US20030073640A1 - Novel compositions for the delivery of negatively charged molecules - Google Patents
Novel compositions for the delivery of negatively charged molecules Download PDFInfo
- Publication number
- US20030073640A1 US20030073640A1 US10/036,916 US3691601A US2003073640A1 US 20030073640 A1 US20030073640 A1 US 20030073640A1 US 3691601 A US3691601 A US 3691601A US 2003073640 A1 US2003073640 A1 US 2003073640A1
- Authority
- US
- United States
- Prior art keywords
- cationic lipid
- lipid
- cholesterol
- cells
- punct
- Prior art date
- Legal status (The legal status is an assumption and is not a legal conclusion. Google has not performed a legal analysis and makes no representation as to the accuracy of the status listed.)
- Abandoned
Links
- 239000000203 mixture Substances 0.000 title description 115
- 150000007523 nucleic acids Chemical class 0.000 claims abstract description 113
- 102000039446 nucleic acids Human genes 0.000 claims abstract description 110
- 108020004707 nucleic acids Proteins 0.000 claims abstract description 110
- 230000002255 enzymatic effect Effects 0.000 claims abstract description 38
- 108090000623 proteins and genes Proteins 0.000 claims abstract description 20
- 102000004169 proteins and genes Human genes 0.000 claims abstract description 18
- -1 cationic lipid Chemical class 0.000 claims description 134
- 229920000642 polymer Polymers 0.000 claims description 32
- 229920001223 polyethylene glycol Polymers 0.000 claims description 29
- 239000002202 Polyethylene glycol Substances 0.000 claims description 25
- DRTQHJPVMGBUCF-XVFCMESISA-N Uridine Chemical compound O[C@@H]1[C@H](O)[C@@H](CO)O[C@H]1N1C(=O)NC(=O)C=C1 DRTQHJPVMGBUCF-XVFCMESISA-N 0.000 claims description 20
- 229920006395 saturated elastomer Polymers 0.000 claims description 16
- 125000004432 carbon atom Chemical group C* 0.000 claims description 15
- 125000000217 alkyl group Chemical group 0.000 claims description 14
- VILCJCGEZXAXTO-UHFFFAOYSA-N 2,2,2-tetramine Chemical compound NCCNCCNCCN VILCJCGEZXAXTO-UHFFFAOYSA-N 0.000 claims description 13
- DRTQHJPVMGBUCF-PSQAKQOGSA-N beta-L-uridine Natural products O[C@H]1[C@@H](O)[C@H](CO)O[C@@H]1N1C(=O)NC(=O)C=C1 DRTQHJPVMGBUCF-PSQAKQOGSA-N 0.000 claims description 11
- DRTQHJPVMGBUCF-UHFFFAOYSA-N uracil arabinoside Natural products OC1C(O)C(CO)OC1N1C(=O)NC(=O)C=C1 DRTQHJPVMGBUCF-UHFFFAOYSA-N 0.000 claims description 11
- 229940045145 uridine Drugs 0.000 claims description 11
- 125000003118 aryl group Chemical group 0.000 claims description 10
- ZRALSGWEFCBTJO-UHFFFAOYSA-N Guanidine Chemical compound NC(N)=N ZRALSGWEFCBTJO-UHFFFAOYSA-N 0.000 claims description 9
- CHJJGSNFBQVOTG-UHFFFAOYSA-N methylguanidine Chemical compound CNC(N)=N CHJJGSNFBQVOTG-UHFFFAOYSA-N 0.000 claims description 9
- 125000002252 acyl group Chemical group 0.000 claims description 7
- 125000002496 methyl group Chemical group [H]C([H])([H])* 0.000 claims description 7
- 230000004048 modification Effects 0.000 claims description 7
- 238000012986 modification Methods 0.000 claims description 7
- 229910052757 nitrogen Inorganic materials 0.000 claims description 7
- 125000000637 arginyl group Chemical group N[C@@H](CCCNC(N)=N)C(=O)* 0.000 claims description 6
- NHZMQXZHNVQTQA-UHFFFAOYSA-N pyridoxamine Chemical compound CC1=NC=C(CO)C(CN)=C1O NHZMQXZHNVQTQA-UHFFFAOYSA-N 0.000 claims description 6
- SWSQBOPZIKWTGO-UHFFFAOYSA-N dimethylaminoamidine Natural products CN(C)C(N)=N SWSQBOPZIKWTGO-UHFFFAOYSA-N 0.000 claims description 5
- 239000011699 pyridoxamine Substances 0.000 claims description 5
- UUEHGYARVLEMCI-LQDDAWAPSA-N 1-[butan-2-yl-(diaminomethylideneamino)amino]-2,3-bis[(Z)-octadec-9-enyl]guanidine 2,3-diaminopropanoic acid Chemical compound NCC(N)C(O)=O.CCCCCCCC\C=C/CCCCCCCCNC(NN(NC(N)=N)C(C)CC)=NCCCCCCCC\C=C/CCCCCCCC UUEHGYARVLEMCI-LQDDAWAPSA-N 0.000 claims description 4
- HQNOODJDSFSURF-UHFFFAOYSA-N 3-(1h-imidazol-2-yl)propan-1-amine Chemical compound NCCCC1=NC=CN1 HQNOODJDSFSURF-UHFFFAOYSA-N 0.000 claims description 4
- DHMQDGOQFOQNFH-UHFFFAOYSA-N Glycine Chemical compound NCC(O)=O DHMQDGOQFOQNFH-UHFFFAOYSA-N 0.000 claims description 4
- AHLPHDHHMVZTML-BYPYZUCNSA-N L-Ornithine Chemical compound NCCC[C@H](N)C(O)=O AHLPHDHHMVZTML-BYPYZUCNSA-N 0.000 claims description 4
- AHLPHDHHMVZTML-UHFFFAOYSA-N Orn-delta-NH2 Natural products NCCCC(N)C(O)=O AHLPHDHHMVZTML-UHFFFAOYSA-N 0.000 claims description 4
- UTJLXEIPEHZYQJ-UHFFFAOYSA-N Ornithine Natural products OC(=O)C(C)CCCN UTJLXEIPEHZYQJ-UHFFFAOYSA-N 0.000 claims description 4
- 125000001288 lysyl group Chemical group 0.000 claims description 4
- 229960003104 ornithine Drugs 0.000 claims description 4
- SXISHIUWGLFUQV-ZPHPHTNESA-N 1-hexadecyl-1-[(z)-octadec-9-enyl]guanidine Chemical compound CCCCCCCCCCCCCCCCN(C(N)=N)CCCCCCCC\C=C/CCCCCCCC SXISHIUWGLFUQV-ZPHPHTNESA-N 0.000 claims description 3
- 125000001495 ethyl group Chemical group [H]C([H])([H])C([H])([H])* 0.000 claims description 3
- 125000002768 hydroxyalkyl group Chemical group 0.000 claims description 3
- XQJNSUNTLIFUSQ-UHFFFAOYSA-N methylphosphonamidic acid Chemical compound CP(N)(O)=O XQJNSUNTLIFUSQ-UHFFFAOYSA-N 0.000 claims description 3
- 235000008151 pyridoxamine Nutrition 0.000 claims description 3
- OERRZAJTKPMGBB-BYPYZUCNSA-N (2s)-2,5-diaminopentanamide Chemical compound NCCC[C@H](N)C(N)=O OERRZAJTKPMGBB-BYPYZUCNSA-N 0.000 claims description 2
- UVVXOJABNAHVCS-YFKPBYRVSA-N (2s)-2-amino-6-(diaminomethylideneamino)hexanamide Chemical compound NC(=O)[C@@H](N)CCCCNC(N)=N UVVXOJABNAHVCS-YFKPBYRVSA-N 0.000 claims description 2
- 239000004471 Glycine Substances 0.000 claims description 2
- 229910018828 PO3H2 Inorganic materials 0.000 claims description 2
- PFNFFQXMRSDOHW-UHFFFAOYSA-N Spermine Natural products NCCCNCCCCNCCCN PFNFFQXMRSDOHW-UHFFFAOYSA-N 0.000 claims description 2
- 125000000487 histidyl group Chemical group [H]N([H])C(C(=O)O*)C([H])([H])C1=C([H])N([H])C([H])=N1 0.000 claims description 2
- AXAVQPASFYJDEM-YFKPBYRVSA-N methyl (2s)-2,5-diaminopentanoate Chemical compound COC(=O)[C@@H](N)CCCN AXAVQPASFYJDEM-YFKPBYRVSA-N 0.000 claims description 2
- 229940063675 spermine Drugs 0.000 claims description 2
- RSDOASZYYCOXIB-UHFFFAOYSA-N beta-alaninamide Chemical compound NCCC(N)=O RSDOASZYYCOXIB-UHFFFAOYSA-N 0.000 claims 1
- 108091032973 (ribonucleotides)n+m Proteins 0.000 abstract description 53
- 108091034117 Oligonucleotide Proteins 0.000 abstract description 32
- 238000000034 method Methods 0.000 abstract description 30
- 230000000692 anti-sense effect Effects 0.000 abstract description 28
- JLCPHMBAVCMARE-UHFFFAOYSA-N [3-[[3-[[3-[[3-[[3-[[3-[[3-[[3-[[3-[[3-[[3-[[5-(2-amino-6-oxo-1H-purin-9-yl)-3-[[3-[[3-[[3-[[3-[[3-[[5-(2-amino-6-oxo-1H-purin-9-yl)-3-[[5-(2-amino-6-oxo-1H-purin-9-yl)-3-hydroxyoxolan-2-yl]methoxy-hydroxyphosphoryl]oxyoxolan-2-yl]methoxy-hydroxyphosphoryl]oxy-5-(5-methyl-2,4-dioxopyrimidin-1-yl)oxolan-2-yl]methoxy-hydroxyphosphoryl]oxy-5-(6-aminopurin-9-yl)oxolan-2-yl]methoxy-hydroxyphosphoryl]oxy-5-(6-aminopurin-9-yl)oxolan-2-yl]methoxy-hydroxyphosphoryl]oxy-5-(6-aminopurin-9-yl)oxolan-2-yl]methoxy-hydroxyphosphoryl]oxy-5-(6-aminopurin-9-yl)oxolan-2-yl]methoxy-hydroxyphosphoryl]oxyoxolan-2-yl]methoxy-hydroxyphosphoryl]oxy-5-(5-methyl-2,4-dioxopyrimidin-1-yl)oxolan-2-yl]methoxy-hydroxyphosphoryl]oxy-5-(4-amino-2-oxopyrimidin-1-yl)oxolan-2-yl]methoxy-hydroxyphosphoryl]oxy-5-(5-methyl-2,4-dioxopyrimidin-1-yl)oxolan-2-yl]methoxy-hydroxyphosphoryl]oxy-5-(5-methyl-2,4-dioxopyrimidin-1-yl)oxolan-2-yl]methoxy-hydroxyphosphoryl]oxy-5-(6-aminopurin-9-yl)oxolan-2-yl]methoxy-hydroxyphosphoryl]oxy-5-(6-aminopurin-9-yl)oxolan-2-yl]methoxy-hydroxyphosphoryl]oxy-5-(4-amino-2-oxopyrimidin-1-yl)oxolan-2-yl]methoxy-hydroxyphosphoryl]oxy-5-(4-amino-2-oxopyrimidin-1-yl)oxolan-2-yl]methoxy-hydroxyphosphoryl]oxy-5-(4-amino-2-oxopyrimidin-1-yl)oxolan-2-yl]methoxy-hydroxyphosphoryl]oxy-5-(6-aminopurin-9-yl)oxolan-2-yl]methoxy-hydroxyphosphoryl]oxy-5-(4-amino-2-oxopyrimidin-1-yl)oxolan-2-yl]methyl [5-(6-aminopurin-9-yl)-2-(hydroxymethyl)oxolan-3-yl] hydrogen phosphate Polymers Cc1cn(C2CC(OP(O)(=O)OCC3OC(CC3OP(O)(=O)OCC3OC(CC3O)n3cnc4c3nc(N)[nH]c4=O)n3cnc4c3nc(N)[nH]c4=O)C(COP(O)(=O)OC3CC(OC3COP(O)(=O)OC3CC(OC3COP(O)(=O)OC3CC(OC3COP(O)(=O)OC3CC(OC3COP(O)(=O)OC3CC(OC3COP(O)(=O)OC3CC(OC3COP(O)(=O)OC3CC(OC3COP(O)(=O)OC3CC(OC3COP(O)(=O)OC3CC(OC3COP(O)(=O)OC3CC(OC3COP(O)(=O)OC3CC(OC3COP(O)(=O)OC3CC(OC3COP(O)(=O)OC3CC(OC3COP(O)(=O)OC3CC(OC3COP(O)(=O)OC3CC(OC3COP(O)(=O)OC3CC(OC3COP(O)(=O)OC3CC(OC3CO)n3cnc4c(N)ncnc34)n3ccc(N)nc3=O)n3cnc4c(N)ncnc34)n3ccc(N)nc3=O)n3ccc(N)nc3=O)n3ccc(N)nc3=O)n3cnc4c(N)ncnc34)n3cnc4c(N)ncnc34)n3cc(C)c(=O)[nH]c3=O)n3cc(C)c(=O)[nH]c3=O)n3ccc(N)nc3=O)n3cc(C)c(=O)[nH]c3=O)n3cnc4c3nc(N)[nH]c4=O)n3cnc4c(N)ncnc34)n3cnc4c(N)ncnc34)n3cnc4c(N)ncnc34)n3cnc4c(N)ncnc34)O2)c(=O)[nH]c1=O JLCPHMBAVCMARE-UHFFFAOYSA-N 0.000 abstract description 17
- 108090000765 processed proteins & peptides Proteins 0.000 abstract description 15
- 102000040430 polynucleotide Human genes 0.000 abstract description 12
- 108091033319 polynucleotide Proteins 0.000 abstract description 12
- 239000002157 polynucleotide Substances 0.000 abstract description 12
- 102000004196 processed proteins & peptides Human genes 0.000 abstract description 12
- 102000040650 (ribonucleotides)n+m Human genes 0.000 abstract description 9
- 108091023037 Aptamer Proteins 0.000 abstract description 7
- 239000012528 membrane Substances 0.000 abstract description 6
- 229920001184 polypeptide Polymers 0.000 abstract description 6
- 150000001720 carbohydrates Chemical class 0.000 abstract description 5
- 235000014633 carbohydrates Nutrition 0.000 abstract description 5
- 230000035699 permeability Effects 0.000 abstract description 5
- 150000003384 small molecules Chemical class 0.000 abstract description 5
- 150000003431 steroids Chemical class 0.000 abstract description 5
- 230000004700 cellular uptake Effects 0.000 abstract description 4
- 239000003623 enhancer Substances 0.000 abstract description 4
- 229910052751 metal Inorganic materials 0.000 abstract description 4
- 239000002184 metal Substances 0.000 abstract description 4
- 108020004459 Small interfering RNA Proteins 0.000 abstract description 3
- 125000003636 chemical group Chemical group 0.000 abstract description 2
- 150000002739 metals Chemical class 0.000 abstract 1
- 210000004027 cell Anatomy 0.000 description 138
- YMWUJEATGCHHMB-UHFFFAOYSA-N Dichloromethane Chemical compound ClCCl YMWUJEATGCHHMB-UHFFFAOYSA-N 0.000 description 114
- 150000002632 lipids Chemical class 0.000 description 91
- OKKJLVBELUTLKV-UHFFFAOYSA-N Methanol Chemical compound OC OKKJLVBELUTLKV-UHFFFAOYSA-N 0.000 description 84
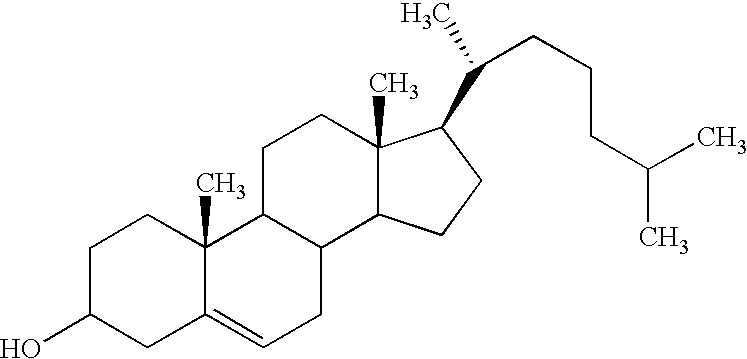
- HVYWMOMLDIMFJA-DPAQBDIFSA-N cholesterol Chemical compound C1C=C2C[C@@H](O)CC[C@]2(C)[C@@H]2[C@@H]1[C@@H]1CC[C@H]([C@H](C)CCCC(C)C)[C@@]1(C)CC2 HVYWMOMLDIMFJA-DPAQBDIFSA-N 0.000 description 72
- 108091092562 ribozyme Proteins 0.000 description 62
- 108090000994 Catalytic RNA Proteins 0.000 description 61
- 102000053642 Catalytic RNA Human genes 0.000 description 61
- 230000015572 biosynthetic process Effects 0.000 description 59
- 238000003786 synthesis reaction Methods 0.000 description 54
- TXLHNFOLHRXMAU-UHFFFAOYSA-N 2-(4-benzylphenoxy)-n,n-diethylethanamine;hydron;chloride Chemical compound Cl.C1=CC(OCCN(CC)CC)=CC=C1CC1=CC=CC=C1 TXLHNFOLHRXMAU-UHFFFAOYSA-N 0.000 description 52
- 238000009472 formulation Methods 0.000 description 51
- 125000003729 nucleotide group Chemical group 0.000 description 44
- 239000002773 nucleotide Substances 0.000 description 40
- 125000002091 cationic group Chemical group 0.000 description 37
- 238000003776 cleavage reaction Methods 0.000 description 36
- 230000007017 scission Effects 0.000 description 36
- MWRBNPKJOOWZPW-GPADLTIESA-N 1,2-di-[(9E)-octadecenoyl]-sn-glycero-3-phosphoethanolamine Chemical compound CCCCCCCC\C=C\CCCCCCCC(=O)OC[C@H](COP(O)(=O)OCCN)OC(=O)CCCCCCC\C=C\CCCCCCCC MWRBNPKJOOWZPW-GPADLTIESA-N 0.000 description 35
- 235000012000 cholesterol Nutrition 0.000 description 35
- 150000001875 compounds Chemical class 0.000 description 33
- 239000011541 reaction mixture Substances 0.000 description 32
- 239000002502 liposome Substances 0.000 description 31
- VYPSYNLAJGMNEJ-UHFFFAOYSA-N Silicium dioxide Chemical compound O=[Si]=O VYPSYNLAJGMNEJ-UHFFFAOYSA-N 0.000 description 29
- 235000010482 polyoxyethylene sorbitan monooleate Nutrition 0.000 description 29
- 229920000053 polysorbate 80 Polymers 0.000 description 29
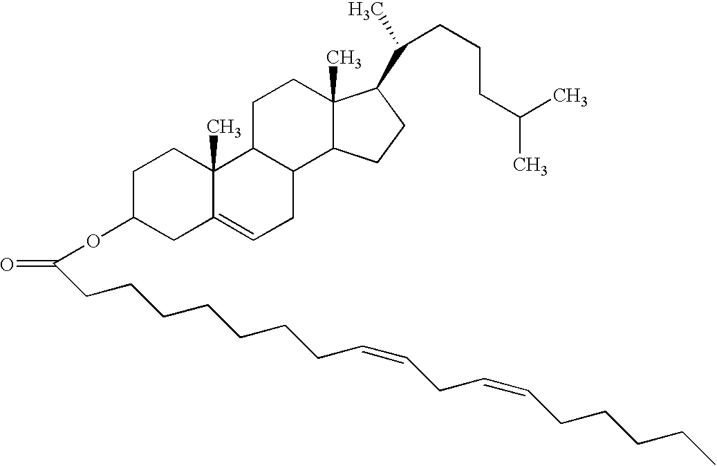
- 229940049918 linoleate Drugs 0.000 description 27
- ZLGYVWRJIZPQMM-HHHXNRCGSA-N 2-azaniumylethyl [(2r)-2,3-di(dodecanoyloxy)propyl] phosphate Chemical compound CCCCCCCCCCCC(=O)OC[C@H](COP(O)(=O)OCCN)OC(=O)CCCCCCCCCCC ZLGYVWRJIZPQMM-HHHXNRCGSA-N 0.000 description 26
- XKRFYHLGVUSROY-UHFFFAOYSA-N Argon Chemical compound [Ar] XKRFYHLGVUSROY-UHFFFAOYSA-N 0.000 description 26
- HEDRZPFGACZZDS-MICDWDOJSA-N Trichloro(2H)methane Chemical compound [2H]C(Cl)(Cl)Cl HEDRZPFGACZZDS-MICDWDOJSA-N 0.000 description 24
- 238000006243 chemical reaction Methods 0.000 description 22
- 239000000243 solution Substances 0.000 description 22
- 108020004414 DNA Proteins 0.000 description 21
- 230000000694 effects Effects 0.000 description 21
- 230000001413 cellular effect Effects 0.000 description 19
- 238000005160 1H NMR spectroscopy Methods 0.000 description 18
- 210000002966 serum Anatomy 0.000 description 18
- 0 *N(*)C(=O)CNC(=O)C(N)CN Chemical compound *N(*)C(=O)CNC(=O)C(N)CN 0.000 description 17
- ZMANZCXQSJIPKH-UHFFFAOYSA-N Triethylamine Chemical compound CCN(CC)CC ZMANZCXQSJIPKH-UHFFFAOYSA-N 0.000 description 17
- 239000003981 vehicle Substances 0.000 description 17
- XLYOFNOQVPJJNP-UHFFFAOYSA-N water Substances O XLYOFNOQVPJJNP-UHFFFAOYSA-N 0.000 description 17
- HZVUFVWGWRZYNC-QPLCGJKRSA-N (z)-tetratriacont-9-en-1-amine Chemical compound CCCCCCCCCCCCCCCCCCCCCCCC\C=C/CCCCCCCCN HZVUFVWGWRZYNC-QPLCGJKRSA-N 0.000 description 16
- 239000013612 plasmid Substances 0.000 description 16
- 239000000047 product Substances 0.000 description 16
- 238000004679 31P NMR spectroscopy Methods 0.000 description 15
- 239000000758 substrate Substances 0.000 description 15
- 239000002609 medium Substances 0.000 description 14
- 229910052786 argon Inorganic materials 0.000 description 13
- 239000003814 drug Substances 0.000 description 13
- 238000004992 fast atom bombardment mass spectroscopy Methods 0.000 description 13
- 230000014509 gene expression Effects 0.000 description 13
- VLKZOEOYAKHREP-UHFFFAOYSA-N n-Hexane Chemical class CCCCCC VLKZOEOYAKHREP-UHFFFAOYSA-N 0.000 description 13
- HEMHJVSKTPXQMS-UHFFFAOYSA-M Sodium hydroxide Chemical compound [OH-].[Na+] HEMHJVSKTPXQMS-UHFFFAOYSA-M 0.000 description 12
- 229940079593 drug Drugs 0.000 description 12
- GNBHRKFJIUUOQI-UHFFFAOYSA-N fluorescein Chemical compound O1C(=O)C2=CC=CC=C2C21C1=CC=C(O)C=C1OC1=CC(O)=CC=C21 GNBHRKFJIUUOQI-UHFFFAOYSA-N 0.000 description 12
- 210000004940 nucleus Anatomy 0.000 description 12
- 239000000377 silicon dioxide Substances 0.000 description 12
- 238000003756 stirring Methods 0.000 description 12
- 238000001890 transfection Methods 0.000 description 12
- 108010043121 Green Fluorescent Proteins Proteins 0.000 description 11
- 102000004144 Green Fluorescent Proteins Human genes 0.000 description 11
- NYHBQMYGNKIUIF-UUOKFMHZSA-N Guanosine Chemical group C1=NC=2C(=O)NC(N)=NC=2N1[C@@H]1O[C@H](CO)[C@@H](O)[C@H]1O NYHBQMYGNKIUIF-UUOKFMHZSA-N 0.000 description 11
- 239000005090 green fluorescent protein Substances 0.000 description 11
- 230000007246 mechanism Effects 0.000 description 11
- 239000000725 suspension Substances 0.000 description 11
- HEDRZPFGACZZDS-UHFFFAOYSA-N Chloroform Chemical compound ClC(Cl)Cl HEDRZPFGACZZDS-UHFFFAOYSA-N 0.000 description 10
- RTZKZFJDLAIYFH-UHFFFAOYSA-N Diethyl ether Chemical compound CCOCC RTZKZFJDLAIYFH-UHFFFAOYSA-N 0.000 description 10
- LFQSCWFLJHTTHZ-UHFFFAOYSA-N Ethanol Chemical compound CCO LFQSCWFLJHTTHZ-UHFFFAOYSA-N 0.000 description 10
- JGFZNNIVVJXRND-UHFFFAOYSA-N N,N-Diisopropylethylamine (DIPEA) Chemical compound CCN(C(C)C)C(C)C JGFZNNIVVJXRND-UHFFFAOYSA-N 0.000 description 10
- 239000001963 growth medium Substances 0.000 description 10
- 230000003993 interaction Effects 0.000 description 10
- 238000002360 preparation method Methods 0.000 description 10
- 210000001519 tissue Anatomy 0.000 description 10
- YGPZWPHDULZYFR-DPAQBDIFSA-N (3s,8s,9s,10r,13r,14s,17r)-10,13-dimethyl-17-[(2r)-6-methylheptan-2-yl]-2,3,4,7,8,9,11,12,14,15,16,17-dodecahydro-1h-cyclopenta[a]phenanthren-3-amine Chemical compound C1C=C2C[C@@H](N)CC[C@]2(C)[C@@H]2[C@@H]1[C@@H]1CC[C@H]([C@H](C)CCCC(C)C)[C@@]1(C)CC2 YGPZWPHDULZYFR-DPAQBDIFSA-N 0.000 description 9
- XEKOWRVHYACXOJ-UHFFFAOYSA-N Ethyl acetate Chemical compound CCOC(C)=O XEKOWRVHYACXOJ-UHFFFAOYSA-N 0.000 description 9
- 102100034343 Integrase Human genes 0.000 description 9
- 229910019142 PO4 Inorganic materials 0.000 description 9
- 239000004480 active ingredient Substances 0.000 description 9
- 238000000799 fluorescence microscopy Methods 0.000 description 9
- 239000010452 phosphate Substances 0.000 description 9
- 235000000346 sugar Nutrition 0.000 description 9
- 231100000419 toxicity Toxicity 0.000 description 9
- 230000001988 toxicity Effects 0.000 description 9
- VHUUQVKOLVNVRT-UHFFFAOYSA-N Ammonium hydroxide Chemical compound [NH4+].[OH-] VHUUQVKOLVNVRT-UHFFFAOYSA-N 0.000 description 8
- 230000003213 activating effect Effects 0.000 description 8
- 150000002148 esters Chemical class 0.000 description 8
- 230000005764 inhibitory process Effects 0.000 description 8
- 108020004999 messenger RNA Proteins 0.000 description 8
- PSHKMPUSSFXUIA-UHFFFAOYSA-N n,n-dimethylpyridin-2-amine Chemical compound CN(C)C1=CC=CC=N1 PSHKMPUSSFXUIA-UHFFFAOYSA-N 0.000 description 8
- NBIIXXVUZAFLBC-UHFFFAOYSA-K phosphate Chemical compound [O-]P([O-])([O-])=O NBIIXXVUZAFLBC-UHFFFAOYSA-K 0.000 description 8
- 238000011282 treatment Methods 0.000 description 8
- UHDGCWIWMRVCDJ-UHFFFAOYSA-N 1-beta-D-Xylofuranosyl-NH-Cytosine Chemical group O=C1N=C(N)C=CN1C1C(O)C(O)C(CO)O1 UHDGCWIWMRVCDJ-UHFFFAOYSA-N 0.000 description 7
- UHDGCWIWMRVCDJ-PSQAKQOGSA-N Cytidine Chemical group O=C1N=C(N)C=CN1[C@@H]1[C@@H](O)[C@@H](O)[C@H](CO)O1 UHDGCWIWMRVCDJ-PSQAKQOGSA-N 0.000 description 7
- NYHBQMYGNKIUIF-UHFFFAOYSA-N D-guanosine Natural products C1=2NC(N)=NC(=O)C=2N=CN1C1OC(CO)C(O)C1O NYHBQMYGNKIUIF-UHFFFAOYSA-N 0.000 description 7
- 108091027757 Deoxyribozyme Proteins 0.000 description 7
- 102100031780 Endonuclease Human genes 0.000 description 7
- 108010042407 Endonucleases Proteins 0.000 description 7
- UIIMBOGNXHQVGW-UHFFFAOYSA-M Sodium bicarbonate Chemical class [Na+].OC([O-])=O UIIMBOGNXHQVGW-UHFFFAOYSA-M 0.000 description 7
- 230000000295 complement effect Effects 0.000 description 7
- UHDGCWIWMRVCDJ-ZAKLUEHWSA-N cytidine Chemical group O=C1N=C(N)C=CN1[C@H]1[C@H](O)[C@@H](O)[C@H](CO)O1 UHDGCWIWMRVCDJ-ZAKLUEHWSA-N 0.000 description 7
- 239000003937 drug carrier Substances 0.000 description 7
- 238000003818 flash chromatography Methods 0.000 description 7
- 239000000796 flavoring agent Substances 0.000 description 7
- 238000004949 mass spectrometry Methods 0.000 description 7
- 239000000463 material Substances 0.000 description 7
- 239000012044 organic layer Substances 0.000 description 7
- RADKZDMFGJYCBB-UHFFFAOYSA-N pyridoxal hydrochloride Natural products CC1=NC=C(CO)C(C=O)=C1O RADKZDMFGJYCBB-UHFFFAOYSA-N 0.000 description 7
- 230000008685 targeting Effects 0.000 description 7
- 230000032258 transport Effects 0.000 description 7
- 108010078791 Carrier Proteins Proteins 0.000 description 6
- 102000004190 Enzymes Human genes 0.000 description 6
- 108090000790 Enzymes Proteins 0.000 description 6
- 101710203526 Integrase Proteins 0.000 description 6
- 101710163270 Nuclease Proteins 0.000 description 6
- KDLHZDBZIXYQEI-UHFFFAOYSA-N Palladium Chemical compound [Pd] KDLHZDBZIXYQEI-UHFFFAOYSA-N 0.000 description 6
- OIRDTQYFTABQOQ-KQYNXXCUSA-N adenosine group Chemical group [C@@H]1([C@H](O)[C@H](O)[C@@H](CO)O1)N1C=NC=2C(N)=NC=NC12 OIRDTQYFTABQOQ-KQYNXXCUSA-N 0.000 description 6
- 125000003342 alkenyl group Chemical group 0.000 description 6
- 125000000304 alkynyl group Chemical group 0.000 description 6
- 238000003556 assay Methods 0.000 description 6
- 210000004369 blood Anatomy 0.000 description 6
- 239000008280 blood Substances 0.000 description 6
- 235000014113 dietary fatty acids Nutrition 0.000 description 6
- 229930195729 fatty acid Natural products 0.000 description 6
- 239000000194 fatty acid Substances 0.000 description 6
- 150000004665 fatty acids Chemical class 0.000 description 6
- 125000003630 glycyl group Chemical group [H]N([H])C([H])([H])C(*)=O 0.000 description 6
- UYTPUPDQBNUYGX-UHFFFAOYSA-N guanine Chemical compound O=C1NC(N)=NC2=C1N=CN2 UYTPUPDQBNUYGX-UHFFFAOYSA-N 0.000 description 6
- 229940029575 guanosine Drugs 0.000 description 6
- 238000002347 injection Methods 0.000 description 6
- 239000007924 injection Substances 0.000 description 6
- 230000000670 limiting effect Effects 0.000 description 6
- 230000007935 neutral effect Effects 0.000 description 6
- 239000003921 oil Substances 0.000 description 6
- 235000019198 oils Nutrition 0.000 description 6
- 239000008194 pharmaceutical composition Substances 0.000 description 6
- 239000000546 pharmaceutical excipient Substances 0.000 description 6
- 239000003755 preservative agent Substances 0.000 description 6
- XJMOSONTPMZWPB-UHFFFAOYSA-M propidium iodide Chemical compound [I-].[I-].C12=CC(N)=CC=C2C2=CC=C(N)C=C2[N+](CCC[N+](C)(CC)CC)=C1C1=CC=CC=C1 XJMOSONTPMZWPB-UHFFFAOYSA-M 0.000 description 6
- 238000010898 silica gel chromatography Methods 0.000 description 6
- 239000003765 sweetening agent Substances 0.000 description 6
- 239000006188 syrup Substances 0.000 description 6
- 235000020357 syrup Nutrition 0.000 description 6
- IJGRMHOSHXDMSA-UHFFFAOYSA-N Atomic nitrogen Chemical compound N#N IJGRMHOSHXDMSA-UHFFFAOYSA-N 0.000 description 5
- 206010005003 Bladder cancer Diseases 0.000 description 5
- MIKUYHXYGGJMLM-GIMIYPNGSA-N Crotonoside Natural products C1=NC2=C(N)NC(=O)N=C2N1[C@H]1O[C@@H](CO)[C@H](O)[C@@H]1O MIKUYHXYGGJMLM-GIMIYPNGSA-N 0.000 description 5
- JZNWSCPGTDBMEW-UHFFFAOYSA-N Glycerophosphorylethanolamin Natural products NCCOP(O)(=O)OCC(O)CO JZNWSCPGTDBMEW-UHFFFAOYSA-N 0.000 description 5
- 108091028043 Nucleic acid sequence Proteins 0.000 description 5
- FAPWRFPIFSIZLT-UHFFFAOYSA-M Sodium chloride Chemical compound [Na+].[Cl-] FAPWRFPIFSIZLT-UHFFFAOYSA-M 0.000 description 5
- 125000003545 alkoxy group Chemical group 0.000 description 5
- 239000000074 antisense oligonucleotide Substances 0.000 description 5
- 238000012230 antisense oligonucleotides Methods 0.000 description 5
- 239000007900 aqueous suspension Substances 0.000 description 5
- 201000001531 bladder carcinoma Diseases 0.000 description 5
- 239000007859 condensation product Substances 0.000 description 5
- 239000003085 diluting agent Substances 0.000 description 5
- 235000013355 food flavoring agent Nutrition 0.000 description 5
- 235000003599 food sweetener Nutrition 0.000 description 5
- 125000002887 hydroxy group Chemical group [H]O* 0.000 description 5
- 238000001727 in vivo Methods 0.000 description 5
- 238000011534 incubation Methods 0.000 description 5
- 210000004962 mammalian cell Anatomy 0.000 description 5
- WTJKGGKOPKCXLL-RRHRGVEJSA-N phosphatidylcholine Chemical compound CCCCCCCCCCCCCCCC(=O)OC[C@H](COP([O-])(=O)OCC[N+](C)(C)C)OC(=O)CCCCCCCC=CCCCCCCCC WTJKGGKOPKCXLL-RRHRGVEJSA-N 0.000 description 5
- 150000008104 phosphatidylethanolamines Chemical class 0.000 description 5
- PYWVYCXTNDRMGF-UHFFFAOYSA-N rhodamine B Chemical group [Cl-].C=12C=CC(=[N+](CC)CC)C=C2OC2=CC(N(CC)CC)=CC=C2C=1C1=CC=CC=C1C(O)=O PYWVYCXTNDRMGF-UHFFFAOYSA-N 0.000 description 5
- 239000007787 solid Substances 0.000 description 5
- 239000002904 solvent Substances 0.000 description 5
- 239000000375 suspending agent Substances 0.000 description 5
- 239000003826 tablet Substances 0.000 description 5
- 208000010570 urinary bladder carcinoma Diseases 0.000 description 5
- RYHBNJHYFVUHQT-UHFFFAOYSA-N 1,4-Dioxane Chemical compound C1COCCO1 RYHBNJHYFVUHQT-UHFFFAOYSA-N 0.000 description 4
- 108020000948 Antisense Oligonucleotides Proteins 0.000 description 4
- VTYYLEPIZMXCLO-UHFFFAOYSA-L Calcium carbonate Chemical compound [Ca+2].[O-]C([O-])=O VTYYLEPIZMXCLO-UHFFFAOYSA-L 0.000 description 4
- IAYPIBMASNFSPL-UHFFFAOYSA-N Ethylene oxide Chemical compound C1CO1 IAYPIBMASNFSPL-UHFFFAOYSA-N 0.000 description 4
- 241000724709 Hepatitis delta virus Species 0.000 description 4
- 102100025891 Inosine-5'-monophosphate dehydrogenase 2 Human genes 0.000 description 4
- 101710172331 Inosine-5'-monophosphate dehydrogenase 2 Proteins 0.000 description 4
- 241001465754 Metazoa Species 0.000 description 4
- 206010028980 Neoplasm Diseases 0.000 description 4
- 102100030780 Transcriptional activator Myb Human genes 0.000 description 4
- ISAKRJDGNUQOIC-UHFFFAOYSA-N Uracil Chemical compound O=C1C=CNC(=O)N1 ISAKRJDGNUQOIC-UHFFFAOYSA-N 0.000 description 4
- 238000004458 analytical method Methods 0.000 description 4
- 125000000129 anionic group Chemical group 0.000 description 4
- 230000008901 benefit Effects 0.000 description 4
- UCMIRNVEIXFBKS-UHFFFAOYSA-N beta-alanine Chemical compound NCCC(O)=O UCMIRNVEIXFBKS-UHFFFAOYSA-N 0.000 description 4
- 210000000170 cell membrane Anatomy 0.000 description 4
- 239000003086 colorant Substances 0.000 description 4
- 125000004093 cyano group Chemical group *C#N 0.000 description 4
- OPTASPLRGRRNAP-UHFFFAOYSA-N cytosine Chemical compound NC=1C=CNC(=O)N=1 OPTASPLRGRRNAP-UHFFFAOYSA-N 0.000 description 4
- 201000010099 disease Diseases 0.000 description 4
- 208000037265 diseases, disorders, signs and symptoms Diseases 0.000 description 4
- 239000002270 dispersing agent Substances 0.000 description 4
- 238000009826 distribution Methods 0.000 description 4
- 239000000839 emulsion Substances 0.000 description 4
- 235000019439 ethyl acetate Nutrition 0.000 description 4
- 238000002474 experimental method Methods 0.000 description 4
- 239000000706 filtrate Substances 0.000 description 4
- 239000007789 gas Substances 0.000 description 4
- 238000000338 in vitro Methods 0.000 description 4
- 238000001990 intravenous administration Methods 0.000 description 4
- 239000003446 ligand Substances 0.000 description 4
- 125000005647 linker group Chemical group 0.000 description 4
- 238000011068 loading method Methods 0.000 description 4
- 238000004519 manufacturing process Methods 0.000 description 4
- 231100000252 nontoxic Toxicity 0.000 description 4
- 230000003000 nontoxic effect Effects 0.000 description 4
- 230000036961 partial effect Effects 0.000 description 4
- 125000002924 primary amino group Chemical group [H]N([H])* 0.000 description 4
- 230000035755 proliferation Effects 0.000 description 4
- LXNHXLLTXMVWPM-UHFFFAOYSA-N pyridoxine Chemical compound CC1=NC=C(CO)C(CO)=C1O LXNHXLLTXMVWPM-UHFFFAOYSA-N 0.000 description 4
- 238000012552 review Methods 0.000 description 4
- 125000002652 ribonucleotide group Chemical group 0.000 description 4
- 150000003839 salts Chemical class 0.000 description 4
- 238000006467 substitution reaction Methods 0.000 description 4
- 208000024891 symptom Diseases 0.000 description 4
- 230000001225 therapeutic effect Effects 0.000 description 4
- 239000000080 wetting agent Substances 0.000 description 4
- HMZALZPXWKIFGK-KMRPREKFSA-N 9h-fluoren-9-ylmethyl n-(3-aminopropanoyl)-n-[(2r,3r,4s,5r)-2-(2,4-dioxopyrimidin-1-yl)-4-hydroxy-5-(hydroxymethyl)oxolan-3-yl]carbamate Chemical compound N1([C@@H]2O[C@H](CO)[C@@H](O)[C@H]2N(C(=O)CCN)C(=O)OCC2C3=CC=CC=C3C3=CC=CC=C32)C=CC(=O)NC1=O HMZALZPXWKIFGK-KMRPREKFSA-N 0.000 description 3
- QTBSBXVTEAMEQO-UHFFFAOYSA-N Acetic acid Chemical compound CC(O)=O QTBSBXVTEAMEQO-UHFFFAOYSA-N 0.000 description 3
- QGZKDVFQNNGYKY-UHFFFAOYSA-N Ammonia Chemical compound N QGZKDVFQNNGYKY-UHFFFAOYSA-N 0.000 description 3
- 239000004475 Arginine Substances 0.000 description 3
- 239000002126 C01EB10 - Adenosine Substances 0.000 description 3
- IAZDPXIOMUYVGZ-WFGJKAKNSA-N Dimethyl sulfoxide Chemical compound [2H]C([2H])([2H])S(=O)C([2H])([2H])[2H] IAZDPXIOMUYVGZ-WFGJKAKNSA-N 0.000 description 3
- GKQLYSROISKDLL-UHFFFAOYSA-N EEDQ Chemical compound C1=CC=C2N(C(=O)OCC)C(OCC)C=CC2=C1 GKQLYSROISKDLL-UHFFFAOYSA-N 0.000 description 3
- 102000002322 Egg Proteins Human genes 0.000 description 3
- 108010000912 Egg Proteins Proteins 0.000 description 3
- LYCAIKOWRPUZTN-UHFFFAOYSA-N Ethylene glycol Chemical class OCCO LYCAIKOWRPUZTN-UHFFFAOYSA-N 0.000 description 3
- PEDCQBHIVMGVHV-UHFFFAOYSA-N Glycerine Chemical compound OCC(O)CO PEDCQBHIVMGVHV-UHFFFAOYSA-N 0.000 description 3
- 208000037262 Hepatitis delta Diseases 0.000 description 3
- 108091092195 Intron Proteins 0.000 description 3
- 241000124008 Mammalia Species 0.000 description 3
- LRHPLDYGYMQRHN-UHFFFAOYSA-N N-Butanol Chemical compound CCCCO LRHPLDYGYMQRHN-UHFFFAOYSA-N 0.000 description 3
- JCXJVPUVTGWSNB-UHFFFAOYSA-N Nitrogen dioxide Chemical compound O=[N]=O JCXJVPUVTGWSNB-UHFFFAOYSA-N 0.000 description 3
- DNIAPMSPPWPWGF-UHFFFAOYSA-N Propylene glycol Chemical compound CC(O)CO DNIAPMSPPWPWGF-UHFFFAOYSA-N 0.000 description 3
- 206010060862 Prostate cancer Diseases 0.000 description 3
- 108010087776 Proto-Oncogene Proteins c-myb Proteins 0.000 description 3
- 230000007022 RNA scission Effects 0.000 description 3
- 108091028664 Ribonucleotide Proteins 0.000 description 3
- PMZURENOXWZQFD-UHFFFAOYSA-L Sodium Sulfate Chemical compound [Na+].[Na+].[O-]S([O-])(=O)=O PMZURENOXWZQFD-UHFFFAOYSA-L 0.000 description 3
- YXFVVABEGXRONW-UHFFFAOYSA-N Toluene Chemical compound CC1=CC=CC=C1 YXFVVABEGXRONW-UHFFFAOYSA-N 0.000 description 3
- 238000010521 absorption reaction Methods 0.000 description 3
- 238000009825 accumulation Methods 0.000 description 3
- 229960005305 adenosine Drugs 0.000 description 3
- 239000002671 adjuvant Substances 0.000 description 3
- 235000011114 ammonium hydroxide Nutrition 0.000 description 3
- ODKSFYDXXFIFQN-UHFFFAOYSA-N arginine Natural products OC(=O)C(N)CCCNC(N)=N ODKSFYDXXFIFQN-UHFFFAOYSA-N 0.000 description 3
- 125000001797 benzyl group Chemical group [H]C1=C([H])C([H])=C(C([H])=C1[H])C([H])([H])* 0.000 description 3
- 229920001222 biopolymer Polymers 0.000 description 3
- 230000037396 body weight Effects 0.000 description 3
- 239000012267 brine Substances 0.000 description 3
- 239000000872 buffer Substances 0.000 description 3
- 230000003197 catalytic effect Effects 0.000 description 3
- 230000004656 cell transport Effects 0.000 description 3
- 238000007385 chemical modification Methods 0.000 description 3
- UVJHQYIOXKWHFD-UHFFFAOYSA-N cyclohexa-1,4-diene Chemical compound C1C=CCC=C1 UVJHQYIOXKWHFD-UHFFFAOYSA-N 0.000 description 3
- 230000001086 cytosolic effect Effects 0.000 description 3
- 125000002147 dimethylamino group Chemical group [H]C([H])([H])N(*)C([H])([H])[H] 0.000 description 3
- MWRBNPKJOOWZPW-CLFAGFIQSA-N dioleoyl phosphatidylethanolamine Chemical compound CCCCCCCC\C=C/CCCCCCCC(=O)OCC(COP(O)(=O)OCCN)OC(=O)CCCCCCC\C=C/CCCCCCCC MWRBNPKJOOWZPW-CLFAGFIQSA-N 0.000 description 3
- 239000003651 drinking water Substances 0.000 description 3
- 235000020188 drinking water Nutrition 0.000 description 3
- 235000013345 egg yolk Nutrition 0.000 description 3
- 210000002969 egg yolk Anatomy 0.000 description 3
- 238000002330 electrospray ionisation mass spectrometry Methods 0.000 description 3
- 230000008030 elimination Effects 0.000 description 3
- 238000003379 elimination reaction Methods 0.000 description 3
- CCGKOQOJPYTBIH-UHFFFAOYSA-N ethenone Chemical compound C=C=O CCGKOQOJPYTBIH-UHFFFAOYSA-N 0.000 description 3
- 239000012091 fetal bovine serum Substances 0.000 description 3
- 238000001943 fluorescence-activated cell sorting Methods 0.000 description 3
- 230000000799 fusogenic effect Effects 0.000 description 3
- 208000029570 hepatitis D virus infection Diseases 0.000 description 3
- 229910052739 hydrogen Inorganic materials 0.000 description 3
- 238000011835 investigation Methods 0.000 description 3
- 150000002634 lipophilic molecules Chemical class 0.000 description 3
- 230000004807 localization Effects 0.000 description 3
- 230000001404 mediated effect Effects 0.000 description 3
- 239000002777 nucleoside Substances 0.000 description 3
- 229910052760 oxygen Inorganic materials 0.000 description 3
- 125000001997 phenyl group Chemical group [H]C1=C([H])C([H])=C(*)C([H])=C1[H] 0.000 description 3
- 125000002467 phosphate group Chemical group [H]OP(=O)(O[H])O[*] 0.000 description 3
- 239000011148 porous material Substances 0.000 description 3
- 238000000746 purification Methods 0.000 description 3
- 239000002336 ribonucleotide Substances 0.000 description 3
- 125000006413 ring segment Chemical group 0.000 description 3
- 239000000741 silica gel Substances 0.000 description 3
- 229910002027 silica gel Inorganic materials 0.000 description 3
- 229910052938 sodium sulfate Inorganic materials 0.000 description 3
- 235000011152 sodium sulphate Nutrition 0.000 description 3
- HPALAKNZSZLMCH-UHFFFAOYSA-M sodium;chloride;hydrate Chemical compound O.[Na+].[Cl-] HPALAKNZSZLMCH-UHFFFAOYSA-M 0.000 description 3
- 239000000126 substance Substances 0.000 description 3
- YBJHBAHKTGYVGT-ZKWXMUAHSA-N (+)-Biotin Chemical compound N1C(=O)N[C@@H]2[C@H](CCCCC(=O)O)SC[C@@H]21 YBJHBAHKTGYVGT-ZKWXMUAHSA-N 0.000 description 2
- PUPZLCDOIYMWBV-UHFFFAOYSA-N (+/-)-1,3-Butanediol Chemical compound CC(O)CCO PUPZLCDOIYMWBV-UHFFFAOYSA-N 0.000 description 2
- GHYOCDFICYLMRF-UTIIJYGPSA-N (2S,3R)-N-[(2S)-3-(cyclopenten-1-yl)-1-[(2R)-2-methyloxiran-2-yl]-1-oxopropan-2-yl]-3-hydroxy-3-(4-methoxyphenyl)-2-[[(2S)-2-[(2-morpholin-4-ylacetyl)amino]propanoyl]amino]propanamide Chemical compound C1(=CCCC1)C[C@@H](C(=O)[C@@]1(OC1)C)NC([C@H]([C@@H](C1=CC=C(C=C1)OC)O)NC([C@H](C)NC(CN1CCOCC1)=O)=O)=O GHYOCDFICYLMRF-UTIIJYGPSA-N 0.000 description 2
- QFLWZFQWSBQYPS-AWRAUJHKSA-N (3S)-3-[[(2S)-2-[[(2S)-2-[5-[(3aS,6aR)-2-oxo-1,3,3a,4,6,6a-hexahydrothieno[3,4-d]imidazol-4-yl]pentanoylamino]-3-methylbutanoyl]amino]-3-(4-hydroxyphenyl)propanoyl]amino]-4-[1-bis(4-chlorophenoxy)phosphorylbutylamino]-4-oxobutanoic acid Chemical compound CCCC(NC(=O)[C@H](CC(O)=O)NC(=O)[C@H](Cc1ccc(O)cc1)NC(=O)[C@@H](NC(=O)CCCCC1SC[C@@H]2NC(=O)N[C@H]12)C(C)C)P(=O)(Oc1ccc(Cl)cc1)Oc1ccc(Cl)cc1 QFLWZFQWSBQYPS-AWRAUJHKSA-N 0.000 description 2
- UYLSRAUTYHWBOU-OMBIIZNESA-N (3s,8s,9s,10r,13r,14s,17r)-3-hexadecoxy-10,13-dimethyl-17-[(2r)-6-methylheptan-2-yl]-2,3,4,7,8,9,11,12,14,15,16,17-dodecahydro-1h-cyclopenta[a]phenanthrene Chemical compound C([C@@H]12)C[C@]3(C)[C@@H]([C@H](C)CCCC(C)C)CC[C@H]3[C@@H]1CC=C1[C@]2(C)CC[C@H](OCCCCCCCCCCCCCCCC)C1 UYLSRAUTYHWBOU-OMBIIZNESA-N 0.000 description 2
- OTVRYZXVVMZHHW-FNOPAARDSA-N (8s,9s,10r,13r,14s,17r)-3-chloro-10,13-dimethyl-17-[(2r)-6-methylheptan-2-yl]-2,3,4,7,8,9,11,12,14,15,16,17-dodecahydro-1h-cyclopenta[a]phenanthrene Chemical compound C1C=C2CC(Cl)CC[C@]2(C)[C@@H]2[C@@H]1[C@@H]1CC[C@H]([C@H](C)CCCC(C)C)[C@@]1(C)CC2 OTVRYZXVVMZHHW-FNOPAARDSA-N 0.000 description 2
- GHOKWGTUZJEAQD-ZETCQYMHSA-N (D)-(+)-Pantothenic acid Chemical compound OCC(C)(C)[C@@H](O)C(=O)NCCC(O)=O GHOKWGTUZJEAQD-ZETCQYMHSA-N 0.000 description 2
- WRIDQFICGBMAFQ-UHFFFAOYSA-N (E)-8-Octadecenoic acid Natural products CCCCCCCCCC=CCCCCCCC(O)=O WRIDQFICGBMAFQ-UHFFFAOYSA-N 0.000 description 2
- LVNGJLRDBYCPGB-LDLOPFEMSA-N (R)-1,2-distearoylphosphatidylethanolamine Chemical compound CCCCCCCCCCCCCCCCCC(=O)OC[C@H](COP([O-])(=O)OCC[NH3+])OC(=O)CCCCCCCCCCCCCCCCC LVNGJLRDBYCPGB-LDLOPFEMSA-N 0.000 description 2
- ZORQXIQZAOLNGE-UHFFFAOYSA-N 1,1-difluorocyclohexane Chemical compound FC1(F)CCCCC1 ZORQXIQZAOLNGE-UHFFFAOYSA-N 0.000 description 2
- IIZPXYDJLKNOIY-JXPKJXOSSA-N 1-palmitoyl-2-arachidonoyl-sn-glycero-3-phosphocholine Chemical compound CCCCCCCCCCCCCCCC(=O)OC[C@H](COP([O-])(=O)OCC[N+](C)(C)C)OC(=O)CCC\C=C/C\C=C/C\C=C/C\C=C/CCCCC IIZPXYDJLKNOIY-JXPKJXOSSA-N 0.000 description 2
- RBZRMBCLZMEYEH-UHFFFAOYSA-N 1h-pyrazol-1-ium-1-carboximidamide;chloride Chemical compound Cl.NC(=N)N1C=CC=N1 RBZRMBCLZMEYEH-UHFFFAOYSA-N 0.000 description 2
- IZHVBANLECCAGF-UHFFFAOYSA-N 2-hydroxy-3-(octadecanoyloxy)propyl octadecanoate Chemical compound CCCCCCCCCCCCCCCCCC(=O)OCC(O)COC(=O)CCCCCCCCCCCCCCCCC IZHVBANLECCAGF-UHFFFAOYSA-N 0.000 description 2
- LQJBNNIYVWPHFW-UHFFFAOYSA-N 20:1omega9c fatty acid Natural products CCCCCCCCCCC=CCCCCCCCC(O)=O LQJBNNIYVWPHFW-UHFFFAOYSA-N 0.000 description 2
- PECYZEOJVXMISF-UHFFFAOYSA-N 3-aminoalanine Chemical compound [NH3+]CC(N)C([O-])=O PECYZEOJVXMISF-UHFFFAOYSA-N 0.000 description 2
- VHYFNPMBLIVWCW-UHFFFAOYSA-N 4-Dimethylaminopyridine Chemical compound CN(C)C1=CC=NC=C1 VHYFNPMBLIVWCW-UHFFFAOYSA-N 0.000 description 2
- FJKROLUGYXJWQN-UHFFFAOYSA-N 4-hydroxybenzoic acid Chemical compound OC(=O)C1=CC=C(O)C=C1 FJKROLUGYXJWQN-UHFFFAOYSA-N 0.000 description 2
- KDCGOANMDULRCW-UHFFFAOYSA-N 7H-purine Chemical compound N1=CNC2=NC=NC2=C1 KDCGOANMDULRCW-UHFFFAOYSA-N 0.000 description 2
- QSBYPNXLFMSGKH-UHFFFAOYSA-N 9-Heptadecensaeure Natural products CCCCCCCC=CCCCCCCCC(O)=O QSBYPNXLFMSGKH-UHFFFAOYSA-N 0.000 description 2
- QHIXERQVAFFSSX-YDINHPRVSA-N 9h-fluoren-9-ylmethyl n-(3-aminopropanoyl)-n-[(2r,3r,4s,5r)-2-(2,4-dioxopyrimidin-1-yl)-4-hexadecanoyl-4-hydroxy-5-(1-hydroxy-2-oxoheptadecyl)oxolan-3-yl]carbamate Chemical compound N1([C@@H]2O[C@@H]([C@]([C@H]2N(C(=O)CCN)C(=O)OCC2C3=CC=CC=C3C3=CC=CC=C32)(O)C(=O)CCCCCCCCCCCCCCC)C(O)C(=O)CCCCCCCCCCCCCCC)C=CC(=O)NC1=O QHIXERQVAFFSSX-YDINHPRVSA-N 0.000 description 2
- 244000215068 Acacia senegal Species 0.000 description 2
- 235000006491 Acacia senegal Nutrition 0.000 description 2
- 229930024421 Adenine Natural products 0.000 description 2
- GFFGJBXGBJISGV-UHFFFAOYSA-N Adenine Chemical compound NC1=NC=NC2=C1N=CN2 GFFGJBXGBJISGV-UHFFFAOYSA-N 0.000 description 2
- 108020004491 Antisense DNA Proteins 0.000 description 2
- CIWBSHSKHKDKBQ-JLAZNSOCSA-N Ascorbic acid Chemical compound OC[C@H](O)[C@H]1OC(=O)C(O)=C1O CIWBSHSKHKDKBQ-JLAZNSOCSA-N 0.000 description 2
- 241000416162 Astragalus gummifer Species 0.000 description 2
- 241000894006 Bacteria Species 0.000 description 2
- 102100026189 Beta-galactosidase Human genes 0.000 description 2
- 108091003079 Bovine Serum Albumin Proteins 0.000 description 2
- 206010006187 Breast cancer Diseases 0.000 description 2
- 208000026310 Breast neoplasm Diseases 0.000 description 2
- QHLGGLJSGHUBAT-UHFFFAOYSA-N C=C(C)N Chemical compound C=C(C)N QHLGGLJSGHUBAT-UHFFFAOYSA-N 0.000 description 2
- FKZMFBMLGPFIFO-UHFFFAOYSA-N CC(=O)CC(CNC(C)=O)NC(C)=O Chemical compound CC(=O)CC(CNC(C)=O)NC(C)=O FKZMFBMLGPFIFO-UHFFFAOYSA-N 0.000 description 2
- HVYWMOMLDIMFJA-XXTMWSIOSA-N CC(C)CCC[C@@H](C)[C@H]1CCC2C3CC=C4CC(O)CC[C@]4(C)C3CC[C@@]21C Chemical compound CC(C)CCC[C@@H](C)[C@H]1CCC2C3CC=C4CC(O)CC[C@]4(C)C3CC[C@@]21C HVYWMOMLDIMFJA-XXTMWSIOSA-N 0.000 description 2
- OFUMVALVOSKRRU-QPLCGJKRSA-N CCCCCCCCCCCCCCCCCCCCCCCC\C=C/CCCCCCCCNCC(=O)C(N)(C(O)=O)CCC(N)=N Chemical compound CCCCCCCCCCCCCCCCCCCCCCCC\C=C/CCCCCCCCNCC(=O)C(N)(C(O)=O)CCC(N)=N OFUMVALVOSKRRU-QPLCGJKRSA-N 0.000 description 2
- 102000053602 DNA Human genes 0.000 description 2
- QOSSAOTZNIDXMA-UHFFFAOYSA-N Dicylcohexylcarbodiimide Chemical compound C1CCCCC1N=C=NC1CCCCC1 QOSSAOTZNIDXMA-UHFFFAOYSA-N 0.000 description 2
- 241000196324 Embryophyta Species 0.000 description 2
- 238000012413 Fluorescence activated cell sorting analysis Methods 0.000 description 2
- 108091027874 Group I catalytic intron Proteins 0.000 description 2
- 229920000084 Gum arabic Polymers 0.000 description 2
- 108090001102 Hammerhead ribozyme Proteins 0.000 description 2
- 239000012981 Hank's balanced salt solution Substances 0.000 description 2
- YNAVUWVOSKDBBP-UHFFFAOYSA-N Morpholine Chemical compound C1COCCN1 YNAVUWVOSKDBBP-UHFFFAOYSA-N 0.000 description 2
- 238000005481 NMR spectroscopy Methods 0.000 description 2
- 206010029260 Neuroblastoma Diseases 0.000 description 2
- 241000221960 Neurospora Species 0.000 description 2
- 239000005642 Oleic acid Substances 0.000 description 2
- ZQPPMHVWECSIRJ-UHFFFAOYSA-N Oleic acid Natural products CCCCCCCCC=CCCCCCCCC(O)=O ZQPPMHVWECSIRJ-UHFFFAOYSA-N 0.000 description 2
- 239000004698 Polyethylene Substances 0.000 description 2
- 239000004793 Polystyrene Substances 0.000 description 2
- 241000288906 Primates Species 0.000 description 2
- JUJWROOIHBZHMG-UHFFFAOYSA-N Pyridine Chemical compound C1=CC=NC=C1 JUJWROOIHBZHMG-UHFFFAOYSA-N 0.000 description 2
- 108020005067 RNA Splice Sites Proteins 0.000 description 2
- AUNGANRZJHBGPY-SCRDCRAPSA-N Riboflavin Chemical compound OC[C@@H](O)[C@@H](O)[C@@H](O)CN1C=2C=C(C)C(C)=CC=2N=C2C1=NC(=O)NC2=O AUNGANRZJHBGPY-SCRDCRAPSA-N 0.000 description 2
- 241000283984 Rodentia Species 0.000 description 2
- 240000004808 Saccharomyces cerevisiae Species 0.000 description 2
- 108020004682 Single-Stranded DNA Proteins 0.000 description 2
- CDBYLPFSWZWCQE-UHFFFAOYSA-L Sodium Carbonate Chemical compound [Na+].[Na+].[O-]C([O-])=O CDBYLPFSWZWCQE-UHFFFAOYSA-L 0.000 description 2
- 241000251131 Sphyrna Species 0.000 description 2
- 229930006000 Sucrose Natural products 0.000 description 2
- CZMRCDWAGMRECN-UGDNZRGBSA-N Sucrose Chemical compound O[C@H]1[C@H](O)[C@@H](CO)O[C@@]1(CO)O[C@@H]1[C@H](O)[C@@H](O)[C@H](O)[C@@H](CO)O1 CZMRCDWAGMRECN-UGDNZRGBSA-N 0.000 description 2
- 210000001744 T-lymphocyte Anatomy 0.000 description 2
- IQFYYKKMVGJFEH-XLPZGREQSA-N Thymidine Chemical compound O=C1NC(=O)C(C)=CN1[C@@H]1O[C@H](CO)[C@@H](O)C1 IQFYYKKMVGJFEH-XLPZGREQSA-N 0.000 description 2
- 229920001615 Tragacanth Polymers 0.000 description 2
- 235000010489 acacia gum Nutrition 0.000 description 2
- 239000002253 acid Substances 0.000 description 2
- 230000002378 acidificating effect Effects 0.000 description 2
- 229960000643 adenine Drugs 0.000 description 2
- 150000001408 amides Chemical class 0.000 description 2
- 125000003277 amino group Chemical group 0.000 description 2
- 239000003963 antioxidant agent Substances 0.000 description 2
- 235000006708 antioxidants Nutrition 0.000 description 2
- 239000003816 antisense DNA Substances 0.000 description 2
- 238000013459 approach Methods 0.000 description 2
- QVGXLLKOCUKJST-UHFFFAOYSA-N atomic oxygen Chemical compound [O] QVGXLLKOCUKJST-UHFFFAOYSA-N 0.000 description 2
- HMFHBZSHGGEWLO-TXICZTDVSA-N beta-D-ribose Chemical compound OC[C@H]1O[C@@H](O)[C@H](O)[C@@H]1O HMFHBZSHGGEWLO-TXICZTDVSA-N 0.000 description 2
- 108010005774 beta-Galactosidase Proteins 0.000 description 2
- 229940000635 beta-alanine Drugs 0.000 description 2
- 229910000019 calcium carbonate Inorganic materials 0.000 description 2
- 239000001506 calcium phosphate Substances 0.000 description 2
- 229910000389 calcium phosphate Inorganic materials 0.000 description 2
- 235000011010 calcium phosphates Nutrition 0.000 description 2
- 201000011510 cancer Diseases 0.000 description 2
- 239000011203 carbon fibre reinforced carbon Substances 0.000 description 2
- 239000000969 carrier Substances 0.000 description 2
- 230000015556 catabolic process Effects 0.000 description 2
- 239000003054 catalyst Substances 0.000 description 2
- 230000004663 cell proliferation Effects 0.000 description 2
- 238000001516 cell proliferation assay Methods 0.000 description 2
- 239000003153 chemical reaction reagent Substances 0.000 description 2
- 239000003795 chemical substances by application Substances 0.000 description 2
- WLNARFZDISHUGS-MIXBDBMTSA-N cholesteryl hemisuccinate Chemical compound C1C=C2C[C@@H](OC(=O)CCC(O)=O)CC[C@]2(C)[C@@H]2[C@@H]1[C@@H]1CC[C@H]([C@H](C)CCCC(C)C)[C@@]1(C)CC2 WLNARFZDISHUGS-MIXBDBMTSA-N 0.000 description 2
- 230000004087 circulation Effects 0.000 description 2
- 238000004440 column chromatography Methods 0.000 description 2
- 230000009918 complex formation Effects 0.000 description 2
- 229940125797 compound 12 Drugs 0.000 description 2
- 230000021615 conjugation Effects 0.000 description 2
- RMRCNWBMXRMIRW-BYFNXCQMSA-M cyanocobalamin Chemical compound N#C[Co+]N([C@]1([H])[C@H](CC(N)=O)[C@]\2(CCC(=O)NC[C@H](C)OP(O)(=O)OC3[C@H]([C@H](O[C@@H]3CO)N3C4=CC(C)=C(C)C=C4N=C3)O)C)C/2=C(C)\C([C@H](C/2(C)C)CCC(N)=O)=N\C\2=C\C([C@H]([C@@]/2(CC(N)=O)C)CCC(N)=O)=N\C\2=C(C)/C2=N[C@]1(C)[C@@](C)(CC(N)=O)[C@@H]2CCC(N)=O RMRCNWBMXRMIRW-BYFNXCQMSA-M 0.000 description 2
- 125000004122 cyclic group Chemical group 0.000 description 2
- 210000000805 cytoplasm Anatomy 0.000 description 2
- 229940104302 cytosine Drugs 0.000 description 2
- 230000002950 deficient Effects 0.000 description 2
- 238000006731 degradation reaction Methods 0.000 description 2
- 235000005911 diet Nutrition 0.000 description 2
- 230000037213 diet Effects 0.000 description 2
- 238000009792 diffusion process Methods 0.000 description 2
- 239000003480 eluent Substances 0.000 description 2
- 238000005538 encapsulation Methods 0.000 description 2
- 230000003511 endothelial effect Effects 0.000 description 2
- 239000013613 expression plasmid Substances 0.000 description 2
- 210000002950 fibroblast Anatomy 0.000 description 2
- 210000003953 foreskin Anatomy 0.000 description 2
- 239000007903 gelatin capsule Substances 0.000 description 2
- 230000009368 gene silencing by RNA Effects 0.000 description 2
- 239000011521 glass Substances 0.000 description 2
- 235000011187 glycerol Nutrition 0.000 description 2
- BEBCJVAWIBVWNZ-UHFFFAOYSA-N glycinamide Chemical compound NCC(N)=O BEBCJVAWIBVWNZ-UHFFFAOYSA-N 0.000 description 2
- 239000008187 granular material Substances 0.000 description 2
- ZRALSGWEFCBTJO-UHFFFAOYSA-O guanidinium Chemical compound NC(N)=[NH2+] ZRALSGWEFCBTJO-UHFFFAOYSA-O 0.000 description 2
- 108090001052 hairpin ribozyme Proteins 0.000 description 2
- 229910052736 halogen Inorganic materials 0.000 description 2
- 125000005842 heteroatom Chemical group 0.000 description 2
- BXWNKGSJHAJOGX-UHFFFAOYSA-N hexadecan-1-ol Chemical compound CCCCCCCCCCCCCCCCO BXWNKGSJHAJOGX-UHFFFAOYSA-N 0.000 description 2
- FBPFZTCFMRRESA-UHFFFAOYSA-N hexane-1,2,3,4,5,6-hexol Chemical compound OCC(O)C(O)C(O)C(O)CO FBPFZTCFMRRESA-UHFFFAOYSA-N 0.000 description 2
- 238000009396 hybridization Methods 0.000 description 2
- 150000002430 hydrocarbons Chemical group 0.000 description 2
- 239000001257 hydrogen Substances 0.000 description 2
- 239000012678 infectious agent Substances 0.000 description 2
- 230000000977 initiatory effect Effects 0.000 description 2
- 238000007918 intramuscular administration Methods 0.000 description 2
- 150000002500 ions Chemical class 0.000 description 2
- QXJSBBXBKPUZAA-UHFFFAOYSA-N isooleic acid Natural products CCCCCCCC=CCCCCCCCCC(O)=O QXJSBBXBKPUZAA-UHFFFAOYSA-N 0.000 description 2
- 239000000787 lecithin Substances 0.000 description 2
- 235000010445 lecithin Nutrition 0.000 description 2
- 229940067606 lecithin Drugs 0.000 description 2
- 229940057995 liquid paraffin Drugs 0.000 description 2
- 210000004698 lymphocyte Anatomy 0.000 description 2
- 229920002521 macromolecule Polymers 0.000 description 2
- 210000002540 macrophage Anatomy 0.000 description 2
- HQKMJHAJHXVSDF-UHFFFAOYSA-L magnesium stearate Chemical compound [Mg+2].CCCCCCCCCCCCCCCCCC([O-])=O.CCCCCCCCCCCCCCCCCC([O-])=O HQKMJHAJHXVSDF-UHFFFAOYSA-L 0.000 description 2
- 201000001441 melanoma Diseases 0.000 description 2
- 125000000956 methoxy group Chemical group [H]C([H])([H])O* 0.000 description 2
- 229920000609 methyl cellulose Polymers 0.000 description 2
- 239000001923 methylcellulose Substances 0.000 description 2
- SCLFRABIDYGTAZ-UHFFFAOYSA-N methylphosphonic acid dichloride Chemical compound CP(Cl)(Cl)=O SCLFRABIDYGTAZ-UHFFFAOYSA-N 0.000 description 2
- 230000005012 migration Effects 0.000 description 2
- 238000013508 migration Methods 0.000 description 2
- 239000002480 mineral oil Substances 0.000 description 2
- 235000010446 mineral oil Nutrition 0.000 description 2
- 238000002156 mixing Methods 0.000 description 2
- 239000000346 nonvolatile oil Substances 0.000 description 2
- 150000003833 nucleoside derivatives Chemical class 0.000 description 2
- ZQPPMHVWECSIRJ-KTKRTIGZSA-N oleic acid Chemical compound CCCCCCCC\C=C/CCCCCCCC(O)=O ZQPPMHVWECSIRJ-KTKRTIGZSA-N 0.000 description 2
- 125000002811 oleoyl group Chemical group O=C([*])C([H])([H])C([H])([H])C([H])([H])C([H])([H])C([H])([H])C([H])([H])C([H])([H])/C([H])=C([H])\C([H])([H])C([H])([H])C([H])([H])C([H])([H])C([H])([H])C([H])([H])C([H])([H])C([H])([H])[H] 0.000 description 2
- 239000004006 olive oil Substances 0.000 description 2
- 235000008390 olive oil Nutrition 0.000 description 2
- 239000001301 oxygen Substances 0.000 description 2
- 239000008177 pharmaceutical agent Substances 0.000 description 2
- 239000008196 pharmacological composition Substances 0.000 description 2
- 239000012071 phase Substances 0.000 description 2
- 150000004713 phosphodiesters Chemical class 0.000 description 2
- 230000004962 physiological condition Effects 0.000 description 2
- 244000000003 plant pathogen Species 0.000 description 2
- 229920001467 poly(styrenesulfonates) Polymers 0.000 description 2
- 229920000447 polyanionic polymer Polymers 0.000 description 2
- 239000004417 polycarbonate Substances 0.000 description 2
- 229920000573 polyethylene Polymers 0.000 description 2
- 239000000244 polyoxyethylene sorbitan monooleate Substances 0.000 description 2
- 229920002223 polystyrene Polymers 0.000 description 2
- 239000000843 powder Substances 0.000 description 2
- QELSKZZBTMNZEB-UHFFFAOYSA-N propylparaben Chemical compound CCCOC(=O)C1=CC=C(O)C=C1 QELSKZZBTMNZEB-UHFFFAOYSA-N 0.000 description 2
- 201000001514 prostate carcinoma Diseases 0.000 description 2
- UCQFSGCWHRTMGG-UHFFFAOYSA-N pyrazole-1-carboximidamide Chemical compound NC(=N)N1C=CC=N1 UCQFSGCWHRTMGG-UHFFFAOYSA-N 0.000 description 2
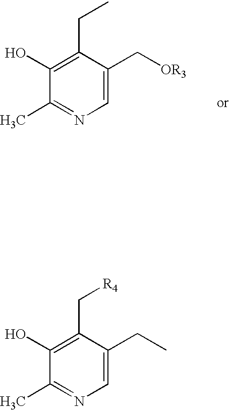
- 229960003581 pyridoxal Drugs 0.000 description 2
- 235000008164 pyridoxal Nutrition 0.000 description 2
- 239000011674 pyridoxal Substances 0.000 description 2
- 239000000700 radioactive tracer Substances 0.000 description 2
- 230000009467 reduction Effects 0.000 description 2
- 230000001105 regulatory effect Effects 0.000 description 2
- 238000011160 research Methods 0.000 description 2
- 230000004044 response Effects 0.000 description 2
- 238000012216 screening Methods 0.000 description 2
- 239000004017 serum-free culture medium Substances 0.000 description 2
- RYMZZMVNJRMUDD-HGQWONQESA-N simvastatin Chemical compound C([C@H]1[C@@H](C)C=CC2=C[C@H](C)C[C@@H]([C@H]12)OC(=O)C(C)(C)CC)C[C@@H]1C[C@@H](O)CC(=O)O1 RYMZZMVNJRMUDD-HGQWONQESA-N 0.000 description 2
- 210000002460 smooth muscle Anatomy 0.000 description 2
- 210000000329 smooth muscle myocyte Anatomy 0.000 description 2
- 229910000030 sodium bicarbonate Inorganic materials 0.000 description 2
- 235000017557 sodium bicarbonate Nutrition 0.000 description 2
- 239000011780 sodium chloride Substances 0.000 description 2
- 239000001593 sorbitan monooleate Substances 0.000 description 2
- 235000011069 sorbitan monooleate Nutrition 0.000 description 2
- 229940035049 sorbitan monooleate Drugs 0.000 description 2
- 239000003381 stabilizer Substances 0.000 description 2
- 238000007920 subcutaneous administration Methods 0.000 description 2
- 239000005720 sucrose Substances 0.000 description 2
- 239000000829 suppository Substances 0.000 description 2
- 230000002459 sustained effect Effects 0.000 description 2
- 238000007910 systemic administration Methods 0.000 description 2
- 230000009885 systemic effect Effects 0.000 description 2
- 125000005931 tert-butyloxycarbonyl group Chemical group [H]C([H])([H])C(OC(*)=O)(C([H])([H])[H])C([H])([H])[H] 0.000 description 2
- RYYWUUFWQRZTIU-UHFFFAOYSA-K thiophosphate Chemical compound [O-]P([O-])([O-])=S RYYWUUFWQRZTIU-UHFFFAOYSA-K 0.000 description 2
- RWQNBRDOKXIBIV-UHFFFAOYSA-N thymine Chemical compound CC1=CNC(=O)NC1=O RWQNBRDOKXIBIV-UHFFFAOYSA-N 0.000 description 2
- QORWJWZARLRLPR-UHFFFAOYSA-H tricalcium bis(phosphate) Chemical compound [Ca+2].[Ca+2].[Ca+2].[O-]P([O-])([O-])=O.[O-]P([O-])([O-])=O QORWJWZARLRLPR-UHFFFAOYSA-H 0.000 description 2
- 229930195735 unsaturated hydrocarbon Natural products 0.000 description 2
- 229940035893 uracil Drugs 0.000 description 2
- 210000003934 vacuole Anatomy 0.000 description 2
- 239000013598 vector Substances 0.000 description 2
- 235000015112 vegetable and seed oil Nutrition 0.000 description 2
- 239000008158 vegetable oil Substances 0.000 description 2
- 239000013603 viral vector Substances 0.000 description 2
- 229940088594 vitamin Drugs 0.000 description 2
- 229930003231 vitamin Natural products 0.000 description 2
- 235000013343 vitamin Nutrition 0.000 description 2
- 239000011782 vitamin Substances 0.000 description 2
- 239000011726 vitamin B6 Substances 0.000 description 2
- 235000019158 vitamin B6 Nutrition 0.000 description 2
- 229940011671 vitamin b6 Drugs 0.000 description 2
- WWTBZEKOSBFBEM-SPWPXUSOSA-N (2s)-2-[[2-benzyl-3-[hydroxy-[(1r)-2-phenyl-1-(phenylmethoxycarbonylamino)ethyl]phosphoryl]propanoyl]amino]-3-(1h-indol-3-yl)propanoic acid Chemical compound N([C@@H](CC=1C2=CC=CC=C2NC=1)C(=O)O)C(=O)C(CP(O)(=O)[C@H](CC=1C=CC=CC=1)NC(=O)OCC=1C=CC=CC=1)CC1=CC=CC=C1 WWTBZEKOSBFBEM-SPWPXUSOSA-N 0.000 description 1
- STBLNCCBQMHSRC-BATDWUPUSA-N (2s)-n-[(3s,4s)-5-acetyl-7-cyano-4-methyl-1-[(2-methylnaphthalen-1-yl)methyl]-2-oxo-3,4-dihydro-1,5-benzodiazepin-3-yl]-2-(methylamino)propanamide Chemical compound O=C1[C@@H](NC(=O)[C@H](C)NC)[C@H](C)N(C(C)=O)C2=CC(C#N)=CC=C2N1CC1=C(C)C=CC2=CC=CC=C12 STBLNCCBQMHSRC-BATDWUPUSA-N 0.000 description 1
- JZMCDCPYPRKPRX-CCDZVGGQSA-N (3s,8s,9s,10r,13r,14s,17r)-17-[(2r)-7-amino-6-methylheptan-2-yl]-10,13-dimethyl-2,3,4,7,8,9,11,12,14,15,16,17-dodecahydro-1h-cyclopenta[a]phenanthren-3-ol Chemical compound C1C=C2C[C@@H](O)CC[C@]2(C)[C@@H]2[C@@H]1[C@@H]1CC[C@H]([C@H](C)CCCC(CN)C)[C@@]1(C)CC2 JZMCDCPYPRKPRX-CCDZVGGQSA-N 0.000 description 1
- 125000003088 (fluoren-9-ylmethoxy)carbonyl group Chemical group 0.000 description 1
- RRQWVJIFKFIUJU-KTKRTIGZSA-N (z)-1-bromooctadec-9-ene Chemical compound CCCCCCCC\C=C/CCCCCCCCBr RRQWVJIFKFIUJU-KTKRTIGZSA-N 0.000 description 1
- QGLWBTPVKHMVHM-KTKRTIGZSA-N (z)-octadec-9-en-1-amine Chemical compound CCCCCCCC\C=C/CCCCCCCCN QGLWBTPVKHMVHM-KTKRTIGZSA-N 0.000 description 1
- MLQBTMWHIOYKKC-KTKRTIGZSA-N (z)-octadec-9-enoyl chloride Chemical compound CCCCCCCC\C=C/CCCCCCCC(Cl)=O MLQBTMWHIOYKKC-KTKRTIGZSA-N 0.000 description 1
- FYADHXFMURLYQI-UHFFFAOYSA-N 1,2,4-triazine Chemical class C1=CN=NC=N1 FYADHXFMURLYQI-UHFFFAOYSA-N 0.000 description 1
- PORPENFLTBBHSG-MGBGTMOVSA-N 1,2-dihexadecanoyl-sn-glycerol-3-phosphate Chemical compound CCCCCCCCCCCCCCCC(=O)OC[C@H](COP(O)(O)=O)OC(=O)CCCCCCCCCCCCCCC PORPENFLTBBHSG-MGBGTMOVSA-N 0.000 description 1
- SNKAWJBJQDLSFF-NVKMUCNASA-N 1,2-dioleoyl-sn-glycero-3-phosphocholine Chemical compound CCCCCCCC\C=C/CCCCCCCC(=O)OC[C@H](COP([O-])(=O)OCC[N+](C)(C)C)OC(=O)CCCCCCC\C=C/CCCCCCCC SNKAWJBJQDLSFF-NVKMUCNASA-N 0.000 description 1
- TZCPCKNHXULUIY-RGULYWFUSA-N 1,2-distearoyl-sn-glycero-3-phosphoserine Chemical compound CCCCCCCCCCCCCCCCCC(=O)OC[C@H](COP(O)(=O)OC[C@H](N)C(O)=O)OC(=O)CCCCCCCCCCCCCCCCC TZCPCKNHXULUIY-RGULYWFUSA-N 0.000 description 1
- LKUDPHPHKOZXCD-UHFFFAOYSA-N 1,3,5-trimethoxybenzene Chemical compound COC1=CC(OC)=CC(OC)=C1 LKUDPHPHKOZXCD-UHFFFAOYSA-N 0.000 description 1
- BDNKZNFMNDZQMI-UHFFFAOYSA-N 1,3-diisopropylcarbodiimide Chemical compound CC(C)N=C=NC(C)C BDNKZNFMNDZQMI-UHFFFAOYSA-N 0.000 description 1
- KQZLRWGGWXJPOS-NLFPWZOASA-N 1-[(1R)-1-(2,4-dichlorophenyl)ethyl]-6-[(4S,5R)-4-[(2S)-2-(hydroxymethyl)pyrrolidin-1-yl]-5-methylcyclohexen-1-yl]pyrazolo[3,4-b]pyrazine-3-carbonitrile Chemical compound ClC1=C(C=CC(=C1)Cl)[C@@H](C)N1N=C(C=2C1=NC(=CN=2)C1=CC[C@@H]([C@@H](C1)C)N1[C@@H](CCC1)CO)C#N KQZLRWGGWXJPOS-NLFPWZOASA-N 0.000 description 1
- NEOJKYRRLHDYII-TURQNECASA-N 1-[(2r,3r,4s,5r)-3,4-dihydroxy-5-(hydroxymethyl)oxolan-2-yl]-5-(2-oxopropyl)pyrimidine-2,4-dione Chemical compound O=C1NC(=O)C(CC(=O)C)=CN1[C@H]1[C@H](O)[C@H](O)[C@@H](CO)O1 NEOJKYRRLHDYII-TURQNECASA-N 0.000 description 1
- SGKGZYGMLGVQHP-ZOQUXTDFSA-N 1-[(2r,3r,4s,5r)-3,4-dihydroxy-5-(hydroxymethyl)oxolan-2-yl]-6-methylpyrimidine-2,4-dione Chemical compound CC1=CC(=O)NC(=O)N1[C@H]1[C@H](O)[C@H](O)[C@@H](CO)O1 SGKGZYGMLGVQHP-ZOQUXTDFSA-N 0.000 description 1
- LLIPTMWIZVIUSX-XVFCMESISA-N 1-[(2r,3r,4s,5r)-3-amino-4-hydroxy-5-(hydroxymethyl)oxolan-2-yl]pyrimidine-2,4-dione Chemical compound N[C@@H]1[C@H](O)[C@@H](CO)O[C@H]1N1C(=O)NC(=O)C=C1 LLIPTMWIZVIUSX-XVFCMESISA-N 0.000 description 1
- HNTGIJLWHDPAFN-UHFFFAOYSA-N 1-bromohexadecane Chemical compound CCCCCCCCCCCCCCCCBr HNTGIJLWHDPAFN-UHFFFAOYSA-N 0.000 description 1
- FMYYYFRMTDWXMP-UHFFFAOYSA-N 1-hydroxypyrrolidine-2,5-dione;2-(phenylmethoxycarbonylamino)acetic acid Chemical compound ON1C(=O)CCC1=O.OC(=O)CNC(=O)OCC1=CC=CC=C1 FMYYYFRMTDWXMP-UHFFFAOYSA-N 0.000 description 1
- IXPNQXFRVYWDDI-UHFFFAOYSA-N 1-methyl-2,4-dioxo-1,3-diazinane-5-carboximidamide Chemical compound CN1CC(C(N)=N)C(=O)NC1=O IXPNQXFRVYWDDI-UHFFFAOYSA-N 0.000 description 1
- GFYLSDSUCHVORB-IOSLPCCCSA-N 1-methyladenosine Chemical compound C1=NC=2C(=N)N(C)C=NC=2N1[C@@H]1O[C@H](CO)[C@@H](O)[C@H]1O GFYLSDSUCHVORB-IOSLPCCCSA-N 0.000 description 1
- WJNGQIYEQLPJMN-IOSLPCCCSA-N 1-methylinosine Chemical compound C1=NC=2C(=O)N(C)C=NC=2N1[C@@H]1O[C@H](CO)[C@@H](O)[C@H]1O WJNGQIYEQLPJMN-IOSLPCCCSA-N 0.000 description 1
- GWEATQMXNIFWCP-UHFFFAOYSA-N 1H-pyrazole-5-carboximidamide hydrochloride Chemical compound Cl.NC(=N)C=1C=CNN=1 GWEATQMXNIFWCP-UHFFFAOYSA-N 0.000 description 1
- OVYNGSFVYRPRCG-KQYNXXCUSA-N 2'-O-methylguanosine Chemical group CO[C@@H]1[C@H](O)[C@@H](CO)O[C@H]1N1C(N=C(N)NC2=O)=C2N=C1 OVYNGSFVYRPRCG-KQYNXXCUSA-N 0.000 description 1
- SWPYMIABWJTZMK-UHFFFAOYSA-N 2,2,5-triamino-3-methyl-4-oxopentanoic acid Chemical compound NCC(=O)C(C(C(=O)O)(N)N)C SWPYMIABWJTZMK-UHFFFAOYSA-N 0.000 description 1
- BLCJBICVQSYOIF-UHFFFAOYSA-N 2,2-diaminobutanoic acid Chemical compound CCC(N)(N)C(O)=O BLCJBICVQSYOIF-UHFFFAOYSA-N 0.000 description 1
- LDGWQMRUWMSZIU-LQDDAWAPSA-M 2,3-bis[(z)-octadec-9-enoxy]propyl-trimethylazanium;chloride Chemical compound [Cl-].CCCCCCCC\C=C/CCCCCCCCOCC(C[N+](C)(C)C)OCCCCCCCC\C=C/CCCCCCCC LDGWQMRUWMSZIU-LQDDAWAPSA-M 0.000 description 1
- 102100027962 2-5A-dependent ribonuclease Human genes 0.000 description 1
- 108010000834 2-5A-dependent ribonuclease Proteins 0.000 description 1
- IQZWKGWOBPJWMX-UHFFFAOYSA-N 2-Methyladenosine Natural products C12=NC(C)=NC(N)=C2N=CN1C1OC(CO)C(O)C1O IQZWKGWOBPJWMX-UHFFFAOYSA-N 0.000 description 1
- JKMHFZQWWAIEOD-UHFFFAOYSA-N 2-[4-(2-hydroxyethyl)piperazin-1-yl]ethanesulfonic acid Chemical compound OCC[NH+]1CCN(CCS([O-])(=O)=O)CC1 JKMHFZQWWAIEOD-UHFFFAOYSA-N 0.000 description 1
- UYZFIFAQZNYZNT-VUBKMPIKSA-N 2-[[2-[(2r,3s,4r,5r)-3,4-dihydroxy-5-(4-oxo-2-sulfanylidenepyrimidin-1-yl)oxolan-2-yl]-2-hydroxyethyl]amino]acetic acid Chemical compound O[C@@H]1[C@H](O)[C@@H](C(CNCC(O)=O)O)O[C@H]1N1C(=S)NC(=O)C=C1 UYZFIFAQZNYZNT-VUBKMPIKSA-N 0.000 description 1
- YSUIQYOGTINQIN-UZFYAQMZSA-N 2-amino-9-[(1S,6R,8R,9S,10R,15R,17R,18R)-8-(6-aminopurin-9-yl)-9,18-difluoro-3,12-dihydroxy-3,12-bis(sulfanylidene)-2,4,7,11,13,16-hexaoxa-3lambda5,12lambda5-diphosphatricyclo[13.2.1.06,10]octadecan-17-yl]-1H-purin-6-one Chemical compound NC1=NC2=C(N=CN2[C@@H]2O[C@@H]3COP(S)(=O)O[C@@H]4[C@@H](COP(S)(=O)O[C@@H]2[C@@H]3F)O[C@H]([C@H]4F)N2C=NC3=C2N=CN=C3N)C(=O)N1 YSUIQYOGTINQIN-UZFYAQMZSA-N 0.000 description 1
- TVTJUIAKQFIXCE-HUKYDQBMSA-N 2-amino-9-[(2R,3S,4S,5R)-4-fluoro-3-hydroxy-5-(hydroxymethyl)oxolan-2-yl]-7-prop-2-ynyl-1H-purine-6,8-dione Chemical compound NC=1NC(C=2N(C(N(C=2N=1)[C@@H]1O[C@@H]([C@H]([C@H]1O)F)CO)=O)CC#C)=O TVTJUIAKQFIXCE-HUKYDQBMSA-N 0.000 description 1
- JRBLTYMCBMIEDS-ZPHPHTNESA-N 2-amino-N-(2-amino-2-oxoethyl)-4-[hexadecyl-[(Z)-octadec-9-enyl]amino]butanamide Chemical compound CCCCCCCCCCCCCCCCN(CCC(N)C(=O)NCC(N)=O)CCCCCCCC\C=C/CCCCCCCC JRBLTYMCBMIEDS-ZPHPHTNESA-N 0.000 description 1
- ASJSAQIRZKANQN-CRCLSJGQSA-N 2-deoxy-D-ribose Chemical compound OC[C@@H](O)[C@@H](O)CC=O ASJSAQIRZKANQN-CRCLSJGQSA-N 0.000 description 1
- IQZWKGWOBPJWMX-IOSLPCCCSA-N 2-methyladenosine Chemical compound C12=NC(C)=NC(N)=C2N=CN1[C@@H]1O[C@H](CO)[C@@H](O)[C@H]1O IQZWKGWOBPJWMX-IOSLPCCCSA-N 0.000 description 1
- VZQXUWKZDSEQRR-SDBHATRESA-N 2-methylthio-N(6)-(Delta(2)-isopentenyl)adenosine Chemical compound C12=NC(SC)=NC(NCC=C(C)C)=C2N=CN1[C@@H]1O[C@H](CO)[C@@H](O)[C@H]1O VZQXUWKZDSEQRR-SDBHATRESA-N 0.000 description 1
- ZJIJYZSGABIPDP-UHFFFAOYSA-N 2-n,4-n-dimethylpyridine-2,4-diamine Chemical compound CNC1=CC=NC(NC)=C1 ZJIJYZSGABIPDP-UHFFFAOYSA-N 0.000 description 1
- RHFUOMFWUGWKKO-XVFCMESISA-N 2-thiocytidine Chemical compound S=C1N=C(N)C=CN1[C@H]1[C@H](O)[C@H](O)[C@@H](CO)O1 RHFUOMFWUGWKKO-XVFCMESISA-N 0.000 description 1
- GJTBSTBJLVYKAU-XVFCMESISA-N 2-thiouridine Chemical compound O[C@@H]1[C@H](O)[C@@H](CO)O[C@H]1N1C(=S)NC(=O)C=C1 GJTBSTBJLVYKAU-XVFCMESISA-N 0.000 description 1
- LINBWYYLPWJQHE-UHFFFAOYSA-N 3-(9h-fluoren-9-ylmethoxycarbonylamino)propanoic acid Chemical compound C1=CC=C2C(COC(=O)NCCC(=O)O)C3=CC=CC=C3C2=C1 LINBWYYLPWJQHE-UHFFFAOYSA-N 0.000 description 1
- RDPUKVRQKWBSPK-UHFFFAOYSA-N 3-Methylcytidine Natural products O=C1N(C)C(=N)C=CN1C1C(O)C(O)C(CO)O1 RDPUKVRQKWBSPK-UHFFFAOYSA-N 0.000 description 1
- QBWKPGNFQQJGFY-QLFBSQMISA-N 3-[(1r)-1-[(2r,6s)-2,6-dimethylmorpholin-4-yl]ethyl]-n-[6-methyl-3-(1h-pyrazol-4-yl)imidazo[1,2-a]pyrazin-8-yl]-1,2-thiazol-5-amine Chemical compound N1([C@H](C)C2=NSC(NC=3C4=NC=C(N4C=C(C)N=3)C3=CNN=C3)=C2)C[C@H](C)O[C@H](C)C1 QBWKPGNFQQJGFY-QLFBSQMISA-N 0.000 description 1
- KDHWOCLBMVSZPG-UHFFFAOYSA-N 3-imidazol-1-ylpropan-1-amine Chemical compound NCCCN1C=CN=C1 KDHWOCLBMVSZPG-UHFFFAOYSA-N 0.000 description 1
- RDPUKVRQKWBSPK-ZOQUXTDFSA-N 3-methylcytidine Chemical compound O=C1N(C)C(=N)C=CN1[C@H]1[C@H](O)[C@H](O)[C@@H](CO)O1 RDPUKVRQKWBSPK-ZOQUXTDFSA-N 0.000 description 1
- VPLZGVOSFFCKFC-UHFFFAOYSA-N 3-methyluracil Chemical compound CN1C(=O)C=CNC1=O VPLZGVOSFFCKFC-UHFFFAOYSA-N 0.000 description 1
- 238000010600 3H thymidine incorporation assay Methods 0.000 description 1
- ZLOIGESWDJYCTF-UHFFFAOYSA-N 4-Thiouridine Natural products OC1C(O)C(CO)OC1N1C(=O)NC(=S)C=C1 ZLOIGESWDJYCTF-UHFFFAOYSA-N 0.000 description 1
- QCQCHGYLTSGIGX-GHXANHINSA-N 4-[[(3ar,5ar,5br,7ar,9s,11ar,11br,13as)-5a,5b,8,8,11a-pentamethyl-3a-[(5-methylpyridine-3-carbonyl)amino]-2-oxo-1-propan-2-yl-4,5,6,7,7a,9,10,11,11b,12,13,13a-dodecahydro-3h-cyclopenta[a]chrysen-9-yl]oxy]-2,2-dimethyl-4-oxobutanoic acid Chemical compound N([C@@]12CC[C@@]3(C)[C@]4(C)CC[C@H]5C(C)(C)[C@@H](OC(=O)CC(C)(C)C(O)=O)CC[C@]5(C)[C@H]4CC[C@@H]3C1=C(C(C2)=O)C(C)C)C(=O)C1=CN=CC(C)=C1 QCQCHGYLTSGIGX-GHXANHINSA-N 0.000 description 1
- BCZUPRDAAVVBSO-MJXNYTJMSA-N 4-acetylcytidine Chemical compound C1=CC(C(=O)C)(N)NC(=O)N1[C@H]1[C@H](O)[C@H](O)[C@@H](CO)O1 BCZUPRDAAVVBSO-MJXNYTJMSA-N 0.000 description 1
- TVZGACDUOSZQKY-LBPRGKRZSA-N 4-aminofolic acid Chemical compound C1=NC2=NC(N)=NC(N)=C2N=C1CNC1=CC=C(C(=O)N[C@@H](CCC(O)=O)C(O)=O)C=C1 TVZGACDUOSZQKY-LBPRGKRZSA-N 0.000 description 1
- 229940090248 4-hydroxybenzoic acid Drugs 0.000 description 1
- GCNTZFIIOFTKIY-UHFFFAOYSA-N 4-hydroxypyridine Chemical compound OC1=CC=NC=C1 GCNTZFIIOFTKIY-UHFFFAOYSA-N 0.000 description 1
- ZLOIGESWDJYCTF-XVFCMESISA-N 4-thiouridine Chemical compound O[C@@H]1[C@H](O)[C@@H](CO)O[C@H]1N1C(=O)NC(=S)C=C1 ZLOIGESWDJYCTF-XVFCMESISA-N 0.000 description 1
- UVGCZRPOXXYZKH-QADQDURISA-N 5-(carboxyhydroxymethyl)uridine Chemical compound O[C@@H]1[C@H](O)[C@@H](CO)O[C@H]1N1C(=O)NC(=O)C(C(O)C(O)=O)=C1 UVGCZRPOXXYZKH-QADQDURISA-N 0.000 description 1
- VSCNRXVDHRNJOA-PNHWDRBUSA-N 5-(carboxymethylaminomethyl)uridine Chemical compound O[C@@H]1[C@H](O)[C@@H](CO)O[C@H]1N1C(=O)NC(=O)C(CNCC(O)=O)=C1 VSCNRXVDHRNJOA-PNHWDRBUSA-N 0.000 description 1
- ZAYHVCMSTBRABG-UHFFFAOYSA-N 5-Methylcytidine Natural products O=C1N=C(N)C(C)=CN1C1C(O)C(O)C(CO)O1 ZAYHVCMSTBRABG-UHFFFAOYSA-N 0.000 description 1
- AGFIRQJZCNVMCW-UAKXSSHOSA-N 5-bromouridine Chemical compound O[C@@H]1[C@H](O)[C@@H](CO)O[C@H]1N1C(=O)NC(=O)C(Br)=C1 AGFIRQJZCNVMCW-UAKXSSHOSA-N 0.000 description 1
- RJUNHHFZFRMZQQ-FDDDBJFASA-N 5-methoxyaminomethyl-2-thiouridine Chemical compound S=C1NC(=O)C(CNOC)=CN1[C@H]1[C@H](O)[C@H](O)[C@@H](CO)O1 RJUNHHFZFRMZQQ-FDDDBJFASA-N 0.000 description 1
- ZXIATBNUWJBBGT-JXOAFFINSA-N 5-methoxyuridine Chemical compound O=C1NC(=O)C(OC)=CN1[C@H]1[C@H](O)[C@H](O)[C@@H](CO)O1 ZXIATBNUWJBBGT-JXOAFFINSA-N 0.000 description 1
- SNNBPMAXGYBMHM-JXOAFFINSA-N 5-methyl-2-thiouridine Chemical compound S=C1NC(=O)C(C)=CN1[C@H]1[C@H](O)[C@H](O)[C@@H](CO)O1 SNNBPMAXGYBMHM-JXOAFFINSA-N 0.000 description 1
- ZXQHKBUIXRFZBV-FDDDBJFASA-N 5-methylaminomethyluridine Chemical compound O=C1NC(=O)C(CNC)=CN1[C@H]1[C@H](O)[C@H](O)[C@@H](CO)O1 ZXQHKBUIXRFZBV-FDDDBJFASA-N 0.000 description 1
- ZAYHVCMSTBRABG-JXOAFFINSA-N 5-methylcytidine Chemical compound O=C1N=C(N)C(C)=CN1[C@H]1[C@H](O)[C@H](O)[C@@H](CO)O1 ZAYHVCMSTBRABG-JXOAFFINSA-N 0.000 description 1
- OGHAROSJZRTIOK-KQYNXXCUSA-O 7-methylguanosine Chemical compound C1=2N=C(N)NC(=O)C=2[N+](C)=CN1[C@@H]1O[C@H](CO)[C@@H](O)[C@H]1O OGHAROSJZRTIOK-KQYNXXCUSA-O 0.000 description 1
- 108010085238 Actins Proteins 0.000 description 1
- 102000007469 Actins Human genes 0.000 description 1
- GUBGYTABKSRVRQ-XLOQQCSPSA-N Alpha-Lactose Chemical compound O[C@@H]1[C@@H](O)[C@@H](O)[C@@H](CO)O[C@H]1O[C@@H]1[C@@H](CO)O[C@H](O)[C@H](O)[C@H]1O GUBGYTABKSRVRQ-XLOQQCSPSA-N 0.000 description 1
- 239000005995 Aluminium silicate Substances 0.000 description 1
- NLXLAEXVIDQMFP-UHFFFAOYSA-N Ammonium chloride Substances [NH4+].[Cl-] NLXLAEXVIDQMFP-UHFFFAOYSA-N 0.000 description 1
- 241000723635 Arabis mosaic virus Species 0.000 description 1
- 235000003911 Arachis Nutrition 0.000 description 1
- 244000105624 Arachis hypogaea Species 0.000 description 1
- 102000005427 Asialoglycoprotein Receptor Human genes 0.000 description 1
- 206010003497 Asphyxia Diseases 0.000 description 1
- DWRXFEITVBNRMK-UHFFFAOYSA-N Beta-D-1-Arabinofuranosylthymine Natural products O=C1NC(=O)C(C)=CN1C1C(O)C(O)C(CO)O1 DWRXFEITVBNRMK-UHFFFAOYSA-N 0.000 description 1
- VBDKMDILVWOGRK-HEXJHCIQSA-P C/C=C\C.CCCCCCCC/C=C/CCCCCCCCN(CCCCCCCCCCCCCCCC)C(=O)CNC(=O)C([NH3+])CCNC(N)[NH3+] Chemical compound C/C=C\C.CCCCCCCC/C=C/CCCCCCCCN(CCCCCCCCCCCCCCCC)C(=O)CNC(=O)C([NH3+])CCNC(N)[NH3+] VBDKMDILVWOGRK-HEXJHCIQSA-P 0.000 description 1
- SQYKPZGJLDELCR-HEXJHCIQSA-P C/C=C\C.CCCCCCCC/C=C/CCCCCCCCN(CCCCCCCCCCCCCCCC)C(=O)CNC(=O)C([NH3+])CC[NH3+] Chemical compound C/C=C\C.CCCCCCCC/C=C/CCCCCCCCN(CCCCCCCCCCCCCCCC)C(=O)CNC(=O)C([NH3+])CC[NH3+] SQYKPZGJLDELCR-HEXJHCIQSA-P 0.000 description 1
- YDNKGFDKKRUKPY-JHOUSYSJSA-N C16 ceramide Natural products CCCCCCCCCCCCCCCC(=O)N[C@@H](CO)[C@H](O)C=CCCCCCCCCCCCCC YDNKGFDKKRUKPY-JHOUSYSJSA-N 0.000 description 1
- DJIMINUZVZUBRO-UHFFFAOYSA-N CC(C)(C)OC(NC(CCCN(C(NC(OC(C)(C)C)=O)=N)C(OC(C)(C)C)=O)C(O)=O)=O Chemical compound CC(C)(C)OC(NC(CCCN(C(NC(OC(C)(C)C)=O)=N)C(OC(C)(C)C)=O)C(O)=O)=O DJIMINUZVZUBRO-UHFFFAOYSA-N 0.000 description 1
- RQVXAEUECGTPGW-OSIACAAUSA-N CC(C)CCCC(C)C(CC1)[C@@](C)(CC2)C1C1C2[C@@](C)(CCC(C2)OP(C)(Cl)=O)C2=CC1 Chemical compound CC(C)CCCC(C)C(CC1)[C@@](C)(CC2)C1C1C2[C@@](C)(CCC(C2)OP(C)(Cl)=O)C2=CC1 RQVXAEUECGTPGW-OSIACAAUSA-N 0.000 description 1
- HNOFNYQNJQOUKN-MBEASARSSA-N CC(C)CCCC(C)C(CC1)[C@@](C)(CC2)C1C1C2[C@@](C)(CCC(C2)OP(C)(NC(CC3=CN(Cc4ccccc4)CN3C)C(OC)=O)=O)C2=CC1 Chemical compound CC(C)CCCC(C)C(CC1)[C@@](C)(CC2)C1C1C2[C@@](C)(CCC(C2)OP(C)(NC(CC3=CN(Cc4ccccc4)CN3C)C(OC)=O)=O)C2=CC1 HNOFNYQNJQOUKN-MBEASARSSA-N 0.000 description 1
- DUUMUSFKULCRQK-CNGAGNLCSA-N CC(C)CCCC(C)C(CC1)[C@@](C)(CC2)C1C1C2[C@@](C)(CCC(C2)OP(C)(NC(CCCCN)C(OC)=O)=O)C2=CC1 Chemical compound CC(C)CCCC(C)C(CC1)[C@@](C)(CC2)C1C1C2[C@@](C)(CCC(C2)OP(C)(NC(CCCCN)C(OC)=O)=O)C2=CC1 DUUMUSFKULCRQK-CNGAGNLCSA-N 0.000 description 1
- FSHQPHGVVUPWAD-CJDLTHLSSA-N CC(C)CCCC(C)C1CCC2C3CC=C4CC(OP(C)(=O)NCCN(CCNC(=N)N)CCNC(=N)N)CC[C@]4(C)C3CC[C@]12C Chemical compound CC(C)CCCC(C)C1CCC2C3CC=C4CC(OP(C)(=O)NCCN(CCNC(=N)N)CCNC(=N)N)CC[C@]4(C)C3CC[C@]12C FSHQPHGVVUPWAD-CJDLTHLSSA-N 0.000 description 1
- IHTRUDBZYHQCJY-VQTQHHMCSA-N CC(C)CCC[C@@H](C)[C@@H](CC1)[C@@](C)(CC2)[C@@H]1[C@H]1C2(C)[C@@](C)(CCC(C2)NC(C(CCCNC(NC(OC(C)(C)C)=O)=N)N)=O)C2=CC1 Chemical compound CC(C)CCC[C@@H](C)[C@@H](CC1)[C@@](C)(CC2)[C@@H]1[C@H]1C2(C)[C@@](C)(CCC(C2)NC(C(CCCNC(NC(OC(C)(C)C)=O)=N)N)=O)C2=CC1 IHTRUDBZYHQCJY-VQTQHHMCSA-N 0.000 description 1
- YGPZWPHDULZYFR-FNOPAARDSA-N CC(C)CCC[C@@H](C)[C@@H](CC1)[C@@](C)(CC2)[C@@H]1[C@H]1[C@H]2[C@@](C)(CCC(C2)N)C2=CC1 Chemical compound CC(C)CCC[C@@H](C)[C@@H](CC1)[C@@](C)(CC2)[C@@H]1[C@H]1[C@H]2[C@@](C)(CCC(C2)N)C2=CC1 YGPZWPHDULZYFR-FNOPAARDSA-N 0.000 description 1
- MTHMGWQKANJLDH-KHTNFKJOSA-N CC(C)CCC[C@@H](C)[C@@H](CC1)[C@@](C)(CC2)[C@@H]1[C@H]1[C@H]2[C@@](C)(CCC(C2)NC(C(CCCN(C(NC(OC(C)(C)C)=O)=N)C(OC(C)(C)C)=O)NC(OC(C)(C)C)=O)=O)C2=CC1 Chemical compound CC(C)CCC[C@@H](C)[C@@H](CC1)[C@@](C)(CC2)[C@@H]1[C@H]1[C@H]2[C@@](C)(CCC(C2)NC(C(CCCN(C(NC(OC(C)(C)C)=O)=N)C(OC(C)(C)C)=O)NC(OC(C)(C)C)=O)=O)C2=CC1 MTHMGWQKANJLDH-KHTNFKJOSA-N 0.000 description 1
- NAACPBBQTFFYQB-UKXFIQMESA-N CCCCC/C=C/C/C=C/CCCCCCCC(=O)OC1CC[C@@]2(C)C(=CCC3C2CC[C@@]2(C)C3CC[C@@H]2[C@H](C)CCCC(C)C)C1 Chemical compound CCCCC/C=C/C/C=C/CCCCCCCC(=O)OC1CC[C@@]2(C)C(=CCC3C2CC[C@@]2(C)C3CC[C@@H]2[C@H](C)CCCC(C)C)C1 NAACPBBQTFFYQB-UKXFIQMESA-N 0.000 description 1
- NAACPBBQTFFYQB-HNZPGTTISA-N CCCCC/C=C\C/C=C\CCCCCCCC(=O)OC1CC[C@@]2(C)C(=CCC3C2CC[C@@]2(C)C3CC[C@@H]2[C@H](C)CCCC(C)C)C1 Chemical compound CCCCC/C=C\C/C=C\CCCCCCCC(=O)OC1CC[C@@]2(C)C(=CCC3C2CC[C@@]2(C)C3CC[C@@H]2[C@H](C)CCCC(C)C)C1 NAACPBBQTFFYQB-HNZPGTTISA-N 0.000 description 1
- AZTZDPUDVWFCEQ-HTXNQAPBSA-P CCCCCCCC/C=C/CCCCCCCCN(CCCCCCCCCCCCCCCC)C(=O)CNC(=O)C([NH3+])CC[NH3+] Chemical compound CCCCCCCC/C=C/CCCCCCCCN(CCCCCCCCCCCCCCCC)C(=O)CNC(=O)C([NH3+])CC[NH3+] AZTZDPUDVWFCEQ-HTXNQAPBSA-P 0.000 description 1
- IKOPRVDWGKQXSN-CLFAGFIQSA-N CCCCCCCC/C=C\CCCCCCCC(=O)OCC(OC(=O)CCCCCCC/C=C\CCCCCCCC)OP(=O)([O-])OCCNC(=O)C([NH3+])CC1=CNC=N1 Chemical compound CCCCCCCC/C=C\CCCCCCCC(=O)OCC(OC(=O)CCCCCCC/C=C\CCCCCCCC)OP(=O)([O-])OCCNC(=O)C([NH3+])CC1=CNC=N1 IKOPRVDWGKQXSN-CLFAGFIQSA-N 0.000 description 1
- ZQYJHDVGSVOEBF-VZCXRCSSSA-O CCCCCCCC/C=C\CCCCCCCCN(CCCCCCCCCCCCCCCC)C(=O)CCC[NH+](C)C Chemical compound CCCCCCCC/C=C\CCCCCCCCN(CCCCCCCCCCCCCCCC)C(=O)CCC[NH+](C)C ZQYJHDVGSVOEBF-VZCXRCSSSA-O 0.000 description 1
- GNVXLAIWHPQEOY-ZPHPHTNESA-N CCCCCCCC/C=C\CCCCCCCCN(CCCCCCCCCCCCCCCC)C(=O)CCN Chemical compound CCCCCCCC/C=C\CCCCCCCCN(CCCCCCCCCCCCCCCC)C(=O)CCN GNVXLAIWHPQEOY-ZPHPHTNESA-N 0.000 description 1
- WHWRHKMQDZFBMU-XDOYNYLZSA-O CCCCCCCC/C=C\CCCCCCCCN(CCCCCCCCCCCCCCCC)C(=O)CNC(=O)C(CCNC(=N)[NH3+])NC(=O)OC(C)(C)C Chemical compound CCCCCCCC/C=C\CCCCCCCCN(CCCCCCCCCCCCCCCC)C(=O)CNC(=O)C(CCNC(=N)[NH3+])NC(=O)OC(C)(C)C WHWRHKMQDZFBMU-XDOYNYLZSA-O 0.000 description 1
- MBFVBOJAVDMQLK-ZPHPHTNESA-P CCCCCCCC/C=C\CCCCCCCCN(CCCCCCCCCCCCCCCC)C(=O)CNC(=O)C(CC[NH3+])NC(=N)[NH3+] Chemical compound CCCCCCCC/C=C\CCCCCCCCN(CCCCCCCCCCCCCCCC)C(=O)CNC(=O)C(CC[NH3+])NC(=N)[NH3+] MBFVBOJAVDMQLK-ZPHPHTNESA-P 0.000 description 1
- HYUSZCAEMZZEIN-XDOYNYLZSA-O CCCCCCCC/C=C\CCCCCCCCN(CCCCCCCCCCCCCCCC)C(=O)CNC(=O)C(CNC(=O)OC(C)(C)C)NC(=N)[NH3+] Chemical compound CCCCCCCC/C=C\CCCCCCCCN(CCCCCCCCCCCCCCCC)C(=O)CNC(=O)C(CNC(=O)OC(C)(C)C)NC(=N)[NH3+] HYUSZCAEMZZEIN-XDOYNYLZSA-O 0.000 description 1
- JFYHDWNFRXQFEY-ZPHPHTNESA-P CCCCCCCC/C=C\CCCCCCCCN(CCCCCCCCCCCCCCCC)C(=O)CNC(=O)C([NH3+])CCNC(N)[NH3+] Chemical compound CCCCCCCC/C=C\CCCCCCCCN(CCCCCCCCCCCCCCCC)C(=O)CNC(=O)C([NH3+])CCNC(N)[NH3+] JFYHDWNFRXQFEY-ZPHPHTNESA-P 0.000 description 1
- AZTZDPUDVWFCEQ-ZPHPHTNESA-P CCCCCCCC/C=C\CCCCCCCCN(CCCCCCCCCCCCCCCC)C(=O)CNC(=O)C([NH3+])CC[NH3+] Chemical compound CCCCCCCC/C=C\CCCCCCCCN(CCCCCCCCCCCCCCCC)C(=O)CNC(=O)C([NH3+])CC[NH3+] AZTZDPUDVWFCEQ-ZPHPHTNESA-P 0.000 description 1
- QDTNCTFNTSKGRD-XDOYNYLZSA-O CCCCCCCC/C=C\CCCCCCCCN(CCCCCCCCCCCCCCCC)C(=O)CNC(=O)C([NH3+])CNC(=O)OC(C)(C)C Chemical compound CCCCCCCC/C=C\CCCCCCCCN(CCCCCCCCCCCCCCCC)C(=O)CNC(=O)C([NH3+])CNC(=O)OC(C)(C)C QDTNCTFNTSKGRD-XDOYNYLZSA-O 0.000 description 1
- ZDXYJSDZQAMXBX-ZPHPHTNESA-O CCCCCCCC/C=C\CCCCCCCCN(CCCCCCCCCCCCCCCC)C(=O)CNC(=O)CC1=C[NH2+]C=N1 Chemical compound CCCCCCCC/C=C\CCCCCCCCN(CCCCCCCCCCCCCCCC)C(=O)CNC(=O)CC1=C[NH2+]C=N1 ZDXYJSDZQAMXBX-ZPHPHTNESA-O 0.000 description 1
- BVICFMFECPMSNO-UHFFFAOYSA-N CCCCCCCCC=CCCCCCCCCC(OCC(COP([O-])(OCCC[NH3+])=O)OC(CCCCCCCCC=CCCCCCCCC)=O)=O Chemical compound CCCCCCCCC=CCCCCCCCCC(OCC(COP([O-])(OCCC[NH3+])=O)OC(CCCCCCCCC=CCCCCCCCC)=O)=O BVICFMFECPMSNO-UHFFFAOYSA-N 0.000 description 1
- MHQDDDORNBKTLH-QPLCGJKRSA-N CCCCCCCCCCCCCCCCCCCCCCCC\C=C/CCCCCCCCNCC(=O)C(N)(C(O)=O)CCN Chemical compound CCCCCCCCCCCCCCCCCCCCCCCC\C=C/CCCCCCCCNCC(=O)C(N)(C(O)=O)CCN MHQDDDORNBKTLH-QPLCGJKRSA-N 0.000 description 1
- NNHIIWWZBZCJTQ-HTXNQAPBSA-N CCCCCCCCCCCCCCCCN(CCCCCCCC/C=C/CCCCCCCC)C(CNC(C(CCN=O)N)=O)=O Chemical compound CCCCCCCCCCCCCCCCN(CCCCCCCC/C=C/CCCCCCCC)C(CNC(C(CCN=O)N)=O)=O NNHIIWWZBZCJTQ-HTXNQAPBSA-N 0.000 description 1
- CZBRWQHWHYGHDQ-UHFFFAOYSA-P CCCCCCCCCCCCCCN(CCCCCCCCCCCCCC)C(=O)CNC(=O)C([NH3+])CCNC(=N)[NH3+] Chemical compound CCCCCCCCCCCCCCN(CCCCCCCCCCCCCC)C(=O)CNC(=O)C([NH3+])CCNC(=N)[NH3+] CZBRWQHWHYGHDQ-UHFFFAOYSA-P 0.000 description 1
- NZEBBYMVQJRKTQ-UHFFFAOYSA-P CCCCCCCCCCCCCCN(CCCCCCCCCCCCCC)C(=O)CNC(=O)C([NH3+])CC[NH3+] Chemical compound CCCCCCCCCCCCCCN(CCCCCCCCCCCCCC)C(=O)CNC(=O)C([NH3+])CC[NH3+] NZEBBYMVQJRKTQ-UHFFFAOYSA-P 0.000 description 1
- VWHGUSOJROEPQC-UHFFFAOYSA-O CCCCCCCCCCCCCCN(CCCCCCCCCCCCCC)C(=O)C[NH3+] Chemical compound CCCCCCCCCCCCCCN(CCCCCCCCCCCCCC)C(=O)C[NH3+] VWHGUSOJROEPQC-UHFFFAOYSA-O 0.000 description 1
- OKTJSMMVPCPJKN-UHFFFAOYSA-N Carbon Chemical compound [C] OKTJSMMVPCPJKN-UHFFFAOYSA-N 0.000 description 1
- 102000000844 Cell Surface Receptors Human genes 0.000 description 1
- 108010001857 Cell Surface Receptors Proteins 0.000 description 1
- GHOKWGTUZJEAQD-UHFFFAOYSA-N Chick antidermatitis factor Natural products OCC(C)(C)C(O)C(=O)NCCC(O)=O GHOKWGTUZJEAQD-UHFFFAOYSA-N 0.000 description 1
- 239000005149 Cholesterol Linoleate Substances 0.000 description 1
- 244000298479 Cichorium intybus Species 0.000 description 1
- 235000007542 Cichorium intybus Nutrition 0.000 description 1
- 229920002261 Corn starch Polymers 0.000 description 1
- XZMCDFZZKTWFGF-UHFFFAOYSA-N Cyanamide Chemical compound NC#N XZMCDFZZKTWFGF-UHFFFAOYSA-N 0.000 description 1
- 241000192700 Cyanobacteria Species 0.000 description 1
- FBPFZTCFMRRESA-FSIIMWSLSA-N D-Glucitol Natural products OC[C@H](O)[C@H](O)[C@@H](O)[C@H](O)CO FBPFZTCFMRRESA-FSIIMWSLSA-N 0.000 description 1
- AUNGANRZJHBGPY-UHFFFAOYSA-N D-Lyxoflavin Natural products OCC(O)C(O)C(O)CN1C=2C=C(C)C(C)=CC=2N=C2C1=NC(=O)NC2=O AUNGANRZJHBGPY-UHFFFAOYSA-N 0.000 description 1
- FBPFZTCFMRRESA-JGWLITMVSA-N D-glucitol Chemical compound OC[C@H](O)[C@@H](O)[C@H](O)[C@H](O)CO FBPFZTCFMRRESA-JGWLITMVSA-N 0.000 description 1
- 229920002271 DEAE-Sepharose Polymers 0.000 description 1
- 230000007018 DNA scission Effects 0.000 description 1
- 101710088194 Dehydrogenase Proteins 0.000 description 1
- BWGNESOTFCXPMA-UHFFFAOYSA-N Dihydrogen disulfide Chemical compound SS BWGNESOTFCXPMA-UHFFFAOYSA-N 0.000 description 1
- 241000255581 Drosophila <fruit fly, genus> Species 0.000 description 1
- 239000006144 Dulbecco’s modified Eagle's medium Substances 0.000 description 1
- KCXVZYZYPLLWCC-UHFFFAOYSA-N EDTA Chemical compound OC(=O)CN(CC(O)=O)CCN(CC(O)=O)CC(O)=O KCXVZYZYPLLWCC-UHFFFAOYSA-N 0.000 description 1
- 108010067770 Endopeptidase K Proteins 0.000 description 1
- 102100030013 Endoribonuclease Human genes 0.000 description 1
- 108010093099 Endoribonucleases Proteins 0.000 description 1
- 241000701533 Escherichia virus T4 Species 0.000 description 1
- 108700039887 Essential Genes Proteins 0.000 description 1
- 241000206602 Eukaryota Species 0.000 description 1
- 206010015866 Extravasation Diseases 0.000 description 1
- WSFSSNUMVMOOMR-UHFFFAOYSA-N Formaldehyde Chemical compound O=C WSFSSNUMVMOOMR-UHFFFAOYSA-N 0.000 description 1
- 108010010803 Gelatin Proteins 0.000 description 1
- WQZGKKKJIJFFOK-GASJEMHNSA-N Glucose Natural products OC[C@H]1OC(O)[C@H](O)[C@@H](O)[C@@H]1O WQZGKKKJIJFFOK-GASJEMHNSA-N 0.000 description 1
- ZWZWYGMENQVNFU-UHFFFAOYSA-N Glycerophosphorylserin Natural products OC(=O)C(N)COP(O)(=O)OCC(O)CO ZWZWYGMENQVNFU-UHFFFAOYSA-N 0.000 description 1
- 235000010469 Glycine max Nutrition 0.000 description 1
- 244000068988 Glycine max Species 0.000 description 1
- 229930186217 Glycolipid Natural products 0.000 description 1
- 108091029499 Group II intron Proteins 0.000 description 1
- 108091080980 Hepatitis delta virus ribozyme Proteins 0.000 description 1
- 108010070875 Human Immunodeficiency Virus tat Gene Products Proteins 0.000 description 1
- 238000009015 Human TaqMan MicroRNA Assay kit Methods 0.000 description 1
- GRSZFWQUAKGDAV-KQYNXXCUSA-N IMP Chemical compound O[C@@H]1[C@H](O)[C@@H](COP(O)(O)=O)O[C@H]1N1C(NC=NC2=O)=C2N=C1 GRSZFWQUAKGDAV-KQYNXXCUSA-N 0.000 description 1
- 229930010555 Inosine Natural products 0.000 description 1
- UGQMRVRMYYASKQ-KQYNXXCUSA-N Inosine Chemical compound O[C@@H]1[C@H](O)[C@@H](CO)O[C@H]1N1C2=NC=NC(O)=C2N=C1 UGQMRVRMYYASKQ-KQYNXXCUSA-N 0.000 description 1
- 108010044467 Isoenzymes Proteins 0.000 description 1
- KDXKERNSBIXSRK-YFKPBYRVSA-N L-lysine Chemical compound NCCCC[C@H](N)C(O)=O KDXKERNSBIXSRK-YFKPBYRVSA-N 0.000 description 1
- GUBGYTABKSRVRQ-QKKXKWKRSA-N Lactose Natural products OC[C@H]1O[C@@H](O[C@H]2[C@H](O)[C@@H](O)C(O)O[C@@H]2CO)[C@H](O)[C@@H](O)[C@H]1O GUBGYTABKSRVRQ-QKKXKWKRSA-N 0.000 description 1
- 108090000004 Leadzyme Proteins 0.000 description 1
- 240000007472 Leucaena leucocephala Species 0.000 description 1
- 235000010643 Leucaena leucocephala Nutrition 0.000 description 1
- NAACPBBQTFFYQB-UHFFFAOYSA-N Linolsaeure-cholesterylester Natural products C12CCC3(C)C(C(C)CCCC(C)C)CCC3C2CC=C2C1(C)CCC(OC(=O)CCCCCCCC=CCC=CCCCCC)C2 NAACPBBQTFFYQB-UHFFFAOYSA-N 0.000 description 1
- 108090000301 Membrane transport proteins Proteins 0.000 description 1
- 102000003939 Membrane transport proteins Human genes 0.000 description 1
- 241000699666 Mus <mouse, genus> Species 0.000 description 1
- 241000699670 Mus sp. Species 0.000 description 1
- RSPURTUNRHNVGF-IOSLPCCCSA-N N(2),N(2)-dimethylguanosine Chemical compound C1=NC=2C(=O)NC(N(C)C)=NC=2N1[C@@H]1O[C@H](CO)[C@@H](O)[C@H]1O RSPURTUNRHNVGF-IOSLPCCCSA-N 0.000 description 1
- SLEHROROQDYRAW-KQYNXXCUSA-N N(2)-methylguanosine Chemical compound C1=NC=2C(=O)NC(NC)=NC=2N1[C@@H]1O[C@H](CO)[C@@H](O)[C@H]1O SLEHROROQDYRAW-KQYNXXCUSA-N 0.000 description 1
- VQAYFKKCNSOZKM-IOSLPCCCSA-N N(6)-methyladenosine Chemical compound C1=NC=2C(NC)=NC=NC=2N1[C@@H]1O[C@H](CO)[C@@H](O)[C@H]1O VQAYFKKCNSOZKM-IOSLPCCCSA-N 0.000 description 1
- CRJGESKKUOMBCT-VQTJNVASSA-N N-acetylsphinganine Chemical compound CCCCCCCCCCCCCCC[C@@H](O)[C@H](CO)NC(C)=O CRJGESKKUOMBCT-VQTJNVASSA-N 0.000 description 1
- VQAYFKKCNSOZKM-UHFFFAOYSA-N NSC 29409 Natural products C1=NC=2C(NC)=NC=NC=2N1C1OC(CO)C(O)C1O VQAYFKKCNSOZKM-UHFFFAOYSA-N 0.000 description 1
- 108091005461 Nucleic proteins Proteins 0.000 description 1
- VZQXUWKZDSEQRR-UHFFFAOYSA-N Nucleosid Natural products C12=NC(SC)=NC(NCC=C(C)C)=C2N=CN1C1OC(CO)C(O)C1O VZQXUWKZDSEQRR-UHFFFAOYSA-N 0.000 description 1
- 235000019483 Peanut oil Nutrition 0.000 description 1
- 108091093037 Peptide nucleic acid Proteins 0.000 description 1
- 229920003171 Poly (ethylene oxide) Polymers 0.000 description 1
- 229920001731 Polyprenol Polymers 0.000 description 1
- 229930186185 Polyprenol Natural products 0.000 description 1
- 241001415846 Procellariidae Species 0.000 description 1
- 208000000236 Prostatic Neoplasms Diseases 0.000 description 1
- CZPWVGJYEJSRLH-UHFFFAOYSA-N Pyrimidine Chemical compound C1=CN=CN=C1 CZPWVGJYEJSRLH-UHFFFAOYSA-N 0.000 description 1
- 235000014443 Pyrus communis Nutrition 0.000 description 1
- 238000012228 RNA interference-mediated gene silencing Methods 0.000 description 1
- 108091030071 RNAI Proteins 0.000 description 1
- 239000012980 RPMI-1640 medium Substances 0.000 description 1
- 108090000621 Ribonuclease P Proteins 0.000 description 1
- 102000004167 Ribonuclease P Human genes 0.000 description 1
- 102000004389 Ribonucleoproteins Human genes 0.000 description 1
- 108010081734 Ribonucleoproteins Proteins 0.000 description 1
- 241000220317 Rosa Species 0.000 description 1
- 108020005543 Satellite RNA Proteins 0.000 description 1
- 229920002472 Starch Polymers 0.000 description 1
- 235000021355 Stearic acid Nutrition 0.000 description 1
- QAOWNCQODCNURD-UHFFFAOYSA-L Sulfate Chemical compound [O-]S([O-])(=O)=O QAOWNCQODCNURD-UHFFFAOYSA-L 0.000 description 1
- NINIDFKCEFEMDL-UHFFFAOYSA-N Sulfur Chemical compound [S] NINIDFKCEFEMDL-UHFFFAOYSA-N 0.000 description 1
- 230000024932 T cell mediated immunity Effects 0.000 description 1
- 241000223892 Tetrahymena Species 0.000 description 1
- 241000248384 Tetrahymena thermophila Species 0.000 description 1
- JZRWCGZRTZMZEH-UHFFFAOYSA-N Thiamine Natural products CC1=C(CCO)SC=[N+]1CC1=CN=C(C)N=C1N JZRWCGZRTZMZEH-UHFFFAOYSA-N 0.000 description 1
- RYYWUUFWQRZTIU-UHFFFAOYSA-N Thiophosphoric acid Chemical group OP(O)(S)=O RYYWUUFWQRZTIU-UHFFFAOYSA-N 0.000 description 1
- 241000723677 Tobacco ringspot virus Species 0.000 description 1
- 108091023040 Transcription factor Proteins 0.000 description 1
- 102000040945 Transcription factor Human genes 0.000 description 1
- 101710187995 Transcriptional activator Myb Proteins 0.000 description 1
- 239000007983 Tris buffer Substances 0.000 description 1
- YZCKVEUIGOORGS-NJFSPNSNSA-N Tritium Chemical compound [3H] YZCKVEUIGOORGS-NJFSPNSNSA-N 0.000 description 1
- 241000700605 Viruses Species 0.000 description 1
- OWNKJJAVEHMKCW-XVFCMESISA-N [(2r,3s,4r,5r)-4-amino-5-(2,4-dioxopyrimidin-1-yl)-3-hydroxyoxolan-2-yl]methyl dihydrogen phosphate Chemical compound N[C@@H]1[C@H](O)[C@@H](COP(O)(O)=O)O[C@H]1N1C(=O)NC(=O)C=C1 OWNKJJAVEHMKCW-XVFCMESISA-N 0.000 description 1
- WERKSKAQRVDLDW-ANOHMWSOSA-N [(2s,3r,4r,5r)-2,3,4,5,6-pentahydroxyhexyl] (z)-octadec-9-enoate Chemical compound CCCCCCCC\C=C/CCCCCCCC(=O)OC[C@H](O)[C@@H](O)[C@H](O)[C@H](O)CO WERKSKAQRVDLDW-ANOHMWSOSA-N 0.000 description 1
- DFPAKSUCGFBDDF-ZQBYOMGUSA-N [14c]-nicotinamide Chemical compound N[14C](=O)C1=CC=CN=C1 DFPAKSUCGFBDDF-ZQBYOMGUSA-N 0.000 description 1
- MWRBNPKJOOWZPW-XPWSMXQVSA-N [3-[2-aminoethoxy(hydroxy)phosphoryl]oxy-2-[(e)-octadec-9-enoyl]oxypropyl] (e)-octadec-9-enoate Chemical compound CCCCCCCC\C=C\CCCCCCCC(=O)OCC(COP(O)(=O)OCCN)OC(=O)CCCCCCC\C=C\CCCCCCCC MWRBNPKJOOWZPW-XPWSMXQVSA-N 0.000 description 1
- HMNZFMSWFCAGGW-XPWSMXQVSA-N [3-[hydroxy(2-hydroxyethoxy)phosphoryl]oxy-2-[(e)-octadec-9-enoyl]oxypropyl] (e)-octadec-9-enoate Chemical compound CCCCCCCC\C=C\CCCCCCCC(=O)OCC(COP(O)(=O)OCCO)OC(=O)CCCCCCC\C=C\CCCCCCCC HMNZFMSWFCAGGW-XPWSMXQVSA-N 0.000 description 1
- BNSHTUQCKLZKLU-KTKRTIGZSA-N [H]OCCOC(COCCOCCOC(=O)CCCCCCCC/C=C\CCCCCCCC)C1OCC(OCCO[H])C1OCCO[H] Chemical compound [H]OCCOC(COCCOCCOC(=O)CCCCCCCC/C=C\CCCCCCCC)C1OCC(OCCO[H])C1OCCO[H] BNSHTUQCKLZKLU-KTKRTIGZSA-N 0.000 description 1
- ZNQWFFVYNHAPBR-SOFRWFQSSA-N [H][C@@](COC(=O)CCC(C)CCCC(C)CCCC(C)CCCC(C)C)(COP(=O)([O-])OCCC[NH3+])OC(=O)CCC(C)CCCC(C)CCCC(C)CCCC(C)C Chemical compound [H][C@@](COC(=O)CCC(C)CCCC(C)CCCC(C)CCCC(C)C)(COP(=O)([O-])OCCC[NH3+])OC(=O)CCC(C)CCCC(C)CCCC(C)CCCC(C)C ZNQWFFVYNHAPBR-SOFRWFQSSA-N 0.000 description 1
- JTMQPQWQLRGYBM-NUDPLZQKSA-N [H][C@@](COC(=O)CCCCCCC/C=C\CCCCCCCC)(COP(=O)([O-])OCCC[NH3+])OC(=O)CCCCCCC/C=C\CCCCCCCC Chemical compound [H][C@@](COC(=O)CCCCCCC/C=C\CCCCCCCC)(COP(=O)([O-])OCCC[NH3+])OC(=O)CCCCCCC/C=C\CCCCCCCC JTMQPQWQLRGYBM-NUDPLZQKSA-N 0.000 description 1
- BVICFMFECPMSNO-CQYYJWORSA-N [H][C@@](COC(=O)CCCCCCCC/C=C/CCCCCCCC)(COP(=O)([O-])OCCC[NH3+])OC(=O)CCCCCCCC/C=C/CCCCCCCC Chemical compound [H][C@@](COC(=O)CCCCCCCC/C=C/CCCCCCCC)(COP(=O)([O-])OCCC[NH3+])OC(=O)CCCCCCCC/C=C/CCCCCCCC BVICFMFECPMSNO-CQYYJWORSA-N 0.000 description 1
- AITGJIYBUHKBBC-AIQAVCDUSA-N [H][C@@](COC(=O)CCCCCCCC/C=C\C/C=C\CCCCC)(COP(=O)([O-])OCCC[NH3+])OC(=O)CCCCCCCC/C=C\C/C=C\CCCCC Chemical compound [H][C@@](COC(=O)CCCCCCCC/C=C\C/C=C\CCCCC)(COP(=O)([O-])OCCC[NH3+])OC(=O)CCCCCCCC/C=C\C/C=C\CCCCC AITGJIYBUHKBBC-AIQAVCDUSA-N 0.000 description 1
- UMWITAGJUQZRGX-AWEPSHAZSA-N [H][C@@]12CC=C3CC(NC(=O)C(N)CCCNC(=N)NC(=O)OC(C)(C)C)CC[C@]3(C)[C@@]1([H])CC[C@@]1(C)[C@@]2([H])CC[C@]1([H])[C@H](C)CCCC(C)C Chemical compound [H][C@@]12CC=C3CC(NC(=O)C(N)CCCNC(=N)NC(=O)OC(C)(C)C)CC[C@]3(C)[C@@]1([H])CC[C@@]1(C)[C@@]2([H])CC[C@]1([H])[C@H](C)CCCC(C)C UMWITAGJUQZRGX-AWEPSHAZSA-N 0.000 description 1
- 230000002159 abnormal effect Effects 0.000 description 1
- 230000005856 abnormality Effects 0.000 description 1
- DPXJVFZANSGRMM-UHFFFAOYSA-N acetic acid;2,3,4,5,6-pentahydroxyhexanal;sodium Chemical compound [Na].CC(O)=O.OCC(O)C(O)C(O)C(O)C=O DPXJVFZANSGRMM-UHFFFAOYSA-N 0.000 description 1
- CSCPPACGZOOCGX-WFGJKAKNSA-N acetone d6 Chemical compound [2H]C([2H])([2H])C(=O)C([2H])([2H])[2H] CSCPPACGZOOCGX-WFGJKAKNSA-N 0.000 description 1
- 230000009471 action Effects 0.000 description 1
- 239000011149 active material Substances 0.000 description 1
- 239000008186 active pharmaceutical agent Substances 0.000 description 1
- 230000007059 acute toxicity Effects 0.000 description 1
- 231100000403 acute toxicity Toxicity 0.000 description 1
- UDMBCSSLTHHNCD-KQYNXXCUSA-N adenosine 5'-monophosphate Chemical group C1=NC=2C(N)=NC=NC=2N1[C@@H]1O[C@H](COP(O)(O)=O)[C@@H](O)[C@H]1O UDMBCSSLTHHNCD-KQYNXXCUSA-N 0.000 description 1
- 238000012382 advanced drug delivery Methods 0.000 description 1
- 238000013019 agitation Methods 0.000 description 1
- 235000010443 alginic acid Nutrition 0.000 description 1
- 239000000783 alginic acid Substances 0.000 description 1
- 229920000615 alginic acid Polymers 0.000 description 1
- 229960001126 alginic acid Drugs 0.000 description 1
- 150000004781 alginic acids Chemical class 0.000 description 1
- 150000001338 aliphatic hydrocarbons Chemical class 0.000 description 1
- 125000002877 alkyl aryl group Chemical group 0.000 description 1
- 125000002947 alkylene group Chemical group 0.000 description 1
- DCAYPVUWAIABOU-UHFFFAOYSA-N alpha-n-hexadecene Natural products CCCCCCCCCCCCCCCC DCAYPVUWAIABOU-UHFFFAOYSA-N 0.000 description 1
- 235000012211 aluminium silicate Nutrition 0.000 description 1
- 150000001413 amino acids Chemical class 0.000 description 1
- 229960003896 aminopterin Drugs 0.000 description 1
- 150000008064 anhydrides Chemical class 0.000 description 1
- 150000001449 anionic compounds Chemical class 0.000 description 1
- 229920006318 anionic polymer Polymers 0.000 description 1
- 230000003078 antioxidant effect Effects 0.000 description 1
- 210000003433 aortic smooth muscle cell Anatomy 0.000 description 1
- 235000010323 ascorbic acid Nutrition 0.000 description 1
- 229960005070 ascorbic acid Drugs 0.000 description 1
- 239000011668 ascorbic acid Substances 0.000 description 1
- 108010006523 asialoglycoprotein receptor Proteins 0.000 description 1
- 108010084541 asialoorosomucoid Proteins 0.000 description 1
- CBHOOMGKXCMKIR-UHFFFAOYSA-N azane;methanol Chemical class N.OC CBHOOMGKXCMKIR-UHFFFAOYSA-N 0.000 description 1
- 230000001580 bacterial effect Effects 0.000 description 1
- 230000037429 base substitution Effects 0.000 description 1
- 235000013871 bee wax Nutrition 0.000 description 1
- 239000012166 beeswax Substances 0.000 description 1
- 230000009286 beneficial effect Effects 0.000 description 1
- SRSXLGNVWSONIS-UHFFFAOYSA-N benzenesulfonic acid Chemical compound OS(=O)(=O)C1=CC=CC=C1 SRSXLGNVWSONIS-UHFFFAOYSA-N 0.000 description 1
- 229940092714 benzenesulfonic acid Drugs 0.000 description 1
- KGNDCEVUMONOKF-UGPLYTSKSA-N benzyl n-[(2r)-1-[(2s,4r)-2-[[(2s)-6-amino-1-(1,3-benzoxazol-2-yl)-1,1-dihydroxyhexan-2-yl]carbamoyl]-4-[(4-methylphenyl)methoxy]pyrrolidin-1-yl]-1-oxo-4-phenylbutan-2-yl]carbamate Chemical compound C1=CC(C)=CC=C1CO[C@H]1CN(C(=O)[C@@H](CCC=2C=CC=CC=2)NC(=O)OCC=2C=CC=CC=2)[C@H](C(=O)N[C@@H](CCCCN)C(O)(O)C=2OC3=CC=CC=C3N=2)C1 KGNDCEVUMONOKF-UGPLYTSKSA-N 0.000 description 1
- WQZGKKKJIJFFOK-VFUOTHLCSA-N beta-D-glucose Chemical compound OC[C@H]1O[C@@H](O)[C@H](O)[C@@H](O)[C@@H]1O WQZGKKKJIJFFOK-VFUOTHLCSA-N 0.000 description 1
- 125000005841 biaryl group Chemical group 0.000 description 1
- 239000011230 binding agent Substances 0.000 description 1
- 229960002685 biotin Drugs 0.000 description 1
- 235000020958 biotin Nutrition 0.000 description 1
- 239000011616 biotin Substances 0.000 description 1
- 210000000601 blood cell Anatomy 0.000 description 1
- 230000017531 blood circulation Effects 0.000 description 1
- 201000008275 breast carcinoma Diseases 0.000 description 1
- 230000005587 bubbling Effects 0.000 description 1
- 239000006172 buffering agent Substances 0.000 description 1
- 244000309464 bull Species 0.000 description 1
- DNSISZSEWVHGLH-UHFFFAOYSA-N butanamide Chemical compound CCCC(N)=O DNSISZSEWVHGLH-UHFFFAOYSA-N 0.000 description 1
- 210000004899 c-terminal region Anatomy 0.000 description 1
- 235000010216 calcium carbonate Nutrition 0.000 description 1
- 239000002775 capsule Substances 0.000 description 1
- 229910052799 carbon Inorganic materials 0.000 description 1
- 239000001768 carboxy methyl cellulose Substances 0.000 description 1
- 239000012876 carrier material Substances 0.000 description 1
- 238000006555 catalytic reaction Methods 0.000 description 1
- 150000001768 cations Chemical class 0.000 description 1
- 238000004113 cell culture Methods 0.000 description 1
- 230000003833 cell viability Effects 0.000 description 1
- 229940106189 ceramide Drugs 0.000 description 1
- ZVEQCJWYRWKARO-UHFFFAOYSA-N ceramide Natural products CCCCCCCCCCCCCCC(O)C(=O)NC(CO)C(O)C=CCCC=C(C)CCCCCCCCC ZVEQCJWYRWKARO-UHFFFAOYSA-N 0.000 description 1
- 229960000541 cetyl alcohol Drugs 0.000 description 1
- 210000003763 chloroplast Anatomy 0.000 description 1
- NAACPBBQTFFYQB-LJAITQKLSA-N cholesteryl linoleate Chemical compound C([C@@H]12)C[C@]3(C)[C@@H]([C@H](C)CCCC(C)C)CC[C@H]3[C@@H]1CC=C1[C@]2(C)CC[C@H](OC(=O)CCCCCCC\C=C/C\C=C/CCCCC)C1 NAACPBBQTFFYQB-LJAITQKLSA-N 0.000 description 1
- 229960001231 choline Drugs 0.000 description 1
- OEYIOHPDSNJKLS-UHFFFAOYSA-N choline Chemical compound C[N+](C)(C)CCO OEYIOHPDSNJKLS-UHFFFAOYSA-N 0.000 description 1
- 238000004587 chromatography analysis Methods 0.000 description 1
- 238000000576 coating method Methods 0.000 description 1
- 229940110456 cocoa butter Drugs 0.000 description 1
- 235000019868 cocoa butter Nutrition 0.000 description 1
- 239000003240 coconut oil Substances 0.000 description 1
- 235000019864 coconut oil Nutrition 0.000 description 1
- 229940125773 compound 10 Drugs 0.000 description 1
- 229940126208 compound 22 Drugs 0.000 description 1
- 229940125833 compound 23 Drugs 0.000 description 1
- 229940125846 compound 25 Drugs 0.000 description 1
- 229940125851 compound 27 Drugs 0.000 description 1
- 229940125877 compound 31 Drugs 0.000 description 1
- 229940125878 compound 36 Drugs 0.000 description 1
- 229940125898 compound 5 Drugs 0.000 description 1
- 230000001010 compromised effect Effects 0.000 description 1
- 229940124301 concurrent medication Drugs 0.000 description 1
- 239000008120 corn starch Substances 0.000 description 1
- 239000003431 cross linking reagent Substances 0.000 description 1
- 239000013078 crystal Substances 0.000 description 1
- 238000002425 crystallisation Methods 0.000 description 1
- 230000008025 crystallization Effects 0.000 description 1
- 229960002104 cyanocobalamin Drugs 0.000 description 1
- 239000011666 cyanocobalamin Substances 0.000 description 1
- 235000000639 cyanocobalamin Nutrition 0.000 description 1
- 125000006165 cyclic alkyl group Chemical group 0.000 description 1
- 210000000172 cytosol Anatomy 0.000 description 1
- 230000003013 cytotoxicity Effects 0.000 description 1
- 231100000135 cytotoxicity Toxicity 0.000 description 1
- GVJHHUAWPYXKBD-UHFFFAOYSA-N d-alpha-tocopherol Natural products OC1=C(C)C(C)=C2OC(CCCC(C)CCCC(C)CCCC(C)C)(C)CCC2=C1C GVJHHUAWPYXKBD-UHFFFAOYSA-N 0.000 description 1
- 229940124447 delivery agent Drugs 0.000 description 1
- 230000001419 dependent effect Effects 0.000 description 1
- 238000013461 design Methods 0.000 description 1
- 238000001514 detection method Methods 0.000 description 1
- 238000011161 development Methods 0.000 description 1
- 125000003374 diacylglycerol group Chemical group 0.000 description 1
- MTHSVFCYNBDYFN-UHFFFAOYSA-N diethylene glycol Chemical compound OCCOCCO MTHSVFCYNBDYFN-UHFFFAOYSA-N 0.000 description 1
- ZPTBLXKRQACLCR-XVFCMESISA-N dihydrouridine Chemical compound O[C@@H]1[C@H](O)[C@@H](CO)O[C@H]1N1C(=O)NC(=O)CC1 ZPTBLXKRQACLCR-XVFCMESISA-N 0.000 description 1
- BGRWYRAHAFMIBJ-UHFFFAOYSA-N diisopropylcarbodiimide Natural products CC(C)NC(=O)NC(C)C BGRWYRAHAFMIBJ-UHFFFAOYSA-N 0.000 description 1
- 229910001873 dinitrogen Inorganic materials 0.000 description 1
- NAGJZTKCGNOGPW-UHFFFAOYSA-K dioxido-sulfanylidene-sulfido-$l^{5}-phosphane Chemical compound [O-]P([O-])([S-])=S NAGJZTKCGNOGPW-UHFFFAOYSA-K 0.000 description 1
- LOKCTEFSRHRXRJ-UHFFFAOYSA-I dipotassium trisodium dihydrogen phosphate hydrogen phosphate dichloride Chemical compound P(=O)(O)(O)[O-].[K+].P(=O)(O)([O-])[O-].[Na+].[Na+].[Cl-].[K+].[Cl-].[Na+] LOKCTEFSRHRXRJ-UHFFFAOYSA-I 0.000 description 1
- 230000008034 disappearance Effects 0.000 description 1
- 239000002552 dosage form Substances 0.000 description 1
- 239000000890 drug combination Substances 0.000 description 1
- 239000000975 dye Substances 0.000 description 1
- 230000009881 electrostatic interaction Effects 0.000 description 1
- 239000003974 emollient agent Substances 0.000 description 1
- 239000003995 emulsifying agent Substances 0.000 description 1
- 230000008290 endocytic mechanism Effects 0.000 description 1
- 210000001163 endosome Anatomy 0.000 description 1
- 238000005516 engineering process Methods 0.000 description 1
- BEFDCLMNVWHSGT-UHFFFAOYSA-N ethenylcyclopentane Chemical compound C=CC1CCCC1 BEFDCLMNVWHSGT-UHFFFAOYSA-N 0.000 description 1
- 125000000816 ethylene group Chemical group [H]C([H])([*:1])C([H])([H])[*:2] 0.000 description 1
- 238000001704 evaporation Methods 0.000 description 1
- 230000029142 excretion Effects 0.000 description 1
- 239000013604 expression vector Substances 0.000 description 1
- 239000000284 extract Substances 0.000 description 1
- 230000036251 extravasation Effects 0.000 description 1
- 230000001815 facial effect Effects 0.000 description 1
- 238000001914 filtration Methods 0.000 description 1
- 239000006260 foam Substances 0.000 description 1
- 229940014144 folate Drugs 0.000 description 1
- OVBPIULPVIDEAO-LBPRGKRZSA-N folic acid Chemical compound C=1N=C2NC(N)=NC(=O)C2=NC=1CNC1=CC=C(C(=O)N[C@@H](CCC(O)=O)C(O)=O)C=C1 OVBPIULPVIDEAO-LBPRGKRZSA-N 0.000 description 1
- 235000019152 folic acid Nutrition 0.000 description 1
- 239000011724 folic acid Substances 0.000 description 1
- 125000004005 formimidoyl group Chemical group [H]\N=C(/[H])* 0.000 description 1
- 238000005194 fractionation Methods 0.000 description 1
- 230000002538 fungal effect Effects 0.000 description 1
- 125000002541 furyl group Chemical group 0.000 description 1
- 210000001035 gastrointestinal tract Anatomy 0.000 description 1
- 239000000499 gel Substances 0.000 description 1
- 229920000159 gelatin Polymers 0.000 description 1
- 239000008273 gelatin Substances 0.000 description 1
- 235000019322 gelatine Nutrition 0.000 description 1
- 235000011852 gelatine desserts Nutrition 0.000 description 1
- 238000001476 gene delivery Methods 0.000 description 1
- 238000001415 gene therapy Methods 0.000 description 1
- 239000008103 glucose Substances 0.000 description 1
- ZDXPYRJPNDTMRX-UHFFFAOYSA-N glutamine Natural products OC(=O)C(N)CCC(N)=O ZDXPYRJPNDTMRX-UHFFFAOYSA-N 0.000 description 1
- 150000002314 glycerols Chemical class 0.000 description 1
- 229940074045 glyceryl distearate Drugs 0.000 description 1
- 125000003976 glyceryl group Chemical group [H]C([*])([H])C(O[H])([H])C(O[H])([H])[H] 0.000 description 1
- PCHJSUWPFVWCPO-UHFFFAOYSA-N gold Chemical compound [Au] PCHJSUWPFVWCPO-UHFFFAOYSA-N 0.000 description 1
- 239000010931 gold Substances 0.000 description 1
- 229910052737 gold Inorganic materials 0.000 description 1
- 125000005843 halogen group Chemical group 0.000 description 1
- 150000002367 halogens Chemical class 0.000 description 1
- 239000007902 hard capsule Substances 0.000 description 1
- 230000036541 health Effects 0.000 description 1
- 210000003958 hematopoietic stem cell Anatomy 0.000 description 1
- 230000002607 hemopoietic effect Effects 0.000 description 1
- 210000003494 hepatocyte Anatomy 0.000 description 1
- ARBOVOVUTSQWSS-UHFFFAOYSA-N hexadecanoyl chloride Chemical compound CCCCCCCCCCCCCCCC(Cl)=O ARBOVOVUTSQWSS-UHFFFAOYSA-N 0.000 description 1
- 125000004435 hydrogen atom Chemical class [H]* 0.000 description 1
- 230000007062 hydrolysis Effects 0.000 description 1
- 238000006460 hydrolysis reaction Methods 0.000 description 1
- 150000002433 hydrophilic molecules Chemical class 0.000 description 1
- 230000002209 hydrophobic effect Effects 0.000 description 1
- WGCNASOHLSPBMP-UHFFFAOYSA-N hydroxyacetaldehyde Natural products OCC=O WGCNASOHLSPBMP-UHFFFAOYSA-N 0.000 description 1
- 125000004029 hydroxymethyl group Chemical group [H]OC([H])([H])* 0.000 description 1
- 125000002883 imidazolyl group Chemical group 0.000 description 1
- 230000008073 immune recognition Effects 0.000 description 1
- 239000003701 inert diluent Substances 0.000 description 1
- 238000001802 infusion Methods 0.000 description 1
- 239000003112 inhibitor Substances 0.000 description 1
- 229940102223 injectable solution Drugs 0.000 description 1
- 229940102213 injectable suspension Drugs 0.000 description 1
- 229960003786 inosine Drugs 0.000 description 1
- 235000013902 inosinic acid Nutrition 0.000 description 1
- 238000007912 intraperitoneal administration Methods 0.000 description 1
- 238000007913 intrathecal administration Methods 0.000 description 1
- INQOMBQAUSQDDS-UHFFFAOYSA-N iodomethane Chemical compound IC INQOMBQAUSQDDS-UHFFFAOYSA-N 0.000 description 1
- ZLVXBBHTMQJRSX-VMGNSXQWSA-N jdtic Chemical compound C1([C@]2(C)CCN(C[C@@H]2C)C[C@H](C(C)C)NC(=O)[C@@H]2NCC3=CC(O)=CC=C3C2)=CC=CC(O)=C1 ZLVXBBHTMQJRSX-VMGNSXQWSA-N 0.000 description 1
- NLYAJNPCOHFWQQ-UHFFFAOYSA-N kaolin Chemical compound O.O.O=[Al]O[Si](=O)O[Si](=O)O[Al]=O NLYAJNPCOHFWQQ-UHFFFAOYSA-N 0.000 description 1
- 238000002372 labelling Methods 0.000 description 1
- 239000008101 lactose Substances 0.000 description 1
- 108020001756 ligand binding domains Proteins 0.000 description 1
- 235000019136 lipoic acid Nutrition 0.000 description 1
- AGBQKNBQESQNJD-UHFFFAOYSA-N lipoic acid Chemical compound OC(=O)CCCCC1CCSS1 AGBQKNBQESQNJD-UHFFFAOYSA-N 0.000 description 1
- 239000007788 liquid Substances 0.000 description 1
- 210000004185 liver Anatomy 0.000 description 1
- 239000003589 local anesthetic agent Substances 0.000 description 1
- 229960005015 local anesthetics Drugs 0.000 description 1
- 230000033001 locomotion Effects 0.000 description 1
- 239000007937 lozenge Substances 0.000 description 1
- 239000000314 lubricant Substances 0.000 description 1
- 235000019359 magnesium stearate Nutrition 0.000 description 1
- 230000008384 membrane barrier Effects 0.000 description 1
- 230000009061 membrane transport Effects 0.000 description 1
- GRWIABMEEKERFV-UHFFFAOYSA-N methanol;oxolane Chemical compound OC.C1CCOC1 GRWIABMEEKERFV-UHFFFAOYSA-N 0.000 description 1
- YACKEPLHDIMKIO-UHFFFAOYSA-N methylphosphonic acid Chemical group CP(O)(O)=O YACKEPLHDIMKIO-UHFFFAOYSA-N 0.000 description 1
- 108091070501 miRNA Proteins 0.000 description 1
- 239000000693 micelle Substances 0.000 description 1
- 238000000386 microscopy Methods 0.000 description 1
- 210000003470 mitochondria Anatomy 0.000 description 1
- 238000003032 molecular docking Methods 0.000 description 1
- 239000001788 mono and diglycerides of fatty acids Substances 0.000 description 1
- 238000004264 monolayer culture Methods 0.000 description 1
- 238000002703 mutagenesis Methods 0.000 description 1
- 231100000350 mutagenesis Toxicity 0.000 description 1
- 125000001624 naphthyl group Chemical group 0.000 description 1
- 239000013642 negative control Substances 0.000 description 1
- 230000035407 negative regulation of cell proliferation Effects 0.000 description 1
- VVGIYYKRAMHVLU-UHFFFAOYSA-N newbouldiamide Natural products CCCCCCCCCCCCCCCCCCCC(O)C(O)C(O)C(CO)NC(=O)CCCCCCCCCCCCCCCCC VVGIYYKRAMHVLU-UHFFFAOYSA-N 0.000 description 1
- FEMOMIGRRWSMCU-UHFFFAOYSA-N ninhydrin Chemical compound C1=CC=C2C(=O)C(O)(O)C(=O)C2=C1 FEMOMIGRRWSMCU-UHFFFAOYSA-N 0.000 description 1
- 231100000344 non-irritating Toxicity 0.000 description 1
- 210000000633 nuclear envelope Anatomy 0.000 description 1
- 108091008104 nucleic acid aptamers Proteins 0.000 description 1
- 235000015097 nutrients Nutrition 0.000 description 1
- GYCKQBWUSACYIF-UHFFFAOYSA-N o-hydroxybenzoic acid ethyl ester Natural products CCOC(=O)C1=CC=CC=C1O GYCKQBWUSACYIF-UHFFFAOYSA-N 0.000 description 1
- QIQXTHQIDYTFRH-UHFFFAOYSA-N octadecanoic acid Chemical compound CCCCCCCCCCCCCCCCCC(O)=O QIQXTHQIDYTFRH-UHFFFAOYSA-N 0.000 description 1
- OQCDKBAXFALNLD-UHFFFAOYSA-N octadecanoic acid Natural products CCCCCCCC(C)CCCCCCCCC(O)=O OQCDKBAXFALNLD-UHFFFAOYSA-N 0.000 description 1
- 125000001117 oleyl group Chemical group [H]C([*])([H])C([H])([H])C([H])([H])C([H])([H])C([H])([H])C([H])([H])C([H])([H])C([H])([H])/C([H])=C([H])\C([H])([H])C([H])([H])C([H])([H])C([H])([H])C([H])([H])C([H])([H])C([H])([H])C([H])([H])[H] 0.000 description 1
- 229940046166 oligodeoxynucleotide Drugs 0.000 description 1
- 230000014207 opsonization Effects 0.000 description 1
- 210000000056 organ Anatomy 0.000 description 1
- 239000012074 organic phase Substances 0.000 description 1
- 230000002018 overexpression Effects 0.000 description 1
- 230000000242 pagocytic effect Effects 0.000 description 1
- 125000001312 palmitoyl group Chemical group O=C([*])C([H])([H])C([H])([H])C([H])([H])C([H])([H])C([H])([H])C([H])([H])C([H])([H])C([H])([H])C([H])([H])C([H])([H])C([H])([H])C([H])([H])C([H])([H])C([H])([H])C([H])([H])[H] 0.000 description 1
- 229940055726 pantothenic acid Drugs 0.000 description 1
- 239000011713 pantothenic acid Substances 0.000 description 1
- 235000019161 pantothenic acid Nutrition 0.000 description 1
- 239000012188 paraffin wax Substances 0.000 description 1
- 239000000312 peanut oil Substances 0.000 description 1
- 230000003285 pharmacodynamic effect Effects 0.000 description 1
- 238000002135 phase contrast microscopy Methods 0.000 description 1
- 239000002953 phosphate buffered saline Substances 0.000 description 1
- 230000036470 plasma concentration Effects 0.000 description 1
- 210000004180 plasmocyte Anatomy 0.000 description 1
- 229920003023 plastic Polymers 0.000 description 1
- 239000004033 plastic Substances 0.000 description 1
- 229920000729 poly(L-lysine) polymer Polymers 0.000 description 1
- 229920001308 poly(aminoacid) Polymers 0.000 description 1
- 229920002401 polyacrylamide Polymers 0.000 description 1
- 229920000515 polycarbonate Polymers 0.000 description 1
- 150000003096 polyprenols Chemical class 0.000 description 1
- 239000004810 polytetrafluoroethylene Substances 0.000 description 1
- 229920001343 polytetrafluoroethylene Polymers 0.000 description 1
- 239000001267 polyvinylpyrrolidone Substances 0.000 description 1
- 229920000036 polyvinylpyrrolidone Polymers 0.000 description 1
- 235000013855 polyvinylpyrrolidone Nutrition 0.000 description 1
- 230000023603 positive regulation of transcription initiation, DNA-dependent Effects 0.000 description 1
- 239000011736 potassium bicarbonate Substances 0.000 description 1
- 229910000028 potassium bicarbonate Inorganic materials 0.000 description 1
- TYJJADVDDVDEDZ-UHFFFAOYSA-M potassium hydrogencarbonate Chemical compound [K+].OC([O-])=O TYJJADVDDVDEDZ-UHFFFAOYSA-M 0.000 description 1
- 238000001556 precipitation Methods 0.000 description 1
- 239000002243 precursor Substances 0.000 description 1
- 230000002335 preservative effect Effects 0.000 description 1
- 230000008569 process Effects 0.000 description 1
- 239000001294 propane Substances 0.000 description 1
- MWWATHDPGQKSAR-UHFFFAOYSA-N propyne Chemical compound CC#C MWWATHDPGQKSAR-UHFFFAOYSA-N 0.000 description 1
- 230000012743 protein tagging Effects 0.000 description 1
- 125000003373 pyrazinyl group Chemical group 0.000 description 1
- UBQKCCHYAOITMY-UHFFFAOYSA-N pyridin-2-ol Chemical compound OC1=CC=CC=N1 UBQKCCHYAOITMY-UHFFFAOYSA-N 0.000 description 1
- UMJSCPRVCHMLSP-UHFFFAOYSA-N pyridine Natural products COC1=CC=CN=C1 UMJSCPRVCHMLSP-UHFFFAOYSA-N 0.000 description 1
- FCHXJFJNDJXENQ-UHFFFAOYSA-N pyridoxal hydrochloride Chemical compound Cl.CC1=NC=C(CO)C(C=O)=C1O FCHXJFJNDJXENQ-UHFFFAOYSA-N 0.000 description 1
- 125000004076 pyridyl group Chemical group 0.000 description 1
- 125000000714 pyrimidinyl group Chemical group 0.000 description 1
- 125000000168 pyrrolyl group Chemical group 0.000 description 1
- 150000003248 quinolines Chemical group 0.000 description 1
- 230000002285 radioactive effect Effects 0.000 description 1
- 108700038606 rat Smooth muscle Proteins 0.000 description 1
- 230000010837 receptor-mediated endocytosis Effects 0.000 description 1
- 108020003175 receptors Proteins 0.000 description 1
- 102000005962 receptors Human genes 0.000 description 1
- 238000011084 recovery Methods 0.000 description 1
- 230000007115 recruitment Effects 0.000 description 1
- 210000000664 rectum Anatomy 0.000 description 1
- 239000001044 red dye Substances 0.000 description 1
- 230000002829 reductive effect Effects 0.000 description 1
- 230000008439 repair process Effects 0.000 description 1
- 230000029058 respiratory gaseous exchange Effects 0.000 description 1
- 235000020945 retinal Nutrition 0.000 description 1
- 239000011604 retinal Substances 0.000 description 1
- 230000002207 retinal effect Effects 0.000 description 1
- NCYCYZXNIZJOKI-OVSJKPMPSA-N retinal group Chemical group C\C(=C/C=O)\C=C\C=C(\C=C\C1=C(CCCC1(C)C)C)/C NCYCYZXNIZJOKI-OVSJKPMPSA-N 0.000 description 1
- 229960002477 riboflavin Drugs 0.000 description 1
- 239000002151 riboflavin Substances 0.000 description 1
- 235000019192 riboflavin Nutrition 0.000 description 1
- DWRXFEITVBNRMK-JXOAFFINSA-N ribothymidine Chemical compound O=C1NC(=O)C(C)=CN1[C@H]1[C@H](O)[C@H](O)[C@@H](CO)O1 DWRXFEITVBNRMK-JXOAFFINSA-N 0.000 description 1
- 238000002390 rotary evaporation Methods 0.000 description 1
- RHFUOMFWUGWKKO-UHFFFAOYSA-N s2C Natural products S=C1N=C(N)C=CN1C1C(O)C(O)C(CO)O1 RHFUOMFWUGWKKO-UHFFFAOYSA-N 0.000 description 1
- CVHZOJJKTDOEJC-UHFFFAOYSA-N saccharin Chemical compound C1=CC=C2C(=O)NS(=O)(=O)C2=C1 CVHZOJJKTDOEJC-UHFFFAOYSA-N 0.000 description 1
- 229940081974 saccharin Drugs 0.000 description 1
- 235000019204 saccharin Nutrition 0.000 description 1
- 239000000901 saccharin and its Na,K and Ca salt Substances 0.000 description 1
- 238000003345 scintillation counting Methods 0.000 description 1
- 239000012679 serum free medium Substances 0.000 description 1
- 239000008159 sesame oil Substances 0.000 description 1
- 235000011803 sesame oil Nutrition 0.000 description 1
- 235000010413 sodium alginate Nutrition 0.000 description 1
- 239000000661 sodium alginate Substances 0.000 description 1
- 229940005550 sodium alginate Drugs 0.000 description 1
- WXMKPNITSTVMEF-UHFFFAOYSA-M sodium benzoate Chemical compound [Na+].[O-]C(=O)C1=CC=CC=C1 WXMKPNITSTVMEF-UHFFFAOYSA-M 0.000 description 1
- 239000004299 sodium benzoate Substances 0.000 description 1
- 235000010234 sodium benzoate Nutrition 0.000 description 1
- 229910000033 sodium borohydride Inorganic materials 0.000 description 1
- 239000012279 sodium borohydride Substances 0.000 description 1
- 229910001467 sodium calcium phosphate Inorganic materials 0.000 description 1
- 229910000029 sodium carbonate Inorganic materials 0.000 description 1
- 235000019812 sodium carboxymethyl cellulose Nutrition 0.000 description 1
- 229920001027 sodium carboxymethylcellulose Polymers 0.000 description 1
- 239000001488 sodium phosphate Substances 0.000 description 1
- 239000007901 soft capsule Substances 0.000 description 1
- 238000000527 sonication Methods 0.000 description 1
- 239000004334 sorbic acid Substances 0.000 description 1
- 235000010199 sorbic acid Nutrition 0.000 description 1
- 229940075582 sorbic acid Drugs 0.000 description 1
- 239000000600 sorbitol Substances 0.000 description 1
- 210000000952 spleen Anatomy 0.000 description 1
- 239000007921 spray Substances 0.000 description 1
- 238000010561 standard procedure Methods 0.000 description 1
- 235000019698 starch Nutrition 0.000 description 1
- 239000008107 starch Substances 0.000 description 1
- 238000001256 steam distillation Methods 0.000 description 1
- 239000008117 stearic acid Substances 0.000 description 1
- 239000008174 sterile solution Substances 0.000 description 1
- 230000003637 steroidlike Effects 0.000 description 1
- 230000000638 stimulation Effects 0.000 description 1
- 239000011550 stock solution Substances 0.000 description 1
- 238000003860 storage Methods 0.000 description 1
- 230000004960 subcellular localization Effects 0.000 description 1
- 125000001424 substituent group Chemical group 0.000 description 1
- 239000011593 sulfur Substances 0.000 description 1
- 229910052717 sulfur Inorganic materials 0.000 description 1
- 239000006228 supernatant Substances 0.000 description 1
- 239000000454 talc Substances 0.000 description 1
- 235000012222 talc Nutrition 0.000 description 1
- 229910052623 talc Inorganic materials 0.000 description 1
- 238000012360 testing method Methods 0.000 description 1
- 238000002560 therapeutic procedure Methods 0.000 description 1
- 229960003495 thiamine Drugs 0.000 description 1
- KYMBYSLLVAOCFI-UHFFFAOYSA-N thiamine Chemical compound CC1=C(CCO)SCN1CC1=CN=C(C)N=C1N KYMBYSLLVAOCFI-UHFFFAOYSA-N 0.000 description 1
- 235000019157 thiamine Nutrition 0.000 description 1
- 239000011721 thiamine Substances 0.000 description 1
- 239000002562 thickening agent Substances 0.000 description 1
- 125000001544 thienyl group Chemical group 0.000 description 1
- 229960002663 thioctic acid Drugs 0.000 description 1
- 210000000115 thoracic cavity Anatomy 0.000 description 1
- 150000003587 threonine derivatives Chemical class 0.000 description 1
- 229940113082 thymine Drugs 0.000 description 1
- 210000001541 thymus gland Anatomy 0.000 description 1
- 229960001295 tocopherol Drugs 0.000 description 1
- 235000010384 tocopherol Nutrition 0.000 description 1
- 229930003799 tocopherol Natural products 0.000 description 1
- 239000011732 tocopherol Substances 0.000 description 1
- 231100000331 toxic Toxicity 0.000 description 1
- 230000002588 toxic effect Effects 0.000 description 1
- 238000013518 transcription Methods 0.000 description 1
- 230000035897 transcription Effects 0.000 description 1
- 238000012546 transfer Methods 0.000 description 1
- 230000032895 transmembrane transport Effects 0.000 description 1
- YNJBWRMUSHSURL-UHFFFAOYSA-N trichloroacetic acid Chemical compound OC(=O)C(Cl)(Cl)Cl YNJBWRMUSHSURL-UHFFFAOYSA-N 0.000 description 1
- 125000004953 trihalomethyl group Chemical group 0.000 description 1
- MBYLVOKEDDQJDY-UHFFFAOYSA-N tris(2-aminoethyl)amine Chemical compound NCCN(CCN)CCN MBYLVOKEDDQJDY-UHFFFAOYSA-N 0.000 description 1
- RYFMWSXOAZQYPI-UHFFFAOYSA-K trisodium phosphate Chemical compound [Na+].[Na+].[Na+].[O-]P([O-])([O-])=O RYFMWSXOAZQYPI-UHFFFAOYSA-K 0.000 description 1
- 229910052722 tritium Inorganic materials 0.000 description 1
- 230000007306 turnover Effects 0.000 description 1
- 210000003606 umbilical vein Anatomy 0.000 description 1
- RVCNQQGZJWVLIP-VPCXQMTMSA-N uridin-5-yloxyacetic acid Chemical compound O[C@@H]1[C@H](O)[C@@H](CO)O[C@H]1N1C(=O)NC(=O)C(OCC(O)=O)=C1 RVCNQQGZJWVLIP-VPCXQMTMSA-N 0.000 description 1
- 210000003462 vein Anatomy 0.000 description 1
- 238000013022 venting Methods 0.000 description 1
- 150000003722 vitamin derivatives Chemical class 0.000 description 1
- 238000003260 vortexing Methods 0.000 description 1
- 238000010792 warming Methods 0.000 description 1
- 238000005406 washing Methods 0.000 description 1
- 238000005303 weighing Methods 0.000 description 1
- QAOHCFGKCWTBGC-QHOAOGIMSA-N wybutosine Chemical compound C1=NC=2C(=O)N3C(CC[C@H](NC(=O)OC)C(=O)OC)=C(C)N=C3N(C)C=2N1[C@@H]1O[C@H](CO)[C@@H](O)[C@H]1O QAOHCFGKCWTBGC-QHOAOGIMSA-N 0.000 description 1
- QAOHCFGKCWTBGC-UHFFFAOYSA-N wybutosine Natural products C1=NC=2C(=O)N3C(CCC(NC(=O)OC)C(=O)OC)=C(C)N=C3N(C)C=2N1C1OC(CO)C(O)C1O QAOHCFGKCWTBGC-UHFFFAOYSA-N 0.000 description 1
- WCNMEQDMUYVWMJ-JPZHCBQBSA-N wybutoxosine Chemical compound C1=NC=2C(=O)N3C(CC([C@H](NC(=O)OC)C(=O)OC)OO)=C(C)N=C3N(C)C=2N1[C@@H]1O[C@H](CO)[C@@H](O)[C@H]1O WCNMEQDMUYVWMJ-JPZHCBQBSA-N 0.000 description 1
- GVJHHUAWPYXKBD-IEOSBIPESA-N α-tocopherol Chemical compound OC1=C(C)C(C)=C2O[C@@](CCC[C@H](C)CCC[C@H](C)CCCC(C)C)(C)CCC2=C1C GVJHHUAWPYXKBD-IEOSBIPESA-N 0.000 description 1
Images
Classifications
-
- C—CHEMISTRY; METALLURGY
- C07—ORGANIC CHEMISTRY
- C07D—HETEROCYCLIC COMPOUNDS
- C07D213/00—Heterocyclic compounds containing six-membered rings, not condensed with other rings, with one nitrogen atom as the only ring hetero atom and three or more double bonds between ring members or between ring members and non-ring members
- C07D213/02—Heterocyclic compounds containing six-membered rings, not condensed with other rings, with one nitrogen atom as the only ring hetero atom and three or more double bonds between ring members or between ring members and non-ring members having three double bonds between ring members or between ring members and non-ring members
- C07D213/04—Heterocyclic compounds containing six-membered rings, not condensed with other rings, with one nitrogen atom as the only ring hetero atom and three or more double bonds between ring members or between ring members and non-ring members having three double bonds between ring members or between ring members and non-ring members having no bond between the ring nitrogen atom and a non-ring member or having only hydrogen or carbon atoms directly attached to the ring nitrogen atom
- C07D213/60—Heterocyclic compounds containing six-membered rings, not condensed with other rings, with one nitrogen atom as the only ring hetero atom and three or more double bonds between ring members or between ring members and non-ring members having three double bonds between ring members or between ring members and non-ring members having no bond between the ring nitrogen atom and a non-ring member or having only hydrogen or carbon atoms directly attached to the ring nitrogen atom with hetero atoms or with carbon atoms having three bonds to hetero atoms with at the most one bond to halogen, e.g. ester or nitrile radicals, directly attached to ring carbon atoms
- C07D213/62—Oxygen or sulfur atoms
- C07D213/63—One oxygen atom
- C07D213/64—One oxygen atom attached in position 2 or 6
-
- A—HUMAN NECESSITIES
- A61—MEDICAL OR VETERINARY SCIENCE; HYGIENE
- A61K—PREPARATIONS FOR MEDICAL, DENTAL OR TOILETRY PURPOSES
- A61K38/00—Medicinal preparations containing peptides
- A61K38/04—Peptides having up to 20 amino acids in a fully defined sequence; Derivatives thereof
- A61K38/05—Dipeptides
-
- A—HUMAN NECESSITIES
- A61—MEDICAL OR VETERINARY SCIENCE; HYGIENE
- A61K—PREPARATIONS FOR MEDICAL, DENTAL OR TOILETRY PURPOSES
- A61K47/00—Medicinal preparations characterised by the non-active ingredients used, e.g. carriers or inert additives; Targeting or modifying agents chemically bound to the active ingredient
- A61K47/50—Medicinal preparations characterised by the non-active ingredients used, e.g. carriers or inert additives; Targeting or modifying agents chemically bound to the active ingredient the non-active ingredient being chemically bound to the active ingredient, e.g. polymer-drug conjugates
- A61K47/51—Medicinal preparations characterised by the non-active ingredients used, e.g. carriers or inert additives; Targeting or modifying agents chemically bound to the active ingredient the non-active ingredient being chemically bound to the active ingredient, e.g. polymer-drug conjugates the non-active ingredient being a modifying agent
- A61K47/54—Medicinal preparations characterised by the non-active ingredients used, e.g. carriers or inert additives; Targeting or modifying agents chemically bound to the active ingredient the non-active ingredient being chemically bound to the active ingredient, e.g. polymer-drug conjugates the non-active ingredient being a modifying agent the modifying agent being an organic compound
-
- A—HUMAN NECESSITIES
- A61—MEDICAL OR VETERINARY SCIENCE; HYGIENE
- A61K—PREPARATIONS FOR MEDICAL, DENTAL OR TOILETRY PURPOSES
- A61K47/00—Medicinal preparations characterised by the non-active ingredients used, e.g. carriers or inert additives; Targeting or modifying agents chemically bound to the active ingredient
- A61K47/50—Medicinal preparations characterised by the non-active ingredients used, e.g. carriers or inert additives; Targeting or modifying agents chemically bound to the active ingredient the non-active ingredient being chemically bound to the active ingredient, e.g. polymer-drug conjugates
- A61K47/51—Medicinal preparations characterised by the non-active ingredients used, e.g. carriers or inert additives; Targeting or modifying agents chemically bound to the active ingredient the non-active ingredient being chemically bound to the active ingredient, e.g. polymer-drug conjugates the non-active ingredient being a modifying agent
- A61K47/54—Medicinal preparations characterised by the non-active ingredients used, e.g. carriers or inert additives; Targeting or modifying agents chemically bound to the active ingredient the non-active ingredient being chemically bound to the active ingredient, e.g. polymer-drug conjugates the non-active ingredient being a modifying agent the modifying agent being an organic compound
- A61K47/542—Carboxylic acids, e.g. a fatty acid or an amino acid
-
- A—HUMAN NECESSITIES
- A61—MEDICAL OR VETERINARY SCIENCE; HYGIENE
- A61K—PREPARATIONS FOR MEDICAL, DENTAL OR TOILETRY PURPOSES
- A61K47/00—Medicinal preparations characterised by the non-active ingredients used, e.g. carriers or inert additives; Targeting or modifying agents chemically bound to the active ingredient
- A61K47/50—Medicinal preparations characterised by the non-active ingredients used, e.g. carriers or inert additives; Targeting or modifying agents chemically bound to the active ingredient the non-active ingredient being chemically bound to the active ingredient, e.g. polymer-drug conjugates
- A61K47/51—Medicinal preparations characterised by the non-active ingredients used, e.g. carriers or inert additives; Targeting or modifying agents chemically bound to the active ingredient the non-active ingredient being chemically bound to the active ingredient, e.g. polymer-drug conjugates the non-active ingredient being a modifying agent
- A61K47/54—Medicinal preparations characterised by the non-active ingredients used, e.g. carriers or inert additives; Targeting or modifying agents chemically bound to the active ingredient the non-active ingredient being chemically bound to the active ingredient, e.g. polymer-drug conjugates the non-active ingredient being a modifying agent the modifying agent being an organic compound
- A61K47/543—Lipids, e.g. triglycerides; Polyamines, e.g. spermine or spermidine
-
- C—CHEMISTRY; METALLURGY
- C07—ORGANIC CHEMISTRY
- C07C—ACYCLIC OR CARBOCYCLIC COMPOUNDS
- C07C237/00—Carboxylic acid amides, the carbon skeleton of the acid part being further substituted by amino groups
- C07C237/02—Carboxylic acid amides, the carbon skeleton of the acid part being further substituted by amino groups having the carbon atoms of the carboxamide groups bound to acyclic carbon atoms of the carbon skeleton
- C07C237/04—Carboxylic acid amides, the carbon skeleton of the acid part being further substituted by amino groups having the carbon atoms of the carboxamide groups bound to acyclic carbon atoms of the carbon skeleton the carbon skeleton being acyclic and saturated
- C07C237/06—Carboxylic acid amides, the carbon skeleton of the acid part being further substituted by amino groups having the carbon atoms of the carboxamide groups bound to acyclic carbon atoms of the carbon skeleton the carbon skeleton being acyclic and saturated having the nitrogen atoms of the carboxamide groups bound to hydrogen atoms or to acyclic carbon atoms
-
- C—CHEMISTRY; METALLURGY
- C07—ORGANIC CHEMISTRY
- C07C—ACYCLIC OR CARBOCYCLIC COMPOUNDS
- C07C237/00—Carboxylic acid amides, the carbon skeleton of the acid part being further substituted by amino groups
- C07C237/02—Carboxylic acid amides, the carbon skeleton of the acid part being further substituted by amino groups having the carbon atoms of the carboxamide groups bound to acyclic carbon atoms of the carbon skeleton
- C07C237/22—Carboxylic acid amides, the carbon skeleton of the acid part being further substituted by amino groups having the carbon atoms of the carboxamide groups bound to acyclic carbon atoms of the carbon skeleton having nitrogen atoms of amino groups bound to the carbon skeleton of the acid part, further acylated
-
- C—CHEMISTRY; METALLURGY
- C07—ORGANIC CHEMISTRY
- C07C—ACYCLIC OR CARBOCYCLIC COMPOUNDS
- C07C279/00—Derivatives of guanidine, i.e. compounds containing the group, the singly-bound nitrogen atoms not being part of nitro or nitroso groups
- C07C279/04—Derivatives of guanidine, i.e. compounds containing the group, the singly-bound nitrogen atoms not being part of nitro or nitroso groups having nitrogen atoms of guanidine groups bound to acyclic carbon atoms of a carbon skeleton
-
- C—CHEMISTRY; METALLURGY
- C07—ORGANIC CHEMISTRY
- C07C—ACYCLIC OR CARBOCYCLIC COMPOUNDS
- C07C279/00—Derivatives of guanidine, i.e. compounds containing the group, the singly-bound nitrogen atoms not being part of nitro or nitroso groups
- C07C279/04—Derivatives of guanidine, i.e. compounds containing the group, the singly-bound nitrogen atoms not being part of nitro or nitroso groups having nitrogen atoms of guanidine groups bound to acyclic carbon atoms of a carbon skeleton
- C07C279/12—Derivatives of guanidine, i.e. compounds containing the group, the singly-bound nitrogen atoms not being part of nitro or nitroso groups having nitrogen atoms of guanidine groups bound to acyclic carbon atoms of a carbon skeleton being further substituted by nitrogen atoms not being part of nitro or nitroso groups
-
- C—CHEMISTRY; METALLURGY
- C07—ORGANIC CHEMISTRY
- C07C—ACYCLIC OR CARBOCYCLIC COMPOUNDS
- C07C279/00—Derivatives of guanidine, i.e. compounds containing the group, the singly-bound nitrogen atoms not being part of nitro or nitroso groups
- C07C279/04—Derivatives of guanidine, i.e. compounds containing the group, the singly-bound nitrogen atoms not being part of nitro or nitroso groups having nitrogen atoms of guanidine groups bound to acyclic carbon atoms of a carbon skeleton
- C07C279/14—Derivatives of guanidine, i.e. compounds containing the group, the singly-bound nitrogen atoms not being part of nitro or nitroso groups having nitrogen atoms of guanidine groups bound to acyclic carbon atoms of a carbon skeleton being further substituted by carboxyl groups
-
- C—CHEMISTRY; METALLURGY
- C07—ORGANIC CHEMISTRY
- C07H—SUGARS; DERIVATIVES THEREOF; NUCLEOSIDES; NUCLEOTIDES; NUCLEIC ACIDS
- C07H19/00—Compounds containing a hetero ring sharing one ring hetero atom with a saccharide radical; Nucleosides; Mononucleotides; Anhydro-derivatives thereof
- C07H19/02—Compounds containing a hetero ring sharing one ring hetero atom with a saccharide radical; Nucleosides; Mononucleotides; Anhydro-derivatives thereof sharing nitrogen
- C07H19/04—Heterocyclic radicals containing only nitrogen atoms as ring hetero atom
- C07H19/06—Pyrimidine radicals
-
- C—CHEMISTRY; METALLURGY
- C07—ORGANIC CHEMISTRY
- C07J—STEROIDS
- C07J1/00—Normal steroids containing carbon, hydrogen, halogen or oxygen, not substituted in position 17 beta by a carbon atom, e.g. estrane, androstane
-
- C—CHEMISTRY; METALLURGY
- C07—ORGANIC CHEMISTRY
- C07J—STEROIDS
- C07J41/00—Normal steroids containing one or more nitrogen atoms not belonging to a hetero ring
- C07J41/0005—Normal steroids containing one or more nitrogen atoms not belonging to a hetero ring the nitrogen atom being directly linked to the cyclopenta(a)hydro phenanthrene skeleton
-
- C—CHEMISTRY; METALLURGY
- C07—ORGANIC CHEMISTRY
- C07J—STEROIDS
- C07J43/00—Normal steroids having a nitrogen-containing hetero ring spiro-condensed or not condensed with the cyclopenta(a)hydrophenanthrene skeleton
- C07J43/003—Normal steroids having a nitrogen-containing hetero ring spiro-condensed or not condensed with the cyclopenta(a)hydrophenanthrene skeleton not condensed
-
- C—CHEMISTRY; METALLURGY
- C07—ORGANIC CHEMISTRY
- C07J—STEROIDS
- C07J51/00—Normal steroids with unmodified cyclopenta(a)hydrophenanthrene skeleton not provided for in groups C07J1/00 - C07J43/00
-
- C—CHEMISTRY; METALLURGY
- C12—BIOCHEMISTRY; BEER; SPIRITS; WINE; VINEGAR; MICROBIOLOGY; ENZYMOLOGY; MUTATION OR GENETIC ENGINEERING
- C12N—MICROORGANISMS OR ENZYMES; COMPOSITIONS THEREOF; PROPAGATING, PRESERVING, OR MAINTAINING MICROORGANISMS; MUTATION OR GENETIC ENGINEERING; CULTURE MEDIA
- C12N15/00—Mutation or genetic engineering; DNA or RNA concerning genetic engineering, vectors, e.g. plasmids, or their isolation, preparation or purification; Use of hosts therefor
- C12N15/09—Recombinant DNA-technology
- C12N15/87—Introduction of foreign genetic material using processes not otherwise provided for, e.g. co-transformation
- C12N15/88—Introduction of foreign genetic material using processes not otherwise provided for, e.g. co-transformation using microencapsulation, e.g. using amphiphile liposome vesicle
Definitions
- Liposomes are attractive drug carriers since they protect biological molecules from degradation while improving their cellular uptake.
- Lipid aggregates can be formed with macromolecules using cationic lipids alone or including other lipids and amphiphiles such as phosphatidylethanolamine. It is well known in the art that both the composition of the lipid formulation as well as its method of preparation have effect on the structure and size of the resultant anionic macromolecule-cationic lipid aggregate. These factors can be modulated to optimize delivery of polyanions to specific cell types in vitro and in vivo. The use of cationic lipids for cellular delivery of biopolymers have several advantages.
- the encapsulation of anionic compounds using cationic lipids is essentially quantitative due to electrostatic interaction.
- the cationic lipids interact with the negatively charged cell membranes initiating cellular membrane transport (Akhtar et al., 1992, Trends Cell Bio., 2, 139; Xu et al., 1996, Biochemistry 35, 5616).
- transmembrane movement of negatively charged molecules such as nucleic acids may therefore be markedly improved by coadministration with cationic lipids or other permeability enhancers (Bennett et al., 1992 Mol. Pharmacol., 41, 1023-33; Capaccioli et al., 1993, BBRC, 197,818-25; Ramila et al., 1993 J. Biol. Chem., 268,16087-16090; Stewar et al., 1992, Human Gene Therapy, 3, 267-275).
- Eppstein et al. U.S. Pat. No. 5,208,036, disclose a liposome, LIPOFECTINTM, that contains an amphipathic molecule having a positively charged choline head group (water soluble) attached to a diacyl glycerol group (water insoluble).
- Promega markets another cationic lipid, TRANSFECTAMTM, which can help introduce nucleic acid into a cell.
- Clark et al. International PCT Publication No. WO 91/18012, describe cell internalizable covalently bonded conjugates having an “intracellularly cleavable linkage” such as a “disulfide cleavable linkage” or an enzyme labile ester linkage.
- This invention features lipid-based compositions, such as cationic lipid-based compositions, that facilitate delivery of molecules into a biological system, for example into cells such as mammalian cells.
- the present invention discloses the design, synthesis, and cellular testing of novel agents for the delivery of various molecules, for example nucleic acids, polynucleotides, oligonucleotides, and/or negatively charged molecules, in vitro and in vivo. Also disclosed are screening procedures for identifying the optimal delivery vehicles for any given nucleic acid and cell type.
- the transporters or cytofectins described here are designed to be used either individually or as part of a multi-component system.
- lipid compounds of the invention examples are shown in Tables II, VI, VII, VIII, and IX.
- the lipid compounds of the invention generally shown in FIG. 1 and Table X, are expected to improve delivery of nucleic acids, polynucleotides, oligonucleotides, and/or negatively charged molecules, into a number of cell types originating from different tissues, in the presence or absence of serum.
- the invention features a cationic lipid having the formula I:
- n 1, 2 or 3 carbon atoms
- n 1 is 2, 3, 4 or 5 carbon atoms
- R and R 1 independently represent C12-C22 alkyl chain which are saturated or unsaturated, wherein the unsaturation is represented by 1-4 double bonds
- R 2 and R 3 are independently H, acyl, alkyl, carboxamidine, aryl, acyl, substituted carboxamidine, polyethylene glycol (PEG) or a combination thereof.
- the invention features a cationic lipid having the formula
- n is 1, 2 or 3 carbon atoms; n 1 is 2, 3, 4 or 5 carbon atoms; R and R 1 independently represent C12-C22 alkyl chain which are saturated or unsaturated, wherein the unsaturation is represented by 1-4 double bonds; and Alk represents methyl, hydroxyalkyl (e.g., hydroxymethyl and hydroxyalkyl) or a combination thereof.
- the invention features a cationic lipid having the formula
- R and R 1 independently represent C12-C22 alkyl chain which are saturated or unsaturated, wherein the unsaturation is represented by 1-4 double bonds; and R 2 is H, PEG, acyl or alkyl.
- the invention features a cationic lipid having the formula
- n is 1-6 carbon atoms
- R and R 1 independently represent C12-C22 alkyl chain which are saturated or unsaturated, wherein the unsaturation is represented by 1-4 double bonds
- R 2 is H, carboxamidine, alkyl, acyl, aryl, PEG, substituted carboxamidine
- R 3 is H, or PO 3 H 2 and R 4 is OH, NH 2 or ⁇ O.
- the invention features a cationic lipid having the formula V:
- n is 1-6 carbon atoms
- X and X 1 independently represent C12-C22 alkyl chain which are saturated or unsaturated, wherein the unsaturation is represented by 1-4 double bonds
- B is a nucleic acid base or H
- R 5 is H, PEG, or carboxamidine.
- the invention features a cationic lipid having the formula
- n 1, 2 or 3 carbon atoms
- R and R 1 independently represent C12-C22 alkyl chain which are saturated or unsaturated, wherein the unsaturation is represented by 1-4 double bonds
- R 2 and R 3 is independently H, polyethylene glycol (PEG) or
- N, O, and H are Nitrogen, Oxygen, and Hydrogen, according to the abbreviations well-known in the art.
- the invention features a cationic lipid having the formula VII:
- R 6 is selected from the group consisting of arginyl methyl ester, arginyl amide, homoarginyl methyl ester, homoarginyl amide, ornithine methyl ester, ornithine amide, lysyl methyl ester, lysyl amide, triethylenetetramine (TREN), N,N′-di-carboxamidine TREN, N-benzyl histidyl methyl ester, pyridoxyl and aminopropylimidazole.
- L 1 is a linker represented by R 7 PO2, wherein R 7 is H, CH 3 , or CH 2 CH 3 . Examples of this group of compounds are: PH55933, PH55938, PH55939, PH55941, PH55942, PH55943 and PH55945.
- the invention features a cationic lipid having the formula VIII:
- R 8 is selected from the group consisting of arginyl, N-Boc arginyl, homoarginyl, N-Boc homoarginyl, ornithine, N-Boc ornithine, N-benzyl histidyl, lysyl, N-Boc lysyl, N-methyl arginyl, N-methyl guanidine, guanidine and pyridoxyl.
- L 2 is a linker represented by NH, glycine, N-butyldiamine or guanidine. Examples of this compound is Boc arginine cholesteryl amide (DS46596), N-guanyl-cholesterylamide (DS57511).
- the invention features a cationic lipid having the formula IX:
- R is independently a C12-C22 alkyl chain which are saturated or unsaturated, wherein the unsaturation is represented by 1-4 double bonds and R 1 is represented by TREN, N,N′-di-carboxamidine TREN, lysyl, arginyl, omithyl, homoarginyl, histidyl, aminopropylimidazole, spermine carboxylic acid.
- the invention features process for the synthesis of the compounds of formula I-IX and/or Lipid ID Nos: 700, 701, 705, 709, 719, 732, 736, 737, 738, 739, 742, 743, 744, 751, 752, or 753.
- the lipids of the invention are used either alone or in combination with other compounds with a neutral or a negative charge including but not limited to neutral lipid and/or targeting components, to improve the effectiveness of the lipid formulation in delivering and targeting molecules such as nucleic acids, polynucleotides, oligonucleotides, or negatively charged polymers to cells.
- these delivery vehicles can be used to increase the transport of other impermeable and/or lipophilic compounds into cells.
- the invention features a compound comprising formula I-IX and/or Lipid ID Nos: 700, 701, 705, 709, 719, 732, 736, 737, 738, 739, 742, 743, 744, 751, 752, or 753.
- the invention features a lipid formulation comprising Formulation ID Nos: 282-533.
- the lipid formulation further comprises a targeting component.
- Targeting components of the invention include ligands for cell surface receptors including, peptides and proteins, glycolipids, lipids, carbohydrates, and their synthetic variants.
- the lipid molecules of the invention are provided as a lipid aggregate, such as a liposome, and co-encapsulated with the compound or polymer to be delivered.
- Liposomes which can be unilamellar or multilamellar, can introduce encapsulated material into a cell by different mechanisms. See, Ostro, Scientific American 102, January 1987.
- the liposome can directly introduce its encapsulated material into the cell cytoplasm by fusing with the cell membrane.
- the liposome can be compartmentalized into an acidic vacuole (i.e., an endosome) having a pH below 7.0. This low pH allows ion-pairing of the encapsulated enhancers and the negatively charged polymer, which facilitates diffusion of the enhancer:polymer complex out of the liposome, the acidic vacuole, and into the cellular cytoplasm.
- this lipid aggregate comprises a lipid described in any of the Formulae I-IX and/or Lipid ID Nos: 700, 701, 705, 709, 719, 722, 723, 725, 726, 727, 732, 736, 737, 738, 739, 742, 743, 744, 745, 746, 747, 749, 750, 751, 752, and/or 753,.
- polyethylene glycol is covalently attached to the lipids of the present invention.
- the attached PEG can be any molecular weight but is preferrably between 2000-5000 daltons.
- the invention features a lipid formulation, comprising a lipid molecule of the invention or any combination thereof, and a molecule or combination of molecules to be delivered, for example, a nucleic acid, polynucleotide, oligonucleotide, peptide, polypeptide, protein, carbohydrate, steroid, polymer, metal or small molecule.
- a nucleic acid for example, a nucleic acid, polynucleotide, oligonucleotide, peptide, polypeptide, protein, carbohydrate, steroid, polymer, metal or small molecule.
- a molecule that is complexed with a lipid molecule of the invention includes an enzymatic nucleic acid, for example a hammerhead, Inozyme, G-gleaver, DNAzyme, Amberzyme, Zinzyme and/or allozyme.
- an enzymatic nucleic acid for example a hammerhead, Inozyme, G-gleaver, DNAzyme, Amberzyme, Zinzyme and/or allozyme.
- the invention features a method for the delivery of molecules contemplated by the invention, such as nucleic acids, polynucleotides, oligonucleotides, peptides, proteins and/or negatively charged polymers, into cells such as suspension cells and T cells using cytofectins of the present invention.
- molecules contemplated by the invention such as nucleic acids, polynucleotides, oligonucleotides, peptides, proteins and/or negatively charged polymers
- FIGS. 1 A-C depict the different classes of lipids of the instant invention.
- FIG. 2 depicts a scheme for the synthesis of diaminobutyric and guanidinium-based cationic lipids.
- FIG. 3 depicts a scheme for the synthesis of Boc Arginine cholesteryl amide (12; DS46596).
- FIG. 4 depicts a scheme for the synthesis of cholesterol-lysine-methyl ester-methylphosphonoamidate (PH55933; 15) and cholesterol-homoarginine-methyl ester methylphosphonoamidate (PH55938; 16).
- FIG. 5 depicts a scheme for the synthesis of cholesterol-lysine-amide-methylphosphonoamidate (PH55939; 17).
- FIG. 6 depicts a scheme for the synthesis of cholesterol-TREN-methylphosphonoamidate (PH55941; 18) and cholesterol-TREN-bis-guanidinium methylphosphonoamidate (PH55942; 19).
- FIG. 7 depicts a scheme for the synthesis of cholesterol-histidine-methylphosphonoamidate (PH55943; 20).
- FIG. 8 depicts a scheme for the synthesis of cholesterol-aminopropylimidazole-methylphosphonoamidate (PH55945; 21).
- FIG. 9 depicts a scheme for the synthesis of vitamin-B6 and beta-alanine-based cationic lipids.
- FIG. 10 depicts a scheme for the synthesis of 2′-aminouridine-based cationic lipids.
- FIGS. 11 depicts a scheme for the synthesis of vitamin-B6-cholesterol conjugate.
- FIGS. 12 A-G shows the secondary structure model for seven different classes of enzymatic nucleic acid molecules. Arrow indicates the site of cleavage. - - - indicate the target sequence. Lines interspersed with dots are meant to indicate tertiary interactions. - is meant to indicate base-paired interaction.
- FIG. 12A shows a Group I Intron motif: P1-P9.0 represent various stem-loop structures (Cech et al., 1994, Nature Struc. Bio., 1, 273).
- FIG. 12B shows an RNase P (MIRNA) motif: EGS represents external guide sequence (Forster et al, 1990, Science, 249, 783; Pace et al., 1990, J. Biol. Chem., 265, 3587).
- FIG. 12C shows a Group II Intron motif: 5′SS means 5′ splice site; 3′SS means 3′-splice site; IBS means intron binding site; EBS means exon binding site (Pyle et al., 1994, Biochemistry, 33, 2716).
- FIG. 12D shows a VS RNA motif: I-VI are meant to indicate six stem-loop structures; shaded regions are meant to indicate tertiary interaction (Collins, International PCT Publication No. WO 96/19577).
- FIG. 12E shows a HDV Ribozyme motif: : I-IV are meant to indicate four stem-loop structures (Been et al., U.S. Pat. No. 5,625,047).
- FIG. 12D shows a VS RNA motif: I-VI are meant to indicate six stem-loop structures; shaded regions are meant to indicate tertiary interaction (Collins, International PCT Publication No. WO 96/19577).
- FIG. 12F shows a Hammerhead Ribozyme motif:: I-III are meant to indicate three stem-loop structures; stems I-III can be of any length and may be symmetrical or asymmetrical (Usman et al., 1996, Curr. Op. Struct. Bio., 1, 527).
- FIG. 12F shows a Hammerhead Ribozyme motif:: I-III are meant to indicate three stem-loop structures; stems I-III can be of any length and may be symmetrical or asymmetrical (Usman et al., 1996, Curr. Op. Struct. Bio., 1, 527).
- H1-H4 are meant to indicate helices 1-4; Helix 1 and 4 can be of any length; Helix 2 is between 3 and 8 base-pairs long; Y is a pyrimidine; B is guanosine, cytidine or uridine; V is adenosine, guanosine, or cytidine (Burke et al., 1996, Nucleic Acids & Mol. Biol., 10, 129; Chowrira et al., U.S. Pat. No. 5,631,359).
- FIG. 13 depicts the structure of fluorescein-conjugated ribozyme and its substrate mRNA sequence.
- the fluorescein moiety (Fluor) attached through an amino linker, does not reduce the enzymatic activity of the ribozyme.
- FIG. 14 depicts the chemical synthesis of N 2 ,N 3 -di-oleyl-(N,N′-diguanidinoethyl-aminoethane)-2,3-diaminopropionic acid.
- FIG. 15 depicts the results of a blood clearance study using the EPC:CHOL:DOTAP:DSPE 2000 liposome.
- FIG. 16 depicts the results of a cellular inhibition study of IMPDH-2 mRNA expression in Jurkat cells treated for 24 hours with IMPDH antisense and lipid NC 266.
- FIG. 17 depicts the results of a cellular inhibition study of IMPDH-2 mRNA expression in Jurkat cells treated for 24 hours with IMPDH antisense and lipid NC 267.
- FIG. 18 depicts the results of a cellular inhibition study of IMPDH-2 mRNA expression in Jurkat cells treated for 24 hours with IMPDH antisense and lipid NC 388.
- Cationic lipids are bifunctional reagents (cationic head group conjugated to a lipid tail) that include a positively charged group that can ion-pair with an anionic group present in a negatively charged polymer, such as a phosphate group present in a nucleic acid phosphodiester linkage or a phosphorothioate group present in nucleic acid having a modified phosphodiester linkage.
- a negatively charged polymer such as a phosphate group present in a nucleic acid phosphodiester linkage or a phosphorothioate group present in nucleic acid having a modified phosphodiester linkage.
- the cationic group ion-pairs with a negatively charged polymer to form a lipid:polymer complex, such as a complex with a polynucleotide or a polypeptide (e.g. RNA, DNA, and protein).
- the cationic group ion-pairs with RNA having enzymatic activity such as a ribozyme. Formation of the ion-pair increases the intrinsic hydrophobicity of the negatively charged polymer and facilitates diffusion of the polymer across a cell membrane into the cell.
- the lipid:polymer complex can contain more than one lipid molecule. In one embodiment, a lipid:polymer complex contains lipid in an amount to ion-pair with at least 50% of the anionic groups of a negatively charged polymer. In another embodiment, a lipid:polymer complex contains lipid in an amount to ion-pair with at least 90% of the anionic groups of a negatively charged polymer.
- the lipid of an lipid:polymer complex can be the same or different.
- the complex can contain lipids differing in the cationic groups.
- the amount of cationic lipid and negatively charged polymer which are combined to achieve the desired amount of ionic pairing depends on the environment in which the lipid and the polymer is mixed, the type of lipid, and the type of polymer.
- the degree of ionic pairing can be measured by techniques known in the art (see, for example, U.S. Pat. No. 5,583,020, the contents of which are incorporated by reference herein).
- the lipid molecule of the invention is provided in an amount of at least two to ten times per negative charge on the polymer molecule.
- Cationic lipids represent a subset of compounds in the broader class of multi-domain cellular transport vehicles (MCTVs).
- the MCTV family of the invention includes single compounds as well as multi-component delivery systems that incorporate structural domains designed to improve membrane permeability, cellular targeting, while reducing the nonspecific interactions and toxicity of the incoming compound.
- examples of MCTVs include transporters such as facial amphiphiles and other amphipathic compounds, carriers with targeting elements such as glycated moieties, peptides and vitamins, and liposomes with fusogenic elements, pegylated lipids, and/or pH-sensitive components.
- nucleic acid molecule refers to a molecule comprising nucleotides.
- the nucleic acid can be single, double, or multiple stranded and can comprise modified or unmodified nucleotides or non-nucleotides or various mixtures and combinations thereof.
- Nucleic acid molecu for example, oligonucleotides, enzymatic nucleic acid molecules, ribozymes, DNAzymes, antisense oligonucleotides, 2-5 antisence chimera, triplex forming oligonucleotides, aptamers and other molecules described herein, templates, primers, nucleic acid sensor molecules, reporter and or signal molecules.
- negatively charged molecules includes molecules such as naturally occurring and chemically modified nucleic acid molecules (e.g., RNA, DNA, oligonucleotides, mixed polymers, peptide nucleic acid, and the like), peptides (e.g., polyaminoacids, polypeptides, proteins and the like), nucleotides, pharmaceutical and biological compositions, that have negatively charged groups that can ion-pair with the positively charged head group of the lipids of the invention.
- nucleic acid molecules e.g., RNA, DNA, oligonucleotides, mixed polymers, peptide nucleic acid, and the like
- peptides e.g., polyaminoacids, polypeptides, proteins and the like
- nucleotides e.g., pharmaceutical and biological compositions, that have negatively charged groups that can ion-pair with the positively charged head group of the lipids of the invention.
- compositions which are neutral or uncharged at neutral or physiological pH include cholesterol (i.e., a steroidal alcohol, as defined in Lehninger, Biochemistry, 1982 ed., Worth Pub., p.
- cholesteryl hemisuccinate CHEMS
- dioleoyl phosphatidyl choline distearoylphosphotidyl choline
- DSPC distearoylphosphotidyl choline
- fatty acids such as oleic acid, phosphatidic acid and its derivatives, phosphatidyl serine, polyethylene glycol-conjugated phosphatidylamine, phosphatidylcholine, phosphatidylethanolamine and related variants, prenylated compounds including famesol, polyprenols, tocopherol, and their modified forms, diacylsuccinyl glycerols, fusogenic or pore forming peptides, dioleoylphosphotidylethanolamine (DOPE), ceramide and the like.
- DOPE dioleoylphosphotidylethanolamine
- head group refers to an amino-containing moiety that is positively charged and is capable of forming ion pairs with negatively charged regions of biopolymers such as nucleic acid molecules.
- lipophilic group refers to a hydrophobic lipid-containing group that facilitates transmembrane transport of the cationic lipid.
- linker refers to a 1-6 atom carbon chain that links the head group with the lipophylic group.
- ion pair refers to a non-covalent interaction between oppositely charged groups.
- alkyl refers to a saturated aliphatic hydrocarbon, including straight-chain, branched-chain, and cyclic alkyl groups.
- the alkyl group has 1 to 12 carbons.
- the alkyl is a lower alkyl of from 1 to 7 carbons, for example 1 to 4 carbons.
- the alkyl group can be substituted or unsubstituted. When substituted the substituted group(s) can be for example a, hydroxy, cyano, alkoxy, NO 2 or N(CH 3 ) 2 , amino, or SH group.
- alkoxy refers to an OR group, wherein R is an alkyl.
- aryl refers to an aromatic group which has at least one ring having a conjugated ⁇ electron system and includes carbocyclic aryl, heterocyclic aryl and biaryl groups, all of which can be optionally substituted.
- substituent(s) that can exist on aryl groups are halogen, trihalomethyl, hydroxyl, SH, cyano, alkoxy, alkyl, alkenyl, alkynyl, and/or amino groups.
- alkenyl refers to unsaturated hydrocarbon groups containing at least one carbon-carbon double bond, including straight-chain, branched-chain, and cyclic groups.
- the alkenyl group has 1 to 12 carbons.
- the alkenyl group is a lower alkenyl of from 1 to 7 carbons, for example 1 to 4 carbons.
- the alkenyl group can be substituted or unsubstituted. When substituted the substituted group(s) can include, hydroxyl, cyano, alkoxy, NO 2 , halogen, N(CH 3 ) 2 , amino, and/or SH groups.
- alkynyl refers to an unsaturated hydrocarbon group containing at least one carbon-carbon triple bond, including straight-chain, branched-chain, and cyclic groups.
- the alkynyl group has 1 to 12 carbons.
- the alkynyl group is a lower alkynyl of from 1 to 7 carbons, for example 1 to 4 carbons.
- the alkynyl group can be substituted or unsubstituted. When substituted the substituted group(s) can include, hydroxyl, cyano, alkoxy, ⁇ O, ⁇ S, NO 2 or N(CH 3 ) 2 , amino and/or SH groups.
- alkylaryl refers to an alkyl group (as described above) covalently joined to an aryl group (as described above).
- carrier aryl refers to groups wherein the ring atoms on the aromatic ring are all carbon atoms. The carbon atoms are optionally substituted.
- heterocyclic aryl refers to groups having from 1 to 3 heteroatoms as ring atoms in the aromatic ring and the remainder of the ring atoms are carbon atoms. Suitable heteroatoms include oxygen, sulfur, and nitrogen, and include furanyl, thienyl, pyridyl, pyrrolyl, pyrrolo, pyrimidyl, pyrazinyl, imidazolyl and the like, all optionally substituted.
- acyl refers to —C(O)R groups, wherein R is an alkyl or aryl.
- lipid aggregate refers to a lipid-containing composition (i.e., a composition comprising a lipid according to the invention) wherein the lipid is in the form of a liposome, micelle (non-lamellar phase) or other aggregates with one or more lipids.
- lipid formation refers to a formulation comprising at least one lipid molecule, such as those described herein, and at least one molecule to be delivered, for example, a nucleic acid, polynucleotide, oligonucleotide, peptide, polypeptide, protein, carbohydrate, steroid, polymer, metal, or small molecule.
- tissue cells refers to cells that do not require the attachment to a solid substrate (e.g. plastic surface) (anchorage dependence), in order to survive or proliferate.
- a solid substrate e.g. plastic surface
- anchorage dependence e.g., anchorage dependence
- T cell refers to cells responsible for cell mediated immunity which originate in the thymus gland (e.g. jurkat cells).
- oligonucleotide or “polynucleotide” as used herein refers to a nucleic acid molecule comprising a stretch of three or more nucleotides.
- the term “enzymatic nucleic acid molecule” as used herein refers to a nucleic acid molecule which has complementarity in a substrate binding region to a specified gene target, and also has an enzymatic activity which is active to specifically cleave target RNA. That is, the enzymatic nucleic acid molecule is able to intermolecularly cleave RNA and thereby inactivate a target RNA molecule. These complementary regions allow sufficient hybridization of the enzymatic nucleic acid molecule to the target RNA and thus permit cleavage.
- nucleic acids can be modified at the base, sugar, and/or phosphate groups.
- enzymatic nucleic acid is used interchangeably with phrases such as ribozymes, catalytic RNA, enzymatic RNA, catalytic DNA, aptazyme or aptamer-binding ribozyme, regulatable ribozyme, catalytic oligonucleotides, nucleozyme, DNAzyme, RNA enzyme, endoribonuclease, endonuclease, minizyme, leadzyme, oligozyme or DNA enzyme. All of these terminologies describe nucleic acid molecules with enzymatic activity.
- enzymatic nucleic acid molecules described in the instant application are not limiting in the invention and those skilled in the art will recognize that all that is important in an enzymatic nucleic acid molecule of this invention is that it has a specific substrate binding site which is complementary to one or more of the target nucleic acid regions, and that it have nucleotide sequences within or surrounding that substrate binding site which impart a nucleic acid cleaving and/or ligation activity to the molecule (Cech et al., U.S. Pat. No. 4,987,071; Cech et al., 1988, 260 JAMA 3030).
- enzymatic nucleic acids which can catalyze, for example, the hydrolysis of RNA phosphodiester bonds in trans (and thus can cleave other RNA molecules) under physiological conditions.
- enzymatic nucleic acids with RNA endonuclease activity act by first binding to a target RNA. Such binding occurs through the target binding portion of a enzymatic nucleic acid which is held in close proximity to an enzymatic portion of the molecule that acts to cleave the target RNA.
- the enzymatic nucleic acid for example, first recognizes and then binds a target RNA through complementary base-pairing, and once bound to the correct site, acts enzymatically to cut the target RNA. Strategic cleavage of such a target RNA will destroy its ability to direct synthesis of an encoded protein. After an enzymatic nucleic acid has bound and cleaved its RNA target, it is released from that RNA to search for another target and can repeatedly bind and cleave new targets. Thus, a single ribozyme molecule is able to cleave many molecules of target RNA.
- the enzymatic nucleic acid is a highly specific inhibitor of gene expression, with the specificity of inhibition depending not only on the base-pairing mechanism of binding to the target RNA, but also on the mechanism of target RNA cleavage. Single mismatches, or base-substitutions, near the site of cleavage can completely eliminate catalytic activity of an enzymatic nucleic acid molecule.
- sufficient length refers to an oligonucleotide of greater than or equal to 3 nucleotides that is of a length great enough to provide the intended function under the expected condition.
- “sufficient length” means that the binding arm sequence is long enough to provide stable binding to a target site under the expected binding conditions. Preferably, the binding arms are not so long as to prevent useful turnover of the nucleic acid molecule.
- stably interact refers to interaction of the oligonucleotides of the invention with a target nucleic acid (e.g., by forming hydrogen bonds with complementary nucleotides in the target under physiological conditions) that is sufficient for an intended purpose (e.g., cleavage of target RNA by an enzyme).
- antisense nucleic acid refers to a non-enzymatic nucleic acid molecule that binds to target nucleic acid by means of RNA-RNA or RNA-DNA or RNA-PNA (protein nucleic acid; Egholm et al., 1993 Nature 365, 566) interactions and alters the activity of the target nucleic acid (for a review, see Stein and Cheng, 1993 Science 261, 1004 and Woolf et al., U.S. Pat. No. 5,849,902).
- antisense molecules are complementary to a target sequence along a single contiguous sequence of the antisense molecule.
- an antisense molecule can bind to substrate such that the substrate molecule forms a loop, and/or an antisense molecule can bind such that the antisense molecule forms a loop.
- the antisense molecule can be complementary to two (or even more) non-contiguous substrate sequences or two (or even more) non-contiguous sequence portions of an antisense molecule can be complementary to a target sequence or both.
- antisense DNA can be used to target nucleic acid by means of DNA-RNA interactions, thereby activating RNase H, which digests the target nucleic acid in the duplex.
- the antisense oligonucleotides can comprise one or more RNAse H activating region, which is capable of activating RNAse H cleavage of a target nucleic acid.
- Antisense DNA can be synthesized chemically or expressed via the use of a single stranded DNA expression vector or equivalent thereof.
- RNase H activating region refers to a region (generally greater than or equal to 4-25 nucleotides in length, preferably from 5-11 nucleotides in length) of a nucleic acid molecule capable of binding to a target nucleic acid to form a non-covalent complex that is recognized by cellular RNase H enzyme (see for example Arrow et al., U.S. Pat. No. 5,849,902; Arrow et al., U.S. Pat. No. 5,989,912).
- the RNase H enzyme binds to the nucleic acid molecule-target nucleic acid complex and cleaves the target nucleic acid sequence.
- the RNase H activating region comprises, for example, phosphodiester, phosphorothioate (preferably at least four of the nucleotides are phosphorothiote substitutions; more specifically, 4-11 of the nucleotides are phosphorothiote substitutions); phosphorodithioate, 5′-thiophosphate, or methylphosphonate backbone chemistry or a combination thereof.
- the RNase H activating region can also comprise a variety of sugar chemistries.
- the RNase H activating region can comprise deoxyribose, arabino, fluoroarabino or a combination thereof, nucleotide sugar chemistry.
- 2-5A antisense chimera refers to an antisense oligonucleotide containing a 5′-phosphorylated 2′-5′-linked adenylate residue. These chimeras bind to target nucleic acid in a sequence-specific manner and activate a cellular 2-5A-dependent ribonuclease which, in turn, cleaves the target nucleic acid (Torrence et al., 1993 Proc. Natl. Acad. Sci. USA 90, 1300; Silverman et al., 2000 , Methods Enzymol., 313, 522-533; Player and Torrence, 1998 , Pharmacol. Ther., 78, 55-113).
- triplex forming oligonucleotides refers to an oligonucleotide that can bind to a double-stranded polynucleotide, such as DNA, in a sequence-specific manner to form a triple-strand helix. Formation of such triple helix structure has been shown to inhibit transcription of the targeted gene (Duval-Valentin et al., 1992 Proc. Natl. Acad. Sci. USA 89, 504; Fox, 2000 , Curr. Med. Chem., 7, 17-37; Praseuth et. al., 2000 , Biochim. Biophys. Acta, 1489, 181-206).
- nucleic acid decoy molecule refers to a nucleic acid molecule that mimics the natural binding domain for a ligand. The decoy therefore competes with the natural binding target for the binding of a specific ligand.
- TAR HIV trans-activation response
- RNA can act as a “decoy” and efficiently binds HIV tat protein, thereby preventing it from binding to TAR sequences encoded in the HIV RNA (Sullenger et al., 1990 , Cell, 63, 601-608).
- aptamer or “nucleic acid aptamer” as used herein refers to a nucleic acid molecule that binds specifically to a target molecule wherein the nucleic acid molecule has sequence that is distinct from sequence recognized by the target molecule in its natural setting.
- an aptamer can be a nucleic acid molecule that binds to a target molecule where the target molecule does not naturally bind to a nucleic acid.
- the target molecule can be any molecule of interest.
- the aptamer can be used to bind to a ligand binding domain of a protein, thereby preventing interaction of the naturally occurring ligand with the protein, see for example Gold et al., U.S.
- double stranded RNA or “dsRNA” as used herein refers to a double stranded RNA molecule capable of RNA interference “RNAi”, including short interfering RNA “siRNA” see for example Bass, 2001 , Nature, 411, 428-429; Elbashir et al., 2001 , Nature, 411, 494-498; and Kreutzer et al., International PCT Publication No. WO 00/44895; Zernicka-Goetz et al, International PCT Publication No. WO 01/36646; Fire, International PCT Publication No. WO 99/32619; Plaetinck et al., International PCT Publication No.
- nucleotide refers to a heterocyclic nitrogenous base in N-glycosidic linkage with a phosphorylated sugar. Nucleotides are recognized in the art to include natural bases (standard), and modified bases well known in the art. Such bases are generally located at the 1′ position of a nucleotide sugar moiety. Nucleotides generally comprise a base, sugar and a phosphate group.
- the nucleotides can be unmodified or modified at the sugar, phosphate and/or base moiety, (also referred to interchangeably as nucleotide analogs, modified nucleotides, non-natural nucleotides, non-standard nucleotides and other; see for example, Usman and McSwiggen, supra; Eckstein et al., International PCT Publication No. WO 92/07065; Usman et al., International PCT Publication No. WO 93/15187; Uhlman & Peyman, supra all are hereby incorporated by reference herein).
- modified nucleic acid bases known in the art as summarized by Limbach et al., 1994 , Nucleic Acids Res.
- nucleic acids Some of the non-limiting examples of chemically modified and other natural nucleic acid bases that can be introduced into nucleic acids include, inosine, purine, pyridin-4-one, pyridin-2-one, phenyl, pseudouracil, 2,4,6-trimethoxy benzene, 3-methyl uracil, dihydrouridine, naphthyl, aminophenyl, 5-alkylcytidines (e.g., 5-methylcytidine), 5-alkyluridines (e.g., ribothymidine), 5-halouridine (e.g., 5-bromouridine) or 6-azapyrimidines or 6-alkylpyrimidines (e.g.
- modified bases in this aspect is meant nucleotide bases other than adenine, guanine, cytosine and uracil at 1′ position or their equivalents; such bases can be used at any position, for example, within the catalytic core or substrate binding regions of the enzymatic nucleic acid domain of an nucleic acid sensor molecule. Such modified bases can also be present at one or more positions within the sensor domain of the nucleic acid sensor molecule, for example to improve interaction with the target nucleic acid sequence.
- unmodified nucleotide refers to a nucleotide with one of the bases adenine, cytosine, guanine, thymine, uracil joined to the 1′ carbon of beta-D-ribo-furanose.
- modified nucleotide refers to a nucleotide that contains a modification in the chemical structure of an unmodified nucleotide base, sugar and/or phosphate.
- Inozyme or “NCH” motif or configuration is meant, an enzymatic nucleic acid molecule comprising a motif as is generally described as NCH Rz in Ludwig et al., International PCT Publication No. WO 98/58058 and U.S. patent application Ser. No. 08/878,640. Inozymes possess endonuclease activity to cleave RNA substrates having a cleavage triplet NCH/, where N is a nucleotide, C is cytidine and H is adenosine, uridine or cytidine, and / represents the cleavage site.
- Inozymes can also possess endonuclease activity to cleave RNA substrates having a cleavage triplet NCN/, where N is a nucleotide, C is cytidine, and / represents the cleavage site
- G-cleaver motif or configuration is meant, an enzymatic nucleic acid molecule comprising a motif as is generally described in Eckstein et al., U.S. Pat. No. 6,127,173 and in Kore et al., 1998 , Nucleic Acids Research 26, 4116-4120.
- G-cleavers possess endonuclease activity to cleave RNA substrates having a cleavage triplet NYN/, where N is a nucleotide, Y is uridine or cytidine and / represents the cleavage site. G-cleavers can be chemically modified.
- amberzyme motif or configuration is meant, an enzymatic nucleic acid molecule comprising a motif as is generally described in Beigelman et al., International PCT publication No. WO 99/55857 and U.S. patent application Ser. No. 09/476,387.
- Amberzymes possess endonuclease activity to cleave RNA substrates having a cleavage triplet NG/N, where N is a nucleotide, G is guanosine, and / represents the cleavage site. Amberzymes can be chemically modified to increase nuclease stability.
- nucleoside and/or non-nucleoside linkers can be used to substitute the 5′-gaa-3′ loops of the motif.
- Amberzymes represent a non-limiting example of an enzymatic nucleic acid molecule that does not require a ribonucleotide (2′-OH) group within its own nucleic acid sequence for activity.
- Zinzyme motif or configuration is meant, an enzymatic nucleic acid molecule comprising a motif as is generally described in Beigelman et al., International PCT publication No. WO 99/55857 and U.S. patent application Ser. No. 09/918,728.
- Zinzymes possess endonuclease activity to cleave RNA substrates having a cleavage triplet including but not limited to, YG/Y, where Y is uridine or cytidine, and G is guanosine and / represents the cleavage site.
- Zinzymes can be chemically modified to increase nuclease stability through various substitutions, including substituting 2′-O-methyl guanosine nucleotides for guanosine nucleotides.
- differing nucleotide and/or non-nucleotide linkers can be used to substitute the 5′-gaaa-2′ loop of the motif.
- Zinzymes represent a non-limiting example of an enzymatic nucleic acid molecule that does not require a ribonucleotide (2′-OH) group within its own nucleic acid sequence for activity.
- DNAzyme refers to an enzymatic nucleic acid molecule that does not require the presence of a 2′-OH group within it for its activity.
- the enzymatic nucleic acid molecule can have an attached linker(s) or other attached or associated groups, moieties, or chains containing one or more nucleotides with 2′-OH groups.
- DNAzymes can be synthesized chemically or expressed endogenously in vivo, by means of a single stranded DNA vector or equivalent thereof. Examples of DNAzymes are generally reviewed in Usman et al., International PCT Publication No.
- RNA refers to a molecule comprising at least one ribonucleotide residue.
- ribonucleotide or “2′-OH” is meant a nucleotide with a hydroxyl group at the 2′ position of a ⁇ -D-ribo-furanose moiety.
- system refers to a group of substances or components that can be collectively combined or identified.
- a system can comprise a biological system, for example, an organism, cell, or components, extracts, and samples thereof.
- a system can further comprise an experimental or artificial system, where various substances or components are intentionally combined together.
- the “biological system” as used herein can be a eukaryotic system or a prokaryotic system, for example, a bacterial cell, plant cell or a mammalian cell, or of plant origin, mammalian origin, yeast origin, Drosophila origin, or archebacterial origin.
- vitamin refers to a small molecule, such as riboflavin, nicotinamide, biotin, thiamine, lipoic acid, retinal, pyridoxal, folate, pantothenic acid, cyanocobalamin, aminopterin, and their respective analogs, which bind to a specific protein and participate directly in enzyme catalysis.
- the cationic lipid molecules of the instant invention can be used to administer negatively charged polymers which act as pharmaceutical agents.
- Pharmaceutical agents prevent, inhibit the occurrence, or treat (alleviate a symptom to some extent, preferably all of the symptoms) of a disease state in a patient.
- patient refers to an organism which is a donor or recipient of explanted cells or the cells themselves. “Patient” also refers to an organism to which the compounds of the invention can be administered. Preferably, a patient is a mammal, e.g., a human, primate or a rodent.
- compositions of the present invention may also be formulated and used as tablets, capsules or elixirs for oral administration; suppositories for rectal administration; sterile solutions; suspensions for injectable administration; and the like.
- the present invention also includes pharmaceutically acceptable formulations of the compounds described above, preferably in combination with the negatively charged polymer to be delivered.
- formulations include salts of the above compounds, e.g., acid addition salts, for example, salts of hydrochloric, hydrobromic, acetic acid, and benzene sulfonic acid.
- a pharmacological composition or formulation refers to a composition or formulation in a form suitable for administration, e.g., systemic administration, into a cell or patient, preferably a human. Suitable forms, in part, depend upon the use or the route of entry, for example oral, transdermal, or by injection. Such forms should not prevent the composition or formulation to reach a target cell (i.e., a cell to which the negatively charged polymer is desired to be delivered to). For example, pharmacological compositions injected into the blood stream should be soluble. Other factors are known in the art, and include considerations such as toxicity and forms which prevent the composition or formulation from exerting its effect.
- systemic administration refers to in vivo systemic absorption or accumulation of drugs in the blood stream followed by distribution throughout the entire body.
- Administration routes which lead to systemic absorption include, without limitations: intravenous, subcutaneous, intraperitoneal, inhalation, oral, intrapulmonary and intramuscular.
- Each of these administration routes expose the desired negatively charged polymers, e.g., nucleic acids, to an accessible diseased tissue.
- the rate of entry of a drug into the circulation has been shown to be a function of molecular weight or size.
- the use of a liposome or other drug carrier comprising the compounds of the instant invention can potentially localize the drug, for example, in certain tissue types, such as the tissues of the reticular endothelial system (RES).
- RES reticular endothelial system
- a liposome formulation which can facilitate the association of drug with the surface of cells, such as, lymphocytes and macrophages is also useful. This approach may provide enhanced delivery of the drug to target cells by taking advantage of the specificity of macrophage and lymphocyte immune recognition of abnormal cells, such as the cancer cells.
- the invention features the use of the cationic lipids of the invention in a composition comprising surface-modified liposomes containing poly (ethylene glycol) lipids (PEG-modified, or long-circulating liposomes or stealth liposomes).
- PEG-modified, or long-circulating liposomes or stealth liposomes These formulations offer an method for increasing the accumulation of drugs in target tissues.
- This class of drug carriers resists opsonization and elimination by the mononuclear phagocytic system (MPS or RES), thereby enabling longer blood circulation times and enhanced tissue exposure for the encapsulated drug (Lasic et al. Chem. Rev. 1995, 95, 2601-2627; Ishiwataet al., Chem. Pharm. Bull. 1995, 43, 1005-1011).
- liposomes have been shown to accumulate selectively in tumors, presumably by extravasation and capture in the neovascularized target tissues (Lasic et al., Science 1995, 267, 1275-1276; Oku et al., 1995 , Biochim. Biophys. Acta, 1238, 86-90).
- the long-circulating liposomes enhance the pharmacokinetics and pharmacodynamics of DNA and RNA, particularly compared to conventional cationic liposomes which are known to accumulate in tissues of the MPS (Liu et al., J. Biol. Chem. 1995, 42, 24864-24870; Choi et al., International PCT Publication No.
- WO 96/10391 Ansell et al., International PCT Publication No. WO 96/10390; Holland et al., International PCT Publication No. WO 96/10392; all of these are incorporated by reference herein).
- Long-circulating liposomes are also likely to protect drugs from nuclease degradation to a greater extent compared to cationic liposomes, based on their ability to avoid accumulation in metabolically aggressive MPS tissues such as the liver and spleen. All of these references are incorporated by reference herein.
- compositions prepared for storage or administration which include a pharmaceutically effective amount of the desired compounds in a pharmaceutically acceptable carrier or diluent.
- Acceptable carriers or diluents for therapeutic use are well known in the pharmaceutical art, and are described, for example, in Remington's Pharmaceutical Sciences, Mack Publishing Co. (A. R. Gennaro edit. 1985) hereby incorporated by reference herein.
- preservatives, stabilizers, dyes and flavoring agents may be provided. Id. at 1449. These include sodium benzoate, sorbic acid and esters of p-hydroxybenzoic acid.
- antioxidants and suspending agents may be used. Id.
- a pharmaceutically effective dose is that dose required to prevent, inhibit the occurrence, or treat (alleviate a symptom to some extent, preferably all of the symptoms) of a disease state.
- the pharmaceutically effective dose depends on the type of disease, the composition used, the route of administration, the type of mammal being treated, the physical characteristics of the specific mammal under consideration, concurrent medication, and other factors which those skilled in the medical arts will recognize. Generally, an amount between 0.1 mg/kg and 100 mg/kg body weight/day of active ingredients is administered dependent upon potency of the negatively charged polymer.
- the molecules of the invention and formulations thereof can be administered orally, topically, parenterally, by inhalation or spray or rectally in dosage unit formulations containing conventional non-toxic pharmaceutically acceptable carriers, adjuvants and vehicles.
- parenteral as used herein includes percutaneous, subcutaneous, intravascular (e.g., intravenous), intramuscular, or intrathecal injection or infusion techniques and the like.
- a pharmaceutical formulation comprising a molecule of the invention and a pharmaceutically acceptable carrier.
- One or more nucleic acid molecules of the invention can be present in association with one or more non-toxic pharmaceutically acceptable carriers and/or diluents and/or adjuvants, and if desired other active ingredients.
- compositions containing molecules of the invention can be in a form suitable for oral use, for example, as tablets, troches, lozenges, aqueous or oily suspensions, dispersible powders or granules, emulsion, hard or soft capsules, or syrups or elixirs.
- compositions intended for oral use can be prepared according to any method known to the art for the manufacture of pharmaceutical compositions and such compositions can contain one or more such sweetening agents, flavoring agents, coloring agents or preservative agents in order to provide pharmaceutically elegant and palatable preparations.
- Tablets contain the active ingredient in admixture with non-toxic pharmaceutically acceptable excipients that are suitable for the manufacture of tablets.
- excipients can be for example, inert diluents, such as calcium carbonate, sodium carbonate, lactose, calcium phosphate or sodium phosphate; granulating and disintegrating agents, for example, corn starch, or alginic acid; binding agents, for example starch, gelatin or acacia, and lubricating agents, for example magnesium stearate, stearic acid or talc.
- the tablets can be uncoated or they can be coated by known techniques. In some cases such coatings can be prepared by known techniques to delay disintegration and absorption in the gastrointestinal tract and thereby provide a sustained action over a longer period.
- a time delay material such as glyceryl monosterate or glyceryl distearate can be employed.
- Formulations for oral use can also be presented as hard gelatin capsules wherein the active ingredient is mixed with an inert solid diluent, for example, calcium carbonate, calcium phosphate or kaolin, or as soft gelatin capsules wherein the active ingredient is mixed with water or an oil medium, for example peanut oil, liquid paraffin or olive oil.
- an inert solid diluent for example, calcium carbonate, calcium phosphate or kaolin
- water or an oil medium for example peanut oil, liquid paraffin or olive oil.
- Aqueous suspensions contain the active materials in admixture with excipients suitable for the manufacture of aqueous suspensions.
- excipients are suspending agents, for example sodium carboxymethylcellulose, methylcellulose, hydropropyl-methylcellulose, sodium alginate, polyvinylpyrrolidone, gum tragacanth and gum acacia; dispersing or wetting agents can be a naturally-occurring phosphatide, for example, lecithin, or condensation products of an alkylene oxide with fatty acids, for example polyoxyethylene stearate, or condensation products of ethylene oxide with long chain aliphatic alcohols, for example heptadecaethyleneoxycetanol, or condensation products of ethylene oxide with partial esters derived from fatty acids and a hexitol such as polyoxyethylene sorbitol monooleate, or condensation products of ethylene oxide with partial esters derived from fatty acids and hexitol anhydrides, for example polyethylene sorbitan mono
- the aqueous suspensions can also contain one or more preservatives, for example ethyl, or n-propyl p-hydroxybenzoate, one or more coloring agents, one or more flavoring agents, and one or more sweetening agents, such as sucrose or saccharin.
- preservatives for example ethyl, or n-propyl p-hydroxybenzoate
- coloring agents for example ethyl, or n-propyl p-hydroxybenzoate
- flavoring agents for example ethyl, or n-propyl p-hydroxybenzoate
- sweetening agents such as sucrose or saccharin.
- Oily suspensions can be formulated by suspending the active ingredients in a vegetable oil, for example arachis oil, olive oil, sesame oil or coconut oil, or in a mineral oil such as liquid paraffin.
- the oily suspensions can contain a thickening agent, for example beeswax, hard paraffin or cetyl alcohol.
- Sweetening agents and flavoring agents can be added to provide palatable oral preparations. These compositions can be preserved by the addition of an anti-oxidant such as ascorbic acid.
- Dispersible powders and granules suitable for preparation of an aqueous suspension by the addition of water provide the active ingredient in admixture with a dispersing or wetting agent, suspending agent and one or more preservatives.
- a dispersing or wetting agent for example sweetening, flavoring and coloring agents, can also be present.
- compositions of the invention can also be in the form of oil-in-water emulsions.
- the oily phase can be a vegetable oil or a mineral oil or mixtures of these.
- Suitable emulsifying agents can be naturally-occurring gums, for example gum acacia or gum tragacanth, naturally-occurring phosphatides, for example soy bean, lecithin, and esters or partial esters derived from fatty acids and hexitol, anhydrides, for example sorbitan monooleate, and condensation products of the said partial esters with ethylene oxide, for example polyoxyethylene sorbitan monooleate.
- the emulsions can also contain sweetening and flavoring agents.
- Syrups and elixirs can be formulated with sweetening agents, for example glycerol, propylene glycol, sorbitol, glucose or sucrose. Such formulations can also contain a demulcent, a preservative and flavoring and coloring agents.
- the pharmaceutical compositions can be in the form of a sterile injectable aqueous or oleaginous suspension. This suspension can be formulated according to the known art using those suitable dispersing or wetting agents and suspending agents that have been mentioned above.
- the sterile injectable preparation can also be a sterile injectable solution or suspension in a non-toxic parentally acceptable diluent or solvent, for example as a solution in 1,3-butanediol.
- Suitable vehicles and solvents that can be employed are water, Ringer's solution and isotonic sodium chloride solution.
- sterile, fixed oils are conventionally employed as a solvent or suspending medium.
- any bland fixed oil can be employed including synthetic mono-or diglycerides.
- fatty acids such as oleic acid find use in the preparation of injectables.
- the molecules of the invention can also be administered in the form of suppositories, e.g., for rectal administration of a compound.
- suppositories e.g., for rectal administration of a compound.
- These compositions can be prepared by mixing the drug with a suitable non-irritating excipient that is solid at ordinary temperatures but liquid at the rectal temperature and will therefore melt in the rectum to release the drug.
- suitable non-irritating excipient that is solid at ordinary temperatures but liquid at the rectal temperature and will therefore melt in the rectum to release the drug.
- Such materials include cocoa butter and polyethylene glycols.
- Molecules of the invention can be administered parenterally in a sterile medium.
- a drug depending on the vehicle and concentration used, can either be suspended or dissolved in the vehicle.
- adjuvants such as local anesthetics, preservatives and buffering agents can be dissolved in the vehicle.
- Dosage levels of the order of from about 0.1 mg to about 140 mg per kilogram of body weight per day are useful in the treatment of the above-indicated conditions (about 0.5 mg to about 7 g per patient per day).
- the amount of active ingredient that can be combined with the carrier materials to produce a single dosage form varies depending upon the host treated and the particular mode of administration.
- Dosage unit forms generally contain between from about 1 mg to about 500 mg of an active ingredient.
- the specific dose level for any particular patient depends upon a variety of factors including the activity of the specific compound employed, the age, body weight, general health, sex, diet, time of administration, route of administration, and rate of excretion, drug combination and the severity of the particular disease undergoing therapy.
- the composition can also be added to the animal feed or drinking water. It can be convenient to formulate the animal feed and drinking water compositions so that the animal takes in a therapeutically appropriate quantity of the composition along with its diet. It can also be convenient to present the composition as a premix for addition to the feed or drinking water.
- the molecules of the present invention can also be administered to a patient in combination with other therapeutic compounds to increase the overall therapeutic effect.
- the use of multiple compounds to treat an indication can increase the beneficial effects while reducing the presence of side effects.
- N-cholesteryl-pyridoxamine (AK524-76) (CCAEP) (27): Refering to FIG. 11, The suspension of Pyridoxal hydrochloride (0.1 g, 0.5 mmol) in ethanol was brought to pH 7 with 1N NaOH followed by the addition of aminocholesterol (0.19 g, 0.5 mmol). The pH of the resulting bright yellow solution was adjusted to 8 (1N NaOH) and set aside for 10 minutes. Sodium borohydride (20 mg, 0.5 mmol) was then added to the reaction mixture resulting in immediate color disappearance. After 15 minutes reaction mixture was acidified (pH 6) with 1N HCl, diluted with dichloromethane and washed with aqueous ammonia and water.
- 2′-Deoxy-2′-(N-Fmoc-beta-alanineamido) uridine (8): Referring to FIG. 10, EEDQ (4.2 g, 17 mmol) was added to the solution of 2′-amino-2′-deoxy uridine (4 g, 16.45 mmol) and N-FMOC-beta-alanine (5.1 g, 16.45 mmol) in methanol and the reaction mixture was boiled for two hours.
- each cationic lipid four aqueous suspensions were prepared, three containing the fusogenic neutral lipid DOPE (dioleoyl phosphatidyl ethanolamine), and one containing the cationic lipid only (Table II).
- DOPE dioleoyl phosphatidyl ethanolamine
- Table II the solid cationic lipids were dissolved in chloroform and aliquots transferred to 5 ml glass tubes with Teflon-lined caps.
- DOPE also dissolved in chloroform, was then added to individual tubes at 1:1, 2:1, or 3:1 molar ratios (ratio of cationic lipid to DOPE).
- the lipid mix was deposited as a film in the glass tube by evaporating the solvent with a stream of argon.
- the lipid film was hydrated with water (1 ml per mg total lipid) and then resuspended by sonication using a bath sonicator (three or four 15 s treatments with intermittent vortex mixing). The formulations were stored at 4 C. until used (usually within 8 weeks).
- fluorophore-tagged 32-mer ribozymes were prepared by attaching a fluorescein or rhodamine moiety to the loop portion through a aminolinker-modified base (FIG. 13).
- An expression plasmid encoding the humanized Green Fluorescent Protein (plasmid pEGFP-C1) was obtained from Clontech.
- ribozyme was 100 nM and the transport vehicle concentration was varied from 2.5 to 20 ⁇ g/ml. After a 3-4 h incubation, the medium was replaced with normal growth medium and the localization of the cell-associated ribozyme was evaluated by fluorescence microscopy using a Nikon stage microscope equipped with a 40 ⁇ objective and a ccd camera. In some studies, the total cell-associated ribozyme was quantified by FACS analysis.
- the toxic effects of the lipid-formulated compositions on cells were determined in three ways. First, cellular morphology was evaluated in relation to normal, untreated cells and significant abnormalities or reduction in cell numbers were noted. Second, for evaluating gross toxicity, propidium iodide was added to the medium and the cells were examined for the presence of pink-red fluorescence in the nucleus, indicating the presence of perforated or damaged membranes. Finally, the longer term effect of the treatment on cells was quantified using a sensitive MTS proliferation assay (Promega).
- the protooncogene c-myb is a transcription factor that participates in regulating the proliferation of smooth muscle cells. It has been demonstrated that cells in which c-myb levels have been reduced by ribozyme-Lipofectamine treatment do not proliferate well in response to subsequent serum stimulation. Two ribozymes directed against c-myb termed “active” and “inactive” (Jarvis et al., 1995 , RNA, 2, 419). Both ribozymes can recognize the mRNA target but only the “active” can cleave it. The “inactive” ribozyme serves as a negative control.
- the active ribozyme can reduce c-myb expression by catalyzing the sequence-specific cleavage of the mRNA, leading to a reduction in cell proliferation.
- This assay was used to validate the utility of delivery formulations.3H-Thymidine Incorporation Assay
- rat aortic smooth muscle cells (RASMC) were plated in 48-well plates in DMEM supplemented with amino acids, Hepes, and 10% fetal bovine serum (5000 cells/ well/0.5 ml medium). Next day, cells were serum-starved, to inhibit proliferation, by replacing the medium with low serum medium (0.5% serum) for ⁇ 2 days. The starved cells were then treated with ribozyme-carrier formulations, usually 100 nM ribozyme premixed with 2.5-10 ⁇ g/ml carrier lipid, in serum-free medium for ⁇ 2 h, followed by “trafficking” in low serum-medium (0.25% serum) for ⁇ 20 h.
- RASMC rat aortic smooth muscle cells
- Rhodamine-conjugated dioleoyl phosphatidyl ethanolamine (DOPE) was mixed with various cationic lipids and administered to cells seeded in 24-well plates. After ⁇ 3 h incubation, the cellular distribution of the fluorescent rhodamine-DOPE was examined by fluorescence microscopy. Every cell contained rhodamine (red fluorescence), indicating that the lipids were delivered efficiently to the cells. Next, fluorescein-conjugated ribozymes were packaged and coadministered to cells using the same vehicles using procedures described earlier. Again, every cell was labeled with rhodamine while a subset contained internalized ribozymes (green fluorescence). These observations suggested the lipid transporters can be used to deliver lipophilic as well as hydrophilic compounds to cells.
- DOPE dioleoyl phosphatidyl ethanolamine
- a 21-nucleotide long phosphorothioate oligodeoxynucleotide with an attached fluorescein moiety was synthesized by standard procedures.
- the oligonucleotide (100 nM) was formulated with different concentrations (2.5 to 10 ⁇ g/ml) of each transport vehicle and administered to cells. Subcellular distribution of the internalized material was evaluated by fluorescence microscopy. The results indicated that optimal transporter concentrations are different for antisense oligonucleotides compared to ribozymes.
- EPC Egg yolk phosphatidylcholine
- cholesterol cholesterol
- DOTAP DOTAP
- DSPE-PEG 2000 (1,2-Distearoyl-sn-glycero-3-phosphoethanolamine-polythylene glycol-2000) was purchased from Shearwater polymers. Extruder was purchased from Lipex biomembranes. FPLC was purchased from Pharmacia. Radioactive compounds were purchased from NEN and ether from Sigma.
- Ribozyme (25 mg) suspended in 1 ⁇ phosphate buffered saline (3 ml) was added to the ether/lipid mixture and mixed together into an emulsion. The ribozyme was quantitated using a 32 P internally labeled ribozyme tracer (160 ⁇ Ci). Liposome vesicles were formed by removing the ether under vacuum. Residual ether was removed by bubbling argon gas through the lipid-ribozyme mixture for 10 minutes. Vesicles were then passed through polycarbonate filters with 200 nm and 100 nm pores consecutively 6-10 times using an Extruder ( Lipex Biomembranes, Vancouver, B. C.).
- Liposomes were purified from unencapsulated material using an FPLC column packed with DEAE sepharose CL-6B. Ribozyme and lipid concentration was determined by reading an aliquot of purified liposomes on a scintillation counter for both tritium and 32P. The counts indicated that 5.75 mg of ribozyme was present within liposome vesicles (23% encapsulation).
- mice Female C57B1/6J weighing 20-25 g were used in this study. with 3 mmol of lipid (36 mg ribozyme) by tail vein injection. The time points observed were 15 minutes, 1 hour, 4 hour, and 24 hours with 3 mice per group. The animals were euthanized by CO 2 asphyxiation. Upon cessation of breathing, the chest cavity was opened and blood sampled (200-500 ⁇ L) from the heart. Sampled blood was added to a heparinized microfuge tube and centrifuged for 10 minutes to separate plasma and blood cells. Plasma samples were treated with proteinase K containing buffer(100 mM NaCl, 10 mM tris (pH 8), 25mM EDTA, 10% SDS).
- RT-4 human bladder carcinoma
- EJ human bladder carcinoma
- MCF-7 breast cancer cell line
- the cationic lipid was added to the tube (1.25, 2.5, 5, or 10 ⁇ g lipid/ ⁇ g DNA), incubated at room temperature for 15 minutes and then mixed by vortexing. Media from plated cells was aspirated and then washed with either serum free or normal growth media. 200 ⁇ L of the DNA/cationic lipid mixture was added to each well of a 48 well plate. The cells were incubated at 37° C. for 3 to 5 hours for serum-free uptake and 18 to 24 hours for uptake in the presence of serum. Fluorescent cells were then counted using fluorescence microscopy. The transfection rate was determined by comparing the number of fluorescence positive cells to the total number of cells in the microscope field.
- Toxicity was determined by adding 5 ⁇ L of a 0.5 mg/ml stock solution of propidium iodine (PI) (Boehringer Mannheim) prior to examination by microscopy. Migration of the red dye into the nucleus of a cell indicated toxicity and loss of cell viability.
- PI propidium iodine
- FACS fluorescence activated cell sorting
- Cationic lipid 100 mg
- methoxypolyoxyethylenecarboxylic acid 725 mg
- 1,3-dicyclohexylcarbodiimide DCC(30 mg)
- chloroform 30 mL
- the reaction mixture was filtered and hexane was added to the filtrate for purification by precipitation.
- the product N′-palmityl-N′-oleyl- ⁇ -amino, ⁇ -PEGainino-glycinamide
- N-hydroxysuccinimdie activated ester of PEG can be utilized in the above conjugation procedures.
- Conjugation may also be carried out by formation of a carbamate bond.
- the reaction would be initiated by reacting imidazolylcarbonate activated hydroxy-terminated methoxypolyethylene glycol with amino groups of cationic lipids described above.
- the methods described herein are not limiting. Those skilled in the art will recognize that PEG can be readily conjugated to cationic lipids using techniques known in the art and are within the scope of this invention.
- cytofectins of the invention were tested in Jurkat cells. These cells were grown and maintained in RPMI-1640 culture medium supplemented with 10% fetal bovine serum and glutamine (Life Technologies). The cells were diluted in culture medium to 5 ⁇ 10 5 cells/ml, and 80 ⁇ l (40,000 cells) was transferred into each well of a 96-well culture dish. A fluorescein-conjugated, nuclease resistant 23-mer oligonucleotide of randomized sequence was chemically synthesized for transfection. Additional oligonucleotides were synthesized using standard methodologies (Wincott et al., supra).
- oligonucleotides Delivery of oligonucleotides into cells was determined by fluorescence microscopy. The cellular nuclei were examined to identify whether fluorescence was emitted from within the nuclear envelope. Nuclear delivery indicated that the oligonucleotide had permeated across the topological membrane barrier and entered the cytosol followed by migration to nucleus. Alternatively, punctate perinuclear pattern of fluorescence around the nucleus indicated that the oligonucleotide, internalized by an endocytic mechanism, remained sequestered within the endosomal vesicles. Jurkat cells are small and round and the nucleus occupies much of the cellular volume. Nuclear as well as perinuclear cytoplasmic labeling was observed in most cells.
- the efficiency of delivery was estimated by calculating the number of cells with green nuclei as a percentage of the total number of cells in the field, as observed by phase contrast microscopy.
- the acute toxicity of the treatments was assessed by adding propidium iodide (1 ⁇ g/ml) to each well. Damaged cells with compromised membranes internalized propidium iodide and could be easily identified by red fluorescence in the nucleus.
- cytofectins Three cytofectins (Formulation ID Nos: 345, 323, and 333) were found to transfect the oligonucleotide at a very efficient rate. Depending on the formulation, delivery into the nuclei of jurkat cells ranged from 40 to 80% (Table IX).
- cytofectins identified using the delivery screen described in Example 23 were then used in efficacy assays.
- An antisense molecule directed against the mRNA for IMPDH, an essential enzyme involved in nucleic acid production was formulated with the delivery vehicle and administered to Jurkat cells seeded in 96-well plates as described above. Assays were done in triplicate wells and cells were incubated for 24 h. A random sequence antisense molecule of the same length and containing the same type of linkages as the IMPDH binding antisense molecule was used as control.
- a quantitative Taqman assay (Perkin Elmer) was developed to measure the changes in IMPDH mRNA levels relative to actin, a constitutively expressed housekeeping gene. RNA from treated or untreated cells was extracted and then analyzed by Taqman. All three of the cytofectins tested were able to deliver sufficient antisense molecule to inhibit the expression of IMPDH-2 (FIGS. 16 - 18 ).
- RNAse P RNA (M1 RNA) Size ⁇ 290 to 400 nucleotides. RNA portion of a ubiquitous ribonucleoprotein enzyme. Cleaves tRNA precursors to form mature tRNA [ 12 ]. Reaction mechanism: possible attack by M 2+ -OH to generate cleavage products with 3′- OH and 5′-phosphate.
- RNAse P is found throughout the prokaryotes and eukaryotes.
- the RNA subunit has been sequenced from bacteria, yeast, rodents, and primates.
- Recruitment of endogenous RNAse P for therapeutic applications is possible through hybridization of an External Guide Sequence (EGS) to the target RNA [ 13 , 14 ] Important phosphate and 2′ OH contacts recently identified [ 15 , 16 ] Group II Introns Size: >1000 nucleotides.
- EGS External Guide Sequence
- Reaction mechanism 2′-OH of an internal adenosine generates cleavage products with 3′- OH and a “lariat” RNA containing a 3′-5′ and a 2′-5′ branch point. Only natural ribozyme with demonstrated participation in DNA cleavage [ 19 , 20 ] in addition to RNA cleavage and ligation. Major structural features largely established through phylogenetic comparisons [ 21 ]. Important 2′ OH contacts beginning to be identified [ 22 ] Kinetic framework under development [ 23 ] Neurospora VS RNA Size: ⁇ 144 nucleotides. Trans cleavage of hairpin target RNAs recently demonstrated [ 24 ]. Sequence requirements not fully determined.
- Reaction mechanism attack by 2′-OH 5′ to the scissile bond to generate cleavage products with 2′,3′-cyclic phosphate and 5′-OH ends. Binding sites and structural requirements not fully determined. Only 1 known member of this class. Found in Neurospora VS RNA. Hammerhead Ribozyme (see text for references) Size: ⁇ 13 to 40 nucleotides. Requires the target sequence UH immediately 5′ of the cleavage site. Binds a variable number nucleotides on both sides of the cleavage site. Reaction mechanism: attack by 2′-OH 5′ to the scissile bond to generate cleavage products with 2′,3′-cyclic phosphate and 5′-OH ends.
- RNA Ribozyme Size: ⁇ 50 nucleotides. Requires the target sequence GUC immediately 3′ of the cleavage site. Binds 4-6 nucleotides at the 5′-side of the cleavage site and a variable number to the 3′- side of the cleavage site.
- Reaction mechanism attack by 2′-OH 5′ to the scissile bond to generate cleavage products with 2′,3′-cyclic phosphate and 5′-OH ends.
- 3 known members of this class. Found in three plant pathogen (satellite RNAs of the tobacco ringspot virus, arabis mosaic virus and chicory yellow mottle virus) which uses RNA as the infectious agent.
- Plant pathogen satellite RNAs of the tobacco ringspot virus, arabis mosaic virus and chicory yellow mottle virus
- Ligation activity (in addition to cleavage activity) makes ribozyme amenable to engineering through in vitro selection [ 34 ] Complete kinetic framework established for one ribozyme [ 35 ].
- Hepatitis Delta Virus (HDV) Ribozyme Size ⁇ 60 nucleotides. Trans cleavage of target RNAs demonstrated [ 38 ]. Binding sites and structural requirements not fully determined, although no sequences 5′ of cleavage site are required. Folded ribozyme contains a pseudoknot structure [ 39 ]. Reaction mechanism: attack by 2′-OH 5′ to the scissile bond to generate cleavage products with 2′,3′-cyclic phosphate and 5′-OH ends. Only 2 known members of this class. Found in human HDV. Circular form of HDV is active and shows increased nuclease stability [ 40 ]
- Optimal cationic lipids Cells Description (>50% nuclear uptake) HS27 human foreskin fibroblasts nc49, nc50 HUVEC human umbilical vein nc51, nc26 endothelial RAOSMC rat aortic smooth muscle nc102, nc49 SK-N-SH human neuroblastoma nc21, nc25 EJ human bladder carcinoma nc21, nc49 RT-4 human bladder carcinoma nc49, nc21 MCF-7 human breast carcinoma nc21 FEM human melanoma nc21 1205 human melanoma nc49 PC-3 human prostate carcinoma nc49, nc21 LN-CAP human prostate carcinoma nc110, nc21
- GFP green fluorescent protein
- Optimal cationic lipids Cells Description (% of cells with GFP) SK-N-SH human neuroblastoma nc49 (40%) nc101 (25%) nc110 (20%) nc32 (15%) RASMC rat aortic smooth muscle nc110 ( ⁇ 5%) RT-4 human bladder carcinoma nc101 (60%) nc19 (20%) nc110 (20%) HS27 human foreskin fibroblasts nc101 ( ⁇ 5%)
Landscapes
- Chemical & Material Sciences (AREA)
- Organic Chemistry (AREA)
- Health & Medical Sciences (AREA)
- General Health & Medical Sciences (AREA)
- Life Sciences & Earth Sciences (AREA)
- Engineering & Computer Science (AREA)
- Bioinformatics & Cheminformatics (AREA)
- Genetics & Genomics (AREA)
- Medicinal Chemistry (AREA)
- Epidemiology (AREA)
- Public Health (AREA)
- Veterinary Medicine (AREA)
- Pharmacology & Pharmacy (AREA)
- Animal Behavior & Ethology (AREA)
- Biotechnology (AREA)
- Molecular Biology (AREA)
- Biomedical Technology (AREA)
- Biophysics (AREA)
- General Engineering & Computer Science (AREA)
- Wood Science & Technology (AREA)
- Biochemistry (AREA)
- Zoology (AREA)
- Physics & Mathematics (AREA)
- Microbiology (AREA)
- Plant Pathology (AREA)
- Gastroenterology & Hepatology (AREA)
- Immunology (AREA)
- Proteomics, Peptides & Aminoacids (AREA)
- Medicines That Contain Protein Lipid Enzymes And Other Medicines (AREA)
- Pharmaceuticals Containing Other Organic And Inorganic Compounds (AREA)
- Medicinal Preparation (AREA)
Abstract
This invention features permeability enhancer molecules, and methods, to increase membrane permeability of various molecules, such as nucleic acids, polynucleotides, oligonucleotides, enzymatic nucleic acid molecules, antisense nucleic acid molecules, 2-5A antisense chimeras, triplex forming oligonucleotides, decoy RNAs, dsRNAs, siRNAs, aptamers, or antisense nucleic acids containing nucleic acid cleaving chemical groups, peptides, polypeptides, proteins, carbohydrates, steroids, metals and small molecules, thereby facilitating cellular uptake of such molecules.
Description
- This patent application is a continuation of Beigelman et al., U.S. Ser. No. 09/120,520, filed Jul. 21, 1998, entitled “NOVEL COMPOSITIONS FOR THE DELIVERY OF NEGATIVELY CHARGED MOLECULES”, which claims priority from Beigelman et al., U.S. Ser. No. (60/053,517), filed Jul. 23, 1997, entitled “NOVEL COMPOSITIONS FOR THE DELIVERY OF NEGATIVELY CHARGED MOLECULES” and Beigelman et al., U.S. Ser. No. (60/072,967), filed Jan. 29, 1998, entitled “NOVEL COMPOSITIONS FOR THE DELIVERY OF NEGATIVELY CHARGED MOLECULES”. These applications are hereby incorporated by reference herein in their entirety including the drawings.
- The following is a brief description of the delivery of biopolymers. This summary is not meant to be complete but is provided only for understanding of the invention that follows. This summary is not an admission that all of the work described below is prior art to the claimed invention.
- Trafficking of large, charged molecules into living cells is highly restricted by the complex membrane systems of the cell. Specific transporters allow the selective entry of nutrients or regulatory molecules, while excluding most exogenous molecules such as nucleic acids and proteins. The two major strategies for improving the transport of foreign nucleic acids into cells are the use of viral vectors or cationic lipids and related cytofectins. Viral vectors can be used to transfer genes efficiently into some cell types, but they cannot be used to introduce chemically synthesized molecules into cells. An alternative approach is to use delivery formulations incorporating cationic lipids, which interact with nucleic acids through one end and lipids or membrane systems through another (for a review see Felgner, 1990, Advanced Drug Delivery Reviews, 5,162-187; Feigner 1993, J. Liposome Res., 3,3-16). Synthetic nucleic acids as well as plasmids may be delivered using the cytofectins, although their utility is often limited by cell-type specificity, requirement for low serum during transfection, and toxicity.
- Since the first description of liposomes in 1965, by Bangham ( J. Mol. Biol. 13, 238-252), there has been a sustained interest and effort in the area of developing lipid-based carrier systems for the delivery of pharmaceutically active compounds. Liposomes are attractive drug carriers since they protect biological molecules from degradation while improving their cellular uptake.
- One of the most commonly used classes of liposomes formulations for delivering polyanions (e.g., DNA) are those that contain cationic lipids. Lipid aggregates can be formed with macromolecules using cationic lipids alone or including other lipids and amphiphiles such as phosphatidylethanolamine. It is well known in the art that both the composition of the lipid formulation as well as its method of preparation have effect on the structure and size of the resultant anionic macromolecule-cationic lipid aggregate. These factors can be modulated to optimize delivery of polyanions to specific cell types in vitro and in vivo. The use of cationic lipids for cellular delivery of biopolymers have several advantages. The encapsulation of anionic compounds using cationic lipids is essentially quantitative due to electrostatic interaction. In addition, it is believed that the cationic lipids interact with the negatively charged cell membranes initiating cellular membrane transport (Akhtar et al., 1992, Trends Cell Bio., 2, 139; Xu et al., 1996, Biochemistry 35, 5616).
- The transmembrane movement of negatively charged molecules such as nucleic acids may therefore be markedly improved by coadministration with cationic lipids or other permeability enhancers (Bennett et al., 1992 Mol. Pharmacol., 41, 1023-33; Capaccioli et al., 1993, BBRC, 197,818-25; Ramila et al., 1993 J. Biol. Chem., 268,16087-16090; Stewar et al., 1992, Human Gene Therapy, 3, 267-275). Since the introduction of the cationic lipid DOTMA and its liposomal formulation Lipofectin® (Felgner et al., 1987, PNAS 84, 7413-7417; Eppstein et al., U.S. Pat. No. 4,897,355), a number of other lipid-based delivery agents have been described primarily for transfecting mammalian cells with plasmids or antisense molecules (Rose, U.S. Pat. No. 5,279,833; Eppand et al. U.S. Pat. No. 5,283,185; Gebeyehu et al., U.S. Pat. No. 5,334,761; Nantz et al., U.S. Pat. No. 5,527,928; Bailey et al., U.S. Pat. No. 5,552,155; Jesse, U.S. Pat. No. 5,578,475). However, each formulation is of limited utility because it can deliver plasmids into some but not all cell types, usually in the absence of serum (Bailey et al., 1997, Biochemistry, 36, 1628). Concentrations (charge and/or mass ratios) that are suitable for plasmid delivery (˜5,000 to 10,000 bases in size) are generally not effective for oligonucleotides such as synthetic ribozymes or antisense molecules (˜10 to 50 bases). Also, recent studies indicate that optimal delivery conditions for antisense oligonucleotides and ribozymes are different, even in the same cell type. However, the number of available delivery vehicles that may be utilized in the screening procedure is highly limited, and there continues to be a need to develop transporters that can enhance nucleic acid entry into many types of cells.
- Eppstein et al., U.S. Pat. No. 5,208,036, disclose a liposome, LIPOFECTIN™, that contains an amphipathic molecule having a positively charged choline head group (water soluble) attached to a diacyl glycerol group (water insoluble). Promega (Wisconsin) markets another cationic lipid, TRANSFECTAM™, which can help introduce nucleic acid into a cell.
- Wagner et al., 1991, Proc. Nat. Acad. Sci. USA 88, 4255; Cotten et al., 1990, Proc. Nat. Acad. Sci. USA 87, 4033; Zenke et al., 1990, Proc. Nat. Acad. Sci. USA 87, 3655; and Wagner et al., 1990, Proc. Nat. Acad. Sci. USA 87, 3410, describe transferrin-polycation conjugates which may enhance uptake of DNA into cells. They also describe the feature of a receptor-mediated endocytosis of transferrin-polycation conjugates to introduce DNA into hematopoietic cells.
- Wu et al., 1991, J. Biol. Chem. 266, 14338, describe in vivo receptor-mediated gene delivery in which an asialoglycoprotein-polycation conjugate consisting of asialoorosomucoid is coupled to poly-L-lysine. A soluble DNA complex was formed capable of specifically targeting hepatocytes via asialoglycoprotein receptors present on the cells.
- Clark et al., International PCT Publication No. WO 91/18012, describe cell internalizable covalently bonded conjugates having an “intracellularly cleavable linkage” such as a “disulfide cleavable linkage” or an enzyme labile ester linkage.
- Brigham, U.S. Pat. No. 5,676,954 describes a method for the expression of nucleic acid following transfection into a target organ consisting of mammalian cells.
- The references cited above are distinct from the presently claimed invention since they do not disclose and/or contemplate the delivery vehicles of the instant invention.
- This invention features lipid-based compositions, such as cationic lipid-based compositions, that facilitate delivery of molecules into a biological system, for example into cells such as mammalian cells. The present invention discloses the design, synthesis, and cellular testing of novel agents for the delivery of various molecules, for example nucleic acids, polynucleotides, oligonucleotides, and/or negatively charged molecules, in vitro and in vivo. Also disclosed are screening procedures for identifying the optimal delivery vehicles for any given nucleic acid and cell type. In general, the transporters or cytofectins described here are designed to be used either individually or as part of a multi-component system. Examples of such multi-component systems comprising lipid compounds of the invention are shown in Tables II, VI, VII, VIII, and IX. The lipid compounds of the invention generally shown in FIG. 1 and Table X, are expected to improve delivery of nucleic acids, polynucleotides, oligonucleotides, and/or negatively charged molecules, into a number of cell types originating from different tissues, in the presence or absence of serum.
-
- wherein, n is 1, 2 or 3 carbon atoms; n 1 is 2, 3, 4 or 5 carbon atoms; R and R1 independently represent C12-C22 alkyl chain which are saturated or unsaturated, wherein the unsaturation is represented by 1-4 double bonds; and R2 and R3 are independently H, acyl, alkyl, carboxamidine, aryl, acyl, substituted carboxamidine, polyethylene glycol (PEG) or a combination thereof.
-
- wherein, n is 1, 2 or 3 carbon atoms; n 1 is 2, 3, 4 or 5 carbon atoms; R and R1 independently represent C12-C22 alkyl chain which are saturated or unsaturated, wherein the unsaturation is represented by 1-4 double bonds; and Alk represents methyl, hydroxyalkyl (e.g., hydroxymethyl and hydroxyalkyl) or a combination thereof.
-
- wherein, R and R 1 independently represent C12-C22 alkyl chain which are saturated or unsaturated, wherein the unsaturation is represented by 1-4 double bonds; and R2 is H, PEG, acyl or alkyl.
-
-
- where R 3 is H, or PO3H2 and R4 is OH, NH2 or ═O.
-
- wherein, n is 1-6 carbon atoms; X and X 1 independently represent C12-C22 alkyl chain which are saturated or unsaturated, wherein the unsaturation is represented by 1-4 double bonds; B is a nucleic acid base or H; and R5 is H, PEG, or carboxamidine.
-
-
- In the above referenced formulae, N, O, and H are Nitrogen, Oxygen, and Hydrogen, according to the abbreviations well-known in the art.
- In another embodiment the invention features a cationic lipid having the formula VII:
- R 6-L1-Cholesterol
- wherein, R 6 is selected from the group consisting of arginyl methyl ester, arginyl amide, homoarginyl methyl ester, homoarginyl amide, ornithine methyl ester, ornithine amide, lysyl methyl ester, lysyl amide, triethylenetetramine (TREN), N,N′-di-carboxamidine TREN, N-benzyl histidyl methyl ester, pyridoxyl and aminopropylimidazole. L1 is a linker represented by R7PO2, wherein R7 is H, CH3, or CH2CH3. Examples of this group of compounds are: PH55933, PH55938, PH55939, PH55941, PH55942, PH55943 and PH55945.
- In another embodiment the invention features a cationic lipid having the formula VIII:
- R 8-L2-Cholesterol
- wherein, R 8 is selected from the group consisting of arginyl, N-Boc arginyl, homoarginyl, N-Boc homoarginyl, ornithine, N-Boc ornithine, N-benzyl histidyl, lysyl, N-Boc lysyl, N-methyl arginyl, N-methyl guanidine, guanidine and pyridoxyl. L2 is a linker represented by NH, glycine, N-butyldiamine or guanidine. Examples of this compound is Boc arginine cholesteryl amide (DS46596), N-guanyl-cholesterylamide (DS57511).
-
- Wherein R is independently a C12-C22 alkyl chain which are saturated or unsaturated, wherein the unsaturation is represented by 1-4 double bonds and R 1 is represented by TREN, N,N′-di-carboxamidine TREN, lysyl, arginyl, omithyl, homoarginyl, histidyl, aminopropylimidazole, spermine carboxylic acid.
- In one embodiment, the invention features process for the synthesis of the compounds of formula I-IX and/or Lipid ID Nos: 700, 701, 705, 709, 719, 732, 736, 737, 738, 739, 742, 743, 744, 751, 752, or 753.
- In another embodiment, multi-domain cellular transport vehicles (MCTV) including one or more lipids of formula I-IX and/or Lipid ID Nos: 700, 701, 705, 709, 719, 722, 723, 725, 726, 727, 732, 736, 737, 738, 739, 742, 743, 744, 745, 746, 747, 749, 750, 751, 752, and/or 753, that enhance the cellular uptake and transmembrane permeability of various molecules, for example, nucleic acids, polynucleotides, oligonucleotides and/or negatively charged molecules in a variety of cell types are provided. Examples of such lipids are shown in Table X. The lipids of the invention are used either alone or in combination with other compounds with a neutral or a negative charge including but not limited to neutral lipid and/or targeting components, to improve the effectiveness of the lipid formulation in delivering and targeting molecules such as nucleic acids, polynucleotides, oligonucleotides, or negatively charged polymers to cells. In addition, these delivery vehicles can be used to increase the transport of other impermeable and/or lipophilic compounds into cells.
- In one embodiment, the invention features a compound comprising formula I-IX and/or Lipid ID Nos: 700, 701, 705, 709, 719, 732, 736, 737, 738, 739, 742, 743, 744, 751, 752, or 753. In another embodiment, the invention features a lipid formulation comprising Formulation ID Nos: 282-533.
- In another embodiment, the lipid formulation further comprises a targeting component. Targeting components of the invention include ligands for cell surface receptors including, peptides and proteins, glycolipids, lipids, carbohydrates, and their synthetic variants.
- In yet another embodiment, the lipid molecules of the invention, such as cationic lipids, are provided as a lipid aggregate, such as a liposome, and co-encapsulated with the compound or polymer to be delivered. Liposomes, which can be unilamellar or multilamellar, can introduce encapsulated material into a cell by different mechanisms. See, Ostro, Scientific American 102, January 1987. For example, the liposome can directly introduce its encapsulated material into the cell cytoplasm by fusing with the cell membrane. Alternatively, the liposome can be compartmentalized into an acidic vacuole (i.e., an endosome) having a pH below 7.0. This low pH allows ion-pairing of the encapsulated enhancers and the negatively charged polymer, which facilitates diffusion of the enhancer:polymer complex out of the liposome, the acidic vacuole, and into the cellular cytoplasm.
- In another embodiment the invention features a lipid aggregate formulation including phosphatidylcholine (of varying chain length; e.g., egg yolk phosphatidylcholine), cholesterol, a cationic lipid, and 1,2-distearoyl-sn-glycero-3-phosphoethanolamine-polythyleneglycol-2000 (DSPE-PEG 2000). The cationic lipid component of this lipid aggregate can be any cationic lipid known in the art such as
1,2,-diacyl-3-trimethylammonium-propane (DOTAP). In yet another embodiment this lipid aggregate comprises a lipid described in any of the Formulae I-IX and/or Lipid ID Nos: 700, 701, 705, 709, 719, 722, 723, 725, 726, 727, 732, 736, 737, 738, 739, 742, 743, 744, 745, 746, 747, 749, 750, 751, 752, and/or 753,.dioleoyl - In yet another embodiment, polyethylene glycol (PEG) is covalently attached to the lipids of the present invention. The attached PEG can be any molecular weight but is preferrably between 2000-5000 daltons.
- The molecules and methods of the present invention are particularly advantageous for introducing nucleic acid molecules into a cell. For example, the invention can be used for nucleic acid delivery, such as enzymatic nucleic acid delivery, where a target site of action exists intracellularly.
- In one embodiment, the invention features a lipid formulation, comprising a lipid molecule of the invention or any combination thereof, and a molecule or combination of molecules to be delivered, for example, a nucleic acid, polynucleotide, oligonucleotide, peptide, polypeptide, protein, carbohydrate, steroid, polymer, metal or small molecule.
- In another embodiment, the invention features a method of transfecting a cell, comprising contacting a lipid formulation of the invention with the cell under conditions suitable for the transfection.
- In one embodiment, a molecule that is complexed with a lipid molecule of the invention includes a nucleic acid, polynucleotide, oligonucleotide, peptide, polypeptide, protein, carbohydrate, steroid, polymer, metal or small molecule.
- In one embodiment, a nucleic acid molecule of the invention comprises an enzymatic nucleic acid molecule, antisense nucleic acid molecule, 2-5A antisense chimera, triplex forming oligonucleotide, decoy RNA, dsRNA, siRNA, aptamer, or antisense nucleic acids containing nucleic acid cleaving chemical groups.
- A molecule that is complexed with a lipid molecule of the invention includes an enzymatic nucleic acid, for example a hammerhead, Inozyme, G-gleaver, DNAzyme, Amberzyme, Zinzyme and/or allozyme.
- In another embodiment, the invention features a method for the delivery of molecules contemplated by the invention, such as nucleic acids, polynucleotides, oligonucleotides, peptides, proteins and/or negatively charged polymers, into cells such as suspension cells and T cells using cytofectins of the present invention.
- Other features and advantages of the invention will be apparent from the following description of the preferred embodiments thereof, and from the claims.
- The drawings will be first described briefly.
- Drawings
- FIGS. 1A-C depict the different classes of lipids of the instant invention.
- FIG. 2 depicts a scheme for the synthesis of diaminobutyric and guanidinium-based cationic lipids.
- FIG. 3 depicts a scheme for the synthesis of Boc Arginine cholesteryl amide (12; DS46596).
- FIG. 4 depicts a scheme for the synthesis of cholesterol-lysine-methyl ester-methylphosphonoamidate (PH55933; 15) and cholesterol-homoarginine-methyl ester methylphosphonoamidate (PH55938; 16).
- FIG. 5 depicts a scheme for the synthesis of cholesterol-lysine-amide-methylphosphonoamidate (PH55939; 17).
- FIG. 6 depicts a scheme for the synthesis of cholesterol-TREN-methylphosphonoamidate (PH55941; 18) and cholesterol-TREN-bis-guanidinium methylphosphonoamidate (PH55942; 19).
- FIG. 7 depicts a scheme for the synthesis of cholesterol-histidine-methylphosphonoamidate (PH55943; 20).
- FIG. 8 depicts a scheme for the synthesis of cholesterol-aminopropylimidazole-methylphosphonoamidate (PH55945; 21).
- FIG. 9 depicts a scheme for the synthesis of vitamin-B6 and beta-alanine-based cationic lipids.
- FIG. 10 depicts a scheme for the synthesis of 2′-aminouridine-based cationic lipids.
- FIGS. 11 depicts a scheme for the synthesis of vitamin-B6-cholesterol conjugate.
- FIGS. 12A-G shows the secondary structure model for seven different classes of enzymatic nucleic acid molecules. Arrow indicates the site of cleavage. - - - indicate the target sequence. Lines interspersed with dots are meant to indicate tertiary interactions. - is meant to indicate base-paired interaction. FIG. 12A shows a Group I Intron motif: P1-P9.0 represent various stem-loop structures (Cech et al., 1994, Nature Struc. Bio., 1, 273). FIG. 12B shows an RNase P (MIRNA) motif: EGS represents external guide sequence (Forster et al, 1990, Science, 249, 783; Pace et al., 1990, J. Biol. Chem., 265, 3587). FIG. 12C shows a Group II Intron motif: 5′SS means 5′ splice site; 3′SS means 3′-splice site; IBS means intron binding site; EBS means exon binding site (Pyle et al., 1994, Biochemistry, 33, 2716). FIG. 12D shows a VS RNA motif: I-VI are meant to indicate six stem-loop structures; shaded regions are meant to indicate tertiary interaction (Collins, International PCT Publication No. WO 96/19577). FIG. 12E shows a HDV Ribozyme motif: : I-IV are meant to indicate four stem-loop structures (Been et al., U.S. Pat. No. 5,625,047). FIG. 12F shows a Hammerhead Ribozyme motif:: I-III are meant to indicate three stem-loop structures; stems I-III can be of any length and may be symmetrical or asymmetrical (Usman et al., 1996, Curr. Op. Struct. Bio., 1, 527). FIG. 12G shows a Hairpin Ribozyme motif: H1-H4 are meant to indicate helices 1-4;
1 and 4 can be of any length;Helix Helix 2 is between 3 and 8 base-pairs long; Y is a pyrimidine; B is guanosine, cytidine or uridine; V is adenosine, guanosine, or cytidine (Burke et al., 1996, Nucleic Acids & Mol. Biol., 10, 129; Chowrira et al., U.S. Pat. No. 5,631,359). - FIG. 13 depicts the structure of fluorescein-conjugated ribozyme and its substrate mRNA sequence. The fluorescein moiety (Fluor), attached through an amino linker, does not reduce the enzymatic activity of the ribozyme.
- FIG. 14 depicts the chemical synthesis of N 2,N3-di-oleyl-(N,N′-diguanidinoethyl-aminoethane)-2,3-diaminopropionic acid.
- FIG. 15 depicts the results of a blood clearance study using the EPC:CHOL:DOTAP:DSPE 2000 liposome.
- FIG. 16 depicts the results of a cellular inhibition study of IMPDH-2 mRNA expression in Jurkat cells treated for 24 hours with IMPDH antisense and lipid NC 266.
- FIG. 17 depicts the results of a cellular inhibition study of IMPDH-2 mRNA expression in Jurkat cells treated for 24 hours with IMPDH antisense and lipid NC 267.
- FIG. 18 depicts the results of a cellular inhibition study of IMPDH-2 mRNA expression in Jurkat cells treated for 24 hours with IMPDH antisense and lipid NC 388.
- Cationic lipids are bifunctional reagents (cationic head group conjugated to a lipid tail) that include a positively charged group that can ion-pair with an anionic group present in a negatively charged polymer, such as a phosphate group present in a nucleic acid phosphodiester linkage or a phosphorothioate group present in nucleic acid having a modified phosphodiester linkage. In one embodiment, the cationic group ion-pairs with a negatively charged polymer to form a lipid:polymer complex, such as a complex with a polynucleotide or a polypeptide (e.g. RNA, DNA, and protein). In another embodiment, the cationic group ion-pairs with RNA having enzymatic activity, such as a ribozyme. Formation of the ion-pair increases the intrinsic hydrophobicity of the negatively charged polymer and facilitates diffusion of the polymer across a cell membrane into the cell. The lipid:polymer complex can contain more than one lipid molecule. In one embodiment, a lipid:polymer complex contains lipid in an amount to ion-pair with at least 50% of the anionic groups of a negatively charged polymer. In another embodiment, a lipid:polymer complex contains lipid in an amount to ion-pair with at least 90% of the anionic groups of a negatively charged polymer. The lipid of an lipid:polymer complex can be the same or different. For example, the complex can contain lipids differing in the cationic groups. The amount of cationic lipid and negatively charged polymer which are combined to achieve the desired amount of ionic pairing depends on the environment in which the lipid and the polymer is mixed, the type of lipid, and the type of polymer. The degree of ionic pairing can be measured by techniques known in the art (see, for example, U.S. Pat. No. 5,583,020, the contents of which are incorporated by reference herein). In another embodiment, the lipid molecule of the invention is provided in an amount of at least two to ten times per negative charge on the polymer molecule.
- Cationic lipids represent a subset of compounds in the broader class of multi-domain cellular transport vehicles (MCTVs). The MCTV family of the invention includes single compounds as well as multi-component delivery systems that incorporate structural domains designed to improve membrane permeability, cellular targeting, while reducing the nonspecific interactions and toxicity of the incoming compound. In addition to cationic lipids, examples of MCTVs include transporters such as facial amphiphiles and other amphipathic compounds, carriers with targeting elements such as glycated moieties, peptides and vitamins, and liposomes with fusogenic elements, pegylated lipids, and/or pH-sensitive components.
- The term “nucleic acid molecule” as used herein refers to a molecule comprising nucleotides. The nucleic acid can be single, double, or multiple stranded and can comprise modified or unmodified nucleotides or non-nucleotides or various mixtures and combinations thereof. Nucleic acid molecu, for example, oligonucleotides, enzymatic nucleic acid molecules, ribozymes, DNAzymes, antisense oligonucleotides, 2-5 antisence chimera, triplex forming oligonucleotides, aptamers and other molecules described herein, templates, primers, nucleic acid sensor molecules, reporter and or signal molecules.
- The term “negatively charged molecules” as used herein, includes molecules such as naturally occurring and chemically modified nucleic acid molecules (e.g., RNA, DNA, oligonucleotides, mixed polymers, peptide nucleic acid, and the like), peptides (e.g., polyaminoacids, polypeptides, proteins and the like), nucleotides, pharmaceutical and biological compositions, that have negatively charged groups that can ion-pair with the positively charged head group of the lipids of the invention.
- The term “compounds with neutral charge” as used herein refers to compositions which are neutral or uncharged at neutral or physiological pH. Examples of such compounds include cholesterol (i.e., a steroidal alcohol, as defined in Lehninger, Biochemistry, 1982 ed., Worth Pub., p. 315) and other steroids, cholesteryl hemisuccinate (CHEMS), dioleoyl phosphatidyl choline, distearoylphosphotidyl choline (DSPC), fatty acids such as oleic acid, phosphatidic acid and its derivatives, phosphatidyl serine, polyethylene glycol-conjugated phosphatidylamine, phosphatidylcholine, phosphatidylethanolamine and related variants, prenylated compounds including famesol, polyprenols, tocopherol, and their modified forms, diacylsuccinyl glycerols, fusogenic or pore forming peptides, dioleoylphosphotidylethanolamine (DOPE), ceramide and the like.
- The term “head group” as used herein refers to an amino-containing moiety that is positively charged and is capable of forming ion pairs with negatively charged regions of biopolymers such as nucleic acid molecules.
- The term “lipophilic group” as used herein refers to a hydrophobic lipid-containing group that facilitates transmembrane transport of the cationic lipid.
- The term “linker” as used herein refers to a 1-6 atom carbon chain that links the head group with the lipophylic group.
- The term “ion pair” as used herein refers to a non-covalent interaction between oppositely charged groups.
- The term “alkyl” as used herein refers to a saturated aliphatic hydrocarbon, including straight-chain, branched-chain, and cyclic alkyl groups. In one embodiment, the alkyl group has 1 to 12 carbons. In another embodiment the alkyl is a lower alkyl of from 1 to 7 carbons, for example 1 to 4 carbons. The alkyl group can be substituted or unsubstituted. When substituted the substituted group(s) can be for example a, hydroxy, cyano, alkoxy, NO 2 or N(CH3)2, amino, or SH group.
- The term “alkoxy” as used herein refers to an OR group, wherein R is an alkyl.
- The terms “aryl” as used herein refers to an aromatic group which has at least one ring having a conjugated π electron system and includes carbocyclic aryl, heterocyclic aryl and biaryl groups, all of which can be optionally substituted. Non-limiting examples of substituent(s) that can exist on aryl groups are halogen, trihalomethyl, hydroxyl, SH, cyano, alkoxy, alkyl, alkenyl, alkynyl, and/or amino groups.
- The term “alkenyl” as used herein refers to unsaturated hydrocarbon groups containing at least one carbon-carbon double bond, including straight-chain, branched-chain, and cyclic groups. In one embodiment, the alkenyl group has 1 to 12 carbons. In another embodiment, the alkenyl group is a lower alkenyl of from 1 to 7 carbons, for example 1 to 4 carbons. The alkenyl group can be substituted or unsubstituted. When substituted the substituted group(s) can include, hydroxyl, cyano, alkoxy, NO 2, halogen, N(CH3)2, amino, and/or SH groups.
- The term “alkynyl” as used herein refers to an unsaturated hydrocarbon group containing at least one carbon-carbon triple bond, including straight-chain, branched-chain, and cyclic groups. In one embodiment, the alkynyl group has 1 to 12 carbons. In another embodiment the alkynyl group is a lower alkynyl of from 1 to 7 carbons, for example 1 to 4 carbons. The alkynyl group can be substituted or unsubstituted. When substituted the substituted group(s) can include, hydroxyl, cyano, alkoxy, ═O, ═S, NO 2 or N(CH3)2, amino and/or SH groups.
- The term “alkylaryl” as used herein refers to an alkyl group (as described above) covalently joined to an aryl group (as described above).
- The terms “carbocyclic aryl” as used herein refers to groups wherein the ring atoms on the aromatic ring are all carbon atoms. The carbon atoms are optionally substituted.
- The terms “heterocyclic aryl” as used herein refers to groups having from 1 to 3 heteroatoms as ring atoms in the aromatic ring and the remainder of the ring atoms are carbon atoms. Suitable heteroatoms include oxygen, sulfur, and nitrogen, and include furanyl, thienyl, pyridyl, pyrrolyl, pyrrolo, pyrimidyl, pyrazinyl, imidazolyl and the like, all optionally substituted.
- The term “acyl” as used herein refers to —C(O)R groups, wherein R is an alkyl or aryl.
- The term “lipid aggregate” as used herein refers to a lipid-containing composition (i.e., a composition comprising a lipid according to the invention) wherein the lipid is in the form of a liposome, micelle (non-lamellar phase) or other aggregates with one or more lipids.
- The term “lipid formation” as used herein refers to a formulation comprising at least one lipid molecule, such as those described herein, and at least one molecule to be delivered, for example, a nucleic acid, polynucleotide, oligonucleotide, peptide, polypeptide, protein, carbohydrate, steroid, polymer, metal, or small molecule.
- The term “suspension cells” as used herein refers to cells that do not require the attachment to a solid substrate (e.g. plastic surface) (anchorage dependence), in order to survive or proliferate. Non-limiting examples of these cells include hemopoietic, transformed, or cancer cells.
- The term “T cell” as used herein refers to cells responsible for cell mediated immunity which originate in the thymus gland (e.g. jurkat cells).
- The terms “oligonucleotide” or “polynucleotide” as used herein refers to a nucleic acid molecule comprising a stretch of three or more nucleotides.
- The term “enzymatic nucleic acid molecule” as used herein refers to a nucleic acid molecule which has complementarity in a substrate binding region to a specified gene target, and also has an enzymatic activity which is active to specifically cleave target RNA. That is, the enzymatic nucleic acid molecule is able to intermolecularly cleave RNA and thereby inactivate a target RNA molecule. These complementary regions allow sufficient hybridization of the enzymatic nucleic acid molecule to the target RNA and thus permit cleavage. One hundred percent complementarity is preferred, but complementarity as low as 50-75% can also be useful in this invention (see for example Werner and Uhlenbeck, 1995, Nucleic Acids Research, 23, 2092-2096; Hammann et al., 1999, Antisense and Nucleic Acid Drug Dev., 9, 25-31). The nucleic acids can be modified at the base, sugar, and/or phosphate groups. The term enzymatic nucleic acid is used interchangeably with phrases such as ribozymes, catalytic RNA, enzymatic RNA, catalytic DNA, aptazyme or aptamer-binding ribozyme, regulatable ribozyme, catalytic oligonucleotides, nucleozyme, DNAzyme, RNA enzyme, endoribonuclease, endonuclease, minizyme, leadzyme, oligozyme or DNA enzyme. All of these terminologies describe nucleic acid molecules with enzymatic activity. The specific enzymatic nucleic acid molecules described in the instant application are not limiting in the invention and those skilled in the art will recognize that all that is important in an enzymatic nucleic acid molecule of this invention is that it has a specific substrate binding site which is complementary to one or more of the target nucleic acid regions, and that it have nucleotide sequences within or surrounding that substrate binding site which impart a nucleic acid cleaving and/or ligation activity to the molecule (Cech et al., U.S. Pat. No. 4,987,071; Cech et al., 1988, 260 JAMA 3030).
- Several varieties of enzymatic nucleic acids are known presently, which can catalyze, for example, the hydrolysis of RNA phosphodiester bonds in trans (and thus can cleave other RNA molecules) under physiological conditions. In general, enzymatic nucleic acids with RNA endonuclease activity act by first binding to a target RNA. Such binding occurs through the target binding portion of a enzymatic nucleic acid which is held in close proximity to an enzymatic portion of the molecule that acts to cleave the target RNA. Thus, the enzymatic nucleic acid, for example, first recognizes and then binds a target RNA through complementary base-pairing, and once bound to the correct site, acts enzymatically to cut the target RNA. Strategic cleavage of such a target RNA will destroy its ability to direct synthesis of an encoded protein. After an enzymatic nucleic acid has bound and cleaved its RNA target, it is released from that RNA to search for another target and can repeatedly bind and cleave new targets. Thus, a single ribozyme molecule is able to cleave many molecules of target RNA. In addition, the enzymatic nucleic acid is a highly specific inhibitor of gene expression, with the specificity of inhibition depending not only on the base-pairing mechanism of binding to the target RNA, but also on the mechanism of target RNA cleavage. Single mismatches, or base-substitutions, near the site of cleavage can completely eliminate catalytic activity of an enzymatic nucleic acid molecule.
- The term “sufficient length” as used herein refers to an oligonucleotide of greater than or equal to 3 nucleotides that is of a length great enough to provide the intended function under the expected condition. For example, for binding arms of enzymatic nucleic acid “sufficient length” means that the binding arm sequence is long enough to provide stable binding to a target site under the expected binding conditions. Preferably, the binding arms are not so long as to prevent useful turnover of the nucleic acid molecule.
- The term “stably interact” as used herein refers to interaction of the oligonucleotides of the invention with a target nucleic acid (e.g., by forming hydrogen bonds with complementary nucleotides in the target under physiological conditions) that is sufficient for an intended purpose (e.g., cleavage of target RNA by an enzyme).
- By “antisense nucleic acid”, as used herein refers to a non-enzymatic nucleic acid molecule that binds to target nucleic acid by means of RNA-RNA or RNA-DNA or RNA-PNA (protein nucleic acid; Egholm et al., 1993 Nature 365, 566) interactions and alters the activity of the target nucleic acid (for a review, see Stein and Cheng, 1993 Science 261, 1004 and Woolf et al., U.S. Pat. No. 5,849,902). Typically, antisense molecules are complementary to a target sequence along a single contiguous sequence of the antisense molecule. However, in certain embodiments, an antisense molecule can bind to substrate such that the substrate molecule forms a loop, and/or an antisense molecule can bind such that the antisense molecule forms a loop. Thus, the antisense molecule can be complementary to two (or even more) non-contiguous substrate sequences or two (or even more) non-contiguous sequence portions of an antisense molecule can be complementary to a target sequence or both. For a review of current antisense strategies, see Schmajuk et al., 1999, J. Biol. Chem., 274, 21783-21789, Delihas et al., 1997, Nature, 15, 751-753, Stein et al., 1997, Antisense N. A. Drug Dev., 7, 151, Crooke, 2000, Methods Enzymol., 313, 3-45; Crooke, 1998, Biotech. Genet. Eng. Rev., 15, 121-157, Crooke, 1997, Ad. Pharmacol., 40, 1-49. In addition, antisense DNA can be used to target nucleic acid by means of DNA-RNA interactions, thereby activating RNase H, which digests the target nucleic acid in the duplex. The antisense oligonucleotides can comprise one or more RNAse H activating region, which is capable of activating RNAse H cleavage of a target nucleic acid. Antisense DNA can be synthesized chemically or expressed via the use of a single stranded DNA expression vector or equivalent thereof.
- By “RNase H activating region” as used herein refers to a region (generally greater than or equal to 4-25 nucleotides in length, preferably from 5-11 nucleotides in length) of a nucleic acid molecule capable of binding to a target nucleic acid to form a non-covalent complex that is recognized by cellular RNase H enzyme (see for example Arrow et al., U.S. Pat. No. 5,849,902; Arrow et al., U.S. Pat. No. 5,989,912). The RNase H enzyme binds to the nucleic acid molecule-target nucleic acid complex and cleaves the target nucleic acid sequence. The RNase H activating region comprises, for example, phosphodiester, phosphorothioate (preferably at least four of the nucleotides are phosphorothiote substitutions; more specifically, 4-11 of the nucleotides are phosphorothiote substitutions); phosphorodithioate, 5′-thiophosphate, or methylphosphonate backbone chemistry or a combination thereof. In addition to one or more backbone chemistries described above, the RNase H activating region can also comprise a variety of sugar chemistries. For example, the RNase H activating region can comprise deoxyribose, arabino, fluoroarabino or a combination thereof, nucleotide sugar chemistry. Those skilled in the art will recognize that the foregoing are non-limiting examples and that any combination of phosphate, sugar and base chemistry of a nucleic acid that supports the activity of RNase H enzyme is within the scope of the definition of the RNase H activating region and the instant invention.
- By “2-5A antisense chimera” as used herein refers to an antisense oligonucleotide containing a 5′-phosphorylated 2′-5′-linked adenylate residue. These chimeras bind to target nucleic acid in a sequence-specific manner and activate a cellular 2-5A-dependent ribonuclease which, in turn, cleaves the target nucleic acid (Torrence et al., 1993 Proc. Natl. Acad. Sci. USA 90, 1300; Silverman et al., 2000, Methods Enzymol., 313, 522-533; Player and Torrence, 1998, Pharmacol. Ther., 78, 55-113).
- By “triplex forming oligonucleotides” as used herein refers to an oligonucleotide that can bind to a double-stranded polynucleotide, such as DNA, in a sequence-specific manner to form a triple-strand helix. Formation of such triple helix structure has been shown to inhibit transcription of the targeted gene (Duval-Valentin et al., 1992 Proc. Natl. Acad. Sci. USA 89, 504; Fox, 2000, Curr. Med. Chem., 7, 17-37; Praseuth et. al., 2000, Biochim. Biophys. Acta, 1489, 181-206).
- By “nucleic acid decoy molecule”, or “decoy” as used herein refers to a nucleic acid molecule that mimics the natural binding domain for a ligand. The decoy therefore competes with the natural binding target for the binding of a specific ligand. For example, it has been shown that over-expression of HIV trans-activation response (TAR) RNA can act as a “decoy” and efficiently binds HIV tat protein, thereby preventing it from binding to TAR sequences encoded in the HIV RNA (Sullenger et al., 1990 , Cell, 63, 601-608).
- By “aptamer” or “nucleic acid aptamer” as used herein refers to a nucleic acid molecule that binds specifically to a target molecule wherein the nucleic acid molecule has sequence that is distinct from sequence recognized by the target molecule in its natural setting. Alternately, an aptamer can be a nucleic acid molecule that binds to a target molecule where the target molecule does not naturally bind to a nucleic acid. The target molecule can be any molecule of interest. For example, the aptamer can be used to bind to a ligand binding domain of a protein, thereby preventing interaction of the naturally occurring ligand with the protein, see for example Gold et al., U.S. Pat. No. 5,475,096 and 5,270,163; Gold et al., 1995 , Annu. Rev. Biochem., 64, 763; Brody and Gold, 2000, J. Biotechnol., 74, 5; Sun, 2000, Curr. Opin. Mol. Ther., 2, 100; Kusser, 2000, J. Biotechnol., 74, 27; Hermann and Patel, 2000, Science, 287, 820; and Jayasena, 1999, Clinical Chemistry, 45, 1628.
- The term “double stranded RNA” or “dsRNA” as used herein refers to a double stranded RNA molecule capable of RNA interference “RNAi”, including short interfering RNA “siRNA” see for example Bass, 2001 , Nature, 411, 428-429; Elbashir et al., 2001, Nature, 411, 494-498; and Kreutzer et al., International PCT Publication No. WO 00/44895; Zernicka-Goetz et al, International PCT Publication No. WO 01/36646; Fire, International PCT Publication No. WO 99/32619; Plaetinck et al., International PCT Publication No. WO 00/01846; Mello and Fire, International PCT Publication No. WO 01/29058; Deschamps-Depaillette, International PCT Publication No. WO 99/07409; and Li et al., International PCT Publication No. WO 00/44914.
- The term “nucleotide” as used herein refers to a heterocyclic nitrogenous base in N-glycosidic linkage with a phosphorylated sugar. Nucleotides are recognized in the art to include natural bases (standard), and modified bases well known in the art. Such bases are generally located at the 1′ position of a nucleotide sugar moiety. Nucleotides generally comprise a base, sugar and a phosphate group. The nucleotides can be unmodified or modified at the sugar, phosphate and/or base moiety, (also referred to interchangeably as nucleotide analogs, modified nucleotides, non-natural nucleotides, non-standard nucleotides and other; see for example, Usman and McSwiggen, supra; Eckstein et al., International PCT Publication No. WO 92/07065; Usman et al., International PCT Publication No. WO 93/15187; Uhlman & Peyman, supra all are hereby incorporated by reference herein). There are several examples of modified nucleic acid bases known in the art as summarized by Limbach et al., 1994 , Nucleic Acids Res. 22, 2183. Some of the non-limiting examples of chemically modified and other natural nucleic acid bases that can be introduced into nucleic acids include, inosine, purine, pyridin-4-one, pyridin-2-one, phenyl, pseudouracil, 2,4,6-trimethoxy benzene, 3-methyl uracil, dihydrouridine, naphthyl, aminophenyl, 5-alkylcytidines (e.g., 5-methylcytidine), 5-alkyluridines (e.g., ribothymidine), 5-halouridine (e.g., 5-bromouridine) or 6-azapyrimidines or 6-alkylpyrimidines (e.g. 6-methyluridine), propyne, quesosine, 2-thiouridine, 4-thiouridine, wybutosine, wybutoxosine, 4-acetylcytidine, 5-(carboxyhydroxymethyl)uridine, 5′-carboxymethylaminomethyl-2-thiouridine, 5-carboxymethylaminomethyluridine, beta-D-galactosylqueosine, 1-methyladenosine, 1-methylinosine, 2,2-dimethylguanosine, 3-methylcytidine, 2-methyladenosine, 2-methylguanosine, N6-methyladenosine, 7-methylguanosine, 5-methoxyaminomethyl-2-thiouridine, 5-methylaminomethyluridine, 5-methylcarbonylmethyluridine, 5-methyloxyuridine, 5-methyl-2-thiouridine, 2-methylthio-N6-isopentenyladenosine, beta-D-mannosylqueosine, uridine-5-oxyacetic acid, 2-thiocytidine, threonine derivatives and others (Burgin et al., 1996, Biochemistry, 35, 14090; Uhlman & Peyman, supra).
- By “modified bases” in this aspect is meant nucleotide bases other than adenine, guanine, cytosine and uracil at 1′ position or their equivalents; such bases can be used at any position, for example, within the catalytic core or substrate binding regions of the enzymatic nucleic acid domain of an nucleic acid sensor molecule. Such modified bases can also be present at one or more positions within the sensor domain of the nucleic acid sensor molecule, for example to improve interaction with the target nucleic acid sequence.
- The term “unmodified nucleotide” as used herein refers to a nucleotide with one of the bases adenine, cytosine, guanine, thymine, uracil joined to the 1′ carbon of beta-D-ribo-furanose.
- The term “modified nucleotide” as used herein refers to a nucleotide that contains a modification in the chemical structure of an unmodified nucleotide base, sugar and/or phosphate.
- By “Inozyme” or “NCH” motif or configuration is meant, an enzymatic nucleic acid molecule comprising a motif as is generally described as NCH Rz in Ludwig et al., International PCT Publication No. WO 98/58058 and U.S. patent application Ser. No. 08/878,640. Inozymes possess endonuclease activity to cleave RNA substrates having a cleavage triplet NCH/, where N is a nucleotide, C is cytidine and H is adenosine, uridine or cytidine, and / represents the cleavage site. Inozymes can also possess endonuclease activity to cleave RNA substrates having a cleavage triplet NCN/, where N is a nucleotide, C is cytidine, and / represents the cleavage site By “G-cleaver” motif or configuration is meant, an enzymatic nucleic acid molecule comprising a motif as is generally described in Eckstein et al., U.S. Pat. No. 6,127,173 and in Kore et al., 1998 ,
Nucleic Acids Research 26, 4116-4120. G-cleavers possess endonuclease activity to cleave RNA substrates having a cleavage triplet NYN/, where N is a nucleotide, Y is uridine or cytidine and / represents the cleavage site. G-cleavers can be chemically modified. - By “amberzyme” motif or configuration is meant, an enzymatic nucleic acid molecule comprising a motif as is generally described in Beigelman et al., International PCT publication No. WO 99/55857 and U.S. patent application Ser. No. 09/476,387. Amberzymes possess endonuclease activity to cleave RNA substrates having a cleavage triplet NG/N, where N is a nucleotide, G is guanosine, and / represents the cleavage site. Amberzymes can be chemically modified to increase nuclease stability. In addition, differing nucleoside and/or non-nucleoside linkers can be used to substitute the 5′-gaaa-3′ loops of the motif. Amberzymes represent a non-limiting example of an enzymatic nucleic acid molecule that does not require a ribonucleotide (2′-OH) group within its own nucleic acid sequence for activity.
- By “zinzyme” motif or configuration is meant, an enzymatic nucleic acid molecule comprising a motif as is generally described in Beigelman et al., International PCT publication No. WO 99/55857 and U.S. patent application Ser. No. 09/918,728. Zinzymes possess endonuclease activity to cleave RNA substrates having a cleavage triplet including but not limited to, YG/Y, where Y is uridine or cytidine, and G is guanosine and / represents the cleavage site. Zinzymes can be chemically modified to increase nuclease stability through various substitutions, including substituting 2′-O-methyl guanosine nucleotides for guanosine nucleotides. In addition, differing nucleotide and/or non-nucleotide linkers can be used to substitute the 5′-gaaa-2′ loop of the motif. Zinzymes represent a non-limiting example of an enzymatic nucleic acid molecule that does not require a ribonucleotide (2′-OH) group within its own nucleic acid sequence for activity.
- The term “DNAzyme” as used herein refers to an enzymatic nucleic acid molecule that does not require the presence of a 2′-OH group within it for its activity. In particular embodiments the enzymatic nucleic acid molecule can have an attached linker(s) or other attached or associated groups, moieties, or chains containing one or more nucleotides with 2′-OH groups. DNAzymes can be synthesized chemically or expressed endogenously in vivo, by means of a single stranded DNA vector or equivalent thereof. Examples of DNAzymes are generally reviewed in Usman et al., International PCT Publication No. WO 95/11304; Chartrand et al., 1995 ,
NAR 23, 4092; Breaker et al., 1995, Chem. Bio. 2, 655; Santoro et al., 1997, PNAS 94, 4262; Breaker, 1999, Nature Biotechnology, 17, 422-423; and Santoro et. al., 2000, J. Am. Chem. Soc., 122, 2433-39; Perrin et al., 2001, JACS., 123, 1556. Additional DNAzyme motifs can be selected for using techniques similar to those described in these references, and hence, are within the scope of the present invention. - The term “RNA” as used herein refers to a molecule comprising at least one ribonucleotide residue. By “ribonucleotide” or “2′-OH” is meant a nucleotide with a hydroxyl group at the 2′ position of a β-D-ribo-furanose moiety.
- The term “system” or “biological system” as used herein refers to a group of substances or components that can be collectively combined or identified. A system can comprise a biological system, for example, an organism, cell, or components, extracts, and samples thereof. A system can further comprise an experimental or artificial system, where various substances or components are intentionally combined together. The “biological system” as used herein can be a eukaryotic system or a prokaryotic system, for example, a bacterial cell, plant cell or a mammalian cell, or of plant origin, mammalian origin, yeast origin, Drosophila origin, or archebacterial origin.
- The term “cation” as used herein refers to a positively charged molecule.
- The term “vitamin” as used herein refers to a small molecule, such as riboflavin, nicotinamide, biotin, thiamine, lipoic acid, retinal, pyridoxal, folate, pantothenic acid, cyanocobalamin, aminopterin, and their respective analogs, which bind to a specific protein and participate directly in enzyme catalysis.
- Method of Use
- The cationic lipid molecules of the instant invention can be used to administer negatively charged polymers which act as pharmaceutical agents. Pharmaceutical agents prevent, inhibit the occurrence, or treat (alleviate a symptom to some extent, preferably all of the symptoms) of a disease state in a patient.
- The term “patient” as used herein refers to an organism which is a donor or recipient of explanted cells or the cells themselves. “Patient” also refers to an organism to which the compounds of the invention can be administered. Preferably, a patient is a mammal, e.g., a human, primate or a rodent.
- Generally, these molecules are used in solution with the negatively charged polymer to be administered (e.g., RNA, DNA or protein) and introduced by any standard means, with or without stabilizers, buffers, and the like, to form a pharmaceutical composition. When it is desired to use a liposome delivery mechanism, standard protocols for formation of liposomes can be followed. The compositions of the present invention may also be formulated and used as tablets, capsules or elixirs for oral administration; suppositories for rectal administration; sterile solutions; suspensions for injectable administration; and the like.
- The present invention also includes pharmaceutically acceptable formulations of the compounds described above, preferably in combination with the negatively charged polymer to be delivered. These formulations include salts of the above compounds, e.g., acid addition salts, for example, salts of hydrochloric, hydrobromic, acetic acid, and benzene sulfonic acid.
- A pharmacological composition or formulation refers to a composition or formulation in a form suitable for administration, e.g., systemic administration, into a cell or patient, preferably a human. Suitable forms, in part, depend upon the use or the route of entry, for example oral, transdermal, or by injection. Such forms should not prevent the composition or formulation to reach a target cell (i.e., a cell to which the negatively charged polymer is desired to be delivered to). For example, pharmacological compositions injected into the blood stream should be soluble. Other factors are known in the art, and include considerations such as toxicity and forms which prevent the composition or formulation from exerting its effect.
- The term “systemic administration” as used herein refers to in vivo systemic absorption or accumulation of drugs in the blood stream followed by distribution throughout the entire body. Administration routes which lead to systemic absorption include, without limitations: intravenous, subcutaneous, intraperitoneal, inhalation, oral, intrapulmonary and intramuscular. Each of these administration routes expose the desired negatively charged polymers, e.g., nucleic acids, to an accessible diseased tissue. The rate of entry of a drug into the circulation has been shown to be a function of molecular weight or size. The use of a liposome or other drug carrier comprising the compounds of the instant invention can potentially localize the drug, for example, in certain tissue types, such as the tissues of the reticular endothelial system (RES). A liposome formulation which can facilitate the association of drug with the surface of cells, such as, lymphocytes and macrophages is also useful. This approach may provide enhanced delivery of the drug to target cells by taking advantage of the specificity of macrophage and lymphocyte immune recognition of abnormal cells, such as the cancer cells.
- In one embodiment, the invention features the use of the cationic lipids of the invention in a composition comprising surface-modified liposomes containing poly (ethylene glycol) lipids (PEG-modified, or long-circulating liposomes or stealth liposomes). These formulations offer an method for increasing the accumulation of drugs in target tissues. This class of drug carriers resists opsonization and elimination by the mononuclear phagocytic system (MPS or RES), thereby enabling longer blood circulation times and enhanced tissue exposure for the encapsulated drug (Lasic et al. Chem. Rev. 1995, 95, 2601-2627; Ishiwataet al., Chem. Pharm. Bull. 1995, 43, 1005-1011). Such liposomes have been shown to accumulate selectively in tumors, presumably by extravasation and capture in the neovascularized target tissues (Lasic et al., Science 1995, 267, 1275-1276; Oku et al., 1995, Biochim. Biophys. Acta, 1238, 86-90). The long-circulating liposomes enhance the pharmacokinetics and pharmacodynamics of DNA and RNA, particularly compared to conventional cationic liposomes which are known to accumulate in tissues of the MPS (Liu et al., J. Biol. Chem. 1995, 42, 24864-24870; Choi et al., International PCT Publication No. WO 96/10391; Ansell et al., International PCT Publication No. WO 96/10390; Holland et al., International PCT Publication No. WO 96/10392; all of these are incorporated by reference herein). Long-circulating liposomes are also likely to protect drugs from nuclease degradation to a greater extent compared to cationic liposomes, based on their ability to avoid accumulation in metabolically aggressive MPS tissues such as the liver and spleen. All of these references are incorporated by reference herein.
- The present invention also includes compositions prepared for storage or administration which include a pharmaceutically effective amount of the desired compounds in a pharmaceutically acceptable carrier or diluent. Acceptable carriers or diluents for therapeutic use are well known in the pharmaceutical art, and are described, for example, in Remington's Pharmaceutical Sciences, Mack Publishing Co. (A. R. Gennaro edit. 1985) hereby incorporated by reference herein. For example, preservatives, stabilizers, dyes and flavoring agents may be provided. Id. at 1449. These include sodium benzoate, sorbic acid and esters of p-hydroxybenzoic acid. In addition, antioxidants and suspending agents may be used. Id.
- A pharmaceutically effective dose is that dose required to prevent, inhibit the occurrence, or treat (alleviate a symptom to some extent, preferably all of the symptoms) of a disease state. The pharmaceutically effective dose depends on the type of disease, the composition used, the route of administration, the type of mammal being treated, the physical characteristics of the specific mammal under consideration, concurrent medication, and other factors which those skilled in the medical arts will recognize. Generally, an amount between 0.1 mg/kg and 100 mg/kg body weight/day of active ingredients is administered dependent upon potency of the negatively charged polymer.
- The molecules of the invention and formulations thereof can be administered orally, topically, parenterally, by inhalation or spray or rectally in dosage unit formulations containing conventional non-toxic pharmaceutically acceptable carriers, adjuvants and vehicles. The term parenteral as used herein includes percutaneous, subcutaneous, intravascular (e.g., intravenous), intramuscular, or intrathecal injection or infusion techniques and the like. In addition, there is provided a pharmaceutical formulation comprising a molecule of the invention and a pharmaceutically acceptable carrier. One or more nucleic acid molecules of the invention can be present in association with one or more non-toxic pharmaceutically acceptable carriers and/or diluents and/or adjuvants, and if desired other active ingredients. The pharmaceutical compositions containing molecules of the invention can be in a form suitable for oral use, for example, as tablets, troches, lozenges, aqueous or oily suspensions, dispersible powders or granules, emulsion, hard or soft capsules, or syrups or elixirs.
- Compositions intended for oral use can be prepared according to any method known to the art for the manufacture of pharmaceutical compositions and such compositions can contain one or more such sweetening agents, flavoring agents, coloring agents or preservative agents in order to provide pharmaceutically elegant and palatable preparations. Tablets contain the active ingredient in admixture with non-toxic pharmaceutically acceptable excipients that are suitable for the manufacture of tablets. These excipients can be for example, inert diluents, such as calcium carbonate, sodium carbonate, lactose, calcium phosphate or sodium phosphate; granulating and disintegrating agents, for example, corn starch, or alginic acid; binding agents, for example starch, gelatin or acacia, and lubricating agents, for example magnesium stearate, stearic acid or talc. The tablets can be uncoated or they can be coated by known techniques. In some cases such coatings can be prepared by known techniques to delay disintegration and absorption in the gastrointestinal tract and thereby provide a sustained action over a longer period. For example, a time delay material such as glyceryl monosterate or glyceryl distearate can be employed.
- Formulations for oral use can also be presented as hard gelatin capsules wherein the active ingredient is mixed with an inert solid diluent, for example, calcium carbonate, calcium phosphate or kaolin, or as soft gelatin capsules wherein the active ingredient is mixed with water or an oil medium, for example peanut oil, liquid paraffin or olive oil.
- Aqueous suspensions contain the active materials in admixture with excipients suitable for the manufacture of aqueous suspensions. Such excipients are suspending agents, for example sodium carboxymethylcellulose, methylcellulose, hydropropyl-methylcellulose, sodium alginate, polyvinylpyrrolidone, gum tragacanth and gum acacia; dispersing or wetting agents can be a naturally-occurring phosphatide, for example, lecithin, or condensation products of an alkylene oxide with fatty acids, for example polyoxyethylene stearate, or condensation products of ethylene oxide with long chain aliphatic alcohols, for example heptadecaethyleneoxycetanol, or condensation products of ethylene oxide with partial esters derived from fatty acids and a hexitol such as polyoxyethylene sorbitol monooleate, or condensation products of ethylene oxide with partial esters derived from fatty acids and hexitol anhydrides, for example polyethylene sorbitan monooleate. The aqueous suspensions can also contain one or more preservatives, for example ethyl, or n-propyl p-hydroxybenzoate, one or more coloring agents, one or more flavoring agents, and one or more sweetening agents, such as sucrose or saccharin.
- Oily suspensions can be formulated by suspending the active ingredients in a vegetable oil, for example arachis oil, olive oil, sesame oil or coconut oil, or in a mineral oil such as liquid paraffin. The oily suspensions can contain a thickening agent, for example beeswax, hard paraffin or cetyl alcohol. Sweetening agents and flavoring agents can be added to provide palatable oral preparations. These compositions can be preserved by the addition of an anti-oxidant such as ascorbic acid.
- Dispersible powders and granules suitable for preparation of an aqueous suspension by the addition of water provide the active ingredient in admixture with a dispersing or wetting agent, suspending agent and one or more preservatives. Suitable dispersing or wetting agents or suspending agents are exemplified by those already mentioned above. Additional excipients, for example sweetening, flavoring and coloring agents, can also be present.
- Pharmaceutical compositions of the invention can also be in the form of oil-in-water emulsions. The oily phase can be a vegetable oil or a mineral oil or mixtures of these. Suitable emulsifying agents can be naturally-occurring gums, for example gum acacia or gum tragacanth, naturally-occurring phosphatides, for example soy bean, lecithin, and esters or partial esters derived from fatty acids and hexitol, anhydrides, for example sorbitan monooleate, and condensation products of the said partial esters with ethylene oxide, for example polyoxyethylene sorbitan monooleate. The emulsions can also contain sweetening and flavoring agents.
- Syrups and elixirs can be formulated with sweetening agents, for example glycerol, propylene glycol, sorbitol, glucose or sucrose. Such formulations can also contain a demulcent, a preservative and flavoring and coloring agents. The pharmaceutical compositions can be in the form of a sterile injectable aqueous or oleaginous suspension. This suspension can be formulated according to the known art using those suitable dispersing or wetting agents and suspending agents that have been mentioned above. The sterile injectable preparation can also be a sterile injectable solution or suspension in a non-toxic parentally acceptable diluent or solvent, for example as a solution in 1,3-butanediol. Among the acceptable vehicles and solvents that can be employed are water, Ringer's solution and isotonic sodium chloride solution. In addition, sterile, fixed oils are conventionally employed as a solvent or suspending medium. For this purpose any bland fixed oil can be employed including synthetic mono-or diglycerides. In addition, fatty acids such as oleic acid find use in the preparation of injectables.
- The molecules of the invention can also be administered in the form of suppositories, e.g., for rectal administration of a compound. These compositions can be prepared by mixing the drug with a suitable non-irritating excipient that is solid at ordinary temperatures but liquid at the rectal temperature and will therefore melt in the rectum to release the drug. Such materials include cocoa butter and polyethylene glycols.
- Molecules of the invention can be administered parenterally in a sterile medium. A drug, depending on the vehicle and concentration used, can either be suspended or dissolved in the vehicle. Advantageously, adjuvants such as local anesthetics, preservatives and buffering agents can be dissolved in the vehicle.
- Dosage levels of the order of from about 0.1 mg to about 140 mg per kilogram of body weight per day are useful in the treatment of the above-indicated conditions (about 0.5 mg to about 7 g per patient per day). The amount of active ingredient that can be combined with the carrier materials to produce a single dosage form varies depending upon the host treated and the particular mode of administration. Dosage unit forms generally contain between from about 1 mg to about 500 mg of an active ingredient.
- It is understood that the specific dose level for any particular patient depends upon a variety of factors including the activity of the specific compound employed, the age, body weight, general health, sex, diet, time of administration, route of administration, and rate of excretion, drug combination and the severity of the particular disease undergoing therapy.
- For administration to non-human animals, the composition can also be added to the animal feed or drinking water. It can be convenient to formulate the animal feed and drinking water compositions so that the animal takes in a therapeutically appropriate quantity of the composition along with its diet. It can also be convenient to present the composition as a premix for addition to the feed or drinking water.
- The molecules of the present invention can also be administered to a patient in combination with other therapeutic compounds to increase the overall therapeutic effect. The use of multiple compounds to treat an indication can increase the beneficial effects while reducing the presence of side effects.
- The examples provided herein illustrate different aspects and embodiments of the present invention. Although the examples presented here primarily pertain to delivery of ribozymes and plasmid DNA, one skilled in the art will recognize that any nucleic acid, protein, lipid, or another molecule, either alone or in combinations can be delivered to target biological system using the teachings of the present invention. These examples are not intended in any way to limit the disclosed invention.
- Synthesis of palmityloleylamine (1): 1-bromohexadecane (15.27 g, 50 mmol) was rapidly added to oleylamine (26.75 g, 100 mmol) at 100° C. The reaction mixture was heated at 120° C. for 30 minutes and than cooled to room temperature. Chloroform(200 ml) was added followed by 1 N NaOH (50 ml). The mixture was then extracted with H 2O (200 ml), the organic layer dried (Na2SO4) and concentrated to a syrup. Silica gel column chromatography using 5-20% gradient methanol in dichloromethane afforded 20.5 g of palmityloleylamine as a syrup (yield, 83%). The identity of the product was confirmed using NMR spectroscopy. 1H NMR (CDCl3) d 5.34 (m, 2H, CH═CH), 2.58 (m, 4H), 2.00 (m, 4H), 1.47 (m, 4H), 1.25 (m, 48H), 0.86 (m, 6H). FAB-MS: 493 [M+H]+. (Other reagents could include oleyl-bromide and hexadecane amine)
- Synthesis of N′-palmityl-N′-oleyl-N-CBZ-glycinamide (2): (1) (2.46 g, 5 mmol) was added to a solution of N-CBZ-glycine N-hydroxysuccinimide ester (3.06 g, 10 mmol) suspended in dichloromethane (1.39 ml) containing triethylamine (TEA)(10 mmol). The reaction mixture was stirred at room temperature overnight and then concentrated to an oil under vacuum. Silica gel chromatography using 1-5% gradient methanol in dichloromethane gave 1.54 g of N′-palmityl-N′-oleyl-N-CBZ-glycinamide (yield, 45%). 1H NMR (CDCl3) d 7.35 (m, phenyl), 5.83 (br s, NH), 5.35 (m, CH═CH), 5.12 (s, 2H, CH2Ph), 4.00 (m, 2H, glycyl), 3.31 (m, 2H), 3.13 (m, 2H), 2.00 (m, 4H), 1.53 (m, 4H), 1.25 (m, 48H), 0.88 (m, 6H).
- Synthesis of N′-palmityl-N′-oleyl-glycinamide (3): 10% Palladium on Carbon (Pd/C) was added to N′-palmityl-N′-oleyl-N-CBZ-glycinamide (0.5 g, 0.73 mmol) dissolved in absolute ethanol (3 ml) under argon gas. The flask was immersed in a 20° C. water bath prior to the addition of 1,4-cyclohexadiene (0.66 ml). The reaction mixture was stirred at room temperature overnight, the catalyst was filtered off and the filtrate evaporated to dryness giving 0.3 g of product (yield, 75%). 1H NMR (acetone-d6) d 5.41 (m, 2H, CH═CH), 4.07 (br s, 2H, glycyl), 3.36 (m, 2H), 3.29 (m, 2H), 2.80 (br s, NH2), 2.05 (m, 2H), 1.98 (m, 2H), 1.63 (m, 2H), 1.25 (m, 48H), 0.87 (m, 6H). FAB-MS: 549 [M+H]+.
- Synthesis of N′-palmityl-N′-oleyl-alpha,gamma-bis-Boc-diaminobutyryl-glycinamide (4): The mixture of 3 (1.12 g, 2.04 mmol), N-alpha-N-gamma-di-Boc-diaminobutyric acid (631 mg, 2.24 mmol), 2-ethoxy-1-ethoxycarbonyl-1,2-dihydroquinoline (EEDQ) (553 mg, 2.24 mmol) in CH 2Cl2 was stirred for 1 hour at room temperature. The mixture was then concentrated to a syrup and 1.2 g of the product was isolated by column chromatography using 20-50% gradient of hexanes in ethyl acetate (yield, 69%). 1H NMR (CDCl3) d 7.14 (br s, NH), 5.38 (m, 2H, CH═CH), 5.28 (br s, 1H, NH), 5.12 (br s, 1H, NH), 4.02 (m, 2H, glycyl), 3.42 (m, 1H), 3.31 (m, 2H), 3.15 (m, 2H), 3.02 (m, 2H), 1.95 (m, 4H), 1.77 (m, 2H), 1.53 (m, 4H), 1.25 (m, 48 H). FAB-MS: 850 [M+H]+.
- Synthesis of N′-palmityl-N′-oleyl-alpha, gamma-diaminobutyryl-glycinamide (JA59311)(5): compound 4 (350 mg, 0.41 mmol) was dissolved in dioxane (6 ml) followed by the addition of 4 M HCl in dioxane (6 ml). The reaction mixture was stirred at room temperature for 2 hours, than concentrated in vacuo and azeotroped twice with toluene. The residue was partitioned between CH 2Cl2 and 0.2 N NaOH, the organic layer was washed with saturated NaHCO3 solution, and then dried (Na2SO4) and evaporated to dryness. Flash silica gel chromatography using CH2Cl2/methanol/conc. NH4OH 40:10:2 yielded 200 mg of compound 5 (yield, 75%). 1H NMR (CDCl3) d 8.06 (br s, 1H, NH), 5.38 (m, 2H, CH═CH), 4.04 (m, 2H, glycyl), 3.54 (m, 1H), 3.31 (m, 2H), 3.17 (m, 2H), 2.86 (m, 2H), 1.93 (m, 4H), 1.67 (m, 2H), 1.54 (m, 4H), 1.41 (br s, 4H, NH2), 1.25 (m, 48H), 0.87 (m, 6H). FAB-MS: 650 [M+H]+.
- Synthesis of N′-palmityl-N′-oleyl-N-gamma-carboxamidine-alpha,gamma-diaminobutyryl-glycinamide (JA59312) (6): To the solution of 5 (0.16 g, 0.25 mmol) and diisopropylethylamine (DIPEA) (83 mL) in THF/methanol 1:1 (0.8 ml), 1H-pyrazole-1-carboxamidine hydrochloride (70 mg, 0.48 mmol) was added under argon gas. The reaction mixture was stirred at room temperature overnight and then concentrated to a syrup. Silica gel column chromatography using CH 2Cl2 followed by CH2Cl2/methanol/conc. NH4OH 40:10:2 yielded 50 mg of compound 6 (yield, 29%). 1H NMR (CDCl3) d 5.37 (m, 2H, CH═CH), 4.07 (m, 2H, glycyl), 3.94 (m, 1H), 3.42 (m, 2H), 3.21 (m, 4H), 2.01 (m, 6H), 1.58 (m, 4H), 1.46 (m, 2H, NH2), 1.25 (m, 48H), 0.87 (m, 6H). FAB-MS: 692 [M+H]+.
- Synthesis of N′-palmityl-N′-oleyl-alpha,gamma-bis-trimethylammoniumbutyryl-glycinamide (JA59316)(7): A dihydrogenchloride salt of 5 (130 mg, 0.2 mmol) was dissolved in methanol (4 ml) and combined with KHCO 3 (0.2 g) and CH3I (0.2 ml). The mixture was then stirred at room temperature for 3 days. The reaction mixture was then filtered through the bed of Celite, followed by filtration through 0.45 m PTFE filter. The filtrate was then evaporated to dryness affording 160 mg of the desired product (yield, 94%). 1H NMR (CDCl3) d 3.58 [s, 9H, (CH3)3], 3.44 [s, 9H, (CH3)3].
- Synthesis of N′-palmityl-N′-oleyl-N-carboxamidine-glycinamide.HCl (JA59314)(8): Using the same procedure described above for the preparation of 6 except that crystallization from methanol instead of column chromatography was used for purification, 8 was prepared in 51% yield. 1H NMR (CDCl3) d 7.70-7.25 (m, 5H, NH), 5.38 (m, 2H, CH═CH), 4.25 (m, 2H, glycyl), 3.27 (m, 4H), 1.96 (m, 4H), 1.53 (m, 4H), 1.25 (m, 48 H), 0.87 (m, 6H). FAB-MS: 592 [M+H]+.
- Synthesis of N′-palmityl-N′-oleyl-guanidine (JA59317) (9): The mixture of a hydrochloride salt of 1 (285 mg, 0.54 mmol) , cyanamide (50 mg, 1.19 mmol) and 1-butanol (2 ml) was stirred at 120° C. for 2 hours. The cooled mixture was diluted with CH 2Cl2(50 ml) and washed with saturated aqueous NaCl(Brine)/methanol 1:1 (50 ml). The organic layer was then dried (Na2SO4), evaporated to an oil and chromatographed on a column of silica gel using CH2Cl2/methanol/conc. NH4OH 40:10:2 giving 80 mg of the desired material (yield, 28%). 1H NMR (CDCl3) d 7.08 (br s, 1H, NH), 5.34 (m, 2H, CH═CH), 3.29 (m, 4H), 2.00 (m, 4H), 1.62 (m, 4H), 1.25 (m, 48H), 0.88 (m, 6H). FAB-MS: 535 [M+H]+.
- Synthesis of Cholesterylamine (10): Referring to FIG. 3, cholesteryl chloride (10 grams, 25 mmol) was partially dissolved in dry methanol (50 ml) and the solution was heated with stirring to 155° C. for 18 hr at 500 psig using a 300 ml Parr bomb apparatus charged with dry ammonia gas. The bomb was cooled to room temperature and the methanol was removed by steam distillation on a rotary evaporator.
Compound 10 was purified using E. Merck silica chromatography by eluting with dichloromethane/methanol (4:1 v/v) to yield 4 grams of the ninhydrin positive product (yield, 60%). Identity was confirmed by ES-MS. - Synthesis of Boc 3arginineNHcholesterylamide (11): A 200 mL pear shaped flask with stir bar was charged with a mixture of 10 (1 g, 2.6 mmol) , Boc3 arginine (1.2 grams, 2.6 mmol), diisopropylcarbodiimide (450 ul, 2.9 mmol) and dichloromethane (70 mls). The mixture of reagents was stirred at room temperature for two hours. Following the reaction, the solution was washed with aqueous sodium bicarbonate (5% w/v) and the organic layer was separated and dried to a solid using a rotary evaporator.
Compound 11 was dissolved in 5 mls of dichloromethane prior to purification using silica gel chromatography. (yield, 90%). Identity was confirmed by ES-MS. 1H NMR (dmso-d6):. 1H NMR (dmso-d6): 9.32 (bd), 6.63 (d), 5.30 (m), 4.00 (m), 3.80 (m) 3.40 (m), 1.539 (s, tBoc), 1.517 (s, tBoc), 1.497(s, tBoc). - Synthesis of Boc arginineNHcholesterylamide (DS4659) (12): Compound 11 (50 mg, 60 umol) was dissolved in
anhydrous 1,4-dioxane (300 ul) and combined with 4M HCl in dioxane (400 ul). The mixture was left at room temperature for 2 hours and the reaction was stopped by removing all solvent and HCl using a stream of dry nitrogen gas.Compound 12 was isolated using a wide pore C18 silica column and an isocratic methanol: water (88:12) eluant with detection at 210 nm. Fractionation allowed recovery of 20 mgs of compound 12 (yield, 44%). Identity was confirmed by ES-MS. 1H NMR (dmso-d6): 7.82 (d), 6.36 (bs), 3.51 (m), 3.43 (m), 3.33 (m) 3.15 (m), 1.472 (s, tBoc). - Synthesis of (13): Referring to the FIG. 4, to a solution of methylphosphonic dichloride (0.332 g, 2.5 mmol, 31p NMR s, 43.93 ppm) stirring at room temperature under positive pressure argon was added 4-dimethylaminopyridine(DMAP) (0.31 g, 2.5 mmol). The resulting clear, colorless solution was cooled to −70 C. and a solution of cholesterol (0.97 g, 2.5 mmol) suspended in anhydrous dichloromethane (20 ml) was added via syringe with vigorous stirring over a period of one hour. The reaction mixture was allowed to warm to room temperature and was maintained at room temperature for 18 hours at which time 31P NMR analysis of a small aliquot of the reaction mixture indicated complete reaction (d, 39.08 ppm).
- Crude (13) was treated with additional DMAP (0.31 g, 2.5 mmol) and the reaction mixture cooled to −70 C. while stirring under positive pressure argon. H-Lys(Z)-OCH 3 (0.66 g, 2.25 mmol) in anhydrous dichloromethane (20 ml) was added dropwise via syringe over a period of one hour. The reaction mixture was warmed to room temperature and stirred for an additional 18 hours (reaction complete by 31P NMR). Direct loading onto flash silica followed by a gradient of 0 to 10% EtOAc/hexanes then 5% EtOH/dichloromethane gave 1.12 g of (14) (Yield, 60% over two steps). 31P NMR (s, 30.98 ppm).
- Synthesis of Cholesterol-Lysine-methylphosphonoamidate (PH55933) (15): Compound (14) (1.0 g, 1.35 mmol) was dissolved in anhydrous EtOH and cooled to 0 C. with an ice/water bath while stirring under argon. 10 Pd/c (1.0 g, 1 mass eq.) was added to the reaction mixture followed by dropwise addition of 1,4 cyclohexadiene (1.27 ml, 13.5 mmol). After warming to room temperature, the reaction was complete after 4 hours as determined by TLC (15% MeOH/dichloromethane). The reaction mixture was filtered over celite and dried in vacuo. Flash chromatography utilizing a gradient of 5 to 15% MeOH/
dichloromethane 1% TEA afforded 0.64 g of (15): (yield, 78%) 31P NMR (s, 30.88 ppm), mass spec. calcd=606.87, found=607.47. - Synthesis of Cholesterol-Homoarginine-methylphosphonoamidate (PH55938) (16): To a solution of (15) (0.131 g, 0.216 mmol) stirring at room temperature under argon in anhydrous DMF (2.0 ml), 1-H-pyrazole-1-carboxamidine.HCl (32 mg, 0.216 mmol) was added followed by diisopropylethylamine (28 ml, 0.216 mmol). The reaction mixture was stripped slightly on a rotovap then rotated overnight without vacuum at room temperature. After removing DMF in vacuo the reaction residue was dissolved in dichloromethane and applied to a flash silica gel column. An isocratic system of 20% MeOH/dichloromethane, 2% NH 4OH followed by treatment with Dowex OH− (300 mg) in MeOH gave 80 mg of desired product (yield, 57%). 31P NMR (s, 31.99 ppm), mass spec. calcd=648.91, found=649.48.
- Synthesis of Cholesterol-Lysine-methylphosphonoamidate amide (PH55939) (17): Refering to FIG. 5, compound (15) (76 mg, 0.125 mmol) was treated with a 0 C. saturated methanolic ammonia solution (5 ml) at room temperature for 18 hours (some venting required). The reaction mixture was evaporated in vacuo then purified by flash silica gel chromatography to give 45 mg of product (yield,61%). 31P NMR (s, 32.17 ppm), mass spec. calcd=591.86, found=592.23.
- Synthesis of Cholesterol-TREN-methylphosphonamidate (PH55941) (18): Refering to FIG. 6, 4-Dimethylaminopyridine (DMAP) (0.31 g, 2.5 mmol) was added to a solution of methylphosphonic dichloride (0.332 g, 2.5 mmol, 31P NMR s, 43.93 ppm) stirring at room temperature under positive pressure argon gas. The resulting clear, colorless solution was cooled to −70 C. and a solution of cholesterol (0.97 g, 2.5 mmol) in anhydrous dichloromethane (20 ml) was added via syringe with vigorous stirring over a period of one hour. The reaction mixture was allowed to warm to room temperature and was maintained for 18 hours at which time 31P NMR analysis of a small aliquot of the reaction mixture indicated complete reaction (d, 39.08 ppm). Crude (13) was treated with additional DMAP (0.31 g, 2.5 mmol) and the reaction mixture cooled to −70 C. while stirring under positive pressure argon. Tris(2-aminoethyl)amine (TREN) (0.37 ml, 2.5 mmol) in anhydrous dichloromethane (20 ml) was added dropwise via syringe over a period of two hours. The reaction mixture was warmed to room temperature and stirred for an additional 18 hours (reaction complete by 31P NMR). Direct loading onto flash silica followed by a gradient of 10 to 20% MeOH/dichloromethane with 1 to 4% NH4OH gave 0.442 g of (18) as a white foam: (yield, 28% over two steps), 31P NMR (d, 32.57 ppm), mass spec. calcd=592.89, found=593.49.
- Synthesis of Cholesterol-TREN-bis-guanidinium methylphosponamidate (PH55942) (19): Compound (18) (0.148 g, 0.25 mmol) was dissolved in anhydrous DMF (1.0 ml) and anhydrous dichoromethane (5.0 ml). 1-H-pyrazole-1-carboxamidine.HCl (73 mg, 0.50 mmol) was added to the reaction mixture followed by diisopropylethylamine (87 ml, 0.50 mmol). Dichloromethane was stripped off of the reaction mixture on a rotovap then rotation continued overnight without vacuum at room temperature. After removing DMF in vacuo the reaction residue was dissolved in dichloromethane and applied to a flash silica gel column. A gradient of 5 to 20% MeOH/dichloromethane with 0.5 to 2% NH 4OH followed by treatment with Dowex OH− (300 mg) in MeOH gave pure (19): 0.11 g, 65%, 31P NMR (d, 33.83 ppm), mass spec. calcd=676.97, found=677.54.
- Synthesis of Cholesterol-Lysine-methylphosphonoamidate (PH55943) (20):
- Refering to FIG. 7, crude (13) was treated with additional DMAP (0.31 g, 2.5 mmol) and the reaction mixture cooled to −70 C. while stirring under positive pressure argon. H-His(Bzl)OCH 3 (0.65 g, 2.5 mmol) in anhydrous dichloromethane (20 ml) was added dropwise via syringe over a period of one hour. The reaction mixture was then warmed to room temperature and stirred for 18 hours (reaction complete by 31P NMR). Direct loading onto flash silica followed by a gradient of 2 to 10% EtOAc/hexanes then 0 to 5% MeOH/dichloromethane gave 0.53 g of (20) (30% over two steps), 31P NMR (d, 31.39 ppm), mass spec. calcd=705.96, found=706.47.
- Synthesis of Cholesterol-Histidine-methylphosphonamidate (PH55945) (21):
- Refering to FIG. 8, crude (13) was treated with additional DMAP (0.31 g, 2.5 mmol) and the reaction mixture cooled to −70 C. while stirring under positive pressure argon. 1-(3-aminopropyl)-imidazole (0.30 ml, 2.5 mmol) in anhydrous dichloromethane (20 ml) was added dropwise via syringe over a period of one hour. The reaction mixture was warmed to rt and stirred at rt for an additional 18 hours (reaction complete by 31P NMR). Direct loading onto flash silica after saturated bicarb washing followed by a gradient of 0 to 10% EtOAc/hexanes then 0 to 10% MeOH/dichloromethane affording 0.77 g of (21): (yield, 54% over two steps), 31P NMR (d, 32.47 ppm), mass spec. calcd=571.82, found=572.33.
- Synthesis of N-CBZ-beta-Alanine N-hydroxysuccinimide ester (22): Refering to FIG. 9, the compound was prepared according to Lewis et al. PNAS 1996, 93, 3176-3181 (incorporated by reference herein). Yield 80%. 1H NMR (DMSO-d6) d 7.42 (t, 1H, NH), 7.33 (m, 5H, benzyl), 5.009 (s, CH2), 1.47 (m, 4H), 3.32 (m, 2H, CH2NH), 2.86 (t, 2H,CH2CO), 2.79 (s, 4H, CH2CH2).
- Synthesis of N′-palmityl-N′-oleyl-N-CBZ-beta-alanine amide (23): compound 22 (1.0 g, 2.03 mmol) was added to a solution of N-CBZ-beta-Alanine N-hydroxysuccinimide ester (0.16 g, 0.5 mmol) in CH 2Cl2 containing Et3N (0.42 ml, 3 mmol). The reaction mixture was stirred at room temperature overnight, diluted with dichloromethane and washed with saturated NaHCO3 and brine. Organic layer was dried over sodium sulfate and evaporated to dryness. The residue was purified by flash chromatography on silica using mixture of EtOAc-Hexanes (1:3) as an eluent to give 1.32 g of 23 as a yellow oil(yield, 93%). 1H NMR (CDCl3) d 7.34 (m, phenyl), 5.62 (t, NH), 5.35 (m, CH═CH), 5.082 (s, 2H, CH2Ph), 3.49 (m, 2H, CH2NH), 3.27 (m, 2H,), 3.15 (m, 2H), 2.5 (m, 2H, CH2 CO), 2.00 (m, 4H), 1.49 (m, 4H), 1.25 (m, 48H), 0.87 (m, 6H).
- Synthesis of N′-palmityl-N′-oleyl-beta-alanine amide (AK 524-68) (POABA)(24): compound 23 (1.2 g, 1.72 mmol) was dissolved in absolute ethanol (10 ml) and 10% Pd-C was added under argon. The flask was then immersed in a 20° C. water bath prior to the addition of 1,4-cyclohexadiene (1.6 ml). The reaction mixture was stirred at room temperature for 40 hours, the catalyst was filtered off and the filtrate evaporated to dryness. The residue was purified by flash chromatography on silica eluting with the linear gradient of MeOH (5% to 10%) in dichloromethane to give 0.68 g, of 24 (yield, 70%). 1H NMR (CDCl3) d 5.37 (m, 2H, CH═CH), 3.26 (m, 4H,), 3.16 (m, 2H), 2.75 (t, NH2), 1.95 (m, 2H), 1.51 (m, 4H), 1.25 (m, 48H), 0.87 (m, 6H). FAB-MS: 563.6 [M+H]+.
- Synthesis of N′-palmityl-N′-oleyl-N-carboxamidine-beta-alanine amide (AK 524-73) (GPPOA) (25): The mixture of 24 (60 mg, 0.11 mmol), pyrazole carboxamidine hydrochloride (16 mg, 0.11 mmol) and diisopropylethylamine (20 mL, 0.12 mmol) in 0.5 mL of THF-MeOH (1:1) was stirred overnight at room temperature. It was then evaporated to dryness, dissolved in dichloromethane and washed with aqueous ammonia. The organic layer was dried over sodium sulfate to give 25 as an yellowish oil. Yield near quantitative. 1H NMR (CDCl3) d 7.70-7.25 (m, 5H, NH), 5.38 (m, 2H, CH═CH), 3.43 (m, 2H, CH2NH), 3.23 (m, 2H), 3.17 (m, 2H), 2.54 (m 2H, CH2CO)1.96 (m, 4H), 1.49 (m, 4H), 1.25 (m, 48 H), 0.87 (m, 6H). FAB-MS: 605.6 [M+H]+.
- Synthesis of N(N″-palmityl-N″-oleyl-amidopropyl)pyridoxamine (AK 524-74) (POCAEP) (26):
Compound 26 was prepared analogously to compound 27 (Yield, 78%). FAB-MS: 714.6 [M+H]+. - N-cholesteryl-pyridoxamine (AK524-76) (CCAEP) (27): Refering to FIG. 11, The suspension of Pyridoxal hydrochloride (0.1 g, 0.5 mmol) in ethanol was brought to
pH 7 with 1N NaOH followed by the addition of aminocholesterol (0.19 g, 0.5 mmol). The pH of the resulting bright yellow solution was adjusted to 8 (1N NaOH) and set aside for 10 minutes. Sodium borohydride (20 mg, 0.5 mmol) was then added to the reaction mixture resulting in immediate color disappearance. After 15 minutes reaction mixture was acidified (pH 6) with 1N HCl, diluted with dichloromethane and washed with aqueous ammonia and water. The organic layer was dried over sodium sulfate and evaporated to dryness. The residue was purified by flash chromatography on silica using 10% MeOH in dichloromethane as an eluent to give 0.25g (93%) of 27 . 1H NMR (CDCl3) d 7.78 (s, 1H, H-6 Pyr), 4.58 (s, 2H, CH2O), 4.06 (AB-quartet 2H, CH2N), 2.4 (s, 3H, 2-CH3), 2.2-0.24 (m, cholesteryl moiety). FAB-MS: 537.4 [M+H]+. - 2′-Deoxy-2′-(N-Fmoc-beta-alanineamido) uridine (28): Referring to FIG. 10, EEDQ (4.2 g, 17 mmol) was added to the solution of 2′-amino-2′-deoxy uridine (4 g, 16.45 mmol) and N-FMOC-beta-alanine (5.1 g, 16.45 mmol) in methanol and the reaction mixture was boiled for two hours. Subsequent flash chromatography on silica using a linear gradient of methanol (5% to 10% ) in dichloromethane afforded 6 g of 2′-Deoxy-2′-(N-Fmoc-beta-alanineamido) uridine (77%). 1H NMR (CDCl3-DMSO-d6) d 10.398 (s, 1H, N3-H), 6.98-7.63 (m, H6, Fmoc), 6.16 (t, 1H, NHFmoc), 5.73 (d, 1H, H1′, J1′,2′ 8.4), 5.34 (d, 1H, H5), 4.22 (m, 1H, 2′-H) 3.98 (dd 2H, CH2), 3.88 (m, 1H, 3′-H), 3.77 (br s, 1H, 4′-H), 3.43 (m, 2H, 5′-CH2), 3.1 (m, 2H, CH2NHFmoc), 2.07 (t, 2H, CH2CO).
- Synthesis of 3′,5′-Di-palmitoyl-2′-deoxy-2′-(N-Fmoc-beta-alanineamido) uridine (29): Palmitoyl chloride (1.55 mL, 1.8 mmol) was added to a solution of
nucleoside 28 in abs pyridine and the reaction mixture was stirred overnight at room temperature. The solution was then quenched with MeOH, evaporated to dryness, dissolved in dichloromethane and washed with saturated aq sodium bicarbonate and brine. The organic phase was dried oversodium sulfate and evaporated to dryness. The residue was purified by flash chromatography on silica (EtOAc-Hexanes 1:1) affording 0.5 g of 29 (yield, 65%). - Synthesis of 3′,5′-Di-palmitoyl-2′-deoxy-2′-(beta-alanineamido) uridine (AK 524-71) (30): To the solution of 29 (0.5 g, 0.49 mmol) in dichloromethane (5 mL) was added morpholine (1 mL) and the reaction mixture was stirred at room temperature for 36 hours. Subsequent flash chromatography on silica using linear gradient of methanol (5% to 10%) in dichloromethane afforded 0.22 g of desired product (yield, 56%) of 30. FAB-MS: 791.6 [M+H] +.
- Synthesis of 3′,5′-Di-palmitoyl-2′-deoxy-2′-(N-carboxamidine-beta-alanineamido) uridine (AK 524-75) (31):
Compound 31 was prepared analogously to compound 25. Yield 80%. FAB-MS: 833.6 [M+H]+. - For each cationic lipid, four aqueous suspensions were prepared, three containing the fusogenic neutral lipid DOPE (dioleoyl phosphatidyl ethanolamine), and one containing the cationic lipid only (Table II). For this, the solid cationic lipids were dissolved in chloroform and aliquots transferred to 5 ml glass tubes with Teflon-lined caps. DOPE, also dissolved in chloroform, was then added to individual tubes at 1:1, 2:1, or 3:1 molar ratios (ratio of cationic lipid to DOPE). The lipid mix was deposited as a film in the glass tube by evaporating the solvent with a stream of argon. The lipid film was hydrated with water (1 ml per mg total lipid) and then resuspended by sonication using a bath sonicator (three or four 15 s treatments with intermittent vortex mixing). The formulations were stored at 4 C. until used (usually within 8 weeks).
- Cellular delivery and efficacy assays were carried out in monolayer cultures of cells originating from normal tissues or tumors (Table II, III and V). Cells were maintained in humidified incubators using growth medium recommended by the supplier. Hammerhead ribozymes were synthesized and purified using standard protocols (Wincott et al., 1995, 23, 2677; Beigelman et al., 1995 , J. Biol. Chem. 270, 25702; both are incorporated by reference herein). Nuclease resistant linkages were incorporated at specific sites of the ribozymes, modifications that markedly increased the serum half-life from a few minutes to several hours. For cellular delivery studies, fluorophore-tagged 32-mer ribozymes were prepared by attaching a fluorescein or rhodamine moiety to the loop portion through a aminolinker-modified base (FIG. 13). An expression plasmid encoding the humanized Green Fluorescent Protein (plasmid pEGFP-C1) was obtained from Clontech.
- For the delivery studies, subconfluent cultures of mammalian cells were seeded in 24-well plates (˜20,000 cells/well) a day prior to the initiation of assay. In a typical delivery assay, 100 μl of a 1 μM fluorescein or rhodamine-conjugated ribozyme (i.e., 10× ribozyme diluted in water) was placed in a polystyrene tube, and an aliquot of the cationic lipid formulation was added at room temperature to allow complex formation. The appropriate growth medium added to each tube (0.9 ml) and then the contents were mixed and added to each well. Final concentration of the ribozyme was 100 nM and the transport vehicle concentration was varied from 2.5 to 20 μg/ml. After a 3-4 h incubation, the medium was replaced with normal growth medium and the localization of the cell-associated ribozyme was evaluated by fluorescence microscopy using a Nikon stage microscope equipped with a 40× objective and a ccd camera. In some studies, the total cell-associated ribozyme was quantified by FACS analysis.
- Subconfluent cultures of cells were seeded in 24-well plates (˜10,000 cells/well). In typical transfection studies, 100 ng of the plasmid in 0.1 ml water was premixed with individual lipids in a polyethylene tube and incubated at room temperature for ˜10 minutes to allow complex formation. Then 0.9 ml growth medium (serum-free) was added to each tube, the contents were mixed, and administered to individual wells of cells for 3-4 h. The medium was then replaced with normal growth medium and cells were left for ˜24 h. Expression of GFP was monitored by fluorescence microscopy. The transport vehicles that led to GFP expression in the highest percentage of cells were identified for each cell line (Table IV).
- The toxic effects of the lipid-formulated compositions on cells were determined in three ways. First, cellular morphology was evaluated in relation to normal, untreated cells and significant abnormalities or reduction in cell numbers were noted. Second, for evaluating gross toxicity, propidium iodide was added to the medium and the cells were examined for the presence of pink-red fluorescence in the nucleus, indicating the presence of perforated or damaged membranes. Finally, the longer term effect of the treatment on cells was quantified using a sensitive MTS proliferation assay (Promega).
- The protooncogene c-myb is a transcription factor that participates in regulating the proliferation of smooth muscle cells. It has been demonstrated that cells in which c-myb levels have been reduced by ribozyme-Lipofectamine treatment do not proliferate well in response to subsequent serum stimulation. Two ribozymes directed against c-myb termed “active” and “inactive” (Jarvis et al., 1995 , RNA, 2, 419). Both ribozymes can recognize the mRNA target but only the “active” can cleave it. The “inactive” ribozyme serves as a negative control. In principle, the active ribozyme can reduce c-myb expression by catalyzing the sequence-specific cleavage of the mRNA, leading to a reduction in cell proliferation. This assay was used to validate the utility of delivery formulations.3H-Thymidine Incorporation Assay
- In typical cell proliferation, subconfluent cultures of rat aortic smooth muscle cells (RASMC) were plated in 48-well plates in DMEM supplemented with amino acids, Hepes, and 10% fetal bovine serum (5000 cells/ well/0.5 ml medium). Next day, cells were serum-starved, to inhibit proliferation, by replacing the medium with low serum medium (0.5% serum) for ˜2 days. The starved cells were then treated with ribozyme-carrier formulations, usually 100 nM ribozyme premixed with 2.5-10 μg/ml carrier lipid, in serum-free medium for ˜2 h, followed by “trafficking” in low serum-medium (0.25% serum) for ˜20 h. Triplicate set of wells were exposed to each treatment. The cells were then stimulated to proliferate for 12 h in medium containing 10% serum. This was followed by another 8 h incubation in medium+10% serum+ 3H-thymidine (˜1 μCi/ml). The cells were then fixed with ice-cold 10% trichloroacetic acid, washed twice with water, and 3H-thymidine incorporated into new DNA was measured by scintillation counting. The inhibition of proliferation using different ribozyme formulations is shown in Table V.
- Rhodamine-conjugated dioleoyl phosphatidyl ethanolamine (DOPE) was mixed with various cationic lipids and administered to cells seeded in 24-well plates. After ˜3 h incubation, the cellular distribution of the fluorescent rhodamine-DOPE was examined by fluorescence microscopy. Every cell contained rhodamine (red fluorescence), indicating that the lipids were delivered efficiently to the cells. Next, fluorescein-conjugated ribozymes were packaged and coadministered to cells using the same vehicles using procedures described earlier. Again, every cell was labeled with rhodamine while a subset contained internalized ribozymes (green fluorescence). These observations suggested the lipid transporters can be used to deliver lipophilic as well as hydrophilic compounds to cells.
- A 21-nucleotide long phosphorothioate oligodeoxynucleotide with an attached fluorescein moiety was synthesized by standard procedures. The oligonucleotide (100 nM) was formulated with different concentrations (2.5 to 10 μg/ml) of each transport vehicle and administered to cells. Subcellular distribution of the internalized material was evaluated by fluorescence microscopy. The results indicated that optimal transporter concentrations are different for antisense oligonucleotides compared to ribozymes.
- Referring to FIG. 14, applicant describes a reaction of 2,3-
diaminopropionic acid 32 with oleoyl chloride in the presence of dimethylaminopyridine (DMAP) and triethylamine (TEA) can give the peracylated derivative 33, oleyl. Reaction of 33 with triethylenetetramine (TREN) 34, followed by reaction with 1H-Pyrazole-1-carboxamidine hydrochloride 35 can give thetitle compound 36. - Formation of EPC:CHOL:DOTAP:DSPE-PEG 2000: Egg yolk phosphatidylcholine (EPC), cholesterol, and DOTAP were purchased from Avanti Polar Lipids. DSPE-PEG 2000 (1,2-Distearoyl-sn-glycero-3-phosphoethanolamine-polythylene glycol-2000) was purchased from Shearwater polymers. Extruder was purchased from Lipex biomembranes. FPLC was purchased from Pharmacia. Radioactive compounds were purchased from NEN and ether from Sigma.
- The following lipids suspended in chloroform were mixed together in a 50 ml round bottom flask:phosphatidylcholine (egg yolk) (85.5 mg), cholesterol (21.8 mg), DOTAP (23.7 mg), ceramide-PEG C20 (61.8 mg) resulting in a molar ratio of 50:25:15:10. A tracer of Cholesteryl hexadecyl ether (CHE) (26 μCi) was added to monitor lipid concentration. The lipids were dried down by rotary evaporation and then resuspended in ether (9 ml). Ribozyme (25 mg) suspended in 1× phosphate buffered saline (3 ml) was added to the ether/lipid mixture and mixed together into an emulsion. The ribozyme was quantitated using a 32P internally labeled ribozyme tracer (160 μCi). Liposome vesicles were formed by removing the ether under vacuum. Residual ether was removed by bubbling argon gas through the lipid-ribozyme mixture for 10 minutes. Vesicles were then passed through polycarbonate filters with 200 nm and 100 nm pores consecutively 6-10 times using an Extruder ( Lipex Biomembranes, Vancouver, B. C.). Liposomes were purified from unencapsulated material using an FPLC column packed with DEAE sepharose CL-6B. Ribozyme and lipid concentration was determined by reading an aliquot of purified liposomes on a scintillation counter for both tritium and 32P. The counts indicated that 5.75 mg of ribozyme was present within liposome vesicles (23% encapsulation).
- Female C57B1/6J weighing 20-25 g were used in this study. with 3 mmol of lipid (36 mg ribozyme) by tail vein injection. The time points observed were 15 minutes, 1 hour, 4 hour, and 24 hours with 3 mice per group. The animals were euthanized by CO 2 asphyxiation. Upon cessation of breathing, the chest cavity was opened and blood sampled (200-500 μL) from the heart. Sampled blood was added to a heparinized microfuge tube and centrifuged for 10 minutes to separate plasma and blood cells. Plasma samples were treated with proteinase K containing buffer(100 mM NaCl, 10 mM tris (pH 8), 25mM EDTA, 10% SDS). A portion of the sample was to scintillant and counted. The remaining sample was resolved on a polyacrylamide gel and intact ribozyme bands were quantitated using a phosphorimager (molecular devices). The results are shown in FIG. 15. Formulation of ribozyme with EPC:CHOL:DSPE:PEG C18 greatly enhances the circulation time of intact ribozyme in plasma. Twenty-four hours after an intravenous bolus injection of 2 mg/kg ribozyme formulated with EPC:CHOL:DSPE:PEG2000, over 6% of the dose remained in the plasma. Average concentrations dropped from an average of 6631 ng/ml at 15 minutes to 2305 ng/ml at 24 hours. Since plasma concentrations were relatively high 24 hours after an injection, it can be assumed that the elimination half-life is on the order of hours if not days. In comparison, an intravenous bolus injection of 30 mg/kg is no longer detectable after approximately 3 hours. The elimination half-life of unformulated ribozyme is approximately 30 minutes in the mouse.
- One day prior to transfection, target cells were plated to a final confluency of 50 to 60% on a 48 well plate. Cells types tested in serum free conditions are RT-4 (human bladder carcinoma), EJ (human bladder carcinoma), PC-3 prostate cancer cell line), and MCF-7 (breast cancer cell line). The following cell types were tested in the presence of 10% serum in the media: RT-4, PC-3 and MCF-7 cells. DNA (1 μg of pEGFP-C1 C-terminal protein fusion vector (Clontech)) was added to a polystyrene tube followed by the addition of 1 ml of desired media. Following agitation, the cationic lipid was added to the tube (1.25, 2.5, 5, or 10 μg lipid/μg DNA), incubated at room temperature for 15 minutes and then mixed by vortexing. Media from plated cells was aspirated and then washed with either serum free or normal growth media. 200 μL of the DNA/cationic lipid mixture was added to each well of a 48 well plate. The cells were incubated at 37° C. for 3 to 5 hours for serum-free uptake and 18 to 24 hours for uptake in the presence of serum. Fluorescent cells were then counted using fluorescence microscopy. The transfection rate was determined by comparing the number of fluorescence positive cells to the total number of cells in the microscope field.
- Toxicity was determined by adding 5 μL of a 0.5 mg/ml stock solution of propidium iodine (PI) (Boehringer Mannheim) prior to examination by microscopy. Migration of the red dye into the nucleus of a cell indicated toxicity and loss of cell viability. The results of plasmid delivery in serum free media are shown in table VI. The results of plasmid delivery in the presence of serum is shown in table VII.
- FACS (fluorescence activated cell sorting) analysis was performed on PC-3 cells using several formulations and the results are shown in table VIII. Transfection was achieved using the protocol described above with the cells being incubated with DNA for 4 hours in serum free conditions. Cells were trypsinized off the plate, collected in serum containing growth media, and spun down for 5 minutes at 800 RPM. The supernatant was removed and the cells were brought up in 500 μL of FAC buffer (4% FBS in Hank's balanced salt solution(HBSS)). 10 μL of 0.5 mg/ml of PI was added prior to FACS sorting. The results indicate that applicant's formulations improve delivery of macromolecules compared to other compounds which are commercially available.
- Cationic lipid (100 mg), methoxypolyoxyethylenecarboxylic acid (725 mg), and 1,3-dicyclohexylcarbodiimide (DCC)(30 mg) were dissolved in chloroform (30 mL) and the solution was allowed to react at 50° C. overnight. The reaction mixture was filtered and hexane was added to the filtrate for purification by precipitation. The product (N′-palmityl-N′-oleyl-α-amino,γ-PEGainino-glycinamide) was re-precipitated using the same procedure and then dried in vacuo to obtain a PEG-conjugated lipid. In addition to carboxy-terminated PEG, N-hydroxysuccinimdie activated ester of PEG can be utilized in the above conjugation procedures.
- Conjugation may also be carried out by formation of a carbamate bond. The reaction would be initiated by reacting imidazolylcarbonate activated hydroxy-terminated methoxypolyethylene glycol with amino groups of cationic lipids described above. The methods described herein are not limiting. Those skilled in the art will recognize that PEG can be readily conjugated to cationic lipids using techniques known in the art and are within the scope of this invention.
- The ability of cytofectins of the invention to transfect suspension cells was tested in Jurkat cells. These cells were grown and maintained in RPMI-1640 culture medium supplemented with 10% fetal bovine serum and glutamine (Life Technologies). The cells were diluted in culture medium to 5×10 5 cells/ml, and 80 μl (40,000 cells) was transferred into each well of a 96-well culture dish. A fluorescein-conjugated, nuclease resistant 23-mer oligonucleotide of randomized sequence was chemically synthesized for transfection. Additional oligonucleotides were synthesized using standard methodologies (Wincott et al., supra).
- The fluorescein-conjugated oligonucleotides were premixed with cytofectins (Table IX) at 5× concentrations (20 μl volume) and added to wells containing cells in 80 μl medium (total incubation volume=100 μl). In typical experiments, 100 nM oligonucleotide (final concentration) was mixed with 2.5, 5, or 10 μg/ml of each delivery vehicle. In some experiments, culture plates were immediately placed in a humidified incubator overnight (18-24 h). In other experiments, the plates containing cells and oligonucleotide-lipid complexes were first spun for 40 minutes at room temperature and then incubated overnight. The following day, the cells were gently spun down and the incubation medium was replaced with normal growth medium.
- Delivery of oligonucleotides into cells was determined by fluorescence microscopy. The cellular nuclei were examined to identify whether fluorescence was emitted from within the nuclear envelope. Nuclear delivery indicated that the oligonucleotide had permeated across the topological membrane barrier and entered the cytosol followed by migration to nucleus. Alternatively, punctate perinuclear pattern of fluorescence around the nucleus indicated that the oligonucleotide, internalized by an endocytic mechanism, remained sequestered within the endosomal vesicles. Jurkat cells are small and round and the nucleus occupies much of the cellular volume. Nuclear as well as perinuclear cytoplasmic labeling was observed in most cells. The efficiency of delivery was estimated by calculating the number of cells with green nuclei as a percentage of the total number of cells in the field, as observed by phase contrast microscopy. The acute toxicity of the treatments was assessed by adding propidium iodide (1 μg/ml) to each well. Damaged cells with compromised membranes internalized propidium iodide and could be easily identified by red fluorescence in the nucleus.
- Three cytofectins (Formulation ID Nos: 345, 323, and 333) were found to transfect the oligonucleotide at a very efficient rate. Depending on the formulation, delivery into the nuclei of jurkat cells ranged from 40 to 80% (Table IX).
- The cytofectins identified using the delivery screen described in Example 23 were then used in efficacy assays. An antisense molecule directed against the mRNA for IMPDH, an essential enzyme involved in nucleic acid production, was formulated with the delivery vehicle and administered to Jurkat cells seeded in 96-well plates as described above. Assays were done in triplicate wells and cells were incubated for 24 h. A random sequence antisense molecule of the same length and containing the same type of linkages as the IMPDH binding antisense molecule was used as control. A quantitative Taqman assay (Perkin Elmer) was developed to measure the changes in IMPDH mRNA levels relative to actin, a constitutively expressed housekeeping gene. RNA from treated or untreated cells was extracted and then analyzed by Taqman. All three of the cytofectins tested were able to deliver sufficient antisense molecule to inhibit the expression of IMPDH-2 (FIGS. 16-18).
- All patents and publications mentioned in the specification are indicative of the levels of skill of those skilled in the art to which the invention pertains. All references cited in this disclosure are incorporated by reference to the same extent as if each reference had been incorporated by reference in its entirety individually.
- One skilled in the art would readily appreciate that the present invention is well adapted to carry out the objects and obtain the ends and advantages mentioned, as well as those inherent therein. The methods and compositions described herein as presently representative of preferred embodiments are exemplary and are not intended as limitations on the scope of the invention. Changes therein and other uses will occur to those skilled in the art, which are encompassed within the spirit of the invention, are defined by the scope of the claims.
- It will be readily apparent to one skilled in the art that varying substitutions and modifications can be made to the invention disclosed herein without departing from the scope and spirit of the invention. Thus, such additional embodiments are within the scope of the present invention and the following claims.
- The invention illustratively described herein suitably can be practiced in the absence of any element or elements, limitation or limitations which is not specifically disclosed herein. Thus, for example, in each instance herein any of the terms “comprising”, “consisting essentially of” and “consisting of” may be replaced with either of the other two terms. The terms and expressions which have been employed are used as terms of description and not of limitation, and there is no intention that in the use of such terms and expressions of excluding any equivalents of the features shown and described or portions thereof, but it is recognized that various modifications are possible within the scope of the invention claimed. Thus, it should be understood that although the present invention has been specifically disclosed by preferred embodiments, optional features, modification and variation of the concepts herein disclosed may be resorted to by those skilled in the art, and that such modifications and variations are considered to be within the scope of this invention as defined by the description and the appended claims.
- In addition, where features or aspects of the invention are described in terms of Markush groups or other grouping of alternatives, those skilled in the art will recognize that the invention is also thereby described in terms of any individual member or subgroup of members of the Markush group or other group. Other embodiments are within the claims that follow.
TABLE I Characteristics of naturally occurring ribozymes Group I Introns Size: ˜150 to >1000 nucleotides. Requires a U in the target sequence immediately 5′ of the cleavage site. Binds 4-6 nucleotides at the 5′-side of the cleavage site. Reaction mechanism: attack by the 3′-OH of guanosine to generate cleavage products with 3′-OH and 5′-guanosine. Additional protein cofactors required in some cases to help folding and maintainance of the active structure. Over 300 known members of this class. Found as an intervening sequence in Tetrahymena thermophila rRNA, fungal mitochondria, chloroplasts, phage T4, blue-green algae, and others. Major structural features largely established through phylogenetic comparisons, mutagenesis, and biochemical studies [,1]. Complete kinetic framework established for one ribozyme [2,3,4,5]. Studies of ribozyme folding and substrate docking underway [6,7,8]. Chemical modification investigation of important residues well established [9,10]. The small (4-6 nt) binding site may make this ribozyme too non-specific for targeted RNA cleavage, however, the Tetrahymena group I intron has been used to repair a “defective” β-galactosidase message by the ligation of new β-galactosidase sequences onto the defective message [11]. RNAse P RNA (M1 RNA) Size: ˜290 to 400 nucleotides. RNA portion of a ubiquitous ribonucleoprotein enzyme. Cleaves tRNA precursors to form mature tRNA [12]. Reaction mechanism: possible attack by M2+-OH to generate cleavage products with 3′- OH and 5′-phosphate. RNAse P is found throughout the prokaryotes and eukaryotes. The RNA subunit has been sequenced from bacteria, yeast, rodents, and primates. Recruitment of endogenous RNAse P for therapeutic applications is possible through hybridization of an External Guide Sequence (EGS) to the target RNA [13,14] Important phosphate and 2′ OH contacts recently identified [15,16] Group II Introns Size: >1000 nucleotides. Trans cleavage of target RNAs recently demonstrated [17,18]. Sequence requirements not fully determined. Reaction mechanism: 2′-OH of an internal adenosine generates cleavage products with 3′- OH and a “lariat” RNA containing a 3′-5′ and a 2′-5′ branch point. Only natural ribozyme with demonstrated participation in DNA cleavage [19,20] in addition to RNA cleavage and ligation. Major structural features largely established through phylogenetic comparisons [21]. Important 2′ OH contacts beginning to be identified [22] Kinetic framework under development [23] Neurospora VS RNA Size: ˜144 nucleotides. Trans cleavage of hairpin target RNAs recently demonstrated [24]. Sequence requirements not fully determined. Reaction mechanism: attack by 2′- OH 5′ to the scissile bond to generate cleavage productswith 2′,3′-cyclic phosphate and 5′-OH ends. Binding sites and structural requirements not fully determined. Only 1 known member of this class. Found in Neurospora VS RNA. Hammerhead Ribozyme (see text for references) Size: ˜13 to 40 nucleotides. Requires the target sequence UH immediately 5′ of the cleavage site. Binds a variable number nucleotides on both sides of the cleavage site. Reaction mechanism: attack by 2′- OH 5′ to the scissile bond to generate cleavage productswith 2′,3′-cyclic phosphate and 5′-OH ends. 14 known members of this class. Found in a number of plant pathogens (virusoids) that use RNA as the infectious agent. Essential structural features largely defined, including 2 crystal structures [25,26] Minimal ligation activity demonstrated (for engineering through in vitro selection) [27] Complete kinetic framework established for two or more ribozymes [28]. Chemical modification investigation of important residues well established [29]. Hairpin Ribozyme Size: ˜50 nucleotides. Requires the target sequence GUC immediately 3′ of the cleavage site. Binds 4-6 nucleotides at the 5′-side of the cleavage site and a variable number to the 3′- side of the cleavage site. Reaction mechanism: attack by 2′- OH 5′ to the scissile bond to generate cleavage productswith 2′,3′-cyclic phosphate and 5′-OH ends. 3 known members of this class. Found in three plant pathogen (satellite RNAs of the tobacco ringspot virus, arabis mosaic virus and chicory yellow mottle virus) which uses RNA as the infectious agent. Essential structural features largely defined [30,31,32,33] Ligation activity (in addition to cleavage activity) makes ribozyme amenable to engineering through in vitro selection [34] Complete kinetic framework established for one ribozyme [35]. Chemical modification investigation of important residues begun [36,37]. Hepatitis Delta Virus (HDV) Ribozyme Size: ˜60 nucleotides. Trans cleavage of target RNAs demonstrated [38]. Binding sites and structural requirements not fully determined, although no sequences 5′of cleavage site are required. Folded ribozyme contains a pseudoknot structure [39]. Reaction mechanism: attack by 2′- OH 5′ to the scissile bond to generate cleavage productswith 2′,3′-cyclic phosphate and 5′-OH ends. Only 2 known members of this class. Found in human HDV. Circular form of HDV is active and shows increased nuclease stability [40] -
TABLE II Cationic Lipid Formulations and Cellular Uptake Cationic Nuclear Compound Cationic Lipid lipid: DOPE Formulation Dose Localization Cytoplasmic Name Name (molar ratio) Name (μg/ml) 0 = none; 5 = all Localization DS46596a Arg-chol-2 1:0 nc99 5 1 punct. BOCs 10 1 punct. 1:1 nc25 5 2-3 punct. 10 3-4 punct. 2:1 nc26 5 2-3 punct. 10 3 punct. 3:1 nc27 5 2-4 punct. 10 2-4 punct. DS46596b Arg-chol-3 1:0 nc100 5 1 some clumps BOCs 10 1 some clumps 1:1 nc4 5 4 punct. 10 3 punct. 2:1 nc5 5 1 punct. 10 1 punct. 3:1 nc6 5 1 punct. 10 1 punct. PHF55933 Chol-methyl- 1:1 nc13 5 0 bright punct. 10 0 very bright 2:1 nc14 5 0-1 bright punct. 10 0 bright punct. 3:1 nc15 5 0 bright punct. 10 0 very bright AK52450 Dimyristoyl- 1:0 nc108 5 0 few clumps pyridoxal 10 0 1:1 nc16 5 0 10 0 2:1 nc17 5 0 10 0 3:1 nc18 5 0 10 0 JA59311 Palmitoyl 1:0 nc101 5 0-1 some punct. oleoyl glycyldiamino butyric acid 10 3 punct. 1:1 nc19 5 2 some punct. 10 1 bright punct. 2:1 nc20 5 1, faint punct. 10 3, var. punct. bright. 3:1 nc21 5 3 bright punct. 10 3 bright punct. PH55938 Lys-chol. 1:0 nc104 5 0-1, few brt. no punct. 10 0-1 clumps. 1:1 nc22 5 0-1 bright punct 10 0-1 bright punct 2:1 nc23 5 0 bright punct 10 0 bright punct 3:1 nc24 5 0 punctate 10 0 bright punct. AK52465 N- 1:0 nc109 5 0-1, very cholesteryl - faint pyridoxamine 10 1, very some clumps faint 1:1 nc28 5 0 10 0-1 2:1 nc29 5 0 10 0 3:1 nc30 5 0 10 0 AK52468 Beta-alanine 1:0 nc110 5 3, bright punct. palm.oleoyl- amide 10 3-4, bright punct. 1:1 nc31 5 0 punct. 10 0 punct. 2:1 nc32 5 0-1 punct. 10 2-3 punct. 3:1 nc33 5 0-1 punct. 10 3-4 punct. AK52471 dipalmitoyl- 1:0 nc111 5 0 punct. deoxy- aminoethyl- carboxamido- Uridine 10 0-1 punct./clumps 1:1 nc34 5 0 clumps 10 0 clumps 2:1 nc35 5 0 clumps 10 0 clumps 3:1 nc36 5 0 clumps 10 0 clumps AK52474 palmitoyl- 1:0 nc112 5 0 oleoyl- carboxamido- ethyl- pyridoxamine 10 0 1:1 nc37 5 0 faint punct. 10 0-1 faint punct. 2:1 nc38 5 0 faint 10 0 faint punct. 3:1 nc39 5 0 10 0 faint punct. PH55939 1:0 nc105 5 0-1 punct. 10 0-1 punct. 1:1 nc40 5 0 punct. 10 0 punct. 2:1 nc41 5 0-1 punct/vac. 10 2-3 punct 3:1 nc42 5 0-1 punct. 10 0-1 bright punct. PH55941 1:0 nc106 5 0-1 punct., clumps 10 0-1 brt. pnc., clumps 1:1 nc43 5 0-1 punct. 10 2-3 heavy punct. 2:1 nc44 5 0-1 heavy punct. 10 0-1 heavy punct. 3:1 nc45 5 0-1 punct., clumps 10 0-1 punct., clumps PH55942 1:0 nc107 5 0-1 bright punct. 10 0-1 bright punct. 1:1 nc46 5 0-1 punct. 10 3 punct. 2:1 nc47 5 0-1 punct. 10 0-1 bright punct. 3:1 nc48 5 0-1 punct. 10 0-1 bright punct. JA59312 plamitoyl 1:0 nc102 5 1 bright punct. oleoyl glycylamino- guanyl diamino- butyric acid 10 4 bright punct. 1:1 nc49 5 3 punct. 10 4 bright punct. 2:1 nc50 5 3-4 bright punct. 10 4 bright punct. 3:1 nc51 5 4-5 bright punct. 10 5 bright punct. JA59314 1:0 nc103 5 0-1 punct. 10 0-1 heavy punct. 1:1 nc52 5 0 punct. 10 0 punct. 2:1 nc53 5 0 punct. 10 0 punct. 3:1 nc54 5 0 faint punct. 10 0 faint punct. AK52475 dipalmitoyl- 1:0 nc96 5 0-1 some clumps deoxy- guanidino- ethyl- carboxamido- uridine 10 0-1 clumps 1:1 nc84 5 0 clumps/st. to gl. 10 0 clumps/st. to gl. 2:1 nc85 5 0 clumps/st. to gl. 10 0 clumps/st. to gl. 3:1 nc86 5 0 clumps/st. to gl. 10 0 clumps/st. to gl. JA59316 palmityl- 1:0 nc97 5 0 heavy punct. oleoyl- diamino- butyric acid 10 0 heavy punct. 1:1 nc87 5 0 lt. punct./sticky 10 0 lt. punct./sticky 2:1 nc88 5 0 lt. punct./sticky 10 0 lt. punct./sticky 3:1 nc89 5 0 sticky/out. 10 0 sticky/out JA59317 palmity- 1:0 nc98 5 0-1 faint punct. oleoyl- guanidine 10 0-1 punct. 1:1 nc90 5 1-2 punct. 10 2-3 punct. 2:1 nc91 5 1-2 punct. 10 1-2 punct. 3:1 nc92 5 1 punct. 10 1 punct. -
TABLE III Lipid-mediated delivery of ribozymes to various cell lines. Cells were treated with 100 nM fluorescein-conjugated ribozymes formulated with a panel of cationic lipids (selected from nc21, nc25, nc26, nc49, nc51, nc102, nc110; see Methods). Subcellular distribution of the ribozyme was determined by fluorescence microscopy. Presence of fluorescence in the nucleus indicated that the ribozyme had been transported across the cell membrane (unconjugated fluorescein does not remain in the nucleus). Lipid formulations that led to high nuclear delivery with no significant toxicity are shown. Optimal cationic lipids Cells Description (>50% nuclear uptake) HS27 human foreskin fibroblasts nc49, nc50 HUVEC human umbilical vein nc51, nc26 endothelial RAOSMC rat aortic smooth muscle nc102, nc49 SK-N-SH human neuroblastoma nc21, nc25 EJ human bladder carcinoma nc21, nc49 RT-4 human bladder carcinoma nc49, nc21 MCF-7 human breast carcinoma nc21 FEM human melanoma nc21 1205 human melanoma nc49 PC-3 human prostate carcinoma nc49, nc21 LN-CAP human prostate carcinoma nc110, nc21 -
TABLE IV Lipid-mediated delivery of plasmids to various cell lines. Cells were treated with 0.1-1 μg/ml of a green fluorescent protein (GFP) expression plasmid formulated with 2.5-15 μg/ml of selected lipid formulations (Table II), as described (Methods). The expression of GFP was monitored by fluorescence microscopy ˜20 hours after transfection. Formulations that resulted in GFP expression by ˜5% or more of the cells are indicated. Optimal cationic lipids Cells Description (% of cells with GFP) SK-N-SH human neuroblastoma nc49 (40%) nc101 (25%) nc110 (20%) nc32 (15%) RASMC rat aortic smooth muscle nc110 (˜5%) RT-4 human bladder carcinoma nc101 (60%) nc19 (20%) nc110 (20%) HS27 human foreskin fibroblasts nc101 (˜5%) -
TABLE V Inhibition of cell proliferation by different ribozyme formulations and correlation with cellular and nuclear delivery. An anti-myb ribozyme and its inactive version (control) were formulated with various lipids (Table II) and administered to rat smooth muscle cells as described (Methods). The relative activity of the active vs. inactive ribozyme is shown (% inhibition of proliferation). In parallel experiments, cells were treated with identical formulations of a fluorescein-conjugated ribozyme and its subcellular localization was observed by fluorescence microscopy (Y, nuclear delivery (% of positive cells); N, no visible nuclear delivery; punct., punctate cytoplasmic fluorescence). In general, formulations that led to improved delivery of the ribozyme to the cell and the nucleus also led to increased efficacy. Lipid (formulation) Nuclear Uptake? % Inhibition JA59312 (nc102) Y > 50% 40% JA59312 (nc49) Y > 40% 38% JA59317 (nc98) Y > 10% 23% JA59311 (nc101) Y > 5% 21% JA59311 (nc20) Y > 10% 0% PH55942 (nc48) N (punct.) 18% AK52468 (nc33) N (punct.) 16% JA59316 (nc97) N (punct.) 0% PHF55933 (nc13) N 0% PZH55938 (nc22) N 0% -
TABLE VI Delivery of Green Fluorescent Protein Containing Plasmid into Cells in Culture Formulation Transfection Optimal Cell type name Compounds rate lipid dose Toxicity PC-3 nc 19 JA 59311:DOPE at 1:1 40-64% 2.5 μg/ml <10% PC-3 nc 20 JA 59311:DOPE at 2:1 40-50% 2.5 μg/ml <5% PC-3 nc 101B JA 59311 70-75% 5 μg/ml <10% PC-3 nc 102 JA 59312 30-45% 2.5 μg/ml 10% PC-3 nc 110D AK 52468 60% 2.5 μg/ml 5% PC-3 nc 122 JA 59317 & JA 59311-2:1 55-65% 2.5 μg/ml 5-13% PC-3 nc 123 JA 59317 & JA 59311-3:1 30-50% 2.5 μg/ml 5% PC-3 nc 128 JA 59317 & PH 55942-2:1 35-70% 2.5 μg/ml <3-15% PC-3 nc 144 JA 59311 & JA 59312-2:1 40-60% 2.5 μg/ml <3-10% PC-3 nc 145 JA 59311 & JA 59312-3:1 50-70% 2.5 μg/ml <3-20% PC-3 nc 146B JA 59311 & AK 52468-1:1 40-69% 2.5 μg/ml <3-8% PC-3 nc 148B JA 59311 & AK 52648-3:1 25-70% 2.5 μg/ml 3-20% PC-3 nc 156B JA 59312 & JA 59311 at 3:1 40-65% 1.5 μg/ml <5% PC-3 nc 168 AK 52468 & JA 59312 at 2:1 33-75% 2.5 μg/ml 5-10% PC-3 nc 169 AK 52468 & JA 59312 at 3:1 50-79% 2.5 μg/ml 5-10% RT-4 nc 101B JA 59311 30 to 68% 5 μg/ml <10% RT-4 nc 121 JA 59311 & PH 55942-3:1 8-30% 5 μg/ml <5% RT-4 nc 122 JA 59317 & JA 59311-2:1 20% 2.5 μg/ml <6% RT-4 nc 144 JA 59311 & JA 59312-2:1 50% 10 μg/ml <10% RT-4 nc 145 JA 59311 & JA 59312-3:1 50% 10 μg/ml <10% EJ cells nc 19 JA 59311:DOPE at 1:1 40% 5 μg/ml 10% EJ cells nc 20 JA 59311:DOPE at 2:1 20% 5 μg/ml 5-10% EJ cells nc 101B JA 59311 25-35% 10 μg/ml 5% EJ cells nc 110D AK 52468 30% 5 μg/ml <5% EJ cells nc 122 JA 59317 & JA 59311-2:1 35% 5 μg/ml 10% EJ cells nc 144 JA 59311 & JA 59312-2:1 40% 2.5 μg/ml <3% EJ cells nc 145 JA 59311 & JA 59312-3:1 35% 5 μg/ml 5% MCF-7 nc 110D AK 52468 20-30% 2.5 μg/ml 4-20% MCF-7 nc 121 JA 59311 & PH 55942-3:1 10-40% 5 μg/ml 8-10% MCF-7 nc 146B JA 59311 & AK 52468 at 1:1 50% 5 μg/ml 15% COS-7 nc 21 JA 59311:DOPE (3:1) 40% 2.5 μg/ml <5% COS-7 nc 101 JA 59311 50% 5 μg/ml <5% COS-7 nc 110 AK 52468 40% 5 μg/ml <5% HeLa nc 145 JA 59311 & JA 59312 (3:1) 40-50% 2.5 μg/ml <5% -
TABLE VII Delivery of Green Fluorescent Protein Containing Plasmid into Cells in Culture in the Presence of 10% serum Formulation Transfection Optimal Cell type name Compounds rate lipid dose Toxicity RT-4 nc 193 JA 59311-1: Tween 80 at 1:1 5-40% 10 μg/ml <1-40% RT-4 nc 194 JA 59311-1: Tween 80 at 2:1 10-20% 10 μg/ml <1-10% RT-4 nc 195 JA 59311-1: Tween 80 at 3:1 10-40% 10 μg/ml 5-10% RT-4 nc 196 JA 59311-1: Tween 80 at 4:1 20% 5 μg/ml <3% RT-4 nc 220 JA 59349: Tween 80 at 6:1 15-40% 10 μg/ml 5-10% PC-3 nc 110D AK 52468 40% 5 μg/ml 8% PC-3 nc 194 JA 59311-1: Tween 80 at 2:1 20-45% 10 μg/ml <1-10% PC-3 nc 195 JA 59311-1: Tween 80 at 3:1 60% 10 μg/ml 10% PC-3 nc 218 JA 59311-1: Tween 80 at 3:1 40-70% 10 μg/ml 5-40% PC-3 nc 219 JA 59349: Tween 80 at 4:1 60-75% 10 μg/ml 10-20% MCF-7 nc 110D AK 52468 50% 2.5 μg/ml 20% -
TABLE VIII FACS analysis of plasmid delivery into PC-3 cells of several cationic lipids after 4 hours in serum free media. Formulation Lipid Dose Plasmid DNA % GFP positive Lipofectamine* 1.25 μg/ ml 1 μg/ ml 3 2.5 μg/ ml 1 μg/ ml 24 PFX-6* 1.25 μg/ ml 1 μg/ ml 4 2.5 μg/ ml 1 μg/ ml 15 nc 146 1.25 μg/ ml 1 μg/ml 40 2.5 μg/ ml 1 μg/ml 65 nc 148 1.25 μg/ ml 1 μg/ml 41 2.5 μg/ ml 1 μg/ml 56 nc 156 1.25 μg/ ml 1 μg/ml 45 2.5 μg/ ml 1 μg/ml 71 nc 169 1.25 μg/ ml 1 μg/ml 53 2.5 μg/ ml 1 μg/ml 72 -
TABLE IX Lipid Formulations Formulation Lipid ID No. ID No. ratios Lipid name ratios mass ratios 282 700/747 JA59311/chol-linoleate 3/1 283 700/747 JA59311/chol-linoleate 1/1 284 726/743 DPPE/JA73852 1/2 285 709/727 DS46596a/DEPE 3/1 286 719/726 AK52468/DPPE 1/1 287 727/749 DEPE/EP-G-DABA mix 1/1 288 743/747 JA73852/chol-linoleate 1/1 289 701/745 JA59312/cholesterol 2/1 290 700/746 JA59311/chol-linolelaidate 2/1 291 705/722 JA59396/DOPE 2.98/1 292 732/747 PH55942/chol-linoleate 1/1 293 722/742 DOPE/JA73851 1/3 294 700/727 JA59311/DEPE 2/1 295 700/722/745 JA59311/DOPE/cholesterol 1/1/1 296 700/705/722 JA59311/JA59396/DOPE 9.01/1/3.36 297 701/746 JA59312/chol-linolelaidate 2/1 298 700/727 JA59311/DEPE 1/1 299 742/745 JA73851/cholesterol 1/1 300 705/726 JA59396/DPPE 1/1 301 709/725 DS46596a/DLPE 3/1 302 726/732 DPPE/PH55942 1/2 303 723/736 Tween 80/JA59350 1/1 304 723/736 Tween 80/JA59350 1/6 305 701/727 JA59312/DEPE 3.08/1 306 727/742 DEPE/JA73851 1/2 307 743/746 JA73852/chol-linolelaidate 3/1 308 701/727 JA59312/DEPE 2.06/1 309 726/744 DPPE/JA73853 1/1 310 725/750 DLPE/EP-G-AGBA mix 1/2.05 311 722/743 DOPE/JA73852 1/3 312 700/726 JA59311/DPPE 2.99/1 313 727/749 DEPE/EP-G-DABA mix 1/2 314 701/745 JA59312/cholesterol 3/1 315 705/725 JA59396/DLPE 1/1 316 725/732 DLPE/PH55942 1/1 317 727/744 DEPE/JA73853 1/1 318 723/736 Tween 80/JA59350 1/2 319 744/746 JA73853/chol-linolelaidate 3/1 320 723/737 Tween 80/JA59351 1/1 321 727/743 DEPE/JA73852 1/2 322 701/746 JA59312/chol-linolelaidate 1/1 323 726/749 DPPE/EP-G-DABA mix 1/2.99 324 709/747 DS46596a/chol-linoleate 1/1 325 723/737 Tween 80/JA59351 1/2 326 701/746 JA59312/chol-linolelaidate 3/1 327 705/725 JA59396/DLPE 2/1 328 732/747 PH55942/chol-linoleate 2/1 329 701/747 JA59312/chol-linoleate 2/1 330 700/726/747 JA59311/DPPE/chol-linoleate 3/1/1 331 743/747 JA73852/chol-linoleate 3/1 332 705/722 JA59396/DOPE 1/1 333 701/726 JA59312/DPPE 2.06/1 334 705 JA59396 1 335 727/732 DEPE/PH55942 1/3 336 722/744 DOPE/JA73853 1/1 337 709/747 DS46596a/chol-linoleate 2/1 338 700/726 JA59311/DPPE 2/1 339 723/737 Tween 80/JA59351 1/6 340 742/746 JA73851/chol-linolelaidate 3/1 341 727/750 DEPE/EP-G-AGBA mix 1/2.06 342 700/705 JA59311/JA59396 1/9 343 700/705 JA59311/JA59396 8/2 344 701/725 JA59312/DLPE 2.05/1 345 726/749 DPPE/EP-G-DABA mix 1/2 346 725/750 DLPE/EP-G-AGBA mix 1/1.03 347 743/747 JA73852/chol-linoleate 2/1 348 742/747 JA73851/chol-linoleate 2/1 349 709/727 DS46596a/DEPE 1/1 350 700/722/745 JA59311/DOPE/cholesterol 3/1/1 351 744/747 JA73853/chol-linoleate 2/1 352 700/745 JA59311/cholesterol 2/1 353 722/743 DOPE/JA73852 1/1 354 719/727 AK52468/DEPE 1/1 355 700/705 JA59311/JA59396 2/8 356 727/750 DEPE/EP-G-AGBA mix 1/1.03 357 726/749 DPPE/EP-G-DABA mix 1/1 358 742/745 JA73851/cholesterol 3/1 359 723/738 Tween 80/JA59352 1/1 360 705/726 JA59396/DPPE 2.98/1 361 701/726 JA59312/DPPE 3.09/1 362 709/727 DS46596a/DEPE 2/1 363 701/726 JA59312/DPPE 1.03/1 364 701/747 JA59312/chol-linoleate 1/1 365 705/722 JA59396/DOPE 3/1 366 723/739 Tween 80/JA59353 1/1 367 723/739 Tween 80/JA59353 1/6 368 744/747 JA73853/chol-linoleate 1/1 369 709/747 DS46596a/chol-linoleate 3/1 370 700/726/745 JA59311/DPPE/cholesterol 1/1/1 371 732/745 PH55942/cholesterol 2/1 372 705/726 JA59396/DPPE 2/1 373 705/722 JA59396/DOPE 2/1 374 742/747 JA73851/chol-linoleate 3/1 375 701/745 JA59312/cholesterol 1/1 376 726/743 DPPE/JA73852 1/1 377 709/726 DS46596a/DPPE 3/1 378 723/736 Tween 80/JA59350 1/4 379 719/725 AK52468/DLPE 2/1 380 709/726 DS46596a/DPPE 1/1 381 700/727 JA59311/DEPE 2.99/1 382 700/705 JA59311/JA59396 6/4 383 700/705/722 JA59311/JA59396/DOPE 8.01/2/3.36 384 744/747 JA73853/chol-linoleate 3/1 385 742/747 JA73851/chol-linoleate 1/1 386 705/727 JA59396/DEPE 3/1 387 700/747 JA59311/chol-linoleate 2/1 388 701/747 JA59312/chol-linoleate 3/1 389 726/743 DPPE/JA73852 1/3 390 732/747 PH55942/chol-linoleate 3/1 391 700/705/722 JA59311/JA59396/DOPE 5.01/5/3.36 392 719/726 AK52468/DPPE 3/1 393 719/726 AK52468/DPPE 2/1 394 705/727 JA59396/DEPE 1/1 395 700/726/745 JA59311/DPPE/cholesterol 3/1/1 396 700/725 JA59311/DLPE 2.01/1 397 700/705 JA59311/JA59396 1/1 398 700/705/722 JA59311/JA59396/DOPE 6.01/4/3.36 399 742/746 JA73851/chol-linolelaidate 1/1 400 700/705/722 JA59311/JA59396/DOPE 7.01/3/3.36 401 709/726 DS46596a/DPPE 2/1 402 744/745 JA73853/cholesterol 1/1 403 722/742 DOPE/JA73851 1/2 404 744/745 JA73853/cholesterol 2/1 405 722/744 DOPE/JA73853 1/2 406 723/738 Tween 80/JA59352 1/6 407 700/725 JA59311/DLPE 1/1 408 725/750 DLPE/EP-G-AGBA mix 1/3.09 409 709/725 DS46596a/DLPE 2/1 410 725/732 DLPE/PH55942 1/2 411 700/705 JA59311/JA59396 4/6 412 700/705/722 JA59311/JA59396/DOPE 3/7/3.35 413 700/705/722 JA59311/JA59396/DOPE 2/8/3.36 414 700/705/722 JA59311/JA59396/DOPE 1.31/9/3.36 415 723/738 Tween 80/JA59352 1/4 416 727/744 DEPE/JA73853 1/2 417 719/725 AK52468/DLPE 1/1 418 700/745 JA59311/cholesterol 3/1 419 726/732 DPPE/PH55942 1/1 420 727/732 DEPE/PH55942 1/2 421 744/745 JA73853/cholesterol 3/1 422 709/745 DS46596a/cholesterol 3/1 423 705/727 JA59396/DEPE 2/1 424 727/743 DEPE/JA73852 1/3 425 701/725 JA59312/DLPE 3.09/1 426 727/732 DEPE/PH55942 1/1 427 723/738 Tween 80/JA59352 1/2 428 743/745 JA73852/cholesterol 2/1 429 743/746 JA73852/chol-linolelaidate 2/1 430 700/705 JA59311/JA59396 3/7 431 700/746 JA59311/chol-linolelaidate 3/1 432 722/743 DOPE/JA73852 1/2 433 727/750 DEPE/EP-G-AGBA mix 1/3.08 434 700/725 JA59311/DLPE 3/1 435 732/745 PH55942/cholesterol 3/1 436 727/743 DEPE/JA73852 1/1 437 743/745 JA73852/cholesterol 3/1 438 719/727 AK52468/DEPE 2.99/1 439 725/732 DLPE/PH55942 1/3 440 725/749 DLPE/EP-G-DABA mix 1/3 441 743/746 JA73852/chol-linolelaidate 1/1 442 743/745 JA73852/cholesterol 1/1 443 726/744 DPPE/JA73853 1/3 444 727/742 DEPE/JA73851 1/3 445 744/746 JA73853/chol-linolelaidate 2/1 446 701/725 JA59312/DLPE 1.03/1 447 705/725 JA59396/DLPE 2.99/1 448 709/745 DS46596a/cholesterol 1/1 449 700/705 JA59311/JA59396 9/1 450 709/725 DS46596a/DLPE 1/1 451 742/745 JA73851/cholesterol 2/1 452 725/749 DLPE/EP-G-DABA mix 1/2.01 453 726/742 DPPE/JA73851 1/3 454 726/744 DPPE/JA73853 1/2 455 722/742 DOPE/JA73851 1/1 456 732/745 PH55942/cholesterol 1/1 457 726/742 DPPE/JA73851 1/1 458 700/746 JA59311/chol-linolelaidate 1/1 459 700/705 JA59311/JA59396 7/3 460 700 JA59311 1 461 725/749 DLPE/EP-G-DABA mix 1/1 462 727/749 DEPE/EP-G-DABA mix 1/2.99 463 719/725 AK52468/DLPE 3/1 464 727/744 DEPE/JA73853 1/3 465 700/705/722 JA59311/JA59396/DOPE 4.06/6/3.4 466 700/722 JA59311/DOPE 2/1 467 744/746 JA73853/chol-linolelaidate 1/1 468 723/739 Tween 80/JA59353 1/2 469 727/742 DEPE/JA73851 1/1 470 723/739 Tween 80/JA59353 1/4 471 723/737 Tween 80/JA59351 1/4 472 700/722/745 JA59311/DOPE/cholesterol 2/1/1 473 700/726/747 JA59311/DPPE/chol-linoleate 2/1/1 474 726/732 DPPE/PH55942 1/3 475 726/742 DPPE/JA73851 1/2 476 700/745 JA59311/cholesterol 1/1 477 719/727 AK52468/DEPE 2/1 478 700/726/745 JA59311/DPPE/cholesterol 2/1/1 479 700/726 JA59311/DPPE 1/1 480 700/722 JA59311/DOPE 2.99/1 481 722/744 DOPE/JA73853 1/3 482 701/727 JA59312/DEPE 1.03/1 483 700/722 JA59311/DOPE 1/1 484 709/745 DS46596a/cholesterol 2/1 485 700/726/747 JA59311/DPPE/chol-linoleate 1/1/1 486 719/752 AK52468/JA94882 1/2 487 700/722 JA59311/DOPE 2/1 488 751/752 JA94881/JA94882 1/1 489 701/726 JA59312/DPPE 1.5/1 490 751/752 JA94881/JA94882 0.2/1 491 752/753 JA94882/JA10334 0.5/1 492 751/753 JA94881/JA10334 1/1 493 726/751 DPPE/JA94881 1/2 494 701/726 JA59312/DPPE 1.8/1 495 751/753 JA94881/JA10334 0.5/1 496 719/752 AK52468/JA94882 1/3 497 751/753 JA94881/JA10334 2/1 498 700/722 JA59311/DOPE 1/1 499 700/722 JA59311/DOPE 3/1 500 753 JA10334 1 501 726/752 DPPE/JA94882 1/2 502 719/751 AK52468/JA94881 1/2 503 751/753 JA94881/JA10334 0.2/1 504 700/726 JA59311/DPPE 2.4/1 505 700/726 JA59311/DPPE 1.5/1 506 719/752 AK52468/JA94882 2/1 507 752/753 JA94882/JA10334 1/1 508 701/726 JA59312/DPPE 2.3/1 509 719/752 AK52468/JA94882 3/1 510 751 JA94881 1 511 719/751 AK52468/JA94881 1/3 512 719/751 AK52468/JA94881 1/1 513 752/753 JA94882/JA10334 0.2/1 514 752/753 JA94882/JA10334 2/1 515 751/753 JA94881/JA10334 5/1 516 726/751 DPPE/JA94881 1/3 517 751/752 JA94881/JA94882 0.5/1 518 726/751 DPPE/JA94881 1/1 519 719/752 AK52468/JA94882 1/1 520 751/752 JA94881/JA94882 5/1 521 722/751 DOPE/JA94881 1/1 522 726/752 DPPE/JA94882 1/3 523 726/752 DPPE/JA94882 1/1 524 700/726 JA59311/DPPE 1.9/1 525 700/726 JA59311/DPPE 3/1 526 701/726 JA59312/DPPE 1.2/1 527 752 JA94882 1 528 719/751 AK52468/JA94881 2/1 529 722/751 DOPE/JA94881 1/3 530 751/752 JA94881/JA94882 2/1 531 719/751 AK52468/JA94881 3/1 532 722/751 DOPE/JA94881 1/2 533 752/753 JA94882/JA10334 5/1 -
TABLE X Lipid Components Names and Structures Lipid_ID Name 700 JA59311 Alternate Names Palmityloleyl glycyl 2,4-diaminobutyric acid; POGDABA; C16C18GlyDABA2+; JA59311 Lipid_ID Name 701 JA59312 Alternate Names JA59312; Palmityloleyl glycyl 2-amino-4-guanylbutyric acid; POGAGuaBA; C16C18GlyA(Gua)BA2+ Lipid_ID Name 705 JA59396 Alternate Names N′-Elaidyl-N′-palmityl-a,g-diaminobutyryl-glycinamide; C16C18:1GlyDABA+2; JA59396 Lipid_ID Name 709 DS46596a Alternate Names BocArgChol; DS46596a Lipid_ID Name 719 AK52468 Alternate Names b-Alanine Palmitoyl, Oleoyl-Amide; POABA; AK52468 Lipid_ID Name 722 DOPE Alternate Names DOPE; dioleoyl phosphatidyl ethanolamine; 1,2-Dioloeyl-sn-Glycero-3-Phosphatidylethanolamine Lipid_ID Name 723 Tween 80 Alternate Names Tween 80; polyoxyethylene sorbitanmonooleate Lipid_ID Name 725 DLPE Alternate Names DLPE; 1,2-Dilinoeyl-sn-Glycero-3-Phosphatidylethanolamine; Dilinoeyl Phosphatidylethanolamine Lipid_ID Name 726 DPPE Alternate Names DPPE; 1,2-Diphytanoyl-sn-Glycero-3-Phosphatidylethanolamine Diphytanoyl Phosphatidylethanolamine Lipid_ID Name 727 DEPE Alternate Names DEPE; 1,2-Dielaidoyl-sn-Glycero-3-Phosphatidylethanolamine; Dielaidoyl Phosphatidylethanolamine Lipid_ID Name 732 PH55942 Alternate Names PZH559-42; Cholesterol-TREN-bis-guanidinium methylphosponamidate Lipid_ID Name 736 JA59350 Alternate Names JA59350; N′-palmityl-N′-oleyl-N-α-Boc-N-γ-carboxamidine-α,γ-diamin obutyryl-glycinamide Lipid_ID Name 737 JA59351 Alternate Names JA59351; N′-palmityl-N′-oleyl-γ-Boc-α,γ-diaminobutyryl-glycinamide Lipid_ID Name 738 JA59352 Alternate Names JA59352; N′-palmityl-N′-oleyl-N-γ-Boc-N-α-carboxamidine-α,γ-diamin obutyryl-glycinamide Lipid_ID Name 739 JA59353 Alternate Names JA59353; N′-palmityl-N′-oleyl-N-γ-carboxamidine-α,γ-diaminobutyryl- glycinamide Lipid_ID Name 742 JA73851 Alternate Names N-(L-Histidyl)-L-a-Dioleyl Phosphatidylethanolamine; His-DOPE Lipid_ID Name 743 JA73852 Alternate Names N′-Palmityl-N′-Oleyl-4-Imidazoleacetyl Glycinamide Lipid_ID Name 744 JA73853 Alternate Names N′-Palmityl-N′-Oleyl-4-(dimethylamino)butyrylamide Lipid_ID Name 745 cholesterol Alternate Names cholesterol; 5-Cholesten-3-beta-ol-3-beta-hydroxy-5-cholestene Lipid_ID Name 746 chol-linolelaidate Alternate Names chol-linolelaidate; cholesterol-linolelaidate Lipid_ID Name 747 chol-linoleate Alternate Names chol-linoleate; cholesterol-linoleate; cholesteryl 9,12-octadecadienoate; 5-cholesten-3-beta-ol-3-linoleate Lipid_ID Name 749 EP-G-DABA mix Alternate Names N′-Elaidyl-N′-palmityl-α,γ-diaminobutyryl-glycinamide; C16C18:1GlyDABA+2; EP-G-DABA cis/trans mix Lipid_ID Name 750 EP-G-AGBA mix Alternate Names Palmityloleyl glycyl 2-amino-4-guanylbutyric acid; C16H18:1GlyA(Gua)Ba2+; EP-G-AGBA cis/trans mix Lipid_ID Name 751 JA94881 Alternate Names N′,N′-dimyristyl-α,γ-diaminobutyryl-glycinamide Lipid_ID Name 752 JA94882 Alternate Names N′,N′-dimirystyl-N-γ-carboxamidine-α,γ-diaminobutyryl glycinamide Lipid_ID Name 753 JA10334 Alternate Names N′,N′-dimirystyl-β-alanylamide
Claims (33)
1. A cationic lipid having the formula II:
wherein, n is 1, 2 or 3 carbon atoms; n1 is 2, 3, 4 or 5 carbon atoms; R and R1 independently represent C12-C22 alkyl chain which are saturated or unsaturated, wherein the unsaturation is represented by 1-4 double bonds; and Alk represents methyl, hydroxyalkyl or a combination thereof.
3. A cationic lipid having the formula IV:
wherein, n is 1-6 carbon atoms; R and R1 independently represent C12-C22 alkyl chain which are saturated or unsaturated, wherein the unsaturation is represented by 1-4 double bonds; and R2 is H, PEG, carboxamidine, alkyl, acyl, aryl, substituted carboxamidine,
wherein R3 is H, or PO3H2 and R4 is OH, NH2 or ═O.
6. A cationic lipid having the formula VII:
R6-L1-Cholesterol
wherein,
R6 is selected from the group consisting of arginyl methyl ester, arginyl amide, homoarginyl methyl ester, homoarginyl amide, ornithine methyl ester, ornithine amide, lysyl methyl ester, lysyl amide, triethylenetetramine (TREN), N,N′-di-carboxamidine TREN, N-benzyl histidyl methyl ester, pyridoxyl and aminopropylimidazole; and
L1 is a linker represented by R7PO2, wherein R7 is H, CH3, or CH2CH3.
7. A cationic lipid having the formula VIII:
R8-L2-Cholesterol
wherein, R8 is selected from the group consisting of arginyl, N-Boc arginyl, homoarginyl, N-Boc homoarginyl, ornithine, N-Boc ornithine, N-benzyl histidyl, lysyl, N-Boc lysyl, N-methyl arginyl, N-methyl guanidine, guanidine and pyridoxyl; and L2 is a linker represented by NH, glycine, N-butyldiamine or guanidine.
8. The cationic lipid of claim 1 , wherein said cationic lipid is N′-palmityl-N′-oleyl-alpha, gamma-bis-trimethylammoniumbutyryl-glycinamide.
9. The cationic lipid of claim 2 , wherein said cationic lipid is N′-palmityl-N′-oleyl-N-carboxamidine-glycinamide.
10. The cationic lipid of claim 2 , wherein said cationic lipid is N′-palmityl-N′-oleyl-guanidine.
11. The cationic lipid of claim 7 , wherein said cationic lipid is Boc arginine-cholesterylamide.
12. The cationic lipid of claim 6 , wherein said cationic lipid is Cholesterol-Lysine-methyl ester-methylphosphonoamidate.
13. The cationic lipid of claim 6 , wherein said cationic lipid is Cholesterol-methyl ester-homoarginine-methylphosphonoamidate.
14. The cationic lipid of claim 6 , wherein said cationic lipid is Cholesterol-Lysine-amide-methylphosphonoamidate.
15. The cationic lipid of claim 6 , wherein said cationic lipid is Cholesterol-TREN-methylphosphonoamidate.
16. The cationic lipid of claim 6 , wherein said cationic lipid is Cholesterol-TREN-bis-guanidinium methylphosphonoamidate.
17. The cationic lipid of claim 6 , wherein said cationic lipid is Cholesterol-histidine-methylphosphonoamidate.
18. The cationic lipid of claim 6 , wherein said cationic lipid is Cholesterol-aminopropylimidazole-methylphosphonoamidate.
19. The cationic lipid of claim 3 , wherein said cationic lipid is N′-palmityl-N′-oleyl-beta-alanine amide.
20. The cationic lipid of claim 3 , wherein said cationic lipid is N′-palmityl-N′-oleyl-N-carboxamidine beta-alanine amide.
21. The cationic lipid of claim 3 , wherein said cationic lipid is N(N′-palmityl-N′-oleyl-amidopropyl)pyridoxamine.
22. The cationic lipid of claim 7 , wherein said cationic lipid is N-cholesteryl-pyridoxamine.
23. The cationic lipid of claim 7 , wherein said cationic lipid is 3′,5′-Di-palmitoyl-2′-deoxy-2′-(N-carboxamidine-beta-alanineamido) uridine.
24. The cationic lipid of any of claims 1-7, wherein said cationic lipid ion-pairs to a negatively charged polymer selected from the group consisting of RNA, DNA, and protein.
25. The cationic lipid of claim 24 , wherein said RNA and said DNA comprise one or more modifications.
26. The cationic lipid of claim 24 , wherein said RNA is an enzymatic RNA.
27. The cationic lipid of claim 24 , wherein said DNA is an enzymatic DNA.
28. A cationic lipid having the formula IX:
wherein R is independently C12-C22 alkyl chain which are saturated or unsaturated, wherein the unsaturation is represented by 1-4 double bonds; and R1 is selected from the group consisting of TREN, N,N′-di-carboxamidine TREN, lysyl, arginyl, omithyl, homoarginyl, histidyl, aminopropylimidazole, and spermine carboxylic acid.
29. The cationic lipid of claim 28 , wherein said cationic lipid is N2,N3-di-oleyl-(N,N′-diguanidinoethyl-aminoethane)-2,3-diaminopropionic acid.
30. The cationic lipid of claim 4 , wherein said cationic lipid is 3′,5′-Di-palmitoyl-2′-deoxy-2′(beta-alanineamido) uridine.
31. The cationic lipid of claim 4 , wherein said cationic lipid is 3′,5′-Di-palmitoyl-2′-deoxy-2′(N-carboxamidine-beta-alanineamido) uridine.
32. The cationic lipid of any of claims 1-7, wherein said cationic lipid is linked to polyethylene glycol (PEG).
33. The cationic lipid of claim 32 , wherein said PEG is between about 2000-5000 daltons inclusive.
Priority Applications (3)
| Application Number | Priority Date | Filing Date | Title |
|---|---|---|---|
| US10/036,916 US20030073640A1 (en) | 1997-07-23 | 2001-12-21 | Novel compositions for the delivery of negatively charged molecules |
| US10/966,174 US7553830B2 (en) | 1997-07-23 | 2005-04-14 | Compositions for the delivery of negatively charged molecules |
| US12/470,382 US20100036115A1 (en) | 1997-07-23 | 2009-05-21 | Novel Compositions for the Delivery of Negatively Charged Molecules |
Applications Claiming Priority (4)
| Application Number | Priority Date | Filing Date | Title |
|---|---|---|---|
| US5351797P | 1997-07-23 | 1997-07-23 | |
| US7296798P | 1998-01-29 | 1998-01-29 | |
| US09/120,520 US6395713B1 (en) | 1997-07-23 | 1998-07-21 | Compositions for the delivery of negatively charged molecules |
| US10/036,916 US20030073640A1 (en) | 1997-07-23 | 2001-12-21 | Novel compositions for the delivery of negatively charged molecules |
Related Parent Applications (2)
| Application Number | Title | Priority Date | Filing Date |
|---|---|---|---|
| US09/120,520 Continuation-In-Part US6395713B1 (en) | 1997-07-23 | 1998-07-21 | Compositions for the delivery of negatively charged molecules |
| US09/120,520 Continuation US6395713B1 (en) | 1997-07-23 | 1998-07-21 | Compositions for the delivery of negatively charged molecules |
Related Child Applications (1)
| Application Number | Title | Priority Date | Filing Date |
|---|---|---|---|
| US10/966,174 Division US7553830B2 (en) | 1997-07-23 | 2005-04-14 | Compositions for the delivery of negatively charged molecules |
Publications (1)
| Publication Number | Publication Date |
|---|---|
| US20030073640A1 true US20030073640A1 (en) | 2003-04-17 |
Family
ID=27368437
Family Applications (3)
| Application Number | Title | Priority Date | Filing Date |
|---|---|---|---|
| US10/036,916 Abandoned US20030073640A1 (en) | 1997-07-23 | 2001-12-21 | Novel compositions for the delivery of negatively charged molecules |
| US10/966,174 Expired - Fee Related US7553830B2 (en) | 1997-07-23 | 2005-04-14 | Compositions for the delivery of negatively charged molecules |
| US12/470,382 Abandoned US20100036115A1 (en) | 1997-07-23 | 2009-05-21 | Novel Compositions for the Delivery of Negatively Charged Molecules |
Family Applications After (2)
| Application Number | Title | Priority Date | Filing Date |
|---|---|---|---|
| US10/966,174 Expired - Fee Related US7553830B2 (en) | 1997-07-23 | 2005-04-14 | Compositions for the delivery of negatively charged molecules |
| US12/470,382 Abandoned US20100036115A1 (en) | 1997-07-23 | 2009-05-21 | Novel Compositions for the Delivery of Negatively Charged Molecules |
Country Status (1)
| Country | Link |
|---|---|
| US (3) | US20030073640A1 (en) |
Cited By (38)
| Publication number | Priority date | Publication date | Assignee | Title |
|---|---|---|---|---|
| US20050181037A1 (en) * | 2002-05-24 | 2005-08-18 | Neopharm, Inc. | Cardiolipin compositions their methods of preparation and use |
| US20050266068A1 (en) * | 2002-05-24 | 2005-12-01 | Neopharm, Inc. | Cardiolipin molecules and methods of synthesis |
| US20050272682A1 (en) * | 2004-03-22 | 2005-12-08 | Evers Bernard M | SiRNA targeting PI3K signal transduction pathway and siRNA-based therapy |
| US20050277611A1 (en) * | 2002-10-16 | 2005-12-15 | Neopharm, Inc. | Cationic cardiolipin analoges and its use thereof |
| US20060025366A1 (en) * | 2004-07-02 | 2006-02-02 | Protiva Biotherapeutics, Inc. | Immunostimulatory siRNA molecules and uses therefor |
| US20060078560A1 (en) * | 2003-06-23 | 2006-04-13 | Neopharm, Inc. | Method of inducing apoptosis and inhibiting cardiolipin synthesis |
| WO2005105152A3 (en) * | 2004-05-05 | 2006-09-14 | Atugen Ag | Lipids, lipid complexes and use thereof |
| US20060223777A1 (en) * | 2005-03-29 | 2006-10-05 | Dharmacon, Inc. | Highly functional short hairpin RNA |
| US20070054873A1 (en) * | 2005-08-26 | 2007-03-08 | Protiva Biotherapeutics, Inc. | Glucocorticoid modulation of nucleic acid-mediated immune stimulation |
| US20070135372A1 (en) * | 2005-11-02 | 2007-06-14 | Protiva Biotherapeutics, Inc. | Modified siRNA molecules and uses thereof |
| US20070167384A1 (en) * | 2003-04-02 | 2007-07-19 | Dharmacon, Inc. | Modified polynucleotides for use in rna interference |
| US20080085869A1 (en) * | 2006-09-22 | 2008-04-10 | Dharmacon, Inc. | Duplex oligonucleotide complexes and methods for gene silencing by rna interference |
| WO2008060613A1 (en) | 2006-11-15 | 2008-05-22 | The J. David Gladstone Institutes | Methods and compositions for reducing amyloid beta levels |
| US20080227744A1 (en) * | 2007-03-16 | 2008-09-18 | Sequoia Pharmaceuticals, Inc. | Benzofuran derived hiv protease inhibitors |
| US20080249046A1 (en) * | 2006-06-09 | 2008-10-09 | Protiva Biotherapeutics, Inc. | MODIFIED siRNA MOLECULES AND USES THEREOF |
| WO2009127060A1 (en) | 2008-04-15 | 2009-10-22 | Protiva Biotherapeutics, Inc. | Novel lipid formulations for nucleic acid delivery |
| US20090280567A1 (en) * | 2004-02-06 | 2009-11-12 | Dharmacon, Inc. | Stabilized sirnas as transfection controls and silencing reagents |
| US20090304678A1 (en) * | 2006-07-21 | 2009-12-10 | Jorg Kaufmann | Means for Inhibiting the Expression of Protein Kinase 3 |
| US20100062967A1 (en) * | 2004-12-27 | 2010-03-11 | Silence Therapeutics Ag | Coated lipid complexes and their use |
| WO2010074540A2 (en) | 2008-12-26 | 2010-07-01 | 주식회사 삼양사 | Pharmaceutical composition containing an anionic drug, and a production method therefor |
| WO2011000107A1 (en) | 2009-07-01 | 2011-01-06 | Protiva Biotherapeutics, Inc. | Novel lipid formulations for delivery of therapeutic agents to solid tumors |
| WO2011038160A2 (en) | 2009-09-23 | 2011-03-31 | Protiva Biotherapeutics, Inc. | Compositions and methods for silencing genes expressed in cancer |
| US20110189300A1 (en) * | 2004-11-17 | 2011-08-04 | Protiva Biotherapeutics, Inc. | siRNA SILENCING OF APOLIPOPROTEIN B |
| US8188060B2 (en) | 2008-02-11 | 2012-05-29 | Dharmacon, Inc. | Duplex oligonucleotides with enhanced functionality in gene regulation |
| EP2567693A1 (en) | 2003-07-16 | 2013-03-13 | Protiva Biotherapeutics Inc. | Lipid encapsulated interfering RNA |
| WO2014205511A1 (en) | 2013-06-25 | 2014-12-31 | University Of Canberra | Methods and compositions for modulating cancer stem cells |
| WO2015039187A1 (en) | 2013-09-18 | 2015-03-26 | University Of Canberra | Stem cell modulation ii |
| WO2016029262A1 (en) | 2014-08-25 | 2016-03-03 | University Of Canberra | Compositions for modulating cancer stem cells and uses therefor |
| EP3025727A1 (en) | 2008-10-02 | 2016-06-01 | The J. David Gladstone Institutes | Methods of treating liver disease |
| US9439856B2 (en) | 2012-04-04 | 2016-09-13 | Samyang Biopharmaceuticals Corporation | Method of preparing composition for delivering an anionic drug |
| WO2016191811A1 (en) | 2015-06-03 | 2016-12-08 | The University Of Queensland | Mobilizing agents and uses therefor |
| WO2017023861A1 (en) | 2015-08-03 | 2017-02-09 | The Regents Of The University Of California | Compositions and methods for modulating abhd2 activity |
| WO2019090390A1 (en) | 2017-11-08 | 2019-05-16 | University Of Canberra | Immunogenic compositions and uses therefor |
| US10351853B2 (en) | 2014-10-14 | 2019-07-16 | The J. David Gladstone Institutes | Compositions and methods for reactivating latent immunodeficiency virus |
| JP2022505234A (en) * | 2018-10-18 | 2022-01-14 | アクイタス セラピューティクス インコーポレイテッド | Lipids for Activator Lipid Nanoparticle Delivery Lipids |
| US12129223B2 (en) | 2021-12-16 | 2024-10-29 | Acuitas Therapeutics, Inc. | Lipids for use in lipid nanoparticle formulations |
| US12410121B2 (en) | 2020-07-16 | 2025-09-09 | Acuitas Therapeutics, Inc. | Cationic lipids for use in lipid nanoparticles |
| US12491261B2 (en) | 2016-10-26 | 2025-12-09 | Acuitas Therapeutics, Inc. | Lipid nanoparticle formulations |
Families Citing this family (132)
| Publication number | Priority date | Publication date | Assignee | Title |
|---|---|---|---|---|
| US20060009409A1 (en) | 2002-02-01 | 2006-01-12 | Woolf Tod M | Double-stranded oligonucleotides |
| EP2128248B2 (en) | 2002-02-01 | 2017-01-11 | Life Technologies Corporation | Oligonucleotide compositions with enhanced efficiency |
| EP1572902B1 (en) | 2002-02-01 | 2014-06-11 | Life Technologies Corporation | HIGH POTENCY siRNAS FOR REDUCING THE EXPRESSION OF TARGET GENES |
| US20050222064A1 (en) * | 2002-02-20 | 2005-10-06 | Sirna Therapeutics, Inc. | Polycationic compositions for cellular delivery of polynucleotides |
| US8969543B2 (en) * | 2003-04-03 | 2015-03-03 | Bioneer Corporation | SiRNA-hydrophilic polymer conjugates for intracellular delivery of siRNA and method thereof |
| EP1737878A2 (en) | 2004-04-05 | 2007-01-03 | Alnylam Pharmaceuticals Inc. | Process and reagents for oligonucleotide synthesis and purification |
| EP1768998A2 (en) | 2004-04-27 | 2007-04-04 | Alnylam Pharmaceuticals Inc. | Single-stranded and double-stranded oligonucleotides comprising a 2-arylpropyl moiety |
| US7674778B2 (en) | 2004-04-30 | 2010-03-09 | Alnylam Pharmaceuticals | Oligonucleotides comprising a conjugate group linked through a C5-modified pyrimidine |
| CA2572151A1 (en) | 2004-06-30 | 2006-08-24 | Alnylam Pharmaceuticals, Inc. | Oligonucleotides comprising a non-phosphate backbone linkage |
| CA2574088C (en) | 2004-07-21 | 2013-09-17 | Alnylam Pharmaceuticals, Inc. | Oligonucleotides comprising a modified or non-natural nucleobase |
| US7632932B2 (en) | 2004-08-04 | 2009-12-15 | Alnylam Pharmaceuticals, Inc. | Oligonucleotides comprising a ligand tethered to a modified or non-natural nucleobase |
| US20080184618A1 (en) * | 2005-08-03 | 2008-08-07 | Amcol International | Virus-Interacting Layered Phyllosilicates and Methods of Use |
| US20100272769A1 (en) * | 2005-08-03 | 2010-10-28 | Amcol International | Virus-, Bacteria-, and Fungi-Interacting Layered Phyllosilicates and Methods of Use |
| US20070031512A1 (en) * | 2005-08-03 | 2007-02-08 | Amcol International Corporation | Virus-interacting layered phyllosilicates and methods of inactivating viruses |
| WO2009012173A2 (en) * | 2007-07-13 | 2009-01-22 | Dharmacon, Inc. | Enhanced biotherapeutic production using inhibitory rna |
| EP2238251B1 (en) | 2007-12-27 | 2015-02-11 | Protiva Biotherapeutics Inc. | Silencing of polo-like kinase expression using interfering rna |
| EP2770057A1 (en) | 2008-04-15 | 2014-08-27 | Protiva Biotherapeutics Inc. | Silencing of CSN5 gene expression using interfering RNA |
| EP2582387A2 (en) | 2010-06-17 | 2013-04-24 | The United States Of America As Represented By The Secretary, National Institutes Of Health | Compositions and methods for treating inflammatory conditions |
| US10849975B2 (en) | 2011-02-03 | 2020-12-01 | Thomas Jefferson University | Multivalent vaccines for rabies virus and filoviruses |
| CA2856116A1 (en) | 2011-11-17 | 2013-05-23 | The United States Of America, As Represented By The Secretary, Department Of Health & Human Services | Therapeutic rna switches compositions and methods of use |
| ES2921724T1 (en) | 2011-12-07 | 2022-08-31 | Alnylam Pharmaceuticals Inc | Biodegradable lipids for the administration of active agents |
| PL2791160T3 (en) | 2011-12-16 | 2022-06-20 | Modernatx, Inc. | Modified mrna compositions |
| US9035039B2 (en) | 2011-12-22 | 2015-05-19 | Protiva Biotherapeutics, Inc. | Compositions and methods for silencing SMAD4 |
| MX2014010016A (en) | 2012-02-21 | 2015-06-05 | Inst Nat Sante Rech Med | Tim receptors as virus entry cofactors. |
| US20160015808A1 (en) | 2012-02-21 | 2016-01-21 | Institut National De La Sante Et De La Recherche Medicale (Inserm) | Tam receptors as virus entry cofactors |
| HK1206779A1 (en) | 2012-04-02 | 2016-01-15 | Modernatx, Inc. | Modified polynucleotides for the production of nuclear proteins |
| AU2013243949A1 (en) | 2012-04-02 | 2014-10-30 | Moderna Therapeutics, Inc. | Modified polynucleotides for the production of biologics and proteins associated with human disease |
| US10000545B2 (en) | 2012-07-27 | 2018-06-19 | Institut National De La Sante Et De La Recherche Medicale | CD147 as receptor for pilus-mediated adhesion of Meningococci to vascular endothelia |
| PT2897620T (en) | 2012-09-21 | 2020-09-03 | Intensity Therapeutics Inc | CANCER TREATMENT METHOD |
| DK2922554T3 (en) | 2012-11-26 | 2022-05-23 | Modernatx Inc | Terminalt modificeret rna |
| EP2971010B1 (en) | 2013-03-14 | 2020-06-10 | ModernaTX, Inc. | Formulation and delivery of modified nucleoside, nucleotide, and nucleic acid compositions |
| US8980864B2 (en) | 2013-03-15 | 2015-03-17 | Moderna Therapeutics, Inc. | Compositions and methods of altering cholesterol levels |
| PT3019619T (en) | 2013-07-11 | 2021-11-11 | Modernatx Inc | COMPOSITIONS COMPRISING SYNTHETIC POLYNUCLEOTIDES ENCODING SYNTHETIC CRISPR AND SGARN-RELATED PROTEINS AND METHODS OF USE |
| EP3041938A1 (en) | 2013-09-03 | 2016-07-13 | Moderna Therapeutics, Inc. | Circular polynucleotides |
| US20160194625A1 (en) | 2013-09-03 | 2016-07-07 | Moderna Therapeutics, Inc. | Chimeric polynucleotides |
| WO2015051214A1 (en) | 2013-10-03 | 2015-04-09 | Moderna Therapeutics, Inc. | Polynucleotides encoding low density lipoprotein receptor |
| EP3594348B1 (en) | 2013-11-22 | 2021-09-08 | MiNA Therapeutics Limited | C/ebp alpha short activating rna compositions and methods of use |
| EP3160938B1 (en) | 2014-06-25 | 2020-09-16 | Acuitas Therapeutics Inc. | Novel lipids and lipid nanoparticle formulations for delivery of nucleic acids |
| WO2016014846A1 (en) | 2014-07-23 | 2016-01-28 | Moderna Therapeutics, Inc. | Modified polynucleotides for the production of intrabodies |
| JP2017536092A (en) | 2014-10-02 | 2017-12-07 | プロティバ バイオセラピューティクス インコーポレイテッド | Compositions and methods for silencing gene expression of hepatitis B virus |
| WO2016197132A1 (en) | 2015-06-04 | 2016-12-08 | Protiva Biotherapeutics Inc. | Treating hepatitis b virus infection using crispr |
| AU2016285852B2 (en) | 2015-06-29 | 2020-12-17 | Acuitas Therapeutics Inc. | Lipids and lipid nanoparticle formulations for delivery of nucleic acids |
| CN108350455A (en) | 2015-07-29 | 2018-07-31 | 阿布特斯生物制药公司 | Composition for making hepatitis B virus silenced gene expression and method |
| MA46316A (en) | 2015-10-22 | 2021-03-24 | Modernatx Inc | HUMAN CYTOMEGALOVIRUS VACCINE |
| SI3394093T1 (en) | 2015-12-23 | 2022-05-31 | Modernatx, Inc. | Methods of using ox40 ligand encoding polynucleotides |
| US20190241658A1 (en) | 2016-01-10 | 2019-08-08 | Modernatx, Inc. | Therapeutic mRNAs encoding anti CTLA-4 antibodies |
| US12447200B2 (en) | 2016-02-25 | 2025-10-21 | Applied Biological Laboratories, Inc. | Compositions and methods for protecting against airborne pathogens and irritants |
| US12447166B2 (en) | 2016-02-25 | 2025-10-21 | Applied Biological Laboratories, Inc. | Compositions and methods for protecting against airborne pathogens and irritants |
| WO2017176596A1 (en) | 2016-04-04 | 2017-10-12 | The United States Of America, As Represented By The Secretary, Department Of Health & Human Services | Multivalent vaccines for rabies virus and coronaviruses |
| US20210284733A1 (en) | 2016-08-22 | 2021-09-16 | Arbutus Biopharma Corporation | Anti-pd-1 antibodies, or fragments thereof, for treating hepatitis b |
| IL301115A (en) | 2017-04-28 | 2023-05-01 | Acuitas Therapeutics Inc | New lipid carbonyl and lipid nanoparticle formulations for delivery of nucleic acids |
| US11421011B2 (en) | 2017-05-18 | 2022-08-23 | Modernatx, Inc. | Polynucleotides encoding tethered interleukin-12 (IL12) polypeptides and uses thereof |
| US20200268666A1 (en) | 2017-06-14 | 2020-08-27 | Modernatx, Inc. | Polynucleotides encoding coagulation factor viii |
| CA3075219A1 (en) | 2017-09-08 | 2019-03-14 | Mina Therapeutics Limited | Hnf4a sarna compositions and methods of use |
| EP3679140B1 (en) | 2017-09-08 | 2022-11-16 | MiNA Therapeutics Limited | Stabilized cebpa sarna compositions and methods of use |
| WO2019094648A1 (en) | 2017-11-08 | 2019-05-16 | L.E.A.F. Holdings Group Llc | Platinum complexes and uses thereof |
| WO2019094702A1 (en) | 2017-11-10 | 2019-05-16 | Cocoon Biotech Inc. | Ocular applications of silk-based products |
| US20200352913A1 (en) | 2017-11-23 | 2020-11-12 | INSERM (Institut National de la Santé et de la Recherche Médicale) | New method for treating dengue virus infection |
| US11779584B2 (en) | 2018-02-07 | 2023-10-10 | L.E.A.F. Holdings Group Llc | Alpha polyglutamated pemetrexed and uses thereof |
| EP3749311A4 (en) | 2018-02-07 | 2022-07-06 | L.E.A.F Holdings Group LLC | GAMMA POLYGLUTAMATED PEMETREXED AND USES THEREOF |
| EP4242307A3 (en) | 2018-04-12 | 2023-12-27 | MiNA Therapeutics Limited | Sirt1-sarna compositions and methods of use |
| US12458597B2 (en) | 2018-05-03 | 2025-11-04 | L.E.A.F. Holdings Group Llc | Carotenoid compositions and uses thereof |
| CA3100050A1 (en) | 2018-05-11 | 2019-11-14 | Lupagen, Inc. | Systems and methods for closed loop, real-time modifications of patient cells |
| CA3113025A1 (en) | 2018-09-19 | 2020-03-26 | Modernatx, Inc. | Peg lipids and uses thereof |
| JP7640452B2 (en) | 2018-09-19 | 2025-03-05 | モデルナティエックス インコーポレイテッド | Highly pure PEGylated lipids and their uses |
| IL322436A (en) | 2018-09-21 | 2025-09-01 | Acuitas Therapeutics Inc | Systems and methods for manufacturing lipid nanoparticles and liposomes |
| US20220040281A1 (en) | 2018-12-21 | 2022-02-10 | Curevac Ag | Rna for malaria vaccines |
| CN113474328B (en) | 2019-01-11 | 2025-07-11 | 爱康泰生治疗公司 | Lipids for lipid nanoparticle delivery of active agents |
| EP4491229A3 (en) | 2019-02-08 | 2025-05-14 | CureVac SE | Coding rna administered into the suprachoroidal space in the treatment of ophtalmic diseases |
| US20220211740A1 (en) | 2019-04-12 | 2022-07-07 | Mina Therapeutics Limited | Sirt1-sarna compositions and methods of use |
| WO2020247594A1 (en) | 2019-06-04 | 2020-12-10 | Cocoon Biotech Inc. | Silk-based products, formulations, and methods of use |
| EP3986452A1 (en) | 2019-06-18 | 2022-04-27 | CureVac AG | Rotavirus mrna vaccine |
| CN114555127A (en) | 2019-08-06 | 2022-05-27 | L.E.A.F.控股集团公司 | Method for preparing polyglutamated antifolates and use of compositions thereof |
| KR20220047319A (en) | 2019-08-14 | 2022-04-15 | 큐어백 아게 | RNA Combinations and Compositions with Reduced Immunostimulatory Properties |
| WO2021061815A1 (en) | 2019-09-23 | 2021-04-01 | Omega Therapeutics, Inc. | COMPOSITIONS AND METHODS FOR MODULATING HEPATOCYTE NUCLEAR FACTOR 4-ALPHA (HNF4α) GENE EXPRESSION |
| JP2022548320A (en) | 2019-09-23 | 2022-11-17 | オメガ セラピューティクス, インコーポレイテッド | Compositions and methods for modulating apolipoprotein B (APOB) gene expression |
| AU2021216658A1 (en) | 2020-02-04 | 2022-06-23 | CureVac SE | Coronavirus vaccine |
| CN116096886A (en) | 2020-03-11 | 2023-05-09 | 欧米茄治疗公司 | Compositions and methods for modulating fork-box P3 (FOXP 3) gene expression |
| BR112022024248A2 (en) | 2020-05-29 | 2023-10-10 | CureVac SE | NUCLEIC ACID-BASED COMBINATION VACCINES |
| US20230272052A1 (en) | 2020-07-31 | 2023-08-31 | CureVac SE | Nucleic acid encoded antibody mixtures |
| AU2021320426A1 (en) | 2020-08-06 | 2023-03-23 | Modernatx, Inc. | Compositions for the delivery of payload molecules to airway epithelium |
| CA3170743A1 (en) | 2020-08-31 | 2022-03-03 | Susanne RAUCH | Multivalent nucleic acid based coronavirus vaccines |
| GB2603454A (en) | 2020-12-09 | 2022-08-10 | Ucl Business Ltd | Novel therapeutics for the treatment of neurodegenerative disorders |
| WO2022135993A2 (en) | 2020-12-22 | 2022-06-30 | Curevac Ag | Pharmaceutical composition comprising lipid-based carriers encapsulating rna for multidose administration |
| WO2022137133A1 (en) | 2020-12-22 | 2022-06-30 | Curevac Ag | Rna vaccine against sars-cov-2 variants |
| CA3170747A1 (en) | 2021-01-27 | 2022-08-04 | Moritz THRAN | Method of reducing the immunostimulatory properties of in vitro transcribed rna |
| AU2022246144A1 (en) | 2021-03-26 | 2023-09-21 | Mina Therapeutics Limited | Tmem173 sarna compositions and methods of use |
| MX2023011400A (en) | 2021-03-26 | 2023-10-09 | Glaxosmithkline Biologicals Sa | Immunogenic compositions. |
| CA3171429A1 (en) | 2021-03-31 | 2022-09-30 | Alexander SCHWENGER | Syringes containing pharmaceutical compositions comprising rna |
| CA3171589A1 (en) | 2021-05-03 | 2022-11-03 | Moritz THRAN | Improved nucleic acid sequence for cell type specific expression |
| CA3173953A1 (en) | 2021-06-11 | 2023-12-10 | Tyson D. BOWEN | Rna polymerase iii promoters and methods of use |
| WO2023283359A2 (en) | 2021-07-07 | 2023-01-12 | Omega Therapeutics, Inc. | Compositions and methods for modulating secreted frizzled receptor protein 1 (sfrp1) gene expression |
| WO2023014974A1 (en) | 2021-08-06 | 2023-02-09 | University Of Iowa Research Foundation | Double stranded mrna vaccines |
| US20240398933A1 (en) | 2021-09-03 | 2024-12-05 | CureVac SE | Novel lipid nanoparticles for delivery of nucleic acids comprising phosphatidylserine |
| CA3230031A1 (en) | 2021-09-03 | 2023-03-09 | Patrick Baumhof | Novel lipid nanoparticles for delivery of nucleic acids |
| US20250027108A1 (en) | 2021-10-29 | 2025-01-23 | CureVac SE | Improved circular rna for expressing therapeutic proteins |
| WO2023086465A1 (en) | 2021-11-12 | 2023-05-19 | Modernatx, Inc. | Compositions for the delivery of payload molecules to airway epithelium |
| WO2023099884A1 (en) | 2021-12-01 | 2023-06-08 | Mina Therapeutics Limited | Pax6 sarna compositions and methods of use |
| GB202117758D0 (en) | 2021-12-09 | 2022-01-26 | Ucl Business Ltd | Therapeutics for the treatment of neurodegenerative disorders |
| EP4469091A1 (en) | 2022-01-28 | 2024-12-04 | CureVac SE | Nucleic acid encoded transcription factor inhibitors |
| US20250235531A1 (en) | 2022-02-09 | 2025-07-24 | Modernatx, Inc. | Mucosal administration methods and formulations |
| JP2025508467A (en) | 2022-02-24 | 2025-03-26 | アイオー バイオテック エーピーエス | Nucleotide Delivery for Cancer Therapy |
| WO2023170435A1 (en) | 2022-03-07 | 2023-09-14 | Mina Therapeutics Limited | Il10 sarna compositions and methods of use |
| JP2025517508A (en) | 2022-05-25 | 2025-06-05 | キュアバック エスイー | Nucleic Acid-Based Vaccines |
| CN120112633A (en) | 2022-08-12 | 2025-06-06 | 生命编辑治疗股份有限公司 | RNA-guided nucleases and active fragments and variants thereof and methods of use |
| EP4342460A1 (en) | 2022-09-21 | 2024-03-27 | NovoArc GmbH | Lipid nanoparticle with nucleic acid cargo |
| AU2023353931A1 (en) | 2022-09-26 | 2025-03-20 | Glaxosmithkline Biologicals Sa | Influenza virus vaccines |
| DE202023106198U1 (en) | 2022-10-28 | 2024-03-21 | CureVac SE | Nucleic acid-based vaccine |
| CN120693181A (en) | 2022-12-08 | 2025-09-23 | 瑞科德治疗公司 | Lipid nanoparticle compositions and uses thereof |
| TW202440929A (en) | 2022-12-14 | 2024-10-16 | 加拿大商普羅維登斯治療控股公司 | Compositions and methods for infectious diseases |
| WO2024134199A1 (en) | 2022-12-22 | 2024-06-27 | Mina Therapeutics Limited | Chemically modified sarna compositions and methods of use |
| EP4658239A1 (en) | 2023-02-03 | 2025-12-10 | GlaxoSmithKline Biologicals S.A. | Rna formulation |
| GB202302092D0 (en) | 2023-02-14 | 2023-03-29 | Glaxosmithkline Biologicals Sa | Analytical method |
| DE112024001143T5 (en) | 2023-03-08 | 2025-12-18 | CureVac SE | NEW LIPID NANOPARTICLE FORMULAS FOR NUCLEAN ACID RELEASE |
| WO2024223724A1 (en) | 2023-04-27 | 2024-10-31 | Glaxosmithkline Biologicals Sa | Influenza virus vaccines |
| WO2024223728A1 (en) | 2023-04-27 | 2024-10-31 | Glaxosmithkline Biologicals Sa | Influenza virus vaccines |
| WO2024230934A1 (en) | 2023-05-11 | 2024-11-14 | CureVac SE | Therapeutic nucleic acid for the treatment of ophthalmic diseases |
| WO2024243438A2 (en) | 2023-05-23 | 2024-11-28 | Omega Therapeutics, Inc. | Compositions and methods for reducing cxcl9, cxcl10, and cxcl11 gene expression |
| WO2025011529A2 (en) | 2023-07-07 | 2025-01-16 | Shanghai Circode Biomed Co., Ltd. | Circular rna vaccines for seasonal flu and methods of uses |
| WO2025022367A2 (en) | 2023-07-27 | 2025-01-30 | Life Edit Therapeutics, Inc. | Rna-guided nucleases and active fragments and variants thereof and methods of use |
| WO2025045142A1 (en) | 2023-08-29 | 2025-03-06 | Shanghai Circode Biomed Co., Ltd. | Circular rna encoding vegf polypeptides, formulations, and methods of uses |
| WO2025046121A1 (en) | 2023-09-01 | 2025-03-06 | Novoarc Gmbh | Lipid nanoparticle with nucleic acid cargo and ionizable lipid |
| EP4520345A1 (en) | 2023-09-06 | 2025-03-12 | Myneo Nv | Product |
| WO2025083619A1 (en) | 2023-10-18 | 2025-04-24 | Life Edit Therapeutics, Inc. | Rna-guided nucleases and acive fragments and variants thereof and methods of use |
| US12364773B2 (en) | 2023-12-01 | 2025-07-22 | Recode Therapeutics, Inc. | Lipid nanoparticle compositions and uses thereof |
| WO2025132839A1 (en) | 2023-12-21 | 2025-06-26 | Glaxosmithkline Biologicals Sa | Influenza virus vaccines |
| WO2025137646A1 (en) | 2023-12-22 | 2025-06-26 | Recode Therapeutics, Inc. | Gene editing methods and compositions for treating cystic fibrosis |
| WO2025174908A1 (en) | 2024-02-12 | 2025-08-21 | Life Edit Therapeutics, Inc. | Novel rna-guided nucleases and proteins for polymerase editing |
| GB202404607D0 (en) | 2024-03-29 | 2024-05-15 | Glaxosmithkline Biologicals Sa | RNA formulation |
| WO2025259931A1 (en) | 2024-06-14 | 2025-12-18 | Orbital Therapeutics, Inc. | Compositions and methods for rna circularization |
| WO2026006203A2 (en) | 2024-06-24 | 2026-01-02 | Orbital Therapeutics, Inc. | Compositions and methods for making circular rna |
| WO2026003754A1 (en) | 2024-06-25 | 2026-01-02 | Life Edit Therapeutics, Inc. | Novel reverse transcriptases and uses thereof |
Citations (1)
| Publication number | Priority date | Publication date | Assignee | Title |
|---|---|---|---|---|
| US5616745A (en) * | 1989-04-17 | 1997-04-01 | Centre National De La Recherche Scientifique | Lipopolyamines, their preparation and their use |
Family Cites Families (12)
| Publication number | Priority date | Publication date | Assignee | Title |
|---|---|---|---|---|
| US4897355A (en) * | 1985-01-07 | 1990-01-30 | Syntex (U.S.A.) Inc. | N[ω,(ω-1)-dialkyloxy]- and N-[ω,(ω-1)-dialkenyloxy]-alk-1-yl-N,N,N-tetrasubstituted ammonium lipids and uses therefor |
| US5208036A (en) * | 1985-01-07 | 1993-05-04 | Syntex (U.S.A.) Inc. | N-(ω, (ω-1)-dialkyloxy)- and N-(ω, (ω-1)-dialkenyloxy)-alk-1-yl-N,N,N-tetrasubstituted ammonium lipids and uses therefor |
| US5676954A (en) * | 1989-11-03 | 1997-10-14 | Vanderbilt University | Method of in vivo delivery of functioning foreign genes |
| US5279833A (en) * | 1990-04-04 | 1994-01-18 | Yale University | Liposomal transfection of nucleic acids into animal cells |
| US5283185A (en) * | 1991-08-28 | 1994-02-01 | University Of Tennessee Research Corporation | Method for delivering nucleic acids into cells |
| US5334761A (en) * | 1992-08-28 | 1994-08-02 | Life Technologies, Inc. | Cationic lipids |
| US5552155A (en) * | 1992-12-04 | 1996-09-03 | The Liposome Company, Inc. | Fusogenic lipsomes and methods for making and using same |
| US5578475A (en) * | 1993-07-12 | 1996-11-26 | Life Technologies, Inc. | Composition and methods for transfecting eukaryotic cells |
| US5777153A (en) * | 1994-07-08 | 1998-07-07 | Gilead Sciences, Inc. | Cationic lipids |
| US5527928A (en) * | 1994-09-30 | 1996-06-18 | Nantz; Michael H. | Cationic transport reagents |
| US5840710A (en) * | 1994-12-09 | 1998-11-24 | Genzyme Corporation | Cationic amphiphiles containing ester or ether-linked lipophilic groups for intracellular delivery of therapeutic molecules |
| JPH11507815A (en) * | 1995-06-07 | 1999-07-13 | ジンタ・インコーポレイテッド | Phosphonate-based cationic lipids |
-
2001
- 2001-12-21 US US10/036,916 patent/US20030073640A1/en not_active Abandoned
-
2005
- 2005-04-14 US US10/966,174 patent/US7553830B2/en not_active Expired - Fee Related
-
2009
- 2009-05-21 US US12/470,382 patent/US20100036115A1/en not_active Abandoned
Patent Citations (1)
| Publication number | Priority date | Publication date | Assignee | Title |
|---|---|---|---|---|
| US5616745A (en) * | 1989-04-17 | 1997-04-01 | Centre National De La Recherche Scientifique | Lipopolyamines, their preparation and their use |
Cited By (63)
| Publication number | Priority date | Publication date | Assignee | Title |
|---|---|---|---|---|
| US20050266068A1 (en) * | 2002-05-24 | 2005-12-01 | Neopharm, Inc. | Cardiolipin molecules and methods of synthesis |
| US20050181037A1 (en) * | 2002-05-24 | 2005-08-18 | Neopharm, Inc. | Cardiolipin compositions their methods of preparation and use |
| US20050277611A1 (en) * | 2002-10-16 | 2005-12-15 | Neopharm, Inc. | Cationic cardiolipin analoges and its use thereof |
| US20070167384A1 (en) * | 2003-04-02 | 2007-07-19 | Dharmacon, Inc. | Modified polynucleotides for use in rna interference |
| US20070173476A1 (en) * | 2003-04-02 | 2007-07-26 | Dharmacon Inc. | Modified polynucleotides for use in rna interference |
| US20060078560A1 (en) * | 2003-06-23 | 2006-04-13 | Neopharm, Inc. | Method of inducing apoptosis and inhibiting cardiolipin synthesis |
| EP2567693A1 (en) | 2003-07-16 | 2013-03-13 | Protiva Biotherapeutics Inc. | Lipid encapsulated interfering RNA |
| US20090280567A1 (en) * | 2004-02-06 | 2009-11-12 | Dharmacon, Inc. | Stabilized sirnas as transfection controls and silencing reagents |
| US20050272682A1 (en) * | 2004-03-22 | 2005-12-08 | Evers Bernard M | SiRNA targeting PI3K signal transduction pathway and siRNA-based therapy |
| US20150359906A1 (en) * | 2004-05-05 | 2015-12-17 | Silence Therapeutics Gmbh | Lipids, lipid complexes and use thereof |
| WO2005105152A3 (en) * | 2004-05-05 | 2006-09-14 | Atugen Ag | Lipids, lipid complexes and use thereof |
| US9486538B2 (en) * | 2004-05-05 | 2016-11-08 | Silence Therapeutics Gmbh | Lipids, lipid complexes and use thereof |
| AU2005237764B2 (en) * | 2004-05-05 | 2011-11-24 | Silence Therapeutics Gmbh | Lipids, lipid complexes and use thereof |
| US8017804B2 (en) | 2004-05-05 | 2011-09-13 | Silence Therapeutics Ag | Lipids, lipid complexes and use thereof |
| US9125820B2 (en) | 2004-05-05 | 2015-09-08 | Silence Therapeutics Gmbh | Lipids, lipid complexes and use thereof |
| US20080274116A1 (en) * | 2004-05-05 | 2008-11-06 | Silence Therapeutics Ag | Lipids, Lipid Complexes and Use Thereof |
| US8357722B2 (en) | 2004-05-05 | 2013-01-22 | Silence Therpeutics AG | Lipids, lipid complexes and use thereof |
| US8735453B2 (en) | 2004-05-05 | 2014-05-27 | Silence Therapeutics Gmbh | Lipids, lipid complexes and use thereof |
| US7807815B2 (en) * | 2004-07-02 | 2010-10-05 | Protiva Biotherapeutics, Inc. | Compositions comprising immunostimulatory siRNA molecules and DLinDMA or DLenDMA |
| US20060025366A1 (en) * | 2004-07-02 | 2006-02-02 | Protiva Biotherapeutics, Inc. | Immunostimulatory siRNA molecules and uses therefor |
| US20110189300A1 (en) * | 2004-11-17 | 2011-08-04 | Protiva Biotherapeutics, Inc. | siRNA SILENCING OF APOLIPOPROTEIN B |
| US20100062967A1 (en) * | 2004-12-27 | 2010-03-11 | Silence Therapeutics Ag | Coated lipid complexes and their use |
| US8852472B2 (en) * | 2004-12-27 | 2014-10-07 | Silence Therapeutics Gmbh | Coated lipid complexes and their use |
| US9387262B2 (en) | 2004-12-27 | 2016-07-12 | Silence Therapeutics Gmbh | Coated lipid complexes and their use |
| US20060223777A1 (en) * | 2005-03-29 | 2006-10-05 | Dharmacon, Inc. | Highly functional short hairpin RNA |
| US20070054873A1 (en) * | 2005-08-26 | 2007-03-08 | Protiva Biotherapeutics, Inc. | Glucocorticoid modulation of nucleic acid-mediated immune stimulation |
| US8513403B2 (en) | 2005-11-02 | 2013-08-20 | Protiva Biotherapeutics, Inc. | Modified siRNA molecules and uses thereof |
| US9074208B2 (en) | 2005-11-02 | 2015-07-07 | Protiva Biotherapeutics, Inc. | Modified siRNA molecules and uses thereof |
| US8101741B2 (en) | 2005-11-02 | 2012-01-24 | Protiva Biotherapeutics, Inc. | Modified siRNA molecules and uses thereof |
| US8188263B2 (en) | 2005-11-02 | 2012-05-29 | Protiva Biotherapeutics, Inc. | Modified siRNA molecules and uses thereof |
| US20070135372A1 (en) * | 2005-11-02 | 2007-06-14 | Protiva Biotherapeutics, Inc. | Modified siRNA molecules and uses thereof |
| US7915399B2 (en) | 2006-06-09 | 2011-03-29 | Protiva Biotherapeutics, Inc. | Modified siRNA molecules and uses thereof |
| US20080249046A1 (en) * | 2006-06-09 | 2008-10-09 | Protiva Biotherapeutics, Inc. | MODIFIED siRNA MOLECULES AND USES THEREOF |
| US20090304678A1 (en) * | 2006-07-21 | 2009-12-10 | Jorg Kaufmann | Means for Inhibiting the Expression of Protein Kinase 3 |
| US8232256B2 (en) | 2006-07-21 | 2012-07-31 | Silence Therapeutics Ag | Means for inhibiting the expression of protein kinase 3 |
| US20100093085A1 (en) * | 2006-09-22 | 2010-04-15 | Dharmacon, Inc | Tripartite oligonucleotide complexes and methods for gene silencing by rna interference |
| WO2008036841A3 (en) * | 2006-09-22 | 2008-10-23 | Dharmacon Inc | Tripartite oligonucleotide complexes and methods for gene silencing by rna interference |
| US20080085869A1 (en) * | 2006-09-22 | 2008-04-10 | Dharmacon, Inc. | Duplex oligonucleotide complexes and methods for gene silencing by rna interference |
| US8252755B2 (en) | 2006-09-22 | 2012-08-28 | Dharmacon, Inc. | Duplex oligonucleotide complexes and methods for gene silencing by RNA interference |
| US8809514B2 (en) | 2006-09-22 | 2014-08-19 | Ge Healthcare Dharmacon, Inc. | Tripartite oligonucleotide complexes and methods for gene silencing by RNA interference |
| WO2008060613A1 (en) | 2006-11-15 | 2008-05-22 | The J. David Gladstone Institutes | Methods and compositions for reducing amyloid beta levels |
| US20080227744A1 (en) * | 2007-03-16 | 2008-09-18 | Sequoia Pharmaceuticals, Inc. | Benzofuran derived hiv protease inhibitors |
| US8188060B2 (en) | 2008-02-11 | 2012-05-29 | Dharmacon, Inc. | Duplex oligonucleotides with enhanced functionality in gene regulation |
| WO2009127060A1 (en) | 2008-04-15 | 2009-10-22 | Protiva Biotherapeutics, Inc. | Novel lipid formulations for nucleic acid delivery |
| EP3025727A1 (en) | 2008-10-02 | 2016-06-01 | The J. David Gladstone Institutes | Methods of treating liver disease |
| WO2010074540A2 (en) | 2008-12-26 | 2010-07-01 | 주식회사 삼양사 | Pharmaceutical composition containing an anionic drug, and a production method therefor |
| WO2011000107A1 (en) | 2009-07-01 | 2011-01-06 | Protiva Biotherapeutics, Inc. | Novel lipid formulations for delivery of therapeutic agents to solid tumors |
| WO2011038160A2 (en) | 2009-09-23 | 2011-03-31 | Protiva Biotherapeutics, Inc. | Compositions and methods for silencing genes expressed in cancer |
| US9439856B2 (en) | 2012-04-04 | 2016-09-13 | Samyang Biopharmaceuticals Corporation | Method of preparing composition for delivering an anionic drug |
| WO2014205511A1 (en) | 2013-06-25 | 2014-12-31 | University Of Canberra | Methods and compositions for modulating cancer stem cells |
| WO2015039187A1 (en) | 2013-09-18 | 2015-03-26 | University Of Canberra | Stem cell modulation ii |
| WO2016029262A1 (en) | 2014-08-25 | 2016-03-03 | University Of Canberra | Compositions for modulating cancer stem cells and uses therefor |
| US11098309B2 (en) | 2014-10-14 | 2021-08-24 | The J. David Gladstone Institutes, A Testamentary Trust Established Under The Will Of J. David Gladstone | Compositions and methods for reactivating latent immunodeficiency virus |
| US11807852B2 (en) | 2014-10-14 | 2023-11-07 | The J. David Gladstone Institutes | Compositions and methods for reactivating latent immunodeficiency virus |
| US10351853B2 (en) | 2014-10-14 | 2019-07-16 | The J. David Gladstone Institutes | Compositions and methods for reactivating latent immunodeficiency virus |
| WO2016191811A1 (en) | 2015-06-03 | 2016-12-08 | The University Of Queensland | Mobilizing agents and uses therefor |
| WO2017023861A1 (en) | 2015-08-03 | 2017-02-09 | The Regents Of The University Of California | Compositions and methods for modulating abhd2 activity |
| US12491261B2 (en) | 2016-10-26 | 2025-12-09 | Acuitas Therapeutics, Inc. | Lipid nanoparticle formulations |
| WO2019090390A1 (en) | 2017-11-08 | 2019-05-16 | University Of Canberra | Immunogenic compositions and uses therefor |
| JP2022505234A (en) * | 2018-10-18 | 2022-01-14 | アクイタス セラピューティクス インコーポレイテッド | Lipids for Activator Lipid Nanoparticle Delivery Lipids |
| JP7543259B2 (en) | 2018-10-18 | 2024-09-02 | アクイタス セラピューティクス インコーポレイテッド | Lipids for lipid nanoparticle delivery of active agents |
| US12410121B2 (en) | 2020-07-16 | 2025-09-09 | Acuitas Therapeutics, Inc. | Cationic lipids for use in lipid nanoparticles |
| US12129223B2 (en) | 2021-12-16 | 2024-10-29 | Acuitas Therapeutics, Inc. | Lipids for use in lipid nanoparticle formulations |
Also Published As
| Publication number | Publication date |
|---|---|
| US20100036115A1 (en) | 2010-02-11 |
| US20050234232A1 (en) | 2005-10-20 |
| US7553830B2 (en) | 2009-06-30 |
Similar Documents
| Publication | Publication Date | Title |
|---|---|---|
| US7553830B2 (en) | Compositions for the delivery of negatively charged molecules | |
| US6395713B1 (en) | Compositions for the delivery of negatively charged molecules | |
| CN1906308B (en) | Small interfering RNA cell transfection preparations, related compositions, and methods of preparation and use | |
| JP4031045B2 (en) | Quaternary cytofectin | |
| US6022874A (en) | Piperazine based cytofectins | |
| CA2237316C (en) | Complex cationic lipids | |
| CN104922676B (en) | Polyamine derivatives | |
| US20030104985A1 (en) | Conjugates and compositions for cellular delivery | |
| US20030130186A1 (en) | Conjugates and compositions for cellular delivery | |
| US9233971B2 (en) | Lipomacrocycles and uses thereof | |
| KR19990067552A (en) | Lipopolyamines as Transfection Agents and Their Pharmaceutical Uses | |
| JP2001510808A (en) | Liposome composition for delivery of nucleic acid catalyst | |
| AU2010249881A1 (en) | Compositions comprising cationic amphiphiles and colipids for delivering therapeutics molecules | |
| JPH05508626A (en) | Cationic lipids for intracellular delivery of biologically active molecules | |
| US20030148928A1 (en) | Enzymatic nucleic acid peptide conjugates | |
| CA3219053A1 (en) | Lipid compositions comprising peptide-lipid conjugates | |
| EP1724254A2 (en) | Novel compositions for the delivery of negatively charged molecules | |
| HK1029578B (en) | Novel compositions for the delivery of negatively charged molecules | |
| MXPA00001855A (en) | Novel compositions for the delivery of negatively charged molecules |
Legal Events
| Date | Code | Title | Description |
|---|---|---|---|
| AS | Assignment |
Owner name: RIBOZYME PHARMACEUTICALS, INC., COLORADO Free format text: ASSIGNMENT OF ASSIGNORS INTEREST;ASSIGNORS:BEIGELMAN, LEONID;MATULIC-ADAMIC, JASENKA;KARPEISKY, ALEXANDER;AND OTHERS;REEL/FRAME:013251/0739;SIGNING DATES FROM 20020320 TO 20020520 |
|
| STCB | Information on status: application discontinuation |
Free format text: ABANDONED -- FAILURE TO RESPOND TO AN OFFICE ACTION |










































