US20080171735A1 - SUCCINOYLAMINO BENZODIAZEPINES AS INHIBITORS OF Abeta PROTEIN PRODUCTION - Google Patents
SUCCINOYLAMINO BENZODIAZEPINES AS INHIBITORS OF Abeta PROTEIN PRODUCTION Download PDFInfo
- Publication number
- US20080171735A1 US20080171735A1 US12/045,126 US4512608A US2008171735A1 US 20080171735 A1 US20080171735 A1 US 20080171735A1 US 4512608 A US4512608 A US 4512608A US 2008171735 A1 US2008171735 A1 US 2008171735A1
- Authority
- US
- United States
- Prior art keywords
- phenyl
- substituted
- alkyl
- occurrence
- independently selected
- Prior art date
- Legal status (The legal status is an assumption and is not a legal conclusion. Google has not performed a legal analysis and makes no representation as to the accuracy of the status listed.)
- Abandoned
Links
- 229940049706 benzodiazepine Drugs 0.000 title description 26
- 239000003112 inhibitor Substances 0.000 title description 3
- 150000001557 benzodiazepines Chemical class 0.000 title 1
- 230000014616 translation Effects 0.000 title 1
- 238000000034 method Methods 0.000 claims abstract description 157
- 150000001875 compounds Chemical class 0.000 claims abstract description 152
- 230000015572 biosynthetic process Effects 0.000 claims abstract description 20
- 238000004519 manufacturing process Methods 0.000 claims abstract description 20
- 239000008194 pharmaceutical composition Substances 0.000 claims abstract description 5
- 125000002496 methyl group Chemical group [H]C([H])([H])* 0.000 claims description 363
- -1 O-(7-azabenzotriazol-1-yl)-N,N, N′,N′-tetramethyluronium hexafluorophosphate Chemical compound 0.000 claims description 335
- 125000000816 ethylene group Chemical group [H]C([H])([*:1])C([H])([H])[*:2] 0.000 claims description 331
- 125000000623 heterocyclic group Chemical group 0.000 claims description 286
- 125000002023 trifluoromethyl group Chemical group FC(F)(F)* 0.000 claims description 250
- 229910052731 fluorine Inorganic materials 0.000 claims description 229
- 125000001495 ethyl group Chemical group [H]C([H])([H])C([H])([H])* 0.000 claims description 212
- 229910052801 chlorine Inorganic materials 0.000 claims description 211
- 125000004169 (C1-C6) alkyl group Chemical group 0.000 claims description 198
- 125000001997 phenyl group Chemical group [H]C1=C([H])C([H])=C(*)C([H])=C1[H] 0.000 claims description 178
- 229910052760 oxygen Inorganic materials 0.000 claims description 166
- 125000004178 (C1-C4) alkyl group Chemical group 0.000 claims description 150
- 125000000484 butyl group Chemical group [H]C([*])([H])C([H])([H])C([H])([H])C([H])([H])[H] 0.000 claims description 144
- 125000001436 propyl group Chemical group [H]C([*])([H])C([H])([H])C([H])([H])[H] 0.000 claims description 142
- 229910052794 bromium Inorganic materials 0.000 claims description 141
- 125000005842 heteroatom Chemical group 0.000 claims description 136
- IJGRMHOSHXDMSA-UHFFFAOYSA-N nitrogen Substances N#N IJGRMHOSHXDMSA-UHFFFAOYSA-N 0.000 claims description 131
- 229910052740 iodine Inorganic materials 0.000 claims description 126
- 229910052757 nitrogen Inorganic materials 0.000 claims description 126
- 239000001301 oxygen Chemical group 0.000 claims description 123
- NINIDFKCEFEMDL-UHFFFAOYSA-N Sulfur Chemical group [S] NINIDFKCEFEMDL-UHFFFAOYSA-N 0.000 claims description 122
- 239000005864 Sulphur Chemical group 0.000 claims description 121
- QVGXLLKOCUKJST-UHFFFAOYSA-N atomic oxygen Chemical group [O] QVGXLLKOCUKJST-UHFFFAOYSA-N 0.000 claims description 121
- QJGQUHMNIGDVPM-UHFFFAOYSA-N nitrogen group Chemical group [N] QJGQUHMNIGDVPM-UHFFFAOYSA-N 0.000 claims description 119
- 125000001797 benzyl group Chemical group [H]C1=C([H])C([H])=C(C([H])=C1[H])C([H])([H])* 0.000 claims description 89
- XEKOWRVHYACXOJ-UHFFFAOYSA-N Ethyl acetate Chemical compound CCOC(C)=O XEKOWRVHYACXOJ-UHFFFAOYSA-N 0.000 claims description 81
- 125000002777 acetyl group Chemical group [H]C([H])([H])C(*)=O 0.000 claims description 73
- JCXJVPUVTGWSNB-UHFFFAOYSA-N Nitrogen dioxide Chemical compound O=[N]=O JCXJVPUVTGWSNB-UHFFFAOYSA-N 0.000 claims description 72
- 125000006656 (C2-C4) alkenyl group Chemical group 0.000 claims description 70
- 125000006650 (C2-C4) alkynyl group Chemical group 0.000 claims description 65
- 125000000229 (C1-C4)alkoxy group Chemical group 0.000 claims description 62
- 125000000094 2-phenylethyl group Chemical group [H]C1=C([H])C([H])=C(C([H])=C1[H])C([H])([H])C([H])([H])* 0.000 claims description 61
- YMWUJEATGCHHMB-UHFFFAOYSA-N Dichloromethane Chemical compound ClCCl YMWUJEATGCHHMB-UHFFFAOYSA-N 0.000 claims description 61
- HEDRZPFGACZZDS-MICDWDOJSA-N Trichloro(2H)methane Chemical compound [2H]C(Cl)(Cl)Cl HEDRZPFGACZZDS-MICDWDOJSA-N 0.000 claims description 60
- 125000001255 4-fluorophenyl group Chemical group [H]C1=C([H])C(*)=C([H])C([H])=C1F 0.000 claims description 59
- 125000001188 haloalkyl group Chemical group 0.000 claims description 55
- 125000004076 pyridyl group Chemical group 0.000 claims description 53
- 125000004438 haloalkoxy group Chemical group 0.000 claims description 52
- 229910052739 hydrogen Inorganic materials 0.000 claims description 51
- 125000001544 thienyl group Chemical group 0.000 claims description 51
- 125000002541 furyl group Chemical group 0.000 claims description 50
- 125000000842 isoxazolyl group Chemical group 0.000 claims description 50
- 125000002971 oxazolyl group Chemical group 0.000 claims description 50
- 125000000041 C6-C10 aryl group Chemical group 0.000 claims description 49
- 125000003118 aryl group Chemical group 0.000 claims description 47
- 150000003839 salts Chemical class 0.000 claims description 47
- 238000005160 1H NMR spectroscopy Methods 0.000 claims description 45
- 125000002883 imidazolyl group Chemical group 0.000 claims description 45
- 125000003854 p-chlorophenyl group Chemical group [H]C1=C([H])C(*)=C([H])C([H])=C1Cl 0.000 claims description 45
- 125000004198 2-fluorophenyl group Chemical group [H]C1=C([H])C(F)=C(*)C([H])=C1[H] 0.000 claims description 43
- 125000004180 3-fluorophenyl group Chemical group [H]C1=C([H])C(*)=C([H])C(F)=C1[H] 0.000 claims description 43
- 125000003226 pyrazolyl group Chemical group 0.000 claims description 42
- 125000000335 thiazolyl group Chemical group 0.000 claims description 42
- 125000004193 piperazinyl group Chemical group 0.000 claims description 41
- 125000003386 piperidinyl group Chemical group 0.000 claims description 41
- 125000000714 pyrimidinyl group Chemical group 0.000 claims description 41
- 125000000168 pyrrolyl group Chemical group 0.000 claims description 41
- 125000003831 tetrazolyl group Chemical group 0.000 claims description 41
- 125000004306 triazinyl group Chemical group 0.000 claims description 41
- 238000006243 chemical reaction Methods 0.000 claims description 39
- VLKZOEOYAKHREP-UHFFFAOYSA-N n-Hexane Chemical compound CCCCCC VLKZOEOYAKHREP-UHFFFAOYSA-N 0.000 claims description 39
- 125000004765 (C1-C4) haloalkyl group Chemical group 0.000 claims description 37
- 229910052799 carbon Inorganic materials 0.000 claims description 34
- 125000004767 (C1-C4) haloalkoxy group Chemical group 0.000 claims description 33
- 239000000243 solution Substances 0.000 claims description 32
- XLYOFNOQVPJJNP-UHFFFAOYSA-N water Substances O XLYOFNOQVPJJNP-UHFFFAOYSA-N 0.000 claims description 31
- 125000004179 3-chlorophenyl group Chemical group [H]C1=C([H])C(*)=C([H])C(Cl)=C1[H] 0.000 claims description 29
- 229910001868 water Inorganic materials 0.000 claims description 29
- 125000004123 n-propyl group Chemical group [H]C([H])([H])C([H])([H])C([H])([H])* 0.000 claims description 28
- 239000007787 solid Substances 0.000 claims description 27
- 125000004182 2-chlorophenyl group Chemical group [H]C1=C([H])C(Cl)=C(*)C([H])=C1[H] 0.000 claims description 23
- 125000006274 (C1-C3)alkoxy group Chemical group 0.000 claims description 22
- 239000000203 mixture Substances 0.000 claims description 22
- 125000000956 methoxy group Chemical group [H]C([H])([H])O* 0.000 claims description 20
- 125000002914 sec-butyl group Chemical group [H]C([H])([H])C([H])([H])C([H])(*)C([H])([H])[H] 0.000 claims description 20
- 125000001449 isopropyl group Chemical group [H]C([H])([H])C([H])(*)C([H])([H])[H] 0.000 claims description 19
- 238000003786 synthesis reaction Methods 0.000 claims description 19
- 125000004108 n-butyl group Chemical group [H]C([H])([H])C([H])([H])C([H])([H])C([H])([H])* 0.000 claims description 18
- 125000004183 alkoxy alkyl group Chemical group 0.000 claims description 17
- DTQVDTLACAAQTR-UHFFFAOYSA-N Trifluoroacetic acid Chemical compound OC(=O)C(F)(F)F DTQVDTLACAAQTR-UHFFFAOYSA-N 0.000 claims description 16
- 125000000876 trifluoromethoxy group Chemical group FC(F)(F)O* 0.000 claims description 16
- 125000000391 vinyl group Chemical group [H]C([*])=C([H])[H] 0.000 claims description 15
- 239000007821 HATU Substances 0.000 claims description 14
- CSNNHWWHGAXBCP-UHFFFAOYSA-L Magnesium sulfate Chemical compound [Mg+2].[O-][S+2]([O-])([O-])[O-] CSNNHWWHGAXBCP-UHFFFAOYSA-L 0.000 claims description 14
- 125000003903 2-propenyl group Chemical group [H]C([*])([H])C([H])=C([H])[H] 0.000 claims description 13
- 125000000882 C2-C6 alkenyl group Chemical group 0.000 claims description 13
- OSFBJERFMQCEQY-UHFFFAOYSA-N propylidene Chemical compound [CH]CC OSFBJERFMQCEQY-UHFFFAOYSA-N 0.000 claims description 13
- 125000004209 (C1-C8) alkyl group Chemical group 0.000 claims description 12
- 125000003601 C2-C6 alkynyl group Chemical group 0.000 claims description 12
- 125000001995 cyclobutyl group Chemical group [H]C1([H])C([H])([H])C([H])(*)C1([H])[H] 0.000 claims description 12
- 125000000113 cyclohexyl group Chemical group [H]C1([H])C([H])([H])C([H])([H])C([H])(*)C([H])([H])C1([H])[H] 0.000 claims description 12
- 125000001511 cyclopentyl group Chemical group [H]C1([H])C([H])([H])C([H])([H])C([H])(*)C1([H])[H] 0.000 claims description 12
- 238000003756 stirring Methods 0.000 claims description 12
- QGZKDVFQNNGYKY-UHFFFAOYSA-N Ammonia Chemical compound N QGZKDVFQNNGYKY-UHFFFAOYSA-N 0.000 claims description 11
- JGFZNNIVVJXRND-UHFFFAOYSA-N N,N-Diisopropylethylamine (DIPEA) Chemical compound CCN(C(C)C)C(C)C JGFZNNIVVJXRND-UHFFFAOYSA-N 0.000 claims description 11
- 125000003342 alkenyl group Chemical group 0.000 claims description 11
- 125000000304 alkynyl group Chemical group 0.000 claims description 11
- 125000001559 cyclopropyl group Chemical group [H]C1([H])C([H])([H])C1([H])* 0.000 claims description 11
- 125000000654 isopropylidene group Chemical group C(C)(C)=* 0.000 claims description 11
- UQZPGHOJMQTOHB-UHFFFAOYSA-N 2-chloro-n-(2-chloroethyl)-n-ethylethanamine Chemical compound ClCCN(CC)CCCl UQZPGHOJMQTOHB-UHFFFAOYSA-N 0.000 claims description 10
- 125000000217 alkyl group Chemical group 0.000 claims description 10
- 239000003153 chemical reaction reagent Substances 0.000 claims description 9
- 125000005448 ethoxyethyl group Chemical group [H]C([H])([H])C([H])([H])OC([H])([H])C([H])([H])* 0.000 claims description 9
- 125000005745 ethoxymethyl group Chemical group [H]C([H])([H])C([H])([H])OC([H])([H])* 0.000 claims description 9
- 125000004184 methoxymethyl group Chemical group [H]C([H])([H])OC([H])([H])* 0.000 claims description 9
- 125000000999 tert-butyl group Chemical group [H]C([H])([H])C(*)(C([H])([H])[H])C([H])([H])[H] 0.000 claims description 9
- 125000004975 3-butenyl group Chemical group C(CC=C)* 0.000 claims description 8
- 125000000959 isobutyl group Chemical group [H]C([H])([H])C([H])(C([H])([H])[H])C([H])([H])* 0.000 claims description 8
- 239000011541 reaction mixture Substances 0.000 claims description 8
- YJLIKUSWRSEPSM-WGQQHEPDSA-N (2r,3r,4s,5r)-2-[6-amino-8-[(4-phenylphenyl)methylamino]purin-9-yl]-5-(hydroxymethyl)oxolane-3,4-diol Chemical compound C=1C=C(C=2C=CC=CC=2)C=CC=1CNC1=NC=2C(N)=NC=NC=2N1[C@@H]1O[C@H](CO)[C@@H](O)[C@H]1O YJLIKUSWRSEPSM-WGQQHEPDSA-N 0.000 claims description 7
- 238000004587 chromatography analysis Methods 0.000 claims description 7
- 230000008878 coupling Effects 0.000 claims description 7
- 238000010168 coupling process Methods 0.000 claims description 7
- 238000005859 coupling reaction Methods 0.000 claims description 7
- 229910052943 magnesium sulfate Inorganic materials 0.000 claims description 7
- 235000019341 magnesium sulphate Nutrition 0.000 claims description 7
- 125000000740 n-pentyl group Chemical group [H]C([H])([H])C([H])([H])C([H])([H])C([H])([H])C([H])([H])* 0.000 claims description 7
- 239000012044 organic layer Substances 0.000 claims description 7
- 125000003538 pentan-3-yl group Chemical group [H]C([H])([H])C([H])([H])C([H])(*)C([H])([H])C([H])([H])[H] 0.000 claims description 7
- 125000004191 (C1-C6) alkoxy group Chemical group 0.000 claims description 6
- 125000005913 (C3-C6) cycloalkyl group Chemical group 0.000 claims description 6
- YXFVVABEGXRONW-UHFFFAOYSA-N Toluene Chemical compound CC1=CC=CC=C1 YXFVVABEGXRONW-UHFFFAOYSA-N 0.000 claims description 6
- 125000003302 alkenyloxy group Chemical group 0.000 claims description 6
- 239000012267 brine Substances 0.000 claims description 6
- 125000000219 ethylidene group Chemical group [H]C(=[*])C([H])([H])[H] 0.000 claims description 6
- HPALAKNZSZLMCH-UHFFFAOYSA-M sodium;chloride;hydrate Chemical compound O.[Na+].[Cl-] HPALAKNZSZLMCH-UHFFFAOYSA-M 0.000 claims description 6
- 150000003443 succinic acid derivatives Chemical class 0.000 claims description 6
- 125000006273 (C1-C3) alkyl group Chemical group 0.000 claims description 5
- 239000007864 aqueous solution Substances 0.000 claims description 5
- 239000012317 TBTU Substances 0.000 claims description 4
- CLZISMQKJZCZDN-UHFFFAOYSA-N [benzotriazol-1-yloxy(dimethylamino)methylidene]-dimethylazanium Chemical compound C1=CC=C2N(OC(N(C)C)=[N+](C)C)N=NC2=C1 CLZISMQKJZCZDN-UHFFFAOYSA-N 0.000 claims description 4
- RROBIDXNTUAHFW-UHFFFAOYSA-N benzotriazol-1-yloxy-tris(dimethylamino)phosphanium Chemical compound C1=CC=C2N(O[P+](N(C)C)(N(C)C)N(C)C)N=NC2=C1 RROBIDXNTUAHFW-UHFFFAOYSA-N 0.000 claims description 3
- 239000003937 drug carrier Substances 0.000 claims description 3
- 230000001404 mediated effect Effects 0.000 claims description 3
- 125000000171 (C1-C6) haloalkyl group Chemical group 0.000 claims description 2
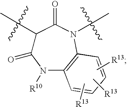
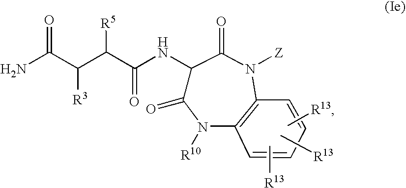
- ZKJACDIALNSUQY-UHFFFAOYSA-N 3-amino-1,5-dimethyl-1,5-benzodiazepine-2,4-dione Chemical compound CN1C(=O)C(N)C(=O)N(C)C2=CC=CC=C21 ZKJACDIALNSUQY-UHFFFAOYSA-N 0.000 claims description 2
- 239000012141 concentrate Substances 0.000 claims 2
- 239000007790 solid phase Substances 0.000 claims 2
- 238000001035 drying Methods 0.000 claims 1
- 230000001747 exhibiting effect Effects 0.000 claims 1
- 238000002156 mixing Methods 0.000 claims 1
- 238000005406 washing Methods 0.000 claims 1
- 150000003951 lactams Chemical class 0.000 abstract description 48
- DZHSAHHDTRWUTF-SIQRNXPUSA-N amyloid-beta polypeptide 42 Chemical compound C([C@@H](C(=O)N[C@@H](C)C(=O)N[C@@H](CCC(O)=O)C(=O)N[C@@H](CC(O)=O)C(=O)N[C@H](C(=O)NCC(=O)N[C@@H](CO)C(=O)N[C@@H](CC(N)=O)C(=O)N[C@@H](CCCCN)C(=O)NCC(=O)N[C@@H](C)C(=O)N[C@H](C(=O)N[C@@H]([C@@H](C)CC)C(=O)NCC(=O)N[C@@H](CC(C)C)C(=O)N[C@@H](CCSC)C(=O)N[C@@H](C(C)C)C(=O)NCC(=O)NCC(=O)N[C@@H](C(C)C)C(=O)N[C@@H](C(C)C)C(=O)N[C@@H]([C@@H](C)CC)C(=O)N[C@@H](C)C(O)=O)[C@@H](C)CC)C(C)C)NC(=O)[C@H](CC=1C=CC=CC=1)NC(=O)[C@@H](NC(=O)[C@H](CC(C)C)NC(=O)[C@H](CCCCN)NC(=O)[C@H](CCC(N)=O)NC(=O)[C@H](CC=1N=CNC=1)NC(=O)[C@H](CC=1N=CNC=1)NC(=O)[C@@H](NC(=O)[C@H](CCC(O)=O)NC(=O)[C@H](CC=1C=CC(O)=CC=1)NC(=O)CNC(=O)[C@H](CO)NC(=O)[C@H](CC(O)=O)NC(=O)[C@H](CC=1N=CNC=1)NC(=O)[C@H](CCCNC(N)=N)NC(=O)[C@H](CC=1C=CC=CC=1)NC(=O)[C@H](CCC(O)=O)NC(=O)[C@H](C)NC(=O)[C@@H](N)CC(O)=O)C(C)C)C(C)C)C1=CC=CC=C1 DZHSAHHDTRWUTF-SIQRNXPUSA-N 0.000 abstract description 15
- 208000024827 Alzheimer disease Diseases 0.000 abstract description 13
- 101710137189 Amyloid-beta A4 protein Proteins 0.000 abstract description 11
- 101710151993 Amyloid-beta precursor protein Proteins 0.000 abstract description 11
- 102100022704 Amyloid-beta precursor protein Human genes 0.000 abstract description 11
- 102000013455 Amyloid beta-Peptides Human genes 0.000 abstract description 7
- 108010090849 Amyloid beta-Peptides Proteins 0.000 abstract description 7
- 208000012902 Nervous system disease Diseases 0.000 abstract description 7
- 208000025966 Neurological disease Diseases 0.000 abstract description 6
- 201000010374 Down Syndrome Diseases 0.000 abstract description 5
- 206010044688 Trisomy 21 Diseases 0.000 abstract description 5
- 230000000926 neurological effect Effects 0.000 abstract description 4
- 238000012545 processing Methods 0.000 abstract description 4
- 102000009091 Amyloidogenic Proteins Human genes 0.000 abstract description 3
- 108010048112 Amyloidogenic Proteins Proteins 0.000 abstract description 3
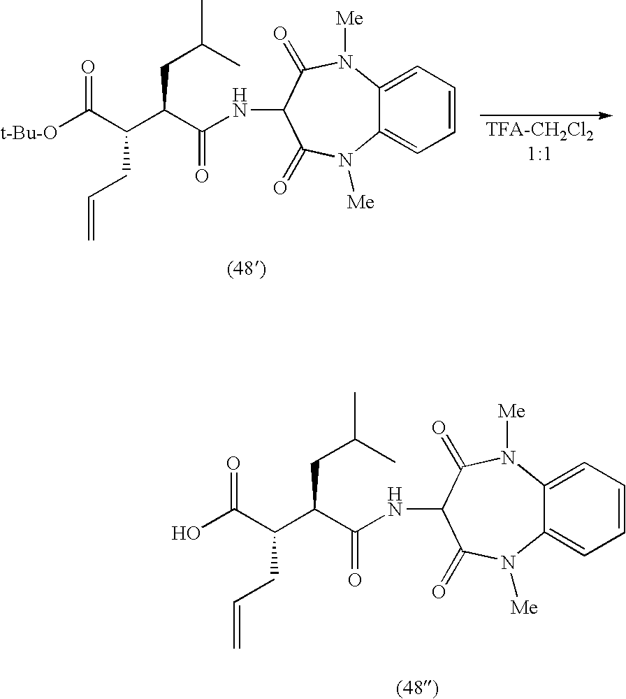
- 238000002360 preparation method Methods 0.000 description 72
- OKKJLVBELUTLKV-UHFFFAOYSA-N Methanol Chemical compound OC OKKJLVBELUTLKV-UHFFFAOYSA-N 0.000 description 36
- 150000003254 radicals Chemical class 0.000 description 30
- 125000001424 substituent group Chemical group 0.000 description 30
- 235000019439 ethyl acetate Nutrition 0.000 description 26
- 239000011734 sodium Substances 0.000 description 25
- 229940002612 prodrug Drugs 0.000 description 24
- 239000000651 prodrug Substances 0.000 description 24
- 125000004429 atom Chemical group 0.000 description 22
- WEVYAHXRMPXWCK-UHFFFAOYSA-N Acetonitrile Chemical compound CC#N WEVYAHXRMPXWCK-UHFFFAOYSA-N 0.000 description 21
- HEMHJVSKTPXQMS-UHFFFAOYSA-M Sodium hydroxide Chemical compound [OH-].[Na+] HEMHJVSKTPXQMS-UHFFFAOYSA-M 0.000 description 21
- 125000004432 carbon atom Chemical group C* 0.000 description 19
- 150000003571 thiolactams Chemical class 0.000 description 19
- 125000006570 (C5-C6) heteroaryl group Chemical group 0.000 description 18
- 102000002659 Amyloid Precursor Protein Secretases Human genes 0.000 description 16
- 239000000047 product Substances 0.000 description 16
- 108010043324 Amyloid Precursor Protein Secretases Proteins 0.000 description 15
- 229920006395 saturated elastomer Polymers 0.000 description 15
- VYPSYNLAJGMNEJ-UHFFFAOYSA-N Silicium dioxide Chemical compound O=[Si]=O VYPSYNLAJGMNEJ-UHFFFAOYSA-N 0.000 description 14
- WYURNTSHIVDZCO-UHFFFAOYSA-N Tetrahydrofuran Chemical compound C1CCOC1 WYURNTSHIVDZCO-UHFFFAOYSA-N 0.000 description 14
- 229910052717 sulfur Inorganic materials 0.000 description 14
- 239000000543 intermediate Substances 0.000 description 13
- NDNQCTVYOKEYIV-UHFFFAOYSA-N 1h-1,2-benzodiazepin-3-amine Chemical compound C1=CC(N)=NNC2=CC=CC=C21 NDNQCTVYOKEYIV-UHFFFAOYSA-N 0.000 description 12
- 125000005605 benzo group Chemical group 0.000 description 12
- QTBSBXVTEAMEQO-UHFFFAOYSA-N Acetic acid Chemical compound CC(O)=O QTBSBXVTEAMEQO-UHFFFAOYSA-N 0.000 description 10
- 230000000694 effects Effects 0.000 description 10
- 108090000623 proteins and genes Proteins 0.000 description 10
- PMZURENOXWZQFD-UHFFFAOYSA-L Sodium Sulfate Chemical compound [Na+].[Na+].[O-]S([O-])(=O)=O PMZURENOXWZQFD-UHFFFAOYSA-L 0.000 description 9
- 239000002253 acid Substances 0.000 description 9
- 150000001412 amines Chemical class 0.000 description 9
- 235000018102 proteins Nutrition 0.000 description 9
- 102000004169 proteins and genes Human genes 0.000 description 9
- 229910052938 sodium sulfate Inorganic materials 0.000 description 9
- PZASAAIJIFDWSB-CKPDSHCKSA-N 8-[(1S)-1-[8-(trifluoromethyl)-7-[4-(trifluoromethyl)cyclohexyl]oxynaphthalen-2-yl]ethyl]-8-azabicyclo[3.2.1]octane-3-carboxylic acid Chemical compound FC(F)(F)C=1C2=CC([C@@H](N3C4CCC3CC(C4)C(O)=O)C)=CC=C2C=CC=1OC1CCC(C(F)(F)F)CC1 PZASAAIJIFDWSB-CKPDSHCKSA-N 0.000 description 8
- OKTJSMMVPCPJKN-UHFFFAOYSA-N Carbon Chemical compound [C] OKTJSMMVPCPJKN-UHFFFAOYSA-N 0.000 description 8
- 239000002585 base Substances 0.000 description 8
- 239000010410 layer Substances 0.000 description 8
- 239000002904 solvent Substances 0.000 description 8
- SVUOLADPCWQTTE-UHFFFAOYSA-N 1h-1,2-benzodiazepine Chemical compound N1N=CC=CC2=CC=CC=C12 SVUOLADPCWQTTE-UHFFFAOYSA-N 0.000 description 7
- LFQSCWFLJHTTHZ-UHFFFAOYSA-N Ethanol Chemical compound CCO LFQSCWFLJHTTHZ-UHFFFAOYSA-N 0.000 description 7
- 239000008186 active pharmaceutical agent Substances 0.000 description 7
- 150000001413 amino acids Chemical class 0.000 description 7
- 238000010511 deprotection reaction Methods 0.000 description 7
- 239000000741 silica gel Substances 0.000 description 7
- 229910002027 silica gel Inorganic materials 0.000 description 7
- 150000003900 succinic acid esters Chemical class 0.000 description 7
- VHYFNPMBLIVWCW-UHFFFAOYSA-N 4-Dimethylaminopyridine Chemical compound CN(C)C1=CC=NC=C1 VHYFNPMBLIVWCW-UHFFFAOYSA-N 0.000 description 6
- 208000037259 Amyloid Plaque Diseases 0.000 description 6
- IAZDPXIOMUYVGZ-WFGJKAKNSA-N Dimethyl sulfoxide Chemical compound [2H]C([2H])([2H])S(=O)C([2H])([2H])[2H] IAZDPXIOMUYVGZ-WFGJKAKNSA-N 0.000 description 6
- UIIMBOGNXHQVGW-UHFFFAOYSA-M Sodium bicarbonate Chemical compound [Na+].OC([O-])=O UIIMBOGNXHQVGW-UHFFFAOYSA-M 0.000 description 6
- 235000001014 amino acid Nutrition 0.000 description 6
- 150000001732 carboxylic acid derivatives Chemical class 0.000 description 6
- 230000002401 inhibitory effect Effects 0.000 description 6
- 125000006239 protecting group Chemical group 0.000 description 6
- ZHYMGSPDEVXULU-UHFFFAOYSA-N 1,2-benzodiazepin-3-one Chemical compound N1=NC(=O)C=CC2=CC=CC=C21 ZHYMGSPDEVXULU-UHFFFAOYSA-N 0.000 description 5
- 239000007832 Na2SO4 Substances 0.000 description 5
- 239000003814 drug Substances 0.000 description 5
- 150000002148 esters Chemical class 0.000 description 5
- 239000000284 extract Substances 0.000 description 5
- 239000003921 oil Substances 0.000 description 5
- 239000002243 precursor Substances 0.000 description 5
- 125000002924 primary amino group Chemical group [H]N([H])* 0.000 description 5
- 230000009467 reduction Effects 0.000 description 5
- 239000007858 starting material Substances 0.000 description 5
- KDYFGRWQOYBRFD-UHFFFAOYSA-L succinate(2-) Chemical compound [O-]C(=O)CCC([O-])=O KDYFGRWQOYBRFD-UHFFFAOYSA-L 0.000 description 5
- HEDRZPFGACZZDS-UHFFFAOYSA-N Chloroform Chemical compound ClC(Cl)Cl HEDRZPFGACZZDS-UHFFFAOYSA-N 0.000 description 4
- OKKJLVBELUTLKV-MZCSYVLQSA-N Deuterated methanol Chemical compound [2H]OC([2H])([2H])[2H] OKKJLVBELUTLKV-MZCSYVLQSA-N 0.000 description 4
- SJRJJKPEHAURKC-UHFFFAOYSA-N N-Methylmorpholine Chemical compound CN1CCOCC1 SJRJJKPEHAURKC-UHFFFAOYSA-N 0.000 description 4
- SECXISVLQFMRJM-UHFFFAOYSA-N N-Methylpyrrolidone Chemical compound CN1CCCC1=O SECXISVLQFMRJM-UHFFFAOYSA-N 0.000 description 4
- NQRYJNQNLNOLGT-UHFFFAOYSA-N Piperidine Chemical compound C1CCNCC1 NQRYJNQNLNOLGT-UHFFFAOYSA-N 0.000 description 4
- FAPWRFPIFSIZLT-UHFFFAOYSA-M Sodium chloride Chemical compound [Na+].[Cl-] FAPWRFPIFSIZLT-UHFFFAOYSA-M 0.000 description 4
- 125000003545 alkoxy group Chemical group 0.000 description 4
- 125000002619 bicyclic group Chemical group 0.000 description 4
- 239000000872 buffer Substances 0.000 description 4
- 210000004899 c-terminal region Anatomy 0.000 description 4
- 238000010828 elution Methods 0.000 description 4
- 102000038383 gamma-secretases Human genes 0.000 description 4
- 108091007739 gamma-secretases Proteins 0.000 description 4
- 238000001727 in vivo Methods 0.000 description 4
- 238000002844 melting Methods 0.000 description 4
- 230000008018 melting Effects 0.000 description 4
- 108090000765 processed proteins & peptides Proteins 0.000 description 4
- 238000004007 reversed phase HPLC Methods 0.000 description 4
- 238000010898 silica gel chromatography Methods 0.000 description 4
- 235000011152 sodium sulphate Nutrition 0.000 description 4
- HIXDQWDOVZUNNA-UHFFFAOYSA-N 2-(3,4-dimethoxyphenyl)-5-hydroxy-7-methoxychromen-4-one Chemical compound C=1C(OC)=CC(O)=C(C(C=2)=O)C=1OC=2C1=CC=C(OC)C(OC)=C1 HIXDQWDOVZUNNA-UHFFFAOYSA-N 0.000 description 3
- 125000003349 3-pyridyl group Chemical group N1=C([H])C([*])=C([H])C([H])=C1[H] 0.000 description 3
- QFSMMXJBEBXTJP-UHFFFAOYSA-N 7-benzyl-1,3-dimethyl-8-piperazin-1-yl-3,7-dihydropurine-2,6-dione Chemical compound C=1C=CC=CC=1CN1C=2C(=O)N(C)C(=O)N(C)C=2N=C1N1CCNCC1 QFSMMXJBEBXTJP-UHFFFAOYSA-N 0.000 description 3
- CSCPPACGZOOCGX-UHFFFAOYSA-N Acetone Chemical compound CC(C)=O CSCPPACGZOOCGX-UHFFFAOYSA-N 0.000 description 3
- IAZDPXIOMUYVGZ-UHFFFAOYSA-N Dimethylsulphoxide Chemical compound CS(C)=O IAZDPXIOMUYVGZ-UHFFFAOYSA-N 0.000 description 3
- LYCAIKOWRPUZTN-UHFFFAOYSA-N Ethylene glycol Chemical compound OCCO LYCAIKOWRPUZTN-UHFFFAOYSA-N 0.000 description 3
- KFZMGEQAYNKOFK-UHFFFAOYSA-N Isopropanol Chemical compound CC(C)O KFZMGEQAYNKOFK-UHFFFAOYSA-N 0.000 description 3
- 241001465754 Metazoa Species 0.000 description 3
- ZMANZCXQSJIPKH-UHFFFAOYSA-N Triethylamine Chemical compound CCN(CC)CC ZMANZCXQSJIPKH-UHFFFAOYSA-N 0.000 description 3
- 230000002378 acidificating effect Effects 0.000 description 3
- 230000004913 activation Effects 0.000 description 3
- 239000002168 alkylating agent Substances 0.000 description 3
- 229940100198 alkylating agent Drugs 0.000 description 3
- BHELZAPQIKSEDF-UHFFFAOYSA-N allyl bromide Chemical compound BrCC=C BHELZAPQIKSEDF-UHFFFAOYSA-N 0.000 description 3
- 229910021529 ammonia Inorganic materials 0.000 description 3
- 125000003785 benzimidazolyl group Chemical group N1=C(NC2=C1C=CC=C2)* 0.000 description 3
- 125000001584 benzyloxycarbonyl group Chemical group C(=O)(OCC1=CC=CC=C1)* 0.000 description 3
- 239000010779 crude oil Substances 0.000 description 3
- 208000037265 diseases, disorders, signs and symptoms Diseases 0.000 description 3
- 229940079593 drug Drugs 0.000 description 3
- RTZKZFJDLAIYFH-UHFFFAOYSA-N ether Substances CCOCC RTZKZFJDLAIYFH-UHFFFAOYSA-N 0.000 description 3
- 238000004128 high performance liquid chromatography Methods 0.000 description 3
- 230000005764 inhibitory process Effects 0.000 description 3
- 238000002955 isolation Methods 0.000 description 3
- ZCSHNCUQKCANBX-UHFFFAOYSA-N lithium diisopropylamide Chemical compound [Li+].CC(C)[N-]C(C)C ZCSHNCUQKCANBX-UHFFFAOYSA-N 0.000 description 3
- 239000000463 material Substances 0.000 description 3
- 150000007522 mineralic acids Chemical class 0.000 description 3
- 125000004573 morpholin-4-yl group Chemical group N1(CCOCC1)* 0.000 description 3
- IOMMMLWIABWRKL-WUTDNEBXSA-N nazartinib Chemical compound C1N(C(=O)/C=C/CN(C)C)CCCC[C@H]1N1C2=C(Cl)C=CC=C2N=C1NC(=O)C1=CC=NC(C)=C1 IOMMMLWIABWRKL-WUTDNEBXSA-N 0.000 description 3
- 231100000252 nontoxic Toxicity 0.000 description 3
- 230000003000 nontoxic effect Effects 0.000 description 3
- 229920001184 polypeptide Polymers 0.000 description 3
- 102000004196 processed proteins & peptides Human genes 0.000 description 3
- 238000000746 purification Methods 0.000 description 3
- 230000002829 reductive effect Effects 0.000 description 3
- 238000010992 reflux Methods 0.000 description 3
- 229910000030 sodium bicarbonate Inorganic materials 0.000 description 3
- 125000004434 sulfur atom Chemical group 0.000 description 3
- CXWXQJXEFPUFDZ-UHFFFAOYSA-N tetralin Chemical compound C1=CC=C2CCCCC2=C1 CXWXQJXEFPUFDZ-UHFFFAOYSA-N 0.000 description 3
- SDUVBDDVKQDDPQ-ZLZBJJAKSA-N (2s,3r)-2-(2-cyclopentylethyl)-n'-[(3s)-1-methyl-2-oxo-5-phenyl-3h-1,4-benzodiazepin-3-yl]-3-(2-methylpropyl)butanediamide Chemical compound C([C@@H]([C@@H](CC(C)C)C(=O)N[C@@H]1C(N(C)C2=CC=CC=C2C(C=2C=CC=CC=2)=N1)=O)C(N)=O)CC1CCCC1 SDUVBDDVKQDDPQ-ZLZBJJAKSA-N 0.000 description 2
- CYPIXVGOCWXFSP-UNIVCBNLSA-N (2s,3r)-2-but-3-enyl-n'-[(3s)-1-methyl-2-oxo-5-phenyl-3h-1,4-benzodiazepin-3-yl]-3-(2-methylpropyl)butanediamide Chemical compound N([C@@H](C(N(C)C1=CC=CC=C11)=O)NC(=O)[C@@H]([C@H](CCC=C)C(N)=O)CC(C)C)=C1C1=CC=CC=C1 CYPIXVGOCWXFSP-UNIVCBNLSA-N 0.000 description 2
- GEDBJZPLDKCZBR-HWHXTQLESA-N (2s,3r)-n'-[(3r)-1-methyl-2-oxo-5-phenyl-3h-1,4-benzodiazepin-3-yl]-3-(2-methylpropyl)-2-prop-2-enylbutanediamide Chemical compound N([C@H](C(N(C)C1=CC=CC=C11)=O)NC(=O)[C@@H]([C@H](CC=C)C(N)=O)CC(C)C)=C1C1=CC=CC=C1 GEDBJZPLDKCZBR-HWHXTQLESA-N 0.000 description 2
- RTMFXQXENIODOP-HWHXTQLESA-N (2s,3r)-n'-[(3r)-1-methyl-2-oxo-5-phenyl-3h-1,4-benzodiazepin-3-yl]-3-(2-methylpropyl)-2-propylbutanediamide Chemical compound N([C@H](C(N(C)C1=CC=CC=C11)=O)NC(=O)[C@H](CC(C)C)[C@H](CCC)C(N)=O)=C1C1=CC=CC=C1 RTMFXQXENIODOP-HWHXTQLESA-N 0.000 description 2
- 125000004173 1-benzimidazolyl group Chemical group [H]C1=NC2=C([H])C([H])=C([H])C([H])=C2N1* 0.000 description 2
- 125000005955 1H-indazolyl group Chemical group 0.000 description 2
- YSNLYVNRLNJKPI-AJEPASEPSA-N 2-(cyclopropylmethyl)-n'-[(3s)-1-methyl-2-oxo-5-phenyl-3h-1,4-benzodiazepin-3-yl]-3-(2-methylpropyl)butanediamide Chemical compound N([C@@H]1C(N(C)C2=CC=CC=C2C(C=2C=CC=CC=2)=N1)=O)C(=O)C(CC(C)C)C(C(N)=O)CC1CC1 YSNLYVNRLNJKPI-AJEPASEPSA-N 0.000 description 2
- NGNBDVOYPDDBFK-UHFFFAOYSA-N 2-[2,4-di(pentan-2-yl)phenoxy]acetyl chloride Chemical compound CCCC(C)C1=CC=C(OCC(Cl)=O)C(C(C)CCC)=C1 NGNBDVOYPDDBFK-UHFFFAOYSA-N 0.000 description 2
- GTTDDFMDDNEWIJ-UXNJHFGPSA-N 2-but-3-enyl-n'-[(3r)-1-methyl-2-oxo-5-[4-(trifluoromethyl)phenyl]-3h-1,4-benzodiazepin-3-yl]-3-(2-methylpropyl)butanediamide Chemical compound N([C@H](C(N(C)C1=CC=CC=C11)=O)NC(=O)C(C(CCC=C)C(N)=O)CC(C)C)=C1C1=CC=C(C(F)(F)F)C=C1 GTTDDFMDDNEWIJ-UXNJHFGPSA-N 0.000 description 2
- GTTDDFMDDNEWIJ-YDJYNLAZSA-N 2-but-3-enyl-n'-[(3s)-1-methyl-2-oxo-5-[4-(trifluoromethyl)phenyl]-3h-1,4-benzodiazepin-3-yl]-3-(2-methylpropyl)butanediamide Chemical compound N([C@@H](C(N(C)C1=CC=CC=C11)=O)NC(=O)C(C(CCC=C)C(N)=O)CC(C)C)=C1C1=CC=C(C(F)(F)F)C=C1 GTTDDFMDDNEWIJ-YDJYNLAZSA-N 0.000 description 2
- JAGLDSOYXPPAJV-YDJYNLAZSA-N 2-but-3-enyl-n'-[(3s)-5-(4-chlorophenyl)-1-methyl-2-oxo-3h-1,4-benzodiazepin-3-yl]-3-(2-methylpropyl)butanediamide Chemical compound N([C@@H](C(N(C)C1=CC=CC=C11)=O)NC(=O)C(C(CCC=C)C(N)=O)CC(C)C)=C1C1=CC=C(Cl)C=C1 JAGLDSOYXPPAJV-YDJYNLAZSA-N 0.000 description 2
- JGVQRRLVTSRJHC-YDJYNLAZSA-N 2-butyl-n'-[(3s)-1-methyl-2-oxo-5-[4-(trifluoromethyl)phenyl]-3h-1,4-benzodiazepin-3-yl]-3-(2-methylpropyl)butanediamide Chemical compound N([C@@H](C(N(C)C1=CC=CC=C11)=O)NC(=O)C(CC(C)C)C(CCCC)C(N)=O)=C1C1=CC=C(C(F)(F)F)C=C1 JGVQRRLVTSRJHC-YDJYNLAZSA-N 0.000 description 2
- JADHURSZAFCXCI-YDJYNLAZSA-N 2-butyl-n'-[(3s)-5-(4-chlorophenyl)-1-methyl-2-oxo-3h-1,4-benzodiazepin-3-yl]-3-(2-methylpropyl)butanediamide Chemical compound N([C@@H](C(N(C)C1=CC=CC=C11)=O)NC(=O)C(CC(C)C)C(CCCC)C(N)=O)=C1C1=CC=C(Cl)C=C1 JADHURSZAFCXCI-YDJYNLAZSA-N 0.000 description 2
- HYPPSQWOLKBOPJ-UHFFFAOYSA-N 2-methyl-n-(1-methyl-2-oxo-5-phenyl-3h-1,4-benzodiazepin-3-yl)butanediamide Chemical compound C12=CC=CC=C2N(C)C(=O)C(NC(=O)C(CC(N)=O)C)N=C1C1=CC=CC=C1 HYPPSQWOLKBOPJ-UHFFFAOYSA-N 0.000 description 2
- 125000004105 2-pyridyl group Chemical group N1=C([*])C([H])=C([H])C([H])=C1[H] 0.000 description 2
- OPTUDRZCVQDSRK-UHFFFAOYSA-N 3-amino-5-butyl-1-methyl-3h-1,4-benzodiazepin-2-one Chemical compound CCCCC1=NC(N)C(=O)N(C)C2=CC=CC=C12 OPTUDRZCVQDSRK-UHFFFAOYSA-N 0.000 description 2
- GLYZAMCWRFAZJD-UHFFFAOYSA-N 3-amino-5-phenyl-1-propyl-3h-1,4-benzodiazepin-2-one Chemical compound N=1C(N)C(=O)N(CCC)C2=CC=CC=C2C=1C1=CC=CC=C1 GLYZAMCWRFAZJD-UHFFFAOYSA-N 0.000 description 2
- GVCZAWMDJNFCLO-SGHZUCRHSA-N 3-methyl-n'-[(3s)-1-methyl-2-oxo-5-phenyl-3h-1,4-benzodiazepin-3-yl]-2-propylbutanediamide Chemical compound N([C@@H](C(N(C)C1=CC=CC=C11)=O)NC(=O)C(C)C(CCC)C(N)=O)=C1C1=CC=CC=C1 GVCZAWMDJNFCLO-SGHZUCRHSA-N 0.000 description 2
- 229960000549 4-dimethylaminophenol Drugs 0.000 description 2
- 125000005986 4-piperidonyl group Chemical group 0.000 description 2
- 125000000339 4-pyridyl group Chemical group N1=C([H])C([H])=C([*])C([H])=C1[H] 0.000 description 2
- 125000002471 4H-quinolizinyl group Chemical group C=1(C=CCN2C=CC=CC12)* 0.000 description 2
- QTBSBXVTEAMEQO-UHFFFAOYSA-M Acetate Chemical compound CC([O-])=O QTBSBXVTEAMEQO-UHFFFAOYSA-M 0.000 description 2
- NLXLAEXVIDQMFP-UHFFFAOYSA-N Ammonia chloride Chemical compound [NH4+].[Cl-] NLXLAEXVIDQMFP-UHFFFAOYSA-N 0.000 description 2
- USFZMSVCRYTOJT-UHFFFAOYSA-N Ammonium acetate Chemical compound N.CC(O)=O USFZMSVCRYTOJT-UHFFFAOYSA-N 0.000 description 2
- CPELXLSAUQHCOX-UHFFFAOYSA-M Bromide Chemical compound [Br-] CPELXLSAUQHCOX-UHFFFAOYSA-M 0.000 description 2
- CURLTUGMZLYLDI-UHFFFAOYSA-N Carbon dioxide Chemical compound O=C=O CURLTUGMZLYLDI-UHFFFAOYSA-N 0.000 description 2
- 102000004190 Enzymes Human genes 0.000 description 2
- 108090000790 Enzymes Proteins 0.000 description 2
- 241000282412 Homo Species 0.000 description 2
- 241000282414 Homo sapiens Species 0.000 description 2
- VEXZGXHMUGYJMC-UHFFFAOYSA-N Hydrochloric acid Chemical compound Cl VEXZGXHMUGYJMC-UHFFFAOYSA-N 0.000 description 2
- CPELXLSAUQHCOX-UHFFFAOYSA-N Hydrogen bromide Chemical compound Br CPELXLSAUQHCOX-UHFFFAOYSA-N 0.000 description 2
- WTDHULULXKLSOZ-UHFFFAOYSA-N Hydroxylamine hydrochloride Chemical compound Cl.ON WTDHULULXKLSOZ-UHFFFAOYSA-N 0.000 description 2
- 102000005741 Metalloproteases Human genes 0.000 description 2
- 108010006035 Metalloproteases Proteins 0.000 description 2
- AFVFQIVMOAPDHO-UHFFFAOYSA-N Methanesulfonic acid Chemical compound CS(O)(=O)=O AFVFQIVMOAPDHO-UHFFFAOYSA-N 0.000 description 2
- OFBQJSOFQDEBGM-UHFFFAOYSA-N Pentane Chemical compound CCCCC OFBQJSOFQDEBGM-UHFFFAOYSA-N 0.000 description 2
- NBIIXXVUZAFLBC-UHFFFAOYSA-N Phosphoric acid Chemical compound OP(O)(O)=O NBIIXXVUZAFLBC-UHFFFAOYSA-N 0.000 description 2
- KEAYESYHFKHZAL-UHFFFAOYSA-N Sodium Chemical compound [Na] KEAYESYHFKHZAL-UHFFFAOYSA-N 0.000 description 2
- CDBYLPFSWZWCQE-UHFFFAOYSA-L Sodium Carbonate Chemical compound [Na+].[Na+].[O-]C([O-])=O CDBYLPFSWZWCQE-UHFFFAOYSA-L 0.000 description 2
- 230000002159 abnormal effect Effects 0.000 description 2
- 238000005917 acylation reaction Methods 0.000 description 2
- 125000005073 adamantyl group Chemical group C12(CC3CC(CC(C1)C3)C2)* 0.000 description 2
- 125000001931 aliphatic group Chemical group 0.000 description 2
- 230000029936 alkylation Effects 0.000 description 2
- 238000005804 alkylation reaction Methods 0.000 description 2
- 210000002565 arteriole Anatomy 0.000 description 2
- 210000001367 artery Anatomy 0.000 description 2
- 230000008901 benefit Effects 0.000 description 2
- 125000004603 benzisoxazolyl group Chemical group O1N=C(C2=C1C=CC=C2)* 0.000 description 2
- 125000000499 benzofuranyl group Chemical group O1C(=CC2=C1C=CC=C2)* 0.000 description 2
- WGQKYBSKWIADBV-UHFFFAOYSA-N benzylamine Chemical compound NCC1=CC=CC=C1 WGQKYBSKWIADBV-UHFFFAOYSA-N 0.000 description 2
- 230000004071 biological effect Effects 0.000 description 2
- SNCZNSNPXMPCGN-UHFFFAOYSA-N butanediamide Chemical group NC(=O)CCC(N)=O SNCZNSNPXMPCGN-UHFFFAOYSA-N 0.000 description 2
- 235000011089 carbon dioxide Nutrition 0.000 description 2
- 125000001309 chloro group Chemical group Cl* 0.000 description 2
- 238000003776 cleavage reaction Methods 0.000 description 2
- 238000004440 column chromatography Methods 0.000 description 2
- 238000009833 condensation Methods 0.000 description 2
- 230000005494 condensation Effects 0.000 description 2
- 238000001816 cooling Methods 0.000 description 2
- 239000007822 coupling agent Substances 0.000 description 2
- 239000013058 crude material Substances 0.000 description 2
- 239000012043 crude product Substances 0.000 description 2
- NLUNLVTVUDIHFE-UHFFFAOYSA-N cyclooctylcyclooctane Chemical compound C1CCCCCCC1C1CCCCCCC1 NLUNLVTVUDIHFE-UHFFFAOYSA-N 0.000 description 2
- NNBZCPXTIHJBJL-UHFFFAOYSA-N decalin Chemical compound C1CCCC2CCCCC21 NNBZCPXTIHJBJL-UHFFFAOYSA-N 0.000 description 2
- 230000003412 degenerative effect Effects 0.000 description 2
- 208000035475 disorder Diseases 0.000 description 2
- GUVUOGQBMYCBQP-UHFFFAOYSA-N dmpu Chemical compound CN1CCCN(C)C1=O GUVUOGQBMYCBQP-UHFFFAOYSA-N 0.000 description 2
- 239000003480 eluent Substances 0.000 description 2
- 238000003821 enantio-separation Methods 0.000 description 2
- 229940088598 enzyme Drugs 0.000 description 2
- 239000000706 filtrate Substances 0.000 description 2
- 238000001914 filtration Methods 0.000 description 2
- 238000003818 flash chromatography Methods 0.000 description 2
- 125000001153 fluoro group Chemical group F* 0.000 description 2
- 239000012634 fragment Substances 0.000 description 2
- 229940093915 gynecological organic acid Drugs 0.000 description 2
- 150000004820 halides Chemical class 0.000 description 2
- 229910052736 halogen Inorganic materials 0.000 description 2
- 125000005843 halogen group Chemical group 0.000 description 2
- 150000002367 halogens Chemical class 0.000 description 2
- ZGSWHKOALXRBBT-UHFFFAOYSA-N hexane;propan-1-ol Chemical compound CCCO.CCCCCC ZGSWHKOALXRBBT-UHFFFAOYSA-N 0.000 description 2
- 150000002430 hydrocarbons Chemical group 0.000 description 2
- 125000004435 hydrogen atom Chemical group [H]* 0.000 description 2
- AMWRITDGCCNYAT-UHFFFAOYSA-L hydroxy(oxo)manganese;manganese Chemical compound [Mn].O[Mn]=O.O[Mn]=O AMWRITDGCCNYAT-UHFFFAOYSA-L 0.000 description 2
- 125000001041 indolyl group Chemical group 0.000 description 2
- INQOMBQAUSQDDS-UHFFFAOYSA-N iodomethane Chemical compound IC INQOMBQAUSQDDS-UHFFFAOYSA-N 0.000 description 2
- 125000002183 isoquinolinyl group Chemical group C1(=NC=CC2=CC=CC=C12)* 0.000 description 2
- UBJFKNSINUCEAL-UHFFFAOYSA-N lithium;2-methylpropane Chemical compound [Li+].C[C-](C)C UBJFKNSINUCEAL-UHFFFAOYSA-N 0.000 description 2
- 239000011159 matrix material Substances 0.000 description 2
- 125000002950 monocyclic group Chemical group 0.000 description 2
- RTMFXQXENIODOP-UHFFFAOYSA-N n'-(1-methyl-2-oxo-5-phenyl-3h-1,4-benzodiazepin-3-yl)-3-(2-methylpropyl)-2-propylbutanediamide Chemical compound C12=CC=CC=C2N(C)C(=O)C(NC(=O)C(CC(C)C)C(CCC)C(N)=O)N=C1C1=CC=CC=C1 RTMFXQXENIODOP-UHFFFAOYSA-N 0.000 description 2
- KPNJBMRGAPVTEA-OZTQUORISA-N n'-[(3s)-7-chloro-1-methyl-2-oxo-5-phenyl-3h-1,4-benzodiazepin-3-yl]-3-(2-methylpropyl)-2-propylbutanediamide Chemical compound N([C@@H](C(N(C)C1=CC=C(Cl)C=C11)=O)NC(=O)C(CC(C)C)C(CCC)C(N)=O)=C1C1=CC=CC=C1 KPNJBMRGAPVTEA-OZTQUORISA-N 0.000 description 2
- VOAVCCNPKNCYOC-WKBCRJLYSA-N n'-[(3s)-7-chloro-5-(2-fluorophenyl)-1-methyl-2-oxo-3h-1,4-benzodiazepin-3-yl]-3-(2-methylpropyl)-2-propylbutanediamide Chemical compound N([C@@H](C(N(C)C1=CC=C(Cl)C=C11)=O)NC(=O)C(CC(C)C)C(CCC)C(N)=O)=C1C1=CC=CC=C1F VOAVCCNPKNCYOC-WKBCRJLYSA-N 0.000 description 2
- 125000001624 naphthyl group Chemical group 0.000 description 2
- 150000007524 organic acids Chemical class 0.000 description 2
- 235000005985 organic acids Nutrition 0.000 description 2
- CTSLXHKWHWQRSH-UHFFFAOYSA-N oxalyl chloride Chemical compound ClC(=O)C(Cl)=O CTSLXHKWHWQRSH-UHFFFAOYSA-N 0.000 description 2
- 125000000160 oxazolidinyl group Chemical group 0.000 description 2
- 125000004430 oxygen atom Chemical group O* 0.000 description 2
- NXJCBFBQEVOTOW-UHFFFAOYSA-L palladium(2+);dihydroxide Chemical compound O[Pd]O NXJCBFBQEVOTOW-UHFFFAOYSA-L 0.000 description 2
- NFHFRUOZVGFOOS-UHFFFAOYSA-N palladium;triphenylphosphane Chemical compound [Pd].C1=CC=CC=C1P(C=1C=CC=CC=1)C1=CC=CC=C1.C1=CC=CC=C1P(C=1C=CC=CC=1)C1=CC=CC=C1.C1=CC=CC=C1P(C=1C=CC=CC=1)C1=CC=CC=C1.C1=CC=CC=C1P(C=1C=CC=CC=1)C1=CC=CC=C1 NFHFRUOZVGFOOS-UHFFFAOYSA-N 0.000 description 2
- BWHMMNNQKKPAPP-UHFFFAOYSA-L potassium carbonate Chemical compound [K+].[K+].[O-]C([O-])=O BWHMMNNQKKPAPP-UHFFFAOYSA-L 0.000 description 2
- 239000002244 precipitate Substances 0.000 description 2
- 150000003140 primary amides Chemical class 0.000 description 2
- 230000000750 progressive effect Effects 0.000 description 2
- 230000002797 proteolythic effect Effects 0.000 description 2
- 125000001042 pteridinyl group Chemical group N1=C(N=CC2=NC=CN=C12)* 0.000 description 2
- 125000002943 quinolinyl group Chemical group N1=C(C=CC2=CC=CC=C12)* 0.000 description 2
- 239000011347 resin Substances 0.000 description 2
- 229920005989 resin Polymers 0.000 description 2
- 238000004366 reverse phase liquid chromatography Methods 0.000 description 2
- 239000012047 saturated solution Substances 0.000 description 2
- 230000007017 scission Effects 0.000 description 2
- 239000000377 silicon dioxide Substances 0.000 description 2
- 239000011780 sodium chloride Substances 0.000 description 2
- 239000012312 sodium hydride Substances 0.000 description 2
- 229910000104 sodium hydride Inorganic materials 0.000 description 2
- 238000001228 spectrum Methods 0.000 description 2
- 239000012258 stirred mixture Substances 0.000 description 2
- 239000000126 substance Substances 0.000 description 2
- 239000011593 sulfur Chemical group 0.000 description 2
- 238000010189 synthetic method Methods 0.000 description 2
- 238000002560 therapeutic procedure Methods 0.000 description 2
- 125000003396 thiol group Chemical group [H]S* 0.000 description 2
- 238000003828 vacuum filtration Methods 0.000 description 2
- 210000000264 venule Anatomy 0.000 description 2
- GLGNXYJARSMNGJ-VKTIVEEGSA-N (1s,2s,3r,4r)-3-[[5-chloro-2-[(1-ethyl-6-methoxy-2-oxo-4,5-dihydro-3h-1-benzazepin-7-yl)amino]pyrimidin-4-yl]amino]bicyclo[2.2.1]hept-5-ene-2-carboxamide Chemical compound CCN1C(=O)CCCC2=C(OC)C(NC=3N=C(C(=CN=3)Cl)N[C@H]3[C@H]([C@@]4([H])C[C@@]3(C=C4)[H])C(N)=O)=CC=C21 GLGNXYJARSMNGJ-VKTIVEEGSA-N 0.000 description 1
- HHQKICDONQKXLJ-UHFFFAOYSA-N (2-aminophenyl)-(3-methoxyphenyl)methanone Chemical compound COC1=CC=CC(C(=O)C=2C(=CC=CC=2)N)=C1 HHQKICDONQKXLJ-UHFFFAOYSA-N 0.000 description 1
- NIRZEHODYKPLFS-LZCXECNNSA-N (2s,3r)-2-butyl-n'-[(3s)-7-chloro-1-methyl-2-oxo-5-phenyl-3h-1,4-benzodiazepin-3-yl]-3-(2-methylpropyl)butanediamide Chemical compound N([C@@H](C(N(C)C1=CC=C(Cl)C=C11)=O)NC(=O)[C@H](CC(C)C)[C@H](CCCC)C(N)=O)=C1C1=CC=CC=C1 NIRZEHODYKPLFS-LZCXECNNSA-N 0.000 description 1
- RTMFXQXENIODOP-PIBDYAPNSA-N (2s,3r)-n'-[(3s)-1-methyl-2-oxo-5-phenyl-3h-1,4-benzodiazepin-3-yl]-3-(2-methylpropyl)-2-propylbutanediamide Chemical compound N([C@@H](C(N(C)C1=CC=CC=C11)=O)NC(=O)[C@H](CC(C)C)[C@H](CCC)C(N)=O)=C1C1=CC=CC=C1 RTMFXQXENIODOP-PIBDYAPNSA-N 0.000 description 1
- VJNGGOMRUHYAMC-UHFFFAOYSA-N (3,5-difluorophenyl)methanamine Chemical compound NCC1=CC(F)=CC(F)=C1 VJNGGOMRUHYAMC-UHFFFAOYSA-N 0.000 description 1
- LEVPBZXACWCRKD-OAHLLOKOSA-N (3r)-3-amino-1-methyl-5-[4-(trifluoromethyl)phenyl]-3h-1,4-benzodiazepin-2-one Chemical compound O=C([C@H](N)N=1)N(C)C2=CC=CC=C2C=1C1=CC=C(C(F)(F)F)C=C1 LEVPBZXACWCRKD-OAHLLOKOSA-N 0.000 description 1
- LEVPBZXACWCRKD-HNNXBMFYSA-N (3s)-3-amino-1-methyl-5-[4-(trifluoromethyl)phenyl]-3h-1,4-benzodiazepin-2-one Chemical compound O=C([C@@H](N)N=1)N(C)C2=CC=CC=C2C=1C1=CC=C(C(F)(F)F)C=C1 LEVPBZXACWCRKD-HNNXBMFYSA-N 0.000 description 1
- KRAXAESNIRDYPD-HNNXBMFYSA-N (3s)-3-amino-5-(4-chlorophenyl)-1-methyl-3h-1,4-benzodiazepin-2-one Chemical compound O=C([C@@H](N)N=1)N(C)C2=CC=CC=C2C=1C1=CC=C(Cl)C=C1 KRAXAESNIRDYPD-HNNXBMFYSA-N 0.000 description 1
- 125000003088 (fluoren-9-ylmethoxy)carbonyl group Chemical group 0.000 description 1
- 125000004502 1,2,3-oxadiazolyl group Chemical group 0.000 description 1
- 125000004511 1,2,3-thiadiazolyl group Chemical group 0.000 description 1
- 125000001399 1,2,3-triazolyl group Chemical group N1N=NC(=C1)* 0.000 description 1
- 125000004504 1,2,4-oxadiazolyl group Chemical group 0.000 description 1
- 125000004514 1,2,4-thiadiazolyl group Chemical group 0.000 description 1
- 125000001376 1,2,4-triazolyl group Chemical group N1N=C(N=C1)* 0.000 description 1
- 125000004506 1,2,5-oxadiazolyl group Chemical group 0.000 description 1
- 125000004517 1,2,5-thiadiazolyl group Chemical group 0.000 description 1
- 125000001781 1,3,4-oxadiazolyl group Chemical group 0.000 description 1
- 125000004520 1,3,4-thiadiazolyl group Chemical group 0.000 description 1
- HTSGKJQDMSTCGS-UHFFFAOYSA-N 1,4-bis(4-chlorophenyl)-2-(4-methylphenyl)sulfonylbutane-1,4-dione Chemical compound C1=CC(C)=CC=C1S(=O)(=O)C(C(=O)C=1C=CC(Cl)=CC=1)CC(=O)C1=CC=C(Cl)C=C1 HTSGKJQDMSTCGS-UHFFFAOYSA-N 0.000 description 1
- ONBQEOIKXPHGMB-VBSBHUPXSA-N 1-[2-[(2s,3r,4s,5r)-3,4-dihydroxy-5-(hydroxymethyl)oxolan-2-yl]oxy-4,6-dihydroxyphenyl]-3-(4-hydroxyphenyl)propan-1-one Chemical compound O[C@@H]1[C@H](O)[C@@H](CO)O[C@H]1OC1=CC(O)=CC(O)=C1C(=O)CCC1=CC=C(O)C=C1 ONBQEOIKXPHGMB-VBSBHUPXSA-N 0.000 description 1
- HTDQSWDEWGSAMN-UHFFFAOYSA-N 1-bromo-2-methoxybenzene Chemical compound COC1=CC=CC=C1Br HTDQSWDEWGSAMN-UHFFFAOYSA-N 0.000 description 1
- 125000004973 1-butenyl group Chemical group C(=CCC)* 0.000 description 1
- 125000004972 1-butynyl group Chemical group [H]C([H])([H])C([H])([H])C#C* 0.000 description 1
- 125000006017 1-propenyl group Chemical group 0.000 description 1
- 125000000530 1-propynyl group Chemical group [H]C([H])([H])C#C* 0.000 description 1
- BAXOFTOLAUCFNW-UHFFFAOYSA-N 1H-indazole Chemical compound C1=CC=C2C=NNC2=C1 BAXOFTOLAUCFNW-UHFFFAOYSA-N 0.000 description 1
- 125000004206 2,2,2-trifluoroethyl group Chemical group [H]C([H])(*)C(F)(F)F 0.000 description 1
- 125000004778 2,2-difluoroethyl group Chemical group [H]C([H])(*)C([H])(F)F 0.000 description 1
- YSNLYVNRLNJKPI-UHFFFAOYSA-N 2-(cyclopropylmethyl)-n'-(1-methyl-2-oxo-5-phenyl-3h-1,4-benzodiazepin-3-yl)-3-(2-methylpropyl)butanediamide Chemical compound N1=C(C=2C=CC=CC=2)C2=CC=CC=C2N(C)C(=O)C1NC(=O)C(CC(C)C)C(C(N)=O)CC1CC1 YSNLYVNRLNJKPI-UHFFFAOYSA-N 0.000 description 1
- IZXIZTKNFFYFOF-UHFFFAOYSA-N 2-Oxazolidone Chemical compound O=C1NCCO1 IZXIZTKNFFYFOF-UHFFFAOYSA-N 0.000 description 1
- 125000005273 2-acetoxybenzoic acid group Chemical group 0.000 description 1
- HLCPWBZNUKCSBN-UHFFFAOYSA-N 2-aminobenzonitrile Chemical compound NC1=CC=CC=C1C#N HLCPWBZNUKCSBN-UHFFFAOYSA-N 0.000 description 1
- BOWUOGIPSRVRSJ-UHFFFAOYSA-N 2-aminohexano-6-lactam Chemical compound NC1CCCCNC1=O BOWUOGIPSRVRSJ-UHFFFAOYSA-N 0.000 description 1
- 125000004974 2-butenyl group Chemical group C(C=CC)* 0.000 description 1
- 125000000069 2-butynyl group Chemical group [H]C([H])([H])C#CC([H])([H])* 0.000 description 1
- NEAQRZUHTPSBBM-UHFFFAOYSA-N 2-hydroxy-3,3-dimethyl-7-nitro-4h-isoquinolin-1-one Chemical compound C1=C([N+]([O-])=O)C=C2C(=O)N(O)C(C)(C)CC2=C1 NEAQRZUHTPSBBM-UHFFFAOYSA-N 0.000 description 1
- QMSCSRFFXLJBFU-UHFFFAOYSA-N 2-iodoethylcyclopentane Chemical compound ICCC1CCCC1 QMSCSRFFXLJBFU-UHFFFAOYSA-N 0.000 description 1
- 125000006024 2-pentenyl group Chemical group 0.000 description 1
- 125000001494 2-propynyl group Chemical group [H]C#CC([H])([H])* 0.000 description 1
- 125000006288 3,5-difluorobenzyl group Chemical group [H]C1=C(F)C([H])=C(C([H])=C1F)C([H])([H])* 0.000 description 1
- HVIOYEKMXHGOQO-UHFFFAOYSA-N 3-amino-1,5-dimethyl-3h-1,4-benzodiazepin-2-one Chemical compound CC1=NC(N)C(=O)N(C)C2=CC=CC=C21 HVIOYEKMXHGOQO-UHFFFAOYSA-N 0.000 description 1
- VTQRGYNHDRZXFO-UHFFFAOYSA-N 3-amino-1-ethyl-5-phenyl-3h-1,4-benzodiazepin-2-one Chemical compound N=1C(N)C(=O)N(CC)C2=CC=CC=C2C=1C1=CC=CC=C1 VTQRGYNHDRZXFO-UHFFFAOYSA-N 0.000 description 1
- UNJQGJGNUOMORG-UHFFFAOYSA-N 3-amino-1-methyl-5-(n-methylanilino)-3h-1,4-benzodiazepin-2-one Chemical compound N=1C(N)C(=O)N(C)C2=CC=CC=C2C=1N(C)C1=CC=CC=C1 UNJQGJGNUOMORG-UHFFFAOYSA-N 0.000 description 1
- BVQHOZQTEPJWST-UHFFFAOYSA-N 3-amino-1-methyl-5-morpholin-4-yl-3h-1,4-benzodiazepin-2-one Chemical compound N=1C(N)C(=O)N(C)C2=CC=CC=C2C=1N1CCOCC1 BVQHOZQTEPJWST-UHFFFAOYSA-N 0.000 description 1
- MWASGDJOVNIDEM-UHFFFAOYSA-N 3-amino-1-methyl-5-phenyl-3h-1,4-benzodiazepin-2-one Chemical compound N=1C(N)C(=O)N(C)C2=CC=CC=C2C=1C1=CC=CC=C1 MWASGDJOVNIDEM-UHFFFAOYSA-N 0.000 description 1
- FQLHACLNTQGSJE-UHFFFAOYSA-N 3-amino-1-methyl-5-piperidin-1-yl-3h-1,4-benzodiazepin-2-one Chemical compound N=1C(N)C(=O)N(C)C2=CC=CC=C2C=1N1CCCCC1 FQLHACLNTQGSJE-UHFFFAOYSA-N 0.000 description 1
- ZDPUKMGCAGDUCH-UHFFFAOYSA-N 3-amino-1-methyl-5-pyridin-2-yl-3h-1,4-benzodiazepin-2-one Chemical compound N=1C(N)C(=O)N(C)C2=CC=CC=C2C=1C1=CC=CC=N1 ZDPUKMGCAGDUCH-UHFFFAOYSA-N 0.000 description 1
- GZSFYCPFMDJOMF-UHFFFAOYSA-N 3-amino-5-(2-fluorophenyl)-1-methyl-3h-1,4-benzodiazepin-2-one Chemical compound N=1C(N)C(=O)N(C)C2=CC=CC=C2C=1C1=CC=CC=C1F GZSFYCPFMDJOMF-UHFFFAOYSA-N 0.000 description 1
- HJZQETMFWGMKQR-UHFFFAOYSA-N 3-amino-5-(3-fluorophenyl)-1-methyl-3h-1,4-benzodiazepin-2-one Chemical compound N=1C(N)C(=O)N(C)C2=CC=CC=C2C=1C1=CC=CC(F)=C1 HJZQETMFWGMKQR-UHFFFAOYSA-N 0.000 description 1
- NHUKPNCFCNXIGL-UHFFFAOYSA-N 3-amino-5-(3-methoxyphenyl)-1-methyl-3h-1,4-benzodiazepin-2-one Chemical compound COC1=CC=CC(C=2C3=CC=CC=C3N(C)C(=O)C(N)N=2)=C1 NHUKPNCFCNXIGL-UHFFFAOYSA-N 0.000 description 1
- KRAXAESNIRDYPD-UHFFFAOYSA-N 3-amino-5-(4-chlorophenyl)-1-methyl-3h-1,4-benzodiazepin-2-one Chemical compound N=1C(N)C(=O)N(C)C2=CC=CC=C2C=1C1=CC=C(Cl)C=C1 KRAXAESNIRDYPD-UHFFFAOYSA-N 0.000 description 1
- JPDZDCXSGWQKPU-UHFFFAOYSA-N 3-amino-5-(4-fluorophenyl)-1-methyl-3h-1,4-benzodiazepin-2-one Chemical compound N=1C(N)C(=O)N(C)C2=CC=CC=C2C=1C1=CC=C(F)C=C1 JPDZDCXSGWQKPU-UHFFFAOYSA-N 0.000 description 1
- VTBGAPOTKXFPFB-UHFFFAOYSA-N 3-amino-5-(azepan-1-yl)-1-methyl-3h-1,4-benzodiazepin-2-one Chemical compound N=1C(N)C(=O)N(C)C2=CC=CC=C2C=1N1CCCCCC1 VTBGAPOTKXFPFB-UHFFFAOYSA-N 0.000 description 1
- KOGKVJCKLRNXAN-UHFFFAOYSA-N 3-amino-5-(dimethylamino)-1-methyl-3h-1,4-benzodiazepin-2-one Chemical compound CN(C)C1=NC(N)C(=O)N(C)C2=CC=CC=C12 KOGKVJCKLRNXAN-UHFFFAOYSA-N 0.000 description 1
- LAPMWRPUXTZJRM-UHFFFAOYSA-N 3-amino-5-[4-(fluoromethyl)phenyl]-1-methyl-3h-1,4-benzodiazepin-2-one Chemical compound N=1C(N)C(=O)N(C)C2=CC=CC=C2C=1C1=CC=C(CF)C=C1 LAPMWRPUXTZJRM-UHFFFAOYSA-N 0.000 description 1
- GLUWBSPUUGLXCW-UHFFFAOYSA-N 3-amino-5-phenyl-1,3-dihydro-1,4-benzodiazepin-2-one Chemical compound C12=CC=CC=C2NC(=O)C(N)N=C1C1=CC=CC=C1 GLUWBSPUUGLXCW-UHFFFAOYSA-N 0.000 description 1
- MHPUOQBXAWGEHO-UHFFFAOYSA-N 3-amino-7-chloro-1-methyl-5-phenyl-3h-1,4-benzodiazepin-2-one Chemical compound N=1C(N)C(=O)N(C)C2=CC=C(Cl)C=C2C=1C1=CC=CC=C1 MHPUOQBXAWGEHO-UHFFFAOYSA-N 0.000 description 1
- QUTLAXPCOXNHEE-UHFFFAOYSA-N 3-amino-7-chloro-5-(2-fluorophenyl)-1-methyl-3h-1,4-benzodiazepin-2-one Chemical compound N=1C(N)C(=O)N(C)C2=CC=C(Cl)C=C2C=1C1=CC=CC=C1F QUTLAXPCOXNHEE-UHFFFAOYSA-N 0.000 description 1
- 125000000474 3-butynyl group Chemical group [H]C#CC([H])([H])C([H])([H])* 0.000 description 1
- GAMYYCRTACQSBR-UHFFFAOYSA-N 4-azabenzimidazole Chemical compound C1=CC=C2NC=NC2=N1 GAMYYCRTACQSBR-UHFFFAOYSA-N 0.000 description 1
- DMAYBPBPEUFIHJ-UHFFFAOYSA-N 4-bromobut-1-ene Chemical compound BrCCC=C DMAYBPBPEUFIHJ-UHFFFAOYSA-N 0.000 description 1
- 125000004199 4-trifluoromethylphenyl group Chemical group [H]C1=C([H])C(=C([H])C([H])=C1*)C(F)(F)F 0.000 description 1
- CYBHWCLUGRHMCK-UHFFFAOYSA-N 4aH-carbazole Chemical compound C1=CC=C2C3C=CC=CC3=NC2=C1 CYBHWCLUGRHMCK-UHFFFAOYSA-N 0.000 description 1
- YJQOIXYOOONTBQ-UHFFFAOYSA-N 5-amino-6-cyclohexyl-4-hydroxyhexanamide Chemical class NC(=O)CCC(O)C(N)CC1CCCCC1 YJQOIXYOOONTBQ-UHFFFAOYSA-N 0.000 description 1
- XXSCONYSQQLHTH-UHFFFAOYSA-N 9h-fluoren-9-ylmethanol Chemical compound C1=CC=C2C(CO)C3=CC=CC=C3C2=C1 XXSCONYSQQLHTH-UHFFFAOYSA-N 0.000 description 1
- 208000018282 ACys amyloidosis Diseases 0.000 description 1
- KXEVYGKATAMXJJ-ACZMJKKPSA-N Ala-Glu-Asp Chemical compound C[C@H](N)C(=O)N[C@@H](CCC(O)=O)C(=O)N[C@@H](CC(O)=O)C(O)=O KXEVYGKATAMXJJ-ACZMJKKPSA-N 0.000 description 1
- 239000005695 Ammonium acetate Substances 0.000 description 1
- VHUUQVKOLVNVRT-UHFFFAOYSA-N Ammonium hydroxide Chemical compound [NH4+].[OH-] VHUUQVKOLVNVRT-UHFFFAOYSA-N 0.000 description 1
- 208000000044 Amnesia Diseases 0.000 description 1
- NYGILGUOUOXGMJ-YUMQZZPRSA-N Asn-Lys-Gly Chemical compound [H]N[C@@H](CC(N)=O)C(=O)N[C@@H](CCCCN)C(=O)NCC(O)=O NYGILGUOUOXGMJ-YUMQZZPRSA-N 0.000 description 1
- XEDQMTWEYFBOIK-ACZMJKKPSA-N Asp-Ala-Glu Chemical compound [H]N[C@@H](CC(O)=O)C(=O)N[C@@H](C)C(=O)N[C@@H](CCC(O)=O)C(O)=O XEDQMTWEYFBOIK-ACZMJKKPSA-N 0.000 description 1
- KGHLGJAXYSVNJP-WHFBIAKZSA-N Asp-Ser-Gly Chemical compound OC(=O)C[C@H](N)C(=O)N[C@@H](CO)C(=O)NCC(O)=O KGHLGJAXYSVNJP-WHFBIAKZSA-N 0.000 description 1
- 208000014644 Brain disease Diseases 0.000 description 1
- COVZYZSDYWQREU-UHFFFAOYSA-N Busulfan Chemical compound CS(=O)(=O)OCCCCOS(C)(=O)=O COVZYZSDYWQREU-UHFFFAOYSA-N 0.000 description 1
- 208000005145 Cerebral amyloid angiopathy Diseases 0.000 description 1
- VEXZGXHMUGYJMC-UHFFFAOYSA-M Chloride anion Chemical compound [Cl-] VEXZGXHMUGYJMC-UHFFFAOYSA-M 0.000 description 1
- 108060005980 Collagenase Proteins 0.000 description 1
- 102000029816 Collagenase Human genes 0.000 description 1
- 230000009946 DNA mutation Effects 0.000 description 1
- 206010012289 Dementia Diseases 0.000 description 1
- OTMSDBZUPAUEDD-UHFFFAOYSA-N Ethane Chemical compound CC OTMSDBZUPAUEDD-UHFFFAOYSA-N 0.000 description 1
- 208000007487 Familial Cerebral Amyloid Angiopathy Diseases 0.000 description 1
- RRSNDVCODIMOFX-MPKOGUQCSA-N Fc1c(Cl)cccc1[C@H]1[C@@H](NC2(CCCCC2)[C@@]11C(=O)Nc2cc(Cl)ccc12)C(=O)Nc1ccc(cc1)C(=O)NCCCCCc1cccc2C(=O)N(Cc12)C1CCC(=O)NC1=O Chemical compound Fc1c(Cl)cccc1[C@H]1[C@@H](NC2(CCCCC2)[C@@]11C(=O)Nc2cc(Cl)ccc12)C(=O)Nc1ccc(cc1)C(=O)NCCCCCc1cccc2C(=O)N(Cc12)C1CCC(=O)NC1=O RRSNDVCODIMOFX-MPKOGUQCSA-N 0.000 description 1
- BDAGIHXWWSANSR-UHFFFAOYSA-M Formate Chemical compound [O-]C=O BDAGIHXWWSANSR-UHFFFAOYSA-M 0.000 description 1
- ZALGPUWUVHOGAE-GVXVVHGQSA-N Glu-Val-His Chemical compound CC(C)[C@@H](C(=O)N[C@@H](CC1=CN=CN1)C(=O)O)NC(=O)[C@H](CCC(=O)O)N ZALGPUWUVHOGAE-GVXVVHGQSA-N 0.000 description 1
- OLPPXYMMIARYAL-QMMMGPOBSA-N Gly-Gly-Val Chemical compound CC(C)[C@@H](C(O)=O)NC(=O)CNC(=O)CN OLPPXYMMIARYAL-QMMMGPOBSA-N 0.000 description 1
- 208000032849 Hereditary cerebral hemorrhage with amyloidosis Diseases 0.000 description 1
- NWGXCPUKPVISSJ-AVGNSLFASA-N His-Gln-Lys Chemical compound C1=C(NC=N1)C[C@@H](C(=O)N[C@@H](CCC(=O)N)C(=O)N[C@@H](CCCCN)C(=O)O)N NWGXCPUKPVISSJ-AVGNSLFASA-N 0.000 description 1
- UFHFLCQGNIYNRP-UHFFFAOYSA-N Hydrogen Chemical compound [H][H] UFHFLCQGNIYNRP-UHFFFAOYSA-N 0.000 description 1
- AVXURJPOCDRRFD-UHFFFAOYSA-N Hydroxylamine Chemical compound ON AVXURJPOCDRRFD-UHFFFAOYSA-N 0.000 description 1
- CYHYBSGMHMHKOA-CIQUZCHMSA-N Ile-Ala-Thr Chemical compound CC[C@H](C)[C@@H](C(=O)N[C@@H](C)C(=O)N[C@@H]([C@@H](C)O)C(=O)O)N CYHYBSGMHMHKOA-CIQUZCHMSA-N 0.000 description 1
- YNMQUIVKEFRCPH-QSFUFRPTSA-N Ile-Ile-Gly Chemical compound CC[C@H](C)[C@@H](C(=O)N[C@@H]([C@@H](C)CC)C(=O)NCC(=O)O)N YNMQUIVKEFRCPH-QSFUFRPTSA-N 0.000 description 1
- 229930194542 Keto Natural products 0.000 description 1
- NJMXCOOEFLMZSR-AVGNSLFASA-N Leu-Met-Val Chemical compound [H]N[C@@H](CC(C)C)C(=O)N[C@@H](CCSC)C(=O)N[C@@H](C(C)C)C(O)=O NJMXCOOEFLMZSR-AVGNSLFASA-N 0.000 description 1
- 102000000422 Matrix Metalloproteinase 3 Human genes 0.000 description 1
- 102000018697 Membrane Proteins Human genes 0.000 description 1
- 108010052285 Membrane Proteins Proteins 0.000 description 1
- NQTADLQHYWFPDB-UHFFFAOYSA-N N-Hydroxysuccinimide Chemical compound ON1C(=O)CCC1=O NQTADLQHYWFPDB-UHFFFAOYSA-N 0.000 description 1
- XMBSYZWANAQXEV-UHFFFAOYSA-N N-alpha-L-glutamyl-L-phenylalanine Natural products OC(=O)CCC(N)C(=O)NC(C(O)=O)CC1=CC=CC=C1 XMBSYZWANAQXEV-UHFFFAOYSA-N 0.000 description 1
- 206010028980 Neoplasm Diseases 0.000 description 1
- 108010065395 Neuropep-1 Proteins 0.000 description 1
- 206010029350 Neurotoxicity Diseases 0.000 description 1
- 208000001132 Osteoporosis Diseases 0.000 description 1
- 102000035195 Peptidases Human genes 0.000 description 1
- 108091005804 Peptidases Proteins 0.000 description 1
- MQWISMJKHOUEMW-ULQDDVLXSA-N Phe-Arg-His Chemical compound C([C@H](N)C(=O)N[C@@H](CCCN=C(N)N)C(=O)N[C@@H](CC=1NC=NC=1)C(O)=O)C1=CC=CC=C1 MQWISMJKHOUEMW-ULQDDVLXSA-N 0.000 description 1
- 239000004793 Polystyrene Substances 0.000 description 1
- 239000004365 Protease Substances 0.000 description 1
- 102000001708 Protein Isoforms Human genes 0.000 description 1
- 108010029485 Protein Isoforms Proteins 0.000 description 1
- 102000002067 Protein Subunits Human genes 0.000 description 1
- 108010001267 Protein Subunits Proteins 0.000 description 1
- UIIMBOGNXHQVGW-DEQYMQKBSA-M Sodium bicarbonate-14C Chemical class [Na+].O[14C]([O-])=O UIIMBOGNXHQVGW-DEQYMQKBSA-M 0.000 description 1
- QAOWNCQODCNURD-UHFFFAOYSA-L Sulfate Chemical compound [O-]S([O-])(=O)=O QAOWNCQODCNURD-UHFFFAOYSA-L 0.000 description 1
- 238000006069 Suzuki reaction reaction Methods 0.000 description 1
- 206010044221 Toxic encephalopathy Diseases 0.000 description 1
- 206010064996 Ulcerative keratitis Diseases 0.000 description 1
- LAYSXAOGWHKNED-XPUUQOCRSA-N Val-Gly-Ser Chemical compound CC(C)[C@H](N)C(=O)NCC(=O)N[C@@H](CO)C(O)=O LAYSXAOGWHKNED-XPUUQOCRSA-N 0.000 description 1
- BBAWTPDTGRXPDG-UHFFFAOYSA-N [1,3]thiazolo[4,5-b]pyridine Chemical compound C1=CC=C2SC=NC2=N1 BBAWTPDTGRXPDG-UHFFFAOYSA-N 0.000 description 1
- 238000009825 accumulation Methods 0.000 description 1
- WETWJCDKMRHUPV-UHFFFAOYSA-N acetyl chloride Chemical compound CC(Cl)=O WETWJCDKMRHUPV-UHFFFAOYSA-N 0.000 description 1
- 239000012346 acetyl chloride Substances 0.000 description 1
- 150000007513 acids Chemical class 0.000 description 1
- 125000000641 acridinyl group Chemical group C1(=CC=CC2=NC3=CC=CC=C3C=C12)* 0.000 description 1
- 230000010933 acylation Effects 0.000 description 1
- 108010008685 alanyl-glutamyl-aspartic acid Proteins 0.000 description 1
- 150000001298 alcohols Chemical class 0.000 description 1
- 239000003513 alkali Substances 0.000 description 1
- 150000001336 alkenes Chemical class 0.000 description 1
- 125000004450 alkenylene group Chemical group 0.000 description 1
- 125000004414 alkyl thio group Chemical group 0.000 description 1
- 125000002947 alkylene group Chemical group 0.000 description 1
- 125000004419 alkynylene group Chemical group 0.000 description 1
- 208000026935 allergic disease Diseases 0.000 description 1
- 125000000746 allylic group Chemical group 0.000 description 1
- HSFWRNGVRCDJHI-UHFFFAOYSA-N alpha-acetylene Natural products C#C HSFWRNGVRCDJHI-UHFFFAOYSA-N 0.000 description 1
- 230000004075 alteration Effects 0.000 description 1
- 229910000147 aluminium phosphate Inorganic materials 0.000 description 1
- 238000010640 amide synthesis reaction Methods 0.000 description 1
- 150000001408 amides Chemical class 0.000 description 1
- 125000003277 amino group Chemical group 0.000 description 1
- 235000019257 ammonium acetate Nutrition 0.000 description 1
- 229940043376 ammonium acetate Drugs 0.000 description 1
- 235000019270 ammonium chloride Nutrition 0.000 description 1
- 239000000908 ammonium hydroxide Substances 0.000 description 1
- 230000006933 amyloid-beta aggregation Effects 0.000 description 1
- 150000001450 anions Chemical class 0.000 description 1
- 239000012298 atmosphere Substances 0.000 description 1
- 238000011888 autopsy Methods 0.000 description 1
- 125000004931 azocinyl group Chemical group N1=C(C=CC=CC=C1)* 0.000 description 1
- 239000011324 bead Substances 0.000 description 1
- 125000004604 benzisothiazolyl group Chemical group S1N=C(C2=C1C=CC=C2)* 0.000 description 1
- 150000001558 benzoic acid derivatives Chemical class 0.000 description 1
- WPYMKLBDIGXBTP-UHFFFAOYSA-N benzoic acid group Chemical group C(C1=CC=CC=C1)(=O)O WPYMKLBDIGXBTP-UHFFFAOYSA-N 0.000 description 1
- 125000001164 benzothiazolyl group Chemical group S1C(=NC2=C1C=CC=C2)* 0.000 description 1
- 125000004196 benzothienyl group Chemical group S1C(=CC2=C1C=CC=C2)* 0.000 description 1
- QRUDEWIWKLJBPS-UHFFFAOYSA-N benzotriazole Chemical compound C1=CC=C2N[N][N]C2=C1 QRUDEWIWKLJBPS-UHFFFAOYSA-N 0.000 description 1
- 239000012964 benzotriazole Substances 0.000 description 1
- 125000003354 benzotriazolyl group Chemical group N1N=NC2=C1C=CC=C2* 0.000 description 1
- 125000004935 benzoxazolinyl group Chemical group O1C(=NC2=C1C=CC=C2)* 0.000 description 1
- 125000004541 benzoxazolyl group Chemical group O1C(=NC2=C1C=CC=C2)* 0.000 description 1
- 125000005512 benztetrazolyl group Chemical group 0.000 description 1
- 108091007737 beta-secretases Proteins 0.000 description 1
- 150000005347 biaryls Chemical group 0.000 description 1
- 125000002618 bicyclic heterocycle group Chemical group 0.000 description 1
- ZADPBFCGQRWHPN-UHFFFAOYSA-N boronic acid Chemical compound OBO ZADPBFCGQRWHPN-UHFFFAOYSA-N 0.000 description 1
- 210000005013 brain tissue Anatomy 0.000 description 1
- 125000001246 bromo group Chemical group Br* 0.000 description 1
- 201000011510 cancer Diseases 0.000 description 1
- 125000000609 carbazolyl group Chemical group C1(=CC=CC=2C3=CC=CC=C3NC12)* 0.000 description 1
- 125000002837 carbocyclic group Chemical group 0.000 description 1
- 125000004623 carbolinyl group Chemical group 0.000 description 1
- 150000001721 carbon Chemical group 0.000 description 1
- 239000011203 carbon fibre reinforced carbon Substances 0.000 description 1
- 125000003178 carboxy group Chemical group [H]OC(*)=O 0.000 description 1
- 150000001244 carboxylic acid anhydrides Chemical class 0.000 description 1
- 150000001735 carboxylic acids Chemical class 0.000 description 1
- 239000000969 carrier Substances 0.000 description 1
- 210000000845 cartilage Anatomy 0.000 description 1
- 239000003054 catalyst Substances 0.000 description 1
- 230000003197 catalytic effect Effects 0.000 description 1
- 210000004027 cell Anatomy 0.000 description 1
- 210000003710 cerebral cortex Anatomy 0.000 description 1
- 238000000262 chemical ionisation mass spectrometry Methods 0.000 description 1
- 239000003795 chemical substances by application Substances 0.000 description 1
- 125000003016 chromanyl group Chemical group O1C(CCC2=CC=CC=C12)* 0.000 description 1
- 125000004230 chromenyl group Chemical group O1C(C=CC2=CC=CC=C12)* 0.000 description 1
- 125000000259 cinnolinyl group Chemical group N1=NC(=CC2=CC=CC=C12)* 0.000 description 1
- 230000019771 cognition Effects 0.000 description 1
- 229960002424 collagenase Drugs 0.000 description 1
- 239000012230 colorless oil Substances 0.000 description 1
- 229940125758 compound 15 Drugs 0.000 description 1
- 229940126142 compound 16 Drugs 0.000 description 1
- 239000000470 constituent Substances 0.000 description 1
- 239000006184 cosolvent Substances 0.000 description 1
- 210000004748 cultured cell Anatomy 0.000 description 1
- 125000000753 cycloalkyl group Chemical group 0.000 description 1
- XSYZCZPCBXYQTE-UHFFFAOYSA-N cyclodecylcyclodecane Chemical compound C1CCCCCCCCC1C1CCCCCCCCC1 XSYZCZPCBXYQTE-UHFFFAOYSA-N 0.000 description 1
- 125000000582 cycloheptyl group Chemical group [H]C1([H])C([H])([H])C([H])([H])C([H])([H])C([H])(*)C([H])([H])C1([H])[H] 0.000 description 1
- UVJHQYIOXKWHFD-UHFFFAOYSA-N cyclohexa-1,4-diene Chemical compound C1C=CCC=C1 UVJHQYIOXKWHFD-UHFFFAOYSA-N 0.000 description 1
- 125000000640 cyclooctyl group Chemical group [H]C1([H])C([H])([H])C([H])([H])C([H])([H])C([H])(*)C([H])([H])C([H])([H])C1([H])[H] 0.000 description 1
- 230000006378 damage Effects 0.000 description 1
- 230000034994 death Effects 0.000 description 1
- 125000004856 decahydroquinolinyl group Chemical group N1(CCCC2CCCCC12)* 0.000 description 1
- 230000007850 degeneration Effects 0.000 description 1
- 238000000151 deposition Methods 0.000 description 1
- 230000008021 deposition Effects 0.000 description 1
- 238000006193 diazotization reaction Methods 0.000 description 1
- HPNMFZURTQLUMO-UHFFFAOYSA-N diethylamine Chemical compound CCNCC HPNMFZURTQLUMO-UHFFFAOYSA-N 0.000 description 1
- 229940042399 direct acting antivirals protease inhibitors Drugs 0.000 description 1
- 201000010099 disease Diseases 0.000 description 1
- 238000004090 dissolution Methods 0.000 description 1
- 239000002552 dosage form Substances 0.000 description 1
- 125000004185 ester group Chemical group 0.000 description 1
- RIFGWPKJUGCATF-UHFFFAOYSA-N ethyl chloroformate Chemical compound CCOC(Cl)=O RIFGWPKJUGCATF-UHFFFAOYSA-N 0.000 description 1
- 125000002534 ethynyl group Chemical group [H]C#C* 0.000 description 1
- 238000002474 experimental method Methods 0.000 description 1
- 239000012467 final product Substances 0.000 description 1
- 125000003983 fluorenyl group Chemical group C1(=CC=CC=2C3=CC=CC=C3CC12)* 0.000 description 1
- 239000006260 foam Substances 0.000 description 1
- 238000009472 formulation Methods 0.000 description 1
- 125000000524 functional group Chemical group 0.000 description 1
- 125000003838 furazanyl group Chemical group 0.000 description 1
- 239000007789 gas Substances 0.000 description 1
- VPZXBVLAVMBEQI-UHFFFAOYSA-N glycyl-DL-alpha-alanine Natural products OC(=O)C(C)NC(=O)CN VPZXBVLAVMBEQI-UHFFFAOYSA-N 0.000 description 1
- XBGGUPMXALFZOT-UHFFFAOYSA-N glycyl-L-tyrosine hemihydrate Natural products NCC(=O)NC(C(O)=O)CC1=CC=C(O)C=C1 XBGGUPMXALFZOT-UHFFFAOYSA-N 0.000 description 1
- 108010050848 glycylleucine Proteins 0.000 description 1
- 108010087823 glycyltyrosine Proteins 0.000 description 1
- 230000026030 halogenation Effects 0.000 description 1
- 238000005658 halogenation reaction Methods 0.000 description 1
- 230000005802 health problem Effects 0.000 description 1
- 125000006343 heptafluoro propyl group Chemical group 0.000 description 1
- 125000001072 heteroaryl group Chemical group 0.000 description 1
- GNOIPBMMFNIUFM-UHFFFAOYSA-N hexamethylphosphoric triamide Chemical compound CN(C)P(=O)(N(C)C)N(C)C GNOIPBMMFNIUFM-UHFFFAOYSA-N 0.000 description 1
- 125000006038 hexenyl group Chemical group 0.000 description 1
- 125000004051 hexyl group Chemical group [H]C([H])([H])C([H])([H])C([H])([H])C([H])([H])C([H])([H])C([H])([H])* 0.000 description 1
- 108010028295 histidylhistidine Proteins 0.000 description 1
- 239000001257 hydrogen Substances 0.000 description 1
- XMBWDFGMSWQBCA-UHFFFAOYSA-N hydrogen iodide Chemical compound I XMBWDFGMSWQBCA-UHFFFAOYSA-N 0.000 description 1
- 238000005984 hydrogenation reaction Methods 0.000 description 1
- XLYOFNOQVPJJNP-UHFFFAOYSA-M hydroxide Chemical compound [OH-] XLYOFNOQVPJJNP-UHFFFAOYSA-M 0.000 description 1
- 125000002887 hydroxy group Chemical group [H]O* 0.000 description 1
- UWYVPFMHMJIBHE-OWOJBTEDSA-N hydroxymaleic acid group Chemical group O/C(/C(=O)O)=C/C(=O)O UWYVPFMHMJIBHE-OWOJBTEDSA-N 0.000 description 1
- 125000002632 imidazolidinyl group Chemical group 0.000 description 1
- 125000002636 imidazolinyl group Chemical group 0.000 description 1
- 230000001900 immune effect Effects 0.000 description 1
- 230000000984 immunochemical effect Effects 0.000 description 1
- 125000003392 indanyl group Chemical group C1(CCC2=CC=CC=C12)* 0.000 description 1
- 125000004926 indolenyl group Chemical group 0.000 description 1
- 125000003387 indolinyl group Chemical group N1(CCC2=CC=CC=C12)* 0.000 description 1
- 125000003406 indolizinyl group Chemical group C=1(C=CN2C=CC=CC12)* 0.000 description 1
- 229910052500 inorganic mineral Inorganic materials 0.000 description 1
- 125000002346 iodo group Chemical group I* 0.000 description 1
- JHKJQWFHNIOUKY-UHFFFAOYSA-N iodomethylcyclopropane Chemical compound ICC1CC1 JHKJQWFHNIOUKY-UHFFFAOYSA-N 0.000 description 1
- 230000007794 irritation Effects 0.000 description 1
- 125000001977 isobenzofuranyl group Chemical group C=1(OC=C2C=CC=CC12)* 0.000 description 1
- 125000003384 isochromanyl group Chemical group C1(OCCC2=CC=CC=C12)* 0.000 description 1
- 125000005438 isoindazolyl group Chemical group 0.000 description 1
- 125000004594 isoindolinyl group Chemical group C1(NCC2=CC=CC=C12)* 0.000 description 1
- 125000000904 isoindolyl group Chemical group C=1(NC=C2C=CC=CC12)* 0.000 description 1
- 125000001786 isothiazolyl group Chemical group 0.000 description 1
- 125000003965 isoxazolidinyl group Chemical group 0.000 description 1
- 125000000468 ketone group Chemical group 0.000 description 1
- 150000002576 ketones Chemical class 0.000 description 1
- 239000012280 lithium aluminium hydride Substances 0.000 description 1
- YNESATAKKCNGOF-UHFFFAOYSA-N lithium bis(trimethylsilyl)amide Chemical compound [Li+].C[Si](C)(C)[N-][Si](C)(C)C YNESATAKKCNGOF-UHFFFAOYSA-N 0.000 description 1
- 231100000863 loss of memory Toxicity 0.000 description 1
- 239000003475 metalloproteinase inhibitor Substances 0.000 description 1
- KXKVLQRXCPHEJC-UHFFFAOYSA-N methyl acetate Chemical compound COC(C)=O KXKVLQRXCPHEJC-UHFFFAOYSA-N 0.000 description 1
- 235000010755 mineral Nutrition 0.000 description 1
- 239000011707 mineral Substances 0.000 description 1
- 230000004048 modification Effects 0.000 description 1
- 238000012986 modification Methods 0.000 description 1
- 125000002757 morpholinyl group Chemical group 0.000 description 1
- 230000035772 mutation Effects 0.000 description 1
- IUGBDFKOYUEDLI-BPOAOHNVSA-N n'-[(3s)-1-methyl-2-oxo-5-[4-(trifluoromethyl)phenyl]-3h-1,4-benzodiazepin-3-yl]-3-(2-methylpropyl)-2-propylbutanediamide Chemical compound N([C@@H](C(N(C)C1=CC=CC=C11)=O)NC(=O)C(CC(C)C)C(CCC)C(N)=O)=C1C1=CC=C(C(F)(F)F)C=C1 IUGBDFKOYUEDLI-BPOAOHNVSA-N 0.000 description 1
- RTMFXQXENIODOP-BPOAOHNVSA-N n'-[(3s)-1-methyl-2-oxo-5-phenyl-3h-1,4-benzodiazepin-3-yl]-3-(2-methylpropyl)-2-propylbutanediamide Chemical compound N([C@@H](C(N(C)C1=CC=CC=C11)=O)NC(=O)C(CC(C)C)C(CCC)C(N)=O)=C1C1=CC=CC=C1 RTMFXQXENIODOP-BPOAOHNVSA-N 0.000 description 1
- SYSQUGFVNFXIIT-UHFFFAOYSA-N n-[4-(1,3-benzoxazol-2-yl)phenyl]-4-nitrobenzenesulfonamide Chemical class C1=CC([N+](=O)[O-])=CC=C1S(=O)(=O)NC1=CC=C(C=2OC3=CC=CC=C3N=2)C=C1 SYSQUGFVNFXIIT-UHFFFAOYSA-N 0.000 description 1
- SUEBJDNLBVTIQP-UHFFFAOYSA-N n-hydroxy-2-[(4-methoxyphenyl)sulfonylamino]-3-methylbutanamide Chemical compound COC1=CC=C(S(=O)(=O)NC(C(C)C)C(=O)NO)C=C1 SUEBJDNLBVTIQP-UHFFFAOYSA-N 0.000 description 1
- 125000004593 naphthyridinyl group Chemical group N1=C(C=CC2=CC=CN=C12)* 0.000 description 1
- 230000016273 neuron death Effects 0.000 description 1
- 230000007121 neuropathological change Effects 0.000 description 1
- 231100000189 neurotoxic Toxicity 0.000 description 1
- 230000002887 neurotoxic effect Effects 0.000 description 1
- 231100000228 neurotoxicity Toxicity 0.000 description 1
- 230000007135 neurotoxicity Effects 0.000 description 1
- 239000012299 nitrogen atmosphere Substances 0.000 description 1
- 125000004433 nitrogen atom Chemical group N* 0.000 description 1
- 229910000069 nitrogen hydride Inorganic materials 0.000 description 1
- 239000012457 nonaqueous media Substances 0.000 description 1
- 125000004930 octahydroisoquinolinyl group Chemical group C1(NCCC2CCCC=C12)* 0.000 description 1
- 239000003960 organic solvent Substances 0.000 description 1
- 125000001715 oxadiazolyl group Chemical group 0.000 description 1
- QNNHQVPFZIFNFK-UHFFFAOYSA-N oxazolo[4,5-b]pyridine Chemical compound C1=CC=C2OC=NC2=N1 QNNHQVPFZIFNFK-UHFFFAOYSA-N 0.000 description 1
- 125000004095 oxindolyl group Chemical group N1(C(CC2=CC=CC=C12)=O)* 0.000 description 1
- BHAAPTBBJKJZER-UHFFFAOYSA-N p-anisidine Chemical compound COC1=CC=C(N)C=C1 BHAAPTBBJKJZER-UHFFFAOYSA-N 0.000 description 1
- 150000002940 palladium Chemical class 0.000 description 1
- 230000036961 partial effect Effects 0.000 description 1
- 230000008506 pathogenesis Effects 0.000 description 1
- 230000007170 pathology Effects 0.000 description 1
- 230000007310 pathophysiology Effects 0.000 description 1
- 125000006340 pentafluoro ethyl group Chemical group FC(F)(F)C(F)(F)* 0.000 description 1
- 125000001147 pentyl group Chemical group C(CCCC)* 0.000 description 1
- 239000000137 peptide hydrolase inhibitor Substances 0.000 description 1
- 201000001245 periodontitis Diseases 0.000 description 1
- 125000004934 phenanthridinyl group Chemical group C1(=CC=CC2=NC=C3C=CC=CC3=C12)* 0.000 description 1
- 125000004625 phenanthrolinyl group Chemical group N1=C(C=CC2=CC=C3C=CC=NC3=C12)* 0.000 description 1
- 125000004624 phenarsazinyl group Chemical group C1(=CC=CC2=NC3=CC=CC=C3[As]=C12)* 0.000 description 1
- 125000001791 phenazinyl group Chemical group C1(=CC=CC2=NC3=CC=CC=C3N=C12)* 0.000 description 1
- 125000001484 phenothiazinyl group Chemical group C1(=CC=CC=2SC3=CC=CC=C3NC12)* 0.000 description 1
- 125000005954 phenoxathiinyl group Chemical group 0.000 description 1
- 125000001644 phenoxazinyl group Chemical group C1(=CC=CC=2OC3=CC=CC=C3NC12)* 0.000 description 1
- WLJVXDMOQOGPHL-UHFFFAOYSA-N phenylacetic acid Chemical compound OC(=O)CC1=CC=CC=C1 WLJVXDMOQOGPHL-UHFFFAOYSA-N 0.000 description 1
- 108010073025 phenylalanylphenylalanine Proteins 0.000 description 1
- 125000004592 phthalazinyl group Chemical group C1(=NN=CC2=CC=CC=C12)* 0.000 description 1
- 125000004928 piperidonyl group Chemical group 0.000 description 1
- 229920002223 polystyrene Polymers 0.000 description 1
- 235000015320 potassium carbonate Nutrition 0.000 description 1
- 229910000027 potassium carbonate Inorganic materials 0.000 description 1
- 125000001844 prenyl group Chemical group [H]C([*])([H])C([H])=C(C([H])([H])[H])C([H])([H])[H] 0.000 description 1
- 125000000561 purinyl group Chemical group N1=C(N=C2N=CNC2=C1)* 0.000 description 1
- 125000004309 pyranyl group Chemical group O1C(C=CC=C1)* 0.000 description 1
- 125000003373 pyrazinyl group Chemical group 0.000 description 1
- 125000003072 pyrazolidinyl group Chemical group 0.000 description 1
- 125000002755 pyrazolinyl group Chemical group 0.000 description 1
- 125000002098 pyridazinyl group Chemical group 0.000 description 1
- BGUWFUQJCDRPTL-UHFFFAOYSA-N pyridine-4-carbaldehyde Chemical compound O=CC1=CC=NC=C1 BGUWFUQJCDRPTL-UHFFFAOYSA-N 0.000 description 1
- 125000000719 pyrrolidinyl group Chemical group 0.000 description 1
- 125000001422 pyrrolinyl group Chemical group 0.000 description 1
- 150000003242 quaternary ammonium salts Chemical class 0.000 description 1
- 125000002294 quinazolinyl group Chemical group N1=C(N=CC2=CC=CC=C12)* 0.000 description 1
- 125000001567 quinoxalinyl group Chemical group N1=C(C=NC2=CC=CC=C12)* 0.000 description 1
- 125000004621 quinuclidinyl group Chemical group N12C(CC(CC1)CC2)* 0.000 description 1
- 238000007342 radical addition reaction Methods 0.000 description 1
- 238000012552 review Methods 0.000 description 1
- QBERHIJABFXGRZ-UHFFFAOYSA-M rhodium;triphenylphosphane;chloride Chemical compound [Cl-].[Rh].C1=CC=CC=C1P(C=1C=CC=CC=1)C1=CC=CC=C1.C1=CC=CC=C1P(C=1C=CC=CC=1)C1=CC=CC=C1.C1=CC=CC=C1P(C=1C=CC=CC=1)C1=CC=CC=C1 QBERHIJABFXGRZ-UHFFFAOYSA-M 0.000 description 1
- 150000003335 secondary amines Chemical class 0.000 description 1
- 238000000926 separation method Methods 0.000 description 1
- 235000017557 sodium bicarbonate Nutrition 0.000 description 1
- WRIKHQLVHPKCJU-UHFFFAOYSA-N sodium bis(trimethylsilyl)amide Chemical compound C[Si](C)(C)N([Na])[Si](C)(C)C WRIKHQLVHPKCJU-UHFFFAOYSA-N 0.000 description 1
- 229910000029 sodium carbonate Inorganic materials 0.000 description 1
- 238000010532 solid phase synthesis reaction Methods 0.000 description 1
- 150000003413 spiro compounds Chemical class 0.000 description 1
- 108091007196 stromelysin Proteins 0.000 description 1
- 238000006467 substitution reaction Methods 0.000 description 1
- 150000003457 sulfones Chemical class 0.000 description 1
- 150000003462 sulfoxides Chemical class 0.000 description 1
- 239000000725 suspension Substances 0.000 description 1
- 208000024891 symptom Diseases 0.000 description 1
- 102000013498 tau Proteins Human genes 0.000 description 1
- 108010026424 tau Proteins Proteins 0.000 description 1
- 230000002123 temporal effect Effects 0.000 description 1
- DYHSDKLCOJIUFX-UHFFFAOYSA-N tert-butoxycarbonyl anhydride Chemical compound CC(C)(C)OC(=O)OC(=O)OC(C)(C)C DYHSDKLCOJIUFX-UHFFFAOYSA-N 0.000 description 1
- NYBWUHOMYZZKOR-UHFFFAOYSA-N tes-adt Chemical class C1=C2C(C#C[Si](CC)(CC)CC)=C(C=C3C(SC=C3)=C3)C3=C(C#C[Si](CC)(CC)CC)C2=CC2=C1SC=C2 NYBWUHOMYZZKOR-UHFFFAOYSA-N 0.000 description 1
- YLQBMQCUIZJEEH-UHFFFAOYSA-N tetrahydrofuran Natural products C=1C=COC=1 YLQBMQCUIZJEEH-UHFFFAOYSA-N 0.000 description 1
- 125000003718 tetrahydrofuranyl group Chemical group 0.000 description 1
- 125000003039 tetrahydroisoquinolinyl group Chemical group C1(NCCC2=CC=CC=C12)* 0.000 description 1
- 125000001712 tetrahydronaphthyl group Chemical group C1(CCCC2=CC=CC=C12)* 0.000 description 1
- 125000000147 tetrahydroquinolinyl group Chemical group N1(CCCC2=CC=CC=C12)* 0.000 description 1
- 229940124597 therapeutic agent Drugs 0.000 description 1
- 125000004627 thianthrenyl group Chemical group C1(=CC=CC=2SC3=CC=CC=C3SC12)* 0.000 description 1
- 239000010409 thin film Substances 0.000 description 1
- 125000005309 thioalkoxy group Chemical group 0.000 description 1
- 210000001519 tissue Anatomy 0.000 description 1
- JOXIMZWYDAKGHI-UHFFFAOYSA-N toluene-4-sulfonic acid Chemical compound CC1=CC=C(S(O)(=O)=O)C=C1 JOXIMZWYDAKGHI-UHFFFAOYSA-N 0.000 description 1
- 231100000419 toxicity Toxicity 0.000 description 1
- 230000001988 toxicity Effects 0.000 description 1
- 230000009466 transformation Effects 0.000 description 1
- 238000000844 transformation Methods 0.000 description 1
- 230000009261 transgenic effect Effects 0.000 description 1
- 125000003866 trichloromethyl group Chemical group ClC(Cl)(Cl)* 0.000 description 1
- ITMCEJHCFYSIIV-UHFFFAOYSA-M triflate Chemical compound [O-]S(=O)(=O)C(F)(F)F ITMCEJHCFYSIIV-UHFFFAOYSA-M 0.000 description 1
- 125000002221 trityl group Chemical group [H]C1=C([H])C([H])=C([H])C([H])=C1C([*])(C1=C(C(=C(C(=C1[H])[H])[H])[H])[H])C1=C([H])C([H])=C([H])C([H])=C1[H] 0.000 description 1
- PXXNTAGJWPJAGM-UHFFFAOYSA-N vertaline Natural products C1C2C=3C=C(OC)C(OC)=CC=3OC(C=C3)=CC=C3CCC(=O)OC1CC1N2CCCC1 PXXNTAGJWPJAGM-UHFFFAOYSA-N 0.000 description 1
- 239000003039 volatile agent Substances 0.000 description 1
- 239000011995 wilkinson's catalyst Substances 0.000 description 1
- UTODFRQBVUVYOB-UHFFFAOYSA-P wilkinson's catalyst Chemical compound [Cl-].C1=CC=CC=C1P(C=1C=CC=CC=1)(C=1C=CC=CC=1)[Rh+](P(C=1C=CC=CC=1)(C=1C=CC=CC=1)C=1C=CC=CC=1)P(C=1C=CC=CC=1)(C=1C=CC=CC=1)C1=CC=CC=C1 UTODFRQBVUVYOB-UHFFFAOYSA-P 0.000 description 1
- 238000010626 work up procedure Methods 0.000 description 1
- 125000001834 xanthenyl group Chemical group C1=CC=CC=2OC3=CC=CC=C3C(C12)* 0.000 description 1
Classifications
-
- C—CHEMISTRY; METALLURGY
- C07—ORGANIC CHEMISTRY
- C07D—HETEROCYCLIC COMPOUNDS
- C07D223/00—Heterocyclic compounds containing seven-membered rings having one nitrogen atom as the only ring hetero atom
- C07D223/14—Heterocyclic compounds containing seven-membered rings having one nitrogen atom as the only ring hetero atom condensed with carbocyclic rings or ring systems
- C07D223/16—Benzazepines; Hydrogenated benzazepines
-
- A—HUMAN NECESSITIES
- A61—MEDICAL OR VETERINARY SCIENCE; HYGIENE
- A61P—SPECIFIC THERAPEUTIC ACTIVITY OF CHEMICAL COMPOUNDS OR MEDICINAL PREPARATIONS
- A61P25/00—Drugs for disorders of the nervous system
-
- A—HUMAN NECESSITIES
- A61—MEDICAL OR VETERINARY SCIENCE; HYGIENE
- A61P—SPECIFIC THERAPEUTIC ACTIVITY OF CHEMICAL COMPOUNDS OR MEDICINAL PREPARATIONS
- A61P25/00—Drugs for disorders of the nervous system
- A61P25/28—Drugs for disorders of the nervous system for treating neurodegenerative disorders of the central nervous system, e.g. nootropic agents, cognition enhancers, drugs for treating Alzheimer's disease or other forms of dementia
-
- A—HUMAN NECESSITIES
- A61—MEDICAL OR VETERINARY SCIENCE; HYGIENE
- A61P—SPECIFIC THERAPEUTIC ACTIVITY OF CHEMICAL COMPOUNDS OR MEDICINAL PREPARATIONS
- A61P43/00—Drugs for specific purposes, not provided for in groups A61P1/00-A61P41/00
-
- C—CHEMISTRY; METALLURGY
- C07—ORGANIC CHEMISTRY
- C07D—HETEROCYCLIC COMPOUNDS
- C07D243/00—Heterocyclic compounds containing seven-membered rings having two nitrogen atoms as the only ring hetero atoms
- C07D243/06—Heterocyclic compounds containing seven-membered rings having two nitrogen atoms as the only ring hetero atoms having the nitrogen atoms in positions 1 and 4
- C07D243/10—Heterocyclic compounds containing seven-membered rings having two nitrogen atoms as the only ring hetero atoms having the nitrogen atoms in positions 1 and 4 condensed with carbocyclic rings or ring systems
- C07D243/12—1,5-Benzodiazepines; Hydrogenated 1,5-benzodiazepines
-
- C—CHEMISTRY; METALLURGY
- C07—ORGANIC CHEMISTRY
- C07D—HETEROCYCLIC COMPOUNDS
- C07D243/00—Heterocyclic compounds containing seven-membered rings having two nitrogen atoms as the only ring hetero atoms
- C07D243/06—Heterocyclic compounds containing seven-membered rings having two nitrogen atoms as the only ring hetero atoms having the nitrogen atoms in positions 1 and 4
- C07D243/10—Heterocyclic compounds containing seven-membered rings having two nitrogen atoms as the only ring hetero atoms having the nitrogen atoms in positions 1 and 4 condensed with carbocyclic rings or ring systems
- C07D243/14—1,4-Benzodiazepines; Hydrogenated 1,4-benzodiazepines
-
- C—CHEMISTRY; METALLURGY
- C07—ORGANIC CHEMISTRY
- C07D—HETEROCYCLIC COMPOUNDS
- C07D243/00—Heterocyclic compounds containing seven-membered rings having two nitrogen atoms as the only ring hetero atoms
- C07D243/06—Heterocyclic compounds containing seven-membered rings having two nitrogen atoms as the only ring hetero atoms having the nitrogen atoms in positions 1 and 4
- C07D243/10—Heterocyclic compounds containing seven-membered rings having two nitrogen atoms as the only ring hetero atoms having the nitrogen atoms in positions 1 and 4 condensed with carbocyclic rings or ring systems
- C07D243/14—1,4-Benzodiazepines; Hydrogenated 1,4-benzodiazepines
- C07D243/16—1,4-Benzodiazepines; Hydrogenated 1,4-benzodiazepines substituted in position 5 by aryl radicals
- C07D243/18—1,4-Benzodiazepines; Hydrogenated 1,4-benzodiazepines substituted in position 5 by aryl radicals substituted in position 2 by nitrogen, oxygen or sulfur atoms
- C07D243/24—Oxygen atoms
-
- C—CHEMISTRY; METALLURGY
- C07—ORGANIC CHEMISTRY
- C07D—HETEROCYCLIC COMPOUNDS
- C07D401/00—Heterocyclic compounds containing two or more hetero rings, having nitrogen atoms as the only ring hetero atoms, at least one ring being a six-membered ring with only one nitrogen atom
- C07D401/02—Heterocyclic compounds containing two or more hetero rings, having nitrogen atoms as the only ring hetero atoms, at least one ring being a six-membered ring with only one nitrogen atom containing two hetero rings
- C07D401/04—Heterocyclic compounds containing two or more hetero rings, having nitrogen atoms as the only ring hetero atoms, at least one ring being a six-membered ring with only one nitrogen atom containing two hetero rings directly linked by a ring-member-to-ring-member bond
Definitions
- This invention relates to novel lactams having drug and bio-affecting properties, their pharmaceutical compositions and methods of use. These novel compounds inhibit the processing of amyloid precursor protein and, more specifically, inhibit the production of A ⁇ -peptide, thereby acting to prevent the formation of neurological deposits of amyloid protein. More particularly, the present invention relates to the treatment of neurological disorders related to ⁇ -amyloid production such as Alzheimer's disease and Down's Syndrome.
- Alzheimer's disease is a degenerative brain disorder characterized clinically by progressive loss of memory, temporal and local orientation, cognition, reasoning, judgment and emotionally stability.
- a ⁇ is a common cause of progressive dementia in humans and is one of the major causes of death in the United States.
- a ⁇ has been observed in all races and ethnic groups worldwide, and is a major present and future health problem. No treatment that effectively prevents A ⁇ or reverses the clinical symptoms and underlying pathophysiology is currently available (for review, Selkoe, 1994).
- a ⁇ A ⁇ , ⁇ -amyloid peptide, and sometimes ⁇ /A4; referred to herein as A ⁇ .
- a ⁇ A ⁇ , ⁇ -amyloid peptide, and sometimes ⁇ /A4; referred to herein as A ⁇ .
- a ⁇ was first purified and a partial amino acid reported in 1984 (Glenner and Wong, Biochem. Biophys. Res. Commun. 120: 885-890). The isolation and sequence data for the first 28 amino acids are described in U.S. Pat. No. 4,666,829.
- a ⁇ is an internal polypeptide derived from a type 1 integral membrane protein, termed ⁇ amyloid precursor protein (APP).
- APP ⁇ amyloid precursor protein
- ⁇ APP is normally produced by many cells both in vivo and in cultured cells, derived from various animals and humans.
- a ⁇ is derived from cleavage of ⁇ APP by as yet unknown enzyme (protease) system(s), collectively termed secretases.
- proteolytic activities include ⁇ secretase(s), generating the N-terminus of A ⁇ , ⁇ secretase(s) cleaving around the 16/17 peptide bond in A ⁇ , and ⁇ secretases, generating C-terminal A ⁇ fragments ending at position 38, 39, 40, 42, and 43 or generating C-terminal extended precursors which are subsequently truncated to the above polypeptides.
- a ⁇ is the major protein found in amyloid plaques.
- a ⁇ is neurotoxic and may be causally related to neuronal death observed in A ⁇ patients.
- missense DNA mutations at position 717 in the 770 isoform of ⁇ APP can be found in effected members but not unaffected members of several families with a genetically determined (familiar) form of AD.
- ⁇ APP mutations have been described in familiar forms of AD.
- similar neuropathological changes have been observed in transgenic animals overexpressing mutant forms of human ⁇ APP.
- individuals with Down's syndrome have an increased gene dosage of ⁇ APP and develop early-onset AD. Taken together, these observations strongly suggest that A ⁇ depositions may be causally related to the AD.
- Methods of treatment could target the formation of A ⁇ through the enzymes involved in the proteolytic processing of ⁇ amyloid precursor protein.
- Compounds that inhibit ⁇ or ⁇ secretase activity could control the production of A ⁇ .
- compounds that specifically target ⁇ secretases could control the production of A ⁇ .
- Such inhibition of ⁇ or ⁇ secretases could thereby reduce production of A ⁇ , which, thereby, could reduce or prevent the neurological disorders associated with A ⁇ protein.
- metalloprotease inhibiting compounds useful for the treatment of diseases associated with excess and/or unwanted matrix metalloprotease activity particularly collagenase and or stromelysin activity.
- the compounds of the invention are disclosed in PCT publication number WO 95/22966 relating to matrix metalloprotease inhibitors.
- the compounds of the invention are useful for the treatment of conditions associated with the destruction of cartilage, including corneal ulceration, osteoporosis, periodontitis and cancer.
- EP 0652009A1 relates to the general formula:
- lactam ring B is substituted by succinamide and a carbocyclic, aryl, or heteroaryl group.
- One object of the present invention is to provide novel compounds which are useful inhibitors of the production of A ⁇ protein or pharmaceutically acceptable salts or prodrugs thereof.
- It is another object of the present invention to provide pharmaceutical compositions comprising a pharmaceutically acceptable carrier and a therapeutically effective amount of at least one of the compounds of the present invention or a pharmaceutically acceptable salt or prodrug form thereof.
- It is another object of the present invention to provide a method for treating degenerative neurological disorders comprising administering to a host in need of such treatment a therapeutically effective amount of at least one the compounds of the present invention or a pharmaceutically acceptable salt or prodrug form thereof.
- R 3 , R 3a , R 5 , R 5a , R 6 , A, Q, B, and Z are effective inhibitors of the production of A ⁇ .
- the present invention provides a novel compound of Formula (I):
- Ring B is selected from:
- the present invention provides for a compound of one of Formulas (Ic), (Id), (Ie), or (If), wherein:
- the present invention provides for a compound selected from:
- the present invention provides for a compound of Formula (Ib):
- Ring B is selected from:
- the present invention provides for a compound of one Formulas (Ic), (Id), (Ie), or (If), wherein:
- the present invention provides for a method for the treatment of neurological disorders associated with ⁇ -amyloid production comprising administering to a host in need of such treatment a therapeutically effective amount of a compound of Formula (I):
- A is O or S
- Q is —NR 1 R 2 :
- R 1 is OR 14 ;
- Q is NH 2 .
- the total number of carbon atoms in R 3 , R 3a , R 5 , and R 5a equals seven or more.
- the present invention provides a pharmaceutical composition
- a pharmaceutical composition comprising a compound of Formula (I) and a pharmaceutically acceptable carrier.
- the present invention provides a method for the treatment of neurological disorders associated with ⁇ -amyloid production comprising administering to a host in need of such treatment a therapeutically effective amount of a compound of Formula (I).
- the neurological disorder associated with ⁇ -amyloid production is Alzheimer's Disease.
- the present invention provides a method for inhibiting ⁇ -secretase activity for the treatment of a physiological disorder associated with inhibiting ⁇ -secretase activity comprising administering to a host in need of such inhibition a therapeutically effective amount of a compound of Formula (I) that inhibits ⁇ -secretase activity.
- the present invention provides a method for inhibiting ⁇ -secretase activity comprising administering to a host in need of such inhibition a therapeutically effective amount of a compound of Formula (I) that inhibits ⁇ -secretase activity.
- the physiological disorder associated with inhibiting ⁇ -secretase activity is Alzheimer's Disease.
- the present invention provides a compound of Formula (I) for use in therapy.
- the present invention provides a compound of Formula (I) for use in therapy of Alzheimer's Disease.
- the present invention provides for the use of a compound of Formula (I) for the manufacture of a medicament for the treatment of Alzheimer's Disease.
- Ad denotes the protein designated A ⁇ , ⁇ -amyloid peptide, and sometimes ⁇ /A4, in the art.
- Ad is an approximately 4.2 kilodalton (kD) protein of about 39 to 43 amino acids found in amyloid plaques, the walls of meningeal and parenchymal arterioles, small arteries, capillaries, and sometimes, venules.
- the isolation and sequence data for the first 28 amino acids are described in U.S. Pat. No. 4,666,829.
- the 43 amino acid sequence is:
- APP refers to the protein known in the art as amyloid precursor protein. This protein is the precursor for A ⁇ and through the activity of “secretase” enzymes, as used herein, it is processed into A ⁇ . Differing secretase enzymes, known in the art, have been designated D secretase, generating the N-terminus of A ⁇ , ⁇ secretase cleaving around the 16/17 peptide bond in A ⁇ , and “ ⁇ secretases”, as used herein, generating C-terminal A ⁇ fragments ending at position 38, 39, 40, 42, and 43 or generating C-terminal extended precursors which are subsequently truncated to the above polypeptides.
- D secretase Differing secretase enzymes, known in the art, have been designated D secretase, generating the N-terminus of A ⁇ , ⁇ secretase cleaving around the 16/17 peptide bond in A ⁇
- ⁇ secretases as used herein, generating C-terminal
- the compounds herein described may have asymmetric centers.
- substituted means that any one or more hydrogens on the designated atom is replaced with a selection from the indicated group, provided that the designated atom's normal valency is not exceeded, and that the substitution results in a stable compound.
- a substituent is keto (i.e., ⁇ O)
- 2 hydrogens on the atom are replaced.
- any variable e.g., R 5b
- its definition at each occurrence is independent of its definition at every other occurrence.
- R 5b the definition of R 5b
- R 5b at each occurrence is selected independently from the definition of R 5b .
- combinations of substituents and/or variables are permissible only if such combinations result in stable compounds.
- alkyl or “alkylene” is intended to include both branched and straight-chain saturated aliphatic hydrocarbon groups having the specified number of carbon atoms; for example, “C 1 -C 6 alkyl” denotes alkyl having 1, 2, 3, 4, 5, or 6 carbon atoms. Examples of alkyl include, but are not limited to, methyl, ethyl, n-propyl, i-propyl, n-butyl, i-butyl, sec-butyl, t-butyl, pentyl, and hexyl.
- Preferred “alkyl” group unless otherwise specified, is “C 1 -C 4 alkyl.
- propyl denotes n-propyl or i-propyl
- butyl denotes n-butyl, i-butyl, sec-butyl, or t-butyl.
- alkenyl or “alkenylene” is intended to include hydrocarbon chains of either a straight or branched configuration and one or more unsaturated carbon-carbon bonds which may occur in any stable point along the chain.
- Examples of “C 2 -C 6 alkenyl” include, but are not limited to, ethenyl, 1-propenyl, 2-propenyl, 1-butenyl, 2-butenyl, 3-butenyl, 3-methyl-2-butenyl, 2-pentenyl, 3-pentenyl, hexenyl, and the like.
- alkynyl or “alkynylene” is intended to include hydrocarbon chains of either a straight or branched configuration and one or more carbon-carbon triple bonds which may occur in any stable point along the chain, such as ethynyl, 1-propynyl, 2-propynyl, 1-butynyl, 2-butynyl, 3-butynyl, and the like.
- Alkoxy or “alkyloxy” represents an alkyl group as defined above with the indicated number of carbon atoms attached through an oxygen bridge.
- alkoxy include, but are not limited to, methoxy, ethoxy, n-propoxy, i-propoxy, n-butoxy, s-butoxy, t-butoxy, n-pentoxy, and s-pentoxy.
- Preferred alkoxy groups are methoxy, ethoxy, n-propoxy, i-propoxy, n-butoxy, s-butoxy, t-butoxy.
- alkylthio or ‘thioalkoxy’ is represents an alkyl group as defined above with the indicated number of carbon atoms attached through a sulphur bridge.
- Halo or ‘halogen’ as used herein refers to fluoro, chloro, bromo, and iodo. Unless otherwise specified, preferred halo is fluoro and chloro. “Counterion” is used to represent a small, negatively charged species such as chloride, bromide, hydroxide, acetate, sulfate, and the like.
- haloalkyl include, but are not limited to, trifluoromethyl, trichloromethyl, pentafluoroethyl, pentachloroethyl, 2,2,2-trifluoroethyl, 2,2-difluoroethyl, heptafluoropropyl, and heptachloropropyl.
- Haloalkoxy is intended to mean a haloalkyl group as defined above with the indicated number of carbon atoms attached through an oxygen bridge; for example trifluoromethoxy, pentafluoroethoxy, 2,2,2-trifluoroethoxy, and the like.
- Halothioalkoxy is intended to mean a haloalkyl group as defined above with the indicated number of carbon atoms attached through a sulphur bridge.
- Cycloalkyl is intended to include saturated ring groups, having the specified number of carbon atoms.
- C 3 -C 6 cycloalkyl denotes such as cyclopropyl, cyclobutyl, cyclopentyl, or cyclohexyl.
- carbocycle is intended to mean any stable 3- to 7-membered monocyclic or bicyclic or 7- to 13-membered bicyclic or tricyclic, any of which may be saturated, partially unsaturated, or aromatic.
- carbocycles include, but are not limited to, cyclopropyl, cyclobutyl, cyclopentyl, cyclohexyl, cycloheptyl, adamantyl, cyclooctyl, [3.3.0]bicyclooctane, [4.3.0]bicyclononane, [4.4.0]bicyclodecane (decalin), [2.2.2]bicyclooctane, fluorenyl, phenyl, naphthyl, indanyl, adamantyl, or tetrahydronaphthyl (tetralin).
- Preferred “carbocycle” are cyclopropyl, cyclobutyl, cyclopent
- heterocycle or “heterocyclic ring” is intended to mean a stable 5- to 7-membered monocyclic or bicyclic or 7- to 14-membered bicyclic heterocyclic ring which is saturated partially unsaturated or unsaturated (aromatic), and which consists of carbon atoms and 1, 2, 3 or 4 heteroatoms independently selected from the group consisting of N, O and S and including any bicyclic group in which any of the above-defined heterocyclic rings is fused to a benzene ring.
- the nitrogen and sulfur heteroatoms may optionally be oxidized.
- the heterocyclic ring may be attached to its pendant group at any heteroatom or carbon atom which results in a stable structure.
- heterocyclic rings described herein may be substituted on carbon or on a nitrogen atom if the resulting compound is stable. If specifically noted, a nitrogen in the heterocycle may optionally be quaternized. It is preferred that when the total number of S and O atoms in the heterocycle exceeds 1, then these heteroatoms are not adjacent to one another. It is preferred that the total number of S and O atoms in the heterocycle is not more than 1.
- heterocycles include, but are not limited to, 1H-indazole, 2-pyrrolidonyl, 2H,6H-1,5,2-dithiazinyl, 2H-pyrrolyl, 3H-indolyl, 4-piperidonyl, 4aH-carbazole, 4H-quinolizinyl, 6H-1,2,5-thiadiazinyl, acridinyl, azocinyl, benzimidazolyl, benzofuranyl, benzothiofuranyl, benzothiophenyl, benzoxazolyl, benzthiazolyl, benztriazolyl, benztetrazolyl, benzisoxazolyl, benzisothiazolyl, benzimidazalonyl, carbazolyl, 4aH-carbazolyl, b-carbolinyl, chromanyl, chromenyl, cinnolinyl, decahydroquinolinyl,
- Preferred 5 to 10 membered heterocycles include, but are not limited to, pyridinyl, pyrimidinyl, triazinyl, furanyl, thienyl, thiazolyl, pyrrolyl, pyrazolyl, imidazolyl, oxazolyl, isoxazolyl, tetrazolyl, benzofuranyl, benzothiofuranyl, indolyl, benzimidazolyl, 1H-indazolyl, oxazolidinyl, isoxazolidinyl, benzotriazolyl, benzisoxazolyl, oxindolyl, benzoxazolinyl, quinolinyl, and isoquinolinyl.
- Preferred 5 to 6 membered heterocycles include, but are not limited to, pyridinyl, pyrimidinyl, triazinyl, furanyl, thienyl, thiazolyl, pyrrolyl, piperazinyl, piperidinyl, pyrazolyl, imidazolyl, oxazolyl, isoxazolyl, tetrazolyl; more preferred 5 to 6 membered heterocycles include, but are not limited to, pyridinyl, pyrimidinyl, triazinyl, furanyl, thienyl, thiazolyl, piperazinyl, piperidinyl, pyrazolyl, imidazolyl, and tetrazolyl. Also included are fused ring and spiro compounds containing, for example, the above heterocycles.
- aryl As used herein, the term “aryl”, “C 6 -C 10 aryl” or aromatic residue, is intended to mean an aromatic moiety containing the specified number of carbon atoms; for example phenyl, pyridinyl or naphthyl. Preferred “aryl” is phenyl. Unless otherwise specified, “aryl” may be unsubstituted or substituted with 0 to 3 groups selected from H, methyl, ethyl, propyl, butyl.
- Additional lactam carbons are carbons in lactam ring B other than the carbons numbered 2 and 3 in the backbone of the formula. The same numbering applies to the carbons in the analogous thiolactam ring B.
- the additional lactam carbons may be optionally replaced by a heteroatom selected from oxygen, nitrogen and sulfur.
- Lactam ring B contains 1, 2, 3, 4, 5, 6 or 7 optional carbons, wherein one optional carbon may optionally be replaced by a heteroatom, such that the total number of members of lactam ring B, including atoms numbered 1, 2 and 3 in the backbone, does not exceed 10.
- lactam ring B is 6, 7 or 8; it is more preferred that the total number of atoms of lactam ring B is seven. It is further understood that lactam ring B may optionally be unsaturated or partially unsaturated (i.e. two adjacent atoms in the ring form a double bond) wherein the backbone of lactam ring B may contain one, two or three double bonds. Examples of lactam ring B include:
- lactam ring B are B1, B2, B5, B6, B8, B9, B13, and B16; more preferred examples of lactam ring B are B1, B6, B8, B9, and B13.
- substituent R 10 or R 11 on lactam B are methyl, ethyl, phenyl, 4-fluorophenyl, 4-chlorophenyl, 4-trifluoromethylphenyl, (4-fluorophenyl)methyl, (4-chlorophenyl)methyl, (4-trifluoromethylphenyl)methyl, and 2-, 3-, and 4-pyridinyl.
- R 13 on lactam B are F, Cl, OH, methyl, ethyl, methoxy, and trifluoromethyl.
- the compounds herein described may have asymmetric centers.
- One enantiomer of a compound of Formula (I) may display superior biological activity over the opposite enantiomer.
- carbon 3 of lactam ring B Formula (I′′) may exist in either an S or R configuration.
- an R or S configuration at carbon 3 in Formula (I′′) is considered part of the invention.
- An example of such configuration includes,
- the carbon atoms to which R 3 and R 5 are attached may describe chiral carbons which may display superior biological activity over the opposite enantiomer.
- R 3 and R 5 are not H, then the configuration of the two centers may be described as (2R,3R), (2R,3S), (2S,3R), or (2S,3S). All configurations are considered part of the invention; however, the (2R,3S) and the (2S,3R) are preferred and the (2R,3S) is more preferred.
- phrases “pharmaceutically acceptable” is employed herein to refer to those compounds, materials, compositions, and/or dosage forms which are, within the scope of sound medical judgment, suitable for use in contact with the tissues of human beings and animals without excessive toxicity, irritation, allergic response, or other problem or complication, commensurate with a reasonable benefit/risk ratio.
- pharmaceutically acceptable salts refer to derivatives of the disclosed compounds wherein the parent compound is modified by making acid or base salts thereof.
- examples of pharmaceutically acceptable salts include, but are not limited to, mineral or organic acid salts of basic residues such as amines; alkali or organic salts of acidic residues such as carboxylic acids; and the like.
- the pharmaceutically acceptable salts include the conventional non-toxic salts or the quaternary ammonium salts of the parent compound formed, for example, from non-toxic inorganic or organic acids.
- such conventional non-toxic salts include those derived from inorganic acids such as hydrochloric, hydrobromic, sulfuric, sulfamic, phosphoric, nitric and the like and the salts prepared from organic acids such as acetic, propionic, succinic, glycolic stearic, lactic, malic, tartaric, citric, ascorbic, pamoic, maleic, hydroxymaleic, phenylacetic, glutamic, benzoic, salicylic, sulfanilic, 2-acetoxybenzoic, fumaric, toluenesulfonic, methanesulfonic, ethane disulfonic, oxalic, isethionic, and the like.
- inorganic acids such as hydrochloric, hydrobromic, sulfuric, sulfamic, phosphoric, nitric and the like
- organic acids such as acetic, propionic, succinic, glycolic stearic, lactic, malic,
- the pharmaceutically acceptable salts of the present invention can be synthesized from the parent compound which contains a basic or acidic moiety by conventional chemical methods.
- such salts can be prepared by reacting the free acid or base forms of these compounds with a stoichiometric amount of the appropriate base or acid in water or in an organic solvent, or in a mixture of the two; generally, nonaqueous media like ether, ethyl acetate, ethanol, isopropanol, or acetonitrile are preferred.
- Lists of suitable salts are found in Remington's Pharmaceutical Sciences, 17th ed., Mack Publishing Company, Easton, Pa., 1985, p. 1418, the disclosure of which is hereby incorporated by reference.
- Prodrugs are intended to include any covalently bonded carriers which release the active parent drug according to formula (I) in vivo when such prodrug is administered to a mammalian subject.
- Prodrugs of a compound of formula (I) are prepared by modifying functional groups present in the compound in such a way that the modifications are cleaved, either in routine manipulation or in vivo, to the parent compound.
- Prodrugs include compounds of formula (I) wherein a hydroxy, amino, or sulfhydryl group is bonded to any group that, when the prodrug or compound of formula (I) is administered to a mammalian subject, cleaves to form a free hydroxyl, free amino, or free sulfhydryl group, respectively.
- Examples of prodrugs include, but are not limited to, acetate, formate and benzoate derivatives of alcohol and amine functional groups in the compounds of formula (I), and the like.
- Solid compound and “stable structure” are meant to indicate a compound that is sufficiently robust to survive isolation to a useful degree of purity from a reaction mixture, and formulation into an efficacious therapeutic agent.
- the compounds of the present invention can be prepared in a number of ways well known to one skilled in the art of organic synthesis.
- the compounds of the present invention can be synthesized using the methods described below together with synthetic methods known in the art of synthetic organic chemistry or variations thereon as appreciated by those skilled in the art. Preferred methods include, but are not limited to, those described below. All references cited herein are hereby incorporated in their entirety herein by reference.
- novel compounds of this invention may be prepared using the reactions and techniques described in this section.
- the reactions are performed in solvents appropriate to the reagents and materials employed and are suitable for the transformations being effected.
- all proposed reaction conditions including choice of solvent. reaction atmosphere, reaction temperature, duration of the experiment and workup procedures, are chosen to be the conditions standard for that reaction, which should be readily recognized by one skilled in the art. It is understood by one skilled in the art of organic synthesis that the functionality present on various portions of the molecule must be compatible with the reagents and reactions proposed. Such restrictions to the substituents which are compatible with the reaction conditions will be readily apparent to one skilled in the art and alternate methods must then be used.
- Disubstituted succinate derivatives can be prepared by a number of known procedures.
- the procedure of Evans (D. A. Evans et al, Org. Synth. 86, p83 (1990)) is outlined in Scheme 1 where acylation of an oxazolidinone with an acylating agent such as an acid chloride provides structures 1.
- Alkylation to form 2 followed by cleavage of the chiral auxiliary and subsequent alkylation of the dianion of the carboxylic acid 3 provides a variety of disubstituted succinates which can be separated and incorporated into structures of formula (I) by those skilled in the art. Additional examples are found in P. Becket, M. J. Crimmin, M. H. Davis, Z. Spavold, Synlett, (1993), 137-138, incorporated herein by reference.
- Diastereomerically pure succinate derivatives can be accessed using the chemistry outlined below, adapted from P. Becket, M. J. Crimmin, M. H. Davis, Z. Spavold, Synlett, (1993), 137-138 incorporated herein by reference. This reference provides the synthesis below to obtain compound 9, Scheme 2.
- Compound II, Scheme 2 is used as an intermediate and is prepared from 9 by hydrogenation of the allyl group followed by coupling of 9-fluorenemethanol under standard conditions using DCC and DMAP in CH 2 Cl 2 . Deprotection of the tert-butyl ester is accomplished by treatment with 50% trifluoroacetic acid.
- a variety of compounds of Formula (J) can be prepared by methods described in Scheme 4.
- the protected ⁇ -amine 3 of the ⁇ -amino- ⁇ -caprolactam can be prepared by methods well known in the literature for amino protecting groups as discussed in Theodora W. Greene's book “Protective Groups in Organic Synthesis”, like N-Boc using di-t-butyldicarbonate in an appropriate solvent like DMSO.
- a sulfur atom can be introduced into the ring providing L- ⁇ -amino- ⁇ -thio- ⁇ -caprolactam according to the procedure in S. A. Ahmed et al. FB Letters (1984), vol. 174, pages 76-9 (Scheme 3).
- One skilled in the art can extend this methodology to the synthesis of O-amino and oxygen containing rings by analogy.
- the sulfur-containing molecules can also be oxidized to the sulfoxide and sulfone by methods known to one skilled in the art.
- the lactam nitrogen of compound 13 can be alkylated by generating the anion with bases such as LDA, lithium bis(trimethylsilyl)amide or sodium hydride in solvents like THF, with or without cosolvents such as DMPU or HMPA and reacting this with a variety of groups containing leaving groups (X′′) like bromide, iodide, mesylate or tosylate.
- bases such as LDA, lithium bis(trimethylsilyl)amide or sodium hydride in solvents like THF, with or without cosolvents such as DMPU or HMPA
- Alkylating agents such as ⁇ -bromo amides, ketones and acids can be prepared by a number of literature methods including halogenation of amino acids by diazotization or are commercially available.
- alkylating agents such as alkyl, allylic and benzylic halides can be formed form a variety of precursors such as free-radical addition of halides or activation of alcohols, and other chemistries known to those skilled in the art.
- precursors such as free-radical addition of halides or activation of alcohols, and other chemistries known to those skilled in the art.
- the N-Boc protecting group can be removed by any number of methods well known in the literature like TFA in methylene chloride to give the compound 15.
- the amine 15 can be coupled to an appropriately substituted carboxylic acid or acid chloride by methods well described in the literature for making amide bonds, like TBTU in DMF with a base like NMM to give the elaborated compound 16.
- Compounds 16 can be alkylated using standard bases like LDA, Nail, or NaHMDS to deprotonate the amide followed by addition of an alkylating agent with an appropriate leaving group like halide, mesylate, or triflate in an appropriate solvent to provide compounds 17 with an R 6 substituent.
- the t-butyl ester is then removed by treatment with TFA in methylene chloride to give the carboxylic acid 17.
- the final compounds 18 were prepared by treating the activated carboxylic acid of 17 with an appropriately substituted amine.
- activation of the carboxylic acid with HATU O-(7-azabenzotriazol-1-yl)-1,1,3,3,-tetramethyluronium hexafluorophosphate
- PyBOP benzotriazole-1-yl-oxy-tris-pyrrolidino-phosphonium hexafluorophosphate
- other coupling agents known to those skilled in the art allows condensation with ammonia to form primary amides.
- condensation of the activated acid with hydroxylamine hydrochloride provides the hydroxamic acid, or reaction with a primary or secondary amine provides the substituted amine derivative.
- a suitable resin for solid phase synthesis such as Fmoc (Fluorenylmethylcarbonyl)-protected hydroxylamine bound to polystyrene beads can be purchased from Novabiochem, Inc. Deprotection of the Fmoc group under standard conditions using 20% piperidine in DMF provides trityl-linked hydroxylamine resin. Coupling of a fluorenylmethyl-protected succinic acid derivative such as 20 with a coupling agent such as HATU in a suitable solvent like DMF or N-methylpyrrolidinone provides the support-bound hydroxamate 21.
- Fmoc Fluorenylmethylcarbonyl
- a coupling agent such as HATU
- suitable solvent like DMF or N-methylpyrrolidinone provides the support-bound hydroxamate 21.
- the Fluorenylmethyl ester can be removed using 20% piperidine in DMF to provide the free carboxylic acid which can be coupled to amines like the caprolactan 22 (which is available using chemistry outlined in Scheme 4) using PyBOP (benzotriazole-1-yl-oxy-tris-pyrrolidino-phosphonium hexafluorophosphate) and a suitable base like DIEA in DMF or NMP.
- PyBOP benzotriazole-1-yl-oxy-tris-pyrrolidino-phosphonium hexafluorophosphate
- the support-bound intermediate 23 can then be elaborated to biaryl structures of the type 24 using typical Suzuki coupling conditions employing a catalyst such as Palladium complexes like tetrakis(triphenylphosphine)-palladium with 2M aqueous sodium carbonate as a base in a suitable solvent like THF or DME and an excess of a boronic acid.
- a catalyst such as Palladium complexes like tetrakis(triphenylphosphine)-palladium with 2M aqueous sodium carbonate as a base in a suitable solvent like THF or DME and an excess of a boronic acid.
- the final compounds are liberated from the support employing dilute (5%) trifluoroacetic acid in CH 2 Cl 2 and purified by conventional chromatography.
- the compounds of formula (I) of the present invention can also be prepared from aminolactams and aminothiolactams (27) and succinic acid derivatives (1) using amide bond syntheses known in the art including methods commonly used in peptide syntheses, such as HATU, TBTU, BOP, pyBOP, EDC, CDI, DCC, hydroxysuccinimide, mixed carboxylic anhydride, and phenyl ester mediated couplings, as illustrated in Scheme 6 for the synthesis of (Ia), a particular embodiment of (I).
- amide bond syntheses known in the art including methods commonly used in peptide syntheses, such as HATU, TBTU, BOP, pyBOP, EDC, CDI, DCC, hydroxysuccinimide, mixed carboxylic anhydride, and phenyl ester mediated couplings, as illustrated in Scheme 6 for the synthesis of (Ia), a particular embodiment of (I).
- amide bond syntheses known
- protecting groups or precursor functionality convertable to the desired groups may be desirable.
- Protecting groups and their use in synthesis are described in Green and Wuts, Protective Groups in Organic Synthesis , (Wiley 1991). This is further illustrated in Scheme 6a, in which the succinate half-ester (9) (Becket et al., Synlett 1993, 137-138) is coupled to the aminobenzodiazepine (30) (Sherrill and Sugg, J. Org. Chem. 1995, 60, 730-734; Bock et al., J. Med. Chem., 1993, 36, 4276-4292) to give ester (Ib), followed by conversion of the ester group to the primary amide (Ic).
- the thiolactam intermediates may be prepared from suitably protected aminolactams employing methods known to those skilled in the art, using, for example, Lawessson's reagent, P4S10, or related methods (see Taylor et al., Bioorg. Med. Chem. Lett. 1997, 7 (4), 453-456; Schwarz et al., Tetrahedron, 1997, 53 (26), 8795-8806; Achour et al., Synth. Commun.
- Acetyl chloride (57 mL, 801 mmol) was added to ice cold methanol (280 mL) with vigorous stirring. Solid 73 (9.0 g., 30.2 mmol) was added and the reaction stirred overnight. The methanol was evaporated in vacuo and the residue dissolved in water and cooled in an ice bath. The pH was adjusted to approximately 9 with 6N NaOH. The resulting yellow precipitate was collected by vacuum filtration and washed with water and dried in vacuo at 40° C.
- the benzotriazole acid 75 (13.6 g, 41.7 mmol) and a catalytic amount of DMF were dissolved in dry F (130 mL.) The reaction was cooled in an ice/salt bath. Oxalyl chloride (3.6 mL, 41.2 mmol) was added dropwise over 1 hour. The reaction was stirred an additional 2.5 hours. A solution of 74 (5.5 g, 27.7 mmol) in THF (50 mL) was added dropwise forming a thick precipitate. Water and ether were added and the layers separated. The aqueous layer was extracted with methylene chloride. The combined organics were washed with saturated sodium bicarbonate, dried over magnesium sulfate and concentrated.
- Step 1 Preparation of 2-Amino-3′-methoxybenzophenone 93;
- the aqueous layer was made basic (pH>10) using 6N NaOH and extracted with CH 2 Cl 2 .
- the organic extracts were washed with sat. NaCl, dried over NaSO 4 , filtered, and concentrated to give a crude mixture containing 93.
- the filtrate was diluted with MeOH (62 mL), and NH 3 gas was condensed into the solution for 15 min, the reaction vessel was sealed and stirred at rt for 2 h. After concentration, the crude oil was dissolved in EtOAc, washed with 3N NaOH (3 ⁇ 20 mL). The organic extracts were dried over Na 2 SO 4 , filtered and concentrated. The resultant crude oil was dissolved in AcOH (121 mL), and NH 4 OAc (7.17 g) was added. After stirring at rt overnight (16 h), the reaction was concentrated and diluted with water and made basic with 50% NaOH. The basic aqueous solution was extracted with EtOAc (3 ⁇ 150 mL). The combined organic extracts were washed with sat.
- Step 3 Preparation of 97; Cbz Deprotection to Free Amine.
- Step 1 Preparation of 102
- Step 3 Preparation of 105
- Step 4 Preparation of 107
- the reaction was stirred at room temperature for 1.5 h and then evaporated in vacuo and diluted with ethyl acetate. The solution was washed with 1 N NaOH. The aqueous layer was extracted with ethyl acetate and the combined organics were dried over magnesium sulfate and concentrated. The residue was dissolved in acetic acid (2.4 mL) and ammonium acetate (140 mg) was added and the reaction stirred for 16 h. The reaction was concentrated in vacuo and diluted with 1 N NaOH and extracted with ethyl acetate. The organic layer was dried over sodium sulfate, filtered and concentrated.
- DMPU 1,3-dimethyl-3,4,5,6-tetrahydro-2(1H)-pyrimidone
- TBTU O-(1H-benzotriazol-1-yl)-N,N,N′,N′-tetramethyluronium tetrafluoroborate
- BOP benzotriazol-1-yloxytris-(dimethylamino)-phosphonium hexafluorophosphate
- HATU O-(7-azabenzotriazol-1-yl)-N,N, N′,N′-tetramethyluronium hexafluorophosphate.
- HPLC is an abbreviation used herein for high pressure liquid chromatography. Reverse-phase HPLC was carried out using a Vydac C-18 column with gradient elution from 10% to 100% buffer B in buffer A (buffer A: water containing 0.11% trifluoroacetic acid, buffer B: 10% water, 90% acetonitrile containing 0.1% trifluoroacetic acid). Alternatively, reverse-phase HPLC was carried out using a Vydac C-18 column with gradient elution from 10% to 90% acetonitrile in water.
- Example 1 The residue was purified by chromatography on flash grade silica gel using 4% methanol in methylene chloride.
- Example 5 Using the method of Example 5, but replacing the (S) isomer of benzodiazepinone (30) with (R) isomer of benzodiazepinone (30) in Step 1, the title compound was prepared.
- the (R)- and (S)-benzodiazepine diastereomers may be separated using a Chiralpack AD column, eluting with 0.1% diethylamine in 1:1 n-hexane/i-propanol. Under these conditions, the compound of Example 6 [(R)-benzodiazepine diastereomer] elutes first.
- Example 12 The product of Example 12 was separated into the (S)- and (R)-benzodiazepine diastereomers using a Chiralpack A ⁇ column, eluting with 1:1 n-hexane-i-propanol.
- the diastereomers were assigned on the basis of the elution order ((S)-diastereomer elutes second under these conditions), and the i-butyl signals in the H-NMR spectra, consistent with the elution order and H-NMR spectra of the products of Examples 5 and 6.
- Example 12a the product of Example 12 was separated into the (S)- and (R)-benzodiazepine diastereomers using a Chiralpack A ⁇ column, eluting with 1:1 n-hexane-i-propanol, with the (R)-diastereomer eluting first under these conditions.
- CDCl 3 the i-butyl signals for the (R)-diastereomer appear as an apparent triplet (6H) above 1 ppm.
- Example 5 A procedure analogous to the preparation of Example 5 was followed.
- the appropriate succinate ester was prepared using the method disclosed in PCT publication WO 98/51665, using cyclopropylmethyl iodide for reagent R 3 —X in place of allyl bromide (see Scheme 2).
- This succinate half-ester, a mixture of syn- and anti-isomers, was coupled to the (S) benzodiazepinone-(30) using the procedures of Example 1, Step 1. After Steps 2 and 3, the mixture of butanediamide isomers was separated using silica gel chromatography to provide Example 28a.
- MS (M+H) + 475.
- Example 5 A procedure analogous to the preparation of Example 5 was followed.
- the appropriate succinate ester was prepared using the method disclosed in PCT publication WO 98/51665), using 3-butenyl bromide for R 3 —X in place allyl bromide (see Scheme 2).
- Example 5 A procedure analogous to the preparation of Example 5 was followed.
- the appropriate succinate ester was prepared using the method disclosed in PCT publication WO 98/51665, using 2-(cyclopentyl)ethyl iodide for R 3 —X in place of allyl bromide (see Scheme 2).
- Example 5 A procedure analogous to the preparation of Example 5 was followed.
- the succinate ester of Example 30 was employed.
- the anti-succinate half-ester was coupled to (S)-1,3-dihydro-1-methyl-3-amino-5-(4-trifluoromethylphenyl)-2H-1,4-benzodiazepine-2-one using the procedures of Step 1.
- the required (S)-3-aminobenzodiazepine was prepared by HBr deprotection of the corresponding benzyloxycarbonyl derivative, which was separated from the (R)-isomer using chiral chromatography.
- the racemic Cbz-aminobenzodiazepine was prepared using the method of Sherrill and Sugg (J. Org. Chem.
- Example 5 A procedure analogous to the preparation of Example 5 was followed.
- the diallyl succinate ester was prepared using the method of Curtin et al. (Biorg. Med. Chem. Lett., 8, 1998, 1443-8).
- Example 5 A procedure analogous to the preparation of Example 5 was followed.
- the succinate ester of Example 30 was employed and was coupled to (S)-2,3-dihydro-1-methyl-3-amino-5-(4-chlorophenyl)-1H-1,4-benzodiazepine-2-one using the procedures of Step 1.
- the required (S)-3-aminobenzodiazepine was prepared by HBr deprotection of the corresponding benzyloxycarbonyl derivative, which was separated from the (R)-isomer using chiral chromatography.
- the racemic Cbz-aminobenzodiazepine was prepared using the method of Sherrill and Sugg (J. Org. Chem. 1995, 60, 730-734). After Steps 2 and 3, the title compound was isolated.
- Example 43a Following a procedure analogous to the preparation of Example 1 using 1,3-dihydro-1-(n-propyl)-3-amino-5-phenyl-2H-1,4-benzodiazepine-2-one in place of (30) in Step 1, the title compound was prepared as a mixture of benzodiazepine diastereomers, which were separated using reverse phase HPLC as described for Example 43a.
- the first eluting isomer was assigned the (S)-benzodiazepine configuration using the H-NMR method described for Example 12a.
- the DMF was removed under reduced pressure and the residue was dissolved in ethyl acetate (200 mL), washed with 0.1 N HCl (2 ⁇ 100 mL), 5% aqueous NaHCO 3 (2 ⁇ 100 mL), dried over anhydrous Na 2 SO 4 , and concentrated to yield a brown oil.
- the crude material was further purified via silica gel column chromatography (1% MeOH, 99% CH 2 Cl 2 ) to yield 47′ (0.61 g, 70.5%) as a pale yellow solid.
- t-Butyl ester 47′ (0.61 g, 1.24 mmol) was dissolved in TFA (15 mL) and stirred for 4 h at room temperature under N 2 .
- the TFA was removed under reduced pressure, the residue was dissolved in ethyl acetate (50 mL), washed with a saturated solution of aqueous NaHCO 3 (2 ⁇ 50 mL), dried over anhydrous Na 2 SO 4 , and concentrated to yield 47′′ (0.38 g, 71%) as a pale yellow foam.
- Example 48 Following a procedure analogous to the procedure of Step 3 in Example 1, the title compound, Example 48, was prepared.:
- Table 2 demonstrated representative compounds envisaged within the scope of the present invention. Each formulae at the start of Table 2 are intended to be paired with each entry in the table which follows.
- Example #500-B-j which comprises the core B, succinate j, and entry #500.
- Example #502-D-ab which comprises the core D, succinate ab , and entry #502.
- R 3 and R 5 are: a b c d e f g h i j k l m n o p q r s t u v w x y z aa ab ac ad ae af ag ah ai aj ak al am an ao ap aq ar as at au av aw ax ay az ba bb bc bd be bf bg bh bi bj bk bl bm bn bo bp bq br bs bt Ex# core R3/R5 R13 Z 500 A-S a-bt H methyl 501 A-S a-bt F methyl 502 A-S a-bt Cl methyl 503 A-S a-bt OH methyl
- a ⁇ production has been implicated in the pathology of Alzheimer's Disease (AD).
- the compounds of the present invention have utility for the prevention and treatment of AD by inhibiting A ⁇ production.
- Methods of treatment target formation of A ⁇ production through the enzymes involved in the proteolytic processing of ⁇ amyloid precursor protein.
- the compounds of the present invention have utility for the prevention and treatment of disorders involving A ⁇ production, such as cerebrovascular disorders.
- Compounds of the present invention have been shown to inhibit A ⁇ production, as determined by the secretase inhibition assay described below.
- Compounds of Formula (I) are expected to possess ⁇ -secretase inhibitory activity.
- the ⁇ -secretase inhibitory activity of the compounds of the present invention is demonstrated using assays for such activity, for example, using the assay described below.
- ⁇ g denotes microgram
- mg denotes milligram
- g denotes gram
- ⁇ L denotes microliter
- mL denotes milliliter
- L denotes liter
- nM denotes nanomolar
- ⁇ M denotes micromolar
- mM denotes millimolar
- M denotes molar
- nm denotes nanometer
- SDS7 denotes sodium dodecyl sulfate
- DMSO denotes dimethyl sulfoxide
- EDTA denotes ethylenediaminetetraacetato.
- a compound is considered to be active if it has an IC 50 or K i value of less than about 100 ⁇ M for the inhibition of A ⁇ production.
- a novel assay to evaluate the accumulation of A ⁇ protein was developed to detect potential inhibitors of secretase.
- the assay uses the N 9 cell line, characterized for expression of exogenous APP by immunoblotting and immunoprecipitation.
- test compounds The effect of test compounds on the accumulation of A ⁇ in the conditioned medium is tested by immunoprecipitation. Briefly, N 9 cells are grown to confluency in 6-well plates and washed twice with 1 ⁇ Hank's buffered salt solution. The cells are starved in methionine/cysteine deficient media for 30 min, followed by replacement with fresh deficient media containing 150 uCi S35 Translabel (Amersham). Test compounds dissolved in DMSO (final concentration 1%) are added together with the addition of radiolabel. The cells are incubated for 4 h at 37° C. in a tissue culture incubator.
- the conditioned medium is harvested and pre-cleared by the addition of 5 ⁇ l normal mouse serum and 50 ul of protein A Sepharose (Pharmacia), mixed by end-over-end rotation for 30 minutes at 4° C., followed by a brief centrifugation in a microfuge. The supernatant is then harvested and transferred to fresh tubes containing 5 ug of a monoclonal antibody (clone 1101.1; directed against an internal peptide sequence in A ⁇ ) and 50 ⁇ l protein A Sepharose.
- a monoclonal antibody clone 1101.1; directed against an internal peptide sequence in A ⁇
- the samples are washed three times with high salt washing buffer (50 mM Tris, pH 7.5, 500 mM NaCl, 5 mM EDTA, 0.5% Nonidet P-40), three times with low salt wash buffer (50 mM Tris, pH 7.5, 150 mM NaCl, 5 mM EDTA, 0.5% Nonidet P-40), and three times with 10 mM Tris, pH 7.5.
- high salt washing buffer 50 mM Tris, pH 7.5, 500 mM NaCl, 5 mM EDTA, 0.5% Nonidet P-40
- low salt wash buffer 50 mM Tris, pH 7.5, 150 mM NaCl, 5 mM EDTA, 0.5% Nonidet P-40
- 10 mM Tris pH 7.5.
- the pellet after the last wash is resuspended in SDS sample buffer (Laemmli, 1970) and boiled for 3 minutes. The supernatant is then fractionated on either 10-20% Tris/Tricine
- the gels are dried and exposed to X-ray film or analyzed by phosphorimaging. The resulting image is analyzed for the presence of A ⁇ polypeptides.
- the steady-state level of A ⁇ in the presence of a test compound is compared to wells treated with DMSO (1%) alone.
- a typical test compound blocks A, accumulation in the conditioned medium, and is therefore considered active, with an IC 50 less than 100 ⁇ M.
- test compounds The effect of test compounds on the accumulation of C-terminal fragments is determined by immunoprecipitation of APP and fragments thereof from cell lysates.
- N 9 cells are metabolically labeled as above in the presence or absence of test compounds.
- the conditioned medium are harvested and cells lysed in RIPA buffer (10 mM Tris, pH 8.0 containing 1% Triton X-100, 1% deoxycholate, 0.1% SDS, 150 mM NaCl, 0.125% NaN 3 ).
- lysates are precleared with 5 ul normal rabbit serum/50 ul protein A Sepharose, followed by the addition of BC-1 antiserum (15 ⁇ l;) and 50 ⁇ l protein A Sepharose for 16 hours at 4° C.
- the immunoprecipitates are washed as above, bound proteins eluted by boiling in SDS sample buffer and fractionated by Tris/Tricine SDS-PAGE. After exposure to X-ray film or phosphorimager, the resulting images are analyzed for the presence of C-terminal APP fragments.
- the steady-state level of C-terminal APP fragments is compared to wells treated with DMSO (1%) alone.
- a typical test compound stimulates C-terminal fragment accumulation in the cell lysates, and is therefore considered active, with an IC 50 less than 100 ⁇ M.
- This immunoprecipitation assay is specific for ⁇ secretase (i.e., proteolytic activity required to generate the C-terminal end of A ⁇ either by direct cleavage or generating a C-terminal extended species which is subsequently further proteolyzed).
- N 9 cells are pulse labeled in the presence of a reported ⁇ secretase inhibitor (MDL 28170) for 1 h, followed by washing to remove radiolabel and MDL 28170. The media is replaced and test compounds are added. The cells are chased for increasing periods of times and A ⁇ is isolated from the conditioned medium and C-terminal fragments from cell lysates (see above).
- test compounds are characterized whether a stabilization of C-terminal fragments is observed and whether A ⁇ is generated from these accumulated precursor.
- a typical test compound prevents the generation of A ⁇ out of accumulated C-terminal fragments and is considered active with an IC 50 less than 100 ⁇ M.
- the compounds of the present invention can be administered in such oral dosage forms as tablets, capsules (each of which includes sustained release or timed release dosage forms as tablets, powders, granules, elixirs, tinctures, suspensions, syrups, and emulsions. Likewise, they may also be administered in intravenous (bolus or infusion), intraperitoneal, subcutaneous, or intramuscular form, all using dosage forms well known to those of ordinary skill in the pharmaceutical arts. An effective but non-toxic amount of the compound desired can be employed to prevent or treat neurological disorders related to ⁇ -amyloid production or accumulation, such as Alzheimer's disease and Down's Syndrome.
- the compounds of this invention can be administered by any means that produces contact of the active agent with the agent's site of action in the body of a host, such as a human or a mammal. They can be administered by any conventional means available for use in conjunction with pharmaceuticals, either as individual therapeutic agents or in a combination of therapeutic agents. They can be administered alone, but generally administered with a pharmaceutical carrier selected on the basis of the chosen route of administration and standard pharmaceutical practice.
- the dosage regimen for the compounds of the present invention will, of course, vary depending upon known factors, such as the pharmacodynamic characteristics of the particular agent and its mode and route of administration; the species, age, sex, health, medical condition, and weight of the recipient; the nature and extent of the symptoms; the kind of concurrent treatment; the frequency of treatment; the route of administration, the renal and hepatic function of the patient, and the effect desired.
- An ordinarily skilled physician or veterinarian can readily determine and prescribe the effective amount of the drug required to prevent, counter, or arrest the progress of the condition.
- compounds of the present invention may be administered in a single daily dose, or the total daily dosage may be administered in divided doses of two, daily.
- the compounds herein described in detail can form the active ingredient, and are typically administered in admixture with suitable pharmaceutical diluents, excipients, or carriers (collectively referred to herein as carrier materials) suitably selected with respect to the intended form of administration, that is, oral tablets, capsules, elixirs, syrups and the like, and consistent with conventional pharmaceutical practices.
- suitable pharmaceutical diluents, excipients, or carriers (collectively referred to herein as carrier materials) suitably selected with respect to the intended form of administration, that is, oral tablets, capsules, elixirs, syrups and the like, and consistent with conventional pharmaceutical practices.
- the active drug component can be combined with an oral, non-toxic, pharmaceutically acceptable, inert carrier such as lactose, starch, sucrose, glucose, methyl callulose, magnesium stearate, dicalcium phosphate, calcium sulfate, mannitol, sorbitol and the like; for oral administration in liquid form, the oral drug components can be combined with any oral, non-toxic, pharmaceutically acceptable inert carrier such as ethanol, glycerol, water, and the like.
- suitable binders, lubricants, disintegrating agents, and coloring agents can also be incorporated into the mixture.
- Suitable binders include starch, gelatin, natural sugars such as glucose or ⁇ -lactose, corn sweeteners, natural and synthetic gums such as acacia, tragacanth, or sodium alginate, carboxymethylcellulose, polyethylene glycol, waxes, and the like.
- Lubricants used in these dosage forms include sodium oleate, sodium stearate, magnesium stearate, sodium benzoate, sodium acetate, sodium chloride, and the like.
- Disintegrators include, without limitation, starch, methyl cellulose, agar, bentonite, xantha gum, and the like.
- the compounds of the present invention can also be administered in the form of liposome delivery systems, such as small unilamellar vesicles, large unilamallar vesicles, and multilamellar vesicles.
- Liposomes can be formed from a variety of phospholipids, such as cholesterol, stearylamine, or phosphatidylcholines.
- Compounds of the present invention may also be coupled with soluble polymers as targetable drug carriers.
- soluble polymers can include polyvinylpyrrolidone, pyran copolymer, polyhydroxypropylmethacrylamide-phenol, polyhydroxyethylaspartamidephenol, or polyethyleneoxide-polylysine substituted with palmitoyl residues.
- the compounds of the present invention may be coupled to a class of biodegradable polymers useful in achieving controlled release of a drug, for example, polylactic acid, polyglycolic acid, copolymers of polylactic and polyglycolic acid, polyepsilon caprolactone, polyhydroxy butyric acid, polyorthoesters, polyacetals, polydihydropyrans, polycyanoacylates, and crosslinked or amphipathic block copolymers of hydrogels.
- a drug for example, polylactic acid, polyglycolic acid, copolymers of polylactic and polyglycolic acid, polyepsilon caprolactone, polyhydroxy butyric acid, polyorthoesters, polyacetals, polydihydropyrans, polycyanoacylates, and crosslinked or amphipathic block copolymers of hydrogels.
- Gelatin capsules may contain the active ingredient and powdered carriers, such as lactose, starch, cellulose derivatives, magnesium stearate, stearic acid, and the like. Similar diluents can be used to make compressed tablets. Both tablets and capsules can be manufactured as sustained release products to provide for continuous release of medication over a period of hours. Compressed tablets can be sugar coated or film coated to mask any unpleasant taste and protect the table from the atmosphere, or enteric coated for selective disintegration in the gastrointestinal tract.
- powdered carriers such as lactose, starch, cellulose derivatives, magnesium stearate, stearic acid, and the like. Similar diluents can be used to make compressed tablets. Both tablets and capsules can be manufactured as sustained release products to provide for continuous release of medication over a period of hours. Compressed tablets can be sugar coated or film coated to mask any unpleasant taste and protect the table from the atmosphere, or enteric coated for selective disintegration in the gastrointestinal tract.
- Liquid dosage forms for oral administration can contain coloring and flavoring to increase patient acceptance,
- water a suitable oil, saline, aqueous dextrose (glucose), and related sugar solutions and glycols such as propylene glycol or polyethylene glycols are suitable carriers for parenteral solutions.
- Solutions for parenteral administration preferably contain a water soluble salt of the active ingredient, suitable stabilizing agents, and if necessary, buffer substances.
- Antioxidizing agents such as sodium bisulfite, sodium sulfite, or ascorbic acid, either alone or combined, are suitable stabilizing agents.
- citric acid and its salts and sodium EDTA are also used.
- parenteral solutions can contain preservatives benzalkonium chloride, methyl- or propyl-paraben, and chlorobutanol.
- Suitable pharmaceutical carriers are described in Remington's Pharmaceutical Sciences, Mack Publishing Company, a standard reference text in this field.
Landscapes
- Organic Chemistry (AREA)
- Chemical & Material Sciences (AREA)
- Health & Medical Sciences (AREA)
- Bioinformatics & Cheminformatics (AREA)
- Engineering & Computer Science (AREA)
- General Health & Medical Sciences (AREA)
- Veterinary Medicine (AREA)
- Nuclear Medicine, Radiotherapy & Molecular Imaging (AREA)
- General Chemical & Material Sciences (AREA)
- Pharmacology & Pharmacy (AREA)
- Life Sciences & Earth Sciences (AREA)
- Animal Behavior & Ethology (AREA)
- Chemical Kinetics & Catalysis (AREA)
- Public Health (AREA)
- Medicinal Chemistry (AREA)
- Biomedical Technology (AREA)
- Neurosurgery (AREA)
- Neurology (AREA)
- Hospice & Palliative Care (AREA)
- Psychiatry (AREA)
- Pharmaceuticals Containing Other Organic And Inorganic Compounds (AREA)
- Plural Heterocyclic Compounds (AREA)
- Heterocyclic Carbon Compounds Containing A Hetero Ring Having Oxygen Or Sulfur (AREA)
- Hydrogenated Pyridines (AREA)
Abstract
This invention relates to novel lactams having the formula (I):
to their pharmaceutical compositions and to their methods of use. These novel compounds inhibit the processing of amyloid precursor protein and, more specifically, inhibit the production of Aβ-peptide, thereby acting to prevent the formation of neurological deposits of amyloid protein. More particularly, the present invention relates to the treatment of neurological disorders related to β-amyloid production such as Alzheimer's disease and Down's Syndrome.
Description
- This is a divisional application of U.S. patent application Ser. No. 11/331,791, filed Jan. 13, 2006, which is a divisional application of U.S. patent application Ser. No. 11/230,203, filed Sep. 19, 2005, (now U.S. Pat. No. 7,304,049), which is a continuation application of U.S. patent application Ser. No. 09/505,788, filed Feb. 17, 2000, (now U.S. Pat. No. 7,053,084), which is a continuation-in-part of U.S. patent application Ser. No. 09/469,939, filed Dec. 24, 1999, abandoned, which claims benefit of U.S. Provisional application Ser. No. 60/133,588, filed Dec. 24, 1998, the contents of which are incorporated herein in their entirety.
- This invention relates to novel lactams having drug and bio-affecting properties, their pharmaceutical compositions and methods of use. These novel compounds inhibit the processing of amyloid precursor protein and, more specifically, inhibit the production of Aβ-peptide, thereby acting to prevent the formation of neurological deposits of amyloid protein. More particularly, the present invention relates to the treatment of neurological disorders related to β-amyloid production such as Alzheimer's disease and Down's Syndrome.
- Alzheimer's disease (Aβ) is a degenerative brain disorder characterized clinically by progressive loss of memory, temporal and local orientation, cognition, reasoning, judgment and emotionally stability. Aβ is a common cause of progressive dementia in humans and is one of the major causes of death in the United States. Aβ has been observed in all races and ethnic groups worldwide, and is a major present and future health problem. No treatment that effectively prevents Aβ or reverses the clinical symptoms and underlying pathophysiology is currently available (for review, Selkoe, 1994).
- Histopathological examination of brain tissue derived upon autopsy or from neurosurgical specimens in effected individuals revealed the occurrence of amyloid plaques and neurofibrillar tangles in the cerebral cortex of such patients. Similar alterations were observed in patients with Trisomy 21 (Down's syndrome), and hereditary cerebral hemorrhage with amyloidosis of the Dutch-type. Neurofibrillar tangles are nonmembrane-bound bundles of abnormal proteinaceous filaments and biochemical and immunochemical studies led to the conclusion that their principle protein subunit is an altered phosphorylated form of the tau protein (reviewed in Selkoe, 1994).
- Biochemical and immunological studies revealed that the dominant proteinaceous component of the amyloid plaque is an approximately 4.2 kilodalton (kD) protein of about 39 to 43 amino acids. This protein was designated Aβ,β-amyloid peptide, and sometimes β/A4; referred to herein as Aβ. In addition to its deposition in amyloid plaques, Aβ is also found in the walls of meningeal and parenchymal arterioles, small arteries, capillaries, and sometimes, venules. Aβ was first purified and a partial amino acid reported in 1984 (Glenner and Wong, Biochem. Biophys. Res. Commun. 120: 885-890). The isolation and sequence data for the first 28 amino acids are described in U.S. Pat. No. 4,666,829.
- Compelling evidence accumulated during the last decade revealed that Aβ is an internal polypeptide derived from a type 1 integral membrane protein, termed β amyloid precursor protein (APP). β APP is normally produced by many cells both in vivo and in cultured cells, derived from various animals and humans. Aβ is derived from cleavage of β APP by as yet unknown enzyme (protease) system(s), collectively termed secretases.
- The existence of at least four proteolytic activities has been postulated. They include β secretase(s), generating the N-terminus of Aβ, α secretase(s) cleaving around the 16/17 peptide bond in Aβ, and γ secretases, generating C-terminal Aβ fragments ending at position 38, 39, 40, 42, and 43 or generating C-terminal extended precursors which are subsequently truncated to the above polypeptides.
- Several lines of evidence suggest that abnormal accumulation of Aβ plays a key role in the pathogenesis of Aβ. Firstly, Aβ is the major protein found in amyloid plaques. Secondly, Aβ is neurotoxic and may be causally related to neuronal death observed in Aβ patients. Thirdly, missense DNA mutations at position 717 in the 770 isoform of β APP can be found in effected members but not unaffected members of several families with a genetically determined (familiar) form of AD. In addition, several other β APP mutations have been described in familiar forms of AD. Fourthly, similar neuropathological changes have been observed in transgenic animals overexpressing mutant forms of human βAPP. Fifthly, individuals with Down's syndrome have an increased gene dosage of β APP and develop early-onset AD. Taken together, these observations strongly suggest that Aβ depositions may be causally related to the AD.
- It is hypothesized that inhibiting the production of Aβ will prevent and reduce neurological degeneration, by controlling the formation of amyloid plaques, reducing neurotoxicity and, generally, mediating the pathology associated with Aβ production. One method of treatment methods would therefore be based on drugs that inhibit the formation of Aβ in vivo.
- Methods of treatment could target the formation of Aβ through the enzymes involved in the proteolytic processing of β amyloid precursor protein. Compounds that inhibit β or γ secretase activity, either directly or indirectly, could control the production of Aβ. Advantageously, compounds that specifically target γ secretases, could control the production of Aβ. Such inhibition of β or γ secretases could thereby reduce production of Aβ, which, thereby, could reduce or prevent the neurological disorders associated with Aβ protein.
- PCT publication number WO 96/29313 discloses the general formula:
- covering metalloprotease inhibiting compounds useful for the treatment of diseases associated with excess and/or unwanted matrix metalloprotease activity, particularly collagenase and or stromelysin activity.
- Compounds of general formula:
- are disclosed in PCT publication number WO 95/22966 relating to matrix metalloprotease inhibitors. The compounds of the invention are useful for the treatment of conditions associated with the destruction of cartilage, including corneal ulceration, osteoporosis, periodontitis and cancer.
- European Patent Application number EP 0652009A1 relates to the general formula:
- and discloses compounds that are protease inhibitors that inhibit Aβ production.
- U.S. Pat. No. 5,703,129 discloses the general formula:
- which cover 5-amino-6-cyclohexyl-4-hydroxy-hexanamide derivatives that inhibit Aβ production and are useful in the treatment of Alzheimer's disease.
- Copending, commonly assigned U.S. patent application Ser. No. 09/370,089 filed Aug. 7, 1999 (equivalent to international application PCT US99/17717) discloses lactams of general formula:
- wherein the lactam ring B is substituted by succinamide and a carbocyclic, aryl, or heteroaryl group. These compounds inhibit the processing of amyloid precursor protein and, more specifically, inhibit the production of Aβ-peptide, thereby acting to prevent the formation of neurological deposits of amyloid protein.
- None of the above references teaches or suggests the compounds of the present invention which are described in detail below.
- One object of the present invention is to provide novel compounds which are useful inhibitors of the production of Aβ protein or pharmaceutically acceptable salts or prodrugs thereof.
- It is another object of the present invention to provide pharmaceutical compositions comprising a pharmaceutically acceptable carrier and a therapeutically effective amount of at least one of the compounds of the present invention or a pharmaceutically acceptable salt or prodrug form thereof.
- It is another object of the present invention to provide a method for treating degenerative neurological disorders comprising administering to a host in need of such treatment a therapeutically effective amount of at least one the compounds of the present invention or a pharmaceutically acceptable salt or prodrug form thereof.
- These and other objects, which will become apparent during the following detailed description, have been achieved by the inventors discovery that compounds of Formula (I):
- or pharmaceutically acceptable salt or prodrug forms thereof, wherein R3, R3a, R5, R5a, R6, A, Q, B, and Z are defined below, are effective inhibitors of the production of Aβ.
- Thus, in a first embodiment, the present invention provides a novel compound of Formula (I):
- or a pharmaceutically acceptable salt or prodrug thereof, wherein:
- A is selected from O and S;
- Q is —NR1R2;
- R1, at each occurrence, is independently selected from:
- H;
- C1-C6 alkyl substituted with 0-3 R1a;
- C3-C10 carbocycle substituted with 0-3 R1b;
- C6-C10 aryl substituted with 0-3 R1b; and
- 5 to 10 membered heterocycle containing 1 to 4 heteroatoms selected from nitrogen, oxygen, and sulphur, wherein said 5 to 10 membered heterocycle is substituted with 0-3 R1b;
- R1a, at each occurrence, is independently selected from H, C1-C6 alkyl Cl, F. Br, I, ═O, CN, NO2, NR15R16, CF3;
- C3-C10 carbocycle substituted with 0-3 R1b;
- C6-C10 aryl substituted with 0-3 R1b; and
- 5 to 10 membered heterocycle containing 1 to 4 heteroatoms selected from nitrogen, oxygen, and sulphur, wherein said 5 to 10 membered heterocycle is substituted with 0-3 R1b;
- R1b, at each occurrence, is independently selected from H, OH, Cl, F, Br, I, CN, NO2, NR15R16, CF3, C1-C6 alkyl, C1-C4 alkoxy, C1-C6 haloalkyl, and C1-C4 haloalkoxy;
- R2 is independently selected from H, C1-C6 alkyl, C3-C10 carbocycle, C6-C10 aryl, and 5 to 10 membered heterocycle containing 1 to 4 heteroatoms selected from nitrogen, oxygen, and sulphur;
- R3 is —(CR7R7a)n—R4,
- —(CR7R7a)n—S—(CR7R7a)m—R4,
- —(CR7R7a)n—O—(CR7R7a)m—R4,
- —(CR7R7a)n—N(R7b)—(CR7R7a)m—R4,
- —(CR7R7a)n—S(═O)—(CR7R7a)m—R4,
- —(CR7R7a)n—S(═O)2—(CR7R7a)m—R4,
- —(CR7R7a)n—C(═O)—(CR7R7a)m—R4,
- —(CR7R7a)n—N(R7b)C(═O)—(CR7R7a)m—R4,
- —(CR7R7a)n—C(═O)N(R7b)—(CR7R7a)m—R4,
- —(CR7R7a)n—N(R7b)S(═O)2—(CR7R7a)m—R4, or
- —(CR7R7a)n—S(═O)2N(R7b)—(CR7R7a)m—R4;
- n is 0, 1, 2, or 3;
- m is 0, 1, 2, or 3;
- R3a is H, OH, C1-C4 alkyl, C1-C4 alkoxy, C2-C4 alkenyl or C2-C4 alkenyloxy;
- R4 is H, OH, OR14a,
- C1-C6 alkyl substituted with 0-3 R4a,
- C2-C6 alkenyl substituted with 0-3 R4a,
- C2-C6 alkynyl substituted with 0-3 R4a,
- C3-C10 carbocycle substituted with 0-3 R4b,
- C6-C10 aryl substituted with 0-3 R4b, or
- 5 to 10 membered heterocycle containing 1 to 4 heteroatoms selected from nitrogen, oxygen, and sulphur, wherein said 5 to 10 membered heterocycle is substituted with 0-3 R4b;
- R4a, at each occurrence, is independently selected from is H, F, Cl, Br, I, CF3,
- C3-C10 carbocycle substituted with 0-3 R4b,
- C6-C10 aryl substituted with 0-3 R4b, or
- 5 to 10 membered heterocycle containing 1 to 4 heteroatoms selected from nitrogen, oxygen, and sulphur, wherein said 5 to 10 membered heterocycle is substituted with 0-3 R4b;
- R4b, at each occurrence, is independently selected from H, OH, Cl, F, Br, I, CN, NO2, NR15R16,
- CF3, acetyl, SCH3, S(═O)CH3, S(═O)2CH3,
- C1-C6 alkyl, C1-C4 alkoxy, C1-C4 haloalkyl,
- C1-C4 haloalkoxy, and C1-C4 halothioalkyl-S—;
- R5 is H, OR14;
- C1-C6 alkyl substituted with 0-3 R5b;
- C1-C6 alkoxy substituted with 0-3 R5b;
- C2-C6 alkenyl substituted with 0-3 R5b;
- C2-C6 alkynyl substituted with 0-3 R5b;
- C3-C10 carbocycle substituted with 0-3 R5c;
- C6-C10 aryl substituted with 0-3 R5c; or
- 5 to 10 membered heterocycle containing 1 to 4 heteroatoms selected from nitrogen, oxygen, and sulphur, wherein said 5 to 10 membered heterocycle is substituted with 0-3 R5c;
- R5a is H, OH, C1-C4 alkyl, C1-C4 alkoxy, C2-C4 alkenyl, or C2-C4 alkenyloxy;
- R5b, at each occurrence, is independently selected from:
- H, C1-C6 alkyl, CF3, OR14, Cl, F, Br, I, ═O, CN, NO2, NR15R16;
- C3-C10 carbocycle substituted with 0-3 R5c;
- C6-C10 aryl substituted with 0-3 R5c; or
- 5 to 10 membered heterocycle containing 1 to 4 heteroatoms selected from nitrogen, oxygen, and sulphur, wherein said 5 to 10 membered heterocycle is substituted with 0-3 R5c;
- R5c, at each occurrence, is independently selected from H, OH, Cl, F, Br, I, CN, NO2, NR15R16,
- CF3, acetyl, SCH3, S(═O)CH3, S(═O)2CH3,
- C1-C6 alkyl, C1-C4 alkoxy, C1-C4 haloalkyl,
- C1-C4 haloalkoxy, and C1-C4 halothioalkyl-S—;
- R6 is H;
- C1-C6 alkyl substituted with 0-3 R6a;
- C3-C10 (carbocycle substituted with 0-3 R6b; or
- C6-C10 (aryl substituted with 0-3 R6b;
- R6a, at each occurrence, is independently selected from H, C1-C6 alkyl, OR14, Cl, F, Br, I, ═O, CN, NO2, NR15R16, aryl or CF3;
- R6b, at each occurrence, is independently selected from H, OH, Cl, F, Br, I, CN, NO2, NR15R16, CF3, C1-C6 alkyl, C1-C4 alkoxy, C1-C4 haloalkyl, and C1-C4 haloalkoxy;
- R7, at each occurrence, is independently selected from H, OH, Cl, F, Br, I, CN, NO2, CF3, phenyl and C1-C4 alkyl;
- R7a, at each occurrence, is independently selected from H, OH, Cl, F, Br, I, CN, NO2, CF3, and C1-C4 alkyl;
- R7b is independently selected from H and C1-C4 alkyl;
- Ring B is a 7 membered lactam or thiolactam,
- wherein the lactam or thiolactam is saturated, partially saturated or unsaturated;
- wherein each additional lactam carbon or thiolactam carbon is substituted with 0-2 R11; and,
- optionally, the lactam or thiolactam contains a heteroatom selected from —O—, —S—, —S(═O)—, —S(═O)2—, —N═, —NH—, and —N(R11)—;
- additionally, two R11 substituents on adjacent atoms may be combined to form a benzo fused radical; wherein said benzo fused radical is substituted with 0-4 R13;
- additionally, two R11 substituents on adjacent atoms may be combined to form a 5 to 6 membered heteroaryl fused radical, wherein said 5 to 6 membered heteroaryl fused radical comprises 1 or 2 heteroatoms selected from N, O, and S; wherein said 5 to 6 membered heteroaryl fused radical is substituted with 0-3 R13;
- additionally, two R11 substituents on the same or adjacent carbon atoms may be combined to form a C3-C6 carbocycle substituted with 0-3 R13;
- R10 is H, C(═O)R17, C(═O)OR17, C(═O)NR18R19. S(═O)2NR18R19, S(═O)2R17;
- C1-C6 alkyl optionally substituted with 0-3 R10a;
- C6-C10 aryl substituted with 0-4 R10b;
- C3-C10 carbocycle substituted with 0-3 R10b; or
- 5 to 10 membered heterocycle containing 1 to 4 heteroatoms selected from nitrogen, oxygen, and sulphur, wherein said 5 to 10 membered heterocycle is substituted with 0-3 R10b;
- R10a, at each occurrence, is independently selected from H, C1-C6 alkyl, OR4, Cl, F, Br, I, ═O, CN, NO2, NR15R16, CF3, or aryl substituted with 0-4 R10b;
- R10b, at each occurrence, is independently selected from H, OH, C1-C6 alkyl, C1-C4 alkoxy, Cl, F, Br, I, CN, NO2, NR15R16, CF3, acetyl, SCH3, S(═O)CH3, S(═O)2CH3, C1-C6 alkyl, C1-C4 alkoxy, C1-C4 haloalkyl, C1-C4 haloalkoxy, and C1-C4 haloalkyl-S—;
- R11, at each occurrence, is independently selected from H, C1-C4 alkoxy, Cl, F, Br, I, ═O, CN, NO2, NR18R19, C(═O)R17, C(═O)OR17, C(═O)NR18R19, S(═O)2NR18R19, CF3;
- C1-C6 alkyl optionally substituted with 0-3 R1a; C6-C10 aryl substituted with 0-3 R11 b;
- C3-C10 carbocycle substituted with 0-3 R11 b; or
- 5 to 10 membered heterocycle containing 1 to 4 heteroatoms selected from nitrogen, oxygen, and sulphur, wherein said 5 to 10 membered heterocycle is substituted with 0-3 R11b;
- R11a, at each occurrence, is independently selected from
- H, C1-C6 alkyl, OR14, Cl, F, Br, T, ═O, CN, NO2, NR15R16, CF3; phenyl substituted with 0-3 R11b;
- C3-C6 cycloalkyl substituted with 0-3 R11b; and
- 5 to 6 membered heterocycle containing 1 to 3 heteroatoms selected from nitrogen, oxygen, and sulphur, wherein said 5 to 6 membered heterocycle is substituted with 0-3 R11b;
- R11b, at each occurrence, is independently selected from H, OH, Cl, F, Br, I, CN, NO2, NR15R16, CF3, acetyl, SCH3, S(═O)CH3, S(═O)2CH3, C1-C6 alkyl, C1-C4 alkoxy, C1-C4 haloalkyl, C1-C4 haloalkoxy, and C1-C4 halothioalkyl-S—;
- Z is H;
- C1-C8 alkyl substituted with 1-3 R12;
- C2-C4 alkenyl substituted with 1-3 R12;
- C2-C4 alkynyl substituted with 1-3 R12;
- C1-C8 alkyl substituted with 0-3 R12a;
- C2-C4 alkenyl substituted with 0-3 R12a;
- C2-C4 alkynyl substituted with 0-3 R12a;
- C6-C10 aryl substituted with 0-4 R12b;
- C3-C10 carbocycle substituted with 0-4 R12b; or
- 5 to 10 membered heterocycle containing 1 to 4 heteroatoms selected from nitrogen, oxygen, and sulphur, wherein said 5 to 10 membered heterocycle is substituted with 0-3 R12b;
- R12, at each occurrence, is independently selected from
- C6-C10 aryl substituted with 0-4 R12b;
- C3-C10 carbocycle substituted with 0-4 R12b; or
- 5 to 10 membered heterocycle containing 1 to 4 heteroatoms selected from nitrogen, oxygen, and sulphur, wherein said 5 to 10 membered heterocycle is substituted with 0-3 R12b;
- R12a, at each occurrence, is independently selected from
- H, OH, Cl, F, Br, I, CN, NO2, NR15R16, —C(═O)NR15R16, CF3, acetyl, SCH3, S(═O)CH3, S(═O)2CH3,
- C1-C6 alkyl, C1-C4 alkoxy, C1-C4 haloalkyl,
- C1-C4 haloalkoxy, or C1-C4 halothioalkyl-S—;
- R12b, at each occurrence, is independently selected from
- H, OH, Cl, F, Br, I, CN, NO2, NR15R16, CF3, acetyl, SCH3, S(═O)CH3, S(═O)2CH3,
- C1-C6 alkyl, C1-C4 alkoxy, C1-C4 haloalkyl,
- C1-C4 haloalkoxy, and C1-C4 halothioalkyl-S—;
- R13, at each occurrence, is independently selected from
- H, OH, C1-C6 alkyl, C1-C4 alkoxy, Cl, F, Br, I, CN, NO2, NR15R16, and CF3;
- R14 is H, phenyl, benzyl, C1-C6 alkyl, C2-C6 alkoxyalkyl, or C3-C6 cycloalkyl;
- R14a is 11, phenyl, benzyl, or C1-C4 alkyl;
- R15, at each occurrence, is independently selected from H, C1-C6 alkyl, benzyl, phenethyl, (C1-C6 alkyl)-C(═O)—, and (C1-C6 alkyl)-S(═O)2—;
- R16, at each occurrence, is independently selected from
- H, OH, C1-C6 alkyl, benzyl, phenethyl,
- (C1-C6 alkyl)-C(═O)—, and (C1-C6 alkyl)-S(═O)2—;
- R17 is H, C1-C6 alkyl, C2-C6 alkoxyalkyl,
- aryl substituted by 0-4 R17a, or
- —CH2-aryl substituted by 0-4 R17a;
- R17a is H, methyl, ethyl, propyl, butyl, methoxy, ethoxy, propoxy, butoxy, —OH, F, Cl, Br, I, CF3, OCF3, SCH3, S(O)CH3, SO2CH3, —NH2, —N(CH3)2, or C1-C4 haloalkyl;
- R18, at each occurrence, is independently selected from
- H, C1-C6 alkyl, phenyl, benzyl, phenethyl, (C1-C6 alkyl)-C(═O)—, and (C1-C6 alkyl)-S(═O)2—; and
- R19, at each occurrence, is independently selected from H, OH, C1-C6 alkyl, phenyl, benzyl, phenethyl, (C1-C6 alkyl)-C(═O)—, and (C1-C6 alkyl)-S(═O)2—;
- provided, when R13 is H,
- then Z is H;
- C4-C8 alkyl substituted with 1-3 R12;
- C2-C4 alkenyl substituted with 1-3 R12;
- C2-C4 alkynyl substituted with 1-3 R12;
- C1-C8 alkyl substituted with 0-3 R12a;
- C2-C4 alkenyl substituted with 0-3 R12a; or
- C2-C4 alkynyl substituted with 0-3 R12a; and
- provided, when ring B is a 1,3,4,5-tetrahydro-1-(Z)-5-(R10)-6,6,7,7-tetra(R11)-2,4-dioxo-2H-1,5-diazepin-3-yl core, and R13 is H; then
- R10 is H, C(═O)R17, C(═O)OR17, C(═O)NR18R19, S(═O)2NR18R19, S(═O)2R17; or
- C1-C6 alkyl optionally substituted with 0-3 R10a;
- R10a, at each occurrence, is independently selected from
- H, C1-C6 alkyl, OR14, Cl, F, Br, I, ═O, CN, NO2, NR15R16, and CF3.
- [2] In a preferred embodiment the present invention provides for a compound of Formula (Ia):
- or a pharmaceutically acceptable salt or prodrug thereof,
wherein: - Z is H;
- C1-C8 alkyl substituted with 0-3 R12a; C2-C4 alkenyl substituted with 0-3 R12a; or C2-C4 alkynyl substituted with 0-3 R12a.
- [3] In a more preferred embodiment the present invention provides for a compound of Formula (Ia):
- wherein:
- R3 is —(CR7R7a)n—R4,
- —(CR7R7a)n—S—(CR7R7a)m—R4,
- —(CR7R7a)n—O—(CR7R7a)m—R4, or
- —(CR7R7a)n—N(R7b)—(CR7R7a)m—R4;
- n is 0, 1, or 2;
- m is 0, 1, or 2;
- R3a is H, OH, methyl, ethyl, propyl, butyl, methoxy, ethoxy, propoxy, butoxy, allyl, or 3-buten-1-yl;
- R4 is H, OH, OR14a,
- C1-C6 alkyl substituted with 0-3 R4a,
- C2-C6 alkenyl substituted with 0-3 R4a,
- C2-C6 alkynyl substituted with 0-3 R4a,
- C3-C10 carbocycle substituted with 0-3 R4b,
- C6-C10 aryl substituted with 0-3 R4b, or
- 5 to 10 membered heterocycle containing 1 to 4 heteroatoms selected from nitrogen, oxygen, and sulphur, wherein said 5 to 10 membered heterocycle is substituted with 0-3 R4b;
- R4a, at each occurrence, is independently selected from is H, F, Cl, Br, I, CF3,
- C3-C10 carbocycle substituted with 0-3 R4b,
- C6-C10 aryl substituted with 0-3 R4b, or
- 5 to 10 membered heterocycle containing 1 to 4 heteroatoms selected from nitrogen, oxygen, and sulphur, wherein said 5 to 10 membered heterocycle is substituted with 0-3 R4b;
- R4b, at each occurrence, is independently selected from H, OH, Cl, F, Br, I, CN, NO2, NR15R16, CF3, acetyl, SCH3, S(═O)CH3, S(═O)2CH3, C1-C6 alkyl, C1-C4 alkoxy, C1-C4 haloalkyl, and C1-C4 haloalkoxy;
- R5 is H, OR4;
- C1-C6 alkyl substituted with 0-3 R5b; C1-C6 alkoxy substituted with 0-3 R5b;
- C2-C6 alkenyl substituted with 0-3 R5b; C2-C6 alkynyl substituted with 0-3 R5b;
- C3-C10 carbocycle substituted with 0-3 R5c; C6-C10 aryl substituted with 0-3 R5c; or
- 5 to 10 membered heterocycle containing 1 to 4 heteroatoms selected from nitrogen, oxygen, and sulphur, wherein said 5 to 10 membered heterocycle is substituted with 0-3 R5c;
- R5a is H or C1-C4 alkyl;
- R5b, at each occurrence, is independently selected from:
- H, C1-C6 alkyl, CF3, OR14, Cl, F, Br, I, ═O, CN, NO2, NR15R16;
- C3-C10 carbocycle substituted with 0-3 R5c;
- C6-C10 aryl substituted with 0-3 R5c; or
- 5 to 10 membered heterocycle containing 1 to 4 heteroatoms selected from nitrogen, oxygen, and sulphur, wherein said 5 to 10 membered heterocycle is substituted with
- R5c, at each occurrence, is independently selected from H, OH, Cl, F, Br, I, CN, NO2, NR15R16, CF3, acetyl, SCH3, S(═O)CH3, S(═O)2CH3, C1-C6 alkyl, C1-C4 alkoxy, C1-C4 haloalkyl, and C1-C4 haloalkoxy;
- R6 is H, methyl, or ethyl;
- R7, at each occurrence, is independently selected from H, OH, Cl, F, Br, I, CN, NO2, CF3, phenyl and C1-C4 alkyl;
- R7a, at each occurrence, is independently selected from H, OH, Cl, F, Br, I, CN, NO2, CF3, and C1-C4 alkyl;
- R7b is independently selected from H, methyl, ethyl, propyl, and butyl;
- Ring B is a 7 membered lactam or thiolactam,
- wherein the lactam or thiolactam is saturated, partially saturated or unsaturated;
- wherein each additional lactam carbon or thiolactam carbon is substituted with 0-2 R11; and,
- optionally, the lactam or thiolactam contains a heteroatom selected from, —O—, —S—, —S(═O)—, —S(═O)2—, —N═, —NH—, and —N(R10)—;
- additionally, two R11 substituents on adjacent atoms may be combined to form a benzo fused radical; wherein said benzo fused radical is substituted with 0-3 R13;
- additionally, two R11 substituents on adjacent atoms may be combined to form a 5 to 6 membered heteroaryl fused radical, wherein said 5 to 6 membered heteroaryl fused radical comprises 1 or 2 heteroatoms selected from N, O, and S; wherein said 5 to 6 membered heteroaryl fused radical is substituted with 0-3 R13;
- additionally, two R11 substituents on the same or adjacent carbon atoms may be combined to form a C3-C6 carbocycle substituted with 0-3 R13;
- R10 is H, C(═O)R17, C(═O)OR17, C(═O)NR18R19, S(═O)2NR18R19, S(═O)2R17;
- C1-C6 alkyl optionally substituted with 0-2 R10a; C6-C10 aryl substituted with 0-4 R10b;
- C3-C10 carbocycle substituted with 0-3 R10b; or
- 5 to 10 membered heterocycle containing 1 to 4 heteroatoms selected from nitrogen, oxygen, and sulphur, wherein said 5 to 10 membered heterocycle is substituted with 0-3 R10b;
- R10a, at each occurrence, is independently selected from H, C1-C6 alkyl, OR14, Cl, F, Br, I, ═O, CN, NO2, NR15R16, CF3, or phenyl substituted with 0-4 R10b;
- R10b, at each occurrence, is independently selected from H, OH, C1-C6 alkyl, C1-C4 alkoxy, Cl, F, Br, I, CN, NO2, NR15R16, or CF3;
- R11, at each occurrence, is independently selected from
- H, C1-C4 alkoxy, Cl, F, Br, I, ═O, CN, NO2, NR18R19, C(═O)R17, C(═O)OR17, C(═O)NR18R19, S(═O)2NR18R19, CF3;
- C1-C6 alkyl optionally substituted with 0-3 R11a; C6-C10 aryl substituted with 0-3 R11b;
- C3-C10 carbocycle substituted with 0-3 R11b; or
- 5 to 10 membered heterocycle containing 1 to 4 heteroatoms selected from nitrogen, oxygen, and sulphur, wherein said 5 to 10 membered heterocycle is substituted with 0-3 R11b;
- R11a, at each occurrence, is independently selected from H, C1-C6 alkyl, OR14, Cl, F, Br, I, ═O, CN, NO2, NR15R16, CF3, or phenyl substituted with 0-3 R11b;
- R11b, at each occurrence, is independently selected from
- H, OH, Cl, F, Br, I, CN, NO2, NR15R16, CF3, acetyl, SCH3, S(═O)CH3, S(═O)2CH3, C1-C6 alkyl, C1-C4 alkoxy, C1-C4 haloalkyl, and C1-C4 haloalkoxy;
- Z is H;
- C1-C6 alkyl substituted with 0-3 R12a;
- C2-C4 alkenyl substituted with 0-3 R12a, or
- C2-C4 alkynyl substituted with 0-3 R12a;
- R12a, at each occurrence, is independently selected from
- H, OH, Cl, F, Br, I, CN, NO2, NR15R16, CF3, acetyl, SCH3, S(═O)CH3, S(═O)2CH3, C1-C6 alkyl, C1-C4 alkoxy, C1-C4 haloalkyl, and C1-C4 haloalkoxy;
- R13, at each occurrence, is independently selected from
- H, OH, C1-C6 alkyl, C1-C4 alkoxy, Cl, F, Br, I, CN, NO2, NR15R16 and CF3;
- R14 is H, phenyl, benzyl, C1-C6 alkyl, or C2-C6 alkoxyalkyl;
- R14a is H, phenyl, benzyl, methyl, ethyl, propyl, or butyl;
- R15, at each occurrence, is independently selected from H, C1-C6 alkyl, benzyl, phenethyl, (C1-C6 alkyl)-C(═O)—, and (C1-C6 alkyl)-S(═O)2—;
- R16, at each occurrence, is independently selected from
- H, OH, C1-C6 alkyl, benzyl, phenethyl,
- (C1-C6 alkyl)-C(═O)—, and (C1-C6 alkyl)-S(═O)2—;
- R17 is H, C1-C6 alkyl, C2-C6 alkoxyalkyl,
- aryl substituted by 0-4 R17a, or
- —CH2-aryl substituted by 0-4 R17a;
- R17a is H, methyl, ethyl, propyl, butyl, methoxy, ethoxy, propoxy, butoxy, —OH, F, Cl, Br, I, CF3, OCF3, SCH3, S(O)CH3, SO2CH3, —NH2, —N(CH3)2, or C1-C4 haloalkyl;
- R18, at each occurrence, is independently selected from
- H, C1-C6 alkyl, phenyl, benzyl, phenethyl,
- (C1-C6 alkyl)-C(═O)—, and (C1-C6 alkyl)-S(═O)2—; and
- R19, at each occurrence, is independently selected from
- H, OH, C1-C6 alkyl, phenyl, benzyl, phenethyl,
- (C1-C6 alkyl)-C(═O)—, and (C1-C6 alkyl)-S(═O)2—.
- [4] In a further more preferred embodiment the present invention provides for a compound of Formula (Ia) wherein:
- R3 is —(CHR7)n—R4,
- n is 0 or 1;
- R3a is H, OH, methyl, ethyl, propyl, butyl, methoxy, ethoxy, propoxy, butoxy, allyl, or 3-buten-1-yl;
- R4 is H, OH, OR14a,
- C1-C4 alkyl substituted with 0-2 R4a,
- C2-C4 alkenyl substituted with 0-2 R4a,
- C2-C4 alkynyl substituted with 0-1 R4a,
- C3-C6 carbocycle substituted with 0-3 R4b,
- C6-C10 aryl substituted with 0-3 R4b, or
- 5 to 6 membered heterocycle containing 1 to 4 heteroatoms selected from nitrogen, oxygen, and sulphur, wherein said 5 to 6 membered heterocycle is substituted with 0-3 R4b;
- R4a, at each occurrence, is independently selected from is H, F, Cl, Br, I, CF3,
- C3-C6 carbocycle substituted with 0-3 R4b,
- phenyl substituted with 0-3 R4b, or
- 5 to 6 membered heterocycle containing 1 to 4 heteroatoms selected from nitrogen, oxygen, and sulphur, wherein said 5 to 6 membered heterocycle is substituted with 0-3 R4b;
- R4b, at each occurrence, is independently selected from H, OH, Cl, F, Br, I, CN, NO2, NR15R16, CF3, acetyl, SCH3, S(═O)CH3, S(═O)2CH3, C1-C4 alkyl, C1-C3 alkoxy, C1-C2 haloalkyl, and C1-C2 haloalkoxy;
- R5 is H, OR14;
- C1-C4 alkyl substituted with 0-3 R5b;
- C2-C4 alkenyl substituted with 0-3 R5b;
- C2-C4 alkynyl substituted with 0-3 R5b;
- R5a is H, methyl, ethyl, propyl, or butyl;
- R5b, at each occurrence, is independently selected from:
- H, methyl, ethyl, propyl, butyl, CF3, OR14, Cl, F, Br, I, ═O;
- C3-C6 carbocycle substituted with 0-3 R5c;
- phenyl substituted with 0-3 R5c; or
- 5 to 6 membered heterocycle containing 1 to 4 heteroatoms selected from nitrogen, oxygen, and sulphur, wherein said 5 to 6 membered heterocycle is substituted with 0-3 R5c;
- R5c, at each occurrence, is independently selected from H, OH, Cl, F, Br, I, CN, NO2, NR15R16, CF3, acetyl, SCH3, S(═O)CH3, S(═O)2CH3, C1-C4 alkyl, C1-C3 alkoxy, C1-C2 haloalkyl, and C1-C2 haloalkoxy;
- R6 is H;
- R7, at each occurrence, is independently selected from H, F, CF3, methyl, and ethyl;
- Ring B is a 7 membered lactam or thiolactam,
- wherein the lactam or thiolactam is saturated, partially saturated or unsaturated;
- wherein each additional lactam carbon or thiolactam carbon is substituted with 0-2 R11; and,
- optionally, the lactam or thiolactam contains a heteroatom selected from —N═, —NH—, and —N(R10)—;
- additionally, two R11 substituents on adjacent atoms may be combined to form a benzo fused radical; wherein said benzo fused radical is substituted with 0-2 R13;
- additionally, two R11 substituents on adjacent atoms may be combined to form a 5 to 6 membered heteroaryl fused radical, wherein said 5 to 6 membered heteroaryl fused radical comprises 1 or 2 heteroatoms selected from N, O, and S; wherein said 5 to 6 membered heteroaryl fused radical is substituted with 0-2 R13;
- additionally, two R11 substituents on the same or adjacent carbon atoms may be combined to form a C3-C6 carbocycle substituted with 0-2 R13;
- R10 is H, C(═O)R17, C(═O)OR17;
- C1-C4 alkyl optionally substituted with 0-1 R10a;
- phenyl substituted with 0-4 R10b;
- C3-C6 carbocycle substituted with 0-3 R10b; or
- 5 to 6 membered heterocycle containing 1 to 4 heteroatoms selected from nitrogen, oxygen, and sulphur, wherein said 5 to 6 membered heterocycle is substituted with 0-3 R10b;
- R10a, at each occurrence, is independently selected from H, C1-C4 alkyl, OR14, Cl, F, Br, I, ═O, CN, NO2, NR15R16, CF3, or phenyl substituted with 0-4 R10b;
- R10b, at each occurrence, is independently selected from H, OH, C1-C4 alkyl, C1-C3 alkoxy, Cl, F, Br, I, CN, NO2, NR15R16, or CF3;
- R11, at each occurrence, is independently selected from
- H, C1-C4 alkoxy, Cl, F, ═O, NR18R19, C(═O)R17, C(═O)OR17, CF3;
- C1-C6 alkyl optionally substituted with 0-3 R11a;
- C6-C10aryl substituted with 0-3 R11b,
- C3-6 carbocycle substituted with 0-3 R11b; or
- 5 to 6 membered heterocycle containing 1 to 4 heteroatoms selected from nitrogen, oxygen, and sulphur, wherein said 5 to 6 membered heterocycle is substituted with 0-3 R11b;
- R11a, at each occurrence, is independently selected from H, C1-C4 alkyl, OR14, F, ═O, NR15R16, CF3, or phenyl substituted with 0-3 R11b;
- R11b, at each occurrence, is independently selected from H, OH, Cl, F, NR15R16, CF3, C1-C4 alkyl, C1-C3 alkoxy, C1-C2 haloalkyl, and C1-C2 haloalkoxy;
- Z is H;
- C1-C4 alkyl substituted with 0-3 R12a;
- C2-C4 alkenyl substituted with 0-3 R12a; or
- C2-C4 alkynyl substituted with 0-3 R12a;
- R12a at each occurrence, is independently selected from H, OH, Cl, F, NR15R16, CF3, acetyl, SCH3, S(═O)CH3, S(═O)2CH3, C1-C4 alkyl, C1-C3 alkoxy, C1-C2 haloalkyl, and C1-C2 haloalkoxy;
- R13, at each occurrence, is independently selected from
- H, OH, C1-C6 alkyl, C1-C4 alkoxy, Cl, F, Br, I, CN, NO2, NR15R16, and CF3;
- R14 is H, phenyl, benzyl, C1-C4 alkyl, or C2-C4 alkoxyalkyl;
- R15, at each occurrence, is independently selected from H, C1-C4 alkyl, benzyl, phenethyl, (C1-C4 alkyl)-C(═O)—, and (C1-C4 alkyl)-S(═O)2—;
- R16, at each occurrence, is independently selected from
- H, OH, C1-C4 alkyl, benzyl, phenethyl,
- (C1-C4 alkyl)-C(═O)—, and (C1-C4 alkyl)-S(═O)2—;
- R17 is H, methyl, ethyl, propyl, butyl, methoxymethyl, ethoxymethyl, methoxyethyl,
- ethoxyethyl,
- phenyl substituted by 0-3 R17a, or
- —CH2-phenyl substituted by 0-3 R17a;
- R17a is H, methyl, methoxy, —OH, F, Cl, CF3, or OCF3;
- R18, at each occurrence, is independently selected from H, methyl, ethyl, propyl, butyl, phenyl, benzyl, and phenethyl;
- R19, at each occurrence, is independently selected from H, methyl, and ethyl.
- [5] In an even more preferred embodiment the present invention provides for a compound of Formula (Ib):
- or a pharmaceutically acceptable salt or prodrug thereof wherein:
Ring B is selected from: - [6] In an even further more preferred embodiment the present invention provides for a compound of Formula (Ic):
- or a pharmaceutically acceptable salt or prodrug thereof
wherein - R3 is R4,
- R4 is C1-C4 alkyl substituted with 0-1 R4a,
- C2-C4 alkenyl substituted with 0-1 R4a, or
- C2-C4 alkynyl substituted with 0-1 R4a;
- R4a, at each occurrence, is independently selected from H, F, CF3,
- C3-C6 carbocycle substituted with 0-3 R4b,
- phenyl substituted with 0-3 R4b, or
- 5 to 6 membered heterocycle containing 1 to 4 heteroatoms selected from nitrogen, oxygen, and sulphur, wherein said 5 to 6 membered heterocycle is substituted with 0-3 R4b; wherein said 5 to 6 membered heterocycle is selected from pyridinyl, pyrimidinyl, triazinyl, furanyl, thienyl, thiazolyl, pyrrolyl, piperazinyl, piperidinyl, pyrazolyl, imidazolyl, oxazolyl, isoxazolyl, and tetrazolyl;
- R4b, at each occurrence, is independently selected from H, OH, Cl, F, NR15R16, CF3, acetyl, SCH3, S(═O)CH3, S(═O)2CH3, methyl, ethyl, propyl, butyl, methoxy, ethoxy, propoxy, C1-C2 haloalkyl, and C1-C2 haloalkoxy;
- R5 is C1-C4 alkyl substituted with 0-1 R5b;
- C2-C4 alkenyl substituted with 0-1 R5b;
- C2-C4 alkynyl substituted with 0-1 R5b;
- R5b, at each occurrence, is independently selected from:
- H, methyl, ethyl, propyl, butyl, CF3, OR14, ═O;
- C3-C6 carbocycle substituted with 0-2 R5c;
- phenyl substituted with 0-3 R5c, or
- 5 to 6 membered heterocycle containing 1 to 4 heteroatoms selected from nitrogen, oxygen, and sulphur, wherein said 5 to 6 membered heterocycle is substituted with 0-3 R5c; wherein said 5 to 6 membered heterocycle is selected from pyridinyl, pyrimidinyl, triazinyl, furanyl, thienyl, thiazolyl, pyrrolyl, piperazinyl, piperidinyl, pyrazolyl, imidazolyl, oxazolyl, isoxazolyl, and tetrazolyl;
- R5c, at each occurrence, is independently selected from H, OH, Cl, F, NR15R16, CF3, acetyl, SCH3, S(═O)CH3, S(═O)2CH3, methyl, ethyl, propyl, butyl, methoxy, ethoxy, propoxy, C1-C2 haloalkyl, and C1-C2 haloalkoxy;
- R11, at each occurrence, is independently selected from
- H, ═O, NR18R19, CF3;
- C1-C4 alkyl optionally substituted with 0-1 R11a;
- phenyl substituted with 0-3 R11b;
- C3-C6 carbocycle substituted with 0-3 R11b; and
- 5 to 6 membered heterocycle containing 1 to 4 heteroatoms selected from nitrogen, oxygen, and sulphur, wherein said 5 to 6 membered heterocycle is substituted with 0-3 R11b; wherein said 5 to 6 membered heterocycle is selected from pyridinyl, pyrimidinyl, triazinyl, furanyl, thienyl, thiazolyl, pyrrolyl, piperazinyl, piperidinyl, pyrazolyl, imidazolyl, oxazolyl, isoxazolyl, and tetrazolyl;
- R11a, at each occurrence, is independently selected from H, C1-C4 alkyl, OR14, F, Cl, ═O, NR15R16, CF3, or phenyl substituted with 0-3 R11b;
- R11b, at each occurrence, is independently selected from H, OH, Cl, F, NR15R16, CF3, methyl, ethyl, propyl, butyl, methoxy, ethoxy, propoxy, C1-C2 haloalkyl, and C1-C2 haloalkoxy;
- Z is H;
- C1-C4 alkyl substituted with 0-3 R12a;
- C2-C4 alkenyl substituted with 0-3 R12a; or
- C2-C4 alkynyl substituted with 0-3 R12a;
- R12a, at each occurrence, is independently selected from
- H, OH, Cl, F, NR15R16, CF3, acetyl, SCH3, S(═O)CH3, S(═O)2CH3, methyl, ethyl, propyl, butyl, methoxy, ethoxy, propoxy, C1-C2 haloalkyl, and C1-C2 haloalkoxy;
- R13, at each occurrence, is independently selected from
- H, OH, methyl, ethyl, propyl, butyl, methoxy, ethoxy, Cl, F, Br, CN, NR15R16, and CF3;
- R14 is H, phenyl, benzyl, methyl, ethyl, propyl, or butyl;
- R15, at each occurrence, is independently selected from H, methyl, ethyl, propyl, and butyl;
- R16, at each occurrence, is independently selected from
- H, methyl, ethyl, propyl, butyl, benzyl, phenethyl, methyl-C(═O)—, ethyl-C(═O)—, methyl-S(═O)2—, and ethyl-S(═O)2—;
- R18, at each occurrence, is independently selected from
- H, methyl ethyl, propyl, butyl, phenyl, benzyl, and phenethyl; and
- R19, at each occurrence, is independently selected from
- H, methyl, and ethyl.
- [7] In another even further more preferred embodiment the present invention provides for a compound of Formula (Id):
- or a pharmaceutically acceptable salt or prodrug thereof wherein,
- R3 is R4,
- R4 is C1, —C4 alkyl substituted with 0-1 R4a,
- C2-C4 alkenyl substituted with 0-1 R4a, or
- C2-C4 alkynyl substituted with 0-1 R4a;
- R4a, at each occurrence, is independently selected from
- H, F, CF3,
- C3-C6 carbocycle substituted with 0-3 R4b,
- phenyl substituted with 0-3 R4b, or
- 5 to 6 membered heterocycle containing 1 to 4 heteroatoms selected from nitrogen, oxygen, and sulphur, wherein said 5 to 6 membered heterocycle is substituted with 0-3 R4b; wherein said 5 to 6 membered heterocycle is selected from pyridinyl, pyrimidinyl, triazinyl, furanyl, thienyl, thiazolyl, pyrrolyl, piperazinyl, piperidinyl, pyrazolyl, imidazolyl, oxazolyl, isoxazolyl, and tetrazolyl;
- R4b, at each occurrence, is independently selected from H, OH, Cl, F, NR15R16, CF3, acetyl, SCH3, S(═O)CH3, S(═O)2CH3, methyl, ethyl, propyl, butyl, methoxy, ethoxy, propoxy, C1-C2 haloalkyl, and C1-C2 haloalkoxy;
- R5 is C1-C4 alkyl substituted with 0-1 R5b;
- C2-C4 alkenyl substituted with 0-1 R5b;
- C2-C4 alkynyl substituted with 0-1 R5b;
- R5b, at each occurrence, is independently selected from:
- H, methyl, ethyl, propyl, butyl, CF3, OR14, ═O;
- C3-C6 carbocycle substituted with 0-2 R5c;
- phenyl substituted with 0-3 R5c; or
- 5 to 6 membered heterocycle containing 1 to 4 heteroatoms selected from nitrogen, oxygen, and sulphur, wherein said 5 to 6 membered heterocycle is substituted with 0-3 R5c; wherein said 5 to 6 membered heterocycle is selected from pyridinyl, pyrimidinyl, triazinyl, furanyl, thienyl, thiazolyl, pyrrolyl, piperazinyl, piperidinyl, pyrazolyl, imidazolyl, oxazolyl, isoxazolyl, and tetrazolyl;
- R5c at each occurrence, is independently selected from H, OH, Cl, F, NR15R16, CF3, acetyl, SCH3, S(═O)CH3, S(═O)2CH3, methyl, ethyl, propyl, butyl, methoxy, ethoxy, propoxy, C1-C2 haloalkyl, and C1-C2 haloalkoxy;
- R11, at each occurrence, is independently selected from
- H, ═O, NR18R19, CF3;
- C1-C4 alkyl optionally substituted with 0-1 R11a;
- phenyl substituted with 0-3 R11b;
- C3-C6 carbocycle substituted with 0-3 R11b; or
- 5 to 6 membered heterocycle containing 1 to 4 heteroatoms selected from nitrogen, oxygen, and sulphur, wherein said 5 to 6 membered heterocycle is substituted with 0-3 R11b; wherein said 5 to 6 membered heterocycle is selected from pyridinyl, pyrimidinyl, triazinyl, furanyl, thienyl, thiazolyl, pyrrolyl, piperazinyl, piperidinyl, pyrazolyl, imidazolyl, oxazolyl, isoxazolyl, and tetrazolyl;
- R11a, at each occurrence, is independently selected from H, C1-C4 alkyl, OR14, F, Cl, ═O, NR15R16, CF3, or phenyl substituted with 0-3 R11b;
- R11b, at each occurrence, is independently selected from H, OH, Cl, F, NR15R16, CF3, methyl, ethyl, propyl, butyl, methoxy, ethoxy, propoxy, C1-C2 haloalkyl, and C1-C2 haloalkoxy;
- Z is H,
- C1-C4 alkyl substituted with 0-3 R12a;
- C2-C4 alkenyl substituted with 0-3 R12a or
- C2-C4 alkynyl substituted with 0-3 R12a;
- R12a, at each occurrence, is independently selected from
- H, OH, Cl, F, NR15R16, CF3, acetyl, SCH3, S(═O)CH3, S(═O)2CH3, methyl, ethyl, propyl, butyl, methoxy, ethoxy, propoxy, C1-C2 haloalkyl, and C1-C2 haloalkoxy;
- R13, at each occurrence, is independently selected from
- H, OH, methyl, ethyl, propyl, butyl, methoxy, ethoxy, Cl, F, Br, CN, NR15R16, and CF3;
- R14 is H, phenyl, benzyl, methyl, ethyl, propyl, or butyl;
- R15, at each occurrence, is independently selected from H, methyl, ethyl, propyl, and butyl;
- R16, at each occurrence, is independently selected from
- H, OH, methyl, ethyl, propyl, butyl, benzyl, phenethyl, methyl-C(═O)—, ethyl-C(═O)—, methyl-S(═O)2—, and ethyl-S(═O)2—;
- R18, at each occurrence, is independently selected from
- H, methyl, ethyl, propyl, butyl, phenyl, benzyl, and phenethyl; and
- R19, at each occurrence, is independently selected from
- H, methyl, and ethyl.
- [8] In another even further more preferred embodiment the present invention provides for a compound of Formula (Ie):
- or a pharmaceutically acceptable salt or prodrug thereof wherein:
- R3 is R4,
- R4 is C1-C4 alkyl substituted with 0-1 R4a,
- C2-C4 alkenyl substituted with 0-1 R4a, or
- C2-C4 alkynyl substituted with 0-1 R4a;
- R4a, at each occurrence, is independently selected from H, F, CF3,
- C3-C6 carbocycle substituted with 0-3 R4b, phenyl substituted with 0-3 R4b, or
- 5 to 6 membered heterocycle containing 1 to 4 heteroatoms selected from nitrogen, oxygen, and sulphur, wherein said 5 to 6 membered heterocycle is substituted with 0-3 R4b; wherein said 5 to 6 membered heterocycle is selected from pyridinyl, pyrimidinyl, triazinyl, furanyl, thienyl, thiazolyl, pyrrolyl, piperazinyl, piperidinyl, pyrazolyl, imidazolyl, oxazolyl, isoxazolyl, and tetrazolyl;
- R4b, at each occurrence, is independently selected from H, OH, Cl, F, NR15R16, CF3, acetyl, SCH3, S(═O)CH3, S(═O)2CH3, methyl, ethyl, propyl, butyl, methoxy, ethoxy, propoxy, C1-C2 haloalkyl, and C1-C2 haloalkoxy;
- R5 is C1-C4 alkyl substituted with 0-1 R5b;
- C2-C4 alkenyl substituted with 0-1 R5b;
- C2-C4 alkynyl substituted with 0-1 R5b;
- R5b, at each occurrence, is independently selected from:
- H, methyl, ethyl, propyl, butyl, CF3, OR14, ═O;
- C3-C6 carbocycle substituted with 0-2 R5c;
- phenyl substituted with 0-3 R5c; or
- 5 to 6 membered heterocycle containing 1 to 4 heteroatoms selected from nitrogen, oxygen, and sulphur, wherein said 5 to 6 membered heterocycle is substituted with 0-3 R5c; wherein said 5 to 6 membered heterocycle is selected from pyridinyl, pyrimidinyl, triazinyl, furanyl, thienyl, thiazolyl, pyrrolyl, piperazinyl, piperidinyl, pyrazolyl, imidazolyl, oxazolyl, isoxazolyl, and tetrazolyl;
- R5c, at each occurrence, is independently selected from H, OH, Cl, F. NR15R16, CF3, acetyl, SCH3, S(═O)CH3, S(═O)2CH3, methyl, ethyl, propyl, butyl, methoxy, ethoxy, propoxy, C1-C2 haloalkyl, and C1-C2 haloalkoxy;
- R10 is H. C(═O)R17, C(═O)OR17;
- C1-C4 alkyl optionally substituted with 0-1 R10a;
- phenyl substituted with 0-4 R10b;
- C3-C6 carbocycle substituted with 0-3 R10b; or
- 5 to 6 membered heterocycle containing 1 to 4 heteroatoms selected from nitrogen, oxygen, and sulphur, wherein said 5 to 6 membered heterocycle is substituted with 0-3 R10b; wherein said 5 to 6 membered heterocycle is selected from pyridinyl, pyrimidinyl, triazinyl, furanyl, thienyl, thiazolyl, pyrrolyl, piperazinyl, piperidinyl, pyrazolyl, imidazolyl, oxazolyl, isoxazolyl, and tetrazolyl;
- R10a, at each occurrence, is independently selected from H, methyl, ethyl, propyl, butyl, OR14, Cl, F, ═O, NR15R16, CF3, or phenyl substituted with 0-4 R10b;
- R10b, at each occurrence, is independently selected from H, OH, methyl, ethyl, propyl, butyl, methoxy, ethoxy, propoxy, Cl, F, NR15R16, and CF3;
- Z is H;
- C1-C4 alkyl substituted with 0-3 R12a;
- C2-C4 alkenyl substituted with 0-3 R12a; or
- C2-C4 alkynyl substituted with 0-3 R12a;
- R12a, at each occurrence, is independently selected from H, OH, Cl, F, NR15R16, CF3, acetyl, SCH3, S(═O)CH3, S(═O)2CH3, methyl, ethyl, propyl, butyl, methoxy, ethoxy, propoxy, C1-C2 haloalkyl, and C1-C2 haloalkoxy;
- R13, at each occurrence, is independently selected from
- H, OH, methyl, ethyl, propyl, butyl, methoxy, ethoxy, Cl, F, Br, CN, NR15R16, and CF3;
- R14 is H, phenyl, benzyl, methyl, ethyl, propyl, or butyl;
- R15, at each occurrence, is independently selected from H, methyl, ethyl, propyl, and butyl;
- R16, at each occurrence, is independently selected from
- H, OH, methyl, ethyl, propyl, butyl, benzyl, phenethyl, methyl-C(═O)—, ethyl-C(═O)—, methyl-S(═O)2—, and ethyl-S(═O)2—;
- R17 is H, methyl, ethyl, propyl, butyl, methoxymethyl, ethoxymethyl, methoxyethyl, ethoxyethyl,
- phenyl substituted by 0-3 R17a, or
- —CH2-phenyl substituted by 0-3 R7a;
- R17a is H, methyl, methoxy, —OH, F, Cl, CF3, or OCF3;
- R18, at each occurrence, is independently selected from H, methyl, ethyl, propyl, butyl, phenyl, benzyl, and phenethyl; and
- R19, at each occurrence, is independently selected from
- H, methyl, and ethyl.
- [9] In another even further more preferred embodiment the present invention provides for a compound of Formula (If):
- or a pharmaceutically acceptable salt or prodrug thereof wherein:
- R3 is R4,
- R4 is C1-C4 alkyl substituted with 0-1 R4a,
- C2-C4 alkenyl substituted with 0-1 R4a, or
- C2-C4 alkynyl substituted with 0-1 R4a;
- R4a, at each occurrence, is independently selected from
- H, F, CF3,
- C3-C6 carbocycle substituted with 0-3 R4b,
- phenyl substituted with 0-3 R4b, or
- 5 to 6 membered heterocycle containing 1 to 4 heteroatoms selected from nitrogen, oxygen, and sulphur, wherein said 5 to 6 membered heterocycle is substituted with 0-3 R4b; wherein said 5 to 6 membered heterocycle is selected from pyridinyl, pyrimidinyl, triazinyl, furanyl, thienyl, thiazolyl, pyrrolyl, piperazinyl, piperidinyl, pyrazolyl, imidazolyl, oxazolyl, isoxazolyl, and tetrazolyl;
- R4b, at each occurrence, is independently selected from H, OH, Cl, F, NR15R16, CF3, acetyl, SCH3, S(═O)CH3, S(═O)2CH3, methyl, ethyl, propyl, butyl, methoxy, ethoxy, propoxy, C1-C2 haloalkyl, and C1-C2 haloalkoxy;
- R5 is C1-C4 alkyl substituted with 0-1 R5b;
- C2-C4 alkenyl substituted with 0-1 R5b
- C2-C4 alkynyl substituted with 0-1 R5b
- R5b, at each occurrence, is independently selected from:
- H, methyl ethyl, propyl, butyl, CF3, OR14, ═O;
- C3-C6 carbocycle substituted with 0-2 R5c;
- phenyl substituted with 0-3 R5c; or
- 5 to 6 membered heterocycle containing 1 to 4 heteroatoms selected from nitrogen, oxygen, and sulphur, wherein said 5 to 6 membered heterocycle is substituted with 0-3 R5c; wherein said 5 to 6 membered heterocycle is selected from pyridinyl, pyrimidinyl, triazinyl, furanyl, thienyl, thiazolyl, pyrrolyl, piperazinyl, piperidinyl, pyrazolyl, imidazolyl, oxazolyl, isoxazolyl, and tetrazolyl;
- R5c, at each occurrence, is independently selected from H, OH, Cl, F, NR15R16, CF3, acetyl, SC3, S(═O)CH3, S(═O)2CH3, methyl, ethyl, propyl, butyl, methoxy, ethoxy, propoxy, C1-C2 haloalkyl, and C1-C2 haloalkoxy;
- Z is H;
- C1-C4 alkyl substituted with 0-3 R12a;
- C2-C4 alkenyl substituted with 0-3 R12a or
- C2-C4 alkynyl substituted with 0-3 R12a;
- R12a, at each occurrence, is independently selected from H, OH, Cl, F, NR15R16, CF3, acetyl, SCH3, S(═O)CH3, S(═O)2CH3, methyl, ethyl, propyl, butyl, methoxy, ethoxy, propoxy, C1-C2 haloalkyl, and C1-C2 haloalkoxy;
- R13, at each occurrence, is independently selected from H, OH, methyl, ethyl, propyl, butyl, methoxy, ethoxy Cl, F, Br, CN, NR15R16, and CF3;
- R14 is H, phenyl, benzyl, methyl, ethyl, propyl, or butyl;
- R15, at each occurrence, is independently selected from H, methyl, ethyl, propyl, and butyl;
- R16, at each occurrence, is independently selected from
- H, OH, methyl, ethyl, propyl, butyl, benzyl, phenethyl, methyl-C(═O)—, ethyl-C(═O)—, methyl-S(═O)2—, and ethyl-S(═O)2—;
- R18, at each occurrence, is independently selected from
- H, methyl, ethyl, propyl, butyl, phenyl, benzyl, and phenethyl; and
- R19, at each occurrence, is independently selected from
- H, methyl, and ethyl.
- [10] In another even further more preferred embodiment the present invention provides for a compound of one of Formulas (Ic), (Id), (Ie), or (If), wherein:
- R3 is —CH3, —CH2CH3, —CH2CH2CH3, —CH2CH2CH2CH3, —CH2(CH3)2, —CH(CH3)CH2CH3, —CH2CH(CH3)2, —CH2C(CH3)3, —CF3, —CH2CF3, —CH2CH2CF3, —CH2CH2CH2CF3, —CH═CH2, —CH2CH═CH2, —CH2C(CH3)═CH2, —CH2CH═C(CH3)2, —CH2CH2CH═CH2, —CH2CH2C(CH3)═CH2, —CH2CH2CH═C(CH3)2, cis-CH2CH═CH(CH3), cis-CH2CH2CH═CH(CH3), trans-CH2CH═CH(CH3), trans-CH2CH2CH═CH(CH3); —C≡CH, —CH2C≡CH, —CH2C≡C(CH3), cyclopropyl-CH2—, cyclobutyl-CH2—, cyclopentyl-CH2—, cyclohexyl-CH2—, cyclopropyl-CH2CH2—, cyclobutyl-CH2CH2—, cyclopentyl-CH2CH2—, cyclohexyl-CH2CH2—, phenyl-CH2—, (2-F-phenyl)C2—, (3-F-phenyl)CH2—, (4-F-phenyl)CH2—, (2-Cl-phenyl)CH2—, (3-Cl-phenyl)CH2—, (4-Cl-phenyl)CH2—, (2,3-diF-phenyl)CH2—, (2,4-diF-phenyl)CH2—, (2,5-diF-phenyl)CH2—, (2,6-diF-phenyl)CH2—, (3,4-diF-phenyl)CH2—, (3,5-diF-phenyl)CH2—, (2,3-diCl-phenyl)CH2—, (2,4-diCl-phenyl)CH2—, (2,5-diCl-phenyl)CH2—, (2,6-diCl-phenyl)CH2—, (3,4-diCl-phenyl)CH2—, (3,5-diCl-phenyl)CH2—, (3-F-4-Cl-phenyl)CH2—, (3-F-5-Cl-phenyl)CH2—, (3-Cl-F-phenyl)CH2—, phenyl-CH2CH2—, (2-F-phenyl)CH2CH2—, (3-F-phenyl)CH2CH2—, (4-F-phenyl)CH2CH2—, (2-Cl-phenyl)CH2CH2—, (3-Cl-phenyl)CH2CH2—, (4-Cl-phenyl)CH2CH2—, (2,3-diF-phenyl)CH2CH2—, (2,4-diF-phenyl)CH2CH2—, (2,5-diF-phenyl)CH2CH2—, (2,6-diF-phenyl)CH2CH2—, (3,4-diF-phenyl)CH2CH2—, (3,5-diF-phenyl)CH2CH2—, (2,3-diCl-phenyl)CH2CH2—, (2,4-diCl-phenyl)CH2CH2—, (2,5-diCl-phenyl)CH2CH—, (2,6-diCl-phenyl)CH2CH2—, (3,4-diCl-phenyl)CH2CH2—, (3,5-diCl-phenyl)CH2CH2—, (3-F-4-Cl-phenyl)CH2CH2—, or (3-F-5-Cl-phenyl)CH2C2—,
- R5 is —CH3, —CH2CH3, —CH2CH2CH3, —CH(CH3)2, —CH2CH2CH2CH3, —CH(CH3)CH2CH3, —CH2CH(CH3)2, —CH2C(CH3)3, —CH2CH2CH2CH2CH3, —CH(CH3)CH2CH2CH3, —CH2CH(CH3)CH2CH3, —CH2CH2CH(CH3)2, —CH(CH2CH3)2, —CF3, —CH2CF3, —CH2CH2CF3, —CH2CH2CH2CF3, —CH2CH2CH2CH2CF3, —CH═CH2, —CH2CH═CH2, —CH═CH2CH3, cis-CH2CH═CH(CH3), trans-CH2CH═CH(CH3), trans-CH2CH═CH(C6H5), —CH2CH═C(CH3)2, cis-CH2CH═CHCH2CH3, trans-CH2CH═CH2CH2CH3, cis-CH2CH2CH═CH(CH3), trans-CH2CH2CH═CH(CH3), trans-CH2CH═CH2CH2(C6H5), —C≡CH, —CH2C≡CH, —CH2C≡C(CH3), —CH2C≡C(C6H5) —CH2CH2C≡CH, —CH2CH2C≡C(CH3), —CH2CH2C≡C(C6H5) —CH2CH2CH2C≡CH, —CH2CH2CH2C≡C(CH3), —CH2CH2CH2C≡C(C6H5) cyclopropyl-CH2—, cyclobutyl-CH2—, cyclopentyl-CH2—, cyclohexyl-CH2—, (2-CH3-cyclopropyl)CH2—, (3-CH3-cyclobutyl)CH2—, cyclopropyl-CH2CH2—, cyclobutyl-CH2CH2—, cyclopentyl-CH2CH2—, cyclohexyl-CH2CH2—, (2-CH3-cyclopropyl)CH2CH2—, (3-CH3-cyclobutyl)CH2CH2—, phenyl-CH2—, (2-F-phenyl)CH2—, (3-F-phenyl)CH2—, (4-F-phenyl)CH2—, furanyl-CH2—, thienyl-CH2—, pyridyl-CH2—, 1-imidazolyl-CH2—, oxazolyl-CH2—, isoxazolyl-CH2—, phenyl-CH2CH2—, (2-F-phenyl)CH2CH2—, (3-F-phenyl)CH2CH2—, (4-F-phenyl)CH2CH2—, furanyl-CH2CH2—, thienyl-CH2CH2—, pyridyl-CH2CH2—, 1-imidazolyl-CH2CH2—, oxazolyl-CH2CH2—, isoxazolyl-CH2CH2—,
- Z is methyl, ethyl, i-propyl, n-propyl, n-butyl, i-butyl, s-butyl, t-butyl, or allyl;
- R10 is H, methyl, ethyl, phenyl, benzyl, phenethyl, 4-F-phenyl, (4-F-phenyl)CH2—, (4-F-phenyl)CH2CH2—, 4-Cl-phenyl, (4-Cl-phenyl)CH2—, (4-Cl-phenyl)CH2CH2—, 4-CH3-phenyl, (4-CH3-phenyl)CH2—, (4-CH3-phenyl)CH2CH2—, 4-CF3-phenyl, (4-CF3-phenyl)CH2—, or (4-CF3-phenyl)CH2CH2—;
- R11, at each occurrence, is independently selected from
- H, ═O, methyl, ethyl, phenyl, benzyl, phenethyl,
- 4-F-phenyl, (4-F-phenyl)CH2—, (4-F-phenyl)CH2CH2—,
- 3-F-phenyl, (3-F-phenyl)CH2—, (3-F-phenyl)CH2CH2—,
- 2-F-phenyl, (2-F-phenyl)CH2—, (2-F-phenyl)CH2CH2—,
- 4-Cl-phenyl, (4-Cl-phenyl)CH2—, (4-Cl-phenyl)CH2CH2—,
- 3-Cl-phenyl, (3-Cl-phenyl)CH2—, (3-Cl-phenyl)CH2CH2—,
- 4-CH3-phenyl, (4-CH3-phenyl)CH2—, (4-CH3-phenyl)CH2CH2—,
- 3-CH3-phenyl, (3-CH3-phenyl)CH2—, (3-CH3-phenyl)CH2CH2—,
- 4-CF3-phenyl, (4-CF3-phenyl)CH2—, (4-CF3-phenyl)CH2CH2—, pyrid-2-yl, pyrid-3-yl, or pyrid-4-yl, and
- R13, at each occurrence, is independently selected from H, F, Cl, OH, —CH3, —CH2CH3, —OCH3, or —CF3.
- [11] In another even further more preferred embodiment the present invention provides for a compound selected from:
- (2R,3S) N1-[1,3-dihydro-1-methyl-2-oxo-5-phenyl-2H-1,4-benzodiazepin-3-yl]-2-(2-methylpropyl)-3-allyl-butanediamide;
- (2R,3S) N1-[1,3-dihydro-1-methyl-2-oxo-5-phenyl-2H-1,4-benzodiazepin-3-yl]-2-(2-methylpropyl)-3-propyl-butanediamide;
- (2R,3S) N1-[(3S)-1,3-dihydro-1-methyl-2-oxo-5-phenyl-2H-1,4-benzodiazepin-3-yl]-2-(2-methylpropyl)-3-allyl-butanediamide;
- (2R,3S) N1-[(3R)-1,3-dihydro-1-methyl-2-oxo-5-phenyl-2H-1,4-benzodiazepin-3-yl]-2-(2-methylpropyl)-3-allyl-butanediamide;
- (2R,3S) N1-[(3R)-1,3-dihydro-1-methyl-2-oxo-5-phenyl-2H-1,4-benzodiazepin-3-yl]-2-(2-methylpropyl)-3-propyl-butanediamide;
- (2R,3S)N1-[(3S)-1,3-dihydro-1-methyl-2-oxo-5-phenyl-2H-1,4-benzodiazepin-3-yl]-2-(2-methylpropyl)-3-propyl-butanediamide;
- (2R,3S) N1-[1,3-dihydro-1-methyl-2-oxo-5-phenyl-2H-1,4-benzodiazepin-3-yl]-2-methyl-3-allyl-butanediamide;
- (2R,3S) N1-[(3S)-1,3-dihydro-1-methyl-2-oxo-5-phenyl-2H-1,4-benzodiazepin-3-yl]-2-methyl-3-allyl-butanediamide;
- (2R,3S) N1-[(3S)-1,3-dihydro-1-methyl-2-oxo-5-phenyl-2H-1,4-benzodiazepin-3-yl]-2-methyl-3-propyl-butanediamide;
- (2R) N1-[1,3-dihydro-1-methyl-2-oxo-5-phenyl-2H-1,4-benzodiazepin-3-yl]-2-methyl-butanediamide;
- (2R,3S) N1-[1,3-dihydro-2-oxo-5-phenyl-2H-1,4-benzodiazepin-3-yl]-2-(2-methylpropyl)-3-allyl-butanediamide;
- (2R,3S) N1-[1,3-dihydro-1-methyl-2-oxo-5-phenyl-7-chloro-2H-1,4-benzodiazepin-3-yl]-2-(2-methylpropyl)-3-allyl-butanediamide;
- (2R,3S) N1-[(3S)-1,3-dihydro-1-methyl-2-oxo-5-phenyl-7-chloro-2H-1,4-benzodiazepin-3-yl]-2-(2-methylpropyl)-3-allyl-butanediamide;
- (2R,3S) N1-[(3R)-1,3-dihydro-1-methyl-2-oxo-5-phenyl-7-chloro-2H-1,4-benzodiazepin-3-yl]-2-(2-methylpropyl)-3-allyl-butanediamide;
- (2R,3S) N1-[1,3-dihydro-1-methyl-2-oxo-5-(2-fluorophenyl)-7-chloro-2H-1,4-benzodiazepin-3-yl]-2-(2-methylpropyl)-3-allyl-butanediamide;
- (2R,3S)N1-[(3S)-1,3-dihydro-1-methyl-2-oxo-5-(2-fluorophenyl)-7-chloro-2H-1,4-benzodiazepin-3-yl]-2-(2-methylpropyl)-3-allyl-butanediamide;
- (2R,3S)N1-[(3R)-1,3-dihydro-1-methyl-2-oxo-5-(2-fluorophenyl)-7-chloro-2H-1,4-benzodiazepin-3-yl]-2-(2-methylpropyl)-3-allyl-butanediamide;
- (2S,3S) N1-[1,3-dihydro-1-methyl-2-oxo-5-phenyl-2H-1,4-benzodiazepin-3-yl]-2-(2-methylpropyl)-3-allyl-butanediamide;
- (2R,3S) N1-[(3S)-1,3-dihydro-1-methyl-2-oxo-5-phenyl-7-chloro-2H-1,4-benzodiazepin-3-yl]-2-(2-methylpropyl)-3-propyl-butanediamide;
- (2R,3S) N1-[(3S)-1,3-dihydro-1-methyl-2-oxo-5-(2-fluorophenyl)-7-chloro-2H-1,4-benzodiazepin-3-yl]-2-(2-methylpropyl)-3-propyl-butanediamide;
- (2R,3S) N1-[1,3-dihydro-1-methyl-2-oxo-5-(4-fluorophenyl)-2H-1,4-benzodiazepin-3-yl]-2-(2-methylpropyl)-3-allyl-butanediamide;
- (2R,3S) N1-[(3S)-1,3-dihydro-1-methyl-2-oxo-5-(4-fluorophenyl)-2H-1,4-benzodiazepin-3-yl]-2-(2-methylpropyl)-3-allyl-butanediamide;
- (2R,3S) N1-[(3R)-1,3-dihydro-1-methyl-2-oxo-5-(4-fluorophenyl)-2H-1,4-benzodiazepin-3-yl]-2-(2-methylpropyl)-3-allyl-butanediamide;
- (2R,3S)N1-[1,3-dihydro-1-methyl-2-oxo-5-(pyrid-2-yl)-2H-1,4-benzodiazepin-3-yl]-2-(2-methylpropyl)-3-allyl-butanediamide;
- (2R,3S)N1-[1,3-dihydro-1-methyl-2-oxo-5-(N-morpholino)-2H-1,4-benzodiazepin-3-yl]-2-(2-methylpropyl)-3-allyl-butanediamide;
- (2R,3S) N1-[1,3-dihydro-1-methyl-2-oxo-5-(dimethylamino)-2H-1,4-benzodiazepin-3-yl]-2-(2-methylpropyl)-3-allyl-butanediamide;
- (2R,3S) N1-[1,3-dihydro-1-methyl-2-oxo-5-(N-methyl-N-phenylamino)-2H-1,4-benzodiazepin-3-yl]-2-(2-methylpropyl)-3-allyl-butanediamide;
- (2R,3S) N1-[1,3-dihydro-1-methyl-2-oxo-5-(N-piperidinyl)-2H-1,4-benzodiazepin-3-yl]-2-(2-methylpropyl)-3-allyl-butanediamide;
- (2R,3S) N1-[1,3-dihydro-1-methyl-2-oxo-5-(N-homopiperidinyl)-2H-1,4-benzodiazepin-3-yl]-2-(2-methylpropyl)-3-allyl-butanediamide;
- (2R,3S) N1-[1,3-dihydro-1-methyl-2-oxo-5-(3-methoxyphenyl)-2H-1,4-benzodiazepin-3-yl]-2-(2-methylpropyl)-3-allyl-butanediamide;
- (2R,3S)N1-[1,3-dihydro-1-methyl-2-oxo-5-(pyrid-4-yl)-2H-1,4-benzodiazepin-3-yl]-2-(2-methylpropyl)-3-allyl-butanediamide,
- (2R,3S) N1-[1,3-dihydro-1-methyl-2-oxo-5-phenyl-7-methoxy-2H-1,4-benzodiazepin-3-yl]-2-(2-methylpropyl)-3-allyl-butanediamide;
- (2R,3S) N1-[1,3-dihydro-1-methyl-2-oxo-5-(pyrid-3-yl)-2H-1,4-benzodiazepin-3-yl]-2-(2-methylpropyl)-3-allyl-butanediamide;
- (2R,3S) N1-[1,3-dihydro-1-methyl-2-oxo-5-phenyl-2H-1,4-benzodiazepin-3-yl]-2-(2-methylpropyl)-3-(cyclopropylmethyl)-butanediamide;
- (2R,3S) N1-[1,3-dihydro-1-methyl-2-oxo-5-(3-fluorophenyl)-2H-1,4-benzodiazepin-3-yl]-2-(2-methylpropyl)-3-allyl-butanediamide;
- (2R,3S) N1-[(3S)-1,3-dihydro-1-methyl-2-oxo-5-(3-fluorophenyl)-2H-1,4-benzodiazepin-3-yl]-2-(2-methylpropyl)-3-allyl-butanediamide;
- (2R,3S) N1-[(3R)-1,3-dihydro-1-methyl-2-oxo-5-(3-fluorophenyl)-2H-1,4-benzodiazepin-3-yl]-2-(2-methylpropyl)-3-allyl-butanediamide;
- (2R,3S) N1-[(3S)-1,3-dihydro-1-methyl-2-oxo-5-phenyl-2H-1,4-benzodiazepin-3-yl]-2-(2-methylpropyl)-3-(3-buten-1-yl)-butanediamide;
- (2R,3S) N1-[(3S)-1,3-dihydro-1-methyl-2-oxo-5-phenyl-2H-1,4-benzodiazepin-3-yl]-2-(2-methylpropyl)-3-(cyclopentylethyl)-butanediamide;
- (2R,3S) N1-[(3S)-1,3-dihydro-1-methyl-2-oxo-5-(4-trifluoromethylphenyl)-2H-1,4-benzodiazepin-3-yl]-2-(2-methylpropyl)-3-(3-buten-1-yl)-butanediamide;
- (2R,3S) N1-[(3R)-1,3-dihydro-1-methyl-2-oxo-5-(4-trifluoromethylphenyl)-2H-1,4-benzodiazepin-3-yl]-2-(2-methylpropyl)-3-(3-buten-1-yl)-butanediamide;
- (2R,3S)N1-[1,3-dihydro-1-methyl-2-oxo-5-(4-trifluoromethylphenyl)-2H-1,4-benzodiazepin-3-yl]-2-(2-methylpropyl)-3-allyl-butanediamide;
- (2R,3S) N1-[(3S)-1,3-dihydro-1-methyl-2-oxo-5-(4-trifluoromethylphenyl)-2H-1,4-benzodiazepin-3-yl]-2-(2-methylpropyl)-3-allyl-butanediamide;
- (2R,3S) N1-[(3R)-1,3-dihydro-1-methyl-2-oxo-5-(4-trifluoromethylphenyl)-2H-1,4-benzodiazepin-3-yl]-2-(2-methylpropyl)-3-allyl-butanediamide;
- (2R,3S) N1-[(3S)-1,3-dihydro-1-methyl-2-oxo-5-(4-trifluoromethylphenyl)-2H-1,4-benzodiazepin-3-yl]-2-(2-methylpropyl)-3-n-butyl-butanediamide;
- (2R,3S) N1-[(3S)-1,3-dihydro-1-methyl-2-oxo-5-(4-trifluoromethylphenyl)-2H-1,4-benzodiazepin-3-yl]-2-(2-methylpropyl)-3-propyl-butanediamide;
- (2R,3S) N1-[(3S)-1,3-dihydro-1-methyl-2-oxo-5-(4-chlorophenyl)-2H-1,4-benzodiazepin-3-yl]-2-(2-methylpropyl)-3-(3-buten-1-yl)-butanediamide;
- (2R,3S) N1-[(3S)-1,3-dihydro-1-methyl-2-oxo-5-(4-chlorophenyl)-2H-1,4-benzodiazepin-3-yl]-2-(2-methylpropyl)-3-n-butyl-butanediamide;
- (2R,3S) N1-[(3S)-1,3-dihydro-1-methyl-2-oxo-5-phenyl-2H-1,4-benzodiazepin-3-yl]-2-(2-methylpropyl)-3-allyl-N-4-[benzyl]-butanediamide;
- (2R,3S) N1-[1,3-dihydro-1-methyl-2-oxo-5-methyl-2H-1,4-benzodiazepin-3-yl]-2-(2-methylpropyl)-3-allyl-butanediamide;
- (2R,3S) N1-[1,3-dihydro-1-methyl-2-oxo-5-n-butyl-2H-1,4-benzodiazepin-3-yl]-2-(2-methylpropyl)-3-allyl-butanediamide;
- (2R,3S) N1-[1,3-dihydro-1-methyl-2-oxo-5-(2-methylpropyl)-2H-1,4-benzodiazepin-3-yl]-2-(2-methylpropyl)-3-allyl-butanediamide;
- (2R,3S) N1-[1,3-dihydro-1-methyl-2-oxo-5-(4-chlorophenyl)-2H-1,4-benzodiazepin-3-yl]-2-(2-methylpropyl)-3-allyl-butanediamide;
- (2R,3S) N1-[1,3-dihydro-1-ethyl-2-oxo-5-phenyl-2H-1,4-benzodiazepin-3-yl]-2-(2-methylpropyl)-3-allyl-butanediamide;
- (2R,3S) N1-[1,3-dihydro-1-propyl-2-oxo-5-phenyl-2H-1,4-benzodiazepin-3-yl]-2-(2-methylpropyl)-3-allyl-butanediamide;
- (2R,3S)N1-[1,3-dihydro-1-(isopropyl)-2-oxo-5-phenyl-2H-1,4-benzodiazepin-3-yl]-2-(2-methylpropyl)-3-allyl-butanediamide;
- (2R,3S)N1-[(3S)-1,3-dihydro-1-methyl-2-oxo-5-phenyl-2H-1,4-benzodiazepin-3-yl]-2-(2-methylpropyl)-3,3-diallyl-butanediamide;
- (2R,3S) N1-[6,7-dihydro-5-methyl-6-oxo-6H-dibenz[b,d]azepin-7-yl]-2-(2-methylpropyl)-3-allyl-butanediamide; and
- (2R,3S)N1-[1,3,4,5-tetrahydro-1,5-dimethyl-2,4-dioxo-2H-1,5-benzodiazepin-3-yl]-2-(2-methylpropyl)-3-allyl-butanediamide.
- [12] In a preferred embodiment the present invention provides for a compound of Formula (Ia):
- or a pharmaceutically acceptable salt or prodrug thereof,
wherein: - Z is C1-C8 alkyl substituted with 1-3 R12;
- C2-C4 alkenyl substituted with 1-3 R12;
- C2-C4 alkynyl substituted with 1-3 R12;
- C6-C10 aryl substituted with 0-4 R12b;
- C3-C10 carbocycle substituted with 0-4 R12b; or
- 5 to 10 membered heterocycle containing 1 to 4 heteroatoms selected from nitrogen, oxygen, and sulphur, wherein said 5 to 10 membered heterocycle is substituted with 0-3 R12b;
provided, when R13 is H,
then Z is C4-C8 alkyl substituted with 1-3 R12; - C2-C4 alkenyl substituted with 1-3 R12; or
- C2-C4 alkynyl substituted with 1-3 R12; and
provided, when ring B is a 1,3,4,5-tetrahydro-1-(Z)-5-(R10)-6,6,7,7-tetra(R11)-2,4-dioxo-2H-1,5-diazepin-3-yl core, and R13 is II; then
- R10 is H, C(═O)R7, C(═O)OR17, C(═O)NR18R19,
- S(═O)2NR18R19, S(═O)2NR17; or
- C1-C6 alkyl optionally substituted with 0-3 R10a;
- R10a, at each occurrence, is independently selected from H, C1-C6 alkyl, OR14, Cl, F, Br, I, ═O, CN, NO2, NR15R16, CF3.
- [13] In a more preferred embodiment the present invention provides for a compound of Formula (Ia):
- R3 is —(CR7R7a)n—R4,
- —(CR7R7a)n—S—(CR7R7a)m—R4,
- —(CR7R7a)n—O—(CR7R7a)m—R4, or
- —(CR7R7a)nN(R7b)—(CR7R7a)m—R4;
- n is 0, 1, or 2;
- m is 0, 1, or 2;
- R3a is H OH, methyl, ethyl, propyl, butyl, methoxy, ethoxy, propoxy, butoxy, allyl, or 3-buten-1-yl;
- R4 is H, OH, OR14a,
- C1-C6 alkyl substituted with 0-3 R4a,
- C2-C6 alkenyl substituted with 0-3 R4a,
- C2-C6 alkynyl substituted with 0-3 R4a,
- C3-C10 carbocycle substituted with 0-3 R4b,
- C6-C10 aryl substituted with 0-3 R4b, or
- 5 to 10 membered heterocycle containing 1 to 4 heteroatoms selected from nitrogen, oxygen, and sulphur, wherein said 5 to 10 membered heterocycle is substituted with 0-3 R4b;
- R4a, at each occurrence is independently selected from is H, F, Cl, Br, I, CF3,
- C3-C10 carbocycle substituted with 0-3 R4b,
- C6-C10 aryl substituted with 0-3 R4b, or
- 5 to 10 membered heterocycle containing 1 to 4 heteroatoms selected from nitrogen, oxygen, and sulphur, wherein said 5 to 10 membered heterocycle is substituted with 0-3 R4b;
- R4b, at each occurrence, is independently selected from H, OH, Cl, F, Br, I, CN, NO2, NR15R16, CF3, acetyl, SCH3, S(═O)CH3, S(═O)2CH3, C1-C6 alkyl, C1-C4 alkoxy, C1-C4 haloalkyl, and C1-C4 haloalkoxy;
- R5 is H, OR14;
- C1-C6 alkyl substituted with 0-3 R5b;
- C1-C6 alkoxy substituted with 0-3 R5b;
- C2-C6 alkenyl substituted with 0-3 R5b;
- C2-C6 alkynyl substituted with 0-3 R5b;
- C3-C10 carbocycle substituted with 0-3 R5c;
- C6-C10 aryl substituted with 0-3 R5c; or
- 5 to 10 membered heterocycle containing 1 to 4 heteroatoms selected from nitrogen, oxygen, and sulphur, wherein said 5 to 10 membered heterocycle is substituted with 0-3 R5c;
- R5a is H or C1-C4 alkyl;
- R5b, at each occurrence, is independently selected from:
- H, C1-C6 alkyl, CF3, OR14, Cl, F, Br, I, ═O, CN, NO2, NR15R16;
- C3-C10 carbocycle substituted with 0-3 R5c;
- C6-C10 aryl substituted with 0-3 R5c; or
- 5 to 10 membered heterocycle containing 1 to 4 heteroatoms selected from nitrogen, oxygen, and sulphur, wherein said 5 to 10 membered heterocycle is substituted with 0-3 R5c;
- R5c, at each occurrence, is independently selected from H, OH, Cl, F, Br, I, CN, NO2, NR15R16, CF3, acetyl, SCH3, S(═O)CH3, S(═O)2CH3, C1-C6 alkyl, C1-C4 alkoxy, C1-C4 haloalkyl, and C1-C4 haloalkoxy;
- R6 is H, methyl, or ethyl;
- R7, at each occurrence, is independently selected from H, OH, Cl, F, Br, I, CN, NO2, CF3, phenyl, and C1-C4 alkyl;
- R7a, at each occurrence, is independently selected from H, OH, Cl, F, Br, I, CN, NO2, CF3, and C1-C4 alkyl;
- R7b is independently selected from H, methyl, ethyl, propyl, and butyl;
- Ring B is a 7 membered lactam,
- wherein the lactam is saturated, partially saturated or unsaturated;
- wherein each additional lactam carbon is substituted with 0-2 R11; and,
- optionally, the lactam contains a heteroatom selected from —O—, —S—, —S(═O)—, —S(═O)2—, —N═, —NH—, and —N(R10)—;
- additionally, two R11 substituents on adjacent atoms may be combined to form a benzo fused radical; wherein said benzo fused radical is substituted with 0-3 R13;
- additionally, two R11 substituents on adjacent atoms may be combined to form a 5 to 6 membered heteroaryl fused radical, wherein said 5 to 6 membered heteroaryl fused radical comprises 1 or 2 heteroatoms selected from N, O, and S; wherein said 5 to 6 membered heteroaryl fused radical is substituted with 0-3 R13;
- additionally, two R11 substituents on the same or adjacent carbon atoms may be combined to form a C3-C6 carbocycle substituted with 0-3 R13;
- R10 is H, C(═O)R17, C(═O)OR17, C(═O)NR18R19, S(═O)2NR18R19, S(═O)2R17;
- C1-C6 alkyl optionally substituted with 0-2 R10a; C6-C10 aryl substituted with 0-4 R10b;
- C3-C10 carbocycle substituted with 0-3 R10b; or
- 5 to 10 membered heterocycle containing 1 to 4 heteroatoms selected from nitrogen, oxygen, and sulphur, wherein said 5 to 10 membered heterocycle is substituted with 0-3 R10b;
- R10a, at each occurrence, is independently selected from H, C1-C6 alkyl, OR14, Cl, F, Br, I, ═O, CN, NO2, NR15R16, CF3, or phenyl substituted with 0-4 R10b;
- R10b, at each occurrence, is independently selected from H, OH, C1-C6 alkyl, C1-C4 alkoxy, Cl, F, Br, I, CN, NO2, NR15R16, or CF3;
- R11, at each occurrence, is independently selected from
- H, C1-C4 alkoxy, Cl, F. Br, I, ═O, CN, NO2, NR18R19, C(═O)R17, C(═O)OR17, C(═O)NR18R19, S(═O)2NR18R19, CF3;
- C1-C6 alkyl optionally substituted with 0-3 R11a;
- C6-C10 aryl substituted with 0-3 R11b;
- C3-C10 carbocycle substituted with 0-3 R11b; or
- 5 to 10 membered heterocycle containing 1 to 4 heteroatoms selected from nitrogen, oxygen, and sulphur, wherein said 5 to 10 membered heterocycle is substituted with 0-3 R11b.
- R11a, at each occurrence, is independently selected from H, C1-C6 alkyl, OR14, Cl, F, Br, I, ═O, CN, NO2, NR15R16, CF3, or phenyl substituted with 0-3 R11b;
- R11b, at each occurrence, is independently selected from H, OH, Cl, F, Br, I, CN, NO2, NR15R16, CF3, acetyl, SCH3, S(═O)CH3, S(═O)2CH3, C1-C6 alkyl, C1-C4 alkoxy, C1-C4 haloalkyl, and C1-C4 haloalkoxy;
- Z is C1-C6 alkyl substituted with 1-3 R12;
- C2-C4 alkenyl substituted with 1-3 R12;
- C2-C4 alkynyl substituted with 1-3 R12;
- C6-C10 aryl substituted with 0-4 R2b;
- C3-C10 carbocycle substituted with 0-4 R12b; or
- 5 to 10 membered heterocycle containing 1 to 4 heteroatoms selected from nitrogen, oxygen, and sulphur, wherein said 5 to 10 membered heterocycle is substituted with 0-3 R12b;
- R12, at each occurrence, is independently selected from
- C6-C10 aryl substituted with 0-4 R12b;
- C3-C10 carbocycle substituted with 0-4 RK 2b; or
- 5 to 10 membered heterocycle containing 1 to 4 heteroatoms selected from nitrogen, oxygen, and sulphur, wherein said 5 to 10 membered heterocycle is substituted with 0-3 R12b;
- R12b, at each occurrence, is independently selected from
- H, OH, Cl, F, Br, I, CN, NO2, NR15R16, CF3, acetyl, SCH3, S(═O)CH3, S(═O)2CH3, C1-C6 alkyl, C1-C4 alkoxy, C1-C4 haloalkyl, and C1-C4 haloalkoxy;
- R13, at each occurrence, is independently selected from H, OH, C1-C6 alkyl, C1-C4 alkoxy, Cl, F, Br, I, CN, NO2, NR15R16 and CF3;
- R14 is H, phenyl, benzyl, C1-C6 alkyl, or C2-C6 alkoxyalkyl;
- R14a is H, phenyl, benzyl, methyl, ethyl, propyl, or butyl;
- R15, at each occurrence, is independently selected from H, C1-C6 alkyl, benzyl, phenethyl, (C1-C6 alkyl)-C(═O)—, and (C1-C6 alkyl)-S(═O)2—;
- R16, at each occurrence, is independently selected from
- H, OH, C1-C6 alkyl, benzyl, phenethyl,
- (C1-C6 alkyl)-C(═O)—, and (C1-C6 alkyl)-S(═O)2—;
- R17 is H, C1-C6 alkyl, C2-C6 alkoxyalkyl,
- aryl substituted by 0-4 R17a, or
- —CH2-aryl substituted by 0-4 R17a;
- R17a is H, methyl, ethyl, propyl, butyl, methoxy, ethoxy, propoxy, butoxy, —OH, F, Cl, Br, I, CF3, OCF3, SCH3, S(O)CH3, SO2CH3, —NH2, —N(CH3)2, or C1-C4 haloalkyl;
- R18, at each occurrence, is independently selected from
- H, C1-C6 alkyl, phenyl, benzyl, phenethyl,
- (C1-C6 alkyl)-C(═O)—, and (C1-C6 alkyl)-S(═O)2—; and
- R19, at each occurrence, is independently selected from H, OH, C1-C6 alkyl, phenyl, benzyl, phenethyl, (C1-C6 alkyl)-C(═O)—, and (C1-C6 alkyl)-S(═O)2—;
provided, when R13 is H, - then Z is C4-C6 alkyl substituted with 1-3 R12; C2-C4 alkenyl substituted with 1-3 R12; or C2-C4 alkynyl substituted with 1-3 R12.
- [14] In a further more preferred embodiment the present invention provides for a compound of Formula (Ia) wherein:
- R3 is —(CHR7), —R4,
- n is 0 or 1;
- R3a is H, OH, methyl, ethyl, propyl, butyl, methoxy, ethoxy, propoxy, butoxy, allyl, or 3-buten-1-yl;
- R4 is H, OH, OR14a,
- C1-C4 alkyl substituted with 0-2 R4a, C2-C4 alkenyl substituted with 0-2 R4a,
- C2-C4 alkynyl substituted with 0-1 R4a,
- C3-C6 carbocycle substituted with 0-3 R4b,
- C6-C10 aryl substituted with 0-3 R4b; or
- 5 to 6 membered heterocycle containing 1 to 4 heteroatoms selected from nitrogen, oxygen, and sulphur, wherein said 5 to 6 membered heterocycle is substituted with 0-3 R4b;
- R4b, at each occurrence, is independently selected from is OH, Cl, F, Br, I, CF3,
- C3-C6 carbocycle substituted with 0-3 R4b,
- phenyl substituted with 0-3 R4b, or
- 5 to 6 membered heterocycle containing 1 to 4 heteroatoms selected from nitrogen, oxygen, and sulphur, wherein said 5 to 6 membered heterocycle is substituted with 0-3 R4b;
- R4b, at each occurrence, is independently selected from H, OH, Cl, F, Br, I, CN, NO2, NR15R16, CF3, acetyl, SCH3, S(═O)CH3, S(═O)CH3, C1-C4 alkyl, C1-C3 alkoxy, C1-C2haloalkyl, and C1-C2 haloalkoxy;
- R5 is H, OH, OR14,
- C1-C4 alkyl substituted with 0-3 R5b;
- C2-C4 alkenyl substituted with 0-3 R5b;
- C2-C4 alkynyl substituted with 0-3 R5b;
- R5a is H, methyl, ethyl, propyl, or butyl;
- R5b, at each occurrence, is independently selected from:
- H, methyl, ethyl, propyl, butyl, CF3, OR14, Cl, F, Br, I, ═O;
- C3-C6 carbocycle substituted with 0-3 R5c,
- phenyl substituted with 0-3 R5c, or
- 5 to 6 membered heterocycle containing 1 to 4 heteroatoms selected from nitrogen, oxygen, and sulphur, wherein said 5 to 6 membered heterocycle is substituted with 0-3 R5c;
- R5c, at occurrence, is independently selected from H, OH, Cl, F, Br, I, CN, NO2, NR15R16, CF3, acetyl, SCH3, S(═O)CH3, S(═O)2CH3, C1-C4 alkyl, C1-C3 alkoxy, C1-C2 haloalkyl, and C1-C2 haloalkoxy;
- R6 is H;
- R7, at each occurrence, is independently selected from H, F, CF3, methyl, and ethyl;
- Ring B is a 7 membered lactam,
- wherein the lactam is saturated, partially saturated or unsaturated;
- wherein each additional lactam carbon is substituted with 0-2 R11; and,
- optionally, the lactam contains a heteroatom selected from —N═, —NH—, and —N(R10)—;
- additionally, two R11 substituents on adjacent may be combined to form a benzo fused radical; wherein said benzo fused radical is substituted with 0-2 R13;
- additionally, two R11 substituents on adjacent may be combined to form a 5 to 6 membered heteroaryl fused radical; wherein said 5 to 6 membered heteroaryl fused radical comprises 1 to 2 heteroatoms selected from N, O, and S; wherein said 5 to 6 membered heteroaryl fused radical is substituted with 0-2 R13;
- additionally, two R11 substituents on the same or adjacent carbon atoms may be combined to form a C3-C4 alkyl optionally substituted with 0-2 R13;
- R10 is H, C(═O)R17, C(═O)OR17;
- C1-C4 alkyl optionally substituted with 0-1 R10a;
- phenyl substituted with 0-4 R10b;
- C3-C6 carbocycle substituted with 0-3 R10b; or
- 5 to 6 membered heterocycle containing 1 to 4 heteroatoms selected from nitrogen, oxygen, and sulphur, wherein said 5 to 6 membered heterocycle is substituted with 0-3 R10b;
- R10a, at each occurrence, is independently selected from H, C1-C4 alkyl, OR14, Cl, F, Br, I, ═O, CN, NO2, NR15R16, CF3, or phenyl substituted with 0-4 R10b;
- R10b, at each occurrence, is independently selected from H, OH, C1-C4 alkyl, C1-C3 alkoxy, Cl, F, Br, I, CN, NO2, NR15R16, or CF3;
- R11, at each occurrence, is independently selected from
- H, C1-C4 alkoxy, Cl, F, ═O, NR18R19, C(═O)R17, C(═O)OR17, CF3;
- C1-C6 alkyl optionally substituted with 0-3 R11a;
- C6-C10 aryl substituted with 0-3 R11b,
- C3-C6 carbocycle substituted with 0-3 R11b; or
- 5 to 6 membered heterocycle containing 1 to 4 heteroatoms selected from nitrogen, oxygen, and sulphur, wherein said 5 to 6 membered heterocycle is substituted with 0-3 R11b;
- R11a, at each occurrence, is independently selected from H, C1-C4 alkyl, OR14, F, ═O, NR15R16, CF3, or phenyl substituted with 0-3 R11b;
- R11b, at each occurrence, is independently selected from H, OH, Cl, F, NR15R16, CF3, C1-C4 alkyl, C1-C3 alkoxy, C1-C2 haloalkyl, and C1-C2 haloalkoxy;
- Z is C1-C4 alkyl substituted with 1-3 R12;
- C2-C4 alkenyl substituted with 1-3 R12;
- C2-C4 alkynyl substituted with 1-3 R12;
- C6-C10 aryl substituted with 0-4 R12b;
- C3-C6 carbocycle substituted with 0-4 R12b; or
- 5 to 10 membered heterocycle containing 1 to 4 heteroatoms selected from nitrogen, oxygen, and sulphur, wherein said 5 to 6 membered heterocycle is substituted with 0-3 R12b;
- R12, at each occurrence, is independently selected from
- C6-C10 aryl substituted with 0-4 R12b;
- C3-C6 carbocycle substituted with 0-4 R12b; or
- 5 to 10 membered heterocycle containing 1 to 4 heteroatoms selected from nitrogen, oxygen, and sulphur, wherein said 5 to 10 membered heterocycle is substituted with 0-3 R12b;
- R12b, at each occurrence, is independently selected from H, OH, Cl, F, NR15R16, CF3, acetyl, SCH3, S(═O)CH3, S(═O)2CH3, C1-C4 alkyl, C1-C3 alkoxy, C1-C2 haloalkyl, and C1-C2 haloalkoxy;
- R13, at each occurrence, is independently selected from H, OH, C1-C6 alkyl, C1-C4 alkoxy, Cl, F, Br, I, CN, NO2, NR15R16, and CF3;
- R14 is H, phenyl, benzyl, C1-C4 alkyl, or C2-C4 alkoxyalkyl;
- R15, at each occurrence, is independently selected from H, C1-C4 alkyl, benzyl, phenethyl, (C1-C4 alkyl)-C(═O)—, and (C1-C4 alkyl)-S(═O)2—;
- R16, at each occurrence, is independently selected from
- H, OH, C1-C4 alkyl, benzyl, phenethyl,
- (C1-C4 alkyl)-C(═O)—, and (C1-C4 alkyl)-S(═O)2—;
- R17 is H, methyl, ethyl, propyl, butyl, methoxymethyl, ethoxymethyl, methoxyethyl,
- ethoxyethyl,
- phenyl substituted by 0-3 R17a, or
- —CH2-phenyl substituted by 0-3 R17a;
- R17a is H, methyl, methoxy, —OH, F, Cl, CF3, or OCF3;
- R18, at each occurrence, is independently selected from H, methyl, ethyl, propyl, butyl, phenyl, benzyl, and phenethyl; and
- R19, at each occurrence, is independently selected from H, methyl, and ethyl;
provided, when R13 is H,
then Z is butyl substituted with 1-3 R12;- C2-C4 alkenyl substituted with 1-3 R12; or
- C2-C4 alkynyl substituted with 1-3 R12.
- In an even more preferred embodiment the present invention provides for a compound of Formula (Ib):
- or a pharmaceutically acceptable salt or prodrug thereof wherein:
Ring B is selected from: - [16] In an even further more preferred embodiment the present invention provides for a compound of Formula (Ic):
- or a pharmaceutically acceptable salt or prodrug thereof
wherein - R3 is R4,
- R4 is C1-C4 alkyl substituted with 0-1 R4a,
- C2-C4 alkenyl substituted with 0-1 R4a, or
- C2-C4 alkynyl substituted with 0-1 R4a;
- R4a, at each occurrence, is independently selected from
- H, F, CF3,
- C3-C6 carbocycle substituted with 0-3 R4b,
- phenyl substituted with 0-3 R4b, or
- 5 to 6 membered heterocycle containing 1 to 4 heteroatoms selected from nitrogen, oxygen, and sulphur, wherein said 5 to 6 membered heterocycle is substituted with 0-3 R4b; wherein said 5 to 6 membered heterocycle is selected from pyridinyl, pyrimidinyl, triazinyl, furanyl, thienyl, thiazolyl, pyrrolyl, piperazinyl, piperidinyl, pyrazolyl, imidazolyl, oxazolyl, isoxazolyl, and tetrazolyl;
- R4b, at each occurrence, is independently selected from H, OH, Cl, F, NR15R16, CF3, acetyl, SC3, S(═O)CH3, S(═O)2CH3, methyl, ethyl, propyl, butyl, methoxy, ethoxy, propoxy, C1-C2 haloalkyl, and C1-C2 haloalkoxy;
- R5 is C1-C4 alkyl substituted with 0-1 R5b; C2-C4 alkenyl substituted with 0-3 R5b;
- C2-C4 alkynyl substituted with 0-3 R5b;
- R5b, at each occurrence, is independently selected from:
- H, methyl, ethyl, propyl, butyl, CF3, OR14, ═O; C3-C6 carbocycle substituted with 0-2 R5c;
- phenyl substituted with 0-3 R5c; or
- 5 to 6 membered heterocycle containing 1 to 4 heteroatoms selected from nitrogen, oxygen, and sulphur, wherein said 5 to 6 membered heterocycle is substituted with 0-3 R5c; wherein said 5 to 6 membered heterocycle is selected from pyridinyl, pyrimidinyl, triazinyl, furanyl, thienyl, thiazolyl, pyrrolyl, piperazinyl, piperidinyl, pyrazolyl, imidazolyl, oxazolyl, isoxazolyl, and tetrazolyl;
- R5c, at each occurrence, is independently selected from H, OH, Cl, F, NR15R16, CF3, acetyl, SC3, S(═O)CH3, S(═O)2CH3, methyl, ethyl, propyl, butyl, methoxy, ethoxy, propoxy, C1-C2 haloalkyl, and C1-C2 haloalkoxy;
- R11, at each occurrence, is independently selected from H, ═O, NR18R19, CF3;
- C1-C4 alkyl optionally substituted with 0-1 R11a;
- phenyl substituted with 0-3 R11b;
- C3-C6 carbocycle substituted with 0-3 R11b; or
- 5 to 6 membered heterocycle containing 1 to 4 heteroatoms selected from nitrogen, oxygen, and sulphur, wherein said 5 to 6 membered heterocycle is substituted with 0-3 R11b; wherein said 5 to 6 membered heterocycle is selected from pyridinyl, pyrimidinyl, triazinyl, furanyl, thienyl, thiazolyl, pyrrolyl, piperazinyl, piperidinyl, pyrazolyl, imidazolyl, oxazolyl, isoxazolyl, and tetrazolyl;
- R11a, at each occurrence, is independently selected from H1, C1-C4 alkyl, OR14, F, Cl, ═O, NR15R16, CF3, or phenyl substituted with 0-3 R11b;
- R11b, at each occurrence, is independently selected from H, OH, Cl, F, NR15R16, CF3, methyl, ethyl, propyl, butyl, methoxy, ethoxy, propoxy, C1-C2 haloalkyl, and C1-C2 haloalkoxy;
- Z is C1-C3 alkyl substituted with 1-3 R12;
- C2-C3 alkenyl substituted with 1-3 R2;
- C2-C3 alkynyl substituted with 1-3 R12;
- C6-C10 aryl substituted with 0-4 R12b;
- C3-C6 carbocycle substituted with 0-3 R12b; or
- 5 to 6 membered heterocycle containing 1 to 4 heteroatoms selected from nitrogen, oxygen, and sulphur, wherein said 5 to 6 membered heterocycle is substituted with 0-3 R12b; wherein said 5 to 6 membered heterocycle is selected from pyridinyl, pyrimidinyl, triazinyl, furanyl, thienyl, thiazolyl, pyrrolyl, piperazinyl, piperidinyl, pyrazolyl, imidazolyl, oxazolyl, isoxazolyl, and tetrazolyl;
- R12, at each occurrence, is independently selected from
- C6-C10 aryl substituted with 0-4 R12b;
- C3-C6 carbocycle substituted with 0-3 R12b; or
- 5 to 6 membered heterocycle containing 1 to 4 heteroatoms selected from nitrogen, oxygen, and sulphur, wherein said 5 to 6 membered heterocycle is substituted with 0-3 R2b; wherein said 5 to 6 membered heterocycle is selected from pyridinyl, pyrimidinyl, triazinyl, furanyl, thienyl, thiazolyl, pyrrolyl, piperazinyl, piperidinyl, pyrazolyl, imidazolyl, oxazolyl, isoxazolyl, and tetrazolyl;
- R12b, at each occurrence, is independently selected from
- H, OH, Cl, F, NR15R16, CF3, acetyl, SCH3, S(═O)CH3, S(═O)2CH3, methyl, ethyl, propyl, butyl, methoxy, ethoxy, propoxy, C1-C2 haloalkyl, and C1-C2 haloalkoxy;
- R13, at each occurrence, is independently selected from H, OH, methyl, ethyl, propyl, butyl, methoxy, ethoxy, Cl, F, Br, CN, NR15R16, and CF3;
- R14 is H, phenyl, benzyl, methyl, ethyl, propyl, or butyl;
- R15, at each occurrence, is independently selected from H, methyl, ethyl, propyl, and butyl;
- R16, at each occurrence, is independently selected from H, OH, methyl, ethyl, propyl, butyl, benzyl, phenethyl, methyl-C(═O)—, ethyl-C(═O)—, methyl-S(═O)2—, and ethyl-S(═O)2—;
- R18, at each occurrence, is independently selected from
- H, methyl, ethyl, propyl, butyl, phenyl, benzyl, and phenethyl; and
- R19, at each occurrence, is independently selected from
- H, methyl, and ethyl;
provided, when R13 is H,
then Z is C2-C3 alkenyl substituted with 1-3 R12; or C2-C3 alkynyl substituted with 1-3 R12.
- H, methyl, and ethyl;
- [17] In an even more preferred embodiment the present invention provides for a compound of Formula (Id):
- or a pharmaceutically acceptable salt or prodrug thereof wherein:
- R3 is R4,
- R4 is C1-C4 alkyl substituted with 0-1 R4a, C2-C4 alkenyl substituted with 0-1 R4a, or C2-C4 alkynyl substituted with 0-1 R4a;
- R4a, at each occurrence, is independently selected from
- H, F, CF3,
- C3-C6 carbocycle substituted with 0-3 R4b, phenyl substituted with 0-3 R4b, or
- 5 to 6 membered heterocycle containing 1 to 4 heteroatoms selected from nitrogen, oxygen, and sulphur, wherein said 5 to 6 membered heterocycle is substituted with 0-3 R4b; wherein said 5 to 6 membered heterocycle is selected from pyridinyl, pyrimidinyl, triazinyl, furanyl, thienyl, thiazolyl, pyrrolyl, piperazinyl, piperidinyl, pyrazolyl, imidazolyl, oxazolyl, isoxazolyl, and tetrazolyl;
- R4b, at each occurrence, is independently selected from H, OH, Cl, F. NR15R16, CF3, acetyl, SCH3, S(═O)CH3, S(═O)2CH3, methyl, ethyl, propyl, butyl, methoxy, ethoxy, propoxy, C1-C2 haloalkyl, and C1-C2 haloalkoxy;
- R5 is C1-C4 alkyl substituted with 0-1 R5b;
- C2-C4 alkenyl substituted with 0-1 R5b;
- C2-C4 alkynyl substituted with 0-1 R5b—
- R5b, at each occurrence, is independently selected from:
- H, methyl, ethyl, propyl, butyl, CF3, OR14, ═O;
- C3-C6 carbocycle substituted with 0-2 R5c;
- phenyl substituted with 0-3 R5c; or
- 5 to 6 membered heterocycle containing 1 to 4 heteroatoms selected from nitrogen, oxygen, and sulphur, wherein said 5 to 6 membered heterocycle is substituted with 0-3 R5c; wherein said 5 to 6 membered heterocycle is selected from pyridinyl, pyrimidinyl, triazinyl, furanyl, thienyl, thiazolyl, pyrrolyl, piperazinyl, piperidinyl, pyrazolyl, imidazolyl, oxazolyl, isoxazolyl, and tetrazolyl;
- R5c, at each occurrence, is independently selected from H, OH, Cl, F, NR15R16, CF3, acetyl, SCH3, S(═O)CH3, S(═O)2CH3, methyl, ethyl, propyl, butyl, methoxy, ethoxy, propoxy, C1-C2 haloalkyl, and C1-C2 haloalkoxy;
- R11, at each occurrence, is independently selected from
- H, ═O, NR18R19, CF3;
- C1-C4 alkyl optionally substituted with 0-1 R11a;
- phenyl substituted with 0-3 R11b;
- C3-C6 carbocycle substituted with 0-3 R11b; or
- 5 to 6 membered heterocycle containing 1 to 4 heteroatoms selected from nitrogen, oxygen, and sulphur, wherein said 5 to 6 membered heterocycle is substituted with 0-3 R11b; wherein said 5 to 6 membered heterocycle is selected from pyridinyl, pyrimidinyl, triazinyl, furanyl, thienyl, thiazolyl, pyrrolyl, piperazinyl, piperidinyl, pyrazolyl, imidazolyl, oxazolyl, isoxazolyl, and tetrazolyl;
- R11a, at each occurrence, is independently selected from H, C1-C4 alkyl, OR14, F, Cl, ═O, NR15R16, CF3, or phenyl substituted with 0-3 R11b;
- R11b, at each occurrence, is independently selected from H, OH, Cl, F, NR15R16, CF3, methyl, ethyl, propyl, butyl, methoxy, ethoxy, propoxy, C1-C2 haloalkyl, and C1-C2 haloalkoxy;
- Z is C1-C3 alkyl substituted with 1-3 R12;
- C2-C3 alkenyl substituted with 1-3 R12;
- C2-C3 alkynyl substituted with 1-3 R2; C6-C1 aryl substituted with 0-4 R12b;
- C3-C6 carbocycle substituted with 0-3 R12b; or
- 5 to 6 membered heterocycle containing 1 to 4 heteroatoms selected from nitrogen, oxygen, and sulphur, wherein said 5 to 6 membered heterocycle is substituted with 0-3 R12b; wherein said 5 to 6 membered heterocycle is selected from pyridinyl, pyrimidinyl, triazinyl, furanyl, thienyl, thiazolyl, pyrrolyl, piperazinyl, piperidinyl, pyrazolyl, imidazolyl, oxazolyl, isoxazolyl, and tetrazolyl;
- R12, at each occurrence, is independently selected from
- C6-C10 aryl substituted with 0-4 R12b;
- C3-C6 carbocycle substituted with 0-3 R12b; or
- 5 to 6 membered heterocycle containing 1 to 4 heteroatoms selected from nitrogen, oxygen, and sulphur, wherein said 5 to 6 membered heterocycle is substituted with 0-3 R12b; wherein said 5 to 6 membered heterocycle is selected from pyridinyl, pyrimidinyl, triazinyl, furanyl, thienyl, thiazolyl, pyrrolyl, piperazinyl, piperidinyl, pyrazolyl, imidazolyl, oxazolyl, isoxazolyl, and tetrazolyl;
- R12b, at each occurrence, is independently selected from H, OH, Cl, F, NR15R16, CF3, acetyl, SCH3, S(═O)CH3, S(═O)2CH3, methyl, ethyl, propyl, butyl, methoxy, ethoxy, propoxy, C1-C2 haloalkyl, and C1-C2 haloalkoxy;
- R13, at each occurrence, is independently selected from H, OH, methyl, ethyl, propyl, butyl, methoxy, ethoxy, Cl, F, Br, CN, NR15R15R16, and CF3;
- R14 is H, phenyl, benzyl, methyl, ethyl, propyl, or butyl;
- R15, at each occurrence, is independently selected from H, methyl, ethyl, propyl, and butyl;
- R16, at each occurrence, is independently selected from
- H, OH, methyl, ethyl, propyl, butyl, benzyl, phenethyl, methyl-C(═O)—, ethyl-C(═O)—, methyl-S(═O)2—, and ethyl-S(═O)2—;
- R18, at each occurrence, is independently selected from H, methyl, ethyl, propyl, butyl, phenyl, benzyl, and phenethyl; and
- R19, at each occurrence, is independently selected from:
- H, methyl, and ethyl.
provided, when R13 is H,
then Z is C2-C3 alkenyl substituted with 1-3 R12; or - C2-C3 alkynyl substituted with 1-3 R12.
- H, methyl, and ethyl.
- [18] In another even further more preferred embodiment the present invention provides for a compound of Formula (Ie):
- or a pharmaceutically acceptable salt or prodrug thereof wherein:
- R3 is R4,
- R4 is C1-C4 alkyl substituted with 0-1 R4a,
- C2-C4 alkenyl substituted with 0-1 R4a, or
- C2-C4 alkynyl substituted with 0-1 R4a;
- R4a, at each occurrence, is independently selected from
- H, F, CF3,
- C3-C6 carbocycle substituted with 0-3 R4b,
- phenyl substituted with 0-3 R4b, or
- 5 to 6 membered heterocycle containing 1 to 4 heteroatoms selected from nitrogen, oxygen, and sulphur, wherein said 5 to 6 membered heterocycle is substituted with 0-3 R4b; wherein said 5 to 6 membered heterocycle is selected from pyridinyl, pyrimidinyl, triazinyl, furanyl, thienyl, thiazolyl, pyrrolyl, piperazinyl, piperidinyl, pyrazolyl, imidazolyl, oxazolyl, isoxazolyl, and tetrazolyl;
- R4b, at each occurrence, is independently selected from H, OH, Cl, F. NR15R16, CF3, acetyl, SCH3, S(═O)CHi, S(═O)2CH3, methyl, ethyl, propyl, butyl, methoxy, ethoxy, propoxy, C1-C2 haloalkyl, and C1-C2 haloalkoxy;
- R5 is C1-C4 alkyl substituted with 0-1 R5b;
- C2-C4 alkenyl substituted with 0-1 R5b;
- C2-C4 alkynyl substituted with 0-1 R5b;
- R5b, at each occurrence, is independently selected from:
- H, methyl, ethyl, propyl, butyl, CF3, OR14, ═O;
- C3-C6 carbocycle substituted with 0-2 R5c;
- phenyl substituted with 0-3 R5c; or
- 5 to 6 membered heterocycle containing 1 to 4 heteroatoms selected from nitrogen, oxygen, and sulphur, wherein said 5 to 6 membered heterocycle is substituted with 0-3 R5c; wherein said 5 to 6 membered heterocycle is selected from pyridinyl, pyrimidinyl, triazinyl, furanyl, thienyl, thiazolyl, pyrrolyl, piperazinyl, piperidinyl, pyrazolyl, imidazolyl, oxazolyl, isoxazolyl, and tetrazolyl;
- R5c, at each occurrence, is independently selected from H, OH, Cl, F, NR15R16, CF3, acetyl, SCH3, S(═O)CH3, S(═O)2CH3, methyl, ethyl, propyl, butyl, methoxy, ethoxy, propoxy, C1-C2 haloalkyl, and C1-C2 haloalkoxy;
- R10a is H, C(═O)R17, C(═O)OR17;
- C1-C4 alkyl optionally substituted with 0-1 R10a;
- phenyl substituted with 0-4 R10b;
- C3-C6 carbocycle substituted with 0-3 R10b; or
- 5 to 6 membered heterocycle containing 1 to 4 heteroatoms selected from nitrogen, oxygen, and sulphur, wherein said 5 to 6 membered heterocycle is substituted with 0-3 R10b; wherein said 5 to 6 membered heterocycle is selected from pyridinyl, pyrimidinyl, triazinyl, furanyl, thienyl, thiazolyl, pyrrolyl, piperazinyl, piperidinyl, pyrazolyl, imidazolyl, oxazolyl, isoxazolyl, and tetrazolyl;
- R10a, at each occurrence, is independently selected from H, methyl, ethyl, propyl, butyl, OR14, Cl, F, ═O, NR15R16, CF3, or phenyl substituted with 0-4 R10b;
- R10b, at each occurrence, is independently selected from H, OH, methyl, ethyl, propyl, butyl, methoxy, ethoxy, propoxy, Cl, F, NR15R16, and CF3;
- Z is C1-C3 alkyl substituted with 1-3 R12;
- C2-C3 alkenyl substituted with 1-3 R12;
- C2-C3 alkynyl substituted with 1-3 R2;
- C6-C10 aryl substituted with 0-4 R12b;
- C3-C6 carbocycle substituted with 0-3 R12b; or
- 5 to 6 membered heterocycle containing 1 to 4 heteroatoms selected from nitrogen, oxygen, and sulphur, wherein said 5 to 6 membered heterocycle is substituted with 0-3 R12b; wherein said 5 to 6 membered heterocycle is selected from pyridinyl, pyrimidinyl, triazinyl, furanyl, thienyl, thiazolyl, pyrrolyl, piperazinyl, piperidinyl, pyrazolyl, imidazolyl, oxazolyl, isoxazolyl, and tetrazolyl;
- R12, at each occurrence, is independently selected from
- C6-C10 aryl substituted with 0-4 R1b;
- C3-C6 carbocycle substituted with 0-3 R12b; or
- 5 to 6 membered heterocycle containing 1 to 4 heteroatoms selected from nitrogen, oxygen, and sulphur, wherein said 5 to 6 membered heterocycle is substituted with 0-3 R12b; wherein said 5 to 6 membered heterocycle is selected from pyridinyl, pyrimidinyl, triazinyl, furanyl, thienyl, thiazolyl, pyrrolyl, piperazinyl, piperidinyl, pyrazolyl, imidazolyl, oxazolyl, isoxazolyl, and tetrazolyl;
- R12b, at each occurrence, is independently selected from
- H, OH, Cl, F, NR15R16, CF3, acetyl, SCH3, S(═O)CH3, S(═O)2CH3, methyl, ethyl, propyl, butyl, methoxy, ethoxy, propoxy, C1-C2 haloalkyl, and C1-C2 haloalkoxy;
- R13, at each occurrence, is independently selected from H, OH, methyl, ethyl, propyl, butyl, methoxy, ethoxy, Cl, F, Br, CN, NR15R16, and CF3;
- R14 is H, phenyl, benzyl, methyl, ethyl, propyl, or butyl;
- R15, at each occurrence, is independently selected from H, methyl, ethyl, propyl, and butyl;
- R16, at each occurrence, is independently selected from
- H, OH, methyl, ethyl, propyl, butyl, benzyl, phenethyl, methyl-C(═O)—, ethyl-C(═O)—, methyl-S(═O)2—, and ethyl-S(═O)2—;
- R17 is H, methyl, ethyl, propyl, butyl, methoxymethyl, ethoxymethyl, methoxyethyl, ethoxyethyl, phenyl substituted by 0-3 R17a, or —CH2-phenyl substituted by 0-3 R17a; and
- R17a is H, methyl, methoxy, —OH, F, Cl, CF3, or OCF3.
- R18, at each occurrence, is independently selected from
- H, methyl, ethyl, propyl, butyl, phenyl, benzyl, and phenethyl; and
- R19, at each occurrence, is independently selected from
- H, methyl, and ethyl.
provided, when R13 is H.
then Z is C2-C3 alkenyl substituted with 1-3 R12; or - C2-C3 alkynyl substituted with 1-3 R12.
- H, methyl, and ethyl.
- [19] In another even further more preferred embodiment the present invention provides for a compound of Formula (If):
- or a pharmaceutically acceptable salt or prodrug thereof wherein:
- R3 is R4,
- R4 is C1-C4 alkyl substituted with 0-1 R4a,
- C2-C4 alkenyl substituted with 0-1 R4a, or C2-C4 alkynyl substituted with 0-1 R4a;
- R4a, at each occurrence, is independently selected from
- H, F, CF3,
- C3-C6 carbocycle substituted with 0-3 R4b,
- phenyl substituted with 0-3 R4b, or
- 5 to 6 membered heterocycle containing 1 to 4 heteroatoms selected from nitrogen, oxygen, and sulphur, wherein said 5 to 6 membered heterocycle is substituted with 0-3 R4b; wherein said 5 to 6 membered heterocycle is selected from pyridinyl, pyrimidinyl, triazinyl, furanyl, thienyl, thiazolyl, pyrrolyl, piperazinyl, piperidinyl, pyrazolyl, imidazolyl, oxazolyl, isoxazolyl, and tetrazolyl;
- R4b, at each occurrence, is independently selected from H, OH, Cl, F. NR5R6, CF3, acetyl, SCH3, S(═O)CH3, S(═O)2CH3, methyl, ethyl, propyl, butyl, methoxy, ethoxy, propoxy, C1-C2 haloalkyl, and C1-C2 haloalkoxy;
- R5 is C1-C4 alkyl substituted with 0-1 R5b;
- C2-C4 alkenyl substituted with 0-1 R5b:
- C2-C4 alkynyl substituted with 0-1 R5b;
- R5b, at each occurrence, is independently selected from:
- H, methyl, ethyl, propyl, butyl, CF3, OR14, ═O;
- C3-C6 carbocycle substituted with 0-2 R5c;
- phenyl substituted with 0-3 R5c; or
- 5 to 6 membered heterocycle containing 1 to 4 heteroatoms selected from nitrogen, oxygen, and sulphur, wherein said 5 to 6 membered heterocycle is substituted with 0-3 R5c; wherein said 5 to 6 membered heterocycle is selected from pyridinyl, pyrimidinyl, triazinyl, furanyl, thienyl, thiazolyl, pyrrolyl, piperazinyl, piperidinyl, pyrazolyl, imidazolyl, oxazolyl, isoxazolyl, and tetrazolyl;
- R5c, at each occurrence, is independently selected from H, OH, Cl, F, NR15R16, CF3, acetyl, SCH3, S(═O)CH3, S(═O)2CH3, methyl, ethyl, propyl, butyl, methoxy, ethoxy, propoxy, C1-C2 haloalkyl, and C1-C2 haloalkoxy;
- Z is C1-C3 alkyl substituted with 1-3 R12;
- C2-C3 alkenyl substituted with 1-3 R12;
- C2-C3 alkynyl substituted with 1-3 R12;
- C6-C10 aryl substituted with 0-4 R12b;
- C3-C6 carbocycle substituted with 0-3 R12b; or
- 5 to 6 membered heterocycle containing 1 to 4 heteroatoms selected from nitrogen, oxygen, and sulphur, wherein said 5 to 6 membered heterocycle is substituted with 0-3 R12b; wherein said 5 to 6 membered heterocycle is selected from pyridinyl, pyrimidinyl, triazinyl, furanyl, thienyl, thiazolyl, pyrrolyl, piperazinyl, piperidinyl, pyrazolyl, imidazolyl, oxazolyl, isoxazolyl, and tetrazolyl;
- R12, at each occurrence, is independently selected from
- C6-C10 aryl substituted with 0-4 R12b;
- C3-C6 carbocycle substituted with 0-3 R12b; or
- 5 to 10 membered heterocycle containing 1 to 4 heteroatoms selected from nitrogen, oxygen, and sulphur, wherein said 5 to 10 membered heterocycle is substituted with 0-3 R12b; wherein said 5 to 6 membered heterocycle is selected from pyridinyl, pyrimidinyl, triazinyl, furanyl thienyl, thiazolyl, pyrrolyl, piperazinyl, piperidinyl, pyrazolyl, imidazolyl, oxazolyl, isoxazolyl, and tetrazolyl;
- R12b, at each occurrence, is independently selected from
- H, OH, Cl, F, NR15R16, CF3, acetyl, SCH3, S(═O)CH3, S(═O)2CH3, methyl, ethyl, propyl, butyl, methoxy, ethoxy, propoxy, C1-C2 haloalkyl, and C1-C2 haloalkoxy;
- R13, at each occurrence, is independently selected from
- H, OH, methyl, ethyl, propyl, butyl, methoxy, ethoxy, Cl, F, Br, CN, NR15R16, and CF3;
- R14 is H, phenyl, benzyl, methyl, ethyl, propyl, or butyl;
- R15, at each occurrence, is independently selected from H, methyl, ethyl, propyl, and butyl;
- R16, at each occurrence, is independently selected from H, OH, methyl, ethyl, propyl, butyl, benzyl, phenethyl, methyl-C(═O)—, ethyl-C(═O)—, methyl-S(═O)2—, and ethyl-S(═O)2—;
- R18, at each occurrence, is independently selected from H, methyl, ethyl, propyl, butyl, phenyl, benzyl, and phenethyl; and
- R19, at each occurrence, is independently selected from H, methyl, and ethyl.
provided, when R13 is H,
then Z is C2-C3 alkenyl substituted with 1-3 R12; or- C2-C3 alkynyl substituted with 1-3 R12.
- [20] In another even further more preferred embodiment the present invention provides for a compound of one Formulas (Ic), (Id), (Ie), or (If), wherein:
- R3 is —CH3, —CH2CH3, —CH2CH2CH3, —CH2CH2CH2CH3, —CH2(CH3)2, —CH(CH3)CH2CH3, —CH2CH(CH3)2, —CH2C(CH3)3, —CF3, —CH2CF3, —CH2CH2CF3, —CH2CH2CH2CF3, —CH═CH2, —CH2CH═CH2, —CH2C(CH3)═CH2, —CH2CH═C(CH3)2, —CH2CH2CH═CH2, —CH2CH2C(CH3)═CH2, —CH2CH2CH═C(CH3)2, cis-CH2CH═CH(CH3), cis-CH2CH2CH═CH(CH3), trans-CH2CH═CH(CH3), trans-CH2CH2CH═CH(CH3); —C≡CH, —CH2C≡CH, —CH2C≡C(CH3), cyclopropyl-CH2—, cyclobutyl-CH2—, cyclopentyl-CH2—, cyclohexyl-CH2—, cyclopropyl-CH2CH2—, cyclobutyl-CH2CH2—, cyclopentyl-CH2CH2H2—, cyclohexyl-CH2CH2—, phenyl-CH2—, (2-F-phenyl)CH2—, (3-F-phenyl)CH2—, (4-F-phenyl)CH2—, (2-Cl-phenyl)CH2—, (3-Cl-phenyl)CH2, (4-Cl-phenyl)CH2—, (2,3-diF-phenyl)CH2—, (2,4-diF-phenyl)CH2—, (2,5-diF-phenyl)CH2—, (2,6-diF-phenyl)CH2—, (3,4-diF-phenyl)CH2—, (3,5-diF-phenyl)CH2—, (2,3-diCl-phenyl)CH2—, (2,4-diCl-phenyl)CH2—, (2,5-diCl-phenyl)CH2—, (2,6-diCl-phenyl)CH2—, (3,4-diCl-phenyl)CH2—, (3,5-diCl-phenyl)CH2—, (3-F-4-Cl-phenyl)CH2—, (3-F-5-Cl-phenyl)CH2—, (3-Cl-F-phenyl)CH2—, phenyl-CH2CH2—, (2-F-phenyl)CH2CH2—, (3-F-phenyl)CH2CH2—, (4-F-phenyl)CH2CH2—, (2-Cl-phenyl)CH2CH2—, (3-Cl-phenyl)CH2CH2—, (4-Cl-phenyl)CH2CH2—, (2,3-diF-phenyl)CH2CH2—, (2,4-diF-phenyl)CH2CH2—, (2,5-diF-phenyl)CH2CH2—, (2,6-diF-phenyl)CH2CH2—, (3,4-diF-phenyl)CH2CH2—, (3,5-diF-phenyl)CH2CH2—, (2,3-diCl-phenyl)CH2CH2—, (2,4-diCl-phenyl)CH2CH2—, (2,5-diCl-phenyl)CH2CH2—, (2,6-diCl-phenyl)CH2C1-2—, (3,4-diCl-phenyl)CH2CH2—, (3,5-diCl-phenyl)CH2CH2—, (3-F-4-Cl-phenyl)CH2CH2—, or (3-F-5-Cl-phenyl)CH2CH2—,
- R5 is —CH3, —CH2CH3, —CH2CH2CH3, —CH(CH3)2, —CH2CH2CH2CH3, —CH(CH3)CH2CH3, —CH2CH(CH3)2, —CH2C(CH3)3, —CH2CH2CH2CH2CH3, —CH(CH3)CH2CH2CH3, —CH2CH(CH3)CH2CH3, —CH2CH2CH(CH3)2, —CH(CH2CH3)2, —CF3, —CH2CF3, —CH2CH2CF3, —CH2CH2CH2CF3, —CH2CH2CH2CH2CF3, —CH═CH2, —CH2CH═CH2, —CH═CHCH3, cis-CH2CH═CH(CH3), trans-CH2CH═CH(CH3), trans-CH2CH═CH(C6H5), —CH2CH═C(CH3)2, cis-CH2CH═CHCH2CH3, trans-CH2CH═CHCH2CH3, cis-CH2CH2CH═CH(CH3), trans-CH2CH2CH═CH(CH3), trans-CH2CH═CHC2(C6H5), —C≡CH, —CH2C≡CH, —CH2C≡C(CH3), —CH2C≡C(C6H5) —CH2CH2C≡CH, —CH2CH2C≡C(CH3), —CH2CH2C≡C(C6H5) —CH2CH2CH2C≡CH, —CH2CH2CH2C≡C(CH3), —CH2CH2CH2C≡C(C6H5) cyclopropyl-CH2—, cyclobutyl-CH2—, cyclopentyl-CH2—, cyclohexyl-CH2—, (2-CH3-cyclopropyl)CH2—, (3-CH3-cyclobutyl)CH2—, cyclopropyl-CH2CH2—, cyclobutyl-CH2CH2—, cyclopentyl-CH2CH2—, cyclohexyl-CH2CH2—, (2-CH3-cyclopropyl)CH2CH2—, (3-CH3-cyclobutyl)CH2CH2—, phenyl-CH2— (2-F-phenyl)CH2—, (3-F-phenyl)CH2—, (4-F-phenyl)CH2—, furanyl-CH2—, thienyl-CH2—, pyridyl-CH2—, 1-imidazolyl-CH2—, oxazolyl-CH2—, isoxazolyl-CH2—, phenyl-CH2CH2—, (2-F-phenyl)CH2CH2—, (3-F-phenyl)CH2CH2—, (4-F-phenyl)CH2CH2—, furanyl-CH2CH2—, thienyl-CH2CH2—, pyridyl-CH2CH2—, 1-imidazolyl-CH2CH2—, oxazolyl-CH2CH2—, isoxazolyl-CH2CH2—,
- Z is phenyl, 2-F-phenyl, 3-F-phenyl, 4-F-phenyl, 2-Cl-phenyl, 3-Cl-phenyl, 4-Cl-phenyl, 2,3-diF-phenyl, 2,4-diF-phenyl, 2,5-diF-phenyl, 2,6-diF-phenyl, 3,4-diF-phenyl, 3,5-diF-phenyl, 2,3-diCl-phenyl, 2,4-diCl-phenyl, 2,5-diCl-phenyl, 2,6-diCl-phenyl, 3,4-diCl-phenyl, 3,5-diCl-phenyl, 3-F-4-Cl-phenyl, 3-F-5-Cl-phenyl, 3-Cl-F-phenyl, 2-MeO-phenyl, 3-MeO-phenyl, 4-MeO-phenyl, 2-Me-phenyl, 3-Me-phenyl, 4-Me-phenyl, 2-MeS-phenyl, 3-MeS-phenyl, 4-MeS-phenyl, 2-CF3O-phenyl, 3-CF3O-phenyl, 4-CF3O-phenyl,
- furanyl, thienyl, pyridyl, 2-Me-pyridyl, 3-Me-pyridyl, 4-Me-pyridyl, 1-imidazolyl, oxazolyl, isoxazolyl, 1-benzimidazolyl,
- cyclopropyl, cyclobutyl, cyclopentyl, cyclohexyl, morpholino, N-piperinyl, phenyl-CH2—, (2-F-phenyl)CH2—, (3-F-phenyl)CH2—, (4-F-phenyl)CH2—, (2-Cl-phenyl)CH2—, (3-Cl-phenyl)CH2—, (4-Cl-phenyl)CH2—, (2,3-diF-phenyl)CH2—, (2,4-diF-phenyl)CH2—, (2,5-diF-phenyl)CH2—, (2,6-diF-phenyl)CH2—, (3,4-diF-phenyl)CH2—, (3,5-diF-phenyl)CH2—, (2,3-diCl-phenyl)CH2—, (2,4-diCl-phenyl)CH2—, (2,5-diCl-phenyl)CH2—, (2,6-diCl-phenyl)CH2—, (3,4-diCl-phenyl)CH2—, (3,5-diCl-phenyl)CH2—, (3-F-4-Cl-phenyl)CH2—, (3-F-5-Cl-phenyl)CH2—, (3-Cl-F-phenyl)CH2—, (2-MeO-phenyl)CH2—, (3-MeO-phenyl)CH2—, (4-MeO-phenyl)CH2—, (2-Me-phenyl)CH2—, (3-Me-phenyl)CH2—, (4-Me-phenyl)CH2—, (2-MeS-phenyl)CH2—, (3-MeS-phenyl)CH2—, 4-MeS-phenyl)CH2—, (2-CF3O-phenyl)CH2—, (3-CF3O-phenyl)CH2—, (4-CF3O-phenyl)CH2—, (furanyl)CH2—,(thienyl)CH2—, (pyridyl)CH2—, (2-Me-pyridyl)CH2—, (3-Me-pyridyl)CH2—, (4-Me-pyridyl)CH2—, (1-imidazolyl)CH2—, (oxazolyl)CH2—, (isoxazolyl)CH2—, (1-benzimidazolyl)CH2—, (cyclopropyl)CH2—, (cyclobutyl)CH2—, (cyclopentyl)CH2—, (cyclohexyl)CH2—, (morpholino)CH2—, (N-pipridinyl)CH2—,
- phenyl-CH2CH2—, (phenyl)2CHCH2—, (2-F-phenyl)CH2CH2—, (3-F-phenyl)CH2CH2—, (4-F-phenyl)CH2CH2—, (2-Cl-phenyl)CH2CH2—, (3-Cl-phenyl)CH2CH2—, (4-Cl-phenyl)CH2CH2—, (2,3-diF-phenyl)CH2CH2—, (2,4-diF-phenyl)CH2CH2—, (2,5-diF-phenyl)CH2CH2—, (2,6-diF-phenyl)CH2CH2—, (3,4-diF-phenyl)CH2CH2—, (3,5-diF-phenyl)CH2CH2—, (2,3-diCl-phenyl)CH2CH2—, (2,4-diCl-phenyl)CH2CH2—, (2,5-diCl-phenyl)CH2CH2—, (2,6-diCl-phenyl)CH2CH2—, (3,4-diCl-phenyl)CH2CH2—, (3,5-diCl-phenyl)CH2CH2—, (3-F-4-Cl-phenyl)CH2CH2—, (3-F-5-Cl-phenyl)CH2CH2—, (3-Cl-F-phenyl)CH2CH2—, (2-MeO-phenyl)CH2CH2—, (3-MeO-phenyl)CH2CH2—, (4-MeO-phenyl)CH2CH2—, (2-Me-phenyl)CH2CH2—, (3-Me-phenyl)CH2CH2—, (4-Me-phenyl)CH2CH2—, (2-MeS-phenyl)CH2CH2—, (3-MeS-phenyl)CH2CH2—, (4-MeS-phenyl)CH2CH2—, (2-CF3O-phenyl)CH2CH2—, (3-CF3O-phenyl)CH2CH2—, (4-CF3O-phenyl)CH2CH2—, (furanyl)CH2CH2—, (thienyl)CH2CH2—, (pyridyl)CH2CH2—, (2-Me-pyridyl)CH2CH2—, (3-Me-pyridyl)CH2CH2—, (4-Me-pyridyl)CH2CH2—, (imidazolyl)CH2CH2—, (oxazolyl)CH2CH2—, (isoxazolyl)CH2CH2—, (benzimidazolyl)CH2CH2—, (cyclopropyl)CH2CH2—, (cyclobutyl)CH2CH2—, (cyclopentyl)CH2CH2—, (cyclohexyl)CH2CH2—, (morpholino)CH2—, or (N-pipridinyl)CH2—;
- R10 is H, methyl, ethyl, phenyl, benzyl, phenethyl, 4-F-phenyl, (4-F-phenyl)CH2—, (4-F-phenyl)CH2CH2—, 4-Cl-phenyl, (4-Cl-phenyl)CH2—, (4-Cl-phenyl)CH2CH2—, 4-CH3-phenyl, (4-CH3-phenyl)CH2—, (4-CH3-phenyl)CH2CH2—, 4-CF3-phenyl, (4-CF3-phenyl)CH2—, or (4-CF3-phenyl)CH2CH2—;
- R11 at each occurrence, is independently selected from H, ═O, methyl, ethyl, phenyl, benzyl, phenethyl, 4-F-phenyl, (4-F-phenyl)CH2—, (4-F-phenyl)CH2CH2—, 3-F-phenyl, (3-F-phenyl)CH2—, (3-F-phenyl)CH2CH2—, 2-F-phenyl, (2-F-phenyl)CH2—, (2-F-phenyl)CH2CH2—, 4-Cl-phenyl, (4-Cl-phenyl)CH2—, (4-Cl-phenyl)CH2CH2—, 3-Cl-phenyl, (3-Cl-phenyl)CH2—, (3-Cl-phenyl)CH2CH2—, 4-CH3-phenyl, (4-CH3-phenyl)CH2—, (4-CH3-phenyl)CH2CH2—, 3-CH3-phenyl, (3-CH3-phenyl)CH2—, (3-CH3-phenyl)CH2CH2—, 4-CF3-phenyl, (4-CF3-phenyl)CH2—, (4-CF3-phenyl)CH2CH2—, pyrid-2-yl, pyrid-3-yl, or pyrid-4-yl, and
- R13, at each occurrence, is independently selected from H, F, Cl, OH, —CH3, —CH2CH3, —OCH3, or —CF3.
- [21] In another embodiment the present invention provides for a method for the treatment of neurological disorders associated with β-amyloid production comprising administering to a host in need of such treatment a therapeutically effective amount of a compound of Formula (I):
- or a pharmaceutically acceptable salt or prodrug thereof, wherein:
-
- R2 is independently selected from H, C1-C6 alkyl, C3-C10 carbocycle, C6-C10 aryl, and 5 to 10 membered heterocycle containing 1 to 4 heteroatoms selected from nitrogen, oxygen. and sulphur;
R3 is —(CR7R7a)n—R4,- —(CR7R7a)n—S—(CR7R7a)m—R4,
- —(CR7R7a)n—O—(CR7R7a)m—R4,
- —(CR7R7a)n—N(R7b)—(CR7R7a)m—R4,
- —(CR7R7a)n—S(═O)—(CR7R7a)m—R4,
- —(CR7R7a)n—S(═O)2—(CR7R7)m—R4,
- —(CR7R7a)n—C(═O)—(CR7R7a)m—R4,
- —(CR7R7a)n—N(R7b)C(═O)—(CR7R7a)m—R4,
- —(CR7R7a)n—C(═O)N(R7b)—(CR7R7a)m—R4,
- —(CR7R7a)n—N(R7b)S(═O)2—(CR7R7a)m—R4, or
- —(CR7R7a)n—S(═O)2N(R7b)—(CR7R7a)m—R4;
- n is 0, 1, 2, or 3;
- m is 0, 1, 2, or 3;
- R3a is H, OH, C1-C4 alkyl, C1-C4 alkoxy, C2-C4 alkenyl or C2-C4 alkenyloxy;
- R4 is H, OH, OR14a,
- C1-C6 alkyl substituted with 0-3 R4a, C2-C6 alkenyl substituted with 0-3 R4a,
- C2-C6 alkynyl substituted with 0-3 R4a,
- C3-C10 carbocycle substituted with 0-3 R4b,
- C6-C10 aryl substituted with 0-3 R4b, or
- 5 to 10 membered heterocycle containing 1 to 4 heteroatoms selected from nitrogen, oxygen, and sulphur, wherein said 5 to 10 membered heterocycle is substituted with 0-3 R4b;
- R4a, at each occurrence, is independently selected from is H, F, Cl, Br, I, CF3,
- C3-C10 carbocycle substituted with 0-3 R4b,
- C6-C10 aryl substituted with 0-3 R4b, or
- 5 to 10 membered heterocycle containing 1 to 4 heteroatoms selected from nitrogen, oxygen, and sulphur, wherein said 5 to 10 membered heterocycle is substituted with 0-3 R4b;
- R4b, at each occurrence, is independently selected from H, OH, Cl, F, Br, I, CN, NO2, NR15R16,
- CF3, acetyl, SCH3, S(═O)CH3, S(═O)2CH3,
- C1-C6 alkyl, C1-C4 alkoxy, C1-C4 haloalkyl,
- C1-C4 haloalkoxy, and C1-C4 halothioalkyl-S—;
- R5 is H, OR14;
- C1-C6 alkyl substituted with 0-3 R5b;
- C1-C6 alkoxy substituted with 0-3 R5b;
- C2-C6 alkenyl substituted with 0-3 R5b;
- C2-C6 alkynyl substituted with 0-3 R5b;
- C3-C10 carbocycle substituted with 0-3 R5c;
- C6-C10 aryl substituted with 0-3 R5c; or
- 5 to 10 membered heterocycle containing 1 to 4 heteroatoms selected from nitrogen, oxygen, and sulphur, wherein said 5 to 10 membered heterocycle is substituted with 0-3 R5c;
- R5a is H, OH, C1-C4 alkyl, C1-C4 alkoxy, C2-C4 alkenyl, or C2-C4 alkenyloxy;
- R5b, at each occurrence, is independently selected from:
- H, C1-C6 alkyl, CF3, OR14, Cl, F, Br, I, ═O, CN, NO2, NR15R16;
- C3-C10 carbocycle substituted with 0-3 R5c;
- C6-C10 aryl substituted with 0-3 R5c; or
- 5 to 10 membered heterocycle containing 1 to 4 heteroatoms selected from nitrogen, oxygen, and sulphur, wherein said 5 to 10 membered heterocycle is substituted with 0-3 R5c;
- R5c, at each occurrence, is independently selected from H, OH, Cl, F, Br, I, CN, NO2, NR15R16,
- CF3, acetyl, SCH3, S(═O)CH3, S(═O)2CH3,
- C1-C6 alkyl, C1-C4 alkoxy, C1-C4 haloalkyl,
- C1-C4 haloalkoxy, and C1-C4 halothioalkyl-S—;
- R6 is H;
- C1-C6 alkyl substituted with 0-3R6a;
- C3-C10 carbocycle substituted with 0-3 R6b; or
- C6-C10 aryl substituted with 0-3 R6b;
- R6a, at each occurrence, is independently selected from H, C1-C6 alkyl, OR14, Cl, F, Br, I, ═O, CN, NO2, NR15R16, aryl or CF3;
- R6b, at each occurrence, is independently selected from H, OH, Cl, F, Br, I, CN, NO2, NR15R16, CF3, C1-C6 alkyl, C1-C4 alkoxy, C1-C4 haloalkyl, and C1-C4 haloalkoxy;
- R7, at each occurrence, is independently selected from H, OH, Cl, F, Br, I, CN, NO2, CF3, phenyl and C1-C4 alkyl;
- R7a, at each occurrence, is independently selected from H, OH, Cl, F, Br, T, CN, NO2, CF3, and C1-C4 alkyl;
- R7b is independently selected from 1 and C1-C4 alkyl;
- Ring B is a 7 membered lactam or thiolactam,
- wherein the lactam or thiolactam is saturated, partially saturated or unsaturated;
- wherein each additional lactam carbon or thiolactam carbon is substituted with 0-2 R11; and,
- optionally, the lactam or thiolactam contains a heteroatom selected from —O—, —S—, —S(═O)—, —S(═O)2—, —N═, —NH—, and —N(R10)—;
- additionally, two R11 substituents on adjacent atoms may be combined to form a benzo fused radical; wherein said benzo fused radical is substituted with 0-4 R13;
- additionally, two R11 substituents on adjacent atoms may be combined to form a 5 to 6 membered heteroaryl fused radical, wherein said 5 to 6 membered heteroaryl fused radical comprises 1 or 2 heteroatoms selected from N, O, and S; wherein said 5 to 6 membered heteroaryl fused radical is substituted with 0-3 R13;
- additionally, two R11 substituents on the same or adjacent carbon atoms may be combined to form a C3-C6 carbocycle substituted with 0-3 R13;
- R10 is H, C(═O)R17, C(═O)OR17, C(═O)NR18R19,
- S(═O)2NR18R19, S(═O)2R17;
- C1-C6 alkyl optionally substituted with 0-3 R10a;
- C6-C10 aryl substituted with 0-4 R10b;
- C3-C10 carbocycle substituted with 0-3 R10b; or
- 5 to 10 membered heterocycle containing 1 to 4 heteroatoms selected from nitrogen, oxygen, and sulphur, wherein said 5 to 10 membered heterocycle is substituted with 0-3 R10b;
- R10a, at each occurrence, is independently selected from H, C1-C6 alkyl, OR14, Cl, F, Br, I, ═O, CN, NO2, NR15R16, CF3, or aryl substituted with 0-4 R10b;
- R10b, at each occurrence, is independently selected from H, OH, C1-C6 alkyl, C1-C4 alkoxy, Cl, F, Br, I, CN, NO2, NR15R16, CF3, acetyl, SCH3, S(═O)CH3, S(═O)2CH3, C1-C6 alkyl, C1-C4 alkoxy, C1-C4 haloalkyl, C1-C4 haloalkoxy, and C1-C4 haloalkyl-S—;
- R11, at each occurrence, is independently selected from
- H, C1-C4 alkoxy, Cl, F, Br, I, ═O, CN, NO2, NR18R19, C(═O)R17, C(═O)OR17, C(═O)NR18R19, S(═O)2NR18R19, CF3;
- C1-C6 alkyl optionally substituted with 0-3 R11a;
- C6-C10 aryl substituted with 0-3 R11b;
- C3-C10 carbocycle substituted with 0-3 R11b; or
- 5 to 10 membered heterocycle containing 1 to 4 heteroatoms selected from nitrogen, oxygen, and sulphur, wherein said 5 to 10 membered heterocycle is substituted with 0-3 R11b;
- R11a, at each occurrence, is independently selected from
- H, C1-C6 alkyl, OR14, Cl, F, Br, T, ═O, CN, NO2, NR15R16, CF3;
- phenyl substituted with 0-3 R11b;
- C3-C6 cycloalkyl substituted with 0-3 R11b; and
- 5 to 6 membered heterocycle containing 1 to 3 heteroatoms selected from nitrogen, oxygen, and sulphur, wherein said 5 to 6 membered heterocycle is substituted with 0-3 R11b;
- R11b, at each occurrence, is independently selected from H, OH, Cl, F, Br, I, CN, NO2,
- NR15R16, CF3, acetyl, SCH3, S(═O)CH3, S(═O)2CH3,
- C1-C6 alkyl, C1-C4 alkoxy, C1-C4 haloalkyl,
- C1-C4 haloalkoxy, and C1-C4 halothioalkyl-S—;
- Z is H;
- C1-C8 alkyl substituted with 1-3 R12;
- C2-C4 alkenyl substituted with 1-3 R12;
- C2-C4 alkynyl substituted with 1-3 R12;
- C1-C8 alkyl substituted with 0-3 R12a:
- C2-C4 alkenyl substituted with 0-3 R12a;
- C2-C4 alkynyl substituted with 0-3 R12a;
- C6-C10 aryl substituted with 0-4 R12b;
- C3-C10 carbocycle substituted with 0-4 R12b; or
- 5 to 10 membered heterocycle containing 1 to 4 heteroatoms selected from nitrogen, oxygen, and sulphur, wherein said 5 to 10 membered heterocycle is substituted with 0-3 R12b;
- R12 at each occurrence, is independently selected from
- C6-C10 aryl substituted with 0-4 R12b;
- C3-C10 carbocycle substituted with 0-4 R2b; or
- 5 to 10 membered heterocycle containing 1 to 4 heteroatoms selected from nitrogen, oxygen, and sulphur, wherein said 5 to 10 membered heterocycle is substituted with 0-3 R12b;
- R12a, at each occurrence, is independently selected from
- H, OH, Cl, F, Br, I, CN, NO2, NR15R16, —C(═O)NR15R16, CF3, acetyl, SCH3,
- S(═O)CH3, S(═O)2CH3,
- C1-C6 alkyl, C1-C4 alkoxy, C1-C4 haloalkyl,
- C1-C4 haloalkoxy, or C1-C4 halothioalkyl-S—;
- R12b, at each occurrence, is independently selected from
- H, OH, Cl, F, Br, I, CN, NO2, NR15R16, CF3, acetyl, SCH3, S(═O)CH3, S(═O)2CH3,
- C1-C6 alkyl, C1-C4 alkoxy, C1-C4 haloalkyl,
- C1-C4 haloalkoxy, and C1-C4 halothioalkyl-S—;
- R13, at each occurrence, is independently selected from
- H, OH, C1-C6 alkyl, C1-C4 alkoxy, Cl, F, Br, I, CN, NO2, NR15R16, and CF3;
- R14 is H, phenyl, benzyl, C1-C6 alkyl, C2-C6 alkoxyalkyl, or C3-C6 cycloalkyl;
- R14a is H, phenyl, benzyl, or C1-C4 alkyl;
- R15, at each occurrence, is independently selected from H, C1-C6 alkyl, benzyl, phenethyl, (C1-C6 alkyl)-C(═O)—, and (C1-C6 alkyl)-S(═O)2—;
- R16, at each occurrence, is independently selected from
- H, OH, C1-C6 alkyl, benzyl, phenethyl,
- (C1-C6 alkyl)-C(═O)—, and (C1-C6 alkyl)-S(═O)2—;
- R17 is H, C1-C6 alkyl, C2-C6 alkoxyalkyl,
- aryl substituted by 0-4 R17a, or
- —CH2-aryl substituted by 0-4 R17a;
- R17a is H, methyl, ethyl, propyl, butyl, methoxy, ethoxy, propoxy, butoxy, —OH, F, Cl, Br, I, CF3, OCF3, SCH3, S(O)CH3, SO2CH3, —NH2, —N(CH3)2, or C1-C4 haloalkyl;
- R18, at each occurrence, is independently selected from H, C1-C6 alkyl, phenyl, benzyl, phenethyl, (C1-C6 alkyl)-C(═O)—, and (C1-C6 alkyl)-S(═O)2—; and
- R19, at each occurrence, is independently selected from H, OH, C1-C6 alkyl, phenyl, benzyl, phenethyl, (C1-C6 alkyl)-C(═O)—, and (C1-C6 alkyl)-S(═O)2—;
provided, when R13 is H,
then Z is H;- C4-C8 alkyl substituted with 1-3 R12;
- C2-C4 alkenyl substituted with 1-3 R12;
- C2-C4 alkynyl substituted with 1-3 R12;
- C1-C8 alkyl substituted with 0-3 R12a;
- C2-C4 alkenyl substituted with 0-3 R12a; or
- C2-C4 alkynyl substituted with 0-3 R12a; and
provided, when ring B is a 1,3,4,5-tetrahydro-1-(Z)-5-(R10)-6,6,7,7-tetra(R11)-2,4-dioxo-2H-1,5-diazepin-3-yl core, and R13 is H; then
- R10 is H, C(═O)R17, C(═O)OR17, C(═O)NR18R19,
- S(═O)2NR18R19, S(═O)2R17; or
- C1-C6 alkyl optionally substituted with 0-3 R10a;
- R10a, at each occurrence, is independently selected from
- H, C1-C6 alkyl, OR14, Cl, F, Br, I, ═O, CN, NO2, NR15R16, and CF3.
- In a more preferred embodiment of the present invention, Q is NH2.
- In a most preferred embodiment the total number of carbon atoms in R3, R3a, R5, and R5a equals seven or more.
- It is understood that any and all embodiments of the present invention may be taken in conjunction with any other embodiment to describe additional even more preferred embodiments of the present invention.
- In a second embodiment, the present invention provides a pharmaceutical composition comprising a compound of Formula (I) and a pharmaceutically acceptable carrier.
- In a third embodiment, the present invention provides a method for the treatment of neurological disorders associated with β-amyloid production comprising administering to a host in need of such treatment a therapeutically effective amount of a compound of Formula (I).
- In a preferred embodiment the neurological disorder associated with β-amyloid production is Alzheimer's Disease.
- In a fourth embodiment, the present invention provides a method for inhibiting γ-secretase activity for the treatment of a physiological disorder associated with inhibiting γ-secretase activity comprising administering to a host in need of such inhibition a therapeutically effective amount of a compound of Formula (I) that inhibits γ-secretase activity.
- Thus, the present invention provides a method for inhibiting γ-secretase activity comprising administering to a host in need of such inhibition a therapeutically effective amount of a compound of Formula (I) that inhibits γ-secretase activity.
- In a preferred embodiment the physiological disorder associated with inhibiting γ-secretase activity is Alzheimer's Disease.
- In a fifth embodiment, the present invention provides a compound of Formula (I) for use in therapy.
- In a preferred embodiment the present invention provides a compound of Formula (I) for use in therapy of Alzheimer's Disease.
- In a sixth embodiment, the present invention provides for the use of a compound of Formula (I) for the manufacture of a medicament for the treatment of Alzheimer's Disease.
- As used herein, the term “Aβ” denotes the protein designated Aβ, β-amyloid peptide, and sometimes β/A4, in the art. Ad is an approximately 4.2 kilodalton (kD) protein of about 39 to 43 amino acids found in amyloid plaques, the walls of meningeal and parenchymal arterioles, small arteries, capillaries, and sometimes, venules. The isolation and sequence data for the first 28 amino acids are described in U.S. Pat. No. 4,666,829. The 43 amino acid sequence is:
-
1 Asp Ala Glu Phe Arg His Asp Ser Gly Tyr 11 Glu Val His His Gln Lys Leu Val Phe Phe 21 Ala Glu Asp Val Gly Ser Asn Lys Gly Ala 31 Ile Ile Gly Leu Met Val Gly Gly Val Val 41 Ile Ala Thr - The term “APP”, as used herein, refers to the protein known in the art as amyloid precursor protein. This protein is the precursor for Aβ and through the activity of “secretase” enzymes, as used herein, it is processed into Aβ. Differing secretase enzymes, known in the art, have been designated D secretase, generating the N-terminus of Aβ, α secretase cleaving around the 16/17 peptide bond in Aβ, and “γ secretases”, as used herein, generating C-terminal Aβ fragments ending at position 38, 39, 40, 42, and 43 or generating C-terminal extended precursors which are subsequently truncated to the above polypeptides.
- The compounds herein described may have asymmetric centers. Compounds of the present invention containing an asymmetrically substituted atom may be isolated in optically active or racemic forms. It is well known in the art how to prepare optically active forms, such as by resolution of racemic forms or by synthesis from optically active starting materials. Many geometric isomers of olefins, C═N double bonds, and the like can also be present in the compounds described herein, and all such stable isomers are contemplated in the present invention. Cis and trans geometric isomers of the compounds of the present invention are described and may be isolated as a mixture of isomers or as separated isomeric forms. All chiral, diastereomeric, racemic forms and all geometric isomeric forms of a structure are intended, unless the specific stereochemistry or isomeric form is specifically indicated.
- The term “substituted,” as used herein, means that any one or more hydrogens on the designated atom is replaced with a selection from the indicated group, provided that the designated atom's normal valency is not exceeded, and that the substitution results in a stable compound. When a substituent is keto (i.e., ═O), then 2 hydrogens on the atom are replaced.
- When any variable (e.g., R5b) occurs more than one time in any constituent or formula for a compound, its definition at each occurrence is independent of its definition at every other occurrence. Thus, for example, if a group is shown to be substituted with 0-2 R5b, then said group may optionally be substituted with up to two R5b groups and R5b at each occurrence is selected independently from the definition of R5b. Also, combinations of substituents and/or variables are permissible only if such combinations result in stable compounds.
- When a bond to a substituent is shown to cross a bond connecting two atoms in a ring, then such substituent may be bonded to any atom on the ring. When a substituent is listed without indicating the atom via which such substituent is bonded to the rest of the compound of a given formula, then such substituent may be bonded via any atom in such substituent. Combinations of substituents and/or variables are permissible only if such combinations result in stable compounds.
- As used herein, “alkyl” or “alkylene” is intended to include both branched and straight-chain saturated aliphatic hydrocarbon groups having the specified number of carbon atoms; for example, “C1-C6 alkyl” denotes alkyl having 1, 2, 3, 4, 5, or 6 carbon atoms. Examples of alkyl include, but are not limited to, methyl, ethyl, n-propyl, i-propyl, n-butyl, i-butyl, sec-butyl, t-butyl, pentyl, and hexyl. Preferred “alkyl” group, unless otherwise specified, is “C1-C4 alkyl. Additionally, unless otherwise specified, propyl” denotes n-propyl or i-propyl; “butyl” denotes n-butyl, i-butyl, sec-butyl, or t-butyl.
- As used herein, “alkenyl” or “alkenylene” is intended to include hydrocarbon chains of either a straight or branched configuration and one or more unsaturated carbon-carbon bonds which may occur in any stable point along the chain. Examples of “C2-C6 alkenyl” include, but are not limited to, ethenyl, 1-propenyl, 2-propenyl, 1-butenyl, 2-butenyl, 3-butenyl, 3-methyl-2-butenyl, 2-pentenyl, 3-pentenyl, hexenyl, and the like.
- As used herein, “alkynyl” or “alkynylene” is intended to include hydrocarbon chains of either a straight or branched configuration and one or more carbon-carbon triple bonds which may occur in any stable point along the chain, such as ethynyl, 1-propynyl, 2-propynyl, 1-butynyl, 2-butynyl, 3-butynyl, and the like.
- “Alkoxy” or “alkyloxy” represents an alkyl group as defined above with the indicated number of carbon atoms attached through an oxygen bridge. Examples of alkoxy include, but are not limited to, methoxy, ethoxy, n-propoxy, i-propoxy, n-butoxy, s-butoxy, t-butoxy, n-pentoxy, and s-pentoxy. Preferred alkoxy groups are methoxy, ethoxy, n-propoxy, i-propoxy, n-butoxy, s-butoxy, t-butoxy. Similarly, “alkylthio” or ‘thioalkoxy’ is represents an alkyl group as defined above with the indicated number of carbon atoms attached through a sulphur bridge.
- “Halo” or ‘halogen’ as used herein refers to fluoro, chloro, bromo, and iodo. Unless otherwise specified, preferred halo is fluoro and chloro. “Counterion” is used to represent a small, negatively charged species such as chloride, bromide, hydroxide, acetate, sulfate, and the like.
- “Haloalkyl” is intended to include both branched and straight-chain saturated aliphatic hydrocarbon groups having the specified number of carbon atoms, substituted with 1 or more halogen (for example —CvFw where v=1 to 3 and w=1 to (2v+1)). Examples of haloalkyl include, but are not limited to, trifluoromethyl, trichloromethyl, pentafluoroethyl, pentachloroethyl, 2,2,2-trifluoroethyl, 2,2-difluoroethyl, heptafluoropropyl, and heptachloropropyl. “Haloalkoxy” is intended to mean a haloalkyl group as defined above with the indicated number of carbon atoms attached through an oxygen bridge; for example trifluoromethoxy, pentafluoroethoxy, 2,2,2-trifluoroethoxy, and the like. “Halothioalkoxy” is intended to mean a haloalkyl group as defined above with the indicated number of carbon atoms attached through a sulphur bridge.
- “Cycloalkyl” is intended to include saturated ring groups, having the specified number of carbon atoms. For example, “C3-C6 cycloalkyl” denotes such as cyclopropyl, cyclobutyl, cyclopentyl, or cyclohexyl.
- As used herein, “carbocycle” is intended to mean any stable 3- to 7-membered monocyclic or bicyclic or 7- to 13-membered bicyclic or tricyclic, any of which may be saturated, partially unsaturated, or aromatic. Examples of such carbocycles include, but are not limited to, cyclopropyl, cyclobutyl, cyclopentyl, cyclohexyl, cycloheptyl, adamantyl, cyclooctyl, [3.3.0]bicyclooctane, [4.3.0]bicyclononane, [4.4.0]bicyclodecane (decalin), [2.2.2]bicyclooctane, fluorenyl, phenyl, naphthyl, indanyl, adamantyl, or tetrahydronaphthyl (tetralin). Preferred “carbocycle” are cyclopropyl, cyclobutyl, cyclopentyl, and cyclohexyl.
- As used herein, the term “heterocycle” or “heterocyclic ring” is intended to mean a stable 5- to 7-membered monocyclic or bicyclic or 7- to 14-membered bicyclic heterocyclic ring which is saturated partially unsaturated or unsaturated (aromatic), and which consists of carbon atoms and 1, 2, 3 or 4 heteroatoms independently selected from the group consisting of N, O and S and including any bicyclic group in which any of the above-defined heterocyclic rings is fused to a benzene ring. The nitrogen and sulfur heteroatoms may optionally be oxidized. The heterocyclic ring may be attached to its pendant group at any heteroatom or carbon atom which results in a stable structure. The heterocyclic rings described herein may be substituted on carbon or on a nitrogen atom if the resulting compound is stable. If specifically noted, a nitrogen in the heterocycle may optionally be quaternized. It is preferred that when the total number of S and O atoms in the heterocycle exceeds 1, then these heteroatoms are not adjacent to one another. It is preferred that the total number of S and O atoms in the heterocycle is not more than 1.
- Examples of heterocycles include, but are not limited to, 1H-indazole, 2-pyrrolidonyl, 2H,6H-1,5,2-dithiazinyl, 2H-pyrrolyl, 3H-indolyl, 4-piperidonyl, 4aH-carbazole, 4H-quinolizinyl, 6H-1,2,5-thiadiazinyl, acridinyl, azocinyl, benzimidazolyl, benzofuranyl, benzothiofuranyl, benzothiophenyl, benzoxazolyl, benzthiazolyl, benztriazolyl, benztetrazolyl, benzisoxazolyl, benzisothiazolyl, benzimidazalonyl, carbazolyl, 4aH-carbazolyl, b-carbolinyl, chromanyl, chromenyl, cinnolinyl, decahydroquinolinyl, 2H,6H-1,5,2-dithiazinyl, dihydrofuro[2,3-b]tetrahydrofuran, furanyl, furazanyl, imidazolidinyl, imidazolinyl, imidazolyl, 1H-indazolyl, indolenyl, indolinyl, indolizinyl, indolyl, isobenzofuranyl, isochromanyl, isoindazolyl, isoindolinyl, isoindolyl, isoquinolinyl, isothiazolyl, isoxazolyl, morpholinyl, naphthyridinyl, octahydroisoquinolinyl, oxadiazolyl, 1,2,3-oxadiazolyl, 1,2,4-oxadiazolyl, 1,2,5-oxadiazolyl, 1,3,4-oxadiazolyl, oxazolidinyl, oxazolyl, oxazolidinylperimidinyl, phenanthridinyl, phenanthrolinyl, phenarsazinyl, phenazinyl, phenothiazinyl, phenoxathiinyl, phenoxazinyl, phthalazinyl, piperazinyl, piperidinyl, pteridinyl, piperidonyl, 4-piperidonyl, pteridinyl, purinyl, pyranyl, pyrazinyl, pyrazolidinyl, pyrazolinyl, pyrazolyl, pyridazinyl, pyridooxazole, pyridoimidazole, pyridothiazole, pyridinyl, pyridyl, pyrimidinyl, pyrrolidinyl, pyrrolinyl, pyrrolyl, quinazolinyl, quinolinyl, 4H-quinolizinyl, quinoxalinyl, quinuclidinyl, carbolinyl, tetrahydrofuranyl, tetrahydroisoquinolinyl, tetrahydroquinolinyl, 6H-1,2,5-thiadiazinyl, 1,2,3-thiadiazolyl, 1,2,4-thiadiazolyl, 1,2,5-thiadiazolyl, 1,3,4-thiadiazolyl, thianthrenyl, thiazolyl, thienyl, thienothiazolyl, thienooxazolyl, thienoimidazolyl, thiophenyl, triazinyl, 1,2,3-triazolyl, 1,2,4-triazolyl, 1,2,5-triazolyl, 1,3,4-triazolyl, xanthenyl. Preferred 5 to 10 membered heterocycles include, but are not limited to, pyridinyl, pyrimidinyl, triazinyl, furanyl, thienyl, thiazolyl, pyrrolyl, pyrazolyl, imidazolyl, oxazolyl, isoxazolyl, tetrazolyl, benzofuranyl, benzothiofuranyl, indolyl, benzimidazolyl, 1H-indazolyl, oxazolidinyl, isoxazolidinyl, benzotriazolyl, benzisoxazolyl, oxindolyl, benzoxazolinyl, quinolinyl, and isoquinolinyl. Preferred 5 to 6 membered heterocycles include, but are not limited to, pyridinyl, pyrimidinyl, triazinyl, furanyl, thienyl, thiazolyl, pyrrolyl, piperazinyl, piperidinyl, pyrazolyl, imidazolyl, oxazolyl, isoxazolyl, tetrazolyl; more preferred 5 to 6 membered heterocycles include, but are not limited to, pyridinyl, pyrimidinyl, triazinyl, furanyl, thienyl, thiazolyl, piperazinyl, piperidinyl, pyrazolyl, imidazolyl, and tetrazolyl. Also included are fused ring and spiro compounds containing, for example, the above heterocycles.
- As used herein, the term “aryl”, “C6-C10aryl” or aromatic residue, is intended to mean an aromatic moiety containing the specified number of carbon atoms; for example phenyl, pyridinyl or naphthyl. Preferred “aryl” is phenyl. Unless otherwise specified, “aryl” may be unsubstituted or substituted with 0 to 3 groups selected from H, methyl, ethyl, propyl, butyl. methoxy, ethoxy, propoxy, butoxy, amino, hydroxy, Cl, F, Br, I, CF3, SCH3, S(O)CH3, SO2CH3, —N(CH3)2, N(CH3)H, CN, NO2, OCF3, C(═O)CH3, CO2H, CO2CH3, or C1-C4 haloalkyl.
- The phrase “additional lactam or thiolactam carbons”, as used herein, is intended to denote the number of optional carbon atoms in the lactam or thiolactam ring B of Formula (I). Formula (I″):
- represents the lactam ring B of Formula (I). Additional lactam carbons are carbons in lactam ring B other than the carbons numbered 2 and 3 in the backbone of the formula. The same numbering applies to the carbons in the analogous thiolactam ring B. The additional lactam carbons may be optionally replaced by a heteroatom selected from oxygen, nitrogen and sulfur. Lactam ring B contains 1, 2, 3, 4, 5, 6 or 7 optional carbons, wherein one optional carbon may optionally be replaced by a heteroatom, such that the total number of members of lactam ring B, including atoms numbered 1, 2 and 3 in the backbone, does not exceed 10. It is preferred that the total number of atoms of lactam ring B is 6, 7 or 8; it is more preferred that the total number of atoms of lactam ring B is seven. It is further understood that lactam ring B may optionally be unsaturated or partially unsaturated (i.e. two adjacent atoms in the ring form a double bond) wherein the backbone of lactam ring B may contain one, two or three double bonds. Examples of lactam ring B include:
- but are not intended to limit the invention. Preferred examples of lactam ring B are B1, B2, B5, B6, B8, B9, B13, and B16; more preferred examples of lactam ring B are B1, B6, B8, B9, and B13. Preferred examples of substituent R10 or R11 on lactam B are methyl, ethyl, phenyl, 4-fluorophenyl, 4-chlorophenyl, 4-trifluoromethylphenyl, (4-fluorophenyl)methyl, (4-chlorophenyl)methyl, (4-trifluoromethylphenyl)methyl, and 2-, 3-, and 4-pyridinyl. Preferred examples of R13 on lactam B are F, Cl, OH, methyl, ethyl, methoxy, and trifluoromethyl.
- The compounds herein described may have asymmetric centers. One enantiomer of a compound of Formula (I) may display superior biological activity over the opposite enantiomer. For example carbon 3 of lactam ring B Formula (I″) may exist in either an S or R configuration. Thus, an R or S configuration at carbon 3 in Formula (I″) is considered part of the invention. An example of such configuration includes,
- but is not intended to be limited to this example of ring B. When required, separation of the racemic material can be achieved by methods known in the art. Additionally, the carbon atoms to which R3 and R5 are attached may describe chiral carbons which may display superior biological activity over the opposite enantiomer. For example, where R3 and R5 are not H, then the configuration of the two centers may be described as (2R,3R), (2R,3S), (2S,3R), or (2S,3S). All configurations are considered part of the invention; however, the (2R,3S) and the (2S,3R) are preferred and the (2R,3S) is more preferred.
- The phrase “pharmaceutically acceptable” is employed herein to refer to those compounds, materials, compositions, and/or dosage forms which are, within the scope of sound medical judgment, suitable for use in contact with the tissues of human beings and animals without excessive toxicity, irritation, allergic response, or other problem or complication, commensurate with a reasonable benefit/risk ratio.
- As used herein, “pharmaceutically acceptable salts” refer to derivatives of the disclosed compounds wherein the parent compound is modified by making acid or base salts thereof. Examples of pharmaceutically acceptable salts include, but are not limited to, mineral or organic acid salts of basic residues such as amines; alkali or organic salts of acidic residues such as carboxylic acids; and the like. The pharmaceutically acceptable salts include the conventional non-toxic salts or the quaternary ammonium salts of the parent compound formed, for example, from non-toxic inorganic or organic acids. For example, such conventional non-toxic salts include those derived from inorganic acids such as hydrochloric, hydrobromic, sulfuric, sulfamic, phosphoric, nitric and the like and the salts prepared from organic acids such as acetic, propionic, succinic, glycolic stearic, lactic, malic, tartaric, citric, ascorbic, pamoic, maleic, hydroxymaleic, phenylacetic, glutamic, benzoic, salicylic, sulfanilic, 2-acetoxybenzoic, fumaric, toluenesulfonic, methanesulfonic, ethane disulfonic, oxalic, isethionic, and the like.
- The pharmaceutically acceptable salts of the present invention can be synthesized from the parent compound which contains a basic or acidic moiety by conventional chemical methods. Generally, such salts can be prepared by reacting the free acid or base forms of these compounds with a stoichiometric amount of the appropriate base or acid in water or in an organic solvent, or in a mixture of the two; generally, nonaqueous media like ether, ethyl acetate, ethanol, isopropanol, or acetonitrile are preferred. Lists of suitable salts are found in Remington's Pharmaceutical Sciences, 17th ed., Mack Publishing Company, Easton, Pa., 1985, p. 1418, the disclosure of which is hereby incorporated by reference.
- “Prodrugs” are intended to include any covalently bonded carriers which release the active parent drug according to formula (I) in vivo when such prodrug is administered to a mammalian subject. Prodrugs of a compound of formula (I) are prepared by modifying functional groups present in the compound in such a way that the modifications are cleaved, either in routine manipulation or in vivo, to the parent compound. Prodrugs include compounds of formula (I) wherein a hydroxy, amino, or sulfhydryl group is bonded to any group that, when the prodrug or compound of formula (I) is administered to a mammalian subject, cleaves to form a free hydroxyl, free amino, or free sulfhydryl group, respectively. Examples of prodrugs include, but are not limited to, acetate, formate and benzoate derivatives of alcohol and amine functional groups in the compounds of formula (I), and the like.
- “Stable compound” and “stable structure” are meant to indicate a compound that is sufficiently robust to survive isolation to a useful degree of purity from a reaction mixture, and formulation into an efficacious therapeutic agent.
- The compounds of the present invention can be prepared in a number of ways well known to one skilled in the art of organic synthesis. The compounds of the present invention can be synthesized using the methods described below together with synthetic methods known in the art of synthetic organic chemistry or variations thereon as appreciated by those skilled in the art. Preferred methods include, but are not limited to, those described below. All references cited herein are hereby incorporated in their entirety herein by reference.
- The novel compounds of this invention may be prepared using the reactions and techniques described in this section. The reactions are performed in solvents appropriate to the reagents and materials employed and are suitable for the transformations being effected. Also, in the description of the synthetic methods described below, it is to be understood that all proposed reaction conditions, including choice of solvent. reaction atmosphere, reaction temperature, duration of the experiment and workup procedures, are chosen to be the conditions standard for that reaction, which should be readily recognized by one skilled in the art. It is understood by one skilled in the art of organic synthesis that the functionality present on various portions of the molecule must be compatible with the reagents and reactions proposed. Such restrictions to the substituents which are compatible with the reaction conditions will be readily apparent to one skilled in the art and alternate methods must then be used.
- Methods for the synthesis of succinylamino lactams are known in the art and are disclosed in a number of references including PCT publication number WO 96/29313, which is hereby incorporated by reference.
- Disubstituted succinate derivatives can be prepared by a number of known procedures. The procedure of Evans (D. A. Evans et al, Org. Synth. 86, p83 (1990)) is outlined in Scheme 1 where acylation of an oxazolidinone with an acylating agent such as an acid chloride provides structures 1. Alkylation to form 2 followed by cleavage of the chiral auxiliary and subsequent alkylation of the dianion of the carboxylic acid 3 provides a variety of disubstituted succinates which can be separated and incorporated into structures of formula (I) by those skilled in the art. Additional examples are found in P. Becket, M. J. Crimmin, M. H. Davis, Z. Spavold, Synlett, (1993), 137-138, incorporated herein by reference.
- Diastereomerically pure succinate derivatives can be accessed using the chemistry outlined below, adapted from P. Becket, M. J. Crimmin, M. H. Davis, Z. Spavold, Synlett, (1993), 137-138 incorporated herein by reference. This reference provides the synthesis below to obtain compound 9, Scheme 2. Compound II, Scheme 2, is used as an intermediate and is prepared from 9 by hydrogenation of the allyl group followed by coupling of 9-fluorenemethanol under standard conditions using DCC and DMAP in CH2Cl2. Deprotection of the tert-butyl ester is accomplished by treatment with 50% trifluoroacetic acid.
- Additional methods useful for the preparation of succinate derivatives are known by those skilled in the art. Such references include, McClure and Axt, Bioorganic & Medicinal Chemistry Letters, 8 (1998) 143-146; Jacobson and Reddy, Tetrahedron Letters, Vol 37, No. 46, 8263-8266 (1996); Pratt et al., SYNLETT, May 1998, p. 531; WO 97/18207; and WO 98/51665. The synthetic disclosures of WO97/18207 and WO 98/51665 are hereby incorporated by reference.
- A variety of compounds of Formula (J) can be prepared by methods described in Scheme 4. The protected α-amine 3 of the α-amino-ε-caprolactam can be prepared by methods well known in the literature for amino protecting groups as discussed in Theodora W. Greene's book “Protective Groups in Organic Synthesis”, like N-Boc using di-t-butyldicarbonate in an appropriate solvent like DMSO. A sulfur atom can be introduced into the ring providing L-α-amino-β-thio-ε-caprolactam according to the procedure in S. A. Ahmed et al. FB Letters (1984), vol. 174, pages 76-9 (Scheme 3). One skilled in the art can extend this methodology to the synthesis of O-amino and oxygen containing rings by analogy. The sulfur-containing molecules can also be oxidized to the sulfoxide and sulfone by methods known to one skilled in the art.
- The lactam nitrogen of compound 13 can be alkylated by generating the anion with bases such as LDA, lithium bis(trimethylsilyl)amide or sodium hydride in solvents like THF, with or without cosolvents such as DMPU or HMPA and reacting this with a variety of groups containing leaving groups (X″) like bromide, iodide, mesylate or tosylate. Alkylating agents such as α-bromo amides, ketones and acids can be prepared by a number of literature methods including halogenation of amino acids by diazotization or are commercially available. Other suitable alkylating agents such as alkyl, allylic and benzylic halides can be formed form a variety of precursors such as free-radical addition of halides or activation of alcohols, and other chemistries known to those skilled in the art. For discussion of these types of reactions, see Carey, F. A. and Sundberg, R. J., Advanced Organic Chemistry, Part A, New York: Plenum Press, 1990, pages 304-305, 342-347, 695-698.
- The N-Boc protecting group can be removed by any number of methods well known in the literature like TFA in methylene chloride to give the compound 15. The amine 15 can be coupled to an appropriately substituted carboxylic acid or acid chloride by methods well described in the literature for making amide bonds, like TBTU in DMF with a base like NMM to give the elaborated compound 16. Compounds 16 can be alkylated using standard bases like LDA, Nail, or NaHMDS to deprotonate the amide followed by addition of an alkylating agent with an appropriate leaving group like halide, mesylate, or triflate in an appropriate solvent to provide compounds 17 with an R6 substituent. The t-butyl ester is then removed by treatment with TFA in methylene chloride to give the carboxylic acid 17.
- The final compounds 18 were prepared by treating the activated carboxylic acid of 17 with an appropriately substituted amine. For instance, activation of the carboxylic acid with HATU (O-(7-azabenzotriazol-1-yl)-1,1,3,3,-tetramethyluronium hexafluorophosphate) or PyBOP (benzotriazole-1-yl-oxy-tris-pyrrolidino-phosphonium hexafluorophosphate) or other coupling agents known to those skilled in the art allows condensation with ammonia to form primary amides. Similarly, condensation of the activated acid with hydroxylamine hydrochloride provides the hydroxamic acid, or reaction with a primary or secondary amine provides the substituted amine derivative. Activation of the acid with PyBrOP (bromo-tris-pyrrolidino-phosphonium hexafluorophosphate) followed by addition of an alcohol and 4-dimethylaminopyridine allows formation of the ester directly. For additional acylation reactions see for example Carey, F. A. and Sundberg, R. J., Advanced Organic Chemistry, Part A, New York: Plenum Press, 1990, pages 475-479.
- Additional intermediates in the synthesis of compounds of formula (I) can be prepared as shown in Scheme 5. A suitable resin for solid phase synthesis such as Fmoc (Fluorenylmethylcarbonyl)-protected hydroxylamine bound to polystyrene beads can be purchased from Novabiochem, Inc. Deprotection of the Fmoc group under standard conditions using 20% piperidine in DMF provides trityl-linked hydroxylamine resin. Coupling of a fluorenylmethyl-protected succinic acid derivative such as 20 with a coupling agent such as HATU in a suitable solvent like DMF or N-methylpyrrolidinone provides the support-bound hydroxamate 21. The Fluorenylmethyl ester can be removed using 20% piperidine in DMF to provide the free carboxylic acid which can be coupled to amines like the caprolactan 22 (which is available using chemistry outlined in Scheme 4) using PyBOP (benzotriazole-1-yl-oxy-tris-pyrrolidino-phosphonium hexafluorophosphate) and a suitable base like DIEA in DMF or NMP. The support-bound intermediate 23 can then be elaborated to biaryl structures of the type 24 using typical Suzuki coupling conditions employing a catalyst such as Palladium complexes like tetrakis(triphenylphosphine)-palladium with 2M aqueous sodium carbonate as a base in a suitable solvent like THF or DME and an excess of a boronic acid. The final compounds are liberated from the support employing dilute (5%) trifluoroacetic acid in CH2Cl2 and purified by conventional chromatography.
- The compounds of formula (I) of the present invention can also be prepared from aminolactams and aminothiolactams (27) and succinic acid derivatives (1) using amide bond syntheses known in the art including methods commonly used in peptide syntheses, such as HATU, TBTU, BOP, pyBOP, EDC, CDI, DCC, hydroxysuccinimide, mixed carboxylic anhydride, and phenyl ester mediated couplings, as illustrated in Scheme 6 for the synthesis of (Ia), a particular embodiment of (I). Depending on the structure of
- the final product, it will be appreciated by those skilled in the art that protecting groups or precursor functionality convertable to the desired groups may be desirable. Protecting groups and their use in synthesis are described in Green and Wuts, Protective Groups in Organic Synthesis, (Wiley 1991). This is further illustrated in Scheme 6a, in which the succinate half-ester (9) (Becket et al., Synlett 1993, 137-138) is coupled to the aminobenzodiazepine (30) (Sherrill and Sugg, J. Org. Chem. 1995, 60, 730-734; Bock et al., J. Med. Chem., 1993, 36, 4276-4292) to give ester (Ib), followed by conversion of the ester group to the primary amide (Ic).
- The synthesis of the thiolactams of the present invention (Formula (I), A=S) can be carried out using thiolactam intermediates (27, A=S), using the methods described above. The thiolactam intermediates may be prepared from suitably protected aminolactams employing methods known to those skilled in the art, using, for example, Lawessson's reagent, P4S10, or related methods (see Taylor et al., Bioorg. Med. Chem. Lett. 1997, 7 (4), 453-456; Schwarz et al., Tetrahedron, 1997, 53 (26), 8795-8806; Achour et al., Synth. Commun. 1994, 24 (20), 2899-2905; Buege et al., Arch. Pharm. 1994, 327 (2), 99-103; Levai, et al., Arch. Pharm. 1992 (325 (11), 721-726; Duhammel et al., Tetrahedron Asymmetry 1991, 2 (3), 203-206; Bodine et al., Synth. Commun. 1982, 12, 787). Deprotection of the amine, coupling to an appropriate succinate derivative and elaboration of the distal succinic acid derivative provides the desired thiolactams of the present invention.
- Methods for the synthesis of lactams, including amino benzodiazapines, are known in the art and are disclosed in a number of references including PCT publication number WO 98/28268, which is hereby incorporated by reference. Additional examples of the synthesis of ring B lactams within the scope of the invention are shown below in Schemes 7, 8, 9, and 10.
- Following the literature procedures: Stanetty, P.; Koller, H.; Mihovilovic, M. J. Org. Chem., 1992, 57, 6833-6837; Muchowski, J. M.; Venuti, M. D. J. Org. Chem., 1980, 57, 4798-4801.
- A stirred mixture of 71 (13.0 g, 67.3 mmol) in diether ether (100 mL) under nitrogen was cooled to below −50° in a dry ice/acetone bath. A solution of t-butyllithium in hexanes (2.5 M, 90 mL) was added dropwise. The cooling bath was removed and the reaction allowed to warm to approximately −25° C. and then the temperature was maintained between −20° C. and −10° C. for 3.25 hours with a dry ice/ethylene glycol cooling bath. The reaction was cooled again to below −50° C. and 4-pyridine carboxaldehyde (8.3 mL, 87.5 mmol) was added and the reaction stirred at approximately −15° C. for 1.25 hours. The reaction was quenched with a saturated solution of ammonium chloride and the mixture stirred overnight. Hexanes (100 mL) was added. The reaction was filtered, washed with water and dried in vacuo to give 72° C. (15.0 g 74% as a tan solid: 1HNMR (300 MHz, DMS)-d6δ8.55 (s, 1H), 8.48 (d 2H), 7.50 (d, 1 H), 7.36 (d, 1H), 7.24 (d, 2H), 7.23 (m, 1H), 7.09 (t of d, 1H0, 6.68 (d, 1H), 5.93 (d, 1H), 1.38 (s, 9H; API MS m/z=301 [C17H20N2O3+H]+.
- To a vigorously stirred solution of 72 (1.21 g, 4.03 mmol) in methylene chloride (45 mL) was added manganese oxide (5.2 g, 59.8 mmol). After 5 hours the reaction was filtered over celite and the celite washed with methylene chloride. The filtrate was concentrated to an oil and triturated with hexanes. The hexanes were removed via pipette and the solid was dried in vacuo to give a 73 (1.01 g, 84%) as a tan solid: 1HNMR (300 MHz, CDCl3) δ 10.25 (s, 1H), 8.80 (d, 2H), 8.50 (d, 1H), 7.48 (t, 1H), 7.47 (d, 2H), 7.43 (d, 1H), 7.00 (t, 1H), 1.53 (s, 9H); API MS m/z=299 [C17H18N2O3+H]+.
- Following the literature procedure; Nudelman, Ayetlet; Bechor, Y.; Falb, E.; Fischer, B.; Wexler, B. A.; Nudelman, Abraham; Syn. Com., 1998, 28(3), 471-474.
- Acetyl chloride (57 mL, 801 mmol) was added to ice cold methanol (280 mL) with vigorous stirring. Solid 73 (9.0 g., 30.2 mmol) was added and the reaction stirred overnight. The methanol was evaporated in vacuo and the residue dissolved in water and cooled in an ice bath. The pH was adjusted to approximately 9 with 6N NaOH. The resulting yellow precipitate was collected by vacuum filtration and washed with water and dried in vacuo at 40° C. to give 74 (5.71 g, 95%) as a yellow solid: 1HNMR (300 MHz, CDCl3) δ 8.77 (d, 2H), 7.43 (d, 2H), 7.33 (m, 2H), 6.74 (d, 1H), 6.49 (t, 1H), 6.30 (broad s, 2H); CI MS m/z=199 [C2H10N201+H]+.
- The benzotriazole acid 75 (13.6 g, 41.7 mmol) and a catalytic amount of DMF were dissolved in dry F (130 mL.) The reaction was cooled in an ice/salt bath. Oxalyl chloride (3.6 mL, 41.2 mmol) was added dropwise over 1 hour. The reaction was stirred an additional 2.5 hours. A solution of 74 (5.5 g, 27.7 mmol) in THF (50 mL) was added dropwise forming a thick precipitate. Water and ether were added and the layers separated. The aqueous layer was extracted with methylene chloride. The combined organics were washed with saturated sodium bicarbonate, dried over magnesium sulfate and concentrated. The resulting oil was chromotographed over silica gel (1:1 methyl acetate/methylene chloride) to provide 76 (12.2 g, 86%) as a yellow solid: 1HNMR (300 MHz, CDCl3) δ 11.62 (s, 1H), 8.78 (d, 2H), 8.63 (d, 1 H), 8.08 (d, 1H), 7.71 (broad 5, 1H), 7.63 (t, 1H), 7.54 (m, 11H), 7.44 (d, 1H), 7.40-7.19 (m, 11H), 7.17 (t, 1H). 7.02 (broad s, 1H), 5.24-5.07 (m, 2H); API MS m/z=5.07 [C28H22N6O4 +H]+.
- Based on the literature procedures; Semple, G.; Ryder, H.; Ohta, M.; Satoh, M. Syn. Comm., 1996, 26(4), 721-727. Semple, G.; Ryder, H.; Rooker, D. P.; Batt, A. R.; Kendrick, D. A.; Szelke, M.; Ohta, M.; Satoh, M.; Nishida, A.; Akuzawa, S.; Miyata, K. J. Med. Chem., 1997, 40, 331-341.
- To stirred ice cold methanol (40 mL) was added 76 (4.0 g, 7.9 mmol) and ammonium hydroxide (20 mL.) The reaction was stirred for 2.5 hours forming a heavy precipitate. The reaction mixture was added slowly to cold acetic acid (40 mL) and stirred overnight at room temperature. The reaction mixture was evaporated and water added. The solution was adjusted to pH 9 with concentrated ammonium hydroxide and stirred 0.5 hour. The resulting tan solid was collected by vacuum filtration and dried in vacuo. The solid was stirred in ethyl acetate (20 mL) and heated under reflux for 1 hour. The mixture was cooled in ice and filtered. The product was washed with cold ethyl acetate and dried in vacuo to give 77 (2.2 g, 72%) as a white solid: 1HNMR (300 MHz, DMSO-d6) δ 10.94 (s, 1H), 8.68 (d, 2H), 8.51 (d, 1H), 7.57 (t, 1H), 7.43-7.25 (m, 10H), 5.10 (d, 2H); CI MS m/z=387 [C22H18N4O3+H]+.
- Following the literature procedures; Semple, G.; Ryder, H.; Ohta, M.; Satoh, M. Syn. Comm., 1996, 26(4), 721-727. Semple, G.; Ryder, H.; Rooker, D. P.; Batt, A. R.; Kendrick, D. A.; Szelke, M.; Obta, M.; Satoh, M.; Nishida, A.; Akuzawa, S.; Miyata, K. J. Med. Chem., 1997.40, 331-341.
- A stirred solution of 77 (1.0 g, 2.59 mmol) in DMF (10 mL) under nitrogen was cooled in ice. Sodium hydride (62 mg, 2.59 mmol) was added and the reaction stirred 2 hours. Methyl iodide (0.16 mL, 2.59 mmol) was added and the reaction stirred 2 hours at room temperature. The reaction was evaporated and chloroform and water were added. The layers were separated and the aqueous extracted with chloroform. The combined organics were washed with brine, dried over sodium sulfate, decanted, evaporated and dried in vacuo. The crude product was passed through a pad a silica gel (1:1 ethyl acetate/methylene chloride) and evaporated to give 78 (934 mg, 90%) was a tan solid: 1H NMR (300 MHz, CDCl3) δ 8.59 (d, 2H), 7.62 (t, 1H), 7.52 (d, 1H), 7.42-7.25 (m, 9H), 6.72 (d, 1H), 5.38-5.30 (m, 1H), 5.15 (s, 2H), 3.48 (s, 3H); CI MS m/z=401 [C23H20N4O3+H]+.
- Using the procedures described in Scheme 7 the 3-pyridyl isomer can be prepared. The following data characterizes the individual intermediates.
- 1H NMR (300 MHz, DMSO-d6) δ 8.61 (broad s, 1H), 8.49 (s, 1H), 8.42 (d, 1H), 7.61 (d, 1H), 7.49 (d, 1H), 7.40 (d, 1H), 7.34-7.21 (m, 2H), 7.40 (t, 1H), 6.51 (broad s, 1H), 6.00 (s, 1H), 1.39 (s, 9H).
- 1H NMR (300 MHz, CDCl3) δ 10.11 (s, 1H), 8.92 (s, 1H), 8.80 (d, 1H), 8.48 (d, 1H), 8.02 (d, 1H), 7.59 (t, 1H), 7.52-7.42 (m, 2H), 7.05 (t, 1H), 1.54 (s, 9 h).
- 1H NMR (300 MHz, CDCl3) δ 8.84 (s, 1H), 8.73 (d, 1H), 7.93 (d, 1H), 7.44-7.37 (m, 2H), 7.32 (t, 1H), 6.75 (d, 1H), 6.60 (t, 1H), 6.22 (broad s, 2H); CI MS m/z=199 [C12H10N2O1+H]+.
- 1H NMR (300 MHz, CDCl3) δ 11.51 (s, 1H), 8.81-8.75 (m, 2H), 8.60 (d, 1H), 8.07 (d, 1H), 7.89 (d oft, 1H), 7.80 (broad s, 1H), 7.63 (t, 1H), 7.52 (d, 2H), 7.42-7.15 (m, 9H), 6.94 (broad s, 1H), 5.22-5.02 (m, 2H); API MS m/z=507 [C28H22N6O4 +H]+.
- 1H NMR (300 MHz, CDCl3) δ 8.69 (s, 2H), 8.24 (broad s, 1H), 7.98 (d, 1H), 8.48 (t, 1H), 7.42-7.25 (m, 8H), 7.17 (d, 1H), 6.60 (d, 1H), 5.47 (d, 1H), 5.18 (s, 2H); CIMS m/z=387 [C22H18N4O3+H]+.
- 1H NMR (300 MHz, CDCl3) δ 8.70 (d, 2H), 8.25 (d, 1H0, 7.62 (t, 1H), 7.40-7.24 (m, 9H), 6.68 (d, 1H), 5.33 (d, 1H), 5.14 (s, 2H), 3.46 (s, 3H).
- Step 1: Preparation of 2-Amino-3′-methoxybenzophenone 93;
- Following the literature precedent: Walsh, D. A. Synthesis, 1980, 677-688.
- To a solution of bromoanisole 91 (1.38 mL, 10.7 mmol) in THF (5 mL) at 78° C. and under nitrogen atmosphere, was added 1.2 M t-BuLi in pentane (18.2 mL, 21.9 mmol) dropwise. After stirring for 20 min, anthranilonitrile 92 (0.63 g, 5.3 mmol) was added. The reaction was warmed to rt and stirred overnight. The reaction was cooled to 0° C. and quenched with 3N HCl. After stirring 30 min at rt, the acidic extracts were washed with EtOAc (3×12 mL). The aqueous layer was made basic (pH>10) using 6N NaOH and extracted with CH2Cl2. The organic extracts were washed with sat. NaCl, dried over NaSO4, filtered, and concentrated to give a crude mixture containing 93. The crude oil was purified by chromatography on silica to provide pure 93 (0.17 g, 14%) as a yellow oil; 1H NMR (500 MHz, DMSO-d6) δ 7.40-7.43 (m, 1H), 7.27-7.30 (m, 1H), 7.07-7.17 (m, 4H), 6.86-6.88 (m, 1H), 6.49-6.52 (m, 1H), 3.81 (s, 3H); CI MS m/z=228 [C14H13NO2+H]+.
- Based on the literature procedures; Semple, G.; Ryder, H.; Ohta, M.; Satoh, M. Syn. Comm., 1996, 26(4), 721-727. Semple, G.; Ryder, H.; Rooker, D. P.; Batt, A. R.; Kendrick, D. A.; Szelke, M.; Ohta, M.; Satoh, M.; Nishida, A.; Akuzawa, S.; Miyata, K. J. Med. Chem., 1997, 40, 331-341.
- To a solution of benzotriazole acid 94 (16.47 g, 50.5 mmol) in THF (101 mL) at 0° C. under a nitrogen atmosphere was added oxalyl chloride (4.84 mL, 55.5 mmol) and a catalytic amount of DMF (1.0 mL). After stirring for 1 h, a solution of 93 (11.47 g, 50.5 mmol) and N-methylmorpholine (12.25 mL, 111 mmol) in THF (51 mL) was added dropwise via dropping funnel. The reaction was allowed to warm to rt and stirred overnight. The solids were removed by filtration. The filtrate was diluted with MeOH (62 mL), and NH3 gas was condensed into the solution for 15 min, the reaction vessel was sealed and stirred at rt for 2 h. After concentration, the crude oil was dissolved in EtOAc, washed with 3N NaOH (3×20 mL). The organic extracts were dried over Na2SO4, filtered and concentrated. The resultant crude oil was dissolved in AcOH (121 mL), and NH4OAc (7.17 g) was added. After stirring at rt overnight (16 h), the reaction was concentrated and diluted with water and made basic with 50% NaOH. The basic aqueous solution was extracted with EtOAc (3×150 mL). The combined organic extracts were washed with sat. NaCl, dried over Na2SO4, filtered, and concentrated. The crude product was purified by chromatography on silica to provide 95 (6.96 g, 33%) as a solid; 1H NMR (500 MHz, CDCl3) δ 7.50 (t, 1 HO, 7.10-7.40 (m, 9H), 7.05 (d, 1H), 6.97 (dd, 1H0, 6.63 (d, 1 HO, 5.30 (d, 1H), 5.20 (s, 2 HO, 3.77 (s, 3H).
- To a solution of 95 (2.07 g, 5.4 mmol) and K2CO3 (3.71 g, 26.8 mmol) in DMF (9.7 mL), was added MeI (0.50 mL, 8.1 mmol). After stirring 1 h at rt, the reaction was poured into water (100 mL) and stirred overnight. The solid was collected by filtration, rinsed with water and Et20. This was dried in a vacuum oven at 55° C. to provide 96 (1.5 g, 3.5 mmol) as a red solid; 1H NMR (300 MHz, CDCl3) δ 7.58 (t, 1H), 7.19-7.42 (m, 9H), 7.07 (d, 1H0, 7.00 (dd, 1H), 6.69 (d, 1H), 5.32 (d, 1H0, 5.15 (s, 2 HO, 3.83 (s, 3 HO, 3.45 (s, 3H).
- To protected amine 96 (2.13 g, 4.9 mmol) was added 30% H13r in AcOH (50 mL). This was stirred at rt for 1 h. The reaction was poured into water (200 mL) and washed with EtOAc (200 mL). The aqueous layer was made basic with 50% NaOH and extracted with ETOAc (2×200 mL). The extracts were concentrated to give crude 97 (1.14 g, 78%) as a yellow solid; 1H NMR (300 MHz, CDCl3) δ 7.58 (t, 1H), 7.17-7.40 (m, 5H), 7.12 (d, 1 H0, 7.00 (dd, 1H) 3.83 (s, 3H), 3.48 (s, 3H); CI MS m/z=296 [C17H17N3O2+H]+.
- To a stirred mixture of p-anisidine (6 g, 48.7 mmol) in methylene chloride (170 mL) under nitrogen was added DMAP (5.0 mg, mmol) and triethylamine (13.9 mL, 99.7 mmol.) Ethyl chloroformate (4.85 mL, 50.7 mmol) was added and the reaction stirred for 2.5 hours. Dilute phosphoric acid (0.5 N) was added and the mixture stirred for 1S minutes. The aqueous layer was neutralized with sodium bicarbonate and then extracted with methylene chloride. The methylene chloride solution was dried over sodium sulfate, filtered and concentrated. Purification by column chromatography (gradient ethyl acetate/hexanes) provided 102 (7.2 g, 75%) as a solid: 1H NMR (300 MHz, CDCl3) δ 7.27 (d, 2H), 6.82 (d. 2 HO, 6.45 (broad s, 1H), 4.20 (q, 2H), 3.77 (s, 3 HO, 1.31 (t, 3H).
- To a stirred suspension of lithium aluminum hydride (1.8 g, 47.4 mmol) in THF (95 mL) was added 102 (3.0 g, 15.4 mmol.) The reaction was heated at reflux for 2 hours. The reaction was cooled and quenched with ethyl acetate (150 mL). Solid sodium sulfate was added and the mixture filtered. The clear solution was evaporated and dried to give 103 (2.1 g, 100%); 1H NMR (300 MHz, CDCl3) δ 6.79 (d, 2H), 6.56 (d, 2H), 3.74 (s, 3H), 2.78 (s, 3H).
- Based on the following literature references: Sugasawa, T., Toyoda, T.; Adachi, M.; Sasakura, K. J. Chem. Soc., 1978, 100, 4842-4852. Houpis, I. N.; Moline, A.; Douglas, A. W.; Xavier, L.; Lynch, J.; Volante, R. P.; Reider, P. J. Tet. Lett., 1994, 35, 6811-6814. Adachi, M.; Sasukura, K.; Sugasawa, T. Chem. Pharm. Bull., 1985, 33, 1826-1835. Sugasawa, T.; Adachi, M.; Sasakura, K.; Kitagawa, A. J. Org. Chem., 1979, 44, 578-586.
- To a stirred solution of boron trichloride (1 M in CH2CL2, 29.9 mL) at 0° C. was added toluene (15 mL.) A solution of 103 (3.42 g, 24.9 mmol) in toluene (40 mL) was added dropwise over 0.5 h. The reaction was stirred at 0° C. for 20 minutes and then heated under reflux for 1 h. Anthranilonitrile (25.7 g, 249 mmol) was added and the reaction heated under reflux for 6.5 h. 2N HCl (1.5 mL) was added and the reaction heated at 80° C. for 0.5 h. Water was added and the reaction was neutralized with solid sodium carbonate and extracted with methylene chloride. The combined organics were dried over magnesium sulfate, filtered and concentrated. Purification by column chromatography gave 105 (1.3 g, 33%) as a yellow solid.
- 1H NMR (300 MHz, CDCl3) δ 9.98 (broad s, 1H), 7.61 (d, 2 HO, 7.55-7.4 (m, 3 HO, 7.1 (d of d, 1H), 7.02 (d, 1H), 6.72 (d, 1 HO, 3.64 (s, 3H), 2.93 (d, 3H).
- Based on the following literature references: Semple, G.; Ryder, H.; Ohta, M.; Satoh, M. Syn. Comim., 1996, 26(4), 721-727. Semple, G.; Ryder, H.; Rooker, D. P.; Batt, A. R.; Kendrick. D. A.; Szelke, M.; Ohta, M.; Satoh, M.; Nishida, A.; Akuzawa, S.; Miyata, K. J. Med, Chem., 1997, 40, 331-341.
- To a stirred solution of benzotriazole acid 106 in THF (3 mL) at 0° C. was added oxalyl chloride (0.95 mL, 1.1 mmol) and a catalytic amount of DMF and the reaction stirred 1 h. A solution of 105 (240 mg, 1 mmol) and N-methyl morpholine (0.24 mL, 2.2 mmol) in THF 1.5 mL) was added dropwise. The reaction was stirred overnight at room temperature. The solution was filtered and concentrated. Methanol (3 mL) was added ammonia gas was bubbled into the reaction for 25 minutes. The reaction was stirred at room temperature for 1.5 h and then evaporated in vacuo and diluted with ethyl acetate. The solution was washed with 1 N NaOH. The aqueous layer was extracted with ethyl acetate and the combined organics were dried over magnesium sulfate and concentrated. The residue was dissolved in acetic acid (2.4 mL) and ammonium acetate (140 mg) was added and the reaction stirred for 16 h. The reaction was concentrated in vacuo and diluted with 1 N NaOH and extracted with ethyl acetate. The organic layer was dried over sodium sulfate, filtered and concentrated. The residue was chromatographed on silica gel (ethyl acetate/hexanes) to give 107 (98 mg, 45%) as a yellow solid); 1H NMR (500 MHz, CDCl3) δ 7.63 (d, 2H0, 7.45 (t, 1 HO, 7.34-7.23 (m, 8H), 7.13 (d, 1H), 6.79 (s, 1H), 6.67 (d, 1H), 5.34 (d, 1H), 5.14 (q, 2H), 3.73 (s, 3 HO, 3.40 (s, 3 H0; API MS m/z=430 [C25H23N3O4 +H]+; mp. 71-73° C.; IR (thin film) 3410, 1724, 1678, 1498, 1289, 1231, 1039, 699 cm−1.
- Chemical abbreviations used in the Examples are defined as follows: “DMPU” for 1,3-dimethyl-3,4,5,6-tetrahydro-2(1H)-pyrimidone, “TBTU” for O-(1H-benzotriazol-1-yl)-N,N,N′,N′-tetramethyluronium tetrafluoroborate, “BOP” for benzotriazol-1-yloxytris-(dimethylamino)-phosphonium hexafluorophosphate, and “HATU” for O-(7-azabenzotriazol-1-yl)-N,N, N′,N′-tetramethyluronium hexafluorophosphate. “HPLC” is an abbreviation used herein for high pressure liquid chromatography. Reverse-phase HPLC was carried out using a Vydac C-18 column with gradient elution from 10% to 100% buffer B in buffer A (buffer A: water containing 0.11% trifluoroacetic acid, buffer B: 10% water, 90% acetonitrile containing 0.1% trifluoroacetic acid). Alternatively, reverse-phase HPLC was carried out using a Vydac C-18 column with gradient elution from 10% to 90% acetonitrile in water.
- (2R,3S) N1-[1,3-dihydro-1-methyl-2-oxo-5-phenyl-2H-1,4-benzodiazepin-3-yl]-2-(2-methylpropyl)-3-allyl-butanediamide
- A solution of tert-butyl succinate ester (9) (1.0 eq.) in DMF (0.25 M) under N2 at 0° C. was added HATU (1.1 eq.), then Hunig's base (4.0 eq.). The mixture was stirred at 0° C. for 10 mins. A solution of 1,3-dihydro-1-methyl-3-amino-5-phenyl-2H-1,4-benzodiazepin-2-one (30) in DMF (0.8 M) (1.0 eq.) was added to this solution. The reaction mixture was stirred overnight at room temperature and then transferred to a separatory funnel containing water. 30% n-Hexane in ethyl acetate was added which gave a clear organic layer. The aqueous solution was extracted twice with 30% n-hexane in ethyl acetate. The combined organic layers were washed with water and brine, dried over magnesium sulfate, and concentrated in vacuo. The residue was purified by chromatography on flash grade silica gel using 20-30% ethyl acetate in n-hexane; preferably 30% ethyl acetate in n-hexane. Compound, 1′, was isolated as an amorphous white solid (85%). Rf=0.25 (7:3 n-hexane:ethyl acetate).
- 1H-NMR:(CDCl3): δ7.61-7.21 (m, 10H); 5.77-5.73 (m, 1H); 5.57-5.54 (d, 1H); 5.20-4.97 (m, 2H); 3.47 (s, 3H); 2.63-2.33 (m, 4H); 1.80-1.76 (m, 2H); 1.47-1.46 (d, 9H); 1.43-1.11 (m, 1H); 1.01-0.86 (m, 6H). MS: C31H39N3O4 (M+H) 518.3 (M+Na) 540.3.
- A solution of (1′) in 50% TFA in methylene chloride (0.15 M) was stirred at room temperature overnight. The solution as concentrated in vacuo, washed and concentrated four times with toluene in vacuo to give compound (1″) as an amorphous solid (95%). Rf=0.64 (9.5:0.5 methylene chloride:methanol). Ms: C27H31N3O4 (M+:) 462.
- To a solution of (1″) (1.0 eq.)in DMF (0.25 M)under N2 at 0° C. was added HATU (1.1 eq.), and then Hunigs base (4.0 eq.). The mixture was stirred at 0° C. for 10 mins, and then anhydrous ammonia bubbled though the solution for two minutes. The reaction mixture was stirred overnight at room temperature and then transferred to a separatory funnel containing water and diluted with 30% n-hexane in ethyl. The aqueous solution was extracted twice with 30% n-hexane in ethyl acetate. The combined organic layers were washed with water and brine, dried over magnesium sulfate, and concentrated in vacuo. The residue was purified by chromatography on flash grade silica gel using 4% methanol in methylene chloride. The title compound, Example 1, was isolated as an amorphous white solid (87%). Rf=0.43 (9:1 methylene chloride:methanol).
- 1H NMR (CDCl3): δ7.63-7.22 (m, 10H); 6.25-6.13 (d, 1H); 5.88-5.73 (m, 1H);. 5.53-5.51 (dd, 1H); 5.44-5.41 (d, 1H); 5.22-5.04 (m, 2H); 3.47-3.46 (d, 3H); 2.74-2.31 (m, 4H); 1.81-1.61 (m, 2H); 1.34-1.22 (m, 1H); 0.99-0.87 (m, 6H). MS: C27H32N4O3 (M+H) 461.
-
- Following a procedure analogous to the preparation of Example 1 using 3,5-difluorobenzylamine in place of ammonia in Step 3, the title compound was prepared. MS (M+H)+=587.
-
- Following a procedure analogous to the preparation of Example 1 using succinate ester (10) (Scheme 2) in place of succinate ester (9) in Step 1, as well as reagents known to one skilled in the art, the title compound was prepared. MS (M+H)+=463.0.
-
- Following a procedure analogous to the preparation of Example 1 using 1,3-dihydro-1-methyl-3-amino-5-(2-fluorophenyl)-2H-1,4-benzodiazepine-2-one in place of (30) in Step 1, the mixture of benzodiazepine diastereomers of the title compound was prepared. The isomers were separated using reverse phase chromatography (C-18 column, isocratic eluent composed of 65% 90:10 water:acetonitrile and 35% 10:90 water:acetonitrile). The first eluting isomer was assigned the (S)-benzodiazepine configuration using the H-NMR method described for Example 12a. The required aminobenzodiazepine was prepared using the method of Sherrill and Sugg (J. Org. Chem. 1995, 60, 730-734). MS (M+H)+=479.4; (M+Na)+=501.4.
- Following a the procedure of Example 4a, the second eluting isomer was isolated and assigned the (R)-benzodiazepine configuration using the H-NMR method described for Example 12b. MS (M+H)+=479.4; (M+Na)+=501.4.
-
- Following a procedure analogous to the preparation of Example 1 using (S) isomer of benzodiazepinone (30) in Step 1 in place of racemic benzodiazepinone (30), and reducing the amount of Hunig's base in Step 1 to 2.2 eq., the title compound was prepared.
- 1H-NMR for product of Step 1: (CDCl3) 7.61-7.21 (m, 10H); 5.77-5.73 (m, 1H); 5.57-5.54 (d, 1H); 5.20-5.00 (m, 2H); 3.46 (s, 3H); 2.63-2.33 (m, 4H); 1.80-1.76 (m, 2H); 1.46 (s, 9H); 1.43-1.11 (m, 1H); 0.97-0.95 (d, 3H); 0.88-0.85 (d, 3H).
- 1H-NMR for product of Step 3: (CDCl3): 7.65-7.00 (m, 10H); 6.10-6.00 (s, 1H); 5.85-5.65 (m, 1H); 5.54-5.52 (d, 1H); 5.40-5.30 (s, 1H); 5.23-5.00 (m, 2H); 3.47 (s, 3H); 2.80-2.20 (m, 4H); 1.85-1.60 (m, 2H); 1.40-1.20 (m, 1H), 0.98-0.95 (d, 3H); 0.90-0.87 (d, 3H). MS (M+H)+=461.3; MS (M+H)+=483.3.
- (2R,3S)N1-[(3R)-1,3-dihydro-1-methyl-2-oxo-5-phenyl-2H-1,4-benzodiazepin-3-yl]-2-(2-methylpropyl)-3-allyl-butanediamide
- Using the method of Example 5, but replacing the (S) isomer of benzodiazepinone (30) with (R) isomer of benzodiazepinone (30) in Step 1, the title compound was prepared. Alternatively, the (R)- and (S)-benzodiazepine diastereomers may be separated using a Chiralpack AD column, eluting with 0.1% diethylamine in 1:1 n-hexane/i-propanol. Under these conditions, the compound of Example 6 [(R)-benzodiazepine diastereomer] elutes first.
- 1H-NMR: (CDCl3): 7.65-7.00 (m, 10H); 6.10-6.00 (s, 1H); 5.85-5.65 (m, 1H); 5.54-5.52 (d, 1H); 5.40-5.30 (s, 1H); 5.23-5.00 (m, 2H); 3.47 (s, 3H); 2.80-2.20 (m, 4H); 1.85-1.60 (m, 2H); 1.40-1.20 (m, 1H), 0.99-0.95 (apparent t, 6H). MS (M+H)+=461.3; MS (M+Na)+=483.3.
-
- The product of Example 6 was hydrogenated by dissolution in methanol (0.25M), addition of an equal amount by weight of Pearlman's catalyst [Pd(OH)2/C (20% Wt, Water %≦50)] and 30 eq. of 1,4-cyclohexadiene at room temperature. The solution was heated to reflux for 1 hr, then cooled to room temperature. Removal of volatiles and purification by flash chromatography using 4% methanol in CH2Cl2 gave the title compound. MS (M+H)+=463.3; MS (M+Na)+=485.3.
-
- Using the product of Example 5 as starting material, and following the method of Example 7, the title compound was prepared. MS (M+H)+=463.3; MS (M+Na)+=485.3.
-
- Following a procedure analogous to the preparation of Example 5, coupling the appropriate succinate ester, prepared using the method disclosed in PCT publication WO 98/51665, in place of (9), with (S)isomer of benzodiazepinone-(30) in Step 1, the title compound was prepared. MS (M+H)+=419.1; (M+Na)+=441.1.
-
- Following a procedure analogous to the preparation of Example 1 using the appropriate succinate ester (prepared by methods disclosed in Becket et al. (Synlett, 1993, pp. 137-138) and shown in Scheme 1), in place of ester (9) in Step 1, the title compound was prepared. MS (M+H)+=379.0
-
- Following a procedure analogous to the preparation of Example 1 using 1,3-dihydro-3-amino-5-phenyl-2H-1,4-benzodiazepine-2-one in place of (30) in Step 1, the title compound was prepared. MS (M+H)+=447.2.
-
- Following a procedure analogous to the preparation of Example 1 using 1,3-dihydro-1-methyl-3-amino-5-phenyl-7-chloro-2H-1,4-benzodiazepine-2-one in place of (30) in Step 1, the title compound was prepared. MS (M+H)+=495.0.
-
- The product of Example 12 was separated into the (S)- and (R)-benzodiazepine diastereomers using a Chiralpack Aβ column, eluting with 1:1 n-hexane-i-propanol. The diastereomers were assigned on the basis of the elution order ((S)-diastereomer elutes second under these conditions), and the i-butyl signals in the H-NMR spectra, consistent with the elution order and H-NMR spectra of the products of Examples 5 and 6. In CDCl3 the (S)-diastereomer shows two doublets (6H total) above 1 ppm and the (R)-diastereomer shows an apparent triplet (6H) above 1 ppm. MS (M+H)+=495.2; MS (M+Na)+=517.1.
-
- As described for Example 12a, the product of Example 12 was separated into the (S)- and (R)-benzodiazepine diastereomers using a Chiralpack Aβ column, eluting with 1:1 n-hexane-i-propanol, with the (R)-diastereomer eluting first under these conditions. In CDCl3 the i-butyl signals for the (R)-diastereomer appear as an apparent triplet (6H) above 1 ppm. MS (M+H)+=495.2; MS (M+Na)+=517.1.
-
- Following a procedure analogous to the preparation of Example 1 using 1,3-dihydro-1-methyl-3-amino-5-(2-fluorophenyl)-7-chloro-2H-1,4-benzodiazepine-2-one, prepared by methods known by one skilled in the art, in place of (30) in Step 1, the title compound was prepared. MS (M+H)+=513.3; MS (M+Na)+=535.2.
-
- Following a procedure analogous to the preparation of Examples 12a and 12b, the (S)-benzodiazepine diastereomer of Example 13 was isolated. MS (M+H)+=513.3; MS (M+Na)+=535.2.
-
- Following a procedure analogous to the preparation of Examples 12a and 12b, the (R)-benzodiazepine diastereomer of Example 13 was isolated. MS (M+H)+=513.3; MS (M+Na)+=535.2.
-
- Following a procedure analogous to the preparation of Example 1 using the appropriate syn-succinate ester (prepared by methods disclosed in Becket et al. (Synlett, 1993, pp. 137-138) and shown in Scheme 1), in place of ester (9) in Step 1, the title compound was prepared. MS (M+H)+=461.4; (M+Na)+=483.4.
-
- Using the product of Example 12a as starting material, and following the reduction procedure of Example 7, the title compound was prepared. MS (M+H)+=497.2; MS (M+H)+=519.1
-
- Using the product of Example 13a as starting material, and following the reduction procedure of Example 7, the title compound was prepared. MS (M+H)+=515.3; MS (M+H)+=537.2
-
- Following a procedure analogous to the preparation of Example 1 using 1,3-dihydro-1-methyl-3-amino-5-(4-fluorophenyl)-2H-1,4-benzodiazepine-2-one, prepared by methods known to one skilled in the art, in place of (30) in Step 1, the title compound was prepared. MS (M+H)+=479.3.
-
- Following a procedure analogous to the preparation of Examples 12a and 12b, the (S)-benzodiazepine diastereomer of Example 13 was isolated. MS (M+H)+=479.3; 1.2.
-
- Following a procedure analogous to the preparation of Examples 12a and 12b, the (R)-benzodiazepine diastereomer of Example 13 was isolated. MS (M+H)+=479.3; MS (M+H)+=501.2.
-
- Following a procedure analogous to the preparation of Example 1 using 1,3-dihydro-1-methyl-3-amino-5-(pyrid-2-yl)-2H-1,4-benzodiazepine-2-one, prepared by methods known to one skilled in the art, in place of (30) in Step 1, the title compound was prepared. MS (M+H)+=945.6.
-
- Following a procedure analogous to the preparation of Example 1 using 1,3-dihydro-1-methyl-3-amino-5-(N-morpholinyl)-2H-1,4-benzodiazepine-2-one, prepared by methods known to one skilled in the art, in place of (30) in Step 1, the title compound was prepared. Mp 145-151° C.; MS (M+H)+=470.
-
- Following a procedure analogous to the preparation of Example 1 using 1,3-dihydro-1-methyl-3-amino-5-(dimethylamino)-2H-1,4-benzodiazepine-2-one, prepared by methods known to one skilled in the art, in place of (30) in Step 1, the title compound was prepared. Mp 230-232° C.; MS (M+H)+=428.
-
- Following a procedure analogous to the preparation of Example 1 using 1,3-dihydro-1-methyl-3-amino-5-(N-methyl-N-phenylamino)-2H-1,4-benzodiazepine-2-one, prepared by methods known to one skilled in the art, in place of (30) in Step 1, the title compound was prepared. melting point 266.6-267.8° C.; MS (M+H)+=490.
-
- Following a procedure analogous to the preparation of Example 1 using 1,3-dihydro-1-methyl-3-amino-5-(N-piperidinyl)-2H-1,4-benzodiazepine-2-one, prepared by methods known to one skilled in the art, in place of (30) in Step 1, the title compound was prepared. melting point 231-238° C.; MS (M+H)+=468.
-
- Following a procedure analogous to the preparation of Example 1 using 1,3-dihydro-1-methyl-3-amino-5-(N-homopiperidinyl)-2H-1,4-benzodiazepine-2-one, prepared by methods known to one skilled in the art, in place of (30) in Step 1, the title compound was prepared. melting point 232-237° C.; MS (M+H)+=482.
-
- Following a procedure analogous to the preparation of Example 1 using 1,3-dihydro-1-methyl-3-amino-5-(3-methoxyphenyl)-2H-1,4-benzodiazepine-2-one, prepared by methods known to one skilled in the art, in place of (30) in Step 1, the title compound was prepared. melting point 225-230° C.; MS (M+H)+=491.
- This was prepared using the standard HATU coupling conditions with 97 (1.03 g, 3.5 mmol) to give 24′ (0.48 g, 25%) as a colorless oil (mixture of diastereomers): 1H NMR (500 MHz, CDCl3) δ 7.63 (t, 1H), 7.33-7.38 (m, 2H0, 7.24-7.30 (m, 2H), 7.05 (d, 1H), 7.00 (dd, 1H), 5.65-5.8 (m, 1H), 5.57 (d, 1H), 4.92-5.20 (m. 2 HO, 3.80 (s, 3H), 3.77 (s, 3H), 3.48 (s, 3H) 2.27-2.67 (m, 3H), 1.75-1.80 (m, 1HO, 1.60-1.63 (m, 1H), 1.48 (s, 9H), 1.46 (s, 9H), 1.22-1.26 (m, 1HO, 0.88-1.00 (m, 3H), 0.80 (d, 3H).
- This was prepared using the standard t-Bu ester deprotection with TFA. The acid intermediate 24″ is a mixture of diastereomers: 1H NMR (500 MHz, CDCl3) δ9.75 (bs, 1H), 7.75-7.85 (m, 1H), 7.00-7.51 (m, 7H), 5.70-5.80 (m, 1H), 5.05-5.15 (m, 2H), 3.80 (s, 3H), 3.53-3.50 (s, 3H), 5.74-2.93 (m, 1H0, 2.25-2.53 (m, 1H), 1.53-1.80 (m, 1H), 1.25-1.30 (m, 1H0, 0.93 (d, 3H), 0.89 (d, 3H); API MS m/z=492 [C28H33N3O5+H]+.
- This was prepared using the HATU mediated amide formation. mp 225-230° C.; 1H NMR (500 MHz, CD3OD) δ 7.55-7.70, (m, 2H), 7.27-7.33 (m, 3H), 7.24 (s, 1H), 7.0-7.07 (m, 2H) 5.70-5.77 (m, 1H), 5.45 (d, 1H), 4.93-5.10 (m, 2 H0, 3.78, 3.76 (s, 3H0, 3.48 (s, 3H), 2.75-2.85 (m, 1H), 2.27-2.50 (m, 2H), 1.53-1.71 (m, 2H), 1.10-1.25 (m, 1H), 0.80-1.00 (m, 6H); IR (KBr) 3423, 2956, 1655, 1601, 1326 cm−1; API MS m/z=491 [C28H34N4O4+H]+; Anal. Calcd. For C28H34N4O4-0.5H2O: C, 67.3; H, 7.06; N, 11.21. Found: C, 67.52.; H, 6.85; N, 11.21.
-
- Following a procedure analogous to the preparation of Example 1 using methods known to one skilled in the art, the title compound was prepared. MS (M+H)+=462.
-
- Following a procedure analogous to the preparation of Example 1 using reagents known to one skilled in the art, the title compound was prepared. m.pt. 244-255° C.; MS (M+H)+=491.
-
- Following a procedure analogous to the preparation of Example 1 using reagents known to one skilled in the art, the title compound was prepared. m.pt. 251-253° C.; MS (M+H)+=462.
-
- A procedure analogous to the preparation of Example 5 was followed. The appropriate succinate ester was prepared using the method disclosed in PCT publication WO 98/51665, using cyclopropylmethyl iodide for reagent R3—X in place of allyl bromide (see Scheme 2). This succinate half-ester, a mixture of syn- and anti-isomers, was coupled to the (S) benzodiazepinone-(30) using the procedures of Example 1, Step 1. After Steps 2 and 3, the mixture of butanediamide isomers was separated using silica gel chromatography to provide Example 28a. MS (M+H)+=475.
-
- From the product of Step 3 of Example 28a, the other succinate isomer, Example 28b, was isolated. Mp 146-148° C.; MS (M+H)+=475
-
- Following a procedure analogous to the preparation of Example 1 using 1,3-dihydro-1-methyl-3-amino-5-(3-fluorophenyl)-2H-1,4-benzodiazepine-2-one, prepared by methods known to one skilled in the art, in place of (30) in Step 1 the title compound was prepared. MS (M+H)+=479.3.; (M+Na)+=501.3.
-
- Following a procedure analogous to the preparation of Examples 12a and 12b, the (S)-benzodiazepine diastereomer of Example 29 was isolated. MS (M+H)+=479.3.
-
- Following a procedure analogous to the preparation of Examples 12a and 12b, the (R)-benzodiazepine diastereomer of Example 29 was isolated. MS (M+H)+=479.3.
-
- A procedure analogous to the preparation of Example 5 was followed. The appropriate succinate ester was prepared using the method disclosed in PCT publication WO 98/51665), using 3-butenyl bromide for R3—X in place allyl bromide (see Scheme 2). The anti-succinate half-ester was coupled to (S)-isomer benzodiazepine (30) using the procedures of Step 1. After Steps 2 and 3, the title compound was isolated. MS (M+H)+=475.3; (M+Na)+=497.3.
-
- A procedure analogous to the preparation of Example 5 was followed. The appropriate succinate ester was prepared using the method disclosed in PCT publication WO 98/51665, using 2-(cyclopentyl)ethyl iodide for R3—X in place of allyl bromide (see Scheme 2). The anti-succinate half-ester was coupled to (S)-isomer benzodiazepine (30) using the procedures of Step 1. After Steps 2 and 3, the title compound was isolated. MS (M+H)+=475; (M+Na)+=497.2.
-
- A procedure analogous to the preparation of Example 5 was followed. The succinate ester of Example 30 was employed. The anti-succinate half-ester was coupled to (S)-1,3-dihydro-1-methyl-3-amino-5-(4-trifluoromethylphenyl)-2H-1,4-benzodiazepine-2-one using the procedures of Step 1. The required (S)-3-aminobenzodiazepine was prepared by HBr deprotection of the corresponding benzyloxycarbonyl derivative, which was separated from the (R)-isomer using chiral chromatography. The racemic Cbz-aminobenzodiazepine was prepared using the method of Sherrill and Sugg (J. Org. Chem. 1995, 60, 730-734). After Steps 2 and 3, the title compound was isolated. The stereochemical assignment of Examples 32a and 32b was performed following H-NMR method of Examples 12a and 12b. MS (M+H)+=543.2; (M+H)+=565.3.
-
- A procedure analogous to the preparation of Example 32a was followed using (R)-1,3-dihydro-1-methyl-3-amino-5-(4-trifluoromethylphenyl)-2H-1,4-benzodiazepine-2-one in Step 1. MS (M+H)+=543.2; (M+Na)+=565.3.
-
- Following a procedure analogous to the preparation of Example 1 using 1,3-dihydro-1-methyl-3-amino-5-(4-fluoromethylphenyl)-2H-1,4-benzodiazepine-2-one, prepared by methods known to one skilled in the art, in place of (30) in Step 1, the title compound was prepared. MS (M+H)+=529.2.
-
- Following a procedure analogous to the preparation of Examples 12a and 12b, the (S)-benzodiazepine diastereomer of Example 33 was isolated. MS (M+H)+=529.2.
-
- Following a procedure analogous to the preparation of Examples 12a and 12b, the (S)-benzodiazepine diastereomer of Example 33 was isolated. MS (M+H)+=529.2; (M+Na)+=551.2.
-
- A procedure analogous to the preparation of Example 5 was followed. The diallyl succinate ester was prepared using the method of Curtin et al. (Biorg. Med. Chem. Lett., 8, 1998, 1443-8). The succinate half-ester was coupled to the (S)isomer of benzodiazepinone (30) using the procedures of Step 1. After Steps 2 and 3, the title compound was isolated. MS (M+Na)+=523.2.
-
- Following the reduction procedure of Example 7, the product of Example 32a was converted to the title compound. MS (M+H)+=545.2; (M+Na)+=567.3.
-
- Following the reduction procedure of Example 7, the product of Example 33a was converted to the title compound. MS (M+H)+=531.2; (M+Na)+=553.2.
-
- A procedure analogous to the preparation of Example 5 was followed. The succinate ester of Example 30 was employed and was coupled to (S)-2,3-dihydro-1-methyl-3-amino-5-(4-chlorophenyl)-1H-1,4-benzodiazepine-2-one using the procedures of Step 1. The required (S)-3-aminobenzodiazepine was prepared by HBr deprotection of the corresponding benzyloxycarbonyl derivative, which was separated from the (R)-isomer using chiral chromatography. The racemic Cbz-aminobenzodiazepine was prepared using the method of Sherrill and Sugg (J. Org. Chem. 1995, 60, 730-734). After Steps 2 and 3, the title compound was isolated. The stereochemical assignment was performed following the H-NMR method of Example 12a. MS (M+H)+=509.2.
-
- The product of Example 37 was taken up in ethanol (0.25M) together with 10% by weight Wilkinson's catalyst (chlorotris(triphenylphosphine)rhodium(1)). The mixture was shaken under 50 psi hydrogen overnight. The reaction mixture was filtered through a layer of celite and the solvent was evaporated. The residue was purified by flash chromatography on silica gel using 4% methanol in CH2Cl2 to provide the title compound. MS (M+H)+=511.2; (M+Na)+=533.2.
-
- Following a procedure analogous to the preparation of Example 5 using benzylamine in place of ammonia in Step 3, the title compound was prepared. MS (M+H)+=551.2; (M+Na)+=565.3.
-
- Following a procedure analogous to the preparation of Example 1 using 1,3-dihydro-1-methyl-3-amino-5-methyl-2H-1,4-benzodiazepine-2-one in place of (30) in Step 1, the title compound was prepared. MS (M+H)+=399.1.
-
- Following a procedure analogous to the preparation of Example 1 using 1,3-dihydro-1-methyl-3-amino-5-(n-butyl)-2H-1,4-benzodiazepine-2-one in place of (30) in Step 1, the title compound was prepared. The benzodiazepine diastereomers, Example 41a (3S) isomer and 41b (3R) isomer, were separated by silica gel chromatography. MS (M+H)+=441.2.
-
- Following a procedure analogous to the preparation of Example 1 using 1,3-dihydro-1-methyl-3-amino-5-(1-butyl)-2H-1,4-benzodiazepine-2-one in place of (30) in Step 1, the title compound was prepared. MS (M+H)+=441.2.
-
- Following a procedure analogous to the preparation of Example 1 using 1,3-dihydro-1-methyl-3-amino-5-(4-chlorophenyl)-2H-1,4-benzodiazepine-2-one in place of (30) in Step 1, the mixture of benzodiazepine diastereomers of the title compound was prepared. The isomers were separated using reverse phase chromatography (C-18 column, isocratic eluent composed of 65% 90:10 water:acetonitrile and 35% 10:90 water:acetonitrile). The first eluting isomer was assigned the (S)-benzodiazepine configuration using the H-NMR method described for Example 12a. The required aminobenzodiazepine was prepared using the method of Sherrill and Sugg (J. Org. Chem. 1995, 60, 730-734). MS (M+H)+=495.
-
- Following a procedure analogous to the preparation of Example 1 using 1,3-dihydro-1-ethyl-3-amino-5-phenyl-2H-1,4-benzodiazepine-2-one in place of (30) in Step 1, the title compound was prepared. The required aminobenzodiazepine was prepared using the method of Sherrill and Sugg (J. Org. Chem. 1995, 60, 730-734). The benzodiazepine diastereomers of the product were separated using reverse phase HPLC as described for Example 43a. The first eluting isomer was assigned the (S)-benzodiazepine configuration using the H-NMR method described for Example 12a. MS (M+H)+=475.
-
- Following a procedure analogous to the preparation of Example 1 using 1,3-dihydro-1-(n-propyl)-3-amino-5-phenyl-2H-1,4-benzodiazepine-2-one in place of (30) in Step 1, the title compound was prepared as a mixture of benzodiazepine diastereomers, which were separated using reverse phase HPLC as described for Example 43a. The first eluting isomer was assigned the (S)-benzodiazepine configuration using the H-NMR method described for Example 12a. The required aminobenzodiazepine was prepared using the method of Sherrill and Sugg (J. Org. Chem. 1995, 60, 730-734. MS (M+H)+=489.
- Following the procedure of Example 45a, the second eluting isomer was isolated and assigned the (R)-benzodiazepine configuration using the H-NMR method described for Example 12b. MS (M+H)+=489.
-
- Following a procedure analogous to the preparation of Example 1 using 1,3-dihydro-1-(i-propyl)-3-amino-5-phenyl-2H-1,4-benzodiazepine-2-one in place of (30) in Step 1, the title compound was prepared. The required aminobenzodiazepine was prepared using the method of Sherrill and Sugg (J. Org. Chem. 1995, 60, 730-734). MS (M+H)+=489.
-
- To a solution of amine 31,(for preparation see Audia, J. E., PCT patent application WO 99/32453) (0.42 g, 1.76 mmol), succinate 9, (0.52 g, 1.94 mmol), and DMF (50 mL) at 0° C. was added HATU (0.87 g, 2.29 mmol), and finally DIPEA (1.23 mL, 7.05 mmol). The solution was allowed to warm to room temperature while stirring for 18 h. The DMF was removed under reduced pressure and the residue was dissolved in ethyl acetate (200 mL), washed with 0.1 N HCl (2×100 mL), 5% aqueous NaHCO3 (2×100 mL), dried over anhydrous Na2SO4, and concentrated to yield a brown oil. The crude material was further purified via silica gel column chromatography (1% MeOH, 99% CH2Cl2) to yield 47′ (0.61 g, 70.5%) as a pale yellow solid.
- 1H NMR (300 MHz, CDCl3) δ 0.87-1.42 (m, 9H), 1.48 (d, 9H), 2.21-2.79 (m, 4H), 3.38 (s, 3H), 4.92-5.11 (m, 3H), 5.41 (d, 1H), 5.72 (m, 1H), 7.29-7.65 (m, 8H). CI MS m/z=491 [C30H38N2O4 +H]+.
-
- t-Butyl ester 47′ (0.61 g, 1.24 mmol) was dissolved in TFA (15 mL) and stirred for 4 h at room temperature under N2. The TFA was removed under reduced pressure, the residue was dissolved in ethyl acetate (50 mL), washed with a saturated solution of aqueous NaHCO3 (2×50 mL), dried over anhydrous Na2SO4, and concentrated to yield 47″ (0.38 g, 71%) as a pale yellow foam.
- 1H NMR (500 MHz, CD3OD) δ 0.8-1.82 (m, 9H), 2.25-2.55 (m, 4H), 3.28 (s, 3H), 4.91-5.20 (m, 3H), 5.48 (s, 1H), 5.7-5.9 (m, 1H), 7.35-7.76 (m, 8H).
-
- Ammonia gas was bubbled through as a solution of 47″ (0.38 g, 0.88 mmol), DMF (15 mL), HATU (0.4 g, 1.1 mmol), and DIPEA (4.3 mmol, 0.76 mL) at 0° C. for 10 min. The solution was allowed to warm to room temperature while stirring for 18 h. The DMF was removed under reduced pressure and the resulting residue was dissolved in ethyl acetate (200 mL), washed with 0.1 N HCI (2×100 mL), brine (2×100 mL), dried over anhydrous Na2SO4, and concentrated to yield a light brown oil. The crude material was further purified via silica gel chromatography (2% MeOH, 98% CH2Cl2) to yield the title compound, Example 47, as an off-white solid (0.21 g, 55%): mp 137-145° C. 1H NMR (500 MHz, CDCl3) δ0.82-1.08 (m, 6H), 1.22-1.79 (m, 3H) 2.13-2.82 (m, 4H) 3.35 (s, 3H) 4.94-5.12 (m, 3H), 5.36 (d, 1H), 5.52 (d, 1H), 5.67-5.81 (m, 1H), 7.30-7.63 (m, 8H); IR (KBr) 3334, 2955, 1654, 1498, 1386 cm−1; CI MS m/z=434 [C26H31N3O3+H]+; HPLC 95.4% tr=17.65 min. Anal. Calcd. for C26H31N3O3 0.25 H2O: C, 72.29; H, 7.25; N, 9.59. Found: C, 71.22; H, 7.13; N, 9.32.
- (2R,3s) N1-[1,3,4,5-tetrahydro-1,5-dimethyl-2,4-dioxo-2H-1,5-benzodiazein-3 yl]-2-(2-methylpropyl)-3-allyl-butanediamide
-
- To a solution of tert-butyl succinate ester (9) (1.0 eq) in DMF (0.25 M) at zero degrees was added HATU (1.1 eq), then Hunig's base (4.0 eq). The mixture was stirred at zero degrees for 10 mins. A solution of 3 amino-1,3,4,5-tetrahydro-1,5-dimethyl-2H-1,5-benzodiazepin-2,4-dione (32) in DMF (0.8 M) (1.0 eq) was added to this solution. The reaction mixture was stirred overnight at RT and then transferred to a separatory funnel containing water. 30% N-hexane in ethyl acetate was added which gave a clear organic layer. The aqueous solution was extracted twice with 30% n-hexane in ethyl acetate. The combined organic layers were washed with water and brine, dried over magnesium sulfate, and concentrated in vacuo. The residue was purified by chromatography on flash grade silica gel using 30% ethyl acetate in n-hexane. Compound 48′ was isolated as an amorphous white solid (92%). Rf=0.15 (7:3 n-hexane:ethyl acetate).
- 1H-NMR (CDCl3): δ 7.34 (s, 4H); 6.97-6.94 (d, 1H); 5.80-5.60 (m, 1H); 5.15-4.95 (m, 3H); 3.45 (s, 6H); 2.65-2.20 (m, 4H); 1.80-1.50 (m, 21); 1.18-1.00 (m, 1H); 0.95-0.92 (d, 3H); 0.87-0.84 (d, 3H); MS (M+H)+ 472.2.
-
- Following a procedure analogous to the procedure of Step 2 in Example 1, compound 48″ was prepared.
-
- Following a procedure analogous to the procedure of Step 3 in Example 1, the title compound, Example 48, was prepared.:
- 1H-NMR (CDCl3): δ 7.36 (s, 4H); 7.10-7.00 (d, 1H); 6.44 (s, 1H); 5.85-5.75 (m, 1H); 5.40 (m, 1H); 5.19-5.00 (m, 3H); 3.50-3.45 (d, 6H); 2.70-2.33 (m, 4H); 1.60-1.40 (m, 2H); 1.30-1.20 (m, 1H); 0.90-0.85 (q, 6H). MS (M+H)+=415.4,(M+Na)+=437.4.
-
- Following a procedure analogous to the preparation of Example 1 using 3-amino-1,3,4,5-tetrahydro-1-methyl-2-2H-benzoazepine-2-one, prepared by methods known to one skilled in the art, in place of (30) in Step 1, the title compound was prepared. MS (M+H)+=408.3.
-
- Using the product of Example 9a as starting material, and following the reduction procedure of Example 7, the title compound was prepared. MS (M+Na)+=443.2.
- Table 2 demonstrated representative compounds envisaged within the scope of the present invention. Each formulae at the start of Table 2 are intended to be paired with each entry in the table which follows.
- For example the compound (2R,3S) N1-[6,7-dihydro-5-methyl-6-oxo-5H-dibenz[b,d]azepin-7-yl]-2-(2-methylpropyl)-3-(allyl)-butanediamide is represented by Example #500-B-j, which comprises the core B, succinate j, and entry #500.
- For example the compound (2R,3S)N1-[(3S)-1,3-dihydro-1-methyl-2-oxo-5-phenyl-7-chloro-2H-1,4-benzodiazepin-3-yl]-2-(2-methylpropyl)-3-(butyl)-butanediamide, is represented by Example #502-D-ab, which comprises the core D, succinate ab, and entry #502.
-
TABLE 2 A B C D E F G H J K L M N O P Q R Swherein R3 and R5 are: a b c d e f g h i j k l m n o p q r s t u v w x y z aa ab ac ad ae af ag ah ai aj ak al am an ao ap aq ar as at au av aw ax ay az ba bb bc bd be bf bg bh bi bj bk bl bm bn bo bp bq br bs bt Ex# core R3/R5 R13 Z 500 A-S a-bt H methyl 501 A-S a-bt F methyl 502 A-S a-bt Cl methyl 503 A-S a-bt OH methyl 504 A-S a-bt —CH3 methyl 505 A-S a-bt —CH2CH3 methyl 506 A-S a-bt —OCH3 methyl 507 A-S a-bt —CF3 methyl 508 A-S a-bt H ethyl 509 A-S a-bt F ethyl 510 A-S a-bt Cl ethyl 511 A-S a-bt OH ethyl 512 A-S a-bt —CH3 ethyl 513 A-S a-bt —CH2CH3 ethyl 514 A-S a-bt —OCH3 ethyl 515 A-S a-bt —CF3 ethyl 516 A-S a-bt H i-propyl 517 A-S a-bt F i-propyl 518 A-S a-bt Cl i-propyl 519 A-S a-bt OH i-propyl 520 A-S a-bt —CH3 i-propyl 521 A-S a-bt —CH2CH3 i-propyl 522 A-S a-bt —OCH3 i-propyl 523 A-S a-bt —CF3 i-propyl 524 A-S a-bt H n-propyl 525 A-S a-bt F n-propyl 526 A-S a-bt Cl n-propyl 527 A-S a-bt OH n-propyl 528 A-S a-bt —CH3 n-propyl 529 A-S a-bt —CH2CH3 n-propyl 530 A-S a-bt —OCH3 n-propyl 531 A-S a-bt —CF3 n-propyl 532 A-S a-bt H n-butyl 533 A-S a-bt F n-butyl 534 A-S a-bt Cl n-butyl 535 A-S a-bt OH n-butyl 536 A-S a-bt —CH3 n-butyl 537 A-S a-bt —CH2CH3 n-butyl 538 A-S a-bt —OCH3 n-butyl 539 A-S a-bt —CF3 n-butyl 540 A-S a-bt H i-butyl 541 A-S a-bt F i-butyl 542 A-S a-bt Cl i-butyl 543 A-S a-bt OH i-butyl 544 A-S a-bt —CH3 i-butyl 545 A-S a-bt —CH2CH3 i-butyl 546 A-S a-bt —OCH3 i-butyl 547 A-S a-bt —CF3 i-butyl 548 A-S a-bt H s-butyl 549 A-S a-bt F s-butyl 550 A-S a-bt Cl s-butyl 551 A-S a-bt OH s-butyl 552 A-S a-bt —CH3 s-butyl 553 A-S a-bt —CH2CH3 s-butyl 554 A-S a-bt —OCH3 s-butyl 555 A-S a-bt —CF3 s-butyl 556 A-S a-bt H t-butyl 557 A-S a-bt F t-butyl 558 A-S a-bt Cl t-butyl 559 A-S a-bt OH t-butyl 560 A-S a-bt —CH3 t-butyl 561 A-S a-bt —CH2CH3 t-butyl 562 A-S a-bt —OCH3 t-butyl 563 A-S a-bt —CF3 t-butyl 564 A-S a-bt H allyl 565 A-S a-bt F allyl 566 A-S a-bt Cl allyl 567 A-S a-bt OH allyl 568 A-S a-bt —CH3 allyl 569 A-S a-bt —CH2CH3 allyl 570 A-S a-bt —OCH3 allyl 571 A-S a-bt —CF3 allyl 572 A-S a-bt H cyclopropyl 573 A-S a-bt F cyclopropyl 574 A-S a-bt Cl cyclopropyl 575 A-S a-bt OH cyclopropyl 576 A-S a-bt —CH3 cyclopropyl 577 A-S a-bt —CH2CH3 cyclopropyl 578 A-S a-bt —OCH3 cyclopropyl 579 A-S a-bt —CF3 cyclopropyl 580 A-S a-bt —CF3 cyclopropyl 581 A-S a-bt H cyclopropyl-CH2— 582 A-S a-bt F cyclopropyl-CH2— 583 A-S a-bt Cl cyclopropyl-CH2— 584 A-S a-bt OH cyclopropyl-CH2— 585 A-S a-bt —CH3 cyclopropyl-CH2— 586 A-S a-bt —CH2CH3 cyclopropyl-CH2— 587 A-S a-bt —OCH3 cyclopropyl-CH2— 588 A-S a-bt —CF3 cyclopropyl-CH2— 589 A-S a-bt H cyclobutyl 590 A-S a-bt F cyclobutyl 591 A-S a-bt Cl cyclobutyl 592 A-S a-bt OH cyclobutyl 593 A-S a-bt —CH3 cyclobutyl 594 A-S a-bt —CH2CH3 cyclobutyl 595 A-S a-bt —OCH3 cyclobutyl 596 A-S a-bt —CF3 cyclobutyl 597 A-S a-bt H cyclobutyl-CH2— 598 A-S a-bt F cyclobutyl-CH2— 599 A-S a-bt Cl cyclobutyl-CH2— 600 A-S a-bt OH cyclobutyl-CH2— 601 A-S a-bt —CH3 cyclobutyl-CH2— 602 A-S a-bt —CH2CH3 cyclobutyl-CH2— 603 A-S a-bt —OCH3 cyclobutyl-CH2— 604 A-S a-bt —CF3 cyclobutyl-CH2— 605 A-S a-bt H cyclopentyl 606 A-S a-bt F cyclopentyl 607 A-S a-bt Cl cyclopentyl 608 A-S a-bt OH cyclopentyl 609 A-S a-bt —CH3 cyclopentyl 610 A-S a-bt —CH2CH3 cyclopentyl 611 A-S a-bt —OCH3 cyclopentyl 612 A-S a-bt —CF3 cyclopentyl 613 A-S a-bt H cyclopentyl-CH2— 614 A-S a-bt F cyclopentyl-CH2— 615 A-S a-bt Cl cyclopentyl-CH2— 616 A-S a-bt OH cyclopentyl-CH2— 617 A-S a-bt —CH3 cyclopentyl-CH2— 618 A-S a-bt —CH2CH3 cyclopentyl-CH2— 619 A-S a-bt —OCH3 cyclopentyl-CH2— 620 A-S a-bt —CF3 cyclopentyl-CH2— 621 A-S a-bt H cyclohexyl 622 A-S a-bt F cyclohexyl 623 A-S a-bt Cl cyclohexyl 624 A-S a-bt OH cyclohexyl 625 A-S a-bt —CH3 cyclohexyl 626 A-S a-bt —CH2CH3 cyclohexyl 627 A-S a-bt —OCH3 cyclohexyl 628 A-S a-bt —CF3 cyclohexyl 629 A-S a-bt H cyclohexyl-CH2— 630 A-S a-bt F cyclohexyl-CH2— 631 A-S a-bt Cl cyclohexyl-CH2— 632 A-S a-bt OH cyclohexyl-CH2— 633 A-S a-bt —CH3 cyclohexyl-CH2— 634 A-S a-bt —CH2CH3 cyclohexyl-CH2— 635 A-S a-bt —OCH3 cyclohexyl-CH2— 636 A-S a-bt —CF3 cyclohexyl-CH2— 637 A-S a-bt H phenyl 638 A-S a-bt F phenyl 639 A-S a-bt Cl phenyl 640 A-S a-bt OH phenyl 641 A-S a-bt —CH3 phenyl 642 A-S a-bt —CH2CH3 phenyl 643 A-S a-bt —OCH3 phenyl 644 A-S a-bt —CF3 phenyl 645 A-S a-bt H 2-F-phenyl 646 A-S a-bt F 2-F-phenyl 647 A-S a-bt Cl 2-F-phenyl 648 A-S a-bt OH 2-F-phenyl 649 A-S a-bt —CH3 2-F-phenyl 650 A-S a-bt —CH2CH3 2-F-phenyl 651 A-S a-bt —OCH3 2-F-phenyl 652 A-S a-bt —CF3 2-F-phenyl 653 A-S a-bt H 3-F-phenyl 654 A-S a-bt F 3-F-phenyl 655 A-S a-bt Cl 3-F-phenyl 656 A-S a-bt OH 3-F-phenyl 657 A-S a-bt —CH3 3-F-phcnyl 658 A-S a-bt —CH2CH3 3-F-phenyl 659 A-S a-bt —OCH3 3-F-phenyl 660 A-S a-bt —CF3 3-F-phenyl 661 A-S a-bt H 4-F-phenyl 662 A-S a-bt F 4-F-phenyl 663 A-S a-bt Cl 4-F-phenyl 664 A-S a-bt OH 4-F-phenyl 665 A-S a-bt —CH3 4-F-phenyl 666 A-S a-bt —CH2CH3 4-F-phenyl 667 A-S a-bt —OCH3 4-F-phenyl 668 A-S a-bt —CF3 4-F-phenyl 669 A-S a-bt H 3-Cl-phenyl 670 A-S a-bt F 3-Cl-phenyl 671 A-S a-bt Cl 3-Cl-phenyl 672 A-S a-bt OH 3-Cl-phenyl 673 A-S a-bt —CH3 3-Cl-phenyl 674 A-S a-bt —CH2CH3 3-Cl-phenyl 675 A-S a-bt —OCH3 3-Cl-phenyl 676 A-S a-bt —CF3 3-Cl-phenyl 677 A-S a-bt H 4-Cl-phenyl 678 A-S a-bt F 4-Cl-phenyl 679 A-S a-bt Cl 4-Cl-phenyl 680 A-S a-bt OH 4-Cl-phenyl 681 A-S a-bt —CH3 4-Cl-phenyl 682 A-S a-bt —CH2CH3 4-Cl-phenyl 683 A-S a-bt —OCH3 4-Cl-phenyl 684 A-S a-bt —CF3 4-Cl-phenyl 685 A-S a-bt H 3-Me-phenyl 686 A-S a-bt F 3-Me-phenyl 687 A-S a-bt Cl 3-Me-phenyl 688 A-S a-bt OH 3-Me-phenyl 689 A-S a-bt —CH3 3-Me-phenyl 690 A-S a-bt —CH2CH3 3-Me-phenyl 691 A-S a-bt —OCH3 3-Me-phenyl 692 A-S a-bt —CF3 3-Me-phenyl 693 A-S a-bt H 4-Me-phenyl 694 A-S a-bt F 4-Me-phenyl 695 A-S a-bt Cl 4-Me-phenyl 696 A-S a-bt OH 4-Me-phenyl 697 A-S a-bt —CH3 4-Me-phenyl 698 A-S a-bt —CH2CH3 4-Me-phenyl 699 A-S a-bt —OCH3 4-Me-phenyl 700 A-S a-bt —CF3 4-Me-phenyl 701 A-S a-bt H 3-MeO-phenyl 702 A-S a-bt F 3-MeO-phenyl 703 A-S a-bt Cl 3-MeO-phenyl 704 A-S a-bt OH 3-MeO-phenyl 705 A-S a-bt —CH3 3-MeO-phenyl 706 A-S a-bt —CH2CH3 3-MeO-phenyl 707 A-S a-bt —OCH3 3-MeO-phenyl 708 A-S a-bt —CF3 3-MeO-phenyl 709 A-S a-bt H 4-MeO-phenyl 710 A-S a-bt F 4-MeO-phenyl 711 A-S a-bt Cl 4-MeO-phenyl 712 A-S a-bt OH 4-MeO-phenyl 713 A-S a-bt —CH3 4-MeO-phenyl 714 A-S a-bt —CH2CH3 4-MeO-phenyl 715 A-S a-bt —OCH3 4-MeO-phenyl 716 A-S a-bt —CF3 4-MeO-phenyl 717 A-S a-bt H 3-F3C-phenyl 718 A-S a-bt F 3-F3C-phenyl 719 A-S a-bt Cl 3-F3C-phenyl 720 A-S a-bt OH 3-F3C-phenyl 721 A-S a-bt —CH3 3-F3C-phenyl 722 A-S a-bt —CH2CH3 3-F3C-phenyl 723 A-S a-bt —OCH3 3-F3C-phenyl 724 A-S a-bt —CF3 3-F3C-phenyl 725 A-S a-bt H 4-F3C-phenyl 726 A-S a-bt F 4-F3C-phenyl 727 A-S a-bt Cl 4-F3C-phenyl 728 A-S a-bt OH 4-F3C-phenyl 729 A-S a-bt —CH3 4-F3C-phenyl 730 A-S a-bt —CH2CH3 4-F3C-phenyl 731 A-S a-bt —OCH3 4-F3C-phenyl 732 A-S a-bt —CF3 4-F3C-phenyl - Aβ production has been implicated in the pathology of Alzheimer's Disease (AD). The compounds of the present invention have utility for the prevention and treatment of AD by inhibiting Aβ production. Methods of treatment target formation of Aβ production through the enzymes involved in the proteolytic processing of β amyloid precursor protein. Compounds that inhibit β or γ secretase activity, either directly or indirectly, control the production of Aβ. Such inhibition of β or γ secretases reduces production of Aβ, and the expected to reduce or prevent the neurological disorders associated with Aβ protein, such as Alzheimer's Disease.
- Cellular screening methods for inhibitors of Aβ production, testing methods for the in vivo suppression of Aβ production, and assays for the detection of secretase activity are known in the art and have been disclosed in numerous publications, including PCT publication number WO 98/22493, EPO publication number 0652009, U.S. Pat. No. 5,703,129 and U.S. Pat. No. 5,593,846; all hereby incorporated by reference.
- The compounds of the present invention have utility for the prevention and treatment of disorders involving Aβ production, such as cerebrovascular disorders.
- Compounds of the present invention have been shown to inhibit Aβ production, as determined by the secretase inhibition assay described below.
- Compounds of the present invention have been shown to inhibit Aβ production, utilizing the C-terminus β amyloid precursor protein accumulation assay described below.
- Compounds of Formula (I) are expected to possess γ-secretase inhibitory activity. The γ-secretase inhibitory activity of the compounds of the present invention is demonstrated using assays for such activity, for example, using the assay described below.
- Compounds of the present invention have been shown to inhibit the activity of γ-secretase, as determined by the Aβ immunoprecipitation assay.
- Compounds provided by this invention should also be useful as standards and reagents in determining the ability of a potential pharmaceutical to inhibit Aβ production. These would be provided in commercial kits comprising a compound of this invention.
- As used herein “μg” denotes microgram, “mg” denotes milligram, “g” denotes gram, “μL” denotes microliter, “mL” denotes milliliter, “L” denotes liter, “nM” denotes nanomolar, “μM” denotes micromolar, “mM” denotes millimolar, “M” denotes molar, “nm” denotes nanometer, “SDS7” denotes sodium dodecyl sulfate, and “DMSO” denotes dimethyl sulfoxide, and “EDTA” denotes ethylenediaminetetraacetato.
- A compound is considered to be active if it has an IC50 or Ki value of less than about 100 μM for the inhibition of Aβ production.
- A novel assay to evaluate the accumulation of Aβ protein was developed to detect potential inhibitors of secretase. The assay uses the N 9 cell line, characterized for expression of exogenous APP by immunoblotting and immunoprecipitation.
- The effect of test compounds on the accumulation of Aβ in the conditioned medium is tested by immunoprecipitation. Briefly, N 9 cells are grown to confluency in 6-well plates and washed twice with 1×Hank's buffered salt solution. The cells are starved in methionine/cysteine deficient media for 30 min, followed by replacement with fresh deficient media containing 150 uCi S35 Translabel (Amersham). Test compounds dissolved in DMSO (final concentration 1%) are added together with the addition of radiolabel. The cells are incubated for 4 h at 37° C. in a tissue culture incubator.
- At the end of the incubation period, the conditioned medium is harvested and pre-cleared by the addition of 5 μl normal mouse serum and 50 ul of protein A Sepharose (Pharmacia), mixed by end-over-end rotation for 30 minutes at 4° C., followed by a brief centrifugation in a microfuge. The supernatant is then harvested and transferred to fresh tubes containing 5 ug of a monoclonal antibody (clone 1101.1; directed against an internal peptide sequence in Aβ) and 50 μl protein A Sepharose. After incubation overnight at 4° C., the samples are washed three times with high salt washing buffer (50 mM Tris, pH 7.5, 500 mM NaCl, 5 mM EDTA, 0.5% Nonidet P-40), three times with low salt wash buffer (50 mM Tris, pH 7.5, 150 mM NaCl, 5 mM EDTA, 0.5% Nonidet P-40), and three times with 10 mM Tris, pH 7.5. The pellet after the last wash is resuspended in SDS sample buffer (Laemmli, 1970) and boiled for 3 minutes. The supernatant is then fractionated on either 10-20% Tris/Tricine SDS gels or on 16.5% Tris/Tricine SDS gels. The gels are dried and exposed to X-ray film or analyzed by phosphorimaging. The resulting image is analyzed for the presence of Aβ polypeptides. The steady-state level of Aβ in the presence of a test compound is compared to wells treated with DMSO (1%) alone. A typical test compound blocks A, accumulation in the conditioned medium, and is therefore considered active, with an IC50 less than 100 μM.
- The effect of test compounds on the accumulation of C-terminal fragments is determined by immunoprecipitation of APP and fragments thereof from cell lysates. N 9 cells are metabolically labeled as above in the presence or absence of test compounds. At the end of the incubation period, the conditioned medium are harvested and cells lysed in RIPA buffer (10 mM Tris, pH 8.0 containing 1% Triton X-100, 1% deoxycholate, 0.1% SDS, 150 mM NaCl, 0.125% NaN3). Again, lysates are precleared with 5 ul normal rabbit serum/50 ul protein A Sepharose, followed by the addition of BC-1 antiserum (15 μl;) and 50 μl protein A Sepharose for 16 hours at 4° C. The immunoprecipitates are washed as above, bound proteins eluted by boiling in SDS sample buffer and fractionated by Tris/Tricine SDS-PAGE. After exposure to X-ray film or phosphorimager, the resulting images are analyzed for the presence of C-terminal APP fragments. The steady-state level of C-terminal APP fragments is compared to wells treated with DMSO (1%) alone. A typical test compound stimulates C-terminal fragment accumulation in the cell lysates, and is therefore considered active, with an IC50 less than 100 μM.
- This immunoprecipitation assay is specific for γ secretase (i.e., proteolytic activity required to generate the C-terminal end of Aβ either by direct cleavage or generating a C-terminal extended species which is subsequently further proteolyzed). N 9 cells are pulse labeled in the presence of a reported γ secretase inhibitor (MDL 28170) for 1 h, followed by washing to remove radiolabel and MDL 28170. The media is replaced and test compounds are added. The cells are chased for increasing periods of times and A β is isolated from the conditioned medium and C-terminal fragments from cell lysates (see above). The test compounds are characterized whether a stabilization of C-terminal fragments is observed and whether Aβ is generated from these accumulated precursor. A typical test compound prevents the generation of Aβ out of accumulated C-terminal fragments and is considered active with an IC50 less than 100 μM.
- The compounds of the present invention can be administered orally using any pharmaceutically acceptable dosage form known in the art for such administration. The active ingredient can be supplied in solid dosage forms such as dry powders, granules, tablets or capsules, or in liquid dosage forms, such as syrups or aqueous suspensions. The active ingredient can be administered alone, but is generally administered with a pharmaceutical carrier. A valuable treatise with respect to pharmaceutical dosage forms is Remington's Pharmaceutical Sciences, Mack Publishing.
- The compounds of the present invention can be administered in such oral dosage forms as tablets, capsules (each of which includes sustained release or timed release dosage forms as tablets, powders, granules, elixirs, tinctures, suspensions, syrups, and emulsions. Likewise, they may also be administered in intravenous (bolus or infusion), intraperitoneal, subcutaneous, or intramuscular form, all using dosage forms well known to those of ordinary skill in the pharmaceutical arts. An effective but non-toxic amount of the compound desired can be employed to prevent or treat neurological disorders related to β-amyloid production or accumulation, such as Alzheimer's disease and Down's Syndrome.
- The compounds of this invention can be administered by any means that produces contact of the active agent with the agent's site of action in the body of a host, such as a human or a mammal. They can be administered by any conventional means available for use in conjunction with pharmaceuticals, either as individual therapeutic agents or in a combination of therapeutic agents. They can be administered alone, but generally administered with a pharmaceutical carrier selected on the basis of the chosen route of administration and standard pharmaceutical practice.
- The dosage regimen for the compounds of the present invention will, of course, vary depending upon known factors, such as the pharmacodynamic characteristics of the particular agent and its mode and route of administration; the species, age, sex, health, medical condition, and weight of the recipient; the nature and extent of the symptoms; the kind of concurrent treatment; the frequency of treatment; the route of administration, the renal and hepatic function of the patient, and the effect desired. An ordinarily skilled physician or veterinarian can readily determine and prescribe the effective amount of the drug required to prevent, counter, or arrest the progress of the condition.
- Advantageously, compounds of the present invention may be administered in a single daily dose, or the total daily dosage may be administered in divided doses of two, daily.
- The compounds for the present invention can be administered in intranasal form via topical use of suitable intranasal vehicles, or via transdermal routes, using those forms of transdermal skin patches wall known to those of ordinary skill in that art. To be administered in the form of a transdermal delivery system, the dosage administration will, of course, be continuous rather than intermittant throughout the dosage regimen.
- In the methods of the present invention, the compounds herein described in detail can form the active ingredient, and are typically administered in admixture with suitable pharmaceutical diluents, excipients, or carriers (collectively referred to herein as carrier materials) suitably selected with respect to the intended form of administration, that is, oral tablets, capsules, elixirs, syrups and the like, and consistent with conventional pharmaceutical practices.
- For instance, for oral administration in the form of a tablet or capsule, the active drug component can be combined with an oral, non-toxic, pharmaceutically acceptable, inert carrier such as lactose, starch, sucrose, glucose, methyl callulose, magnesium stearate, dicalcium phosphate, calcium sulfate, mannitol, sorbitol and the like; for oral administration in liquid form, the oral drug components can be combined with any oral, non-toxic, pharmaceutically acceptable inert carrier such as ethanol, glycerol, water, and the like. Moreover, when desired or necessary, suitable binders, lubricants, disintegrating agents, and coloring agents can also be incorporated into the mixture. Suitable binders include starch, gelatin, natural sugars such as glucose or β-lactose, corn sweeteners, natural and synthetic gums such as acacia, tragacanth, or sodium alginate, carboxymethylcellulose, polyethylene glycol, waxes, and the like. Lubricants used in these dosage forms include sodium oleate, sodium stearate, magnesium stearate, sodium benzoate, sodium acetate, sodium chloride, and the like. Disintegrators include, without limitation, starch, methyl cellulose, agar, bentonite, xantha gum, and the like.
- The compounds of the present invention can also be administered in the form of liposome delivery systems, such as small unilamellar vesicles, large unilamallar vesicles, and multilamellar vesicles. Liposomes can be formed from a variety of phospholipids, such as cholesterol, stearylamine, or phosphatidylcholines.
- Compounds of the present invention may also be coupled with soluble polymers as targetable drug carriers. Such polymers can include polyvinylpyrrolidone, pyran copolymer, polyhydroxypropylmethacrylamide-phenol, polyhydroxyethylaspartamidephenol, or polyethyleneoxide-polylysine substituted with palmitoyl residues. Furthermore, the compounds of the present invention may be coupled to a class of biodegradable polymers useful in achieving controlled release of a drug, for example, polylactic acid, polyglycolic acid, copolymers of polylactic and polyglycolic acid, polyepsilon caprolactone, polyhydroxy butyric acid, polyorthoesters, polyacetals, polydihydropyrans, polycyanoacylates, and crosslinked or amphipathic block copolymers of hydrogels.
- Gelatin capsules may contain the active ingredient and powdered carriers, such as lactose, starch, cellulose derivatives, magnesium stearate, stearic acid, and the like. Similar diluents can be used to make compressed tablets. Both tablets and capsules can be manufactured as sustained release products to provide for continuous release of medication over a period of hours. Compressed tablets can be sugar coated or film coated to mask any unpleasant taste and protect the table from the atmosphere, or enteric coated for selective disintegration in the gastrointestinal tract.
- Liquid dosage forms for oral administration can contain coloring and flavoring to increase patient acceptance,
- In general, water, a suitable oil, saline, aqueous dextrose (glucose), and related sugar solutions and glycols such as propylene glycol or polyethylene glycols are suitable carriers for parenteral solutions. Solutions for parenteral administration preferably contain a water soluble salt of the active ingredient, suitable stabilizing agents, and if necessary, buffer substances. Antioxidizing agents such as sodium bisulfite, sodium sulfite, or ascorbic acid, either alone or combined, are suitable stabilizing agents. Also used are citric acid and its salts and sodium EDTA, In addition, parenteral solutions can contain preservatives benzalkonium chloride, methyl- or propyl-paraben, and chlorobutanol.
- Suitable pharmaceutical carriers are described in Remington's Pharmaceutical Sciences, Mack Publishing Company, a standard reference text in this field.
Claims (18)
1-24. (canceled)
25. A process for preparing a compound of Formula (I),
or a stereoisomer or a pharmaceutically acceptable salt thereof, comprising the steps of: coupling a solid phase bound succinic acid derivative by amide bond synthesis to an aminolactam mediated by O-(7-azabenzotriazol-1-yl)-N,N, N′,N′-tetramethyluronium hexafluorophosphate (HATU), O-(1H-benzotriazol-1-yl)-N,N,N′,N′-tetramethyluronium tetrafluoroborate (TBTU), benzotriazol-1-yloxytris-(dimethylamino)-phosphonium hexafluorophosphate (BOP), EDC, CDI, or DCC, the product being liberated from the solid phase by employing dilute trifluoroacetic acid in CH2Cl2; and purified by chromatography to obtain a structure;
wherein:
A is O;
Q is —NR1R2;
R1 is selected from:
H;
C1-C6 alkyl substituted with 0-3 R1a;
C3-C10 carbocycle substituted with 0-3 R1b;
aryl substituted with 0-3 R1b; and
5 to 10 membered heterocycle containing 1 to 4 heteroatoms selected from nitrogen, oxygen, and sulphur, wherein said 5 to 10 membered heterocycle is substituted with 0-3 R1b;
R1a, at each occurrence, is independently selected from H, C1-C6 alkyl Cl, F, Br, I, ═O, CN, NO2, NR15R16, CF3;
C3-C10 carbocycle substituted with 0-3 R1b;
aryl substituted with 0-3 R1b; and
5 to 10 membered heterocycle containing 1 to 4 heteroatoms selected from nitrogen, oxygen, and sulphur, wherein said 5 to 10 membered heterocycle is substituted with 0-3 R1b;
R1b, at each occurrence, is independently selected from H, OH, Cl, F, Br, I, CN, NO2, NR15R16, CF3, C1-C6 alkyl, C1-C4 alkoxy, C1-C6 haloalkyl, and C1-C4 haloalkoxy;
R2 is selected from H, C1-C6 alkyl, C3-C10 carbocycle, C6-C10 aryl, and 5 to 10 membered heterocycle containing 1 to 4 heteroatoms selected from nitrogen, oxygen, and sulphur;
R3 is —(CR7R7a)n—R4,
—(CR7R7a′)n—S—(CR7R7a)M-R4,
—(CR7R7a)—O—(CR7R7a)m—R4,
—(CR7R7a)n—N(R7b)—(CR7R7a)m—R4,
—(CR7R7a)n—S(═O)—(CR7R7a)m—R4,
—(CR7R7a)n—S(═O)2—(CR7R7a)m—R4,
—(CR7R7a)n—C(═O)—(CR7R7a)m—R4,
—(CR7R7a)n—N(R7b)C(═O)—(CR7R7a)m—R4,
—(CR7R7a)n—C(═O)N(R7b)—(CR7R7a)m—R4,
—(CR7R7a)n—N(R7b)S(═O)2—(CR7R7a)m—R4 or
—(CR7R7a)n—S(═O)2N(R7b)—(CR7R7a)m—R4;
n is 0, 1, 2, or 3;
m is Q, 1,2, or 3;
R3a is H, OH, C1-C4 alkyl, C1-C4 alkoxy, C2-C4 alkenyl or C2-C4 alkenyloxy;
R4 is H, OH, OR14a,
C1-C6 alkyl substituted with 0-3 R4a,
C2-C6 alkenyl substituted with O-3 R4a,
C2-C6 alkynyl substituted with 0-3 R4a
C3-C10 carbocycle substituted with 0-3 R4b,
aryl substituted with 0-3 R4b, or
5 to 10 membered heterocycle containing 1 to 4 heteroatoms selected from nitrogen, oxygen, and sulphur, wherein said 5 to 10 membered heterocycle is substituted with 0-3 R4b;
R4a, at each occurrence, is independently selected from H, F, Cl, Br, I, CF3,
C3-C10 carbocycle substituted with 0-3 R4b,
aryl substituted with 0-3 R4b, and
5 to 10 membered heterocycle containing 1 to 4 heteroatoms selected from nitrogen, oxygen, and sulphur, wherein said 5 to 10 membered heterocycle is substituted with 0-3 R4b;
R4b, at each occurrence, is independently selected from H, OH, Cl, F, Br, I, CN, NO2, NR15R16, CF3, acetyl, SCH3, S(═O)CH3, S(═O)2CH3,
C1-C6 alkyl, C1-C4 alkoxy, C1-C4 haloalkyl,
C1-C4 haloalkoxy, and C1-C4 haloalkyl-S—;
R5 is H, OR14;
C1-C6 alkyl substituted with 0-3 R5b;
C1-C6 alkoxy substituted with 0-3 R5b:
C2-C6 alkenyl substituted with 0-3 R5b;
C2-C6 alkynyl substituted with 0-3 R5b,
C3-C10 carbocycle substituted with 0-3 R5c;
aryl substituted with 0-3 R5c; or
5 to 10 membered heterocycle containing 1 to 4 heteroatoms selected from nitrogen, oxygen, and sulphur, wherein said 5 to 10 membered heterocycle is substituted with 0-3 R5c;
R5a is H, OH, C1-C4 alkyl, C1-C4 alkoxy, C2-C4 alkenyl, or C2-C4 alkenyloxy;
R5b, at each occurrence, is independently selected from:
H, C1-C6 alkyl, CF3, OR14, C, F, Br, I, ═O, CN, NO2, NR15R16;
C3-C10 carbocycle substituted with 0-3 R5c;
aryl substituted with 0-3 R5c; and
5 to 10 membered heterocycle containing 1 to 4 heteroatoms selected from nitrogen, oxygen, and sulphur, wherein said 5 to 10 membered heterocycle is substituted with 0-3 R5c;
R5c, at each occurrence, is independently selected from H, OH, Cl, F, Br, L, CN, NO2,
NR15R16, CF3, acetyl, SCH3, S(═O)CH3, S(═O)2CH3,
C1-C6 alkyl, C1-C4 alkoxy, C1-C4 haloalkyl,
C1-C4 haloalkoxy, and C1-C4 haloalkyl-S;
R6 is H;
C1-C6 alkyl substituted with 0-3 R6a;
C3-C10 carbocycle substituted with 0-3 R6b; or
aryl substituted with 0-3 R6b;
R6a, at each occurrence, is independently selected from H, C1-C6 alkyl, OR14, Cl, F, Br, I, ═O, CN, NO2, NR15R16, aryl and CF3;
R6b, at each occurrence, is independently selected from H, OH, Cl, F, Br, I, CN, NO2, NR15R16, CF3, C1-C6 alkyl, C1-C4 alkoxy, CT-C4 haloalkyl, and C1-C4 haloalkoxy;
R7, at each occurrence, is independently selected from H, OH, Cl, F, Br, J, CN, NO2, CF3, phenyl and C1-C4 alkyl;
R7a, at each occurrence, is independently selected from H, OH, Cl, F. Br, I, CN, NO2, CF3, and C1-C4 alkyl;
R7b is selected from H and C1-C4 alkyl;
Ring B is
R10 is H, C(═O)R17, C(═O)OR17, C(═O)NR18R19,
S(═O)2NR18R19, S(═O)2R17;
C1-C6 alkyl optionally substituted with 0-3 R10a;
aryl substituted with 0-4 R10b;
C3-C10 carbocycle substituted with 0-3 R10b; or
5 to 10 membered heterocycle containing 1 to 4 heteroatoms selected from nitrogen, oxygen, and sulphur, wherein said 5 to 10 membered heterocycle is substituted with 0-3 R10b;
R10a, at each occurrence, is independently selected from H, C1-C6 alkyl, OR14, Cl, F, Br, I, ═O, CN, NO NR15R16, CF3, and aryl substituted with 0-4 R1b.
R10b, at each occurrence, is independently selected from H, OH, C1-C6 alkyl, C1-C4 alkoxy, Cl, F, Br, I, CN, NO2, NR15R16, CF3, acetyl, SCH3, S(═O)CH3, S(═O)2CH3, C1-C6 alkyl, C1-C4 alkoxy, C1-C4 haloalkyl, C1-C4 haloalkoxy, and C1-C4 haloalkyl-S—;
Z is H;
C1-C8 alkyl substituted with 1-3 R12;
C2-C4 alkenyl substituted with 1-3 R12;
C2-C4 alkynyl substituted with 1-3 R12;
C1-C8 alkyl substituted with 0-3 R12a;
C2-C4 alkenyl substituted with 0-3 R12a;
C2-C4 alkynyl substituted with 0-3 R12a;
aryl substituted with 0-4 R12b;
C3-C10 carbocycle substituted with 0-4 R12b; or
5 to 10 membered heterocycle containing 1 to 4 heteroatoms selected from nitrogen, oxygen, and sulphur, wherein said 5 to 10 membered heterocycle is substituted with 0-3 R12b;
R12, at each occurrence, is independently selected from aryl substituted with 0-4 R12b;
C3-C10 carbocycle substituted with 0-4 R12b; and
5 to 10 membered heterocycle containing 1 to 4 heteroatoms selected from nitrogen, oxygen, and sulphur, wherein said 5 to 10 membered heterocycle is substituted with 0-3 R12b;
R12a, at each occurrence, is independently selected from
H, OH, Cl, F, Br, I, CN, NO2, NR15R16, C(═O)NR15R16, CF3, acetyl, SCH3,
S(O)CH3, S((O)2CH3,
C1-C6 alkyl, C1-C4 alkoxy, C1-C4 haloalkyl,
C1-C4 haloalkoxy, and C1-C4 haloalkyl-S;
R12b, at each occurrence, is independently selected from
H, OH, Cl, F, Br, I, CN, NO2, NR15R16, CF3, acetyl, SCH3, S(—O)CH3, SO)2CH3,
C1-C6 alkyl, C1-C4 alkoxy, C1-C4 haloalkyl,
C1-C4 haloalkoxy, and C1-C4 haloalkyl-S;
R13, at each occurrence, is independently selected from
H, OH, CT-C6 alkyl, C1-C4 alkoxy, Cl, F, Br, I, CN, NO2, NR15R16, and CF3;
R14 is H, phenyl, benzyl, C1-C6 alkyl, C2-C6 alkoxyalkyl, or C3-C6 cycloalkyl;
R14a is H, phenyl, benzyl, or C1-C4 alkyl;
R15, at each occurrence, is independently selected from H, C1-C6 alkyl, benzyl, phenethyl, (C1-C6 alkyl)-C(═O)—, and (C1-C6 alkyl)-SO)2—;
R16, at each occurrence, is independently selected from
H, OH, C1-C6 alkyl, benzyl, phenethyl,
(C1-C6 alkyl)-C(═O)—, and (C1-C6 alkyl)-S(O)2—;
R17 is H, C1-C6 alkyl, C2-C6 alkoxyalkyl,
aryl substituted by 0-4 R17a, or
—CH2-aryl substituted by 0-4 R17a;
R17a, at each occurrence, is independently methyl, ethyl, propyl, butyl, methoxy, ethoxy, propoxy, butoxy, —OH, F, Cl, Br, I, CF3, OCF3, SCH3, S(O)CH3, SO2CH3, —NH2, —N(CH3)2, and C1-C4 haloalkyl;
R18 is selected from
H, C1-C6 alkyl, phenyl, benzyl, phenethyl,
(C1-C6 alkyl)-C(═O)—, and (C1-C6 alkyl)-S(═O)2—; and
R19 is selected from
H, OH, C1-C6 alkyl, phenyl, benzyl, phenethyl,
(C1-C6 alkyl)-C(═O)—, and (C1-C6 alkyl)-S(═O)2—;
provided, when R13 is H,
then Z is H;
C4-C9 alkyl substituted with 1-3 R12;
C2-C4 alkenyl substituted with 1-3 R12;
C2-C4 alkynyl substituted with 1-3 R12;
C1-C9 alkyl substituted with 0-3 R12a—
C2-C4 alkenyl substituted with 0-3 R12a; or
C2-C4 alkynyl substituted with 0-3 R12a.
27. A process according to claim 1 for preparing a compound, of Formula (Ia):
a stereoisomer, or a pharmaceutically acceptable salt thereof,
wherein:
Z is C1-C8 alkyl substituted with 1-3 R12;
C2-C4 alkenyl substituted with 1-3 R12;
C2-C4 alkynyl substituted with 1-3 R12;
aryl substituted with 0-4 R12b;
C3-C10 carbocycle substituted with 0-4 R12b; or
5 to 10 membered heterocycle containing 1 to 4 heteroatoms selected from nitrogen, oxygen, and sulphur, wherein said 5 to 10 membered heterocycle is substituted with 0-3 R12b;
provided, when R13 is H,
then Z is C4-C8 alkyl substituted with 1-3 R2;
C2-C4 alkenyl substituted with 1-3 R12; or
C2-C4 alkynyl substituted with 1-3 R12; and
provided, when ring B is a 1,3,4,5-tetrahydro-1-(Z)-5-(R10)-2,4-dioxo-2H-1,5-diazepin-3-yl core, and R11 is H; then
R10 is H, C(═O)R17, C(═O)OR17, C(═O)NR18R19,
S(═O)2NR18R19, S(═O)2R17; or
C1-C6 alkyl optionally substituted with 0-3 R10a; and
R10a, at each occurrence, is independently selected from
H, C1-C6 alkyl, OR14, Cl, F, Br, I, ═O, CN, NO2, NR15R16, and CF3.
28. A process according to claim 1 for preparing a compound, of Formula (Ia):
a stereoisormer, or a pharmaceutically acceptable salt thereof,
wherein:
R3 is —(CR7R7a)m—R4,
—(CR7R7a)n—S—(CR7R7a)m—R4,
—(CR7R7a)n—O—(CR71R7a)m—R4, or
—(CR7R7a)n—N(R7b)—(CR7R7a)m—R4;
n is 0, 1, or 2;
m is 0, 1, or 2;
R3a is H, OH, methyl, ethyl, propyl, butyl, methoxy, ethoxy, propoxy, butoxy, allyl, or 3-buten-1-yl;
R4 is H, OH, OR14a,
C1-C6 alkyl substituted with 0-3 R4a,
C2-C6 alkenyl substituted with 0-3 R4a,
C2-C6 alkynyl substituted with 0-3 R4a,
C3-C10 carbocycle substituted with 0-3 R4b,
aryl substituted with 0-3 R4b, or
5 to 10 membered heterocycle containing 1 to 4 heteroatoms selected from nitrogen, oxygen, and sulphur, wherein said 5 to 10 membered heterocycle is substituted with 0-3 R4b;
R4a, at each occurrence, is independently selected from H, F, Cl, Br, I, CF3,
C3-C10 carbocycle substituted with 0-3 R4b,
aryl substituted with 0-3 R4b, and
5 to 10 membered heterocycle containing 1 to 4 heteroatoms selected from nitrogen, oxygen, and sulphur, wherein said 5 to 10 membered heterocycle is substituted with 0-3 R4b;
R4b, at each occurrence, is independently selected from H, OH, Cl, F, Br, I, CN, NO2, NR15R16, CF3, acetyl, SCH3, S(═O)CH3, S(═O)2CH3, C1-C6 alkyl, C1-C4 alkoxy, C1-C4 haloalkyl, and C1-C4 haloalkoxy;
R5 is H, OR14;
C1-C6 alkyl substituted with 0-3 R5b;
C1-C6 alkoxy substituted with 0-3 R5b;
C2-C6 alkenyl substituted with 0-3 R5b;
C2-C6 alkynyl substituted with 0-3 R5b;
C1-C10 carbocycle substituted with 0-3 R5c;
aryl substituted with 0-3 R5c; or
5 to 10 membered heterocycle containing 1 to 4 heteroatoms selected from nitrogen, oxygen, and sulphur, wherein said 5 to 10 membered heterocycle is substituted with 0-3 R5c;
R5a is H or C1-C4 alkyl;
R5b, at each occurrence, is independently selected from:
H, C1-C6 alkyl, CF3, OR14, Cl, F, Br, I, ═O, CN, NO2, NR15R16;
C3-C10 carbocycle substituted with 0-3 R5c;
aryl substituted with 0-3 R5c; and
5 to 10 membered heterocycle containing 1 to 4 heteroatoms selected from nitrogen, oxygen, and sulphur, wherein said 5 to 10 membered heterocycle is substituted with 0-3 R5c;
R5c, at each occurrence, is independently selected from H, OH, Cl, F, Br, I, CN, NO2, NR15R16, CF3, acetyl, SCH3, S(═O)CH3, S(═O)2CH3, C1-C6 alkyl, C1-C4 alkoxy, C1-C4 haloalkyl, and C1-C4 haloalkoxy;
R6 is H, methyl, or ethyl;
R7, at each occurrence, is independently selected from
H, OH, Cl, F, Br, I, CN, NO2, CF3, phenyl, and C1-C4 alkyl;
R7a, at each occurrence, is independently selected from
H, OH, Cl, F, Br, I, CN, NO2, CF3, and C1-C4 alkyl;
R7b is selected from H, methyl, ethyl, propyl, and butyl;
Ring B is
R10 is H, C(═O)R17, C(═O)OR17, C(═O)NR18R19,
S(═O)2NR18R19, S(═O)2R17;
C1-C6 alkyl optionally substituted with 0-2 R10a;
aryl substituted with 0-4 R10bb;
C3-C10 carbocycle substituted with 0-3 R10b; or
5 to 10 membered heterocycle containing 1 to 4 heteroatoms selected from nitrogen, oxygen, and sulphur, wherein said 5 to 10 membered heterocycle is substituted with 0-3 R10b;
R10a, at each occurrence, is independently selected from H, C1-C6 alkyl, OR14, Cl, F, Br, I, ═O, CN, NO2, NR15R16, CF3, and phenyl substituted with 0-4 R10b;
R10b, at each occurrence, is independently selected from H, OH, C1-C6 alkyl, C1-C4 alkoxy, Cl, F, Br, I, CN, NO2, NR15R16, and CF3;
Z is C1-C6 alkyl substituted with 1-3 R12;
C2-C4 alkenyl substituted with 1-3 R12;
C2-C4 alkynyl substituted with 1-3 R12;
aryl substituted with 0-4 R12b;
C3-C10 carbocycle substituted with 0-4 R12b; or
5 to 10 membered heterocycle containing 1 to 4 heteroatoms selected from nitrogen, oxygen, and sulphur, wherein said 5 to 10 membered heterocycle is substituted with 0-3 R12b;
R12, at each occurrence, is independently selected from
aryl substituted with 0-4 R12b;
C3-C10 carbocycle substituted with 0-4 R12b; and 5 to 10 membered heterocycle containing 1 to 4 heteroatoms selected from nitrogen, oxygen, and sulphur, wherein said 5 to 10 membered heterocycle is substituted with 0-3 R12b;
R12b, at each occurrence, is independently selected from
H, OH, Cl, F, Br, I, CN, NO2, NR15R16, CF3, acetyl, SCH3, S(═O)CH3, S(═O)2CH3, C1-C6 alkyl, C1-C4 alkoxy, C1-C4 haloalkyl, and C1-C4 haloalkoxy;
R13, at each occurrence, is independently selected from
H, OH, C1-C6 alkyl, C1-C4 alkoxy, Cl, F, Br, I, CN, NO2, NR15R16, and CF3;
R14 is, at each occurrence, H, phenyl, benzyl, C1-C6 alkyl, or C2-C6 alkoxyalkyl;
R14a is H, phenyl, benzyl, methyl, ethyl, propyl, or butyl;
R15, at each occurrence, is independently selected from H, C1-C6 alkyl, benzyl, phenethyl, (C1-C6 alkyl)-C(═O)—, and (C1-C6 alkyl)-S(═O)2—;
R16, at each occurrence, is independently selected from
H, OH, C1-C6 alkyl, kenzyl, phenethyl,
(C1-C6 alkyl)-C(═O)—, and (C1-C6 alkyl)-S(═O)2—;
R17 is H, C1-C6 alkyl, C2-C6 alkoxyalkyl,
aryl substituted by 0-4 R17a, or
—CH2-aryl substituted by 0-4 R17a;
R17a is, at each occurrence, H, methyl, ethyl, propyl, butyl, methoxy, ethoxy, propoxy, butoxy, OH, F, Cl, Br, I, CF3, OCF3, SCH3, S(O)CH3, SO2CH3, —NH2, —N(CH3)2, or C1-C4 haloalkyl;
R18 is selected from
H, C1-C6 alkyl, phenyl, benzyl, phenethyl,
(C1-C6 alkyl)-C(═O)—, and (C1-C6 alkyl)-S(═O)2—;
R19 is selected from
H, OH, C1-C6 alkyl, phenyl, benzyl, phenethyl,
(C1-C6 alkyl)-C(═O)—, and (C1-C6 alkyl)-S(═O)2—; and
provided, when R13 is H,
then Z is C4-C6 alkyl substituted with 1-3 R12;
C2-C4 alkenyl substituted with 1-3 R12; or
C2-C4 alkynyl substituted with 1-3 R12.
29. A process according to claim 1 for preparing a compound, of Formula (Ia):
a stereoisomer, or a pharmaceutically acceptable salt thereof,
wherein:
R3 is —(CHR7), —R4,
n is 0 or 1;
R3a is H, OH, methyl, ethyl, propyl, butyl, methoxy, ethoxy, propoxy, butoxy, allyl, or 3-buten-1-yl;
R4 is H, OH, OR14a,
C1-C4 alkyl substituted with 0-2 R4a,
C2-C4 alkenyl substituted with 0-2 R4a,
C2-C4 alkynyl substituted with 0-1 R4a,
C3-C6 carbocycle substituted with 0-3 R4b,
aryl substituted with 0-3 R4b, or
5 to 6 membered heterocycle containing 1 to 4 heteroatoms selected from nitrogen, oxygen, and sulphur, wherein said 5 to 6 membered heterocycle is substituted with 0-3 R4b;
R4a, at each occurrence, is independently selected from H, F, Cl, Br, I, CF3,
C3-C6 carbocycle substituted with 0-3 R4b,
phenyl substituted with 0-3 R4b, and
5 to 6 membered heterocycle containing 1 to 4 heteroatoms selected from nitrogen, oxygen, and sulphur, wherein said 5 to 6 membered heterocycle is substituted with 0-3 R4b;
R4b, at each occurrence, is independently selected from H, OH, Cl, F, Br, I, CN, NO2, NR15R16, CF3, acetyl, SCH3, S(═O)CH3, S(═O)2CH3, C1-C4 alkyl, C1-C3 alkoxy, C1-C2 haloalkyl, and C1-C2 haloalkoxy;
R5 is H, OR14;
C1-C4 alkyl substituted with 0-3 R5b;
C2-C4 alkenyl substituted with 0-3 R5b; or
C2-C4 alkynyl substituted with 0-3 R5b;
R5a is H, methyl, ethyl, propyl, or butyl;
R5b, at each occurrence, is independently selected from:
H, methyl, ethyl, propyl, butyl, CF3, OR14, Cl, F, Br, I, ═O;
C3-C6 carbocycle substituted with 0-3 R5c;
phenyl substituted with 0-3 R5c; and
5 to 6 membered heterocycle containing 1 to 4 heteroatoms selected from nitrogen, oxygen, and sulphur, wherein said 5 to 6 membered heterocycle is substituted with 0-3 R5c;
R5c, at each occurrence, is independently selected from H, OH, Cl, F, Br, I, CN, NO2, NR15R16, CF3, acetyl, SCH3, S(═O)CH3, S(═O)2CH3, C1-C4 alkyl, C1-C3 alkoxy, C1-C2 haloalkyl, and C1-C2 haloalkoxy;
R6 is H;
R7 is selected from H, F, CF3, methyl, and ethyl;
Ring B is
R10 is H, C(═O)R17, C(═O)OR17;
C1-C4 alkyl optionally substituted with 0-1 R10a;
phenyl substituted with 0-4 R10b;
C3-C6 carbocycle substituted with 0-3 R10b; or
5 to 6 membered heterocycle containing 1 to 4 heteroatoms selected from nitrogen, oxygen, and sulphur, wherein said 5 to 6 membered heterocycle is substituted with 0-3 R10b;
R10a is selected from H, C1-C4 alkyl, OR14, Cl, F, Br, I, ═O, CN, NO2, NR15R16, CF3, and phenyl substituted with 0-4 R10b;
R10b, at each occurrence, is independently selected from H, OH, C1-C4 alkyl, C1-C3 alkoxy, Cl, F, Br, I, CN, NO2, NR15R16, and CF3;
Z is C1-C4 alkyl substituted with 1-3 R12;
C2-C4 alkenyl substituted with 1-3 R12;
C2-C4 alkynyl substituted with 1-3 R12;
aryl substituted with 0-4 R12b;
C3-C6 carbocycle substituted with 0-4 R12b; or
5 to 10 membered heterocycle containing 1 to 4 heteroatoms selected from nitrogen, oxygen, and sulphur, wherein said 5 to 6 membered heterocycle is substituted with 0-3 R12b;
R12, at each occurrence, is independently selected from
aryl substituted with 0-4 R12b;
C3-C6 carbocycle substituted with 0-4 R12b; and
5 to 10 membered heterocycle containing 1 to 4 heteroatoms selected from nitrogen, oxygen, and sulphur, wherein said 5 to 10 membered heterocycle is substituted with 0-3 R12b;
R12b, at each occurrence, is independently selected from
H, OH, Cl, F, NR15R161 CF3, acetyl, SCH3, S(═O)CH3, S(═O)2CH3, C1-C4 alkyl, C1-C3 alkoxy, C1-C2 haloalkyl, and C1-C2 haloalkoxy;
R13, at each occurrence, is independently selected from
H, OH, C1-C6 alkyl, C1-C4 alkoxy, CH, F, I, CN, NO2, NR16, alkyl,
R14 is, at each occurrence, H, phenyl, benzyl, C1-C4 alkyl, or C2-C4 alkoxyalkyl;
R15, at each occurrence, is independently selected from H, C1-C4 alkyl benzyl, phenethyl, (C1-C4 alkyl)-C(═O)—, and (C1-C4 alkyl)-S(═O)2—;
R16, at each occurrence, is independently selected from
H, OH, C1-C4 alkyl, benzyl, phenethyl,
(C1-C4 alkyl)-C(═O)—, and (C1-C4 alkyl)-S(═O)2—;
R17 is H, methyl, ethyl, propyl, butyl, methoxymethyl, ethoxymethyl, methoxyethyl,
ethoxyethyl,
phenyl substituted by 0-3 R17a, or
—CH2-phenyl substituted by 0-3 R17a; and
R17a, at each occurrence, is independently H, methyl, methoxy, —OH, F, Cl, CF3, or OCF3;
and, provided, when R13 is H,
then Z is butyl substituted with 1-3 R12;
C2-C4 alkenyl substituted with 1-3 R12; or
C2-C4 alkynyl substituted with 1-3 R12.
30. A process according to claim 1 for preparing a compound of Formula (Ia),
a stereoisomer or pharmaceutically acceptable salt thereof wherein:
R3 is —(CHR7)n—R4,
—(CR7R7a)n—S—(CR7R7a)m—R4,
—(CR7R7a)n—O—(CR7R7a)m—R4, or
—(CR7R7a)n—N(R7b)—(CR7R7a)m—R4;
n is 0 or 1;
m is 0 or 1;
R3a is H, OH, methyl, ethyl, propyl, butyl, methoxy, ethoxy, propoxy, butoxy, allyl, or 3-buten-1-yl;
R4 is H, OH, OR14a,
C1-C4 alkyl substituted with 0-2 R4a,
C2-C4 alkenyl substituted with 0-2 R4a,
C2-C4 alkynyl substituted with 0-1 R4a,
C3-C6 carbocycle substituted with 0-3 R4b,
aryl substituted with 0-3 R4b, or
5 to 6 membered heterocycle containing 1 to 4 heteroatoms selected from nitrogen, oxygen, and sulphur, wherein said 5 to 6 membered heterocycle is substituted with 0-3 R4b;
R4a, at each occurrence, is independently selected from H, F, Cl, Br, I, CF3,
C3-C6 carbocycle substituted with 0-3 R4b,
phenyl substituted with 0-3 R4b, and
5 to 6 membered heterocycle containing 1 to 4 heteroatoms selected from nitrogen, oxygen, and sulphur, wherein said 5 to 6 membered heterocycle is substituted with 0-3 R4b;
R4b, at each occurrence, is independently selected from H, OH, Cl, F, Br, I, CN, NO2, NR15R16, CF3, acetyl, SCH3, S(═O)CH3, S(═O)2CH3, C1-C4 alkyl, C1-C3 alkoxy, C1-C2 haloalkyl, and C1-C2 haloalkoxy;
R5 is H, OR14;
C1-C4 alkyl substituted with 0-3 R5b;
C2-C4 alkenyl substituted with 0-3 R5b; or
C2-C4 alkynyl substituted with 0-3 R5b;
R5a is H, methyl, ethyl, propyl, or butyl;
R5b, at each occurrence, is independently selected from:
H, methyl, ethyl, propyl, butyl, CF3, OR14, Cl, F, Br, I, ═O;
C3-C6 carbocycle substituted with 0-3 R5c;
phenyl substituted with 0-3 R5c; and
5 to 6 membered heterocycle containing 1 to 4 heteroatoms selected from nitrogen, oxygen, and sulphur, wherein said 5 to 6 membered heterocycle is substituted with 0-3 R5c;
R5c, at each occurrence, is independently selected from H, OH, Cl, F, Br, I, CN, NO2, NR15R16, CF3, acetyl, SCH3, S(═O)CH3, S(═O)2CH3, C1-C4 alkyl, C1-C3 alkoxy, C1-C2 haloalkyl, and C1-C2 haloalkoxy;
R6 is H;
R7, at each occurrence, is independently selected from H, F, CF3, methyl, and ethyl;
Ring B is
R10 is H, C(═O)R17, C(═O)OR17;
C1-C4 alkyl optionally substituted with 0-1 R10a;
phenyl substituted with 0-4 R10b;
C3-C6 carbocycle substituted with 0-3 R10b; or
5 to 6 membered heterocycle containing 1 to 4 heteroatoms selected from nitrogen, oxygen, and sulphur, wherein said 5 to 6 membered heterocycle is substituted with 0-3 R10b;
R10a, at each occurrence, is independently selected from H, C1-C4 alkyl, OR14, Cl, F, Br, I, ═O, CN, NO2, NR15R16, CF3, and phenyl substituted with 0-4 R10b;
R10b, at each occurrence, is independently selected from H, OH, C1-C4 alkyl, C1-C3 alkoxy, Cl, F, Br, I, CN, NO2, NR15R16, and CF3;
Z is H;
C1-C4 alkyl substituted with 0-3 R12a;
C2-C4 alkenyl substituted with 0-3 R12a; or
C2-C4 alkynyl substituted with 0-3 R12a;
R12a, at each occurrence, is independently selected from
H, OH, Cl, F, NR15R16, CF3, acetyl, SCH3, S(═O)CH3, S(═O)2CH3, C1-C4 alkyl, C1-C3 alkoxy, C1-C2 haloalkyl, and C1-C2 haloalkoxy;
R13, at each occurrence, is independently selected from
H, OH, C1-C6 alkyl, C1-C4 alkoxy, Cl, F, Br, I, CN, NO2, NR15R16, and CF3;
R14 is, at each occurrence, H, phenyl, benzyl, C1-C4 alkyl, or C2-C4 alkoxyalkyl;
R14a is H, phenyl, benzyl, methyl ethyl, propyl or butyl;
R15, at each occurrence, is independently selected from H, C1-C4 alkyl, benzyl, phenethyl, (C1-C4 alkyl)-C(═O)—, and (C1-C4 alkyl)-S(═O)2—;
R16, at each occurrence, is independently selected from
H, OH, C1-C4 alkyl, benzyl, phenethyl,
(C1-C4 alkyl)-C(═O)—, and (C1-C4 alkyl)-S(═O)2—;
R17 is H, methyl, ethyl, propyl, butyl, methoxymethyl, ethoxymethyl, methoxyethyl, ethoxyethyl, phenyl substituted by 0-3 R17a, or —CH2-phenyl substituted by 0-3 R17a; and
R17a is, at each occurrence, selected independently from H, methyl, methoxy, —OH, F, Cl, CF3, and OCF3.
31. A process according to claim 1 to prepare a compound of Formula (Ib),
a stereoisomer, or a pharmaceutically acceptable salt thereof wherein:
R3 is —(CHR7)n—R4,
—(CR7R7a)n—S—(CR7R7a)m—R4,
—(CR7R7a)n—O—(CR7R7a)m—R4, or
—(CR7R7a)n—N(R7b)—(CR7R7a)m—R4;
n is 0 or 1;
m is 0 or 1;
R4 is H, OH, OR14a,
C1-C4 alkyl substituted with 0-2 R4a,
C2-C4 alkenyl substituted with 0-2 R4a,
C2-C4 alkynyl substituted with 0-1 R4a,
C3-C6 carbocycle substituted with 0-3 R4b,
aryl substituted with 0-3 R4b, or
5 to 6 membered heterocycle containing 1 to 4 heteroatoms selected from nitrogen, oxygen, and sulphur, wherein said 5 to 6 membered heterocycle is substituted with 0-3 R4b;
R4a, at each occurrence, is independently selected from H, F, Cl, Br, I, CF3,
C3-C6 carbocycle substituted with 0-3 R4b,
phenyl substituted with 0-3 R4b, and
5 to 6 membered heterocycle containing 1 to 4 heteroatoms selected from nitrogen, oxygen, and sulphur, wherein said 5 to 6 membered heterocycle is substituted with 0-3 R4b;
R4b, at each occurrence, is independently selected from H, OH, Cl, F, Br, I, CN, NO2, NR15R16, CF3, acetyl, SCH3, S(═O)CH3, S(═O)2CH3, C1-C4 alkyl, C1-C3 alkoxy, C1-C2 haloalkyl, and C1-C2 haloalkoxy;
R5 is H, OR14;
C1-C4 alkyl substituted with 0-3 R5b;
C2-C4 alkenyl substituted with 0-3 R5b; or
C2-C4 alkynyl substituted with 0-3 R5b;
R5b, at each occurrence, is independently selected from:
H, methyl, ethyl, propyl, butyl, CF3, OR14, Cl, F, Br, I, ═O;
C3-C6 carbocycle substituted with 0-3 R5c;
phenyl substituted with 0-3 R5c; and
5 to 6 membered heterocycle containing 1 to 4 heteroatoms selected from nitrogen, oxygen, and sulphur, wherein said 5 to 6 membered heterocycle is substituted with
R5c, at each occurrence, is independently selected from H, OH, Cl, F. Br, I, CN, NO2, NR15R16, CF3, acetyl, SCH3, S(═O)CH3, S(═O)2CH3, C1-C4 alkyl, C1-C3 alkoxy, C1-C2 haloalkyl, and C1-C2 haloalkoxy;
R6 is H;
R7, at each occurrence, is independently selected from H, F, CF3, methyl, and ethyl;
R7a, at each occurrence, is independently selected from H, OH, Cl, F, Br, T, CN, NO2, CF3, and
C1-C4 alkyl;
R7b is selected from H and C1-C4 alkyl;
Ring B is
R10 is H, C(═O)R17, C(═O)OR17;
C1-C4 alkyl optionally substituted with 0-1 R10a;
phenyl substituted with 0-4 R10b;
C3-C6 carbocycle substituted with 0-3 R10b; or
5 to 6 membered heterocycle containing 1 to 4 heteroatoms selected from nitrogen, oxygen, and sulphur, wherein said 5 to 6 membered heterocycle is substituted with 0-3 R10b;
R10a is selected from H, C1-C4 alkyl, OR14, Cl, F, Br, I, ═O, CN, NO2, NR15R16, CF3, and phenyl substituted with 0-4 R10b;
R10b, at each occurrence, is independently selected from H, OH, C1-C4 alkyl, C1-C3 alkoxy, C, F, Br, I, CN, NO2, NR15R16, and CF3;
Z is H;
C1-C4 alkyl substituted with 0-3 R12a;
C2-C4 alkenyl substituted with 0-3 R12a; or
C2-C4 alkynyl substituted with 0-3 R12a;
R12a, at each occurrence, is independently selected from
H, OH, Cl, F, NR15R16, CF3, acetyl, SCH3, S(═O)CH3, S(═O)2CH3, C1-C4 alkyl, C1-C3 alkoxy, C1-C2 haloalkyl, and C1-C2 haloalkoxy;
R13, at each occurrence, is independently selected from
H, OH, C1-C6 alkyl, C1-C4 alkoxy, Cl, F, Br, I, CN, NO2, NR15R16, and CF3;
R14 is H, phenyl, benzyl, C1-C4 alkyl, or C2-C4 alkoxyalkyl;
R15, at each occurrence, is independently selected from H, C1-C4 alkyl, benzyl, phenethyl, (C1-C4 alkyl)-C(═O)—, and (C1-C4 alkyl)-S(═O)2—;
R16, at each occurrence, is independently selected from
H, OH, C1-C4 alkyl, benzyl, phenethyl,
(C1-C4 alkyl)-C(═O)—, and (C1-C4 alkyl)-S(═O)2—;
R17 is H, methyl, ethyl, propyl, butyl, methoxymethyl, ethoxymethyl, methoxyethyl, ethoxyethyl,
phenyl substituted by 0-3 R17a, or
—CH2-phenyl substituted by 0-3 R17a;
R17a, at each occurrence, is independently selected from H, methyl, methoxy, —OH, F, Cl, CF3, and OCF3.
32. A process according to claim 1 to prepare a compound of Formula (Ie):
a stereoisomer, or a pharmaceutically acceptable salt thereof wherein:
R3 is R4,
R4 is C1-C4 alkyl substituted with 0-1 R4a,
C2-C4 alkenyl substituted with 0-1 R4a, or
C2-C4 alkynyl substituted with 0-1 R4a;
R4a is selected from
H, F, CF3,
C3-C6 carbocycle substituted with 0-3 R4b, phenyl substituted with 0-3 R4b, and
5 to 6 membered heterocycle containing 1 to 4 heteroatoms selected from nitrogen, oxygen, and sulphur, wherein said 5 to 6 membered heterocycle is substituted with 0-3 R4b; wherein said 5 to 6 membered heterocycle is selected from pyridinyl, pyrimidinyl, triazinyl, furanyl, thienyl, thiazolyl, pyrrolyl, piperazinyl, piperidinyl, pyrazolyl, imidazolyl, oxazolyl, isoxazolyl, and tetrazolyl;
R4b, at each occurrence, is independently selected from H, OH, Cl, F, NR15R16, CF3, acetyl, SCH3, S(═O)CH3, S(═O)2CH3, methyl, ethyl, propyl, butyl, methoxy, ethoxy, propoxy, C1-C2 haloalkyl, and C1-C2 haloalkoxy;
R5 is C1-C4 alkyl substituted with 0-1 R5b;
C2-C4 alkenyl substituted with 0-1 R5b; or
C2-C4 alkynyl substituted with 0-1 R5b;
R5b is selected from:
H, methyl, ethyl, propyl, butyl, CF3, OR14, ═O;
C3-C6 carbocycle substituted with 0-2 R5c;
phenyl substituted with 0-3 R5c; and
5 to 6 membered heterocycle containing 1 to 4 heteroatoms selected from nitrogen, oxygen, and sulphur, wherein said 5 to 6 membered heterocycle is substituted with 0-3 R5c: wherein said 5 to 6 membered heterocycle is selected from pyridinyl, pyrimidinyl, triazinyl, furanyl, thienyl, thiazolyl, pyrrolyl, piperazinyl, piperidinyl, pyrazolyl, imidazolyl, oxazolyl, isoxazolyl, and tetrazolyl;
R5c, at each occurrence, is independently selected from H, OH, Cl, F, NR15R16, CF3, acetyl, SCH3, S(═O)CH3, S(═O)2CH3, methyl, ethyl, propyl, butyl, methoxy, ethoxy, propoxy, C1-C2 haloalkyl, and C1-C2 haloalkoxy;
R10 is H, C(═O)R17, C(—O)OR17;
C1-C4 alkyl optionally substituted with 0-1 R10a;
phenyl substituted with 0-4 R10b;
C3-C6 carbocycle substituted with 0-3 R10b; or
5 to 6 membered heterocycle containing 1 to 4 heteroatoms selected from nitrogen, oxygen, and sulphur, wherein said 5 to 6 membered heterocycle is substituted with 0-3 R10b; wherein said 5 to 6 membered heterocycle is selected from pyridinyl, pyrimidinyl, triazinyl, furanyl, thienyl, thiazolyl, pyrrolyl, piperazinyl, piperidinyl, pyrazolyl, imidazolyl, oxazolyl, isoxazolyl, and tetrazolyl;
R10a is selected from H, methyl, ethyl, propyl, butyl, OR14, Cl, F, ═O, NR15R16, CF3, and phenyl substituted with 0-4 R10b;
R10b, at each occurrence, is independently selected from H, OH, methyl, ethyl, propyl, butyl, methoxy, ethoxy, propoxy, Cl, F, NR15R16, and CF3;
Z is C1-C3 alkyl substituted with 1-3 R12;
C2-C3 alkenyl substituted with 1-3 R2;
C2-C3, alkynyl substituted with 1-3 R12;
aryl substituted with 0-4 R12b;
C3-C6 carbocycle substituted with 0-3 R12b, or
5 to 6 membered heterocycle containing 1 to 4 heteroatoms selected from nitrogen, oxygen, and sulphur, wherein said 5 to 6 membered heterocycle is substituted with 0-3 R12b; wherein said 5 to 6 membered heterocycle is selected from pyridinyl, pyrimidinyl, triazinyl, furanyl, thienyl, thiazolyl, pyrrolyl, piperazinyl, piperidinyl, pyrazolyl, imidazolyl, oxazolyl, isoxazolyl, and tetrazolyl;
R12, at each occurrence, is independently selected from
aryl substituted with 0-4 R12b;
C3-C6 carbocycle substituted with 0-3 R12b; and
5 to 6 membered heterocycle containing 1 to 4 heteroatoms selected from nitrogen, oxygen, and sulphur, wherein said 5 to 6 membered heterocycle is substituted with 0-3 R12b; wherein said 5 to 6 membered heterocycle is selected from pyridinyl, pyrimidinyl, triazinyl, furanyl, thienyl, thiazolyl, pyrrolyl, piperazinyl, piperidinyl, pyrazolyl, imidazolyl, oxazolyl, isoxazolyl, and tetrazolyl;
R12b, at each occurrence, is independently selected from
H, OH, Cl, F, NR15R16, CF3, acetyl, SCH3, S(═O)CH3, S(═O)2CH3, methyl, ethyl, propyl, butyl, methoxy, ethoxy, propoxy, C1-C2 haloalkyl, and C1-C2 haloalkoxy;
R13, at each occurrence, is independently selected from
H, OH, methyl, ethyl, propyl, butyl, methoxy, ethoxy, Cl, F, Br, CN, NR15R16, and CFW;
R14 is H, phenyl, benzyl, methyl, ethyl, propyl, or butyl;
R15, at each occurrence, is independently selected from H, methyl, ethyl, propyl, and butyl;
R16, at each occurrence, is independently selected from
H, OH, methyl, ethyl, propyl, butyl, benzyl, phenethyl, methyl-C(═O)—, ethyl-C(═O)—, methyl-S(═O)2—, and ethyl-S(═O)2—;
R17 is H, methyl, ethyl, propyl, butyl, methoxymethyl,
ethoxymethyl, methoxyethyl, ethoxyethyl,
phenyl substituted by 0-3 R17a, or
—CH2-phenyl substituted by 0-3 R17a; and
R17a, at each occurrence, is H, methyl, methoxy, —OH, F, Cl, CF3, or OCF3; and
provided, when R13 is H,
then Z is C2-C3 alkenyl substituted with 1-3 R12; or
C2-C3 alkynyl substituted with 1-3 R12.
33. A process according to claim 32 to prepare a compound of Formula (Ie):
a stereoisomer or a pharmaceutically acceptable salt thereof wherein:
R3 is R4,
R4 is C1-C4 alkyl substituted with 0-1 R4a,
C2-C4 alkenyl substituted with 0-1 R4a, or
C2-C4 alkynyl substituted with 0-1 R4a;
R4a is selected from
H, F, CF3,
C3-C6 carbocycle substituted with 0-3 R4b, phenyl substituted with 0-3 R4b, and 5 to 6 membered heterocycle containing 1 to 4 heteroatoms selected from nitrogen, oxygen, and sulphur, wherein said 5 to 6 membered heterocycle is substituted with 0-3 R4b; wherein said 5 to 6 membered heterocycle is selected from pyridinyl, pyrimidinyl triazinyl, furanyl, thienyl, thiazolyl, pyrrolyl, piperazinyl, piperidinyl, pyrazolyl, imidazolyl, oxazolyl, isoxazolyl, and tetrazolyl;
R4b, at each occurrence, is independently selected from H, OH, Cl, F, NR15R16. CF3, acetyl, SCH3, S(═O)CH3, S(═O)2CH3, methyl, ethyl, propyl, butyl, methoxy, ethoxy, propoxy, C1-C2 haloalkyl, and C1-C2 haloalkoxy;
R5 is C1-C4 alkyl substituted with 0-1 R5b;
C2-C4 alkenyl substituted with 0-1 R5b; or
C2-C4 alkynyl substituted with 0-1 R5b;
R5b is selected from:
H, methyl, ethyl, propyl, butyl, CF3, OR14, ═O;
C3-C6 carbocycle substituted with 0-2 R5c;
phenyl substituted with 0-3 R5c; and
5 to 6 membered heterocycle containing 1 to 4 heteroatoms selected from nitrogen, oxygen, and sulphur, wherein said 5 to 6 membered heterocycle is substituted with 0-3 R5c; wherein said 5 to 6 membered heterocycle is selected from pyridinyl, pyrimidinyl, triazinyl, furanyl, thienyl, thiazolyl, pyrrolyl, piperazinyl, piperidinyl, pyrazolyl, imidazolyl, oxazolyl, isoxazolyl, and tetrazolyl;
R5c, at each occurrence, is independently selected from H, OH, Cl, F, NR15R16, CF3, acetyl, SCH3, S(═O)CH3, S(O)2CH3, methyl, ethyl, propyl, butyl, methoxy, ethoxy, propoxy, C1-C2 haloalkyl, and C1-C2 haloalkoxy;
R10 is H C(═O)R17, C(═O)OR17;
C1-C4 alkyl optionally substituted with 0-1 R10a;
phenyl substituted with 0-4 R10b;
C3-C6 carbocycle substituted with 0o3 R10b, or
5 to 6 membered heterocycle containing 1 to 4 heteroatoms selected from nitrogen, oxygen, and sulphur, wherein said 5 to 6 membered heterocycle is substituted with 0-3 R10b; wherein said 5 to 6 membered heterocycle is selected from pyridinyl, pyrimidinyl, triazinyl, furanyl, thienyl, thiazolyl, pyrrolyl, piperazinyl, piperidinyl, pyrazolyl, imidazolyl, oxazolyl, isoxazolyl, and tetrazolyl;
R10a is selected from H, methyl, ethyl, propyl, butyl, OR14, Cl, F, ═O, NR15R16, CF3, and phenyl substituted with 0-4 R10b;
R10b, at each occurrence, is independently selected from H, OH, methyl, ethyl, propyl, butyl, methoxy, ethoxy, propoxy, Cl, F, NR15R16, and CF3:
Z is H;
C1-C4 alkyl substituted with 0-3 R12a;
C2-C4 alkenyl substituted with Q-3 R12a; or
C2-C4 alkynyl substituted with 0-3 R12a;
R12a, at each occurrence, is independently selected from
H, OH, Cl, F. NR15R16, CF3, acetyl, SCH3, S(═O)CH3, S(═O)2CH3, methyl, ethyl, propyl, butyl, methoxy, ethoxy, propoxy, C1-C2 haloalkyl, and C1-C2 haloalkoxy;
R13, at each occurrence, is independently selected from
H, OH, methyl, ethyl, propyl, butyl, methoxy, ethoxy, Cl, F, Br, CN, NR15R16, and CF3;
R14 is H, phenyl, benzyl, methyl, ethyl, propyl, or butyl;
R15, at each occurrence, is independently selected from H, methyl, ethyl, propyl, and butyl;
R16, at each occurrence, is independently selected from
H, OH, methyl, ethyl, propyl, butyl, benzyl, phenethyl, methyl-C(═O)—, ethyl-C(═O)—, methyl-S(═O)2—, and ethyl-S(═O)2—;
R17 is H, methyl, ethyl, propyl, butyl, methoxymethyl, ethoxymethyl, methoxyethyl, ethoxyethyl,
phenyl substituted by 0-3 R17a, or
—CH2-phenyl substituted by 0-3 R17a; and
R17a, at each occurrence, is independently selected from H, methyl, methoxy, —OH, F, Cl, CF3, and OCF3.
34. A process according to claim 32 , for preparing a compound of Formula (Ie)
a stereoisomer, or pharmaceutically acceptable salt thereof, wherein:
R3 is —CH3, —CH2CH3, —CH2CH2CH3, —CH2CH2CH2CH3, —CH2(CH3)2, —CH(CH3)CH2CH3, —CH2CH(CH3)2, —CH2CF3, —CH2CH2CF3, —CH2CH2CH2CF3, —CH═CH2, —CH2CH═CH2, —CH2CH2CH═CH2, cis-CH2CH═CH(CH3), trans-CH2CH═CH(CH3), —C≡CH, —CH2C≡CH, —CH2C≡C(CH3), cyclopropyl-CH2—, cyclobutyl-CH2—, cyclopentyl-CH2—, cyclohexyl-CH2—, cyclopropyl-CH2CH2—, cyclobutyl-CH2CH2—, cyclopentyl-CH2CH2—, (2-F-phenyl)CH2—, (3-F-phenyl)CH2—, (4-F-phenyl)CH2—, (2-Cl-phenyl)CH2—, (3-Cl-phenyl)CH2—, (4-Cl-phenyl)CH2—, (2,3-diF-phenyl)CH2—, (2,4-diF-phenyl)CH2—, (2,5-diF-phenyl)CH2—, (2,6-diF-phenyl)CH2—, (3,4-diF-phenyl)CH2—, (3,5-diF-phenyl)CH2—, (2,3-diCl-phenyl)CH2—, (2,4-diCl-phenyl)CH2—, (2,5-diCl-phenyl)CH2—, (2,6-diCl-phenyl)CH2—, (3,4-diCl-phenyl)CH2—, (3,5-diCl-phenyl)CH2—, (3-F-4-Cl-phenyl)CH2—, (3-F-5-Cl-phenyl)CH2—, (3-Cl-F-phenyl)CH2—, phenyl-CH2CH2—, (2-F-phenyl)CH2CH2—, (3-F-phenyl)CH2CH2—, (4-F-phenyl)CH2CH2—, (2-Cl-phenyl)CH2CH2—, (3-Cl-phenyl)CH2CH2—, (4-Cl-phenyl)CH2CH2—, (2,3-diF-phenyl)CH2CH2—, (2,4-diF-phenyl)CH2CH2—, (2,5-diF-phenyl)CH2CH2—, (2,6-diF-phenyl)CH2CH2—, (3,4-diF-phenyl)CH2CH2—, (3,5-diF-phenyl)CH2CH2—, (2,3-diCl-phenyl)CH2CH2—, (2,4-diCl-phenyl)CH2CH2—, (2,5-diCl-phenyl)CH2CH2—, (2,6-diCl-phenyl)CH2CH2—, (3,4-diCl-phenyl)CH2CH2—, (3,5-diCl-phenyl)CH2CH2—, (3-F-4-Cl-phenyl)CH2CH2—, or (3-F-5-Cl-phenyl)CH2CH2—,
R5 is —CH3, —CH2CH3, —CH2CH2CH3, —CH(CH3)2, —CH2CH2CH2CH3, —CH(CH3)CH2CH3, —CH2CH(CH3)2, —CH2C(CH3)3, —CH2CH2CH2CH2CH3, —CH(CH3)CH2CH2CH3, —CH2CH(CH3)CH2CH3, —CH2CH2CH(CH3)2, —CH(CH2CH3)2, —CH2CF3, —CH2CH2CF3, —CH2CH2CH2CF3, —CH2CH2CH2CH2CF3, —CH═CH2, —CH2CH═CH2, —CH═CHCH3, cis-CH2CH═CH(CH3), trans-CH2CH═CH(CH3), trans-CH2CH═CH(C6H5), —CH2CH═C(CH3)2, cis-CH2CH═CHCH2CH3, trans-CH2CH═CHCH2CH3, cis-CH2CH2CH═CH(CH3), trans-CH2CH2CH═CH(CH3), trans-CH2CH═CHCH2(C6H5), —C≡CH, —CH2C≡CH, —CH2C≡C(CH3), —CH2C≡C(C6H5) —CH2CH2C≡CH, —CH2CH2C≡C(CH3), —CH2CH2C≡C(C6H5) cyclopropyl-CH2—, cyclobutyl-CH2—, cyclopentyl-CH2—, cyclohexyl-CH2—, (2-CH3-cyclopropyl)CH2—, (3-CH3-cyclobutyl)CH2—, cyclopropyl-CH2CH2—, cyclobutyl-CH2CH2—, cyclopentyl-CH2CH2—, cyclohexyl-CH2CH2—, (2-CH3-cyclopropyl)CH2CH2—, (3-CH3-cyclobutyl)CH2CH2—, phenyl-CH2—, (2-F-phenyl)CH2—, (3-F-phenyl)CH2—, (4-F-phenyl)CH2—, furanyl-CH2—, thienyl-CH2—, pyridyl-CH2—, 1-imidazolyl-CH2—, oxazolyl-CH2—, isoxazolyl-CH2—, phenyl-CH2CH2—, (2-F-phenyl)CH2CH2—, (3-F-phenyl)CH2CH2—, (4-F-phenyl)CH2CH2—, furanyl-CH2CH2—, thienyl-CH2CH2—, pyridyl-CH2CH2—, 1-imidazolyl-CH2CH2—, oxazolyl-CH2CH2—, or isoxazolyl-CH2CH2—,
Z is phenyl, 2-F-phenyl, 3-F-phenyl, 4-F-phenyl, 2-Cl-phenyl, 3-Cl-phenyl, 4-Cl-phenyl, 2,3-diF-phenyl, 2,4-diF-phenyl, 2,5-diF-phenyl, 2,6-diF-phenyl, 3,4-diF-phenyl, 3,5-diF-phenyl, 2,3-diCl-phenyl, 2,4-diCl-phenyl, 2,5-diCl-phenyl, 2,6-diCl-phenyl, 3,4-diCl-phenyl, 3,5-diCl-phenyl, 3-F-4-Cl-phenyl, 3-F-5-Cl-phenyl, 3-Cl-F-phenyl, 2-MeO-phenyl, 3-MeO-phenyl, 4-MeO-phenyl, 2-Me-phenyl, 3-Me-phenyl, 4-Me-phenyl, 2-MeS-phenyl, 3-MeS-phenyl, 4-MeS-phenyl, 2-CF3O-phenyl, 3-CF3O-phenyl, 4-CF3O-phenyl, furanyl, thienyl, pyridyl, 2-Me-pyridyl, 3-Me-pyridyl, 4-Me-pyridyl, 1-imidazolyl, oxazolyl, isoxazolyl, cyclopropyl, cyclobutyl, cyclopentyl, cyclohexyl, phenyl-CH2—, (2-F-phenyl)CH2—, (3-F-phenyl)CH2—, (4-F-phenyl)CH2—, (2-Cl-phenyl)CH2—, (3-Cl-phenyl)CH2—, (4-Cl-phenyl)CH2—, (2,3-diF-phenyl)CH2—, (2,4-diF-phenyl)CH2—, (2,5-diF-phenyl)CH2—, (2,6-diF-phenyl)CH2—, (3,4-diF-phenyl)CH2—, (3,5-diF-phenyl)CH2—, (2,3-diCl-phenyl)CH2—, (2,4-diCl-phenyl)CH2—, (2,5-diCl-phenyl)CH2—, (2,6-diCl-phenyl)CH2—, (3,4-diCl-phenyl)CH2—, (3,5-diCl-phenyl)CH2—, (3-F-4-Cl-phenyl)CH2—, (3-F-5-Cl-phenyl)CH2—, (3-Cl-F-phenyl)CH2—, (2-MeO-phenyl)CH2—, (3-MeO-phenyl)CH2—, (4-MeO-phenyl)CH2—, (2-Me-phenyl)CH2—, (3-Me-phenyl)CH2—, (4-Me-phenyl)CH2—, (2-MeS-phenyl)CH2—, (3-MeS-phenyl)CH2—, 4-MeS-phenyl)CH2—, (2-CF3O-phenyl)CH2—, (3-CF3O-phenyl)CH2—, (4-CF3O-phenyl)CH2—, (furanyl)CH2—,(thienyl)CH2—, (pyridyl)CH2—, (2-Me-pyridyl)CH2—, (3-Me-pyridyl)CH2—, (4-Me-pyridyl)CH2—, (1-imidazolyl)CH2—, (oxazolyl)CH2—, (isoxazolyl)CH2—, (cyclopropyl)CH2—, (cyclobutyl)CH2—, (cyclopentyl)CH2—, (cyclohexyl)CH2—, phenyl-CH2CH2—, (phenyl)2CHCH2—, (2-F-phenyl)CH2CH2—, (3-F-phenyl)CH2CH2—, (4-F-phenyl)CH2CH2—, (2-Cl-phenyl)CH2CH2—, (3-Cl-phenyl)CH2CH2—, (4-Cl-phenyl)CH2CH2—, (2,3-diF-phenyl)CH2CH2—, (2,4-diF-phenyl)CH2CH2—, (2,5-diF-phenyl)CH2CH2—, (2,6-diF-phenyl)CH2CH2—, (3,4-diF-phenyl)CH2CH2—, (3,5-diF-phenyl)CH2CH2—, (2,3-diCl-phenyl)CH2CH2—, (2,4-diCl-phenyl)CH2CH2—, (2,5-diCl-phenyl)CH2CH2—, (2,6-diCl-phenyl)CH2CH2—, (3,4-diCl-phenyl)CH2CH2—, (3,5-diCl-phenyl)CH2CH2—, (3-F-4-Cl-phenyl)CH2CH2—, (3-F-5-Cl-phenyl)CH2CH2—, (3-Cl-F-phenyl)CH2CH2—, (2-MeO-phenyl)CH2CH2—, (3-MeO-phenyl)CH2CH2—, (4-MeO-phenyl)CH2CH2—, (2-Me-phenyl)CH2CH2—, (3-Me-phenyl)CH2CH2—, (4-Me-phenyl)CH2CH2—, (2-MeS-phenyl)CH2CH2—, (3-MeS-phenyl)CH2CH2—, (4-MeS-phenyl)CH2CH2—, (2-CF3O-phenyl)CH2CH2—, (3-CF3O-phenyl)CH2CH2—, (4-CF3O-phenyl)CH2CH2—, (furanyl)CH2CH2—, (thienyl)CH2CH2—, (pyridyl)CH2CH2—, (2-Me-pyridyl)CH2CH2—, (3-Me-pyridyl)CH2CH2—, (4-Me-pyridyl)CH2CH2—, (imidazolyl)CH2CH2—, (oxazolyl)CH2CH2—, (isoxazolyl)CH2CH2-t (cyclopropyl)CH2CH2—, (cyclobutyl)CH2CH2—, (cyclopentyl)CH2CH2—, or (cyclohexyl)CH2CH2;
R10 is H, methyl, ethyl, phenyl, benzyl, phenethyl, 4-F-phenyl, (4-F-phenyl)CH2—, (4-F-phenyl)CH2CH2—, 4-Cl-phenyl, (4-Cl-phenyl)CH2—, (4-Cl-phenyl)CH2CH2—, 4-CH3-phenyl, (4-CH3-phenyl)CH2-t (4-CH3-phenyl)CH2CH2—, 4-CF3-phenyl, (4-CF3-phenyl)CH2—, or (4-CF3-phenyl)CH2CH2—; and
R13, at each occurrence, is independently selected from
H, F, Cl, OH, —CH3, —CH2CH3, —OCH3, and —CF3.
35. A process according to claim 32 for preparing a compound of Formula (Ie)
a stereoisomer, or pharmaceutically acceptable salt thereof, wherein:
R3 is —CH3, —CH2CH3, —CH2CH2CH3, —CH2CH2CH2CH3, —CH2(CH3)2, —CH(CH3)CH2CH3, —CH2CH(CH3)2, —CH2CF3, —CH2CH2CF3, —CH2CH2CH2CF3, —CH═CH2, —CH2CH═CH2, —CH2CH2CH═CH2, cis-CH2CH═CH(CH3), trans-CH2CH═CH(CH3), —C≡CH, —CH2C≡CH, —CH2C═C(CH3), cyclopropyl-CH2-r cyclobutyl-CH2—, cyclopentyl-CH2—, cyclohexyl-CH2—, cyclopropyl-CH2CH2—, cyclobutyl-CH2CH2—, cyclopentyl-CH2CH2—, (2-F-phenyl)CH2—, (3-F-phenyl)CH2—, (4-F-phenyl)CH2—, (2-Cl-phenyl)CH2—, (3-Cl-phenyl)CH2—, (4-Cl-phenyl)CH2—, (2,3-diF-phenyl)CH2—, (2,4-diF-phenyl)CH2—, (2,5-diF-phenyl)CH2—, (2,6-diF-phenyl)CH2—, (3,4-diF-phenyl)CH2—, (3,5-diF-phenyl)CH2—, (2,3-diCl-phenyl)CH2—, (2,4-diCl-phenyl)CH2—, (2,5-diCl-phenyl)CH2—, (2,6-diCl-phenyl)CH2—, (3,4-diCl-phenyl)CH2—, (3,5-diCl-phenyl)CH2—, (3-F-4-Cl-phenyl)CH2—, (3-F-5-Cl-phenyl)CH2—, (3-Cl-F-phenyl)CH2—, phenyl-CH2CH2—, (2-F-phenyl)CH2CH2—, (3-F-phenyl)CH2CH2—, (4-F-phenyl)CH2CH2—, (2-Cl-phenyl)CH2CH2—, (3-Cl-phenyl)CH2CH2—, (4-Cl-phenyl)CH2CH2—, (2,3-diF-phenyl)CH2CH2—, (2,4-diF-phenyl)CH2CH2—, (2,5-diF-phenyl)CH2CH2—, (2,6-diF-phenyl)CH2CH2—, (3,4-diF-phenyl)CH2CH2—, (3,5-diF-phenyl)CH2CH2—, (2,3-diCl-phenyl)CH2CH2—, (2,4-diCl-phenyl)CH2CH2—, (2,5-diCl-phenyl)CH2CH2—, (2,6-diCl-phenyl)CH2CH2—, (3,4-diCl-phenyl)CH2CH2—, (3,5-diCl-phenyl)CH2CH2—, (3-F-4-Cl-phenyl)CH2CH2—, or (3-F-5-Cl-phenyl)CH2CH2—,
R5 is —CH3, —CH2CH3, —CH2CH2CH3, —CH(CH3)2, —CH2C2CH2CH3, —CH(CH3)CH2CH3, —CH2CH(CH3)2, —CH2C(CH3)3, —CH2CH2CH2CH2CH3, —CH(CH3)CH2CH2CH3, —CH2CH(CH3)CH2CH3, —CH2CH2CH(CH3)2, —CH(CH2CH3)2, —CH2CF3, —CH2CH2CF3, —CH2CH2CH2CF3, —CH2CH2CH2CH2CF3, —CH═CH2, —CH2CH═CH2, —CH═CHCH3, cis-CH2CH═CH(CH3), trans-CH2CH═CH(CH3), trans-CH2CH═CH(C6H5), —CH2CH═C(CH3)2, cis-CH2CH═CHCH2CH3, trans-CH2CH═CHCH2CH3, cis-CH2CH2CH═CH(CH3), trans-CH2CH2CH═CH(CH3), trans-CH2CH═CHCH2 (C6H5), —C≡CH, —CH2C≡CH, —CH2C≡C(CH3), —CH2C≡C(C6H5) —CH2CH2C≡CH, —CH2CH2C≡C(CH3), —CH2CH2C≡C(C6H5) cyclopropyl-CH2—, cyclobutyl-CH2—, cyclopentyl-CH2—, cyclohexyl-CH2—, (2-CH3-cyclopropyl)CH2—, (3-CH3-cyclobutyl)CH2—, cyclopropyl-CH2CH2—, cyclobutyl-CH2CH2—, cyclopentyl-CH2CH2—, cyclohexyl-CH2CH2—, (2-CH3-cyclopropyl)CH2CH2—, (3-CH3-cyclobutyl)CH2CH2—, phenyl-CH2—, (2-F-phenyl)CH2—, (3-F-phenyl)CH2—, (4-F-phenyl)CH2—, furanyl-CH2—, thienyl-CH2—, pyridyl-CH2—, 1-imidazolyl-CH2—, oxazolyl-CH2—, isoxazolyl-CH2—, phenyl-CH2CH2—, (2-F-phenyl)CH2CH2—, (3-F-phenyl)CH2CH2—, (4-F-phenyl)CH2CH2—, furanyl-CH2CH2—, thienyl-CH2CH2—, pyridyl-CH2CH2—, 1-imidazolyl-CH2CH2—, oxazolyl-CH2CH2—, or isoxazolyl-CH2CH2
Z is phenyl, 2-F-phenyl, 3-F-phenyl, 4-F-phenyl, 2-Cl-phenyl, 3-Cl-phenyl, 4-Cl-phenyl, 2,3-diF-phenyl, 2,4-diF-phenyl, 2,5-diF-phenyl, 2,6-diF-phenyl, 3,4-diF-phenyl, 3,5-diF-phenyl, 2,3-diCl-phenyl, 2,4-diCl-phenyl, 2,5-diCl-phenyl, 2,6-diCl-phenyl, 3,4-diCl-phenyl, 3,5-diCl-phenyl, 3-F-4-Cl-phenyl, 3-F-5-Cl-phenyl, 3-Cl-F-phenyl, 2-MeO-phenyl, 3-MeO-phenyl, 4-MeO-phenyl, 2-Me-phenyl, 3-Me-phenyl, 4-Me-phenyl, 2-MeS-phenyl, 3-MeS-phenyl, 4-MeS-phenyl, 2-CF3O-phenyl, 3-CF3O-phenyl, 4-CF3O-phenyl, furanyl, thienyl, pyridyl, 2-Me-pyridyl, 3-Me-pyridyl, 4-Me-pyridyl, 1-imidazolyl, oxazolyl, isoxazolyl, cyclopropyl, cyclobutyl, cyclopentyl, cyclohexyl, phenyl-CH2—, (2-F-phenyl)CH2—, (3-F-phenyl)CH2—, (4-F-phenyl)CH2—, (2-Cl-phenyl)CH2—, (3-Cl-phenyl)CH2—, (4-Cl-phenyl)CH2—, (2,3-diF-phenyl)CH2—, (2,4-diF-phenyl)CH2—, (2,5-diF-phenyl)CH2—, (2,6-diF-phenyl)CH2—, (3,4-diF-phenyl)CH2—, (3,5-diF-phenyl)CH2—, (2,3-diCl-phenyl)CH2—, (2,4-diCl-phenyl)CH2—, (2,5-diCl-phenyl)CH2—, (2,6-diCl-phenyl)CH2—, (3,4-diCl-phenyl)CH2—, (3,5-diCl-phenyl)CH2—, (3-F-4-Cl-phenyl)CH2—, (3-F-5-Cl-phenyl)CH2—, (3-Cl-F-phenyl)CH2—, (2-MeO-phenyl)CH2—, (3-MeO-phenyl)CH2—, (4-MeO-phenyl)CH2—, (2-Me-phenyl)CH2—, (3-Me-phenyl)CH2—, (4-Me-phenyl)CH2—, (2-MeS-phenyl)CH2—, (3-MeS-phenyl)CH2—, 4-MeS-phenyl)CH2—, (2-CF3O-phenyl)CH2—, (3-CF3O-phenyl)CH2—, (4-CF3O-phenyl)CH2—, (furanyl)CH2—,(thienyl)CH2—, (pyridyl)CH2—, (2-Me-pyridyl)CH2—, (3-Me-pyridyl)CH2—, (4-Me-pyridyl)CH2—, (1-imidazolyl)CH2—, (oxazolyl)CH2—, (isoxazolyl)CH2—, (cyclopropyl)CH2—, (cyclobutyl)CH2—, (cyclopentyl)CH2—, (cyclohexyl)CH2—, phenyl-CH2CH2—, (phenyl)2CHCH2—, (2-F-phenyl)CH2CH2—, (3-F-phenyl)CH2CH2—, (4-F-phenyl)CH2CH2—, (2-Cl-phenyl)CH2CH2—, (3-Cl-phenyl)CH2CH2—, (4-Cl-phenyl)CH2CH2—, (2,3-diF-phenyl)CH2CH2—, (2,4-diF-phenyl)CH2CH2—, (2,5-diF-phenyl)CH2CH2—, (2,6-diF-phenyl)CH2CH2—, (3,4-diF-phenyl)CH2CH2—, (3,5-diF-phenyl)CH2CH2—, (2,3-diCl-phenyl)CH2CH2—, (2,4-diCl-phenyl)CH2CH2—, (2,5-diCl-phenyl)CH2CH2—, (2,6-diCl-phenyl)CH2CH2—, (3,4-diCl-phenyl)CH2CH2—, (3,5-diCl-phenyl)CH2CH2—, (3-F-4-Cl-phenyl)CH2CH2—, (3-F-5-Cl-phenyl)CH2CH2—, (3-Cl-F-phenyl)CH2CH2—, (2-MeO-phenyl)CH2CH2—, (3-MeO-phenyl)CH2CH2—, (4-MeO-phenyl)CH2CH2—, (2-Me-phenyl)CH2CH2—, (3-Me-phenyl)CH2CH2—, (4-Me-phenyl)CH2CH2—, (2-MeS-phenyl)CH2CH2—, (3-MeS-phenyl)CH2CH2—, (4-MeS-phenyl)CH2CH2—, (2-CF3O-phenyl)CH2CH2—, (3-CF3O-phenyl)CH2CH2—, (4-CF3O-phenyl)CH2CH2—, (furanyl)CH2CH2—,(thienyl)CH2CH2—, (pyridyl)CH2CH2—, (2-Me-pyridyl)CH2CH2—, (3-Me-pyridyl)CH2CH2—, (4-Me-pyridyl)CH2CH2—, (imidazolyl)CH2CH2—, (oxazolyl)CH2CH2—, (isoxazolyl)CH2CH2-(cyclopropyl)CH2CH2—, (cyclobutyl)CH2CH2, (cyclopentyl)CH2CH2—, or (cyclohexyl)CH2CH2;
R10 is H, methyl, ethyl, phenyl, benzyl, phenethyl, 4-F-phenyl, (4-F-phenyl)CH2—, (4-F-phenyl)CH2CH2—, 4-Cl-phenyl, (4-Cl-phenyl)CH2—, (4-Cl-phenyl)CH2CH2—, 4-CH3-phenyl, (4-CH3-phenyl)CH2—, (4-CH3-phenyl)CH2CH2—, 4-CF3-phenyl, (4-CF3-phenyl)CH2—, or (4-CF3-phenyl)CH2CH2—; and
R13, at each occurrence, is independently selected from
H, F, Cl, OH, —CH3, —CH2CH3, —OCH3, and —CF3.
36. A process according to claim 32 for preparing a compound of Formula (Ie)
a stereoisomer, or pharmaceutically acceptable salt thereof, wherein:
R3 is —CH3, —CH2CH3, —CH2CH2CH3, —CH2CH2CH2CH3, —CH2(CH3)2, —CH(CH3)CH2CH3, —CH2CH(CH3)2, —CH2CF3, —CH2CH2CF3, —CH2CH2CH2CF3, —CH═CH2, —CH2CH═CH2, —CH2CH2CH═CH2, cis-CH2CH═CH(CH3), trans-CH2CH═CH(CH3), —C≡CH, —CH2C≡CH, —CH2C≡C(CH3), cyclopropyl-CH2—, cyclobutyl-CH2—, cyclopentyl-CH2—, cyclohexyl-CH2—, cyclopropyl-CH2CH2—, cyclobutyl-CH2CH2—, cyclopentyl-CH2CH2—, cyclohexyl-CH2CH2—, phenyl-CH2—, (2-F-phenyl)CH2—, (3-F-phenyl)CH2—, (4-F-phenyl)CH2—, (2-Cl-phenyl)CH2—, (3-Cl-phenyl)CH2—, (4-Cl-phenyl)CH2—, (2,3-diF-phenyl)CH2—, (2,4-diF-phenyl)CH2—, (2,5-diF-phenyl)CH2—, (2,6-diF-phenyl)CH2—, (3,4-diF-phenyl)CH2—, (3,5-diF-phenyl)CH2—, (2,3-diCl-phenyl)CH2—, (2,4-diCl-phenyl)CH2—, (2,5-diCl-phenyl)CH2—, (2,6-diCl-phenyl)CH2—, (3,4-diCl-phenyl)CH2—, (3,5-diCl-phenyl)CH2—, (3-F-4-Cl-phenyl)CH2—, (3-F-5-Cl-phenyl)CH2—, (3-Cl-F-phenyl)CH2—, phenyl-CH2CH2—, (2-F-phenyl)CH2CH2—, (3-F-phenyl)CH2CH2—, (4-F-phenyl)CH2CH2—, (2-Cl-phenyl)CH2CH2—, (3-Cl-phenyl)CH2CH2—, (4-Cl-phenyl)CH2CH2—, (2,3-diF-phenyl)CH2CH2—, (2,4-diF-phenyl)CH2CH2—, (2,5-diF-phenyl)CH2CH2—, (2,6-diF-phenyl)CH2CH2—, (3,4-diF-phenyl)CH2CH2—, (3,5-diF-phenyl)CH2CH2—, (2,3-diCl-phenyl CH2CH2—, (2,4-diCl-phenyl, CH2CH2—, (2,5-diCl-phenyl)CH2CH2—, (2,6-diCl-phenyl)CH2CH2—, (3,4-diCl-phenyl)CH2CH2—, (3,5-diCl-phenyl)CH2CH2—, (3-F-4-Cl-phenyl)CH2CH2—, or (3-F-5-Cl-phenyl)CH2CH2—,
R5 is —CH3, —CH2CH3, —CH2CH2CH3, —CH(CH3)2, —CH2CH2CH2CH3, —CH(CH3)CH2CH3, —CH2CH(CH3)2, —CH2C(CH3)3, —CH2CH2CH2CH2CH3, —CH(CH3)CH2CH2CH3, —CH2CH(CH3)CH2CH3, —CH2CH2CH(CH3)2, —CH(CH2CH3)2, —CH2CF3, —CH2CH2CF3, —CH2CH2CH2CF3, —CH2CH2CH2CH2CF3, —CH═CH2, —CH2CH═CH2, —CH═CHCH3, cis-CH2CH═CH(CH3), trans-CH2CH═CH(CH3), trans-CH2CH═CH(C6H5), —CH2CH═C(CH3)2, cis-CH2CH═CHCH2CH3, trans-CH2CH═CHCH2CH3, cis-CH2CH2CH═CH(CH3), trans-CH2CH2CH═CH(CH3), trans-CH2CH═CHCH2(C6H5), —C≡CH, —CH2C═CH, —CH2C≡C(CH3), —CH2C≡C(C6H5) —CH2CH2C≡CH, —CH2CH2C═C(CH3), —CH2CH2C≡C(C6H5), cyclopropyl-CH2—, cyclobutyl-CH2—, cyclopentyl-CH2—, cyclohexyl-CH2—, (2-CH3-cyclopropyl)CH2—, (3-CH3-cyclobutyl) CH2—, cyclopropyl-CH2CH2—, cyclobutyl-CH2CH2—, cyclopentyl-CH2CH2—, cyclohexyl-CH2CH2—, (2-CH3-cyclopropyl)CH2CH2—, (3-CH3-cyclobutyl)CH2CH2—, phenyl-CH2—, (2-F-phenyl)CH2—, (3-F-phenyl)CH2—, (4-F-phenyl)CH2—, furanyl-CH2—, thienyl-CH2—, pyridyl-CH2—, 1-imidazolyl-CH2—, oxazolyl-CH2—, isoxazolyl-CH2—, phenyl-CH2CH2—, (2-F-phenyl)CH2CH2—, (3-F-phenyl)CH2CH2—, (4-F-phenyl)CH2CH2—, furanyl-CH2CH2—, thienyl-CH2CH2—, pyridyl-CH2CH2—, 1-imidazolyl-CH2CH2—, oxazolyl-CH2CH2—, or isoxazolyl-CH2CH2—,
Z is methyl, ethyl, i-propyl, n-propyl, n-butyl, i-butyl, s-butyl, t-butyl, or allyl;
R10 is H, methyl, ethyl, phenyl, benzyl, phenethyl, 4-F-phenyl, (4-F-phenyl)CH2—, (4-F-phenyl)CH2CH2—, 4-Cl-phenyl, (4-Cl-phenyl)CH2—, (4-Cl-phenyl)CH2CH2—, 4-CH3-phenyl, (4-CH3-phenyl)CH2—, (4-CH3-phenyl)CH2CH2—, 4-CF3-phenyl, (4-CF3-phenyl)CH2—, or (4-CF3-phenyl)CH2CH2—; and
R13, at each occurrence, is independently selected from H, F, Cl, OH, —CH3, —CH2CH3, —OCH3, and —CF3.
37. A process according to claim 32 for preparing a compound of Formula (H)
a stereoisomer, or pharmaceutically acceptable salt thereof, wherein:
R3 is —CH3, —CH2CH3, —CH2CH2CH3, —CH2CH2CH2CH3, —CH2(CH3)2, —CH(CH3)CH2CH3, —CH2CH(CH3)2, —CH2CF3, —CH2CH2CF3, —CH2CH2CH2CF3, —CH═CH2, —CH2CH═CH2, —CH2CH2CH═CH2, cis-CH2CH═CH(CH3), trans-CH2CH═CH(CH3), —C≡CH, —CH2C≡CH, —CH2C≡C(CH3), cyclopropyl-CH2—, cyclobutyl-CH2—, cyclopentyl-CH2—, cyclohexyl-CH2—, cyclopropyl-CH2CH2—, cyclobutyl-CH2CH2—, cyclopentyl-CH2CH2—, cyclohexyl-CH2CH2—, phenyl-CH2—, (2-F-phenyl)CH2—, (3-F-phenyl)CH2—, (4-F-phenyl)CH2—, (2-Cl-phenyl)CH2—, (3-Cl-phenyl)CH2—, (4-Cl-phenyl)CH2—, (2,3-diF-phenyl, CH2—, (2,4-diF-phenyl)CH2—, (2,5-diF-phenyl)CH2—, (2,6-diF-phenyl)CH2—, (3,4-diF-phenyl)CH2—, (3,5-diF-phenyl)CH2—, (2,3-diCl-phenyl)CH2—, (2,4-diCl-phenyl)CH2—, (2,5-diCl-phenyl)CH2—, (2,6-diCl-phenyl)CH2—, (3,4-diCl-phenyl)CH2—, (3,5-diCl-phenyl)CH2—, (3-F-4-Cl-phenyl)CH2—, (3-F-5-Cl-phenyl)CH2—, (3-Cl-F-phenyl)CH2—, phenyl-CH2CH2—, (2-F-phenyl)CH2CH2—, (3-F-phenyl)CH2CH2—, (4-F-phenyl)CH2CH2—, (2-Cl-phenyl)CH2CH2—, (3-Cl-phenyl)CH2CH2—, (4-Cl-phenyl)CH2CH2—, (2,3-diF-phenyl)CH2CH2—, (2,4-diF-phenyl)CH2CH2—, (2,5-diF-phenyl)CH2CH2—, (2,6-diF-phenyl)CH2CH2—, (3,4-diF-phenyl)CH2CH2—, (3,5-diF-phenyl)CH2CH2—, (2,3-diCl-phenyl)CH2CH2—, (2,4-diCl-phenyl)CH2CH2—, (2,5-diCl-phenyl)CH2CH2—, (2,6-diCl-phenyl)CH2CH2—, (3,4-diCl-phenyl)CH2CH2—, (3,5-diCl-phenyl)CH2CH2—, (3-F-4-C1-phenyl)CH2CH2—, or (3-F-5-Cl-phenyl)CH2CH2—,
R5 is —CH3, —CH2CH3, —CH2CH2CH3, —CH(CH3)2, —CH2CH2CH2CH3, —CH(CH3)CH2CH3, —CH2CH(CH3)2, —CH2C(CH3)3, —CH2CH2CH2CH2CH3, —CH(CH3)CH2CH2CH3, —CH2CH(CH3)CH2CH3, —CH2CH2CH(CH3)2, —CH(CH2CH3)2, —CH2CF3, —CH2CH2CF3r —CH2 CH2CH2CF3, —CH2CH2CH2CH2CF3, —CH═CH2, —CH2CH═CH2, —CH═CHCH3, cis-CH2CH═CH(CH3), trans-CH2CH═CH(CH3), trans-CH2CH═CH(C6H5), —CH2CH═C(CH3)2, cis-CH2CH═CHCH2CH3, trans-CH2CH═CHCH2CH3, cis-CH2CH2CH═CH(CH3), trans-CH2CH2CH—CH(CH3), trans-CH2CH═CHCH2(C6H5), —C≡CH, —CH2C≡CH, —CH2C≡C(CH3), —CH2C≡C(C6H5) —CH2CH2C≡CH, —CH2CH2C≡C(CH3), —CH2CH2C≡C(C6H5), cyclopropyl-CH2—, cyclobutyl-CH2—, cyclopentyl-CH2—, cyclohexyl-CH2—, (2-CH3-cyclopropyl)CH2—, (3-CH3-cyclobutyl) CH2—, cyclopropyl-CH2CH2—, cyclobutyl-CH2CH2—, cyclopentyl-CH2CH2—, cyclohexyl-CH2CH2—, (2-CH3-cyclopropyl)CH2CH2—, (3-CH3-cyclobutyl)CH2CH2—, phenyl-CH2—, (2-F-phenyl)CH2—, (3-F-phenyl)CH2—, (4-F-phenyl)CH2—, furanyl-CH2—, thienyl-CH2—, pyridyl-CH2—, 1-imidazolyl-CH2—, oxazolyl-CH2-1 isoxazolyl-CH2—, phenyl-CH2CH2—, (2-F-phenyl)CH2CH2—, (3-F-phenyl)CH2CH2—, (4-F-phenyl)CH2CH2—, furanyl-CH2CH2—, thienyl-CH2CH2—, pyridyl-CH2CH2—, 1-imidazolyl-CH2CH2— oxazolyl-CH2CH2—, or isoxazolyl-CH2CH2—,
Z is methyl, ethyl, i-propyl, n-propyl, n-butyl, i-butyl, s-butyl, t-butyl, or allyl; and
R13, at each occurrence, is independently selected from H, F, Cl, OH, —CH3, —CH2CH3, —OCH3, and —CF3.
38. A process according to claim 32 for preparing a compound of Formula (K)
a stereoisomer, or pharmaceutically acceptable salt thereof, wherein:
R3 is —CH3, —CH2CH3, —CH2CH2CH3, —CH2CH2CH2CH3, —CH2(CH3)2, —CH(CH3)CH2CH3, —CH2CH(CH3)2, —CH2CF3, —CH2CH2CF3, —CH2CH2CH2CF3, —CH═CH2, —CH2CH═CH2, —CH2CH2CH═CH2, cis-CH2CH═CH(CH3), trans-CH2CH═CH(CH3), —C≡CH, —CH2C≡CH, —CH2C≡C(CH3), cyclopropyl-CH2—, cyclobutyl-CH2—, cyclopentyl-CH2—, cyclohexyl-CH2—, cyclopropyl-CH2CH2—, cyclobutyl-CH2CH2, cyclopentyl-CH2CH2—, cyclohexyl-CH2CH2—, phenyl-CH2—, (2-F-phenyl)CH2—, (3-F-phenyl)CH2—, (4-F-phenyl)CH2—, (2-Cl-phenyl)CH2—, (3-Cl-phenyl)CH2—, (4-Cl-phenyl)CH2—, (2,3-diF-phenyl)CH2—, (2,4-diF-phenyl)CH2—, (2,5-diF-phenyl)CH2—, (2,6-diF-phenyl)CH2—, (3,4-diF-phenyl)CH2—, (3,5-diF-phenyl)CH2—, (2,3-diCl-phenyl)CH2—, (2,4-diCl-phenyl)CH2—, (2,5-diCl-phenyl)CH2—, (2,6-diCl-phenyl)CH2—, (3,4-diCl-phenyl)CH2—, (3,5-diCl-phenyl)CH2—, (3-F-4-Cl-phenyl)CH2—, (3-F-5-Cl-phenyl)CH2—, (3-Cl-F-phenyl)CH2—, phenyl-CH2CH2—, (2-F-phenyl)CH2CH2—, (3-F-phenyl)CH2CH2—, (4-F-phenyl)CH2CH2—, (2-Cl-phenyl)CH2CH2—, (3-Cl-phenyl)CH2CH2—, (4-Cl-phenyl)CH2CH2—, (2,3-diF-phenyl)CH2CH2—, (2,4-diF-phenyl)CH2CH2—, (2,5-diF-phenyl)CH2CH2—, (2,6-diF-phenyl)CH2CH2—, (3,4-diF-phenyl)CH2CH2—, (3,5-diF-phenyl)CH2CH2—, (2,3-diCl-phenyl)CH2CH2—, (2,4-diCl-phenyl)CH2CH2—, (2,5-diCl-phenyl)CH2CH2—, (2,6-diCl-phenyl)CH2CH2—, (3,4-diCl-phenyl)CH2CH2—, (3,5-diCl-phenyl)CH2CH2—, (3-F-4-Cl-phenyl)CH2CH2—, or (3-F-5-Cl-phenyl)CH2CH2—,
R5 is —CH3, —CH2CH3, —CH2CH2CH3, CH(CH3)2—CH2CH2CH2CH3r —CH(CH3)CH2CH3, —CH2CH3)2, —CH2C(CH3)3, —CH2CH2CH2CH2CH3, —CH(CH3)CH2CH2CH3, —CH2CH(CH3)CH2CH3, —CH2CH2CH(CH3)2, —CH(CH2CH3)2, —CH2CF3, —CH2CH2CF3, —CH2CH2CH2CF3, —CH2CH2CH2CH2CF3, —CH═CH2, —CH2CH═CH2, —CH═CHCH3, cis-CH2CH═CH(CH3), trans-CH2CH═CH(CH3), trans-CH2CH═CH(C6H5), —CH2CH═C(CH3)2, cis-CH2CH═CHCH2CH3, trans-CH2CH═CHCH2CH3, cis-CH2CH2CH═CH(CH3), trans-CH2CH2CH═CH(CH3), trans-CH2CH═CHCH2(C6H5), —C≡CH, —CH2C≡CH, —CH2C≡C(CH3), —CH2C≡C(C6H5) —CH2CH2C≡CH, —CH2CH2C≡C(CH3), —CH2CH2C≡C(C6H5), cyclopropyl-CH2—, cyclobutyl-CH2—, cyclopentyl-CH2—, cyclohexyl-CH2—, (2-CH3-cyclopropyl)CH2—, (3-CH3-cyclobutyl)CH2—, cyclopropyl-CH2CH2—, cyclobutyl-CH2CH2—, cyclopentyl-CH2CH2—, cyclohexyl-CH2CH2—, (2-CH3-cyclopropyl)CH2CH2—, (3-CH3-cyclobutyl)CH2CH2—, phenyl-CH2—, (2-F-phenyl)CH2—, (3-F-phenyl)CH2—, (4-F-phenyl)CH2—, furanyl-CH2—, thienyl-CH2—, pyridyl-CH2—, 1-imidazolyl-CH2—, oxazolyl-CH2—, isoxazolyl-CH2—, phenyl-CH2CH2—, (2-F-phenyl)CH2CH2—, (3-F-phenyl)CH2CH2—, (4-F-phenyl)CH2CH2—, furanyl-CH2CH2—, thienyl-CH2CH2—, pyridyl-CH2CH2—, 1-imidazolyl-CH2CH2—, oxazolyl-CH2CH2—, or isoxazolyl-CH2CH2—,
Z is methyl, ethyl, i-propyl, n-propyl, n-butyl, i-butyl, s-butyl, t-butyl, or allyl; and
R13, at each occurrence, is independently selected from H, F, Cl, OH, —CH3, —CH2CH3, —OCH3, and —CF3.
39. A process according to claim 32 for preparing the compound,
(2R,3S) N1-[1,3,4,5-tetrahydro-1,5-dimethyl-2,4-dioxo-2H-1,5-benzodiazepin-3-yl]-2-(2-methylpropyl)-3-allyl-butanediamide,
a stereoisomer or a pharmaceutically acceptable salt thereof, comprising the steps illustrated in the following reactions,
Step (1): Intermediate 48′
(i) mixing to a solution of tert-butyl succinate ester reagent 9 (1.0 eq) in DMF (0.25 M) at zero degrees HATU (1.1 eq), then Hunig's base (4.0 eq);
(ii) stirring the mixture at zero degrees for 10 mins;
(iii) further adding to the mixture, a solution of 3 amino-1,3,4,5-tetrahydro-1,5-dimethyl-2H-1,5-benzodiazepin-2,4-dione 32 reagent in DMF (0.8 M) (1.0 eq); and stirring the reaction mixture overnight at RT;
(iv) extracting the aqueous solution twice with 30% n-hexane in ethyl acetate, washing the combined organic layers with water and brine, drying a resulting residue over magnesium sulfate and when sufficiently concentrated in vacuo; and chromatographically purifying and isolating the Compound 48′ as an amorphous white solid (92%). Rf=0.15 (7:3 n-hexane:ethyl acetate) of the following purity parameters:
1H-NMR (CDCl3): δ 7.34 (s, 4H); 6.97-6.94 (d, 1H); 5.80-5.60 m, 1H); 5.15-4.95 (m, 3H); 3.45 (s, 6H); 2.65-2.20 (m, 4H); 1.80-1.50 (m, 2H); 1.18-1.00 (m, 1H); 0.95-0.92 (d, 3H); 0.87-0.84 (d, 3H); MS (M+H)+ 472.2.
Step 2:
Intermediate 48″
(i) stirring a solution of intermediate compound 48′ in 50% TEA in methylene chloride (0.15M) at RT overnight,
(ii) concentrate in vacuo, and
(iii) repeatedly wash with toluene and concentrate in vacuo to obtain solid intermediate 48″; and
Step 3:
Compound 48:;
(i) adding HATU (1.1 eq) to a solution of 48″ (1.0 eq.) in DMF (0.25 M) under N—) at 0° C., followed by Hunig's base (4.0 eq), stirring at 0° C. for 110 min, and passing anhydrous ammonia through the solution for two minutes,
(ii) following a procedure analogous to the procedure of Step 1 (iv) above, the title compound of Example 48, was prepared, exhibiting the following purity parameters,
1H NMR (CDC3): δ7.36 (s, 4H); 7.10-7.00 (d, 1H); 6.44 (s, 1H); 5.85-5.75 (m, 1H) 5.40 (m, 1H); 5.19-5.00 (m, 3H); 3.50-3.45 (d, 6H); 2.70-2.33 (m, 4H); 1.60-1.40 (m, 2H); 1.30-1.20 (m, 1H); 0.90-0.85 (q, 6H). MS (M+H)+=415.4, (M+Na)+=437.4.
40. A process according to claim 32 for preparing a compound, a stereoisomer or pharmaceutically acceptable salt thereof selected from:
(2R,3S)N1-[1,3,4,5-tetrahydro-1,5-dimethyl-2,4-dioxo-2H-1,5-benzodiazepin-3-yl]-2-(2-methylpropyl)-3-allyl-butanediamide.
41. A process for preparing a pharmaceutical composition comprising a compound according to the process of claim 1, a stereoisomer, or a pharmaceutically acceptable salt thereof, and a pharmaceutically acceptable carrier.
Priority Applications (3)
| Application Number | Priority Date | Filing Date | Title |
|---|---|---|---|
| US12/045,126 US20080171735A1 (en) | 1998-12-24 | 2008-03-10 | SUCCINOYLAMINO BENZODIAZEPINES AS INHIBITORS OF Abeta PROTEIN PRODUCTION |
| US12/061,227 US7718795B2 (en) | 1998-12-24 | 2008-04-02 | Succinoylamino benzodiazepines as inhibitors of aβ protein production |
| US12/254,431 US20090069293A1 (en) | 1998-12-24 | 2008-10-20 | Succinoylamino benzodiazepines as inhibitors of ab protein production |
Applications Claiming Priority (6)
| Application Number | Priority Date | Filing Date | Title |
|---|---|---|---|
| US11358898P | 1998-12-24 | 1998-12-24 | |
| US46993999A | 1999-12-24 | 1999-12-24 | |
| US09/505,788 US7053084B1 (en) | 1998-12-24 | 2000-02-17 | Succinoylamino benzodiazepines as inhibitors of Aβ protein production |
| US11/230,203 US7304049B2 (en) | 1998-12-24 | 2005-09-19 | Succinoylaminobenzodiazepines as inhibitors of Aβ protein production |
| US11/331,791 US7456172B2 (en) | 1998-12-24 | 2006-01-13 | Succinoylamino benzodiazepines as inhibitors of Aβ protein production |
| US12/045,126 US20080171735A1 (en) | 1998-12-24 | 2008-03-10 | SUCCINOYLAMINO BENZODIAZEPINES AS INHIBITORS OF Abeta PROTEIN PRODUCTION |
Related Parent Applications (1)
| Application Number | Title | Priority Date | Filing Date |
|---|---|---|---|
| US11/331,791 Division US7456172B2 (en) | 1998-12-24 | 2006-01-13 | Succinoylamino benzodiazepines as inhibitors of Aβ protein production |
Related Child Applications (1)
| Application Number | Title | Priority Date | Filing Date |
|---|---|---|---|
| US12/061,227 Division US7718795B2 (en) | 1998-12-24 | 2008-04-02 | Succinoylamino benzodiazepines as inhibitors of aβ protein production |
Publications (1)
| Publication Number | Publication Date |
|---|---|
| US20080171735A1 true US20080171735A1 (en) | 2008-07-17 |
Family
ID=22350336
Family Applications (6)
| Application Number | Title | Priority Date | Filing Date |
|---|---|---|---|
| US09/505,788 Expired - Lifetime US7053084B1 (en) | 1998-12-24 | 2000-02-17 | Succinoylamino benzodiazepines as inhibitors of Aβ protein production |
| US11/230,203 Expired - Lifetime US7304049B2 (en) | 1998-12-24 | 2005-09-19 | Succinoylaminobenzodiazepines as inhibitors of Aβ protein production |
| US11/331,791 Expired - Fee Related US7456172B2 (en) | 1998-12-24 | 2006-01-13 | Succinoylamino benzodiazepines as inhibitors of Aβ protein production |
| US12/045,126 Abandoned US20080171735A1 (en) | 1998-12-24 | 2008-03-10 | SUCCINOYLAMINO BENZODIAZEPINES AS INHIBITORS OF Abeta PROTEIN PRODUCTION |
| US12/061,227 Expired - Fee Related US7718795B2 (en) | 1998-12-24 | 2008-04-02 | Succinoylamino benzodiazepines as inhibitors of aβ protein production |
| US12/254,431 Abandoned US20090069293A1 (en) | 1998-12-24 | 2008-10-20 | Succinoylamino benzodiazepines as inhibitors of ab protein production |
Family Applications Before (3)
| Application Number | Title | Priority Date | Filing Date |
|---|---|---|---|
| US09/505,788 Expired - Lifetime US7053084B1 (en) | 1998-12-24 | 2000-02-17 | Succinoylamino benzodiazepines as inhibitors of Aβ protein production |
| US11/230,203 Expired - Lifetime US7304049B2 (en) | 1998-12-24 | 2005-09-19 | Succinoylaminobenzodiazepines as inhibitors of Aβ protein production |
| US11/331,791 Expired - Fee Related US7456172B2 (en) | 1998-12-24 | 2006-01-13 | Succinoylamino benzodiazepines as inhibitors of Aβ protein production |
Family Applications After (2)
| Application Number | Title | Priority Date | Filing Date |
|---|---|---|---|
| US12/061,227 Expired - Fee Related US7718795B2 (en) | 1998-12-24 | 2008-04-02 | Succinoylamino benzodiazepines as inhibitors of aβ protein production |
| US12/254,431 Abandoned US20090069293A1 (en) | 1998-12-24 | 2008-10-20 | Succinoylamino benzodiazepines as inhibitors of ab protein production |
Country Status (10)
| Country | Link |
|---|---|
| US (6) | US7053084B1 (en) |
| EP (1) | EP1313426A2 (en) |
| JP (1) | JP4615727B2 (en) |
| CN (1) | CN1636011A (en) |
| AU (1) | AU778005B2 (en) |
| BR (1) | BR9917082A (en) |
| CA (1) | CA2347671A1 (en) |
| IL (1) | IL142816A0 (en) |
| NO (1) | NO20012984D0 (en) |
| WO (1) | WO2000038618A2 (en) |
Families Citing this family (62)
| Publication number | Priority date | Publication date | Assignee | Title |
|---|---|---|---|---|
| HRP990246A2 (en) | 1998-08-07 | 2000-06-30 | Du Pont Pharm Co | Succinoylamino benzodiazepines as inhibitors of a beta protein production |
| NZ509241A (en) | 1998-08-07 | 2003-08-29 | Du Pont Pharm Co | Succinoylamino lactams as inhibitors of alpha-beta protein production |
| IL142816A0 (en) | 1998-12-24 | 2002-03-10 | Du Pont Pharm Co | SUCCINOYLAMINO BENZODIAZEPINES AS INHIBITORS OF Aβ PROTEIN PRODUCTION |
| US6503902B2 (en) | 1999-09-13 | 2003-01-07 | Bristol-Myers Squibb Pharma Company | Hydroxyalkanoylaminolactams and related structures as inhibitors of a β protein production |
| US6960576B2 (en) | 1999-09-13 | 2005-11-01 | Bristol-Myers Squibb Pharma Company | Hydroxyalkanoylaminolactams and related structures as inhibitors of Aβ protein production |
| BR0014269A (en) | 1999-09-13 | 2002-07-02 | Bristol Myers Squibb Pharma Co | Lactam compounds, their pharmaceutically acceptable salts and prodrugs, pharmaceutical composition, method of treating neurological disorders associated with the production of "beta" -amyloid, method of inhibiting "alpha" -secretase activity and uses of the compounds |
| WO2001027108A1 (en) | 1999-10-08 | 2001-04-19 | Bristol-Myers Squibb Pharma Company | AMINO LACTAM SULFONAMIDES AS INHIBITORS OF Aβ PROTEIN PRODUCTION |
| US6525044B2 (en) | 2000-02-17 | 2003-02-25 | Bristol-Myers Squibb Company | Succinoylamino carbocycles and heterocycles as inhibitors of a-β protein production |
| EP1268433A1 (en) | 2000-04-03 | 2003-01-02 | Bristol-Myers Squibb Pharma Company | Cyclic lactams as inhibitors of a-beta-protein production |
| BR0110051A (en) | 2000-04-03 | 2004-12-07 | Bristol Myers Squibb Pharma Co | Compound, Compound Use, Pharmaceutical Composition and Method of Treatment of Alzheimer's Disease |
| US6632812B2 (en) | 2000-04-11 | 2003-10-14 | Dupont Pharmaceuticals Company | Substituted lactams as inhibitors of Aβ protein production |
| AU2001261728A1 (en) | 2000-05-17 | 2001-11-26 | Bristol-Myers Squibb Pharma Company | Use of small molecule radioligands for diagnostic imaging |
| GB0012671D0 (en) | 2000-05-24 | 2000-07-19 | Merck Sharp & Dohme | Therapeutic agents |
| WO2001092235A1 (en) | 2000-06-01 | 2001-12-06 | Bristol-Myers Squibb Pharma Company | LACTAMS SUBSTITUTED BY CYCLIC SUCCINATES AS INHIBITORS OF Aβ PROTEIN PRODUCTION |
| GB0025173D0 (en) * | 2000-10-13 | 2000-11-29 | Merck Sharp & Dohme | Therapeutic agents |
| DE10101430B4 (en) | 2001-01-13 | 2008-10-02 | Fraunhofer-Gesellschaft zur Förderung der angewandten Forschung e.V. | Soluble cyclic analogues for the modulation of amyloidogenesis |
| US7090830B2 (en) | 2001-05-24 | 2006-08-15 | Alexza Pharmaceuticals, Inc. | Drug condensation aerosols and kits |
| US20070122353A1 (en) | 2001-05-24 | 2007-05-31 | Hale Ron L | Drug condensation aerosols and kits |
| US7766013B2 (en) | 2001-06-05 | 2010-08-03 | Alexza Pharmaceuticals, Inc. | Aerosol generating method and device |
| US7458374B2 (en) | 2002-05-13 | 2008-12-02 | Alexza Pharmaceuticals, Inc. | Method and apparatus for vaporizing a compound |
| US7585493B2 (en) | 2001-05-24 | 2009-09-08 | Alexza Pharmaceuticals, Inc. | Thin-film drug delivery article and method of use |
| WO2003094854A2 (en) | 2002-05-07 | 2003-11-20 | Elan Pharmaceuticals, Inc. | Succinoyl aminopyrazoles and related compounds |
| US7001901B2 (en) | 2002-08-27 | 2006-02-21 | Bristol-Myers Squibb Company | Tetrazolylpropionamides as inhibitors of Aβ protein production |
| TW200502221A (en) * | 2002-10-03 | 2005-01-16 | Astrazeneca Ab | Novel lactams and uses thereof |
| KR100897642B1 (en) | 2002-12-20 | 2009-05-14 | 글락소 그룹 리미티드 | Benzazepine Derivatives for the Treatment of Neurological Disorders |
| JP2007516149A (en) | 2003-05-21 | 2007-06-21 | アレックザ ファーマシューティカルズ, インコーポレイテッド | Method for controlling uniformity of substrate temperature, built-in heating unit and chemical supply unit using the same |
| WO2005009344A2 (en) | 2003-06-05 | 2005-02-03 | Elan Pharmaceuticals, Inc. | Acylated amino acid amidyl pyrazoles and related compounds |
| AU2004283803B2 (en) * | 2003-10-06 | 2010-06-24 | F. Hoffmann-La Roche Ag | Substituted dibenzo-azepine and benzo-diazepine derivatives useful as gamma-secretase inhibitors |
| US7540286B2 (en) | 2004-06-03 | 2009-06-02 | Alexza Pharmaceuticals, Inc. | Multiple dose condensation aerosol devices and methods of forming condensation aerosols |
| EP2246086A3 (en) | 2004-08-12 | 2012-11-21 | Alexza Pharmaceuticals, Inc. | Aerosol drug delivery device incorporating percussively activated heating unit |
| JP5258561B2 (en) | 2005-07-15 | 2013-08-07 | アルバニー モレキュラー リサーチ, インコーポレイテッド | Aryl and heteroaryl substituted tetrahydrobenzazepines and their use to block reuptake of norepinephrine, dopamine and serotonin |
| RU2309944C1 (en) * | 2006-04-12 | 2007-11-10 | Общество с ограниченной ответственностью "ИФОХИМ" | Derivatives of para-methoxyanilines enhancing stability of hydrocarbon fuel against detonation and fuel composition (variants) |
| CA2676715A1 (en) | 2007-02-12 | 2008-08-21 | Merck & Co., Inc. | Piperazine derivatives for treatment of ad and related conditions |
| ES2594867T3 (en) | 2007-03-09 | 2016-12-23 | Alexza Pharmaceuticals, Inc. | Heating unit for use in a drug delivery device |
| NZ580801A (en) | 2007-05-10 | 2012-09-28 | Bristol Myers Squibb Co | Aryl- and heteroaryl-substituted tetrahydrobenzo-1,4-diazepines and use thereof to block reuptake of norepinephrine, dopamine, and serotonin |
| ES2413504T3 (en) | 2007-12-21 | 2013-07-16 | Ligand Pharmaceuticals Inc. | Selective androgen receptor modulators (SARM) and uses thereof |
| WO2009128057A2 (en) | 2008-04-18 | 2009-10-22 | UNIVERSITY COLLEGE DUBLIN, NATIONAL UNIVERSITY OF IRELAND, DUBLIN et al | Psycho-pharmaceuticals |
| TWI530489B (en) | 2011-03-22 | 2016-04-21 | 必治妥美雅史谷比公司 | Bis(fluoroalkyl)-1,4-benzodiazepine compound |
| CN105308030A (en) * | 2012-09-21 | 2016-02-03 | 百时美施贵宝公司 | Alkyl, fluoroalkyl-1,4-benzodiazepinone compounds |
| CN104797569A (en) * | 2012-09-21 | 2015-07-22 | 百时美施贵宝公司 | Substituted 1,5-benzodiazepinone compounds |
| TWI614238B (en) | 2012-09-21 | 2018-02-11 | 必治妥美雅史谷比公司 | Bis(fluoroalkyl)-1,4-benzodiazepine compounds and prodrugs thereof |
| US9249157B2 (en) | 2012-09-21 | 2016-02-02 | Bristol-Myers Squibb Company | Tricyclic heterocycle compounds |
| CN104854094A (en) * | 2012-09-21 | 2015-08-19 | 百时美施贵宝公司 | Fluoroalkyl dibenzodiazepinone compounds |
| US9242940B2 (en) | 2012-09-21 | 2016-01-26 | Bristol-Myers Squibb Company | N-substituted bis(fluoroalkyl)-1,4-benzodiazepinone compounds |
| US9273075B2 (en) | 2012-09-21 | 2016-03-01 | Bristol-Myers Squibb Company | Prodrugs of 1,4-benzodiazepinone compounds |
| CN104822677A (en) | 2012-09-21 | 2015-08-05 | 百时美施贵宝公司 | Fluoroalkyl-1,4-benzodiazepinone compounds |
| WO2014047397A1 (en) * | 2012-09-21 | 2014-03-27 | Bristol-Myers Squibb Company | Fluoroalkyl and fluorocycloalkyl 1,4-benzodiazepinone compounds as notch|inhibitors |
| JP2016515625A (en) | 2013-04-04 | 2016-05-30 | ブリストル−マイヤーズ スクイブ カンパニーBristol−Myers Squibb Company | Combination therapy to treat proliferative diseases |
| EP3613418A1 (en) | 2014-01-17 | 2020-02-26 | Ligand Pharmaceuticals, Inc. | Methods and compositions for modulating hormone levels |
| US11344569B2 (en) * | 2017-11-14 | 2022-05-31 | Northwestern University | Treatment of sleep-wake disorders and neurodegenerative disease comprising modified resistant maltodextrin |
| KR102852740B1 (en) | 2018-02-02 | 2025-08-29 | 알렉스자 파마스티칼즈, 인크. | Electrical Condensation Aerosol Device |
| EP3793564A4 (en) | 2018-05-15 | 2022-03-30 | Ayala Pharmaceuticals Inc. | COMPOSITIONS COMPRISING BISFLUOROALKYL-1,4-BENZODIAZEPINONE COMPOUNDS FOR TREATING ADENOID CYSTIC CARCINOMA |
| CA3101340A1 (en) * | 2018-05-24 | 2019-11-28 | Ayala Pharmaceuticals Inc. | Compositions comprising bisfluoroalkyl-1,4-benzodiazepinone compounds and immunotherapeutics and methods of use thereof |
| JP2022529341A (en) | 2019-04-19 | 2022-06-21 | リガンド・ファーマシューティカルズ・インコーポレイテッド | The crystalline form of the compound and the method for producing the crystalline form of the compound. |
| AU2022321882A1 (en) | 2021-08-02 | 2024-02-15 | Basf Se | (3-pirydyl)-quinazoline |
| US20250019361A1 (en) | 2021-08-02 | 2025-01-16 | Basf Se | (3-quinolyl)-quinazoline |
| EP4619393A1 (en) | 2022-11-16 | 2025-09-24 | Basf Se | Substituted benzodiazepines as fungicides |
| CN120202195A (en) | 2022-11-16 | 2025-06-24 | 巴斯夫欧洲公司 | Substituted benzodiazepines as fungicides |
| WO2024104822A1 (en) | 2022-11-16 | 2024-05-23 | Basf Se | Substituted tetrahydrobenzodiazepine as fungicides |
| AU2024238668A1 (en) | 2023-03-17 | 2025-09-25 | Basf Se | Substituted pyridyl/pyrazidyl dihydrobenzothiazepine compounds for combatting phytopathogenic fungi |
| WO2025078183A1 (en) | 2023-10-09 | 2025-04-17 | Basf Se | Fungicidal mixture comprising substituted quinazolyl quinolines |
| WO2025078181A1 (en) | 2023-10-09 | 2025-04-17 | Basf Se | Fungicidal mixture comprising substituted pyridines |
Citations (31)
| Publication number | Priority date | Publication date | Assignee | Title |
|---|---|---|---|---|
| US3651023A (en) * | 1968-07-02 | 1972-03-21 | Stamicarbon | Preparation of polyamides with special properties |
| US4929614A (en) * | 1988-04-25 | 1990-05-29 | Jouveinal S.A. | Benzodiazepines, process and intermediates for the preparation thereof and their application in therapy |
| US5283241A (en) * | 1992-08-28 | 1994-02-01 | Merck & Co., Inc. | Benzo-fused lactams promote release of growth hormone |
| US5532359A (en) * | 1993-05-14 | 1996-07-02 | Genentech, Inc. | Ras farnesyl transferase inhibitors |
| US5550126A (en) * | 1989-08-04 | 1996-08-27 | Merck Sharp And Dohme Limited | Central cholecystokinin antagonists having pharmaceutical activity |
| US5578629A (en) * | 1995-03-29 | 1996-11-26 | Merck & Co., Inc. | Benzamide-containing inhibitors of farnesyl-protein transferase |
| US5595990A (en) * | 1993-11-22 | 1997-01-21 | Merck & Co., Inc. | Antiarrhythmic benzodiazepines |
| US5602145A (en) * | 1993-06-09 | 1997-02-11 | Smithkline Beecham Corporation | Bicyclic fibrinogen antagonists |
| US5602156A (en) * | 1993-09-17 | 1997-02-11 | The United States Of America As Represented By The Department Of Health And Human Services | Method for inhibiting metalloproteinase expression |
| US5618812A (en) * | 1992-07-29 | 1997-04-08 | Merck Sharp & Dohme, Ltd. | Benzodiazepine derivatives |
| US5672598A (en) * | 1995-03-21 | 1997-09-30 | The Procter & Gamble Company | Lactam-containing hydroxamic acids |
| US5703129A (en) * | 1996-09-30 | 1997-12-30 | Bristol-Myers Squibb Company | 5-amino-6-cyclohexyl-4-hydroxy-hexanamide derivatives as inhibitors of β-amyloid protein production |
| US5710171A (en) * | 1995-05-24 | 1998-01-20 | Merck & Co., Inc. | Bisphenyl inhibitors of farnesyl-protein transferase |
| US5710153A (en) * | 1995-09-12 | 1998-01-20 | Ono Phramaceutical Co., Ltd. | Tetrazole compound |
| US5756528A (en) * | 1995-06-06 | 1998-05-26 | Merck & Co., Inc. | Inhibitors of farnesyl-protein transferase |
| US5763437A (en) * | 1994-07-29 | 1998-06-09 | Fujisawa Pharmaceutical Co., Ltd. | Benzodiazepine derivatives |
| US5770573A (en) * | 1993-12-06 | 1998-06-23 | Cytel Corporation | CS-1 peptidomimetics, compositions and methods of using the same |
| US5852010A (en) * | 1996-04-03 | 1998-12-22 | Merck & Co., Inc. | Inhibitors of farnesyl-protein transferase |
| US5856326A (en) * | 1995-03-29 | 1999-01-05 | Merck & Co., Inc. | Inhibitors of farnesyl-protein transferase |
| US5859012A (en) * | 1996-04-03 | 1999-01-12 | Merck & Co., Inc. | Inhibitors of farnesyl-protein transferase |
| US5869682A (en) * | 1996-04-03 | 1999-02-09 | Merck & Co., Inc. | Inhibitors of farnesyl-protein transferase |
| US5872135A (en) * | 1994-09-29 | 1999-02-16 | Merk & Co., Inc. | Inhibitors of farnesyl-protein transferase |
| US5885995A (en) * | 1996-04-03 | 1999-03-23 | Merck & Co., Inc. | Inhibitors of farnesyl-protein transferase |
| US5891889A (en) * | 1996-04-03 | 1999-04-06 | Merck & Co., Inc. | Inhibitors of farnesyl-protein transferase |
| US5905077A (en) * | 1992-12-22 | 1999-05-18 | Eli Lilly And Company | Inhibitors of HIV protease useful for the treatment of AIDS |
| US5919785A (en) * | 1996-04-03 | 1999-07-06 | Merck & Co., Inc. | Inhibitors of farnesyl-protein transferase |
| US5936089A (en) * | 1995-05-29 | 1999-08-10 | Pfizer Inc | Dipeptides which promote release of growth hormone |
| US5965578A (en) * | 1996-04-03 | 1999-10-12 | Merck & Co., Inc. | Inhibitors of farnesyl-protein transferase |
| US5985900A (en) * | 1997-04-01 | 1999-11-16 | Agouron Pharmaceuticals, Inc. | Metalloproteinase inhibitors, pharmaceutical compositions containing them and their pharmaceutical uses |
| US20030134841A1 (en) * | 1998-08-07 | 2003-07-17 | Olson Richard E. | Succinoylamino lactams as inhibitors of A-beta protein production |
| US6958329B2 (en) * | 2000-06-01 | 2005-10-25 | Bristol-Myers Squibb Pharma Company | Lactams substituted by cyclic succinates as inhibitors of A-β protein production |
Family Cites Families (55)
| Publication number | Priority date | Publication date | Assignee | Title |
|---|---|---|---|---|
| CA2026856A1 (en) | 1989-10-05 | 1991-04-06 | Mark G. Bock | 3-substituted-1,4-benzodiazepines useful as oxytocin |
| IE904560A1 (en) | 1989-12-18 | 1991-06-19 | Merck & Co Inc | New benzodiazepine analogs |
| GB9107368D0 (en) | 1991-04-08 | 1991-05-22 | Smithkline Beecham Plc | Novel compounds |
| FR2681962B1 (en) * | 1991-09-30 | 1993-12-24 | Sgs Thomson Microelectronics Sa | METHOD AND CIRCUIT FOR PROCESSING DATA BY COSINUS TRANSFORM. |
| WO1994014776A2 (en) | 1992-12-21 | 1994-07-07 | Smithkline Beecham Corporation | Bicyclic fibrinogen antagonists |
| US5545735A (en) | 1993-10-04 | 1996-08-13 | Merck & Co., Inc. | Benzo-Fused Lactams promote release of growth hormone |
| US5332359A (en) * | 1993-10-12 | 1994-07-26 | United Technologies Corporation | Stator assembly for a rotary machine having a centrifugal on impeller and volute |
| JPH11505509A (en) | 1994-12-09 | 1999-05-21 | スミスクライン・ビーチャム・コーポレイション | Bicyclic fibrinogen antagonist |
| WO1996018602A1 (en) | 1994-12-13 | 1996-06-20 | Smithkline Beecham Corporation | Bicyclic fibrinogen antagonists |
| US5639746A (en) | 1994-12-29 | 1997-06-17 | The Procter & Gamble Company | Hydroxamic acid-containing inhibitors of matrix metalloproteases |
| GB9507799D0 (en) | 1995-04-18 | 1995-05-31 | British Biotech Pharm | Metalloproteinase inhibitors |
| JPH09188631A (en) * | 1995-09-08 | 1997-07-22 | Kanebo Ltd | Fas ligand solubilization inhibitor |
| EP0848957A1 (en) * | 1995-09-08 | 1998-06-24 | Kanebo Ltd. | Fas LIGAND SOLUBILIZATION INHIBITOR |
| AU7139996A (en) | 1995-10-05 | 1997-04-28 | Chiroscience Limited | Mercaptoamide derivatives and their therapeutic use |
| US6127427A (en) | 1995-11-23 | 2000-10-03 | British Biotech Pharmaceuticals Limited | Metalloproteinase inhibitors |
| AU703203B2 (en) | 1996-01-30 | 1999-03-18 | Merck & Co., Inc. | Inhibitors of farnesyl-protein transferase |
| EP0891335A4 (en) | 1996-04-03 | 2001-08-16 | Merck & Co Inc | FARNESYL-PROTEIN TRANSFERASE INHIBITORS |
| CA2250353A1 (en) | 1996-04-03 | 1997-10-09 | Christopher J. Dinsmore | Inhibitors of farnesyl-protein transferase |
| EP0891337A1 (en) | 1996-04-03 | 1999-01-20 | Merck & Co., Inc. | Inhibitors of farnesyl-protein transferase |
| CA2251955A1 (en) | 1996-04-18 | 1997-10-23 | Nancy E. Kohl | A method of treating cancer |
| WO1997045412A1 (en) | 1996-05-30 | 1997-12-04 | Merck & Co., Inc. | A method of treating cancer |
| EP0937073A2 (en) | 1996-10-11 | 1999-08-25 | Cor Therapeutics, Inc. | Selective factor xa inhibitors |
| DE19647382A1 (en) | 1996-11-15 | 1998-05-20 | Hoechst Ag | Heterocycles as inhibitors of leukocyte adhesion and VLA-4 antagonists |
| AU729133B2 (en) | 1996-11-22 | 2001-01-25 | Elan Pharmaceuticals, Inc. | N-(aryl/heteroaryl/alkylacetyl) amino acid amides, pharmaceutical compositions comprising same, and methods for inhibiting beta-amyloid peptide release and/or its synthesis by use of such compounds |
| NZ334950A (en) | 1996-11-22 | 2001-03-30 | Lilly Co Eli | N-(aryl/heteroarylacetyl) amino acid esters and pharmaceutical compositions comprising same; useful for inhibiting beta-amyloid peptide release and/or its synthesis |
| AU5585198A (en) | 1996-11-22 | 1998-06-10 | Athena Pharmaceuticals, Inc. | N-(aryl/heteroaryl) amino acid esters, pharmaceutical compositions, and ethods for inhibiting beta-amyloid peptide release and/or its synthesis |
| ID22275A (en) | 1996-11-22 | 1999-09-23 | Elan Pharm Inc | PHARMACEUTICAL COMPOSITION CONSIST OF AMINO N-ACID (ARIL OR HETEROARIL) DERIVATES AND METHODS TO RESPOND TO B-AMILOID RELEASE PEPTIDES AND OR SYNTHESIS USING SUCH COMPOUNDS. |
| TW523506B (en) | 1996-12-18 | 2003-03-11 | Ono Pharmaceutical Co | Sulfonamide or carbamide derivatives and drugs containing the same as active ingredients |
| DE69739236D1 (en) * | 1996-12-23 | 2009-03-12 | Lilly Co Eli | CYCLOALKYL, LACTAM, LACTON AND RELATED COMPOUNDS AS AN INHIBITORS OF THE BETA AMYLOID PEPTIDE EXTRACTION |
| EP1003374A4 (en) | 1996-12-30 | 2000-05-31 | Merck & Co Inc | FARNESYL-PROTEIN TRANSFERASE INHIBITORS |
| JP2002241368A (en) * | 1997-02-18 | 2002-08-28 | Shionogi & Co Ltd | New benzolactam derivative and pharmaceutical composition containing the same |
| CN1100777C (en) | 1997-02-19 | 2003-02-05 | 伯莱克斯实验室公司 | N-heterocyclic derivatives as NOS inhibitor |
| WO1998041510A1 (en) | 1997-03-14 | 1998-09-24 | Shionogi & Co., Ltd. | Novel benzolactam derivatives and medicinal compositions comprising the same |
| JP2001524079A (en) | 1997-04-07 | 2001-11-27 | メルク エンド カンパニー インコーポレーテッド | How to treat cancer |
| DE19717472A1 (en) | 1997-04-25 | 1998-10-29 | Suban Ag | Method and device for profile bending with modular bending stations |
| US6060038A (en) | 1997-05-15 | 2000-05-09 | Merck & Co., Inc. | Radiolabeled farnesyl-protein transferase inhibitors |
| DE19726427A1 (en) | 1997-06-23 | 1998-12-24 | Boehringer Mannheim Gmbh | Pyrimidine-2,4,6-trione derivatives, processes for their preparation and medicaments containing these compounds |
| GB9715030D0 (en) | 1997-07-18 | 1997-09-24 | British Biotech Pharm | Metalloproteinase inhibitors |
| NZ502803A (en) | 1997-08-11 | 2001-11-30 | Cor Therapeutics Inc | Selective factor Xa inhibitors for treating diseases such as angina, myocardial infarction, transient ischemic attacks or diseases associated with undesired thrombosis |
| EP0994894A1 (en) | 1997-08-11 | 2000-04-26 | Cor Therapeutics, Inc. | SELECTIVE FACTOR Xa INHIBITORS |
| JP2001519387A (en) | 1997-09-29 | 2001-10-23 | ブリストル−マイヤーズ スクイブ カンパニー | Inhibitors of farnesyl protein transferase |
| US6297239B1 (en) | 1997-10-08 | 2001-10-02 | Merck & Co., Inc. | Inhibitors of prenyl-protein transferase |
| US6440965B1 (en) | 1997-10-15 | 2002-08-27 | Krenitsky Pharmaceuticals, Inc. | Substituted pyrimidine derivatives, their preparation and their use in the treatment of neurodegenerative or neurological disorders of the central nervous system |
| CA2307221A1 (en) | 1997-12-22 | 1999-07-01 | Elan Pharmaceuticals, Inc. | Polycyclic .alpha.-amino-e-caprolactams and related compounds |
| JP3335998B2 (en) | 1998-02-20 | 2002-10-21 | ディープ ヴィデオ イメージング リミテッド | Multi-layer display device |
| EP1089981A1 (en) | 1998-06-22 | 2001-04-11 | Elan Pharmaceuticals, Inc. | Compounds for inhibiting beta-amyloid peptide release and/or its synthesis. |
| AU4710499A (en) | 1998-06-22 | 2000-01-10 | Elan Pharmaceuticals, Inc. | Cyclic amino acid compounds, pharmaceutical compositions comprising same, and methods for inhibiting beta-amyloid peptide release and/or its synthesis by use ofsuch compounds |
| AU4707999A (en) | 1998-06-22 | 2000-01-10 | Elan Pharmaceuticals, Inc. | Compounds for inhibiting beta-amyloid peptide release and/or its synthesis |
| AU4710199A (en) | 1998-06-22 | 2000-01-10 | Elan Pharmaceuticals, Inc. | Compounds for inhibiting beta-amyloid peptide release and/or its synthesis |
| AU1915399A (en) | 1998-07-10 | 2000-02-01 | Cytel Corporation | Cs-1 peptidomimetics, compositions and methods of using the same |
| HRP990246A2 (en) * | 1998-08-07 | 2000-06-30 | Du Pont Pharm Co | Succinoylamino benzodiazepines as inhibitors of a beta protein production |
| DE69926254D1 (en) * | 1998-11-12 | 2005-08-25 | Bristol Myers Squibb Pharma Co | USE OF RADIOLIGANDS FOR SCREENING INHIBITORS OF THE PREPARATION OF BETA-AMYLOID PEPTIDES |
| IL142816A0 (en) | 1998-12-24 | 2002-03-10 | Du Pont Pharm Co | SUCCINOYLAMINO BENZODIAZEPINES AS INHIBITORS OF Aβ PROTEIN PRODUCTION |
| US6525044B2 (en) | 2000-02-17 | 2003-02-25 | Bristol-Myers Squibb Company | Succinoylamino carbocycles and heterocycles as inhibitors of a-β protein production |
| CA2674915C (en) | 2006-10-17 | 2015-06-30 | Penick Corporation | Process for preparing oxymorphone |
-
1999
- 1999-12-23 IL IL14281699A patent/IL142816A0/en unknown
- 1999-12-23 BR BR9917082-5A patent/BR9917082A/en not_active IP Right Cessation
- 1999-12-23 WO PCT/US1999/030815 patent/WO2000038618A2/en not_active Ceased
- 1999-12-23 EP EP99964322A patent/EP1313426A2/en not_active Withdrawn
- 1999-12-23 CN CNA998147729A patent/CN1636011A/en active Pending
- 1999-12-23 AU AU20592/00A patent/AU778005B2/en not_active Ceased
- 1999-12-23 JP JP2000590572A patent/JP4615727B2/en not_active Expired - Lifetime
- 1999-12-23 CA CA002347671A patent/CA2347671A1/en not_active Abandoned
-
2000
- 2000-02-17 US US09/505,788 patent/US7053084B1/en not_active Expired - Lifetime
-
2001
- 2001-06-15 NO NO20012984A patent/NO20012984D0/en not_active Application Discontinuation
-
2005
- 2005-09-19 US US11/230,203 patent/US7304049B2/en not_active Expired - Lifetime
-
2006
- 2006-01-13 US US11/331,791 patent/US7456172B2/en not_active Expired - Fee Related
-
2008
- 2008-03-10 US US12/045,126 patent/US20080171735A1/en not_active Abandoned
- 2008-04-02 US US12/061,227 patent/US7718795B2/en not_active Expired - Fee Related
- 2008-10-20 US US12/254,431 patent/US20090069293A1/en not_active Abandoned
Patent Citations (35)
| Publication number | Priority date | Publication date | Assignee | Title |
|---|---|---|---|---|
| US3651023A (en) * | 1968-07-02 | 1972-03-21 | Stamicarbon | Preparation of polyamides with special properties |
| US4929614A (en) * | 1988-04-25 | 1990-05-29 | Jouveinal S.A. | Benzodiazepines, process and intermediates for the preparation thereof and their application in therapy |
| US5550126A (en) * | 1989-08-04 | 1996-08-27 | Merck Sharp And Dohme Limited | Central cholecystokinin antagonists having pharmaceutical activity |
| US5618812A (en) * | 1992-07-29 | 1997-04-08 | Merck Sharp & Dohme, Ltd. | Benzodiazepine derivatives |
| US5283241A (en) * | 1992-08-28 | 1994-02-01 | Merck & Co., Inc. | Benzo-fused lactams promote release of growth hormone |
| US5672596A (en) * | 1992-08-28 | 1997-09-30 | Merck & Co., Inc. | Benzo-fused lactams promote release of growth hormone |
| US5905077A (en) * | 1992-12-22 | 1999-05-18 | Eli Lilly And Company | Inhibitors of HIV protease useful for the treatment of AIDS |
| US5532359A (en) * | 1993-05-14 | 1996-07-02 | Genentech, Inc. | Ras farnesyl transferase inhibitors |
| US5602145A (en) * | 1993-06-09 | 1997-02-11 | Smithkline Beecham Corporation | Bicyclic fibrinogen antagonists |
| US5602156A (en) * | 1993-09-17 | 1997-02-11 | The United States Of America As Represented By The Department Of Health And Human Services | Method for inhibiting metalloproteinase expression |
| US5595990A (en) * | 1993-11-22 | 1997-01-21 | Merck & Co., Inc. | Antiarrhythmic benzodiazepines |
| US5770573A (en) * | 1993-12-06 | 1998-06-23 | Cytel Corporation | CS-1 peptidomimetics, compositions and methods of using the same |
| US5763437A (en) * | 1994-07-29 | 1998-06-09 | Fujisawa Pharmaceutical Co., Ltd. | Benzodiazepine derivatives |
| US5872135A (en) * | 1994-09-29 | 1999-02-16 | Merk & Co., Inc. | Inhibitors of farnesyl-protein transferase |
| US5672598A (en) * | 1995-03-21 | 1997-09-30 | The Procter & Gamble Company | Lactam-containing hydroxamic acids |
| US5578629A (en) * | 1995-03-29 | 1996-11-26 | Merck & Co., Inc. | Benzamide-containing inhibitors of farnesyl-protein transferase |
| US5856326A (en) * | 1995-03-29 | 1999-01-05 | Merck & Co., Inc. | Inhibitors of farnesyl-protein transferase |
| US5710171A (en) * | 1995-05-24 | 1998-01-20 | Merck & Co., Inc. | Bisphenyl inhibitors of farnesyl-protein transferase |
| US5936089A (en) * | 1995-05-29 | 1999-08-10 | Pfizer Inc | Dipeptides which promote release of growth hormone |
| US5756528A (en) * | 1995-06-06 | 1998-05-26 | Merck & Co., Inc. | Inhibitors of farnesyl-protein transferase |
| US5710153A (en) * | 1995-09-12 | 1998-01-20 | Ono Phramaceutical Co., Ltd. | Tetrazole compound |
| US5885995A (en) * | 1996-04-03 | 1999-03-23 | Merck & Co., Inc. | Inhibitors of farnesyl-protein transferase |
| US5965578A (en) * | 1996-04-03 | 1999-10-12 | Merck & Co., Inc. | Inhibitors of farnesyl-protein transferase |
| US5859012A (en) * | 1996-04-03 | 1999-01-12 | Merck & Co., Inc. | Inhibitors of farnesyl-protein transferase |
| US5891889A (en) * | 1996-04-03 | 1999-04-06 | Merck & Co., Inc. | Inhibitors of farnesyl-protein transferase |
| US5852010A (en) * | 1996-04-03 | 1998-12-22 | Merck & Co., Inc. | Inhibitors of farnesyl-protein transferase |
| US5919785A (en) * | 1996-04-03 | 1999-07-06 | Merck & Co., Inc. | Inhibitors of farnesyl-protein transferase |
| US5998407A (en) * | 1996-04-03 | 1999-12-07 | Merck & Co., Inc. | Inhibitors of farnesyl-protein transferase |
| US5869682A (en) * | 1996-04-03 | 1999-02-09 | Merck & Co., Inc. | Inhibitors of farnesyl-protein transferase |
| US5703129A (en) * | 1996-09-30 | 1997-12-30 | Bristol-Myers Squibb Company | 5-amino-6-cyclohexyl-4-hydroxy-hexanamide derivatives as inhibitors of β-amyloid protein production |
| US5985900A (en) * | 1997-04-01 | 1999-11-16 | Agouron Pharmaceuticals, Inc. | Metalloproteinase inhibitors, pharmaceutical compositions containing them and their pharmaceutical uses |
| US20030134841A1 (en) * | 1998-08-07 | 2003-07-17 | Olson Richard E. | Succinoylamino lactams as inhibitors of A-beta protein production |
| US20050245501A1 (en) * | 1998-08-07 | 2005-11-03 | Bristol-Myers Squibb Pharma Company | Succinoylamino lactams as inhibitors of A-beta protein production |
| US6962913B2 (en) * | 1998-08-07 | 2005-11-08 | Bristol-Myers Squibb Company | Benzo-1,4-diazepin-2-ones as inhibitors of Aβ protein production |
| US6958329B2 (en) * | 2000-06-01 | 2005-10-25 | Bristol-Myers Squibb Pharma Company | Lactams substituted by cyclic succinates as inhibitors of A-β protein production |
Also Published As
| Publication number | Publication date |
|---|---|
| NO20012984L (en) | 2001-06-15 |
| EP1313426A4 (en) | 2003-05-28 |
| CA2347671A1 (en) | 2000-07-06 |
| US20060122169A1 (en) | 2006-06-08 |
| AU2059200A (en) | 2000-07-31 |
| BR9917082A (en) | 2001-11-06 |
| US7718795B2 (en) | 2010-05-18 |
| JP2003523932A (en) | 2003-08-12 |
| US20090069293A1 (en) | 2009-03-12 |
| US20060025407A1 (en) | 2006-02-02 |
| CN1636011A (en) | 2005-07-06 |
| US7053084B1 (en) | 2006-05-30 |
| JP4615727B2 (en) | 2011-01-19 |
| US7304049B2 (en) | 2007-12-04 |
| US7456172B2 (en) | 2008-11-25 |
| WO2000038618A2 (en) | 2000-07-06 |
| NO20012984D0 (en) | 2001-06-15 |
| AU778005B2 (en) | 2004-11-11 |
| US20080207602A1 (en) | 2008-08-28 |
| IL142816A0 (en) | 2002-03-10 |
| EP1313426A2 (en) | 2003-05-28 |
| WO2000038618A3 (en) | 2003-04-03 |
Similar Documents
| Publication | Publication Date | Title |
|---|---|---|
| US7718795B2 (en) | Succinoylamino benzodiazepines as inhibitors of aβ protein production | |
| US7276495B2 (en) | Substituted lactams as inhibitors of Aβ protein production | |
| US7304055B2 (en) | Succinoylamino lactams as inhibitors of Aβ protein production | |
| US6525044B2 (en) | Succinoylamino carbocycles and heterocycles as inhibitors of a-β protein production | |
| US7423033B2 (en) | Hydroxyalkanoylaminolactams and related structures as inhibitors of aβ protein production | |
| US20080103128A1 (en) | Lactams substituted by cyclic succinates as inhibitors of abetta protein production | |
| AU7479700A (en) | Hydroxyalkanoyl aminolactams and related structures as inhibitors of a beta protein production | |
| US6503902B2 (en) | Hydroxyalkanoylaminolactams and related structures as inhibitors of a β protein production | |
| US6794381B1 (en) | Succinoylamino lactams as inhibitors of aβ protein | |
| US20100009966A1 (en) | Substituted lactams as inhibitors of abeta protein production | |
| MXPA01006397A (en) | SUCCINOYLAMINO BENZODIAZEPINES AS INHIBITORS OF A&bgr;PROTEIN PRODUCTION |
Legal Events
| Date | Code | Title | Description |
|---|---|---|---|
| STCB | Information on status: application discontinuation |
Free format text: ABANDONED -- FAILURE TO RESPOND TO AN OFFICE ACTION |





























































































































































































































