US20040001546A1 - Spatiotemporal prediction for bidirectionally predictive (B) pictures and motion vector prediction for multi-picture reference motion compensation - Google Patents
Spatiotemporal prediction for bidirectionally predictive (B) pictures and motion vector prediction for multi-picture reference motion compensation Download PDFInfo
- Publication number
- US20040001546A1 US20040001546A1 US10/444,511 US44451103A US2004001546A1 US 20040001546 A1 US20040001546 A1 US 20040001546A1 US 44451103 A US44451103 A US 44451103A US 2004001546 A1 US2004001546 A1 US 2004001546A1
- Authority
- US
- United States
- Prior art keywords
- recited
- prediction
- picture
- right arrow
- arrow over
- Prior art date
- Legal status (The legal status is an assumption and is not a legal conclusion. Google has not performed a legal analysis and makes no representation as to the accuracy of the status listed.)
- Abandoned
Links
Images
Classifications
-
- H—ELECTRICITY
- H04—ELECTRIC COMMUNICATION TECHNIQUE
- H04N—PICTORIAL COMMUNICATION, e.g. TELEVISION
- H04N19/00—Methods or arrangements for coding, decoding, compressing or decompressing digital video signals
- H04N19/50—Methods or arrangements for coding, decoding, compressing or decompressing digital video signals using predictive coding
- H04N19/503—Methods or arrangements for coding, decoding, compressing or decompressing digital video signals using predictive coding involving temporal prediction
- H04N19/51—Motion estimation or motion compensation
- H04N19/577—Motion compensation with bidirectional frame interpolation, i.e. using B-pictures
-
- H—ELECTRICITY
- H04—ELECTRIC COMMUNICATION TECHNIQUE
- H04N—PICTORIAL COMMUNICATION, e.g. TELEVISION
- H04N19/00—Methods or arrangements for coding, decoding, compressing or decompressing digital video signals
- H04N19/50—Methods or arrangements for coding, decoding, compressing or decompressing digital video signals using predictive coding
- H04N19/593—Methods or arrangements for coding, decoding, compressing or decompressing digital video signals using predictive coding involving spatial prediction techniques
-
- H—ELECTRICITY
- H04—ELECTRIC COMMUNICATION TECHNIQUE
- H04N—PICTORIAL COMMUNICATION, e.g. TELEVISION
- H04N19/00—Methods or arrangements for coding, decoding, compressing or decompressing digital video signals
- H04N19/10—Methods or arrangements for coding, decoding, compressing or decompressing digital video signals using adaptive coding
- H04N19/102—Methods or arrangements for coding, decoding, compressing or decompressing digital video signals using adaptive coding characterised by the element, parameter or selection affected or controlled by the adaptive coding
-
- H—ELECTRICITY
- H04—ELECTRIC COMMUNICATION TECHNIQUE
- H04N—PICTORIAL COMMUNICATION, e.g. TELEVISION
- H04N19/00—Methods or arrangements for coding, decoding, compressing or decompressing digital video signals
- H04N19/10—Methods or arrangements for coding, decoding, compressing or decompressing digital video signals using adaptive coding
- H04N19/102—Methods or arrangements for coding, decoding, compressing or decompressing digital video signals using adaptive coding characterised by the element, parameter or selection affected or controlled by the adaptive coding
- H04N19/103—Selection of coding mode or of prediction mode
- H04N19/105—Selection of the reference unit for prediction within a chosen coding or prediction mode, e.g. adaptive choice of position and number of pixels used for prediction
-
- H—ELECTRICITY
- H04—ELECTRIC COMMUNICATION TECHNIQUE
- H04N—PICTORIAL COMMUNICATION, e.g. TELEVISION
- H04N19/00—Methods or arrangements for coding, decoding, compressing or decompressing digital video signals
- H04N19/10—Methods or arrangements for coding, decoding, compressing or decompressing digital video signals using adaptive coding
- H04N19/102—Methods or arrangements for coding, decoding, compressing or decompressing digital video signals using adaptive coding characterised by the element, parameter or selection affected or controlled by the adaptive coding
- H04N19/103—Selection of coding mode or of prediction mode
- H04N19/107—Selection of coding mode or of prediction mode between spatial and temporal predictive coding, e.g. picture refresh
-
- H—ELECTRICITY
- H04—ELECTRIC COMMUNICATION TECHNIQUE
- H04N—PICTORIAL COMMUNICATION, e.g. TELEVISION
- H04N19/00—Methods or arrangements for coding, decoding, compressing or decompressing digital video signals
- H04N19/10—Methods or arrangements for coding, decoding, compressing or decompressing digital video signals using adaptive coding
- H04N19/134—Methods or arrangements for coding, decoding, compressing or decompressing digital video signals using adaptive coding characterised by the element, parameter or criterion affecting or controlling the adaptive coding
- H04N19/136—Incoming video signal characteristics or properties
- H04N19/137—Motion inside a coding unit, e.g. average field, frame or block difference
-
- H—ELECTRICITY
- H04—ELECTRIC COMMUNICATION TECHNIQUE
- H04N—PICTORIAL COMMUNICATION, e.g. TELEVISION
- H04N19/00—Methods or arrangements for coding, decoding, compressing or decompressing digital video signals
- H04N19/10—Methods or arrangements for coding, decoding, compressing or decompressing digital video signals using adaptive coding
- H04N19/134—Methods or arrangements for coding, decoding, compressing or decompressing digital video signals using adaptive coding characterised by the element, parameter or criterion affecting or controlling the adaptive coding
- H04N19/142—Detection of scene cut or scene change
-
- H—ELECTRICITY
- H04—ELECTRIC COMMUNICATION TECHNIQUE
- H04N—PICTORIAL COMMUNICATION, e.g. TELEVISION
- H04N19/00—Methods or arrangements for coding, decoding, compressing or decompressing digital video signals
- H04N19/10—Methods or arrangements for coding, decoding, compressing or decompressing digital video signals using adaptive coding
- H04N19/169—Methods or arrangements for coding, decoding, compressing or decompressing digital video signals using adaptive coding characterised by the coding unit, i.e. the structural portion or semantic portion of the video signal being the object or the subject of the adaptive coding
- H04N19/17—Methods or arrangements for coding, decoding, compressing or decompressing digital video signals using adaptive coding characterised by the coding unit, i.e. the structural portion or semantic portion of the video signal being the object or the subject of the adaptive coding the unit being an image region, e.g. an object
- H04N19/176—Methods or arrangements for coding, decoding, compressing or decompressing digital video signals using adaptive coding characterised by the coding unit, i.e. the structural portion or semantic portion of the video signal being the object or the subject of the adaptive coding the unit being an image region, e.g. an object the region being a block, e.g. a macroblock
-
- H—ELECTRICITY
- H04—ELECTRIC COMMUNICATION TECHNIQUE
- H04N—PICTORIAL COMMUNICATION, e.g. TELEVISION
- H04N19/00—Methods or arrangements for coding, decoding, compressing or decompressing digital video signals
- H04N19/50—Methods or arrangements for coding, decoding, compressing or decompressing digital video signals using predictive coding
- H04N19/503—Methods or arrangements for coding, decoding, compressing or decompressing digital video signals using predictive coding involving temporal prediction
- H04N19/51—Motion estimation or motion compensation
-
- H—ELECTRICITY
- H04—ELECTRIC COMMUNICATION TECHNIQUE
- H04N—PICTORIAL COMMUNICATION, e.g. TELEVISION
- H04N19/00—Methods or arrangements for coding, decoding, compressing or decompressing digital video signals
- H04N19/50—Methods or arrangements for coding, decoding, compressing or decompressing digital video signals using predictive coding
- H04N19/503—Methods or arrangements for coding, decoding, compressing or decompressing digital video signals using predictive coding involving temporal prediction
- H04N19/51—Motion estimation or motion compensation
- H04N19/513—Processing of motion vectors
-
- H—ELECTRICITY
- H04—ELECTRIC COMMUNICATION TECHNIQUE
- H04N—PICTORIAL COMMUNICATION, e.g. TELEVISION
- H04N19/00—Methods or arrangements for coding, decoding, compressing or decompressing digital video signals
- H04N19/50—Methods or arrangements for coding, decoding, compressing or decompressing digital video signals using predictive coding
- H04N19/503—Methods or arrangements for coding, decoding, compressing or decompressing digital video signals using predictive coding involving temporal prediction
- H04N19/51—Motion estimation or motion compensation
- H04N19/513—Processing of motion vectors
- H04N19/517—Processing of motion vectors by encoding
- H04N19/52—Processing of motion vectors by encoding by predictive encoding
-
- H—ELECTRICITY
- H04—ELECTRIC COMMUNICATION TECHNIQUE
- H04N—PICTORIAL COMMUNICATION, e.g. TELEVISION
- H04N19/00—Methods or arrangements for coding, decoding, compressing or decompressing digital video signals
- H04N19/50—Methods or arrangements for coding, decoding, compressing or decompressing digital video signals using predictive coding
- H04N19/503—Methods or arrangements for coding, decoding, compressing or decompressing digital video signals using predictive coding involving temporal prediction
- H04N19/51—Motion estimation or motion compensation
- H04N19/56—Motion estimation with initialisation of the vector search, e.g. estimating a good candidate to initiate a search
-
- H—ELECTRICITY
- H04—ELECTRIC COMMUNICATION TECHNIQUE
- H04N—PICTORIAL COMMUNICATION, e.g. TELEVISION
- H04N19/00—Methods or arrangements for coding, decoding, compressing or decompressing digital video signals
- H04N19/50—Methods or arrangements for coding, decoding, compressing or decompressing digital video signals using predictive coding
- H04N19/503—Methods or arrangements for coding, decoding, compressing or decompressing digital video signals using predictive coding involving temporal prediction
- H04N19/51—Motion estimation or motion compensation
- H04N19/573—Motion compensation with multiple frame prediction using two or more reference frames in a given prediction direction
-
- H—ELECTRICITY
- H04—ELECTRIC COMMUNICATION TECHNIQUE
- H04N—PICTORIAL COMMUNICATION, e.g. TELEVISION
- H04N19/00—Methods or arrangements for coding, decoding, compressing or decompressing digital video signals
- H04N19/50—Methods or arrangements for coding, decoding, compressing or decompressing digital video signals using predictive coding
- H04N19/503—Methods or arrangements for coding, decoding, compressing or decompressing digital video signals using predictive coding involving temporal prediction
- H04N19/51—Motion estimation or motion compensation
- H04N19/58—Motion compensation with long-term prediction, i.e. the reference frame for a current frame not being the temporally closest one
-
- H—ELECTRICITY
- H04—ELECTRIC COMMUNICATION TECHNIQUE
- H04N—PICTORIAL COMMUNICATION, e.g. TELEVISION
- H04N19/00—Methods or arrangements for coding, decoding, compressing or decompressing digital video signals
- H04N19/60—Methods or arrangements for coding, decoding, compressing or decompressing digital video signals using transform coding
- H04N19/61—Methods or arrangements for coding, decoding, compressing or decompressing digital video signals using transform coding in combination with predictive coding
-
- H—ELECTRICITY
- H04—ELECTRIC COMMUNICATION TECHNIQUE
- H04N—PICTORIAL COMMUNICATION, e.g. TELEVISION
- H04N19/00—Methods or arrangements for coding, decoding, compressing or decompressing digital video signals
- H04N19/85—Methods or arrangements for coding, decoding, compressing or decompressing digital video signals using pre-processing or post-processing specially adapted for video compression
- H04N19/87—Methods or arrangements for coding, decoding, compressing or decompressing digital video signals using pre-processing or post-processing specially adapted for video compression involving scene cut or scene change detection in combination with video compression
Definitions
- This invention relates to video coding, and more particularly to methods and apparatuses for providing improved coding and/or prediction techniques associated with different types of video data.
- JVT Joint Video Team
- VCEG Video Coding Expert Group
- the method includes identifying at least a portion of at least one video frame to be a Bidirectionally Predictive (B) picture, and selectively encoding the B picture using at least spatial prediction to encode at least one motion parameter associated with the B picture.
- the B picture may include a block, a macroblock, a subblock, a slice, or other like portion of the video frame. For example, when a macroblock portion is used, the method produces a Direct Macroblock.
- the method further includes employing linear or non-linear motion vector prediction for the B picture based on at least one reference picture that is at least another portion of the video frame.
- the method employs median motion vector prediction to produce at least one motion vector.
- the method may also process at least one other portion of at least one other video frame to further selectively encode the B picture using temporal prediction to encode at least one temporal-based motion parameter associated with the B picture.
- the temporal prediction includes bidirectional temporal prediction, for example based on at least a portion of a Predictive (P) frame.
- the method also selectively determines applicable scaling for a temporal-based motion parameter based at least in part on a temporal distance between the predictor video frame and the frame that includes the B picture.
- temporal distance information is encoded, for example, within a header or other like data arrangement associated with the encoded B picture.
- FIG. 1 is a block diagram depicting an exemplary computing environment that is suitable for use with certain implementations of the present invention.
- FIG. 2 is a block diagram depicting an exemplary representative device that is suitable for use with certain implementations of the present invention.
- FIG. 3 is an illustrative diagram depicting spatial predication associated with portions of a picture, in accordance with certain exemplary implementations of the present invention.
- FIG. 4 is an illustrative diagram depicting Direct Prediction in B picture coding, in accordance with certain exemplary implementations of the present invention.
- FIG. 5 is an illustrative diagram depicting what happens when a scene change happens or even when the collocated block is intra-coded, in accordance with certain exemplary implementations of the present invention.
- FIG. 6 is an illustrative diagram depicting handling of collocated intra within existing codecs wherein motion is assumed to be zero, in accordance with certain exemplary implementations of the present invention.
- FIG. 7 is an illustrative diagram depicting how Direct Mode is handled when the reference picture of the collocated block in the subsequent P picture is other than zero, in accordance with certain exemplary implementations of the present invention.
- FIG. 8 is an illustrative diagram depicting an exemplary scheme wherein MV FW and MV BW are derived from spatial prediction, in accordance with certain exemplary implementations of the present invention.
- FIG. 9 is an illustrative diagram depicting how spatial prediction solves the problem of scene changes and the like, in accordance with certain exemplary implementations of the present invention.
- FIG. 10 is an illustrative diagram depicting joint spatio-temporal prediction for Direct Mode in B picture coding, in accordance with certain exemplary implementations of the present invention.
- FIG. 11 is an illustrative diagram depicting Motion Vector Prediction of a current block considering reference picture information of predictor macroblocks, in accordance with certain exemplary implementations of the present invention.
- FIG. 12 is an illustrative diagram depicting how to use more candidates for Direct Mode prediction especially if bidirectional prediction is used within the B picture, in accordance with certain exemplary implementations of the present invention.
- FIG. 13 is an illustrative diagram depicting how B pictures may be restricted in using future and past reference pictures, in accordance with certain exemplary implementations of the present invention.
- FIG. 14 is an illustrative diagram depicting projection of collocated Motion Vectors to a current reference for temporal direct prediction, in accordance with certain exemplary implementations of the present invention.
- FIGS. 15 a - c are illustrative diagrams depicting Motion Vector Predictors for one MV in different configurations, in accordance with certain exemplary implementations of the present invention.
- FIGS. 16 a - c are illustrative diagrams depicting Motion Vector Predictors for one MV with 8 ⁇ 8 partitions in different configurations, in accordance with certain exemplary implementations of the present invention.
- FIGS. 17 a - c are illustrative diagrams depicting Motion Vector Predictors for one MV with additional predictors for 8 ⁇ 8 partitioning, in accordance with certain exemplary implementations of the present invention.
- program modules include routines, programs, objects, components, data structures, etc. that perform particular tasks or implement particular abstract data types.
- program modules include routines, programs, objects, components, data structures, etc. that perform particular tasks or implement particular abstract data types.
- program modules include routines, programs, objects, components, data structures, etc. that perform particular tasks or implement particular abstract data types.
- program modules include routines, programs, objects, components, data structures, etc. that perform particular tasks or implement particular abstract data types.
- the invention may also be practiced in distributed computing environments where tasks are performed by remote processing devices that are linked through a communications network.
- program modules may be located in both local and remote memory storage devices.
- FIG. 1 illustrates an example of a suitable computing environment 120 on which the subsequently described systems, apparatuses and methods may be implemented.
- Exemplary computing environment 120 is only one example of a suitable computing environment and is not intended to suggest any limitation as to the scope of use or functionality of the improved methods and systems described herein. Neither should computing environment 120 be interpreted as having any dependency or requirement relating to any one or combination of components illustrated in computing environment 120 .
- the improved methods and systems herein are operational with numerous other general purpose or special purpose computing system environments or configurations.
- Examples of well known computing systems, environments, and/or configurations that may be suitable include, but are not limited to, personal computers, server computers, thin clients, thick clients, hand-held or laptop devices, multiprocessor systems, microprocessor-based systems, set top boxes, programmable consumer electronics, network PCs, minicomputers, mainframe computers, distributed computing environments that include any of the above systems or devices, and the like.
- computing environment 120 includes a general-purpose computing device in the form of a computer 130 .
- the components of computer 130 may include one or more processors or processing units 132 , a system memory 134 , and a bus 136 that couples various system components including system memory 134 to processor 132 .
- Bus 136 represents one or more of any of several types of bus structures, including a memory bus or memory controller, a peripheral bus, an accelerated graphics port, and a processor or local bus using any of a variety of bus architectures.
- bus architectures include Industry Standard Architecture (ISA) bus, Micro Channel Architecture (MCA) bus, Enhanced ISA (EISA) bus, Video Electronics Standards Association (VESA) local bus, and Peripheral Component Interconnects (PCI) bus also known as Mezzanine bus.
- Computer 130 typically includes a variety of computer readable media. Such media may be any available media that is accessible by computer 130 , and it includes both volatile and non-volatile media, removable and non-removable media.
- system memory 134 includes computer readable media in the form of volatile memory, such as random access memory (RAM) 140 , and/or non-volatile memory, such as read only memory (ROM) 138 .
- RAM random access memory
- ROM read only memory
- a basic input/output system (BIOS) 142 containing the basic routines that help to transfer information between elements within computer 130 , such as during start-up, is stored in ROM 138 .
- BIOS basic input/output system
- RAM 140 typically contains data and/or program modules that are immediately accessible to and/or presently being operated on by processor 132 .
- Computer 130 may further include other removable/non-removable, volatile/non-volatile computer storage media.
- FIG. 1 illustrates a hard disk drive 144 for reading from and writing to a non-removable, non-volatile magnetic media (not shown and typically called a “hard drive”), a magnetic disk drive 146 for reading from and writing to a removable, non-volatile magnetic disk 148 (e.g., a “floppy disk”), and an optical disk drive 150 for reading from or writing to a removable, non-volatile optical disk 152 such as a CD-ROM/R/RW, DVD-ROM/R/RW/+R/RAM or other optical media.
- Hard disk drive 144 , magnetic disk drive 146 and optical disk drive 150 are each connected to bus 136 by one or more interfaces 154 .
- the drives and associated computer-readable media provide nonvolatile storage of computer readable instructions, data structures, program modules, and other data for computer 130 .
- the exemplary environment described herein employs a hard disk, a removable magnetic disk 148 and a removable optical disk 152 , it should be appreciated by those skilled in the art that other types of computer readable media which can store data that is accessible by a computer, such as magnetic cassettes, flash memory cards, digital video disks, random access memories (RAMs), read only memories (ROM), and the like, may also be used in the exemplary operating environment.
- a number of program modules may be stored on the hard disk, magnetic disk 148 , optical disk 152 , ROM 138 , or RAM 140 , including, e.g., an operating system 158 , one or more application programs 160 , other program modules 162 , and program data 164 .
- the improved methods and systems described herein may be implemented within operating system 158 , one or more application programs 160 , other program modules 162 , and/or program data 164 .
- a user may provide commands and information into computer 130 through input devices such as keyboard 166 and pointing device 168 (such as a “mouse”).
- Other input devices may include a microphone, joystick, game pad, satellite dish, serial port, scanner, camera, etc.
- a user input interface 170 that is coupled to bus 136 , but may be connected by other interface and bus structures, such as a parallel port, game port, or a universal serial bus (USB).
- USB universal serial bus
- a monitor 172 or other type of display device is also connected to bus 136 via an interface, such as a video adapter 174 .
- personal computers typically include other peripheral output devices (not shown), such as speakers and printers, which may be connected through output peripheral interface 175 .
- Computer 130 may operate in a networked environment using logical connections to one or more remote computers, such as a remote computer 182 .
- Remote computer 182 may include many or all of the elements and features described herein relative to computer 130 .
- Logical connections shown in FIG. 1 are a local area network (LAN) 177 and a general wide area network (WAN) 179 .
- LAN local area network
- WAN wide area network
- Such networking environments are commonplace in offices, enterprise-wide computer networks, intranets, and the Internet.
- computer 130 When used in a LAN networking environment, computer 130 is connected to LAN 177 via network interface or adapter 186 .
- the computer When used in a WAN networking environment, the computer typically includes a modem 178 or other means for establishing communications over WAN 179 .
- Modem 178 which may be internal or external, may be connected to system bus 136 via the user input interface 170 or other appropriate mechanism.
- FIG. 1 Depicted in FIG. 1, is a specific implementation of a WAN via the Internet.
- computer 130 employs modem 178 to establish communications with at least one remote computer 182 via the Internet 180 .
- program modules depicted relative to computer 130 may be stored in a remote memory storage device.
- remote application programs 189 may reside on a memory device of remote computer 182 . It will be appreciated that the network connections shown and described are exemplary and other means of establishing a communications link between the computers may be used.
- FIG. 2 is a block diagram depicting another exemplary device 200 that is also capable of benefiting from the methods and apparatuses disclosed herein.
- Device 200 is representative of any one or more devices or appliances that are operatively configured to process video and/or any related types of data in accordance with all or part of the methods and apparatuses described herein and their equivalents.
- device 200 may take the form of a computing device as in FIG.
- device 200 includes logic 202 configured to process video data, a video data source 204 configured to provide vide data to logic 202 , and at least one display module 206 capable of displaying at least a portion of the video data for a user to view.
- Logic 202 is representative of hardware, firmware, software and/or any combination thereof.
- logic 202 includes a compressor/decompressor (codec), or the like.
- Video data source 204 is representative of any mechanism that can provide, communicate, output, and/or at least momentarily store video data suitable for processing by logic 202 .
- Video reproduction source is illustratively shown as being within and/or without device 200 .
- Display module 206 is representative of any mechanism that a user might view directly or indirectly and see the visual results of video data presented thereon.
- device 200 may also include some form or capability for reproducing or otherwise handling audio data associated with the video data.
- an audio reproduction module 208 is shown.
- This section describes several exemplary improvements that can be implemented to encode Bidirectionally Predictive (B) pictures and Motion Vector prediction within a video coding system or the like.
- the exemplary methods and apparatuses can be applied to predict motion vectors and enhancements in the design of a B picture Direct Mode.
- Such methods and apparatuses are particularly suitable for multiple picture reference codecs, such as, for example, JVT, and can achieve considerable coding gains especially for panning sequences or scene changes.
- Bidirectionally Predictive (B) pictures are an important part of most video coding standards and systems since they tend to increase the coding efficiency of such systems, for example, when compared to only using Predictive (P) pictures.
- This improvement in coding efficiency is mainly achieved by the consideration of bidirectional motion compensation, which can effectively improve motion compensated prediction and thus allow the encoding of significantly reduced residue information.
- the introduction of the Direct Prediction mode for a Macroblock/block within such pictures can further increase efficiency considerably (e.g., more than 10-20%) since no motion information is encoded. Such may be accomplished, for example, by allowing the prediction of both forward and backward motion information to be derived directly from the motion vectors used in the corresponding macroblock of a subsequent reference picture.
- FIG. 4 illustrates Direct Prediction in B picture at time coding based on P frames at times t and t+2, and the applicable motion vectors (MVs).
- MVs motion vectors
- TR B is the temporal distance between the current B picture and the reference picture pointed by the forward MV of the collocated MB
- TR D is the temporal distance between the future reference picture and the reference picture pointed by the forward MV of the collocated MB.
- FIG. 5 illustrates what happens when a scene change occurs in the video sequence and/or what happens when the collocated block is intra.
- FIG. 5 illustrates what happens when a scene change occurs in the video sequence and/or what happens when the collocated block is intra.
- bidirectional prediction would provide little if any benefit.
- the Direct Mode could be completely wasted.
- conventional implementations of the Direct Mode restrict it to always perform a bidirectional prediction of a Macroblock.
- FIG. 7 is an illustrative diagram depicting how Direct Mode is handled when the reference picture of the collocated block in the subsequent P picture is other than zero, in accordance with certain implementations of the present invention.
- a new Direct Macroblock type is introduced wherein both temporal prediction and/or spatial prediction is considered.
- the type(s) of prediction used can depend on the type of reference picture information of the first subsequent P reference picture, for example.
- Direct Mode is designed as a bidirectional prediction scheme where motion parameters are always predicted in a temporal way from the motion parameters in the subsequent P images.
- an enhanced Direct Mode technique is provided in which spatial information may also/alternatively be considered for such predictions.
- One or more of the following exemplary techniques may be implemented as needed, for example, depending on the complexity and/or specifications of the system.
- One technique is to implement spatial prediction of the motion vector parameters of the Direct Mode without considering temporal prediction.
- Spatial prediction can be accomplished, for example, using existing Motion Vector prediction techniques used for motion vector encoding (such as, e.g., median prediction). If multiple picture references are used, then the reference picture of the adjacent blocks may also be considered (even though there is no such restriction and the same reference, e.g. 0, could always be used).
- Motion parameters and reference pictures could be predicted as follows and with reference to FIG. 3, which illustrates spatial predication associated with portions A-E (e.g., macroblocks, slices, etc.) assumed to be available and part of a picture.
- E is predicted in general from A, B, C as Median (A, B, C). If C is actually outside of the picture then D is used instead. If B, C, and D are outside of picture, then only A is used, where as if A does not exist, such is replaced with (0,0).
- FIG. 3 illustrates spatial predication associated with portions A-E (e.g., macroblocks, slices, etc.) assumed to be available and part of a picture.
- E is predicted in general from A, B, C as Median (A, B, C). If C is actually outside of the picture then D is used instead. If B, C, and D are outside of picture, then only A is used, where as if A does not exist, such is replaced with (0,0).
- Those skilled in the art will recognize that spatial prediction
- One method may be to select a minimum reference picture among the predictions.
- a median reference picture may be selected.
- a selection may be made between a minimum reference picture and median reference picture, e.g., if the minimum is zero.
- a higher priority could also be given to either vertical or horizontal predictors (A and B) due to their possibly stronger correlation with E.
- Temporal prediction is used for Macroblocks if the subsequent P reference is non intra as in existing codecs. Attention is now drawn to FIG. 8, in which MV FW and MV BW are derived from spatial prediction (Median MV of surrounding Macroblocks). If either one is not available (i.e., no predictors) then one-direction is used. If a subsequent P reference is intra, then spatial prediction can be used instead as described above. Assuming that no restrictions exist, if one of the predictions is not available then Direct Mode becomes a single direction prediction mode.
- temporal prediction will not be as efficient in the direct mode for blocks when the collocated P reference block has a non-zero reference picture.
- spatial prediction may also be used as above.
- one may estimate scaling parameters if one of the surrounding macroblocks also uses the same reference picture as the collocated P reference block.
- special handling may be provided for the case of zero motion (or close to zero motion) with a non-zero reference.
- regardless of temporal distance forward and backward motion vectors could always be taken as zero.
- the best solution may be to always examine the reference picture information of surrounding macroblocks and based thereon decide on how the direct mode should be handled in such a case.
- Case B If all surrounding macroblocks use different reference pictures than the collocated P reference, then spatial prediction appears to be a better choice and temporal prediction is not used.
- Case D Spatial or temporal prediction of Direct Mode macroblocks could be signaled inside the image header. A pre-analysis of the image could be performed to decide which should be used.
- Case E Correction of the temporally predicted parameters based on spatial information (or vice versa).
- spatial information could be a very good candidate for the direct mode prediction.
- a correction could also be done on the phase, thus correcting the sub pixel accuracy of the prediction.
- FIG. 10 illustrates a joint spatio-temporal prediction for Direct Mode in B picture coding.
- Direct Mode can be a 1- to 4-direction mode depending on information available.
- Bi-directional prediction for Direct Mode macroblocks a multi-hypothesis extension of such mode can be done and multiple predictions used instead.
- Direct Mode macroblocks can be predicted using from one up to four possible motion vectors depending on the information available. Such can be decided, for example, based on the mode of the collocated P reference image macroblock and on the surrounding macroblocks in the current B picture. In such a case, if the spatial prediction is too different than the temporal one, one of them could be selected as the only prediction in favor of the other. Since spatial prediction as described previously, might favor a different reference picture than the temporal one, the same macroblock might be predicted from more than 2 reference pictures.
- the JVT standard does not restrict the first future reference to be a P picture.
- a picture can be a B as illustrated in FIG. 12, or even a Multi-Hypothesis (MH) picture.
- MH Multi-Hypothesis
- the first subsequent reference picture is a B picture (pictures B 8 and B 9 ). This enables one to use more candidates for Direct Mode prediction especially if bidirectional prediction is used within the B picture.
- the collocated reference block in the first future reference is using bidirectional prediction
- the corresponding motion vectors forward or backward
- the corresponding motion vectors are used for calculating the motion vectors of the current block. Since the backward motion vector of the reference corresponds to a future reference picture, special care should be taken in the estimate of the current motion parameters. Attention is drawn, for example to FIG. 12 in which the first subsequent reference picture is a B picture (pictures B 8 and B 9 ). This enables one to use more candidates for Direct Mode prediction especially if bidirectional prediction is used within the B picture.
- the backward motion vector of B 8 ⁇ right arrow over (MV) ⁇ B8bw can be calculated as 2 ⁇ right arrow over (MV) ⁇ B7bw due to the temporal distance between B 8 , B 7 and P 6
- the backward motion vector can be taken as ⁇ right arrow over (MV) ⁇ B7bw , if though these refer to the B 7 .
- a similar conclusion can be deduced about the forward motion vectors. Multiple picture reference or intra macroblocks can be handled similar to the previous discussion.
- bidirectional prediction for the collocated block If bidirectional prediction for the collocated block is used, then, in this example, one may estimate four possible predictions for one macroblock for the direct mode case by projecting and inverting the backward and forward motion vectors of the reference.
- Motion vector prediction for multi-picture reference motion compensation can significantly affect the performance of both B and P picture coding.
- Existing standards such as, for example, JVT, do not always consider the reference pictures of the macroblocks used in the prediction. The only consideration such standards do make is when only one of the prediction macroblocks uses the same reference. In such a case, only that predictor is used for the motion prediction. There is no consideration of the reference picture if only one or all predictors are using a different reference.
- FIG. 11 illustrates Motion Vector prediction of a current block (C) considering the reference picture information of predictor macroblocks (Pr) and performance of proper adjustments (e.g., scaling of the predictors).
- MV ⁇ pred TR ⁇ Median ⁇ ( MV ⁇ A TR A , MV ⁇ B TR B , MV ⁇ C TR C )
- Motion Vector prediction as discussed previously is basically median biased, meaning that the median value among a set of predictors is selected for the prediction. If one only uses one type of macroblock (e.g., 16 ⁇ 16) with one Motion Vector (MV), then these predictors can be defined, for example, as illustrated in FIG. 15. Here, MV predictors are shown for one MV. In FIG. 15 a , the MB is not in the first row or the last column. In FIG. 15 b , the MB is in the last column. In FIG. 15 c , the MB is in the first row.
- macroblock e.g. 16 ⁇ 16
- MV predictors are shown for one MV.
- FIG. 15 a the MB is not in the first row or the last column.
- the MB is in the last column.
- FIG. 15 c the MB is in the first row.
- the JVT standard improves on this further by also considering the case that only one of the three predictors exists (i.e. Macroblocks are intra or are using a different reference picture in the case of multi-picture prediction). In such a case, only the existing or same reference predictor is used for the prediction and all others are not examined.
- Intra coding does not always imply that a new object has appeared or that scene changes. It might instead, for example, be the case that motion estimation and compensation is inadequate to represent the current object (e.g., search range, motion estimation algorithm used, quantization of residue, etc) and that better results could be achieved through Intra Coding instead. The available motion predictors could still be adequate enough to provide a good motion vector predictor solution.
- MPEG-4 and H.263 standards can have up to four such subblocks (e.g., with size 8 ⁇ 8 ), where as the JVT standard allows up to sixteen subblocks while also being able to handle variable block sizes (e.g., 4 ⁇ 4, 4 ⁇ 8, 8 ⁇ 4,8 ⁇ 8, 8 ⁇ 16, 16 ⁇ 8, and 16 ⁇ 16).
- JVT also allows for 8 ⁇ 8 Intra subblocks, thus complicating things even further.
- FIGS. 16 a - c having a similar arrangement to FIGS. 15 a - c , respectively.
- Motion Vector predictors are shown for one MV with 8 ⁇ 8 partitions. Even though the described predictors could give reasonable results in some cases, it appears that they may not adequately cover all possible predictions.
- FIGS. 17 a - c Attention is drawn next to FIGS. 17 a - c , which are also in a similar arrangement to FIGS. 15 a - c , respectively.
- FIGS. 17 a - c there are two additional predictors that could also be considered in the prediction phase (C 1 and A 2 ). If 4 ⁇ 4 blocks are also considered, this increases the possible predictors by four.
- predictors A 1 , and C 2 are essentially too close with one another and it may be the case that they may not be too representative in the prediction phase. Instead, selecting predictors A 1 , C 1 , and B seems to be a more reliable solution due to their separation.
- An alternative could also be the selection of A 2 instead of A 1 but that may again be too close to predictor B. Simulations suggest that the first case is usually a better choice.
- a 2 could be used instead of A l .
- For the first row either one of A 1 and A 2 or even their average value could be used. Gain up to 1% was noted within JVT with this implementation.
- ⁇ right arrow over (MV) ⁇ pred Median( Ave ( ⁇ right arrow over (MV) ⁇ C 1 , ⁇ right arrow over (MV) ⁇ C 2 ), Ave ( ⁇ right arrow over (MV) ⁇ A 1 , ⁇ right arrow over (MV) ⁇ A 2 ), ⁇ right arrow over (MV) ⁇ B ).
- the median can be calculated as:
- ⁇ right arrow over (MV) ⁇ pred (Median(Median( ⁇ right arrow over (MV) ⁇ C 1 , ⁇ right arrow over (MV) ⁇ C 2 , ⁇ right arrow over (MV) ⁇ D ), . . . Median( ⁇ right arrow over (MV) ⁇ D , ⁇ right arrow over (MV) ⁇ A 1 , ⁇ right arrow over (MV) ⁇ C 2 ),Median( ⁇ right arrow over (MV) ⁇ B , ⁇ right arrow over (MV) ⁇ A 1 , ⁇ right arrow over (MV) ⁇ A 2 )))
- ⁇ right arrow over (MV) ⁇ pred Median( ⁇ right arrow over (MV) ⁇ C 1 , ⁇ right arrow over (MV) ⁇ C 2 , ⁇ right arrow over (MV) ⁇ D , ⁇ right arrow over (MV) ⁇ B , ⁇ right arrow over (MV) ⁇ A 1 , ⁇ right arrow over (MV) ⁇ A 2 )
- JVT allows the existence of Intra subblocks within an Inter Macroblock (e.g., tree macroblock structure), such could also be taken in consideration within the Motion Prediction.
- a subblock e.g., from Macroblocks above or left only
- the adjacent subblock may be used instead.
- Al is intra but A 2 is not
- Al can be replaced by A 2 in the prediction.
- a further possibility is to replace one missing Intra Macroblock with the MV predictor from the upper-left position. In FIG. 17 a , for example, if C 1 is missing then D may be used instead.
Landscapes
- Engineering & Computer Science (AREA)
- Multimedia (AREA)
- Signal Processing (AREA)
- Compression Or Coding Systems Of Tv Signals (AREA)
- Compression, Expansion, Code Conversion, And Decoders (AREA)
Abstract
Several improvements for use with Bidirectionally Predictive (B) pictures within a video sequence are provided. In certain improvements Direct Mode encoding and/or Motion Vector Prediction are enhanced using spatial prediction techniques. In other improvements Motion Vector prediction includes temporal distance and subblock information, for example, for more accurate prediction. Such improvements and other presented herein significantly improve the performance of any applicable video coding system/logic.
Description
- This U.S. Non-provisional Application for Letters Patent claims the benefit of priority from, and hereby incorporates by reference the entire disclosure of, co-pending U.S. Provisional Application for Letters Patent Serial No. 60/385,965, filed Jun. 3, 2002, and titled “Spatiotemporal Prediction for Bidirectionally Predictive (B) Frames and Motion Vector Prediction for Multi-Frame Reference Motion Compensation”.
- This invention relates to video coding, and more particularly to methods and apparatuses for providing improved coding and/or prediction techniques associated with different types of video data.
- The motivation for increased coding efficiency in video coding has led to the adoption in the Joint Video Team (JVT) (a standards body) of more refined and complicated models and modes describing motion information for a given macroblock. These models and modes tend to make better advantage of the temporal redundancies that may exist within a video sequence. See, for example, ITU-T, Video Coding Expert Group (VCEG), “JVT Coding—(ITU-T H.26L & ISO/IEC JTC1 Standard)—Working Draft Number 2 (WD-2)”, ITU-T JVT-B 118, March 2002; and/or Heiko Schwarz and Thomas Wiegand, “Tree-structured macroblock partition”, Doc. VCEG-N17, December 2001.
- There is continuing need for further improved methods and apparatuses that can support the latest models and modes and also possibly introduce new models and modes to take advantage of improved coding techniques.
- The above state needs and other are addressed, for example, by a method for use in encoding video data within a sequence of video frames. The method includes identifying at least a portion of at least one video frame to be a Bidirectionally Predictive (B) picture, and selectively encoding the B picture using at least spatial prediction to encode at least one motion parameter associated with the B picture. In certain exemplary implementations the B picture may include a block, a macroblock, a subblock, a slice, or other like portion of the video frame. For example, when a macroblock portion is used, the method produces a Direct Macroblock.
- In certain further exemplary implementations, the method further includes employing linear or non-linear motion vector prediction for the B picture based on at least one reference picture that is at least another portion of the video frame. By way of example, in certain implementations, the method employs median motion vector prediction to produce at least one motion vector.
- In still other exemplary implementations, in addition to spatial prediction, the method may also process at least one other portion of at least one other video frame to further selectively encode the B picture using temporal prediction to encode at least one temporal-based motion parameter associated with the B picture. In some instances the temporal prediction includes bidirectional temporal prediction, for example based on at least a portion of a Predictive (P) frame.
- In certain other implementations, the method also selectively determines applicable scaling for a temporal-based motion parameter based at least in part on a temporal distance between the predictor video frame and the frame that includes the B picture. In certain implementations temporal distance information is encoded, for example, within a header or other like data arrangement associated with the encoded B picture.
- The present invention is illustrated by way of example and not limitation in the figures of the accompanying drawings. The same numbers are used throughout the figures to reference like components and/or features.
- FIG. 1 is a block diagram depicting an exemplary computing environment that is suitable for use with certain implementations of the present invention.
- FIG. 2 is a block diagram depicting an exemplary representative device that is suitable for use with certain implementations of the present invention.
- FIG. 3 is an illustrative diagram depicting spatial predication associated with portions of a picture, in accordance with certain exemplary implementations of the present invention.
- FIG. 4 is an illustrative diagram depicting Direct Prediction in B picture coding, in accordance with certain exemplary implementations of the present invention.
- FIG. 5 is an illustrative diagram depicting what happens when a scene change happens or even when the collocated block is intra-coded, in accordance with certain exemplary implementations of the present invention.
- FIG. 6 is an illustrative diagram depicting handling of collocated intra within existing codecs wherein motion is assumed to be zero, in accordance with certain exemplary implementations of the present invention.
- FIG. 7 is an illustrative diagram depicting how Direct Mode is handled when the reference picture of the collocated block in the subsequent P picture is other than zero, in accordance with certain exemplary implementations of the present invention.
- FIG. 8 is an illustrative diagram depicting an exemplary scheme wherein MV FW and MVBW are derived from spatial prediction, in accordance with certain exemplary implementations of the present invention.
- FIG. 9 is an illustrative diagram depicting how spatial prediction solves the problem of scene changes and the like, in accordance with certain exemplary implementations of the present invention.
- FIG. 10 is an illustrative diagram depicting joint spatio-temporal prediction for Direct Mode in B picture coding, in accordance with certain exemplary implementations of the present invention.
- FIG. 11 is an illustrative diagram depicting Motion Vector Prediction of a current block considering reference picture information of predictor macroblocks, in accordance with certain exemplary implementations of the present invention.
- FIG. 12 is an illustrative diagram depicting how to use more candidates for Direct Mode prediction especially if bidirectional prediction is used within the B picture, in accordance with certain exemplary implementations of the present invention.
- FIG. 13 is an illustrative diagram depicting how B pictures may be restricted in using future and past reference pictures, in accordance with certain exemplary implementations of the present invention.
- FIG. 14 is an illustrative diagram depicting projection of collocated Motion Vectors to a current reference for temporal direct prediction, in accordance with certain exemplary implementations of the present invention.
- FIGS. 15 a-c are illustrative diagrams depicting Motion Vector Predictors for one MV in different configurations, in accordance with certain exemplary implementations of the present invention.
- FIGS. 16 a-c are illustrative diagrams depicting Motion Vector Predictors for one MV with 8×8 partitions in different configurations, in accordance with certain exemplary implementations of the present invention.
- FIGS. 17 a-c are illustrative diagrams depicting Motion Vector Predictors for one MV with additional predictors for 8×8 partitioning, in accordance with certain exemplary implementations of the present invention.
- Several improvements for use with Bidirectionally Predictive (B) pictures within a video sequence are described below and illustrated in the accompanying drawings. In certain improvements Direct Mode encoding and/or Motion Vector Prediction are enhanced using spatial prediction techniques. In other improvements Motion Vector prediction includes temporal distance and subblock information, for example, for more accurate prediction. Such improvements and other presented herein significantly improve the performance of any applicable video coding system/logic.
- While these and other exemplary methods and apparatuses are described, it should be kept in mind that the techniques of the present invention are not limited to the examples described and shown in the accompanying drawings, but are also clearly adaptable to other similar existing and future video coding schemes, etc.
- Before introducing such exemplary methods and apparatuses, an introduction is provided in the following section for suitable exemplary operating environments, for example, in the form of a computing device and other types of devices/appliances.
- Exemplary Operational Environments:
- Turning to the drawings, wherein like reference numerals refer to like elements, the invention is illustrated as being implemented in a suitable computing environment. Although not required, the invention will be described in the general context of computer-executable instructions, such as program modules, being executed by a personal computer.
- Generally, program modules include routines, programs, objects, components, data structures, etc. that perform particular tasks or implement particular abstract data types. Those skilled in the art will appreciate that the invention may be practiced with other computer system configurations, including hand-held devices, multi-processor systems, microprocessor based or programmable consumer electronics, network PCs, minicomputers, mainframe computers, portable communication devices, and the like.
- The invention may also be practiced in distributed computing environments where tasks are performed by remote processing devices that are linked through a communications network. In a distributed computing environment, program modules may be located in both local and remote memory storage devices.
- FIG. 1 illustrates an example of a
suitable computing environment 120 on which the subsequently described systems, apparatuses and methods may be implemented.Exemplary computing environment 120 is only one example of a suitable computing environment and is not intended to suggest any limitation as to the scope of use or functionality of the improved methods and systems described herein. Neither should computingenvironment 120 be interpreted as having any dependency or requirement relating to any one or combination of components illustrated incomputing environment 120. - The improved methods and systems herein are operational with numerous other general purpose or special purpose computing system environments or configurations. Examples of well known computing systems, environments, and/or configurations that may be suitable include, but are not limited to, personal computers, server computers, thin clients, thick clients, hand-held or laptop devices, multiprocessor systems, microprocessor-based systems, set top boxes, programmable consumer electronics, network PCs, minicomputers, mainframe computers, distributed computing environments that include any of the above systems or devices, and the like.
- As shown in FIG. 1,
computing environment 120 includes a general-purpose computing device in the form of acomputer 130. The components ofcomputer 130 may include one or more processors orprocessing units 132, asystem memory 134, and abus 136 that couples various system components includingsystem memory 134 toprocessor 132. -
Bus 136 represents one or more of any of several types of bus structures, including a memory bus or memory controller, a peripheral bus, an accelerated graphics port, and a processor or local bus using any of a variety of bus architectures. By way of example, and not limitation, such architectures include Industry Standard Architecture (ISA) bus, Micro Channel Architecture (MCA) bus, Enhanced ISA (EISA) bus, Video Electronics Standards Association (VESA) local bus, and Peripheral Component Interconnects (PCI) bus also known as Mezzanine bus. -
Computer 130 typically includes a variety of computer readable media. Such media may be any available media that is accessible bycomputer 130, and it includes both volatile and non-volatile media, removable and non-removable media. - In FIG. 1,
system memory 134 includes computer readable media in the form of volatile memory, such as random access memory (RAM) 140, and/or non-volatile memory, such as read only memory (ROM) 138. A basic input/output system (BIOS) 142, containing the basic routines that help to transfer information between elements withincomputer 130, such as during start-up, is stored inROM 138.RAM 140 typically contains data and/or program modules that are immediately accessible to and/or presently being operated on byprocessor 132. -
Computer 130 may further include other removable/non-removable, volatile/non-volatile computer storage media. For example, FIG. 1 illustrates ahard disk drive 144 for reading from and writing to a non-removable, non-volatile magnetic media (not shown and typically called a “hard drive”), amagnetic disk drive 146 for reading from and writing to a removable, non-volatile magnetic disk 148 (e.g., a “floppy disk”), and anoptical disk drive 150 for reading from or writing to a removable, non-volatileoptical disk 152 such as a CD-ROM/R/RW, DVD-ROM/R/RW/+R/RAM or other optical media.Hard disk drive 144,magnetic disk drive 146 andoptical disk drive 150 are each connected tobus 136 by one ormore interfaces 154. - The drives and associated computer-readable media provide nonvolatile storage of computer readable instructions, data structures, program modules, and other data for
computer 130. Although the exemplary environment described herein employs a hard disk, a removablemagnetic disk 148 and a removableoptical disk 152, it should be appreciated by those skilled in the art that other types of computer readable media which can store data that is accessible by a computer, such as magnetic cassettes, flash memory cards, digital video disks, random access memories (RAMs), read only memories (ROM), and the like, may also be used in the exemplary operating environment. - A number of program modules may be stored on the hard disk,
magnetic disk 148,optical disk 152,ROM 138, orRAM 140, including, e.g., anoperating system 158, one ormore application programs 160,other program modules 162, andprogram data 164. - The improved methods and systems described herein may be implemented within
operating system 158, one ormore application programs 160,other program modules 162, and/orprogram data 164. - A user may provide commands and information into
computer 130 through input devices such askeyboard 166 and pointing device 168 (such as a “mouse”). Other input devices (not shown) may include a microphone, joystick, game pad, satellite dish, serial port, scanner, camera, etc. These and other input devices are connected to theprocessing unit 132 through auser input interface 170 that is coupled tobus 136, but may be connected by other interface and bus structures, such as a parallel port, game port, or a universal serial bus (USB). - A
monitor 172 or other type of display device is also connected tobus 136 via an interface, such as avideo adapter 174. In addition to monitor 172, personal computers typically include other peripheral output devices (not shown), such as speakers and printers, which may be connected through outputperipheral interface 175. -
Computer 130 may operate in a networked environment using logical connections to one or more remote computers, such as aremote computer 182.Remote computer 182 may include many or all of the elements and features described herein relative tocomputer 130. - Logical connections shown in FIG. 1 are a local area network (LAN) 177 and a general wide area network (WAN) 179. Such networking environments are commonplace in offices, enterprise-wide computer networks, intranets, and the Internet.
- When used in a LAN networking environment,
computer 130 is connected toLAN 177 via network interface oradapter 186. When used in a WAN networking environment, the computer typically includes amodem 178 or other means for establishing communications overWAN 179.Modem 178, which may be internal or external, may be connected tosystem bus 136 via theuser input interface 170 or other appropriate mechanism. - Depicted in FIG. 1, is a specific implementation of a WAN via the Internet. Here,
computer 130 employsmodem 178 to establish communications with at least oneremote computer 182 via theInternet 180. - In a networked environment, program modules depicted relative to
computer 130, or portions thereof, may be stored in a remote memory storage device. Thus, e.g., as depicted in FIG. 1,remote application programs 189 may reside on a memory device ofremote computer 182. It will be appreciated that the network connections shown and described are exemplary and other means of establishing a communications link between the computers may be used. - Attention is now drawn to FIG. 2, which is a block diagram depicting another
exemplary device 200 that is also capable of benefiting from the methods and apparatuses disclosed herein.Device 200 is representative of any one or more devices or appliances that are operatively configured to process video and/or any related types of data in accordance with all or part of the methods and apparatuses described herein and their equivalents. Thus,device 200 may take the form of a computing device as in FIG. 1, or some other form, such as, for example, a wireless device, a portable communication device, a personal digital assistant, a video player, a television, a DVD player, a CD player, a karaoke machine, a kiosk, a digital video projector, a flat panel video display mechanism, a set-top box, a video game machine, etc. In this example,device 200 includeslogic 202 configured to process video data, avideo data source 204 configured to provide vide data tologic 202, and at least onedisplay module 206 capable of displaying at least a portion of the video data for a user to view.Logic 202 is representative of hardware, firmware, software and/or any combination thereof. In certain implementations, for example,logic 202 includes a compressor/decompressor (codec), or the like.Video data source 204 is representative of any mechanism that can provide, communicate, output, and/or at least momentarily store video data suitable for processing bylogic 202. Video reproduction source is illustratively shown as being within and/or withoutdevice 200.Display module 206 is representative of any mechanism that a user might view directly or indirectly and see the visual results of video data presented thereon. Additionally, in certain implementations,device 200 may also include some form or capability for reproducing or otherwise handling audio data associated with the video data. Thus, anaudio reproduction module 208 is shown. - With the examples of FIGS. 1 and 2 in mind, and others like them, the next sections focus on certain exemplary methods and apparatuses that may be at least partially practiced using with such environments and with such devices.
- Encoding Bidirectionally Predictive (B) Pictures And Motion Vector Prediction
- This section describes several exemplary improvements that can be implemented to encode Bidirectionally Predictive (B) pictures and Motion Vector prediction within a video coding system or the like. The exemplary methods and apparatuses can be applied to predict motion vectors and enhancements in the design of a B picture Direct Mode. Such methods and apparatuses are particularly suitable for multiple picture reference codecs, such as, for example, JVT, and can achieve considerable coding gains especially for panning sequences or scene changes.
- Bidirectionally Predictive (B) pictures are an important part of most video coding standards and systems since they tend to increase the coding efficiency of such systems, for example, when compared to only using Predictive (P) pictures. This improvement in coding efficiency is mainly achieved by the consideration of bidirectional motion compensation, which can effectively improve motion compensated prediction and thus allow the encoding of significantly reduced residue information. Furthermore, the introduction of the Direct Prediction mode for a Macroblock/block within such pictures can further increase efficiency considerably (e.g., more than 10-20%) since no motion information is encoded. Such may be accomplished, for example, by allowing the prediction of both forward and backward motion information to be derived directly from the motion vectors used in the corresponding macroblock of a subsequent reference picture.
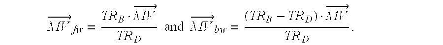
- By way of example, FIG. 4 illustrates Direct Prediction in B picture at time coding based on P frames at times t and t+2, and the applicable motion vectors (MVs). Here, an assumption is made that an object in the picture is moving with constant speed. This makes it possible to predict a current position inside a B picture without having to transmit any motion vectors. The motion vectors ({right arrow over (MV)} fw,{right arrow over (MV)}bw) of the Direct Mode versus the motion vector {right arrow over (MV)} of the collocated MB in the first subsequent P reference picture are basically calculated by:
- where TR B is the temporal distance between the current B picture and the reference picture pointed by the forward MV of the collocated MB, and TRD is the temporal distance between the future reference picture and the reference picture pointed by the forward MV of the collocated MB.
- Unfortunately there are several cases where the existing Direct Mode does not provide an adequate solution, thus not efficiently exploiting the properties of this mode. In particular, existing designs of this mode usually force the motion parameters of the Direct Macroblock, in the case of the collocated Macroblock in the subsequent P picture being Intra coded, to be zero. For example, see FIG. 6, which illustrates handling of collocated intra within existing codecs wherein motion is assumed to be zero. This essentially means that, for this case, the B picture Macroblock will be coded as the average of the two collocated Macroblocks in the first subsequent and past P references. This immediately raises the following concern; if a Macroblock is Intra-coded, then how does one know how much relationship it has with the collocated Macroblock of its reference picture. In some situations, there may be little if any actual relationship. Hence, it is possible that the coding efficiency of the Direct Mode may be reduced. An extreme case can be seen in the case of a scene change as illustrated in FIG. 5. FIG. 5 illustrates what happens when a scene change occurs in the video sequence and/or what happens when the collocated block is intra. Here, in this example, obviously no relationship exists between the two reference pictures given the scene change. In such a case bidirectional prediction would provide little if any benefit. As such, the Direct Mode could be completely wasted. Unfortunately, conventional implementations of the Direct Mode restrict it to always perform a bidirectional prediction of a Macroblock.
- FIG. 7 is an illustrative diagram depicting how Direct Mode is handled when the reference picture of the collocated block in the subsequent P picture is other than zero, in accordance with certain implementations of the present invention.
- An additional issue with the Direct Mode Macroblocks exists when multi-picture reference motion compensation is used. Until recently, for example, the JVT standard provided the timing distance information (TR B and TRD), thus allowing for the proper scaling of the parameters. Recently, this was changed in the new revision of the codec (see, e.g., Joint Video Team (JVT) of ISO/IEC MPEG and ITU-T VCEG, “Joint Committee Draft (CD) of Joint Video Specification (ITU-T Rec. H.264|ISO/IEC 14496-10 AVC)”, ITU-T JVT-C167, May. 2002, which is incorporated herein by reference). In the new revision, the motion vector parameters of the subsequent P picture are to be scaled equally for the Direct Mode prediction, without taking in account the reference picture information. This could lead to significant performance degradation of the Direct Mode, since the constant motion assumption is no longer followed.
- Nevertheless, even if the temporal distance parameters were available, it is not always certain that the usage of the Direct Mode as defined previously is the most appropriate solution. In particular for the B pictures which are closer to a first forward reference picture, the correlation might be much stronger with that picture, than the subsequent reference picture. An extreme example which could contain such cases could be a sequence where scene A changes to scene B, and then moves back to scene A (e.g., as may happen in a news bulletin, etc.). All the above could deter the performance of B picture encoding considerably since Direct Mode will not be effectively exploited within the encoding process.
- With these and other concerns in mind, unlike the previous definitions of the Direct Mode where only temporal prediction was used, in accordance with certain aspects of the present invention, a new Direct Macroblock type is introduced wherein both temporal prediction and/or spatial prediction is considered. The type(s) of prediction used can depend on the type of reference picture information of the first subsequent P reference picture, for example.
- In accordance with certain other aspects of the present invention, one may also further considerably improve motion vector prediction for both P and B pictures when multiple picture references are used, by taking in consideration temporal distances, if such are available.
- These enhancements are implemented in certain exemplary methods and apparatuses as described below. The methods and apparatuses can achieve significant bitrate reductions while achieving similar or better quality.
- Direct Mode Enhancements:
- In most conventional video coding systems, Direct Mode is designed as a bidirectional prediction scheme where motion parameters are always predicted in a temporal way from the motion parameters in the subsequent P images. In this section, an enhanced Direct Mode technique is provided in which spatial information may also/alternatively be considered for such predictions.
- One or more of the following exemplary techniques may be implemented as needed, for example, depending on the complexity and/or specifications of the system.
- One technique is to implement spatial prediction of the motion vector parameters of the Direct Mode without considering temporal prediction. Spatial prediction can be accomplished, for example, using existing Motion Vector prediction techniques used for motion vector encoding (such as, e.g., median prediction). If multiple picture references are used, then the reference picture of the adjacent blocks may also be considered (even though there is no such restriction and the same reference, e.g. 0, could always be used).
- Motion parameters and reference pictures could be predicted as follows and with reference to FIG. 3, which illustrates spatial predication associated with portions A-E (e.g., macroblocks, slices, etc.) assumed to be available and part of a picture. Here, E is predicted in general from A, B, C as Median (A, B, C). If C is actually outside of the picture then D is used instead. If B, C, and D are outside of picture, then only A is used, where as if A does not exist, such is replaced with (0,0). Those skilled in the art will recognize that spatial prediction may be done at a subblock level as well.
- In general spatial prediction can be seen as a linear or nonlinear function of all available motion information calculated within a picture or a group of macroblocks/blocks within the same picture.
- There are various methods available that may be arranged to predict the reference picture for Direct Mode. For example, one method may be to select a minimum reference picture among the predictions. In another method, a median reference picture may be selected. In certain methods, a selection may be made between a minimum reference picture and median reference picture, e.g., if the minimum is zero. In still other implementations, a higher priority could also be given to either vertical or horizontal predictors (A and B) due to their possibly stronger correlation with E.
- If one of the predictions does not exist (e.g., all surrounding macroblocks are predicted with the same direction FW or BW only or are intra), then the existing one is only used (single direction prediction) or such could be predicted from the one available. For example if forward prediction is available then:
- Temporal prediction is used for Macroblocks if the subsequent P reference is non intra as in existing codecs. Attention is now drawn to FIG. 8, in which MV FW and MVBW are derived from spatial prediction (Median MV of surrounding Macroblocks). If either one is not available (i.e., no predictors) then one-direction is used. If a subsequent P reference is intra, then spatial prediction can be used instead as described above. Assuming that no restrictions exist, if one of the predictions is not available then Direct Mode becomes a single direction prediction mode.
- This could considerably benefit video coding when the scene changes, for example, as illustrated in FIG. 9, and/or even when fading exists within a video sequence. As illustrated in FIG. 9, spatial prediction may be used to solve the problem of a scene change.
- If temporal distance information is not available within a codec, temporal prediction will not be as efficient in the direct mode for blocks when the collocated P reference block has a non-zero reference picture. In such a case, spatial prediction may also be used as above. As an alternative, one may estimate scaling parameters if one of the surrounding macroblocks also uses the same reference picture as the collocated P reference block. Furthermore, special handling may be provided for the case of zero motion (or close to zero motion) with a non-zero reference. Here, regardless of temporal distance forward and backward motion vectors could always be taken as zero. The best solution, however, may be to always examine the reference picture information of surrounding macroblocks and based thereon decide on how the direct mode should be handled in such a case.
- More particularly, for example, given a non-zero reference, the following sub cases may be considered:
- Case A: Temporal prediction is used if the motion vectors of the collocated P block are zero.
- Case B: If all surrounding macroblocks use different reference pictures than the collocated P reference, then spatial prediction appears to be a better choice and temporal prediction is not used.
- Case C: If motion flow inside the B picture appears to be quite different than the one in the P reference picture, then spatial prediction is used instead.
- Case D: Spatial or temporal prediction of Direct Mode macroblocks could be signaled inside the image header. A pre-analysis of the image could be performed to decide which should be used.
- Case E: Correction of the temporally predicted parameters based on spatial information (or vice versa). Thus, for example, if both appear to have the same or approximately the same phase information then the spatial information could be a very good candidate for the direct mode prediction. A correction could also be done on the phase, thus correcting the sub pixel accuracy of the prediction.
- FIG. 10 illustrates a joint spatio-temporal prediction for Direct Mode in B picture coding. Here, in this example, Direct Mode can be a 1- to 4-direction mode depending on information available. Instead of using Bi-directional prediction for Direct Mode macroblocks, a multi-hypothesis extension of such mode can be done and multiple predictions used instead.
- Combined with the discussion above, Direct Mode macroblocks can be predicted using from one up to four possible motion vectors depending on the information available. Such can be decided, for example, based on the mode of the collocated P reference image macroblock and on the surrounding macroblocks in the current B picture. In such a case, if the spatial prediction is too different than the temporal one, one of them could be selected as the only prediction in favor of the other. Since spatial prediction as described previously, might favor a different reference picture than the temporal one, the same macroblock might be predicted from more than 2 reference pictures.
- The JVT standard does not restrict the first future reference to be a P picture. Hence, in such a standard, a picture can be a B as illustrated in FIG. 12, or even a Multi-Hypothesis (MH) picture. This implies that more motion vectors are assigned per macroblock. This means that one may also use this property to increase the efficiency of the Direct Mode by more effectively exploiting the additional motion information.
- In FIG. 12, the first subsequent reference picture is a B picture (pictures B 8 and B9). This enables one to use more candidates for Direct Mode prediction especially if bidirectional prediction is used within the B picture.
- In particular one may perform the following:
- a.) If the collocated reference block in the first future reference is using bidirectional prediction, the corresponding motion vectors (forward or backward) are used for calculating the motion vectors of the current block. Since the backward motion vector of the reference corresponds to a future reference picture, special care should be taken in the estimate of the current motion parameters. Attention is drawn, for example to FIG. 12 in which the first subsequent reference picture is a B picture (pictures B 8 and B9). This enables one to use more candidates for Direct Mode prediction especially if bidirectional prediction is used within the B picture. Thus, as illustrated, the backward motion vector of B8 {right arrow over (MV)}B8bw can be calculated as 2×{right arrow over (MV)}B7bw due to the temporal distance between B8, B7 and P6 Similarly for B9 the backward motion vector can be taken as {right arrow over (MV)}B7bw, if though these refer to the B7. One may also restrict these to refer to the first subsequent P picture, in which case these motion vectors can be scaled accordingly. A similar conclusion can be deduced about the forward motion vectors. Multiple picture reference or intra macroblocks can be handled similar to the previous discussion.
- b.) If bidirectional prediction for the collocated block is used, then, in this example, one may estimate four possible predictions for one macroblock for the direct mode case by projecting and inverting the backward and forward motion vectors of the reference.
- c.) Selective projection and inversion may be used depending on temporal distance. According to this solution, one selects the motion vectors from the reference picture which are more reliable for the prediction. For example, considering the illustration in FIG. 12, one will note that B 8 is much closer to P2 than P6. This implies that the backward motion vector of B7 may not be a very reliable prediction. In this case, direct mode motion vectors can therefore be calculated only from the forward prediction of B7. For B9, however, both motion vectors seem to be adequate enough for the prediction and therefore may be used. Such decisions/information may also be decided/supported within the header of the image. Other conditions and rules may also be implemented. For example, additional spatial confidence of a prediction and/or a motion vector phase may be considered. Note, in particular, that if the forward and backward motion vectors have no relationship, then the backward motion vector might be too unreliable to use.
- Single Picture Reference for B Pictures:
- A special case exists with the usage of only one picture reference for B pictures (although, typically a forward and a backward reference are necessary) regardless of how many reference pictures are used in P pictures. From observations of encoding sequences in the current JVT codec, for example, it was noted that, if one compares the single-picture reference versus the multi-picture reference case using B pictures, even though encoding performance of P pictures for the multi-picture case is almost always superior to that of the single-picture, the some is not always true for B pictures.
- One reason for this observation is the overhead of the reference picture used for each macroblock. Considering that B pictures rely more on motion information than P pictures, the reference picture information overhead reduces the number of bits that are transmitted for the residue information at a given bitrate, which thereby reduces efficiency. A rather easy and efficient solution could be the selection of only one picture reference for either backward or forward motion compensation, thus not needing to transmit any reference picture information.
- This is considered with reference to FIGS. 13 and 14. As illustrated in FIG. 13, B pictures can be restricted in using only one future and past reference pictures. Thus, for direct mode motion vector calculation, projection of the motion vectors is necessary. A projection of the collocated MVs to the current reference for temporal direct prediction is illustrated in FIG. 14 (note that it is possible that TD D,0>TDD,1). Thus, in this example, Direct Mode motion parameters are calculated by projecting motion vectors that refer to other reference pictures to the two reference pictures, or by using spatial prediction as in FIG. 13. Note that such options not only allow for possible reduced encoding complexity of B pictures, but also tend to reduce memory requirements since fewer B pictures (e.g., maximum two) are needed to be stored if B pictures are allowed to reference B pictures. In certain cases a reference picture of the first future reference picture may no longer be available in the reference buffer. This could immediately generate a problem for the estimate of Direct Mode macroblocks and special handling of such cases is required. Obviously there is no such problem if a single picture reference is used. However, if multiple picture references are desired, then possible solutions include projecting the motion vector(s) to either the first forward reference picture, and/or to the reference picture that was closest to the non available picture. Either solution could be viable, whereas again spatial prediction could be an alternative solution.
- Refinements of the motion vector prediction for single- and multi-picture reference motion compensation
- Motion vector prediction for multi-picture reference motion compensation can significantly affect the performance of both B and P picture coding. Existing standards, such as, for example, JVT, do not always consider the reference pictures of the macroblocks used in the prediction. The only consideration such standards do make is when only one of the prediction macroblocks uses the same reference. In such a case, only that predictor is used for the motion prediction. There is no consideration of the reference picture if only one or all predictors are using a different reference.
- In such a case, for example, and in accordance with certain further aspects of the present invention, one can scale the predictors according to their temporal distance versus the current reference. Attention is drawn to FIG. 11, which illustrates Motion Vector prediction of a current block (C) considering the reference picture information of predictor macroblocks (Pr) and performance of proper adjustments (e.g., scaling of the predictors).
-
- If integer computation is to be used, it may be easier to place the multiplication inside the median, thus increasing accuracy. The division could also be replaced with shifting, but that reduces the performance, whereas it might be necessary to handle signed shifting as well (−1>>N=−1). It is thus very important in such cases to have the temporal distance information available for performing the appropriate scaling. Such could also be available within the header, if not predictable otherwise.
- Motion Vector prediction as discussed previously is basically median biased, meaning that the median value among a set of predictors is selected for the prediction. If one only uses one type of macroblock (e.g., 16×16) with one Motion Vector (MV), then these predictors can be defined, for example, as illustrated in FIG. 15. Here, MV predictors are shown for one MV. In FIG. 15 a, the MB is not in the first row or the last column. In FIG. 15b, the MB is in the last column. In FIG. 15c, the MB is in the first row.
- The JVT standard improves on this further by also considering the case that only one of the three predictors exists (i.e. Macroblocks are intra or are using a different reference picture in the case of multi-picture prediction). In such a case, only the existing or same reference predictor is used for the prediction and all others are not examined.
- Intra coding does not always imply that a new object has appeared or that scene changes. It might instead, for example, be the case that motion estimation and compensation is inadequate to represent the current object (e.g., search range, motion estimation algorithm used, quantization of residue, etc) and that better results could be achieved through Intra Coding instead. The available motion predictors could still be adequate enough to provide a good motion vector predictor solution.
- What is intriguing is the consideration of subblocks within a Macroblock, with each one being assigned different motion information. MPEG-4 and H.263 standards, for example, can have up to four such subblocks (e.g., with size 8×8), where as the JVT standard allows up to sixteen subblocks while also being able to handle variable block sizes (e.g., 4×4, 4×8, 8×4,8×8, 8×16, 16×8, and 16×16). In addition JVT also allows for 8×8 Intra subblocks, thus complicating things even further.
- Considering the common cases of JVT and MPEG-4/H.263 (8×8 and 16×16), the predictor set for a 16×16 macroblock is illustrated in FIGS. 16 a-c having a similar arrangement to FIGS. 15a-c, respectively. Here, Motion Vector predictors are shown for one MV with 8×8 partitions. Even though the described predictors could give reasonable results in some cases, it appears that they may not adequately cover all possible predictions.
- Attention is drawn next to FIGS. 17 a-c, which are also in a similar arrangement to FIGS. 15a-c, respectively. Here, in FIGS. 17a-c there are two additional predictors that could also be considered in the prediction phase (C1 and A2). If 4×4 blocks are also considered, this increases the possible predictors by four.
- Instead of employing a median of the three predictors A, B, and C (or Al, B, and C 2) one may now have some additional, and apparently more reliable, options. Thus, for example, one can observe that predictors A1, and C2 are essentially too close with one another and it may be the case that they may not be too representative in the prediction phase. Instead, selecting predictors A1, C1, and B seems to be a more reliable solution due to their separation. An alternative could also be the selection of A2 instead of A1 but that may again be too close to predictor B. Simulations suggest that the first case is usually a better choice. For the last column A2 could be used instead of Al. For the first row either one of A1 and A2 or even their average value could be used. Gain up to 1% was noted within JVT with this implementation.
- The previous case adds some tests for the last column. By examining FIG. 17 b, for example, it is obvious that such tends to provide the best partitioning available. Thus, an optional solution could be the selection of A2, C1, and B (from the upper-left position). This may not always be recommended however, since such an implementation may adversely affect the performance of right predictors.
- An alternative solution would be the usage of averages of predictors within a Macroblock. The median may then be performed as follows:
- {right arrow over (MV)} pred=Median(Ave({right arrow over (MV)} C
1 ,{right arrow over (MV)} C2 ), Ave({right arrow over (MV)} A1 ,{right arrow over (MV)} A2 ),{right arrow over (MV)} B). - For median row/column calculation, the median can be calculated as:
- {right arrow over (MV)} pred=(Median(Median({right arrow over (MV)} C
1 ,{right arrow over (MV)} C2 ,{right arrow over (MV)} D), . . . Median({right arrow over (MV)} D ,{right arrow over (MV)} A1 ,{right arrow over (MV)} C2 ),Median({right arrow over (MV)} B ,{right arrow over (MV)} A1 ,{right arrow over (MV)}A2 )) - Another possible solution is a Median5 solution. This is probably the most complicated solution due to computation (quick-sort or bubble-sort could for example be used), but could potentially yield the best results. If 4×4 blocks are considered, for example, then Median9 could also be used:
- {right arrow over (MV)} pred=Median({right arrow over (MV)} C
1 , {right arrow over (MV)} C2 ,{right arrow over (MV)} D,{right arrow over (MV)}B ,{right arrow over (MV)} A1 ,{right arrow over (MV)} A2 ) - Considering that JVT allows the existence of Intra subblocks within an Inter Macroblock (e.g., tree macroblock structure), such could also be taken in consideration within the Motion Prediction. If a subblock (e.g., from Macroblocks above or left only) to be used for the MV prediction is Intra, then the adjacent subblock may be used instead. Thus, if Al is intra but A 2 is not, then Al can be replaced by A2 in the prediction. A further possibility is to replace one missing Intra Macroblock with the MV predictor from the upper-left position. In FIG. 17a, for example, if C1 is missing then D may be used instead.
- In the above sections, several improvements on B picture Direct Mode and on Motion Vector Prediction were presented. It was illustrated that spatial prediction can also be used for Direct Mode macroblocks; where as Motion Vector prediction should consider temporal distance and subblock information for more accurate prediction. Such considerations should significantly improve the performance of any applicable video coding system.
- Conclusion
- Although the description above uses language that is specific to structural features and/or methodological acts, it is to be understood that the invention defined in the appended claims is not limited to the specific features or acts described. Rather, the specific features and acts are disclosed as exemplary forms of implementing the invention.
Claims (117)
1. A method for use in encoding video data within a sequence of video frames, the method comprising:
identifying at least a portion of at least one video frame to be a Bidirectionally Predictive (B) picture; and
selectively encoding said B picture using at least spatial prediction to encode at least one motion parameter associated with said B picture.
2. The method as recited in claim 1 , wherein said B picture includes a macroblock.
3. The method as recited in claim 2 , wherein selectively encoding said B picture using at least spatial prediction to encode said at least one motion parameter produces a Direct Macroblock.
4. The method as recited in claim 1 , wherein said B picture includes a slice.
5. The method as recited in claim 1 , wherein said B picture includes at least a portion of a macroblock.
6. The method as recited in claim 1 , wherein selectively encoding said B picture using at least spatial prediction to encode said at least one motion parameter further includes employing linear motion vector prediction for said B picture based on at least one reference picture that is at least another portion of said video frame.
7. The method as recited in claim 1 , wherein selectively encoding said B picture using at least spatial prediction to encode said at least one motion parameter further includes employing non-linear motion vector prediction for said B picture based on at least one reference picture that is at least another portion of said video frame.
8. The method as recited in claim 1 , wherein selectively encoding said B picture using at least spatial prediction to encode said at least one motion parameter further includes employing median motion vector prediction for said B picture based on at least two reference pictures that are both portions of said video frame.
9. The method as recited in claim 1 , wherein said at least one motion parameter includes at least one motion vector.
10. The method as recited in claim 1 , wherein at least one other portion of at least one other video frame is processed to further selectively encode said B picture using temporal prediction to encode at least one temporal-based motion parameter associated with said B picture.
11. The method as recited in claim 10 , wherein said temporal prediction includes bidirectional temporal prediction.
12. The method as recited in claim 10 , wherein said at least one other video frame is a Predictive (P) frame.
13. The method as recited in claim 10 , further comprising selectively scaling said at least one temporal-based motion parameter based at least in part on a temporal distance between said other video frame and said frame that includes said B picture.
14. The method as recited in claim 13 , wherein temporal distance information is encoded within a header associated with said encoded B picture.
15. The method as recited in claim 10 , wherein said at least one other portion includes at least a portion of a macroblock within said at least one other video frame.
16. A computer-readable medium having computer implementable instructions for configuring at least one processing unit to perform acts comprising:
accessing data for a sequence of video frames;
identifying at least a portion of at least one video frame to be a Bidirectionally Predictive (B) picture; and
selectively encoding said B picture using at least spatial prediction to encode at least one motion parameter associated with said B picture.
17. The computer-readable medium as recited in claim 16 , wherein said B picture includes a macroblock.
18. The computer-readable medium as recited in claim 17 , wherein selectively encoding said B picture using at least spatial prediction to encode said at least one motion parameter produces a Direct Macroblock.
19. The computer-readable medium as recited in claim 16 , wherein said B picture includes a slice.
20. The computer-readable medium as recited in claim 16 , wherein said B picture includes at least a portion of a macroblock.
21. The computer-readable medium as recited in claim 16 , wherein selectively encoding said B picture using at least spatial prediction to encode said at least one motion parameter further includes employing linear motion vector prediction for said B picture based on at least one reference picture that is at least another portion of said video frame.
22. The computer-readable medium as recited in claim 16 , wherein selectively encoding said B picture using at least spatial prediction to encode said at least one motion parameter further includes employing non-linear motion vector prediction for said B picture based on at least one reference picture that is at least another portion of said video frame.
23. The computer-readable medium as recited in claim 16 , wherein selectively encoding said B picture using at least spatial prediction to encode said at least one motion parameter further includes employing median motion vector prediction for said B picture based on at least two reference pictures that are both portions of said video frame.
24. The computer-readable medium as recited in claim 16 , wherein said at least one motion parameter includes at least one motion vector.
25. The computer-readable medium as recited in claim 1 , wherein at least one other portion of at least one other video frame is processed to further selectively encode said B picture using temporal prediction to encode at least one temporal-based motion parameter associated with said B picture.
26. The computer-readable medium as recited in claim 25 , wherein said temporal prediction includes bidirectional temporal prediction.
27. The computer-readable medium as recited in claim 25 , wherein said at least one other video frame is a Predictive (P) frame.
28. The computer-readable medium as recited in claim 25 , having computer implementable instructions for configuring said at least one processing unit to perform acts comprising:
selectively scaling said at least one temporal-based motion parameter based at least in part on a temporal distance between said other video frame and said frame that includes said B picture.
29. The computer-readable medium as recited in claim 28 , wherein temporal distance information is encoded within a header associated with said encoded B picture.
30. The computer-readable medium as recited in claim 25 , wherein said at least one other portion includes at least a portion of a macroblock within said at least one other video frame.
31. An apparatus for use in encoding video data within a sequence of video frames, the apparatus comprising:
logic operatively configured to access video data for a sequence of video frames, identify at least a portion of at least one video frame to be a Bidirectionally Predictive (B) picture, and selectively encode said B picture using at least spatial prediction to encode at least one motion parameter associated with said B picture.
32. The apparatus as recited in claim 31 , wherein said B picture includes a macroblock.
33. The apparatus as recited in claim 32 , wherein said logic selectively encodes said B picture using at least spatial prediction to encode said at least one motion parameter to produce a Direct Macroblock.
34. The apparatus as recited in claim 31 , wherein said B picture includes a slice.
35. The apparatus as recited in claim 31 , wherein said B picture includes at least a portion of a macroblock.
36. The apparatus as recited in claim 31 , wherein said logic is further configured to employ linear motion vector prediction for said B picture based on at least one reference picture that is at least another portion of said video frame.
37. The apparatus as recited in claim 31 , wherein said logic is further configured to employ non-linear motion vector prediction for said B picture based on at least one reference picture that is at least another portion of said video frame.
38. The apparatus as recited in claim 31 , wherein said logic is further configured to employ median motion vector prediction for said B picture based on at least two reference pictures that are both portions of said video frame.
39. The apparatus as recited in claim 31 , wherein said at least one motion parameter includes at least one motion vector.
40. The apparatus as recited in claim 31 , wherein said logic is further configured to process at least one other portion of at least one other video frame is and selectively encode said B picture using temporal prediction to encode at least one temporal-based motion parameter associated with said B picture.
41. The apparatus as recited in claim 40 , wherein said temporal prediction includes bidirectional temporal prediction.
42. The apparatus as recited in claim 40 , wherein said at least one other video frame is a Predictive (P) frame.
43. The apparatus as recited in claim 40 , wherein said logic is further configured to selectively scale said at least one temporal-based motion parameter based at least in part on a temporal distance between said other video frame and said frame that includes said B picture.
44. The apparatus as recited in claim 43 , whereinsaid logic is further configured to include temporal distance information within a header associated with said encoded B picture.
45. The apparatus as recited in claim 40 , wherein said at least one other portion includes at least a portion of a macroblock within said at least one other video frame.
46. A method for encoding video data, the method comprising:
identifying at least a portion of at least one video frame to be coded in an enhanced direct mode; and
encoding said portion in said enhanced direct mode using at least spatial information associated with said portion within said at least one video frame.
47. The method as recited in claim 46 wherein encoding said portion in said enhanced direct mode further includes using temporal information associated with said portion and at least one other portion of at least one other video frame.
48. The method as recited in claim 46 , wherein encoding said portion in said enhanced direct mode further includes using motion vector prediction based on at least one other portion within said at least one video frame.
49. The method as recited in Clam 48, wherein said motion vector prediction includes median prediction.
50. The method as recited in claim 46 , wherein said enhance direct mode includes using spatial prediction to calculate said spatial information based on at least one linear function that considers motion information of at least one other portion of said at least one video frame.
51. The method as recited in claim 46 , wherein said enhance direct mode includes using spatial prediction to calculate said spatial information based on at least one non-linear function that considers motion information of at least one other portion of said at least one video frame.
52. A computer-readable medium having computer implementable instructions for configuring at least one processing unit to perform acts comprising encoding video data by identifying at least a portion of at least one video frame to be coded in an enhanced direct mode, and encoding said portion in said enhanced direct mode using at least spatial information associated with said portion within said at least one video frame.
53. The computer-readable medium as recited in claim 52 wherein encoding said portion in said enhanced direct mode further includes using temporal information associated with said portion and at least one other portion of at least one other video frame.
54. The computer-readable medium as recited in claim 52 , wherein encoding said portion in said enhanced direct mode further includes using motion vector prediction based on at least one other portion within said at least one video frame.
55. The computer-readable medium as recited in Clam 54, wherein said motion vector prediction includes median prediction.
56. The computer-readable medium as recited in claim 52 , wherein said enhance direct mode includes using spatial prediction to calculate said spatial information based on at least one linear function that considers motion information of at least one other portion of said at least one video frame.
57. The computer-readable medium as recited in claim 52 , wherein said enhance direct mode includes using spatial prediction to calculate said spatial information based on at least one non-linear function that considers motion information of at least one other portion of said at least one video frame.
58. An apparatus comprising:
logic operatively configured to encode video data by identifying at least a portion of at least one video frame to be coded in an enhanced direct mode, and encode said portion in said enhanced direct mode using at least spatial information Is associated with said portion within said at least one video frame.
59. The apparatus as recited in claim 58 wherein said logic is further operatively configured to use temporal information associated with said portion and at least one other portion of at least one other video frame to encode said portion in said enhanced direct mode.
60. The apparatus as recited in claim 58 , wherein said logic is further operatively configured to encoding said portion in said enhanced direct mode further using motion vector prediction information based on at least one other portion within said at least one video frame.
61. The apparatus as recited in Clam 60, wherein said motion vector prediction includes median prediction.
62. The apparatus as recited in claim 56 , wherein said logic is further operatively configured to use spatial prediction to calculate said spatial information based on at least one linear function that considers motion information of at least one other portion of said at least one video frame.
63. The apparatus as recited in claim 56 , wherein said logic is further operatively configured to use spatial prediction to calculate said spatial information based on at least one non-linear function that considers motion information of at least one other portion of said at least one video frame.
64. A method to predict a reference picture in direct mode video encoding, the method comprising:
selecting a reference picture from a group comprising a minimum reference picture for a plurality of predictions related to at least a portion of a video frame to be encoded, a median reference picture for said plurality of predictions, and a current reference picture based on a single direction prediction; and
encoding said at least one portion of said video frame based on selected reference picture.
65. The method as recited in claim 64 , wherein selecting said reference picture further includes selecting at least one spatially related prediction.
66. The method as recited in claim 64 , wherein selecting said reference picture further includes selecting at least one temporally related prediction.
67. A computer-readable medium having computer implementable instructions for configuring at least one processing unit to perform acts comprising:
selecting a reference picture from a group comprising a minimum reference picture for a plurality of predictions related to at least a portion of a video frame to be encoded, a median reference picture for said plurality of predictions, and a current reference picture based on a single direction prediction; and
encoding said at least one portion of said video frame based on selected reference picture.
68. The computer-readable medium as recited in claim 67 , wherein selecting said reference picture further includes selecting at least one spatially related prediction.
69. The computer-readable medium as recited in claim 67 , wherein selecting said reference picture further includes selecting at least one temporally related prediction.
70. An apparatus comprising:
logic that is operatively configured to select a reference picture from a group comprising a minimum reference picture for a plurality of predictions related to at least a portion of a video frame to be encoded, a median reference picture for said plurality of predictions, and a current reference picture based on a single direction prediction, and encode said at least one portion of said video frame based on selected reference picture.
71. The apparatus as recited in claim 70 , wherein said logic is operatively configured to select at least one spatially related prediction.
72. The apparatus as recited in claim 70 , wherein said logic is operatively configured to select at least one temporally related prediction.
73. A method for use in selecting between temporal prediction, spatial prediction, or both temporal and spatial prediction for encoding at least a portion of at least one video frame in an enhanced direct mode, the method comprising:
selecting temporal prediction if at least one motion vector of a collocated portion of said video frame is zero;
if surrounding portions within said video frame use different reference pictures than a collocated reference picture, then select spatial prediction only;
if a motion flow associated with said portion of said video frame is substantially different than a motion flow associated with a reference picture, then select spatial prediction;
if temporal prediction of direct mode is signaled inside an image header, then selecting temporal prediction; and
if spatial prediction of direct mode is signaled inside said image header, then selecting spatial prediction.
74. The method as recited in claim 73 , further comprising:
correcting at least one temporally predicted parameter based on spatial information.
75. The method as recited in claim 73 , further comprising:
correcting at least one spatially predicted parameter based on temporal information.
76. A computer-readable medium having computer implementable instructions for configuring at least one processing unit to perform acts comprising:
selecting between temporal prediction, spatial prediction, or both temporal and spatial prediction for encoding at least a portion of at least one video frame in an enhanced direct mode, such that:
temporal prediction is selected if at least one motion vector of a collocated portion of said video frame is zero,
only spatial prediction is selected if surrounding portions within said video frame use different reference pictures than a collocated reference picture,
spatial prediction is selected if a motion flow associated with said portion of said video frame is substantially different than a motion flow associated with a reference picture,
temporal prediction is selected if temporal prediction of direct mode is signaled inside an image header, and
spatial prediction is selected if spatial prediction of direct mode is signaled inside said image header.
77. The computer-readable medium as recited in claim 76 , further comprising:
correcting at least one temporally predicted parameter based on spatial information.
78. The computer-readable medium as recited in claim 76 , further comprising:
correcting at least one spatially predicted parameter based on temporal information.
79. An apparatus comprising:
logic operatively configured to select between and employ temporal prediction, spatial prediction, or both temporal and spatial prediction for encoding at least a portion of at least one video frame in an enhanced direct mode, wherein said logic:
selects temporal prediction if at least one motion vector of a collocated portion of said video frame is zero,
selects only spatial prediction if surrounding portions within said video frame use different reference pictures than a collocated reference picture,
selects spatial prediction if a motion flow associated with said portion of said video frame is substantially different than a motion flow associated with a reference picture,
selects temporal prediction if temporal prediction of direct mode is signaled inside an image header, and
selects spatial prediction if spatial prediction of direct mode is signaled inside said image header.
80. The apparatus as recited in claim 79 , wherein said logic is further operatively configured to correct at least one temporally predicted parameter based on spatial information.
81. The apparatus as recited in claim 79 , wherein said logic is further operatively configured to correct at least one spatially predicted parameter based on temporal information.
82. A method for use in encoding video data, the method comprising:
selecting a reference portion of a future video frame to serve as a B picture to at least one portion of an earlier video frame;
using motion vectors associated with said reference frame to calculate motion vectors associated with said at least one portion; and
encoding said at least one portion based on said calculated motion vectors associated with said at least one portion.
83. A method as recited in claim 82 , wherein using said motion vectors associated with said reference frame to calculate said motion vectors associated with said at least one portion further includes estimating at least one possible prediction for use in direct mode coding by projecting and inverting backward and forward motion vectors of the reference portion.
84. The method as recited in claim 83 , wherein encoding said at least one portion based on said calculated motion vectors associated with said at least one portion further includes applying selective projection and inversion based on at least one temporal parameter associated with said reference portion with respect to said at least one portion.
85. The method as recited in claim 82 , wherein only one reference portion is used for B pictures when encoding in direct mode.
86. The method as recited in claim 82 , wherein encoding said at least one portion based on said calculated motion vectors associated with said at least one portion further includes encoding in a direct mode wherein at least one of said calculated motion vectors is based on at least one projected motion vector that refers to at least two reference portions in two different reference pictures.
87. The method as recited in claim 82 , wherein encoding said at least one portion based on said calculated motion vectors associated with said at least one portion further includes encoding in a direct mode wherein at least one of said calculated motion vectors is based on spatial prediction associated with said reference portion.
88. A computer-readable medium having computer implementable instructions for configuring at least one processing unit to perform acts comprising:
selecting a reference portion of a future video frame to serve as a B picture to at least one portion of an earlier video frame;
using motion vectors associated with said reference frame to calculate motion vectors associated with said at least one portion; and
encoding said at least one portion based on said calculated motion vectors associated with said at least one portion.
89. A computer-readable medium as recited in claim 88 , wherein using said motion vectors associated with said reference frame to calculate said motion vectors associated with said at least one portion further includes estimating at least one possible prediction for use in direct mode coding by projecting and inverting backward and forward motion vectors of the reference portion.
90. The computer-readable medium as recited in claim 89 , wherein encoding said at least one portion based on said calculated motion vectors associated with said at least one portion further includes applying selective projection and inversion based on at least one temporal parameter associated with said reference portion with respect to said at least one portion.
91. The computer-readable medium as recited in claim 88 , wherein only one reference portion is used for B pictures when encoding in direct mode.
92. The computer-readable medium as recited in claim 88 , wherein encoding said at least one portion based on said calculated motion vectors associated with said at least one portion further includes encoding in a direct mode wherein at least one of said calculated motion vectors is based on at least one projected motion vector that refers to at least two reference portions in two different reference pictures.
93. The computer-readable medium as recited in claim 88 , wherein encoding said at least one portion based on said calculated motion vectors associated with said at least one portion further includes encoding in a direct mode wherein at least one of said calculated motion vectors is based on spatial prediction associated with said reference portion.
94. An apparatus comprising:
logic operatively configured to select a reference portion of a future video frame to serve as a B picture to at least one portion of an earlier video frame, use motion vectors associated with said reference frame to calculate motion vectors associated with said at least one portion, and encode said at least one portion based on said calculated motion vectors associated with said at least one portion.
95. The apparatus as recited in claim 94 , wherein said logic is further operatively configured to estimate at least one possible prediction for use in direct mode coding by projecting and inverting backward and forward motion vectors of the reference portion.
96. The apparatus as recited in claim 95 , wherein said logic is further operatively configured to apply selective projection and inversion based on at least one temporal parameter associated with said reference portion with respect to said at least one portion.
97. The apparatus as recited in claim 94 , wherein only one reference portion is used for B pictures when encoding in direct mode.
98. The apparatus as recited in claim 94 , wherein said logic is further operatively configured to encode in a direct mode wherein at least one of said calculated motion vectors is based on at least one projected motion vector that refers to at least two reference portions in two different reference pictures.
99. The apparatus as recited in claim 94 , wherein said logic is further operatively configured to encode in a direct mode wherein at least one of said calculated motion vectors is based on spatial prediction associated with said reference portion.
100. A method for use in determining motion vectors during video encoding, the method comprising:
selecting at least three predictors A, B and C that each uses a different reference picture having an associated temporal distance TRA, TRB, and TRC respectively, and a motion vector MVA, MVB, and MVC; and
predicting a median motion vector MVpred associated with a current reference picture that has a temporal distance equal to TR.
102. The method as recited in claim 100 , wherein said median predictor MVpred is calculated as:
MV pred=Median(Ave({right arrow over (MV)} C 1 ,{right arrow over (MV)} C 2 ),Ave({right arrow over (MV)} A 1 , {right arrow over (MV)} A 2 ),{right arrow over (MV)} B).
103. The method as recited in claim 100 , further comprising:
selecting at least a fourth predictor D having an associated temporal distance TRD and a motion vector MVD, and wherein said median predictor MVpred is calculated as:
{right arrow over (MV)} pred=Median(Median({right arrow over (MV)} C 1 ,{right arrow over (MV)} C 1 ,{right arrow over (MV)} D), . . . Median({right arrow over (MV)} D ,{right arrow over (MV)} A 1 ,{right arrow over (MV)}C 1 ),Median({right arrow over (MV)} B ,{right arrow over (MV)} A 1 ,{right arrow over (MV)} A 2 ))
104. The method as recited in claim 100 , further comprising:
selecting at least a fourth predictor D having an associated temporal distance TRD and a motion vector MVD, and wherein said median predictor MVpred is calculated as:
{right arrow over (MV)} pred=Median({right arrow over (MV)} C 1 ,{right arrow over (MV)} C 2 , {right arrow over (MV)} D , {right arrow over (MV)} B ,{right arrow over (MV)} A 1 , {right arrow over (MV)} A 2 ).
105. The method as recited in claim 100 , further comprising selectively substituting an adjacent portion of a reference frame for a selected portion of said reference frame for use in determining motion vector prediction when intra coding is used.
106. A computer-readable medium having computer implementable instructions for configuring at least one processing unit to perform acts comprising:
selecting at least three predictors A, B and C that each uses a different reference picture having an associated temporal distance TRA, TRB, and TRC respectively, and a motion vector MVA, MVB, and MVC; and
predicting a median motion vector MVpred associated with a current reference picture that has a temporal distance equal to TR.
108. The computer-readable medium as recited in claim 106 , wherein said median predictor MVpred is calculated as:
{right arrow over (MV)} pred=Median(Ave({right arrow over (MV)} C 1 ,{right arrow over (MV)} C 2 ), Ave({right arrow over (MV)}A 1 , {right arrow over (MV)}A 2 ),{right arrow over (MV)}B).
109. The computer-readable medium as recited in claim 106 , further comprising:
selecting at least a fourth predictor D having an associated temporal distance TRD and a motion vector MVD, and wherein said median predictor MVpred is calculated as:
{right arrow over (MV)} pred=Median(Median({right arrow over (MV)} C 1 ,{right arrow over (MV)} C 2 ,{right arrow over (MV)} D), . . . Median({right arrow over (MV)} D ,{right arrow over (MV)} A 1 ,{right arrow over (MV)} C 2 ),Median({right arrow over (MV)} B ,{right arrow over (MV)} A 1 ,{right arrow over (MV)} A 2 ))
110. The computer-readable medium as recited in claim 106 , further comprising:
selecting at least a fourth predictor D having an associated temporal distance TRD and a motion vector MVD, and wherein said median predictor MVpred is calculated as:
{right arrow over (MV)} pred=Median({right arrow over (MV)} C 1 ,{right arrow over (MV)} C 2 ,{right arrow over (MV)} D ,{right arrow over (MV)} B ,{right arrow over (MV)} A 1 ,{right arrow over (MV)} A 2 )
111. The computer-readable medium as recited in claim 106 , further comprising selectively substituting an adjacent portion of a reference frame for a selected portion of said reference frame for use in determining motion vector prediction when intra coding is used.
112. An apparatus comprising logic operatively configured to select at least three predictors A, B and C that each uses a different reference picture having an associated temporal distance TRA, TRB, and TRC respectively, and a motion vector MVA, MVB, and MVC, and predict a median motion vector MVpred associated with a current reference picture that has a temporal distance equal to TR.
114. The apparatus as recited in claim 112 , wherein said median predictor MVpred is calculated as:
{right arrow over (MV)} pred=Median(Ave({fraction (MV)} C 1 , {right arrow over (MV)} C 2 ), Ave(MV A 1 ,{right arrow over (MV)} A 2 ),{right arrow over (MV)}B).
115. The apparatus as recited in claim 112 , wherein said logic is further operatively configured to select at least a fourth predictor D having an associated temporal distance TRD and a motion vector MVD, and wherein said median predictor MVpred is calculated as:
{right arrow over (MV)} pred=Median(Median({right arrow over (MV)} C 1 ,{right arrow over (MV)} C 2 ,{right arrow over (MV)} D), . . . Median({right arrow over (MV)} D ,{right arrow over (MV)} A 1 ,{right arrow over (MV)} C 2 ),Median({right arrow over (MV)} B ,{right arrow over (MV)} A 1 ,{right arrow over (MV)} A 2 ))
116. The apparatus as recited in claim 112 , wherein said logic is further operatively configured to select at least a fourth predictor D having an associated temporal distance TRD and a motion vector MVD, and wherein said median predictor MVpred is calculated as:
{right arrow over (MV)} Pred=Median({right arrow over (MV)} C 1 , {right arrow over (MV)} C 2 ,{right arrow over (MV)} D ,{right arrow over (MV)} B ,{right arrow over (MV)} A 1 ,{right arrow over (MV)} A 2 ).
117. The apparatus as recited in claim 112 , wherein said logic is further operatively configured to selectively substitute an adjacent portion of a reference frame for a selected portion of said reference frame for use in determining motion vector prediction when intra coding is used.
Priority Applications (12)
| Application Number | Priority Date | Filing Date | Title |
|---|---|---|---|
| US10/444,511 US20040001546A1 (en) | 2002-06-03 | 2003-05-23 | Spatiotemporal prediction for bidirectionally predictive (B) pictures and motion vector prediction for multi-picture reference motion compensation |
| US10/620,320 US7154952B2 (en) | 2002-07-19 | 2003-07-15 | Timestamp-independent motion vector prediction for predictive (P) and bidirectionally predictive (B) pictures |
| US11/465,938 US8379722B2 (en) | 2002-07-19 | 2006-08-21 | Timestamp-independent motion vector prediction for predictive (P) and bidirectionally predictive (B) pictures |
| US11/525,059 US8374245B2 (en) | 2002-06-03 | 2006-09-20 | Spatiotemporal prediction for bidirectionally predictive(B) pictures and motion vector prediction for multi-picture reference motion compensation |
| US13/753,344 US8774280B2 (en) | 2002-07-19 | 2013-01-29 | Timestamp-independent motion vector prediction for predictive (P) and bidirectionally predictive (B) pictures |
| US13/760,486 US8873630B2 (en) | 2002-06-03 | 2013-02-06 | Spatiotemporal prediction for bidirectionally predictive (B) pictures and motion vector prediction for multi-picture reference motion compensation |
| US14/502,529 US9185427B2 (en) | 2002-06-03 | 2014-09-30 | Spatiotemporal prediction for bidirectionally predictive (B) pictures and motion vector prediction for multi-picture reference motion compensation |
| US14/875,164 US9571854B2 (en) | 2002-06-03 | 2015-10-05 | Spatiotemporal prediction for bidirectionally predictive (B) pictures and motion vector prediction for multi-picture reference motion compensation |
| US15/391,652 US10116959B2 (en) | 2002-06-03 | 2016-12-27 | Spatiotemporal prediction for bidirectionally predictive (B) pictures and motion vector prediction for multi-picture reference motion compensation |
| US16/146,133 US10694208B2 (en) | 2002-06-03 | 2018-09-28 | Spatiotemporal prediction for bidirectionally predictive (B) pictures and motion vector prediction for multi-picture reference motion compensation |
| US16/872,815 US11277636B2 (en) | 2002-06-03 | 2020-05-12 | Spatiotemporal prediction for bidirectionally predictive (b) pictures and motion vector prediction for multi-picture reference motion compensation |
| US17/669,235 US11575934B2 (en) | 2002-06-03 | 2022-02-10 | Spatiotemporal prediction for bidirectionally predictive (B) pictures and motion vector prediction for multi-picture reference motion compensation |
Applications Claiming Priority (2)
| Application Number | Priority Date | Filing Date | Title |
|---|---|---|---|
| US38596502P | 2002-06-03 | 2002-06-03 | |
| US10/444,511 US20040001546A1 (en) | 2002-06-03 | 2003-05-23 | Spatiotemporal prediction for bidirectionally predictive (B) pictures and motion vector prediction for multi-picture reference motion compensation |
Related Child Applications (3)
| Application Number | Title | Priority Date | Filing Date |
|---|---|---|---|
| US10/620,320 Continuation-In-Part US7154952B2 (en) | 2002-07-19 | 2003-07-15 | Timestamp-independent motion vector prediction for predictive (P) and bidirectionally predictive (B) pictures |
| US10/620,320 Continuation US7154952B2 (en) | 2002-07-19 | 2003-07-15 | Timestamp-independent motion vector prediction for predictive (P) and bidirectionally predictive (B) pictures |
| US11/525,059 Continuation US8374245B2 (en) | 2002-06-03 | 2006-09-20 | Spatiotemporal prediction for bidirectionally predictive(B) pictures and motion vector prediction for multi-picture reference motion compensation |
Publications (1)
| Publication Number | Publication Date |
|---|---|
| US20040001546A1 true US20040001546A1 (en) | 2004-01-01 |
Family
ID=29550205
Family Applications (9)
| Application Number | Title | Priority Date | Filing Date |
|---|---|---|---|
| US10/444,511 Abandoned US20040001546A1 (en) | 2002-06-03 | 2003-05-23 | Spatiotemporal prediction for bidirectionally predictive (B) pictures and motion vector prediction for multi-picture reference motion compensation |
| US11/525,059 Active 2027-07-02 US8374245B2 (en) | 2002-06-03 | 2006-09-20 | Spatiotemporal prediction for bidirectionally predictive(B) pictures and motion vector prediction for multi-picture reference motion compensation |
| US13/760,486 Expired - Lifetime US8873630B2 (en) | 2002-06-03 | 2013-02-06 | Spatiotemporal prediction for bidirectionally predictive (B) pictures and motion vector prediction for multi-picture reference motion compensation |
| US14/502,529 Expired - Lifetime US9185427B2 (en) | 2002-06-03 | 2014-09-30 | Spatiotemporal prediction for bidirectionally predictive (B) pictures and motion vector prediction for multi-picture reference motion compensation |
| US14/875,164 Expired - Fee Related US9571854B2 (en) | 2002-06-03 | 2015-10-05 | Spatiotemporal prediction for bidirectionally predictive (B) pictures and motion vector prediction for multi-picture reference motion compensation |
| US15/391,652 Expired - Lifetime US10116959B2 (en) | 2002-06-03 | 2016-12-27 | Spatiotemporal prediction for bidirectionally predictive (B) pictures and motion vector prediction for multi-picture reference motion compensation |
| US16/146,133 Expired - Fee Related US10694208B2 (en) | 2002-06-03 | 2018-09-28 | Spatiotemporal prediction for bidirectionally predictive (B) pictures and motion vector prediction for multi-picture reference motion compensation |
| US16/872,815 Expired - Lifetime US11277636B2 (en) | 2002-06-03 | 2020-05-12 | Spatiotemporal prediction for bidirectionally predictive (b) pictures and motion vector prediction for multi-picture reference motion compensation |
| US17/669,235 Expired - Lifetime US11575934B2 (en) | 2002-06-03 | 2022-02-10 | Spatiotemporal prediction for bidirectionally predictive (B) pictures and motion vector prediction for multi-picture reference motion compensation |
Family Applications After (8)
| Application Number | Title | Priority Date | Filing Date |
|---|---|---|---|
| US11/525,059 Active 2027-07-02 US8374245B2 (en) | 2002-06-03 | 2006-09-20 | Spatiotemporal prediction for bidirectionally predictive(B) pictures and motion vector prediction for multi-picture reference motion compensation |
| US13/760,486 Expired - Lifetime US8873630B2 (en) | 2002-06-03 | 2013-02-06 | Spatiotemporal prediction for bidirectionally predictive (B) pictures and motion vector prediction for multi-picture reference motion compensation |
| US14/502,529 Expired - Lifetime US9185427B2 (en) | 2002-06-03 | 2014-09-30 | Spatiotemporal prediction for bidirectionally predictive (B) pictures and motion vector prediction for multi-picture reference motion compensation |
| US14/875,164 Expired - Fee Related US9571854B2 (en) | 2002-06-03 | 2015-10-05 | Spatiotemporal prediction for bidirectionally predictive (B) pictures and motion vector prediction for multi-picture reference motion compensation |
| US15/391,652 Expired - Lifetime US10116959B2 (en) | 2002-06-03 | 2016-12-27 | Spatiotemporal prediction for bidirectionally predictive (B) pictures and motion vector prediction for multi-picture reference motion compensation |
| US16/146,133 Expired - Fee Related US10694208B2 (en) | 2002-06-03 | 2018-09-28 | Spatiotemporal prediction for bidirectionally predictive (B) pictures and motion vector prediction for multi-picture reference motion compensation |
| US16/872,815 Expired - Lifetime US11277636B2 (en) | 2002-06-03 | 2020-05-12 | Spatiotemporal prediction for bidirectionally predictive (b) pictures and motion vector prediction for multi-picture reference motion compensation |
| US17/669,235 Expired - Lifetime US11575934B2 (en) | 2002-06-03 | 2022-02-10 | Spatiotemporal prediction for bidirectionally predictive (B) pictures and motion vector prediction for multi-picture reference motion compensation |
Country Status (10)
| Country | Link |
|---|---|
| US (9) | US20040001546A1 (en) |
| EP (1) | EP1369820A3 (en) |
| JP (1) | JP4733341B2 (en) |
| KR (1) | KR100958499B1 (en) |
| CN (1) | CN100455018C (en) |
| AU (1) | AU2003204477B2 (en) |
| BR (1) | BR0302164A (en) |
| CA (1) | CA2430460C (en) |
| MX (1) | MXPA03004906A (en) |
| RU (1) | RU2310231C2 (en) |
Cited By (68)
| Publication number | Priority date | Publication date | Assignee | Title |
|---|---|---|---|---|
| US20040008784A1 (en) * | 2002-06-17 | 2004-01-15 | Yoshihiro Kikuchi | Video encoding/decoding method and apparatus |
| US20040008899A1 (en) * | 2002-07-05 | 2004-01-15 | Alexandros Tourapis | Optimization techniques for data compression |
| US20040066848A1 (en) * | 2002-10-04 | 2004-04-08 | Lg Electronics Inc. | Direct mode motion vector calculation method for B picture |
| US20040223548A1 (en) * | 2003-05-07 | 2004-11-11 | Ntt Docomo, Inc. | Moving picture encoding apparatus, moving picture decoding apparatus, moving picture encoding method, moving picture decoding method, moving picture encoding program, and moving picture decoding program |
| US20050013365A1 (en) * | 2003-07-18 | 2005-01-20 | Microsoft Corporation | Advanced bi-directional predictive coding of video frames |
| US20050053147A1 (en) * | 2003-09-07 | 2005-03-10 | Microsoft Corporation | Motion vector prediction in bi-directionally predicted interlaced field-coded pictures |
| US20050141612A1 (en) * | 2002-11-01 | 2005-06-30 | Kiyofumi Abe | Moving picture encoding method and motion picture decoding method |
| US20050152452A1 (en) * | 2002-07-15 | 2005-07-14 | Yoshinori Suzuki | Moving picture encoding method and decoding method |
| US20060029137A1 (en) * | 2004-08-03 | 2006-02-09 | Daeyang Foundation | Method, medium, and apparatus predicting direct mode motion of a multi-angle moving picture |
| US20060067400A1 (en) * | 2004-09-30 | 2006-03-30 | Samsung Electronics Co., Ltd. | Method and apparatus for encoding and decoding in inter mode based on multiple scanning |
| US20060072662A1 (en) * | 2002-01-25 | 2006-04-06 | Microsoft Corporation | Improved Video Coding |
| US20060165170A1 (en) * | 2005-01-21 | 2006-07-27 | Changick Kim | Prediction intra-mode selection in an encoder |
| US20060203913A1 (en) * | 2005-02-28 | 2006-09-14 | Samsung Electronics Co., Ltd. | Prediction image generating method and apparatus using single coding mode for all color components, and image and video encoding/decoding method and apparatus using the same |
| US20060280253A1 (en) * | 2002-07-19 | 2006-12-14 | Microsoft Corporation | Timestamp-Independent Motion Vector Prediction for Predictive (P) and Bidirectionally Predictive (B) Pictures |
| US20060285594A1 (en) * | 2005-06-21 | 2006-12-21 | Changick Kim | Motion estimation and inter-mode prediction |
| US20070014358A1 (en) * | 2002-06-03 | 2007-01-18 | Microsoft Corporation | Spatiotemporal prediction for bidirectionally predictive(B) pictures and motion vector prediction for multi-picture reference motion compensation |
| US20070064809A1 (en) * | 2005-09-14 | 2007-03-22 | Tsuyoshi Watanabe | Coding method for coding moving images |
| US20070140352A1 (en) * | 2005-12-19 | 2007-06-21 | Vasudev Bhaskaran | Temporal and spatial analysis of a video macroblock |
| US20070140338A1 (en) * | 2005-12-19 | 2007-06-21 | Vasudev Bhaskaran | Macroblock homogeneity analysis and inter mode prediction |
| US20070171977A1 (en) * | 2006-01-25 | 2007-07-26 | Shintaro Kudo | Moving picture coding method and moving picture coding device |
| US20070217510A1 (en) * | 2006-03-15 | 2007-09-20 | Fujitsu Limited | Video coding method, video coding apparatus and video coding program |
| US20080056366A1 (en) * | 2006-09-01 | 2008-03-06 | Vasudev Bhaskaran | In-Loop Noise Reduction Within an Encoder Framework |
| US20090003446A1 (en) * | 2007-06-30 | 2009-01-01 | Microsoft Corporation | Computing collocated macroblock information for direct mode macroblocks |
| CN100473168C (en) * | 2005-06-21 | 2009-03-25 | 中国科学院计算技术研究所 | Motion Vector Spatial Prediction Method for Video Coding |
| FR2923125A1 (en) * | 2007-10-29 | 2009-05-01 | Assistance Tech Et Etude De Ma | METHOD AND SYSTEM FOR ESTIMATING FUTURE MOVEMENT OF IMAGE ELEMENTS FROM MOVEMENT IN VIDEO ENCODER |
| US20090304084A1 (en) * | 2008-03-19 | 2009-12-10 | Nokia Corporation | Combined motion vector and reference index prediction for video coding |
| US20090316786A1 (en) * | 2006-04-14 | 2009-12-24 | Nxp B.V. | Motion estimation at image borders |
| US20110080954A1 (en) * | 2009-10-01 | 2011-04-07 | Bossen Frank J | Motion vector prediction in video coding |
| US7970050B2 (en) | 2004-09-30 | 2011-06-28 | Samsung Electronics Co., Ltd. | Method and apparatus for encoding and decoding data in intra mode based on multiple scanning |
| US20110261882A1 (en) * | 2008-04-11 | 2011-10-27 | Thomson Licensing | Methods and apparatus for template matching prediction (tmp) in video encoding and decoding |
| EP2186341A4 (en) * | 2007-08-28 | 2012-04-11 | Samsung Electronics Co Ltd | METHOD AND APPARATUS FOR ESTIMATING AND COMPENSATING SPATIO-TEMPORAL IMAGE MOTION |
| US8189666B2 (en) | 2009-02-02 | 2012-05-29 | Microsoft Corporation | Local picture identifier and computation of co-located information |
| US20130003851A1 (en) * | 2011-07-01 | 2013-01-03 | General Instrument Corporation | Motion vector prediction design simplification |
| US20130070855A1 (en) * | 2011-09-17 | 2013-03-21 | Qualcomm Incorporated | Hybrid motion vector coding modes for video coding |
| US20130188713A1 (en) * | 2007-06-15 | 2013-07-25 | Sungkyunkwan University Foundation For Corporate Collaboration | Bi-prediction coding method and apparatus, bi-prediction decoding method and apparatus, and recording medium |
| US20140016702A1 (en) * | 2012-02-03 | 2014-01-16 | Panasonic Corporation | Image decoding method and image decoding apparatus |
| US8687693B2 (en) | 2007-11-30 | 2014-04-01 | Dolby Laboratories Licensing Corporation | Temporal image prediction |
| CN105025300A (en) * | 2010-01-19 | 2015-11-04 | 三星电子株式会社 | Method and apparatus for encoding/decoding image |
| US9185428B2 (en) | 2011-11-04 | 2015-11-10 | Google Technology Holdings LLC | Motion vector scaling for non-uniform motion vector grid |
| US20150365699A1 (en) * | 2013-04-12 | 2015-12-17 | Media Tek Inc. | Method and Apparatus for Direct Simplified Depth Coding |
| US9253499B2 (en) | 2011-09-23 | 2016-02-02 | Kt Corporation | Method for inducing a merge candidate block and device using same |
| US20160080765A1 (en) * | 2008-03-07 | 2016-03-17 | Sk Planet Co., Ltd. | Encoding system using motion estimation and encoding method using motion estimation |
| US9319716B2 (en) | 2011-01-27 | 2016-04-19 | Qualcomm Incorporated | Performing motion vector prediction for video coding |
| CN105594214A (en) * | 2013-04-12 | 2016-05-18 | 联发科技股份有限公司 | Method and device for directly simplifying depth coding |
| US9445120B2 (en) | 2011-04-12 | 2016-09-13 | Sun Patent Trust | Moving picture coding method, moving picture coding apparatus, moving picture decoding method, moving picture decoding apparatus and moving picture coding and decoding apparatus |
| US9456214B2 (en) | 2011-08-03 | 2016-09-27 | Sun Patent Trust | Moving picture coding method, moving picture coding apparatus, moving picture decoding method, moving picture decoding apparatus, and moving picture coding and decoding apparatus |
| US9479777B2 (en) | 2012-03-06 | 2016-10-25 | Sun Patent Trust | Moving picture coding method, moving picture decoding method, moving picture coding apparatus, moving picture decoding apparatus, and moving picture coding and decoding apparatus |
| US9485518B2 (en) | 2011-05-27 | 2016-11-01 | Sun Patent Trust | Decoding method and apparatus with candidate motion vectors |
| US9485515B2 (en) | 2013-08-23 | 2016-11-01 | Google Inc. | Video coding using reference motion vectors |
| US9503746B2 (en) | 2012-10-08 | 2016-11-22 | Google Inc. | Determine reference motion vectors |
| US20160360227A1 (en) * | 2002-01-09 | 2016-12-08 | Panasonic Intellectual Property Corporation Of America | Motion vector coding method and motion vector decoding method |
| US9538181B2 (en) | 2010-04-08 | 2017-01-03 | Kabushiki Kaisha Toshiba | Image encoding method and image decoding method |
| US9591328B2 (en) | 2012-01-20 | 2017-03-07 | Sun Patent Trust | Methods and apparatuses for encoding and decoding video using temporal motion vector prediction |
| US9609356B2 (en) | 2011-05-31 | 2017-03-28 | Sun Patent Trust | Moving picture coding method and apparatus with candidate motion vectors |
| US9615107B2 (en) | 2011-05-27 | 2017-04-04 | Sun Patent Trust | Image coding method, image coding apparatus, image decoding method, image decoding apparatus, and image coding and decoding apparatus |
| US9826249B2 (en) | 2011-05-24 | 2017-11-21 | Velos Media, Llc | Decoding method and apparatuses with candidate motion vectors |
| US9900613B2 (en) | 2011-05-31 | 2018-02-20 | Sun Patent Trust | Image coding and decoding system using candidate motion vectors |
| US9924192B2 (en) | 2010-01-19 | 2018-03-20 | Samsung Electronics Co., Ltd. | Method and apparatus for encoding/decoding images using a motion vector of a previous block as a motion vector for the current block |
| US20200092576A1 (en) * | 2018-09-14 | 2020-03-19 | Google Llc | Motion prediction coding with coframe motion vectors |
| US10798385B2 (en) * | 2016-04-25 | 2020-10-06 | Lg Electronics Inc. | Inter-prediction method and apparatus in image coding system |
| US10887585B2 (en) | 2011-06-30 | 2021-01-05 | Sun Patent Trust | Image decoding method, image coding method, image decoding apparatus, image coding apparatus, and image coding and decoding apparatus |
| US11218708B2 (en) | 2011-10-19 | 2022-01-04 | Sun Patent Trust | Picture decoding method for decoding using a merging candidate selected from a first merging candidate derived using a first derivation process and a second merging candidate derived using a second derivation process |
| CN114080809A (en) * | 2019-06-13 | 2022-02-22 | Lg 电子株式会社 | Image or video coding of sub-block units based on temporal motion vector predictor candidates |
| US20220124316A1 (en) * | 2019-07-01 | 2022-04-21 | Samsung Electronics Co., Ltd. | Device and method for encoding and decoding motion information by means of neighboring motion information |
| US11317101B2 (en) | 2012-06-12 | 2022-04-26 | Google Inc. | Inter frame candidate selection for a video encoder |
| US11463707B2 (en) * | 2018-02-02 | 2022-10-04 | Apple Inc. | Techniques of multi-hypothesis motion compensation |
| US11863740B2 (en) | 2007-06-15 | 2024-01-02 | Sungkyunkwan University Foundation For Corporate Collaboration | Bi-prediction coding method and apparatus, bi-prediction decoding method and apparatus, and recording medium |
| US11924440B2 (en) | 2018-02-05 | 2024-03-05 | Apple Inc. | Techniques of multi-hypothesis motion compensation |
Families Citing this family (84)
| Publication number | Priority date | Publication date | Assignee | Title |
|---|---|---|---|---|
| US6957350B1 (en) | 1996-01-30 | 2005-10-18 | Dolby Laboratories Licensing Corporation | Encrypted and watermarked temporal and resolution layering in advanced television |
| US8374237B2 (en) | 2001-03-02 | 2013-02-12 | Dolby Laboratories Licensing Corporation | High precision encoding and decoding of video images |
| US7266150B2 (en) | 2001-07-11 | 2007-09-04 | Dolby Laboratories, Inc. | Interpolation of video compression frames |
| US8111754B1 (en) | 2001-07-11 | 2012-02-07 | Dolby Laboratories Licensing Corporation | Interpolation of video compression frames |
| US20030112863A1 (en) | 2001-07-12 | 2003-06-19 | Demos Gary A. | Method and system for improving compressed image chroma information |
| US8369405B2 (en) | 2004-05-04 | 2013-02-05 | Qualcomm Incorporated | Method and apparatus for motion compensated frame rate up conversion for block-based low bit rate video |
| WO2006007527A2 (en) | 2004-07-01 | 2006-01-19 | Qualcomm Incorporated | Method and apparatus for using frame rate up conversion techniques in scalable video coding |
| WO2006012384A2 (en) | 2004-07-20 | 2006-02-02 | Qualcomm Incorporated | Method and apparatus for encoder assisted-frame rate up conversion (ea-fruc) for video compression |
| KR20070040397A (en) * | 2004-07-20 | 2007-04-16 | 퀄컴 인코포레이티드 | Method and apparatus for frame rate up-conversion with multiple reference frames and variable block sizes |
| US8553776B2 (en) * | 2004-07-21 | 2013-10-08 | QUALCOMM Inorporated | Method and apparatus for motion vector assignment |
| WO2006016783A1 (en) * | 2004-08-13 | 2006-02-16 | Industry Academic Cooperation Foundation Kyunghee University | Method and device for motion estimation and compensation for panorama image |
| JP2009504001A (en) * | 2005-07-25 | 2009-01-29 | トムソン ライセンシング | Method and apparatus for detecting and concealing reference video frames and non-reference video frames |
| KR100727969B1 (en) | 2005-08-27 | 2007-06-14 | 삼성전자주식회사 | A recording medium on which an image encoding and decoding apparatus, a method thereof, and a program for performing the same are recorded. |
| US8750387B2 (en) | 2006-04-04 | 2014-06-10 | Qualcomm Incorporated | Adaptive encoder-assisted frame rate up conversion |
| US8634463B2 (en) | 2006-04-04 | 2014-01-21 | Qualcomm Incorporated | Apparatus and method of enhanced frame interpolation in video compression |
| KR101365574B1 (en) * | 2007-01-29 | 2014-02-20 | 삼성전자주식회사 | Method and apparatus for video encoding, and Method and apparatus for video decoding |
| US9031129B2 (en) * | 2007-06-15 | 2015-05-12 | Microsoft Technology Licensing, Llc | Joint spatio-temporal prediction for video coding |
| CN102113326A (en) | 2008-08-04 | 2011-06-29 | 杜比实验室特许公司 | Overlapped block disparity estimation and compensation architecture |
| JP2011091696A (en) * | 2009-10-23 | 2011-05-06 | Victor Co Of Japan Ltd | Motion vector predicting method |
| US9036692B2 (en) | 2010-01-18 | 2015-05-19 | Mediatek Inc. | Motion prediction method |
| JP5649701B2 (en) * | 2010-04-08 | 2015-01-07 | 株式会社東芝 | Image decoding method, apparatus, and program |
| JP5367161B2 (en) * | 2010-04-08 | 2013-12-11 | 株式会社東芝 | Image encoding method, apparatus, and program |
| CN103227922B (en) * | 2010-04-08 | 2016-06-01 | 株式会社东芝 | Picture decoding method and picture decoding apparatus |
| EP2375751A1 (en) * | 2010-04-12 | 2011-10-12 | Panasonic Corporation | Complexity reduction of edge-detection based spatial interpolation |
| MY163978A (en) * | 2010-04-13 | 2017-11-15 | Samsung Electronics Co Ltd | Video-encoding method and video-encoding apparatus using prediction units based on encoding units determined in accordance with a tree structure, and video-decoding method and video-decoding apparatus using prediction units based on encoding units determined in accordance with a tree structure |
| WO2011128259A1 (en) * | 2010-04-13 | 2011-10-20 | Fraunhofer-Gesellschaft zur Förderung der angewandten Forschung e.V. | A video decoder and a video encoder using motion-compensated prediction |
| US8837592B2 (en) * | 2010-04-14 | 2014-09-16 | Mediatek Inc. | Method for performing local motion vector derivation during video coding of a coding unit, and associated apparatus |
| JP5625512B2 (en) * | 2010-06-09 | 2014-11-19 | ソニー株式会社 | Encoding device, encoding method, program, and recording medium |
| TWI426785B (en) * | 2010-09-17 | 2014-02-11 | Univ Nat Cheng Kung | Method of frame error concealment in scable video decoding |
| US20120082228A1 (en) | 2010-10-01 | 2012-04-05 | Yeping Su | Nested entropy encoding |
| US10104391B2 (en) | 2010-10-01 | 2018-10-16 | Dolby International Ab | System for nested entropy encoding |
| ES2778227T3 (en) * | 2010-10-06 | 2020-08-10 | Ntt Docomo Inc | Device, method and program for bipredictive image decoding |
| KR20240034886A (en) | 2010-10-08 | 2024-03-14 | 지이 비디오 컴프레션, 엘엘씨 | Picture coding supporting block partitioning and block merging |
| USRE50573E1 (en) | 2010-11-24 | 2025-09-02 | Sun Patent Trust | Motion vector calculation method, picture coding method, picture decoding method, motion vector calculation apparatus, and picture coding and decoding apparatus |
| MX352533B (en) * | 2011-01-07 | 2017-11-29 | Ntt Docomo Inc | Prediction encoding method, prediction encoding device, and prediction encoding program for motion vector, as well as prediction decoding method, prediction decoding device, and prediction decoding program for motion vector. |
| CN107181958B (en) | 2011-02-09 | 2020-04-28 | Lg 电子株式会社 | Method of encoding and decoding image and apparatus using the same |
| JP5747559B2 (en) * | 2011-03-01 | 2015-07-15 | 富士通株式会社 | Moving picture decoding method, moving picture encoding method, moving picture decoding apparatus, and moving picture decoding program |
| GB2501836B (en) * | 2011-03-09 | 2014-08-06 | Canon Kk | Video encoding |
| AU2014210568B2 (en) * | 2011-06-15 | 2015-10-01 | Fujitsu Limited | Video decoding apparatus, video coding apparatus, video decoding method, video coding method, and storage medium |
| JP5786478B2 (en) * | 2011-06-15 | 2015-09-30 | 富士通株式会社 | Moving picture decoding apparatus, moving picture decoding method, and moving picture decoding program |
| HUE042313T2 (en) * | 2011-06-27 | 2019-06-28 | Samsung Electronics Co Ltd | A method for decoding motion information |
| GB2493755B (en) * | 2011-08-17 | 2016-10-19 | Canon Kk | Method and device for encoding a sequence of images and method and device for decoding a sequence of images |
| US9237356B2 (en) | 2011-09-23 | 2016-01-12 | Qualcomm Incorporated | Reference picture list construction for video coding |
| AU2011379313A1 (en) | 2011-10-21 | 2014-05-22 | Nokia Technologies Oy | Method for video coding and an apparatus |
| US9264717B2 (en) * | 2011-10-31 | 2016-02-16 | Qualcomm Incorporated | Random access with advanced decoded picture buffer (DPB) management in video coding |
| US20130114717A1 (en) * | 2011-11-07 | 2013-05-09 | Qualcomm Incorporated | Generating additional merge candidates |
| EP4009640A1 (en) | 2011-11-08 | 2022-06-08 | Electronics and Telecommunications Research Institute | Method and device for sharing a candidate list |
| KR102070431B1 (en) | 2012-01-19 | 2020-01-28 | 삼성전자주식회사 | Method and apparatus for encoding video with restricting bi-directional prediction and block merging, method and apparatus for decoding video |
| HUE056708T2 (en) * | 2012-04-12 | 2022-03-28 | Jvckenwood Corp | Moving picture coding device, moving picture coding method, moving picture coding program, and moving picture decoding device, moving picture decoding method, moving picture decoding program |
| US9942063B2 (en) | 2012-10-26 | 2018-04-10 | Altera Corporation | Apparatus for improved encoding and associated methods |
| US9490836B2 (en) * | 2012-10-26 | 2016-11-08 | Altera Corporation | Apparatus for improved encoding and associated methods |
| KR20150058324A (en) | 2013-01-30 | 2015-05-28 | 인텔 코포레이션 | Content adaptive entropy coding for next generation video |
| FR3002716A1 (en) | 2013-02-26 | 2014-08-29 | France Telecom | DERIVATION OF MOTION VECTOR OF DISPARITY, 3D VIDEO CODING AND DECODING USING SUCH DERIVATION |
| WO2014146079A1 (en) | 2013-03-15 | 2014-09-18 | Zenkich Raymond | System and method for non-uniform video coding |
| KR101560186B1 (en) * | 2013-03-18 | 2015-10-14 | 삼성전자주식회사 | A method and apparatus for encoding and decoding image using adaptive search range decision for motion estimation |
| US10003792B2 (en) | 2013-05-27 | 2018-06-19 | Microsoft Technology Licensing, Llc | Video encoder for images |
| JP5571229B2 (en) * | 2013-06-03 | 2014-08-13 | 株式会社東芝 | Image encoding method and image decoding method |
| JP5444497B2 (en) * | 2013-09-11 | 2014-03-19 | 株式会社東芝 | Image encoding method and image decoding method |
| JP5479648B1 (en) * | 2013-12-10 | 2014-04-23 | 株式会社東芝 | Image encoding method and image decoding method |
| KR101789954B1 (en) * | 2013-12-27 | 2017-10-25 | 인텔 코포레이션 | Content adaptive gain compensated prediction for next generation video coding |
| JP2014131295A (en) * | 2014-01-23 | 2014-07-10 | Toshiba Corp | Image encoding method and image decoding method |
| JP5571262B2 (en) * | 2014-01-23 | 2014-08-13 | 株式会社東芝 | Image encoding method and image decoding method |
| JP5509398B1 (en) * | 2014-01-23 | 2014-06-04 | 株式会社東芝 | Image encoding method and image decoding method |
| JP2014131293A (en) * | 2014-01-23 | 2014-07-10 | Toshiba Corp | Image encoding method and image decoding method |
| EP3120556B1 (en) * | 2014-03-17 | 2021-01-13 | Microsoft Technology Licensing, LLC | Encoder-side decisions for screen content encoding |
| US9392293B2 (en) * | 2014-05-21 | 2016-07-12 | Alcatel Lucent | Accelerated image processing |
| JP5659314B1 (en) * | 2014-10-01 | 2015-01-28 | 株式会社東芝 | Image encoding method and image decoding method |
| JP2015053729A (en) * | 2014-11-17 | 2015-03-19 | 株式会社東芝 | Image encoding method, and image decoding method |
| EP3254463A4 (en) | 2015-02-06 | 2018-02-21 | Microsoft Technology Licensing, LLC | Skipping evaluation stages during media encoding |
| US10958927B2 (en) * | 2015-03-27 | 2021-03-23 | Qualcomm Incorporated | Motion information derivation mode determination in video coding |
| US10038917B2 (en) | 2015-06-12 | 2018-07-31 | Microsoft Technology Licensing, Llc | Search strategies for intra-picture prediction modes |
| US10136132B2 (en) | 2015-07-21 | 2018-11-20 | Microsoft Technology Licensing, Llc | Adaptive skip or zero block detection combined with transform size decision |
| JP6196341B2 (en) * | 2016-02-17 | 2017-09-13 | 株式会社東芝 | Image encoding method and image decoding method |
| US10762135B2 (en) * | 2016-11-21 | 2020-09-01 | Adobe Inc. | Recommending software actions to create an image and recommending images to demonstrate the effects of software actions |
| JP6271694B2 (en) * | 2016-12-16 | 2018-01-31 | 株式会社東芝 | Image encoding method and image decoding method |
| JP6370977B2 (en) * | 2017-08-31 | 2018-08-08 | 株式会社東芝 | Image encoding method and image decoding method |
| JP6608904B2 (en) * | 2017-12-05 | 2019-11-20 | 株式会社東芝 | Video encoding apparatus and method |
| JP6609004B2 (en) * | 2018-07-02 | 2019-11-20 | 株式会社東芝 | Image encoding method and image decoding method |
| EP4325849A3 (en) * | 2018-11-22 | 2024-04-17 | Beijing Bytedance Network Technology Co., Ltd. | Coordination method for sub-block based inter prediction |
| JP7481430B2 (en) | 2019-08-13 | 2024-05-10 | 北京字節跳動網絡技術有限公司 | Motion Accuracy in Subblock-Based Inter Prediction |
| CN114762330B (en) | 2019-09-22 | 2025-09-23 | 北京字节跳动网络技术有限公司 | Video sub-picture encoding and decoding |
| JP6795666B2 (en) * | 2019-10-21 | 2020-12-02 | 株式会社東芝 | Image coding method and image decoding method |
| US12132928B2 (en) * | 2022-09-02 | 2024-10-29 | Qualcomm Incorporated | Block-level collocated motion field projection for video coding |
| CN120455806A (en) * | 2025-07-09 | 2025-08-08 | 北京达佳互联信息技术有限公司 | Video generation method, device, electronic device, storage medium and program product |
Citations (6)
| Publication number | Priority date | Publication date | Assignee | Title |
|---|---|---|---|---|
| US5132792A (en) * | 1989-10-14 | 1992-07-21 | Sony Corporation | Video signal transmitting system |
| US5260782A (en) * | 1991-08-30 | 1993-11-09 | Matsushita Electric Industrial Co., Ltd. | Adaptive DCT/DPCM video signal coding method |
| US6005980A (en) * | 1997-03-07 | 1999-12-21 | General Instrument Corporation | Motion estimation and compensation of video object planes for interlaced digital video |
| US20010040926A1 (en) * | 2000-05-15 | 2001-11-15 | Miska Hannuksela | Video coding |
| US6636565B1 (en) * | 1999-01-12 | 2003-10-21 | Lg Electronics Inc. | Method for concealing error |
| US20040146109A1 (en) * | 2002-04-19 | 2004-07-29 | Satoshi Kondo | Method for calculation motion vector |
Family Cites Families (275)
| Publication number | Priority date | Publication date | Assignee | Title |
|---|---|---|---|---|
| JPS56128070A (en) * | 1980-03-13 | 1981-10-07 | Fuji Photo Film Co Ltd | Band compressing equipment of variable density picture |
| JPS60158786A (en) | 1984-01-30 | 1985-08-20 | Kokusai Denshin Denwa Co Ltd <Kdd> | Image motion detection method |
| JPH031688Y2 (en) | 1985-02-20 | 1991-01-18 | ||
| JPS61205086A (en) | 1985-03-08 | 1986-09-11 | Mitsubishi Electric Corp | Picture encoding and decoding device |
| US4661849A (en) * | 1985-06-03 | 1987-04-28 | Pictel Corporation | Method and apparatus for providing motion estimation signals for communicating image sequences |
| US4661853A (en) * | 1985-11-01 | 1987-04-28 | Rca Corporation | Interfield image motion detector for video signals |
| JPS62213494A (en) | 1986-03-14 | 1987-09-19 | Kokusai Denshin Denwa Co Ltd <Kdd> | Motion compensation method for video signals |
| FR2599577B1 (en) * | 1986-05-29 | 1988-08-05 | Guichard Jacques | TRANSFORMATION CODING METHOD FOR TRANSMITTING IMAGE SIGNALS. |
| DE3704777C1 (en) | 1987-02-16 | 1988-04-07 | Ant Nachrichtentech | Method of transmitting and playing back television picture sequences |
| NL8700565A (en) | 1987-03-10 | 1988-10-03 | Philips Nv | TV SYSTEM IN WHICH TRANSFORMED CODING TRANSFERS DIGITIZED IMAGES FROM A CODING STATION TO A DECODING STATION. |
| EP0290085B1 (en) * | 1987-05-06 | 1996-03-20 | Philips Patentverwaltung GmbH | System for the transmission of video pictures |
| DE3717057A1 (en) | 1987-05-21 | 1988-12-01 | Bayer Ag | METHOD FOR PRODUCING ISOCYANATES |
| EP0294962B1 (en) | 1987-06-09 | 1995-07-19 | Sony Corporation | Motion vector estimation in television images |
| DE3854337T2 (en) | 1987-06-09 | 1996-02-01 | Sony Corp | Motion compensated interpolation of digital television pictures. |
| FR2648254B2 (en) * | 1988-09-23 | 1991-08-30 | Thomson Csf | METHOD AND DEVICE FOR ESTIMATING MOTION IN A SEQUENCE OF MOVED IMAGES |
| US4985768A (en) * | 1989-01-20 | 1991-01-15 | Victor Company Of Japan, Ltd. | Inter-frame predictive encoding system with encoded and transmitted prediction error |
| JPH07109990B2 (en) * | 1989-04-27 | 1995-11-22 | 日本ビクター株式会社 | Adaptive interframe predictive coding method and decoding method |
| JPH0832047B2 (en) * | 1989-04-28 | 1996-03-27 | 日本ビクター株式会社 | Predictive coding device |
| USRE35910E (en) | 1989-05-11 | 1998-09-29 | Matsushita Electric Industrial Co., Ltd. | Moving image signal encoding apparatus and decoding apparatus |
| AU612543B2 (en) | 1989-05-11 | 1991-07-11 | Panasonic Corporation | Moving image signal encoding apparatus and decoding apparatus |
| JP2562499B2 (en) | 1989-05-29 | 1996-12-11 | 日本電信電話株式会社 | High-efficiency image encoding device and its decoding device |
| JP2712645B2 (en) | 1989-10-14 | 1998-02-16 | ソニー株式会社 | Motion vector transmission method and apparatus, and motion vector decoding method and apparatus |
| JP2787599B2 (en) | 1989-11-06 | 1998-08-20 | 富士通株式会社 | Image signal coding control method |
| NL9000424A (en) | 1990-02-22 | 1991-09-16 | Philips Nv | TRANSFER SYSTEM FOR DIGITALIZED TELEVISION IMAGES. |
| JPH082107B2 (en) * | 1990-03-02 | 1996-01-10 | 国際電信電話株式会社 | Method and apparatus for moving picture hybrid coding |
| JPH03265290A (en) | 1990-03-14 | 1991-11-26 | Toshiba Corp | Television signal scanning line converter |
| US5103306A (en) * | 1990-03-28 | 1992-04-07 | Transitions Research Corporation | Digital image compression employing a resolution gradient |
| US5091782A (en) * | 1990-04-09 | 1992-02-25 | General Instrument Corporation | Apparatus and method for adaptively compressing successive blocks of digital video |
| US5068724A (en) | 1990-06-15 | 1991-11-26 | General Instrument Corporation | Adaptive motion compensation for digital television |
| EP0683615B1 (en) | 1990-10-31 | 1999-05-19 | Victor Company Of Japan, Ltd. | Compression method for interlace moving image signals |
| USRE35093E (en) | 1990-12-03 | 1995-11-21 | The Trustees Of Columbia University In The City Of New York | Systems and methods for coding even fields of interlaced video sequences |
| US5193004A (en) * | 1990-12-03 | 1993-03-09 | The Trustees Of Columbia University In The City Of New York | Systems and methods for coding even fields of interlaced video sequences |
| US5111292A (en) * | 1991-02-27 | 1992-05-05 | General Electric Company | Priority selection apparatus as for a video signal processor |
| JP3119888B2 (en) * | 1991-04-18 | 2000-12-25 | 松下電器産業株式会社 | Signal processing method and recording / reproducing device |
| US5185819A (en) * | 1991-04-29 | 1993-02-09 | General Electric Company | Video signal compression apparatus for independently compressing odd and even fields |
| CA2087946A1 (en) * | 1991-05-24 | 1992-11-25 | Michael Burl | Video image processing |
| US5317397A (en) * | 1991-05-31 | 1994-05-31 | Kabushiki Kaisha Toshiba | Predictive coding using spatial-temporal filtering and plural motion vectors |
| US5467136A (en) | 1991-05-31 | 1995-11-14 | Kabushiki Kaisha Toshiba | Video decoder for determining a motion vector from a scaled vector and a difference vector |
| JP2977104B2 (en) | 1991-07-26 | 1999-11-10 | ソニー株式会社 | Moving image data encoding method and apparatus, and moving image data decoding method and apparatus |
| US5539466A (en) | 1991-07-30 | 1996-07-23 | Sony Corporation | Efficient coding apparatus for picture signal and decoding apparatus therefor |
| JP2699703B2 (en) | 1991-07-31 | 1998-01-19 | 松下電器産業株式会社 | Motion compensation prediction method and image signal encoding method using the same |
| US5428396A (en) * | 1991-08-03 | 1995-06-27 | Sony Corporation | Variable length coding/decoding method for motion vectors |
| JPH0541862A (en) * | 1991-08-03 | 1993-02-19 | Sony Corp | Variable length coding method of motion vector |
| JP3001688B2 (en) | 1991-08-05 | 2000-01-24 | 株式会社大一商会 | Pachinko ball circulation controller |
| CA2079434A1 (en) | 1991-09-30 | 1993-03-31 | Derek Andrew | Motion vector estimation, motion picture encoding and storage |
| JP2991833B2 (en) | 1991-10-11 | 1999-12-20 | 松下電器産業株式会社 | Interlace scanning digital video signal encoding apparatus and method |
| JP2586260B2 (en) * | 1991-10-22 | 1997-02-26 | 三菱電機株式会社 | Adaptive blocking image coding device |
| JP3134424B2 (en) | 1991-10-31 | 2001-02-13 | ソニー株式会社 | Variable length encoding method and apparatus |
| JP2962012B2 (en) | 1991-11-08 | 1999-10-12 | 日本ビクター株式会社 | Video encoding device and decoding device therefor |
| JPH05137131A (en) | 1991-11-13 | 1993-06-01 | Sony Corp | Interframe motion prediction method |
| US5227878A (en) | 1991-11-15 | 1993-07-13 | At&T Bell Laboratories | Adaptive coding and decoding of frames and fields of video |
| US5510840A (en) * | 1991-12-27 | 1996-04-23 | Sony Corporation | Methods and devices for encoding and decoding frame signals and recording medium therefor |
| JP2524044B2 (en) | 1992-01-22 | 1996-08-14 | 松下電器産業株式会社 | Image coding method and image coding apparatus |
| US5594813A (en) * | 1992-02-19 | 1997-01-14 | Integrated Information Technology, Inc. | Programmable architecture and methods for motion estimation |
| EP0631444B1 (en) | 1992-03-03 | 1998-12-23 | Kabushiki Kaisha Toshiba | Time-varying image encoder |
| US5293229A (en) * | 1992-03-27 | 1994-03-08 | Matsushita Electric Corporation Of America | Apparatus and method for processing groups of fields in a video data compression system |
| US5287420A (en) * | 1992-04-08 | 1994-02-15 | Supermac Technology | Method for image compression on a personal computer |
| KR0166716B1 (en) | 1992-06-18 | 1999-03-20 | 강진구 | Encoding and decoding method and apparatus by using block dpcm |
| US6226327B1 (en) | 1992-06-29 | 2001-05-01 | Sony Corporation | Video coding method and apparatus which select between frame-based and field-based predictive modes |
| US6160849A (en) | 1992-06-29 | 2000-12-12 | Sony Corporation | Selectable field and frame based predictive video coding |
| US5412435A (en) * | 1992-07-03 | 1995-05-02 | Kokusai Denshin Denwa Kabushiki Kaisha | Interlaced video signal motion compensation prediction system |
| JP3201079B2 (en) | 1992-07-03 | 2001-08-20 | ケイディーディーアイ株式会社 | Motion compensated prediction method, coding method and apparatus for interlaced video signal |
| JP2510456B2 (en) | 1992-08-27 | 1996-06-26 | 三菱電機株式会社 | Image coding device |
| JPH06153180A (en) | 1992-09-16 | 1994-05-31 | Fujitsu Ltd | Image data encoding method and apparatus |
| KR0166722B1 (en) | 1992-11-30 | 1999-03-20 | 윤종용 | Encoding and decoding method and apparatus |
| US5467134A (en) | 1992-12-22 | 1995-11-14 | Microsoft Corporation | Method and system for compressing video data |
| US5400075A (en) * | 1993-01-13 | 1995-03-21 | Thomson Consumer Electronics, Inc. | Adaptive variable length encoder/decoder |
| US5592228A (en) | 1993-03-04 | 1997-01-07 | Kabushiki Kaisha Toshiba | Video encoder using global motion estimation and polygonal patch motion estimation |
| JPH06276481A (en) | 1993-03-18 | 1994-09-30 | Sony Corp | Picture signal coding and decoding method and recording medium |
| JP3312417B2 (en) | 1993-03-18 | 2002-08-05 | ソニー株式会社 | Image signal encoding device and image signal decoding device |
| PT651574E (en) * | 1993-03-24 | 2002-02-28 | Sony Corp | METHOD AND APPARATUS FOR CODING / DECODING A MOTION VECTOR AND PROCESS FOR CODING / DECODING AN IMAGE SIGNAL |
| US5612732A (en) | 1993-03-31 | 1997-03-18 | Casio Computer Co., Ltd. | Portable compact imaging and displaying apparatus with rotatable camera |
| EP0654946A4 (en) * | 1993-04-08 | 1996-06-05 | Sony Corp | APPARATUS FOR DETERMINING A MOVEMENT VECTOR. |
| US5442400A (en) | 1993-04-29 | 1995-08-15 | Rca Thomson Licensing Corporation | Error concealment apparatus for MPEG-like video data |
| DE69416717T2 (en) * | 1993-05-21 | 1999-10-07 | Nippon Telegraph And Telephone Corp., Tokio/Tokyo | Moving picture encoders and decoders |
| US5448297A (en) | 1993-06-16 | 1995-09-05 | Intel Corporation | Method and system for encoding images using skip blocks |
| US5477272A (en) | 1993-07-22 | 1995-12-19 | Gte Laboratories Incorporated | Variable-block size multi-resolution motion estimation scheme for pyramid coding |
| US5453799A (en) | 1993-11-05 | 1995-09-26 | Comsat Corporation | Unified motion estimation architecture |
| US5734755A (en) * | 1994-03-11 | 1998-03-31 | The Trustees Of Columbia University In The City Of New York | JPEG/MPEG decoder-compatible optimized thresholding for image and video signal compression |
| DE69535952D1 (en) | 1994-03-30 | 2009-06-25 | Nxp Bv | Method and circuit for motion estimation between images with two interlaced fields, and device for digital signal coding with such a circuit |
| US6091460A (en) | 1994-03-31 | 2000-07-18 | Mitsubishi Denki Kabushiki Kaisha | Video signal encoding method and system |
| JP3589480B2 (en) | 1994-03-31 | 2004-11-17 | 三菱電機株式会社 | Video signal encoding method |
| TW283289B (en) | 1994-04-11 | 1996-08-11 | Gen Instrument Corp | |
| US5767898A (en) * | 1994-06-23 | 1998-06-16 | Sanyo Electric Co., Ltd. | Three-dimensional image coding by merger of left and right images |
| US5796438A (en) | 1994-07-05 | 1998-08-18 | Sony Corporation | Methods and apparatus for interpolating picture information |
| US5594504A (en) * | 1994-07-06 | 1997-01-14 | Lucent Technologies Inc. | Predictive video coding using a motion vector updating routine |
| KR0126871B1 (en) * | 1994-07-30 | 1997-12-29 | 심상철 | HIGH SPEED BMA FOR Bi-DIRECTIONAL MOVING VECTOR ESTIMATION |
| FR2725577B1 (en) | 1994-10-10 | 1996-11-29 | Thomson Consumer Electronics | CODING OR DECODING METHOD OF MOTION VECTORS AND CODING OR DECODING DEVICE USING THE SAME |
| JP3474005B2 (en) | 1994-10-13 | 2003-12-08 | 沖電気工業株式会社 | Video coding method and video decoding method |
| EP0710033A3 (en) * | 1994-10-28 | 1999-06-09 | Matsushita Electric Industrial Co., Ltd. | MPEG video decoder having a high bandwidth memory |
| US5623311A (en) * | 1994-10-28 | 1997-04-22 | Matsushita Electric Corporation Of America | MPEG video decoder having a high bandwidth memory |
| JPH08140099A (en) | 1994-11-11 | 1996-05-31 | Canon Inc | Encoding apparatus and method |
| JP2951861B2 (en) | 1994-12-28 | 1999-09-20 | シャープ株式会社 | Image encoding device and image decoding device |
| MY113223A (en) | 1994-12-29 | 2001-12-31 | Sony Corp | Processing of redundant fields in a moving picture to achive synchronized system operation |
| EP0720383B1 (en) * | 1994-12-30 | 2000-09-13 | Daewoo Electronics Co., Ltd | Method and apparatus for detecting motion vectors in a frame decimating video encoder |
| KR0181027B1 (en) * | 1995-03-20 | 1999-05-01 | 배순훈 | An image processing system using pixel-by-pixel motion estimation |
| KR0171118B1 (en) * | 1995-03-20 | 1999-03-20 | 배순훈 | Apparatus for encoding video signal |
| JP3803122B2 (en) * | 1995-05-02 | 2006-08-02 | 松下電器産業株式会社 | Image memory device and motion vector detection circuit |
| GB2303267B (en) | 1995-06-06 | 2000-03-22 | Sony Uk Ltd | Video compression |
| GB2301970B (en) | 1995-06-06 | 2000-03-01 | Sony Uk Ltd | Motion compensated video processing |
| US5731850A (en) * | 1995-06-07 | 1998-03-24 | Maturi; Gregory V. | Hybrid hierarchial/full-search MPEG encoder motion estimation |
| US5687097A (en) | 1995-07-13 | 1997-11-11 | Zapex Technologies, Inc. | Method and apparatus for efficiently determining a frame motion vector in a video encoder |
| EP1274252A3 (en) | 1995-08-29 | 2005-10-05 | Sharp Kabushiki Kaisha | Video coding device and video decoding device with a motion compensated interframe prediction |
| US5883678A (en) | 1995-09-29 | 1999-03-16 | Kabushiki Kaisha Toshiba | Video coding and video decoding apparatus for reducing an alpha-map signal at a controlled reduction ratio |
| US5949919A (en) | 1995-10-05 | 1999-09-07 | Microsoft Corporation | Precompression extrapolation method |
| JPH09107547A (en) * | 1995-10-09 | 1997-04-22 | Hitachi Ltd | Compressed video data amount reduction device, compressed video data amount reduction system, and compressed video data amount reduction method |
| US5929940A (en) | 1995-10-25 | 1999-07-27 | U.S. Philips Corporation | Method and device for estimating motion between images, system for encoding segmented images |
| JP3377893B2 (en) | 1995-10-25 | 2003-02-17 | 沖電気工業株式会社 | Video encoding / decoding device |
| US6192081B1 (en) * | 1995-10-26 | 2001-02-20 | Sarnoff Corporation | Apparatus and method for selecting a coding mode in a block-based coding system |
| KR100211917B1 (en) | 1995-10-26 | 1999-08-02 | 김영환 | Object shape information encoding method |
| US5963673A (en) | 1995-12-20 | 1999-10-05 | Sanyo Electric Co., Ltd. | Method and apparatus for adaptively selecting a coding mode for video encoding |
| JPH09182083A (en) * | 1995-12-27 | 1997-07-11 | Matsushita Electric Ind Co Ltd | Video image encoding method and decoding method and apparatus thereof |
| US6055012A (en) * | 1995-12-29 | 2000-04-25 | Lucent Technologies Inc. | Digital multi-view video compression with complexity and compatibility constraints |
| US5787203A (en) | 1996-01-19 | 1998-07-28 | Microsoft Corporation | Method and system for filtering compressed video images |
| US5737019A (en) | 1996-01-29 | 1998-04-07 | Matsushita Electric Corporation Of America | Method and apparatus for changing resolution by direct DCT mapping |
| US6957350B1 (en) * | 1996-01-30 | 2005-10-18 | Dolby Laboratories Licensing Corporation | Encrypted and watermarked temporal and resolution layering in advanced television |
| US5798788A (en) | 1996-02-01 | 1998-08-25 | David Sarnoff Research Center, Inc. | Method and apparatus for evaluating field display functionality of a video decoder |
| EP0793389B1 (en) | 1996-02-27 | 2001-08-16 | STMicroelectronics S.r.l. | Memory reduction in the MPEG-2 main profile main level decoder |
| US5982438A (en) | 1996-03-22 | 1999-11-09 | Microsoft Corporation | Overlapped motion compensation for object coding |
| JP3371191B2 (en) | 1996-03-22 | 2003-01-27 | ソニー株式会社 | Image signal encoding method and decoding method, and encoding apparatus and decoding apparatus |
| US5847776A (en) | 1996-06-24 | 1998-12-08 | Vdonet Corporation Ltd. | Method for entropy constrained motion estimation and coding of motion vectors with increased search range |
| JPH105664A (en) | 1996-06-25 | 1998-01-13 | Mitsubishi Chem Corp | Die coater |
| JP3263807B2 (en) | 1996-09-09 | 2002-03-11 | ソニー株式会社 | Image encoding apparatus and image encoding method |
| DE19637522A1 (en) | 1996-09-13 | 1998-03-19 | Bosch Gmbh Robert | Process for reducing data in video signals |
| US6130963A (en) | 1996-11-22 | 2000-10-10 | C-Cube Semiconductor Ii, Inc. | Memory efficient decoding of video frame chroma |
| WO1998026601A1 (en) | 1996-12-12 | 1998-06-18 | Matsushita Electric Industrial Co., Ltd. | Picture encoder and picture decoder |
| US6377628B1 (en) * | 1996-12-18 | 2002-04-23 | Thomson Licensing S.A. | System for maintaining datastream continuity in the presence of disrupted source data |
| US6167090A (en) | 1996-12-26 | 2000-12-26 | Nippon Steel Corporation | Motion vector detecting apparatus |
| US6850567B1 (en) | 1997-01-13 | 2005-02-01 | Koninklijke Philips Electronics N.V. | Embedding supplemental data in a digital video signal |
| EP0786907A3 (en) | 1997-01-24 | 2001-06-13 | Texas Instruments Incorporated | Video encoder |
| JPH10224800A (en) | 1997-02-07 | 1998-08-21 | Matsushita Electric Ind Co Ltd | Motion vector encoding method and decoding method |
| CA2279923C (en) | 1997-02-14 | 2004-04-06 | Nippon Telegraph And Telephone Corporation | Predictive coding method and decoding method for dynamic image |
| US6201927B1 (en) * | 1997-02-18 | 2001-03-13 | Mary Lafuze Comer | Trick play reproduction of MPEG encoded signals |
| US5974184A (en) | 1997-03-07 | 1999-10-26 | General Instrument Corporation | Intra-macroblock DC and AC coefficient prediction for interlaced digital video |
| US5991447A (en) | 1997-03-07 | 1999-11-23 | General Instrument Corporation | Prediction and coding of bi-directionally predicted video object planes for interlaced digital video |
| USRE38564E1 (en) | 1997-03-07 | 2004-08-10 | General Instrument Corporation | Motion estimation and compensation of video object planes for interlaced digital video |
| US6175592B1 (en) * | 1997-03-12 | 2001-01-16 | Matsushita Electric Industrial Co., Ltd. | Frequency domain filtering for down conversion of a DCT encoded picture |
| US5844613A (en) | 1997-03-17 | 1998-12-01 | Microsoft Corporation | Global motion estimator for motion video signal encoding |
| US6263065B1 (en) | 1997-03-18 | 2001-07-17 | At&T Corp. | Method and apparatus for simulating central queue for distributing call in distributed arrangement of automatic call distributors |
| US6404813B1 (en) * | 1997-03-27 | 2002-06-11 | At&T Corp. | Bidirectionally predicted pictures or video object planes for efficient and flexible video coding |
| US5973755A (en) | 1997-04-04 | 1999-10-26 | Microsoft Corporation | Video encoder and decoder using bilinear motion compensation and lapped orthogonal transforms |
| JP3129986B2 (en) | 1997-04-09 | 2001-01-31 | 日本車輌製造株式会社 | Pile construction machine torque management device |
| US6633611B2 (en) | 1997-04-24 | 2003-10-14 | Mitsubishi Denki Kabushiki Kaisha | Method and apparatus for region-based moving image encoding and decoding |
| JP3351705B2 (en) | 1997-04-25 | 2002-12-03 | 日本ビクター株式会社 | Motion compensation coding apparatus, motion compensation coding method, and recording method on recording medium |
| JP3164031B2 (en) * | 1997-05-30 | 2001-05-08 | 日本ビクター株式会社 | Moving image encoding / decoding device, moving image encoding / decoding method, and moving image encoded recording medium |
| US6067322A (en) * | 1997-06-04 | 2000-05-23 | Microsoft Corporation | Half pixel motion estimation in motion video signal encoding |
| EP2288165B1 (en) | 1997-06-09 | 2015-12-16 | Hitachi, Ltd. | Image decoding method |
| JPH1169345A (en) | 1997-06-11 | 1999-03-09 | Fujitsu Ltd | Inter-frame prediction video coding apparatus and decoding apparatus, and inter-frame prediction video coding method and decoding method |
| US6064771A (en) | 1997-06-23 | 2000-05-16 | Real-Time Geometry Corp. | System and method for asynchronous, adaptive moving picture compression, and decompression |
| JP2828095B2 (en) | 1997-06-23 | 1998-11-25 | 松下電器産業株式会社 | Image signal decoding apparatus and image signal decoding method |
| JP2914448B2 (en) | 1997-06-25 | 1999-06-28 | 日本電信電話株式会社 | Motion vector prediction encoding method and motion vector decoding method, prediction encoding device and decoding device, and recording medium recording motion vector prediction encoding program and decoding program |
| JP2897763B2 (en) * | 1997-07-28 | 1999-05-31 | 日本ビクター株式会社 | Motion compensation coding device, decoding device, coding method and decoding method |
| JP3570863B2 (en) | 1997-08-05 | 2004-09-29 | 三菱電機株式会社 | Moving picture decoding apparatus and moving picture decoding method |
| KR100252342B1 (en) * | 1997-08-12 | 2000-04-15 | 전주범 | Motion vector coding method and apparatus |
| KR100235356B1 (en) | 1997-08-13 | 1999-12-15 | 전주범 | Improved motion estimator and estimation method thereof |
| US6477202B1 (en) | 1997-09-03 | 2002-11-05 | Matsushita Electric Industrial Co., Ltd. | Apparatus of layered picture coding, apparatus of picture decoding, methods of picture decoding, apparatus of recording for digital broadcasting signal, and apparatus of picture and audio decoding |
| JPH11136683A (en) | 1997-10-27 | 1999-05-21 | Matsushita Electric Ind Co Ltd | Video signal encoding device |
| US6807231B1 (en) | 1997-09-12 | 2004-10-19 | 8×8, Inc. | Multi-hypothesis motion-compensated video image predictor |
| US6249318B1 (en) * | 1997-09-12 | 2001-06-19 | 8×8, Inc. | Video coding/decoding arrangement and method therefor |
| DE69834901T2 (en) | 1997-11-17 | 2007-02-01 | Koninklijke Philips Electronics N.V. | MOTION-COMPENSATED PREDICTIVE IMAGE-AND-DECODING |
| CN1668111A (en) | 1997-12-01 | 2005-09-14 | 三星电子株式会社 | Motion vector prediction method |
| EP0921683B1 (en) | 1997-12-02 | 2010-09-08 | Daewoo Electronics Corporation | Method and apparatus for encoding mode signals for use in a binary shape coder |
| US5973743A (en) | 1997-12-02 | 1999-10-26 | Daewoo Electronics Co., Ltd. | Mode coding method and apparatus for use in an interlaced shape coder |
| US6122017A (en) * | 1998-01-22 | 2000-09-19 | Hewlett-Packard Company | Method for providing motion-compensated multi-field enhancement of still images from video |
| KR100328417B1 (en) * | 1998-03-05 | 2002-03-16 | 마츠시타 덴끼 산교 가부시키가이샤 | Image enconding/decoding apparatus, image encoding/decoding method, and data recording medium |
| CA2265089C (en) * | 1998-03-10 | 2007-07-10 | Sony Corporation | Transcoding system using encoding history information |
| DE69801209T2 (en) * | 1998-03-20 | 2001-11-08 | Stmicroelectronics S.R.L., Agrate Brianza | Hierarchical recursive motion estimator for motion picture encoders |
| KR100281462B1 (en) * | 1998-03-30 | 2001-02-01 | 전주범 | Method for encoding motion vector of binary shape signals in interlaced shape coding technique |
| JP3888597B2 (en) | 1998-06-24 | 2007-03-07 | 日本ビクター株式会社 | Motion compensation coding apparatus and motion compensation coding / decoding method |
| US6519287B1 (en) * | 1998-07-13 | 2003-02-11 | Motorola, Inc. | Method and apparatus for encoding and decoding video signals by using storage and retrieval of motion vectors |
| JP4026238B2 (en) * | 1998-07-23 | 2007-12-26 | ソニー株式会社 | Image decoding apparatus and image decoding method |
| GB2343579A (en) | 1998-11-07 | 2000-05-10 | Ibm | Hybrid-linear-bicubic interpolation method and apparatus |
| US6081209A (en) * | 1998-11-12 | 2000-06-27 | Hewlett-Packard Company | Search system for use in compression |
| US6983018B1 (en) | 1998-11-30 | 2006-01-03 | Microsoft Corporation | Efficient motion vector coding for video compression |
| US6563953B2 (en) * | 1998-11-30 | 2003-05-13 | Microsoft Corporation | Predictive image compression using a single variable length code for both the luminance and chrominance blocks for each macroblock |
| US6192080B1 (en) * | 1998-12-04 | 2001-02-20 | Mitsubishi Electric Research Laboratories, Inc. | Motion compensated digital video signal processing |
| US6483874B1 (en) | 1999-01-27 | 2002-11-19 | General Instrument Corporation | Efficient motion estimation for an arbitrarily-shaped object |
| US6414992B1 (en) | 1999-01-27 | 2002-07-02 | Sun Microsystems, Inc. | Optimal encoding of motion compensated video |
| JP2000244921A (en) | 1999-02-24 | 2000-09-08 | Matsushita Electric Ind Co Ltd | Video encoding method and apparatus |
| JP2000278692A (en) * | 1999-03-25 | 2000-10-06 | Victor Co Of Japan Ltd | Compressed data processing method, processor and recording and reproducing system |
| US6320593B1 (en) | 1999-04-20 | 2001-11-20 | Agilent Technologies, Inc. | Method of fast bi-cubic interpolation of image information |
| JP2000308064A (en) | 1999-04-22 | 2000-11-02 | Mitsubishi Electric Corp | Motion vector detection device |
| JP3411234B2 (en) | 1999-04-26 | 2003-05-26 | 沖電気工業株式会社 | Encoded information receiving and decoding device |
| US6697430B1 (en) | 1999-05-19 | 2004-02-24 | Matsushita Electric Industrial Co., Ltd. | MPEG encoder |
| EP1056297A3 (en) | 1999-05-24 | 2002-10-02 | Agilent Technologies, Inc. (a Delaware corporation) | Multimedia decoder with error detection |
| JP2000350212A (en) | 1999-06-04 | 2000-12-15 | Matsushita Electric Ind Co Ltd | Video signal decoding device and video signal display system |
| KR20010101329A (en) | 1999-10-29 | 2001-11-14 | 요트.게.아. 롤페즈 | Video encoding-method |
| US6671319B1 (en) | 1999-12-28 | 2003-12-30 | Sony Corporation | Methods and apparatus for motion estimation using neighboring macroblocks |
| KR100619377B1 (en) | 2000-02-22 | 2006-09-08 | 주식회사 팬택앤큐리텔 | Motion estimation method and apparatus |
| KR100796085B1 (en) | 2000-04-14 | 2008-01-21 | 소니 가부시끼 가이샤 | Decoding device, decoding method, and recording medium |
| US6654419B1 (en) | 2000-04-28 | 2003-11-25 | Sun Microsystems, Inc. | Block-based, adaptive, lossless video coder |
| US6876703B2 (en) * | 2000-05-11 | 2005-04-05 | Ub Video Inc. | Method and apparatus for video coding |
| US6647061B1 (en) * | 2000-06-09 | 2003-11-11 | General Instrument Corporation | Video size conversion and transcoding from MPEG-2 to MPEG-4 |
| KR100708091B1 (en) * | 2000-06-13 | 2007-04-16 | 삼성전자주식회사 | Apparatus and method for frame rate conversion using bidirectional motion vector |
| US7023922B1 (en) | 2000-06-21 | 2006-04-04 | Microsoft Corporation | Video coding system and method using 3-D discrete wavelet transform and entropy coding with motion information |
| US6614442B1 (en) | 2000-06-26 | 2003-09-02 | S3 Graphics Co., Ltd. | Macroblock tiling format for motion compensation |
| KR100353851B1 (en) | 2000-07-07 | 2002-09-28 | 한국전자통신연구원 | Water ring scan apparatus and method, video coding/decoding apparatus and method using that |
| RU2182727C2 (en) * | 2000-07-20 | 2002-05-20 | Дворкович Александр Викторович | Method for searching motion vectors of parts in amplitude images |
| JP2002121053A (en) | 2000-10-11 | 2002-04-23 | Koyu Sangyo Kk | Cement/concrete admixture and its production process |
| KR100727910B1 (en) * | 2000-10-11 | 2007-06-13 | 삼성전자주식회사 | Hybrid fast motion estimation method and apparatus |
| JP4682410B2 (en) | 2000-10-12 | 2011-05-11 | ソニー株式会社 | Image processing apparatus and image processing method |
| WO2002037859A2 (en) * | 2000-11-03 | 2002-05-10 | Compression Science | Video data compression system |
| JP4557411B2 (en) | 2000-11-17 | 2010-10-06 | 大阪瓦斯株式会社 | Fluid flow measurement system |
| CN1401189A (en) * | 2000-11-23 | 2003-03-05 | 皇家菲利浦电子有限公司 | Video decoding method and corresponding decoder |
| JP2002177889A (en) | 2000-12-12 | 2002-06-25 | Iseki & Co Ltd | Rotary grain sorter |
| US6633612B2 (en) | 2000-12-13 | 2003-10-14 | Genesis Microchip Inc. | Method and apparatus for detecting motion between odd and even video fields |
| JP4526700B2 (en) | 2000-12-27 | 2010-08-18 | 株式会社エクォス・リサーチ | Light distribution control device |
| US6920175B2 (en) | 2001-01-03 | 2005-07-19 | Nokia Corporation | Video coding architecture and methods for using same |
| JP2002204713A (en) | 2001-01-11 | 2002-07-23 | Taishou:Kk | Hairgrip |
| US20020168066A1 (en) | 2001-01-22 | 2002-11-14 | Weiping Li | Video encoding and decoding techniques and apparatus |
| US8374237B2 (en) | 2001-03-02 | 2013-02-12 | Dolby Laboratories Licensing Corporation | High precision encoding and decoding of video images |
| US7042948B2 (en) | 2001-03-05 | 2006-05-09 | Intervideo, Inc. | Systems and methods for management of data in a ring buffer for error resilient decoding of a video bitstream |
| US7206453B2 (en) | 2001-05-03 | 2007-04-17 | Microsoft Corporation | Dynamic filtering for lossy compression |
| US6816552B2 (en) | 2001-07-11 | 2004-11-09 | Dolby Laboratories Licensing Corporation | Interpolation of video compression frames |
| US6975680B2 (en) | 2001-07-12 | 2005-12-13 | Dolby Laboratories, Inc. | Macroblock mode decision biasing for video compression systems |
| JP2002118598A (en) | 2001-08-06 | 2002-04-19 | Nippon Telegr & Teleph Corp <Ntt> | Congestion detection method, congestion prevention method, and packet communication system |
| US6804301B2 (en) * | 2001-08-15 | 2004-10-12 | General Instrument Corporation | First pass encoding of I and P-frame complexity for compressed digital video |
| US6950469B2 (en) | 2001-09-17 | 2005-09-27 | Nokia Corporation | Method for sub-pixel value interpolation |
| US6980596B2 (en) * | 2001-11-27 | 2005-12-27 | General Instrument Corporation | Macroblock level adaptive frame/field coding for digital video content |
| US20030099294A1 (en) * | 2001-11-27 | 2003-05-29 | Limin Wang | Picture level adaptive frame/field coding for digital video content |
| WO2003047272A2 (en) | 2001-11-21 | 2003-06-05 | General Instrument Corporation | Macroblock level adaptive frame/field coding for digital video content |
| ES2664270T3 (en) * | 2001-12-17 | 2018-04-18 | Microsoft Technology Licensing, Llc | Default macroblock coding |
| CN101448162B (en) | 2001-12-17 | 2013-01-02 | 微软公司 | Method for processing video image |
| US6873657B2 (en) * | 2001-12-27 | 2005-03-29 | Koninklijke Philips Electronics, N.V. | Method of and system for improving temporal consistency in sharpness enhancement for a video signal |
| JP4114859B2 (en) * | 2002-01-09 | 2008-07-09 | 松下電器産業株式会社 | Motion vector encoding method and motion vector decoding method |
| FI114433B (en) | 2002-01-23 | 2004-10-15 | Nokia Corp | Coding of a stage transition in video coding |
| EP1670259A3 (en) | 2002-01-23 | 2010-03-03 | Nokia Corporation | Grouping of image frames in video coding |
| US7003035B2 (en) | 2002-01-25 | 2006-02-21 | Microsoft Corporation | Video coding methods and apparatuses |
| US6798364B2 (en) | 2002-02-05 | 2004-09-28 | Intel Corporation | Method and apparatus for variable length coding |
| JP2004208259A (en) | 2002-04-19 | 2004-07-22 | Matsushita Electric Ind Co Ltd | Motion vector calculation method |
| ES2745044T3 (en) * | 2002-04-19 | 2020-02-27 | Panasonic Ip Corp America | Motion vector calculation method |
| KR100481732B1 (en) * | 2002-04-20 | 2005-04-11 | 전자부품연구원 | Apparatus for encoding of multi view moving picture |
| US20030202590A1 (en) | 2002-04-30 | 2003-10-30 | Qunshan Gu | Video encoding using direct mode predicted frames |
| KR100491530B1 (en) | 2002-05-03 | 2005-05-27 | 엘지전자 주식회사 | Method of determining motion vector |
| WO2003098939A1 (en) * | 2002-05-22 | 2003-11-27 | Matsushita Electric Industrial Co., Ltd. | Moving image encoding method, moving image decoding method, and data recording medium |
| US20040001546A1 (en) * | 2002-06-03 | 2004-01-01 | Alexandros Tourapis | Spatiotemporal prediction for bidirectionally predictive (B) pictures and motion vector prediction for multi-picture reference motion compensation |
| EP1427216A1 (en) | 2002-07-02 | 2004-06-09 | Matsushita Electric Industrial Co., Ltd. | Image encoding method and image decoding method |
| US7280700B2 (en) * | 2002-07-05 | 2007-10-09 | Microsoft Corporation | Optimization techniques for data compression |
| WO2004008775A1 (en) * | 2002-07-15 | 2004-01-22 | Hitachi, Ltd. | Moving picture encoding method and decoding method |
| US8107539B2 (en) | 2002-07-15 | 2012-01-31 | Nokia Corporation | Method for error concealment in video sequences |
| US7154952B2 (en) | 2002-07-19 | 2006-12-26 | Microsoft Corporation | Timestamp-independent motion vector prediction for predictive (P) and bidirectionally predictive (B) pictures |
| KR100976017B1 (en) * | 2002-08-08 | 2010-08-17 | 파나소닉 주식회사 | Video coding method and decoding method |
| KR100506864B1 (en) | 2002-10-04 | 2005-08-05 | 엘지전자 주식회사 | Method of determining motion vector |
| WO2004038921A2 (en) | 2002-10-23 | 2004-05-06 | Divxnetworks, Inc. | Method and system for supercompression of compressed digital video |
| JP4093405B2 (en) | 2002-10-25 | 2008-06-04 | 株式会社リコー | Image processing apparatus, program, and storage medium |
| US7227901B2 (en) | 2002-11-21 | 2007-06-05 | Ub Video Inc. | Low-complexity deblocking filter |
| JP2004228259A (en) * | 2003-01-22 | 2004-08-12 | Hitachi Ltd | Semiconductor device and electronic device using the same |
| WO2004075554A1 (en) | 2003-02-18 | 2004-09-02 | Nokia Corporation | Picture decoding method |
| ES2343410T3 (en) | 2003-06-25 | 2010-07-30 | Thomson Licensing | INTERTRAM CODING WITH FAST MODE DECISION. |
| US7426308B2 (en) * | 2003-07-18 | 2008-09-16 | Microsoft Corporation | Intraframe and interframe interlace coding and decoding |
| US7609763B2 (en) | 2003-07-18 | 2009-10-27 | Microsoft Corporation | Advanced bi-directional predictive coding of video frames |
| US20050013498A1 (en) * | 2003-07-18 | 2005-01-20 | Microsoft Corporation | Coding of motion vector information |
| US7092576B2 (en) | 2003-09-07 | 2006-08-15 | Microsoft Corporation | Bitplane coding for macroblock field/frame coding type information |
| US8064520B2 (en) * | 2003-09-07 | 2011-11-22 | Microsoft Corporation | Advanced bi-directional predictive coding of interlaced video |
| US7961786B2 (en) * | 2003-09-07 | 2011-06-14 | Microsoft Corporation | Signaling field type information |
| US7567617B2 (en) * | 2003-09-07 | 2009-07-28 | Microsoft Corporation | Predicting motion vectors for fields of forward-predicted interlaced video frames |
| US7317839B2 (en) * | 2003-09-07 | 2008-01-08 | Microsoft Corporation | Chroma motion vector derivation for interlaced forward-predicted fields |
| US7346111B2 (en) * | 2003-12-10 | 2008-03-18 | Lsi Logic Corporation | Co-located motion vector storage |
| KR20050061762A (en) | 2003-12-18 | 2005-06-23 | 학교법인 대양학원 | Method of encoding mode determination and motion estimation, and encoding apparatus |
| US7889792B2 (en) | 2003-12-24 | 2011-02-15 | Apple Inc. | Method and system for video encoding using a variable number of B frames |
| US8036271B2 (en) | 2004-02-24 | 2011-10-11 | Lsi Corporation | Method and apparatus for determining a second picture for temporal direct-mode block prediction |
| US20050207490A1 (en) | 2004-03-18 | 2005-09-22 | Wang Jason N | Stored picture index for AVC coding |
| US8116374B2 (en) | 2004-05-07 | 2012-02-14 | Broadcom Corporation | Method and system for generating a transform size syntax element for video decoding |
| FR2872973A1 (en) * | 2004-07-06 | 2006-01-13 | Thomson Licensing Sa | METHOD OR DEVICE FOR CODING A SEQUENCE OF SOURCE IMAGES |
| US8154585B2 (en) | 2006-01-12 | 2012-04-10 | Lg Electronics Inc. | Processing multiview video |
| JP2009543461A (en) | 2006-07-06 | 2009-12-03 | トムソン ライセンシング | Method and apparatus for separating frame number and / or picture order count (POC) for multi-view video encoding and decoding |
| JP4592656B2 (en) * | 2006-08-17 | 2010-12-01 | 富士通セミコンダクター株式会社 | Motion prediction processing device, image encoding device, and image decoding device |
| US8532178B2 (en) | 2006-08-25 | 2013-09-10 | Lg Electronics Inc. | Method and apparatus for decoding/encoding a video signal with inter-view reference picture list construction |
| KR101120648B1 (en) * | 2006-10-16 | 2012-03-23 | 노키아 코포레이션 | System and method for implementing efficient decoded buffer management in multi-view video coding |
| JP3129986U (en) | 2006-12-26 | 2007-03-08 | ライオン株式会社 | Plate cushioning material |
| US9648325B2 (en) | 2007-06-30 | 2017-05-09 | Microsoft Technology Licensing, Llc | Video decoding implementations for a graphics processing unit |
| US8254455B2 (en) | 2007-06-30 | 2012-08-28 | Microsoft Corporation | Computing collocated macroblock information for direct mode macroblocks |
| US8265144B2 (en) | 2007-06-30 | 2012-09-11 | Microsoft Corporation | Innovations in video decoder implementations |
| US8189666B2 (en) | 2009-02-02 | 2012-05-29 | Microsoft Corporation | Local picture identifier and computation of co-located information |
| JP6078298B2 (en) | 2012-11-01 | 2017-02-08 | 武蔵エンジニアリング株式会社 | Work device having position correction function and work method |
-
2003
- 2003-05-23 US US10/444,511 patent/US20040001546A1/en not_active Abandoned
- 2003-05-27 EP EP03011935A patent/EP1369820A3/en not_active Withdrawn
- 2003-05-29 CA CA2430460A patent/CA2430460C/en not_active Expired - Lifetime
- 2003-05-29 AU AU2003204477A patent/AU2003204477B2/en not_active Expired
- 2003-05-30 BR BR0302164-5A patent/BR0302164A/en active IP Right Grant
- 2003-06-02 MX MXPA03004906A patent/MXPA03004906A/en active IP Right Grant
- 2003-06-02 RU RU2003116281/09A patent/RU2310231C2/en active
- 2003-06-02 KR KR1020030035240A patent/KR100958499B1/en not_active Expired - Lifetime
- 2003-06-02 JP JP2003157240A patent/JP4733341B2/en not_active Expired - Lifetime
- 2003-06-03 CN CNB031412750A patent/CN100455018C/en not_active Expired - Lifetime
-
2006
- 2006-09-20 US US11/525,059 patent/US8374245B2/en active Active
-
2013
- 2013-02-06 US US13/760,486 patent/US8873630B2/en not_active Expired - Lifetime
-
2014
- 2014-09-30 US US14/502,529 patent/US9185427B2/en not_active Expired - Lifetime
-
2015
- 2015-10-05 US US14/875,164 patent/US9571854B2/en not_active Expired - Fee Related
-
2016
- 2016-12-27 US US15/391,652 patent/US10116959B2/en not_active Expired - Lifetime
-
2018
- 2018-09-28 US US16/146,133 patent/US10694208B2/en not_active Expired - Fee Related
-
2020
- 2020-05-12 US US16/872,815 patent/US11277636B2/en not_active Expired - Lifetime
-
2022
- 2022-02-10 US US17/669,235 patent/US11575934B2/en not_active Expired - Lifetime
Patent Citations (6)
| Publication number | Priority date | Publication date | Assignee | Title |
|---|---|---|---|---|
| US5132792A (en) * | 1989-10-14 | 1992-07-21 | Sony Corporation | Video signal transmitting system |
| US5260782A (en) * | 1991-08-30 | 1993-11-09 | Matsushita Electric Industrial Co., Ltd. | Adaptive DCT/DPCM video signal coding method |
| US6005980A (en) * | 1997-03-07 | 1999-12-21 | General Instrument Corporation | Motion estimation and compensation of video object planes for interlaced digital video |
| US6636565B1 (en) * | 1999-01-12 | 2003-10-21 | Lg Electronics Inc. | Method for concealing error |
| US20010040926A1 (en) * | 2000-05-15 | 2001-11-15 | Miska Hannuksela | Video coding |
| US20040146109A1 (en) * | 2002-04-19 | 2004-07-29 | Satoshi Kondo | Method for calculation motion vector |
Cited By (315)
| Publication number | Priority date | Publication date | Assignee | Title |
|---|---|---|---|---|
| US20160360227A1 (en) * | 2002-01-09 | 2016-12-08 | Panasonic Intellectual Property Corporation Of America | Motion vector coding method and motion vector decoding method |
| US20090245373A1 (en) * | 2002-01-25 | 2009-10-01 | Microsoft Corporation | Video coding |
| US10284843B2 (en) | 2002-01-25 | 2019-05-07 | Microsoft Technology Licensing, Llc | Video coding |
| US20100135390A1 (en) * | 2002-01-25 | 2010-06-03 | Microsoft Corporation | Video coding |
| US7646810B2 (en) | 2002-01-25 | 2010-01-12 | Microsoft Corporation | Video coding |
| US20060072662A1 (en) * | 2002-01-25 | 2006-04-06 | Microsoft Corporation | Improved Video Coding |
| US9888237B2 (en) | 2002-01-25 | 2018-02-06 | Microsoft Technology Licensing, Llc | Video coding |
| US8638853B2 (en) | 2002-01-25 | 2014-01-28 | Microsoft Corporation | Video coding |
| US8406300B2 (en) | 2002-01-25 | 2013-03-26 | Microsoft Corporation | Video coding |
| US9185427B2 (en) | 2002-06-03 | 2015-11-10 | Microsoft Technology Licensing, Llc | Spatiotemporal prediction for bidirectionally predictive (B) pictures and motion vector prediction for multi-picture reference motion compensation |
| US8374245B2 (en) | 2002-06-03 | 2013-02-12 | Microsoft Corporation | Spatiotemporal prediction for bidirectionally predictive(B) pictures and motion vector prediction for multi-picture reference motion compensation |
| US9571854B2 (en) | 2002-06-03 | 2017-02-14 | Microsoft Technology Licensing, Llc | Spatiotemporal prediction for bidirectionally predictive (B) pictures and motion vector prediction for multi-picture reference motion compensation |
| US10116959B2 (en) | 2002-06-03 | 2018-10-30 | Microsoft Technology Licesning, LLC | Spatiotemporal prediction for bidirectionally predictive (B) pictures and motion vector prediction for multi-picture reference motion compensation |
| US20070014358A1 (en) * | 2002-06-03 | 2007-01-18 | Microsoft Corporation | Spatiotemporal prediction for bidirectionally predictive(B) pictures and motion vector prediction for multi-picture reference motion compensation |
| US8873630B2 (en) | 2002-06-03 | 2014-10-28 | Microsoft Corporation | Spatiotemporal prediction for bidirectionally predictive (B) pictures and motion vector prediction for multi-picture reference motion compensation |
| US20040008784A1 (en) * | 2002-06-17 | 2004-01-15 | Yoshihiro Kikuchi | Video encoding/decoding method and apparatus |
| US20040008899A1 (en) * | 2002-07-05 | 2004-01-15 | Alexandros Tourapis | Optimization techniques for data compression |
| US7280700B2 (en) | 2002-07-05 | 2007-10-09 | Microsoft Corporation | Optimization techniques for data compression |
| US9832473B2 (en) * | 2002-07-15 | 2017-11-28 | Hitachi Maxell, Ltd. | Moving picture encoding method and decoding method with motion vectors of blocks adjacent to target blocks and motion vectors at a same position to target blocks in other frames |
| US8571108B2 (en) | 2002-07-15 | 2013-10-29 | Hitachi Consumer Electronics Co., Ltd. | Moving picture encoding method and decoding method |
| US10110906B2 (en) * | 2002-07-15 | 2018-10-23 | Maxell, Ltd. | Moving picture encoding method and decoding method considering motion vectors of blocks adjacent to target block |
| US8325816B2 (en) | 2002-07-15 | 2012-12-04 | Hitachi Consumer Electronics Co., Ltd. | Moving picture encoding method and decoding method |
| US8036272B2 (en) * | 2002-07-15 | 2011-10-11 | Hitachi Consumer Electronics Co., Ltd. | Moving picture encoding method and decoding method |
| US20080063071A1 (en) * | 2002-07-15 | 2008-03-13 | Yoshinori Suzuki | Moving picture encoding method and decoding method |
| US20080063072A1 (en) * | 2002-07-15 | 2008-03-13 | Yoshinori Suzuki | Moving picture encoding method and decoding method |
| US20080075171A1 (en) * | 2002-07-15 | 2008-03-27 | Yoshinori Suzuki | Moving picture encoding method and decoding method |
| US8837594B2 (en) | 2002-07-15 | 2014-09-16 | Hitachi Consumer Electronics Co., Ltd. | Moving picture encoding method and decoding method considering motion vectors of blocks adjacent to target block |
| US7970058B2 (en) | 2002-07-15 | 2011-06-28 | Hitachi Consumer Electronics Co., Ltd. | Moving picture encoding method and decoding method |
| US20080069225A1 (en) * | 2002-07-15 | 2008-03-20 | Yoshinori Suzuki | Moving picture encoding method and decoding method |
| US7936821B2 (en) | 2002-07-15 | 2011-05-03 | Hitachi Consumer Electronics Co., Ltd. | Moving picture encoding method and decoding method |
| US10104383B2 (en) * | 2002-07-15 | 2018-10-16 | Maxell, Ltd. | Moving picture encoding method and decoding method considering motion vectors of blocks adjacent to target block |
| US10349062B2 (en) * | 2002-07-15 | 2019-07-09 | Maxell, Ltd. | Moving picture encoding method and decoding method considering motion vectors of blocks adjacent to target block |
| US7936822B2 (en) | 2002-07-15 | 2011-05-03 | Hitachi Consumer Electronics Co., Ltd. | Moving picture encoding method and decoding method |
| US7936823B2 (en) | 2002-07-15 | 2011-05-03 | Hitach Consumer Electronics Co., Ltd. | Moving picture encoding method and decoding method |
| US20150003533A1 (en) * | 2002-07-15 | 2015-01-01 | Hitachi Consumer Electronics Co., Ltd. | Moving picture encoding method and decoding method considering motion vectors of blocks adjacent to target block |
| US8340190B2 (en) | 2002-07-15 | 2012-12-25 | Hitachi Consumer Electronics Co., Ltd. | Moving picture encoding method and decoding method |
| US8320459B2 (en) | 2002-07-15 | 2012-11-27 | Hitachi Consumer Electronics Co., Ltd. | Moving picture encoding method and decoding method |
| US8571107B2 (en) | 2002-07-15 | 2013-10-29 | Hitachi Consumer Electronics Co., Ltd. | Moving picture encoding method and decoding method |
| US20050152452A1 (en) * | 2002-07-15 | 2005-07-14 | Yoshinori Suzuki | Moving picture encoding method and decoding method |
| US10327004B2 (en) | 2002-07-15 | 2019-06-18 | Maxell, Ltd. | Moving picture encoding method and decoding method considering motion vectors of blocks adjacent to target block |
| US8774280B2 (en) | 2002-07-19 | 2014-07-08 | Microsoft Corporation | Timestamp-independent motion vector prediction for predictive (P) and bidirectionally predictive (B) pictures |
| US8379722B2 (en) | 2002-07-19 | 2013-02-19 | Microsoft Corporation | Timestamp-independent motion vector prediction for predictive (P) and bidirectionally predictive (B) pictures |
| US20060280253A1 (en) * | 2002-07-19 | 2006-12-14 | Microsoft Corporation | Timestamp-Independent Motion Vector Prediction for Predictive (P) and Bidirectionally Predictive (B) Pictures |
| US8411748B2 (en) * | 2002-10-04 | 2013-04-02 | Lg Electronics Inc. | Method of deriving a motion vector of a bi-predictive block based on a motion vector of a co-located block in a reference picture |
| US7643556B2 (en) * | 2002-10-04 | 2010-01-05 | Lg Electronics Inc. | Method of deriving a motion vector of a bi-predictive block based on scaling a motion vector of a co-located block in a reference picture |
| US8351503B2 (en) | 2002-10-04 | 2013-01-08 | Lg Electronics Inc. | Method of deriving a motion vector of a bi-predictive block based on temporal distances associated with a co-located block in a reference picture |
| US8351506B2 (en) * | 2002-10-04 | 2013-01-08 | Lg Electronics Inc. | Method of deriving a motion vector of a bi-predictive block based on a motion vector of a co-located block in a reference picture |
| US20090067499A1 (en) * | 2002-10-04 | 2009-03-12 | Byeong Moon Jeon | Method of deriving a motion vector of a bi-predictive block based on a motion vector of a co-located block in a reference picture |
| US20090067497A1 (en) * | 2002-10-04 | 2009-03-12 | Byeong Moon Jeon | Method of deriving a motion vector of a bi-predictive block based on a motion vector of a co-located block in a reference picture |
| US20090067498A1 (en) * | 2002-10-04 | 2009-03-12 | Byeong Moon Jeon | Method of deriving a motion vector of a bi-predictive block based on a motion vector of a co-located block in a reference picture |
| US20090067500A1 (en) * | 2002-10-04 | 2009-03-12 | Byeong Moon Jeon | Method of deriving a motion vector of a bi-predictive block based on a motion vector of a co-located block in a reference picture |
| US20090074067A1 (en) * | 2002-10-04 | 2009-03-19 | Byeong Moon Jeon | Method of deriving a motion vector of a bi-predictive block based on a motion vector of a co-located block in a reference picture |
| US20090074064A1 (en) * | 2002-10-04 | 2009-03-19 | Byeong Moon Jeon | Method of deriving a motion vector of a bi-predictive block based on a motion vector of a co-located block in a reference picture |
| US20090074063A1 (en) * | 2002-10-04 | 2009-03-19 | Byeong Moon Jeon | Method of deriving a motion vector of a bi-predictive block based on a motion vector of a co-located block in a reference picture |
| US20090074062A1 (en) * | 2002-10-04 | 2009-03-19 | Byeong Moon Jeon | Method of deriving a motion vector of a bi-predictive block based on a motion vector of a co-located block in a reference picture |
| US20090074066A1 (en) * | 2002-10-04 | 2009-03-19 | Byeong Moon Jeon | Method of deriving a motion vector of a bi-predictive block based on a motion vector of a co-located block in a reference picture |
| US20090074069A1 (en) * | 2002-10-04 | 2009-03-19 | Byeong Moon Jeon | Method of deriving a motion vector of a bi-predictive block based on a motion vector of a co-located block in a reference picture |
| US20090074065A1 (en) * | 2002-10-04 | 2009-03-19 | Byeong Moon Jeon | Method of deriving a motion vector of a bi-predictive block based on a motion vector of a co-located block in a reference picture |
| US20090074068A1 (en) * | 2002-10-04 | 2009-03-19 | Byeong Moon Jeon | Method of deriving a motion vector of a bi-predictive block based on a motion vector of a co-located block in a reference picture |
| US20080037640A1 (en) * | 2002-10-04 | 2008-02-14 | Jeon Byeong M | Method of deriving a motion vector of a bi-predictive image block by applying a bit operation |
| US20080037639A1 (en) * | 2002-10-04 | 2008-02-14 | Jeon Byeong M | Method of deriving a motion vector of a bi-predictive block based on temporal distances associated with a co-located block in a reference picture |
| US8351507B2 (en) * | 2002-10-04 | 2013-01-08 | Lg Electronics Inc. | Method of deriving a motion vector of a bi-predictive block based on a motion vector of a co-located block in a reference picture |
| US8351505B2 (en) | 2002-10-04 | 2013-01-08 | Lg Electronics Inc. | Method of deriving a motion vector of a bi-predictive block based on a motion vector of a co-located block in a reference picture |
| US7558321B2 (en) * | 2002-10-04 | 2009-07-07 | Lg Electronics Inc. | Method of deriving a motion vector of a bi-predictive block based on a list 1 motion vector of a co-located block in a reference picture |
| US7570691B2 (en) * | 2002-10-04 | 2009-08-04 | Lg Electronics Inc. | Method of determining a motion vector for deriving motion vectors of a bi-predictive image block |
| US20080037644A1 (en) * | 2002-10-04 | 2008-02-14 | Jeon Byeong M | Method of deriving a motion vector of a bi-predictive image block based on a list 1 motion vector of a co-located block using a bit operation |
| US8416853B2 (en) * | 2002-10-04 | 2013-04-09 | Lg Electronics Inc. | Method of deriving a motion vector of a bi-predictive block based on a motion vector of a co-located block in a reference picture |
| US7606307B2 (en) * | 2002-10-04 | 2009-10-20 | Lg Electronics Inc. | Method of determining a motion vector for deriving motion vectors of a bi-predictive image block |
| US8345758B2 (en) | 2002-10-04 | 2013-01-01 | Lg Electronics Inc. | Method of deriving a motion vector of a bi-predictive block based on a motion vector of a co-located block in a reference picture |
| US7627035B2 (en) * | 2002-10-04 | 2009-12-01 | Lg Electronics Inc. | Method of determining a motion vector for deriving motion vectors of a bi-predictive image block |
| US8345757B2 (en) | 2002-10-04 | 2013-01-01 | Lg Electronics Inc. | Method of deriving a motion vector of a bi-predictive block based on a list o motion vector of a co-located block in a reference picture |
| US8416854B2 (en) * | 2002-10-04 | 2013-04-09 | Lg Electronics Inc. | Method of deriving a motion vector of a bi-predictive block based on a motion vector of a co-located block in a reference picture |
| US7634007B2 (en) * | 2002-10-04 | 2009-12-15 | Lg Electronics Inc. | Method of deriving a motion vector of a bi-predictive image block based on a list 1 motion vector of a co-located block using a bit operation |
| US20150264394A1 (en) * | 2002-10-04 | 2015-09-17 | Lg Electronics Inc. | Method to derive at least one motion vector of a bi-predictive block in a current picture |
| US8351504B2 (en) * | 2002-10-04 | 2013-01-08 | Lg Electronics Inc. | Method of deriving a motion vector of a bi-predictive image block by applying a bit operation |
| US7643557B2 (en) * | 2002-10-04 | 2010-01-05 | Lg Electronics Inc. | Method of deriving a motion vector of a bi-predictive image block based on a list 0 motion vector of a co-located block using a bit operation |
| US8422556B2 (en) * | 2002-10-04 | 2013-04-16 | Lg Electronics Inc. | Method of deriving a motion vector of a bi-predictive block based on a motion vector of a co-located block in a reference picture |
| US20080031332A1 (en) * | 2002-10-04 | 2008-02-07 | Jeon Byeong M | Method of deriving a motion vector of a bi-predictive block based on a list o motion vector of a co-located block in a reference picture |
| US9066106B2 (en) * | 2002-10-04 | 2015-06-23 | Lg Electronics Inc. | Method to derive at least one motion vector of a bi-predictive block in a current picture |
| US8428134B2 (en) * | 2002-10-04 | 2013-04-23 | Lg Electronics Inc. | Method of deriving a motion vector of a bi-predictive block based on a motion vector of a co-located block in a reference picture |
| US9042453B2 (en) * | 2002-10-04 | 2015-05-26 | Lg Electronics Inc. | Method to derive at least one motion vector of a bi-predictive block in a current picture |
| US9042451B2 (en) * | 2002-10-04 | 2015-05-26 | Lg Electronics Inc. | Method to derive at least one motion vector of a bi-predictive block in a current picture |
| US9042452B2 (en) * | 2002-10-04 | 2015-05-26 | Lg Electronics Inc. | Method to derive at least one motion vector of a bi-predictive block in a current picture |
| US20080031341A1 (en) * | 2002-10-04 | 2008-02-07 | Jeon Byeong M | Method of deriving a motion vector of a bi-predictive block based on a list 1 motion vector of a co-located block in a reference picture |
| US20080031342A1 (en) * | 2002-10-04 | 2008-02-07 | Jeon Byeong M | Method of deriving a motion vector of a bi-predictive block based on scaling a motion vector of a co-located block in a reference picture |
| US8891623B2 (en) * | 2002-10-04 | 2014-11-18 | Lg Electronics Inc. | Method to derive at least one motion vector of a bi-predictive block in a current picture |
| US20080031343A1 (en) * | 2002-10-04 | 2008-02-07 | Jeon Byeong M | Method of deriving a motion vector of a bi-predictive image block based on a list o motion vector of a co-located block using a bit operation |
| US8432969B2 (en) * | 2002-10-04 | 2013-04-30 | Lg Electronics Inc. | Method of deriving a motion vector of a bi-predictive block based on a motion vector of a co-located block in a reference picture |
| US9743108B2 (en) * | 2002-10-04 | 2017-08-22 | Lg Electronics Inc. | Method to derive at least one motion vector of a bi-predictive block in a current picture |
| US8891624B2 (en) * | 2002-10-04 | 2014-11-18 | Lg Electronics Inc. | Method to derive at least one motion vector of a bi-predictive block in a current picture |
| US7233621B2 (en) * | 2002-10-04 | 2007-06-19 | Lg Electronics, Inc. | Method of determining a motion vector for deriving motion vectors of bi-predictive block |
| US20040066848A1 (en) * | 2002-10-04 | 2004-04-08 | Lg Electronics Inc. | Direct mode motion vector calculation method for B picture |
| US20050129119A1 (en) * | 2002-10-04 | 2005-06-16 | Jeon Byeong M. | Method of determining a motion vector for deriving motion vectors of a bi-predictive image block |
| US20050129118A1 (en) * | 2002-10-04 | 2005-06-16 | Jeon Byeong M. | Method of determining a motion vector for deriving motion vectors of a bi-predictive image block |
| US8385417B2 (en) * | 2002-10-04 | 2013-02-26 | Lg Electronics, Inc. | Method of deriving a motion vector of a bi-predictive block based on a motion vector of a co-located block in a reference picture |
| US20140098875A1 (en) * | 2002-10-04 | 2014-04-10 | Lg Electronics Inc. | Method to derive at least one motion vector of a bi-predictive block in a current picture |
| US20140098874A1 (en) * | 2002-10-04 | 2014-04-10 | Lg Electronics Inc. | Method to derive at least one motion vector of a bi-predictive block in a current picture |
| US20140098872A1 (en) * | 2002-10-04 | 2014-04-10 | Lg Electronics Inc. | Method to derive at least one motion vector of a bi-predictive block in a current picture |
| US8396128B2 (en) * | 2002-10-04 | 2013-03-12 | Lg Electronics Inc. | Method of deriving a motion vector of a bi-predictive block based on a motion vector of a co-located block in a reference picture |
| US20140098870A1 (en) * | 2002-10-04 | 2014-04-10 | Lg Electronics Inc. | Method to derive at least one motion vector of a bi-predictive block in a current picture |
| US20140098871A1 (en) * | 2002-10-04 | 2014-04-10 | Lg Electronics Inc. | Method to derive at least one motion vector of a bi-predictive block in a current picture |
| US20140098873A1 (en) * | 2002-10-04 | 2014-04-10 | Lg Electronics Inc. | Method to derive at least one motion vector of a bi-predictive block in a current picture |
| US8638856B2 (en) | 2002-10-04 | 2014-01-28 | Lg Electronics Inc. | Method to derive at least one motion vector of a bi-predictive block in a current picture |
| US20050129120A1 (en) * | 2002-10-04 | 2005-06-16 | Jeon Byeong M. | Method of determining a motion vector for deriving motion vectors of a bi-predictive image block |
| US9699455B2 (en) * | 2002-11-01 | 2017-07-04 | Godo Kaisha Ip Bridge 1 | Moving picture coding method and moving picture coding apparatus for coding a current block in a temporal direct mode |
| US9888238B2 (en) * | 2002-11-01 | 2018-02-06 | Godo Kaisha Ip Bridge 1 | Moving picture decoding method for decoding a current block in a temporal direct mode |
| US10623730B2 (en) | 2002-11-01 | 2020-04-14 | Godo Kaisha Ip Bridge 1 | Moving picture decoding method for decoding a current block in a temporal direct mode |
| US10623729B2 (en) * | 2002-11-01 | 2020-04-14 | Godo Kaisha Ip Bridge 1 | Moving picture decoding method for decoding a current block in a temporal direct mode |
| US10375388B2 (en) * | 2002-11-01 | 2019-08-06 | Godo Kaisha Ip Bridge 1 | Moving picture decoding method for decoding a current block in a temporal direct mode |
| US9426490B2 (en) * | 2002-11-01 | 2016-08-23 | Godo Kaisha Ip Bridge 1 | Moving picture encoding method and motion picture decoding method |
| US20160330441A1 (en) * | 2002-11-01 | 2016-11-10 | Godo Kaisha Ip Bridge 1 | Moving picture coding method and moving picture decoding method |
| US20160330440A1 (en) * | 2002-11-01 | 2016-11-10 | Godo Kaisha Ip Bridge 1 | Moving picture coding method and moving picture decoding method |
| US20050141612A1 (en) * | 2002-11-01 | 2005-06-30 | Kiyofumi Abe | Moving picture encoding method and motion picture decoding method |
| US20080069235A1 (en) * | 2002-11-01 | 2008-03-20 | Kiyofumi Abe | Moving picture coding method and moving picture decoding method |
| US9693059B2 (en) * | 2002-11-01 | 2017-06-27 | Godo Kaisha Ip Bridge 1 | Moving picture coding method and moving picture decoding method using either a frame structure or a field structure |
| US10097824B2 (en) | 2002-11-01 | 2018-10-09 | Godo Kaisha Ip Bridge 1 | Moving picture decoding method for decoding a current block in a temporal direct mode |
| US20170188040A1 (en) * | 2003-05-07 | 2017-06-29 | Ntt Docomo, Inc. | Moving picture encoding apparatus, moving picture decoding apparatus, moving picture encoding method, moving picture decoding method, moving picture encoding program, and moving picture decoding program |
| US9894378B2 (en) * | 2003-05-07 | 2018-02-13 | Ntt Docomo, Inc. | Moving picture encoding apparatus, moving picture decoding apparatus, moving picture encoding method, moving picture decoding method, moving picture encoding program, and moving picture decoding program |
| US8155193B2 (en) * | 2003-05-07 | 2012-04-10 | Ntt Docomo, Inc. | Moving picture encoding apparatus, moving picture decoding apparatus, moving picture encoding method, moving picture decoding method, moving picture encoding program, and moving picture decoding program |
| US9628813B2 (en) | 2003-05-07 | 2017-04-18 | Ntt Docomo, Inc. | Moving picture encoding apparatus, moving picture decoding apparatus, moving picture encoding method, moving picture decoding method, moving picture encoding program, and moving picture decoding program |
| US10205960B2 (en) | 2003-05-07 | 2019-02-12 | Ntt Docomo, Inc. | Moving picture encoding apparatus, moving picture decoding apparatus, moving picture encoding method, moving picture decoding method, moving picture encoding program, and moving picture decoding program |
| US9225993B2 (en) | 2003-05-07 | 2015-12-29 | Ntt Docomo, Inc. | Moving picture encoding apparatus, moving picture decoding apparatus, moving picture encoding method, moving picture decoding method, moving picture encoding program, and moving picture decoding program |
| US8964846B2 (en) | 2003-05-07 | 2015-02-24 | Ntt Docomo, Inc. | Moving picture encoding apparatus, moving picture decoding apparatus, moving picture encoding method, moving picture decoding method, moving picture encoding program, and moving picture decoding program |
| US20040223548A1 (en) * | 2003-05-07 | 2004-11-11 | Ntt Docomo, Inc. | Moving picture encoding apparatus, moving picture decoding apparatus, moving picture encoding method, moving picture decoding method, moving picture encoding program, and moving picture decoding program |
| US7609763B2 (en) | 2003-07-18 | 2009-10-27 | Microsoft Corporation | Advanced bi-directional predictive coding of video frames |
| US20050013365A1 (en) * | 2003-07-18 | 2005-01-20 | Microsoft Corporation | Advanced bi-directional predictive coding of video frames |
| US7664177B2 (en) | 2003-09-07 | 2010-02-16 | Microsoft Corporation | Intra-coded fields for bi-directional frames |
| US20050053300A1 (en) * | 2003-09-07 | 2005-03-10 | Microsoft Corporation | Bitplane coding of prediction mode information in bi-directionally predicted interlaced pictures |
| US20050053149A1 (en) * | 2003-09-07 | 2005-03-10 | Microsoft Corporation | Direct mode motion vectors for Bi-directionally predicted interlaced pictures |
| US20050053147A1 (en) * | 2003-09-07 | 2005-03-10 | Microsoft Corporation | Motion vector prediction in bi-directionally predicted interlaced field-coded pictures |
| US20050053146A1 (en) * | 2003-09-07 | 2005-03-10 | Microsoft Corporation | Prediction mode switching in macroblocks of bi-directionally predicted interlaced frame-coded pictures |
| US20050053298A1 (en) * | 2003-09-07 | 2005-03-10 | Microsoft Corporation | Four motion vector coding and decoding in bi-directionally predicted interlaced pictures |
| US7590179B2 (en) | 2003-09-07 | 2009-09-15 | Microsoft Corporation | Bitplane coding of prediction mode information in bi-directionally predicted interlaced pictures |
| US7529302B2 (en) | 2003-09-07 | 2009-05-05 | Microsoft Corporation | Four motion vector coding and decoding in bi-directionally predicted interlaced pictures |
| US20050053297A1 (en) * | 2003-09-07 | 2005-03-10 | Microsoft Corporation | Self-referencing bi-directionally predicted frames |
| US7630438B2 (en) | 2003-09-07 | 2009-12-08 | Microsoft Corporation | Direct mode motion vectors for Bi-directionally predicted interlaced pictures |
| US7852936B2 (en) | 2003-09-07 | 2010-12-14 | Microsoft Corporation | Motion vector prediction in bi-directionally predicted interlaced field-coded pictures |
| US7680185B2 (en) | 2003-09-07 | 2010-03-16 | Microsoft Corporation | Self-referencing bi-directionally predicted frames |
| US8064520B2 (en) | 2003-09-07 | 2011-11-22 | Microsoft Corporation | Advanced bi-directional predictive coding of interlaced video |
| US20050053148A1 (en) * | 2003-09-07 | 2005-03-10 | Microsoft Corporation | Intra-coded fields for Bi-directional frames |
| US7876828B2 (en) | 2004-08-03 | 2011-01-25 | Sejong Industry-Academy Cooperation Foundation | Method, medium, and apparatus predicting direct mode motion of a multi-angle moving picture |
| WO2006014057A1 (en) * | 2004-08-03 | 2006-02-09 | Daeyang Foundation | Method, medium, and apparatus predicting direct mode motion of a multi-angle moving picture |
| US20060029137A1 (en) * | 2004-08-03 | 2006-02-09 | Daeyang Foundation | Method, medium, and apparatus predicting direct mode motion of a multi-angle moving picture |
| US20060067400A1 (en) * | 2004-09-30 | 2006-03-30 | Samsung Electronics Co., Ltd. | Method and apparatus for encoding and decoding in inter mode based on multiple scanning |
| US7978919B2 (en) | 2004-09-30 | 2011-07-12 | Samsung Electronics Co., Ltd. | Method and apparatus for encoding and decoding in inter mode based on multiple scanning |
| US7970050B2 (en) | 2004-09-30 | 2011-06-28 | Samsung Electronics Co., Ltd. | Method and apparatus for encoding and decoding data in intra mode based on multiple scanning |
| US7751478B2 (en) | 2005-01-21 | 2010-07-06 | Seiko Epson Corporation | Prediction intra-mode selection in an encoder |
| US20060165170A1 (en) * | 2005-01-21 | 2006-07-27 | Changick Kim | Prediction intra-mode selection in an encoder |
| US8019001B2 (en) * | 2005-02-28 | 2011-09-13 | Samsung Electronics Co., Ltd. | Prediction image generating method and apparatus using single coding mode for all color components, and image and video encoding/decoding method and apparatus using the same |
| US20060203913A1 (en) * | 2005-02-28 | 2006-09-14 | Samsung Electronics Co., Ltd. | Prediction image generating method and apparatus using single coding mode for all color components, and image and video encoding/decoding method and apparatus using the same |
| US7830961B2 (en) | 2005-06-21 | 2010-11-09 | Seiko Epson Corporation | Motion estimation and inter-mode prediction |
| US20060285594A1 (en) * | 2005-06-21 | 2006-12-21 | Changick Kim | Motion estimation and inter-mode prediction |
| CN100473168C (en) * | 2005-06-21 | 2009-03-25 | 中国科学院计算技术研究所 | Motion Vector Spatial Prediction Method for Video Coding |
| US20070064809A1 (en) * | 2005-09-14 | 2007-03-22 | Tsuyoshi Watanabe | Coding method for coding moving images |
| US20070140352A1 (en) * | 2005-12-19 | 2007-06-21 | Vasudev Bhaskaran | Temporal and spatial analysis of a video macroblock |
| US7843995B2 (en) | 2005-12-19 | 2010-11-30 | Seiko Epson Corporation | Temporal and spatial analysis of a video macroblock |
| US8170102B2 (en) | 2005-12-19 | 2012-05-01 | Seiko Epson Corporation | Macroblock homogeneity analysis and inter mode prediction |
| US20070140338A1 (en) * | 2005-12-19 | 2007-06-21 | Vasudev Bhaskaran | Macroblock homogeneity analysis and inter mode prediction |
| US20070171977A1 (en) * | 2006-01-25 | 2007-07-26 | Shintaro Kudo | Moving picture coding method and moving picture coding device |
| US8144776B2 (en) | 2006-03-15 | 2012-03-27 | Fujitsu Limited | Direct mode video coding using variable selection criterion |
| US20070217510A1 (en) * | 2006-03-15 | 2007-09-20 | Fujitsu Limited | Video coding method, video coding apparatus and video coding program |
| US20090316786A1 (en) * | 2006-04-14 | 2009-12-24 | Nxp B.V. | Motion estimation at image borders |
| US8009732B2 (en) | 2006-09-01 | 2011-08-30 | Seiko Epson Corporation | In-loop noise reduction within an encoder framework |
| US20080056366A1 (en) * | 2006-09-01 | 2008-03-06 | Vasudev Bhaskaran | In-Loop Noise Reduction Within an Encoder Framework |
| US11438575B2 (en) | 2007-06-15 | 2022-09-06 | Sungkyunkwan University Foundation For Corporate Collaboration | Bi-prediction coding method and apparatus, bi-prediction decoding method and apparatus, and recording medium |
| US11863740B2 (en) | 2007-06-15 | 2024-01-02 | Sungkyunkwan University Foundation For Corporate Collaboration | Bi-prediction coding method and apparatus, bi-prediction decoding method and apparatus, and recording medium |
| US12256065B2 (en) | 2007-06-15 | 2025-03-18 | SUNGKYUNKWAN UNIVERSITY FOUNDATION FOR CORPORATE COLLABORATION of Korea | Bi-prediction coding method and apparatus, bi-prediction decoding method and apparatus, and recording medium |
| US20130188713A1 (en) * | 2007-06-15 | 2013-07-25 | Sungkyunkwan University Foundation For Corporate Collaboration | Bi-prediction coding method and apparatus, bi-prediction decoding method and apparatus, and recording medium |
| US10178383B2 (en) * | 2007-06-15 | 2019-01-08 | Sungkyunkwan University Foundation For Corporate Collaboration | Bi-prediction coding method and apparatus, bi-prediction decoding method and apparatus, and recording medium |
| US20090003446A1 (en) * | 2007-06-30 | 2009-01-01 | Microsoft Corporation | Computing collocated macroblock information for direct mode macroblocks |
| US8254455B2 (en) | 2007-06-30 | 2012-08-28 | Microsoft Corporation | Computing collocated macroblock information for direct mode macroblocks |
| EP2186341A4 (en) * | 2007-08-28 | 2012-04-11 | Samsung Electronics Co Ltd | METHOD AND APPARATUS FOR ESTIMATING AND COMPENSATING SPATIO-TEMPORAL IMAGE MOTION |
| US8229233B2 (en) | 2007-08-28 | 2012-07-24 | Samsung Electronics Co., Ltd. | Method and apparatus for estimating and compensating spatiotemporal motion of image |
| KR101396365B1 (en) | 2007-08-28 | 2014-05-30 | 삼성전자주식회사 | Method and apparatus for spatiotemporal motion estimation and motion compensation of video |
| WO2009056752A1 (en) * | 2007-10-29 | 2009-05-07 | Ateme Sa | Method and system for estimating future motion of image elements from the past motion in a video coder |
| FR2923125A1 (en) * | 2007-10-29 | 2009-05-01 | Assistance Tech Et Etude De Ma | METHOD AND SYSTEM FOR ESTIMATING FUTURE MOVEMENT OF IMAGE ELEMENTS FROM MOVEMENT IN VIDEO ENCODER |
| US8687693B2 (en) | 2007-11-30 | 2014-04-01 | Dolby Laboratories Licensing Corporation | Temporal image prediction |
| US20160080765A1 (en) * | 2008-03-07 | 2016-03-17 | Sk Planet Co., Ltd. | Encoding system using motion estimation and encoding method using motion estimation |
| US10412409B2 (en) | 2008-03-07 | 2019-09-10 | Sk Planet Co., Ltd. | Encoding system using motion estimation and encoding method using motion estimation |
| US9936220B2 (en) | 2008-03-19 | 2018-04-03 | Nokia Technologies Oy | Combined motion vector and reference index prediction for video coding |
| US20090304084A1 (en) * | 2008-03-19 | 2009-12-10 | Nokia Corporation | Combined motion vector and reference index prediction for video coding |
| US12212774B2 (en) | 2008-03-19 | 2025-01-28 | Nokia Technologies Oy | Combined motion vector and reference index prediction for video coding |
| US10536711B2 (en) | 2008-03-19 | 2020-01-14 | Nokia Technologies Oy | Combined motion vector and reference index prediction for video coding |
| US9300978B2 (en) * | 2008-03-19 | 2016-03-29 | Nokia Technologies Oy | Combined motion vector and reference index prediction for video coding |
| US11425408B2 (en) | 2008-03-19 | 2022-08-23 | Nokia Technologies Oy | Combined motion vector and reference index prediction for video coding |
| US20110261882A1 (en) * | 2008-04-11 | 2011-10-27 | Thomson Licensing | Methods and apparatus for template matching prediction (tmp) in video encoding and decoding |
| US8189666B2 (en) | 2009-02-02 | 2012-05-29 | Microsoft Corporation | Local picture identifier and computation of co-located information |
| US9060176B2 (en) * | 2009-10-01 | 2015-06-16 | Ntt Docomo, Inc. | Motion vector prediction in video coding |
| US20110080954A1 (en) * | 2009-10-01 | 2011-04-07 | Bossen Frank J | Motion vector prediction in video coding |
| US10218998B2 (en) | 2010-01-19 | 2019-02-26 | Samsung Electronics Co., Ltd. | Method and apparatus for encoding/decoding images using a motion vector of a previous block as a motion vector for the current block |
| US9924192B2 (en) | 2010-01-19 | 2018-03-20 | Samsung Electronics Co., Ltd. | Method and apparatus for encoding/decoding images using a motion vector of a previous block as a motion vector for the current block |
| CN105025300A (en) * | 2010-01-19 | 2015-11-04 | 三星电子株式会社 | Method and apparatus for encoding/decoding image |
| US11889107B2 (en) | 2010-04-08 | 2024-01-30 | Kabushiki Kaisha Toshiba | Image encoding method and image decoding method |
| US12225227B2 (en) | 2010-04-08 | 2025-02-11 | Kabushiki Kaisha Toshiba | Image encoding method and image decoding method |
| US9794587B2 (en) | 2010-04-08 | 2017-10-17 | Kabushiki Kaisha Toshiba | Image encoding method and image decoding method |
| US10560717B2 (en) | 2010-04-08 | 2020-02-11 | Kabushiki Kaisha Toshiba | Image encoding method and image decoding method |
| US10091525B2 (en) | 2010-04-08 | 2018-10-02 | Kabushiki Kaisha Toshiba | Image encoding method and image decoding method |
| US9538181B2 (en) | 2010-04-08 | 2017-01-03 | Kabushiki Kaisha Toshiba | Image encoding method and image decoding method |
| US10715828B2 (en) | 2010-04-08 | 2020-07-14 | Kabushiki Kaisha Toshiba | Image encoding method and image decoding method |
| US10542281B2 (en) | 2010-04-08 | 2020-01-21 | Kabushiki Kaisha Toshiba | Image encoding method and image decoding method |
| US12132927B2 (en) | 2010-04-08 | 2024-10-29 | Kabushiki Kaisha Toshiba | Image encoding method and image decoding method |
| US10779001B2 (en) | 2010-04-08 | 2020-09-15 | Kabushiki Kaisha Toshiba | Image encoding method and image decoding method |
| US10999597B2 (en) | 2010-04-08 | 2021-05-04 | Kabushiki Kaisha Toshiba | Image encoding method and image decoding method |
| US11265574B2 (en) | 2010-04-08 | 2022-03-01 | Kabushiki Kaisha Toshiba | Image encoding method and image decoding method |
| US9906812B2 (en) | 2010-04-08 | 2018-02-27 | Kabushiki Kaisha Toshiba | Image encoding method and image decoding method |
| US12425639B2 (en) | 2010-04-08 | 2025-09-23 | Kabushiki Kaisha Toshiba | Image encoding method and image decoding method |
| US10009623B2 (en) | 2010-04-08 | 2018-06-26 | Kabushiki Kaisha Toshiba | Image encoding method and image decoding method |
| US9319716B2 (en) | 2011-01-27 | 2016-04-19 | Qualcomm Incorporated | Performing motion vector prediction for video coding |
| US10609406B2 (en) | 2011-04-12 | 2020-03-31 | Sun Patent Trust | Moving picture coding method, moving picture coding apparatus, moving picture decoding method, moving picture decoding apparatus and moving picture coding and decoding apparatus |
| US12238326B2 (en) | 2011-04-12 | 2025-02-25 | Sun Patent Trust | Moving picture coding method, moving picture coding apparatus, moving picture decoding method, moving picture decoding apparatus and moving picture coding and decoding apparatus |
| US10178404B2 (en) | 2011-04-12 | 2019-01-08 | Sun Patent Trust | Moving picture coding method, moving picture coding apparatus, moving picture decoding method, moving picture decoding apparatus and moving picture coding and decoding apparatus |
| US9872036B2 (en) | 2011-04-12 | 2018-01-16 | Sun Patent Trust | Moving picture coding method, moving picture coding apparatus, moving picture decoding method, moving picture decoding apparatus and moving picture coding and decoding apparatus |
| US10536712B2 (en) | 2011-04-12 | 2020-01-14 | Sun Patent Trust | Moving picture coding method, moving picture coding apparatus, moving picture decoding method, moving picture decoding apparatus and moving picture coding and decoding apparatus |
| US11917186B2 (en) | 2011-04-12 | 2024-02-27 | Sun Patent Trust | Moving picture coding method, moving picture coding apparatus, moving picture decoding method, moving picture decoding apparatus and moving picture coding and decoding apparatus |
| US11012705B2 (en) | 2011-04-12 | 2021-05-18 | Sun Patent Trust | Moving picture coding method, moving picture coding apparatus, moving picture decoding method, moving picture decoding apparatus and moving picture coding and decoding apparatus |
| US11356694B2 (en) | 2011-04-12 | 2022-06-07 | Sun Patent Trust | Moving picture coding method, moving picture coding apparatus, moving picture decoding method, moving picture decoding apparatus and moving picture coding and decoding apparatus |
| US9445120B2 (en) | 2011-04-12 | 2016-09-13 | Sun Patent Trust | Moving picture coding method, moving picture coding apparatus, moving picture decoding method, moving picture decoding apparatus and moving picture coding and decoding apparatus |
| US10382774B2 (en) | 2011-04-12 | 2019-08-13 | Sun Patent Trust | Moving picture coding method, moving picture coding apparatus, moving picture decoding method, moving picture decoding apparatus and moving picture coding and decoding apparatus |
| US10129564B2 (en) | 2011-05-24 | 2018-11-13 | Velos Media, LCC | Decoding method and apparatuses with candidate motion vectors |
| US11228784B2 (en) | 2011-05-24 | 2022-01-18 | Velos Media, Llc | Decoding method and apparatuses with candidate motion vectors |
| US9826249B2 (en) | 2011-05-24 | 2017-11-21 | Velos Media, Llc | Decoding method and apparatuses with candidate motion vectors |
| US10484708B2 (en) | 2011-05-24 | 2019-11-19 | Velos Media, Llc | Decoding method and apparatuses with candidate motion vectors |
| US11076170B2 (en) | 2011-05-27 | 2021-07-27 | Sun Patent Trust | Coding method and apparatus with candidate motion vectors |
| US9883199B2 (en) | 2011-05-27 | 2018-01-30 | Sun Patent Trust | Coding method and apparatus with candidate motion vectors |
| US12375684B2 (en) | 2011-05-27 | 2025-07-29 | Sun Patent Trust | Image coding method, image coding apparatus, image decoding method, image decoding apparatus, and image coding and decoding apparatus |
| US12323616B2 (en) | 2011-05-27 | 2025-06-03 | Sun Patent Trust | Coding method and apparatus with candidate motion vectors |
| US10200714B2 (en) | 2011-05-27 | 2019-02-05 | Sun Patent Trust | Decoding method and apparatus with candidate motion vectors |
| US11979582B2 (en) | 2011-05-27 | 2024-05-07 | Sun Patent Trust | Image coding method, image coding apparatus, image decoding method, image decoding apparatus, and image coding and decoding apparatus |
| US11895324B2 (en) | 2011-05-27 | 2024-02-06 | Sun Patent Trust | Coding method and apparatus with candidate motion vectors |
| US10212450B2 (en) | 2011-05-27 | 2019-02-19 | Sun Patent Trust | Coding method and apparatus with candidate motion vectors |
| US11575930B2 (en) | 2011-05-27 | 2023-02-07 | Sun Patent Trust | Coding method and apparatus with candidate motion vectors |
| US11570444B2 (en) | 2011-05-27 | 2023-01-31 | Sun Patent Trust | Image coding method, image coding apparatus, image decoding method, image decoding apparatus, and image coding and decoding apparatus |
| US9485518B2 (en) | 2011-05-27 | 2016-11-01 | Sun Patent Trust | Decoding method and apparatus with candidate motion vectors |
| US10034001B2 (en) | 2011-05-27 | 2018-07-24 | Sun Patent Trust | Image coding method, image coding apparatus, image decoding method, image decoding apparatus, and image coding and decoding apparatus |
| US11115664B2 (en) | 2011-05-27 | 2021-09-07 | Sun Patent Trust | Image coding method, image coding apparatus, image decoding method, image decoding apparatus, and image coding and decoding apparatus |
| US10721474B2 (en) | 2011-05-27 | 2020-07-21 | Sun Patent Trust | Image coding method, image coding apparatus, image decoding method, image decoding apparatus, and image coding and decoding apparatus |
| US10708598B2 (en) | 2011-05-27 | 2020-07-07 | Sun Patent Trust | Image coding method, image coding apparatus, image decoding method, image decoding apparatus, and image coding and decoding apparatus |
| US9615107B2 (en) | 2011-05-27 | 2017-04-04 | Sun Patent Trust | Image coding method, image coding apparatus, image decoding method, image decoding apparatus, and image coding and decoding apparatus |
| US10595023B2 (en) | 2011-05-27 | 2020-03-17 | Sun Patent Trust | Image coding method, image coding apparatus, image decoding method, image decoding apparatus, and image coding and decoding apparatus |
| US9723322B2 (en) | 2011-05-27 | 2017-08-01 | Sun Patent Trust | Decoding method and apparatus with candidate motion vectors |
| US9838695B2 (en) | 2011-05-27 | 2017-12-05 | Sun Patent Trust | Image coding method, image coding apparatus, image decoding method, image decoding apparatus, and image coding and decoding apparatus |
| US11057639B2 (en) | 2011-05-31 | 2021-07-06 | Sun Patent Trust | Derivation method and apparatuses with candidate motion vectors |
| US11368710B2 (en) | 2011-05-31 | 2022-06-21 | Velos Media, Llc | Image decoding method and image decoding apparatus using candidate motion vectors |
| US11917192B2 (en) | 2011-05-31 | 2024-02-27 | Sun Patent Trust | Derivation method and apparatuses with candidate motion vectors |
| US9819961B2 (en) | 2011-05-31 | 2017-11-14 | Sun Patent Trust | Decoding method and apparatuses with candidate motion vectors |
| US10412404B2 (en) | 2011-05-31 | 2019-09-10 | Velos Media, Llc | Image decoding method and image decoding apparatus using candidate motion vectors |
| US12425634B2 (en) | 2011-05-31 | 2025-09-23 | Sun Patent Trust | Image decoding method and image decoding apparatus using candidate motion vectors |
| US9900613B2 (en) | 2011-05-31 | 2018-02-20 | Sun Patent Trust | Image coding and decoding system using candidate motion vectors |
| US11949903B2 (en) | 2011-05-31 | 2024-04-02 | Sun Patent Trust | Image decoding method and image decoding apparatus using candidate motion vectors |
| US11509928B2 (en) | 2011-05-31 | 2022-11-22 | Sun Patent Trust | Derivation method and apparatuses with candidate motion vectors |
| US9609356B2 (en) | 2011-05-31 | 2017-03-28 | Sun Patent Trust | Moving picture coding method and apparatus with candidate motion vectors |
| US10951911B2 (en) | 2011-05-31 | 2021-03-16 | Velos Media, Llc | Image decoding method and image decoding apparatus using candidate motion vectors |
| US10652573B2 (en) | 2011-05-31 | 2020-05-12 | Sun Patent Trust | Video encoding method, video encoding device, video decoding method, video decoding device, and video encoding/decoding device |
| US12348768B2 (en) | 2011-05-31 | 2025-07-01 | Sun Patent Trust | Derivation method and apparatuses with candidate motion vectors |
| US10645413B2 (en) | 2011-05-31 | 2020-05-05 | Sun Patent Trust | Derivation method and apparatuses with candidate motion vectors |
| US10887585B2 (en) | 2011-06-30 | 2021-01-05 | Sun Patent Trust | Image decoding method, image coding method, image decoding apparatus, image coding apparatus, and image coding and decoding apparatus |
| US20130003851A1 (en) * | 2011-07-01 | 2013-01-03 | General Instrument Corporation | Motion vector prediction design simplification |
| US9094689B2 (en) * | 2011-07-01 | 2015-07-28 | Google Technology Holdings LLC | Motion vector prediction design simplification |
| US9456214B2 (en) | 2011-08-03 | 2016-09-27 | Sun Patent Trust | Moving picture coding method, moving picture coding apparatus, moving picture decoding method, moving picture decoding apparatus, and moving picture coding and decoding apparatus |
| US11979598B2 (en) | 2011-08-03 | 2024-05-07 | Sun Patent Trust | Video encoding method, video encoding apparatus, video decoding method, video decoding apparatus, and video encoding/decoding apparatus |
| US11553202B2 (en) | 2011-08-03 | 2023-01-10 | Sun Patent Trust | Video encoding method, video encoding apparatus, video decoding method, video decoding apparatus, and video encoding/decoding apparatus |
| US10284872B2 (en) | 2011-08-03 | 2019-05-07 | Sun Patent Trust | Video encoding method, video encoding apparatus, video decoding method, video decoding apparatus, and video encoding/decoding apparatus |
| US10440387B2 (en) | 2011-08-03 | 2019-10-08 | Sun Patent Trust | Video encoding method, video encoding apparatus, video decoding method, video decoding apparatus, and video encoding/decoding apparatus |
| US10129561B2 (en) | 2011-08-03 | 2018-11-13 | Sun Patent Trust | Video encoding method, video encoding apparatus, video decoding method, video decoding apparatus, and video encoding/decoding apparatus |
| US20130070855A1 (en) * | 2011-09-17 | 2013-03-21 | Qualcomm Incorporated | Hybrid motion vector coding modes for video coding |
| US9930359B2 (en) | 2011-09-23 | 2018-03-27 | Kt Corporation | Method for inducing a merge candidate block and device using same |
| US9253498B2 (en) | 2011-09-23 | 2016-02-02 | Kt Corporation | Method for inducing a merge candidate block and device using same |
| US9554144B2 (en) | 2011-09-23 | 2017-01-24 | Kt Corporation | Method for inducing a merge candidate block and device using same |
| US10165294B2 (en) | 2011-09-23 | 2018-12-25 | Kt Corporation | Method for inducing a merge candidate block and device using same |
| US10182237B2 (en) | 2011-09-23 | 2019-01-15 | Kt Corporation | Method for inducing a merge candidate block and device using same |
| US10165295B2 (en) | 2011-09-23 | 2018-12-25 | Kt Corporation | Method for inducing a merge candidate block and device using same |
| US9357225B2 (en) | 2011-09-23 | 2016-05-31 | Kt Corporation | Method for inducing a merge candidate block and device using same |
| US9924185B2 (en) | 2011-09-23 | 2018-03-20 | Kt Corporation | Method for inducing a merge candidate block and device using same |
| US9253499B2 (en) | 2011-09-23 | 2016-02-02 | Kt Corporation | Method for inducing a merge candidate block and device using same |
| US9578348B2 (en) | 2011-09-23 | 2017-02-21 | Kt Corporation | Method for inducing a merge candidate block and device using same |
| US12120324B2 (en) | 2011-10-19 | 2024-10-15 | Sun Patent Trust | Picture coding method, picture coding apparatus, picture decoding method, and picture decoding apparatus |
| US11218708B2 (en) | 2011-10-19 | 2022-01-04 | Sun Patent Trust | Picture decoding method for decoding using a merging candidate selected from a first merging candidate derived using a first derivation process and a second merging candidate derived using a second derivation process |
| US11647208B2 (en) | 2011-10-19 | 2023-05-09 | Sun Patent Trust | Picture coding method, picture coding apparatus, picture decoding method, and picture decoding apparatus |
| US9185428B2 (en) | 2011-11-04 | 2015-11-10 | Google Technology Holdings LLC | Motion vector scaling for non-uniform motion vector grid |
| US9591328B2 (en) | 2012-01-20 | 2017-03-07 | Sun Patent Trust | Methods and apparatuses for encoding and decoding video using temporal motion vector prediction |
| US10616601B2 (en) | 2012-01-20 | 2020-04-07 | Sun Patent Trust | Methods and apparatuses for encoding and decoding video using temporal motion vector prediction |
| US10129563B2 (en) | 2012-01-20 | 2018-11-13 | Sun Patent Trust | Methods and apparatuses for encoding and decoding video using temporal motion vector prediction |
| US10623762B2 (en) | 2012-02-03 | 2020-04-14 | Sun Patent Trust | Image coding method and image coding apparatus |
| US9648323B2 (en) | 2012-02-03 | 2017-05-09 | Sun Patent Trust | Image coding method and image coding apparatus |
| US11451815B2 (en) | 2012-02-03 | 2022-09-20 | Sun Patent Trust | Image coding method and image coding apparatus |
| US12192506B2 (en) | 2012-02-03 | 2025-01-07 | Sun Patent Trust | Image coding method and image coding apparatus |
| US20140016702A1 (en) * | 2012-02-03 | 2014-01-16 | Panasonic Corporation | Image decoding method and image decoding apparatus |
| US10334268B2 (en) | 2012-02-03 | 2019-06-25 | Sun Patent Trust | Image coding method and image coding apparatus |
| US9609320B2 (en) * | 2012-02-03 | 2017-03-28 | Sun Patent Trust | Image decoding method and image decoding apparatus |
| US10904554B2 (en) | 2012-02-03 | 2021-01-26 | Sun Patent Trust | Image coding method and image coding apparatus |
| US11812048B2 (en) | 2012-02-03 | 2023-11-07 | Sun Patent Trust | Image coding method and image coding apparatus |
| US10034015B2 (en) | 2012-02-03 | 2018-07-24 | Sun Patent Trust | Image coding method and image coding apparatus |
| US9883201B2 (en) | 2012-02-03 | 2018-01-30 | Sun Patent Trust | Image coding method and image coding apparatus |
| US10880572B2 (en) | 2012-03-06 | 2020-12-29 | Sun Patent Trust | Moving picture coding method, moving picture decoding method, moving picture coding apparatus, moving picture decoding apparatus, and moving picture coding and decoding apparatus |
| US9479777B2 (en) | 2012-03-06 | 2016-10-25 | Sun Patent Trust | Moving picture coding method, moving picture decoding method, moving picture coding apparatus, moving picture decoding apparatus, and moving picture coding and decoding apparatus |
| US10560716B2 (en) | 2012-03-06 | 2020-02-11 | Sun Patent Trust | Moving picture coding method, moving picture decoding method, moving picture coding apparatus, moving picture decoding apparatus, and moving picture coding and decoding apparatus |
| US12348766B2 (en) | 2012-03-06 | 2025-07-01 | Sun Patent Trust | Moving picture coding method, moving picture decoding method, moving picture coding apparatus, moving picture decoding apparatus, and moving picture coding and decoding apparatus |
| US11949907B2 (en) | 2012-03-06 | 2024-04-02 | Sun Patent Trust | Moving picture coding method, moving picture decoding method, moving picture coding apparatus, moving picture decoding apparatus, and moving picture coding and decoding apparatus |
| US10212447B2 (en) | 2012-03-06 | 2019-02-19 | Sun Patent Trust | Moving picture coding method, moving picture decoding method, moving picture coding apparatus, moving picture decoding apparatus, and moving picture coding and decoding apparatus |
| US11595682B2 (en) | 2012-03-06 | 2023-02-28 | Sun Patent Trust | Moving picture coding method, moving picture decoding method, moving picture coding apparatus, moving picture decoding apparatus, and moving picture coding and decoding apparatus |
| US11317101B2 (en) | 2012-06-12 | 2022-04-26 | Google Inc. | Inter frame candidate selection for a video encoder |
| US9503746B2 (en) | 2012-10-08 | 2016-11-22 | Google Inc. | Determine reference motion vectors |
| US20150365699A1 (en) * | 2013-04-12 | 2015-12-17 | Media Tek Inc. | Method and Apparatus for Direct Simplified Depth Coding |
| US10142655B2 (en) * | 2013-04-12 | 2018-11-27 | Mediatek Inc. | Method and apparatus for direct simplified depth coding |
| CN105594214A (en) * | 2013-04-12 | 2016-05-18 | 联发科技股份有限公司 | Method and device for directly simplifying depth coding |
| US9485515B2 (en) | 2013-08-23 | 2016-11-01 | Google Inc. | Video coding using reference motion vectors |
| US10986361B2 (en) | 2013-08-23 | 2021-04-20 | Google Llc | Video coding using reference motion vectors |
| US10798385B2 (en) * | 2016-04-25 | 2020-10-06 | Lg Electronics Inc. | Inter-prediction method and apparatus in image coding system |
| US11463707B2 (en) * | 2018-02-02 | 2022-10-04 | Apple Inc. | Techniques of multi-hypothesis motion compensation |
| US11924440B2 (en) | 2018-02-05 | 2024-03-05 | Apple Inc. | Techniques of multi-hypothesis motion compensation |
| US11665365B2 (en) * | 2018-09-14 | 2023-05-30 | Google Llc | Motion prediction coding with coframe motion vectors |
| US20200092576A1 (en) * | 2018-09-14 | 2020-03-19 | Google Llc | Motion prediction coding with coframe motion vectors |
| CN114080809A (en) * | 2019-06-13 | 2022-02-22 | Lg 电子株式会社 | Image or video coding of sub-block units based on temporal motion vector predictor candidates |
| US20220124316A1 (en) * | 2019-07-01 | 2022-04-21 | Samsung Electronics Co., Ltd. | Device and method for encoding and decoding motion information by means of neighboring motion information |
| US12028514B2 (en) * | 2019-07-01 | 2024-07-02 | Samsung Electronics Co., Ltd. | Device and method for encoding and decoding motion information by means of neighboring motion information |
Also Published As
| Publication number | Publication date |
|---|---|
| US10116959B2 (en) | 2018-10-30 |
| US11277636B2 (en) | 2022-03-15 |
| US8374245B2 (en) | 2013-02-12 |
| US20190045216A1 (en) | 2019-02-07 |
| US20130148737A1 (en) | 2013-06-13 |
| BR0302164A (en) | 2004-09-08 |
| US20160134890A1 (en) | 2016-05-12 |
| US11575934B2 (en) | 2023-02-07 |
| US20220167006A1 (en) | 2022-05-26 |
| US9185427B2 (en) | 2015-11-10 |
| US20070014358A1 (en) | 2007-01-18 |
| US10694208B2 (en) | 2020-06-23 |
| AU2003204477A1 (en) | 2004-01-08 |
| US8873630B2 (en) | 2014-10-28 |
| CN100455018C (en) | 2009-01-21 |
| US20150016527A1 (en) | 2015-01-15 |
| EP1369820A3 (en) | 2004-03-03 |
| KR100958499B1 (en) | 2010-05-17 |
| US20170118488A1 (en) | 2017-04-27 |
| MXPA03004906A (en) | 2004-10-15 |
| CA2430460C (en) | 2013-05-21 |
| EP1369820A2 (en) | 2003-12-10 |
| CA2430460A1 (en) | 2003-12-03 |
| AU2003204477B2 (en) | 2009-03-12 |
| US20200275123A1 (en) | 2020-08-27 |
| US9571854B2 (en) | 2017-02-14 |
| CN1471320A (en) | 2004-01-28 |
| RU2310231C2 (en) | 2007-11-10 |
| JP2004040785A (en) | 2004-02-05 |
| KR20030094086A (en) | 2003-12-11 |
| JP4733341B2 (en) | 2011-07-27 |
Similar Documents
| Publication | Publication Date | Title |
|---|---|---|
| US11575934B2 (en) | Spatiotemporal prediction for bidirectionally predictive (B) pictures and motion vector prediction for multi-picture reference motion compensation | |
| US10708582B2 (en) | Video coding | |
| US20040047418A1 (en) | Timestamp-independent motion vector prediction for predictive (P) and bidirectionally predictive (B) pictures | |
| HK40028450A (en) | Improved video decoding method and apparatus | |
| HK1157980A (en) | Improved video coding method and apparatus | |
| HK1157980B (en) | Improved video coding method and apparatus |
Legal Events
| Date | Code | Title | Description |
|---|---|---|---|
| AS | Assignment |
Owner name: MICROSOFT CORPORATION, WASHINGTON Free format text: ASSIGNMENT OF ASSIGNORS INTEREST;ASSIGNORS:TOURAPIS, ALEXANDROS;LI, SHIPENG;WU, FENG;REEL/FRAME:014372/0935;SIGNING DATES FROM 20030606 TO 20030611 |
|
| STCB | Information on status: application discontinuation |
Free format text: ABANDONED -- FAILURE TO RESPOND TO AN OFFICE ACTION |
|
| AS | Assignment |
Owner name: MICROSOFT TECHNOLOGY LICENSING, LLC, WASHINGTON Free format text: ASSIGNMENT OF ASSIGNORS INTEREST;ASSIGNOR:MICROSOFT CORPORATION;REEL/FRAME:034766/0001 Effective date: 20141014 |





