (ESI) m/z=396 and 398 (M−1, negative).
- To a solution of 2-bromomethyl-4-hydroxy-N-(1-hydroxy-1,3-dihydro-benzo[c]-[1,2]oxaborol-6-yl)-benzenesulfonamide (80 mg, 0.20 mmol) in DMF (3.0 mL) was added NaN3 (39 mg, 0.60 mmol) and stirred for 3 h at rt. The reaction mixture was quenched with H2O and organic materials were extracted with EtOAc and washed with water, brine and dried over MgSO4. Filtration and evaporation of the solvent afforded the title compound (60 mg, 83%) as a white solid. 1H NMR (400 MHz, DMSO-d6) δ ppm 10.57 (s, 1H), 10.16 (s, 1H), 9.21 (s, 1H), 7.70 (d, J=8.6 Hz, 1H), 7.44 (s, 1H), 7.25 (d, J=7.8 Hz, 1H), 7.14 (d, J=2.0 Hz, 1H), 6.92 (d, J=2.3 Hz, 1H), 6.82-6.72 (m, 1H), 4.87 (s, 2H), 4.75 (s, 2H); MS (ESI) m/z=360 (M−1, negative).
- To a solution of 2-azidomethyl-4-hydroxy-N-(1-hydroxy-1,3-dihydro-benzo[c][1,2]-oxaborol-6-yl)-benzenesulfonamide (60 mg, 0.17 mmol) in MeOH (15 mL) was added Pd/C (60 mg, 10% wet). The reaction mixture was placed under a hydrogen atmosphere at 30 psi for 1.5 h at rt. The solid catalyst was removed by filtration through Celite. After evaporation of the solvent, the crude compound was purified by preparative HPLC generating 10 mg (18%) of the title compound as a white solid. 1H NMR (400 MHz, DMSO-d6) δ ppm 8.24 (s, 1H), 7.61 (d, J=8.6 Hz, 1H), 7.41 (d, J=2.0 Hz, 1H), 7.20 (d, J=8.2 Hz, 1H), 7.10 (dd, J=8.2, 2.0 Hz, 1H), 6.96 (d, J=2.3 Hz, 1H), 6.68 (dd, J=8.6, 2.3 Hz, 1H), 4.86 (s, 2H), 4.09 (s, 2H); MS (ESI) m/z=335 (M+1, positive); HPLC purity: 94.52% (MaxPlot 200-400 nm), 94.91% (220 nm).
-
- To a stirred solution of ethyl 2-(2-(chlorosulfonyl)-5-methoxyphenyl)acetate (9.54 g, 32.6 mmol) and 6-aminobenzo[c][1,2]oxaborol-1(3H)-ol (4.86 g, 32.6 mmol) in 400 mL of ACN was added NaHCO3 (8.22 g, 97.8 mmol). The reaction mixture was stirred at room temperature for 48 hours. The reaction mixture was filtered through a pad of silica gel and washed with ACN. The filtrate was concentrated to give 11.6 g of the title compound as a yellow solid. MS calcd. for (C18H20BNO7S): 405.1, MS found (ESI negative): (M−H)−=404.1
- To a stirred solution of ethyl 2-(2-(N-(1-hydroxy-1,3-dihydrobenzo[c][1,2]oxaborol-6-yl)sulfamoyl)-5-methoxyphenyl)acetate (11.6 g, 28.6 mmol) in 400 mL of MeOH and water (3:1, v/v) was added LiOH (2.1 g, 85.9 mmol) in portion. The reaction mixture was stirred at room temperature for 16 hours. More LiOH (1.0 g, 41.8 mmol) was added, and the reaction mixture was stirred for additional 4 hours. After MeOH was removed in vacuo, the residue was dissolved in water and acidified with 6N HCl. The mixture was extracted with ethyl acetate three times, and washed with water and brine. The organic layer was dried over Na2SO4, and concentrated to give 8.1 g of the title compound as an off-white solid. MS calcd for (C16H16BNO7S): 377.1, MS found (ESI negative): (M−H)−=376.0.
- To a stirred solution of 2-(2-(N-(1-hydroxy-1,3-dihydrobenzo[c][1,2]oxaborol-6-yl)sulfamoyl)-5-methoxyphenyl)acetic acid (1.0 g, 2.65 mmol) and n-butylamine (317 uL, 3.18 mmol) in 20 mL of DMF was added HATU (1.51 g, 3.98 mmol) and DIEA (1.85 mL, 10.6 mmol). The reaction mixture was stirred at room temperature for 16 hours. After water was added, the reaction mixture was extracted with ethyl acetate and washed with water, 1N HCl and brine. The organic layer was dried over Na2SO4 and concentrated to give a yellow residue. The crude residue was purified by prep HPLC (SunFire
Prep C18 OBD 5 uM 30×50 mm column) to give 0.38 g of the title compound as a white solid. MS calcd for (C20H25BN2O6S): 432.2, MS found (ESI negative): (M−H)−=431.1. 1H NMR (DMSO-d6) δ (ppm): 10.09 (s, 1H), 9.20 (bs, 1H), 8.08 (t, 1H), 7.64 (d, J=8.8 Hz, 1H), 7.43 (s, 1H), 7.22 (d, J=8.4 Hz, 1H), 7.09 (d, J=8.4 Hz, 1H), 6.95 (s, 1H), 6.87 (d, J=8.8 Hz, 1H), 4.86 (s, 2H), 3.91 (s, 2H), 3.75 (s, 3H), 3.08 (q, 2H), 1.39 (m, 2H), 1.28 (m, 2H), 0.85 (t, 3H). - To a stirred solution of N-butyl-2-(2-(N-(1-hydroxy-1,3-dihydrobenzo[c][1,2]oxaborol-6-yl)sulfamoyl)-5-methoxyphenyl)acetamide (202 mg, 0.467 mmol) in 10 mL of CH2Cl2 at 0° C. was added BBr3 (1.0 M solution in CH2Cl2, 1.4 mL, 1.4 mmol) dropwise. The reaction mixture was stirred at room temperature for 16 hours. After quenched with water, the solvent was removed in vacuo. The residue was extracted with ethyl acetate three times, and washed with water and brine. The organic layer was dried over Na2SO4, and concentrated to give an off-white residue. The crude residue was purified by prep HPLC (SunFire
Prep C18 OBD 5 uM 30×50 mm column) to give 89.4 mg of the title compound as a white solid. MS calcd for (C19H23BN2O6S): 418.1, MS found (ESI negative): (M−H)−=417.1. 1H NMR (DMSO-d6) δ (ppm): 10.33 (bs, 1H), 10.04 (s, 1H), 9.20 (bs, 1H), 8.05 (t, 1H), 7.55 (d, J=8.8 Hz, 1H), 7.41 (s, 1H), 7.22 (d, J=8.4 Hz, 1H), 7.08 (d, J=8.4 Hz, 1H), 6.77 (s, 1H), 6.64 (d, J=8.8 Hz, 1H), 4.86 (s, 2H), 3.84 (s, 2H), 3.08 (q, 2H), 1.40 (m, 2H), 1.29 (m, 2H), 0.85 (t, 3H). -
- To a stirred solution of 2-(2-(N-(1-hydroxy-1,3-dihydrobenzo[c][1,2]oxaborol-6-yl)sulfamoyl)-5-methoxyphenyl)acetic acid (1.02 g, 2.71 mmol) and ethylamine (2.0 M solution in THF, 5.41 mL, 10.82 mmol) in 20 mL of DMF was added HATU (1.54 g, 4.06 mmol). The reaction mixture was stirred at room temperature for 2 hours. After water was added, the reaction mixture was extracted with ethyl acetate and washed with water, 1N HCl and brine. The organic layer was dried over Na2SO4 and concentrated to give a yellow residue. The crude residue was purified by prep HPLC (SunFire
Prep C18 OBD 5 uM 30×50 mm column) to give 0.39 g of the title compound as a white solid. MS calcd for (C18H21BN2O6S): 404.1, MS found (ESI negative): (M−H)−=403.1. - To a stirred solution of N-ethyl-2-(2-(N-(1-hydroxy-1,3-dihydrobenzo[c][1,2]oxaborol-6-yl)sulfamoyl)-5-methoxyphenyl)acetamide (272 mg, 0.673 mmol) in 10 mL of CH2Cl2 at ° C. was added BBr3 (1.0 M solution in CH2Cl2, 2.0 mL, 2.0 mmol) dropwise. The reaction mixture was stirred at room temperature for 16 hours. After quenched with water, the solvent was removed in vacuo. The residue was extracted with ethyl acetate three times, and washed with water and brine. The organic layer was dried over Na2SO4, and concentrated to give an off-white residue. The crude residue was purified by prep HPLC (SunFire
Prep C18 OBD 5 uM 30×50 mm column) to give 155 mg of the title compound as a white solid. MS calcd for (C17H19BN2O6S): 390.1, MS found (ESI negative): (M−H)−=389.1. 1H NMR (DMSO-d6) δ (ppm): 10.34 (s, 1H), 10.04 (s, 1H), 9.20 (bs, 1H), 8.07 (t, 1H), 7.56 (d, J=8.4 Hz, 1H), 7.41 (s, 1H), 7.22 (d, J=8.4 Hz, 1H), 7.09 (d, J=8.0 Hz, 1H), 6.76 (s, 1H), 6.64 (d, J=8.8 Hz, 1H), 4.86 (s, 2H), 3.83 (s, 2H), 3.11 (q, 2H), 1.03 (t, 3H). -
- To a solution of ethyl 2-(2-(N-(1-hydroxy-1,3-dihydrobenzo[c][1,2]oxaborol-6-yl)sulfamoyl)-5-methoxyphenyl)acetate (208 mg, 0.513 mmol) in 10 mL of CH2Cl2 at 0° C. was added BBr3 (1.0 M solution in CH2Cl2, 1.54 mL, 1.54 mmol) dropwise. The reaction mixture was stirred at room temperature for 16 hours. After quenched with water, the solvent was removed in vacuo. The residue was extracted with ethyl acetate three times, and washed with water and brine. The organic layer was dried over Na2SO4, and concentrated to give an off-white residue. The crude residue was purified by prep HPLC (SunFire
Prep C18 OBD 5 uM 30×50 mm column) to give 7 mg of the title compound as a white solid. MS calcd for (C17H18BNO7S): 391.1, MS found (ESI negative): (M−H)−=390.1. 1H NMR (DMSO-d6) δ (ppm): 10.35 (s, 1H), 10.06 (s, 1H), 9.20 (bs, 1H), 7.63 (d, J=8.4 Hz, 1H), 7.40 (s, 1H), 7.21 (d, J=8.4 Hz, 1H), 7.09 (d, J=8.0 Hz, 1H), 6.71 (s, 1H), 6.69 (d, 1H), 4.85 (s, 2H), 4.02 (q, 2H), 3.95 (s, 2H), 1.14 (t, 3H). -
- To a solution of 2-(2-(N-(1-hydroxy-1,3-dihydrobenzo[c][1,2]oxaborol-6-yl)sulfamoyl)-5-methoxyphenyl)acetic acid (524 mg, 1.39 mmol) in 20 mL of THF was added borane (1.0 M solution in THF, 5.6 mL, 5.6 mmol). After quenched with water, the solvent was removed in vacuo. The residue was extracted with ethyl acetate three times, and washed with water and brine. The organic layer was dried over Na2SO4, and concentrated to give a white solid. MS calcd for (C16H18BNO6S): 363.1, MS found (ESI negative): (M−H)−=362.1.
- To a solution of N-(1-hydroxy-1,3-dihydrobenzo[c][1,2]oxaborol-6-yl)-2-(2-hydroxyethyl)-4-methoxybenzenesulfonamide (105 mg, 0.289 mmol) in 2 mL of CH2Cl2 at ° C. was added BBr3 (1.0 M solution in CH2Cl2, 1.16 mL, 1.16 mmol) dropwise. The reaction mixture was stirred at room temperature for 16 hours. After quenched with water, the solvent was removed in vacuo. The residue was extracted with ethyl acetate three times, and washed with water and brine. The organic layer was dried over Na2SO4, and concentrated to give a yellow residue. The crude residue was purified by prep HPLC (SunFire
Prep C18 OBD 5 uM 30×50 mm column) to give 24 mg of 4-hydroxy-N-(1-hydroxy-1,3-dihydrobenzo[c][1,2]oxaborol-6-yl)-2-(2-hydroxyethyl)benzenesulfonamide and as a white solid and 17 mg of 2-(2-bromoethyl)-4-hydroxy-N-(1-hydroxy-1,3-dihydrobenzo[c][1,2]oxaborol-6-yl)benzenesulfonamide as a white solid. - MS calcd for (C15H16BNO6S): 349.1, MS found (ESI negative): (M−H)−=348.0. 1H NMR (DMSO-d6) δ (ppm): 10.25 (s, 1H), 10.13 (s, 1H), 9.19 (bs, 1H), 7.69 (d, J=8.8 Hz, 1H), 7.43 (s, 1H), 7.23 (d, J=8.4 Hz, 1H), 7.14 (d, J=8.4 Hz, 1H), 6.78 (s, 1H), 6.65 (d, J=8.8 Hz, 1H), 4.86 (s, 2H), 3.62 (t, 2H), 3.07 (t, 2H).
- MS calcd for (C15H15BBrNO5S): 411.0, MS found (ESI negative): (M−H)−=410.0. 1H NMR (DMSO-d6) δ (ppm): 10.39 (s, 1H), 10.24 (s, 1H), 9.20 (bs, 1H), 7.67 (d, J=8.8 Hz, 1H), 7.41 (s, 1H), 7.23 (d, J=8.0 Hz, 1H), 7.11 (d, J=8.4 Hz, 1H), 6.78 (s, 1H), 6.69 (d, J=8.8 Hz, 1H), 4.84 (s, 2H), 3.64 (t, 2H), 3.39 (t, 2H).
-
- 2-Hydroxy-benzoic acid methyl ester (5.0 g, 32.8 mmol) was added drop-wise to chlorosulfonic acid (32.8 g, 0.32 mol) at 0° C. The mixture was allowed to warm to rt, Then heated at 40° C. for 30 min. The mixture was cooled to rt, then poured into crushed ice and the precipitate was isolated by filtration to providing 5.2 g (63%) of the title compound as a white solid. 1H NMR (400 MHz, DMSO-d6) δ (ppm): 8.00 (d, J=2.2 Hz, 1H), 7.68 (dd, J=8.5, 2.2 Hz, 1H), 6.93 (d, J=8.6 Hz, 1H), 3.86 (s, 3H).
- General Procedure 1: 6-amino-3H-benzo[c][1,2]oxaborol-1-ol (1.18 g, 7.9 mmol), acetonitrile (40 mL), 5-chlorosulfonyl-2-hydroxy-benzoic acid methyl ester (2.0 g, 7.9 mmol), pyridine (3.15 g, 39.8 mmol). This generated 1.5 g (53%) of the title compound as a pale yellow solid. A portion (200 mg) of this material was purified further by reverse-phase preparative HPLC (gradient of water (0.1% formic acid) and methanol) providing 0.10 g of the title compound as white solid. 1H NMR (400 MHz, DMSO-d6) δ (ppm): 11.02 (s, 1H), 10.17 (s, 1H), 9.22 (s, 1H), 8.12 (d, J=2.3 Hz, 1H), 7.76 (dd, J=8.6, 2.3 Hz, 1H), 7.47 (d, J=2.0 Hz, 1H), 7.28 (d, J=8.2 Hz, 1H), 7.17 (dd, J=8.2, 2.3 Hz, 1H), 7.09 (d, J=9.0 Hz, 1H), 4.88 (s, 2H), 3.86 (s, 3H); MS (ESI) m/z=364 (M+1, positive); HPLC purity: 99.39% (MaxPlot 200-400 nm), 99.33% (220 nm).
-
- A mixture of 2-bromomethyl-4-hydroxy-N-(1-hydroxy-1,3-dihydro-benzo[c][1,2]oxa-borol-6-yl)-benzenesulfonamide (200 mg, 0.5 mmol) and NaOAc (123 mg, 1.50 mmol) in glacial AcOH (5 mL) was heated at 110° C. (bath temp) for 4 h. The mixture was concentrated in vacuo and the residue was treated with H2O and ethyl acetate. The layers were separated and the organic layer was washed with H2O, brine, dried MgSO4, filtered and concentrated in vacuo. Purification was accomplished by flash chromatography (70% EtOAc/hexane) providing 130 mg (69%) of the title compound. This material was used directly in the next step without further purification.
- To a solution of acetic acid 5-hydroxy-2-(1-hydroxy-1,3-dihydro-benzo[c][1,2]oxaborol-6-ylsulfamoyl)-benzyl ester (130 mg, 0.34 mmol) in THF (3.0 mL) was added HCl (5 ml, 10%), and the reaction mixture was heated at 60° C. for 3 h. After removal of the solvent, purification was accomplished by two preparative HPLC (gradient of 10-50% and 15-47% respectively of acetonitrile in 0.1% aqueous AcOH) affording 29 mg of impure title compound. MS (ESI) m/z=334 (M−1, negative); HPLC purity 72.22% (MaxPlot).
-
- To a suspension of lithium aluminum hydride (80 mg, 2.0 mmol) in THF (10 mL) at −10° C. was added solution of 2-hydroxy-5-(1-hydroxy-1,3-dihydro-benzo[c][1,2]oxaborol-ylsulfamoyl)-benzoic acid methyl ester (0.50 g, 1.3 mmol) in THF (10 mL). The reaction mixture was allowed to warm to rt. After 3 h, the reaction mixture was cooled in an ice bath and saturated aq. NH4Cl solution (5 mL) was added. The reaction mixture was diluted with ethyl acetate (100 mL), and the organic layer was separated, washed with water, brine and dried over Na2SO4, decanted and concentrated under reduced pressure. Purification was accomplished by preparative HPLC generating 44 mg (9%) of the title compound as an off-white solid. MS (ESI): m/z=334 (M−1, negative); HPLC purity: 84.44% (MaxPlot 200-400 nm), 82.7% (220 nm).
-
- General Procedure 1: 6-amino-3H-benzo[c][1,2]oxaborol-1-ol (0.968 g, 4.31 mmol), MeCN (20 mL), pyridine (1.05 mL, 12.9 mmol), and 4-fluoro-3-methoxy-benzenesulfonyl chloride (0.674 g, 4.53 mmol). After addition of water and dilute HCl (2 N) the mixture was concentrated in vacuo to removed MeCN. A small quantity of acetone was added and the resulting aqueous suspension was heated to remove the acetone. After cooling to room temperature, the solid was collected and washed with water. The title compound (1.31 g, 86%) was obtained as a light red solid. 1H NMR (400 MHz, DMSO-d6) δ (ppm): 10.25 (s, 1H), 7.52 (d, J=1.9 Hz, 1H), 7.48 (dd, J=7.9, 2.2 Hz, 1H), 7.38 (dd, J=11.1, 8.6 Hz, 1H), 7.31-7.27 (m, 2H), 7.18 (dd, J=8.2, 1.9 Hz, 1H), 4.89 (s, 2H), 3.84 (s, 3H); 19F NMR (376 MHz, DMSO-d6) δ (ppm): −128.56-−128.62 (m, 1F); MS (ESI) m/z=336 (M−1, negative); HPLC purity: 91.37% (MaxPlot 200-400 nm), 91.38% (220 nm); Anal. Calcd for C14H13BFNO5S.0.25 H2O: C, 49.22%; H, 3.98%; N, 4.10%. Found: C, 49.32%; H, 4.44%; N, 3.89%.
-
- To a suspension of 4-fluoro-N-(1-hydroxy-1,3-dihydro-benzo[c][1,2]oxaborol-6-yl)-3-methoxy-benzenesulfonamide (0.812 g, 2.40 mmol) in DCM (60 mL) was added BBr3 (1M in DCM, 40 mL, 40 mmol) and the suspension was heated to reflux overnight. After consumption of 4-fluoro-N-(1-hydroxy-1,3-dihydro-benzo[c][1,2]oxaborol-6-yl)-3-methoxy-benzenesulfonamide, the reaction was cooled to ambient temperature and added to methanol chilled in an ice bath. The solution was concentrated in vacuo and the residue was treated with water and heated. The hot solution was decanted and then cooled and lyophilized. Purification was accomplished by preparative reverse phase HPLC (acetonitrile/water (with 0.1% acetic acid) gradient) producing 0.089 g (11%) of the title compound as a white solid. 1H NMR (400 MHz, DMSO-d6) δ (ppm): 10.62 (brs, 1H), 10.21 (s, 1H), 7.48 (d, J=1.6 Hz, 1H), 7.37-7.27 (m, 3H), 7.19-7.14 (m, 2H), 4.90 (s, 2H); 19F NMR (376 MHz, DMSO-d6) δ (ppm): −129.81-−129.87 (m, 1F); MS (ESI) m/z=322 (M−1, negative); HPLC purity: 93.03% (MaxPlot 200-400 nm), 92.92% (220 nm); Anal. Calcd for C13H11BFNO5S.0.6 H2O: C, 46.76%; H, 3.68%; N, 4.19%. Found: C, 46.55%; H, 3.59%; N, 4.46%.
-
- To a solution of 6-amino-3H-benzo[c][1,2]oxaborol-1-ol (0.25 g, 1.34 mmol) in anhydrous pyridine (30 mL) at 5° C. was added 3-fluoro-4-methoxy-benzenesulfonyl chloride (0.30 g, 1.34 mmol) and the resulting orange solution stirred to room temperature overnight. The reaction was briefly warmed to 40° C. for 1 h and then evaporated to dryness in vacuo. The residue was treated with H2O (80 mL) and sonicated for 6 h at 60° C. The resulting fine precipitate was filtered, washed with water and dried in vacuo generating 0.28 g (62%) of the title compound as a tan solid. 1H NMR (400 MHz, DMSO-d6) δ (ppm): 10.20 (brs, 1H), 9.23 (s, 1H), 7.55-7.48 (m, 3H), 7.31-7.27 (m, 2H), 7.17 (dd, J=8.0, 2.0 Hz, 1H), 4.88 (s, 2H), 3.87 (s, 3H). 19F NMR (376 MHz, DMSO-d6) δ (ppm): −133.34 (t, J=9.8 Hz, 1F); MS (ESI) m/z=336 (M−1, negative); HPLC purity: 98.28% (MaxPlot 200-400 nm), 98.29% (220 nm).
-
- To a suspension of 3-fluoro-N-(1-hydroxy-1,3-dihydro-benzo[c][1,2]oxaborol-6-yl)-4-methoxy-benzenesulfonamide (1.0 g, 2.96 mmol) in 100 mL of anhydrous DCM at 5° C. was added 1N solution of BBr3 in DCM (3 mL). The resulting solution stirred at room temperature overnight. The precipitate that formed was filtered, washed with DCM and briefly dried before suspending in water. The gummy material formed was extracted into EtOAc, and the organic layer was dried over Na2SO4, filtered and concentrated in vacuo. This was further purified through preparative HPLC affording 0.186 g (19% yield) of the title compound as a white solid. 1H NMR (400 MHz, DMSO-d6) δ (ppm): 10.96 (brs, 1H), 10.10 (s, 1H), 7.49-7.45 (m, 2H), 7.36 (dd, J=8.8, 1.6 Hz, 1H), 7.26 (d, J=8.4 Hz, 1H), 7.16 (dd, J=8.4, 1.8 Hz, 1H), 7.02 (t, J=8.6 Hz, 1H), 4.88 (s, 2H); 19F NMR (376 MHz, DMSO-d6) δ (ppm): −134.62 (t, J=10.2 Hz, 1F); MS (ESI) m/z=322 (M−1, negative); HPLC purity: 95.05% (MaxPlot 200-400 nm), 95.58% (220 nm).
-
- To a solution of 1-fluoro-3-methoxy-benzene (5.0 mL, 43.76 mmol) in DCM (20 mL) cooled to 0° C., was added slowly chlorosulfonic acid (14.44 mL, 218.8 mmol). The ice bath was then removed. After 1 h, the mixture was poured into ice and the organic layer was separated. The aqueous layer was extracted with DCM. The combined organic layer was dried over Na2SO4, filtered and concentrated in vacuo. The 2.94 g obtained was a 1:1 mixture of 2-fluoro-4-methoxy-benzenesulfonyl chloride and 4-fluoro-2-methoxy-benzenesulfonyl chloride and was used in the next step without further purification. 1H NMR (400 MHz, DMSO-d6) δ (ppm): 7.70 (t, J=7.8 Hz, 1H), 7.57 (t, J=8.6 Hz, 1H), 6.86 (dd, J=11.7, 2.3 Hz, 1H), 6.74-6.64 (m, 3H), 3.77 (s, 3H), 3.76 (s, 3H); 19F NMR (376 MHz, DMSO-d6) δ (ppm): −109.37-−109.42 (m, 1F), −110.35-−110.42 (m, 1F).
- General Procedure 1: 6-amino-3H-benzo[c][1,2]oxaborol-1-ol (2.05 g, 13.7 mmol), MeCN (20 mL), pyridine (1.05 mL, 12.9 mmol), and 1:1 mixture of 2-fluoro-4-methoxy-benzenesulfonyl chloride and 4-fluoro-2-methoxy-benzenesulfonyl chloride (2.94 g, 13.1 mmol). Purification was accomplished by Biotage® silica gel column chromatography (340 g SNAP™ cartridge with the sample loaded as a DCM solution to the sample and air dried, mobile phase was gradient of ethyl acetate (0.5% AcOH) and hexanes) followed by dissolving the residue in acetonitrile, adding water, removal of the acetonitrile in vacuo and lyophilization. Mixed regioisomer fractions (1.50 g total) were obtained in addition to the 0.78 g (5%, 2 steps) of the title compound that was obtained as a light orange solid. 1H NMR (400 MHz, DMSO-d6) δ (ppm): 10.36 (s, 1H), 9.23 (s, 1H), 7.67 (t, J=8.8 Hz, 1H), 7.46 (s, 1H), 7.24 (d, J=8.2 Hz, 1H), 7.17 (dd, J=8.2, 1.6 Hz, 1H), 6.97 (dd, J=12.1, 2.3 Hz, 1H), 6.84 (dd, J=8.6, 2.3 Hz, 1H), 4.85 (s, 2H), 3.77 (s, 3H) [10 mol % acetic acid also present by 1HNMR]; 19F NMR (376 MHz, DMSO-d6) δ (ppm): −107.6 (dd, J=11.5, 9.2 Hz, 1F); MS (ESI) m/z=336 (M−1, negative); HPLC purity: 96.86% (MaxPlot 200-400 nm), 96.51% (220 nm); Anal. Calcd for C14H13BFNO5S.0.1C2H4O2+0.25 H2O: C, 49.06%; H, 4.03%; N, 4.03%. Found: C, 48.99%; H, 3.89%; N, 4.18%.
-
- To a suspension of 2-fluoro-N-(1-hydroxy-1,3-dihydro-benzo[c][1,2]oxaborol-6-yl)-4-methoxy-benzenesulfonamide (0.640 g, 1.90 mmol) in DCM (10 mL) cooled in an ice bath was added BBr3 (1M in DCM, 5.7 mL, 5.7 mmol). After 3 h, 5 h and 6 h additional BBr3 (1M in DCM, 1.9 mL three times for a combined total of 11.4 mL, 11.4 mmol). After 12 h, the suspension was poured into ice and stirred vigorously overnight. The solid was collected by filtration. To this was added water and enough acetonitrile to dissolve most of the sample. The remaining dark solid was filtered off and the acetonitrile was removed in vacuo. The resulting aqueous suspension was heated and sonicated briefly. After cooling to ambient temperature the solid was collected by vacuum filtration and was washed with a small amount of water and air dried. This generated 0.395 g (64%) of the title compound as an off-white solid. mp 239-241° C. (dec); 1H NMR (400 MHz, DMSO-d6) δ (ppm): 10.89 (br.s, 1H), 10.31 (s, 1H), 9.21 (s, 1H), 7.59 (t, J=8.8 Hz, 1H), 7.47 (d, J=1.6 Hz, 1H), 7.26 (d, J=8.2 Hz, 1H), 7.19 (dd, J=8.2, 2.0 Hz, 1H), 6.68-6.63 (m, 2H), 4.87 (s, 2H) [4 mol % acetonitrile was present by 1HNMR]; 19F NMR (376 MHz, DMSO-d6) δ (ppm): −108.31 (t, J=10.3 Hz, 1F); MS (ESI) m/z=322 (M−1, negative); HPLC purity: 93.25% (MaxPlot 200-400 nm), 93.31% (220 nm); Anal. Calcd for C13H11BFNO5S.0.04C2H3N+0.2H2O: C, 47.85%; H, 3.54%; N, 4.44%. Found: C, 47.84%; H, 3.51%; N, 4.61%.
-
- Neat 1-chloro-3-methoxybenzene (3.65 mL, 30 mmol) was put on an ice-water bath. Chlorosulfonic acid was added drop-wise via dropping funnel at 0° C., during which the mixture solidified. Let stir at 0° C. around ten minutes, and transferred to a beaker of ice water. The mixture was stirred until all the ice melted, and the product was extracted using ethyl ether. The organic later was washed two more times with water, then washed with brine, dried over sodium sulfate, and filtered. The solvent was removed under slightly reduced pressure to give 2-chloro-4-methoxybenzene-1-sulfonyl chloride (1.7 g, 24% yield).
- Triethylamine (1.4 mL, 70.5 mmol) was added to a solution of 2-chloro-4-methoxybenzene-1-sulfonyl chloride (1.70 g, 7.05 mmol), 6-aminobenzo[c][1,2]oxaborol-1(3H)-ol (0.745 g, 5 mmol) in N,N-dimethylformamide (14 mL). The solution was stirred at room temperature for thirty minutes and was then neutralized to
pH 6 using 1 N hydrochloric acid. The solution was the extracted using ethyl acetate and water. The organic layer was washed four times with water, then washed with brine, dried over sodium sulfate, and filtered. The solvent was removed under reduced pressure. The residue was purified by silica column using Combiflash to give 2-chloro-N-(1-hydroxy-1,3-dihydrobenzo[c][1,2]oxaborol-6-yl)-4-methoxybenzene sulfonamide (0.828 g, 33% yield). 1H NMR (400 MHz, DMSO-d6) δ (ppm) 3.30 (s, 3 H), 4.84 (s, 2H), 6.99 (dd, J=2.6 Hz, J=9.0 Hz, 1H), 7.15 (d, J=2.5 Hz, 1H), 7.19 (d, J=1.9 Hz, 1H), 7.22 (s, 1H), 7.46 (d, J=1.5 Hz, 1H), 7.89 (d, J=8.8 Hz, 1H), 9.19 (s, 1H), 10.39 (s, 1H). -
- A solution of 2-chloro-N-(1-hydroxy-1,3-dihydrobenzo[c][1,2]oxaborol-6-yl)-4-methoxybenzenesulfonamide (0.728 g, 2.06 mmol) in dry dichloromethane (10 mL) was cooled to −78° C. with acetone-dry ice bath. 1 M tribromoborane in dichloromethane (6.2 mL) was added drop-wise. The reaction was stirred in the acetone-dry ice bath and allowed to warm to room temperature overnight. The solution was then put on an ice-water bath and was quenched with ice chips. The solvent was removed under reduced pressure. The residue was extracted using ethyl acetate and water. The aqueous layer was extracted with ethyl acetate six times. The organic layers were dried over sodium sulfate and combined. The solvent was removed under reduced pressure. The residue was purified by silica column using Combiflash to give 2-chloro-4-hydroxy-N-(1-hydroxy-1,3-dihydrobenzo[c][1,2]oxaborol-6-yl)benzenesulfonamide (0.098 g, 14% yield). 1H NMR (400 MHz, DMSO-d6) δ (ppm) 4.84 (s, 2H), 6.77 (dd, J=2.3 Hz, J=8.6 Hz, 1H), 6.88 (d, J=2.3 Hz, 1H), 7.23-7.16 (m, 2H), 7.44 (d, J=1.5 Hz, 1H), 7.80 (d, J=8.8 Hz, 1H), 9.18 (s, 1H), 10.29 (s, 1H), 10.83 (s, 1H).
-
- General Procedure 1: 6-amino-3H-benzo[c][1,2]oxaborol-1-ol (300 mg, 2.0 mmol), 2,4-dimethoxybenzenesulfonyl chloride (570 mg, 2.4 mmol), Si-pyridine (4.2 g, 6.0 mmol), and MeCN (20 mL) at rt O/N. Si-amine (1.0 g, 1.8 mmol) was added and the mixture stirred at rt for 2 h. The mixture was filtered, H2O was added to the filtrate, and the resulting soln was concentrated in vacuo at 40° C. until precipitation was observed. The suspension was decanted and the remaining soln left to stand at rt resulting in the formation of a precipitate. The precipitate was isolated by filtration to give the title compound as a yellow solid: yield; 552 mg (78%). 1H NMR (400 MHz, DMSO-d6) δ (ppm): 9.82 (s, 1H), 9.19 (s, 1H), 7.64-7.62 (m, 1H), 7.46-7.45 (m, 1H), 7.22-7.16 (m, 2H), 6.63-6.62 (m, 1H), 6.56-6.53 (m, 1H), 4.85 (s, 2H), 3.87 (s, 3H), 3.78 (s, 3H); MS (ESI) m/z=348 (M−1, negative); HPLC purity: 91.94% (MaxPlot 200-400 nm), 90.96% (220 nm).
-
- 1 M BBr3 in CH2Cl2 (5.0 mL, 5.0 mmol) was added to a soln of N-(1-hydroxy-1,3-dihydro-benzo[c][1,2]oxaborol-6-yl)-2,4-dimethoxy-benzenesulfonamide (500 mg, 1.4 mmol) in CH2Cl2 (15 mL) and stirred at rt O/N. H2O was added and mixture was concentrated in vacuo at 50° C. The residue was purified by prep HPLC (20-90% MeCN/0.1% aq HCO2H) to give the title compound as a white solid: yield; 41 mg (9%). 1H NMR (400 MHz, DMSO-d6) δ (ppm): 7.46-7.44 (m, 2H), 7.18 (s, 2H), 6.29-6.28 (m, 1H), 6.22-6.19 (m, 1H), 4.85 (s, 2H); MS (ESI) m/z=320 (M−1, negative); HPLC purity: 97.63% (MaxPlot 200-400 nm), 97.59% (220 nm).
-
- General Procedure 1: 6-amino-3H-benzo[c][1,2]oxaborol-1-ol, MeCN, pyridine, and 3,4-dimethoxy-benzenesulfonyl chloride. 1H NMR (400 MHz, DMSO-d6) δ (ppm): 10.25 (s, 1H), 7.52 (d, J=1.9 Hz, 1H), 7.48 (dd, J=7.9, 2.2 Hz, 1H), 7.38 (dd, J=11.1, 8.6 Hz, 1H), 7.31-7.27 (m, 2H), 7.18 (dd, J=8.2, 1.9 Hz, 1H), 4.89 (s, 2H), 3.84 (s, 3H); 19F NMR (376 MHz, DMSO-d6) δ (ppm): −128.56-−128.62 (m, 1F); MS (ESI) m/z=336 (M−1, negative); HPLC purity: 91.37% (MaxPlot 200-400 nm), 91.38% (220 nm); Anal. Calcd for C14H13BFNO5S.0.25 H2O: C, 49.22%; H, 3.98%; N, 4.10%. Found: C, 49.32%; H, 4.44%; N, 3.89%.
-
- To a solution of 4-methoxy-2-nitrobenzenesulfonyl chloride (8.72 g, 34.6 mmol), 6-aminobenzo[c][1,2]oxaborol-1(3H)-ol (5.00 g, 33.6 mmol), and triethylamine (5.6 mL, 40.3 mL) in DMF 70 mL was stirred at room temperature for 1 h. The mixture was poured into ethyl acetate and water. The organic layer was washed with water twice and brine and dried on anhydrous sodium sulfate. The solvent was removed under reduced pressure and the residue was recrystallized from dichloromethane to give N-(1-Hydroxy-1,3-dihydrobenzo[c][1,2]oxaborol-6-yl)-4-methoxy-2-nitrobenzenesulfonamide (7.23 g, 59%). 1H NMR (400 MHz, DMSO-d6) δ (ppm) 3.84 (s, 3H), 4.88 (s, 2H), 7.21 (dd, J=8.3, 2.0 Hz, 1H), 7.25-7.32 (m, 2H), 7.49 (d, J=1.6 Hz, 1H), 7.53 (d, J=2.5 Hz, 1H), 7.81 (d, J=8.8 Hz, 1H), 9.22 (s, 1H), 10.4 (s, 1H).
-
- To a solution of N-(1-hydroxy-1,3-dihydrobenzo[c][1,2]oxaborol-6-yl)-4-methoxy-2-nitrobenzenesulfonamide (1.00 g, 2.74 mmol) in dichloromethane (150 mL) was added boron tribromide (1 M in dichloromethane, 8.2 mL) at −78° C., and the mixture was stirred for 6 days at room temperature. Water was added and the mixture was extracted with dichloromethane. The organic layer was washed with brine and dried on anhydrous sodium sulfate. The solvent was removed under reduced pressure and the residue was purified by silica gel column (19:1 dichloromethane/methanol) to give 4-hydroxy-N-(1-hydroxy-1,3-dihydrobenzo[c][1,2]oxaborol-6-yl)-2-nitrobenzenesulfonamide (290 mg, 30%). 1H NMR (400 MHz, DMSO-d6) δ (ppm) 4.88 (s, 2H), 7.03 (dd, J=8.8, 2.3 Hz, 1H), 7.16-7.22 (m, 2H), 7.29 (d, J=8.3 Hz, 1H), 7.48 (s, 1H), 7.71 (d, J=8.8 Hz, 1H), 9.21 (s, 1H), 10.3 (s, 1H), 11.4 (s, 1H).
-
- A mixture of N-(1-hydroxy-1,3-dihydrobenzo[c][1,2]oxaborol-6-yl)-4-methoxy-2-nitrobenzenesulfonamide (6.00 g, 16.5 mmol) and 10% palladium on charcoal (1.50 g) in methanol (400 mL) was stirred under hydrogen atmosphere with a balloon at room temperature for 4 h. The atmosphere was replaced with nitrogen, and the mixture was filtered through a Celite pad. The solution was removed under reduced pressure, and the residue was purified by silica gel column (2:8 hexane/ethyl acetate) to give 2-amino-N-(1-hydroxy-1,3-dihydrobenzo[c][1,2]oxaborol-6-yl)-4-methoxybenzenesulfonamide (5.09 g, 92%). 1H NMR (400 MHz, DMSO-d6) δ (ppm) 3.65 (s, 3H), 4.85 (s, 2H), 5.96 (br s, 2H), 6.10 (dd, J=8.8, 2.3 Hz, 1H), 6.21 (d, J=2.3 Hz, 1H), 7.13 (dd, J=8.2, 1.9 Hz, 1H), 7.22 (d, J=8.1 Hz, 1H), 7.38 (d, J=8.7 Hz, 1H), 7.43 (s, 1H), 9.18 (s, 1H), 10.0 (s, 1H).
-
- To a solution of 2,2,2-trifluoro-N-(5-hydroxy-2-(N-(1-hydroxy-1,3-dihydrobenzo[c][1,2]oxaborol-6-yl)sulfamoyl)phenyl)acetamide (2.00 g, 4.81 mmol) in methanol (40 mL) was added 3 M NaOH (10 mL), and the mixture was stirred at room temperature for overnight. The pH was adjusted to 7 with 6 M HCl and the mixture was extracted with ethyl acetate. The organic layer was washed with water and brine and dried on anhydrous sodium sulfate. The solvent was removed under reduced pressure and the residue was purified by silica gel column (8:1 chloroform/methanol) followed by water-toluene co-boiling to give 2-amino-4-hydroxy-N-(1-hydroxy-1,3-dihydrobenzo[c][1,2]oxaborol-6-yl)benzenesulfonamide (1.10 g, 71%). 1H NMR (400 MHz, DMSO-d6) δ (ppm) 4.85 (s, 2H), 5.83 (br s, 2H), 5.93 (dd, J=8.8, 2.5 Hz, 1H), 6.05 (d, J=2.4 Hz, 1H), 7.11 (dd, J=8.4, 2.2 Hz, 1H), 7.21 (d, J=8.2 Hz, 1H), 7.29 (d, J=8.8 Hz, 1H), 7.41 (d, J=1.6 Hz, 1H), 9.16 (s, 1H), 9.80 (br s, 1H), 9.92 (br s, 1H).
-
- To a solution of 2-amino-N-(1-hydroxy-1,3-dihydrobenzo[c][1,2]oxaborol-6-yl)-4-methoxybenzenesulfonamide (2.01 g, 6.00 mmol) in DMF (15 mL) was added trifluoroacetic anhydride (1.2 mL, 8.8 mmol), and the mixture was stirred at room temperature for 1 h. The mixture was poured into ethyl acetate and water. The organic layer was washed with water twice and brine and dried on anhydrous sodium sulfate. The solvent was removed under reduced pressure and the residue was purified by silica gel column (3:7 hexane/ethyl acetate) to give 2,2,2-trifluoro-N-(2-(N-(1-hydroxy-1,3-dihydrobenzo[c][1,2]oxaborol-6-yl)sulfamoyl)-5-methoxyphenyl)acetamide (1.40 g, 54%). 1H NMR (400 MHz, DMSO-d6) δ (ppm) 3.80 (s, 3H), 4.88 (s, 2H), 6.98 (dd, J=9.0, 2.6 Hz, 1H), 7.07 (dd, J=8.0, 2.0 Hz, 1H), 7.27 (d, J=8.2 Hz, 1H), 7.42 (s, 1H), 7.51 (d, J=2.3 Hz, 1H), 7.66 (d, J=9.0 Hz, 1H), 9.20 (s, 1H), 10.2 (s, 1H), 10.6 (s, 1H).
-
- To a solution of 2,2,2-trifluoro-N-(2-(N-(1-hydroxy-1,3-dihydrobenzo[c][1,2]oxaborol-6-yl)sulfamoyl)-5-methoxyphenyl)acetamide (960 mg, 2.23 mmol) in dichloromethane (150 mL) was added boron tribromide (1 M in dichloromethane, 6.0 mL) at −78° C., and the mixture was stirred for 2 days at room temperature. Water was added and the precipitates formed were collected by filtration to give 2,2,2-trifluoro-N-(5-hydroxy-2-(N-(1-hydroxy-1,3-dihydrobenzo[c][1,2]oxaborol-6-yl)sulfamoyl)phenyl)acetamide (155 mg, 17%). 1H NMR (400 MHz, DMSO-d6) δ (ppm) 4.87 (s, 2H), 6.72 (dd, J=8.8, 2.6 Hz, 1H), 7.05 (dd. J=8.2, 2.1 Hz, 1H), 7.27 (d, J=8.2 Hz, 1H), 7.40 (d, J=2.2 Hz, 1H), 7.45 (d, J=2.3 Hz, 1H), 7.55 (d, J=8.8 Hz, 1H), 9.19 (s, 1H), 10.1 (s, 1H), 10.5 (s, 1H), 10.8 (s, 1H).
-
- A solution of chloro-acetyl chloride (1.65 g, 7.3 mmol) in DCM was added to a solution of 2-amino-4-(benzyloxy)-N-(1-hydroxy-1,3-dihydrobenzo[c][1,2]oxaborol-6-yl)benzenesulfonamide (3 g, 7.3 mmol) in DCM and Py (1.734, 21.9 mmol) at r.t, and stirred overnight. Then the mixture was washed with brine, dried and concentrated to give product N-(5-(benzyloxy)-2-(N-(1-hydroxy-1,3-dihydrobenzo[c][1,2]oxaborol-6-yl)sulfamoyl)phenyl)-2-chloroacetamide (2.4 g, 67%).
- A solution of compound N-(5-(benzyloxy)-2-(N-(1-hydroxy-1,3-dihydrobenzo[c][1,2]oxaborol-6-yl)sulfamoyl)phenyl)-2-chloroacetamide (200 mg, 0.41 mmol) and AcOK (66.5 mg, 0.82 mmol) in DMF (5 mL) was stirred at 50° C. overnight, then cooled to r.t. The mixture was poured in water and extracted with DCM, dried and concentrated to give product 2-(5-(benzyloxy)-2-(N-(1-hydroxy-1,3-dihydrobenzo[c][1,2]oxaborol-6-yl)sulfamoyl)phenylamino)-2-oxoethyl acetate (200 mg, crude).
- A solution of 2-(5-(benzyloxy)-2-(N-(1-hydroxy-1,3-dihydrobenzo[c][1,2]oxaborol-6-yl)sulfamoyl)phenylamino)-2-oxoethyl acetate (200 mg, crude) in CH3OH and aq. NH4OH (v/v=1:1) was stirred at r.t overnight, then the mixture was concentrated and extracted with DCM, dried and purified by Prep-HPLC (column:
Luna 300×50.0 mm, 10μ; liquid phase: [A-H2O; B-MeCN+0.025% TFA] B %: 25%-55%, 25 min) to give the title compound (93 mg). 1H NMR: DMSO-d6 400 MHz δ 10.42 (1H, s), 10.23 (1H, s), 9.21 (1H, s), 8.10-8.09 (1H, m), 7.63-706 (1H, m), 7.41-7.35 (5H, m), 7.28-7.26 (1H, m), 7.18-7.16 (1H, m), 6.06-6.03 (1H, m), 5.09 (1H, s), 4.88 (1H, s), 3.95-3.95 (2H, m), 4.72-4.71 (2H, m). ESI-MS m/z 367 (M−H, negative); HPLC purity: 97.52% (MaxPlot 190-370 nm), 98.83% (220 nm), 99.65% (254 nm). -
- A solution of 2-(5-(benzyloxy)-2-(N-(1-hydroxy-1,3-dihydrobenzo[c][1,2]oxaborol-6-yl)sulfamoyl)phenylamino)-2-oxoethyl acetate (500 mg, 1 mmol) was dissolved in CH3OH and NH4OH, then the mixture and Pd/C was stirred under H2 (50 Psi) overnight. The mixture was filtrated and the filtrate was concentrated, extracted with DCM. The organics was dried and purified by Prep-HPLC (column:
Luna 300×50.0 mm, 10μ; liquid phase: [A-H2O; B-MeCN+0.025% TFA] B %: 10%-40%, 25 min) to give the title compound (130 mg, 35%). 1H NMR: DMSO-d6 400 MHz δ 10.45 (1H, s), 10.35 (1H, s), 10.07 (1H, s), 9.17 (1H, s), 7.89-7.88 (1H, m), 7.51-7.49 (1H, m), 7.39-7.38 (1H, m), 7.26-7.24 (1H, m), 7.16-7.13 (1H, m), 6.52-6.49 (1H, m), 6.00-5.97 (1H, m), 4.87 (2H, s), 3.94-3.92 (2H, m). ESI-MS m/z 401 (M+Na, positive); HPLC purity: 94.17% (MaxPlot 190-370 nm), 99.76% (220 nm), 100% (254 nm). -
- A solution of compound N-(5-(benzyloxy)-2-(N-(1-hydroxy-1,3-dihydrobenzo[c][1,2]oxaborol-6-yl)sulfamoyl)phenyl)-2-chloroacetamide (500 mg, crude) was dissolved in CH3OH and NH4OH, then the mixture was stirred at 50° C. for 2 hrs. The mixture was adjusted to pH=4, extracted with DCM, dried and purified by Prep-HPLC (column:
Luna 300×50.0 mm, 10μ; liquid phase: [A-H2O; B-MeCN+0.025% TFA] B %: 15%-45%, 25 min) to give the title compound (110 mg). 1H NMR: DMSO-d6 400 MHz δ 10.65 (1H, s), 9.74 (1H, s), 9.2 (1H, s), 8.28 (1H, s), 7.68-7.52 (1H, m), 7.38-7.33 (5H, m), 7.21-7.19 (2H, m), 6.91-6.88 (2H, m), 5.07 (1H, s), 4.84 (1H, s), 4.01 (1H, s). ESI-MS m/z 468 (M+1, positive); HPLC purity: 99.08% (MaxPlot 190-370 nm), 98.8% (220 nm), 99.02% (254 nm). -
- A solution of 2-amino-N-(5-(benzyloxy)-2-(N-(1-hydroxy-1,3-dihydrobenzo[c][1,2]oxaborol-6-yl)sulfamoyl)phenyl)acetamide (500 mg, crude) was dissolved in CH3OH, then the mixture and Pd/C was stirred under H2 (50 Psi) overnight. The mixture was filtrated and the filtrate was concentrated, dissolved in DCM, washed with brine. The organics was dried and purified by Prep-HPLC (column:
Luna 300×50.0 mm, 10μ; liquid phase: [A-H2O; B-MeCN+0.025% TFA]B %: 5%-35%, 25 min) to give the title compound (100 mg, 35%). 1H NMR: DMSO-d6 400 MHz δ9.21 (1H, s), 7.56-7.54 (1H, m), 7.51-7.50 (1H, m), 7.37-7.36 (1H, m), 7.23-7.21 (1H, m), 7.18-7.17 (1H, m), 6.61-6.58 (1H, m), 4.86 (2H, m), 3.98 (2H, s), 3.94-3.92 (2H, m). ESI-MS m/z 378 (M+1, positive); HPLC purity: 94.57% (MaxPlot 190-370 nm), 94.11% (220 nm), 94.8% (254 nm). -
- A solution of N-(5-(benzyloxy)-2-(N-(1-hydroxy-1,3-dihydrobenzo[c][1,2]oxaborol-6-yl)sulfamoyl)phenyl)-2-chloroacetamide (500 mg, 1.07 mmol), dimethylamine hydrochloride (870 mg, 10.7 mmol) and NMM (1.09 g, 10.7 mmol) was dissolved in CH3OH. The mixture was stirred at 50° C. overnight. The mixture was adjusted to pH=4, then concentrated and extracted with DCM. The organics was dried, concentrated and purified by Prep-HPLC (column:
Luna 300×50.0 mm, 10μ; liquid phase: [A-H2O; B-MeCN+0.025% TFA] B %: 13%-55%, 25 min) to give the title compound (300 mg, 56.8%). 1HNMR: DMSO 400 MHz δ 10.3 (1H, s), 9.9 (1H, s), 9.21 (1H, s), 7.72-7.47 (1H, m), 7.46-7.36 (7H, m), 7.26-7.24 (1H, m), 7.14-7.11 (1H, m), 7.00-6.97 (1H, m), 5.11 (2H, s), 4.87 (2H, s), 4.23 (2H, s), 2.85 (2H, s). ESI-MS m/z 496 (M+H, positive); HPLC purity: 96.44% (MaxPlot 190-370 nm), 99.9% (220 nm), 99.84% (254 nm). -
- A mixture of N-(5-(benzyloxy)-2-(N-(1-hydroxy-1,3-dihydrobenzo[c][1,2]oxaborol-6-yl)sulfamoyl)phenyl)-2-(dimethylamino)acetamide (130 mg, 0.263 mmol), Pd/C (0.2 g) in CH3OH was stirred under H2 (50 Psi) for 1 hr. Then the mixture was filtrated and the filtrate was concentrated and purified by Prep-HPLC (column:
Luna 300×50.0 mm, 10μ; liquid phase: [A-H2O; B-MeCN+0.025% TFA]B %: 3%-43%, 25 min) to give the title compound (100 mg, 94%). 1HNMR: DMSO-d6 400 MHz δ 10.65 (1H, s), 10.55 (1H, s), 9.98-9.87 (2H, m), 7.57-7.54 (1H, m), 7.50-7.48 (1H, m), 7.27-7.23 (2H, m), 7.18-7.15 (1H, m), 4.86 (2H, s), 4.30 (2H, s), 2.80 (6H, s). ESI-MS m/z 406 (M+H, positive); HPLC purity: 95.79% (MaxPlot 190-370 nm), 97.98% (220 nm), 97.83% (254 nm). -
- A solution of 2-amino-4-hydroxy-N-(1-hydroxy-1,3-dihydrobenzo[c][1,2]oxaborol-6-yl)benzenesulfonamide (0.250 g, 0.781 mmol) and 2-phenoxyacetyl chloride (108 μL, 0.781 mmol) in N,N-dimethylformamide (4 mL) was stirred at room temperature for two and a half hours. 2-phenoxyacetyl chloride (32 μL, 0.234 mmol) was again added to the solution, which was then stirred at room temperature for one hour. The solution was extracted using ethyl acetate and water. The organic layer was washed three times with water, then washed with brine, dried over sodium sulfate, and filtered. The solvent was removed under reduced pressure. The residue was purified by silica column using dichloromethane and methanol using 2.5% methanol to 5% methanol to 10% methanol. The fractions were collected and the solvent was removed under reduced pressure. Water and toluene were added and were co-evaporated under reduced pressure to give N-(5-hydroxy-2-(N-(1-hydroxy-1,3-dihydrobenzo[c][1,2]oxaborol-6-yl)sulfamoyl)phenyl)-2-phenoxyacetamide (0.196 g, 55% yield). 1H NMR (400 MHz, DMSO-d6) δ (ppm) 4.457 (s, 2H), 4.85 (s, 2H), 6.54 (dd, J=2.4 Hz, J=8.8 Hz, 1H), 7.06-6.70 (m, 3H), 7.12 (s, 2H), 7.33-7.37 (m, 3H), 7.51 (d, J=8.8 Hz, 1H), 9.15 (s, 1H), 10.13 (br s, 1H), 10.34 (br s, 1 H), 10.51 (br s, 1H).
-
- This compound was made from 2-amino-4-hydroxy-N-(1-hydroxy-1,3-dihydrobenzo[c][1,2]oxaborol-6-yl)benzenesulfonamide and acetic anhydride in a similar way to N-(5-hydroxy-2-(N-(1-hydroxy-1,3-dihydrobenzo[c][1,2]oxaborol-6-yl)sulfamoyl)phenyl)-2-phenoxyacetamide. 1H NMR (400 MHz, DMSO-d6) δ (ppm) 2.04 (s, 3H), 4.87 (s, 2H), 6.49 (dd, J=8.8, 2.5 Hz, 1H), 7.09 (dd, J=8.2, 2.1 Hz, 1H), 7.26 (d, J=8.2 Hz, 1H), 7.43 (d, J=1.8 Hz, 1H), 7.52 (d, J=8.8 Hz, 1H), 7.66 (d, J=2.4 Hz, 1H), 9.05 (s, 1H), 9.20 (s, 1H), 10.2 (s, 1H), 10.4 (s, 1H).
-
- This compound was made from 2-amino-4-hydroxy-N-(1-hydroxy-1,3-dihydrobenzo[c][1,2]oxaborol-6-yl)benzenesulfonamide and nicotynoyl chloride in a similar way to N-(5-hydroxy-2-(N-(1-hydroxy-1,3-dihydrobenzo[c][1,2]oxaborol-6-yl)sulfamoyl)phenyl)-2-phenoxyacetamide. 1H NMR (400 MHz, DMSO-d6) δ (ppm) 4.73 (s, 2H), 6.56 (dd, J=2.5 Hz, J=8.9 Hz, 1H), 6.99 (dd, J=2.0 Hz, J=8.1 Hz, 1H), 7.08 (d, J=8.2 Hz, 1H), 7.34 (d, J=1.7 Hz, 1H), 7.51 (d, J=8.8 Hz, 1H), 7.56 (m, 1H), 7.77 (d, J=2.3 Hz, 1H), 8.09 (m, 1H), 8.75 (dd, J=1.5 Hz, J=4.8 Hz, 1H), 8.91 (d, J=1.9 Hz, 1H), 9.97 (s, 1H), 10.09 (s, 1H), 10.40-10.64 (br s, 1 H).
-
- This compound was made from 2-amino-4-methoxy-N-(1-hydroxy-1,3-dihydrobenzo[c][1,2]oxaborol-6-yl)benzenesulfonamide and ethyl chloroformate in a similar way to N-(5-hydroxy-2-(N-(1-hydroxy-1,3-dihydrobenzo[c][1,2]oxaborol-6-yl)sulfamoyl)phenyl)-2-phenoxyacetamide. 1H NMR (400 MHz, DMSO-d6) δ (ppm) 1.21 (t, J=7.1 Hz, 3H), 3.75 (s, 3H), 4.07 (q, J=7.1 Hz, 2H), 4.87 (s, 2H), 6.70 (dd, J=9.0, 2.6 Hz, 1H), 7.08 (dd, J=8.2, 2.1 Hz, 1H), 7.26 (d, J=8.2 Hz, 1H), 7.45 (d, J=1.8 Hz, 1H), 7.60 (d, J=9.0 Hz, 1H), 7.64 (d, J=2.5 Hz, 1H), 8.65 (s, 1H), 9.22 (s, 1H), 10.3 (s, 1H).
-
- To a solution of ethyl 5-hydroxy-2-(N-(1-hydroxy-1,3-dihydrobenzo[c][1,2]oxaborol-6-yl)sulfamoyl)phenylcarbamate (197 mg, 0.503 mmol) in pyridine (3 mL) was added pivaloyl chloride (0.195 mL, 0.830 mmol), and the mixture was stirred at room temperature for 24 h. Water was added and the mixture was extracted with ethyl acetate. The organic layer was washed with water and brine and dried on anhydrous sodium sulfate. The solvent was removed under reduced pressure and the residue was purified by silica gel column (55:45 hexane/ethyl acetate) followed by trituration with isopropyl ether-hexane to give 3-(ethoxycarbonylamino)-4-(N-(1-hydroxy-1,3-dihydrobenzo[c][1,2]oxaborol-6-yl)sulfamoyl)phenyl pivalate (75 mg, 31%). 1H NMR (400 MHz, DMSO-d6) δ (ppm) 1.26 (s, 9H), 4.88 (s, 2H), 6.93 (dd, J=8.7, 2.3 Hz, 1H), 7.08 (dd, J=8.0, 2.0 Hz, 1H), 7.28 (d, J=8.2 Hz, 1H), 7.48 (d, J=1.7 Hz, 1H), 7.71 (d, J=8.8 Hz, 1H), 7.82 (d, J=2.2 Hz, 1H), 8.69 (s, 1H), 9.23 (s, 1H), 10.5 (s, 1H).
-
- A solution of ethyl chloroformate (0.47 g, 4.35 mmol) in DCM was added to the solution of 2-amino-4-(benzyloxy)-N-(1-hydroxy-1,3-dihydrobenzo[c][1,2]oxaborol-6-yl)benzene sulfonamide (0.6 g, 1.46 mmol) in DCM and Py (1.5 g, 19 mmol) at r.t, and stirred overnight. Then the mixture was washed with brine, dried and concentrated, purified by pre-HPLC (column:
Luna 300×50.0 mm, 10μ; liquid phase: [A-H2O; B-MeCN+0.025% TFA] B %: 40%-65%, 25 min) to give the title compound (120 mg g, 17%). 1HNMR: DMSO-d6 400 MHz δ 10.35 (1H, s), 9.30 (1H, s), 8.67 (1H, s), 7.74-7.73 (1H, m), 7.63-7.61 (1H, m), 7.47-7.43 (1H, m), 7.43-7.38 (5H, m), 7.29-7.27 (1H, m), 7.10-7.08 (1H, s), 6.82-6.79 (1H, m), 5.1 (2H, s), 4.89 (1H, s), 4.11-4.05 (2H, m). ESI-MS m/z 481 (M−H, negative); HPLC purity: 95.79% (MaxPlot 190-370 nm), 97.98% (220 nm), 97.83% (254 nm). -
- A solution of 2-amino-4-hydroxy-N-(1-hydroxy-1,3-dihydrobenzo[c][1,2]oxaborol-6-yl)benzenesulfonamide (0.250 g, 0.781 mmol) and ethyl chloroformate (0.38 mL, 4.0 mmol) in N,N-dimethylformamide (3 mL) was stirred overnight at rt. The solution was extracted using ethyl acetate and water. The organic layer was washed three times with water, then washed with brine, dried over sodium sulfate, and filtered. The solvent was removed under reduced pressure. The residue was purified by silica column (4:6 hexane/ethyl acetate) followed by recrystallization from ethyl acetate/hexane to give the desired product (144 mg, 47% yield). 1H NMR (400 MHz, DMSO-d6) δ (ppm) 1.21 (t, J=7.0 Hz, 3H), 4.05 (q, J=7.0 Hz, 2H), 4.87 (s, 2H), 6.46 (dd, J=8.8, 2.4 Hz, 1H), 7.61 (dd, J=8.2, 1.9 Hz, 1H), 7.26 (d, J=8.0 Hz, 1H), 7.43 (d, J=1.8 Hz, 1H), 7.49 (d, J=9.0 Hz, 1H), 7.53 (d, J=2.3 Hz, 1H), 8.60 (s, 1H), 9.21 (s, 1H), 10.2 (s, 1H), 10.5 (s, 1H).
-
- This compound was made from 2-amino-4-hydroxy-N-(1-hydroxy-1,3-dihydrobenzo[c][1,2]oxaborol-6-yl)benzenesulfonamide and isobutyl chloroformate in a similar way to N-(5-hydroxy-2-(N-(1-hydroxy-1,3-dihydrobenzo[c][1,2]oxaborol-6-yl)sulfamoyl)phenyl)-2-phenoxyacetamide. 1H NMR (400 MHz, DMSO-d6) δ (ppm) 0.89 (d, J=6.7 Hz, 6H), 1.88 (sept, J=6.7 Hz, 1H), 3.81 (d, J=6.6 Hz, 2H), 4.87 (s, 2H), 6.47 (dd, J=2.2 Hz, J=8.9 Hz, 1H), 7.07 (dd, J=1.9 Hz, J=8.0 Hz, 1H), 7.25 (d, J=8.1 Hz, 1H), 7.42 (d, J=1.4 Hz, 1H), 7.48-7.53 (m, 2H), 8.65 (br s, 1H), 9.20 (s, 1H), 10.21 (br s, 1H), 10.47 (br s, 1H).
-
- This compound was made from 2-amino-4-methoxy-N-(1-hydroxy-1,3-dihydrobenzo[c][1,2]oxaborol-6-yl)benzenesulfonamide and benzyl chloroformate in a similar way to N-(5-hydroxy-2-(N-(1-hydroxy-1,3-dihydrobenzo[c][1,2]oxaborol-6-yl)sulfamoyl)phenyl)-2-phenoxyacetamide. 1H NMR (400 MHz, DMSO-d6) δ (ppm) 3.75 (s, 3H), 4.86 (s, 2H), 5.13 (s, 2H), 6.71 (dd, J=9.2, 2.5 Hz, 1H), 7.10 (dd, J=8.1, 2.0 Hz, 1H), 7.24 (d, J=8.2 Hz, 1H), 7.32-7.45 (m, 6H), 7.59 (d, J=9.0 Hz, 1H), 7.66 (d, J=2.4 Hz, 1H), 8.81 (s, 1H), 9.21 (s, 1H), 10.4 (s, 1H).
-
- This compound was made from 2-amino-4-hydroxy-N-(1-hydroxy-1,3-dihydrobenzo[c][1,2]oxaborol-6-yl)benzenesulfonamide and benzyl chloroformate in a similar way to N-(5-hydroxy-2-(N-(1-hydroxy-1,3-dihydrobenzo[c][1,2]oxaborol-6-yl)sulfamoyl)phenyl)-2-phenoxyacetamide. 1H NMR (400 MHz, DMSO-d6) δ (ppm) 4.86 (s, 2H), 5.11 (s, 2H), 6.47 (dd, J=8.8, 2.1 Hz, 1H), 7.09 (dd, J=8.2, 1.7 Hz, 1H), 7.23 (d, J=8.1 Hz, 1H), 7.32-7.46 (m, 6H), 7.48 (d, J=8.8 Hz, 1H), 7.56 (d, J=2.1 Hz, 1H), 8.76 (s, 1H), 9.21 (s, 1H), 10.3 (s, 1H), 10.5 (s, 1H).
-
- This compound was made from 2-amino-4-hydroxy-N-(1-hydroxy-1,3-dihydrobenzo[c][1,2]oxaborol-6-yl)benzenesulfonamide and 2-methoxyethyl chloroformate in a similar way to N-(5-hydroxy-2-(N-(1-hydroxy-1,3-dihydrobenzo[c][1,2]oxaborol-6-yl)sulfamoyl)phenyl)-2-phenoxyacetamide. 1H NMR (400 MHz, DMSO-d6) δ (ppm) 3.54 (t, J=4.5 Hz, 2H), 4.15 (t, J=4.5 Hz, 2H), 4.87 (s, 2H), 6.46 (dd, J=8.8, 2.3 Hz, 1H), 7.09 (dd, J=8.0, 1.9 Hz, 1H), 7.26 (d, J=8.2 Hz, 1H), 7.43 (d, J=1.6 Hz, 1H), 7.47 (d, J=8.8 Hz, 1H), 7.54 (d, J=2.4 Hz, 1H), 8.69 (s, 1H), 9.21 (s, 1H), 10.1 (s, 1H), 10.5 (s, 1H).
-
- A mixture of nicotinaldehyde (0.5 g, 5.2 mmol), 2-amino-N-(1-hydroxy-1,3-dihydrobenzo[c][1,2]oxaborol-6-yl)-4-methoxybenzenesulfonamide (0.5 g, 1.22 mmol) and catalytic amount of TiCl4 (1M in DCM) in a solution of DCM (12 mL) was stirred at r.t. for 2 hrs, then followed by and Na(AcO)3BH (2.12 g, 10 mmol). The mixture was quenched with water then worked up with EtOAc, H2O, brine, dried over Na2SO4 and dried in vacuo. Further purification by flash chromatography give product N-(1-hydroxy-1,3-dihydrobenzo[c][1,2]oxaborol-6-yl)-4-methoxy-2-(pyridin-3-ylmethylamino) benzenesulfonamide (200 mg, 33.5%).
- General Procedure 16: Starting Materials compound N-(1-hydroxy-1,3-dihydrobenzo[c][1,2]oxaborol-6-yl)-4-methoxy-2-(pyridin-3-ylmethylamino) benzenesulfonamide and boron tribromide 1M solution in DCM. 1H NMR (400 MHz, DMSO-d6) (ppm): 10.14 (s, 1H), 9.98 (s, 1H), 9.20 (bs, 1H), 8.62 (s, 1H), 8.54 (d, J=4.8 Hz, 1H), 7.84 (d, J=6.8 Hz, 1H), 7.46 (m, 3H), 7.25 (d, J=8.4 Hz, 1H), 7.15 (dd, J=8.0, 2 Hz, 1H), 6.54 (t, J=5.6 Hz, 1H), 6.02 (dd, J=8.4, 2 Hz, 1H); 5.89 (d, J=2.0 Hz, 1H), 4.87 (s, 2H), 4.48 (d, J=6 Hz, 2H); MS (ESI) m/z=410.0 (M−H, negative).
-
- A mixture of 1H-Imidazole-2-carbaldehyde (0.5 g, 5.2 mmol), 2-amino-4-(benzyloxy)-N-(1-hydroxy-1,3-dihydrobenzo[c][1,2]oxaborol-6-yl)benzene sulfonamide (0.5 g, 1.22 mmol) and Na(AcO)3BH (2.12 g, 10 mmol) in a solution of CH3OH/TFA (1:5, 12 mL) was stirred at 50° C. for 2 hrs. The mixture was quenched with water and purified by pre-HPLC (column:
Luna 300×50.0 mm, 10μ; liquid phase: [A-H2O; B-MeCN+0.025% TFA] B %: 15%-45%, 25 min) to give the title compound (200 mg, 33.5%). 1HNMR: DMSO 400 MHz δ 10.04 (1H, s), 9.19 (1H, s), δ 7.65-7.56 (2H, s), 7.48-7.43 (2H, s), 7.33-7.39 (4H, m), 7.22-7.20 (2H, m), 6.64-6.60 (1H, m), 6.37-6.30 (1H, m), 6.27-6.26 (2H, m), 4.99 (1H, s), 4.85 (1H, s), 4.72-4.71 (1H, m). ESI-MS m/z 491 (M+H, positive); HPLC purity: 98.41% (MaxPlot 190-370 nm), 97.64% (220 nm), 98% (254 nm). -
- A mixture 4-(benzyloxy)-N-(1-hydroxy-1,3-dihydrobenzo[c][1,2]oxaborol-6-yl)-2-nitro benzenesulfonamide (3.0 g, 6.8 mmol), Pd/C (0.5 g) in CH3OH was stirred under H2 (50 psi) for 2 hrs. Then the mixture was filtrated and the filtrate was concentrated to give the crude product 2-amino-4-hydroxy-N-(1-hydroxy-1,3-dihydrobenzo[c][1,2]oxaborol-6-yl)benzenesulfonamide (2.0 g, 91%). 1HNMR: DMSO DMSO-d6 400 MHz δ 9.79 (1H, s), 9.16 (1H, s), 7.41-7.40 (1H, m), 7.30-7.27 (1H, m), 7.21-7.19 (1H, m), 7.12-7.09 (1H, m), 6.04-6.04 (1H, m), 5.19-5.91 (1H, m), 5.86-5.83 (2H, m), 4.84 (2H, s), 4.07-4.06 (2H, s).
- A mixture of 1H-Imidazole-2-carbaldehyde (1.08 g, 10.5 mmol), 2-amino-4-hydroxy-N-(1-hydroxy-1,3-dihydrobenzo[c][1,2]oxaborol-6-yl)benzenesulfonamide (1.2 g, crude) and Na(AcO)3BH (3.97 g, 20 mmol) was stirred at 50° C. in CH3OH/TFA (1:5, 12 M1) for 2 hrs. The mixture was quenched with water and purified by pre-HPLC(column:
Luna 300×50.0 mm, 10μ; liquid phase: [A-H2O; B-MeCN+0.025% TFA] B %: 5%-35%, 25 min) to give the title compound (350 mg). 1H NMR: DMSO-d6 400 MHz δ 10.3 (1H, s), 10.23 (1H, s), 9.3 (1H, s), 7.66-7.60 (1H, s), 7.50 (1H, m), 7.40-7.30 (1H, m), 6.67-6.64 (1H, m), 6.12-6.09 (1H, m), 6.06-5.99 (1H, m), 4.90 (1H, s), 4.75-4.66 (2H, m), 4.72-4.71 (2H, m). ESI-MS m/z 401 (M+H, positive); HPLC purity: 94.9% (MaxPlot 190-370 nm), 95.06% (220 nm), 96.71% (254 nm). -
- To a solution of 4-amino-3-nitrophenol (50 g, 0.325 mol) and t-BuOK (36 g, 0.32 mol) in DMF (1 L) was slowly added BnBr (55 g, 0.32 mol) at 0-5° C. Then the mixture was warmed slowly, and stirred at r.t overnight. The mixture was poured into sat. NH4Cl, the suspension was filtrated, and the filtrated cake was dissloved in DCM, and dried and concentrated to give 4-(benzyloxy)-2-nitroaniline (40 g, 50.5%).
- 4-Benzyloxy-2-nitroaniline (30 g, 123 mmol) was dissolved in TFA (400 mL) and concentrated HCl (40 mL). After cooling to 0° C., NaNO2 (10.6 g, 154 mmol) in H2O was added dropwise over 30 min. Once the addition was complete the reaction was stirred for an additional 5 min. The resulting solution was poured into AcOH (400 mL), H2SO3 (400 mL), and CuCl2 (8.26 g, 60 mmol) containing a catalytic amount of CuCl (ca. 0.5 g) at 0° C. After stirring 35 min at room temperature, the solid material was filtered off and washed with water. This provided 4-benzyloxy-2-nitrobenzenesulfonyl chloride (14.8 g, 40%).
- To a stirred solution of 6-amino-3H-benzo[c][1,2]oxaborol-1-ol (13.8 g, 0.049 mol, 0.5 eq) in acetonitrile (300 mL) and NMM (14.8 g, 0.147 mol, 3 eq) was added a solution of 4-(benzyloxy)-2-nitrobenzene-1-sulfonyl chloride (30 g, 0.097 mol) in anhydrous acetonitrile (150 mL) at 0-5° C. Then the mixture was stirred at r.t overnight, the mixture was concentrated and dissolved in DCM and washed with brine, dried and concentrated, purified by column chromatography to give product 4-(benzyloxy)-N-(1-hydroxy-1,3-dihydrobenzo[c][1,2]oxaborol-6-yl)-2-nitrobenzenesulfonamide (31 g, 80%).
- A mixture 4-(benzyloxy)-N-(1-hydroxy-1,3-dihydrobenzo[c][1,2]oxaborol-6-yl)-2-nitro benzenesulfonamide (2.2 g, 5 mmol), Raney Ni (0.5 g) in CH3OH and NH4OH was stirred under H2 (30 Psi) for 2 hrs. Then the mixture was filtrated and the filtrate was dried and concentrated to give crude product of 2-amino-4-(benzyloxy)-N-(1-hydroxy-1,3-dihydrobenzo[c][1,2]oxaborol-6-yl)benzenesulfonamide (1.6 g crude). 1HNMR: DMSO DMSO-d6 400 MHz M0.03 (1H, s), 9.19 (1H, s), δ 7.43-7.39 (1H, m), 7.36-7.30 (6H, m), 7.23-7.20 (1H, m), 7.14-7.12 (1H, m), 6.29 (1H, s), 6.19-6.17 (1H, m), 5.96 (2H, s), 4.97 (2H, s), 4.85 (2H, s).
- A mixture of 2-amino-4-(benzyloxy)-N-(1-hydroxy-1,3-dihydrobenzo[c][1,2]oxaborol-6-yl)benzenesulfonamide (0.5 g, 1.22 mmol) and Na(AcO)3BH (2.10 g, 10 mol) was stirred at 50° C. in CH3OH/TFA (1:5) for 2 hrs. The mixture was quenched with water and purified by Prep-HPLC (column:
Luna 300×50.0 mm, 10μ; liquid phase: [A-H2O; B-MeCN+0.025% TFA] B %: 45%-70%, 25 min) to give the title compound (100 mg, 13.5%). 1HNMR: DMSO-d6 400 MHz δ 10.23 (1H, s), 7.62-7.59 (1H, s), 7.33-7.31 (1H, m), 7.21-7.19 (1H, m), 6.38-6.35 (2H, s), 5.79-5.77 (1H, m), 5.20-5.18 (4H, m), 4.96-4.92 (2H, m), 4.00-3.96 (2H, m), 3.68-3.68 (1H, m), 3.09-3.08 (2H, m), 1.88-1.86 (2H, m). ESI-MS m/z 628 (M+H, positive); HPLC purity: 94.34% (MaxPlot 190-370 nm), 94.74% (220 nm), 96.7% (254 nm). -
- A mixture of benzyl 4-(5-(benzyloxy)-2-(N-(1-hydroxy-1,3-dihydrobenzo[c][1,2]oxaborol-6-yl)sulfamoyl)phenylamino)piperidine-1-carboxylate (0.4 g, crude), Pd/C (0.5 g) in CH3OH was stirred under H2 (50 Psi) for 1 hr. Then the mixture was filtrated and the filtrate was concentrated to give the crude product and purified by Prep-HPLC (column:
Luna 300×50.0 mm, 10μ; liquid phase: [A-H2O; B-MeCN+0.025% TFA] B %: 2%-32%, 25 min) to give the title compound (100 mg). 1H NMR: DMSO-d6 400 MHz δ 10.25 (1H, s), δ 10.08 (1H, s), δ 9.20 (1H, s), 8.92 (1H, s), 7.421-7.39 (2H, m), 7.23-7.21 (1H, m), 7.12-7.10 (1H, m), 6.14-6.13 (1H, m), 6.06-6.03 (1H, m), 5.67-5.65 (1H, m), 4.86 (1H, s), 3.58-3.56 (1H, m), 3.27-3.24 (2H, m), 3.02-2.95 (2H, m), 1.99-1.97 (2H, m), 1.68-1.60 (2H, m). ESI-MS m/z 404 (M+H, positive); HPLC purity: 86.77% (MaxPlot 190-370 nm), 98.57% (220 nm), 99.19% (254 nm). -
- A mixture of 2-amino-4-methoxy-N-(1-hydroxy-1,3-dihydrobenzo[c][1,2]oxaborol-6-yl)benzenesulfonamide (1.00 g, 3.00 mmol) and 2-chlorobenzoxazole (0.453 mL, 4.00 mmol) in DMF (10 mL) was stirred at 120° C. for 3 h. Water was added and the mixture was extracted with ethyl acetate. The organic layer was washed with water and brine and dried on anhydrous sodium sulfate. The solvent was removed under reduced pressure and the residue was purified by silica gel column (45:55 hexane/ethyl acetate) to give 2-(benzo[d]oxazol-2-ylamino)-N-(1-hydroxy-1,3-dihydrobenzo[c][1,2]oxaborol-6-yl)-4-methoxybenzene sulfonamide (276 mg, 20%).
- To a solution of 2-(benzo[d]oxazol-2-ylamino)-N-(1-hydroxy-1,3-dihydrobenzo[c][1,2]oxaborol-6-yl)-4-methoxybenzenesulfonamide (272 mg, 0.537 mmol) in dichloromethane (20 mL) was added boron tribromide (1 M in dichloromethane, 1.6 mL) at −78° C., and the mixture was stirred for overnight allowing to warm to room temperature. Water was added and the mixture was extracted with ethyl acetate. The organic layer was washed with water and brine and dried on anhydrous sodium sulfate. The solvent was removed under reduced pressure and the residue was purified by silica gel column (35:65 hexane/ethyl acetate) and preparative TLC (35:65 hexane/ethyl acetate) followed by trituration with isopropyl ether-hexane to give 2-(benzo[d]oxazol-2-ylamino)-4-hydroxy-N-(1-hydroxy-1,3-dihydrobenzo[c][1,2]oxaborol-6-yl)benzenesulfonamide (20 mg, 8.5%). 1H NMR (400 MHz, DMSO-d6) δ (ppm) 4.61 (s, 2H), 6.5-8.0 (m, 10H), 9.16 (s, 2H), 10.3 (s, 1H), 10.6 (s, 1H).
-
- General Procedure 1: 6-aminobenzo[c][1,2]oxaborol-1(3H)-ol (150 mg, 1 mmol), 3,5-dichloro-4-hydroxybenzenesulfonyl chloride (260 mg, 1 mmol), DIPEA (650 mg, 5 mmol), rt, 2 hours. Purification: prep HPLC (SunFire
Prep C18 OBD 5 uM 30×50 mm column). The title compound was obtained as off white powder, yield 156 mg. MS calcd for (C13H10BNO5SCl2): 374.004, MS found (ESI negative): (M−H)−=372.0. 1H NMR (400 MHz, DMSO-d6) δ (ppm): 11.41, (bs, 1H), 10.22 (s, 1H), 9.22 (bs, 1H), 7.62 (s, 2H), 7.47 (d, J=2 Hz, 1H), 7.3 (d, J=8 Hz, 1H), 7.18 (d, J=8 Hz, 1H), 4.88 (s, 2H). -
- General Procedure 1: 6-amino-3H-benzo[c][1,2]oxaborol-1-ol (0.500 g, 3.36 mmol), MeCN (10 mL), pyridine (0.544 mL, 6.71 mmol), and 4-methoxy-2,6-dimethyl-benzenesulfonyl chloride (0.788 g, 3.36 mmol, generated according to procedures in US2008/249128). This produced 1.16 g (99% yield) of material that was used in the next step without further purification. A small sample (50 mg) was filtered through a short silica gel column (5% MeOH in DCM as the mobile phase). The solid obtained was dissolved in a minimum of acetonitrile, water (acidified with dilute HCl) was added and the mixture was lyophilized generating 39 mg (77%) of the title compound as an off-white solid. 1H NMR (400 MHz, DMSO-d6) δ ppm 10.02 (s, 1H), 9.22 (s, 1H), 7.40 (d, J=1.3 Hz, 1H), 7.25 (d, J=8.3 Hz, 1H), 7.10 (dd, J=8.3, 1.9 Hz, 1H), 6.72 (s, 2H), 4.87 (s, 2H), 3.74 (s, 3H), 2.54 (s, 6H); MS (ESI) m/z=348 (M+1, positive); HPLC purity: 97.27% (MaxPlot 200-400 nm), 97.12% (220 nm).
-
- To a suspension of N-(1-hydroxy-1,3-dihydro-benzo[c][1,2]oxaborol-6-yl)-4-methoxy-2,6-dimethyl-benzenesulfonamide (0.640 g, 1.90 mmol) in DCM (10 mL) cooled in an −78° C. bath was added BBr3 (1M in DCM, 2.16 mL, 2.16 mmol). After 4 h, the −78° C. bath was removed. After 8 h, the solution was cooled to −20° C. and more BBr3 (1M in DCM, 0.72 mL, 0.72 mmol) was added. After overnight at ambient temperature, the reaction was cooled in an ice bath and water was added. After stirring over the weekend, ethyl acetate was added and the organic layer was separated and washed with brine, dried over Na2SO4, filtered and concentrated in vacuo. Purification was accomplished by Biotage® silica gel chromatography (25 g SNAP™ column, eluting with 2-20% MeOH in DCM), followed by lyophilization from MeCN/water, reverse-phase preparative HPLC (MeCN/0.1% aqueous AcOH gradient) and lyophilization generating 80 mg (2%) of the title compound as a white powder. 1H NMR (400 MHz, DMSO-d6) δ (ppm): 9.95 (br.s, 1H), 9.19 (s, 1H), 7.39 (br.s, 1H), 7.24 (d, J=8.2 Hz, 1H), 7.09 (dd, J=8.2, 2.3 Hz, 1H), 6.49 (s, 2H), 4.87 (s, 2H), 2.48 (s, 6H); MS (ESI) m/z=334 (M+1, positive); HPLC purity: 98.97% (MaxPlot 200-400 nm), 99.28% (220 nm).
-
- General Procedure 1: 6-aminobenzo[c][1,2]oxaborol-1(3H)-ol (300 mg, 2 mmol), 4-acetylamino-2,5-dimethylbenzenesulfonyl chloride (500 mg, 1.9 mmol), sodium bicarbonate (504 mg, 6 mmol), rt, 3 hours. Purification: prep HPLC (SunFire
Prep C18 OBD 5 uM 30×50 mm column). The title compound was obtained as light yellow solid. MS calcd for (C17H19BN2O55): 374.22, MS found (ESI negative): (M−H)−=373.1. 1H NMR (400 MHz, DMSO-d6) δ (ppm): 10.25 (s, 1H), 9.29 (s, 1H), 9.18 (s, 1H), 7.69 (s, 1H), 7.54 (s, 1H), 7.45 (d, J=2 Hz, 1H), 7.22 (d, J=8.4 Hz, 1H), 7.15 (d, J=8.4 Hz, 1H), 4.85 (s, 2H), 2.16 (s, 3H), 2.04 (s, 3H). -
- N-(4-(N-(1-hydroxy-1,3-dihydrobenzo[c][1,2]oxaborol-6-yl)sulfamoyl)-2,5-dimethylphenyl)acetamide (530 mg, 1.4 mmol) was mixed with acetic acid (20 ml), HCl (6N, 2 ml), heated at 100° C. for 3 hours. Removed solvent, and purified by prep HPLC (SunFire
Prep C18 OBD 5 uM 30×50 mm column). The title compound was obtained as white powder, yield 280 mg. MS calcd for (C15H17BN2O4S): 332.18, MS found (ESI negative): (M−H)−=331.1. 1H NMR (400 MHz, DMSO-d6) δ (ppm): 9.89 (s, 1H), 7.45 (s, 1H), 7.41 (d, J=1.6 Hz, 1H), 7.18 (d, J=8 Hz, 1H), 7.13 (d, J=8 Hz, 1H), 4.83 (s, 2H). -
- General Procedure 1: Starting Materials 6-amino-3H-benzo[c][1,2]oxaborol-1-ol and 4-acetamido-2,6-dimethylbenzene-1-sulfonyl chloride. 1H NMR (300 MHz, DMSO-d6) δ (ppm): 10.06 (s, 1H), 10.04 (s, 1H), 9.21 (bs, 1H), 7.39 (s, 1H), 7.34 (s, 2H), 7.25 (d, J=8.4 Hz, 1H), 7.09 (dd, J=8, 1.6 Hz, 1H), 4.87 (s, 2H), 2.50 (s, 6H), 2.01 (s, 3H); MS (ESI) m/z=373.1 (M−H, negative).
-
- The N-(4-(N-(1-hydroxy-1,3-dihydrobenzo[c][1,2]oxaborol-6-yl)sulfamoyl)-3,5-dimethylphenyl)acetamide (0.40 g, 1.07 mmol) was added to 1:1 6N HCl: AcOH (10 mL) and heated to 40° C. for 2 days. The reaction was monitored by LC/MS. Purification: The reaction was concentrated under vacuum, worked up with EtOAc and 1N HCl, washed with brine, dry over Na2SO4, and evaporated in vacuo. The product was recrystallized in EtOAc to give title product 4-amino-N-(1-hydroxy-1,3-dihydrobenzo[c][1,2]oxaborol-6-yl)-2,6-dimethylbenzenesulfonamide 195 mg. (yield: 55%). 1H NMR (400 MHz, DMSO-d6) δ (ppm): 9.74 (s, 1H), 9.20 (bs, 1H), 7.38 (d, J=1.6 Hz, 1H), 7.23 (d, J=8.4 Hz, 1H), 7.09 (dd, J=8.4, 2 Hz, 1H), 6.21 (s, 2H), 5.14 (bs, 2H), 4.87 (s, 2H), 2.41 (s, 6H); MS (ESI) m/z=331.1 (M−H, negative).
- Experiments were performed in 96-well microtiter plates, using 80 μL reaction mixtures containing 50 mM HEPES-KOH (pH 8.0), 30 mM MgCl2 and 30 mM KCl, 13 μM [14C]leucine (306 mCi/mmol, Perkin-Elmer), 15 uM total E. coli tRNA (Roche, Switzerland), 0.02% (w/v) BSA, 1 mM DTT, 0.2 μM LeuRs and 4 mM ATP at 30° C. Reactions were started by the addition of 4 mM ATP. After 7 minutes, reactions were quenched and tRNA was precipitated by the addition of 50 μL of 10% (w/v) TCA and transferred to 96-well nitrocellulose membrane filter plates (Millipore Multiscreen HTS, MSHAN4B50). Each well was then washed three times with 100 μL of 5% TCA. Filter plates were then dried under a heat lamp and the precipitated [14C]leucine tRNALeu were quantified by liquid scintillation counting using a Wallac MicroBeta Trilux model 1450 liquid scintillation counter (PerkinElmer, Waltham Mass.).
- To determine the inhibitor concentration which reduces enzyme activity by 50% (IC50), increasing concentrations of inhibitor were incubated with LeuRS enzyme, tRNA and leucine for 20 minutes. Reactions were initiated by the addition of 4 mM ATP and stopped after 7 minutes then precipitated and counted to quantify radioactivity.
- Biochemical testing results for exemplary compounds of the invention are provided in
FIG. 1 . Units for enzyme activity are μM. - All MIC testing of bacteria followed the Clinical and Laboratory Standards Institute (CLSI) guidelines for antimicrobial testing of aerobic bacteria (Methods for Dilution Antimicrobial Susceptibility Tests for Bacteria That Grow Aerobically; Approved Standard—Seventh Edition) (M07-A7) and anaerobic bacteria (Methods for Antimicrobial Susceptibility Testing of Anaerobic Bacteria; Approved Standard—Seventh Edition) (M11-A7).
- Antibacterial MIC testing results for exemplary compounds of the invention are provided in
FIG. 1 . Units for MIC are μg/mL. - It is understood that the examples and embodiments described herein are for illustrative purposes only and that various modifications or changes in light thereof will be suggested to persons skilled in the art and are to be included within the spirit and purview of this application and scope of the appended claims. All publications, patents, and patent applications cited herein are hereby incorporated by reference in their entirety for all purposes.
Claims (14)
1. A compound, or a salt thereof, having a structure which is
wherein R5 is H or halogen;
one of Ra2, Ra3, Ra5 and Ra6 is halogen or —NHC(O)OR30 or alkyl substituted with —C(O)OR30 or alkyl substituted with —S(O)2R30 or alkyl substituted with halogen or alkyl substituted with hydroxy or alkyl substituted with cyano or alkyl substituted with —NHC(O)OR30 or alkyl substituted with unsubstituted oxazolyl or alkyl substituted with alkyl substituted oxazolyl or alkyl substituted with unsubstituted oxadiazolyl or alkyl substituted with alkyl substituted oxadiazolyl or alkyl substituted with —C(O)NHR35,
wherein R30 is unsubstituted alkyl and R35 is unsubstituted alkyl or unsubstituted cycloalkyl,
and the remaining members of Ra2, Ra3, Ra5 and Ra6 are H, R10 and R11 are independently selected from the group consisting of H, substituted or unsubstituted alkyl, substituted or unsubstituted heteroalkyl, substituted or unsubstituted cycloalkyl, substituted or unsubstituted heterocycloalkyl, substituted or unsubstituted aryl, and substituted or unsubstituted heteroaryl.
5. A combination comprising:
a) a compound of claim 1 , or a pharmaceutically acceptable salt thereof; and
b) a therapeutically active agent.
6. A pharmaceutical formulation comprising:
a) a compound of claim 1 or a combination of claim 5 , or a pharmaceutically acceptable salt thereof; and
b) a pharmaceutically acceptable excipient.
7. The pharmaceutical formulation of claim 6 , wherein said formulation is a unit dosage form.
8. The pharmaceutical formulation of claim 6 , wherein said formulation is a member selected from an oral unit dosage form and a topical unit dosage form.
9. A method of killing or inhibiting the growth of a bacteria, said method comprising:
contacting said bacteria with an effective amount of a compound of claim 1 or a combination of claim 5 , or a pharmaceutically acceptable salt thereof, thereby killing or inhibiting the growth of the bacteria.
10. A method of treating a bacterial infection comprising: administering to an animal suffering from said infection an effective amount of a compound of claim 1 , or a pharmaceutically-acceptable salt thereof, thereby treating the bacterial infection.
11. The method of claim 10 , wherein said animal is a human.
12. A method of inhibiting the editing domain of a t-RNA synthetase, comprising: contacting the synthetase with an effective amount of a compound of claim 1 , or a pharmaceutically-acceptable salt thereof, thereby inhibiting the synthetase.
13. The method of claim 12 , wherein the synthetase is a leucyl t-RNA synthetase.
14. The use of a compound of claim 1 or a combination of claim 6 or a pharmaceutically acceptable salt thereof, in the manufacture of a medicament for the treatment and/or prophylaxis of bacterial infection.
Priority Applications (1)
| Application Number | Priority Date | Filing Date | Title |
|---|---|---|---|
| US12/944,699 US20110212918A1 (en) | 2009-11-11 | 2010-11-11 | Boron-containing small molecules |
Applications Claiming Priority (3)
| Application Number | Priority Date | Filing Date | Title |
|---|---|---|---|
| US26038409P | 2009-11-11 | 2009-11-11 | |
| US26037309P | 2009-11-11 | 2009-11-11 | |
| US12/944,699 US20110212918A1 (en) | 2009-11-11 | 2010-11-11 | Boron-containing small molecules |
Publications (1)
| Publication Number | Publication Date |
|---|---|
| US20110212918A1 true US20110212918A1 (en) | 2011-09-01 |
Family
ID=43384475
Family Applications (2)
| Application Number | Title | Priority Date | Filing Date |
|---|---|---|---|
| US12/944,699 Abandoned US20110212918A1 (en) | 2009-11-11 | 2010-11-11 | Boron-containing small molecules |
| US12/944,690 Expired - Fee Related US8461134B2 (en) | 2009-11-11 | 2010-11-11 | Boron-containing small molecules |
Family Applications After (1)
| Application Number | Title | Priority Date | Filing Date |
|---|---|---|---|
| US12/944,690 Expired - Fee Related US8461134B2 (en) | 2009-11-11 | 2010-11-11 | Boron-containing small molecules |
Country Status (2)
| Country | Link |
|---|---|
| US (2) | US20110212918A1 (en) |
| WO (2) | WO2011060196A1 (en) |
Cited By (9)
| Publication number | Priority date | Publication date | Assignee | Title |
|---|---|---|---|---|
| US9138002B2 (en) | 2013-01-30 | 2015-09-22 | Agrofresh Inc. | Compounds and compositions |
| US9426996B2 (en) | 2013-01-30 | 2016-08-30 | Agrofresh Inc. | Use of benzoxaboroles as volatile antimicrobial agents on meats, plants, or plant parts |
| US9585396B2 (en) | 2013-01-30 | 2017-03-07 | Agrofresh Inc. | Volatile applications against pathogens |
| WO2017151489A1 (en) * | 2016-03-02 | 2017-09-08 | Anacor Pharmaceuticals, Inc. | Boron-containing small molecules |
| US10070649B2 (en) | 2013-01-30 | 2018-09-11 | Agrofresh Inc. | Volatile applications against pathogens |
| CN109152932A (en) * | 2016-03-02 | 2019-01-04 | 比尔及梅琳达盖茨基金会 | boron-containing small molecules |
| US10874679B2 (en) | 2016-03-02 | 2020-12-29 | Bill & Melinda Gates Foundation | Boron-containing small molecules |
| US10966429B2 (en) | 2016-03-07 | 2021-04-06 | Agrofresh Inc. | Synergistic methods of using benzoxaborole compounds and preservative gases as an antimicrobial for crops |
| US11039617B2 (en) | 2013-01-30 | 2021-06-22 | Agrofresh Inc. | Large scale methods of uniformly coating packaging surfaces with a volatile antimicrobial to preserve food freshness |
Families Citing this family (19)
| Publication number | Priority date | Publication date | Assignee | Title |
|---|---|---|---|---|
| JP2009526751A (en) | 2005-12-30 | 2009-07-23 | アナコール ファーマシューティカルズ,インコーポレイテッド | Boron-containing small molecule |
| RU2508113C2 (en) | 2006-02-16 | 2014-02-27 | Анакор Фармасьютикалз, Инк. | Boron-based small molecules as anti-inflammatory drugs |
| US9493489B2 (en) * | 2008-10-15 | 2016-11-15 | Anacor Pharmaceuticals, Inc. | Boron-containing small molecules as anti-protozoal agents |
| WO2011019618A1 (en) | 2009-08-14 | 2011-02-17 | Anacor Pharmaceuticals, Inc. | Boron-containing small molecules as antiprotozoal agents |
| US8716478B2 (en) | 2010-01-27 | 2014-05-06 | Anacor Pharmaceuticals, Inc. | Boron-containing small molecules |
| EP2537923A1 (en) | 2011-06-21 | 2012-12-26 | Oncotyrol Center for Personalized Cancer Medicine GmbH | Method for activation of specific peripheral blood mononuclear cells |
| JP5957537B2 (en) * | 2011-12-21 | 2016-07-27 | ビオタ ヨーロッパ リミテッドBiota Europe Ltd | Heterocyclic urea compounds |
| WO2014121124A1 (en) | 2013-02-01 | 2014-08-07 | Anacor Pharmaceuticals, Inc. | Boron-containing small molecules as antiprotozoal agents |
| KR101636431B1 (en) | 2013-07-30 | 2016-07-05 | 동아에스티 주식회사 | Tricyclic benzoxaborole compound, process preparing thereof and use thereof |
| CN106413720B (en) * | 2014-05-12 | 2020-09-04 | 阿格洛法士公司 | Volatile applications against pathogens |
| WO2016001834A1 (en) | 2014-07-01 | 2016-01-07 | Daiichi Sankyo Company, Limited | Tricyclic benzoxaboroles as antibacterial agents |
| CN105017173A (en) * | 2015-06-18 | 2015-11-04 | 广州白云山天心制药股份有限公司 | Cefotiam impurity A derivative preparation method |
| US10961261B2 (en) | 2017-03-01 | 2021-03-30 | Anacor Pharmaceuticals, Inc. | Oxaborole analogs and uses thereof |
| AU2018375795A1 (en) | 2017-11-30 | 2020-07-02 | Boragen, Inc. | Benzoxaborole compounds and formulations thereof |
| WO2020041200A1 (en) | 2018-08-18 | 2020-02-27 | Boragen Inc. | Solid forms of substituted benzoxaborole and compositions thereof |
| CN110386897A (en) * | 2019-08-15 | 2019-10-29 | 上海毕得医药科技有限公司 | A kind of synthetic method of the fluoro- 3- picoline -2- amine of 4- |
| CN111978267A (en) * | 2020-08-21 | 2020-11-24 | 华中农业大学 | A kind of high specific activity tritium-labeled sulfamethoxazole and preparation method thereof |
| US20230340530A1 (en) | 2020-08-31 | 2023-10-26 | Pfizer Inc. | Methods of Protecting RNA |
| CN113773247A (en) * | 2021-07-23 | 2021-12-10 | 无锡海伦生物科技有限公司 | Preparation method of 2-amino-5-iodopyridine |
Citations (30)
| Publication number | Priority date | Publication date | Assignee | Title |
|---|---|---|---|---|
| US2260336A (en) * | 1939-10-16 | 1941-10-28 | Dow Chemical Co | Method of preparation of organic borates |
| US3873279A (en) * | 1972-08-11 | 1975-03-25 | Ici Ltd | Method for the control of micro-organisms |
| US4602011A (en) * | 1975-10-24 | 1986-07-22 | Chapman Chemical Company | Antimicrobial compositions and methods of using same |
| US4716035A (en) * | 1985-05-24 | 1987-12-29 | The Procter & Gamble Company | Oral compositions and methods for treating gingivitis |
| US4766113A (en) * | 1975-10-24 | 1988-08-23 | Chapman Chemical Company | Antimicrobial compositions and methods of using same |
| US4894220A (en) * | 1987-01-30 | 1990-01-16 | Colgate-Palmolive Company | Antibacterial antiplaque oral composition |
| US5348947A (en) * | 1993-05-07 | 1994-09-20 | American Cyanamid Company | Diarylboron ester and thioester fungicidal agents |
| US5348948A (en) * | 1993-05-07 | 1994-09-20 | American Cyanamid Company | 2,2-diaryl-1-(oxa and thia)-2a-azonia-2-borataacenaphthene fungicidal |
| US5591731A (en) * | 1992-07-31 | 1997-01-07 | U.S. Bioscience, Inc. | Crystalline amifostine compositions |
| US5668258A (en) * | 1994-01-28 | 1997-09-16 | Prolinx, Inc. | Phenylboronic acid complexing reagents derived from aminosalicylcic acid |
| US5831045A (en) * | 1996-08-05 | 1998-11-03 | Porlinx, Incorporated | Boronic acid-containing polynucleotides |
| US5880188A (en) * | 1994-06-09 | 1999-03-09 | Zeneca Limited | Oxaboroles and salts thereof, and their use as biocides |
| US5962498A (en) * | 1986-06-11 | 1999-10-05 | Procyon Pharmaceuticals, Inc. | Protein kinase C modulators. C. indolactam structural-types with anti-inflammatory activity |
| US6083903A (en) * | 1994-10-28 | 2000-07-04 | Leukosite, Inc. | Boronic ester and acid compounds, synthesis and uses |
| US6306628B1 (en) * | 1999-08-25 | 2001-10-23 | Ambergen, Incorporated | Methods for the detection, analysis and isolation of Nascent proteins |
| US20020028831A1 (en) * | 1996-03-08 | 2002-03-07 | Manley Paul W. | Phenylpyridine derivatives useful as phosphodiesterase inhibitors |
| US6396098B2 (en) * | 1996-05-30 | 2002-05-28 | Nec Corporation | Semiconductor memory device and method of fabricating the same |
| US20020161230A1 (en) * | 2001-03-02 | 2002-10-31 | Clariant Gmbh | Process for preparing boronic and borinic acids |
| US20030032673A1 (en) * | 2001-07-19 | 2003-02-13 | Isis Innovation Limited | Therapeutic strategies for prevention and treatment of alzheimer's disease |
| US20060222671A1 (en) * | 2005-03-30 | 2006-10-05 | Astion Development A/S | Dermatological compositions and salts for the treatment of dermatological diseases |
| US20060234981A1 (en) * | 2005-02-16 | 2006-10-19 | Anacor Pharmaceuticals | Boron-containing small molecules |
| US7169603B2 (en) * | 2000-07-14 | 2007-01-30 | Mgi Pharma Biologics, Inc. | α-MSH related compounds and methods of use |
| US7217701B2 (en) * | 2001-10-11 | 2007-05-15 | Katsuhiko Mikoshiba | Intracellular calcium concentration increase inhibitors |
| US20070155699A1 (en) * | 2005-02-16 | 2007-07-05 | Anacor Pharmaceuticals | Boron-containing small molecules |
| US20070286822A1 (en) * | 2006-06-12 | 2007-12-13 | Anacor Pharmaceuticals Inc. | Compounds for the Treatment of Periodontal Disease |
| US20070293457A1 (en) * | 2006-02-16 | 2007-12-20 | Baker Stephen J | Boron-containing small molecules as anti-inflammatory agents |
| US7390806B2 (en) * | 2002-12-18 | 2008-06-24 | Anacor Pharmaceuticals, Inc. | Antibiotics containing borinic acid complexes and methods of use |
| US7465836B2 (en) * | 2003-06-16 | 2008-12-16 | Anacor Pharmaceuticals, Inc. | Hydrolytically-resistant boron-containing therapeutics and methods of use |
| US20090227541A1 (en) * | 2007-06-20 | 2009-09-10 | Anacor Pharmaceuticals, Inc. | Boron-containing small molecules |
| US20100256092A1 (en) * | 2008-05-12 | 2010-10-07 | Anacor Pharmaceuticals, Inc. | Boron-containing small molecules |
Family Cites Families (39)
| Publication number | Priority date | Publication date | Assignee | Title |
|---|---|---|---|---|
| US588018A (en) * | 1897-08-10 | schiller | ||
| US680645A (en) * | 1900-05-10 | 1901-08-13 | William H Cooley | Means for limiting transfer privileges. |
| US3686398A (en) | 1970-07-20 | 1972-08-22 | Chevron Res | 10,9-boroxarophenanthrene as fungicides |
| US4919934A (en) | 1989-03-02 | 1990-04-24 | Richardson-Vicks Inc. | Cosmetic sticks |
| GB9500856D0 (en) | 1995-01-17 | 1995-03-08 | Zeneca Ltd | Composition and use |
| US6632955B1 (en) | 1996-12-02 | 2003-10-14 | Chisso Corporation | Optically active nitro alcohol derivatives, optically active amino alcohol derivatives, and process for preparing the same |
| CA2258728C (en) | 1996-06-19 | 2011-09-27 | Rhone Poulenc Rorer Limited | Substituted azabicylic compounds and their use as inhibitors of the production of tnf and cyclic amp phosphodiesterase |
| WO1998012206A1 (en) | 1996-09-19 | 1998-03-26 | The Board Of Trustees Of Leland Stanford Jr. University | Dna adenine methyltransferases and uses thereof |
| US6221640B1 (en) | 1997-05-14 | 2001-04-24 | Cubist Pharmaceuticals, Inc. | Enterococcal aminoacyl-trna synthetase proteins, nucleic acids and strains comprising same |
| DE19829947A1 (en) | 1998-07-04 | 2000-01-05 | Bayer Ag | Electroluminescent devices with boron chelates |
| CN1335836A (en) | 1998-11-06 | 2002-02-13 | 巴斯福股份公司 | Tricyclic pyrazole derivatives |
| US6462036B1 (en) | 1998-11-06 | 2002-10-08 | Basf Aktiengesellschaft | Tricyclic pyrazole derivatives |
| WO2000044387A1 (en) | 1999-01-29 | 2000-08-03 | Nitto Kasei Co., Ltd. | Organoboron compounds exhibiting anticoccidial activities |
| CA2373279A1 (en) | 1999-05-25 | 2000-12-14 | The Penn State Research Foundation | Dna methyltransferase inhibitors |
| EP1767629B1 (en) | 1999-08-25 | 2011-04-20 | Ambergen, Inc. | Methods for the detection, analysis and isolation of nascent proteins |
| WO2001025226A1 (en) | 1999-10-05 | 2001-04-12 | Bethesda Pharmaceuticals, Inc. | Dithiolane derivatives |
| JP2003519188A (en) | 2000-01-06 | 2003-06-17 | マランテック ホールディング リミテッド ライアビリティ カンパニー | Compositions and methods for promoting skin growth and treating skin conditions |
| US6521619B2 (en) | 2000-06-29 | 2003-02-18 | Icos Corporation | Aryl phenylcyclopropyl sulfide derivatives and their use as cell adhesion inhibiting anti-inflammatory and immune suppressive agents |
| EP1339725B1 (en) | 2000-11-30 | 2006-11-22 | The Penn State Research Foundation | Dna methyl transferase inhibitors |
| DE10143979A1 (en) | 2001-09-07 | 2003-03-27 | Clariant Gmbh | Process for the preparation of bisallylboranes and non-aromatic boronic acids |
| CA2473238A1 (en) | 2002-01-10 | 2003-07-24 | The Penn State Research Foundation | Methods for the preparation of alkyl diaryl borinates and complexed diarylboronic acids |
| AU2003248921A1 (en) | 2002-07-09 | 2004-01-23 | Point Therapeutics, Inc. | Boroproline compound combination therapy |
| DE60313357T2 (en) | 2002-12-02 | 2008-01-03 | Solvias Ag | METHOD FOR THE CATALYTIC HYDROGENATION OF CARBON HETEROATOM DOUBLE BINDINGS |
| EP1581500A4 (en) | 2002-12-18 | 2008-03-05 | Anacor Pharmaceuticals Inc | ANTIBIOTICS CONTAINING BORINIC ACID COMPLEXES AND METHOD OF USE |
| WO2005000200A2 (en) | 2003-05-09 | 2005-01-06 | Sugen, Inc. | Novel kinases |
| WO2005112970A2 (en) | 2004-05-12 | 2005-12-01 | The Brigham And Women's Hospital, Inc. | Use of gelsolin to treat infections |
| AR049915A1 (en) | 2004-06-14 | 2006-09-13 | Anacor Pharmaceuticals Inc | COMPOUNDS WITH BORO CONTENT AND METHODS OF USE OF THE SAME |
| WO2006062731A1 (en) | 2004-11-19 | 2006-06-15 | University Of North Texas Health Science Center At Fort Worth | Phenanthroline and derivatives thereof used to lower intraocular pressure in an affected eye |
| GB0501944D0 (en) | 2005-01-31 | 2005-03-09 | Univ Cambridge Tech | Compounds for use in chemical detection and/or quantitation |
| EP1856113B1 (en) | 2005-03-08 | 2016-01-06 | Agency for Science, Technology and Research | Chiral bisoxazoline catalysts |
| US20080234229A1 (en) | 2005-08-18 | 2008-09-25 | Auspex Pharmaceuticals, Inc. | Novel Therapeutic Agents for the Treatment of Cancer, Metabolic Diseases and Skin Disorders |
| EP2044091A4 (en) | 2006-06-12 | 2010-08-04 | Anacor Pharmaceuticals Inc | COMPOUNDS FOR TREATING A PERIODONTAL DISEASE |
| WO2008046573A1 (en) | 2006-10-16 | 2008-04-24 | Grünenthal GmbH | Substituted sulfonamide derivatives for use as bradykinin 1 receptor modulators |
| KR100848491B1 (en) | 2007-01-16 | 2008-07-28 | 영진약품공업주식회사 | 2-thiazolidine derivatives having a betaamino group, pharmaceutically acceptable salts thereof and preparation method thereof |
| WO2009111676A2 (en) | 2008-03-06 | 2009-09-11 | Anacor Pharmaceuticals, Inc | Boron-containing small molecules as anti-inflammatory agents |
| KR20150065941A (en) | 2008-03-06 | 2015-06-15 | 아나코르 파마슈티칼스 인코포레이티드 | Boron-containing small molecules as anti-inflammatory agents |
| WO2010028005A1 (en) | 2008-09-04 | 2010-03-11 | Anacor Pharmaceuticals, Inc. | Boron-containing small molecules |
| US9493489B2 (en) | 2008-10-15 | 2016-11-15 | Anacor Pharmaceuticals, Inc. | Boron-containing small molecules as anti-protozoal agents |
| WO2010045505A1 (en) | 2008-10-15 | 2010-04-22 | Anacor Pharmaceuticals, Inc | Boron-containing small molecules as anti-protozoal agents |
-
2010
- 2010-11-11 US US12/944,699 patent/US20110212918A1/en not_active Abandoned
- 2010-11-11 US US12/944,690 patent/US8461134B2/en not_active Expired - Fee Related
- 2010-11-11 WO PCT/US2010/056420 patent/WO2011060196A1/en not_active Ceased
- 2010-11-11 WO PCT/US2010/056423 patent/WO2011060199A1/en not_active Ceased
Patent Citations (33)
| Publication number | Priority date | Publication date | Assignee | Title |
|---|---|---|---|---|
| US2260336A (en) * | 1939-10-16 | 1941-10-28 | Dow Chemical Co | Method of preparation of organic borates |
| US3873279A (en) * | 1972-08-11 | 1975-03-25 | Ici Ltd | Method for the control of micro-organisms |
| US4602011A (en) * | 1975-10-24 | 1986-07-22 | Chapman Chemical Company | Antimicrobial compositions and methods of using same |
| US4766113A (en) * | 1975-10-24 | 1988-08-23 | Chapman Chemical Company | Antimicrobial compositions and methods of using same |
| US4716035A (en) * | 1985-05-24 | 1987-12-29 | The Procter & Gamble Company | Oral compositions and methods for treating gingivitis |
| US5962498A (en) * | 1986-06-11 | 1999-10-05 | Procyon Pharmaceuticals, Inc. | Protein kinase C modulators. C. indolactam structural-types with anti-inflammatory activity |
| US4894220A (en) * | 1987-01-30 | 1990-01-16 | Colgate-Palmolive Company | Antibacterial antiplaque oral composition |
| US5591731A (en) * | 1992-07-31 | 1997-01-07 | U.S. Bioscience, Inc. | Crystalline amifostine compositions |
| US5348947A (en) * | 1993-05-07 | 1994-09-20 | American Cyanamid Company | Diarylboron ester and thioester fungicidal agents |
| US5348948A (en) * | 1993-05-07 | 1994-09-20 | American Cyanamid Company | 2,2-diaryl-1-(oxa and thia)-2a-azonia-2-borataacenaphthene fungicidal |
| US5668258A (en) * | 1994-01-28 | 1997-09-16 | Prolinx, Inc. | Phenylboronic acid complexing reagents derived from aminosalicylcic acid |
| US5880188A (en) * | 1994-06-09 | 1999-03-09 | Zeneca Limited | Oxaboroles and salts thereof, and their use as biocides |
| US6083903A (en) * | 1994-10-28 | 2000-07-04 | Leukosite, Inc. | Boronic ester and acid compounds, synthesis and uses |
| US20020028831A1 (en) * | 1996-03-08 | 2002-03-07 | Manley Paul W. | Phenylpyridine derivatives useful as phosphodiesterase inhibitors |
| US6396098B2 (en) * | 1996-05-30 | 2002-05-28 | Nec Corporation | Semiconductor memory device and method of fabricating the same |
| US5831045A (en) * | 1996-08-05 | 1998-11-03 | Porlinx, Incorporated | Boronic acid-containing polynucleotides |
| US6306628B1 (en) * | 1999-08-25 | 2001-10-23 | Ambergen, Incorporated | Methods for the detection, analysis and isolation of Nascent proteins |
| US7169603B2 (en) * | 2000-07-14 | 2007-01-30 | Mgi Pharma Biologics, Inc. | α-MSH related compounds and methods of use |
| US20020161230A1 (en) * | 2001-03-02 | 2002-10-31 | Clariant Gmbh | Process for preparing boronic and borinic acids |
| US20030032673A1 (en) * | 2001-07-19 | 2003-02-13 | Isis Innovation Limited | Therapeutic strategies for prevention and treatment of alzheimer's disease |
| US7217701B2 (en) * | 2001-10-11 | 2007-05-15 | Katsuhiko Mikoshiba | Intracellular calcium concentration increase inhibitors |
| US7390806B2 (en) * | 2002-12-18 | 2008-06-24 | Anacor Pharmaceuticals, Inc. | Antibiotics containing borinic acid complexes and methods of use |
| US7465836B2 (en) * | 2003-06-16 | 2008-12-16 | Anacor Pharmaceuticals, Inc. | Hydrolytically-resistant boron-containing therapeutics and methods of use |
| US20070155699A1 (en) * | 2005-02-16 | 2007-07-05 | Anacor Pharmaceuticals | Boron-containing small molecules |
| US20060234981A1 (en) * | 2005-02-16 | 2006-10-19 | Anacor Pharmaceuticals | Boron-containing small molecules |
| US7582621B2 (en) * | 2005-02-16 | 2009-09-01 | Anacor Pharmaceuticals, Inc. | Boron-containing small molecules |
| US7767657B2 (en) * | 2005-02-16 | 2010-08-03 | Anacor Pharmaceuticals, Inc. | Boron-containing small molecules |
| US20060222671A1 (en) * | 2005-03-30 | 2006-10-05 | Astion Development A/S | Dermatological compositions and salts for the treatment of dermatological diseases |
| US20070293457A1 (en) * | 2006-02-16 | 2007-12-20 | Baker Stephen J | Boron-containing small molecules as anti-inflammatory agents |
| US20070286822A1 (en) * | 2006-06-12 | 2007-12-13 | Anacor Pharmaceuticals Inc. | Compounds for the Treatment of Periodontal Disease |
| US20090227541A1 (en) * | 2007-06-20 | 2009-09-10 | Anacor Pharmaceuticals, Inc. | Boron-containing small molecules |
| US7816344B2 (en) * | 2007-06-20 | 2010-10-19 | Anacor Pharmaceuticals, Inc. | Boron-containing small molecules |
| US20100256092A1 (en) * | 2008-05-12 | 2010-10-07 | Anacor Pharmaceuticals, Inc. | Boron-containing small molecules |
Cited By (20)
| Publication number | Priority date | Publication date | Assignee | Title |
|---|---|---|---|---|
| US11039617B2 (en) | 2013-01-30 | 2021-06-22 | Agrofresh Inc. | Large scale methods of uniformly coating packaging surfaces with a volatile antimicrobial to preserve food freshness |
| US9426996B2 (en) | 2013-01-30 | 2016-08-30 | Agrofresh Inc. | Use of benzoxaboroles as volatile antimicrobial agents on meats, plants, or plant parts |
| US9585396B2 (en) | 2013-01-30 | 2017-03-07 | Agrofresh Inc. | Volatile applications against pathogens |
| US12490742B2 (en) | 2013-01-30 | 2025-12-09 | Agrofresh Inc. | Volatile applications against pathogens |
| US10070649B2 (en) | 2013-01-30 | 2018-09-11 | Agrofresh Inc. | Volatile applications against pathogens |
| US9138002B2 (en) | 2013-01-30 | 2015-09-22 | Agrofresh Inc. | Compounds and compositions |
| US12329158B2 (en) | 2013-01-30 | 2025-06-17 | Agrofresh Inc. | Large-scale methods of uniformly coating packaging surfaces with a volatile antimicrobial to preserve food freshness |
| US11917997B2 (en) | 2013-01-30 | 2024-03-05 | Agrofresh Inc. | Volatile applications against pathogens |
| US10765117B2 (en) | 2013-01-30 | 2020-09-08 | Agrofresh Inc. | Volatile applications against pathogens |
| US11771089B2 (en) | 2013-01-30 | 2023-10-03 | Agrofresh Inc. | Large-scale methods of uniformly coating packaging surfaces with a volatile antimicrobial to preserve food freshness |
| US11202448B2 (en) | 2013-01-30 | 2021-12-21 | Agrofresh Inc. | Volatile applications against pathogens |
| CN109152932A (en) * | 2016-03-02 | 2019-01-04 | 比尔及梅琳达盖茨基金会 | boron-containing small molecules |
| CN113321672A (en) * | 2016-03-02 | 2021-08-31 | 比尔及梅琳达盖茨基金会 | Boron-containing small molecules |
| CN109152932B (en) * | 2016-03-02 | 2021-09-28 | 比尔及梅琳达盖茨基金会 | Boron-containing small molecules |
| US10919916B2 (en) | 2016-03-02 | 2021-02-16 | Bill & Melinda Gates Foundation | Boron-containing small molecules |
| US10874679B2 (en) | 2016-03-02 | 2020-12-29 | Bill & Melinda Gates Foundation | Boron-containing small molecules |
| US10611780B2 (en) | 2016-03-02 | 2020-04-07 | Bill And Melinda Gates Foundation | Boron-containing small molecules |
| CN109195608A (en) * | 2016-03-02 | 2019-01-11 | 比尔及梅琳达盖茨基金会 | Boron-containing small molecules |
| WO2017151489A1 (en) * | 2016-03-02 | 2017-09-08 | Anacor Pharmaceuticals, Inc. | Boron-containing small molecules |
| US10966429B2 (en) | 2016-03-07 | 2021-04-06 | Agrofresh Inc. | Synergistic methods of using benzoxaborole compounds and preservative gases as an antimicrobial for crops |
Also Published As
| Publication number | Publication date |
|---|---|
| US20110172187A1 (en) | 2011-07-14 |
| WO2011060199A1 (en) | 2011-05-19 |
| US8461134B2 (en) | 2013-06-11 |
| WO2011060196A1 (en) | 2011-05-19 |
Similar Documents
| Publication | Publication Date | Title |
|---|---|---|
| US20110212918A1 (en) | Boron-containing small molecules | |
| JP5952280B2 (en) | Benzoxaborole derivatives for the treatment of bacterial infections | |
| US20110124597A1 (en) | Boron containing small molecules | |
| CA2894216A1 (en) | 1,4-pyridone compounds | |
| US9493490B1 (en) | Boron-containing small molecules | |
| ES2968222T3 (en) | Inhibitory agents for Bruton's tyrosine kinase | |
| US11708352B2 (en) | Anti-cancer compounds | |
| US11932606B2 (en) | Anti-cancer/anti-fibrosis compounds | |
| US20230242496A1 (en) | Sox11 inhibitors for treating mantle cell lymphoma | |
| HK1247841B (en) | Benzoxaborole derivatives for treating bacterial infections | |
| HK1186397B (en) | Benzoxaborole derivatives for treating bacterial infections | |
| HK1186397A (en) | Benzoxaborole derivatives for treating bacterial infections |
Legal Events
| Date | Code | Title | Description |
|---|---|---|---|
| AS | Assignment |
Owner name: ANACOR PHARMACEUTICALS, INC., CALIFORNIA Free format text: ASSIGNMENT OF ASSIGNORS INTEREST;ASSIGNORS:HERNANDEZ, VINCENT S.;LI, XIANFENG;ZHANG, SUOMING;AND OTHERS;SIGNING DATES FROM 20110112 TO 20110210;REEL/FRAME:026050/0625 |
|
| STCB | Information on status: application discontinuation |
Free format text: ABANDONED -- FAILURE TO RESPOND TO AN OFFICE ACTION |























































































































































































































































