US20050090450A1 - Inhibitors of serine proteases, particularly HCV NS3-NS4A protease - Google Patents
Inhibitors of serine proteases, particularly HCV NS3-NS4A protease Download PDFInfo
- Publication number
- US20050090450A1 US20050090450A1 US10/821,793 US82179304A US2005090450A1 US 20050090450 A1 US20050090450 A1 US 20050090450A1 US 82179304 A US82179304 A US 82179304A US 2005090450 A1 US2005090450 A1 US 2005090450A1
- Authority
- US
- United States
- Prior art keywords
- aliphatic
- cycloalkyl
- aryl
- heteroaryl
- heterocyclyl
- Prior art date
- Legal status (The legal status is an assumption and is not a legal conclusion. Google has not performed a legal analysis and makes no representation as to the accuracy of the status listed.)
- Abandoned
Links
- 102000012479 Serine Proteases Human genes 0.000 title claims abstract description 24
- 108010022999 Serine Proteases Proteins 0.000 title claims abstract description 24
- 108091005804 Peptidases Proteins 0.000 title claims abstract description 13
- 239000004365 Protease Substances 0.000 title claims abstract description 12
- 102100037486 Reverse transcriptase/ribonuclease H Human genes 0.000 title claims abstract 4
- 239000003112 inhibitor Substances 0.000 title claims description 31
- 150000001875 compounds Chemical class 0.000 claims abstract description 139
- 239000000203 mixture Substances 0.000 claims abstract description 50
- 238000000034 method Methods 0.000 claims abstract description 38
- 239000003443 antiviral agent Substances 0.000 claims abstract description 18
- 239000008194 pharmaceutical composition Substances 0.000 claims abstract description 17
- 150000003839 salts Chemical class 0.000 claims abstract description 14
- 230000000694 effects Effects 0.000 claims abstract description 10
- 208000015181 infectious disease Diseases 0.000 claims abstract description 10
- 125000001424 substituent group Chemical group 0.000 claims description 67
- -1 hydrogen- Chemical class 0.000 claims description 62
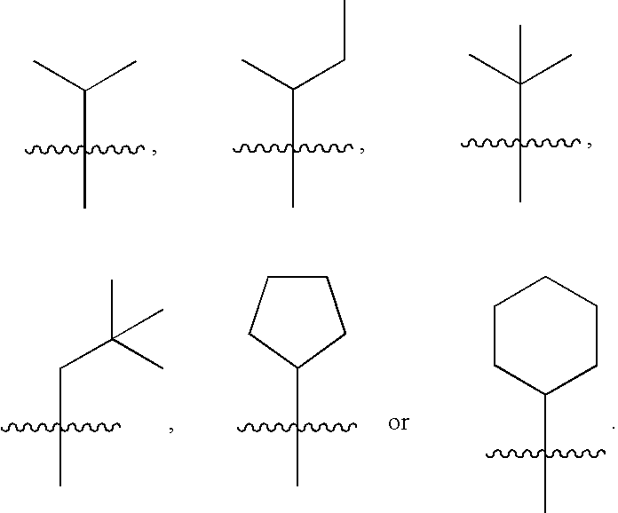
- 125000006376 (C3-C10) cycloalkyl group Chemical group 0.000 claims description 52
- 125000000041 C6-C10 aryl group Chemical group 0.000 claims description 52
- 125000001931 aliphatic group Chemical group 0.000 claims description 52
- 125000006714 (C3-C10) heterocyclyl group Chemical group 0.000 claims description 50
- 125000004122 cyclic group Chemical group 0.000 claims description 32
- 229910052757 nitrogen Inorganic materials 0.000 claims description 31
- 125000006717 (C3-C10) cycloalkenyl group Chemical group 0.000 claims description 30
- 229910052717 sulfur Inorganic materials 0.000 claims description 27
- 125000001072 heteroaryl group Chemical group 0.000 claims description 26
- 125000000392 cycloalkenyl group Chemical group 0.000 claims description 25
- 229910052760 oxygen Inorganic materials 0.000 claims description 25
- 239000001257 hydrogen Substances 0.000 claims description 24
- 229910052739 hydrogen Inorganic materials 0.000 claims description 24
- 125000003118 aryl group Chemical group 0.000 claims description 21
- 239000003795 chemical substances by application Substances 0.000 claims description 21
- 125000005842 heteroatom Chemical group 0.000 claims description 21
- 125000006413 ring segment Chemical group 0.000 claims description 19
- UFHFLCQGNIYNRP-UHFFFAOYSA-N Hydrogen Chemical compound [H][H] UFHFLCQGNIYNRP-UHFFFAOYSA-N 0.000 claims description 17
- 229920006395 saturated elastomer Polymers 0.000 claims description 15
- 125000004429 atom Chemical group 0.000 claims description 13
- 229910052796 boron Inorganic materials 0.000 claims description 10
- 229910052736 halogen Inorganic materials 0.000 claims description 10
- 125000004433 nitrogen atom Chemical group N* 0.000 claims description 10
- ZOXJGFHDIHLPTG-UHFFFAOYSA-N Boron Chemical group [B] ZOXJGFHDIHLPTG-UHFFFAOYSA-N 0.000 claims description 9
- 210000004369 blood Anatomy 0.000 claims description 8
- 239000008280 blood Substances 0.000 claims description 8
- 125000002496 methyl group Chemical group [H]C([H])([H])* 0.000 claims description 8
- 125000001797 benzyl group Chemical group [H]C1=C([H])C([H])=C(C([H])=C1[H])C([H])([H])* 0.000 claims description 7
- 239000002552 dosage form Substances 0.000 claims description 7
- 125000000623 heterocyclic group Chemical group 0.000 claims description 7
- 125000004435 hydrogen atom Chemical group [H]* 0.000 claims description 7
- 125000004432 carbon atom Chemical group C* 0.000 claims description 6
- 125000005843 halogen group Chemical group 0.000 claims description 6
- 230000002519 immonomodulatory effect Effects 0.000 claims description 6
- 125000000876 trifluoromethoxy group Chemical group FC(F)(F)O* 0.000 claims description 6
- IWUCXVSUMQZMFG-AFCXAGJDSA-N Ribavirin Chemical group N1=C(C(=O)N)N=CN1[C@H]1[C@H](O)[C@H](O)[C@@H](CO)O1 IWUCXVSUMQZMFG-AFCXAGJDSA-N 0.000 claims description 5
- 125000001495 ethyl group Chemical group [H]C([H])([H])C([H])([H])* 0.000 claims description 5
- 229960000329 ribavirin Drugs 0.000 claims description 5
- 208000003311 Cytochrome P-450 Enzyme Inhibitors Diseases 0.000 claims description 4
- 108010047761 Interferon-alpha Proteins 0.000 claims description 4
- 102000006992 Interferon-alpha Human genes 0.000 claims description 4
- 108060004795 Methyltransferase Proteins 0.000 claims description 4
- NCDNCNXCDXHOMX-UHFFFAOYSA-N Ritonavir Natural products C=1C=CC=CC=1CC(NC(=O)OCC=1SC=NC=1)C(O)CC(CC=1C=CC=CC=1)NC(=O)C(C(C)C)NC(=O)N(C)CC1=CSC(C(C)C)=N1 NCDNCNXCDXHOMX-UHFFFAOYSA-N 0.000 claims description 4
- 108010046075 Thymosin Proteins 0.000 claims description 4
- 102000007501 Thymosin Human genes 0.000 claims description 4
- DKNWSYNQZKUICI-UHFFFAOYSA-N amantadine Chemical compound C1C(C2)CC3CC2CC1(N)C3 DKNWSYNQZKUICI-UHFFFAOYSA-N 0.000 claims description 4
- 229960003805 amantadine Drugs 0.000 claims description 4
- 229910052799 carbon Inorganic materials 0.000 claims description 4
- 150000002367 halogens Chemical class 0.000 claims description 4
- QJGQUHMNIGDVPM-UHFFFAOYSA-N nitrogen group Chemical group [N] QJGQUHMNIGDVPM-UHFFFAOYSA-N 0.000 claims description 4
- HZCAHMRRMINHDJ-DBRKOABJSA-N ribavirin Natural products O[C@@H]1[C@H](O)[C@@H](CO)O[C@H]1N1N=CN=C1 HZCAHMRRMINHDJ-DBRKOABJSA-N 0.000 claims description 4
- 229960000311 ritonavir Drugs 0.000 claims description 4
- NCDNCNXCDXHOMX-XGKFQTDJSA-N ritonavir Chemical group N([C@@H](C(C)C)C(=O)N[C@H](C[C@H](O)[C@H](CC=1C=CC=CC=1)NC(=O)OCC=1SC=NC=1)CC=1C=CC=CC=1)C(=O)N(C)CC1=CSC(C(C)C)=N1 NCDNCNXCDXHOMX-XGKFQTDJSA-N 0.000 claims description 4
- 239000000523 sample Substances 0.000 claims description 4
- 125000000464 thioxo group Chemical group S=* 0.000 claims description 4
- LCJVIYPJPCBWKS-NXPQJCNCSA-N thymosin Chemical compound SC[C@@H](N)C(=O)N[C@H](CO)C(=O)N[C@H](CC(O)=O)C(=O)N[C@@H](C)C(=O)N[C@@H](C)C(=O)N[C@H](C(C)C)C(=O)N[C@H](CC(O)=O)C(=O)N[C@H](C(C)C)C(=O)N[C@H](CO)C(=O)N[C@H](CO)C(=O)N[C@H](CCC(O)=O)C(=O)N[C@H]([C@@H](C)CC)C(=O)N[C@H]([C@H](C)O)C(=O)N[C@H](C(C)C)C(=O)N[C@H](CCCCN)C(=O)N[C@H](CC(O)=O)C(=O)N[C@H](CC(C)C)C(=O)N[C@H](CCCCN)C(=O)N[C@H](CCC(O)=O)C(=O)N[C@H](CCCCN)C(=O)N[C@H](CCCCN)C(=O)N[C@H](CCC(O)=O)C(=O)N[C@H](C(C)C)C(=O)N[C@H](C(C)C)C(=O)N[C@H](CCC(O)=O)C(=O)N[C@H](CCC(O)=O)C(=O)N[C@@H](C)C(=O)N[C@H](CCC(O)=O)C(O)=O LCJVIYPJPCBWKS-NXPQJCNCSA-N 0.000 claims description 4
- 229940122280 Cytochrome P450 inhibitor Drugs 0.000 claims description 3
- IQFYYKKMVGJFEH-UHFFFAOYSA-N beta-L-thymidine Natural products O=C1NC(=O)C(C)=CN1C1OC(CO)C(O)C1 IQFYYKKMVGJFEH-UHFFFAOYSA-N 0.000 claims description 3
- 239000012472 biological sample Substances 0.000 claims description 3
- 125000000113 cyclohexyl group Chemical group [H]C1([H])C([H])([H])C([H])([H])C([H])(*)C([H])([H])C1([H])[H] 0.000 claims description 3
- 125000001436 propyl group Chemical group [H]C([*])([H])C([H])([H])C([H])([H])[H] 0.000 claims description 3
- IQFYYKKMVGJFEH-CSMHCCOUSA-N telbivudine Chemical compound O=C1NC(=O)C(C)=CN1[C@H]1O[C@@H](CO)[C@H](O)C1 IQFYYKKMVGJFEH-CSMHCCOUSA-N 0.000 claims description 3
- 229960005311 telbivudine Drugs 0.000 claims description 3
- 125000003396 thiol group Chemical group [H]S* 0.000 claims description 3
- 125000001449 isopropyl group Chemical group [H]C([H])([H])C([H])(*)C([H])([H])[H] 0.000 claims description 2
- 210000001124 body fluid Anatomy 0.000 claims 4
- 239000010839 body fluid Substances 0.000 claims 4
- 102000003996 Interferon-beta Human genes 0.000 claims 2
- 108090000467 Interferon-beta Proteins 0.000 claims 2
- 102000008070 Interferon-gamma Human genes 0.000 claims 2
- 108010074328 Interferon-gamma Proteins 0.000 claims 2
- 102000005741 Metalloproteases Human genes 0.000 claims 2
- 108010006035 Metalloproteases Proteins 0.000 claims 2
- 229940044627 gamma-interferon Drugs 0.000 claims 2
- 101800001838 Serine protease/helicase NS3 Proteins 0.000 claims 1
- 239000002671 adjuvant Substances 0.000 claims 1
- 238000011109 contamination Methods 0.000 claims 1
- 125000002887 hydroxy group Chemical group [H]O* 0.000 claims 1
- 230000002401 inhibitory effect Effects 0.000 claims 1
- 239000011232 storage material Substances 0.000 claims 1
- 241000711549 Hepacivirus C Species 0.000 abstract description 45
- 230000008569 process Effects 0.000 abstract description 6
- 230000002452 interceptive effect Effects 0.000 abstract description 2
- XEKOWRVHYACXOJ-UHFFFAOYSA-N Ethyl acetate Chemical compound CCOC(C)=O XEKOWRVHYACXOJ-UHFFFAOYSA-N 0.000 description 39
- IAZDPXIOMUYVGZ-UHFFFAOYSA-N Dimethylsulphoxide Chemical compound CS(C)=O IAZDPXIOMUYVGZ-UHFFFAOYSA-N 0.000 description 32
- YMWUJEATGCHHMB-UHFFFAOYSA-N Dichloromethane Chemical compound ClCCl YMWUJEATGCHHMB-UHFFFAOYSA-N 0.000 description 31
- 239000000243 solution Substances 0.000 description 25
- WYURNTSHIVDZCO-UHFFFAOYSA-N Tetrahydrofuran Chemical compound C1CCOC1 WYURNTSHIVDZCO-UHFFFAOYSA-N 0.000 description 22
- 0 CC(*)(C1)C(*)(**N(C(*)(*)I=C)C2=O)C2N1C(C(*)N(*)C(C(*)N(C)*)=O)=O Chemical compound CC(*)(C1)C(*)(**N(C(*)(*)I=C)C2=O)C2N1C(C(*)N(*)C(C(*)N(C)*)=O)=O 0.000 description 21
- RTZKZFJDLAIYFH-UHFFFAOYSA-N Diethyl ether Chemical compound CCOCC RTZKZFJDLAIYFH-UHFFFAOYSA-N 0.000 description 20
- 235000002639 sodium chloride Nutrition 0.000 description 19
- HEDRZPFGACZZDS-MICDWDOJSA-N Trichloro(2H)methane Chemical compound [2H]C(Cl)(Cl)Cl HEDRZPFGACZZDS-MICDWDOJSA-N 0.000 description 18
- XLYOFNOQVPJJNP-UHFFFAOYSA-N water Substances O XLYOFNOQVPJJNP-UHFFFAOYSA-N 0.000 description 17
- 235000019439 ethyl acetate Nutrition 0.000 description 16
- LFQSCWFLJHTTHZ-UHFFFAOYSA-N Ethanol Chemical compound CCO LFQSCWFLJHTTHZ-UHFFFAOYSA-N 0.000 description 15
- QTBSBXVTEAMEQO-UHFFFAOYSA-N Acetic acid Chemical compound CC(O)=O QTBSBXVTEAMEQO-UHFFFAOYSA-N 0.000 description 10
- 108091032973 (ribonucleotides)n+m Proteins 0.000 description 9
- 238000005160 1H NMR spectroscopy Methods 0.000 description 9
- CSCPPACGZOOCGX-UHFFFAOYSA-N Acetone Chemical compound CC(C)=O CSCPPACGZOOCGX-UHFFFAOYSA-N 0.000 description 9
- WEVYAHXRMPXWCK-UHFFFAOYSA-N Acetonitrile Chemical compound CC#N WEVYAHXRMPXWCK-UHFFFAOYSA-N 0.000 description 9
- 102000035195 Peptidases Human genes 0.000 description 9
- PMZURENOXWZQFD-UHFFFAOYSA-L Sodium Sulfate Chemical compound [Na+].[Na+].[O-]S([O-])(=O)=O PMZURENOXWZQFD-UHFFFAOYSA-L 0.000 description 9
- FAPWRFPIFSIZLT-UHFFFAOYSA-M Sodium chloride Chemical compound [Na+].[Cl-] FAPWRFPIFSIZLT-UHFFFAOYSA-M 0.000 description 9
- VLKZOEOYAKHREP-UHFFFAOYSA-N hexane Substances CCCCCC VLKZOEOYAKHREP-UHFFFAOYSA-N 0.000 description 9
- 125000002950 monocyclic group Chemical group 0.000 description 9
- 229910052938 sodium sulfate Inorganic materials 0.000 description 9
- 238000011282 treatment Methods 0.000 description 9
- DTQVDTLACAAQTR-UHFFFAOYSA-N trifluoroacetic acid Substances OC(=O)C(F)(F)F DTQVDTLACAAQTR-UHFFFAOYSA-N 0.000 description 9
- WPYMKLBDIGXBTP-UHFFFAOYSA-N benzoic acid Chemical compound OC(=O)C1=CC=CC=C1 WPYMKLBDIGXBTP-UHFFFAOYSA-N 0.000 description 8
- 210000004027 cell Anatomy 0.000 description 8
- 238000003818 flash chromatography Methods 0.000 description 8
- 239000000047 product Substances 0.000 description 8
- 239000011541 reaction mixture Substances 0.000 description 8
- 208000005176 Hepatitis C Diseases 0.000 description 7
- 125000002619 bicyclic group Chemical group 0.000 description 7
- 239000012267 brine Substances 0.000 description 7
- HPALAKNZSZLMCH-UHFFFAOYSA-M sodium;chloride;hydrate Chemical compound O.[Na+].[Cl-] HPALAKNZSZLMCH-UHFFFAOYSA-M 0.000 description 7
- 239000000126 substance Substances 0.000 description 7
- 239000000725 suspension Substances 0.000 description 7
- 230000003612 virological effect Effects 0.000 description 7
- WVDDGKGOMKODPV-UHFFFAOYSA-N Benzyl alcohol Chemical compound OCC1=CC=CC=C1 WVDDGKGOMKODPV-UHFFFAOYSA-N 0.000 description 6
- OKKJLVBELUTLKV-UHFFFAOYSA-N Methanol Chemical compound OC OKKJLVBELUTLKV-UHFFFAOYSA-N 0.000 description 6
- JGFZNNIVVJXRND-UHFFFAOYSA-N N,N-Diisopropylethylamine (DIPEA) Chemical compound CCN(C(C)C)C(C)C JGFZNNIVVJXRND-UHFFFAOYSA-N 0.000 description 6
- 108010076039 Polyproteins Proteins 0.000 description 6
- UIIMBOGNXHQVGW-UHFFFAOYSA-M Sodium bicarbonate Chemical compound [Na+].OC([O-])=O UIIMBOGNXHQVGW-UHFFFAOYSA-M 0.000 description 6
- DKGAVHZHDRPRBM-UHFFFAOYSA-N Tert-Butanol Chemical compound CC(C)(C)O DKGAVHZHDRPRBM-UHFFFAOYSA-N 0.000 description 6
- 201000010099 disease Diseases 0.000 description 6
- 208000037265 diseases, disorders, signs and symptoms Diseases 0.000 description 6
- 238000004128 high performance liquid chromatography Methods 0.000 description 6
- 239000000463 material Substances 0.000 description 6
- BWHMMNNQKKPAPP-UHFFFAOYSA-L potassium carbonate Chemical compound [K+].[K+].[O-]C([O-])=O BWHMMNNQKKPAPP-UHFFFAOYSA-L 0.000 description 6
- 238000002360 preparation method Methods 0.000 description 6
- 235000019419 proteases Nutrition 0.000 description 6
- 239000011780 sodium chloride Substances 0.000 description 6
- 239000007787 solid Substances 0.000 description 6
- 239000002904 solvent Substances 0.000 description 6
- 238000002560 therapeutic procedure Methods 0.000 description 6
- 241000710780 Bovine viral diarrhea virus 1 Species 0.000 description 5
- 108010050904 Interferons Proteins 0.000 description 5
- 102000014150 Interferons Human genes 0.000 description 5
- ZMXDDKWLCZADIW-UHFFFAOYSA-N N,N-Dimethylformamide Chemical compound CN(C)C=O ZMXDDKWLCZADIW-UHFFFAOYSA-N 0.000 description 5
- 239000007832 Na2SO4 Substances 0.000 description 5
- KDLHZDBZIXYQEI-UHFFFAOYSA-N Palladium on carbon Substances [Pd] KDLHZDBZIXYQEI-UHFFFAOYSA-N 0.000 description 5
- ONIBWKKTOPOVIA-UHFFFAOYSA-N Proline Natural products OC(=O)C1CCCN1 ONIBWKKTOPOVIA-UHFFFAOYSA-N 0.000 description 5
- 241000700605 Viruses Species 0.000 description 5
- 239000000969 carrier Substances 0.000 description 5
- 238000003776 cleavage reaction Methods 0.000 description 5
- 208000006454 hepatitis Diseases 0.000 description 5
- 229940079322 interferon Drugs 0.000 description 5
- 230000014759 maintenance of location Effects 0.000 description 5
- 238000012545 processing Methods 0.000 description 5
- 238000003756 stirring Methods 0.000 description 5
- GQHTUMJGOHRCHB-UHFFFAOYSA-N 2,3,4,6,7,8,9,10-octahydropyrimido[1,2-a]azepine Chemical compound C1CCCCN2CCCN=C21 GQHTUMJGOHRCHB-UHFFFAOYSA-N 0.000 description 4
- PPSGKMWFWAXDHT-UHFFFAOYSA-N 3-acetyl-4,5-dimethyl-1h-pyrrole-2-carboxylic acid Chemical compound CC(=O)C=1C(C)=C(C)NC=1C(O)=O PPSGKMWFWAXDHT-UHFFFAOYSA-N 0.000 description 4
- VHYFNPMBLIVWCW-UHFFFAOYSA-N 4-Dimethylaminopyridine Chemical compound CN(C)C1=CC=NC=C1 VHYFNPMBLIVWCW-UHFFFAOYSA-N 0.000 description 4
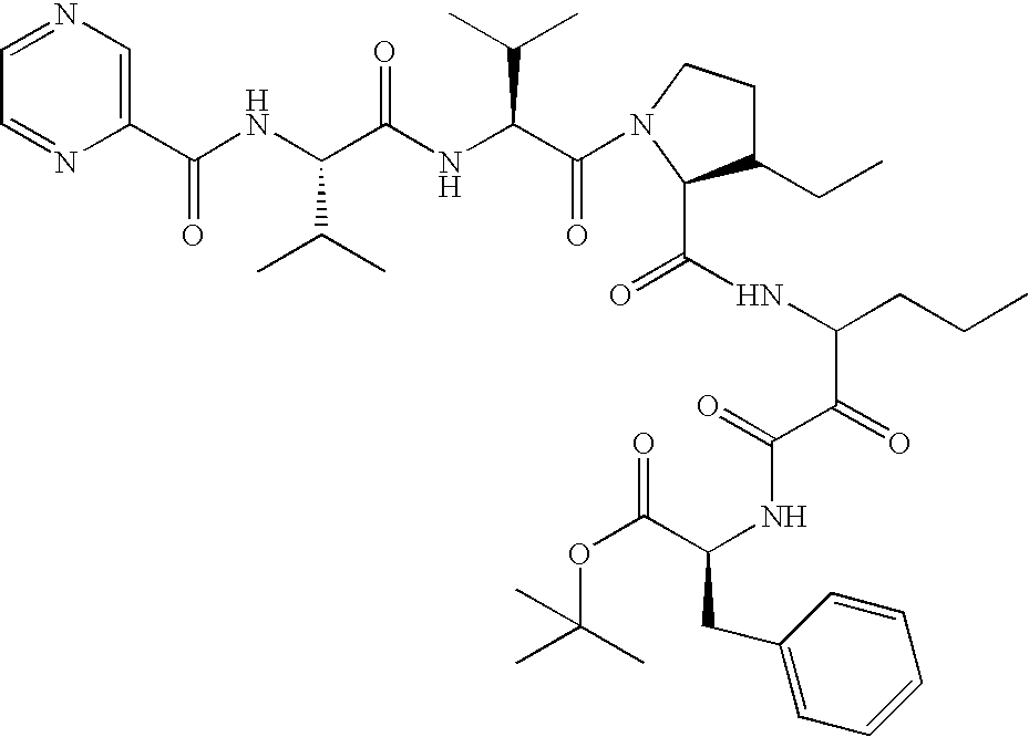
- NYYPPZVRQXLOCV-AZHMBEHQSA-N C=CCC1CCN(C(=O)C(NC(=O)[C@@H](NC(=O)C2=NC=CN=C2)C(C)C)C(C)C)[C@@H]1C(=O)NC(CCC)C(=O)C(=O)N[C@@H](CC1=CC=CC=C1)C(=O)O Chemical compound C=CCC1CCN(C(=O)C(NC(=O)[C@@H](NC(=O)C2=NC=CN=C2)C(C)C)C(C)C)[C@@H]1C(=O)NC(CCC)C(=O)C(=O)N[C@@H](CC1=CC=CC=C1)C(=O)O NYYPPZVRQXLOCV-AZHMBEHQSA-N 0.000 description 4
- PSVXGWGLOSUXCY-ZGAYVVSBSA-N CCCC(NC(=O)[C@@H]1[C@@H](CC)CCN1C(=O)C(NC(=O)[C@@H](NC(=O)C1=NC=CN=C1)C(C)C)C(C)(C)C)C(=O)C(=O)NC1CC1 Chemical compound CCCC(NC(=O)[C@@H]1[C@@H](CC)CCN1C(=O)C(NC(=O)[C@@H](NC(=O)C1=NC=CN=C1)C(C)C)C(C)(C)C)C(=O)C(=O)NC1CC1 PSVXGWGLOSUXCY-ZGAYVVSBSA-N 0.000 description 4
- HIORMPUELFWQTF-HMAXIFMYSA-N CCCC(NC(=O)[C@@H]1[C@@H](CC2CC2)CCN1C(=O)[C@@H](NC(=O)[C@@H](NC(=O)C1=NC=CN=C1)C(C)C)C(C)C)C(=O)C(=O)N[C@@H](CC1=CC=CC=C1)C(=O)O Chemical compound CCCC(NC(=O)[C@@H]1[C@@H](CC2CC2)CCN1C(=O)[C@@H](NC(=O)[C@@H](NC(=O)C1=NC=CN=C1)C(C)C)C(C)C)C(=O)C(=O)N[C@@H](CC1=CC=CC=C1)C(=O)O HIORMPUELFWQTF-HMAXIFMYSA-N 0.000 description 4
- 108010016626 Dipeptides Proteins 0.000 description 4
- VEXZGXHMUGYJMC-UHFFFAOYSA-N Hydrochloric acid Chemical compound Cl VEXZGXHMUGYJMC-UHFFFAOYSA-N 0.000 description 4
- 101710200424 Inosine-5'-monophosphate dehydrogenase Proteins 0.000 description 4
- ONIBWKKTOPOVIA-BYPYZUCNSA-N L-Proline Chemical compound OC(=O)[C@@H]1CCCN1 ONIBWKKTOPOVIA-BYPYZUCNSA-N 0.000 description 4
- PBCJIPOGFJYBJE-UHFFFAOYSA-N acetonitrile;hydrate Chemical compound O.CC#N PBCJIPOGFJYBJE-UHFFFAOYSA-N 0.000 description 4
- 238000003556 assay Methods 0.000 description 4
- 125000001584 benzyloxycarbonyl group Chemical group C(=O)(OCC1=CC=CC=C1)* 0.000 description 4
- 239000013553 cell monolayer Substances 0.000 description 4
- 238000006243 chemical reaction Methods 0.000 description 4
- IJOOHPMOJXWVHK-UHFFFAOYSA-N chlorotrimethylsilane Chemical compound C[Si](C)(C)Cl IJOOHPMOJXWVHK-UHFFFAOYSA-N 0.000 description 4
- 238000004587 chromatography analysis Methods 0.000 description 4
- 239000002270 dispersing agent Substances 0.000 description 4
- OAYLNYINCPYISS-UHFFFAOYSA-N ethyl acetate;hexane Chemical class CCCCCC.CCOC(C)=O OAYLNYINCPYISS-UHFFFAOYSA-N 0.000 description 4
- 238000009472 formulation Methods 0.000 description 4
- NPZTUJOABDZTLV-UHFFFAOYSA-N hydroxybenzotriazole Substances O=C1C=CC=C2NNN=C12 NPZTUJOABDZTLV-UHFFFAOYSA-N 0.000 description 4
- 238000004895 liquid chromatography mass spectrometry Methods 0.000 description 4
- 238000004949 mass spectrometry Methods 0.000 description 4
- 125000006574 non-aromatic ring group Chemical group 0.000 description 4
- 239000003921 oil Substances 0.000 description 4
- 235000019198 oils Nutrition 0.000 description 4
- 238000010992 reflux Methods 0.000 description 4
- 230000007017 scission Effects 0.000 description 4
- 235000011152 sodium sulphate Nutrition 0.000 description 4
- 239000000758 substrate Substances 0.000 description 4
- DYHSDKLCOJIUFX-UHFFFAOYSA-N tert-butoxycarbonyl anhydride Chemical compound CC(C)(C)OC(=O)OC(=O)OC(C)(C)C DYHSDKLCOJIUFX-UHFFFAOYSA-N 0.000 description 4
- FPIRBHDGWMWJEP-UHFFFAOYSA-N 1-hydroxy-7-azabenzotriazole Chemical compound C1=CN=C2N(O)N=NC2=C1 FPIRBHDGWMWJEP-UHFFFAOYSA-N 0.000 description 3
- OZAIFHULBGXAKX-UHFFFAOYSA-N 2-(2-cyanopropan-2-yldiazenyl)-2-methylpropanenitrile Chemical compound N#CC(C)(C)N=NC(C)(C)C#N OZAIFHULBGXAKX-UHFFFAOYSA-N 0.000 description 3
- NLXLAEXVIDQMFP-UHFFFAOYSA-N Ammonia chloride Chemical compound [NH4+].[Cl-] NLXLAEXVIDQMFP-UHFFFAOYSA-N 0.000 description 3
- 108091003079 Bovine Serum Albumin Proteins 0.000 description 3
- GVXJTIKOYFYNJP-GMWSOIOOSA-N C=C(C)[C@H]1CCN(C(=O)[C@@H](NC(=O)[C@@H](NC(=O)C2=NC=CN=C2)C(C)C)C(C)C)[C@@H]1C(=O)NC(CCC)C(=O)C(=O)N[C@@H](CC1=CC=CC=C1)C(=O)O Chemical compound C=C(C)[C@H]1CCN(C(=O)[C@@H](NC(=O)[C@@H](NC(=O)C2=NC=CN=C2)C(C)C)C(C)C)[C@@H]1C(=O)NC(CCC)C(=O)C(=O)N[C@@H](CC1=CC=CC=C1)C(=O)O GVXJTIKOYFYNJP-GMWSOIOOSA-N 0.000 description 3
- NYYPPZVRQXLOCV-YXLDSDEYSA-N C=CCC1CCN(C(=O)[C@@H](NC(=O)[C@@H](NC(=O)C2=NC=CN=C2)C(C)C)C(C)C)[C@@H]1C(=O)NC(CCC)C(=O)C(=O)N[C@@H](CC1=CC=CC=C1)C(=O)O Chemical compound C=CCC1CCN(C(=O)[C@@H](NC(=O)[C@@H](NC(=O)C2=NC=CN=C2)C(C)C)C(C)C)[C@@H]1C(=O)NC(CCC)C(=O)C(=O)N[C@@H](CC1=CC=CC=C1)C(=O)O NYYPPZVRQXLOCV-YXLDSDEYSA-N 0.000 description 3
- YAJCEHYUNAGVAM-YXLDSDEYSA-N CCCC(NC(=O)[C@@H]1C(CCC)CCN1C(=O)[C@@H](NC(=O)[C@@H](NC(=O)C1=NC=CN=C1)C(C)C)C(C)C)C(=O)C(=O)N[C@@H](CC1=CC=CC=C1)C(=O)O Chemical compound CCCC(NC(=O)[C@@H]1C(CCC)CCN1C(=O)[C@@H](NC(=O)[C@@H](NC(=O)C1=NC=CN=C1)C(C)C)C(C)C)C(=O)C(=O)N[C@@H](CC1=CC=CC=C1)C(=O)O YAJCEHYUNAGVAM-YXLDSDEYSA-N 0.000 description 3
- XKPLZODIJRNLTH-QKTKDURMSA-N CCCC(NC(=O)[C@@H]1[C@@H](C(=O)N2CCCC2)CCN1C(=O)[C@@H](NC(=O)[C@@H](NC(=O)C1=NC=CN=C1)C(C)C)C(C)C)C(=O)C(=O)N[C@@H](CC1=CC=CC=C1)C(=O)O Chemical compound CCCC(NC(=O)[C@@H]1[C@@H](C(=O)N2CCCC2)CCN1C(=O)[C@@H](NC(=O)[C@@H](NC(=O)C1=NC=CN=C1)C(C)C)C(C)C)C(=O)C(=O)N[C@@H](CC1=CC=CC=C1)C(=O)O XKPLZODIJRNLTH-QKTKDURMSA-N 0.000 description 3
- OMZOSIDRSAKTBR-PNNSYDRWSA-N CCCC(NC(=O)[C@@H]1[C@@H](C(C)CC)CCN1C(=O)[C@@H](NC(=O)[C@@H](NC(=O)C1=NC=CN=C1)C(C)C)C(C)C)C(=O)C(=O)N[C@@H](CC1=CC=CC=C1)C(=O)O Chemical compound CCCC(NC(=O)[C@@H]1[C@@H](C(C)CC)CCN1C(=O)[C@@H](NC(=O)[C@@H](NC(=O)C1=NC=CN=C1)C(C)C)C(C)C)C(=O)C(=O)N[C@@H](CC1=CC=CC=C1)C(=O)O OMZOSIDRSAKTBR-PNNSYDRWSA-N 0.000 description 3
- NUVCOLXQZZPSKE-QQGSLXIVSA-N CCCC(NC(=O)[C@@H]1[C@@H](C(C)CC)CCN1C(=O)[C@@H](NC(=O)[C@@H](NC(=O)C1=NC=CN=C1)C1CCCCC1)C(C)C)C(=O)C(=O)NC1CC1 Chemical compound CCCC(NC(=O)[C@@H]1[C@@H](C(C)CC)CCN1C(=O)[C@@H](NC(=O)[C@@H](NC(=O)C1=NC=CN=C1)C1CCCCC1)C(C)C)C(=O)C(=O)NC1CC1 NUVCOLXQZZPSKE-QQGSLXIVSA-N 0.000 description 3
- RLYJNXWTDNHHKY-RSGZEEEXSA-N CCCC(NC(=O)[C@@H]1[C@@H](C)CCN1C(=O)[C@@H](NC(=O)[C@@H](NC(=O)C1=NC=CN=C1)C(C)C)C(C)C)C(=O)C(=O)N[C@@H](CC1=CC=CC=C1)C(=O)O Chemical compound CCCC(NC(=O)[C@@H]1[C@@H](C)CCN1C(=O)[C@@H](NC(=O)[C@@H](NC(=O)C1=NC=CN=C1)C(C)C)C(C)C)C(=O)C(=O)N[C@@H](CC1=CC=CC=C1)C(=O)O RLYJNXWTDNHHKY-RSGZEEEXSA-N 0.000 description 3
- ABQRIGMQSHKROZ-YZFRJGDMSA-N CCCC(NC(=O)[C@@H]1[C@@H](C2=CC=CC=C2)CCN1C(=O)[C@@H](NC(=O)[C@@H](NC(=O)C1=NC=CN=C1)C(C)C)C(C)C)C(=O)C(=O)N[C@@H](CC1=CC=CC=C1)C(=O)O Chemical compound CCCC(NC(=O)[C@@H]1[C@@H](C2=CC=CC=C2)CCN1C(=O)[C@@H](NC(=O)[C@@H](NC(=O)C1=NC=CN=C1)C(C)C)C(C)C)C(=O)C(=O)N[C@@H](CC1=CC=CC=C1)C(=O)O ABQRIGMQSHKROZ-YZFRJGDMSA-N 0.000 description 3
- XDQVYXZGBUBPOW-HVYBWBFFSA-N CCCC(NC(=O)[C@@H]1[C@@H](CC)CCN1C(=O)[C@@H](NC(=O)[C@@H](NC(=O)C1=CN=CC=N1)C(C1=CC=CC=C1)C1=CC=CC=C1)C(C)C)C(=O)C(=O)NC1CC1 Chemical compound CCCC(NC(=O)[C@@H]1[C@@H](CC)CCN1C(=O)[C@@H](NC(=O)[C@@H](NC(=O)C1=CN=CC=N1)C(C1=CC=CC=C1)C1=CC=CC=C1)C(C)C)C(=O)C(=O)NC1CC1 XDQVYXZGBUBPOW-HVYBWBFFSA-N 0.000 description 3
- LOTDKEZEOWJDAT-ONDVBNBYSA-N CCCC(NC(=O)[C@@H]1[C@@H](CC)CCN1C(=O)[C@@H](NC(=O)[C@@H](NC(=O)C1=NC=CN=C1)C(C)C)C(C)(C)C)C(=O)C(=O)N[C@@H](CC1=CC=CC=C1)C(=O)O Chemical compound CCCC(NC(=O)[C@@H]1[C@@H](CC)CCN1C(=O)[C@@H](NC(=O)[C@@H](NC(=O)C1=NC=CN=C1)C(C)C)C(C)(C)C)C(=O)C(=O)N[C@@H](CC1=CC=CC=C1)C(=O)O LOTDKEZEOWJDAT-ONDVBNBYSA-N 0.000 description 3
- JVBHJUBYSAMBOP-DURUQFEUSA-N CCCC(NC(=O)[C@@H]1[C@@H](CC)CCN1C(=O)[C@@H](NC(=O)[C@@H](NC(=O)C1=NC=CN=C1)C(C)C)C1CCCCC1)C(=O)C(=O)N[C@@H](CC1=CC=CC=C1)C(=O)O Chemical compound CCCC(NC(=O)[C@@H]1[C@@H](CC)CCN1C(=O)[C@@H](NC(=O)[C@@H](NC(=O)C1=NC=CN=C1)C(C)C)C1CCCCC1)C(=O)C(=O)N[C@@H](CC1=CC=CC=C1)C(=O)O JVBHJUBYSAMBOP-DURUQFEUSA-N 0.000 description 3
- DNWNPCHCEZTTOT-LJOKWILZSA-N CCCC(NC(=O)[C@@H]1[C@@H](CC)CCN1C(=O)[C@@H](NC(=O)[C@@H](NC(=O)C1=NC=CN=C1)C1CCCCC1)C(C)C)C(=O)C(=O)N[C@@H](C)C1=CC=CC=C1 Chemical compound CCCC(NC(=O)[C@@H]1[C@@H](CC)CCN1C(=O)[C@@H](NC(=O)[C@@H](NC(=O)C1=NC=CN=C1)C1CCCCC1)C(C)C)C(=O)C(=O)N[C@@H](C)C1=CC=CC=C1 DNWNPCHCEZTTOT-LJOKWILZSA-N 0.000 description 3
- GUQVDVQFFMVLTR-CJHDSYBLSA-N CCC[C@H](NC(=O)[C@@H]1[C@@H](C2CCCC2)CCN1C(=O)[C@@H](NC(=O)[C@@H](NC(=O)C1=NC=CN=C1)C1CCCCC1)C(C)(C)C)C(=O)C(=O)NC1CC1 Chemical compound CCC[C@H](NC(=O)[C@@H]1[C@@H](C2CCCC2)CCN1C(=O)[C@@H](NC(=O)[C@@H](NC(=O)C1=NC=CN=C1)C1CCCCC1)C(C)(C)C)C(=O)C(=O)NC1CC1 GUQVDVQFFMVLTR-CJHDSYBLSA-N 0.000 description 3
- ICJLNCSZNWUUKO-OTKSFNJNSA-N CCC[C@H](NC(=O)[C@@H]1[C@@H](CC)[C@@H](C)CN1C(=O)[C@@H](NC(=O)[C@@H](NC(=O)C1=NC=CN=C1)C1CCCCC1)C(C)(C)C)C(=O)C(=O)NC1CC1 Chemical compound CCC[C@H](NC(=O)[C@@H]1[C@@H](CC)[C@@H](C)CN1C(=O)[C@@H](NC(=O)[C@@H](NC(=O)C1=NC=CN=C1)C1CCCCC1)C(C)(C)C)C(=O)C(=O)NC1CC1 ICJLNCSZNWUUKO-OTKSFNJNSA-N 0.000 description 3
- UMOLPZGDGHQSJB-KMOKEHCOSA-N CCC[C@H](NC(=O)[C@@H]1[C@@H](CC2=CC=CC=C2)CCN1C(=O)[C@@H](NC(=O)[C@@H](NC(=O)C1=NC=CN=C1)C1CCCCC1)C(C)(C)C)C(=O)C(=O)NC1CC1 Chemical compound CCC[C@H](NC(=O)[C@@H]1[C@@H](CC2=CC=CC=C2)CCN1C(=O)[C@@H](NC(=O)[C@@H](NC(=O)C1=NC=CN=C1)C1CCCCC1)C(C)(C)C)C(=O)C(=O)NC1CC1 UMOLPZGDGHQSJB-KMOKEHCOSA-N 0.000 description 3
- 102000004190 Enzymes Human genes 0.000 description 3
- 108090000790 Enzymes Proteins 0.000 description 3
- PEDCQBHIVMGVHV-UHFFFAOYSA-N Glycerine Chemical compound OCC(O)CO PEDCQBHIVMGVHV-UHFFFAOYSA-N 0.000 description 3
- DHMQDGOQFOQNFH-UHFFFAOYSA-N Glycine Chemical compound NCC(O)=O DHMQDGOQFOQNFH-UHFFFAOYSA-N 0.000 description 3
- 206010019799 Hepatitis viral Diseases 0.000 description 3
- VQTUBCCKSQIDNK-UHFFFAOYSA-N Isobutene Chemical group CC(C)=C VQTUBCCKSQIDNK-UHFFFAOYSA-N 0.000 description 3
- MZRVEZGGRBJDDB-UHFFFAOYSA-N N-Butyllithium Chemical compound [Li]CCCC MZRVEZGGRBJDDB-UHFFFAOYSA-N 0.000 description 3
- SJRJJKPEHAURKC-UHFFFAOYSA-N N-Methylmorpholine Chemical compound CN1CCOCC1 SJRJJKPEHAURKC-UHFFFAOYSA-N 0.000 description 3
- DNIAPMSPPWPWGF-UHFFFAOYSA-N Propylene glycol Chemical compound CC(O)CO DNIAPMSPPWPWGF-UHFFFAOYSA-N 0.000 description 3
- QAOWNCQODCNURD-UHFFFAOYSA-N Sulfuric acid Chemical compound OS(O)(=O)=O QAOWNCQODCNURD-UHFFFAOYSA-N 0.000 description 3
- 239000004480 active ingredient Substances 0.000 description 3
- 229940024606 amino acid Drugs 0.000 description 3
- 150000001413 amino acids Chemical class 0.000 description 3
- ZXKINMCYCKHYFR-UHFFFAOYSA-N aminooxidanide Chemical compound [O-]N ZXKINMCYCKHYFR-UHFFFAOYSA-N 0.000 description 3
- HSDAJNMJOMSNEV-UHFFFAOYSA-N benzyl chloroformate Chemical compound ClC(=O)OCC1=CC=CC=C1 HSDAJNMJOMSNEV-UHFFFAOYSA-N 0.000 description 3
- 125000002527 bicyclic carbocyclic group Chemical group 0.000 description 3
- 230000037396 body weight Effects 0.000 description 3
- 239000000872 buffer Substances 0.000 description 3
- 230000003197 catalytic effect Effects 0.000 description 3
- 239000003153 chemical reaction reagent Substances 0.000 description 3
- 230000001684 chronic effect Effects 0.000 description 3
- KRKNYBCHXYNGOX-UHFFFAOYSA-N citric acid Chemical compound OC(=O)CC(O)(C(O)=O)CC(O)=O KRKNYBCHXYNGOX-UHFFFAOYSA-N 0.000 description 3
- CSJLBAMHHLJAAS-UHFFFAOYSA-N diethylaminosulfur trifluoride Chemical compound CCN(CC)S(F)(F)F CSJLBAMHHLJAAS-UHFFFAOYSA-N 0.000 description 3
- 239000003085 diluting agent Substances 0.000 description 3
- 239000003937 drug carrier Substances 0.000 description 3
- 238000001035 drying Methods 0.000 description 3
- 239000012091 fetal bovine serum Substances 0.000 description 3
- 231100000283 hepatitis Toxicity 0.000 description 3
- 206010073071 hepatocellular carcinoma Diseases 0.000 description 3
- 231100000844 hepatocellular carcinoma Toxicity 0.000 description 3
- 230000005764 inhibitory process Effects 0.000 description 3
- 238000002347 injection Methods 0.000 description 3
- 239000007924 injection Substances 0.000 description 3
- 229940047124 interferons Drugs 0.000 description 3
- 239000007788 liquid Substances 0.000 description 3
- 210000000056 organ Anatomy 0.000 description 3
- 239000012074 organic phase Substances 0.000 description 3
- 235000019271 petrolatum Nutrition 0.000 description 3
- 229920001223 polyethylene glycol Polymers 0.000 description 3
- 229910000027 potassium carbonate Inorganic materials 0.000 description 3
- 102000004169 proteins and genes Human genes 0.000 description 3
- 108090000623 proteins and genes Proteins 0.000 description 3
- 229910000030 sodium bicarbonate Inorganic materials 0.000 description 3
- 208000024891 symptom Diseases 0.000 description 3
- FPGGTKZVZWFYPV-UHFFFAOYSA-M tetrabutylammonium fluoride Chemical compound [F-].CCCC[N+](CCCC)(CCCC)CCCC FPGGTKZVZWFYPV-UHFFFAOYSA-M 0.000 description 3
- CXWXQJXEFPUFDZ-UHFFFAOYSA-N tetralin Chemical compound C1=CC=C2CCCCC2=C1 CXWXQJXEFPUFDZ-UHFFFAOYSA-N 0.000 description 3
- 210000001519 tissue Anatomy 0.000 description 3
- 230000000699 topical effect Effects 0.000 description 3
- 230000029812 viral genome replication Effects 0.000 description 3
- 201000001862 viral hepatitis Diseases 0.000 description 3
- PUPZLCDOIYMWBV-UHFFFAOYSA-N (+/-)-1,3-Butanediol Chemical compound CC(O)CCO PUPZLCDOIYMWBV-UHFFFAOYSA-N 0.000 description 2
- KZMGYPLQYOPHEL-UHFFFAOYSA-N Boron trifluoride etherate Chemical compound FB(F)F.CCOCC KZMGYPLQYOPHEL-UHFFFAOYSA-N 0.000 description 2
- NOMFEMPTOKGVAW-UHFFFAOYSA-N C=CCC(C)(C)C.CC.CC.CC(C)(C)C(C)(C)C.CC(C)(C)C1CCCC1.CC(C)(C)C1CCCCC1.CC(C)(C)CC(C)(C)C.CC(C)C(C)(C)C.CCC(C)(C)C.CCC(C)C(C)(C)C.CCC(CC)C(C)(C)C.CCCC1=CC=CC=C1 Chemical compound C=CCC(C)(C)C.CC.CC.CC(C)(C)C(C)(C)C.CC(C)(C)C1CCCC1.CC(C)(C)C1CCCCC1.CC(C)(C)CC(C)(C)C.CC(C)C(C)(C)C.CCC(C)(C)C.CCC(C)C(C)(C)C.CCC(CC)C(C)(C)C.CCCC1=CC=CC=C1 NOMFEMPTOKGVAW-UHFFFAOYSA-N 0.000 description 2
- BSFUFZZWOKAKNI-RQDTZXEHSA-N C=C[C@H]1CCN(C(=O)[C@@H](NC(=O)[C@@H](NC(=O)C2=CN=CC=N2)C(C)C)C(C)C)[C@@H]1C(=O)NC(CCC)C(=O)C(=O)N[C@@H](CC1=CC=CC=C1)C(=O)O Chemical compound C=C[C@H]1CCN(C(=O)[C@@H](NC(=O)[C@@H](NC(=O)C2=CN=CC=N2)C(C)C)C(C)C)[C@@H]1C(=O)NC(CCC)C(=O)C(=O)N[C@@H](CC1=CC=CC=C1)C(=O)O BSFUFZZWOKAKNI-RQDTZXEHSA-N 0.000 description 2
- VACLFQFHSRCNGS-UHFFFAOYSA-N CC(C)(C)C(C)(C)C.CC(C)(C)C1CCCC1.CC(C)(C)C1CCCCC1.CC(C)(C)CC(C)(C)C.CC(C)C(C)(C)C.CC1=CC=CC=C1CC(C)(C)C.CCC(C)C(C)(C)C Chemical compound CC(C)(C)C(C)(C)C.CC(C)(C)C1CCCC1.CC(C)(C)C1CCCCC1.CC(C)(C)CC(C)(C)C.CC(C)C(C)(C)C.CC1=CC=CC=C1CC(C)(C)C.CCC(C)C(C)(C)C VACLFQFHSRCNGS-UHFFFAOYSA-N 0.000 description 2
- ZCIZRUAGZJNKQR-UHFFFAOYSA-N CC(C)(C)C(C)(C)C.CC(C)(C)C1CCCC1.CC(C)(C)C1CCCCC1.CC(C)(C)CC(C)(C)C.CC(C)C(C)(C)C.CCC(C)C(C)(C)C Chemical compound CC(C)(C)C(C)(C)C.CC(C)(C)C1CCCC1.CC(C)(C)C1CCCCC1.CC(C)(C)CC(C)(C)C.CC(C)C(C)(C)C.CCC(C)C(C)(C)C ZCIZRUAGZJNKQR-UHFFFAOYSA-N 0.000 description 2
- KYKLTDFRWRWOFK-UHFFFAOYSA-N CC(C)(C)C(C)(C)C.CC(C)(C)C1CCCCC1.CC(C)(C)CC(C)(C)C.CC(C)C(C)(C)C.CCC(C)C(C)(C)C Chemical compound CC(C)(C)C(C)(C)C.CC(C)(C)C1CCCCC1.CC(C)(C)CC(C)(C)C.CC(C)C(C)(C)C.CCC(C)C(C)(C)C KYKLTDFRWRWOFK-UHFFFAOYSA-N 0.000 description 2
- CJLIXUHUOBMPDH-UHFFFAOYSA-N CC(C)(C)C(C)(C)C.CC(C)(C)C1CCCCC1.CC(C)C(C)(C)C.CCC(C)C(C)(C)C Chemical compound CC(C)(C)C(C)(C)C.CC(C)(C)C1CCCCC1.CC(C)C(C)(C)C.CCC(C)C(C)(C)C CJLIXUHUOBMPDH-UHFFFAOYSA-N 0.000 description 2
- YPBIIPRNZGHDDU-UHFFFAOYSA-N CC(C)(C)C(C)(C)C.CC(C)C(C)(C)C Chemical compound CC(C)(C)C(C)(C)C.CC(C)C(C)(C)C YPBIIPRNZGHDDU-UHFFFAOYSA-N 0.000 description 2
- PTMMQJRRPGTVCL-UHFFFAOYSA-N CC(C)(C)C1=NC=CN=C1.[H]N1C(=O)C=CC=C1C(C)(C)C.[H]N1C(=O)CC(=O)C=C1C(C)(C)C.[H]N1C(=O)CC(=O)CC1C(C)(C)C.[H]N1C(=O)CC(=O)NC1C(C)(C)C.[H]N1C(=O)CCC1C(C)(C)C.[H]N1C(=O)CCCC1C(C)(C)C.[H]N1C(=O)NCC1C(C)(C)C.[H]N1C(=O)OCC1C(C)(C)C.[H]N1C(=O)SCC1C(C)(C)C.[H]N1C(C(C)(C)C)=CC(Cl)=C1Cl.[H]N1C(C(C)(C)C)CNS1(=O)=O.[H]N1C(C(C)(C)C)CNS1=O.[H]N1C(C)=C(C)C(C(C)=O)=C1C(C)(C)C.[H]N1C=CC=C1C(C)(C)C.[H]N1C=CN=C1C(C)(C)C.[H]N1N=CC=C1C(C)(C)C.[H]N1N=NN=C1C(C)(C)C Chemical compound CC(C)(C)C1=NC=CN=C1.[H]N1C(=O)C=CC=C1C(C)(C)C.[H]N1C(=O)CC(=O)C=C1C(C)(C)C.[H]N1C(=O)CC(=O)CC1C(C)(C)C.[H]N1C(=O)CC(=O)NC1C(C)(C)C.[H]N1C(=O)CCC1C(C)(C)C.[H]N1C(=O)CCCC1C(C)(C)C.[H]N1C(=O)NCC1C(C)(C)C.[H]N1C(=O)OCC1C(C)(C)C.[H]N1C(=O)SCC1C(C)(C)C.[H]N1C(C(C)(C)C)=CC(Cl)=C1Cl.[H]N1C(C(C)(C)C)CNS1(=O)=O.[H]N1C(C(C)(C)C)CNS1=O.[H]N1C(C)=C(C)C(C(C)=O)=C1C(C)(C)C.[H]N1C=CC=C1C(C)(C)C.[H]N1C=CN=C1C(C)(C)C.[H]N1N=CC=C1C(C)(C)C.[H]N1N=NN=C1C(C)(C)C PTMMQJRRPGTVCL-UHFFFAOYSA-N 0.000 description 2
- KTLDUERBKUWRMC-UHFFFAOYSA-N CC(C)(C)C1=NC=CN=C1.[H]N1C(C)=C(C)C(C(C)=O)=C1C(C)(C)C Chemical compound CC(C)(C)C1=NC=CN=C1.[H]N1C(C)=C(C)C(C(C)=O)=C1C(C)(C)C KTLDUERBKUWRMC-UHFFFAOYSA-N 0.000 description 2
- YXBRCKBDKFMDBL-UHFFFAOYSA-N CC(C)(C)C1CCCCC1.CC(C)C(C)(C)C.CCC(C)(C)C.CCC(C)C(C)(C)C Chemical compound CC(C)(C)C1CCCCC1.CC(C)C(C)(C)C.CCC(C)(C)C.CCC(C)C(C)(C)C YXBRCKBDKFMDBL-UHFFFAOYSA-N 0.000 description 2
- PDAMXTFQZOIJGZ-UHFFFAOYSA-N CC(C)(C)NC1CC1 Chemical compound CC(C)(C)NC1CC1 PDAMXTFQZOIJGZ-UHFFFAOYSA-N 0.000 description 2
- UFKIBTHCRFNKDO-QXIUDNPYSA-N CCC(NC(=O)C1N(C(=O)[C@@H](NC(=O)[C@@H](NC(=O)C2=NC=CN=C2)C(C)C)C(C)C)CCC1(C)C)C(=O)C(=O)N[C@@H](C)C1=CC=CC=C1 Chemical compound CCC(NC(=O)C1N(C(=O)[C@@H](NC(=O)[C@@H](NC(=O)C2=NC=CN=C2)C(C)C)C(C)C)CCC1(C)C)C(=O)C(=O)N[C@@H](C)C1=CC=CC=C1 UFKIBTHCRFNKDO-QXIUDNPYSA-N 0.000 description 2
- SWTTXQMAKHFFRL-MRPNNHIHSA-N CCC(NC(=O)[C@@H]1[C@@H](C)CCN1C(=O)[C@@H](NC(=O)[C@@H](NC(=O)C1=NC=CN=C1)C(C)C)C(C)C)C(=O)C(=O)NCC1=CC=CC=C1 Chemical compound CCC(NC(=O)[C@@H]1[C@@H](C)CCN1C(=O)[C@@H](NC(=O)[C@@H](NC(=O)C1=NC=CN=C1)C(C)C)C(C)C)C(=O)C(=O)NCC1=CC=CC=C1 SWTTXQMAKHFFRL-MRPNNHIHSA-N 0.000 description 2
- SSTPNIFAXADXPJ-RHXZNQHASA-N CCC(NC(=O)[C@@H]1[C@@H](C)CCN1C(=O)[C@@H](NC(=O)[C@@H](NC(=O)C1=NC=CN=C1)C(C)C)C(C)C)C(=O)C(=O)N[C@@H](C)C1=CC=CC=C1 Chemical compound CCC(NC(=O)[C@@H]1[C@@H](C)CCN1C(=O)[C@@H](NC(=O)[C@@H](NC(=O)C1=NC=CN=C1)C(C)C)C(C)C)C(=O)C(=O)N[C@@H](C)C1=CC=CC=C1 SSTPNIFAXADXPJ-RHXZNQHASA-N 0.000 description 2
- AGKMNHYHUYTSNH-UVUZPMLGSA-N CCC(NC(=O)[C@@H]1[C@@H](CC)CCN1C(=O)[C@@H](NC(=O)[C@@H](NC(=O)C1=NC=CN=C1)C(C)C)C(C)C)C(=O)C(=O)N[C@@H](C)C1=CC=CC=C1 Chemical compound CCC(NC(=O)[C@@H]1[C@@H](CC)CCN1C(=O)[C@@H](NC(=O)[C@@H](NC(=O)C1=NC=CN=C1)C(C)C)C(C)C)C(=O)C(=O)N[C@@H](C)C1=CC=CC=C1 AGKMNHYHUYTSNH-UVUZPMLGSA-N 0.000 description 2
- RWFBOGQBJNLBFH-JRTNRUGJSA-N CCCC(C(C(N[C@@H](Cc1ccccc1)C(O)=O)=O)=O)NC([C@H]([C@@H](CC)CC1)N1C([C@H](C1CCCCC1)NC([C@H](C)NC(c1nccnc1)=O)=O)=O)=O Chemical compound CCCC(C(C(N[C@@H](Cc1ccccc1)C(O)=O)=O)=O)NC([C@H]([C@@H](CC)CC1)N1C([C@H](C1CCCCC1)NC([C@H](C)NC(c1nccnc1)=O)=O)=O)=O RWFBOGQBJNLBFH-JRTNRUGJSA-N 0.000 description 2
- GWDFBWKTLSVHSN-HRURTOGHSA-N CCCC(NC(=O)[C@@H]1C(C2=CC=CC=C2)CCN1C(=O)[C@@H](NC(=O)[C@@H](NC(=O)C1=CN=CC=N1)C(C)C)C(C)C)C(=O)C(=O)NCC(=O)O Chemical compound CCCC(NC(=O)[C@@H]1C(C2=CC=CC=C2)CCN1C(=O)[C@@H](NC(=O)[C@@H](NC(=O)C1=CN=CC=N1)C(C)C)C(C)C)C(=O)C(=O)NCC(=O)O GWDFBWKTLSVHSN-HRURTOGHSA-N 0.000 description 2
- KCFXWOYQLZTMDL-SJRGXVGTSA-N CCCC(NC(=O)[C@@H]1C(C2CC2)CCN1C(=O)[C@@H](NC(=O)[C@@H](NC(=O)C1=NC=CN=C1)C1CCCCC1)C(C)C)C(=O)C(=O)NC1CC1 Chemical compound CCCC(NC(=O)[C@@H]1C(C2CC2)CCN1C(=O)[C@@H](NC(=O)[C@@H](NC(=O)C1=NC=CN=C1)C1CCCCC1)C(C)C)C(=O)C(=O)NC1CC1 KCFXWOYQLZTMDL-SJRGXVGTSA-N 0.000 description 2
- OFCKEZCPNOZAFK-AOHJNTACSA-N CCCC(NC(=O)[C@@H]1C(CC)CCN1C(=O)[C@@H](NC(=O)[C@@H](NC(=O)C1=CN=CC=N1)C(C)C)C(C)C)C(=O)C(=O)N[C@@H](CC1=CC=CC=C1)C(=O)O Chemical compound CCCC(NC(=O)[C@@H]1C(CC)CCN1C(=O)[C@@H](NC(=O)[C@@H](NC(=O)C1=CN=CC=N1)C(C)C)C(C)C)C(=O)C(=O)N[C@@H](CC1=CC=CC=C1)C(=O)O OFCKEZCPNOZAFK-AOHJNTACSA-N 0.000 description 2
- BRGULITUIWTZFU-CCNKPHAVSA-N CCCC(NC(=O)[C@@H]1C(CC)CCN1C(=O)[C@@H](NC(=O)[C@@H](NC(=O)C1=CN=CC=N1)C(C)C)C(C)C)C(=O)C(=O)N[C@@H](CC1=CC=CC=C1)C(=O)OC(C)(C)C Chemical compound CCCC(NC(=O)[C@@H]1C(CC)CCN1C(=O)[C@@H](NC(=O)[C@@H](NC(=O)C1=CN=CC=N1)C(C)C)C(C)C)C(=O)C(=O)N[C@@H](CC1=CC=CC=C1)C(=O)OC(C)(C)C BRGULITUIWTZFU-CCNKPHAVSA-N 0.000 description 2
- YAJCEHYUNAGVAM-AZHMBEHQSA-N CCCC(NC(=O)[C@@H]1C(CCC)CCN1C(=O)C(NC(=O)[C@@H](NC(=O)C1=NC=CN=C1)C(C)C)C(C)C)C(=O)C(=O)N[C@@H](CC1=CC=CC=C1)C(=O)O Chemical compound CCCC(NC(=O)[C@@H]1C(CCC)CCN1C(=O)C(NC(=O)[C@@H](NC(=O)C1=NC=CN=C1)C(C)C)C(C)C)C(=O)C(=O)N[C@@H](CC1=CC=CC=C1)C(=O)O YAJCEHYUNAGVAM-AZHMBEHQSA-N 0.000 description 2
- OKEVICUKKIBVIJ-RQDTZXEHSA-N CCCC(NC(=O)[C@@H]1[C@@H](C(=O)N(C)C)CCN1C(=O)[C@@H](NC(=O)[C@@H](NC(=O)C1=NC=CN=C1)C(C)C)C(C)C)C(=O)C(=O)N[C@@H](CC1=CC=CC=C1)C(=O)O Chemical compound CCCC(NC(=O)[C@@H]1[C@@H](C(=O)N(C)C)CCN1C(=O)[C@@H](NC(=O)[C@@H](NC(=O)C1=NC=CN=C1)C(C)C)C(C)C)C(=O)C(=O)N[C@@H](CC1=CC=CC=C1)C(=O)O OKEVICUKKIBVIJ-RQDTZXEHSA-N 0.000 description 2
- BCAKVHUGWWERSX-QKTKDURMSA-N CCCC(NC(=O)[C@@H]1[C@@H](C(=O)N2CCOCC2)CCN1C(=O)[C@@H](NC(=O)[C@@H](NC(=O)C1=NC=CN=C1)C(C)C)C(C)C)C(=O)C(=O)N[C@@H](CC1=CC=CC=C1)C(=O)O Chemical compound CCCC(NC(=O)[C@@H]1[C@@H](C(=O)N2CCOCC2)CCN1C(=O)[C@@H](NC(=O)[C@@H](NC(=O)C1=NC=CN=C1)C(C)C)C(C)C)C(=O)C(=O)N[C@@H](CC1=CC=CC=C1)C(=O)O BCAKVHUGWWERSX-QKTKDURMSA-N 0.000 description 2
- MDZUSCMSYNKTDC-FJMZJMRHSA-N CCCC(NC(=O)[C@@H]1[C@@H](C(=O)OC)CCN1C(=O)[C@@H](NC(=O)[C@@H](NC(=O)C1=NC=CN=C1)C(C)C)C(C)C)C(=O)C(=O)N[C@@H](CC1=CC=CC=C1)C(=O)O Chemical compound CCCC(NC(=O)[C@@H]1[C@@H](C(=O)OC)CCN1C(=O)[C@@H](NC(=O)[C@@H](NC(=O)C1=NC=CN=C1)C(C)C)C(C)C)C(=O)C(=O)N[C@@H](CC1=CC=CC=C1)C(=O)O MDZUSCMSYNKTDC-FJMZJMRHSA-N 0.000 description 2
- YRSTXUPQJATYDJ-RQDTZXEHSA-N CCCC(NC(=O)[C@@H]1[C@@H](C(C)(C)Br)CCN1C(=O)[C@@H](NC(=O)[C@@H](NC(=O)C1=NC=CN=C1)C(C)C)C(C)C)C(=O)C(=O)N[C@@H](CC1=CC=CC=C1)C(=O)O Chemical compound CCCC(NC(=O)[C@@H]1[C@@H](C(C)(C)Br)CCN1C(=O)[C@@H](NC(=O)[C@@H](NC(=O)C1=NC=CN=C1)C(C)C)C(C)C)C(=O)C(=O)N[C@@H](CC1=CC=CC=C1)C(=O)O YRSTXUPQJATYDJ-RQDTZXEHSA-N 0.000 description 2
- WJHOUKJNAGITGG-FERRTZGBSA-N CCCC(NC(=O)[C@@H]1[C@@H](C(C)CC)CCN1C(=O)[C@@H](NC(=O)[C@@H](NC(=O)C1=NC=CN=C1)C1CCCCC1)C(C)(C)C)C(=O)C(=O)NC1CC1 Chemical compound CCCC(NC(=O)[C@@H]1[C@@H](C(C)CC)CCN1C(=O)[C@@H](NC(=O)[C@@H](NC(=O)C1=NC=CN=C1)C1CCCCC1)C(C)(C)C)C(=O)C(=O)NC1CC1 WJHOUKJNAGITGG-FERRTZGBSA-N 0.000 description 2
- SUZRMGUAVTYYNC-YZWWVZNVSA-N CCCC(NC(=O)[C@@H]1[C@@H](C2CCCCC2)CCN1C(=O)[C@@H](NC(=O)[C@@H](NC(=O)C1=CN=CC=N1)C1CCCCC1)C(C)(C)C)C(=O)C(=O)NC1CC1 Chemical compound CCCC(NC(=O)[C@@H]1[C@@H](C2CCCCC2)CCN1C(=O)[C@@H](NC(=O)[C@@H](NC(=O)C1=CN=CC=N1)C1CCCCC1)C(C)(C)C)C(=O)C(=O)NC1CC1 SUZRMGUAVTYYNC-YZWWVZNVSA-N 0.000 description 2
- ILASMXSDFXPAII-RUTNTBAOSA-N CCCC(NC(=O)[C@@H]1[C@@H](C2CCCCC2)CCN1C(=O)[C@@H](NC(=O)[C@@H](NC(=O)C1=CN=CC=N1)C1CCCCC1)C(C)(C)C)C(=O)C(=O)N[C@@H](C)C1=CC=CC=C1 Chemical compound CCCC(NC(=O)[C@@H]1[C@@H](C2CCCCC2)CCN1C(=O)[C@@H](NC(=O)[C@@H](NC(=O)C1=CN=CC=N1)C1CCCCC1)C(C)(C)C)C(=O)C(=O)N[C@@H](C)C1=CC=CC=C1 ILASMXSDFXPAII-RUTNTBAOSA-N 0.000 description 2
- UHKJQCPGJILSLW-NLZLNYBNSA-N CCCC(NC(=O)[C@@H]1[C@@H](C2CCCCC2)CCN1C(=O)[C@@H](NC(=O)[C@@H](NC(=O)C1=CN=CC=N1)C1CCCCC1)C(C)C)C(=O)C(=O)NC1CC1 Chemical compound CCCC(NC(=O)[C@@H]1[C@@H](C2CCCCC2)CCN1C(=O)[C@@H](NC(=O)[C@@H](NC(=O)C1=CN=CC=N1)C1CCCCC1)C(C)C)C(=O)C(=O)NC1CC1 UHKJQCPGJILSLW-NLZLNYBNSA-N 0.000 description 2
- SRJFQDXCNGZRIC-GOWUBMLNSA-N CCCC(NC(=O)[C@@H]1[C@@H](C2CCCCC2)CCN1C(=O)[C@@H](NC(=O)[C@@H](NC(=O)C1CSC(=O)N1)C1CCCCC1)C(C)(C)C)C(=O)C(=O)N[C@@H](C)C1=CC=CC=C1 Chemical compound CCCC(NC(=O)[C@@H]1[C@@H](C2CCCCC2)CCN1C(=O)[C@@H](NC(=O)[C@@H](NC(=O)C1CSC(=O)N1)C1CCCCC1)C(C)(C)C)C(=O)C(=O)N[C@@H](C)C1=CC=CC=C1 SRJFQDXCNGZRIC-GOWUBMLNSA-N 0.000 description 2
- OZRYJMTZMYICJW-MZQQPIFJSA-N CCCC(NC(=O)[C@@H]1[C@@H](CC)CCN1C(=O)[C@@H](NC(=O)[C@@H](NC(=O)C1=CN=CC=N1)C(C)C)C(C)C)C(=O)C(=O)NC1CC1 Chemical compound CCCC(NC(=O)[C@@H]1[C@@H](CC)CCN1C(=O)[C@@H](NC(=O)[C@@H](NC(=O)C1=CN=CC=N1)C(C)C)C(C)C)C(=O)C(=O)NC1CC1 OZRYJMTZMYICJW-MZQQPIFJSA-N 0.000 description 2
- YNRXCTRWTYZCGH-IDIGWYQPSA-N CCCC(NC(=O)[C@@H]1[C@@H](CC)CCN1C(=O)[C@@H](NC(=O)[C@@H](NC(=O)C1=NC=CN1)C1CCCCC1)C(C)C)C(=O)C(=O)NC1CC1 Chemical compound CCCC(NC(=O)[C@@H]1[C@@H](CC)CCN1C(=O)[C@@H](NC(=O)[C@@H](NC(=O)C1=NC=CN1)C1CCCCC1)C(C)C)C(=O)C(=O)NC1CC1 YNRXCTRWTYZCGH-IDIGWYQPSA-N 0.000 description 2
- VXHVRDZYZSVUQA-FJMZJMRHSA-N CCCC(NC(=O)[C@@H]1[C@@H](CC)CCN1C(=O)[C@@H](NC(=O)[C@@H](NC(=O)C1=NC=CN=C1)C(C)C)C(C)=O)C(=O)C(=O)N[C@@H](CC1=CC=CC=C1)C(=O)O Chemical compound CCCC(NC(=O)[C@@H]1[C@@H](CC)CCN1C(=O)[C@@H](NC(=O)[C@@H](NC(=O)C1=NC=CN=C1)C(C)C)C(C)=O)C(=O)C(=O)N[C@@H](CC1=CC=CC=C1)C(=O)O VXHVRDZYZSVUQA-FJMZJMRHSA-N 0.000 description 2
- LTOGVCJVIDTEPX-JPQQJXNESA-N CCCC(NC(=O)[C@@H]1[C@@H](CC)CCN1C(=O)[C@@H](NC(=O)[C@@H](NC(=O)C1=NC=CN=C1)C(C)C)C(C)CC)C(=O)C(=O)NC1CC1 Chemical compound CCCC(NC(=O)[C@@H]1[C@@H](CC)CCN1C(=O)[C@@H](NC(=O)[C@@H](NC(=O)C1=NC=CN=C1)C(C)C)C(C)CC)C(=O)C(=O)NC1CC1 LTOGVCJVIDTEPX-JPQQJXNESA-N 0.000 description 2
- ULVLCZSVJHPELE-LXNLVVODSA-N CCCC(NC(=O)[C@@H]1[C@@H](CC)CCN1C(=O)[C@@H](NC(=O)[C@@H](NC(=O)C1=NC=CN=C1)C(C)C)C(C)CC)C(=O)C(=O)N[C@@H](CC1=CC=CC=C1)C(=O)O Chemical compound CCCC(NC(=O)[C@@H]1[C@@H](CC)CCN1C(=O)[C@@H](NC(=O)[C@@H](NC(=O)C1=NC=CN=C1)C(C)C)C(C)CC)C(=O)C(=O)N[C@@H](CC1=CC=CC=C1)C(=O)O ULVLCZSVJHPELE-LXNLVVODSA-N 0.000 description 2
- FLVFIPDVFCZVOQ-IVEQDWAVSA-N CCCC(NC(=O)[C@@H]1[C@@H](CC)CCN1C(=O)[C@@H](NC(=O)[C@@H](NC(=O)C1=NC=CN=C1)C(C)C)[C@@H](C)OC)C(=O)C(=O)N[C@@H](CC1=CC=CC=C1)C(=O)O Chemical compound CCCC(NC(=O)[C@@H]1[C@@H](CC)CCN1C(=O)[C@@H](NC(=O)[C@@H](NC(=O)C1=NC=CN=C1)C(C)C)[C@@H](C)OC)C(=O)C(=O)N[C@@H](CC1=CC=CC=C1)C(=O)O FLVFIPDVFCZVOQ-IVEQDWAVSA-N 0.000 description 2
- KXSUEVZJKJUXKE-XUQIBMNCSA-N CCCC(NC(=O)[C@@H]1[C@@H](CC)CCN1C(=O)[C@@H](NC(=O)[C@@H](NC(=O)C1=NC=CN=C1)C(C)C)[C@@H](C)OCC)C(=O)C(=O)N[C@@H](CC1=CC=CC=C1)C(=O)O Chemical compound CCCC(NC(=O)[C@@H]1[C@@H](CC)CCN1C(=O)[C@@H](NC(=O)[C@@H](NC(=O)C1=NC=CN=C1)C(C)C)[C@@H](C)OCC)C(=O)C(=O)N[C@@H](CC1=CC=CC=C1)C(=O)O KXSUEVZJKJUXKE-XUQIBMNCSA-N 0.000 description 2
- FLVFIPDVFCZVOQ-SVGVRTHTSA-N CCCC(NC(=O)[C@@H]1[C@@H](CC)CCN1C(=O)[C@@H](NC(=O)[C@@H](NC(=O)C1=NC=CN=C1)C(C)C)[C@H](C)OC)C(=O)C(=O)N[C@@H](CC1=CC=CC=C1)C(=O)O Chemical compound CCCC(NC(=O)[C@@H]1[C@@H](CC)CCN1C(=O)[C@@H](NC(=O)[C@@H](NC(=O)C1=NC=CN=C1)C(C)C)[C@H](C)OC)C(=O)C(=O)N[C@@H](CC1=CC=CC=C1)C(=O)O FLVFIPDVFCZVOQ-SVGVRTHTSA-N 0.000 description 2
- OOIFBPIGXDQMTQ-BUCDTFABSA-N CCCC(NC(=O)[C@@H]1[C@@H](CC)CCN1C(=O)[C@@H](NC(=O)[C@@H](NC(=O)C1=NC=CN=C1)C1CCCCC1)C(C)(C)C)C(=O)C(=O)NC1CC1 Chemical compound CCCC(NC(=O)[C@@H]1[C@@H](CC)CCN1C(=O)[C@@H](NC(=O)[C@@H](NC(=O)C1=NC=CN=C1)C1CCCCC1)C(C)(C)C)C(=O)C(=O)NC1CC1 OOIFBPIGXDQMTQ-BUCDTFABSA-N 0.000 description 2
- HMMOZIZTMZCOME-FFXBHBOCSA-N CCCC(NC(=O)[C@@H]1[C@@H](CC)CCN1C(=O)[C@@H](NC(=O)[C@@H](NC(=O)C1=NC=CN=C1)C1CCCCC1)C(C)(C)C)C(=O)C(=O)N[C@@H](C)C1=CC=CC=C1 Chemical compound CCCC(NC(=O)[C@@H]1[C@@H](CC)CCN1C(=O)[C@@H](NC(=O)[C@@H](NC(=O)C1=NC=CN=C1)C1CCCCC1)C(C)(C)C)C(=O)C(=O)N[C@@H](C)C1=CC=CC=C1 HMMOZIZTMZCOME-FFXBHBOCSA-N 0.000 description 2
- QSBCONJZSKBJLK-CXFUWRPKSA-N CCCC(NC(=O)[C@@H]1[C@@H](CC)CCN1C(=O)[C@@H](NC(=O)[C@@H](NC(=O)C1=NC=CN=C1)C1CCCCC1)C(C)(C)C)C(=O)C(=O)N[C@@H](CC1=CC=CC=C1)C(=O)O Chemical compound CCCC(NC(=O)[C@@H]1[C@@H](CC)CCN1C(=O)[C@@H](NC(=O)[C@@H](NC(=O)C1=NC=CN=C1)C1CCCCC1)C(C)(C)C)C(=O)C(=O)N[C@@H](CC1=CC=CC=C1)C(=O)O QSBCONJZSKBJLK-CXFUWRPKSA-N 0.000 description 2
- JBQAVTUXSRPFQN-ICMUEKKJSA-N CCCC(NC(=O)[C@@H]1[C@@H](CC)CCN1C(=O)[C@@H](NC(=O)[C@@H](NC(=O)C1=NC=CN=C1)C1CCCCC1)C(C)C)C(=O)C(=O)NC1CC1 Chemical compound CCCC(NC(=O)[C@@H]1[C@@H](CC)CCN1C(=O)[C@@H](NC(=O)[C@@H](NC(=O)C1=NC=CN=C1)C1CCCCC1)C(C)C)C(=O)C(=O)NC1CC1 JBQAVTUXSRPFQN-ICMUEKKJSA-N 0.000 description 2
- RGPFNOMXFLOXIY-DURUQFEUSA-N CCCC(NC(=O)[C@@H]1[C@@H](CC)CCN1C(=O)[C@@H](NC(=O)[C@@H](NC(=O)C1=NC=CN=C1)C1CCCCC1)C(C)C)C(=O)C(=O)N[C@@H](CC1=CC=CC=C1)C(=O)O Chemical compound CCCC(NC(=O)[C@@H]1[C@@H](CC)CCN1C(=O)[C@@H](NC(=O)[C@@H](NC(=O)C1=NC=CN=C1)C1CCCCC1)C(C)C)C(=O)C(=O)N[C@@H](CC1=CC=CC=C1)C(=O)O RGPFNOMXFLOXIY-DURUQFEUSA-N 0.000 description 2
- HGJBDTXBBALSFP-MKOOAKQSSA-N CCCC(NC(=O)[C@@H]1[C@@H](CC)CCN1C(=O)[C@@H](NC(=O)[C@@H](NC(=O)C1=NC=CN=C1)C1CCCCC1)C(C)CC)C(=O)C(=O)NC1CC1 Chemical compound CCCC(NC(=O)[C@@H]1[C@@H](CC)CCN1C(=O)[C@@H](NC(=O)[C@@H](NC(=O)C1=NC=CN=C1)C1CCCCC1)C(C)CC)C(=O)C(=O)NC1CC1 HGJBDTXBBALSFP-MKOOAKQSSA-N 0.000 description 2
- LDOHTYHFISGWOV-DNCFUMQYSA-N CCCC(NC(=O)[C@@H]1[C@@H](CC)CCN1C(=O)[C@@H](NC(=O)[C@@H](NC(=O)C1=NC=CN=C1)C1CCCCC1)C(C)CC)C(=O)C(=O)N[C@@H](C)C1=CC=CC=C1 Chemical compound CCCC(NC(=O)[C@@H]1[C@@H](CC)CCN1C(=O)[C@@H](NC(=O)[C@@H](NC(=O)C1=NC=CN=C1)C1CCCCC1)C(C)CC)C(=O)C(=O)N[C@@H](C)C1=CC=CC=C1 LDOHTYHFISGWOV-DNCFUMQYSA-N 0.000 description 2
- XSYAFKBJXDEJTH-MHRUMEFDSA-N CCCC(NC(=O)[C@@H]1[C@@H](CC)CCN1C(=O)[C@@H](NC(=O)[C@@H](NC(=O)C1=NC=CN=C1)C1CCCCC1)C(C)CC)C(=O)C(=O)N[C@@H](CC1=CC=CC=C1)C(=O)O Chemical compound CCCC(NC(=O)[C@@H]1[C@@H](CC)CCN1C(=O)[C@@H](NC(=O)[C@@H](NC(=O)C1=NC=CN=C1)C1CCCCC1)C(C)CC)C(=O)C(=O)N[C@@H](CC1=CC=CC=C1)C(=O)O XSYAFKBJXDEJTH-MHRUMEFDSA-N 0.000 description 2
- UGCWWJJAZXYHLK-MJAZKTBNSA-N CCCC(NC(=O)[C@@H]1[C@@H](CC)CCN1C(=O)[C@@H](NC(=O)[C@@H](NC(=O)C1=NC=CN=C1)C1CCCCC1)C1CCCCC1)C(=O)C(=O)NC1CC1 Chemical compound CCCC(NC(=O)[C@@H]1[C@@H](CC)CCN1C(=O)[C@@H](NC(=O)[C@@H](NC(=O)C1=NC=CN=C1)C1CCCCC1)C1CCCCC1)C(=O)C(=O)NC1CC1 UGCWWJJAZXYHLK-MJAZKTBNSA-N 0.000 description 2
- JREFNRIYWZLYHE-ISWDELSZSA-N CCCC(NC(=O)[C@@H]1[C@@H](CC)CCN1C(=O)[C@@H](NC(=O)[C@@H](NC(=O)C1=NC=CN=C1)C1CCCCC1)C1CCCCC1)C(=O)C(=O)N[C@@H](C)C1=CC=CC=C1 Chemical compound CCCC(NC(=O)[C@@H]1[C@@H](CC)CCN1C(=O)[C@@H](NC(=O)[C@@H](NC(=O)C1=NC=CN=C1)C1CCCCC1)C1CCCCC1)C(=O)C(=O)N[C@@H](C)C1=CC=CC=C1 JREFNRIYWZLYHE-ISWDELSZSA-N 0.000 description 2
- RYSWBHFABLQQRS-XSWMCYGDSA-N CCCC(NC(=O)[C@@H]1[C@@H](CC)CCN1C(=O)[C@@H](NC(=O)[C@@H](NC(=O)C1=NC=CN=C1)C1CCCCC1)C1CCCCC1)C(=O)C(=O)N[C@@H](CC1=CC=CC=C1)C(=O)O Chemical compound CCCC(NC(=O)[C@@H]1[C@@H](CC)CCN1C(=O)[C@@H](NC(=O)[C@@H](NC(=O)C1=NC=CN=C1)C1CCCCC1)C1CCCCC1)C(=O)C(=O)N[C@@H](CC1=CC=CC=C1)C(=O)O RYSWBHFABLQQRS-XSWMCYGDSA-N 0.000 description 2
- XGLWELHILHSTIN-YMVVVURPSA-N CCCC(NC(=O)[C@@H]1[C@@H](CC)CCN1C(=O)[C@@H](NC(=O)[C@H](CC(C)(C)C)NC(=O)C1=CN=CC=N1)C1CCCCC1)C(=O)C(=O)NC1CC1 Chemical compound CCCC(NC(=O)[C@@H]1[C@@H](CC)CCN1C(=O)[C@@H](NC(=O)[C@H](CC(C)(C)C)NC(=O)C1=CN=CC=N1)C1CCCCC1)C(=O)C(=O)NC1CC1 XGLWELHILHSTIN-YMVVVURPSA-N 0.000 description 2
- OGSZOCJSJBGGBX-XDDLNFRPSA-N CCCC(NC(=O)[C@@H]1[C@@H](CC)CCN1C(=O)[C@@H](NC(=O)[C@H](CC(C)C)NC(=O)C1=NC=CN=C1)C(C)C)C(=O)C(=O)N[C@@H](CC1=CC=CC=C1)C(=O)O Chemical compound CCCC(NC(=O)[C@@H]1[C@@H](CC)CCN1C(=O)[C@@H](NC(=O)[C@H](CC(C)C)NC(=O)C1=NC=CN=C1)C(C)C)C(=O)C(=O)N[C@@H](CC1=CC=CC=C1)C(=O)O OGSZOCJSJBGGBX-XDDLNFRPSA-N 0.000 description 2
- SOKKLKGGMIVXTJ-MKFPHXOISA-N CCCC(NC(=O)[C@@H]1[C@@H](CC)CCN1C(=O)[C@@H](NC(=O)[C@H](CC1=C(C)C=CC=C1)NC(=O)C1=NC=CN=C1)C(C)C)C(=O)C(=O)N[C@@H](CC1=CC=CC=C1)C(=O)O Chemical compound CCCC(NC(=O)[C@@H]1[C@@H](CC)CCN1C(=O)[C@@H](NC(=O)[C@H](CC1=C(C)C=CC=C1)NC(=O)C1=NC=CN=C1)C(C)C)C(=O)C(=O)N[C@@H](CC1=CC=CC=C1)C(=O)O SOKKLKGGMIVXTJ-MKFPHXOISA-N 0.000 description 2
- HYVQRUYLIXIYSN-AOCGXCKTSA-N CCCC(NC(=O)[C@@H]1[C@@H](CC)CCN1C(=O)[C@H](CC(C)(C)C)NC(=O)[C@@H](NC(=O)C1=NC=CN=C1)C(C)C)C(=O)C(=O)NC1CC1 Chemical compound CCCC(NC(=O)[C@@H]1[C@@H](CC)CCN1C(=O)[C@H](CC(C)(C)C)NC(=O)[C@@H](NC(=O)C1=NC=CN=C1)C(C)C)C(=O)C(=O)NC1CC1 HYVQRUYLIXIYSN-AOCGXCKTSA-N 0.000 description 2
- MDZUSCMSYNKTDC-MUADECAGSA-N CCCC(NC(=O)[C@@H]1[C@H](C(=O)OC)CCN1C(=O)[C@@H](NC(=O)[C@@H](NC(=O)C1=NC=CN=C1)C(C)C)C(C)C)C(=O)C(=O)N[C@@H](CC1=CC=CC=C1)C(=O)O Chemical compound CCCC(NC(=O)[C@@H]1[C@H](C(=O)OC)CCN1C(=O)[C@@H](NC(=O)[C@@H](NC(=O)C1=NC=CN=C1)C(C)C)C(C)C)C(=O)C(=O)N[C@@H](CC1=CC=CC=C1)C(=O)O MDZUSCMSYNKTDC-MUADECAGSA-N 0.000 description 2
- LJQOUJWJSMXGJR-MBFGAFETSA-N CCC[C@H](NC(=O)[C@@H]1[C@@H](C(C)(C)C)CCN1C(=O)[C@@H](NC(=O)[C@@H](NC(=O)C1=NC=CN=C1)C1CCCCC1)C(C)(C)C)C(=O)C(=O)NC1CC1 Chemical compound CCC[C@H](NC(=O)[C@@H]1[C@@H](C(C)(C)C)CCN1C(=O)[C@@H](NC(=O)[C@@H](NC(=O)C1=NC=CN=C1)C1CCCCC1)C(C)(C)C)C(=O)C(=O)NC1CC1 LJQOUJWJSMXGJR-MBFGAFETSA-N 0.000 description 2
- CRFGPIHTRNUSNI-LTKXUUQSSA-N CCC[C@H](NC(=O)[C@@H]1[C@@H](C(C)C)CCN1C(=O)[C@@H](NC(=O)[C@@H](NC(=O)C1=CN=CC=N1)C1CCCCC1)C(C)(C)C)C(=O)C(=O)NC1CC1 Chemical compound CCC[C@H](NC(=O)[C@@H]1[C@@H](C(C)C)CCN1C(=O)[C@@H](NC(=O)[C@@H](NC(=O)C1=CN=CC=N1)C1CCCCC1)C(C)(C)C)C(=O)C(=O)NC1CC1 CRFGPIHTRNUSNI-LTKXUUQSSA-N 0.000 description 2
- UIHPGBBRBPJJDB-FKLLSYGDSA-N CCC[C@H](NC(=O)[C@@H]1[C@@H](C(C)C)CCN1C(=O)[C@@H](NC(=O)[C@@H](NC(=O)C1=CN=CC=N1)C1CCCCC1)C(C)C)C(=O)C(=O)NC1CC1 Chemical compound CCC[C@H](NC(=O)[C@@H]1[C@@H](C(C)C)CCN1C(=O)[C@@H](NC(=O)[C@@H](NC(=O)C1=CN=CC=N1)C1CCCCC1)C(C)C)C(=O)C(=O)NC1CC1 UIHPGBBRBPJJDB-FKLLSYGDSA-N 0.000 description 2
- PUDJZLHLJNWSNF-CJHDSYBLSA-N CCC[C@H](NC(=O)[C@@H]1[C@@H](C(CC)CC)CCN1C(=O)[C@@H](NC(=O)[C@@H](NC(=O)C1=NC=CN=C1)C1CCCCC1)C(C)(C)C)C(=O)C(=O)NC1CC1 Chemical compound CCC[C@H](NC(=O)[C@@H]1[C@@H](C(CC)CC)CCN1C(=O)[C@@H](NC(=O)[C@@H](NC(=O)C1=NC=CN=C1)C1CCCCC1)C(C)(C)C)C(=O)C(=O)NC1CC1 PUDJZLHLJNWSNF-CJHDSYBLSA-N 0.000 description 2
- YYKOVZPSEULZCR-RIYYKGKPSA-N CCC[C@H](NC(=O)[C@@H]1[C@@H](C)C(CC)CN1C(=O)[C@@H](NC(=O)[C@@H](NC(=O)C1=NC=CN=C1)C1CCCCC1)C(C)(C)C)C(=O)C(=O)NC1CC1 Chemical compound CCC[C@H](NC(=O)[C@@H]1[C@@H](C)C(CC)CN1C(=O)[C@@H](NC(=O)[C@@H](NC(=O)C1=NC=CN=C1)C1CCCCC1)C(C)(C)C)C(=O)C(=O)NC1CC1 YYKOVZPSEULZCR-RIYYKGKPSA-N 0.000 description 2
- REIYNCXOUSUDMG-WLCKXJJRSA-N CCC[C@H](NC(=O)[C@@H]1[C@@H](C2CCCCC2)CCN1C(=O)[C@@H](NC(=O)[C@@H](NC(=O)C1=CC([N+](=O)[O-])=CN1)C1CCCCC1)C(C)(C)C)C(=O)C(=O)NC1CC1 Chemical compound CCC[C@H](NC(=O)[C@@H]1[C@@H](C2CCCCC2)CCN1C(=O)[C@@H](NC(=O)[C@@H](NC(=O)C1=CC([N+](=O)[O-])=CN1)C1CCCCC1)C(C)(C)C)C(=O)C(=O)NC1CC1 REIYNCXOUSUDMG-WLCKXJJRSA-N 0.000 description 2
- RXSPRDGSUXJGBE-WLCKXJJRSA-N CCC[C@H](NC(=O)[C@@H]1[C@@H](C2CCCCC2)CCN1C(=O)[C@@H](NC(=O)[C@@H](NC(=O)C1=CC=CN1)C1CCCCC1)C(C)(C)C)C(=O)C(=O)NC1CC1 Chemical compound CCC[C@H](NC(=O)[C@@H]1[C@@H](C2CCCCC2)CCN1C(=O)[C@@H](NC(=O)[C@@H](NC(=O)C1=CC=CN1)C1CCCCC1)C(C)(C)C)C(=O)C(=O)NC1CC1 RXSPRDGSUXJGBE-WLCKXJJRSA-N 0.000 description 2
- SUZRMGUAVTYYNC-WLCKXJJRSA-N CCC[C@H](NC(=O)[C@@H]1[C@@H](C2CCCCC2)CCN1C(=O)[C@@H](NC(=O)[C@@H](NC(=O)C1=CN=CC=N1)C1CCCCC1)C(C)(C)C)C(=O)C(=O)NC1CC1 Chemical compound CCC[C@H](NC(=O)[C@@H]1[C@@H](C2CCCCC2)CCN1C(=O)[C@@H](NC(=O)[C@@H](NC(=O)C1=CN=CC=N1)C1CCCCC1)C(C)(C)C)C(=O)C(=O)NC1CC1 SUZRMGUAVTYYNC-WLCKXJJRSA-N 0.000 description 2
- GMLSWGSNIVWPOW-IMGJOEQVSA-N CCC[C@H](NC(=O)[C@@H]1[C@@H](C2CCCCC2)CCN1C(=O)[C@@H](NC(=O)[C@@H](NC(=O)C1=CN=CC=N1)C1CCCCC1)C(C)(C)C)C(=O)C(=O)N[C@@H](C)C1CCCCC1 Chemical compound CCC[C@H](NC(=O)[C@@H]1[C@@H](C2CCCCC2)CCN1C(=O)[C@@H](NC(=O)[C@@H](NC(=O)C1=CN=CC=N1)C1CCCCC1)C(C)(C)C)C(=O)C(=O)N[C@@H](C)C1CCCCC1 GMLSWGSNIVWPOW-IMGJOEQVSA-N 0.000 description 2
- XGXXRRPRCMMGBJ-VLLGUPHNSA-N CCC[C@H](NC(=O)[C@@H]1[C@@H](C2CCCCC2)CCN1C(=O)[C@@H](NC(=O)[C@@H](NC(=O)C1=NC=CN1)C1CCCCC1)C(C)(C)C)C(=O)C(=O)NC1CC1 Chemical compound CCC[C@H](NC(=O)[C@@H]1[C@@H](C2CCCCC2)CCN1C(=O)[C@@H](NC(=O)[C@@H](NC(=O)C1=NC=CN1)C1CCCCC1)C(C)(C)C)C(=O)C(=O)NC1CC1 XGXXRRPRCMMGBJ-VLLGUPHNSA-N 0.000 description 2
- GCKBCAOWDCCUKH-RHBUBKOMSA-N CC[C@H]1CCN(C(=O)[C@@H](NC(=O)[C@@H](NC(=O)C2=NC=CN=C2)C2CCCCC2)C(C)(C)C)[C@@H]1C(=O)NC(CC(F)F)C(=O)C(=O)NC1CC1 Chemical compound CC[C@H]1CCN(C(=O)[C@@H](NC(=O)[C@@H](NC(=O)C2=NC=CN=C2)C2CCCCC2)C(C)(C)C)[C@@H]1C(=O)NC(CC(F)F)C(=O)C(=O)NC1CC1 GCKBCAOWDCCUKH-RHBUBKOMSA-N 0.000 description 2
- 229920002261 Corn starch Polymers 0.000 description 2
- 108010015742 Cytochrome P-450 Enzyme System Proteins 0.000 description 2
- 102000003849 Cytochrome P450 Human genes 0.000 description 2
- 239000006144 Dulbecco’s modified Eagle's medium Substances 0.000 description 2
- 239000004471 Glycine Substances 0.000 description 2
- GUBGYTABKSRVRQ-QKKXKWKRSA-N Lactose Natural products OC[C@H]1O[C@@H](O[C@H]2[C@H](O)[C@@H](O)C(O)O[C@@H]2CO)[C@H](O)[C@@H](O)[C@H]1O GUBGYTABKSRVRQ-QKKXKWKRSA-N 0.000 description 2
- 241000124008 Mammalia Species 0.000 description 2
- KWYHDKDOAIKMQN-UHFFFAOYSA-N N,N,N',N'-tetramethylethylenediamine Chemical compound CN(C)CCN(C)C KWYHDKDOAIKMQN-UHFFFAOYSA-N 0.000 description 2
- PXHVJJICTQNCMI-UHFFFAOYSA-N Nickel Chemical compound [Ni] PXHVJJICTQNCMI-UHFFFAOYSA-N 0.000 description 2
- 239000004264 Petrolatum Substances 0.000 description 2
- 239000002202 Polyethylene glycol Substances 0.000 description 2
- 238000002123 RNA extraction Methods 0.000 description 2
- 229910000564 Raney nickel Inorganic materials 0.000 description 2
- CDBYLPFSWZWCQE-UHFFFAOYSA-L Sodium Carbonate Chemical compound [Na+].[Na+].[O-]C([O-])=O CDBYLPFSWZWCQE-UHFFFAOYSA-L 0.000 description 2
- 108700010756 Viral Polyproteins Proteins 0.000 description 2
- UOLHPQDCWNFBBV-UHFFFAOYSA-N [H]N(C(=O)C(=O)N([H])C(C)(C)C)C1CC1.[H]N(CC(C)C)C(=O)C(=O)N([H])C(C)(C)C.[H]N(CC1=CC=CC=C1)C(=O)C(=O)N([H])C(C)(C)C Chemical compound [H]N(C(=O)C(=O)N([H])C(C)(C)C)C1CC1.[H]N(CC(C)C)C(=O)C(=O)N([H])C(C)(C)C.[H]N(CC1=CC=CC=C1)C(=O)C(=O)N([H])C(C)(C)C UOLHPQDCWNFBBV-UHFFFAOYSA-N 0.000 description 2
- BAOQVHPLBCBFDW-WITCLMPNSA-N [H]N1C=CN=C1C(=O)N[C@H](C(=O)N[C@H](C(=O)N1CC[C@H](C(C)C)[C@H]1C(=O)N[C@@H](CCC)C(=O)C(=O)NC1CC1)C(C)(C)C)C1CCCCC1 Chemical compound [H]N1C=CN=C1C(=O)N[C@H](C(=O)N[C@H](C(=O)N1CC[C@H](C(C)C)[C@H]1C(=O)N[C@@H](CCC)C(=O)C(=O)NC1CC1)C(C)(C)C)C1CCCCC1 BAOQVHPLBCBFDW-WITCLMPNSA-N 0.000 description 2
- 239000002253 acid Substances 0.000 description 2
- 230000001154 acute effect Effects 0.000 description 2
- 125000003342 alkenyl group Chemical group 0.000 description 2
- 125000000217 alkyl group Chemical group 0.000 description 2
- 125000000304 alkynyl group Chemical group 0.000 description 2
- 239000007864 aqueous solution Substances 0.000 description 2
- 239000007900 aqueous suspension Substances 0.000 description 2
- 239000002585 base Substances 0.000 description 2
- 230000008901 benefit Effects 0.000 description 2
- 235000019445 benzyl alcohol Nutrition 0.000 description 2
- 150000001649 bromium compounds Chemical class 0.000 description 2
- 239000002775 capsule Substances 0.000 description 2
- 239000001768 carboxy methyl cellulose Substances 0.000 description 2
- OSASVXMJTNOKOY-UHFFFAOYSA-N chlorobutanol Chemical compound CC(C)(O)C(Cl)(Cl)Cl OSASVXMJTNOKOY-UHFFFAOYSA-N 0.000 description 2
- 239000008120 corn starch Substances 0.000 description 2
- 229940099112 cornstarch Drugs 0.000 description 2
- 238000005859 coupling reaction Methods 0.000 description 2
- 125000000753 cycloalkyl group Chemical group 0.000 description 2
- NKLCNNUWBJBICK-UHFFFAOYSA-N dess–martin periodinane Chemical compound C1=CC=C2I(OC(=O)C)(OC(C)=O)(OC(C)=O)OC(=O)C2=C1 NKLCNNUWBJBICK-UHFFFAOYSA-N 0.000 description 2
- JXTHNDFMNIQAHM-UHFFFAOYSA-N dichloroacetic acid Chemical compound OC(=O)C(Cl)Cl JXTHNDFMNIQAHM-UHFFFAOYSA-N 0.000 description 2
- 235000014113 dietary fatty acids Nutrition 0.000 description 2
- FAMRKDQNMBBFBR-BQYQJAHWSA-N diethyl azodicarboxylate Substances CCOC(=O)\N=N\C(=O)OCC FAMRKDQNMBBFBR-BQYQJAHWSA-N 0.000 description 2
- 239000003995 emulsifying agent Substances 0.000 description 2
- 230000029142 excretion Effects 0.000 description 2
- 238000000605 extraction Methods 0.000 description 2
- 239000000194 fatty acid Substances 0.000 description 2
- 229930195729 fatty acid Natural products 0.000 description 2
- 150000004665 fatty acids Chemical class 0.000 description 2
- 238000004401 flow injection analysis Methods 0.000 description 2
- 239000007789 gas Substances 0.000 description 2
- 210000001035 gastrointestinal tract Anatomy 0.000 description 2
- 125000005456 glyceride group Chemical group 0.000 description 2
- 208000010710 hepatitis C virus infection Diseases 0.000 description 2
- 238000005984 hydrogenation reaction Methods 0.000 description 2
- 125000004356 hydroxy functional group Chemical group O* 0.000 description 2
- 230000006872 improvement Effects 0.000 description 2
- 238000001802 infusion Methods 0.000 description 2
- 150000004694 iodide salts Chemical class 0.000 description 2
- 239000008101 lactose Substances 0.000 description 2
- 230000007774 longterm Effects 0.000 description 2
- HQKMJHAJHXVSDF-UHFFFAOYSA-L magnesium stearate Chemical compound [Mg+2].CCCCCCCCCCCCCCCCCC([O-])=O.CCCCCCCCCCCCCCCCCC([O-])=O HQKMJHAJHXVSDF-UHFFFAOYSA-L 0.000 description 2
- 238000004519 manufacturing process Methods 0.000 description 2
- BDAGIHXWWSANSR-UHFFFAOYSA-N methanoic acid Natural products OC=O BDAGIHXWWSANSR-UHFFFAOYSA-N 0.000 description 2
- HPNSFSBZBAHARI-UHFFFAOYSA-N micophenolic acid Natural products OC1=C(CC=C(C)CCC(O)=O)C(OC)=C(C)C2=C1C(=O)OC2 HPNSFSBZBAHARI-UHFFFAOYSA-N 0.000 description 2
- 239000002480 mineral oil Substances 0.000 description 2
- 235000010446 mineral oil Nutrition 0.000 description 2
- 230000004048 modification Effects 0.000 description 2
- 238000012986 modification Methods 0.000 description 2
- HPNSFSBZBAHARI-RUDMXATFSA-N mycophenolic acid Chemical compound OC1=C(C\C=C(/C)CCC(O)=O)C(OC)=C(C)C2=C1C(=O)OC2 HPNSFSBZBAHARI-RUDMXATFSA-N 0.000 description 2
- 229960000951 mycophenolic acid Drugs 0.000 description 2
- 239000000346 nonvolatile oil Substances 0.000 description 2
- 239000002674 ointment Substances 0.000 description 2
- 239000012044 organic layer Substances 0.000 description 2
- 230000008520 organization Effects 0.000 description 2
- 125000004043 oxo group Chemical group O=* 0.000 description 2
- 230000036961 partial effect Effects 0.000 description 2
- 239000000137 peptide hydrolase inhibitor Substances 0.000 description 2
- 229940066842 petrolatum Drugs 0.000 description 2
- 239000012071 phase Substances 0.000 description 2
- 239000003755 preservative agent Substances 0.000 description 2
- NIPZZXUFJPQHNH-UHFFFAOYSA-N pyrazine-2-carboxylic acid Chemical compound OC(=O)C1=CN=CC=N1 NIPZZXUFJPQHNH-UHFFFAOYSA-N 0.000 description 2
- 238000011002 quantification Methods 0.000 description 2
- 230000009467 reduction Effects 0.000 description 2
- 230000002829 reductive effect Effects 0.000 description 2
- 238000012552 review Methods 0.000 description 2
- 238000000926 separation method Methods 0.000 description 2
- 238000009097 single-agent therapy Methods 0.000 description 2
- 239000013589 supplement Substances 0.000 description 2
- 239000000375 suspending agent Substances 0.000 description 2
- 239000003826 tablet Substances 0.000 description 2
- UBVUXBCUMJUFLJ-UHFFFAOYSA-N tert-butyl 3-benzyl-2-(2-tert-butylsilyloxypropan-2-yl)-5-oxopyrrolidine-1-carboxylate Chemical compound C(C)(C)(C)OC(=O)N1C(C(CC1=O)CC1=CC=CC=C1)C(O[SiH2]C(C)(C)C)(C)C UBVUXBCUMJUFLJ-UHFFFAOYSA-N 0.000 description 2
- SWCOMKBDUKDILW-UHFFFAOYSA-N tert-butyl 3-tert-butyl-2-(2-tert-butylsilyloxypropan-2-yl)-5-oxopyrrolidine-1-carboxylate Chemical compound C(C)(C)(C)OC(=O)N1C(C(CC1=O)C(C)(C)C)C(O[SiH2]C(C)(C)C)(C)C SWCOMKBDUKDILW-UHFFFAOYSA-N 0.000 description 2
- 125000000999 tert-butyl group Chemical group [H]C([H])([H])C(*)(C([H])([H])[H])C([H])([H])[H] 0.000 description 2
- 238000012360 testing method Methods 0.000 description 2
- 230000001225 therapeutic effect Effects 0.000 description 2
- VZCYOOQTPOCHFL-UHFFFAOYSA-N trans-butenedioic acid Natural products OC(=O)C=CC(O)=O VZCYOOQTPOCHFL-UHFFFAOYSA-N 0.000 description 2
- 229910052720 vanadium Inorganic materials 0.000 description 2
- 230000017613 viral reproduction Effects 0.000 description 2
- LSPHULWDVZXLIL-UHFFFAOYSA-N (+/-)-Camphoric acid Chemical compound CC1(C)C(C(O)=O)CCC1(C)C(O)=O LSPHULWDVZXLIL-UHFFFAOYSA-N 0.000 description 1
- JZKXCORAHHXBTE-QMMMGPOBSA-N (2s)-1-(cyclopropylmethyl)pyrrolidine-2-carboxylic acid Chemical compound OC(=O)[C@@H]1CCCN1CC1CC1 JZKXCORAHHXBTE-QMMMGPOBSA-N 0.000 description 1
- DOGFGDKIOOAKNQ-ZETCQYMHSA-N (2s)-1-prop-2-enylpyrrolidin-1-ium-2-carboxylate Chemical compound OC(=O)[C@@H]1CCCN1CC=C DOGFGDKIOOAKNQ-ZETCQYMHSA-N 0.000 description 1
- WAMWSIDTKSNDCU-ZETCQYMHSA-N (2s)-2-azaniumyl-2-cyclohexylacetate Chemical compound OC(=O)[C@@H](N)C1CCCCC1 WAMWSIDTKSNDCU-ZETCQYMHSA-N 0.000 description 1
- VDEMEKSASUGYHM-ZJUUUORDSA-N (2s,3r)-3-phenylpyrrolidin-1-ium-2-carboxylate Chemical compound OC(=O)[C@H]1NCC[C@@H]1C1=CC=CC=C1 VDEMEKSASUGYHM-ZJUUUORDSA-N 0.000 description 1
- FRJJJAKBRKABFA-TYFAACHXSA-N (4r,6s)-6-[(e)-2-[6-chloro-4-(4-fluorophenyl)-2-propan-2-ylquinolin-3-yl]ethenyl]-4-hydroxyoxan-2-one Chemical compound C(\[C@H]1OC(=O)C[C@H](O)C1)=C/C=1C(C(C)C)=NC2=CC=C(Cl)C=C2C=1C1=CC=C(F)C=C1 FRJJJAKBRKABFA-TYFAACHXSA-N 0.000 description 1
- WRIDQFICGBMAFQ-UHFFFAOYSA-N (E)-8-Octadecenoic acid Natural products CCCCCCCCCC=CCCCCCCC(O)=O WRIDQFICGBMAFQ-UHFFFAOYSA-N 0.000 description 1
- 125000003088 (fluoren-9-ylmethoxy)carbonyl group Chemical group 0.000 description 1
- DVDOGDFEWPGXFT-SMMICIOOSA-N *.*.B.C.C.C=CC[C@H]1CCN(C(=O)OC(C)(C)C)[C@@H]1C(=O)OC.CC(C)[C@H](NC(=O)[C@@H](NC(=O)C1=NC=CN=C1)C(C)C)C(=O)O.CCC[C@H](NC(=O)[C@@H]1[C@@H](CC2CC2)CCN1C(=O)[C@@H](NC(=O)[C@@H](NC(=O)C1=NC=CN=C1)C(C)C)C(C)C)C(=O)C(=O)N[C@@H](CC1=CC=CC=C1)C(=O)O.COC(=O)[C@@H]1[C@@H](CC2CC2)CCN1C(=O)OC(C)(C)C.COC(=O)[C@@H]1[C@@H](CC2CC2)CCN1C(=O)OC(C)(C)C.COC(=O)[C@@H]1[C@@H](CC2CC2)CCN1C(=O)[C@@H](NC(=O)[C@@H](NC(=O)C1=NC=CN=C1)C(C)C)C(C)C Chemical compound *.*.B.C.C.C=CC[C@H]1CCN(C(=O)OC(C)(C)C)[C@@H]1C(=O)OC.CC(C)[C@H](NC(=O)[C@@H](NC(=O)C1=NC=CN=C1)C(C)C)C(=O)O.CCC[C@H](NC(=O)[C@@H]1[C@@H](CC2CC2)CCN1C(=O)[C@@H](NC(=O)[C@@H](NC(=O)C1=NC=CN=C1)C(C)C)C(C)C)C(=O)C(=O)N[C@@H](CC1=CC=CC=C1)C(=O)O.COC(=O)[C@@H]1[C@@H](CC2CC2)CCN1C(=O)OC(C)(C)C.COC(=O)[C@@H]1[C@@H](CC2CC2)CCN1C(=O)OC(C)(C)C.COC(=O)[C@@H]1[C@@H](CC2CC2)CCN1C(=O)[C@@H](NC(=O)[C@@H](NC(=O)C1=NC=CN=C1)C(C)C)C(C)C DVDOGDFEWPGXFT-SMMICIOOSA-N 0.000 description 1
- BORWTXJNMUOVIN-UHFFFAOYSA-N 1-(4,5-dimethyl-1h-pyrrol-3-yl)ethanone Chemical group CC(=O)C1=CNC(C)=C1C BORWTXJNMUOVIN-UHFFFAOYSA-N 0.000 description 1
- VFWCMGCRMGJXDK-UHFFFAOYSA-N 1-chlorobutane Chemical compound CCCCCl VFWCMGCRMGJXDK-UHFFFAOYSA-N 0.000 description 1
- VUQPJRPDRDVQMN-UHFFFAOYSA-N 1-chlorooctadecane Chemical class CCCCCCCCCCCCCCCCCCCl VUQPJRPDRDVQMN-UHFFFAOYSA-N 0.000 description 1
- PJUPKRYGDFTMTM-UHFFFAOYSA-N 1-hydroxybenzotriazole;hydrate Chemical compound O.C1=CC=C2N(O)N=NC2=C1 PJUPKRYGDFTMTM-UHFFFAOYSA-N 0.000 description 1
- BVIQAWMPZKWKSX-UHFFFAOYSA-N 1-o-tert-butyl 2-o-methyl 3-(cyclopropylmethyl)pyrrolidine-1,2-dicarboxylate Chemical compound C1CN(C(=O)OC(C)(C)C)C(C(=O)OC)C1CC1CC1 BVIQAWMPZKWKSX-UHFFFAOYSA-N 0.000 description 1
- IIZPXYDJLKNOIY-JXPKJXOSSA-N 1-palmitoyl-2-arachidonoyl-sn-glycero-3-phosphocholine Chemical compound CCCCCCCCCCCCCCCC(=O)OC[C@H](COP([O-])(=O)OCC[N+](C)(C)C)OC(=O)CCC\C=C/C\C=C/C\C=C/C\C=C/CCCCC IIZPXYDJLKNOIY-JXPKJXOSSA-N 0.000 description 1
- VUZNLSBZRVZGIK-UHFFFAOYSA-N 2,2,6,6-Tetramethyl-1-piperidinol Chemical compound CC1(C)CCCC(C)(C)N1O VUZNLSBZRVZGIK-UHFFFAOYSA-N 0.000 description 1
- CHHHXKFHOYLYRE-UHFFFAOYSA-M 2,4-Hexadienoic acid, potassium salt (1:1), (2E,4E)- Chemical compound [K+].CC=CC=CC([O-])=O CHHHXKFHOYLYRE-UHFFFAOYSA-M 0.000 description 1
- TXHAHOVNFDVCCC-UHFFFAOYSA-N 2-(tert-butylazaniumyl)acetate Chemical compound CC(C)(C)NCC(O)=O TXHAHOVNFDVCCC-UHFFFAOYSA-N 0.000 description 1
- JKMHFZQWWAIEOD-UHFFFAOYSA-N 2-[4-(2-hydroxyethyl)piperazin-1-yl]ethanesulfonic acid Chemical compound OCC[NH+]1CCN(CCS([O-])(=O)=O)CC1 JKMHFZQWWAIEOD-UHFFFAOYSA-N 0.000 description 1
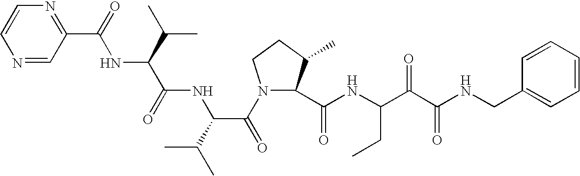
- HIORMPUELFWQTF-UHFFFAOYSA-N 2-[[3-[[3-(cyclopropylmethyl)-1-[3-methyl-2-[[3-methyl-2-(pyrazine-2-carbonylamino)butanoyl]amino]butanoyl]pyrrolidine-2-carbonyl]amino]-2-oxohexanoyl]amino]-3-phenylpropanoic acid Chemical compound C=1C=CC=CC=1CC(C(O)=O)NC(=O)C(=O)C(CCC)NC(=O)C(N(CC1)C(=O)C(NC(=O)C(NC(=O)C=2N=CC=NC=2)C(C)C)C(C)C)C1CC1CC1 HIORMPUELFWQTF-UHFFFAOYSA-N 0.000 description 1
- 229940080296 2-naphthalenesulfonate Drugs 0.000 description 1
- LEACJMVNYZDSKR-UHFFFAOYSA-N 2-octyldodecan-1-ol Chemical compound CCCCCCCCCCC(CO)CCCCCCCC LEACJMVNYZDSKR-UHFFFAOYSA-N 0.000 description 1
- WMPPDTMATNBGJN-UHFFFAOYSA-N 2-phenylethylbromide Chemical class BrCCC1=CC=CC=C1 WMPPDTMATNBGJN-UHFFFAOYSA-N 0.000 description 1
- 125000003903 2-propenyl group Chemical group [H]C([*])([H])C([H])=C([H])[H] 0.000 description 1
- LQJBNNIYVWPHFW-UHFFFAOYSA-N 20:1omega9c fatty acid Natural products CCCCCCCCCCC=CCCCCCCCC(O)=O LQJBNNIYVWPHFW-UHFFFAOYSA-N 0.000 description 1
- FPQQSJJWHUJYPU-UHFFFAOYSA-N 3-(dimethylamino)propyliminomethylidene-ethylazanium;chloride Chemical compound Cl.CCN=C=NCCCN(C)C FPQQSJJWHUJYPU-UHFFFAOYSA-N 0.000 description 1
- NHQDETIJWKXCTC-UHFFFAOYSA-N 3-chloroperbenzoic acid Chemical compound OOC(=O)C1=CC=CC(Cl)=C1 NHQDETIJWKXCTC-UHFFFAOYSA-N 0.000 description 1
- ZRPLANDPDWYOMZ-UHFFFAOYSA-N 3-cyclopentylpropionic acid Chemical compound OC(=O)CCC1CCCC1 ZRPLANDPDWYOMZ-UHFFFAOYSA-N 0.000 description 1
- XMIIGOLPHOKFCH-UHFFFAOYSA-M 3-phenylpropionate Chemical compound [O-]C(=O)CCC1=CC=CC=C1 XMIIGOLPHOKFCH-UHFFFAOYSA-M 0.000 description 1
- OSWFIVFLDKOXQC-UHFFFAOYSA-N 4-(3-methoxyphenyl)aniline Chemical compound COC1=CC=CC(C=2C=CC(N)=CC=2)=C1 OSWFIVFLDKOXQC-UHFFFAOYSA-N 0.000 description 1
- 229960000549 4-dimethylaminophenol Drugs 0.000 description 1
- FHVDTGUDJYJELY-UHFFFAOYSA-N 6-{[2-carboxy-4,5-dihydroxy-6-(phosphanyloxy)oxan-3-yl]oxy}-4,5-dihydroxy-3-phosphanyloxane-2-carboxylic acid Chemical compound O1C(C(O)=O)C(P)C(O)C(O)C1OC1C(C(O)=O)OC(OP)C(O)C1O FHVDTGUDJYJELY-UHFFFAOYSA-N 0.000 description 1
- HBAQYPYDRFILMT-UHFFFAOYSA-N 8-[3-(1-cyclopropylpyrazol-4-yl)-1H-pyrazolo[4,3-d]pyrimidin-5-yl]-3-methyl-3,8-diazabicyclo[3.2.1]octan-2-one Chemical class C1(CC1)N1N=CC(=C1)C1=NNC2=C1N=C(N=C2)N1C2C(N(CC1CC2)C)=O HBAQYPYDRFILMT-UHFFFAOYSA-N 0.000 description 1
- MITGKKFYIJJQGL-UHFFFAOYSA-N 9-(4-chlorobenzoyl)-6-methylsulfonyl-2,3-dihydro-1H-carbazol-4-one Chemical compound ClC1=CC=C(C(=O)N2C3=CC=C(C=C3C=3C(CCCC2=3)=O)S(=O)(=O)C)C=C1 MITGKKFYIJJQGL-UHFFFAOYSA-N 0.000 description 1
- QSBYPNXLFMSGKH-UHFFFAOYSA-N 9-Heptadecensaeure Natural products CCCCCCCC=CCCCCCCCC(O)=O QSBYPNXLFMSGKH-UHFFFAOYSA-N 0.000 description 1
- OZAIFHULBGXAKX-VAWYXSNFSA-N AIBN Substances N#CC(C)(C)\N=N\C(C)(C)C#N OZAIFHULBGXAKX-VAWYXSNFSA-N 0.000 description 1
- QTBSBXVTEAMEQO-UHFFFAOYSA-M Acetate Chemical compound CC([O-])=O QTBSBXVTEAMEQO-UHFFFAOYSA-M 0.000 description 1
- 239000004475 Arginine Substances 0.000 description 1
- 108010017640 Aspartic Acid Proteases Proteins 0.000 description 1
- 102000004580 Aspartic Acid Proteases Human genes 0.000 description 1
- 108010017384 Blood Proteins Proteins 0.000 description 1
- 102000004506 Blood Proteins Human genes 0.000 description 1
- FERIUCNNQQJTOY-UHFFFAOYSA-M Butyrate Chemical compound CCCC([O-])=O FERIUCNNQQJTOY-UHFFFAOYSA-M 0.000 description 1
- FERIUCNNQQJTOY-UHFFFAOYSA-N Butyric acid Natural products CCCC(O)=O FERIUCNNQQJTOY-UHFFFAOYSA-N 0.000 description 1
- WHYVQMFEWZMPIE-DVNNGKERSA-M C.C.C.CC(C)(C)OC(=O)[C@@H]1[C@@H](C(=O)N2CCOCC2)CCN1C(=O)OCC1=CC=CC=C1.CC(C)(C)OC(=O)[C@@H]1[C@@H](C(=O)O)CCN1C(=O)OCC1=CC=CC=C1.COC(=O)[C@H]1CCN(C(=O)OCC2=CC=CC=C2)[C@@H]1C(=O)OC(C)(C)C.I.[HH].[Li]O Chemical compound C.C.C.CC(C)(C)OC(=O)[C@@H]1[C@@H](C(=O)N2CCOCC2)CCN1C(=O)OCC1=CC=CC=C1.CC(C)(C)OC(=O)[C@@H]1[C@@H](C(=O)O)CCN1C(=O)OCC1=CC=CC=C1.COC(=O)[C@H]1CCN(C(=O)OCC2=CC=CC=C2)[C@@H]1C(=O)OC(C)(C)C.I.[HH].[Li]O WHYVQMFEWZMPIE-DVNNGKERSA-M 0.000 description 1
- DSZROTTXNZYIGB-LDZLTUNMSA-N C.C.C=C[C@H]1CCN(C(=O)OC(C)(C)C)[C@@H]1C(=O)OC.CC(C)[C@H](NC(=O)[C@@H](NC(=O)C1=NC=CN=C1)C1CCCCC1)C(=O)N1CC[C@H](C2CC2)[C@H]1C(=O)OC(C)(C)C.CCC[C@H](NC(=O)[C@@H]1[C@@H](C2CC2)CCN1C(=O)[C@@H](NC(=O)[C@@H](NC(=O)C1=NC=CN=C1)C1CCCCC1)C(C)C)C(=O)C(=O)NC1CC1.F Chemical compound C.C.C=C[C@H]1CCN(C(=O)OC(C)(C)C)[C@@H]1C(=O)OC.CC(C)[C@H](NC(=O)[C@@H](NC(=O)C1=NC=CN=C1)C1CCCCC1)C(=O)N1CC[C@H](C2CC2)[C@H]1C(=O)OC(C)(C)C.CCC[C@H](NC(=O)[C@@H]1[C@@H](C2CC2)CCN1C(=O)[C@@H](NC(=O)[C@@H](NC(=O)C1=NC=CN=C1)C1CCCCC1)C(C)C)C(=O)C(=O)NC1CC1.F DSZROTTXNZYIGB-LDZLTUNMSA-N 0.000 description 1
- DGOALCOYTYQAQZ-UHFFFAOYSA-N C.C=CCC1CCN(C(C)(C)C)C1C(C)(C)C.CC(C)(C)C1C(C2CCCCC2)CCN1C(C)(C)C.CC(C)(C)C1CC(C2=CC=CC=C2)CN1C(C)(C)C.CC(C)(C)C1CC(O/C2=C/C(C3=CSC=N3)=N\C3=C2C=CC=C3)CN1C(C)(C)C.CC(C)(C)C1CC(O/C2=N/C(C3=CC=CC=C3)=N\C3=C2C=CC=C3)CN1C(C)(C)C.CC(C)C1CCN(C(C)(C)C)C1C(C)(C)C.CC1CCN(C(C)(C)C)C1C(C)(C)C.CC1CN(C(C)(C)C)C(C(C)(C)C)C1C.CCC(C)C1CCN(C(C)(C)C)C1C(C)(C)C.CCC1CCN(C(C)(C)C)C1C(C)(C)C.CCC1CN(C(C)(C)C)C(C(C)C)C1C Chemical compound C.C=CCC1CCN(C(C)(C)C)C1C(C)(C)C.CC(C)(C)C1C(C2CCCCC2)CCN1C(C)(C)C.CC(C)(C)C1CC(C2=CC=CC=C2)CN1C(C)(C)C.CC(C)(C)C1CC(O/C2=C/C(C3=CSC=N3)=N\C3=C2C=CC=C3)CN1C(C)(C)C.CC(C)(C)C1CC(O/C2=N/C(C3=CC=CC=C3)=N\C3=C2C=CC=C3)CN1C(C)(C)C.CC(C)C1CCN(C(C)(C)C)C1C(C)(C)C.CC1CCN(C(C)(C)C)C1C(C)(C)C.CC1CN(C(C)(C)C)C(C(C)(C)C)C1C.CCC(C)C1CCN(C(C)(C)C)C1C(C)(C)C.CCC1CCN(C(C)(C)C)C1C(C)(C)C.CCC1CN(C(C)(C)C)C(C(C)C)C1C DGOALCOYTYQAQZ-UHFFFAOYSA-N 0.000 description 1
- QUMCIHKVKQYNPA-RUZDIDTESA-N C1(CCCCC1)CN1[C@@H](C=2N(C=3C=NC(=NC1=3)NC1=C(C=C(C(=O)NC3CCN(CC3)C)C=C1)OC)C(=NN=2)C)CC Chemical compound C1(CCCCC1)CN1[C@@H](C=2N(C=3C=NC(=NC1=3)NC1=C(C=C(C(=O)NC3CCN(CC3)C)C=C1)OC)C(=NN=2)C)CC QUMCIHKVKQYNPA-RUZDIDTESA-N 0.000 description 1
- IJAUQBOIUHKWOW-UHFFFAOYSA-N C=CC1CC1(C)C.CC1(C)CC1C1CC1.CC1CC1(C)C.CCC1CC1(C)C.CCCC(C)(C)C.CCCC(C)(C)CC.CCCC(C)(C)CCC Chemical compound C=CC1CC1(C)C.CC1(C)CC1C1CC1.CC1CC1(C)C.CCC1CC1(C)C.CCCC(C)(C)C.CCCC(C)(C)CC.CCCC(C)(C)CCC IJAUQBOIUHKWOW-UHFFFAOYSA-N 0.000 description 1
- JJEVZPSQCYQOMG-UHFFFAOYSA-N CC(C)(C)C1CC(O/C2=C/C(C(F)(F)F)=N\C3=C2C=CC=C3C(F)(F)F)CN1C(C)(C)C.CC(C)(C)C1CC(O/C2=C/C=C\C3=C2C=CN=C3)CN1C(C)(C)C.CC(C)(C)C1CC(O/C2=C/C=N\C3=C2C=CC(C(F)(F)F)=C3)CN1C(C)(C)C.CC(C)(C)C1CC(O/C2=C/C=N\C3=C2C=CC(Cl)=C3)CN1C(C)(C)C.CC(C)(C)C1CC(O/C2=N/C(N3C=CN=C3)=N\C3=C2C=CC=C3)CN1C(C)(C)C.COC1=CC2=C(C=C1)/C(OC1CC(C(C)(C)C)N(C(C)(C)C)C1)=C\C(N)=N/2.COC1=CC2=C(C=C1)/C(OC1CC(C(C)(C)C)N(C(C)(C)C)C1)=C\C=N/2.COC1=CC2=C(C=C1OC)/C(OC1CC(C(C)(C)C)N(C(C)(C)C)C1)=N\C(N1CCOCC1)=N/2 Chemical compound CC(C)(C)C1CC(O/C2=C/C(C(F)(F)F)=N\C3=C2C=CC=C3C(F)(F)F)CN1C(C)(C)C.CC(C)(C)C1CC(O/C2=C/C=C\C3=C2C=CN=C3)CN1C(C)(C)C.CC(C)(C)C1CC(O/C2=C/C=N\C3=C2C=CC(C(F)(F)F)=C3)CN1C(C)(C)C.CC(C)(C)C1CC(O/C2=C/C=N\C3=C2C=CC(Cl)=C3)CN1C(C)(C)C.CC(C)(C)C1CC(O/C2=N/C(N3C=CN=C3)=N\C3=C2C=CC=C3)CN1C(C)(C)C.COC1=CC2=C(C=C1)/C(OC1CC(C(C)(C)C)N(C(C)(C)C)C1)=C\C(N)=N/2.COC1=CC2=C(C=C1)/C(OC1CC(C(C)(C)C)N(C(C)(C)C)C1)=C\C=N/2.COC1=CC2=C(C=C1OC)/C(OC1CC(C(C)(C)C)N(C(C)(C)C)C1)=N\C(N1CCOCC1)=N/2 JJEVZPSQCYQOMG-UHFFFAOYSA-N 0.000 description 1
- HXXXIFIQOYAVJW-UHFFFAOYSA-N CC(C)(C)C1CC(O/C2=C/C=N\C3=C2C=CC=C3)CN1C(C)(C)C.CC(C)(C)C1CC(O/C2=C/N=C\C3=C2C=CC=C3)CN1C(C)(C)C.CC(C)(C)C1CC(O/C2=N/C=C\C3=C2C=CC=C3)CN1C(C)(C)C.CC(C)(C)C1CC(OC(=O)C2=CC3=C(C=CC=C3)C=C2)CN1C(C)(C)C.CC(C)(C)C1CC(OC(=O)N2CCC3=C(C=CC=C3)C2)CN1C(C)(C)C.CC(C)(C)C1CC(OC2=C3/C=C\C=C/C3=CC=C2)CN1C(C)(C)C.CC(C)(C)C1CC(OC2=C3C=CC=CC3=NC=N2)CN1C(C)(C)C.CC(C)(C)C1CC(OC2=CC3=C(C=CC=C3)C=C2)CN1C(C)(C)C.CC(C)(C)C1CC(OC2=CC=C(Cl)C=N2)CN1C(C)(C)C.CC(C)(C)C1CC(OC2=CC=CC=C2)CN1C(C)(C)C Chemical compound CC(C)(C)C1CC(O/C2=C/C=N\C3=C2C=CC=C3)CN1C(C)(C)C.CC(C)(C)C1CC(O/C2=C/N=C\C3=C2C=CC=C3)CN1C(C)(C)C.CC(C)(C)C1CC(O/C2=N/C=C\C3=C2C=CC=C3)CN1C(C)(C)C.CC(C)(C)C1CC(OC(=O)C2=CC3=C(C=CC=C3)C=C2)CN1C(C)(C)C.CC(C)(C)C1CC(OC(=O)N2CCC3=C(C=CC=C3)C2)CN1C(C)(C)C.CC(C)(C)C1CC(OC2=C3/C=C\C=C/C3=CC=C2)CN1C(C)(C)C.CC(C)(C)C1CC(OC2=C3C=CC=CC3=NC=N2)CN1C(C)(C)C.CC(C)(C)C1CC(OC2=CC3=C(C=CC=C3)C=C2)CN1C(C)(C)C.CC(C)(C)C1CC(OC2=CC=C(Cl)C=N2)CN1C(C)(C)C.CC(C)(C)C1CC(OC2=CC=CC=C2)CN1C(C)(C)C HXXXIFIQOYAVJW-UHFFFAOYSA-N 0.000 description 1
- FIZUILACDXTDCK-YGXNMDBFSA-N CCCC(C(C(NC1CC1)=O)=O)NC([C@H]([C@@H](CC)CC1)N1C([C@H](C(C)C)NC([C@H](C)NC(c1ncc[nH]1)=O)=O)=O)=O Chemical compound CCCC(C(C(NC1CC1)=O)=O)NC([C@H]([C@@H](CC)CC1)N1C([C@H](C(C)C)NC([C@H](C)NC(c1ncc[nH]1)=O)=O)=O)=O FIZUILACDXTDCK-YGXNMDBFSA-N 0.000 description 1
- URDSIJTWJGZHLY-OQFJLMMRSA-N CCCC(NC(=O)[C@@H]1[C@@H](C(C)=O)CCN1C(=O)[C@@H](NC(=O)[C@@H](NC(=O)C1=NC=CN=C1)C(C)C)C(C)C)C(=O)C(=O)N[C@@H](CC1=CC=CC=C1)C(=O)O Chemical compound CCCC(NC(=O)[C@@H]1[C@@H](C(C)=O)CCN1C(=O)[C@@H](NC(=O)[C@@H](NC(=O)C1=NC=CN=C1)C(C)C)C(C)C)C(=O)C(=O)N[C@@H](CC1=CC=CC=C1)C(=O)O URDSIJTWJGZHLY-OQFJLMMRSA-N 0.000 description 1
- SZPYJWDOCLNOTG-GMWSOIOOSA-N CCCC(NC(=O)[C@@H]1[C@@H](C(C)C)CCN1C(=O)[C@@H](NC(=O)[C@@H](NC(=O)C1=NC=CN=C1)C(C)C)C(C)C)C(=O)C(=O)N[C@@H](CC1=CC=CC=C1)C(=O)O Chemical compound CCCC(NC(=O)[C@@H]1[C@@H](C(C)C)CCN1C(=O)[C@@H](NC(=O)[C@@H](NC(=O)C1=NC=CN=C1)C(C)C)C(C)C)C(=O)C(=O)N[C@@H](CC1=CC=CC=C1)C(=O)O SZPYJWDOCLNOTG-GMWSOIOOSA-N 0.000 description 1
- XTNGNDLWDCSEPU-LXRFFTKZSA-N CCC[C@@H](C(C(NC1CC1)=O)=O)NC([C@H]([C@@H](C)CC1)N1C([C@H](C(C)(C)C)NC([C@H](C)NC(c1cc([N+]([O-])=O)c[nH]1)=O)=O)=O)=O Chemical compound CCC[C@@H](C(C(NC1CC1)=O)=O)NC([C@H]([C@@H](C)CC1)N1C([C@H](C(C)(C)C)NC([C@H](C)NC(c1cc([N+]([O-])=O)c[nH]1)=O)=O)=O)=O XTNGNDLWDCSEPU-LXRFFTKZSA-N 0.000 description 1
- KNUZOSBRWNHLBB-VIFPVBQESA-N C[C@@H](c(cc1)ccc1Cl)NC(C)(C)C Chemical compound C[C@@H](c(cc1)ccc1Cl)NC(C)(C)C KNUZOSBRWNHLBB-VIFPVBQESA-N 0.000 description 1
- CYGQLONOUWJWKG-QMMMGPOBSA-N C[C@@H](c(cc1)ccc1F)NC(C)(C)O Chemical compound C[C@@H](c(cc1)ccc1F)NC(C)(C)O CYGQLONOUWJWKG-QMMMGPOBSA-N 0.000 description 1
- OYPRJOBELJOOCE-UHFFFAOYSA-N Calcium Chemical compound [Ca] OYPRJOBELJOOCE-UHFFFAOYSA-N 0.000 description 1
- OKTJSMMVPCPJKN-UHFFFAOYSA-N Carbon Chemical compound [C] OKTJSMMVPCPJKN-UHFFFAOYSA-N 0.000 description 1
- 229920002134 Carboxymethyl cellulose Polymers 0.000 description 1
- VEXZGXHMUGYJMC-UHFFFAOYSA-M Chloride anion Chemical compound [Cl-] VEXZGXHMUGYJMC-UHFFFAOYSA-M 0.000 description 1
- 206010008909 Chronic Hepatitis Diseases 0.000 description 1
- KRKNYBCHXYNGOX-UHFFFAOYSA-K Citrate Chemical compound [O-]C(=O)CC(O)(CC([O-])=O)C([O-])=O KRKNYBCHXYNGOX-UHFFFAOYSA-K 0.000 description 1
- 206010010144 Completed suicide Diseases 0.000 description 1
- 229910021589 Copper(I) bromide Inorganic materials 0.000 description 1
- FEWJPZIEWOKRBE-JCYAYHJZSA-N Dextrotartaric acid Chemical compound OC(=O)[C@H](O)[C@@H](O)C(O)=O FEWJPZIEWOKRBE-JCYAYHJZSA-N 0.000 description 1
- XBPCUCUWBYBCDP-UHFFFAOYSA-N Dicyclohexylamine Chemical class C1CCCCC1NC1CCCCC1 XBPCUCUWBYBCDP-UHFFFAOYSA-N 0.000 description 1
- KCXVZYZYPLLWCC-UHFFFAOYSA-N EDTA Chemical compound OC(=O)CN(CC(O)=O)CCN(CC(O)=O)CC(O)=O KCXVZYZYPLLWCC-UHFFFAOYSA-N 0.000 description 1
- 241000792859 Enema Species 0.000 description 1
- 206010016654 Fibrosis Diseases 0.000 description 1
- VZCYOOQTPOCHFL-OWOJBTEDSA-N Fumaric acid Chemical compound OC(=O)\C=C\C(O)=O VZCYOOQTPOCHFL-OWOJBTEDSA-N 0.000 description 1
- WQZGKKKJIJFFOK-GASJEMHNSA-N Glucose Natural products OC[C@H]1OC(O)[C@H](O)[C@@H](O)[C@@H]1O WQZGKKKJIJFFOK-GASJEMHNSA-N 0.000 description 1
- 239000007821 HATU Substances 0.000 description 1
- 229940124771 HCV-NS3 protease inhibitor Drugs 0.000 description 1
- 239000007995 HEPES buffer Substances 0.000 description 1
- 108091006905 Human Serum Albumin Proteins 0.000 description 1
- 102000008100 Human Serum Albumin Human genes 0.000 description 1
- 241000725303 Human immunodeficiency virus Species 0.000 description 1
- CPELXLSAUQHCOX-UHFFFAOYSA-N Hydrogen bromide Chemical compound Br CPELXLSAUQHCOX-UHFFFAOYSA-N 0.000 description 1
- DGAQECJNVWCQMB-PUAWFVPOSA-M Ilexoside XXIX Chemical compound C[C@@H]1CC[C@@]2(CC[C@@]3(C(=CC[C@H]4[C@]3(CC[C@@H]5[C@@]4(CC[C@@H](C5(C)C)OS(=O)(=O)[O-])C)C)[C@@H]2[C@]1(C)O)C)C(=O)O[C@H]6[C@@H]([C@H]([C@@H]([C@H](O6)CO)O)O)O.[Na+] DGAQECJNVWCQMB-PUAWFVPOSA-M 0.000 description 1
- 239000003810 Jones reagent Substances 0.000 description 1
- CKLJMWTZIZZHCS-REOHCLBHSA-N L-aspartic acid Chemical compound OC(=O)[C@@H](N)CC(O)=O CKLJMWTZIZZHCS-REOHCLBHSA-N 0.000 description 1
- JVTAAEKCZFNVCJ-UHFFFAOYSA-M Lactate Chemical compound CC(O)C([O-])=O JVTAAEKCZFNVCJ-UHFFFAOYSA-M 0.000 description 1
- KDXKERNSBIXSRK-UHFFFAOYSA-N Lysine Natural products NCCCCC(N)C(O)=O KDXKERNSBIXSRK-UHFFFAOYSA-N 0.000 description 1
- 239000004472 Lysine Substances 0.000 description 1
- AFVFQIVMOAPDHO-UHFFFAOYSA-N Methanesulfonic acid Chemical compound CS(O)(=O)=O AFVFQIVMOAPDHO-UHFFFAOYSA-N 0.000 description 1
- MBBZMMPHUWSWHV-BDVNFPICSA-N N-methylglucamine Chemical compound CNC[C@H](O)[C@@H](O)[C@H](O)[C@H](O)CO MBBZMMPHUWSWHV-BDVNFPICSA-N 0.000 description 1
- PVNIIMVLHYAWGP-UHFFFAOYSA-N Niacin Chemical compound OC(=O)C1=CC=CN=C1 PVNIIMVLHYAWGP-UHFFFAOYSA-N 0.000 description 1
- FZRKAZHKEDOPNN-UHFFFAOYSA-N Nitric oxide anion Chemical compound O=[N-] FZRKAZHKEDOPNN-UHFFFAOYSA-N 0.000 description 1
- 101800000515 Non-structural protein 3 Proteins 0.000 description 1
- 101710144111 Non-structural protein 3 Proteins 0.000 description 1
- 101800001020 Non-structural protein 4A Proteins 0.000 description 1
- 239000005642 Oleic acid Substances 0.000 description 1
- ZQPPMHVWECSIRJ-UHFFFAOYSA-N Oleic acid Natural products CCCCCCCCC=CCCCCCCCC(O)=O ZQPPMHVWECSIRJ-UHFFFAOYSA-N 0.000 description 1
- MUBZPKHOEPUJKR-UHFFFAOYSA-N Oxalic acid Chemical compound OC(=O)C(O)=O MUBZPKHOEPUJKR-UHFFFAOYSA-N 0.000 description 1
- 229910019142 PO4 Inorganic materials 0.000 description 1
- 208000037581 Persistent Infection Diseases 0.000 description 1
- 229920003171 Poly (ethylene oxide) Polymers 0.000 description 1
- 229920001214 Polysorbate 60 Polymers 0.000 description 1
- XBDQKXXYIPTUBI-UHFFFAOYSA-M Propionate Chemical compound CCC([O-])=O XBDQKXXYIPTUBI-UHFFFAOYSA-M 0.000 description 1
- 102000007327 Protamines Human genes 0.000 description 1
- 108010007568 Protamines Proteins 0.000 description 1
- 229940124158 Protease/peptidase inhibitor Drugs 0.000 description 1
- 229910019020 PtO2 Inorganic materials 0.000 description 1
- VYPSYNLAJGMNEJ-UHFFFAOYSA-N Silicium dioxide Chemical compound O=[Si]=O VYPSYNLAJGMNEJ-UHFFFAOYSA-N 0.000 description 1
- HVUMOYIDDBPOLL-XWVZOOPGSA-N Sorbitan monostearate Chemical compound CCCCCCCCCCCCCCCCCC(=O)OC[C@@H](O)[C@H]1OC[C@H](O)[C@H]1O HVUMOYIDDBPOLL-XWVZOOPGSA-N 0.000 description 1
- 239000012317 TBTU Substances 0.000 description 1
- DRHKJLXJIQTDTD-OAHLLOKOSA-N Tamsulosine Chemical compound CCOC1=CC=CC=C1OCCN[C@H](C)CC1=CC=C(OC)C(S(N)(=O)=O)=C1 DRHKJLXJIQTDTD-OAHLLOKOSA-N 0.000 description 1
- ZMZDMBWJUHKJPS-UHFFFAOYSA-M Thiocyanate anion Chemical compound [S-]C#N ZMZDMBWJUHKJPS-UHFFFAOYSA-M 0.000 description 1
- 102000004142 Trypsin Human genes 0.000 description 1
- 108090000631 Trypsin Proteins 0.000 description 1
- 208000036142 Viral infection Diseases 0.000 description 1
- 241000710772 Yellow fever virus Species 0.000 description 1
- 101900322197 Yellow fever virus Serine protease NS3 Proteins 0.000 description 1
- CLZISMQKJZCZDN-UHFFFAOYSA-N [benzotriazol-1-yloxy(dimethylamino)methylidene]-dimethylazanium Chemical compound C1=CC=C2N(OC(N(C)C)=[N+](C)C)N=NC2=C1 CLZISMQKJZCZDN-UHFFFAOYSA-N 0.000 description 1
- 229940124532 absorption promoter Drugs 0.000 description 1
- DPXJVFZANSGRMM-UHFFFAOYSA-N acetic acid;2,3,4,5,6-pentahydroxyhexanal;sodium Chemical compound [Na].CC(O)=O.OCC(O)C(O)C(O)C(O)C=O DPXJVFZANSGRMM-UHFFFAOYSA-N 0.000 description 1
- 239000013543 active substance Substances 0.000 description 1
- 125000005073 adamantyl group Chemical group C12(CC3CC(CC(C1)C3)C2)* 0.000 description 1
- YKIOKAURTKXMSB-UHFFFAOYSA-N adams's catalyst Chemical compound O=[Pt]=O YKIOKAURTKXMSB-UHFFFAOYSA-N 0.000 description 1
- WNLRTRBMVRJNCN-UHFFFAOYSA-L adipate(2-) Chemical compound [O-]C(=O)CCCCC([O-])=O WNLRTRBMVRJNCN-UHFFFAOYSA-L 0.000 description 1
- 229940072056 alginate Drugs 0.000 description 1
- 235000010443 alginic acid Nutrition 0.000 description 1
- 229920000615 alginic acid Polymers 0.000 description 1
- 229910052783 alkali metal Inorganic materials 0.000 description 1
- 229910052784 alkaline earth metal Inorganic materials 0.000 description 1
- 150000001336 alkenes Chemical class 0.000 description 1
- 150000001350 alkyl halides Chemical class 0.000 description 1
- AWUCVROLDVIAJX-UHFFFAOYSA-N alpha-glycerophosphate Natural products OCC(O)COP(O)(O)=O AWUCVROLDVIAJX-UHFFFAOYSA-N 0.000 description 1
- PNEYBMLMFCGWSK-UHFFFAOYSA-N aluminium oxide Inorganic materials [O-2].[O-2].[O-2].[Al+3].[Al+3] PNEYBMLMFCGWSK-UHFFFAOYSA-N 0.000 description 1
- CEGOLXSVJUTHNZ-UHFFFAOYSA-K aluminium tristearate Chemical compound [Al+3].CCCCCCCCCCCCCCCCCC([O-])=O.CCCCCCCCCCCCCCCCCC([O-])=O.CCCCCCCCCCCCCCCCCC([O-])=O CEGOLXSVJUTHNZ-UHFFFAOYSA-K 0.000 description 1
- 229940063655 aluminum stearate Drugs 0.000 description 1
- 150000003863 ammonium salts Chemical class 0.000 description 1
- 238000004458 analytical method Methods 0.000 description 1
- 230000000840 anti-viral effect Effects 0.000 description 1
- 238000013459 approach Methods 0.000 description 1
- 239000008346 aqueous phase Substances 0.000 description 1
- ODKSFYDXXFIFQN-UHFFFAOYSA-N arginine Natural products OC(=O)C(N)CCCNC(N)=N ODKSFYDXXFIFQN-UHFFFAOYSA-N 0.000 description 1
- 229940009098 aspartate Drugs 0.000 description 1
- 239000012131 assay buffer Substances 0.000 description 1
- 239000012298 atmosphere Substances 0.000 description 1
- XEXFVRMLYUDDJY-UHFFFAOYSA-N azane;hydrate;hydrochloride Chemical compound [NH4+].[NH4+].[OH-].[Cl-] XEXFVRMLYUDDJY-UHFFFAOYSA-N 0.000 description 1
- 235000013871 bee wax Nutrition 0.000 description 1
- 239000012166 beeswax Substances 0.000 description 1
- 229940077388 benzenesulfonate Drugs 0.000 description 1
- SRSXLGNVWSONIS-UHFFFAOYSA-M benzenesulfonate Chemical compound [O-]S(=O)(=O)C1=CC=CC=C1 SRSXLGNVWSONIS-UHFFFAOYSA-M 0.000 description 1
- 229940050390 benzoate Drugs 0.000 description 1
- 238000006480 benzoylation reaction Methods 0.000 description 1
- LKMCJXXOBRCATQ-UHFFFAOYSA-N benzylsulfanylbenzene Chemical compound C=1C=CC=CC=1CSC1=CC=CC=C1 LKMCJXXOBRCATQ-UHFFFAOYSA-N 0.000 description 1
- WQZGKKKJIJFFOK-VFUOTHLCSA-N beta-D-glucose Chemical compound OC[C@H]1O[C@@H](O)[C@H](O)[C@@H](O)[C@@H]1O WQZGKKKJIJFFOK-VFUOTHLCSA-N 0.000 description 1
- XMIIGOLPHOKFCH-UHFFFAOYSA-N beta-phenylpropanoic acid Natural products OC(=O)CCC1=CC=CC=C1 XMIIGOLPHOKFCH-UHFFFAOYSA-N 0.000 description 1
- 230000004071 biological effect Effects 0.000 description 1
- 210000000601 blood cell Anatomy 0.000 description 1
- 210000001185 bone marrow Anatomy 0.000 description 1
- 239000011575 calcium Substances 0.000 description 1
- 229910052791 calcium Inorganic materials 0.000 description 1
- MIOPJNTWMNEORI-UHFFFAOYSA-N camphorsulfonic acid Chemical compound C1CC2(CS(O)(=O)=O)C(=O)CC1C2(C)C MIOPJNTWMNEORI-UHFFFAOYSA-N 0.000 description 1
- 125000003178 carboxy group Chemical group [H]OC(*)=O 0.000 description 1
- 235000010948 carboxy methyl cellulose Nutrition 0.000 description 1
- 239000008112 carboxymethyl-cellulose Substances 0.000 description 1
- 239000012876 carrier material Substances 0.000 description 1
- 239000004359 castor oil Substances 0.000 description 1
- 235000019438 castor oil Nutrition 0.000 description 1
- 230000015556 catabolic process Effects 0.000 description 1
- 108091092328 cellular RNA Proteins 0.000 description 1
- 239000001913 cellulose Substances 0.000 description 1
- 229920002678 cellulose Polymers 0.000 description 1
- 235000010980 cellulose Nutrition 0.000 description 1
- 210000003169 central nervous system Anatomy 0.000 description 1
- 229940081733 cetearyl alcohol Drugs 0.000 description 1
- 238000012512 characterization method Methods 0.000 description 1
- 229960004926 chlorobutanol Drugs 0.000 description 1
- PJGJQVRXEUVAFT-UHFFFAOYSA-N chloroiodomethane Chemical compound ClCI PJGJQVRXEUVAFT-UHFFFAOYSA-N 0.000 description 1
- 208000020403 chronic hepatitis C virus infection Diseases 0.000 description 1
- 230000007882 cirrhosis Effects 0.000 description 1
- 208000019425 cirrhosis of liver Diseases 0.000 description 1
- 229940110456 cocoa butter Drugs 0.000 description 1
- 235000019868 cocoa butter Nutrition 0.000 description 1
- 239000008119 colloidal silica Substances 0.000 description 1
- 239000003086 colorant Substances 0.000 description 1
- 238000002648 combination therapy Methods 0.000 description 1
- 150000001879 copper Chemical class 0.000 description 1
- UWCHSDIUMBNDLT-UHFFFAOYSA-L copper;methylsulfanylmethane;dibromide Chemical compound CSC.Br[Cu]Br UWCHSDIUMBNDLT-UHFFFAOYSA-L 0.000 description 1
- 230000008878 coupling Effects 0.000 description 1
- 238000010168 coupling process Methods 0.000 description 1
- 239000006071 cream Substances 0.000 description 1
- 125000001995 cyclobutyl group Chemical group [H]C1([H])C([H])([H])C([H])(*)C1([H])[H] 0.000 description 1
- 125000001162 cycloheptenyl group Chemical group C1(=CCCCCC1)* 0.000 description 1
- 125000000582 cycloheptyl group Chemical group [H]C1([H])C([H])([H])C([H])([H])C([H])([H])C([H])(*)C([H])([H])C1([H])[H] 0.000 description 1
- 125000000596 cyclohexenyl group Chemical group C1(=CCCCC1)* 0.000 description 1
- 125000001511 cyclopentyl group Chemical group [H]C1([H])C([H])([H])C([H])([H])C([H])(*)C1([H])[H] 0.000 description 1
- 125000001559 cyclopropyl group Chemical group [H]C1([H])C([H])([H])C1([H])* 0.000 description 1
- 125000002704 decyl group Chemical group [H]C([H])([H])C([H])([H])C([H])([H])C([H])([H])C([H])([H])C([H])([H])C([H])([H])C([H])([H])C([H])([H])C([H])([H])* 0.000 description 1
- 238000006731 degradation reaction Methods 0.000 description 1
- 238000011161 development Methods 0.000 description 1
- 239000008121 dextrose Substances 0.000 description 1
- 150000008050 dialkyl sulfates Chemical class 0.000 description 1
- 229960005215 dichloroacetic acid Drugs 0.000 description 1
- KJOZJSGOIJQCGA-UHFFFAOYSA-N dichloromethane;2,2,2-trifluoroacetic acid Chemical compound ClCCl.OC(=O)C(F)(F)F KJOZJSGOIJQCGA-UHFFFAOYSA-N 0.000 description 1
- 235000005911 diet Nutrition 0.000 description 1
- 230000037213 diet Effects 0.000 description 1
- 125000004177 diethyl group Chemical group [H]C([H])([H])C([H])([H])* 0.000 description 1
- HQWPLXHWEZZGKY-UHFFFAOYSA-N diethylzinc Chemical compound CC[Zn]CC HQWPLXHWEZZGKY-UHFFFAOYSA-N 0.000 description 1
- 238000010790 dilution Methods 0.000 description 1
- 239000012895 dilution Substances 0.000 description 1
- GXGAKHNRMVGRPK-UHFFFAOYSA-N dimagnesium;dioxido-bis[[oxido(oxo)silyl]oxy]silane Chemical compound [Mg+2].[Mg+2].[O-][Si](=O)O[Si]([O-])([O-])O[Si]([O-])=O GXGAKHNRMVGRPK-UHFFFAOYSA-N 0.000 description 1
- 125000000118 dimethyl group Chemical group [H]C([H])([H])* 0.000 description 1
- GAFRWLVTHPVQGK-UHFFFAOYSA-N dipentyl sulfate Chemical class CCCCCOS(=O)(=O)OCCCCC GAFRWLVTHPVQGK-UHFFFAOYSA-N 0.000 description 1
- ZPWVASYFFYYZEW-UHFFFAOYSA-L dipotassium hydrogen phosphate Chemical compound [K+].[K+].OP([O-])([O-])=O ZPWVASYFFYYZEW-UHFFFAOYSA-L 0.000 description 1
- 229910000396 dipotassium phosphate Inorganic materials 0.000 description 1
- 235000019797 dipotassium phosphate Nutrition 0.000 description 1
- 229940042399 direct acting antivirals protease inhibitors Drugs 0.000 description 1
- 231100000676 disease causative agent Toxicity 0.000 description 1
- BNIILDVGGAEEIG-UHFFFAOYSA-L disodium hydrogen phosphate Chemical compound [Na+].[Na+].OP([O-])([O-])=O BNIILDVGGAEEIG-UHFFFAOYSA-L 0.000 description 1
- 125000003438 dodecyl group Chemical group [H]C([H])([H])C([H])([H])C([H])([H])C([H])([H])C([H])([H])C([H])([H])C([H])([H])C([H])([H])C([H])([H])C([H])([H])C([H])([H])C([H])([H])* 0.000 description 1
- MOTZDAYCYVMXPC-UHFFFAOYSA-N dodecyl hydrogen sulfate Chemical compound CCCCCCCCCCCCOS(O)(=O)=O MOTZDAYCYVMXPC-UHFFFAOYSA-N 0.000 description 1
- 229940043264 dodecyl sulfate Drugs 0.000 description 1
- 229940079593 drug Drugs 0.000 description 1
- 239000003814 drug Substances 0.000 description 1
- 239000000890 drug combination Substances 0.000 description 1
- 238000007876 drug discovery Methods 0.000 description 1
- 241001493065 dsRNA viruses Species 0.000 description 1
- 239000003792 electrolyte Substances 0.000 description 1
- 238000000132 electrospray ionisation Methods 0.000 description 1
- 230000001804 emulsifying effect Effects 0.000 description 1
- 239000008387 emulsifying waxe Substances 0.000 description 1
- 239000000839 emulsion Substances 0.000 description 1
- 239000007920 enema Substances 0.000 description 1
- 229940095399 enema Drugs 0.000 description 1
- 239000003623 enhancer Substances 0.000 description 1
- 125000004185 ester group Chemical group 0.000 description 1
- 230000032050 esterification Effects 0.000 description 1
- 238000005886 esterification reaction Methods 0.000 description 1
- 150000002148 esters Chemical class 0.000 description 1
- CCIVGXIOQKPBKL-UHFFFAOYSA-M ethanesulfonate Chemical compound CCS([O-])(=O)=O CCIVGXIOQKPBKL-UHFFFAOYSA-M 0.000 description 1
- BEFDCLMNVWHSGT-UHFFFAOYSA-N ethenylcyclopentane Chemical compound C=CC1CCCC1 BEFDCLMNVWHSGT-UHFFFAOYSA-N 0.000 description 1
- FAMRKDQNMBBFBR-UHFFFAOYSA-N ethyl n-ethoxycarbonyliminocarbamate Chemical compound CCOC(=O)N=NC(=O)OCC FAMRKDQNMBBFBR-UHFFFAOYSA-N 0.000 description 1
- 235000019197 fats Nutrition 0.000 description 1
- 239000000796 flavoring agent Substances 0.000 description 1
- 239000012530 fluid Substances 0.000 description 1
- 235000019253 formic acid Nutrition 0.000 description 1
- 230000002068 genetic effect Effects 0.000 description 1
- ZEMPKEQAKRGZGQ-XOQCFJPHSA-N glycerol triricinoleate Natural products CCCCCC[C@@H](O)CC=CCCCCCCCC(=O)OC[C@@H](COC(=O)CCCCCCCC=CC[C@@H](O)CCCCCC)OC(=O)CCCCCCCC=CC[C@H](O)CCCCCC ZEMPKEQAKRGZGQ-XOQCFJPHSA-N 0.000 description 1
- 229960002449 glycine Drugs 0.000 description 1
- 150000004820 halides Chemical class 0.000 description 1
- 230000036541 health Effects 0.000 description 1
- 210000002216 heart Anatomy 0.000 description 1
- 108700012707 hepatitis C virus NS3 Proteins 0.000 description 1
- MNWFXJYAOYHMED-UHFFFAOYSA-N heptanoic acid Chemical compound CCCCCCC(O)=O MNWFXJYAOYHMED-UHFFFAOYSA-N 0.000 description 1
- 239000008241 heterogeneous mixture Substances 0.000 description 1
- FUZZWVXGSFPDMH-UHFFFAOYSA-N hexanoic acid Chemical compound CCCCCC(O)=O FUZZWVXGSFPDMH-UHFFFAOYSA-N 0.000 description 1
- 239000004030 hiv protease inhibitor Substances 0.000 description 1
- XMBWDFGMSWQBCA-UHFFFAOYSA-N hydrogen iodide Chemical compound I XMBWDFGMSWQBCA-UHFFFAOYSA-N 0.000 description 1
- ZMZDMBWJUHKJPS-UHFFFAOYSA-N hydrogen thiocyanate Natural products SC#N ZMZDMBWJUHKJPS-UHFFFAOYSA-N 0.000 description 1
- QAOWNCQODCNURD-UHFFFAOYSA-M hydrogensulfate Chemical compound OS([O-])(=O)=O QAOWNCQODCNURD-UHFFFAOYSA-M 0.000 description 1
- 238000011534 incubation Methods 0.000 description 1
- 229940102223 injectable solution Drugs 0.000 description 1
- 229940102213 injectable suspension Drugs 0.000 description 1
- 238000007917 intracranial administration Methods 0.000 description 1
- 238000007918 intramuscular administration Methods 0.000 description 1
- 238000007919 intrasynovial administration Methods 0.000 description 1
- 238000007913 intrathecal administration Methods 0.000 description 1
- 238000001990 intravenous administration Methods 0.000 description 1
- 150000002500 ions Chemical class 0.000 description 1
- SUMDYPCJJOFFON-UHFFFAOYSA-N isethionic acid Chemical compound OCCS(O)(=O)=O SUMDYPCJJOFFON-UHFFFAOYSA-N 0.000 description 1
- 238000002955 isolation Methods 0.000 description 1
- QXJSBBXBKPUZAA-UHFFFAOYSA-N isooleic acid Natural products CCCCCCCC=CCCCCCCCCC(O)=O QXJSBBXBKPUZAA-UHFFFAOYSA-N 0.000 description 1
- 210000003734 kidney Anatomy 0.000 description 1
- 239000010410 layer Substances 0.000 description 1
- 239000000787 lecithin Substances 0.000 description 1
- 235000010445 lecithin Nutrition 0.000 description 1
- 229940067606 lecithin Drugs 0.000 description 1
- 230000000670 limiting effect Effects 0.000 description 1
- 238000004811 liquid chromatography Methods 0.000 description 1
- 210000004185 liver Anatomy 0.000 description 1
- 208000019423 liver disease Diseases 0.000 description 1
- 208000018191 liver inflammation Diseases 0.000 description 1
- 239000006210 lotion Substances 0.000 description 1
- 239000000314 lubricant Substances 0.000 description 1
- 210000004072 lung Anatomy 0.000 description 1
- 210000004324 lymphatic system Anatomy 0.000 description 1
- 159000000003 magnesium salts Chemical class 0.000 description 1
- 239000000391 magnesium silicate Substances 0.000 description 1
- 235000019359 magnesium stearate Nutrition 0.000 description 1
- 229940099273 magnesium trisilicate Drugs 0.000 description 1
- 229910000386 magnesium trisilicate Inorganic materials 0.000 description 1
- 235000019793 magnesium trisilicate Nutrition 0.000 description 1
- UZNGRHDUJIVHQT-UHFFFAOYSA-M magnesium;prop-1-ene;bromide Chemical compound [Mg+2].[Br-].C[C-]=C UZNGRHDUJIVHQT-UHFFFAOYSA-M 0.000 description 1
- 238000012423 maintenance Methods 0.000 description 1
- VZCYOOQTPOCHFL-UPHRSURJSA-N maleic acid Chemical compound OC(=O)\C=C/C(O)=O VZCYOOQTPOCHFL-UPHRSURJSA-N 0.000 description 1
- 230000001404 mediated effect Effects 0.000 description 1
- 239000002609 medium Substances 0.000 description 1
- 230000004060 metabolic process Effects 0.000 description 1
- WOPPDPJLUZBJDN-UHFFFAOYSA-N methyl 3-(cyclopropylmethyl)-1-[3-methyl-2-[[3-methyl-2-(pyrazine-2-carbonylamino)butanoyl]amino]butanoyl]pyrrolidine-2-carboxylate Chemical compound C1CN(C(=O)C(NC(=O)C(NC(=O)C=2N=CC=NC=2)C(C)C)C(C)C)C(C(=O)OC)C1CC1CC1 WOPPDPJLUZBJDN-UHFFFAOYSA-N 0.000 description 1
- GDOPTJXRTPNYNR-UHFFFAOYSA-N methyl-cyclopentane Natural products CC1CCCC1 GDOPTJXRTPNYNR-UHFFFAOYSA-N 0.000 description 1
- 229940042472 mineral oil Drugs 0.000 description 1
- 150000007522 mineralic acids Chemical class 0.000 description 1
- 238000002156 mixing Methods 0.000 description 1
- 239000003607 modifier Substances 0.000 description 1
- 238000010369 molecular cloning Methods 0.000 description 1
- 230000035772 mutation Effects 0.000 description 1
- 125000001421 myristyl group Chemical group [H]C([*])([H])C([H])([H])C([H])([H])C([H])([H])C([H])([H])C([H])([H])C([H])([H])C([H])([H])C([H])([H])C([H])([H])C([H])([H])C([H])([H])C([H])([H])C([H])([H])[H] 0.000 description 1
- KVBGVZZKJNLNJU-UHFFFAOYSA-M naphthalene-2-sulfonate Chemical compound C1=CC=CC2=CC(S(=O)(=O)[O-])=CC=C21 KVBGVZZKJNLNJU-UHFFFAOYSA-M 0.000 description 1
- 125000001624 naphthyl group Chemical group 0.000 description 1
- 239000007922 nasal spray Substances 0.000 description 1
- 235000001968 nicotinic acid Nutrition 0.000 description 1
- 239000011664 nicotinic acid Substances 0.000 description 1
- 231100000344 non-irritating Toxicity 0.000 description 1
- 231100000252 nontoxic Toxicity 0.000 description 1
- 230000003000 nontoxic effect Effects 0.000 description 1
- GLDOVTGHNKAZLK-UHFFFAOYSA-N octadecan-1-ol Chemical compound CCCCCCCCCCCCCCCCCCO GLDOVTGHNKAZLK-UHFFFAOYSA-N 0.000 description 1
- JRZJOMJEPLMPRA-UHFFFAOYSA-N olefin Natural products CCCCCCCC=C JRZJOMJEPLMPRA-UHFFFAOYSA-N 0.000 description 1
- ZQPPMHVWECSIRJ-KTKRTIGZSA-N oleic acid Chemical compound CCCCCCCC\C=C/CCCCCCCC(O)=O ZQPPMHVWECSIRJ-KTKRTIGZSA-N 0.000 description 1
- 239000004006 olive oil Substances 0.000 description 1
- 235000008390 olive oil Nutrition 0.000 description 1
- 150000007524 organic acids Chemical class 0.000 description 1
- 235000005985 organic acids Nutrition 0.000 description 1
- 150000007530 organic bases Chemical class 0.000 description 1
- MUMZUERVLWJKNR-UHFFFAOYSA-N oxoplatinum Chemical compound [Pt]=O MUMZUERVLWJKNR-UHFFFAOYSA-N 0.000 description 1
- 125000004430 oxygen atom Chemical group O* 0.000 description 1
- 230000037361 pathway Effects 0.000 description 1
- 229940002988 pegasys Drugs 0.000 description 1
- 108010092853 peginterferon alfa-2a Proteins 0.000 description 1
- 108010092851 peginterferon alfa-2b Proteins 0.000 description 1
- 229940106366 pegintron Drugs 0.000 description 1
- 230000035515 penetration Effects 0.000 description 1
- JRKICGRDRMAZLK-UHFFFAOYSA-L peroxydisulfate Chemical compound [O-]S(=O)(=O)OOS([O-])(=O)=O JRKICGRDRMAZLK-UHFFFAOYSA-L 0.000 description 1
- 239000000546 pharmaceutical excipient Substances 0.000 description 1
- 125000001997 phenyl group Chemical group [H]C1=C([H])C([H])=C(*)C([H])=C1[H] 0.000 description 1
- UYWQUFXKFGHYNT-UHFFFAOYSA-N phenylmethyl ester of formic acid Natural products O=COCC1=CC=CC=C1 UYWQUFXKFGHYNT-UHFFFAOYSA-N 0.000 description 1
- 235000021317 phosphate Nutrition 0.000 description 1
- 150000003013 phosphoric acid derivatives Chemical class 0.000 description 1
- 229940075930 picrate Drugs 0.000 description 1
- OXNIZHLAWKMVMX-UHFFFAOYSA-M picrate anion Chemical compound [O-]C1=C([N+]([O-])=O)C=C([N+]([O-])=O)C=C1[N+]([O-])=O OXNIZHLAWKMVMX-UHFFFAOYSA-M 0.000 description 1
- 229950010765 pivalate Drugs 0.000 description 1
- IUGYQRQAERSCNH-UHFFFAOYSA-N pivalic acid Chemical compound CC(C)(C)C(O)=O IUGYQRQAERSCNH-UHFFFAOYSA-N 0.000 description 1
- 229910003446 platinum oxide Inorganic materials 0.000 description 1
- 229920000058 polyacrylate Polymers 0.000 description 1
- 229920000642 polymer Polymers 0.000 description 1
- 239000001818 polyoxyethylene sorbitan monostearate Substances 0.000 description 1
- 235000010989 polyoxyethylene sorbitan monostearate Nutrition 0.000 description 1
- 229920001451 polypropylene glycol Polymers 0.000 description 1
- 229920000136 polysorbate Polymers 0.000 description 1
- 229940113124 polysorbate 60 Drugs 0.000 description 1
- 239000001267 polyvinylpyrrolidone Substances 0.000 description 1
- 229920000036 polyvinylpyrrolidone Polymers 0.000 description 1
- 235000013855 polyvinylpyrrolidone Nutrition 0.000 description 1
- 159000000001 potassium salts Chemical class 0.000 description 1
- 239000004302 potassium sorbate Substances 0.000 description 1
- 235000010241 potassium sorbate Nutrition 0.000 description 1
- 229940069338 potassium sorbate Drugs 0.000 description 1
- 230000003389 potentiating effect Effects 0.000 description 1
- 230000002335 preservative effect Effects 0.000 description 1
- 230000002265 prevention Effects 0.000 description 1
- 150000003147 proline derivatives Chemical class 0.000 description 1
- OVARTBFNCCXQKS-UHFFFAOYSA-N propan-2-one;hydrate Chemical compound O.CC(C)=O OVARTBFNCCXQKS-UHFFFAOYSA-N 0.000 description 1
- 230000000069 prophylactic effect Effects 0.000 description 1
- 235000013772 propylene glycol Nutrition 0.000 description 1
- 229950008679 protamine sulfate Drugs 0.000 description 1
- 235000019833 protease Nutrition 0.000 description 1
- 230000006337 proteolytic cleavage Effects 0.000 description 1
- 238000000425 proton nuclear magnetic resonance spectrum Methods 0.000 description 1
- 150000003233 pyrroles Chemical group 0.000 description 1
- GUFUWKKDHIABBW-UHFFFAOYSA-N pyrrolidin-1-ylmethanol Chemical compound OCN1CCCC1 GUFUWKKDHIABBW-UHFFFAOYSA-N 0.000 description 1
- 238000003753 real-time PCR Methods 0.000 description 1
- 229940100618 rectal suppository Drugs 0.000 description 1
- 239000006215 rectal suppository Substances 0.000 description 1
- 210000000664 rectum Anatomy 0.000 description 1
- 230000000306 recurrent effect Effects 0.000 description 1
- 230000010076 replication Effects 0.000 description 1
- 230000000717 retained effect Effects 0.000 description 1
- 239000003001 serine protease inhibitor Substances 0.000 description 1
- AWUCVROLDVIAJX-GSVOUGTGSA-N sn-glycerol 3-phosphate Chemical compound OC[C@@H](O)COP(O)(O)=O AWUCVROLDVIAJX-GSVOUGTGSA-N 0.000 description 1
- 239000011734 sodium Substances 0.000 description 1
- 229910052708 sodium Inorganic materials 0.000 description 1
- 229910000029 sodium carbonate Inorganic materials 0.000 description 1
- 235000017550 sodium carbonate Nutrition 0.000 description 1
- 235000019812 sodium carboxymethyl cellulose Nutrition 0.000 description 1
- 229920001027 sodium carboxymethylcellulose Polymers 0.000 description 1
- AKHNMLFCWUSKQB-UHFFFAOYSA-L sodium thiosulfate Chemical compound [Na+].[Na+].[O-]S([O-])(=O)=S AKHNMLFCWUSKQB-UHFFFAOYSA-L 0.000 description 1
- 235000019345 sodium thiosulphate Nutrition 0.000 description 1
- 230000003381 solubilizing effect Effects 0.000 description 1
- 239000004334 sorbic acid Substances 0.000 description 1
- 235000010199 sorbic acid Nutrition 0.000 description 1
- 229940075582 sorbic acid Drugs 0.000 description 1
- 239000001587 sorbitan monostearate Substances 0.000 description 1
- 235000011076 sorbitan monostearate Nutrition 0.000 description 1
- 229940035048 sorbitan monostearate Drugs 0.000 description 1
- 241000894007 species Species 0.000 description 1
- WWUZIQQURGPMPG-KRWOKUGFSA-N sphingosine Chemical compound CCCCCCCCCCCCC\C=C\[C@@H](O)[C@@H](N)CO WWUZIQQURGPMPG-KRWOKUGFSA-N 0.000 description 1
- 239000007921 spray Substances 0.000 description 1
- 239000007858 starting material Substances 0.000 description 1
- 239000011550 stock solution Substances 0.000 description 1
- 238000007920 subcutaneous administration Methods 0.000 description 1
- KDYFGRWQOYBRFD-UHFFFAOYSA-L succinate(2-) Chemical compound [O-]C(=O)CCC([O-])=O KDYFGRWQOYBRFD-UHFFFAOYSA-L 0.000 description 1
- 235000011149 sulphuric acid Nutrition 0.000 description 1
- 239000000829 suppository Substances 0.000 description 1
- 239000004094 surface-active agent Substances 0.000 description 1
- 239000003765 sweetening agent Substances 0.000 description 1
- 229940095064 tartrate Drugs 0.000 description 1
- DCRLSNAODKDTMO-UHFFFAOYSA-N tert-butyl 3-cyclohexylpyrrolidine-2-carboxylate Chemical compound CC(C)(C)OC(=O)C1NCCC1C1CCCCC1 DCRLSNAODKDTMO-UHFFFAOYSA-N 0.000 description 1
- 125000005931 tert-butyloxycarbonyl group Chemical group [H]C([H])([H])C(OC(*)=O)(C([H])([H])[H])C([H])([H])[H] 0.000 description 1
- MHXBHWLGRWOABW-UHFFFAOYSA-N tetradecyl octadecanoate Chemical compound CCCCCCCCCCCCCCCCCC(=O)OCCCCCCCCCCCCCC MHXBHWLGRWOABW-UHFFFAOYSA-N 0.000 description 1
- YLQBMQCUIZJEEH-UHFFFAOYSA-N tetrahydrofuran Natural products C=1C=COC=1 YLQBMQCUIZJEEH-UHFFFAOYSA-N 0.000 description 1
- 238000000954 titration curve Methods 0.000 description 1
- JOXIMZWYDAKGHI-UHFFFAOYSA-N toluene-4-sulfonic acid Chemical compound CC1=CC=C(S(O)(=O)=O)C=C1 JOXIMZWYDAKGHI-UHFFFAOYSA-N 0.000 description 1
- 238000011200 topical administration Methods 0.000 description 1
- 239000012049 topical pharmaceutical composition Substances 0.000 description 1
- 238000011269 treatment regimen Methods 0.000 description 1
- 239000012588 trypsin Substances 0.000 description 1
- 229910052721 tungsten Inorganic materials 0.000 description 1
- ZDPHROOEEOARMN-UHFFFAOYSA-N undecanoic acid Chemical compound CCCCCCCCCCC(O)=O ZDPHROOEEOARMN-UHFFFAOYSA-N 0.000 description 1
- 229960005486 vaccine Drugs 0.000 description 1
- 235000013311 vegetables Nutrition 0.000 description 1
- 239000003981 vehicle Substances 0.000 description 1
- 229920002554 vinyl polymer Polymers 0.000 description 1
- 230000009385 viral infection Effects 0.000 description 1
- 230000006514 viral protein processing Effects 0.000 description 1
- 239000001993 wax Substances 0.000 description 1
- 239000000080 wetting agent Substances 0.000 description 1
- 239000003871 white petrolatum Substances 0.000 description 1
- 210000002268 wool Anatomy 0.000 description 1
- 238000010626 work up procedure Methods 0.000 description 1
- 229940051021 yellow-fever virus Drugs 0.000 description 1
- 150000003751 zinc Chemical class 0.000 description 1
- HGPHQCSSTFBAML-UHFFFAOYSA-M zinc;2-methylpropane;bromide Chemical compound Br[Zn+].C[C-](C)C HGPHQCSSTFBAML-UHFFFAOYSA-M 0.000 description 1
Classifications
-
- C—CHEMISTRY; METALLURGY
- C07—ORGANIC CHEMISTRY
- C07D—HETEROCYCLIC COMPOUNDS
- C07D403/00—Heterocyclic compounds containing two or more hetero rings, having nitrogen atoms as the only ring hetero atoms, not provided for by group C07D401/00
- C07D403/02—Heterocyclic compounds containing two or more hetero rings, having nitrogen atoms as the only ring hetero atoms, not provided for by group C07D401/00 containing two hetero rings
- C07D403/12—Heterocyclic compounds containing two or more hetero rings, having nitrogen atoms as the only ring hetero atoms, not provided for by group C07D401/00 containing two hetero rings linked by a chain containing hetero atoms as chain links
-
- A—HUMAN NECESSITIES
- A61—MEDICAL OR VETERINARY SCIENCE; HYGIENE
- A61P—SPECIFIC THERAPEUTIC ACTIVITY OF CHEMICAL COMPOUNDS OR MEDICINAL PREPARATIONS
- A61P31/00—Antiinfectives, i.e. antibiotics, antiseptics, chemotherapeutics
- A61P31/12—Antivirals
-
- A—HUMAN NECESSITIES
- A61—MEDICAL OR VETERINARY SCIENCE; HYGIENE
- A61P—SPECIFIC THERAPEUTIC ACTIVITY OF CHEMICAL COMPOUNDS OR MEDICINAL PREPARATIONS
- A61P31/00—Antiinfectives, i.e. antibiotics, antiseptics, chemotherapeutics
- A61P31/12—Antivirals
- A61P31/14—Antivirals for RNA viruses
-
- A—HUMAN NECESSITIES
- A61—MEDICAL OR VETERINARY SCIENCE; HYGIENE
- A61P—SPECIFIC THERAPEUTIC ACTIVITY OF CHEMICAL COMPOUNDS OR MEDICINAL PREPARATIONS
- A61P43/00—Drugs for specific purposes, not provided for in groups A61P1/00-A61P41/00
-
- C—CHEMISTRY; METALLURGY
- C07—ORGANIC CHEMISTRY
- C07D—HETEROCYCLIC COMPOUNDS
- C07D417/00—Heterocyclic compounds containing two or more hetero rings, at least one ring having nitrogen and sulfur atoms as the only ring hetero atoms, not provided for by group C07D415/00
- C07D417/02—Heterocyclic compounds containing two or more hetero rings, at least one ring having nitrogen and sulfur atoms as the only ring hetero atoms, not provided for by group C07D415/00 containing two hetero rings
- C07D417/12—Heterocyclic compounds containing two or more hetero rings, at least one ring having nitrogen and sulfur atoms as the only ring hetero atoms, not provided for by group C07D415/00 containing two hetero rings linked by a chain containing hetero atoms as chain links
-
- C—CHEMISTRY; METALLURGY
- C07—ORGANIC CHEMISTRY
- C07K—PEPTIDES
- C07K5/00—Peptides containing up to four amino acids in a fully defined sequence; Derivatives thereof
- C07K5/04—Peptides containing up to four amino acids in a fully defined sequence; Derivatives thereof containing only normal peptide links
- C07K5/08—Tripeptides
- C07K5/0802—Tripeptides with the first amino acid being neutral
- C07K5/0804—Tripeptides with the first amino acid being neutral and aliphatic
-
- C—CHEMISTRY; METALLURGY
- C07—ORGANIC CHEMISTRY
- C07K—PEPTIDES
- C07K5/00—Peptides containing up to four amino acids in a fully defined sequence; Derivatives thereof
- C07K5/04—Peptides containing up to four amino acids in a fully defined sequence; Derivatives thereof containing only normal peptide links
- C07K5/08—Tripeptides
- C07K5/0802—Tripeptides with the first amino acid being neutral
- C07K5/0804—Tripeptides with the first amino acid being neutral and aliphatic
- C07K5/0808—Tripeptides with the first amino acid being neutral and aliphatic the side chain containing 2 to 4 carbon atoms, e.g. Val, Ile, Leu
-
- C—CHEMISTRY; METALLURGY
- C07—ORGANIC CHEMISTRY
- C07K—PEPTIDES
- C07K5/00—Peptides containing up to four amino acids in a fully defined sequence; Derivatives thereof
- C07K5/04—Peptides containing up to four amino acids in a fully defined sequence; Derivatives thereof containing only normal peptide links
- C07K5/08—Tripeptides
- C07K5/0802—Tripeptides with the first amino acid being neutral
- C07K5/0812—Tripeptides with the first amino acid being neutral and aromatic or cycloaliphatic
-
- A—HUMAN NECESSITIES
- A61—MEDICAL OR VETERINARY SCIENCE; HYGIENE
- A61K—PREPARATIONS FOR MEDICAL, DENTAL OR TOILETRY PURPOSES
- A61K38/00—Medicinal preparations containing peptides
Definitions
- the present invention relates to compounds that inhibit serine protease activity, particularly the activity of hepatitis C virus NS3-NS4A protease. As such, they act by interfering with the life cycle of the hepatitis C virus and are also useful as antiviral agents.
- the invention further relates to pharmaceutical compositions comprising these compounds either for ex vivo use or for administration to a patient suffering from HCV infection.
- the invention also relates to processes for preparing the compounds and methods of treating an HCV infection in a patient by administering a pharmaceutical composition comprising a compound of this invention.
- HCV hepatitis C virus
- the HCV genome encodes a polyprotein of 3010-3033 amino acids [Q. L. Choo, et. al., “Genetic Organization and Diversity of the Hepatitis C Virus.” Proc. Natl. Acad. Sci. USA, 88, pp. 2451-2455 (1991); N. Kato et al., “Molecular Cloning of the Human Hepatitis C Virus Genome From Japanese Patients with Non-A, Non-B Hepatitis,” Proc. Natl. Acad. Sci. USA, 87, pp. 9524-9528 (1990); A. Takamizawa et. al., “Structure and Organization of the Hepatitis C Virus Genome Isolated From Human Carriers,” J.
- the HCV nonstructural (NS) proteins are presumed to provide the essential catalytic machinery for viral replication.
- the NS proteins are derived by proteolytic cleavage of the polyprotein [R. Bartenschlager et. al., “Nonstructural Protein 3 of the Hepatitis C Virus Encodes a Serine-Type Proteinase Required for Cleavage at the NS3/4 and NS4/5 Junctions,” J. Virol ., 67, pp. 3835-3844 (1993); A. Grakoui et.
- the HCV NS protein 3 contains a serine protease activity that helps process the majority of the viral enzymes, and is thus considered essential for viral replication and infectivity. It is known that mutations in the yellow fever virus NS3 protease decrease viral infectivity [Chambers, T. J. et. al., “Evidence that the N-terminal Domain of Nonstructural Protein NS3 From Yellow Fever Virus is a Serine Protease Responsible for Site-Specific Cleavages in the Viral Polyprotein”, Proc. Natl. Acad. Sci. USA, 87, pp. 8898-8902 (1990)].
- the first 181 amino acids of NS3 have been shown to contain the serine protease domain of NS3 that processes all four downstream sites of the HCV polyprotein [C. Lin et al., “Hepatitis C Virus NS3 Serine Proteinase: Trans-Cleavage Requirements and Processing Kinetics”, J. Virol., 68, pp. 8147-8157 (1994)].
- HCV NS3 serine protease and its associated cofactor, NS4A helps process all of the viral enzymes, and is thus considered essential for viral replication. This processing appears to be analogous to that carried out by the human immunodeficiency virus aspartyl protease, which is also involved in viral enzyme processing. HIV protease inhibitors, which inhibit viral protein processing, are potent antiviral agents in man, indicating that interrupting this stage of the viral life cycle results in therapeutically active agents. Consequently HCV NS3 serine protease is also an attractive target for drug discovery.
- Such inhibitors would have therapeutic potential as protease inhibitors, particularly as serine protease inhibitors, and more particularly as HCV NS3 protease inhibitors. Specifically, such compounds may be useful as antiviral agents, particularly as anti-HCV agents.
- the present invention provides a compound of formula I: or a pharmaceutically acceptable salt, or mixtures thereof, wherein:
- the invention also relates to processes for preparing the above compounds and to compositions that comprise the above compounds and the use thereof.
- Such compositions may be used to pre-treat invasive devices to be inserted into a patient, to treat biological samples, such as blood, prior to administration to a patient, and for direct administration to a patient.
- the composition will be used to inhibit HCV replication and to lessen the risk of or the severity of HCV infection.
- the present invention provides a compound of formula I: or a pharmaceutically acceptable salt, or mixtures thereof, wherein:
- aryl means a monocyclic or bicyclic carbocyclic aromatic ring system. Phenyl is an example of a monocyclic aromatic ring system. Bicyclic aromatic ring systems include systems wherein both rings are aromatic, e.g., naphthyl, and systems wherein only one of the two rings is aromatic, e.g., tetralin. It is understood that as used herein, the term “(C6-C10)-aryl-” includes any one of a C6, C7, C8, C9, and C10 monocyclic or bicyclic carbocyclic aromatic ring.
- heterocyclyl as used herein means a monocyclic or bicyclic non-aromatic ring system having 1 to 3 heteroatom or heteroatom groups in each ring selected from O, N, NH, S, SO, and SO 2 in a chemically stable arrangement.
- heterocyclyl one or both rings may contain said heteroatom or heteroatom groups.
- (C5-C10)-heterocyclyl- includes any one of a C5, C6, C7, C8, C9, and C10 monocyclic or bicyclic non-aromatic ring system having 1 to 3 heteroatom or heteroatom groups in each ring selected from O, N, NH, and S in a chemically stable arrangement.
- heteroaryl as used herein means a monocyclic or bicyclic aromatic ring system having 1 to 3 heteroatom or heteroatom groups in each ring selected from O, N, NH, and S in a chemically stable arrangement.
- heteroaryl a monocyclic or bicyclic aromatic ring system having 1 to 3 heteroatom or heteroatom groups in each ring selected from O, N, NH, and S in a chemically stable arrangement.
- aliphatic as used herein means a straight chained or branched alkyl, alkenyl or alkynyl. It is understood that as used herein, the term “(C1-C12)-aliphatic-” includes any one of a C1, C2, C3, C4, C5, C6, C7, C8, C9, C10, C11, and C12 straight or branched alkyl chain of carbon atoms. It is also understood that alkenyl or alkynyl embodiments need at least two carbon atoms in the aliphatic chain.
- cycloalkyl or cycloalkenyl refers to a monocyclic or fused or bridged bicyclic carbocyclic ring system that is not aromatic.
- Cycloalkenyl rings have one or more units of unsaturation. It is also understood that as used herein, the term “(C3-C10)-cycloalkyl- or -cycloalkenyl-” includes any one of a C3, C4, C5, C6, C7, C8, C9, and C10 monocyclic or fused or bridged bicyclic carbocyclic ring. Preferred cycloalkyl groups include cyclopropyl, cyclobutyl, cyclopentyl, cyclohexyl, cyclohexenyl, cycloheptyl, cycloheptenyl, nornbornyl, adamantyl and decalin-yl.
- chemically stable arrangement refers to a compound structure that renders the compound sufficiently stable to allow manufacture and administration to a mammal by methods known in the art. Typically, such compounds are stable at a temperature of 40° C. or less, in the absence of moisture or other chemically reactive condition, for at least a week.
- the radical is, wherein;
- R 9′ is
- R 9′ is
- R 9′ is ethyl
- R 9 , R 10 , and R 10′ X and Y are both a bond and Z is hydrogen; and in R 9′ ;
- Z is —O—(C1-C6)-aliphatic or —N(R′) 2 , wherein the two R′ groups bound to the nitrogen atom may optionally form a 3- to 7-membered saturated or partially unsaturated ring system wherein up to 3 ring atoms may be optionally replaced with a heteroatom independently selected from N, NH, O, S, SO, and SO 2 , wherein said ring system may be optionally fused to a (C6-C10)aryl, (C5-C10)heteroaryl, (C3-C10)cycloalkyl, or a (C3-C10)heterocyclyl, wherein any ring has up to 3 substituents selected independently from J.
- Z is —N(R′) 2 , wherein the two R′ groups bound to the nitrogen atom may optionally form a 3- to 7-membered saturated or partially unsaturated ring system wherein up to 3 ring atoms may be optionally replaced with a heteroatom independently selected from N, NH, O, S, SO, and SO 2 , wherein said ring system may be optionally fused to a (C6-C10)aryl, (C5-C10)heteroaryl, (C3-C10)cycloalkyl, or a (C3-C10)heterocyclyl, wherein any ring has up to 3 substituents selected independently from J.
- R 9 , and R 10 X and Y are both a bond and Z is hydrogen; and in each of R 9′ and R 10′ independently,
- Z in each of R 9′ and R 10′ independently, is
- each of R 9′ and R 10′ independently is (C1-C6)-aliphatic-.
- R 10 , and R 10′ X and Y are both a bond and Z is hydrogen; and in R 9 and R 9′ ;
- W is: wherein in the W, the NR 6 R 6 is selected from —NH—(C1-C6 aliphatic), —NH—(C3-C6 cycloalkyl), —NH—CH(CH 3 )-aryl, or —NH—CH(CH 3 )-heteroaryl, wherein said aryl or said heteroaryl is optionally substituted with up to 3 halogens.
- the NR 6 R 6 is:
- the NR 6 R 6 is:
- the NR 6 R 6 is:
- the NR 6 R 6 is:
- the NR 6 R 6 in the W radical is:
- the NR 6 R 6 in the W radical is:
- the NR 6 R 6 is:
- W in compounds of formula I is: wherein R 8 is as defined above.
- each R 8 together with the boron atom is a (C5-C10)-membered heterocyclic ring having no additional heteroatoms other than the boron and the two oxygen atoms.
- W is: wherein R′ is (C1-C6)-aliphatic.
- R′ is methyl
- R 5′ is hydrogen and R 5 is:
- R 5′ is hydrogen and R 5 is:
- R 5′ and R 5 is:
- R 2 , R 4 , and R 7 are each independently H, methyl, ethyl, or propyl.
- R 2 , R 4 , and R 7 are each hydrogen.
- R 3 is:
- R 3 is:
- R 3 is:
- R 1 is:
- R 1 is:
- R 1 is isopropyl or cyclohexyl.
- the radical is: wherein:
- the radical is:
- V is —C(O)— and R is a bond.
- V is —C(O)—
- R is a bond
- T is (C5-C6)heterocyclyl- or (C5-C6)heteroaryl-;
- T is: wherein:
- T is:
- this invention does not include the following compounds:
- this invention does not include the following compounds wherein:
- this invention does not include compounds wherein:
- this invention does not include compounds wherein T is a C5-heteroaryl (e.g., compounds of formula II at page 22 of WO 03/087092).
- this invention does not include compounds wherein T is an optionally substituted pyrrole group (e.g., compounds of formula II at page 22 of WO 03/087092).
- this invention does not include compounds wherein:
- the compound is: 1 2 3 4 5 6 7 8 9 10 11 12 13 14 15 16 17 18 19 20 21 22 23 24 25 26 27 28 29 30 31 32 33 34 35 36 37 38 39 40 41 42 43 44 45 46 47 48 49 50 51 52 53 54 55 56 57 58 59 60 61 62 63 64 65 66 67 68 69 70 71 72 73 74 75 76 77
- the compounds of this invention may contain one or more asymmetric carbon atoms and thus may occur as racemates and racemic mixtures, single enantiomers, diastereomeric mixtures and individual diastereomers. All such isomeric forms of these compounds are expressly included in the present invention.
- Each stereogenic carbon may be of the R or S configuration.
- the compounds of this invention have the structure and stereochemistry depicted in compounds 1-77.
- Scheme 1-6 above provide synthetic pathways for the preparation of the compounds of this invention. Many of the starting proline derivatives may be purchased commercially from chemical suppliers known to those in the art. Intermediate Al may be prepared according to the procedure described in J. Med. Chem. 39, p.2367 (1996).
- Another embodiment of this invention provides a pharmaceutical composition
- a pharmaceutical composition comprising a compound of formula I or a pharmaceutically acceptable salt thereof.
- the compound of formula I is present in an amount effective to decrease the viral load in a sample or in a patient, wherein said virus encodes a serine protease necessary for the viral life cycle, and a pharmaceutically acceptable carrier.
- salts of the compounds of this invention are preferably derived from inorganic or organic acids and bases. Included among such acid salts are the following: acetate, adipate, alginate, aspartate, benzoate, benzene sulfonate, bisulfate, butyrate, citrate, camphorate, camphor sulfonate, cyclopentane-propionate, digluconate, dodecylsulfate, ethanesulfonate, fumarate, glucoheptanoate, glycerophosphate, hemisulfate, heptanoate, hexanoate, hydrochloride, hydrobromide, hydroiodide, 2-hydroxyethanesulfonate, lactate, maleate, methanesulfonate, 2-naphthalenesulfonate, nicotinate, oxalate, pamoate, peroxine salt, sodium bicarbonate, sodium bicarbonate
- Base salts include ammonium salts, alkali metal salts, such as sodium and potassium salts, alkaline earth metal salts, such as calcium and magnesium salts, salts with organic bases, such as dicyclohexylamine salts, N-methyl-D-glucamine, and salts with amino acids such as arginine, lysine, and so forth.
- the basic nitrogen-containing groups may be quaternized with such agents as lower alkyl halides, such as methyl, ethyl, propyl, and butyl chloride, bromides and iodides; dialkyl sulfates, such as dimethyl, diethyl, dibutyl and diamyl sulfates, long chain halides such as decyl, lauryl, myristyl and stearyl chlorides, bromides and iodides, aralkyl halides, such as benzyl and phenethyl bromides and others. Water or oil-soluble or dispersible products are thereby obtained.
- lower alkyl halides such as methyl, ethyl, propyl, and butyl chloride, bromides and iodides
- dialkyl sulfates such as dimethyl, diethyl, dibutyl and diamyl sulfates
- long chain halides such
- compositions and methods of this invention may also be modified by appending appropriate functionalities to enhance selective biological properties.
- modifications are known in the art and include those which increase biological penetration into a given biological system (e.g., blood, lymphatic system, central nervous system), increase oral availability, increase solubility to allow administration by injection, alter metabolism and alter rate of excretion.
- compositions include, but are not limited to, ion exchangers, alumina, aluminum stearate, lecithin, serum proteins, such as human serum albumin, buffer substances such as phosphates, glycine, sorbic acid, potassium sorbate, partial glyceride mixtures of saturated vegetable fatty acids, water, salts or electrolytes, such as protamine sulfate, disodium hydrogen phosphate, potassium hydrogen phosphate, sodium chloride, zinc salts, colloidal silica, magnesium trisilicate, polyvinyl pyrrolidone, cellulose-based substances, polyethylene glycol, sodium carboxymethylcellulose, polyacrylates, waxes, polyethylene-polyoxypropylene-block polymers, polyethylene glycol and wool fat.
- ion exchangers alumina, aluminum stearate, lecithin
- serum proteins such as human serum albumin
- buffer substances such as phosphates, glycine, sorbic acid, potassium sorbate, partial g
- compositions of this invention are formulated for pharmaceutical administration to a mammal.
- compositions of this invention are formulated for pharmaceutical administration to a human being.
- compositions of the present invention may be administered orally, parenterally, by inhalation spray, topically, rectally, nasally, buccally, vaginally or via an implanted reservoir.
- parenteral as used herein includes subcutaneous, intravenous, intramuscular, intra-articular, intra-synovial, intrasternal, intrathecal, intrahepatic, intralesional and intracranial injection or infusion techniques.
- the compositions are administered orally or intravenously.
- Sterile injectable forms of the compositions of this invention may be aqueous or oleaginous suspension. These suspensions may be formulated according to techniques known in the art using suitable dispersing or wetting agents and suspending agents.
- the sterile injectable preparation may also be a sterile injectable solution or suspension in a non-toxic parenterally acceptable diluent or solvent, for example as a solution in 1,3-butanediol.
- the acceptable vehicles and solvents that may be employed are water, Ringer's solution and isotonic sodium chloride solution.
- sterile, fixed oils are conventionally employed as a solvent or suspending medium. For this purpose, any bland fixed oil may be employed including synthetic mono- or di-glycerides.
- Fatty acids such as oleic acid and its glyceride derivatives are useful in the preparation of injectables, as are natural pharmaceutically-acceptable oils, such as olive oil or castor oil, especially in their polyoxyethylated versions.
- These oil solutions or suspensions may also contain a long-chain alcohol diluent or dispersant, such as carboxymethyl cellulose or similar dispersing agents which are commonly used in the formulation of pharmaceutically acceptable dosage forms including emulsions and suspensions.
- a long-chain alcohol diluent or dispersant such as carboxymethyl cellulose or similar dispersing agents which are commonly used in the formulation of pharmaceutically acceptable dosage forms including emulsions and suspensions.
- Other commonly used surfactants such as Tweens, Spans and other emulsifying agents or bioavailability enhancers which are commonly used in the manufacture of pharmaceutically acceptable solid, liquid, or other dosage forms may also be used for the purposes of formulation.
- Dosage levels of between about 0.01 and about 100 mg/kg body weight per day, preferably between about 0.5 and about 75 mg/kg body weight per day of the protease inhibitor compounds described herein are useful in a monotherapy for the prevention and treatment of antiviral, particularly anti-HCV mediated disease.
- the pharmaceutical compositions of this invention will be administered from about 1 to about 5 times per day or alternatively, as a continuous infusion. Such administration can be used as a chronic or acute therapy.
- the amount of active ingredient that may be combined with the carrier materials to produce a single dosage form will vary depending upon the host treated and the particular mode of administration.
- a typical preparation will contain from about 5% to about 95% active compound (w/w). In another embodiment, such preparations contain from about 20% to about 80% active compound.
- compositions of this invention comprise a combination of a compound of formula I and one or more additional therapeutic or prophylactic agents
- both the compound and the additional agent should be present at dosage levels of between about 10 to 100% and in another embodiment between about 10 to 80% of the dosage normally administered in a monotherapy regimen.
- compositions of this invention may be orally administered in any orally acceptable dosage form including, but not limited to, capsules, tablets, aqueous suspensions or solutions.
- carriers that are commonly used include lactose and corn starch.
- Lubricating agents such as magnesium stearate, are also typically added.
- useful diluents include lactose and dried cornstarch.
- aqueous suspensions are required for oral use, the active ingredient is combined with emulsifying and suspending agents. If desired, certain sweetening, flavoring or coloring agents may also be added.
- compositions of this invention may be administered in the form of suppositories for rectal administration.
- suppositories may be prepared by mixing the agent with a suitable non-irritating excipient which is solid at room temperature but liquid at rectal temperature and therefore will melt in the rectum to release the drug.
- suitable non-irritating excipient include cocoa butter, beeswax and polyethylene glycols.
- compositions of this invention may also be administered topically, especially when the target of treatment includes areas or organs readily accessible by topical application, including diseases of the eye, the skin, or the lower intestinal tract. Suitable topical formulations are readily prepared for each of these areas or organs.
- Topical application for the lower intestinal tract may be effected in a rectal suppository formulation (see above) or in a suitable enema formulation. Topically-transdermal patches may also be used.
- the pharmaceutical compositions may be formulated in a suitable ointment containing the active component suspended or dissolved in one or more carriers.
- Carriers for topical administration of the compounds of this invention include, but are not limited to, mineral oil, liquid petrolatum, white petrolatum, propylene glycol, polyoxyethylene, polyoxypropylene compound, emulsifying wax and water.
- the pharmaceutical compositions may be formulated in a suitable lotion or cream containing the active components suspended or dissolved in one or more pharmaceutically acceptable carriers.
- Suitable carriers include, but are not limited to, mineral oil, sorbitan monostearate, polysorbate 60, cetyl esters wax, cetearyl alcohol, 2-octyldodecanol, benzyl alcohol and water.
- the pharmaceutical compositions may be formulated as micronized suspensions in isotonic, pH adjusted sterile saline, or, preferably, as solutions in isotonic, pH adjusted sterile saline, either with our without a preservative such as benzylalkonium chloride.
- the pharmaceutical compositions may be formulated in an ointment such as petrolatum.
- compositions of this invention may also be administered by nasal aerosol or inhalation.
- Such compositions are prepared according to techniques well known in the art of pharmaceutical formulation and may be prepared as solutions in saline, employing benzyl alcohol or other suitable preservatives, absorption promoters to enhance bioavailability, fluorocarbons, and/or other conventional solubilizing or dispersing agents.
- the pharmaceutical compositions are formulated for oral administration.
- compositions of this invention additionally comprise another agent, including a cytochrome P-450 inhibitor.
- cytochrome P-450 inhibitors include, but are not limited to, ritonavir.
- compositions of this invention additionally comprise another anti-viral agent, including an anti-HCV agent.
- anti-viral agents include, but are not limited to, immunomodulatory agents, such as ⁇ -, ⁇ -, and ⁇ -interferons, pegylated derivatized interferon- ⁇ compounds, and thymosin; other anti-viral agents, such as ribavirin, amantadine, and telbivudine; other inhibitors of hepatitis C proteases (NS2-NS3 inhibitors and NS3-NS4A inhibitors); inhibitors of other targets in the HCV life cycle, including but not limited to, helicase and polymerase inhibitors; inhibitors of internal ribosome entry; broad-spectrum viral inhibitors, such as IMPDH inhibitors (e.g., VX-497 and other IMPDH inhibitors disclosed in U.S. Pat. Nos. 5,807,876 and 6,498,178, mycophenolic acid and derivatives thereof);
- a maintenance dose of a compound, composition or combination of this invention may be administered, if necessary. Subsequently, the dosage or frequency of administration, or both, may be reduced, as a function of the symptoms, to a level at which the improved condition is retained when the symptoms have been alleviated to the desired level, treatment should cease. Patients may, however, require intermittent treatment on a long-term basis upon any recurrence of disease symptoms.
- a specific dosage and treatment regimen for any particular patient will depend upon a variety of factors, including the activity of the specific compound employed, the age, body weight, general health, sex, diet, time of administration, rate of excretion, drug combination, and the judgment of the treating physician and the severity of the particular disease being treated.
- the amount of active ingredients will also depend upon the particular described compound and the presence or absence and the nature of the additional anti-viral agent in the composition.
- the invention provides a method for treating a patient infected with a virus characterized by a virally encoded serine protease that is necessary for the life cycle of the virus by administering to said patient a pharmaceutically acceptable composition of this invention.
- the methods of this invention are used to treat a patient suffering from a HCV infection. Such treatment may completely eradicate the viral infection or reduce the severity thereof.
- the methods of this invention are used to treat a patient suffering from a HCV infection wherein the patient is a human being.
- the methods of this invention additionally comprise the step of administering to said patient an anti-viral agent preferably an anti-HCV agent.
- anti-viral agents include, but are not limited to, immunomodulatory agents, such as ⁇ -, ⁇ -, and ⁇ -interferons, pegylated derivatized interferon- ⁇ compounds, and thymosin; other anti-viral agents, such as ribavirin, amantadine, and telbivudine; other inhibitors of hepatitis C proteases (NS2-NS3 inhibitors and NS3-NS4A inhibitors); inhibitors of other targets in the HCV life cycle, including helicase and polymerase inhibitors; inhibitors of internal ribosome entry; broad-spectrum viral inhibitors, such as IMPDH inhibitors (e.g., VX-497 and other IMPDH inhibitors disclosed in U.S. Pat. Nos. 5,807,876 and 6,498,178, mycophenolic acid and derivatives thereof
- Such additional agent may be administered to said patient as part of a single dosage form comprising both a compound of this invention and an additional anti-viral agent.
- the additional agent may be administered separately from the compound of this invention, as part of a multiple dosage form, wherein said additional agent is administered prior to, together with or following a composition comprising a compound of this invention.
- the present invention provides a method of pre-treating a biological substance intended for administration to a patient comprising the step of contacting said biological substance with a pharmaceutically acceptable composition comprising a compound of this invention.
- biological substances include, but are not limited to, blood and components thereof such as plasma, platelets, subpopulations of blood cells and the like; organs such as kidney, liver, heart, lung, etc; sperm and ova; bone marrow and components thereof, and other fluids to be infused into a patient such as saline, dextrose, etc.
- the invention provides methods of treating materials that may potentially come into contact with a virus characterized by a virally encoded serine protease necessary for its life cycle.
- This method comprises the step of contacting said material with a compound according to the invention.
- materials include, but are not limited to, surgical instruments and garments (e.g. clothes, gloves, aprons, gowns, masks, eyeglasses, footwear, etc.); laboratory instruments and garments (e.g. clothes, gloves, aprons, gowns, masks, eyeglasses, footwear, etc.); blood collection apparatuses and materials; and invasive devices, such as shunts, stents, etc.
- the compounds of this invention may be used as laboratory tools to aid in the isolation of a virally encoded serine protease.
- This method comprises the steps of providing a compound of this invention attached to a solid support; contacting said solid support with a sample containing a viral serine protease under conditions that cause said protease to bind to said solid support; and eluting said serine protease from said solid support.
- the viral serine protease isolated by this method is HCV NS3-NS4A protease.
- R t (min) refers to the HPLC retention time, in minutes, associated with the compound.
- the HPLC retention times listed were either obtained from the mass spec. data or using the following method:
- HCl gas was bubbled 5 minutes to a solution of 5b (3.5 g, 6.47 mmol) in 50 mL of ethyl acetate at ⁇ 20° C. Stirred at ⁇ 20° C. for 30 minutes then warmed up at rt and stirred for 1 h. It was concentrated in vacuo to 1.71 g (100%) of an oil that was reduced with 2.5 equivalent of a 1M LAH in THF solution under reflux for 4 h. Cooled and subjected to a Fieser work up which provided 1.35 g (85%) of the desired compound 8b.
- the t-butyl ester group of the capped tripeptide (410 mg, 0.688 mmol) was cleaved with a 1:1 mixture of TFA-DCM at rt for 45 minutes and concentrated in vacuo. The resulting aminoester tripeptide was coupled to hydroxyamide detailed in the next step.
- 3Phenyl proline 10a was hydrogenated with catalytic platinum oxide in ethanol/acetic acid/water (7/2/1) under 50 psi of hydrogen for 18 h to give 3-cyclohehyl proline quantitatively.
- Compound 12a was prepared according to benzoylation and esterification from example 1; step 3.
- Tripeptide C was prepared by the coupling of cyclopropylmethyl proline A (41 mg, 0.16 mmol) and capped dipeptide B (52 mg, 0.16 mmol)with EDC/HOAt to give 60 mg (77%) of the desired tripeptide C after chromatography (1:1 ethyl acetate-hexanes).
- HCV hepatitis C virus
- replicon cell monolayer was treated with a trypsin:EDTA mixture, removed, and then media A was diluted into a final concentration of 100,000 cells per ml wit. 10,000 cells in 100 ul were plated into each well of a 96-well tissue culture plate, and cultured overnight in a tissue culture incubator at 37° C.
- RNA virus such as Bovine Viral Diarrhea Virus (BVDV)
- BVDV Bovine Viral Diarrhea Virus
- RNA extraction reagents such as reagents from RNeasy kits
- Total RNA was extracted according the instruction of manufacturer with modification to improve extraction efficiency and consistency.
- total cellular RNA including HCV replicon RNA, was eluted and stored at ⁇ 80° C. until further processing.
- a Taqman real-time RT-PCR quantification assay was set up with two sets of specific primers and probe. One was for HCV and the other was for BVDV. Total RNA extractants from treated HCV replicon cells was added to the PCR reactions for quantification of both HCV and BVDV RNA in the same PCR well. Experimental failure was flagged and rejected based on the level of BVDV RNA in each well. The level of HCV RNA in each well was calculated according to a standard curve run in the same PCR plate. The percentage of inhibition or decrease of HCV RNA level due to compound treatment was calculated using the DMSO or no compound control as 0% of inhibition. The IC 50 (concentration at which 50% inhibition of HCV RNA level is observed) was calculated from the titration curve of any given compound.
- Buffer 50 mM HEPES, pH 7.8; 20% glycerol; 100 mM NaCl
- Total assay volume was 100 ⁇ L X1 conc. in ( ⁇ L) assay Buffer 86.5 see above 5 mM KK4A 0.5 25 ⁇ M 1 M DTT 0.5 5 mM DMSO or inhibitor 2.5 2.5% v/v 50 ⁇ M tNS3 0.05 25 nM 250 ⁇ M 5AB 20 25 ⁇ M (initiate)
- the buffer, KK4A, DTT, and tNS3 were combined; distributed 78 ⁇ L each into wells of 96 well plate. This was incubated at 30 C for ⁇ 5-10 min.
- test compound 2.5 uL was dissolved in DMSO (DMSO only for control) and added to each well. This was incubated at room temperature for 15 min.
- Solvent B HPLC grade acetonitrile+0.1% TFA Time Flow Max (min) % B (ml/min) press. 0 5 0.2 400 12 60 0.2 400 13 100 0.2 400 16 100 0.2 400 17 5 0.2 400
- Table 1 below depicts IC 50 data for certain ds of the invention.
- Compounds with Ki's ranging from 0.5 ⁇ M to >1 ⁇ M are designated A.
- Compounds with Ki's ranging from 0.5 ⁇ M to 0.1 ⁇ M are designated B.
- Compounds with Ki's below 0.1 ⁇ M are designated C.
- Compounds with IC 50 's ranging from 1 ⁇ M to >10 ⁇ M are designated A.
- Compounds with IC 50 's ranging from 1 ⁇ M to 0.5 ⁇ M are designated B.
- Compounds with IC 50 's below 0.5 ⁇ M are designated C.
- ND means no data.
Landscapes
- Chemical & Material Sciences (AREA)
- Organic Chemistry (AREA)
- Health & Medical Sciences (AREA)
- Life Sciences & Earth Sciences (AREA)
- General Health & Medical Sciences (AREA)
- Medicinal Chemistry (AREA)
- Molecular Biology (AREA)
- Proteomics, Peptides & Aminoacids (AREA)
- Genetics & Genomics (AREA)
- Biophysics (AREA)
- Biochemistry (AREA)
- Chemical Kinetics & Catalysis (AREA)
- Virology (AREA)
- Pharmacology & Pharmacy (AREA)
- Public Health (AREA)
- Veterinary Medicine (AREA)
- Nuclear Medicine, Radiotherapy & Molecular Imaging (AREA)
- General Chemical & Material Sciences (AREA)
- Animal Behavior & Ethology (AREA)
- Oncology (AREA)
- Communicable Diseases (AREA)
- Engineering & Computer Science (AREA)
- Bioinformatics & Cheminformatics (AREA)
- Medicines That Contain Protein Lipid Enzymes And Other Medicines (AREA)
- Pharmaceuticals Containing Other Organic And Inorganic Compounds (AREA)
- Peptides Or Proteins (AREA)
- Agricultural Chemicals And Associated Chemicals (AREA)
Abstract
The present invention relates to compounds of formula I:
or a pharmaceutically acceptable salt, or mixtures thereof, that inhibit serine protease activity, particularly the activity of hepatitis C virus NS3-NS4A protease. As such, they act by interfering with the life cycle of the hepatitis C virus and are useful as antiviral agents. The invention further relates to pharmaceutically acceptable compositions comprising said compounds either for ex vivo use or for administration to a patient suffering from HCV infection and processes for preparing the compounds. The invention also relates to methods of treating an HCV infection in a patient by administering a pharmaceutical composition comprising a compound of this invention.
Description
- The present application claims the benefit of U.S. Provisional Application No. 60/513,765, filed Oct. 23, 2003, entitled “Inhibitors of Serine Proteases, Particularly HCV NS3-NS4A Protease”, the entire contents of which is hereby incorporated by reference. The present application also claims the benefit of U.S. patent application Ser. No. 10/412,600, filed Apr. 11, 2003, entitled “Inhibitors of Serine Proteases, Particularly HCV NS3-NS4A Protease”, the entire contents of which is hereby incorporated by reference.
- The present invention relates to compounds that inhibit serine protease activity, particularly the activity of hepatitis C virus NS3-NS4A protease. As such, they act by interfering with the life cycle of the hepatitis C virus and are also useful as antiviral agents. The invention further relates to pharmaceutical compositions comprising these compounds either for ex vivo use or for administration to a patient suffering from HCV infection. The invention also relates to processes for preparing the compounds and methods of treating an HCV infection in a patient by administering a pharmaceutical composition comprising a compound of this invention.
- Infection by hepatitis C virus (“HCV”) is a compelling human medical problem. HCV is recognized as the causative agent for most cases of non-A, non-B hepatitis, with an estimated human sero-prevalence of 3% globally [A. Alberti et al., “Natural History of Hepatitis C,” J. Hepatology, 31., (Suppl. 1), pp. 17-24 (1999)]. Nearly four million individuals may be infected in the United States alone [M. J. Alter et al., “The Epidemiology of Viral Hepatitis in the United States, Gastroenterol. Clin. North Am., 23, pp. 437-455 (1994); M. J. Alter “Hepatitis C Virus Infection in the United States,” J. Hepatology, 31., (Suppl. 1), pp. 88-91 (1999)].
- Upon first exposure to HCV only about 20% of infected individuals develop acute clinical hepatitis while others appear to resolve the infection spontaneously. In almost 70% of instances, however, the virus establishes a chronic infection that persists for decades [S. Iwarson, “The Natural Course of Chronic Hepatitis,” FEMS Microbiology Reviews, 14, pp. 201-204 (1994); D. Lavanchy, “Global Surveillance and Control of Hepatitis C,” J. Viral Hepatitis, 6, pp. 35-47 (1999)]. This usually results in recurrent and progressively worsening liver inflammation, which often leads to more severe disease states such as cirrhosis and hepatocellular carcinoma [M. C. Kew, “Hepatitis C and Hepatocellular Carcinoma”, FEMS Microbiology Reviews, 14, pp. 211-220 (1994); I. Saito et. al., “Hepatitis C Virus Infection is Associated with the Development of Hepatocellular Carcinoma,” Proc. Natl. Acad. Sci. USA, 87, pp. 6547-6549 (1990)]. Unfortunately, there are no broadly effective treatments for the debilitating progression of chronic HCV.
- The HCV genome encodes a polyprotein of 3010-3033 amino acids [Q. L. Choo, et. al., “Genetic Organization and Diversity of the Hepatitis C Virus.” Proc. Natl. Acad. Sci. USA, 88, pp. 2451-2455 (1991); N. Kato et al., “Molecular Cloning of the Human Hepatitis C Virus Genome From Japanese Patients with Non-A, Non-B Hepatitis,” Proc. Natl. Acad. Sci. USA, 87, pp. 9524-9528 (1990); A. Takamizawa et. al., “Structure and Organization of the Hepatitis C Virus Genome Isolated From Human Carriers,” J. Virol., 65, pp. 1105-1113 (1991)]. The HCV nonstructural (NS) proteins are presumed to provide the essential catalytic machinery for viral replication. The NS proteins are derived by proteolytic cleavage of the polyprotein [R. Bartenschlager et. al., “Nonstructural Protein 3 of the Hepatitis C Virus Encodes a Serine-Type Proteinase Required for Cleavage at the NS3/4 and NS4/5 Junctions,” J. Virol., 67, pp. 3835-3844 (1993); A. Grakoui et. al., “Characterization of the Hepatitis C Virus-Encoded Serine Proteinase: Determination of Proteinase-Dependent Polyprotein Cleavage Sites,” J. Virol., 67, pp. 2832-2843 (1993); A. Grakoui et. al., “Expression and Identification of Hepatitis C Virus Polyprotein Cleavage Products,” J. Virol., 67, pp. 1385-1395 (1993); L. Tomei et. al., “NS3 is a serine protease required for processing of hepatitis C virus polyprotein”, J. Virol., 67, pp. 4017-4026 (1993)].
- The HCV NS protein 3 (NS3) contains a serine protease activity that helps process the majority of the viral enzymes, and is thus considered essential for viral replication and infectivity. It is known that mutations in the yellow fever virus NS3 protease decrease viral infectivity [Chambers, T. J. et. al., “Evidence that the N-terminal Domain of Nonstructural Protein NS3 From Yellow Fever Virus is a Serine Protease Responsible for Site-Specific Cleavages in the Viral Polyprotein”, Proc. Natl. Acad. Sci. USA, 87, pp. 8898-8902 (1990)]. The first 181 amino acids of NS3 (residues 1027-1207 of the viral polyprotein) have been shown to contain the serine protease domain of NS3 that processes all four downstream sites of the HCV polyprotein [C. Lin et al., “Hepatitis C Virus NS3 Serine Proteinase: Trans-Cleavage Requirements and Processing Kinetics”, J. Virol., 68, pp. 8147-8157 (1994)].
- The HCV NS3 serine protease and its associated cofactor, NS4A, helps process all of the viral enzymes, and is thus considered essential for viral replication. This processing appears to be analogous to that carried out by the human immunodeficiency virus aspartyl protease, which is also involved in viral enzyme processing. HIV protease inhibitors, which inhibit viral protein processing, are potent antiviral agents in man, indicating that interrupting this stage of the viral life cycle results in therapeutically active agents. Consequently HCV NS3 serine protease is also an attractive target for drug discovery.
- Furthermore, the current understanding of HCV has not led to any other satisfactory anti-HCV agents or treatments. Until recently, the only established therapy for HCV disease was interferon treatment. However, interferons have significant side effects [M. A. Wlaker et al., “Hepatitis C Virus: An Overview of Current Approaches and Progress,” DDT, 4, pp. 518-29 (1999); D. Moradpour et al., “Current and Evolving Therapies for Hepatitis C,” Eur. J. Gastroenterol. Hepatol., 11, pp. 1199-1202 (1999); H. L. A. Janssen et al. “Suicide Associated with Alfa-Interferon Therapy for Chronic Viral Hepatitis,” J. Hepatol., 21, pp. 241-243 (1994); P. F. Renault et al., “Side Effects of Alpha Interferon,” Seminars in Liver Disease, 9, pp. 273-277. (1989)] and induce long term remission in only a fraction (˜25%) of cases [O. Weiland, “Interferon Therapy in Chronic Hepatitis C Virus Infection”, FEMS Microbiol. Rev., 14, pp. 279-288 (1994)]. Recent introductions of the pegylated forms of interferon (PEG-Intron® and Pegasys®) and the combination therapy of ribavirin and pegylated interferon (Rebetrol®) have resulted in only modest improvements in remission rates and only partial reductions in side effects. Moreover, the prospects for effective anti-HCV vaccines remain uncertain.
- Thus, there is a need for more effective anti-HCV therapies. Such inhibitors would have therapeutic potential as protease inhibitors, particularly as serine protease inhibitors, and more particularly as HCV NS3 protease inhibitors. Specifically, such compounds may be useful as antiviral agents, particularly as anti-HCV agents.
-
-
- W is:
- wherein each R6 is independently:
- hydrogen-,
- (C1-C12)-aliphatic-,
- (C6-C10)-aryl-,
- (C6-C10)-aryl-(C1-C12)aliphatic-,
- (C3-C10)-cycloalkyl- or cycloalkenyl-,
- [(C3-C10)-cycloalkyl- or cycloalkenyl]-(C1-C12)-aliphatic-,
- (C3-C10)-heterocyclyl-,
- (C3-C10)-heterocyclyl-(C1-C12)-aliphatic-,
- (C5-C10)-heteroaryl-, or
- (C5-C10)-heteroaryl-(C1-C12)-aliphatic-, or
- wherein up to 3 aliphatic carbon atoms in each R6 may be optionally replaced with S, —S(O)—, —S(O)2—, —O—, —N—, or —N(H)— in a chemically stable arrangement;
- wherein R6 may be optionally substituted with up to 3 J substituents; or
- two R6 groups, together with the nitrogen atom to which they are bound, may optionally form a 5- to 6-membered aromatic or a 3- to 7-membered saturated or partially unsaturated ring system wherein up to 3 ring atoms may be optionally replaced with N, NH, O, S, SO, and SO2, wherein said ring system may be optionally fused to a (C6-C10)aryl,
- (C5-C10)heteroaryl, (C3-C10)cycloalkyl, or a (C3-C10)heterocyclyl, wherein any ring has up to 3 substituents selected independently from J;
- wherein each R8 is independently —OR′; or the R8 groups together with the boron atom, may optionally form a (C3-C10)-membered heterocyclic ring having, in addition to the boron, up to 3 ring atoms optionally replaced with N, NH, O, S, SO, and SO2;
- J is halogen, —OR′, —NO2, —CN, —CF3, —OCF3, —R′, oxo, thioxo, ═N(R′), ═N(OR′), 1,2-methylenedioxy, 1,2-ethylenedioxy, —N(R′)2, —SR′, —SOR′, —SO2R′, —SO2N(R′)2, —SO3R′, —C(O)R′, —C(O)C(O)R′, —C(O)C(O)OR′, —C(O)C(O)NR′, —C(O)CH2C(O)R′, —C(S)R′, —C(S)OR′, —C(O)OR′, —OC(O)R′, —C(O)N(R′)2, —OC(O)N(R′)2, —C(S)N(R′)2, —(CH2)0-2NHC(O)R′, —N(R′)N(R′)COR′, —N(R′)N(R′)C(O)OR′, —N(R′)N(R′)CON(R′)2, —N(R′)SO2R′, —N(R′)SO2N(R′)2,—N(R′)C(O)OR′, —N(R′)C(O)R′, —N(R′)C(S)R′, —N(R′)C(O)N(R′)2, —N(R′)C(S)N(R′)2, —N(COR′)COR′, —N(OR′)R′, —C(═NH)N(R′)2, —C(O)N(OR′)R′, —C(═NOR′)R′, —OP(O)(OR′)2, —P(O)(R′)2, —P(O)(OR′)2, or —P(O)(H)(OR′); wherein;
- R′ is independently selected from:
- hydrogen-,
- (C1-C12)-aliphatic-,
- (C3-C10)-cycloalkyl- or -cycloalkenyl-,
- [(C3-C10)-cycloalkyl or -cycloalkenyl]-(C1-C12)-aliphatic-,
- (C6-C10)-aryl-,
- (C6-C10)-aryl-(C1-C12)aliphatic-,
- (C3-C10)-heterocyclyl-,
- (C3-C10)-heterocyclyl-(C1-C12)aliphatic-,
- (C5-C10)-heteroaryl-, and
- (C5-C10)-heteroaryl-(C1-C12)-aliphatic-;
- wherein up to 5 atoms in R′ may be optionally and independently substituted with J;
- wherein two R′ groups bound to the same atom may optionally form a 5- to 6-membered aromatic or a 3- to 7-membered saturated or partially unsaturated ring system wherein up to 3 ring atoms may be optionally replaced with a heteroatom independently selected from N, NH, O, S, SO, and SO2, wherein said ring system may be optionally fused to a (C6-C10)aryl, (C5-C10)heteroaryl, (C3-C10)cycloalkyl, or a (C3-C10)heterocyclyl, wherein any ring has up to 3 substituents selected independently from J;
- R5 and R5′ are each independently hydrogen or (C1-C12)-aliphatic, wherein any hydrogen may be optionally replaced with halogen; wherein any terminal carbon atom of R5 may be optionally substituted with sulfhydryl or hydroxy; or R5 is Ph or —CH2Ph and R5′ is H, wherein said Ph or —CH2Ph group may be optionally substituted with up to 3 substituents independently selected from J; or
- R5 and R5′ together with the atom to which they are bound may optionally form a 3- to 6-membered saturated or partially unsaturated ring system wherein up to 2 ring atoms may be optionally replaced with N, NH, O, SO, or SO2; wherein said ring system has up to 2 substituents selected independently from J;
- R2, R4, and R7 are each independently:
- hydrogen-,
- (C1-C12)-aliphatic-,
- (C3-C10)-cycloalkyl-(C1-C12)-aliphatic-, or
- (C6-C10)-aryl-(C1-C12)-aliphatic-;
- wherein up to two aliphatic carbon atoms in each of R2, R4, and R7 may be optionally replaced with S, —S(O)—, —S(O)2—, —O—, —N—, or —N(H)— in a chemically stable arrangement;
- wherein each of R2, R4, and R7 may be independently and optionally substituted with up to 3 substituents independently selected from J;
- R1 and R3 are each independently:
- (C1-C12)-aliphatic-,
- (C3-C10)-cycloalkyl- or -cycloalkenyl-,
- [(C3-C10)-cycloalkyl- or -cycloalkenyl]-(C1-C12)-aliphatic-,
- (C6-C10)-aryl-(C1-C12)aliphatic-, or
- (C5-C10)-heteroaryl-(C1-C12)-aliphatic-;
- wherein up to 3 aliphatic carbon atoms in each of R1 and R3 may be optionally replaced with S, —S(O)—, —S(O)2—, —O—, —N—, or —N(H)— in a chemically stable arrangement;
- wherein each of R1 and R3 may be independently and optionally substituted with up to 3 substituents independently selected from J;
- R9, R9′, R10, and R10′ are each independently —X—Y-Z;
- X is a bond, —C(H)(R6) —, —O—, —S—, or —N(R11)—;
- R11 is:
- hydrogen-,
- (C1-C12)-aliphatic-,
- (C6-C10)-aryl-,
- (C6-C10)-aryl-(C1-C12)aliphatic-,
- (C3-C10)-cycloalkyl- or cycloalkenyl-,
- [(C3-C10)-cycloalkyl- or cycloalkenyl]-(C1-C12)-aliphatic-,
- (C3-C10)-heterocyclyl-,
- (C3-C10)-heterocyclyl-(C1-C12)-aliphatic-,
- (C5-C10)-heteroaryl-, or
- (C5-C10)-heteroaryl-(C1-C12)-aliphatic-,
- wherein up to 3 aliphatic carbon atoms in each R11 may be optionally replaced with S, —S(O)—, —S(O)2—, —O—, —N—, or —N(H)— in a chemically stable arrangement;
- wherein R11 may be optionally substituted with up to 3 J substituents; or
- wherein R11 and Z together with the atoms to which they are bound, optionally form a nitrogen containing 5-7-membered mono- or 6-11-membered bicyclic ring system optionally substituted with up to 3 J substitutents, wherein up to 3 ring atoms in said ring system may be optionally replaced with O, NH, S, SO, or SO2 in a chemically stable arrangement;
- Y is a bond, —CH2—, —C(O)—, —C(O)C(O)—, —S(O)—, S(O)2—, or —S(O)(NR12)—;
- R12 is:
- hydrogen-,
- (C1-C12)-aliphatic-,
- (C6-C10)-aryl-,
- (C6-C10)-aryl-(C1-C12)aliphatic-,
- (C3-C10)-cycloalkyl- or cycloalkenyl-,
- [(C3-C10)-cycloalkyl- or cycloalkenyl]-(C1-C12)-aliphatic-,
- (C3-C10)-heterocyclyl-,
- (C3-C10)-heterocyclyl-(C1-C12)-aliphatic-,
- (C5-C10)-heteroaryl-, or
- (C5-C10)-heteroaryl-(C1-C12)-aliphatic-,
- wherein up to 3 aliphatic carbon atoms in each R12 may be optionally replaced with S, —S(O)—, —S(O)2—, —O—, —N—, or —N(H)—, in a chemically stable arrangement;
- wherein R12 may be optionally substituted with up to 3 J substituents;
- Z is:
- hydrogen-,
- (C1-C12)-aliphatic-,
- (C3-C10)-cycloalkyl- or -cycloalkenyl-,
- [(C3-C10)-cycloalkyl or -cycloalkenyl]-(C1-C12)-aliphatic-,
- (C6-C10)-aryl-,
- (C6-C10)-aryl-(C1-C12)aliphatic-,
- (C3-C10)-heterocyclyl-,
- (C3-C10)-heterocyclyl-(C1-C12)aliphatic-,
- (C5-C10)-heteroaryl-, or
- (C5-C10)-heteroaryl-(C1-C12)-aliphatic-;
- wherein up to three aliphatic carbon atoms in Z may be optionally replaced with S, —S(O)—, —S(O)2—, —O—, —N—, or —N(H)—, in a chemically stable arrangement;
- wherein any ring may be optionally fused to a (C6-C10)aryl, (C5-C10)heteroaryl, (C3-C10)cycloalkyl, or (C3-C10)heterocyclyl;
- wherein Z may be independently and optionally substituted with up to 3 substituents independently selected from J;
- V is —C(O)—, —S(O)—, or —S(O)2—;
- R is —C(O)—, —S(O)—, —S(O)2—, —N(R12), —O—, or a bond;
- T is:
- (C1-C12)-aliphatic-;
- (C6-C10)-aryl-,
- (C6-C10)-aryl-(C1-C12)aliphatic-,
- (C3-C10)-cycloalkyl or -cycloalkenyl-,
- [(C3-C10)-cycloalkyl or -cycloalkenyl]-(C1-C12)-aliphatic-,
- (C3-C10)-heterocyclyl-,
- (C3-C10)-heterocyclyl-(C1-C12)-aliphatic-,
- (C5-C10)-heteroaryl-, or
- (C5-C10)-heteroaryl-(C1-C12)-aliphatic-;
- wherein up to 3 aliphatic carbon atoms in T may be replaced with S, —S(O)—, —S(O)2—, —O—, —N—, or —N(H)—, in a chemically stable arrangement;
- wherein each T may be optionally substituted with up to 3 J substituents; or
- T is selected from —N(R6)(R6′); and
- R6′ is
- hydrogen-,
- (C1-C12)-aliphatic-,
- (C6-C10)-aryl-,
- (C6-C10)-aryl-(C1-C12)aliphatic-,
- (C3-C10)-cycloalkyl- or cycloalkenyl-,
- [(C3-C10)-cycloalkyl- or cycloalkenyl]-(C1-C12)-aliphatic-,
- (C3-C10)-heterocyclyl-,
- (C3-C10)-heterocyclyl-(C1-C12)-aliphatic-,
- (C5-C10)-heteroaryl-, or
- (C5-C10)-heteroaryl-(C1-C12)-aliphatic-, or
- wherein up to 3 aliphatic carbon atoms in each R6′ may be optionally replaced with S, —S(O)—, —S(O)2—, —O—, —N—, or —N(H)— in a chemically stable arrangement;
- wherein R6′ may be optionally substituted with up to 3 J substituents; or
- R6 and R6′, together with the nitrogen atom to which they are bound, may optionally form a (C3-C10)-heterocyclic ring system wherein said ring system may be optionally substituted with up to 3 substituents independently selected from J.
- W is:
- The invention also relates to processes for preparing the above compounds and to compositions that comprise the above compounds and the use thereof. Such compositions may be used to pre-treat invasive devices to be inserted into a patient, to treat biological samples, such as blood, prior to administration to a patient, and for direct administration to a patient. In each case the composition will be used to inhibit HCV replication and to lessen the risk of or the severity of HCV infection.
-
-
- W is:
- wherein each R6 is independently:
- hydrogen-,
- (C1-C12)-aliphatic-,
- (C6-C10)-aryl-,
- (C6-C10)-aryl-(C1-C12)aliphatic-,
- (C3-C10)-cycloalkyl- or cycloalkenyl-,
- [(C3-C10)-cycloalkyl- or cycloalkenyl]-(C1-C12)-aliphatic-,
- (C3-C10)-heterocyclyl-,
- (C3-C10)-heterocyclyl-(C1-C12)-aliphatic-,
- (C5-C10)-heteroaryl-, or
- (C5-C10)-heteroaryl-(C1-C12)-aliphatic-, or
- wherein up to 3 aliphatic carbon atoms in each R6 may be optionally replaced with S, —S(O)—, —S(O)2—, —O—, —N—, or —N(H)— in a chemically stable arrangement;
- wherein R6 may be optionally substituted with up to 3 J substituents; or
- two R6 groups, together with the nitrogen atom to which they are bound, may optionally form a 5- to 6-membered aromatic or a 3- to 7-membered saturated or partially unsaturated ring system wherein up to 3 ring atoms may be optionally replaced with N, NH, O, S, SO, and SO2, wherein said ring system may be optionally fused to a (C6-C10)aryl, (C5-C10)heteroaryl, (C3-C10)cycloalkyl, or a (C3-C10)heterocyclyl, wherein any ring has up to 3 substituents selected independently from J;
- wherein each R8 is independently —OR′; or the R8 groups together with the boron atom, may optionally form a (C3-C10)-membered heterocyclic ring having, in addition to the boron, up to 3 ring atoms optionally replaced with N, NH, O, S, SO, and SO2;
- J is halogen, —OR′, —NO2, —CN, —CF3, —OCF3, —R′, oxo, thioxo, ═N(R′), ═N(OR′), 1,2-methylenedioxy, 1,2-ethylenedioxy, —N(R′)2, —SR′, —SOR′, —SO2R′, —SO2N(R′)2, —SO3R′, —C(O)R′, —C(O)C(O)R′, —C(O)C(O)OR′, —C(O)C(O)NR′, —C(O)CH2C(O)R′, —C(S)R′, —C(S)OR′, —C(O)OR′, —OC(O)R′, —C(O)N(R′)2, —OC(O)N(R′)2, —C(S)N(R′)2, —(CH2)0-2NHC(O)R′, —N(R′)N(R′)COR′, —N(R′)N(R′)C(O)OR′, —N(R′)N(R′)CON(R′)2, —N(R′)SO2R′, —N(R′)SO2N(R′)2, —N(R′)C(O)OR′, —N(R′)C(O)R′, —N(R′)C(S)R′, —N(R′)C(O)N(R′)2, —N(R′)C(S)N(R′)2, —N(COR′)COR′, —N(OR′)R′, —C(═NH)N(R′)2, —C(O)N(OR′)R′, —C(═NOR′)R′, —OP(O)(OR′)2, —P(O)(R′)2, —P(O)(OR′)2, or —P(O)(H)(OR′); wherein;
- R′ is independently selected from:
- hydrogen-,
- (C1-C12)-aliphatic-,
- (C3-C10)-cycloalkyl- or -cycloalkenyl-,
- [(C3-C10)-cycloalkyl or -cycloalkenyl]-(C1-C12)-aliphatic-,
- (C6-C10)-aryl-,
- (C6-C10)-aryl-(C1-C12)aliphatic-,
- (C3-C10)-heterocyclyl-,
- (C3-C10)-heterocyclyl-(C1-C12)aliphatic-,
- (C5-C10)-heteroaryl-, and
- (C5-C10)-heteroaryl-(C1-C12)-aliphatic-;
- wherein up to 5 atoms in R′ may be optionally and independently substituted with J;
- wherein two R′ groups bound to the same atom may optionally form a 5- to 6-membered aromatic or a 3- to 7-membered saturated or partially unsaturated ring system wherein up to 3 ring atoms may be optionally replaced with a heteroatom independently selected from N, NH, O, S, SO, and S2, wherein said ring system may be optionally fused to a (C6-C10)aryl, (C5-C10)heteroaryl, (C3-C10)cycloalkyl, or a (C3-C10)heterocyclyl, wherein any ring has up to 3 substituents selected independently from J;
- R5 and R5′ are each independently hydrogen or (C1-C12)-aliphatic, wherein any hydrogen may be optionally replaced with halogen; wherein any terminal carbon atom of R5 may be optionally substituted with sulfhydryl or hydroxy; or R5 is Ph or —CH2Ph and R5′ is H, wherein said Ph or —CH2Ph group may be optionally substituted with up to 3 substituents independently selected from J; or
- R5 and R5′ together with the atom to which they are bound may optionally form a 3- to 6-membered saturated or partially unsaturated ring system wherein up to 2 ring atoms may be optionally replaced with N, NH, O, SO, or SO2; wherein said ring system has up to 2 substituents selected independently from J;
- R2, R4, and R7 are each independently:
- hydrogen-,
- (C1-C12)-aliphatic-,
- (C3-C10)-cycloalkyl-(C1-C12)-aliphatic-, or
- (C6-C10)-aryl-(C1-C12)-aliphatic-;
- wherein up to two aliphatic carbon atoms in each of R2, R4, and R7 may be optionally replaced with S, —S(O)—, —S(O)2—, —O—, —N—, or —N(H)— in a chemically stable arrangement;
- wherein each of R2, R4, and R7 may be independently and optionally substituted with up to 3 substituents independently selected from J;
- R1 and R3 are each independently:
- (C1-C12)-aliphatic-,
- (C3-C10)-cycloalkyl- or -cycloalkenyl-,
- [(C3-C10)-cycloalkyl- or -cycloalkenyl]-(C1-C12)-aliphatic-,
- (C6-C10)-aryl-(C1-C12)aliphatic-, or
- (C5-C10)-heteroaryl-(C1-C12)-aliphatic-;
- wherein up to 3 aliphatic carbon atoms in each of R1 and R3 may be optionally replaced with S, —S(O)—, —S(O)2—, —O—, —N—, or —N(H)— in a chemically stable arrangement;
- wherein each of R1 and R3 may be independently and optionally substituted with up to 3 substituents independently selected from J;
- R9, R9′, R10, and R10′, are each independently —X—Y-Z;
- X is a bond, —C(H)(R6)—, —O—, —S—, or —N(R11)—;
- R11 is:
- hydrogen-,
- (C1-C12)-aliphatic-,
- (C6-C10)-aryl-,
- (C6-C10)-aryl-(C1-C12)aliphatic-,
- (C3-C10)-cycloalkyl- or cycloalkenyl-,
- [(C3-C10)-cycloalkyl- or cycloalkenyl]-(C1-C12)-aliphatic-,
- (C3-C10)-heterocyclyl-,
- (C3-C10)-heterocyclyl-(C1-C12)-aliphatic-,
- (C5-C10)-heteroaryl-, or
- (C5-C10)-heteroaryl-(C1-C12)-aliphatic-,
- wherein up to 3 aliphatic carbon atoms in each R11 may be optionally replaced with S, —S(O)—, —S(O)2—, —O—, —N—, or —N(H)— in a chemically stable arrangement;
- wherein R11 may be optionally substituted with up to 3 J substituents; or
- wherein R11 and Z together with the atoms to which they are bound, optionally form a nitrogen containing 5-7-membered mono- or 6-11-membered bicyclic ring system optionally substituted with up to 3 J substitutents, wherein up to 3 ring atoms in said ring system may be optionally replaced with O, NH, S, SO, or SO2 in a chemically stable arrangement;
- Y is a bond, —CH2—, —C(O)—, —C(O)C(O)—, —S(O)—, S(O)2—, or —S(O)(NR12)—;
- R12 is:
- hydrogen-,
- (C1-C12)-aliphatic-,
- (C6-C10)-aryl-,
- (C6-C10)-aryl-(C1-C12)aliphatic-,
- (C3-C10)-cycloalkyl- or cycloalkenyl-,
- [(C3-C10)-cycloalkyl- or cycloalkenyl]-(C1-C12)-aliphatic-,
- (C3-C10)-heterocyclyl-,
- (C3-C10)-heterocyclyl-(C1-C12)-aliphatic-,
- (C5-C10)-heteroaryl-, or
- (C5-C10)-heteroaryl-(C1-C12)-aliphatic-,
- wherein up to 3 aliphatic carbon atoms in each R12 may be optionally replaced with S, —S(O)—, —S(O)2—, —O—, —N—, or —N(H)—, in a chemically stable arrangement;
- wherein R12 may be optionally substituted with up to 3 J substituents;
- Z is:
- hydrogen-,
- (C1-C12)-aliphatic-,
- (C3-C10)-cycloalkyl- or -cycloalkenyl-,
- [(C3-C10)-cycloalkyl or -cycloalkenyl]-(C1-C12)-aliphatic-,
- (C6-C10)-aryl-,
- (C6-C10)-aryl-(C1-C12)aliphatic-,
- (C3-C10)-heterocyclyl-,
- (C3-C10)-heterocyclyl-(C1-C12)aliphatic-,
- (C5-C10)-heteroaryl-, or
- (C5-C10)-heteroaryl-(C1-C12)-aliphatic-;
- wherein up to three aliphatic carbon atoms in Z may be optionally replaced with S, —S(O)—, —S(O)2—, —O—, —N—, or —N(H)—, in a chemically stable arrangement;
- wherein any ring may be optionally fused to a (C6-C10)aryl, (C5-C10)heteroaryl, (C3-C10)cycloalkyl, or (C3-C10)heterocyclyl;
- wherein Z may be independently and optionally substituted with up to 3 substituents independently selected from J;
- V is —C(O)—, —S(O)—, or —S(O)2—;
- R is —C(O)—, —S(O)—, —S(O)2—, —N(R12)—, —O—, or a bond;
- T is:
- (C1-C12)-aliphatic-;
- (C6-C10)-aryl-,
- (C6-C10)-aryl-(C1-C12)aliphatic-,
- (C3-C10)-cycloalkyl or -cycloalkenyl-,
- [(C3-C10)-cycloalkyl or -cycloalkenyl]-(C1-C12)-aliphatic-,
- (C3-C10)-heterocyclyl-,
- (C3-C10)-heterocyclyl-(C1-C12)-aliphatic-,
- (C5-C10)-heteroaryl-, or
- (C5-C10)-heteroaryl-(C1-C12)-aliphatic-;
- wherein up to 3 aliphatic carbon atoms in T may be replaced with S, —S(O)—, —S(O)2—, —O—, —N—, or —N(H)—, in a chemically stable arrangement;
- wherein each T may be optionally substituted with up to 3 J substituents; or
- T is selected from —N(R6)(R6′); and
- R6′ is
- hydrogen-,
- (C1-C12)-aliphatic-,
- (C6-C10)-aryl-,
- (C6-C10)-aryl-(C1-C12)aliphatic-,
- (C3-C10)-cycloalkyl- or cycloalkenyl-,
- [(C3-C10)-cycloalkyl- or cycloalkenyl]-(C1-C12)-aliphatic-,
- (C3-C10)-heterocyclyl-,
- (C3-C10)-heterocyclyl-(C1-C12)-aliphatic-,
- (C5-C10)-heteroaryl-, or
- (C5-C10)-heteroaryl-(C1-C12)-aliphatic-, or
- wherein up to 3 aliphatic carbon atoms in each R6 may be optionally replaced with S, —S(O)—, —S(O)2—, —O—, —N—, or —N(H)— in a chemically stable arrangement;
- wherein R6′ may be optionally substituted with up to 3 J substituents; or
- R6 and R6′, together with the nitrogen atom to which they are bound, may optionally form a (C3-C10)-heterocyclic ring system wherein said ring system may be optionally substituted with up to 3 substituents independently selected from J.
Definitions
- W is:
- The term “aryl”, as used herein means a monocyclic or bicyclic carbocyclic aromatic ring system. Phenyl is an example of a monocyclic aromatic ring system. Bicyclic aromatic ring systems include systems wherein both rings are aromatic, e.g., naphthyl, and systems wherein only one of the two rings is aromatic, e.g., tetralin. It is understood that as used herein, the term “(C6-C10)-aryl-” includes any one of a C6, C7, C8, C9, and C10 monocyclic or bicyclic carbocyclic aromatic ring.
- The term “heterocyclyl” as used herein means a monocyclic or bicyclic non-aromatic ring system having 1 to 3 heteroatom or heteroatom groups in each ring selected from O, N, NH, S, SO, and SO2 in a chemically stable arrangement. In a bicyclic non-aromatic ring system embodiment of “heterocyclyl” one or both rings may contain said heteroatom or heteroatom groups. It is understood that as used herein, the term “(C5-C10)-heterocyclyl-” includes any one of a C5, C6, C7, C8, C9, and C10 monocyclic or bicyclic non-aromatic ring system having 1 to 3 heteroatom or heteroatom groups in each ring selected from O, N, NH, and S in a chemically stable arrangement.
- The term “heteroaryl” as used herein means a monocyclic or bicyclic aromatic ring system having 1 to 3 heteroatom or heteroatom groups in each ring selected from O, N, NH, and S in a chemically stable arrangement. In such a bicyclic aromatic ring system embodiment of “heteroaryl”:
-
- one or both rings may be aromatic; and
- one or both rings may contain said heteroatom or heteroatom groups. It is understood that as used herein, the term “(C5-C10)-heteroaryl-” includes any one of a C5, C6, C7, C8, C9, and C10 monocyclic or bicyclic aromatic ring system having 1 to 3 heteroatom or heteroatom groups in each ring selected from O, N, NH, and S in a chemically stable arrangement.
- The term “aliphatic” as used herein means a straight chained or branched alkyl, alkenyl or alkynyl. It is understood that as used herein, the term “(C1-C12)-aliphatic-” includes any one of a C1, C2, C3, C4, C5, C6, C7, C8, C9, C10, C11, and C12 straight or branched alkyl chain of carbon atoms. It is also understood that alkenyl or alkynyl embodiments need at least two carbon atoms in the aliphatic chain. The term “cycloalkyl or cycloalkenyl” refers to a monocyclic or fused or bridged bicyclic carbocyclic ring system that is not aromatic. Cycloalkenyl rings have one or more units of unsaturation. It is also understood that as used herein, the term “(C3-C10)-cycloalkyl- or -cycloalkenyl-” includes any one of a C3, C4, C5, C6, C7, C8, C9, and C10 monocyclic or fused or bridged bicyclic carbocyclic ring. Preferred cycloalkyl groups include cyclopropyl, cyclobutyl, cyclopentyl, cyclohexyl, cyclohexenyl, cycloheptyl, cycloheptenyl, nornbornyl, adamantyl and decalin-yl.
- The phrase “chemically stable arrangement” as used herein refers to a compound structure that renders the compound sufficiently stable to allow manufacture and administration to a mammal by methods known in the art. Typically, such compounds are stable at a temperature of 40° C. or less, in the absence of moisture or other chemically reactive condition, for at least a week.
-
-
- in R9, R10, and R10′, X and Y are both a bond and Z is hydrogen; and in R9′;
- X is a bond;
- Y is a bond, —CH2—, or —C(O)—; and
- Z is (C1-C12)-aliphatic-,
- (C3-C10)-cycloalkyl- or -cycloalkenyl-,
- [(C3-C10)-cycloalkyl or -cycloalkenyl]-(C1-C12)-aliphatic-,
- (C6-C10)-aryl-,
- (C6-C10)-aryl-(C1-C12)aliphatic-,
- (C3-C10)-heterocyclyl-,
- (C3-C10)-heterocyclyl-(C1-C12)aliphatic-,
- (C5-C10)-heteroaryl-, or
- (C5-C10)-heteroaryl-(C1-C12)-aliphatic-;
- wherein up to three aliphatic carbon atoms in Z may be optionally replaced with S, —S(O)—, —S(O)—, —O—, —N—, or —N(H)—, in a chemically stable arrangement;
- wherein any ring may be optionally fused to a (C6-C10)aryl, (C5-C10)heteroaryl, (C3-C10)cycloalkyl, or (C3-C10)heterocyclyl;
- wherein Z may be independently and optionally substituted with up to 3 substituents independently selected from J.
- According to another embodiment, in R9′;
-
- X is a bond;
- Y is a bond; and
- Z is (C1-C12)-aliphatic-,
- (C3-C10)-cycloalkyl- or -cycloalkenyl-,
- [(C3-C10)-cycloalkyl or -cycloalkenyl]-(C1-C12)-aliphatic-,
- (C6-C10)-aryl-,
- (C6-C10)-aryl-(C1-C12)aliphatic-,
- (C5-C10)-heteroaryl-, or
- (C5-C10)-heteroaryl-(C1-C12)-aliphatic-;
- wherein up to three aliphatic carbon atoms in Z may be optionally replaced with S, —S(O)—, —S(O)2—, —O—, —N—, or —N(H)—, in a chemically stable arrangement;
- wherein any ring may be optionally fused to a (C6-C10)aryl, (C5-C10)heteroaryl, (C3-C10)cycloalkyl, or (C3-C10)heterocyclyl;
- wherein Z may be independently and optionally substituted with up to 3 substituents independently selected from J.
- According to another embodiment, in R9′;
-
- X is a bond;
- Y is a bond; and
- Z is (C1-C12)-aliphatic-,
- (C3-C10)-cycloalkyl- or -cycloalkenyl-,
- [(C3-C10)-cycloalkyl or -cycloalkenyl]-(C1-C12)-aliphatic-, or
- (C6-C10)-aryl-(C1-C12)aliphatic-,
- wherein up to three aliphatic carbon atoms in Z may be optionally replaced with S, —S(O)—, —S(O)2—, —O—, —N—, or —N(H)—, in a chemically stable arrangement;
- wherein Z may be independently and optionally substituted with up to 3 substituents independently selected from J.
-
-
- According to another embodiment, R9′ is ethyl.
- According to another embodiment of compounds of formula I, in R9, R10, and R10′, X and Y are both a bond and Z is hydrogen; and in R9′;
-
- X is a bond;
- Y is —C(O)—; and
- Z is (C1-C12)-aliphatic-, or
- (C3-C10)-heterocyclyl-(C1-C12)aliphatic-;
- wherein up to three aliphatic carbon atoms in Z may be optionally replaced with S, —S(O)—, —S(O)2—, —O—, —N—, or —N(H)—, in a chemically stable arrangement;
- wherein any ring may be optionally fused to a (C6-C10)aryl, (C5-C10)heteroaryl, (C3-C10)cycloalkyl, or (C3-C10)heterocyclyl;
- wherein Z may be independently and optionally substituted with up to 3 substituents independently selected from J.
- (C3-C10)-heterocyclyl-(C1-C12)aliphatic-;
- According to another embodiment, Z is —O—(C1-C6)-aliphatic or —N(R′)2, wherein the two R′ groups bound to the nitrogen atom may optionally form a 3- to 7-membered saturated or partially unsaturated ring system wherein up to 3 ring atoms may be optionally replaced with a heteroatom independently selected from N, NH, O, S, SO, and SO2, wherein said ring system may be optionally fused to a (C6-C10)aryl, (C5-C10)heteroaryl, (C3-C10)cycloalkyl, or a (C3-C10)heterocyclyl, wherein any ring has up to 3 substituents selected independently from J.
- According, to another embodiment of compounds of formula I, Z is —N(R′)2, wherein the two R′ groups bound to the nitrogen atom may optionally form a 3- to 7-membered saturated or partially unsaturated ring system wherein up to 3 ring atoms may be optionally replaced with a heteroatom independently selected from N, NH, O, S, SO, and SO2, wherein said ring system may be optionally fused to a (C6-C10)aryl, (C5-C10)heteroaryl, (C3-C10)cycloalkyl, or a (C3-C10)heterocyclyl, wherein any ring has up to 3 substituents selected independently from J.
- According to another embodiment of compounds of formula I, in R9, and R10, X and Y are both a bond and Z is hydrogen; and in each of R9′ and R10′ independently,
-
- X is a bond;
- Y is a bond; and
- Z is (C1-C12)-aliphatic-,
- (C3-C10)-cycloalkyl- or -cycloalkenyl-,
- [(C3-C10)-cycloalkyl or -cycloalkenyl]-(C1-C12)-aliphatic-,
- (C6-C10)-aryl-,
- (C6-C10)-aryl-(C1-C12)aliphatic-,
- (C3-C10)-heterocyclyl-,
- (C3-C10)-heterocyclyl-(C1-C12)aliphatic-,
- (C5-C10)-heteroaryl-, or
- (C5-C10)-heteroaryl-(C1-C12)-aliphatic-;
- wherein up to three aliphatic carbon atoms in Z may be optionally replaced with S, —S(O)—, —S(O)2—, —O—, —N—, or —N(H)—, in a chemically stable arrangement;
- wherein any ring may be optionally fused to a (C6-C10)aryl, (C5-C10)heteroaryl, (C3-C10)cycloalkyl, or (C3-C10)heterocyclyl;
- wherein Z may be independently and optionally substituted with up to 3 substituents independently selected from J.
- According to another embodiment, Z in each of R9′ and R10′ independently, is
-
- (C1-C12)-aliphatic-,
- (C3-C10)-cycloalkyl- or -cycloalkenyl-, or
- [(C3-C10)-cycloalkyl or -cycloalkenyl]-(C1-C12)-aliphatic-;
- wherein up to three aliphatic carbon atoms in Z may be optionally replaced with S, —S(O)—, —S(O)2—, —O—, —N—, or —N(H)—, in a chemically stable arrangement;
- wherein Z may be independently and optionally substituted with up to 3 substituents independently selected from J.
- According to another embodiment Z, in each of R9′ and R10′, independently is (C1-C6)-aliphatic-.
- According to another embodiment of compounds of formula I, in R10, and R10′, X and Y are both a bond and Z is hydrogen; and in R9 and R9′;
-
- X is a bond,
- Y is a bond, and
- Z is (C1-C6)-aliphatic-,
- wherein Z may be independently and optionally substituted with up to 3 substituents independently selected from J.
-
-
-
-
-
-
-
-
-
- According to another embodiment each R8 together with the boron atom, is a (C5-C10)-membered heterocyclic ring having no additional heteroatoms other than the boron and the two oxygen atoms.
-
- In another embodiment R′ is methyl.
-
-
-
- According to another embodiment of compounds of formula I, R2, R4, and R7 are each independently H, methyl, ethyl, or propyl.
- According to another embodiment R2, R4, and R7 are each hydrogen.
-
-
-
-
-
- According to another embodiment wherein R1 is isopropyl or cyclohexyl.
-
-
- R6, R6′, R7, and R12, are as defined in any of the embodiments herein.
-
-
- R6′ and R7 are both hydrogen;
- R6 is:
- (C1-C12)-aliphatic-;
- (C6-C10)-aryl-,
- (C6-C10)-aryl-(C1-C12)aliphatic-,
- (C3-C10)-cycloalkyl or -cycloalkenyl-,
- [(C3-C10)-cycloalkyl or -cycloalkenyl]-(C1-C12)-aliphatic-,
- (C3-C10)-heterocyclyl-,
- (C3-C10)-heterocyclyl-(C1-C12)-aliphatic-,
- (C5-C10)-heteroaryl-, or
- (C5-C10)-heteroaryl-(C1-C12)-aliphatic-;
- wherein up to 3 aliphatic carbon atoms in R6 may be optionally replaced by S, —S(O)—, —S(O)2—, —O—, —N—, or —N(H)—, in a chemically stable arrangement; and
- wherein R6 may be optionally substituted with up to 3 substituents independently selected from J; and
- R12 is as defined in any of the embodiments herein.
- According to another embodiment
-
- R6 is:
- (C1-C12)-aliphatic-;
- (C6-C10)-aryl-(C1-C12)aliphatic-, or
- (C3-C10)-cycloalkyl or -cycloalkenyl-;
- wherein up to 3 aliphatic carbon atoms in R6 may be optionally replaced by S, —S(O)—, —S(O)2—, —O—, —N—, or —N(H)—, in a chemically stable arrangement;
- wherein R6 may be optionally substituted with up to 3 substituents independently selected from J; and
- R12 is as defined in any of the embodiments herein.
-
-
- According to another embodiment of compounds of formula I, V is —C(O)— and R is a bond.
- According to another embodiment of compounds of formula I, V is —C(O)—, R is a bond, and
-
- T is:
- (C3-C10)-heterocyclyl- or (C5-C10)heteroaryl-;
- wherein each T is optionally substituted with up to 3 J substituents.
- According to another embodiment, T is (C5-C6)heterocyclyl- or (C5-C6)heteroaryl-;
-
-
- wherein each T is optionally substituted with up to 3 J substituents.
-
-
-
- Z′ is independently O, S, NR′, or C(R′)2.
-
- According to another embodiment, this invention does not include the following compounds:
-
- 1. 3-Acetyl-4,5-dimethyl-1H-pyrrole-2-carboxylic acid (cyclohexyl-{1-[3-cyclohexyl-2-(1-cyclopropylaminooxalyl-butylcarbamoyl)-pyrrolidine-1-carbonyl]-2,2-dimethyl-propylcarbamoyl}-methyl)-amide;
- 2. 3-Acetyl-4,5-dimethyl-1H-pyrrole-2-carboxylic acid (cyclohexyl-{1-[2-(1-cyclopropylaminooxalyl-butylcarbamoyl)-3-isopropyl-pyrrolidine-1-carbonyl]-2,2-dimethyl-propylcarbamoyl}-methyl)-amide;
- 3. 3-Acetyl-4,5-dimethyl-1H-pyrrole-2-carboxylic acid (cyclohexyl-{1-[2-(1-cyclopropylaminooxalyl-butylcarbamoyl)-4-(quinazolin-4-yloxy)-pyrrolidine-1-carbonyl]-2,2-dimethyl-propylcarbamoyl}-methyl)-amide; and
- 4. 3-Acetyl-4,5-dimethyl-1H-pyrrole-2-carboxylic acid ({1-[4-(5-chloro-pyridin-2-yloxy)-2-(1-cyclopropylaminooxalyl-butylcarbamoyl)-pyrrolidine-1-carbonyl]-2,2-dimethyl-propylcarbamoyl}-cyclohexyl-methyl)-amide (e.g., compounds 63, 64, 66, and 67 of WO 03/087092).
- According to yet another embodiment, this invention does not include the following compounds wherein:
-
- V is —C(O)—, R is a bond, T is the (C5-C10)-heteroaryl 3-acetyl-4,5-dimethyl-1H-pyrrole and the
radical is:
(e.g., substituted proline radicals at pages 56 and 57 of WO 03/087092).
- V is —C(O)—, R is a bond, T is the (C5-C10)-heteroaryl 3-acetyl-4,5-dimethyl-1H-pyrrole and the
- According to another embodiment, this invention does not include compounds wherein:
-
- V is —C(O)—;
- R is a bond; and
- T is 3-acetyl-4,5-dimethyl-1H-pyrrole (e.g., compounds of formula II″ at page 85 of WO 03/087092).
- According to another embodiment, this invention does not include compounds wherein T is a C5-heteroaryl (e.g., compounds of formula II at page 22 of WO 03/087092).
- According to another embodiment, this invention does not include compounds wherein T is an optionally substituted pyrrole group (e.g., compounds of formula II at page 22 of WO 03/087092).
- According to another embodiment, this invention does not include compounds wherein:
-
- V is —C(O)—, —S(O)—, or —S(O)2—;
- R is a bond; and
- T is:
wherein: - R14 is —H, —S(O)R′, —S(O)2R′, —C(O)R′, —C(O)OR′, —C(O)N(R′)2, —N(R′)C(O)R′, —N(COR′)COR′, —SO2N(R′)2, —SO3R′, —C(O)C(O)R′, —C(O)CH2C(O)R′, —C(S)R′, —C(S)N(R′)2, —(CH2)0-2NHC(O)R′, —N(R′)N(R′)COR′, —N(R′)N(R′)C(O)OR′, —N(R′)N(R′)CON(R′)2, —N(R′)SO2R′, —N(R′)SO2N(R′)2, —N(R′)C(O)OR′, —N(R′)C(O)R′, —N(R′)C(S)R′, —N(R′)C(O)N(R′)2, —N(R′)C(S)N(R′)2, —N(COR′)COR′, —N(OR′)R′, —C(═NH)N(R′)2, —C(O)N(OR′)R′, —C(═NOR′)R′, —OP(O)(OR′)2, —P(O)(R′)2, —P(O)(OR′)2, or —P(O)(H)(OR′);
- R15 and R16 are independently halogen, —OR′, —OC(O)N(R′)2, —NO2, —CN, —CF3, —OCF3, —R′, oxo, 1,2-methylenedioxy, 1,2-ethylenedioxy, —N(R′)2, —SR′, —SOR′, —SO2R′, —SO2N(R′)2, —SO3R″, —C(O)R′, —C(O)C(O)R′, —C(O)CH2C(O)R′, —C(S)R′, —C(O)OR′, —OC(O)R′, —C(O)N(R′)2, —OC(O)N(R′)2, —C(S)N(R′)2, —(CH2)0-2NHC(O)R′, —N(R′)N(R′)COR′, —N(R′)N(R′)C(O)OR′, —N(R′)N(R′)CON(R′)2, —N(R′)SO2R′, —N(R′)SO2N(R′)2, —N(R′)C(O)OR′, —N(R′)C(O)R′, —N(R′)C(S)R′, —N(R′)C(O)N(R′)2, —N(R′)C(S)N(R′)2, —N(COR′)COR′, —N(OR′)R′, —CN, —C(═NH)N(R′)2, —C(O)N(OR′)R′, —C(═NOR′)R′, —OP(O)(OR′)2, —P(O)(R′)2, —P(O)(OR′)2, or —P(O)(H)(OR′);
- Z2 is ═O, ═NR′, ═NOR′, or ═C(R′)2;
- R19 is —OR′, —CF3, —OCF3, —R′, —N(R′)2, —SR′, —C(O)R′, —COOR′, —CON(R′)2, —N(R′)COR′, or —N(COR′)COR′; wherein
- two R′ groups together with the atoms to which they are bound form a 3- to 10-membered aromatic or non-aromatic ring having up to 3 heteroatoms independently selected from N, NH, O, S, SO, or SO2, wherein the ring is optionally fused to a (C6-C10)aryl, (C5-C10)heteroaryl, (C3-C10)cycloalkyl, or a (C3-C10)heterocyclyl, and wherein any ring has up to 3 substituents selected independently from J2; or
- each R′ is independently selected from:
- hydrogen-,
- (C1-C12)-aliphatic-,
- (C3-C10)-cycloalkyl or -cycloalkenyl-,
- [(C3-C10)-cycloalkyl or -cycloalkenyl]-(C1-C12)-aliphatic-,
- (C6-C10)-aryl-,
- (C6-C10)-aryl-(C1-C12)aliphatic-,
- (C3-C10)-heterocyclyl-,
- (C6-C10)-heterocyclyl-(C1-C12)aliphatic-,
- (C5-C10)-heteroaryl-, or
- (C5-C10)-heteroaryl-(C1-C12)-aliphatic-,
- wherein R′ has up to 3 substituents selected independently from J2; and
- J2 is halogen, —OR′, —OC(O)N(R′)2, —NO2, —CN, —CF3, —OCF3, —R′, oxo, thioxo, 1,2-methylenedioxy, —N(R′)2, —SR′, —SOR′, —SO2R′, —SO2N(R′)2, —SO3R′, —C(O)R′, —C(O)C(O)R′, —C(O)CH2C(O)R′, —C(S)R′, —C(O)OR′, —OC(O)R′, —C(O)N(R′)2, —OC(O)N(R′)2, —C(S)N(R′)2, —(CH2)0-2NHC(O)R′, —N(R′)N(R′)COR′, —N(R′)N(R′)C(O)OR′, —N(R′)N(R′)CON(R′)2, —N(R′)SO2R′, —N(R′)SO2N(R′)2, —N(R′)C(O)OR′, —N(R′)C(O)R′, —N(R′)C(S)R′, —N(R′)C(O)N(R′)2, —N(R′)C(S)N(R′)2, —N(COR′)COR′, —N(OR′)R′, —CN, —C(═NH)N(R′)2, —C(O)N(OR′)R′, —C(═NOR′)R′, —OP(O)(OR′)2, —P(O)(R′)2, —P(O)(OR′)2, or —P(O)(H)(OR′) (e.g., compounds of formula II at page 22 of WO 03/087092).
- According to another preferred embodiment in pounds of formula I, the compound is:
1 2 3 4 5 6 7 8 9 10 11 12 13 14 15 16 17 18 19 20 21 22 23 24 25 26 27 28 29 30 31 32 33 34 35 36 37 38 39 40 41 42 43 44 45 46 47 48 49 50 51 52 53 54 55 56 57 58 59 60 61 62 63 64 65 66 67 68 69 70 71 72 73 74 75 76 77 - The compounds of this invention may contain one or more asymmetric carbon atoms and thus may occur as racemates and racemic mixtures, single enantiomers, diastereomeric mixtures and individual diastereomers. All such isomeric forms of these compounds are expressly included in the present invention. Each stereogenic carbon may be of the R or S configuration.
- In another embodiment, the compounds of this invention have the structure and stereochemistry depicted in compounds 1-77.
- Any of the embodiments recited above, including those embodiments in the above species, may be combined to produce a preferred embodiment of this invention.
- As can be appreciated by the skilled artisan, the synthetic schemes shown are not intended to comprise a comprehensive list of all means by which the compounds described and claimed in this application may be synthesized. Other equivalent schemes, which will be readily apparent to the ordinary skilled organic chemist, may alternatively be used to synthesize various portions of the molecule as illustrated by the general schemes below. Additionally, the various synthetic steps described above may be performed in an alternate sequence or order to give the desired compounds. Other equivalent schemes, which will be readily apparent to the ordinary skilled organic chemist, may alternatively be used to synthesize various portions of the molecule as illustrated by the general schemes below, and the preparative examples that follow.
- Abbreviations which are used in the schemes, preparations and the examples that follow are:
-
- DCM: dichloromethane
- THF: tetrahydrofuran
- DMF: N,N,-dimethylformamide
- EtOAc: ethyl acetate
- AcOH: acetic acid
- NMM: N-methylmorpholine
- NMP: N-methylpyyrolidinone
- EtOH: ethanol
- t-BuOH: tert-butanol
- Et2O: diethyl ether
- DMSO: dimethyl sulfoxide
- DCCA: dichloroacetic acid
- DIEA: diisopropylethylamine
- MeCN: acetonitrile
- TFA: trifluoroacetic acid
- DBU: 1,8-diazabicyclo[5.4.0]undec-7-ene
- DEAD: diethyl azodicarboxylate
- HOBt: 1-hydroxybenzotriazole hydrate
- HOAt: 1-hydroxy-7-azabenzotriazole
- EDC: 1-(3-dimethylaminopropyl)-3-ethylcarbodiimide hydrochloride
- Boc: tert-butyloxycarbonyl
- Boc2O: di-tert-butyldicarbonate
- Cbz: benzyloxycarbonyl
- Cbz-Cl: benzyl chloroformate
- Fmoc: 9-fluorenyl methyloxycarbonyl
- SEM: silylethoxymethyl
- TBAF: tetrabutylammonium fluoride
- Chg: cyclohexylglycine
- t-BG: tert-butylglycine
- mCBPA: 3-chloroperoxybenzoic acid
- DAST: (diethylamino)sulfur trifluoride
- TEMPO: 2,2,6,6-tetramethyl-1-piperidinyloxy, free radical
- PyBOP: tris(pyrrolidino)bromophosphonium hexafluorophosphate
- TBTU or HATU: 2-(1H-benzotriazole-1-yl)-1,1,3,3-tetramethyluronium tetrafluoroborate
- DMAP: 4-dimethylaminopyridine
- AIBN: 2,2′-azobisisobutyronitrile
- rt or RT: room temperature
- ON: overnight
- ND: not determined
- MS: mass spectrometry
- LC: liquid chromatography
General Synthetic Methodology: _p The compounds of this invention may be prepared in general by methods known to those skilled in the art. Schemes 1-6 below illustrate synthetic routes to the compounds of the present invention. Other equivalent schemes, which will be readily apparent to the ordinary skilled organic chemist, may alternatively be used to synthesize various portions of the molecule as illustrated by the general schemes below, and the preparative examples that follow.
Scheme 1. (a) 2-vinyl, 2-propenyl or 2-butenyl-MgBr, CuBr.DMS, ether, −20° C. then TMSCl, −78° C. (65%, 73%, 84%); (b) 10% Pd—C, H2, 1 atm, EtOH (90%, 92%, 89%) (c) R″ZnBr, THF, −30° C., BF3OEt2 then TMSCl (64%, 40%, 37%); (d) PhCH(Li)SPh, BuLi, TMEDA, −78° C. (45%); (e) Ra—Ni, acetone/water(1:1), reflux, 12h (83%).
Scheme 2. (a) HCl gas, EtOAc, −20° C. (80%-90%); (b) LAH, THF, reflux (85%-90%); (c) CbzCl, K2CO3, THF:H2O (1:1) (60%-85%); (d) Jones, acetone, (70%-80%); (e) isobutylene, H2SO4 cat., DCM (67%-85%); (f) 10% Pd—C, H2, 1 atm, EtOAc (90%-95%).
Scheme 3. (a) PtO2, EtOH/AcOH/H2O (7/2/1), H2, 50 psi; (b) CbzCl, Na2CO3, acetone:H2O (1:1) (90%, two steps); (c) isobutylene, H2SO4 cat., CH2Cl2; (d) 10% Pd—C, H2, 1 atm, EtOH (84%, two steps).
- Scheme 1-6 above provide synthetic pathways for the preparation of the compounds of this invention. Many of the starting proline derivatives may be purchased commercially from chemical suppliers known to those in the art. Intermediate Al may be prepared according to the procedure described in J. Med. Chem. 39, p.2367 (1996).
- Although certain embodiments are depicted and described below, it will be appreciated that compounds of this invention can be prepared according to the methods described generally above using appropriate starting materials generally available to one of ordinary skill in the art.
- Another embodiment of this invention provides a pharmaceutical composition comprising a compound of formula I or a pharmaceutically acceptable salt thereof. According to another embodiment, the compound of formula I is present in an amount effective to decrease the viral load in a sample or in a patient, wherein said virus encodes a serine protease necessary for the viral life cycle, and a pharmaceutically acceptable carrier.
- If pharmaceutically acceptable salts of the compounds of this invention are utilized in these compositions, those salts are preferably derived from inorganic or organic acids and bases. Included among such acid salts are the following: acetate, adipate, alginate, aspartate, benzoate, benzene sulfonate, bisulfate, butyrate, citrate, camphorate, camphor sulfonate, cyclopentane-propionate, digluconate, dodecylsulfate, ethanesulfonate, fumarate, glucoheptanoate, glycerophosphate, hemisulfate, heptanoate, hexanoate, hydrochloride, hydrobromide, hydroiodide, 2-hydroxyethanesulfonate, lactate, maleate, methanesulfonate, 2-naphthalenesulfonate, nicotinate, oxalate, pamoate, pectinate, persulfate, 3-phenyl-propionate, picrate, pivalate, propionate, succinate, tartrate, thiocyanate, tosylate and undecanoate. Base salts include ammonium salts, alkali metal salts, such as sodium and potassium salts, alkaline earth metal salts, such as calcium and magnesium salts, salts with organic bases, such as dicyclohexylamine salts, N-methyl-D-glucamine, and salts with amino acids such as arginine, lysine, and so forth.
- Also, the basic nitrogen-containing groups may be quaternized with such agents as lower alkyl halides, such as methyl, ethyl, propyl, and butyl chloride, bromides and iodides; dialkyl sulfates, such as dimethyl, diethyl, dibutyl and diamyl sulfates, long chain halides such as decyl, lauryl, myristyl and stearyl chlorides, bromides and iodides, aralkyl halides, such as benzyl and phenethyl bromides and others. Water or oil-soluble or dispersible products are thereby obtained.
- The compounds utilized in the compositions and methods of this invention may also be modified by appending appropriate functionalities to enhance selective biological properties. Such modifications are known in the art and include those which increase biological penetration into a given biological system (e.g., blood, lymphatic system, central nervous system), increase oral availability, increase solubility to allow administration by injection, alter metabolism and alter rate of excretion.
- Pharmaceutically acceptable carriers that may be used in these compositions include, but are not limited to, ion exchangers, alumina, aluminum stearate, lecithin, serum proteins, such as human serum albumin, buffer substances such as phosphates, glycine, sorbic acid, potassium sorbate, partial glyceride mixtures of saturated vegetable fatty acids, water, salts or electrolytes, such as protamine sulfate, disodium hydrogen phosphate, potassium hydrogen phosphate, sodium chloride, zinc salts, colloidal silica, magnesium trisilicate, polyvinyl pyrrolidone, cellulose-based substances, polyethylene glycol, sodium carboxymethylcellulose, polyacrylates, waxes, polyethylene-polyoxypropylene-block polymers, polyethylene glycol and wool fat.
- According to another embodiment, the compositions of this invention are formulated for pharmaceutical administration to a mammal. In another embodiment the compositions of this invention are formulated for pharmaceutical administration to a human being.
- Such pharmaceutical compositions of the present invention may be administered orally, parenterally, by inhalation spray, topically, rectally, nasally, buccally, vaginally or via an implanted reservoir. The term “parenteral” as used herein includes subcutaneous, intravenous, intramuscular, intra-articular, intra-synovial, intrasternal, intrathecal, intrahepatic, intralesional and intracranial injection or infusion techniques. In another embodiment, the compositions are administered orally or intravenously.
- Sterile injectable forms of the compositions of this invention may be aqueous or oleaginous suspension. These suspensions may be formulated according to techniques known in the art using suitable dispersing or wetting agents and suspending agents. The sterile injectable preparation may also be a sterile injectable solution or suspension in a non-toxic parenterally acceptable diluent or solvent, for example as a solution in 1,3-butanediol. Among the acceptable vehicles and solvents that may be employed are water, Ringer's solution and isotonic sodium chloride solution. In addition, sterile, fixed oils are conventionally employed as a solvent or suspending medium. For this purpose, any bland fixed oil may be employed including synthetic mono- or di-glycerides. Fatty acids, such as oleic acid and its glyceride derivatives are useful in the preparation of injectables, as are natural pharmaceutically-acceptable oils, such as olive oil or castor oil, especially in their polyoxyethylated versions. These oil solutions or suspensions may also contain a long-chain alcohol diluent or dispersant, such as carboxymethyl cellulose or similar dispersing agents which are commonly used in the formulation of pharmaceutically acceptable dosage forms including emulsions and suspensions. Other commonly used surfactants, such as Tweens, Spans and other emulsifying agents or bioavailability enhancers which are commonly used in the manufacture of pharmaceutically acceptable solid, liquid, or other dosage forms may also be used for the purposes of formulation.
- Dosage levels of between about 0.01 and about 100 mg/kg body weight per day, preferably between about 0.5 and about 75 mg/kg body weight per day of the protease inhibitor compounds described herein are useful in a monotherapy for the prevention and treatment of antiviral, particularly anti-HCV mediated disease. Typically, the pharmaceutical compositions of this invention will be administered from about 1 to about 5 times per day or alternatively, as a continuous infusion. Such administration can be used as a chronic or acute therapy. The amount of active ingredient that may be combined with the carrier materials to produce a single dosage form will vary depending upon the host treated and the particular mode of administration. A typical preparation will contain from about 5% to about 95% active compound (w/w). In another embodiment, such preparations contain from about 20% to about 80% active compound.
- When the compositions of this invention comprise a combination of a compound of formula I and one or more additional therapeutic or prophylactic agents, both the compound and the additional agent should be present at dosage levels of between about 10 to 100% and in another embodiment between about 10 to 80% of the dosage normally administered in a monotherapy regimen.
- The pharmaceutical compositions of this invention may be orally administered in any orally acceptable dosage form including, but not limited to, capsules, tablets, aqueous suspensions or solutions. In the case of tablets for oral use, carriers that are commonly used include lactose and corn starch. Lubricating agents, such as magnesium stearate, are also typically added. For oral administration in a capsule form, useful diluents include lactose and dried cornstarch. When aqueous suspensions are required for oral use, the active ingredient is combined with emulsifying and suspending agents. If desired, certain sweetening, flavoring or coloring agents may also be added.
- Alternatively, the pharmaceutical compositions of this invention may be administered in the form of suppositories for rectal administration. These may be prepared by mixing the agent with a suitable non-irritating excipient which is solid at room temperature but liquid at rectal temperature and therefore will melt in the rectum to release the drug. Such materials include cocoa butter, beeswax and polyethylene glycols.
- The pharmaceutical compositions of this invention may also be administered topically, especially when the target of treatment includes areas or organs readily accessible by topical application, including diseases of the eye, the skin, or the lower intestinal tract. Suitable topical formulations are readily prepared for each of these areas or organs.
- Topical application for the lower intestinal tract may be effected in a rectal suppository formulation (see above) or in a suitable enema formulation. Topically-transdermal patches may also be used.
- For topical applications, the pharmaceutical compositions may be formulated in a suitable ointment containing the active component suspended or dissolved in one or more carriers. Carriers for topical administration of the compounds of this invention include, but are not limited to, mineral oil, liquid petrolatum, white petrolatum, propylene glycol, polyoxyethylene, polyoxypropylene compound, emulsifying wax and water. Alternatively, the pharmaceutical compositions may be formulated in a suitable lotion or cream containing the active components suspended or dissolved in one or more pharmaceutically acceptable carriers. Suitable carriers include, but are not limited to, mineral oil, sorbitan monostearate, polysorbate 60, cetyl esters wax, cetearyl alcohol, 2-octyldodecanol, benzyl alcohol and water.
- For ophthalmic use, the pharmaceutical compositions may be formulated as micronized suspensions in isotonic, pH adjusted sterile saline, or, preferably, as solutions in isotonic, pH adjusted sterile saline, either with our without a preservative such as benzylalkonium chloride. Alternatively, for ophthalmic uses, the pharmaceutical compositions may be formulated in an ointment such as petrolatum.
- The pharmaceutical compositions of this invention may also be administered by nasal aerosol or inhalation. Such compositions are prepared according to techniques well known in the art of pharmaceutical formulation and may be prepared as solutions in saline, employing benzyl alcohol or other suitable preservatives, absorption promoters to enhance bioavailability, fluorocarbons, and/or other conventional solubilizing or dispersing agents.
- In another embidment, the pharmaceutical compositions are formulated for oral administration.
- In one embodiment, the compositions of this invention additionally comprise another agent, including a cytochrome P-450 inhibitor. Such cytochrome P-450 inhibitors include, but are not limited to, ritonavir.
- In another embodiment, the compositions of this invention additionally comprise another anti-viral agent, including an anti-HCV agent. Such anti-viral agents include, but are not limited to, immunomodulatory agents, such as α-, β-, and γ-interferons, pegylated derivatized interferon-αcompounds, and thymosin; other anti-viral agents, such as ribavirin, amantadine, and telbivudine; other inhibitors of hepatitis C proteases (NS2-NS3 inhibitors and NS3-NS4A inhibitors); inhibitors of other targets in the HCV life cycle, including but not limited to, helicase and polymerase inhibitors; inhibitors of internal ribosome entry; broad-spectrum viral inhibitors, such as IMPDH inhibitors (e.g., VX-497 and other IMPDH inhibitors disclosed in U.S. Pat. Nos. 5,807,876 and 6,498,178, mycophenolic acid and derivatives thereof); inhibitors of cytochrome P-450, such as ritonavir, or combinations of any of the above.
- Upon improvement of a patient's condition, a maintenance dose of a compound, composition or combination of this invention may be administered, if necessary. Subsequently, the dosage or frequency of administration, or both, may be reduced, as a function of the symptoms, to a level at which the improved condition is retained when the symptoms have been alleviated to the desired level, treatment should cease. Patients may, however, require intermittent treatment on a long-term basis upon any recurrence of disease symptoms.
- It should also be understood that a specific dosage and treatment regimen for any particular patient will depend upon a variety of factors, including the activity of the specific compound employed, the age, body weight, general health, sex, diet, time of administration, rate of excretion, drug combination, and the judgment of the treating physician and the severity of the particular disease being treated. The amount of active ingredients will also depend upon the particular described compound and the presence or absence and the nature of the additional anti-viral agent in the composition.
- According to another embodiment, the invention provides a method for treating a patient infected with a virus characterized by a virally encoded serine protease that is necessary for the life cycle of the virus by administering to said patient a pharmaceutically acceptable composition of this invention. In another embodiment, the methods of this invention are used to treat a patient suffering from a HCV infection. Such treatment may completely eradicate the viral infection or reduce the severity thereof. In another embodiment, the methods of this invention are used to treat a patient suffering from a HCV infection wherein the patient is a human being.
- In an alternate embodiment, the methods of this invention additionally comprise the step of administering to said patient an anti-viral agent preferably an anti-HCV agent. Such anti-viral agents include, but are not limited to, immunomodulatory agents, such as α-, β-, and γ-interferons, pegylated derivatized interferon-α compounds, and thymosin; other anti-viral agents, such as ribavirin, amantadine, and telbivudine; other inhibitors of hepatitis C proteases (NS2-NS3 inhibitors and NS3-NS4A inhibitors); inhibitors of other targets in the HCV life cycle, including helicase and polymerase inhibitors; inhibitors of internal ribosome entry; broad-spectrum viral inhibitors, such as IMPDH inhibitors (e.g., VX-497 and other IMPDH inhibitors disclosed in U.S. Pat. Nos. 5,807,876 and 6,498,178, mycophenolic acid and derivatives thereof); inhibitors of cytochrome P-450, such as ritonavir, or combinations of any of the above.
- Such additional agent may be administered to said patient as part of a single dosage form comprising both a compound of this invention and an additional anti-viral agent. Alternatively the additional agent may be administered separately from the compound of this invention, as part of a multiple dosage form, wherein said additional agent is administered prior to, together with or following a composition comprising a compound of this invention.
- In yet another embodiment the present invention provides a method of pre-treating a biological substance intended for administration to a patient comprising the step of contacting said biological substance with a pharmaceutically acceptable composition comprising a compound of this invention. Such biological substances include, but are not limited to, blood and components thereof such as plasma, platelets, subpopulations of blood cells and the like; organs such as kidney, liver, heart, lung, etc; sperm and ova; bone marrow and components thereof, and other fluids to be infused into a patient such as saline, dextrose, etc.
- According to another embodiment the invention provides methods of treating materials that may potentially come into contact with a virus characterized by a virally encoded serine protease necessary for its life cycle. This method comprises the step of contacting said material with a compound according to the invention. Such materials include, but are not limited to, surgical instruments and garments (e.g. clothes, gloves, aprons, gowns, masks, eyeglasses, footwear, etc.); laboratory instruments and garments (e.g. clothes, gloves, aprons, gowns, masks, eyeglasses, footwear, etc.); blood collection apparatuses and materials; and invasive devices, such as shunts, stents, etc.
- In another embodiment, the compounds of this invention may be used as laboratory tools to aid in the isolation of a virally encoded serine protease. This method comprises the steps of providing a compound of this invention attached to a solid support; contacting said solid support with a sample containing a viral serine protease under conditions that cause said protease to bind to said solid support; and eluting said serine protease from said solid support. In another embodiment, the viral serine protease isolated by this method is HCV NS3-NS4A protease.
- In order that this invention be more fully understood, the following preparative and testing examples are set forth. These examples are for the purpose of illustration only and are not to be construed as limiting the scope of the invention in any way.
- 1H-NMR spectra were recorded at 500 MHz using a Bruker AMX 500 instrument. Mass spec. samples were analyzed on a MicroMass ZQ or Quattro II mass spectrometer operated in single MS mode with electrospray ionization. Samples were introduced into the mass spectrometer using flow injection (FIA) or chromatography. Mobile phase for all mass spec. analysis consisted of acetonitrile-water mixtures with 0.2% formic acid as a modifier.
- As used herein, the term “Rt(min)” refers to the HPLC retention time, in minutes, associated with the compound. The HPLC retention times listed were either obtained from the mass spec. data or using the following method:
-
- Instrument: Hewlett Packard HP-1050;
- Column: YMC C18 (Cat. No. 326289C46);
- Gradient/Gradient Time: 10-90% CH3CN/H2O over 9 minutes, then 100% CH3CN for 2 minutes;
- Flow Rate: 0.8 ml/min;
- Detector Wavelength: 215 nM and 245 nM.
- Chemical naming for selected compounds herein was accomplished using the naming program provided by CambridgeSoft Corporations ChemDraw Ultra®, version 7.0.1.
- To a stirring suspension of copper bromide-dimethylsulfide (9.1 g, 44.28 mmol) in 100 mL of dry ether at −20° C. was added isopropenyl magnesium bromide 0.09M (100 mL). After 15 min. of stirring, the temperature was lowered to −78° C. and enone 4a (4.0 g, 8.86 mmol, prepared according to procedure in JACS, 117, p. 10775, (1995)) in 50 mL of ether was added followed by TMSCl (2.25 mL, 18 mmol). The reaction mixture was stirred at −78° C. for 1 h and quenched with 100 mL of ammonium hydroxide-ammonium chloride solution (1:4). Extracted with ether and the organic phase was washed to remove all the copper salts. The ether layer was dried with sodium sulfate and concentrated in vacuo to an oil that was subjected to flash chromatography (ether-hexanes (2:3) to provide 3.5 g (73%) of the desired intermediate olefin.
- 1H NMR (CDCl3) d 4.8 (d, 2H); 3.8 (m, 2H); 3.7 (d, 1H); 2.8 (m, 2H); 2.2 (d, 1H); 1.7 (s, 3H); 1.5 (s, 9H); 0.8 (s, 9H); 0.1 (s, 3H); 0.08 (s, 3H) ppm.
- Hydrogenation with 10% Pd-C under 1 atmosphere of hydrogen provided 3.5 g (100%) of the desired proline 5b.
- HCl gas was bubbled 5 minutes to a solution of 5b (3.5 g, 6.47 mmol) in 50 mL of ethyl acetate at −20° C. Stirred at −20° C. for 30 minutes then warmed up at rt and stirred for 1 h. It was concentrated in vacuo to 1.71 g (100%) of an oil that was reduced with 2.5 equivalent of a 1M LAH in THF solution under reflux for 4 h. Cooled and subjected to a Fieser work up which provided 1.35 g (85%) of the desired compound 8b. 1H NMR (CDCl3) d 4.0 (dd, 1H); 3.6 (m, 1H); 3.4 (m, 1H); 3.3 (m, 1H); 3.2 (m, 1H); 2.2 (m, 1H); 1.8 (m, 3H); 1.0 (d, 3H); 0.9 (d, 3H) ppm.
- To a solution of potassium carbonate (190 mg, 1.38 mmol) in 4 mL of water at rt with stirring, was added 8b (357 mg, 2.5 mmol) in 5 mL of THF. The solution was cooled to −2° C. and Cbz chloride (0.447 mL, 3.13 mmol) was added dropwise maintaining the temperature at 0 to −2° C. It was stirred for an additional 15 minutes, poured into water-ice. The aqueous phase was saturated with salt and the organic phase separated. Further extraction with ethyl acetate was necessary to extract all the compound. The combined organics were washed with HCl 5%, water and brine, dried with sodium sulfate and concentrated in vacuo to 416 mg (60%) on benzoylated hydroxymethyl pyrrolidine intermediate. 328 mg of this material was oxidized with Jones reagent to provide 260 mg (75%) of the proline intermediate. The above proline (260 mg, 0.889 mmol) was esterified with isobutylene in dichloromethane with a catalytic amount of concentrated sulfuric acid at rt in a seal vessel for 48 h to provide 289 mg (96%) of the intermediate ester. 1H NMR (CDCl3) d 7.5 (m, 5H); 5.1 (m, 2H); 4.1 (dd, 1H); 3.6 (m, 1H); 3.5 (m, 1H); 2.1 (m, 2H); 1.7 (m, 2H); 1.5 (s, 9H); 1.1 (d, 3H); 1.0 (d, 3H) ppm.
- Hydrogenation with 10% Pd/C in ethyl acetate gave 290 mg (100%) of the desired compound 9b.
- To a solution of Cbz-tert-butyl glycine (271 mg, 1.02 mmol) in 2 mL of DCM at 0° C. was added EDC (235 mg, 1.23 mmol), HOBt (203 mg, 1.33 mmol) and DIEA (0.534 mL, 3.07 mmol). The resulting mixture was stirred at 0° C. for 15 min. after which, the above amino ester 9b was slowly added in 2 mL of DCM. The resulting reaction mixture was stirred at rt for 16 h. Concentrated to a residue that was redisolved in EtOAc. Successive washes with 0.5N HCL, satd' aqueous NaHCO3 and brine gave after drying (Na2SO4) and concentration in vacuo the desired product which was subjected to flash chromatography (20% EtOAc/80% hexanes) to provide 480 mg (100%) of pure dipeptide. 1H NMR (CDCl3) d 4.2 (d, 2H); 4.0 (t, 1H); 3.5 (m, 1H); 2.0 (m, 3HO; 2.8 (m, 2H); 1.5 (s, 9H); 1.1 (s, 9H); 1.0 (d, 3H); 0.9 (d, 3H) ppm.
- The Cbz group of the dipeptide was removed as described above and the resulting aminoester dipeptide was coupled to Cbz-cyclohexyl glycine shown in the next step.
- To a solution of Cbz-cyclohexyl glycine (289 mg, 1 mmol) in 2 mL of DCM at 0° C. was added EDC (228 mg, 1.19 mmol), HOBt (190 mg, 1.29 mmol) and DIEA (0.517 mL, 2.97 mmol). The resulting mixture was stirred at 0° C. for 15 min. after which, the above amino ester was slowly added in 2 mL of DCM. The resulting reaction mixture was stirred at rt for 16 h. Concentrated to a residue that was redisolved in EtOAc. Successive washes with 0.5N HCL, satd' aqueous NaHCO3 and brine gave after drying (Na2SO4) and concentration in vacuo the desired product which was subjected to flash chromatography (20% EtOAc/80% hexanes) to provide 556 mg (90%) of pure tripeptide. The Cbz group of the tripeptide was removed as described above and the resulting aminoester tripeptide was coupled to 1,4-pyrazine carboxylic acid shown in the next step.
- To a solution of 1,4-pyrazine carboxylic acid (110 mg, 0.891 mmol)) in 2 mL of DCM was added PyBrOP (457 mg, 0.98 mmol and DIEA (0.465 mL, 2.67 mmol). The resulting mixture was stirred at rt for 15 min. after which, the above amino ester was slowly added in 2 mL of DCM. The resulting reaction mixture was stirred at rt for 16 h. Concentrated to a residue that was redissolved in EtOAc. Successive washes with 0.5N HCL, sat'd aqueous NaHCO3 and brine gave after drying (Na2SO4) and concentration in vacuo the desired product which was subjected to flash chromatography (50% EtOAc/50% hexanes) to provide 410 mg (79%) of pure capped tripeptide with consistent 1H NMR (CDCl3).
- The t-butyl ester group of the capped tripeptide (410 mg, 0.688 mmol) was cleaved with a 1:1 mixture of TFA-DCM at rt for 45 minutes and concentrated in vacuo. The resulting aminoester tripeptide was coupled to hydroxyamide detailed in the next step.
- To a stirring solution of the capped tripeptide acid from above in 6 mL of dry DMF at 0° C. was added, PyBOP (376 mg, 0.722 mmol) followed by NMM (0.226 mL, 2.06 mmol). The reaction mixture was stirred for 1 h at rt after which a solution of hydroxyamide (168 mg, 0.758 mmol) and 0.226 mL of NMM was slowly added. The coupling reaction was stirred for 16 h, diluted with ethyl acetate and was successively washed with; water (3×), citric acid 10%, water and brine. The organic layer was dried (Na2SO4) and concentrated in vacuo. Flash chromatography (2.5% MeOH/97.5% ethyl acetate) provided 362 mg of hydroxy amide tetrapeptide that was oxidized with Dess-Martin periodinane reagent (650 mg, 1.53 mmol) and t-butanol (0.65 mL) in 5 mL of DCM at rt for 3 h. The reaction mixture was quenched with sodium thiosulfate 1M solution (2 mL) and stirred until the two phases are clearly separated. The organic layer was diluted with 5 more mL of DCM and washed (3×) with 10% potassium carbonate aqueous solution (5 mL), dried (Na2SO4) and concentrated in vacuo. Flash chromatography (2.5% MeOH/97.5% ethyl acetate) provided 270 mg of ketoamide tetrapeptide 56. LCMS M+H=706.42, M−H=704.42. Retention Time (10-90% MeCN—H2O with 0.1% TFA over 9 minutes)=7.73-8.81 min. LCMS M+H=682.2.
- t-Butyl zinc bromide 0.5M solution in THF(3.7 mL, 1.83 mmol) was added to a solution of enone 4a (280 mg, 0.85 mmol) in THF containing BF3OEt2 (350 uL, 2.75 mmol) and TMSCl (465 uL) at −30° C. over a period of 5 minutes. The heterogeneous mixture was stirred at −30° C. for 3.5 h than quenched with sat'd NH4Cl solution. Extracted with ether (3×) and the combined extract were washed with brine, dried with sodium sulfate and concentrated in vacuo. Flash chromatography (10% ethyl acetate-hexanes) provided 210 mg (64%) of 6a. 1H NMR (CDCl3) d 3.9 (s, 1H); 3.8 (dd, 1H); 3.5 (d, 1H); 2.8 (dd, 1H); 2.3 (d, 1H); 1.9 (d, 1H); 1.4 (s, 9H); 0.9 (s, 18H); 0.1 (s, 3H); 0.05 (s, 3H) ppm.
- To a mixture of n-butyllithium (5.5 mL, 0.0086 mol) and THF at −78° C., was added TMEDA and benzylphenylsulfide (1.91 g, 0.0095 mol). The colorless solution turned pale yellow. After 15 min of stirring at −78° C., the pyrolidone 4 (2.4 g, 0.0073 mol) in 10 mL of THF was added dropwise. After the addition was completed, the reaction mixture was stirred for 1 h at −78° C. The reaction was quenched with satd' NH4Cl solution and the mixture warmed to rt and poured into water. Ether mixture was extracted with ethyl ether and the organic phase was washed with brine, dried and concentrated in vacuo. Flash chromatography (20% ethyl acetate-hexane) provided 1.69 g (45%) of the desired intermediate. Reduction with 16.9 g of Ra—Ni in refluxing acetone-water (1:1) for 12 h provided, after chromatography (2% acetone-chloroform), 1.11 g (83%) of the desired compound 7. 1H NMR (CDCl3) d 7.3 (m, 5H); 3.8 (m, 2H); 3.7 (d, 1H); 2.7-2.9 (m, 3H); 2.1 (m, 2H); 1.5 (s, 9H); 1.7 (s, 9H); 0.1 (s, 6H) ppm.
- Prepared as described above in scheme 1 starting with intermediate 7a to give 65 with consistent analytical data. Retention Time (10-90% MeCN—H2O with 0.1% TFA over 6 minutes)=8.0-9.2 min. LCMS M+H=730.2
- 3Phenyl proline 10a was hydrogenated with catalytic platinum oxide in ethanol/acetic acid/water (7/2/1) under 50 psi of hydrogen for 18 h to give 3-cyclohehyl proline quantitatively. Compound 12a was prepared according to benzoylation and esterification from example 1; step 3.
- In a round bottom flask, a solution of the allyl proline (358 mg, 1.33 mmol) in dry DCE was cooled to 0° C., and diethyl zinc in hexanes 15% (5.5 mL, 6.63 mmol) was added slowly via a syringe. To this solution was added chloroiodomethane (967 uL, 13.3 mmol) dropwise. The solution was stirred at 0° C. for 20 minutes, allowed to warm to rt an stirred for 1h. The reaction mixture was cooled to 0° C. and quenched with satd' NH4Cl solution and stirred vigourously for 10 minutes. Extracted with dichloromethane, dried with sodium sulfate and concentrated in vacuo. Chromatography (20% ethyl acetate-hexanes) gave 65 mg (17%) of the desired product A. 1H NMR (CDCl3) d 3.8 (s, 1H); 3.7 (s, 3H); 3.6−3.4 (m, 2H); 2.4 (m, 1H); 2.3 (m, 1H); 1.3 (m, 3H); 0.8 (m, 1H); 0.5 (m, 2H); 0.2 (m, 2H) ppm.
- Tripeptide C was prepared by the coupling of cyclopropylmethyl proline A (41 mg, 0.16 mmol) and capped dipeptide B (52 mg, 0.16 mmol)with EDC/HOAt to give 60 mg (77%) of the desired tripeptide C after chromatography (1:1 ethyl acetate-hexanes). 1H NMR (CDCl3) d 9.4 (s, 1H); 8.8 (s, 1H); 8.5 (s, 1H); 8.2 (d, 1H); 6.5 (d, 1H); 4.6 (t, 1H); 4.5 (t, 1H); 4.2 (m, 1H); 3.8 (s, 3H); 3.7 (m, 2H); 2.3 (m, 4H); 2.2 (m, 2H); 1.5 (s, 12H); 1.3 (m, 2H); 1.0 (m, 2H); 0.5 (m, 2H) ppm.
- Prepared as in example 1. Retention Time (10-90 % MeCN—H2O with 0.1% TFA over 6 minutes)=7.55-7.78 min. LCMS M+H=748.3.
- HCV Replicon Cell Assay Protocol:
- Cells containing hepatitis C virus (HCV) replicon were maintained in DMEM containing 10% fetal bovine serum (FBS), 0.25 mg per ml of G418, with appropriate supplements (media A).
- On day 1, replicon cell monolayer was treated with a trypsin:EDTA mixture, removed, and then media A was diluted into a final concentration of 100,000 cells per ml wit. 10,000 cells in 100 ul were plated into each well of a 96-well tissue culture plate, and cultured overnight in a tissue culture incubator at 37° C.
- On day 2, compounds (in 100% DMSO) were serially diluted into DMEM containing 2% FBS, 0.5% DMSO, with appropriate supplements (media B). The final concentration of DMSO was maintained at 0.5% throughout the dilution series.
- Media on the replicon cell monolayer was removed, and then media B containing various concentrations of compounds was added. Media B without any compound was added to other wells as no compound controls.
- Cells were incubated with compound or 0.5% DMSO in media B for 48 hours in a tissue culture incubator at 37° C. At the end of the 48-hour incubation, the media was removed, and the replicon cell monolayer was washed once with PBS and stored at −80° C. prior to RNA extraction.
- Culture plates with treated replicon cell monolayers were thawed, and a fixed amount of another RNA virus, such as Bovine Viral Diarrhea Virus (BVDV) was added to cells in each well. RNA extraction reagents (such as reagents from RNeasy kits) were added to the cells immediately to avoid degradation of RNA. Total RNA was extracted according the instruction of manufacturer with modification to improve extraction efficiency and consistency. Finally, total cellular RNA, including HCV replicon RNA, was eluted and stored at −80° C. until further processing.
- A Taqman real-time RT-PCR quantification assay was set up with two sets of specific primers and probe. One was for HCV and the other was for BVDV. Total RNA extractants from treated HCV replicon cells was added to the PCR reactions for quantification of both HCV and BVDV RNA in the same PCR well. Experimental failure was flagged and rejected based on the level of BVDV RNA in each well. The level of HCV RNA in each well was calculated according to a standard curve run in the same PCR plate. The percentage of inhibition or decrease of HCV RNA level due to compound treatment was calculated using the DMSO or no compound control as 0% of inhibition. The IC50 (concentration at which 50% inhibition of HCV RNA level is observed) was calculated from the titration curve of any given compound.
- HCV Ki Assay Protocol:
- HPLC Microbore Method for Separation of 5AB Substrate and Products
- Substrate:
-
- NH2-Glu-Asp-Val-Val-(alpha)Abu-Cys-Ser-Met-Ser-Tyr-COOH
- A stock solution of 20 mM 5AB (or concentration of your choice) was made in DMSO w/0.2 M DTT. This was stored in aliquots at −20° C.
- Buffer: 50 mM HEPES, pH 7.8; 20% glycerol; 100 mM NaCl
- Total assay volume was 100 μL
X1 conc. in (μL) assay Buffer 86.5 see above 5 mM KK4A 0.5 25 μM 1 M DTT 0.5 5 mM DMSO or inhibitor 2.5 2.5% v/v 50 μM tNS3 0.05 25 nM 250 μM 5AB 20 25 μM (initiate) - The buffer, KK4A, DTT, and tNS3 were combined; distributed 78 μL each into wells of 96 well plate. This was incubated at 30 C for ˜5-10 min.
- 2.5 uL of appropriate concentration of test compound was dissolved in DMSO (DMSO only for control) and added to each well. This was incubated at room temperature for 15 min.
- Initiated reaction by addition of 20 μL of 250 μM 5AB substrate (25 μM concentration is equivalent or slightly lower than the Km for 5AB).
-
- Incubated for 20 min at 30 C.
- Terminated reaction by addition of 25 μL of 10% TFA
- Transferred 120 μL aliquots to HPLC vials
- Separated SMSY product from substrate and KK4A by the following method:
- Microbore Separation Method:
- Instrumentation: Agilent 1100
-
- Degasser G1322A
- Binary pump G1312A
- Autosampler G1313A
- Column thermostated chamber G1316A
- Diode array detector G1315A
- Column:
-
- Phenomenex Jupiter; 5 micron C18; 300 angstroms; 150×2 mm; P/O 00F-4053-B0
- Column thermostat: 40 C
- Injection volume: 100 μL
- Solvent A=HPLC grade water+0.1% TFA
- Solvent B=HPLC grade acetonitrile+0.1% TFA
Time Flow Max (min) % B (ml/min) press. 0 5 0.2 400 12 60 0.2 400 13 100 0.2 400 16 100 0.2 400 17 5 0.2 400 -
- Stop time: 17 min
- Post-run time: 10 min.
- Table 1 below depicts IC50 data for certain ds of the invention.
- Compounds with Ki's ranging from 0.5 μM to >1 μM are designated A. Compounds with Ki's ranging from 0.5 μM to 0.1 μM are designated B. Compounds with Ki's below 0.1 μM are designated C. Compounds with IC50's ranging from 1 μM to >10 μM are designated A. Compounds with IC50's ranging from 1 μM to 0.5 μM are designated B. Compounds with IC50's below 0.5 μM are designated C. ND means no data.
TABLE 1 Compound Ki IC50 5 C ND 15 B ND 16 B ND 19 B ND 20 B ND 22 B ND 25 B ND 26 C ND 27 C ND 28 C ND 29 C ND 30 B ND 31 C ND 32 B ND 33 B ND 35 A ND 36 B ND 39 C B 41 A C 42 C ND 43 B ND 44 B B 45 A ND 46 B ND 50 B ND 51 B ND 52 C C 53 B ND 54 B A 55 C B 56 B ND 57 C ND 60 ND A 62 C B 63 C B 64 B A 65 C B 66 B B 67 A A 68 C C 69 C C 71 C A 72 C B 73 B A 74 B A 75 B A 76 B A 77 B A
Claims (53)
1. A compound of formula I:
or a pharmaceutically acceptable salt, or mixtures thereof, wherein:
W is:
wherein each R6 is independently:
hydrogen-,
(C1-C12)-aliphatic-,
(C6-C10)-aryl-,
(C6-C10)-aryl-(C1-C12)aliphatic-,
(C3-C10)-cycloalkyl- or cycloalkenyl-,
[(C3-C10)-cycloalkyl- or cycloalkenyl]-(C1-C12)-aliphatic-,
(C3-C10)-heterocyclyl-,
(C3-C10)-heterocyclyl-(C1-C12)-aliphatic-,
(C5-C10)-heteroaryl-, or
(C5-C10)-heteroaryl-(C1-C12)-aliphatic-, or
wherein up to 3 aliphatic carbon atoms in each R6 may be optionally replaced with S, —S(O)—, —S(O)—, —S(O)2—, —O—, —N—, or —N(H)— in a chemically stable arrangement;
wherein R6 may be optionally substituted with up to 3 J substituents; or
two R6 groups, together with the nitrogen atom to which they are bound, may optionally form a 5- to 6-membered aromatic or a 3- to 7-membered saturated or partially unsaturated ring system wherein up to 3 ring atoms may be optionally replaced with N, NH, O, S, SO, and SO 2, wherein said ring system may be optionally fused to a (C6-C10)aryl, (C5-C10)heteroaryl, (C3-C10)cycloalkyl, or a (C3-C10)heterocyclyl, wherein any ring has up to 3 substituents selected independently from J;
wherein each R8 is independently —OR′; or the R8 groups together with the boron atom, may optionally form a (C3-C10)-membered heterocyclic ring wherein each R8 is independently —OR′; or the R8 groups together with the boron atom, may optionally form a (C3-C10)-membered heterocyclic ring having, in addition to the boron, up to 3 ring atoms optionally replaced with N, NH, O, S, SO, and SO2;
J is halogen, —OR′, —NO2, —CN, —CF3, —OCF3, —R′, oxo, thioxo, ═N(R′), ═N(OR′), 1,2-methylenedioxy, 1,2-ethylenedioxy, —N(R′)2, —SR′, —SOR′, —SO2R′, —SO2N(R′)2, —SO3R′, —C(O)R′, —C(O)C(O)R′, —C(O)C(O)OR′, —C(O)C(O)NR′, —C(O)CH2C(O)R′, —C(S)R′, —C(S)OR′, —C(O)OR′, —OC(O)R′, —C(O)N(R′)2, —OC(O)N(R′)2, —C(S)N(R′)2, —(CH2)0-2NHC(O)R′, —N(R′)N(R′)COR′, —N(R′)N(R′)C(O)OR′, —N(R′)N(R′)CON(R′)2, —N(R′)SO2R′, —N(R′)SO2N(R′)2, —N(R′)C(O)OR′, —N(R′)C(O)R′, —N(R′)C(S)R′, —N(R′)C(O)N(R′)2, —N(R′)C(S)N(R′)2, —N(COR′)COR′, —N(OR′)R′, —C(═NH)N(R′)2, —C(O)N(OR′)R′, —C(═NOR′)R′, —OP(O)(OR′)2, —P(O)(R′)2, —P(O)(OR′)2, or —P(O)(H)(OR′); wherein;
R′ is independently selected from:
hydrogen-,
(C1-C12)-aliphatic-,
(C3-C10)-cycloalkyl- or -cycloalkenyl-,
[(C3-C10)-cycloalkyl or -cycloalkenyl]-(C1-C12)-aliphatic-,
(C6-C10)-aryl-,
(C6-C10)-aryl-(C1-C12)aliphatic-,
(C3-C10)-heterocyclyl-,
(C3-C10)-heterocyclyl-(C1-C12)aliphatic-,
(C5-C10)-heteroaryl-, and
(C5-C10)-heteroaryl-(C1-C12)-aliphatic-;
wherein up to 5 atoms in R′ may be optionally and independently substituted with J;
wherein two R′ groups bound to the same atom may optionally form a 5- to 6-membered aromatic or a 3- to 7-membered saturated or partially unsaturated ring system wherein up to 3 ring atoms may be optionally replaced with a heteroatom independently selected from N, NH, O, S, SO, and SO2, wherein said ring system may be optionally fused to a (C6-C10)aryl, (C5-C10)heteroaryl, (C3-C10)cycloalkyl, or a (C3-C10)heterocyclyl, wherein any ring has up to 3 substituents selected independently from J;
R5 and R5′ are each independently hydrogen or (C1-C12)-aliphatic, wherein any hydrogen may be optionally replaced with halogen; wherein any terminal carbon atom of R5 may be optionally substituted with sulfhydryl or hydroxy; or R5 is Ph or —CH2Ph and R5′ is H, wherein said Ph or —CH2Ph group may be optionally substituted with up to 3 substituents independently selected from J; or
R5 and R5′ together with the atom to which they are bound may optionally form a 3- to 6-membered saturated or partially unsaturated ring system wherein up to 2 ring atoms may be optionally replaced with N, NH, O, SO, or SO2; wherein said ring system has up to 2 substituents selected independently from J;
R2, R4, and R7 are each independently:
hydrogen-,
(C1-C12)-aliphatic-,
(C3-C10)-cycloalkyl-(C1-C12)-aliphatic-, or
(C6-C10)-aryl-(C1-C12)-aliphatic-;
wherein up to two aliphatic carbon atoms in each of R2, R4, and R7 may be optionally replaced with S, —S(O)—, —S(O)2—, —O—, —N—, or —N(H)— in a chemically stable arrangement;
wherein each of R2, R4, and R7 may be independently and optionally substituted with up to 3 substituents independently selected from J;
R1 and R3 are each independently:
(C1-C12)-aliphatic-,
(C3-C10)-cycloalkyl- or -cycloalkenyl-,
[(C3-C10)-cycloalkyl- or -cycloalkenyl]-(C1-C12)-aliphatic-,
(C6-C10)-aryl-(C1-C12)aliphatic-, or
(C5-C10)-heteroaryl-(C1-C12)-aliphatic-;
wherein up to 3 aliphatic carbon atoms in each of R1 and R3 may be optionally replaced with S, —S(O)—, —S(O)2—, —O—, —N—, or —N(H)— in a chemically stable arrangement;
wherein each of R1 and R3 may be independently and optionally substituted with up to 3 substituents independently selected from J;
R9, R9′, R10, and R10′ are each independently —X—Y-Z;
X is a bond, —C(H)(R6)—, —O—, —S—, or —N(R11)—;
R11 is:
hydrogen-,
(C1-C12)-aliphatic-,
(C6-C10)-aryl-,
(C6-C10)-aryl-(C1-C12)aliphatic-,
(C3-C10)-cycloalkyl- or cycloalkenyl-,
[(C3-C10)-cycloalkyl- or cycloalkenyl)-(C1-C12)-aliphatic-,
(C3-C10)-heterocyclyl-,
(C3-C10)-heterocyclyl-(C1-C12)-aliphatic-,
(C5-C10)-heteroaryl-, or
(C5-C10)-heteroaryl-(C1-C12)-aliphatic-,
wherein up to 3 aliphatic carbon atoms in each R11 may be optionally replaced with S, —S(O)—, —S(O)2—, —O—, —N—, or —N(H)— in a chemically stable arrangement;
wherein R11, may be optionally substituted with up to 3 J substituents; or
wherein R11 and Z together with the atoms to which they are bound, optionally form a nitrogen containing 5-7-membered mono- or 6-11-membered bicyclic ring system optionally substituted with up to 3 J substitutents, wherein up to 3 ring atoms in said ring system may be optionally replaced with 0, NH, S, SO, or SO2 in a chemically stable arrangement;
Y is a bond, —CH2—, —C(O)—, —C(O)C(O)—; —S(O)—, S(O)2—, or —S(O)(NR12)—;
R12 is:
hydrogen-,
(C1-C12)-aliphatic-,
(C6-C10)-aryl-,
(C6-C10)-aryl-(C1-C12)aliphatic-,
(C3-C10)-cycloalkyl- or cycloalkenyl-,
[(C3-C10)-cycloalkyl- or cycloalkenyl]-(C1-C12)-aliphatic-,
(C3-C10)-heterocyclyl-,
(C3-C10)-heterocyclyl-(C1-C12)-aliphatic-,
(C5-C10)-heteroaryl-, or
(C5-C10)-heteroaryl-(C1-C12)-aliphatic-,
wherein up to 3 aliphatic carbon atoms in each R12 may be optionally replaced with S, —S(O)—, —S(O)2—, —O—, —N—, or —N(H)—, in a chemically stable arrangement;
wherein R12 may be optionally substituted with up to 3 J substituents;
Z is:
hydrogen-,
(C1-C12)-aliphatic-,
(C3-C10)-cycloalkyl- or -cycloalkenyl-,
[(C3-C10)-cycloalkyl or -cycloalkenyl]-(C1-C12)-aliphatic-,
(C6-C10)-aryl-,
(C6-C10)-aryl-(C1-C12)aliphatic-,
(C3-C10)-heterocyclyl-,
(C3-C10)-heterocyclyl-(C1-C12)aliphatic-,
(C5-C10)-heteroaryl-, or
(C5-C10)-heteroaryl-(C1-C12)-aliphatic-;
wherein up to three aliphatic carbon atoms in Z may be optionally replaced with S, —S(O)—, —S(O)2—, —O—, —N—, or —N(H)—, in a chemically stable arrangement;
wherein any ring may be optionally fused to a (C6-C10)aryl, (C5-C10)heteroaryl, (C3-C10)cycloalkyl, or (C3-C10)heterocyclyl;
wherein Z may be independently and optionally substituted with up to 3 substituents independently selected from J;
V is —C(O)—, —S(O)—, or —S(O)2—;
R is —C(O)—, —S(O)—, —S(O)2—, —N(R12)—, —O—, or a bond;
T is:
(C1-C12)-aliphatic-;
(C6-C10)-aryl-,
(C6-C10)-aryl-(C1-C12)aliphatic-,
(C3-C10)-cycloalkyl or -cycloalkenyl-,
[(C3-C10)-cycloalkyl or -cycloalkenyl]-(C1-C12)-aliphatic-,
(C3-C10)-heterocyclyl-,
(C3-C10)-heterocyclyl-(C1-C12)-aliphatic-,
(C5-C10)-heteroaryl-, or
(C5-C10)-heteroaryl-(C1-C12)-aliphatic-;
wherein up to 3 aliphatic carbon atoms in T may be replaced with S, —S(O)—, —S(O)2—, —O—, —N—, or —N(H)—, in a chemically stable arrangement;
wherein each T may be optionally substituted with up to 3 J substituents; or
T is selected from —N(R6)(R6′); and
R6′ is
hydrogen-,
(C1-C12)-aliphatic-,
(C6-C10)-aryl-,
(C6-C10)-aryl-(C1-C12)aliphatic-,
(C3-C10)-cycloalkyl- or cycloalkenyl-,
[(C3-C10)-cycloalkyl- or cycloalkenyl]-(C1-C12)-aliphatic-,
(C3-C10)-heterocyclyl-,
(C3-C10)-heterocyclyl-(C1-C12)-aliphatic-,
(C5-C10)-heteroaryl-, or
(C5-C10)-heteroaryl-(C1-C12)-aliphatic-, or
wherein up to 3 aliphatic carbon atoms in each R6′ may be optionally replaced with S, —S(O)—, —S(O)2—, —O—, —N—, or —N(H)— in a chemically stable arrangement;
wherein R6′ may be optionally substituted with up to 3 J substituents; or
R6 and R6′, together with the nitrogen atom to which they are bound, may optionally form a (C3-C10)-heterocyclic ring system wherein said ring system may be optionally substituted with up to 3 substituents independently selected from J.
2. The compound according to claim 1 , wherein the
radical is,
wherein;
in R9, R10, and R10′, X and Y are both a bond and Z is hydrogen; and in R9′;
X is a bond;
Y is a bond, —CH2—, or —C(O)—; and
Z is (C1-C12)-aliphatic-,
(C3-C10)-cycloalkyl- or -cycloalkenyl-,
[C(C3-C10)-cycloalkyl or -cycloalkenyl]-(C1-C12)-aliphatic-,
(C6-C10)-aryl-,
(C6-C10)-aryl-(C1-C12)aliphatic-,
(C3-C10)-heterocyclyl-,
(C3-C10)-heterocyclyl-(C1-C12)aliphatic-,
(C5-C10)-heteroaryl-, or
(C5-C10)-heteroaryl-(C1-C12)-aliphatic-;
wherein up to three aliphatic carbon atoms in Z may be optionally replaced with S, —S(O)—, —S(O)2—, —O—, —N—, or —N(H)—, in a chemically stable arrangement;
wherein any ring may be optionally fused to a (C6-C10)aryl, (C5-C10)heteroaryl, (C3-C10)cycloalkyl, or (C3-C10)heterocyclyl;
wherein Z may be independently and optionally substituted with up to 3 substituents independently selected from J.
3. The compound according to claim 2 , wherein in R9′;
X is a bond;
Y is a bond; and
Z is (C1-C12)-aliphatic-,
(C3-C10)-cycloalkyl- or -cycloalkenyl-,
[(C3-C10)-cycloalkyl or -cycloalkenyl]-(C1-C12)-aliphatic-,
(C6-C10)-aryl-,
(C6-C10)-aryl-(C1-C12)aliphatic-,
(C5-C10)-heteroaryl-, or
(C5-C10)-heteroaryl-(C1-C12)-aliphatic-;
wherein up to three aliphatic carbon atoms in Z may be optionally replaced with S, —S(O)—, —S(O)2—, —O—, —N—, or —N(H)—, in a chemically stable arrangement;
wherein any ring may be optionally fused to a (C6-C10)aryl, (C5-C10)heteroaryl, (C3-C10)cycloalkyl, or (C3-C10)heterocyclyl;
wherein Z may be independently and optionally substituted with up to 3 substituents independently selected from J.
4. The compound according to claim 3 , wherein in
R9′;
X is a bond;
Y is a bond; and
Z is (C1-C12)-aliphatic-,
(C3-C10)-cycloalkyl- or -cycloalkenyl-,
[(C3-C10)-cycloalkyl or -cycloalkenyl]-(C1-C12)-aliphatic-, or
(C6-C10)-aryl-(C1-C12)aliphatic-,
wherein up to three aliphatic carbon atoms in Z may be optionally replaced with S, —S(O)—, —S(O)2—, —O—, —N—, or —N(H)—, in a chemically stable arrangement;
wherein Z may be independently and optionally substituted with up to 3 substituents independently selected from J.
7. The compound according to claim 6 , wherein R9′ is ethyl.
8. The compound according to claim 1 , wherein in
R9, R10, and R10′, X and Y are both a bond and Z is hydrogen; and in R9′;
X is a bond;
Y is —C(O)—; and
Z is (C1-C12)-aliphatic-, or
(C3-C10)-heterocyclyl-(C1-C12)aliphatic-;
wherein up to three aliphatic carbon atoms in Z may be optionally replaced with S, —S(O)—, —S(O)2—, —O—, —N—, or —N(H)—, in a chemically stable arrangement;
wherein any ring may be optionally fused to a (C6-C10)aryl, (C5-C10)heteroaryl, (C3-C10)cycloalkyl, or (C3-C10)heterocyclyl;
wherein Z may be independently and optionally substituted with up to 3 substituents independently selected from J.
9. The compound according to claim 8 , wherein Z is —O—(C1-C6)-aliphatic or —N(R′)2, wherein the two R′ groups bound to the nitrogen atom may optionally form a 3- to 7-membered saturated or partially unsaturated ring system wherein up to 3 ring atoms may be optionally replaced with a heteroatom independently selected from N, NH, O, S, SO, and SO2, wherein said ring system may be optionally fused to a (C6-C10)aryl, (C5-C10)heteroaryl, (C3-C10)cycloalkyl, or a (C3-C10)heterocyclyl, wherein any ring has up to 3 substituents selected independently from J.
10. The compound according to claim 8 , wherein Z is —N(R′)2, wherein the two R′ groups bound to the nitrogen atom may optionally form a 3- to 7-membered saturated or partially unsaturated ring system wherein up to 3 ring atoms may be optionally replaced with a heteroatom independently selected from N, NH, O, S, SO, and SO2, wherein said ring system may be optionally fused to a (C6-C10)aryl, (C5-C10)heteroaryl, (C3-C10)cycloalkyl, or a (C3-C10)heterocyclyl, wherein any ring has up to 3 substituents selected independently from J.
11. The compound according to claim 1 , wherein in
R9, and R10, X and Y are a bond and Z is hydrogen; and in each of R9′ and R10′ independently;
X is a bond;
Y is a bond; and
Z is (C1-C12)-aliphatic-,
(C3-C10)-cycloalkyl- or -cycloalkenyl-,
[(C3-C10)-cycloalkyl or -cycloalkenyl]-(C1-C12)-aliphatic-,
(C6-C10)-aryl-,
(C6-C10)-aryl-(C1-C12)aliphatic-,
(C3-C10)-heterocyclyl-,
(C3-C10)-heterocyclyl-(C1-C12)aliphatic-,
(C5-C10)-heteroaryl-, or
(C5-C10)-heteroaryl-(C1-C12)-aliphatic-;
wherein up to three aliphatic carbon atoms in Z may be optionally replaced with S, —S(O)—, —S(O)2—, —O—, —N—, or —N(H)—, in a chemically stable arrangement;
wherein any ring may be optionally fused to a (C6-C10)aryl, (C5-C10)heteroaryl, (C3-C10)cycloalkyl, or (C3-C10)heterocyclyl;
wherein Z may be independently and optionally substituted with up to 3 substituents independently selected from J.
12. The compound according to claim 11 , wherein Z, in each of R9′ and R10′ independently, is
(C1-C12)-aliphatic-,
(C3-C10)-cycloalkyl- or -cycloalkenyl-, or
[(C3-C10)-cycloalkyl or -cycloalkenyl]-(C1-C12)-aliphatic-;
wherein up to three aliphatic carbon atoms in Z may be optionally replaced with S, —S(O)—, —S(O)2—, —O—, —N—, or —N(H)—, in a chemically stable arrangement;
wherein Z may be independently and optionally substituted with up to 3 substituents independently selected from J.
13. The compound according to claim 12 , wherein Z, in each of R9′ and R10′ independently, is (C1-C6)-aliphatic-.
14. The compound according to claim 1 , wherein in
R10, and R10′, X and Y are a bond and Z is hydrogen; and in each of R9 and R9′;
X is a bond,
Y is a bond, and
Z is (C1-C6)-aliphatic-,
wherein Z may be independently and optionally substituted with up to 3 substituents independently selected from J.
22. The compound according to claim 1 , wherein R2, R4, and R7 are each independently H, methyl, ethyl, or propyl.
23. The compound according to claim 22 , wherein R2, R4, and R7 are each hydrogen.
29. The compound according to claim 18 , wherein R1 is isopropyl or cyclohexyl.
31. The compound according to claim 30 , wherein in the
radical;
R6′ and R7 are both hydrogen;
R6 is:
(C1-C12)-aliphatic-;
(C6-C10)-aryl-,
(C6-C10)-aryl-(C1-C12)aliphatic-,
(C3-C10)-cycloalkyl or -cycloalkenyl-,
[(C3-C10)-cycloalkyl or -cycloalkenyl]-(C1-C12)-aliphatic-,
(C3-C10)-heterocyclyl-,
(C3-C10)-heterocyclyl-(C1-C12)-aliphatic-,
(C5-C10)-heteroaryl-, or
(C5-C10)-heteroaryl-(C1-C12)-aliphatic-;
wherein up to 3 aliphatic carbon atoms in R6 may be optionally replaced by S, —S(O)—, —S(O)2—, —O—, —N—, or —N(H)—,in a chemically stable arrangement; and
wherein R6 may be optionally substituted with up to 3 substituents independently selected from J; and
R12 is as defined in claim 1 .
32. The compound according to claim 31 , wherein;
R6 is:
(C1-C12)-aliphatic-;
(C6-C10)-aryl-(C1-C12)aliphatic-, or
(C3-C10)-cycloalkyl or -cycloalkenyl-;
wherein up to 3 aliphatic carbon atoms in R6 may be optionally replaced by S, —S(O)—, —S(O)2—, —O—, —N—, or —N(H)—, in a chemically stable arrangement;
wherein R6 may be optionally substituted with up to 3 substituents independently selected from J; and R12 is as defined in claim 1 .
35. The compound according to claim 1 , wherein;
V is —C(O)—; and
R is a bond.
36. The compound according to claim 1 , wherein;
V is —C(O)—;
R is a bond; and
T is:
(C3-C10)-heterocyclyl- or (C5-C10)heteroaryl-;
wherein each T is optionally substituted with up to 3 J substituents.
37. The compound according to claim 36 , wherein T is (C5-C6)heterocyclyl- or (C5-C6)heteroaryl-;
wherein each T is optionally substituted with up to 3 J substituents.
41. A pharmaceutical composition comprising a compound according to claim 1 or a pharmaceutically acceptable salt or mixtures thereof in an amount effective to inhibit a serine protease; and a acceptable carrier, adjuvant or vehicle.
42. The composition according to claim 41 , wherein said composition is formulated for administration to a patient.
43. The composition according to claim 42 , wherein said composition comprises an additional agent selected from an immunomodulatory agent; an antiviral agent; a second inhibitor of HCV protease; an inhibitor of another target in the HCV life cycle; and a cytochrome P-450 inhibitor; or combinations thereof.
44. The composition according to claim 41 , wherein said immunomodulatory agent is α-, β-, or γ-interferon or thymosin; said antiviral agent is ribavirin, amantadine, or telbivudine; or said inhibitor of another target in the HCV life cycle is an inhibitor of HCV helicase, polymerase, or metalloprotease.
45. The composition according to claim 43 , wherein said cytochrome P-450 inhibitor is ritonavir.
46. A method of inhibiting the activity of a serine protease comprising the step of contacting said serine protease with a compound according to claim 1 .
47. The method according to claim 46 , wherein said serine protease is an HCV NS3 protease.
48. A method of treating an HCV infection in a patient comprising the step of administering to said patient a composition according to claim 42 .
49. The method according to claim 48 , comprising the additional step of administering to said patient an additional agent selected from an immunomodulatory agent; an antiviral agent; a second inhibitor of HCV protease; an inhibitor of another target in the HCV life cycle; or combinations thereof; wherein said additional agent is administered to said patient as part of said composition according to claim 42 or as a separate dosage form.
50. The method according to claim 49 , wherein said immunomodulatory agent is α-, β-, or γ-interferon or thymosin; said antiviral agent is ribavarin or amantadine; or said inhibitor of another target in the HCV life cycle is an inhibitor of HCV helicase, polymerase, or metalloprotease.
51. A method of eliminating or reducing HCV contamination of a biological sample or medical or laboratory equipment, comprising the step of contacting said biological sample or medical or laboratory equipment with a composition according to claim 41 .
52. The method according to claim 51 , wherein said sample or equipment is selected from blood, other body fluids, biological tissue, a surgical instrument, a surgical garment, a laboratory instrument, a laboratory garment, a blood or other body fluid collection apparatus; a blood or other body fluid storage material.
53. The method according to claim 52 , wherein said body fluid is blood.
Priority Applications (3)
| Application Number | Priority Date | Filing Date | Title |
|---|---|---|---|
| US10/821,793 US20050090450A1 (en) | 2003-04-11 | 2004-04-09 | Inhibitors of serine proteases, particularly HCV NS3-NS4A protease |
| US12/169,209 US20090022688A1 (en) | 2003-04-11 | 2008-07-08 | Inhibitors of serine protease, particularly hcv ns3-ns4a protease |
| US13/238,386 US8618152B2 (en) | 2003-04-11 | 2011-09-21 | Inhibitors of serine proteases, particularly HCV NS3-NS4A proteases |
Applications Claiming Priority (3)
| Application Number | Priority Date | Filing Date | Title |
|---|---|---|---|
| US10/412,600 US7273885B2 (en) | 2002-04-11 | 2003-04-11 | Inhibitors of serine proteases, particularly HCV NS3-NS4A protease |
| US51376503P | 2003-10-23 | 2003-10-23 | |
| US10/821,793 US20050090450A1 (en) | 2003-04-11 | 2004-04-09 | Inhibitors of serine proteases, particularly HCV NS3-NS4A protease |
Related Child Applications (1)
| Application Number | Title | Priority Date | Filing Date |
|---|---|---|---|
| US12/169,209 Continuation US20090022688A1 (en) | 2003-04-11 | 2008-07-08 | Inhibitors of serine protease, particularly hcv ns3-ns4a protease |
Publications (1)
| Publication Number | Publication Date |
|---|---|
| US20050090450A1 true US20050090450A1 (en) | 2005-04-28 |
Family
ID=33302781
Family Applications (3)
| Application Number | Title | Priority Date | Filing Date |
|---|---|---|---|
| US10/821,793 Abandoned US20050090450A1 (en) | 2003-04-11 | 2004-04-09 | Inhibitors of serine proteases, particularly HCV NS3-NS4A protease |
| US12/169,209 Abandoned US20090022688A1 (en) | 2003-04-11 | 2008-07-08 | Inhibitors of serine protease, particularly hcv ns3-ns4a protease |
| US13/238,386 Expired - Fee Related US8618152B2 (en) | 2003-04-11 | 2011-09-21 | Inhibitors of serine proteases, particularly HCV NS3-NS4A proteases |
Family Applications After (2)
| Application Number | Title | Priority Date | Filing Date |
|---|---|---|---|
| US12/169,209 Abandoned US20090022688A1 (en) | 2003-04-11 | 2008-07-08 | Inhibitors of serine protease, particularly hcv ns3-ns4a protease |
| US13/238,386 Expired - Fee Related US8618152B2 (en) | 2003-04-11 | 2011-09-21 | Inhibitors of serine proteases, particularly HCV NS3-NS4A proteases |
Country Status (10)
| Country | Link |
|---|---|
| US (3) | US20050090450A1 (en) |
| EP (2) | EP1636208B1 (en) |
| JP (2) | JP2006526011A (en) |
| CN (1) | CN100453553C (en) |
| AR (1) | AR044513A1 (en) |
| AT (1) | ATE547412T1 (en) |
| AU (1) | AU2004230946A1 (en) |
| CA (1) | CA2521678A1 (en) |
| ES (1) | ES2381548T3 (en) |
| WO (1) | WO2004092162A1 (en) |
Cited By (35)
| Publication number | Priority date | Publication date | Assignee | Title |
|---|---|---|---|---|
| US20030236242A1 (en) * | 2000-04-03 | 2003-12-25 | Robert Perni | Inhibitors of serine proteases, particularly hepatitis C virus NS3 protease |
| US20050080017A1 (en) * | 2003-10-10 | 2005-04-14 | Cottrell Kevin M. | Inhibitors of serine proteases, particularly HVC NS3-NS4A protease |
| US20050137139A1 (en) * | 2003-09-05 | 2005-06-23 | Perni Robert B. | Inhibitors of serine proteases, particularly HCV NS3-NS4A protease |
| US20050197299A1 (en) * | 2000-08-31 | 2005-09-08 | Babine Robert E. | Peptidomimetic protease inhibitors |
| US20050215486A1 (en) * | 2004-02-04 | 2005-09-29 | Kevin Cottrell | Inhibitors of serine proteases, particularly HCV NS3-NS4A protease |
| US20060211629A1 (en) * | 2003-07-18 | 2006-09-21 | Britt Shawn D | Inhibitors of serine proteases, particularly HCV NS3-NS4A protease |
| US20070161789A1 (en) * | 2003-10-10 | 2007-07-12 | Cottrell Kevin M | Inhibitors of serine proteases, particularly HCV NS3-NS4A protease |
| US20070179167A1 (en) * | 2005-08-26 | 2007-08-02 | Cottrell Kevin M | Inhibitors of serine proteases |
| US20070231262A1 (en) * | 2005-11-11 | 2007-10-04 | Vertex Pharmaceuticals, Incorporated | Hepatitis C virus variants |
| WO2009003009A1 (en) * | 2007-06-26 | 2008-12-31 | Enanta Pharmaceuticals, Inc. | Substituted pyrrolidine as anti-infectives |
| US20090022689A1 (en) * | 2007-07-18 | 2009-01-22 | Yat Sun Or | C4-spiro-pyrrolidine antivirals |
| US20090060874A1 (en) * | 2007-09-05 | 2009-03-05 | Yao-Ling Qiu | Bicyclic pyrrolidine derivatives |
| US20090143312A1 (en) * | 1996-10-18 | 2009-06-04 | Vertex Pharmaceuticals Incorporated | Inhibitors of serine proteases, particularly hepatitis c virus ns3 protease |
| WO2009099596A2 (en) | 2008-02-04 | 2009-08-13 | Idenix Pharamaceuticals, Inc. | Macrocyclic serine protease inhibitors |
| US20090233972A1 (en) * | 2008-03-12 | 2009-09-17 | Yat Sun Or | Substituted heterocycles as anti-infectives |
| US20090326019A1 (en) * | 2008-06-11 | 2009-12-31 | Yat Sun Or | 3,4-bicyclic pyrrolidine antivirals |
| US20090324544A1 (en) * | 2008-06-11 | 2009-12-31 | Yao-Ling Qiu | Substituted cyclic pyrrolidine derivatives |
| US20100074863A1 (en) * | 2008-09-17 | 2010-03-25 | Yat Sun Or | Anti-infective pyrrolidine derivatives and analogs |
| US20100195379A1 (en) * | 2009-02-02 | 2010-08-05 | Qualcomm Incorporated | System and Method of Pulse Generation |
| WO2010101967A2 (en) | 2009-03-04 | 2010-09-10 | Idenix Pharmaceuticals, Inc. | Phosphothiophene and phosphothiazole hcv polymerase inhibitors |
| US20100272681A1 (en) * | 2007-02-27 | 2010-10-28 | Vertex Pharmaceuticals Incorporated | Inhibitors of Serine Proteases |
| WO2011017389A1 (en) | 2009-08-05 | 2011-02-10 | Idenix Pharmaceuticals, Inc. | Macrocyclic serine protease inhibitors useful against viral infections, particularly hcv |
| WO2011063076A1 (en) | 2009-11-19 | 2011-05-26 | Itherx Pharmaceuticals, Inc. | Methods of treating hepatitis c virus with oxoacetamide compounds |
| US7964624B1 (en) | 2005-08-26 | 2011-06-21 | Vertex Pharmaceuticals Incorporated | Inhibitors of serine proteases |
| WO2011075615A1 (en) | 2009-12-18 | 2011-06-23 | Idenix Pharmaceuticals, Inc. | 5,5-fused arylene or heteroarylene hepatitis c virus inhibitors |
| US20110171175A1 (en) * | 2005-08-02 | 2011-07-14 | Vertex Pharmaceuticals Incorporated | Inhibitors of serine proteases |
| EP2392589A2 (en) | 2005-11-11 | 2011-12-07 | Vertex Pharmaceuticals Incorporated | Hepatitis C virus variants |
| WO2012109398A1 (en) | 2011-02-10 | 2012-08-16 | Idenix Pharmaceuticals, Inc. | Macrocyclic serine protease inhibitors, pharmaceutical compositions thereof, and their use for treating hcv infections |
| US8247532B2 (en) | 2006-03-16 | 2012-08-21 | Vertex Pharmaceuticals Incorporated | Deuterated hepatitis C protease inhibitors |
| WO2012135581A1 (en) | 2011-03-31 | 2012-10-04 | Idenix Pharmaceuticals, Inc. | Methods for treating drug-resistant hepatitis c virus infection with a 5,5-fused arylene or heteroarylene hepatitis c virus inhibitor |
| US8377962B2 (en) | 2009-04-08 | 2013-02-19 | Idenix Pharmaceuticals, Inc. | Macrocyclic serine protease inhibitors |
| US8871904B2 (en) | 2005-08-19 | 2014-10-28 | Vertex Pharmaceuticals Incorporated | Processes and intermediates |
| WO2015042375A1 (en) | 2013-09-20 | 2015-03-26 | Idenix Pharmaceuticals, Inc. | Hepatitis c virus inhibitors |
| WO2015134560A1 (en) | 2014-03-05 | 2015-09-11 | Idenix Pharmaceuticals, Inc. | Solid forms of a flaviviridae virus inhibitor compound and salts thereof |
| WO2015134561A1 (en) | 2014-03-05 | 2015-09-11 | Idenix Pharmaceuticals, Inc. | Pharmaceutical compositions comprising a 5,5-fused heteroarylene flaviviridae inhibitor and their use for treating or preventing flaviviridae infection |
Families Citing this family (45)
| Publication number | Priority date | Publication date | Assignee | Title |
|---|---|---|---|---|
| MXPA04009938A (en) * | 2002-04-11 | 2004-12-13 | Vertex Pharma | Inhibitors of serine proteases, particularly hepatitis c virus ns3 - ns4 protease. |
| AU2004274468B2 (en) | 2003-09-18 | 2009-07-23 | Vertex Pharmaceuticals, Incorporated | Inhibitors of serine proteases, particularly HCV NS3-NS4A protease |
| ES2415742T3 (en) | 2005-05-13 | 2013-07-26 | Vertex Pharmaceuticals (Canada) Incorporated | Compounds and procedures for the treatment or prevention of flavivirus infections |
| US7456165B2 (en) * | 2006-02-08 | 2008-11-25 | Bristol-Myers Squibb Company | HCV NS5B inhibitors |
| CN101489557B (en) | 2006-02-27 | 2013-12-18 | 弗特克斯药品有限公司 | Co-crystals comprising vx-950 and pharmaceutical compositions comprising the same |
| CA2647158C (en) * | 2006-03-23 | 2012-07-31 | Schering Corporation | Combinations of hcv protease inhibitor(s) and cyp3a4 inhibitor(s), and methods of treatment related thereto |
| AP2579A (en) | 2006-11-15 | 2013-01-29 | Virochem Pharma Inc | Thiophene analogues for the treatment or prevention of flavivirus infections |
| WO2008106151A2 (en) * | 2007-02-27 | 2008-09-04 | Vertex Pharmaceuticals Incorporated | Co-crystals and pharmaceutical compositions comprising the same |
| CA2704284A1 (en) | 2007-08-30 | 2009-03-12 | Vertex Pharmaceuticals Incorporated | Co-crystals and pharmaceutical compositions comprising the same |
| US8980920B2 (en) | 2009-05-29 | 2015-03-17 | Merck Sharp & Dohme Corp. | Antiviral compounds of three linked aryl moieties to treat diseases such as hepatitis C |
| JP5702388B2 (en) | 2009-09-15 | 2015-04-15 | タイゲン バイオテクノロジー カンパニー,リミテッド | HCV protease inhibitor |
| CA2781614A1 (en) | 2009-11-25 | 2011-06-09 | Vertex Pharmaceuticals Incorporated | 5-alkynyl-thiophene-2-carboxylic acid derivatives and their use for the treatment or prevention of flavivirus infections |
| US20120276047A1 (en) | 2009-11-25 | 2012-11-01 | Rosenblum Stuart B | Fused tricyclic compounds and derivatives thereof useful for the treatment of viral diseases |
| WO2011087740A1 (en) | 2009-12-22 | 2011-07-21 | Schering Corporation | Fused tricyclic compounds and methods of use thereof for the treatment of viral diseases |
| WO2011079327A1 (en) | 2009-12-24 | 2011-06-30 | Vertex Pharmaceuticals Incorporated | Analogues for the treatment or prevention of flavivirus infections |
| EP2545060B1 (en) | 2010-03-09 | 2015-11-25 | Merck Sharp & Dohme Corp. | Fused tricyclic silyl compounds and methods of use thereof for the treatment of viral diseases |
| EP2550262A1 (en) | 2010-03-24 | 2013-01-30 | Vertex Pharmaceuticals Incorporated | Analogues for the treatment or prevention of flavivirus infections |
| MX2012010919A (en) | 2010-03-24 | 2013-02-01 | Vertex Pharma | Analogues for the treatment or prevention of flavivirus infections. |
| WO2011119860A1 (en) | 2010-03-24 | 2011-09-29 | Vertex Pharmaceuticals Incorporated | Analogues for the treatment or prevention of flavivirus infections |
| CA2794145A1 (en) | 2010-03-24 | 2011-09-29 | Vertex Pharmaceuticals Incorporated | Analogues for the treatment or prevention of flavivirus infections |
| WO2011156545A1 (en) | 2010-06-09 | 2011-12-15 | Vertex Pharmaceuticals Incorporated | Viral dynamic model for hcv combination therapy |
| US20130157258A1 (en) | 2010-06-15 | 2013-06-20 | Vertex Pharmaceuticals Incorporated | Hcv ns5b protease mutants |
| EP2585448A1 (en) | 2010-06-28 | 2013-05-01 | Vertex Pharmaceuticals Incorporated | Compounds and methods for the treatment or prevention of flavivirus infections |
| WO2012006070A1 (en) | 2010-06-28 | 2012-01-12 | Vertex Pharmaceuticals Incorporated | Compounds and methods for the treatment or prevention of flavivirus infections |
| EP2585447A2 (en) | 2010-06-28 | 2013-05-01 | Vertex Pharmaceuticals Incorporated | Compounds and methods for the treatment or prevention of flavivirus infections |
| EP2598149A4 (en) | 2010-07-26 | 2014-09-10 | Merck Sharp & Dohme | SUBSTITUTED BIPHENYLENE COMPOUNDS AND METHODS OF USING SAID COMPOUNDS FOR TREATING VIRAL DISEASES |
| CN103153978A (en) | 2010-08-17 | 2013-06-12 | 沃泰克斯药物股份有限公司 | Compounds and methods for the treatment or prevention of flaviviridae viral infections |
| JP2013540122A (en) | 2010-09-29 | 2013-10-31 | メルク・シャープ・エンド・ドーム・コーポレイション | Fused tetracyclic compound derivatives and methods of use thereof for the treatment of viral diseases |
| EP2697242B1 (en) | 2011-04-13 | 2018-10-03 | Merck Sharp & Dohme Corp. | 2'-azido substituted nucleoside derivatives and methods of use thereof for the treatment of viral diseases |
| EP2696681B1 (en) | 2011-04-13 | 2018-10-03 | Merck Sharp & Dohme Corp. | 2'-substituted nucleoside derivatives and methods of use thereof for the treatment of viral diseases |
| WO2013016499A1 (en) | 2011-07-26 | 2013-01-31 | Vertex Pharmaceuticals Incorporated | Methods for preparation of thiophene compounds |
| AR087345A1 (en) | 2011-07-26 | 2014-03-19 | Vertex Pharma | METHODS FOR THE PREPARATION OF THIOPHENE COMPOUNDS |
| WO2013033901A1 (en) | 2011-09-08 | 2013-03-14 | Merck Sharp & Dohme Corp. | Heterocyclic-substituted benzofuran derivatives and methods of use thereof for the treatment of viral diseases |
| WO2013033900A1 (en) | 2011-09-08 | 2013-03-14 | Merck Sharp & Dohme Corp. | Tetracyclic heterocycle compounds and methods of use thereof for the treatment of viral diseases |
| WO2013033899A1 (en) | 2011-09-08 | 2013-03-14 | Merck Sharp & Dohme Corp. | Substituted benzofuran compounds and methods of use thereof for the treatment of viral diseases |
| WO2013039876A1 (en) | 2011-09-14 | 2013-03-21 | Merck Sharp & Dohme Corp. | Silyl-containing heterocyclic compounds and methods of use thereof for the treatment of viral diseases |
| US20130123276A1 (en) | 2011-11-14 | 2013-05-16 | Sven Ruf | Use of telaprevir and related compounds in atherosclerosis, heart failure, renal diseases, liver diseases or inflammatory diseases |
| HK1203356A1 (en) | 2012-03-22 | 2015-10-30 | 艾丽奥斯生物制药有限公司 | Pharmaceutical combinations comprising a thionucleotide analog |
| KR102161077B1 (en) * | 2012-06-29 | 2020-09-29 | 가부시키가이샤 한도오따이 에네루기 켄큐쇼 | Semiconductor device |
| WO2014053533A1 (en) | 2012-10-05 | 2014-04-10 | Sanofi | Use of substituted 3-heteroaroylamino-propionic acid derivatives as pharmaceuticals for prevention/treatment of atrial fibrillation |
| TW201526899A (en) | 2013-02-28 | 2015-07-16 | Alios Biopharma Inc | Pharmaceutical compositions |
| WO2015065817A1 (en) | 2013-10-30 | 2015-05-07 | Merck Sharp & Dohme Corp. | Pseudopolymorphs of an hcv ns5a inhibitor and uses thereof |
| JP7164521B2 (en) | 2016-06-21 | 2022-11-01 | オリオン・オフサルモロジー・エルエルシー | carbocyclic prolinamide derivatives |
| DK3472149T3 (en) | 2016-06-21 | 2023-11-27 | Orion Ophthalmology LLC | HETEROCYCLIC PROLINE MID DERIVATIVES |
| US12083099B2 (en) | 2020-10-28 | 2024-09-10 | Accencio LLC | Methods of treating symptoms of coronavirus infection with viral protease inhibitors |
Citations (5)
| Publication number | Priority date | Publication date | Assignee | Title |
|---|---|---|---|---|
| US534410A (en) * | 1895-02-19 | Sylvania | ||
| US4499082A (en) * | 1983-12-05 | 1985-02-12 | E. I. Du Pont De Nemours And Company | α-Aminoboronic acid peptides |
| US5866684A (en) * | 1996-11-18 | 1999-02-02 | Hoffmann-La Roche Inc. | Peptidyl inhibitors of viral proteases |
| US20020123468A1 (en) * | 1999-12-03 | 2002-09-05 | Wei Han | Alpha-ketoamide inhibitors of hepatitis C virus NS3 protease |
| US20040077600A1 (en) * | 1998-03-31 | 2004-04-22 | Tung Roger D. | Inhibitors of serine proteases, particularly hepatitis C virus NS3 protease |
Family Cites Families (14)
| Publication number | Priority date | Publication date | Assignee | Title |
|---|---|---|---|---|
| NZ235155A (en) * | 1989-09-11 | 1993-04-28 | Merrell Dow Pharma | Peptidase substrates in which the carboxy terminal group has been replaced by a tricarbonyl radical |
| CA2098702A1 (en) * | 1990-12-28 | 1992-06-29 | James C. Powers | Peptide ketoamides, ketoacids, and ketoesters |
| US5384410A (en) | 1993-03-24 | 1995-01-24 | The Du Pont Merck Pharmaceutical Company | Removal of boronic acid protecting groups by transesterification |
| US5807876A (en) | 1996-04-23 | 1998-09-15 | Vertex Pharmaceuticals Incorporated | Inhibitors of IMPDH enzyme |
| UA66767C2 (en) * | 1996-10-18 | 2004-06-15 | Вертекс Фармасьютикалс Інкорпорейтед | Serine proteases inhibitors, pharmaceutical composition, a method for inhibitining activity and a method for treatment or prevention of viral infection of hepatitis c |
| GB9707659D0 (en) * | 1997-04-16 | 1997-06-04 | Peptide Therapeutics Ltd | Hepatitis C NS3 Protease inhibitors |
| ES2405316T3 (en) | 1999-03-19 | 2013-05-30 | Vertex Pharmaceuticals Incorporated | IMPDH enzyme inhibitors |
| AU5788800A (en) * | 1999-07-07 | 2001-01-22 | Du Pont Pharmaceuticals Company | Peptide boronic acid inhibitors of hepatitis c virus protease |
| ES2240446T3 (en) * | 2000-04-03 | 2005-10-16 | Vertex Pharma | SERINE PROTEASE INHIBITORS, PARTICULARLY THE NS3 PROTEASE OF HEPATITIS VIRUS C. |
| AR029851A1 (en) * | 2000-07-21 | 2003-07-16 | Dendreon Corp | NEW PEPTIDES AS INHIBITORS OF NS3-SERINA PROTEASA DEL VIRUS DE HEPATITIS C |
| CN102206247B (en) * | 2000-07-21 | 2013-03-27 | 默沙东公司 | Novel peptides as NS3/NS4a serine protease inhibitors of hepatitis C virus |
| JP2004504407A (en) * | 2000-07-21 | 2004-02-12 | コルバス・インターナショナル・インコーポレイテッド | Novel peptide as NS3-serine protease inhibitor of hepatitis C virus |
| SV2003000617A (en) * | 2000-08-31 | 2003-01-13 | Lilly Co Eli | INHIBITORS OF PROTEASA PEPTIDOMIMETICA REF. X-14912M |
| MXPA04009938A (en) * | 2002-04-11 | 2004-12-13 | Vertex Pharma | Inhibitors of serine proteases, particularly hepatitis c virus ns3 - ns4 protease. |
-
2004
- 2004-04-09 US US10/821,793 patent/US20050090450A1/en not_active Abandoned
- 2004-04-09 AT AT04759362T patent/ATE547412T1/en active
- 2004-04-09 AU AU2004230946A patent/AU2004230946A1/en not_active Abandoned
- 2004-04-09 ES ES04759362T patent/ES2381548T3/en not_active Expired - Lifetime
- 2004-04-09 CN CNB2004800140478A patent/CN100453553C/en not_active Expired - Fee Related
- 2004-04-09 WO PCT/US2004/011012 patent/WO2004092162A1/en not_active Ceased
- 2004-04-09 JP JP2006509873A patent/JP2006526011A/en active Pending
- 2004-04-09 CA CA002521678A patent/CA2521678A1/en not_active Abandoned
- 2004-04-09 EP EP04759362A patent/EP1636208B1/en not_active Expired - Lifetime
- 2004-04-09 EP EP10178023A patent/EP2332935A1/en not_active Withdrawn
- 2004-04-12 AR ARP040101227A patent/AR044513A1/en unknown
-
2008
- 2008-07-08 US US12/169,209 patent/US20090022688A1/en not_active Abandoned
-
2010
- 2010-10-29 JP JP2010243570A patent/JP2011068655A/en active Pending
-
2011
- 2011-09-21 US US13/238,386 patent/US8618152B2/en not_active Expired - Fee Related
Patent Citations (5)
| Publication number | Priority date | Publication date | Assignee | Title |
|---|---|---|---|---|
| US534410A (en) * | 1895-02-19 | Sylvania | ||
| US4499082A (en) * | 1983-12-05 | 1985-02-12 | E. I. Du Pont De Nemours And Company | α-Aminoboronic acid peptides |
| US5866684A (en) * | 1996-11-18 | 1999-02-02 | Hoffmann-La Roche Inc. | Peptidyl inhibitors of viral proteases |
| US20040077600A1 (en) * | 1998-03-31 | 2004-04-22 | Tung Roger D. | Inhibitors of serine proteases, particularly hepatitis C virus NS3 protease |
| US20020123468A1 (en) * | 1999-12-03 | 2002-09-05 | Wei Han | Alpha-ketoamide inhibitors of hepatitis C virus NS3 protease |
Cited By (71)
| Publication number | Priority date | Publication date | Assignee | Title |
|---|---|---|---|---|
| US20090143312A1 (en) * | 1996-10-18 | 2009-06-04 | Vertex Pharmaceuticals Incorporated | Inhibitors of serine proteases, particularly hepatitis c virus ns3 protease |
| US8314141B2 (en) | 1996-10-18 | 2012-11-20 | Vertex Pharmaceuticals Incorporated | Inhibitors of serine proteases, particularly hepatitis C virus NS3 protease |
| US20030236242A1 (en) * | 2000-04-03 | 2003-12-25 | Robert Perni | Inhibitors of serine proteases, particularly hepatitis C virus NS3 protease |
| US7494988B2 (en) | 2000-04-03 | 2009-02-24 | Vertex Pharmaceuticals Incorporated | Inhibitors of serine proteases, particularly hepatitis C virus NS3 protease |
| US8252923B2 (en) | 2000-08-31 | 2012-08-28 | Vertex Pharmaceuticals Incorporated | Peptidomimetic protease inhibitors |
| US20100137583A1 (en) * | 2000-08-31 | 2010-06-03 | Robert Edward Babine | Peptidomimetic protease inhibitors |
| US8529882B2 (en) | 2000-08-31 | 2013-09-10 | Vertex Pharmaceuticals Incorporated | Peptidomimetic protease inhibitors |
| US20050197299A1 (en) * | 2000-08-31 | 2005-09-08 | Babine Robert E. | Peptidomimetic protease inhibitors |
| US7820671B2 (en) | 2000-08-31 | 2010-10-26 | Vertex Pharmaceuticals Incorporated | Peptidomimetic protease inhibitors |
| US20060211629A1 (en) * | 2003-07-18 | 2006-09-21 | Britt Shawn D | Inhibitors of serine proteases, particularly HCV NS3-NS4A protease |
| US8691758B2 (en) | 2003-07-18 | 2014-04-08 | Vertex Pharmaceuticals Incorporated | Inhibitors of serine proteases, particularly HCV NS3-NS4A protease |
| US8217048B2 (en) | 2003-09-05 | 2012-07-10 | Vertex Pharmaceuticals Incorporated | Inhibitors of serine proteases, particularly HCV NS3-NS4A protease |
| US7378422B2 (en) * | 2003-09-05 | 2008-05-27 | Vertex Pharmaceuticals Incorporated | Inhibitors of serine proteases, particularly HCV NS3-NS4A protease |
| US20080311079A1 (en) * | 2003-09-05 | 2008-12-18 | Vertex Pharmaceuticals Incorporated | Inhibitors of serine proteases, particularly HCV NS3-NS4A protease |
| US20050137139A1 (en) * | 2003-09-05 | 2005-06-23 | Perni Robert B. | Inhibitors of serine proteases, particularly HCV NS3-NS4A protease |
| US20110104115A1 (en) * | 2003-09-05 | 2011-05-05 | Vertex Pharmaceuticals Incoroprated | Inhibitors of serine proteases, particularly hcv ns3-ns4a protease |
| US7745444B2 (en) | 2003-09-05 | 2010-06-29 | Vertex Pharmaceuticals Incorporated | Inhibitors of serine proteases, particularly HCV NS3-NS4A protease |
| US20070161789A1 (en) * | 2003-10-10 | 2007-07-12 | Cottrell Kevin M | Inhibitors of serine proteases, particularly HCV NS3-NS4A protease |
| US7365092B2 (en) | 2003-10-10 | 2008-04-29 | Vertex Pharmaceuticals Incorporated | Inhibitors of serine proteases, particularly HCV NS3-NS4A protease |
| US8039623B2 (en) | 2003-10-10 | 2011-10-18 | Vertex Pharmaceuticals Incorporated | Inhibitors of serine proteases, particularly HCV NS3-NS4A protease |
| US20050080017A1 (en) * | 2003-10-10 | 2005-04-14 | Cottrell Kevin M. | Inhibitors of serine proteases, particularly HVC NS3-NS4A protease |
| US8536136B2 (en) | 2004-02-04 | 2013-09-17 | Vertex Pharmaceuticals Incorporated | Inhibitors of serine proteases, particularly HCV NS3-NS4A protease |
| US20100330109A1 (en) * | 2004-02-04 | 2010-12-30 | Vertex Pharmaceuticals Incorporated | Inhibitors of serine proteases, particularly hcv ns3-ns4a protease |
| US7683033B2 (en) | 2004-02-04 | 2010-03-23 | Vertex Pharmaceuticals Incorporated | Inhibitors of serine proteases, particularly HCV NS3-NS4A protease |
| US20050215486A1 (en) * | 2004-02-04 | 2005-09-29 | Kevin Cottrell | Inhibitors of serine proteases, particularly HCV NS3-NS4A protease |
| US20110171175A1 (en) * | 2005-08-02 | 2011-07-14 | Vertex Pharmaceuticals Incorporated | Inhibitors of serine proteases |
| US8871904B2 (en) | 2005-08-19 | 2014-10-28 | Vertex Pharmaceuticals Incorporated | Processes and intermediates |
| US8372873B2 (en) | 2005-08-26 | 2013-02-12 | Vertex Pharmaceuticals Incorporated | Inhibitors of serine proteases |
| US20110165120A1 (en) * | 2005-08-26 | 2011-07-07 | Vertex Pharmaceuticals Incorporated | Inhibitors of serine proteases |
| EP2364984A1 (en) | 2005-08-26 | 2011-09-14 | Vertex Pharmaceuticals Incorporated | Inhibitors of serine proteases |
| EP2366704A1 (en) | 2005-08-26 | 2011-09-21 | Vertex Pharmaceuticals Incorporated | Inhibitors of serine proteases |
| US8440706B2 (en) | 2005-08-26 | 2013-05-14 | Vertex Pharmaceuticals Incorporated | Inhibitors of serine proteases |
| US20110182856A1 (en) * | 2005-08-26 | 2011-07-28 | Vertex Pharmaceuticals Incorporated | Inhibitors of serine proteases |
| US7985762B2 (en) | 2005-08-26 | 2011-07-26 | Vertex Pharmaceuticals Incorporated | Inhibitors of serine proteases |
| US20070179167A1 (en) * | 2005-08-26 | 2007-08-02 | Cottrell Kevin M | Inhibitors of serine proteases |
| US7964624B1 (en) | 2005-08-26 | 2011-06-21 | Vertex Pharmaceuticals Incorporated | Inhibitors of serine proteases |
| US20070231262A1 (en) * | 2005-11-11 | 2007-10-04 | Vertex Pharmaceuticals, Incorporated | Hepatitis C virus variants |
| US7705138B2 (en) | 2005-11-11 | 2010-04-27 | Vertex Pharmaceuticals Incorporated | Hepatitis C virus variants |
| EP2392589A2 (en) | 2005-11-11 | 2011-12-07 | Vertex Pharmaceuticals Incorporated | Hepatitis C virus variants |
| US8501450B2 (en) | 2005-11-11 | 2013-08-06 | Vertex Pharmaceuticals Incorporated | Hepatitis C virus variants |
| EP2392590A2 (en) | 2005-11-11 | 2011-12-07 | Vertex Pharmaceuticals Incorporated | Hepatitis C virus variants |
| EP2392588A2 (en) | 2005-11-11 | 2011-12-07 | Vertex Pharmaceuticals Incorporated | Hepatitis C virus variants |
| US8247532B2 (en) | 2006-03-16 | 2012-08-21 | Vertex Pharmaceuticals Incorporated | Deuterated hepatitis C protease inhibitors |
| US8575208B2 (en) | 2007-02-27 | 2013-11-05 | Vertex Pharmaceuticals Incorporated | Inhibitors of serine proteases |
| US20100272681A1 (en) * | 2007-02-27 | 2010-10-28 | Vertex Pharmaceuticals Incorporated | Inhibitors of Serine Proteases |
| EP2631238A1 (en) | 2007-02-27 | 2013-08-28 | Vertex Pharmaceuticals Incorporated | Spirocyclic inhibitors of serine proteases for the treatment of hcv infections |
| WO2009003009A1 (en) * | 2007-06-26 | 2008-12-31 | Enanta Pharmaceuticals, Inc. | Substituted pyrrolidine as anti-infectives |
| US20090022689A1 (en) * | 2007-07-18 | 2009-01-22 | Yat Sun Or | C4-spiro-pyrrolidine antivirals |
| US20090060874A1 (en) * | 2007-09-05 | 2009-03-05 | Yao-Ling Qiu | Bicyclic pyrrolidine derivatives |
| US20100016578A1 (en) * | 2008-02-04 | 2010-01-21 | Idenix Pharmaceuticals, Inc. | Macrocyclic serine protease inhibitors |
| US8093379B2 (en) | 2008-02-04 | 2012-01-10 | Idenix Pharmaceuticals, Inc. | Macrocyclic serine protease inhibitors |
| WO2009099596A2 (en) | 2008-02-04 | 2009-08-13 | Idenix Pharamaceuticals, Inc. | Macrocyclic serine protease inhibitors |
| US8003659B2 (en) | 2008-02-04 | 2011-08-23 | Indenix Pharmaceuticals, Inc. | Macrocyclic serine protease inhibitors |
| US20090233972A1 (en) * | 2008-03-12 | 2009-09-17 | Yat Sun Or | Substituted heterocycles as anti-infectives |
| US20090326019A1 (en) * | 2008-06-11 | 2009-12-31 | Yat Sun Or | 3,4-bicyclic pyrrolidine antivirals |
| US20090324544A1 (en) * | 2008-06-11 | 2009-12-31 | Yao-Ling Qiu | Substituted cyclic pyrrolidine derivatives |
| US20100074863A1 (en) * | 2008-09-17 | 2010-03-25 | Yat Sun Or | Anti-infective pyrrolidine derivatives and analogs |
| US20100195379A1 (en) * | 2009-02-02 | 2010-08-05 | Qualcomm Incorporated | System and Method of Pulse Generation |
| WO2010101967A2 (en) | 2009-03-04 | 2010-09-10 | Idenix Pharmaceuticals, Inc. | Phosphothiophene and phosphothiazole hcv polymerase inhibitors |
| US8377962B2 (en) | 2009-04-08 | 2013-02-19 | Idenix Pharmaceuticals, Inc. | Macrocyclic serine protease inhibitors |
| US8993595B2 (en) | 2009-04-08 | 2015-03-31 | Idenix Pharmaceuticals, Inc. | Macrocyclic serine protease inhibitors |
| US9284307B2 (en) | 2009-08-05 | 2016-03-15 | Idenix Pharmaceuticals Llc | Macrocyclic serine protease inhibitors |
| WO2011017389A1 (en) | 2009-08-05 | 2011-02-10 | Idenix Pharmaceuticals, Inc. | Macrocyclic serine protease inhibitors useful against viral infections, particularly hcv |
| WO2011063076A1 (en) | 2009-11-19 | 2011-05-26 | Itherx Pharmaceuticals, Inc. | Methods of treating hepatitis c virus with oxoacetamide compounds |
| WO2011075615A1 (en) | 2009-12-18 | 2011-06-23 | Idenix Pharmaceuticals, Inc. | 5,5-fused arylene or heteroarylene hepatitis c virus inhibitors |
| WO2012109398A1 (en) | 2011-02-10 | 2012-08-16 | Idenix Pharmaceuticals, Inc. | Macrocyclic serine protease inhibitors, pharmaceutical compositions thereof, and their use for treating hcv infections |
| US9353100B2 (en) | 2011-02-10 | 2016-05-31 | Idenix Pharmaceuticals Llc | Macrocyclic serine protease inhibitors, pharmaceutical compositions thereof, and their use for treating HCV infections |
| WO2012135581A1 (en) | 2011-03-31 | 2012-10-04 | Idenix Pharmaceuticals, Inc. | Methods for treating drug-resistant hepatitis c virus infection with a 5,5-fused arylene or heteroarylene hepatitis c virus inhibitor |
| WO2015042375A1 (en) | 2013-09-20 | 2015-03-26 | Idenix Pharmaceuticals, Inc. | Hepatitis c virus inhibitors |
| WO2015134560A1 (en) | 2014-03-05 | 2015-09-11 | Idenix Pharmaceuticals, Inc. | Solid forms of a flaviviridae virus inhibitor compound and salts thereof |
| WO2015134561A1 (en) | 2014-03-05 | 2015-09-11 | Idenix Pharmaceuticals, Inc. | Pharmaceutical compositions comprising a 5,5-fused heteroarylene flaviviridae inhibitor and their use for treating or preventing flaviviridae infection |
Also Published As
| Publication number | Publication date |
|---|---|
| JP2011068655A (en) | 2011-04-07 |
| WO2004092162A1 (en) | 2004-10-28 |
| EP2332935A1 (en) | 2011-06-15 |
| AR044513A1 (en) | 2005-09-14 |
| JP2006526011A (en) | 2006-11-16 |
| CA2521678A1 (en) | 2004-10-28 |
| ES2381548T3 (en) | 2012-05-29 |
| ATE547412T1 (en) | 2012-03-15 |
| EP1636208B1 (en) | 2012-02-29 |
| US20090022688A1 (en) | 2009-01-22 |
| US20120014914A1 (en) | 2012-01-19 |
| CN100453553C (en) | 2009-01-21 |
| AU2004230946A1 (en) | 2004-10-28 |
| CN1795188A (en) | 2006-06-28 |
| EP1636208A1 (en) | 2006-03-22 |
| US8618152B2 (en) | 2013-12-31 |
| HK1090644A1 (en) | 2006-12-29 |
Similar Documents
| Publication | Publication Date | Title |
|---|---|---|
| US8618152B2 (en) | Inhibitors of serine proteases, particularly HCV NS3-NS4A proteases | |
| US8691758B2 (en) | Inhibitors of serine proteases, particularly HCV NS3-NS4A protease | |
| US7906550B2 (en) | Inhibitors of serine proteases, particularly HCV NS3-NS4A protease | |
| US7273885B2 (en) | Inhibitors of serine proteases, particularly HCV NS3-NS4A protease | |
| US7378422B2 (en) | Inhibitors of serine proteases, particularly HCV NS3-NS4A protease | |
| JP4685775B2 (en) | Inhibitors of serine proteases, especially HCV NS3-NS4A protease | |
| WO2005007681A9 (en) | Inhibitors of serine proteases, particularly hcv ns3-ns4a protease | |
| AU2011203054B2 (en) | Inhibitors of Serine Proteases, Particularly HCV NS3-NS4A Protease | |
| HK1090644B (en) | Inhibitors of serine proteases, particularly hcv ns3-ns4a protease | |
| HK1144824A (en) | Inhibitors of serine proteases, particularly hcv ns3-ns4a protease | |
| HK1098164B (en) | Inhibitors of serine proteases, particularly hcv ns3-ns4a protease |
Legal Events
| Date | Code | Title | Description |
|---|---|---|---|
| AS | Assignment |
Owner name: VERTEX PHARMACEUTICALS, INCORPORATED, MASSACHUSETT Free format text: ASSIGNMENT OF ASSIGNORS INTEREST;ASSIGNORS:FARMER, LUC J.;PERNI, ROBERT B.;BHISETTI, GOVINDA RAO;AND OTHERS;REEL/FRAME:015091/0001;SIGNING DATES FROM 20040628 TO 20040706 |
|
| STCB | Information on status: application discontinuation |
Free format text: ABANDONED -- FAILURE TO RESPOND TO AN OFFICE ACTION |
































































































































































































































