US20070297989A1 - Novel anti-inflammatory androstane derivatives - Google Patents
Novel anti-inflammatory androstane derivatives Download PDFInfo
- Publication number
- US20070297989A1 US20070297989A1 US11/851,125 US85112507A US2007297989A1 US 20070297989 A1 US20070297989 A1 US 20070297989A1 US 85112507 A US85112507 A US 85112507A US 2007297989 A1 US2007297989 A1 US 2007297989A1
- Authority
- US
- United States
- Prior art keywords
- methyl
- oxo
- compound
- oxy
- hydroxy
- Prior art date
- Legal status (The legal status is an assumption and is not a legal conclusion. Google has not performed a legal analysis and makes no representation as to the accuracy of the status listed.)
- Abandoned
Links
- 0 [1*]SC(=O)[C@@]1(OC([2*])=O)C([3*])CC2C3C[C@H]([5*])C4=CC(=O)cc[C@]4(C)C3([4*])[C@@H](O)C[C@@]21C Chemical compound [1*]SC(=O)[C@@]1(OC([2*])=O)C([3*])CC2C3C[C@H]([5*])C4=CC(=O)cc[C@]4(C)C3([4*])[C@@H](O)C[C@@]21C 0.000 description 7
- KFZMGEQAYNKOFK-UHFFFAOYSA-N CC(C)O Chemical compound CC(C)O KFZMGEQAYNKOFK-UHFFFAOYSA-N 0.000 description 1
- CVSQHVBHCJNUBD-XXRYJQDHSA-M C[C@@H]1CC2C3C[C@H](F)C4=CC(=O)C=C[C@]4(C)[C@@]3(F)[C@@H](O)C[C@]2(C)[C@@]1(O)C(=O)CO.C[C@@H]1CC2C3C[C@H](F)C4=CC(=O)C=C[C@]4(C)[C@@]3(F)[C@@H](O)C[C@]2(C)[C@@]1(O)C(=O)O.C[C@@H]1CC2C3C[C@H](F)C4=CC(=O)C=C[C@]4(C)[C@@]3(F)[C@@H](O)C[C@]2(C)[C@@]1(O)C(=O)S.I[IH]I.[V].[V]I Chemical compound C[C@@H]1CC2C3C[C@H](F)C4=CC(=O)C=C[C@]4(C)[C@@]3(F)[C@@H](O)C[C@]2(C)[C@@]1(O)C(=O)CO.C[C@@H]1CC2C3C[C@H](F)C4=CC(=O)C=C[C@]4(C)[C@@]3(F)[C@@H](O)C[C@]2(C)[C@@]1(O)C(=O)O.C[C@@H]1CC2C3C[C@H](F)C4=CC(=O)C=C[C@]4(C)[C@@]3(F)[C@@H](O)C[C@]2(C)[C@@]1(O)C(=O)S.I[IH]I.[V].[V]I CVSQHVBHCJNUBD-XXRYJQDHSA-M 0.000 description 1
Classifications
-
- C—CHEMISTRY; METALLURGY
- C07—ORGANIC CHEMISTRY
- C07J—STEROIDS
- C07J31/00—Normal steroids containing one or more sulfur atoms not belonging to a hetero ring
- C07J31/006—Normal steroids containing one or more sulfur atoms not belonging to a hetero ring not covered by C07J31/003
-
- C—CHEMISTRY; METALLURGY
- C07—ORGANIC CHEMISTRY
- C07J—STEROIDS
- C07J31/00—Normal steroids containing one or more sulfur atoms not belonging to a hetero ring
-
- A—HUMAN NECESSITIES
- A61—MEDICAL OR VETERINARY SCIENCE; HYGIENE
- A61P—SPECIFIC THERAPEUTIC ACTIVITY OF CHEMICAL COMPOUNDS OR MEDICINAL PREPARATIONS
- A61P1/00—Drugs for disorders of the alimentary tract or the digestive system
- A61P1/04—Drugs for disorders of the alimentary tract or the digestive system for ulcers, gastritis or reflux esophagitis, e.g. antacids, inhibitors of acid secretion, mucosal protectants
-
- A—HUMAN NECESSITIES
- A61—MEDICAL OR VETERINARY SCIENCE; HYGIENE
- A61P—SPECIFIC THERAPEUTIC ACTIVITY OF CHEMICAL COMPOUNDS OR MEDICINAL PREPARATIONS
- A61P11/00—Drugs for disorders of the respiratory system
-
- A—HUMAN NECESSITIES
- A61—MEDICAL OR VETERINARY SCIENCE; HYGIENE
- A61P—SPECIFIC THERAPEUTIC ACTIVITY OF CHEMICAL COMPOUNDS OR MEDICINAL PREPARATIONS
- A61P11/00—Drugs for disorders of the respiratory system
- A61P11/02—Nasal agents, e.g. decongestants
-
- A—HUMAN NECESSITIES
- A61—MEDICAL OR VETERINARY SCIENCE; HYGIENE
- A61P—SPECIFIC THERAPEUTIC ACTIVITY OF CHEMICAL COMPOUNDS OR MEDICINAL PREPARATIONS
- A61P11/00—Drugs for disorders of the respiratory system
- A61P11/06—Antiasthmatics
-
- A—HUMAN NECESSITIES
- A61—MEDICAL OR VETERINARY SCIENCE; HYGIENE
- A61P—SPECIFIC THERAPEUTIC ACTIVITY OF CHEMICAL COMPOUNDS OR MEDICINAL PREPARATIONS
- A61P17/00—Drugs for dermatological disorders
-
- A—HUMAN NECESSITIES
- A61—MEDICAL OR VETERINARY SCIENCE; HYGIENE
- A61P—SPECIFIC THERAPEUTIC ACTIVITY OF CHEMICAL COMPOUNDS OR MEDICINAL PREPARATIONS
- A61P17/00—Drugs for dermatological disorders
- A61P17/04—Antipruritics
-
- A—HUMAN NECESSITIES
- A61—MEDICAL OR VETERINARY SCIENCE; HYGIENE
- A61P—SPECIFIC THERAPEUTIC ACTIVITY OF CHEMICAL COMPOUNDS OR MEDICINAL PREPARATIONS
- A61P17/00—Drugs for dermatological disorders
- A61P17/06—Antipsoriatics
-
- A—HUMAN NECESSITIES
- A61—MEDICAL OR VETERINARY SCIENCE; HYGIENE
- A61P—SPECIFIC THERAPEUTIC ACTIVITY OF CHEMICAL COMPOUNDS OR MEDICINAL PREPARATIONS
- A61P19/00—Drugs for skeletal disorders
- A61P19/02—Drugs for skeletal disorders for joint disorders, e.g. arthritis, arthrosis
-
- A—HUMAN NECESSITIES
- A61—MEDICAL OR VETERINARY SCIENCE; HYGIENE
- A61P—SPECIFIC THERAPEUTIC ACTIVITY OF CHEMICAL COMPOUNDS OR MEDICINAL PREPARATIONS
- A61P27/00—Drugs for disorders of the senses
- A61P27/02—Ophthalmic agents
- A61P27/14—Decongestants or antiallergics
-
- A—HUMAN NECESSITIES
- A61—MEDICAL OR VETERINARY SCIENCE; HYGIENE
- A61P—SPECIFIC THERAPEUTIC ACTIVITY OF CHEMICAL COMPOUNDS OR MEDICINAL PREPARATIONS
- A61P27/00—Drugs for disorders of the senses
- A61P27/16—Otologicals
-
- A—HUMAN NECESSITIES
- A61—MEDICAL OR VETERINARY SCIENCE; HYGIENE
- A61P—SPECIFIC THERAPEUTIC ACTIVITY OF CHEMICAL COMPOUNDS OR MEDICINAL PREPARATIONS
- A61P29/00—Non-central analgesic, antipyretic or antiinflammatory agents, e.g. antirheumatic agents; Non-steroidal antiinflammatory drugs [NSAID]
-
- A—HUMAN NECESSITIES
- A61—MEDICAL OR VETERINARY SCIENCE; HYGIENE
- A61P—SPECIFIC THERAPEUTIC ACTIVITY OF CHEMICAL COMPOUNDS OR MEDICINAL PREPARATIONS
- A61P37/00—Drugs for immunological or allergic disorders
- A61P37/08—Antiallergic agents
-
- A—HUMAN NECESSITIES
- A61—MEDICAL OR VETERINARY SCIENCE; HYGIENE
- A61P—SPECIFIC THERAPEUTIC ACTIVITY OF CHEMICAL COMPOUNDS OR MEDICINAL PREPARATIONS
- A61P43/00—Drugs for specific purposes, not provided for in groups A61P1/00-A61P41/00
-
- A—HUMAN NECESSITIES
- A61—MEDICAL OR VETERINARY SCIENCE; HYGIENE
- A61P—SPECIFIC THERAPEUTIC ACTIVITY OF CHEMICAL COMPOUNDS OR MEDICINAL PREPARATIONS
- A61P5/00—Drugs for disorders of the endocrine system
-
- A—HUMAN NECESSITIES
- A61—MEDICAL OR VETERINARY SCIENCE; HYGIENE
- A61P—SPECIFIC THERAPEUTIC ACTIVITY OF CHEMICAL COMPOUNDS OR MEDICINAL PREPARATIONS
- A61P5/00—Drugs for disorders of the endocrine system
- A61P5/38—Drugs for disorders of the endocrine system of the suprarenal hormones
- A61P5/44—Glucocorticosteroids; Drugs increasing or potentiating the activity of glucocorticosteroids
Definitions
- the present invention relates to novel anti-inflammatory and anti-allergic compounds of the androstane series and to processes for their preparation.
- the present invention also relates to pharmaceutical formulations containing the compounds and to therapeutic uses thereof, particularly for the treatment of inflammatory and allergic conditions.
- Glucocorticoids which have anti-inflammatory properties are known and are widely used for the treatment of inflammatory disorders or diseases such as asthma and rhinitis.
- U.S. Pat. No. 4,335,121 discloses 6 ⁇ , 9 ⁇ -Difluoro-17 ⁇ (1-oxopropoxy)-11 ⁇ -hydroxy-16 ⁇ -methyl-3-oxo-androsta-1,4-diene-17 ⁇ -carbothioic acid S-fluoromethyl ester (known by the generic name of fluticasone propionate) and derivatives thereof.
- fluticasone propionate known by the generic name of fluticasone propionate
- glucocorticoids include suppression of the Hypothalamic-Pituitary-Adrenal (HPA) axis, effects on bone growth in children and on bone density in the elderly, ocular complications (cataract formation and glaucoma) and skin atrophy.
- HPA Hypothalamic-Pituitary-Adrenal
- Certain glucocorticoid compounds also have complex paths of metabolism wherein the production of active metabolites may make the pharmacodynamics and pharmacokinetics of such compounds difficult to understand. Whilst the modern steroids are very much safer than those originally introduced it remains an object of research to produce new molecules which have excellent anti-inflammatory properties, with predictable pharmacokinetic and pharmacodynamic properties, with an attractive side effect profile, and with a convenient treatment regime.
- solvates include hydrates.
- references hereinafter to a compound according to the invention includes both compounds of formula (I) and solvates thereof.
- the invention includes within its scope all stereoisomers (including enantiomers and diastereoisomers) of the compounds of formula (I) and mixtures thereof.
- the absolute stereochemistry will be as shown in the representation of compounds of formula (I).
- C 1-6 haloalkyl examples include C 1-6 alkyl substituted by 1-3 halogen atoms, preferably 1 halogen atom.
- Preferred halogen atoms are selected from bromine, chlorine and fluorine.
- C 3-8 cycloalkyl groups that R 2 may represent include cyclopropyl, cyclobutyl, cyclopentyl and cyclohexyl and substituted derivatives such as methylcyclopropyl (eg 1-methylcyclopropyl or 2-methylcyclopropyl), dichlorocyclopropyl (eg 2,2-dichloropropyl), methyldichlorocyclopropyl (eg 1-methyl-2,2-dichlorocyclopropyl), exomethylenecyclobutyl (eg 3-exomethylenecyclobutyl), tetramethylcyclopropyl (eg 2,2,3,3-tetramethylcyclopropyl) and methycyclobutyl (eg 1-methylcyclobutyl).
- methylcyclopropyl eg 1-methylcyclopropyl or 2-methylcyclopropyl
- dichlorocyclopropyl eg 2,2-dichloropropyl
- dimethylcyclobutyl eg 3,3-dimethylcyclobutyl
- difluorocyclobutyl eg 3,3-difluorocyclobutyl
- methylcyclopentyl eg 1-methylcyclopentyl
- oxocyclobutyl eg 3-oxo-cyclobutyl
- Examples of C 3-8 cycloalkenyl groups that R 2 may represent include alkenyl groups containing 1 or more double bonds (not being aromatic groups) such as cyclohexenyl eg cyclohex-2,3-enyl.
- R 1 to represent fluoromethyl, chloromethyl, bromomethyl or 2′-fluoroethyl, especially fluoromethyl.
- R 2 represents C 3-8 cycloalkyl or C 3-8 cycloalkenyl either of which may optionally be substituted by one or more groups selected from methyl, methylene and halogen.
- R 2 represents C 3-8 cycloalkyl or C 3-8 cycloalkenyl either of which may be substituted by oxo eg 3-oxocyclobutyl.
- R 2 to represent C 3-8 cycloalkyl optionally substituted by one or more methyl and/or halogen groups.
- R 2 to represent C 3-6 cycloalkyl, more preferably C 3-4 cycloalkyl, optionally substituted by one or more methyl or chlorine groups.
- R 2 represents C 3-6 cycloalkyl substituted by methylene.
- R 2 is unsubstituted or substituted by at most one methyl or chlorine group. More preferably, R 2 is substituted by one methyl group, especially in the 1-position, eg 1-methyl cyclopropyl or 1-methyl-cyclobutyl.
- R 2 is substituted by more than one methyl group, eg 2,2,3,3-tetramethylcyclopropyl.
- R 3 represents methyl, especially methyl in the ⁇ configuration.
- R 4 and R 5 which can be the same or different, each represents hydrogen, fluorine or chlorine, particularly hydrogen or fluorine, are preferred. Especially preferred are compounds in which both R 4 and R 5 are fluorine.
- Preferred compounds of formula (I) include:
- One particularly preferred compound is the following:
- Another particularly preferred compound is the following:
- Another particularly preferred compound is the following:
- the compounds of formula (I) have potentially beneficial anti-inflammatory or anti-allergic effects, particularly upon topical administration, demonstrated by, for example, their ability to bind to the glucocorticoid receptor and to illicit a response via that receptor with long lasting effect.
- the compounds of formula (I) are useful in the treatment of inflammatory and/or allergic disorders, especially in once-per-day therapy.
- Examples of disease states in which the compounds of the invention have utility include skin diseases such as eczema, psoriasis, allergic dermatitis neurodermatitis, pruritis and hypersensitivity reactions; inflammatory conditions of the nose, throat or lungs such as asthma (including allergen-induced asthmatic reactions), rhinitis (including hayfever), nasal polyps, chronic obstructive pulmonary disease, interstitial lung disease, and fibrosis; inflammatory bowel conditions such as ulcerative colitis and Crohn's disease; and auto-immune diseases such as rheumatoid arthritis.
- skin diseases such as eczema, psoriasis, allergic dermatitis neurodermatitis, pruritis and hypersensitivity reactions
- inflammatory conditions of the nose, throat or lungs such as asthma (including allergen-induced asthmatic reactions), rhinitis (including hayfever), nasal polyps, chronic obstructive pulmonary disease, interstitial lung disease, and fibros
- compounds of formula (I) are useful in human or veterinary medicine, in particular as anti-inflammatory and anti-allergic agents, especially in once-per-day therapy.
- a compound of formula (I) or physiologically acceptable solvate thereof for the manufacture of a medicament for the treatment of patients with inflammatory and/or allergic conditions, especially for therapy once-per-day.
- a method for the treatment of a human or animal subject with an inflammatory and/or allergic condition comprises administering to said human or animal subject an effective amount of a compound of formula (I) or physiologically acceptable solvate thereof, especially administration once-per-day.
- the compounds according to the invention may be formulated for administration in any convenient way, and the invention therefore also includes within its scope pharmaceutical compositions comprising a compound of formula (I) or physiologically acceptable solvate thereof together, if desirable, in admixture with one or more physiologically acceptable diluents or carriers.
- the compounds according to the invention may, for example, be formulated for oral, buccal, sublingual, parenteral, local or rectal administration, especially local administration.
- Local administration includes administration by insufflation and inhalation.
- preparation for local administration include ointments, lotions, creams, gels, foams, preparations for delivery by transdermal patches, powders, sprays, aerosols, capsules or cartridges for use in an inhaler or insufflator or drops (e.g. eye or nose drops), solutions/suspensions for nebulisation, suppositories, pessaries, retention enemas and chewable or suckable tablets or pellets (e.g. for the treatment of aphthous ulcers) or liposome or microencapsulation preparations.
- compositions for topical administration to the lung include dry powder compositions and spray compositions.
- Dry powder compositions for topical delivery to the lung may, for example, be presented in capsules and cartridges for use in an inhaler or insufflator of, for example, gelatine.
- Formulations generally contain a powder mix for inhalation of the compound of the invention and a suitable powder base such as lactose or starch. Use of lactose is preferred.
- Each capsule or cartridge may generally contain between 20 ⁇ g-10 mg of the compound of formula (I) optionally in combination with another active ingredient.
- the compound of the invention may be presented without excipients.
- Packaging of the formulation may be suitable for unit dose or multi-dose delivery.
- the formulation can be pre-metered (eg as in Diskus, see GB 2242134 or Diskhaler, see GB 2178965, 2129691 and 2169265) or metered in use (eg as in Turbuhaler, see EP 69715).
- An example of a unit-dose device is Rotahaler (see GB 2064336).
- the Diskus inhalation device comprises an elongate strip formed from a base sheet having a plurality of recesses spaced along its length and a lid sheet hermetically but peelably sealed thereto to define a plurality of containers, each container having therein an inhalable formulation containing a compound of formula (I) preferably combined with lactose.
- the strip is sufficiently flexible to be wound into a roll.
- the lid sheet and base sheet will preferably have leading end portions which are not sealed to one another and at least one of the said leading end portions is constructed to be attached to a winding means. Also, preferably the hermetic seal between the base and lid sheets extends over their whole width.
- the lid sheet may preferably be peeled from the base sheet in a longitudinal direction from a first end of the said base sheet.
- compositions which are non-pressurised and adapted to be administered as a dry powder topically to the lung via the buccal cavity (especially those which are free of excipient or are formulated with a diluent or carrier such as lactose or starch, most especially lactose) are of particular interest.
- Spray compositions may for example be formulated as aqueous solutions or suspensions or as aerosols delivered from pressurised packs, such as a metered dose inhaler, with the use of a suitable liquefied propellant.
- Aerosol compositions suitable for inhalation can be either a suspension or a solution and generally contain the compound of formula (I) and a suitable propellant such as a fluorocarbon or hydrogen-containing chlorofluorocarbon or mixtures thereof, particularly hydrofluoroalkanes, especially 1,1,1,2-tetrafluoroethane, 1,1,1,2,3,3,3-heptafluoro-n-propane or a mixture thereof.
- the aerosol composition may optionally contain additional formulation excipients well known in the art such as surfactants eg oleic acid or lecithin and cosolvents eg ethanol.
- additional formulation excipients well known in the art such as surfactants eg oleic acid or lecithin and cosolvents eg ethanol.
- One example formulation is excipient free and consists essentially of (eg consists of) compound of formula (I) (preferably in unsolvated form eg as Form 1) (optionally in combination with another therapeutically active ingredient) and a propellant selected from 1,1,1,2-tetrafluoroethane, 1,1,1,2,3,3,3-heptafluoro-n-propane and mixture thereof.
- Another example formulation comprises particulate compound of formula (I), a propellant selected from 1,1,1,2-tetrafluoroethane, 1,1,1,2,3,3,3-heptafluoro-n-propane and mixture thereof and a suspending agent which is soluble in the propellant eg an oligolactic acid or derivative thereof as described in WO94/21229.
- the preferred propellant is 1,1,1,2-tetrafluoroethane.
- compound of formula (I) does not appear to form a solvate with 1,1,1,2-tetrafluoroethane.
- Pressurised formulations will generally be retained in a canister (eg an aluminium canister) closed with a valve (eg a metering valve) and fitted into an actuator provided with a mouthpiece.
- Medicaments for administration by inhalation desirably have a controlled particle size.
- the optimum particle size for inhalation into the bronchial system is usually 1-10 ⁇ m, preferably 2-5 ⁇ m. Particles having a size above 20 ⁇ m are generally too large when inhaled to reach the small airways.
- the particles of compound of formula (I) as produced may be size reduced by conventional means eg by micronisation. The desired fraction may be separated out by air classification or sieving.
- the particles will be crystalline, prepared for example by a process which comprises mixing in a continuous flow cell in the presence of ultrasonic radiation a flowing solution of compound of formula (I) as medicament in a liquid solvent with a flowing liquid antisolvent for said medicament (eg as described in International Patent Application PCT/GB99/04368) or else by a process which comprises admitting a stream of solution of the substance in a liquid solvent and a stream of liquid antisolvent for said substance tangentially into a cylindrical mixing chamber having an axial outlet port such that said streams are thereby intimately mixed through formation of a vortex and precipitation of crystalline particles of the substance is thereby caused (eg as described in International Patent Application PCT/GB00/04327).
- the particle size of the excipient will be much greater than the inhaled medicament within the present invention.
- the excipient is lactose it will typically be present as milled lactose, wherein not more than 85% of lactose particles will have a MMD of 60-90 ⁇ m and not less than 15% will have a MMD of less than 15 ⁇ m.
- Formulations for administration topically to the nose include pressurised aerosol formulations and aqueous formulations administered to the nose by pressurised pump.
- Formulations which are non- pressurised and adapted to be administered topically to the nasal cavity are of particular interest.
- the formulation preferably contains water as the diluent or carrier for this purpose.
- Aqueous formulations for administration to the lung or nose may be provided with conventional excipients such as buffering agents, tonicity modifying agents and the like.
- Aqueous formulations may also be administered to the nose by nebulisation.
- Ointments, creams and gels may, for example, be formulated with an aqueous or oily base with the addition of suitable thickening and/or gelling agent and/or solvents.
- bases may thus, for example, include water and/or an oil such as liquid paraffin or a vegetable oil such as arachis oil or castor oil, or a solvent such as polyethylene glycol.
- Thickening agents and gelling agents which may be used according to the nature of the base include soft paraffin, aluminium stearate, cetostearyl alcohol, polyethylene glycols, woolfat, beeswax, carboxypolymethylene and cellulose derivatives, and/or glyceryl monostearate and/or non-ionic emulsifying agents.
- Lotions may be formulated with an aqueous or oily base and will in general also contain one or more emulsifying agents, stabilising agents, dispersing agents, suspending agents or thickening agents.
- Powders for external application may be formed with the aid of any suitable powder base, for example, talc, lactose or starch.
- Drops may be formulated with an aqueous or non-aqueous base also comprising one or more dispersing agents, solubilising agents, suspending agents or preservatives.
- formulations of the invention may be buffered by the addition of suitable buffering agents.
- the proportion of the active compound of formula (I) in the local compositions according to the invention depends on the precise type of formulation to be prepared but will generally be within the range of from 0.001 to 10% by weight. Generally, however for most types of preparations advantageously the proportion used will be within the range of from 0.005 to 1% and preferably 0.01 to 0.5%. However, in powders for inhalation or insufflation the proportion used will be within the range of from 0.1 to 5%.
- Aerosol formulations are preferably arranged so that each metered dose or “puff” of aerosol contains 20 ⁇ g-2000 ⁇ g, preferably about 20 ⁇ g-500 ⁇ g of a compound of formula (I). Administration may be once daily or several times daily, for example 2, 3, 4 or 8 times, giving for example 1, 2 or 3 doses each time.
- the overall daily dose with an aerosol will be within the range 100 ⁇ g-10 mg preferably, 200 ⁇ g-2000 ⁇ g.
- the overall daily dose and the metered dose delivered by capsules and cartridges in an inhaler or insufflator will generally be double those with aerosol formulations.
- Topical preparations may be administered by one or more applications per day to the affected area; over skin areas occlusive dressings may advantageously be used. Continuous or prolonged delivery may be achieved by an adhesive reservoir system.
- the compounds according to the invention may, for example, be formulated in conventional manner for oral, parenteral or rectal administration.
- Formulations for oral administration include syrups, elixirs, powders, granules, tablets and capsules which typically contain conventional excipients such as binding agents, fillers, lubricants, disintegrants, wetting agents, suspending agents, emulsifying agents, preservatives, buffer salts, flavouring, colouring and/or sweetening agents as appropriate.
- Dosage unit forms are, however, preferred as described below.
- dosage unit forms i.e. tablets and capsules.
- Such dosage unit forms contain from 0.1 mg to 20 mg preferably from 2.5 to 10 mg of the compounds of the invention.
- the compounds according to the invention may in general may be given by internal administration in cases where systemic adreno-cortical therapy is indicated.
- preparations for internal administration may contain from 0.05 to 10% of the active ingredient dependent upon the type of preparation involved.
- the daily dose may vary from 0.1 mg to 60 mg, e.g. 5-30 mg, dependent on the condition being treated, and the duration of treatment desired.
- Slow release or enteric coated formulations may be advantageous, particularly for the treatment of inflammatory bowel disorders.
- compositions according to the invention may also be used in combination with another therapeutically active agent, for example, a ⁇ 2 adrenoreceptor agonist, an anti-histamine or an anti-allergic.
- another therapeutically active agent for example, a ⁇ 2 adrenoreceptor agonist, an anti-histamine or an anti-allergic.
- the invention thus provides, in a further aspect, a combination comprising a compound of formula (I) or a physiologically acceptable solvate thereof together with another therapeutically active agent, for example, a ⁇ 2 -adrenoreceptor agonist, an anti-histamine, an anti-allergic or an anti-cholinergic.
- ⁇ 2 -adrenoreceptor agonists examples include salmeterol (eg as xinafoate), salbutamol (eg as sulphate), formoterol (eg as fumarate), fenoterol or terbutaline (eg as sulphate). Long-acting ⁇ 2 -adrenoreceptor agonists are preferred, especially those having a therapeutic effect over a 24 hour period.
- Especially preferred long-acting ⁇ 2 -adrenoreceptor agonists are compounds of formula (X) or a salt or solvate thereof, wherein:
- the group R 11 is preferably attached to the meta -position relative to the —O—(CH 2 ) n -link.
- More especially preferred compounds of formula (X) are compounds of formula (Xa) or a salt or solvate thereof, wherein
- the group R 11 is preferably attached to the meta -position relative to the —O—(CH 2 ) n -, —O—(CH 2 ) 4 - or —O—(CH 2 ) 3 -link respectively.
- R 11 is preferably —SO 2 NR 16 R 17 wherein R 16 and R 17 are independently selected from hydrogen and C 1-6 alkyl, more preferably R 11 is —SO 2 NH 2 .
- R 11 where ‘R 16 and R 17 together with the nitrogen atom to which they are bonded, form a 5-, 6-, or 7-membered nitrogen containing ring’
- the term “5-, 6-, or 7-membered nitrogen containing ring” means a 5-, 6-, or 7-membered saturated or unsaturated ring which includes the sulfonamide nitrogen atom and optionally 1 or 2 other heteroatoms independently selected from nitrogen, sulphur, and oxygen.
- Suitable examples of such a ring include piperidinyl, morpholinyl, and piperazinyl.
- the term “5-, 6-, or 7-membered heterocyclic ring” means a 5-, 6-, or 7-membered fully or partially saturated or unsaturated ring which includes 1, 2, 3 or 4 heteroatoms independently selected from nitrogen, sulphur, and oxygen.
- Suitable examples of such a ring include pyrrolyl, furyl, thienyl, pyridinyl, pyrazinyl, pyridazinyl, imidazolyl, tetrazolyl, tetrahydrofuranyl, oxazolyl, thiazolyl, thiadiazolyl, piperidinyl, morpholinyl, and piperazinyl.
- alkenylene includes both cis and trans structures. Suitable examples of alkenylene groups include —CH ⁇ CH—.
- the compounds of formulae (X), (Xa) and (Xb) include an asymmetric centre, namely the carbon atom of the group.
- the present invention includes both (S) and (R) enantiomers either in substantially pure form or admixed in any proportions.
- R 14 and R 15 are different groups
- the carbon atom to which they are attached is an asymmetric centre and the present invention includes both (S) and (R) enantiomers at this centre either in substantially pure form or admixed in any proportions.
- the most preferred compound of formula (X) is 3-(4- ⁇ [6-( ⁇ (2R)-2-Hydroxy-2-[4-hydroxy-3-(hydroxymethyl)phenyl]ethyl ⁇ amino)-hexyl]oxy ⁇ butyl)benzenesulfonamide or a salt or solvate thereof.
- Salts and solvates of compounds of formulae (X), (Xa) and (Xb) which are suitable for use in medicine are those wherein the counterion or associated solvent is pharmaceutically acceptable.
- salts and solvates having non-pharmaceutically acceptable counterions or associated solvents are within the scope of the present invention, for example, for use as intermediates in the preparation of other compounds of formulae (X), (Xa) and (Xb) and their pharmaceutically acceptable salts and solvates.
- Suitable salts according to the invention include those formed with both organic and inorganic acids or bases.
- Pharmaceutically acceptable acid addition salts include those formed from hydrochloric, hydrobromic, sulphuric, citric, tartaric, phosphoric, lactic, pyruvic, acetic, trifluoroacetic, triphenylacetic, sulphamic, sulphanilic, succinic, oxalic, fumaric, maleic, malic, glutamic, aspartic, oxaloacetic, methanesulphonic, ethanesulphonic, arylsulphonic (for example p-toluenesulphonic, benzenesulphonic, naphthalenesulphonic or naphthalenedisulphonic), salicylic, glutaric, gluconic, tricarballylic, cinnamic, substituted cinnamic (for example, phenyl, methyl, methoxy or halo substituted c
- Pharmaceutically acceptable base salts include ammonium salts, alkali metal salts such as those of sodium and potassium, alkaline earth metal salts such as those of calcium and magnesium and salts with organic bases such as dicyclohexyl amine and N-methyl-D-glucamine.
- the composition comprising the compound of formula (I) and the long-acting ⁇ 2 -adrenoreceptor agonists will be delivered once-per-day and the dose of each will be selected so that the composition has a therapeutic effect in the treatment of respiratory disorders effect (eg in the treatment of asthma or COPD, particularly asthma) over 24 hours or more.
- respiratory disorders effect eg in the treatment of asthma or COPD, particularly asthma
- anti-histamines examples include methapyrilene or loratadine.
- anti-allergics include cromoglycate (eg as sodium), ketotifen and nedocromil (as as sodium).
- anti-cholinergics include ipratropium (eg as bromide), tiotropium, atropine or oxitropium. Any of the aforementioned substances may be employed in the form of alternative salts or solvates thereof.
- NSAIDs eg. PDE4 inhibitors, leukotriene antagonists, iNOS inhibitors, tryptase and elastase inhibitors, beta-2 integrin antagonists and adenosine 2a agonists
- antiinfective agents eg. antibiotics, antivirals
- the PDE4-specific inhibitor useful in this aspect of the invention may be any compound that is known to inhibit the PDE4 enzyme or which is discovered to act as a PDE4 inhibitor, and which are only PDE4 inhibitors, not compounds which inhibit other members of the PDE family as well as PDE4.
- a PDE4 inhibitor which has an IC 50 ratio of about 0.1 or greater as regards the IC 50 for the PDE4 catalytic form which binds rolipram with a high affinity divided by the IC 50 for the form which binds rolipram with a low affinity.
- the cAMP catalytic site which binds R and S rolipram with a low affinity is denominated the “low affinity” binding site (LPDE 4) and the other form of this catalytic site which binds rolipram with a high affinity is denominated the “high affinity” binding site (HPDE 4).
- LPDE4 low affinity binding site
- HPDE 4 high affinity binding site
- the preferred PDE4 inhibitors of use in this invention will be those compounds which have a salutary therapeutic ratio, i.e., compounds which preferentially inhibit cAMP catalytic activity where the enzyme is in the form that binds rolipram with a low affinity, thereby reducing the side effects which apparently are linked to inhibiting the form which binds rolipram with a high affinity.
- the preferred compounds will have an IC 50 ratio of about 0.1 or greater as regards the IC 50 for the PDE4 catalytic form which binds rolipram with a high affinity divided by the IC 50 for the form which binds rolipram with a low affinity.
- a further refinement of this standard is that of one wherein the PDE4 inhibitor has an IC 50 ratio of about 0.1 or greater; said ratio is the ratio of the IC 50 value for competing with the binding of 1 nM of [ 3 H]R-rolipram to a form of PDE4 which binds rolipram with a high affinity over the IC 50 value for inhibiting the PDE4 catalytic activity of a form which binds rolipram with a low affinity using 1 ⁇ M[ 3 H]-cAMP as the substrate.
- PDE4 inhibitors which have an IC 50 ratio of greater than 0.5, and particularly those compounds having a ratio of greater than 1.0.
- Preferred compounds are cis 4-cyano-4-(3-cyclopentyloxy-4-methoxyphenyl)cyclohexan-1-carboxylic acid, 2-carbomethoxy-4-cyano-4-(3-cyclopropylmethoxy-4-difluoromethoxyphenyl)cyclohexan-1-one and cis-[4-cyano-4-(3-cyclopropylmethoxy-4-difluoromethoxyphenyl)cyclohexan-1-ol]; these are examples of compounds which bind preferentially to the low affinity binding site and which have an IC 50 ratio of 0.1 or greater.
- Isolated human monocyte PDE4 and hrPDE (human recombinant PDE4) was determined to exist primarily in the low affinity form. Hence, the activity of test compounds against the low affinity form of PDE4 can be assessed using standard assays for PDE4 catalytic activity employing 1 ⁇ M [ 3 H]cAMP as a substrate (Torphy et al., J. of Biol. Chem., Vol. 267, No. 3 pp 1798-1804, 1992).
- Rat brain high speed supernatants were used as a source of protein and both enantiomers of [ 3 H]-rolipram were prepared to a specific activity of 25.6 Ci/mmol.
- Standard assay conditions were modified from the published procedure to be identical to the PDE assay conditions, except for the last of the cAMP: 50 mM Tris HCl (pH 7.5), 5 mM MgCl 2 , 50 ⁇ M 5′-AMP and 1 nM of [ 3 H]-rolipram (Torphy et al., J. of Biol. Chem., Vol. 267, No. 3 pp 1798-1804, 1992). The assay was run for 1 hour at 30° C.
- the reaction was terminated and bound ligand was separated from free ligand using a Brandel cell harvester. Competition for the high affinity binding site was assessed under conditions that were identical to those used for measuring low affinity PDE activity, expect that [ 3 H]-cAMP was not present.
- PDE activity was assayed using a [ 3 H]cAMP SPA or [ 3 H]cGMP SPA enzyme assay as described by the supplier (Amersham Life Sciences).
- the reactions were conducted in 96-well plates at room temperature, in 0.1 ml of reaction buffer containing (final concentrations): 50 mM Tris-HCl, pH 7.5, 8.3 mM MgCl 2 , 1.7 mM EGTA, [ 3 H]cAMP or [ 3 H] cGMP (approximately 2000 dpm/pmol), enzyme and various concentrations of the inhibitors.
- the assay was allowed to proceed for 1 hr and was terminated by adding 50 ⁇ l of SPA yttrium silicate beads in the presence of zinc sulfate. The plates were shaken and allowed to stand at room temperature for 20 min. Radiolabeled product formation was assessed by scintillation spectrometry.
- the [ 3 H]R-rolipram binding assay was performed by modification of the method of Schneider and co-workers, see Nicholson, et al., Trends Pharmacol. Sci., Vol. 12, pp. 19-27 (1991) and McHale et al., Mol. Pharmacol., Vol. 39, 109-113 (1991).
- R-Rolipram binds to the catalytic site of PDE4 see Torphy et al., Mol. Pharmacol., Vol. 39, pp. 376-384 (1991). Consequently, competition for [ 3 H]R-rolipram binding provides an independent confirmation of the PDE4 inhibitor potencies of unlabeled competitors.
- the assay was performed at 30° C.
- the invention thus provides, in a further aspect, a combination comprising a compound of formula (I) or a physiologically acceptable solvate thereof together with a PDE4 inhibitor.
- compositions comprising a combination as defined above together with a pharmaceutically acceptable diluent or carrier represent a further aspect of the invention.
- the individual compounds of such combinations may be administered either sequentially or simultaneously in separate or combined pharmaceutical formulations. Appropriate doses of known therapeutic agents will be readily appreciated by those skilled in the art.
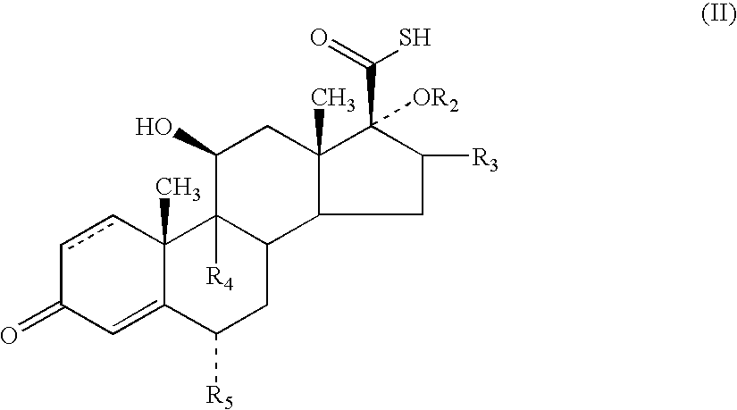
- a process according to the invention for preparing a compound of formula (I) comprises alkylation of a thioacid of formula (II) wherein R 2 R 3 R 4 R 5 and are as defined above.
- the compound of formula (II) may be reacted with, for example, an appropriate alkyl or haloalkyl halide under standard conditions.
- R 1 represents fluoromethyl
- the preferred haloalkyl halide reagent is bromofluoromethane.
- Compounds of formula (II) may be prepared from the corresponding 17 ⁇ -hydroxyl derivative of formula (III): wherein R2, R 3 , R 4 , R 5 and are as defined above, using for example, the methodology described by G. H. Phillipps et al., (1994) Journal of Medicinal Chemistry, 37, 3717-3729.
- the compound of formula (III) may be reacted with a compound of formula R 2 COOH or an activated derivative thereof eg an activated ester, anhydride or halide (eg the acid chloride).
- the reaction may be performed in the presence of an organic solvent eg triethylamine, usually together with dimethylaminopyridine (DMAP).
- DMAP dimethylaminopyridine
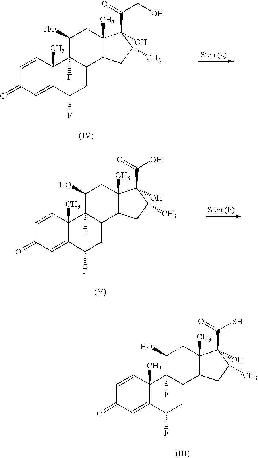
- Compounds of formula (III) may be prepared in accordance with procedures described in GB 2088877B. Compounds of formula (III) may also be prepared by a process comprising the following steps:
- Step (a) comprises oxidation of a solution containing the compound of formula (IV).
- step (a) will be performed in the presence of a solvent comprising methanol, water, tetrahydrofuran, dioxan or diethylene glygol dimethylether.
- a solvent comprising methanol, water, tetrahydrofuran, dioxan or diethylene glygol dimethylether.
- preferred solvents are methanol, water or tetrahydrofuran, and more preferably are water or tetrahydrofuran, especially water and tetrahydrofuran as solvent.
- Dioxan and diethylene glygol dimethylether are also preferred solvents which may optionally (and preferably) be employed together with water.
- the solvent will be present in an amount of between 3 and 10 vol relative to the amount of the starting material (1 wt.), more preferably between 4 and 6 vol., especially 5 vol.
- the oxidising agent is present in an amount of 1-9 molar equivalents relative to the amount of the starting material.
- the oxidising agent may be present in an amount of between 1.1 and 10 wt. relative to the amount of the starting material (1wt.), more preferably between 1.1 and 3 wt., especially 1.3 wt.
- the oxidation step will comprise the use of a chemical oxidising agent.
- the oxidising agent will be periodic acid or iodic acid or a salt thereof. Most preferably, the oxidising agent will be periodic acid or sodium periodate, especially periodic acid.
- the oxidation step may comprise any suitable oxidation reaction, eg. one which utilises air and/or oxygen. When the oxidation reaction utilises air and/or oxygen, the solvent used in said reaction will preferably be methanol.
- step (a) will involve incubating the reagents at room temperature or a little warmer, say around 25° C. eg for 2 hours.
- the compound of formula (V) may be isolated by recrystallisation from the reaction mixture by addition of an anti-solvent.
- a suitable anti-solvent for compound of formula (V) is water.
- anti-solvent eg water.
- the recrystallisation is performed using chilled water (eg water/ice mixture at a temperature of 0-5° C.) although better anti-solvent properties may be expected we have found that the crystalline product produced is very voluminous, resembles a soft gel and is very difficult to filter. Without being limited by theory we believe that this low density product contains a large amount of solvated solvent within the crystal lattice By contrast when conditions of around 10° C.
- crystallisation typically commences after around 1 hour and is typically completed within a few hours (eg 2 hours). Without being limited by theory we believe that this granular product contains little or no of solvated solvent within the crystal lattice.
- Step (b) will typically comprise the addition of a reagent suitable for converting a carboxylic acid to a carbothioic acid eg. using hydrogen sulphide gas together with a suitable coupling agent eg. carbonyldiimidazole (CDI) in the presence of a suitable solvent eg. dimethylformamide.
- a suitable coupling agent eg. carbonyldiimidazole (CDI)
- CDI carbonyldiimidazole
- Solvates of compounds of formula (I) which are not physiologically acceptable may be useful as intermediates in the preparation of compounds of formula (I) or physiologically acceptable solvates thereof.
- the advantages of compounds of formula (I) and/or solvates thereof may include the fact that the substances appear to demonstrate excellent anti- inflammatory properties, with predictable pharmacokinetic and pharmacodynamic behaviour, with an attractive side-effect profile (demonstrated for example, by increased selectivity for the glucocorticoid receptor over the progesterone receptor and/or increased selectivity for glucocorticoid receptor mediated transrepression over transactivation) and are compatible with a convenient regime of treatment in human patients. Further advantages may include the fact that the substances have desirable physical and chemical properties which allow for ready manufacture and storage.
- LCMS was conducted on a Supelcosil LCABZ+PLUS column (3.3 cm ⁇ 4.6 mm ID) eluting with 0.1% HCO 2 H and 0.01 M ammonium acetate in water (solvent A), and 0.05% HCO 2 H 5% water in acetonitrile (solvent B), using the following elution gradient 0-0.7 min 0% B, 0.7-4.2 min 100% B, 4.2-5.3 min 0% B, 5.3-5.5 min 0% B at a flow rate of 3 ml/min.
- the mass spectra were recorded on a Fisons VG Platform spectrometer using electrospray positive and negative mode (ES+ve and ES ⁇ ve).
- Pharmacological activity was assessed in a functional in vitro assay of glucocorticoid agonist activity which is generally predictive of anti-inflammatory or anti-allergic activity in vivo.
- the functional assay was based on that described by K. P. Ray et al., Biochem J. (1997), 328, 707-715.
- A549 cells stably transfected with a reporter gene containing the NF- ⁇ B responsive elements from the ELAM gene promoter coupled to sPAP (secreted alkaline phosphatase) were treated with test compounds at appropriate doses for 1 hour at 37° C.
- the cells were then stimulated with tumour necrosis factor (TNF, 10 ng/ml) for 16 hours, at which time the amount of alkaline phosphatase produced is measured by a standard colourimetric assay.
- TNF tumour necrosis factor
- Dose response curves were constructed from which EC 50 values were estimated. In this test the compounds of Examples 1 to 15 showed an EC 50 value of ⁇ 2 nM.
- T47D The human breast cancer cell line T47D has been reported to upregulate an endogenous alkaline phosphatase in response to progestins (Di Lorenzo et al., Cancer Research (1991) 51, 4470-4475.
- T47D cells were seeded into 96 well plates at a density of 1 ⁇ 10 5 cells per well and grown overnight at 37° C. Steroids were dissolved in DMSO, added to the cells (final DMSO concentration 0.7%), and incubated for 24 hours at 37° C. The cells were then washed with PBS and lysed with RIPA buffer (1% IGEPAL, 0.5% Na deoxycholate, 0.1% SDS in phosphate buffered saline).
- RIPA buffer 1% IGEPAL, 0.5% Na deoxycholate, 0.1% SDS in phosphate buffered saline.
- Alkaline phosphatase activity was measured spectrophotometrically (405 nm) using p-nitrophenylphosphate (1.5 mg/ml) as a substrate dissolved in 1M diethanolamine, 0.28M NaCl, 0.5 mM MgCl 2 . Dose response curves were constructed from which EC 50 values were estimated.
- Examples 5 and 11 were tested for progesterone activity in accordance with the above screen and the selectivity was determined by dividing the ED 50 at the progesterone receptor by the ED 50 at the glucocorticoid receptor.
Landscapes
- Health & Medical Sciences (AREA)
- Chemical & Material Sciences (AREA)
- Organic Chemistry (AREA)
- General Health & Medical Sciences (AREA)
- General Chemical & Material Sciences (AREA)
- Chemical Kinetics & Catalysis (AREA)
- Bioinformatics & Cheminformatics (AREA)
- Medicinal Chemistry (AREA)
- Nuclear Medicine, Radiotherapy & Molecular Imaging (AREA)
- Engineering & Computer Science (AREA)
- Pharmacology & Pharmacy (AREA)
- Life Sciences & Earth Sciences (AREA)
- Animal Behavior & Ethology (AREA)
- Public Health (AREA)
- Veterinary Medicine (AREA)
- Pulmonology (AREA)
- Dermatology (AREA)
- Diabetes (AREA)
- Rheumatology (AREA)
- Endocrinology (AREA)
- Immunology (AREA)
- Orthopedic Medicine & Surgery (AREA)
- Pain & Pain Management (AREA)
- Otolaryngology (AREA)
- Ophthalmology & Optometry (AREA)
- Physical Education & Sports Medicine (AREA)
- Pharmaceuticals Containing Other Organic And Inorganic Compounds (AREA)
- Steroid Compounds (AREA)
- Acyclic And Carbocyclic Compounds In Medicinal Compositions (AREA)
- Medicinal Preparation (AREA)
- Medicines That Contain Protein Lipid Enzymes And Other Medicines (AREA)
Abstract
- R1 represents C1-6 alkyl or C1-6 haloalkyl;
- R2 represents C3-8 cycloalkyl or C3-8 cycloalkenyl either of which may optionally be substituted by one or more groups selected from oxo, methyl, methylene and halogen;
- R3 represents hydrogen, methyl (which may be in either the α or β configuration) or methylene;
- R4 and R5 are the same or different and each represents hydrogen or halogen; and
Description
- This application is a Continuation Application of U.S. patent application Ser. No. 10/478,893 filed 24 Nov. 2003, which was filed as a 35 USC 371 U.S. National Phase Application of International Patent Application Serial No. PCT/GB02/01971 filed 30 Apr. 2002, which claims priority from: GB 0110578.2 filed on 30 Apr. 2001; GB 0127988.4 filed on 22 Nov. 2001; GB 0202442.0 filed 2 Feb. 2002; and GB 0202637.5 filed on 5 Feb. 2002, all of which were filed in the United Kingdom.
- The present invention relates to novel anti-inflammatory and anti-allergic compounds of the androstane series and to processes for their preparation. The present invention also relates to pharmaceutical formulations containing the compounds and to therapeutic uses thereof, particularly for the treatment of inflammatory and allergic conditions.
- Glucocorticoids which have anti-inflammatory properties are known and are widely used for the treatment of inflammatory disorders or diseases such as asthma and rhinitis. For example, U.S. Pat. No. 4,335,121 discloses 6α, 9α-Difluoro-17α(1-oxopropoxy)-11β-hydroxy-16α-methyl-3-oxo-androsta-1,4-diene-17β-carbothioic acid S-fluoromethyl ester (known by the generic name of fluticasone propionate) and derivatives thereof. The use of glucocorticoids generally, and especially in children, has been limited in some quarters by concerns over potential side effects. The side effects that are feared with glucocorticoids include suppression of the Hypothalamic-Pituitary-Adrenal (HPA) axis, effects on bone growth in children and on bone density in the elderly, ocular complications (cataract formation and glaucoma) and skin atrophy. Certain glucocorticoid compounds also have complex paths of metabolism wherein the production of active metabolites may make the pharmacodynamics and pharmacokinetics of such compounds difficult to understand. Whilst the modern steroids are very much safer than those originally introduced it remains an object of research to produce new molecules which have excellent anti-inflammatory properties, with predictable pharmacokinetic and pharmacodynamic properties, with an attractive side effect profile, and with a convenient treatment regime.
- Certain novel androstane derivatives are disclosed in WO02/12265 and WO02/12265 (Glaxo Group), both of these documents being published after the earliest priority date of this patent application.
- We have identified a novel series of glucocorticoids, which substantially meets these objectives.
-
- R1 represents C1-6 alkyl or C1-6 haloalkyl;
- R2 represents C3-8 cycloalkyl or C3-8 cycloalkenyl either of which may optionally be substituted by one or more groups selected from oxo, methyl, methylene and halogen;
- R3 represents hydrogen, methyl (which may be in either the α or β configuration) or methylene;
- R4 and R5 are the same or different and each represents hydrogen or halogen; and represents a single or a double bond;
- and solvates thereof.
- Examples of solvates include hydrates.
- References hereinafter to a compound according to the invention includes both compounds of formula (I) and solvates thereof.
- It will be appreciated that the invention includes within its scope all stereoisomers (including enantiomers and diastereoisomers) of the compounds of formula (I) and mixtures thereof.
- Preferably, the absolute stereochemistry will be as shown in the representation of compounds of formula (I).
- Examples of C1-6 haloalkyl that R1 may represent include C1-6 alkyl substituted by 1-3 halogen atoms, preferably 1 halogen atom. Preferred halogen atoms are selected from bromine, chlorine and fluorine.
- Examples of C3-8 cycloalkyl groups that R2 may represent include cyclopropyl, cyclobutyl, cyclopentyl and cyclohexyl and substituted derivatives such as methylcyclopropyl (eg 1-methylcyclopropyl or 2-methylcyclopropyl), dichlorocyclopropyl (eg 2,2-dichloropropyl), methyldichlorocyclopropyl (eg 1-methyl-2,2-dichlorocyclopropyl), exomethylenecyclobutyl (eg 3-exomethylenecyclobutyl), tetramethylcyclopropyl (eg 2,2,3,3-tetramethylcyclopropyl) and methycyclobutyl (eg 1-methylcyclobutyl). Other examples include dimethylcyclobutyl (eg 3,3-dimethylcyclobutyl), difluorocyclobutyl (eg 3,3-difluorocyclobutyl), methylcyclopentyl (eg 1-methylcyclopentyl). A further example includes oxocyclobutyl (eg 3-oxo-cyclobutyl).
- Examples of C3-8 cycloalkenyl groups that R2 may represent include alkenyl groups containing 1 or more double bonds (not being aromatic groups) such as cyclohexenyl eg cyclohex-2,3-enyl.
- We prefer R1 to represent fluoromethyl, chloromethyl, bromomethyl or 2′-fluoroethyl, especially fluoromethyl.
- Preferably, R2 represents C3-8 cycloalkyl or C3-8 cycloalkenyl either of which may optionally be substituted by one or more groups selected from methyl, methylene and halogen. In an alternative aspect, R2 represents C3-8 cycloalkyl or C3-8 cycloalkenyl either of which may be substituted by oxo eg 3-oxocyclobutyl.
- We prefer R2 to represent C3-8 cycloalkyl optionally substituted by one or more methyl and/or halogen groups. We particularly prefer R2 to represent C3-6 cycloalkyl, more preferably C3-4 cycloalkyl, optionally substituted by one or more methyl or chlorine groups.
- We also prefer R2 to represent C3-6 cycloalkyl substituted by methylene.
- In one set of preferred compounds, R2 is unsubstituted or substituted by at most one methyl or chlorine group. More preferably, R2 is substituted by one methyl group, especially in the 1-position, eg 1-methyl cyclopropyl or 1-methyl-cyclobutyl.
- In another set of preferred compounds, R2 is substituted by more than one methyl group, eg 2,2,3,3-tetramethylcyclopropyl.
- We prefer R3 to represent methyl, especially methyl in the α configuration.
- Compounds of formula (I) in which R4 and R5, which can be the same or different, each represents hydrogen, fluorine or chlorine, particularly hydrogen or fluorine, are preferred. Especially preferred are compounds in which both R4 and R5 are fluorine.
-
- It is to be understood that the present invention covers all combinations of particularly and preferred groups referred to hereinabove.
- Preferred compounds of formula (I) include:
- 17α-(Cyclobutylcarbonyl)oxy-6α,9α-difluoro-11β-hydroxy-16α-methyl-3-oxo-androsta-1,4-diene-17β-carbothioic acid S-fluoromethyl ester;
- 17α-(Cyclopentylcarbonyl)oxy-6α,9α-difluoro-11β-hydroxy-16α-methyl-3-oxo-androsta-1,4-diene-17β-carbothioic acid S-fluoromethyl ester;
- 17α-(Cyclohexylcarbonyl)oxy-6α,9α-difluoro-11β-hydroxy-16α-methyl-3-oxo-androsta-1,4-diene-17β-carbothioic acid S-fluoromethyl ester;
- 17α-(Cyclopropylcarbonyl)oxy-6α,9α-difluoro-11β-hydroxy-16α-methyl-3-oxo-androsta-1,4-diene-17β-carbothioic acid S-fluoromethyl ester;
- 6α,9α-Difluoro-11β-hydroxy-16α-methyl-17α-(1-methycyclopropylcarbonyl) oxy-3-oxo-androsta-1,4-diene-17β-carbothioic acid S-fluoromethyl ester;
- 6α,9α-Difluoro-11β-hydroxy-16α-methyl-3-oxo-17α-(2,2,3,3-tetramethycyclopropylcarbonyl)oxy-androsta-1,4-diene-17β-carbothioic acid S-fluoromethyl ester;
- 17α-(2,2-Dichloro-1-methycyclopropylcarbonyl)oxy-6α,9α-difluoro-11β-hydroxy-16α-methyl-3-oxo-androsta-1,4-diene-17β-carbothioic acid S-fluoromethyl ester;
- 17α-(2,2-Dichlorocylopropylcarbonyl)oxy-6α,9α-difluoro-11β-hydroxy-16α-methyl-3-oxo-androsta-1,4-diene-17β-carbothioic acid S-fluoromethyl ester;
- 6α,9α-Difluoro-11α-hydroxy-16α-methyl-17α-(3-methylenecyclobutylcarbonyl)oxy-3-oxo-androsta-1,4-diene-17β-carbothioic acid S-fluoromethyl ester;
- 6α,9α-Difluoro-11β-hydroxy-16α-methyl-17α-(2-methylcyclopropylcarbonyl)oxy-3-oxo-androsta-1,4-diene-17β-carbothioic acid S-fluoromethyl ester;
- 6α,9α-Difluoro-11β-hydroxy-16α-methyl-17α-(1-methylcyclobutylcarbonyl)oxy-3-oxo-androsta-1,4-diene-17β-carbothioic acid S-fluoromethyl ester;
- 6α,9α-Difluoro-17α-(3,3-dimethylcyclobutylcarbonyl)oxy-11β-hydroxy-16α-methyl-3-oxo-androsta-1,4-diene-17β-carbothioic acid S-fluoromethyl ester;
- 6α,9α-Difluoro-17α-(3,3-difluorocyclobutylcarbonyl)oxy-11β-hydroxy-16α-methyl-3-oxo-androsta-1,4-diene-17β-carbothioic acid S-fluoromethyl ester;
- 6α,9α-Difluoro-11β-hydroxy-16α-methyl-17α-(1-methylcyclopentylcarbonyl)oxy-3-oxo-androsta-1,4-diene-17β-carbothioic acid S-fluoromethyl ester;
- 6α,9α-Difluoro-11β-hydroxy-16α-methyl-3-oxo-17α-(3-oxocyclobutylcarbonyl)oxy-androsta-1,4-diene-17β-carbothioic acid S-fluoromethyl ester.
- One particularly preferred compound is the following:
- 6α,9α-Difluoro-11β-hydroxy-16α-methyl-17α-(1-methycyclopropylcarbonyl) oxy-3-oxo-androsta-1,4-diene-17β-carbothioic acid S-fluoromethyl ester.
- Another particularly preferred compound is the following:
- 6α,9α-Difluoro-11β-hydroxy-16α-methyl-3-oxo-17α-(2,2,3,3-tetramethycyclopropylcarbonyl)oxy-androsta-1,4-diene-17β-carbothioic acid S-fluoromethyl ester.
- Another particularly preferred compound is the following:
- 6α,9α-Difluoro-11β-hydroxy-16α-methyl-17α-(1-methylcyclobutylcarbonyl)oxy-3-oxo-androsta-1,4-diene-17β-carbothioic acid S-fluoromethyl ester.
- The compounds of formula (I) have potentially beneficial anti-inflammatory or anti-allergic effects, particularly upon topical administration, demonstrated by, for example, their ability to bind to the glucocorticoid receptor and to illicit a response via that receptor with long lasting effect. Hence, the compounds of formula (I) are useful in the treatment of inflammatory and/or allergic disorders, especially in once-per-day therapy.
- Examples of disease states in which the compounds of the invention have utility include skin diseases such as eczema, psoriasis, allergic dermatitis neurodermatitis, pruritis and hypersensitivity reactions; inflammatory conditions of the nose, throat or lungs such as asthma (including allergen-induced asthmatic reactions), rhinitis (including hayfever), nasal polyps, chronic obstructive pulmonary disease, interstitial lung disease, and fibrosis; inflammatory bowel conditions such as ulcerative colitis and Crohn's disease; and auto-immune diseases such as rheumatoid arthritis.
- Compounds of the invention may also have use in the treatment of conjunctiva and conjunctivitis.
- It will be appreciated by those skilled in the art that reference herein to treatment extends to prophylaxis as well as the treatment of established conditions.
- As mentioned above, compounds of formula (I) are useful in human or veterinary medicine, in particular as anti-inflammatory and anti-allergic agents, especially in once-per-day therapy.
- There is thus provided as a further aspect of the invention a compound of formula (I) or a physiologically acceptable solvate thereof for use in human or veterinary medicine, particularly in the treatment of patients with inflammatory and/or allergic conditions. Pharmaceutical compositions for once-per-day administration are of particular interest.
- According to another aspect of the invention, there is provided the use of a compound of formula (I) or physiologically acceptable solvate thereof for the manufacture of a medicament for the treatment of patients with inflammatory and/or allergic conditions, especially for therapy once-per-day.
- In a further or alternative aspect, there is provided a method for the treatment of a human or animal subject with an inflammatory and/or allergic condition, which method comprises administering to said human or animal subject an effective amount of a compound of formula (I) or physiologically acceptable solvate thereof, especially administration once-per-day.
- The compounds according to the invention may be formulated for administration in any convenient way, and the invention therefore also includes within its scope pharmaceutical compositions comprising a compound of formula (I) or physiologically acceptable solvate thereof together, if desirable, in admixture with one or more physiologically acceptable diluents or carriers.
- Further, there is provided a process for the preparation of such pharmaceutical compositions which comprises mixing the ingredients.
- The compounds according to the invention may, for example, be formulated for oral, buccal, sublingual, parenteral, local or rectal administration, especially local administration.
- Local administration as used herein, includes administration by insufflation and inhalation. Examples of various types of preparation for local administration include ointments, lotions, creams, gels, foams, preparations for delivery by transdermal patches, powders, sprays, aerosols, capsules or cartridges for use in an inhaler or insufflator or drops (e.g. eye or nose drops), solutions/suspensions for nebulisation, suppositories, pessaries, retention enemas and chewable or suckable tablets or pellets (e.g. for the treatment of aphthous ulcers) or liposome or microencapsulation preparations.
- Advantageously compositions for topical administration to the lung include dry powder compositions and spray compositions.
- Dry powder compositions for topical delivery to the lung may, for example, be presented in capsules and cartridges for use in an inhaler or insufflator of, for example, gelatine. Formulations generally contain a powder mix for inhalation of the compound of the invention and a suitable powder base such as lactose or starch. Use of lactose is preferred. Each capsule or cartridge may generally contain between 20 μg-10 mg of the compound of formula (I) optionally in combination with another active ingredient. Alternatively, the compound of the invention may be presented without excipients. Packaging of the formulation may be suitable for unit dose or multi-dose delivery. In the case of multi-dose delivery, the formulation can be pre-metered (eg as in Diskus, see GB 2242134 or Diskhaler, see GB 2178965, 2129691 and 2169265) or metered in use (eg as in Turbuhaler, see EP 69715). An example of a unit-dose device is Rotahaler (see GB 2064336). The Diskus inhalation device comprises an elongate strip formed from a base sheet having a plurality of recesses spaced along its length and a lid sheet hermetically but peelably sealed thereto to define a plurality of containers, each container having therein an inhalable formulation containing a compound of formula (I) preferably combined with lactose. Preferably, the strip is sufficiently flexible to be wound into a roll. The lid sheet and base sheet will preferably have leading end portions which are not sealed to one another and at least one of the said leading end portions is constructed to be attached to a winding means. Also, preferably the hermetic seal between the base and lid sheets extends over their whole width. The lid sheet may preferably be peeled from the base sheet in a longitudinal direction from a first end of the said base sheet.
- Pharmaceutical formulations which are non-pressurised and adapted to be administered as a dry powder topically to the lung via the buccal cavity (especially those which are free of excipient or are formulated with a diluent or carrier such as lactose or starch, most especially lactose) are of particular interest.
- Spray compositions may for example be formulated as aqueous solutions or suspensions or as aerosols delivered from pressurised packs, such as a metered dose inhaler, with the use of a suitable liquefied propellant. Aerosol compositions suitable for inhalation can be either a suspension or a solution and generally contain the compound of formula (I) and a suitable propellant such as a fluorocarbon or hydrogen-containing chlorofluorocarbon or mixtures thereof, particularly hydrofluoroalkanes, especially 1,1,1,2-tetrafluoroethane, 1,1,1,2,3,3,3-heptafluoro-n-propane or a mixture thereof. The aerosol composition may optionally contain additional formulation excipients well known in the art such as surfactants eg oleic acid or lecithin and cosolvents eg ethanol. One example formulation is excipient free and consists essentially of (eg consists of) compound of formula (I) (preferably in unsolvated form eg as Form 1) (optionally in combination with another therapeutically active ingredient) and a propellant selected from 1,1,1,2-tetrafluoroethane, 1,1,1,2,3,3,3-heptafluoro-n-propane and mixture thereof. Another example formulation comprises particulate compound of formula (I), a propellant selected from 1,1,1,2-tetrafluoroethane, 1,1,1,2,3,3,3-heptafluoro-n-propane and mixture thereof and a suspending agent which is soluble in the propellant eg an oligolactic acid or derivative thereof as described in WO94/21229. The preferred propellant is 1,1,1,2-tetrafluoroethane. As noted elsewhere in this specification, compound of formula (I) does not appear to form a solvate with 1,1,1,2-tetrafluoroethane. Pressurised formulations will generally be retained in a canister (eg an aluminium canister) closed with a valve (eg a metering valve) and fitted into an actuator provided with a mouthpiece.
- Medicaments for administration by inhalation desirably have a controlled particle size. The optimum particle size for inhalation into the bronchial system is usually 1-10 μm, preferably 2-5 μm. Particles having a size above 20 μm are generally too large when inhaled to reach the small airways. To achieve these particle sizes the particles of compound of formula (I) as produced may be size reduced by conventional means eg by micronisation. The desired fraction may be separated out by air classification or sieving. Preferably, the particles will be crystalline, prepared for example by a process which comprises mixing in a continuous flow cell in the presence of ultrasonic radiation a flowing solution of compound of formula (I) as medicament in a liquid solvent with a flowing liquid antisolvent for said medicament (eg as described in International Patent Application PCT/GB99/04368) or else by a process which comprises admitting a stream of solution of the substance in a liquid solvent and a stream of liquid antisolvent for said substance tangentially into a cylindrical mixing chamber having an axial outlet port such that said streams are thereby intimately mixed through formation of a vortex and precipitation of crystalline particles of the substance is thereby caused (eg as described in International Patent Application PCT/GB00/04327). When an excipient such as lactose is employed, generally, the particle size of the excipient will be much greater than the inhaled medicament within the present invention. When the excipient is lactose it will typically be present as milled lactose, wherein not more than 85% of lactose particles will have a MMD of 60-90 μm and not less than 15% will have a MMD of less than 15 μm.
- Formulations for administration topically to the nose (eg for the treatment of rhinitis) include pressurised aerosol formulations and aqueous formulations administered to the nose by pressurised pump. Formulations which are non- pressurised and adapted to be administered topically to the nasal cavity are of particular interest. The formulation preferably contains water as the diluent or carrier for this purpose. Aqueous formulations for administration to the lung or nose may be provided with conventional excipients such as buffering agents, tonicity modifying agents and the like. Aqueous formulations may also be administered to the nose by nebulisation.
- Other possible presentations include the following:
- Ointments, creams and gels, may, for example, be formulated with an aqueous or oily base with the addition of suitable thickening and/or gelling agent and/or solvents. Such bases may thus, for example, include water and/or an oil such as liquid paraffin or a vegetable oil such as arachis oil or castor oil, or a solvent such as polyethylene glycol. Thickening agents and gelling agents which may be used according to the nature of the base include soft paraffin, aluminium stearate, cetostearyl alcohol, polyethylene glycols, woolfat, beeswax, carboxypolymethylene and cellulose derivatives, and/or glyceryl monostearate and/or non-ionic emulsifying agents.
- Lotions may be formulated with an aqueous or oily base and will in general also contain one or more emulsifying agents, stabilising agents, dispersing agents, suspending agents or thickening agents.
- Powders for external application may be formed with the aid of any suitable powder base, for example, talc, lactose or starch. Drops may be formulated with an aqueous or non-aqueous base also comprising one or more dispersing agents, solubilising agents, suspending agents or preservatives.
- Advantageously, the formulations of the invention may be buffered by the addition of suitable buffering agents.
- The proportion of the active compound of formula (I) in the local compositions according to the invention depends on the precise type of formulation to be prepared but will generally be within the range of from 0.001 to 10% by weight. Generally, however for most types of preparations advantageously the proportion used will be within the range of from 0.005 to 1% and preferably 0.01 to 0.5%. However, in powders for inhalation or insufflation the proportion used will be within the range of from 0.1 to 5%.
- Aerosol formulations are preferably arranged so that each metered dose or “puff” of aerosol contains 20 μg-2000 μg, preferably about 20 μg-500 μg of a compound of formula (I). Administration may be once daily or several times daily, for example 2, 3, 4 or 8 times, giving for example 1, 2 or 3 doses each time. The overall daily dose with an aerosol will be within the range 100 μg-10 mg preferably, 200 μg-2000 μg. The overall daily dose and the metered dose delivered by capsules and cartridges in an inhaler or insufflator will generally be double those with aerosol formulations.
- Topical preparations may be administered by one or more applications per day to the affected area; over skin areas occlusive dressings may advantageously be used. Continuous or prolonged delivery may be achieved by an adhesive reservoir system.
- For internal administration the compounds according to the invention may, for example, be formulated in conventional manner for oral, parenteral or rectal administration. Formulations for oral administration include syrups, elixirs, powders, granules, tablets and capsules which typically contain conventional excipients such as binding agents, fillers, lubricants, disintegrants, wetting agents, suspending agents, emulsifying agents, preservatives, buffer salts, flavouring, colouring and/or sweetening agents as appropriate. Dosage unit forms are, however, preferred as described below.
- Preferred forms of preparation for internal administration are dosage unit forms i.e. tablets and capsules. Such dosage unit forms contain from 0.1 mg to 20 mg preferably from 2.5 to 10 mg of the compounds of the invention.
- The compounds according to the invention may in general may be given by internal administration in cases where systemic adreno-cortical therapy is indicated.
- In general terms preparations, for internal administration may contain from 0.05 to 10% of the active ingredient dependent upon the type of preparation involved. The daily dose may vary from 0.1 mg to 60 mg, e.g. 5-30 mg, dependent on the condition being treated, and the duration of treatment desired.
- Slow release or enteric coated formulations may be advantageous, particularly for the treatment of inflammatory bowel disorders.
- The pharmaceutical compositions according to the invention may also be used in combination with another therapeutically active agent, for example, a β2 adrenoreceptor agonist, an anti-histamine or an anti-allergic. The invention thus provides, in a further aspect, a combination comprising a compound of formula (I) or a physiologically acceptable solvate thereof together with another therapeutically active agent, for example, a β2-adrenoreceptor agonist, an anti-histamine, an anti-allergic or an anti-cholinergic.
- Examples of β2-adrenoreceptor agonists include salmeterol (eg as xinafoate), salbutamol (eg as sulphate), formoterol (eg as fumarate), fenoterol or terbutaline (eg as sulphate). Long-acting β2-adrenoreceptor agonists are preferred, especially those having a therapeutic effect over a 24 hour period.
-
- m is an integer of from 2 to 8;
- n is an integer of from 3 to 11, preferably from 3 to 7;
- with the proviso that m+n is 5 to 19, preferably 5 to 12;
- R11 is -XSO2NR16R17
- wherein X is -(CH2)p- or C2-6 alkenylene;
- R16 and R17 are independently selected from hydrogen, C1-6alkyl, C3-7cycloalkyl,
- C(O)NR18R19, phenyl, and phenyl (C1-4alkyl)-,
- or R16 and R17, together with the nitrogen to which they are bonded, form a 5-, 6-, or
- 7-membered nitrogen containing ring, and R16 and R17 are each optionally substituted by one or two groups selected from halo, C1-6alkyl, C1-6haloalkyl,
- C1-6alkoxy, hydroxy-substituted C1-6alkoxy, —CO2R18 , —SO2NR18R19, —CONR18R19, —NR18C(O)R19, or a 5-, 6- or 7-membered heterocylic ring;
- R18 and R19 are independently selected from hydrogen, C1-6alkyl,
- C3-6cycloalkyl, phenyl, and phenyl (C1-4alkyl)-; and
- p is an integer of from 0 to 6, preferably from 0 to 4;
- R12 and R13 are independently selected from hydrogen, C1-6alkyl, C1-6alkoxy, halo, phenyl, and C1-6haloalkyl; and
- R14 and R15 are independently selected from hydrogen and C1-4alkyl with the proviso that the total number of carbon atoms in R14 and R15 is not more than 4.
- In the compounds of formula (I) the group R11 is preferably attached to the meta-position relative to the —O—(CH2)n-link.
- R11 preferably represents —SO2NR16R17 wherein R16 and R17 are independently selected from hydrogen and C1-6alkyl, more preferably R11 is —SO2NH2.
- R14 and R15 are preferably independently selected from hydrogen and methyl, more preferably R14 and R15 are both hydrogen.
- m is suitably 4, 5, or 6, and n is suitably 3, 4, 5 or 6. Preferably m is 5 or 6 and n is 3 or 4, such that m+n is 8, 9 or 10, preferably 9.
-
- R11 is as defined above for formula (X).
-
- R11 is as defined above for formula (X).
- In the compounds of formulae (Xa) and (Xb), the group R11 is preferably attached to the meta-position relative to the —O—(CH2)n-, —O—(CH2)4- or —O—(CH2)3-link respectively.
- In the compounds of formulae (Xa) and (Xb), R11 is preferably —SO2NR16R17 wherein R16 and R17 are independently selected from hydrogen and C1-6alkyl, more preferably R11 is —SO2NH2.
- In the definition of R11 where ‘R16 and R17 together with the nitrogen atom to which they are bonded, form a 5-, 6-, or 7-membered nitrogen containing ring’, the term “5-, 6-, or 7-membered nitrogen containing ring” means a 5-, 6-, or 7-membered saturated or unsaturated ring which includes the sulfonamide nitrogen atom and optionally 1 or 2 other heteroatoms independently selected from nitrogen, sulphur, and oxygen. Suitable examples of such a ring include piperidinyl, morpholinyl, and piperazinyl.
- In the definition of R11, specifically the optional substituents on R16 and R17, the term “5-, 6-, or 7-membered heterocyclic ring” means a 5-, 6-, or 7-membered fully or partially saturated or unsaturated ring which includes 1, 2, 3 or 4 heteroatoms independently selected from nitrogen, sulphur, and oxygen. Suitable examples of such a ring include pyrrolyl, furyl, thienyl, pyridinyl, pyrazinyl, pyridazinyl, imidazolyl, tetrazolyl, tetrahydrofuranyl, oxazolyl, thiazolyl, thiadiazolyl, piperidinyl, morpholinyl, and piperazinyl.
- In the definition of X, the term “alkenylene” includes both cis and trans structures. Suitable examples of alkenylene groups include —CH═CH—.
-
- Similarly, where R14 and R15 are different groups, the carbon atom to which they are attached is an asymmetric centre and the present invention includes both (S) and (R) enantiomers at this centre either in substantially pure form or admixed in any proportions.
- Thus the compounds of formulae (X), (Xa) and (Xb) include all enantiomers and diastereoisomers as well as mixtures thereof in any proportions.
- The most preferred compound of formula (X) is 3-(4-{[6-({(2R)-2-Hydroxy-2-[4-hydroxy-3-(hydroxymethyl)phenyl]ethyl}amino)-hexyl]oxy}butyl)benzenesulfonamide or a salt or solvate thereof.
- Salts and solvates of compounds of formulae (X), (Xa) and (Xb) which are suitable for use in medicine are those wherein the counterion or associated solvent is pharmaceutically acceptable. However, salts and solvates having non-pharmaceutically acceptable counterions or associated solvents are within the scope of the present invention, for example, for use as intermediates in the preparation of other compounds of formulae (X), (Xa) and (Xb) and their pharmaceutically acceptable salts and solvates.
- Suitable salts according to the invention include those formed with both organic and inorganic acids or bases. Pharmaceutically acceptable acid addition salts include those formed from hydrochloric, hydrobromic, sulphuric, citric, tartaric, phosphoric, lactic, pyruvic, acetic, trifluoroacetic, triphenylacetic, sulphamic, sulphanilic, succinic, oxalic, fumaric, maleic, malic, glutamic, aspartic, oxaloacetic, methanesulphonic, ethanesulphonic, arylsulphonic (for example p-toluenesulphonic, benzenesulphonic, naphthalenesulphonic or naphthalenedisulphonic), salicylic, glutaric, gluconic, tricarballylic, cinnamic, substituted cinnamic (for example, phenyl, methyl, methoxy or halo substituted cinnamic, including 4-methyl and 4-methoxycinnamic acid), ascorbic, oleic, naphthoic, hydroxynaphthoic (for example 1- or 3-hydroxy-2-naphthoic), naphthaleneacrylic (for example naphthalene-2-acrylic), benzoic, 4-methoxybenzoic, 2- or 4-hydroxybenzoic, 4-chlorobenzoic, 4-phenylbenzoic, benzeneacrylic (for example 1,4-benzenediacrylic) and isethionic acids. Pharmaceutically acceptable base salts include ammonium salts, alkali metal salts such as those of sodium and potassium, alkaline earth metal salts such as those of calcium and magnesium and salts with organic bases such as dicyclohexyl amine and N-methyl-D-glucamine.
- Compounds of formula (X), (Xa) and (Xb) may be prepared by reference to Example X recited below, by analogous processes, or by other conventional processes known per se.
- Since the compounds of formula (I) are long-acting, preferably the composition comprising the compound of formula (I) and the long-acting β2-adrenoreceptor agonists will be delivered once-per-day and the dose of each will be selected so that the composition has a therapeutic effect in the treatment of respiratory disorders effect (eg in the treatment of asthma or COPD, particularly asthma) over 24 hours or more.
- Examples of anti-histamines include methapyrilene or loratadine. Examples of anti-allergics include cromoglycate (eg as sodium), ketotifen and nedocromil (as as sodium). Examples of anti-cholinergics include ipratropium (eg as bromide), tiotropium, atropine or oxitropium. Any of the aforementioned substances may be employed in the form of alternative salts or solvates thereof.
- Other suitable combinations include, for example, other anti-inflammatory agents eg. NSAIDs (eg. PDE4 inhibitors, leukotriene antagonists, iNOS inhibitors, tryptase and elastase inhibitors, beta-2 integrin antagonists and adenosine 2a agonists)) or antiinfective agents (eg. antibiotics, antivirals).
- Of particular interest is use of the compounds of formula (I) in combination with a phosphodiesterase 4 (PDE4) inhibitor. The PDE4-specific inhibitor useful in this aspect of the invention may be any compound that is known to inhibit the PDE4 enzyme or which is discovered to act as a PDE4 inhibitor, and which are only PDE4 inhibitors, not compounds which inhibit other members of the PDE family as well as PDE4. Generally it is preferred to use a PDE4 inhibitor which has an IC50 ratio of about 0.1 or greater as regards the IC50 for the PDE4 catalytic form which binds rolipram with a high affinity divided by the IC50 for the form which binds rolipram with a low affinity. For the purposes of this disclosure, the cAMP catalytic site which binds R and S rolipram with a low affinity is denominated the “low affinity” binding site (LPDE 4) and the other form of this catalytic site which binds rolipram with a high affinity is denominated the “high affinity” binding site (HPDE 4). This term “HPDE4” should not be confused with the term “hPDE4” which is used to denote human PDE4. Initial experiments were conducted to establish and validate a [3H]-rolipram binding assay. Details of this work are given in the Binding Assays described in detail below.
- The preferred PDE4 inhibitors of use in this invention will be those compounds which have a salutary therapeutic ratio, i.e., compounds which preferentially inhibit cAMP catalytic activity where the enzyme is in the form that binds rolipram with a low affinity, thereby reducing the side effects which apparently are linked to inhibiting the form which binds rolipram with a high affinity. Another way to state this is that the preferred compounds will have an IC50 ratio of about 0.1 or greater as regards the IC50 for the PDE4 catalytic form which binds rolipram with a high affinity divided by the IC50 for the form which binds rolipram with a low affinity. A further refinement of this standard is that of one wherein the PDE4 inhibitor has an IC50 ratio of about 0.1 or greater; said ratio is the ratio of the IC50 value for competing with the binding of 1 nM of [3H]R-rolipram to a form of PDE4 which binds rolipram with a high affinity over the IC50 value for inhibiting the PDE4 catalytic activity of a form which binds rolipram with a low affinity using 1 μM[3H]-cAMP as the substrate.
- Examples of useful PDE4 inhibitors are:
- (R)-(+)-1-(4-bromobenzyl)-4-[(3-cyclopentyloxy)-4-methoxyphenyl]-2-pyrrolidone;
- (R)-(+)-1-(4-bromobenzyl)-4-[(3-cyclopentyloxy)-4-methoxyphenyl]-2-pyrrolidone;
- 3-(cyclopentyloxy-4-methoxyphenyl)-1-(4-N′-[N2-cyano-S-methyl-isothioureido]benzyl)-2-pyrrolidone;
- cis 4-cyano-4-(3-cyclopentyloxy-4-methoxyphenyl)cyclohexan-1-carboxylic acid];
- cis-[4-cyano-4-(3-cyclopropylmethoxy-4-difluoromethoxyphenyl)cyclohexan-1-ol];
- (R)-(+)-ethyl [4-(3-cyclopentyloxy-4-methoxyphenyl)pyrrolidine-2-ylidene]acetate; and
- (S)-(−)-ethyl [4-(3-cyclopentyloxy-4-methoxyphenyl)pyrrolidine-2-ylidene]acetate.
- Most preferred are those PDE4 inhibitors which have an IC50 ratio of greater than 0.5, and particularly those compounds having a ratio of greater than 1.0. Preferred compounds are cis 4-cyano-4-(3-cyclopentyloxy-4-methoxyphenyl)cyclohexan-1-carboxylic acid, 2-carbomethoxy-4-cyano-4-(3-cyclopropylmethoxy-4-difluoromethoxyphenyl)cyclohexan-1-one and cis-[4-cyano-4-(3-cyclopropylmethoxy-4-difluoromethoxyphenyl)cyclohexan-1-ol]; these are examples of compounds which bind preferentially to the low affinity binding site and which have an IC50 ratio of 0.1 or greater.
- Other compounds of interest include:
- Compounds set out in U.S. Pat. No. 5,552,438 issued 03 Sep. 1996; this patent and the compounds it discloses are incorporated herein in full by reference. The compound of particular interest, which is disclosed in U.S. Pat. No. 5,552,438, is cis-4-cyano-4-[3-(cyclopentyloxy)-4-methoxyphenyl]cyclohexane-1-carboxylic acid (also known as cilomalast) and its salts, esters, pro-drugs or physical forms;
- AWD-12-281 from Astra (Hofgen, N. et al. 15th EFMC Int Symp Med Chem (Sept 6-10, Edinburgh) 1998, Abst P. 98); a 9-benzyladenine derivative nominated NCS-613 (INSERM); D-4418 from Chiroscience and Schering-Plough; a benzodiazepine PDE4 inhibitor identified as CI-1018 (PD-168787; Parke-Davis/Warner-Lambert); a benzodioxole derivative Kyowa Hakko disclosed in WO 9916766; V-11294A from Napp (Landells, L. J. et al. Eur Resp J [Annu Cong Eur Resp Soc (Sept 19-23, Geneva) 1998] 1998, 12(Suppl. 28): Abst P2393); roflumilast (CAS reference No 162401-32-3) and a pthalazinone (WO 9947505) from Byk-Gulden; or a compound identified as T-440 (Tanabe Seiyaku; Fuji, K. et al. J Pharmacol Exp Ther,1998, 284(1): 162).
Phosphodiesterase and Rolipram Binding Assays
Assay Method 1A - Isolated human monocyte PDE4 and hrPDE (human recombinant PDE4) was determined to exist primarily in the low affinity form. Hence, the activity of test compounds against the low affinity form of PDE4 can be assessed using standard assays for PDE4 catalytic activity employing 1 μM [3H]cAMP as a substrate (Torphy et al., J. of Biol. Chem., Vol. 267, No. 3 pp 1798-1804, 1992).
- Rat brain high speed supernatants were used as a source of protein and both enantiomers of [3H]-rolipram were prepared to a specific activity of 25.6 Ci/mmol. Standard assay conditions were modified from the published procedure to be identical to the PDE assay conditions, except for the last of the cAMP: 50 mM Tris HCl (pH 7.5), 5 mM MgCl2, 50 μM 5′-AMP and 1 nM of [3H]-rolipram (Torphy et al., J. of Biol. Chem., Vol. 267, No. 3 pp 1798-1804, 1992). The assay was run for 1 hour at 30° C. The reaction was terminated and bound ligand was separated from free ligand using a Brandel cell harvester. Competition for the high affinity binding site was assessed under conditions that were identical to those used for measuring low affinity PDE activity, expect that [3H]-cAMP was not present.
- Assay Method 1B
- Measurement of Phosphodiesterase Activity
- PDE activity was assayed using a [3H]cAMP SPA or [3H]cGMP SPA enzyme assay as described by the supplier (Amersham Life Sciences). The reactions were conducted in 96-well plates at room temperature, in 0.1 ml of reaction buffer containing (final concentrations): 50 mM Tris-HCl, pH 7.5, 8.3 mM MgCl2, 1.7 mM EGTA, [3H]cAMP or [3H] cGMP (approximately 2000 dpm/pmol), enzyme and various concentrations of the inhibitors. The assay was allowed to proceed for 1 hr and was terminated by adding 50 μl of SPA yttrium silicate beads in the presence of zinc sulfate. The plates were shaken and allowed to stand at room temperature for 20 min. Radiolabeled product formation was assessed by scintillation spectrometry.
- [3H]R-Roliiram Binding Assay
- The [3H]R-rolipram binding assay was performed by modification of the method of Schneider and co-workers, see Nicholson, et al., Trends Pharmacol. Sci., Vol. 12, pp. 19-27 (1991) and McHale et al., Mol. Pharmacol., Vol. 39, 109-113 (1991). R-Rolipram binds to the catalytic site of PDE4 see Torphy et al., Mol. Pharmacol., Vol. 39, pp. 376-384 (1991). Consequently, competition for [3H]R-rolipram binding provides an independent confirmation of the PDE4 inhibitor potencies of unlabeled competitors. The assay was performed at 30° C. for 1 hr in 0.5 μl buffer containing (final concentrations): 50 mM Tris-HCl, pH 7.5, 5 mM MgCl2, 0.05% bovine serum albumin, 2 nM [3H]R-rolipram (5.7×104 dpm/pmol) and various concentrations of non-radiolabeled inhibitors. The reaction was stopped by the addition of 2.5 ml of ice-cold reaction buffer (without [3H]-R-rolipram) and rapid vacuum filtration (Brandel Cell Harvester) through Whatman GF/B filters that had been soaked in 0.3% polyethylenimine. The filters were washed with an additional 7.5 ml of cold buffer, dried, and counted via liquid scintillation spectrometry.
- The invention thus provides, in a further aspect, a combination comprising a compound of formula (I) or a physiologically acceptable solvate thereof together with a PDE4 inhibitor.
- The combinations referred to above may conveniently be presented for use in the form of a pharmaceutical formulation and thus pharmaceutical formulations comprising a combination as defined above together with a pharmaceutically acceptable diluent or carrier represent a further aspect of the invention.
- The individual compounds of such combinations may be administered either sequentially or simultaneously in separate or combined pharmaceutical formulations. Appropriate doses of known therapeutic agents will be readily appreciated by those skilled in the art.
- The compounds of formula (I) and solvates thereof may be prepared by the methodology described hereinafter, constituting a further aspect of this invention.
-
- In this process the compound of formula (II) may be reacted with, for example, an appropriate alkyl or haloalkyl halide under standard conditions.
- When R1 represents fluoromethyl, the preferred haloalkyl halide reagent is bromofluoromethane.
- Compounds of formula (II) may be prepared from the corresponding 17α-hydroxyl derivative of formula (III):
wherein R2, R3, R4, R5 and are as defined above, using for example, the methodology described by G. H. Phillipps et al., (1994) Journal of Medicinal Chemistry, 37, 3717-3729. For example the compound of formula (III) may be reacted with a compound of formula R2COOH or an activated derivative thereof eg an activated ester, anhydride or halide (eg the acid chloride). The reaction may be performed in the presence of an organic solvent eg triethylamine, usually together with dimethylaminopyridine (DMAP). -
- Step (a) comprises oxidation of a solution containing the compound of formula (IV). Preferably, step (a) will be performed in the presence of a solvent comprising methanol, water, tetrahydrofuran, dioxan or diethylene glygol dimethylether. For example, so as to enhance yield and throughput, preferred solvents are methanol, water or tetrahydrofuran, and more preferably are water or tetrahydrofuran, especially water and tetrahydrofuran as solvent. Dioxan and diethylene glygol dimethylether are also preferred solvents which may optionally (and preferably) be employed together with water. Preferably, the solvent will be present in an amount of between 3 and 10 vol relative to the amount of the starting material (1 wt.), more preferably between 4 and 6 vol., especially 5 vol. Preferably the oxidising agent is present in an amount of 1-9 molar equivalents relative to the amount of the starting material. For example, when a 50% w/w aqueous solution of periodic acid is employed, the oxidising agent may be present in an amount of between 1.1 and 10 wt. relative to the amount of the starting material (1wt.), more preferably between 1.1 and 3 wt., especially 1.3 wt. Preferably, the oxidation step will comprise the use of a chemical oxidising agent. More preferably, the oxidising agent will be periodic acid or iodic acid or a salt thereof. Most preferably, the oxidising agent will be periodic acid or sodium periodate, especially periodic acid. Alternatively (or in addition), it will also be appreciated that the oxidation step may comprise any suitable oxidation reaction, eg. one which utilises air and/or oxygen. When the oxidation reaction utilises air and/or oxygen, the solvent used in said reaction will preferably be methanol. Preferably, step (a) will involve incubating the reagents at room temperature or a little warmer, say around 25° C. eg for 2 hours. The compound of formula (V) may be isolated by recrystallisation from the reaction mixture by addition of an anti-solvent. A suitable anti-solvent for compound of formula (V) is water. Surprisingly we have discovered that it is highly desirable to control the conditions under which the compound of formula (V) is precipitated by addition of anti-solvent eg water. When the recrystallisation is performed using chilled water (eg water/ice mixture at a temperature of 0-5° C.) although better anti-solvent properties may be expected we have found that the crystalline product produced is very voluminous, resembles a soft gel and is very difficult to filter. Without being limited by theory we believe that this low density product contains a large amount of solvated solvent within the crystal lattice By contrast when conditions of around 10° C. or higher are used (eg around ambient temperature) a granular product of a sand like consistency which is very easily filtered is produced. Under these conditions, crystallisation typically commences after around 1 hour and is typically completed within a few hours (eg 2 hours). Without being limited by theory we believe that this granular product contains little or no of solvated solvent within the crystal lattice.
- Step (b) will typically comprise the addition of a reagent suitable for converting a carboxylic acid to a carbothioic acid eg. using hydrogen sulphide gas together with a suitable coupling agent eg. carbonyldiimidazole (CDI) in the presence of a suitable solvent eg. dimethylformamide.
- Solvates of compounds of formula (I) which are not physiologically acceptable may be useful as intermediates in the preparation of compounds of formula (I) or physiologically acceptable solvates thereof.
- The advantages of compounds of formula (I) and/or solvates thereof may include the fact that the substances appear to demonstrate excellent anti- inflammatory properties, with predictable pharmacokinetic and pharmacodynamic behaviour, with an attractive side-effect profile (demonstrated for example, by increased selectivity for the glucocorticoid receptor over the progesterone receptor and/or increased selectivity for glucocorticoid receptor mediated transrepression over transactivation) and are compatible with a convenient regime of treatment in human patients. Further advantages may include the fact that the substances have desirable physical and chemical properties which allow for ready manufacture and storage.
- The following non-limiting Examples illustrate the invention:
- General
- LCMS was conducted on a Supelcosil LCABZ+PLUS column (3.3 cm×4.6 mm ID) eluting with 0.1% HCO2H and 0.01 M ammonium acetate in water (solvent A), and 0.05% HCO2H 5% water in acetonitrile (solvent B), using the following elution gradient 0-0.7 min 0% B, 0.7-4.2 min 100% B, 4.2-5.3 min 0% B, 5.3-5.5 min 0% B at a flow rate of 3 ml/min. The mass spectra were recorded on a Fisons VG Platform spectrometer using electrospray positive and negative mode (ES+ve and ES−ve).
- Intermediates
- Intermediate 1: 17α-(Cyclobutylcarbonyl)oxy-6α,9α-difluoro-11β-hydroxy-16α-methyl-3-oxo-androsta-1,4-diene-17β-carbothioic Acid
-
- A solution of 6α,9α-difluoro-11β,17β-dihydroxy-16α-methyl-3-oxo-androsta-1,4-diene-17β-carbothioic acid (prepared in accordance with the procedure described in GB 2088877B) (1 g, 2.42 mmol) in anhydrous dichloromethane (20 ml) and triethylamine (0.88 ml, 6.32 mmol) was treated at <5° C. under nitrogen with a solution of cyclobutanecarbonyl chloride (0.72 ml, 6.31 mmol) in anhydrous dichloromethane (5 ml) over approximately 2 min. The solution was stirred at <5° C. for 45 min and then diluted with dichloromethane (20 ml) and washed successively with 5% sodium hydrogen carbonate solution (20 ml), 1 M hydrochloric acid (20 ml) and water (20 ml). The organic solution was dried (Na2SO4) and evaporated to give an off-white foam (1.47 g) which was dissolved in acetone (30 ml) and treated with 1-methylpiperazine (1 ml, 9 mmol). After 2.5 h the solution was slowly added to a stirred mixture of 2M hydrochloric acid (55 ml) and ice (55 ml) and the precipitate was collected and dried in vacuo to give the title compound as a white solid (1.12 g, 93.5%): LCMS retention time 3.79 min, m/z 495 MH+
Intermediate 2: 17α-(Cyclopentylcarbonyl)oxy-6α,9α-difluoro-11β-hydroxy-16α-methyl-3-oxo-androsta-1,4-diene-17β-carbothioic Acid. - Prepared using methods similar to that described for Intermediate 1. LCMS retention time 4.00 min, m/z 509 MH+
Intermediate 3: 17α-(Cyclohexylcarbonyl)oxy-6α,9α-difluoro-11β-hydroxy-16α-methyl-3-oxo-androsta-1,4-diene-17β-carbothioic Acid - Prepared using methods similar to that described for Intermediate 1. LCMS retention time 4.17 min, m/z 523 MH+
Intermediate 4: 17α-(Cyclopropylcarbonyl)oxy-6α,9α-difluoro-11β-hydroxy-16α-methyl-3-oxo-androsta-1,4-diene-17β-carbothioic Acid - Prepared using methods similar to that described for Intermediate 1. LCMS retention time 3.65 min, m/z 481 MH+
Intermediate 5: 6α,9α-Difluoro-11β-hydroxy-16α-methyl-17α-(1-methycyclopropylcarbonyl)oxy-3-oxo-androsta-1,4-diene-17β-carbothioic Acid - Prepared using methods similar to that described for Intermediate 1. LCMS retention time 3.75 min, m/z 495 MH+
Intermediate 6: 6α,9α-Difluoro-11β-hydroxy-16α-methyl-3-oxo-17α-(2,2,3,3-tetramethycyclopropylcarbonyl)oxy-androsta-1,4-diene-17β-carbothioic Acid - Prepared using methods similar to that described for Intermediate 1. LCMS retention time 4.12 min, m/z 537 MH+
Intermediate 7: 17α-(2,2-Dichloro-1-methycyclopropylcarbonyl)oxy-6α,9α-difluoro-11β-hydroxy-16α-methyl-3-oxo-androsta-1,4-diene-17β-carbothioic Acid - Prepared using methods similar to that described for Intermediate 1. LCMS retention time 4.20 min, m/z 563,565 MH+
Intermediate 8: 17α-(2,2-Dichlorocylopropylcarbonyl)oxy-6α,9α-difluoro-11β-hydroxy-16α-methyl-3-oxo-androsta-1,4-diene-17β-carbothioic Acid - Prepared using methods similar to that described for Intermediate 1. LCMS retention time 4.14 min, m/z 549,551 MH+
Intermediate 9: 6α,9α-Difluoro-11β-hydroxy-16α-methyl-17α-(3-methylenecyclobutylcarbonyl)oxy-3-oxo-androsta-1,4-diene-17β-carbothioic Acid - Prepared using methods similar to that described for Intermediate 1. LCMS retention time 4.10 min, m/z 507 MH+
Intermediate 10: 6α,9α-Difluoro-11β-hydroxy-16α-methyl-17α-(2-methylcyclopropylcarbonyl)oxy-3-oxo-androsta-1,4-diene-17β-carbothioic Acid - Prepared using methods similar to that described for Intermediate 1. LCMS retention time 3.90 min, m/z 495 MH+
Intermediate 11: 6α,9α-Difluoro-11β-hydroxy-16α-methyl-17α-(1-methylcyclobutylcarbonyl)oxy-3-oxo-androsta-1,4-diene-17β-carbothioic Acid - Prepared using methods similar to that described for Intermediate 1. LCMS retention time 4.13 min, m/z 509 MH+
Intermediate 12: 6α,9α-Difluoro-17α-(3,3-dimethylcyclobutylcarbonyl)oxy-11β-hydroxy-16α-methyl-3-oxo-androsta-1,4-diene-17β-carbothioic Acid - Prepared using methods similar to that described for Intermediate 1. LCMS retention time 4.09 min, m/z 523 MH+
Intermediate 13: 6α,9α-Difluoro-17α-(3,3-difluorocyclobutylcarbonyl)oxy-11β-hydroxy-16α-methyl-3-oxo-androsta-1,4-diene-17β-carbothioic Acid - Prepared using methods similar to that described for Intermediate 1. LCMS retention time 3.78 min, m/z 531 MH+
Intermediate 14: 6α,9α-Difluoro-11β-hydroxy-16α-methyl-17α-(1-methylcyclopentylcarbonyl)oxy-3-oxo-androsta-1,4-diene-17β-carbothioic Acid - Prepared using methods similar to that described for Intermediate 1. LCMS retention time 4.05 min, m/z 523 MH+
Intermediate 15: 6α,9α-Difluoro-11β-hydroxy-16α-methyl-3-oxo-17α-(3-oxocyclobutylcarbonyl)oxy-androsta-1,4-diene-17β-carbothioic Acid - Prepared using methods similar to that described for Intermediate 1. LCMS retention time 3.41 min, m/z 509 MH+
-
- Sodium hydrogen carbonate (112 mg, 1.33 mmol) was added to a solution of Intermediate 1 (600 mg, 1.21 mmol) in anhydrous N,N-dimethylformamide (6 ml) and the mixture cooled to −20° C. under nitrogen. Bromofluoromethane (0.15 ml, 2.7 mmol) was added and the mixture was stirred at −20° C. for 2 h. Diethylamine (0.6 ml, 5.8 mmol) was added and the mixture stirred at −20° C. for 15 min and then added to vigorously stirred 2M hydrochloric acid (25 ml). Water (75 ml) was added and after stirring for a further 30 min the white precipitate was collected and dried in vacuo (606 mg). This material was purified was column chromatography on silica gel to give the title compound as a white solid (520 mg, 81%): LCMS retention time 3.67 min, m/z 527 MH+.
-
- Prepared from Intermediate 2 using methods similar to that described for Example 1. LCMS retention time 3.92 min, m/z 541 MH+
-
- Prepared from Intermediate 3 using methods similar to that described for Example 1. LCMS retention time 4.02 min, m/z 555 MH+
-
- Prepared from Intermediate 4 using methods similar to that described for Example 1. LCMS retention time 3.54 min, m/z 513 MH+
-
- Prepared from Intermediate 5 using methods similar to that described for Example 1. LCMS retention time 3.66 min, m/z 527 MH+
-
- Prepared from Intermediate 6 using methods similar to that described for Example 1. LCMS retention time 4.02 min, m/z 569 MH+
-
- Prepared from Intermediate 7 using methods similar to that described for Example 1. LCMS retention time 3.79 min, m/z 595,597,599 MH+
-
- Prepared from Intermediate 8 using methods similar to that described for Example 1. LCMS retention time 3.68 min, m/z 581,583 MH+
-
- Prepared from Intermediate 9 using methods similar to that described for Example 1. LCMS retention time 3.68 min, m/z 539 MH+
-
- Prepared from Intermediate 10 using methods similar to that described for Example 1. LCMS retention time 3.57 min, m/z 527 MH+
-
- Prepared from Intermediate 11 using methods similar to that described for Example 1. LCMS retention time 3.73 min, m/z 541 MH+
-
- Water (1.8 ml), benzyltributylammonium chloride (35 mg) and diisopropylethylamine (0.21 ml) were added to a stirred and cooled (0° C.) solution of Intermediate 12 (585 mg, 1.12 mmol) in ethyl acetate (15 ml). A solution of bromofluoromethane (0.075 ml) in ethyl acetate (0.75 ml) was added and the mixture stirred at room temperature for 18 h. A solution of 2% diethylamine in 4:1 acetonitrile:water (1 ml) was added and the mixture stirred for 10 min. The organic phase was separated, washed successively with 0.5M hydrochloric acid, water and 1% sodium bicarbonte solution and dried and evaporated. The residue (570 mg) was purified by preparative HPLC to give the title compound as a cream solid (490 mg, 79%): LCMS retention time 3.75 min, m/z 555 MH+.
-
- Prepared from Intermediate 13 using methods similar to that described for Example 12. LCMS retention time 3.47 min, m/z 563 MH+
-
- Prepared from Intermediate 14 using methods similar to that described for Example 12. LCMS retention time 3.71 min, m/z555 MH+
-
- Prepared from Intermediate 15 using methods similar to that described for Example 12. LCMS retention time 3.24 min, m/z 541 MH+
Preparation of Long Acting β2-adrenoreceptor Agonist - i) Di(tert-butyl) 2-(2,2-dimethyl-4H-1,3-benzodioxin-6-yl)-2-oxoethylimidodicarbonate
-
- Cesium carbonate (70.4 g) was added to a stirred suspension of 2-bromo-1-(2,2-dimethyl-4H-1,3-benzodioxin-6-yl)ethanone, (Glaxo, DE 3513885,1985) (61.8 g) and di-t-butyl iminodicarboxylate (47.15 g) in acetonitrile (600 ml) under nitrogen. After vigorous stirring at 21° C. for 24 h the mixture was diluted with water (ca800 ml) and the product was extracted with diethyl ether (1 litre, then 200 ml). The combined organic layers were washed with brine, dried (MgSO4) and concentrated to ca400 ml. The white crystals were collected by filtration, washed with diethyl ether and dried to give the title compound (24.4 g) δ (CDCl3) 7.78(1H. dd, J 8, 2 Hz), 7.65 (1H, brs), 6.87(1H, d, J 8 Hz), 4.97(2H, s), 4.88(2H, s), 1.56(6H, s) and 1.48 (18H, s). Further concentration of the mother liquors gave additional product (13.8 g). A third crop (7.1 g) was obtained by chromatographing the mother liquors on silica gel, evaporating the appropriate eluate and triturating with diethyl ether.
ii) tert-Butyl 2-(2,2-dimethyl-4H-1,3-benzodioxin-6-yl)-2-oxoethylcarbamate - Trifluoroacetic acid (92 ml) was added to a stirred solution of di(tert-butyl) 2-(2,2-dimethyl-4H-1,3-benzodioxin-6-yl)-2-oxoethylimidodicarbonate, (352.55 g) in dichloromethane (3.6 litres) at 21° C. and the reaction was stirred for 1.5 h. Aqueous NaOH solution (1.751 litres) was added and after 10 min the phases were separated. The organic layer was washed with water, dried (MgSO4) and evaporated to an oil. This was stored under high vacuum overnight and then triturated with hexane:ether (3:1) to give the crude product (226.61 g). This was purified by recrystallisation from diethyl ether to give the title compound (122.78 g). Further product (61.5 g) was obtained from the mother liquors by evaporation and chromatography on a Biotage using 15% ethyl acetate in hexane. LCMS RT=3.37 min.
iii) tert-Butyl (2R)-2-(2,2-dimethyl-4H-1,3-benzodioxin-6-yl)-2-hydroxyethylcarbamate - A 2M solution of borane—dimethyl sulphide in THF (28 ml) was added slowly to a 1 M solution of (R)-tetrahydro-1-methyl-3,3-diphenyl-1H,3H-pyrrolo[1,2-c][1,3,2]oxazaborole in toluene (56 ml) at 0° C. under nitrogen. A solution of tert-butyl 2-(2,2-dimethyl-4H-1,3-benzodioxin-6-yl)-2-oxoethylcarbamate, (108.2 g) in THF (1.3 litres) was added slowly keeping the temperature below 5° C. followed by 2M solution of borane—dimethyl sulphide in THF (252 ml) over 50 min. After 1 h, 2M HCl (170 ml) was added with cooling and the mixture was partitioned between ethyl acetate and water. The organic layer was washed with saturated NaHCO3 solution and brine and dried (MgSO4). The solution was concentrated and the product purified by chromatography on flash silica gel (800 g), eluting successively with hexane:ethyl acetate (4:1 then 3:1) to give the title compound (93.3 g), LCMS RT=3.31 min.
iv) (5R)-5-(2,2-Dimethyl-4H-1,3-benzodioxin-6-yl)-1,3-oxazolidin-2-one - tert-Butyl (2R)-2-(2,2-dimethyl-4H-1,3-benzodioxin-6-yl)-2-hydroxyethylcarbamate, (86.37 g) in DMF (600 ml) was added dropwise to a stirred suspension of sodium hydride (60% oil dispersion, 11.9 g) in DMF (160 ml) with cooling such that the internal temperature remained at 0° C. under nitrogen. The mixture was stirred at 21° C. for 2 h. The mixture was recooled to 0° C. and 2M HCl (134 ml) was added. The mixture was diluted with water and the product was extracted with ethyl acetate twice. The solution was washed with brine twice, dried (MgSO4) and evaporated to give the title compound (63.55 g) LCMS RT=2.66 min.
v) 6-Bromohexyl but-3-ynyl Ether - 3-Butyn-1-ol (42.4 ml) was stirred vigorously with 1,6-dibromohexane (260 ml) and tetrabutylammonium bisulphate (2.4 g) in 50% aqueous sodium hydroxide solution (200 ml) under nitrogen for 3 days. Water (ca 700 ml) was added and the organic layer was separated. The aqueous layer was extracted twice with dichloromethane (2×100 ml) and the combined organic layers were washed with water, dried (MgSO4) and concentrated. The residue in petroleum ether (bp 40-60°) was loaded onto a column of silica gel (1.5 kg) and the column was eluted with petroleum ether (bp 40-60° C.), then 10% diethyl ether in petroleum ether (bp 40-60° C.) to give the title compound (103.3 g), 6 (CDCl3) 3.56(2H, t, J 7 Hz), 3.47(2H, t, J 7 Hz), 3.42(2H, t, J 7 Hz), 2.45(2H, m), 1.99(1H. t, J 2 Hz), 1.87(2H, m), 1.60(2H, m) and 1.50 to 1.33 (4H, m).
vi) (5R)-3-[6-(But-3-ynyloxy)hexyl]-5-(2,2-dimethyl-4H-1,3-benzodioxin-6-yl)-1,3-oxazolidin-2-one - (5R)-5-(2,2-dimethyl-4H-1,3-benzodioxin-6-yl)-1,3-oxazolidin-2-one (10 g) in DMF (100 ml) was added dropwise to a stirred suspension of sodium hydride (60% oil dispersion, 2.33 g) in DMF (50 ml) with stirring under nitrogen and maintaining the internal temperature at 0° C. Stirring was continued at 0-5° C. for 1 h. The mixture was recooled to 0° C. and a solution of 6-bromohexyl but-3-ynyl ether (14.7 g) in DMF (50 ml) was added over 1 min. The mixture was then stirred at 20-30° C. for 2 h. 2M HCl (9 ml) was added and the mixture was partitioned between water and diethyl ether. The aqueous layer was extracted with more diethyl ether and the combined organic layers were washed twice with brine. After drying (MgSO4) the solution was concentrated and loaded onto a column of silica gel (600 g) set up in diethyl ether: petroleum ether (bp 40-60° C.) (1:2). The column was eluted successively with this mixture, then (1:1) and then diethyl ether to give the title compound (13.88 g) LCMS RT=3.45 min.
vii) 3-[4-({6-[(5R)-5-(2,2-Dimethyl-4H-1,3-benzodioxin-6-yl)-2-oxo-1,3-oxazolidin-3-yl]hexyl}oxy)but-1-ynyl]benzenesulfonamide - (5R)-3-[6-(But-3-ynyloxy)hexyl]-5-(2,2-dimethyl-4H-1,3-benzodioxin-6-yl)-1,3-oxazolidin-2-one (1.79 g) was stirred with 3-iodobenzene sulphonamide (1.4 g) in acetonitrile:triethylamine (1:1, 42 ml) under nitrogen for 10 min. Cuprous iodide (0.083 g) and dichlorobis(triphenylphosphine)palladium (0.192 g) were added and the mixture was stirred for 17 h under nitrogen at 21 ° C. The mixture was evaporated to dryness and the residue was chromatographed on silica gel (250 g) in 30% ethyl acetate: petroleum ether (bp 40-60°), then 50%, then 75% and finally ethyl acetate to give the title compound (2.35 g), LCMS RT=3.44 min.
viii) 3-[4-({6-[(5R)-5-(2,2-Dimethyl-4H-1,3-benzodioxin-6-yl)-2-oxo-1,3-oxazolidin-3-yl]hexyl}oxy)butyl]benzenesulfonamide - 3-[4-({6-[(5R)-5-(2,2-Dimethyl-4H-1,3-benzodioxin-6-yl)-2-oxo-1,3-oxazolidin-3-yl]hexyl}oxy)but-1-ynyl]benzenesulfonamide (2.35 g) was stirred with platinum oxide (0.3 g) in THF (30 ml) under hydrogen for 2 h. The catalyst was removed by filtration using a filter aid and the filter cake was leached with ethyl acetate. The combined filtrates were passed through silica gel (200 g) in ethyl acetate and the eluate was evaporated to give the title compound (2.32 g), LCMS RT=3.49 min.
ix) 3-{4-[(6-{[(2R)-2-(2,2-Dimethyl-4H-1,3-benzodioxin-6-yl)-2-hydroxyethyl]amino}hexyl)oxy]butyl}benzenesulfonamide - 3-[4-({6-[(5R)-5-(2,2-Dimethyl-4H-1,3-benzodioxin-6-yl)-2-oxo-1,3-oxazolidin-3-yl]hexyl}oxy)butyl]benzenesulfonamide (0.43 g) was stirred in THF (10 ml) while purging with a vigorous stream of nitrogen for 5 min. Potassium trimethylsilanoate (0.43 g) was added and the mixture was stirred at 70° C. under nitrogen for 2.5 h. The mixture was partitioned between dichloromethane and pH 6.4 phosphate buffer and the aqueous layer was extracted with more dichloromethane. The combined organic layers were washed with water, dried (MgSO4) and concentrated. The residue was purified on silica gel (60 g), eluting successively with ethyl acetate:petroleum ether (bp 40-60° C.) (1:1), ethyl acetate, 10% then 20% methanol in ethyl acetate to give the title compound (0.286 g), LCMS RT=2.56 min.
x) 3-(4-{[6-({(2R)-2-Hydroxy-2-[4-hydroxy-3-(hydroxymethyl)phenyl]ethyl}amino)-hexyl]oxy}butyl)benzenesulfonamide Acetate - 3-{4-[(6-{[(2R)-2-(2,2-dimethyl-4H-1,3-benzodioxin-6-yl)-2-hydroxyethyl]amino}hexyl)oxy]butyl}benzenesulfonamide (0.283 g) was stirred with acetic acid (8 ml) and water (4 ml) at 70° for 35 min before evaporating to dryness. The residue was re-evaporated twice with toluene to give the title compound (0.318 g) LCMS RT=2.34 min, ES+ve 495 (MH)+.
Pharmacological Activity - Pharmacological activity was assessed in a functional in vitro assay of glucocorticoid agonist activity which is generally predictive of anti-inflammatory or anti-allergic activity in vivo.
- The functional assay was based on that described by K. P. Ray et al., Biochem J. (1997), 328, 707-715. A549 cells stably transfected with a reporter gene containing the NF-κB responsive elements from the ELAM gene promoter coupled to sPAP (secreted alkaline phosphatase) were treated with test compounds at appropriate doses for 1 hour at 37° C. The cells were then stimulated with tumour necrosis factor (TNF, 10 ng/ml) for 16 hours, at which time the amount of alkaline phosphatase produced is measured by a standard colourimetric assay. Dose response curves were constructed from which EC50 values were estimated. In this test the compounds of Examples 1 to 15 showed an EC50 value of <2 nM.
- Screen for Progesterone Receptor Activity
- The human breast cancer cell line T47D has been reported to upregulate an endogenous alkaline phosphatase in response to progestins (Di Lorenzo et al., Cancer Research (1991) 51, 4470-4475. T47D cells were seeded into 96 well plates at a density of 1×105 cells per well and grown overnight at 37° C. Steroids were dissolved in DMSO, added to the cells (final DMSO concentration 0.7%), and incubated for 24 hours at 37° C. The cells were then washed with PBS and lysed with RIPA buffer (1% IGEPAL, 0.5% Na deoxycholate, 0.1% SDS in phosphate buffered saline). Alkaline phosphatase activity was measured spectrophotometrically (405 nm) using p-nitrophenylphosphate (1.5 mg/ml) as a substrate dissolved in 1M diethanolamine, 0.28M NaCl, 0.5 mM MgCl2. Dose response curves were constructed from which EC50 values were estimated.
- Examples 5 and 11 were tested for progesterone activity in accordance with the above screen and the selectivity was determined by dividing the ED50 at the progesterone receptor by the ED50 at the glucocorticoid receptor. The selectivity of Example 5 was 353 (compare fluticasone propionate: selectivity=57) and of Example 11 was 1230 (compare fluticasone propionate: selectivity=107).
- Throughout the specification and the claims which follow, unless the context requires otherwise, the word ‘comprise’, and variations such as ‘comprises’ and ‘comprising’, will be understood to imply the inclusion of a stated integer or step or group of integers but not to the exclusion of any other integer or step or group of integers or steps. The patents and patent applications described in this application are herein incorporated by reference.
Claims (11)
1. A method for the treatment of a human or animal subject having an inflammatory and/or allergic condition, which method comprises administering to the human or animal subject an effective amount of a pharmaceutical composition comprising a compound 6α,9α-Difluoro-11β-hydroxy-16α-methyl-17α-(1-methycyclopropylcarbonyl)oxy-3-oxo-androsta-1,4-diene-17β-carbothioic acid S-fluoromethyl ester, in admixture with one or more physiologically acceptable diluents or carriers, wherein said effective amount is from 20 to 2000 micrograms of said compound.
2. The method of claim 1 , wherein said administration occurs from 1 to 8 times per day.
3. The method of claim 2 , wherein said administration occurs once per day.
4. The method of claim 1 , wherein the inflammatory and/or allergic condition is rhinitis.
5. The method of claim 1 , wherein said effective amount is from 20-500 micrograms of said compound.
6. The method of claim 1 , wherein said pharmaceutical composition is an aqueous formulation, and said administration is made via aerosolization and is topically delivered to the nasal cavity.
7. The method of claim 6 , wherein said composition comprises a buffering agent and/or a tonicity modifying agent.
8. The method of claim 1 , wherein said composition further comprises an antihistamine as a further pharmaceutically active compound for the treatment of said condition.
9. A method for the treatment of a human or animal subject having an inflammatory and/or allergic condition, which method comprises:
administering to the nasal cavity of the human or animal subject, an aqueous aerosol pharmaceutical composition comprising an effective amount of a compound 6α,9α-Difluoro-11β-hydroxy-16α-methyl-17α-(1-methycyclopropylcarbonyl)oxy-3-oxo-androsta-1,4-diene-17β-carbothioic acid S-fluoromethyl or a solvate thereof, wherein said effective amount is from 20-2000 micrograms of said compound.
10. The method of claim 9 , wherein said effective amount of said aqueous aerosol pharmaceutical composition is delivered from one to four times per day.
11. The method of claim 10 , wherein said aqueous aerosol pharmaceutical composition is delivered once per day.
Priority Applications (1)
| Application Number | Priority Date | Filing Date | Title |
|---|---|---|---|
| US11/851,125 US20070297989A1 (en) | 2001-04-30 | 2007-09-06 | Novel anti-inflammatory androstane derivatives |
Applications Claiming Priority (11)
| Application Number | Priority Date | Filing Date | Title |
|---|---|---|---|
| GB0110578A GB0110578D0 (en) | 2001-04-30 | 2001-04-30 | Novel compounds |
| GB0110578.2 | 2001-04-30 | ||
| GB0127988A GB0127988D0 (en) | 2001-11-22 | 2001-11-22 | Novel compounds |
| GB0127988.4 | 2001-11-22 | ||
| GB0202442.0 | 2002-02-02 | ||
| GB0202442A GB0202442D0 (en) | 2002-02-02 | 2002-02-02 | Novel compounds |
| GB0202637.5 | 2002-02-05 | ||
| GB0202637A GB0202637D0 (en) | 2002-02-05 | 2002-02-05 | Novel compounds |
| PCT/GB2002/001971 WO2002088167A1 (en) | 2001-04-30 | 2002-04-30 | Anti-inflammatory 17.beta.-carbothioate ester derivatives of androstane with a cyclic ester group in position 17.alpha |
| US10/478,893 US7291608B2 (en) | 2001-04-30 | 2002-04-30 | Anti-inflammatory 17.β.-carbothioate ester derivatives of androstane with a cyclic ester group in position 17.α |
| US11/851,125 US20070297989A1 (en) | 2001-04-30 | 2007-09-06 | Novel anti-inflammatory androstane derivatives |
Related Parent Applications (2)
| Application Number | Title | Priority Date | Filing Date |
|---|---|---|---|
| PCT/GB2002/001971 Continuation WO2002088167A1 (en) | 2001-04-30 | 2002-04-30 | Anti-inflammatory 17.beta.-carbothioate ester derivatives of androstane with a cyclic ester group in position 17.alpha |
| US10/478,893 Continuation US7291608B2 (en) | 2001-04-30 | 2002-04-30 | Anti-inflammatory 17.β.-carbothioate ester derivatives of androstane with a cyclic ester group in position 17.α |
Publications (1)
| Publication Number | Publication Date |
|---|---|
| US20070297989A1 true US20070297989A1 (en) | 2007-12-27 |
Family
ID=27447944
Family Applications (2)
| Application Number | Title | Priority Date | Filing Date |
|---|---|---|---|
| US10/478,893 Expired - Fee Related US7291608B2 (en) | 2001-04-30 | 2002-04-30 | Anti-inflammatory 17.β.-carbothioate ester derivatives of androstane with a cyclic ester group in position 17.α |
| US11/851,125 Abandoned US20070297989A1 (en) | 2001-04-30 | 2007-09-06 | Novel anti-inflammatory androstane derivatives |
Family Applications Before (1)
| Application Number | Title | Priority Date | Filing Date |
|---|---|---|---|
| US10/478,893 Expired - Fee Related US7291608B2 (en) | 2001-04-30 | 2002-04-30 | Anti-inflammatory 17.β.-carbothioate ester derivatives of androstane with a cyclic ester group in position 17.α |
Country Status (24)
| Country | Link |
|---|---|
| US (2) | US7291608B2 (en) |
| EP (2) | EP2039700A2 (en) |
| JP (1) | JP4446661B2 (en) |
| KR (1) | KR100831534B1 (en) |
| CN (1) | CN1302007C (en) |
| AR (1) | AR033290A1 (en) |
| AT (1) | ATE411334T1 (en) |
| AU (2) | AU2002253342B2 (en) |
| BR (1) | BR0209271A (en) |
| CA (1) | CA2445839A1 (en) |
| CZ (1) | CZ20032958A3 (en) |
| DE (1) | DE60229372D1 (en) |
| DK (1) | DK1383786T3 (en) |
| ES (1) | ES2314052T3 (en) |
| HU (1) | HUP0400070A2 (en) |
| IL (1) | IL158222A0 (en) |
| MX (1) | MXPA03009940A (en) |
| MY (1) | MY137522A (en) |
| NO (1) | NO326015B1 (en) |
| NZ (1) | NZ528888A (en) |
| PL (1) | PL366937A1 (en) |
| PT (1) | PT1383786E (en) |
| SI (1) | SI1383786T1 (en) |
| WO (1) | WO2002088167A1 (en) |
Families Citing this family (136)
| Publication number | Priority date | Publication date | Assignee | Title |
|---|---|---|---|---|
| AR028948A1 (en) | 2000-06-20 | 2003-05-28 | Astrazeneca Ab | NEW COMPOUNDS |
| US6777399B2 (en) | 2000-08-05 | 2004-08-17 | Smithkline Beecham Corporation | Anti-inflammatory androstane derivative compositions |
| GB0019172D0 (en) | 2000-08-05 | 2000-09-27 | Glaxo Group Ltd | Novel compounds |
| US6858596B2 (en) | 2000-08-05 | 2005-02-22 | Smithkline Beecham Corporation | Formulation containing anti-inflammatory androstane derivative |
| US6858593B2 (en) | 2000-08-05 | 2005-02-22 | Smithkline Beecham Corporation | Anti-inflammatory androstane derivative compositions |
| KR100889426B1 (en) | 2000-08-05 | 2009-03-23 | 글락소 그룹 리미티드 | 6.alpha., 9.alpha.-difluoro-17.alpha .- '(2-furanylcarboxyl) oxy-11.beta.-hydroxy-16.alpha.-methyl-3-oxo as anti-inflammatory -Androst-1,4-diene-17-carbothioic acid S-fluoromethyl ester |
| US6787532B2 (en) | 2000-08-05 | 2004-09-07 | Smithkline Beecham Corporation | Formulation containing anti-inflammatory androstane derivatives |
| UA77656C2 (en) | 2001-04-07 | 2007-01-15 | Glaxo Group Ltd | S-fluoromethyl ester of 6-alpha, 9-alpha-difluoro-17-alpha-[(2-furanylcarbonyl)oxy]-11-beta-hydroxy-16- alpha-methyl-3-oxoandrosta-1,4-dien-17-beta-carbothioacid as anti-inflammatory agent |
| AU2002253342B2 (en) | 2001-04-30 | 2007-01-04 | Glaxo Group Limited | Novel anti-inflammatory androstane derivatives |
| AU2002356759A1 (en) * | 2001-12-01 | 2003-06-17 | Glaxo Group Limited | 17.alpha. -cyclic esters of 16-methylpregnan-3,20-dione as anti-inflammatory agents |
| WO2003072592A1 (en) * | 2002-01-15 | 2003-09-04 | Glaxo Group Limited | 17.alpha-cycloalkyl/cycloylkenyl esters of alkyl-or haloalkyl-androst-4-en-3-on-11.beta.,17.alpha.-diol 17.beta.-carboxylates as anti-inflammatory agents |
| GB2389530B (en) | 2002-06-14 | 2007-01-10 | Cipla Ltd | Pharmaceutical compositions |
| CA2506956C (en) * | 2002-11-27 | 2012-10-02 | Altana Pharma Ag | Synergistic combination comprising roflumilast and (r,r)-formoterol |
| PL216752B1 (en) * | 2002-11-27 | 2014-05-30 | Nycomed Gmbh | New synergistic combination comprising roflumilast and formoterol |
| AR044519A1 (en) | 2003-05-02 | 2005-09-14 | Novartis Ag | DERIVATIVES OF PIRIDIN-TIAZOL AMINA AND PIRIMIDIN-TIAZOL AMINA |
| GB0316290D0 (en) * | 2003-07-11 | 2003-08-13 | Glaxo Group Ltd | Novel compounds |
| GB0401334D0 (en) | 2004-01-21 | 2004-02-25 | Novartis Ag | Organic compounds |
| GB0411056D0 (en) | 2004-05-18 | 2004-06-23 | Novartis Ag | Organic compounds |
| GT200500281A (en) | 2004-10-22 | 2006-04-24 | Novartis Ag | ORGANIC COMPOUNDS. |
| GB0424284D0 (en) | 2004-11-02 | 2004-12-01 | Novartis Ag | Organic compounds |
| GB0426164D0 (en) | 2004-11-29 | 2004-12-29 | Novartis Ag | Organic compounds |
| GB0507577D0 (en) | 2005-04-14 | 2005-05-18 | Novartis Ag | Organic compounds |
| GB0510390D0 (en) | 2005-05-20 | 2005-06-29 | Novartis Ag | Organic compounds |
| US7829554B2 (en) | 2005-07-14 | 2010-11-09 | Lithera, Inc. | Sustained release enhanced lipolytic formulation for regional adipose tissue treatment |
| GB0516313D0 (en) | 2005-08-08 | 2005-09-14 | Argenta Discovery Ltd | Azole derivatives and their uses |
| US7994211B2 (en) | 2005-08-08 | 2011-08-09 | Argenta Discovery Limited | Bicyclo[2.2.1]hept-7-ylamine derivatives and their uses |
| TW200744612A (en) * | 2005-08-26 | 2007-12-16 | Astrazeneca Ab | New combination |
| MY144906A (en) | 2005-10-21 | 2011-11-30 | Novartis Ag | Human antibodies against il13 and therapeutic uses |
| GB0526244D0 (en) | 2005-12-22 | 2006-02-01 | Novartis Ag | Organic compounds |
| GB0601951D0 (en) | 2006-01-31 | 2006-03-15 | Novartis Ag | Organic compounds |
| MX2008013411A (en) | 2006-04-20 | 2008-11-04 | Glaxo Group Ltd | Novel compounds. |
| RU2457209C2 (en) | 2006-04-21 | 2012-07-27 | Новартис Аг | Purine derivatives applicable as adenosine receptor a2a agonists |
| GB0611587D0 (en) | 2006-06-12 | 2006-07-19 | Glaxo Group Ltd | Novel compounds |
| JP2009543860A (en) | 2006-07-19 | 2009-12-10 | アストラゼネカ・アクチエボラーグ | Novel tricyclic spiropiperidine compounds, their synthesis and their use as chemokine receptor activity modulators |
| MX2009003185A (en) | 2006-09-29 | 2009-04-03 | Novartis Ag | Pyrazolopyrimidines as p13k lipid kinase inhibitors. |
| WO2008048770A1 (en) * | 2006-10-17 | 2008-04-24 | Lipothera, Inc. | Methods, compositions, and formulations for the treatment of thyroid eye disease |
| TW200825084A (en) | 2006-11-14 | 2008-06-16 | Astrazeneca Ab | New compounds 521 |
| WO2008075005A1 (en) | 2006-12-19 | 2008-06-26 | Astrazeneca Ab | Quinuclidinol derivatives as muscarinic receptor antagonists |
| HRP20110201T1 (en) | 2007-01-10 | 2011-08-31 | Irm Llc | COMPOUNDS AND COMPOSITIONS AS PROTEASE INHIBITORS OF CANALIZED ACTIVATION |
| BRPI0806970A2 (en) | 2007-02-09 | 2014-04-08 | Irm Llc | COMPOUNDS AND COMPOSITIONS AS CHANNEL ACTIVATE PROTEASE INHIBITORS |
| PE20081889A1 (en) | 2007-03-23 | 2009-03-05 | Smithkline Beecham Corp | INDOL CARBOXAMIDES AS INHIBITORS OF IKK2 |
| DE602008005140D1 (en) | 2007-05-07 | 2011-04-07 | Novartis Ag | ORGANIC CONNECTIONS |
| US8048980B2 (en) * | 2007-09-17 | 2011-11-01 | Bezwada Biomedical, Llc | Hydrolysable linkers and cross-linkers for absorbable polymers |
| WO2009044200A1 (en) | 2007-10-04 | 2009-04-09 | Astrazeneca Ab | Steroidal [3, 2-c] pyrazole compounds, with glucocorticoid activity |
| AR069637A1 (en) | 2007-12-10 | 2010-02-10 | Novartis Ag | PIRAZINE DERIVATIVES |
| CN101910153B (en) | 2008-01-11 | 2014-01-22 | 诺华股份有限公司 | Pyrimidines as Kinase Inhibitors |
| US8268834B2 (en) | 2008-03-19 | 2012-09-18 | Novartis Ag | Pyrazine derivatives that inhibit phosphatidylinositol 3-kinase enzyme |
| BRPI0822693A2 (en) | 2008-05-13 | 2015-07-07 | Astrazeneca Ab | Quinuclidine derivatives as m3 muscarinic receptor antagonists |
| MX2010012814A (en) | 2008-05-23 | 2010-12-20 | Amira Pharmaceuticals Inc | 5-lipoxygenase-activating protein inhibitor. |
| AU2009252938B2 (en) | 2008-05-27 | 2012-04-26 | Astrazeneca Ab | Phenoxypyridinylamide derivatives and their use in the treatment of PDE4 mediated disease states |
| WO2009147187A1 (en) | 2008-06-05 | 2009-12-10 | Glaxo Group Limited | 4-carboxamide indazole derivatives useful as inhibitors of p13-kinases |
| WO2009150137A2 (en) | 2008-06-10 | 2009-12-17 | Novartis Ag | Organic compounds |
| WO2010067102A1 (en) | 2008-12-09 | 2010-06-17 | Astrazeneca Ab | Diazaspiro [5.5] undecane derivatives and related compounds as muscarinic-receptor antagonists and beta-adrenoreceptor agonists for the treatment of pulmonary disorders |
| PL2379507T3 (en) | 2008-12-30 | 2014-03-31 | Pulmagen Therapeutics Inflammation Ltd | Sulfonamide compounds for the treatment of respiratory disorders |
| PT2391366E (en) | 2009-01-29 | 2013-02-05 | Novartis Ag | Substituted benzimidazoles for the treatment of astrocytomas |
| WO2010102958A1 (en) | 2009-03-09 | 2010-09-16 | Glaxo Group Limited | 4-oxadiazol-2 -yl- indazoles as inhibitors of p13 kinases |
| US8354539B2 (en) | 2009-03-10 | 2013-01-15 | Glaxo Group Limited | Indole derivatives as IKK2 inhibitors |
| US20120058984A1 (en) | 2009-03-17 | 2012-03-08 | Catherine Mary Alder | Pyrimidine derivatives used as itk inhibitors |
| US20120016010A1 (en) | 2009-03-19 | 2012-01-19 | Merck Sharp & Dohme Corp | RNA Interference Mediated Inhibition of BTB and CNC Homology 1, Basic Leucine Zipper Transcription Factor 1 (BACH1) Gene Expression Using Short Interfering Nucleic Acid (siNA) |
| WO2010107952A2 (en) | 2009-03-19 | 2010-09-23 | Merck Sharp & Dohme Corp. | RNA INTERFERENCE MEDIATED INHIBITION OF CONNECTIVE TISSUE GROWTH FACTOR (CTGF) GENE EXPRESSION USING SHORT INTERFERING NUCLEIC ACID (siNA) |
| US20120029054A1 (en) | 2009-03-19 | 2012-02-02 | Merck Sharp & Dohme Corp. | RNA Interference Mediated Inhibition of GATA Binding Protein 3 (GATA3) Gene Expression Using Short Intefering Nucleic Acid (siNA) |
| US20120035247A1 (en) | 2009-03-19 | 2012-02-09 | Merck Sharp & Dohme Corp. | RNA Interference Mediated Inhibition of Signal Transducer and Activator of Transcription 6 (STAT6) Gene Expression Using Short Interfering Nucleic Acid (siNA) |
| EP2411019A2 (en) | 2009-03-27 | 2012-02-01 | Merck Sharp&Dohme Corp. | RNA INTERFERENCE MEDIATED INHIBITION OF SIGNAL TRANSDUCER AND ACTIVATOR OF TRANSCRIPTION 1 (STAT1) GENE EXPRESSION USING SHORT INTERFERING NUCLEIC ACID (siNA) |
| KR20110138223A (en) | 2009-03-27 | 2011-12-26 | 머크 샤프 앤드 돔 코포레이션 | RNA Interference-mediated Inhibition of Intercellular Adhesion Molecule 1 (ICAM-1) Gene Expression Using Short Interfering Nucleic Acids (SINA) |
| US20120022143A1 (en) | 2009-03-27 | 2012-01-26 | Merck Sharp & Dohme Corp | RNA Interference Mediated Inhibition of the Thymic Stromal Lymphopoietin (TSLP) Gene Expression Using Short Interfering Nucliec Acid (siNA) |
| WO2010111464A1 (en) | 2009-03-27 | 2010-09-30 | Merck Sharp & Dohme Corp. | RNA INTERFERENCE MEDIATED INHIBITION OF APOPTOSIS SIGNAL-REGULATING KINASE 1 (ASK1) GENE EXPRESSION USING SHORT INTERFERING NUCLEIC ACID (siNA) |
| WO2010111468A2 (en) | 2009-03-27 | 2010-09-30 | Merck Sharp & Dohme Corp. | RNA INTERFERENCE MEDIATED INHIBITION OF THE NERVE GROWTH FACTOR BETA CHAIN (NGFß) GENE EXPRESSION USING SHORT INTERFERING NUCLEIC ACID (SINA) |
| UY32523A (en) * | 2009-04-03 | 2010-10-29 | Astrazeneca Ab | COMPOUNDS THAT HAVE AGONISTIC ACTIVITY OF THE GLUCOCORTICOSTEROID RECEPTOR |
| UY32525A (en) * | 2009-04-03 | 2010-10-29 | Astrazeneca Ab | COMPOUNDS THAT HAVE AGONISTIC ACTIVITY OF THE GLUCOCORTICOSTEROID RECEPTOR |
| UY32520A (en) * | 2009-04-03 | 2010-10-29 | Astrazeneca Ab | COMPOUNDS THAT HAVE AGONIST ACTIVITY OF THE GLUCOCORTICOESTEROID RECEPTOR |
| UY32521A (en) * | 2009-04-03 | 2010-10-29 | Astrazeneca Ab | COMBINATION TO USE IN THE TREATMENT OF RESPIRATORY DISEASES |
| AR076373A1 (en) | 2009-04-24 | 2011-06-08 | Glaxo Group Ltd | N-PIRAZOLIL CARBOXAMIDS AS CALCIUM CHANNEL INHIBITORS |
| JP2012524754A (en) | 2009-04-24 | 2012-10-18 | グラクソ グループ リミテッド | Pyrazole and triazolcarboxamides as CRAC channel inhibitors |
| PL2899191T3 (en) | 2009-04-30 | 2018-01-31 | Glaxo Group Ltd | Oxazole substituted indazoles as pi3-kinase inhibitors |
| US9132084B2 (en) | 2009-05-27 | 2015-09-15 | Neothetics, Inc. | Methods for administration and formulations for the treatment of regional adipose tissue |
| US8389526B2 (en) | 2009-08-07 | 2013-03-05 | Novartis Ag | 3-heteroarylmethyl-imidazo[1,2-b]pyridazin-6-yl derivatives |
| BR112012003262A8 (en) | 2009-08-12 | 2016-05-17 | Novartis Ag | Heterocyclic Hydrazone Compounds and Their Uses to Treat Cancer and Inflammation |
| PE20121148A1 (en) | 2009-08-17 | 2012-09-07 | Intellikine Llc | HETEROCYCLIC COMPOUNDS AND USES OF THEM |
| BR112012008061A2 (en) | 2009-08-20 | 2016-03-01 | Novartis Ag | heterocyclic oxime compounds |
| JP2013508414A (en) | 2009-10-22 | 2013-03-07 | バーテックス ファーマシューティカルズ インコーポレイテッド | Compositions for the treatment of cystic fibrosis and other chronic diseases |
| US20120238559A1 (en) | 2009-12-03 | 2012-09-20 | Glaxo Group Limited | Novel compounds |
| WO2011067365A1 (en) | 2009-12-03 | 2011-06-09 | Glaxo Group Limited | Benzpyrazole derivatives as inhibitors of p13 kinases |
| EP2507231A1 (en) | 2009-12-03 | 2012-10-10 | Glaxo Group Limited | Indazole derivatives as pi 3 - kinase inhibitors |
| CN102869363A (en) * | 2010-01-15 | 2013-01-09 | 利赛拉公司 | Lyophilized cake formulations |
| WO2011110575A1 (en) | 2010-03-11 | 2011-09-15 | Glaxo Group Limited | Derivatives of 2-[2-(benzo- or pyrido-) thiazolylamino]-6-aminopyridine, useful in the treatment of respiratoric, allergic or inflammatory diseases |
| US8247436B2 (en) | 2010-03-19 | 2012-08-21 | Novartis Ag | Pyridine and pyrazine derivative for the treatment of CF |
| GB201007203D0 (en) | 2010-04-29 | 2010-06-16 | Glaxo Group Ltd | Novel compounds |
| CN102250185B (en) * | 2010-05-19 | 2015-06-10 | 天津金耀集团有限公司 | A 21-position glucocorticoid of NMDA ester |
| HUE026059T2 (en) | 2010-09-08 | 2016-05-30 | Glaxosmithkline Ip Dev Ltd | POLYMORPHS AND SALTS OF N-[5-[4-(5-{[(2R,6S)-2,6-DIMETHYL-4-MORPHOLINYL]METHYL}-& xA;1,3-OXAZOL-2-YL)-1H-INDAZOL-6-YL]-2-(METHYLOXY)-3-PYRIDINYL]METHANESULFONAMIDE |
| US9326987B2 (en) | 2010-09-08 | 2016-05-03 | Glaxo Group Limited | Indazole derivatives for use in the treatment of influenza virus infection |
| WO2012034095A1 (en) | 2010-09-09 | 2012-03-15 | Irm Llc | Compounds and compositions as trk inhibitors |
| UY33597A (en) | 2010-09-09 | 2012-04-30 | Irm Llc | COMPOUNDS AND COMPOSITIONS AS INHIBITORS OF THE TRK |
| US8372845B2 (en) | 2010-09-17 | 2013-02-12 | Novartis Ag | Pyrazine derivatives as enac blockers |
| WO2012035055A1 (en) | 2010-09-17 | 2012-03-22 | Glaxo Group Limited | Novel compounds |
| US9149462B2 (en) | 2010-10-21 | 2015-10-06 | Glaxo Group Limited | Pyrazole compounds acting against allergic, inflammatory and immune disorders |
| WO2012052458A1 (en) | 2010-10-21 | 2012-04-26 | Glaxo Group Limited | Pyrazole compounds acting against allergic, immune and inflammatory conditions |
| GB201018124D0 (en) | 2010-10-27 | 2010-12-08 | Glaxo Group Ltd | Polymorphs and salts |
| US9597531B2 (en) | 2010-11-24 | 2017-03-21 | Neothetics, Inc. | Selective, lipophilic, and long-acting beta agonist monotherapeutic formulations and methods for the cosmetic treatment of adiposity and contour bulging |
| EP2673277A1 (en) | 2011-02-10 | 2013-12-18 | Novartis AG | [1, 2, 4]triazolo [4, 3 -b]pyridazine compounds as inhibitors of the c-met tyrosine kinase |
| JP5808826B2 (en) | 2011-02-23 | 2015-11-10 | インテリカイン, エルエルシー | Heterocyclic compounds and uses thereof |
| BR112013021638A2 (en) | 2011-02-25 | 2016-08-02 | Irm Llc | "trk inhibiting compounds, their use and compositions comprising them" |
| EP2683716A1 (en) | 2011-03-11 | 2014-01-15 | Glaxo Group Limited | Pyrido[3,4-b]pyrazine derivatives as syk inhibitors |
| GB201104153D0 (en) | 2011-03-11 | 2011-04-27 | Glaxo Group Ltd | Novel compounds |
| CN102850426B (en) * | 2011-07-01 | 2015-12-02 | 天津金耀集团有限公司 | A kind of 21 is the glucocorticosteroid of N-acetylcystein ester |
| UY34305A (en) | 2011-09-01 | 2013-04-30 | Novartis Ag | DERIVATIVES OF BICYCLIC HETEROCICLES FOR THE TREATMENT OF PULMONARY ARTERIAL HYPERTENSION |
| EP2755976B1 (en) | 2011-09-15 | 2018-07-18 | Novartis AG | 6-substituted 3-(quinolin-6-ylthio)-[1,2,4]triazolo[4,3-a]pyridines as c-met tyrosine kinase inhibitors |
| WO2013038373A1 (en) | 2011-09-16 | 2013-03-21 | Novartis Ag | Pyridine amide derivatives |
| WO2013038381A1 (en) | 2011-09-16 | 2013-03-21 | Novartis Ag | Pyridine/pyrazine amide derivatives |
| ES2882807T3 (en) | 2011-09-16 | 2021-12-02 | Novartis Ag | N-substituted heterocyclyl carboxamides |
| WO2013038378A1 (en) | 2011-09-16 | 2013-03-21 | Novartis Ag | Pyridine amide derivatives |
| CN103946221B (en) | 2011-09-16 | 2016-08-03 | 诺华股份有限公司 | Heterocyclic compounds for the treatment of cystic fibrosis |
| US20130209543A1 (en) | 2011-11-23 | 2013-08-15 | Intellikine Llc | Enhanced treatment regimens using mtor inhibitors |
| US8809340B2 (en) | 2012-03-19 | 2014-08-19 | Novartis Ag | Crystalline form |
| JP2015512425A (en) | 2012-04-03 | 2015-04-27 | ノバルティス アーゲー | Combination products with tyrosine kinase inhibitors and their use |
| US9073921B2 (en) | 2013-03-01 | 2015-07-07 | Novartis Ag | Salt forms of bicyclic heterocyclic derivatives |
| WO2014151147A1 (en) | 2013-03-15 | 2014-09-25 | Intellikine, Llc | Combination of kinase inhibitors and uses thereof |
| US10155001B2 (en) | 2013-06-14 | 2018-12-18 | Inserm (Institut National De La Sante Et De La Recherche Medicale) | RAC1 inhibitors for inducing bronchodilation |
| CA2923995A1 (en) | 2013-10-17 | 2015-04-23 | Glaxosmithkline Intellectual Property Development Limited | Pi3k inhibitor for treatment of respiratory disease |
| WO2015055691A1 (en) | 2013-10-17 | 2015-04-23 | Glaxosmithkline Intellectual Property Development Limited | Pi3k inhibitor for treatment of respiratory disease |
| WO2015084804A1 (en) | 2013-12-03 | 2015-06-11 | Novartis Ag | Combination of mdm2 inhibitor and braf inhibitor and their use |
| BR112016023967A2 (en) | 2014-04-24 | 2017-08-15 | Novartis Ag | pyrazine derivatives as phosphatidylinositol 3-kinase inhibitors |
| CN106458979B (en) | 2014-04-24 | 2020-03-27 | 诺华股份有限公司 | Aminopyrazine derivatives as phosphatidylinositol 3-kinase inhibitors |
| EP3134396B1 (en) | 2014-04-24 | 2019-09-18 | Novartis AG | Amino pyridine derivatives as phosphatidylinositol 3-kinase inhibitors |
| TW201625247A (en) | 2014-05-12 | 2016-07-16 | 葛蘭素史密斯克藍智慧財產權有限公司 | Pharmaceutical composition for treating infectious diseases |
| WO2016011658A1 (en) | 2014-07-25 | 2016-01-28 | Novartis Ag | Combination therapy |
| AU2015294889B2 (en) | 2014-07-31 | 2018-03-15 | Novartis Ag | Combination therapy |
| GB201602527D0 (en) | 2016-02-12 | 2016-03-30 | Glaxosmithkline Ip Dev Ltd | Chemical compounds |
| EP3497100A1 (en) | 2016-08-08 | 2019-06-19 | GlaxoSmithKline Intellectual Property Development Limited | Chemical compounds |
| GB201706102D0 (en) | 2017-04-18 | 2017-05-31 | Glaxosmithkline Ip Dev Ltd | Chemical compounds |
| GB201712081D0 (en) | 2017-07-27 | 2017-09-13 | Glaxosmithkline Ip Dev Ltd | Chemical compounds |
| AU2020290094B2 (en) | 2019-06-10 | 2024-01-18 | Novartis Ag | Pyridine and pyrazine derivative for the treatment of CF, COPD, and bronchiectasis |
| PE20220346A1 (en) | 2019-08-28 | 2022-03-14 | Novartis Ag | 1,3-HETEROARYL SUBSTITUTED DERIVATIVES AND THEIR USE IN THE TREATMENT OF DISEASES |
| TW202140550A (en) | 2020-01-29 | 2021-11-01 | 瑞士商諾華公司 | Methods of treating an inflammatory or obstructive airway disease using anti-tslp antibody |
| WO2021191875A1 (en) | 2020-03-26 | 2021-09-30 | Glaxosmithkline Intellectual Property Development Limited | Cathepsin inhibitors for preventing or treating viral infections |
| JP2026501523A (en) * | 2023-01-10 | 2026-01-16 | シチュアン ケルン-バイオテック バイオファーマシューティカル カンパニー リミテッド | Glucocorticoid receptor agonists and their conjugates |
| CN117088932A (en) * | 2023-08-22 | 2023-11-21 | 黄冈人福药业有限责任公司 | A kind of processing method of fluticasone propionate mother liquor |
Citations (66)
| Publication number | Priority date | Publication date | Assignee | Title |
|---|---|---|---|---|
| US2837464A (en) * | 1955-01-11 | 1958-06-03 | Schering Corp | Process for production of dienes by corynebacteria |
| US3067197A (en) * | 1961-04-26 | 1962-12-04 | Pfizer & Co C | 11-oxygenated 6alpha-fluoro-16-methylene-delta-pregnenes and derivatives |
| US3312590A (en) * | 1963-06-11 | 1967-04-04 | Glaxo Lab Ltd | Topically active anti-inflammatory 17-mono- and 17,21-diesters of betamethasone and its 9-chloro-analogs, compositions and use thereof |
| US3506694A (en) * | 1966-02-09 | 1970-04-14 | Boots Pure Drug Co Ltd | 17-acyloxysteroids and their manufacture |
| US3557162A (en) * | 1968-01-23 | 1971-01-19 | Koninklijke Gist Spiritus | Process for the preparation of 17alpha-monoesters of 11beta,17alpha,21-trihydroxysteroids |
| US3639434A (en) * | 1967-02-02 | 1972-02-01 | Boots Pure Drug Co Ltd | 17-acyloxysteroids and their manufacture |
| US3755302A (en) * | 1969-06-26 | 1973-08-28 | Warner Lambert Pharmaceutical | Process for the production of 17-monesters of 17{60 , 21-dihydroxy-steroids and products thereof |
| US3828080A (en) * | 1972-01-20 | 1974-08-06 | Glaxo Lab Ltd | Androstane-17beta-carboxylic acids and processes for the preparation thereof |
| US3856828A (en) * | 1972-07-19 | 1974-12-24 | Glaxo Lab Ltd | Anti-inflammatory steroids of the androstane series having a halo-substituted c{11 {14 c{11 {11 alkoxy carbonyl group at the 17{62 {0 position |
| US3891631A (en) * | 1972-08-11 | 1975-06-24 | Glaxo Lab Ltd | Process for preparing 17{60 -monoesters of 17{60 , 21-dihydroxy-20-oxo steroids |
| US3981894A (en) * | 1974-08-30 | 1976-09-21 | Glaxo Laboratories Limited | Chemical compounds |
| US3989686A (en) * | 1972-06-15 | 1976-11-02 | Glaxo Laboratories Limited | Anaesthetic steroids of the androstane series and process for preparing same |
| US4093721A (en) * | 1974-08-30 | 1978-06-06 | Glaxo Laboratories Limited | Pharmaceutical compositions of 6α,9α-difluoro-androst-4-ene-17β-carboxylates and derivatives thereof |
| US4113680A (en) * | 1975-03-31 | 1978-09-12 | Taisho Pharmaceutical Co., Ltd. | Method for preparing 17 α-ester-21-halo pregnanes |
| US4187301A (en) * | 1978-04-05 | 1980-02-05 | Syntex (U.S.A.) Inc. | 17 Beta-thiocarboxylic acid esters of 6 alpha, 6 beta-difluoro-3-oxoandrost-4-enes |
| US4188385A (en) * | 1978-04-05 | 1980-02-12 | Syntex (U.S.A.) Inc. | Thioetianic acid derivatives |
| US4198403A (en) * | 1978-04-05 | 1980-04-15 | Syntex (U.S.A.) Inc. | 17 Beta-thiocarboxylic acid esters of 4-halo-3-oxoandrost-4-enes |
| US4221787A (en) * | 1978-03-28 | 1980-09-09 | Interx Research Corporation | Esteramide prodrugs of anti-inflammatory corticosteroids |
| US4261984A (en) * | 1978-04-05 | 1981-04-14 | Syntex (U.S.A.) Inc. | 17β-thiocarboxylic acid esters of 3-oxo-4-halo-16β-methylandrost-4-enes |
| US4263289A (en) * | 1978-04-05 | 1981-04-21 | Syntex (U.S.A.) Inc. | Thio etianic acid derivatives |
| US4267173A (en) * | 1979-11-05 | 1981-05-12 | Schering Corporation | Use of 6β-fluoro-7α-halogenocorticoids as topical anti-inflammatories and pharmaceutical formulations useful therefor |
| US4285937A (en) * | 1976-02-24 | 1981-08-25 | Ciba-Geigy Corporation | Novel androstadiene-17-carboxylic acid esters |
| US4310466A (en) * | 1979-08-31 | 1982-01-12 | Syntex (U.S.A.) Inc. | Thio etianic acid derivatives |
| US4335121A (en) * | 1980-02-15 | 1982-06-15 | Glaxo Group Limited | Androstane carbothioates |
| US4377575A (en) * | 1978-04-25 | 1983-03-22 | Hoechst Aktiengesellschaft | Corticoid-17-(alkyl carbonates) and process for their manufacture |
| US4472393A (en) * | 1981-02-02 | 1984-09-18 | Schering Corporation | 3,20-Dioxo-1,4-pregnadiene-17α-ol 17-aromatic heterocycle carboxylates |
| US4607028A (en) * | 1983-08-18 | 1986-08-19 | Ciba-Geigy Corporation | Novel carboxylic acid esters |
| US4710495A (en) * | 1980-07-10 | 1987-12-01 | Otsuka Pharmaceutical Co., Ltd. | Soft steroids having anti-inflammatory activity |
| US4861765A (en) * | 1985-06-26 | 1989-08-29 | Jouveinal | 21-alkyl-, cycloalkyl- or aryl-substituted thio steroids and pharmaceutical compositions containing them |
| US4992474A (en) * | 1983-04-18 | 1991-02-12 | Glaxo Group Ltd. | Phenethanolamine derivatives |
| US4994439A (en) * | 1989-01-19 | 1991-02-19 | California Biotechnology Inc. | Transmembrane formulations for drug administration |
| US4996335A (en) * | 1980-07-10 | 1991-02-26 | Nicholas S. Bodor | Soft steroids having anti-inflammatory activity |
| US5063222A (en) * | 1989-04-19 | 1991-11-05 | Ss Pharmaceutical Co., Ltd. | Antiinflammatory dexamethasone 17α-cyclopropanecarboxylates with reduced systemic activity |
| US5081113A (en) * | 1989-03-22 | 1992-01-14 | Roussel Uclaf | Novel 3-keto-steroids |
| US5202316A (en) * | 1989-03-22 | 1993-04-13 | Roussel Uclaf | N,N,N',N'-6-(1-piperazinyl)-2,5-pyridinediamines |
| US5250293A (en) * | 1991-04-22 | 1993-10-05 | Gleich Gerald J | Method for the treatment of hypersensitivity diseases by administration of anionic polymers |
| US5362721A (en) * | 1990-08-10 | 1994-11-08 | Hoechst Aktiengesellschaft | Corticoid-17-alkyl-carbonates substituted in the 17-position, process for their preparation and pharmaceuticals containing them |
| US5420120A (en) * | 1993-12-17 | 1995-05-30 | Alcon Laboratories, Inc. | Anti-inflammatory glucocorticoid compounds for topical ophthalmic use |
| US5608093A (en) * | 1993-08-27 | 1997-03-04 | Hoechst Aktiengesellschaft | Corticosteroid 17-alkyl carbonate 21-[0]-carboxylic and carbonic esters, and pharmaceuticals containing these compounds |
| US5658549A (en) * | 1991-12-12 | 1997-08-19 | Glaxo Group Limited | Aerosol formulations containing propellant 134a and fluticasone propionate |
| US5707984A (en) * | 1995-12-08 | 1998-01-13 | G. D. Searle & Co. | Steroid nitrite/nitrate ester derivatives useful as anti-inflammatory drugs |
| US5837699A (en) * | 1994-01-27 | 1998-11-17 | Schering Corporation | Use of mometasone furoate for treating upper airway passage diseases |
| US5849265A (en) * | 1994-09-28 | 1998-12-15 | Glaxo Wellcome Inc. | Pharmaceutical aerosol formulation comprising a medicament, a propellant and a fluorinated surfactant |
| US5919776A (en) * | 1996-12-20 | 1999-07-06 | Merck & Co., Inc. | Substituted aminoquinolines as modulators of chemokine receptor activity |
| US5972920A (en) * | 1998-02-12 | 1999-10-26 | Dermalogix Partners, Inc. | Formulation containing a carrier, active ingredient, and surfactant for treating skin disorders |
| US5981517A (en) * | 1996-05-09 | 1999-11-09 | Soft Drugs, Inc. | Androstene derivatives |
| US6127353A (en) * | 1991-09-06 | 2000-10-03 | Schering Corporation | Mometasone furoate monohydrate, process for making same and pharmaceutical compositions |
| US6136294A (en) * | 1998-09-22 | 2000-10-24 | Aeropharm Technology Inc. | Amino acid stabilized medical aerosol formulation |
| US6197761B1 (en) * | 1995-12-29 | 2001-03-06 | Glaxo Wellcome Inc. | 17β-2-oxo-tetrahydrofuranyl)-carbothioic acid ester, -carboxylic acid ester and -carboxylic acid amide androstane derivatives |
| US6261539B1 (en) * | 1998-12-10 | 2001-07-17 | Akwete Adjei | Medicinal aerosol formulation |
| US6395300B1 (en) * | 1999-05-27 | 2002-05-28 | Acusphere, Inc. | Porous drug matrices and methods of manufacture thereof |
| US20020081266A1 (en) * | 1999-08-20 | 2002-06-27 | Norton Healthcare Ltd. | Spray dried powders for pulmonary or nasal administration |
| US20020103392A1 (en) * | 1993-10-05 | 2002-08-01 | Ulrich Stache | Corticoid-17,21-dicarboxylic esters and corticosteroid 17-carboxylic ester 21-carbonic esters, processes for their preparation and pharmaceuticals containing these compounds |
| US20020165211A1 (en) * | 2000-08-05 | 2002-11-07 | Keith Biggadike | Formulation containing anti-inflammatory androstane derivative |
| US20020173496A1 (en) * | 2000-08-05 | 2002-11-21 | Keith Biggadike | Formulation containing novel anti-inflammatory androstane derivative |
| US20020177581A1 (en) * | 2000-08-05 | 2002-11-28 | Keith Biggadike | Novel anti-inflammatory androstane derivative |
| US20030018019A1 (en) * | 2001-06-23 | 2003-01-23 | Boehringer Ingelheim Pharma Kg | Pharmaceutical compositions based on anticholinergics, corticosteroids and betamimetics |
| US6537983B1 (en) * | 2001-04-07 | 2003-03-25 | Smithkline Beecham Corporation | Anti-inflammatory androstane derivatives |
| US20030073676A1 (en) * | 2000-08-05 | 2003-04-17 | Keith Biggadike | Formulation containing anti-inflammatory androstane derivatives |
| US20030109511A1 (en) * | 2000-08-05 | 2003-06-12 | Keith Biggadike | Novel anti-inflammatory androstane derivative compositions |
| US20030144257A1 (en) * | 2000-08-05 | 2003-07-31 | Keith Biggadike | Novel anti-inflammatory androstane derivative compositions |
| US20030158163A1 (en) * | 2000-06-28 | 2003-08-21 | Bernard Cuenoud | Organic compounds |
| US20040053904A1 (en) * | 2000-12-22 | 2004-03-18 | Teruo Komoto | Preventive/ermedies for inflammatory airway diseases |
| US20050163724A1 (en) * | 2002-06-14 | 2005-07-28 | Ssp Co., Ltd. | Powdery respiratory tonic composition |
| US7244742B2 (en) * | 2002-08-17 | 2007-07-17 | Boehringer Ingelheim Pharma Gmbh & Co Kg | Pharmaceutical compositions for inhalation containing an anticholinergic, corticosteroid and betamimetic |
| US7291608B2 (en) * | 2001-04-30 | 2007-11-06 | Glaxo Group Limited | Anti-inflammatory 17.β.-carbothioate ester derivatives of androstane with a cyclic ester group in position 17.α |
Family Cites Families (89)
| Publication number | Priority date | Publication date | Assignee | Title |
|---|---|---|---|---|
| FR580494A (en) | 1923-07-10 | 1924-11-07 | Const Metalliques Schiltigheim | Method of establishing ventilation nozzles or other pipes |
| DE1059906B (en) | 1954-10-05 | 1959-06-25 | Scherico Ltd | Process for the production of 1,4-pregnadienes |
| GB1384372A (en) | 1971-01-20 | 1975-02-19 | Glaxo Lab Ltd | Dereivatives of 17alpha-hydroxyandrost-4-ene-17beta-carboxylic acids |
| DE2336693A1 (en) | 1973-07-19 | 1975-02-06 | Nassheuer Ind Ofenbau Jean | Radiant heating pipe with igniter and flame monitor - has electrode eccentrically outside gas feed pipe |
| DE2538569A1 (en) | 1975-08-29 | 1977-03-03 | Siemens Ag | Metallising thermosetting plastics contg. reinforcing fibres - after preliminary etching with chromosulphuric acid |
| CY1308A (en) | 1979-12-06 | 1985-12-06 | Glaxo Group Ltd | Device for dispensing medicaments |
| CY1291A (en) | 1980-02-15 | 1985-10-18 | Glaxo Group Ltd | Androstane 17 beta carbothioates |
| SE449106B (en) | 1980-07-10 | 1987-04-06 | Otsuka Pharma Co Ltd | STEROID WITH ANTI-INFLAMMATORY EFFECT AND COMPOSITION CONTAINING THIS |
| ZA814440B (en) | 1980-07-10 | 1982-10-27 | Otsuka Pharma Co Ltd | Soft steroids having anti-inflammatory activity |
| ATE23272T1 (en) | 1981-07-08 | 1986-11-15 | Draco Ab | POWDER INHALER. |
| ES286422Y (en) | 1982-10-08 | 1986-09-16 | Glaxo Group Limited | DEVICE FOR ADMINISTERING MEDICINES TO PATIENTS |
| GB2169265B (en) | 1982-10-08 | 1987-08-12 | Glaxo Group Ltd | Pack for medicament |
| DE3513885A1 (en) | 1984-04-17 | 1985-10-17 | Glaxo Group Ltd., London | PHENETHANOLAMINE COMPOUNDS, METHOD FOR THE PRODUCTION THEREOF AND MEDICINAL PRODUCTS CONTAINING THESE COMPOUNDS |
| EP0179583A1 (en) | 1984-10-04 | 1986-04-30 | Merck & Co. Inc. | A system for enhancing the water dissolution rate and solubility of poorly soluble drugs |
| SE8603252L (en) | 1985-07-30 | 1987-01-31 | Glaxo Group Ltd | DEVICE FOR SUPPLYING MEDICINE TO PATIENTS |
| ZA872389B (en) | 1987-04-02 | 1987-11-25 | Advanced Polymer Systems Inc | Composition and method for delivering a steroid active ingredient |
| ATE90355T1 (en) | 1987-10-13 | 1993-06-15 | Nicholas S Bodor | SOFT STEROIDS WITH ANTI-INFLAMMATORY EFFECTS. |
| FR2644787B1 (en) | 1989-03-22 | 1995-02-03 | Roussel Uclaf | NOVEL AMINOSUBSTITUTED STEROIDS 21, THEIR PREPARATION PROCESS AND THE INTERMEDIATES THEREOF, THEIR APPLICATION AS MEDICAMENTS AND THE PHARMACEUTICAL COMPOSITIONS CONTAINING THEM |
| IL95590A (en) | 1989-09-08 | 1996-06-18 | Glaxo Group Ltd | Pharmaceutical compositions comprising salmeterol and fluticasone propionate |
| DE3931041C2 (en) | 1989-09-16 | 2000-04-06 | Boehringer Ingelheim Kg | Esters of thienyl carboxylic acids with amino alcohols, their quaternization products, processes for their preparation and medicaments containing them |
| GB9004781D0 (en) | 1990-03-02 | 1990-04-25 | Glaxo Group Ltd | Device |
| JP3087763B2 (en) | 1990-11-30 | 2000-09-11 | 三井化学株式会社 | Novel heterocyclic compound and pharmaceutical composition containing the same |
| GB9103764D0 (en) | 1991-02-22 | 1991-04-10 | Glaxo Group Ltd | Compositions |
| TW247878B (en) | 1991-07-02 | 1995-05-21 | Takeda Pharm Industry Co Ltd | |
| HU225869B1 (en) | 1992-04-02 | 2007-11-28 | Smithkline Beecham Corp | Compounds with antiallergic and antiinflammatory activity and pharmaceutical compns. contg. them |
| AU679511B2 (en) | 1993-03-17 | 1997-07-03 | Minnesota Mining And Manufacturing Company | Aerosol formulation containing an ester-, amide-, or mercaptoester-derived dispersing aid |
| IL109656A (en) | 1994-05-15 | 1998-02-22 | Chemagis Ltd | Process for the manufacture of androstane - 17 - carbothioates and androstane - 17 - carbothioates prepared thereby |
| GB9410222D0 (en) | 1994-05-21 | 1994-07-06 | Glaxo Wellcome Australia Ltd | Medicaments |
| SA95160463B1 (en) | 1994-12-22 | 2005-10-04 | استرا أكتيبولاج | powders for inhalation |
| DE19528145A1 (en) | 1995-08-01 | 1997-02-06 | Boehringer Ingelheim Kg | New drugs and their use |
| GB9521696D0 (en) | 1995-10-23 | 1996-01-03 | Bayer Ag | Combination of LTD4 receptor antagonists with glucocorticosteriods |
| US5792758A (en) | 1995-12-08 | 1998-08-11 | G. D. Searle & Co. | Steroid nitrite ester derivatives useful as anti-inflammatory drugs |
| US5985862A (en) | 1996-05-02 | 1999-11-16 | G.D. Searle & Co. | Pharmaceutical compositions having steroid nitrate ester derivatives useful as anti-inflammatory drugs |
| JPH11511758A (en) | 1996-06-04 | 1999-10-12 | ザ、プロクター、エンド、ギャンブル、カンパニー | Intranasal spray containing nasal steroids and antihistamines |
| GB9622173D0 (en) | 1996-10-24 | 1996-12-18 | Glaxo Group Ltd | Particulate Products |
| US6126919A (en) | 1997-02-07 | 2000-10-03 | 3M Innovative Properties Company | Biocompatible compounds for pharmaceutical drug delivery systems |
| WO1998043630A1 (en) | 1997-04-02 | 1998-10-08 | Brigham And Women's Hospital, Inc. | Means of ascertaining an individual's risk profile for atherosclerotic disease |
| ATE260931T1 (en) | 1997-06-30 | 2004-03-15 | Glaxo Group Ltd | METHOD FOR IDENTIFYING COMPOUNDS WITH REDUCED SYSTEMIC ACTIVITY |
| AU9281298A (en) | 1997-10-01 | 1999-04-23 | Kyowa Hakko Kogyo Co. Ltd. | Benzodioxole derivatives |
| SE9704186D0 (en) | 1997-11-14 | 1997-11-14 | Astra Ab | New composition of matter |
| SE9704833D0 (en) | 1997-12-22 | 1997-12-22 | Astra Ab | New formulation |
| JP2002506856A (en) | 1998-03-14 | 2002-03-05 | ビイク グルデン ロンベルク ヒエーミツシエ フアブリーク ゲゼルシヤフト ミツト ベシユレンクテル ハフツング | Phthalazinone PDEIII / IV inhibitor |
| GB9828721D0 (en) | 1998-12-24 | 1999-02-17 | Glaxo Group Ltd | Novel apparatus and process |
| AU3703900A (en) | 1999-02-24 | 2000-09-14 | Nitromed, Inc. | Nitrosated and nitrosylated steroids for the treatment of cardiovascular diseases and disorders |
| WO2000057401A1 (en) | 1999-03-24 | 2000-09-28 | Glenayre Electronics, Inc. | Computation and quantization of voiced excitation pulse shapes in linear predictive coding of speech |
| EP1175383B1 (en) | 1999-04-30 | 2018-03-14 | Pfizer Products Inc. | Glucocorticoid receptor modulators |
| ES2157165B1 (en) | 1999-08-12 | 2002-02-16 | Itw Espana Sa | REMATE TERMINAL FOR RIBBONS. |
| EP1212101A1 (en) | 1999-08-31 | 2002-06-12 | The Brigham And Women's Hospital, Inc. | Systemic inflammatory markers as diagnostic tools in the prevention of atherosclerotic diseases |
| US7413536B1 (en) | 1999-09-14 | 2008-08-19 | Xenoport, Inc. | Substrates and screening methods for transport proteins |
| US6596261B1 (en) | 2000-01-25 | 2003-07-22 | Aeropharm Technology Incorporated | Method of administering a medicinal aerosol formulation |
| JP2004501067A (en) | 2000-01-28 | 2004-01-15 | ローム アンド ハース カンパニー | Pharmaceuticals with enhanced properties |
| US20020133032A1 (en) | 2000-02-25 | 2002-09-19 | Jufang Barkalow | Method for the preparation of fluticasone and related 17beta-carbothioic esters using a novel carbothioic acid synthesis and novel purification methods |
| GB0009592D0 (en) | 2000-04-18 | 2000-06-07 | Glaxo Group Ltd | Respiratory combinations |
| GB0009606D0 (en) | 2000-04-18 | 2000-06-07 | Glaxo Group Ltd | Therapeutic combinations |
| GB0009583D0 (en) | 2000-04-18 | 2000-06-07 | Glaxo Group Ltd | Respiratory formulations |
| GB0009591D0 (en) | 2000-04-18 | 2000-06-07 | Glaxo Group Ltd | Medical combinations |
| GB0016040D0 (en) | 2000-06-29 | 2000-08-23 | Glaxo Group Ltd | Novel process for preparing crystalline particles |
| GB0017988D0 (en) | 2000-07-21 | 2000-09-13 | Glaxo Group Ltd | Novel process |
| AU2001277891A1 (en) | 2000-07-26 | 2002-02-05 | Alcon Universal Ltd. | Pharmaceutical suspension compositions lacking a polymeric suspending agent |
| GB0019172D0 (en) * | 2000-08-05 | 2000-09-27 | Glaxo Group Ltd | Novel compounds |
| KR100889426B1 (en) | 2000-08-05 | 2009-03-23 | 글락소 그룹 리미티드 | 6.alpha., 9.alpha.-difluoro-17.alpha .- '(2-furanylcarboxyl) oxy-11.beta.-hydroxy-16.alpha.-methyl-3-oxo as anti-inflammatory -Androst-1,4-diene-17-carbothioic acid S-fluoromethyl ester |
| US6777399B2 (en) | 2000-08-05 | 2004-08-17 | Smithkline Beecham Corporation | Anti-inflammatory androstane derivative compositions |
| AR032362A1 (en) | 2000-08-14 | 2003-11-05 | Glaxo Group Ltd | STABLE TOPICAL FORMULATION OF A WATER OIL EMULSION AND PROCESS FOR PREPARATION |
| DE60124576T2 (en) | 2000-09-29 | 2007-06-21 | Glaxo Group Ltd., Greenford | COMPOUNDS USE FOR THE TREATMENT OF INFLAMMATORY DISEASES |
| AU2002210575A1 (en) | 2000-10-31 | 2002-05-15 | Boehringer Ingelheim Pharma Gmbh & Co. Kg | Novel medicament compositions based on anticholinergics and corticosteroids |
| DE10062712A1 (en) | 2000-12-15 | 2002-06-20 | Boehringer Ingelheim Pharma | New drug compositions based on anticholinergics and corticosteroids |
| US20020132803A1 (en) | 2001-01-05 | 2002-09-19 | Mahendra Dedhiya | Fluticasone suspension formulation, spray pattern method, and nasal spray apparatus |
| GB0103630D0 (en) | 2001-02-14 | 2001-03-28 | Glaxo Group Ltd | Chemical compounds |
| JP2004526720A (en) | 2001-03-08 | 2004-09-02 | グラクソ グループ リミテッド | β-adrenergic receptor agonist |
| ATE381537T1 (en) | 2001-03-22 | 2008-01-15 | Glaxo Group Ltd | FORMANILIDE DERIVATIVES AS BETA2 ADRENORECEPTOR AGONISTS |
| AU2002303425A1 (en) | 2001-04-24 | 2002-11-05 | Epigenesis Pharmaceuticals, Inc. | Composition, formulations and kit for treatment of respiratory and lung disease with non-glucocorticoid steroids and/or ubiquinone and a bronchodilating agent |
| JP2005500290A (en) | 2001-06-12 | 2005-01-06 | グラクソ グループ リミテッド | Anti-inflammatory, 17α-heterocyclic ester which is a 17β-carbothioate androstane derivative |
| DE10130371A1 (en) | 2001-06-23 | 2003-01-02 | Boehringer Ingelheim Pharma | New drug compositions based on anticholinergics, corticosteroids and betamimetics |
| WO2003013427A2 (en) | 2001-08-03 | 2003-02-20 | Smithkline Beecham Corporation | A method for preparing fluticasone derivatives |
| GB0124523D0 (en) | 2001-10-12 | 2001-12-05 | Glaxo Group Ltd | Pharmaceutical combination |
| GB0125259D0 (en) | 2001-10-20 | 2001-12-12 | Glaxo Group Ltd | Novel compounds |
| WO2003040691A2 (en) | 2001-11-05 | 2003-05-15 | The Brigham And Women's Hospital, Inc. | Soluble cd40l(cd154) as a prognostic marker of atherosclerotic diseases |
| GB0127160D0 (en) | 2001-11-12 | 2002-01-02 | Glaxo Group Ltd | Novel compounds |
| WO2003042229A1 (en) | 2001-11-12 | 2003-05-22 | Glaxo Group Limited | Non-aromatic heterocyclic esters of furan-2-one-esters of 17.beta.-carboxyl or 17.beta.-carbothio glucocorticoids |
| AU2002356759A1 (en) | 2001-12-01 | 2003-06-17 | Glaxo Group Limited | 17.alpha. -cyclic esters of 16-methylpregnan-3,20-dione as anti-inflammatory agents |
| WO2003072592A1 (en) | 2002-01-15 | 2003-09-04 | Glaxo Group Limited | 17.alpha-cycloalkyl/cycloylkenyl esters of alkyl-or haloalkyl-androst-4-en-3-on-11.beta.,17.alpha.-diol 17.beta.-carboxylates as anti-inflammatory agents |
| WO2003062259A2 (en) | 2002-01-21 | 2003-07-31 | Glaxo Group Limited | Non-aromatic 17.alpha.-esters of androstane-17.beta.-carboxylate esters as anti-inflammatory agents |
| GB0202216D0 (en) | 2002-01-31 | 2002-03-20 | Glaxo Group Ltd | Novel compounds |
| US6787593B2 (en) * | 2002-03-27 | 2004-09-07 | Lear Corporation | Sound-deadening composites of metallocene copolymers for use in vehicle applications |
| DE10216429A1 (en) | 2002-04-12 | 2003-10-23 | Boehringer Ingelheim Pharma | Synergistic medicaments for treating inflammatory or obstructive respiratory tract diseases, containing quaternized scopine ester anticholinergic agent and steroid, e.g. budesonide |
| GB0217504D0 (en) | 2002-07-29 | 2002-09-04 | Novartis Ag | Organic compounds |
| DE10237739A1 (en) | 2002-08-17 | 2004-02-26 | Boehringer Ingelheim Pharma Gmbh & Co. Kg | Inhalable medicament for treating inflammatory or obstructive respiratory diseases, containing synergistic combination of tropane derivative anticholinergic agent, corticosteroid and beta-mimetic agent |
| EP1562919A1 (en) * | 2002-11-08 | 2005-08-17 | Warner-Lambert Company LLC | Phenylalkyl and pyridylalkyl piperazine derivatives |
| GB0526419D0 (en) | 2005-12-23 | 2006-02-08 | Cyclacel Ltd | Formulation |
-
2002
- 2002-04-30 AU AU2002253342A patent/AU2002253342B2/en not_active Ceased
- 2002-04-30 HU HU0400070A patent/HUP0400070A2/en unknown
- 2002-04-30 WO PCT/GB2002/001971 patent/WO2002088167A1/en not_active Ceased
- 2002-04-30 DE DE60229372T patent/DE60229372D1/en not_active Expired - Lifetime
- 2002-04-30 AR ARP020101587A patent/AR033290A1/en unknown
- 2002-04-30 US US10/478,893 patent/US7291608B2/en not_active Expired - Fee Related
- 2002-04-30 CN CNB028112121A patent/CN1302007C/en not_active Expired - Fee Related
- 2002-04-30 IL IL15822202A patent/IL158222A0/en unknown
- 2002-04-30 PL PL02366937A patent/PL366937A1/en unknown
- 2002-04-30 EP EP08157256A patent/EP2039700A2/en not_active Withdrawn
- 2002-04-30 MY MYPI20021593A patent/MY137522A/en unknown
- 2002-04-30 CZ CZ20032958A patent/CZ20032958A3/en unknown
- 2002-04-30 KR KR1020037014199A patent/KR100831534B1/en not_active Expired - Fee Related
- 2002-04-30 EP EP02722463A patent/EP1383786B1/en not_active Expired - Lifetime
- 2002-04-30 BR BR0209271-9A patent/BR0209271A/en not_active IP Right Cessation
- 2002-04-30 MX MXPA03009940A patent/MXPA03009940A/en active IP Right Grant
- 2002-04-30 AT AT02722463T patent/ATE411334T1/en not_active IP Right Cessation
- 2002-04-30 PT PT02722463T patent/PT1383786E/en unknown
- 2002-04-30 CA CA002445839A patent/CA2445839A1/en not_active Abandoned
- 2002-04-30 ES ES02722463T patent/ES2314052T3/en not_active Expired - Lifetime
- 2002-04-30 NZ NZ528888A patent/NZ528888A/en unknown
- 2002-04-30 DK DK02722463T patent/DK1383786T3/en active
- 2002-04-30 SI SI200230765T patent/SI1383786T1/en unknown
- 2002-04-30 JP JP2002585465A patent/JP4446661B2/en not_active Expired - Fee Related
-
2003
- 2003-10-21 NO NO20034708A patent/NO326015B1/en unknown
-
2007
- 2007-04-04 AU AU2007201491A patent/AU2007201491A1/en not_active Abandoned
- 2007-09-06 US US11/851,125 patent/US20070297989A1/en not_active Abandoned
Patent Citations (72)
| Publication number | Priority date | Publication date | Assignee | Title |
|---|---|---|---|---|
| US2837464A (en) * | 1955-01-11 | 1958-06-03 | Schering Corp | Process for production of dienes by corynebacteria |
| US3067197A (en) * | 1961-04-26 | 1962-12-04 | Pfizer & Co C | 11-oxygenated 6alpha-fluoro-16-methylene-delta-pregnenes and derivatives |
| US3312590A (en) * | 1963-06-11 | 1967-04-04 | Glaxo Lab Ltd | Topically active anti-inflammatory 17-mono- and 17,21-diesters of betamethasone and its 9-chloro-analogs, compositions and use thereof |
| US3506694A (en) * | 1966-02-09 | 1970-04-14 | Boots Pure Drug Co Ltd | 17-acyloxysteroids and their manufacture |
| US3639434A (en) * | 1967-02-02 | 1972-02-01 | Boots Pure Drug Co Ltd | 17-acyloxysteroids and their manufacture |
| US3557162A (en) * | 1968-01-23 | 1971-01-19 | Koninklijke Gist Spiritus | Process for the preparation of 17alpha-monoesters of 11beta,17alpha,21-trihydroxysteroids |
| US3755302A (en) * | 1969-06-26 | 1973-08-28 | Warner Lambert Pharmaceutical | Process for the production of 17-monesters of 17{60 , 21-dihydroxy-steroids and products thereof |
| US3828080A (en) * | 1972-01-20 | 1974-08-06 | Glaxo Lab Ltd | Androstane-17beta-carboxylic acids and processes for the preparation thereof |
| US3989686A (en) * | 1972-06-15 | 1976-11-02 | Glaxo Laboratories Limited | Anaesthetic steroids of the androstane series and process for preparing same |
| US3856828A (en) * | 1972-07-19 | 1974-12-24 | Glaxo Lab Ltd | Anti-inflammatory steroids of the androstane series having a halo-substituted c{11 {14 c{11 {11 alkoxy carbonyl group at the 17{62 {0 position |
| US3891631A (en) * | 1972-08-11 | 1975-06-24 | Glaxo Lab Ltd | Process for preparing 17{60 -monoesters of 17{60 , 21-dihydroxy-20-oxo steroids |
| US3981894A (en) * | 1974-08-30 | 1976-09-21 | Glaxo Laboratories Limited | Chemical compounds |
| US4093721A (en) * | 1974-08-30 | 1978-06-06 | Glaxo Laboratories Limited | Pharmaceutical compositions of 6α,9α-difluoro-androst-4-ene-17β-carboxylates and derivatives thereof |
| US4113680A (en) * | 1975-03-31 | 1978-09-12 | Taisho Pharmaceutical Co., Ltd. | Method for preparing 17 α-ester-21-halo pregnanes |
| US4285937A (en) * | 1976-02-24 | 1981-08-25 | Ciba-Geigy Corporation | Novel androstadiene-17-carboxylic acid esters |
| US4221787A (en) * | 1978-03-28 | 1980-09-09 | Interx Research Corporation | Esteramide prodrugs of anti-inflammatory corticosteroids |
| US4261984A (en) * | 1978-04-05 | 1981-04-14 | Syntex (U.S.A.) Inc. | 17β-thiocarboxylic acid esters of 3-oxo-4-halo-16β-methylandrost-4-enes |
| US4187301A (en) * | 1978-04-05 | 1980-02-05 | Syntex (U.S.A.) Inc. | 17 Beta-thiocarboxylic acid esters of 6 alpha, 6 beta-difluoro-3-oxoandrost-4-enes |
| US4263289A (en) * | 1978-04-05 | 1981-04-21 | Syntex (U.S.A.) Inc. | Thio etianic acid derivatives |
| US4188385A (en) * | 1978-04-05 | 1980-02-12 | Syntex (U.S.A.) Inc. | Thioetianic acid derivatives |
| US4198403A (en) * | 1978-04-05 | 1980-04-15 | Syntex (U.S.A.) Inc. | 17 Beta-thiocarboxylic acid esters of 4-halo-3-oxoandrost-4-enes |
| US4377575A (en) * | 1978-04-25 | 1983-03-22 | Hoechst Aktiengesellschaft | Corticoid-17-(alkyl carbonates) and process for their manufacture |
| US4310466A (en) * | 1979-08-31 | 1982-01-12 | Syntex (U.S.A.) Inc. | Thio etianic acid derivatives |
| US4267173A (en) * | 1979-11-05 | 1981-05-12 | Schering Corporation | Use of 6β-fluoro-7α-halogenocorticoids as topical anti-inflammatories and pharmaceutical formulations useful therefor |
| US4335121A (en) * | 1980-02-15 | 1982-06-15 | Glaxo Group Limited | Androstane carbothioates |
| US4710495A (en) * | 1980-07-10 | 1987-12-01 | Otsuka Pharmaceutical Co., Ltd. | Soft steroids having anti-inflammatory activity |
| US4996335A (en) * | 1980-07-10 | 1991-02-26 | Nicholas S. Bodor | Soft steroids having anti-inflammatory activity |
| US4472393A (en) * | 1981-02-02 | 1984-09-18 | Schering Corporation | 3,20-Dioxo-1,4-pregnadiene-17α-ol 17-aromatic heterocycle carboxylates |
| US4992474A (en) * | 1983-04-18 | 1991-02-12 | Glaxo Group Ltd. | Phenethanolamine derivatives |
| US4607028A (en) * | 1983-08-18 | 1986-08-19 | Ciba-Geigy Corporation | Novel carboxylic acid esters |
| US4861765A (en) * | 1985-06-26 | 1989-08-29 | Jouveinal | 21-alkyl-, cycloalkyl- or aryl-substituted thio steroids and pharmaceutical compositions containing them |
| US4994439A (en) * | 1989-01-19 | 1991-02-19 | California Biotechnology Inc. | Transmembrane formulations for drug administration |
| US5081113A (en) * | 1989-03-22 | 1992-01-14 | Roussel Uclaf | Novel 3-keto-steroids |
| US5202316A (en) * | 1989-03-22 | 1993-04-13 | Roussel Uclaf | N,N,N',N'-6-(1-piperazinyl)-2,5-pyridinediamines |
| US5063222A (en) * | 1989-04-19 | 1991-11-05 | Ss Pharmaceutical Co., Ltd. | Antiinflammatory dexamethasone 17α-cyclopropanecarboxylates with reduced systemic activity |
| US5362721A (en) * | 1990-08-10 | 1994-11-08 | Hoechst Aktiengesellschaft | Corticoid-17-alkyl-carbonates substituted in the 17-position, process for their preparation and pharmaceuticals containing them |
| US5250293A (en) * | 1991-04-22 | 1993-10-05 | Gleich Gerald J | Method for the treatment of hypersensitivity diseases by administration of anionic polymers |
| US6127353A (en) * | 1991-09-06 | 2000-10-03 | Schering Corporation | Mometasone furoate monohydrate, process for making same and pharmaceutical compositions |
| US5658549A (en) * | 1991-12-12 | 1997-08-19 | Glaxo Group Limited | Aerosol formulations containing propellant 134a and fluticasone propionate |
| US5608093A (en) * | 1993-08-27 | 1997-03-04 | Hoechst Aktiengesellschaft | Corticosteroid 17-alkyl carbonate 21-[0]-carboxylic and carbonic esters, and pharmaceuticals containing these compounds |
| US20020103392A1 (en) * | 1993-10-05 | 2002-08-01 | Ulrich Stache | Corticoid-17,21-dicarboxylic esters and corticosteroid 17-carboxylic ester 21-carbonic esters, processes for their preparation and pharmaceuticals containing these compounds |
| US5420120A (en) * | 1993-12-17 | 1995-05-30 | Alcon Laboratories, Inc. | Anti-inflammatory glucocorticoid compounds for topical ophthalmic use |
| US6057307A (en) * | 1994-01-27 | 2000-05-02 | Schering Corporation | Use of mometasone furoate for treating airway passage and lung diseases |
| US5837699A (en) * | 1994-01-27 | 1998-11-17 | Schering Corporation | Use of mometasone furoate for treating upper airway passage diseases |
| US5889015A (en) * | 1994-01-27 | 1999-03-30 | Schering Corporation | Use of mometasone furoate for treating lower airway passage and lung diseases |
| US5849265A (en) * | 1994-09-28 | 1998-12-15 | Glaxo Wellcome Inc. | Pharmaceutical aerosol formulation comprising a medicament, a propellant and a fluorinated surfactant |
| US5707984A (en) * | 1995-12-08 | 1998-01-13 | G. D. Searle & Co. | Steroid nitrite/nitrate ester derivatives useful as anti-inflammatory drugs |
| US6197761B1 (en) * | 1995-12-29 | 2001-03-06 | Glaxo Wellcome Inc. | 17β-2-oxo-tetrahydrofuranyl)-carbothioic acid ester, -carboxylic acid ester and -carboxylic acid amide androstane derivatives |
| US5981517A (en) * | 1996-05-09 | 1999-11-09 | Soft Drugs, Inc. | Androstene derivatives |
| US5919776A (en) * | 1996-12-20 | 1999-07-06 | Merck & Co., Inc. | Substituted aminoquinolines as modulators of chemokine receptor activity |
| US5972920A (en) * | 1998-02-12 | 1999-10-26 | Dermalogix Partners, Inc. | Formulation containing a carrier, active ingredient, and surfactant for treating skin disorders |
| US6136294A (en) * | 1998-09-22 | 2000-10-24 | Aeropharm Technology Inc. | Amino acid stabilized medical aerosol formulation |
| US6136294C1 (en) * | 1998-09-22 | 2002-09-24 | Aeropharm Technology Inc | Amino acid stabilized medical aerosol formulation |
| US6261539B1 (en) * | 1998-12-10 | 2001-07-17 | Akwete Adjei | Medicinal aerosol formulation |
| US6395300B1 (en) * | 1999-05-27 | 2002-05-28 | Acusphere, Inc. | Porous drug matrices and methods of manufacture thereof |
| US20020081266A1 (en) * | 1999-08-20 | 2002-06-27 | Norton Healthcare Ltd. | Spray dried powders for pulmonary or nasal administration |
| US6921757B2 (en) * | 2000-06-28 | 2005-07-26 | Novartis Ag | Organic compounds |
| US20030158163A1 (en) * | 2000-06-28 | 2003-08-21 | Bernard Cuenoud | Organic compounds |
| US6750210B2 (en) * | 2000-08-05 | 2004-06-15 | Smithkline Beecham Corporation | Formulation containing novel anti-inflammatory androstane derivative |
| US20020177581A1 (en) * | 2000-08-05 | 2002-11-28 | Keith Biggadike | Novel anti-inflammatory androstane derivative |
| US20020165211A1 (en) * | 2000-08-05 | 2002-11-07 | Keith Biggadike | Formulation containing anti-inflammatory androstane derivative |
| US6759398B2 (en) * | 2000-08-05 | 2004-07-06 | Smithkline Beecham Corporation | Anti-inflammatory androstane derivative |
| US20030073676A1 (en) * | 2000-08-05 | 2003-04-17 | Keith Biggadike | Formulation containing anti-inflammatory androstane derivatives |
| US20020173496A1 (en) * | 2000-08-05 | 2002-11-21 | Keith Biggadike | Formulation containing novel anti-inflammatory androstane derivative |
| US20030109511A1 (en) * | 2000-08-05 | 2003-06-12 | Keith Biggadike | Novel anti-inflammatory androstane derivative compositions |
| US20030144257A1 (en) * | 2000-08-05 | 2003-07-31 | Keith Biggadike | Novel anti-inflammatory androstane derivative compositions |
| US20040053904A1 (en) * | 2000-12-22 | 2004-03-18 | Teruo Komoto | Preventive/ermedies for inflammatory airway diseases |
| US6537983B1 (en) * | 2001-04-07 | 2003-03-25 | Smithkline Beecham Corporation | Anti-inflammatory androstane derivatives |
| US7291608B2 (en) * | 2001-04-30 | 2007-11-06 | Glaxo Group Limited | Anti-inflammatory 17.β.-carbothioate ester derivatives of androstane with a cyclic ester group in position 17.α |
| US20030018019A1 (en) * | 2001-06-23 | 2003-01-23 | Boehringer Ingelheim Pharma Kg | Pharmaceutical compositions based on anticholinergics, corticosteroids and betamimetics |
| US20050163724A1 (en) * | 2002-06-14 | 2005-07-28 | Ssp Co., Ltd. | Powdery respiratory tonic composition |
| US7244742B2 (en) * | 2002-08-17 | 2007-07-17 | Boehringer Ingelheim Pharma Gmbh & Co Kg | Pharmaceutical compositions for inhalation containing an anticholinergic, corticosteroid and betamimetic |
Also Published As
Similar Documents
| Publication | Publication Date | Title |
|---|---|---|
| US7291608B2 (en) | Anti-inflammatory 17.β.-carbothioate ester derivatives of androstane with a cyclic ester group in position 17.α | |
| EP1395604B1 (en) | Novel anti inflammatory 17.alpha.-heterocyclic-esters of 17.beta.-carbothioate androstane derivatives | |
| US7405206B2 (en) | Anti-inflammatory androstane derivatives | |
| AU2002253342A1 (en) | Novel anti-inflammatory androstane derivatives | |
| US7101866B2 (en) | Anti-inflammatory androstane derivative | |
| US6759398B2 (en) | Anti-inflammatory androstane derivative | |
| US20090156567A1 (en) | Novel anti-inflammatory androstane derivative | |
| HK1062020B (en) | Anti-inflammatory 17.beta.-carbothioate ester derivatives of androstane with a cyclic ester group in position 17.alpha | |
| ZA200308192B (en) | Anti-inflammatory 17.beta.-carbothioate ester derivatives of androstane with a cyclic ester group in position 17.alpha. |
Legal Events
| Date | Code | Title | Description |
|---|---|---|---|
| STCB | Information on status: application discontinuation |
Free format text: ABANDONED -- FAILURE TO PAY ISSUE FEE |
|
| STCB | Information on status: application discontinuation |
Free format text: ABANDONED -- FAILURE TO PAY ISSUE FEE |







