US20170188905A1 - Biointerface layer for analyte sensors - Google Patents
Biointerface layer for analyte sensors Download PDFInfo
- Publication number
- US20170188905A1 US20170188905A1 US15/394,764 US201615394764A US2017188905A1 US 20170188905 A1 US20170188905 A1 US 20170188905A1 US 201615394764 A US201615394764 A US 201615394764A US 2017188905 A1 US2017188905 A1 US 2017188905A1
- Authority
- US
- United States
- Prior art keywords
- polymer
- biointerface
- sensor
- layer
- domain
- Prior art date
- Legal status (The legal status is an assumption and is not a legal conclusion. Google has not performed a legal analysis and makes no representation as to the accuracy of the status listed.)
- Abandoned
Links
- 0 *P(=O)([O-])OC[N+]([1*])([2*])[3*].[1*][N+]([2*])([3*])COP(C)(=O)[O-].[1*][N+]([2*])([3*])CP([4*])(=O)[O-] Chemical compound *P(=O)([O-])OC[N+]([1*])([2*])[3*].[1*][N+]([2*])([3*])COP(C)(=O)[O-].[1*][N+]([2*])([3*])CP([4*])(=O)[O-] 0.000 description 13
- XHEMCHUYIVGWKO-UHFFFAOYSA-N C[CH+][CH-]C.[CH2+]C(C)C.[CH2+]C([CH2-])(C)C.[CH2+]C([CH2-])C(C)C.[CH2+][C-](C)C.[CH2-]C(C)C.[CH2-][C+](C)C Chemical compound C[CH+][CH-]C.[CH2+]C(C)C.[CH2+]C([CH2-])(C)C.[CH2+]C([CH2-])C(C)C.[CH2+][C-](C)C.[CH2-]C(C)C.[CH2-][C+](C)C XHEMCHUYIVGWKO-UHFFFAOYSA-N 0.000 description 1
Images
Classifications
-
- G—PHYSICS
- G01—MEASURING; TESTING
- G01N—INVESTIGATING OR ANALYSING MATERIALS BY DETERMINING THEIR CHEMICAL OR PHYSICAL PROPERTIES
- G01N27/00—Investigating or analysing materials by the use of electric, electrochemical, or magnetic means
- G01N27/26—Investigating or analysing materials by the use of electric, electrochemical, or magnetic means by investigating electrochemical variables; by using electrolysis or electrophoresis
- G01N27/28—Electrolytic cell components
- G01N27/30—Electrodes, e.g. test electrodes; Half-cells
- G01N27/327—Biochemical electrodes, e.g. electrical or mechanical details for in vitro measurements
- G01N27/3271—Amperometric enzyme electrodes for analytes in body fluids, e.g. glucose in blood
- G01N27/3273—Devices therefor, e.g. test element readers, circuitry
-
- C—CHEMISTRY; METALLURGY
- C12—BIOCHEMISTRY; BEER; SPIRITS; WINE; VINEGAR; MICROBIOLOGY; ENZYMOLOGY; MUTATION OR GENETIC ENGINEERING
- C12N—MICROORGANISMS OR ENZYMES; COMPOSITIONS THEREOF; PROPAGATING, PRESERVING, OR MAINTAINING MICROORGANISMS; MUTATION OR GENETIC ENGINEERING; CULTURE MEDIA
- C12N11/00—Carrier-bound or immobilised enzymes; Carrier-bound or immobilised microbial cells; Preparation thereof
- C12N11/02—Enzymes or microbial cells immobilised on or in an organic carrier
- C12N11/08—Enzymes or microbial cells immobilised on or in an organic carrier the carrier being a synthetic polymer
- C12N11/089—Enzymes or microbial cells immobilised on or in an organic carrier the carrier being a synthetic polymer obtained otherwise than by reactions only involving carbon-to-carbon unsaturated bonds
-
- A—HUMAN NECESSITIES
- A61—MEDICAL OR VETERINARY SCIENCE; HYGIENE
- A61B—DIAGNOSIS; SURGERY; IDENTIFICATION
- A61B5/00—Measuring for diagnostic purposes; Identification of persons
- A61B5/0002—Remote monitoring of patients using telemetry, e.g. transmission of vital signals via a communication network
- A61B5/0004—Remote monitoring of patients using telemetry, e.g. transmission of vital signals via a communication network characterised by the type of physiological signal transmitted
-
- A—HUMAN NECESSITIES
- A61—MEDICAL OR VETERINARY SCIENCE; HYGIENE
- A61B—DIAGNOSIS; SURGERY; IDENTIFICATION
- A61B5/00—Measuring for diagnostic purposes; Identification of persons
- A61B5/145—Measuring characteristics of blood in vivo, e.g. gas concentration or pH-value ; Measuring characteristics of body fluids or tissues, e.g. interstitial fluid or cerebral tissue
- A61B5/14532—Measuring characteristics of blood in vivo, e.g. gas concentration or pH-value ; Measuring characteristics of body fluids or tissues, e.g. interstitial fluid or cerebral tissue for measuring glucose, e.g. by tissue impedance measurement
-
- A—HUMAN NECESSITIES
- A61—MEDICAL OR VETERINARY SCIENCE; HYGIENE
- A61B—DIAGNOSIS; SURGERY; IDENTIFICATION
- A61B5/00—Measuring for diagnostic purposes; Identification of persons
- A61B5/145—Measuring characteristics of blood in vivo, e.g. gas concentration or pH-value ; Measuring characteristics of body fluids or tissues, e.g. interstitial fluid or cerebral tissue
- A61B5/14546—Measuring characteristics of blood in vivo, e.g. gas concentration or pH-value ; Measuring characteristics of body fluids or tissues, e.g. interstitial fluid or cerebral tissue for measuring analytes not otherwise provided for, e.g. ions, cytochromes
-
- A—HUMAN NECESSITIES
- A61—MEDICAL OR VETERINARY SCIENCE; HYGIENE
- A61B—DIAGNOSIS; SURGERY; IDENTIFICATION
- A61B5/00—Measuring for diagnostic purposes; Identification of persons
- A61B5/145—Measuring characteristics of blood in vivo, e.g. gas concentration or pH-value ; Measuring characteristics of body fluids or tissues, e.g. interstitial fluid or cerebral tissue
- A61B5/1468—Measuring characteristics of blood in vivo, e.g. gas concentration or pH-value ; Measuring characteristics of body fluids or tissues, e.g. interstitial fluid or cerebral tissue using chemical or electrochemical methods, e.g. by polarographic means
- A61B5/1473—Measuring characteristics of blood in vivo, e.g. gas concentration or pH-value ; Measuring characteristics of body fluids or tissues, e.g. interstitial fluid or cerebral tissue using chemical or electrochemical methods, e.g. by polarographic means invasive, e.g. introduced into the body by a catheter
-
- A—HUMAN NECESSITIES
- A61—MEDICAL OR VETERINARY SCIENCE; HYGIENE
- A61B—DIAGNOSIS; SURGERY; IDENTIFICATION
- A61B5/00—Measuring for diagnostic purposes; Identification of persons
- A61B5/145—Measuring characteristics of blood in vivo, e.g. gas concentration or pH-value ; Measuring characteristics of body fluids or tissues, e.g. interstitial fluid or cerebral tissue
- A61B5/1468—Measuring characteristics of blood in vivo, e.g. gas concentration or pH-value ; Measuring characteristics of body fluids or tissues, e.g. interstitial fluid or cerebral tissue using chemical or electrochemical methods, e.g. by polarographic means
- A61B5/1486—Measuring characteristics of blood in vivo, e.g. gas concentration or pH-value ; Measuring characteristics of body fluids or tissues, e.g. interstitial fluid or cerebral tissue using chemical or electrochemical methods, e.g. by polarographic means using enzyme electrodes, e.g. with immobilised oxidase
-
- A—HUMAN NECESSITIES
- A61—MEDICAL OR VETERINARY SCIENCE; HYGIENE
- A61B—DIAGNOSIS; SURGERY; IDENTIFICATION
- A61B5/00—Measuring for diagnostic purposes; Identification of persons
- A61B5/145—Measuring characteristics of blood in vivo, e.g. gas concentration or pH-value ; Measuring characteristics of body fluids or tissues, e.g. interstitial fluid or cerebral tissue
- A61B5/1468—Measuring characteristics of blood in vivo, e.g. gas concentration or pH-value ; Measuring characteristics of body fluids or tissues, e.g. interstitial fluid or cerebral tissue using chemical or electrochemical methods, e.g. by polarographic means
- A61B5/1486—Measuring characteristics of blood in vivo, e.g. gas concentration or pH-value ; Measuring characteristics of body fluids or tissues, e.g. interstitial fluid or cerebral tissue using chemical or electrochemical methods, e.g. by polarographic means using enzyme electrodes, e.g. with immobilised oxidase
- A61B5/14865—Measuring characteristics of blood in vivo, e.g. gas concentration or pH-value ; Measuring characteristics of body fluids or tissues, e.g. interstitial fluid or cerebral tissue using chemical or electrochemical methods, e.g. by polarographic means using enzyme electrodes, e.g. with immobilised oxidase invasive, e.g. introduced into the body by a catheter or needle or using implanted sensors
-
- A—HUMAN NECESSITIES
- A61—MEDICAL OR VETERINARY SCIENCE; HYGIENE
- A61K—PREPARATIONS FOR MEDICAL, DENTAL OR TOILETRY PURPOSES
- A61K31/00—Medicinal preparations containing organic active ingredients
- A61K31/045—Hydroxy compounds, e.g. alcohols; Salts thereof, e.g. alcoholates
-
- A—HUMAN NECESSITIES
- A61—MEDICAL OR VETERINARY SCIENCE; HYGIENE
- A61K—PREPARATIONS FOR MEDICAL, DENTAL OR TOILETRY PURPOSES
- A61K31/00—Medicinal preparations containing organic active ingredients
- A61K31/13—Amines
- A61K31/135—Amines having aromatic rings, e.g. ketamine, nortriptyline
- A61K31/137—Arylalkylamines, e.g. amphetamine, epinephrine, salbutamol, ephedrine or methadone
-
- A—HUMAN NECESSITIES
- A61—MEDICAL OR VETERINARY SCIENCE; HYGIENE
- A61K—PREPARATIONS FOR MEDICAL, DENTAL OR TOILETRY PURPOSES
- A61K31/00—Medicinal preparations containing organic active ingredients
- A61K31/33—Heterocyclic compounds
- A61K31/395—Heterocyclic compounds having nitrogen as a ring hetero atom, e.g. guanethidine or rifamycins
- A61K31/435—Heterocyclic compounds having nitrogen as a ring hetero atom, e.g. guanethidine or rifamycins having six-membered rings with one nitrogen as the only ring hetero atom
- A61K31/46—8-Azabicyclo [3.2.1] octane; Derivatives thereof, e.g. atropine, cocaine
-
- A—HUMAN NECESSITIES
- A61—MEDICAL OR VETERINARY SCIENCE; HYGIENE
- A61K—PREPARATIONS FOR MEDICAL, DENTAL OR TOILETRY PURPOSES
- A61K31/00—Medicinal preparations containing organic active ingredients
- A61K31/33—Heterocyclic compounds
- A61K31/395—Heterocyclic compounds having nitrogen as a ring hetero atom, e.g. guanethidine or rifamycins
- A61K31/435—Heterocyclic compounds having nitrogen as a ring hetero atom, e.g. guanethidine or rifamycins having six-membered rings with one nitrogen as the only ring hetero atom
- A61K31/465—Nicotine; Derivatives thereof
-
- A—HUMAN NECESSITIES
- A61—MEDICAL OR VETERINARY SCIENCE; HYGIENE
- A61K—PREPARATIONS FOR MEDICAL, DENTAL OR TOILETRY PURPOSES
- A61K31/00—Medicinal preparations containing organic active ingredients
- A61K31/33—Heterocyclic compounds
- A61K31/395—Heterocyclic compounds having nitrogen as a ring hetero atom, e.g. guanethidine or rifamycins
- A61K31/435—Heterocyclic compounds having nitrogen as a ring hetero atom, e.g. guanethidine or rifamycins having six-membered rings with one nitrogen as the only ring hetero atom
- A61K31/47—Quinolines; Isoquinolines
- A61K31/485—Morphinan derivatives, e.g. morphine, codeine
-
- A—HUMAN NECESSITIES
- A61—MEDICAL OR VETERINARY SCIENCE; HYGIENE
- A61K—PREPARATIONS FOR MEDICAL, DENTAL OR TOILETRY PURPOSES
- A61K31/00—Medicinal preparations containing organic active ingredients
- A61K31/33—Heterocyclic compounds
- A61K31/395—Heterocyclic compounds having nitrogen as a ring hetero atom, e.g. guanethidine or rifamycins
- A61K31/495—Heterocyclic compounds having nitrogen as a ring hetero atom, e.g. guanethidine or rifamycins having six-membered rings with two or more nitrogen atoms as the only ring heteroatoms, e.g. piperazine or tetrazines
- A61K31/505—Pyrimidines; Hydrogenated pyrimidines, e.g. trimethoprim
- A61K31/513—Pyrimidines; Hydrogenated pyrimidines, e.g. trimethoprim having oxo groups directly attached to the heterocyclic ring, e.g. cytosine
- A61K31/515—Barbituric acids; Derivatives thereof, e.g. sodium pentobarbital
-
- A—HUMAN NECESSITIES
- A61—MEDICAL OR VETERINARY SCIENCE; HYGIENE
- A61K—PREPARATIONS FOR MEDICAL, DENTAL OR TOILETRY PURPOSES
- A61K31/00—Medicinal preparations containing organic active ingredients
- A61K31/56—Compounds containing cyclopenta[a]hydrophenanthrene ring systems; Derivatives thereof, e.g. steroids
-
- A—HUMAN NECESSITIES
- A61—MEDICAL OR VETERINARY SCIENCE; HYGIENE
- A61K—PREPARATIONS FOR MEDICAL, DENTAL OR TOILETRY PURPOSES
- A61K33/00—Medicinal preparations containing inorganic active ingredients
-
- A—HUMAN NECESSITIES
- A61—MEDICAL OR VETERINARY SCIENCE; HYGIENE
- A61K—PREPARATIONS FOR MEDICAL, DENTAL OR TOILETRY PURPOSES
- A61K36/00—Medicinal preparations of undetermined constitution containing material from algae, lichens, fungi or plants, or derivatives thereof, e.g. traditional herbal medicines
- A61K36/18—Magnoliophyta (angiosperms)
- A61K36/185—Magnoliopsida (dicotyledons)
-
- A—HUMAN NECESSITIES
- A61—MEDICAL OR VETERINARY SCIENCE; HYGIENE
- A61K—PREPARATIONS FOR MEDICAL, DENTAL OR TOILETRY PURPOSES
- A61K38/00—Medicinal preparations containing peptides
- A61K38/16—Peptides having more than 20 amino acids; Gastrins; Somatostatins; Melanotropins; Derivatives thereof
- A61K38/17—Peptides having more than 20 amino acids; Gastrins; Somatostatins; Melanotropins; Derivatives thereof from animals; from humans
- A61K38/22—Hormones
- A61K38/28—Insulins
-
- C—CHEMISTRY; METALLURGY
- C08—ORGANIC MACROMOLECULAR COMPOUNDS; THEIR PREPARATION OR CHEMICAL WORKING-UP; COMPOSITIONS BASED THEREON
- C08G—MACROMOLECULAR COMPOUNDS OBTAINED OTHERWISE THAN BY REACTIONS ONLY INVOLVING UNSATURATED CARBON-TO-CARBON BONDS
- C08G18/00—Polymeric products of isocyanates or isothiocyanates
- C08G18/06—Polymeric products of isocyanates or isothiocyanates with compounds having active hydrogen
- C08G18/08—Processes
- C08G18/0804—Manufacture of polymers containing ionic or ionogenic groups
- C08G18/0819—Manufacture of polymers containing ionic or ionogenic groups containing anionic or anionogenic groups
- C08G18/0828—Manufacture of polymers containing ionic or ionogenic groups containing anionic or anionogenic groups containing sulfonate groups or groups forming them
-
- C—CHEMISTRY; METALLURGY
- C08—ORGANIC MACROMOLECULAR COMPOUNDS; THEIR PREPARATION OR CHEMICAL WORKING-UP; COMPOSITIONS BASED THEREON
- C08G—MACROMOLECULAR COMPOUNDS OBTAINED OTHERWISE THAN BY REACTIONS ONLY INVOLVING UNSATURATED CARBON-TO-CARBON BONDS
- C08G18/00—Polymeric products of isocyanates or isothiocyanates
- C08G18/06—Polymeric products of isocyanates or isothiocyanates with compounds having active hydrogen
- C08G18/08—Processes
- C08G18/10—Prepolymer processes involving reaction of isocyanates or isothiocyanates with compounds having active hydrogen in a first reaction step
- C08G18/12—Prepolymer processes involving reaction of isocyanates or isothiocyanates with compounds having active hydrogen in a first reaction step using two or more compounds having active hydrogen in the first polymerisation step
-
- C—CHEMISTRY; METALLURGY
- C08—ORGANIC MACROMOLECULAR COMPOUNDS; THEIR PREPARATION OR CHEMICAL WORKING-UP; COMPOSITIONS BASED THEREON
- C08G—MACROMOLECULAR COMPOUNDS OBTAINED OTHERWISE THAN BY REACTIONS ONLY INVOLVING UNSATURATED CARBON-TO-CARBON BONDS
- C08G18/00—Polymeric products of isocyanates or isothiocyanates
- C08G18/06—Polymeric products of isocyanates or isothiocyanates with compounds having active hydrogen
- C08G18/28—Polymeric products of isocyanates or isothiocyanates with compounds having active hydrogen characterised by the compounds used containing active hydrogen
- C08G18/30—Low-molecular-weight compounds
- C08G18/38—Low-molecular-weight compounds having heteroatoms other than oxygen
- C08G18/3855—Low-molecular-weight compounds having heteroatoms other than oxygen having sulfur
- C08G18/3857—Low-molecular-weight compounds having heteroatoms other than oxygen having sulfur having nitrogen in addition to sulfur
-
- C—CHEMISTRY; METALLURGY
- C08—ORGANIC MACROMOLECULAR COMPOUNDS; THEIR PREPARATION OR CHEMICAL WORKING-UP; COMPOSITIONS BASED THEREON
- C08G—MACROMOLECULAR COMPOUNDS OBTAINED OTHERWISE THAN BY REACTIONS ONLY INVOLVING UNSATURATED CARBON-TO-CARBON BONDS
- C08G18/00—Polymeric products of isocyanates or isothiocyanates
- C08G18/06—Polymeric products of isocyanates or isothiocyanates with compounds having active hydrogen
- C08G18/28—Polymeric products of isocyanates or isothiocyanates with compounds having active hydrogen characterised by the compounds used containing active hydrogen
- C08G18/40—High-molecular-weight compounds
- C08G18/4009—Two or more macromolecular compounds not provided for in one single group of groups C08G18/42 - C08G18/64
- C08G18/4018—Mixtures of compounds of group C08G18/42 with compounds of group C08G18/48
-
- C—CHEMISTRY; METALLURGY
- C08—ORGANIC MACROMOLECULAR COMPOUNDS; THEIR PREPARATION OR CHEMICAL WORKING-UP; COMPOSITIONS BASED THEREON
- C08G—MACROMOLECULAR COMPOUNDS OBTAINED OTHERWISE THAN BY REACTIONS ONLY INVOLVING UNSATURATED CARBON-TO-CARBON BONDS
- C08G18/00—Polymeric products of isocyanates or isothiocyanates
- C08G18/06—Polymeric products of isocyanates or isothiocyanates with compounds having active hydrogen
- C08G18/28—Polymeric products of isocyanates or isothiocyanates with compounds having active hydrogen characterised by the compounds used containing active hydrogen
- C08G18/40—High-molecular-weight compounds
- C08G18/42—Polycondensates having carboxylic or carbonic ester groups in the main chain
- C08G18/44—Polycarbonates
-
- C—CHEMISTRY; METALLURGY
- C08—ORGANIC MACROMOLECULAR COMPOUNDS; THEIR PREPARATION OR CHEMICAL WORKING-UP; COMPOSITIONS BASED THEREON
- C08G—MACROMOLECULAR COMPOUNDS OBTAINED OTHERWISE THAN BY REACTIONS ONLY INVOLVING UNSATURATED CARBON-TO-CARBON BONDS
- C08G18/00—Polymeric products of isocyanates or isothiocyanates
- C08G18/06—Polymeric products of isocyanates or isothiocyanates with compounds having active hydrogen
- C08G18/28—Polymeric products of isocyanates or isothiocyanates with compounds having active hydrogen characterised by the compounds used containing active hydrogen
- C08G18/40—High-molecular-weight compounds
- C08G18/48—Polyethers
- C08G18/4833—Polyethers containing oxyethylene units
-
- C—CHEMISTRY; METALLURGY
- C08—ORGANIC MACROMOLECULAR COMPOUNDS; THEIR PREPARATION OR CHEMICAL WORKING-UP; COMPOSITIONS BASED THEREON
- C08G—MACROMOLECULAR COMPOUNDS OBTAINED OTHERWISE THAN BY REACTIONS ONLY INVOLVING UNSATURATED CARBON-TO-CARBON BONDS
- C08G18/00—Polymeric products of isocyanates or isothiocyanates
- C08G18/06—Polymeric products of isocyanates or isothiocyanates with compounds having active hydrogen
- C08G18/70—Polymeric products of isocyanates or isothiocyanates with compounds having active hydrogen characterised by the isocyanates or isothiocyanates used
- C08G18/72—Polyisocyanates or polyisothiocyanates
- C08G18/74—Polyisocyanates or polyisothiocyanates cyclic
- C08G18/75—Polyisocyanates or polyisothiocyanates cyclic cycloaliphatic
- C08G18/751—Polyisocyanates or polyisothiocyanates cyclic cycloaliphatic containing only one cycloaliphatic ring
- C08G18/752—Polyisocyanates or polyisothiocyanates cyclic cycloaliphatic containing only one cycloaliphatic ring containing at least one isocyanate or isothiocyanate group linked to the cycloaliphatic ring by means of an aliphatic group
- C08G18/753—Polyisocyanates or polyisothiocyanates cyclic cycloaliphatic containing only one cycloaliphatic ring containing at least one isocyanate or isothiocyanate group linked to the cycloaliphatic ring by means of an aliphatic group containing one isocyanate or isothiocyanate group linked to the cycloaliphatic ring by means of an aliphatic group having a primary carbon atom next to the isocyanate or isothiocyanate group
- C08G18/755—Polyisocyanates or polyisothiocyanates cyclic cycloaliphatic containing only one cycloaliphatic ring containing at least one isocyanate or isothiocyanate group linked to the cycloaliphatic ring by means of an aliphatic group containing one isocyanate or isothiocyanate group linked to the cycloaliphatic ring by means of an aliphatic group having a primary carbon atom next to the isocyanate or isothiocyanate group and at least one isocyanate or isothiocyanate group linked to a secondary carbon atom of the cycloaliphatic ring, e.g. isophorone diisocyanate
-
- C—CHEMISTRY; METALLURGY
- C08—ORGANIC MACROMOLECULAR COMPOUNDS; THEIR PREPARATION OR CHEMICAL WORKING-UP; COMPOSITIONS BASED THEREON
- C08L—COMPOSITIONS OF MACROMOLECULAR COMPOUNDS
- C08L39/00—Compositions of homopolymers or copolymers of compounds having one or more unsaturated aliphatic radicals, each having only one carbon-to-carbon double bond, and at least one being terminated by a single or double bond to nitrogen or by a heterocyclic ring containing nitrogen; Compositions of derivatives of such polymers
- C08L39/04—Homopolymers or copolymers of monomers containing heterocyclic rings having nitrogen as ring member
- C08L39/06—Homopolymers or copolymers of N-vinyl-pyrrolidones
-
- C—CHEMISTRY; METALLURGY
- C08—ORGANIC MACROMOLECULAR COMPOUNDS; THEIR PREPARATION OR CHEMICAL WORKING-UP; COMPOSITIONS BASED THEREON
- C08L—COMPOSITIONS OF MACROMOLECULAR COMPOUNDS
- C08L69/00—Compositions of polycarbonates; Compositions of derivatives of polycarbonates
-
- C—CHEMISTRY; METALLURGY
- C08—ORGANIC MACROMOLECULAR COMPOUNDS; THEIR PREPARATION OR CHEMICAL WORKING-UP; COMPOSITIONS BASED THEREON
- C08L—COMPOSITIONS OF MACROMOLECULAR COMPOUNDS
- C08L75/00—Compositions of polyureas or polyurethanes; Compositions of derivatives of such polymers
- C08L75/04—Polyurethanes
-
- C—CHEMISTRY; METALLURGY
- C12—BIOCHEMISTRY; BEER; SPIRITS; WINE; VINEGAR; MICROBIOLOGY; ENZYMOLOGY; MUTATION OR GENETIC ENGINEERING
- C12N—MICROORGANISMS OR ENZYMES; COMPOSITIONS THEREOF; PROPAGATING, PRESERVING, OR MAINTAINING MICROORGANISMS; MUTATION OR GENETIC ENGINEERING; CULTURE MEDIA
- C12N11/00—Carrier-bound or immobilised enzymes; Carrier-bound or immobilised microbial cells; Preparation thereof
- C12N11/02—Enzymes or microbial cells immobilised on or in an organic carrier
- C12N11/08—Enzymes or microbial cells immobilised on or in an organic carrier the carrier being a synthetic polymer
-
- C—CHEMISTRY; METALLURGY
- C12—BIOCHEMISTRY; BEER; SPIRITS; WINE; VINEGAR; MICROBIOLOGY; ENZYMOLOGY; MUTATION OR GENETIC ENGINEERING
- C12N—MICROORGANISMS OR ENZYMES; COMPOSITIONS THEREOF; PROPAGATING, PRESERVING, OR MAINTAINING MICROORGANISMS; MUTATION OR GENETIC ENGINEERING; CULTURE MEDIA
- C12N11/00—Carrier-bound or immobilised enzymes; Carrier-bound or immobilised microbial cells; Preparation thereof
- C12N11/02—Enzymes or microbial cells immobilised on or in an organic carrier
- C12N11/08—Enzymes or microbial cells immobilised on or in an organic carrier the carrier being a synthetic polymer
- C12N11/089—Enzymes or microbial cells immobilised on or in an organic carrier the carrier being a synthetic polymer obtained otherwise than by reactions only involving carbon-to-carbon unsaturated bonds
- C12N11/093—Polyurethanes
-
- C—CHEMISTRY; METALLURGY
- C12—BIOCHEMISTRY; BEER; SPIRITS; WINE; VINEGAR; MICROBIOLOGY; ENZYMOLOGY; MUTATION OR GENETIC ENGINEERING
- C12Q—MEASURING OR TESTING PROCESSES INVOLVING ENZYMES, NUCLEIC ACIDS OR MICROORGANISMS; COMPOSITIONS OR TEST PAPERS THEREFOR; PROCESSES OF PREPARING SUCH COMPOSITIONS; CONDITION-RESPONSIVE CONTROL IN MICROBIOLOGICAL OR ENZYMOLOGICAL PROCESSES
- C12Q1/00—Measuring or testing processes involving enzymes, nucleic acids or microorganisms; Compositions therefor; Processes of preparing such compositions
- C12Q1/001—Enzyme electrodes
- C12Q1/002—Electrode membranes
-
- C—CHEMISTRY; METALLURGY
- C12—BIOCHEMISTRY; BEER; SPIRITS; WINE; VINEGAR; MICROBIOLOGY; ENZYMOLOGY; MUTATION OR GENETIC ENGINEERING
- C12Q—MEASURING OR TESTING PROCESSES INVOLVING ENZYMES, NUCLEIC ACIDS OR MICROORGANISMS; COMPOSITIONS OR TEST PAPERS THEREFOR; PROCESSES OF PREPARING SUCH COMPOSITIONS; CONDITION-RESPONSIVE CONTROL IN MICROBIOLOGICAL OR ENZYMOLOGICAL PROCESSES
- C12Q1/00—Measuring or testing processes involving enzymes, nucleic acids or microorganisms; Compositions therefor; Processes of preparing such compositions
- C12Q1/001—Enzyme electrodes
- C12Q1/005—Enzyme electrodes involving specific analytes or enzymes
- C12Q1/006—Enzyme electrodes involving specific analytes or enzymes for glucose
-
- G—PHYSICS
- G01—MEASURING; TESTING
- G01N—INVESTIGATING OR ANALYSING MATERIALS BY DETERMINING THEIR CHEMICAL OR PHYSICAL PROPERTIES
- G01N27/00—Investigating or analysing materials by the use of electric, electrochemical, or magnetic means
- G01N27/26—Investigating or analysing materials by the use of electric, electrochemical, or magnetic means by investigating electrochemical variables; by using electrolysis or electrophoresis
- G01N27/28—Electrolytic cell components
- G01N27/40—Semi-permeable membranes or partitions
-
- G—PHYSICS
- G01—MEASURING; TESTING
- G01N—INVESTIGATING OR ANALYSING MATERIALS BY DETERMINING THEIR CHEMICAL OR PHYSICAL PROPERTIES
- G01N33/00—Investigating or analysing materials by specific methods not covered by groups G01N1/00 - G01N31/00
- G01N33/48—Biological material, e.g. blood, urine; Haemocytometers
- G01N33/50—Chemical analysis of biological material, e.g. blood, urine; Testing involving biospecific ligand binding methods; Immunological testing
- G01N33/66—Chemical analysis of biological material, e.g. blood, urine; Testing involving biospecific ligand binding methods; Immunological testing involving blood sugars, e.g. galactose
-
- A—HUMAN NECESSITIES
- A61—MEDICAL OR VETERINARY SCIENCE; HYGIENE
- A61B—DIAGNOSIS; SURGERY; IDENTIFICATION
- A61B2562/00—Details of sensors; Constructional details of sensor housings or probes; Accessories for sensors
- A61B2562/12—Manufacturing methods specially adapted for producing sensors for in-vivo measurements
-
- A—HUMAN NECESSITIES
- A61—MEDICAL OR VETERINARY SCIENCE; HYGIENE
- A61B—DIAGNOSIS; SURGERY; IDENTIFICATION
- A61B5/00—Measuring for diagnostic purposes; Identification of persons
- A61B5/0002—Remote monitoring of patients using telemetry, e.g. transmission of vital signals via a communication network
- A61B5/0015—Remote monitoring of patients using telemetry, e.g. transmission of vital signals via a communication network characterised by features of the telemetry system
- A61B5/002—Monitoring the patient using a local or closed circuit, e.g. in a room or building
-
- G—PHYSICS
- G01—MEASURING; TESTING
- G01N—INVESTIGATING OR ANALYSING MATERIALS BY DETERMINING THEIR CHEMICAL OR PHYSICAL PROPERTIES
- G01N27/00—Investigating or analysing materials by the use of electric, electrochemical, or magnetic means
- G01N27/26—Investigating or analysing materials by the use of electric, electrochemical, or magnetic means by investigating electrochemical variables; by using electrolysis or electrophoresis
- G01N27/28—Electrolytic cell components
- G01N27/30—Electrodes, e.g. test electrodes; Half-cells
- G01N27/327—Biochemical electrodes, e.g. electrical or mechanical details for in vitro measurements
- G01N27/3275—Sensing specific biomolecules, e.g. nucleic acid strands, based on an electrode surface reaction
Definitions
- the subject matter disclosed herein relates to devices for measuring a biological analyte in a host and to components of such devices.
- Electrochemical sensors are useful for determining the presence or concentration of a biological analyte, such as blood glucose. Such sensors are effective, for example, at monitoring glucose in diabetic patients and lactate during critical care events.
- Biomaterial-associated inflammation is the inflammation caused by implantation of foreign materials into the body.
- Biomaterial-associated inflammation is the result of a dynamic microenvironment around an implanted device, which includes the initial injury, neutrophil and macrophage recruitment, foreign body giant cell (FBGC) response, neovascularization, fibroblast recruitment, and downstream fibrosis.
- FBGC foreign body giant cell
- the formation of a barrier cell layer around the implanted device can result in impaired tissue integration.
- biomaterial-associated inflammation can impair analyte transport from tissues to the sensor surface, whether by creating a diffusion barrier or active consumption of analytes.
- the FBGC response to implantable materials results in fibrous capsule formation that impedes sensor function through the modulation of glucose diffusion through dense fibrotic “scar-tissue” layers.
- Other constituents of the biomaterial-associated inflammatory cascade such as inflammatory cytokines and other small molecules, sometimes act as interferents to sensor performance. These interferents can cause sensor inaccuracy due to the constant change in transport properties at the sensor/tissue interface.
- biomaterial-associated inflammatory cascade involving inflammatory and wound healing cells; these cells that can be activated by implanted materials can actively consume glucose and produce H 2 O 2 , which can also lead to sensor inaccuracy. Reduction in biomaterial-associated inflammation is thus important in creating long-term, stable, implantable sensors and devices.
- methods and compositions that can reduce inaccuracies in an implanted sensor that can be caused by biomaterial-associated inflammation.
- methods and compositions that can increase the longevity of an implanted device. The methods and compositions disclosed herein address these and other needs.
- the disclosed subject matter in one aspect, relates to compounds, compositions and methods of making and using compounds and compositions, and devices containing compounds and compositions.
- a device for determining an analyte concentration (e.g., glucose), the device comprising: a sensor configured to generate a signal associated with a concentration of an analyte and a sensing membrane located over the sensor.
- the sensing membrane comprises a biointerface layer which interfaces with a biological fluid containing the analyte to be measured.
- the biointerface layer comprises a biointerface polymer, wherein the biointerface polymer may comprise polyurethane and/or polyurea segments and one or more zwitterionic repeating units.
- a biointerface layer increases sensor longevity and decrease sensor inaccuracy by inhibiting accumulation of cells, proteins, and other biological species on the outermost layers of the sensor. Early attenuation of these events in the biomaterial-associated inflammation cascade can lessen the overall severity of the response, and therefore the sensor inaccuracy in vivo can be reduced.
- the sensing membrane further comprises an enzyme domain comprising an enzyme selected from the group consisting of glucose oxidase, glucose dehydrogenase, galactose oxidase, cholesterol oxidase, amino acid oxidase, alcohol oxidase, lactate oxidase, and uricase.
- the enzyme is glucose oxidase.
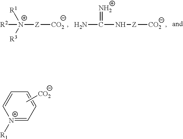
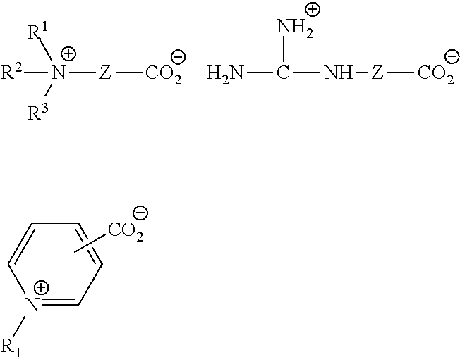
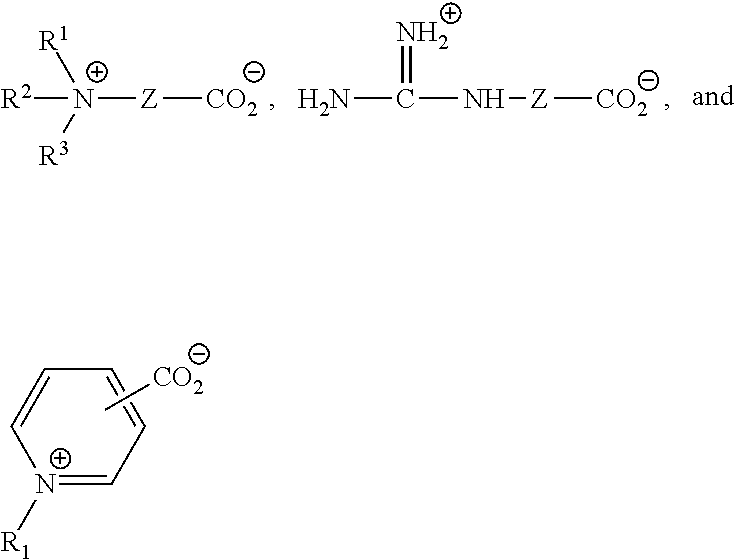
- the one or more zwitterionic repeating units comprise a betaine compound or derivative thereof. In examples of devices of this aspect, the one or more zwitterionic repeating units comprise a betaine compound or precursor thereof.
- the one or more zwitterionic repeating units comprise at least one moiety selected from the group consisting of a carboxyl betaine, a sulfo betaine, a phosphor betaine, and derivatives thereof.
- the one or more zwitterionic repeating units are derived from a monomer selected from the group consisting of:
- the one or more zwitterionic repeating units are derived from a monomer selected from the group consisting of:
- the one or more zwitterionic repeating units are derived from a monomer selected from the group consisting of:
- the polymerization group is selected from alkene, alkyne, epoxide, lactone, amine, hydroxyl, isocyanate, carboxylic acid, anhydride, silane, halide, aldehyde, and carbodiimide.
- the one or more zwitterionic repeating units is at least about 1 wt. % based on the total weight of the polymer.
- the polyurethane and/or polyurea segments are from about 15 wt. % to about 75 wt. %, based on the total weight of the polymer.
- the biointerface polymer further comprises at least one segment selected from the group consisting of epoxides, polyolefins, polysiloxanes, polyamide, polystylene, polyacrylate, polyethers, polyesters, and polycarbonates.
- the biointerface polymer further comprises a polyethylene oxide segment, which in some examples is from about 5 wt. % to about 60 wt. %, based on the total weight of the biointerface polymer.
- the biointerface polymer has a molecular weight of from about 10 kDa to about 500,000 kDa, a polydispersity index of from about 1.4 to about 3.5, and/or a contact angle of from about 20° to about 90°.
- a device where the biointerface layer further comprises one or more zwitterions selected from the group consisting of cocamidopropyl betaine, oleamidopropyl betaine, octyl sulfobetaine, caprylyl sulfobetaine, lauryl sulfobetaine, myristyl sulfobetaine, palmityl sulfobetaine, stearyl sulfobetaine, betaine (trimethylglycine), octyl betaine, phosphatidylcholine, glycine betaine, poly(carboxybetaine), poly(sulfobetaine), and derivatives thereof.
- zwitterions selected from the group consisting of cocamidopropyl betaine, oleamidopropyl betaine, octyl sulfobetaine, caprylyl sulfobetaine, lauryl sulfobetaine, myristy
- a device where the biointerface layer further comprises a pharmaceutical or bioactive agent.
- a device for determining an analyte concentration, the device comprising: a sensor configured to generate a signal associated with a concentration of an analyte and a sensing membrane located over the sensor.
- the sensing membrane comprises a biointerface layer which interfaces with a biological fluid containing the analyte to be measured.
- the biointerface domain comprises a biointerface polymer, wherein the biointerface polymer comprises a polymer chain having both hydrophilic and hydrophobic regions and wherein the hydrophilic regions comprise a liner polymer chain having hydrophilic oligomers bound thereto and where the linear polymer is grafted to the biointerface polymer.
- a device for determining an analyte concentration, the device comprising: a sensor configured to generate a signal associated with a concentration of an analyte and a sensing membrane located over the sensor.
- the sensing membrane comprises a biointerface layer which interfaces with a biological fluid containing the analyte to be measured.
- the biointerface layer comprises a biointerface polymer, wherein the biointerface polymer comprises a fluorescent moiety covalently bonded to the biointerface polymer.
- a device for determining an analyte concentration, the device comprising: a sensor configured to generate a signal associated with a concentration of an analyte and a sensing membrane located over the sensor.
- the sensing membrane comprises a biointerface layer which interfaces with a biological fluid containing the analyte to be measured.
- the biointerface layer comprises a base polymer and a surface modifying polymer, wherein the surface modifying polymer comprises a polymer chain having both hydrophilic and hydrophobic regions and wherein one or more zwitterionic compounds; and wherein the base polymer is selected from silicone, epoxide, polyolefin, polystylene, polyoxymethylene, polysiloxane, polyether, polyacrylic, polymethacrylic, polyester, polycarbonate, polyamide, poly(ether ketone), poly(ether imide), polyurethane, and polyurethane urea.
- the devices disclosed herein can be configured for continuous measurement of an analyte concentration.
- FIG. 1 is a schematic view of a continuous analyte sensor system attached to a host and communicating with other devices.
- FIGS. 2A-2C are cross-sectional views of a sensor illustrating various embodiments of the membrane system.
- FIG. 3A is a side view schematic illustrating an in vivo portion of a continuous analyte sensor, in one embodiment.
- FIG. 3B is a perspective view schematic illustrating an in vivo portion of a continuous analyte sensor, in one embodiment.
- FIG. 3C is a side view schematic illustrating an in vivo portion of a continuous analyte sensor, in one embodiment.
- FIG. 3D is a cross-sectional/side-view schematic illustrating an in vivo portion of a continuous analyte sensor, in one embodiment.
- FIG. 4 is a schematic showing certain embodiments of a biointerface polymer.
- FIG. 5 is a graph showing the T95 response (in seconds) of a continuous sensor without a biointerface layer (“no BL”) and one with a biointerface layer (“with BL”), as described herein. There is no significant difference in T95 response times between the sensors.
- FIG. 6 is a graph showing the time lag from continuous glucose sensors without a biointerface layer (“RL”) and with biointerface layer SBL-3 or X-SBL-9 in a pig model.
- Polymers SBL-3 is from Table 1.
- Polymer X-SBL-9 is from Table 1 but crosslinked.
- FIG. 7 is a graph showing the calibration check performance of continuous glucose sensors with and without a biointerface layer (SBL-8 with 10% crosslinking). The biointerface layer did not significantly affect the bench performance of the sensor.
- FIG. 8 is a group of photographs of sensors coated with three different biointerface layers.
- SBL-8 and SBL-10 are polymers from Table 1.
- SBL8/10 is a 50/50 wt. % blend of polymers SBL-8 and SBL-10.
- hydrophilicity of the biointerface layer increases (as referenced by the percentage of the polyethylene oxide in the polymer), the mechanical strength decreases. The decrease in mechanical strength is evident by the small dark areas, which indicate compromises in the layer.
- FIG. 9 is a graph of the hydrophobicity of various biointerface layers as measured by the amount of water uptake.
- SBL-3 is from Table 1.
- X-SBL-8 is polymer SBL-8 from Table 1 crosslinked.
- X-SBL-9 is polymer SBL-9 from Table 1 crosslinked.
- X-SBL-10 is polymer SBL-10 from Table 1 crosslinked.
- X-CBL-3 is polymer SBL-3 from Table 1 where the sulfobetaines are replaced with carboxyl betaines and crosslinked.
- X-CBL-8 is polymer SBL-8 from Table 1 where the sulfobetaines are replaced with carboxyl betaines and crosslinked.
- FIG. 10A is a graph of water absorption rate and tensile strength data for crosslinked (X-SBL-8) and uncrosslinked (SBL-8) biointerface polymer. The data show that crosslinking results in faster water absorption and equilibration.
- FIG. 10B is a graph of tensile strength data for crosslinked (X-SBL-8) and uncrosslinked (SBL-8) biointerface polymer. The data show that crosslinking increases the tensile strength.
- FIG. 11 is a graph of crosslinking reaction kinetics as measured by FT-IR. The crosslinking reaction was done on polymer SBL-10 using different isocyanate-based crosslinkers.
- FIG. 12 is a diagram illustrating possible mechanism for the antifouling characteristics of a biointerface polymer layer.
- FIG. 13 contains data for XPS studies on polymer SBL-3, SBL-10 dry, and SBL-10 soaked.
- the data show that there is no preferential migration of betaine to the surface of the biointerface layer when the sensor is soaked in water (supported by comparing the element S atom ratio of SBL-10 coated dry sensor and SBL-10 coated sensor soaked).
- the XPS data also indicate sulfobetaine groups appear on the surface of sensor tips with both SBL-3 and SBL-10 coated sensors (supported by observing element S on the sensor tips).
- the increased amount of S atom detected on the surface of BL-10 sample as compared to BL-3 sample is the result of the increased loading of sulfo betaine in the polymer backbone.
- FIG. 14 is a diagram illustrating a biointerface layer made of densely packed hydrophilic brushes.
- the biointerface layer is grafted onto surface functional groups in an adjacent layer (e.g., resistance layer).
- FIG. 15 contains a chemical structure for a biointerface layer using hydrophobic hyperbranched fluoropolymer (HBFP)-rich domains and hydrophilic PEG domains.
- HBFP hyperbranched fluoropolymer
- FIG. 16 is a pair of photographs showing a dry sensor coated with a biointerface layer and the same sensor after a 3-minute soak in phosphate buffer solution.
- the images show the biointerface layer swells (from 50 to 400%) after the soak, which indicates that the biointerface layer can be beneficial for excluding inflammatory cytokines from the implantation site.
- FIG. 17 is a diagram illustrating the use of additional functionality on the biointerface layer. This functionality can be used to attach, e.g., via click chemistry, antifouling reagents or proteins.
- FIG. 18 is a graph showing the contact angle of various biointerface layers from Table 1. The variation of contact angle indicates that the wettability of the biointerface layer can be tuned by varying the amounts of hydrophobic and/or hydrophilic segments.
- FIG. 19 is a graph showing the amount of protein (bovine serum albumin (BSA) or fibrinogen) absorption on different biointerface layers.
- the reference layer (RL) does not contain a biointerface polymer. Biointerface layers where a betaine is within the main polymer chain are compared with layers where the betaine is only at the ends of the polymer chain.
- FIG. 20 is a graph showing the protein adsorption via the QCM method on various sensors without biointerface polymers and those with biointerface polymers.
- a silicone polycarbonate urethane layer corresponds to RL-1 and a silicone-free polycarbonate urethane corresponds to RL-2.
- Biointerface layers SBL-1, SBL-3, and SBL-10 are from Table 1. As is seen when compared to sensors without a biointerface layer, the amount of protein adsorption is significantly less.
- FIG. 21 is a graph of protein adsorption using an on-sensor micro-BCA method.
- the sensor without the biointerface layer (RL-1) had significantly more protein than sensors coated with biointerface layers SBL-3 and SBL-10.
- FIG. 22 is a graph of protein adsorption using a dye-labeled protein adsorption screening method.
- Sensors with a layer lacking betaines (RL-7 from Table 1) and control sensors without a biointerface layer (RL-1 and RL-2) showed significantly more protein adsorption than SBL-3, crosslinked versions of SBL-10, SBL-8, and SBL-9 (XSBL-10, XSBL-8, and XSBL-9, respectively), and crosslinked and uncrosslinked versions of SBL-3 with carboxylbetains instead of sulfobetaines (XCBL-3 and CBL-3, respectively).
- FIG. 23 is a graph showing the fibrous capsule thickness of a sensor with (“BL”) and without (“No BL”) a biointerface layer.
- the biointerface polymer in the BL was SBL-3 from Table 1. The reduction in fibrous capsule thickness when using a biointerface layers is significant.
- FIG. 24 is a group of photographs showing stability of a sensor coated with a biointerface layer.
- the stable explant was coated with SBL-8 and the unstable explant was coated with SBL-10.
- the dark areas indicate compromises in the layer.
- FIGS. 25A-D comprise a group of graphs showing the raw counts from various sensors at 2 days and 14 days post implant.
- the sensor without the biointerface layer (“No BL”) the spread of data points is more pronounced at day 14 than at day 2, indicating a shift raw counts that is due to biofouling.
- the sensor with the biointerface layer (“with BL”) had very little spread of data points at 14 days; it was similar to the spread at day 2, indicating that there was less biofouling.
- FIG. 26A is a schematic view of a portion of one embodiment of an interference domain that comprises a plurality of polycationic and polyanionic layers.
- FIG. 26B illustrates one embodiment of a layer-by-layer deposition method, which employs alternating adsorption of polycations and polyanions to create a structure illustrated in FIG. 26A .
- FIG. 27 is a graph of the 95% confidence interval for nominal noise for sensors coated with CBL-8 and SBL3.
- FIG. 28 is a graph of ultimate tensile strength of SBL-3 and CBL-8, with a resistance layer as the control (RL) (i.e., a membrane in which there was no biointerface layer and the resistance layer formed the outermost layer).
- RL control
- FIG. 29 is a graph of tensile strain at maximum load of SBL-3 and CBL-8, with a resistance layer as the control (RL).
- FIG. 30 is a graph of Young's modulus at 100% extension of SBL-3 and CBL-8, with a resistance layer as the control (RL).
- FIG. 31 contains images of the skive regions of sensors with BSA-488 incubated on various polymer surfaces after 1 hour.
- FIG. 32 is a graph of normalized protein adsorption based on ImageJ quantification of fluorescence intensity in skive region of sensor.
- FIG. 33 is a schematic of a biointerface layer with Factor H covalently linked thereto through a linker.
- analyte as used herein is a broad term, and is to be given its ordinary and customary meaning to a person of ordinary skill in the art (and is not to be limited to a special or customized meaning), and refers without limitation to a substance or chemical constituent in a biological fluid (e.g., blood, interstitial fluid, cerebral spinal fluid, lymph fluid, urine, sweat, saliva, etc.) that can be analyzed.
- a biological fluid e.g., blood, interstitial fluid, cerebral spinal fluid, lymph fluid, urine, sweat, saliva, etc.
- Analytes can include naturally occurring substances, artificial substances, metabolites, or reaction products.
- the analyte for measurement by the sensing regions, devices, and methods is glucose.
- analytes are contemplated as well, including, but not limited to: acarboxyprothrombin; acylcamitine; adenine phosphoribosyl transferase; adenosine deaminase; albumin; ⁇ -fetoprotein; amino acid profiles (arginine (Krebs cycle), histidine/urocanic acid, homocysteine, phenylalanine/tyrosine, tryptophan); andrenostenedione; antipyrine; arabinitol enantiomers; arginase; benzoylecgonine (cocaine); biotinidase; biopterin; c-reactive protein; camitine; camosinase; CD4; ceruloplasmin; chenodeoxycholic acid; chloroquine; cholesterol; cholinesterase; conjugated 1-13 hydroxy-cholic acid; cortisol; creatine kinase; creatine kinase; creat
- Salts, sugar, protein, fat, vitamins, and hormones naturally occurring in blood or interstitial fluids can also constitute analytes in certain embodiments.
- the analyte can be naturally present in the biological fluid or endogenous, for example, a metabolic product, a hormone, an antigen, an antibody, and the like.
- the analyte can be introduced into the body or exogenous, for example, a contrast agent for imaging, a radioisotope, a chemical agent, a fluorocarbon-based synthetic blood, or a drug or pharmaceutical composition, including but not limited to: insulin; ethanol; cannabis (marijuana, tetrahydrocannabinol, hashish); inhalants (nitrous oxide, amyl nitrite, butyl nitrite, chlorohydrocarbons, hydrocarbons); cocaine (crack cocaine); stimulants (amphetamines, methamphetamines, Ritalin, Cylert, Preludin, Didrex, PreState, Voranil, Sandrex, Plegine); depressants (barbiturates, methaqualone, tranquilizers such as Valium, Librium, Miltown, Serax, Equanil, Tranxene); hallucinogens (phencyclidine, lysergic acid, mescaline, peyo
- Analytes such as neurochemicals and other chemicals generated within the body can also be analyzed, such as, for example, ascorbic acid, uric acid, dopamine, noradrenaline, 3-methoxytyramine (3MT), 3,4-dihydroxyphenylacetic acid (DOPAC), homovanillic acid (HVA), 5-hydroxytryptamine (5HT), and 5-hydroxyindoleacetic acid (FHIAA).
- baseline is a broad term, and is to be given its ordinary and customary meaning to a person of ordinary skill in the art (and is not to be limited to a special or customized meaning), and refers without limitation to the component of an analyte sensor signal that is not related to the analyte concentration.
- the baseline is composed substantially of signal contribution due to factors other than glucose (for example, interfering species, non-reaction-related hydrogen peroxide, or other electroactive species with an oxidation potential that overlaps with hydrogen peroxide).
- continuous (or continual) analyte sensing is a broad term, and is to be given its ordinary and customary meaning to a person of ordinary skill in the art (and is not to be limited to a special or customized meaning), and refers without limitation to the period in which monitoring of analyte concentration is continuously, continually, and or intermittently (but regularly) performed, for example, about every 5 to 10 minutes.
- counts is a broad term, and is to be given its ordinary and customary meaning to a person of ordinary skill in the art (and is not to be limited to a special or customized meaning), and refers without limitation to a unit of measurement of a digital signal.
- a raw data stream measured in counts is directly related to a voltage (for example, converted by an A/D converter), which is directly related to current from the working electrode.
- counter electrode voltage measured in counts is directly related to a voltage.
- dipole or “dipolar compound” as used herein is a broad term, and is to be given its ordinary and customary meaning to a person of ordinary skill in the art (and is not to be limited to a special or customized meaning), and refer without limitation to compounds in which a neutral molecule of the compound has a positive and negative electrical charge at different locations within the molecule.
- the positive and negative electrical charges within the molecule can be any non-zero charges up to and including full unit charges.
- a sensor includes a membrane system having a biointerface domain and an enzyme domain. If the sensor is deemed to be the point of reference and the biointerface domain is positioned farther from the sensor than the enzyme domain, then the biointerface domain is more distal to the sensor than the enzyme domain.
- domain is a broad term, and is to be given its ordinary and customary meaning to a person of ordinary skill in the art (and is not to be limited to a special or customized meaning), and refers without limitation to regions of a membrane that can be layers, uniform or non-uniform gradients (i.e., anisotropic) or provided as portions of the membrane.
- electrical potential is a broad term, and is to be given its ordinary and customary meaning to a person of ordinary skill in the art (and is not to be limited to a special or customized meaning), and refers without limitation to the electrical potential difference between two points in a circuit which is the cause of the flow of a current.
- electrochemically reactive surface and “electroactive surface” as used herein are broad terms, and are to be given their ordinary and customary meaning to a person of ordinary skill in the art (and are not to be limited to a special or customized meaning), and refer without limitation to the surface of an electrode where an electrochemical reaction takes place.
- H 2 O 2 hydrogen peroxide
- glucose oxidase produces H 2 O 2 as a byproduct.
- the H 2 O 2 reacts with the surface of the working electrode to produce two protons (2H + ), two electrons (2e ⁇ ), and one molecule of oxygen (O 2 ), which produces the electric current being detected.
- a reducible species for example, O 2 is reduced at the electrode surface in order to balance the current being generated by the working electrode.
- a host as used herein is a broad term, and is to be given its ordinary and customary meaning to a person of ordinary skill in the art (and is not to be limited to a special or customized meaning), and refers without limitation to animals (e.g., humans) and plants.
- a host can include domesticated animals (e.g., cats, dogs, etc.), livestock (e.g., cattle, horses, pigs, sheep, goats, etc.), laboratory animals (e.g., mouse, rabbit, rat, guinea pig, etc.), and birds.
- a host can include a mammal, such as a primate or a human.
- interferents and “interfering species” as used herein are broad terms, and are to be given their ordinary and customary meaning to a person of ordinary skill in the art (and are not to be limited to a special or customized meaning), and refer without limitation to effects or species that interfere with the measurement of an analyte of interest in a sensor to produce a signal that does not accurately represent the analyte measurement.
- interfering species can include compounds with an oxidation potential that overlaps with that of the analyte to be measured.
- non-zwitterionic dipole and “non-zwitterionic dipolar compound” as used herein are broad terms, and are to be given their ordinary and customary meaning to a person of ordinary skill in the art (and is not to be limited to a special or customized meaning), and refer without limitation to compounds in which a neutral molecule of the compound have a positive and negative electrical charge at different locations within the molecule.
- the positive and negative electrical charges within the molecule can be any non-zero, but less than full unit, charges.
- operable connection is broad terms, and are to be given their ordinary and customary meaning to a person of ordinary skill in the art (and are not to be limited to a special or customized meaning), and refer without limitation to one or more components linked to another component(s) in a manner that allows transmission of signals between the components.
- one or more electrodes can be used to detect the amount of analyte in a sample and convert that information into a signal; the signal can then be transmitted to a circuit.
- the electrode is “operably linked” to the electronic circuitry.
- polyampholytic polymer as used herein is a broad term, and is to be given its ordinary and customary meaning to a person of ordinary skill in the art (and is not to be limited to a special or customized meaning), and refers without limitation to polymers comprising both cationic and anionic groups.
- Such polymers can be prepared to have about equal numbers of positive and negative charges, and thus the surface of such polymers can be about net neutrally charged.
- such polymers can be prepared to have an excess of either positive or negative charges, and thus the surface of such polymers can be net positively or negatively charged, respectively.
- polyzwitterions as used herein is a broad term, and is to be given its ordinary and customary meaning to a person of ordinary skill in the art (and is not to be limited to a special or customized meaning), and refers without limitation to polymers where a repeating unit of the polymer chain is a zwitterionic moiety. Polyzwitterions are also known as polybetaines. Since polyzwitterions have both cationic and anionic groups, they are a type of polyampholytic polymer.
- polyzwitterion has the same number of cationic groups and anionic groups whereas other polyampholytic polymers can have more of one ionic group than the other.
- polyzwitterions have the cationic group and anionic group as part of a repeating unit.
- Polyampholytic polymers need not have cationic groups connected to anionic groups, they can be on different repeating units and thus may be distributed apart from one another at random intervals, or one ionic group may outnumber the other.
- proximal to is a broad term, and is to be given its ordinary and customary meaning to a person of ordinary skill in the art (and is not to be limited to a special or customized meaning), and refers without limitation to the spatial relationship between various elements in comparison to a particular point of reference.
- some embodiments of a device include a membrane system having a biointerface layer and an enzyme layer. If the sensor is deemed to be the point of reference and the enzyme layer is positioned nearer to the sensor than the biointerface layer, then the enzyme layer is more proximal to the sensor than the biointerface layer.
- raw data stream and “data stream” as used herein are broad terms, and are to be given their ordinary and customary meaning to a person of ordinary skill in the art (and are not to be limited to a special or customized meaning), and refer without limitation to an analog or digital signal directly related to the measured glucose concentration from the glucose sensor.
- the raw data stream is digital data in “counts” converted by an A/D converter from an analog signal (for example, voltage or amps) representative of a glucose concentration.
- the terms broadly encompass a plurality of time spaced data points from a substantially continuous glucose sensor, which comprises individual measurements taken at time intervals ranging from fractions of a second up to, for example, 1, 2, or 5 minutes or longer.
- sensing membrane and “membrane system” as used herein are broad terms, and are to be given their ordinary and customary meaning to a person of ordinary skill in the art (and are not to be limited to a special or customized meaning), and refers without limitation to a permeable or semi-permeable membrane that can comprise one or more domains or layers and constructed of materials of a few ⁇ m thickness or more, which are permeable to oxygen and may or may not be permeable to an analyte of interest.
- the sensing membrane or membrane system can comprise an immobilized glucose oxidase enzyme, which allows an electrochemical reaction to occur to measure a concentration of glucose.
- sensing region is broad terms, and are to be given their ordinary and customary meaning to a person of ordinary skill in the art (and are not to be limited to a special or customized meaning), and refer without limitation to the region or mechanism of a monitoring device responsible for the detection of a particular analyte.
- sensitivity is a broad term, and is to be given its ordinary and customary meaning to a person of ordinary skill in the art (and is not to be limited to a special or customized meaning), and refers without limitation to an amount of signal (e.g., in the form of electrical current and/or voltage) produced by a predetermined amount (unit) of the measured analyte.
- a sensor has a sensitivity (or slope) of from about 1 to about 100 picoAmps of current for every 1 mg/dL of glucose analyte.
- zwitterion and zwitterionic compound as used herein are broad terms, and are to be given their ordinary and customary meaning to a person of ordinary skill in the art (and is not to be limited to a special or customized meaning), and refer without limitation to compounds in which a neutral molecule of the compound has a unit positive and unit negative electrical charge at different locations within the molecule. Such compounds are a type of dipolar compounds, and are also sometimes referred to as “inner salts.”
- zwitterion precursor or “zwitterionic compound precursor” as used herein are broad terms, and are to be given their ordinary and customary meaning to a person of ordinary skill in the art (and is not to be limited to a special or customized meaning), and refer without limitation to any compound that is not itself a zwitterion, but can become a zwitterion in a final or transition state through chemical reaction.
- devices comprise zwitterion precursors that can be converted to zwitterions prior to in vivo implantation of the device.
- devices comprise zwitterion precursors that can be converted to zwitterions by some chemical reaction that occurs after in vivo implantation of the device.
- Such reactions are known to the skilled in art and include ring opening reaction, addition reaction such as Michael addition. This method is especially useful when the polymerization of betaine containing monomer is difficult due to technical challenges such as solubility of betaine monomer to achieve desired physical properties such as molecular weight and mechanical strength.
- Post-polymerization modification or conversion of betaine precursor can be a practical way to achieve desired polymer structure and composition. Examples of such as precursors include tertiary amines, quaternary amines, pyridines, and others detailed herein.
- zwitterion derivative or “zwitterionic compound derivative” as used herein are broad terms, and are to be given their ordinary and customary meaning to a person of ordinary skill in the art (and is not to be limited to a special or customized meaning), and refer without limitation to any compound that is not itself a zwitterion, but rather is the product of a chemical reaction where a zwitterion is converted to a non-zwitterion. Such reactions can be reversible, such that under certain conditions zwitterion derivatives can act as zwitterion precursors.
- hydrolyzable betaine esters formed from zwitterionic betaines are cationic zwitterion derivatives that under the appropriate conditions are capable of undergoing hydrolysis to revert to zwitterionic betaines.
- Eq and Eqs (equivalents); mEq (milliequivalents); M (molar); mM (millimolar) ⁇ M (micromolar); N (Normal); mol (moles); mmol (millimoles); tmol (micromoles); nmol (nanomoles); g (grams); mg (milligrams); ⁇ g (micrograms); Kg (kilograms); L (liters); mL (milliliters); dL (deciliters); ⁇ L (microliters); cm (centimeters); mm (millimeters); ⁇ m (micrometers); nm (nanometers); h and hr (hours); min (minutes); s and sec (seconds); ° C. (degrees Centigrade).
- FIG. 1 is a schematic of a continuous analyte sensor system 100 attached to a host and communicating with a number of other example devices 110 - 113 .
- a transcutaneous analyte sensor system comprising an on-skin sensor assembly 600 is shown which is fastened to the skin of a host via a disposable housing (not shown).
- the system includes a transcutaneous analyte sensor 200 and an electronics unit (referred to interchangeably as “sensor electronics” or “transmitter”) 500 for wirelessly transmitting analyte information to a receiver.
- sensor electronics referred to interchangeably as “sensor electronics” or “transmitter”
- a sensing portion of the sensor 200 is under the host's skin and a contact portion of the sensor 200 is operatively connected (e.g., electrically connected) to the electronics unit 500 .
- the electronics unit 500 is engaged with a housing which is attached to an adhesive patch fastened to the skin of the host.
- the on-skin sensor assembly 600 may be attached to the host with use of an applicator adapted to provide convenient and secure application. Such an applicator may also be used for inserting the sensor 200 through the host's skin. Once the sensor 200 has been inserted, the applicator detaches from the sensor assembly.
- the continuous analyte sensor system 100 includes any sensor configuration that provides an output signal indicative of a concentration of an analyte.
- the output signal including e.g., sensor data, such as a raw data stream, filtered data, smoothed data, and/or otherwise transformed sensor data
- receiver which may be e.g., a smart phone, smart watch, dedicated device and the like.
- the analyte sensor system 100 includes a transcutaneous glucose sensor, such as is described in US Patent Publication No. US-2011-0027127-A1, the contents of which is hereby incorporated by reference in its entirety.
- the sensor system 100 includes a continuous glucose sensor and comprises a transcutaneous sensor such as described in U.S. Pat. No.
- the sensor system 100 includes a continuous glucose sensor and comprises a subcutaneous sensor such as described with reference to U.S. Pat. No. 6,579,690 to Bonnecaze et al. or U.S. Pat. No. 6,484,046 to Say et al., for example.
- the sensor system 100 includes a continuous glucose sensor and comprises a subcutaneous sensor such as described with reference to U.S. Pat. No. 6,512,939 to Colvin et al.
- the sensor system 100 includes a continuous glucose sensor and comprises an intravascular sensor such as described with reference to U.S. Pat. No. 6,477,395 to Schulman et al., for example.
- the sensor system 100 includes a continuous glucose sensor and comprises an intravascular sensor such as described with reference to U.S. Pat. No. 6,424,847 to Mastrototaro et al.
- an intravascular sensor such as described with reference to U.S. Pat. No. 6,424,847 to Mastrototaro et al.
- Other signal processing techniques and glucose monitoring system embodiments suitable for use with the embodiments described herein are described in U.S. Patent Publication No. US-2005-0203360-A1 and U.S. Patent Publication No. US-2009-0192745-A1, the contents of which are hereby incorporated by reference in their entireties.
- the sensor extends through a housing, which maintains the sensor on the skin and provides for electrical connection of the sensor to sensor electronics, provided in the electronics unit.
- the senor is formed from a wire or is in a form of a wire.
- the sensor can include an elongated conductive body, such as a bare elongated conductive core (e.g., a metal wire) or an elongated conductive core coated with one, two, three, four, five, or more layers of material, each of which may or may not be conductive.
- the elongated sensor may be long and thin, yet flexible and strong.
- the smallest dimension of the elongated conductive body is less than about 0.1 inches (0.3 cm), less than about 0.075 inches (0.20 cm), less than about 0.05 inches (0.13 cm), less than about 0.025 inches (0.06 cm), less than about 0.01 inches (0.03 cm), less than about 0.004 inches (0.01 cm), or less than about 0.002 inches (0.005 cm).
- the sensor may have a circular cross-section.
- the cross-section of the elongated conductive body can be ovoid, rectangular, triangular, polyhedral, star-shaped, C-shaped, T-shaped, X-shaped, Y-Shaped, irregular, or the like.
- a conductive wire electrode is employed as a core.
- one or two additional conducting layers may be added (e.g., with intervening insulating layers provided for electrical isolation).
- the conductive layers can be comprised of any suitable material.
- the materials used to form the elongated conductive body can be strong and hard, and therefore are resistant to breakage.
- the ultimate tensile strength of the elongated conductive body is from about 80 kPsi to about 500 kPsi.
- the Young's modulus of the elongated conductive body is from about 160 GPa to about 220 GPa.
- the yield strength of the elongated conductive body is from about 60 kPsi to about 2200 kPsi.
- the sensor's small diameter provides (e.g., imparts, enables) flexibility to these materials, and therefore to the sensor as a whole. Thus, the sensor can withstand repeated forces applied to it by surrounding tissue.
- the core (or a component thereof) provides electrical conduction for an electrical signal from the working electrode to sensor electronics (not shown).
- the core comprises a conductive material, such as stainless steel, titanium, tantalum, a conductive polymer, and/or the like.
- the core is formed from a non-conductive material, such as a non-conductive polymer.
- the core comprises a plurality of layers of materials.
- the core includes an inner core and an outer core.
- the inner core is formed of a first conductive material and the outer core is formed of a second conductive material.
- the first conductive material is stainless steel, titanium, tantalum, a conductive polymer, an alloy, and/or the like
- the second conductive material is conductive material selected to provide electrical conduction between the core and the first layer, and/or to attach the first layer to the core (e.g., if the first layer is formed of a material that does not attach well to the core material).
- the core is formed of a non-conductive material (e.g., a non-conductive metal and/or a non-conductive polymer) and the first layer is a conductive material, such as stainless steel, titanium, tantalum, a conductive polymer, and/or the like.
- the core and the first layer can be of a single (or same) material, e.g., platinum.
- the electronics unit 500 is releasably attachable to the sensor 200 .
- the electronics unit 500 includes electronic circuitry associated with measuring and processing the continuous analyte sensor data, and is configured to perform algorithms associated with processing and calibration of the sensor data.
- the electronics unit 500 can provide various aspects of the functionality of a sensor electronics module as described in U.S. Patent Publication No. US-2009-0240120-A1 and U.S. patent application Ser. No. 13/247,856 filed Sep. 28, 2011 and entitled “ADVANCED CONTINUOUS ANALYTE MONITORING SYSTEM,” the contents of which are hereby incorporated by reference in their entireties.
- the electronics unit 500 may include hardware, firmware, and/or software that enable measurement of levels of the analyte via a glucose sensor, such as an analyte sensor 200 .
- the electronics unit 500 can include a potentiostat, a power source for providing power to the sensor 200 , other components useful for signal processing and data storage, and preferably a telemetry module for one- or two-way data communication between the electronics unit 500 and one or more receivers, repeaters, and/or display devices, such as devices 110 - 113 .
- Electronics can be affixed to a printed circuit board (PCB), or the like, and can take a variety of forms.
- PCB printed circuit board
- the electronics can take the form of an integrated circuit (IC), such as an Application-Specific Integrated Circuit (ASIC), a microcontroller, and/or a processor.
- the electronics unit 500 may include sensor electronics that are configured to process sensor information, such as storing data, analyzing data streams, calibrating analyte sensor data, estimating analyte values, comparing estimated analyte values with time corresponding measured analyte values, analyzing a variation of estimated analyte values, and the like. Examples of systems and methods for processing sensor analyte data are described in more detail herein and in U.S. Pat. No. 7,310,544, U.S. Pat. No. 6,931,327, U.S. Patent Publication No.
- One or more repeaters, receivers and/or display devices such as key fob repeater 110 , medical device receiver 111 (e.g., insulin delivery device and/or dedicated glucose sensor receiver), smart phone 112 , portable computer 113 , and the like are operatively linked to the electronics unit, which receive data from the electronics unit 500 , which is also referred to as the transmitter and/or sensor electronics body herein, and in some embodiments transmit data to the electronics unit 500 .
- the sensor data can be transmitted from the sensor electronics unit 500 to one or more of key fob repeater 110 , medical device receiver 111 , smart phone 112 , portable computer 113 , and the like.
- a display device includes an input module with a quartz crystal operably connected to an RF transceiver (not shown) that together function to transmit, receive and synchronize data streams from the electronics unit 500 .
- the input module can be configured in any manner that is capable of receiving data from the electronics unit 500 . Once received, the input module sends the data stream to a processor that processes the data stream, such as described in more detail below.
- the processor is the central control unit that performs the processing, such as storing data, analyzing data streams, calibrating analyte sensor data, estimating analyte values, comparing estimated analyte values with time corresponding measured analyte values, analyzing a variation of estimated analyte values, downloading data, and controlling the user interface by providing analyte values, prompts, messages, warnings, alarms, and the like.
- the processor includes hardware that performs the processing described herein, for example read-only memory (ROM) provides permanent or semi-permanent storage of data, storing data such as sensor ID (sensor identity), receiver ID (receiver identity), and programming to process data streams (for example, programming for performing estimation and other algorithms described elsewhere herein) and random access memory (RAM) stores the system's cache memory and is helpful in data processing.
- ROM read-only memory
- RAM random access memory
- An output module which may be integral with and/or operatively connected with the processor, includes programming for generating output based on the sensor data received from the electronics unit (and any processing that incurred in the processor).
- analyte values are displayed on a display device.
- prompts or messages can be displayed on the display device to convey information to the user, such as reference outlier values, requests for reference analyte values, therapy recommendations, deviation of the measured analyte values from the estimated analyte values, or the like. Additionally, prompts can be displayed to guide the user through calibration or trouble-shooting of the calibration.
- data output from the output module can provide wired or wireless, one- or two-way communication between the receiver and an external device.
- the external device can be any device that interfaces or communicates with the receiver.
- the external device is a computer, and the receiver is able to download current or historical data for retrospective analysis by a physician, for example.
- the external device is a modem, and the receiver is able to send alerts, warnings, emergency messages, or the like, via telecommunication lines to another party, such as a doctor or family member.
- the external device is an insulin pen, and the receiver is able to communicate therapy recommendations, such as insulin amount and time, to the insulin pen.
- the external device is an insulin pump, and the receiver is able to communicate therapy recommendations, such as insulin amount and time to the insulin pump.
- the external device can include other technology or medical devices, for example pacemakers, implanted analyte sensor patches, other infusion devices, telemetry devices, or the like.
- the receiver may communicate with the external device, and/or any number of additional devices, via any suitable communication protocol, including radio frequency, Bluetooth, universal serial bus, any of the wireless local area network (WLAN) communication standards, including the IEEE 802.11, 802.15, 802.20, 802.22 and other 802 communication protocols, ZigBee, wireless (e.g., cellular) telecommunication, paging network communication, magnetic induction, satellite data communication, GPRS, ANT, and/or a proprietary communication protocol.
- WLAN wireless local area network
- sensors constituted by one or more sensor wires.
- the sensors are not limited to such wire shaped or linear arrangements. Rather, the sensors may be implemented as planar sensors, volumetric sensors, point sensors, or in other shapes as will be understood given this description.
- Membrane systems disclosed herein are suitable for use with implantable devices in contact with a biological fluid.
- the membrane systems can be utilized with implantable devices, such as devices for monitoring and determining analyte levels in a biological fluid, for example, devices for monitoring glucose levels for individuals having diabetes.
- the analyte-measuring device is a continuous device.
- the analyte-measuring device can employ any suitable sensing element to provide the raw signal, including but not limited to those involving enzymatic, chemical, physical, electrochemical, spectrophotometric, polarimetric, calorimetric, radiometric, immunochemical, or like elements.
- membrane systems are not limited to use in devices that measure or monitor glucose.
- membrane systems are suitable for use in any of a variety of devices, including, for example, devices that detect and quantify other analytes present in biological fluids (e.g. cholesterol, amino acids, alcohol, galactose, and lactate), cell transplantation devices (see, for example, U.S. Pat. No. 6,015,572, U.S. Pat. No. 5,964,745, and U.S. Pat. No. 6,083,523), drug delivery devices (see, for example, U.S. Pat. No. 5,458,631, U.S. Pat. No. 5,820,589, and U.S. Pat. No. 5,972,369), and the like, which are incorporated herein by reference in their entireties for their teachings of membrane systems.
- biological fluids e.g. cholesterol, amino acids, alcohol, galactose, and lactate
- cell transplantation devices see, for example, U.S. Pat. No. 6,015,572, U.S
- the analyte-measuring device is an implantable glucose sensor, such as described with reference to U.S. Pat. No. 6,001,067 and U.S. Patent Publication No. US-2005-0027463-A1, which are incorporated herein by reference in their entireties.
- the analyte-measuring device is a glucose sensor, such as described with reference to U.S. Patent Publication No. US-2006-0020187-A1, which is incorporated herein by reference in its entirety.
- the sensor is configured to be implanted in a host vessel or extra-corporeally, such as is described in U.S. Patent Publication No. US-2007-0027385-A1, U.S.
- the senor is configured as a dual-electrode sensor, such as described in U.S. Patent Publication No. US-2005-0143635-A1, U.S. Patent Publication No. US-2007-0027385-A1, U.S. Patent Publication No. US-2007-0213611-A1, and U.S. Patent Publication No. US-2008-0083617-A1, which are incorporated herein by reference in their entirety.
- the continuous glucose sensor comprises a sensor such as described in U.S. Pat. No. 6,565,509 to Say et al., for example.
- the continuous glucose sensor comprises a subcutaneous sensor such as described with reference to U.S. Pat. No. 6,579,690 to Bonnecaze et al. or U.S. Pat. No. 6,484,046 to Say et al., for example.
- the continuous glucose sensor comprises a refillable subcutaneous sensor such as described with reference to U.S. Pat. No. 6,512,939 to Colvin et al., for example.
- the continuous glucose sensor comprises an intravascular sensor such as described with reference to U.S. Pat. No.
- the continuous glucose sensor comprises an intravascular sensor such as described with reference to U.S. Pat. No. 6,424,847 to Mastrototaro et al.
- the electrode system can be used with any of a variety of known in vivo analyte sensors or monitors, such as U.S. Pat. No. 7,157,528 to Ward; U.S. Pat. No. 6,212,416 to Ward et al.; U.S. Pat. No. 6,119,028 to Schulman et al.; U.S. Pat. No. 6,400,974 to Lesho; U.S. Pat. No.
- a long term sensor e.g., wholly implantable or intravascular
- a short term sensor e.g., one that is transcutaneous or intravascular
- a time period of from about a few hours to about 30 days including a time period of about 1, 2, 3, 4, 5, 6, 7, 8, 9, 10, 11, 12, 13, 14, 15, 16, 17, 18, 19, 20, 21, 22, 23, 24, 25, 26, 27, 28 or 29 days (e.g., a sensor session).
- a sensor session is a broad term and refers without limitation to the period of time the sensor is applied to (e.g., implanted in) the host or is being used to obtain sensor values.
- a sensor session extends from the time of sensor implantation (e.g., including insertion of the sensor into subcutaneous tissue and placing the sensor into fluid communication with a host's circulatory system) to the time when the sensor is removed.
- the membrane system includes a plurality of domains, for example, an electrode domain, an interference domain, an enzyme domain, a resistance domain, and a biointerface domain.
- the membrane system can be deposited on the exposed electroactive surfaces using known thin film techniques (for example, vapor deposition, spraying, electrodepositing, dipping, brush coating, film coating, drop-let coating, and the like). Addition steps may be applied following the membrane material deposition, for example, drying, annealing, and curing (for example, UV curing, thermal curing, moisture curing, radiation curing, and the like) to enhance certain properties such as mechanical properties, signal stability, and selectivity.
- known thin film techniques for example, vapor deposition, spraying, electrodepositing, dipping, brush coating, film coating, drop-let coating, and the like.
- Addition steps may be applied following the membrane material deposition, for example, drying, annealing, and curing (for example, UV curing, thermal curing, moisture curing, radiation curing, and the like) to enhance certain
- a biointerface layer having a “dry film” thickness of from about 0.05 ⁇ m, or less, to about 1, 2, 3, 4, 5, 6, 7, 8, 9, 10, 11, 12, 13, 14, 15, or 16 ⁇ m.
- “Dry film” thickness refers to the thickness of a cured film cast from a coating formulation by standard coating techniques.
- the biointerface layer is formed of a biointerface polymer, wherein the biointerface polymer comprises polyurethane and/or polyurea segments and one or more zwitterionic repeating units.
- the biointerface layer coatings are formed of a polyurethane urea having carboxyl betaine groups incorporated in the polymer and non-ionic hydrophilic polyethylene oxide segments, wherein the polyurethane urea polymer is dissolved in organic or non-organic solvent system according to a pre-determined coating formulation, and is crosslinked with an isocyanate crosslinker and cured at moderate temperature of about 50° C.
- the solvent system can be a single solvent or a mixture of solvents to aid the dissolution or dispersion of the polymer.
- the solvents can be the ones selected as the polymerization media or added after polymerization is completed.
- the solvents are preferably selected from the ones having lower boiling point to facilitate drying and lower in toxicity for implant applications. Examples of these solvent includes aliphatic ketone, ester, ether, alcohol, hydrocarbons, and the likes.
- the coating can be applied in a single step or multiple repeated steps of the chosen process such as dipping to build the desired thickness.
- the biointerface polymers are formed of a polyurethane urea having carboxylic acid groups and carboxyl betaine groups incorporated in the polymer and non-ionic hydrophilic polyethylene oxide segments, wherein the polyurethane urea polymer is dissolved in organic or non-organic solvent system in a coating formulation, and is crosslinked with an a carbodiimide (e.g., 1-ethyl-3-(3-dimethylaminopropyl)carbodiimide (EDC) and cured at moderate temperature of about 50° C.
- a carbodiimide e.g., 1-ethyl-3-(3-dimethylaminopropyl)carbodiimide (EDC)
- the biointerface layer coatings are formed of a polyurethane urea having sulfo betaine groups incorporated in the polymer and non-ionic hydrophilic polyethylene oxide segments, wherein the polyurethane urea polymer is dissolved in organic or non-organic solvent system according to a pre-determined coating formulation, and is crosslinked with an isocyanate crosslinker and cured at moderate temperature of about 50° C.
- the solvent system can be a single solvent or a mixture of solvents to aid the dissolution or dispersion of the polymer.
- the solvents can be the ones selected as the polymerization media or added after polymerization is completed.
- the solvents are preferably selected from the ones having lower boiling point to facilitate drying and lower in toxicity for implant applications.
- the coating can be applied in a single step or multiple repeated steps of the chosen process such as dipping to build the desired thickness.
- the biointerface polymers are formed of a polyurethane urea having unsaturated hydrocarbon groups and sulfo betaine groups incorporated in the polymer and non-ionic hydrophilic polyethylene oxide segments, wherein the polyurethane urea polymer is dissolved in organic or non-organic solvent system in a coating formulation, and is crosslinked in the presence of initiators with heat or irradiation including UV, LED light, electron beam, and the likes, and cured at moderate temperature of about 50° C.
- unsaturated hydrocarbon includes allyl groups, vinyl groups, acrylate, methacrylate, alkenes, alkynes, and the likes.
- FIG. 3A through 3C illustrate an embodiment of the in vivo portion of a continuous analyte sensor 400 , which includes an elongated conductive body 402 .
- the elongated conductive body 402 includes a core 410 (see FIG. 3B ) and a first layer 412 at least partially surrounding the core.
- the first layer includes a working electrode (for example, located in window 406 ) and a membrane 408 located over the working electrode.
- the core and first layer can be of a single material (such as, for example, platinum).
- the elongated conductive body is a composite of at least two materials, such as a composite of two conductive materials, or a composite of at least one conductive material and at least one non-conductive material.
- the elongated conductive body comprises a plurality of layers.
- additional layers can be included in some embodiments.
- the layers are coaxial.
- the elongated conductive body can be long and thin, yet flexible and strong.
- the smallest dimension of the elongated conductive body is less than about 0.1 inches, 0.075 inches, 0.05 inches, 0.025 inches, 0.01 inches, 0.004 inches, or 0.002 inches.
- the elongated conductive body is illustrated in FIGS. 3A through 3C as having a circular cross-section, in other embodiments the cross-section of the elongated conductive body can be ovoid, rectangular, triangular, polyhedral, star-shaped, C-shaped, T-shaped, X-shaped, Y-Shaped, irregular, or the like.
- a conductive wire electrode is employed as a core.
- the conductive layers can be comprised of any suitable material.
- the materials used to form the elongated conductive body can be strong and hard, and therefore are resistant to breakage.
- the sensor's small diameter provides flexibility to these materials, and therefore to the sensor as a whole. Thus, the sensor can withstand repeated forces applied to it by surrounding tissue.
- the core 410 provides electrical conduction for an electrical signal from the working electrode to sensor electronics (not shown).
- the core 410 comprises a conductive material, such as stainless steel, titanium, tantalum, a conductive polymer, and/or the like.
- the core is formed from a non-conductive material, such as a non-conductive polymer.
- the core comprises a plurality of layers of materials.
- the core includes an inner core and an outer core.
- the inner core is formed of a first conductive material and the outer core is formed of a second conductive material.
- the first conductive material is stainless steel, titanium, tantalum, a conductive polymer, an alloy, and/or the like
- the second conductive material is a conductive material selected to provide electrical conduction between the core and the first layer, and/or to attach the first layer to the core (that is, if the first layer is formed of a material that does not attach well to the core material).
- the core is formed of a non-conductive material (such as, for example, a non-conductive metal and/or a non-conductive polymer) and the first layer is formed of a conductive material, such as stainless steel, titanium, tantalum, a conductive polymer, and/or the like.
- the core and the first layer can be of a single (or same) material, such as platinum.
- the first layer 412 can be formed of a conductive material and the working electrode can be an exposed portion of the surface of the first layer 412 . Accordingly, the first layer 412 can be formed of a material configured to provide a suitable electroactive surface for the working electrode, a material such as, but not limited to, platinum, platinum-iridium, gold, palladium, iridium, graphite, carbon, a conductive polymer, an alloy and/or the like.
- a second layer 404 surrounds at least a portion of the first layer 412 , thereby defining the boundaries of the working electrode.
- the second layer 404 serves as an insulator and is formed of an insulating material, such as polyimide, polyurethane, parylene, or any other known insulating materials.
- the second layer is disposed on the first layer and configured such that the working electrode is exposed via window 406 .
- an elongated conductive body including the core, the first layer and the second layer, is provided.
- a portion of the second layer can be removed to form a window 406 , through which the electroactive surface of the working electrode (that is, the exposed surface of the first layer 412 ) is exposed.
- a portion of the second and (optionally) third layers can be removed to form the window 406 , thus exposing the working electrode. Removal of coating materials from one or more layers of the elongated conductive body (for example, to expose the electroactive surface of the working electrode) can be performed by hand, excimer lasing, chemical etching, laser ablation, grit-blasting, or the like.
- the sensor can further comprise a third layer 414 comprising a conductive material.
- the third layer 414 can comprise a reference electrode, which can be formed of a silver-containing material that is applied onto the second layer 404 (that is, the insulator).
- the elongated conductive body 402 can further comprise one or more intermediate layers (not shown) located between the core 410 and the first layer 412 .
- the intermediate layer can be one or more of an insulator, a conductor, a polymer, and/or an adhesive.
- the ratio between the thickness of the silver/silver chloride layer and the thickness of an insulator (such as, for example, polyurethane or polyimide) layer can be controlled, so as to allow for a certain error margin (that is, an error margin associated with the etching process) that would not result in a defective sensor (for example, due to a defect resulting from an etching process that cuts into a depth more than intended, thereby unintentionally exposing an electroactive surface).
- This ratio can be different depending on the type of etching process used, whether it is laser ablation, grit blasting, chemical etching, or some other etching method.
- the ratio of the thickness of the silver/silver chloride layer and the thickness of the polyurethane layer can be from about 1:5 to about 1:1, or from about 1:3 to about 1:2.
- the core 410 comprises a non-conductive polymer and the first layer 412 comprises a conductive material.
- a sensor configuration can advantageously provide reduced material costs, in that it replaces a typically expensive material with an inexpensive material.
- the core 410 can be formed of a non-conductive polymer, such as, a nylon or polyester filament, string or cord, which can be coated and/or plated with a conductive material, such as platinum, platinum-iridium, gold, palladium, iridium, graphite, carbon, a conductive polymer, and allows or combinations thereof.
- the senor can also include a membrane 408 , such as those discussed elsewhere herein, for example, with reference to FIGS. 2A through 2C .
- the membrane 408 can include an enzyme layer (not shown), as described elsewhere herein.
- the enzyme layer can include a catalyst or enzyme configured to react with an analyte.
- the enzyme layer can be an immobilized enzyme layer including glucose oxidase.
- the enzyme layer can be impregnated with other oxidases, including, for example, galactose oxidase, cholesterol oxidase, amino acid oxidase, alcohol oxidase, lactate oxidase, or uricase.
- FIG. 3B is a schematic illustrating an embodiment of an elongated conductive body 402 , or elongated body, wherein the elongated conductive body is formed from at least two materials and/or layers of conductive material, as described in greater detail elsewhere herein.
- the term “electrode” can be used herein to refer to the elongated conductive body, which includes the electroactive surface that detects the analyte.
- the elongated conductive body provides an electrical connection between the electroactive surface (that is, the working electrode) and the sensor electronics (not shown).
- each electrode (that is, the elongated conductive body on which the electroactive surface is located) is formed from a fine wire with a diameter of from about 0.001 inches (0.003 cm) or less to about 0.01 inches (0.03 cm) or more.
- Each electrode can be formed from, for example, a plated insulator, a plated wire, or bulk electrically conductive material.
- the wire and/or elongated conductive body used to form a working electrode is about 0.002, 0.003, 0.004, 0.005, 0.006, 0.007, 0.008, 0.009, 0.01, 0.015, 0.02, 0.025, 0.03, 0.035, 0.04 or 0.045 inches in diameter.
- the first layer can comprise an electroactive surface (that is, the portion exposed through the window 406 ).
- the exposed electroactive surface can be the working electrode.
- the sensor is an enzymatic electrochemical analyte sensor
- the analyte enzymatically reacts with an enzyme in the membrane covering at least a portion of the electroactive surface.
- the reaction can generate electrons (e ⁇ ) that are detected at the electroactive surface as a measurable electronic current.
- hydrogen peroxide reacts with the surface of the working electrode producing two protons (2H + ), two electrons (2e ⁇ ) and one molecule of oxygen (O 2 ), which produces the electronic current being detected.
- an insulator 404 is disposed on at least a portion of the elongated conductive body 402 .
- the sensor is configured and arranged such that the elongated body includes a core 410 and a first layer 412 , and a portion of the first layer 412 is exposed via window 406 in the insulator 404 .
- the sensor is configured and arranged such that the elongated body 402 includes a core 410 embedded in an insulator 404 , and a portion of the core 410 is exposed via the window 406 in the insulator 404 .
- the insulating material can be applied to the elongated body 402 (by, for example, screen-, ink-jet and/or block-print) in a configuration designed to leave at least a portion of the first layer's 412 surface (or the core's 410 surface) exposed.
- the insulating material can be printed in a pattern that does not cover a portion of the elongated body 402 .
- a portion of the elongated body 402 can be masked prior to application of the insulating material. Removal of the mask, after insulating material application, can expose the portion of the elongated body 402 .
- the insulating material 404 comprises a polymer, for example, a non-conductive (that is, dielectric) polymer. Dip-coating, spray-coating, vapor-deposition, printing and/or other thin film and/or thick film coating or deposition techniques can be used to deposit the insulating material on the elongated body 402 and/or core 410 .
- the insulating material is applied as a layer of from about less than 5 ⁇ m, or from about 5, about 10 or about 15 ⁇ m to about 20, about 25, about 30, or about 35 ⁇ m or more in thickness.
- the insulator can be applied as a single layer of material, or as two or more layers, which are comprised of either the same or different materials, as described elsewhere herein.
- the conductive core does not require a coating of insulator.
- the insulating material defines an electroactive surface of the analyte sensor (that is, the working electrode).
- a surface of the conductive core (such as, for example, a portion of the first layer 412 ) can either remain exposed during the insulator application, or a portion of applied insulator can be removed to expose a portion of the conductive core's surface, as described above.
- a portion of the insulating material can be stripped or otherwise removed, for example, by hand, excimer lasing, chemical etching, laser ablation, grit-blasting (such as, for example, with sodium bicarbonate or other suitable grit), or the like, to expose the electroactive surfaces.
- grit blasting is implemented to expose the electroactive surface(s), for example, by utilizing a grit material that is sufficiently hard to ablate the polymer material yet also sufficiently soft so as to minimize or avoid damage to the underlying metal electrode (for example, a platinum electrode).
- sodium bicarbonate is an advantageous grit-material because it is sufficiently hard to ablate, e.g., a parylene coating without damaging, e.g., an underlying platinum conductor.
- An additional advantage of sodium bicarbonate blasting includes its polishing action on the metal as it strips the polymer layer, thereby eliminating a cleaning step that might otherwise be necessary.
- a portion of an electrode or other conductive body can be masked prior to depositing the insulator in order to maintain an exposed electroactive surface area.
- the electroactive surface of the working electrode can be exposed by formation of a window 406 in the insulator 404 .
- the electroactive window 406 of the working electrode can be configured to measure the concentration of an analyte.
- a silver wire is formed onto and/or fabricated into the sensor and subsequently chloridized to form a silver/silver chloride reference electrode.
- chloridizing the silver wire as described herein enables the manufacture of a reference electrode with good in vivo performance.
- improved break-in time, stability of the reference electrode and extended life can be obtained in some embodiments.
- use of silver chloride as described above allows for relatively inexpensive and simple manufacture of the reference electrode.
- the reference electrode 414 can comprise a silver-containing material (e.g., silver/silver chloride) applied over at least a portion of the insulating material 404 , as discussed in greater detail elsewhere herein.
- a silver-containing material e.g., silver/silver chloride
- the silver-containing material can be applied using thin film and/or thick film techniques, such as but not limited to dipping, spraying, printing, electro-depositing, vapor deposition, spin coating, and sputter deposition, as described elsewhere herein.
- a silver or silver chloride-containing paint (or similar formulation) can be applied to a reel of the insulated conductive core.
- the reel of insulated elongated body is cut into single unit pieces (that is, “singularized”), and silver-containing ink is pad printed thereon.
- the silver-containing material is applied as a silver foil.
- an adhesive can be applied to an insulated elongated body, around which the silver foil can then be wrapped in.
- the sensor can be rolled in Ag/AgCl particles, such that a sufficient amount of silver sticks to and/or embeds into and/or otherwise adheres to the adhesive for the particles to function as the reference electrode.
- the sensor's reference electrode includes a sufficient amount of chloridized silver that the sensor measures and/or detects the analyte for at least three days.
- FIG. 2A is a cross-sectional view through a sensor illustrating one embodiment of the membrane system 32 .
- the membrane system includes an electrode layer 42 , an enzyme layer 44 , a diffusion resistance layer 46 , and a biointerface layer 48 , all of which are located around a working electrode of the sensor 38 , and all of which are described in more detail elsewhere herein.
- a unitary diffusion resistance domain and biointerface layer can be included in the membrane system (e.g., wherein the functionality of both layers is incorporated into one domain).
- the sensor is configured for short-term implantation (e.g., from about 1 to 30 days).
- the membrane system 32 can be modified for use in other devices, for example, by including only one or more of the domains, or additional domains.
- FIG. 2B is a cross-sectional view through one embodiment of the sensor, illustrating another embodiment of the membrane system 32 .
- the membrane system includes an interference reduction or blocking layer 43 , an enzyme layer 44 , a diffusion resistance layer 46 , and a biointerface layer 48 located around the working electrode of a sensor 38 , all of which are described in more detail elsewhere herein.
- FIG. 2C is a cross-sectional view through one embodiment of the sensor, illustrating still another embodiment of the membrane system 32 .
- the membrane system includes an interferent reduction or blocking layer 43 , an enzyme layer 44 , and a unitary diffusion resistance/biointerface layer 47 located around the working electrode of a sensor, all of which are described in more detail elsewhere herein.
- the membrane system can include a biointerface layer 48 , comprising a surface-modified biointerface polymer as described in more detail elsewhere herein.
- the sensing membranes 32 of some embodiments can also include a plurality of domains or layers including, for example, an electrode domain (e.g., as illustrated in the FIG. 2A ), an interference reduction or blocking domain (e.g., as illustrated in FIGS. 2B and 2C ), or a cell disruptive domain (not shown), such as described in more detail elsewhere herein and in U.S. Patent Publication No. US-2006-0036145-A1, which is incorporated herein by reference in its entirety.
- sensing membranes modified for other sensors can include fewer or additional layers.
- the membrane system can comprise one electrode layer, one enzyme layer, and two biointerface layers, but in other embodiments, the membrane system can comprise one electrode layer, two enzyme layers, and one biointerface layer.
- the biointerface layer can be configured to function as the diffusion resistance domain and control the flux of the analyte (e.g., glucose) to the underlying membrane layers.
- one or more domains of the sensing membranes can be formed from materials such as silicone, polytetrafluoroethylene, polyethylene-co-tetrafluoroethylene, polyolefin, polyester, polycarbonate, biostable polytetrafluoroethylene, homopolymers, copolymers, terpolymers of polyurethanes, polypropylene (PP), polyvinylchloride (PVC), polyvinylidene fluoride (PVDF), polybutylene terephthalate (PBT), polymethylmethacrylate (PMMA), polyether ether ketone (PEEK), polyurethanes, polyurethane ureas, cellulosic polymers, poly(ethylene oxide), poly(propylene oxide) and copolymers and blends thereof, polysulfones and block copolymers thereof including, for example, di-block, tri-block, alternating, random and graft copolymers.
- silicone polytetrafluoroethylene
- the sensing membrane can be deposited on the electroactive surfaces of the electrode material using known thin or thick film techniques (for example, spraying, electro-depositing, dipping, or the like). It should be appreciated that the sensing membrane located over the working electrode does not have to have the same structure as the sensing membrane located over the reference electrode; for example, the enzyme domain deposited over the working electrode does not necessarily need to be deposited over the reference or counter electrodes.
- FIGS. 2A through 2C involve circumferentially extending membrane systems
- the membranes described herein can be applied to any planar or non-planar surface.
- analyte sensor systems have electronics associated therewith, also referred to as a “computer system” that can include hardware, firmware, or software that enable measurement and processing of data associated with analyte levels in the host.
- the electronics include a potentiostat, a power source for providing power to the sensor, and other components useful for signal processing.
- some or all of the electronics can be in wired or wireless communication with the sensor or other portions of the electronics.
- a potentiostat disposed on the device can be wired to the remaining electronics (e.g. a processor, a recorder, a transmitter, a receiver, etc.), which reside on the bedside.
- some portion of the electronics is wirelessly connected to another portion of the electronics (e.g., a receiver), such as by infrared (IR) or radiofrequency (RF).
- IR infrared
- RF radiofrequency
- other embodiments of electronics can be useful for providing sensor data output, such as those described in U.S. Patent Publication No. US-2005-0192557-A1, U.S. Patent Publication No. US-2005-0245795-A1, U.S. Patent Publication No. US-2005-0245795-A1, U.S. Patent Publication No. US-2005-0245795-A1, U.S. Patent Publication No. US-2008-0119703-A1, and U.S. Patent Publication No. US-2008-0108942-A1, each of which is incorporated herein by reference in its entirety.
- a potentiostat is operably connected to the electrode(s) (such as described elsewhere herein), which biases the sensor to enable measurement of a current signal indicative of the analyte concentration in the host (also referred to as the analog portion).
- the potentiostat includes a resistor that translates the current into voltage.
- a current to frequency converter is provided that is configured to continuously integrate the measured current, for example, using a charge counting device.
- the electronics include an A/D converter that digitizes the analog signal into a digital signal, also referred to as “counts” for processing. Accordingly, the resulting raw data stream in counts, also referred to as raw sensor data, is directly related to the current measured by the potentiostat.
- the electronics include a processor module that includes the central control unit that controls the processing of the sensor system.
- the processor module includes a microprocessor, however a computer system other than a microprocessor can be used to process data as described herein, for example an ASIC can be used for some or all of the sensor's central processing.
- the processor typically provides semi-permanent storage of data, for example, storing data such as sensor identifier (ID) and programming to process data streams (for example, programming for data smoothing or replacement of signal artifacts such as is described in U.S. Patent Publication No. US-2005-0043598-A1).
- the processor additionally can be used for the system's cache memory, for example for temporarily storing recent sensor data.
- the processor module comprises memory storage components such as ROM, RAM, dynamic-RAM, static-RAM, non-static RAM, EEPROM, rewritable ROMs, flash memory, and the like.
- the processor module comprises a digital filter, for example, an infinite impulse response (IIR) or finite impulse response (FIR) filter, configured to smooth the raw data stream.
- digital filters are programmed to filter data sampled at a predetermined time interval (also referred to as a sample rate).
- time intervals also referred to as a sample rate.
- the processor module can be programmed to request a digital value from the A/D converter at a predetermined time interval, also referred to as the acquisition time.
- the values obtained by the processor are advantageously averaged over the acquisition time due the continuity of the current measurement. Accordingly, the acquisition time determines the sample rate of the digital filter.
- the processor module is configured to build the data packet for transmission to an outside source, for example, an RF transmission to a receiver.
- the data packet comprises a plurality of bits that can include a preamble, a unique identifier identifying the electronics unit, the receiver, or both, (e.g., sensor ID code), data (e.g. raw data, filtered data, or an integrated value) or error detection or correction.
- the data (transmission) packet has a length of from about 8 bits to about 128 bits, preferably about 48 bits; however, larger or smaller packets can be desirable in certain embodiments.
- the processor module can be configured to transmit any combination of raw or filtered data.
- the transmission packet contains a fixed preamble, a unique ID of the electronics unit, a single five-minute average (e.g. integrated) sensor data value, and a cyclic redundancy code (CRC).
- CRC cyclic redundancy code
- the processor further performs the processing, such as storing data, analyzing data streams, calibrating analyte sensor data, estimating analyte values, comparing estimated analyte values with time corresponding measured analyte values, analyzing a variation of estimated analyte values, downloading data, and controlling the user interface by providing analyte values, prompts, messages, warnings, alarms, and the like.
- the processor includes hardware and software that performs the processing described herein, for example flash memory provides permanent or semi-permanent storage of data, storing data such as sensor ID, receiver ID, and programming to process data streams (e.g., programming for performing estimation and other algorithms described elsewhere herein) and random access memory (RAM) stores the system's cache memory and is helpful in data processing.
- flash memory provides permanent or semi-permanent storage of data, storing data such as sensor ID, receiver ID, and programming to process data streams (e.g., programming for performing estimation and other algorithms described elsewhere herein) and random access memory (RAM) stores the system's cache memory and is helpful in data processing.
- RAM random access memory
- some portion of the data processing can be accomplished at another (e.g., remote) processor and can be configured to be in wired or wireless connection therewith.
- an output module which is integral with or operatively connected with the processor, includes programming for generating output based on the data stream received from the sensor system and it's processing incurred in the processor. In some embodiments, output is generated via a user interface.
- Interferents are molecules or other species that can cause a sensor to generate a false positive or negative analyte signal (e.g., a non-analyte-related signal). Some interferents become reduced or oxidized at the electrochemically reactive surfaces of the sensor, while other interferents interfere with the ability of the enzyme (e.g., glucose oxidase) used to react with the analyte being measured. Yet other interferents react with the enzyme (e.g., glucose oxidase) to produce a by-product that is electrochemically active. Interferents can exaggerate or mask the response signal, thereby leading to false or misleading results.
- a false positive or negative analyte signal e.g., a non-analyte-related signal.
- Some interferents become reduced or oxidized at the electrochemically reactive surfaces of the sensor, while other interferents interfere with the ability of the enzyme (e.g., glucose oxidase) used
- a false positive signal can cause the host's analyte concentration (e.g., glucose concentration) to appear higher than the true analyte concentration.
- False-positive signals can pose a clinically significant problem in some conventional sensors. For example in a severe hypoglycemic situation, in which the host has ingested an interferent (e.g., acetaminophen), the resulting artificially high glucose signal can lead the host to believe that he is euglycemic or hyperglycemic. In response, the host can make inappropriate treatment decisions, such as by injecting himself with too much insulin, or by taking no action, when the proper course of action would be to begin eating.
- an interferent e.g., acetaminophen
- certain embodiments contemplated herein include a membrane system that substantially reduces or eliminates the effects of interferents on analyte measurements.
- These membrane systems can include one or more domains capable of blocking or substantially reducing the flow of interferents onto the electroactive surfaces of the electrode can reduce noise and improve sensor accuracy as described in more detail in U.S. Patent Publication No. US-2009-0247856-A1.
- drift is a broad term, and is to be given its ordinary and customary meaning to a person of ordinary skill in the art (and is not to be limited to a special or customized meaning), and refers without limitation to a change in the sensitivity of a sensor over time.
- Drift can be driven by a change in permeability of the sensor membrane system, which can be particularly evident in embodiments which use a polyurethane diffusion resistance domain.
- the change in permeability in such systems arises from the rearrangement of the diffusion resistance domain polyurethane polymer chains to either bring more hydrophilic components to the surface or otherwise rearrange in some way to allow for greater access to hydrophilic polymer components during hydration of the membrane system. Because of this, increasing the speed of hydration or increasing the wettability of the membrane system reduces system drift.
- zwitterionic compounds Due to electrostatically induced hydration, polymers and cross-linked coatings of zwitterionic compounds have near instantaneous wetting properties. As discussed in greater detail below, including one or more zwitterionic compounds, precursors or derivatives thereof (such as hydrolyzable cationic esters) in the outermost domain of a membrane system or applying a coating of such compounds to the surface of the membrane system results in reduced sensor drift.
- Polymers of the preferred embodiments can be processed by solution-based techniques such as spraying, dipping, casting, electrospinning, vapor deposition, spin coating, coating, and the like.
- Water-based polymer emulsions can be fabricated to form membranes by methods similar to those used for solvent-based materials. In both cases the evaporation of a volatile liquid (e.g., organic solvent or water) leaves behind a film of the polymer.
- Cross-linking of the deposited film or layer can be performed through the use of multi-functional reactive ingredients by a number of methods.
- the liquid system can cure by heat, moisture, high-energy radiation, ultraviolet light, or by completing the reaction, which produces the final polymer in a mold or on a substrate to be coated.
- the wetting property of the membrane can be adjusted and/or controlled by creating covalent cross-links between surface-active group-containing polymers, functional-group containing polymers, polymers with zwitterionic groups (or precursors or derivatives thereof), and combinations thereof.
- Cross-linking can have a substantial effect on film structure, which in turn can affect the film's surface wetting properties.
- Crosslinking can also affect the film's tensile strength, mechanical strength, water absorption rate and other properties.
- Cross-linked polymers can have different cross-linking densities.
- cross-linkers are used to promote cross-linking between layers.
- heat is used to form cross-linking.
- imide and amide bonds can be formed between two polymers as a result of high temperature.
- photo cross-linking is performed to form covalent bonds between the polycationic layers(s) and polyanionic layer(s).
- patterning using photo-cross linking is performed to modify the film structure and thus to adjust the wetting property of the membrane.
- Polymers with domains or segments that are functionalized to permit cross-linking can be made by methods known in the art.
- polyurethaneurea polymers with aromatic or aliphatic segments having electrophilic functional groups e.g., carbonyl, aldehyde, anhydride, ester, amide, isocyano, epoxy, allyl, or halo groups
- a crosslinking agent that has multiple nucleophilic groups e.g., hydroxyl, amine, urea, urethane, or thio groups.
- polyurethaneurea polymers having aromatic or aliphatic segments having nucleophilic functional groups can be crosslinked with a crosslinking agent that has multiple electrophilic groups.
- polyurethaneurea polymers having hydrophilic segments having nucleophilic or electrophilic functional groups can be crosslinked with a crosslinking agent that has multiple electrophilic or nucleophilic groups.
- Unsaturated functional groups on the polyurethane urea can also be used for crosslinking by reacting with multivalent free radical agents.
- suitable cross-linking agents include isocyanate, carbodiimide, glutaraldehyde, aziridine, silane, or other aldehydes, epoxy, acrylates, free-radical based agents, ethylene glycol diglycidyl ether (EGDE), poly(ethylene glycol) diglycidyl ether (PEGDE), or dicumyl peroxide (DCP).
- cross-linking agent in one embodiment, from about 0.1% to about 15% w/w of cross-linking agent is added relative to the total dry weights of cross-linking agent and polymers added when blending the ingredients (in one example, about 1% to about 10%). During the curing process, substantially all of the cross-linking agent is believed to react, leaving substantially no detectable unreacted cross-linking agent in the final film.
- Polymers disclosed herein can be formulated into mixtures that can be drawn into a film or applied to a surface using any method known in the art (e.g., spraying, painting, dip coating, vapor depositing, molding, 3-D printing, lithographic techniques (e.g., photolithograph), micro- and nano-pipetting printing techniques, silk-screen printing, etc.).
- the mixture can then be cured under high temperature (e.g., 50-150° C.).
- Other suitable curing methods can include ultraviolet or gamma radiation, for example.
- the biointerface layer is the domain or layer of an implantable device configured to interface with (i.e., contact) a biological fluid when implanted in a host or connected to the host (e.g., via an intravascular access device providing extracorporeal access to a blood vessel).
- a biological fluid when implanted in a host or connected to the host (e.g., via an intravascular access device providing extracorporeal access to a blood vessel).
- an intravascular access device providing extracorporeal access to a blood vessel.
- the biointerface layer can increase sensor longevity and decrease sensor inaccuracy by reducing the biomaterial-associated inflammation response.
- the antifouling properties of the biointerface layer can inhibit the accumulation of cells, proteins, and other biological species on the sensor.
- biointerface layer can attract, retain, and order the structure of water at the polymer-biologic interface, resulting in reversible adsorption, no or reduced protein denaturization, and no or reduced cell activation (see FIG. 12 ).
- Other possible mechanisms for the antifouling properties of the biointerface layer are significant swelling, which can fill in spaces at the site of implantation and act as buffering zone (see FIG. 16 ).
- the biointerface layers disclosed herein can be mechanically robust, resist damage upon implantation, and withstand degradation during the sensor implantation. Further, the disclosed biointerface layers do not materially affect the response time of the sensor or the diffusion resistance layer's properties. Also, the disclosed biointerface layers can have hydrophilic properties that can have large amounts of water uptake, and fast water uptake and quick stabilization, so that sensor start-up is not negatively affected. The disclosed biointerface layers are also permeable to analytes (e.g., glucose) but resist adsorption of proteins.
- analytes e.g., glucose
- Some embodiments described herein can include membranes that comprise a biointerface layer 48 (see FIGS. 2A and 2B ).
- the disclosed biointerface layer can be the host of pharmaceutical or bioactive agent that upon release from the biointerface layer to the local tissue can effectively reduce or delay inflammation.
- the anti-inflammatory agents can be steroidal or non-steroidal drugs and can be the scavengers of reactive oxygen species (ROS).
- ROS reactive oxygen species
- Suitable anti-inflammatory agents include but are not limited to, for example, nonsteroidal anti-inflammatory drugs (NSAIDS) such as acetometaphen, aminosalicylic acid, aspirin, celecoxib, choline magnesium trisalicylate, diclofenac potassium, diclofenac sodium, diflunisal, etodolac, fenoprofen, flurbiprofen, ibuprofen, indomethacin, interleukin (IL)-10, IL-6 mutein, anti-IL-6 iNOS inhibitors (for example, L-NAME or L-NMDA), Interferon, ketoprofen, ketorolac, leflunomide, melenamic acid, mycophenolic acid, mizoribine, nabumetone, naproxen, naproxen sodium, oxaprozin, piroxicam, rofecoxib, salsalate, sulindac, and tolmetin; and corticosteroids such as cor
- the biointerface layer can comprise materials that repel the adhesion and/or absorption of carbohydrates. While not wishing to be bound by theory, the attachment or absorption of carbohydrates at the sensor membrane may affect the operation of the sensor. Thus having materials that repel the adhesion and/or absorption of carbohydrates can help alleviate this problem.
- Factor H can be covalently conjugated onto the surface of the biointerface layer.
- Factor H is one of the principal regulators of a complement system that play a vital role in the immune response. Its regular functions include controlling proteins that generate proinflammatory anaphylatoxins; maintaining tissue integrity by identifying “self” from “non-self” and harnessing direct anti-inflammatory properties.
- Factor H is an important protein that regulates complement activation. This regulation occurs by multiple mechanisms which include disruption of C3 convertase formation and acceleration of its decay.
- Factor H also acts as a cofactor to factor I in the degradation of C3b, and competes with factor B for binding to C3b.
- Factor H for use as a medical device surface coating can be beneficial because of its link between complement-triggered inflammations, the regulatory role of Factor H in stopping complement triggered inflammation and tissue damage.
- Factor H can be covalently conjugated onto the surface of biointerface layer by methods disclosed herein. Factor H can then be released upon environmental changes and control inflammation. Control of inflammation can help reduce issues associated with first day signal reduction or loss after the sensor is implanted. Factor H can also help increase the longevity and decrease in vivo variability.
- a sensor comprising a biointerface layer comprising a covalently connected active Factor H to the surface of the biointerface layer.
- the covalent attachment can be a linker, e.g., an alkyl, alkoxyl, ester, triazole, polyether, polyester, polyalkeneoxide, and the like.
- the linker can be sensitive to cleavage by internal or external stimuli, such as pH, heat, UV-Vis, or protease attack.
- the linker can also be an oligo peptide sequence which can be cleaved by MMP (Matrix metallopeptidase), which are upregulated in atherosclerosis and inflammation.
- MMP Microx metallopeptidase
- FIG. 33 A schematic of a biointerface layer with conjugated Factor H is shown in FIG. 33 .
- the layer comprises three parts: (i) the biointerface polymer as disclosed herein; (ii) stimuli responsive linker, which can be cleaved by changing of environment; and (iii) active Factor H, which is covalently connected to linker.
- the biointerface layer comprises a biointerface polymer.
- the biointerface polymer is a polyzwitterion.
- Polyzwitterions are polymers where a repeating unit of the polymer chain is a zwitterionic moiety. As such, these polymers have the same number of cationic and anionic groups, due to each zwitterion repeating unit having both a positive and negative charge, and thus have an overall charge of zero, often through a wide pH range.
- Polyzwitterions are distinguishable from other polyampholytes in that, which polyampholytes contain anionic and cationic groups, the ionic groups are not correlated with one another as part of the same repeating unit. So the anionic and cationic groups may be distributed apart from one another, at random intervals, or one ionic group may outnumber the other. It is thus typical for a polyampholyte to have a net charge, except perhaps at some narrow pH range.
- the disclosed polyzwitterions can have a variety of repeating units, which are illustrated as i) through vii) below, where n is some integer from 2 to 1000:
- the zwitterionic unit is connected to the backbone chain ( ) and the charges are on side-groups that are pendant to the chain.
- the zwitterionic unit is such that one or both charges is on the chain itself.
- Suitable zwitterionic monomers that can be used to produce a polyzwitterion of any of structures i) through vii) include:
- each of these monomers Z can have a length of from 1 to 12 atoms, e.g., from 1, 2, 3, 4, 5, 6, 7, 8, 9, 10, 11, or 12 atoms, where any of these values can form an upper or lower endpoint of a range.
- polymerization group used herein is a broad term, and is to be given its ordinary and customary meaning to a person of ordinary skill in the art (and is not to be limited to a special or customized meaning), and refers without limitation to a functional group that permits polymerization of the monomer with itself to form a homopolymer or together with different monomers to form a copolymer.
- the polymerization group can be selected from alkene, alkyne, epoxide, lactone, amine, hydroxyl, isocyanate, carboxylic acid, anhydride, silane, halide, aldehyde, and carbodiimide.
- a matching pair of functional groups are selected to promote polymerization, for example, to polymerize a zwitterionic monomer bearing di-hydroxyl group, a diisocyanate, epoxide, or di-carboxylic acid group containing co-monomer can be chosen to afford polymers formed with urethane, ether, and ester linkages.
- zwitterion precursors that be modified and formed into monomers for the disclosed biointerface polymers include ammoniocarboxylate (caboxylbetaine) or ammoniosulfonates (sulfobetaine), phosphobetaines (ammoniophosphates or lecithin analogues), phosphatidylcholine, poly(carboxybetaine), poly(sulfobetaine), and precursors or derivatives; trigonelline, ectoine, 3-dimethylsulfoniopropanoate, arsenobetaine, ammoniophosphonates (phosphonobetaines), ammoniophosphinates (phosphinobetaines), ammoniosulfonamides, ammoni-sulfon-imides, guanidiniocarboxylates (asparagine analogs), pyridiniocarboxylates, ammonio(alokoxy)dicyanoethenolates, ammonioboronates,
- these monomers can be prepared by methods known to those of skilled in the art, e.g., as detailed in Laschewsky, “Structures and synthesis of zwitterionic polymers,” Polymers 6:1544-1601, 2014.
- the disclosed polyzwitterions can have repeating zwitterionic units obtained from any of the zwitterionic monomers disclosed above.
- the biointerface polymer may also comprises polyurethane and/or polyurea segments.
- the biointerface polymer can comprise a polyurethane copolymer such as polyether-urethane-urea, polycarbonate-urethane, polyether-urethane, silicone-polyether-urethane, silicone-polycarbonate-urethane, polyester-urethane, polyurethane-urea, and the like. Since these polyurethane and/or polyurea segments contain urea and/or urethane bonds formed from polyisocyanate and short chain polyol or polyamine, which are hydrogen bonding rich moieties, these segments are referred to herein as “hard segments.” These segments can also be relatively hydrophobic.
- the disclosed biointerface polymers can also comprise soft segments, which have relatively poor hydrogen bonding.
- Soft segment are usually composed of polyols of polycarbonates, polyesters, polyethers, polyarylene, and polyalkylene, and the like.
- the soft segments can be either hydrophobic or hydrophilic.
- biointerface polymer in some embodiments comprises polyurethane and/or polyurea, in other embodiments, the biointerface polymer may be a polymer that does not comprise polyurethane and/or polyurea.
- Biointerface polymers useful for certain embodiments can include linear or branched polymer on the backbone structure of the polymer.
- either the hard or soft segments can contain branching or linear backbones.
- the zwitterionic monomers can be part of either the hard or soft segments, or both, as described herein.
- the hard segment portion of the biointerface polymer can comprise from about 5% to about 50% by weight of the polymer, sometimes from about 15% to 20%, and other times from about 25% to 40%.
- the hard segments can have a molecular weight of from about 160 daltons to about 10,000 daltons, and sometimes from about 200 daltons to about 2,000 daltons.
- the molecular weight of the soft segments can be from about 200 daltons to about 10,000,000 daltons, and sometimes from about 500 daltons to about 5,000 daltons, and sometimes from about 500 daltons to about 2,000 daltons.
- the hard segments can be polyurethanes or polyureas.
- Polyurethane is a polymer produced by the condensation reaction of a diisocyanate and a difunctional hydroxyl-containing material.
- a polyurea is a polymer produced by the condensation reaction of a diisocyanate and a difunctional amine-containing material.
- Preferred diisocyanates include aliphatic diisocyanates containing from about 4 to about 9 methylene units. Diisocyanates containing cycloaliphatic moieties can also be useful in the preparation of the polymer and copolymer components of the membranes of preferred embodiments.
- the soft segments used in the preparation of the biointerface polymer can be a polyfunctional aliphatic polyol, a polyfunctional aliphatic or aromatic amine, or the like that can be useful for creating permeability of the analyte (e.g., glucose) therethrough, and can include, for example, polyoxazoline, poly(ethylene glycol) (PEG), polyacrylamide, polyimine, polypropylene oxide (PPO), PEG-co-PPO diol, silicone-co-PEG diol, Silicone-co-PPO diol, polyethylacrylate (PEA), polyvinylpyrrolidone (PVP), and copolymers, blends, and/or variations thereof (e.g., PVP vinyl acetate), and wherein PEG and copolymers, blends, and/or variations thereof can be preferred for their hydrophilicity.
- PEG poly(ethylene glycol)
- PPO polyacrylamide
- PPO polypropylene oxide
- the soft segment portion of the biointerface polymer can comprise from about 5% to about 50% by weight of the polymer, sometimes from about 15% to 20%, and other times from about 25% to 40%.
- the soft segments can have a molecular weight of from about 160 daltons to about 10,000 daltons, and sometimes from about 200 daltons to about 2,000 daltons. In some embodiments, the molecular weight of the soft segments can be from about 200 daltons to about 10,000,000 daltons, and sometimes from about 500 daltons to about 5,000 daltons, and sometimes from about 500 daltons to about 2,000 daltons.
- the biointerface polymer including hard and soft segments, and zwitterionic repeating units, can have a molecular weight of from about 10 kDa to about 500,000 kDa, for example, from about 10 kDa to about 100,000 kDa, from about 1000 kDa to about 500,000 kDa, from about 10,000 kDa to about 100,000 kDa, and from about 100,000 kDa to about 500,000 kDa.
- the hard and soft segments can each be selected for their properties, such as, but not limited to, tensile strength, flex life, modulus, and the like.
- polyurethanes are relatively strong and provide numerous reactive pathways, which properties can be advantageous as bulk properties for a membrane domain of the continuous sensor.
- the segments can be chosen to result in a biointerface polymer with high Tg. Having a high Tg segment or polymer in the biointerface layer can result in stronger mechanical properties. Further, a high Tg segment or polymer can allow for more hydrophilic soft segments, which can allow for the incorporation of bioactive agents like anti-inflammatory drugs (e.g., dexamethasone). As an example, the zwitterionic feature of the betaine can bind salt form of dexamethasone more efficiently because of the electron static interactions. As such, disclosed herein are examples of biointerface polymers wherein the hydrophobic segments can be composed of high glass transition temperature (T g ) hydrophilic polymers (e.g., polycarbonates).
- T g glass transition temperature
- the high T g hydrophobic segments can have strong mechanical properties and thus construct the porous scaffold which could absorb and encapsulate water and drug molecules inside for continuous drug delivery.
- the materials can also covalently incorporate functional reactive groups for further chemical reaction or crosslinking (those groups include carboxylic acid, azide, alkyne, alkene, thiol).
- the biointerface polymer contains one or more zwitterionic repeating units; thus these groups are “internal” in reference to the polymer backbone. Such “internal” repeating units are distinguished from a material that is found at the end of a polymer chain since such a moiety would only be bonded to the polymer chain at one location.
- the disclosed biointerface polymers can, in some embodiments, have one or more zwitterionic groups at the terminal ends of the polymer chains; however, such groups are not the only zwitterionic groups in the chain; there is at least one internal zwitterionic group in the backbone.
- zwitterion moieties are selected for desirable properties, for example, non-constant noise-blocking ability, break-in time (reduced), ability to repel charged species, cationic or anionic blocking, surface wettability, antifouling, or the like.
- the zwitterion or zwitterion precursor exists as zwitterionic groups while the device is in vivo. As such, these groups present mixed charged areas of the device surface to the surrounding environment, thereby increasing surface hydration of the device, and potentially reducing nonspecific protein adsorption and cell adhesion.
- the biointerface polymer includes at least about 1%, about 2%, about 3%, about 4%, about 5%, about 6%, about 7%, about 8%, about 9%, about 10%, about 11%, about 12%, about 13%, about 14%, about 15%, about 16%, about 17%, about 18%, about 19%, about 20%, about 21%, about 22%, about 23%, about 24%, about 25%, about 26%, about 27%, about 28%, about 29%, about 30%, to about 31%, about 32%, about 33%, about 34%, about 35%, about 36%, about 37%, about 38%, about 39%, about 40%, about 41%, about 42%, about 43%, about 44%, about 45%, about 46%, about 47%, about 48%, about 49%, about 50%, about 51%, about 52%, about 53%, about 54% or about 55% zwitterionic repeating units by weight of the polymer.
- the zwitterionic repeating unit can be a betaine such as a carboxyl, sulfo, or phosphor betaine compound, precursor or derivative thereof (for example alkylbetaines or aminobetaines).
- These segments or moieties can be incorporated into the biointerface polymer, whether in the hard segment, the soft segment, or both, for example up to about 55 wt. % of the biointerface polymer.
- a single zwitterion or zwitterion precursor segment or moiety can be used in the biointerface polymer.
- the biointerface polymer comprises one or more hard segments and one or more soft segments.
- the hard segments can be aliphatic or aromatic monomers.
- the soft segments can be hydrophilic or hydrophobic oligomers of, for example, polyalkylene glycols, polycarbonates, polyesters, polyethers, polyvinylalcohol, polyvinypyrrolidone, polyoxazoline, and the like.
- the zwitterionic groups e.g., betaines
- various hard and soft segments can be present, which permits one to tune the properties of the biointerface polymer by using different segments, different segments lengths, functionalization on certain segments, crosslinking certain segments, and the like.
- biocompatible segmented block polyurethane copolymers comprising hard and soft segments can be used for the biointerface layer.
- Incorporation of these zwitterionic repeating units into a polymer can be achieved by using zwitterionic monomers that have diols or diamines (e.g., at position Z), or can be attached to diols or diamines at any of R 1 through R 4 . Attaching a diol or diamine at R 1 -R 4 can be accomplished by reacting the corresponding precursor with a halo-substituted diamine or halo-substituted diol. Examples of such monomers are shown below:
- these compounds can be reacted with a diisocyanate to form a polyurethane or polyurea.
- the carboxylates, sulfonates, phosphinates, or phophonates moieties can be protected and then the protection group can be removed after polymerization.
- the amine can be a tertiary amine, which is then quaternized by alkylation after polymerization.
- X is O, NH, or NR 4
- Y and Z are, independently, branched or straight chain alkyl, heteroalkyl, cycloalkyl, cycloheteroalkyl, aryl, or heteroaryl, and of which can be optionally substituted with OH, halogen, or alkoxyl
- R 1 is H, alkyl, heteroalkyl, cycloalkyl, cycloheteroalkyl, aryl, or heteroaryl
- R 3 and R 5 are independently chosen from heteroalkyl, cycloalkyl, cycloheteroalkyl, aryl, or heteroaryl.
- R 5 is H or CH 3 .
- X is O.
- X is NH or NCH 3 .
- Y is C 1 -C 4 alkyl.
- Z is C 1 -C 4 alkyl.
- Suitable zwitterionic monomers include N-(2-methacryloyloxy)ethyl-N,N-dimethylammonio propanesulfonate, N-(3-methacryloylimino)propyl-N,N-dimethylammonio propanesulfonate, 2-(methacryloyloxy)ethylphosphatidylcholine, and 3-(2′-vinyl-pyridinio)propanesulfonate.
- the biointerface polymer is crosslinked.
- polyurethaneurea polymers with aromatic or aliphatic segments having electrophilic functional groups e.g., carbonyl, aldehyde, anhydride, ester, amide, isocyanate, epoxy, allyl, or halo groups
- a crosslinking agent that has multiple nucleophilic groups e.g., hydroxyl, amine, urea, urethane, or thio groups.
- polyurethaneurea polymers having aromatic or aliphatic segments having nucleophilic functional groups can be crosslinked with a crosslinking agent that has multiple electrophilic groups.
- polyurethaneurea polymers having hydrophilic segments having nucleophilic or electrophilic functional groups can be crosslinked with a crosslinking agent that has multiple electrophilic or nucleophilic groups.
- Unsaturated functional groups on the polyurethane urea can also be used for crosslinking by reacting with multivalent free radical agents.
- Non-limiting examples of suitable cross-linking agents include isocyanate, carbodiimide, gluteraldehyde or other aldehydes, aziridine, silane, epoxy, acrylates, free-radical based agents, ethylene glycol diglycidyl ether (EGDE), poly(ethylene glycol) diglycidyl ether (PEGDE), or dicumyl peroxide (DCP).
- EGDE ethylene glycol diglycidyl ether
- PEGDE poly(ethylene glycol) diglycidyl ether
- DCP dicumyl peroxide
- from about 0.1% to about 15% w/w of cross-linking agent is added relative to the total dry weights of cross-linking agent and polymers added when blending the ingredients (in one example, about 1% to about 10%).
- substantially all of the cross-linking agent is believed to react, leaving substantially no detectable unreacted cross-linking agent in the final layer.
- the disclosed biointerface layer can have zwitterions entrapped or embedded within the polymer network by non-covalent interactions.
- the disclosed biointerface layer can comprise a biointerface polymer and additional betaines blended therewith.
- the biointerface polymer can be blended with cocamidopropyl betaine, oleamidopropyl betaine, octyl sulfobetaine, caprylyl sulfobetaine, lauryl sulfobetaine, myristyl sulfobetaine, palmityl sulfobetaine, stearyl sulfobetaine, betaine (trimethylglycine), octyl betaine, phosphatidylcholine, glycine betaine, poly(carboxybetaine) (pCB), and poly(sulfobetaine) (pSB).
- cocamidopropyl betaine cocamidopropyl betaine
- oleamidopropyl betaine octyl sulfobetaine
- caprylyl sulfobetaine lauryl sulfobetaine
- myristyl sulfobetaine palmityl
- the biointerface layer can further comprise a biointerface domain, wherein the biointerface domain comprises a surface modifying polymer added to a base polymer, wherein the surface modifying polymer comprises a polymer chain having both hydrophilic and hydrophobic regions and wherein one or more zwitterionic compounds are covalently bonded to an internal region of the polymer, wherein the base polymer can be selected from silicone, epoxies, polyolefins, polystylene, polyoxymethylene, polysiloxanes, polyethers, polyacrylics, polymethacrylic, polyesters, polycarbonates, polyamide, poly(ether ketone), poly(ether imide), polyurethane, and polyurethane urea.
- the base polymer can be selected from silicone, epoxies, polyolefins, polystylene, polyoxymethylene, polysiloxanes, polyethers, polyacrylics, polymethacrylic, polyesters, polycarbonates, polyamide, poly(
- the biointerface layer can comprise a combination of one or more biointerface polymer(s), for example, polyurethane or polyurethane urea and one or more hydrophilic polymers, such as, PVA, PEG, polyacrylamide, polyacetates, polyzwitterions, PEO, PEA, PVP, and copolymers, blends, and/or variations thereof (e.g., PVP vinyl acetate), e.g., as a physical blend or admixture wherein each polymer maintains its unique chemical nature.
- biointerface polymer(s) for example, polyurethane or polyurethane urea and one or more hydrophilic polymers, such as, PVA, PEG, polyacrylamide, polyacetates, polyzwitterions, PEO, PEA, PVP, and copolymers, blends, and/or variations thereof (e.g., PVP vinyl acetate), e.g., as a physical blend or admixture wherein each polymer maintains its
- the biointerface layer 48 is positioned most distally to the sensing region such that its outer most domain contacts a biological fluid when inserted in vivo.
- the biointerface layer is resistant to cellular attachment, impermeable to cells, and can be composed of a biostable material. While not wishing to be bound by theory, it is believed that when the biointerface domain 48 is resistant to cellular attachment (for example, attachment by inflammatory cells, such as macrophages, which are therefore kept a sufficient distance from other domains, for example, the enzyme domain), hypochlorite and other oxidizing species are short-lived chemical species in vivo and biodegradation does not generally occur.
- the materials preferred for forming the biointerface domain 48 can be resistant to the effects of these oxidative species and have thus been termed biodurable.
- the biointerface domain controls the flux of oxygen and other analytes (for example, glucose) to the underlying enzyme domain (e.g. wherein the functionality of the diffusion resistance domain is built-into the biointerface domain such that a separate diffusion resistance domain is not required).
- the one or more zwitterionic compounds or precursors thereof applied to the surface of the membrane system are hydrolyzable cationic esters of zwitterionic compounds.
- the hydrolyzable cationic esters provide the added benefit that hydrolysis of the cationic esters into nonfouling zwitterionic groups can kill microbes (such as bacteria) or condense DNA. Further, the mixed-charge nature of the resulting zwitterionic groups result in inhibition of nonspecific protein adsorption on the surface of the sensors.
- cationic betaine esters such as cationic pCB esters are preferable.
- the biointerface polymer can comprise reactive groups that can be available for further functionalization.
- unsaturated functional groups like alkynes can be used to attach various moieties attached to dipolar groups likes azides to form covalent linkages.
- Huisgen cycloaddition chemistry is often referred to as click chemistry.
- the biointerface layer can comprise alkyne functional groups pendant on the polymer backbone.
- Antifouling agents such as proteins, cytokines, anti-inflammatory agent, steroids, and other bioactive agents disclosed herein, which are attached to a dipolar group like an azide, can be conveniently attached to the polymer, resulting in a triazole group.
- biointerface layers that comprise an alkyne, triazole, or both.
- These reactive groups can be present in the zwitterion repeating units (e.g., as substituents on Z or Y).
- a schematic of these products is shown in FIG. 17 .
- precursors or derivatives of the zwitterion or zwitterion precursors can be used.
- zwitterion precursors and/or zwitterionic derivatives which have more desirable solubility characteristics in low polarity organic solvents, can be used as monomers.
- the biointerface polymer e.g., polyurethaneureas
- the biointerface polymer can be synthesized by polycondensation reactions and form well-defined polymers with high molecular weight and low polydispersity index. These polymers can then be converted to zwitterion group containing polymers via chemical reaction (such as hydrolysis, deprotection, heat-triggered rearrangement, and UV-triggered degradation) or biological triggered reaction after in vivo implantation of the device.
- the hydrophilic segment of the biointerface domain comprises a “brush” polymer where a linear polymer backbone is functionalized with oligomers of hydrophilic branches (e.g., PEG). That is, in the biointerface domain, the biointerface polymer can comprises a polymer chain having both hydrophilic and hydrophobic regions and the hydrophilic regions can comprise a liner polymer chain having hydrophilic oligomers bound thereto and the linear polymer can be grafted to the biointerface polymer.
- the liner polymer can be a non-biodegradable polymer, e.g., polyacrylate, that is functionalized at one end (e.g., azide) to permit attachment to functional groups located on main chain of the biointerface domain.
- a copper catalyzed azide-alkyne Huisgen cycloaddition reaction can be used to attach multiple brush polymers to alkyne functional groups on the biointerface domain.
- the brush polymers can be prepared from Atom Transfer Radical Polymerization from homopolymers with a defined chain length (e.g., PEG-acrylate monomers).
- the biointerface layer is grafted onto surface functional groups in an adjacent layer (e.g., resistance layer) (see e.g., FIG. 14 ).
- the biointerface layer can comprise an amphiphilic copolymer of a hydrophobic, hyperbranched fluoropolymer (HBFP) and hydrophilic polymer such as polyalkyloxide, polyvinylalcohol, or polyester (see e.g., FIG. 15 ).
- HBFP hyperbranched fluoropolymer
- hydrophilic polymer such as polyalkyloxide, polyvinylalcohol, or polyester (see e.g., FIG. 15 ).
- These networks can be prepared from hyperbranched fluoropolymer (Mn from 1 to 100 kDa, e.g., from 5 to 15 kDa), by atom transfer radical-self condensing vinyl copolymerization and linear diamine-terminated hydrophilic polymer such as diamino-poly(ethylene glycol) (Mn from 1 to 20,000 Da).
- a continuous analyte sensor comprising a amphiphilic copolymer comprising hyperbranched, fluoropolymer segments and hydrophilic polyethyleneglycol segments.
- amphiphilic copolymer comprising hyperbranched, fluoropolymer segments and hydrophilic polyethyleneglycol segments.
- examples of such polymers are disclosed in Gudipati et al. J. Polymer Sci. (42:6193-6208, (2004); and Muller et al., Macromolecules 31:776, (1998), which are incorporated by reference herein for their teachings of amphiphilic polymers comprising HBFP.
- a fluorescent dye e.g., Rhodamine
- This domain can permit the tracking of the domain, sensing layer, and/or sensor with confocal microscopy. This feature can aid in tracking the degradation or phase separation of the polymers in the sensing membrane.
- Such polymers can be prepared by a two-step polycondensation.
- the fluorescent dye incorporated biointerface domains can be combined and blended with other biointerface domains as disclosed herein.
- fluorescent dyes include, but are not limited to, benzoporphyrins; azabenzoporphyrine; napthoporphyrin; phthalocyanine; polycyclic aromatic hydrocarbons such as perylene, perylene diimine, pyrenes; azo dyes; xanthene dyes; boron dipyoromethene, aza-boron dipyoromethene, cyanine dyes, metal-ligand complex such as bipyridine, bipyridyls, phenanthroline, coumarin, and acetylacetonates of ruthenium and iridium; acridine, oxazine derivatives such as benzophenoxazine; aza-annulene, squaraine; 8-hydroxyquinoline, polymethines, luminescent producing nanoparticle, such as quantum dots, nanocrystals; carbostyril; terbium complex; inorganic phosphor; i
- fluorescent dyes include, but are not limited to, Pd (II) octaethylporphyrin; Pt (II)-octaethylporphyrin; Pd (II) tetraphenylporphyrin; Pt (II) tetraphenylporphyrin; Pd (II) meso-tetraphenylporphyrin tetrabenzoporphine; Pt (II) meso-tetrapheny metrylbenzoporphyrin; Pd (II) octaethylporphyrin ketone; Pt (II) octaethylporphyrin ketone; Pd (II) meso-tetra(pentafluorophenyl)porphyrin; Pt (II) meso-tetra (pentafluorophenyl)
- the fluorescent labeled biointerface domain can contain from about 0.05 wt. % to about 20 wt. % fluorescence dye, for example, from about 0.1, about 0.5, about 1, about 2, about 3, about 4, about 5, about 6, about 7, about 8, about 9, about 10, about 15, or about 20 wt. %, where any of the stated values can form an upper or lower endpoint of a range.
- the thickness of the biointerface domain can be from about 0.1, about 0.5, about 1, about 2, about 4, about 6, about 8 ⁇ m or less to about 10, about 15, about 20, about 30, about 40, about 50, about 75, about 100, about 125, about 150, about 175, about 200 or about 250 ⁇ m or more. In some of these embodiments, the thickness of the biointerface domain can be sometimes from about 1 to about 5 ⁇ m, and sometimes from about 2 to about 7 ⁇ m. In other embodiments, the biointerface domain can be from about 20 or about 25 ⁇ m to about 50, about 55, or about 60 ⁇ m thick.
- the glucose sensor can be configured for transcutaneous or short-term subcutaneous implantation, and can have a thickness from about 0.5 ⁇ m to about 8 ⁇ m, and sometimes from about 4 ⁇ m to about 6 ⁇ m. In one glucose sensor configured for fluid communication with a host's circulatory system, the thickness can be from about 1.5 ⁇ m to about 25 ⁇ m, and sometimes from about 3 to about 15 ⁇ m. It is also contemplated that in some embodiments, the biointerface layer or any other layer of the electrode can have a thickness that is consistent, but in other embodiments, the thickness can vary. For example, in some embodiments, the thickness of the biointerface layer can vary along the longitudinal axis of the electrode end.
- the biointerface layer can be hydrophilic as measured by contact angle.
- the biointerface layer can have a contact angle of from about 20° to about 90°, from about 60 to about 90°, from about 70 to about 90°, from about 80 to about 90°, from about 60 to about 80°, at least about 50°, at least about 60°, or at least about 70°.
- the biointerface layer can also have a low polydispersity index.
- the polymer can have a polydispersity index of from about 1.4 to about 3.5, from about 1.75 to about 2.25, from about 1.75 to about 2.5, or about 2.
- the biointerface layer can also not materially affect the T95 response time of a sensor.
- T95 response time is the amount of time required for the electrical response to reach 95% of the difference between a 1 st and 2 nd glucose step's response.
- a sensor with a biointerface layer as disclosed herein can have a T95 response time that is the same, or within 5% of, the T95 response time of a sensor that is otherwise identical but without the biointerface layer.
- a diffusion resistance domain 46 also referred to as a diffusion resistance layer, can be used and can be situated more proximal to the implantable device relative to the biointerface layer.
- the functionality of the diffusion resistance domain can be built into the biointerface layer that comprises the polyzwitterionic biointerface polymer. Accordingly, it is to be noted that the description herein of the diffusion resistance domain can also apply to the biointerface layer.
- the diffusion resistance domain serves to control the flux of oxygen and other analytes (for example, glucose) to the underlying enzyme domain.
- glucose-monitoring reaction As described in more detail elsewhere herein, there exists a molar excess of glucose relative to the amount of oxygen in blood, i.e., for every free oxygen molecule in extracellular fluid, there are typically more than 100 glucose molecules present (see Updike et al., Diabetes Care 5:207-21 (1982)).
- an immobilized enzyme-based sensor employing oxygen as cofactor is supplied with oxygen in non-rate-limiting excess in order to respond linearly to changes in glucose concentration, while not responding to changes in oxygen tension. More specifically, when a glucose-monitoring reaction is oxygen-limited, linearity is not achieved above minimal concentrations of glucose.
- the diffusion resistance domain may be formed of a diffusion resistance domain described in U.S. Provisional Application No. 62/273,219, filed Dec. 30, 2015, which is hereby incorporated by reference herein in its entirety.
- the diffusion resistance domain 46 includes a semipermeable membrane that controls the flux of oxygen and glucose to the underlying enzyme domain 44 , preferably rendering oxygen in non-rate-limiting excess.
- the diffusion resistance domain exhibits an oxygen-to-glucose permeability ratio of approximately 200:1, but in other embodiments the oxygen-to-glucose permeability ratio can be approximately 100:1, 125:1, 130:1, 135:1, 150:1, 175:1, 225:1, 250:1, 275:1, 300:1, or 500:1.
- a lower ratio of oxygen-to-glucose can be sufficient to provide excess oxygen by using a high oxygen soluble domain (for example, a silicone material) to enhance the supply/transport of oxygen to the enzyme membrane or electroactive surfaces.
- a high oxygen soluble domain for example, a silicone material
- glucose concentration can be less of a limiting factor. In other words, if more oxygen is supplied to the enzyme or electroactive surfaces, then more glucose can also be supplied to the enzyme without creating an oxygen rate-limiting excess.
- the diffusion resistance domain is formed of a base polymer synthesized to include a polyurethane membrane with both hydrophilic and hydrophobic regions to control the diffusion of glucose and oxygen to an analyte sensor.
- a suitable hydrophobic polymer component can be a polyurethane or polyether urethane urea.
- Polyurethane is a polymer produced by the condensation reaction of a diisocyanate and a difunctional hydroxyl-containing material.
- a polyurea is a polymer produced by the condensation reaction of a diisocyanate and a difunctional amine-containing material.
- Preferred diisocyanates include aliphatic diisocyanates containing from about 4 to about 8 methylene units.
- Diisocyanates containing cycloaliphatic moieties can also be useful in the preparation of the polymer and copolymer components of the membranes of preferred embodiments.
- the material that forms the basis of the hydrophobic matrix of the diffusion resistance domain can be any of those known in the art as appropriate for use as membranes in sensor devices and as having sufficient permeability to allow relevant compounds to pass through it, for example, to allow an oxygen molecule to pass through the membrane from the sample under examination in order to reach the active enzyme or electrochemical electrodes.
- non-polyurethane type membranes examples include vinyl polymers, polyethers, polyesters, polyamides, inorganic polymers such as polysiloxanes and polycarbosiloxanes, natural polymers such as cellulosic and protein based materials, and mixtures or combinations thereof.
- a hydrophilic soft segment polymer component can be polyethylene oxide.
- one useful hydrophilic copolymer component is a polyurethane polymer that includes about 20% hydrophilic polyethylene oxide.
- the polyethylene oxide portions of the copolymer are thermodynamically driven to separate from the hydrophobic portions of the copolymer and the hydrophobic polymer component.
- the 20% polyethylene oxide-based soft segment portion of the copolymer used to form the final blend affects the water pick-up and subsequent glucose permeability of the membrane.
- the diffusion resistance domain can comprise a combination of a base polymer (e.g., polyurethane) and one or more hydrophilic polymers (e.g., PVA, PEG, polyacrylamide, acetates, PEO, PEA, PVP, and copolymers, blends, and/or variations thereof). It is contemplated that any of a variety of combination of polymers can be used to yield a blend with desired glucose, oxygen, and interference permeability properties.
- a base polymer e.g., polyurethane
- hydrophilic polymers e.g., PVA, PEG, polyacrylamide, acetates, PEO, PEA, PVP, and copolymers, blends, and/or variations thereof.
- the diffusion resistance domain can be formed from a blend of a silicone polycarbonate-urethane base polymer and a PVP hydrophilic polymer, but in other embodiments, a blend of a polyurethane, or another base polymer, and one or more hydrophilic polymers can be used instead.
- the PVP portion of the polymer blend can comprise from about 5% to about 50% by weight of the polymer blend, sometimes from about 15% to about 20%, and other times from about 25% to about 40%. It is contemplated that PVP of various molecular weights can be used.
- the molecular weight of the PVP used can be from about 25,000 daltons to about 5,000,000 daltons, sometimes from about 50,000 daltons to about 2,000,000 daltons, and other times from about 6,000,000 daltons to about 10,000,000 daltons.
- the diffusion resistance domain 46 can be formed as a unitary structure with the biointerface domain 48 ; that is, the inherent properties of the diffusion resistance domain 46 are incorporated into biointerface domain 48 such that the biointerface domain 48 functions as a diffusion resistance domain 46 .
- the thickness of the diffusion resistance domain can be from about 0.05 ⁇ m or less to about 200 ⁇ m or more. In some of these embodiments, the thickness of the diffusion resistance domain can be from about 0.05, about 0.1, about 0.15, about 0.2, about 0.25, about 0.3, about 0.35, about 0.4, about 0.45, about 0.5, about 1, about 1.5, about 2, about 2.5, about 3, about 3.5, about 4, about 6, about 8 ⁇ m to about 9, about 10, about 11, about 12, about 13, about 14, about 15, about 16, about 17, about 18, about 19, about 19.5, about 20, about 30, about 40, about 50, about 60, about 70, about 75, about 80, about 85, about 90, about 95, or about 100 ⁇ m.
- the thickness of the diffusion resistance domain is from about 2, about 2.5, or about 3 ⁇ m to about 3.5, about 4, about 4.5, or about 5 ⁇ m in the case of a transcutaneously implanted sensor or from about 20 or about 25 ⁇ m to about 40 or about 50 ⁇ m in the case of a wholly implanted sensor.
- an enzyme domain 44 can be used and is situated less distal from the electrochemically reactive surfaces than the diffusion resistance domain 46 .
- the enzyme domain comprises a catalyst configured to react with an analyte.
- the enzyme domain is an immobilized enzyme domain 44 including glucose oxidase.
- the enzyme domain 44 can be impregnated with other oxidases, for example, galactose oxidase, cholesterol oxidase, amino acid oxidase, alcohol oxidase, lactate oxidase, or uricase.
- the sensor's response should neither be limited by enzyme activity nor cofactor concentration.
- the enzyme domain can comprise one surface-active end group containing polymer, or a blend of two or more (e.g., two, three, four, five, or more) surface-active end group-containing polymers, as described above.
- the enzyme domain can comprise one surface-active end group containing polymer that comprises surface-active end groups that are zwitterionic, or are precursors or derivatives thereof.
- one surface-active group containing polymer in a blend of two or more surface-active group containing polymers comprises zwitterionic surface-active groups, or precursors or derivatives thereof.
- a blend can comprise a polymer with positively charged surface-active groups and a polymer with negatively charged surface-active groups.
- the enzyme domain may be formed of an enzyme domain described in U.S. Provisional Application No. 62/273,155, filed Dec. 30, 2015, which is hereby incorporated by reference herein in its entirety.
- the zwitterionic surface-active group can comprise a betaine moiety such as a carboxyl, sulfo, or phosphor betaine group, or precursors or derivatives thereof (for example alkylbetaines or aminobetaines), for example up to about 0.1, about 0.2, about 0.5, about 1, about 2, or about 5% wt. of the domain.
- Exemplary betaines include cocamidopropyl betaine, oleamidopropyl betaine, octyl sulfobetaine, caprylyl sulfobetaine, lauryl sulfobetaine, myristyl sulfobetaine, palmityl sulfobetaine, stearyl sulfobetaine, betaine (trimethylglycine), octyl betaine, phosphatidylcholine, glycine betaine, poly(carboxybetaine) (pCB), and poly(sulfobetaine) (pSB).
- hydrolyzable cationic esters of zwitterionic groups can be used at similar concentrations for incorporation into the enzyme domain.
- a blend of two or more surface-active group-containing polymers comprises one surface-active group that is negatively charged and one surface-active group that is positively charged.
- the number of negatively and positively charged surface-active groups is such that an enzyme domain formed from the blend is about net neutrally charged.
- the number of positively charged and negatively charged surface-active groups can be unequal, with either more positively charged or negatively charged surface-active groups being present.
- the catalyst can be impregnated or otherwise immobilized into the biointerface or diffusion resistance domain such that a separate enzyme domain 44 is not required (e.g., wherein a unitary domain is provided including the functionality of the biointerface domain, diffusion resistance domain, and enzyme domain).
- the enzyme domain 44 is formed from a polyurethane, for example, aqueous dispersions of colloidal polyurethane polymers including the enzyme.
- the thickness of the enzyme domain can be from about 0.01, about 0.05, about 0.6, about 0.7, or about 0.8 m to about 1, about 1.2, about 1.4, about 1.5, about 1.6, about 1.8, about 2, about 2.1, about 2.2, about 2.5, about 3, about 4, about 5, about 10, about 20, about 30, about 40, about 50, about 60, about 70, about 80, about 90, or about 100 ⁇ m.
- the thickness of the enzyme domain can be from about 0.05, about 0.1, about 0.15, about 0.2, about 0.25, about 0.3, about 0.35, about 0.4, about 0.45, about 0.5, about 1, about 1.5, about 2, about 2.5, about 3, about 4, or about 5 ⁇ m to about 6, about 7, about 8, about 9, about 10, about 11, about 12, about 13, about 14, about 15, about 16, about 17, about 18, about 19, about 19.5, about 20, about 25, or about 30 ⁇ m.
- the thickness of the enzyme domain is from about 2, about 2.5, or about 3 ⁇ m to about 3.5, about 4, about 4.5, or about 5 ⁇ m; in the case of a transcutaneously implanted sensor is from about 6, about 7, or about 8 m to about 9, about 10, about 11, or about 12 m in the case of a wholly implanted sensor.
- an interference domain 43 also referred to as the interference layer, may be provided in addition to (or in replacement of) the biointerface layer.
- the interference domain 43 may substantially reduce the permeation of one or more interferents into the electrochemically reactive surfaces.
- the interference domain 43 can be configured to be much less permeable to one or more of the interferents than to the measured species. It is also contemplated that in some embodiments, where interferent blocking may be provided by the biointerface layer (e.g., via a surface-active group-containing polymer of the biointerface layer), a separate interference domain is not present.
- the membrane includes both an interference domain and a biointerface layer, with both domains configured to reduce the permeation of one or more interferents.
- the interference domain and the biointerface layer are each configured to reduce permeation of different interfering species.
- the interference domain may have greater specificity than the biointerface layer with respect to reducing permeation of one type of interfering species, while the biointerface layer may have greater specificity than the interference domain with respect to reducing permeation of another type of interfering species.
- both the interference domain and the biointerface layer are configured to target certain interference species for permeation reduction.
- the implantable sensor employs a membrane system comprising a resistance domain, an enzyme domain, and an interference domain.
- the interference domain can be proximal to the sensor and the resistance domain can be distal to the sensor, with the enzyme domain therebetween.
- the interference domain can consist of a single layer or plurality of layers of the same material.
- the interference domain comprises two or more different types of layers in an alternating configuration. For example, a first type of layer can be represented by X, a second type of layer can be represented by Y, and a third type of layer can be represented by Z.
- the interference domain including alternating layers can have the following exemplary configurations:
- the first and last layers are the same (e.g., X and X), in other embodiments, the first and last layers are different (e.g., X and Y).
- the domain can include one or more layers that are unitary (i.e., a single layer is deposited, e.g., X), or composite (e.g., a first layer of material is deposited, followed by the deposition of a second and third, etc. layer of the same material atop the first layer, e.g., XXX).
- the pattern of alternating layers can be regular (e.g., XYXYXYXYXY) or irregular (e.g., ZYXZXYZYZ).
- the alternating layers include polyanionic layers and polycationic layers.
- the following are exemplary interference domain configurations, wherein the polyanionic layers (unitary, composite, and/or contiguous with the same polyanion or with different polyanions) are represented by A and the polycationic layers by C (unitary, composite, and/or contiguous with the same polyanion or with different polyanions):
- each A layer is a unitary or composite layer of the same polyanion
- each C layer is a unitary or composite layer of the same polycation.
- the outermost layers of the interference domain can both be polycation layers, with polyanion layers present only as interior layers. Any suitable number of alternating layers can be employed in the interference domain, for example, 1, 2, 3, 4, 5, 6, 7, 8, 9, 10, 11, 12, 13, 14, 15, 16, 17, 18, 19, 20 or more bilayers (defined as a polycationic layer adjacent to a polyanionic layer).
- a final polycationic layer is added so as to yield an interference domain with polycationic layers as the outermost layers.
- a final anionic layer is added so as to yield an interference domain with polyanionic layers as the outermost layers.
- Polyanions and polycations belong to the class of polymers commonly referred to as polyelectrolytes—polymers wherein at least some of the repeating units (or monomers) include one or more ionic moieties.
- Polyelectrolytes which bear both cationic and anionic moieties are commonly referred to as polyampholytes.
- Certain polyelectrolytes form self-assembled monolayers wherein one end of the molecule shows a specific, reversible affinity for a substrate such that an organized, close-packed monolayer of the polyelectrolyte can be deposited.
- the polycation can be any biocompatible polycationic polymer.
- the polycation is a biocompatible water-soluble polycationic polymer.
- water solubility may be enhanced by grafting the polycationic polymer with water-soluble polynonionic materials such as polyethylene glycol.
- Representative polycationic materials may include, for example, natural and unnatural polyamino acids having a net positive charge at neutral pH, positively charged polysaccharides, and positively charged synthetic polymers.
- suitable polycationic materials include polyamines having amine groups on either the polymer backbone or the polymer sidechains, such as poly-L-lysine and other positively charged polyamino acids of natural or synthetic amino acids or mixtures of amino acids, including poly(D-lysine), poly(omithine), poly(arginine), and poly(histidine), and nonpeptide polyamines such as poly(aminostyrene), poly(aminoacrylate), poly(N-methyl aminoacrylate), poly (N-ethylaminoacrylate), poly(N,N-dimethyl aminoacrylate), poly(N,N-diethylaminoacrylate), poly(diallyldimethyl ammonium chloride), poly(aminomethacrylate), poly(N-methyl amino-methacrylate), poly(N-ethyl aminomethacrylate), poly(N,N-dimethyl aminomethacrylate), poly(N,N-diethyl aminomethacrylate), poly(ethyleneimine), polymers
- the polyanionic material can be any biocompatible polyanionic polymer, for example, any polymer having carboxylic acid groups attached as pendant groups.
- the polyionic layers can be hydrophilic (e.g., a material or portion thereof which will more readily associate with water than with lipids).
- the polyanionic polymer is a biocompatible water-soluble polyanionic polymer.
- Suitable materials include, but are not limited to, alginate, carrageenan, furcellaran, pectin, xanthan, hyaluronic acid, heparin, heparan sulfate, chondroitin sulfate, dermatan sulfate, dextran sulfate, polymethacrylic acid, polyacrylic acid, poly(vinyl sulfate), poly(thiophene-3-acetic acid), poly(4-styrenesulfonic acid), poly(styrene sulfonate), (poly [1-[4-(3-carboxy-4-hydroxy-phenylazo)benzene sulfonamido]-1,2-ethanediyl, sodium salt]), poly(4-[4-( ⁇ 4-[3-amino-2-(4-hydroxy-phenyl)propylcarbamoyl]-5-oxo-pentyl- ⁇ -methyl-a
- Polyaminoacids of predominantly negative charge are also suitable.
- these materials include polyaspartic acid, polyglutamic acid, and copolymers thereof with other natural and unnatural amino acids.
- Polyphenolic materials, such as tannins and lignins, can be used if they are sufficiently biocompatible.
- the molecular weight of the polyionic materials may be varied in order to alter coating characteristics, such as coating thickness. As the molecular weight is increased, the coating thickness generally increases. However, an increase in molecular weight may result in greater difficulty with handling. To achieve a balance of coating thickness, material handling, and other design considerations, the polyionic materials can have a particular average molecular weight Mn. In some embodiments, the average molecular weight of a polyionic material used is from about 1,000, 10,000, or 20,000 to about 25,000, 50,000, 100,000 or 150,000 g/mol.
- the interference domain can be prepared using a layer-by-layer deposition technique, wherein a substrate (e.g., the sensor or membrane layer atop the sensor, e.g., the resistance or enzyme layer) is dipped first in a bath of one polyelectrolyte, then in a bath of an oppositely charged polyelectrolyte.
- a substrate e.g., the sensor or membrane layer atop the sensor, e.g., the resistance or enzyme layer
- the substrate can be dipped in a bath of rinsing solution before or after the substrate is dipped into the polyelectrolyte bath.
- FIG. 26B illustrates one embodiment of a layer-by-layer deposition method, which employs alternating adsorption of polycations and polyanions to create a structure illustrated in FIG. 26A .
- the embodiment illustrated in FIG. 26A is a layer-by-layer deposition method, which employs alternating adsorption of polycations and polyanions to create a structure illustrated in FIG. 26A .
- a polycation 942 is deposited onto a substrate 938 (e.g., a wire with an electroactive surface or a flat wafer substrate) to form a polycationic layer 942 .
- a substrate 938 e.g., a wire with an electroactive surface or a flat wafer substrate
- the deposition of the layer can be performed using any of a variety of techniques, such as, dipping and/or spraying, for example.
- rinsing is performed to remove unadsorbed polymer after deposition of the polycationic layer 942 .
- a polyanion 944 is deposited onto the polycationic layer 942 .
- rinsing is performed to remove unadsorbed polymer after deposition of the polyanionic layer 944 .
- These steps can be repeated until the desired interference domain configuration and/or structure is achieved.
- a polyanionic layer is deposited instead of depositing a polycationic layer as the first layer on top of the substrate 938 .
- a polyanionic layer is deposited instead of depositing a polycationic layer as the first layer on top of the substrate 938 .
- a second layer formed of a polycation is deposited onto the first layer, i.e., the polyanionic layer. This process is continued until a certain desired interference domain configuration and/or structure is achieved.
- methods can also employ other interactions such as hydrogen bonding or covalent linkages.
- polyelectrolyte bridging may occur, in which a single polyelectrolyte chain adsorbs to two (or more) oppositely charged macroions, thereby establishing molecular bridges. If only a monolayer of each polyelectrolyte adsorbs with each deposition step, then electrostatically cross-linked hydrogel-type materials can be built on a surface a few microns at a time. If the substrate is not thoroughly rinsed between the application of polyionic films, thicker, hydrogel-like structures can be deposited.
- the interference blocking ability provided by the alternating polycationic layer(s) and polyanionic layer(s) can be adjusted and/or controlled by creating covalent cross-links between the polycationic layer(s) and polyanionic layer(s).
- Cross-linking can have a substantial effect on mechanical properties and structure of the film, which in turn can affect the film's interference blocking ability.
- Cross-linked polymers can have different cross-linking densities.
- cross-linkers are used to promote cross-linking between layers.
- heat is used to form cross-linking.
- imide and amide bonds can be formed between a polycationic layer and a polyanionic layer as a result of high temperature.
- photo cross-linking is performed to form covalent bonds between the polycationic layers(s) and polyanionic layer(s).
- One major advantage to photo-cross-linking is that it offers the possibility of patterning.
- patterning using photo-cross linking is performed to modify the film structure and thus to adjust the interference domain's interference blocking ability. Blocking ability can correspond to, but is not limited to, the ability to reduce transport of a certain interfering species or to the selectivity for the transport of a desired species (e.g., H2O2) over an interfering species.
- Post-deposition reactions such as cross-linking and reduction of metal ions to form nanoparticles, provide further ways to modify film properties.
- cross-linking may be performed between deposition of adjacent polycationic or polyanionic layers in replacement of (or in addition to) a post-deposition cross-linking process.
- the overall thickness of the interference layer can impact its permeability to interferents.
- the overall thickness of the interference domain can be controlled by adjusting the number of layers and/or the degree of rinsing between layers. With layer deposition through spraying, control of drop size and density can provide coatings of desired selected thickness without necessarily requiring rinsing between layers. Additionally, the excess (unbound) material can be removed via other means, for example, by an air jet. If the residual polyelectrolyte from the previous layer is substantially removed before adding the subsequent layer, the thickness per layer decreases.
- the surface is first coated with a polycation, the excess polycation is then removed by rinsing the surface, afterwards the polyanion is added, the excess is then removed, and the process is repeated as necessary.
- the polycations or polyanions from different adjacent layers may intertwine. In further embodiment, they may be intertwined over several layers.
- the level of ionization of polyions may be controlled, for example, by controlling the pH in the dip solution comprising the polycation or the polyanion.
- the interference blocking ability of a certain layer of may be altered and/or controlled. For example, a first polycationic layer that has a higher level of ionization than a second polycationic layer may be better at interacting with and reducing the transport a first interfering species, while the second polycationic may be better at interacting with and reducing the transport of a second interfering species.
- Changes in the level of ionization of a polyion's charge groups can also affect the mechanical properties, structural properties, and other certain properties (e.g., diffusion properties) that may affect the interference domain's ability to reduce transport of (or entirely block) interfering species.
- an alternating bilayer comprising polycations and polyanions, both of which have high levels of ionization, may bond together more tightly than a corresponding bilayer with low levels of ionization.
- the structural difference between these two membranes which can be in the form of mechanical properties or other properties (e.g., thickness of the domain), can affect the performance of the interference domain.
- the linear charge density of the polyelectrolyte may be controlled at least in part by the average charge spacing along the polyion chain.
- the spacing between charge groups on the polycationic and/or polyanionic polymers that form the interference domain may be controlled by polyelectrolyte polymer selection or polymer synthesis. How far the charged groups are spaced can greatly affect the structural properties of the interference domain. For example, a polyion having charged groups that are spaced closely to each other may result in small-sized pores in the interference domain, thereby resulting in a structure that excludes medium molecular-sized and large molecular-sized interfering species from passage therethough, while allowing passage therethrough of small-sized pores.
- the linear charge density of the polyanionic polymer is from about 1 to 50 e/A, sometimes from about 10 to 25 e/A, sometimes from about 2 to 10 e/A, and sometimes from 2 to 3 e/A, where e is the elementary charge of an electron/proton and A is distance in angstroms. In some embodiments, the linear charge density of the polycationic polymer is from about 1 to 50 e/A, sometimes from about 10 to 15 e/A, sometimes from about 2 to 10 e/A, and sometimes from 2 to 3 e/A.
- the linear charge density of polyanionic polymer is substantially similar to the linear charge density of the polycationic polymer.
- the polyanionic layer is formed of (i) poly(acrylic acid), which has an average linear charge density of about 2.5 e/A and (ii) poly(allylamine hydrochloride), which also has an average linear charge density of about 2.5 e/A.
- the polycationic and polyanionic layers may have an average linear charge density that is substantially equal with each other and that is from about 1 to 50 e/A, sometimes from about 2 to 25 e/A, sometimes from about 5 to 10 e/A, other times from about 10 to 15 e/A, and other times from about 15 to 25 e/A.
- an interference domain may be formed that comprises different polycationic/polyanionic bilayers that are designed specifically to exclude different interfering species based on certain characteristics (e.g., molecular size) of the targeted interfering species.
- an outermost bilayer of the interference domain is designed to have a medium average charge spacing, thereby resulting in a bilayer that only excludes large molecular-sized species, but allows passage therethrough of medium molecular-sized species and small molecular-sized species.
- an innermost bilayer of the interference domain may be designed to have low average charge spacing, thereby resulting in a bilayer that excludes all molecules, except those with very small molecular sizes, for example, H2O2.
- the polycationic layers may be formed of the same or substantially the same material (e.g., poly(allylamine hydrochloride) (PAH) for polycation or poly(acrylic acid) (PAA) for polyanion), while having different levels of ionization.
- the interference domain comprises seven alternating polyelectrolyte layers, with the first, third, fifth, and seventh layers being polycationic layers, and with the second, fourth, and sixth layers being polyanionic layers, wherein the first and seventh layers form the outer layers of the interference domain.
- each or some of the polycationic layers may have different levels of ionization.
- the first, third, fifth, and seventh layers may each have different levels of ionization, with the first layer having the highest level of ionization and the seventh layer having the lowest level of ionization, or vice versa.
- some of the polycationic layers may share substantially the same level of ionization.
- the first and seventh layers may have substantially the same levels of ionization, while the third and fifth layers may have a level of ionization that is different from the others.
- the ionization level of a polyion may be controlled by controlling the pH in the dip solution comprising the polycation or the polyanion. By changing the level of ionization of these polyions, the interference blocking ability of a certain layer of may be altered and/or controlled.
- an interference domain having layers with levels of ionization can also be applied to polyanionic layers as well.
- the second, fourth, and sixth layers are each polyanionic layers and may each have different levels of ionization, with the second layer having the highest level of ionization and the sixth layer having the lowest level of ionization, or vice versa.
- some of the polyanionic layers may share substantially the same level of ionization.
- the second and fourth layers may have substantially the same levels of ionization, while the sixth layer may have a substantially different level of ionization from the others.
- the particular polycationic layer(s) and/or polyanionic layer(s) selected to form the interference layer may depend at least in part on their ability to block, reduce, or impede passage therethrough of one or more interferents.
- the polyanionic layer can be selected for its ability to block, reduce, or impede passage of a first interferent, whereas the polycationic layer is selected for its ability to block, reduce, or impede passage of a second interferent.
- the layer may be designed to slow but not block passage of an interferent therethrough, or designed to substantially block (e.g., trap) an interferent therein. Additional polyionic layers can be included in the interference domain with particular selectivity towards still different interferents.
- the interference domain should be designed to allow H2O2 to pass through with minimal impedance if the interference domain is positioned between the electroactive surface and the enzyme layer.
- the interference domain may be designed to block H2O2 not produced by the enzyme-catalyzed reaction from passing therethrough.
- the interference domain may be configured to allow analyte and oxygen to pass therethrough with minimal impedance.
- One coating process embodiment involves solely dip-coating and dip-rinsing steps.
- Another coating process embodiment involves solely spray-coating and spray-rinsing steps.
- a number of alternative embodiments involve various use of a combination of spray-coating, dip-coating, and/or rinsing steps.
- one dip-coating method involves the steps of applying a coating of a first polyionic material to a substrate (e.g., the sensor or membrane layer atop the sensor, e.g., the resistance or enzyme layer) by immersing the substrate in a first solution of a first polyionic material; rinsing the substrate by immersing the substrate in a rinsing solution; and, optionally, drying the substrate.
- a substrate e.g., the sensor or membrane layer atop the sensor, e.g., the resistance or enzyme layer
- This procedure is then repeated using a second polyionic material, with the second polyionic material having charges opposite of the charges of the first polyionic material, in order to form a polyionic bilayer.
- This bilayer formation process can be repeated a plurality of times in order to produce the interference domain.
- the number of bilayers can be from 1 to about 16 bilayers, sometimes from 1 to about 10 bilayers, and sometimes from about 3 to about 7 bilayers.
- the final layer of oppositely charged polyionic material can be deposited, such that the first and the last layer have the same charges (both positive, or both negative).
- the immersion time for each of the coating and rinsing steps may vary depending on a number of factors. For example, immersion of the substrate into the polyionic solution can occur over a period of about 1 to 30 minutes, or from about 2 to 20 minutes, or from about 1 to 5 minutes. Rinsing may be accomplished in one step, but a plurality of rinsing steps can also be employed.
- Rinsing in a series from about 2 to 5 steps can be employed, with each immersion into the rinsing solution consuming, for example, from about 1 to about 3 minutes.
- several polycationic solutions and/or several polyanion solutions may be used.
- the dip-coating sequence may involve the steps of applying a coating of a first polycationic material to the substrate to form a first layer, then applying a first anionic material to the first layer to form a second layer, then applying a second polycationic material to the second layer to form a third layer, then applying a second polyanionic material to form a fourth layer, and then applying a first or second polycationic material to the fourth layer to form a fifth layer.
- the dip-coating sequence described above may be interspersed with rinsing steps performed between coating steps. It is contemplated that any of a variety of permutations involving the steps and materials described may be employed.
- the materials used to form the polycationic and/or polyanionic layers may be substantially the same. However, the individual polycationic layers may have a different level of ionization than one or more other polycationic layers in the inference domain, and the individual polyanionic layers may also have a different level of ionization than one or more other polyanionic layers.
- the dip-coating sequence method involves the use of a first solution at a first pH comprising a polycationic material, a second solution at a second pH comprising a polyanionic material, a third solution at a third pH comprising the aforementioned polycationic material, a fourth solution at a fourth pH comprising the aforementioned polyanionic material, and a fifth solution at a fifth pH comprising the aforementioned polycationic material.
- the levels of ionization of the second and fourth layers will be different.
- This difference in ionization levels can affect, inter alia, the mechanical properties of the film, structural properties (e.g., porosity, roughness) of the film, diffusional properties of the film, and also the selectivity of a certain polyelectrolyte layer for a certain interfering species over another interfering species. All of these effects influence the ability of the individual polyelectrolyte layers and of the interference domain to reduce transport of a variety of interfering species.
- At least two polycationic and/or two polyanionic layers of the interference domain are formed from the same polycationic/polyanionic material, but through use of solutions at different pHs.
- a first polycationic layer possesses a high selectivity for a particular interfering species over other interfering species, while a second polycationic layer possesses a high selectivity for a different interfering species over other interfering species.
- the coating process generally includes the steps of applying a coating of: a first polyionic material to the substrate by contacting the substrate with a first solution of a first polyionic material; rinsing the substrate by spraying the substrate with a rinsing solution; and (optionally) drying the substrate. Similar to the dip-coating process, the spray-coating process may then be repeated with a second polyionic material, with the second polyionic material having charges opposite to those of the first polyionic material.
- the contacting of the substrate with solution either polyionic material or rinsing solution, may occur through a variety of methods. For example, the substrate may be dipped into both solutions.
- One alternative is to apply the solutions in a spray or mist form.
- various combinations are possible and within the scope of the contemplated embodiments, e.g., dipping the substrate in the polyionic material followed by spraying the rinsing solution.
- the spray coating application may be accomplished via a number of methods known in the art.
- a conventional spray coating arrangement may be used, i.e., the liquid material is sprayed by application of fluid, which may or may not be at an elevated or lowered pressure, through a reduced diameter nozzle which is directed towards the deposition target.
- Another spray coating technique involves the use of ultrasonic energy, whereby the liquid is atomized by the ultrasonic vibrations of a spray forming tip and thereby changed to a spray.
- a further technique involves electrostatic spray coating in which a charge is conveyed to the fluid or droplets to increase the efficiency of the coating.
- a further method of atomizing liquid for spray coating involves purely mechanical energy, e.g., through contacting the liquid with a high speed reciprocating member or a high speed rotating disk.
- Still another method of producing microdroplets for spray coatings involves the use of piezoelectric elements to atomize the liquid. These techniques can be employed with air assistance or at an elevated solution pressure. In addition, a combination of two or more techniques may prove more useful with certain materials and conditions.
- a method of spray application involves dispensing, with a metering pump, the polyanion or polycation solution to an ultrasonic dispensing head.
- the polyion layer is sprayed so as to allow the surface droplets to coalesce across the material surface.
- the resulting layer may then be allowed to interact for a period of time or immediately rinsed with water or saline solution (or other solution devoid of polyanion or polycation).
- the layers of the interference domain can include a polymer with a conjugated pi system.
- Polymers with conjugated pi systems can contain a delocalized electron system, and can be conductive. Layers of polymers with conjugated pi systems can interact with each other through intermolecular forces, such as electrostatic pi-pi interactions (i.e., pi-stacking). Conjugated polymers can provide beneficial properties to an interference domain, such as increasing the rigidity, integrity, and/or reproducibility of the domain.
- the polymer with a conjugated pi system can be polyacetylene, polypyrrole, polythiophene, poly(p-phenylene), poly(p-phenylenevinylene) or poly(carbazole).
- the interference domain can include alternating layers of any of the conjugated polymers mentioned above. In some embodiments, the number of layers of conjugated polymers can be from 1 to about 20 layers, sometimes from about 3 to about 10 layers.
- the thickness of the interference domain may be from about 0.01 microns or less to about 20 microns or more. In some of these embodiments, the thickness of the interference domain may be from about 0.01, 0.05, 0.1, 0.15, 0.2, 0.25, 0.3, 0.35, 0.4, 0.45, 0.5, 1, 1.5, 2, 2.5, 3, or 3.5 microns to about 4, 5, 6, 7, 8, 9, 10, 11, 12, 13, 14, 15, 16, 17, 18, 19, or 19.5 microns. In some of these embodiments, the thickness of the interference domain may be from about 0.2, 0.4, 0.5, or 0.6, microns to about 0.8, 0.9, 1, 1.5, 2, 3, or 4 microns.
- certain polymeric films can be used to form interference domains.
- certain polyimides prepared from 2,2′-dimethyl-4,4′-diaminobiphenyl and the corresponding dianhydride can be cast into films that can be employed as hydrogen peroxide-selective membranes. See, e.g., Ekinci et al., Turk. J. Chem. 30 (2006), 277-285.
- a film is prepared using the following steps. First, n-methyl-2-pyrrolidene (NMP) is distilled over CaH2 under reduced pressure and is stored over about 4 ⁇ molecular sieves. Reagent grade pyromellitic dianhydride (PMDA) is sublimed at about 250° C.
- NMP n-methyl-2-pyrrolidene
- PMDA Reagent grade pyromellitic dianhydride
- the water generated from the imidization is allowed to distill from the reaction mixture together with about 1-2 mL of xylene. After being allowed to cool to ambient temperature, the solution is diluted with NMP and then slowly added to a vigorously stirred solution of 95% ethanol. The precipitated polymer is collected via filtration, washed with ethanol, and dried under reduced pressure at 150° C. Before coating, a substrate (e.g., Pt electrode) is cleaned and optionally polished with aqueous alumina slurry down to about 0.05 ⁇ m. Then about 20 ⁇ L of polymer solution prepared by dissolving about 70 mg of polyimide in about 2 mL of NMP is dropped onto the surface of the Pt electrode and allowed to dry at room temperature for about 3 days.
- a substrate e.g., Pt electrode
- a self-assembly process can be employed to build up ultrathin multilayer films comprising consecutively alternative anionic and cationic polyelectrolytes on a charged surface. See, e.g., Decher et al., Thin Solid Films, 210-211 (1992) 831-835. Ionic attraction between opposite charges is the driving force for the multilayer buildup. In contrast to chemisorption techniques that require a reaction yield of about 100% in order to maintain surface functional density in each layer, no covalent bonds need to be formed with a self-assembly process. Additionally, an advantage over the classic Langmuir-Blodgett technique is that a solution process is independent of the substrate size and topology.
- Exemplary polyelectrolytes for use in such a process include, but are not limited to, polystyrenesulfonate sodium salt, polyvinylsulfate potassium salt, poly-4-vinylbenzyl-(N,N-diethyl-N-methyl-)-ammonium iodide, and poly(allylamine hydrochloride).
- the buildup of multilayer films can be conducted as follows. A solid substrate with a positively charged planar surface is immersed in the solution containing the anionic polyelectrolyte and a monolayer of the polyanion is adsorbed.
- the technique is more versatile than the Langmuir-Blodgett technique which is rather limited to periodically alternating layer systems. Another advantage is that the immersion procedure does not pose principal restrictions as to the size of the substrate or to the automation in a continuous process.
- Poly-4-vinylbenzyl-(N,N-diethyl-N-methyl-)-ammonium iodide can be synthesized, as described in Decher et al., Ber. Bunsenges. Phys. Chem., 95 (1992) 1430.
- Alternating multilayer assemblies of all materials can be characterized by UV/vis spectroscopy and small angle X-ray scattering (SAXS) using techniques known in the art. Direct-light microscopy and SAXS measurements can be performed with multilayer assemblies on suitable substrates.
- the multilayer films can be deposited on, e.g., atop a platinum electrode or other metal electrode, or a suitable intervening layer atop an electrode.
- an aqueous acidic solution of polystyrenesulfonate or polyvinylsulfate can be used for the adsorption of the first layer.
- the substrate is rinsed with water. After the adsorption of the first layer, the substrates can be stored for some weeks without noticeable deterioration of the surface.
- the cationic polyelectrolyte polyallylamine is adsorbed from aqueous solution.
- the polycation is adsorbed from an acidic solution.
- All following layers (odd layer numbers) of the anionic polyelectrolytes are adsorbed from aqueous solution.
- polystyrenesulfonate layers can be adsorbed from an acidic solution.
- An adsorption time of about 20 minutes at ambient temperature can be employed, however, in certain embodiments longer or shorter adsorption times may be acceptable.
- a range of polymer concentrations e.g., 20 to 30 mg per about 10 ml water) can provide acceptable results.
- Multilayer molecular films of polyelectrolyte:calixarene and polyelectrolyte:cyclodextrin hosts can be fabricated by alternating adsorption of charged species in aqueous solutions onto a suitable substrate. See, e.g., X. Yang, Sensors and Actuators B 45 (1997) 87-92.
- Such a layer-by-layer molecular deposition approach can be used to integrate molecular recognition reagents into polymer films. The deposition process is highly reproducible and the resulting films are uniform and stable.
- Replacing polyanions, highly negatively charged molecular species can be used for film fabrication. These molecular reagents are capable of binding organic species and can be deposited as functional components into thin films.
- Films can be prepared as follows.
- the substrate e.g., Pt electrode
- PSS aminopropyltrimethoxysilane in chloroform
- PDDA polyelectrolytes by dipping into the aqueous solutions of the polyelectrolytes, respectively.
- alternating depositions of negatively charged molecular host species e.g., calix[6]arene orp-t-butylcalix[4]arene
- PDDA negatively charged molecular host species
- the substrate is thoroughly rinsed with deionized water.
- the polyelectrolyte and molecular ion assembly can be monitored by UV-vis absorption spectroscopy and mass loading can be measured with surface acoustic wave (SAW) devices.
- SAW surface acoustic wave
- the interference domain is formed from one or more cellulosic derivatives.
- cellulosic derivatives can include polymers such as cellulose acetate, cellulose acetate butyrate, 2-hydroxyethyl cellulose, cellulose acetate phthalate, cellulose acetate propionate, cellulose acetate trimellitate, or blends and combinations thereof.
- the interference domain includes a thin, hydrophobic membrane that is non-swellable and restricts diffusion of low molecular weight species.
- the interference domain is permeable to relatively low molecular weight substances, such as hydrogen peroxide, but restricts the passage of higher molecular weight substances, including glucose and ascorbic acid.
- Other systems and methods for reducing or eliminating interference species that can be applied to the membrane system of the preferred embodiments are described in U.S. Pat. No. 7,074,307, U.S. Patent Publication No. US-2005-0176136-A1, U.S. Pat. No. 7,081,195, and U.S. Patent Publication No. US-2005-0143635-A1, each of which is incorporated by reference herein in its entirety.
- the thickness of the interference domain can be from about 0.01 ⁇ m or less to about 20 ⁇ m or more. In some of these embodiments, the thickness of the interference domain can be from about 0.01, about 0.05, about 0.1, about 0.15, about 0.2, about 0.25, about 0.3, about 0.35, about 0.4, about 0.45, about 0.5, about 1, about 1.5, about 2, about 2.5, about 3, or about 3.5 ⁇ m and about 4, about 5, about 6, about 7, about 8, about 9, about 10, about 11, about 12, about 13, about 14, about 15, about 16, about 17, about 18, about 19, or about 19.5 m. In some of these embodiments, the thickness of the interference domain can be from about 0.2, about 0.4, about 0.5, or about 0.6 ⁇ m to about 0.8, about 0.9, about 1, about 1.5, about 2, about 3, or about 4 ⁇ m.
- the membrane systems described herein can be formed or deposited on the exposed electroactive surfaces (e.g., one or more of the working and reference electrodes) using known thin film techniques (for example, casting, spray coating, drawing down, electro-depositing, dip coating, and the like); however, casting or other known application techniques can also be utilized.
- the interference domain can be deposited by spray or dip coating.
- the interference domain is formed by dip coating the sensor into an interference domain solution using an insertion rate of from about 0.5 inch/min to about 60 inches/min, and sometimes about 1 inch/min; a dwell time of from about 0.01 minutes to about 2 minutes, and sometimes about 1 minute; and a withdrawal rate of from about 0.5 inch/minute to about 60 inches/minute, and sometimes about 1 inch/minute; and curing (drying) the domain from about 1 minute to about 14 hours, and sometimes from about 3 minutes to about 15 minutes (and can be accomplished at room temperature or under vacuum, e.g., about 20 to about 30 mmHg).
- a 3-minute cure (i.e., dry) time is used between each layer applied.
- a 15 minute cure time is used between each layer applied.
- the dip process can be repeated at least one time and up to 10 times or more. In other embodiments, only one dip is preferred. The preferred number of repeated dip processes can depend upon the cellulosic derivative(s) used, their concentration, conditions during deposition (e.g., dipping) and the desired thickness (e.g., sufficient thickness to provide functional blocking of certain interferents), and the like.
- an interference domain is formed from three layers of cellulose acetate butyrate.
- an interference domain is formed from 10 layers of cellulose acetate.
- an interference domain is formed from 1 layer of a blend of cellulose acetate and cellulose acetate butyrate.
- the interference domain can be formed using any known method and combination of cellulose acetate and cellulose acetate butyrate, as will be appreciated by one skilled in the art.
- an optional electrode domain 42 also referred to as the electrode layer, can be provided, in addition to the biointerface domain and the enzyme domain; however, in other embodiments, the functionality of the electrode domain can be incorporated into the biointerface domain so as to provide a unitary domain that includes the functionality of the biointerface domain, diffusion resistance domain, enzyme domain, and electrode domain.
- the electrode domain is located most proximal to the electrochemically reactive surfaces.
- the electrode domain can include a semipermeable coating that maintains hydrophilicity at the electrochemically reactive surfaces of the sensor interface.
- the electrode domain can enhance the stability of an adjacent domain by protecting and supporting the material that makes up the adjacent domain.
- the electrode domain can also assist in stabilizing the operation of the device by overcoming electrode start-up problems and drifting problems caused by inadequate electrolyte.
- the buffered electrolyte solution contained in the electrode domain can also protect against pH-mediated damage that can result from the formation of a large pH gradient between the substantially hydrophobic interference domain and the electrodes due to the electrochemical activity of the electrodes.
- the electrode domain includes a flexible, water-swellable, substantially solid gel-like film (e.g., a hydrogel) having a “dry film” thickness of from about 0.05 ⁇ m to about 100 ⁇ m, and sometimes from about 0.05, about 0.1, about 0.15, about 0.2, about 0.25, about 0.3, about 0.35, about 0.4, about 0.45, about 0.5, or about 1 m to about 1.5, about 2, about 2.5, about 3, about 3.5, about 4, about 4.5, about 5, about 6, about 6.5, about 7, about 7.5, about 8, about 8.5, about 9, about 9.5, about 10, about 10.5, about 11, about 11.5, about 12, about 13, about 14, about 15, about 16, about 17, about 18, about 19, about 19.5, about 20, about 30, about 40, about 50, about 60, about 70, about 80, about 90, or about 100 ⁇ m.
- a flexible, water-swellable, substantially solid gel-like film e.g., a hydrogel having a “dry film” thickness of from about 0.05 ⁇ m to about 100
- the thickness of the electrode domain can be from about 2, about 2.5, or about 3 ⁇ m to about 3.5, about 4, about 4.5, or about 5 ⁇ m in the case of a transcutaneously implanted sensor, or from about 6, about 7, or about 8 ⁇ m to about 9, about 10, about 11, or about 12 m in the case of a wholly implanted sensor.
- dry film thickness as used herein is a broad term, and is to be given its ordinary and customary meaning to a person of ordinary skill in the art (and is not to be limited to a special or customized meaning), and refers without limitation to the thickness of a cured film cast from a coating formulation onto the surface of the membrane by standard coating techniques.
- the coating formulation can comprise a premix of film-forming polymers and a crosslinking agent and can be curable upon the application of moderate heat.
- the electrode domain can be formed of a curable mixture of a urethane polymer and a hydrophilic polymer.
- coatings are formed of a polyurethane polymer having anionic carboxylate functional groups and non-ionic hydrophilic polyether segments, which are crosslinked in the presence of polyvinylpyrrolidone and cured at a moderate temperature of about 50° C.
- aqueous dispersions of fully-reacted colloidal polyurethane polymers having cross-linkable carboxyl functionality are e.g., BAYBONDTM; Mobay Corporation. These polymers are supplied in dispersion grades having a polycarbonate-polyurethane backbone containing carboxylate groups identified as XW-121 and XW-123; and a polyester-polyurethane backbone containing carboxylate groups, identified as XW-110-2.
- BAYBONDTM123 an aqueous anionic dispersion of an aliphate polycarbonate urethane polymer sold as a 35 wt. % solution in water and co-solvent N-methyl-2-pyrrolidone, can be used.
- the electrode domain is formed from a hydrophilic polymer that renders the electrode domain equally or more hydrophilic than an overlying domain (e.g., interference domain, enzyme domain).
- hydrophilic polymers can include, a polyamide, a polylactone, a polyimide, a polylactam, a functionalized polyamide, a functionalized polylactone, a functionalized polyimide, a functionalized polylactam or combinations thereof, for example.
- the electrode domain is formed primarily from a hydrophilic polymer, and in some of these embodiments, the electrode domain is formed substantially from PVP.
- PVP is a hydrophilic water-soluble polymer and is available commercially in a range of viscosity grades and average molecular weights ranging from about 18,000 to about 500,000, under the PVP KTM homopolymer series by BASF Wyandotte and by GAF Corporation.
- a PVP homopolymer having an average molecular weight of about 360,000 identified as PVP-K90 (BASF Wyandotte) can be used to form the electrode domain.
- hydrophilic, film-forming copolymers of N-vinylpyrrolidone such as a copolymer of N-vinylpyrrolidone and vinyl acetate, a copolymer of N-vinylpyrrolidone, ethylmethacrylate and methacrylic acid monomers, and the like.
- the electrode domain is formed entirely from a hydrophilic polymer.
- hydrophilic polymers contemplated include, but are not limited to, poly-N-vinylpyrrolidone, poly-N-vinyl-2-piperidone, poly-N-vinyl-2-caprolactam, poly-N-vinyl-3-methyl-2-caprolactam, poly-N-vinyl-3-methyl-2-piperidone, poly-N-vinyl-4-methyl-2-piperidone, poly-N-vinyl-4-methyl-2-caprolactam, poly-N-vinyl-3-ethyl-2-pyrrolidone, poly-N-vinyl-4,5-dimethyl-2-pyrrolidone, polyvinylimidazole, poly-N,N-dimethylacrylamide, polyvinyl alcohol, polyacrylic acid, polyethylene oxide, poly-2-ethyl-oxazoline, copolymers thereof and mixtures thereof.
- the hydrophilic polymer used may not be crosslinked, but in other embodiments, crosslinking can be used and achieved by any of a variety of methods, for example, by adding a crosslinking agent.
- a polyurethane polymer can be crosslinked in the presence of PVP by preparing a premix of the polymers and adding a cross-linking agent just prior to the production of the membrane.
- cross-linking agents include, but are not limited to, carbodiimides (e.g., 1-ethyl-3-(3-dimethylaminopropyl) carbodiimide hydrochloride, and UCARLNKTM XL-25 (Union Carbide)), epoxides and melamine/formaldehyde resins.
- carbodiimides e.g., 1-ethyl-3-(3-dimethylaminopropyl) carbodiimide hydrochloride, and UCARLNKTM XL-25 (Union Carbide)
- crosslinking can be achieved by irradiation at a wavelength sufficient to promote crosslinking between the hydrophilic polymer molecules, which is believed to create a more tortuous diffusion path through the domain.
- a coating formulation can contain from about 6 to about 20 dry wt. %, preferably about 8 dry wt. %, PVP; about 3 to about 10 dry wt. %, sometimes about 5 dry wt. % cross-linking agent; and from about 70 to about 91 wt.
- a polyurethane polymer such as a polycarbonate-polyurethane polymer, for example.
- the reaction product of such a coating formulation is referred to herein as a water-swellable cross-linked matrix of polyurethane and PVP.
- an electrolyte phase that when hydrated is a free-fluid phase including a solution containing at least one compound, typically a soluble chloride salt, which conducts electric current.
- the electrolyte phase flows over the electrodes and is in contact with the electrode domain. It is contemplated that certain embodiments can use any suitable electrolyte solution, including standard, commercially available solutions.
- the electrolyte phase can have the same osmotic pressure or a lower osmotic pressure than the sample being analyzed.
- the electrolyte phase comprises normal saline.
- bioactive agents can be used with the analyte sensor systems described herein, such as the analyte sensor system shown in FIG. 1 .
- the bioactive agents can be in the biointerface layer of the disclosed devices.
- the bioactive agent is an anticoagulant.
- anticoagulant as used herein is a broad term, and is to be given its ordinary and customary meaning to a person of ordinary skill in the art (and is not to be limited to a special or customized meaning), and refers without limitation to a substance the prevents coagulation (e.g., minimizes, reduces, or stops clotting of blood).
- the anticoagulant included in the analyte sensor system can prevent coagulation within or on the sensor.
- Suitable anticoagulants for incorporation into the sensor system include, but are not limited to, vitamin K antagonists (e.g., Acenocoumarol, Clorindione, Dicumarol (Dicoumarol), Diphenadione, Ethyl biscoumacetate, Phenprocoumon, Phenindione, Tioclomarol, or Warfarin), heparin group anticoagulants (e.g.
- Platelet aggregation inhibitors Antithrombin III, Bemiparin, Dalteparin, Danaparoid, Enoxaparin, Heparin, Nadroparin, Pamaparin, Reviparin, Sulodexide, Tinzaparin), other platelet aggregation inhibitors (e.g.
- Abciximab Acetylsalicylic acid (Aspirin), Aloxiprin, Beraprost, Ditazole, Carbasalate calcium, Cloricromen, Clopidogrel, Dipyridamole, Epoprostenol, Eptifibatide, Indobufen, Iloprost, Picotamide, Ticlopidine, Tirofiban, Treprostinil, Triflusal), enzymes (e.g., Alteplase, Ancrod, Anistreplase, Brinase, Drotrecogin alfa, Fibrinolysin, Protein C, Reteplase, Saruplase, Streptokinase, Tenecteplase, Urokinase), direct thrombin inhibitors (e.g., Argatroban, Bivalirudin, Desirudin, Lepirudin, Melagatran, Ximelagatran, other antithrombotics (e.g., Dabiga
- heparin is incorporated into the analyte sensor system, for example by dipping or spraying. While not wishing to be bound by theory, it is believed that heparin coated on the catheter or sensor can prevent aggregation and clotting of blood on the analyte sensor system, thereby preventing thromboembolization (e.g., prevention of blood flow by the thrombus or clot) or subsequent complications.
- heparin is admixed with one or more zwitterionic compounds or derivatives thereof, such as hydrolyzable cationic esters thereof (as described above), prior to dipping or spraying, thus providing the sensor system with a mixed coating of heparin and one or more zwitterionic compounds or derivatives thereof.
- zwitterionic compounds or derivatives thereof such as hydrolyzable cationic esters thereof (as described above)
- an antimicrobial is coated on the catheter (inner or outer diameter) or sensor.
- an antimicrobial agent can be incorporated into the analyte sensor system.
- the antimicrobial agents contemplated can include, but are not limited to, antibiotics, antiseptics, disinfectants and synthetic moieties, and combinations thereof, and other agents that are soluble in organic solvents such as alcohols, ketones, ethers, aldehydes, acetonitrile, acetic acid, methylene chloride and chloroform.
- each antimicrobial agent used to impregnate the medical device varies to some extent, but is at least of an effective concentration to inhibit the growth of bacterial and fungal organisms, such as staphylococci, gram-positive bacteria, gram-negative bacilli and Candida.
- an antibiotic can be incorporated into the analyte sensor system.
- Classes of antibiotics that can be used include tetracyclines (e.g., minocycline), rifamycins (e.g., rifampin), macrolides (e.g., erythromycin), penicillins (e.g., nafeillin), cephalosporins (e.g., cefazolin), other ⁇ -lactam antibiotics (e.g., imipenem, aztreonam), aminoglycosides (e.g., gentamicin), chloramphenicol, sulfonamides (e.g., sulfamethoxazole), glycopeptides (e.g., vancomycin), quinolones (e.g., ciprofloxacin), fusidic acid, trimethoprim, metronidazole, clindamycin, mupirocin, polyen
- antibiotics examples include minocycline, rifampin, erythromycin, nafcillin, cefazolin, imipenem, aztreonam, gentamicin, sulfamethoxazole, vancomycin, ciprofloxacin, trimethoprim, metronidazole, clindamycin, teicoplanin, mupirocin, azithromycin, clarithromycin, ofloxacin, lomefloxacin, norfloxacin, nalidixic acid, sparfloxacin, pefloxacin, amifloxacin, enoxacin, fleroxacin, temafloxacin, tosufloxacin, clinafloxacin, sulbactam, clavulanic acid, amphotericin B, fluconazole, itraconazole, ketoconazole, and nystatin.
- an antiseptic or disinfectant can be incorporated into the analyte sensor system.
- antiseptics and disinfectants are hexachlorophene, cationic bisiguanides (e.g., chlorhexidine, cyclohexidine) iodine and iodophores (e.g., povidoneiodine), para-chloro-meta-xylenol, triclosan, furan medical preparations (e.g., nitrofurantoin, nitrofurazone), methenamine, aldehydes (glutaraldehyde, formaldehyde) and alcohols.
- cationic bisiguanides e.g., chlorhexidine, cyclohexidine
- iodine and iodophores e.g., povidoneiodine
- para-chloro-meta-xylenol e.g., triclosan
- furan medical preparations
- an anti-barrier cell agent can be incorporated into the analyte sensor system.
- Anti-barrier cell agents can include compounds exhibiting effects on macrophages and foreign body giant cells (FBGCs). It is believed that anti-barrier cell agents prevent closure of the barrier to solute transport presented by macrophages and FBGCs at the device-tissue interface during FBC maturation.
- Anti-barrier cell agents can provide anti-inflammatory or immunosuppressive mechanisms that affect the wound healing process, for example, healing of the wound created by the incision into which an implantable device is inserted. Cyclosporine, which stimulates very high levels of neovascularization around biomaterials, can be incorporated into a biointerface membrane of a preferred embodiment (see U.S. Pat. No.
- Dexamethasone which abates the intensity of the FBC response at the tissue-device interface, can be incorporated into a biointerface membrane of a preferred embodiment.
- Rapamycin which is a potent specific inhibitor of some macrophage inflammatory functions, can be incorporated into a biointerface membrane of a preferred embodiment.
- an anti-inflammatory agent can be incorporated into the analyte sensor system to reduce acute or chronic inflammation adjacent to the implant or to decrease the formation of a FBC capsule to reduce or prevent barrier cell layer formation, for example.
- Suitable anti-inflammatory agents include but are not limited to, for example, nonsteroidal anti-inflammatory drugs (NSAIDS) such as acetometaphen, aminosalicylic acid, aspirin, celecoxib, choline magnesium trisalicylate, diclofenac potassium, diclofenac sodium, diflunisal, etodolac, fenoprofen, flurbiprofen, ibuprofen, indomethacin, interleukin (IL)-10, IL-6 mutein, anti-IL-6 iNOS inhibitors (for example, L-NAME or L-NMDA), Interferon, ketoprofen, ketorolac, leflunomide, melenamic acid, mycophenolic acid, mizoribine, nabu
- an immunosuppressive or immunomodulatory agent can be incorporated into the analyte sensor system in order to interfere directly with several key mechanisms necessary for involvement of different cellular elements in the inflammatory response.
- Suitable immunosuppressive and immunomodulatory agents include, but are not limited to, anti-proliferative, cell-cycle inhibitors, (for example, paclitaxel, cytochalasin D, infiximab), taxol, actinomycin, mitomycin, thospromote VEGF, estradiols, NO donors, QP-2, tacrolimus, tranilast, actinomycin, everolimus, methothrexate, mycophenolic acid, angiopeptin, vincristing, mitomycine, statins, C MYC antisense, sirolimus (and analogs), RestenASE, 2-chloro-deoxyadenosine, PCNA Ribozyme, batimstat, prolyl hydroxylase inhibitors, PPARy lig
- an anti-infective agent can be incorporated into the analyte sensor system.
- anti-infective agents are substances capable of acting against infection by inhibiting the spread of an infectious agent or by killing the infectious agent outright, which can serve to reduce an immuno-response without an inflammatory response at the implant site, for example.
- Anti-infective agents include, but are not limited to, anthelmintics (e.g., mebendazole), antibiotics (e.g., aminoclycosides, gentamicin, neomycin, tobramycin), antifungal antibiotics (e.g., amphotericin b, fluconazole, griseofulvin, itraconazole, ketoconazole, nystatin, micatin, tolnaftate), cephalosporins (e.g., cefaclor, cefazolin, cefotaxime, ceftazidime, ceftriaxone, cefuroxime, cephalexin), ⁇ -lactam antibiotics (e.g., cefotetan, meropenem), chloramphenicol, macrolides (e.g., azithromycin, clarithromycin, erythromycin), penicillins (e.g., penicillin G sodium salt, amoxicillin, ampicillin
- a vascularization agent can be incorporated into the analyte sensor system.
- Vascularization agents generally can include substances with direct or indirect angiogenic properties.
- vascularization agents can additionally affect formation of barrier cells in vivo.
- indirect angiogenesis it is meant that the angiogenesis can be mediated through inflammatory or immune stimulatory pathways. It is not fully known how agents that induce local vascularization indirectly inhibit barrier-cell formation; however, while not wishing to be bound by theory, it is believed that some barrier-cell effects can result indirectly from the effects of vascularization agents.
- Vascularization agents can provide mechanisms that promote neovascularization and accelerate wound healing around the membrane or minimize periods of ischemia by increasing vascularization close to the tissue-device interface.
- Sphingosine-1-Phosphate (S1P) a phospholipid possessing potent angiogenic activity
- Monobutyrin, a vasodilator and angiogenic lipid product of adipocytes can also be incorporated into the biointerface membrane.
- an anti-sense molecule for example, thrombospondin-2 anti-sense, which can increase vascularization, is incorporated into a biointerface membrane.
- Vascularization agents can provide mechanisms that promote inflammation, which is believed to cause accelerated neovascularization and wound healing in vivo.
- a xenogenic carrier for example, bovine collagen, which by its foreign nature invokes an immune response, stimulates neovascularization, and is incorporated into a biointerface membrane of some embodiments.
- Lipopolysaccharide, an immunostimulant can be incorporated into a biointerface membrane.
- a protein for example, a bone morphogenetic protein (BMP), which modulates bone healing in tissue, can be incorporated into the biointerface membrane.
- BMP bone morphogenetic protein
- an angiogenic agent can be incorporated into the analyte sensor system.
- Angiogenic agents are substances capable of stimulating neovascularization, which can accelerate and sustain the development of a vascularized tissue bed at the tissue-device interface, for example.
- Angiogenic agents include, but are not limited to, Basic Fibroblast Growth Factor (bFGF), (also known as Heparin Binding Growth Factor-II and Fibroblast Growth Factor II), Acidic Fibroblast Growth Factor (aFGF), (also known as Heparin Binding Growth Factor-I and Fibroblast Growth Factor-I), Vascular Endothelial Growth Factor (VEGF), Platelet Derived Endothelial Cell Growth Factor BB (PDEGF-BB), Angiopoietin-1, Transforming Growth Factor Beta (TGF- ⁇ ), Transforming Growth Factor Alpha (TGF ⁇ ), Hepatocyte Growth Factor, Tumor Necrosis Factor-Alpha (TNF ⁇ ), Placental Growth Factor (PLGF), Angiogenin, Interleukin-8 (IL-8), Hypoxia Inducible Factor-I (HIF-1), Angiotensin-Converting Enzyme (ACE) Inhibitor Quinaprilat, Angiotropin, Thrombos
- a pro-inflammatory agent can be incorporated into the analyte sensor system.
- Pro-inflammatory agents are generally substances capable of stimulating an immune response in host tissue, which can accelerate or sustain formation of a mature vascularized tissue bed.
- pro-inflammatory agents are generally irritants or other substances that induce chronic inflammation and chronic granular response at the wound-site. While not wishing to be bound by theory, it is believed that formation of high tissue granulation induces blood vessels, which supply an adequate or rich supply of analytes to the device-tissue interface.
- Pro-inflammatory agents include, but are not limited to, xenogenic carriers, Lipopolysaccharides, S. aureus peptidoglycan, and proteins.
- bioactive agents can be used alone or in combination.
- the bioactive agents can be dispersed throughout the material of the sensor, for example, incorporated into at least a portion of the membrane system, or incorporated into the device (e.g., housing) and adapted to diffuse through the membrane.
- the bioactive agent can be incorporated into the sensor membrane.
- the bioactive agent can be incorporated at the time of manufacture of the membrane system.
- the bioactive agent can be blended prior to curing the membrane system, or subsequent to membrane system manufacture, for example, by coating, imbibing, solvent-casting, or sorption of the bioactive agent into the membrane system.
- the bioactive agent is incorporated into the membrane system, in other embodiments the bioactive agent can be administered concurrently with, prior to, or after insertion of the device in vivo, for example, by oral administration, or locally, by subcutaneous injection near the implantation site.
- a combination of bioactive agent incorporated in the membrane system and bioactive agent administration locally or systemically can be preferred in certain embodiments.
- a bioactive agent can be incorporated into the membrane system, or incorporated into the device and adapted to diffuse therefrom, in order to modify the in vivo response of the host to the membrane.
- the bioactive agent can be incorporated only into a portion of the membrane system adjacent to the sensing region of the device, over the entire surface of the device except over the sensing region, or any combination thereof, which can be helpful in controlling different mechanisms or stages of in vivo response (e.g., thrombus formation).
- the bioactive agent can be incorporated into the device proximal to the membrane system, such that the bioactive agent diffuses through the membrane system to the host circulatory system.
- the bioactive agent can include a carrier matrix, wherein the matrix includes one or more of collagen, a particulate matrix, a resorbable or non-resorbable matrix, a controlled-release matrix, or a gel.
- the carrier matrix includes a reservoir, wherein a bioactive agent is encapsulated within a microcapsule.
- the carrier matrix can include a system in which a bioactive agent is physically entrapped within a polymer network.
- the bioactive agent is cross-linked with the membrane system, while in others the bioactive agent is sorbed into the membrane system, for example, by adsorption, absorption, or imbibing.
- the bioactive agent can be deposited in or on the membrane system, for example, by coating, filling, or solvent casting.
- ionic and nonionic surfactants ionic and nonionic surfactants, detergents, micelles, emulsifiers, demulsifiers, stabilizers, aqueous and oleaginous carriers, solvents, preservatives, antioxidants, or buffering agents are used to incorporate the bioactive agent into the membrane system.
- the surface of the membrane system comprises a tie layer found on the outermost surface of the sensor membrane to which the bioactive agent reversibly binds.
- this tie layer comprises one or more zwitterionic compounds, or precursors or derivatives thereof, which are bound to surface-active groups of the polymer comprising the outermost domain of the membrane system.
- the zwitterionic compounds or precursors or derivatives thereof comprise one or more zwitterionic betaines, as described above.
- the zwitterionic compounds or precursors or derivatives thereof comprise hydrolyzable cationic esters of a zwitterionic compound, as described above.
- the tie layer comprises one or more hydrolyzable cationic betaine esters, such as hydrolyzable cationic pCB esters.
- the bioactive agent also can be incorporated into a polymer using techniques such as described above, and the polymer can be used to form the membrane system, coatings on the membrane system, portions of the membrane system, or any portion of the sensor system.
- the membrane system can be manufactured using techniques known in the art.
- the bioactive agent can be sorbed into the membrane system, for example, by soaking the membrane system for a length of time (for example, from about an hour or less to about a week, or more preferably from about 4, about 8, about 12, about 16, or about 20 hours to about 1, about 2, about 3, about 4, about 5, or about 7 days).
- the bioactive agent can be blended into uncured polymer prior to forming the membrane system.
- the membrane system is then cured and the bioactive agent thereby cross-linked or encapsulated within the polymer that forms the membrane system.
- microspheres are used to encapsulate the bioactive agent.
- the microspheres can be formed of biodegradable polymers, most preferably synthetic polymers or natural polymers such as proteins and polysaccharides.
- polymer is used to refer to both to synthetic polymers and proteins.
- bioactive agents can be incorporated in (1) the polymer matrix forming the microspheres, (2) microparticle(s) surrounded by the polymer which forms the microspheres, (3) a polymer core within a protein microsphere, (4) a polymer coating around a polymer microsphere, (5) mixed in with microspheres aggregated into a larger form, or (6) a combination thereof.
- Bioactive agents can be incorporated as particulates or by co-dissolving the factors with the polymer.
- Stabilizers can be incorporated by addition of the stabilizers to the factor solution prior to formation of the microspheres.
- the bioactive agent can be incorporated into a hydrogel and coated or otherwise deposited in or on the membrane system.
- Some hydrogels suitable for use in the preferred embodiments include cross-linked, hydrophilic, three-dimensional polymer networks that are highly permeable to the bioactive agent and are triggered to release the bioactive agent based on a stimulus.
- the bioactive agent can be incorporated into the membrane system by solvent casting, wherein a solution including dissolved bioactive agent is disposed on the surface of the membrane system, after which the solvent is removed to form a coating on the membrane surface.
- the bioactive agent can be compounded into a plug of material, which is placed within the device, such as is described in U.S. Pat. No. 4,506,680 and U.S. Pat. No. 5,282,844, which are incorporated by reference herein in their entireties.
- bioactive agents of the disclosed embodiments can be optimized for short- or long-term release.
- the bioactive agents of the disclosed embodiments are designed to aid or overcome factors associated with short-term effects (e.g., acute inflammation or thrombosis) of sensor insertion.
- the bioactive agents are designed to aid or overcome factors associated with long-term effects, for example, chronic inflammation or build-up of fibrotic tissue or plaque material.
- the bioactive agents combine short- and long-term release to exploit the benefits of both.
- controlled,” “sustained,” or “extended” release of the factors can be continuous or discontinuous, linear or non-linear. This can be accomplished using one or more types of polymer compositions, drug loadings, selections of excipients or degradation enhancers, or other modifications, administered alone, in combination or sequentially to produce the desired effect.
- Short-term release of the bioactive agent in the disclosed embodiments generally refers to release over a period of from about a few minutes or hours to about 2, about 3, about 4, about 5, about 6, or about 7 days or more.
- the amount of loading of the bioactive agent into the membrane system can depend upon several factors.
- the bioactive agent dosage and duration can vary with the intended use of the membrane system, for example, the intended length of use of the device and the like; differences among patients in the effective dose of bioactive agent; location and methods of loading the bioactive agent; and release rates associated with bioactive agents and optionally their carrier matrix. Therefore, one skilled in the art will appreciate the variability in the levels of loading the bioactive agent, for the reasons described above.
- the preferred level of loading of the bioactive agent into the membrane system can vary depending upon the nature of the bioactive agent.
- the level of loading of the bioactive agent is preferably sufficiently high such that a biological effect (e.g., thrombosis prevention) is observed. Above this threshold, the bioactive agent can be loaded into the membrane system so as to imbibe up to 100% of the solid portions, cover all accessible surfaces of the membrane, or fill up to 100% of the accessible cavity space.
- the level of loading (based on the weight of bioactive agent(s), membrane system, and other substances present) is from about 1 ppm or less to about 1000 ppm or more, preferably from about 2, about 3, about 4, or about 5 ppm up to about 10, about 25, about 50, about 75, about 100, about 200, about 300, about 400, about 500, about 600, about 700, about 800, or about 900 ppm.
- the level of loading can be about 1 wt. % or less up to about 50 wt. % or more, preferably from about 2, about 3, about 4, about 5, about 6, about 7, about 8, about 9, about 10, about 15, or about 20 wt. % up to about 25, about 30, about 35, about 40, or about 45 wt. %.
- the gel concentration can be optimized, for example, loaded with one or more test loadings of the bioactive agent. It is generally preferred that the gel contain from about 0.1 or less to about 50 wt. % or more of the bioactive agent(s), preferably from about 0.2, about 0.3, about 0.4, about 0.5, about 0.6, about 0.7, about 0.8, or about 0.9 wt. % to about 6, about 7, about 8, about 9, about 10, about 15, about 20, about 25, about 30, about 35, about 40, or about 45 wt. % or more bioactive agent(s), more preferably from about 1, about 2, or about 3 wt. % to about 4 or about 5 wt. % of the bioactive agent(s). Substances that are not bioactive can also be incorporated into the matrix.
- the bioactive agent can be released by diffusion through aqueous filled channels generated in the dosage form by the dissolution of the agent or by voids created by the removal of the polymer solvent or a pore forming agent during the original micro-encapsulation.
- release can be enhanced due to the degradation of the encapsulating polymer. With time, the polymer erodes and generates increased porosity and microstructure within the device. This creates additional pathways for release of the bioactive agent.
- the senor is designed to be bioinert, e.g., by the use of bioinert materials.
- Bioinert materials do not substantially cause any response from the host. As a result, cells can live adjacent to the material but do not form a bond with it.
- Bioinert materials include but are not limited to alumina, zirconia, titanium oxide or other bioinert materials generally used in the “catheter/catheterization” art. While not wishing to be bound by theory, it is believed that inclusion of a bioinert material in or on the sensor can reduce attachment of blood cells or proteins to the sensor, thrombosis or other host reactions to the sensor.
- HS hard segments
- diisocyanates diol or diamine chain extenders of less than 12 carbon units.
- Table 1 The particular formulations are shown in Table 1.
- the in vivo response time was also tested in pig over the course of 15 days.
- continuous sensors with SBL-3 and crosslinked SBL-9 biointerface layers were compared to a sensor without a biointerface layers. It was likewise found that there was no difference in response times for the sensors with and without the biointerface layer ( FIG. 6 ). This again showed that the biointerface domain did not affect the glucose sensor response time.
- the mechanical strength was also visually inspected by viewing sensors with BL-8, a blend of SBL-8 and SBL-10, and SBL-10.
- the BL-10 layer had various inclusions, which suggests that as the hydrophilicity of the layer increases, the mechanical strength decreases ( FIG. 8 ).
- the hydrophilicity could also be adjusted by blending bionterface layers with different hydrophilicities (e.g., blending a polymer that is more hydrophilic with one that is less hydrophilic to arrive at a desired hydrophilicity and strength).
- crosslinked (XSBL-8) and uncrosslinked (SBL-8) with sulfobetaines in the backbone were soaked in water over time and weighed.
- the uncrosslinked polymer absorbed more water over time.
- the crosslinked polymer absorbed less water and reached equilibrium quicker.
- the crosslinked polymer also had significantly more strength ( FIG. 10A and FIG. 10B ).
- Hydrophobicity was also measured by contact angle experiments. Specifically, the advancing contact angles were measured using Attension Sigma force tensiometer 701 (Biolin Scientific product) on sensor wire coated with different polymer coatings. The sensors were submerged in deionized water at 25° C. and allowed to retract and advance repeatedly and the average values of advancing contact angles were calculated. The more hydrophilic and wettable surface the coating is, the lower value would be. The baseline value for sensors without a biointerface layer was 60°. The contact angle of the biointerface layers tested ranged from about 50 to about 90° ( FIG. 18 ).
- the cure rate of various crosslinkers were tested and the data is shown in FIG. 11 .
- the curing rate is measured by the time to reach 50% of conversion of the functional group such as isocyanate groups.
- the fast curing rate can help improve conversion and accelerate the process however may compromise the pot-life.
- Films of SBL-3, CBL-8, and resistance layer were prepared by casting polymer solutions onto polycarbonate sheets and a draw bar coater to cast flat films. This process was repeated until dried films were at desired thickness (3-4 thou). Films were then cut into dog-bones using a dog-bone cutter and a hand press. Dog-bone films were subject to tensile test using an Instron 3345 and stress-strain curves were generated. Five dog-bones were measured for each sample and data were presented by using average with standard deviation as error bar. Ultimate tensile strength, tensile strain and max load, and Young's modulus at 100% extension were calculated from these curves.
- the ultimate tensile strength of SBL-3 is higher than that of CBL-8 and the resistance layer film ( FIG. 28 ).
- the tensile strain at maximum load for SBL-3 is higher than CBL-8 and the resistance layer film ( FIG. 29 ).
- the tensile strain at maximum load for CBL-8 is significantly lower than that of SBL-3 (600% vs. 400%).
- the Young's modulus at 100% extension follows a similar trend as ultimate tensile strength, with the SBL-3 having significantly higher Young's modulus compared to both CBL-8 and resistance layer control ( FIG. 30 ).
- SBL-3 In terms of bulk mechanical properties, SBL-3 has higher ultimate tensile strength, tensile train at break and Young's modulus than CBL-8. In terms of solvent pairs used in polymer synthesis, SBL-3 made with THF/EtOH has stronger mechanical properties than SBL-3 made with THF/IPA solvent pair. In addition, dry SBL-3 with high solution viscosity (>90 cps in THF/EtOH at 10.5 wt % solid content) demonstrated improved film mechanical properties than the resistance layer control.
- Biointerface layer made from SBL-10 was tested by X-ray photoelectron spectroscopy (XPS) in a dry state and after soaking. It was found that the atomic concentration of Sulfur on the SBL-10 coated surface of sensor tip did not increase before soaking (dry state, 0.3%) and after soaking (0.2%), which indicate there was no migration to the surface of the zwitterionic segments in the polymer chain ( FIG. 13 ). Thus, while not wishing to be bound by theory, it is believed that the biointerface layer creates a loosely bonded water layer at the surface which prevents the adsorption of proteins and cells ( FIG. 12 ).
- the swelling ability of the biointerface layer As another theory for the antifouling characteristics of the disclosed biointerface layers, the swelling ability of the biointerface layer. The ability of the disclosed biointerface layer to swell from 50 to 400% is illustrated in FIG. 16 . While not wishing to be bound by theory, the ability to swell at the site of implant is believed to fill in void spaces, helping exclude cells, proteins, and cytokines from the cite that may contribute to fouling.
- the amount of protein adsorption was determined for a continuous glucose sensor having no biointerface layer, a continuous glucose sensor having a polyurethaneurea with betaines in the main polymer chain, and a continuous glucose sensor having polyurethaneurea with betaines at only the ends of the polymer chain.
- Fluorescently conjugated constructs of bovine serum albumin and human fibrinogen were incubated with these sensor configurations for 1 hr. These sensors were then washed in DPBS and imaged as a z-stack on a laser scanning confocal. Maximum intensity projections were made of this image stack and the fluorescent intensities of protein adsorbed on the outer membrane above the sensor active electrode region was measured and the results (a.u.) are shown in FIG. 19 .
- the protein results were confirmed using an in vitro on sensor assay using the micro-bca extraction method. Sensors were placed into human plasma for 1 hr. The protein adsorbed on the surface was extracted with a detergent solution and was tested for total protein using the micro-BCA (bicinchoninic acid assay). Again it was found that the biointerface polymers SBL-3 and SBL-10 resulted in significant reductions in total protein adsorption as compared to sensors without a biointerface layer ( FIG. 21 ).
- FIG. 32 provides the quantification results based on images in FIG. 31 .
- Fibrous capsules are a step in the biomaterial-associated inflammation response. It was found that the thickness of fibrous capsules was approximately 26% less when using a biointerface polymer (SBL-3) versus no biointerface layer ( FIG. 23 ).
- the stability of the biointerface layer after 14 days in vivo was visually confirmed.
- the layer before implant can be compared to SBL-3 (middle-row) and SBL-10 (bottom row).
- the SBL-10 showed more degradation than SBL-3 ( FIG. 24 ).
- An ambulatory pig model was developed for the in vivo assessment of sensor performance. Using hair-less Yucatan pigs, sensors and wearable pods were adhered to their skin, which is similar to humans. Two 10 french external vascular access ports that allow infusion and withdrawal of fluids and blood from central venous circulation were installed into the descending right/left jugular veins. Animals were allowed to recover for 5-7 days before study. Pigs were induced with 5% isoflurane using Surgivet anesthesia machine for 5-10 minutes. Pigs were maintained at 2.5%-4% isoflurane during the duration of the sensor insertion. A pulse oximeter was used to track pig telemetry and pO2. The pigs' skin was cleaned using soap and chlorohexidine surgical scrub.
- the pigs' skin was then cleaned with alcohol gauze and then prepared with skin tac and allowed to air dry.
- the sensor was inserted and active transmitter in logging mode was snapped in.
- Animal patch overlays were used to secure the patch to the skin for long duration wear. Tegaderm (4′′ inch wide) was used to protect patch edges from lifting and waterproofing all sensors.
- a 25% dextrose bag was prepared from 0.9% saline bag mixed (1000 mL) with 50% dextrose. Baseline measurements were taken from sampling blood from the vascular access ports. The 25% dextrose bag was hooked up to infuse the vascular access port and started at a basal drip rate of 1-1.5 drops per second. Measurements were taken every 10 minutes for the duration of the excursion. Data was downloaded from transmitters and data was processed in MATLAB for time lag, sensitivity, noise, EOL, and MARD. There was minimal differences between groups in terms of time lag improvement, slope stability, and MARD calculation. Thus the biointerface layers do not affect cal-check or constant drift profiles. Further SBL-3 exhibits lowest levels of noise compared to CBL-8 and SBL-3 groups ( FIG. 27 ). There are no apparent detriments in performance between groups in terms of time lag, slope, or MARD.
- a fluorescent dye labeled polyurethaneurea was synthesized by two step polycondensation reaction using erythrosine B dye (0.21 wt. %).
- the FPUU can be made in ethyl acetate and isopropanol mixed solvent and form homogeneous transparent red solution.
- the polymer can be precipitated in hexane. The polymer precipitation has strong bright red color, while the supernatant hexane is colorless transparent, which indicate that all the dye was covalently incorporated into polymer. After soaking the polymers in water for one week, no free dye leached out.
- the biointerface polymer is a polyurethaneurea that was synthesized via a two-step polycondensation reaction.
- a homogeneous polyurethane prepolymer with isocyanate end groups on both prepolymer chain ends was prepared.
- a small molecular diamine were used as chain extenders. These diamines react with prepolymer in dilute solution to obtain well-defined polyurethaneurea with high molecular weight.
- the prepolymer was prepared by adding isophorone diisocyanate (IPDI), polyethylene oxide diol (YMERTM N120), polycarbonate diol (Ravecarb 107 polycarbonate diol), and sulfobetaine prepolymer into a dry 200 mL reaction jar fitted with a nitrogen sparge tube and a mechanical stirrer at room temperature. The reaction was heated to 65° C. for 30 min under nitrogen with mechanical stirring (200 rpm) until all the reactants dissolved. 400 ppm of catalyst were added into the reaction, which was kept at 65° C. for 1 h. The reaction temperature was raised to 85° C. and kept for 3 h until no bubbles were observed in the reaction mixture.
- IPDI isophorone diisocyanate
- YMERTM N120 polyethylene oxide diol
- polycarbonate diol Ravecarb 107 polycarbonate diol
- sulfobetaine prepolymer sulfobetaine prepolymer into
- the reaction mixture was allowed to stir for an additional 2 h at 100° C. to complete the formation of the prepolymer.
- the viscous prepolymer was cooled to 50° C. and dissolved in ethyl acetate to form a transparent solution.
- isophorone diamines were used as chain extenders and were added to a dry 700 mL reaction jar equipped with a mechanical stirrer and diluted with ethyl acetate/isopropanol solvent mixture.
- the polyurethane prepolymer solution was added dropwise into the chain extender solution at room temperature under aggressive stirring (600 rpm).
- certain amount of solvent mixture ethyl acetate/isopropanol
- the reaction mixture was kept stirring for additional 5 h at room temperature to complete the chain extension. Similar procedures can be followed in order to provide other biointerface polymers, as detailed herein.
- described monitoring systems and methods may include sensors that measure the concentration of one or more analytes (for instance glucose, lactate, potassium, pH, cholesterol, isoprene, and/or hemoglobin) and/or other blood or bodily fluid constituents of or relevant to a host and/or another party.
- analytes for instance glucose, lactate, potassium, pH, cholesterol, isoprene, and/or hemoglobin
- monitoring system and method embodiments described herein may include finger-stick blood sampling, blood analyte test strips, non-invasive sensors, wearable monitors (e.g. smart bracelets, smart watches, smart rings, smart necklaces or pendants, workout monitors, fitness monitors, health and/or medical monitors, clip-on monitors, and the like), adhesive sensors, smart textiles and/or clothing incorporating sensors, shoe inserts and/or insoles that include sensors, transdermal (i.e. transcutaneous) sensors, and/or swallowed, inhaled or implantable sensors.
- wearable monitors e.g. smart bracelets, smart watches, smart rings, smart necklaces or pendants, workout monitors, fitness monitors, health and/or medical monitors, clip-on monitors, and the like
- adhesive sensors e.g. smart textiles and/or clothing incorporating sensors, shoe inserts and/or insoles that include sensors, transdermal (i.e. transcutaneous) sensors, and/or swallowed, inhaled or implantable sensors.
- monitoring systems and methods may comprise other sensors instead of or in additional to the sensors described herein, such as inertial measurement units including accelerometers, gyroscopes, magnetometers and/or barometers; motion, altitude, position, and/or location sensors; biometric sensors; optical sensors including for instance optical heart rate monitors, photoplethysmogram (PPG)/pulse oximeters, fluorescence monitors, and cameras; wearable electrodes; electrocardiogram (EKG or ECG), electroencephalography (EEG), and/or electromyography (EMG) sensors; chemical sensors; flexible sensors for instance for measuring stretch, displacement, pressure, weight, or impact; galvanometric sensors, capacitive sensors, electric field sensors, temperature/thermal sensors, microphones, vibration sensors, ultrasound sensors, piezoelectric/piezoresistive sensors, and/or transducers for measuring information of or relevant to a host and/or another party.
- inertial measurement units including accelerometers, gyroscopes, magnetometers and/or barometer
- the term ‘including’ should be read to mean ‘including, without limitation,’ ‘including but not limited to,’ or the like;
- the term ‘comprising’ as used herein is synonymous with ‘including,’ ‘containing,’ or ‘characterized by,’ and is inclusive or open-ended and does not exclude additional, unrecited elements or method steps;
- the term ‘having’ should be interpreted as ‘having at least;’ the term ‘includes’ should be interpreted as ‘includes but is not limited to;’ the term ‘example’ is used to provide exemplary instances of the item in discussion, not an exhaustive or limiting list thereof; adjectives such as ‘known’, ‘normal’, ‘standard’, and terms of similar meaning should not be construed as limiting the item described to a given time period or to an item available as of a given time, but instead should be read to encompass known, normal, or standard technologies that may be available or known now or at any time in the future; and use of terms like ‘preferably,’ ‘preferred,’ ‘desi
- a group of items linked with the conjunction ‘and’ should not be read as requiring that each and every one of those items be present in the grouping, but rather should be read as ‘and/or’ unless expressly stated otherwise.
- a group of items linked with the conjunction ‘or’ should not be read as requiring mutual exclusivity among that group, but rather should be read as ‘and/or’ unless expressly stated otherwise.
Landscapes
- Health & Medical Sciences (AREA)
- Life Sciences & Earth Sciences (AREA)
- Chemical & Material Sciences (AREA)
- Engineering & Computer Science (AREA)
- General Health & Medical Sciences (AREA)
- Organic Chemistry (AREA)
- Physics & Mathematics (AREA)
- Veterinary Medicine (AREA)
- Public Health (AREA)
- Animal Behavior & Ethology (AREA)
- Medicinal Chemistry (AREA)
- Molecular Biology (AREA)
- Zoology (AREA)
- Biomedical Technology (AREA)
- Chemical Kinetics & Catalysis (AREA)
- Wood Science & Technology (AREA)
- Biophysics (AREA)
- Bioinformatics & Cheminformatics (AREA)
- Pathology (AREA)
- Genetics & Genomics (AREA)
- Medical Informatics (AREA)
- Pharmacology & Pharmacy (AREA)
- Epidemiology (AREA)
- Biochemistry (AREA)
- Surgery (AREA)
- Heart & Thoracic Surgery (AREA)
- Microbiology (AREA)
- Biotechnology (AREA)
- Immunology (AREA)
- Polymers & Plastics (AREA)
- Optics & Photonics (AREA)
- Proteomics, Peptides & Aminoacids (AREA)
- General Engineering & Computer Science (AREA)
- Emergency Medicine (AREA)
- Analytical Chemistry (AREA)
- General Chemical & Material Sciences (AREA)
- Hematology (AREA)
- Natural Medicines & Medicinal Plants (AREA)
- General Physics & Mathematics (AREA)
- Diabetes (AREA)
Abstract
Description
- Any and all priority claims identified in the Application Data Sheet, or any correction thereto, are hereby incorporated by reference under 37 CFR 1.57. This application is a continuation of U.S. application Ser. No. 15/394,706, filed Dec. 29, 2016, which claims the benefit of U.S. Provisional Application No. 62/273,155, filed Dec. 30, 2015; U.S. Provisional Application No. 62/273,142, filed Dec. 30, 2015; and U.S. Provisional Application No. 62/273,219, filed Dec. 30, 2015. Each of the aforementioned applications is incorporated by reference herein in its entirety, and each is hereby expressly made a part of this specification.
- The subject matter disclosed herein relates to devices for measuring a biological analyte in a host and to components of such devices.
- Electrochemical sensors are useful for determining the presence or concentration of a biological analyte, such as blood glucose. Such sensors are effective, for example, at monitoring glucose in diabetic patients and lactate during critical care events.
- A challenge associated with long-term use of continuous sensors and other medical devices is biomaterial-associated inflammation, which is the inflammation caused by implantation of foreign materials into the body. Biomaterial-associated inflammation is the result of a dynamic microenvironment around an implanted device, which includes the initial injury, neutrophil and macrophage recruitment, foreign body giant cell (FBGC) response, neovascularization, fibroblast recruitment, and downstream fibrosis. The formation of a barrier cell layer around the implanted device can result in impaired tissue integration.
- In the case of a continuous sensor, biomaterial-associated inflammation can impair analyte transport from tissues to the sensor surface, whether by creating a diffusion barrier or active consumption of analytes. The FBGC response to implantable materials results in fibrous capsule formation that impedes sensor function through the modulation of glucose diffusion through dense fibrotic “scar-tissue” layers. Other constituents of the biomaterial-associated inflammatory cascade, such as inflammatory cytokines and other small molecules, sometimes act as interferents to sensor performance. These interferents can cause sensor inaccuracy due to the constant change in transport properties at the sensor/tissue interface. Aside from diffusion limitations, there exists an active cellular component of the biomaterial-associated inflammatory cascade, involving inflammatory and wound healing cells; these cells that can be activated by implanted materials can actively consume glucose and produce H2O2, which can also lead to sensor inaccuracy. Reduction in biomaterial-associated inflammation is thus important in creating long-term, stable, implantable sensors and devices. Thus what are needed are methods and compositions that can reduce inaccuracies in an implanted sensor that can be caused by biomaterial-associated inflammation. What are also needed are methods and compositions that can increase the longevity of an implanted device. The methods and compositions disclosed herein address these and other needs.
- In accordance with the purposes of the disclosed materials and methods, as embodied and broadly described herein, the disclosed subject matter, in one aspect, relates to compounds, compositions and methods of making and using compounds and compositions, and devices containing compounds and compositions.
- In a first aspect, a device is provided for determining an analyte concentration (e.g., glucose), the device comprising: a sensor configured to generate a signal associated with a concentration of an analyte and a sensing membrane located over the sensor. The sensing membrane comprises a biointerface layer which interfaces with a biological fluid containing the analyte to be measured. In devices of this aspect, the biointerface layer comprises a biointerface polymer, wherein the biointerface polymer may comprise polyurethane and/or polyurea segments and one or more zwitterionic repeating units.
- A biointerface layer increases sensor longevity and decrease sensor inaccuracy by inhibiting accumulation of cells, proteins, and other biological species on the outermost layers of the sensor. Early attenuation of these events in the biomaterial-associated inflammation cascade can lessen the overall severity of the response, and therefore the sensor inaccuracy in vivo can be reduced.
- In further embodiments of the disclosed devices the sensing membrane further comprises an enzyme domain comprising an enzyme selected from the group consisting of glucose oxidase, glucose dehydrogenase, galactose oxidase, cholesterol oxidase, amino acid oxidase, alcohol oxidase, lactate oxidase, and uricase. In certain embodiments, the enzyme is glucose oxidase.
- In embodiments of devices of this aspect, the one or more zwitterionic repeating units comprise a betaine compound or derivative thereof. In examples of devices of this aspect, the one or more zwitterionic repeating units comprise a betaine compound or precursor thereof.
- In embodiments of devices of this aspect, the one or more zwitterionic repeating units comprise at least one moiety selected from the group consisting of a carboxyl betaine, a sulfo betaine, a phosphor betaine, and derivatives thereof.
- In embodiments of devices of this aspect, the one or more zwitterionic repeating units are derived from a monomer selected from the group consisting of:
-
- where Z is branched or straight chain alkyl, heteroalkyl, cycloalkyl, cycloheteroalkyl, aryl, or heteroaryl; R1 is H, alkyl, heteroalkyl, cycloalkyl, heterocycloalkyl, aryl, or heteroaryl; and R2, R3, and R4 are independently chosen from alkyl, heteroalkyl, cycloalkyl, heterocycloalkyl, aryl, or heteroaryl; and wherein one or more of R1, R2, R3, R4, and Z are substituted with a polymerization group.
- In embodiments of devices of this aspect, the one or more zwitterionic repeating units are derived from a monomer selected from the group consisting of:
-
- where Z is branched or straight chain alkyl, heteroalkyl, cycloalkyl, cycloheteroalkyl, aryl, or heteroaryl; R1 is H, alkyl, heteroalkyl, cycloalkyl, heterocycloalkyl, aryl, or heteroaryl; and R2 and R3, are independently chosen from alkyl, heteroalkyl, cycloalkyl, heterocycloalkyl, aryl, or heteroaryl; wherein one or more of R1, R2, R3, and Z are substituted with a polymerization group.
- In embodiments of devices of this aspect, the one or more zwitterionic repeating units are derived from a monomer selected from the group consisting of:
-
- where Z is branched or straight chain alkyl, heteroalkyl, cycloalkyl, cycloheteroalkyl, aryl, or heteroaryl; R1 is H, alkyl, heteroalkyl, cycloalkyl, heterocycloalkyl, aryl, or heteroaryl; and R2 and R3 are independently chosen from alkyl, heteroalkyl, cycloalkyl, heterocycloalkyl, aryl, or heteroaryl; wherein one or more of R1, R2, R3, and Z are substituted with a polymerization group.
- In embodiments of devices of this aspect, wherein the polymerization group is selected from alkene, alkyne, epoxide, lactone, amine, hydroxyl, isocyanate, carboxylic acid, anhydride, silane, halide, aldehyde, and carbodiimide.
- In embodiments of devices of this aspect, the one or more zwitterionic repeating units is at least about 1 wt. % based on the total weight of the polymer.
- In embodiments of devices of this aspect, the polyurethane and/or polyurea segments are from about 15 wt. % to about 75 wt. %, based on the total weight of the polymer.
- In embodiments of devices of this aspect, the biointerface polymer further comprises at least one segment selected from the group consisting of epoxides, polyolefins, polysiloxanes, polyamide, polystylene, polyacrylate, polyethers, polyesters, and polycarbonates.
- In embodiments of devices of this aspect, the biointerface polymer further comprises a polyethylene oxide segment, which in some examples is from about 5 wt. % to about 60 wt. %, based on the total weight of the biointerface polymer.
- In embodiments of devices of this aspect, the biointerface polymer has a molecular weight of from about 10 kDa to about 500,000 kDa, a polydispersity index of from about 1.4 to about 3.5, and/or a contact angle of from about 20° to about 90°.
- In a second aspect, a device is provided where the biointerface layer further comprises one or more zwitterions selected from the group consisting of cocamidopropyl betaine, oleamidopropyl betaine, octyl sulfobetaine, caprylyl sulfobetaine, lauryl sulfobetaine, myristyl sulfobetaine, palmityl sulfobetaine, stearyl sulfobetaine, betaine (trimethylglycine), octyl betaine, phosphatidylcholine, glycine betaine, poly(carboxybetaine), poly(sulfobetaine), and derivatives thereof.
- In an embodiment of the second aspect, a device is provided where the biointerface layer further comprises a pharmaceutical or bioactive agent.
- In a third aspect, a device is provided for determining an analyte concentration, the device comprising: a sensor configured to generate a signal associated with a concentration of an analyte and a sensing membrane located over the sensor. The sensing membrane comprises a biointerface layer which interfaces with a biological fluid containing the analyte to be measured. In devices of this aspect, the biointerface domain comprises a biointerface polymer, wherein the biointerface polymer comprises a polymer chain having both hydrophilic and hydrophobic regions and wherein the hydrophilic regions comprise a liner polymer chain having hydrophilic oligomers bound thereto and where the linear polymer is grafted to the biointerface polymer.
- In a fourth aspect, a device is provided for determining an analyte concentration, the device comprising: a sensor configured to generate a signal associated with a concentration of an analyte and a sensing membrane located over the sensor. The sensing membrane comprises a biointerface layer which interfaces with a biological fluid containing the analyte to be measured. In devices of this aspect, the biointerface layer comprises a biointerface polymer, wherein the biointerface polymer comprises a fluorescent moiety covalently bonded to the biointerface polymer.
- In a fifth aspect, a device is provided for determining an analyte concentration, the device comprising: a sensor configured to generate a signal associated with a concentration of an analyte and a sensing membrane located over the sensor. The sensing membrane comprises a biointerface layer which interfaces with a biological fluid containing the analyte to be measured. In devices of this aspect, the biointerface layer comprises a base polymer and a surface modifying polymer, wherein the surface modifying polymer comprises a polymer chain having both hydrophilic and hydrophobic regions and wherein one or more zwitterionic compounds; and wherein the base polymer is selected from silicone, epoxide, polyolefin, polystylene, polyoxymethylene, polysiloxane, polyether, polyacrylic, polymethacrylic, polyester, polycarbonate, polyamide, poly(ether ketone), poly(ether imide), polyurethane, and polyurethane urea.
- In all of the devices disclosed herein, they can be configured for continuous measurement of an analyte concentration.
- Additional advantages will be set forth in part in the description that follows, and in part will be obvious from the description, or can be learned by practice of the aspects described below. The advantages described below will be realized and attained by means of the elements and combinations particularly pointed out in the appended claims. It is to be understood that both the foregoing general description and the following detailed description are exemplary and explanatory only and are not restrictive.
- The accompanying Figures, which are incorporated in and constitute a part of this specification, illustrate several aspects described below.
-
FIG. 1 is a schematic view of a continuous analyte sensor system attached to a host and communicating with other devices. -
FIGS. 2A-2C are cross-sectional views of a sensor illustrating various embodiments of the membrane system. -
FIG. 3A is a side view schematic illustrating an in vivo portion of a continuous analyte sensor, in one embodiment. -
FIG. 3B is a perspective view schematic illustrating an in vivo portion of a continuous analyte sensor, in one embodiment. -
FIG. 3C is a side view schematic illustrating an in vivo portion of a continuous analyte sensor, in one embodiment. -
FIG. 3D is a cross-sectional/side-view schematic illustrating an in vivo portion of a continuous analyte sensor, in one embodiment. -
FIG. 4 is a schematic showing certain embodiments of a biointerface polymer. -
FIG. 5 is a graph showing the T95 response (in seconds) of a continuous sensor without a biointerface layer (“no BL”) and one with a biointerface layer (“with BL”), as described herein. There is no significant difference in T95 response times between the sensors. -
FIG. 6 is a graph showing the time lag from continuous glucose sensors without a biointerface layer (“RL”) and with biointerface layer SBL-3 or X-SBL-9 in a pig model. Polymers SBL-3 is from Table 1. Polymer X-SBL-9 is from Table 1 but crosslinked. -
FIG. 7 is a graph showing the calibration check performance of continuous glucose sensors with and without a biointerface layer (SBL-8 with 10% crosslinking). The biointerface layer did not significantly affect the bench performance of the sensor. -
FIG. 8 is a group of photographs of sensors coated with three different biointerface layers. SBL-8 and SBL-10 are polymers from Table 1. SBL8/10 is a 50/50 wt. % blend of polymers SBL-8 and SBL-10. As the hydrophilicity of the biointerface layer increases (as referenced by the percentage of the polyethylene oxide in the polymer), the mechanical strength decreases. The decrease in mechanical strength is evident by the small dark areas, which indicate compromises in the layer. -
FIG. 9 is a graph of the hydrophobicity of various biointerface layers as measured by the amount of water uptake. SBL-3 is from Table 1. X-SBL-8 is polymer SBL-8 from Table 1 crosslinked. X-SBL-9 is polymer SBL-9 from Table 1 crosslinked. X-SBL-10 is polymer SBL-10 from Table 1 crosslinked. X-CBL-3 is polymer SBL-3 from Table 1 where the sulfobetaines are replaced with carboxyl betaines and crosslinked. X-CBL-8 is polymer SBL-8 from Table 1 where the sulfobetaines are replaced with carboxyl betaines and crosslinked. As the percentage of hydrophilic segments (e.g., PEG) increases from SBL-3 to SBL-10, the amount of water uptake, and thus hydrophilicity, increases. -
FIG. 10A is a graph of water absorption rate and tensile strength data for crosslinked (X-SBL-8) and uncrosslinked (SBL-8) biointerface polymer. The data show that crosslinking results in faster water absorption and equilibration. -
FIG. 10B is a graph of tensile strength data for crosslinked (X-SBL-8) and uncrosslinked (SBL-8) biointerface polymer. The data show that crosslinking increases the tensile strength. -
FIG. 11 is a graph of crosslinking reaction kinetics as measured by FT-IR. The crosslinking reaction was done on polymer SBL-10 using different isocyanate-based crosslinkers. -
FIG. 12 is a diagram illustrating possible mechanism for the antifouling characteristics of a biointerface polymer layer. -
FIG. 13 contains data for XPS studies on polymer SBL-3, SBL-10 dry, and SBL-10 soaked. The data show that there is no preferential migration of betaine to the surface of the biointerface layer when the sensor is soaked in water (supported by comparing the element S atom ratio of SBL-10 coated dry sensor and SBL-10 coated sensor soaked). The XPS data also indicate sulfobetaine groups appear on the surface of sensor tips with both SBL-3 and SBL-10 coated sensors (supported by observing element S on the sensor tips). The increased amount of S atom detected on the surface of BL-10 sample as compared to BL-3 sample is the result of the increased loading of sulfo betaine in the polymer backbone. -
FIG. 14 is a diagram illustrating a biointerface layer made of densely packed hydrophilic brushes. The biointerface layer is grafted onto surface functional groups in an adjacent layer (e.g., resistance layer). -
FIG. 15 contains a chemical structure for a biointerface layer using hydrophobic hyperbranched fluoropolymer (HBFP)-rich domains and hydrophilic PEG domains. -
FIG. 16 is a pair of photographs showing a dry sensor coated with a biointerface layer and the same sensor after a 3-minute soak in phosphate buffer solution. The images show the biointerface layer swells (from 50 to 400%) after the soak, which indicates that the biointerface layer can be beneficial for excluding inflammatory cytokines from the implantation site. -
FIG. 17 is a diagram illustrating the use of additional functionality on the biointerface layer. This functionality can be used to attach, e.g., via click chemistry, antifouling reagents or proteins. -
FIG. 18 is a graph showing the contact angle of various biointerface layers from Table 1. The variation of contact angle indicates that the wettability of the biointerface layer can be tuned by varying the amounts of hydrophobic and/or hydrophilic segments. -
FIG. 19 is a graph showing the amount of protein (bovine serum albumin (BSA) or fibrinogen) absorption on different biointerface layers. The reference layer (RL) does not contain a biointerface polymer. Biointerface layers where a betaine is within the main polymer chain are compared with layers where the betaine is only at the ends of the polymer chain. -
FIG. 20 is a graph showing the protein adsorption via the QCM method on various sensors without biointerface polymers and those with biointerface polymers. A silicone polycarbonate urethane layer corresponds to RL-1 and a silicone-free polycarbonate urethane corresponds to RL-2. Biointerface layers SBL-1, SBL-3, and SBL-10 are from Table 1. As is seen when compared to sensors without a biointerface layer, the amount of protein adsorption is significantly less. -
FIG. 21 is a graph of protein adsorption using an on-sensor micro-BCA method. The sensor without the biointerface layer (RL-1) had significantly more protein than sensors coated with biointerface layers SBL-3 and SBL-10. -
FIG. 22 is a graph of protein adsorption using a dye-labeled protein adsorption screening method. Sensors with a layer lacking betaines (RL-7 from Table 1) and control sensors without a biointerface layer (RL-1 and RL-2) showed significantly more protein adsorption than SBL-3, crosslinked versions of SBL-10, SBL-8, and SBL-9 (XSBL-10, XSBL-8, and XSBL-9, respectively), and crosslinked and uncrosslinked versions of SBL-3 with carboxylbetains instead of sulfobetaines (XCBL-3 and CBL-3, respectively). -
FIG. 23 is a graph showing the fibrous capsule thickness of a sensor with (“BL”) and without (“No BL”) a biointerface layer. The biointerface polymer in the BL was SBL-3 from Table 1. The reduction in fibrous capsule thickness when using a biointerface layers is significant. -
FIG. 24 is a group of photographs showing stability of a sensor coated with a biointerface layer. The stable explant was coated with SBL-8 and the unstable explant was coated with SBL-10. The dark areas indicate compromises in the layer. -
FIGS. 25A-D comprise a group of graphs showing the raw counts from various sensors at 2 days and 14 days post implant. In the sensor without the biointerface layer (“No BL”) the spread of data points is more pronounced atday 14 than atday 2, indicating a shift raw counts that is due to biofouling. In contrast, the sensor with the biointerface layer (“with BL”) had very little spread of data points at 14 days; it was similar to the spread atday 2, indicating that there was less biofouling. -
FIG. 26A is a schematic view of a portion of one embodiment of an interference domain that comprises a plurality of polycationic and polyanionic layers. -
FIG. 26B illustrates one embodiment of a layer-by-layer deposition method, which employs alternating adsorption of polycations and polyanions to create a structure illustrated inFIG. 26A . -
FIG. 27 is a graph of the 95% confidence interval for nominal noise for sensors coated with CBL-8 and SBL3. -
FIG. 28 is a graph of ultimate tensile strength of SBL-3 and CBL-8, with a resistance layer as the control (RL) (i.e., a membrane in which there was no biointerface layer and the resistance layer formed the outermost layer). -
FIG. 29 is a graph of tensile strain at maximum load of SBL-3 and CBL-8, with a resistance layer as the control (RL). -
FIG. 30 is a graph of Young's modulus at 100% extension of SBL-3 and CBL-8, with a resistance layer as the control (RL). -
FIG. 31 contains images of the skive regions of sensors with BSA-488 incubated on various polymer surfaces after 1 hour. -
FIG. 32 is a graph of normalized protein adsorption based on ImageJ quantification of fluorescence intensity in skive region of sensor. -
FIG. 33 is a schematic of a biointerface layer with Factor H covalently linked thereto through a linker. - The methods, compositions, and devices described herein can be understood more readily by reference to the following detailed description of specific aspects of the disclosed subject matter and the Examples and Figures included therein.
- Before the methods, compositions, and devices are disclosed and described, it is to be understood that the aspects described below are not limited to specific synthetic methods or specific reagents, as such can, of course, vary. It is also to be understood that the terminology used herein is for the purpose of describing particular aspects only and is not intended to be limiting.
- Also, throughout this specification, various publications are referenced. The disclosures of these publications in their entireties are hereby incorporated by reference into this application in order to more fully describe the state of the art to which the disclosed matter pertains. The references disclosed are also individually and specifically incorporated by reference herein for the material contained in them that is discussed in the sentence in which the reference is relied upon.
- In this specification and in the claims that follow, reference will be made to a number of terms, which shall be defined to have the following meanings:
- The term “about,” as used herein, is intended to qualify the numerical values which it modifies, denoting such a value as variable within a margin of error. When no particular margin of error, such as a standard deviation to a mean value given in a chart or table of data, is recited, the term “about” should be understood to mean that range which would encompass the recited value and the range which would be included by rounding up or down to that figure as well, taking into account significant figures.
- The term “analyte” as used herein is a broad term, and is to be given its ordinary and customary meaning to a person of ordinary skill in the art (and is not to be limited to a special or customized meaning), and refers without limitation to a substance or chemical constituent in a biological fluid (e.g., blood, interstitial fluid, cerebral spinal fluid, lymph fluid, urine, sweat, saliva, etc.) that can be analyzed. Analytes can include naturally occurring substances, artificial substances, metabolites, or reaction products. In some embodiments, the analyte for measurement by the sensing regions, devices, and methods is glucose. However, other analytes are contemplated as well, including, but not limited to: acarboxyprothrombin; acylcamitine; adenine phosphoribosyl transferase; adenosine deaminase; albumin; α-fetoprotein; amino acid profiles (arginine (Krebs cycle), histidine/urocanic acid, homocysteine, phenylalanine/tyrosine, tryptophan); andrenostenedione; antipyrine; arabinitol enantiomers; arginase; benzoylecgonine (cocaine); biotinidase; biopterin; c-reactive protein; camitine; camosinase; CD4; ceruloplasmin; chenodeoxycholic acid; chloroquine; cholesterol; cholinesterase; conjugated 1-13 hydroxy-cholic acid; cortisol; creatine kinase; creatine kinase MM isoenzyme; cyclosporin A; d-penicillamine; de-ethylchloroquine; dehydroepiandrosterone sulfate; DNA (acetylator polymorphism, alcohol dehydrogenase, alpha 1-antitrypsin, cystic fibrosis, Duchenne/Becker muscular dystrophy, glucose-6-phosphate dehydrogenase, hemoglobin A, hemoglobin S, hemoglobin C, hemoglobin D, hemoglobin E, hemoglobin F, D-Punjab, 3-thalassemia, hepatitis B virus, HCMV, HIV-1, HTLV-1, Leber hereditary optic neuropathy, MCAD, RNA, PKU, Plasmodium vivax, sexual differentiation, 21-deoxycortisol); desbutylhalofantrine; dihydropteridine reductase; diptheria/tetanus antitoxin; erythrocyte arginase; erythrocyte protoporphyrin; esterase D; fatty acids/acylglycines; free β-human chorionic gonadotropin; free erythrocyte porphyrin; free thyroxine (FT4); free tri-iodothyronine (FT3); fumarylacetoacetase; galactose/gal-1-phosphate; galactose-1-phosphate uridyltransferase; gentamicin; glucose-6-phosphate dehydrogenase; glutathione; glutathione perioxidase; glycocholic acid; glycosylated hemoglobin; halofantrine; hemoglobin variants; hexosaminidase A; human erythrocyte carbonic anhydrase I; 17-α-hydroxyprogesterone; hypoxanthine phosphoribosyl transferase; immunoreactive trypsin; lactate; lead; lipoproteins ((α), B/A-1, β); lysozyme; mefloquine; netilmicin; phenobarbitone; phenyloin; phytanic/pristanic acid; progesterone; prolactin; prolidase; purine nucleoside phosphorylase; quinine; reverse tri-iodothyronine (rT3); selenium; serum pancreatic lipase; sissomicin; somatomedin C; specific antibodies (adenovirus, anti-nuclear antibody, anti-zeta antibody, arbovirus, Aujeszky's disease virus, dengue virus, Dracunculus medinensis, Echinococcus granulosus, Entamoeba histolytica, enterovirus, Giardia duodenalisa, Helicobacter pylori, hepatitis B virus, herpes virus, HIV-1, IgE (atopic disease), influenza virus, Leishmania donovani, leptospira, measles/mumps/rubella, Mycobacterium leprae, Mycoplasma pneumoniae, Myoglobin, Onchocerca volvulus, parainfluenza virus, Plasmodium falciparum, poliovirus, Pseudomonas aeruginosa, respiratory syncytial virus, rickettsia (scrub typhus), Schistosoma mansoni, Toxoplasma gondii, Trepenoma pallidium, Trypanosoma cruzi/rangeli, vesicular stomatis virus, Wuchereria bancrofti, yellow fever virus); specific antigens (hepatitis B virus, HIV-1); succinylacetone; sulfadoxine; theophylline; thyrotropin (TSH); thyroxine (T4); thyroxine-binding globulin; trace elements; transferrin; UDP-galactose-4-epimerase; urea; uroporphyrinogen I synthase; vitamin A; white blood cells; and zinc protoporphyrin. Salts, sugar, protein, fat, vitamins, and hormones naturally occurring in blood or interstitial fluids can also constitute analytes in certain embodiments. The analyte can be naturally present in the biological fluid or endogenous, for example, a metabolic product, a hormone, an antigen, an antibody, and the like. Alternatively, the analyte can be introduced into the body or exogenous, for example, a contrast agent for imaging, a radioisotope, a chemical agent, a fluorocarbon-based synthetic blood, or a drug or pharmaceutical composition, including but not limited to: insulin; ethanol; cannabis (marijuana, tetrahydrocannabinol, hashish); inhalants (nitrous oxide, amyl nitrite, butyl nitrite, chlorohydrocarbons, hydrocarbons); cocaine (crack cocaine); stimulants (amphetamines, methamphetamines, Ritalin, Cylert, Preludin, Didrex, PreState, Voranil, Sandrex, Plegine); depressants (barbiturates, methaqualone, tranquilizers such as Valium, Librium, Miltown, Serax, Equanil, Tranxene); hallucinogens (phencyclidine, lysergic acid, mescaline, peyote, psilocybin); narcotics (heroin, codeine, morphine, opium, meperidine, Percocet, Percodan, Tussionex, Fentanyl, Darvon, Talwin, Lomotil); designer drugs (analogs of fentanyl, meperidine, amphetamines, methamphetamines, and phencyclidine, for example, Ecstasy); anabolic steroids; and nicotine. The metabolic products of drugs and pharmaceutical compositions are also contemplated analytes. Analytes such as neurochemicals and other chemicals generated within the body can also be analyzed, such as, for example, ascorbic acid, uric acid, dopamine, noradrenaline, 3-methoxytyramine (3MT), 3,4-dihydroxyphenylacetic acid (DOPAC), homovanillic acid (HVA), 5-hydroxytryptamine (5HT), and 5-hydroxyindoleacetic acid (FHIAA).
- The term “baseline” as used herein is a broad term, and is to be given its ordinary and customary meaning to a person of ordinary skill in the art (and is not to be limited to a special or customized meaning), and refers without limitation to the component of an analyte sensor signal that is not related to the analyte concentration. In one example of a glucose sensor, the baseline is composed substantially of signal contribution due to factors other than glucose (for example, interfering species, non-reaction-related hydrogen peroxide, or other electroactive species with an oxidation potential that overlaps with hydrogen peroxide). In some embodiments wherein a calibration is defined by solving for the equation y=mx+b, the value of b represents the baseline of the signal.
- The term “continuous (or continual) analyte sensing” as used herein is a broad term, and is to be given its ordinary and customary meaning to a person of ordinary skill in the art (and is not to be limited to a special or customized meaning), and refers without limitation to the period in which monitoring of analyte concentration is continuously, continually, and or intermittently (but regularly) performed, for example, about every 5 to 10 minutes.
- The term “counts” as used herein is a broad term, and is to be given its ordinary and customary meaning to a person of ordinary skill in the art (and is not to be limited to a special or customized meaning), and refers without limitation to a unit of measurement of a digital signal. In one example, a raw data stream measured in counts is directly related to a voltage (for example, converted by an A/D converter), which is directly related to current from the working electrode. In another example, counter electrode voltage measured in counts is directly related to a voltage.
- The term “dipole” or “dipolar compound” as used herein is a broad term, and is to be given its ordinary and customary meaning to a person of ordinary skill in the art (and is not to be limited to a special or customized meaning), and refer without limitation to compounds in which a neutral molecule of the compound has a positive and negative electrical charge at different locations within the molecule. The positive and negative electrical charges within the molecule can be any non-zero charges up to and including full unit charges.
- The term “distal to” as used herein is a broad term, and is to be given its ordinary and customary meaning to a person of ordinary skill in the art (and is not to be limited to a special or customized meaning), and refers without limitation to the spatial relationship between various elements in comparison to a particular point of reference. For example, some embodiments of a sensor include a membrane system having a biointerface domain and an enzyme domain. If the sensor is deemed to be the point of reference and the biointerface domain is positioned farther from the sensor than the enzyme domain, then the biointerface domain is more distal to the sensor than the enzyme domain.
- The term “domain” as used herein is a broad term, and is to be given its ordinary and customary meaning to a person of ordinary skill in the art (and is not to be limited to a special or customized meaning), and refers without limitation to regions of a membrane that can be layers, uniform or non-uniform gradients (i.e., anisotropic) or provided as portions of the membrane.
- The term “electrical potential” as used herein is a broad term, and is to be given its ordinary and customary meaning to a person of ordinary skill in the art (and is not to be limited to a special or customized meaning), and refers without limitation to the electrical potential difference between two points in a circuit which is the cause of the flow of a current.
- The terms “electrochemically reactive surface” and “electroactive surface” as used herein are broad terms, and are to be given their ordinary and customary meaning to a person of ordinary skill in the art (and are not to be limited to a special or customized meaning), and refer without limitation to the surface of an electrode where an electrochemical reaction takes place. As one example, in a working electrode, H2O2 (hydrogen peroxide) produced by an enzyme-catalyzed reaction of an analyte being detected reacts and thereby creates a measurable electric current. For example, in the detection of glucose, glucose oxidase produces H2O2 as a byproduct. The H2O2 reacts with the surface of the working electrode to produce two protons (2H+), two electrons (2e−), and one molecule of oxygen (O2), which produces the electric current being detected. In the case of the counter electrode, a reducible species, for example, O2 is reduced at the electrode surface in order to balance the current being generated by the working electrode.
- The term “host” as used herein is a broad term, and is to be given its ordinary and customary meaning to a person of ordinary skill in the art (and is not to be limited to a special or customized meaning), and refers without limitation to animals (e.g., humans) and plants. In some examples, a host can include domesticated animals (e.g., cats, dogs, etc.), livestock (e.g., cattle, horses, pigs, sheep, goats, etc.), laboratory animals (e.g., mouse, rabbit, rat, guinea pig, etc.), and birds. In other examples, a host can include a mammal, such as a primate or a human.
- The terms “interferents” and “interfering species” as used herein are broad terms, and are to be given their ordinary and customary meaning to a person of ordinary skill in the art (and are not to be limited to a special or customized meaning), and refer without limitation to effects or species that interfere with the measurement of an analyte of interest in a sensor to produce a signal that does not accurately represent the analyte measurement. In an exemplary electrochemical sensor, interfering species can include compounds with an oxidation potential that overlaps with that of the analyte to be measured.
- The terms “non-zwitterionic dipole” and “non-zwitterionic dipolar compound” as used herein are broad terms, and are to be given their ordinary and customary meaning to a person of ordinary skill in the art (and is not to be limited to a special or customized meaning), and refer without limitation to compounds in which a neutral molecule of the compound have a positive and negative electrical charge at different locations within the molecule. The positive and negative electrical charges within the molecule can be any non-zero, but less than full unit, charges.
- The terms “operable connection,” “operably connected,” and “operably linked” as used herein are broad terms, and are to be given their ordinary and customary meaning to a person of ordinary skill in the art (and are not to be limited to a special or customized meaning), and refer without limitation to one or more components linked to another component(s) in a manner that allows transmission of signals between the components. For example, one or more electrodes can be used to detect the amount of analyte in a sample and convert that information into a signal; the signal can then be transmitted to a circuit. In this case, the electrode is “operably linked” to the electronic circuitry.
- The term “optional” or “optionally” means that the subsequently described event or circumstance can or cannot occur, and that the description includes instances where the event or circumstance occurs and instances where it does not.
- The term “polyampholytic polymer” as used herein is a broad term, and is to be given its ordinary and customary meaning to a person of ordinary skill in the art (and is not to be limited to a special or customized meaning), and refers without limitation to polymers comprising both cationic and anionic groups. Such polymers can be prepared to have about equal numbers of positive and negative charges, and thus the surface of such polymers can be about net neutrally charged. Alternatively, such polymers can be prepared to have an excess of either positive or negative charges, and thus the surface of such polymers can be net positively or negatively charged, respectively.
- The term “polyzwitterions” as used herein is a broad term, and is to be given its ordinary and customary meaning to a person of ordinary skill in the art (and is not to be limited to a special or customized meaning), and refers without limitation to polymers where a repeating unit of the polymer chain is a zwitterionic moiety. Polyzwitterions are also known as polybetaines. Since polyzwitterions have both cationic and anionic groups, they are a type of polyampholytic polymer. They are unique, however, because the cationic and anionic groups are both part of the same repeating unit, which means a polyzwitterion has the same number of cationic groups and anionic groups whereas other polyampholytic polymers can have more of one ionic group than the other. Also, polyzwitterions have the cationic group and anionic group as part of a repeating unit. Polyampholytic polymers need not have cationic groups connected to anionic groups, they can be on different repeating units and thus may be distributed apart from one another at random intervals, or one ionic group may outnumber the other.
- The term “proximal to” as used herein is a broad term, and is to be given its ordinary and customary meaning to a person of ordinary skill in the art (and is not to be limited to a special or customized meaning), and refers without limitation to the spatial relationship between various elements in comparison to a particular point of reference. For example, some embodiments of a device include a membrane system having a biointerface layer and an enzyme layer. If the sensor is deemed to be the point of reference and the enzyme layer is positioned nearer to the sensor than the biointerface layer, then the enzyme layer is more proximal to the sensor than the biointerface layer.
- The terms “raw data stream” and “data stream” as used herein are broad terms, and are to be given their ordinary and customary meaning to a person of ordinary skill in the art (and are not to be limited to a special or customized meaning), and refer without limitation to an analog or digital signal directly related to the measured glucose concentration from the glucose sensor. In one example, the raw data stream is digital data in “counts” converted by an A/D converter from an analog signal (for example, voltage or amps) representative of a glucose concentration. The terms broadly encompass a plurality of time spaced data points from a substantially continuous glucose sensor, which comprises individual measurements taken at time intervals ranging from fractions of a second up to, for example, 1, 2, or 5 minutes or longer.
- The terms “sensing membrane” and “membrane system” as used herein are broad terms, and are to be given their ordinary and customary meaning to a person of ordinary skill in the art (and are not to be limited to a special or customized meaning), and refers without limitation to a permeable or semi-permeable membrane that can comprise one or more domains or layers and constructed of materials of a few μm thickness or more, which are permeable to oxygen and may or may not be permeable to an analyte of interest. In one example, the sensing membrane or membrane system can comprise an immobilized glucose oxidase enzyme, which allows an electrochemical reaction to occur to measure a concentration of glucose.
- The terms “sensing region,” “sensor,” and “sensing mechanism” as used herein are broad terms, and are to be given their ordinary and customary meaning to a person of ordinary skill in the art (and are not to be limited to a special or customized meaning), and refer without limitation to the region or mechanism of a monitoring device responsible for the detection of a particular analyte.
- The term “sensitivity” as used herein is a broad term, and is to be given its ordinary and customary meaning to a person of ordinary skill in the art (and is not to be limited to a special or customized meaning), and refers without limitation to an amount of signal (e.g., in the form of electrical current and/or voltage) produced by a predetermined amount (unit) of the measured analyte. For example, in one embodiment, a sensor has a sensitivity (or slope) of from about 1 to about 100 picoAmps of current for every 1 mg/dL of glucose analyte.
- The terms “zwitterion” and “zwitterionic compound” as used herein are broad terms, and are to be given their ordinary and customary meaning to a person of ordinary skill in the art (and is not to be limited to a special or customized meaning), and refer without limitation to compounds in which a neutral molecule of the compound has a unit positive and unit negative electrical charge at different locations within the molecule. Such compounds are a type of dipolar compounds, and are also sometimes referred to as “inner salts.”
- A “zwitterion precursor” or “zwitterionic compound precursor” as used herein are broad terms, and are to be given their ordinary and customary meaning to a person of ordinary skill in the art (and is not to be limited to a special or customized meaning), and refer without limitation to any compound that is not itself a zwitterion, but can become a zwitterion in a final or transition state through chemical reaction. In some embodiments described herein, devices comprise zwitterion precursors that can be converted to zwitterions prior to in vivo implantation of the device. Alternatively, in some embodiments described herein, devices comprise zwitterion precursors that can be converted to zwitterions by some chemical reaction that occurs after in vivo implantation of the device. Such reactions are known to the skilled in art and include ring opening reaction, addition reaction such as Michael addition. This method is especially useful when the polymerization of betaine containing monomer is difficult due to technical challenges such as solubility of betaine monomer to achieve desired physical properties such as molecular weight and mechanical strength. Post-polymerization modification or conversion of betaine precursor can be a practical way to achieve desired polymer structure and composition. Examples of such as precursors include tertiary amines, quaternary amines, pyridines, and others detailed herein.
- A “zwitterion derivative” or “zwitterionic compound derivative” as used herein are broad terms, and are to be given their ordinary and customary meaning to a person of ordinary skill in the art (and is not to be limited to a special or customized meaning), and refer without limitation to any compound that is not itself a zwitterion, but rather is the product of a chemical reaction where a zwitterion is converted to a non-zwitterion. Such reactions can be reversible, such that under certain conditions zwitterion derivatives can act as zwitterion precursors. For example, hydrolyzable betaine esters formed from zwitterionic betaines are cationic zwitterion derivatives that under the appropriate conditions are capable of undergoing hydrolysis to revert to zwitterionic betaines.
- As employed herein, the following abbreviations apply: Eq and Eqs (equivalents); mEq (milliequivalents); M (molar); mM (millimolar) μM (micromolar); N (Normal); mol (moles); mmol (millimoles); tmol (micromoles); nmol (nanomoles); g (grams); mg (milligrams); μg (micrograms); Kg (kilograms); L (liters); mL (milliliters); dL (deciliters); μL (microliters); cm (centimeters); mm (millimeters); μm (micrometers); nm (nanometers); h and hr (hours); min (minutes); s and sec (seconds); ° C. (degrees Centigrade).
-
FIG. 1 is a schematic of a continuousanalyte sensor system 100 attached to a host and communicating with a number of other example devices 110-113. A transcutaneous analyte sensor system comprising an on-skin sensor assembly 600 is shown which is fastened to the skin of a host via a disposable housing (not shown). The system includes atranscutaneous analyte sensor 200 and an electronics unit (referred to interchangeably as “sensor electronics” or “transmitter”) 500 for wirelessly transmitting analyte information to a receiver. During use, a sensing portion of thesensor 200 is under the host's skin and a contact portion of thesensor 200 is operatively connected (e.g., electrically connected) to theelectronics unit 500. Theelectronics unit 500 is engaged with a housing which is attached to an adhesive patch fastened to the skin of the host. - The on-
skin sensor assembly 600 may be attached to the host with use of an applicator adapted to provide convenient and secure application. Such an applicator may also be used for inserting thesensor 200 through the host's skin. Once thesensor 200 has been inserted, the applicator detaches from the sensor assembly. - In general, the continuous
analyte sensor system 100 includes any sensor configuration that provides an output signal indicative of a concentration of an analyte. The output signal including (e.g., sensor data, such as a raw data stream, filtered data, smoothed data, and/or otherwise transformed sensor data) is sent to receiver which may be e.g., a smart phone, smart watch, dedicated device and the like. In one embodiment, theanalyte sensor system 100 includes a transcutaneous glucose sensor, such as is described in US Patent Publication No. US-2011-0027127-A1, the contents of which is hereby incorporated by reference in its entirety. In some embodiments, thesensor system 100 includes a continuous glucose sensor and comprises a transcutaneous sensor such as described in U.S. Pat. No. 6,565,509 to Say et al., for example. In another embodiment, thesensor system 100 includes a continuous glucose sensor and comprises a subcutaneous sensor such as described with reference to U.S. Pat. No. 6,579,690 to Bonnecaze et al. or U.S. Pat. No. 6,484,046 to Say et al., for example. In another embodiment, thesensor system 100 includes a continuous glucose sensor and comprises a subcutaneous sensor such as described with reference to U.S. Pat. No. 6,512,939 to Colvin et al. In another embodiment, thesensor system 100 includes a continuous glucose sensor and comprises an intravascular sensor such as described with reference to U.S. Pat. No. 6,477,395 to Schulman et al., for example. In another embodiment, thesensor system 100 includes a continuous glucose sensor and comprises an intravascular sensor such as described with reference to U.S. Pat. No. 6,424,847 to Mastrototaro et al. Other signal processing techniques and glucose monitoring system embodiments suitable for use with the embodiments described herein are described in U.S. Patent Publication No. US-2005-0203360-A1 and U.S. Patent Publication No. US-2009-0192745-A1, the contents of which are hereby incorporated by reference in their entireties. The sensor extends through a housing, which maintains the sensor on the skin and provides for electrical connection of the sensor to sensor electronics, provided in the electronics unit. - In one embodiment, the sensor is formed from a wire or is in a form of a wire. For example, the sensor can include an elongated conductive body, such as a bare elongated conductive core (e.g., a metal wire) or an elongated conductive core coated with one, two, three, four, five, or more layers of material, each of which may or may not be conductive. The elongated sensor may be long and thin, yet flexible and strong. For example, in some embodiments, the smallest dimension of the elongated conductive body is less than about 0.1 inches (0.3 cm), less than about 0.075 inches (0.20 cm), less than about 0.05 inches (0.13 cm), less than about 0.025 inches (0.06 cm), less than about 0.01 inches (0.03 cm), less than about 0.004 inches (0.01 cm), or less than about 0.002 inches (0.005 cm). The sensor may have a circular cross-section. In some embodiments, the cross-section of the elongated conductive body can be ovoid, rectangular, triangular, polyhedral, star-shaped, C-shaped, T-shaped, X-shaped, Y-Shaped, irregular, or the like. In one embodiment, a conductive wire electrode is employed as a core. To such a clad electrode, one or two additional conducting layers may be added (e.g., with intervening insulating layers provided for electrical isolation). The conductive layers can be comprised of any suitable material. In certain embodiments, it can be desirable to employ a conductive layer comprising conductive particles (i.e., particles of a conductive material) in a polymer or other binder.
- In certain embodiments, the materials used to form the elongated conductive body (e.g., stainless steel, titanium, tantalum, platinum, platinum-iridium, iridium, certain polymers, and/or the like) can be strong and hard, and therefore are resistant to breakage. For example, in some embodiments, the ultimate tensile strength of the elongated conductive body is from about 80 kPsi to about 500 kPsi. In another example, in some embodiments, the Young's modulus of the elongated conductive body is from about 160 GPa to about 220 GPa. In still another example, in some embodiments, the yield strength of the elongated conductive body is from about 60 kPsi to about 2200 kPsi. In some embodiments, the sensor's small diameter provides (e.g., imparts, enables) flexibility to these materials, and therefore to the sensor as a whole. Thus, the sensor can withstand repeated forces applied to it by surrounding tissue.
- In addition to providing structural support, resiliency and flexibility, in some embodiments, the core (or a component thereof) provides electrical conduction for an electrical signal from the working electrode to sensor electronics (not shown). In some embodiments, the core comprises a conductive material, such as stainless steel, titanium, tantalum, a conductive polymer, and/or the like. However, in other embodiments, the core is formed from a non-conductive material, such as a non-conductive polymer. In yet other embodiments, the core comprises a plurality of layers of materials. For example, in one embodiment the core includes an inner core and an outer core. In a further embodiment, the inner core is formed of a first conductive material and the outer core is formed of a second conductive material. For example, in some embodiments, the first conductive material is stainless steel, titanium, tantalum, a conductive polymer, an alloy, and/or the like, and the second conductive material is conductive material selected to provide electrical conduction between the core and the first layer, and/or to attach the first layer to the core (e.g., if the first layer is formed of a material that does not attach well to the core material). In another embodiment, the core is formed of a non-conductive material (e.g., a non-conductive metal and/or a non-conductive polymer) and the first layer is a conductive material, such as stainless steel, titanium, tantalum, a conductive polymer, and/or the like. The core and the first layer can be of a single (or same) material, e.g., platinum. One skilled in the art appreciates that additional configurations are possible.
- In the illustrated embodiments, the
electronics unit 500 is releasably attachable to thesensor 200. Theelectronics unit 500 includes electronic circuitry associated with measuring and processing the continuous analyte sensor data, and is configured to perform algorithms associated with processing and calibration of the sensor data. For example, theelectronics unit 500 can provide various aspects of the functionality of a sensor electronics module as described in U.S. Patent Publication No. US-2009-0240120-A1 and U.S. patent application Ser. No. 13/247,856 filed Sep. 28, 2011 and entitled “ADVANCED CONTINUOUS ANALYTE MONITORING SYSTEM,” the contents of which are hereby incorporated by reference in their entireties. Theelectronics unit 500 may include hardware, firmware, and/or software that enable measurement of levels of the analyte via a glucose sensor, such as ananalyte sensor 200. For example, theelectronics unit 500 can include a potentiostat, a power source for providing power to thesensor 200, other components useful for signal processing and data storage, and preferably a telemetry module for one- or two-way data communication between theelectronics unit 500 and one or more receivers, repeaters, and/or display devices, such as devices 110-113. Electronics can be affixed to a printed circuit board (PCB), or the like, and can take a variety of forms. For example, the electronics can take the form of an integrated circuit (IC), such as an Application-Specific Integrated Circuit (ASIC), a microcontroller, and/or a processor. Theelectronics unit 500 may include sensor electronics that are configured to process sensor information, such as storing data, analyzing data streams, calibrating analyte sensor data, estimating analyte values, comparing estimated analyte values with time corresponding measured analyte values, analyzing a variation of estimated analyte values, and the like. Examples of systems and methods for processing sensor analyte data are described in more detail herein and in U.S. Pat. No. 7,310,544, U.S. Pat. No. 6,931,327, U.S. Patent Publication No. 2005-0043598-A1, U.S. Patent Publication No. 2007-0032706-A1, U.S. Patent Publication No. 2007-0016381-A1, U.S. Patent Publication No. 2008-0033254-A1, U.S. Patent Publication No. 2005-0203360-A1, U.S. Patent Publication No. 2005-0154271-A1, U.S. Patent Publication No. 2005-0192557-A1, U.S. Patent Publication No. 2006-0222566-A1, U.S. Patent Publication No. 2007-0203966-A1 and U.S. Patent Publication No. 2007-0208245-A1, the contents of which are hereby incorporated by reference in their entireties. - One or more repeaters, receivers and/or display devices, such as
key fob repeater 110, medical device receiver 111 (e.g., insulin delivery device and/or dedicated glucose sensor receiver),smart phone 112,portable computer 113, and the like are operatively linked to the electronics unit, which receive data from theelectronics unit 500, which is also referred to as the transmitter and/or sensor electronics body herein, and in some embodiments transmit data to theelectronics unit 500. For example, the sensor data can be transmitted from thesensor electronics unit 500 to one or more ofkey fob repeater 110,medical device receiver 111,smart phone 112,portable computer 113, and the like. In one embodiment, a display device includes an input module with a quartz crystal operably connected to an RF transceiver (not shown) that together function to transmit, receive and synchronize data streams from theelectronics unit 500. However, the input module can be configured in any manner that is capable of receiving data from theelectronics unit 500. Once received, the input module sends the data stream to a processor that processes the data stream, such as described in more detail below. The processor is the central control unit that performs the processing, such as storing data, analyzing data streams, calibrating analyte sensor data, estimating analyte values, comparing estimated analyte values with time corresponding measured analyte values, analyzing a variation of estimated analyte values, downloading data, and controlling the user interface by providing analyte values, prompts, messages, warnings, alarms, and the like. The processor includes hardware that performs the processing described herein, for example read-only memory (ROM) provides permanent or semi-permanent storage of data, storing data such as sensor ID (sensor identity), receiver ID (receiver identity), and programming to process data streams (for example, programming for performing estimation and other algorithms described elsewhere herein) and random access memory (RAM) stores the system's cache memory and is helpful in data processing. An output module, which may be integral with and/or operatively connected with the processor, includes programming for generating output based on the sensor data received from the electronics unit (and any processing that incurred in the processor). - In some embodiments, analyte values are displayed on a display device. In some embodiments, prompts or messages can be displayed on the display device to convey information to the user, such as reference outlier values, requests for reference analyte values, therapy recommendations, deviation of the measured analyte values from the estimated analyte values, or the like. Additionally, prompts can be displayed to guide the user through calibration or trouble-shooting of the calibration.
- Additionally, data output from the output module can provide wired or wireless, one- or two-way communication between the receiver and an external device. The external device can be any device that interfaces or communicates with the receiver. In some embodiments, the external device is a computer, and the receiver is able to download current or historical data for retrospective analysis by a physician, for example. In some embodiments, the external device is a modem, and the receiver is able to send alerts, warnings, emergency messages, or the like, via telecommunication lines to another party, such as a doctor or family member. In some embodiments, the external device is an insulin pen, and the receiver is able to communicate therapy recommendations, such as insulin amount and time, to the insulin pen. In some embodiments, the external device is an insulin pump, and the receiver is able to communicate therapy recommendations, such as insulin amount and time to the insulin pump. The external device can include other technology or medical devices, for example pacemakers, implanted analyte sensor patches, other infusion devices, telemetry devices, or the like. The receiver may communicate with the external device, and/or any number of additional devices, via any suitable communication protocol, including radio frequency, Bluetooth, universal serial bus, any of the wireless local area network (WLAN) communication standards, including the IEEE 802.11, 802.15, 802.20, 802.22 and other 802 communication protocols, ZigBee, wireless (e.g., cellular) telecommunication, paging network communication, magnetic induction, satellite data communication, GPRS, ANT, and/or a proprietary communication protocol.
- The implementations described herein generally discuss sensors constituted by one or more sensor wires. However, it will be understood that the sensors are not limited to such wire shaped or linear arrangements. Rather, the sensors may be implemented as planar sensors, volumetric sensors, point sensors, or in other shapes as will be understood given this description.
- Membrane systems disclosed herein are suitable for use with implantable devices in contact with a biological fluid. For example, the membrane systems can be utilized with implantable devices, such as devices for monitoring and determining analyte levels in a biological fluid, for example, devices for monitoring glucose levels for individuals having diabetes. In some embodiments, the analyte-measuring device is a continuous device. The analyte-measuring device can employ any suitable sensing element to provide the raw signal, including but not limited to those involving enzymatic, chemical, physical, electrochemical, spectrophotometric, polarimetric, calorimetric, radiometric, immunochemical, or like elements.
- Although some of the description that follows is directed at glucose-measuring devices, including the described membrane systems and methods for their use, these membrane systems are not limited to use in devices that measure or monitor glucose. These membrane systems are suitable for use in any of a variety of devices, including, for example, devices that detect and quantify other analytes present in biological fluids (e.g. cholesterol, amino acids, alcohol, galactose, and lactate), cell transplantation devices (see, for example, U.S. Pat. No. 6,015,572, U.S. Pat. No. 5,964,745, and U.S. Pat. No. 6,083,523), drug delivery devices (see, for example, U.S. Pat. No. 5,458,631, U.S. Pat. No. 5,820,589, and U.S. Pat. No. 5,972,369), and the like, which are incorporated herein by reference in their entireties for their teachings of membrane systems.
- In one embodiment, the analyte-measuring device is an implantable glucose sensor, such as described with reference to U.S. Pat. No. 6,001,067 and U.S. Patent Publication No. US-2005-0027463-A1, which are incorporated herein by reference in their entireties. In another embodiment, the analyte-measuring device is a glucose sensor, such as described with reference to U.S. Patent Publication No. US-2006-0020187-A1, which is incorporated herein by reference in its entirety. In still other embodiments, the sensor is configured to be implanted in a host vessel or extra-corporeally, such as is described in U.S. Patent Publication No. US-2007-0027385-A1, U.S. Patent Publication No. US-2008-0119703-A1, U.S. Patent Publication No. US-2008-0108942-A1, and U.S. Patent Publication No. US-2007-0197890-A1, which are incorporated herein by reference in their entirety. In some embodiments, the sensor is configured as a dual-electrode sensor, such as described in U.S. Patent Publication No. US-2005-0143635-A1, U.S. Patent Publication No. US-2007-0027385-A1, U.S. Patent Publication No. US-2007-0213611-A1, and U.S. Patent Publication No. US-2008-0083617-A1, which are incorporated herein by reference in their entirety. In one alternative embodiment, the continuous glucose sensor comprises a sensor such as described in U.S. Pat. No. 6,565,509 to Say et al., for example. In another alternative embodiment, the continuous glucose sensor comprises a subcutaneous sensor such as described with reference to U.S. Pat. No. 6,579,690 to Bonnecaze et al. or U.S. Pat. No. 6,484,046 to Say et al., for example. In another alternative embodiment, the continuous glucose sensor comprises a refillable subcutaneous sensor such as described with reference to U.S. Pat. No. 6,512,939 to Colvin et al., for example. In yet another alternative embodiment, the continuous glucose sensor comprises an intravascular sensor such as described with reference to U.S. Pat. No. 6,477,395 to Schulman et al., for example. In another alternative embodiment, the continuous glucose sensor comprises an intravascular sensor such as described with reference to U.S. Pat. No. 6,424,847 to Mastrototaro et al. In some embodiments, the electrode system can be used with any of a variety of known in vivo analyte sensors or monitors, such as U.S. Pat. No. 7,157,528 to Ward; U.S. Pat. No. 6,212,416 to Ward et al.; U.S. Pat. No. 6,119,028 to Schulman et al.; U.S. Pat. No. 6,400,974 to Lesho; U.S. Pat. No. 6,595,919 to Bemer et al.; U.S. Pat. No. 6,141,573 to Kurnik et al.; U.S. Pat. No. 6,122,536 to Sun et al.; European Patent Publication No. EP 1153571 to Varall et al.; U.S. Pat. No. 6,512,939 to Colvin et al.; U.S. Pat. No. 5,605,152 to Slate et al.; U.S. Pat. No. 4,431,004 to Bessman et al.; U.S. Pat. No. 4,703,756 to Gough et al.; U.S. Pat. No. 6,514,718 to Heller et al.; U.S. Pat. No. 5,985,129 to Gough et al.; PCT International Publication No. WO4/021877 to Caduff; U.S. Pat. No. 5,494,562 to Maley et al.; U.S. Pat. No. 6,120,676 to Heller et al.; and U.S. Pat. No. 6,542,765 to Guy et al., which are incorporated by reference herein in their entirities. In general, it is understood that the disclosed embodiments are applicable to a variety of continuous analyte measuring device configurations.
- In some embodiments, a long term sensor (e.g., wholly implantable or intravascular) is configured and arranged to function for a time period of from about 30 days or less to about one year or more (e.g., a sensor session). In some embodiments, a short term sensor (e.g., one that is transcutaneous or intravascular) is configured and arranged to function for a time period of from about a few hours to about 30 days, including a time period of about 1, 2, 3, 4, 5, 6, 7, 8, 9, 10, 11, 12, 13, 14, 15, 16, 17, 18, 19, 20, 21, 22, 23, 24, 25, 26, 27, 28 or 29 days (e.g., a sensor session). As used herein, the term “sensor session” is a broad term and refers without limitation to the period of time the sensor is applied to (e.g., implanted in) the host or is being used to obtain sensor values. For example, in some embodiments, a sensor session extends from the time of sensor implantation (e.g., including insertion of the sensor into subcutaneous tissue and placing the sensor into fluid communication with a host's circulatory system) to the time when the sensor is removed.
- In general, the membrane system includes a plurality of domains, for example, an electrode domain, an interference domain, an enzyme domain, a resistance domain, and a biointerface domain. The membrane system can be deposited on the exposed electroactive surfaces using known thin film techniques (for example, vapor deposition, spraying, electrodepositing, dipping, brush coating, film coating, drop-let coating, and the like). Addition steps may be applied following the membrane material deposition, for example, drying, annealing, and curing (for example, UV curing, thermal curing, moisture curing, radiation curing, and the like) to enhance certain properties such as mechanical properties, signal stability, and selectivity. In a typical process, upon deposition of resistance layer membrane, a biointerface layer having a “dry film” thickness of from about 0.05 μm, or less, to about 1, 2, 3, 4, 5, 6, 7, 8, 9, 10, 11, 12, 13, 14, 15, or 16 μm. “Dry film” thickness refers to the thickness of a cured film cast from a coating formulation by standard coating techniques.
- In certain embodiments, the biointerface layer is formed of a biointerface polymer, wherein the biointerface polymer comprises polyurethane and/or polyurea segments and one or more zwitterionic repeating units. In some embodiments, the biointerface layer coatings are formed of a polyurethane urea having carboxyl betaine groups incorporated in the polymer and non-ionic hydrophilic polyethylene oxide segments, wherein the polyurethane urea polymer is dissolved in organic or non-organic solvent system according to a pre-determined coating formulation, and is crosslinked with an isocyanate crosslinker and cured at moderate temperature of about 50° C. The solvent system can be a single solvent or a mixture of solvents to aid the dissolution or dispersion of the polymer. The solvents can be the ones selected as the polymerization media or added after polymerization is completed. The solvents are preferably selected from the ones having lower boiling point to facilitate drying and lower in toxicity for implant applications. Examples of these solvent includes aliphatic ketone, ester, ether, alcohol, hydrocarbons, and the likes. Depending on the final thickness of the biointerface layer and solution viscosity (as related to the percent of polymer solid), the coating can be applied in a single step or multiple repeated steps of the chosen process such as dipping to build the desired thickness. Yet in other embodiments, the biointerface polymers are formed of a polyurethane urea having carboxylic acid groups and carboxyl betaine groups incorporated in the polymer and non-ionic hydrophilic polyethylene oxide segments, wherein the polyurethane urea polymer is dissolved in organic or non-organic solvent system in a coating formulation, and is crosslinked with an a carbodiimide (e.g., 1-ethyl-3-(3-dimethylaminopropyl)carbodiimide (EDC) and cured at moderate temperature of about 50° C.
- In other embodiments, the biointerface layer coatings are formed of a polyurethane urea having sulfo betaine groups incorporated in the polymer and non-ionic hydrophilic polyethylene oxide segments, wherein the polyurethane urea polymer is dissolved in organic or non-organic solvent system according to a pre-determined coating formulation, and is crosslinked with an isocyanate crosslinker and cured at moderate temperature of about 50° C. The solvent system can be a single solvent or a mixture of solvents to aid the dissolution or dispersion of the polymer. The solvents can be the ones selected as the polymerization media or added after polymerization is completed. The solvents are preferably selected from the ones having lower boiling point to facilitate drying and lower in toxicity for implant applications. Examples of these solvent includes aliphatic ketone, ester, ether, alcohol, hydrocarbons, and the likes. Depending on the final thickness of the biointerface layer and solution viscosity (as related to the percent of polymer solid), the coating can be applied in a single step or multiple repeated steps of the chosen process such as dipping to build the desired thickness. Yet in other embodiments, the biointerface polymers are formed of a polyurethane urea having unsaturated hydrocarbon groups and sulfo betaine groups incorporated in the polymer and non-ionic hydrophilic polyethylene oxide segments, wherein the polyurethane urea polymer is dissolved in organic or non-organic solvent system in a coating formulation, and is crosslinked in the presence of initiators with heat or irradiation including UV, LED light, electron beam, and the likes, and cured at moderate temperature of about 50° C. Examples of unsaturated hydrocarbon includes allyl groups, vinyl groups, acrylate, methacrylate, alkenes, alkynes, and the likes.
FIGS. 3A through 3C illustrate an embodiment of the in vivo portion of acontinuous analyte sensor 400, which includes an elongatedconductive body 402. The elongatedconductive body 402 includes a core 410 (seeFIG. 3B ) and afirst layer 412 at least partially surrounding the core. The first layer includes a working electrode (for example, located in window 406) and amembrane 408 located over the working electrode. In some embodiments, the core and first layer can be of a single material (such as, for example, platinum). In some embodiments, the elongated conductive body is a composite of at least two materials, such as a composite of two conductive materials, or a composite of at least one conductive material and at least one non-conductive material. In some embodiments, the elongated conductive body comprises a plurality of layers. In certain embodiments, there are at least two concentric or annular layers, such as a core formed of a first material and a first layer formed of a second material. However, additional layers can be included in some embodiments. In some embodiments, the layers are coaxial. - The elongated conductive body can be long and thin, yet flexible and strong. For example, in some embodiments, the smallest dimension of the elongated conductive body is less than about 0.1 inches, 0.075 inches, 0.05 inches, 0.025 inches, 0.01 inches, 0.004 inches, or 0.002 inches. While the elongated conductive body is illustrated in
FIGS. 3A through 3C as having a circular cross-section, in other embodiments the cross-section of the elongated conductive body can be ovoid, rectangular, triangular, polyhedral, star-shaped, C-shaped, T-shaped, X-shaped, Y-Shaped, irregular, or the like. In one embodiment, a conductive wire electrode is employed as a core. To such a clad electrode, two additional conducting layers can be added (e.g., with intervening insulating layers provided for electrical isolation). The conductive layers can be comprised of any suitable material. In certain embodiments, it can be desirable to employ a conductive layer comprising conductive particles (i.e., particles of a conductive material) in a polymer or other binder. - The materials used to form the elongated conductive body (such as, for example, stainless steel, titanium, tantalum, platinum, platinum-iridium, iridium, certain polymers, and/or the like) can be strong and hard, and therefore are resistant to breakage. In some embodiments, the sensor's small diameter provides flexibility to these materials, and therefore to the sensor as a whole. Thus, the sensor can withstand repeated forces applied to it by surrounding tissue.
- In addition to providing structural support, resiliency and flexibility, in some embodiments, the
core 410, or a component thereof, provides electrical conduction for an electrical signal from the working electrode to sensor electronics (not shown). In some embodiments, thecore 410 comprises a conductive material, such as stainless steel, titanium, tantalum, a conductive polymer, and/or the like. However, in other embodiments, the core is formed from a non-conductive material, such as a non-conductive polymer. In yet other embodiments, the core comprises a plurality of layers of materials. For example, in one embodiment the core includes an inner core and an outer core. In a further embodiment, the inner core is formed of a first conductive material and the outer core is formed of a second conductive material. For example, in some embodiments, the first conductive material is stainless steel, titanium, tantalum, a conductive polymer, an alloy, and/or the like, and the second conductive material is a conductive material selected to provide electrical conduction between the core and the first layer, and/or to attach the first layer to the core (that is, if the first layer is formed of a material that does not attach well to the core material). In another embodiment, the core is formed of a non-conductive material (such as, for example, a non-conductive metal and/or a non-conductive polymer) and the first layer is formed of a conductive material, such as stainless steel, titanium, tantalum, a conductive polymer, and/or the like. The core and the first layer can be of a single (or same) material, such as platinum. One skilled in the art appreciates that additional configurations are possible. - Referring again to
FIGS. 3A through 3C , thefirst layer 412 can be formed of a conductive material and the working electrode can be an exposed portion of the surface of thefirst layer 412. Accordingly, thefirst layer 412 can be formed of a material configured to provide a suitable electroactive surface for the working electrode, a material such as, but not limited to, platinum, platinum-iridium, gold, palladium, iridium, graphite, carbon, a conductive polymer, an alloy and/or the like. - As illustrated in
FIG. 3B andFIG. 3C , asecond layer 404 surrounds at least a portion of thefirst layer 412, thereby defining the boundaries of the working electrode. In some embodiments, thesecond layer 404 serves as an insulator and is formed of an insulating material, such as polyimide, polyurethane, parylene, or any other known insulating materials. For example, in one embodiment the second layer is disposed on the first layer and configured such that the working electrode is exposed viawindow 406. In some embodiments, an elongated conductive body, including the core, the first layer and the second layer, is provided. A portion of the second layer can be removed to form awindow 406, through which the electroactive surface of the working electrode (that is, the exposed surface of the first layer 412) is exposed. In some embodiments, a portion of the second and (optionally) third layers can be removed to form thewindow 406, thus exposing the working electrode. Removal of coating materials from one or more layers of the elongated conductive body (for example, to expose the electroactive surface of the working electrode) can be performed by hand, excimer lasing, chemical etching, laser ablation, grit-blasting, or the like. - The sensor can further comprise a
third layer 414 comprising a conductive material. For example, thethird layer 414 can comprise a reference electrode, which can be formed of a silver-containing material that is applied onto the second layer 404 (that is, the insulator). - The elongated
conductive body 402 can further comprise one or more intermediate layers (not shown) located between the core 410 and thefirst layer 412. For example, the intermediate layer can be one or more of an insulator, a conductor, a polymer, and/or an adhesive. - It is contemplated that the ratio between the thickness of the silver/silver chloride layer and the thickness of an insulator (such as, for example, polyurethane or polyimide) layer can be controlled, so as to allow for a certain error margin (that is, an error margin associated with the etching process) that would not result in a defective sensor (for example, due to a defect resulting from an etching process that cuts into a depth more than intended, thereby unintentionally exposing an electroactive surface). This ratio can be different depending on the type of etching process used, whether it is laser ablation, grit blasting, chemical etching, or some other etching method. In one embodiment in which laser ablation is performed to remove a silver/silver chloride layer and a polyurethane layer, the ratio of the thickness of the silver/silver chloride layer and the thickness of the polyurethane layer can be from about 1:5 to about 1:1, or from about 1:3 to about 1:2.
- In some embodiments, the
core 410 comprises a non-conductive polymer and thefirst layer 412 comprises a conductive material. Such a sensor configuration can advantageously provide reduced material costs, in that it replaces a typically expensive material with an inexpensive material. For example, thecore 410 can be formed of a non-conductive polymer, such as, a nylon or polyester filament, string or cord, which can be coated and/or plated with a conductive material, such as platinum, platinum-iridium, gold, palladium, iridium, graphite, carbon, a conductive polymer, and allows or combinations thereof. - As illustrated in
FIG. 3C andFIG. 3D , the sensor can also include amembrane 408, such as those discussed elsewhere herein, for example, with reference toFIGS. 2A through 2C . Themembrane 408 can include an enzyme layer (not shown), as described elsewhere herein. For example, the enzyme layer can include a catalyst or enzyme configured to react with an analyte. For example, the enzyme layer can be an immobilized enzyme layer including glucose oxidase. In other embodiments, the enzyme layer can be impregnated with other oxidases, including, for example, galactose oxidase, cholesterol oxidase, amino acid oxidase, alcohol oxidase, lactate oxidase, or uricase. -
FIG. 3B is a schematic illustrating an embodiment of an elongatedconductive body 402, or elongated body, wherein the elongated conductive body is formed from at least two materials and/or layers of conductive material, as described in greater detail elsewhere herein. The term “electrode” can be used herein to refer to the elongated conductive body, which includes the electroactive surface that detects the analyte. In some embodiments, the elongated conductive body provides an electrical connection between the electroactive surface (that is, the working electrode) and the sensor electronics (not shown). In certain embodiments, each electrode (that is, the elongated conductive body on which the electroactive surface is located) is formed from a fine wire with a diameter of from about 0.001 inches (0.003 cm) or less to about 0.01 inches (0.03 cm) or more. Each electrode can be formed from, for example, a plated insulator, a plated wire, or bulk electrically conductive material. For example, in some embodiments, the wire and/or elongated conductive body used to form a working electrode is about 0.002, 0.003, 0.004, 0.005, 0.006, 0.007, 0.008, 0.009, 0.01, 0.015, 0.02, 0.025, 0.03, 0.035, 0.04 or 0.045 inches in diameter. - Furthermore, the first layer can comprise an electroactive surface (that is, the portion exposed through the window 406). The exposed electroactive surface can be the working electrode. For example, if the sensor is an enzymatic electrochemical analyte sensor, the analyte enzymatically reacts with an enzyme in the membrane covering at least a portion of the electroactive surface. The reaction can generate electrons (e−) that are detected at the electroactive surface as a measurable electronic current. For example, in the detection of glucose wherein glucose oxidase produces hydrogen peroxide as a byproduct, hydrogen peroxide reacts with the surface of the working electrode producing two protons (2H+), two electrons (2e−) and one molecule of oxygen (O2), which produces the electronic current being detected.
- As previously described with reference to
FIG. 3A and as illustrated inFIG. 3C , aninsulator 404 is disposed on at least a portion of the elongatedconductive body 402. In some embodiments, the sensor is configured and arranged such that the elongated body includes acore 410 and afirst layer 412, and a portion of thefirst layer 412 is exposed viawindow 406 in theinsulator 404. In other embodiments, the sensor is configured and arranged such that theelongated body 402 includes a core 410 embedded in aninsulator 404, and a portion of thecore 410 is exposed via thewindow 406 in theinsulator 404. For example, the insulating material can be applied to the elongated body 402 (by, for example, screen-, ink-jet and/or block-print) in a configuration designed to leave at least a portion of the first layer's 412 surface (or the core's 410 surface) exposed. For example, the insulating material can be printed in a pattern that does not cover a portion of theelongated body 402. Alternatively, a portion of theelongated body 402 can be masked prior to application of the insulating material. Removal of the mask, after insulating material application, can expose the portion of theelongated body 402. - In some embodiments, the insulating
material 404 comprises a polymer, for example, a non-conductive (that is, dielectric) polymer. Dip-coating, spray-coating, vapor-deposition, printing and/or other thin film and/or thick film coating or deposition techniques can be used to deposit the insulating material on theelongated body 402 and/orcore 410. For example, in some embodiments, the insulating material is applied as a layer of from about less than 5 μm, or from about 5, about 10 or about 15 μm to about 20, about 25, about 30, or about 35 μm or more in thickness. The insulator can be applied as a single layer of material, or as two or more layers, which are comprised of either the same or different materials, as described elsewhere herein. Alternatively, the conductive core does not require a coating of insulator. In some embodiments, the insulating material defines an electroactive surface of the analyte sensor (that is, the working electrode). For example, a surface of the conductive core (such as, for example, a portion of the first layer 412) can either remain exposed during the insulator application, or a portion of applied insulator can be removed to expose a portion of the conductive core's surface, as described above. - In some embodiments, in which the sensor has an insulated elongated body or an insulator disposed upon a conductive structure, a portion of the insulating material can be stripped or otherwise removed, for example, by hand, excimer lasing, chemical etching, laser ablation, grit-blasting (such as, for example, with sodium bicarbonate or other suitable grit), or the like, to expose the electroactive surfaces. In one exemplary embodiment, grit blasting is implemented to expose the electroactive surface(s), for example, by utilizing a grit material that is sufficiently hard to ablate the polymer material yet also sufficiently soft so as to minimize or avoid damage to the underlying metal electrode (for example, a platinum electrode). Although a variety of “grit” materials can be used (such as, for example, sand, talc, walnut shell, ground plastic, sea salt, and the like), in some embodiments, sodium bicarbonate is an advantageous grit-material because it is sufficiently hard to ablate, e.g., a parylene coating without damaging, e.g., an underlying platinum conductor. An additional advantage of sodium bicarbonate blasting includes its polishing action on the metal as it strips the polymer layer, thereby eliminating a cleaning step that might otherwise be necessary. Alternatively, a portion of an electrode or other conductive body can be masked prior to depositing the insulator in order to maintain an exposed electroactive surface area.
- The electroactive surface of the working electrode can be exposed by formation of a
window 406 in theinsulator 404. Theelectroactive window 406 of the working electrode can be configured to measure the concentration of an analyte. - In some embodiments, a silver wire is formed onto and/or fabricated into the sensor and subsequently chloridized to form a silver/silver chloride reference electrode. Advantageously, chloridizing the silver wire as described herein enables the manufacture of a reference electrode with good in vivo performance. By controlling the quantity and amount of chloridization of the silver to form silver/silver chloride, improved break-in time, stability of the reference electrode and extended life can be obtained in some embodiments. Additionally, use of silver chloride as described above allows for relatively inexpensive and simple manufacture of the reference electrode.
- Referring to
FIG. 3B andFIG. 3C , thereference electrode 414 can comprise a silver-containing material (e.g., silver/silver chloride) applied over at least a portion of the insulatingmaterial 404, as discussed in greater detail elsewhere herein. For example, the silver-containing material can be applied using thin film and/or thick film techniques, such as but not limited to dipping, spraying, printing, electro-depositing, vapor deposition, spin coating, and sputter deposition, as described elsewhere herein. For example, a silver or silver chloride-containing paint (or similar formulation) can be applied to a reel of the insulated conductive core. Alternatively, the reel of insulated elongated body (or core) is cut into single unit pieces (that is, “singularized”), and silver-containing ink is pad printed thereon. In still other embodiments, the silver-containing material is applied as a silver foil. For example, an adhesive can be applied to an insulated elongated body, around which the silver foil can then be wrapped in. Alternatively, the sensor can be rolled in Ag/AgCl particles, such that a sufficient amount of silver sticks to and/or embeds into and/or otherwise adheres to the adhesive for the particles to function as the reference electrode. In some embodiments, the sensor's reference electrode includes a sufficient amount of chloridized silver that the sensor measures and/or detects the analyte for at least three days. -
FIG. 2A is a cross-sectional view through a sensor illustrating one embodiment of themembrane system 32. In this particular embodiment, the membrane system includes anelectrode layer 42, anenzyme layer 44, adiffusion resistance layer 46, and abiointerface layer 48, all of which are located around a working electrode of thesensor 38, and all of which are described in more detail elsewhere herein. In some embodiments, a unitary diffusion resistance domain and biointerface layer can be included in the membrane system (e.g., wherein the functionality of both layers is incorporated into one domain). In some embodiments, the sensor is configured for short-term implantation (e.g., from about 1 to 30 days). However, it is understood that themembrane system 32 can be modified for use in other devices, for example, by including only one or more of the domains, or additional domains. -
FIG. 2B is a cross-sectional view through one embodiment of the sensor, illustrating another embodiment of themembrane system 32. In this particular embodiment, the membrane system includes an interference reduction or blockinglayer 43, anenzyme layer 44, adiffusion resistance layer 46, and abiointerface layer 48 located around the working electrode of asensor 38, all of which are described in more detail elsewhere herein. -
FIG. 2C is a cross-sectional view through one embodiment of the sensor, illustrating still another embodiment of themembrane system 32. In this particular embodiment, the membrane system includes an interferent reduction or blockinglayer 43, anenzyme layer 44, and a unitary diffusion resistance/biointerface layer 47 located around the working electrode of a sensor, all of which are described in more detail elsewhere herein. - In some embodiments, the membrane system can include a
biointerface layer 48, comprising a surface-modified biointerface polymer as described in more detail elsewhere herein. However, thesensing membranes 32 of some embodiments can also include a plurality of domains or layers including, for example, an electrode domain (e.g., as illustrated in theFIG. 2A ), an interference reduction or blocking domain (e.g., as illustrated inFIGS. 2B and 2C ), or a cell disruptive domain (not shown), such as described in more detail elsewhere herein and in U.S. Patent Publication No. US-2006-0036145-A1, which is incorporated herein by reference in its entirety. - It is to be understood that sensing membranes modified for other sensors, for example, can include fewer or additional layers. For example, in some embodiments, the membrane system can comprise one electrode layer, one enzyme layer, and two biointerface layers, but in other embodiments, the membrane system can comprise one electrode layer, two enzyme layers, and one biointerface layer. In some embodiments, the biointerface layer can be configured to function as the diffusion resistance domain and control the flux of the analyte (e.g., glucose) to the underlying membrane layers.
- In some embodiments, one or more domains of the sensing membranes can be formed from materials such as silicone, polytetrafluoroethylene, polyethylene-co-tetrafluoroethylene, polyolefin, polyester, polycarbonate, biostable polytetrafluoroethylene, homopolymers, copolymers, terpolymers of polyurethanes, polypropylene (PP), polyvinylchloride (PVC), polyvinylidene fluoride (PVDF), polybutylene terephthalate (PBT), polymethylmethacrylate (PMMA), polyether ether ketone (PEEK), polyurethanes, polyurethane ureas, cellulosic polymers, poly(ethylene oxide), poly(propylene oxide) and copolymers and blends thereof, polysulfones and block copolymers thereof including, for example, di-block, tri-block, alternating, random and graft copolymers.
- In some embodiments, the sensing membrane can be deposited on the electroactive surfaces of the electrode material using known thin or thick film techniques (for example, spraying, electro-depositing, dipping, or the like). It should be appreciated that the sensing membrane located over the working electrode does not have to have the same structure as the sensing membrane located over the reference electrode; for example, the enzyme domain deposited over the working electrode does not necessarily need to be deposited over the reference or counter electrodes.
- Although the exemplary embodiments illustrated in
FIGS. 2A through 2C involve circumferentially extending membrane systems, the membranes described herein can be applied to any planar or non-planar surface. - In general, analyte sensor systems have electronics associated therewith, also referred to as a “computer system” that can include hardware, firmware, or software that enable measurement and processing of data associated with analyte levels in the host. In one exemplary embodiment of an electrochemical sensor, the electronics include a potentiostat, a power source for providing power to the sensor, and other components useful for signal processing. In additional embodiments, some or all of the electronics can be in wired or wireless communication with the sensor or other portions of the electronics. For example, a potentiostat disposed on the device can be wired to the remaining electronics (e.g. a processor, a recorder, a transmitter, a receiver, etc.), which reside on the bedside. In another example, some portion of the electronics is wirelessly connected to another portion of the electronics (e.g., a receiver), such as by infrared (IR) or radiofrequency (RF). It is contemplated that other embodiments of electronics can be useful for providing sensor data output, such as those described in U.S. Patent Publication No. US-2005-0192557-A1, U.S. Patent Publication No. US-2005-0245795-A1, U.S. Patent Publication No. US-2005-0245795-A1, U.S. Patent Publication No. US-2005-0245795-A1, U.S. Patent Publication No. US-2008-0119703-A1, and U.S. Patent Publication No. US-2008-0108942-A1, each of which is incorporated herein by reference in its entirety.
- In one preferred embodiment, a potentiostat is operably connected to the electrode(s) (such as described elsewhere herein), which biases the sensor to enable measurement of a current signal indicative of the analyte concentration in the host (also referred to as the analog portion). In some embodiments, the potentiostat includes a resistor that translates the current into voltage. In some alternative embodiments, a current to frequency converter is provided that is configured to continuously integrate the measured current, for example, using a charge counting device. In some embodiments, the electronics include an A/D converter that digitizes the analog signal into a digital signal, also referred to as “counts” for processing. Accordingly, the resulting raw data stream in counts, also referred to as raw sensor data, is directly related to the current measured by the potentiostat.
- In general, the electronics include a processor module that includes the central control unit that controls the processing of the sensor system. In some embodiments, the processor module includes a microprocessor, however a computer system other than a microprocessor can be used to process data as described herein, for example an ASIC can be used for some or all of the sensor's central processing. The processor typically provides semi-permanent storage of data, for example, storing data such as sensor identifier (ID) and programming to process data streams (for example, programming for data smoothing or replacement of signal artifacts such as is described in U.S. Patent Publication No. US-2005-0043598-A1). The processor additionally can be used for the system's cache memory, for example for temporarily storing recent sensor data. In some embodiments, the processor module comprises memory storage components such as ROM, RAM, dynamic-RAM, static-RAM, non-static RAM, EEPROM, rewritable ROMs, flash memory, and the like.
- In some embodiments, the processor module comprises a digital filter, for example, an infinite impulse response (IIR) or finite impulse response (FIR) filter, configured to smooth the raw data stream. Generally, digital filters are programmed to filter data sampled at a predetermined time interval (also referred to as a sample rate). In some embodiments, wherein the potentiostat is configured to measure the analyte at discrete time intervals, these time intervals determine the sample rate of the digital filter. In some alternative embodiments, wherein the potentiostat is configured to continuously measure the analyte, for example, using a current-to-frequency converter as described above, the processor module can be programmed to request a digital value from the A/D converter at a predetermined time interval, also referred to as the acquisition time. In these alternative embodiments, the values obtained by the processor are advantageously averaged over the acquisition time due the continuity of the current measurement. Accordingly, the acquisition time determines the sample rate of the digital filter.
- In some embodiments, the processor module is configured to build the data packet for transmission to an outside source, for example, an RF transmission to a receiver. Generally, the data packet comprises a plurality of bits that can include a preamble, a unique identifier identifying the electronics unit, the receiver, or both, (e.g., sensor ID code), data (e.g. raw data, filtered data, or an integrated value) or error detection or correction. Preferably, the data (transmission) packet has a length of from about 8 bits to about 128 bits, preferably about 48 bits; however, larger or smaller packets can be desirable in certain embodiments. The processor module can be configured to transmit any combination of raw or filtered data. In one exemplary embodiment, the transmission packet contains a fixed preamble, a unique ID of the electronics unit, a single five-minute average (e.g. integrated) sensor data value, and a cyclic redundancy code (CRC).
- In some embodiments, the processor further performs the processing, such as storing data, analyzing data streams, calibrating analyte sensor data, estimating analyte values, comparing estimated analyte values with time corresponding measured analyte values, analyzing a variation of estimated analyte values, downloading data, and controlling the user interface by providing analyte values, prompts, messages, warnings, alarms, and the like. In such cases, the processor includes hardware and software that performs the processing described herein, for example flash memory provides permanent or semi-permanent storage of data, storing data such as sensor ID, receiver ID, and programming to process data streams (e.g., programming for performing estimation and other algorithms described elsewhere herein) and random access memory (RAM) stores the system's cache memory and is helpful in data processing. Alternatively, some portion of the data processing (such as described with reference to the processor elsewhere herein) can be accomplished at another (e.g., remote) processor and can be configured to be in wired or wireless connection therewith.
- In some embodiments, an output module, which is integral with or operatively connected with the processor, includes programming for generating output based on the data stream received from the sensor system and it's processing incurred in the processor. In some embodiments, output is generated via a user interface.
- Interferents are molecules or other species that can cause a sensor to generate a false positive or negative analyte signal (e.g., a non-analyte-related signal). Some interferents become reduced or oxidized at the electrochemically reactive surfaces of the sensor, while other interferents interfere with the ability of the enzyme (e.g., glucose oxidase) used to react with the analyte being measured. Yet other interferents react with the enzyme (e.g., glucose oxidase) to produce a by-product that is electrochemically active. Interferents can exaggerate or mask the response signal, thereby leading to false or misleading results. For example, a false positive signal can cause the host's analyte concentration (e.g., glucose concentration) to appear higher than the true analyte concentration. False-positive signals can pose a clinically significant problem in some conventional sensors. For example in a severe hypoglycemic situation, in which the host has ingested an interferent (e.g., acetaminophen), the resulting artificially high glucose signal can lead the host to believe that he is euglycemic or hyperglycemic. In response, the host can make inappropriate treatment decisions, such as by injecting himself with too much insulin, or by taking no action, when the proper course of action would be to begin eating. In turn, this inappropriate action or inaction can lead to a dangerous hypoglycemic episode for the host. Accordingly, certain embodiments contemplated herein include a membrane system that substantially reduces or eliminates the effects of interferents on analyte measurements. These membrane systems can include one or more domains capable of blocking or substantially reducing the flow of interferents onto the electroactive surfaces of the electrode can reduce noise and improve sensor accuracy as described in more detail in U.S. Patent Publication No. US-2009-0247856-A1.
- The term “drift” as used herein is a broad term, and is to be given its ordinary and customary meaning to a person of ordinary skill in the art (and is not to be limited to a special or customized meaning), and refers without limitation to a change in the sensitivity of a sensor over time. Drift can be driven by a change in permeability of the sensor membrane system, which can be particularly evident in embodiments which use a polyurethane diffusion resistance domain. Without wishing to be bound by theory, it is believed that the change in permeability in such systems arises from the rearrangement of the diffusion resistance domain polyurethane polymer chains to either bring more hydrophilic components to the surface or otherwise rearrange in some way to allow for greater access to hydrophilic polymer components during hydration of the membrane system. Because of this, increasing the speed of hydration or increasing the wettability of the membrane system reduces system drift.
- Due to electrostatically induced hydration, polymers and cross-linked coatings of zwitterionic compounds have near instantaneous wetting properties. As discussed in greater detail below, including one or more zwitterionic compounds, precursors or derivatives thereof (such as hydrolyzable cationic esters) in the outermost domain of a membrane system or applying a coating of such compounds to the surface of the membrane system results in reduced sensor drift.
- Polymers of the preferred embodiments can be processed by solution-based techniques such as spraying, dipping, casting, electrospinning, vapor deposition, spin coating, coating, and the like. Water-based polymer emulsions can be fabricated to form membranes by methods similar to those used for solvent-based materials. In both cases the evaporation of a volatile liquid (e.g., organic solvent or water) leaves behind a film of the polymer. Cross-linking of the deposited film or layer can be performed through the use of multi-functional reactive ingredients by a number of methods. The liquid system can cure by heat, moisture, high-energy radiation, ultraviolet light, or by completing the reaction, which produces the final polymer in a mold or on a substrate to be coated.
- In some embodiments, the wetting property of the membrane (and by extension the extent of sensor drift exhibited by the sensor) can be adjusted and/or controlled by creating covalent cross-links between surface-active group-containing polymers, functional-group containing polymers, polymers with zwitterionic groups (or precursors or derivatives thereof), and combinations thereof. Cross-linking can have a substantial effect on film structure, which in turn can affect the film's surface wetting properties. Crosslinking can also affect the film's tensile strength, mechanical strength, water absorption rate and other properties.
- Cross-linked polymers can have different cross-linking densities. In certain embodiments, cross-linkers are used to promote cross-linking between layers. In other embodiments, in replacement of (or in addition to) the cross-linking techniques described above, heat is used to form cross-linking. For example, in some embodiments, imide and amide bonds can be formed between two polymers as a result of high temperature. In some embodiments, photo cross-linking is performed to form covalent bonds between the polycationic layers(s) and polyanionic layer(s). One major advantage to photo-cross-linking is that it offers the possibility of patterning. In certain embodiments, patterning using photo-cross linking is performed to modify the film structure and thus to adjust the wetting property of the membrane.
- Polymers with domains or segments that are functionalized to permit cross-linking can be made by methods known in the art. For example, polyurethaneurea polymers with aromatic or aliphatic segments having electrophilic functional groups (e.g., carbonyl, aldehyde, anhydride, ester, amide, isocyano, epoxy, allyl, or halo groups) can be crosslinked with a crosslinking agent that has multiple nucleophilic groups (e.g., hydroxyl, amine, urea, urethane, or thio groups). In further embodiments, polyurethaneurea polymers having aromatic or aliphatic segments having nucleophilic functional groups can be crosslinked with a crosslinking agent that has multiple electrophilic groups. Still further, polyurethaneurea polymers having hydrophilic segments having nucleophilic or electrophilic functional groups can be crosslinked with a crosslinking agent that has multiple electrophilic or nucleophilic groups. Unsaturated functional groups on the polyurethane urea can also be used for crosslinking by reacting with multivalent free radical agents. Non-limiting examples of suitable cross-linking agents include isocyanate, carbodiimide, glutaraldehyde, aziridine, silane, or other aldehydes, epoxy, acrylates, free-radical based agents, ethylene glycol diglycidyl ether (EGDE), poly(ethylene glycol) diglycidyl ether (PEGDE), or dicumyl peroxide (DCP). In one embodiment, from about 0.1% to about 15% w/w of cross-linking agent is added relative to the total dry weights of cross-linking agent and polymers added when blending the ingredients (in one example, about 1% to about 10%). During the curing process, substantially all of the cross-linking agent is believed to react, leaving substantially no detectable unreacted cross-linking agent in the final film.
- Polymers disclosed herein can be formulated into mixtures that can be drawn into a film or applied to a surface using any method known in the art (e.g., spraying, painting, dip coating, vapor depositing, molding, 3-D printing, lithographic techniques (e.g., photolithograph), micro- and nano-pipetting printing techniques, silk-screen printing, etc.). The mixture can then be cured under high temperature (e.g., 50-150° C.). Other suitable curing methods can include ultraviolet or gamma radiation, for example.
- The biointerface layer is the domain or layer of an implantable device configured to interface with (i.e., contact) a biological fluid when implanted in a host or connected to the host (e.g., via an intravascular access device providing extracorporeal access to a blood vessel). When present on an analyte sensor, e.g., a continuous analyte sensor implanted into a host, the biointerface layer can increase sensor longevity and decrease sensor inaccuracy by reducing the biomaterial-associated inflammation response. The antifouling properties of the biointerface layer can inhibit the accumulation of cells, proteins, and other biological species on the sensor. While not wishing to be bound by theory, it is believed that zwitterion groups in the biointerface layer can attract, retain, and order the structure of water at the polymer-biologic interface, resulting in reversible adsorption, no or reduced protein denaturization, and no or reduced cell activation (see
FIG. 12 ). Other possible mechanisms for the antifouling properties of the biointerface layer are significant swelling, which can fill in spaces at the site of implantation and act as buffering zone (seeFIG. 16 ). - The biointerface layers disclosed herein can be mechanically robust, resist damage upon implantation, and withstand degradation during the sensor implantation. Further, the disclosed biointerface layers do not materially affect the response time of the sensor or the diffusion resistance layer's properties. Also, the disclosed biointerface layers can have hydrophilic properties that can have large amounts of water uptake, and fast water uptake and quick stabilization, so that sensor start-up is not negatively affected. The disclosed biointerface layers are also permeable to analytes (e.g., glucose) but resist adsorption of proteins.
- Some embodiments described herein can include membranes that comprise a biointerface layer 48 (see
FIGS. 2A and 2B ). - Furthermore, the disclosed biointerface layer can be the host of pharmaceutical or bioactive agent that upon release from the biointerface layer to the local tissue can effectively reduce or delay inflammation. The anti-inflammatory agents can be steroidal or non-steroidal drugs and can be the scavengers of reactive oxygen species (ROS). Suitable anti-inflammatory agents include but are not limited to, for example, nonsteroidal anti-inflammatory drugs (NSAIDS) such as acetometaphen, aminosalicylic acid, aspirin, celecoxib, choline magnesium trisalicylate, diclofenac potassium, diclofenac sodium, diflunisal, etodolac, fenoprofen, flurbiprofen, ibuprofen, indomethacin, interleukin (IL)-10, IL-6 mutein, anti-IL-6 iNOS inhibitors (for example, L-NAME or L-NMDA), Interferon, ketoprofen, ketorolac, leflunomide, melenamic acid, mycophenolic acid, mizoribine, nabumetone, naproxen, naproxen sodium, oxaprozin, piroxicam, rofecoxib, salsalate, sulindac, and tolmetin; and corticosteroids such as cortisone, hydrocortisone, methylprednisolone, prednisone, prednisolone, betamethesone, beclomethasone dipropionate, budesonide, dexamethasone sodium phosphate, flunisolide, fluticasone propionate, paclitaxel, tacrolimus, tranilast, triamcinolone acetonide, betamethasone, fluocinolone, fluocinonide, betamethasone dipropionate, betamethasone valerate, desonide, desoximetasone, fluocinolone, triamcinolone, triamcinolone acetonide, clobetasol propionate, and dexamethasone. In further examples, the biointerface layer can comprise materials that repel the adhesion and/or absorption of carbohydrates. While not wishing to be bound by theory, the attachment or absorption of carbohydrates at the sensor membrane may affect the operation of the sensor. Thus having materials that repel the adhesion and/or absorption of carbohydrates can help alleviate this problem.
- In further examples, Factor H can be covalently conjugated onto the surface of the biointerface layer. Factor H is one of the principal regulators of a complement system that play a vital role in the immune response. Its regular functions include controlling proteins that generate proinflammatory anaphylatoxins; maintaining tissue integrity by identifying “self” from “non-self” and harnessing direct anti-inflammatory properties. Thus, Factor H is an important protein that regulates complement activation. This regulation occurs by multiple mechanisms which include disruption of C3 convertase formation and acceleration of its decay. Factor H also acts as a cofactor to factor I in the degradation of C3b, and competes with factor B for binding to C3b.
- Factor H for use as a medical device surface coating can be beneficial because of its link between complement-triggered inflammations, the regulatory role of Factor H in stopping complement triggered inflammation and tissue damage.
- In this embodiment, Factor H can be covalently conjugated onto the surface of biointerface layer by methods disclosed herein. Factor H can then be released upon environmental changes and control inflammation. Control of inflammation can help reduce issues associated with first day signal reduction or loss after the sensor is implanted. Factor H can also help increase the longevity and decrease in vivo variability.
- Thus, disclosed herein in a certain embodiment is a sensor comprising a biointerface layer comprising a covalently connected active Factor H to the surface of the biointerface layer. The covalent attachment can be a linker, e.g., an alkyl, alkoxyl, ester, triazole, polyether, polyester, polyalkeneoxide, and the like. In some examples, the linker can be sensitive to cleavage by internal or external stimuli, such as pH, heat, UV-Vis, or protease attack. The linker can also be an oligo peptide sequence which can be cleaved by MMP (Matrix metallopeptidase), which are upregulated in atherosclerosis and inflammation. A schematic of a biointerface layer with conjugated Factor H is shown in
FIG. 33 . The layer comprises three parts: (i) the biointerface polymer as disclosed herein; (ii) stimuli responsive linker, which can be cleaved by changing of environment; and (iii) active Factor H, which is covalently connected to linker. - The biointerface layer comprises a biointerface polymer. In some embodiments, the biointerface polymer is a polyzwitterion. Polyzwitterions are polymers where a repeating unit of the polymer chain is a zwitterionic moiety. As such, these polymers have the same number of cationic and anionic groups, due to each zwitterion repeating unit having both a positive and negative charge, and thus have an overall charge of zero, often through a wide pH range.
- Polyzwitterions are distinguishable from other polyampholytes in that, which polyampholytes contain anionic and cationic groups, the ionic groups are not correlated with one another as part of the same repeating unit. So the anionic and cationic groups may be distributed apart from one another, at random intervals, or one ionic group may outnumber the other. It is thus typical for a polyampholyte to have a net charge, except perhaps at some narrow pH range.
- The disclosed polyzwitterions can have a variety of repeating units, which are illustrated as i) through vii) below, where n is some integer from 2 to 1000:
-
- Examples of suitable zwitterionic monomers that can be used to produce a polyzwitterion of any of structures i) through vii) include:
-
- ammoniophosphates (phosphobetaines or lecithin analogues), ammoniophosphonates (phosphonobetaines), or ammoniophosphinates (phosphinobetaines), respectively having the structures
-
- where Z is branched or straight chain alkyl, heteroalkyl, cycloalkyl, cycloheteroalkyl, aryl, or heteroaryl; R1 is H, alkyl, heteroalkyl, cycloalkyl, heterocycloalkyl, aryl, or heteroaryl; and R2, R3, and R4 are independently chosen from alkyl, heteroalkyl, cycloalkyl, heterocycloalkyl, aryl, or heteroaryl; wherein one or more of R1, R2, R3, R4, and Z are substituted with a polymerization group;
- ammoniosulfonates (sulfobetaines), ammoniosulfates, respectively having the structures:
-
- where Z is branched or straight chain alkyl, heteroalkyl, cycloalkyl, cycloheteroalkyl, aryl, or heteroaryl; R1 is H, alkyl, heteroalkyl, cycloalkyl, heterocycloalkyl, aryl, or heteroaryl; and R2 and R3, are independently chosen from alkyl, heteroalkyl, cycloalkyl, heterocycloalkyl, aryl, or heteroaryl; wherein one or more of R1, R2, R3, and Z are substituted with a polymerization group; and
- ammoniocarboxylates having the structures:
-
- where Z is branched or straight chain alkyl, heteroalkyl, cycloalkyl, cycloheteroalkyl, aryl, or heteroaryl; R1 is H, alkyl, heteroalkyl, cycloalkyl, heterocycloalkyl, aryl, or heteroaryl; and R2 and R3 are independently chosen from alkyl, heteroalkyl, cycloalkyl, heterocycloalkyl, aryl, or heteroaryl; wherein one or more of R1, R2, R3, and Z are substituted with a polymerization group.
- In each of these monomers Z can have a length of from 1 to 12 atoms, e.g., from 1, 2, 3, 4, 5, 6, 7, 8, 9, 10, 11, or 12 atoms, where any of these values can form an upper or lower endpoint of a range.
- The term “polymerization group” used herein is a broad term, and is to be given its ordinary and customary meaning to a person of ordinary skill in the art (and is not to be limited to a special or customized meaning), and refers without limitation to a functional group that permits polymerization of the monomer with itself to form a homopolymer or together with different monomers to form a copolymer. Depending on the type of polymerization methods employed, the polymerization group can be selected from alkene, alkyne, epoxide, lactone, amine, hydroxyl, isocyanate, carboxylic acid, anhydride, silane, halide, aldehyde, and carbodiimide.
- In a step-growth polymerization, a matching pair of functional groups are selected to promote polymerization, for example, to polymerize a zwitterionic monomer bearing di-hydroxyl group, a diisocyanate, epoxide, or di-carboxylic acid group containing co-monomer can be chosen to afford polymers formed with urethane, ether, and ester linkages.
- Additional examples of zwitterion precursors that be modified and formed into monomers for the disclosed biointerface polymers include ammoniocarboxylate (caboxylbetaine) or ammoniosulfonates (sulfobetaine), phosphobetaines (ammoniophosphates or lecithin analogues), phosphatidylcholine, poly(carboxybetaine), poly(sulfobetaine), and precursors or derivatives; trigonelline, ectoine, 3-dimethylsulfoniopropanoate, arsenobetaine, ammoniophosphonates (phosphonobetaines), ammoniophosphinates (phosphinobetaines), ammoniosulfonamides, ammoni-sulfon-imides, guanidiniocarboxylates (asparagine analogs), pyridiniocarboxylates, ammonio(alokoxy)dicyanoethenolates, ammonioboronates, sulfoniocarboxylates, phosphoniosulfonates, phosphoniocarboxylates, squaraine dyes, and oxypyridine betaines.
- These monomers can be prepared by methods known to those of skilled in the art, e.g., as detailed in Laschewsky, “Structures and synthesis of zwitterionic polymers,” Polymers 6:1544-1601, 2014. In certain examples, the disclosed polyzwitterions can have repeating zwitterionic units obtained from any of the zwitterionic monomers disclosed above.
- The biointerface polymer may also comprises polyurethane and/or polyurea segments. For example, the biointerface polymer can comprise a polyurethane copolymer such as polyether-urethane-urea, polycarbonate-urethane, polyether-urethane, silicone-polyether-urethane, silicone-polycarbonate-urethane, polyester-urethane, polyurethane-urea, and the like. Since these polyurethane and/or polyurea segments contain urea and/or urethane bonds formed from polyisocyanate and short chain polyol or polyamine, which are hydrogen bonding rich moieties, these segments are referred to herein as “hard segments.” These segments can also be relatively hydrophobic.
- In addition to polyurethane and/or polyurea hard segments, the disclosed biointerface polymers can also comprise soft segments, which have relatively poor hydrogen bonding. Soft segment are usually composed of polyols of polycarbonates, polyesters, polyethers, polyarylene, and polyalkylene, and the like. The soft segments can be either hydrophobic or hydrophilic.
- Although the biointerface polymer in some embodiments comprises polyurethane and/or polyurea, in other embodiments, the biointerface polymer may be a polymer that does not comprise polyurethane and/or polyurea.
- Biointerface polymers useful for certain embodiments can include linear or branched polymer on the backbone structure of the polymer. Thus, either the hard or soft segments can contain branching or linear backbones.
- The zwitterionic monomers can be part of either the hard or soft segments, or both, as described herein.
- In some embodiments, the hard segment portion of the biointerface polymer can comprise from about 5% to about 50% by weight of the polymer, sometimes from about 15% to 20%, and other times from about 25% to 40%. The hard segments can have a molecular weight of from about 160 daltons to about 10,000 daltons, and sometimes from about 200 daltons to about 2,000 daltons. In some embodiments, the molecular weight of the soft segments can be from about 200 daltons to about 10,000,000 daltons, and sometimes from about 500 daltons to about 5,000 daltons, and sometimes from about 500 daltons to about 2,000 daltons.
- As noted the hard segments can be polyurethanes or polyureas. Polyurethane is a polymer produced by the condensation reaction of a diisocyanate and a difunctional hydroxyl-containing material. A polyurea is a polymer produced by the condensation reaction of a diisocyanate and a difunctional amine-containing material. Preferred diisocyanates include aliphatic diisocyanates containing from about 4 to about 9 methylene units. Diisocyanates containing cycloaliphatic moieties can also be useful in the preparation of the polymer and copolymer components of the membranes of preferred embodiments.
- The soft segments used in the preparation of the biointerface polymer can be a polyfunctional aliphatic polyol, a polyfunctional aliphatic or aromatic amine, or the like that can be useful for creating permeability of the analyte (e.g., glucose) therethrough, and can include, for example, polyoxazoline, poly(ethylene glycol) (PEG), polyacrylamide, polyimine, polypropylene oxide (PPO), PEG-co-PPO diol, silicone-co-PEG diol, Silicone-co-PPO diol, polyethylacrylate (PEA), polyvinylpyrrolidone (PVP), and copolymers, blends, and/or variations thereof thereof (e.g., PVP vinyl acetate), and wherein PEG and copolymers, blends, and/or variations thereof can be preferred for their hydrophilicity.
- In some of the embodiments, the soft segment portion of the biointerface polymer can comprise from about 5% to about 50% by weight of the polymer, sometimes from about 15% to 20%, and other times from about 25% to 40%. The soft segments can have a molecular weight of from about 160 daltons to about 10,000 daltons, and sometimes from about 200 daltons to about 2,000 daltons. In some embodiments, the molecular weight of the soft segments can be from about 200 daltons to about 10,000,000 daltons, and sometimes from about 500 daltons to about 5,000 daltons, and sometimes from about 500 daltons to about 2,000 daltons.
- In some embodiments, the biointerface polymer, including hard and soft segments, and zwitterionic repeating units, can have a molecular weight of from about 10 kDa to about 500,000 kDa, for example, from about 10 kDa to about 100,000 kDa, from about 1000 kDa to about 500,000 kDa, from about 10,000 kDa to about 100,000 kDa, and from about 100,000 kDa to about 500,000 kDa.
- The hard and soft segments can each be selected for their properties, such as, but not limited to, tensile strength, flex life, modulus, and the like. For example, polyurethanes are relatively strong and provide numerous reactive pathways, which properties can be advantageous as bulk properties for a membrane domain of the continuous sensor.
- In some specific examples, the segments can be chosen to result in a biointerface polymer with high Tg. Having a high Tg segment or polymer in the biointerface layer can result in stronger mechanical properties. Further, a high Tg segment or polymer can allow for more hydrophilic soft segments, which can allow for the incorporation of bioactive agents like anti-inflammatory drugs (e.g., dexamethasone). As an example, the zwitterionic feature of the betaine can bind salt form of dexamethasone more efficiently because of the electron static interactions. As such, disclosed herein are examples of biointerface polymers wherein the hydrophobic segments can be composed of high glass transition temperature (Tg) hydrophilic polymers (e.g., polycarbonates). The high Tg hydrophobic segments can have strong mechanical properties and thus construct the porous scaffold which could absorb and encapsulate water and drug molecules inside for continuous drug delivery. The materials can also covalently incorporate functional reactive groups for further chemical reaction or crosslinking (those groups include carboxylic acid, azide, alkyne, alkene, thiol).
- As noted, the biointerface polymer contains one or more zwitterionic repeating units; thus these groups are “internal” in reference to the polymer backbone. Such “internal” repeating units are distinguished from a material that is found at the end of a polymer chain since such a moiety would only be bonded to the polymer chain at one location. The disclosed biointerface polymers can, in some embodiments, have one or more zwitterionic groups at the terminal ends of the polymer chains; however, such groups are not the only zwitterionic groups in the chain; there is at least one internal zwitterionic group in the backbone.
- In some preferred embodiments, zwitterion moieties are selected for desirable properties, for example, non-constant noise-blocking ability, break-in time (reduced), ability to repel charged species, cationic or anionic blocking, surface wettability, antifouling, or the like. In some embodiments, the zwitterion or zwitterion precursor exists as zwitterionic groups while the device is in vivo. As such, these groups present mixed charged areas of the device surface to the surrounding environment, thereby increasing surface hydration of the device, and potentially reducing nonspecific protein adsorption and cell adhesion.
- In some embodiments, the biointerface polymer includes at least about 1%, about 2%, about 3%, about 4%, about 5%, about 6%, about 7%, about 8%, about 9%, about 10%, about 11%, about 12%, about 13%, about 14%, about 15%, about 16%, about 17%, about 18%, about 19%, about 20%, about 21%, about 22%, about 23%, about 24%, about 25%, about 26%, about 27%, about 28%, about 29%, about 30%, to about 31%, about 32%, about 33%, about 34%, about 35%, about 36%, about 37%, about 38%, about 39%, about 40%, about 41%, about 42%, about 43%, about 44%, about 45%, about 46%, about 47%, about 48%, about 49%, about 50%, about 51%, about 52%, about 53%, about 54% or about 55% zwitterionic repeating units by weight of the polymer.
- The zwitterionic repeating unit can be a betaine such as a carboxyl, sulfo, or phosphor betaine compound, precursor or derivative thereof (for example alkylbetaines or aminobetaines). These segments or moieties can be incorporated into the biointerface polymer, whether in the hard segment, the soft segment, or both, for example up to about 55 wt. % of the biointerface polymer.
- Although in some embodiments, using two or more different zwitterion or zwitterion precursor segments or moieties are used, in other embodiments, a single zwitterion or zwitterion precursor segment or moiety can be used in the biointerface polymer.
- Some examples of a biointerface polymer are schematically illustrated in
FIG. 4 . Generally, the biointerface polymer comprises one or more hard segments and one or more soft segments. The hard segments can be aliphatic or aromatic monomers. The soft segments can be hydrophilic or hydrophobic oligomers of, for example, polyalkylene glycols, polycarbonates, polyesters, polyethers, polyvinylalcohol, polyvinypyrrolidone, polyoxazoline, and the like. The zwitterionic groups (e.g., betaines) can be part of the soft segment, the hard segments, or both. As illustrated, inFIG. 4 , various hard and soft segments can be present, which permits one to tune the properties of the biointerface polymer by using different segments, different segments lengths, functionalization on certain segments, crosslinking certain segments, and the like. In some embodiments, biocompatible segmented block polyurethane copolymers comprising hard and soft segments can be used for the biointerface layer. - Incorporation of these zwitterionic repeating units into a polymer can be achieved by using zwitterionic monomers that have diols or diamines (e.g., at position Z), or can be attached to diols or diamines at any of R1 through R4. Attaching a diol or diamine at R1-R4 can be accomplished by reacting the corresponding precursor with a halo-substituted diamine or halo-substituted diol. Examples of such monomers are shown below:
- where W, Y, and Z are, independently, branched or straight chain alkyl, heteroalkyl, cycloalkyl, cycloheteroalkyl, aryl, or heteroaryl, any of which can be optionally substituted with O, OH, halogen, amido, or alkoxyl; R1 is H, alkyl, heteroalkyl, cycloalkyl, cycloheteroalkyl, aryl, or heteroaryl; and R2, R3, and R4, are independently chosen from alkyl, heteroalkyl, cycloalkyl, cycloheteroalkyl, aryl, or heteroaryl. In specific examples W is C1-C4 alkyl. In specific examples Y is C1-C4 alkyl. In other examples Z is C1-C4 alkyl.
- These compounds can be reacted with a diisocyanate to form a polyurethane or polyurea. Alternatively, the carboxylates, sulfonates, phosphinates, or phophonates moieties can be protected and then the protection group can be removed after polymerization. In another alternative, the amine can be a tertiary amine, which is then quaternized by alkylation after polymerization.
- Another method involves the radical polymerization of zwitterionic monomers having unsaturated moieties substituted at position Z in the monomers shown above. In other examples zwitterionic monomers where an unsaturated moiety is attached to the ammonium group can be used in a radical polymerization. Examples of such monomers are shown below:
- where X is O, NH, or NR4, Y and Z are, independently, branched or straight chain alkyl, heteroalkyl, cycloalkyl, cycloheteroalkyl, aryl, or heteroaryl, and of which can be optionally substituted with OH, halogen, or alkoxyl; R1 is H, alkyl, heteroalkyl, cycloalkyl, cycloheteroalkyl, aryl, or heteroaryl; and R3 and R5 are independently chosen from heteroalkyl, cycloalkyl, cycloheteroalkyl, aryl, or heteroaryl. In specific examples, R5 is H or CH3. In other examples, X is O. In still other examples, X is NH or NCH3. In specific examples Y is C1-C4 alkyl. In other examples Z is C1-C4 alkyl.
- Additional examples of suitable zwitterionic monomers include N-(2-methacryloyloxy)ethyl-N,N-dimethylammonio propanesulfonate, N-(3-methacryloylimino)propyl-N,N-dimethylammonio propanesulfonate, 2-(methacryloyloxy)ethylphosphatidylcholine, and 3-(2′-vinyl-pyridinio)propanesulfonate.
- In other embodiments, the biointerface polymer is crosslinked. For example, polyurethaneurea polymers with aromatic or aliphatic segments having electrophilic functional groups (e.g., carbonyl, aldehyde, anhydride, ester, amide, isocyanate, epoxy, allyl, or halo groups) can be crosslinked with a crosslinking agent that has multiple nucleophilic groups (e.g., hydroxyl, amine, urea, urethane, or thio groups). In further embodiments, polyurethaneurea polymers having aromatic or aliphatic segments having nucleophilic functional groups can be crosslinked with a crosslinking agent that has multiple electrophilic groups. Still further, polyurethaneurea polymers having hydrophilic segments having nucleophilic or electrophilic functional groups can be crosslinked with a crosslinking agent that has multiple electrophilic or nucleophilic groups. Unsaturated functional groups on the polyurethane urea can also be used for crosslinking by reacting with multivalent free radical agents.
- Non-limiting examples of suitable cross-linking agents include isocyanate, carbodiimide, gluteraldehyde or other aldehydes, aziridine, silane, epoxy, acrylates, free-radical based agents, ethylene glycol diglycidyl ether (EGDE), poly(ethylene glycol) diglycidyl ether (PEGDE), or dicumyl peroxide (DCP). In one embodiment, from about 0.1% to about 15% w/w of cross-linking agent is added relative to the total dry weights of cross-linking agent and polymers added when blending the ingredients (in one example, about 1% to about 10%). During the curing process, substantially all of the cross-linking agent is believed to react, leaving substantially no detectable unreacted cross-linking agent in the final layer.
- Further, the disclosed biointerface layer can have zwitterions entrapped or embedded within the polymer network by non-covalent interactions. Thus, in further embodiments, the disclosed biointerface layer can comprise a biointerface polymer and additional betaines blended therewith. For example, the biointerface polymer can be blended with cocamidopropyl betaine, oleamidopropyl betaine, octyl sulfobetaine, caprylyl sulfobetaine, lauryl sulfobetaine, myristyl sulfobetaine, palmityl sulfobetaine, stearyl sulfobetaine, betaine (trimethylglycine), octyl betaine, phosphatidylcholine, glycine betaine, poly(carboxybetaine) (pCB), and poly(sulfobetaine) (pSB). It will be appreciated that many more zwitterionic compounds or precursors or derivatives thereof can be applicable and that this list of exemplary betaines is not intended to limit the scope of the embodiments.
- The biointerface layer can further comprise a biointerface domain, wherein the biointerface domain comprises a surface modifying polymer added to a base polymer, wherein the surface modifying polymer comprises a polymer chain having both hydrophilic and hydrophobic regions and wherein one or more zwitterionic compounds are covalently bonded to an internal region of the polymer, wherein the base polymer can be selected from silicone, epoxies, polyolefins, polystylene, polyoxymethylene, polysiloxanes, polyethers, polyacrylics, polymethacrylic, polyesters, polycarbonates, polyamide, poly(ether ketone), poly(ether imide), polyurethane, and polyurethane urea.
- In some embodiments, the biointerface layer can comprise a combination of one or more biointerface polymer(s), for example, polyurethane or polyurethane urea and one or more hydrophilic polymers, such as, PVA, PEG, polyacrylamide, polyacetates, polyzwitterions, PEO, PEA, PVP, and copolymers, blends, and/or variations thereof (e.g., PVP vinyl acetate), e.g., as a physical blend or admixture wherein each polymer maintains its unique chemical nature.
- In some embodiments, the
biointerface layer 48 is positioned most distally to the sensing region such that its outer most domain contacts a biological fluid when inserted in vivo. In some embodiments, the biointerface layer is resistant to cellular attachment, impermeable to cells, and can be composed of a biostable material. While not wishing to be bound by theory, it is believed that when thebiointerface domain 48 is resistant to cellular attachment (for example, attachment by inflammatory cells, such as macrophages, which are therefore kept a sufficient distance from other domains, for example, the enzyme domain), hypochlorite and other oxidizing species are short-lived chemical species in vivo and biodegradation does not generally occur. Additionally, the materials preferred for forming thebiointerface domain 48 can be resistant to the effects of these oxidative species and have thus been termed biodurable. In some embodiments, the biointerface domain controls the flux of oxygen and other analytes (for example, glucose) to the underlying enzyme domain (e.g. wherein the functionality of the diffusion resistance domain is built-into the biointerface domain such that a separate diffusion resistance domain is not required). - In some embodiments, the one or more zwitterionic compounds or precursors thereof applied to the surface of the membrane system are hydrolyzable cationic esters of zwitterionic compounds. In these embodiments, the hydrolyzable cationic esters provide the added benefit that hydrolysis of the cationic esters into nonfouling zwitterionic groups can kill microbes (such as bacteria) or condense DNA. Further, the mixed-charge nature of the resulting zwitterionic groups result in inhibition of nonspecific protein adsorption on the surface of the sensors. In these embodiments, cationic betaine esters, such as cationic pCB esters are preferable.
- In certain embodiments, the biointerface polymer can comprise reactive groups that can be available for further functionalization. For example, unsaturated functional groups like alkynes can be used to attach various moieties attached to dipolar groups likes azides to form covalent linkages. Such Huisgen cycloaddition chemistry is often referred to as click chemistry. Thus, in certain embodiments herein the biointerface layer can comprise alkyne functional groups pendant on the polymer backbone. Antifouling agents such as proteins, cytokines, anti-inflammatory agent, steroids, and other bioactive agents disclosed herein, which are attached to a dipolar group like an azide, can be conveniently attached to the polymer, resulting in a triazole group. Thus, disclosed herein are biointerface layers, sensors containing such layers, that comprise an alkyne, triazole, or both. These reactive groups can be present in the zwitterion repeating units (e.g., as substituents on Z or Y). A schematic of these products is shown in
FIG. 17 . - It has been found that incorporation of zwitterion or zwitterion precursor segments or moieties internally in the polymer backbone can be challenging due to the solubility issues associated with the monomers of the zwitterion or zwitterion precursors. Such groups typically can only be dissolved in highly polar solvents such as methanol and water, which are not favorable in the synthesis of some the biointerface polymers (e.g., polyurethanes). Thus, the available functional groups that could be used chemically incorporated into the biointerface polymer's backbone by solution based polycondensation synthesis was limited. As an alternative method of incorporating zwitterion or zwitterion precursor segments or moieties into the base-polymer's backbone, precursors or derivatives of the zwitterion or zwitterion precursors can be used. For example, zwitterion precursors and/or zwitterionic derivatives, which have more desirable solubility characteristics in low polarity organic solvents, can be used as monomers. The biointerface polymer (e.g., polyurethaneureas) can be synthesized by polycondensation reactions and form well-defined polymers with high molecular weight and low polydispersity index. These polymers can then be converted to zwitterion group containing polymers via chemical reaction (such as hydrolysis, deprotection, heat-triggered rearrangement, and UV-triggered degradation) or biological triggered reaction after in vivo implantation of the device.
- In some embodiments, the hydrophilic segment of the biointerface domain comprises a “brush” polymer where a linear polymer backbone is functionalized with oligomers of hydrophilic branches (e.g., PEG). That is, in the biointerface domain, the biointerface polymer can comprises a polymer chain having both hydrophilic and hydrophobic regions and the hydrophilic regions can comprise a liner polymer chain having hydrophilic oligomers bound thereto and the linear polymer can be grafted to the biointerface polymer. The liner polymer can be a non-biodegradable polymer, e.g., polyacrylate, that is functionalized at one end (e.g., azide) to permit attachment to functional groups located on main chain of the biointerface domain. For example, a copper catalyzed azide-alkyne Huisgen cycloaddition reaction (CuAAC) can be used to attach multiple brush polymers to alkyne functional groups on the biointerface domain. The brush polymers can be prepared from Atom Transfer Radical Polymerization from homopolymers with a defined chain length (e.g., PEG-acrylate monomers). In some embodiments, the biointerface layer is grafted onto surface functional groups in an adjacent layer (e.g., resistance layer) (see e.g.,
FIG. 14 ). - In another embodiment, the biointerface layer can comprise an amphiphilic copolymer of a hydrophobic, hyperbranched fluoropolymer (HBFP) and hydrophilic polymer such as polyalkyloxide, polyvinylalcohol, or polyester (see e.g.,
FIG. 15 ). These networks can be prepared from hyperbranched fluoropolymer (Mn from 1 to 100 kDa, e.g., from 5 to 15 kDa), by atom transfer radical-self condensing vinyl copolymerization and linear diamine-terminated hydrophilic polymer such as diamino-poly(ethylene glycol) (Mn from 1 to 20,000 Da). Thus, disclosed herein is a continuous analyte sensor comprising a amphiphilic copolymer comprising hyperbranched, fluoropolymer segments and hydrophilic polyethyleneglycol segments. Examples of such polymers are disclosed in Gudipati et al. J. Polymer Sci. (42:6193-6208, (2004); and Muller et al., Macromolecules 31:776, (1998), which are incorporated by reference herein for their teachings of amphiphilic polymers comprising HBFP. - In another embodiment, a fluorescent dye (e.g., Rhodamine) can be covalently incorporated into the biointerface domain. This domain can permit the tracking of the domain, sensing layer, and/or sensor with confocal microscopy. This feature can aid in tracking the degradation or phase separation of the polymers in the sensing membrane. Such polymers can be prepared by a two-step polycondensation. It certain embodiments, the fluorescent dye incorporated biointerface domains can be combined and blended with other biointerface domains as disclosed herein. Examples of suitable fluorescent dyes include, but are not limited to, benzoporphyrins; azabenzoporphyrine; napthoporphyrin; phthalocyanine; polycyclic aromatic hydrocarbons such as perylene, perylene diimine, pyrenes; azo dyes; xanthene dyes; boron dipyoromethene, aza-boron dipyoromethene, cyanine dyes, metal-ligand complex such as bipyridine, bipyridyls, phenanthroline, coumarin, and acetylacetonates of ruthenium and iridium; acridine, oxazine derivatives such as benzophenoxazine; aza-annulene, squaraine; 8-hydroxyquinoline, polymethines, luminescent producing nanoparticle, such as quantum dots, nanocrystals; carbostyril; terbium complex; inorganic phosphor; ionophore such as crown ethers affiliated or derivatized dyes; or combinations thereof. Specific examples of suitable fluorescent dyes include, but are not limited to, Pd (II) octaethylporphyrin; Pt (II)-octaethylporphyrin; Pd (II) tetraphenylporphyrin; Pt (II) tetraphenylporphyrin; Pd (II) meso-tetraphenylporphyrin tetrabenzoporphine; Pt (II) meso-tetrapheny metrylbenzoporphyrin; Pd (II) octaethylporphyrin ketone; Pt (II) octaethylporphyrin ketone; Pd (II) meso-tetra(pentafluorophenyl)porphyrin; Pt (II) meso-tetra (pentafluorophenyl) porphyrin; Ru (II) tris(4,7-diphenyl-1,10-phenanthroline) (Ru (dpp)3); Ru (II) tris(1,10-phenanthroline) (Ru(phen)3), tris(2,2′-bipyridine)ruthenium (II) chloride hexahydrate (Ru(bpy)3); erythrosine B; fluorescein; eosin; iridium (III) ((N-methyl-benzimidazol-2-yl)-7-(diethylamino)-coumarin)); indium (III) ((benzothiazol-2-yl)-7-(diethylamino)-coumarin))-2-(acetylacetonate); Lumogen dyes; Macroflex fluorescent red; Macrolex fluorescent yellow; Texas Red; rhodamine B; rhodamine 6G; sulfur rhodamine; m-cresol; thymol blue; xylenol blue; cresol red; chlorophenol blue; bromocresol green; bromcresol red; bromothymol blue; Cy2; a Cy3; a Cy5; a Cy5.5; Cy7; 4-nitrophenol; alizarin; phenolphthalein; o-cresolphthalein; chlorophenol red; calmagite; bromo-xylenol; phenol red; neutral red; nitrazine; 3,4,5,6-tetrabromphenolphtalein; congo red; fluorescein; eosin; 2′,7′-dichlorofluorescein; 5(6)-carboxy-fluorescein; carboxynaphtofluorescein; 8-hydroxypyrene-1,3,6-trisulfonic acid; semi-naphthorhodafluor; semi-naphthofluorescein; tris (4,7-diphenyl-1,10-phenanthroline) ruthenium (II) dichloride; (4,7-diphenyl-1,10-phenanthroline) ruthenium (II) tetraphenylboron; platinum (II) octaethylporphyin; dialkylcarbocyanine; and dioctadecylcycloxacarbocyanine; derivatives or combinations thereof.
- The fluorescent labeled biointerface domain can contain from about 0.05 wt. % to about 20 wt. % fluorescence dye, for example, from about 0.1, about 0.5, about 1, about 2, about 3, about 4, about 5, about 6, about 7, about 8, about 9, about 10, about 15, or about 20 wt. %, where any of the stated values can form an upper or lower endpoint of a range.
- In certain embodiments, the thickness of the biointerface domain can be from about 0.1, about 0.5, about 1, about 2, about 4, about 6, about 8 μm or less to about 10, about 15, about 20, about 30, about 40, about 50, about 75, about 100, about 125, about 150, about 175, about 200 or about 250 μm or more. In some of these embodiments, the thickness of the biointerface domain can be sometimes from about 1 to about 5 μm, and sometimes from about 2 to about 7 μm. In other embodiments, the biointerface domain can be from about 20 or about 25 μm to about 50, about 55, or about 60 μm thick. In some embodiments, the glucose sensor can be configured for transcutaneous or short-term subcutaneous implantation, and can have a thickness from about 0.5 μm to about 8 μm, and sometimes from about 4 μm to about 6 μm. In one glucose sensor configured for fluid communication with a host's circulatory system, the thickness can be from about 1.5 μm to about 25 μm, and sometimes from about 3 to about 15 μm. It is also contemplated that in some embodiments, the biointerface layer or any other layer of the electrode can have a thickness that is consistent, but in other embodiments, the thickness can vary. For example, in some embodiments, the thickness of the biointerface layer can vary along the longitudinal axis of the electrode end.
- The biointerface layer can be hydrophilic as measured by contact angle. For example, the biointerface layer can have a contact angle of from about 20° to about 90°, from about 60 to about 90°, from about 70 to about 90°, from about 80 to about 90°, from about 60 to about 80°, at least about 50°, at least about 60°, or at least about 70°.
- The biointerface layer can also have a low polydispersity index. For example, the polymer can have a polydispersity index of from about 1.4 to about 3.5, from about 1.75 to about 2.25, from about 1.75 to about 2.5, or about 2. The biointerface layer can also not materially affect the T95 response time of a sensor. T95 response time is the amount of time required for the electrical response to reach 95% of the difference between a 1st and 2nd glucose step's response. For example, a sensor with a biointerface layer as disclosed herein can have a T95 response time that is the same, or within 5% of, the T95 response time of a sensor that is otherwise identical but without the biointerface layer.
- In some embodiments, a
diffusion resistance domain 46, also referred to as a diffusion resistance layer, can be used and can be situated more proximal to the implantable device relative to the biointerface layer. In some embodiments, the functionality of the diffusion resistance domain can be built into the biointerface layer that comprises the polyzwitterionic biointerface polymer. Accordingly, it is to be noted that the description herein of the diffusion resistance domain can also apply to the biointerface layer. The diffusion resistance domain serves to control the flux of oxygen and other analytes (for example, glucose) to the underlying enzyme domain. As described in more detail elsewhere herein, there exists a molar excess of glucose relative to the amount of oxygen in blood, i.e., for every free oxygen molecule in extracellular fluid, there are typically more than 100 glucose molecules present (see Updike et al., Diabetes Care 5:207-21 (1982)). However, an immobilized enzyme-based sensor employing oxygen as cofactor is supplied with oxygen in non-rate-limiting excess in order to respond linearly to changes in glucose concentration, while not responding to changes in oxygen tension. More specifically, when a glucose-monitoring reaction is oxygen-limited, linearity is not achieved above minimal concentrations of glucose. Without a semipermeable membrane situated over the enzyme domain to control the flux of glucose and oxygen, a linear response to glucose levels can be obtained only up to about 40 mg/dL. However, in a clinical setting, a linear response to glucose levels is desirable up to at least about 500 mg/dL. In some embodiments, the diffusion resistance domain may be formed of a diffusion resistance domain described in U.S. Provisional Application No. 62/273,219, filed Dec. 30, 2015, which is hereby incorporated by reference herein in its entirety. - The
diffusion resistance domain 46 includes a semipermeable membrane that controls the flux of oxygen and glucose to theunderlying enzyme domain 44, preferably rendering oxygen in non-rate-limiting excess. As a result, the upper limit of linearity of glucose measurement is extended to a much higher value than that which is achieved without the diffusion resistance domain. In some embodiments, the diffusion resistance domain exhibits an oxygen-to-glucose permeability ratio of approximately 200:1, but in other embodiments the oxygen-to-glucose permeability ratio can be approximately 100:1, 125:1, 130:1, 135:1, 150:1, 175:1, 225:1, 250:1, 275:1, 300:1, or 500:1. As a result of the high oxygen-to-glucose permeability ratio, one-dimensional reactant diffusion can provide sufficient excess oxygen at all reasonable glucose and oxygen concentrations found in the subcutaneous matrix (see Rhodes et al., Anal. Chem., 66:1520-1529 (1994)). In some embodiments, a lower ratio of oxygen-to-glucose can be sufficient to provide excess oxygen by using a high oxygen soluble domain (for example, a silicone material) to enhance the supply/transport of oxygen to the enzyme membrane or electroactive surfaces. By enhancing the oxygen supply through the use of a silicone composition, for example, glucose concentration can be less of a limiting factor. In other words, if more oxygen is supplied to the enzyme or electroactive surfaces, then more glucose can also be supplied to the enzyme without creating an oxygen rate-limiting excess. - In some embodiments, the diffusion resistance domain is formed of a base polymer synthesized to include a polyurethane membrane with both hydrophilic and hydrophobic regions to control the diffusion of glucose and oxygen to an analyte sensor. A suitable hydrophobic polymer component can be a polyurethane or polyether urethane urea. Polyurethane is a polymer produced by the condensation reaction of a diisocyanate and a difunctional hydroxyl-containing material. A polyurea is a polymer produced by the condensation reaction of a diisocyanate and a difunctional amine-containing material. Preferred diisocyanates include aliphatic diisocyanates containing from about 4 to about 8 methylene units. Diisocyanates containing cycloaliphatic moieties can also be useful in the preparation of the polymer and copolymer components of the membranes of preferred embodiments. The material that forms the basis of the hydrophobic matrix of the diffusion resistance domain can be any of those known in the art as appropriate for use as membranes in sensor devices and as having sufficient permeability to allow relevant compounds to pass through it, for example, to allow an oxygen molecule to pass through the membrane from the sample under examination in order to reach the active enzyme or electrochemical electrodes. Examples of materials which can be used to make non-polyurethane type membranes include vinyl polymers, polyethers, polyesters, polyamides, inorganic polymers such as polysiloxanes and polycarbosiloxanes, natural polymers such as cellulosic and protein based materials, and mixtures or combinations thereof.
- In one embodiment of a polyurethane-based resistance domain, a hydrophilic soft segment polymer component can be polyethylene oxide. For example, one useful hydrophilic copolymer component is a polyurethane polymer that includes about 20% hydrophilic polyethylene oxide. The polyethylene oxide portions of the copolymer are thermodynamically driven to separate from the hydrophobic portions of the copolymer and the hydrophobic polymer component. The 20% polyethylene oxide-based soft segment portion of the copolymer used to form the final blend affects the water pick-up and subsequent glucose permeability of the membrane.
- Alternatively, in some embodiments, the diffusion resistance domain can comprise a combination of a base polymer (e.g., polyurethane) and one or more hydrophilic polymers (e.g., PVA, PEG, polyacrylamide, acetates, PEO, PEA, PVP, and copolymers, blends, and/or variations thereof). It is contemplated that any of a variety of combination of polymers can be used to yield a blend with desired glucose, oxygen, and interference permeability properties. For example, in some embodiments, the diffusion resistance domain can be formed from a blend of a silicone polycarbonate-urethane base polymer and a PVP hydrophilic polymer, but in other embodiments, a blend of a polyurethane, or another base polymer, and one or more hydrophilic polymers can be used instead. In some of the embodiments involving the use of PVP, the PVP portion of the polymer blend can comprise from about 5% to about 50% by weight of the polymer blend, sometimes from about 15% to about 20%, and other times from about 25% to about 40%. It is contemplated that PVP of various molecular weights can be used. For example, in some embodiments, the molecular weight of the PVP used can be from about 25,000 daltons to about 5,000,000 daltons, sometimes from about 50,000 daltons to about 2,000,000 daltons, and other times from about 6,000,000 daltons to about 10,000,000 daltons.
- In some embodiments, the
diffusion resistance domain 46 can be formed as a unitary structure with thebiointerface domain 48; that is, the inherent properties of thediffusion resistance domain 46 are incorporated intobiointerface domain 48 such that thebiointerface domain 48 functions as adiffusion resistance domain 46. - In certain embodiments, the thickness of the diffusion resistance domain can be from about 0.05 μm or less to about 200 μm or more. In some of these embodiments, the thickness of the diffusion resistance domain can be from about 0.05, about 0.1, about 0.15, about 0.2, about 0.25, about 0.3, about 0.35, about 0.4, about 0.45, about 0.5, about 1, about 1.5, about 2, about 2.5, about 3, about 3.5, about 4, about 6, about 8 μm to about 9, about 10, about 11, about 12, about 13, about 14, about 15, about 16, about 17, about 18, about 19, about 19.5, about 20, about 30, about 40, about 50, about 60, about 70, about 75, about 80, about 85, about 90, about 95, or about 100 μm. In some embodiments, the thickness of the diffusion resistance domain is from about 2, about 2.5, or about 3 μm to about 3.5, about 4, about 4.5, or about 5 μm in the case of a transcutaneously implanted sensor or from about 20 or about 25 μm to about 40 or about 50 μm in the case of a wholly implanted sensor.
- In some embodiments, an
enzyme domain 44, also referred to as the enzyme layer, can be used and is situated less distal from the electrochemically reactive surfaces than thediffusion resistance domain 46. The enzyme domain comprises a catalyst configured to react with an analyte. In one embodiment, the enzyme domain is an immobilizedenzyme domain 44 including glucose oxidase. In other embodiments, theenzyme domain 44 can be impregnated with other oxidases, for example, galactose oxidase, cholesterol oxidase, amino acid oxidase, alcohol oxidase, lactate oxidase, or uricase. For example, for an enzyme-based electrochemical glucose sensor to perform well, the sensor's response should neither be limited by enzyme activity nor cofactor concentration. - The enzyme domain can comprise one surface-active end group containing polymer, or a blend of two or more (e.g., two, three, four, five, or more) surface-active end group-containing polymers, as described above. For example, in some embodiments the enzyme domain can comprise one surface-active end group containing polymer that comprises surface-active end groups that are zwitterionic, or are precursors or derivatives thereof. In other embodiments, one surface-active group containing polymer in a blend of two or more surface-active group containing polymers comprises zwitterionic surface-active groups, or precursors or derivatives thereof. In other embodiments, a blend can comprise a polymer with positively charged surface-active groups and a polymer with negatively charged surface-active groups. In some embodiments, the enzyme domain may be formed of an enzyme domain described in U.S. Provisional Application No. 62/273,155, filed Dec. 30, 2015, which is hereby incorporated by reference herein in its entirety.
- In some embodiments where the enzyme domain comprises one or more zwitterionic surface-active groups, or precursors or derivatives thereof, the zwitterionic surface-active group can comprise a betaine moiety such as a carboxyl, sulfo, or phosphor betaine group, or precursors or derivatives thereof (for example alkylbetaines or aminobetaines), for example up to about 0.1, about 0.2, about 0.5, about 1, about 2, or about 5% wt. of the domain. Exemplary betaines include cocamidopropyl betaine, oleamidopropyl betaine, octyl sulfobetaine, caprylyl sulfobetaine, lauryl sulfobetaine, myristyl sulfobetaine, palmityl sulfobetaine, stearyl sulfobetaine, betaine (trimethylglycine), octyl betaine, phosphatidylcholine, glycine betaine, poly(carboxybetaine) (pCB), and poly(sulfobetaine) (pSB). It will be appreciated that many more zwitterionic groups, or precursors or derivatives thereof, can be applicable and that this list of exemplary betaines is not intended to limit the scope of the embodiments. In some embodiments, hydrolyzable cationic esters of zwitterionic groups (as discussed elsewhere) can be used at similar concentrations for incorporation into the enzyme domain.
- In some other embodiments, a blend of two or more surface-active group-containing polymers comprises one surface-active group that is negatively charged and one surface-active group that is positively charged. In some embodiments, the number of negatively and positively charged surface-active groups is such that an enzyme domain formed from the blend is about net neutrally charged. In other embodiments, the number of positively charged and negatively charged surface-active groups can be unequal, with either more positively charged or negatively charged surface-active groups being present.
- In some embodiments, the catalyst (enzyme) can be impregnated or otherwise immobilized into the biointerface or diffusion resistance domain such that a
separate enzyme domain 44 is not required (e.g., wherein a unitary domain is provided including the functionality of the biointerface domain, diffusion resistance domain, and enzyme domain). In some embodiments, theenzyme domain 44 is formed from a polyurethane, for example, aqueous dispersions of colloidal polyurethane polymers including the enzyme. - In some embodiments, the thickness of the enzyme domain can be from about 0.01, about 0.05, about 0.6, about 0.7, or about 0.8 m to about 1, about 1.2, about 1.4, about 1.5, about 1.6, about 1.8, about 2, about 2.1, about 2.2, about 2.5, about 3, about 4, about 5, about 10, about 20, about 30, about 40, about 50, about 60, about 70, about 80, about 90, or about 100 μm. In more preferred embodiments, the thickness of the enzyme domain can be from about 0.05, about 0.1, about 0.15, about 0.2, about 0.25, about 0.3, about 0.35, about 0.4, about 0.45, about 0.5, about 1, about 1.5, about 2, about 2.5, about 3, about 4, or about 5 μm to about 6, about 7, about 8, about 9, about 10, about 11, about 12, about 13, about 14, about 15, about 16, about 17, about 18, about 19, about 19.5, about 20, about 25, or about 30 μm. In even more preferred embodiments, the thickness of the enzyme domain is from about 2, about 2.5, or about 3 μm to about 3.5, about 4, about 4.5, or about 5 μm; in the case of a transcutaneously implanted sensor is from about 6, about 7, or about 8 m to about 9, about 10, about 11, or about 12 m in the case of a wholly implanted sensor.
- It is contemplated that in some embodiments, such as in the sensor configuration illustrated in
FIG. 2B , aninterference domain 43, also referred to as the interference layer, may be provided in addition to (or in replacement of) the biointerface layer. Theinterference domain 43 may substantially reduce the permeation of one or more interferents into the electrochemically reactive surfaces. Theinterference domain 43 can be configured to be much less permeable to one or more of the interferents than to the measured species. It is also contemplated that in some embodiments, where interferent blocking may be provided by the biointerface layer (e.g., via a surface-active group-containing polymer of the biointerface layer), a separate interference domain is not present. In other embodiments, the membrane includes both an interference domain and a biointerface layer, with both domains configured to reduce the permeation of one or more interferents. In further embodiments, the interference domain and the biointerface layer are each configured to reduce permeation of different interfering species. For example, the interference domain may have greater specificity than the biointerface layer with respect to reducing permeation of one type of interfering species, while the biointerface layer may have greater specificity than the interference domain with respect to reducing permeation of another type of interfering species. In some embodiments, both the interference domain and the biointerface layer are configured to target certain interference species for permeation reduction. - In certain embodiments, the implantable sensor employs a membrane system comprising a resistance domain, an enzyme domain, and an interference domain. The interference domain can be proximal to the sensor and the resistance domain can be distal to the sensor, with the enzyme domain therebetween. The interference domain can consist of a single layer or plurality of layers of the same material. However, in some embodiments, the interference domain comprises two or more different types of layers in an alternating configuration. For example, a first type of layer can be represented by X, a second type of layer can be represented by Y, and a third type of layer can be represented by Z. The interference domain including alternating layers can have the following exemplary configurations:
-
XY YX XYX XYXYX XYXYXY XXYYXYXXYY XXXYYYXXXYYYXXX XYXYXYXYXYXYX XYZXYZXYZX XYXZXYXZXYXZ ZYYXZZZXYYYXZ - The above configurations, which are merely exemplary, illustrate various embodiments. In certain embodiments, the first and last layers are the same (e.g., X and X), in other embodiments, the first and last layers are different (e.g., X and Y). The domain can include one or more layers that are unitary (i.e., a single layer is deposited, e.g., X), or composite (e.g., a first layer of material is deposited, followed by the deposition of a second and third, etc. layer of the same material atop the first layer, e.g., XXX). The pattern of alternating layers can be regular (e.g., XYXYXYXYXY) or irregular (e.g., ZYXZXYZYZ).
- In some embodiments, the alternating layers include polyanionic layers and polycationic layers. The following are exemplary interference domain configurations, wherein the polyanionic layers (unitary, composite, and/or contiguous with the same polyanion or with different polyanions) are represented by A and the polycationic layers by C (unitary, composite, and/or contiguous with the same polyanion or with different polyanions):
-
CA CAC CACA CACAC CACACA CACACAC CACACACA CACACACAC CACACACACA CACACACACAC CACACACACACA CACACACACACAC CACACACACACACA CACACACACACACAC CACACACACACACACA CACACACACACACACAC CACACACACACACACACA CACACACACACACACACAC CACACACACACACACACACA CACACACACACACACACACAC CACACACACACACACACACACA CACACACACACACACACACACAC CACACACACACACACACACACACA CACACACACACACACACACACACAC CACACACACACACACACACACACACAC CACACACACACACACACACACACACACAC CACACACACACACACACACACACACACACAC CACACACACACACACACACACACACACACACAC AC ACA ACAC ACACA ACACAC ACACACA ACACACAC ACACACACA ACACACACAC ACACACACACA ACACACACACAC ACACACACACACA ACACACACACACAC ACACACACACACACA ACACACACACACACAC ACACACACACACACACA ACACACACACACACACAC ACACACACACACACACACA ACACACACACACACACACAC ACACACACACACACACACACA ACACACACACACACACACACAC ACACACACACACACACACACACA ACACACACACACACACACACACAC ACACACACACACACACACACACACA ACACACACACACACACACACACACACA ACACACACACACACACACACACACACACA ACACACACACACACACACACACACACACACA ACACACACACACACACACACACACACACACACA - Other configurations (e.g., those including additional layers, and/or additional materials) are also contemplated for some embodiments. In some embodiments, each A layer is a unitary or composite layer of the same polyanion, and each C layer is a unitary or composite layer of the same polycation. The outermost layers of the interference domain can both be polycation layers, with polyanion layers present only as interior layers. Any suitable number of alternating layers can be employed in the interference domain, for example, 1, 2, 3, 4, 5, 6, 7, 8, 9, 10, 11, 12, 13, 14, 15, 16, 17, 18, 19, 20 or more bilayers (defined as a polycationic layer adjacent to a polyanionic layer). In some embodiments a final polycationic layer is added so as to yield an interference domain with polycationic layers as the outermost layers. In other embodiments a final anionic layer is added so as to yield an interference domain with polyanionic layers as the outermost layers.
- Polyanions and polycations belong to the class of polymers commonly referred to as polyelectrolytes—polymers wherein at least some of the repeating units (or monomers) include one or more ionic moieties. Polyelectrolytes which bear both cationic and anionic moieties are commonly referred to as polyampholytes. Certain polyelectrolytes form self-assembled monolayers wherein one end of the molecule shows a specific, reversible affinity for a substrate such that an organized, close-packed monolayer of the polyelectrolyte can be deposited.
- The polycation can be any biocompatible polycationic polymer. In some embodiments, the polycation is a biocompatible water-soluble polycationic polymer. In certain embodiments, water solubility may be enhanced by grafting the polycationic polymer with water-soluble polynonionic materials such as polyethylene glycol. Representative polycationic materials may include, for example, natural and unnatural polyamino acids having a net positive charge at neutral pH, positively charged polysaccharides, and positively charged synthetic polymers. Additional examples of suitable polycationic materials include polyamines having amine groups on either the polymer backbone or the polymer sidechains, such as poly-L-lysine and other positively charged polyamino acids of natural or synthetic amino acids or mixtures of amino acids, including poly(D-lysine), poly(omithine), poly(arginine), and poly(histidine), and nonpeptide polyamines such as poly(aminostyrene), poly(aminoacrylate), poly(N-methyl aminoacrylate), poly (N-ethylaminoacrylate), poly(N,N-dimethyl aminoacrylate), poly(N,N-diethylaminoacrylate), poly(diallyldimethyl ammonium chloride), poly(aminomethacrylate), poly(N-methyl amino-methacrylate), poly(N-ethyl aminomethacrylate), poly(N,N-dimethyl aminomethacrylate), poly(N,N-diethyl aminomethacrylate), poly(ethyleneimine), polymers of quaternary amines, such as poly(N,N,N-trimethylaminoacrylate chloride), poly(methyacrylamidopropyltrimethyl ammonium chloride), and natural or synthetic polysaccharides such as chitosan, poly(allylamine hydrochloride), poly(diallyldimethylammonium chloride), poly(vinylbenzyltriamethylamine), polyaniline or sulfonated polyaniline, (p-type doped), polypyrrole (p-type doped), polyallylamine gluconolactone, and poly(pyridinium acetylene).
- The polyanionic material can be any biocompatible polyanionic polymer, for example, any polymer having carboxylic acid groups attached as pendant groups. The polyionic layers can be hydrophilic (e.g., a material or portion thereof which will more readily associate with water than with lipids). In some embodiments, the polyanionic polymer is a biocompatible water-soluble polyanionic polymer. Suitable materials include, but are not limited to, alginate, carrageenan, furcellaran, pectin, xanthan, hyaluronic acid, heparin, heparan sulfate, chondroitin sulfate, dermatan sulfate, dextran sulfate, polymethacrylic acid, polyacrylic acid, poly(vinyl sulfate), poly(thiophene-3-acetic acid), poly(4-styrenesulfonic acid), poly(styrene sulfonate), (poly [1-[4-(3-carboxy-4-hydroxy-phenylazo)benzene sulfonamido]-1,2-ethanediyl, sodium salt]), poly(4-[4-({4-[3-amino-2-(4-hydroxy-phenyl)propylcarbamoyl]-5-oxo-pentyl-}-methyl-amino)-phenylazo]-benzenesulfonic acid), oxidized cellulose, carboxymethyl cellulose and crosmarmelose, synthetic polymers, and copolymers containing pendant carboxyl groups, such as those containing maleic acid or fumaric acid in the backbone. Polyaminoacids of predominantly negative charge are also suitable. Examples of these materials include polyaspartic acid, polyglutamic acid, and copolymers thereof with other natural and unnatural amino acids. Polyphenolic materials, such as tannins and lignins, can be used if they are sufficiently biocompatible.
- The molecular weight of the polyionic materials may be varied in order to alter coating characteristics, such as coating thickness. As the molecular weight is increased, the coating thickness generally increases. However, an increase in molecular weight may result in greater difficulty with handling. To achieve a balance of coating thickness, material handling, and other design considerations, the polyionic materials can have a particular average molecular weight Mn. In some embodiments, the average molecular weight of a polyionic material used is from about 1,000, 10,000, or 20,000 to about 25,000, 50,000, 100,000 or 150,000 g/mol.
- In some embodiments, the interference domain can be prepared using a layer-by-layer deposition technique, wherein a substrate (e.g., the sensor or membrane layer atop the sensor, e.g., the resistance or enzyme layer) is dipped first in a bath of one polyelectrolyte, then in a bath of an oppositely charged polyelectrolyte. Optionally, the substrate can be dipped in a bath of rinsing solution before or after the substrate is dipped into the polyelectrolyte bath. During each dip a small amount of polyelectrolyte is adsorbed and the surface charge is reversed, thereby allowing a gradual and controlled build-up of electrostatically cross-linked films (or hydrogen bonded films) of alternating polycation-polyanion layers. The method provides a technique for controlling functionality and film thickness and functionality. For example, it can be employed for depositing films as thin as one monolayer or for thicker layers.
FIG. 26B illustrates one embodiment of a layer-by-layer deposition method, which employs alternating adsorption of polycations and polyanions to create a structure illustrated inFIG. 26A . Operationally, the embodiment illustrated inFIG. 26B , occurs through consecutive exposures of asubstrate 938 to polycation and polyanion solutions, with rinsing to remove unadsorbed polymer after each deposition step. In a first step, apolycation 942 is deposited onto a substrate 938 (e.g., a wire with an electroactive surface or a flat wafer substrate) to form apolycationic layer 942. As described elsewhere herein in greater detail, the deposition of the layer can be performed using any of a variety of techniques, such as, dipping and/or spraying, for example. In a second step, rinsing is performed to remove unadsorbed polymer after deposition of thepolycationic layer 942. Next, in a third step, apolyanion 944 is deposited onto thepolycationic layer 942. Thereafter, in a fourth step, rinsing is performed to remove unadsorbed polymer after deposition of thepolyanionic layer 944. These steps can be repeated until the desired interference domain configuration and/or structure is achieved. In an alternative embodiment, instead of depositing a polycationic layer as the first layer on top of thesubstrate 938, a polyanionic layer is deposited instead. Thereafter, a second layer formed of a polycation is deposited onto the first layer, i.e., the polyanionic layer. This process is continued until a certain desired interference domain configuration and/or structure is achieved. - In some embodiments, methods can also employ other interactions such as hydrogen bonding or covalent linkages. Depending upon the nature of the polyelectrolyte, polyelectrolyte bridging may occur, in which a single polyelectrolyte chain adsorbs to two (or more) oppositely charged macroions, thereby establishing molecular bridges. If only a monolayer of each polyelectrolyte adsorbs with each deposition step, then electrostatically cross-linked hydrogel-type materials can be built on a surface a few microns at a time. If the substrate is not thoroughly rinsed between the application of polyionic films, thicker, hydrogel-like structures can be deposited.
- In some embodiments, the interference blocking ability provided by the alternating polycationic layer(s) and polyanionic layer(s) can be adjusted and/or controlled by creating covalent cross-links between the polycationic layer(s) and polyanionic layer(s). Cross-linking can have a substantial effect on mechanical properties and structure of the film, which in turn can affect the film's interference blocking ability. Cross-linked polymers can have different cross-linking densities. In certain embodiments, cross-linkers are used to promote cross-linking between layers. In other embodiments, in replacement of (or in addition to) the cross-linking techniques described above, heat is used to form cross-linking. For example, in some embodiments, imide and amide bonds can be formed between a polycationic layer and a polyanionic layer as a result of high temperature. In some embodiments, photo cross-linking is performed to form covalent bonds between the polycationic layers(s) and polyanionic layer(s). One major advantage to photo-cross-linking is that it offers the possibility of patterning. In certain embodiments, patterning using photo-cross linking is performed to modify the film structure and thus to adjust the interference domain's interference blocking ability. Blocking ability can correspond to, but is not limited to, the ability to reduce transport of a certain interfering species or to the selectivity for the transport of a desired species (e.g., H2O2) over an interfering species. Post-deposition reactions, such as cross-linking and reduction of metal ions to form nanoparticles, provide further ways to modify film properties. In some embodiments, cross-linking may be performed between deposition of adjacent polycationic or polyanionic layers in replacement of (or in addition to) a post-deposition cross-linking process.
- The overall thickness of the interference layer can impact its permeability to interferents. The overall thickness of the interference domain can be controlled by adjusting the number of layers and/or the degree of rinsing between layers. With layer deposition through spraying, control of drop size and density can provide coatings of desired selected thickness without necessarily requiring rinsing between layers. Additionally, the excess (unbound) material can be removed via other means, for example, by an air jet. If the residual polyelectrolyte from the previous layer is substantially removed before adding the subsequent layer, the thickness per layer decreases. Accordingly, in one embodiment, the surface is first coated with a polycation, the excess polycation is then removed by rinsing the surface, afterwards the polyanion is added, the excess is then removed, and the process is repeated as necessary. In some embodiments, the polycations or polyanions from different adjacent layers may intertwine. In further embodiment, they may be intertwined over several layers.
- In some embodiments, the level of ionization of polyions may be controlled, for example, by controlling the pH in the dip solution comprising the polycation or the polyanion. By changing the level of ionization of these polyions, the interference blocking ability of a certain layer of may be altered and/or controlled. For example, a first polycationic layer that has a higher level of ionization than a second polycationic layer may be better at interacting with and reducing the transport a first interfering species, while the second polycationic may be better at interacting with and reducing the transport of a second interfering species. Changes in the level of ionization of a polyion's charge groups can also affect the mechanical properties, structural properties, and other certain properties (e.g., diffusion properties) that may affect the interference domain's ability to reduce transport of (or entirely block) interfering species. For example, an alternating bilayer, comprising polycations and polyanions, both of which have high levels of ionization, may bond together more tightly than a corresponding bilayer with low levels of ionization. Thus, the structural difference between these two membranes, which can be in the form of mechanical properties or other properties (e.g., thickness of the domain), can affect the performance of the interference domain.
- In some embodiments, the linear charge density of the polyelectrolyte may be controlled at least in part by the average charge spacing along the polyion chain. The spacing between charge groups on the polycationic and/or polyanionic polymers that form the interference domain may be controlled by polyelectrolyte polymer selection or polymer synthesis. How far the charged groups are spaced can greatly affect the structural properties of the interference domain. For example, a polyion having charged groups that are spaced closely to each other may result in small-sized pores in the interference domain, thereby resulting in a structure that excludes medium molecular-sized and large molecular-sized interfering species from passage therethough, while allowing passage therethrough of small-sized pores. Conversely, a polyion having charged groups that are spaced apart at a moderate distance from each other may result in medium-sized pores that exclude large molecular-sized interfering species and allow passage therethrough of medium-molecular sized and small molecular-sized interfering species. In certain embodiments, the linear charge density of the polyanionic polymer is from about 1 to 50 e/A, sometimes from about 10 to 25 e/A, sometimes from about 2 to 10 e/A, and sometimes from 2 to 3 e/A, where e is the elementary charge of an electron/proton and A is distance in angstroms. In some embodiments, the linear charge density of the polycationic polymer is from about 1 to 50 e/A, sometimes from about 10 to 15 e/A, sometimes from about 2 to 10 e/A, and sometimes from 2 to 3 e/A.
- In some embodiments, the linear charge density of polyanionic polymer is substantially similar to the linear charge density of the polycationic polymer. For example, in one embodiment, the polyanionic layer is formed of (i) poly(acrylic acid), which has an average linear charge density of about 2.5 e/A and (ii) poly(allylamine hydrochloride), which also has an average linear charge density of about 2.5 e/A. In certain embodiments, the polycationic and polyanionic layers may have an average linear charge density that is substantially equal with each other and that is from about 1 to 50 e/A, sometimes from about 2 to 25 e/A, sometimes from about 5 to 10 e/A, other times from about 10 to 15 e/A, and other times from about 15 to 25 e/A.
- By providing an interference domain with differing linear charge densities, an interference domain may be formed that comprises different polycationic/polyanionic bilayers that are designed specifically to exclude different interfering species based on certain characteristics (e.g., molecular size) of the targeted interfering species. For example, in one embodiment, an outermost bilayer of the interference domain is designed to have a medium average charge spacing, thereby resulting in a bilayer that only excludes large molecular-sized species, but allows passage therethrough of medium molecular-sized species and small molecular-sized species. Conversely, an innermost bilayer of the interference domain may be designed to have low average charge spacing, thereby resulting in a bilayer that excludes all molecules, except those with very small molecular sizes, for example, H2O2.
- In some embodiments, the polycationic layers may be formed of the same or substantially the same material (e.g., poly(allylamine hydrochloride) (PAH) for polycation or poly(acrylic acid) (PAA) for polyanion), while having different levels of ionization. For example, in one embodiment, the interference domain comprises seven alternating polyelectrolyte layers, with the first, third, fifth, and seventh layers being polycationic layers, and with the second, fourth, and sixth layers being polyanionic layers, wherein the first and seventh layers form the outer layers of the interference domain. In one embodiment, each or some of the polycationic layers may have different levels of ionization. For example, in one embodiment, the first, third, fifth, and seventh layers may each have different levels of ionization, with the first layer having the highest level of ionization and the seventh layer having the lowest level of ionization, or vice versa. In an alternative embodiment, some of the polycationic layers may share substantially the same level of ionization. For example, in one embodiment, the first and seventh layers may have substantially the same levels of ionization, while the third and fifth layers may have a level of ionization that is different from the others. As described elsewhere herein, the ionization level of a polyion may be controlled by controlling the pH in the dip solution comprising the polycation or the polyanion. By changing the level of ionization of these polyions, the interference blocking ability of a certain layer of may be altered and/or controlled.
- The design of an interference domain having layers with levels of ionization can also be applied to polyanionic layers as well. For example, in one embodiment with seven alternating polyelectrolyte layers, the second, fourth, and sixth layers are each polyanionic layers and may each have different levels of ionization, with the second layer having the highest level of ionization and the sixth layer having the lowest level of ionization, or vice versa. In an alternative embodiment, some of the polyanionic layers may share substantially the same level of ionization. For example, in one embodiment, the second and fourth layers may have substantially the same levels of ionization, while the sixth layer may have a substantially different level of ionization from the others.
- In certain embodiments, the particular polycationic layer(s) and/or polyanionic layer(s) selected to form the interference layer may depend at least in part on their ability to block, reduce, or impede passage therethrough of one or more interferents. For example, the polyanionic layer can be selected for its ability to block, reduce, or impede passage of a first interferent, whereas the polycationic layer is selected for its ability to block, reduce, or impede passage of a second interferent. The layer may be designed to slow but not block passage of an interferent therethrough, or designed to substantially block (e.g., trap) an interferent therein. Additional polyionic layers can be included in the interference domain with particular selectivity towards still different interferents. Depending upon the position of the interference domain in the membrane system relative to the electrode or electroactive surface of the sensor, the permeability of the layer to substances other than the interferent can be important. In sensor systems wherein H2O2 (hydrogen peroxide) is produced by an enzyme-catalyzed reaction of an analyte being detected, the interference domain should be designed to allow H2O2 to pass through with minimal impedance if the interference domain is positioned between the electroactive surface and the enzyme layer. On the other hand, if in a different membrane design, the interference domain is positioned distal to the enzyme layer (with respect to the electroactive surface), then in some embodiments, the interference domain may be designed to block H2O2 not produced by the enzyme-catalyzed reaction from passing therethrough. In addition, with this particular membrane design, the interference domain may be configured to allow analyte and oxygen to pass therethrough with minimal impedance.
- Application of the layers in forming the interference domain may be accomplished by various methods known in the art. One coating process embodiment involves solely dip-coating and dip-rinsing steps. Another coating process embodiment involves solely spray-coating and spray-rinsing steps. However, a number of alternative embodiments involve various use of a combination of spray-coating, dip-coating, and/or rinsing steps. For example, one dip-coating method involves the steps of applying a coating of a first polyionic material to a substrate (e.g., the sensor or membrane layer atop the sensor, e.g., the resistance or enzyme layer) by immersing the substrate in a first solution of a first polyionic material; rinsing the substrate by immersing the substrate in a rinsing solution; and, optionally, drying the substrate. This procedure is then repeated using a second polyionic material, with the second polyionic material having charges opposite of the charges of the first polyionic material, in order to form a polyionic bilayer. This bilayer formation process can be repeated a plurality of times in order to produce the interference domain. In some embodiments, the number of bilayers can be from 1 to about 16 bilayers, sometimes from 1 to about 10 bilayers, and sometimes from about 3 to about 7 bilayers. In certain embodiments, the final layer of oppositely charged polyionic material can be deposited, such that the first and the last layer have the same charges (both positive, or both negative). The immersion time for each of the coating and rinsing steps may vary depending on a number of factors. For example, immersion of the substrate into the polyionic solution can occur over a period of about 1 to 30 minutes, or from about 2 to 20 minutes, or from about 1 to 5 minutes. Rinsing may be accomplished in one step, but a plurality of rinsing steps can also be employed. Rinsing in a series from about 2 to 5 steps can be employed, with each immersion into the rinsing solution consuming, for example, from about 1 to about 3 minutes. In some embodiments, several polycationic solutions and/or several polyanion solutions may be used. For example, in certain embodiments, the dip-coating sequence may involve the steps of applying a coating of a first polycationic material to the substrate to form a first layer, then applying a first anionic material to the first layer to form a second layer, then applying a second polycationic material to the second layer to form a third layer, then applying a second polyanionic material to form a fourth layer, and then applying a first or second polycationic material to the fourth layer to form a fifth layer. In some of these embodiments, the dip-coating sequence described above may be interspersed with rinsing steps performed between coating steps. It is contemplated that any of a variety of permutations involving the steps and materials described may be employed. In alternative embodiments, the materials used to form the polycationic and/or polyanionic layers may be substantially the same. However, the individual polycationic layers may have a different level of ionization than one or more other polycationic layers in the inference domain, and the individual polyanionic layers may also have a different level of ionization than one or more other polyanionic layers. For example, in one embodiment, the dip-coating sequence method involves the use of a first solution at a first pH comprising a polycationic material, a second solution at a second pH comprising a polyanionic material, a third solution at a third pH comprising the aforementioned polycationic material, a fourth solution at a fourth pH comprising the aforementioned polyanionic material, and a fifth solution at a fifth pH comprising the aforementioned polycationic material. Even though the same polycationic material is used to form the first, third, and fifth layers, because the solution used to form the first, third, and fifth layers have different pHs, the ionization levels of the first, third, and fifth layers will be different. Likewise, even though the same polyanionic material is used to form the second and fourth layers, because the solution used to form the second and fifth layers have different pHs, the levels of ionization of the second and fourth layers will be different. This difference in ionization levels can affect, inter alia, the mechanical properties of the film, structural properties (e.g., porosity, roughness) of the film, diffusional properties of the film, and also the selectivity of a certain polyelectrolyte layer for a certain interfering species over another interfering species. All of these effects influence the ability of the individual polyelectrolyte layers and of the interference domain to reduce transport of a variety of interfering species. In certain embodiments, at least two polycationic and/or two polyanionic layers of the interference domain are formed from the same polycationic/polyanionic material, but through use of solutions at different pHs. In some of these embodiments, a first polycationic layer possesses a high selectivity for a particular interfering species over other interfering species, while a second polycationic layer possesses a high selectivity for a different interfering species over other interfering species.
- Alternatively or additionally, spray coating techniques can be employed. In one embodiment, the coating process generally includes the steps of applying a coating of: a first polyionic material to the substrate by contacting the substrate with a first solution of a first polyionic material; rinsing the substrate by spraying the substrate with a rinsing solution; and (optionally) drying the substrate. Similar to the dip-coating process, the spray-coating process may then be repeated with a second polyionic material, with the second polyionic material having charges opposite to those of the first polyionic material. The contacting of the substrate with solution, either polyionic material or rinsing solution, may occur through a variety of methods. For example, the substrate may be dipped into both solutions. One alternative is to apply the solutions in a spray or mist form. Of course, various combinations are possible and within the scope of the contemplated embodiments, e.g., dipping the substrate in the polyionic material followed by spraying the rinsing solution. The spray coating application may be accomplished via a number of methods known in the art. For example, a conventional spray coating arrangement may be used, i.e., the liquid material is sprayed by application of fluid, which may or may not be at an elevated or lowered pressure, through a reduced diameter nozzle which is directed towards the deposition target. Another spray coating technique involves the use of ultrasonic energy, whereby the liquid is atomized by the ultrasonic vibrations of a spray forming tip and thereby changed to a spray.
- Yet another technique involves electrostatic spray coating in which a charge is conveyed to the fluid or droplets to increase the efficiency of the coating. A further method of atomizing liquid for spray coating involves purely mechanical energy, e.g., through contacting the liquid with a high speed reciprocating member or a high speed rotating disk. Still another method of producing microdroplets for spray coatings involves the use of piezoelectric elements to atomize the liquid. These techniques can be employed with air assistance or at an elevated solution pressure. In addition, a combination of two or more techniques may prove more useful with certain materials and conditions. A method of spray application involves dispensing, with a metering pump, the polyanion or polycation solution to an ultrasonic dispensing head. The polyion layer is sprayed so as to allow the surface droplets to coalesce across the material surface. The resulting layer may then be allowed to interact for a period of time or immediately rinsed with water or saline solution (or other solution devoid of polyanion or polycation).
- In some embodiments, the layers of the interference domain can include a polymer with a conjugated pi system. Polymers with conjugated pi systems can contain a delocalized electron system, and can be conductive. Layers of polymers with conjugated pi systems can interact with each other through intermolecular forces, such as electrostatic pi-pi interactions (i.e., pi-stacking). Conjugated polymers can provide beneficial properties to an interference domain, such as increasing the rigidity, integrity, and/or reproducibility of the domain. In some embodiments, the polymer with a conjugated pi system can be polyacetylene, polypyrrole, polythiophene, poly(p-phenylene), poly(p-phenylenevinylene) or poly(carbazole). The interference domain can include alternating layers of any of the conjugated polymers mentioned above. In some embodiments, the number of layers of conjugated polymers can be from 1 to about 20 layers, sometimes from about 3 to about 10 layers.
- It is contemplated that in some embodiments, the thickness of the interference domain may be from about 0.01 microns or less to about 20 microns or more. In some of these embodiments, the thickness of the interference domain may be from about 0.01, 0.05, 0.1, 0.15, 0.2, 0.25, 0.3, 0.35, 0.4, 0.45, 0.5, 1, 1.5, 2, 2.5, 3, or 3.5 microns to about 4, 5, 6, 7, 8, 9, 10, 11, 12, 13, 14, 15, 16, 17, 18, 19, or 19.5 microns. In some of these embodiments, the thickness of the interference domain may be from about 0.2, 0.4, 0.5, or 0.6, microns to about 0.8, 0.9, 1, 1.5, 2, 3, or 4 microns.
- Polyamine Films
- In some embodiments, certain polymeric films can be used to form interference domains. For example, certain polyimides prepared from 2,2′-dimethyl-4,4′-diaminobiphenyl and the corresponding dianhydride can be cast into films that can be employed as hydrogen peroxide-selective membranes. See, e.g., Ekinci et al., Turk. J. Chem. 30 (2006), 277-285. In one embodiment, a film is prepared using the following steps. First, n-methyl-2-pyrrolidene (NMP) is distilled over CaH2 under reduced pressure and is stored over about 4 Å molecular sieves. Reagent grade pyromellitic dianhydride (PMDA) is sublimed at about 250° C. under reduced pressure and dried under vacuum at about 120° C. prior to use. The diamine is purified via recrystallization from ethanol to give shiny crystals. Next, 2,20-dimethyl-4,40-diaminobiphenyl, (about 1.06 g, about 5 mmol) is dissolved in NMP (about 15 mL) in a 50 mL Schlenk tube equipped with a nitrogen line, overhead stirrer, a xylene filled Dean-Stark trap, and a condenser. PMDA (about 1.09 g, about 5 mmol) is then added to the amine solution, followed by overnight stirring resulting in a viscous solution. After being stirred for about 3 hours, the solution is heated to reflux at about 200° C. for about 15 hours. During the polymerization process, the water generated from the imidization is allowed to distill from the reaction mixture together with about 1-2 mL of xylene. After being allowed to cool to ambient temperature, the solution is diluted with NMP and then slowly added to a vigorously stirred solution of 95% ethanol. The precipitated polymer is collected via filtration, washed with ethanol, and dried under reduced pressure at 150° C. Before coating, a substrate (e.g., Pt electrode) is cleaned and optionally polished with aqueous alumina slurry down to about 0.05 μm. Then about 20 μL of polymer solution prepared by dissolving about 70 mg of polyimide in about 2 mL of NMP is dropped onto the surface of the Pt electrode and allowed to dry at room temperature for about 3 days.
- A self-assembly process can be employed to build up ultrathin multilayer films comprising consecutively alternative anionic and cationic polyelectrolytes on a charged surface. See, e.g., Decher et al., Thin Solid Films, 210-211 (1992) 831-835. Ionic attraction between opposite charges is the driving force for the multilayer buildup. In contrast to chemisorption techniques that require a reaction yield of about 100% in order to maintain surface functional density in each layer, no covalent bonds need to be formed with a self-assembly process. Additionally, an advantage over the classic Langmuir-Blodgett technique is that a solution process is independent of the substrate size and topology. Exemplary polyelectrolytes for use in such a process include, but are not limited to, polystyrenesulfonate sodium salt, polyvinylsulfate potassium salt, poly-4-vinylbenzyl-(N,N-diethyl-N-methyl-)-ammonium iodide, and poly(allylamine hydrochloride). The buildup of multilayer films can be conducted as follows. A solid substrate with a positively charged planar surface is immersed in the solution containing the anionic polyelectrolyte and a monolayer of the polyanion is adsorbed. Since the adsorption is carried out at relatively high concentrations of polyelectrolyte, a number of ionic groups remain exposed to the interface with the solution and thus the surface charge is reversed. After rinsing in pure water the substrate is immersed in the solution containing the cationic polyelectrolyte. Again a monolayer is adsorbed but now the original surface charge is restored. By repeating both steps in a cyclic fashion, alternating multilayer assemblies of both polymers are obtained. This process of multilayer formation is based on the attraction of opposite charges, and thus requires a minimum of two oppositely charged molecules. Consequently, one is able to incorporate more than two molecules into the multilayer, simply by immersing the substrate in as many solutions of polyeletrolytes as desired, as long as the charge is reversed from layer to layer. Even aperiodic multilayer assemblies can easily be prepared. In this respect, the technique is more versatile than the Langmuir-Blodgett technique which is rather limited to periodically alternating layer systems. Another advantage is that the immersion procedure does not pose principal restrictions as to the size of the substrate or to the automation in a continuous process.
- Specific examples of the preparation of such films are as follows. Polystyrenesulfonate (sodium salt, Mr=100,000) and polyvinylsulfate (potassium salt, Mr=245,000) and poly(allylamine hydrochloride), Mw=50,000-65,000) are obtained from commercial sources and employed without further purification. Poly-4-vinylbenzyl-(N,N-diethyl-N-methyl-)-ammonium iodide can be synthesized, as described in Decher et al., Ber. Bunsenges. Phys. Chem., 95 (1992) 1430. Alternating multilayer assemblies of all materials can be characterized by UV/vis spectroscopy and small angle X-ray scattering (SAXS) using techniques known in the art. Direct-light microscopy and SAXS measurements can be performed with multilayer assemblies on suitable substrates. The multilayer films can be deposited on, e.g., atop a platinum electrode or other metal electrode, or a suitable intervening layer atop an electrode. For the adsorption of the first layer, an aqueous acidic solution of polystyrenesulfonate or polyvinylsulfate can be used. Afterwards the substrate is rinsed with water. After the adsorption of the first layer, the substrates can be stored for some weeks without noticeable deterioration of the surface. Thereafter, the cationic polyelectrolyte polyallylamine is adsorbed from aqueous solution. In the case of the non-quarternized polyallylamine, the polycation is adsorbed from an acidic solution. All following layers (odd layer numbers) of the anionic polyelectrolytes are adsorbed from aqueous solution. In the case of samples containing polyallylamine as the previously adsorbed layer, polystyrenesulfonate layers can be adsorbed from an acidic solution. An adsorption time of about 20 minutes at ambient temperature can be employed, however, in certain embodiments longer or shorter adsorption times may be acceptable. A range of polymer concentrations (e.g., 20 to 30 mg per about 10 ml water) can provide acceptable results.
- Multilayer molecular films of polyelectrolyte:calixarene and polyelectrolyte:cyclodextrin hosts can be fabricated by alternating adsorption of charged species in aqueous solutions onto a suitable substrate. See, e.g., X. Yang, Sensors and Actuators B 45 (1997) 87-92. Such a layer-by-layer molecular deposition approach can be used to integrate molecular recognition reagents into polymer films. The deposition process is highly reproducible and the resulting films are uniform and stable. Replacing polyanions, highly negatively charged molecular species can be used for film fabrication. These molecular reagents are capable of binding organic species and can be deposited as functional components into thin films. This approach incorporates polymer and molecular elements into the film and thus results in films with polymer's physical properties and molecular film's selectivity. Films can be prepared as follows. The substrate (e.g., Pt electrode) can be first treated with aminopropyltrimethoxysilane in chloroform, followed with deposition of PSS and then PDDA polyelectrolytes by dipping into the aqueous solutions of the polyelectrolytes, respectively. After this, alternating depositions of negatively charged molecular host species (e.g., calix[6]arene orp-t-butylcalix[4]arene) and PDDA can be carried out until the desired number of bilayers is reached. Between each deposition, the substrate is thoroughly rinsed with deionized water. The polyelectrolyte and molecular ion assembly can be monitored by UV-vis absorption spectroscopy and mass loading can be measured with surface acoustic wave (SAW) devices.
- In some embodiments, the interference domain is formed from one or more cellulosic derivatives. In general, cellulosic derivatives can include polymers such as cellulose acetate, cellulose acetate butyrate, 2-hydroxyethyl cellulose, cellulose acetate phthalate, cellulose acetate propionate, cellulose acetate trimellitate, or blends and combinations thereof.
- In some alternative embodiments, other polymer types that can be utilized as a base material for the interference domain include polyurethanes and/or polymers having controlled pore size. In one such alternative embodiment, the interference domain includes a thin, hydrophobic membrane that is non-swellable and restricts diffusion of low molecular weight species. The interference domain is permeable to relatively low molecular weight substances, such as hydrogen peroxide, but restricts the passage of higher molecular weight substances, including glucose and ascorbic acid. Other systems and methods for reducing or eliminating interference species that can be applied to the membrane system of the preferred embodiments are described in U.S. Pat. No. 7,074,307, U.S. Patent Publication No. US-2005-0176136-A1, U.S. Pat. No. 7,081,195, and U.S. Patent Publication No. US-2005-0143635-A1, each of which is incorporated by reference herein in its entirety.
- It is contemplated that in some embodiments, the thickness of the interference domain can be from about 0.01 μm or less to about 20 μm or more. In some of these embodiments, the thickness of the interference domain can be from about 0.01, about 0.05, about 0.1, about 0.15, about 0.2, about 0.25, about 0.3, about 0.35, about 0.4, about 0.45, about 0.5, about 1, about 1.5, about 2, about 2.5, about 3, or about 3.5 μm and about 4, about 5, about 6, about 7, about 8, about 9, about 10, about 11, about 12, about 13, about 14, about 15, about 16, about 17, about 18, about 19, or about 19.5 m. In some of these embodiments, the thickness of the interference domain can be from about 0.2, about 0.4, about 0.5, or about 0.6 μm to about 0.8, about 0.9, about 1, about 1.5, about 2, about 3, or about 4 μm.
- In general, the membrane systems described herein can be formed or deposited on the exposed electroactive surfaces (e.g., one or more of the working and reference electrodes) using known thin film techniques (for example, casting, spray coating, drawing down, electro-depositing, dip coating, and the like); however, casting or other known application techniques can also be utilized. In some embodiments, the interference domain can be deposited by spray or dip coating. In one exemplary embodiment, the interference domain is formed by dip coating the sensor into an interference domain solution using an insertion rate of from about 0.5 inch/min to about 60 inches/min, and sometimes about 1 inch/min; a dwell time of from about 0.01 minutes to about 2 minutes, and sometimes about 1 minute; and a withdrawal rate of from about 0.5 inch/minute to about 60 inches/minute, and sometimes about 1 inch/minute; and curing (drying) the domain from about 1 minute to about 14 hours, and sometimes from about 3 minutes to about 15 minutes (and can be accomplished at room temperature or under vacuum, e.g., about 20 to about 30 mmHg). In one exemplary embodiment including a cellulose acetate butyrate interference domain, a 3-minute cure (i.e., dry) time is used between each layer applied. In another exemplary embodiment employing a cellulose acetate interference domain, a 15 minute cure time is used between each layer applied.
- In some embodiments, the dip process can be repeated at least one time and up to 10 times or more. In other embodiments, only one dip is preferred. The preferred number of repeated dip processes can depend upon the cellulosic derivative(s) used, their concentration, conditions during deposition (e.g., dipping) and the desired thickness (e.g., sufficient thickness to provide functional blocking of certain interferents), and the like. In one embodiment, an interference domain is formed from three layers of cellulose acetate butyrate. In another embodiment, an interference domain is formed from 10 layers of cellulose acetate. In yet another embodiment, an interference domain is formed from 1 layer of a blend of cellulose acetate and cellulose acetate butyrate. In alternative embodiments, the interference domain can be formed using any known method and combination of cellulose acetate and cellulose acetate butyrate, as will be appreciated by one skilled in the art.
- It is contemplated that in some embodiments, such as the embodiment illustrated in
FIG. 2A , anoptional electrode domain 42, also referred to as the electrode layer, can be provided, in addition to the biointerface domain and the enzyme domain; however, in other embodiments, the functionality of the electrode domain can be incorporated into the biointerface domain so as to provide a unitary domain that includes the functionality of the biointerface domain, diffusion resistance domain, enzyme domain, and electrode domain. - In some embodiments, the electrode domain is located most proximal to the electrochemically reactive surfaces. To facilitate electrochemical reaction, the electrode domain can include a semipermeable coating that maintains hydrophilicity at the electrochemically reactive surfaces of the sensor interface. The electrode domain can enhance the stability of an adjacent domain by protecting and supporting the material that makes up the adjacent domain. The electrode domain can also assist in stabilizing the operation of the device by overcoming electrode start-up problems and drifting problems caused by inadequate electrolyte. The buffered electrolyte solution contained in the electrode domain can also protect against pH-mediated damage that can result from the formation of a large pH gradient between the substantially hydrophobic interference domain and the electrodes due to the electrochemical activity of the electrodes.
- In some embodiments, the electrode domain includes a flexible, water-swellable, substantially solid gel-like film (e.g., a hydrogel) having a “dry film” thickness of from about 0.05 μm to about 100 μm, and sometimes from about 0.05, about 0.1, about 0.15, about 0.2, about 0.25, about 0.3, about 0.35, about 0.4, about 0.45, about 0.5, or about 1 m to about 1.5, about 2, about 2.5, about 3, about 3.5, about 4, about 4.5, about 5, about 6, about 6.5, about 7, about 7.5, about 8, about 8.5, about 9, about 9.5, about 10, about 10.5, about 11, about 11.5, about 12, about 13, about 14, about 15, about 16, about 17, about 18, about 19, about 19.5, about 20, about 30, about 40, about 50, about 60, about 70, about 80, about 90, or about 100 μm. In some embodiments, the thickness of the electrode domain can be from about 2, about 2.5, or about 3 μm to about 3.5, about 4, about 4.5, or about 5 μm in the case of a transcutaneously implanted sensor, or from about 6, about 7, or about 8 μm to about 9, about 10, about 11, or about 12 m in the case of a wholly implanted sensor. The term “dry film thickness” as used herein is a broad term, and is to be given its ordinary and customary meaning to a person of ordinary skill in the art (and is not to be limited to a special or customized meaning), and refers without limitation to the thickness of a cured film cast from a coating formulation onto the surface of the membrane by standard coating techniques. The coating formulation can comprise a premix of film-forming polymers and a crosslinking agent and can be curable upon the application of moderate heat.
- In certain embodiments, the electrode domain can be formed of a curable mixture of a urethane polymer and a hydrophilic polymer. In some of these embodiments, coatings are formed of a polyurethane polymer having anionic carboxylate functional groups and non-ionic hydrophilic polyether segments, which are crosslinked in the presence of polyvinylpyrrolidone and cured at a moderate temperature of about 50° C.
- Particularly suitable for this purpose are aqueous dispersions of fully-reacted colloidal polyurethane polymers having cross-linkable carboxyl functionality (e.g., BAYBOND™; Mobay Corporation). These polymers are supplied in dispersion grades having a polycarbonate-polyurethane backbone containing carboxylate groups identified as XW-121 and XW-123; and a polyester-polyurethane backbone containing carboxylate groups, identified as XW-110-2. In some embodiments, BAYBOND™123, an aqueous anionic dispersion of an aliphate polycarbonate urethane polymer sold as a 35 wt. % solution in water and co-solvent N-methyl-2-pyrrolidone, can be used.
- In some embodiments, the electrode domain is formed from a hydrophilic polymer that renders the electrode domain equally or more hydrophilic than an overlying domain (e.g., interference domain, enzyme domain). Such hydrophilic polymers can include, a polyamide, a polylactone, a polyimide, a polylactam, a functionalized polyamide, a functionalized polylactone, a functionalized polyimide, a functionalized polylactam or combinations thereof, for example.
- In some embodiments, the electrode domain is formed primarily from a hydrophilic polymer, and in some of these embodiments, the electrode domain is formed substantially from PVP. PVP is a hydrophilic water-soluble polymer and is available commercially in a range of viscosity grades and average molecular weights ranging from about 18,000 to about 500,000, under the PVP K™ homopolymer series by BASF Wyandotte and by GAF Corporation. In certain embodiments, a PVP homopolymer having an average molecular weight of about 360,000 identified as PVP-K90 (BASF Wyandotte) can be used to form the electrode domain. Also suitable are hydrophilic, film-forming copolymers of N-vinylpyrrolidone, such as a copolymer of N-vinylpyrrolidone and vinyl acetate, a copolymer of N-vinylpyrrolidone, ethylmethacrylate and methacrylic acid monomers, and the like.
- In certain embodiments, the electrode domain is formed entirely from a hydrophilic polymer. Useful hydrophilic polymers contemplated include, but are not limited to, poly-N-vinylpyrrolidone, poly-N-vinyl-2-piperidone, poly-N-vinyl-2-caprolactam, poly-N-vinyl-3-methyl-2-caprolactam, poly-N-vinyl-3-methyl-2-piperidone, poly-N-vinyl-4-methyl-2-piperidone, poly-N-vinyl-4-methyl-2-caprolactam, poly-N-vinyl-3-ethyl-2-pyrrolidone, poly-N-vinyl-4,5-dimethyl-2-pyrrolidone, polyvinylimidazole, poly-N,N-dimethylacrylamide, polyvinyl alcohol, polyacrylic acid, polyethylene oxide, poly-2-ethyl-oxazoline, copolymers thereof and mixtures thereof. A blend of two or more hydrophilic polymers can be preferred in some embodiments.
- It is contemplated that in certain embodiments, the hydrophilic polymer used may not be crosslinked, but in other embodiments, crosslinking can be used and achieved by any of a variety of methods, for example, by adding a crosslinking agent. In some embodiments, a polyurethane polymer can be crosslinked in the presence of PVP by preparing a premix of the polymers and adding a cross-linking agent just prior to the production of the membrane. Suitable cross-linking agents contemplated include, but are not limited to, carbodiimides (e.g., 1-ethyl-3-(3-dimethylaminopropyl) carbodiimide hydrochloride, and UCARLNK™ XL-25 (Union Carbide)), epoxides and melamine/formaldehyde resins. Alternatively, it is also contemplated that crosslinking can be achieved by irradiation at a wavelength sufficient to promote crosslinking between the hydrophilic polymer molecules, which is believed to create a more tortuous diffusion path through the domain.
- The flexibility and hardness of the coating can be varied as desired by varying the dry weight solids of the components in the coating formulation. The term “dry weight solids” as used herein is a broad term, and is to be given its ordinary and customary meaning to a person of ordinary skill in the art (and is not to be limited to a special or customized meaning), and refers without limitation to the dry weight percent based on the total coating composition after the time the crosslinker is included. In one embodiment, a coating formulation can contain from about 6 to about 20 dry wt. %, preferably about 8 dry wt. %, PVP; about 3 to about 10 dry wt. %, sometimes about 5 dry wt. % cross-linking agent; and from about 70 to about 91 wt. %, sometimes about 87 wt. % of a polyurethane polymer, such as a polycarbonate-polyurethane polymer, for example. The reaction product of such a coating formulation is referred to herein as a water-swellable cross-linked matrix of polyurethane and PVP.
- In some embodiments, underlying the electrode domain is an electrolyte phase that when hydrated is a free-fluid phase including a solution containing at least one compound, typically a soluble chloride salt, which conducts electric current. In one embodiment wherein the membrane system is used with a glucose sensor such as is described herein, the electrolyte phase flows over the electrodes and is in contact with the electrode domain. It is contemplated that certain embodiments can use any suitable electrolyte solution, including standard, commercially available solutions. Generally, the electrolyte phase can have the same osmotic pressure or a lower osmotic pressure than the sample being analyzed. In preferred embodiments, the electrolyte phase comprises normal saline.
- It is contemplated that any of a variety of bioactive (therapeutic) agents can be used with the analyte sensor systems described herein, such as the analyte sensor system shown in
FIG. 1 . In specific embodiments, the bioactive agents can be in the biointerface layer of the disclosed devices. In some embodiments, the bioactive agent is an anticoagulant. The term “anticoagulant” as used herein is a broad term, and is to be given its ordinary and customary meaning to a person of ordinary skill in the art (and is not to be limited to a special or customized meaning), and refers without limitation to a substance the prevents coagulation (e.g., minimizes, reduces, or stops clotting of blood). In these embodiments, the anticoagulant included in the analyte sensor system can prevent coagulation within or on the sensor. Suitable anticoagulants for incorporation into the sensor system include, but are not limited to, vitamin K antagonists (e.g., Acenocoumarol, Clorindione, Dicumarol (Dicoumarol), Diphenadione, Ethyl biscoumacetate, Phenprocoumon, Phenindione, Tioclomarol, or Warfarin), heparin group anticoagulants (e.g. Platelet aggregation inhibitors: Antithrombin III, Bemiparin, Dalteparin, Danaparoid, Enoxaparin, Heparin, Nadroparin, Pamaparin, Reviparin, Sulodexide, Tinzaparin), other platelet aggregation inhibitors (e.g. Abciximab, Acetylsalicylic acid (Aspirin), Aloxiprin, Beraprost, Ditazole, Carbasalate calcium, Cloricromen, Clopidogrel, Dipyridamole, Epoprostenol, Eptifibatide, Indobufen, Iloprost, Picotamide, Ticlopidine, Tirofiban, Treprostinil, Triflusal), enzymes (e.g., Alteplase, Ancrod, Anistreplase, Brinase, Drotrecogin alfa, Fibrinolysin, Protein C, Reteplase, Saruplase, Streptokinase, Tenecteplase, Urokinase), direct thrombin inhibitors (e.g., Argatroban, Bivalirudin, Desirudin, Lepirudin, Melagatran, Ximelagatran, other antithrombotics (e.g., Dabigatran, Defibrotide, Dermatan sulfate, Fondaparinux, Rivaroxaban), and the like. - In one embodiment, heparin is incorporated into the analyte sensor system, for example by dipping or spraying. While not wishing to be bound by theory, it is believed that heparin coated on the catheter or sensor can prevent aggregation and clotting of blood on the analyte sensor system, thereby preventing thromboembolization (e.g., prevention of blood flow by the thrombus or clot) or subsequent complications. In some embodiments, heparin is admixed with one or more zwitterionic compounds or derivatives thereof, such as hydrolyzable cationic esters thereof (as described above), prior to dipping or spraying, thus providing the sensor system with a mixed coating of heparin and one or more zwitterionic compounds or derivatives thereof.
- In some embodiments, an antimicrobial is coated on the catheter (inner or outer diameter) or sensor. In some embodiments, an antimicrobial agent can be incorporated into the analyte sensor system. The antimicrobial agents contemplated can include, but are not limited to, antibiotics, antiseptics, disinfectants and synthetic moieties, and combinations thereof, and other agents that are soluble in organic solvents such as alcohols, ketones, ethers, aldehydes, acetonitrile, acetic acid, methylene chloride and chloroform. The amount of each antimicrobial agent used to impregnate the medical device varies to some extent, but is at least of an effective concentration to inhibit the growth of bacterial and fungal organisms, such as staphylococci, gram-positive bacteria, gram-negative bacilli and Candida.
- In some embodiments, an antibiotic can be incorporated into the analyte sensor system. Classes of antibiotics that can be used include tetracyclines (e.g., minocycline), rifamycins (e.g., rifampin), macrolides (e.g., erythromycin), penicillins (e.g., nafeillin), cephalosporins (e.g., cefazolin), other β-lactam antibiotics (e.g., imipenem, aztreonam), aminoglycosides (e.g., gentamicin), chloramphenicol, sulfonamides (e.g., sulfamethoxazole), glycopeptides (e.g., vancomycin), quinolones (e.g., ciprofloxacin), fusidic acid, trimethoprim, metronidazole, clindamycin, mupirocin, polyenes (e.g., amphotericin B), azoles (e.g., fluconazole), and β-lactam inhibitors (e.g., sulbactam).
- Examples of specific antibiotics that can be used include minocycline, rifampin, erythromycin, nafcillin, cefazolin, imipenem, aztreonam, gentamicin, sulfamethoxazole, vancomycin, ciprofloxacin, trimethoprim, metronidazole, clindamycin, teicoplanin, mupirocin, azithromycin, clarithromycin, ofloxacin, lomefloxacin, norfloxacin, nalidixic acid, sparfloxacin, pefloxacin, amifloxacin, enoxacin, fleroxacin, temafloxacin, tosufloxacin, clinafloxacin, sulbactam, clavulanic acid, amphotericin B, fluconazole, itraconazole, ketoconazole, and nystatin.
- In some embodiments, an antiseptic or disinfectant can be incorporated into the analyte sensor system. Examples of antiseptics and disinfectants are hexachlorophene, cationic bisiguanides (e.g., chlorhexidine, cyclohexidine) iodine and iodophores (e.g., povidoneiodine), para-chloro-meta-xylenol, triclosan, furan medical preparations (e.g., nitrofurantoin, nitrofurazone), methenamine, aldehydes (glutaraldehyde, formaldehyde) and alcohols. Other examples of antiseptics and disinfectants will readily suggest themselves to those of ordinary skill in the art.
- In some embodiments, an anti-barrier cell agent can be incorporated into the analyte sensor system. Anti-barrier cell agents can include compounds exhibiting effects on macrophages and foreign body giant cells (FBGCs). It is believed that anti-barrier cell agents prevent closure of the barrier to solute transport presented by macrophages and FBGCs at the device-tissue interface during FBC maturation. Anti-barrier cell agents can provide anti-inflammatory or immunosuppressive mechanisms that affect the wound healing process, for example, healing of the wound created by the incision into which an implantable device is inserted. Cyclosporine, which stimulates very high levels of neovascularization around biomaterials, can be incorporated into a biointerface membrane of a preferred embodiment (see U.S. Pat. No. 5,569,462 to Martinson et al.). Alternatively, Dexamethasone, which abates the intensity of the FBC response at the tissue-device interface, can be incorporated into a biointerface membrane of a preferred embodiment. Alternatively, Rapamycin, which is a potent specific inhibitor of some macrophage inflammatory functions, can be incorporated into a biointerface membrane of a preferred embodiment.
- In some embodiments, an anti-inflammatory agent can be incorporated into the analyte sensor system to reduce acute or chronic inflammation adjacent to the implant or to decrease the formation of a FBC capsule to reduce or prevent barrier cell layer formation, for example. Suitable anti-inflammatory agents include but are not limited to, for example, nonsteroidal anti-inflammatory drugs (NSAIDS) such as acetometaphen, aminosalicylic acid, aspirin, celecoxib, choline magnesium trisalicylate, diclofenac potassium, diclofenac sodium, diflunisal, etodolac, fenoprofen, flurbiprofen, ibuprofen, indomethacin, interleukin (IL)-10, IL-6 mutein, anti-IL-6 iNOS inhibitors (for example, L-NAME or L-NMDA), Interferon, ketoprofen, ketorolac, leflunomide, melenamic acid, mycophenolic acid, mizoribine, nabumetone, naproxen, naproxen sodium, oxaprozin, piroxicam, rofecoxib, salsalate, sulindac, and tolmetin; and corticosteroids such as cortisone, hydrocortisone, methylprednisolone, prednisone, prednisolone, betamethesone, beclomethasone dipropionate, budesonide, dexamethasone sodium phosphate, flunisolide, fluticasone propionate, paclitaxel, tacrolimus, tranilast, triamcinolone acetonide, betamethasone, fluocinolone, fluocinonide, betamethasone dipropionate, betamethasone valerate, desonide, desoximetasone, fluocinolone, triamcinolone, triamcinolone acetonide, clobetasol propionate, and dexamethasone.
- In some embodiments, an immunosuppressive or immunomodulatory agent can be incorporated into the analyte sensor system in order to interfere directly with several key mechanisms necessary for involvement of different cellular elements in the inflammatory response. Suitable immunosuppressive and immunomodulatory agents include, but are not limited to, anti-proliferative, cell-cycle inhibitors, (for example, paclitaxel, cytochalasin D, infiximab), taxol, actinomycin, mitomycin, thospromote VEGF, estradiols, NO donors, QP-2, tacrolimus, tranilast, actinomycin, everolimus, methothrexate, mycophenolic acid, angiopeptin, vincristing, mitomycine, statins, C MYC antisense, sirolimus (and analogs), RestenASE, 2-chloro-deoxyadenosine, PCNA Ribozyme, batimstat, prolyl hydroxylase inhibitors, PPARy ligands (for example troglitazone, rosiglitazone, pioglitazone), halofuginone, C-proteinase inhibitors, probucol, BCP671, EPC antibodies, catchins, glycating agents, endothelin inhibitors (for example, Ambrisentan, Tesosentan, Bosentan), Statins (for example, Cerivasttin), E. coli heat-labile enterotoxin, and advanced coatings.
- In some embodiments, an anti-infective agent can be incorporated into the analyte sensor system. In general, anti-infective agents are substances capable of acting against infection by inhibiting the spread of an infectious agent or by killing the infectious agent outright, which can serve to reduce an immuno-response without an inflammatory response at the implant site, for example. Anti-infective agents include, but are not limited to, anthelmintics (e.g., mebendazole), antibiotics (e.g., aminoclycosides, gentamicin, neomycin, tobramycin), antifungal antibiotics (e.g., amphotericin b, fluconazole, griseofulvin, itraconazole, ketoconazole, nystatin, micatin, tolnaftate), cephalosporins (e.g., cefaclor, cefazolin, cefotaxime, ceftazidime, ceftriaxone, cefuroxime, cephalexin), β-lactam antibiotics (e.g., cefotetan, meropenem), chloramphenicol, macrolides (e.g., azithromycin, clarithromycin, erythromycin), penicillins (e.g., penicillin G sodium salt, amoxicillin, ampicillin, dicloxacillin, nafcillin, piperacillin, ticarcillin), tetracyclines (e.g., doxycycline, minocycline, tetracycline), bacitracin, clindamycin, colistimethate sodium, polymyxin b sulfate, vancomycin, antivirals (e.g., acyclovir, amantadine, didanosine, efavirenz, foscarnet, ganciclovir, indinavir, lamivudine, nelfinavir, ritonavir, saquinavir, silver, stavudine, valacyclovir, valganciclovir, zidovudine), quinolones (e.g., ciprofloxacin, levofloxacin); sulfonamides (e.g., sulfadiazine, sulfisoxazole), sulfones (e.g., dapsone), furazolidone, metronidazole, pentamidine, sulfanilamidum crystallinum, gatifloxacin, and sulfamethoxazole/trimethoprim.
- In some embodiments, a vascularization agent can be incorporated into the analyte sensor system. Vascularization agents generally can include substances with direct or indirect angiogenic properties. In some cases, vascularization agents can additionally affect formation of barrier cells in vivo. By indirect angiogenesis, it is meant that the angiogenesis can be mediated through inflammatory or immune stimulatory pathways. It is not fully known how agents that induce local vascularization indirectly inhibit barrier-cell formation; however, while not wishing to be bound by theory, it is believed that some barrier-cell effects can result indirectly from the effects of vascularization agents.
- Vascularization agents can provide mechanisms that promote neovascularization and accelerate wound healing around the membrane or minimize periods of ischemia by increasing vascularization close to the tissue-device interface. Sphingosine-1-Phosphate (S1P), a phospholipid possessing potent angiogenic activity, can be incorporated into the biointerface membrane. Monobutyrin, a vasodilator and angiogenic lipid product of adipocytes, can also be incorporated into the biointerface membrane. In another embodiment, an anti-sense molecule (for example, thrombospondin-2 anti-sense), which can increase vascularization, is incorporated into a biointerface membrane.
- Vascularization agents can provide mechanisms that promote inflammation, which is believed to cause accelerated neovascularization and wound healing in vivo. In one embodiment, a xenogenic carrier, for example, bovine collagen, which by its foreign nature invokes an immune response, stimulates neovascularization, and is incorporated into a biointerface membrane of some embodiments. In another embodiment, Lipopolysaccharide, an immunostimulant, can be incorporated into a biointerface membrane. In another embodiment, a protein, for example, a bone morphogenetic protein (BMP), which modulates bone healing in tissue, can be incorporated into the biointerface membrane.
- In some embodiments, an angiogenic agent can be incorporated into the analyte sensor system. Angiogenic agents are substances capable of stimulating neovascularization, which can accelerate and sustain the development of a vascularized tissue bed at the tissue-device interface, for example. Angiogenic agents include, but are not limited to, Basic Fibroblast Growth Factor (bFGF), (also known as Heparin Binding Growth Factor-II and Fibroblast Growth Factor II), Acidic Fibroblast Growth Factor (aFGF), (also known as Heparin Binding Growth Factor-I and Fibroblast Growth Factor-I), Vascular Endothelial Growth Factor (VEGF), Platelet Derived Endothelial Cell Growth Factor BB (PDEGF-BB), Angiopoietin-1, Transforming Growth Factor Beta (TGF-β), Transforming Growth Factor Alpha (TGFα), Hepatocyte Growth Factor, Tumor Necrosis Factor-Alpha (TNFα), Placental Growth Factor (PLGF), Angiogenin, Interleukin-8 (IL-8), Hypoxia Inducible Factor-I (HIF-1), Angiotensin-Converting Enzyme (ACE) Inhibitor Quinaprilat, Angiotropin, Thrombospondin, Peptide KGHK, Low Oxygen Tension, Lactic Acid, Insulin, Copper Sulphate, Estradiol, prostaglandins, cox inhibitors, endothelial cell binding agents (e.g., decorin or vimentin), glenipin, hydrogen peroxide, nicotine, and Growth Hormone.
- In some embodiments, a pro-inflammatory agent can be incorporated into the analyte sensor system. Pro-inflammatory agents are generally substances capable of stimulating an immune response in host tissue, which can accelerate or sustain formation of a mature vascularized tissue bed. For example, pro-inflammatory agents are generally irritants or other substances that induce chronic inflammation and chronic granular response at the wound-site. While not wishing to be bound by theory, it is believed that formation of high tissue granulation induces blood vessels, which supply an adequate or rich supply of analytes to the device-tissue interface. Pro-inflammatory agents include, but are not limited to, xenogenic carriers, Lipopolysaccharides, S. aureus peptidoglycan, and proteins.
- These bioactive agents can be used alone or in combination. The bioactive agents can be dispersed throughout the material of the sensor, for example, incorporated into at least a portion of the membrane system, or incorporated into the device (e.g., housing) and adapted to diffuse through the membrane.
- There are a variety of systems and methods by which a bioactive agent can be incorporated into the sensor membrane. In some embodiments, the bioactive agent can be incorporated at the time of manufacture of the membrane system. For example, the bioactive agent can be blended prior to curing the membrane system, or subsequent to membrane system manufacture, for example, by coating, imbibing, solvent-casting, or sorption of the bioactive agent into the membrane system. Although in some embodiments the bioactive agent is incorporated into the membrane system, in other embodiments the bioactive agent can be administered concurrently with, prior to, or after insertion of the device in vivo, for example, by oral administration, or locally, by subcutaneous injection near the implantation site. A combination of bioactive agent incorporated in the membrane system and bioactive agent administration locally or systemically can be preferred in certain embodiments.
- In general, a bioactive agent can be incorporated into the membrane system, or incorporated into the device and adapted to diffuse therefrom, in order to modify the in vivo response of the host to the membrane. In some embodiments, the bioactive agent can be incorporated only into a portion of the membrane system adjacent to the sensing region of the device, over the entire surface of the device except over the sensing region, or any combination thereof, which can be helpful in controlling different mechanisms or stages of in vivo response (e.g., thrombus formation). In some alternative embodiments however, the bioactive agent can be incorporated into the device proximal to the membrane system, such that the bioactive agent diffuses through the membrane system to the host circulatory system.
- The bioactive agent can include a carrier matrix, wherein the matrix includes one or more of collagen, a particulate matrix, a resorbable or non-resorbable matrix, a controlled-release matrix, or a gel. In some embodiments, the carrier matrix includes a reservoir, wherein a bioactive agent is encapsulated within a microcapsule. The carrier matrix can include a system in which a bioactive agent is physically entrapped within a polymer network. In some embodiments, the bioactive agent is cross-linked with the membrane system, while in others the bioactive agent is sorbed into the membrane system, for example, by adsorption, absorption, or imbibing. The bioactive agent can be deposited in or on the membrane system, for example, by coating, filling, or solvent casting. In certain embodiments, ionic and nonionic surfactants, detergents, micelles, emulsifiers, demulsifiers, stabilizers, aqueous and oleaginous carriers, solvents, preservatives, antioxidants, or buffering agents are used to incorporate the bioactive agent into the membrane system.
- In some embodiments, the surface of the membrane system comprises a tie layer found on the outermost surface of the sensor membrane to which the bioactive agent reversibly binds. In some embodiments, this tie layer comprises one or more zwitterionic compounds, or precursors or derivatives thereof, which are bound to surface-active groups of the polymer comprising the outermost domain of the membrane system. In some embodiments, the zwitterionic compounds or precursors or derivatives thereof comprise one or more zwitterionic betaines, as described above. In some embodiments, the zwitterionic compounds or precursors or derivatives thereof comprise hydrolyzable cationic esters of a zwitterionic compound, as described above. In preferred embodiments, the tie layer comprises one or more hydrolyzable cationic betaine esters, such as hydrolyzable cationic pCB esters.
- The bioactive agent also can be incorporated into a polymer using techniques such as described above, and the polymer can be used to form the membrane system, coatings on the membrane system, portions of the membrane system, or any portion of the sensor system.
- The membrane system can be manufactured using techniques known in the art. The bioactive agent can be sorbed into the membrane system, for example, by soaking the membrane system for a length of time (for example, from about an hour or less to about a week, or more preferably from about 4, about 8, about 12, about 16, or about 20 hours to about 1, about 2, about 3, about 4, about 5, or about 7 days).
- The bioactive agent can be blended into uncured polymer prior to forming the membrane system. The membrane system is then cured and the bioactive agent thereby cross-linked or encapsulated within the polymer that forms the membrane system.
- In yet another embodiment, microspheres are used to encapsulate the bioactive agent. The microspheres can be formed of biodegradable polymers, most preferably synthetic polymers or natural polymers such as proteins and polysaccharides. As used herein, the term polymer is used to refer to both to synthetic polymers and proteins. U.S. Pat. No. 6,281,015 discloses some systems and methods that can be used in conjunction with the preferred embodiments. In general, bioactive agents can be incorporated in (1) the polymer matrix forming the microspheres, (2) microparticle(s) surrounded by the polymer which forms the microspheres, (3) a polymer core within a protein microsphere, (4) a polymer coating around a polymer microsphere, (5) mixed in with microspheres aggregated into a larger form, or (6) a combination thereof. Bioactive agents can be incorporated as particulates or by co-dissolving the factors with the polymer. Stabilizers can be incorporated by addition of the stabilizers to the factor solution prior to formation of the microspheres.
- The bioactive agent can be incorporated into a hydrogel and coated or otherwise deposited in or on the membrane system. Some hydrogels suitable for use in the preferred embodiments include cross-linked, hydrophilic, three-dimensional polymer networks that are highly permeable to the bioactive agent and are triggered to release the bioactive agent based on a stimulus.
- The bioactive agent can be incorporated into the membrane system by solvent casting, wherein a solution including dissolved bioactive agent is disposed on the surface of the membrane system, after which the solvent is removed to form a coating on the membrane surface.
- The bioactive agent can be compounded into a plug of material, which is placed within the device, such as is described in U.S. Pat. No. 4,506,680 and U.S. Pat. No. 5,282,844, which are incorporated by reference herein in their entireties. In some embodiments, it is preferred to dispose the plug beneath a membrane system; in this way, the bioactive agent is controlled by diffusion through the membrane, which provides a mechanism for sustained-release of the bioactive agent in the host.
- Numerous variables can affect the pharmacokinetics of bioactive agent release. The bioactive agents of the disclosed embodiments can be optimized for short- or long-term release. In some embodiments, the bioactive agents of the disclosed embodiments are designed to aid or overcome factors associated with short-term effects (e.g., acute inflammation or thrombosis) of sensor insertion. In some embodiments, the bioactive agents are designed to aid or overcome factors associated with long-term effects, for example, chronic inflammation or build-up of fibrotic tissue or plaque material. In some embodiments, the bioactive agents combine short- and long-term release to exploit the benefits of both.
- As used herein, “controlled,” “sustained,” or “extended” release of the factors can be continuous or discontinuous, linear or non-linear. This can be accomplished using one or more types of polymer compositions, drug loadings, selections of excipients or degradation enhancers, or other modifications, administered alone, in combination or sequentially to produce the desired effect.
- Short-term release of the bioactive agent in the disclosed embodiments generally refers to release over a period of from about a few minutes or hours to about 2, about 3, about 4, about 5, about 6, or about 7 days or more.
- The amount of loading of the bioactive agent into the membrane system can depend upon several factors. For example, the bioactive agent dosage and duration can vary with the intended use of the membrane system, for example, the intended length of use of the device and the like; differences among patients in the effective dose of bioactive agent; location and methods of loading the bioactive agent; and release rates associated with bioactive agents and optionally their carrier matrix. Therefore, one skilled in the art will appreciate the variability in the levels of loading the bioactive agent, for the reasons described above.
- In some embodiments, in which the bioactive agent is incorporated into the membrane system without a carrier matrix, the preferred level of loading of the bioactive agent into the membrane system can vary depending upon the nature of the bioactive agent. The level of loading of the bioactive agent is preferably sufficiently high such that a biological effect (e.g., thrombosis prevention) is observed. Above this threshold, the bioactive agent can be loaded into the membrane system so as to imbibe up to 100% of the solid portions, cover all accessible surfaces of the membrane, or fill up to 100% of the accessible cavity space. Typically, the level of loading (based on the weight of bioactive agent(s), membrane system, and other substances present) is from about 1 ppm or less to about 1000 ppm or more, preferably from about 2, about 3, about 4, or about 5 ppm up to about 10, about 25, about 50, about 75, about 100, about 200, about 300, about 400, about 500, about 600, about 700, about 800, or about 900 ppm. In certain embodiments, the level of loading can be about 1 wt. % or less up to about 50 wt. % or more, preferably from about 2, about 3, about 4, about 5, about 6, about 7, about 8, about 9, about 10, about 15, or about 20 wt. % up to about 25, about 30, about 35, about 40, or about 45 wt. %.
- When the bioactive agent is incorporated into the membrane system with a carrier matrix, such as a gel, the gel concentration can be optimized, for example, loaded with one or more test loadings of the bioactive agent. It is generally preferred that the gel contain from about 0.1 or less to about 50 wt. % or more of the bioactive agent(s), preferably from about 0.2, about 0.3, about 0.4, about 0.5, about 0.6, about 0.7, about 0.8, or about 0.9 wt. % to about 6, about 7, about 8, about 9, about 10, about 15, about 20, about 25, about 30, about 35, about 40, or about 45 wt. % or more bioactive agent(s), more preferably from about 1, about 2, or about 3 wt. % to about 4 or about 5 wt. % of the bioactive agent(s). Substances that are not bioactive can also be incorporated into the matrix.
- Referring now to microencapsulated bioactive agents, the release of the agents from these polymeric systems generally occurs by two different mechanisms. The bioactive agent can be released by diffusion through aqueous filled channels generated in the dosage form by the dissolution of the agent or by voids created by the removal of the polymer solvent or a pore forming agent during the original micro-encapsulation. Alternatively, release can be enhanced due to the degradation of the encapsulating polymer. With time, the polymer erodes and generates increased porosity and microstructure within the device. This creates additional pathways for release of the bioactive agent.
- In some embodiments, the sensor is designed to be bioinert, e.g., by the use of bioinert materials. Bioinert materials do not substantially cause any response from the host. As a result, cells can live adjacent to the material but do not form a bond with it. Bioinert materials include but are not limited to alumina, zirconia, titanium oxide or other bioinert materials generally used in the “catheter/catheterization” art. While not wishing to be bound by theory, it is believed that inclusion of a bioinert material in or on the sensor can reduce attachment of blood cells or proteins to the sensor, thrombosis or other host reactions to the sensor.
- Various biointerface polymers were prepared using different amounts of hard segments, PEG, and sulfobetaines. The hard segments (HS) were polyurethanes or polyureas prepared from diisocyanates reacted with diol or diamine chain extenders of less than 12 carbon units. The particular formulations are shown in Table 1.
-
TABLE 1 PEG Betaine HS Mn PDI Name (wt. %) (wt. %) (wt. %) (Da) (Mw/Mn) SBL-3 20 18 35 107,000 1.7 SBL-10 35 40 25 127,000 1.6 SBL-1 21 0 35 61,000 1.6 SBL-9 27 34 31 77,400 1.7 SBL-8 23 27 35 140,000 2.1 RL-7* 0 0 42 45,000 1.7 *Comparative. - Sensors were built as described in the section entitled “sensor systems.” The in vitro response time was tested and compared to a sensor without the biointerface layer. It was found that the sensor with the biointerface layer had the same T95 response time as the sensor without the biointerface layer, indicating that the biointerface layer did not slow the response times of a glucose sensor (
FIG. 5 ) - The in vivo response time was also tested in pig over the course of 15 days. In particular continuous sensors with SBL-3 and crosslinked SBL-9 biointerface layers were compared to a sensor without a biointerface layers. It was likewise found that there was no difference in response times for the sensors with and without the biointerface layer (
FIG. 6 ). This again showed that the biointerface domain did not affect the glucose sensor response time. - The cal-check performance of sensors without a biointerface layer and sensors dip coated with 5 wt. % SBL-8 were compared. The results are shown in
FIG. 7 . In this cal-check test, the following characteristics were measured: -
- i. Glucose Slope (pA/mg/dL)—Ordinary least-squares linear regression analysis of the electrical response of the sensor when placed in buffer solutions of increasing glucose concentration. It is also referred to as glucose sensitivity.
- ii. Baseline Equivalent (mg/dL)—mg/dL equivalent of the non-glucose related signal.
- iii. MARD (%)—Mean Absolute Relative Difference, the measure of variation away from the ideal line.
- iv. Low Oxygen Response—Defined as the percent change in electrical response under reduced oxygen conditions (i.e., at 0.25±0.05 mg O2/L) compared with signal obtained under atmospheric conditions. It is also referred to as Oxygen Performance.
- v. Acetaminophen Bias—the mg/dL equivalent signal from a 2 mg/dL concentration of acetaminophen. Also referred to as glucose equivalence.
- The mechanical strength was also visually inspected by viewing sensors with BL-8, a blend of SBL-8 and SBL-10, and SBL-10. The BL-10 layer had various inclusions, which suggests that as the hydrophilicity of the layer increases, the mechanical strength decreases (
FIG. 8 ). The hydrophilicity could also be adjusted by blending bionterface layers with different hydrophilicities (e.g., blending a polymer that is more hydrophilic with one that is less hydrophilic to arrive at a desired hydrophilicity and strength). - The hydrophilicity of various biointerface layers were tested by measuring the wt. % of water they absorbed. Crosslinked SBL-10 (XSBL-10), with sulfobetaines in the backbone, was the most hydrophilic polymer tested (
FIG. 9 ). These data indicate that the disclosed biointerface polymers are very hydrophilic, much more so than current sensors without such layers. Further, one can use crosslinking to affect the hydrophilicity of the polymer. - The effect crosslinking had on the rate water is absorbed and the tensile strength was also tested. Specifically, crosslinked (XSBL-8) and uncrosslinked (SBL-8) with sulfobetaines in the backbone were soaked in water over time and weighed. The uncrosslinked polymer absorbed more water over time. The crosslinked polymer absorbed less water and reached equilibrium quicker. The crosslinked polymer also had significantly more strength (
FIG. 10A andFIG. 10B ). - Hydrophobicity was also measured by contact angle experiments. Specifically, the advancing contact angles were measured using Attension Sigma force tensiometer 701 (Biolin Scientific product) on sensor wire coated with different polymer coatings. The sensors were submerged in deionized water at 25° C. and allowed to retract and advance repeatedly and the average values of advancing contact angles were calculated. The more hydrophilic and wettable surface the coating is, the lower value would be. The baseline value for sensors without a biointerface layer was 60°. The contact angle of the biointerface layers tested ranged from about 50 to about 90° (
FIG. 18 ). - The cure rate of various crosslinkers were tested and the data is shown in
FIG. 11 . The curing rate is measured by the time to reach 50% of conversion of the functional group such as isocyanate groups. In practice, the fast curing rate can help improve conversion and accelerate the process however may compromise the pot-life. It is desirable to select a curing chemistry and crosslinker that yields balanced pot-life and curing rate. This can be achieve by screening different type of crosslinker and select the one giving optimum properties. - Films of SBL-3, CBL-8, and resistance layer (i.e., a membrane in which there was no biointerface layer and the resistance layer formed the outermost layer) were prepared by casting polymer solutions onto polycarbonate sheets and a draw bar coater to cast flat films. This process was repeated until dried films were at desired thickness (3-4 thou). Films were then cut into dog-bones using a dog-bone cutter and a hand press. Dog-bone films were subject to tensile test using an Instron 3345 and stress-strain curves were generated. Five dog-bones were measured for each sample and data were presented by using average with standard deviation as error bar. Ultimate tensile strength, tensile strain and max load, and Young's modulus at 100% extension were calculated from these curves. The ultimate tensile strength of SBL-3 is higher than that of CBL-8 and the resistance layer film (
FIG. 28 ). The tensile strain at maximum load for SBL-3 is higher than CBL-8 and the resistance layer film (FIG. 29 ). The tensile strain at maximum load for CBL-8 is significantly lower than that of SBL-3 (600% vs. 400%). The Young's modulus at 100% extension follows a similar trend as ultimate tensile strength, with the SBL-3 having significantly higher Young's modulus compared to both CBL-8 and resistance layer control (FIG. 30 ). - In terms of bulk mechanical properties, SBL-3 has higher ultimate tensile strength, tensile train at break and Young's modulus than CBL-8. In terms of solvent pairs used in polymer synthesis, SBL-3 made with THF/EtOH has stronger mechanical properties than SBL-3 made with THF/IPA solvent pair. In addition, dry SBL-3 with high solution viscosity (>90 cps in THF/EtOH at 10.5 wt % solid content) demonstrated improved film mechanical properties than the resistance layer control.
- The mechanisms of protein adsorption and antifouling properties of the biointerface layer were explored. The use of zwitterions embedded within and physically, rather than covalently, contained in a polymer are believed to work via the migration of these hydrophilic species to the interface between the polymer and the environment. Biointerface layer made from SBL-10 was tested by X-ray photoelectron spectroscopy (XPS) in a dry state and after soaking. It was found that the atomic concentration of Sulfur on the SBL-10 coated surface of sensor tip did not increase before soaking (dry state, 0.3%) and after soaking (0.2%), which indicate there was no migration to the surface of the zwitterionic segments in the polymer chain (
FIG. 13 ). Thus, while not wishing to be bound by theory, it is believed that the biointerface layer creates a loosely bonded water layer at the surface which prevents the adsorption of proteins and cells (FIG. 12 ). - As another theory for the antifouling characteristics of the disclosed biointerface layers, the swelling ability of the biointerface layer. The ability of the disclosed biointerface layer to swell from 50 to 400% is illustrated in
FIG. 16 . While not wishing to be bound by theory, the ability to swell at the site of implant is believed to fill in void spaces, helping exclude cells, proteins, and cytokines from the cite that may contribute to fouling. - The amount of protein adsorption was determined for a continuous glucose sensor having no biointerface layer, a continuous glucose sensor having a polyurethaneurea with betaines in the main polymer chain, and a continuous glucose sensor having polyurethaneurea with betaines at only the ends of the polymer chain. Fluorescently conjugated constructs of bovine serum albumin and human fibrinogen were incubated with these sensor configurations for 1 hr. These sensors were then washed in DPBS and imaged as a z-stack on a laser scanning confocal. Maximum intensity projections were made of this image stack and the fluorescent intensities of protein adsorbed on the outer membrane above the sensor active electrode region was measured and the results (a.u.) are shown in
FIG. 19 . A similar test was performed using polymers SBL-1, SBL-3, and SBL-10, as compared to a silicone polycarbonate urethane layer (RL-1) and a silicone-free polycarbonate urethane layer (RL-2) (seeFIG. 20 ). The data show that having the betaine groups within the polymer chain resulted in significantly less protein adsorption than when the betaine groups are on the ends of the polymer chains. - The protein results were confirmed using an in vitro on sensor assay using the micro-bca extraction method. Sensors were placed into human plasma for 1 hr. The protein adsorbed on the surface was extracted with a detergent solution and was tested for total protein using the micro-BCA (bicinchoninic acid assay). Again it was found that the biointerface polymers SBL-3 and SBL-10 resulted in significant reductions in total protein adsorption as compared to sensors without a biointerface layer (
FIG. 21 ). - Normalized protein adsorption of BSA or fibrinogen for sensors without a biointerface layer (RL-1 and RL-2), a sensor without betaines or PEG in the backbone (RL-7), and sensors with biointerface layers SBL-3, crosslinked versions of SBL-10, SBL-8, and SBL-9 (XSBL-10, XSL-8, and XSL-9, respectively), and crosslinked and uncrosslinked versions of SBL-3 where the sulfobetaines have been replaced with carboxylbetains (XCBL-3 and CBL-3, respectively). The significant reduction in protein adsorption with the biointerface layers is evident (
FIG. 22 ). Z-stack images of certain polymers were taken in skive region of these sensors (FIG. 31 ). Both SBL-3 and CBL-8 performed very well and have minimal protein adsorption to their surfaces (indicated in green) compared to both RL-7 (non-betaine control) and a resistance layer.FIG. 32 provides the quantification results based on images inFIG. 31 . - Both carboxyl and sulfo-betaine type coatings evaluated on spin-coated glass discs and dip coated onto sensors had protein adsorption that was significantly less than both non-betaine and non-coated RL controls.
- The thicknesses of fibrous capsules were also measured. Fibrous capsules are a step in the biomaterial-associated inflammation response. It was found that the thickness of fibrous capsules was approximately 26% less when using a biointerface polymer (SBL-3) versus no biointerface layer (
FIG. 23 ). - The stability of the biointerface layer after 14 days in vivo was visually confirmed. The layer before implant can be compared to SBL-3 (middle-row) and SBL-10 (bottom row). The SBL-10 showed more degradation than SBL-3 (
FIG. 24 ). - The raw counts of data from continuous glucose sensors were plotted at
day 2 andday 14. It was found that without the biointerface layer, there was a greater difference between sensors atday 14 than with sensors that had the biointerface layer. This data suggests that biofouling was a more significant factor, leading to more variance in the measurements, when no biointerface layer is used (FIG. 25 ). - An ambulatory pig model was developed for the in vivo assessment of sensor performance. Using hair-less Yucatan pigs, sensors and wearable pods were adhered to their skin, which is similar to humans. Two 10 french external vascular access ports that allow infusion and withdrawal of fluids and blood from central venous circulation were installed into the descending right/left jugular veins. Animals were allowed to recover for 5-7 days before study. Pigs were induced with 5% isoflurane using Surgivet anesthesia machine for 5-10 minutes. Pigs were maintained at 2.5%-4% isoflurane during the duration of the sensor insertion. A pulse oximeter was used to track pig telemetry and pO2. The pigs' skin was cleaned using soap and chlorohexidine surgical scrub. The pigs' skin was then cleaned with alcohol gauze and then prepared with skin tac and allowed to air dry. The sensor was inserted and active transmitter in logging mode was snapped in. Animal patch overlays were used to secure the patch to the skin for long duration wear. Tegaderm (4″ inch wide) was used to protect patch edges from lifting and waterproofing all sensors.
- A 25% dextrose bag was prepared from 0.9% saline bag mixed (1000 mL) with 50% dextrose. Baseline measurements were taken from sampling blood from the vascular access ports. The 25% dextrose bag was hooked up to infuse the vascular access port and started at a basal drip rate of 1-1.5 drops per second. Measurements were taken every 10 minutes for the duration of the excursion. Data was downloaded from transmitters and data was processed in MATLAB for time lag, sensitivity, noise, EOL, and MARD. There was minimal differences between groups in terms of time lag improvement, slope stability, and MARD calculation. Thus the biointerface layers do not affect cal-check or constant drift profiles. Further SBL-3 exhibits lowest levels of noise compared to CBL-8 and SBL-3 groups (
FIG. 27 ). There are no apparent detriments in performance between groups in terms of time lag, slope, or MARD. - A fluorescent dye labeled polyurethaneurea (FPUU) was synthesized by two step polycondensation reaction using erythrosine B dye (0.21 wt. %). The FPUU can be made in ethyl acetate and isopropanol mixed solvent and form homogeneous transparent red solution. The polymer can be precipitated in hexane. The polymer precipitation has strong bright red color, while the supernatant hexane is colorless transparent, which indicate that all the dye was covalently incorporated into polymer. After soaking the polymers in water for one week, no free dye leached out.
- The biointerface polymer is a polyurethaneurea that was synthesized via a two-step polycondensation reaction. In the first step, a homogeneous polyurethane prepolymer with isocyanate end groups on both prepolymer chain ends was prepared. In the second step, a small molecular diamine were used as chain extenders. These diamines react with prepolymer in dilute solution to obtain well-defined polyurethaneurea with high molecular weight.
- Using SBL-8 as a representative example, the prepolymer was prepared by adding isophorone diisocyanate (IPDI), polyethylene oxide diol (YMER™ N120), polycarbonate diol (Ravecarb 107 polycarbonate diol), and sulfobetaine prepolymer into a dry 200 mL reaction jar fitted with a nitrogen sparge tube and a mechanical stirrer at room temperature. The reaction was heated to 65° C. for 30 min under nitrogen with mechanical stirring (200 rpm) until all the reactants dissolved. 400 ppm of catalyst were added into the reaction, which was kept at 65° C. for 1 h. The reaction temperature was raised to 85° C. and kept for 3 h until no bubbles were observed in the reaction mixture. The reaction mixture was allowed to stir for an additional 2 h at 100° C. to complete the formation of the prepolymer. The viscous prepolymer was cooled to 50° C. and dissolved in ethyl acetate to form a transparent solution.
- For the chain extension step, isophorone diamines were used as chain extenders and were added to a dry 700 mL reaction jar equipped with a mechanical stirrer and diluted with ethyl acetate/isopropanol solvent mixture. The polyurethane prepolymer solution was added dropwise into the chain extender solution at room temperature under aggressive stirring (600 rpm). During the addition of chain extender solution, certain amount of solvent mixture (ethyl acetate/isopropanol) was added into the reaction mixture to maintain the reaction mixture at a suitable viscosity. After adding all the prepolymer solution into the jar, the reaction mixture was kept stirring for additional 5 h at room temperature to complete the chain extension. Similar procedures can be followed in order to provide other biointerface polymers, as detailed herein.
- Methods and devices that are suitable for use in conjunction with aspects of the preferred embodiments are disclosed in U.S. Pat. No. 4,757,022; U.S. Pat. No. 4,994,167; U.S. Pat. No. 6,001,067; U.S. Pat. No. 6,558,321; U.S. Pat. No. 6,702,857; U.S. Pat. No. 6,741,877; U.S. Pat. No. 6,862,465; U.S. Pat. No. 6,931,327; U.S. Pat. No. 7,074,307; U.S. Pat. No. 7,081,195; U.S. Pat. No. 7,108,778; U.S. Pat. No. 7,110,803; U.S. Pat. No. 7,134,999; U.S. Pat. No. 7,136,689; U.S. Pat. No. 7,192,450; U.S. Pat. No. 7,226,978; U.S. Pat. No. 7,276,029; U.S. Pat. No. 7,310,544; U.S. Pat. No. 7,364,592; U.S. Pat. No. 7,366,556; U.S. Pat. No. 7,379,765; U.S. Pat. No. 7,424,318; U.S. Pat. No. 7,460,898; U.S. Pat. No. 7,467,003; U.S. Pat. No. 7,471,972; U.S. Pat. No. 7,494,465; U.S. Pat. No. 7,497,827; U.S. Pat. No. 7,519,408; U.S. Pat. No. 7,583,990; U.S. Pat. No. 7,591,801; U.S. Pat. No. 7,599,726; U.S. Pat. No. 7,613,491; U.S. Pat. No. 7,615,007; U.S. Pat. No. 7,632,228; U.S. Pat. No. 7,637,868; U.S. Pat. No. 7,640,048; U.S. Pat. No. 7,651,596; U.S. Pat. No. 7,654,956; U.S. Pat. No. 7,657,297; U.S. Pat. No. 7,711,402; U.S. Pat. No. 7,713,574; U.S. Pat. No. 7,715,893; U.S. Pat. No. 7,761,130; U.S. Pat. No. 7,771,352; U.S. Pat. No. 7,774,145; U.S. Pat. No. 7,775,975; U.S. Pat. No. 7,778,680; U.S. Pat. No. 7,783,333; U.S. Pat. No. 7,792,562; U.S. Pat. No. 7,797,028; U.S. Pat. No. 7,826,981; U.S. Pat. No. 7,828,728; U.S. Pat. No. 7,831,287; U.S. Pat. No. 7,835,777; U.S. Pat. No. 7,857,760; U.S. Pat. No. 7,860,545; U.S. Pat. No. 7,875,293; U.S. Pat. No. 7,881,763; U.S. Pat. No. 7,885,697; U.S. Pat. No. 7,896,809; U.S. Pat. No. 7,899,511; U.S. Pat. No. 7,901,354; U.S. Pat. No. 7,905,833; U.S. Pat. No. 7,914,450; U.S. Pat. No. 7,917,186; U.S. Pat. No. 7,920,906; U.S. Pat. No. 7,925,321; U.S. Pat. No. 7,927,274; U.S. Pat. No. 7,933,639; U.S. Pat. No. 7,935,057; U.S. Pat. No. 7,946,984; U.S. Pat. No. 7,949,381; U.S. Pat. No. 7,955,261; U.S. Pat. No. 7,959,569; U.S. Pat. No. 7,970,448; U.S. Pat. No. 7,974,672; U.S. Pat. No. 7,976,492; U.S. Pat. No. 7,979,104; U.S. Pat. No. 7,986,986; U.S. Pat. No. 7,998,071; U.S. Pat. No. 8,000,901; U.S. Pat. No. 8,005,524; U.S. Pat. No. 8,005,525; U.S. Pat. No. 8,010,174; U.S. Pat. No. 8,027,708; U.S. Pat. No. 8,050,731; U.S. Pat. No. 8,052,601; U.S. Pat. No. 8,053,018; U.S. Pat. No. 8,060,173; U.S. Pat. No. 8,060,174; U.S. Pat. No. 8,064,977; U.S. Pat. No. 8,073,519; U.S. Pat. No. 8,073,520; U.S. Pat. No. 8,118,877; U.S. Pat. No. 8,128,562; U.S. Pat. No. 8,133,178; U.S. Pat. No. 8,150,488; U.S. Pat. No. 8,155,723; U.S. Pat. No. 8,160,669; U.S. Pat. No. 8,160,671; U.S. Pat. No. 8,167,801; U.S. Pat. No. 8,170,803; U.S. Pat. No. 8,195,265; U.S. Pat. No. 8,206,297; U.S. Pat. No. 8,216,139; U.S. Pat. No. 8,229,534; U.S. Pat. No. 8,229,535; U.S. Pat. No. 8,229,536; U.S. Pat. No. 8,231,531; U.S. Pat. No. 8,233,958; U.S. Pat. No. 8,233,959; U.S. Pat. No. 8,249,684; U.S. Pat. No. 8,251,906; U.S. Pat. No. 8,255,030; U.S. Pat. No. 8,255,032; U.S. Pat. No. 8,255,033; U.S. Pat. No. 8,257,259; U.S. Pat. No. 8,260,393; U.S. Pat. No. 8,265,725; U.S. Pat. No. 8,275,437; U.S. Pat. No. 8,275,438; U.S. Pat. No. 8,277,713; U.S. Pat. No. 8,280,475; U.S. Pat. No. 8,282,549; U.S. Pat. No. 8,282,550; U.S. Pat. No. 8,285,354; U.S. Pat. No. 8,287,453; U.S. Pat. No. 8,290,559; U.S. Pat. No. 8,290,560; U.S. Pat. No. 8,290,561; U.S. Pat. No. 8,290,562; U.S. Pat. No. 8,292,810; U.S. Pat. No. 8,298,142; U.S. Pat. No. 8,311,749; U.S. Pat. No. 8,313,434; U.S. Pat. No. 8,321,149; U.S. Pat. No. 8,332,008; U.S. Pat. No. 8,346,338; U.S. Pat. No. 8,364,229; U.S. Pat. No. 8,369,919; U.S. Pat. No. 8,374,667; U.S. Pat. No. 8,386,004; and U.S. Pat. No. 8,394,021.
- Methods and devices that are suitable for use in conjunction with aspects of the preferred embodiments are disclosed in U.S. Patent Publication No. 2003-0032874-A1; U.S. Patent Publication No. 2005-0176136-A1; U.S. Patent Publication No. 2005-0182451-A1; U.S. Patent Publication No. 2005-0245799-A1; U.S. Patent Publication No. 2005-0033132-A1; U.S. Patent Publication No. 2005-0051427-A1; U.S. Patent Publication No. 2005-0056552-A1; U.S. Patent Publication No. 2005-0090607-A1; U.S. Patent Publication No. 2006-0015020-A1; U.S. Patent Publication No. 2006-0016700-A1; U.S. Patent Publication No. 2006-0020188-A1; U.S. Patent Publication No. 2006-0020190-A1; U.S. Patent Publication No. 2006-0020191-A1; U.S. Patent Publication No. 2006-0020192-A1; U.S. Patent Publication No. 2006-0036140-A1; U.S. Patent Publication No. 2006-0036143-A1; U.S. Patent Publication No. 2006-0040402-A1; U.S. Patent Publication No. 2006-0068208-A1; U.S. Patent Publication No. 2006-0142651-A1; U.S. Patent Publication No. 2006-0155180-A1; U.S. Patent Publication No. 2006-0198864-A1; U.S. Patent Publication No. 2006-0200020-A1; U.S. Patent Publication No. 2006-0200022-A1; U.S. Patent Publication No. 2006-0200970-A1; U.S. Patent Publication No. 2006-0204536-A1; U.S. Patent Publication No. 2006-0224108-A1; U.S. Patent Publication No. 2006-0235285-A1; U.S. Patent Publication No. 2006-0249381-A1; U.S. Patent Publication No. 2006-0252027-A1; U.S. Patent Publication No. 2006-0253012-A1; U.S. Patent Publication No. 2006-0257995-A1; U.S. Patent Publication No. 2006-0258761-A1; U.S. Patent Publication No. 2006-0263763-A1; U.S. Patent Publication No. 2006-0270922-A1; U.S. Patent Publication No. 2006-0270923-A1; U.S. Patent Publication No. 2007-0027370-A1; U.S. Patent Publication No. 2007-0032706-A1; U.S. Patent Publication No. 2007-0032718-A1; U.S. Patent Publication No. 2007-0045902-A1; U.S. Patent Publication No. 2007-0059196-A1; U.S. Patent Publication No. 2007-0066873-A1; U.S. Patent Publication No. 2007-0173709-A1; U.S. Patent Publication No. 2007-0173710-A1; U.S. Patent Publication No. 2007-0208245-A1; U.S. Patent Publication No. 2007-0208246-A1; U.S. Patent Publication No. 2007-0232879-A1; U.S. Patent Publication No. 2008-0045824-A1; U.S. Patent Publication No. 2008-0083617-A1; U.S. Patent Publication No. 2008-0086044-A1; U.S. Patent Publication No. 2008-0108942-A1; U.S. Patent Publication No. 2008-0119703-A1; U.S. Patent Publication No. 2008-0119704-A1; U.S. Patent Publication No. 2008-0119706-A1; U.S. Patent Publication No. 2008-0183061-A1; U.S. Patent Publication No. 2008-0183399-A1; U.S. Patent Publication No. 2008-0188731-A1; U.S. Patent Publication No. 2008-0189051-A1; U.S. Patent Publication No. 2008-0194938-A1; U.S. Patent Publication No. 2008-0197024-A1; U.S. Patent Publication No. 2008-0200788-A1; U.S. Patent Publication No. 2008-0200789-A1; U.S. Patent Publication No. 2008-0200791-A1; U.S. Patent Publication No. 2008-0214915-A1; U.S. Patent Publication No. 2008-0228054-A1; U.S. Patent Publication No. 2008-0242961-A1; U.S. Patent Publication No. 2008-0262469-A1; U.S. Patent Publication No. 2008-0275313-A1; U.S. Patent Publication No. 2008-0287765-A1; U.S. Patent Publication No. 2008-0306368-A1; U.S. Patent Publication No. 2008-0306434-A1; U.S. Patent Publication No. 2008-0306435-A1; U.S. Patent Publication No. 2008-0306444-A1; U.S. Patent Publication No. 2009-0018424-A1; U.S. Patent Publication No. 2009-0030294-A1; U.S. Patent Publication No. 2009-0036758-A1; U.S. Patent Publication No. 2009-0036763-A1; U.S. Patent Publication No. 2009-0043181-A1; U.S. Patent Publication No. 2009-0043182-A1; U.S. Patent Publication No. 2009-0043525-A1; U.S. Patent Publication No. 2009-0045055-A1; U.S. Patent Publication No. 2009-0062633-A1; U.S. Patent Publication No. 2009-0062635-A1; U.S. Patent Publication No. 2009-0076360-A1; U.S. Patent Publication No. 2009-0099436-A1; U.S. Patent Publication No. 2009-0124877-A1; U.S. Patent Publication No. 2009-0124879-A1; U.S. Patent Publication No. 2009-0124964-A1; U.S. Patent Publication No. 2009-0131769-A1; U.S. Patent Publication No. 2009-0131777-A1; U.S. Patent Publication No. 2009-0137886-A1; U.S. Patent Publication No. 2009-0137887-A1; U.S. Patent Publication No. 2009-0143659-A1; U.S. Patent Publication No. 2009-0143660-A1; U.S. Patent Publication No. 2009-0156919-A1; U.S. Patent Publication No. 2009-0163790-A1; U.S. Patent Publication No. 2009-0178459-A1; U.S. Patent Publication No. 2009-0192366-A1; U.S. Patent Publication No. 2009-0192380-A1; U.S. Patent Publication No. 2009-0192722-A1; U.S. Patent Publication No. 2009-0192724-A1; U.S. Patent Publication No. 2009-0192751-A1; U.S. Patent Publication No. 2009-0203981-A1; U.S. Patent Publication No. 2009-0216103-A1; U.S. Patent Publication No. 2009-0240120-A1; U.S. Patent Publication No. 2009-0240193-A1; U.S. Patent Publication No. 2009-0242399-A1; U.S. Patent Publication No. 2009-0242425-A1; U.S. Patent Publication No. 2009-0247855-A1; U.S. Patent Publication No. 2009-0247856-A1; U.S. Patent Publication No. 2009-0287074-A1; U.S. Patent Publication No. 2009-0299155-A1; U.S. Patent Publication No. 2009-0299156-A1; U.S. Patent Publication No. 2009-0299162-A1; U.S. Patent Publication No. 2010-0010331-A1; U.S. Patent Publication No. 2010-0010332-A1; U.S. Patent Publication No. 2010-0016687-A1; U.S. Patent Publication No. 2010-0016698-A1; U.S. Patent Publication No. 2010-0030484-A1; U.S. Patent Publication No. 2010-0331644 A1; U.S. Patent Publication No. 2010-0036215-A1; U.S. Patent Publication No. 2010-0036225-A1; U.S. Patent Publication No. 2010-0041971-A1; U.S. Patent Publication No. 2010-0045465-A1; U.S. Patent Publication No. 2010-0049024-A1; U.S. Patent Publication No. 2010-0076283-A1; U.S. Patent Publication No. 2010-0081908-A1; U.S. Patent Publication No. 2010-0081910-A1; U.S. Patent Publication No. 2010-0087724-A1; U.S. Patent Publication No. 2010-0096259-A1; U.S. Patent Publication No. 2010-0121169-A1; U.S. Patent Publication No. 2010-0161269-A1; U.S. Patent Publication No. 2010-0168540-A1; U.S. Patent Publication No. 2010-0168541-A1; U.S. Patent Publication No. 2010-0168542-A1; U.S. Patent Publication No. 2010-0168543-A1; U.S. Patent Publication No. 2010-0168544-A1; U.S. Patent Publication No. 2010-0168545-A1; U.S. Patent Publication No. 2010-0168546-A1; U.S. Patent Publication No. 2010-0168657-A1; U.S. Patent Publication No. 2010-0174157-A1; U.S. Patent Publication No. 2010-0174158-A1; U.S. Patent Publication No. 2010-0174163-A1; U.S. Patent Publication No. 2010-0174164-A1; U.S. Patent Publication No. 2010-0174165-A1; U.S. Patent Publication No. 2010-0174166-A1; U.S. Patent Publication No. 2010-0174167-A1; U.S. Patent Publication No. 2010-0179401-A1; U.S. Patent Publication No. 2010-0179402-A1; U.S. Patent Publication No. 2010-0179404-A1; U.S. Patent Publication No. 2010-0179408-A1; U.S. Patent Publication No. 2010-0179409-A1; U.S. Patent Publication No. 2010-0185065-A1; U.S. Patent Publication No. 2010-0185069-A1; U.S. Patent Publication No. 2010-0185070-A1; U.S. Patent Publication No. 2010-0185071-A1; U.S. Patent Publication No. 2010-0185075-A1; U.S. Patent Publication No. 2010-0191082-A1; U.S. Patent Publication No. 2010-0198035-A1; U.S. Patent Publication No. 2010-0198036-A1; U.S. Patent Publication No. 2010-0212583-A1; U.S. Patent Publication No. 2010-0217557-A1; U.S. Patent Publication No. 2010-0223013-A1; U.S. Patent Publication No. 2010-0223022-A1; U.S. Patent Publication No. 2010-0223023-A1; U.S. Patent Publication No. 2010-0228109-A1; U.S. Patent Publication No. 2010-0228497-A1; U.S. Patent Publication No. 2010-0240975-A1; U.S. Patent Publication No. 2010-0240976 C1; U.S. Patent Publication No. 2010-0261987-A1; U.S. Patent Publication No. 2010-0274107-A1; U.S. Patent Publication No. 2010-0280341-A1; U.S. Patent Publication No. 2010-0286496-A1; U.S. Patent Publication No. 2010-0298684-A1; U.S. Patent Publication No. 2010-0324403-A1; U.S. Patent Publication No. 2010-0331656-A1; U.S. Patent Publication No. 2010-0331657-A1; U.S. Patent Publication No. 2011-0004085-A1; U.S. Patent Publication No. 2011-0009727-A1; U.S. Patent Publication No. 2011-0024043-A1; U.S. Patent Publication No. 2011-0024307-A1; U.S. Patent Publication No. 2011-0027127-A1; U.S. Patent Publication No. 2011-0027453-A1; U.S. Patent Publication No. 2011-0027458-A1; U.S. Patent Publication No. 2011-0028815-A1; U.S. Patent Publication No. 2011-0028816-A1; U.S. Patent Publication No. 2011-0046467-A1; U.S. Patent Publication No. 2011-0077490-A1; U.S. Patent Publication No. 2011-0118579-A1; U.S. Patent Publication No. 2011-0124992-A1; U.S. Patent Publication No. 2011-0125410-A1; U.S. Patent Publication No. 2011-0130970-A1; U.S. Patent Publication No. 2011-0130971-A1; U.S. Patent Publication No. 2011-0130998-A1; U.S. Patent Publication No. 2011-0144465-A1; U.S. Patent Publication No. 2011-0178378-A1; U.S. Patent Publication No. 2011-0190614-A1; U.S. Patent Publication No. 2011-0201910-A1; U.S. Patent Publication No. 2011-0201911-A1; U.S. Patent Publication No. 2011-0218414-A1; U.S. Patent Publication No. 2011-0231140-A1; U.S. Patent Publication No. 2011-0231141-A1; U.S. Patent Publication No. 2011-0231142-A1; U.S. Patent Publication No. 2011-0253533-A1; U.S. Patent Publication No. 2011-0263958-A1; U.S. Patent Publication No. 2011-0270062-A1; U.S. Patent Publication No. 2011-0270158-A1; U.S. Patent Publication No. 2011-0275919-A1; U.S. Patent Publication No. 2011-0290645-A1; U.S. Patent Publication No. 2011-0313543-A1; U.S. Patent Publication No. 2011-0320130-A1; U.S. Patent Publication No. 2012-0035445-A1; U.S. Patent Publication No. 2012-0040101-A1; U.S. Patent Publication No. 2012-0046534-A1; U.S. Patent Publication No. 2012-0078071-A1; U.S. Patent Publication No. 2012-0108934-A1; U.S. Patent Publication No. 2012-0130214-A1; U.S. Patent Publication No. 2012-0172691-A1; U.S. Patent Publication No. 2012-0179014-A1; U.S. Patent Publication No. 2012-0186581-A1; U.S. Patent Publication No. 2012-0190953-A1; U.S. Patent Publication No. 2012-0191063-A1; U.S. Patent Publication No. 2012-0203467-A1; U.S. Patent Publication No. 2012-0209098-A1; U.S. Patent Publication No. 2012-0215086-A1; U.S. Patent Publication No. 2012-0215087-A1; U.S. Patent Publication No. 2012-0215201-A1; U.S. Patent Publication No. 2012-0215461-A1; U.S. Patent Publication No. 2012-0215462-A1; U.S. Patent Publication No. 2012-0215496-A1; U.S. Patent Publication No. 2012-0220979-A1; U.S. Patent Publication No. 2012-0226121-A1; U.S. Patent Publication No. 2012-0228134-A1; U.S. Patent Publication No. 2012-0238852-A1; U.S. Patent Publication No. 2012-0245448-A1; U.S. Patent Publication No. 2012-0245855-A1; U.S. Patent Publication No. 2012-0255875-A1; U.S. Patent Publication No. 2012-0258748-A1; U.S. Patent Publication No. 2012-0259191-A1; U.S. Patent Publication No. 2012-0260323-A1; U.S. Patent Publication No. 2012-0262298-A1; U.S. Patent Publication No. 2012-0265035-A1; U.S. Patent Publication No. 2012-0265036-A1; U.S. Patent Publication No. 2012-0265037-A1; U.S. Patent Publication No. 2012-0277562-A1; U.S. Patent Publication No. 2012-0277566-A1; U.S. Patent Publication No. 2012-0283541-A1; U.S. Patent Publication No. 2012-0283543-A1; U.S. Patent Publication No. 2012-0296311-A1; U.S. Patent Publication No. 2012-0302854-A1; U.S. Patent Publication No. 2012-0302855-A1; U.S. Patent Publication No. 2012-0323100-A1; U.S. Patent Publication No. 2013-0012798-A1; U.S. Patent Publication No. 2013-0030273-A1; U.S. Patent Publication No. 2013-0035575-A1; U.S. Patent Publication No. 2013-0035865-A1; U.S. Patent Publication No. 2013-0035871-A1; U.S. Patent Publication No. 2013-0053665-A1; U.S. Patent Publication No. 2013-0053666-A1; US. Patent Publication No. 2013-0060112-A1; US. Patent Publication No. 2013-0078912-A1; US. Patent Publication No. 2013-0076531-A1; US. Patent Publication No. 2013-0076532-A1; US. Patent Publication No. 2013-0131478-A1; US. Patent Publication No. 2013-150692-A1; U.S. Patent Publication No. 2014-0094671-A1; US. Patent Publication No. 2014-0005508-A1; US. Patent Publication No. 2014-0118166-A1; US. Patent Publication No. 2014-0118138-A1; US. Patent Publication No. 2014-0188402-A1; US. Patent Publication No. 2014-0182350-A1; and US. Patent Publication No. 2014-0275896-A1.
- Methods and devices that are suitable for use in conjunction with aspects of the preferred embodiments are disclosed in U.S. application Ser. No. 09/447,227 filed on Nov. 22, 1999 and entitled “DEVICE AND METHOD FOR DETERMINING ANALYTE LEVELS,” and U.S. application Ser. No. 13/461,625 filed on May 1, 2012 and entitled “DUAL ELECTRODE SYSTEM FOR A CONTINUOUS ANALYTE SENSOR.”
- For ease of explanation and illustration, in some instances the detailed description describes exemplary systems and methods in terms of a continuous glucose monitoring environment; however it should be understood that the scope of the invention is not limited to that particular environment, and that one skilled in the art will appreciate that the systems and methods described herein can be embodied in various forms. Accordingly any structural and/or functional details disclosed herein are not to be interpreted as limiting the systems and methods, but rather are provided as attributes of a representative embodiment and/or arrangement for teaching one skilled in the art one or more ways to implement the systems and methods, which may be advantageous in other contexts.
- For example, and without limitation, described monitoring systems and methods may include sensors that measure the concentration of one or more analytes (for instance glucose, lactate, potassium, pH, cholesterol, isoprene, and/or hemoglobin) and/or other blood or bodily fluid constituents of or relevant to a host and/or another party.
- By way of example, and without limitation, monitoring system and method embodiments described herein may include finger-stick blood sampling, blood analyte test strips, non-invasive sensors, wearable monitors (e.g. smart bracelets, smart watches, smart rings, smart necklaces or pendants, workout monitors, fitness monitors, health and/or medical monitors, clip-on monitors, and the like), adhesive sensors, smart textiles and/or clothing incorporating sensors, shoe inserts and/or insoles that include sensors, transdermal (i.e. transcutaneous) sensors, and/or swallowed, inhaled or implantable sensors.
- In some embodiments, and without limitation, monitoring systems and methods may comprise other sensors instead of or in additional to the sensors described herein, such as inertial measurement units including accelerometers, gyroscopes, magnetometers and/or barometers; motion, altitude, position, and/or location sensors; biometric sensors; optical sensors including for instance optical heart rate monitors, photoplethysmogram (PPG)/pulse oximeters, fluorescence monitors, and cameras; wearable electrodes; electrocardiogram (EKG or ECG), electroencephalography (EEG), and/or electromyography (EMG) sensors; chemical sensors; flexible sensors for instance for measuring stretch, displacement, pressure, weight, or impact; galvanometric sensors, capacitive sensors, electric field sensors, temperature/thermal sensors, microphones, vibration sensors, ultrasound sensors, piezoelectric/piezoresistive sensors, and/or transducers for measuring information of or relevant to a host and/or another party.
- While the disclosure has been illustrated and described in detail in the drawings and foregoing description, such illustration and description are to be considered illustrative or exemplary and not restrictive. The disclosure is not limited to the disclosed embodiments. Variations to the disclosed embodiments can be understood and effected by those skilled in the art in practicing the claimed disclosure, from a study of the drawings, the disclosure and the appended claims.
- All references cited herein are incorporated herein by reference in their entirety. To the extent publications and patents or patent applications incorporated by reference contradict the disclosure contained in the specification, the specification is intended to supersede and/or take precedence over any such contradictory material.
- Unless otherwise defined, all terms (including technical and scientific terms) are to be given their ordinary and customary meaning to a person of ordinary skill in the art, and are not to be limited to a special or customized meaning unless expressly so defined herein. It should be noted that the use of particular terminology when describing certain features or aspects of the disclosure should not be taken to imply that the terminology is being re-defined herein to be restricted to include any specific characteristics of the features or aspects of the disclosure with which that terminology is associated. Terms and phrases used in this application, and variations thereof, especially in the appended claims, unless otherwise expressly stated, should be construed as open ended as opposed to limiting. As examples of the foregoing, the term ‘including’ should be read to mean ‘including, without limitation,’ ‘including but not limited to,’ or the like; the term ‘comprising’ as used herein is synonymous with ‘including,’ ‘containing,’ or ‘characterized by,’ and is inclusive or open-ended and does not exclude additional, unrecited elements or method steps; the term ‘having’ should be interpreted as ‘having at least;’ the term ‘includes’ should be interpreted as ‘includes but is not limited to;’ the term ‘example’ is used to provide exemplary instances of the item in discussion, not an exhaustive or limiting list thereof; adjectives such as ‘known’, ‘normal’, ‘standard’, and terms of similar meaning should not be construed as limiting the item described to a given time period or to an item available as of a given time, but instead should be read to encompass known, normal, or standard technologies that may be available or known now or at any time in the future; and use of terms like ‘preferably,’ ‘preferred,’ ‘desired,’ or ‘desirable,’ and words of similar meaning should not be understood as implying that certain features are critical, essential, or even important to the structure or function of the invention, but instead as merely intended to highlight alternative or additional features that may or may not be utilized in a particular embodiment of the invention. Likewise, a group of items linked with the conjunction ‘and’ should not be read as requiring that each and every one of those items be present in the grouping, but rather should be read as ‘and/or’ unless expressly stated otherwise. Similarly, a group of items linked with the conjunction ‘or’ should not be read as requiring mutual exclusivity among that group, but rather should be read as ‘and/or’ unless expressly stated otherwise.
- Where a range of values is provided, it is understood that the upper and lower limit, and each intervening value between the upper and lower limit of the range is encompassed within the embodiments.
- With respect to the use of substantially any plural and/or singular terms herein, those having skill in the art can translate from the plural to the singular and/or from the singular to the plural as is appropriate to the context and/or application. The various singular/plural permutations may be expressly set forth herein for sake of clarity. The indefinite article “a” or “an” does not exclude a plurality. A single processor or other unit may fulfill the functions of several items recited in the claims. The mere fact that certain measures are recited in mutually different dependent claims does not indicate that a combination of these measures cannot be used to advantage. Any reference signs in the claims should not be construed as limiting the scope.
- It will be further understood by those within the art that if a specific number of an introduced claim recitation is intended, such an intent will be explicitly recited in the claim, and in the absence of such recitation no such intent is present. For example, as an aid to understanding, the following appended claims may contain usage of the introductory phrases “at least one” and “one or more” to introduce claim recitations. However, the use of such phrases should not be construed to imply that the introduction of a claim recitation by the indefinite articles “a” or “an” limits any particular claim containing such introduced claim recitation to embodiments containing only one such recitation, even when the same claim includes the introductory phrases “one or more” or “at least one” and indefinite articles such as “a” or “an” (e.g., “a” and/or “an” should typically be interpreted to mean “at least one” or “one or more”); the same holds true for the use of definite articles used to introduce claim recitations. In addition, even if a specific number of an introduced claim recitation is explicitly recited, those skilled in the art will recognize that such recitation should typically be interpreted to mean at least the recited number (e.g., the bare recitation of “two recitations,” without other modifiers, typically means at least two recitations, or two or more recitations). Furthermore, in those instances where a convention analogous to “at least one of A, B, and C, etc.” is used, in general such a construction is intended in the sense one having skill in the art would understand the convention (e.g., “a system having at least one of A, B, and C” would include but not be limited to systems that have A alone, B alone, C alone, A and B together, A and C together, B and C together, and/or A, B, and C together, etc.). In those instances where a convention analogous to “at least one of A, B, or C, etc.” is used, in general such a construction is intended in the sense one having skill in the art would understand the convention (e.g., “a system having at least one of A, B, or C” would include but not be limited to systems that have A alone, B alone, C alone, A and B together, A and C together, B and C together, and/or A, B, and C together, etc.). It will be further understood by those within the art that virtually any disjunctive word and/or phrase presenting two or more alternative terms, whether in the description, claims, or drawings, should be understood to contemplate the possibilities of including one of the terms, either of the terms, or both terms. For example, the phrase “A or B” will be understood to include the possibilities of “A” or “B” or “A and B.”
- All numbers expressing quantities of ingredients, reaction conditions, and so forth used in the specification are to be understood as being modified in all instances by the term ‘about.’ Accordingly, unless indicated to the contrary, the numerical parameters set forth herein are approximations that may vary depending upon the desired properties sought to be obtained. At the very least, and not as an attempt to limit the application of the doctrine of equivalents to the scope of any claims in any application claiming priority to the present application, each numerical parameter should be construed in light of the number of significant digits and ordinary rounding approaches.
- Furthermore, although the foregoing has been described in some detail by way of illustrations and examples for purposes of clarity and understanding, it is apparent to those skilled in the art that certain changes and modifications may be practiced. Therefore, the description and examples should not be construed as limiting the scope of the invention to the specific embodiments and examples described herein, but rather to also cover all modification and alternatives coming with the true scope and spirit of the invention.
Claims (28)
Priority Applications (3)
| Application Number | Priority Date | Filing Date | Title |
|---|---|---|---|
| US15/394,764 US20170188905A1 (en) | 2015-12-30 | 2016-12-29 | Biointerface layer for analyte sensors |
| US18/516,661 US12366548B2 (en) | 2015-12-30 | 2023-11-21 | Analyte sensor |
| US19/257,167 US20260009759A1 (en) | 2015-12-30 | 2025-07-01 | Analyte sensor |
Applications Claiming Priority (5)
| Application Number | Priority Date | Filing Date | Title |
|---|---|---|---|
| US201562273142P | 2015-12-30 | 2015-12-30 | |
| US201562273155P | 2015-12-30 | 2015-12-30 | |
| US201562273219P | 2015-12-30 | 2015-12-30 | |
| US15/394,706 US20170188922A1 (en) | 2015-12-30 | 2016-12-29 | Biointerface layer for analyte sensors |
| US15/394,764 US20170188905A1 (en) | 2015-12-30 | 2016-12-29 | Biointerface layer for analyte sensors |
Related Parent Applications (1)
| Application Number | Title | Priority Date | Filing Date |
|---|---|---|---|
| US15/394,706 Continuation US20170188922A1 (en) | 2015-12-30 | 2016-12-29 | Biointerface layer for analyte sensors |
Related Child Applications (1)
| Application Number | Title | Priority Date | Filing Date |
|---|---|---|---|
| US202318141023A Continuation | 2015-12-30 | 2023-04-28 |
Publications (1)
| Publication Number | Publication Date |
|---|---|
| US20170188905A1 true US20170188905A1 (en) | 2017-07-06 |
Family
ID=59225757
Family Applications (14)
| Application Number | Title | Priority Date | Filing Date |
|---|---|---|---|
| US15/394,764 Abandoned US20170188905A1 (en) | 2015-12-30 | 2016-12-29 | Biointerface layer for analyte sensors |
| US15/394,706 Abandoned US20170188922A1 (en) | 2015-12-30 | 2016-12-29 | Biointerface layer for analyte sensors |
| US15/394,650 Abandoned US20170188902A1 (en) | 2015-12-30 | 2016-12-29 | Enzyme immobilized adhesive layer for analyte sensors |
| US15/394,748 Abandoned US20170188923A1 (en) | 2015-12-30 | 2016-12-29 | Diffusion resistance layer for analyte sensors |
| US15/394,520 Active 2038-09-02 US11112377B2 (en) | 2015-12-30 | 2016-12-29 | Enzyme immobilized adhesive layer for analyte sensors |
| US15/394,694 Abandoned US20170191955A1 (en) | 2015-12-30 | 2016-12-29 | Diffusion resistance layer for analyte sensors |
| US15/395,892 Active 2037-05-17 US11262326B2 (en) | 2015-12-30 | 2016-12-30 | Membrane layers for analyte sensors |
| US17/390,668 Active 2039-08-17 US12360074B2 (en) | 2015-12-30 | 2021-07-30 | Enzyme immobilized adhesive layer for analyte sensors |
| US17/560,566 Pending US20220214300A1 (en) | 2015-12-30 | 2021-12-23 | Membrane layers for analyte sensors |
| US18/089,351 Pending US20230139158A1 (en) | 2015-12-30 | 2022-12-27 | Diffusion resistance layer for analyte sensors |
| US18/091,658 Abandoned US20230138407A1 (en) | 2015-12-30 | 2022-12-30 | Diffusion resistance layer for analyte sensors |
| US18/516,661 Active US12366548B2 (en) | 2015-12-30 | 2023-11-21 | Analyte sensor |
| US19/257,077 Pending US20250327768A1 (en) | 2015-12-30 | 2025-07-01 | Enzyme immobilized adhesive layer for analyte sensors |
| US19/257,167 Pending US20260009759A1 (en) | 2015-12-30 | 2025-07-01 | Analyte sensor |
Family Applications After (13)
| Application Number | Title | Priority Date | Filing Date |
|---|---|---|---|
| US15/394,706 Abandoned US20170188922A1 (en) | 2015-12-30 | 2016-12-29 | Biointerface layer for analyte sensors |
| US15/394,650 Abandoned US20170188902A1 (en) | 2015-12-30 | 2016-12-29 | Enzyme immobilized adhesive layer for analyte sensors |
| US15/394,748 Abandoned US20170188923A1 (en) | 2015-12-30 | 2016-12-29 | Diffusion resistance layer for analyte sensors |
| US15/394,520 Active 2038-09-02 US11112377B2 (en) | 2015-12-30 | 2016-12-29 | Enzyme immobilized adhesive layer for analyte sensors |
| US15/394,694 Abandoned US20170191955A1 (en) | 2015-12-30 | 2016-12-29 | Diffusion resistance layer for analyte sensors |
| US15/395,892 Active 2037-05-17 US11262326B2 (en) | 2015-12-30 | 2016-12-30 | Membrane layers for analyte sensors |
| US17/390,668 Active 2039-08-17 US12360074B2 (en) | 2015-12-30 | 2021-07-30 | Enzyme immobilized adhesive layer for analyte sensors |
| US17/560,566 Pending US20220214300A1 (en) | 2015-12-30 | 2021-12-23 | Membrane layers for analyte sensors |
| US18/089,351 Pending US20230139158A1 (en) | 2015-12-30 | 2022-12-27 | Diffusion resistance layer for analyte sensors |
| US18/091,658 Abandoned US20230138407A1 (en) | 2015-12-30 | 2022-12-30 | Diffusion resistance layer for analyte sensors |
| US18/516,661 Active US12366548B2 (en) | 2015-12-30 | 2023-11-21 | Analyte sensor |
| US19/257,077 Pending US20250327768A1 (en) | 2015-12-30 | 2025-07-01 | Enzyme immobilized adhesive layer for analyte sensors |
| US19/257,167 Pending US20260009759A1 (en) | 2015-12-30 | 2025-07-01 | Analyte sensor |
Country Status (6)
| Country | Link |
|---|---|
| US (14) | US20170188905A1 (en) |
| EP (9) | EP4324921A3 (en) |
| JP (9) | JP6983765B2 (en) |
| AU (14) | AU2016381162B2 (en) |
| CA (6) | CA2998398C (en) |
| WO (4) | WO2017117468A1 (en) |
Cited By (12)
| Publication number | Priority date | Publication date | Assignee | Title |
|---|---|---|---|---|
| US20170188922A1 (en) * | 2015-12-30 | 2017-07-06 | Dexcom, Inc. | Biointerface layer for analyte sensors |
| US9936909B2 (en) | 2012-09-28 | 2018-04-10 | Dexcom, Inc. | Zwitterion surface modifications for continuous sensors |
| US10413227B2 (en) | 2013-03-15 | 2019-09-17 | Dexcom, Inc. | Membrane for continuous analyte sensors |
| US11273283B2 (en) | 2017-12-31 | 2022-03-15 | Neuroenhancement Lab, LLC | Method and apparatus for neuroenhancement to enhance emotional response |
| US11364361B2 (en) | 2018-04-20 | 2022-06-21 | Neuroenhancement Lab, LLC | System and method for inducing sleep by transplanting mental states |
| US11452839B2 (en) | 2018-09-14 | 2022-09-27 | Neuroenhancement Lab, LLC | System and method of improving sleep |
| CN116478439A (en) * | 2023-05-04 | 2023-07-25 | 江苏海洋大学 | Application of a functional isocyanate crosslinking agent in surface modification of polyvinyl chloride materials |
| US11717686B2 (en) | 2017-12-04 | 2023-08-08 | Neuroenhancement Lab, LLC | Method and apparatus for neuroenhancement to facilitate learning and performance |
| CN116550161A (en) * | 2023-05-04 | 2023-08-08 | 江苏海洋大学 | Application of a Multifunctional Isocyanate Crosslinking Agent in Surface Modification of Aromatic Polyamide Composite Membranes |
| US11723579B2 (en) | 2017-09-19 | 2023-08-15 | Neuroenhancement Lab, LLC | Method and apparatus for neuroenhancement |
| US11786694B2 (en) | 2019-05-24 | 2023-10-17 | NeuroLight, Inc. | Device, method, and app for facilitating sleep |
| US12280219B2 (en) | 2017-12-31 | 2025-04-22 | NeuroLight, Inc. | Method and apparatus for neuroenhancement to enhance emotional response |
Families Citing this family (67)
| Publication number | Priority date | Publication date | Assignee | Title |
|---|---|---|---|---|
| DK3069279T3 (en) | 2013-11-14 | 2020-11-30 | Dexcom Inc | DEVICES AND METHODS FOR CONTINUOUS ANALYTICAL MONITORING |
| US10702815B2 (en) | 2014-11-19 | 2020-07-07 | The Research Foundation For The State University Of New York | Nanostructured fibrous membranes for membrane distillation |
| WO2017090050A1 (en) * | 2015-11-29 | 2017-06-01 | Ramot At Tel-Aviv University Ltd. | Sensing electrode and method of fabricating the same |
| US10600952B2 (en) * | 2016-05-20 | 2020-03-24 | Pulmostics Limited | Surface acoustic wave sensor coating |
| US11531924B2 (en) * | 2016-11-24 | 2022-12-20 | Ellen Tuanying Chen | Scale-up toroidal array quantum processing memory device with controllable and adjustable state-switch valves of making and applications thereto |
| US12109032B1 (en) | 2017-03-11 | 2024-10-08 | Biolinq Incorporated | Methods for achieving an isolated electrical interface between an anterior surface of a microneedle structure and a posterior surface of a support structure |
| US11045142B1 (en) | 2017-04-29 | 2021-06-29 | Biolinq, Inc. | Heterogeneous integration of silicon-fabricated solid microneedle sensors and CMOS circuitry |
| EP3675734B1 (en) * | 2017-08-28 | 2023-09-20 | DSM IP Assets B.V. | Synthetic membrane composition comprising a polyurethane and a polyoxazoline |
| JP2020534939A (en) * | 2017-09-27 | 2020-12-03 | ベクトン・ディキンソン・アンド・カンパニーBecton, Dickinson And Company | Fluid supply device with leak detection function |
| JP7195847B2 (en) * | 2017-10-02 | 2022-12-26 | アークレイ株式会社 | Measurement of glycated protein |
| US12139617B2 (en) | 2017-12-22 | 2024-11-12 | North Carolina State University | Polymeric fluorophores, compositions comprising the same, and methods of preparing and using the same |
| AU2019225148B2 (en) | 2018-02-22 | 2024-08-15 | Dexcom, Inc. | Sensor interposers employing castellated through-vias |
| WO2019170858A1 (en) | 2018-03-09 | 2019-09-12 | Carmeda Ab | Improvements to processes for immobilising biological entities |
| US11134874B2 (en) | 2018-04-06 | 2021-10-05 | Zense-Life Inc. | Enhanced carbon-enzyme membrane for a working electrode of a continuous biological sensor |
| CN119257593A (en) | 2018-04-06 | 2025-01-07 | 艾力汇医疗股份有限公司 | Continuous Glucose Monitoring Devices |
| US12076145B2 (en) * | 2018-04-19 | 2024-09-03 | Abbott Diabetes Care Inc. | Lactate sensors and associated methods |
| US20210236028A1 (en) * | 2018-05-17 | 2021-08-05 | Abbott Diabetes Care Inc. | Analyte sensor antimicrobial configurations and adhesives |
| US20210341411A1 (en) * | 2018-05-19 | 2021-11-04 | Ellen T. Chen | Room-temperature Topological Superconductive/Mem-element Protein Moonlighting Network Devices of Making and Applications Thereto |
| DE102018005911A1 (en) * | 2018-07-27 | 2020-01-30 | EMKA Medical GmbH | Pressure sensor device for medical in vivo use |
| US11021731B2 (en) * | 2018-08-23 | 2021-06-01 | Medtronic Minimed, Inc. | Analyte sensing layers, analyte sensors and methods for fabricating the same |
| KR102255448B1 (en) * | 2018-09-27 | 2021-05-24 | 주식회사 아이센스 | Polymer blend enabling to control glucose influx in blood, continuous glucose monitoring biosensor comprising said polymer blend |
| AU2019352635B2 (en) | 2018-10-02 | 2024-12-19 | WearOptimo Pty Ltd | Actuator system |
| KR102817583B1 (en) * | 2019-06-14 | 2025-06-10 | 현대자동차주식회사 | Ceramic paint composition and brake disc plate for vehicle comprising the same |
| US11819339B2 (en) * | 2019-07-01 | 2023-11-21 | Nanowear Inc. | Thermosensitive nanosensor for instantaneous transcutaneous biological measurement |
| US11638543B2 (en) * | 2019-07-16 | 2023-05-02 | Dexcom, Inc. | Analyte sensor electrode arrangements |
| WO2021024132A1 (en) * | 2019-08-02 | 2021-02-11 | Bionime Corporation | Implantable micro-biosensor and method for operating the same |
| AU2020359667A1 (en) * | 2019-10-01 | 2022-04-21 | WearOptimo Pty Ltd | Analyte measurement system |
| KR102247002B1 (en) | 2019-10-15 | 2021-04-29 | 동우 화인켐 주식회사 | Bio sensor |
| US12139741B2 (en) | 2019-10-25 | 2024-11-12 | Instrumentation Laboratory Company | Biocide compositions compatible with enzyme biosensors and methods of use thereof |
| CA3160996A1 (en) * | 2019-11-13 | 2021-05-20 | Senseonics, Incorporated | Interferent detection in an analyte monitoring system |
| US20210196157A1 (en) * | 2019-12-30 | 2021-07-01 | Glucovation, Inc. | Chemically Fused Membrane for Analyte Sensing |
| US20230105478A1 (en) * | 2020-02-28 | 2023-04-06 | Phc Holdings Corporation | Sensor and manufacturing method therefor |
| US12369822B2 (en) | 2020-06-10 | 2025-07-29 | Allez Health Inc. | Method of manufacturing a metabolic sensor |
| CA3181804A1 (en) * | 2020-06-10 | 2021-12-16 | Zenghe Liu | Analyte sensors featuring one or more detection-facilitating enhancements |
| US20220026386A1 (en) * | 2020-07-21 | 2022-01-27 | Medtronic, Inc. | Diffusion control layer for use in electrochemical sensors |
| EP4365593B1 (en) | 2020-07-29 | 2025-07-23 | Biolinq Incorporated | Continuous analyte monitoring system with microneedle array |
| WO2022074516A1 (en) * | 2020-10-05 | 2022-04-14 | Zense-Life Inc. | In-vivo glucose specific sensor |
| US20220104733A1 (en) * | 2020-10-06 | 2022-04-07 | Zense-Life Inc. | Working wire for a continuous biological sensor with an enzyme immobilization network |
| EP4225213B1 (en) * | 2020-10-06 | 2025-03-26 | Edwards Lifesciences Corporation | Protective covers for prosthetic valves |
| JP2024502792A (en) * | 2020-12-31 | 2024-01-23 | アボット ダイアベティス ケア インコーポレイテッド | Analytical sensors and sharps for delivering therapeutic agents in close proximity to analytical sensors and methods thereof |
| KR102557258B1 (en) * | 2021-02-26 | 2023-07-20 | 전남대학교산학협력단 | Bio-glucose quantitative sensor and manufacturing method thereof |
| US20220296867A1 (en) * | 2021-03-19 | 2022-09-22 | Dexcom, Inc. | Drug releasing membrane for analyte sensor |
| US11857344B2 (en) | 2021-05-08 | 2024-01-02 | Biolinq Incorporated | Fault detection for microneedle array based continuous analyte monitoring device |
| JP2024534447A (en) * | 2021-09-15 | 2024-09-20 | デックスコム・インコーポレーテッド | Bioactive releasing membranes for analyte sensors. |
| WO2023064908A1 (en) * | 2021-10-15 | 2023-04-20 | California Institute Of Technology | Methods and systems for fabricating biosensors |
| US12510505B2 (en) * | 2021-11-26 | 2025-12-30 | Peking University | Sensor array device and manufacturing method therefor |
| TWI845875B (en) * | 2021-12-07 | 2024-06-21 | 財團法人紡織產業綜合研究所 | Zwitterionic resin and manufacturing method thereof |
| KR102389269B1 (en) * | 2022-02-16 | 2022-04-21 | 네메시스 주식회사 | glucose diffusion control membrane solution for continuous glucose monitoring biosensor, glucose diffusion control membrane for continuous glucose monitoring biosensor and continuous glucose monitoring biosensor including the same |
| US12515058B1 (en) * | 2022-03-07 | 2026-01-06 | The Alfred E. Mann Foundation For Scientific Research | Medical device including a pouch and method of manufacturing the same |
| EP4490208A1 (en) * | 2022-03-10 | 2025-01-15 | Margossian, Khatcher Orbeli | Polyzwitterionic complexes and methods of using the same |
| US12087469B2 (en) | 2022-04-14 | 2024-09-10 | Allez Health Inc. | Coating a working wire for a continuous biological sensor |
| US20230355147A1 (en) * | 2022-04-19 | 2023-11-09 | PercuSense, Inc. | Analyte sensor |
| US20260015649A1 (en) * | 2022-07-21 | 2026-01-15 | Phc Holdings Corporation | Reagent layer and biosensor comprising reagent layer |
| CN119730782A (en) * | 2022-09-02 | 2025-03-28 | 德克斯康公司 | Apparatus and method for measuring concentration of target analyte in biological fluid in vivo |
| AU2023333524A1 (en) | 2022-09-02 | 2025-04-03 | Dexcom, Inc. | Continuous analyte sensor devices and methods |
| WO2024097730A2 (en) * | 2022-11-02 | 2024-05-10 | Glucovation, Inc. | Sensor stability |
| CN120358980A (en) | 2022-12-29 | 2025-07-22 | 德克斯康公司 | Aptamer protective material and biosensor |
| AU2023415722A1 (en) | 2022-12-30 | 2025-07-31 | Dexcom, Inc. | Sensing systems and methods for hybrid glucose and ketone monitoring |
| KR20250154390A (en) | 2023-02-02 | 2025-10-28 | 바이오링크 인코포레이티드 | Method for Improving Sensor Sensitivity of a Microneedle-Based Continuous Analyte Monitoring System |
| US20240324917A1 (en) * | 2023-03-31 | 2024-10-03 | Abbott Diabetes Care, Inc. | Ascorbate blocking membrane |
| CN119679988B (en) * | 2023-09-25 | 2025-10-14 | 北京化工大学 | An antibacterial, hemostatic, self-powered asymmetric hybrid fiber membrane and its preparation method |
| US20250213151A1 (en) * | 2023-12-28 | 2025-07-03 | Dexcom, Inc. | Systems and methods for providing therapy management guidance related to liver disease decompensation to users with liver disease |
| WO2025147486A1 (en) * | 2024-01-05 | 2025-07-10 | Dexcom, Inc. | Polymers with dual functionality |
| WO2025188724A1 (en) * | 2024-03-05 | 2025-09-12 | Abbott Diabetes Care Inc. | Composition, coating, and method for reducing early/late signal attenuation of analyte sensor |
| WO2025217563A1 (en) | 2024-04-12 | 2025-10-16 | Glucotrack, Inc. | Low power implantable glucose sensors and methods of glucose measurement |
| WO2025261972A1 (en) | 2024-06-20 | 2025-12-26 | Roche Diabetes Care Gmbh | A continuous analyte sensor having improved bending properties |
| TWI881898B (en) * | 2024-08-02 | 2025-04-21 | 國立中興大學 | Method for manufacturing wet electrodes for eeg based on floral foam |
Citations (6)
| Publication number | Priority date | Publication date | Assignee | Title |
|---|---|---|---|---|
| US20080034972A1 (en) * | 2006-08-10 | 2008-02-14 | The Regents Of The University Of California | Membranes with controlled permeability to polar and apolar molecules in solution and methods of making same |
| US20080181861A1 (en) * | 2005-08-25 | 2008-07-31 | Washington, University Of | Super-low fouling sulfobetaine and carboxybetaine materials and related methods |
| US20090247856A1 (en) * | 2008-03-28 | 2009-10-01 | Dexcom, Inc. | Polymer membranes for continuous analyte sensors |
| US8101156B2 (en) * | 2006-11-21 | 2012-01-24 | Abbott Laboratories | Methods of manufacturing copolymers with zwitterionic moieties and dihydroxyphenyl moieties and use of same |
| US20140094671A1 (en) * | 2012-09-28 | 2014-04-03 | Dexcom, Inc. | Zwitterion surface modifications for continuous sensors |
| US20170188902A1 (en) * | 2015-12-30 | 2017-07-06 | Dexcom, Inc. | Enzyme immobilized adhesive layer for analyte sensors |
Family Cites Families (309)
| Publication number | Priority date | Publication date | Assignee | Title |
|---|---|---|---|---|
| US242425A (en) | 1881-06-07 | Thill-coupling | ||
| US493007A (en) | 1893-03-07 | Secondary-battery electrode | ||
| US2010A (en) | 1841-03-18 | Machine foe | ||
| US2009A (en) | 1841-03-18 | Improvement in machines for boring war-rockets | ||
| US36215A (en) | 1862-08-19 | Improvement in portable fences | ||
| US4861830A (en) * | 1980-02-29 | 1989-08-29 | Th. Goldschmidt Ag | Polymer systems suitable for blood-contacting surfaces of a biomedical device, and methods for forming |
| US4431004A (en) | 1981-10-27 | 1984-02-14 | Bessman Samuel P | Implantable glucose sensor |
| US4506680A (en) | 1983-03-17 | 1985-03-26 | Medtronic, Inc. | Drug dispensing body implantable lead |
| US4994167A (en) | 1986-04-15 | 1991-02-19 | Markwell Medical Institute, Inc. | Biological fluid measuring device |
| US4757022A (en) | 1986-04-15 | 1988-07-12 | Markwell Medical Institute, Inc. | Biological fluid measuring device |
| US4703756A (en) | 1986-05-06 | 1987-11-03 | The Regents Of The University Of California | Complete glucose monitoring system with an implantable, telemetered sensor module |
| DE3643574A1 (en) * | 1986-12-19 | 1988-06-30 | Hartmut Ernst Artur Brueschke | POLYMER WITH BETAIN STRUCTURE, SOLUTION DIFFUSION MEMBRANE, METHOD FOR THE PRODUCTION THEREOF AND THEIR USE |
| US5362307A (en) | 1989-01-24 | 1994-11-08 | The Regents Of The University Of California | Method for the iontophoretic non-invasive-determination of the in vivo concentration level of an inorganic or organic substance |
| US4939007A (en) * | 1988-03-07 | 1990-07-03 | Becton, Dickinson And Company | Article having a hemocompatible surface |
| US5458631A (en) | 1989-01-06 | 1995-10-17 | Xavier; Ravi | Implantable catheter with electrical pulse nerve stimulators and drug delivery system |
| DE3925634A1 (en) * | 1989-08-03 | 1991-02-07 | Bayer Ag | STABILIZER DISPERSIONS |
| US5985129A (en) | 1989-12-14 | 1999-11-16 | The Regents Of The University Of California | Method for increasing the service life of an implantable sensor |
| US5250066A (en) * | 1990-03-19 | 1993-10-05 | Becton Dickinson And Company | Plastic pointed articles and method for their preparation |
| US5282844A (en) | 1990-06-15 | 1994-02-01 | Medtronic, Inc. | High impedance, low polarization, low threshold miniature steriod eluting pacing lead electrodes |
| US5618710A (en) | 1990-08-03 | 1997-04-08 | Vertex Pharmaceuticals, Inc. | Crosslinked enzyme crystals |
| US5030252A (en) * | 1990-08-27 | 1991-07-09 | The Dow Chemical Company | Novel benzotrifluoride aryl ether gas separation membranes |
| US5124430A (en) * | 1990-08-28 | 1992-06-23 | The Dow Chemical Company | Arylene carbonate cyanoaryl ether copolymer |
| WO1992013271A1 (en) | 1991-01-25 | 1992-08-06 | Markwell Medical Institute, Inc. | Implantable biological fluid measuring device |
| JPH04278450A (en) | 1991-03-04 | 1992-10-05 | Adam Heller | Biosensor and method for analyzing subject |
| US5593852A (en) | 1993-12-02 | 1997-01-14 | Heller; Adam | Subcutaneous glucose electrode |
| EP0585368B1 (en) | 1991-04-25 | 1997-08-06 | Brown University Research Foundation | Implantable biocompatible immunoisolatory vehicle for delivery of selected therapeutic products |
| EP0610254B1 (en) | 1991-09-20 | 2004-09-01 | Amgen Inc. | Glial derived neurotrophic factor |
| WO1993022360A1 (en) | 1992-04-24 | 1993-11-11 | The Polymer Technology Group, Inc. | Copolymers and non-porous, semi-permeable membrane thereof and its use for permeating molecules of predetermined molecular weight range |
| GB9226791D0 (en) * | 1992-12-23 | 1993-02-17 | Biocompatibles Ltd | New materials |
| US5387329A (en) * | 1993-04-09 | 1995-02-07 | Ciba Corning Diagnostics Corp. | Extended use planar sensors |
| US5964745A (en) | 1993-07-02 | 1999-10-12 | Med Usa | Implantable system for cell growth control |
| CA2148354A1 (en) | 1993-09-24 | 1995-03-30 | Laura A. Martinson | Methods for enhancing vascularization of implant devices |
| US5494562A (en) | 1994-06-27 | 1996-02-27 | Ciba Corning Diagnostics Corp. | Electrochemical sensors |
| US5605152A (en) | 1994-07-18 | 1997-02-25 | Minimed Inc. | Optical glucose sensor |
| US6281015B1 (en) | 1994-12-16 | 2001-08-28 | Children's Medical Center Corp. | Localized delivery of factors enhancing survival of transplanted cells |
| US5995860A (en) | 1995-07-06 | 1999-11-30 | Thomas Jefferson University | Implantable sensor and system for measurement and control of blood constituent levels |
| US5735273A (en) | 1995-09-12 | 1998-04-07 | Cygnus, Inc. | Chemical signal-impermeable mask |
| US5711861A (en) | 1995-11-22 | 1998-01-27 | Ward; W. Kenneth | Device for monitoring changes in analyte concentration |
| US5846558A (en) | 1996-03-19 | 1998-12-08 | Minnesota Mining And Manufacturing Company | Ionically conductive adhesives prepared from zwitterionic materials and medical devices using such adhesives |
| US5820589A (en) | 1996-04-30 | 1998-10-13 | Medtronic, Inc. | Implantable non-invasive rate-adjustable pump |
| US7034061B1 (en) * | 1996-04-30 | 2006-04-25 | Ajay Kumar Luthra | Non-thrombogenic and anti-thrombogenic polymers |
| DK0958495T3 (en) | 1997-02-06 | 2003-03-10 | Therasense Inc | In vitro analyzer and small volume sensor |
| US7657297B2 (en) | 2004-05-03 | 2010-02-02 | Dexcom, Inc. | Implantable analyte sensor |
| US8527026B2 (en) | 1997-03-04 | 2013-09-03 | Dexcom, Inc. | Device and method for determining analyte levels |
| US9155496B2 (en) | 1997-03-04 | 2015-10-13 | Dexcom, Inc. | Low oxygen in vivo analyte sensor |
| US7899511B2 (en) | 2004-07-13 | 2011-03-01 | Dexcom, Inc. | Low oxygen in vivo analyte sensor |
| US20050033132A1 (en) | 1997-03-04 | 2005-02-10 | Shults Mark C. | Analyte measuring device |
| US6862465B2 (en) | 1997-03-04 | 2005-03-01 | Dexcom, Inc. | Device and method for determining analyte levels |
| US7192450B2 (en) | 2003-05-21 | 2007-03-20 | Dexcom, Inc. | Porous membranes for use with implantable devices |
| US6558321B1 (en) | 1997-03-04 | 2003-05-06 | Dexcom, Inc. | Systems and methods for remote monitoring and modulation of medical devices |
| US6741877B1 (en) | 1997-03-04 | 2004-05-25 | Dexcom, Inc. | Device and method for determining analyte levels |
| US6001067A (en) | 1997-03-04 | 1999-12-14 | Shults; Mark C. | Device and method for determining analyte levels |
| ES2205462T3 (en) | 1997-03-31 | 2004-05-01 | Alza Corporation | DUFUSION SUPPLY SYSTEM, IMPLANTABLE. |
| US7445792B2 (en) * | 2003-03-10 | 2008-11-04 | Abbott Laboratories | Medical device having a hydration inhibitor |
| US6081736A (en) | 1997-10-20 | 2000-06-27 | Alfred E. Mann Foundation | Implantable enzyme-based monitoring systems adapted for long term use |
| US6119028A (en) | 1997-10-20 | 2000-09-12 | Alfred E. Mann Foundation | Implantable enzyme-based monitoring systems having improved longevity due to improved exterior surfaces |
| US6579690B1 (en) | 1997-12-05 | 2003-06-17 | Therasense, Inc. | Blood analyte monitoring through subcutaneous measurement |
| US6134461A (en) | 1998-03-04 | 2000-10-17 | E. Heller & Company | Electrochemical analyte |
| US6175752B1 (en) | 1998-04-30 | 2001-01-16 | Therasense, Inc. | Analyte monitoring device and methods of use |
| DK1077636T3 (en) | 1998-05-13 | 2004-05-24 | Cygnus Therapeutic Systems | Signal processing for measurement of physiological analytes |
| US6469998B1 (en) | 1998-10-06 | 2002-10-22 | Telefonaktiebolaget Lm Ericsson (Publ) | Method and apparatus for communicating data packets from an external packet network to a mobile radio station |
| US6424847B1 (en) | 1999-02-25 | 2002-07-23 | Medtronic Minimed, Inc. | Glucose monitor calibration methods |
| JP4801301B2 (en) | 1999-06-18 | 2011-10-26 | アボット ダイアベティス ケア インコーポレイテッド | In vivo analyte sensor with limited mass transfer |
| US6430604B1 (en) | 1999-08-03 | 2002-08-06 | International Business Machines Corporation | Technique for enabling messaging systems to use alternative message delivery mechanisms |
| US20030181367A1 (en) | 1999-09-27 | 2003-09-25 | O'mahony Daniel | Conjugates of membrane translocating agents and pharmaceutically active agents |
| US6432362B1 (en) | 1999-10-06 | 2002-08-13 | Iowa State University Research Foundation, Inc. | Chemical sensor and coating for same |
| US6405066B1 (en) | 2000-03-17 | 2002-06-11 | The Regents Of The University Of California | Implantable analyte sensor |
| EP1197749B1 (en) | 2000-03-29 | 2016-07-20 | Panasonic Healthcare Holdings Co., Ltd. | Biosensor |
| IT1314759B1 (en) | 2000-05-08 | 2003-01-03 | Menarini Farma Ind | INSTRUMENTATION FOR MEASUREMENT AND CONTROL OF THE CONTENT OF GLUCOSIOLACTATE OR OTHER METABOLITES IN BIOLOGICAL FLUIDS |
| WO2001088524A1 (en) | 2000-05-12 | 2001-11-22 | Therasense, Inc. | Electrodes with multilayer membranes and methods of using and making the electrodes |
| US8133698B2 (en) * | 2000-05-15 | 2012-03-13 | Silver James H | Sensors for detecting substances indicative of stroke, ischemia, infection or inflammation |
| US6732101B1 (en) | 2000-06-15 | 2004-05-04 | Zix Corporation | Secure message forwarding system detecting user's preferences including security preferences |
| US6400974B1 (en) | 2000-06-29 | 2002-06-04 | Sensors For Medicine And Science, Inc. | Implanted sensor processing system and method for processing implanted sensor output |
| GB0022188D0 (en) | 2000-09-11 | 2000-10-25 | Interactive Comm Services Ltd | Voice-over internet protocol |
| US20020075844A1 (en) | 2000-12-15 | 2002-06-20 | Hagen W. Alexander | Integrating public and private network resources for optimized broadband wireless access and method |
| US20020077134A1 (en) | 2000-12-20 | 2002-06-20 | Nortel Networks Limited World Trade Center Of Montreal | Dual protocol GPRS mobile terminal and method therefor |
| FI112138B (en) | 2001-02-09 | 2003-10-31 | Nokia Corp | Advanced method and apparatus for transmitting information in a packet radio service |
| US20020143968A1 (en) | 2001-03-29 | 2002-10-03 | International Business Machines Corporation | Insuring the proper return of queries requested by world wide web client stations from web sources when dynamic IP addresses are assigned to client stations |
| US6932894B2 (en) | 2001-05-15 | 2005-08-23 | Therasense, Inc. | Biosensor membranes composed of polymers containing heterocyclic nitrogens |
| US6872297B2 (en) | 2001-05-31 | 2005-03-29 | Instrumentation Laboratory Company | Analytical instruments, biosensors and methods thereof |
| US6702857B2 (en) | 2001-07-27 | 2004-03-09 | Dexcom, Inc. | Membrane for use with implantable devices |
| US20030032874A1 (en) | 2001-07-27 | 2003-02-13 | Dexcom, Inc. | Sensor head for use with implantable devices |
| JP4295934B2 (en) | 2001-09-28 | 2009-07-15 | 株式会社エヌ・ティ・ティ・ドコモ | Mobile communication system, radio base station, and simultaneous calling method |
| FI114001B (en) | 2001-11-09 | 2004-07-15 | Nokia Corp | Procedure for data communication and data transmission systems |
| WO2003046062A1 (en) | 2001-11-21 | 2003-06-05 | Porex Corporation | Discrete hydrophilic-hydrophobic porous materials and methods for making the same |
| US20030135569A1 (en) | 2002-01-15 | 2003-07-17 | Khakoo Shabbir A. | Method and apparatus for delivering messages based on user presence, preference or location |
| US9282925B2 (en) | 2002-02-12 | 2016-03-15 | Dexcom, Inc. | Systems and methods for replacing signal artifacts in a glucose sensor data stream |
| US10022078B2 (en) | 2004-07-13 | 2018-07-17 | Dexcom, Inc. | Analyte sensor |
| US8364229B2 (en) | 2003-07-25 | 2013-01-29 | Dexcom, Inc. | Analyte sensors having a signal-to-noise ratio substantially unaffected by non-constant noise |
| US8010174B2 (en) | 2003-08-22 | 2011-08-30 | Dexcom, Inc. | Systems and methods for replacing signal artifacts in a glucose sensor data stream |
| US8260393B2 (en) | 2003-07-25 | 2012-09-04 | Dexcom, Inc. | Systems and methods for replacing signal data artifacts in a glucose sensor data stream |
| US7379765B2 (en) | 2003-07-25 | 2008-05-27 | Dexcom, Inc. | Oxygen enhancing membrane systems for implantable devices |
| US9247901B2 (en) | 2003-08-22 | 2016-02-02 | Dexcom, Inc. | Systems and methods for replacing signal artifacts in a glucose sensor data stream |
| US7613491B2 (en) | 2002-05-22 | 2009-11-03 | Dexcom, Inc. | Silicone based membranes for use in implantable glucose sensors |
| EP1495601B1 (en) | 2002-04-02 | 2008-12-03 | Verizon Business Global LLC | Telephony services system with instant communications enhancements |
| US7153265B2 (en) | 2002-04-22 | 2006-12-26 | Medtronic Minimed, Inc. | Anti-inflammatory biosensor for reduced biofouling and enhanced sensor performance |
| US7813780B2 (en) | 2005-12-13 | 2010-10-12 | Medtronic Minimed, Inc. | Biosensors and methods for making and using them |
| US9492111B2 (en) | 2002-04-22 | 2016-11-15 | Medtronic Minimed, Inc. | Methods and materials for stabilizing analyte sensors |
| US7226978B2 (en) | 2002-05-22 | 2007-06-05 | Dexcom, Inc. | Techniques to improve polyurethane membranes for implantable glucose sensors |
| US20060258761A1 (en) | 2002-05-22 | 2006-11-16 | Robert Boock | Silicone based membranes for use in implantable glucose sensors |
| US7289480B2 (en) | 2002-06-24 | 2007-10-30 | Telefonaktiebolaget Lm Ericsson (Publ) | Applications based radio resource management in a wireless communication network |
| US20040006601A1 (en) | 2002-07-01 | 2004-01-08 | Bernstein David B. | Method and system for optimized persistent messaging |
| AU2002326098A1 (en) | 2002-09-04 | 2004-03-29 | Pendragon Medical Ltd. | Method and device for measuring glucose |
| US6770729B2 (en) | 2002-09-30 | 2004-08-03 | Medtronic Minimed, Inc. | Polymer compositions containing bioactive agents and methods for their use |
| US20040199649A1 (en) | 2003-03-31 | 2004-10-07 | Teemu Tarnanen | System and method to provide interoperability between session initiation protocol and other messaging services |
| US7134999B2 (en) | 2003-04-04 | 2006-11-14 | Dexcom, Inc. | Optimized sensor geometry for an implantable glucose sensor |
| JP4073017B2 (en) | 2003-04-15 | 2008-04-09 | 株式会社リコー | Thermal recording material |
| JP2004314406A (en) | 2003-04-15 | 2004-11-11 | Seiko Instruments Inc | Micro stereolithography method with variable layer thickness and micro stereolithography device with variable layer thickness |
| US7875293B2 (en) | 2003-05-21 | 2011-01-25 | Dexcom, Inc. | Biointerface membranes incorporating bioactive agents |
| CA2526585C (en) | 2003-05-21 | 2014-12-16 | The Polymer Technology Group | Permselective structurally robust membrane material |
| GB0315278D0 (en) | 2003-06-30 | 2003-08-06 | Nokia Corp | A method for optimising handover between communication networks |
| JP4114563B2 (en) | 2003-07-14 | 2008-07-09 | 村田機械株式会社 | IP communication device |
| WO2005010518A1 (en) | 2003-07-23 | 2005-02-03 | Dexcom, Inc. | Rolled electrode array and its method for manufacture |
| WO2005012873A2 (en) | 2003-07-25 | 2005-02-10 | Dexcom, Inc. | Electrode systems for electrochemical sensors |
| US7467003B2 (en) | 2003-12-05 | 2008-12-16 | Dexcom, Inc. | Dual electrode system for a continuous analyte sensor |
| US7366556B2 (en) | 2003-12-05 | 2008-04-29 | Dexcom, Inc. | Dual electrode system for a continuous analyte sensor |
| US7108778B2 (en) | 2003-07-25 | 2006-09-19 | Dexcom, Inc. | Electrochemical sensors including electrode systems with increased oxygen generation |
| WO2005012871A2 (en) | 2003-07-25 | 2005-02-10 | Dexcom, Inc. | Increasing bias for oxygen production in an electrode system |
| WO2007120442A2 (en) | 2003-07-25 | 2007-10-25 | Dexcom, Inc. | Dual electrode system for a continuous analyte sensor |
| US8423113B2 (en) | 2003-07-25 | 2013-04-16 | Dexcom, Inc. | Systems and methods for processing sensor data |
| US7651596B2 (en) | 2005-04-08 | 2010-01-26 | Dexcom, Inc. | Cellulosic-based interference domain for an analyte sensor |
| US9763609B2 (en) | 2003-07-25 | 2017-09-19 | Dexcom, Inc. | Analyte sensors having a signal-to-noise ratio substantially unaffected by non-constant noise |
| US20070173710A1 (en) | 2005-04-08 | 2007-07-26 | Petisce James R | Membranes for an analyte sensor |
| US7424318B2 (en) | 2003-12-05 | 2008-09-09 | Dexcom, Inc. | Dual electrode system for a continuous analyte sensor |
| US20050176136A1 (en) | 2003-11-19 | 2005-08-11 | Dexcom, Inc. | Afinity domain for analyte sensor |
| US7460898B2 (en) | 2003-12-05 | 2008-12-02 | Dexcom, Inc. | Dual electrode system for a continuous analyte sensor |
| US8369919B2 (en) | 2003-08-01 | 2013-02-05 | Dexcom, Inc. | Systems and methods for processing sensor data |
| US8160669B2 (en) | 2003-08-01 | 2012-04-17 | Dexcom, Inc. | Transcutaneous analyte sensor |
| US7959569B2 (en) | 2003-08-01 | 2011-06-14 | Dexcom, Inc. | System and methods for processing analyte sensor data |
| US20100168542A1 (en) | 2003-08-01 | 2010-07-01 | Dexcom, Inc. | System and methods for processing analyte sensor data |
| US7774145B2 (en) | 2003-08-01 | 2010-08-10 | Dexcom, Inc. | Transcutaneous analyte sensor |
| US8626257B2 (en) | 2003-08-01 | 2014-01-07 | Dexcom, Inc. | Analyte sensor |
| US8761856B2 (en) | 2003-08-01 | 2014-06-24 | Dexcom, Inc. | System and methods for processing analyte sensor data |
| US7494465B2 (en) | 2004-07-13 | 2009-02-24 | Dexcom, Inc. | Transcutaneous analyte sensor |
| US8275437B2 (en) | 2003-08-01 | 2012-09-25 | Dexcom, Inc. | Transcutaneous analyte sensor |
| KR20050014984A (en) | 2003-08-01 | 2005-02-21 | 삼성전자주식회사 | Methoed for retransmitting rrc connection request in a mobile communication system which support mbms |
| US8845536B2 (en) | 2003-08-01 | 2014-09-30 | Dexcom, Inc. | Transcutaneous analyte sensor |
| US20070208245A1 (en) | 2003-08-01 | 2007-09-06 | Brauker James H | Transcutaneous analyte sensor |
| US7591801B2 (en) | 2004-02-26 | 2009-09-22 | Dexcom, Inc. | Integrated delivery device for continuous glucose sensor |
| US7778680B2 (en) | 2003-08-01 | 2010-08-17 | Dexcom, Inc. | System and methods for processing analyte sensor data |
| US8886273B2 (en) | 2003-08-01 | 2014-11-11 | Dexcom, Inc. | Analyte sensor |
| US9135402B2 (en) | 2007-12-17 | 2015-09-15 | Dexcom, Inc. | Systems and methods for processing sensor data |
| US7920906B2 (en) | 2005-03-10 | 2011-04-05 | Dexcom, Inc. | System and methods for processing analyte sensor data for sensor calibration |
| US7225024B2 (en) | 2003-09-30 | 2007-05-29 | Cardiac Pacemakers, Inc. | Sensors having protective eluting coating and method therefor |
| US7799276B2 (en) * | 2003-10-27 | 2010-09-21 | Michigan Molecular Institute | Functionalized particles for composite sensors |
| US20050090607A1 (en) | 2003-10-28 | 2005-04-28 | Dexcom, Inc. | Silicone composition for biocompatible membrane |
| DE602004028267D1 (en) | 2003-10-30 | 2010-09-02 | Arkray Inc | BIOSENSOR AND METHOD FOR THE PRODUCTION THEREOF |
| US7299082B2 (en) | 2003-10-31 | 2007-11-20 | Abbott Diabetes Care, Inc. | Method of calibrating an analyte-measurement device, and associated methods, devices and systems |
| US20050095174A1 (en) | 2003-10-31 | 2005-05-05 | Wolf David E. | Semipermeable sensors for detecting analyte |
| CA2545715C (en) * | 2003-11-13 | 2012-10-16 | Medtronic Minimed, Inc. | Long term analyte sensor array |
| WO2005051170A2 (en) | 2003-11-19 | 2005-06-09 | Dexcom, Inc. | Integrated receiver for continuous analyte sensor |
| EP1711790B1 (en) | 2003-12-05 | 2010-09-08 | DexCom, Inc. | Calibration techniques for a continuous analyte sensor |
| US8287453B2 (en) | 2003-12-05 | 2012-10-16 | Dexcom, Inc. | Analyte sensor |
| US20100185071A1 (en) | 2003-12-05 | 2010-07-22 | Dexcom, Inc. | Dual electrode system for a continuous analyte sensor |
| US8423114B2 (en) | 2006-10-04 | 2013-04-16 | Dexcom, Inc. | Dual electrode system for a continuous analyte sensor |
| US20080200788A1 (en) | 2006-10-04 | 2008-08-21 | Dexcorn, Inc. | Analyte sensor |
| US8532730B2 (en) | 2006-10-04 | 2013-09-10 | Dexcom, Inc. | Analyte sensor |
| US20080197024A1 (en) | 2003-12-05 | 2008-08-21 | Dexcom, Inc. | Analyte sensor |
| US8425416B2 (en) | 2006-10-04 | 2013-04-23 | Dexcom, Inc. | Analyte sensor |
| US8425417B2 (en) | 2003-12-05 | 2013-04-23 | Dexcom, Inc. | Integrated device for continuous in vivo analyte detection and simultaneous control of an infusion device |
| US8364231B2 (en) | 2006-10-04 | 2013-01-29 | Dexcom, Inc. | Analyte sensor |
| US8364230B2 (en) | 2006-10-04 | 2013-01-29 | Dexcom, Inc. | Analyte sensor |
| ATE474219T1 (en) | 2003-12-08 | 2010-07-15 | Dexcom Inc | SYSTEMS AND METHODS FOR IMPROVING ELECTROCHEMICAL ANALYT SENSORS |
| EP2301428B1 (en) | 2003-12-09 | 2016-11-30 | Dexcom, Inc. | Signal processing for continuous analyte sensor |
| US7637868B2 (en) | 2004-01-12 | 2009-12-29 | Dexcom, Inc. | Composite material for implantable device |
| US20050182451A1 (en) | 2004-01-12 | 2005-08-18 | Adam Griffin | Implantable device with improved radio frequency capabilities |
| US7699964B2 (en) * | 2004-02-09 | 2010-04-20 | Abbott Diabetes Care Inc. | Membrane suitable for use in an analyte sensor, analyte sensor, and associated method |
| US7364592B2 (en) | 2004-02-12 | 2008-04-29 | Dexcom, Inc. | Biointerface membrane with macro-and micro-architecture |
| US8808228B2 (en) | 2004-02-26 | 2014-08-19 | Dexcom, Inc. | Integrated medicament delivery device for use with continuous analyte sensor |
| US7594910B2 (en) | 2004-03-18 | 2009-09-29 | C. R. Bard, Inc. | Catheter connector |
| DE602005015564D1 (en) | 2004-04-06 | 2009-09-03 | Surmodics Inc | COATING COMPOSITIONS FOR BIOACTIVE AGENTS |
| US20050245799A1 (en) | 2004-05-03 | 2005-11-03 | Dexcom, Inc. | Implantable analyte sensor |
| US8792955B2 (en) | 2004-05-03 | 2014-07-29 | Dexcom, Inc. | Transcutaneous analyte sensor |
| US8277713B2 (en) | 2004-05-03 | 2012-10-02 | Dexcom, Inc. | Implantable analyte sensor |
| US20060015020A1 (en) | 2004-07-06 | 2006-01-19 | Dexcom, Inc. | Systems and methods for manufacture of an analyte-measuring device including a membrane system |
| US8886272B2 (en) | 2004-07-13 | 2014-11-11 | Dexcom, Inc. | Analyte sensor |
| US20080242961A1 (en) | 2004-07-13 | 2008-10-02 | Dexcom, Inc. | Transcutaneous analyte sensor |
| US9044199B2 (en) | 2004-07-13 | 2015-06-02 | Dexcom, Inc. | Transcutaneous analyte sensor |
| US8452368B2 (en) | 2004-07-13 | 2013-05-28 | Dexcom, Inc. | Transcutaneous analyte sensor |
| US7783333B2 (en) | 2004-07-13 | 2010-08-24 | Dexcom, Inc. | Transcutaneous medical device with variable stiffness |
| US20170367627A1 (en) | 2004-07-13 | 2017-12-28 | Dexcom, Inc. | Transcutaneous analyte sensor |
| US8565848B2 (en) | 2004-07-13 | 2013-10-22 | Dexcom, Inc. | Transcutaneous analyte sensor |
| US7494665B1 (en) | 2004-07-30 | 2009-02-24 | Advanced Cardiovascular Systems, Inc. | Polymers containing siloxane monomers |
| US20070291670A1 (en) | 2004-08-26 | 2007-12-20 | Mattias Pettersson | Method of Activating a Pdp Context |
| US9011831B2 (en) | 2004-09-30 | 2015-04-21 | Advanced Cardiovascular Systems, Inc. | Methacrylate copolymers for medical devices |
| US20060096858A1 (en) * | 2004-11-08 | 2006-05-11 | Chung Yuan Christian University | Potentiometric urea sensor based on ion-selective electrode |
| US7604818B2 (en) | 2004-12-22 | 2009-10-20 | Advanced Cardiovascular Systems, Inc. | Polymers of fluorinated monomers and hydrocarbon monomers |
| US20060183863A1 (en) * | 2005-02-14 | 2006-08-17 | Ciphergen Biosystems, Inc. | Zwitterionic polymers |
| US7868128B2 (en) | 2005-06-17 | 2011-01-11 | Eastman Chemical Company | Skylights and windows comprising polyester compositions formed from 2,2,4,4,-tetramethyl-1,3-cyclobutanediol and 1,4-cyclohexanedimethanol |
| US8133178B2 (en) | 2006-02-22 | 2012-03-13 | Dexcom, Inc. | Analyte sensor |
| US20090076360A1 (en) | 2007-09-13 | 2009-03-19 | Dexcom, Inc. | Transcutaneous analyte sensor |
| US7700659B2 (en) | 2005-03-24 | 2010-04-20 | Advanced Cardiovascular Systems, Inc. | Implantable devices formed of non-fouling methacrylate or acrylate polymers |
| US8744546B2 (en) | 2005-05-05 | 2014-06-03 | Dexcom, Inc. | Cellulosic-based resistance domain for an analyte sensor |
| US20060249381A1 (en) | 2005-05-05 | 2006-11-09 | Petisce James R | Cellulosic-based resistance domain for an analyte sensor |
| WO2006113618A1 (en) | 2005-04-15 | 2006-10-26 | Dexcom, Inc. | Analyte sensing biointerface |
| US8060174B2 (en) | 2005-04-15 | 2011-11-15 | Dexcom, Inc. | Analyte sensing biointerface |
| US8570989B1 (en) | 2005-04-25 | 2013-10-29 | At&T Mobility Ii Llc | Wireless network brokerage method and system |
| US7519469B2 (en) | 2005-04-28 | 2009-04-14 | Alpine Electronics, Inc. | Display method and apparatus for navigation system |
| CN101175999A (en) | 2005-05-17 | 2008-05-07 | 雷迪奥米特医学公司 | Method for stabilizing or reactivating creatinine sensors using solutions of divalent manganese ions |
| WO2007102842A2 (en) | 2006-03-09 | 2007-09-13 | Dexcom, Inc. | Systems and methods for processing analyte sensor data |
| US8224415B2 (en) | 2009-01-29 | 2012-07-17 | Abbott Diabetes Care Inc. | Method and device for providing offset model based calibration for analyte sensor |
| WO2007120381A2 (en) | 2006-04-14 | 2007-10-25 | Dexcom, Inc. | Analyte sensor |
| US8568764B2 (en) | 2006-05-31 | 2013-10-29 | Advanced Cardiovascular Systems, Inc. | Methods of forming coating layers for medical devices utilizing flash vaporization |
| US9700252B2 (en) * | 2006-06-19 | 2017-07-11 | Roche Diabetes Care, Inc. | Amperometric sensor and method for its manufacturing |
| CA2654220A1 (en) * | 2006-06-19 | 2007-12-27 | F. Hoffmann-La Roche Ag | Amperometric sensor and method for its manufacturing |
| US8275438B2 (en) | 2006-10-04 | 2012-09-25 | Dexcom, Inc. | Analyte sensor |
| US8478377B2 (en) | 2006-10-04 | 2013-07-02 | Dexcom, Inc. | Analyte sensor |
| US8298142B2 (en) | 2006-10-04 | 2012-10-30 | Dexcom, Inc. | Analyte sensor |
| US8447376B2 (en) | 2006-10-04 | 2013-05-21 | Dexcom, Inc. | Analyte sensor |
| US8449464B2 (en) | 2006-10-04 | 2013-05-28 | Dexcom, Inc. | Analyte sensor |
| US7831287B2 (en) | 2006-10-04 | 2010-11-09 | Dexcom, Inc. | Dual electrode system for a continuous analyte sensor |
| US8562528B2 (en) | 2006-10-04 | 2013-10-22 | Dexcom, Inc. | Analyte sensor |
| US8808515B2 (en) | 2007-01-31 | 2014-08-19 | Abbott Diabetes Care Inc. | Heterocyclic nitrogen containing polymers coated analyte monitoring device and methods of use |
| US7751864B2 (en) | 2007-03-01 | 2010-07-06 | Roche Diagnostics Operations, Inc. | System and method for operating an electrochemical analyte sensor |
| EP1970440A1 (en) | 2007-03-06 | 2008-09-17 | Qiagen GmbH | Polymerase stabilization by ionic detergents |
| US7897168B2 (en) | 2007-04-13 | 2011-03-01 | Medtronic Vascular, Inc. | Degradable polymers incorporating gamma-butyrolactone |
| US10155881B2 (en) | 2007-05-30 | 2018-12-18 | Abbott Cardiovascular Systems Inc. | Substituted polycaprolactone for coating |
| US20080306434A1 (en) | 2007-06-08 | 2008-12-11 | Dexcom, Inc. | Integrated medicament delivery device for use with continuous analyte sensor |
| US8366652B2 (en) | 2007-08-17 | 2013-02-05 | The Invention Science Fund I, Llc | Systems, devices, and methods including infection-fighting and monitoring shunts |
| US8535308B2 (en) | 2007-10-08 | 2013-09-17 | Biosense Webster (Israel), Ltd. | High-sensitivity pressure-sensing probe |
| US8417312B2 (en) | 2007-10-25 | 2013-04-09 | Dexcom, Inc. | Systems and methods for processing sensor data |
| US8642062B2 (en) | 2007-10-31 | 2014-02-04 | Abbott Cardiovascular Systems Inc. | Implantable device having a slow dissolving polymer |
| US8512731B2 (en) | 2007-11-13 | 2013-08-20 | Medtronic Minimed, Inc. | Antimicrobial coatings for medical devices and methods for making and using them |
| WO2009067565A2 (en) | 2007-11-19 | 2009-05-28 | University Of Washington | Marine coatings |
| WO2009067566A1 (en) * | 2007-11-19 | 2009-05-28 | University Of Washington | Hemostatic wound dressings |
| US8290559B2 (en) | 2007-12-17 | 2012-10-16 | Dexcom, Inc. | Systems and methods for processing sensor data |
| US7790461B2 (en) | 2007-12-28 | 2010-09-07 | Medtronic Minimed, Inc. | Nano-emulsion technology for drug elution |
| WO2009097450A1 (en) | 2008-01-30 | 2009-08-06 | Dexcom. Inc. | Continuous cardiac marker sensor system |
| WO2009100082A1 (en) | 2008-02-04 | 2009-08-13 | Bayer Healthcare Llc | Semiconductor based analyte sensors and methods |
| EP2244761A2 (en) | 2008-02-20 | 2010-11-03 | Dexcom, Inc. | Continous medicament sensor system for in vivo use |
| WO2009105709A1 (en) | 2008-02-21 | 2009-08-27 | Dexcom, Inc. | Systems and methods for processing, transmitting and displaying sensor data |
| US20090242399A1 (en) | 2008-03-25 | 2009-10-01 | Dexcom, Inc. | Analyte sensor |
| US8396528B2 (en) | 2008-03-25 | 2013-03-12 | Dexcom, Inc. | Analyte sensor |
| US8682408B2 (en) | 2008-03-28 | 2014-03-25 | Dexcom, Inc. | Polymer membranes for continuous analyte sensors |
| US8583204B2 (en) | 2008-03-28 | 2013-11-12 | Dexcom, Inc. | Polymer membranes for continuous analyte sensors |
| US8524267B2 (en) | 2008-04-18 | 2013-09-03 | Warsaw Orthopedic, Inc. | Dexamethasone formulations in a biodegradable material |
| US8155722B2 (en) | 2008-06-02 | 2012-04-10 | Abbott Diabetes Care Inc. | Reference electrodes having an extended lifetime for use in long term amperometric sensors |
| US20100069726A1 (en) | 2008-06-04 | 2010-03-18 | Seventh Sense Biosystems, Inc. | Compositions and methods for rapid one-step diagnosis |
| EP2296578A4 (en) | 2008-06-12 | 2014-01-15 | Elixir Medical Corp | Intravascular stent |
| US8359191B2 (en) * | 2008-08-01 | 2013-01-22 | International Business Machines Corporation | Deriving ontology based on linguistics and community tag clouds |
| EP2163190A1 (en) * | 2008-09-11 | 2010-03-17 | Roche Diagnostics GmbH | Electrode system for measurement of an analyte concentration in-vivo |
| WO2010033724A2 (en) | 2008-09-19 | 2010-03-25 | Dexcom, Inc. | Particle-containing membrane and particulate electrode for analyte sensors |
| US20100331644A1 (en) | 2008-11-07 | 2010-12-30 | Dexcom, Inc. | Housing for an intravascular sensor |
| US8608922B2 (en) * | 2008-11-07 | 2013-12-17 | The University Of Connecticut | Biosensor for continuous monitoring of metabolites and proteins and methods of manufacture thereof |
| US7892840B2 (en) | 2008-12-30 | 2011-02-22 | Medtronic Minimed, Inc. | Media compositions for eluting compounds from matrices and methods for making and using them |
| US8103456B2 (en) | 2009-01-29 | 2012-01-24 | Abbott Diabetes Care Inc. | Method and device for early signal attenuation detection using blood glucose measurements |
| US20100213057A1 (en) | 2009-02-26 | 2010-08-26 | Benjamin Feldman | Self-Powered Analyte Sensor |
| JP2010211046A (en) | 2009-03-11 | 2010-09-24 | Toshiba Corp | Method and program for verifying pattern |
| US8721870B2 (en) * | 2009-03-19 | 2014-05-13 | Edwards Lifesciences Corporation | Membrane system with sufficient buffering capacity |
| WO2010111660A1 (en) | 2009-03-27 | 2010-09-30 | Dexcom, Inc. | Methods and systems for promoting glucose management |
| EP3925533B1 (en) | 2009-04-30 | 2024-04-10 | DexCom, Inc. | Performance reports associated with continuous sensor data from multiple analysis time periods |
| US9237864B2 (en) | 2009-07-02 | 2016-01-19 | Dexcom, Inc. | Analyte sensors and methods of manufacturing same |
| US8796394B2 (en) | 2009-08-27 | 2014-08-05 | Northwestern University | Antifouling hydrogels, coatings, and methods of synthesis and use thereof |
| AU2010286480B2 (en) | 2009-08-28 | 2014-02-06 | Graphic Packaging International, Llc | Carton with handle |
| EP2482724A2 (en) | 2009-09-30 | 2012-08-08 | Dexcom, Inc. | Transcutaneous analyte sensor |
| US9858386B2 (en) | 2009-11-02 | 2018-01-02 | Universita Degli Studi Di Padova | Method to recalibrate continuous glucose monitoring data on-line |
| WO2011057219A2 (en) | 2009-11-06 | 2011-05-12 | University Of Washington Through Its Center For Commercialization | Crosslinked zwitterionic hydrogels |
| US8299147B2 (en) * | 2009-12-11 | 2012-10-30 | Perfect Defense Technology Co., Ltd. | Chemical resistant ionomers and protective coverings |
| US8660628B2 (en) | 2009-12-21 | 2014-02-25 | Medtronic Minimed, Inc. | Analyte sensors comprising blended membrane compositions and methods for making and using them |
| US8372646B1 (en) | 2009-12-21 | 2013-02-12 | Medtronic Minimed, Inc. | Terpene media compositions for eluting compounds from matrices and methods for making and using them |
| US9041730B2 (en) | 2010-02-12 | 2015-05-26 | Dexcom, Inc. | Receivers for analyzing and displaying sensor data |
| JP2011162522A (en) * | 2010-02-15 | 2011-08-25 | Tokai Univ | Phosphorylcholine group-containing diol compound, and the group-containing polymer |
| JP5316445B2 (en) | 2010-03-09 | 2013-10-16 | 東レ株式会社 | Cover film used in biosensors |
| US20120238841A1 (en) * | 2010-04-15 | 2012-09-20 | Mark Castle | Sample capture in one step for test strips |
| US20110305898A1 (en) | 2010-06-09 | 2011-12-15 | Zheng Zhang | Non-fouling, anti-microbial, anti-thrombogenic graft compositions |
| EP2579906A4 (en) | 2010-06-09 | 2016-03-23 | Arrow Int Inc | Articles having non-fouling surfaces and processes for preparing the same without altering bulk physical properties |
| KR20130110143A (en) | 2010-06-09 | 2013-10-08 | 셈프러스 바이오사이언시스 코퍼레이션 | Non-fouling, anti-microbial, anti-thrombogenic graft-from compositions |
| US9336353B2 (en) | 2010-06-25 | 2016-05-10 | Dexcom, Inc. | Systems and methods for communicating sensor data between communication devices of a glucose monitoring system |
| US20120165636A1 (en) | 2010-07-22 | 2012-06-28 | Feldman Benjamin J | Systems and Methods for Improved In Vivo Analyte Sensor Function |
| CA2802867A1 (en) | 2010-07-28 | 2012-02-02 | Udo Hoss | Analyte sensors having temperature independent membranes |
| DK2621339T3 (en) | 2010-09-29 | 2020-02-24 | Dexcom Inc | ADVANCED SYSTEM FOR CONTINUOUS ANALYTICAL MONITORING |
| EP3744249B1 (en) | 2010-10-27 | 2025-07-02 | Dexcom, Inc. | Continuous analyte monitor data recording device operable in a blinded mode |
| WO2012080258A1 (en) | 2010-12-17 | 2012-06-21 | Eyesense Ag | Use of hydrogels for biosensors having elevated sensitivity |
| MX2013011041A (en) | 2011-03-28 | 2013-12-06 | Hoffmann La Roche | Improved diffusion layer for an enzymatic in-vivo sensor. |
| US8844007B2 (en) | 2011-04-08 | 2014-09-23 | Dexcom, Inc. | Systems and methods for processing and transmitting sensor data |
| EP4324399A3 (en) | 2011-04-15 | 2024-05-15 | DexCom, Inc. | Advanced analyte sensor calibration and error detection |
| JP6046115B2 (en) | 2011-04-18 | 2016-12-14 | ノビオセンス ビー.ブイ. | Biosensor |
| US9380965B2 (en) * | 2011-05-20 | 2016-07-05 | Abbott Diabetes Care Inc. | Analyte sensors having a membrane with low temperature sensitivity |
| US10575762B2 (en) | 2011-08-05 | 2020-03-03 | Dexcom, Inc. | Systems and methods for detecting glucose level data patterns |
| US9549692B2 (en) | 2011-08-26 | 2017-01-24 | Dexcom, Inc. | Polymer membranes for continuous analyte sensors |
| US9974018B2 (en) | 2011-09-23 | 2018-05-15 | Dexcom, Inc. | Systems and methods for processing and transmitting sensor data |
| US20130098775A1 (en) * | 2011-10-20 | 2013-04-25 | Nova Biomedical Corporation | Glucose biosensor with improved shelf life |
| US9317656B2 (en) | 2011-11-23 | 2016-04-19 | Abbott Diabetes Care Inc. | Compatibility mechanisms for devices in a continuous analyte monitoring system and methods thereof |
| MX2014007202A (en) * | 2011-12-14 | 2015-03-09 | Semprus Biosciences Corp | Surface modified contact lenses. |
| US20130178726A1 (en) * | 2012-01-05 | 2013-07-11 | Medtronic Minimed, Inc. | Stabilized polymers for use with analyte sensors and methods for making and using them |
| US10031138B2 (en) * | 2012-01-20 | 2018-07-24 | University Of Washington Through Its Center For Commercialization | Hierarchical films having ultra low fouling and high recognition element loading properties |
| EP2825096B1 (en) * | 2012-03-16 | 2023-04-26 | Dexcom, Inc. | Systems and methods for processing analyte sensor data |
| FR2988644B1 (en) * | 2012-04-02 | 2014-04-11 | Michelin & Cie | METHOD FOR RECHAMING A TIRE WHOSE TOP ZONE IS PROVIDED WITH A SUB-LAYER COMPRISING A THERMOPLASTIC ELASTOMER |
| US10598627B2 (en) | 2012-06-29 | 2020-03-24 | Dexcom, Inc. | Devices, systems, and methods to compensate for effects of temperature on implantable sensors |
| US9119529B2 (en) | 2012-10-30 | 2015-09-01 | Dexcom, Inc. | Systems and methods for dynamically and intelligently monitoring a host's glycemic condition after an alert is triggered |
| US9211092B2 (en) | 2013-01-03 | 2015-12-15 | Dexcom, Inc. | End of life detection for analyte sensors |
| US10335075B2 (en) | 2013-03-14 | 2019-07-02 | Dexcom, Inc. | Advanced calibration for analyte sensors |
| US9737250B2 (en) * | 2013-03-15 | 2017-08-22 | Dexcom, Inc. | Membrane for continuous analyte sensors |
| EP3035849B1 (en) | 2013-08-21 | 2019-07-31 | Senseonics, Incorporated | Drug elution for in vivo protection of bio-sensing analytes |
| WO2015057645A1 (en) * | 2013-10-14 | 2015-04-23 | The University Of Akron | Zwitterionic polysaccharide polymers having antifouling, antimicrobial and optical transparency properties |
| US20150289788A1 (en) | 2014-04-10 | 2015-10-15 | Dexcom, Inc. | Sensors for continuous analyte monitoring, and related methods |
| WO2015160998A2 (en) | 2014-04-17 | 2015-10-22 | Abbott Cardiovascular Systems Inc. | Coatings for braided medical devices and methods of forming same |
| US10238322B2 (en) * | 2014-06-06 | 2019-03-26 | Dexcom, Inc. | Fault discrimination and responsive processing based on data and context |
| US20190142317A1 (en) | 2016-05-10 | 2019-05-16 | Interface Biologics, Inc. | Implantable glucose sensors having a biostable surface |
| US11179078B2 (en) | 2016-06-06 | 2021-11-23 | Medtronic Minimed, Inc. | Polycarbonate urea/urethane polymers for use with analyte sensors |
| US11134872B2 (en) | 2016-06-06 | 2021-10-05 | Medtronic Minimed, Inc. | Thermally stable glucose limiting membrane for glucose sensors |
| US11007363B2 (en) | 2017-02-09 | 2021-05-18 | Med-El Elektromedizinische Geraete Gmbh | Implantable electrode with dexamethasone coating |
| US12042284B2 (en) | 2018-01-23 | 2024-07-23 | Medtronic Minimed, Inc. | Implantable polymer surfaces exhibiting reduced in vivo inflammatory responses |
| US20210236028A1 (en) | 2018-05-17 | 2021-08-05 | Abbott Diabetes Care Inc. | Analyte sensor antimicrobial configurations and adhesives |
| US20200375511A1 (en) | 2019-05-29 | 2020-12-03 | Senseonics, Incorporated | Tailored drug delivery vehicles for in vivo protection of analyte sensing compounds |
| EP3993715B1 (en) | 2019-07-04 | 2024-04-17 | F. Hoffmann-La Roche AG | Implantation needle for inserting a subcutaneously insertable element into a body tissue |
| US20210076993A1 (en) | 2019-09-18 | 2021-03-18 | Medtronic Minimed, Inc. | Immunosuppressant releasing coatings |
| JP2024502792A (en) | 2020-12-31 | 2024-01-23 | アボット ダイアベティス ケア インコーポレイテッド | Analytical sensors and sharps for delivering therapeutic agents in close proximity to analytical sensors and methods thereof |
| US20220338769A1 (en) | 2021-04-26 | 2022-10-27 | Glysens Incorporated | Methods and apparatus for substance delivery in an implantable device |
-
2016
- 2016-12-29 US US15/394,764 patent/US20170188905A1/en not_active Abandoned
- 2016-12-29 CA CA2998398A patent/CA2998398C/en active Active
- 2016-12-29 US US15/394,706 patent/US20170188922A1/en not_active Abandoned
- 2016-12-29 AU AU2016381162A patent/AU2016381162B2/en active Active
- 2016-12-29 AU AU2016381968A patent/AU2016381968B2/en active Active
- 2016-12-29 EP EP23207670.3A patent/EP4324921A3/en active Pending
- 2016-12-29 JP JP2018515510A patent/JP6983765B2/en active Active
- 2016-12-29 US US15/394,650 patent/US20170188902A1/en not_active Abandoned
- 2016-12-29 EP EP23184439.0A patent/EP4253536A3/en active Pending
- 2016-12-29 WO PCT/US2016/069341 patent/WO2017117468A1/en not_active Ceased
- 2016-12-29 EP EP23150421.8A patent/EP4218566A1/en active Pending
- 2016-12-29 CA CA3003533A patent/CA3003533A1/en active Pending
- 2016-12-29 EP EP16882712.9A patent/EP3397163B1/en active Active
- 2016-12-29 JP JP2018522996A patent/JP7184643B2/en active Active
- 2016-12-29 WO PCT/US2016/069348 patent/WO2017117472A1/en not_active Ceased
- 2016-12-29 CA CA3002099A patent/CA3002099A1/en active Pending
- 2016-12-29 EP EP16882711.1A patent/EP3397397B1/en active Active
- 2016-12-29 JP JP2018515505A patent/JP6903642B2/en active Active
- 2016-12-29 US US15/394,748 patent/US20170188923A1/en not_active Abandoned
- 2016-12-29 US US15/394,520 patent/US11112377B2/en active Active
- 2016-12-29 CA CA3206809A patent/CA3206809A1/en active Pending
- 2016-12-29 WO PCT/US2016/069342 patent/WO2017117469A1/en not_active Ceased
- 2016-12-29 EP EP21157321.7A patent/EP3895614B1/en active Active
- 2016-12-29 AU AU2016381965A patent/AU2016381965B2/en active Active
- 2016-12-29 EP EP16882715.2A patent/EP3397398B1/en active Active
- 2016-12-29 US US15/394,694 patent/US20170191955A1/en not_active Abandoned
- 2016-12-30 EP EP23181721.4A patent/EP4292528A1/en active Pending
- 2016-12-30 WO PCT/US2016/069576 patent/WO2017117565A1/en not_active Ceased
- 2016-12-30 US US15/395,892 patent/US11262326B2/en active Active
- 2016-12-30 EP EP16882775.6A patent/EP3397162B1/en active Active
- 2016-12-30 CA CA3203953A patent/CA3203953A1/en active Pending
- 2016-12-30 CA CA2994318A patent/CA2994318C/en active Active
- 2016-12-30 AU AU2016381362A patent/AU2016381362B2/en active Active
-
2019
- 2019-05-28 AU AU2019203726A patent/AU2019203726B2/en active Active
- 2019-10-21 AU AU2019253773A patent/AU2019253773B9/en active Active
-
2020
- 2020-05-19 AU AU2020203239A patent/AU2020203239B2/en active Active
- 2020-06-29 AU AU2020204319A patent/AU2020204319A1/en not_active Abandoned
-
2021
- 2021-06-23 JP JP2021104075A patent/JP7258953B2/en active Active
- 2021-07-30 US US17/390,668 patent/US12360074B2/en active Active
- 2021-08-02 AU AU2021211973A patent/AU2021211973B2/en active Active
- 2021-10-26 AU AU2021257924A patent/AU2021257924B2/en active Active
- 2021-11-24 JP JP2021190160A patent/JP7404325B2/en active Active
- 2021-12-23 US US17/560,566 patent/US20220214300A1/en active Pending
-
2022
- 2022-08-18 AU AU2022218567A patent/AU2022218567B2/en active Active
- 2022-11-22 JP JP2022186546A patent/JP7592682B2/en active Active
- 2022-12-27 US US18/089,351 patent/US20230139158A1/en active Pending
- 2022-12-30 US US18/091,658 patent/US20230138407A1/en not_active Abandoned
-
2023
- 2023-04-05 JP JP2023061630A patent/JP7700169B2/en active Active
- 2023-08-25 AU AU2023219959A patent/AU2023219959A1/en not_active Abandoned
- 2023-11-21 US US18/516,661 patent/US12366548B2/en active Active
- 2023-11-23 AU AU2023270293A patent/AU2023270293B2/en active Active
- 2023-12-13 JP JP2023210269A patent/JP7757381B2/en active Active
-
2024
- 2024-11-19 JP JP2024201454A patent/JP2025041595A/en active Pending
- 2024-12-12 AU AU2024278339A patent/AU2024278339A1/en active Pending
-
2025
- 2025-07-01 US US19/257,077 patent/US20250327768A1/en active Pending
- 2025-07-01 US US19/257,167 patent/US20260009759A1/en active Pending
Patent Citations (8)
| Publication number | Priority date | Publication date | Assignee | Title |
|---|---|---|---|---|
| US20080181861A1 (en) * | 2005-08-25 | 2008-07-31 | Washington, University Of | Super-low fouling sulfobetaine and carboxybetaine materials and related methods |
| US20080034972A1 (en) * | 2006-08-10 | 2008-02-14 | The Regents Of The University Of California | Membranes with controlled permeability to polar and apolar molecules in solution and methods of making same |
| US8101156B2 (en) * | 2006-11-21 | 2012-01-24 | Abbott Laboratories | Methods of manufacturing copolymers with zwitterionic moieties and dihydroxyphenyl moieties and use of same |
| US20090247856A1 (en) * | 2008-03-28 | 2009-10-01 | Dexcom, Inc. | Polymer membranes for continuous analyte sensors |
| US20140094671A1 (en) * | 2012-09-28 | 2014-04-03 | Dexcom, Inc. | Zwitterion surface modifications for continuous sensors |
| US20170188902A1 (en) * | 2015-12-30 | 2017-07-06 | Dexcom, Inc. | Enzyme immobilized adhesive layer for analyte sensors |
| US20170188922A1 (en) * | 2015-12-30 | 2017-07-06 | Dexcom, Inc. | Biointerface layer for analyte sensors |
| US20170188921A1 (en) * | 2015-12-30 | 2017-07-06 | Dexcom, Inc. | Enzyme immobilized adhesive layer for analyte sensors |
Non-Patent Citations (1)
| Title |
|---|
| Cao Journal of Biomedical Materials Research A, 2013, cited in the Office action mailed on 2/26/18 * |
Cited By (25)
| Publication number | Priority date | Publication date | Assignee | Title |
|---|---|---|---|---|
| US11864891B2 (en) | 2012-09-28 | 2024-01-09 | Dexcom, Inc. | Zwitterion surface modifications for continuous sensors |
| US9936909B2 (en) | 2012-09-28 | 2018-04-10 | Dexcom, Inc. | Zwitterion surface modifications for continuous sensors |
| US10045723B2 (en) | 2012-09-28 | 2018-08-14 | Dexcom, Inc. | Zwitterion surface modifications for continuous sensors |
| US12303266B2 (en) | 2012-09-28 | 2025-05-20 | Dexcom, Inc. | Zwitterion surface modifications for continuous sensors |
| US11179079B2 (en) | 2012-09-28 | 2021-11-23 | Dexcom, Inc. | Zwitterion surface modifications for continuous sensors |
| US10413227B2 (en) | 2013-03-15 | 2019-09-17 | Dexcom, Inc. | Membrane for continuous analyte sensors |
| US11998329B2 (en) | 2013-03-15 | 2024-06-04 | Dexcom, Inc. | Membrane for continuous analyte sensors |
| US11262326B2 (en) | 2015-12-30 | 2022-03-01 | Dexcom, Inc. | Membrane layers for analyte sensors |
| US12366548B2 (en) | 2015-12-30 | 2025-07-22 | Dexcom, Inc. | Analyte sensor |
| US12360074B2 (en) | 2015-12-30 | 2025-07-15 | Dexcom, Inc. | Enzyme immobilized adhesive layer for analyte sensors |
| US11112377B2 (en) | 2015-12-30 | 2021-09-07 | Dexcom, Inc. | Enzyme immobilized adhesive layer for analyte sensors |
| US20170188922A1 (en) * | 2015-12-30 | 2017-07-06 | Dexcom, Inc. | Biointerface layer for analyte sensors |
| US11723579B2 (en) | 2017-09-19 | 2023-08-15 | Neuroenhancement Lab, LLC | Method and apparatus for neuroenhancement |
| US11717686B2 (en) | 2017-12-04 | 2023-08-08 | Neuroenhancement Lab, LLC | Method and apparatus for neuroenhancement to facilitate learning and performance |
| US12383696B2 (en) | 2017-12-31 | 2025-08-12 | NeuroLight, Inc. | Method and apparatus for neuroenhancement to enhance emotional response |
| US12397128B2 (en) | 2017-12-31 | 2025-08-26 | NeuroLight, Inc. | Method and apparatus for neuroenhancement to enhance emotional response |
| US11318277B2 (en) | 2017-12-31 | 2022-05-03 | Neuroenhancement Lab, LLC | Method and apparatus for neuroenhancement to enhance emotional response |
| US11273283B2 (en) | 2017-12-31 | 2022-03-15 | Neuroenhancement Lab, LLC | Method and apparatus for neuroenhancement to enhance emotional response |
| US11478603B2 (en) | 2017-12-31 | 2022-10-25 | Neuroenhancement Lab, LLC | Method and apparatus for neuroenhancement to enhance emotional response |
| US12280219B2 (en) | 2017-12-31 | 2025-04-22 | NeuroLight, Inc. | Method and apparatus for neuroenhancement to enhance emotional response |
| US11364361B2 (en) | 2018-04-20 | 2022-06-21 | Neuroenhancement Lab, LLC | System and method for inducing sleep by transplanting mental states |
| US11452839B2 (en) | 2018-09-14 | 2022-09-27 | Neuroenhancement Lab, LLC | System and method of improving sleep |
| US11786694B2 (en) | 2019-05-24 | 2023-10-17 | NeuroLight, Inc. | Device, method, and app for facilitating sleep |
| CN116550161A (en) * | 2023-05-04 | 2023-08-08 | 江苏海洋大学 | Application of a Multifunctional Isocyanate Crosslinking Agent in Surface Modification of Aromatic Polyamide Composite Membranes |
| CN116478439A (en) * | 2023-05-04 | 2023-07-25 | 江苏海洋大学 | Application of a functional isocyanate crosslinking agent in surface modification of polyvinyl chloride materials |
Also Published As
Similar Documents
| Publication | Publication Date | Title |
|---|---|---|
| US12366548B2 (en) | Analyte sensor |
Legal Events
| Date | Code | Title | Description |
|---|---|---|---|
| AS | Assignment |
Owner name: DEXCOM, INC., CALIFORNIA Free format text: ASSIGNMENT OF ASSIGNORS INTEREST;ASSIGNORS:LEE, TED TANG;DENNIS, ANDREW TRININ;WANG, SHANGER;AND OTHERS;SIGNING DATES FROM 20170201 TO 20170723;REEL/FRAME:043149/0111 |
|
| STPP | Information on status: patent application and granting procedure in general |
Free format text: FINAL REJECTION MAILED |
|
| STPP | Information on status: patent application and granting procedure in general |
Free format text: DOCKETED NEW CASE - READY FOR EXAMINATION |
|
| STPP | Information on status: patent application and granting procedure in general |
Free format text: NON FINAL ACTION MAILED |
|
| STPP | Information on status: patent application and granting procedure in general |
Free format text: RESPONSE TO NON-FINAL OFFICE ACTION ENTERED AND FORWARDED TO EXAMINER |
|
| STPP | Information on status: patent application and granting procedure in general |
Free format text: DOCKETED NEW CASE - READY FOR EXAMINATION |
|
| STPP | Information on status: patent application and granting procedure in general |
Free format text: NON FINAL ACTION MAILED |
|
| STPP | Information on status: patent application and granting procedure in general |
Free format text: RESPONSE TO NON-FINAL OFFICE ACTION ENTERED AND FORWARDED TO EXAMINER |
|
| STPP | Information on status: patent application and granting procedure in general |
Free format text: FINAL REJECTION MAILED |
|
| STPP | Information on status: patent application and granting procedure in general |
Free format text: ADVISORY ACTION MAILED |
|
| STPP | Information on status: patent application and granting procedure in general |
Free format text: DOCKETED NEW CASE - READY FOR EXAMINATION |
|
| STPP | Information on status: patent application and granting procedure in general |
Free format text: NON FINAL ACTION MAILED |
|
| STPP | Information on status: patent application and granting procedure in general |
Free format text: RESPONSE TO NON-FINAL OFFICE ACTION ENTERED AND FORWARDED TO EXAMINER |
|
| STPP | Information on status: patent application and granting procedure in general |
Free format text: NOTICE OF ALLOWANCE MAILED -- APPLICATION RECEIVED IN OFFICE OF PUBLICATIONS |
|
| STPP | Information on status: patent application and granting procedure in general |
Free format text: NOTICE OF ALLOWANCE MAILED -- APPLICATION RECEIVED IN OFFICE OF PUBLICATIONS |
|
| STPP | Information on status: patent application and granting procedure in general |
Free format text: DOCKETED NEW CASE - READY FOR EXAMINATION |
|
| STPP | Information on status: patent application and granting procedure in general |
Free format text: NON FINAL ACTION MAILED |
|
| STPP | Information on status: patent application and granting procedure in general |
Free format text: RESPONSE TO NON-FINAL OFFICE ACTION ENTERED AND FORWARDED TO EXAMINER |
|
| STPP | Information on status: patent application and granting procedure in general |
Free format text: FINAL REJECTION MAILED |
|
| STCB | Information on status: application discontinuation |
Free format text: ABANDONED -- FAILURE TO RESPOND TO AN OFFICE ACTION |








