US20050220841A1 - Coating compositions for bioactive agents - Google Patents
Coating compositions for bioactive agents Download PDFInfo
- Publication number
- US20050220841A1 US20050220841A1 US11/099,911 US9991105A US2005220841A1 US 20050220841 A1 US20050220841 A1 US 20050220841A1 US 9991105 A US9991105 A US 9991105A US 2005220841 A1 US2005220841 A1 US 2005220841A1
- Authority
- US
- United States
- Prior art keywords
- poly
- meth
- bioactive agent
- group
- composition
- Prior art date
- Legal status (The legal status is an assumption and is not a legal conclusion. Google has not performed a legal analysis and makes no representation as to the accuracy of the status listed.)
- Abandoned
Links
- BETIUBZWIHGKLE-BXPMAQBHSA-N C=C(C)C(C)CC.C=CC(C)(C)CC.[H]/C(CC)=C(/C)CC.[H]/C(CC)=C(\C)CC Chemical compound C=C(C)C(C)CC.C=CC(C)(C)CC.[H]/C(CC)=C(/C)CC.[H]/C(CC)=C(\C)CC BETIUBZWIHGKLE-BXPMAQBHSA-N 0.000 description 1
- SGALRBDREKMCCD-NRJZMMARSA-N C=CC(C)CC.[H]/C(CC)=C(/[H])CC.[H]/C(CC)=C(\[H])CC Chemical compound C=CC(C)CC.[H]/C(CC)=C(/[H])CC.[H]/C(CC)=C(\[H])CC SGALRBDREKMCCD-NRJZMMARSA-N 0.000 description 1
Images
Classifications
-
- A—HUMAN NECESSITIES
- A61—MEDICAL OR VETERINARY SCIENCE; HYGIENE
- A61L—METHODS OR APPARATUS FOR STERILISING MATERIALS OR OBJECTS IN GENERAL; DISINFECTION, STERILISATION OR DEODORISATION OF AIR; CHEMICAL ASPECTS OF BANDAGES, DRESSINGS, ABSORBENT PADS OR SURGICAL ARTICLES; MATERIALS FOR BANDAGES, DRESSINGS, ABSORBENT PADS OR SURGICAL ARTICLES
- A61L31/00—Materials for other surgical articles, e.g. stents, stent-grafts, shunts, surgical drapes, guide wires, materials for adhesion prevention, occluding devices, surgical gloves, tissue fixation devices
- A61L31/14—Materials characterised by their function or physical properties, e.g. injectable or lubricating compositions, shape-memory materials, surface modified materials
- A61L31/16—Biologically active materials, e.g. therapeutic substances
-
- A—HUMAN NECESSITIES
- A61—MEDICAL OR VETERINARY SCIENCE; HYGIENE
- A61L—METHODS OR APPARATUS FOR STERILISING MATERIALS OR OBJECTS IN GENERAL; DISINFECTION, STERILISATION OR DEODORISATION OF AIR; CHEMICAL ASPECTS OF BANDAGES, DRESSINGS, ABSORBENT PADS OR SURGICAL ARTICLES; MATERIALS FOR BANDAGES, DRESSINGS, ABSORBENT PADS OR SURGICAL ARTICLES
- A61L29/00—Materials for catheters, medical tubing, cannulae, or endoscopes or for coating catheters
- A61L29/08—Materials for coatings
- A61L29/085—Macromolecular materials
-
- A—HUMAN NECESSITIES
- A61—MEDICAL OR VETERINARY SCIENCE; HYGIENE
- A61L—METHODS OR APPARATUS FOR STERILISING MATERIALS OR OBJECTS IN GENERAL; DISINFECTION, STERILISATION OR DEODORISATION OF AIR; CHEMICAL ASPECTS OF BANDAGES, DRESSINGS, ABSORBENT PADS OR SURGICAL ARTICLES; MATERIALS FOR BANDAGES, DRESSINGS, ABSORBENT PADS OR SURGICAL ARTICLES
- A61L29/00—Materials for catheters, medical tubing, cannulae, or endoscopes or for coating catheters
- A61L29/14—Materials characterised by their function or physical properties, e.g. lubricating compositions
- A61L29/16—Biologically active materials, e.g. therapeutic substances
-
- A—HUMAN NECESSITIES
- A61—MEDICAL OR VETERINARY SCIENCE; HYGIENE
- A61L—METHODS OR APPARATUS FOR STERILISING MATERIALS OR OBJECTS IN GENERAL; DISINFECTION, STERILISATION OR DEODORISATION OF AIR; CHEMICAL ASPECTS OF BANDAGES, DRESSINGS, ABSORBENT PADS OR SURGICAL ARTICLES; MATERIALS FOR BANDAGES, DRESSINGS, ABSORBENT PADS OR SURGICAL ARTICLES
- A61L31/00—Materials for other surgical articles, e.g. stents, stent-grafts, shunts, surgical drapes, guide wires, materials for adhesion prevention, occluding devices, surgical gloves, tissue fixation devices
- A61L31/08—Materials for coatings
- A61L31/10—Macromolecular materials
-
- A—HUMAN NECESSITIES
- A61—MEDICAL OR VETERINARY SCIENCE; HYGIENE
- A61F—FILTERS IMPLANTABLE INTO BLOOD VESSELS; PROSTHESES; DEVICES PROVIDING PATENCY TO, OR PREVENTING COLLAPSING OF, TUBULAR STRUCTURES OF THE BODY, e.g. STENTS; ORTHOPAEDIC, NURSING OR CONTRACEPTIVE DEVICES; FOMENTATION; TREATMENT OR PROTECTION OF EYES OR EARS; BANDAGES, DRESSINGS OR ABSORBENT PADS; FIRST-AID KITS
- A61F2/00—Filters implantable into blood vessels; Prostheses, i.e. artificial substitutes or replacements for parts of the body; Appliances for connecting them with the body; Devices providing patency to, or preventing collapsing of, tubular structures of the body, e.g. stents
- A61F2/82—Devices providing patency to, or preventing collapsing of, tubular structures of the body, e.g. stents
- A61F2/86—Stents in a form characterised by the wire-like elements; Stents in the form characterised by a net-like or mesh-like structure
-
- A—HUMAN NECESSITIES
- A61—MEDICAL OR VETERINARY SCIENCE; HYGIENE
- A61F—FILTERS IMPLANTABLE INTO BLOOD VESSELS; PROSTHESES; DEVICES PROVIDING PATENCY TO, OR PREVENTING COLLAPSING OF, TUBULAR STRUCTURES OF THE BODY, e.g. STENTS; ORTHOPAEDIC, NURSING OR CONTRACEPTIVE DEVICES; FOMENTATION; TREATMENT OR PROTECTION OF EYES OR EARS; BANDAGES, DRESSINGS OR ABSORBENT PADS; FIRST-AID KITS
- A61F2250/00—Special features of prostheses classified in groups A61F2/00 - A61F2/26 or A61F2/82 or A61F9/00 or A61F11/00 or subgroups thereof
- A61F2250/0058—Additional features; Implant or prostheses properties not otherwise provided for
- A61F2250/0067—Means for introducing or releasing pharmaceutical products into the body
-
- A—HUMAN NECESSITIES
- A61—MEDICAL OR VETERINARY SCIENCE; HYGIENE
- A61L—METHODS OR APPARATUS FOR STERILISING MATERIALS OR OBJECTS IN GENERAL; DISINFECTION, STERILISATION OR DEODORISATION OF AIR; CHEMICAL ASPECTS OF BANDAGES, DRESSINGS, ABSORBENT PADS OR SURGICAL ARTICLES; MATERIALS FOR BANDAGES, DRESSINGS, ABSORBENT PADS OR SURGICAL ARTICLES
- A61L2300/00—Biologically active materials used in bandages, wound dressings, absorbent pads or medical devices
- A61L2300/20—Biologically active materials used in bandages, wound dressings, absorbent pads or medical devices containing or releasing organic materials
- A61L2300/22—Lipids, fatty acids, e.g. prostaglandins, oils, fats, waxes
- A61L2300/222—Steroids, e.g. corticosteroids
-
- A—HUMAN NECESSITIES
- A61—MEDICAL OR VETERINARY SCIENCE; HYGIENE
- A61L—METHODS OR APPARATUS FOR STERILISING MATERIALS OR OBJECTS IN GENERAL; DISINFECTION, STERILISATION OR DEODORISATION OF AIR; CHEMICAL ASPECTS OF BANDAGES, DRESSINGS, ABSORBENT PADS OR SURGICAL ARTICLES; MATERIALS FOR BANDAGES, DRESSINGS, ABSORBENT PADS OR SURGICAL ARTICLES
- A61L2300/00—Biologically active materials used in bandages, wound dressings, absorbent pads or medical devices
- A61L2300/40—Biologically active materials used in bandages, wound dressings, absorbent pads or medical devices characterised by a specific therapeutic activity or mode of action
- A61L2300/404—Biocides, antimicrobial agents, antiseptic agents
-
- A—HUMAN NECESSITIES
- A61—MEDICAL OR VETERINARY SCIENCE; HYGIENE
- A61L—METHODS OR APPARATUS FOR STERILISING MATERIALS OR OBJECTS IN GENERAL; DISINFECTION, STERILISATION OR DEODORISATION OF AIR; CHEMICAL ASPECTS OF BANDAGES, DRESSINGS, ABSORBENT PADS OR SURGICAL ARTICLES; MATERIALS FOR BANDAGES, DRESSINGS, ABSORBENT PADS OR SURGICAL ARTICLES
- A61L2300/00—Biologically active materials used in bandages, wound dressings, absorbent pads or medical devices
- A61L2300/40—Biologically active materials used in bandages, wound dressings, absorbent pads or medical devices characterised by a specific therapeutic activity or mode of action
- A61L2300/41—Anti-inflammatory agents, e.g. NSAIDs
-
- A—HUMAN NECESSITIES
- A61—MEDICAL OR VETERINARY SCIENCE; HYGIENE
- A61L—METHODS OR APPARATUS FOR STERILISING MATERIALS OR OBJECTS IN GENERAL; DISINFECTION, STERILISATION OR DEODORISATION OF AIR; CHEMICAL ASPECTS OF BANDAGES, DRESSINGS, ABSORBENT PADS OR SURGICAL ARTICLES; MATERIALS FOR BANDAGES, DRESSINGS, ABSORBENT PADS OR SURGICAL ARTICLES
- A61L2300/00—Biologically active materials used in bandages, wound dressings, absorbent pads or medical devices
- A61L2300/40—Biologically active materials used in bandages, wound dressings, absorbent pads or medical devices characterised by a specific therapeutic activity or mode of action
- A61L2300/416—Anti-neoplastic or anti-proliferative or anti-restenosis or anti-angiogenic agents, e.g. paclitaxel, sirolimus
-
- A—HUMAN NECESSITIES
- A61—MEDICAL OR VETERINARY SCIENCE; HYGIENE
- A61L—METHODS OR APPARATUS FOR STERILISING MATERIALS OR OBJECTS IN GENERAL; DISINFECTION, STERILISATION OR DEODORISATION OF AIR; CHEMICAL ASPECTS OF BANDAGES, DRESSINGS, ABSORBENT PADS OR SURGICAL ARTICLES; MATERIALS FOR BANDAGES, DRESSINGS, ABSORBENT PADS OR SURGICAL ARTICLES
- A61L2300/00—Biologically active materials used in bandages, wound dressings, absorbent pads or medical devices
- A61L2300/40—Biologically active materials used in bandages, wound dressings, absorbent pads or medical devices characterised by a specific therapeutic activity or mode of action
- A61L2300/42—Anti-thrombotic agents, anticoagulants, anti-platelet agents
-
- A—HUMAN NECESSITIES
- A61—MEDICAL OR VETERINARY SCIENCE; HYGIENE
- A61L—METHODS OR APPARATUS FOR STERILISING MATERIALS OR OBJECTS IN GENERAL; DISINFECTION, STERILISATION OR DEODORISATION OF AIR; CHEMICAL ASPECTS OF BANDAGES, DRESSINGS, ABSORBENT PADS OR SURGICAL ARTICLES; MATERIALS FOR BANDAGES, DRESSINGS, ABSORBENT PADS OR SURGICAL ARTICLES
- A61L2300/00—Biologically active materials used in bandages, wound dressings, absorbent pads or medical devices
- A61L2300/40—Biologically active materials used in bandages, wound dressings, absorbent pads or medical devices characterised by a specific therapeutic activity or mode of action
- A61L2300/43—Hormones, e.g. dexamethasone
-
- A—HUMAN NECESSITIES
- A61—MEDICAL OR VETERINARY SCIENCE; HYGIENE
- A61L—METHODS OR APPARATUS FOR STERILISING MATERIALS OR OBJECTS IN GENERAL; DISINFECTION, STERILISATION OR DEODORISATION OF AIR; CHEMICAL ASPECTS OF BANDAGES, DRESSINGS, ABSORBENT PADS OR SURGICAL ARTICLES; MATERIALS FOR BANDAGES, DRESSINGS, ABSORBENT PADS OR SURGICAL ARTICLES
- A61L2300/00—Biologically active materials used in bandages, wound dressings, absorbent pads or medical devices
- A61L2300/60—Biologically active materials used in bandages, wound dressings, absorbent pads or medical devices characterised by a special physical form
- A61L2300/602—Type of release, e.g. controlled, sustained, slow
-
- A—HUMAN NECESSITIES
- A61—MEDICAL OR VETERINARY SCIENCE; HYGIENE
- A61L—METHODS OR APPARATUS FOR STERILISING MATERIALS OR OBJECTS IN GENERAL; DISINFECTION, STERILISATION OR DEODORISATION OF AIR; CHEMICAL ASPECTS OF BANDAGES, DRESSINGS, ABSORBENT PADS OR SURGICAL ARTICLES; MATERIALS FOR BANDAGES, DRESSINGS, ABSORBENT PADS OR SURGICAL ARTICLES
- A61L2300/00—Biologically active materials used in bandages, wound dressings, absorbent pads or medical devices
- A61L2300/60—Biologically active materials used in bandages, wound dressings, absorbent pads or medical devices characterised by a special physical form
- A61L2300/606—Coatings
Definitions
- the present invention relates to a method of treating implantable medical devices with coating compositions to provide for the controlled release of bioactive (e.g., pharmaceutical) agents from the surface of the devices under physiological conditions.
- bioactive e.g., pharmaceutical
- the invention relates to the coating compositions, per se.
- the invention relates to devices or surfaces coated with such compositions.
- the present invention relates to the local administration of bioactive agents for the prevention and treatment of diseases, such as vascular and ocular diseases.
- PTCA percutaneous transluminal coronary angioplasty
- Many individuals suffer from circulatory disease caused by a progressive blockage of the blood vessels, which often leads to hypertension, ischemic injury, stroke, or myocardial infarction.
- Percutaneous transluminal coronary angioplasty is a medical procedure performed to increase blood flow through a damaged artery and is now the predominant treatment for coronary vessel stenosis. The increasing use of this procedure is attributable to its relatively high success rate and its minimal invasiveness compared with coronary bypass surgery.
- a limitation associated with PTCA is the abrupt closure of the vessel which can occur soon after angioplasty. Insertion of small spring-like medical devices called stents into such damaged vessels has proved to be a better approach to keep the vessels open as compared to systemic pharmacologic therapy.
- metal or polymeric devices e.g., stents, catheters . . .
- metal or polymeric devices after placement in the body, can give rise to numerous physiological complications. Some of these complications include: increased risk of infection; initiation of a foreign body response resulting in inflammation and fibrous encapsulation; and initiation of a detrimental wound healing response resulting in hyperplasia and restenosis. These problems have been particularly acute with the placement of stents in damaged arteries after angioplasty.
- bioactive agents in the vicinity of the implant. By doing so, some of the harmful effects associated with the implantation of medical devices can be diminished.
- antibiotics can be released from the surface of the device to minimize the possibility of infection, and antiproliferative drugs can be released to inhibit hyperplasia.
- Another benefit to the local release of bioactive agents is the avoidance of toxic concentrations of drugs encountered when given systemically at sufficiently high doses to achieve therapeutic concentrations at the site where they are needed.
- Implantable medical devices capable of delivering medicinal agents from hydrophobic polymer coatings have been described. See, for instance, U.S. Pat. No. 6,214,901; U.S. Pat. No. 6,344,035; U.S. Publication No. 2002-0032434; U.S. Publication No. 2002-0188037; U.S. Publication No. 2003-0031780; U.S. Publication No. 2003-0232087; U.S. Publication No. 2003-0232122; PCT Publication No. WO 99/55396; PCT Publication No. WO 03/105920; PCT Publication No. WO 03/105918; PCT Publication No.
- WO 03/105919 which collectively disclose, inter alia, coating compositions having a bioactive agent in combination with a polymer component such as polyalkyl(meth)acrylate or aromatic poly(meth)acrylate polymer and another polymer component such as poly(ethylene-co-vinyl acetate) for use in coating device surfaces to control and/or improve their ability to release bioactive agents in aqueous systems.
- a polymer component such as polyalkyl(meth)acrylate or aromatic poly(meth)acrylate polymer and another polymer component such as poly(ethylene-co-vinyl acetate)
- the present invention provides a coating composition, and related methods for preparing and using the coating composition to coat a surface with a bioactive agent, for instance to coat the surface of an implantable medical device in a manner that permits the surface to release the bioactive agent over time when implanted in vivo.
- the coating composition of this invention comprises one or more bioactive agents in combination with a plurality of polymers, including: (a) a first polymer component comprising one or more polybutenes; and (b) a second polymer component comprising one or more polymers selected from the group consisting of poly(alkyl(meth)acrylates) and poly(aromatic(meth)acrylates), where “(meth)” will be understood by those skilled in the art to include such molecules in either the acrylic and/or methacrylic form (corresponding to the acrylates and/or methacrylates, respectively).
- first polymers that when used in combination with one or more second polymers can each meet or exceed the variety of criteria required of a preferred composition of this invention, including in terms of its formulation, delivery, and/or coated characteristics.
- a coating composition of this invention is, in some embodiments, provided in the form of a true solution by the use of one or more solvents.
- solvents are not only capable of dissolving the polymers and bioactive agent in solution, as compared to dispersion or emulsion, but they are also sufficiently volatile to permit the composition to be effectively applied to a surface (e.g., as by spraying) and quickly removed (e.g., as by drying) to provide a stable and desirable coated composition.
- the coated composition is itself homogeneous, with the first and second polymers effectively serving as cosolvents for each other, and bioactive agent substantially equally sequestered within them both.
- the ability to form a true solution using the claimed polymer combinations is preferred when considering the inclusion of potentially significant amounts of bioactive agent with the polymer blend.
- the coating composition is not only in the form of a true solution, but one in which bioactive agent is present at saturated or supersaturated levels. Without intending to be bound by theory, it appears that it is by virtue of the ability to achieve such solutions, that release of the bioactive agent from the coated composition is best accomplished and facilitated. In turn, it appears that the release of bioactive agent from such a system is due, at least in part, to its inherent instability within the coated composition itself, coupled with its physical/chemical preference for surrounding tissues and fluids. In turn, those skilled in the art will appreciate the manner in which the various ingredients and amounts in a composition of this invention can be adjusted to provide desired release kinetics and for any particular bioactive agent, solvent and polymer combination.
- a composition of this invention meets or exceeds further criteria in its ability to be sterilized, stored, and delivered to a surface in a manner that preserves its desired characteristics, yet using conventional delivery means, such as spraying.
- delivery involves spraying the composition onto a device surface in a manner that avoids or minimizes phase separation of the polymer components.
- a composition of this invention permits polymer ratios to be varied in a manner that provides not only an optimal combination of such attributes as biocompatibility, durability, and bioactive agent release kinetics, but also that may provide a coated composition that is homogeneous, and hence substantially optically clear upon microscopic examination.
- various compositions of this invention will provide these and other features, with or without optional pretreatment of a metallic surface. The ability to achieve or exceed any of these criteria, let alone most if not all of them, was not expected.
- compositions of the present invention provide properties that are comparable or better than those obtained with previous polymer blend compositions. This, in turn, provides a variety of new and further opportunities, including with respect to both the type and concentration of bioactive agents that can be coated, as well as the variety of medical devices, and surfaces, themselves.
- the present invention also provides a combination that includes a medical device coated with a composition of this invention, as well as a method of preparing and using such a combination.
- FIG. 1 depicts a graph illustrating the cumulative bioactive agent release profiles for coating compositions according to the present invention applied to stents, as described in Example 1.
- suitable first polymers for use in a composition of this invention provide an optimal combination of such properties as glass transition temperature (T g ) and diffusion constant for the particular bioactive agent of choice.
- T g glass transition temperature
- T m melting temperature
- T g is an important parameter of a given polymer (including copolymer), and particularly amorphous polymers, that can be used to characterize its properties over a wide temperature range.
- a polymer is typically brittle at temperatures below its T g , and flexible at temperatures above. Both T m and T g can be affected by such things as polymer structure and backbone flexibility, molecular weight, attractive forces, and pressure.
- T g For random copolymers and compatible polymer blends, only a single T g is observed, usually lying intermediate between the T g of the corresponding pure homopolymers. Different T g 's are exhibited for incompatible polymer blends, and between the microdomains of block copolymers with mutually incompatible blocks. T g can be measured by any suitable technique, e.g., dilatometry, refractive index, differential scanning calorimetry, dynamic mechanical measurement, and dielectric measurement.
- Various second polymers e.g., poly(n-butyl methacrylate) of the present composition generally provide a T g in the range of room to body temperature (e.g., from about 20° C. to about 40° C.), and hence tend to be somewhat stiffer polymers, in turn, providing a slower diffusion constant for a number of the bioactive agents.
- Applicants have discovered the manner in which certain new polymers can be used as a first polymer component, to essentially balance, or temper the desired properties of the second polymer.
- Such first polymers will generally provide a lower glass transition temperature (e.g., below room temperature, and in some embodiments, in the range of about 0° C. or less), together with a relatively high diffusion constant for the bioactive agent.
- the first polymer of this invention will generally provide an optimal combination of glass transition temperature (e.g., at or lower than that of the second polymer), compatibility with the bioactive agent of choice, acceptable solubility in the solvents of choice, as well as commercial availability and cost.
- coating composition will refer to one or more vehicles (e.g., solutions, mixtures, emulsions, dispersions, blends, etc.) used to effectively coat a surface with bioactive agent, first polymer component and/or second polymer component, either individually or in any suitable combination.
- vehicles e.g., solutions, mixtures, emulsions, dispersions, blends, etc.
- coated composition will refer to the effective combination, upon the surface of a device, of bioactive agent, first polymer component and second polymer component, whether formed as the result of one or more coating vehicles or in one or more layers and/or steps.
- coating will refer to the effective combination of bioactive agent, first polymer component and second polymer component, independent of the device surface, and whether formed as the result of one or more coating vehicles or in one or more layers.
- Mw weight average molecular weights
- M w weight average molecular weights
- the M w can be measured using common techniques, such as light scattering or ultracentrifugation. Discussion of M w and other terms used to define the molecular weight of polymer preparations can be found in, for example, Allcock, H. R. and Lampe, F. W., Contemporary Polymer Chemistry; pg 271 (1990).
- a resultant composition can be coated using a plurality of individual steps or layers, including for instance, an initial layer having only bioactive agent (or bioactive agent with one or both of the polymer components), over which are coated one or more additional layers containing suitable combinations of bioactive agent, first polymer component and/or second polymer component, the combined result of which is to provide a coated composition of the invention.
- the invention further provides a method of reproducibly controlling the release (e.g., elution) of a bioactive agent from the surface of a medical device implanted in vivo.
- the surface to which the composition is applied can itself be pretreated in a manner sufficient to improve attachment of the composition to the underlying (e.g., metallic) surface.
- pretreatments include the use of compositions such as ParyleneTM coatings, as described herein. Additional examples of such pretreatments include silane coupling agents, photografted polymers, epoxy primers, polycarboxylate resins, and physical roughening of the surface. It is further noted that the pretreatment compositions may be used in combination with each other or may be applied in separate layers to form a pretreatment coating on the surface of the medical device.
- the release kinetics of the bioactive agent in vivo are thought to generally include both a short term (“burst”) release component, within the order of minutes to hours after implantation, and a longer term release component, which can range from on the order of hours to days or even months or years of useful release.
- burst short term
- the ability to coat a device in the manner of the present invention provides greater latitude in the composition of various coating layers, e.g., permitting more or less of the second polymer component (i.e., poly(alkyl(meth)acrylate) and/or poly(aromatic(meth)acrylate)) to be used in coating compositions used to form different layers (e.g., as a topcoat layer).
- the second polymer component i.e., poly(alkyl(meth)acrylate) and/or poly(aromatic(meth)acrylate
- the coating composition and method can be used to control the amount and rate of bioactive agent (e.g., drug) release from one or more surfaces of implantable medical devices.
- the method employs a mixture of hydrophobic polymers in combination with one or more bioactive agents, such as a pharmaceutical agent, such that the amount and rate of release of agent(s) from the medical device can be controlled, e.g., by adjusting the relative types and/or concentrations of hydrophobic polymers in the mixture.
- this approach permits the release rate to be adjusted and controlled by simply adjusting the relative concentrations of the polymers in the coating mixture. This provides an additional means to control rate of bioactive agent release besides the conventional approach of varying the concentration of bioactive agent in a coated composition.
- Some embodiments of the invention include a method of coating a device comprising the step of applying the composition to the device surface under conditions of controlled relative humidity (at a given temperature), for instance, under conditions of increased or decreased relative humidity as compared to ambient humidity.
- Humidity can be “controlled” in any suitable manner, including at the time of preparing and/or using (as by applying) the composition, for instance, by coating the surface in a confined chamber or area adapted to provide a relative humidity different than ambient conditions, and/or by adjusting the water content of the coating or coated composition itself.
- the coating composition includes a mixture of two or more polymers having complementary physical characteristics, and a bioactive agent or agents applicable to the surface of an implantable medical device.
- the device can be of any suitable type or configuration, and in many embodiments is one that undergoes flexion and/or expansion upon implantation or use, as in the manner of a stent or catheter.
- the applied coating composition is cured (e.g., by solvent evaporation) to provide a tenacious and flexible bioactive-releasing composition on the surface of the medical device.
- Such coating compositions are particularly well suited for devices that are themselves sufficiently small, or have portions that are sufficiently small (as in the struts of an expandable stent or the twists of an ocular coil), to permit the coated composition to form a contiguous, e.g., circumferential, coating, thereby further improving the ability of the coating to remain intact (e.g., avoid delamination).
- the complementary polymers are selected such that a broad range of relative polymer concentrations can be used without detrimentally affecting the desirable physical characteristics of the polymers.
- the bioactive release rate from a coated medical device can be manipulated by adjusting the relative concentrations of the polymers.
- the present invention relates to a coating composition and related method for coating an implantable medical device which undergoes flexion and/or expansion upon implantation.
- the coating composition may also be utilized with medical devices that have minimal or do not undergo flexion and/or expansion.
- the structure and composition of the underlying device can be of any suitable, and medically acceptable, design and can be made of any suitable material that is compatible with the coating itself.
- the natural or pretreated surface of the medical device is provided with a coating containing one or more bioactive agents.
- a first polymer component of this invention provides an optimal combination of similar properties, and particularly when used in admixture with the second polymer component.
- Various first polymers include polybutenes. Examples of suitable polymers are commercially available from sources such as Sigma-Aldrich.
- First polymers may include polybutenes.
- Polybutenes suitable for use in the present invention may include polymers derived by homopolymerizing or randomly interpolymerizing isobutylene, 1-butene and/or 2-butene.
- the polybutene can be a homopolymer of any of the isomers or it can be a copolymer or a terpolymer of any of the monomers in any ratio.
- the polybutene contains at least about 90% (wt) of isobutylene or 1-butene, and in some embodiments, the polybutene contains at least about 90% (wt) of isobutylene.
- the polybutene may contain non-interfering amounts of other ingredients or additives, for instance it can contain up to 1000 ppm of an antioxidant (e.g., 2,6-di-tert-butyl-methylphenol).
- the polybutene has a molecular weight between about 100 kilodaltons and about 1,000 kilodaltons, in some embodiments, between about 150 kilodaltons and about 600 kilodaltons, and in some embodiments, between about 150 kilodaltons and about 250 kilodaltons. In other embodiments, the polybutene has a molecular weight between about 150 kilodaltons and about 1,000 kilodaltons, optionally, between about 200 kilodaltons and about 600 kilodaltons, and further optionally, between about 350 kilodaltons and about 500 kilodaltons.
- Polybutenes having a molecular weight greater than about 600 kilodaltons, including greater than 1,000 kilodaltons are available but are expected to be more difficult to work with.
- suitable copolymers of this type are commercially available from sources such as Sigma-Aldrich.
- suitable copolymers of this type are commercially available from sources such as Sigma-Aldrich and include the following products.
- suitable copolymers of this type and their related descriptions may be found in the 2003-2004 Aldrich Handbook of Fine Chemicals and Laboratory Equipment, the entire contents of which are incorporated by reference herein.
- a second polymer component of this invention provides an optimal combination of various structural/functional properties, including hydrophobicity, durability, bioactive agent release characteristics, biocompatibility, molecular weight, and availability.
- the composition comprises at least one second polymer component selected from the group consisting of poly(alkyl(meth)acrylates) and poly(aromatic(meth)acrylates).
- the second polymer component is a poly(alkyl)methacrylate, that is, an ester of a methacrylic acid.
- suitable poly(alkyl(meth)acrylates) include those with alkyl chain lengths from 2 to 8 carbons, inclusive, and with molecular weights from 50 kilodaltons to 900 kilodaltons.
- the polymer mixture includes a poly(alkyl(meth)acrylate) with a molecular weight of from about 100 kilodaltons to about 1000 kilodaltons, in some embodiments from about 150 kilodaltons to about 500 kilodaltons, and in some embodiments from about 200 kilodaltons to about 400 kilodaltons.
- a second polymer is poly(n-butyl methacrylate).
- polystyrene foams examples include poly(n-butyl methacrylate-co-methyl methacrylate, with a monomer ratio of 3:1, poly(n-butyl methacrylate-co-isobutyl methacrylate, with a monomer ratio of 1:1 and poly(t-butyl methacrylate).
- Such polymers are available commercially (e.g., from Sigma-Aldrich, Milwaukee, Wis.) with molecular weights ranging from about 150 kilodaltons to about 350 kilodaltons, and with varying inherent viscosities, solubilities and forms (e.g., as slabs, granules, beads, crystals or powder).
- poly(aromatic(meth)acrylates) examples include poly(aryl(meth)acrylates), poly(aralkyl(meth)acrylates), poly(alkaryl(meth)acrylates), poly(aryloxyalkyl(meth)acrylates), and poly(alkoxyaryl(meth)acrylates).
- Such terms are used to describe polymeric structures wherein at least one carbon chain and at least one aromatic ring are combined with (meth)acrylic groups, typically esters, to provide a composition of this invention.
- a poly(aralkyl(meth)acrylate) can be made from aromatic esters derived from alcohols also containing aromatic moieties, such as benzyl alcohol.
- a poly(alkaryl(meth)acrylate) can be made from aromatic esters derived from aromatic alcohols such as p-anisole.
- Suitable poly(aromatic(meth)acrylates) include aryl groups having from 6 to 16 carbon atoms and with molecular weights from about 50 to about 900 kilodaltons.
- poly(aryl(meth)acrylates) examples include poly(9-anthracenyl methacrylate), poly(chlorophenyl acrylate), poly(methacryloxy-2-hydroxybenzophenone), poly(methacryloxybenzotriazole), poly(naphthyl acrylate), poly(naphthylmethacrylate), poly-4-nitrophenylacrylate, poly(pentachloro(bromo, fluoro)acrylate) and methacrylate, poly(phenyl acrylate) and poly(phenyl methacrylate).
- suitable poly(aralkyl(meth)acrylates) include poly(benzyl acrylate), poly(benzyl methacrylate), poly(2-phenethyl acrylate), poly(2-phenethyl methacrylate) and poly(1-pyrenylmethyl methacrylate).
- suitable poly(alkaryl(meth)acrylates include poly(4-sec-butylphenyl methacrylate), poly(3-ethylphenyl acrylate), and poly(2-methyl-1-naphthyl methacrylate).
- suitable poly(aryloxyalkyl (meth)acrylates) include poly(phenoxyethyl acrylate), poly(phenoxyethyl methacrylate), and poly(polyethylene glycol phenyl ether acrylate) and poly(polyethylene glycol phenyl ether methacrylate) with varying polyethylene glycol molecular weights.
- suitable poly(alkoxyaryl(meth)acrylates) include poly(4-methoxyphenyl methacrylate), poly(2-ethoxyphenyl acrylate) and poly(2-methoxynaphthyl acrylate).
- Acrylate or methacrylate monomers or polymers and/or their parent alcohols are commercially available from Sigma-Aldrich (Milwaukee, Wis.) or from Polysciences, Inc, (Warrington, Pa.).
- the coating composition may include one or more additional polymers in combination with the first and second polymer components, the additional polymers being, for example, selected from the group consisting of (i) poly(alkylene-co-alkyl(meth)acrylates), (ii) ethylene copolymers with other alkylenes, (iii) diolefin derived non-aromatic polymers and copolymers, (iv) aromatic group-containing copolymers, (v) epichlorohydrin-containing polymers and (vi) poly(ethylene-co-vinyl acetate).
- the additional polymers may act as substitutes for a portion of the first polymer.
- the additional polymers may substitute up to about 25% of the first polymer.
- the additional polymers may substitute up to about 50% of the first polymer.
- Suitable poly(alkylene-co-alkyl(meth)acrylates) include those copolymers in which the alkyl groups are either linear or branched, and substituted or unsubstituted with non-interfering groups or atoms. In some embodiments, such alkyl groups comprise from 1 to 8 carbon atoms, inclusive, and in some embodiments, from 1 to 4 carbon atoms, inclusive. In various embodiments, the alkyl group is methyl.
- copolymers that include such alkyl groups may comprise from about 15% to about 80% (wt) of alkyl acrylate.
- the alkyl group when the alkyl group is methyl, the polymer contains from about 20% to about 40% methyl acrylate, and in some embodiments, from about 25 to about 30% methyl acrylate.
- the alkyl group is ethyl
- the polymer in some embodiments, contains from about 15% to about 40% ethyl acrylate
- the alkyl group is butyl
- the polymer in some embodiments, contains from about 20% to about 40% butyl acrylate.
- the alkylene groups are selected from ethylene and/or propylene, and in some embodiments, the alkylene group is ethylene.
- the (meth)acrylate comprises an acrylate (i.e., no methyl substitution on the acrylate group).
- Various copolymers provide a molecular weight (Mw) of about 50 kilodaltons to about 500 kilodaltons, and in some embodiments, Mw is 50 kilodaltons to about 200 kilodaltons.
- the glass transition temperature for these copolymers varies with ethylene content, alkyl length on the (meth)acrylate and whether the first copolymer is an acrylate or methacrylate. At higher ethylene content, the glass transition temperature tends to be lower, and closer to that of pure polyethylene ( ⁇ 120° C.). A longer alkyl chain also lowers the glass transition temperature.
- a methyl acrylate homopolymer has a glass transition temperature of about 10° C. while a butyl acrylate homopolymer has one of ⁇ 54° C.
- Copolymers such as poly(ethylene-co-methyl acrylate), poly(ethylene-co-butyl acrylate) and poly(ethylene-co-2-ethylhexyl acrylate) copolymers are available commercially from sources such as Atofina Chemicals, Inc., Philadelphia, Pa., and can be prepared using methods available to those skilled in the respective art.
- suitable additional polymers of this type are commercially available from sources such as Sigma-Aldrich and include, but are not limited to, poly(ethylene-co-methyl acrylate), poly(ethylene-co-ethyl acrylate), and poly(ethylene-co-butyl acrylate).
- Suitable additional polymers also include ethylene copolymers with other alkylenes, which in turn, can include straight chain and branched alkylenes, as well as substituted or unsubstituted alkylenes. Examples include copolymers prepared from alkylenes that comprise from 3 to 8 branched or linear carbon atoms, inclusive, in some embodiments, alkylene groups that comprise from 3 to 4 branched or linear carbon atoms, inclusive, and in some embodiments, the alkylene group contains 3 carbon atoms (e.g., propylene). In various embodiments, the other alkylene is a straight chain alkylene (e.g., 1-alkylene).
- copolymers of this type can comprise from about 20% to about 90% (based on moles) of ethylene, and in some embodiments, from about 35% to about 80% (mole) of ethylene. Such copolymers will have a molecular weight of between about 30 kilodaltons to about 500 kilodaltons. Examples of copolymers are selected from the group consisting of poly(ethylene-co-propylene), poly(ethylene-co-1-butene), polyethylene-co-1-butene-co-1-hexene) and/or poly(ethylene-co-1-octene).
- copolymers include poly(ethylene-co-propylene) random copolymers in which the copolymer contains from about 35% to about 65% (mole) of ethylene; and in some embodiments, from about 55% to about 65% (mole) ethylene, and the molecular weight of the copolymer is from about 50 kilodaltons to about 250 kilodaltons, in some embodiments, from about 100 kilodaltons to about 200 kilodaltons.
- Copolymers of this type can optionally be provided in the form of random terpolymers prepared by the polymerization of both ethylene and propylene with optionally one or more additional diene monomers, such as those selected from the group consisting of ethylidene norborane, dicyclopentadiene and/or hexadiene.
- additional diene monomers such as those selected from the group consisting of ethylidene norborane, dicyclopentadiene and/or hexadiene.
- Various terpolymers of this type can include up to about 5% (mole) of the third diene monomer.
- suitable additional polymers of this type are commercially available from sources such as Sigma-Aldrich and include, but are not limited to, poly(ethylene-co-propylene), poly(ethylene-co-1-butene), poly(ethylene-co-1-butene-co-1-hexene), poly(ethylene-co-1-octene) and poly(ethylene-co-propylene-co-5-methylene-2-norborene).
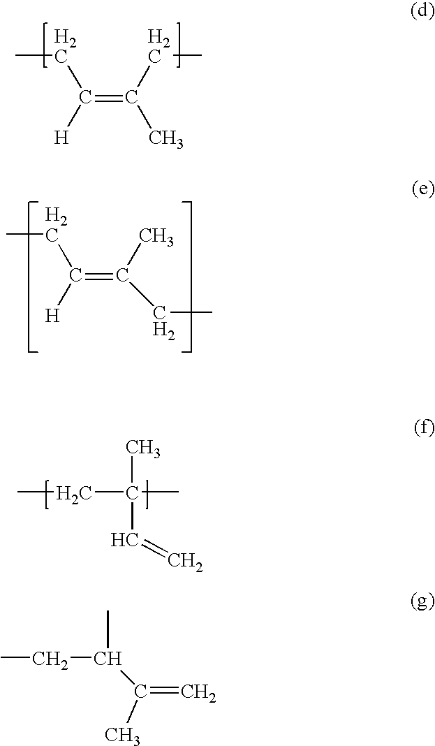
- Alternative additional polymers include diolefin-derived, non-aromatic polymers and copolymers, including those in which the diolefin monomer used to prepare the polymer or copolymer is selected from butadiene (CH 2 ⁇ CH—CH ⁇ CH 2 ) and/or isoprene (CH 2 ⁇ CH—C(CH 3 ) ⁇ CH 2 ).
- a butadiene polymer can include one or more butadiene monomer units which can be selected from the monomeric unit structures (a), (b), or (c):
- An isoprene polymer can include one or more isoprene monomer units which can be selected from the monomeric unit structures (d), (e), (f) or (g):
- the additional polymer is a homopolymer derived from diolefin monomers or is a copolymer of diolefin monomer with non-aromatic mono-olefin monomer, and optionally, the homopolymer or copolymer can be partially hydrogenated.
- Such polymers can be selected from the group consisting of polybutadienes containing polymerized cis-, trans- and/or 1,2-monomer units, and in some embodiments, a mixture of all three co-polymerized monomer units, and polyisoprenes containing polymerized cis-1,4- and/or trans-1,4-monomer units, polymerized 1,2-vinyl monomer units, polymerized 3,4-vinyl monomer units and/or others as described in the Encyclopedia of Chemical Technology, Vol. 8, page 915 (1993), the entire contents of which is hereby incorporated by reference.
- the additional polymer is a copolymer, including graft copolymers, and random copolymers based on a non-aromatic mono-olefin co-monomer such as acrylonitrile, an alkyl(meth)acrylate and/or isobutylene.
- a non-aromatic mono-olefin co-monomer such as acrylonitrile, an alkyl(meth)acrylate and/or isobutylene.
- the mono-olefin monomer is acrylonitrile
- the interpolymerized acrylonitrile is present at up to about 50% by weight
- the diolefin monomer is isoprene (e.g., to form what is commercially known as a “butyl rubber”).
- the polymers and copolymers have a Mw between about 50 kilodaltons and about 1,000 kilodaltons. In other embodiments, the polymers and copolymers have a Mw between about 100 kilodaltons and about 450 kilodaltons. In yet other embodiments the polymers and copolymers have a Mw between about 150 kilodaltons and about 1,000 kilodaltons, and optionally between about 200 kilodaltons and about 600 kilodaltons.
- suitable additional polymers of this type are commercially available from sources such as Sigma-Aldrich, such as the 2003-2004 Aldrich Handbook of Fine Chemicals and Laboratory Equipment.
- suitable additional polymers include, but are not limited to, polybutadiene, poly(butadiene-co-acrylonitrile), polybutadiene-block-polyisoprene, polybutadiene-graft-poly(methyl acrylate-co-acrylonitrile), polyisoprene, and partially hydrogenated polyisoprene.
- Suitable additional polymers may also include aromatic group-containing copolymers, including random copolymers, block copolymers and graft copolymers.
- the aromatic group is incorporated into the copolymer via the polymerization of styrene
- the random copolymer is a copolymer derived from copolymerization of styrene monomer and one or more monomers selected from butadiene, isoprene, acrylonitrile, a C 1 -C 4 alkyl(meth)acrylate (e.g., methyl methacrylate) and/or butene (e.g., isobutylene).
- Useful block copolymers include copolymer containing (a) blocks of polystyrene, (b) blocks of a polyolefin selected from polybutadiene, polyisoprene and/or polybutene (e.g., isobutylene), and (c) optionally a third monomer (e.g., ethylene) copolymerized in the polyolefin block.
- the aromatic group-containing copolymers may contain about 10% to about 50% (wt) of polymerized aromatic monomer and the molecular weight of the copolymer may be from about 50 kilodaltons to about 500 kilodaltons. In some embodiments, the molecular weight of the copolymer may be from about 300 kilodaltons to about 500 kilodaltons. In other embodiments, the molecular weight of the copolymer may be from about 100 kilodaltons to about 300 kilodaltons.
- suitable copolymers of this type include, but are not limited to, poly(styrene-co-butadiene) (random), polystyrene-block-polybutadiene, polystyrene-block-polybutadiene-block-polystyrene, polystyrene-block-poly(ethylene-ran-butylene)-block-polystyrene, polystyrene-block-polyisoprene-block-polystyrene, polystyrene-block-polyisobutylene-block-polystyrene, poly(styrene-co-acrylonitrile), poly(styrene-co-butadiene-co-acrylonitrile) and poly(styrene-co-butadiene-co-methyl methacrylate).
- Suitable additional polymers include epichlorohydrin homopolymers and poly(epichlorohydrin-co-alkylene oxide) copolymers.
- the copolymerized alkylene oxide is ethylene oxide.
- epichlorohydrin content of the epichlorohydrin-containing polymer is from about 30% to 100% (wt), and in some embodiments, from about 50% to 100% (wt).
- the epichlorohydrin-containing polymers have an Mw from about 100 kilodaltons to about 300 kilodaltons.
- suitable copolymers of this type are commercially available from sources such as Sigma-Aldrich and include, but are not limited to, polyepichlorohydrin and poly(epichlorohydrin-co-ethylene oxide).
- One additional polymer that may be utilized in the coating composition of the present invention includes poly(ethylene-co-vinyl acetate) (pEVA).
- pEVA poly(ethylene-co-vinyl acetate)
- suitable polymers of this type are available commercially and include poly(ethylene-co-vinyl acetate) having vinyl acetate concentrations of from about 8% and about 90%, in some embodiments, from about 20 to about 40 weight percent and in some embodiments, from about 30 to about 34 weight percent.
- Such polymers are generally found in the form of beads, pellets, granules, etc. It has generally been found that pEVA co-polymers with lower percent vinyl acetate become increasingly insoluble in typical solvents.
- the coating compositions for use in this invention includes mixtures of first and second polymer components as described herein.
- first and second polymer components are purified for such use to a desired extent and/or provided in a form suitable for in vivo use.
- biocompatible additives may be added, such as dyes and pigments (e.g., titanium dioxide, Solvent Red 24, iron oxide, and Ultramarine Blue); slip agents (e.g., amides such as oleyl palmitamide, N,N′-ethylene bisoleamide, erucamide, stearamide, and oleamide); antioxidants (e.g.
- butylated hydroxytoluene BHT
- vitamin E tocopherol
- BNXTM BNXTM
- dilauryl thiodipropionate DLTDP
- IrganoxTM series phenolic and hindered phenolic antioxidants
- organophosphites e.g., trisnonylphenyl phosphite, IrgafosTM 168
- lactones e.g., substituted benzofuranone
- hydroxylamine and MEHQ (monomethyl ether of hydroquinone)
- surfactants e.g., anionic fatty acid surfactants (e.g., sodium lauryl sulfate, sodium dodecylbenzenesulfonate, sodium stearate, and sodium palmitate), cationic fatty acid surfactants (e.g., quaternary ammonium salts and amine salts), and nonionic ethoxylated surfactants (
- the polymer mixture includes a first polymer component comprising one or more polymers selected from the group consisting of polybutenes, and a second polymer component selected from the group consisting of poly (alkyl(meth)acrylates) and poly(aromatic(meth)acrylates) and having a molecular weight of from about 150 kilodaltons to about 500 kilodaltons, and in some embodiments, from about 200 kilodaltons to about 400 kilodaltons.
- polymers have proven useful with absolute polymer concentrations (i.e., the total combined concentrations of both polymers in the coating composition), of between about 0.1 and about 50 percent (by weight), and in some embodiments, between about 0.1 and about 35 percent (by weight).
- Various polymer mixtures contain at least about 10 percent by weight of either the first polymer or the second polymer.
- the polymer composition may comprise about 5% to about 95% of the first and/or second polymers based on the total weights of the first and second polymers. In various embodiments, the composition may comprise about 15% to about 85% of the first and/or second polymers. In some embodiments, the composition may include about 25% to about 75% of the first and/or second polymers.
- the bioactive agent may comprise about 1% to about 75% of the first polymer, second polymer, and bioactive agent mixture (i.e., excluding solvents and other additives). In various embodiments, the bioactive agent may comprise about 5% to about 60% of such a mixture. In some embodiments, the bioactive agent may comprise about 25% to about 45% of such a mixture.
- the concentration of the bioactive agent or agents dissolved or suspended in the coating mixture can range from about 0.01 to about 90 percent, by weight, based on the weight of the final coating composition, and in some embodiments, from about 0.1 to about 50 percent by weight.
- bioactive agent will refer to a wide range of biologically active materials or drugs that can be incorporated into a coating composition of the present invention.
- the bioactive agent(s) to be incorporated do not chemically interact with the coating composition during fabrication or during the bioactive agent release process.
- Bioactive agent will, in turn, refer to a peptide, protein, carbohydrate, nucleic acid, lipid, polysaccharide or combinations thereof, or synthetic or natural inorganic or organic molecule, that causes a biological effect when administered in vivo to an animal, including but not limited to birds and mammals, including humans.
- Nonlimiting examples are antigens, enzymes, hormones, receptors, peptides, and gene therapy agents.
- suitable gene therapy agents include a) therapeutic nucleic acids, including antisense DNA and antisense RNA, and b) nucleic acids encoding therapeutic gene products, including plasmid DNA and viral fragments, along with associated promoters and excipients.
- Other molecules that can be incorporated include nucleosides, nucleotides, antisense, vitamins, minerals, and steroids.
- Controlled release of bioactive agent is vitally important in many medical areas, including cardiology, oncology, central nervous system disorders, neurology, immunology, diabetes control, musculoskeletal and joint diseases, ophthalmology, vaccination, respiratory, endocrinology, dermatology, and diagnostics/imaging.
- thrombus formation on or around medical devices may create variations in biological agent uptake in target tissue sites and can act to either increase or decrease wall deposition according to the clot and device geometry.
- the embodiments of this invention further enable reliable and predictable delivery and update of bioactive agents through enhancement of the conformable, durable and stable coatings which result, regardless of flexion or other motion of the medical device substrate.
- Coating compositions prepared according to this process can be used to deliver drugs such as nonsteroidal anti-inflammatory compounds, anesthetics, chemotherapeutic agents, immunotoxins, immunosuppressive agents, steroids, antibiotics, antivirals, antifungals, steroidal antiinflammatories, anticoagulants, antiproliferative agents, angiogenic agents, and anti-angiogenic agents.
- the bioactive agent to be delivered is a hydrophobic drug having a relatively low molecular weight (i.e., a molecular weight no greater than about two kilodaltons, and in some embodiments, no greater than about 1.5 kilodaltons).
- hydrophobic drugs such as rapamycin, paclitaxel, dexamethasone, lidocaine, triamcinolone acetonide, retinoic acid, estradiol, pimecrolimus, tacrolimus or tetracaine can be included in the coating and are released over several hours or longer.
- Classes of medicaments which can be incorporated into coatings of this invention include, but are not limited to, anti-AIDS substances, anti-neoplastic substances, antibacterials, antifungals and antiviral agents, enzyme inhibitors, neurotoxins, opioids, hypnotics, antihistamines, immunomodulators (e.g., cyclosporine), tranquilizers, anti-convulsants, muscle relaxants and anti-Parkinsonism substances, anti-spasmodics and muscle contractants, miotics and anti-cholinergics, immunosuppressants (e.g.
- cyclosporine anti-glaucoma solutes, anti-parasite and/or anti-protozoal solutes, anti -hypertensives, analgesics, anti-pyretics and anti-inflammatory agents (such as NSAIDs), local anesthetics, ophthalmics, prostaglandins, anti-depressants, anti-psychotic substances, anti-emetics, imaging agents, specific targeting agents, neurotransmitters, proteins, and cell response modifiers.
- Antibiotics are recognized as substances which inhibit the growth of or kill microorganisms. Antibiotics can be produced synthetically or by microorganisms. Examples of antibiotics include penicillin, tetracycline, chloramphenicol, minocycline, doxycycline, vancomycin, bacitracin, kanamycin, neomycin, gentamycin, erythromycin, geldanamycin, cephalosporins, and analogues thereof.
- cephalosporins examples include cephalothin, cephapirin, cefazolin, cephalexin, cephradine, cefadroxil, cefamandole, cefoxitin, cefaclor, cefuroxime, cefonicid, ceforanide, cefotaxime, moxalactam, ceftizoxime, ceftriaxone, and cefoperazone.
- Antiseptics are recognized as substances that prevent or arrest the growth or action of microorganisms, generally in a nonspecific fashion, e.g., either by inhibiting their activity or destroying them.
- antiseptics include silver sulfadiazine, chlorhexidine, glutaraldehyde, peracetic acid, sodium hypochlorite, phenols, phenolic compounds, iodophor compounds, quaternary ammonium compounds, and chlorine compounds.
- Anti-viral agents are substances capable of destroying or suppressing the replication of viruses.
- examples of anti-viral agents include methyl-P-adamantane methylamine, hydroxy-ethoxymethylguanine, adamantanamine, 5-iodo-2′-deoxyuridine, trifluorothymidine, interferon, and adenine arabinoside.
- Enzyme inhibitors are substances which inhibit an enzymatic reaction.
- enzyme inhibitors include edrophonium chloride, N-methylphysostigmine, neostigmine bromide, physostigmine sulfate, tacrine HCl, tacrine, 1-hydroxymaleate, iodotubercidin, p-bromotetramisole, 10-( ⁇ -diethylaminopropionyl)-phenothiazine hydrochloride, calmidazolium chloride, hemicholinium-3,3,5-dinitrocatechol, diacylglycerol kinase inhibitor I, diacylglycerol kinase inhibitor II, 3-phenylpropargylamine, N-monomethyl-L-arginine acetate, carbidopa, 3-hydroxybenzylhydrazine HCl, hydralazine HCl, clorgyline HCl, deprenyl HCl
- Anti-pyretics are substances capable of relieving or reducing fever.
- Anti-inflammatory agents are substances capable of counteracting or suppressing inflammation. Examples of such agents include aspirin (acetylsalicylic acid), indomethacin, sodium indomethacin trihydrate, salicylamide, naproxen, colchicine, fenoprofen, sulindac, diflunisal, diclofenac, indoprofen and sodium salicylamide.
- Local anesthetics are substances which inhibit pain signals in a localized region.
- anesthetics include procaine, lidocaine, tetracaine and dibucaine.
- Imaging agents are agents capable of imaging a desired site, e.g., tumor, in vivo.
- imaging agents include substances having a label which is detectable in vivo, e.g., antibodies attached to fluorescent labels.
- the term antibody includes whole antibodies or fragments thereof.
- Cell response modifiers are chemotactic factors such as platelet-derived growth factor (pDGF).
- Other chemotactic factors include neutrophil-activating protein, monocyte chemoattractant protein, macrophage-inflammatory protein, SIS (small inducible secreted), platelet factor, platelet basic protein, melanoma growth stimulating activity, epidermal growth factor, transforming growth factor (alpha), fibroblast growth factor, platelet-derived endothelial cell growth factor, estradiols, insulin-like growth factor, nerve growth factor, bone growth/cartilage-inducing factor (alpha and beta), and matrix metallo proteinase inhibitors.
- pDGF platelet-derived growth factor
- Other chemotactic factors include neutrophil-activating protein, monocyte chemoattractant protein, macrophage-inflammatory protein, SIS (small inducible secreted), platelet factor, platelet basic protein, melanoma growth stimulating activity, epidermal growth factor, transforming growth factor (alpha
- cell response modifiers are the interleukins, interleukin inhibitors or interleukin receptors, including interleukin 1 through interleukin 10; interferons, including alpha, beta and gamma; hematopoietic factors, including erythropoietin, granulocyte colony stimulating factor, macrophage colony stimulating factor and granulocyte-macrophage colony stimulating factor; tumor necrosis factors, including alpha and beta; transforming growth factors (beta), including beta-1, beta-2, beta-3, inhibin, activin, DNA that encodes for the production of any of these proteins, antisense molecules, androgenic receptor blockers and statin agents.
- interleukins interleukin inhibitors or interleukin receptors, including interleukin 1 through interleukin 10
- interferons including alpha, beta and gamma
- hematopoietic factors including erythropoietin, granulocyte colony stimulating factor, macrophage
- bioactive agents examples include sirolimus, including analogues and derivatives thereof (including rapamycin, ABT-578, everolimus).
- Sirolimus has been described as a macrocyclic lactone or triene macrolide antibiotic and is produced by Streptomyces hygroscopicus, having a molecular formula of C 51 H 79 O 13 and a molecular weight of 914.2.
- Sirolimus has been shown to have antifungal, antitumor and immunosuppressive properties.
- Another suitable bioactive agent includes paclitaxel (Taxol) which is a lipophilic (i.e., hydrophobic) natural product obtained via a semi-synthetic process from Taxus baccata and having antitumor activity.
- bioactive agents include, but are not limited to, the following compounds, including analogues and derivatives thereof: dexamethasone, betamethasone, retinoic acid, vinblastine, vincristine, vinorelbine, etoposide, teniposide, dactinomycin (actinomycin D), daunorubicin, doxorubicin, idarubicin, anthracyclines, mitoxantrone, bleomycin, plicamycin (mithramycin), mitomycin, mechlorethamine, cyclophosphamide and its analogs, melphalan, chlorambucil, ethylenimines and methylmelamines, alkyl sulfonates-busulfan, nitrosoureas, carmustine (BCNU) and analogs, streptozocin, trazenes-dacarbazinine, methotrexate, fluorouracil, floxuridine,
- Bioactive agents are commercially available from Sigma Aldrich (e.g., vincristine sulfate).
- concentration of the bioactive agent or agents dissolved or suspended in the coating mixture can range from about 0.01 to about 90 percent, by weight, based on the weight of the final coated composition.
- Additives such as inorganic salts, BSA (bovine serum albumin), and inert organic compounds can be used to alter the profile of bioactive agent release, as known to those skilled in the art.
- a coating composition in order to provide a coating, is prepared to include one or more solvents, a combination of complementary polymers dissolved in the solvent, and the bioactive agent or agents dispersed in the polymer/solvent mixture.
- the solvent may be one in which the polymers form a true solution.
- the pharmaceutical agent itself may either be soluble in the solvent or form a dispersion throughout the solvent.
- Suitable solvents include, but are not limited to, alcohols (e.g., methanol, butanol, propanol and isopropanol), alkanes (e.g., halogenated or unhalogenated alkanes such as hexane, cyclohexane, methylene chloride and chloroform), amides (e.g., dimethylformamide), ethers (e.g., tetrahydrofuran (THF), dioxolane, and dioxene), ketones (e.g., methyl ethyl ketone), aromatic compounds (e.g., toluene and xylene), nitriles (e.g., acetonitrile) and esters (e.g., ethyl acetate).
- alcohols e.g., methanol, butanol, propanol and isopropanol
- alkanes e.g.,
- a coating composition of this invention can be used to coat the surface of a variety of devices, and is particularly useful for those devices that will come in contact with aqueous systems. Such devices are coated with a coating composition adapted to release bioactive agent in a prolonged and controlled manner, generally beginning with the initial contact between the device surface and its aqueous environment.
- the coated composition provides a means to deliver bioactive agents from a variety of biomaterial surfaces.
- biomaterials include those formed of synthetic polymers, including oligomers, homopolymers, and copolymers resulting from either addition or condensation polymerizations.
- suitable addition polymers include, but are not limited to, acrylics such as those polymerized from methyl acrylate, methyl methacrylate, hydroxyethyl methacrylate, hydroxyethyl acrylate, acrylic acid, methacrylic acid, glyceryl acrylate, glyceryl methacrylate, methacrylamide, and acrylamide; vinyls, such as those polymerized from ethylene, propylene, styrene, vinyl chloride, vinyl acetate, vinyl pyrrolidone, and vinylidene difluoride.
- condensation polymers include, but are not limited to, nylons such as polycaprolactam, poly(lauryl lactam), poly(hexamethylene adipamide), and poly(hexamethylene dodecanediamide), and also polyurethanes, polycarbonates, polyamides, polysulfones, poly(ethylene terephthalate), poly(lactic acid), poly(glycolic acid), poly(lactic acid-co-glycolic acid), polydimethylsiloxanes, polyetheretherketone, poly(butylene terephthalate), poly(butylene terephthalate-co-polyethylene glycol terephthalate), esters with phosphorus containing linkages, non-peptide polyamino acid polymers, polyiminocarbonates, amino acid-derived polycarbonates and polyarylates, and copolymers of polyethylene oxides with amino acids or peptide sequences.
- nylons such as polycaprolactam, poly(lauryl lactam), poly(hexamethylene
- biomaterials including human tissue such as bone, cartilage, skin and teeth; and other organic materials such as wood, cellulose, compressed carbon, and rubber.
- suitable biomaterials include metals and ceramics.
- the metals include, but are not limited to, titanium, stainless steel, and cobalt chromium.
- a second class of metals include the noble metals such as gold, silver, copper, and platinum. Alloys of metals may be suitable for biomaterials as well, such as nitinol (e.g. MP35).
- the ceramics include, but are not limited to, silicon nitride, silicon carbide, zirconia, and alumina, as well as glass, silica, and sapphire.
- Yet other suitable biomaterials include combinations of ceramics and metals, as well as biomaterials that are fibrous or porous in nature.
- the surface of some biomaterials can be pretreated (e.g., with a silane and/or ParyleneTM coating composition in one or more layers) in order to alter the surface properties of the biomaterial.
- a layer of silane may be applied to the surface of the biomaterial followed by a layer of ParleneTM.
- ParyleneTM C is the polymeric form of the low-molecular-weight dimer of para-chloro-xylylene.
- Silane and/or ParyleneTM C (a material supplied by Specialty Coating Systems (Indianapolis)) can be deposited as a continuous coating on a variety of medical device parts to provide an evenly distributed, transparent layer.
- the deposition of ParyleneTM is accomplished by a process termed vapor deposition polymerization, in which dimeric ParyleneTM C is vaporized under vacuum at 150° C., pyrolyzed at 680° C. to form a reactive monomer, then pumped into a chamber containing the component to be coated at 25° C. At the low chamber temperature, the monomeric xylylene is deposited on the part, where it immediately polymerizes via a free-radical process. The polymer coating reaches molecular weights of approximately 500 kilodaltons.
- Deposition of the xylylene monomer takes place in only a moderate vacuum (0.1 torr) and is not line-of-sight. That is, the monomer has the opportunity to surround all sides of the part to be coated, penetrating into crevices or tubes and coating sharp points and edges, creating what is called a “conformal” coating. With proper process control, it is possible to deposit a pinhole-free, insulating coating that will provide very low moisture permeability and high part protection to corrosive biological fluids.
- Adherence is a function of the chemical nature of the surface to be coated. It has been reported, for instance, that tantalum and silicon surfaces can be overcoated with silicon dioxide, then with plasma-polymerized methane, and finally with ParyleneTM C to achieve satisfactory adherence.
- ParyleneTM C coating in the medical device industry are for protecting sensitive components from corrosive body fluids or for providing lubricity to surfaces.
- Typical anticorrosion applications include blood pressure sensors, cardiac-assist devices, prosthetic components, bone pins, electronic circuits, ultrasonic transducers, bone-growth stimulators, and brain probes.
- Applications to promote lubricity include mandrels, injection needles, cannulae, and catheters.
- the surface to which the composition is applied can itself be pretreated in other manners sufficient to improve attachment of the composition to the underlying (e.g., metallic) surface. Additional examples of such pretreatments include photografted polymers, epoxy primers, polycarboxylate resins, and physical roughening of the surface. It is further noted that the pretreatment compositions and/or techniques may be used in combination with each other or may be applied in separate layers to form a pretreatment coating on the surface of the medical device.
- a tie-in layer may be utilized to facilitate one or more physical and/or covalent bonds between layers.
- the pretreatment layer may include a multi-interface system to facilitate adhesion and cohesion interaction relative to the different materials positioned at the interface of each layer.
- the application of Parylene pretreatments to metal surfaces may be aided by a first application of a reactive organosilane reagent.
- a reactive organosilane reagent containing an unsaturated pendant group is capable of participating with the Parylene radicals as they deposit on the surface from the vapor phase. After cleaning of the metal surface, an organosilane reagent with an unsaturated pendant group may be applied to the metal oxide surface on a metal substrate.
- the silicon in the organosilane reagent couples covalently to the metal oxide, linking the organosilane group to the surface.
- the substrate may then be placed in a Parylene reactor and exposed to the vapor-phase Parylene process.
- the unsaturated pendant groups on the organosilane-treated surface can react with the Parylene diradicals depositing from the vapor phase. This forms a covalent link between the Parylene and the organosilane layer.
- the Parylene also forms covalent bonds to itself as it deposits.
- this process yields a layered surface in which the layers are covalently bonded to each other.
- the Parylene may physically bond with the bioactive agent delivery coating or may include a reactive acrylate group that can be reacted with the bioactive agent delivery coating to improve durability to mechanical challenges.
- the coating composition of the present invention can be used in combination with a variety of devices, including those used on a temporary, transient, or permanent basis upon and/or within the body.
- Compositions of this invention can be used to coat the surface of a variety of implantable devices, for example: drug-delivering vascular stents (e.g., self-expanding stents typically made from nitinol, balloon-expanded stents typically prepared from stainless steel); other vascular devices (e.g., grafts, catheters, valves, artificial hearts, heart assist devices); implantable defibrillators; blood oxygenator devices (e.g., tubing, membranes); surgical devices (e.g., sutures, staples, anastomosis devices, vertebral disks, bone pins, suture anchors, hemostatic barriers, clamps, screws, plates, clips, vascular implants, tissue adhesives and sealants, tissue scaffolds); membranes; cell culture devices; chromatographic support materials; biosensors; shunts for hydrocephalus; wound management devices; endoscopic devices; infection control devices; orthopedic devices (e.g., for joint implants, fracture repairs); dental devices (e.g
- ocular coils ocular coils
- glaucoma drain shunts synthetic prostheses (e.g., breast); intraocular lenses; respiratory, peripheral cardiovascular, spinal, neurological, dental, ear/nose/throat (e.g., ear drainage tubes); renal devices; and dialysis (e.g., tubing, membranes, grafts).
- synthetic prostheses e.g., breast
- intraocular lenses respiratory, peripheral cardiovascular, spinal, neurological, dental, ear/nose/throat (e.g., ear drainage tubes); renal devices; and dialysis (e.g., tubing, membranes, grafts).
- dialysis e.g., tubing, membranes, grafts
- useful devices include urinary catheters (e.g., surface-coated with antimicrobial agents such as vancomycin or norfloxacin), intravenous catheters (e.g., treated with antithrombotic agents (e.g., heparin, hirudin, coumadin), small diameter grafts, vascular grafts, artificial lung catheters, atrial septal defect closures, electro-stimulation leads for cardiac rhythm management (e.g., pacer leads), glucose sensors (long-term and short-term), degradable coronary stents (e.g., degradable, non-degradable, peripheral), blood pressure and stent graft catheters, birth control devices, benign prostate and prostate cancer implants, bone repair/augmentation devices, breast implants, cartilage repair devices, dental implants, implanted drug infusion tubes, intravitreal drug delivery devices, nerve regeneration conduits, oncological implants, electrostimulation leads, pain management implants, spinal/orthopedic repair devices, wound dressings, embolic protection filters, abdominal
- vena cava filters examples include, but are not limited to, vena cava filters, urinary dialators, endoscopic surgical tissue extractors, atherectomy catheters, clot extraction catheters, percutaneous transluminal angioplasty catheters, PTCA catheters, stylets (vascular and non-vascular), coronary guidewires, drug infusion catheters, esophageal stents, circulatory support systems, angiographic catheters, transition sheaths and dilators, coronary and peripheral guidewires, hemodialysis catheters, neurovascular balloon catheters, tympanostomy vent tubes, cerebro-spinal fluid shunts, defibrillator leads, percutaneous closure devices, drainage tubes, thoracic cavity suction drainage catheters, electrophysiology catheters, stroke therapy catheters, abscess drainage catheters, biliary drainage products, dialysis catheters, central venous access catheters, and parental feeding catheters.
- medical devices suitable for the present invention include, but are not limited to catheters, implantable vascular access ports, blood storage bags, vascular stents, blood tubing, arterial catheters, vascular grafts, intraaortic balloon pumps, cardiovascular sutures, total artificial hearts and ventricular assist pumps, extracorporeal devices such as blood oxygenators, blood filters, hemodialysis units, hemoperfusion units, plasmapheresis units, hybrid artificial organs such as pancreas or liver and artificial lungs, as well as filters adapted for deployment in a blood vessel in order to trap emboli (also known as “distal protection devices”).
- catheters implantable vascular access ports
- blood storage bags such as blood storage bags, vascular stents, blood tubing, arterial catheters, vascular grafts, intraaortic balloon pumps, cardiovascular sutures, total artificial hearts and ventricular assist pumps, extracorporeal devices such as blood oxygenators, blood filters, hemodialysis units, hemoperfusion units, plasmapheresis units, hybrid artificial organs such as pancre
- compositions are particularly useful for those devices that will come in contact with aqueous systems, such as bodily fluids.
- Such devices are coated with a coating composition adapted to release bioactive agent in a prolonged and controlled manner, generally beginning with the initial contact between the device surface and its aqueous environment.
- a coating composition adapted to release bioactive agent in a prolonged and controlled manner, generally beginning with the initial contact between the device surface and its aqueous environment.
- bioactive agents may be utilized to treat a wide variety of conditions utilizing any number of medical devices, or to enhance the function and/or life of the device.
- any type of medical device may be coated in some fashion with one or more bioactive agents that enhances treatment over use of the individual use of the device or bioactive agent.
- the coating composition can also be used to coat stents, e.g., either self-expanding stents, which are typically prepared from nitinol, or balloon-expandable stents, which are typically prepared from stainless steel.
- stents e.g., either self-expanding stents, which are typically prepared from nitinol, or balloon-expandable stents, which are typically prepared from stainless steel.
- Other stent materials such as cobalt chromium alloys, can be coated by the coating composition as well.
- vascular stents such as self-expanding stents and balloon expandable stents.
- self-expanding stents useful in the present invention are illustrated in U.S. Pat. Nos. 4,655,771 and 4,954,126 issued to Wallsten and U.S. Pat. No. 5,061,275 issued to Wallsten et al.
- suitable balloon-expandable stents are shown in U.S. Pat. No. 4,733,665 issued to Palmaz, U.S. Pat. No. 4,800,882 issued to Gianturco and U.S. Pat. No. 4,886,062 issued to Wiktor.
- the coating composition can also be used to coat ophthalmic devices, e.g. ocular coils.
- ophthalmic devices e.g. ocular coils.
- a therapeutic agent delivery device that is particularly suitable for delivery of a therapeutic agent to limited access regions, such as the vitreous chamber of the eye and inner ear is described in U.S. Pat. No. 6,719,750 and U.S. patent application Publication No. 2005/0019371 A1.
- the resultant coating composition can be applied to the device in any suitable fashion (e.g., the coating composition can be applied directly to the surface of the medical device, or alternatively, to the surface of a surface-modified medical device, by dipping, spraying, ultrasonic deposition, or using any other conventional technique).
- the suitability of the coating composition for use on a particular material, and in turn, the suitability of the coated composition can be evaluated by those skilled in the art, given the present description.
- the coating comprises at least two layers which are themselves different.
- a base layer may be applied having bioactive agent(s) alone, or together with or without one or more of the polymer components, after which one or more topcoat layers are coated, each with either first and/or second polymers as described herein, and with or without bioactive agent.
- these different layers can cooperate in the resultant composite coating to provide an overall release profile having certain desired characteristics, and may be used with bioactive agents of high molecular weight.
- the composition is coated onto the device surface in one or more applications of a single composition that includes first and second polymers, together with bioactive agent.
- a pretreatment layer or layers may be first applied to the surface of the device, wherein subsequent coating with the composition may be performed onto the pretreatment layer(s).
- the method of applying the coating composition to the device is typically governed by the geometry of the device and other process considerations.
- the coating is subsequently cured by evaporation of the solvent.
- the curing process can be performed at room or elevated temperature, and optionally with the assistance of vacuum and/or controlled humidity.
- the topcoat may include one or more of the first, second, and/or additional polymers described herein without the inclusion of a bioactive agent.
- the topcoat includes a second polymer that is a poly(alkyl(meth)acrylate).
- An example of a poly(alkyl(meth)acrylate) includes poly(n-butyl methacrylate).
- the first or second polymers could further include functional groups (e.g.
- topcoat hydroxy, thiol, methylol, amino, and amine-reactive functional groups such as isocyanates, thioisocyanates, carboxylic acids, acyl halides, epoxides, aldehydes, alkyl halides, and sulfonate esters such as mesylate, tosylate, and tresylate) that could be utilized to bind the topcoat to the adjacent coating composition.
- pretreatment materials e.g. ParyleneTM
- biocompatible topcoats e.g. heparin, collagen, extracellular matrices, cell receptors . . .
- biocompatible topcoats may be adjoined to the coating composition of the present invention by utilizing photochemical or thermochemical techniques known in the art. Additionally, release layers may be applied to the coating composition of the present invention as a friction barrier layer or a layer to protect against delamination. Examples of biocompatible topcoats that may be used include those disclosed in U.S. Pat. Nos. 4,979,959 and 5,744,515.
- the polymer composition for use in this invention is biocompatible, e.g., such that it results in no significant induction of inflammation or irritation when implanted.
- the polymer combination may be useful throughout a broad spectrum of both absolute concentrations and relative concentrations of the polymers. This means that the physical characteristics of the coating, such as tenacity, durability, flexibility and expandability, will typically be adequate over a broad range of polymer concentrations.
- the ability of the coating to control the release rates of a variety of bioactive agents can be manipulated by varying the absolute and relative concentrations of the polymers.
- the coatings of the present invention are generally hydrophobic and limit the intake of aqueous fluids.
- many embodiments of the present invention are coating compositions including two or more hydrophobic polymers wherein the resulting coating shows ⁇ 10% (wt) weight change when exposed to water, and in some embodiments ⁇ 5% (wt) weight change when exposed to water.
- a coating composition can be provided in any suitable form, e.g., in the form of a true solution, or fluid or paste-like emulsion, mixture, dispersion or blend.
- Various polymer combinations of this invention are capable of being provided in the form of a true solution, and in turn, can be used to provide a coating that is both optically clear (upon microscopic examination), while also containing a significant amount of bioactive agent.
- the coated composition will generally result from the removal of solvents or other volatile components and/or other physical-chemical actions (e.g., heating or illuminating) affecting the coated composition in situ upon the surface.
- a further example of a coating composition embodiment may include a configuration of one or more bioactive agents within an inner matrix structure, for example, bioactive agents within or delivered from a degradable encapsulating matrix or a microparticle structure formed of semipermeable cells and/or degradable polymers.
- One or more inner matrices may be placed in one or more locations within the coating composition and at one or more locations in relation to the substrate. Examples of inner matrices, for example degradable encapsulating matrices formed of semipermeable cells and/or degradable polymers, are disclosed and/or suggested in U.S. Publication No. 20030129130, U.S. Patent Application Ser. No. 60/570,334 filed May 12, 2004, U.S. Patent Application Ser. No.
- the overall weight of the coating upon the surface may vary depending on the application. However, in some embodiments, the weight of the coating attributable to the bioactive agent is in the range of about one microgram to about 10 milligram (mg) of bioactive agent per cm 2 of the effective surface area of the device.
- effective surface area it is meant the surface amenable to being coated with the composition itself. For a flat, nonporous, surface, for instance, this will generally be the macroscopic surface area itself, while for considerably more porous or convoluted (e.g., corrugated, pleated, or fibrous) surfaces the effective surface area can be significantly greater than the corresponding macroscopic surface area.
- the weight of the coating attributable to the bioactive agent is between about 0.005 mg and about 10 mg, and in some embodiments, between about 0.01 mg and about 1 mg of bioactive agent per cm 2 of the gross surface area of the device. This quantity of bioactive agent is generally required to provide desired activity under physiological conditions.
- the final coating thickness of a coated composition will typically be in the range of about 0.1 micrometers to about 100 micrometers, and in some embodiments, between about 0.5 micrometers and about 25 micrometers. This level of coating thickness is generally required to provide an adequate concentration of drug to provide adequate activity under physiological conditions.
- Stainless steel stents used in the following example were manufactured by Laserage Technology Corporation, Waukegan, Ill.
- the metal surface of the stents may be coated without any pretreatment beyond washing.
- a primer may be applied to the stents by first cleaning the stents with aqueous base, then pre-treating with a silane followed by vapor deposition of ParyleneTM polymer.
- the silane used was [3-(methacroyloxy)propyl]trimethoxysilane, available from Sigma-Aldrich Fine Chemicals as Product No. 44,015-9.
- the silane may be applied as essentially a monolayer by mixing the silane at a low concentration in 50/50 (vol) isopropanol/water, soaking the stents in the aqueous silane solution for a suitable length of time to allow the water to hydrolyze the silane and produce some cross-linking, washing off residual silane, then baking the silane-treated stent at 100° C. for conventional periods of time.
- ParyleneTM C coating available from Union Carbide Corporation, Danbury, Conn.
- the stents Prior to coating, the stents should be weighed on a microbalance to determine a tare weight.
- Bioactive agent/polymer solutions were prepared at a range of concentrations in an appropriate solvent (typically tetrahydrofuran or chloroform), in the manner described herein. In all cases the coating solutions were applied to respective stents by spraying, and the solvent was allowed to evaporate under ambient conditions. The coated stents were then re-weighed to determine the mass of coating and consequently the mass of polymer and bioactive agent.
- an appropriate solvent typically tetrahydrofuran or chloroform
- the Rapamycin Release Assay Procedure was used to determine the extent and rate of release of an exemplary bioactive agent, rapamycin, under in vitro elution conditions.
- Spray-coated stents prepared using the Sample Preparation Procedure were placed in sample baskets into 10 milliliters of SotaxTM dissolution system (elution media containing 2% (wt) surfactant/water solution, available from Sotax Corporation, Horsham, Pa.). Amount of bioactive agent elution was monitored by UV spectrometry over the course of several days. The elution media was held at 37° C. After the elution measurements, the stents were removed, rinsed, dried, and weighed to compare measured bioactive agent elution to weighed mass loss.
- SotaxTM dissolution system elution media containing 2% (wt) surfactant/water solution
- a Dexamethasone Release Assay Procedure can be used to determine the extent and rate of dexamethasone release under in vitro conditions.
- Spray-coated stents made using the Sample Preparation Procedure may be placed in 10 milliliters of pH 7 phosphate buffer solution (“PBS”) contained in an amber vial.
- PBS pH 7 phosphate buffer solution
- a magnetic stirrer bar is added to the vial, and the vial with its contents are placed into a 37° C. water bath. After a sample interval, the stent is removed and placed into a new buffer solution contained in a new vial.
- Dexamethasone concentration in the buffer is measured using ultraviolet spectroscopy and the concentration converted to mass of bioactive agent released from the coating. After the experiment, the stent should be dried and weighed to correlate actual mass loss to the loss measured by the elution experiment.
- the durability of the coated composition can be determined by the following manner. To simulate use of the coated devices, the coated stents are placed over sample angioplasty balloons. The stent is then crimped onto the balloon using a laboratory test crimper (available from Machine Solutions, Brooklyn, N.Y.). The stent and balloon are then placed in a phosphate buffer bath having a pH of 7.4 and temperature of 37° C. After 5 minutes of soaking, the balloon is expanded using air at 5 atmospheres (3800 torr) of pressure. The balloon is then deflated, and the stent is removed.
- the stent is then examined by optical and scanning electron microscopy to determine the amount of coating damage caused by cracking and/or delamination. Coatings with extensive damage are considered unacceptable for a commercial medical device.
- a “Rating” coresponding to a qualitatitive scale used to describe the amount of damage to the coating from the stent crimping and expansion procedure can be assigned based on optical microscopy examination by an experienced coating engineer. A low rating indicates a large percentage of the coating cracked, smeared, and/or delaminated from the surface. For example, a coating with a rating of ten shows no damage while one with a rating of I will show a majority of the coating damaged to the point where clinical efficacy maybe diminished. Commercially attractive coatings typically have a rating of nine or higher.
- Polymer films are prepared by hot pressing polymer beads at 100° C. in a constant film maker kit to a thickness of approximately 0.5 mm. The resulting films can be cut into strips using a razor blade.
- a Q800 Dynamic Mechanical Analyzer (available from Texas Instruments, Dallas, Tex.) is fitted with a film tension clamp. Each sample is equilibrated at 35° C. for five minutes prior to straining the sample. Then the sample is loaded into the clamp such that the sample length was between 5 and 7 mm in length. A static force of 0.01N is applied to each sample throughout the measurements. Simultaneously, a 0.5 N/min force is applied to the sample until the movable clamp reaches its maximum position. Films are elongated at constant stress and the average tensile modulus (i.e., the initial slope of the stress-strain curve, in MPa) is determined.
- the solutions included mixtures of poly(isobutylene) (“PIB”, available from Scientific Polymer Products as Catalog #681, CAS #9003-27-4, Mw approx. 85 kilodaltons), (“PBMA”, available from Sigma-Aldrich Fine Chemicals as Product No. 18,152-8, having a weight average molecular weight (Mw) of about 337 kilodaltons), and rapamycin (“RAPA”, available from LC Laboratories, Woburn, Mass.) dissolved in THF to form a homogeneous solution.
- PIB poly(isobutylene)
- PBMA poly(isobutylene)
- RAPA rapamycin
- Results demonstrate the ability to control the elution rate of rapamycin, a pharmaceutical agent, from a coated stent surface by varying the relative concentrations of PIB and PBMA in the polymer mixture as described herein.
Landscapes
- Health & Medical Sciences (AREA)
- Life Sciences & Earth Sciences (AREA)
- Public Health (AREA)
- Veterinary Medicine (AREA)
- Epidemiology (AREA)
- General Health & Medical Sciences (AREA)
- Animal Behavior & Ethology (AREA)
- Surgery (AREA)
- Heart & Thoracic Surgery (AREA)
- Vascular Medicine (AREA)
- Chemical & Material Sciences (AREA)
- Engineering & Computer Science (AREA)
- Biomedical Technology (AREA)
- Medicinal Chemistry (AREA)
- Molecular Biology (AREA)
- Materials For Medical Uses (AREA)
- Media Introduction/Drainage Providing Device (AREA)
- Prostheses (AREA)
Abstract
A coating composition and related method for use in applying a bioactive agent to a surface in a manner that will permit the bioactive agent to be released from the coating in vivo. The composition is particularly well suited for coating the surface of implantable medical device, such as a stent or catheter, in order to permit the device to release bioactive agent to the surrounding tissue over time. The composition includes a plurality of compatible polymers having different properties that can permit them to be combined together to provide an optimal combination of such properties as durability, biocompatibility, and release kinetics.
Description
- This application claims the benefit of U.S. Provisional Application Ser. No. 60/559,821, titled Coating Compositions for Bioactive Agents, filed Apr. 6, 2004, the contents of which are hereby incorporated by reference. This application is related to PCT Application Serial No. ______, filed Apr. 6, 2005, titled Coating Compositions for Bioactive Agents and identified by Attorney Docket No. 9896.166.7, as well as PCT Application Serial No. ______, filed Apr. 6, 2005, titled Coating Compositions for Bioactive Agents and identified by Attorney Docket No. 9896.166.8, the contents of both of which are hereby incorporated by reference.
- In one aspect, the present invention relates to a method of treating implantable medical devices with coating compositions to provide for the controlled release of bioactive (e.g., pharmaceutical) agents from the surface of the devices under physiological conditions. In another aspect, the invention relates to the coating compositions, per se. In yet another aspect, the invention relates to devices or surfaces coated with such compositions. In yet another aspect, the present invention relates to the local administration of bioactive agents for the prevention and treatment of diseases, such as vascular and ocular diseases.
- Many surgical interventions require the placement of a medical device into the body. One prevalent surgical intervention often requiring such a device is percutaneous transluminal coronary angioplasty (“PTCA”). Many individuals suffer from circulatory disease caused by a progressive blockage of the blood vessels, which often leads to hypertension, ischemic injury, stroke, or myocardial infarction. Percutaneous transluminal coronary angioplasty is a medical procedure performed to increase blood flow through a damaged artery and is now the predominant treatment for coronary vessel stenosis. The increasing use of this procedure is attributable to its relatively high success rate and its minimal invasiveness compared with coronary bypass surgery. A limitation associated with PTCA is the abrupt closure of the vessel which can occur soon after angioplasty. Insertion of small spring-like medical devices called stents into such damaged vessels has proved to be a better approach to keep the vessels open as compared to systemic pharmacologic therapy.
- While often necessary and beneficial for treating a variety of medical conditions, metal or polymeric devices (e.g., stents, catheters . . . ), after placement in the body, can give rise to numerous physiological complications. Some of these complications include: increased risk of infection; initiation of a foreign body response resulting in inflammation and fibrous encapsulation; and initiation of a detrimental wound healing response resulting in hyperplasia and restenosis. These problems have been particularly acute with the placement of stents in damaged arteries after angioplasty.
- One promising approach is to provide the device with the ability to deliver bioactive agents in the vicinity of the implant. By doing so, some of the harmful effects associated with the implantation of medical devices can be diminished. Thus, for example, antibiotics can be released from the surface of the device to minimize the possibility of infection, and antiproliferative drugs can be released to inhibit hyperplasia. Another benefit to the local release of bioactive agents is the avoidance of toxic concentrations of drugs encountered when given systemically at sufficiently high doses to achieve therapeutic concentrations at the site where they are needed.
- Although the potential benefit from using such bioactive agent-releasing medical devices is great, development of such medical devices has been slow. Progress has been hampered by many challenges, including: 1) the requirement, in some instances, for long term (i.e., at least several weeks) release of bioactive agents; 2) the need for a biocompatible, non-inflammatory device surface; 3) the demand for significant durability (and particularly, resistance to delamination and cracking), particularly with devices that undergo flexion and/or expansion when being implanted or used in the body; 4) concerns regarding the ability of the device to be manufactured in an economically viable and reproducible manner; and 5) the requirement that the finished device can be sterilized using conventional methods.
- Implantable medical devices capable of delivering medicinal agents from hydrophobic polymer coatings have been described. See, for instance, U.S. Pat. No. 6,214,901; U.S. Pat. No. 6,344,035; U.S. Publication No. 2002-0032434; U.S. Publication No. 2002-0188037; U.S. Publication No. 2003-0031780; U.S. Publication No. 2003-0232087; U.S. Publication No. 2003-0232122; PCT Publication No. WO 99/55396; PCT Publication No. WO 03/105920; PCT Publication No. WO 03/105918; PCT Publication No. WO 03/105919 which collectively disclose, inter alia, coating compositions having a bioactive agent in combination with a polymer component such as polyalkyl(meth)acrylate or aromatic poly(meth)acrylate polymer and another polymer component such as poly(ethylene-co-vinyl acetate) for use in coating device surfaces to control and/or improve their ability to release bioactive agents in aqueous systems.
- The present invention provides a coating composition, and related methods for preparing and using the coating composition to coat a surface with a bioactive agent, for instance to coat the surface of an implantable medical device in a manner that permits the surface to release the bioactive agent over time when implanted in vivo.
- The coating composition of this invention comprises one or more bioactive agents in combination with a plurality of polymers, including: (a) a first polymer component comprising one or more polybutenes; and (b) a second polymer component comprising one or more polymers selected from the group consisting of poly(alkyl(meth)acrylates) and poly(aromatic(meth)acrylates), where “(meth)” will be understood by those skilled in the art to include such molecules in either the acrylic and/or methacrylic form (corresponding to the acrylates and/or methacrylates, respectively).
- Applicants have discovered a group of first polymers that when used in combination with one or more second polymers can each meet or exceed the variety of criteria required of a preferred composition of this invention, including in terms of its formulation, delivery, and/or coated characteristics.
- With regard to its formulation, a coating composition of this invention is, in some embodiments, provided in the form of a true solution by the use of one or more solvents. Such solvents, in turn, are not only capable of dissolving the polymers and bioactive agent in solution, as compared to dispersion or emulsion, but they are also sufficiently volatile to permit the composition to be effectively applied to a surface (e.g., as by spraying) and quickly removed (e.g., as by drying) to provide a stable and desirable coated composition. In turn, the coated composition is itself homogeneous, with the first and second polymers effectively serving as cosolvents for each other, and bioactive agent substantially equally sequestered within them both.
- In some embodiments, the ability to form a true solution using the claimed polymer combinations is preferred when considering the inclusion of potentially significant amounts of bioactive agent with the polymer blend. In various embodiments of the present invention, the coating composition is not only in the form of a true solution, but one in which bioactive agent is present at saturated or supersaturated levels. Without intending to be bound by theory, it appears that it is by virtue of the ability to achieve such solutions, that release of the bioactive agent from the coated composition is best accomplished and facilitated. In turn, it appears that the release of bioactive agent from such a system is due, at least in part, to its inherent instability within the coated composition itself, coupled with its physical/chemical preference for surrounding tissues and fluids. In turn, those skilled in the art will appreciate the manner in which the various ingredients and amounts in a composition of this invention can be adjusted to provide desired release kinetics and for any particular bioactive agent, solvent and polymer combination.
- In some embodiments, with regard to its delivery, a composition of this invention meets or exceeds further criteria in its ability to be sterilized, stored, and delivered to a surface in a manner that preserves its desired characteristics, yet using conventional delivery means, such as spraying. In various embodiments, such delivery involves spraying the composition onto a device surface in a manner that avoids or minimizes phase separation of the polymer components.
- Finally, and with regard to its coated characteristics, a composition of this invention permits polymer ratios to be varied in a manner that provides not only an optimal combination of such attributes as biocompatibility, durability, and bioactive agent release kinetics, but also that may provide a coated composition that is homogeneous, and hence substantially optically clear upon microscopic examination. Even more surprisingly, various compositions of this invention will provide these and other features, with or without optional pretreatment of a metallic surface. The ability to achieve or exceed any of these criteria, let alone most if not all of them, was not expected.
- In turn, compositions of the present invention provide properties that are comparable or better than those obtained with previous polymer blend compositions. This, in turn, provides a variety of new and further opportunities, including with respect to both the type and concentration of bioactive agents that can be coated, as well as the variety of medical devices, and surfaces, themselves. In turn, the present invention also provides a combination that includes a medical device coated with a composition of this invention, as well as a method of preparing and using such a combination.
-
FIG. 1 depicts a graph illustrating the cumulative bioactive agent release profiles for coating compositions according to the present invention applied to stents, as described in Example 1. - Without intending to be bound by theory, it appears that suitable first polymers for use in a composition of this invention provide an optimal combination of such properties as glass transition temperature (Tg) and diffusion constant for the particular bioactive agent of choice. Along with melting temperature (Tm), Tg is an important parameter of a given polymer (including copolymer), and particularly amorphous polymers, that can be used to characterize its properties over a wide temperature range. A polymer is typically brittle at temperatures below its Tg, and flexible at temperatures above. Both Tm and Tg can be affected by such things as polymer structure and backbone flexibility, molecular weight, attractive forces, and pressure. For random copolymers and compatible polymer blends, only a single Tg is observed, usually lying intermediate between the Tg of the corresponding pure homopolymers. Different Tg's are exhibited for incompatible polymer blends, and between the microdomains of block copolymers with mutually incompatible blocks. Tg can be measured by any suitable technique, e.g., dilatometry, refractive index, differential scanning calorimetry, dynamic mechanical measurement, and dielectric measurement.
- Various second polymers (e.g., poly(n-butyl methacrylate)) of the present composition generally provide a Tg in the range of room to body temperature (e.g., from about 20° C. to about 40° C.), and hence tend to be somewhat stiffer polymers, in turn, providing a slower diffusion constant for a number of the bioactive agents. Applicants have discovered the manner in which certain new polymers can be used as a first polymer component, to essentially balance, or temper the desired properties of the second polymer. Such first polymers will generally provide a lower glass transition temperature (e.g., below room temperature, and in some embodiments, in the range of about 0° C. or less), together with a relatively high diffusion constant for the bioactive agent. By appropriately combining the two polymers with bioactive agent, those skilled in the art, given the present description, will be able to vary both the selection and ratios of first and second polymers, in order to determine an optimal combination of physical and mechanical properties, including bioactive agent diffusion and release kinetics, as well as durability and tenacity of the coating itself upon a particular surface, that best fits their particular needs.
- Hence the first polymer of this invention will generally provide an optimal combination of glass transition temperature (e.g., at or lower than that of the second polymer), compatibility with the bioactive agent of choice, acceptable solubility in the solvents of choice, as well as commercial availability and cost.
- The term “coating composition”, as used herein, will refer to one or more vehicles (e.g., solutions, mixtures, emulsions, dispersions, blends, etc.) used to effectively coat a surface with bioactive agent, first polymer component and/or second polymer component, either individually or in any suitable combination.
- The term “coated composition” will refer to the effective combination, upon the surface of a device, of bioactive agent, first polymer component and second polymer component, whether formed as the result of one or more coating vehicles or in one or more layers and/or steps.
- Unless defined otherwise, the term “coating” will refer to the effective combination of bioactive agent, first polymer component and second polymer component, independent of the device surface, and whether formed as the result of one or more coating vehicles or in one or more layers.
- Unless otherwise indicated, the term “molecular weight” and all polymeric molecular weights described herein are “weight average” molecular weights (“Mw”). As used herein “weight average molecular weight” or Mw, is an absolute method of measuring molecular weight and is particularly useful for measuring the molecular weight of a polymer preparation. The weight average molecular weight (Mw) can be defined by the following formula:
wherein N represents the number of moles of a polymer in the sample with a mass of M, and Σi is the sum of all NiMi (species) in a preparation. The Mw can be measured using common techniques, such as light scattering or ultracentrifugation. Discussion of Mw and other terms used to define the molecular weight of polymer preparations can be found in, for example, Allcock, H. R. and Lampe, F. W., Contemporary Polymer Chemistry; pg 271 (1990). - As described and exemplified herein, a resultant composition can be coated using a plurality of individual steps or layers, including for instance, an initial layer having only bioactive agent (or bioactive agent with one or both of the polymer components), over which are coated one or more additional layers containing suitable combinations of bioactive agent, first polymer component and/or second polymer component, the combined result of which is to provide a coated composition of the invention. In turn, and in various embodiments, the invention further provides a method of reproducibly controlling the release (e.g., elution) of a bioactive agent from the surface of a medical device implanted in vivo. Those skilled in the art will appreciate the manner in which the combined effect of these various layers can be used and optimized to achieve various effects in vivo. In addition, the surface to which the composition is applied can itself be pretreated in a manner sufficient to improve attachment of the composition to the underlying (e.g., metallic) surface. Examples of such pretreatments include the use of compositions such as Parylene™ coatings, as described herein. Additional examples of such pretreatments include silane coupling agents, photografted polymers, epoxy primers, polycarboxylate resins, and physical roughening of the surface. It is further noted that the pretreatment compositions may be used in combination with each other or may be applied in separate layers to form a pretreatment coating on the surface of the medical device.
- While not intending to be bound by theory, the release kinetics of the bioactive agent in vivo are thought to generally include both a short term (“burst”) release component, within the order of minutes to hours after implantation, and a longer term release component, which can range from on the order of hours to days or even months or years of useful release.
- Additionally, the ability to coat a device in the manner of the present invention provides greater latitude in the composition of various coating layers, e.g., permitting more or less of the second polymer component (i.e., poly(alkyl(meth)acrylate) and/or poly(aromatic(meth)acrylate)) to be used in coating compositions used to form different layers (e.g., as a topcoat layer). This, in turn, provides the opportunity to further control release and elution of the bioactive agent from the overall coating.
- The coating composition and method can be used to control the amount and rate of bioactive agent (e.g., drug) release from one or more surfaces of implantable medical devices. In various embodiments, the method employs a mixture of hydrophobic polymers in combination with one or more bioactive agents, such as a pharmaceutical agent, such that the amount and rate of release of agent(s) from the medical device can be controlled, e.g., by adjusting the relative types and/or concentrations of hydrophobic polymers in the mixture. For a given combination of polymers, for instance, this approach permits the release rate to be adjusted and controlled by simply adjusting the relative concentrations of the polymers in the coating mixture. This provides an additional means to control rate of bioactive agent release besides the conventional approach of varying the concentration of bioactive agent in a coated composition.
- Some embodiments of the invention include a method of coating a device comprising the step of applying the composition to the device surface under conditions of controlled relative humidity (at a given temperature), for instance, under conditions of increased or decreased relative humidity as compared to ambient humidity. Humidity can be “controlled” in any suitable manner, including at the time of preparing and/or using (as by applying) the composition, for instance, by coating the surface in a confined chamber or area adapted to provide a relative humidity different than ambient conditions, and/or by adjusting the water content of the coating or coated composition itself. Without intending to be bound by theory, it appears that the elution rate of a bioactive agent from a coating composition generally increases as relative humidity increases.
- In some embodiments, the coating composition includes a mixture of two or more polymers having complementary physical characteristics, and a bioactive agent or agents applicable to the surface of an implantable medical device. The device can be of any suitable type or configuration, and in many embodiments is one that undergoes flexion and/or expansion upon implantation or use, as in the manner of a stent or catheter. The applied coating composition is cured (e.g., by solvent evaporation) to provide a tenacious and flexible bioactive-releasing composition on the surface of the medical device. Such coating compositions are particularly well suited for devices that are themselves sufficiently small, or have portions that are sufficiently small (as in the struts of an expandable stent or the twists of an ocular coil), to permit the coated composition to form a contiguous, e.g., circumferential, coating, thereby further improving the ability of the coating to remain intact (e.g., avoid delamination).
- The complementary polymers are selected such that a broad range of relative polymer concentrations can be used without detrimentally affecting the desirable physical characteristics of the polymers. By use of the polymer combinations (including mixtures and blends) of the invention the bioactive release rate from a coated medical device can be manipulated by adjusting the relative concentrations of the polymers.
- In various embodiments, the present invention relates to a coating composition and related method for coating an implantable medical device which undergoes flexion and/or expansion upon implantation. However it is noted that the coating composition may also be utilized with medical devices that have minimal or do not undergo flexion and/or expansion. The structure and composition of the underlying device can be of any suitable, and medically acceptable, design and can be made of any suitable material that is compatible with the coating itself. The natural or pretreated surface of the medical device is provided with a coating containing one or more bioactive agents.
- A first polymer component of this invention provides an optimal combination of similar properties, and particularly when used in admixture with the second polymer component. Various first polymers include polybutenes. Examples of suitable polymers are commercially available from sources such as Sigma-Aldrich.
- First polymers may include polybutenes. “Polybutenes” suitable for use in the present invention may include polymers derived by homopolymerizing or randomly interpolymerizing isobutylene, 1-butene and/or 2-butene. The polybutene can be a homopolymer of any of the isomers or it can be a copolymer or a terpolymer of any of the monomers in any ratio. In various embodiments, the polybutene contains at least about 90% (wt) of isobutylene or 1-butene, and in some embodiments, the polybutene contains at least about 90% (wt) of isobutylene. The polybutene may contain non-interfering amounts of other ingredients or additives, for instance it can contain up to 1000 ppm of an antioxidant (e.g., 2,6-di-tert-butyl-methylphenol).
- In various embodiments, the polybutene has a molecular weight between about 100 kilodaltons and about 1,000 kilodaltons, in some embodiments, between about 150 kilodaltons and about 600 kilodaltons, and in some embodiments, between about 150 kilodaltons and about 250 kilodaltons. In other embodiments, the polybutene has a molecular weight between about 150 kilodaltons and about 1,000 kilodaltons, optionally, between about 200 kilodaltons and about 600 kilodaltons, and further optionally, between about 350 kilodaltons and about 500 kilodaltons. Polybutenes having a molecular weight greater than about 600 kilodaltons, including greater than 1,000 kilodaltons are available but are expected to be more difficult to work with. Other examples of suitable copolymers of this type are commercially available from sources such as Sigma-Aldrich.
- Other examples of suitable copolymers of this type are commercially available from sources such as Sigma-Aldrich and include the following products. For example, suitable copolymers of this type and their related descriptions may be found in the 2003-2004 Aldrich Handbook of Fine Chemicals and Laboratory Equipment, the entire contents of which are incorporated by reference herein.
- A second polymer component of this invention provides an optimal combination of various structural/functional properties, including hydrophobicity, durability, bioactive agent release characteristics, biocompatibility, molecular weight, and availability. In one such an embodiment, the composition comprises at least one second polymer component selected from the group consisting of poly(alkyl(meth)acrylates) and poly(aromatic(meth)acrylates).
- In some embodiments, the second polymer component is a poly(alkyl)methacrylate, that is, an ester of a methacrylic acid. Examples of suitable poly(alkyl(meth)acrylates) include those with alkyl chain lengths from 2 to 8 carbons, inclusive, and with molecular weights from 50 kilodaltons to 900 kilodaltons. In various embodiments, the polymer mixture includes a poly(alkyl(meth)acrylate) with a molecular weight of from about 100 kilodaltons to about 1000 kilodaltons, in some embodiments from about 150 kilodaltons to about 500 kilodaltons, and in some embodiments from about 200 kilodaltons to about 400 kilodaltons. An example of one embodiment of a second polymer is poly(n-butyl methacrylate). Examples of other polymers are poly(n-butyl methacrylate-co-methyl methacrylate, with a monomer ratio of 3:1, poly(n-butyl methacrylate-co-isobutyl methacrylate, with a monomer ratio of 1:1 and poly(t-butyl methacrylate). Such polymers are available commercially (e.g., from Sigma-Aldrich, Milwaukee, Wis.) with molecular weights ranging from about 150 kilodaltons to about 350 kilodaltons, and with varying inherent viscosities, solubilities and forms (e.g., as slabs, granules, beads, crystals or powder).
- Examples of suitable poly(aromatic(meth)acrylates) include poly(aryl(meth)acrylates), poly(aralkyl(meth)acrylates), poly(alkaryl(meth)acrylates), poly(aryloxyalkyl(meth)acrylates), and poly(alkoxyaryl(meth)acrylates). Such terms are used to describe polymeric structures wherein at least one carbon chain and at least one aromatic ring are combined with (meth)acrylic groups, typically esters, to provide a composition of this invention. For instance, and more specifically, a poly(aralkyl(meth)acrylate) can be made from aromatic esters derived from alcohols also containing aromatic moieties, such as benzyl alcohol. Similarly, a poly(alkaryl(meth)acrylate) can be made from aromatic esters derived from aromatic alcohols such as p-anisole. Suitable poly(aromatic(meth)acrylates) include aryl groups having from 6 to 16 carbon atoms and with molecular weights from about 50 to about 900 kilodaltons. Examples of suitable poly(aryl(meth)acrylates) include poly(9-anthracenyl methacrylate), poly(chlorophenyl acrylate), poly(methacryloxy-2-hydroxybenzophenone), poly(methacryloxybenzotriazole), poly(naphthyl acrylate), poly(naphthylmethacrylate), poly-4-nitrophenylacrylate, poly(pentachloro(bromo, fluoro)acrylate) and methacrylate, poly(phenyl acrylate) and poly(phenyl methacrylate). Examples of suitable poly(aralkyl(meth)acrylates) include poly(benzyl acrylate), poly(benzyl methacrylate), poly(2-phenethyl acrylate), poly(2-phenethyl methacrylate) and poly(1-pyrenylmethyl methacrylate). Examples of suitable poly(alkaryl(meth)acrylates include poly(4-sec-butylphenyl methacrylate), poly(3-ethylphenyl acrylate), and poly(2-methyl-1-naphthyl methacrylate). Examples of suitable poly(aryloxyalkyl (meth)acrylates) include poly(phenoxyethyl acrylate), poly(phenoxyethyl methacrylate), and poly(polyethylene glycol phenyl ether acrylate) and poly(polyethylene glycol phenyl ether methacrylate) with varying polyethylene glycol molecular weights. Examples of suitable poly(alkoxyaryl(meth)acrylates) include poly(4-methoxyphenyl methacrylate), poly(2-ethoxyphenyl acrylate) and poly(2-methoxynaphthyl acrylate).
- Acrylate or methacrylate monomers or polymers and/or their parent alcohols are commercially available from Sigma-Aldrich (Milwaukee, Wis.) or from Polysciences, Inc, (Warrington, Pa.).
- Optionally, the coating composition may include one or more additional polymers in combination with the first and second polymer components, the additional polymers being, for example, selected from the group consisting of (i) poly(alkylene-co-alkyl(meth)acrylates), (ii) ethylene copolymers with other alkylenes, (iii) diolefin derived non-aromatic polymers and copolymers, (iv) aromatic group-containing copolymers, (v) epichlorohydrin-containing polymers and (vi) poly(ethylene-co-vinyl acetate). In some embodiments, the additional polymers may act as substitutes for a portion of the first polymer. For example, the additional polymers may substitute up to about 25% of the first polymer. In other embodiments, the additional polymers may substitute up to about 50% of the first polymer.
- Suitable poly(alkylene-co-alkyl(meth)acrylates) include those copolymers in which the alkyl groups are either linear or branched, and substituted or unsubstituted with non-interfering groups or atoms. In some embodiments, such alkyl groups comprise from 1 to 8 carbon atoms, inclusive, and in some embodiments, from 1 to 4 carbon atoms, inclusive. In various embodiments, the alkyl group is methyl.
- In turn, copolymers that include such alkyl groups may comprise from about 15% to about 80% (wt) of alkyl acrylate. In various embodiments, when the alkyl group is methyl, the polymer contains from about 20% to about 40% methyl acrylate, and in some embodiments, from about 25 to about 30% methyl acrylate. When the alkyl group is ethyl, the polymer, in some embodiments, contains from about 15% to about 40% ethyl acrylate, and when the alkyl group is butyl, the polymer, in some embodiments, contains from about 20% to about 40% butyl acrylate.
- The alkylene groups are selected from ethylene and/or propylene, and in some embodiments, the alkylene group is ethylene. In various embodiments, the (meth)acrylate comprises an acrylate (i.e., no methyl substitution on the acrylate group). Various copolymers provide a molecular weight (Mw) of about 50 kilodaltons to about 500 kilodaltons, and in some embodiments, Mw is 50 kilodaltons to about 200 kilodaltons.
- The glass transition temperature for these copolymers varies with ethylene content, alkyl length on the (meth)acrylate and whether the first copolymer is an acrylate or methacrylate. At higher ethylene content, the glass transition temperature tends to be lower, and closer to that of pure polyethylene (−120° C.). A longer alkyl chain also lowers the glass transition temperature. A methyl acrylate homopolymer has a glass transition temperature of about 10° C. while a butyl acrylate homopolymer has one of −54° C.
- Copolymers such as poly(ethylene-co-methyl acrylate), poly(ethylene-co-butyl acrylate) and poly(ethylene-co-2-ethylhexyl acrylate) copolymers are available commercially from sources such as Atofina Chemicals, Inc., Philadelphia, Pa., and can be prepared using methods available to those skilled in the respective art.
- Other examples of suitable additional polymers of this type are commercially available from sources such as Sigma-Aldrich and include, but are not limited to, poly(ethylene-co-methyl acrylate), poly(ethylene-co-ethyl acrylate), and poly(ethylene-co-butyl acrylate).
- Suitable additional polymers also include ethylene copolymers with other alkylenes, which in turn, can include straight chain and branched alkylenes, as well as substituted or unsubstituted alkylenes. Examples include copolymers prepared from alkylenes that comprise from 3 to 8 branched or linear carbon atoms, inclusive, in some embodiments, alkylene groups that comprise from 3 to 4 branched or linear carbon atoms, inclusive, and in some embodiments, the alkylene group contains 3 carbon atoms (e.g., propylene). In various embodiments, the other alkylene is a straight chain alkylene (e.g., 1-alkylene).
- Various copolymers of this type can comprise from about 20% to about 90% (based on moles) of ethylene, and in some embodiments, from about 35% to about 80% (mole) of ethylene. Such copolymers will have a molecular weight of between about 30 kilodaltons to about 500 kilodaltons. Examples of copolymers are selected from the group consisting of poly(ethylene-co-propylene), poly(ethylene-co-1-butene), polyethylene-co-1-butene-co-1-hexene) and/or poly(ethylene-co-1-octene).
- Examples of copolymers include poly(ethylene-co-propylene) random copolymers in which the copolymer contains from about 35% to about 65% (mole) of ethylene; and in some embodiments, from about 55% to about 65% (mole) ethylene, and the molecular weight of the copolymer is from about 50 kilodaltons to about 250 kilodaltons, in some embodiments, from about 100 kilodaltons to about 200 kilodaltons.
- Copolymers of this type can optionally be provided in the form of random terpolymers prepared by the polymerization of both ethylene and propylene with optionally one or more additional diene monomers, such as those selected from the group consisting of ethylidene norborane, dicyclopentadiene and/or hexadiene. Various terpolymers of this type can include up to about 5% (mole) of the third diene monomer.
- Other examples of suitable additional polymers of this type are commercially available from sources such as Sigma-Aldrich and include, but are not limited to, poly(ethylene-co-propylene), poly(ethylene-co-1-butene), poly(ethylene-co-1-butene-co-1-hexene), poly(ethylene-co-1-octene) and poly(ethylene-co-propylene-co-5-methylene-2-norborene).
- Alternative additional polymers include diolefin-derived, non-aromatic polymers and copolymers, including those in which the diolefin monomer used to prepare the polymer or copolymer is selected from butadiene (CH2═CH—CH═CH2) and/or isoprene (CH2═CH—C(CH3)═CH2). A butadiene polymer can include one or more butadiene monomer units which can be selected from the monomeric unit structures (a), (b), or (c):
An isoprene polymer can include one or more isoprene monomer units which can be selected from the monomeric unit structures (d), (e), (f) or (g): - In some embodiments, the additional polymer is a homopolymer derived from diolefin monomers or is a copolymer of diolefin monomer with non-aromatic mono-olefin monomer, and optionally, the homopolymer or copolymer can be partially hydrogenated. Such polymers can be selected from the group consisting of polybutadienes containing polymerized cis-, trans- and/or 1,2-monomer units, and in some embodiments, a mixture of all three co-polymerized monomer units, and polyisoprenes containing polymerized cis-1,4- and/or trans-1,4-monomer units, polymerized 1,2-vinyl monomer units, polymerized 3,4-vinyl monomer units and/or others as described in the Encyclopedia of Chemical Technology, Vol. 8, page 915 (1993), the entire contents of which is hereby incorporated by reference.
- Alternatively, the additional polymer is a copolymer, including graft copolymers, and random copolymers based on a non-aromatic mono-olefin co-monomer such as acrylonitrile, an alkyl(meth)acrylate and/or isobutylene. In various embodiments, when the mono-olefin monomer is acrylonitrile, the interpolymerized acrylonitrile is present at up to about 50% by weight; and when the mono-olefin monomer is isobutylene, the diolefin monomer is isoprene (e.g., to form what is commercially known as a “butyl rubber”). In some embodiments, the polymers and copolymers have a Mw between about 50 kilodaltons and about 1,000 kilodaltons. In other embodiments, the polymers and copolymers have a Mw between about 100 kilodaltons and about 450 kilodaltons. In yet other embodiments the polymers and copolymers have a Mw between about 150 kilodaltons and about 1,000 kilodaltons, and optionally between about 200 kilodaltons and about 600 kilodaltons.
- Other examples of suitable additional polymers of this type are commercially available from sources such as Sigma-Aldrich, such as the 2003-2004 Aldrich Handbook of Fine Chemicals and Laboratory Equipment. For example, suitable additional polymers include, but are not limited to, polybutadiene, poly(butadiene-co-acrylonitrile), polybutadiene-block-polyisoprene, polybutadiene-graft-poly(methyl acrylate-co-acrylonitrile), polyisoprene, and partially hydrogenated polyisoprene.
- Suitable additional polymers may also include aromatic group-containing copolymers, including random copolymers, block copolymers and graft copolymers. In various embodiments, the aromatic group is incorporated into the copolymer via the polymerization of styrene, and in some embodiments, the random copolymer is a copolymer derived from copolymerization of styrene monomer and one or more monomers selected from butadiene, isoprene, acrylonitrile, a C1-C4 alkyl(meth)acrylate (e.g., methyl methacrylate) and/or butene (e.g., isobutylene). Useful block copolymers include copolymer containing (a) blocks of polystyrene, (b) blocks of a polyolefin selected from polybutadiene, polyisoprene and/or polybutene (e.g., isobutylene), and (c) optionally a third monomer (e.g., ethylene) copolymerized in the polyolefin block.
- The aromatic group-containing copolymers may contain about 10% to about 50% (wt) of polymerized aromatic monomer and the molecular weight of the copolymer may be from about 50 kilodaltons to about 500 kilodaltons. In some embodiments, the molecular weight of the copolymer may be from about 300 kilodaltons to about 500 kilodaltons. In other embodiments, the molecular weight of the copolymer may be from about 100 kilodaltons to about 300 kilodaltons.
- Other examples of suitable copolymers of this type are commercially available from sources such as Sigma-Aldrich and include, but are not limited to, poly(styrene-co-butadiene) (random), polystyrene-block-polybutadiene, polystyrene-block-polybutadiene-block-polystyrene, polystyrene-block-poly(ethylene-ran-butylene)-block-polystyrene, polystyrene-block-polyisoprene-block-polystyrene, polystyrene-block-polyisobutylene-block-polystyrene, poly(styrene-co-acrylonitrile), poly(styrene-co-butadiene-co-acrylonitrile) and poly(styrene-co-butadiene-co-methyl methacrylate).
- Suitable additional polymers include epichlorohydrin homopolymers and poly(epichlorohydrin-co-alkylene oxide) copolymers. In some embodiments, in the case of the copolymer, the copolymerized alkylene oxide is ethylene oxide. In various embodiments, epichlorohydrin content of the epichlorohydrin-containing polymer is from about 30% to 100% (wt), and in some embodiments, from about 50% to 100% (wt). In some embodiments, the epichlorohydrin-containing polymers have an Mw from about 100 kilodaltons to about 300 kilodaltons.
- Other examples of suitable copolymers of this type are commercially available from sources such as Sigma-Aldrich and include, but are not limited to, polyepichlorohydrin and poly(epichlorohydrin-co-ethylene oxide).
- One additional polymer that may be utilized in the coating composition of the present invention includes poly(ethylene-co-vinyl acetate) (pEVA). Examples of suitable polymers of this type are available commercially and include poly(ethylene-co-vinyl acetate) having vinyl acetate concentrations of from about 8% and about 90%, in some embodiments, from about 20 to about 40 weight percent and in some embodiments, from about 30 to about 34 weight percent. Such polymers are generally found in the form of beads, pellets, granules, etc. It has generally been found that pEVA co-polymers with lower percent vinyl acetate become increasingly insoluble in typical solvents.
- In many embodiments, the coating compositions for use in this invention includes mixtures of first and second polymer components as described herein. Optionally, both first and second polymer components are purified for such use to a desired extent and/or provided in a form suitable for in vivo use. Moreover, biocompatible additives may be added, such as dyes and pigments (e.g., titanium dioxide, Solvent Red 24, iron oxide, and Ultramarine Blue); slip agents (e.g., amides such as oleyl palmitamide, N,N′-ethylene bisoleamide, erucamide, stearamide, and oleamide); antioxidants (e.g. butylated hydroxytoluene (BHT), vitamin E (tocopherol), BNX™, dilauryl thiodipropionate (DLTDP), Irganox™ series, phenolic and hindered phenolic antioxidants, organophosphites (e.g., trisnonylphenyl phosphite, Irgafos™ 168), lactones (e.g., substituted benzofuranone), hydroxylamine, and MEHQ (monomethyl ether of hydroquinone)); surfactants (e.g., anionic fatty acid surfactants (e.g., sodium lauryl sulfate, sodium dodecylbenzenesulfonate, sodium stearate, and sodium palmitate), cationic fatty acid surfactants (e.g., quaternary ammonium salts and amine salts), and nonionic ethoxylated surfactants (e.g., ethoxylated p-octylphenol)); and leachable materials (i.e., permeation enhancers) (e.g., hydrophilic polymers (e.g., poly(ethylene glycol), polyvinylpyrrolidone, and poly(vinyl alcohol)) and hydrophilic small molecules (e.g., sodium chloride, glucose)). In addition, any impurities may be removed by conventional methods available to those skilled in the art.
- In various embodiments of the present invention, the polymer mixture includes a first polymer component comprising one or more polymers selected from the group consisting of polybutenes, and a second polymer component selected from the group consisting of poly (alkyl(meth)acrylates) and poly(aromatic(meth)acrylates) and having a molecular weight of from about 150 kilodaltons to about 500 kilodaltons, and in some embodiments, from about 200 kilodaltons to about 400 kilodaltons.
- These mixtures of polymers have proven useful with absolute polymer concentrations (i.e., the total combined concentrations of both polymers in the coating composition), of between about 0.1 and about 50 percent (by weight), and in some embodiments, between about 0.1 and about 35 percent (by weight). Various polymer mixtures contain at least about 10 percent by weight of either the first polymer or the second polymer.
- In some embodiments, the polymer composition may comprise about 5% to about 95% of the first and/or second polymers based on the total weights of the first and second polymers. In various embodiments, the composition may comprise about 15% to about 85% of the first and/or second polymers. In some embodiments, the composition may include about 25% to about 75% of the first and/or second polymers.
- In some embodiments, the bioactive agent may comprise about 1% to about 75% of the first polymer, second polymer, and bioactive agent mixture (i.e., excluding solvents and other additives). In various embodiments, the bioactive agent may comprise about 5% to about 60% of such a mixture. In some embodiments, the bioactive agent may comprise about 25% to about 45% of such a mixture. The concentration of the bioactive agent or agents dissolved or suspended in the coating mixture can range from about 0.01 to about 90 percent, by weight, based on the weight of the final coating composition, and in some embodiments, from about 0.1 to about 50 percent by weight.
- The term “bioactive agent”, as used herein, will refer to a wide range of biologically active materials or drugs that can be incorporated into a coating composition of the present invention. In some embodiments, the bioactive agent(s) to be incorporated do not chemically interact with the coating composition during fabrication or during the bioactive agent release process.
- Bioactive agent will, in turn, refer to a peptide, protein, carbohydrate, nucleic acid, lipid, polysaccharide or combinations thereof, or synthetic or natural inorganic or organic molecule, that causes a biological effect when administered in vivo to an animal, including but not limited to birds and mammals, including humans. Nonlimiting examples are antigens, enzymes, hormones, receptors, peptides, and gene therapy agents. Examples of suitable gene therapy agents include a) therapeutic nucleic acids, including antisense DNA and antisense RNA, and b) nucleic acids encoding therapeutic gene products, including plasmid DNA and viral fragments, along with associated promoters and excipients. Examples of other molecules that can be incorporated include nucleosides, nucleotides, antisense, vitamins, minerals, and steroids.
- Controlled release of bioactive agent is vitally important in many medical areas, including cardiology, oncology, central nervous system disorders, neurology, immunology, diabetes control, musculoskeletal and joint diseases, ophthalmology, vaccination, respiratory, endocrinology, dermatology, and diagnostics/imaging.
- Furthermore, it is recognized that thrombus formation on or around medical devices such as stents may create variations in biological agent uptake in target tissue sites and can act to either increase or decrease wall deposition according to the clot and device geometry. The embodiments of this invention further enable reliable and predictable delivery and update of bioactive agents through enhancement of the conformable, durable and stable coatings which result, regardless of flexion or other motion of the medical device substrate.
- Coating compositions prepared according to this process can be used to deliver drugs such as nonsteroidal anti-inflammatory compounds, anesthetics, chemotherapeutic agents, immunotoxins, immunosuppressive agents, steroids, antibiotics, antivirals, antifungals, steroidal antiinflammatories, anticoagulants, antiproliferative agents, angiogenic agents, and anti-angiogenic agents. In various embodiments, the bioactive agent to be delivered is a hydrophobic drug having a relatively low molecular weight (i.e., a molecular weight no greater than about two kilodaltons, and in some embodiments, no greater than about 1.5 kilodaltons). For example, hydrophobic drugs such as rapamycin, paclitaxel, dexamethasone, lidocaine, triamcinolone acetonide, retinoic acid, estradiol, pimecrolimus, tacrolimus or tetracaine can be included in the coating and are released over several hours or longer.
- Classes of medicaments which can be incorporated into coatings of this invention include, but are not limited to, anti-AIDS substances, anti-neoplastic substances, antibacterials, antifungals and antiviral agents, enzyme inhibitors, neurotoxins, opioids, hypnotics, antihistamines, immunomodulators (e.g., cyclosporine), tranquilizers, anti-convulsants, muscle relaxants and anti-Parkinsonism substances, anti-spasmodics and muscle contractants, miotics and anti-cholinergics, immunosuppressants (e.g. cyclosporine), anti-glaucoma solutes, anti-parasite and/or anti-protozoal solutes, anti -hypertensives, analgesics, anti-pyretics and anti-inflammatory agents (such as NSAIDs), local anesthetics, ophthalmics, prostaglandins, anti-depressants, anti-psychotic substances, anti-emetics, imaging agents, specific targeting agents, neurotransmitters, proteins, and cell response modifiers. A more complete listing of classes of medicaments may be found in the Pharmazeutische Wirkstoffe, ed. A. Von Kleemann and J. Engel, Georg Thieme Verlag, Stuttgart/New York, 1987, incorporated herein by reference.
- Antibiotics are recognized as substances which inhibit the growth of or kill microorganisms. Antibiotics can be produced synthetically or by microorganisms. Examples of antibiotics include penicillin, tetracycline, chloramphenicol, minocycline, doxycycline, vancomycin, bacitracin, kanamycin, neomycin, gentamycin, erythromycin, geldanamycin, cephalosporins, and analogues thereof. Examples of cephalosporins include cephalothin, cephapirin, cefazolin, cephalexin, cephradine, cefadroxil, cefamandole, cefoxitin, cefaclor, cefuroxime, cefonicid, ceforanide, cefotaxime, moxalactam, ceftizoxime, ceftriaxone, and cefoperazone.
- Antiseptics are recognized as substances that prevent or arrest the growth or action of microorganisms, generally in a nonspecific fashion, e.g., either by inhibiting their activity or destroying them. Examples of antiseptics include silver sulfadiazine, chlorhexidine, glutaraldehyde, peracetic acid, sodium hypochlorite, phenols, phenolic compounds, iodophor compounds, quaternary ammonium compounds, and chlorine compounds.
- Anti-viral agents are substances capable of destroying or suppressing the replication of viruses. Examples of anti-viral agents include methyl-P-adamantane methylamine, hydroxy-ethoxymethylguanine, adamantanamine, 5-iodo-2′-deoxyuridine, trifluorothymidine, interferon, and adenine arabinoside.
- Enzyme inhibitors are substances which inhibit an enzymatic reaction. Examples of enzyme inhibitors include edrophonium chloride, N-methylphysostigmine, neostigmine bromide, physostigmine sulfate, tacrine HCl, tacrine, 1-hydroxymaleate, iodotubercidin, p-bromotetramisole, 10-(α-diethylaminopropionyl)-phenothiazine hydrochloride, calmidazolium chloride, hemicholinium-3,3,5-dinitrocatechol, diacylglycerol kinase inhibitor I, diacylglycerol kinase inhibitor II, 3-phenylpropargylamine, N-monomethyl-L-arginine acetate, carbidopa, 3-hydroxybenzylhydrazine HCl, hydralazine HCl, clorgyline HCl, deprenyl HCl, L(−), deprenyl.HCl, D(+), hydroxylamine HCl, iproniazid phosphate, 6-MeO-tetrahydro-9H-pyrido-indole, nialamide, pargyline HCl, quinacrine HCl, semicarbazide HCl, tranylcypromine HCl, N,N-diethylaminoethyl-2,2-diphenylvalerate hydrochloride, 3-isobutyl-1-methylxanthne, papaverine HCl, indomethacin, 2-cyclooctyl-2-hydroxyethylamine hydrochloride, 2,3-dichloro-α-methylbenzylamine (DCMB), 8,9-dichloro-2,3,4,5-tetrahydro-1H-2-benzazepine hydrochloride, p-aminoglutethimide, p-aminoglutethimide tartrate, R(+), p-aminoglutethimide tartrate, S(−), 3-iodotyrosine, alpha-methyltyrosine, L(−), alpha-methyltyrosine, D L(−), cetazolamide, dichlorphenamide, 6-hydroxy-2-benzothiazolesulfonamide, and allopurinol.
- Anti-pyretics are substances capable of relieving or reducing fever. Anti-inflammatory agents are substances capable of counteracting or suppressing inflammation. Examples of such agents include aspirin (acetylsalicylic acid), indomethacin, sodium indomethacin trihydrate, salicylamide, naproxen, colchicine, fenoprofen, sulindac, diflunisal, diclofenac, indoprofen and sodium salicylamide.
- Local anesthetics are substances which inhibit pain signals in a localized region. Examples of such anesthetics include procaine, lidocaine, tetracaine and dibucaine.
- Imaging agents are agents capable of imaging a desired site, e.g., tumor, in vivo. Examples of imaging agents include substances having a label which is detectable in vivo, e.g., antibodies attached to fluorescent labels. The term antibody includes whole antibodies or fragments thereof.
- Cell response modifiers are chemotactic factors such as platelet-derived growth factor (pDGF). Other chemotactic factors include neutrophil-activating protein, monocyte chemoattractant protein, macrophage-inflammatory protein, SIS (small inducible secreted), platelet factor, platelet basic protein, melanoma growth stimulating activity, epidermal growth factor, transforming growth factor (alpha), fibroblast growth factor, platelet-derived endothelial cell growth factor, estradiols, insulin-like growth factor, nerve growth factor, bone growth/cartilage-inducing factor (alpha and beta), and matrix metallo proteinase inhibitors. Other cell response modifiers are the interleukins, interleukin inhibitors or interleukin receptors, including
interleukin 1 throughinterleukin 10; interferons, including alpha, beta and gamma; hematopoietic factors, including erythropoietin, granulocyte colony stimulating factor, macrophage colony stimulating factor and granulocyte-macrophage colony stimulating factor; tumor necrosis factors, including alpha and beta; transforming growth factors (beta), including beta-1, beta-2, beta-3, inhibin, activin, DNA that encodes for the production of any of these proteins, antisense molecules, androgenic receptor blockers and statin agents. - Examples of bioactive agents include sirolimus, including analogues and derivatives thereof (including rapamycin, ABT-578, everolimus). Sirolimus has been described as a macrocyclic lactone or triene macrolide antibiotic and is produced by Streptomyces hygroscopicus, having a molecular formula of C51H79O13 and a molecular weight of 914.2. Sirolimus has been shown to have antifungal, antitumor and immunosuppressive properties. Another suitable bioactive agent includes paclitaxel (Taxol) which is a lipophilic (i.e., hydrophobic) natural product obtained via a semi-synthetic process from Taxus baccata and having antitumor activity.
- Other suitable bioactive agents include, but are not limited to, the following compounds, including analogues and derivatives thereof: dexamethasone, betamethasone, retinoic acid, vinblastine, vincristine, vinorelbine, etoposide, teniposide, dactinomycin (actinomycin D), daunorubicin, doxorubicin, idarubicin, anthracyclines, mitoxantrone, bleomycin, plicamycin (mithramycin), mitomycin, mechlorethamine, cyclophosphamide and its analogs, melphalan, chlorambucil, ethylenimines and methylmelamines, alkyl sulfonates-busulfan, nitrosoureas, carmustine (BCNU) and analogs, streptozocin, trazenes-dacarbazinine, methotrexate, fluorouracil, floxuridine, cytarabine, mercaptopurine, thioguanine, pentostatin, 2-chlorodeoxyadenosine, cisplatin, carboplatin, procarbazine, hydroxyurea, mitotane, aminoglutethimide, estrogen, heparin, synthetic heparin salts, tissue plasminogen activator, streptokinase, urokinase, dipyridamole, ticlopidine, clopidogrel, abciximab, breveldin, cortisol, cortisone, fludrocortisone, prednisone, prednisolone, 6U-methylprednisolone, triamcinolone, triamcinolone acetonide, acetaminophen, etodalac, tolmetin, ketorolac, ibuprofen and derivatives, mefenamic acid, meclofenamic acid, piroxicam, tenoxicam, phenylbutazone, oxyphenthatrazone, nabumetone, auranofin, aurothioglucose, gold sodium thiomalate, tacrolimus (FK-506), azathioprine, mycophenolate mofetil, vascular endothelial growth factor (VEGF), angiotensin receptor blocker, nitric oxide donors, anti-sense oligonucleotides and combinations thereof, cell cycle inhibitors, mTOR inhibitors, and growth factor signal transduction kinase inhibitors. Another suitable bioactive agent includes morpholino phosphorodiamidate oligmer.
- A comprehensive listing of bioactive agents can be found in The Merck Index. Thirteenth Edition, Merck & Co. (2001), the entire contents of which is incorporated by reference herein. Bioactive agents are commercially available from Sigma Aldrich (e.g., vincristine sulfate). The concentration of the bioactive agent or agents dissolved or suspended in the coating mixture can range from about 0.01 to about 90 percent, by weight, based on the weight of the final coated composition. Additives such as inorganic salts, BSA (bovine serum albumin), and inert organic compounds can be used to alter the profile of bioactive agent release, as known to those skilled in the art.
- In some embodiments, in order to provide a coating, a coating composition is prepared to include one or more solvents, a combination of complementary polymers dissolved in the solvent, and the bioactive agent or agents dispersed in the polymer/solvent mixture. The solvent may be one in which the polymers form a true solution. The pharmaceutical agent itself may either be soluble in the solvent or form a dispersion throughout the solvent. Suitable solvents include, but are not limited to, alcohols (e.g., methanol, butanol, propanol and isopropanol), alkanes (e.g., halogenated or unhalogenated alkanes such as hexane, cyclohexane, methylene chloride and chloroform), amides (e.g., dimethylformamide), ethers (e.g., tetrahydrofuran (THF), dioxolane, and dioxene), ketones (e.g., methyl ethyl ketone), aromatic compounds (e.g., toluene and xylene), nitriles (e.g., acetonitrile) and esters (e.g., ethyl acetate). THF and chloroform have been found to be effective solvents due to their excellent solvency for a variety of polymers and bioactive agents of the present invention.
- A coating composition of this invention can be used to coat the surface of a variety of devices, and is particularly useful for those devices that will come in contact with aqueous systems. Such devices are coated with a coating composition adapted to release bioactive agent in a prolonged and controlled manner, generally beginning with the initial contact between the device surface and its aqueous environment.
- The coated composition provides a means to deliver bioactive agents from a variety of biomaterial surfaces. Various biomaterials include those formed of synthetic polymers, including oligomers, homopolymers, and copolymers resulting from either addition or condensation polymerizations. Examples of suitable addition polymers include, but are not limited to, acrylics such as those polymerized from methyl acrylate, methyl methacrylate, hydroxyethyl methacrylate, hydroxyethyl acrylate, acrylic acid, methacrylic acid, glyceryl acrylate, glyceryl methacrylate, methacrylamide, and acrylamide; vinyls, such as those polymerized from ethylene, propylene, styrene, vinyl chloride, vinyl acetate, vinyl pyrrolidone, and vinylidene difluoride. Examples of condensation polymers include, but are not limited to, nylons such as polycaprolactam, poly(lauryl lactam), poly(hexamethylene adipamide), and poly(hexamethylene dodecanediamide), and also polyurethanes, polycarbonates, polyamides, polysulfones, poly(ethylene terephthalate), poly(lactic acid), poly(glycolic acid), poly(lactic acid-co-glycolic acid), polydimethylsiloxanes, polyetheretherketone, poly(butylene terephthalate), poly(butylene terephthalate-co-polyethylene glycol terephthalate), esters with phosphorus containing linkages, non-peptide polyamino acid polymers, polyiminocarbonates, amino acid-derived polycarbonates and polyarylates, and copolymers of polyethylene oxides with amino acids or peptide sequences.
- Certain natural materials are also suitable biomaterials, including human tissue such as bone, cartilage, skin and teeth; and other organic materials such as wood, cellulose, compressed carbon, and rubber. Other suitable biomaterials include metals and ceramics. The metals include, but are not limited to, titanium, stainless steel, and cobalt chromium. A second class of metals include the noble metals such as gold, silver, copper, and platinum. Alloys of metals may be suitable for biomaterials as well, such as nitinol (e.g. MP35). The ceramics include, but are not limited to, silicon nitride, silicon carbide, zirconia, and alumina, as well as glass, silica, and sapphire. Yet other suitable biomaterials include combinations of ceramics and metals, as well as biomaterials that are fibrous or porous in nature.
- Optionally, and in some embodiments, the surface of some biomaterials can be pretreated (e.g., with a silane and/or Parylene™ coating composition in one or more layers) in order to alter the surface properties of the biomaterial. For example, in various embodiments of the present invention a layer of silane may be applied to the surface of the biomaterial followed by a layer of Parlene™. Parylene™ C is the polymeric form of the low-molecular-weight dimer of para-chloro-xylylene. Silane and/or Parylene™ C (a material supplied by Specialty Coating Systems (Indianapolis)) can be deposited as a continuous coating on a variety of medical device parts to provide an evenly distributed, transparent layer. In one embodiment, the deposition of Parylene™ is accomplished by a process termed vapor deposition polymerization, in which dimeric Parylene™ C is vaporized under vacuum at 150° C., pyrolyzed at 680° C. to form a reactive monomer, then pumped into a chamber containing the component to be coated at 25° C. At the low chamber temperature, the monomeric xylylene is deposited on the part, where it immediately polymerizes via a free-radical process. The polymer coating reaches molecular weights of approximately 500 kilodaltons.
- Deposition of the xylylene monomer takes place in only a moderate vacuum (0.1 torr) and is not line-of-sight. That is, the monomer has the opportunity to surround all sides of the part to be coated, penetrating into crevices or tubes and coating sharp points and edges, creating what is called a “conformal” coating. With proper process control, it is possible to deposit a pinhole-free, insulating coating that will provide very low moisture permeability and high part protection to corrosive biological fluids.
- Adherence is a function of the chemical nature of the surface to be coated. It has been reported, for instance, that tantalum and silicon surfaces can be overcoated with silicon dioxide, then with plasma-polymerized methane, and finally with Parylene™ C to achieve satisfactory adherence.
- Most applications of Parylene™ C coating in the medical device industry are for protecting sensitive components from corrosive body fluids or for providing lubricity to surfaces. Typical anticorrosion applications include blood pressure sensors, cardiac-assist devices, prosthetic components, bone pins, electronic circuits, ultrasonic transducers, bone-growth stimulators, and brain probes. Applications to promote lubricity include mandrels, injection needles, cannulae, and catheters.
- Also, as previously described above, the surface to which the composition is applied can itself be pretreated in other manners sufficient to improve attachment of the composition to the underlying (e.g., metallic) surface. Additional examples of such pretreatments include photografted polymers, epoxy primers, polycarboxylate resins, and physical roughening of the surface. It is further noted that the pretreatment compositions and/or techniques may be used in combination with each other or may be applied in separate layers to form a pretreatment coating on the surface of the medical device.
- In some embodiments, a tie-in layer may be utilized to facilitate one or more physical and/or covalent bonds between layers. For example, the pretreatment layer may include a multi-interface system to facilitate adhesion and cohesion interaction relative to the different materials positioned at the interface of each layer. For example, the application of Parylene pretreatments to metal surfaces may be aided by a first application of a reactive organosilane reagent. A reactive organosilane reagent containing an unsaturated pendant group is capable of participating with the Parylene radicals as they deposit on the surface from the vapor phase. After cleaning of the metal surface, an organosilane reagent with an unsaturated pendant group may be applied to the metal oxide surface on a metal substrate. Without intending to be bound by theory, it appears that the silicon in the organosilane reagent couples covalently to the metal oxide, linking the organosilane group to the surface. The substrate may then be placed in a Parylene reactor and exposed to the vapor-phase Parylene process. During this process, the unsaturated pendant groups on the organosilane-treated surface can react with the Parylene diradicals depositing from the vapor phase. This forms a covalent link between the Parylene and the organosilane layer. The Parylene also forms covalent bonds to itself as it deposits. Thus, this process yields a layered surface in which the layers are covalently bonded to each other. This forms a very strong bond between the Parylene and the metal surface, resulting in high durability to mechanical challenges. Further, in some embodiments, the Parylene may physically bond with the bioactive agent delivery coating or may include a reactive acrylate group that can be reacted with the bioactive agent delivery coating to improve durability to mechanical challenges.
- The coating composition of the present invention can be used in combination with a variety of devices, including those used on a temporary, transient, or permanent basis upon and/or within the body.
- Compositions of this invention can be used to coat the surface of a variety of implantable devices, for example: drug-delivering vascular stents (e.g., self-expanding stents typically made from nitinol, balloon-expanded stents typically prepared from stainless steel); other vascular devices (e.g., grafts, catheters, valves, artificial hearts, heart assist devices); implantable defibrillators; blood oxygenator devices (e.g., tubing, membranes); surgical devices (e.g., sutures, staples, anastomosis devices, vertebral disks, bone pins, suture anchors, hemostatic barriers, clamps, screws, plates, clips, vascular implants, tissue adhesives and sealants, tissue scaffolds); membranes; cell culture devices; chromatographic support materials; biosensors; shunts for hydrocephalus; wound management devices; endoscopic devices; infection control devices; orthopedic devices (e.g., for joint implants, fracture repairs); dental devices (e.g., dental implants, fracture repair devices), urological devices (e.g., penile, sphincter, urethral, bladder and renal devices, and catheters); colostomy bag attachment devices; ophthalmic devices (e.g. ocular coils); glaucoma drain shunts; synthetic prostheses (e.g., breast); intraocular lenses; respiratory, peripheral cardiovascular, spinal, neurological, dental, ear/nose/throat (e.g., ear drainage tubes); renal devices; and dialysis (e.g., tubing, membranes, grafts).
- Examples of useful devices include urinary catheters (e.g., surface-coated with antimicrobial agents such as vancomycin or norfloxacin), intravenous catheters (e.g., treated with antithrombotic agents (e.g., heparin, hirudin, coumadin), small diameter grafts, vascular grafts, artificial lung catheters, atrial septal defect closures, electro-stimulation leads for cardiac rhythm management (e.g., pacer leads), glucose sensors (long-term and short-term), degradable coronary stents (e.g., degradable, non-degradable, peripheral), blood pressure and stent graft catheters, birth control devices, benign prostate and prostate cancer implants, bone repair/augmentation devices, breast implants, cartilage repair devices, dental implants, implanted drug infusion tubes, intravitreal drug delivery devices, nerve regeneration conduits, oncological implants, electrostimulation leads, pain management implants, spinal/orthopedic repair devices, wound dressings, embolic protection filters, abdominal aortic aneurysm grafts, heart valves (e.g., mechanical, polymeric, tissue, percutaneous, carbon, sewing cuff), valve annuloplasty devices, mitral valve repair devices, vascular intervention devices, left ventricle assist devices, neuro aneurysm treatment coils, neurological catheters, left atrial appendage filters, hemodialysis devices, catheter cuff, anastomotic closures, vascular access catheters, cardiac sensors, uterine bleeding patches, urological catheters/stents/implants, in vitro diagnostics, aneurysm exclusion devices, and neuropatches.
- Examples of other suitable devices include, but are not limited to, vena cava filters, urinary dialators, endoscopic surgical tissue extractors, atherectomy catheters, clot extraction catheters, percutaneous transluminal angioplasty catheters, PTCA catheters, stylets (vascular and non-vascular), coronary guidewires, drug infusion catheters, esophageal stents, circulatory support systems, angiographic catheters, transition sheaths and dilators, coronary and peripheral guidewires, hemodialysis catheters, neurovascular balloon catheters, tympanostomy vent tubes, cerebro-spinal fluid shunts, defibrillator leads, percutaneous closure devices, drainage tubes, thoracic cavity suction drainage catheters, electrophysiology catheters, stroke therapy catheters, abscess drainage catheters, biliary drainage products, dialysis catheters, central venous access catheters, and parental feeding catheters.
- Examples of medical devices suitable for the present invention include, but are not limited to catheters, implantable vascular access ports, blood storage bags, vascular stents, blood tubing, arterial catheters, vascular grafts, intraaortic balloon pumps, cardiovascular sutures, total artificial hearts and ventricular assist pumps, extracorporeal devices such as blood oxygenators, blood filters, hemodialysis units, hemoperfusion units, plasmapheresis units, hybrid artificial organs such as pancreas or liver and artificial lungs, as well as filters adapted for deployment in a blood vessel in order to trap emboli (also known as “distal protection devices”).
- The compositions are particularly useful for those devices that will come in contact with aqueous systems, such as bodily fluids. Such devices are coated with a coating composition adapted to release bioactive agent in a prolonged and controlled manner, generally beginning with the initial contact between the device surface and its aqueous environment. It is important to note that the local delivery of combinations of bioactive agents may be utilized to treat a wide variety of conditions utilizing any number of medical devices, or to enhance the function and/or life of the device. Essentially, any type of medical device may be coated in some fashion with one or more bioactive agents that enhances treatment over use of the individual use of the device or bioactive agent.
- In one some embodiments, the coating composition can also be used to coat stents, e.g., either self-expanding stents, which are typically prepared from nitinol, or balloon-expandable stents, which are typically prepared from stainless steel. Other stent materials, such as cobalt chromium alloys, can be coated by the coating composition as well.
- Devices which are particularly suitable include vascular stents such as self-expanding stents and balloon expandable stents. Examples of self-expanding stents useful in the present invention are illustrated in U.S. Pat. Nos. 4,655,771 and 4,954,126 issued to Wallsten and U.S. Pat. No. 5,061,275 issued to Wallsten et al. Examples of suitable balloon-expandable stents are shown in U.S. Pat. No. 4,733,665 issued to Palmaz, U.S. Pat. No. 4,800,882 issued to Gianturco and U.S. Pat. No. 4,886,062 issued to Wiktor.
- In other embodiments, the coating composition can also be used to coat ophthalmic devices, e.g. ocular coils. A therapeutic agent delivery device that is particularly suitable for delivery of a therapeutic agent to limited access regions, such as the vitreous chamber of the eye and inner ear is described in U.S. Pat. No. 6,719,750 and U.S. patent application Publication No. 2005/0019371 A1.
- The resultant coating composition can be applied to the device in any suitable fashion (e.g., the coating composition can be applied directly to the surface of the medical device, or alternatively, to the surface of a surface-modified medical device, by dipping, spraying, ultrasonic deposition, or using any other conventional technique). The suitability of the coating composition for use on a particular material, and in turn, the suitability of the coated composition can be evaluated by those skilled in the art, given the present description. In one such embodiment, for instance, the coating comprises at least two layers which are themselves different. For instance, a base layer may be applied having bioactive agent(s) alone, or together with or without one or more of the polymer components, after which one or more topcoat layers are coated, each with either first and/or second polymers as described herein, and with or without bioactive agent. In various embodiments, these different layers, in turn, can cooperate in the resultant composite coating to provide an overall release profile having certain desired characteristics, and may be used with bioactive agents of high molecular weight. In some embodiments, the composition is coated onto the device surface in one or more applications of a single composition that includes first and second polymers, together with bioactive agent. However, as previously suggested a pretreatment layer or layers may be first applied to the surface of the device, wherein subsequent coating with the composition may be performed onto the pretreatment layer(s). The method of applying the coating composition to the device is typically governed by the geometry of the device and other process considerations. The coating is subsequently cured by evaporation of the solvent. The curing process can be performed at room or elevated temperature, and optionally with the assistance of vacuum and/or controlled humidity.
- It is also noted that one or more additional layers may be applied to the coating layer(s) that include bioactive agent. Such layer(s) or topcoats can be utilized to provide a number of benefits, such as biocompatibility enhancement, delamination protection, durability enhancement, bioactive agent release control, to just mention a few. In one embodiment the topcoat may include one or more of the first, second, and/or additional polymers described herein without the inclusion of a bioactive agent. In various embodiments, the topcoat includes a second polymer that is a poly(alkyl(meth)acrylate). An example of a poly(alkyl(meth)acrylate) includes poly(n-butyl methacrylate). In another embodiment, the first or second polymers could further include functional groups (e.g. hydroxy, thiol, methylol, amino, and amine-reactive functional groups such as isocyanates, thioisocyanates, carboxylic acids, acyl halides, epoxides, aldehydes, alkyl halides, and sulfonate esters such as mesylate, tosylate, and tresylate) that could be utilized to bind the topcoat to the adjacent coating composition. In another embodiment of the present invention one or more of the pretreatment materials (e.g. Parylene™) may be applied as a topcoat. Additionally, biocompatible topcoats (e.g. heparin, collagen, extracellular matrices, cell receptors . . . ) may be applied to the coating composition of the present invention. Such biocompatible topcoats may be adjoined to the coating composition of the present invention by utilizing photochemical or thermochemical techniques known in the art. Additionally, release layers may be applied to the coating composition of the present invention as a friction barrier layer or a layer to protect against delamination. Examples of biocompatible topcoats that may be used include those disclosed in U.S. Pat. Nos. 4,979,959 and 5,744,515.
- In some embodiments, the polymer composition for use in this invention is biocompatible, e.g., such that it results in no significant induction of inflammation or irritation when implanted. In addition, the polymer combination may be useful throughout a broad spectrum of both absolute concentrations and relative concentrations of the polymers. This means that the physical characteristics of the coating, such as tenacity, durability, flexibility and expandability, will typically be adequate over a broad range of polymer concentrations. In turn, and in some embodiments, the ability of the coating to control the release rates of a variety of bioactive agents can be manipulated by varying the absolute and relative concentrations of the polymers.
- Additionally, the coatings of the present invention are generally hydrophobic and limit the intake of aqueous fluids. For example, many embodiments of the present invention are coating compositions including two or more hydrophobic polymers wherein the resulting coating shows <10% (wt) weight change when exposed to water, and in some embodiments <5% (wt) weight change when exposed to water.
- A coating composition can be provided in any suitable form, e.g., in the form of a true solution, or fluid or paste-like emulsion, mixture, dispersion or blend. Various polymer combinations of this invention are capable of being provided in the form of a true solution, and in turn, can be used to provide a coating that is both optically clear (upon microscopic examination), while also containing a significant amount of bioactive agent. In turn, the coated composition will generally result from the removal of solvents or other volatile components and/or other physical-chemical actions (e.g., heating or illuminating) affecting the coated composition in situ upon the surface.
- A further example of a coating composition embodiment may include a configuration of one or more bioactive agents within an inner matrix structure, for example, bioactive agents within or delivered from a degradable encapsulating matrix or a microparticle structure formed of semipermeable cells and/or degradable polymers. One or more inner matrices may be placed in one or more locations within the coating composition and at one or more locations in relation to the substrate. Examples of inner matrices, for example degradable encapsulating matrices formed of semipermeable cells and/or degradable polymers, are disclosed and/or suggested in U.S. Publication No. 20030129130, U.S. Patent Application Ser. No. 60/570,334 filed May 12, 2004, U.S. Patent Application Ser. No. 60/603,707, filed Aug. 23, 2004, U.S. Publication No. 20040203075, filed Apr. 10, 2003, U.S. Publication No. 20040202774 filed on Apr. 10, 2003, and U.S. patent application Ser. No. 10/723,505, filed Nov. 26, 2003, the entire contents of which are incorporated by reference herein.
- The overall weight of the coating upon the surface may vary depending on the application. However, in some embodiments, the weight of the coating attributable to the bioactive agent is in the range of about one microgram to about 10 milligram (mg) of bioactive agent per cm2 of the effective surface area of the device. By “effective” surface area it is meant the surface amenable to being coated with the composition itself. For a flat, nonporous, surface, for instance, this will generally be the macroscopic surface area itself, while for considerably more porous or convoluted (e.g., corrugated, pleated, or fibrous) surfaces the effective surface area can be significantly greater than the corresponding macroscopic surface area. In various embodiments, the weight of the coating attributable to the bioactive agent is between about 0.005 mg and about 10 mg, and in some embodiments, between about 0.01 mg and about 1 mg of bioactive agent per cm2 of the gross surface area of the device. This quantity of bioactive agent is generally required to provide desired activity under physiological conditions.
- In turn, and in some embodiments, the final coating thickness of a coated composition will typically be in the range of about 0.1 micrometers to about 100 micrometers, and in some embodiments, between about 0.5 micrometers and about 25 micrometers. This level of coating thickness is generally required to provide an adequate concentration of drug to provide adequate activity under physiological conditions.
- The invention will be further described with reference to the following non-limiting Examples. It will be apparent to those skilled in the art that many changes can be made in the embodiments described without departing from the scope of the present invention. Thus the scope of the present invention should not be limited to the embodiments described in this application, but only by the embodiments described by the language of the claims and the equivalents of those embodiments. Unless otherwise indicated, all percentages are by weight.
- The potential suitability of particular coated compositions for in vivo use can be determined by a variety of screening methods, examples of each of which are described herein. Not all of these test procedures were used in connection with the example included in this application, but they are described here to enable consistent comparison of coatings in accordance with the invention.
- Sample Preparation Procedure
- Stainless steel stents used in the following example were manufactured by Laserage Technology Corporation, Waukegan, Ill. In some cases, the metal surface of the stents may be coated without any pretreatment beyond washing. In other cases, a primer may be applied to the stents by first cleaning the stents with aqueous base, then pre-treating with a silane followed by vapor deposition of Parylene™ polymer. The silane used was [3-(methacroyloxy)propyl]trimethoxysilane, available from Sigma-Aldrich Fine Chemicals as Product No. 44,015-9. The silane may be applied as essentially a monolayer by mixing the silane at a low concentration in 50/50 (vol) isopropanol/water, soaking the stents in the aqueous silane solution for a suitable length of time to allow the water to hydrolyze the silane and produce some cross-linking, washing off residual silane, then baking the silane-treated stent at 100° C. for conventional periods of time. Following the silane treatment, Parylene™ C coating (available from Union Carbide Corporation, Danbury, Conn.) is vapor-deposited at a thickness of about 1 mm. Prior to coating, the stents should be weighed on a microbalance to determine a tare weight.
- Bioactive agent/polymer solutions were prepared at a range of concentrations in an appropriate solvent (typically tetrahydrofuran or chloroform), in the manner described herein. In all cases the coating solutions were applied to respective stents by spraying, and the solvent was allowed to evaporate under ambient conditions. The coated stents were then re-weighed to determine the mass of coating and consequently the mass of polymer and bioactive agent.
- Rapamycin Release Assay Procedure
- The Rapamycin Release Assay Procedure, as described herein, was used to determine the extent and rate of release of an exemplary bioactive agent, rapamycin, under in vitro elution conditions. Spray-coated stents prepared using the Sample Preparation Procedure were placed in sample baskets into 10 milliliters of Sotax™ dissolution system (elution media containing 2% (wt) surfactant/water solution, available from Sotax Corporation, Horsham, Pa.). Amount of bioactive agent elution was monitored by UV spectrometry over the course of several days. The elution media was held at 37° C. After the elution measurements, the stents were removed, rinsed, dried, and weighed to compare measured bioactive agent elution to weighed mass loss.
- Dexamethasone Release Assay Procedure
- A Dexamethasone Release Assay Procedure can be used to determine the extent and rate of dexamethasone release under in vitro conditions. Spray-coated stents made using the Sample Preparation Procedure may be placed in 10 milliliters of pH 7 phosphate buffer solution (“PBS”) contained in an amber vial. A magnetic stirrer bar is added to the vial, and the vial with its contents are placed into a 37° C. water bath. After a sample interval, the stent is removed and placed into a new buffer solution contained in a new vial. Dexamethasone concentration in the buffer is measured using ultraviolet spectroscopy and the concentration converted to mass of bioactive agent released from the coating. After the experiment, the stent should be dried and weighed to correlate actual mass loss to the loss measured by the elution experiment.
- Durability Test Procedure
- The durability of the coated composition can be determined by the following manner. To simulate use of the coated devices, the coated stents are placed over sample angioplasty balloons. The stent is then crimped onto the balloon using a laboratory test crimper (available from Machine Solutions, Brooklyn, N.Y.). The stent and balloon are then placed in a phosphate buffer bath having a pH of 7.4 and temperature of 37° C. After 5 minutes of soaking, the balloon is expanded using air at 5 atmospheres (3800 torr) of pressure. The balloon is then deflated, and the stent is removed.
- The stent is then examined by optical and scanning electron microscopy to determine the amount of coating damage caused by cracking and/or delamination. Coatings with extensive damage are considered unacceptable for a commercial medical device. A “Rating” coresponding to a qualitatitive scale used to describe the amount of damage to the coating from the stent crimping and expansion procedure can be assigned based on optical microscopy examination by an experienced coating engineer. A low rating indicates a large percentage of the coating cracked, smeared, and/or delaminated from the surface. For example, a coating with a rating of ten shows no damage while one with a rating of I will show a majority of the coating damaged to the point where clinical efficacy maybe diminished. Commercially attractive coatings typically have a rating of nine or higher.
- Stress-Strain Measurement Test Procedure
- Polymer films are prepared by hot pressing polymer beads at 100° C. in a constant film maker kit to a thickness of approximately 0.5 mm. The resulting films can be cut into strips using a razor blade. A Q800 Dynamic Mechanical Analyzer (available from Texas Instruments, Dallas, Tex.) is fitted with a film tension clamp. Each sample is equilibrated at 35° C. for five minutes prior to straining the sample. Then the sample is loaded into the clamp such that the sample length was between 5 and 7 mm in length. A static force of 0.01N is applied to each sample throughout the measurements. Simultaneously, a 0.5 N/min force is applied to the sample until the movable clamp reaches its maximum position. Films are elongated at constant stress and the average tensile modulus (i.e., the initial slope of the stress-strain curve, in MPa) is determined.
- Three solutions were prepared for coating the stents. The solutions included mixtures of poly(isobutylene) (“PIB”, available from Scientific Polymer Products as Catalog #681, CAS #9003-27-4, Mw approx. 85 kilodaltons), (“PBMA”, available from Sigma-Aldrich Fine Chemicals as Product No. 18,152-8, having a weight average molecular weight (Mw) of about 337 kilodaltons), and rapamycin (“RAPA”, available from LC Laboratories, Woburn, Mass.) dissolved in THF to form a homogeneous solution. The stents were not given a primer pre-treatment.
- The solutions were prepared to include the following ingredients at the stated weights per milliliter of THF:
-
- 1) 16 mg/ml PIB/4 mg/ml PBMA/10 mg/ml RAPA
- 2) 10 mg/ml PIB/10 mg/ml PBMA/10 mg/ml RAPA
- 3) 4 mg/ml PEB/16 mg/ml PBMA/10 mg/ml RAPA
- Using the Sample Preparation Procedure, two stents were spray coated using each solution. After solvent removal via ambient evaporation, the drug elution for each coated stent was monitored using the Rapamycin Release Assay Procedure.
- Results, provided in
FIG. 1 , demonstrate the ability to control the elution rate of rapamycin, a pharmaceutical agent, from a coated stent surface by varying the relative concentrations of PIB and PBMA in the polymer mixture as described herein. - Other embodiments of this invention will be apparent to those skilled in the art upon consideration of this specification or from practice of the invention disclosed herein. Various omissions, modifications, and changes to the principles and embodiments described herein may be made by one skilled in the art without departing from the true scope and spirit of the invention which is indicated by the following claims. All patents, patent documents, and publications cited herein are hereby incorporated by reference as if individually incorporated.
Claims (51)
1. A composition for coating the surface of a medical device with at least one bioactive agent in a manner that permits the coated surface to release the bioactive agent over time when implanted in vivo, the composition comprising at least one bioactive agent in combination with a plurality of polymers, including a first polymer component comprising at least one polybutene and a second polymer component comprising a polymer selected from the group consisting of poly(alkyl(meth)acrylates) and poly(aromatic(meth)acrylates).
2. A composition according to claim 1 wherein the first polymer component includes a polybutene prepared by the homopolymerization of isobutylene, 1-butene or 2-butene.
3. A composition according to claim 1 wherein the first polymer component includes a polybutene prepared by the random interpolymerization of isobutylene, 1-butene and 2-butene.
4. A composition according to claim 1 wherein the first polymer component includes a polybutene prepared by the copolymerization of any two of isobutylene, 1-butene and 2-butene.
5. A composition according to claim 1 , the first polymer component having a molecular weight from about 100 kilodaltons to about 1,000 kilodaltons.
6. A composition according to claim 1 , the first polymer component having a molecular weight from about 150 kilodaltons to about 600 kilodaltons.
7. A composition according to claim 1 , the first polymer component having a molecular weight from about 150 kilodaltons to about 250 kilodaltons.
8. A composition according to claim 1 wherein the composition includes at least one additional polymer selected from the group consisting of poly(alkylene-co-alkyl(meth)acrylates), ethylene copolymer with other alkylenes, aromatic group-containing copolymers, diolefin-derived non-aromatic polymers or copolymers, epichlorohydrin-containing polymers and poly(ethylene-co-vinyl acetate).
9. A composition according to claim 8 wherein the poly(alkylene-co-alkyl(meth)acrylates are selected from the group consisting of poly(ethylene-co-methyl acrylate), poly(ethylene-co-ethyl acrylate), poly(ethylene-co-2-ethylhexyl acrylate) and poly(ethylene-co-butyl acrylate), the ethylene copolymers with other alkylenes are selected from the group consisting of poly(ethylene-co-propylene), poly(ethylene-co-1-butene), poly(ethylene-co-1-butene-co-1-hexene), poly(ethylene-co-1-octene) and poly(ethylene-co-propylene-co-5-methylene-2-norborene), the diolefin-derived non-aromatic polymer or copolymer is selected from the group consisting of polybutadienes prepared by the polymerization of cis-, trans- and/or 1,2-monomer units, and polyisoprenes prepared by the polymerization of cis-1,4- and/or trans-1,4-monomer units, the aromatic group-containing copolymers include a copolymer derived from copolymerization of styrene monomer and one or more monomers selected from the group consisting of butadiene, isoprene, acrylonitrile, a C1-C4 alkyl(meth)acrylate and butene, the epichlorohydrin-containing polymers are selected from the group consisting of epichlorohydrin homopolymers and poly(epichlorohydrin-co-alkylene oxide) copolymers and the poly(ethylene-co-vinyl acetate) polymers have a vinyl acetate concentration from about 8% to about 90%.
10. A composition according to claim 1 wherein the poly(alkyl(meth)acrylate) includes an alkyl chain length from two to eight carbons.
11. A composition according to claim 1 , the poly(alkyl(meth)acrylate) having a molecular weight from about 50 kilodaltons to about 900 kilodaltons.
12. A composition according to claim 1 wherein the poly(alkyl(meth)acrylate) is selected from the group consisting of poly(n-butyl methacrylate), poly(n-butyl methacrylate-co-isobutyl methacrylate), and poly(t-butyl methacrylate).
13. A composition according to claim 1 wherein the poly(aromatic(meth)acrylate) includes aryl groups having from six to sixteen carbon atoms.
14. A composition according to claim 1 , the poly(aromatic(meth)acrylate) having a molecular weight from about 50 kilodaltons to about 900 kilodaltons.
15. A composition according to claim 1 wherein the poly(aromatic(meth)acrylate) is selected from the group consisting of poly(aryl(meth)acrylates), poly(aralkyl(meth)acrylates), poly(alkaryl(meth)acrylates), poly(aryloxyalkyl(meth)acrylates), and poly(alkoxyaryl(meth)acrylates).
16. A composition according to claim 15 , wherein the poly(aryl(meth)acrylates) are selected from the group consisting of poly(9-anthracenyl methacrylate), poly(chlorophenyl acrylate), poly(methacryloxy-2-hydroxybenzophenone), poly(methacryloxybenzotriazole), poly(naphthyl acrylate), poly(naphthylmethacrylate), poly-4-nitrophenylacrylate, poly(pentachloro(bromo, fluoro)acrylate) and methacrylate, poly(phenyl acrylate) and poly(phenyl methacrylate); the poly(aralkyl(meth)acrylates) are selected from the group consisting of poly(benzyl acrylate), poly(benzyl methacrylate), poly(2-phenethyl acrylate), poly(2-phenethyl methacrylate) and poly(1-pyrenylmethyl methacrylate); the poly(alkaryl(meth)acrylates are selected from the group consisting of poly(4-sec-butylphenyl methacrylate), poly(3-ethylphenyl acrylate), and poly(2-methyl-1-naphthyl methacrylate); the poly(aryloxyalkyl(meth)acrylates) are selected from the group consisting of poly(phenoxyethyl acrylate), poly(phenoxyethyl methacrylate), and poly(polyethylene glycol phenyl ether acrylate) and poly(polyethylene glycol phenyl ether methacrylate) with varying polyethylene glycol molecular weights; and the poly(alkoxyaryl(meth)acrylates) are selected from the group consisting of poly(4-methoxyphenyl methacrylate), poly(2-ethoxyphenyl acrylate) and poly(2-methoxynaphthyl acrylate).
17. A composition according to claim 1 wherein the composition further comprises a solvent in which the first and second polymer components form a true solution.
18. A composition according to claim 1 wherein the bioactive agent is dissolved or suspended in the coating mixture at a concentration of 0.01% to 90% by weight.
19. A composition according to claim 1 wherein the device is one that undergoes flexion and expansion in the course of implantation or use in vivo.
20. A composition according to claim 1 wherein the composition permits the amount and rate of release of agent(s) from the medical device to be controlled by adjusting the relative types and concentrations of the first and second polymer components in the mixture.
21. A combination comprising a medical device and a composition for coating the surface of the medical device with at least one bioactive agent in a manner that permits the coated surface to release the bioactive agent over time when implanted in vivo, the composition comprising at least one bioactive agent in combination with a plurality of polymers, including a first polymer component comprising at least one polybutene and a second polymer component comprising a polymer selected from the group consisting of poly(alkyl(meth)acrylates) and poly(aromatic(meth)acrylates).
22. The combination of claim 21 wherein a pretreatment coating, adapted to alter the surface properties of the medical device, is applied to the surface of the medical device.
23. The combination of claim 21 wherein the first polymer component includes a polybutene prepared by the homopolymerization of isobutylene, 1-butene or 2-butene.
24. The combination of claim 21 wherein the first polymer component includes a polybutene prepared by the random interpolymerization of isobutylene, 1-butene and 2-butene.
25. The combination of claim 21 wherein the first polymer component includes a polybutene prepared by the copolymerization of any two of isobutylene, 1-butene and 2-butene.
26. The combination of claim 21 wherein the composition includes at least one additional polymer selected from the group consisting of poly(alkylene-co-alkyl(meth)acrylates, ethylene copolymers with other alkylenes, diolefin-derived non-aromatic polymers or copolymers, aromatic group-containing copolymers, epichlorohydrin-containing polymers, and poly(ethylene-co-vinyl acetate).
27. The combination of claim 22 wherein the pretreatment coating is selected from the group consisting of Parylene™, silane, photografted polymers, epoxy primers, polycarboxylate resins and combinations thereof.
28. The combination of claim 21 wherein the composition permits the amount and rate of release of agent(s) from the medical device to be controlled by adjusting the relative types and concentrations of the first and second polymer components in the mixture.
29. A composition for coating the surface of a medical device with at least one bioactive agent in a manner that permits the coated surface to release the bioactive agent over time when implanted in vivo, the composition comprising at least one bioactive agent in combination with a plurality of polymers, including a first polymer component comprising at least one polybutene and a second polymer component comprising a polymer selected from the group consisting of poly(alkyl(meth)acrylates) and poly(aromatic(meth)acrylates), wherein the composition includes at least one additional polymer selected from the group consisting of poly(alkylene-co-alkyl(meth)acrylates), ethylene copolymers with other alkylenes, diolefin-derived non-aromatic polymers or copolymers, aromatic group-containing copolymers, epichlorohydrin-containing polymers, and poly(ethylene-co-vinyl acetate).
30. A composition according to claim 29 wherein the first polymer component is selected from the group consisting of polybutene prepared by the homopolymerization of isobutylene, 1-butene or 2-butene, polybutene prepared by the random interpolymerization of isobutylene, 1-butene and 2-butene, and polybutene prepared by the copolymerization of any two of isobutylene, 1-butene and 2-butene.
31. A method of coating the surface of a medical device, the method comprising the steps of providing a composition including at least one bioactive agent in combination with a plurality of polymers, including a first polymer component comprising at least one polybutene and a second polymer component comprising a polymer selected from the group consisting of poly(alkyl(meth)acrylates) and poly(aromatic(meth)acrylates), and applying the composition to the surface of the device.
32. A combination comprising a stent and a composition for coating the surface of a stent with at least one bioactive agent in a manner that permits the coated surface to release the bioactive agent over time when implanted in vivo, the composition comprising at least one bioactive agent in combination with a plurality of polymers, including a first polymer component comprising poly(isobutylene), a second polymer component comprising poly(n-butyl methacrylate), a solvent in which the first and second polymer components form a true solution, and at least one biocompatible additive, and further comprising a pretreatment layer including a multi-interface system to facilitate adhesion and cohesion interaction relative to the stent and coating composition.
33. A combination according to claim 32 , wherein the bioactive agent is selected from the group consisting of rapamycin, paclitaxel, dexamethasone, and estradiol.
34. A combination according to claim 32 , wherein the stent includes a material selected from the group consisting of polymers, tissue, metals, ceramics, and combinations thereof.
35. A combination according to claim 34 , wherein the polymers include polycarbonates and the metals are selected from the group consisting of titanium, stainless steel, gold, silver, and nitinol.
36. A combination according to claim 32 , wherein the solvent is selected from the group consisting of tetrahydrofuran, chloroform, methylene chloride, and cyclohexane.
37. A combination according to claim 32 , wherein the biocompatible additive includes one or more antioxidants selected from the group consisting of butylated hydroxytoluene, vitamin E, BNX, and dilauryl thiodipropionate.
38. A combination according to claim 32 , wherein the pretreatment layer includes organosilane and Parylene.
39. A composition according to claim 1 , further comprising a pretreatment layer including a multi-interface system to facilitate adhesion and cohesion interaction relative to the medical device and composition.
40. A composition according to claim 39 , wherein the pretreatment layer includes organosilane and Parylene.
41. A combination comprising a medical device and a composition for coating the surface of a medical device with at least one bioactive agent in a manner that permits the coated surface to release the bioactive agent over time when implanted in vivo, the composition comprising at least one bioactive agent in combination with a plurality of polymers, including a first polymer component comprising poly(isobutylene), a second polymer component comprising poly(n-butyl methacrylate), a solvent in which the first and second polymer components form a true solution selected from the group consisting of tetrahydrofuran, chloroform, methylene chloride, and cyclohexane, and at least one biocompatible additive including one or more antioxidants selected from the group consisting of butylated hydroxytoluene, vitamin E, BNX, and dilauryl thiodipropionate, and further comprising a pretreatment layer including a multi-interface system to facilitate adhesion and cohesion interaction relative to the medical device and coating composition.
42. A combination according to claim 41 , wherein the bioactive agent is selected from the group consisting of rapamycin, paclitaxel, dexamethasone, and estradiol.
43. The combination of claim 41 further comprising a topcoat including poly(butyl methacrylate).
44. The combination of claim 41 , wherein the medical device comprises a stent.
45. A method of manufacturing a medical device for delivering one or more bioactive agents to a subject comprising: providing a medical device comprising a substrate surface; applying a pretreatment coating including a plurality of bonding layer-sites to enhance the cohesion and adhesion of the pretreatment coating and a bioactive agent coating to at least a portion of the medical device substrate surface; and bonding the bioactive agent coating comprising a bioactive agent in combination with a plurality of polymers, including a first polymer component comprising at least one polybutene and a second polymer component comprising a polymer selected from the group consisting of poly(alkyl(meth)acrylates) and poly(aromatic(meth)acrylates).
46. The method of claim 45 further comprising the step of applying a topcoat layer to the bioactive agent coating for the purpose of biocompatibility enhancement.
47. The method of claim 45 further comprising the step of applying a topcoat layer to the bioactive agent coating for the purpose of delamination protection.
48. The method of claim 45 further comprising the step of applying a topcoat layer to the bioactive agent coating for the purpose of durability enhancement.
49. The method of claim 45 further comprising the step of applying a topcoat layer to the bioactive agent coating for the purpose of bioactive agent release control.
50. The method of claim 45 further comprising the step of applying a topcoat layer to the bioactive agent coating, the topcoat layer configured to function as a medical device deployment protective release layer.
51. The method of claim 45 , wherein the medical device comprises a stent.
Priority Applications (6)
| Application Number | Priority Date | Filing Date | Title |
|---|---|---|---|
| US11/099,911 US20050220841A1 (en) | 2004-04-06 | 2005-04-06 | Coating compositions for bioactive agents |
| US11/244,823 US20060083772A1 (en) | 2004-04-06 | 2005-10-06 | Coating compositions for bioactive agents |
| CA002563253A CA2563253A1 (en) | 2005-04-06 | 2005-10-06 | Bioactive coating compositions for medical devices |
| PCT/US2005/035957 WO2006107336A1 (en) | 2005-04-06 | 2005-10-06 | Bioactive coating compositions for medical devices |
| JP2008505283A JP2008535563A (en) | 2005-04-06 | 2005-10-06 | Coating composition for bioactive agents |
| EP05812405A EP1868666A1 (en) | 2005-04-06 | 2005-10-06 | Bioactive coating compositions for medical devices |
Applications Claiming Priority (2)
| Application Number | Priority Date | Filing Date | Title |
|---|---|---|---|
| US55982104P | 2004-04-06 | 2004-04-06 | |
| US11/099,911 US20050220841A1 (en) | 2004-04-06 | 2005-04-06 | Coating compositions for bioactive agents |
Related Child Applications (1)
| Application Number | Title | Priority Date | Filing Date |
|---|---|---|---|
| US11/244,823 Continuation-In-Part US20060083772A1 (en) | 2004-04-06 | 2005-10-06 | Coating compositions for bioactive agents |
Publications (1)
| Publication Number | Publication Date |
|---|---|
| US20050220841A1 true US20050220841A1 (en) | 2005-10-06 |
Family
ID=34965640
Family Applications (6)
| Application Number | Title | Priority Date | Filing Date |
|---|---|---|---|
| US11/099,796 Expired - Fee Related US7544673B2 (en) | 2004-04-06 | 2005-04-06 | Coating compositions for bioactive agents |
| US11/099,935 Abandoned US20050220842A1 (en) | 2004-04-06 | 2005-04-06 | Coating compositions for bioactive agents |
| US11/099,997 Abandoned US20050244459A1 (en) | 2004-04-06 | 2005-04-06 | Coating compositions for bioactive agents |
| US11/099,910 Expired - Fee Related US7541048B2 (en) | 2004-04-06 | 2005-04-06 | Coating compositions for bioactive agents |
| US11/099,939 Abandoned US20050220843A1 (en) | 2004-04-06 | 2005-04-06 | Coating compositions for bioactive agents |
| US11/099,911 Abandoned US20050220841A1 (en) | 2004-04-06 | 2005-04-06 | Coating compositions for bioactive agents |
Family Applications Before (5)
| Application Number | Title | Priority Date | Filing Date |
|---|---|---|---|
| US11/099,796 Expired - Fee Related US7544673B2 (en) | 2004-04-06 | 2005-04-06 | Coating compositions for bioactive agents |
| US11/099,935 Abandoned US20050220842A1 (en) | 2004-04-06 | 2005-04-06 | Coating compositions for bioactive agents |
| US11/099,997 Abandoned US20050244459A1 (en) | 2004-04-06 | 2005-04-06 | Coating compositions for bioactive agents |
| US11/099,910 Expired - Fee Related US7541048B2 (en) | 2004-04-06 | 2005-04-06 | Coating compositions for bioactive agents |
| US11/099,939 Abandoned US20050220843A1 (en) | 2004-04-06 | 2005-04-06 | Coating compositions for bioactive agents |
Country Status (7)
| Country | Link |
|---|---|
| US (6) | US7544673B2 (en) |
| EP (2) | EP1740236A2 (en) |
| JP (2) | JP2007532187A (en) |
| CN (2) | CN1964748A (en) |
| CA (2) | CA2563069A1 (en) |
| DE (1) | DE602005015564D1 (en) |
| WO (3) | WO2005097228A2 (en) |
Cited By (12)
| Publication number | Priority date | Publication date | Assignee | Title |
|---|---|---|---|---|
| US20060110428A1 (en) * | 2004-07-02 | 2006-05-25 | Eugene Dejuan | Methods and devices for the treatment of ocular conditions |
| US20060257451A1 (en) * | 2005-04-08 | 2006-11-16 | Varner Signe E | Sustained release implants and methods for subretinal delivery of bioactive agents to treat or prevent retinal disease |
| WO2009030620A1 (en) * | 2007-09-06 | 2009-03-12 | Basf Se | Blends from branched polyaryl ethers and hydrophilic polymers |
| US20100114107A1 (en) * | 2000-08-30 | 2010-05-06 | Warsaw Orthopedic, Inc. | Intervertebral Disc Nucleus Implants and Methods |
| US7862605B2 (en) | 1995-06-07 | 2011-01-04 | Med Institute, Inc. | Coated implantable medical device |
| US8133553B2 (en) | 2007-06-18 | 2012-03-13 | Zimmer, Inc. | Process for forming a ceramic layer |
| US8309521B2 (en) | 2007-06-19 | 2012-11-13 | Zimmer, Inc. | Spacer with a coating thereon for use with an implant device |
| US8313760B2 (en) | 2002-05-24 | 2012-11-20 | Angiotech International Ag | Compositions and methods for coating medical implants |
| US8372420B2 (en) | 2002-05-24 | 2013-02-12 | Angiotech International Ag | Compositions and methods for coating medical implants |
| US8602290B2 (en) | 2007-10-10 | 2013-12-10 | Zimmer, Inc. | Method for bonding a tantalum structure to a cobalt-alloy substrate |
| WO2024191445A1 (en) * | 2023-03-10 | 2024-09-19 | Becton, Dickinson And Company | Therapeutic bio-absorbable polymeric scaffold with drug-loaded micro-needles for drug delivery |
| CN120827638A (en) * | 2025-09-19 | 2025-10-24 | 四川大学 | Use of a polymer as an artificial lens material and artificial lens |
Families Citing this family (188)
| Publication number | Priority date | Publication date | Assignee | Title |
|---|---|---|---|---|
| US7713297B2 (en) | 1998-04-11 | 2010-05-11 | Boston Scientific Scimed, Inc. | Drug-releasing stent with ceramic-containing layer |
| ES2179646T3 (en) | 1998-04-27 | 2003-01-16 | Surmodics Inc | COATING THAT RELEASES A BIOACTIVE AGENT. |
| US6569194B1 (en) | 2000-12-28 | 2003-05-27 | Advanced Cardiovascular Systems, Inc. | Thermoelastic and superelastic Ni-Ti-W alloy |
| US7151139B2 (en) * | 2001-04-23 | 2006-12-19 | Massachusetts Institute Of Technology | Antimicrobial polymeric surfaces |
| US9089407B2 (en) | 2001-04-23 | 2015-07-28 | Massachusetts Institute Of Technology | Antibacterial coatings that inhibit biofilm formation on implants |
| WO2003002243A2 (en) | 2001-06-27 | 2003-01-09 | Remon Medical Technologies Ltd. | Method and device for electrochemical formation of therapeutic species in vivo |
| US20050064011A1 (en) * | 2003-08-11 | 2005-03-24 | Young-Ho Song | Implantable or insertable medical devices containing phenolic compound for inhibition of restenosis |
| DE602005015564D1 (en) | 2004-04-06 | 2009-09-03 | Surmodics Inc | COATING COMPOSITIONS FOR BIOACTIVE AGENTS |
| WO2006017275A1 (en) | 2004-07-13 | 2006-02-16 | The University Of Tennessee Research Foundation | Adhesive composition for carrying therapeutic agents as delivery vehicle on coatings applied to vascular grafts |
| KR100511618B1 (en) * | 2005-01-17 | 2005-08-31 | 이경범 | Multi-layer coating of drug release controllable coronary stent and method for manufacturing the same |
| EP1868666A1 (en) * | 2005-04-06 | 2007-12-26 | SurModics, Inc. | Bioactive coating compositions for medical devices |
| US20090062909A1 (en) | 2005-07-15 | 2009-03-05 | Micell Technologies, Inc. | Stent with polymer coating containing amorphous rapamycin |
| AU2006270221B2 (en) | 2005-07-15 | 2012-01-19 | Micell Technologies, Inc. | Polymer coatings containing drug powder of controlled morphology |
| US20070054127A1 (en) * | 2005-08-26 | 2007-03-08 | Hergenrother Robert W | Silane coating compositions, coating systems, and methods |
| US20070134288A1 (en) * | 2005-12-13 | 2007-06-14 | Edward Parsonage | Anti-adhesion agents for drug coatings |
| US8840660B2 (en) | 2006-01-05 | 2014-09-23 | Boston Scientific Scimed, Inc. | Bioerodible endoprostheses and methods of making the same |
| US8089029B2 (en) | 2006-02-01 | 2012-01-03 | Boston Scientific Scimed, Inc. | Bioabsorbable metal medical device and method of manufacture |
| US20070200268A1 (en) * | 2006-02-24 | 2007-08-30 | Vipul Dave | Implantable device prepared from solution processing |
| US20070200271A1 (en) * | 2006-02-24 | 2007-08-30 | Vipul Dave | Implantable device prepared from melt processing |
| US20070224235A1 (en) | 2006-03-24 | 2007-09-27 | Barron Tenney | Medical devices having nanoporous coatings for controlled therapeutic agent delivery |
| US8187620B2 (en) | 2006-03-27 | 2012-05-29 | Boston Scientific Scimed, Inc. | Medical devices comprising a porous metal oxide or metal material and a polymer coating for delivering therapeutic agents |
| US8048150B2 (en) | 2006-04-12 | 2011-11-01 | Boston Scientific Scimed, Inc. | Endoprosthesis having a fiber meshwork disposed thereon |
| CA2650590C (en) | 2006-04-26 | 2018-04-03 | Micell Technologies, Inc. | Coatings containing multiple drugs |
| US9114194B2 (en) * | 2006-05-12 | 2015-08-25 | W. L. Gore & Associates, Inc. | Immobilized biologically active entities having high biological activity following mechanical manipulation |
| US8496953B2 (en) * | 2006-05-12 | 2013-07-30 | W. L. Gore & Associates, Inc. | Immobilized biologically active entities having a high degree of biological activity following sterilization |
| US8021677B2 (en) | 2006-05-12 | 2011-09-20 | Gore Enterprise Holdings, Inc. | Immobilized biologically active entities having a high degree of biological activity |
| US8986713B2 (en) * | 2006-05-12 | 2015-03-24 | W. L. Gore & Associates, Inc. | Medical device capable of being compacted and expanded having anti-thrombin III binding activity |
| US20080279909A1 (en) * | 2006-05-12 | 2008-11-13 | Cleek Robert L | Immobilized Biologically Active Entities Having A High Degree of Biological Activity Following Sterilization |
| US20080124372A1 (en) | 2006-06-06 | 2008-05-29 | Hossainy Syed F A | Morphology profiles for control of agent release rates from polymer matrices |
| US11039942B2 (en) | 2006-06-13 | 2021-06-22 | Sino Medical Sciences Technology Inc. | Drug eluting stent and method of use of the same for enabling restoration of functional endothelial cell layers |
| US8815275B2 (en) | 2006-06-28 | 2014-08-26 | Boston Scientific Scimed, Inc. | Coatings for medical devices comprising a therapeutic agent and a metallic material |
| CA2656191C (en) * | 2006-06-28 | 2015-12-08 | Surmodics, Inc. | Hydrophilic active agent eluting polymeric matrices with microparticles |
| JP2009542359A (en) | 2006-06-29 | 2009-12-03 | ボストン サイエンティフィック リミテッド | Medical device with selective covering |
| WO2008017028A2 (en) | 2006-08-02 | 2008-02-07 | Boston Scientific Scimed, Inc. | Endoprosthesis with three-dimensional disintegration control |
| US20080171087A1 (en) * | 2006-08-16 | 2008-07-17 | Chappa Ralph A | Methods and materials for increasing the adhesion of elution control matrices to substrates |
| WO2008033711A2 (en) | 2006-09-14 | 2008-03-20 | Boston Scientific Limited | Medical devices with drug-eluting coating |
| JP2010503485A (en) | 2006-09-15 | 2010-02-04 | ボストン サイエンティフィック リミテッド | Medical device and method for manufacturing the same |
| ATE516827T1 (en) | 2006-09-15 | 2011-08-15 | Boston Scient Scimed | BIOLOGICALLY ERODABLE ENDOPROSTHESIS WITH BIOSTABLE INORGANIC LAYERS |
| WO2008034031A2 (en) | 2006-09-15 | 2008-03-20 | Boston Scientific Limited | Bioerodible endoprostheses and methods of making the same |
| ATE517590T1 (en) | 2006-09-15 | 2011-08-15 | Boston Scient Ltd | BIOLOGICALLY ERODABLE ENDOPROTHESES |
| WO2008036548A2 (en) | 2006-09-18 | 2008-03-27 | Boston Scientific Limited | Endoprostheses |
| JP5161452B2 (en) * | 2006-10-03 | 2013-03-13 | 日本コヴィディエン株式会社 | Method for manufacturing medical device, method for applying antibiotic to surface of medical device, and medical device |
| WO2008051867A2 (en) * | 2006-10-20 | 2008-05-02 | Elixir Medical Corporation | Luminal prostheses and methods for coating thereof |
| CA2668130A1 (en) * | 2006-11-03 | 2008-06-05 | Boston Scientific Limited | Stents with drug eluting coatings |
| CN101627092A (en) * | 2006-11-08 | 2010-01-13 | 麻省理工学院 | Polymeric coatings inactivate viruses and bacteria |
| US7981150B2 (en) | 2006-11-09 | 2011-07-19 | Boston Scientific Scimed, Inc. | Endoprosthesis with coatings |
| US11975161B2 (en) | 2006-11-20 | 2024-05-07 | Lutonix, Inc. | Drug releasing coatings for balloon catheters |
| CN101563051A (en) * | 2006-12-18 | 2009-10-21 | 爱尔康研究有限公司 | Devices and methods for ophthalmic drug delivery |
| EP2125065B1 (en) | 2006-12-28 | 2010-11-17 | Boston Scientific Limited | Bioerodible endoprostheses and methods of making same |
| JP5603598B2 (en) | 2007-01-08 | 2014-10-08 | ミセル テクノロジーズ、インコーポレイテッド | Stent with biodegradable layer |
| US11426494B2 (en) | 2007-01-08 | 2022-08-30 | MT Acquisition Holdings LLC | Stents having biodegradable layers |
| BRPI0823269B8 (en) | 2007-01-21 | 2021-06-22 | Hemoteq Ag | balloon catheter |
| US8221496B2 (en) * | 2007-02-01 | 2012-07-17 | Cordis Corporation | Antithrombotic and anti-restenotic drug eluting stent |
| RU2009132949A (en) * | 2007-02-02 | 2011-03-10 | Юниверсити Оф Майами (Us) | THERAPEUTIC HYBRID IMPLANTED DEVICES |
| US20080208315A1 (en) * | 2007-02-27 | 2008-08-28 | National Taiwan University Of Science & Technology | Coronary stent having a surface of multi-layer immobilized structures |
| US8431149B2 (en) | 2007-03-01 | 2013-04-30 | Boston Scientific Scimed, Inc. | Coated medical devices for abluminal drug delivery |
| US8070797B2 (en) | 2007-03-01 | 2011-12-06 | Boston Scientific Scimed, Inc. | Medical device with a porous surface for delivery of a therapeutic agent |
| US8911765B2 (en) * | 2007-03-29 | 2014-12-16 | Tyrx, Inc. | Biodegradable, polymer coverings for breast implants |
| US8067054B2 (en) | 2007-04-05 | 2011-11-29 | Boston Scientific Scimed, Inc. | Stents with ceramic drug reservoir layer and methods of making and using the same |
| US20100147451A1 (en) * | 2007-04-24 | 2010-06-17 | Evonik Degussa Gmbh | Use of silanes as adhesion promoters between two organic surfaces |
| US8147769B1 (en) | 2007-05-16 | 2012-04-03 | Abbott Cardiovascular Systems Inc. | Stent and delivery system with reduced chemical degradation |
| US7976915B2 (en) | 2007-05-23 | 2011-07-12 | Boston Scientific Scimed, Inc. | Endoprosthesis with select ceramic morphology |
| US9192697B2 (en) | 2007-07-03 | 2015-11-24 | Hemoteq Ag | Balloon catheter for treating stenosis of body passages and for preventing threatening restenosis |
| US7942926B2 (en) | 2007-07-11 | 2011-05-17 | Boston Scientific Scimed, Inc. | Endoprosthesis coating |
| US8002823B2 (en) | 2007-07-11 | 2011-08-23 | Boston Scientific Scimed, Inc. | Endoprosthesis coating |
| CN101801180A (en) * | 2007-07-16 | 2010-08-11 | 艾尔维奥血管公司 | antimicrobial constructs |
| US20090024197A1 (en) * | 2007-07-18 | 2009-01-22 | Cardiac Pacemakers, Inc. | Elution control via geometric features of an implantable substance matrix |
| US9284409B2 (en) | 2007-07-19 | 2016-03-15 | Boston Scientific Scimed, Inc. | Endoprosthesis having a non-fouling surface |
| DE102007034041A1 (en) | 2007-07-20 | 2009-01-22 | Biotronik Vi Patent Ag | Medication depots for medical implants |
| US7931683B2 (en) | 2007-07-27 | 2011-04-26 | Boston Scientific Scimed, Inc. | Articles having ceramic coated surfaces |
| US8815273B2 (en) | 2007-07-27 | 2014-08-26 | Boston Scientific Scimed, Inc. | Drug eluting medical devices having porous layers |
| WO2009018340A2 (en) | 2007-07-31 | 2009-02-05 | Boston Scientific Scimed, Inc. | Medical device coating by laser cladding |
| JP2010535541A (en) | 2007-08-03 | 2010-11-25 | ボストン サイエンティフィック リミテッド | Coating for medical devices with large surface area |
| US8052745B2 (en) | 2007-09-13 | 2011-11-08 | Boston Scientific Scimed, Inc. | Endoprosthesis |
| US8029554B2 (en) | 2007-11-02 | 2011-10-04 | Boston Scientific Scimed, Inc. | Stent with embedded material |
| US7938855B2 (en) | 2007-11-02 | 2011-05-10 | Boston Scientific Scimed, Inc. | Deformable underlayer for stent |
| US8216632B2 (en) | 2007-11-02 | 2012-07-10 | Boston Scientific Scimed, Inc. | Endoprosthesis coating |
| US20090130293A1 (en) * | 2007-11-16 | 2009-05-21 | David Shykind | Biocompatible coatings for medical devices |
| GB0725018D0 (en) * | 2007-12-21 | 2008-01-30 | Univ Cardiff | Monitoring system for microneedle delivery |
| US8551555B2 (en) * | 2007-12-26 | 2013-10-08 | Intel Corporation | Biocompatible coatings for medical devices |
| EP2271379B1 (en) | 2008-03-28 | 2015-11-25 | SurModics, Inc. | Insertable medical devices having microparticulate-associated elastic substrates and methods for drug delivery |
| SG192523A1 (en) | 2008-04-17 | 2013-08-30 | Micell Technologies Inc | Stents having bioabsorbable layers |
| WO2009128944A2 (en) * | 2008-04-18 | 2009-10-22 | Surmodics, Inc. | Coating systems for the controlled delivery of hydrophilic bioactive agents |
| JP5581311B2 (en) | 2008-04-22 | 2014-08-27 | ボストン サイエンティフィック サイムド,インコーポレイテッド | MEDICAL DEVICE HAVING INORGANIC MATERIAL COATING AND MANUFACTURING METHOD THEREOF |
| WO2009132176A2 (en) | 2008-04-24 | 2009-10-29 | Boston Scientific Scimed, Inc. | Medical devices having inorganic particle layers |
| US7998192B2 (en) | 2008-05-09 | 2011-08-16 | Boston Scientific Scimed, Inc. | Endoprostheses |
| US8236046B2 (en) | 2008-06-10 | 2012-08-07 | Boston Scientific Scimed, Inc. | Bioerodible endoprosthesis |
| EP2303350A2 (en) | 2008-06-18 | 2011-04-06 | Boston Scientific Scimed, Inc. | Endoprosthesis coating |
| WO2011009096A1 (en) | 2009-07-16 | 2011-01-20 | Micell Technologies, Inc. | Drug delivery medical device |
| DE102008034826A1 (en) * | 2008-07-22 | 2010-01-28 | Alexander Rübben | A method of creating a bioactive surface on the balloon of a balloon catheter |
| US8147898B2 (en) * | 2008-07-25 | 2012-04-03 | Medtronic Vascular, Inc. | Low temperature drug deposition |
| US7985252B2 (en) | 2008-07-30 | 2011-07-26 | Boston Scientific Scimed, Inc. | Bioerodible endoprosthesis |
| US9295820B2 (en) * | 2008-08-14 | 2016-03-29 | Surmodics, Inc. | Method and apparatus for coating balloon catheters |
| WO2010027683A2 (en) * | 2008-08-27 | 2010-03-11 | Boston Scientific Scimed, Inc. | Medical devices having fluorine-containing polymer coatings with improved adhesion |
| US8382824B2 (en) | 2008-10-03 | 2013-02-26 | Boston Scientific Scimed, Inc. | Medical implant having NANO-crystal grains with barrier layers of metal nitrides or fluorides |
| NZ573143A (en) * | 2008-11-25 | 2010-03-26 | Bomac Research Ltd | Improvements in delivery devices |
| US8231980B2 (en) | 2008-12-03 | 2012-07-31 | Boston Scientific Scimed, Inc. | Medical implants including iridium oxide |
| US20100169260A1 (en) * | 2008-12-30 | 2010-07-01 | Searete Llc | Methods and systems for presenting an inhalation experience |
| US20100163038A1 (en) * | 2008-12-30 | 2010-07-01 | Searete Llc, A Limited Liability Corporation Of The State Of Delaware | Methods and systems for presenting an inhalation experience |
| US20100163033A1 (en) * | 2008-12-30 | 2010-07-01 | Searete Llc, A Limited Liability Corporation Of The State Of Delaware | Methods and systems for presenting an inhalation experience |
| US20100163036A1 (en) * | 2008-12-30 | 2010-07-01 | Searete Llc, A Limited Liability Corporation Of The State Of Delaware | Methods and systems for presenting an inhalation experience |
| US20100163027A1 (en) * | 2008-12-30 | 2010-07-01 | Searete Llc, A Limited Liability Corporation Of The State Of Delaware | Methods and systems for presenting an inhalation experience |
| US20100169259A1 (en) * | 2008-12-30 | 2010-07-01 | Searete Llc, A Limited Liability Corporation Of The State Of Delaware | Methods and systems for presenting an inhalation experience |
| US20100168529A1 (en) * | 2008-12-30 | 2010-07-01 | Searete Llc, A Limited Liability Corporation Of The State Of Delaware | Methods and systems for presenting an inhalation experience |
| US9750903B2 (en) * | 2008-12-30 | 2017-09-05 | Gearbox, Llc | Method for administering an inhalable compound |
| US8694330B2 (en) * | 2008-12-30 | 2014-04-08 | The Invention Science Fund I, Llc | Methods and systems for presenting an inhalation experience |
| US20100168525A1 (en) * | 2008-12-30 | 2010-07-01 | Searete Llc, A Limited Liability Corporation Of The State Of Delaware | Methods and systems for presenting an inhalation experience |
| US8738395B2 (en) * | 2008-12-30 | 2014-05-27 | The Invention Science Fund I, Llc | Methods and systems for presenting an inhalation experience |
| US20100163025A1 (en) * | 2008-12-30 | 2010-07-01 | Searete Llc | Methods and systems for presenting an inhalation experience |
| US20100166613A1 (en) * | 2008-12-30 | 2010-07-01 | Searete Llc, A Limited Liability Corporation Of The State Of Delaware | Methods and systems for presenting an inhalation experience |
| US8706518B2 (en) * | 2008-12-30 | 2014-04-22 | The Invention Science Fund I, Llc | Methods and systems for presenting an inhalation experience |
| US20100163034A1 (en) * | 2008-12-30 | 2010-07-01 | Searete Llc, A Limited Liability Corporation Of The State Of Delaware | Methods and systems for presenting an inhalation experience |
| US20100163024A1 (en) * | 2008-12-30 | 2010-07-01 | Searete Llc, A Limited Liability Corporation | Methods and systems for presenting an inhalation experience |
| US20100168602A1 (en) * | 2008-12-30 | 2010-07-01 | Searete Llc | Methods and systems for presenting an inhalation experience |
| US8712794B2 (en) * | 2008-12-30 | 2014-04-29 | The Invention Science Fund I, Llc | Methods and systems for presenting an inhalation experience |
| US8725529B2 (en) | 2008-12-30 | 2014-05-13 | The Invention Science Fund I, Llc | Methods and systems for presenting an inhalation experience |
| DE102009007667B4 (en) * | 2009-02-05 | 2012-04-19 | Raumedic Ag | Medical work equipment and method and apparatus for producing such a medical work equipment |
| US8267992B2 (en) | 2009-03-02 | 2012-09-18 | Boston Scientific Scimed, Inc. | Self-buffering medical implants |
| US8071156B2 (en) | 2009-03-04 | 2011-12-06 | Boston Scientific Scimed, Inc. | Endoprostheses |
| US9414864B2 (en) | 2009-04-15 | 2016-08-16 | Warsaw Orthopedic, Inc. | Anterior spinal plate with preformed drug-eluting device affixed thereto |
| US9078712B2 (en) | 2009-04-15 | 2015-07-14 | Warsaw Orthopedic, Inc. | Preformed drug-eluting device to be affixed to an anterior spinal plate |
| US8287937B2 (en) | 2009-04-24 | 2012-10-16 | Boston Scientific Scimed, Inc. | Endoprosthese |
| US9289540B2 (en) * | 2009-05-08 | 2016-03-22 | Greatbatch Ltd. | Surface modification for coating |
| EP2451496B1 (en) | 2009-07-10 | 2015-07-22 | Boston Scientific Scimed, Inc. | Use of nanocrystals for a drug delivery balloon |
| US10080821B2 (en) | 2009-07-17 | 2018-09-25 | Boston Scientific Scimed, Inc. | Nucleation of drug delivery balloons to provide improved crystal size and density |
| US8591932B2 (en) * | 2009-09-17 | 2013-11-26 | W. L. Gore & Associates, Inc. | Heparin entities and methods of use |
| US8529492B2 (en) | 2009-12-23 | 2013-09-10 | Trascend Medical, Inc. | Drug delivery devices and methods |
| US9993441B2 (en) | 2009-12-30 | 2018-06-12 | Surmodics, Inc. | Controlled release matrix barrier structure for subcutaneous medical devices |
| US11369498B2 (en) * | 2010-02-02 | 2022-06-28 | MT Acquisition Holdings LLC | Stent and stent delivery system with improved deliverability |
| WO2011119573A1 (en) | 2010-03-23 | 2011-09-29 | Boston Scientific Scimed, Inc. | Surface treated bioerodible metal endoprostheses |
| US10232092B2 (en) | 2010-04-22 | 2019-03-19 | Micell Technologies, Inc. | Stents and other devices having extracellular matrix coating |
| JP5984806B2 (en) | 2010-06-30 | 2016-09-06 | サーモディクス,インコーポレイティド | Lipid coatings for medical devices that deliver bioactive agents |
| JP5703609B2 (en) * | 2010-07-02 | 2015-04-22 | ソニー株式会社 | Microscope and region determination method |
| EP2593039B1 (en) | 2010-07-16 | 2022-11-30 | Micell Technologies, Inc. | Drug delivery medical device |
| WO2012031236A1 (en) | 2010-09-02 | 2012-03-08 | Boston Scientific Scimed, Inc. | Coating process for drug delivery balloons using heat-induced rewrap memory |
| US20120100187A1 (en) * | 2010-10-26 | 2012-04-26 | Surmodics, Inc. | Coatings and methods for controlled elution of hydrophilic active agents |
| KR101933237B1 (en) | 2011-03-11 | 2018-12-27 | 더블유.엘. 고어 앤드 어소시에이트스, 인코포레이티드 | Improvements to immobilised biological entities |
| US11166458B2 (en) | 2011-04-15 | 2021-11-09 | Allied Bioscience, Inc. | Wet wipes comprising antimicrobial coating compositions |
| US9528009B2 (en) | 2011-04-15 | 2016-12-27 | Craig Grossman | Composition and method to form a self decontaminating surface |
| CN103635626A (en) | 2011-04-15 | 2014-03-12 | 联合生物科学服务股份有限公司 | Composition and method to form self-decontaminating surface |
| WO2013022458A1 (en) | 2011-08-05 | 2013-02-14 | Boston Scientific Scimed, Inc. | Methods of converting amorphous drug substance into crystalline form |
| WO2013028208A1 (en) | 2011-08-25 | 2013-02-28 | Boston Scientific Scimed, Inc. | Medical device with crystalline drug coating |
| JP2014528264A (en) * | 2011-09-30 | 2014-10-27 | ソフラディム・プロダクション | Reversible hardness of light weight mesh |
| US10188772B2 (en) | 2011-10-18 | 2019-01-29 | Micell Technologies, Inc. | Drug delivery medical device |
| US10328458B2 (en) | 2012-02-28 | 2019-06-25 | Microvention, Inc. | Coating methods |
| US9487735B2 (en) | 2012-05-14 | 2016-11-08 | Ecolab Usa Inc. | Label removal solution for low temperature and low alkaline conditions |
| US9605175B2 (en) | 2012-10-29 | 2017-03-28 | Ariste Medical, Llc | Polymer coating compositions and coated products |
| WO2014092660A1 (en) * | 2012-12-13 | 2014-06-19 | Istem Medikal Tibbi Cihaz Ve Sanayi Limited Sirketi | A ready for use hydrophilic catheter set that does not lose its lubricious efficiency when left in water for a extended period of time, with increased lubricious characteristics, and a production method for this catheter set |
| CN105377319B (en) * | 2013-03-15 | 2022-01-28 | 波纹疗法公司 | Compounds and compositions for drug delivery |
| WO2014176545A1 (en) * | 2013-04-25 | 2014-10-30 | Innovative Surface Technologies, Inc. | Coatings for controlled release of highly water soluble drugs |
| JP2016519965A (en) | 2013-05-15 | 2016-07-11 | マイセル・テクノロジーズ,インコーポレイテッド | Bioabsorbable biomedical implant |
| AU2015249769A1 (en) | 2014-04-22 | 2016-11-10 | Ariste Medical, Llc. | Methods and processes for application of drug delivery polymeric coatings |
| WO2015166497A1 (en) * | 2014-04-29 | 2015-11-05 | Ariel-University Research And Development Company Ltd. | Anticoagulant and decoagulant methods, compositions and devices |
| CN104153186B (en) * | 2014-07-14 | 2016-04-20 | 桐乡大和纺织服饰有限公司 | High-efficiency antimicrobial self-cleaning finishing agent and preparation method thereof and using method |
| CN107075278A (en) * | 2014-08-06 | 2017-08-18 | 阿法玛公司 | Elastic composition comprising lichenic acid and the equipment by its preparation or coating |
| JP6654348B2 (en) * | 2015-02-05 | 2020-02-26 | 株式会社ブリヂストン | Laminate and conductive roller |
| US11013833B2 (en) | 2015-08-03 | 2021-05-25 | Advanced Endovascular Therapeutics | Coatings for medical devices |
| JP6823875B2 (en) | 2015-09-15 | 2021-02-03 | サベージ メディカル, インコーポレイテッド | Devices and methods for mooring sheaths in tissue cavities |
| US20170188905A1 (en) | 2015-12-30 | 2017-07-06 | Dexcom, Inc. | Biointerface layer for analyte sensors |
| US11484401B2 (en) | 2016-02-01 | 2022-11-01 | Medos International Sarl | Tissue augmentation scaffolds for use in soft tissue fixation repair |
| US20170273680A1 (en) | 2016-02-01 | 2017-09-28 | DePuy Synthes Products, Inc. | Tissue augmentation tacks for use with soft tissue fixation repair systems and methods |
| US20170215864A1 (en) * | 2016-02-01 | 2017-08-03 | DePuy Synthes Products, Inc. | Tissue augmentation constructs for use with soft tissue fixation repair systems and methods |
| US10744233B2 (en) | 2016-02-24 | 2020-08-18 | Innovative Surface Technologies, Inc. | Crystallization inhibitor compositions for implantable urological devices |
| US10543299B2 (en) | 2016-10-03 | 2020-01-28 | Microvention, Inc. | Surface coatings |
| JP6955553B2 (en) * | 2016-12-22 | 2021-10-27 | シノ メディカル サイエンシス テクノロジー,インク | Drug-eluting stents and their use to enable recovery of functional endothelial cell layers |
| CN106798952B (en) * | 2017-02-13 | 2019-12-10 | 先健科技(深圳)有限公司 | absorbable iron-based internal fracture fixation material |
| ES2871499T3 (en) * | 2017-05-15 | 2021-10-29 | Bard Inc C R | Medical device with drug elution coating and interlayer |
| US11801368B2 (en) * | 2017-05-25 | 2023-10-31 | C.R. Bard, Inc. | Guidewire |
| WO2019148294A1 (en) | 2018-02-02 | 2019-08-08 | Interface Biologics, Inc. | Dimeric dexamethasone prodrug compositions and uses thereof |
| US11291526B2 (en) | 2018-09-26 | 2022-04-05 | 3M Innovative Properties Company | Parylene dental articles |
| WO2020072481A1 (en) * | 2018-10-01 | 2020-04-09 | Microvention, Inc. | Medical devices |
| CN113661170B (en) | 2019-02-01 | 2025-04-15 | 波纹疗法公司 | Crystalline form of dexamethasone dimer and its use |
| US11931482B2 (en) | 2019-03-18 | 2024-03-19 | Brown University | Auranofin-releasing antibacterial and antibiofilm polyurethane intravascular catheter coatings |
| US12195755B2 (en) | 2019-05-20 | 2025-01-14 | Brown University | Placental lipid bilayer for cell-free molecular interaction studies |
| EP4570392A3 (en) | 2019-07-26 | 2025-08-20 | Microvention, Inc. | Coatings |
| WO2021024039A1 (en) | 2019-08-07 | 2021-02-11 | Ripple Therapeutics Corporation | Compositions and methods for the treatment of pain and dependance disorders |
| JP6880136B2 (en) * | 2019-09-27 | 2021-06-02 | ルトニックス,インコーポレーテッド | Drug release coating for medical devices |
| KR102684674B1 (en) * | 2019-10-07 | 2024-07-15 | 주식회사 와인 | Coating method, and Article prepared therefrom |
| KR102695904B1 (en) * | 2019-10-07 | 2024-08-19 | 주식회사 와인 | Coating method for stent, and Stent prepared therefrom |
| US12509559B2 (en) | 2019-10-28 | 2025-12-30 | Brown University | Bacterial beta-lactamase responsive hydrogels |
| KR102704605B1 (en) * | 2019-11-04 | 2024-09-10 | 주식회사 와인 | Coating method for pellicle frame, and Pellicle prepared therefrom |
| US20210213176A1 (en) * | 2020-01-15 | 2021-07-15 | The Board of Regents for the Oklahoma Agricultural and Mechanical Colleges | Chemical vapor deposition of polymer coatings for controlled drug release, assemblies containing same, and methods of production and use thereof |
| WO2021220061A2 (en) | 2020-05-01 | 2021-11-04 | Ripple Therapeutics Corporation | Heterodimer compositions and methods for the treatment of ocular disorders |
| WO2022026689A1 (en) | 2020-07-30 | 2022-02-03 | Microvention, Inc. | Antimicrobial coatings |
| US11827862B2 (en) | 2020-08-07 | 2023-11-28 | Microvention, Inc. | Durable surface coatings |
| US12496612B2 (en) | 2021-01-08 | 2025-12-16 | Surmodics, Inc. | Coating application system and methods for coating rotatable medical devices |
| WO2022229889A1 (en) * | 2021-04-30 | 2022-11-03 | 3M Innovative Properties Company | Viral filtration media, articles, and methods |
| CN120481411A (en) * | 2025-05-19 | 2025-08-15 | 宁波卓尚塑料制品有限公司 | Degradable antibacterial plastic product and preparation method thereof |
Citations (88)
| Publication number | Priority date | Publication date | Assignee | Title |
|---|---|---|---|---|
| US4069307A (en) * | 1970-10-01 | 1978-01-17 | Alza Corporation | Drug-delivery device comprising certain polymeric materials for controlled release of drug |
| US4722906A (en) * | 1982-09-29 | 1988-02-02 | Bio-Metric Systems, Inc. | Binding reagents and methods |
| US4826759A (en) * | 1984-10-04 | 1989-05-02 | Bio-Metric Systems, Inc. | Field assay for ligands |
| US4916193A (en) * | 1987-12-17 | 1990-04-10 | Allied-Signal Inc. | Medical devices fabricated totally or in part from copolymers of recurring units derived from cyclic carbonates and lactides |
| US4994071A (en) * | 1989-05-22 | 1991-02-19 | Cordis Corporation | Bifurcating stent apparatus and method |
| US5002582A (en) * | 1982-09-29 | 1991-03-26 | Bio-Metric Systems, Inc. | Preparation of polymeric surfaces via covalently attaching polymers |
| US5019096A (en) * | 1988-02-11 | 1991-05-28 | Trustees Of Columbia University In The City Of New York | Infection-resistant compositions, medical devices and surfaces and methods for preparing and using same |
| US5114719A (en) * | 1987-04-29 | 1992-05-19 | Sabel Bernhard A | Extended drug delivery of small, water-soluble molecules |
| US5180366A (en) * | 1990-10-10 | 1993-01-19 | Woods W T | Apparatus and method for angioplasty and for preventing re-stenosis |
| US5217492A (en) * | 1982-09-29 | 1993-06-08 | Bio-Metric Systems, Inc. | Biomolecule attachment to hydrophobic surfaces |
| US5221698A (en) * | 1991-06-27 | 1993-06-22 | The Regents Of The University Of Michigan | Bioactive composition |
| US5304121A (en) * | 1990-12-28 | 1994-04-19 | Boston Scientific Corporation | Drug delivery system making use of a hydrogel polymer coating |
| US5310559A (en) * | 1982-09-01 | 1994-05-10 | Hercon Laboratories Corporation | Device for controlled release and delivery to mammalian tissue of pharmacologically active agents incorporating a rate controlling member which comprises an alkylene-alkyl acrylate copolymer |
| US5380299A (en) * | 1993-08-30 | 1995-01-10 | Med Institute, Inc. | Thrombolytic treated intravascular medical device |
| US5414075A (en) * | 1992-11-06 | 1995-05-09 | Bsi Corporation | Restrained multifunctional reagent for surface modification |
| US5419760A (en) * | 1993-01-08 | 1995-05-30 | Pdt Systems, Inc. | Medicament dispensing stent for prevention of restenosis of a blood vessel |
| US5512329A (en) * | 1982-09-29 | 1996-04-30 | Bsi Corporation | Substrate surface preparation |
| US5512055A (en) * | 1991-02-27 | 1996-04-30 | Leonard Bloom | Anti-infective and anti-inflammatory releasing systems for medical devices |
| US5525348A (en) * | 1989-11-02 | 1996-06-11 | Sts Biopolymers, Inc. | Coating compositions comprising pharmaceutical agents |
| US5591227A (en) * | 1992-03-19 | 1997-01-07 | Medtronic, Inc. | Drug eluting stent |
| US5605696A (en) * | 1995-03-30 | 1997-02-25 | Advanced Cardiovascular Systems, Inc. | Drug loaded polymeric material and method of manufacture |
| US5607687A (en) * | 1995-03-06 | 1997-03-04 | Ethicon, Inc. | Polymer blends containing absorbable polyoxaesters |
| US5607475A (en) * | 1995-08-22 | 1997-03-04 | Medtronic, Inc. | Biocompatible medical article and method |
| US5609629A (en) * | 1995-06-07 | 1997-03-11 | Med Institute, Inc. | Coated implantable medical device |
| US5618552A (en) * | 1995-03-06 | 1997-04-08 | Ethicon, Inc. | Absorbable polyoxaesters |
| US5620698A (en) * | 1995-03-06 | 1997-04-15 | Ethicon, Inc. | Blends of absorbable polyoxaesters containing amines and/or amido groups |
| US5624411A (en) * | 1993-04-26 | 1997-04-29 | Medtronic, Inc. | Intravascular stent and method |
| US5624975A (en) * | 1985-11-04 | 1997-04-29 | Biocompatibles Limited | Plastics |
| US5633343A (en) * | 1995-06-30 | 1997-05-27 | Ethicon, Inc. | High strength, fast absorbing, melt processable, gycolide-rich, poly(glycolide-co-p-dioxanone) copolymers |
| US5637113A (en) * | 1994-12-13 | 1997-06-10 | Advanced Cardiovascular Systems, Inc. | Polymer film for wrapping a stent structure |
| US5705181A (en) * | 1994-10-11 | 1998-01-06 | Ethicon, Inc. | Method of making absorbable polymer blends of polylactides, polycaprolactone and polydioxanone |
| US5714360A (en) * | 1995-11-03 | 1998-02-03 | Bsi Corporation | Photoactivatable water soluble cross-linking agents containing an onium group |
| US5714551A (en) * | 1995-10-02 | 1998-02-03 | Ethicon, Inc. | High strength, melt processable, lactide-rich, poly (lactide-co-p-dioxanone) copolymers |
| US5731087A (en) * | 1995-06-07 | 1998-03-24 | Union Carbide Chemicals & Plastics Technology Corporation | Lubricious coatings containing polymers with vinyl and carboxylic acid moieties |
| US5744515A (en) * | 1995-05-26 | 1998-04-28 | Bsi Corporation | Method and implantable article for promoting endothelialization |
| US5858653A (en) * | 1997-09-30 | 1999-01-12 | Surmodics, Inc. | Reagent and method for attaching target molecules to a surface |
| US5877224A (en) * | 1995-07-28 | 1999-03-02 | Rutgers, The State University Of New Jersey | Polymeric drug formulations |
| US5879697A (en) * | 1997-04-30 | 1999-03-09 | Schneider Usa Inc | Drug-releasing coatings for medical devices |
| US5886026A (en) * | 1993-07-19 | 1999-03-23 | Angiotech Pharmaceuticals Inc. | Anti-angiogenic compositions and methods of use |
| US5895407A (en) * | 1996-08-06 | 1999-04-20 | Jayaraman; Swaminathan | Microporous covered stents and method of coating |
| US5897911A (en) * | 1997-08-11 | 1999-04-27 | Advanced Cardiovascular Systems, Inc. | Polymer-coated stent structure |
| US5899935A (en) * | 1997-08-04 | 1999-05-04 | Schneider (Usa) Inc. | Balloon expandable braided stent with restraint |
| US5902475A (en) * | 1997-04-08 | 1999-05-11 | Interventional Technologies, Inc. | Method for manufacturing a stent |
| US6013099A (en) * | 1998-04-29 | 2000-01-11 | Medtronic, Inc. | Medical device for delivering a water-insoluble therapeutic salt or substance |
| US6214901B1 (en) * | 1998-04-27 | 2001-04-10 | Surmodics, Inc. | Bioactive agent release coating |
| US6217895B1 (en) * | 1999-03-22 | 2001-04-17 | Control Delivery Systems | Method for treating and/or preventing retinal diseases with sustained release corticosteroids |
| US6235306B1 (en) * | 1991-06-27 | 2001-05-22 | Noven Pharmaceuticals, Inc. | Solubility parameter based drug delivery system and method for altering drug saturation concentration |
| US20020007215A1 (en) * | 2000-05-19 | 2002-01-17 | Robert Falotico | Drug/drug delivery systems for the prevention and treatment of vascular disease |
| US20020005206A1 (en) * | 2000-05-19 | 2002-01-17 | Robert Falotico | Antiproliferative drug and delivery device |
| US20020007214A1 (en) * | 2000-05-19 | 2002-01-17 | Robert Falotico | Drug/drug delivery systems for the prevention and treatment of vascular disease |
| US20020007213A1 (en) * | 2000-05-19 | 2002-01-17 | Robert Falotico | Drug/drug delivery systems for the prevention and treatment of vascular disease |
| US20020013298A1 (en) * | 1996-12-02 | 2002-01-31 | William L. Hunter | Compositions and methods for treating or preventing inflammatory diseases |
| US20020018795A1 (en) * | 2000-04-13 | 2002-02-14 | Whitbourne Richard J. | Targeted therapeutic agent release devices and methods of making and using the same |
| US20020026176A1 (en) * | 2000-08-30 | 2002-02-28 | Varner Signe Erickson | Devices for intraocular drug delivery |
| US6358556B1 (en) * | 1995-04-19 | 2002-03-19 | Boston Scientific Corporation | Drug release stent coating |
| US6368586B1 (en) * | 1996-01-26 | 2002-04-09 | Brown University Research Foundation | Methods and compositions for enhancing the bioadhesive properties of polymers |
| US20020051731A1 (en) * | 1997-12-25 | 2002-05-02 | Teruaki Fukami | Silicon wafer storage water and silicon wafer storage method |
| US20020051730A1 (en) * | 2000-09-29 | 2002-05-02 | Stanko Bodnar | Coated medical devices and sterilization thereof |
| US6506408B1 (en) * | 2000-07-13 | 2003-01-14 | Scimed Life Systems, Inc. | Implantable or insertable therapeutic agent delivery device |
| US6506411B2 (en) * | 1993-07-19 | 2003-01-14 | Angiotech Pharmaceuticals, Inc. | Anti-angiogenic compositions and methods of use |
| US6511749B1 (en) * | 1987-05-01 | 2003-01-28 | Brown University Research Foundation | Preparation of multiwall polymeric microcapsules from hydrophilic polymers |
| US20030039689A1 (en) * | 2001-04-26 | 2003-02-27 | Jianbing Chen | Polymer-based, sustained release drug delivery system |
| US20030045924A1 (en) * | 1999-12-22 | 2003-03-06 | Arindam Datta | Biodegradable stent |
| US6545097B2 (en) * | 2000-12-12 | 2003-04-08 | Scimed Life Systems, Inc. | Drug delivery compositions and medical devices containing block copolymer |
| US6548569B1 (en) * | 1999-03-25 | 2003-04-15 | Metabolix, Inc. | Medical devices and applications of polyhydroxyalkanoate polymers |
| US20030083646A1 (en) * | 2000-12-22 | 2003-05-01 | Avantec Vascular Corporation | Apparatus and methods for variably controlled substance delivery from implanted prostheses |
| US6565872B2 (en) * | 1999-02-16 | 2003-05-20 | Xiao Yu Wu | Polymeric system for drug delivery and solute separation |
| US20030094736A1 (en) * | 1996-05-03 | 2003-05-22 | Chuan Qin | Method of surface modifying a medical tubing |
| US6569441B2 (en) * | 1993-01-28 | 2003-05-27 | Neorx Corporation | Therapeutic inhibitor of vascular smooth muscle cells |
| US6673453B2 (en) * | 2001-06-12 | 2004-01-06 | Biocoat Incorporated | Coatings appropriate for medical devices |
| US6682553B1 (en) * | 2000-12-28 | 2004-01-27 | Advanced Cardiovascular Systems, Inc. | System and method for stent retention |
| US20040022853A1 (en) * | 2001-04-26 | 2004-02-05 | Control Delivery Systems, Inc. | Polymer-based, sustained release drug delivery system |
| US20040033251A1 (en) * | 2002-08-13 | 2004-02-19 | Medtronic, Inc. | Active agent delivery system including a polyurethane, medical device, and method |
| US20040034405A1 (en) * | 2002-07-26 | 2004-02-19 | Dickson Andrew M. | Axially expanding polymer stent |
| US20040039437A1 (en) * | 2002-08-13 | 2004-02-26 | Medtronic, Inc. | Medical device exhibiting improved adhesion between polymeric coating and substrate |
| US20040047911A1 (en) * | 2002-08-13 | 2004-03-11 | Medtronic, Inc. | Active agent delivery system including a poly(ethylene-co-(meth)Acrylate), medical device, and method |
| US6713081B2 (en) * | 2001-03-15 | 2004-03-30 | The United States Of America As Represented By The Department Of Health And Human Services | Ocular therapeutic agent delivery devices and methods for making and using such devices |
| US20040072799A1 (en) * | 2002-07-19 | 2004-04-15 | Omeros Corporation | Biodegradable triblock copolymers, synthesis methods therefore, and hydrogels and biomaterials made there from |
| US6730313B2 (en) * | 2000-01-25 | 2004-05-04 | Edwards Lifesciences Corporation | Delivery systems for periadventitial delivery for treatment of restenosis and anastomotic intimal hyperplasia |
| US20040086569A1 (en) * | 2002-08-13 | 2004-05-06 | Medtronic, Inc. | Active agent delivery systems, medical devices, and methods |
| US20040098118A1 (en) * | 2002-09-26 | 2004-05-20 | Endovascular Devices, Inc. | Apparatus and method for delivery of mitomycin through an eluting biocompatible implantable medical device |
| US20050004663A1 (en) * | 2001-05-07 | 2005-01-06 | Llanos Gerard H. | Heparin barrier coating for controlled drug release |
| US6846841B2 (en) * | 1993-07-19 | 2005-01-25 | Angiotech Pharmaceuticals, Inc. | Anti-angiogenic compositions and methods of use |
| US20050019371A1 (en) * | 2003-05-02 | 2005-01-27 | Anderson Aron B. | Controlled release bioactive agent delivery device |
| US20050033417A1 (en) * | 2003-07-31 | 2005-02-10 | John Borges | Coating for controlled release of a therapeutic agent |
| US6872438B1 (en) * | 2000-07-17 | 2005-03-29 | Advanced Design Concept Gmbh | Profile or molding having a fringed surface structure |
| US7008979B2 (en) * | 2002-04-30 | 2006-03-07 | Hydromer, Inc. | Coating composition for multiple hydrophilic applications |
| USRE39617E1 (en) * | 1992-08-31 | 2007-05-08 | Kraton Polymers Us Llc | Butadiene polymers having terminal functional groups |
Family Cites Families (203)
| Publication number | Priority date | Publication date | Assignee | Title |
|---|---|---|---|---|
| CA1045977A (en) | 1973-05-17 | 1979-01-09 | Arthur D. Little | Biodegradable, implantable drug delivery device, and process for preparing and using the same |
| JPS5425530B2 (en) | 1974-03-28 | 1979-08-29 | ||
| US4391797A (en) | 1977-01-05 | 1983-07-05 | The Children's Hospital Medical Center | Systems for the controlled release of macromolecules |
| JPS5930108B2 (en) * | 1977-01-21 | 1984-07-25 | 日本ゼオン株式会社 | Medical molded body with anticoagulant properties |
| US4292965A (en) | 1978-12-29 | 1981-10-06 | The Population Council, Inc. | Intravaginal ring |
| DE2920500A1 (en) * | 1979-05-21 | 1980-11-27 | Boehringer Sohn Ingelheim | PHARMACEUTICAL PREPARATION IN THE FORM OF A POLYACRYLATE FILM |
| US5258041A (en) | 1982-09-29 | 1993-11-02 | Bio-Metric Systems, Inc. | Method of biomolecule attachment to hydrophobic surfaces |
| US4973493A (en) | 1982-09-29 | 1990-11-27 | Bio-Metric Systems, Inc. | Method of improving the biocompatibility of solid surfaces |
| US4603152A (en) | 1982-11-05 | 1986-07-29 | Baxter Travenol Laboratories, Inc. | Antimicrobial compositions |
| US4693887A (en) | 1983-09-15 | 1987-09-15 | The Kendall Company | Microphase separated hydrogels for controlled release of bioactive materials |
| DE3344691A1 (en) | 1983-12-10 | 1985-06-20 | Bayer Ag, 5090 Leverkusen | ACTIVE GAS EXHAUST SYSTEMS |
| DE3347278A1 (en) | 1983-12-28 | 1985-07-11 | Bayer Ag, 5090 Leverkusen | ACTIVE SUBSTANCE DELIVERY SYSTEMS |
| US6309669B1 (en) | 1984-03-16 | 2001-10-30 | The United States Of America As Represented By The Secretary Of The Army | Therapeutic treatment and prevention of infections with a bioactive materials encapsulated within a biodegradable-biocompatible polymeric matrix |
| US4557868A (en) | 1984-06-26 | 1985-12-10 | Xerox Corporation | Process for preparing a phthalocyanine |
| WO1987004935A1 (en) | 1986-02-24 | 1987-08-27 | Fischell Robert | An intravascular stent and percutaneous insertion system |
| US4959217A (en) | 1986-05-22 | 1990-09-25 | Syntex (U.S.A.) Inc. | Delayed/sustained release of macromolecules |
| US4979959A (en) | 1986-10-17 | 1990-12-25 | Bio-Metric Systems, Inc. | Biocompatible coating for solid surfaces |
| WO1988002623A1 (en) | 1986-10-17 | 1988-04-21 | Bio-Metric Systems, Inc. | Improvement of the biocompatibility of solid surfaces |
| US5263992A (en) | 1986-10-17 | 1993-11-23 | Bio-Metric Systems, Inc. | Biocompatible device with covalently bonded biocompatible agent |
| US4893623A (en) | 1986-12-09 | 1990-01-16 | Advanced Surgical Intervention, Inc. | Method and apparatus for treating hypertrophy of the prostate gland |
| AU606383B2 (en) | 1987-03-06 | 1991-02-07 | Research Triangle Institute | Polymer blends for selective biodegradability |
| NL8701337A (en) | 1987-06-09 | 1989-01-02 | Sentron V O F | SUBSTRATE PROVIDED WITH A BLOOD COMPATIBLE SURFACE OBTAINED BY COUPLING WITH THE SURFACE OF A PHYSIOLOGICALLY ACTIVE SUBSTANCE WITH AN INHIBITORY INFLUENCE ON THE FORMATION OF BLOOD CLOTS AND / OR CONTAINED FROM HARMFOLIC CIRCULARS. |
| US4968539A (en) | 1987-12-01 | 1990-11-06 | Lion Corporation | Liquid crystal membrane |
| CA1335721C (en) | 1987-12-24 | 1995-05-30 | Patrick E. Guire | Biomolecule attached to a solid surface by means of a spacer and methods of attaching biomolecules to surfaces |
| US4867968A (en) | 1987-12-29 | 1989-09-19 | Florida-Kansas Health Care, Inc. | Elastomeric composition containing therapeutic agents and articles manufactured therefrom |
| US5660692A (en) | 1988-02-24 | 1997-08-26 | Cedars-Sinai Medical Center | Method of crosslinking amino acid-containing polymers using photoactivatable chemical crosslinkers |
| US5024742A (en) | 1988-02-24 | 1991-06-18 | Cedars-Sinai Medical Center | Method of crosslinking amino acid containing polymers using photoactivatable chemical crosslinkers |
| US5656286A (en) | 1988-03-04 | 1997-08-12 | Noven Pharmaceuticals, Inc. | Solubility parameter based drug delivery system and method for altering drug saturation concentration |
| DE3856430T2 (en) | 1988-07-22 | 2001-05-03 | Surmodics, Inc. | MANUFACTURE OF POLYMER SURFACES |
| ATE121954T1 (en) | 1988-08-24 | 1995-05-15 | Marvin J Slepian | ENDOLUMINAL SEAL WITH BIDEGRADABLE POLYMERS. |
| US5165952A (en) | 1989-01-18 | 1992-11-24 | Becton, Dickinson And Company | Anti-infective and antithrombogenic medical articles and method for their preparation |
| WO1990013332A1 (en) | 1989-05-11 | 1990-11-15 | Cedars-Sinai Medical Center | Stent with sustained drug delivery |
| ATE147613T1 (en) | 1989-09-15 | 1997-02-15 | Chiron Vision Corp | SYNTHETIC MATERIAL THAT PROMOTES DEPOSITION, GROWTH AND ATTACHMENT OF EPITHELIAL CELLS, PROSTHETICAL DEVICE FOR SUBEPITHELIAL IMPLANTATION AND TREATED LENS |
| AU6747790A (en) | 1989-11-13 | 1991-06-13 | President And Fellows Of Harvard College | Extraluminal regulation of the growth and repair of tubular structures in vivo |
| US5192744A (en) | 1990-01-12 | 1993-03-09 | Northwestern University | Method of inhibiting angiogenesis of tumors |
| JPH06509791A (en) | 1990-01-25 | 1994-11-02 | チルドレンズ ホスピタル | Methods and compositions for inhibiting angiogenesis |
| EP0518940A4 (en) | 1990-02-26 | 1993-05-12 | Marvin J. Slepian | Method and apparatus for treatment of tubular organs |
| US5545208A (en) | 1990-02-28 | 1996-08-13 | Medtronic, Inc. | Intralumenal drug eluting prosthesis |
| JPH05502179A (en) | 1990-02-28 | 1993-04-22 | メドトロニック インコーポレーテッド | Tubular organ drug elution device |
| AU7998091A (en) | 1990-05-17 | 1991-12-10 | Harbor Medical Devices, Inc. | Medical device polymer |
| ES2120961T3 (en) | 1990-07-12 | 1998-11-16 | Sts Biopolymers Inc | ANTI-THROMBOGEN AND / OR ANTI-MICROBIAL COMPOSITION. |
| EP0470569B1 (en) | 1990-08-08 | 1995-11-22 | Takeda Chemical Industries, Ltd. | Intravascular embolizing agent containing angiogenesis inhibiting substance |
| US5529914A (en) | 1990-10-15 | 1996-06-25 | The Board Of Regents The Univeristy Of Texas System | Gels for encapsulation of biological materials |
| WO1992011895A1 (en) | 1990-12-28 | 1992-07-23 | Boston Scientific Corporation | Balloon drug delivery system |
| WO1992012717A2 (en) | 1991-01-15 | 1992-08-06 | A composition containing a tetracycline and use for inhibiting angiogenesis | |
| US5437656A (en) | 1991-02-27 | 1995-08-01 | Leonard Bloom | Method and device for inhibiting H.I.V. hepatitis B and other viruses and germs when using a needle, scalpel and other sharp instrument in a medical environment |
| US5356433A (en) | 1991-08-13 | 1994-10-18 | Cordis Corporation | Biocompatible metal surfaces |
| US5651968A (en) | 1991-08-23 | 1997-07-29 | Alberta Research Council | Methods and compositions for attenuating antibody-mediated xenograft rejection in human recipients |
| WO1993006792A1 (en) | 1991-10-04 | 1993-04-15 | Scimed Life Systems, Inc. | Biodegradable drug delivery vascular stent |
| US5270047A (en) | 1991-11-21 | 1993-12-14 | Kauffman Raymond F | Local delivery of dipyridamole for the treatment of proliferative diseases |
| EP0643706A1 (en) | 1991-11-27 | 1995-03-22 | Zynaxis Inc. | Compounds, compositions and methods for binding bio-affecting substances to surface membranes of bio-particles |
| US5681585A (en) | 1991-12-24 | 1997-10-28 | Euro-Celtique, S.A. | Stabilized controlled release substrate having a coating derived from an aqueous dispersion of hydrophobic polymer |
| CA2086642C (en) | 1992-01-09 | 2004-06-15 | Randall E. Morris | Method of treating hyperproliferative vascular disease |
| ES2145044T3 (en) | 1992-02-13 | 2000-07-01 | Surmodics Inc | IMMOBILIZATION OF CHEMICAL SPECIES IN RETICULATED MATRICES. |
| DE69329594T2 (en) | 1992-02-28 | 2001-05-31 | Board Of Regents, The University Of Texas System | PHOTOPOLYMERINABLE, BIODEGRADABLE HYDROGELS AS TISSUE CONTACT MATERIALS AND SUBSTANCES FOR CONTROLLED RELEASE |
| AU670937B2 (en) | 1992-04-28 | 1996-08-08 | Wyeth | Method of treating hyperproliferative vascular disease |
| US5248732A (en) * | 1992-06-01 | 1993-09-28 | Enichem S.P.A. | Blends of polyetherimides, aromatic alkyl methacrylates and polycarbonates |
| US5578075B1 (en) | 1992-11-04 | 2000-02-08 | Daynke Res Inc | Minimally invasive bioactivated endoprosthesis for vessel repair |
| US5449382A (en) | 1992-11-04 | 1995-09-12 | Dayton; Michael P. | Minimally invasive bioactivated endoprosthesis for vessel repair |
| US5342348A (en) | 1992-12-04 | 1994-08-30 | Kaplan Aaron V | Method and device for treating and enlarging body lumens |
| EP0604022A1 (en) | 1992-12-22 | 1994-06-29 | Advanced Cardiovascular Systems, Inc. | Multilayered biodegradable stent and method for its manufacture |
| WO1994021308A1 (en) | 1993-03-18 | 1994-09-29 | Cedars-Sinai Medical Center | Drug incorporating and releasing polymeric coating for bioprosthesis |
| BE1006819A7 (en) | 1993-03-24 | 1994-12-13 | Dsb Nv | Polyurethane coated prostheses (stents) FOR THE TREATMENT OF VESSEL CHOKES. |
| US20020055710A1 (en) | 1998-04-30 | 2002-05-09 | Ronald J. Tuch | Medical device for delivering a therapeutic agent and method of preparation |
| EP0696185B1 (en) | 1993-04-28 | 1998-08-12 | Focal, Inc. | Apparatus, product and use related to intraluminal photothermoforming |
| ATE314845T1 (en) | 1993-07-29 | 2006-02-15 | Us Health | USE OF PACLITAXEL AND ITS DERIVATIVES FOR THE PRODUCTION OF A MEDICATION FOR THE TREATMENT OF RESTENOSES |
| US5443505A (en) | 1993-11-15 | 1995-08-22 | Oculex Pharmaceuticals, Inc. | Biocompatible ocular implants |
| US5849843A (en) | 1993-11-16 | 1998-12-15 | Baxter International Inc. | Polymeric compositions for medical packaging and devices |
| CA2176934A1 (en) | 1993-11-17 | 1995-05-26 | Ramnath Sasisekharan | Method for inhibiting angiogenesis using heparinase |
| US5466233A (en) | 1994-04-25 | 1995-11-14 | Escalon Ophthalmics, Inc. | Tack for intraocular drug delivery and method for inserting and removing same |
| US6447796B1 (en) | 1994-05-16 | 2002-09-10 | The United States Of America As Represented By The Secretary Of The Army | Sustained release hydrophobic bioactive PLGA microspheres |
| JP2000511946A (en) | 1994-07-22 | 2000-09-12 | アドバンスト・カーディオバスキュラー・システムズ・インコーポレイテッド | Hydrophilic coating material for internal use |
| US5626862A (en) | 1994-08-02 | 1997-05-06 | Massachusetts Institute Of Technology | Controlled local delivery of chemotherapeutic agents for treating solid tumors |
| FR2728463A1 (en) * | 1994-12-21 | 1996-06-28 | Lhd Lab Hygiene Dietetique | TRANSDERMIC SYSTEM FOR SIMULTANEOUS DELIVERY OF SEVERAL ACTIVE PRINCIPLES |
| US5688900A (en) | 1995-01-19 | 1997-11-18 | Ethicon, Inc. | Absorbable polyalkylene diglycolates |
| US5676972A (en) | 1995-02-16 | 1997-10-14 | The University Of Akron | Time-release delivery matrix composition and corresponding controlled-release compositions |
| CA2213403C (en) | 1995-02-22 | 2007-01-16 | Menlo Care, Inc. | Covered expanding mesh stent |
| US5859150A (en) * | 1995-03-06 | 1999-01-12 | Ethicon, Inc. | Prepolymers of absorbable polyoxaesters |
| US6120536A (en) | 1995-04-19 | 2000-09-19 | Schneider (Usa) Inc. | Medical devices with long term non-thrombogenic coatings |
| US6099562A (en) | 1996-06-13 | 2000-08-08 | Schneider (Usa) Inc. | Drug coating with topcoat |
| DE69623455T2 (en) | 1995-04-19 | 2003-01-16 | Schneider (Usa) Inc., Plymouth | COATED DILATATOR FOR DISPOSING A MEDICINAL PRODUCT |
| US20020091433A1 (en) | 1995-04-19 | 2002-07-11 | Ni Ding | Drug release coated stent |
| CA2178541C (en) | 1995-06-07 | 2009-11-24 | Neal E. Fearnot | Implantable medical device |
| US5840059A (en) | 1995-06-07 | 1998-11-24 | Cardiogenesis Corporation | Therapeutic and diagnostic agent delivery |
| WO1998017331A1 (en) | 1995-06-07 | 1998-04-30 | Cook Incorporated | Silver implantable medical device |
| US5783502A (en) | 1995-06-07 | 1998-07-21 | Bsi Corporation | Virus inactivating coatings |
| US6774278B1 (en) * | 1995-06-07 | 2004-08-10 | Cook Incorporated | Coated implantable medical device |
| US5773019A (en) | 1995-09-27 | 1998-06-30 | The University Of Kentucky Research Foundation | Implantable controlled release device to deliver drugs directly to an internal portion of the body |
| US5722424A (en) | 1995-09-29 | 1998-03-03 | Target Therapeutics, Inc. | Multi-coating stainless steel guidewire |
| US5981298A (en) | 1995-12-13 | 1999-11-09 | Surmodics, Inc. | Immunoassay device and method |
| US5703200A (en) | 1996-03-15 | 1997-12-30 | Ethicon, Inc. | Absorbable copolymers and blends of 6,6-dialkyl-1,4-dioxepan-2-one and its cyclic dimer |
| US5942555A (en) | 1996-03-21 | 1999-08-24 | Surmodics, Inc. | Photoactivatable chain transfer agents and semi-telechelic photoactivatable polymers prepared therefrom |
| US5951586A (en) | 1996-05-15 | 1999-09-14 | Medtronic, Inc. | Intraluminal stent |
| US6143037A (en) | 1996-06-12 | 2000-11-07 | The Regents Of The University Of Michigan | Compositions and methods for coating medical devices |
| EP0842657A1 (en) | 1996-11-19 | 1998-05-20 | OctoPlus B.V. | Microspheres for controlled release and processes to prepare these microspheres |
| US20030157187A1 (en) | 1996-12-02 | 2003-08-21 | Angiotech Pharmaceuticals, Inc. | Compositions and methods for treating or preventing inflammatory diseases |
| FR2757528A1 (en) | 1996-12-20 | 1998-06-26 | Dow Corning | Interpenetrating polymer network used e.g. for reinforcing agents in silicone rubbers |
| US5980972A (en) | 1996-12-20 | 1999-11-09 | Schneider (Usa) Inc | Method of applying drug-release coatings |
| US5997517A (en) | 1997-01-27 | 1999-12-07 | Sts Biopolymers, Inc. | Bonding layers for medical device surface coatings |
| US6273913B1 (en) | 1997-04-18 | 2001-08-14 | Cordis Corporation | Modified stent useful for delivery of drugs along stent strut |
| US6077916A (en) | 1997-06-04 | 2000-06-20 | The Penn State Research Foundation | Biodegradable mixtures of polyphoshazene and other polymers |
| WO1998056312A1 (en) | 1997-06-13 | 1998-12-17 | Scimed Life Systems, Inc. | Stents having multiple layers of biodegradable polymeric composition |
| US6110483A (en) * | 1997-06-23 | 2000-08-29 | Sts Biopolymers, Inc. | Adherent, flexible hydrogel and medicated coatings |
| US6121027A (en) | 1997-08-15 | 2000-09-19 | Surmodics, Inc. | Polybifunctional reagent having a polymeric backbone and photoreactive moieties and bioactive groups |
| US6506895B2 (en) | 1997-08-15 | 2003-01-14 | Surmodics, Inc. | Photoactivatable nucleic acids |
| US6465178B2 (en) | 1997-09-30 | 2002-10-15 | Surmodics, Inc. | Target molecule attachment to surfaces |
| JP4101460B2 (en) * | 1997-10-09 | 2008-06-18 | 帝人株式会社 | Medical material excellent in antithrombogenicity containing polysulfone having fluorine atom |
| US20020164374A1 (en) | 1997-10-29 | 2002-11-07 | John Jackson | Polymeric systems for drug delivery and uses thereof |
| US6221425B1 (en) | 1998-01-30 | 2001-04-24 | Advanced Cardiovascular Systems, Inc. | Lubricious hydrophilic coating for an intracorporeal medical device |
| US6465525B1 (en) | 1998-03-18 | 2002-10-15 | Surmodics, Inc. | Latent reactive blood compatible agents |
| US6007833A (en) | 1998-03-19 | 1999-12-28 | Surmodics, Inc. | Crosslinkable macromers bearing initiator groups |
| DE69820023T2 (en) | 1998-03-26 | 2004-09-02 | Biomat B.V. | Endovascular vascular prostheses with a polymer coating |
| US8029561B1 (en) | 2000-05-12 | 2011-10-04 | Cordis Corporation | Drug combination useful for prevention of restenosis |
| US20010029351A1 (en) | 1998-04-16 | 2001-10-11 | Robert Falotico | Drug combinations and delivery devices for the prevention and treatment of vascular disease |
| ATE281155T1 (en) | 1998-04-20 | 2004-11-15 | Genzyme Corp | DRUG ADMINISTRATION OF PROTEINS FROM POLYMER MIXTURES |
| US6074660A (en) | 1998-04-20 | 2000-06-13 | Ethicon, Inc. | Absorbable polyoxaesters containing amines and/ or amido groups |
| US20020188037A1 (en) | 1999-04-15 | 2002-12-12 | Chudzik Stephen J. | Method and system for providing bioactive agent release coating |
| US6254634B1 (en) | 1998-06-10 | 2001-07-03 | Surmodics, Inc. | Coating compositions |
| US6153252A (en) | 1998-06-30 | 2000-11-28 | Ethicon, Inc. | Process for coating stents |
| GB2340759B (en) | 1998-08-26 | 2003-05-07 | Bespak Plc | Improvements in drug delivery devices |
| US6335029B1 (en) | 1998-08-28 | 2002-01-01 | Scimed Life Systems, Inc. | Polymeric coatings for controlled delivery of active agents |
| US6120847A (en) | 1999-01-08 | 2000-09-19 | Scimed Life Systems, Inc. | Surface treatment method for stent coating |
| US6530950B1 (en) * | 1999-01-12 | 2003-03-11 | Quanam Medical Corporation | Intraluminal stent having coaxial polymer member |
| WO2000041732A1 (en) * | 1999-01-19 | 2000-07-20 | The Children's Hospital Of Philadelphia | Hydrogel compositions for controlled delivery of virus vectors and methods of use thereof |
| US6395029B1 (en) | 1999-01-19 | 2002-05-28 | The Children's Hospital Of Philadelphia | Sustained delivery of polyionic bioactive agents |
| JP4616949B2 (en) | 1999-03-17 | 2011-01-19 | Sumco Techxiv株式会社 | Melt level detection apparatus and detection method |
| US6331186B1 (en) | 1999-03-22 | 2001-12-18 | Scimed Life Systems, Inc. | End sleeve coating for stent delivery |
| US6156373A (en) | 1999-05-03 | 2000-12-05 | Scimed Life Systems, Inc. | Medical device coating methods and devices |
| US6325807B1 (en) | 1999-06-11 | 2001-12-04 | Scimed Life Systems, Inc. | Variable strength sheath |
| ES2221850T3 (en) | 1999-06-24 | 2005-01-16 | Abbott Vascular Devices Limited | EXPANDABLE STENTS WITH BALL. |
| US6258121B1 (en) | 1999-07-02 | 2001-07-10 | Scimed Life Systems, Inc. | Stent coating |
| US6596296B1 (en) | 1999-08-06 | 2003-07-22 | Board Of Regents, The University Of Texas System | Drug releasing biodegradable fiber implant |
| US6790228B2 (en) | 1999-12-23 | 2004-09-14 | Advanced Cardiovascular Systems, Inc. | Coating for implantable devices and a method of forming the same |
| DE69918568T2 (en) | 1999-09-22 | 2005-08-25 | SurModics, Inc., Eden Prairie | INITIATIVE GROUP WATER-SOLVENT COATING AND COATING PROCESS |
| US6331313B1 (en) | 1999-10-22 | 2001-12-18 | Oculex Pharmaceticals, Inc. | Controlled-release biocompatible ocular drug delivery implant devices and methods |
| US6800073B2 (en) | 1999-10-28 | 2004-10-05 | Scimed Life Systems, Inc. | Biocompatible pharmaceutical articles |
| WO2001036008A2 (en) | 1999-11-18 | 2001-05-25 | Sts Biopolymers, Inc. | Medical devices coated with elastic polymeric material |
| US6251136B1 (en) | 1999-12-08 | 2001-06-26 | Advanced Cardiovascular Systems, Inc. | Method of layering a three-coated stent using pharmacological and polymeric agents |
| US6278018B1 (en) | 1999-12-14 | 2001-08-21 | Surmodics, Inc. | Surface coating agents |
| US6908624B2 (en) * | 1999-12-23 | 2005-06-21 | Advanced Cardiovascular Systems, Inc. | Coating for implantable devices and a method of forming the same |
| US7220276B1 (en) | 2000-03-06 | 2007-05-22 | Surmodics, Inc. | Endovascular graft coatings |
| US6776796B2 (en) | 2000-05-12 | 2004-08-17 | Cordis Corportation | Antiinflammatory drug and delivery device |
| JP4994558B2 (en) | 2000-05-12 | 2012-08-08 | コーディス・コーポレイション | Distribution device for the treatment of vascular diseases |
| US6451373B1 (en) | 2000-08-04 | 2002-09-17 | Advanced Cardiovascular Systems, Inc. | Method of forming a therapeutic coating onto a surface of an implantable prosthesis |
| DE10039383A1 (en) * | 2000-08-11 | 2002-02-28 | Perkinelmer Optoelectronics | Flash lamp and flash lamp construction |
| US20020111590A1 (en) | 2000-09-29 | 2002-08-15 | Davila Luis A. | Medical devices, drug coatings and methods for maintaining the drug coatings thereon |
| ATE302029T1 (en) | 2000-09-29 | 2005-09-15 | Cordis Corp | COATED MEDICAL DEVICES AND METHODS OF STERILIZATION |
| US7261735B2 (en) | 2001-05-07 | 2007-08-28 | Cordis Corporation | Local drug delivery devices and methods for maintaining the drug coatings thereon |
| AU1129902A (en) | 2000-09-29 | 2002-04-08 | Cordis Corp | Coated medical devices |
| WO2002026139A1 (en) | 2000-09-29 | 2002-04-04 | Cordis Corporation | Coated medical devices |
| US6517520B2 (en) * | 2000-12-21 | 2003-02-11 | Ethicon Endo Surgery, Inc. | Peripherally inserted catheter with flushable guide-tube |
| US6824559B2 (en) | 2000-12-22 | 2004-11-30 | Advanced Cardiovascular Systems, Inc. | Ethylene-carboxyl copolymers as drug delivery matrices |
| US6913617B1 (en) * | 2000-12-27 | 2005-07-05 | Advanced Cardiovascular Systems, Inc. | Method for creating a textured surface on an implantable medical device |
| GB0100761D0 (en) * | 2001-01-11 | 2001-02-21 | Biocompatibles Ltd | Drug delivery from stents |
| US7771468B2 (en) * | 2001-03-16 | 2010-08-10 | Angiotech Biocoatings Corp. | Medicated stent having multi-layer polymer coating |
| US6780424B2 (en) | 2001-03-30 | 2004-08-24 | Charles David Claude | Controlled morphologies in polymer drug for release of drugs from polymer films |
| US6984393B2 (en) * | 2001-05-07 | 2006-01-10 | Queen's University At Kingston | Biodegradable elastomer and method of preparing same |
| US6787179B2 (en) | 2001-06-29 | 2004-09-07 | Ethicon, Inc. | Sterilization of bioactive coatings |
| US20040058056A1 (en) * | 2001-07-06 | 2004-03-25 | Shigemasa Osaki | Drug diffusion coatings, applications and methods |
| US6497691B1 (en) | 2001-08-24 | 2002-12-24 | Polymer Group, Inc. | Structurally durable, drapeable breathable barrier film compositions and articles |
| US8303651B1 (en) | 2001-09-07 | 2012-11-06 | Advanced Cardiovascular Systems, Inc. | Polymeric coating for reducing the rate of release of a therapeutic substance from a stent |
| US7285304B1 (en) * | 2003-06-25 | 2007-10-23 | Advanced Cardiovascular Systems, Inc. | Fluid treatment of a polymeric coating on an implantable medical device |
| US20030158598A1 (en) | 2001-09-17 | 2003-08-21 | Control Delivery Systems, Inc. | System for sustained-release delivery of anti-inflammatory agents from a coated medical device |
| US6753071B1 (en) * | 2001-09-27 | 2004-06-22 | Advanced Cardiovascular Systems, Inc. | Rate-reducing membrane for release of an agent |
| US20030065377A1 (en) * | 2001-09-28 | 2003-04-03 | Davila Luis A. | Coated medical devices |
| US7682387B2 (en) | 2002-04-24 | 2010-03-23 | Biosensors International Group, Ltd. | Drug-delivery endovascular stent and method for treating restenosis |
| US7585516B2 (en) * | 2001-11-12 | 2009-09-08 | Advanced Cardiovascular Systems, Inc. | Coatings for drug delivery devices |
| WO2003064015A2 (en) | 2002-01-25 | 2003-08-07 | Colorado School Of Mines | Polymer blends and methods of separation using the same |
| JP2006507021A (en) | 2002-03-18 | 2006-03-02 | メドトロニック・エイヴイイー・インコーポレーテッド | A medical device for delivering an antiproliferative composition to an anatomical site at risk of restenosis |
| US6773888B2 (en) | 2002-04-08 | 2004-08-10 | Affymetrix, Inc. | Photoactivatable silane compounds and methods for their synthesis and use |
| US20030203000A1 (en) | 2002-04-24 | 2003-10-30 | Schwarz Marlene C. | Modulation of therapeutic agent release from a polymeric carrier using solvent-based techniques |
| US20030204168A1 (en) | 2002-04-30 | 2003-10-30 | Gjalt Bosma | Coated vascular devices |
| US20030232087A1 (en) | 2002-06-18 | 2003-12-18 | Lawin Laurie R. | Bioactive agent release coating with aromatic poly(meth)acrylates |
| US7097850B2 (en) | 2002-06-18 | 2006-08-29 | Surmodics, Inc. | Bioactive agent release coating and controlled humidity method |
| US20030236513A1 (en) | 2002-06-19 | 2003-12-25 | Scimed Life Systems, Inc. | Implantable or insertable medical devices for controlled delivery of a therapeutic agent |
| US8211455B2 (en) | 2002-06-19 | 2012-07-03 | Boston Scientific Scimed, Inc. | Implantable or insertable medical devices for controlled delivery of a therapeutic agent |
| US7939094B2 (en) | 2002-06-19 | 2011-05-10 | Boston Scientific Scimed, Inc. | Multiphase polymeric drug release region |
| US7491233B1 (en) * | 2002-07-19 | 2009-02-17 | Advanced Cardiovascular Systems Inc. | Purified polymers for coatings of implantable medical devices |
| AU2003265446A1 (en) | 2002-08-13 | 2004-02-25 | Medtronic, Inc. | Active agent delivery system including a hydrophilic polymer, medical device, and method |
| EP1539265B1 (en) | 2002-08-13 | 2007-09-26 | Medtronic, Inc. | Active agent delivery system including a hydrophobic cellulose derivate |
| US20040054104A1 (en) | 2002-09-05 | 2004-03-18 | Pacetti Stephen D. | Coatings for drug delivery devices comprising modified poly(ethylene-co-vinyl alcohol) |
| US7125577B2 (en) | 2002-09-27 | 2006-10-24 | Surmodics, Inc | Method and apparatus for coating of substrates |
| US6800663B2 (en) * | 2002-10-18 | 2004-10-05 | Alkermes Controlled Therapeutics Inc. Ii, | Crosslinked hydrogel copolymers |
| KR100709015B1 (en) | 2002-11-13 | 2007-04-18 | (주)아모레퍼시픽 | Polymeric microspheres capable of sustained drug release and manufacturing method thereof |
| US20040111144A1 (en) | 2002-12-06 | 2004-06-10 | Lawin Laurie R. | Barriers for polymeric coatings |
| US20040147999A1 (en) * | 2003-01-24 | 2004-07-29 | Kishore Udipi | Stent with epoxy primer coating |
| AU2004216404C1 (en) | 2003-02-28 | 2011-04-28 | Biointeractions Ltd. | Polymeric network system for medical devices and methods of use |
| US8313759B2 (en) | 2003-03-06 | 2012-11-20 | Boston Scientific Scimed, Inc. | Implantable or insertable medical devices containing miscible polymer blends for controlled delivery of a therapeutic agent |
| US7241455B2 (en) * | 2003-04-08 | 2007-07-10 | Boston Scientific Scimed, Inc. | Implantable or insertable medical devices containing radiation-crosslinked polymer for controlled delivery of a therapeutic agent |
| US20040230298A1 (en) | 2003-04-25 | 2004-11-18 | Medtronic Vascular, Inc. | Drug-polymer coated stent with polysulfone and styrenic block copolymer |
| US7279174B2 (en) * | 2003-05-08 | 2007-10-09 | Advanced Cardiovascular Systems, Inc. | Stent coatings comprising hydrophilic additives |
| US7186789B2 (en) | 2003-06-11 | 2007-03-06 | Advanced Cardiovascular Systems, Inc. | Bioabsorbable, biobeneficial polyester polymers for use in drug eluting stent coatings |
| NL1023720C2 (en) * | 2003-06-23 | 2004-12-28 | Univ Eindhoven Tech | Method for changing the transport properties of a material, method for releasing a drug from an implant, as well as implant with drug. |
| US9114199B2 (en) * | 2003-07-31 | 2015-08-25 | Boston Scientific Scimed, Inc. | Implantable or insertable medical devices containing acrylic copolymer for controlled delivery of therapeutic agent |
| US20050037047A1 (en) * | 2003-08-11 | 2005-02-17 | Young-Ho Song | Medical devices comprising spray dried microparticles |
| US20050064011A1 (en) * | 2003-08-11 | 2005-03-24 | Young-Ho Song | Implantable or insertable medical devices containing phenolic compound for inhibition of restenosis |
| US20050037048A1 (en) * | 2003-08-11 | 2005-02-17 | Young-Ho Song | Medical devices containing antioxidant and therapeutic agent |
| US20050037052A1 (en) | 2003-08-13 | 2005-02-17 | Medtronic Vascular, Inc. | Stent coating with gradient porosity |
| WO2005018702A2 (en) * | 2003-08-13 | 2005-03-03 | Medtronic, Inc. | Active agent delivery systems including a miscible polymer blend, medical devices, and methods |
| WO2005018697A2 (en) * | 2003-08-13 | 2005-03-03 | Medtronic, Inc. | Active agent delivery systems, including a single layer of a miscible polymer blend, medical devices, and methods |
| DE602005015564D1 (en) | 2004-04-06 | 2009-09-03 | Surmodics Inc | COATING COMPOSITIONS FOR BIOACTIVE AGENTS |
| WO2006031532A2 (en) * | 2004-09-10 | 2006-03-23 | Surmodics, Inc. | Methods, devices, and coatings for controlled active agent release |
| CA2589761A1 (en) * | 2004-12-07 | 2006-06-15 | Surmodics, Inc. | Coatings with crystallized active agent(s) and methods |
-
2005
- 2005-04-06 DE DE602005015564T patent/DE602005015564D1/en not_active Expired - Fee Related
- 2005-04-06 WO PCT/US2005/011655 patent/WO2005097228A2/en not_active Ceased
- 2005-04-06 CA CA002563069A patent/CA2563069A1/en not_active Abandoned
- 2005-04-06 JP JP2007507413A patent/JP2007532187A/en active Pending
- 2005-04-06 US US11/099,796 patent/US7544673B2/en not_active Expired - Fee Related
- 2005-04-06 EP EP05763613A patent/EP1740236A2/en not_active Withdrawn
- 2005-04-06 CN CNA200580018336XA patent/CN1964748A/en active Pending
- 2005-04-06 WO PCT/US2005/011792 patent/WO2005099787A1/en not_active Ceased
- 2005-04-06 CN CNA2005800184080A patent/CN1964749A/en active Pending
- 2005-04-06 JP JP2007507470A patent/JP2007532197A/en active Pending
- 2005-04-06 US US11/099,935 patent/US20050220842A1/en not_active Abandoned
- 2005-04-06 US US11/099,997 patent/US20050244459A1/en not_active Abandoned
- 2005-04-06 US US11/099,910 patent/US7541048B2/en not_active Expired - Fee Related
- 2005-04-06 WO PCT/US2005/011406 patent/WO2005099786A1/en not_active Ceased
- 2005-04-06 US US11/099,939 patent/US20050220843A1/en not_active Abandoned
- 2005-04-06 CA CA002563150A patent/CA2563150A1/en not_active Abandoned
- 2005-04-06 US US11/099,911 patent/US20050220841A1/en not_active Abandoned
- 2005-04-06 EP EP05744085A patent/EP1740235B1/en not_active Expired - Lifetime
Patent Citations (99)
| Publication number | Priority date | Publication date | Assignee | Title |
|---|---|---|---|---|
| US4069307A (en) * | 1970-10-01 | 1978-01-17 | Alza Corporation | Drug-delivery device comprising certain polymeric materials for controlled release of drug |
| US5310559A (en) * | 1982-09-01 | 1994-05-10 | Hercon Laboratories Corporation | Device for controlled release and delivery to mammalian tissue of pharmacologically active agents incorporating a rate controlling member which comprises an alkylene-alkyl acrylate copolymer |
| US5741551A (en) * | 1982-09-29 | 1998-04-21 | Bsi Corporation | Preparation of polymeric surfaces |
| US4722906A (en) * | 1982-09-29 | 1988-02-02 | Bio-Metric Systems, Inc. | Binding reagents and methods |
| US5512329A (en) * | 1982-09-29 | 1996-04-30 | Bsi Corporation | Substrate surface preparation |
| US5002582A (en) * | 1982-09-29 | 1991-03-26 | Bio-Metric Systems, Inc. | Preparation of polymeric surfaces via covalently attaching polymers |
| US5217492A (en) * | 1982-09-29 | 1993-06-08 | Bio-Metric Systems, Inc. | Biomolecule attachment to hydrophobic surfaces |
| US4826759A (en) * | 1984-10-04 | 1989-05-02 | Bio-Metric Systems, Inc. | Field assay for ligands |
| US5624975A (en) * | 1985-11-04 | 1997-04-29 | Biocompatibles Limited | Plastics |
| US5114719A (en) * | 1987-04-29 | 1992-05-19 | Sabel Bernhard A | Extended drug delivery of small, water-soluble molecules |
| US6511749B1 (en) * | 1987-05-01 | 2003-01-28 | Brown University Research Foundation | Preparation of multiwall polymeric microcapsules from hydrophilic polymers |
| US4916193A (en) * | 1987-12-17 | 1990-04-10 | Allied-Signal Inc. | Medical devices fabricated totally or in part from copolymers of recurring units derived from cyclic carbonates and lactides |
| US5019096A (en) * | 1988-02-11 | 1991-05-28 | Trustees Of Columbia University In The City Of New York | Infection-resistant compositions, medical devices and surfaces and methods for preparing and using same |
| US4994071A (en) * | 1989-05-22 | 1991-02-19 | Cordis Corporation | Bifurcating stent apparatus and method |
| US5525348A (en) * | 1989-11-02 | 1996-06-11 | Sts Biopolymers, Inc. | Coating compositions comprising pharmaceutical agents |
| US5180366A (en) * | 1990-10-10 | 1993-01-19 | Woods W T | Apparatus and method for angioplasty and for preventing re-stenosis |
| US5304121A (en) * | 1990-12-28 | 1994-04-19 | Boston Scientific Corporation | Drug delivery system making use of a hydrogel polymer coating |
| US5512055A (en) * | 1991-02-27 | 1996-04-30 | Leonard Bloom | Anti-infective and anti-inflammatory releasing systems for medical devices |
| US6235306B1 (en) * | 1991-06-27 | 2001-05-22 | Noven Pharmaceuticals, Inc. | Solubility parameter based drug delivery system and method for altering drug saturation concentration |
| US5221698A (en) * | 1991-06-27 | 1993-06-22 | The Regents Of The University Of Michigan | Bioactive composition |
| US5591227A (en) * | 1992-03-19 | 1997-01-07 | Medtronic, Inc. | Drug eluting stent |
| USRE39617E1 (en) * | 1992-08-31 | 2007-05-08 | Kraton Polymers Us Llc | Butadiene polymers having terminal functional groups |
| US5414075A (en) * | 1992-11-06 | 1995-05-09 | Bsi Corporation | Restrained multifunctional reagent for surface modification |
| US5419760A (en) * | 1993-01-08 | 1995-05-30 | Pdt Systems, Inc. | Medicament dispensing stent for prevention of restenosis of a blood vessel |
| US6569441B2 (en) * | 1993-01-28 | 2003-05-27 | Neorx Corporation | Therapeutic inhibitor of vascular smooth muscle cells |
| US5624411A (en) * | 1993-04-26 | 1997-04-29 | Medtronic, Inc. | Intravascular stent and method |
| US6506411B2 (en) * | 1993-07-19 | 2003-01-14 | Angiotech Pharmaceuticals, Inc. | Anti-angiogenic compositions and methods of use |
| US6544544B2 (en) * | 1993-07-19 | 2003-04-08 | Angiotech Pharmaceuticals, Inc. | Anti-angiogenic compositions and methods of use |
| US6846841B2 (en) * | 1993-07-19 | 2005-01-25 | Angiotech Pharmaceuticals, Inc. | Anti-angiogenic compositions and methods of use |
| US5886026A (en) * | 1993-07-19 | 1999-03-23 | Angiotech Pharmaceuticals Inc. | Anti-angiogenic compositions and methods of use |
| US5380299A (en) * | 1993-08-30 | 1995-01-10 | Med Institute, Inc. | Thrombolytic treated intravascular medical device |
| US5705181A (en) * | 1994-10-11 | 1998-01-06 | Ethicon, Inc. | Method of making absorbable polymer blends of polylactides, polycaprolactone and polydioxanone |
| US5637113A (en) * | 1994-12-13 | 1997-06-10 | Advanced Cardiovascular Systems, Inc. | Polymer film for wrapping a stent structure |
| US5620698A (en) * | 1995-03-06 | 1997-04-15 | Ethicon, Inc. | Blends of absorbable polyoxaesters containing amines and/or amido groups |
| US5607687A (en) * | 1995-03-06 | 1997-03-04 | Ethicon, Inc. | Polymer blends containing absorbable polyoxaesters |
| US5618552A (en) * | 1995-03-06 | 1997-04-08 | Ethicon, Inc. | Absorbable polyoxaesters |
| US5605696A (en) * | 1995-03-30 | 1997-02-25 | Advanced Cardiovascular Systems, Inc. | Drug loaded polymeric material and method of manufacture |
| US6358556B1 (en) * | 1995-04-19 | 2002-03-19 | Boston Scientific Corporation | Drug release stent coating |
| US5744515A (en) * | 1995-05-26 | 1998-04-28 | Bsi Corporation | Method and implantable article for promoting endothelialization |
| US5731087A (en) * | 1995-06-07 | 1998-03-24 | Union Carbide Chemicals & Plastics Technology Corporation | Lubricious coatings containing polymers with vinyl and carboxylic acid moieties |
| US5609629A (en) * | 1995-06-07 | 1997-03-11 | Med Institute, Inc. | Coated implantable medical device |
| US5633343A (en) * | 1995-06-30 | 1997-05-27 | Ethicon, Inc. | High strength, fast absorbing, melt processable, gycolide-rich, poly(glycolide-co-p-dioxanone) copolymers |
| US5877224A (en) * | 1995-07-28 | 1999-03-02 | Rutgers, The State University Of New Jersey | Polymeric drug formulations |
| US5607475A (en) * | 1995-08-22 | 1997-03-04 | Medtronic, Inc. | Biocompatible medical article and method |
| US5714551A (en) * | 1995-10-02 | 1998-02-03 | Ethicon, Inc. | High strength, melt processable, lactide-rich, poly (lactide-co-p-dioxanone) copolymers |
| US5714360A (en) * | 1995-11-03 | 1998-02-03 | Bsi Corporation | Photoactivatable water soluble cross-linking agents containing an onium group |
| US6368586B1 (en) * | 1996-01-26 | 2002-04-09 | Brown University Research Foundation | Methods and compositions for enhancing the bioadhesive properties of polymers |
| US20030094736A1 (en) * | 1996-05-03 | 2003-05-22 | Chuan Qin | Method of surface modifying a medical tubing |
| US5895407A (en) * | 1996-08-06 | 1999-04-20 | Jayaraman; Swaminathan | Microporous covered stents and method of coating |
| US6689803B2 (en) * | 1996-12-02 | 2004-02-10 | Angiotech Pharmaceuticals, Inc. | Compositions and methods for treating surgical adhesions |
| US20020013298A1 (en) * | 1996-12-02 | 2002-01-31 | William L. Hunter | Compositions and methods for treating or preventing inflammatory diseases |
| US5902475A (en) * | 1997-04-08 | 1999-05-11 | Interventional Technologies, Inc. | Method for manufacturing a stent |
| US6042875A (en) * | 1997-04-30 | 2000-03-28 | Schneider (Usa) Inc. | Drug-releasing coatings for medical devices |
| US5879697A (en) * | 1997-04-30 | 1999-03-09 | Schneider Usa Inc | Drug-releasing coatings for medical devices |
| US5899935A (en) * | 1997-08-04 | 1999-05-04 | Schneider (Usa) Inc. | Balloon expandable braided stent with restraint |
| US5897911A (en) * | 1997-08-11 | 1999-04-27 | Advanced Cardiovascular Systems, Inc. | Polymer-coated stent structure |
| US5858653A (en) * | 1997-09-30 | 1999-01-12 | Surmodics, Inc. | Reagent and method for attaching target molecules to a surface |
| US20020051731A1 (en) * | 1997-12-25 | 2002-05-02 | Teruaki Fukami | Silicon wafer storage water and silicon wafer storage method |
| US6344035B1 (en) * | 1998-04-27 | 2002-02-05 | Surmodics, Inc. | Bioactive agent release coating |
| US20020032434A1 (en) * | 1998-04-27 | 2002-03-14 | Chudzik Stephen J. | Bioactive agent release coating |
| US6214901B1 (en) * | 1998-04-27 | 2001-04-10 | Surmodics, Inc. | Bioactive agent release coating |
| US20030031780A1 (en) * | 1998-04-27 | 2003-02-13 | Chudzik Stephen J. | Bioactive agent release coating |
| US6013099A (en) * | 1998-04-29 | 2000-01-11 | Medtronic, Inc. | Medical device for delivering a water-insoluble therapeutic salt or substance |
| US6565872B2 (en) * | 1999-02-16 | 2003-05-20 | Xiao Yu Wu | Polymeric system for drug delivery and solute separation |
| US6217895B1 (en) * | 1999-03-22 | 2001-04-17 | Control Delivery Systems | Method for treating and/or preventing retinal diseases with sustained release corticosteroids |
| US6548078B2 (en) * | 1999-03-22 | 2003-04-15 | Control Delivery Systems | Method for treating and/or preventing retinal diseases with sustained release corticosteroids |
| US6838493B2 (en) * | 1999-03-25 | 2005-01-04 | Metabolix, Inc. | Medical devices and applications of polyhydroxyalkanoate polymers |
| US6867247B2 (en) * | 1999-03-25 | 2005-03-15 | Metabolix, Inc. | Medical devices and applications of polyhydroxyalkanoate polymers |
| US6548569B1 (en) * | 1999-03-25 | 2003-04-15 | Metabolix, Inc. | Medical devices and applications of polyhydroxyalkanoate polymers |
| US20030045924A1 (en) * | 1999-12-22 | 2003-03-06 | Arindam Datta | Biodegradable stent |
| US6537312B2 (en) * | 1999-12-22 | 2003-03-25 | Ethicon, Inc. | Biodegradable stent |
| US6730313B2 (en) * | 2000-01-25 | 2004-05-04 | Edwards Lifesciences Corporation | Delivery systems for periadventitial delivery for treatment of restenosis and anastomotic intimal hyperplasia |
| US20020018795A1 (en) * | 2000-04-13 | 2002-02-14 | Whitbourne Richard J. | Targeted therapeutic agent release devices and methods of making and using the same |
| US20020007215A1 (en) * | 2000-05-19 | 2002-01-17 | Robert Falotico | Drug/drug delivery systems for the prevention and treatment of vascular disease |
| US20020005206A1 (en) * | 2000-05-19 | 2002-01-17 | Robert Falotico | Antiproliferative drug and delivery device |
| US20020007213A1 (en) * | 2000-05-19 | 2002-01-17 | Robert Falotico | Drug/drug delivery systems for the prevention and treatment of vascular disease |
| US20020007214A1 (en) * | 2000-05-19 | 2002-01-17 | Robert Falotico | Drug/drug delivery systems for the prevention and treatment of vascular disease |
| US6506408B1 (en) * | 2000-07-13 | 2003-01-14 | Scimed Life Systems, Inc. | Implantable or insertable therapeutic agent delivery device |
| US6872438B1 (en) * | 2000-07-17 | 2005-03-29 | Advanced Design Concept Gmbh | Profile or molding having a fringed surface structure |
| US20020026176A1 (en) * | 2000-08-30 | 2002-02-28 | Varner Signe Erickson | Devices for intraocular drug delivery |
| US20020051730A1 (en) * | 2000-09-29 | 2002-05-02 | Stanko Bodnar | Coated medical devices and sterilization thereof |
| US6545097B2 (en) * | 2000-12-12 | 2003-04-08 | Scimed Life Systems, Inc. | Drug delivery compositions and medical devices containing block copolymer |
| US20030083646A1 (en) * | 2000-12-22 | 2003-05-01 | Avantec Vascular Corporation | Apparatus and methods for variably controlled substance delivery from implanted prostheses |
| US6682553B1 (en) * | 2000-12-28 | 2004-01-27 | Advanced Cardiovascular Systems, Inc. | System and method for stent retention |
| US6713081B2 (en) * | 2001-03-15 | 2004-03-30 | The United States Of America As Represented By The Department Of Health And Human Services | Ocular therapeutic agent delivery devices and methods for making and using such devices |
| US20040022853A1 (en) * | 2001-04-26 | 2004-02-05 | Control Delivery Systems, Inc. | Polymer-based, sustained release drug delivery system |
| US20030039689A1 (en) * | 2001-04-26 | 2003-02-27 | Jianbing Chen | Polymer-based, sustained release drug delivery system |
| US20050004663A1 (en) * | 2001-05-07 | 2005-01-06 | Llanos Gerard H. | Heparin barrier coating for controlled drug release |
| US6673453B2 (en) * | 2001-06-12 | 2004-01-06 | Biocoat Incorporated | Coatings appropriate for medical devices |
| US7008979B2 (en) * | 2002-04-30 | 2006-03-07 | Hydromer, Inc. | Coating composition for multiple hydrophilic applications |
| US20040072799A1 (en) * | 2002-07-19 | 2004-04-15 | Omeros Corporation | Biodegradable triblock copolymers, synthesis methods therefore, and hydrogels and biomaterials made there from |
| US20040034405A1 (en) * | 2002-07-26 | 2004-02-19 | Dickson Andrew M. | Axially expanding polymer stent |
| US20040033251A1 (en) * | 2002-08-13 | 2004-02-19 | Medtronic, Inc. | Active agent delivery system including a polyurethane, medical device, and method |
| US20040086569A1 (en) * | 2002-08-13 | 2004-05-06 | Medtronic, Inc. | Active agent delivery systems, medical devices, and methods |
| US20040047911A1 (en) * | 2002-08-13 | 2004-03-11 | Medtronic, Inc. | Active agent delivery system including a poly(ethylene-co-(meth)Acrylate), medical device, and method |
| US20040039437A1 (en) * | 2002-08-13 | 2004-02-26 | Medtronic, Inc. | Medical device exhibiting improved adhesion between polymeric coating and substrate |
| US20040098118A1 (en) * | 2002-09-26 | 2004-05-20 | Endovascular Devices, Inc. | Apparatus and method for delivery of mitomycin through an eluting biocompatible implantable medical device |
| US20050019371A1 (en) * | 2003-05-02 | 2005-01-27 | Anderson Aron B. | Controlled release bioactive agent delivery device |
| US20050033417A1 (en) * | 2003-07-31 | 2005-02-10 | John Borges | Coating for controlled release of a therapeutic agent |
Cited By (19)
| Publication number | Priority date | Publication date | Assignee | Title |
|---|---|---|---|---|
| US7862605B2 (en) | 1995-06-07 | 2011-01-04 | Med Institute, Inc. | Coated implantable medical device |
| US20100114107A1 (en) * | 2000-08-30 | 2010-05-06 | Warsaw Orthopedic, Inc. | Intervertebral Disc Nucleus Implants and Methods |
| US8425927B2 (en) | 2002-05-24 | 2013-04-23 | Angiotech International Ag | Compositions and methods for coating medical implants |
| US8313760B2 (en) | 2002-05-24 | 2012-11-20 | Angiotech International Ag | Compositions and methods for coating medical implants |
| US8372420B2 (en) | 2002-05-24 | 2013-02-12 | Angiotech International Ag | Compositions and methods for coating medical implants |
| US20060110428A1 (en) * | 2004-07-02 | 2006-05-25 | Eugene Dejuan | Methods and devices for the treatment of ocular conditions |
| US8454582B2 (en) | 2004-07-02 | 2013-06-04 | Surmodics, Inc. | Methods and devices for the treatment of ocular conditions |
| US20060257451A1 (en) * | 2005-04-08 | 2006-11-16 | Varner Signe E | Sustained release implants and methods for subretinal delivery of bioactive agents to treat or prevent retinal disease |
| US8003124B2 (en) | 2005-04-08 | 2011-08-23 | Surmodics, Inc. | Sustained release implants and methods for subretinal delivery of bioactive agents to treat or prevent retinal disease |
| US8663337B2 (en) | 2007-06-18 | 2014-03-04 | Zimmer, Inc. | Process for forming a ceramic layer |
| US8133553B2 (en) | 2007-06-18 | 2012-03-13 | Zimmer, Inc. | Process for forming a ceramic layer |
| US8309521B2 (en) | 2007-06-19 | 2012-11-13 | Zimmer, Inc. | Spacer with a coating thereon for use with an implant device |
| US20100197859A1 (en) * | 2007-09-06 | 2010-08-05 | Basf Se | Blends from branched polyaryl ethers and hydrophilic polymers |
| US8222342B2 (en) | 2007-09-06 | 2012-07-17 | Basf Se | Blends from branched polyaryl ethers and hydrophilic polymers |
| WO2009030620A1 (en) * | 2007-09-06 | 2009-03-12 | Basf Se | Blends from branched polyaryl ethers and hydrophilic polymers |
| US8602290B2 (en) | 2007-10-10 | 2013-12-10 | Zimmer, Inc. | Method for bonding a tantalum structure to a cobalt-alloy substrate |
| US8608049B2 (en) | 2007-10-10 | 2013-12-17 | Zimmer, Inc. | Method for bonding a tantalum structure to a cobalt-alloy substrate |
| WO2024191445A1 (en) * | 2023-03-10 | 2024-09-19 | Becton, Dickinson And Company | Therapeutic bio-absorbable polymeric scaffold with drug-loaded micro-needles for drug delivery |
| CN120827638A (en) * | 2025-09-19 | 2025-10-24 | 四川大学 | Use of a polymer as an artificial lens material and artificial lens |
Also Published As
| Publication number | Publication date |
|---|---|
| WO2005097228A3 (en) | 2005-12-15 |
| EP1740236A2 (en) | 2007-01-10 |
| WO2005099787A1 (en) | 2005-10-27 |
| DE602005015564D1 (en) | 2009-09-03 |
| US20050244459A1 (en) | 2005-11-03 |
| JP2007532197A (en) | 2007-11-15 |
| US7544673B2 (en) | 2009-06-09 |
| CN1964748A (en) | 2007-05-16 |
| US20050220839A1 (en) | 2005-10-06 |
| WO2005099786A1 (en) | 2005-10-27 |
| CN1964749A (en) | 2007-05-16 |
| WO2005097228A2 (en) | 2005-10-20 |
| EP1740235A1 (en) | 2007-01-10 |
| CA2563069A1 (en) | 2005-10-27 |
| US7541048B2 (en) | 2009-06-02 |
| US20050220842A1 (en) | 2005-10-06 |
| US20050220840A1 (en) | 2005-10-06 |
| US20050220843A1 (en) | 2005-10-06 |
| JP2007532187A (en) | 2007-11-15 |
| CA2563150A1 (en) | 2005-10-20 |
| EP1740235B1 (en) | 2009-07-22 |
Similar Documents
| Publication | Publication Date | Title |
|---|---|---|
| US7541048B2 (en) | Coating compositions for bioactive agents | |
| US20060083772A1 (en) | Coating compositions for bioactive agents | |
| US7709049B2 (en) | Methods, devices, and coatings for controlled active agent release | |
| US9795720B2 (en) | Coatings with crystallized active agent(s) and methods | |
| US7550444B2 (en) | Composition and method for preparing biocompatible surfaces | |
| US6918929B2 (en) | Drug-polymer coated stent with pegylated styrenic block copolymers | |
| EP1551469B1 (en) | Bioactive agent release coating with aromatic poly(meth)acrylates | |
| US20050281858A1 (en) | Devices, articles, coatings, and methods for controlled active agent release | |
| US8518097B2 (en) | Plasticized stent coatings | |
| EP1534354A1 (en) | Method and system for providing bioactive agent release coating | |
| CN1964750A (en) | Bioactive coating compositions for medical devices | |
| US20080075779A1 (en) | Additives And Methods For Enhancing Active Agent Elution Kinetics | |
| WO2006107336A1 (en) | Bioactive coating compositions for medical devices |
Legal Events
| Date | Code | Title | Description |
|---|---|---|---|
| AS | Assignment |
Owner name: SURMODICS, INC., MINNESOTA Free format text: ASSIGNMENT OF ASSIGNORS INTEREST;ASSIGNORS:DEWITT, DAVID M.;FINLEY, MICHAEL J.;LAWIN, LAURIE R.;AND OTHERS;REEL/FRAME:016511/0133;SIGNING DATES FROM 20050425 TO 20050426 Owner name: SURMODICS, INC., MINNESOTA Free format text: ASSIGNMENT OF ASSIGNORS INTEREST;ASSIGNORS:DEWITT, DAVID M.;FINLEY, MICHAEL J.;LAWIN, LAURIE R.;AND OTHERS;REEL/FRAME:016516/0880;SIGNING DATES FROM 20050425 TO 20050426 |
|
| STCB | Information on status: application discontinuation |
Free format text: ABANDONED -- FAILURE TO RESPOND TO AN OFFICE ACTION |

