US20090156567A1 - Novel anti-inflammatory androstane derivative - Google Patents
Novel anti-inflammatory androstane derivative Download PDFInfo
- Publication number
- US20090156567A1 US20090156567A1 US12/339,607 US33960708A US2009156567A1 US 20090156567 A1 US20090156567 A1 US 20090156567A1 US 33960708 A US33960708 A US 33960708A US 2009156567 A1 US2009156567 A1 US 2009156567A1
- Authority
- US
- United States
- Prior art keywords
- compound
- formula
- hydroxy
- methyl
- androsta
- Prior art date
- Legal status (The legal status is an assumption and is not a legal conclusion. Google has not performed a legal analysis and makes no representation as to the accuracy of the status listed.)
- Abandoned
Links
- 230000003110 anti-inflammatory effect Effects 0.000 title description 9
- 150000001440 androstane derivatives Chemical class 0.000 title 1
- 150000001875 compounds Chemical class 0.000 claims abstract description 290
- 238000000034 method Methods 0.000 claims abstract description 90
- 239000007787 solid Substances 0.000 claims description 32
- 239000000725 suspension Substances 0.000 claims description 21
- 239000002245 particle Substances 0.000 claims description 12
- 239000013011 aqueous formulation Substances 0.000 claims description 5
- 206010039083 rhinitis Diseases 0.000 claims description 5
- 206010010741 Conjunctivitis Diseases 0.000 claims description 3
- 210000002850 nasal mucosa Anatomy 0.000 claims 2
- 239000011343 solid material Substances 0.000 claims 1
- 239000000203 mixture Substances 0.000 abstract description 76
- 239000012453 solvate Substances 0.000 abstract description 49
- 230000008569 process Effects 0.000 abstract description 40
- 238000002560 therapeutic procedure Methods 0.000 abstract description 2
- -1 2-furanylcarbonyl Chemical group 0.000 description 73
- ZMANZCXQSJIPKH-UHFFFAOYSA-N Triethylamine Chemical compound CCN(CC)CC ZMANZCXQSJIPKH-UHFFFAOYSA-N 0.000 description 63
- XLYOFNOQVPJJNP-UHFFFAOYSA-N water Substances O XLYOFNOQVPJJNP-UHFFFAOYSA-N 0.000 description 60
- CSCPPACGZOOCGX-UHFFFAOYSA-N Acetone Chemical compound CC(C)=O CSCPPACGZOOCGX-UHFFFAOYSA-N 0.000 description 57
- 238000006243 chemical reaction Methods 0.000 description 50
- XEKOWRVHYACXOJ-UHFFFAOYSA-N Ethyl acetate Chemical compound CCOC(C)=O XEKOWRVHYACXOJ-UHFFFAOYSA-N 0.000 description 49
- ZMXDDKWLCZADIW-UHFFFAOYSA-N N,N-Dimethylformamide Chemical compound CN(C)C=O ZMXDDKWLCZADIW-UHFFFAOYSA-N 0.000 description 45
- 239000002253 acid Substances 0.000 description 45
- OKKJLVBELUTLKV-UHFFFAOYSA-N Methanol Chemical compound OC OKKJLVBELUTLKV-UHFFFAOYSA-N 0.000 description 42
- 239000002904 solvent Substances 0.000 description 40
- 239000000243 solution Substances 0.000 description 33
- 239000000047 product Substances 0.000 description 31
- WYURNTSHIVDZCO-UHFFFAOYSA-N Tetrahydrofuran Chemical compound C1CCOC1 WYURNTSHIVDZCO-UHFFFAOYSA-N 0.000 description 30
- YXFVVABEGXRONW-UHFFFAOYSA-N Toluene Chemical compound CC1=CC=CC=C1 YXFVVABEGXRONW-UHFFFAOYSA-N 0.000 description 30
- 238000011282 treatment Methods 0.000 description 29
- 238000009472 formulation Methods 0.000 description 27
- YMWUJEATGCHHMB-UHFFFAOYSA-N Dichloromethane Chemical compound ClCCl YMWUJEATGCHHMB-UHFFFAOYSA-N 0.000 description 24
- WMWTYOKRWGGJOA-CENSZEJFSA-N fluticasone propionate Chemical compound C1([C@@H](F)C2)=CC(=O)C=C[C@]1(C)[C@]1(F)[C@@H]2[C@@H]2C[C@@H](C)[C@@](C(=O)SCF)(OC(=O)CC)[C@@]2(C)C[C@@H]1O WMWTYOKRWGGJOA-CENSZEJFSA-N 0.000 description 24
- 229960000289 fluticasone propionate Drugs 0.000 description 24
- 239000003153 chemical reaction reagent Substances 0.000 description 23
- 150000003839 salts Chemical class 0.000 description 23
- 239000002585 base Substances 0.000 description 18
- SMNDYUVBFMFKNZ-UHFFFAOYSA-N 2-furoic acid Chemical class OC(=O)C1=CC=CO1 SMNDYUVBFMFKNZ-UHFFFAOYSA-N 0.000 description 17
- 235000019439 ethyl acetate Nutrition 0.000 description 17
- 239000000543 intermediate Substances 0.000 description 17
- OFTKFKYVSBNYEC-UHFFFAOYSA-N 2-furoyl chloride Chemical compound ClC(=O)C1=CC=CO1 OFTKFKYVSBNYEC-UHFFFAOYSA-N 0.000 description 16
- LFQSCWFLJHTTHZ-UHFFFAOYSA-N Ethanol Chemical compound CCO LFQSCWFLJHTTHZ-UHFFFAOYSA-N 0.000 description 16
- VEXZGXHMUGYJMC-UHFFFAOYSA-N Hydrochloric acid Chemical compound Cl VEXZGXHMUGYJMC-UHFFFAOYSA-N 0.000 description 16
- HEDRZPFGACZZDS-MICDWDOJSA-N Trichloro(2H)methane Chemical compound [2H]C(Cl)(Cl)Cl HEDRZPFGACZZDS-MICDWDOJSA-N 0.000 description 16
- 238000004519 manufacturing process Methods 0.000 description 16
- 239000000843 powder Substances 0.000 description 16
- ZWEHNKRNPOVVGH-UHFFFAOYSA-N 2-Butanone Chemical compound CCC(C)=O ZWEHNKRNPOVVGH-UHFFFAOYSA-N 0.000 description 15
- 102000011017 Type 4 Cyclic Nucleotide Phosphodiesterases Human genes 0.000 description 15
- 108010037584 Type 4 Cyclic Nucleotide Phosphodiesterases Proteins 0.000 description 15
- LHMHCLYDBQOYTO-UHFFFAOYSA-N bromofluoromethane Chemical group FCBr LHMHCLYDBQOYTO-UHFFFAOYSA-N 0.000 description 15
- 229940093499 ethyl acetate Drugs 0.000 description 15
- 238000000634 powder X-ray diffraction Methods 0.000 description 15
- YLQBMQCUIZJEEH-UHFFFAOYSA-N tetrahydrofuran Natural products C=1C=COC=1 YLQBMQCUIZJEEH-UHFFFAOYSA-N 0.000 description 15
- MSYGAHOHLUJIKV-UHFFFAOYSA-N 3,5-dimethyl-1-(3-nitrophenyl)-1h-pyrazole-4-carboxylic acid ethyl ester Chemical compound CC1=C(C(=O)OCC)C(C)=NN1C1=CC=CC([N+]([O-])=O)=C1 MSYGAHOHLUJIKV-UHFFFAOYSA-N 0.000 description 14
- 150000002148 esters Chemical class 0.000 description 14
- HJORMJIFDVBMOB-UHFFFAOYSA-N rolipram Chemical compound COC1=CC=C(C2CC(=O)NC2)C=C1OC1CCCC1 HJORMJIFDVBMOB-UHFFFAOYSA-N 0.000 description 14
- 210000004027 cell Anatomy 0.000 description 13
- 230000000694 effects Effects 0.000 description 13
- 150000007530 organic bases Chemical class 0.000 description 13
- 238000002360 preparation method Methods 0.000 description 13
- IAZDPXIOMUYVGZ-UHFFFAOYSA-N Dimethylsulphoxide Chemical compound CS(C)=O IAZDPXIOMUYVGZ-UHFFFAOYSA-N 0.000 description 12
- KFZMGEQAYNKOFK-UHFFFAOYSA-N Isopropanol Chemical compound CC(C)O KFZMGEQAYNKOFK-UHFFFAOYSA-N 0.000 description 12
- GUBGYTABKSRVRQ-QKKXKWKRSA-N Lactose Natural products OC[C@H]1O[C@@H](O[C@H]2[C@H](O)[C@@H](O)C(O)O[C@@H]2CO)[C@H](O)[C@@H](O)[C@H]1O GUBGYTABKSRVRQ-QKKXKWKRSA-N 0.000 description 12
- 229940123932 Phosphodiesterase 4 inhibitor Drugs 0.000 description 11
- 239000000443 aerosol Substances 0.000 description 11
- 239000003814 drug Substances 0.000 description 11
- 238000001914 filtration Methods 0.000 description 11
- 238000001990 intravenous administration Methods 0.000 description 11
- 239000008101 lactose Substances 0.000 description 11
- 210000004072 lung Anatomy 0.000 description 11
- 239000002587 phosphodiesterase IV inhibitor Substances 0.000 description 11
- 229950005741 rolipram Drugs 0.000 description 11
- 239000000126 substance Substances 0.000 description 11
- JGFZNNIVVJXRND-UHFFFAOYSA-N N,N-Diisopropylethylamine (DIPEA) Chemical compound CCN(C(C)C)C(C)C JGFZNNIVVJXRND-UHFFFAOYSA-N 0.000 description 10
- UIIMBOGNXHQVGW-UHFFFAOYSA-M Sodium bicarbonate Chemical compound [Na+].OC([O-])=O UIIMBOGNXHQVGW-UHFFFAOYSA-M 0.000 description 10
- 238000010992 reflux Methods 0.000 description 10
- WEVYAHXRMPXWCK-UHFFFAOYSA-N Acetonitrile Chemical compound CC#N WEVYAHXRMPXWCK-UHFFFAOYSA-N 0.000 description 9
- 239000012296 anti-solvent Substances 0.000 description 9
- 238000003556 assay Methods 0.000 description 9
- 239000003862 glucocorticoid Substances 0.000 description 9
- 125000002887 hydroxy group Chemical group [H]O* 0.000 description 9
- 239000008194 pharmaceutical composition Substances 0.000 description 9
- 239000000546 pharmaceutical excipient Substances 0.000 description 9
- 230000003197 catalytic effect Effects 0.000 description 8
- 238000000113 differential scanning calorimetry Methods 0.000 description 8
- 125000005843 halogen group Chemical group 0.000 description 8
- 239000002207 metabolite Substances 0.000 description 8
- 125000004170 methylsulfonyl group Chemical group [H]C([H])([H])S(*)(=O)=O 0.000 description 8
- 239000003380 propellant Substances 0.000 description 8
- 125000006239 protecting group Chemical group 0.000 description 8
- 239000011541 reaction mixture Substances 0.000 description 8
- 125000002088 tosyl group Chemical group [H]C1=C([H])C(=C([H])C([H])=C1C([H])([H])[H])S(*)(=O)=O 0.000 description 8
- LVGUZGTVOIAKKC-UHFFFAOYSA-N 1,1,1,2-tetrafluoroethane Chemical compound FCC(F)(F)F LVGUZGTVOIAKKC-UHFFFAOYSA-N 0.000 description 7
- XBDQKXXYIPTUBI-UHFFFAOYSA-M Propionate Chemical compound CCC([O-])=O XBDQKXXYIPTUBI-UHFFFAOYSA-M 0.000 description 7
- 241000700159 Rattus Species 0.000 description 7
- KXKVLQRXCPHEJC-UHFFFAOYSA-N acetic acid trimethyl ester Natural products COC(C)=O KXKVLQRXCPHEJC-UHFFFAOYSA-N 0.000 description 7
- 230000002152 alkylating effect Effects 0.000 description 7
- 230000002757 inflammatory effect Effects 0.000 description 7
- HJORMJIFDVBMOB-LBPRGKRZSA-N (-)-rolipram Chemical compound COC1=CC=C([C@H]2CC(=O)NC2)C=C1OC1CCCC1 HJORMJIFDVBMOB-LBPRGKRZSA-N 0.000 description 6
- TWRXJAOTZQYOKJ-UHFFFAOYSA-L Magnesium chloride Chemical compound [Mg+2].[Cl-].[Cl-] TWRXJAOTZQYOKJ-UHFFFAOYSA-L 0.000 description 6
- 238000004458 analytical method Methods 0.000 description 6
- 150000001732 carboxylic acid derivatives Chemical class 0.000 description 6
- 239000006071 cream Substances 0.000 description 6
- 238000007254 oxidation reaction Methods 0.000 description 6
- 239000003444 phase transfer catalyst Substances 0.000 description 6
- 239000002244 precipitate Substances 0.000 description 6
- 230000009467 reduction Effects 0.000 description 6
- 230000007704 transition Effects 0.000 description 6
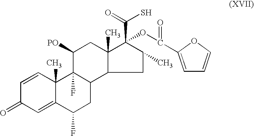
- GLAJUXBOZSWZMM-IDIDPBNYSA-N (6s,8s,9r,10s,11s,13s,14s,16r,17r)-6,9-difluoro-11,17-dihydroxy-10,13,16-trimethyl-3-oxo-6,7,8,11,12,14,15,16-octahydrocyclopenta[a]phenanthrene-17-carbothioic s-acid Chemical compound C1([C@@H](F)C2)=CC(=O)C=C[C@]1(C)[C@]1(F)[C@@H]2[C@@H]2C[C@@H](C)[C@@](C(S)=O)(O)[C@@]2(C)C[C@@H]1O GLAJUXBOZSWZMM-IDIDPBNYSA-N 0.000 description 5
- IVOMOUWHDPKRLL-KQYNXXCUSA-N Cyclic adenosine monophosphate Chemical compound C([C@H]1O2)OP(O)(=O)O[C@H]1[C@@H](O)[C@@H]2N1C(N=CN=C2N)=C2N=C1 IVOMOUWHDPKRLL-KQYNXXCUSA-N 0.000 description 5
- YCKRFDGAMUMZLT-UHFFFAOYSA-N Fluorine atom Chemical compound [F] YCKRFDGAMUMZLT-UHFFFAOYSA-N 0.000 description 5
- 102000003676 Glucocorticoid Receptors Human genes 0.000 description 5
- 108090000079 Glucocorticoid Receptors Proteins 0.000 description 5
- NTIZESTWPVYFNL-UHFFFAOYSA-N Methyl isobutyl ketone Chemical compound CC(C)CC(C)=O NTIZESTWPVYFNL-UHFFFAOYSA-N 0.000 description 5
- UIHCLUNTQKBZGK-UHFFFAOYSA-N Methyl isobutyl ketone Natural products CCC(C)C(C)=O UIHCLUNTQKBZGK-UHFFFAOYSA-N 0.000 description 5
- 230000003266 anti-allergic effect Effects 0.000 description 5
- 230000015572 biosynthetic process Effects 0.000 description 5
- 239000006227 byproduct Substances 0.000 description 5
- 239000002775 capsule Substances 0.000 description 5
- 238000002425 crystallisation Methods 0.000 description 5
- 238000004821 distillation Methods 0.000 description 5
- 239000000706 filtrate Substances 0.000 description 5
- 229910052731 fluorine Inorganic materials 0.000 description 5
- 239000011737 fluorine Substances 0.000 description 5
- 210000003494 hepatocyte Anatomy 0.000 description 5
- 238000000338 in vitro Methods 0.000 description 5
- 239000003112 inhibitor Substances 0.000 description 5
- 239000007788 liquid Substances 0.000 description 5
- 229940043265 methyl isobutyl ketone Drugs 0.000 description 5
- 210000001331 nose Anatomy 0.000 description 5
- 239000007800 oxidant agent Substances 0.000 description 5
- 230000000144 pharmacologic effect Effects 0.000 description 5
- 238000000159 protein binding assay Methods 0.000 description 5
- 230000002829 reductive effect Effects 0.000 description 5
- 229910000030 sodium bicarbonate Inorganic materials 0.000 description 5
- 238000001179 sorption measurement Methods 0.000 description 5
- 229940037128 systemic glucocorticoids Drugs 0.000 description 5
- 238000005406 washing Methods 0.000 description 5
- 206010027654 Allergic conditions Diseases 0.000 description 4
- XTULMSXFIHGYFS-KIFIMYBHSA-N C[C@@H]1CC2C3C[C@H](F)C4=CC(=O)C=C[C@]4(C)[C@@]3(F)[C@@H](O)C[C@]2(C)[C@@]1(OC(=O)C1=CC=CO1)C(=O)SCF Chemical compound C[C@@H]1CC2C3C[C@H](F)C4=CC(=O)C=C[C@]4(C)[C@@]3(F)[C@@H](O)C[C@]2(C)[C@@]1(OC(=O)C1=CC=CO1)C(=O)SCF XTULMSXFIHGYFS-KIFIMYBHSA-N 0.000 description 4
- LCGLNKUTAGEVQW-UHFFFAOYSA-N Dimethyl ether Chemical compound COC LCGLNKUTAGEVQW-UHFFFAOYSA-N 0.000 description 4
- 101000979342 Homo sapiens Nuclear factor NF-kappa-B p105 subunit Proteins 0.000 description 4
- VYPSYNLAJGMNEJ-UHFFFAOYSA-N Silicium dioxide Chemical compound O=[Si]=O VYPSYNLAJGMNEJ-UHFFFAOYSA-N 0.000 description 4
- 208000006673 asthma Diseases 0.000 description 4
- 230000008901 benefit Effects 0.000 description 4
- 125000002915 carbonyl group Chemical group [*:2]C([*:1])=O 0.000 description 4
- ZBCBWPMODOFKDW-UHFFFAOYSA-N diethanolamine Chemical compound OCCNCCO ZBCBWPMODOFKDW-UHFFFAOYSA-N 0.000 description 4
- 239000003085 diluting agent Substances 0.000 description 4
- 238000002474 experimental method Methods 0.000 description 4
- 238000010438 heat treatment Methods 0.000 description 4
- 238000001727 in vivo Methods 0.000 description 4
- 230000005764 inhibitory process Effects 0.000 description 4
- 150000002576 ketones Chemical class 0.000 description 4
- 239000012074 organic phase Substances 0.000 description 4
- 239000003960 organic solvent Substances 0.000 description 4
- 230000003647 oxidation Effects 0.000 description 4
- KHIWWQKSHDUIBK-UHFFFAOYSA-N periodic acid Chemical compound OI(=O)(=O)=O KHIWWQKSHDUIBK-UHFFFAOYSA-N 0.000 description 4
- 235000017557 sodium bicarbonate Nutrition 0.000 description 4
- 239000007858 starting material Substances 0.000 description 4
- 239000000375 suspending agent Substances 0.000 description 4
- 230000009885 systemic effect Effects 0.000 description 4
- 238000012360 testing method Methods 0.000 description 4
- 238000002411 thermogravimetry Methods 0.000 description 4
- YFMFNYKEUDLDTL-UHFFFAOYSA-N 1,1,1,2,3,3,3-heptafluoropropane Chemical compound FC(F)(F)C(F)C(F)(F)F YFMFNYKEUDLDTL-UHFFFAOYSA-N 0.000 description 3
- QKNYBSVHEMOAJP-UHFFFAOYSA-N 2-amino-2-(hydroxymethyl)propane-1,3-diol;hydron;chloride Chemical compound Cl.OCC(N)(CO)CO QKNYBSVHEMOAJP-UHFFFAOYSA-N 0.000 description 3
- 206010014950 Eosinophilia Diseases 0.000 description 3
- KRHYYFGTRYWZRS-UHFFFAOYSA-M Fluoride anion Chemical compound [F-] KRHYYFGTRYWZRS-UHFFFAOYSA-M 0.000 description 3
- BZLVMXJERCGZMT-UHFFFAOYSA-N Methyl tert-butyl ether Chemical compound COC(C)(C)C BZLVMXJERCGZMT-UHFFFAOYSA-N 0.000 description 3
- FXHOOIRPVKKKFG-UHFFFAOYSA-N N,N-Dimethylacetamide Chemical compound CN(C)C(C)=O FXHOOIRPVKKKFG-UHFFFAOYSA-N 0.000 description 3
- 102100023050 Nuclear factor NF-kappa-B p105 subunit Human genes 0.000 description 3
- 108700008625 Reporter Genes Proteins 0.000 description 3
- FAPWRFPIFSIZLT-UHFFFAOYSA-M Sodium chloride Chemical compound [Na+].[Cl-] FAPWRFPIFSIZLT-UHFFFAOYSA-M 0.000 description 3
- HEMHJVSKTPXQMS-UHFFFAOYSA-M Sodium hydroxide Chemical compound [OH-].[Na+] HEMHJVSKTPXQMS-UHFFFAOYSA-M 0.000 description 3
- 229920002472 Starch Polymers 0.000 description 3
- 230000001387 anti-histamine Effects 0.000 description 3
- 239000000739 antihistaminic agent Substances 0.000 description 3
- 125000003710 aryl alkyl group Chemical group 0.000 description 3
- 208000010668 atopic eczema Diseases 0.000 description 3
- 125000001797 benzyl group Chemical group [H]C1=C([H])C([H])=C(C([H])=C1[H])C([H])([H])* 0.000 description 3
- PFKFTWBEEFSNDU-UHFFFAOYSA-N carbonyldiimidazole Chemical compound C1=CN=CN1C(=O)N1C=CN=C1 PFKFTWBEEFSNDU-UHFFFAOYSA-N 0.000 description 3
- 239000013078 crystal Substances 0.000 description 3
- HPNMFZURTQLUMO-UHFFFAOYSA-N diethylamine Chemical compound CCNCC HPNMFZURTQLUMO-UHFFFAOYSA-N 0.000 description 3
- 208000037265 diseases, disorders, signs and symptoms Diseases 0.000 description 3
- 238000004090 dissolution Methods 0.000 description 3
- 239000003995 emulsifying agent Substances 0.000 description 3
- 239000000499 gel Substances 0.000 description 3
- 150000002466 imines Chemical class 0.000 description 3
- 238000011534 incubation Methods 0.000 description 3
- 238000004895 liquid chromatography mass spectrometry Methods 0.000 description 3
- 229910001629 magnesium chloride Inorganic materials 0.000 description 3
- 230000014759 maintenance of location Effects 0.000 description 3
- 230000004060 metabolic process Effects 0.000 description 3
- 238000002156 mixing Methods 0.000 description 3
- 150000002923 oximes Chemical class 0.000 description 3
- 125000006503 p-nitrobenzyl group Chemical group [H]C1=C([H])C(=C([H])C([H])=C1[N+]([O-])=O)C([H])([H])* 0.000 description 3
- 230000003285 pharmacodynamic effect Effects 0.000 description 3
- 235000015497 potassium bicarbonate Nutrition 0.000 description 3
- 229910000028 potassium bicarbonate Inorganic materials 0.000 description 3
- 239000011736 potassium bicarbonate Substances 0.000 description 3
- TYJJADVDDVDEDZ-UHFFFAOYSA-M potassium hydrogencarbonate Chemical compound [K+].OC([O-])=O TYJJADVDDVDEDZ-UHFFFAOYSA-M 0.000 description 3
- 239000002002 slurry Substances 0.000 description 3
- 239000007921 spray Substances 0.000 description 3
- 239000003381 stabilizer Substances 0.000 description 3
- 239000008107 starch Substances 0.000 description 3
- 235000019698 starch Nutrition 0.000 description 3
- 150000003431 steroids Chemical class 0.000 description 3
- 239000003826 tablet Substances 0.000 description 3
- 238000001757 thermogravimetry curve Methods 0.000 description 3
- 239000002562 thickening agent Substances 0.000 description 3
- 210000001541 thymus gland Anatomy 0.000 description 3
- KWGRBVOPPLSCSI-WPRPVWTQSA-N (-)-ephedrine Chemical compound CN[C@@H](C)[C@H](O)C1=CC=CC=C1 KWGRBVOPPLSCSI-WPRPVWTQSA-N 0.000 description 2
- XTNYQMSCYWBFJX-KRWDZBQOSA-N (4r)-1-[(4-bromophenyl)methyl]-4-(2-cyclopentyloxy-4-methoxyphenyl)pyrrolidin-2-one Chemical compound C([C@H](CC1=O)C2=CC=C(C=C2OC2CCCC2)OC)N1CC1=CC=C(Br)C=C1 XTNYQMSCYWBFJX-KRWDZBQOSA-N 0.000 description 2
- RYHBNJHYFVUHQT-UHFFFAOYSA-N 1,4-Dioxane Chemical compound C1COCCO1 RYHBNJHYFVUHQT-UHFFFAOYSA-N 0.000 description 2
- VBICKXHEKHSIBG-UHFFFAOYSA-N 1-monostearoylglycerol Chemical compound CCCCCCCCCCCCCCCCCC(=O)OCC(O)CO VBICKXHEKHSIBG-UHFFFAOYSA-N 0.000 description 2
- BWZVCCNYKMEVEX-UHFFFAOYSA-N 2,4,6-Trimethylpyridine Chemical compound CC1=CC(C)=NC(C)=C1 BWZVCCNYKMEVEX-UHFFFAOYSA-N 0.000 description 2
- ZOOGRGPOEVQQDX-UUOKFMHZSA-N 3',5'-cyclic GMP Chemical compound C([C@H]1O2)OP(O)(=O)O[C@H]1[C@@H](O)[C@@H]2N1C(N=C(NC2=O)N)=C2N=C1 ZOOGRGPOEVQQDX-UUOKFMHZSA-N 0.000 description 2
- 229940124225 Adrenoreceptor agonist Drugs 0.000 description 2
- 102000002260 Alkaline Phosphatase Human genes 0.000 description 2
- 108020004774 Alkaline Phosphatase Proteins 0.000 description 2
- CDZNLVUCJXQAPI-OIEIFHJGSA-N C[C@@H]1CC2C3C[C@H](F)C4=CC(=O)C=C[C@]4(C)[C@@]3(F)[C@@H](O)C[C@]2(C)[C@@]1(OC(=O)C1=CC=CO1)C(=O)S Chemical compound C[C@@H]1CC2C3C[C@H](F)C4=CC(=O)C=C[C@]4(C)[C@@]3(F)[C@@H](O)C[C@]2(C)[C@@]1(OC(=O)C1=CC=CO1)C(=O)S CDZNLVUCJXQAPI-OIEIFHJGSA-N 0.000 description 2
- 101100129922 Caenorhabditis elegans pig-1 gene Proteins 0.000 description 2
- BVKZGUZCCUSVTD-UHFFFAOYSA-L Carbonate Chemical compound [O-]C([O-])=O BVKZGUZCCUSVTD-UHFFFAOYSA-L 0.000 description 2
- HEDRZPFGACZZDS-UHFFFAOYSA-N Chloroform Chemical compound ClC(Cl)Cl HEDRZPFGACZZDS-UHFFFAOYSA-N 0.000 description 2
- OKKJLVBELUTLKV-MZCSYVLQSA-N Deuterated methanol Chemical compound [2H]OC([2H])([2H])[2H] OKKJLVBELUTLKV-MZCSYVLQSA-N 0.000 description 2
- RWSOTUBLDIXVET-UHFFFAOYSA-N Dihydrogen sulfide Chemical compound S RWSOTUBLDIXVET-UHFFFAOYSA-N 0.000 description 2
- 101100520057 Drosophila melanogaster Pig1 gene Proteins 0.000 description 2
- 102000004190 Enzymes Human genes 0.000 description 2
- 108090000790 Enzymes Proteins 0.000 description 2
- BDAGIHXWWSANSR-UHFFFAOYSA-N Formic acid Chemical compound OC=O BDAGIHXWWSANSR-UHFFFAOYSA-N 0.000 description 2
- 208000029523 Interstitial Lung disease Diseases 0.000 description 2
- NHTMVDHEPJAVLT-UHFFFAOYSA-N Isooctane Chemical compound CC(C)CC(C)(C)C NHTMVDHEPJAVLT-UHFFFAOYSA-N 0.000 description 2
- 241001465754 Metazoa Species 0.000 description 2
- LSDPWZHWYPCBBB-UHFFFAOYSA-N Methanethiol Chemical compound SC LSDPWZHWYPCBBB-UHFFFAOYSA-N 0.000 description 2
- SECXISVLQFMRJM-UHFFFAOYSA-N N-Methylpyrrolidone Chemical compound CN1CCCC1=O SECXISVLQFMRJM-UHFFFAOYSA-N 0.000 description 2
- 239000007832 Na2SO4 Substances 0.000 description 2
- 108010058846 Ovalbumin Proteins 0.000 description 2
- 102000004861 Phosphoric Diester Hydrolases Human genes 0.000 description 2
- 108090001050 Phosphoric Diester Hydrolases Proteins 0.000 description 2
- 108010052090 Renilla Luciferases Proteins 0.000 description 2
- GIIZNNXWQWCKIB-UHFFFAOYSA-N Serevent Chemical compound C1=C(O)C(CO)=CC(C(O)CNCCCCCCOCCCCC=2C=CC=CC=2)=C1 GIIZNNXWQWCKIB-UHFFFAOYSA-N 0.000 description 2
- PMZURENOXWZQFD-UHFFFAOYSA-L Sodium Sulfate Chemical compound [Na+].[Na+].[O-]S([O-])(=O)=O PMZURENOXWZQFD-UHFFFAOYSA-L 0.000 description 2
- 241000282887 Suidae Species 0.000 description 2
- NINIDFKCEFEMDL-UHFFFAOYSA-N Sulfur Chemical compound [S] NINIDFKCEFEMDL-UHFFFAOYSA-N 0.000 description 2
- 239000005864 Sulphur Substances 0.000 description 2
- GUGOEEXESWIERI-UHFFFAOYSA-N Terfenadine Chemical compound C1=CC(C(C)(C)C)=CC=C1C(O)CCCN1CCC(C(O)(C=2C=CC=CC=2)C=2C=CC=CC=2)CC1 GUGOEEXESWIERI-UHFFFAOYSA-N 0.000 description 2
- 108060008682 Tumor Necrosis Factor Proteins 0.000 description 2
- 102000000852 Tumor Necrosis Factor-alpha Human genes 0.000 description 2
- 238000010521 absorption reaction Methods 0.000 description 2
- 239000004480 active ingredient Substances 0.000 description 2
- 239000013543 active substance Substances 0.000 description 2
- 125000002252 acyl group Chemical group 0.000 description 2
- OIRDTQYFTABQOQ-KQYNXXCUSA-N adenosine Chemical compound C1=NC=2C(N)=NC=NC=2N1[C@@H]1O[C@H](CO)[C@@H](O)[C@H]1O OIRDTQYFTABQOQ-KQYNXXCUSA-N 0.000 description 2
- 239000000556 agonist Substances 0.000 description 2
- NDAUXUAQIAJITI-UHFFFAOYSA-N albuterol Chemical compound CC(C)(C)NCC(O)C1=CC=C(O)C(CO)=C1 NDAUXUAQIAJITI-UHFFFAOYSA-N 0.000 description 2
- 125000000217 alkyl group Chemical group 0.000 description 2
- 239000013566 allergen Substances 0.000 description 2
- 239000004411 aluminium Substances 0.000 description 2
- 229910052782 aluminium Inorganic materials 0.000 description 2
- XAGFODPZIPBFFR-UHFFFAOYSA-N aluminium Chemical compound [Al] XAGFODPZIPBFFR-UHFFFAOYSA-N 0.000 description 2
- 150000001412 amines Chemical class 0.000 description 2
- 239000002260 anti-inflammatory agent Substances 0.000 description 2
- 239000011260 aqueous acid Substances 0.000 description 2
- 239000012736 aqueous medium Substances 0.000 description 2
- 239000007864 aqueous solution Substances 0.000 description 2
- 238000010936 aqueous wash Methods 0.000 description 2
- QVGXLLKOCUKJST-UHFFFAOYSA-N atomic oxygen Chemical compound [O] QVGXLLKOCUKJST-UHFFFAOYSA-N 0.000 description 2
- VJGNLOIQCWLBJR-UHFFFAOYSA-M benzyl(tributyl)azanium;chloride Chemical compound [Cl-].CCCC[N+](CCCC)(CCCC)CC1=CC=CC=C1 VJGNLOIQCWLBJR-UHFFFAOYSA-M 0.000 description 2
- 230000017531 blood circulation Effects 0.000 description 2
- 239000012267 brine Substances 0.000 description 2
- 239000000872 buffer Substances 0.000 description 2
- 239000006172 buffering agent Substances 0.000 description 2
- 239000003054 catalyst Substances 0.000 description 2
- 239000003795 chemical substances by application Substances 0.000 description 2
- 238000001816 cooling Methods 0.000 description 2
- 239000007822 coupling agent Substances 0.000 description 2
- HPXRVTGHNJAIIH-UHFFFAOYSA-N cyclohexanol Chemical compound OC1CCCCC1 HPXRVTGHNJAIIH-UHFFFAOYSA-N 0.000 description 2
- 230000001419 dependent effect Effects 0.000 description 2
- 238000004807 desolvation Methods 0.000 description 2
- JVSWJIKNEAIKJW-UHFFFAOYSA-N dimethyl-hexane Natural products CCCCCC(C)C JVSWJIKNEAIKJW-UHFFFAOYSA-N 0.000 description 2
- 208000035475 disorder Diseases 0.000 description 2
- 239000002270 dispersing agent Substances 0.000 description 2
- 231100000673 dose–response relationship Toxicity 0.000 description 2
- KYFWUBJMTHVBIF-QFIPXVFZSA-N dsstox_cid_27248 Chemical compound N([C@@H]1N=C(C=2C=3N(C1=O)CCC=3C=C(C=2)C)C=1C=CC=CC=1)C(=O)C1=CC=NC=C1 KYFWUBJMTHVBIF-QFIPXVFZSA-N 0.000 description 2
- 230000032050 esterification Effects 0.000 description 2
- 238000005886 esterification reaction Methods 0.000 description 2
- DNJIEGIFACGWOD-UHFFFAOYSA-N ethanethiol Chemical compound CCS DNJIEGIFACGWOD-UHFFFAOYSA-N 0.000 description 2
- 239000012065 filter cake Substances 0.000 description 2
- BPZSYCZIITTYBL-UHFFFAOYSA-N formoterol Chemical compound C1=CC(OC)=CC=C1CC(C)NCC(O)C1=CC=C(O)C(NC=O)=C1 BPZSYCZIITTYBL-UHFFFAOYSA-N 0.000 description 2
- 229960002848 formoterol Drugs 0.000 description 2
- 230000006870 function Effects 0.000 description 2
- TVFIYRKPCACCNL-UHFFFAOYSA-N furan-2-carboxamide Chemical compound NC(=O)C1=CC=CO1 TVFIYRKPCACCNL-UHFFFAOYSA-N 0.000 description 2
- 239000007789 gas Substances 0.000 description 2
- 239000003349 gelling agent Substances 0.000 description 2
- 230000014509 gene expression Effects 0.000 description 2
- 230000002440 hepatic effect Effects 0.000 description 2
- 230000010224 hepatic metabolism Effects 0.000 description 2
- 125000000623 heterocyclic group Chemical group 0.000 description 2
- 238000004128 high performance liquid chromatography Methods 0.000 description 2
- 230000007062 hydrolysis Effects 0.000 description 2
- 238000006460 hydrolysis reaction Methods 0.000 description 2
- 208000027866 inflammatory disease Diseases 0.000 description 2
- 230000002401 inhibitory effect Effects 0.000 description 2
- 239000003446 ligand Substances 0.000 description 2
- 239000006210 lotion Substances 0.000 description 2
- 230000000873 masking effect Effects 0.000 description 2
- 238000005259 measurement Methods 0.000 description 2
- 230000004048 modification Effects 0.000 description 2
- 238000012986 modification Methods 0.000 description 2
- PSHKMPUSSFXUIA-UHFFFAOYSA-N n,n-dimethylpyridin-2-amine Chemical compound CN(C)C1=CC=CC=N1 PSHKMPUSSFXUIA-UHFFFAOYSA-N 0.000 description 2
- 239000003921 oil Substances 0.000 description 2
- 235000019198 oils Nutrition 0.000 description 2
- 239000002674 ointment Substances 0.000 description 2
- 229940092253 ovalbumin Drugs 0.000 description 2
- 239000001301 oxygen Substances 0.000 description 2
- 229910052760 oxygen Inorganic materials 0.000 description 2
- 230000036470 plasma concentration Effects 0.000 description 2
- 229920001223 polyethylene glycol Polymers 0.000 description 2
- 230000023603 positive regulation of transcription initiation, DNA-dependent Effects 0.000 description 2
- 239000003755 preservative agent Substances 0.000 description 2
- 238000012545 processing Methods 0.000 description 2
- 108090000623 proteins and genes Proteins 0.000 description 2
- 239000011535 reaction buffer Substances 0.000 description 2
- 238000001953 recrystallisation Methods 0.000 description 2
- 230000004044 response Effects 0.000 description 2
- MNDBXUUTURYVHR-UHFFFAOYSA-N roflumilast Chemical compound FC(F)OC1=CC=C(C(=O)NC=2C(=CN=CC=2Cl)Cl)C=C1OCC1CC1 MNDBXUUTURYVHR-UHFFFAOYSA-N 0.000 description 2
- 229960002052 salbutamol Drugs 0.000 description 2
- 229960004017 salmeterol Drugs 0.000 description 2
- 239000000741 silica gel Substances 0.000 description 2
- 229910002027 silica gel Inorganic materials 0.000 description 2
- 239000011780 sodium chloride Substances 0.000 description 2
- PUZPDOWCWNUUKD-UHFFFAOYSA-M sodium fluoride Chemical compound [F-].[Na+] PUZPDOWCWNUUKD-UHFFFAOYSA-M 0.000 description 2
- JQWHASGSAFIOCM-UHFFFAOYSA-M sodium periodate Chemical compound [Na+].[O-]I(=O)(=O)=O JQWHASGSAFIOCM-UHFFFAOYSA-M 0.000 description 2
- 229910052938 sodium sulfate Inorganic materials 0.000 description 2
- HPALAKNZSZLMCH-UHFFFAOYSA-M sodium;chloride;hydrate Chemical compound O.[Na+].[Cl-] HPALAKNZSZLMCH-UHFFFAOYSA-M 0.000 description 2
- 238000003797 solvolysis reaction Methods 0.000 description 2
- 238000004611 spectroscopical analysis Methods 0.000 description 2
- 238000012289 standard assay Methods 0.000 description 2
- 239000000758 substrate Substances 0.000 description 2
- JRMUNVKIHCOMHV-UHFFFAOYSA-M tetrabutylammonium bromide Chemical compound [Br-].CCCC[N+](CCCC)(CCCC)CCCC JRMUNVKIHCOMHV-UHFFFAOYSA-M 0.000 description 2
- NHGXDBSUJJNIRV-UHFFFAOYSA-M tetrabutylammonium chloride Chemical compound [Cl-].CCCC[N+](CCCC)(CCCC)CCCC NHGXDBSUJJNIRV-UHFFFAOYSA-M 0.000 description 2
- 231100001274 therapeutic index Toxicity 0.000 description 2
- 238000011200 topical administration Methods 0.000 description 2
- 230000000699 topical effect Effects 0.000 description 2
- 230000035903 transrepression Effects 0.000 description 2
- 125000002221 trityl group Chemical group [H]C1=C([H])C([H])=C([H])C([H])=C1C([*])(C1=C(C(=C(C(=C1[H])[H])[H])[H])[H])C1=C([H])C([H])=C([H])C([H])=C1[H] 0.000 description 2
- 238000003828 vacuum filtration Methods 0.000 description 2
- XWTYSIMOBUGWOL-UHFFFAOYSA-N (+-)-Terbutaline Chemical compound CC(C)(C)NCC(O)C1=CC(O)=CC(O)=C1 XWTYSIMOBUGWOL-UHFFFAOYSA-N 0.000 description 1
- DAASOABUJRMZAD-NRYKZSQYSA-N (1R,4S,5S)-5-(bromomethyl)-1,2,3,4,7,7-hexachlorobicyclo[2.2.1]hept-2-ene Chemical compound BrC[C@H]1C[C@@]2(Cl)C(Cl)=C(Cl)[C@]1(Cl)C2(Cl)Cl DAASOABUJRMZAD-NRYKZSQYSA-N 0.000 description 1
- WRIDQFICGBMAFQ-UHFFFAOYSA-N (E)-8-Octadecenoic acid Natural products CCCCCCCCCC=CCCCCCCC(O)=O WRIDQFICGBMAFQ-UHFFFAOYSA-N 0.000 description 1
- OOSZCNKVJAVHJI-UHFFFAOYSA-N 1-[(4-fluorophenyl)methyl]piperazine Chemical compound C1=CC(F)=CC=C1CN1CCNCC1 OOSZCNKVJAVHJI-UHFFFAOYSA-N 0.000 description 1
- IIZPXYDJLKNOIY-JXPKJXOSSA-N 1-palmitoyl-2-arachidonoyl-sn-glycero-3-phosphocholine Chemical compound CCCCCCCCCCCCCCCC(=O)OC[C@H](COP([O-])(=O)OCC[N+](C)(C)C)OC(=O)CCC\C=C/C\C=C/C\C=C/C\C=C/CCCCC IIZPXYDJLKNOIY-JXPKJXOSSA-N 0.000 description 1
- PDNHLCRMUIGNBV-UHFFFAOYSA-N 1-pyridin-2-ylethanamine Chemical compound CC(N)C1=CC=CC=N1 PDNHLCRMUIGNBV-UHFFFAOYSA-N 0.000 description 1
- SVUOLADPCWQTTE-UHFFFAOYSA-N 1h-1,2-benzodiazepine Chemical compound N1N=CC=CC2=CC=CC=C12 SVUOLADPCWQTTE-UHFFFAOYSA-N 0.000 description 1
- LQJBNNIYVWPHFW-UHFFFAOYSA-N 20:1omega9c fatty acid Natural products CCCCCCCCCCC=CCCCCCCCC(O)=O LQJBNNIYVWPHFW-UHFFFAOYSA-N 0.000 description 1
- CFBUZOUXXHZCFB-UHFFFAOYSA-N 4-cyano-4-(3-cyclopentyloxy-4-methoxyphenyl)-1-cyclohexanecarboxylic acid Chemical compound COC1=CC=C(C2(CCC(CC2)C(O)=O)C#N)C=C1OC1CCCC1 CFBUZOUXXHZCFB-UHFFFAOYSA-N 0.000 description 1
- LSLYOANBFKQKPT-DIFFPNOSSA-N 5-[(1r)-1-hydroxy-2-[[(2r)-1-(4-hydroxyphenyl)propan-2-yl]amino]ethyl]benzene-1,3-diol Chemical compound C([C@@H](C)NC[C@H](O)C=1C=C(O)C=C(O)C=1)C1=CC=C(O)C=C1 LSLYOANBFKQKPT-DIFFPNOSSA-N 0.000 description 1
- XZIIFPSPUDAGJM-UHFFFAOYSA-N 6-chloro-2-n,2-n-diethylpyrimidine-2,4-diamine Chemical compound CCN(CC)C1=NC(N)=CC(Cl)=N1 XZIIFPSPUDAGJM-UHFFFAOYSA-N 0.000 description 1
- HBAQYPYDRFILMT-UHFFFAOYSA-N 8-[3-(1-cyclopropylpyrazol-4-yl)-1H-pyrazolo[4,3-d]pyrimidin-5-yl]-3-methyl-3,8-diazabicyclo[3.2.1]octan-2-one Chemical class C1(CC1)N1N=CC(=C1)C1=NNC2=C1N=C(N=C2)N1C2C(N(CC1CC2)C)=O HBAQYPYDRFILMT-UHFFFAOYSA-N 0.000 description 1
- QSBYPNXLFMSGKH-UHFFFAOYSA-N 9-Heptadecensaeure Natural products CCCCCCCC=CCCCCCCCC(O)=O QSBYPNXLFMSGKH-UHFFFAOYSA-N 0.000 description 1
- MRHCSNNEUHXNIC-UHFFFAOYSA-N 9-benzylpurin-6-amine Chemical class C1=NC=2C(N)=NC=NC=2N1CC1=CC=CC=C1 MRHCSNNEUHXNIC-UHFFFAOYSA-N 0.000 description 1
- AEOBEOJCBAYXBA-UHFFFAOYSA-N A2P5P Natural products C1=NC=2C(N)=NC=NC=2N1C1OC(COP(O)(O)=O)C(O)C1OP(O)(O)=O AEOBEOJCBAYXBA-UHFFFAOYSA-N 0.000 description 1
- NIXOWILDQLNWCW-UHFFFAOYSA-N Acrylic acid Chemical group OC(=O)C=C NIXOWILDQLNWCW-UHFFFAOYSA-N 0.000 description 1
- 208000035285 Allergic Seasonal Rhinitis Diseases 0.000 description 1
- USFZMSVCRYTOJT-UHFFFAOYSA-N Ammonium acetate Chemical compound N.CC(O)=O USFZMSVCRYTOJT-UHFFFAOYSA-N 0.000 description 1
- 239000005695 Ammonium acetate Substances 0.000 description 1
- 241000220438 Arachis Species 0.000 description 1
- 235000003911 Arachis Nutrition 0.000 description 1
- IJGRMHOSHXDMSA-UHFFFAOYSA-N Atomic nitrogen Chemical compound N#N IJGRMHOSHXDMSA-UHFFFAOYSA-N 0.000 description 1
- 208000023275 Autoimmune disease Diseases 0.000 description 1
- 108091003079 Bovine Serum Albumin Proteins 0.000 description 1
- 239000002126 C01EB10 - Adenosine Substances 0.000 description 1
- ZIRAYRJWCCANBW-UHFFFAOYSA-N CCNCCC(=O)C1=CC=CO1 Chemical compound CCNCCC(=O)C1=CC=CO1 ZIRAYRJWCCANBW-UHFFFAOYSA-N 0.000 description 1
- 108010059108 CD18 Antigens Proteins 0.000 description 1
- ROKMEWRGZFZQGI-KIFIMYBHSA-N CSC(=O)[C@@]1(OC(=O)C2=CC=CO2)[C@H](C)CC2C3C[C@H](F)C4=CC(=O)C=C[C@]4(C)[C@@]3(F)[C@@H](O)C[C@@]21C Chemical compound CSC(=O)[C@@]1(OC(=O)C2=CC=CO2)[C@H](C)CC2C3C[C@H](F)C4=CC(=O)C=C[C@]4(C)[C@@]3(F)[C@@H](O)C[C@@]21C ROKMEWRGZFZQGI-KIFIMYBHSA-N 0.000 description 1
- VESYDHFKWLPEGP-BBJBSYOCSA-N C[C@@H]1CC2C3C[C@H](F)C4=CC(=O)C=C[C@]4(C)C3=CC[C@]2(C)[C@@]1(O)C(=O)S Chemical compound C[C@@H]1CC2C3C[C@H](F)C4=CC(=O)C=C[C@]4(C)C3=CC[C@]2(C)[C@@]1(O)C(=O)S VESYDHFKWLPEGP-BBJBSYOCSA-N 0.000 description 1
- LTHHVANCAKBCIM-ATCVLMMKSA-N C[C@@H]1CC2C3C[C@H](F)C4=CC(=O)C=C[C@]4(C)C3=CC[C@]2(C)[C@@]1(O)C(=O)SCF Chemical compound C[C@@H]1CC2C3C[C@H](F)C4=CC(=O)C=C[C@]4(C)C3=CC[C@]2(C)[C@@]1(O)C(=O)SCF LTHHVANCAKBCIM-ATCVLMMKSA-N 0.000 description 1
- GCNJIKSBBOOHHU-RIWQDYNLSA-N C[C@@H]1CC2C3C[C@H](F)C4=CC(=O)C=C[C@]4(C)C3=CC[C@]2(C)[C@@]1(OC(=O)C1=CC=CO1)C(=O)S Chemical compound C[C@@H]1CC2C3C[C@H](F)C4=CC(=O)C=C[C@]4(C)C3=CC[C@]2(C)[C@@]1(OC(=O)C1=CC=CO1)C(=O)S GCNJIKSBBOOHHU-RIWQDYNLSA-N 0.000 description 1
- GXSAOUZLBXTEOU-KQNXKTGMSA-N C[C@@H]1CC2C3C[C@H](F)C4=CC(=O)C=C[C@]4(C)C3=CC[C@]2(C)[C@@]1(OC(=O)C1=CC=CO1)C(=O)SCF Chemical compound C[C@@H]1CC2C3C[C@H](F)C4=CC(=O)C=C[C@]4(C)C3=CC[C@]2(C)[C@@]1(OC(=O)C1=CC=CO1)C(=O)SCF GXSAOUZLBXTEOU-KQNXKTGMSA-N 0.000 description 1
- SSFUBXMRDLWXGO-UPXLOHOCSA-N C[C@@H]1CC2C3C[C@H](F)C4=CC(=O)C=C[C@]4(C)[C@@]3(C)[C@@H](O)C[C@]2(C)[C@@]1(OC(=O)C1=CC=CO1)C(=O)SCF Chemical compound C[C@@H]1CC2C3C[C@H](F)C4=CC(=O)C=C[C@]4(C)[C@@]3(C)[C@@H](O)C[C@]2(C)[C@@]1(OC(=O)C1=CC=CO1)C(=O)SCF SSFUBXMRDLWXGO-UPXLOHOCSA-N 0.000 description 1
- XOYMACGYQATDTL-RGDKUVPHSA-N C[C@@H]1CC2C3C[C@H](F)C4=CC(=O)C=C[C@]4(C)[C@@]3(F)C(=O)C[C@]2(C)[C@@]1(O)C(=O)S Chemical compound C[C@@H]1CC2C3C[C@H](F)C4=CC(=O)C=C[C@]4(C)[C@@]3(F)C(=O)C[C@]2(C)[C@@]1(O)C(=O)S XOYMACGYQATDTL-RGDKUVPHSA-N 0.000 description 1
- SNQPQPXSVWIXIZ-WHNVKCLKSA-N C[C@@H]1CC2C3C[C@H](F)C4=CC(=O)C=C[C@]4(C)[C@@]3(F)C(=O)C[C@]2(C)[C@@]1(O)C(=O)SCF Chemical compound C[C@@H]1CC2C3C[C@H](F)C4=CC(=O)C=C[C@]4(C)[C@@]3(F)C(=O)C[C@]2(C)[C@@]1(O)C(=O)SCF SNQPQPXSVWIXIZ-WHNVKCLKSA-N 0.000 description 1
- QGDRIKZDFYXNCC-WKPXCJKFSA-N C[C@@H]1CC2C3C[C@H](F)C4=CC(=O)C=C[C@]4(C)[C@@]3(F)C(=O)C[C@]2(C)[C@@]1(OC(=O)C1=CC=CO1)C(=O)S Chemical compound C[C@@H]1CC2C3C[C@H](F)C4=CC(=O)C=C[C@]4(C)[C@@]3(F)C(=O)C[C@]2(C)[C@@]1(OC(=O)C1=CC=CO1)C(=O)S QGDRIKZDFYXNCC-WKPXCJKFSA-N 0.000 description 1
- GJYSBRMYWWJWFL-NLFNDICWSA-N C[C@@H]1CC2C3C[C@H](F)C4=CC(=O)C=C[C@]4(C)[C@@]3(F)C(=O)C[C@]2(C)[C@@]1(OC(=O)C1=CC=CO1)C(=O)SCF Chemical compound C[C@@H]1CC2C3C[C@H](F)C4=CC(=O)C=C[C@]4(C)[C@@]3(F)C(=O)C[C@]2(C)[C@@]1(OC(=O)C1=CC=CO1)C(=O)SCF GJYSBRMYWWJWFL-NLFNDICWSA-N 0.000 description 1
- CVSQHVBHCJNUBD-XXRYJQDHSA-M C[C@@H]1CC2C3C[C@H](F)C4=CC(=O)C=C[C@]4(C)[C@@]3(F)[C@@H](O)C[C@]2(C)[C@@]1(O)C(=O)CO.C[C@@H]1CC2C3C[C@H](F)C4=CC(=O)C=C[C@]4(C)[C@@]3(F)[C@@H](O)C[C@]2(C)[C@@]1(O)C(=O)O.C[C@@H]1CC2C3C[C@H](F)C4=CC(=O)C=C[C@]4(C)[C@@]3(F)[C@@H](O)C[C@]2(C)[C@@]1(O)C(=O)S.I[IH]I.[V].[V]I Chemical compound C[C@@H]1CC2C3C[C@H](F)C4=CC(=O)C=C[C@]4(C)[C@@]3(F)[C@@H](O)C[C@]2(C)[C@@]1(O)C(=O)CO.C[C@@H]1CC2C3C[C@H](F)C4=CC(=O)C=C[C@]4(C)[C@@]3(F)[C@@H](O)C[C@]2(C)[C@@]1(O)C(=O)O.C[C@@H]1CC2C3C[C@H](F)C4=CC(=O)C=C[C@]4(C)[C@@]3(F)[C@@H](O)C[C@]2(C)[C@@]1(O)C(=O)S.I[IH]I.[V].[V]I CVSQHVBHCJNUBD-XXRYJQDHSA-M 0.000 description 1
- GLAJUXBOZSWZMM-FULJYSEXSA-N C[C@@H]1CC2C3C[C@H](F)C4=CC(=O)C=C[C@]4(C)[C@@]3(F)[C@@H](O)C[C@]2(C)[C@@]1(O)C(=O)S Chemical compound C[C@@H]1CC2C3C[C@H](F)C4=CC(=O)C=C[C@]4(C)[C@@]3(F)[C@@H](O)C[C@]2(C)[C@@]1(O)C(=O)S GLAJUXBOZSWZMM-FULJYSEXSA-N 0.000 description 1
- QOANMINPJDURAZ-OIEIFHJGSA-N C[C@@H]1CC2C3C[C@H](F)C4=CC(=O)C=C[C@]4(C)[C@@]3(F)[C@@H](O)C[C@]2(C)[C@@]1(OC(=O)C1=CC=CO1)C(=O)O Chemical compound C[C@@H]1CC2C3C[C@H](F)C4=CC(=O)C=C[C@]4(C)[C@@]3(F)[C@@H](O)C[C@]2(C)[C@@]1(OC(=O)C1=CC=CO1)C(=O)O QOANMINPJDURAZ-OIEIFHJGSA-N 0.000 description 1
- IDGOYTOOZUPXJS-ACHNKDDYSA-N C[C@@H]1CC2C3C[C@H](F)C4=CC(=O)C=C[C@]4(C)[C@@]3(F)[C@@H](O)C[C@]2(C)[C@@]1(OC(=O)C1=CC=CO1)C(=O)SC(=O)C1=CC=CO1 Chemical compound C[C@@H]1CC2C3C[C@H](F)C4=CC(=O)C=C[C@]4(C)[C@@]3(F)[C@@H](O)C[C@]2(C)[C@@]1(OC(=O)C1=CC=CO1)C(=O)SC(=O)C1=CC=CO1 IDGOYTOOZUPXJS-ACHNKDDYSA-N 0.000 description 1
- FEGUBUQVKJLDSB-FULJYSEXSA-N C[C@@H]1CC2C3C[C@H](F)C4=CC(=O)C=C[C@]4(C)[C@@]3(F)[C@@H](OP)C[C@]2(C)[C@@]1(O)C(=O)S Chemical compound C[C@@H]1CC2C3C[C@H](F)C4=CC(=O)C=C[C@]4(C)[C@@]3(F)[C@@H](OP)C[C@]2(C)[C@@]1(O)C(=O)S FEGUBUQVKJLDSB-FULJYSEXSA-N 0.000 description 1
- NVYVQURLMPBIJO-DRBBXQFKSA-N C[C@@H]1CC2C3C[C@H](F)C4=CC(=O)C=C[C@]4(C)[C@@]3(F)[C@@H](OP)C[C@]2(C)[C@@]1(O)C(=O)SCF Chemical compound C[C@@H]1CC2C3C[C@H](F)C4=CC(=O)C=C[C@]4(C)[C@@]3(F)[C@@H](OP)C[C@]2(C)[C@@]1(O)C(=O)SCF NVYVQURLMPBIJO-DRBBXQFKSA-N 0.000 description 1
- DEUSEQKGCSPALR-OIEIFHJGSA-N C[C@@H]1CC2C3C[C@H](F)C4=CC(=O)C=C[C@]4(C)[C@@]3(F)[C@@H](OP)C[C@]2(C)[C@@]1(OC(=O)C1=CC=CO1)C(=O)S Chemical compound C[C@@H]1CC2C3C[C@H](F)C4=CC(=O)C=C[C@]4(C)[C@@]3(F)[C@@H](OP)C[C@]2(C)[C@@]1(OC(=O)C1=CC=CO1)C(=O)S DEUSEQKGCSPALR-OIEIFHJGSA-N 0.000 description 1
- NKIHSPTUZQLSBQ-KIFIMYBHSA-N C[C@@H]1CC2C3C[C@H](F)C4=CC(=O)C=C[C@]4(C)[C@@]3(F)[C@@H](OP)C[C@]2(C)[C@@]1(OC(=O)C1=CC=CO1)C(=O)SCF Chemical compound C[C@@H]1CC2C3C[C@H](F)C4=CC(=O)C=C[C@]4(C)[C@@]3(F)[C@@H](OP)C[C@]2(C)[C@@]1(OC(=O)C1=CC=CO1)C(=O)SCF NKIHSPTUZQLSBQ-KIFIMYBHSA-N 0.000 description 1
- WBSZQBLQXOZNQI-QTDIHQAUSA-N C[C@@H]1CC2C3C[C@H](F)C4=CC(=O)C=C[C@]4(C)[C@@]34O[C@H]4C[C@]2(C)[C@@]1(O)C(=O)S Chemical compound C[C@@H]1CC2C3C[C@H](F)C4=CC(=O)C=C[C@]4(C)[C@@]34O[C@H]4C[C@]2(C)[C@@]1(O)C(=O)S WBSZQBLQXOZNQI-QTDIHQAUSA-N 0.000 description 1
- GXEIIUOBFDVADL-SYKJMFCOSA-N C[C@@H]1CC2C3C[C@H](F)C4=CC(=O)C=C[C@]4(C)[C@@]34O[C@H]4C[C@]2(C)[C@@]1(O)C(=O)SCF Chemical compound C[C@@H]1CC2C3C[C@H](F)C4=CC(=O)C=C[C@]4(C)[C@@]34O[C@H]4C[C@]2(C)[C@@]1(O)C(=O)SCF GXEIIUOBFDVADL-SYKJMFCOSA-N 0.000 description 1
- TYPSWEBEKWOUAW-NTPLSFAOSA-N C[C@@H]1CC2C3C[C@H](F)C4=CC(=O)C=C[C@]4(C)[C@@]34O[C@H]4C[C@]2(C)[C@@]1(OC(=O)C1=CC=CO1)C(=O)S Chemical compound C[C@@H]1CC2C3C[C@H](F)C4=CC(=O)C=C[C@]4(C)[C@@]34O[C@H]4C[C@]2(C)[C@@]1(OC(=O)C1=CC=CO1)C(=O)S TYPSWEBEKWOUAW-NTPLSFAOSA-N 0.000 description 1
- AIZKMLUYUKAVLV-CAJISANWSA-N C[C@@H]1CC2C3C[C@H](F)C4=CC(=O)C=C[C@]4(C)[C@@]34O[C@H]4C[C@]2(C)[C@@]1(OC(=O)C1=CC=CO1)C(=O)SCF Chemical compound C[C@@H]1CC2C3C[C@H](F)C4=CC(=O)C=C[C@]4(C)[C@@]34O[C@H]4C[C@]2(C)[C@@]1(OC(=O)C1=CC=CO1)C(=O)SCF AIZKMLUYUKAVLV-CAJISANWSA-N 0.000 description 1
- 0 C[C@](CC(C(C[C@@](C([C@]1(C)C=C2)=CC2=O)F)[C@@]11F)[C@]2(C)CC1=O)[C@@]2(C(S*)=O)O Chemical compound C[C@](CC(C(C[C@@](C([C@]1(C)C=C2)=CC2=O)F)[C@@]11F)[C@]2(C)CC1=O)[C@@]2(C(S*)=O)O 0.000 description 1
- 208000002177 Cataract Diseases 0.000 description 1
- VEXZGXHMUGYJMC-UHFFFAOYSA-M Chloride anion Chemical compound [Cl-] VEXZGXHMUGYJMC-UHFFFAOYSA-M 0.000 description 1
- 208000006545 Chronic Obstructive Pulmonary Disease Diseases 0.000 description 1
- 206010009900 Colitis ulcerative Diseases 0.000 description 1
- 208000011231 Crohn disease Diseases 0.000 description 1
- 201000004624 Dermatitis Diseases 0.000 description 1
- 206010012434 Dermatitis allergic Diseases 0.000 description 1
- DBAKFASWICGISY-DASCVMRKSA-N Dexchlorpheniramine maleate Chemical compound OC(=O)\C=C/C(O)=O.C1([C@H](CCN(C)C)C=2N=CC=CC=2)=CC=C(Cl)C=C1 DBAKFASWICGISY-DASCVMRKSA-N 0.000 description 1
- 239000004150 EU approved colour Substances 0.000 description 1
- 241000792859 Enema Species 0.000 description 1
- LYCAIKOWRPUZTN-UHFFFAOYSA-N Ethylene glycol Chemical compound OCCO LYCAIKOWRPUZTN-UHFFFAOYSA-N 0.000 description 1
- VZCYOOQTPOCHFL-OWOJBTEDSA-N Fumaric acid Chemical class OC(=O)\C=C\C(O)=O VZCYOOQTPOCHFL-OWOJBTEDSA-N 0.000 description 1
- 239000001828 Gelatine Substances 0.000 description 1
- 208000010412 Glaucoma Diseases 0.000 description 1
- 229940123127 Glucocorticoid agonist Drugs 0.000 description 1
- 101000622123 Homo sapiens E-selectin Proteins 0.000 description 1
- UFHFLCQGNIYNRP-UHFFFAOYSA-N Hydrogen Chemical compound [H][H] UFHFLCQGNIYNRP-UHFFFAOYSA-N 0.000 description 1
- 206010020751 Hypersensitivity Diseases 0.000 description 1
- AFVFQIVMOAPDHO-UHFFFAOYSA-N Methanesulfonic acid Chemical compound CS(O)(=O)=O AFVFQIVMOAPDHO-UHFFFAOYSA-N 0.000 description 1
- HTLZVHNRZJPSMI-UHFFFAOYSA-N N-ethylpiperidine Chemical compound CCN1CCCCC1 HTLZVHNRZJPSMI-UHFFFAOYSA-N 0.000 description 1
- 108010057466 NF-kappa B Proteins 0.000 description 1
- 102000003945 NF-kappa B Human genes 0.000 description 1
- 208000000592 Nasal Polyps Diseases 0.000 description 1
- 201000009053 Neurodermatitis Diseases 0.000 description 1
- 102100029438 Nitric oxide synthase, inducible Human genes 0.000 description 1
- 101710089543 Nitric oxide synthase, inducible Proteins 0.000 description 1
- 239000005642 Oleic acid Substances 0.000 description 1
- ZQPPMHVWECSIRJ-UHFFFAOYSA-N Oleic acid Natural products CCCCCCCCC=CCCCCCCCC(O)=O ZQPPMHVWECSIRJ-UHFFFAOYSA-N 0.000 description 1
- BPQQTUXANYXVAA-UHFFFAOYSA-N Orthosilicate Chemical compound [O-][Si]([O-])([O-])[O-] BPQQTUXANYXVAA-UHFFFAOYSA-N 0.000 description 1
- KDLHZDBZIXYQEI-UHFFFAOYSA-N Palladium Chemical compound [Pd] KDLHZDBZIXYQEI-UHFFFAOYSA-N 0.000 description 1
- 206010035664 Pneumonia Diseases 0.000 description 1
- 239000002202 Polyethylene glycol Substances 0.000 description 1
- 229920002873 Polyethylenimine Polymers 0.000 description 1
- 229920001213 Polysorbate 20 Polymers 0.000 description 1
- 208000003251 Pruritus Diseases 0.000 description 1
- 201000004681 Psoriasis Diseases 0.000 description 1
- 108091027981 Response element Proteins 0.000 description 1
- VPMWDFRZSIMDKW-YJYMSZOUSA-N Salmefamol Chemical compound C1=CC(OC)=CC=C1C[C@@H](C)NC[C@H](O)C1=CC=C(O)C(CO)=C1 VPMWDFRZSIMDKW-YJYMSZOUSA-N 0.000 description 1
- 206010040799 Skin atrophy Diseases 0.000 description 1
- 102000040945 Transcription factor Human genes 0.000 description 1
- 108091023040 Transcription factor Proteins 0.000 description 1
- 102000001400 Tryptase Human genes 0.000 description 1
- 108060005989 Tryptase Proteins 0.000 description 1
- 102000018594 Tumour necrosis factor Human genes 0.000 description 1
- 108050007852 Tumour necrosis factor Proteins 0.000 description 1
- 201000006704 Ulcerative Colitis Diseases 0.000 description 1
- 208000027418 Wounds and injury Diseases 0.000 description 1
- WEVYAHXRMPXWCK-FIBGUPNXSA-N acetonitrile-d3 Chemical compound [2H]C([2H])([2H])C#N WEVYAHXRMPXWCK-FIBGUPNXSA-N 0.000 description 1
- 125000002777 acetyl group Chemical group [H]C([H])([H])C(*)=O 0.000 description 1
- 230000002378 acidificating effect Effects 0.000 description 1
- 230000004913 activation Effects 0.000 description 1
- 230000010933 acylation Effects 0.000 description 1
- 238000005917 acylation reaction Methods 0.000 description 1
- 229960005305 adenosine Drugs 0.000 description 1
- UDMBCSSLTHHNCD-KQYNXXCUSA-N adenosine 5'-monophosphate Chemical compound C1=NC=2C(N)=NC=NC=2N1[C@@H]1O[C@H](COP(O)(O)=O)[C@@H](O)[C@H]1O UDMBCSSLTHHNCD-KQYNXXCUSA-N 0.000 description 1
- 239000000853 adhesive Substances 0.000 description 1
- 230000001070 adhesive effect Effects 0.000 description 1
- 230000001780 adrenocortical effect Effects 0.000 description 1
- 230000029936 alkylation Effects 0.000 description 1
- 238000005804 alkylation reaction Methods 0.000 description 1
- 230000000172 allergic effect Effects 0.000 description 1
- CEGOLXSVJUTHNZ-UHFFFAOYSA-K aluminium tristearate Chemical compound [Al+3].CCCCCCCCCCCCCCCCCC([O-])=O.CCCCCCCCCCCCCCCCCC([O-])=O.CCCCCCCCCCCCCCCCCC([O-])=O CEGOLXSVJUTHNZ-UHFFFAOYSA-K 0.000 description 1
- 150000001408 amides Chemical class 0.000 description 1
- 150000001413 amino acids Chemical class 0.000 description 1
- 229940043376 ammonium acetate Drugs 0.000 description 1
- 235000019257 ammonium acetate Nutrition 0.000 description 1
- 150000001441 androstanes Chemical class 0.000 description 1
- 239000005557 antagonist Substances 0.000 description 1
- 239000003242 anti bacterial agent Substances 0.000 description 1
- 229940121363 anti-inflammatory agent Drugs 0.000 description 1
- 239000000043 antiallergic agent Substances 0.000 description 1
- 229940088710 antibiotic agent Drugs 0.000 description 1
- 229940125715 antihistaminic agent Drugs 0.000 description 1
- 229960005475 antiinfective agent Drugs 0.000 description 1
- 239000004599 antimicrobial Substances 0.000 description 1
- 239000003443 antiviral agent Substances 0.000 description 1
- 229940121357 antivirals Drugs 0.000 description 1
- 208000002399 aphthous stomatitis Diseases 0.000 description 1
- 239000008346 aqueous phase Substances 0.000 description 1
- 239000007900 aqueous suspension Substances 0.000 description 1
- 201000008937 atopic dermatitis Diseases 0.000 description 1
- 239000011324 bead Substances 0.000 description 1
- 235000013871 bee wax Nutrition 0.000 description 1
- 239000012166 beeswax Substances 0.000 description 1
- 230000009286 beneficial effect Effects 0.000 description 1
- 229940049706 benzodiazepine Drugs 0.000 description 1
- 150000005528 benzodioxoles Chemical class 0.000 description 1
- UDYGXWPMSJPFDG-UHFFFAOYSA-M benzyl(tributyl)azanium;bromide Chemical compound [Br-].CCCC[N+](CCCC)(CCCC)CC1=CC=CC=C1 UDYGXWPMSJPFDG-UHFFFAOYSA-M 0.000 description 1
- CHQVQXZFZHACQQ-UHFFFAOYSA-M benzyl(triethyl)azanium;bromide Chemical compound [Br-].CC[N+](CC)(CC)CC1=CC=CC=C1 CHQVQXZFZHACQQ-UHFFFAOYSA-M 0.000 description 1
- 239000011230 binding agent Substances 0.000 description 1
- 210000004369 blood Anatomy 0.000 description 1
- 239000008280 blood Substances 0.000 description 1
- 230000037182 bone density Effects 0.000 description 1
- 230000008468 bone growth Effects 0.000 description 1
- 229940098773 bovine serum albumin Drugs 0.000 description 1
- 210000004556 brain Anatomy 0.000 description 1
- 238000011685 brown norway rat Methods 0.000 description 1
- 239000000337 buffer salt Substances 0.000 description 1
- 125000002843 carboxylic acid group Chemical group 0.000 description 1
- 150000001735 carboxylic acids Chemical class 0.000 description 1
- 229940096529 carboxypolymethylene Drugs 0.000 description 1
- 239000000969 carrier Substances 0.000 description 1
- 239000004359 castor oil Substances 0.000 description 1
- 235000019438 castor oil Nutrition 0.000 description 1
- 239000001913 cellulose Substances 0.000 description 1
- 229920002678 cellulose Polymers 0.000 description 1
- 229940082500 cetostearyl alcohol Drugs 0.000 description 1
- 230000008859 change Effects 0.000 description 1
- 238000002144 chemical decomposition reaction Methods 0.000 description 1
- 239000007795 chemical reaction product Substances 0.000 description 1
- 239000003638 chemical reducing agent Substances 0.000 description 1
- KYKAJFCTULSVSH-UHFFFAOYSA-N chloro(fluoro)methane Chemical compound F[C]Cl KYKAJFCTULSVSH-UHFFFAOYSA-N 0.000 description 1
- 238000004587 chromatography analysis Methods 0.000 description 1
- 238000004040 coloring Methods 0.000 description 1
- 238000012790 confirmation Methods 0.000 description 1
- 210000000795 conjunctiva Anatomy 0.000 description 1
- 238000011109 contamination Methods 0.000 description 1
- 238000007796 conventional method Methods 0.000 description 1
- 239000006184 cosolvent Substances 0.000 description 1
- 229960000265 cromoglicic acid Drugs 0.000 description 1
- IMZMKUWMOSJXDT-UHFFFAOYSA-N cromoglycic acid Chemical compound O1C(C(O)=O)=CC(=O)C2=C1C=CC=C2OCC(O)COC1=CC=CC2=C1C(=O)C=C(C(O)=O)O2 IMZMKUWMOSJXDT-UHFFFAOYSA-N 0.000 description 1
- KWGRBVOPPLSCSI-UHFFFAOYSA-N d-ephedrine Natural products CNC(C)C(O)C1=CC=CC=C1 KWGRBVOPPLSCSI-UHFFFAOYSA-N 0.000 description 1
- 230000003247 decreasing effect Effects 0.000 description 1
- 238000010511 deprotection reaction Methods 0.000 description 1
- 229910001873 dinitrogen Inorganic materials 0.000 description 1
- 125000005982 diphenylmethyl group Chemical group [H]C1=C([H])C([H])=C(C([H])=C1[H])C([H])(*)C1=C([H])C([H])=C([H])C([H])=C1[H] 0.000 description 1
- 201000010099 disease Diseases 0.000 description 1
- 239000007884 disintegrant Substances 0.000 description 1
- BNIILDVGGAEEIG-UHFFFAOYSA-L disodium hydrogen phosphate Chemical compound [Na+].[Na+].OP([O-])([O-])=O BNIILDVGGAEEIG-UHFFFAOYSA-L 0.000 description 1
- 230000002222 downregulating effect Effects 0.000 description 1
- 229940079593 drug Drugs 0.000 description 1
- 238000001035 drying Methods 0.000 description 1
- 239000003602 elastase inhibitor Substances 0.000 description 1
- 238000010828 elution Methods 0.000 description 1
- 239000007920 enema Substances 0.000 description 1
- 229940079360 enema for constipation Drugs 0.000 description 1
- 230000007613 environmental effect Effects 0.000 description 1
- 238000001952 enzyme assay Methods 0.000 description 1
- 229960002179 ephedrine Drugs 0.000 description 1
- GKIPXFAANLTWBM-UHFFFAOYSA-N epibromohydrin Chemical compound BrCC1CO1 GKIPXFAANLTWBM-UHFFFAOYSA-N 0.000 description 1
- 210000002919 epithelial cell Anatomy 0.000 description 1
- 238000011067 equilibration Methods 0.000 description 1
- ZVOSDSASASEZEK-HNNXBMFYSA-N ethyl 2-[(4R)-4-(3-cyclopentyloxy-4-methoxyphenyl)pyrrolidin-2-ylidene]acetate Chemical compound C1NC(=CC(=O)OCC)C[C@@H]1C1=CC=C(OC)C(OC2CCCC2)=C1 ZVOSDSASASEZEK-HNNXBMFYSA-N 0.000 description 1
- ZVOSDSASASEZEK-OAHLLOKOSA-N ethyl 2-[(4S)-4-(3-cyclopentyloxy-4-methoxyphenyl)pyrrolidin-2-ylidene]acetate Chemical compound C1NC(=CC(=O)OCC)C[C@H]1C1=CC=C(OC)C(OC2CCCC2)=C1 ZVOSDSASASEZEK-OAHLLOKOSA-N 0.000 description 1
- DEFVIWRASFVYLL-UHFFFAOYSA-N ethylene glycol bis(2-aminoethyl)tetraacetic acid Chemical compound OC(=O)CN(CC(O)=O)CCOCCOCCN(CC(O)=O)CC(O)=O DEFVIWRASFVYLL-UHFFFAOYSA-N 0.000 description 1
- 230000007717 exclusion Effects 0.000 description 1
- 238000000605 extraction Methods 0.000 description 1
- 229940012356 eye drops Drugs 0.000 description 1
- 229960001022 fenoterol Drugs 0.000 description 1
- 230000004761 fibrosis Effects 0.000 description 1
- 239000000945 filler Substances 0.000 description 1
- 238000010579 first pass effect Methods 0.000 description 1
- 239000000796 flavoring agent Substances 0.000 description 1
- NBVXSUQYWXRMNV-UHFFFAOYSA-N fluoromethane Chemical compound FC NBVXSUQYWXRMNV-UHFFFAOYSA-N 0.000 description 1
- 239000006260 foam Substances 0.000 description 1
- 235000003599 food sweetener Nutrition 0.000 description 1
- 239000012458 free base Substances 0.000 description 1
- 238000002825 functional assay Methods 0.000 description 1
- 229920000159 gelatin Polymers 0.000 description 1
- 235000019322 gelatine Nutrition 0.000 description 1
- ZEMPKEQAKRGZGQ-XOQCFJPHSA-N glycerol triricinoleate Natural products CCCCCC[C@@H](O)CC=CCCCCCCCC(=O)OC[C@@H](COC(=O)CCCCCCCC=CC[C@@H](O)CCCCCC)OC(=O)CCCCCCCC=CC[C@H](O)CCCCCC ZEMPKEQAKRGZGQ-XOQCFJPHSA-N 0.000 description 1
- 229940075507 glyceryl monostearate Drugs 0.000 description 1
- QFWPJPIVLCBXFJ-UHFFFAOYSA-N glymidine Chemical compound N1=CC(OCCOC)=CN=C1NS(=O)(=O)C1=CC=CC=C1 QFWPJPIVLCBXFJ-UHFFFAOYSA-N 0.000 description 1
- 239000008187 granular material Substances 0.000 description 1
- 150000004820 halides Chemical class 0.000 description 1
- 229910052736 halogen Inorganic materials 0.000 description 1
- 150000002367 halogens Chemical group 0.000 description 1
- 150000003944 halohydrins Chemical class 0.000 description 1
- 239000008240 homogeneous mixture Substances 0.000 description 1
- 150000004678 hydrides Chemical class 0.000 description 1
- 150000005828 hydrofluoroalkanes Chemical class 0.000 description 1
- 239000001257 hydrogen Substances 0.000 description 1
- 229910052739 hydrogen Inorganic materials 0.000 description 1
- XMBWDFGMSWQBCA-UHFFFAOYSA-N hydrogen iodide Chemical compound I XMBWDFGMSWQBCA-UHFFFAOYSA-N 0.000 description 1
- 238000007327 hydrogenolysis reaction Methods 0.000 description 1
- 150000002443 hydroxylamines Chemical class 0.000 description 1
- 230000004179 hypothalamic–pituitary–adrenal axis Effects 0.000 description 1
- 238000000099 in vitro assay Methods 0.000 description 1
- 230000002779 inactivation Effects 0.000 description 1
- 230000004968 inflammatory condition Effects 0.000 description 1
- 239000004615 ingredient Substances 0.000 description 1
- 238000013383 initial experiment Methods 0.000 description 1
- 230000003993 interaction Effects 0.000 description 1
- 238000011835 investigation Methods 0.000 description 1
- QXJSBBXBKPUZAA-UHFFFAOYSA-N isooleic acid Natural products CCCCCCCC=CCCCCCCCCC(O)=O QXJSBBXBKPUZAA-UHFFFAOYSA-N 0.000 description 1
- 239000000787 lecithin Substances 0.000 description 1
- 229940067606 lecithin Drugs 0.000 description 1
- 235000010445 lecithin Nutrition 0.000 description 1
- 239000003199 leukotriene receptor blocking agent Substances 0.000 description 1
- 230000000670 limiting effect Effects 0.000 description 1
- 239000002502 liposome Substances 0.000 description 1
- 238000001294 liquid chromatography-tandem mass spectrometry Methods 0.000 description 1
- 229940057995 liquid paraffin Drugs 0.000 description 1
- 210000004185 liver Anatomy 0.000 description 1
- 229960003088 loratadine Drugs 0.000 description 1
- JCCNYMKQOSZNPW-UHFFFAOYSA-N loratadine Chemical compound C1CN(C(=O)OCC)CCC1=C1C2=NC=CC=C2CCC2=CC(Cl)=CC=C21 JCCNYMKQOSZNPW-UHFFFAOYSA-N 0.000 description 1
- 229920001684 low density polyethylene Polymers 0.000 description 1
- 231100000053 low toxicity Toxicity 0.000 description 1
- 239000000314 lubricant Substances 0.000 description 1
- 238000001819 mass spectrum Methods 0.000 description 1
- 230000007246 mechanism Effects 0.000 description 1
- 229940071648 metered dose inhaler Drugs 0.000 description 1
- HNJJXZKZRAWDPF-UHFFFAOYSA-N methapyrilene Chemical compound C=1C=CC=NC=1N(CCN(C)C)CC1=CC=CS1 HNJJXZKZRAWDPF-UHFFFAOYSA-N 0.000 description 1
- 229960001869 methapyrilene Drugs 0.000 description 1
- 125000004184 methoxymethyl group Chemical group [H]C([H])([H])OC([H])([H])* 0.000 description 1
- FXXQDYPNDZFBMV-UHFFFAOYSA-N methyl 5-cyano-5-[3-(cyclopropylmethoxy)-4-(difluoromethoxy)phenyl]-2-oxocyclohexane-1-carboxylate Chemical compound C1CC(=O)C(C(=O)OC)CC1(C#N)C1=CC=C(OC(F)F)C(OCC2CC2)=C1 FXXQDYPNDZFBMV-UHFFFAOYSA-N 0.000 description 1
- XKBGEWXEAPTVCK-UHFFFAOYSA-M methyltrioctylammonium chloride Chemical compound [Cl-].CCCCCCCC[N+](C)(CCCCCCCC)CCCCCCCC XKBGEWXEAPTVCK-UHFFFAOYSA-M 0.000 description 1
- 230000003278 mimic effect Effects 0.000 description 1
- 238000012544 monitoring process Methods 0.000 description 1
- 239000001788 mono and diglycerides of fatty acids Substances 0.000 description 1
- 210000001616 monocyte Anatomy 0.000 description 1
- DPHDSIQHVGSITN-UHFFFAOYSA-N n-(3,5-dichloropyridin-4-yl)-2-[1-[(4-fluorophenyl)methyl]-5-hydroxyindol-3-yl]-2-oxoacetamide Chemical compound C1=C(C(=O)C(=O)NC=2C(=CN=CC=2Cl)Cl)C2=CC(O)=CC=C2N1CC1=CC=C(F)C=C1 DPHDSIQHVGSITN-UHFFFAOYSA-N 0.000 description 1
- 210000003928 nasal cavity Anatomy 0.000 description 1
- 229940100662 nasal drops Drugs 0.000 description 1
- 229960002259 nedocromil sodium Drugs 0.000 description 1
- 229910000510 noble metal Inorganic materials 0.000 description 1
- 239000000041 non-steroidal anti-inflammatory agent Substances 0.000 description 1
- 229940021182 non-steroidal anti-inflammatory drug Drugs 0.000 description 1
- GLDOVTGHNKAZLK-UHFFFAOYSA-N octadecan-1-ol Chemical compound CCCCCCCCCCCCCCCCCCO GLDOVTGHNKAZLK-UHFFFAOYSA-N 0.000 description 1
- ZQPPMHVWECSIRJ-KTKRTIGZSA-N oleic acid Chemical compound CCCCCCCC\C=C/CCCCCCCC(O)=O ZQPPMHVWECSIRJ-KTKRTIGZSA-N 0.000 description 1
- 125000001181 organosilyl group Chemical group [SiH3]* 0.000 description 1
- 150000002924 oxiranes Chemical class 0.000 description 1
- 238000004806 packaging method and process Methods 0.000 description 1
- 239000012188 paraffin wax Substances 0.000 description 1
- 239000008188 pellet Substances 0.000 description 1
- 210000003800 pharynx Anatomy 0.000 description 1
- 238000006303 photolysis reaction Methods 0.000 description 1
- 230000015843 photosynthesis, light reaction Effects 0.000 description 1
- 238000013310 pig model Methods 0.000 description 1
- 239000013612 plasmid Substances 0.000 description 1
- 239000000256 polyoxyethylene sorbitan monolaurate Substances 0.000 description 1
- 235000010486 polyoxyethylene sorbitan monolaurate Nutrition 0.000 description 1
- 229940068977 polysorbate 20 Drugs 0.000 description 1
- 229940086066 potassium hydrogencarbonate Drugs 0.000 description 1
- 230000036515 potency Effects 0.000 description 1
- 238000001556 precipitation Methods 0.000 description 1
- 239000002243 precursor Substances 0.000 description 1
- 150000003141 primary amines Chemical class 0.000 description 1
- 229940002612 prodrug Drugs 0.000 description 1
- 239000000651 prodrug Substances 0.000 description 1
- 230000002035 prolonged effect Effects 0.000 description 1
- 238000011321 prophylaxis Methods 0.000 description 1
- 102000004169 proteins and genes Human genes 0.000 description 1
- 238000000425 proton nuclear magnetic resonance spectrum Methods 0.000 description 1
- 238000000746 purification Methods 0.000 description 1
- 230000005855 radiation Effects 0.000 description 1
- 238000011552 rat model Methods 0.000 description 1
- 102000005962 receptors Human genes 0.000 description 1
- 108020003175 receptors Proteins 0.000 description 1
- 238000011160 research Methods 0.000 description 1
- 239000011369 resultant mixture Substances 0.000 description 1
- 230000000717 retained effect Effects 0.000 description 1
- 206010039073 rheumatoid arthritis Diseases 0.000 description 1
- 238000006798 ring closing metathesis reaction Methods 0.000 description 1
- 229960002586 roflumilast Drugs 0.000 description 1
- 229950001879 salmefamol Drugs 0.000 description 1
- 239000004576 sand Substances 0.000 description 1
- 150000003335 secondary amines Chemical class 0.000 description 1
- 238000007873 sieving Methods 0.000 description 1
- 125000003808 silyl group Chemical group [H][Si]([H])([H])[*] 0.000 description 1
- 208000017520 skin disease Diseases 0.000 description 1
- 239000012279 sodium borohydride Substances 0.000 description 1
- 229910000033 sodium borohydride Inorganic materials 0.000 description 1
- 229940074545 sodium dihydrogen phosphate dihydrate Drugs 0.000 description 1
- 235000013024 sodium fluoride Nutrition 0.000 description 1
- 239000011775 sodium fluoride Substances 0.000 description 1
- 238000007614 solvation Methods 0.000 description 1
- 229940035044 sorbitan monolaurate Drugs 0.000 description 1
- 230000000638 stimulation Effects 0.000 description 1
- 238000003756 stirring Methods 0.000 description 1
- 238000003860 storage Methods 0.000 description 1
- 150000003467 sulfuric acid derivatives Chemical class 0.000 description 1
- 239000006228 supernatant Substances 0.000 description 1
- 239000000829 suppository Substances 0.000 description 1
- 230000001629 suppression Effects 0.000 description 1
- 239000004094 surface-active agent Substances 0.000 description 1
- 239000003765 sweetening agent Substances 0.000 description 1
- 238000003786 synthesis reaction Methods 0.000 description 1
- 235000020357 syrup Nutrition 0.000 description 1
- 239000006188 syrup Substances 0.000 description 1
- 239000000454 talc Substances 0.000 description 1
- 229910052623 talc Inorganic materials 0.000 description 1
- 229960000195 terbutaline Drugs 0.000 description 1
- 125000000999 tert-butyl group Chemical group [H]C([H])([H])C(*)(C([H])([H])[H])C([H])([H])[H] 0.000 description 1
- ILMRJRBKQSSXGY-UHFFFAOYSA-N tert-butyl(dimethyl)silicon Chemical group C[Si](C)C(C)(C)C ILMRJRBKQSSXGY-UHFFFAOYSA-N 0.000 description 1
- 125000001412 tetrahydropyranyl group Chemical group 0.000 description 1
- CZDYPVPMEAXLPK-UHFFFAOYSA-N tetramethylsilane Chemical compound C[Si](C)(C)C CZDYPVPMEAXLPK-UHFFFAOYSA-N 0.000 description 1
- OULAJFUGPPVRBK-UHFFFAOYSA-N tetratriacontyl alcohol Natural products CCCCCCCCCCCCCCCCCCCCCCCCCCCCCCCCCCO OULAJFUGPPVRBK-UHFFFAOYSA-N 0.000 description 1
- 229940124597 therapeutic agent Drugs 0.000 description 1
- 230000001225 therapeutic effect Effects 0.000 description 1
- 230000008719 thickening Effects 0.000 description 1
- 150000003573 thiols Chemical class 0.000 description 1
- JOXIMZWYDAKGHI-UHFFFAOYSA-N toluene-4-sulfonic acid Chemical compound CC1=CC=C(S(O)(=O)=O)C=C1 JOXIMZWYDAKGHI-UHFFFAOYSA-N 0.000 description 1
- 231100000419 toxicity Toxicity 0.000 description 1
- 230000001988 toxicity Effects 0.000 description 1
- 238000001890 transfection Methods 0.000 description 1
- 125000004665 trialkylsilyl group Chemical group 0.000 description 1
- IPILPUZVTYHGIL-UHFFFAOYSA-M tributyl(methyl)azanium;chloride Chemical compound [Cl-].CCCC[N+](C)(CCCC)CCCC IPILPUZVTYHGIL-UHFFFAOYSA-M 0.000 description 1
- ITMCEJHCFYSIIV-UHFFFAOYSA-M triflate Chemical compound [O-]S(=O)(=O)C(F)(F)F ITMCEJHCFYSIIV-UHFFFAOYSA-M 0.000 description 1
- 239000002750 tryptase inhibitor Substances 0.000 description 1
- 235000015112 vegetable and seed oil Nutrition 0.000 description 1
- 239000008158 vegetable oil Substances 0.000 description 1
- 239000000080 wetting agent Substances 0.000 description 1
- 238000004804 winding Methods 0.000 description 1
- 229950000339 xinafoate Drugs 0.000 description 1
- 229910052727 yttrium Inorganic materials 0.000 description 1
- VWQVUPCCIRVNHF-UHFFFAOYSA-N yttrium atom Chemical compound [Y] VWQVUPCCIRVNHF-UHFFFAOYSA-N 0.000 description 1
- NWONKYPBYAMBJT-UHFFFAOYSA-L zinc sulfate Chemical compound [Zn+2].[O-]S([O-])(=O)=O NWONKYPBYAMBJT-UHFFFAOYSA-L 0.000 description 1
- 229960001763 zinc sulfate Drugs 0.000 description 1
- 229910000368 zinc sulfate Inorganic materials 0.000 description 1
- DGVVWUTYPXICAM-UHFFFAOYSA-N β‐Mercaptoethanol Chemical compound OCCS DGVVWUTYPXICAM-UHFFFAOYSA-N 0.000 description 1
Images
Classifications
-
- A—HUMAN NECESSITIES
- A61—MEDICAL OR VETERINARY SCIENCE; HYGIENE
- A61K—PREPARATIONS FOR MEDICAL, DENTAL OR TOILETRY PURPOSES
- A61K31/00—Medicinal preparations containing organic active ingredients
- A61K31/56—Compounds containing cyclopenta[a]hydrophenanthrene ring systems; Derivatives thereof, e.g. steroids
- A61K31/58—Compounds containing cyclopenta[a]hydrophenanthrene ring systems; Derivatives thereof, e.g. steroids containing heterocyclic rings, e.g. danazol, stanozolol, pancuronium or digitogenin
-
- A—HUMAN NECESSITIES
- A61—MEDICAL OR VETERINARY SCIENCE; HYGIENE
- A61K—PREPARATIONS FOR MEDICAL, DENTAL OR TOILETRY PURPOSES
- A61K31/00—Medicinal preparations containing organic active ingredients
- A61K31/56—Compounds containing cyclopenta[a]hydrophenanthrene ring systems; Derivatives thereof, e.g. steroids
-
- A—HUMAN NECESSITIES
- A61—MEDICAL OR VETERINARY SCIENCE; HYGIENE
- A61K—PREPARATIONS FOR MEDICAL, DENTAL OR TOILETRY PURPOSES
- A61K9/00—Medicinal preparations characterised by special physical form
- A61K9/0012—Galenical forms characterised by the site of application
- A61K9/0043—Nose
-
- A—HUMAN NECESSITIES
- A61—MEDICAL OR VETERINARY SCIENCE; HYGIENE
- A61P—SPECIFIC THERAPEUTIC ACTIVITY OF CHEMICAL COMPOUNDS OR MEDICINAL PREPARATIONS
- A61P11/00—Drugs for disorders of the respiratory system
- A61P11/02—Nasal agents, e.g. decongestants
-
- A—HUMAN NECESSITIES
- A61—MEDICAL OR VETERINARY SCIENCE; HYGIENE
- A61P—SPECIFIC THERAPEUTIC ACTIVITY OF CHEMICAL COMPOUNDS OR MEDICINAL PREPARATIONS
- A61P11/00—Drugs for disorders of the respiratory system
- A61P11/06—Antiasthmatics
-
- A—HUMAN NECESSITIES
- A61—MEDICAL OR VETERINARY SCIENCE; HYGIENE
- A61P—SPECIFIC THERAPEUTIC ACTIVITY OF CHEMICAL COMPOUNDS OR MEDICINAL PREPARATIONS
- A61P27/00—Drugs for disorders of the senses
- A61P27/02—Ophthalmic agents
-
- A—HUMAN NECESSITIES
- A61—MEDICAL OR VETERINARY SCIENCE; HYGIENE
- A61P—SPECIFIC THERAPEUTIC ACTIVITY OF CHEMICAL COMPOUNDS OR MEDICINAL PREPARATIONS
- A61P5/00—Drugs for disorders of the endocrine system
- A61P5/38—Drugs for disorders of the endocrine system of the suprarenal hormones
- A61P5/44—Glucocorticosteroids; Drugs increasing or potentiating the activity of glucocorticosteroids
Definitions
- the present invention relates to a novel anti-inflammatory and anti-allergic compound of the androstane series and to processes for its preparation.
- the present invention also relates to pharmaceutical formulations containing the compound and to therapeutic uses thereof, particularly for the treatment of inflammatory and allergic conditions.
- Glucocorticoids which have anti-inflammatory properties are known and are widely used for the treatment of inflammatory disorders or diseases such as asthma and rhinitis.
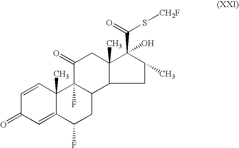
- U.S. Pat. No. 4,335,121 discloses 6 ⁇ ,9 ⁇ -Difluoro-17 ⁇ -(1-oxopropoxy)-11 ⁇ -hydroxy-16 ⁇ -methyl-3-oxo-androsta-1,4-diene-17 ⁇ -carbothioic acid S-fluoromethyl ester (known by the generic name of fluticasone propionate) and derivatives thereof.
- fluticasone propionate 6 ⁇ ,9 ⁇ -Difluoro-17 ⁇ -(1-oxopropoxy)-11 ⁇ -hydroxy-16 ⁇ -methyl-3-oxo-androsta-1,4-diene-17 ⁇ -carbothioic acid S-fluoromethyl ester (known by the generic name of fluticasone propionate) and derivatives thereof.
- fluticasone propionate known by the generic name of fluticasone propionate
- glucocorticoids include suppression of the Hypothalamic-Pituitary-Adrenal (HPA) axis, effects on bone growth in children and on bone density in the elderly, ocular complications (cataract formation and glaucoma) and skin atrophy.
- HPA Hypothalamic-Pituitary-Adrenal
- Certain glucocorticoid compounds also have complex paths of metabolism wherein the production of active metabolites may make the pharmacodynamics and pharmacokinetics of such compounds difficult to understand. Whilst the modern steroids are very much safer than those originally introduced, it remains an object of research to produce new molecules which have excellent anti-inflammatory properties, with predictable pharmacokinetic and pharmacodynamic properties, with an attractive side effect profile, and with a convenient treatment regime.
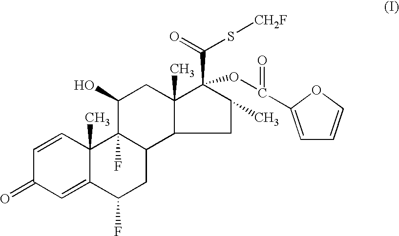
- the chemical name of the compound of formula (I) is 6 ⁇ ,9 ⁇ -Difluoro-17 ⁇ -[(2-furanylcarbonyl)oxy]-11 ⁇ -hydroxy-16 ⁇ -methyl-3-oxo-androsta-1,4-diene-17 ⁇ -carbothioic acid S-fluoromethyl ester.
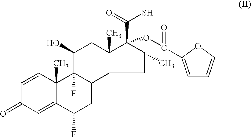
- references hereinafter to the compound according to the invention include both the compound of formula (I) and solvates thereof, particularly pharmaceutically acceptable solvates.
- the compound of formula (I) has potentially beneficial anti-inflammatory or anti-allergic effects, particularly upon topical administration, demonstrated by, for example, its ability to bind to the glucocorticoid receptor and to illicit a response via that receptor. Hence, the compound of formula (I) is useful in the treatment of inflammatory and/or allergic disorders.
- Inhaled steroids are also absorbed through the lung and this route of absorption makes a significant contribution to systemic exposure. Reduced lung absorption could therefore provide an improved safety profile.
- Studies with compound of formula (I) have shown significantly lower exposure to compound of formula (I) than with fluticasone propionate after dry powder delivery to the lungs of anaesthetised pigs.
- Examples of disease states in which the compound of the invention has utility include skin diseases such as eczema, psoriasis, allergic dermatitis, neurodermatitis, pruritis and hypersensitivity reactions; inflammatory conditions of the nose, throat or lungs such as asthma (including allergen-induced asthmatic reactions), rhinitis (including hayfever), nasal polyps, chronic obstructive pulmonary disease, interstitial lung disease, and fibrosis; inflammatory bowel conditions such as ulcerative colitis and Crohn's disease; and auto-immune diseases such as rheumatoid arthritis.
- skin diseases such as eczema, psoriasis, allergic dermatitis, neurodermatitis, pruritis and hypersensitivity reactions
- inflammatory conditions of the nose, throat or lungs such as asthma (including allergen-induced asthmatic reactions), rhinitis (including hayfever), nasal polyps, chronic obstructive pulmonary disease, interstitial lung disease, and
- the compound of the invention may also have use in the treatment of conjunctiva and conjunctivitis.
- the compound of formula (I) is useful in human or veterinary medicine, in particular as an anti-inflammatory and anti-allergic agent.
- the compound of formula (I) or a physiologically acceptable solvate thereof for use in human or veterinary medicine, particularly in the treatment of patients with inflammatory and/or allergic conditions, especially for treatment once-per-day.
- a method for the treatment of a human or animal subject with an inflammatory and/or allergic condition comprises administering to said human or animal subject an effective amount of the compound of formula (I) or physiologically acceptable solvate thereof, especially for administration once-per-day.
- the compound according to the invention may be formulated for administration in any convenient way, and the invention therefore also includes within its scope pharmaceutical compositions comprising the compound of formula (I) or a physiologically acceptable solvate thereof together, if desirable, in admixture with one or more physiologically acceptable diluents or carriers.
- Pharmaceutical compositions suitable for once-per-day administration are of particular interest.
- the compound according to the invention may, for example, be formulated for oral, buccal, sublingual, parenteral, local or rectal administration, especially local administration.
- Local administration includes administration by insufflation and inhalation.
- preparation for local administration include ointments, lotions, creams, gels, foams, preparations for delivery by transdermal patches, powders, sprays, aerosols, capsules or cartridges for use in an inhaler or insufflator or drops (eg eye or nose drops), solutions/suspensions for nebulisation, suppositories, pessaries, retention enemas and chewable or suckable tablets or pellets (eg for the treatment of aphthous ulcers) or liposome or microencapsulation preparations.
- compositions for topical administration to the lung include dry powder compositions and spray compositions.
- Dry powder compositions for topical delivery to the lung may, for example, be presented in capsules and cartridges for use in an inhaler or insufflator of, for example, gelatine.
- Formulations generally contain a powder mix for inhalation of the compound of the invention and a suitable powder base such as lactose or starch.
- a suitable powder base such as lactose or starch.
- Each capsule or cartridge may generally contain between 20 ⁇ g-10 mg of the compound of formula (I).
- the compound of the invention may be presented without excipients.
- Packaging of the formulation may be suitable for unit dose or multi-dose delivery.
- the formulation can be pre-metered (eg as in Diskus, see GB 2242134 or Diskhaler, see GB 2178965, 2129691 and 2169265) or metered in use (eg as in Turbuhaler, see EP 69715).
- An example of a unit-dose device is Rotahaler (see GB 2064336).
- the Diskus inhalation device comprises an elongate strip formed from a base sheet having a plurality of recesses spaced along its length and a lid sheet hermetically but peelably sealed thereto to define a plurality of containers, each container having therein an inhalable formulation containing a compound of formula (I) preferably combined with lactose.
- the strip is sufficiently flexible to be wound into a roll.
- the lid sheet and base sheet will preferably have leading end portions which are not sealed to one another and at least one of the said leading end portions is constructed to be attached to a winding means. Also, preferably the hermetic seal between the base and lid sheets extends over their whole width.
- the lid sheet may preferably be peeled from the base sheet in a longitudinal direction from a first end of the said base sheet.
- compositions which are non-pressurised and adapted to be administered as a dry powder topically to the lung via the buccal cavity (especially those which are free of excipient or are formulated with a diluent or carrier such as lactose or starch, most especially lactose) are of particular interest.
- Spray compositions may for example be formulated as aqueous solutions or suspensions or as aerosols delivered from pressurised packs, such as a metered dose inhaler, with the use of a suitable liquefied propellant.
- Aerosol compositions suitable for inhalation can be either a suspension or a solution and generally contain the compound of formula (I) and a suitable propellant such as a fluorocarbon or hydrogen-containing chlorofluorocarbon or mixtures thereof, particularly hydrofluoroalkanes, especially 1,1,1,2-tetrafluoroethane, 1,1,1,2,3,3,3-heptafluoro-n-propane or a mixture thereof.
- the aerosol composition may optionally contain additional formulation excipients well known in the art such as surfactants eg oleic acid or lecithin and cosolvents eg ethanol.
- additional formulation excipients well known in the art such as surfactants eg oleic acid or lecithin and cosolvents eg ethanol.
- One example formulation is excipient free and consists essentially of (eg consists of) compound of formula (I) (preferably in unsolvated form eg as Form 1) (optionally in combination with another therapeutically active ingredient) and a propellant selected from 1,1,1,2-tetrafluoroethane, 1,1,1,2,3,3,3-heptafluoro-n-propane and mixture thereof.
- Another example formulation comprises particulate compound of formula (I), a propellant selected from 1,1,1,2-tetrafluoroethane, 1,1,1,2,3,3,3-heptafluoro-n-propane and mixture thereof and a suspending agent which is soluble in the propellant eg an oligolactic acid or derivative thereof as described in WO94/21229.
- the preferred propellant is 1,1,1,2-tetrafluoroethane.
- compound of formula (I) does not appear to form a solvate with 1,1,1,2-tetrafluoroethane.
- Pressurised formulations will generally be retained in a canister (eg an aluminium canister) closed with a valve (eg a metering valve) and fitted into an actuator provided with a mouthpiece.
- Pressurised aerosol formulations preferably do not comprise particulate medicament, a propellant and a stabiliser comprising a water addition (i.e. water added in addition to nascent formulation water). Pressurised aerosol formulations also preferably do not comprise particulate medicament, a propellant and a stabiliser comprising an amino acid, a derivative thereof or a mixture thereof.
- Medicaments for administration by inhalation desirably have a controlled particle size.
- the optimum particle size for inhalation into the bronchial system is usually 1-10 ⁇ m, preferably 2-5 ⁇ m. Particles having a size above 20 ⁇ m are generally too large when inhaled to reach the small airways.
- the particles of compound of formula (I) as produced may be size reduced by conventional means eg by micronisation. The desired fraction may be separated out by air classification or sieving.
- the particles will be crystalline, prepared for example by a process which comprises mixing in a continuous flow cell in the presence of ultrasonic radiation a flowing solution of compound of formula (I) as medicament in a liquid solvent with a flowing liquid antisolvent for said medicament (eg as described in International Patent Application PCT/GB99/04368) or else by a process which comprises admitting a stream of solution of the substance in a liquid solvent and a stream of liquid antisolvent for said substance tangentially into a cylindrical mixing chamber having an axial outlet port such that said streams are thereby intimately mixed through formation of a vortex and precipitation of crystalline particles of the substance is thereby caused (eg as described in International Patent Application PCT/GB00/04327).
- the particle size of the excipient will be much greater than the inhaled medicament within the present invention.
- the excipient is lactose it will typically be present as milled lactose, wherein not more than 85% of lactose particles will have a MMD of 60-90 ⁇ m and not less than 15% will have a MMD of less than 15 ⁇ m.
- Formulations for administration topically to the nose include pressurised aerosol formulations and aqueous formulations administered to the nose by pressurised pump. Formulations which are non-pressurised and adapted to be administered topically to the nasal cavity are of particular interest.
- the formulation preferably contains water as the diluent or carrier for this purpose.
- Aqueous formulations for administration to the lung or nose may be provided with conventional excipients such as buffering agents, tonicity modifying agents and the like. Aqueous formulations may also be administered to the nose by nebulisation.
- Ointments, creams and gels may, for example, be formulated with an aqueous or oily base with the addition of suitable thickening and/or gelling agent and/or solvents.
- bases may thus, for example, include water and/or an oil such as liquid paraffin or a vegetable oil such as arachis oil or castor oil, or a solvent such as polyethylene glycol.
- Thickening agents and gelling agents which may be used according to the nature of the base include soft paraffin, aluminium stearate, cetostearyl alcohol, polyethylene glycols, woolfat, beeswax, carboxypolymethylene and cellulose derivatives, and/or glyceryl monostearate and/or non-ionic emulsifying agents.
- Lotions may be formulated with an aqueous or oily base and will in general also contain one or more emulsifying agents, stabilising agents, dispersing agents, suspending agents or thickening agents.
- Powders for external application may be formed with the aid of any suitable powder base, for example, talc, lactose or starch.
- Drops may be formulated with an aqueous or non-aqueous base also comprising one or more dispersing agents, solubilising agents, suspending agents or preservatives.
- formulations of the invention may be buffered by the addition of suitable buffering agents.
- the proportion of the active compound of formula (I) in the local compositions according to the invention depends on the precise type of formulation to be prepared but will generally be within the range of from 0.001 to 10% by weight. Generally, however for most types of preparations advantageously the proportion used will be within the range of from 0.005 to 1% and preferably 0.01 to 0.5%. However, in powders for inhalation or insufflation the proportion used will usually be within the range of from 0.1 to 5%.
- Aerosol formulations are preferably arranged so that each metered dose or “puff” of aerosol contains 1 ⁇ g-2000 ⁇ g eg 20 ⁇ g-2000 ⁇ g, preferably about 20 ⁇ g-500 ⁇ g of a compound of formula (I).
- Administration may be once daily or several times daily, for example 2, 3, 4 or 8 times, giving for example 1, 2 or 3 doses each time.
- the compound of formula (I) is delivered once or twice daily, more preferably once per day.
- the overall daily dose with an aerosol will typically be within the range 10 ⁇ g-10 mg eg 100 ⁇ g-10 mg preferably, 200 ⁇ g-2000 ⁇ g.
- Topical preparations may be administered by one or more applications per day to the affected area; over skin areas occlusive dressings may advantageously be used. Continuous or prolonged delivery may be achieved by an adhesive reservoir system.
- the compound according to the invention may, for example, be formulated in conventional manner for oral, parenteral or rectal administration.
- Formulations for oral administration include syrups, elixirs, powders, granules, tablets and capsules which typically contain conventional excipients such as binding agents, fillers, lubricants, disintegrants, wetting agents, suspending agents, emulsifying agents, preservatives, buffer salts, flavouring, colouring and/or sweetening agents as appropriate.
- Dosage unit forms are, however, preferred as described below.
- dosage unit forms i.e. tablets and capsules.
- Such dosage unit forms contain from 0.1 mg to 20 mg preferably from 2.5 to 10 mg of the compound of the invention.
- the compound according to the invention may in general may be given by internal administration in cases where systemic adreno-cortical therapy is indicated.
- preparations for internal administration may contain from 0.05 to 10% of the active ingredient dependent upon the type of preparation involved.
- the daily dose may vary from 0.1 mg to 60 mg, eg 5-30 mg, dependent on the condition being treated, and the duration of treatment desired.
- Slow release or enteric coated formulations may be advantageous, particularly for the treatment of inflammatory bowel disorders.
- compositions according to the invention may also be used in combination with another therapeutically active agent, for example, a ⁇ 2 adrenoreceptor agonist, an anti-histamine or an anti-allergic.
- another therapeutically active agent for example, a ⁇ 2 adrenoreceptor agonist, an anti-histamine or an anti-allergic.
- Examples of ⁇ 2 -adrenoreceptor agonists include salmeterol (eg as racemate or a single enantiomer such as the R-enantiomer), salbutamol, formoterol, salmefamol, fenoterol or terbutaline and salts thereof, for example the xinafoate salt of salmeterol, the sulphate salt or free base of salbutamol or the fumarate salt of formoterol.
- Examples of anti-histamines include methapyrilene or loratadine.
- NSAIDs eg sodium cromoglycate, nedocromil sodium, PDE4 inhibitors, leukotriene antagonists, iNOS inhibitors, tryptase and elastase inhibitors, beta-2 integrin antagonists and adenosine 2a agonists
- antiinfective agents eg antibiotics, antivirals
- the PDE4-specific inhibitor useful in this aspect of the invention may be any compound that is known to inhibit the PDE4 enzyme or which is discovered to act as a PDE4 inhibitor, and which are only PDE4 inhibitors, not compounds which inhibit other members of the PDE family as well as PDE4.
- a PDE4 inhibitor which has an IC 50 ratio of about 0.1 or greater as regards the IC 50 for the PDE4 catalytic form which binds rolipram with a high affinity divided by the IC 50 for the form which binds rolipram with a low affinity.
- the cAMP catalytic site which binds R and S rolipram with a low affinity is denominated the “low affinity” binding site (LPDE 4) and the other form of this catalytic site which binds rolipram with a high affinity is denominated the “high affinity” binding site (HPDE 4).
- LPDE4 low affinity binding site
- HPDE 4 high affinity binding site
- the preferred PDE4 inhibitors of use in this invention will be those compounds which have a salutary therapeutic ratio, i.e., compounds which preferentially inhibit cAMP catalytic activity where the enzyme is in the form that binds rolipram with a low affinity, thereby reducing the side effects which apparently are linked to inhibiting the form which binds rolipram with a high affinity.
- the preferred compounds will have an IC 50 ratio of about 0.1 or greater as regards the IC 50 for the PDE4 catalytic form which binds rolipram with a high affinity divided by the IC 50 for the form which binds rolipram with a low affinity.
- a further refinement of this standard is that of one wherein the PDE4 inhibitor has an IC 50 ratio of about 0.1 or greater; said ratio is the ratio of the IC 50 value for competing with the binding of 1 nM of [ 3 H]R-rolipram to a form of PDE4 which binds rolipram with a high affinity over the IC 50 value for inhibiting the PDE4 catalytic activity of a form which binds rolipram with a low affinity using 1 ⁇ M[ 3 H]-cAMP as the substrate.
- PDE4 inhibitors which have an IC 50 ratio of greater than 0.5, and particularly those compounds having a ratio of greater than 1.0.
- Preferred compounds are cis 4-cyano-4-(3-cyclopentyloxy-4-methoxyphenyl)cyclohexan-1-carboxylic acid, 2-carbomethoxy-4-cyano-4-(3-cyclopropyl methoxy-4-difluoromethoxyphenyl)cyclohexan-1-one and cis-[4-cyano-4-(3-cyclopropylmethoxy-4-difluoromethoxyphenyl)cyclohexan-1-ol]; these are examples of compounds which bind preferentially to the low affinity binding site and which have an IC 50 ratio of 0.1 or greater.
- Isolated human monocyte PDE4 and hrPDE (human recombinant PDE4) was determined to exist primarily in the low affinity form. Hence, the activity of test compounds against the low affinity form of PDE4 can be assessed using standard assays for PDE4 catalytic activity employing 1 ⁇ M [ 3 H]cAMP as a substrate (Torphy et al., J. of Biol. Chem., Vol. 267, No. 3 pp 1798-1804, 1992).
- Rat brain high speed supernatants were used as a source of protein and both enantiomers of [ 3 H]-rolipram were prepared to a specific activity of 25.6 Ci/mmol.
- Standard assay conditions were modified from the published procedure to be identical to the PDE assay conditions, except for the last of the cAMP: 50 mM Tris HCl (pH 7.5), 5 mM MgCl 2 , 50 ⁇ M 5′-AMP and 1 nM of [ 3 H]-rolipram (Torphy et al., J. of Biol. Chem., Vol. 267, No. 3 pp 1798-1804, 1992). The assay was run for 1 hour at 30° C.
- the reaction was terminated and bound ligand was separated from free ligand using a Brandel cell harvester. Competition for the high affinity binding site was assessed under conditions that were identical to those used for measuring low affinity PDE activity, expect that [ 3 H]-cAMP was not present.
- PDE activity was assayed using a [ 3 H]cAMP SPA or [ 3 H]cGMP SPA enzyme assay as described by the supplier (Amersham Life Sciences).
- the reactions were conducted in 96-well plates at room temperature, in 0.1 ml of reaction buffer containing (final concentrations): 50 mM Tris-HCl, pH 7.5, 8.3 mM MgCl 2 , 1.7 mM EGTA, [ 3 H]cAMP or [ 3 H] cGMP (approximately 2000 dpm/pmol), enzyme and various concentrations of the inhibitors.
- the assay was allowed to proceed for 1 hr and was terminated by adding 50 ⁇ l of SPA yttrium silicate beads in the presence of zinc sulfate. The plates were shaken and allowed to stand at room temperature for 20 min. Radiolabeled product formation was assessed by scintillation spectrometry.
- the [ 3 H]R-rolipram binding assay was performed by modification of the method of Schneider and co-workers, see Nicholson, et al., Trends Pharmacol. Sci., Vol. 12, pp. 19-27 (1991) and McHale et al., Mol. Pharmacol., Vol. 39, 109-113 (1991).
- R-Rolipram binds to the catalytic site of PDE4 see Torphy et al., Mol. Pharmacol., Vol. 39, pp. 376-384 (1991). Consequently, competition for [ 3 H]R-rolipram binding provides an independent confirmation of the PDE4 inhibitor potencies of unlabeled competitors.
- the assay was performed at 30° C.
- the invention thus provides, in a further aspect, a combination comprising the compound of formula (I) or a physiologically acceptable solvate thereof together with a PDE4 inhibitor.
- compositions comprising a combination as defined above together with a physiologically acceptable diluent or carrier represent a further aspect of the invention.
- the individual compounds of such combinations may be administered either sequentially or simultaneously in separate or combined pharmaceutical formulations. Appropriate doses of known therapeutic agents will be readily appreciated by those skilled in the art.
- solvates are essentially stoichiometric eg the ratio of compound of formula (I) to solvent is close to 1:1 eg according to Applicant's analysis has been determined to be in the range 0.95-1.05:1.
- solvents such as acetone, dimethylformamide (DMF), dimethylacetamide (DMAc), tetrahydrofuran (THF), N-methyl-2-pyrrolidone, isopropanol and methylethylketone.
- the compound of formula (I) in unsolvated form may exist in a number of polymorphic forms. Specifically we have identified polymorphic forms which may be distinguished by means of X-Ray Powder Diffraction (XRPD) which we have named as Form 1, Form 2 and Form 3. Form 3 appears to be an unstable minor polymorphic modification of Form 2. Broadly speaking the Forms are characterised in their XRPD profiles as follows:
- Form 1 Peak at around 18.9 degrees 2Theta
- Form 2 Peaks at around 18.4 and 21.5 degrees 2Theta
- Form 3 Peaks at around 18.6 and 19.2 degrees 2Theta.
- Form 3 shows a single peak whereas Form 2 shows a pair of peaks.
- a peak at 7 degrees 2Theta is present in all cases however it is present at much higher intensity in the case of Forms 2 and 3 than is the case for Form 1.
- the XRPD patterns of the polymorphs are shown overlaid in FIG. 1 .
- the conversion of Form 2 to Form 1 with time in an aqueous slurry at ambient temperature is shown in FIG. 2 .
- the loss of a peak characteristic of Form 2 (labelled B) at around 18.4 degrees 2Theta
- a marked reduction in intensity in the peak at around 7 degrees 2Theta (labelled A)
- the appearance of a peak characteristic of Form 1 (labelled C) at around 18.9 degrees 2Theta are particularly noticeable.
- Form 3 converts first to Form 2 over the temperature range 30-170° C. and then converts to Form 1 over the temperature range 170-230° C.
- the division of one peak in the range 21-23 degrees 2Theta into two peaks within the same range and the shifting leftwards of the peak at around 18.6 degrees 2Theta to around 18.4 degrees 2Theta are particularly noticeable.
- the conversion of Form 2 to Form 1 similar changes to those noted in the previous paragraph may be observed.
- the differential scanning calorimetry (DSC) and thermal gravimetric analysis (TGA) profiles of Form 1 are shown in FIG. 3 .
- the profiles are characterised by a transition at around 280-300° C. (typically close to 298° C.) corresponding to an endothermic event in the DSC and chemical degradation in the TGA.
- the DSC profiles of Forms 2 and 3 were not materially different under the conditions of the experiments performed and thus DSC is not a suitable technique for distinguishing between the 3 Forms.
- the absence of activity in the TGA and DSC profiles below around 298° C. implies that the substance shows good physical and chemical stability at normal operating temperatures.
- solvates as solids in crystalline form.
- a further particular advantage of these solvates is the fact that desolvation of the solvate (eg by heating) results in formation of the unsolvated form as the preferred Form 1.
- the aforementioned solvates have relatively low toxicity and are suitable for use in industrial scale manufacture.
- Compound of formula (I) as the DMF solvate which may also be isolated as a solid in crystalline form is also of interest for use in onward processing to unsolvated Form 1.
- a process according to the invention for preparing a compound of formula (I) or a solvate thereof comprises alkylation of a thioacid of formula (II)
- the compound of formula (II) may be reacted with a compound of formula FCH 2 L wherein L represents a leaving group (eg a halogen atom, a mesyl or tosyl group or the like) for example, an appropriate fluoromethyl halide under standard conditions.
- L represents a leaving group (eg a halogen atom, a mesyl or tosyl group or the like) for example, an appropriate fluoromethyl halide under standard conditions.
- the fluoromethyl halide reagent is bromofluoromethane.
- the compound of formula (II) is employed as a salt, particularly the salt with diisopropylethylamine.
- the compound of formula (II) or a salt thereof is treated with bromofluoromethane optionally in the presence of a phase transfer catalyst.
- a preferred solvent is methylacetate, or more preferably ethylacetate, optionally in the presence of water. The presence of water improves solubility of both starting material and product and the use of a phase transfer catalyst results in an increased rate of reaction.
- phase transfer catalysts examples include (but are not restricted to) tetrabutylammonium bromide, tetrabutylammonium chloride, benzyltributylammonium bromide, benzyltributylammonium chloride, benzyltriethylammonium bromide, methyltributylammonium chloride and methyltrioctylammonium chloride.
- THF has also successfully been employed as solvent for the reaction wherein the presence of a phase transfer catalyst again provides a significantly faster reaction rate.
- the product present in an organic phase is washed firstly with aqueous acid eg dilute HCl in order to remove amine compounds such as triethylamine and diisopropylethylamine and then with aqueous base eg sodium bicarbonate in order to remove any unreacted precursor compound of formula (II).
- aqueous acid eg dilute HCl
- aqueous base eg sodium bicarbonate
- the step typically comprises the addition of a reagent suitable for performing the esterification eg an activated derivative of 2-furoic acid such as an activated ester or preferably a 2-furoyl halide eg 2-furoyl chloride (employed in at least 2 times molar quantity relative to the compound of formula (III)) in the presence of an organic base eg triethylamine.
- a reagent suitable for performing the esterification eg an activated derivative of 2-furoic acid such as an activated ester or preferably a 2-furoyl halide eg 2-furoyl chloride (employed in at least 2 times molar quantity relative to the compound of formula (III)) in the presence of an organic base eg triethylamine.
- the second mole of 2-furoyl chloride reacts with the thioacid moiety in the compound of formula (III) and needs to be removed eg by reaction with an amine such as diethylamine.
- the activated derivative of 2-furoic acid may be an activated ester of 2-furoic acid, but is more preferably a 2-furoyl halide, especially 2-furoyl chloride.
- a suitable solvent for this reaction is ethylacetate or methylacetate (preferably methylacetate) (when step (c1) may be followed) or acetone (when step (c2) may be followed).
- an organic base eg triethylamine will be present.
- the organic base is diethanolamine.
- the base may suitably be dissolved in a solvent eg methanol.
- steps (a) and (b) will be performed at reduced temperature eg between 0 and 5° C.
- the aqueous wash may be water, however the use of brine results in higher yields and is therefore preferred.
- the aqueous medium is for example a dilute aqueous acid such as dilute HCl.
- the activated derivative of 2-furoic acid may be an activated ester of 2-furoic acid, but is more preferably a 2-furoyl halide, especially 2-furoyl chloride.
- a suitable solvent for his step is acetone. Normally an organic base eg triethylamine will be present.
- a suitable solvent is DMF or dimethylacetamide. Normally an organic base eg triethylamine will be present.
- steps (a) and (b) will be performed at reduced temperature eg between 0 and 5° C. The product may be isolated by treatment with acid and washing with water.
- the compound of formula (II) may advantageously be isolated in the form of a solid crystalline salt.
- the preferred salt is a salt formed with a base such as triethylamine, 2,4,6-trimethylpyridine, diisopropylethylamine or N-ethylpiperidine.
- Such salt forms of compound of formula (II) are more stable, more readily filtered and dried and can be isolated in higher purity than the free thioacid.
- the most preferred salt is the salt formed with diisopropylethylamine.
- the triethylamine salt is also of interest.
- Step (a) comprises oxidation of a solution containing the compound of formula (V).
- step (a) will be performed in the presence of a solvent comprising methanol, water, tetrahydrofuran, dioxan or diethylene glygol dimethylether.
- a solvent comprising methanol, water, tetrahydrofuran, dioxan or diethylene glygol dimethylether.
- preferred solvents are methanol, water or tetrahydrofuran, and more preferably are water or tetrahydrofuran, especially water and tetrahydrofuran as solvent.
- Dioxan and diethylene glygol dimethylether are also preferred solvents which may optionally (and preferably) be employed together with water.
- the solvent will be present in an amount of between 3 and 10 vol relative to the amount of the starting material (1 wt.), more preferably between 4 and 6 vol., especially 5 vol.
- the oxidising agent is present in an amount of 1-9 molar equivalents relative to the amount of the starting material.
- the oxidising agent may be present in an amount of between 1.1 and 10 wt. relative to the amount of the starting material (1 wt.), more preferably between 1.1 and 3 wt., especially 1.3 wt.
- the oxidation step will comprise the use of a chemical oxidising agent.
- the oxidising agent will be periodic acid or iodic acid or a salt thereof. Most preferably, the oxidising agent will be periodic acid or sodium periodate, especially periodic acid.
- the oxidation step may comprise any suitable oxidation reaction, eg one which utilises air and/or oxygen. When the oxidation reaction utilises air and/or oxygen, the solvent used in said reaction will preferably be methanol.
- step (a) will involve incubating the reagents at room temperature or a little warmer, say around 25° C. eg for 2 hours.
- the compound of formula (IV) may be isolated by recrystallisation from the reaction mixture by addition of an anti-solvent.
- a suitable anti-solvent for compound of formula (IV) is water.
- anti-solvent eg water.
- the recrystallisation is performed using chilled water (eg water/ice mixture at a temperature of 0-5° C.) although better anti-solvent properties may be expected we have found that the crystalline product produced is very voluminous, resembles a soft gel and is very difficult to filter. Without being limited by theory we believe that this low density product contains a large amount of solvated solvent within the crystal lattice. By contrast when conditions of around 10° C.
- crystallisation typically commences after around 1 hour and is typically completed within a few hours (eg 2 hours). Without being limited by theory we believe that this granular product contains little or no solvated solvent within the crystal lattice.
- Step (b) will typically comprise the addition of a reagent suitable for converting a carboxylic acid to a carbothioic acid eg using hydrogen sulphide gas together with a suitable coupling agent eg carbonyldiimidazole (CDI) in the presence of a suitable solvent eg dimethylformamide.
- a suitable coupling agent eg carbonyldiimidazole (CDI)
- CDI carbonyldiimidazole
- An alternative process for preparing a compound of formula (II) comprises treating a compound of formula (X) with a reagent suitable for converting a carboxylic acid to a carbothioic acid eg using hydrogen sulphide gas together with a suitable coupling agent such as CDI in the presence of a suitable solvent eg DMF.
- a suitable coupling agent such as CDI
- Compounds of formula (X) may be prepared by methodology analogous to that described herein.
- An alternative process for preparing a compound of formula (I) or a solvate thereof comprises reacting a compound of formula (VI)
- Suitable sources of fluorine include fluoride (eg sodium fluoride) or, more preferably, HF.
- fluoride eg sodium fluoride
- HF e.g., HF
- the preferred reagent is aqueous HF.
- a solvent such as THF or DMF may be employed.
- a compound of formula (VI) may be prepared by a process comprising
- analogous conditions to those described above for the conversion of a compound of formula (II) to a compound of formula (I) may be employed.
- compound of formula (VII) will be reacted with a compound of formula FCH 2 L wherein L represents a leaving group (eg a halogen atom, a mesyl or tosyl group or the like) for example, an appropriate fluoromethyl halide under standard conditions.
- the fluoromethyl halide reagent is bromofluoromethane.
- Process (b) is preferably performed in two steps: (i) formation of a halohydrin especially a bromohydrin (eg by reaction with bromodan or equivalent reagent), followed by (ii) treatment with base such as sodium hydroxide so as to effect ring closure.
- a halohydrin especially a bromohydrin
- base such as sodium hydroxide
- X represents halogen, especially Br.
- a suitable reagent would be an activated derivative of 2-furoic acid such as an activated ester or preferably a 2-furoyl halide eg 2-furoyl chloride in the presence of an organic base eg triethylamine.
- This reaction may be performed at elevated temperature eg around 60° C. or else at ambient temperature in the presence of an acylation catalyst eg dimethylamino pyridine (DMAP).
- DMAP dimethylamino pyridine
- a suitable reagent would be an activated derivative of 2-furoic acid such as an activated ester or preferably a 2-furoyl halide eg 2-furoyl chloride in the presence of an organic base eg triethylamine.
- an activated derivative of 2-furoic acid such as an activated ester or preferably a 2-furoyl halide eg 2-furoyl chloride in the presence of an organic base eg triethylamine.
- Compound of formula (XI) is known (J Labelled Compd Radiopharm (1997) 39(7) 567-584).
- a compound of formula (VIII) may be prepared by a process comprising
- a suitable reagent would be an activated derivative of 2-furoic acid such as an activated ester or preferably a 2-furoyl halide eg 2-furoyl chloride in the presence of an organic base eg triethylamine.
- Compounds of formula (IX) and (XIII) may be prepared by alkylating the corresponding thioacids (XI) and (XIV) (defined below) using methodology analogous to that already described (eg by reaction with a compound of formula FCH 2 L wherein L represents a leaving group (eg a halogen atom, a mesyl or tosyl group or the like) for example, an appropriate fluoromethyl halide under standard conditions.
- the fluoromethyl halide reagent is bromofluoromethane.
- the thioacid (XI) is a known compound (J Labelled Compd Radiopharm (1997) 39(7) 567-584).
- Compound of formula (XII) may be prepared by a process comprising esterifying a compound of formula (XIV):
- a suitable reagent would be an activated derivative of 2-furoic acid such as an activated ester or preferably a 2-furoyl halide eg 2-furoyl chloride in the presence of an organic base eg triethylamine.
- Compounds of formula (XIV) may be prepared from the corresponding carboxylic acid eg by a process analogous to that described above for the conversion of a compound of formula (IV) to a compound of formula (III).
- the aforesaid corresponding carboxylic acid is known (Upjohn, WO 90/15816).
- a further alternative process for preparing a compound of formula (I) or a solvate thereof comprises deprotecting or unmasking a compound of formula (I) in which the 11- ⁇ -hydroxy group is protected or masked.
- a first such process comprises deprotecting a compound of formula (XV)
- hydroxy protecting groups P are described in Protective Groups in Organic Chemistry Ed J F W McOmie (Plenum Press 1973) or Protective Groups in Organic Synthesis by Theodora W Green (John Wiley and Sons, 1991).
- hydroxy protecting groups P include groups selected from carbonate, alkyl (eg t-butyl or methoxymethyl), aralkyl (eg benzyl, p-nitrobenzyl, diphenylmethyl or triphenylmethyl), heterocyclic groups such as tetrahydropyranyl, acyl (eg acetyl or benzyl) and silyl groups such as trialkylsilyl (eg t-butyldimethylsilyl).
- the hydroxy protecting groups may be removed by conventional techniques.
- carbonate may be removed by treatment with base and alkyl, silyl, acyl and heterocyclic groups may be removed by solvolysis eg by hydrolysis under acid or basic conditions.
- Aralkyl groups such as triphenylmethyl may similarly be removed by solvolysis eg by hydrolysis under acidic conditions.
- Aralkyl groups such as benzyl or p-nitrobenzyl may be cleaved by hydrogenolysis in the presence of a Noble metal catalyst such as palladium on charcoal.
- p-Nitrobenzyl may also be cleaved by photolysis.
- the 11- ⁇ -hydroxy group may be masked as a carbonyl group.
- a second such process comprises reduction of a compound of formula (XVI)
- Reduction to the compound of formula (I) may be achieved eg by treatment with a hydride reducing agent such as borohydride eg sodium borohydride.
- a hydride reducing agent such as borohydride eg sodium borohydride.
- the 11-ketone (XVI) may also be masked.
- masked derivatives of compound of formula (XVI) include (i) ketal derivatives eg ketals formed by treatment of the compound of formula (XVI) with an alcohol eg methanol, ethanol or ethan-1,2-diol, (ii) dithioketal derivatives eg dithioketals formed by treatment of the compound of formula (XVI) with a thiol eg methanethiol, ethanethiol or ethan-1,2-dithiol, (iii) monothioketal derivatives eg monothioketals formed by treatment of the compound of formula (XVI) with eg 1-hydroxy-ethane-2-thiol, (iv) derivatives formed by treatment of the compound of formula (XVI) with an alcoholamine eg ephedrine, (v) imines formed by treatment of the compound of formula (XVI) with amines, (vi
- masked derivatives may be converted back to the ketone by conventional means eg ketals, imines and oximes are converted to carbonyl by treatment with dilute acid and dithioketals are converted to the ketone by a variety of methods as described by P. C. Bulman Page et al (1989), Tetrahedron, 45, 7643-7677 and references therein.
- step (a) analogous conditions to those described above for the conversion of a compound of formula (II) to a compound of formula (I) may be employed.
- compound of formula (XVII) will be reacted with a compound of formula FCH 2 L wherein L represents a leaving group (eg a halogen atom, a mesyl or tosyl group or the like) for example, an appropriate fluoromethyl halide under standard conditions.
- the fluoromethyl halide reagent is bromofluoromethane.
- step (b) analogous conditions to those employed above for the conversion of a compound of formula (IX) to a compound of formula (VI) may be employed.
- a suitable reagent would be an activated derivative of 2-furoic acid such as an activated ester or preferably a 2-furoyl halide eg 2-furoyl chloride in the presence of an organic base eg triethylamine.
- Compound of formula (XVIII) may be prepared by alkylating the corresponding thioacid using methodology analogous to that already described (eg by reaction with a compound of formula FCH 2 L wherein L represents a leaving group (eg a halogen atom, a mesyl or tosyl group or the like) for example, an appropriate fluoromethyl halide under standard conditions.
- L represents a leaving group (eg a halogen atom, a mesyl or tosyl group or the like) for example, an appropriate fluoromethyl halide under standard conditions.
- the fluoromethyl halide reagent is bromofluoromethane.
- the corresponding thioacids are known compounds or may be prepared by standard methodology.
- Compound of formula (XVIII) may alternatively be prepared by protection of the corresponding hydroxy derivative.
- Compound of formula (XVII) may be prepared by a process comprising esterifying a compound of formula (XIX)
- a suitable reagent would be an activated derivative of 2-furoic acid such as an activated ester or preferably a 2-furoyl halide eg 2-furoyl chloride in the presence of an organic base eg triethylamine.
- Compounds of formula (XIX) may be prepared by protecting the corresponding hydroxy derivative (III), having first protected the thioacid which would then be deprotected.
- Compounds of formula (XVI) may be prepared by a process comprising (a) alkylating a compound of formula (XX)
- step (a) analogous conditions to those described above for the conversion of a compound of formula (III) to a compound of formula (II) may be employed.
- compound of formula (XX) will be reacted with a compound of formula FCH 2 L wherein L represents a leaving group (eg a halogen atom, a mesyl or tosyl group or the like) for example, an appropriate fluoromethyl halide under standard conditions.
- the fluoromethyl halide reagent is bromofluoromethane.
- step (b) analogous conditions to those employed above for the conversion of a compound of formula (IX) to a compound of formula (VI) may be employed.
- a suitable reagent would be an activated derivative of 2-furoic acid such as an activated ester or preferably a 2-furoyl halide eg 2-furoyl chloride in the presence of an organic base eg triethylamine.
- Compound of formula (XXI) or a derivative thereof wherein the 11-ketone group is masked may be prepared by alkylating the corresponding thioacid using methodology analogous to that already described (eg by reaction with a compound of formula FCH 2 L wherein L represents a leaving group (eg a halogen atom, a mesyl or tosyl group or the like) for example, an appropriate fluoromethyl halide under standard conditions.
- the fluoromethyl halide reagent is bromofluoromethane.
- the corresponding thioacids are known compounds or may be prepared from the corresponding carboxylic acids by methods analogous to those previously described.
- Compound of formula (XX) may be prepared by a process comprising esterifying a compound of formula (XXII)
- a suitable reagent would be an activated derivative of 2-furoic acid such as an activated ester or preferably a 2-furoyl halide eg 2-furoyl chloride in the presence of an organic base eg triethylamine.
- a further alternative process for the preparation of compounds of formula (I) or a solvate thereof comprises reaction of a compound of formula (XXIII)
- L represents a leaving group (eg halide other than fluoride such as chloride, iodide or a sulphonate ester such mesylate, tosylate, triflate) with a fluorine source.
- a leaving group eg halide other than fluoride such as chloride, iodide or a sulphonate ester such mesylate, tosylate, triflate
- the fluorine source is fluoride ion eg KF. Further details for this conversion may be obtained by reference to G. H. Phillipps et al., (1994) Journal of Medicinal Chemistry, 37, 3717-3729 or J Labelled Compd Radiopharm (1997) 39(7) 567-584).
- a further alternative process for the preparation of compounds of formula (I) or a solvate thereof comprises deprotection or unmasking of a derivative of a compound of formula (I) in which the 3-carbonyl group is protected or masked.
- the 3-carbonyl group may be masked in a manner analogous to that described above in relation to masking of the 11-carbonyl position.
- the 3-carbonyl may be masked eg as a ketal, monothioketal, dithioketal, derivative with an alcoholamine, oxime or imine.
- the carbonyl group may be recovered by conventional means eg ketals are converted to carbonyl by treatment with dilute acid and dithioketals are converted to the ketone by a variety of methods as described by P. C. Bulman Page et al (1989), Tetrahedron, 45, 7643-7677 and references therein.
- step (b) the desolvation will generally be performed at a temperature exceeding 50° C. preferably at a temperature exceeding 100° C. Generally heating will be performed under vacuum.
- a process for preparing a compound of formula (I) as unsolvated Form 1 polymorph which comprises dissolving compound of formula (I) in methylisobutylketone, ethyl acetate or methyl acetate and producing compound of formula (I) as unsolvated Form 1 by addition of a non-solvating anti-solvent such as iso-octane or toluene.
- the compound of formula (I) may be dissolved in ethyl acetate and compound of formula (I) as unsolvated Form 1 polymorph may be obtained by addition of toluene as anti-solvent.
- the ethyl acetate solution is hot and once the toluene has been added the mixture is distilled to reduce the content of ethyl acetate.
- the compound of formula (I) may be dissolved in methylisobutylketone and compound of formula (I) as unsolvated Form 1 polymorph may be obtained by addition of isooctane as anti-solvent
- a process for preparing a compound of formula (I) as unsolvated Form 2 polymorph comprises dissolving compound of formula (I) in unsolvated form in methanol or dry dichloromethane and recrystallising the compound of formula (I) as unsolvated Form 2 polymorph.
- the compound of formula (I) will be dissolved in hot in methanol or dry dichloromethane and allowed to cool.
- a process for preparing a preparing a compound of formula (I) as unsolvated Form 3 polymorph comprises dissolving compound of formula (I) or a solvate thereof (in particular as the acetone solvate) in dichloromethane in the presence of water (typically 1-3% water by volume) and recrystallising the compound of formula (I) as unsolvated Form 3 polymorph.
- the advantages of the compound of formula (I) and/or its solvates or polymorphs may include the fact that the substance appears to demonstrate excellent anti-inflammatory properties, with predictable pharmacokinetic and pharmacodynamic behaviour, with an attractive side-effect profile and is compatible with a convenient regime of treatment in human patients. Further advantages may include the fact that the substance has desirable physical and chemical properties which allow for ready manufacture and storage.
- FIG. 1 Overlay of the XRPD profiles of Form 1, Form 2 and Form 3 polymorphs of unsolvated Compound of formula (I)
- FIG. 2 Overlay of the XRPD profiles of Form 1, Form 2 and a 50:50 mixture of Form 1 and Form 2 polymorphs of unsolvated Compound of formula (I) together with the time dependence of the profile of the 50:50 mixture of Form 1 and Form 2
- FIG. 3 DSC and TGA profiles of Form 1 polymorph of Unsolvated Compound of formula (I)
- FIG. 4 Temperature dependence of the XRPD profile of Compound of formula (I) Unsolvated Form 3 obtained at 5 timepoints
- FIG. 5 Temperature and time profile for the XRPD experiments of FIG. 4
- LCMS was conducted on a Supelcosil LCABZ+PLUS column (3.3 cm ⁇ 4.6 mm ID) eluting with 0.1% HCO 2 H and 0.01 M ammonium acetate in water (solvent A), and 0.05% HCO 2 H 5% water in acetonitrile (solvent B), using the following elution gradient 0-0.7 min 0% B, 0.7-4.2 min 100% B, 4.2-5.3 min 0% B, 5.3-5.5 min 0% B at a flow rate of 3 ml/min.
- the mass spectra were recorded on a Fisons VG Platform spectrometer using electrospray positive and negative mode (ES+ve and ES ⁇ ve).
- DSC and TGA profiles were obtained using a Netzsch STA449C simultaneous thermal analyser using an unsealed pan with nitrogen gas flow and a thermal gradient of 10° C./min.
- the moisture sorption characteristics were obtained using a Hiden Igasorb water sorption microbalance.
- the programme provides for stepwise increase in relative humidity (RH) from 0 to 90% RH and then decrease back to 0% RH in steps of 10% RH.
- the XRPD analysis shown in FIGS. 1 and 2 were performed on a Phillips X'pert MPD powder diffractometer, serial number DY667. The method runs from 2 to 45 degrees 2Theta with 0.02 degree 2Theta step size and a 1 second collection time at each step.
- the XRPD analysis shown in FIG. 4 employed the same instrument with an Anton Parr TTK thermal accessory using a method running from 2 to 35 degrees 2Theta with 0.04 degree 2Theta step size and a 1 second collection time.
- the resulting solid was collected by filtration, washed successively with 3.5% aqueous sodium hydrogen carbonate solution, water, 1M hydrochloric acid, and water and dried in vacuo at 60° C. to give a cream coloured solid.
- the dichloromethane filtrate was washed successively with 3.5% sodium hydrogen carbonate solution, water, 1M hydrochloric acid, water, dried (Na 2 SO 4 ) and evaporated to give a cream coloured solid which was combined with that isolated above.
- the combined solids (26.9 g) were suspended in acetone (450 ml) and stirred. Diethylamine (16.8 ml, 162 mmol) was added and the mixture stirred at room temperature for 4.5 h.
- the reaction is stirred for 30 min at 0-5° C. then sampled for analysis by HPLC.
- a solution of diethanolamine (1.02 wt, 4 eq) in methanol (0.8 vol) is added over ca 15 min followed by a line wash of methanol (0.2 vol) and the reaction stirred at 0-5° C. for 1 h.
- the reaction is again sampled for analysis by HPLC then warmed to approximately 20° C. and treated with water (1.1 wt).
- the reaction mixture is then treated with a solution of HCl (SG1.18 (11.5M), 1 vol) in water (10 vol) over ca 20 min maintaining a reaction temperature below 25° C.
- the suspension is stirred at 20-23° C. for at least 30 minutes then filtered.
- the filter cake is washed with water (3 ⁇ 2 vol).
- the product is dried in vacuo at approximately 60° C. overnight to give the title compound as a white solid (58.7 g, 96.5%).
- the reaction mixture is stirred for at least 30 minutes and diluted with water (10 vol) maintaining a reaction temperature in the range 0-5° C.
- the resultant precipitate is collected by filtration and washed sequentially with acetone/water (50/50 2 vol) and water (2 ⁇ 2 vol).
- the product is dried under vacuum at approximately 55° C.
- Dilute hydrochloric acid (approx 1M, 550 ml) is added maintaining a reaction temperature below 15° C. and the mixture stirred at 15° C.
- the organic phase is separated and the aqueous phase is back extracted with methyl acetate (2 ⁇ 250 ml). All of the organic phases are combined, washed sequentially with brine (5 ⁇ 250 ml) and treated with di-isopropylethylamine (30 ml).
- the reaction mixture is concentrated by distillation at atmospheric pressure to an approximate volume of 250 ml and cooled to 25-30° C. (crystallisation of the desired product normally occurs during distillation/subsequent cooling).
- TBME Tertiary butyl methyl ether
- Pharmacological activity was assessed in a functional in vitro assay of glucocorticoid agonist activity which is generally predictive of anti-inflammatory or anti-allergic activity in vivo.
- the functional assay was based on that described by K. P. Ray et al., Biochem J. (1997), 328, 707-715.
- A549 cells stably transfected with a reporter gene containing the NF- ⁇ B responsive elements from the ELAM gene promoter coupled to sPAP (secreted alkaline phosphatase) were treated with test compounds at appropriate doses for 1 hour at 37° C.
- the cells were then stimulated with tumour necrosis factor (TNF, 10 ng/ml) for 16 hours, at which time the amount of alkaline phosphatase produced is measured by a standard colourimetric assay.
- TNF tumour necrosis factor
- Dose response curves were constructed from which EC 50 values were estimated.
- Example 1 In this test the compound of Example 1 showed an EC 50 value of ⁇ 1 nM.
- the glucocorticoid receptor can function in at least two distinct mechanisms, by upregulating gene expression through the direct binding of GR to specific sequences in gene promoters, and by downregulating gene expression that is being driven by other transcription factors (such as NF ⁇ B or AP-1) through their direct interaction with GR.
- the first cell line contains the sPAP reporter gene under the control of a synthetic promoter that specifically responds to activation of the transcription factor NF ⁇ B when stimulated with TNF ⁇ .
- the second cell line contains the renilla luciferase reporter gene under the control of a synthetic promotor that comprises 3 copies of the consensus glucocorticoid response element (GRE), and which responds to direct stimulation by glucocorticoids.
- GRE consensus glucocorticoid response element
- Test compounds were dissolved in DMSO, and added to the cells at a final DMSO concentration of 0.7%. After incubation for 1 h 0.5 ng/ml TNF ⁇ (R&D Systems) was added to the NF ⁇ B assay and after a further 15 hours at 37° C., the levels of sPAP and renilla luciferase were measured and dose response curves were constructed from which EC 50 values were determined.
- GRE Transactivation Transrepression
- Anaesthetised pigs (2) were dosed intra-tracheally with a homogenous mixture of compound (I) (1 mg) and fluticasone propionate (1 mg) as a dry powder blend in lactose (10% w/w). Serial blood samples were taken for up to 8 h following dosing. Plasma levels of compound (I) and fluticasone propionate were determined following extraction and analysis using LC-MS/MS methodology, the lower limits of quantitation of the methods were 10 and 20 pg/mL for compound (I) and fluticasone propionate respectively. Using these methods compound (I) was quantifiable up to 2 hours after dosing and fluticasone propionate was quantifiable up to 8 hours after dosing.
- Plasma half-life data obtained from IV dosing (0.1 mg/kg) was used to calculate AUC (0-inf) values for compound (I). This compensates for the plasma profile of Compound (I) only being defined up to 2 hours after an IT dose and removes any bias due to limited data between compound (I) and fluticasone propionate.
- a mobile suspension of Intermediate 1A (12.61 g, 19.8 mmol; equivalent to 10 g of Intermediate 1) in ethyl acetate (230 ml) and water (50 ml) is treated with a phase transfer catalyst (benzyltributylammonium chloride, 10 mol %), cooled to 3° C. and treated with bromofluoromethane (1.10 ml, 19.5 mmol, 0.98 equivalents), washing in with prechilled (0° C.) ethyl acetate (EtOAc) (20 ml).
- EtOAc ethyl acetate
- the aqueous layer is separated and the organic phase is sequentially washed with 1M HCl (50 ml), 1% w/v NaHCO 3 solution (3 ⁇ 50 ml) and water (2 ⁇ 50 ml).
- the ethylacetate solution is distilled at atmospheric pressure until the distillate reaches a temperature of approximately 73° C. at which point toluene (150 ml) is added. Distillation is continued at atmospheric pressure until all remaining EtOAc has been removed (approximate distillate temperature 103° C.).
- the resultant suspension is cooled and aged at ⁇ 10° C. and filtered off. The bed is washed with toluene (2 ⁇ 30 ml) and the product oven dried under vacuum at 60° C. to constant weight to yield the title compound (8.77 g, 82%)
- Example 1 product The XRPD pattern of Example 1 product is shown in FIG. 1 .
- the DSC and TGA profiles are shown in FIG. 3 .
- Example 2 product The XRPD pattern of Example 2 product is shown in FIG. 1 .
- Example 3 product The XRPD pattern of Example 3 product is shown in FIG. 1 and FIG. 4 .
- Form 1 is the thermodynamically more stable polymorphic form out of the two forms.
- Form 1 uptake of 0.18% w/w of moisture over the range 0-90% relative humidity at 25° C.
- Form 2 uptake of 1.1-2.4% w/w of moisture over the range 0-90% relative humidity at 25° C.
- Form 3 uptake of 1.2-2.5% w/w of moisture over the range 0-90% relative humidity at 25° C.
- a mobile suspension of 6 ⁇ ,9 ⁇ -difluoro-17 ⁇ -[(2-furanylcarbonyl)oxy]-11 ⁇ -hydroxy-16 ⁇ -methyl-3-oxo-androsta-1,4-diene-17 ⁇ -carbothioic acid triethylamine salt (prepared eg according to Intermediate 1B) (1.2 g) in THF (10 ml) is treated with a phase transfer catalyst (tetrabutylammonium bromide, typically between 8 and 14 mol %), cooled to approximately 3° C. and treated with bromofluoromethane (0.98 equivalents). The suspension is stirred for between 2 and 5 hours, allowing to warm to 17° C. The reaction mixture is poured into water (30 vol), stirred at approximately 10° C. for 30 minutes and filtered off. The collected solid is washed with water (4 ⁇ 3 vol) and the product oven dried under vacuum at 60° C. overnight to give the title compound as a white solid (0.85 g, 87%).
- a phase transfer catalyst te
- the filter cake (the DMF solvate of 6 ⁇ ,9 ⁇ -Difluoro-17 ⁇ -[(2-furanylcarbonyl)oxy]-11 ⁇ -hydroxy-16 ⁇ -methyl-3-oxo-androsta-1,4-diene-17 ⁇ -carbothioic acid S-fluoromethyl ester) is washed with water (4 ⁇ 4 vol) and the product is pulled dry on the filter.
- the damp cake is returned to the vessel, acetone (5.75 vol) added and heated at reflux for 2 h.
- the mixture is cooled to 52 ⁇ 3° C. and water (5.75 vol) added, keeping temperature at 52 ⁇ 3° C.
- the mixture is then cooled to 20 ⁇ 3° C., filtered and dried in vacuo at 60 ⁇ 5° C. overnight to give the title compound as a white solid (556.5 g, 89%).
- NMR ⁇ (CDCl 3 ) includes the peaks described in Example 1 for the parent compound and the following additional solvent peaks: 2.17 (6H, s).
- a dry powder formulation was prepared as follows:
- a peelable blister strip containing 60 blisters each filled with a formulation as just described was prepared.
- Aerosol Formulation Containing 6 ⁇ ,9 ⁇ -Difluoro-17 ⁇ -[(2-furanylcarbonyl)oxy]-11 ⁇ -hydroxy-16 ⁇ -methyl-3-oxo-androsta-1,4-diene-17 ⁇ -carbothioic Acid S-fluoromethyl Ester, Unsolvated Form 1
- An aluminium canister was filled with a formulation as follows:
- a formulation for intranasal delivery was prepared as follows:
- the formulation was fitted into a spraypump capable of delivering a plurality of metered doses (Valois).
Landscapes
- Health & Medical Sciences (AREA)
- Public Health (AREA)
- Life Sciences & Earth Sciences (AREA)
- Veterinary Medicine (AREA)
- Chemical & Material Sciences (AREA)
- Pharmacology & Pharmacy (AREA)
- Medicinal Chemistry (AREA)
- General Health & Medical Sciences (AREA)
- Animal Behavior & Ethology (AREA)
- Epidemiology (AREA)
- Engineering & Computer Science (AREA)
- Bioinformatics & Cheminformatics (AREA)
- General Chemical & Material Sciences (AREA)
- Organic Chemistry (AREA)
- Nuclear Medicine, Radiotherapy & Molecular Imaging (AREA)
- Chemical Kinetics & Catalysis (AREA)
- Pulmonology (AREA)
- Otolaryngology (AREA)
- Endocrinology (AREA)
- Ophthalmology & Optometry (AREA)
- Diabetes (AREA)
- Pharmaceuticals Containing Other Organic And Inorganic Compounds (AREA)
- Steroid Compounds (AREA)
Abstract
Description
- The following is a Continuation Application of U.S. patent application Ser. No. 11/428,853, filed 6 Jul. 2006; which is Continuation Application of U.S. patent application Ser. No. 09/958,050, filed 2 Oct. 2001, now granted U.S. Pat. No. 7,101,866; which was a National Stage patent filing made under 35 USC 371 of PCT Patent Application PCT/GB01/03495, filed 3 Aug. 2001; which claims priority to British Patent Application No. GB0019172.6, filed 5 Aug. 2000.
- The present invention relates to a novel anti-inflammatory and anti-allergic compound of the androstane series and to processes for its preparation. The present invention also relates to pharmaceutical formulations containing the compound and to therapeutic uses thereof, particularly for the treatment of inflammatory and allergic conditions.
- Glucocorticoids which have anti-inflammatory properties are known and are widely used for the treatment of inflammatory disorders or diseases such as asthma and rhinitis. For example, U.S. Pat. No. 4,335,121 discloses 6α,9α-Difluoro-17α-(1-oxopropoxy)-11β-hydroxy-16α-methyl-3-oxo-androsta-1,4-diene-17β-carbothioic acid S-fluoromethyl ester (known by the generic name of fluticasone propionate) and derivatives thereof. The use of glucocorticoids generally, and especially in children, has been limited in some quarters by concerns over potential side effects. The side effects that are feared with glucocorticoids include suppression of the Hypothalamic-Pituitary-Adrenal (HPA) axis, effects on bone growth in children and on bone density in the elderly, ocular complications (cataract formation and glaucoma) and skin atrophy. Certain glucocorticoid compounds also have complex paths of metabolism wherein the production of active metabolites may make the pharmacodynamics and pharmacokinetics of such compounds difficult to understand. Whilst the modern steroids are very much safer than those originally introduced, it remains an object of research to produce new molecules which have excellent anti-inflammatory properties, with predictable pharmacokinetic and pharmacodynamic properties, with an attractive side effect profile, and with a convenient treatment regime.
- We have now identified a novel glucocorticoid compound which substantially meets these objectives.
- Thus, according to one aspect of the invention, there is provided a compound of formula (I)
- and solvates thereof.
- The chemical name of the compound of formula (I) is 6α,9α-Difluoro-17α-[(2-furanylcarbonyl)oxy]-11β-hydroxy-16α-methyl-3-oxo-androsta-1,4-diene-17β-carbothioic acid S-fluoromethyl ester.
- References hereinafter to the compound according to the invention include both the compound of formula (I) and solvates thereof, particularly pharmaceutically acceptable solvates.
- The compound of formula (I) has potentially beneficial anti-inflammatory or anti-allergic effects, particularly upon topical administration, demonstrated by, for example, its ability to bind to the glucocorticoid receptor and to illicit a response via that receptor. Hence, the compound of formula (I) is useful in the treatment of inflammatory and/or allergic disorders.
- Compound (I) undergoes highly efficient hepatic metabolism to yield the 17-β carboxylic acid (X) as the sole major metabolite in rat and human in vitro systems. This metabolite has been synthesised and demonstrated to be >1000 fold less active than the parent compound in in vitro functional glucocorticoid assays.
- This efficient hepatic metabolism is reflected by in vivo data in the rat, which have demonstrated plasma clearance at a rate approaching hepatic blood flow and an oral bioavailability of <1%, consistent with extensive first-pass metabolism.
- In vitro metabolism studies in human hepatocytes have demonstrated that compound (I) is metabolised in an identical manner to fluticasone propionate but that conversion of (I) to the inactive acid metabolite occurs approximately 5-fold more rapidly than with fluticasone propionate. This very efficient hepatic inactivation would be expected to minimise systemic exposure in man leading to an improved safety profile.
- Inhaled steroids are also absorbed through the lung and this route of absorption makes a significant contribution to systemic exposure. Reduced lung absorption could therefore provide an improved safety profile. Studies with compound of formula (I) have shown significantly lower exposure to compound of formula (I) than with fluticasone propionate after dry powder delivery to the lungs of anaesthetised pigs.
- An improved safety profile is believed to allow the compound of formula (I) to demonstrate the desired anti-inflammatory effects when administered once-per day. Once-per-day dosing is considered to be significantly more convenient to patients than the twice-per day dosing regime that is normally employed for fluticasone propionate.
- Examples of disease states in which the compound of the invention has utility include skin diseases such as eczema, psoriasis, allergic dermatitis, neurodermatitis, pruritis and hypersensitivity reactions; inflammatory conditions of the nose, throat or lungs such as asthma (including allergen-induced asthmatic reactions), rhinitis (including hayfever), nasal polyps, chronic obstructive pulmonary disease, interstitial lung disease, and fibrosis; inflammatory bowel conditions such as ulcerative colitis and Crohn's disease; and auto-immune diseases such as rheumatoid arthritis.
- The compound of the invention may also have use in the treatment of conjunctiva and conjunctivitis.
- It will be appreciated by those skilled in the art that reference herein to treatment extends to prophylaxis as well as the treatment of established conditions.
- As mentioned above, the compound of formula (I) is useful in human or veterinary medicine, in particular as an anti-inflammatory and anti-allergic agent.
- There is thus provided as a further aspect of the invention the compound of formula (I) or a physiologically acceptable solvate thereof for use in human or veterinary medicine, particularly in the treatment of patients with inflammatory and/or allergic conditions, especially for treatment once-per-day.
- According to another aspect of the invention, there is provided the use of the compound of formula (I) or physiologically acceptable solvate thereof for the manufacture of a medicament for the treatment of patients with inflammatory and/or allergic conditions, especially for treatment once-per-day.
- In a further or alternative aspect, there is provided a method for the treatment of a human or animal subject with an inflammatory and/or allergic condition, which method comprises administering to said human or animal subject an effective amount of the compound of formula (I) or physiologically acceptable solvate thereof, especially for administration once-per-day.
- The compound according to the invention may be formulated for administration in any convenient way, and the invention therefore also includes within its scope pharmaceutical compositions comprising the compound of formula (I) or a physiologically acceptable solvate thereof together, if desirable, in admixture with one or more physiologically acceptable diluents or carriers. Pharmaceutical compositions suitable for once-per-day administration are of particular interest.
- Further, there is provided a process for the preparation of such pharmaceutical compositions which comprises mixing the ingredients.
- The compound according to the invention may, for example, be formulated for oral, buccal, sublingual, parenteral, local or rectal administration, especially local administration.
- Local administration as used herein, includes administration by insufflation and inhalation. Examples of various types of preparation for local administration include ointments, lotions, creams, gels, foams, preparations for delivery by transdermal patches, powders, sprays, aerosols, capsules or cartridges for use in an inhaler or insufflator or drops (eg eye or nose drops), solutions/suspensions for nebulisation, suppositories, pessaries, retention enemas and chewable or suckable tablets or pellets (eg for the treatment of aphthous ulcers) or liposome or microencapsulation preparations.
- Advantageously compositions for topical administration to the lung include dry powder compositions and spray compositions.
- Dry powder compositions for topical delivery to the lung may, for example, be presented in capsules and cartridges for use in an inhaler or insufflator of, for example, gelatine. Formulations generally contain a powder mix for inhalation of the compound of the invention and a suitable powder base such as lactose or starch. Each capsule or cartridge may generally contain between 20 μg-10 mg of the compound of formula (I). Alternatively, the compound of the invention may be presented without excipients. Packaging of the formulation may be suitable for unit dose or multi-dose delivery. In the case of multi-dose delivery, the formulation can be pre-metered (eg as in Diskus, see GB 2242134 or Diskhaler, see GB 2178965, 2129691 and 2169265) or metered in use (eg as in Turbuhaler, see EP 69715). An example of a unit-dose device is Rotahaler (see GB 2064336). The Diskus inhalation device comprises an elongate strip formed from a base sheet having a plurality of recesses spaced along its length and a lid sheet hermetically but peelably sealed thereto to define a plurality of containers, each container having therein an inhalable formulation containing a compound of formula (I) preferably combined with lactose. Preferably, the strip is sufficiently flexible to be wound into a roll. The lid sheet and base sheet will preferably have leading end portions which are not sealed to one another and at least one of the said leading end portions is constructed to be attached to a winding means. Also, preferably the hermetic seal between the base and lid sheets extends over their whole width. The lid sheet may preferably be peeled from the base sheet in a longitudinal direction from a first end of the said base sheet.
- Pharmaceutical formulations which are non-pressurised and adapted to be administered as a dry powder topically to the lung via the buccal cavity (especially those which are free of excipient or are formulated with a diluent or carrier such as lactose or starch, most especially lactose) are of particular interest.
- Spray compositions may for example be formulated as aqueous solutions or suspensions or as aerosols delivered from pressurised packs, such as a metered dose inhaler, with the use of a suitable liquefied propellant. Aerosol compositions suitable for inhalation can be either a suspension or a solution and generally contain the compound of formula (I) and a suitable propellant such as a fluorocarbon or hydrogen-containing chlorofluorocarbon or mixtures thereof, particularly hydrofluoroalkanes, especially 1,1,1,2-tetrafluoroethane, 1,1,1,2,3,3,3-heptafluoro-n-propane or a mixture thereof. The aerosol composition may optionally contain additional formulation excipients well known in the art such as surfactants eg oleic acid or lecithin and cosolvents eg ethanol. One example formulation is excipient free and consists essentially of (eg consists of) compound of formula (I) (preferably in unsolvated form eg as Form 1) (optionally in combination with another therapeutically active ingredient) and a propellant selected from 1,1,1,2-tetrafluoroethane, 1,1,1,2,3,3,3-heptafluoro-n-propane and mixture thereof. Another example formulation comprises particulate compound of formula (I), a propellant selected from 1,1,1,2-tetrafluoroethane, 1,1,1,2,3,3,3-heptafluoro-n-propane and mixture thereof and a suspending agent which is soluble in the propellant eg an oligolactic acid or derivative thereof as described in WO94/21229. The preferred propellant is 1,1,1,2-tetrafluoroethane. As noted elsewhere in this specification, compound of formula (I) does not appear to form a solvate with 1,1,1,2-tetrafluoroethane. Pressurised formulations will generally be retained in a canister (eg an aluminium canister) closed with a valve (eg a metering valve) and fitted into an actuator provided with a mouthpiece.
- Pressurised aerosol formulations preferably do not comprise particulate medicament, a propellant and a stabiliser comprising a water addition (i.e. water added in addition to nascent formulation water). Pressurised aerosol formulations also preferably do not comprise particulate medicament, a propellant and a stabiliser comprising an amino acid, a derivative thereof or a mixture thereof.
- Medicaments for administration by inhalation desirably have a controlled particle size. The optimum particle size for inhalation into the bronchial system is usually 1-10 μm, preferably 2-5 μm. Particles having a size above 20 μm are generally too large when inhaled to reach the small airways. To achieve these particle sizes the particles of compound of formula (I) as produced may be size reduced by conventional means eg by micronisation. The desired fraction may be separated out by air classification or sieving. Preferably, the particles will be crystalline, prepared for example by a process which comprises mixing in a continuous flow cell in the presence of ultrasonic radiation a flowing solution of compound of formula (I) as medicament in a liquid solvent with a flowing liquid antisolvent for said medicament (eg as described in International Patent Application PCT/GB99/04368) or else by a process which comprises admitting a stream of solution of the substance in a liquid solvent and a stream of liquid antisolvent for said substance tangentially into a cylindrical mixing chamber having an axial outlet port such that said streams are thereby intimately mixed through formation of a vortex and precipitation of crystalline particles of the substance is thereby caused (eg as described in International Patent Application PCT/GB00/04327). When an excipient such as lactose is employed, generally, the particle size of the excipient will be much greater than the inhaled medicament within the present invention. When the excipient is lactose it will typically be present as milled lactose, wherein not more than 85% of lactose particles will have a MMD of 60-90 μm and not less than 15% will have a MMD of less than 15 μm.
- Formulations for administration topically to the nose (eg for the treatment of rhinitis) include pressurised aerosol formulations and aqueous formulations administered to the nose by pressurised pump. Formulations which are non-pressurised and adapted to be administered topically to the nasal cavity are of particular interest. The formulation preferably contains water as the diluent or carrier for this purpose. Aqueous formulations for administration to the lung or nose may be provided with conventional excipients such as buffering agents, tonicity modifying agents and the like. Aqueous formulations may also be administered to the nose by nebulisation.
- Other possible presentations include the following:
- Ointments, creams and gels, may, for example, be formulated with an aqueous or oily base with the addition of suitable thickening and/or gelling agent and/or solvents. Such bases may thus, for example, include water and/or an oil such as liquid paraffin or a vegetable oil such as arachis oil or castor oil, or a solvent such as polyethylene glycol. Thickening agents and gelling agents which may be used according to the nature of the base include soft paraffin, aluminium stearate, cetostearyl alcohol, polyethylene glycols, woolfat, beeswax, carboxypolymethylene and cellulose derivatives, and/or glyceryl monostearate and/or non-ionic emulsifying agents.
- Lotions may be formulated with an aqueous or oily base and will in general also contain one or more emulsifying agents, stabilising agents, dispersing agents, suspending agents or thickening agents.
- Powders for external application may be formed with the aid of any suitable powder base, for example, talc, lactose or starch. Drops may be formulated with an aqueous or non-aqueous base also comprising one or more dispersing agents, solubilising agents, suspending agents or preservatives.
- If appropriate, the formulations of the invention may be buffered by the addition of suitable buffering agents.
- The proportion of the active compound of formula (I) in the local compositions according to the invention depends on the precise type of formulation to be prepared but will generally be within the range of from 0.001 to 10% by weight. Generally, however for most types of preparations advantageously the proportion used will be within the range of from 0.005 to 1% and preferably 0.01 to 0.5%. However, in powders for inhalation or insufflation the proportion used will usually be within the range of from 0.1 to 5%.
- Aerosol formulations are preferably arranged so that each metered dose or “puff” of aerosol contains 1 μg-2000 μg eg 20 μg-2000 μg, preferably about 20 μg-500 μg of a compound of formula (I). Administration may be once daily or several times daily, for example 2, 3, 4 or 8 times, giving for example 1, 2 or 3 doses each time. Preferably the compound of formula (I) is delivered once or twice daily, more preferably once per day. The overall daily dose with an aerosol will typically be within the
range 10 μg-10mg eg 100 μg-10 mg preferably, 200 μg-2000 μg. - Topical preparations may be administered by one or more applications per day to the affected area; over skin areas occlusive dressings may advantageously be used. Continuous or prolonged delivery may be achieved by an adhesive reservoir system.
- For internal administration the compound according to the invention may, for example, be formulated in conventional manner for oral, parenteral or rectal administration. Formulations for oral administration include syrups, elixirs, powders, granules, tablets and capsules which typically contain conventional excipients such as binding agents, fillers, lubricants, disintegrants, wetting agents, suspending agents, emulsifying agents, preservatives, buffer salts, flavouring, colouring and/or sweetening agents as appropriate. Dosage unit forms are, however, preferred as described below.
- Preferred forms of preparation for internal administration are dosage unit forms i.e. tablets and capsules. Such dosage unit forms contain from 0.1 mg to 20 mg preferably from 2.5 to 10 mg of the compound of the invention.
- The compound according to the invention may in general may be given by internal administration in cases where systemic adreno-cortical therapy is indicated.
- In general terms preparations, for internal administration may contain from 0.05 to 10% of the active ingredient dependent upon the type of preparation involved. The daily dose may vary from 0.1 mg to 60 mg, eg 5-30 mg, dependent on the condition being treated, and the duration of treatment desired.
- Slow release or enteric coated formulations may be advantageous, particularly for the treatment of inflammatory bowel disorders.
- The pharmaceutical compositions according to the invention may also be used in combination with another therapeutically active agent, for example, a β2 adrenoreceptor agonist, an anti-histamine or an anti-allergic. The invention thus provides, in a further aspect, a combination comprising the compound of formula (I) or a physiologically acceptable solvate thereof together with another therapeutically active agent, for example, a β2-adrenoreceptor agonist, an anti-histamine or an anti-allergic.
- Examples of β2-adrenoreceptor agonists include salmeterol (eg as racemate or a single enantiomer such as the R-enantiomer), salbutamol, formoterol, salmefamol, fenoterol or terbutaline and salts thereof, for example the xinafoate salt of salmeterol, the sulphate salt or free base of salbutamol or the fumarate salt of formoterol. Examples of anti-histamines include methapyrilene or loratadine.
- Other suitable combinations include, for example, other anti-inflammatory agents eg NSAIDs (eg sodium cromoglycate, nedocromil sodium, PDE4 inhibitors, leukotriene antagonists, iNOS inhibitors, tryptase and elastase inhibitors, beta-2 integrin antagonists and adenosine 2a agonists)) or antiinfective agents (eg antibiotics, antivirals).
- Of particular interest is use of the compound of formula (I) in combination with a phosphodiesterase 4 (PDE4) inhibitor. The PDE4-specific inhibitor useful in this aspect of the invention may be any compound that is known to inhibit the PDE4 enzyme or which is discovered to act as a PDE4 inhibitor, and which are only PDE4 inhibitors, not compounds which inhibit other members of the PDE family as well as PDE4. Generally it is preferred to use a PDE4 inhibitor which has an IC50 ratio of about 0.1 or greater as regards the IC50 for the PDE4 catalytic form which binds rolipram with a high affinity divided by the IC50 for the form which binds rolipram with a low affinity. For the purposes of this disclosure, the cAMP catalytic site which binds R and S rolipram with a low affinity is denominated the “low affinity” binding site (LPDE 4) and the other form of this catalytic site which binds rolipram with a high affinity is denominated the “high affinity” binding site (HPDE 4). This term “HPDE4” should not be confused with the term “hPDE4” which is used to denote human PDE4. Initial experiments were conducted to establish and validate a [3H]-rolipram binding assay. Details of this work are given in the Binding Assays described in detail below.
- The preferred PDE4 inhibitors of use in this invention will be those compounds which have a salutary therapeutic ratio, i.e., compounds which preferentially inhibit cAMP catalytic activity where the enzyme is in the form that binds rolipram with a low affinity, thereby reducing the side effects which apparently are linked to inhibiting the form which binds rolipram with a high affinity. Another way to state this is that the preferred compounds will have an IC50 ratio of about 0.1 or greater as regards the IC50 for the PDE4 catalytic form which binds rolipram with a high affinity divided by the IC50 for the form which binds rolipram with a low affinity.
- A further refinement of this standard is that of one wherein the PDE4 inhibitor has an IC50 ratio of about 0.1 or greater; said ratio is the ratio of the IC50 value for competing with the binding of 1 nM of [3H]R-rolipram to a form of PDE4 which binds rolipram with a high affinity over the IC50 value for inhibiting the PDE4 catalytic activity of a form which binds rolipram with a low affinity using 1 μM[3H]-cAMP as the substrate.
-
- (R)-(+)-1-(4-bromobenzyl)-4-[(3-cyclopentyloxy)-4-methoxyphenyl]-2-pyrrolidone;
- (R)-(+)-1-(4-bromobenzyl)-4-[(3-cyclopentyloxy)-4-methoxyphenyl]-2-pyrrolidone;
- 3-(cyclopentyloxy-4-methoxyphenyl)-1-(4-N′-[N2-cyano-5-methyl-isothioureido]benzyl)-2-pyrrolidone;
- cis 4-cyano-4-(3-cyclopentyloxy-4-methoxyphenyl)cyclohexan-1-carboxylic acid];
- cis-[4-cyano-4-(3-cyclopropylmethoxy-4-difluoromethoxyphenyl)cyclohexan-1-ol];
- (R)-(+)-ethyl [4-(3-cyclopentyloxy-4-methoxyphenyl)pyrrolidine-2-ylidene]acetate; and
- (S)-(−)-ethyl [4-(3-cyclopentyloxy-4-methoxyphenyl)pyrrolidine-2-ylidene]acetate.
- Most preferred are those PDE4 inhibitors which have an IC50 ratio of greater than 0.5, and particularly those compounds having a ratio of greater than 1.0. Preferred compounds are cis 4-cyano-4-(3-cyclopentyloxy-4-methoxyphenyl)cyclohexan-1-carboxylic acid, 2-carbomethoxy-4-cyano-4-(3-cyclopropyl methoxy-4-difluoromethoxyphenyl)cyclohexan-1-one and cis-[4-cyano-4-(3-cyclopropylmethoxy-4-difluoromethoxyphenyl)cyclohexan-1-ol]; these are examples of compounds which bind preferentially to the low affinity binding site and which have an IC50 ratio of 0.1 or greater.
- Compounds set out in U.S. Pat. No. 5,552,438 issued 3 Sep. 1996; this patent and the compounds it discloses are incorporated herein in full by reference. The compound of particular interest, which is disclosed in U.S. Pat. No. 5,552,438, is cis-4-cyano-4-[3-(cyclopentyloxy)-4-methoxyphenyl]cyclohexane-1-carboxylic acid (also known as cilomalast) and its salts, esters, pro-drugs or physical forms; AWD-12-281 from Astra (Hofgen, N. et al. 15th EFMC Int Symp Med Chem (September 6-10, Edinburgh) 1998, Abst P. 98); a 9-benzyladenine derivative nominated NCS-613 (INSERM); D-4418 from Chiroscience and Schering-Plough; a benzodiazepine PDE4 inhibitor identified as CI-1018 (PD-168787; Parke-Davis/Warner-Lambert); a benzodioxole derivative Kyowa Hakko disclosed in WO 9916766; V-11294A from Napp (Landells, L. J. et al. Eur Resp J [Annu Cong Eur Resp Soc (September 19-23, Geneva) 1998] 1998, 12(Suppl. 28): Abst P2393); roflumilast (CAS reference No 162401-32-3) and a pthalazinone (WO 9947505) from Byk-Gulden; or a compound identified as T-440 (Tanabe Seiyaku; Fuji, K. et al. J Pharmacol Exp Ther, 1998, 284(1): 162).
- Isolated human monocyte PDE4 and hrPDE (human recombinant PDE4) was determined to exist primarily in the low affinity form. Hence, the activity of test compounds against the low affinity form of PDE4 can be assessed using standard assays for PDE4 catalytic activity employing 1 μM [3H]cAMP as a substrate (Torphy et al., J. of Biol. Chem., Vol. 267, No. 3 pp 1798-1804, 1992).
- Rat brain high speed supernatants were used as a source of protein and both enantiomers of [3H]-rolipram were prepared to a specific activity of 25.6 Ci/mmol. Standard assay conditions were modified from the published procedure to be identical to the PDE assay conditions, except for the last of the cAMP: 50 mM Tris HCl (pH 7.5), 5 mM MgCl2, 50
μM 5′-AMP and 1 nM of [3H]-rolipram (Torphy et al., J. of Biol. Chem., Vol. 267, No. 3 pp 1798-1804, 1992). The assay was run for 1 hour at 30° C. The reaction was terminated and bound ligand was separated from free ligand using a Brandel cell harvester. Competition for the high affinity binding site was assessed under conditions that were identical to those used for measuring low affinity PDE activity, expect that [3H]-cAMP was not present. - PDE activity was assayed using a [3H]cAMP SPA or [3H]cGMP SPA enzyme assay as described by the supplier (Amersham Life Sciences). The reactions were conducted in 96-well plates at room temperature, in 0.1 ml of reaction buffer containing (final concentrations): 50 mM Tris-HCl, pH 7.5, 8.3 mM MgCl2, 1.7 mM EGTA, [3H]cAMP or [3H] cGMP (approximately 2000 dpm/pmol), enzyme and various concentrations of the inhibitors. The assay was allowed to proceed for 1 hr and was terminated by adding 50 μl of SPA yttrium silicate beads in the presence of zinc sulfate. The plates were shaken and allowed to stand at room temperature for 20 min. Radiolabeled product formation was assessed by scintillation spectrometry.
- The [3H]R-rolipram binding assay was performed by modification of the method of Schneider and co-workers, see Nicholson, et al., Trends Pharmacol. Sci., Vol. 12, pp. 19-27 (1991) and McHale et al., Mol. Pharmacol., Vol. 39, 109-113 (1991). R-Rolipram binds to the catalytic site of PDE4 see Torphy et al., Mol. Pharmacol., Vol. 39, pp. 376-384 (1991). Consequently, competition for [3H]R-rolipram binding provides an independent confirmation of the PDE4 inhibitor potencies of unlabeled competitors. The assay was performed at 30° C. for 1 hr in 0.5 μl buffer containing (final concentrations): 50 mM Tris-HCl, pH 7.5, 5 mM MgCl2, 0.05% bovine serum albumin, 2 nM [3H]R-rolipram (5.7×104 dpm/pmol) and various concentrations of non-radiolabeled inhibitors. The reaction was stopped by the addition of 2.5 ml of ice-cold reaction buffer (without [3H]-R-rolipram) and rapid vacuum filtration (Brandel Cell Harvester) through Whatman GF/B filters that had been soaked in 0.3% polyethylenimine. The filters were washed with an additional 7.5 ml of cold buffer, dried, and counted via liquid scintillation spectrometry.
- The invention thus provides, in a further aspect, a combination comprising the compound of formula (I) or a physiologically acceptable solvate thereof together with a PDE4 inhibitor.
- The combination referred to above may conveniently be presented for use in the form of a pharmaceutical formulation and thus pharmaceutical formulations comprising a combination as defined above together with a physiologically acceptable diluent or carrier represent a further aspect of the invention.
- The individual compounds of such combinations may be administered either sequentially or simultaneously in separate or combined pharmaceutical formulations. Appropriate doses of known therapeutic agents will be readily appreciated by those skilled in the art.
- Surprisingly, the compound of formula (I) has demonstrated a significant propensity to form solvates with commonly used organic solvents. Such solvates are essentially stoichiometric eg the ratio of compound of formula (I) to solvent is close to 1:1 eg according to Applicant's analysis has been determined to be in the range 0.95-1.05:1. For example, we have prepared solvates with solvents such as acetone, dimethylformamide (DMF), dimethylacetamide (DMAc), tetrahydrofuran (THF), N-methyl-2-pyrrolidone, isopropanol and methylethylketone. The solvation of compound of formula (I) is not predictable however since we have found that even though it does form a solvate with isopropanol it does not appear to form a solvate with ethanol or methanol. Furthermore it does not appear to form a solvate with 1,1,1,2-tetrafluoroethane, ethylacetate, methylacetate, toluene, methylisobutylketone (MIBK) or water either. However due to the toxicity of many organic solvents it has been necessary to develop special final stage processing conditions (discussed later) in order to permit the compound of formula (I) to be produced in unsolvated form. Thus according to another aspect of the invention there is provided a compound of formula (I) in unsolvated form.
- Surprisingly we have also discovered that the compound of formula (I) in unsolvated form may exist in a number of polymorphic forms. Specifically we have identified polymorphic forms which may be distinguished by means of X-Ray Powder Diffraction (XRPD) which we have named as
Form 1,Form 2 andForm 3.Form 3 appears to be an unstable minor polymorphic modification ofForm 2. Broadly speaking the Forms are characterised in their XRPD profiles as follows: - Form 1: Peak at around 18.9 degrees 2Theta
Form 2: Peaks at around 18.4 and 21.5 degrees 2Theta.
Form 3: Peaks at around 18.6 and 19.2 degrees 2Theta. - Within the range 21-23
degrees 2Theta Form 3 shows a single peak whereasForm 2 shows a pair of peaks. A peak at 7 degrees 2Theta is present in all cases however it is present at much higher intensity in the case of 2 and 3 than is the case forForms Form 1. - The XRPD patterns of the polymorphs are shown overlaid in
FIG. 1 . The conversion ofForm 2 to Form 1 with time in an aqueous slurry at ambient temperature is shown inFIG. 2 . In the conversion ofForm 2 toForm 1 the loss of a peak characteristic of Form 2 (labelled B) at around 18.4 degrees 2Theta, a marked reduction in intensity in the peak at around 7 degrees 2Theta (labelled A) and the appearance of a peak characteristic of Form 1 (labelled C) at around 18.9 degrees 2Theta are particularly noticeable. - The temperature dependence of
Form 3 is shown inFIG. 4 . The temperature was varied according to the profile shown inFIG. 5 . FromFIG. 4 it can be seen thatForm 3 converts first to Form 2 over the temperature range 30-170° C. and then converts to Form 1 over the temperature range 170-230° C. In the conversion ofForm 3 toForm 2 the division of one peak in the range 21-23 degrees 2Theta into two peaks within the same range and the shifting leftwards of the peak at around 18.6 degrees 2Theta to around 18.4 degrees 2Theta are particularly noticeable. In the conversion ofForm 2 to Form 1 similar changes to those noted in the previous paragraph may be observed. - The differential scanning calorimetry (DSC) and thermal gravimetric analysis (TGA) profiles of
Form 1 are shown inFIG. 3 . The profiles are characterised by a transition at around 280-300° C. (typically close to 298° C.) corresponding to an endothermic event in the DSC and chemical degradation in the TGA. The DSC profiles of 2 and 3 were not materially different under the conditions of the experiments performed and thus DSC is not a suitable technique for distinguishing between the 3 Forms. InForms FIG. 3 the absence of activity in the TGA and DSC profiles below around 298° C. implies that the substance shows good physical and chemical stability at normal operating temperatures. - As shown in the Examples, enthalpy of dissolution of
1 and 3 have been determined in certain organic solvents and accordingly an enthalpy of transition fromForms Form 3 to Form 1 of 5.1-6.7 kJ/mol has been estimated. - Thus we prefer compound of formula (I) in
unsolvated Form 1 since this form appears to be thermodynamically most stable at ambient temperature and also appears to be least susceptible to undesirable moisture sorption (see results in Examples section). Nevertheless Form 2 (or Form 3) may be preferred under other conditions. - Although use of a compound of formula (I) in solvated form is not preferred, nevertheless we have surprisingly found that certain solvate forms have particularly attractive physicochemical properties which makes them useful as intermediates in the preparation of a compound of formula (I) in unsolvated form (eg by removal of solvent as a final step). For example we have discovered that certain stoichiometric solvates can be isolated as solids in highly crystalline form. Thus we also provide as an aspect of the invention:
- Compound of formula (I) as the methylethylketone solvate
Compound of formula (I) as the isopropanol solvate
Compound of formula (I) as the tetrahydrofuran solvate
Compound of formula (I) as the acetone solvate. - In particular we provide the aforementioned solvates as solids in crystalline form. A further particular advantage of these solvates is the fact that desolvation of the solvate (eg by heating) results in formation of the unsolvated form as the
preferred Form 1. The aforementioned solvates have relatively low toxicity and are suitable for use in industrial scale manufacture. Compound of formula (I) as the DMF solvate which may also be isolated as a solid in crystalline form is also of interest for use in onward processing tounsolvated Form 1. - The compound of formula (I) and solvates thereof may be prepared by the methodology described hereinafter, constituting a further aspect of this invention.
- A process according to the invention for preparing a compound of formula (I) or a solvate thereof comprises alkylation of a thioacid of formula (II)
- or a salt thereof.
- In this process the compound of formula (II) may be reacted with a compound of formula FCH2L wherein L represents a leaving group (eg a halogen atom, a mesyl or tosyl group or the like) for example, an appropriate fluoromethyl halide under standard conditions. Preferably, the fluoromethyl halide reagent is bromofluoromethane.
- As noted later, preferably the compound of formula (II) is employed as a salt, particularly the salt with diisopropylethylamine.
- In a preferred process for preparing the compound of formula (I), the compound of formula (II) or a salt thereof is treated with bromofluoromethane optionally in the presence of a phase transfer catalyst. A preferred solvent is methylacetate, or more preferably ethylacetate, optionally in the presence of water. The presence of water improves solubility of both starting material and product and the use of a phase transfer catalyst results in an increased rate of reaction. Examples of phase transfer catalysts that may be employed include (but are not restricted to) tetrabutylammonium bromide, tetrabutylammonium chloride, benzyltributylammonium bromide, benzyltributylammonium chloride, benzyltriethylammonium bromide, methyltributylammonium chloride and methyltrioctylammonium chloride. THF has also successfully been employed as solvent for the reaction wherein the presence of a phase transfer catalyst again provides a significantly faster reaction rate. Preferably the product present in an organic phase is washed firstly with aqueous acid eg dilute HCl in order to remove amine compounds such as triethylamine and diisopropylethylamine and then with aqueous base eg sodium bicarbonate in order to remove any unreacted precursor compound of formula (II). As noted later, if the compound of formula (I) so produced in solution in ethylacetate is distilled and toluene added, then unsolvated
Form 1 crystallises out. - Compounds of formula (II) may be prepared from the corresponding 17α-hydroxyl derivative of formula (III):
- using for example, the methodology described by G. H. Phillipps et al., (1994) Journal of Medicinal Chemistry, 37, 3717-3729. For example the step typically comprises the addition of a reagent suitable for performing the esterification eg an activated derivative of 2-furoic acid such as an activated ester or preferably a 2-furoyl halide eg 2-furoyl chloride (employed in at least 2 times molar quantity relative to the compound of formula (III)) in the presence of an organic base eg triethylamine. The second mole of 2-furoyl chloride reacts with the thioacid moiety in the compound of formula (III) and needs to be removed eg by reaction with an amine such as diethylamine.
- This method suffers disadvantages, however, in that the resultant compound of formula (II) is not readily purified of contamination with the by-product 2-furoyldiethylamide. We have therefore invented several improved processes for performing this conversion.
- In a first such improved process we have discovered that by using a more polar amine such as diethanolamine, a more water soluble by-product is obtained (in this case 2-furoyldiethanolamide) which permits compound of formula (II) or a salt thereof to be produced in high purity since the by-product can efficiently be removed by water washing.
- Thus according to this aspect of the invention we provide a process for preparing a compound of formula (II) which comprises:
- (a) reacting a compound of formula (III) with an activated derivative of 2-furoic acid as in an amount of at least 2 moles of the activated derivative per mole of compound of formula (III) to yield a compound of formula (IIA)
- ; and
- (b) removal of the sulphur-linked 2-furoyl moiety from compound of formula (IIA) by reaction of the product of step (a) with an organic primary or secondary amine base capable of forming a water soluble 2-furoyl amide.
- In two particularly convenient embodiments of this process we also provide methods for the efficient purification of the end product which comprise either
- (c1) when the product of step (b) is dissolved in a substantially water immiscible organic solvent, purifying the compound of formula (II) by washing out the amide by-product from step (b) with an aqueous wash, or
- (c2) when the product of step (b) is dissolved in a water miscible solvent, purifying the compound of formula (II) by treating the product of step (b) with an aqueous medium so as to precipitate out pure compound of formula (II) or a salt thereof.
- In step (a) preferably the activated derivative of 2-furoic acid may be an activated ester of 2-furoic acid, but is more preferably a 2-furoyl halide, especially 2-furoyl chloride. A suitable solvent for this reaction is ethylacetate or methylacetate (preferably methylacetate) (when step (c1) may be followed) or acetone (when step (c2) may be followed). Normally an organic base eg triethylamine will be present. In step (b) preferably the organic base is diethanolamine. The base may suitably be dissolved in a solvent eg methanol. Generally steps (a) and (b) will be performed at reduced temperature eg between 0 and 5° C. In step (c1) the aqueous wash may be water, however the use of brine results in higher yields and is therefore preferred. In step (c) the aqueous medium is for example a dilute aqueous acid such as dilute HCl.
- According to a related aspect of the invention we provide an alternative process for preparing a compound of formula (II) which comprises:
- (a) reacting a compound of formula (III) with an activated derivative of 2-furoic acid in an amount of at least 2 moles of activated derivative per mole of compound of formula (III) to yield a compound of formula (IIA); and
- (b) removal of the sulphur-linked 2-furoyl moiety from compound of formula (IIA) by reaction of the product of step (a) with a further mole of compound of formula (III) to give two moles of compound of formula (II).
- In step (a) preferably the activated derivative of 2-furoic acid may be an activated ester of 2-furoic acid, but is more preferably a 2-furoyl halide, especially 2-furoyl chloride. A suitable solvent for his step is acetone. Normally an organic base eg triethylamine will be present. In step (b) a suitable solvent is DMF or dimethylacetamide. Normally an organic base eg triethylamine will be present. Generally steps (a) and (b) will be performed at reduced temperature eg between 0 and 5° C. The product may be isolated by treatment with acid and washing with water.
- This aforementioned process is very efficient in that it does not produce any furoylamide by-product (thus affording inter alia environmental advantages) since the excess mole of furoyl moiety is taken up by reaction with a further mole of compound of formula (II) to form an additional mole of compound of formula (II).
- Further general conditions for the conversion of compound of formula (III) to compound of formula (II) in the two processes just described will be well known to persons skilled in the art.
- According to a preferred set of conditions, however, we have found that the compound of formula (II) may advantageously be isolated in the form of a solid crystalline salt. The preferred salt is a salt formed with a base such as triethylamine, 2,4,6-trimethylpyridine, diisopropylethylamine or N-ethylpiperidine. Such salt forms of compound of formula (II) are more stable, more readily filtered and dried and can be isolated in higher purity than the free thioacid. The most preferred salt is the salt formed with diisopropylethylamine. The triethylamine salt is also of interest.
- Compounds of formula (III) may be prepared in accordance with procedures described in GB 2088877B.
- Compounds of formula (III) may also be prepared by a process comprising the following steps:
- Step (a) comprises oxidation of a solution containing the compound of formula (V). Preferably, step (a) will be performed in the presence of a solvent comprising methanol, water, tetrahydrofuran, dioxan or diethylene glygol dimethylether. So as to enhance yield and throughput, preferred solvents are methanol, water or tetrahydrofuran, and more preferably are water or tetrahydrofuran, especially water and tetrahydrofuran as solvent. Dioxan and diethylene glygol dimethylether are also preferred solvents which may optionally (and preferably) be employed together with water. Preferably, the solvent will be present in an amount of between 3 and 10 vol relative to the amount of the starting material (1 wt.), more preferably between 4 and 6 vol., especially 5 vol. Preferably the oxidising agent is present in an amount of 1-9 molar equivalents relative to the amount of the starting material. For example, when a 50% w/w aqueous solution of periodic acid is employed, the oxidising agent may be present in an amount of between 1.1 and 10 wt. relative to the amount of the starting material (1 wt.), more preferably between 1.1 and 3 wt., especially 1.3 wt. Preferably, the oxidation step will comprise the use of a chemical oxidising agent. More preferably, the oxidising agent will be periodic acid or iodic acid or a salt thereof. Most preferably, the oxidising agent will be periodic acid or sodium periodate, especially periodic acid. Alternatively (or in addition), it will also be appreciated that the oxidation step may comprise any suitable oxidation reaction, eg one which utilises air and/or oxygen. When the oxidation reaction utilises air and/or oxygen, the solvent used in said reaction will preferably be methanol. Preferably, step (a) will involve incubating the reagents at room temperature or a little warmer, say around 25° C. eg for 2 hours. The compound of formula (IV) may be isolated by recrystallisation from the reaction mixture by addition of an anti-solvent. A suitable anti-solvent for compound of formula (IV) is water. Surprisingly we have discovered that it is highly desirable to control the conditions under which the compound of formula (IV) is precipitated by addition of anti-solvent eg water. When the recrystallisation is performed using chilled water (eg water/ice mixture at a temperature of 0-5° C.) although better anti-solvent properties may be expected we have found that the crystalline product produced is very voluminous, resembles a soft gel and is very difficult to filter. Without being limited by theory we believe that this low density product contains a large amount of solvated solvent within the crystal lattice. By contrast when conditions of around 10° C. or higher are used (eg around ambient temperature) a granular product of a sand like consistency which is very easily filtered is produced. Under these conditions, crystallisation typically commences after around 1 hour and is typically completed within a few hours (
eg 2 hours). Without being limited by theory we believe that this granular product contains little or no solvated solvent within the crystal lattice. - Step (b) will typically comprise the addition of a reagent suitable for converting a carboxylic acid to a carbothioic acid eg using hydrogen sulphide gas together with a suitable coupling agent eg carbonyldiimidazole (CDI) in the presence of a suitable solvent eg dimethylformamide.
- An alternative process for preparing a compound of formula (II) comprises treating a compound of formula (X) with a reagent suitable for converting a carboxylic acid to a carbothioic acid eg using hydrogen sulphide gas together with a suitable coupling agent such as CDI in the presence of a suitable solvent eg DMF. Compounds of formula (X) may be prepared by methodology analogous to that described herein.
- An alternative process for preparing a compound of formula (I) or a solvate thereof comprises reacting a compound of formula (VI)
- with a fluorine source.
- Examples of suitable sources of fluorine include fluoride (eg sodium fluoride) or, more preferably, HF. The preferred reagent is aqueous HF. A solvent such as THF or DMF may be employed.
- A compound of formula (VI) may be prepared by a process comprising
- (a) alkylating a compound of formula (VII)
- or a salt thereof;
(b) reacting a compound of formula (VIII) - with an epoxide forming reagent; or
(c) esterifying a compound of formula (IX) - In process (a), analogous conditions to those described above for the conversion of a compound of formula (II) to a compound of formula (I) may be employed. Typically compound of formula (VII) will be reacted with a compound of formula FCH2L wherein L represents a leaving group (eg a halogen atom, a mesyl or tosyl group or the like) for example, an appropriate fluoromethyl halide under standard conditions. Preferably, the fluoromethyl halide reagent is bromofluoromethane.
- Process (b) is preferably performed in two steps: (i) formation of a halohydrin especially a bromohydrin (eg by reaction with bromodan or equivalent reagent), followed by (ii) treatment with base such as sodium hydroxide so as to effect ring closure. The product of step (i) is a compound of formula (IXA) which is a novel intermediate that may be isolated, if desired:
- wherein X represents halogen, especially Br.
- In process (c), a suitable reagent would be an activated derivative of 2-furoic acid such as an activated ester or preferably a 2-furoyl halide eg 2-furoyl chloride in the presence of an organic base eg triethylamine. This reaction may be performed at elevated temperature eg around 60° C. or else at ambient temperature in the presence of an acylation catalyst eg dimethylamino pyridine (DMAP).
- Compounds of formula (VII) may be prepared by a process comprising esterification of a compound of formula (XI)
- Analogous conditions to those described above for the conversion of a compound of formula (III) to a compound of formula (II) may be employed. For example, a suitable reagent would be an activated derivative of 2-furoic acid such as an activated ester or preferably a 2-furoyl halide eg 2-furoyl chloride in the presence of an organic base eg triethylamine. Compound of formula (XI) is known (J Labelled Compd Radiopharm (1997) 39(7) 567-584).
- A compound of formula (VIII) may be prepared by a process comprising
- (a) alkylating a compound of formula (XII)
- or a salt thereof; or
(b) esterifying a compound of formula (XIII) - In process (a), analogous conditions to those described above for the conversion of a compound of formula (II) to a compound of formula (I) may be employed. Typically compound of formula (XII) will be reacted with a compound of formula FCH2L wherein L represents a leaving group (eg a halogen atom, a mesyl or tosyl group or the like) for example, an appropriate fluoromethyl halide under standard conditions. Preferably, the fluoromethyl halide reagent is bromofluoromethane.
- In process (b), analogous conditions to those employed above for the conversion of a compound of formula (IX) to a compound of formula (VI) may be employed. For example, a suitable reagent would be an activated derivative of 2-furoic acid such as an activated ester or preferably a 2-furoyl halide eg 2-furoyl chloride in the presence of an organic base eg triethylamine.
- Compounds of formula (IX) and (XIII) may be prepared by alkylating the corresponding thioacids (XI) and (XIV) (defined below) using methodology analogous to that already described (eg by reaction with a compound of formula FCH2L wherein L represents a leaving group (eg a halogen atom, a mesyl or tosyl group or the like) for example, an appropriate fluoromethyl halide under standard conditions. Preferably, the fluoromethyl halide reagent is bromofluoromethane. The thioacid (XI) is a known compound (J Labelled Compd Radiopharm (1997) 39(7) 567-584).
- Compound of formula (XII) may be prepared by a process comprising esterifying a compound of formula (XIV):
- or a salt thereof.
- This process may be performed using methodology analogous to that already described. For example, a suitable reagent would be an activated derivative of 2-furoic acid such as an activated ester or preferably a 2-furoyl halide eg 2-furoyl chloride in the presence of an organic base eg triethylamine.
- Compounds of formula (XIV) may be prepared from the corresponding carboxylic acid eg by a process analogous to that described above for the conversion of a compound of formula (IV) to a compound of formula (III). The aforesaid corresponding carboxylic acid is known (Upjohn, WO 90/15816).
- A further alternative process for preparing a compound of formula (I) or a solvate thereof comprises deprotecting or unmasking a compound of formula (I) in which the 11-β-hydroxy group is protected or masked. A first such process comprises deprotecting a compound of formula (XV)
- wherein P represents a hydroxy protecting group.
- Examples of hydroxy protecting groups P are described in Protective Groups in Organic Chemistry Ed J F W McOmie (Plenum Press 1973) or Protective Groups in Organic Synthesis by Theodora W Green (John Wiley and Sons, 1991).
- Examples of suitable hydroxy protecting groups P include groups selected from carbonate, alkyl (eg t-butyl or methoxymethyl), aralkyl (eg benzyl, p-nitrobenzyl, diphenylmethyl or triphenylmethyl), heterocyclic groups such as tetrahydropyranyl, acyl (eg acetyl or benzyl) and silyl groups such as trialkylsilyl (eg t-butyldimethylsilyl). The hydroxy protecting groups may be removed by conventional techniques. Thus, for example, carbonate may be removed by treatment with base and alkyl, silyl, acyl and heterocyclic groups may be removed by solvolysis eg by hydrolysis under acid or basic conditions. Aralkyl groups such as triphenylmethyl may similarly be removed by solvolysis eg by hydrolysis under acidic conditions. Aralkyl groups such as benzyl or p-nitrobenzyl may be cleaved by hydrogenolysis in the presence of a Noble metal catalyst such as palladium on charcoal. p-Nitrobenzyl may also be cleaved by photolysis.
- The 11-β-hydroxy group may be masked as a carbonyl group. Thus a second such process comprises reduction of a compound of formula (XVI)
- Reduction to the compound of formula (I) may be achieved eg by treatment with a hydride reducing agent such as borohydride eg sodium borohydride.
- The 11-ketone (XVI) may also be masked. Examples of masked derivatives of compound of formula (XVI) include (i) ketal derivatives eg ketals formed by treatment of the compound of formula (XVI) with an alcohol eg methanol, ethanol or ethan-1,2-diol, (ii) dithioketal derivatives eg dithioketals formed by treatment of the compound of formula (XVI) with a thiol eg methanethiol, ethanethiol or ethan-1,2-dithiol, (iii) monothioketal derivatives eg monothioketals formed by treatment of the compound of formula (XVI) with eg 1-hydroxy-ethane-2-thiol, (iv) derivatives formed by treatment of the compound of formula (XVI) with an alcoholamine eg ephedrine, (v) imines formed by treatment of the compound of formula (XVI) with amines, (vi) oximes formed by treatment of compounds of formula (XVI) with hydroxylamines. We claims such derivatives of compound of formula (XVI) as an aspect of the invention.
- These masked derivatives may be converted back to the ketone by conventional means eg ketals, imines and oximes are converted to carbonyl by treatment with dilute acid and dithioketals are converted to the ketone by a variety of methods as described by P. C. Bulman Page et al (1989), Tetrahedron, 45, 7643-7677 and references therein.
- Compounds of formula (XV) may be prepared by a process comprising
- (a) alkylating a compound of formula (XVII)
- or a salt thereof wherein P represents a hydroxy protecting group; or
(b) esterifying a compound of formula (XVIII) - In step (a), analogous conditions to those described above for the conversion of a compound of formula (II) to a compound of formula (I) may be employed. Typically compound of formula (XVII) will be reacted with a compound of formula FCH2L wherein L represents a leaving group (eg a halogen atom, a mesyl or tosyl group or the like) for example, an appropriate fluoromethyl halide under standard conditions. Preferably, the fluoromethyl halide reagent is bromofluoromethane.
- In step (b), analogous conditions to those employed above for the conversion of a compound of formula (IX) to a compound of formula (VI) may be employed. For example, a suitable reagent would be an activated derivative of 2-furoic acid such as an activated ester or preferably a 2-furoyl halide eg 2-furoyl chloride in the presence of an organic base eg triethylamine.
- Compound of formula (XVIII) may be prepared by alkylating the corresponding thioacid using methodology analogous to that already described (eg by reaction with a compound of formula FCH2L wherein L represents a leaving group (eg a halogen atom, a mesyl or tosyl group or the like) for example, an appropriate fluoromethyl halide under standard conditions. Preferably, the fluoromethyl halide reagent is bromofluoromethane. The corresponding thioacids are known compounds or may be prepared by standard methodology. Compound of formula (XVIII) may alternatively be prepared by protection of the corresponding hydroxy derivative.
- Compound of formula (XVII) may be prepared by a process comprising esterifying a compound of formula (XIX)
- or a salt thereof wherein P represents a hydroxy protecting group.
- This process may be performed using methodology analogous to that already described for the conversion of compounds of formula (III) to (II). For example, a suitable reagent would be an activated derivative of 2-furoic acid such as an activated ester or preferably a 2-furoyl halide eg 2-furoyl chloride in the presence of an organic base eg triethylamine.
- Compounds of formula (XIX) may be prepared by protecting the corresponding hydroxy derivative (III), having first protected the thioacid which would then be deprotected.
- Compounds of formula (XVI) may be prepared by a process comprising (a) alkylating a compound of formula (XX)
- or a salt thereof or a derivative wherein the 11-carbonyl group is masked; or
(b) esterifying a compound of formula (XXI) - or a derivative wherein the 11-carbonyl group is masked.
- In step (a), analogous conditions to those described above for the conversion of a compound of formula (III) to a compound of formula (II) may be employed. Typically compound of formula (XX) will be reacted with a compound of formula FCH2L wherein L represents a leaving group (eg a halogen atom, a mesyl or tosyl group or the like) for example, an appropriate fluoromethyl halide under standard conditions. Preferably, the fluoromethyl halide reagent is bromofluoromethane.
- In step (b), analogous conditions to those employed above for the conversion of a compound of formula (IX) to a compound of formula (VI) may be employed. For example, a suitable reagent would be an activated derivative of 2-furoic acid such as an activated ester or preferably a 2-furoyl halide eg 2-furoyl chloride in the presence of an organic base eg triethylamine.
- Compound of formula (XXI) or a derivative thereof wherein the 11-ketone group is masked may be prepared by alkylating the corresponding thioacid using methodology analogous to that already described (eg by reaction with a compound of formula FCH2L wherein L represents a leaving group (eg a halogen atom, a mesyl or tosyl group or the like) for example, an appropriate fluoromethyl halide under standard conditions. Preferably, the fluoromethyl halide reagent is bromofluoromethane. The corresponding thioacids are known compounds or may be prepared from the corresponding carboxylic acids by methods analogous to those previously described.
- Compound of formula (XX) may be prepared by a process comprising esterifying a compound of formula (XXII)
- or a derivative thereof wherein the 11-ketone group is masked.
- This process may be performed using methodology analogous to that already described. For example, a suitable reagent would be an activated derivative of 2-furoic acid such as an activated ester or preferably a 2-furoyl halide eg 2-furoyl chloride in the presence of an organic base eg triethylamine.
- Compounds of formula (XXII) and derivatives thereof wherein the 11-ketone is masked may be prepared by oxidation of the corresponding hydroxy derivative (IV) followed by masking of the ketone and subsequent conversion of the carboxylic acid group to the thioacid (see eg conversion of compounds of formula (IV) to (III).
- A further alternative process for the preparation of compounds of formula (I) or a solvate thereof comprises reaction of a compound of formula (XXIII)
- wherein L represents a leaving group (eg halide other than fluoride such as chloride, iodide or a sulphonate ester such mesylate, tosylate, triflate) with a fluorine source.
- Preferably the fluorine source is fluoride ion eg KF. Further details for this conversion may be obtained by reference to G. H. Phillipps et al., (1994) Journal of Medicinal Chemistry, 37, 3717-3729 or J Labelled Compd Radiopharm (1997) 39(7) 567-584).
- Compounds of formula (XXIII) may be prepared by methods analogous to those described herein. Corresponding novel intermediates of formula (VI), (VIII), (IX), (IXA), (XV) and (XVI) wherein the —CH2F moiety is replaced with a —CH2L moiety (wherein L represents a leaving group other than fluorine) are claimed as an aspect of the invention.
- A further alternative process for the preparation of compounds of formula (I) or a solvate thereof comprises deprotection or unmasking of a derivative of a compound of formula (I) in which the 3-carbonyl group is protected or masked.
- The 3-carbonyl group may be masked in a manner analogous to that described above in relation to masking of the 11-carbonyl position. Thus the 3-carbonyl may be masked eg as a ketal, monothioketal, dithioketal, derivative with an alcoholamine, oxime or imine. The carbonyl group may be recovered by conventional means eg ketals are converted to carbonyl by treatment with dilute acid and dithioketals are converted to the ketone by a variety of methods as described by P. C. Bulman Page et al (1989), Tetrahedron, 45, 7643-7677 and references therein.
- Certain intermediate compounds are new and we provide these, together where appropriate with their salts and solvates, as an aspect of the invention.
- As noted above, we provide as a particular aspect of the invention a process for preparing a compound of formula (I) in unsolvated form which comprises:
- (a) Crystallising the compound of formula (I) in the presence of a non-solvating solvent such as ethanol, methanol, water, ethyl acetate, toluene, methylisobutylketone or mixtures thereof; or
- (b) Desolvating a compound of formula (I) in solvated form (eg in the form of a solvate with acetone, isopropanol, methylethylketone, DMF or tetrahydrofuran) eg by heating.
- In step (b) the desolvation will generally be performed at a temperature exceeding 50° C. preferably at a temperature exceeding 100° C. Generally heating will be performed under vacuum.
- There is also provided a compound of formula (I) in unsolvated form obtainable by the aforementioned process.
- There is also provided as a particular aspect of the invention a process for preparing a compound of formula (I) as
unsolvated Form 1 polymorph which comprises dissolving compound of formula (I) in methylisobutylketone, ethyl acetate or methyl acetate and producing compound of formula (I) asunsolvated Form 1 by addition of a non-solvating anti-solvent such as iso-octane or toluene. - According to a first preferred embodiment of this process the compound of formula (I) may be dissolved in ethyl acetate and compound of formula (I) as
unsolvated Form 1 polymorph may be obtained by addition of toluene as anti-solvent. In order to improve the yield, preferably the ethyl acetate solution is hot and once the toluene has been added the mixture is distilled to reduce the content of ethyl acetate. - According to a second preferred embodiment of this process the compound of formula (I) may be dissolved in methylisobutylketone and compound of formula (I) as
unsolvated Form 1 polymorph may be obtained by addition of isooctane as anti-solvent - There is also provided a compound of formula (I) as
unsolvated Form 1 polymorph obtainable by the aforementioned processes. - A process for preparing a compound of formula (I) as
unsolvated Form 2 polymorph comprises dissolving compound of formula (I) in unsolvated form in methanol or dry dichloromethane and recrystallising the compound of formula (I) asunsolvated Form 2 polymorph. Typically the compound of formula (I) will be dissolved in hot in methanol or dry dichloromethane and allowed to cool. - There is also provided a compound of formula (I) as
unsolvated Form 2 polymorph obtainable by the aforementioned process. - A process for preparing a preparing a compound of formula (I) as
unsolvated Form 3 polymorph comprises dissolving compound of formula (I) or a solvate thereof (in particular as the acetone solvate) in dichloromethane in the presence of water (typically 1-3% water by volume) and recrystallising the compound of formula (I) asunsolvated Form 3 polymorph. - There is also provided a compound of formula (I) as
unsolvated Form 3 polymorph obtainable by the aforementioned process. - The advantages of the compound of formula (I) and/or its solvates or polymorphs may include the fact that the substance appears to demonstrate excellent anti-inflammatory properties, with predictable pharmacokinetic and pharmacodynamic behaviour, with an attractive side-effect profile and is compatible with a convenient regime of treatment in human patients. Further advantages may include the fact that the substance has desirable physical and chemical properties which allow for ready manufacture and storage.
-
FIG. 1 : Overlay of the XRPD profiles ofForm 1,Form 2 andForm 3 polymorphs of unsolvated Compound of formula (I) -
FIG. 2 : Overlay of the XRPD profiles ofForm 1,Form 2 and a 50:50 mixture ofForm 1 andForm 2 polymorphs of unsolvated Compound of formula (I) together with the time dependence of the profile of the 50:50 mixture ofForm 1 andForm 2 -
FIG. 3 : DSC and TGA profiles ofForm 1 polymorph of Unsolvated Compound of formula (I) -
FIG. 4 : Temperature dependence of the XRPD profile of Compound of formula (I)Unsolvated Form 3 obtained at 5 timepoints -
FIG. 5 : Temperature and time profile for the XRPD experiments ofFIG. 4 - The following non-limiting Examples illustrate the invention:
- 1H-nmr spectra were recorded at 400 MHz and the chemical shifts are expressed in ppm relative to tetramethylsilane. The following abbreviations are used to describe the multiplicities of the signals: s (singlet), d (doublet), t (triplet), q (quartet), m (multiplet), dd (doublet of doublets), ddd (doublet of doublet of doublets), dt (doublet of triplets) and b (broad). Biotage refers to prepacked silica gel cartridges containing KP-Sil run on flash 12i chromatography module. LCMS was conducted on a Supelcosil LCABZ+PLUS column (3.3 cm×4.6 mm ID) eluting with 0.1% HCO2H and 0.01 M ammonium acetate in water (solvent A), and 0.05% HCO2H 5% water in acetonitrile (solvent B), using the following elution gradient 0-0.7
min 0% B, 0.7-4.2min 100% B, 4.2-5.3min 0% B, 5.3-5.5min 0% B at a flow rate of 3 ml/min. The mass spectra were recorded on a Fisons VG Platform spectrometer using electrospray positive and negative mode (ES+ve and ES−ve). - DSC and TGA profiles were obtained using a Netzsch STA449C simultaneous thermal analyser using an unsealed pan with nitrogen gas flow and a thermal gradient of 10° C./min.
- The moisture sorption characteristics were obtained using a Hiden Igasorb water sorption microbalance. The programme provides for stepwise increase in relative humidity (RH) from 0 to 90% RH and then decrease back to 0% RH in steps of 10% RH.
- The XRPD analysis shown in
FIGS. 1 and 2 were performed on a Phillips X'pert MPD powder diffractometer, serial number DY667. The method runs from 2 to 45 degrees 2Theta with 0.02 degree 2Theta step size and a 1 second collection time at each step. The XRPD analysis shown inFIG. 4 employed the same instrument with an Anton Parr TTK thermal accessory using a method running from 2 to 35 degrees 2Theta with 0.04 degree 2Theta step size and a 1 second collection time. - A solution of 6α,9α-difluoro-11β,17α-dihydroxy-16α-methyl-3-oxo-androsta-1,4-diene-17β-carbothioic acid (prepared in accordance with the procedure described in GB 2088877B) (18 g, 43.64 mmol) in anhydrous dichloromethane (200 ml) and triethylamine (15.94 ml, 114 mmol) was treated at <5° C. with a solution of 2-furoyl chloride (11.24 ml, 114 mmol) in anhydrous dichloromethane (100 ml) over approximately 40 min. The solution was stirred at <5° C. for 30 min. The resulting solid was collected by filtration, washed successively with 3.5% aqueous sodium hydrogen carbonate solution, water, 1M hydrochloric acid, and water and dried in vacuo at 60° C. to give a cream coloured solid. The dichloromethane filtrate was washed successively with 3.5% sodium hydrogen carbonate solution, water, 1M hydrochloric acid, water, dried (Na2SO4) and evaporated to give a cream coloured solid which was combined with that isolated above. The combined solids (26.9 g) were suspended in acetone (450 ml) and stirred. Diethylamine (16.8 ml, 162 mmol) was added and the mixture stirred at room temperature for 4.5 h. The mixture was concentrated and the precipitate collected by filtration and washed with a little acetone. The washings and filtrate were combined, concentrated and loaded onto a silica gel Biotage column which was eluted with 24:1 chloroform:methanol. Fractions which contained the more polar component were combined and evaporated to give a cream coloured solid. This was combined with the solid isolated above and dried in vacuo to give a pale beige coloured solid (19.7 g). This was dissolved in warm water, the pH adjusted to 2 with concentrated hydrochloric acid and the mixture extracted with ethyl acetate. The organic extract was dried (Na2SO4) and evaporated to give, after drying at 50° C., the title compound as a cream coloured solid (18.081 g, 82%): LCMS retention time 3.88 min, m/z 507 MH+, NMR δ (CDCl3) includes 7.61 (1H, m), 7.18-7.12 (2H, m), 6.52 (1H, dd,
4, 2 Hz), 6.46 (1H, s), 6.41 (1H, dd,J 10, 2 Hz), 5.47 and 5.35 (1H, 2m), 4.47 (1H, bd, J 9 Hz), 3.37 (1H, m), 1.55 (3H, s), 1.21 (3H, s), 1.06 (3H, d, J 7 Hz).J - A stirred suspension of 6α,9α-difluoro-11β,17α-dihydroxy-16α-methyl-3-oxo-androsta-1,4-diene-17β-carbothioic acid (prepared in accordance with the procedure described in GB 2088877B) (1 wt, 49.5 g) in acetone (10 vol) is cooled to 0-5° C. and treated with triethylamine (0.51 wt, 2.1 eq), keeping the temperature below 5° C., and stirred for 5 min at 0-5° C. 2-Furoyl chloride (0.65 wt, 2.05 eq) is then added over a minimum of 20 min, maintaining a reaction temperature at 0-5° C. The reaction is stirred for 30 min at 0-5° C. then sampled for analysis by HPLC. A solution of diethanolamine (1.02 wt, 4 eq) in methanol (0.8 vol) is added over
ca 15 min followed by a line wash of methanol (0.2 vol) and the reaction stirred at 0-5° C. for 1 h. The reaction is again sampled for analysis by HPLC then warmed to approximately 20° C. and treated with water (1.1 wt). The reaction mixture is then treated with a solution of HCl (SG1.18 (11.5M), 1 vol) in water (10 vol) overca 20 min maintaining a reaction temperature below 25° C. The suspension is stirred at 20-23° C. for at least 30 minutes then filtered. The filter cake is washed with water (3×2 vol). The product is dried in vacuo at approximately 60° C. overnight to give the title compound as a white solid (58.7 g, 96.5%). - A stirred suspension of 6α,9α-difluoro-11β,17α-dihydroxy-16α-methyl-3-oxo-androsta-1,4-diene-17β-carbothioic acid (prepared in accordance with the procedure described in GB 2088877B) (1 wt, 49.5 g) in acetone (10 vol) is cooled to 0-5° C. and treated with triethylamine (0.51 wt, 2.1 eq), keeping the temperature below 5° C., and stirred for 5 min at 0-5°. 2-Furoyl chloride (0.65 wt, 2.05 eq) is then added over a minimum of 20 min, maintaining a reaction temperature at 0-5° C. The reaction mixture is stirred for at least 30 minutes and diluted with water (10 vol) maintaining a reaction temperature in the range 0-5° C. The resultant precipitate is collected by filtration and washed sequentially with acetone/water (50/50 2 vol) and water (2×2 vol). The product is dried under vacuum at approximately 55° C. overnight to leave 6α,9α-difluoro-17α-[(2-furanylcarbonyl)oxy]-11β-hydroxy-16α-methyl-3-oxo-androsta-1,4-diene-17β-yl S-(2-furanylcarbonyl) thioanhydride as a white solid (70.8 g, 98.2%) (NMR δ (CD3CN) 0.99 (3H, d) (J=7.3 Hz), 1.24 (3H, s), 1.38 (1H, m) (J=3.9 Hz), 1.54 (3H, s), 1.67 (1H, m), 1.89 (1H, broad d) (J=15.2 Hz), 1.9-2.0 (1H, m), 2.29-2.45 (3H, m), 3.39 (1H, m), 4.33 (1H, m), 4.93 (1H, broad s), 5.53 (1H, ddd) (J=6.9, 1.9 Hz; JHF=50.9 Hz), 6.24 (1H, m), 6.29 (1H, dd) (J=10.3, 2.0 Hz), 6.63 (2H, m), 7.24-7.31 (3H, m), 7.79 (1H, dd) (J=<1 Hz), 7.86 (1H, dd) (J=<1 Hz)).
- 6α,9α-difluoro-17α-[(2-furanylcarbonyl)oxy]-11β-hydroxy-16α-methyl-3-oxo-androsta-1,4-diene-17β-yl S-(2-furanylcarbonyl) thioanhydride (0.56 g) is mixed with 6α,9α-difluoro-11β,17α-dihydroxy-16α-methyl-3-oxo-androsta-1,4-diene-17β-carbothioic acid (0.41 g) in a 1:1 molar ratio in DMF (10 volumes wrt total steroid input). The reaction mixture is treated with triethylamine (approximately 2.1 equivalents) and the mixture is stirred at approximately 20° C. for approximately 6 hours. Water (50 vol) containing excess conc HCl (0.5 vol) is added to the reaction mixture and the resultant precipitate collected by filtration. The bed is washed with water (2×5 vol) and dried in vacuo at approximately 55° C. overnight to leave the title compound as a white solid (0.99 g, 102%).
- A stirred suspension of 6α,9α-difluoro-11β,17α-dihydroxy-16α-methyl-3-oxo-androsta-1,4-diene-17β-carbothioic acid (prepared in accordance with the procedure described in GB 2088877B) (49.5 g) in methylacetate (500 ml) is treated with triethylamine (35 ml) maintaining a reaction temperature in the range 0-5° C. 2-Furoyl chloride (25 ml) is added and the mixture stirred at 0-5° C. for 1 hour. A solution of diethanolamine (52.8 g) in methanol (50 ml) is added and the mixture stirred at 0-5° C. for at least 2 hours. Dilute hydrochloric acid (approx 1M, 550 ml) is added maintaining a reaction temperature below 15° C. and the mixture stirred at 15° C. The organic phase is separated and the aqueous phase is back extracted with methyl acetate (2×250 ml). All of the organic phases are combined, washed sequentially with brine (5×250 ml) and treated with di-isopropylethylamine (30 ml). The reaction mixture is concentrated by distillation at atmospheric pressure to an approximate volume of 250 ml and cooled to 25-30° C. (crystallisation of the desired product normally occurs during distillation/subsequent cooling). Tertiary butyl methyl ether (TBME) (500 ml) is added, the slurry further cooled and aged at 0-5° C. for at least 10 minutes. The product is filtered off, washed with chilled TBME (2×200 ml) and dried under vacuum at approximately 40-50° C. (75.3 g, 98.7%). NMR (CDCl3) δ: 7.54-7.46 (1H, m), 7.20-7.12 (1H, dd), 7.07-6.99 (1H, dd), 6.48-6.41 (2H, m), 6.41-6.32 (1H, dd), 5.51-5.28 (1H, dddd 2JH-F 50 Hz), 4.45-4.33 (1H, bd), 3.92-3.73 (3H, bm), 3.27-3.14 (2H, q), 2.64-2.12 (5H, m), 1.88-1.71 (2H, m), 1.58-1.15 (3H, s), 1.50-1.38 (15H, m), 1.32-1.23 (1H, m), 1.23-1.15 (3H s), 1.09-0.99 (3H, d)
- A stirred suspension of Intermediate 1 (30 g) in ethylacetate (900 ml) is treated with triethylamine (1.05 molar equivalents, 8.6 ml) and the mixture is stirred at approximately 20° C. for 1.5 hours. The precipitate is filtered off, washed with ethylacetate (2×2 vol) and dried in vacuo at 45° C. for 18 hours to give title compound as a white solid (28.8 g, 80%). NMR (CDCl3) δ: 7.59-7.47 (1H, m), 7.23-7.13 (1H, dd), 7.08-6.99 (1H, d), 6.54-6.42 (2H, m), 6.42-6.32 (1H, dd), 5.55-5.26 (1H, dddd 2JH-F 50 Hz), 4.47-4.33 (1H, bd), 3.88-3.70 (1H, bm), 3.31-3.09 (6H, q), 2.66-2.14 (5H, m), 1.93-1.69 (2H, m), 1.61-1.48 (3H, s), 1.43-1.33 (9H, t), 1.33-1.26 (1H, m), 1.26-1.15 (3H s), 1.11-0.97 (3H, d).
- A suspension of Intermediate 1 (2.5 g, 4.94 mmol) was dissolved in anhydrous N,N-dimethylformamide (25 ml) and sodium hydrogen carbonate (465 mg, 5.53 mmol) was added. The mixture was stirred at −20° C. and bromofluoromethane (0.77 ml, 6.37 mmol) was added and the mixture was stirred at −20° C. for 2 h. Diethylamine (2.57 ml, 24.7 mmole) was added and the mixture stirred at −20° C. for 30 min. The mixture was added to 2M hydrochloric acid (93 ml) and stirred for 30 min. Water (300 ml) was added and the precipitate was collected by filtration, washed with water and dried in vacuo at 50° C. to give a white solid which was recrystallised from acetone/water (to yield the acetone solvate of 6α,9α-difluoro-17α-[(2-furanylcarbonyl)oxy]-11β-hydroxy-16α-methyl-3-oxo-androsta-1,4-diene-17β-carbothioic acid S-fluoromethyl ester) and dried in vacuo at 50° C. to give the title compound (2.351 g, 88%): LCMS retention time 3.66 min, m/z 539 MH+, NMR δ (CDCl3) includes 7.60 (1H, m), 7.18-7.11 (2H, m), 6.52 (1H, dd, J 4.2 Hz), 6.46 (1H, s), 6.41 (1H, dd,
10, 2 Hz), 5.95 and 5.82 (2H dd, J 51, 9 Hz), 5.48 and 5.35 (1H, 2m), 4.48 (1H, m), 3.48 (1H, m), 1.55 (3H, s), 1.16 (3H, s), 1.06 (3H, d, J 7 Hz).J - Pharmacological activity was assessed in a functional in vitro assay of glucocorticoid agonist activity which is generally predictive of anti-inflammatory or anti-allergic activity in vivo.
- For the experiments in this section, compound of formula (I) was used as
unsolvated Form 1. - The functional assay was based on that described by K. P. Ray et al., Biochem J. (1997), 328, 707-715. A549 cells stably transfected with a reporter gene containing the NF-κB responsive elements from the ELAM gene promoter coupled to sPAP (secreted alkaline phosphatase) were treated with test compounds at appropriate doses for 1 hour at 37° C. The cells were then stimulated with tumour necrosis factor (TNF, 10 ng/ml) for 16 hours, at which time the amount of alkaline phosphatase produced is measured by a standard colourimetric assay. Dose response curves were constructed from which EC50 values were estimated.
- In this test the compound of Example 1 showed an EC50 value of <1 nM.
- The glucocorticoid receptor (GR) can function in at least two distinct mechanisms, by upregulating gene expression through the direct binding of GR to specific sequences in gene promoters, and by downregulating gene expression that is being driven by other transcription factors (such as NFκB or AP-1) through their direct interaction with GR.
- In a variant of the above method, to monitor these functions, two reporter plasmids have been generated and introduced separately into A549 human lung epithelial cells by transfection. The first cell line contains the sPAP reporter gene under the control of a synthetic promoter that specifically responds to activation of the transcription factor NFκB when stimulated with TNFα. The second cell line contains the renilla luciferase reporter gene under the control of a synthetic promotor that comprises 3 copies of the consensus glucocorticoid response element (GRE), and which responds to direct stimulation by glucocorticoids. Measurement of transactivation and transrepression was conducted using these two cell lines in 96 well plate (40,000 cells per well) and growing overnight at 37° C. Test compounds were dissolved in DMSO, and added to the cells at a final DMSO concentration of 0.7%. After incubation for 1 h 0.5 ng/ml TNFα (R&D Systems) was added to the NFκB assay and after a further 15 hours at 37° C., the levels of sPAP and renilla luciferase were measured and dose response curves were constructed from which EC50 values were determined.
-
Transactivation Transrepression (GRE) EC50 (nM) (NFκB) EC50(nM) Compound of Formula (I) 0.06 0.20 Metabolite (X) >250 >1000 Fluticasone propionate 0.07 0.16 - Pharmacological activity in vivo was assessed in an ovalbumin sensitised Brown Norway rat eosinophilia model. This model is designed to mimic allergen induced lung eosinophilia, a major component of lung inflammation in asthma.
- For the experiments in this section, compound of formula (I) was used as
unsolvated Form 1. - Compound (I) produced dose dependant inhibition of lung eosinophilia in this model after dosing as an intra-tracheal (IT) suspension in
saline 30 min prior to ovalbumin challenge. Significant inhibition is achieved after a single dose of 30 μg of compound (I) and the response was significantly (p=0.016) greater than that seen with an equivalent dose of fluticasone propionate in the same study (69% inhibition with compound (I) vs 41% inhibition with fluticasone propionate). - In a rat model of
thymus involution 3 daily IT doses of 100 μg of compound (I) induced significantly smaller reductions in thymus weight (p=0.004) than an equivalent dose of fluticasone propionate in the same study (67% reduction of thymus weight with compound (I) vs 78% reduction with fluticasone propionate). - Taken together these results indicate a superior therapeutic index for compound (I) compared to fluticasone propionate.
- Incubation of compound (I) with rat or human hepatocytes shows the compound to be metabolised in an identical manner to fluticasone propionate with the 17-□ carboxylic acid (X) being the only significant metabolite produced. Investigation of the rate of appearance of this metabolite on incubation of compound (I) with human hepatocytes (37° C., 10□M drug concentration, hepatocytes from 3 subjects, 0.2 and 0.7 million cells/mL) shows compound (I) to be metabolised ca. 5-fold more rapidly than fluticasone propionate:—
-
17-β acid metabolite production Subject Cell density (pmol/h) number (million cells/ml) Compound (I) Fluticasone propionate 1 0.2 48.9 18.8 1 0.7 73.3 35.4 2 0.2 118 9.7 2 0.7 903 23.7 3 0.2 102 6.6 3 0.7 580 23.9 - Median metabolite production 102-118 pmol/h for compound (I) and 18.8-23.0 pmol/h for fluticasone propionate.
- Pharmacokinetics after Intravenous (IV) and Oral Dosing in Rats
- Compound (I) was dosed orally (0.1 mg/kg) and IV (0.1 mg/kg) to male Wistar Han rats and pharmacokinetic parameters determined. Compound (I) showed negligible oral bioavailability (0.9%) and plasma clearance of 47.3 mL/min/kg, approaching liver blood flow (plasma clearance of fluticasone propionate=45.2 mL/min/kg).
- Pharmacokinetics after Intra-Tracheal Dry Powder Dosing in the Pig.
- Anaesthetised pigs (2) were dosed intra-tracheally with a homogenous mixture of compound (I) (1 mg) and fluticasone propionate (1 mg) as a dry powder blend in lactose (10% w/w). Serial blood samples were taken for up to 8 h following dosing. Plasma levels of compound (I) and fluticasone propionate were determined following extraction and analysis using LC-MS/MS methodology, the lower limits of quantitation of the methods were 10 and 20 pg/mL for compound (I) and fluticasone propionate respectively. Using these methods compound (I) was quantifiable up to 2 hours after dosing and fluticasone propionate was quantifiable up to 8 hours after dosing. Maximum plasma concentrations were observed for both compounds within 15 min after dosing. Plasma half-life data obtained from IV dosing (0.1 mg/kg) was used to calculate AUC (0-inf) values for compound (I). This compensates for the plasma profile of Compound (I) only being defined up to 2 hours after an IT dose and removes any bias due to limited data between compound (I) and fluticasone propionate.
- Cmax and AUC (0-inf) values show markedly reduced systemic exposure to compound (I) compared to fluticasone propionate:—
-
Cmax (pg/mL) AUC (0-inf) (hr · pg/mL) Pig 1Pig 2Pig 1Pig 2Compound of Formula (I) 117 81 254 221 Fluticasone propionate 277 218 455 495 - The pharmacokinetic parameters for both compound (I) and fluticasone propionate were the same in the anaesthetised pig following intravenous administration of a mixture of the two compounds at 0.1 mg/kg. The clearance of these two glucocorticoids is similar is this experimental pig model.
- A mobile suspension of Intermediate 1A (12.61 g, 19.8 mmol; equivalent to 10 g of Intermediate 1) in ethyl acetate (230 ml) and water (50 ml) is treated with a phase transfer catalyst (benzyltributylammonium chloride, 10 mol %), cooled to 3° C. and treated with bromofluoromethane (1.10 ml, 19.5 mmol, 0.98 equivalents), washing in with prechilled (0° C.) ethyl acetate (EtOAc) (20 ml). The suspension is stirred overnight, allowing to warm to 17° C. The aqueous layer is separated and the organic phase is sequentially washed with 1M HCl (50 ml), 1% w/v NaHCO3 solution (3×50 ml) and water (2×50 ml). The ethylacetate solution is distilled at atmospheric pressure until the distillate reaches a temperature of approximately 73° C. at which point toluene (150 ml) is added. Distillation is continued at atmospheric pressure until all remaining EtOAc has been removed (approximate distillate temperature 103° C.). The resultant suspension is cooled and aged at <10° C. and filtered off. The bed is washed with toluene (2×30 ml) and the product oven dried under vacuum at 60° C. to constant weight to yield the title compound (8.77 g, 82%)
- A suspension of 6α,9α-difluoro-17α-[(2-furanylcarbonyl)oxy]-11β-hydroxy-16α-methyl-3-oxo-androsta-1,4-diene-17β-carbothioic acid S-fluoromethyl ester acetone solvate (prepared eg according to Example 11) (50.0 g) in acetone (1500 ml) and water (75 ml) was heated to reflux. The resultant mixture was clarified by hot filtration (Whatman 54 filter paper) during which time some solid crystallised in the filtrate. Further acetone (200 ml) was added to the filtrate giving a bright solution at reflux. The solution was distilled at atmospheric pressure until turbidity was noted whilst at reflux (approx 750 ml solvent collected). Toluene (1000 ml) was added to the hot solution and distillation at atmospheric pressure was continued giving crystallisation at a temperature of approximately 98° C. Distillation of solvent was continued until a reaction temperature of 105° C. was achieved (approximately 945 ml solvent collected). The mixture was cooled to ambient temperature, further cooled and aged at <10° C. for 10 minutes. The product was filtered off, washed with toluene (150 ml) and sucked dry. The product was dried at approximately 60° C. under vacuum for 16 h to leave the title compound as a dense white solid (37.8 g, 83.7%).
- The XRPD pattern of Example 1 product is shown in
FIG. 1 . The DSC and TGA profiles are shown inFIG. 3 . - A suspension of 6α,9α-difluoro-17α-[(2-furanylcarbonyl)oxy]-11β-hydroxy-16α-methyl-3-oxo-androsta-1,4-diene-17β-carbothioic acid S-fluoromethyl ester (prepared for example according to Example 1, first method) (6.0 g) in dichloromethane (180 ml) was heated to reflux giving a bright solution. The solution was clarified by hot filtration (Whatman 54 filter paper) and the solution was distilled at atmospheric pressure (approx 100 ml solvent collected) giving crystallisation at reflux. The mixture was held at reflux for approximately 30 minutes and slowly cooled to ambient temperature. The mixture was further cooled and aged at 10-20° C. for 2 hours. The slurry was cooled to below 10° C. and the product was filtered off, sucked dry and dried at approximately 60° C. under vacuum overnight to leave a white solid (4.34 g, 71%).
- A more pure sample of 6α,9α-difluoro-17α-[(2-furanylcarbonyl)oxy]-11β-hydroxy-16α-methyl-3-oxo-androsta-1,4-diene-17β-carbothioic acid S-fluoromethyl ester unsolvated
Form 2 was obtained by a cooling crystallisation of 6α,9α-difluoro-17α-[(2-furanylcarbonyl)oxy]-11β-hydroxy-16α-methyl-3-oxo-androsta-1,4-diene-17β-carbothioic acid S-fluoromethyl ester (prepared eg according to Example 1, first method) in methanol (60 volumes, distilled at atmospheric pressure to approx 37.5 volumes). The product was isolated by filtration and oven dried at 60° C. under vacuum for 16 hours to leave a white, electrostatic solid (4.34 g, 71%). - The XRPD pattern of Example 2 product is shown in
FIG. 1 . - A suspension of 6α,9α-difluoro-17α-[(2-furanylcarbonyl)oxy]-11β-hydroxy-16α-methyl-3-oxo-androsta-1,4-diene-17β-carbothioic acid S-fluoromethyl ester acetone solvate (prepared eg according to Example 11) (20.0 g) in dichloromethane (800 ml, 40 volumes) and water (10 ml, 0.5 volumes) was heated to reflux giving a bright solution. The solution was clarified by hot filtration (Whatman 54 filter paper) during which time some solid crystallised in the filtrate which was fully dissolved upon heating to reflux. The solution was distilled at atmospheric pressure (approx 400 ml solvent collected) and allowed to cool to ambient temperature. The mixture was further cooled and aged at <10° C. for 10 minutes. The product was filtered off, sucked dry and dried at approximately 60° C. under vacuum overnight to leave a white solid (12.7 g, 70%).
- The XRPD pattern of Example 3 product is shown in
FIG. 1 andFIG. 4 . - Slurrying a mixture of
Form 1 andForm 2 in water at ambient temperature revealed that the components are transformed entirely to Form 1 with time. XRPD results are shown inFIG. 2 . Similar results were obtained by slurrying a mixture ofForm 1 andForm 2 in ethanol at ambient temperature. - From these results it may be concluded that
Form 1 is the thermodynamically more stable polymorphic form out of the two forms. - Thermal XRPD studies on
Form 3 were performed as shown inFIG. 4 . The temperature and time profile is shown inFIG. 5 and the 5 traces shown inFIG. 4 were obtained at the equilibration points shown inFIG. 5 . The results indicate thatForm 3 is converted first to Form 2 and then to Form 1 as temperature is elevated. - The moisture sorption characteristics of the three forms were determined by monitoring the weight change of solid when exposed to stepwise increased and then decreased humidity. The results obtained were as follows:
- Form 1: uptake of 0.18% w/w of moisture over the range 0-90% relative humidity at 25° C.
Form 2: uptake of 1.1-2.4% w/w of moisture over the range 0-90% relative humidity at 25° C.
Form 3: uptake of 1.2-2.5% w/w of moisture over the range 0-90% relative humidity at 25° C. - Enthalpies of dissolution in DMSO and acetonitrile were determined at 25° C. The results were as follows:
-
Form I Form 3 Acetonitrile +13.74 +8.62 DMSO +1.46 −5.21
(results in kJ/mol) - Form these results it may be determined that the enthalpy of transition from
Form 3 toForm 1 is approximately 5.1-6.7 kJ/mol. On the assumption that the entropy of transition is small, since both Forms are unsolvated, the enthalpy of transition may be equated with the free energy of transition. Thus these data suggest thatForm 1 is the thermodynamically most stable form at 25° C. - A suspension of 6α,9α-difluoro-17α-[(2-furanylcarbonyl)oxy]-11β-hydroxy-16α-methyl-3-oxo-androsta-1,4-diene-17β-carbothioic acid S-fluoromethyl ester (prepared eg according to Example 1) (400 mg) in methylethylketone (3.2 ml) is heated to reflux giving a clear solution. A portion of the solvent is distilled off at atmospheric pressure (approx 1 ml) and the mixture cooled to approximately 20° C. The crystallised product is filtered off, dried at approximately 20° C. under vacuum to leave the title compound as a white solid (310 mg, 68%). NMR δ (CDCl3) includes the peaks described in Example 1 for the parent compound and the following additional solvent peaks: 2.45 (2H, q), 2.14 (3H, s), 1.06 (3H, t).
- A solution of 6α,9α-difluoro-17α-[(2-furanylcarbonyl)oxy]-11β-hydroxy-16α-methyl-3-oxo-androsta-1,4-diene-17β-carbothioic acid S-fluoromethyl ester (prepared eg according to Example 1) (150 mg) in isopropanol (15 ml) is left to slowly crystallise over a period of approximately 8 weeks. The resultant chunky crystals are isolated by filtration to leave the title compound as a white solid. NMR δ (CDCl3) includes the peaks described in Example 1 for the parent compound and the following additional solvent peaks: 4.03 (1H, m), 1.20 (6H, d).
- A suspension of 6α,9α-difluoro-17α-[(2-furanylcarbonyl)oxy]-11β-hydroxy-16α-methyl-3-oxo-androsta-1,4-diene-17β-carbothioic acid S-fluoromethyl ester (prepared eg according to Example 1) (150 mg) in THF (20 vol) is warmed to give a clear solution. The solvent is allowed to slowly evaporate over a period of 6 days to leave title compound as a white solid. Alternatively, the THF solution is added dropwise to solution of potassium bicarbonate (2% w/w) in water (50 vol) and the precipitated product collected by filtration to furnish the title compound as a white solid. NMR δ (CDCl3) includes the peaks described in Example 1 for the parent compound and the following additional solvent peaks: 3.74 (4H, m), 1.85 (4H, m).
- A mobile suspension of 6α,9α-difluoro-17α-[(2-furanylcarbonyl)oxy]-11β-hydroxy-16α-methyl-3-oxo-androsta-1,4-diene-17β-carbothioic acid triethylamine salt (prepared eg according to Intermediate 1B) (1.2 g) in THF (10 ml) is treated with a phase transfer catalyst (tetrabutylammonium bromide, typically between 8 and 14 mol %), cooled to approximately 3° C. and treated with bromofluoromethane (0.98 equivalents). The suspension is stirred for between 2 and 5 hours, allowing to warm to 17° C. The reaction mixture is poured into water (30 vol), stirred at approximately 10° C. for 30 minutes and filtered off. The collected solid is washed with water (4×3 vol) and the product oven dried under vacuum at 60° C. overnight to give the title compound as a white solid (0.85 g, 87%).
- A mixture of Intermediate 1 (4.5 g, 8.88 mmol) in DMF (31 ml) is treated with potassium bicarbonate (0.89 g, 8.88 mmol) and the mixture is cooled to −20° C. A solution of bromofluoromethane (0.95 g, 8.50 mmol, 0.98 eqv.) in DMF (4.8 ml) at 0° C. is added and the mixture is stirred at −20° C. for 4 hours. The mixture is then stirred at −20° C. for a further 30 minutes, added to 2M hydrochloric acid (100 ml) and stirred for a further 30 minutes at 0-5° C. The precipitate collected by vacuum filtration, washed with water and dried at 50° C. to give the title compound (4.47 g, 82%). NMR 6 (CD3OD) includes the peaks described in Example 1 for the parent compound and the following additional solvent peaks: 7.98 (1H, bs), 2.99 (3H, s), 2.86 (3H, s).
- A solution of Intermediate 1 (530.1 g, 1 wt) in dimethylformamide (DMF) (8 vol) is treated with potassium hydrogen carbonate (0.202 wt, 1.02 eq) and the mixture cooled to −17±3° C. with stirring. Bromofluoromethane (BFM) (0.22 wt, 0.99 eq) is then added and the reaction stirred at −17±3° C. for at least 2 h. The reaction mixture is then added to water (17 vol) at 5±3° C. over
ca 10 min followed by a water (1 vol) line wash. The suspension is stirred at 5-10° C. for at least 30 min and then filtered. The filter cake (the DMF solvate of 6α,9α-Difluoro-17α-[(2-furanylcarbonyl)oxy]-11β-hydroxy-16α-methyl-3-oxo-androsta-1,4-diene-17β-carbothioic acid S-fluoromethyl ester) is washed with water (4×4 vol) and the product is pulled dry on the filter. The damp cake is returned to the vessel, acetone (5.75 vol) added and heated at reflux for 2 h. The mixture is cooled to 52±3° C. and water (5.75 vol) added, keeping temperature at 52±3° C. The mixture is then cooled to 20±3° C., filtered and dried in vacuo at 60±5° C. overnight to give the title compound as a white solid (556.5 g, 89%). NMR δ (CDCl3) includes the peaks described in Example 1 for the parent compound and the following additional solvent peaks: 2.17 (6H, s). - A dry powder formulation was prepared as follows:
-
6α,9α-Difluoro-17α-[(2-furanylcarbonyl)oxy]-11β-hydroxy- 0.20 mg 16α-methyl-3-oxo-androsta-1,4-diene-17β-carbothioic acid S-fluoromethyl ester, unsolvated Form 1 (prepared according to Example 1, first alternative method and micronised to a MMD of 3 μm): milled lactose (wherein not greater than 85% of particles 12 mg have a MMD of 60-90 μm, and not less than 15% of particles have a MMD of less than 15 μm): - A peelable blister strip containing 60 blisters each filled with a formulation as just described was prepared.
- An aluminium canister was filled with a formulation as follows:
-
6α,9α-Difluoro-17α-[(2-furanylcarbonyl)oxy]-11β-hydroxy- 250 μg 16α-methyl-3-oxo-androsta-1,4-diene-17β-carbothioic acid S-fluoromethyl ester, Unsolvated Form 1 (prepared according to Example 1, first alternative method and micronised to a MMD of 3 μm): 1,1,1,2-tetrafluoroethane: to 50 μl (amounts per actuation)
in a total amount suitable for 120 actuations and the canister was fitted with a metering valve adapted to dispense 50 μl per actuation. - A formulation for intranasal delivery was prepared as follows:
-
6α,9α-Difluoro-17α-[(2-furanylcarbonyl)oxy]-11β-hydroxy- 10 mg 16α-methyl-3-oxo-androsta-1,4-diene-17β-carbothioic acid S-fluoromethyl ester Unsolvated Form 1 (prepared according to Example 1, first alternative method, micronised): Polysorbate 200.8 mg Sorbitan monolaurate 0.09 mg Sodium dihydrogen phosphate dihydrate 94 mg Dibasic sodium phosphate anhydrous 17.5 mg Sodium chloride 48 mg Demineralised water to 10 ml - The formulation was fitted into a spraypump capable of delivering a plurality of metered doses (Valois).
- Throughout the specification and the claims which follow, unless the context requires otherwise, the word ‘comprise’, and variations such as ‘comprises’ and ‘comprising’, will be understood to imply the inclusion of a stated integer or step or group of integers but not to the exclusion of any other integer or step or group of integers or steps.
- The patents and patent applications described in this application are herein incorporated by reference.
Claims (8)
2. The method of claim 1 , wherein said effective amount of the compound of formula (I) is administered once per day.
3. The method of claim 2 , wherein said effective amount of the compound of formula (I) is administered once per day in 1 or 2 doses.
4. The method of claim 2 , wherein said effective amount of the compound of formula (I) is administered once per day in a single dose.
5. The method of claim 1 where said compound of formula (I) is contained in an aqueous formulation.
6. The method of claim 5 , wherein said compound of formula (I) is presented in said aqueous formulation as a suspension of finely divided solid particles suspended in an aqueous suspending media.
7. The method of claim 1 , wherein said compound is applied to the nasal mucosa of said human subject.
8. A method of treating rhinitis and conjunctivitis in a human subject comprising administering to said human subject an effective amount of the compound of formula (I)
as a finely divided solid material suspended in an aqueous suspending media delivered to the nasal mucosa of said subject once per day in one or two doses.
Priority Applications (1)
| Application Number | Priority Date | Filing Date | Title |
|---|---|---|---|
| US12/339,607 US20090156567A1 (en) | 2000-08-05 | 2008-12-19 | Novel anti-inflammatory androstane derivative |
Applications Claiming Priority (6)
| Application Number | Priority Date | Filing Date | Title |
|---|---|---|---|
| GBGB0019172.6A GB0019172D0 (en) | 2000-08-05 | 2000-08-05 | Novel compounds |
| GB0019172.6 | 2000-08-05 | ||
| US09/958,050 US7101866B2 (en) | 2000-08-05 | 2001-08-03 | Anti-inflammatory androstane derivative |
| PCT/GB2001/003495 WO2002012265A1 (en) | 2000-08-05 | 2001-08-03 | 6.ALPHA., 9.ALPHA.-DIFLUORO-17.ALPHA.-`(2-FURANYLCARBOXYL) OXY!-11.BETA.-HYDROXY-16.ALPHA.-METHYL-3-OXO-ANDROST-1,4,-DIENE-17-CARBOTHIOIC ACID S-FLUOROMETHYL ESTER AS AN ANTI-INFLAMMATORY AGENT |
| US11/428,853 US7629335B2 (en) | 2000-08-05 | 2006-07-06 | Anti-inflammatory androstane derivative |
| US12/339,607 US20090156567A1 (en) | 2000-08-05 | 2008-12-19 | Novel anti-inflammatory androstane derivative |
Related Parent Applications (1)
| Application Number | Title | Priority Date | Filing Date |
|---|---|---|---|
| US11/428,853 Continuation US7629335B2 (en) | 2000-08-05 | 2006-07-06 | Anti-inflammatory androstane derivative |
Publications (1)
| Publication Number | Publication Date |
|---|---|
| US20090156567A1 true US20090156567A1 (en) | 2009-06-18 |
Family
ID=9896989
Family Applications (8)
| Application Number | Title | Priority Date | Filing Date |
|---|---|---|---|
| US10/862,692 Abandoned US20040220162A1 (en) | 2000-08-05 | 2004-06-07 | Compounds useful in the manufacture of an anti-inflammatory androstane derivative |
| US10/862,591 Expired - Lifetime US7132532B2 (en) | 2000-08-05 | 2004-06-07 | Compounds useful in the manufacture of an anti-inflammatory androstane derivative |
| US10/862,793 Abandoned US20040224934A1 (en) | 2000-08-05 | 2004-06-07 | Compounds useful in the manufacture of an anti-inflammatory androstane derivative |
| US10/862,555 Expired - Lifetime US7125985B2 (en) | 2000-08-05 | 2004-06-07 | Compounds useful in the manufacture of an anti-inflammatory androstane derivative |
| US10/862,792 Expired - Lifetime US7144845B2 (en) | 2000-08-05 | 2004-06-07 | Compounds useful in the manufacture of an anti-inflammatory androstane derivative |
| US10/918,770 Expired - Lifetime US7531528B2 (en) | 2000-08-05 | 2004-08-13 | Formulation containing anti-inflammatory androstane derivatives |
| US11/428,853 Expired - Lifetime US7629335B2 (en) | 2000-08-05 | 2006-07-06 | Anti-inflammatory androstane derivative |
| US12/339,607 Abandoned US20090156567A1 (en) | 2000-08-05 | 2008-12-19 | Novel anti-inflammatory androstane derivative |
Family Applications Before (7)
| Application Number | Title | Priority Date | Filing Date |
|---|---|---|---|
| US10/862,692 Abandoned US20040220162A1 (en) | 2000-08-05 | 2004-06-07 | Compounds useful in the manufacture of an anti-inflammatory androstane derivative |
| US10/862,591 Expired - Lifetime US7132532B2 (en) | 2000-08-05 | 2004-06-07 | Compounds useful in the manufacture of an anti-inflammatory androstane derivative |
| US10/862,793 Abandoned US20040224934A1 (en) | 2000-08-05 | 2004-06-07 | Compounds useful in the manufacture of an anti-inflammatory androstane derivative |
| US10/862,555 Expired - Lifetime US7125985B2 (en) | 2000-08-05 | 2004-06-07 | Compounds useful in the manufacture of an anti-inflammatory androstane derivative |
| US10/862,792 Expired - Lifetime US7144845B2 (en) | 2000-08-05 | 2004-06-07 | Compounds useful in the manufacture of an anti-inflammatory androstane derivative |
| US10/918,770 Expired - Lifetime US7531528B2 (en) | 2000-08-05 | 2004-08-13 | Formulation containing anti-inflammatory androstane derivatives |
| US11/428,853 Expired - Lifetime US7629335B2 (en) | 2000-08-05 | 2006-07-06 | Anti-inflammatory androstane derivative |
Country Status (7)
| Country | Link |
|---|---|
| US (8) | US20040220162A1 (en) |
| CN (1) | CN101654470B (en) |
| EC (1) | ECSP034470A (en) |
| GB (1) | GB0019172D0 (en) |
| MY (1) | MY128392A (en) |
| TW (1) | TWI244486B (en) |
| ZA (2) | ZA200300929B (en) |
Cited By (3)
| Publication number | Priority date | Publication date | Assignee | Title |
|---|---|---|---|---|
| US8933060B2 (en) | 2002-06-14 | 2015-01-13 | Cipla Limited | Combination of azelastine and ciclesonide for nasal administration |
| US9290698B2 (en) | 2010-07-15 | 2016-03-22 | Battelle Memorial Institute | Biobased polyols for potential use as flame retardants in polyurethane and polyester applications |
| EP3638249A1 (en) * | 2017-06-13 | 2020-04-22 | Bodor Laboratories, Inc. | Potent soft anti-inflammatory corticosteroid compounds and uses thereof |
Families Citing this family (11)
| Publication number | Priority date | Publication date | Assignee | Title |
|---|---|---|---|---|
| KR100889426B1 (en) * | 2000-08-05 | 2009-03-23 | 글락소 그룹 리미티드 | 6.alpha., 9.alpha.-difluoro-17.alpha .- '(2-furanylcarboxyl) oxy-11.beta.-hydroxy-16.alpha.-methyl-3-oxo as anti-inflammatory -Androst-1,4-diene-17-carbothioic acid S-fluoromethyl ester |
| AU2002253342B2 (en) * | 2001-04-30 | 2007-01-04 | Glaxo Group Limited | Novel anti-inflammatory androstane derivatives |
| GB0125259D0 (en) * | 2001-10-20 | 2001-12-12 | Glaxo Group Ltd | Novel compounds |
| GB0615108D0 (en) * | 2006-07-28 | 2006-09-06 | Glaxo Group Ltd | Novel formulations |
| PT3578169T (en) | 2009-02-26 | 2024-07-29 | Glaxo Group Ltd | Pharmaceutical formulations comprising 4-{(1 r)-2-[(6-{2-[(2,6-dichlorobenzyl)oxy]ethoxy}hexyl)amino]-1-hydroxyethyl}-2-(hydroxymethyl)phenol |
| GB0921075D0 (en) | 2009-12-01 | 2010-01-13 | Glaxo Group Ltd | Novel combination of the therapeutic agents |
| CN104470503A (en) | 2012-04-13 | 2015-03-25 | 葛兰素史克知识产权开发有限公司 | Aggregate particles |
| GB201222679D0 (en) | 2012-12-17 | 2013-01-30 | Glaxo Group Ltd | Pharmaceutical combination products |
| US9796750B2 (en) | 2014-02-07 | 2017-10-24 | Mylan Laboratories Ltd. | Process for the purification of fluticasone propionate using a ketone solvent and water as anti-solvent |
| GB2529670A (en) * | 2014-08-28 | 2016-03-02 | Ibm | Storage system |
| CN111662353A (en) * | 2019-03-05 | 2020-09-15 | 上海谷森医药有限公司 | Preparation method of fluticasone furoate crystal form 1 |
Citations (62)
| Publication number | Priority date | Publication date | Assignee | Title |
|---|---|---|---|---|
| US2837464A (en) * | 1955-01-11 | 1958-06-03 | Schering Corp | Process for production of dienes by corynebacteria |
| US3067197A (en) * | 1961-04-26 | 1962-12-04 | Pfizer & Co C | 11-oxygenated 6alpha-fluoro-16-methylene-delta-pregnenes and derivatives |
| US3312590A (en) * | 1963-06-11 | 1967-04-04 | Glaxo Lab Ltd | Topically active anti-inflammatory 17-mono- and 17,21-diesters of betamethasone and its 9-chloro-analogs, compositions and use thereof |
| US3506694A (en) * | 1966-02-09 | 1970-04-14 | Boots Pure Drug Co Ltd | 17-acyloxysteroids and their manufacture |
| US3557162A (en) * | 1968-01-23 | 1971-01-19 | Koninklijke Gist Spiritus | Process for the preparation of 17alpha-monoesters of 11beta,17alpha,21-trihydroxysteroids |
| US3639434A (en) * | 1967-02-02 | 1972-02-01 | Boots Pure Drug Co Ltd | 17-acyloxysteroids and their manufacture |
| US3755302A (en) * | 1969-06-26 | 1973-08-28 | Warner Lambert Pharmaceutical | Process for the production of 17-monesters of 17{60 , 21-dihydroxy-steroids and products thereof |
| US3828080A (en) * | 1972-01-20 | 1974-08-06 | Glaxo Lab Ltd | Androstane-17beta-carboxylic acids and processes for the preparation thereof |
| US3856828A (en) * | 1972-07-19 | 1974-12-24 | Glaxo Lab Ltd | Anti-inflammatory steroids of the androstane series having a halo-substituted c{11 {14 c{11 {11 alkoxy carbonyl group at the 17{62 {0 position |
| US3891631A (en) * | 1972-08-11 | 1975-06-24 | Glaxo Lab Ltd | Process for preparing 17{60 -monoesters of 17{60 , 21-dihydroxy-20-oxo steroids |
| US3981894A (en) * | 1974-08-30 | 1976-09-21 | Glaxo Laboratories Limited | Chemical compounds |
| US3989686A (en) * | 1972-06-15 | 1976-11-02 | Glaxo Laboratories Limited | Anaesthetic steroids of the androstane series and process for preparing same |
| US4093721A (en) * | 1974-08-30 | 1978-06-06 | Glaxo Laboratories Limited | Pharmaceutical compositions of 6α,9α-difluoro-androst-4-ene-17β-carboxylates and derivatives thereof |
| US4113680A (en) * | 1975-03-31 | 1978-09-12 | Taisho Pharmaceutical Co., Ltd. | Method for preparing 17 α-ester-21-halo pregnanes |
| US4187301A (en) * | 1978-04-05 | 1980-02-05 | Syntex (U.S.A.) Inc. | 17 Beta-thiocarboxylic acid esters of 6 alpha, 6 beta-difluoro-3-oxoandrost-4-enes |
| US4188385A (en) * | 1978-04-05 | 1980-02-12 | Syntex (U.S.A.) Inc. | Thioetianic acid derivatives |
| US4198403A (en) * | 1978-04-05 | 1980-04-15 | Syntex (U.S.A.) Inc. | 17 Beta-thiocarboxylic acid esters of 4-halo-3-oxoandrost-4-enes |
| US4221787A (en) * | 1978-03-28 | 1980-09-09 | Interx Research Corporation | Esteramide prodrugs of anti-inflammatory corticosteroids |
| US4261984A (en) * | 1978-04-05 | 1981-04-14 | Syntex (U.S.A.) Inc. | 17β-thiocarboxylic acid esters of 3-oxo-4-halo-16β-methylandrost-4-enes |
| US4263289A (en) * | 1978-04-05 | 1981-04-21 | Syntex (U.S.A.) Inc. | Thio etianic acid derivatives |
| US4267173A (en) * | 1979-11-05 | 1981-05-12 | Schering Corporation | Use of 6β-fluoro-7α-halogenocorticoids as topical anti-inflammatories and pharmaceutical formulations useful therefor |
| US4285937A (en) * | 1976-02-24 | 1981-08-25 | Ciba-Geigy Corporation | Novel androstadiene-17-carboxylic acid esters |
| US4310466A (en) * | 1979-08-31 | 1982-01-12 | Syntex (U.S.A.) Inc. | Thio etianic acid derivatives |
| US4335121A (en) * | 1980-02-15 | 1982-06-15 | Glaxo Group Limited | Androstane carbothioates |
| US4377575A (en) * | 1978-04-25 | 1983-03-22 | Hoechst Aktiengesellschaft | Corticoid-17-(alkyl carbonates) and process for their manufacture |
| US4472393A (en) * | 1981-02-02 | 1984-09-18 | Schering Corporation | 3,20-Dioxo-1,4-pregnadiene-17α-ol 17-aromatic heterocycle carboxylates |
| US4607028A (en) * | 1983-08-18 | 1986-08-19 | Ciba-Geigy Corporation | Novel carboxylic acid esters |
| US4710495A (en) * | 1980-07-10 | 1987-12-01 | Otsuka Pharmaceutical Co., Ltd. | Soft steroids having anti-inflammatory activity |
| US4861765A (en) * | 1985-06-26 | 1989-08-29 | Jouveinal | 21-alkyl-, cycloalkyl- or aryl-substituted thio steroids and pharmaceutical compositions containing them |
| US4992474A (en) * | 1983-04-18 | 1991-02-12 | Glaxo Group Ltd. | Phenethanolamine derivatives |
| US4994439A (en) * | 1989-01-19 | 1991-02-19 | California Biotechnology Inc. | Transmembrane formulations for drug administration |
| US4996335A (en) * | 1980-07-10 | 1991-02-26 | Nicholas S. Bodor | Soft steroids having anti-inflammatory activity |
| US5063222A (en) * | 1989-04-19 | 1991-11-05 | Ss Pharmaceutical Co., Ltd. | Antiinflammatory dexamethasone 17α-cyclopropanecarboxylates with reduced systemic activity |
| US5081113A (en) * | 1989-03-22 | 1992-01-14 | Roussel Uclaf | Novel 3-keto-steroids |
| US5126123A (en) * | 1990-06-28 | 1992-06-30 | Glaxo, Inc. | Aerosol drug formulations |
| US5202316A (en) * | 1989-03-22 | 1993-04-13 | Roussel Uclaf | N,N,N',N'-6-(1-piperazinyl)-2,5-pyridinediamines |
| US5362721A (en) * | 1990-08-10 | 1994-11-08 | Hoechst Aktiengesellschaft | Corticoid-17-alkyl-carbonates substituted in the 17-position, process for their preparation and pharmaceuticals containing them |
| US5376359A (en) * | 1992-07-07 | 1994-12-27 | Glaxo, Inc. | Method of stabilizing aerosol formulations |
| US5420120A (en) * | 1993-12-17 | 1995-05-30 | Alcon Laboratories, Inc. | Anti-inflammatory glucocorticoid compounds for topical ophthalmic use |
| US5608093A (en) * | 1993-08-27 | 1997-03-04 | Hoechst Aktiengesellschaft | Corticosteroid 17-alkyl carbonate 21-[0]-carboxylic and carbonic esters, and pharmaceuticals containing these compounds |
| US5658549A (en) * | 1991-12-12 | 1997-08-19 | Glaxo Group Limited | Aerosol formulations containing propellant 134a and fluticasone propionate |
| US5707984A (en) * | 1995-12-08 | 1998-01-13 | G. D. Searle & Co. | Steroid nitrite/nitrate ester derivatives useful as anti-inflammatory drugs |
| US5837699A (en) * | 1994-01-27 | 1998-11-17 | Schering Corporation | Use of mometasone furoate for treating upper airway passage diseases |
| US5849265A (en) * | 1994-09-28 | 1998-12-15 | Glaxo Wellcome Inc. | Pharmaceutical aerosol formulation comprising a medicament, a propellant and a fluorinated surfactant |
| US5972920A (en) * | 1998-02-12 | 1999-10-26 | Dermalogix Partners, Inc. | Formulation containing a carrier, active ingredient, and surfactant for treating skin disorders |
| US5981517A (en) * | 1996-05-09 | 1999-11-09 | Soft Drugs, Inc. | Androstene derivatives |
| US6127353A (en) * | 1991-09-06 | 2000-10-03 | Schering Corporation | Mometasone furoate monohydrate, process for making same and pharmaceutical compositions |
| US6136294A (en) * | 1998-09-22 | 2000-10-24 | Aeropharm Technology Inc. | Amino acid stabilized medical aerosol formulation |
| US6197761B1 (en) * | 1995-12-29 | 2001-03-06 | Glaxo Wellcome Inc. | 17β-2-oxo-tetrahydrofuranyl)-carbothioic acid ester, -carboxylic acid ester and -carboxylic acid amide androstane derivatives |
| US6261539B1 (en) * | 1998-12-10 | 2001-07-17 | Akwete Adjei | Medicinal aerosol formulation |
| US20020081266A1 (en) * | 1999-08-20 | 2002-06-27 | Norton Healthcare Ltd. | Spray dried powders for pulmonary or nasal administration |
| US20020103392A1 (en) * | 1993-10-05 | 2002-08-01 | Ulrich Stache | Corticoid-17,21-dicarboxylic esters and corticosteroid 17-carboxylic ester 21-carbonic esters, processes for their preparation and pharmaceuticals containing these compounds |
| US20020165211A1 (en) * | 2000-08-05 | 2002-11-07 | Keith Biggadike | Formulation containing anti-inflammatory androstane derivative |
| US20020173496A1 (en) * | 2000-08-05 | 2002-11-21 | Keith Biggadike | Formulation containing novel anti-inflammatory androstane derivative |
| US20020177581A1 (en) * | 2000-08-05 | 2002-11-28 | Keith Biggadike | Novel anti-inflammatory androstane derivative |
| US20030018019A1 (en) * | 2001-06-23 | 2003-01-23 | Boehringer Ingelheim Pharma Kg | Pharmaceutical compositions based on anticholinergics, corticosteroids and betamimetics |
| US20030073676A1 (en) * | 2000-08-05 | 2003-04-17 | Keith Biggadike | Formulation containing anti-inflammatory androstane derivatives |
| US20030109511A1 (en) * | 2000-08-05 | 2003-06-12 | Keith Biggadike | Novel anti-inflammatory androstane derivative compositions |
| US20030144257A1 (en) * | 2000-08-05 | 2003-07-31 | Keith Biggadike | Novel anti-inflammatory androstane derivative compositions |
| US20030158163A1 (en) * | 2000-06-28 | 2003-08-21 | Bernard Cuenoud | Organic compounds |
| US20040053904A1 (en) * | 2000-12-22 | 2004-03-18 | Teruo Komoto | Preventive/ermedies for inflammatory airway diseases |
| US20050163724A1 (en) * | 2002-06-14 | 2005-07-28 | Ssp Co., Ltd. | Powdery respiratory tonic composition |
Family Cites Families (92)
| Publication number | Priority date | Publication date | Assignee | Title |
|---|---|---|---|---|
| FR580494A (en) | 1923-07-10 | 1924-11-07 | Const Metalliques Schiltigheim | Method of establishing ventilation nozzles or other pipes |
| DE1059906B (en) | 1954-10-05 | 1959-06-25 | Scherico Ltd | Process for the production of 1,4-pregnadienes |
| IT1061787B (en) | 1967-03-01 | 1983-04-30 | Vismara Francesco Spa | IMPROVEMENTS RELATING TO THE PREPARATION OF 17 BETAMETHEZONE BENZOATE |
| US3981984A (en) * | 1968-04-01 | 1976-09-21 | Colorcon Incorporated | Color film coating of tablets and the like |
| GB1384372A (en) | 1971-01-20 | 1975-02-19 | Glaxo Lab Ltd | Dereivatives of 17alpha-hydroxyandrost-4-ene-17beta-carboxylic acids |
| DE2336693A1 (en) | 1973-07-19 | 1975-02-06 | Nassheuer Ind Ofenbau Jean | Radiant heating pipe with igniter and flame monitor - has electrode eccentrically outside gas feed pipe |
| DE2538569A1 (en) | 1975-08-29 | 1977-03-03 | Siemens Ag | Metallising thermosetting plastics contg. reinforcing fibres - after preliminary etching with chromosulphuric acid |
| CY1291A (en) | 1980-02-15 | 1985-10-18 | Glaxo Group Ltd | Androstane 17 beta carbothioates |
| US4578221A (en) * | 1980-04-23 | 1986-03-25 | Glaxo Group Limited | Androstane carbothioic acids |
| ZA814440B (en) | 1980-07-10 | 1982-10-27 | Otsuka Pharma Co Ltd | Soft steroids having anti-inflammatory activity |
| SE449106B (en) | 1980-07-10 | 1987-04-06 | Otsuka Pharma Co Ltd | STEROID WITH ANTI-INFLAMMATORY EFFECT AND COMPOSITION CONTAINING THIS |
| EP0179583A1 (en) | 1984-10-04 | 1986-04-30 | Merck & Co. Inc. | A system for enhancing the water dissolution rate and solubility of poorly soluble drugs |
| ZA872389B (en) | 1987-04-02 | 1987-11-25 | Advanced Polymer Systems Inc | Composition and method for delivering a steroid active ingredient |
| ATE90355T1 (en) | 1987-10-13 | 1993-06-15 | Nicholas S Bodor | SOFT STEROIDS WITH ANTI-INFLAMMATORY EFFECTS. |
| FR2644787B1 (en) | 1989-03-22 | 1995-02-03 | Roussel Uclaf | NOVEL AMINOSUBSTITUTED STEROIDS 21, THEIR PREPARATION PROCESS AND THE INTERMEDIATES THEREOF, THEIR APPLICATION AS MEDICAMENTS AND THE PHARMACEUTICAL COMPOSITIONS CONTAINING THEM |
| JPH04506066A (en) | 1989-06-16 | 1992-10-22 | ジ・アップジョン・カンパニー | Suramin-type compounds and anti-angiogenic steroids to inhibit angiogenesis |
| IL95590A (en) | 1989-09-08 | 1996-06-18 | Glaxo Group Ltd | Pharmaceutical compositions comprising salmeterol and fluticasone propionate |
| DE3931041C2 (en) | 1989-09-16 | 2000-04-06 | Boehringer Ingelheim Kg | Esters of thienyl carboxylic acids with amino alcohols, their quaternization products, processes for their preparation and medicaments containing them |
| US4992439A (en) * | 1990-02-13 | 1991-02-12 | Bristol-Myers Squibb Company | Pyridazine carboxylic acids and esters |
| JP3087763B2 (en) | 1990-11-30 | 2000-09-11 | 三井化学株式会社 | Novel heterocyclic compound and pharmaceutical composition containing the same |
| GB9103764D0 (en) | 1991-02-22 | 1991-04-10 | Glaxo Group Ltd | Compositions |
| US5250293A (en) * | 1991-04-22 | 1993-10-05 | Gleich Gerald J | Method for the treatment of hypersensitivity diseases by administration of anionic polymers |
| TW247878B (en) | 1991-07-02 | 1995-05-21 | Takeda Pharm Industry Co Ltd | |
| AU679511B2 (en) | 1993-03-17 | 1997-07-03 | Minnesota Mining And Manufacturing Company | Aerosol formulation containing an ester-, amide-, or mercaptoester-derived dispersing aid |
| IL109656A (en) | 1994-05-15 | 1998-02-22 | Chemagis Ltd | Process for the manufacture of androstane - 17 - carbothioates and androstane - 17 - carbothioates prepared thereby |
| GB9410222D0 (en) | 1994-05-21 | 1994-07-06 | Glaxo Wellcome Australia Ltd | Medicaments |
| SA95160463B1 (en) | 1994-12-22 | 2005-10-04 | استرا أكتيبولاج | powders for inhalation |
| JPH08291072A (en) | 1995-04-22 | 1996-11-05 | Kissei Pharmaceut Co Ltd | Crystal for inhaling powder preparation and its production |
| JPH08291073A (en) | 1995-04-22 | 1996-11-05 | Kissei Pharmaceut Co Ltd | Medicinal composition and its production |
| DE19528145A1 (en) | 1995-08-01 | 1997-02-06 | Boehringer Ingelheim Kg | New drugs and their use |
| GB9521696D0 (en) | 1995-10-23 | 1996-01-03 | Bayer Ag | Combination of LTD4 receptor antagonists with glucocorticosteriods |
| US5792758A (en) | 1995-12-08 | 1998-08-11 | G. D. Searle & Co. | Steroid nitrite ester derivatives useful as anti-inflammatory drugs |
| US5985862A (en) | 1996-05-02 | 1999-11-16 | G.D. Searle & Co. | Pharmaceutical compositions having steroid nitrate ester derivatives useful as anti-inflammatory drugs |
| JPH11511758A (en) | 1996-06-04 | 1999-10-12 | ザ、プロクター、エンド、ギャンブル、カンパニー | Intranasal spray containing nasal steroids and antihistamines |
| GB9622173D0 (en) | 1996-10-24 | 1996-12-18 | Glaxo Group Ltd | Particulate Products |
| US5919776A (en) | 1996-12-20 | 1999-07-06 | Merck & Co., Inc. | Substituted aminoquinolines as modulators of chemokine receptor activity |
| US6126919A (en) | 1997-02-07 | 2000-10-03 | 3M Innovative Properties Company | Biocompatible compounds for pharmaceutical drug delivery systems |
| WO1998039784A1 (en) | 1997-03-06 | 1998-09-11 | Sarnoff Corporation | Ceramic multilayer printed circuit boards with embedded passive components |
| WO1998043630A1 (en) | 1997-04-02 | 1998-10-08 | Brigham And Women's Hospital, Inc. | Means of ascertaining an individual's risk profile for atherosclerotic disease |
| ATE260931T1 (en) | 1997-06-30 | 2004-03-15 | Glaxo Group Ltd | METHOD FOR IDENTIFYING COMPOUNDS WITH REDUCED SYSTEMIC ACTIVITY |
| SE9704186D0 (en) | 1997-11-14 | 1997-11-14 | Astra Ab | New composition of matter |
| SE9704833D0 (en) | 1997-12-22 | 1997-12-22 | Astra Ab | New formulation |
| US6506766B1 (en) | 1998-02-13 | 2003-01-14 | Abbott Laboratories | Glucocortiocoid-selective antinflammatory agents |
| GB9828721D0 (en) | 1998-12-24 | 1999-02-17 | Glaxo Group Ltd | Novel apparatus and process |
| AU3703900A (en) | 1999-02-24 | 2000-09-14 | Nitromed, Inc. | Nitrosated and nitrosylated steroids for the treatment of cardiovascular diseases and disorders |
| WO2000057401A1 (en) | 1999-03-24 | 2000-09-28 | Glenayre Electronics, Inc. | Computation and quantization of voiced excitation pulse shapes in linear predictive coding of speech |
| EP1175383B1 (en) | 1999-04-30 | 2018-03-14 | Pfizer Products Inc. | Glucocorticoid receptor modulators |
| US6395300B1 (en) | 1999-05-27 | 2002-05-28 | Acusphere, Inc. | Porous drug matrices and methods of manufacture thereof |
| ES2165768B1 (en) | 1999-07-14 | 2003-04-01 | Almirall Prodesfarma Sa | NEW DERIVATIVES OF QUINUCLIDINE AND PHARMACEUTICAL COMPOSITIONS THAT CONTAIN THEM. |
| EP1212101A1 (en) | 1999-08-31 | 2002-06-12 | The Brigham And Women's Hospital, Inc. | Systemic inflammatory markers as diagnostic tools in the prevention of atherosclerotic diseases |
| US7413536B1 (en) | 1999-09-14 | 2008-08-19 | Xenoport, Inc. | Substrates and screening methods for transport proteins |
| US6596261B1 (en) | 2000-01-25 | 2003-07-22 | Aeropharm Technology Incorporated | Method of administering a medicinal aerosol formulation |
| JP2004501067A (en) | 2000-01-28 | 2004-01-15 | ローム アンド ハース カンパニー | Pharmaceuticals with enhanced properties |
| US20020133032A1 (en) | 2000-02-25 | 2002-09-19 | Jufang Barkalow | Method for the preparation of fluticasone and related 17beta-carbothioic esters using a novel carbothioic acid synthesis and novel purification methods |
| GB0009583D0 (en) | 2000-04-18 | 2000-06-07 | Glaxo Group Ltd | Respiratory formulations |
| GB0009609D0 (en) | 2000-04-18 | 2000-06-07 | Glaxo Group Ltd | Therapeutic compositions |
| GB0009592D0 (en) | 2000-04-18 | 2000-06-07 | Glaxo Group Ltd | Respiratory combinations |
| GB0009606D0 (en) | 2000-04-18 | 2000-06-07 | Glaxo Group Ltd | Therapeutic combinations |
| GB0009591D0 (en) | 2000-04-18 | 2000-06-07 | Glaxo Group Ltd | Medical combinations |
| GB0016040D0 (en) | 2000-06-29 | 2000-08-23 | Glaxo Group Ltd | Novel process for preparing crystalline particles |
| GB0017988D0 (en) | 2000-07-21 | 2000-09-13 | Glaxo Group Ltd | Novel process |
| AU2001277891A1 (en) | 2000-07-26 | 2002-02-05 | Alcon Universal Ltd. | Pharmaceutical suspension compositions lacking a polymeric suspending agent |
| US6777399B2 (en) | 2000-08-05 | 2004-08-17 | Smithkline Beecham Corporation | Anti-inflammatory androstane derivative compositions |
| KR100889426B1 (en) | 2000-08-05 | 2009-03-23 | 글락소 그룹 리미티드 | 6.alpha., 9.alpha.-difluoro-17.alpha .- '(2-furanylcarboxyl) oxy-11.beta.-hydroxy-16.alpha.-methyl-3-oxo as anti-inflammatory -Androst-1,4-diene-17-carbothioic acid S-fluoromethyl ester |
| WO2002013668A1 (en) | 2000-08-10 | 2002-02-21 | Eduardo Quintero Alvarez | Ecological urinal that does not use water |
| AR032362A1 (en) | 2000-08-14 | 2003-11-05 | Glaxo Group Ltd | STABLE TOPICAL FORMULATION OF A WATER OIL EMULSION AND PROCESS FOR PREPARATION |
| DE60124576T2 (en) | 2000-09-29 | 2007-06-21 | Glaxo Group Ltd., Greenford | COMPOUNDS USE FOR THE TREATMENT OF INFLAMMATORY DISEASES |
| DE10062712A1 (en) | 2000-12-15 | 2002-06-20 | Boehringer Ingelheim Pharma | New drug compositions based on anticholinergics and corticosteroids |
| AU2002210575A1 (en) | 2000-10-31 | 2002-05-15 | Boehringer Ingelheim Pharma Gmbh & Co. Kg | Novel medicament compositions based on anticholinergics and corticosteroids |
| US20020132803A1 (en) | 2001-01-05 | 2002-09-19 | Mahendra Dedhiya | Fluticasone suspension formulation, spray pattern method, and nasal spray apparatus |
| GB0103630D0 (en) | 2001-02-14 | 2001-03-28 | Glaxo Group Ltd | Chemical compounds |
| JP2004526720A (en) | 2001-03-08 | 2004-09-02 | グラクソ グループ リミテッド | β-adrenergic receptor agonist |
| ATE381537T1 (en) | 2001-03-22 | 2008-01-15 | Glaxo Group Ltd | FORMANILIDE DERIVATIVES AS BETA2 ADRENORECEPTOR AGONISTS |
| UA77656C2 (en) | 2001-04-07 | 2007-01-15 | Glaxo Group Ltd | S-fluoromethyl ester of 6-alpha, 9-alpha-difluoro-17-alpha-[(2-furanylcarbonyl)oxy]-11-beta-hydroxy-16- alpha-methyl-3-oxoandrosta-1,4-dien-17-beta-carbothioacid as anti-inflammatory agent |
| AU2002303425A1 (en) | 2001-04-24 | 2002-11-05 | Epigenesis Pharmaceuticals, Inc. | Composition, formulations and kit for treatment of respiratory and lung disease with non-glucocorticoid steroids and/or ubiquinone and a bronchodilating agent |
| AU2002253342B2 (en) | 2001-04-30 | 2007-01-04 | Glaxo Group Limited | Novel anti-inflammatory androstane derivatives |
| JP2005500290A (en) | 2001-06-12 | 2005-01-06 | グラクソ グループ リミテッド | Anti-inflammatory, 17α-heterocyclic ester which is a 17β-carbothioate androstane derivative |
| DE10130371A1 (en) | 2001-06-23 | 2003-01-02 | Boehringer Ingelheim Pharma | New drug compositions based on anticholinergics, corticosteroids and betamimetics |
| WO2003013427A2 (en) | 2001-08-03 | 2003-02-20 | Smithkline Beecham Corporation | A method for preparing fluticasone derivatives |
| GB0124523D0 (en) | 2001-10-12 | 2001-12-05 | Glaxo Group Ltd | Pharmaceutical combination |
| GB0125259D0 (en) | 2001-10-20 | 2001-12-12 | Glaxo Group Ltd | Novel compounds |
| WO2003040691A2 (en) | 2001-11-05 | 2003-05-15 | The Brigham And Women's Hospital, Inc. | Soluble cd40l(cd154) as a prognostic marker of atherosclerotic diseases |
| GB0127160D0 (en) | 2001-11-12 | 2002-01-02 | Glaxo Group Ltd | Novel compounds |
| WO2003042229A1 (en) | 2001-11-12 | 2003-05-22 | Glaxo Group Limited | Non-aromatic heterocyclic esters of furan-2-one-esters of 17.beta.-carboxyl or 17.beta.-carbothio glucocorticoids |
| AU2002356759A1 (en) | 2001-12-01 | 2003-06-17 | Glaxo Group Limited | 17.alpha. -cyclic esters of 16-methylpregnan-3,20-dione as anti-inflammatory agents |
| WO2003072592A1 (en) | 2002-01-15 | 2003-09-04 | Glaxo Group Limited | 17.alpha-cycloalkyl/cycloylkenyl esters of alkyl-or haloalkyl-androst-4-en-3-on-11.beta.,17.alpha.-diol 17.beta.-carboxylates as anti-inflammatory agents |
| WO2003062259A2 (en) | 2002-01-21 | 2003-07-31 | Glaxo Group Limited | Non-aromatic 17.alpha.-esters of androstane-17.beta.-carboxylate esters as anti-inflammatory agents |
| GB0202216D0 (en) | 2002-01-31 | 2002-03-20 | Glaxo Group Ltd | Novel compounds |
| DE10216429A1 (en) | 2002-04-12 | 2003-10-23 | Boehringer Ingelheim Pharma | Synergistic medicaments for treating inflammatory or obstructive respiratory tract diseases, containing quaternized scopine ester anticholinergic agent and steroid, e.g. budesonide |
| US7029829B2 (en) | 2002-04-18 | 2006-04-18 | The Regents Of The University Of Michigan | Low temperature method for forming a microcavity on a substrate and article having same |
| GB0217504D0 (en) | 2002-07-29 | 2002-09-04 | Novartis Ag | Organic compounds |
| US7244742B2 (en) | 2002-08-17 | 2007-07-17 | Boehringer Ingelheim Pharma Gmbh & Co Kg | Pharmaceutical compositions for inhalation containing an anticholinergic, corticosteroid and betamimetic |
-
2000
- 2000-08-05 GB GBGB0019172.6A patent/GB0019172D0/en not_active Ceased
-
2001
- 2001-08-03 TW TW090119066A patent/TWI244486B/en not_active IP Right Cessation
- 2001-08-03 CN CN2009101426941A patent/CN101654470B/en not_active Expired - Lifetime
- 2001-08-03 MY MYPI20013662A patent/MY128392A/en unknown
-
2003
- 2003-02-03 ZA ZA200300929A patent/ZA200300929B/en unknown
- 2003-02-03 ZA ZA200300932A patent/ZA200300932B/en unknown
- 2003-02-04 EC EC2003004470A patent/ECSP034470A/en unknown
-
2004
- 2004-06-07 US US10/862,692 patent/US20040220162A1/en not_active Abandoned
- 2004-06-07 US US10/862,591 patent/US7132532B2/en not_active Expired - Lifetime
- 2004-06-07 US US10/862,793 patent/US20040224934A1/en not_active Abandoned
- 2004-06-07 US US10/862,555 patent/US7125985B2/en not_active Expired - Lifetime
- 2004-06-07 US US10/862,792 patent/US7144845B2/en not_active Expired - Lifetime
- 2004-08-13 US US10/918,770 patent/US7531528B2/en not_active Expired - Lifetime
-
2006
- 2006-07-06 US US11/428,853 patent/US7629335B2/en not_active Expired - Lifetime
-
2008
- 2008-12-19 US US12/339,607 patent/US20090156567A1/en not_active Abandoned
Patent Citations (65)
| Publication number | Priority date | Publication date | Assignee | Title |
|---|---|---|---|---|
| US2837464A (en) * | 1955-01-11 | 1958-06-03 | Schering Corp | Process for production of dienes by corynebacteria |
| US3067197A (en) * | 1961-04-26 | 1962-12-04 | Pfizer & Co C | 11-oxygenated 6alpha-fluoro-16-methylene-delta-pregnenes and derivatives |
| US3312590A (en) * | 1963-06-11 | 1967-04-04 | Glaxo Lab Ltd | Topically active anti-inflammatory 17-mono- and 17,21-diesters of betamethasone and its 9-chloro-analogs, compositions and use thereof |
| US3506694A (en) * | 1966-02-09 | 1970-04-14 | Boots Pure Drug Co Ltd | 17-acyloxysteroids and their manufacture |
| US3639434A (en) * | 1967-02-02 | 1972-02-01 | Boots Pure Drug Co Ltd | 17-acyloxysteroids and their manufacture |
| US3557162A (en) * | 1968-01-23 | 1971-01-19 | Koninklijke Gist Spiritus | Process for the preparation of 17alpha-monoesters of 11beta,17alpha,21-trihydroxysteroids |
| US3755302A (en) * | 1969-06-26 | 1973-08-28 | Warner Lambert Pharmaceutical | Process for the production of 17-monesters of 17{60 , 21-dihydroxy-steroids and products thereof |
| US3828080A (en) * | 1972-01-20 | 1974-08-06 | Glaxo Lab Ltd | Androstane-17beta-carboxylic acids and processes for the preparation thereof |
| US3989686A (en) * | 1972-06-15 | 1976-11-02 | Glaxo Laboratories Limited | Anaesthetic steroids of the androstane series and process for preparing same |
| US3856828A (en) * | 1972-07-19 | 1974-12-24 | Glaxo Lab Ltd | Anti-inflammatory steroids of the androstane series having a halo-substituted c{11 {14 c{11 {11 alkoxy carbonyl group at the 17{62 {0 position |
| US3891631A (en) * | 1972-08-11 | 1975-06-24 | Glaxo Lab Ltd | Process for preparing 17{60 -monoesters of 17{60 , 21-dihydroxy-20-oxo steroids |
| US3981894A (en) * | 1974-08-30 | 1976-09-21 | Glaxo Laboratories Limited | Chemical compounds |
| US4093721A (en) * | 1974-08-30 | 1978-06-06 | Glaxo Laboratories Limited | Pharmaceutical compositions of 6α,9α-difluoro-androst-4-ene-17β-carboxylates and derivatives thereof |
| US4113680A (en) * | 1975-03-31 | 1978-09-12 | Taisho Pharmaceutical Co., Ltd. | Method for preparing 17 α-ester-21-halo pregnanes |
| US4285937A (en) * | 1976-02-24 | 1981-08-25 | Ciba-Geigy Corporation | Novel androstadiene-17-carboxylic acid esters |
| US4221787A (en) * | 1978-03-28 | 1980-09-09 | Interx Research Corporation | Esteramide prodrugs of anti-inflammatory corticosteroids |
| US4198403A (en) * | 1978-04-05 | 1980-04-15 | Syntex (U.S.A.) Inc. | 17 Beta-thiocarboxylic acid esters of 4-halo-3-oxoandrost-4-enes |
| US4261984A (en) * | 1978-04-05 | 1981-04-14 | Syntex (U.S.A.) Inc. | 17β-thiocarboxylic acid esters of 3-oxo-4-halo-16β-methylandrost-4-enes |
| US4263289A (en) * | 1978-04-05 | 1981-04-21 | Syntex (U.S.A.) Inc. | Thio etianic acid derivatives |
| US4187301A (en) * | 1978-04-05 | 1980-02-05 | Syntex (U.S.A.) Inc. | 17 Beta-thiocarboxylic acid esters of 6 alpha, 6 beta-difluoro-3-oxoandrost-4-enes |
| US4188385A (en) * | 1978-04-05 | 1980-02-12 | Syntex (U.S.A.) Inc. | Thioetianic acid derivatives |
| US4377575A (en) * | 1978-04-25 | 1983-03-22 | Hoechst Aktiengesellschaft | Corticoid-17-(alkyl carbonates) and process for their manufacture |
| US4310466A (en) * | 1979-08-31 | 1982-01-12 | Syntex (U.S.A.) Inc. | Thio etianic acid derivatives |
| US4267173A (en) * | 1979-11-05 | 1981-05-12 | Schering Corporation | Use of 6β-fluoro-7α-halogenocorticoids as topical anti-inflammatories and pharmaceutical formulations useful therefor |
| US4335121A (en) * | 1980-02-15 | 1982-06-15 | Glaxo Group Limited | Androstane carbothioates |
| US4710495A (en) * | 1980-07-10 | 1987-12-01 | Otsuka Pharmaceutical Co., Ltd. | Soft steroids having anti-inflammatory activity |
| US4996335A (en) * | 1980-07-10 | 1991-02-26 | Nicholas S. Bodor | Soft steroids having anti-inflammatory activity |
| US4472393A (en) * | 1981-02-02 | 1984-09-18 | Schering Corporation | 3,20-Dioxo-1,4-pregnadiene-17α-ol 17-aromatic heterocycle carboxylates |
| US4992474A (en) * | 1983-04-18 | 1991-02-12 | Glaxo Group Ltd. | Phenethanolamine derivatives |
| US4607028A (en) * | 1983-08-18 | 1986-08-19 | Ciba-Geigy Corporation | Novel carboxylic acid esters |
| US4861765A (en) * | 1985-06-26 | 1989-08-29 | Jouveinal | 21-alkyl-, cycloalkyl- or aryl-substituted thio steroids and pharmaceutical compositions containing them |
| US4994439A (en) * | 1989-01-19 | 1991-02-19 | California Biotechnology Inc. | Transmembrane formulations for drug administration |
| US5081113A (en) * | 1989-03-22 | 1992-01-14 | Roussel Uclaf | Novel 3-keto-steroids |
| US5202316A (en) * | 1989-03-22 | 1993-04-13 | Roussel Uclaf | N,N,N',N'-6-(1-piperazinyl)-2,5-pyridinediamines |
| US5063222A (en) * | 1989-04-19 | 1991-11-05 | Ss Pharmaceutical Co., Ltd. | Antiinflammatory dexamethasone 17α-cyclopropanecarboxylates with reduced systemic activity |
| US5126123A (en) * | 1990-06-28 | 1992-06-30 | Glaxo, Inc. | Aerosol drug formulations |
| US5362721A (en) * | 1990-08-10 | 1994-11-08 | Hoechst Aktiengesellschaft | Corticoid-17-alkyl-carbonates substituted in the 17-position, process for their preparation and pharmaceuticals containing them |
| US6127353A (en) * | 1991-09-06 | 2000-10-03 | Schering Corporation | Mometasone furoate monohydrate, process for making same and pharmaceutical compositions |
| US5658549A (en) * | 1991-12-12 | 1997-08-19 | Glaxo Group Limited | Aerosol formulations containing propellant 134a and fluticasone propionate |
| US5376359A (en) * | 1992-07-07 | 1994-12-27 | Glaxo, Inc. | Method of stabilizing aerosol formulations |
| US5608093A (en) * | 1993-08-27 | 1997-03-04 | Hoechst Aktiengesellschaft | Corticosteroid 17-alkyl carbonate 21-[0]-carboxylic and carbonic esters, and pharmaceuticals containing these compounds |
| US20020103392A1 (en) * | 1993-10-05 | 2002-08-01 | Ulrich Stache | Corticoid-17,21-dicarboxylic esters and corticosteroid 17-carboxylic ester 21-carbonic esters, processes for their preparation and pharmaceuticals containing these compounds |
| US5420120A (en) * | 1993-12-17 | 1995-05-30 | Alcon Laboratories, Inc. | Anti-inflammatory glucocorticoid compounds for topical ophthalmic use |
| US5837699A (en) * | 1994-01-27 | 1998-11-17 | Schering Corporation | Use of mometasone furoate for treating upper airway passage diseases |
| US5889015A (en) * | 1994-01-27 | 1999-03-30 | Schering Corporation | Use of mometasone furoate for treating lower airway passage and lung diseases |
| US6057307A (en) * | 1994-01-27 | 2000-05-02 | Schering Corporation | Use of mometasone furoate for treating airway passage and lung diseases |
| US5849265A (en) * | 1994-09-28 | 1998-12-15 | Glaxo Wellcome Inc. | Pharmaceutical aerosol formulation comprising a medicament, a propellant and a fluorinated surfactant |
| US5707984A (en) * | 1995-12-08 | 1998-01-13 | G. D. Searle & Co. | Steroid nitrite/nitrate ester derivatives useful as anti-inflammatory drugs |
| US6197761B1 (en) * | 1995-12-29 | 2001-03-06 | Glaxo Wellcome Inc. | 17β-2-oxo-tetrahydrofuranyl)-carbothioic acid ester, -carboxylic acid ester and -carboxylic acid amide androstane derivatives |
| US5981517A (en) * | 1996-05-09 | 1999-11-09 | Soft Drugs, Inc. | Androstene derivatives |
| US5972920A (en) * | 1998-02-12 | 1999-10-26 | Dermalogix Partners, Inc. | Formulation containing a carrier, active ingredient, and surfactant for treating skin disorders |
| US6136294A (en) * | 1998-09-22 | 2000-10-24 | Aeropharm Technology Inc. | Amino acid stabilized medical aerosol formulation |
| US6136294C1 (en) * | 1998-09-22 | 2002-09-24 | Aeropharm Technology Inc | Amino acid stabilized medical aerosol formulation |
| US6261539B1 (en) * | 1998-12-10 | 2001-07-17 | Akwete Adjei | Medicinal aerosol formulation |
| US20020081266A1 (en) * | 1999-08-20 | 2002-06-27 | Norton Healthcare Ltd. | Spray dried powders for pulmonary or nasal administration |
| US20030158163A1 (en) * | 2000-06-28 | 2003-08-21 | Bernard Cuenoud | Organic compounds |
| US20030144257A1 (en) * | 2000-08-05 | 2003-07-31 | Keith Biggadike | Novel anti-inflammatory androstane derivative compositions |
| US20020177581A1 (en) * | 2000-08-05 | 2002-11-28 | Keith Biggadike | Novel anti-inflammatory androstane derivative |
| US20030073676A1 (en) * | 2000-08-05 | 2003-04-17 | Keith Biggadike | Formulation containing anti-inflammatory androstane derivatives |
| US20030109511A1 (en) * | 2000-08-05 | 2003-06-12 | Keith Biggadike | Novel anti-inflammatory androstane derivative compositions |
| US20020173496A1 (en) * | 2000-08-05 | 2002-11-21 | Keith Biggadike | Formulation containing novel anti-inflammatory androstane derivative |
| US20020165211A1 (en) * | 2000-08-05 | 2002-11-07 | Keith Biggadike | Formulation containing anti-inflammatory androstane derivative |
| US20040053904A1 (en) * | 2000-12-22 | 2004-03-18 | Teruo Komoto | Preventive/ermedies for inflammatory airway diseases |
| US20030018019A1 (en) * | 2001-06-23 | 2003-01-23 | Boehringer Ingelheim Pharma Kg | Pharmaceutical compositions based on anticholinergics, corticosteroids and betamimetics |
| US20050163724A1 (en) * | 2002-06-14 | 2005-07-28 | Ssp Co., Ltd. | Powdery respiratory tonic composition |
Cited By (6)
| Publication number | Priority date | Publication date | Assignee | Title |
|---|---|---|---|---|
| US8933060B2 (en) | 2002-06-14 | 2015-01-13 | Cipla Limited | Combination of azelastine and ciclesonide for nasal administration |
| US8937057B2 (en) | 2002-06-14 | 2015-01-20 | Cipla Limited | Combination of azelastine and mometasone for nasal administration |
| US9259428B2 (en) | 2002-06-14 | 2016-02-16 | Cipla Limited | Combination of azelastine and fluticasone for nasal administration |
| US9901585B2 (en) | 2002-06-14 | 2018-02-27 | Cipla Limited | Combination of azelastine and fluticasone for nasal administration |
| US9290698B2 (en) | 2010-07-15 | 2016-03-22 | Battelle Memorial Institute | Biobased polyols for potential use as flame retardants in polyurethane and polyester applications |
| EP3638249A1 (en) * | 2017-06-13 | 2020-04-22 | Bodor Laboratories, Inc. | Potent soft anti-inflammatory corticosteroid compounds and uses thereof |
Also Published As
| Publication number | Publication date |
|---|---|
| US7629335B2 (en) | 2009-12-08 |
| US20040220162A1 (en) | 2004-11-04 |
| CN101654470A (en) | 2010-02-24 |
| ZA200300932B (en) | 2004-05-03 |
| CN101654470B (en) | 2013-08-14 |
| ZA200300929B (en) | 2004-07-28 |
| US20070027128A1 (en) | 2007-02-01 |
| US7144845B2 (en) | 2006-12-05 |
| MY128392A (en) | 2007-01-31 |
| US20050026888A1 (en) | 2005-02-03 |
| TWI244486B (en) | 2005-12-01 |
| US20040225139A1 (en) | 2004-11-11 |
| GB0019172D0 (en) | 2000-09-27 |
| US20040224931A1 (en) | 2004-11-11 |
| US7531528B2 (en) | 2009-05-12 |
| US7125985B2 (en) | 2006-10-24 |
| US20040220157A1 (en) | 2004-11-04 |
| US7132532B2 (en) | 2006-11-07 |
| US20040224934A1 (en) | 2004-11-11 |
| ECSP034470A (en) | 2003-03-31 |
Similar Documents
| Publication | Publication Date | Title |
|---|---|---|
| US7101866B2 (en) | Anti-inflammatory androstane derivative | |
| US6759398B2 (en) | Anti-inflammatory androstane derivative | |
| US20090156567A1 (en) | Novel anti-inflammatory androstane derivative | |
| US6878698B2 (en) | Anti-inflammatory androstane derivatives | |
| AU2001275760A1 (en) | 6.alpha., 9.alpha.-difluoro-17.alpha.-'(2-furanylcarboxyl) oxy!-11.beta.-hydroxy-16.alpha.-methyl-3-oxo-androst-1,4,-diene-17-carbothioic acid S-fluoromethyl ester as an anti-inflammatory agent | |
| WO2003042229A1 (en) | Non-aromatic heterocyclic esters of furan-2-one-esters of 17.beta.-carboxyl or 17.beta.-carbothio glucocorticoids | |
| WO2003042230A1 (en) | Non-aromatic heterocyclic esters of furan-2-one-esters of 17. beta.-carboxyl or 17 . beta. -carbothio glucocorticoids | |
| HK1056180C (en) | 6.alpha.,9.alpha.-difluoro-17.alpha.-(2-furanylcarboxyl)oxy-11.beta.-hydroxy-16.alpha.-methyl-3-oxo-androst-1,4,-diene-17-carbothioic acid s-fluoromethyl ester as an anti-inflammatory agent |
Legal Events
| Date | Code | Title | Description |
|---|---|---|---|
| STCB | Information on status: application discontinuation |
Free format text: ABANDONED -- FAILURE TO RESPOND TO AN OFFICE ACTION |


























