US20020001566A1 - Pharmaceuticals for the imaging of angiogenic disorders - Google Patents
Pharmaceuticals for the imaging of angiogenic disorders Download PDFInfo
- Publication number
- US20020001566A1 US20020001566A1 US09/281,474 US28147499A US2002001566A1 US 20020001566 A1 US20020001566 A1 US 20020001566A1 US 28147499 A US28147499 A US 28147499A US 2002001566 A1 US2002001566 A1 US 2002001566A1
- Authority
- US
- United States
- Prior art keywords
- substituted
- group
- acid
- gly
- asp
- Prior art date
- Legal status (The legal status is an assumption and is not a legal conclusion. Google has not performed a legal analysis and makes no representation as to the accuracy of the status listed.)
- Abandoned
Links
- 238000003384 imaging method Methods 0.000 title claims abstract description 49
- 230000002491 angiogenic effect Effects 0.000 title claims abstract description 16
- 239000003814 drug Substances 0.000 title abstract description 34
- 238000000034 method Methods 0.000 claims abstract description 105
- 230000008685 targeting Effects 0.000 claims abstract description 87
- 150000001875 compounds Chemical class 0.000 claims abstract description 78
- 206010028980 Neoplasm Diseases 0.000 claims abstract description 63
- 125000005647 linker group Chemical group 0.000 claims abstract description 55
- 230000033115 angiogenesis Effects 0.000 claims abstract description 27
- 201000011510 cancer Diseases 0.000 claims abstract description 27
- 239000002872 contrast media Substances 0.000 claims abstract description 23
- 210000005166 vasculature Anatomy 0.000 claims abstract description 19
- 239000002961 echo contrast media Substances 0.000 claims abstract description 18
- 230000001225 therapeutic effect Effects 0.000 claims abstract description 16
- -1 biphenylglycine Chemical compound 0.000 claims description 121
- 125000002915 carbonyl group Chemical group [*:2]C([*:1])=O 0.000 claims description 109
- 239000003446 ligand Substances 0.000 claims description 107
- 229940024606 amino acid Drugs 0.000 claims description 104
- 235000001014 amino acid Nutrition 0.000 claims description 101
- 108090000765 processed proteins & peptides Proteins 0.000 claims description 101
- 125000002496 methyl group Chemical group [H]C([H])([H])* 0.000 claims description 90
- SEQKRHFRPICQDD-UHFFFAOYSA-N N-tris(hydroxymethyl)methylglycine Chemical compound OCC(CO)(CO)[NH2+]CC([O-])=O SEQKRHFRPICQDD-UHFFFAOYSA-N 0.000 claims description 85
- 229940092714 benzenesulfonic acid Drugs 0.000 claims description 84
- 125000005638 hydrazono group Chemical group 0.000 claims description 83
- DHMQDGOQFOQNFH-UHFFFAOYSA-N Glycine Chemical compound NCC(O)=O DHMQDGOQFOQNFH-UHFFFAOYSA-N 0.000 claims description 80
- 229940121896 radiopharmaceutical Drugs 0.000 claims description 78
- 239000012217 radiopharmaceutical Substances 0.000 claims description 78
- 230000002799 radiopharmaceutical effect Effects 0.000 claims description 78
- 150000001413 amino acids Chemical group 0.000 claims description 74
- 239000000203 mixture Substances 0.000 claims description 74
- 229910052760 oxygen Inorganic materials 0.000 claims description 72
- 125000000623 heterocyclic group Chemical group 0.000 claims description 69
- 229910052757 nitrogen Inorganic materials 0.000 claims description 66
- 229910052717 sulfur Inorganic materials 0.000 claims description 65
- 125000003118 aryl group Chemical group 0.000 claims description 61
- 239000002738 chelating agent Substances 0.000 claims description 58
- 230000015572 biosynthetic process Effects 0.000 claims description 55
- 125000005842 heteroatom Chemical group 0.000 claims description 52
- KDXKERNSBIXSRK-YFKPBYRVSA-N L-lysine Chemical compound NCCCC[C@H](N)C(O)=O KDXKERNSBIXSRK-YFKPBYRVSA-N 0.000 claims description 49
- 239000000816 peptidomimetic Substances 0.000 claims description 49
- 102000005962 receptors Human genes 0.000 claims description 48
- 108020003175 receptors Proteins 0.000 claims description 48
- DYCLHZPOADTVKK-UHFFFAOYSA-N 2-(2-azaniumyl-1,3-thiazol-4-yl)acetate Chemical compound NC1=NC(CC(O)=O)=CS1 DYCLHZPOADTVKK-UHFFFAOYSA-N 0.000 claims description 46
- KZSNJWFQEVHDMF-BYPYZUCNSA-N L-valine Chemical compound CC(C)[C@H](N)C(O)=O KZSNJWFQEVHDMF-BYPYZUCNSA-N 0.000 claims description 44
- OUYCCCASQSFEME-QMMMGPOBSA-N L-tyrosine Chemical compound OC(=O)[C@@H](N)CC1=CC=C(O)C=C1 OUYCCCASQSFEME-QMMMGPOBSA-N 0.000 claims description 42
- UZMAPBJVXOGOFT-UHFFFAOYSA-N Syringetin Natural products COC1=C(O)C(OC)=CC(C2=C(C(=O)C3=C(O)C=C(O)C=C3O2)O)=C1 UZMAPBJVXOGOFT-UHFFFAOYSA-N 0.000 claims description 42
- 239000007997 Tricine buffer Substances 0.000 claims description 42
- KCFYHBSOLOXZIF-UHFFFAOYSA-N dihydrochrysin Natural products COC1=C(O)C(OC)=CC(C2OC3=CC(O)=CC(O)=C3C(=O)C2)=C1 KCFYHBSOLOXZIF-UHFFFAOYSA-N 0.000 claims description 42
- 239000004472 Lysine Substances 0.000 claims description 40
- 239000004471 Glycine Substances 0.000 claims description 38
- QNAYBMKLOCPYGJ-UHFFFAOYSA-N D-alpha-Ala Natural products CC([NH3+])C([O-])=O QNAYBMKLOCPYGJ-UHFFFAOYSA-N 0.000 claims description 37
- OUYCCCASQSFEME-MRVPVSSYSA-N D-tyrosine Chemical compound OC(=O)[C@H](N)CC1=CC=C(O)C=C1 OUYCCCASQSFEME-MRVPVSSYSA-N 0.000 claims description 37
- 229910052751 metal Inorganic materials 0.000 claims description 37
- 239000002184 metal Substances 0.000 claims description 37
- 229910021645 metal ion Inorganic materials 0.000 claims description 37
- QNAYBMKLOCPYGJ-UWTATZPHSA-N L-Alanine Natural products C[C@@H](N)C(O)=O QNAYBMKLOCPYGJ-UWTATZPHSA-N 0.000 claims description 36
- ROHFNLRQFUQHCH-YFKPBYRVSA-N L-leucine Chemical compound CC(C)C[C@H](N)C(O)=O ROHFNLRQFUQHCH-YFKPBYRVSA-N 0.000 claims description 36
- 150000003839 salts Chemical class 0.000 claims description 36
- AHLPHDHHMVZTML-BYPYZUCNSA-N L-Ornithine Chemical compound NCCC[C@H](N)C(O)=O AHLPHDHHMVZTML-BYPYZUCNSA-N 0.000 claims description 34
- LRQKBLKVPFOOQJ-YFKPBYRVSA-N L-norleucine Chemical compound CCCC[C@H]([NH3+])C([O-])=O LRQKBLKVPFOOQJ-YFKPBYRVSA-N 0.000 claims description 33
- KDXKERNSBIXSRK-UHFFFAOYSA-N Lysine Natural products NCCCCC(N)C(O)=O KDXKERNSBIXSRK-UHFFFAOYSA-N 0.000 claims description 33
- QWCKQJZIFLGMSD-UHFFFAOYSA-N alpha-aminobutyric acid Chemical compound CCC(N)C(O)=O QWCKQJZIFLGMSD-UHFFFAOYSA-N 0.000 claims description 33
- 229960004441 tyrosine Drugs 0.000 claims description 33
- QNAYBMKLOCPYGJ-REOHCLBHSA-N L-alanine Chemical compound C[C@H](N)C(O)=O QNAYBMKLOCPYGJ-REOHCLBHSA-N 0.000 claims description 32
- NTWVQPHTOUKMDI-YFKPBYRVSA-N N-Methyl-arginine Chemical compound CN[C@H](C(O)=O)CCCN=C(N)N NTWVQPHTOUKMDI-YFKPBYRVSA-N 0.000 claims description 32
- 229960003767 alanine Drugs 0.000 claims description 32
- 235000018977 lysine Nutrition 0.000 claims description 32
- MTCFGRXMJLQNBG-REOHCLBHSA-N (2S)-2-Amino-3-hydroxypropansäure Chemical compound OC[C@H](N)C(O)=O MTCFGRXMJLQNBG-REOHCLBHSA-N 0.000 claims description 30
- 229930182832 D-phenylalanine Natural products 0.000 claims description 30
- 239000004094 surface-active agent Substances 0.000 claims description 30
- LRQKBLKVPFOOQJ-RXMQYKEDSA-N D-norleucine Chemical compound CCCC[C@@H](N)C(O)=O LRQKBLKVPFOOQJ-RXMQYKEDSA-N 0.000 claims description 28
- COLNVLDHVKWLRT-MRVPVSSYSA-N D-phenylalanine Chemical compound OC(=O)[C@H](N)CC1=CC=CC=C1 COLNVLDHVKWLRT-MRVPVSSYSA-N 0.000 claims description 28
- 229930182831 D-valine Natural products 0.000 claims description 28
- 229960004295 valine Drugs 0.000 claims description 28
- AGPKZVBTJJNPAG-WHFBIAKZSA-N L-isoleucine Chemical compound CC[C@H](C)[C@H](N)C(O)=O AGPKZVBTJJNPAG-WHFBIAKZSA-N 0.000 claims description 27
- 125000000217 alkyl group Chemical group 0.000 claims description 27
- KZSNJWFQEVHDMF-SCSAIBSYSA-N D-valine Chemical compound CC(C)[C@@H](N)C(O)=O KZSNJWFQEVHDMF-SCSAIBSYSA-N 0.000 claims description 26
- ZGUNAGUHMKGQNY-ZETCQYMHSA-N L-alpha-phenylglycine zwitterion Chemical compound OC(=O)[C@@H](N)C1=CC=CC=C1 ZGUNAGUHMKGQNY-ZETCQYMHSA-N 0.000 claims description 26
- AHLPHDHHMVZTML-UHFFFAOYSA-N Orn-delta-NH2 Natural products NCCCC(N)C(O)=O AHLPHDHHMVZTML-UHFFFAOYSA-N 0.000 claims description 26
- 108010053099 Vascular Endothelial Growth Factor Receptor-2 Proteins 0.000 claims description 26
- 229960000310 isoleucine Drugs 0.000 claims description 26
- 229960003136 leucine Drugs 0.000 claims description 26
- 229960003104 ornithine Drugs 0.000 claims description 26
- 150000002632 lipids Chemical class 0.000 claims description 25
- OUYCCCASQSFEME-UHFFFAOYSA-N tyrosine Natural products OC(=O)C(N)CC1=CC=C(O)C=C1 OUYCCCASQSFEME-UHFFFAOYSA-N 0.000 claims description 25
- OFYAYGJCPXRNBL-GFCCVEGCSA-N (2r)-2-azaniumyl-3-naphthalen-1-ylpropanoate Chemical compound C1=CC=C2C(C[C@@H]([NH3+])C([O-])=O)=CC=CC2=C1 OFYAYGJCPXRNBL-GFCCVEGCSA-N 0.000 claims description 24
- JTTHKOPSMAVJFE-VIFPVBQESA-N L-homophenylalanine Chemical compound OC(=O)[C@@H](N)CCC1=CC=CC=C1 JTTHKOPSMAVJFE-VIFPVBQESA-N 0.000 claims description 24
- 229960001639 penicillamine Drugs 0.000 claims description 24
- WGYKZJWCGVVSQN-UHFFFAOYSA-N propylamine Chemical group CCCN WGYKZJWCGVVSQN-UHFFFAOYSA-N 0.000 claims description 24
- KDXKERNSBIXSRK-RXMQYKEDSA-N D-lysine Chemical compound NCCCC[C@@H](N)C(O)=O KDXKERNSBIXSRK-RXMQYKEDSA-N 0.000 claims description 22
- 229910006069 SO3H Inorganic materials 0.000 claims description 22
- 239000007789 gas Substances 0.000 claims description 22
- 229960001153 serine Drugs 0.000 claims description 22
- 230000005298 paramagnetic effect Effects 0.000 claims description 21
- 125000006376 (C3-C10) cycloalkyl group Chemical group 0.000 claims description 20
- FFEARJCKVFRZRR-BYPYZUCNSA-N L-methionine Chemical compound CSCC[C@H](N)C(O)=O FFEARJCKVFRZRR-BYPYZUCNSA-N 0.000 claims description 20
- 125000003545 alkoxy group Chemical group 0.000 claims description 20
- 229960004452 methionine Drugs 0.000 claims description 20
- 125000004122 cyclic group Chemical group 0.000 claims description 19
- 125000006527 (C1-C5) alkyl group Chemical group 0.000 claims description 18
- QDGAVODICPCDMU-UHFFFAOYSA-N 2-amino-3-[3-[bis(2-chloroethyl)amino]phenyl]propanoic acid Chemical compound OC(=O)C(N)CC1=CC=CC(N(CCCl)CCCl)=C1 QDGAVODICPCDMU-UHFFFAOYSA-N 0.000 claims description 18
- 229930195709 D-tyrosine Natural products 0.000 claims description 18
- XUJNEKJLAYXESH-REOHCLBHSA-N L-Cysteine Chemical compound SC[C@H](N)C(O)=O XUJNEKJLAYXESH-REOHCLBHSA-N 0.000 claims description 18
- VVNCNSJFMMFHPL-GSVOUGTGSA-N L-penicillamine Chemical compound CC(C)(S)[C@H](N)C(O)=O VVNCNSJFMMFHPL-GSVOUGTGSA-N 0.000 claims description 18
- ROHFNLRQFUQHCH-UHFFFAOYSA-N Leucine Natural products CC(C)CC(N)C(O)=O ROHFNLRQFUQHCH-UHFFFAOYSA-N 0.000 claims description 18
- UTJLXEIPEHZYQJ-UHFFFAOYSA-N Ornithine Natural products OC(=O)C(C)CCCN UTJLXEIPEHZYQJ-UHFFFAOYSA-N 0.000 claims description 18
- 239000002253 acid Substances 0.000 claims description 18
- 235000004279 alanine Nutrition 0.000 claims description 18
- AGPKZVBTJJNPAG-UHFFFAOYSA-N isoleucine Natural products CCC(C)C(N)C(O)=O AGPKZVBTJJNPAG-UHFFFAOYSA-N 0.000 claims description 18
- 229940127044 therapeutic radiopharmaceutical Drugs 0.000 claims description 18
- MYAJTCUQMQREFZ-UHFFFAOYSA-K tppts Chemical compound [Na+].[Na+].[Na+].[O-]S(=O)(=O)C1=CC=CC(P(C=2C=C(C=CC=2)S([O-])(=O)=O)C=2C=C(C=CC=2)S([O-])(=O)=O)=C1 MYAJTCUQMQREFZ-UHFFFAOYSA-K 0.000 claims description 18
- 125000000008 (C1-C10) alkyl group Chemical group 0.000 claims description 17
- QWCKQJZIFLGMSD-GSVOUGTGSA-N D-alpha-aminobutyric acid Chemical compound CC[C@@H](N)C(O)=O QWCKQJZIFLGMSD-GSVOUGTGSA-N 0.000 claims description 17
- ROHFNLRQFUQHCH-RXMQYKEDSA-N D-leucine Chemical compound CC(C)C[C@@H](N)C(O)=O ROHFNLRQFUQHCH-RXMQYKEDSA-N 0.000 claims description 17
- 125000001797 benzyl group Chemical group [H]C1=C([H])C([H])=C(C([H])=C1[H])C([H])([H])* 0.000 claims description 17
- 239000003638 chemical reducing agent Substances 0.000 claims description 17
- 108010044426 integrins Proteins 0.000 claims description 17
- 102000006495 integrins Human genes 0.000 claims description 17
- JTTHKOPSMAVJFE-SECBINFHSA-N (2r)-2-azaniumyl-4-phenylbutanoate Chemical compound [O-]C(=O)[C@H]([NH3+])CCC1=CC=CC=C1 JTTHKOPSMAVJFE-SECBINFHSA-N 0.000 claims description 16
- BVAUMRCGVHUWOZ-ZETCQYMHSA-N (2s)-2-(cyclohexylazaniumyl)propanoate Chemical compound OC(=O)[C@H](C)NC1CCCCC1 BVAUMRCGVHUWOZ-ZETCQYMHSA-N 0.000 claims description 16
- AGPKZVBTJJNPAG-RFZPGFLSSA-N D-Isoleucine Chemical compound CC[C@@H](C)[C@@H](N)C(O)=O AGPKZVBTJJNPAG-RFZPGFLSSA-N 0.000 claims description 16
- AHLPHDHHMVZTML-SCSAIBSYSA-N D-Ornithine Chemical compound NCCC[C@@H](N)C(O)=O AHLPHDHHMVZTML-SCSAIBSYSA-N 0.000 claims description 16
- ZGUNAGUHMKGQNY-SSDOTTSWSA-N D-alpha-phenylglycine Chemical compound OC(=O)[C@H](N)C1=CC=CC=C1 ZGUNAGUHMKGQNY-SSDOTTSWSA-N 0.000 claims description 16
- 229930182845 D-isoleucine Natural products 0.000 claims description 16
- 229930182819 D-leucine Natural products 0.000 claims description 16
- MTCFGRXMJLQNBG-UHFFFAOYSA-N Serine Natural products OCC(N)C(O)=O MTCFGRXMJLQNBG-UHFFFAOYSA-N 0.000 claims description 16
- ORQXBVXKBGUSBA-UHFFFAOYSA-N cyclohexyl D-alanine Natural products OC(=O)C(N)CC1CCCCC1 ORQXBVXKBGUSBA-UHFFFAOYSA-N 0.000 claims description 16
- XUJNEKJLAYXESH-UHFFFAOYSA-N cysteine Natural products SCC(N)C(O)=O XUJNEKJLAYXESH-UHFFFAOYSA-N 0.000 claims description 16
- 235000018417 cysteine Nutrition 0.000 claims description 16
- 229960002433 cysteine Drugs 0.000 claims description 16
- 229940127043 diagnostic radiopharmaceutical Drugs 0.000 claims description 16
- OFYAYGJCPXRNBL-LBPRGKRZSA-N naphthalen-2-yl-3-alanine Chemical compound C1=CC=C2C(C[C@H](N)C(O)=O)=CC=CC2=C1 OFYAYGJCPXRNBL-LBPRGKRZSA-N 0.000 claims description 16
- 229910052799 carbon Inorganic materials 0.000 claims description 15
- WTOFYLAWDLQMBZ-UHFFFAOYSA-N 2-azaniumyl-3-thiophen-2-ylpropanoate Chemical compound OC(=O)C(N)CC1=CC=CS1 WTOFYLAWDLQMBZ-UHFFFAOYSA-N 0.000 claims description 14
- 239000004475 Arginine Substances 0.000 claims description 14
- MTCFGRXMJLQNBG-UWTATZPHSA-N D-Serine Chemical compound OC[C@@H](N)C(O)=O MTCFGRXMJLQNBG-UWTATZPHSA-N 0.000 claims description 14
- 229930195711 D-Serine Natural products 0.000 claims description 14
- CKLJMWTZIZZHCS-UWTATZPHSA-N L-Aspartic acid Natural products OC(=O)[C@H](N)CC(O)=O CKLJMWTZIZZHCS-UWTATZPHSA-N 0.000 claims description 14
- ODKSFYDXXFIFQN-BYPYZUCNSA-P L-argininium(2+) Chemical compound NC(=[NH2+])NCCC[C@H]([NH3+])C(O)=O ODKSFYDXXFIFQN-BYPYZUCNSA-P 0.000 claims description 14
- RHGKLRLOHDJJDR-BYPYZUCNSA-N L-citrulline Chemical compound NC(=O)NCCC[C@H]([NH3+])C([O-])=O RHGKLRLOHDJJDR-BYPYZUCNSA-N 0.000 claims description 14
- RHGKLRLOHDJJDR-UHFFFAOYSA-N Ndelta-carbamoyl-DL-ornithine Natural products OC(=O)C(N)CCCNC(N)=O RHGKLRLOHDJJDR-UHFFFAOYSA-N 0.000 claims description 14
- 102100033177 Vascular endothelial growth factor receptor 2 Human genes 0.000 claims description 14
- ODKSFYDXXFIFQN-UHFFFAOYSA-N arginine Natural products OC(=O)C(N)CCCNC(N)=N ODKSFYDXXFIFQN-UHFFFAOYSA-N 0.000 claims description 14
- 229960003121 arginine Drugs 0.000 claims description 14
- 235000009697 arginine Nutrition 0.000 claims description 14
- 229960002173 citrulline Drugs 0.000 claims description 14
- 235000013477 citrulline Nutrition 0.000 claims description 14
- 238000001802 infusion Methods 0.000 claims description 14
- 229930182817 methionine Natural products 0.000 claims description 14
- 101100381481 Caenorhabditis elegans baz-2 gene Proteins 0.000 claims description 13
- 229920000858 Cyclodextrin Chemical group 0.000 claims description 13
- 108091008794 FGF receptors Proteins 0.000 claims description 13
- 102000004207 Neuropilin-1 Human genes 0.000 claims description 13
- 108090000772 Neuropilin-1 Proteins 0.000 claims description 13
- 101100372762 Rattus norvegicus Flt1 gene Proteins 0.000 claims description 13
- 102000016549 Vascular Endothelial Growth Factor Receptor-2 Human genes 0.000 claims description 13
- 125000003277 amino group Chemical group 0.000 claims description 13
- 210000004204 blood vessel Anatomy 0.000 claims description 13
- 229960002449 glycine Drugs 0.000 claims description 13
- 238000002347 injection Methods 0.000 claims description 13
- 239000007924 injection Substances 0.000 claims description 13
- 229960003646 lysine Drugs 0.000 claims description 13
- UVIFTCWUBDQUAL-DTIOYNMSSA-N (2s)-2,5-diamino-6-(benzylamino)-6-oxohexanoic acid Chemical compound OC(=O)[C@@H](N)CCC(N)C(=O)NCC1=CC=CC=C1 UVIFTCWUBDQUAL-DTIOYNMSSA-N 0.000 claims description 12
- NMDDZEVVQDPECF-LURJTMIESA-N (2s)-2,7-diaminoheptanoic acid Chemical compound NCCCCC[C@H](N)C(O)=O NMDDZEVVQDPECF-LURJTMIESA-N 0.000 claims description 12
- LJRDOKAZOAKLDU-UDXJMMFXSA-N (2s,3s,4r,5r,6r)-5-amino-2-(aminomethyl)-6-[(2r,3s,4r,5s)-5-[(1r,2r,3s,5r,6s)-3,5-diamino-2-[(2s,3r,4r,5s,6r)-3-amino-4,5-dihydroxy-6-(hydroxymethyl)oxan-2-yl]oxy-6-hydroxycyclohexyl]oxy-4-hydroxy-2-(hydroxymethyl)oxolan-3-yl]oxyoxane-3,4-diol;sulfuric ac Chemical compound OS(O)(=O)=O.N[C@@H]1[C@@H](O)[C@H](O)[C@H](CN)O[C@@H]1O[C@H]1[C@@H](O)[C@H](O[C@H]2[C@@H]([C@@H](N)C[C@@H](N)[C@@H]2O)O[C@@H]2[C@@H]([C@@H](O)[C@H](O)[C@@H](CO)O2)N)O[C@@H]1CO LJRDOKAZOAKLDU-UDXJMMFXSA-N 0.000 claims description 12
- LRQKBLKVPFOOQJ-UHFFFAOYSA-N 2-aminohexanoic acid Chemical compound CCCCC(N)C(O)=O LRQKBLKVPFOOQJ-UHFFFAOYSA-N 0.000 claims description 12
- XUJNEKJLAYXESH-UWTATZPHSA-N D-Cysteine Chemical compound SC[C@@H](N)C(O)=O XUJNEKJLAYXESH-UWTATZPHSA-N 0.000 claims description 12
- FFEARJCKVFRZRR-SCSAIBSYSA-N D-methionine Chemical compound CSCC[C@@H](N)C(O)=O FFEARJCKVFRZRR-SCSAIBSYSA-N 0.000 claims description 12
- 229930182818 D-methionine Natural products 0.000 claims description 12
- 229930195710 D‐cysteine Natural products 0.000 claims description 12
- 108010036395 Endoglin Proteins 0.000 claims description 12
- 102000012085 Endoglin Human genes 0.000 claims description 12
- GHSJKUNUIHUPDF-BYPYZUCNSA-N L-thialysine Chemical compound NCCSC[C@H](N)C(O)=O GHSJKUNUIHUPDF-BYPYZUCNSA-N 0.000 claims description 12
- 239000002616 MRI contrast agent Substances 0.000 claims description 12
- KOQCUHWEJWTXDZ-PKPIPKONSA-N OC(=O)[C@@H](N)CCC(N)N1CCN=C1 Chemical compound OC(=O)[C@@H](N)CCC(N)N1CCN=C1 KOQCUHWEJWTXDZ-PKPIPKONSA-N 0.000 claims description 12
- 102000052178 fibroblast growth factor receptor activity proteins Human genes 0.000 claims description 12
- 125000000020 sulfo group Chemical group O=S(=O)([*])O[H] 0.000 claims description 12
- 102100038083 Endosialin Human genes 0.000 claims description 11
- 101710144543 Endosialin Proteins 0.000 claims description 11
- 101000692455 Homo sapiens Platelet-derived growth factor receptor beta Proteins 0.000 claims description 11
- COLNVLDHVKWLRT-QMMMGPOBSA-N L-phenylalanine Chemical compound OC(=O)[C@@H](N)CC1=CC=CC=C1 COLNVLDHVKWLRT-QMMMGPOBSA-N 0.000 claims description 11
- 101100262697 Mus musculus Axl gene Proteins 0.000 claims description 11
- 102100026547 Platelet-derived growth factor receptor beta Human genes 0.000 claims description 11
- KZSNJWFQEVHDMF-UHFFFAOYSA-N Valine Natural products CC(C)C(N)C(O)=O KZSNJWFQEVHDMF-UHFFFAOYSA-N 0.000 claims description 11
- 102000052116 epidermal growth factor receptor activity proteins Human genes 0.000 claims description 11
- 108700015053 epidermal growth factor receptor activity proteins Proteins 0.000 claims description 11
- YOHYSYJDKVYCJI-UHFFFAOYSA-N n-[3-[[6-[3-(trifluoromethyl)anilino]pyrimidin-4-yl]amino]phenyl]cyclopropanecarboxamide Chemical compound FC(F)(F)C1=CC=CC(NC=2N=CN=C(NC=3C=C(NC(=O)C4CC4)C=CC=3)C=2)=C1 YOHYSYJDKVYCJI-UHFFFAOYSA-N 0.000 claims description 11
- 125000002023 trifluoromethyl group Chemical group FC(F)(F)* 0.000 claims description 11
- 125000004169 (C1-C6) alkyl group Chemical group 0.000 claims description 10
- 125000003178 carboxy group Chemical group [H]OC(*)=O 0.000 claims description 10
- 125000004093 cyano group Chemical group *C#N 0.000 claims description 10
- 239000001257 hydrogen Substances 0.000 claims description 10
- 229910052739 hydrogen Inorganic materials 0.000 claims description 10
- 229960005190 phenylalanine Drugs 0.000 claims description 10
- COLNVLDHVKWLRT-UHFFFAOYSA-N phenylalanine Natural products OC(=O)C(N)CC1=CC=CC=C1 COLNVLDHVKWLRT-UHFFFAOYSA-N 0.000 claims description 10
- 239000004474 valine Substances 0.000 claims description 10
- 150000008574 D-amino acids Chemical class 0.000 claims description 8
- 235000019766 L-Lysine Nutrition 0.000 claims description 8
- QWCKQJZIFLGMSD-VKHMYHEASA-N L-alpha-aminobutyric acid Chemical compound CC[C@H](N)C(O)=O QWCKQJZIFLGMSD-VKHMYHEASA-N 0.000 claims description 8
- 229930182844 L-isoleucine Natural products 0.000 claims description 8
- 239000004395 L-leucine Substances 0.000 claims description 8
- 235000019454 L-leucine Nutrition 0.000 claims description 8
- 229910018830 PO3H Inorganic materials 0.000 claims description 8
- JUJWROOIHBZHMG-UHFFFAOYSA-N Pyridine Chemical compound C1=CC=NC=C1 JUJWROOIHBZHMG-UHFFFAOYSA-N 0.000 claims description 8
- 229960005261 aspartic acid Drugs 0.000 claims description 8
- 125000001997 phenyl group Chemical group [H]C1=C([H])C([H])=C(*)C([H])=C1[H] 0.000 claims description 8
- 229910052702 rhenium Inorganic materials 0.000 claims description 8
- WPLOVIFNBMNBPD-ATHMIXSHSA-N subtilin Chemical compound CC1SCC(NC2=O)C(=O)NC(CC(N)=O)C(=O)NC(C(=O)NC(CCCCN)C(=O)NC(C(C)CC)C(=O)NC(=C)C(=O)NC(CCCCN)C(O)=O)CSC(C)C2NC(=O)C(CC(C)C)NC(=O)C1NC(=O)C(CCC(N)=O)NC(=O)C(CC(C)C)NC(=O)C(NC(=O)C1NC(=O)C(=C/C)/NC(=O)C(CCC(N)=O)NC(=O)C(CC(C)C)NC(=O)C(C)NC(=O)CNC(=O)C(NC(=O)C(NC(=O)C2NC(=O)CNC(=O)C3CCCN3C(=O)C(NC(=O)C3NC(=O)C(CC(C)C)NC(=O)C(=C)NC(=O)C(CCC(O)=O)NC(=O)C(NC(=O)C(CCCCN)NC(=O)C(N)CC=4C5=CC=CC=C5NC=4)CSC3)C(C)SC2)C(C)C)C(C)SC1)CC1=CC=CC=C1 WPLOVIFNBMNBPD-ATHMIXSHSA-N 0.000 claims description 8
- ORQXBVXKBGUSBA-QMMMGPOBSA-N β-cyclohexyl-alanine Chemical compound OC(=O)[C@@H](N)CC1CCCCC1 ORQXBVXKBGUSBA-QMMMGPOBSA-N 0.000 claims description 8
- 150000008575 L-amino acids Chemical class 0.000 claims description 7
- QPCDCPDFJACHGM-UHFFFAOYSA-N N,N-bis{2-[bis(carboxymethyl)amino]ethyl}glycine Chemical compound OC(=O)CN(CC(O)=O)CCN(CC(=O)O)CCN(CC(O)=O)CC(O)=O QPCDCPDFJACHGM-UHFFFAOYSA-N 0.000 claims description 7
- 125000002887 hydroxy group Chemical group [H]O* 0.000 claims description 7
- 229910052740 iodine Inorganic materials 0.000 claims description 7
- 238000002595 magnetic resonance imaging Methods 0.000 claims description 7
- 150000003573 thiols Chemical group 0.000 claims description 7
- IYKLZBIWFXPUCS-VIFPVBQESA-N (2s)-2-(naphthalen-1-ylamino)propanoic acid Chemical compound C1=CC=C2C(N[C@@H](C)C(O)=O)=CC=CC2=C1 IYKLZBIWFXPUCS-VIFPVBQESA-N 0.000 claims description 6
- PWKSKIMOESPYIA-UHFFFAOYSA-N 2-acetamido-3-sulfanylpropanoic acid Chemical compound CC(=O)NC(CS)C(O)=O PWKSKIMOESPYIA-UHFFFAOYSA-N 0.000 claims description 6
- CKLJMWTZIZZHCS-UHFFFAOYSA-N D-OH-Asp Natural products OC(=O)C(N)CC(O)=O CKLJMWTZIZZHCS-UHFFFAOYSA-N 0.000 claims description 6
- LYCAIKOWRPUZTN-UHFFFAOYSA-N Ethylene glycol Chemical compound OCCO LYCAIKOWRPUZTN-UHFFFAOYSA-N 0.000 claims description 6
- FFEARJCKVFRZRR-UHFFFAOYSA-N L-Methionine Natural products CSCCC(N)C(O)=O FFEARJCKVFRZRR-UHFFFAOYSA-N 0.000 claims description 6
- 125000000570 L-alpha-aspartyl group Chemical group [H]OC(=O)C([H])([H])[C@]([H])(N([H])[H])C(*)=O 0.000 claims description 6
- 229930195722 L-methionine Natural products 0.000 claims description 6
- 229910052794 bromium Inorganic materials 0.000 claims description 6
- 150000001720 carbohydrates Chemical group 0.000 claims description 6
- 229910052801 chlorine Inorganic materials 0.000 claims description 6
- 125000001301 ethoxy group Chemical group [H]C([H])([H])C([H])([H])O* 0.000 claims description 6
- 229910052731 fluorine Inorganic materials 0.000 claims description 6
- 229920001515 polyalkylene glycol Chemical group 0.000 claims description 6
- UFHFLCQGNIYNRP-UHFFFAOYSA-N Hydrogen Chemical compound [H][H] UFHFLCQGNIYNRP-UHFFFAOYSA-N 0.000 claims description 5
- 150000002431 hydrogen Chemical group 0.000 claims description 5
- OHSVLFRHMCKCQY-NJFSPNSNSA-N lutetium-177 Chemical compound [177Lu] OHSVLFRHMCKCQY-NJFSPNSNSA-N 0.000 claims description 5
- 206010039073 rheumatoid arthritis Diseases 0.000 claims description 5
- 229910052703 rhodium Inorganic materials 0.000 claims description 5
- KZUNJOHGWZRPMI-AKLPVKDBSA-N samarium-153 Chemical compound [153Sm] KZUNJOHGWZRPMI-AKLPVKDBSA-N 0.000 claims description 5
- HFHDHCJBZVLPGP-UHFFFAOYSA-N schardinger α-dextrin Chemical group O1C(C(C2O)O)C(CO)OC2OC(C(C2O)O)C(CO)OC2OC(C(C2O)O)C(CO)OC2OC(C(O)C2O)C(CO)OC2OC(C(C2O)O)C(CO)OC2OC2C(O)C(O)C1OC2CO HFHDHCJBZVLPGP-UHFFFAOYSA-N 0.000 claims description 5
- 229910052709 silver Inorganic materials 0.000 claims description 5
- 229910052727 yttrium Inorganic materials 0.000 claims description 5
- 125000006656 (C2-C4) alkenyl group Chemical group 0.000 claims description 4
- KILNVBDSWZSGLL-KXQOOQHDSA-N 1,2-dihexadecanoyl-sn-glycero-3-phosphocholine Chemical compound CCCCCCCCCCCCCCCC(=O)OC[C@H](COP([O-])(=O)OCC[N+](C)(C)C)OC(=O)CCCCCCCCCCCCCCC KILNVBDSWZSGLL-KXQOOQHDSA-N 0.000 claims description 4
- 229910052688 Gadolinium Inorganic materials 0.000 claims description 4
- 108010021119 Trichosanthin Proteins 0.000 claims description 4
- 125000002947 alkylene group Chemical group 0.000 claims description 4
- 150000001723 carbon free-radicals Chemical group 0.000 claims description 4
- 238000002591 computed tomography Methods 0.000 claims description 4
- 125000000753 cycloalkyl group Chemical group 0.000 claims description 4
- 229910052741 iridium Inorganic materials 0.000 claims description 4
- 238000002600 positron emission tomography Methods 0.000 claims description 4
- UMJSCPRVCHMLSP-UHFFFAOYSA-N pyridine Natural products COC1=CC=CN=C1 UMJSCPRVCHMLSP-UHFFFAOYSA-N 0.000 claims description 4
- NTUROZDXWLPVHB-UHFFFAOYSA-M sodium;3-diphenylphosphanylbenzenesulfonate Chemical compound [Na+].[O-]S(=O)(=O)C1=CC=CC(P(C=2C=CC=CC=2)C=2C=CC=CC=2)=C1 NTUROZDXWLPVHB-UHFFFAOYSA-M 0.000 claims description 4
- 125000006850 spacer group Chemical group 0.000 claims description 4
- 125000000022 2-aminoethyl group Chemical group [H]C([*])([H])C([H])([H])N([H])[H] 0.000 claims description 3
- NSPMIYGKQJPBQR-UHFFFAOYSA-N 4H-1,2,4-triazole Chemical compound C=1N=CNN=1 NSPMIYGKQJPBQR-UHFFFAOYSA-N 0.000 claims description 3
- 125000006374 C2-C10 alkenyl group Chemical group 0.000 claims description 3
- VTLYFUHAOXGGBS-UHFFFAOYSA-N Fe3+ Chemical compound [Fe+3] VTLYFUHAOXGGBS-UHFFFAOYSA-N 0.000 claims description 3
- WAEMQWOKJMHJLA-UHFFFAOYSA-N Manganese(2+) Chemical compound [Mn+2] WAEMQWOKJMHJLA-UHFFFAOYSA-N 0.000 claims description 3
- 229910052772 Samarium Inorganic materials 0.000 claims description 3
- JCXGWMGPZLAOME-AKLPVKDBSA-N bismuth-212 Chemical compound [212Bi] JCXGWMGPZLAOME-AKLPVKDBSA-N 0.000 claims description 3
- WGCNASOHLSPBMP-UHFFFAOYSA-N hydroxyacetaldehyde Natural products OCC=O WGCNASOHLSPBMP-UHFFFAOYSA-N 0.000 claims description 3
- VQMWBBYLQSCNPO-RNFDNDRNSA-N promethium-149 Chemical compound [149Pm] VQMWBBYLQSCNPO-RNFDNDRNSA-N 0.000 claims description 3
- TXEYQDLBPFQVAA-UHFFFAOYSA-N tetrafluoromethane Chemical compound FC(F)(F)F TXEYQDLBPFQVAA-UHFFFAOYSA-N 0.000 claims description 3
- 125000003837 (C1-C20) alkyl group Chemical group 0.000 claims description 2
- 125000006273 (C1-C3) alkyl group Chemical group 0.000 claims description 2
- 125000004191 (C1-C6) alkoxy group Chemical group 0.000 claims description 2
- 125000005913 (C3-C6) cycloalkyl group Chemical group 0.000 claims description 2
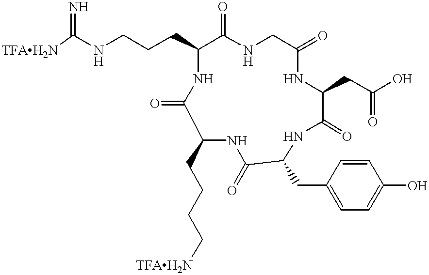
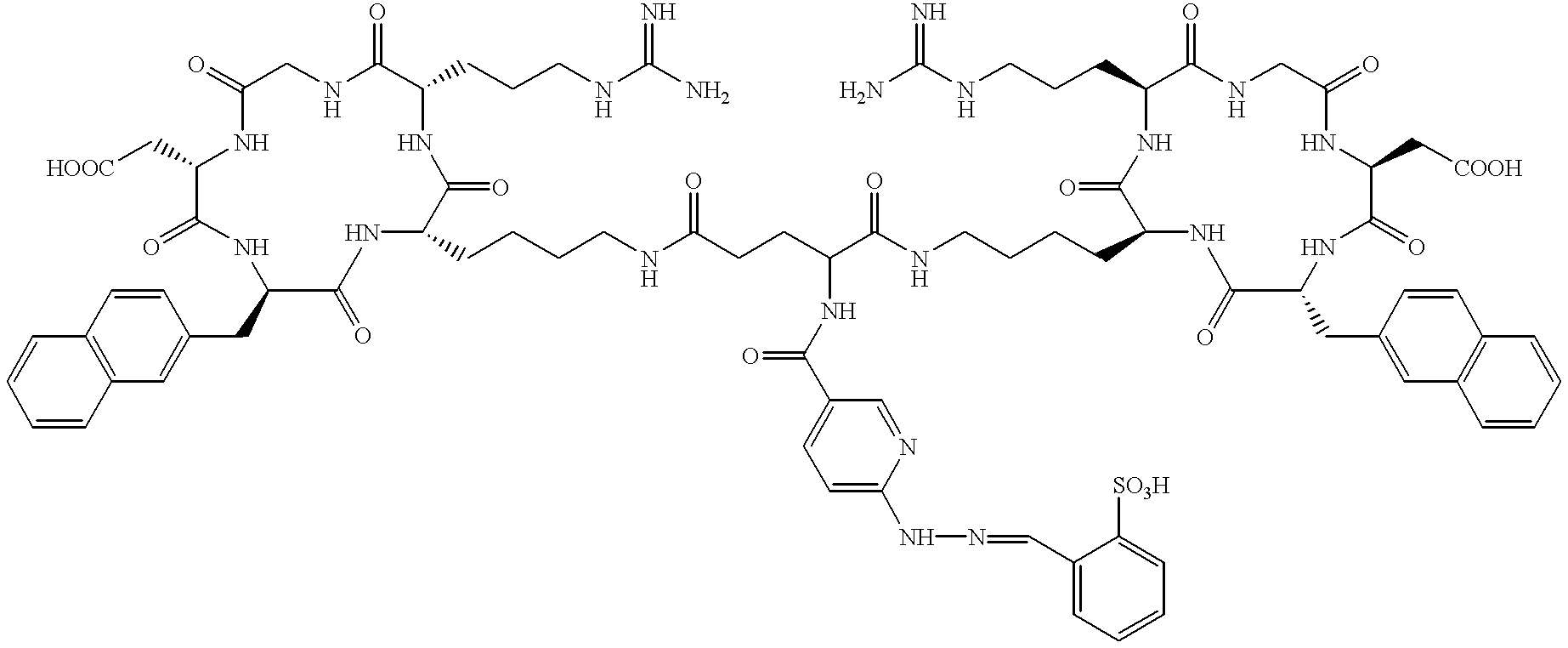
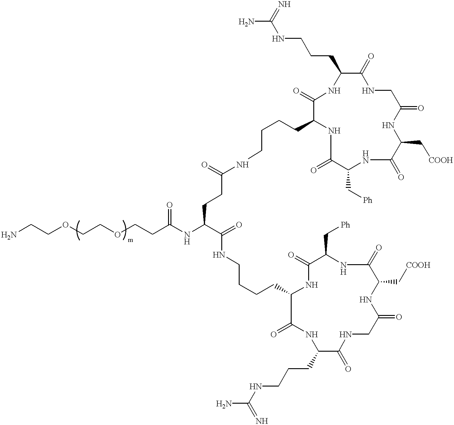
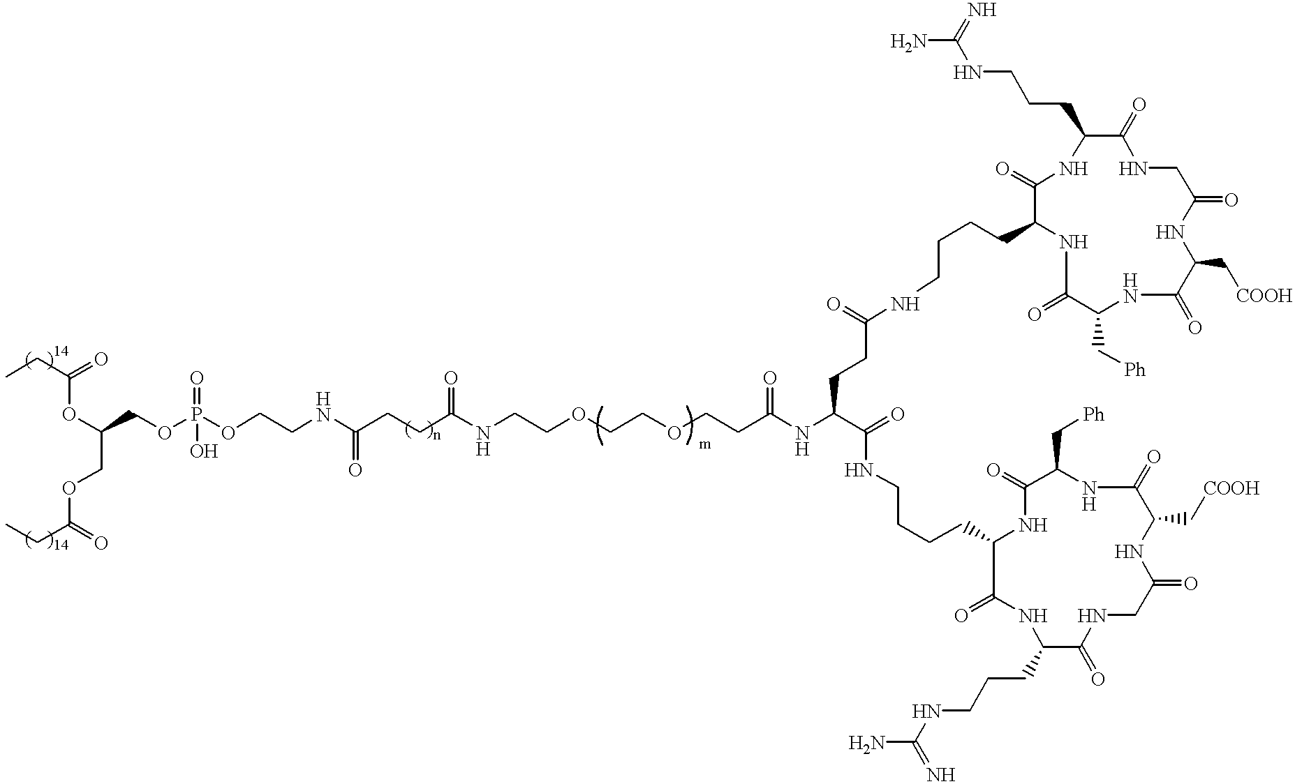
- NVHPXYIRNJFKTE-HAGHYFMRSA-N 2-[(2s,5r,8s,11s)-8-(4-aminobutyl)-5-benzyl-11-[3-(diaminomethylideneamino)propyl]-3,6,9,12,15-pentaoxo-1,4,7,10,13-pentazacyclopentadec-2-yl]acetic acid Chemical compound N1C(=O)[C@H](CC(O)=O)NC(=O)CNC(=O)[C@H](CCCNC(N)=N)NC(=O)[C@H](CCCCN)NC(=O)[C@H]1CC1=CC=CC=C1 NVHPXYIRNJFKTE-HAGHYFMRSA-N 0.000 claims description 2
- RFMMMVDNIPUKGG-UHFFFAOYSA-N Acetyl-Glu Chemical compound CC(=O)NC(C(O)=O)CCC(O)=O RFMMMVDNIPUKGG-UHFFFAOYSA-N 0.000 claims description 2
- 125000005865 C2-C10alkynyl group Chemical group 0.000 claims description 2
- 125000001711 D-phenylalanine group Chemical group [H]N([H])[C@@]([H])(C(=O)[*])C([H])([H])C1=C([H])C([H])=C([H])C([H])=C1[H] 0.000 claims description 2
- 125000002849 D-tyrosine group Chemical group [H]N([H])[C@@]([H])(C(=O)[*])C([H])([H])C1=C([H])C([H])=C(O[H])C([H])=C1[H] 0.000 claims description 2
- 125000003625 D-valyl group Chemical group N[C@@H](C(=O)*)C(C)C 0.000 claims description 2
- 125000003580 L-valyl group Chemical group [H]N([H])[C@]([H])(C(=O)[*])C(C([H])([H])[H])(C([H])([H])[H])[H] 0.000 claims description 2
- CZPWVGJYEJSRLH-UHFFFAOYSA-N Pyrimidine Chemical compound C1=CN=CN=C1 CZPWVGJYEJSRLH-UHFFFAOYSA-N 0.000 claims description 2
- 125000004183 alkoxy alkyl group Chemical group 0.000 claims description 2
- 125000004981 cycloalkylmethyl group Chemical group 0.000 claims description 2
- 150000004820 halides Chemical class 0.000 claims description 2
- 125000000449 nitro group Chemical group [O-][N+](*)=O 0.000 claims description 2
- 238000002603 single-photon emission computed tomography Methods 0.000 claims description 2
- 230000000087 stabilizing effect Effects 0.000 claims description 2
- IUTCEZPPWBHGIX-UHFFFAOYSA-N tin(2+) Chemical group [Sn+2] IUTCEZPPWBHGIX-UHFFFAOYSA-N 0.000 claims description 2
- 239000003937 drug carrier Substances 0.000 claims 1
- 238000011282 treatment Methods 0.000 abstract description 16
- 230000005251 gamma ray Effects 0.000 abstract description 7
- 239000002405 nuclear magnetic resonance imaging agent Substances 0.000 abstract description 7
- 238000012544 monitoring process Methods 0.000 abstract description 4
- 238000003745 diagnosis Methods 0.000 abstract description 3
- 230000006378 damage Effects 0.000 abstract description 2
- ZMXDDKWLCZADIW-UHFFFAOYSA-N N,N-Dimethylformamide Chemical compound CN(C)C=O ZMXDDKWLCZADIW-UHFFFAOYSA-N 0.000 description 99
- YMWUJEATGCHHMB-UHFFFAOYSA-N Dichloromethane Chemical compound ClCCl YMWUJEATGCHHMB-UHFFFAOYSA-N 0.000 description 66
- XEKOWRVHYACXOJ-UHFFFAOYSA-N Ethyl acetate Chemical compound CCOC(C)=O XEKOWRVHYACXOJ-UHFFFAOYSA-N 0.000 description 51
- 125000004429 atom Chemical group 0.000 description 49
- 238000002360 preparation method Methods 0.000 description 48
- DTQVDTLACAAQTR-UHFFFAOYSA-N Trifluoroacetic acid Chemical compound OC(=O)C(F)(F)F DTQVDTLACAAQTR-UHFFFAOYSA-N 0.000 description 45
- RTZKZFJDLAIYFH-UHFFFAOYSA-N Diethyl ether Chemical compound CCOCC RTZKZFJDLAIYFH-UHFFFAOYSA-N 0.000 description 42
- 239000003153 chemical reaction reagent Substances 0.000 description 42
- ZMANZCXQSJIPKH-UHFFFAOYSA-N Triethylamine Chemical compound CCN(CC)CC ZMANZCXQSJIPKH-UHFFFAOYSA-N 0.000 description 39
- 238000003786 synthesis reaction Methods 0.000 description 39
- 239000000047 product Substances 0.000 description 37
- 102000004196 processed proteins & peptides Human genes 0.000 description 36
- 239000011541 reaction mixture Substances 0.000 description 32
- 239000007787 solid Substances 0.000 description 30
- 239000003921 oil Substances 0.000 description 29
- IJGRMHOSHXDMSA-UHFFFAOYSA-N Atomic nitrogen Chemical compound N#N IJGRMHOSHXDMSA-UHFFFAOYSA-N 0.000 description 28
- 239000011347 resin Substances 0.000 description 28
- 229920005989 resin Polymers 0.000 description 28
- JGFZNNIVVJXRND-UHFFFAOYSA-N N,N-Diisopropylethylamine (DIPEA) Chemical compound CCN(C(C)C)C(C)C JGFZNNIVVJXRND-UHFFFAOYSA-N 0.000 description 26
- 125000003275 alpha amino acid group Chemical group 0.000 description 25
- 239000002245 particle Substances 0.000 description 24
- 239000000243 solution Substances 0.000 description 23
- 235000014113 dietary fatty acids Nutrition 0.000 description 22
- 229930195729 fatty acid Natural products 0.000 description 22
- 239000000194 fatty acid Substances 0.000 description 22
- 238000004128 high performance liquid chromatography Methods 0.000 description 22
- 125000006239 protecting group Chemical group 0.000 description 22
- 238000005859 coupling reaction Methods 0.000 description 20
- 230000008878 coupling Effects 0.000 description 18
- 238000010168 coupling process Methods 0.000 description 18
- 238000002330 electrospray ionisation mass spectrometry Methods 0.000 description 18
- 235000019439 ethyl acetate Nutrition 0.000 description 17
- 229910052713 technetium Inorganic materials 0.000 description 16
- GKLVYJBZJHMRIY-UHFFFAOYSA-N technetium atom Chemical compound [Tc] GKLVYJBZJHMRIY-UHFFFAOYSA-N 0.000 description 16
- 238000009007 Diagnostic Kit Methods 0.000 description 15
- 210000002889 endothelial cell Anatomy 0.000 description 15
- 150000004665 fatty acids Chemical class 0.000 description 15
- 239000007864 aqueous solution Substances 0.000 description 14
- 238000009472 formulation Methods 0.000 description 14
- 102000001189 Cyclic Peptides Human genes 0.000 description 13
- 108010069514 Cyclic Peptides Proteins 0.000 description 13
- 238000006243 chemical reaction Methods 0.000 description 13
- XLYOFNOQVPJJNP-UHFFFAOYSA-N water Substances O XLYOFNOQVPJJNP-UHFFFAOYSA-N 0.000 description 13
- SJRJJKPEHAURKC-UHFFFAOYSA-N N-Methylmorpholine Chemical compound CN1CCOCC1 SJRJJKPEHAURKC-UHFFFAOYSA-N 0.000 description 12
- 125000004432 carbon atom Chemical group C* 0.000 description 12
- 239000004005 microsphere Substances 0.000 description 12
- LFQSCWFLJHTTHZ-UHFFFAOYSA-N Ethanol Chemical compound CCO LFQSCWFLJHTTHZ-UHFFFAOYSA-N 0.000 description 11
- 238000013459 approach Methods 0.000 description 11
- 238000002953 preparative HPLC Methods 0.000 description 11
- QTBSBXVTEAMEQO-UHFFFAOYSA-N Acetic acid Chemical compound CC(O)=O QTBSBXVTEAMEQO-UHFFFAOYSA-N 0.000 description 10
- OAKJQQAXSVQMHS-UHFFFAOYSA-N Hydrazine Chemical compound NN OAKJQQAXSVQMHS-UHFFFAOYSA-N 0.000 description 10
- VEXZGXHMUGYJMC-UHFFFAOYSA-N Hydrochloric acid Chemical compound Cl VEXZGXHMUGYJMC-UHFFFAOYSA-N 0.000 description 10
- 238000010647 peptide synthesis reaction Methods 0.000 description 10
- 239000007790 solid phase Substances 0.000 description 10
- 125000001424 substituent group Chemical group 0.000 description 10
- WEVYAHXRMPXWCK-UHFFFAOYSA-N Acetonitrile Chemical compound CC#N WEVYAHXRMPXWCK-UHFFFAOYSA-N 0.000 description 9
- OKKJLVBELUTLKV-UHFFFAOYSA-N Methanol Chemical compound OC OKKJLVBELUTLKV-UHFFFAOYSA-N 0.000 description 9
- 125000001584 benzyloxycarbonyl group Chemical group C(=O)(OCC1=CC=CC=C1)* 0.000 description 9
- 231100000433 cytotoxic Toxicity 0.000 description 9
- 230000001472 cytotoxic effect Effects 0.000 description 9
- 239000000126 substance Substances 0.000 description 9
- LNOLJFCCYQZFBQ-BUHFOSPRSA-N (ne)-n-[(4-nitrophenyl)-phenylmethylidene]hydroxylamine Chemical compound C=1C=C([N+]([O-])=O)C=CC=1C(=N/O)/C1=CC=CC=C1 LNOLJFCCYQZFBQ-BUHFOSPRSA-N 0.000 description 8
- WHUUTDBJXJRKMK-UHFFFAOYSA-N Glutamic acid Natural products OC(=O)C(N)CCC(O)=O WHUUTDBJXJRKMK-UHFFFAOYSA-N 0.000 description 8
- PEDCQBHIVMGVHV-UHFFFAOYSA-N Glycerine Chemical compound OCC(O)CO PEDCQBHIVMGVHV-UHFFFAOYSA-N 0.000 description 8
- WHUUTDBJXJRKMK-VKHMYHEASA-N L-glutamic acid Chemical compound OC(=O)[C@@H](N)CCC(O)=O WHUUTDBJXJRKMK-VKHMYHEASA-N 0.000 description 8
- CSNNHWWHGAXBCP-UHFFFAOYSA-L Magnesium sulfate Chemical compound [Mg+2].[O-][S+2]([O-])([O-])[O-] CSNNHWWHGAXBCP-UHFFFAOYSA-L 0.000 description 8
- RDOXTESZEPMUJZ-UHFFFAOYSA-N anisole Chemical compound COC1=CC=CC=C1 RDOXTESZEPMUJZ-UHFFFAOYSA-N 0.000 description 8
- 210000004027 cell Anatomy 0.000 description 8
- 239000001301 oxygen Substances 0.000 description 8
- 230000002285 radioactive effect Effects 0.000 description 8
- 238000003756 stirring Methods 0.000 description 8
- 238000012546 transfer Methods 0.000 description 8
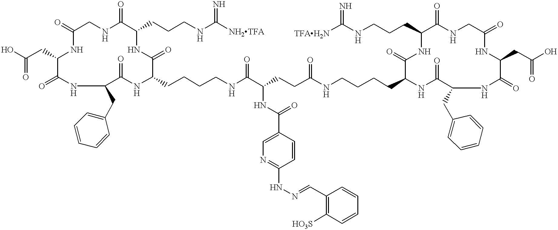
- FBKOULZRNMRMLB-UHFFFAOYSA-N 2-[[[5-(2,5-dioxopyrrolidin-1-yl)oxycarbonylpyridin-2-yl]hydrazinylidene]methyl]benzenesulfonic acid Chemical compound OS(=O)(=O)C1=CC=CC=C1C=NNC1=CC=C(C(=O)ON2C(CCC2=O)=O)C=N1 FBKOULZRNMRMLB-UHFFFAOYSA-N 0.000 description 7
- 102000000844 Cell Surface Receptors Human genes 0.000 description 7
- 108010001857 Cell Surface Receptors Proteins 0.000 description 7
- KEAYESYHFKHZAL-UHFFFAOYSA-N Sodium Chemical class [Na] KEAYESYHFKHZAL-UHFFFAOYSA-N 0.000 description 7
- NINIDFKCEFEMDL-UHFFFAOYSA-N Sulfur Chemical group [S] NINIDFKCEFEMDL-UHFFFAOYSA-N 0.000 description 7
- QVGXLLKOCUKJST-UHFFFAOYSA-N atomic oxygen Chemical compound [O] QVGXLLKOCUKJST-UHFFFAOYSA-N 0.000 description 7
- 239000010949 copper Substances 0.000 description 7
- 229940127089 cytotoxic agent Drugs 0.000 description 7
- 238000010511 deprotection reaction Methods 0.000 description 7
- 235000018102 proteins Nutrition 0.000 description 7
- 102000004169 proteins and genes Human genes 0.000 description 7
- 108090000623 proteins and genes Proteins 0.000 description 7
- 125000003088 (fluoren-9-ylmethoxy)carbonyl group Chemical group 0.000 description 6
- FAPWRFPIFSIZLT-UHFFFAOYSA-M Sodium chloride Chemical compound [Na+].[Cl-] FAPWRFPIFSIZLT-UHFFFAOYSA-M 0.000 description 6
- 230000000694 effects Effects 0.000 description 6
- 239000000706 filtrate Substances 0.000 description 6
- 239000012634 fragment Substances 0.000 description 6
- 238000004108 freeze drying Methods 0.000 description 6
- 125000000524 functional group Chemical group 0.000 description 6
- 239000010931 gold Substances 0.000 description 6
- 239000012216 imaging agent Substances 0.000 description 6
- 230000003993 interaction Effects 0.000 description 6
- 239000000543 intermediate Substances 0.000 description 6
- 239000003607 modifier Substances 0.000 description 6
- KDLHZDBZIXYQEI-UHFFFAOYSA-N palladium Substances [Pd] KDLHZDBZIXYQEI-UHFFFAOYSA-N 0.000 description 6
- 230000008569 process Effects 0.000 description 6
- 238000006467 substitution reaction Methods 0.000 description 6
- 239000011593 sulfur Substances 0.000 description 6
- 210000001519 tissue Anatomy 0.000 description 6
- KXDHJXZQYSOELW-UHFFFAOYSA-N Carbamic acid Chemical class NC(O)=O KXDHJXZQYSOELW-UHFFFAOYSA-N 0.000 description 5
- 102000003974 Fibroblast growth factor 2 Human genes 0.000 description 5
- 108090000379 Fibroblast growth factor 2 Proteins 0.000 description 5
- AYFVYJQAPQTCCC-GBXIJSLDSA-N L-threonine Chemical compound C[C@@H](O)[C@H](N)C(O)=O AYFVYJQAPQTCCC-GBXIJSLDSA-N 0.000 description 5
- KWYHDKDOAIKMQN-UHFFFAOYSA-N N,N,N',N'-tetramethylethylenediamine Chemical compound CN(C)CCN(C)C KWYHDKDOAIKMQN-UHFFFAOYSA-N 0.000 description 5
- 239000002202 Polyethylene glycol Substances 0.000 description 5
- 230000002378 acidificating effect Effects 0.000 description 5
- 150000001412 amines Chemical class 0.000 description 5
- 239000002585 base Substances 0.000 description 5
- 125000002619 bicyclic group Chemical group 0.000 description 5
- 230000037396 body weight Effects 0.000 description 5
- 239000000872 buffer Substances 0.000 description 5
- 239000006227 byproduct Substances 0.000 description 5
- 239000012043 crude product Substances 0.000 description 5
- 239000003102 growth factor Substances 0.000 description 5
- 239000007788 liquid Substances 0.000 description 5
- 230000010412 perfusion Effects 0.000 description 5
- 229920001223 polyethylene glycol Polymers 0.000 description 5
- 230000005855 radiation Effects 0.000 description 5
- WUAPFZMCVAUBPE-UHFFFAOYSA-N rhenium atom Chemical compound [Re] WUAPFZMCVAUBPE-UHFFFAOYSA-N 0.000 description 5
- 230000006641 stabilisation Effects 0.000 description 5
- 238000011105 stabilization Methods 0.000 description 5
- 125000004434 sulfur atom Chemical group 0.000 description 5
- 210000004881 tumor cell Anatomy 0.000 description 5
- PECYZEOJVXMISF-UHFFFAOYSA-N 3-aminoalanine Chemical compound [NH3+]CC(N)C([O-])=O PECYZEOJVXMISF-UHFFFAOYSA-N 0.000 description 4
- CIWBSHSKHKDKBQ-JLAZNSOCSA-N Ascorbic acid Chemical compound OC[C@H](O)[C@H]1OC(=O)C(O)=C1O CIWBSHSKHKDKBQ-JLAZNSOCSA-N 0.000 description 4
- 125000001433 C-terminal amino-acid group Chemical group 0.000 description 4
- OKTJSMMVPCPJKN-UHFFFAOYSA-N Carbon Chemical compound [C] OKTJSMMVPCPJKN-UHFFFAOYSA-N 0.000 description 4
- HEDRZPFGACZZDS-UHFFFAOYSA-N Chloroform Chemical compound ClC(Cl)Cl HEDRZPFGACZZDS-UHFFFAOYSA-N 0.000 description 4
- 108010037362 Extracellular Matrix Proteins Proteins 0.000 description 4
- 102000010834 Extracellular Matrix Proteins Human genes 0.000 description 4
- 241000282414 Homo sapiens Species 0.000 description 4
- NQRYJNQNLNOLGT-UHFFFAOYSA-N Piperidine Chemical compound C1CCNCC1 NQRYJNQNLNOLGT-UHFFFAOYSA-N 0.000 description 4
- 229920003171 Poly (ethylene oxide) Polymers 0.000 description 4
- QAOWNCQODCNURD-UHFFFAOYSA-N Sulfuric acid Chemical compound OS(O)(=O)=O QAOWNCQODCNURD-UHFFFAOYSA-N 0.000 description 4
- AYFVYJQAPQTCCC-UHFFFAOYSA-N Threonine Natural products CC(O)C(N)C(O)=O AYFVYJQAPQTCCC-UHFFFAOYSA-N 0.000 description 4
- 239000004473 Threonine Substances 0.000 description 4
- HEDRZPFGACZZDS-MICDWDOJSA-N Trichloro(2H)methane Chemical compound [2H]C(Cl)(Cl)Cl HEDRZPFGACZZDS-MICDWDOJSA-N 0.000 description 4
- VWQVUPCCIRVNHF-OUBTZVSYSA-N Yttrium-90 Chemical compound [90Y] VWQVUPCCIRVNHF-OUBTZVSYSA-N 0.000 description 4
- 229960000583 acetic acid Drugs 0.000 description 4
- 125000001931 aliphatic group Chemical group 0.000 description 4
- 150000001408 amides Chemical class 0.000 description 4
- 125000000539 amino acid group Chemical class 0.000 description 4
- 239000002870 angiogenesis inducing agent Substances 0.000 description 4
- 239000002246 antineoplastic agent Substances 0.000 description 4
- 235000003704 aspartic acid Nutrition 0.000 description 4
- UCMIRNVEIXFBKS-UHFFFAOYSA-N beta-alanine Chemical compound NCCC(O)=O UCMIRNVEIXFBKS-UHFFFAOYSA-N 0.000 description 4
- 210000004369 blood Anatomy 0.000 description 4
- 239000008280 blood Substances 0.000 description 4
- 230000017531 blood circulation Effects 0.000 description 4
- 235000014633 carbohydrates Nutrition 0.000 description 4
- 239000003795 chemical substances by application Substances 0.000 description 4
- 208000037265 diseases, disorders, signs and symptoms Diseases 0.000 description 4
- 150000002148 esters Chemical class 0.000 description 4
- 125000002485 formyl group Chemical class [H]C(*)=O 0.000 description 4
- 235000013922 glutamic acid Nutrition 0.000 description 4
- 230000012010 growth Effects 0.000 description 4
- 230000006872 improvement Effects 0.000 description 4
- 229910052500 inorganic mineral Inorganic materials 0.000 description 4
- 238000010253 intravenous injection Methods 0.000 description 4
- 230000005865 ionizing radiation Effects 0.000 description 4
- 239000010410 layer Substances 0.000 description 4
- 239000002502 liposome Substances 0.000 description 4
- 229910052943 magnesium sulfate Inorganic materials 0.000 description 4
- 239000000463 material Substances 0.000 description 4
- UZKWTJUDCOPSNM-UHFFFAOYSA-N methoxybenzene Substances CCCCOC=C UZKWTJUDCOPSNM-UHFFFAOYSA-N 0.000 description 4
- 235000010755 mineral Nutrition 0.000 description 4
- 239000011707 mineral Substances 0.000 description 4
- 150000007522 mineralic acids Chemical class 0.000 description 4
- 150000003003 phosphines Chemical class 0.000 description 4
- BASFCYQUMIYNBI-UHFFFAOYSA-N platinum Chemical compound [Pt] BASFCYQUMIYNBI-UHFFFAOYSA-N 0.000 description 4
- 239000000376 reactant Substances 0.000 description 4
- 238000011160 research Methods 0.000 description 4
- 239000010948 rhodium Substances 0.000 description 4
- 125000000999 tert-butyl group Chemical group [H]C([H])([H])C(*)(C([H])([H])[H])C([H])([H])[H] 0.000 description 4
- 229960002898 threonine Drugs 0.000 description 4
- ITMCEJHCFYSIIV-UHFFFAOYSA-N triflic acid Chemical compound OS(=O)(=O)C(F)(F)F ITMCEJHCFYSIIV-UHFFFAOYSA-N 0.000 description 4
- HHLZCENAOIROSL-UHFFFAOYSA-N 2-[4,7-bis(carboxymethyl)-1,4,7,10-tetrazacyclododec-1-yl]acetic acid Chemical compound OC(=O)CN1CCNCCN(CC(O)=O)CCN(CC(O)=O)CC1 HHLZCENAOIROSL-UHFFFAOYSA-N 0.000 description 3
- CSCPPACGZOOCGX-UHFFFAOYSA-N Acetone Chemical compound CC(C)=O CSCPPACGZOOCGX-UHFFFAOYSA-N 0.000 description 3
- 229920001450 Alpha-Cyclodextrin Polymers 0.000 description 3
- KXDHJXZQYSOELW-UHFFFAOYSA-M Carbamate Chemical compound NC([O-])=O KXDHJXZQYSOELW-UHFFFAOYSA-M 0.000 description 3
- RYGMFSIKBFXOCR-UHFFFAOYSA-N Copper Chemical compound [Cu] RYGMFSIKBFXOCR-UHFFFAOYSA-N 0.000 description 3
- FBPFZTCFMRRESA-KVTDHHQDSA-N D-Mannitol Chemical compound OC[C@@H](O)[C@@H](O)[C@H](O)[C@H](O)CO FBPFZTCFMRRESA-KVTDHHQDSA-N 0.000 description 3
- QOSSAOTZNIDXMA-UHFFFAOYSA-N Dicylcohexylcarbodiimide Chemical compound C1CCCCC1N=C=NC1CCCCC1 QOSSAOTZNIDXMA-UHFFFAOYSA-N 0.000 description 3
- QMMFVYPAHWMCMS-UHFFFAOYSA-N Dimethyl sulfide Chemical compound CSC QMMFVYPAHWMCMS-UHFFFAOYSA-N 0.000 description 3
- 102400001047 Endostatin Human genes 0.000 description 3
- 108010079505 Endostatins Proteins 0.000 description 3
- 239000001116 FEMA 4028 Substances 0.000 description 3
- 108010047852 Integrin alphaVbeta3 Proteins 0.000 description 3
- DCXYFEDJOCDNAF-REOHCLBHSA-N L-asparagine Chemical compound OC(=O)[C@@H](N)CC(N)=O DCXYFEDJOCDNAF-REOHCLBHSA-N 0.000 description 3
- ZDXPYRJPNDTMRX-VKHMYHEASA-N L-glutamine Chemical compound OC(=O)[C@@H](N)CCC(N)=O ZDXPYRJPNDTMRX-VKHMYHEASA-N 0.000 description 3
- LCGISIDBXHGCDW-VKHMYHEASA-N L-glutamine amide Chemical compound NC(=O)[C@@H](N)CCC(N)=O LCGISIDBXHGCDW-VKHMYHEASA-N 0.000 description 3
- QIVBCDIJIAJPQS-VIFPVBQESA-N L-tryptophane Chemical compound C1=CC=C2C(C[C@H](N)C(O)=O)=CNC2=C1 QIVBCDIJIAJPQS-VIFPVBQESA-N 0.000 description 3
- 229930195725 Mannitol Natural products 0.000 description 3
- 206010027476 Metastases Diseases 0.000 description 3
- OAICVXFJPJFONN-UHFFFAOYSA-N Phosphorus Chemical compound [P] OAICVXFJPJFONN-UHFFFAOYSA-N 0.000 description 3
- 239000004743 Polypropylene Substances 0.000 description 3
- DNIAPMSPPWPWGF-UHFFFAOYSA-N Propylene glycol Chemical compound CC(O)CO DNIAPMSPPWPWGF-UHFFFAOYSA-N 0.000 description 3
- HEMHJVSKTPXQMS-UHFFFAOYSA-M Sodium hydroxide Chemical compound [OH-].[Na+] HEMHJVSKTPXQMS-UHFFFAOYSA-M 0.000 description 3
- WYURNTSHIVDZCO-UHFFFAOYSA-N Tetrahydrofuran Chemical compound C1CCOC1 WYURNTSHIVDZCO-UHFFFAOYSA-N 0.000 description 3
- WDLRUFUQRNWCPK-UHFFFAOYSA-N Tetraxetan Chemical compound OC(=O)CN1CCN(CC(O)=O)CCN(CC(O)=O)CCN(CC(O)=O)CC1 WDLRUFUQRNWCPK-UHFFFAOYSA-N 0.000 description 3
- 239000007983 Tris buffer Substances 0.000 description 3
- QIVBCDIJIAJPQS-UHFFFAOYSA-N Tryptophan Natural products C1=CC=C2C(CC(N)C(O)=O)=CNC2=C1 QIVBCDIJIAJPQS-UHFFFAOYSA-N 0.000 description 3
- 125000002015 acyclic group Chemical group 0.000 description 3
- 125000000304 alkynyl group Chemical group 0.000 description 3
- 229940043377 alpha-cyclodextrin Drugs 0.000 description 3
- 238000004458 analytical method Methods 0.000 description 3
- 230000001772 anti-angiogenic effect Effects 0.000 description 3
- 229960004853 betadex Drugs 0.000 description 3
- 239000012867 bioactive agent Substances 0.000 description 3
- 150000001718 carbodiimides Chemical class 0.000 description 3
- 230000004663 cell proliferation Effects 0.000 description 3
- 239000000470 constituent Substances 0.000 description 3
- 229910052802 copper Inorganic materials 0.000 description 3
- 125000001511 cyclopentyl group Chemical group [H]C1([H])C([H])([H])C([H])([H])C([H])(*)C1([H])[H] 0.000 description 3
- 239000002254 cytotoxic agent Substances 0.000 description 3
- 231100000599 cytotoxic agent Toxicity 0.000 description 3
- MHDVGSVTJDSBDK-UHFFFAOYSA-N dibenzyl ether Chemical class C=1C=CC=CC=1COCC1=CC=CC=C1 MHDVGSVTJDSBDK-UHFFFAOYSA-N 0.000 description 3
- UAOMVDZJSHZZME-UHFFFAOYSA-N diisopropylamine Chemical compound CC(C)NC(C)C UAOMVDZJSHZZME-UHFFFAOYSA-N 0.000 description 3
- 201000010099 disease Diseases 0.000 description 3
- 210000002744 extracellular matrix Anatomy 0.000 description 3
- 239000000284 extract Substances 0.000 description 3
- 229940080345 gamma-cyclodextrin Drugs 0.000 description 3
- 239000012362 glacial acetic acid Substances 0.000 description 3
- 235000011187 glycerol Nutrition 0.000 description 3
- 210000002216 heart Anatomy 0.000 description 3
- 150000002429 hydrazines Chemical class 0.000 description 3
- 239000000594 mannitol Substances 0.000 description 3
- 235000010355 mannitol Nutrition 0.000 description 3
- 230000009401 metastasis Effects 0.000 description 3
- 125000002950 monocyclic group Chemical group 0.000 description 3
- 231100000252 nontoxic Toxicity 0.000 description 3
- 230000003000 nontoxic effect Effects 0.000 description 3
- 125000000160 oxazolidinyl group Chemical group 0.000 description 3
- 230000003647 oxidation Effects 0.000 description 3
- 238000007254 oxidation reaction Methods 0.000 description 3
- 125000004430 oxygen atom Chemical group O* 0.000 description 3
- 229910052698 phosphorus Inorganic materials 0.000 description 3
- 239000011574 phosphorus Substances 0.000 description 3
- 230000000704 physical effect Effects 0.000 description 3
- 229920001155 polypropylene Polymers 0.000 description 3
- 230000003389 potentiating effect Effects 0.000 description 3
- 239000002243 precursor Substances 0.000 description 3
- 238000000746 purification Methods 0.000 description 3
- 125000004076 pyridyl group Chemical group 0.000 description 3
- 230000002829 reductive effect Effects 0.000 description 3
- 238000007363 ring formation reaction Methods 0.000 description 3
- 229920006395 saturated elastomer Polymers 0.000 description 3
- 238000005063 solubilization Methods 0.000 description 3
- 230000007928 solubilization Effects 0.000 description 3
- 238000010561 standard procedure Methods 0.000 description 3
- 125000001544 thienyl group Chemical group 0.000 description 3
- 230000001988 toxicity Effects 0.000 description 3
- 231100000419 toxicity Toxicity 0.000 description 3
- 125000002221 trityl group Chemical group [H]C1=C([H])C([H])=C([H])C([H])=C1C([*])(C1=C(C(=C(C(=C1[H])[H])[H])[H])[H])C1=C([H])C([H])=C([H])C([H])=C1[H] 0.000 description 3
- 239000011800 void material Substances 0.000 description 3
- 239000003039 volatile agent Substances 0.000 description 3
- JNYAEWCLZODPBN-JGWLITMVSA-N (2r,3r,4s)-2-[(1r)-1,2-dihydroxyethyl]oxolane-3,4-diol Polymers OC[C@@H](O)[C@H]1OC[C@H](O)[C@H]1O JNYAEWCLZODPBN-JGWLITMVSA-N 0.000 description 2
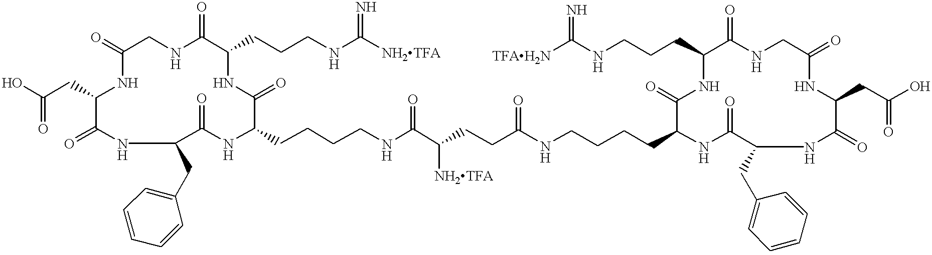
- FLHCHHMYNKVLLP-XUXIUFHCSA-N (2s)-2-[[2-[[(2s)-2-[[(2s)-2-[[2-[[(2s)-2-amino-5-(diaminomethylideneamino)pentanoyl]amino]acetyl]amino]-3-carboxypropanoyl]amino]-5-(diaminomethylideneamino)pentanoyl]amino]acetyl]amino]butanedioic acid Chemical compound NC(N)=NCCC[C@H](N)C(=O)NCC(=O)N[C@@H](CC(O)=O)C(=O)N[C@@H](CCCN=C(N)N)C(=O)NCC(=O)N[C@@H](CC(O)=O)C(O)=O FLHCHHMYNKVLLP-XUXIUFHCSA-N 0.000 description 2
- AMPVNPYPOOQUJF-ZETCQYMHSA-N (2s)-5-azaniumyl-2-[(2-methylpropan-2-yl)oxycarbonylamino]pentanoate Chemical compound CC(C)(C)OC(=O)N[C@H](C(O)=O)CCCN AMPVNPYPOOQUJF-ZETCQYMHSA-N 0.000 description 2
- SLKDGVPOSSLUAI-PGUFJCEWSA-N 1,2-dihexadecanoyl-sn-glycero-3-phosphoethanolamine zwitterion Chemical compound CCCCCCCCCCCCCCCC(=O)OC[C@H](COP(O)(=O)OCCN)OC(=O)CCCCCCCCCCCCCCC SLKDGVPOSSLUAI-PGUFJCEWSA-N 0.000 description 2
- PAJPWUMXBYXFCZ-UHFFFAOYSA-N 1-aminocyclopropanecarboxylic acid Chemical compound OC(=O)C1(N)CC1 PAJPWUMXBYXFCZ-UHFFFAOYSA-N 0.000 description 2
- LMDZBCPBFSXMTL-UHFFFAOYSA-N 1-ethyl-3-(3-dimethylaminopropyl)carbodiimide Chemical compound CCN=C=NCCCN(C)C LMDZBCPBFSXMTL-UHFFFAOYSA-N 0.000 description 2
- 238000005160 1H NMR spectroscopy Methods 0.000 description 2
- 125000005955 1H-indazolyl group Chemical group 0.000 description 2
- JVSFQJZRHXAUGT-UHFFFAOYSA-N 2,2-dimethylpropanoyl chloride Chemical compound CC(C)(C)C(Cl)=O JVSFQJZRHXAUGT-UHFFFAOYSA-N 0.000 description 2
- KWVJHCQQUFDPLU-YEUCEMRASA-N 2,3-bis[[(z)-octadec-9-enoyl]oxy]propyl-trimethylazanium Chemical compound CCCCCCCC\C=C/CCCCCCCC(=O)OCC(C[N+](C)(C)C)OC(=O)CCCCCCC\C=C/CCCCCCCC KWVJHCQQUFDPLU-YEUCEMRASA-N 0.000 description 2
- WXTMDXOMEHJXQO-UHFFFAOYSA-N 2,5-dihydroxybenzoic acid Chemical compound OC(=O)C1=CC(O)=CC=C1O WXTMDXOMEHJXQO-UHFFFAOYSA-N 0.000 description 2
- VRPJIFMKZZEXLR-UHFFFAOYSA-N 2-[(2-methylpropan-2-yl)oxycarbonylamino]acetic acid Chemical compound CC(C)(C)OC(=O)NCC(O)=O VRPJIFMKZZEXLR-UHFFFAOYSA-N 0.000 description 2
- YOETUEMZNOLGDB-UHFFFAOYSA-N 2-methylpropyl carbonochloridate Chemical compound CC(C)COC(Cl)=O YOETUEMZNOLGDB-UHFFFAOYSA-N 0.000 description 2
- XPCTZQVDEJYUGT-UHFFFAOYSA-N 3-hydroxy-2-methyl-4-pyrone Chemical compound CC=1OC=CC(=O)C=1O XPCTZQVDEJYUGT-UHFFFAOYSA-N 0.000 description 2
- NYYSPVRERVXMLJ-UHFFFAOYSA-N 4,4-difluorocyclohexan-1-one Chemical compound FC1(F)CCC(=O)CC1 NYYSPVRERVXMLJ-UHFFFAOYSA-N 0.000 description 2
- RTHQDNQOODHVLK-UHFFFAOYSA-N 4-[3-[2-[2-[3-[(2-methylpropan-2-yl)oxycarbonylamino]propoxy]ethoxy]ethoxy]propylamino]-4-oxobutanoic acid Chemical compound CC(C)(C)OC(=O)NCCCOCCOCCOCCCNC(=O)CCC(O)=O RTHQDNQOODHVLK-UHFFFAOYSA-N 0.000 description 2
- YYROPELSRYBVMQ-UHFFFAOYSA-N 4-toluenesulfonyl chloride Chemical compound CC1=CC=C(S(Cl)(=O)=O)C=C1 YYROPELSRYBVMQ-UHFFFAOYSA-N 0.000 description 2
- 102400000068 Angiostatin Human genes 0.000 description 2
- 108010079709 Angiostatins Proteins 0.000 description 2
- DCXYFEDJOCDNAF-UHFFFAOYSA-N Asparagine Natural products OC(=O)C(N)CC(N)=O DCXYFEDJOCDNAF-UHFFFAOYSA-N 0.000 description 2
- QFOHBWFCKVYLES-UHFFFAOYSA-N Butylparaben Chemical compound CCCCOC(=O)C1=CC=C(O)C=C1 QFOHBWFCKVYLES-UHFFFAOYSA-N 0.000 description 2
- XXAXVMUWHZHZMJ-UHFFFAOYSA-N Chymopapain Chemical compound OC1=CC(S(O)(=O)=O)=CC(S(O)(=O)=O)=C1O XXAXVMUWHZHZMJ-UHFFFAOYSA-N 0.000 description 2
- 102000004127 Cytokines Human genes 0.000 description 2
- 108090000695 Cytokines Proteins 0.000 description 2
- DSLZVSRJTYRBFB-LLEIAEIESA-L D-glucarate(2-) Chemical compound [O-]C(=O)[C@@H](O)[C@@H](O)[C@H](O)[C@@H](O)C([O-])=O DSLZVSRJTYRBFB-LLEIAEIESA-L 0.000 description 2
- RGHNJXZEOKUKBD-SQOUGZDYSA-M D-gluconate Chemical compound OC[C@@H](O)[C@@H](O)[C@H](O)[C@@H](O)C([O-])=O RGHNJXZEOKUKBD-SQOUGZDYSA-M 0.000 description 2
- MYMOFIZGZYHOMD-UHFFFAOYSA-N Dioxygen Chemical compound O=O MYMOFIZGZYHOMD-UHFFFAOYSA-N 0.000 description 2
- GYHNNYVSQQEPJS-UHFFFAOYSA-N Gallium Chemical compound [Ga] GYHNNYVSQQEPJS-UHFFFAOYSA-N 0.000 description 2
- 229930186217 Glycolipid Natural products 0.000 description 2
- SIKJAQJRHWYJAI-UHFFFAOYSA-N Indole Chemical compound C1=CC=C2NC=CC2=C1 SIKJAQJRHWYJAI-UHFFFAOYSA-N 0.000 description 2
- 102100022337 Integrin alpha-V Human genes 0.000 description 2
- XEEYBQQBJWHFJM-UHFFFAOYSA-N Iron Chemical compound [Fe] XEEYBQQBJWHFJM-UHFFFAOYSA-N 0.000 description 2
- KFZMGEQAYNKOFK-UHFFFAOYSA-N Isopropanol Chemical compound CC(C)O KFZMGEQAYNKOFK-UHFFFAOYSA-N 0.000 description 2
- ONIBWKKTOPOVIA-BYPYZUCNSA-N L-Proline Chemical compound OC(=O)[C@@H]1CCCN1 ONIBWKKTOPOVIA-BYPYZUCNSA-N 0.000 description 2
- CKLJMWTZIZZHCS-REOHCLBHSA-N L-aspartic acid Chemical compound OC(=O)[C@@H](N)CC(O)=O CKLJMWTZIZZHCS-REOHCLBHSA-N 0.000 description 2
- HNDVDQJCIGZPNO-YFKPBYRVSA-N L-histidine Chemical compound OC(=O)[C@@H](N)CC1=CN=CN1 HNDVDQJCIGZPNO-YFKPBYRVSA-N 0.000 description 2
- WMFOQBRAJBCJND-UHFFFAOYSA-M Lithium hydroxide Chemical compound [Li+].[OH-] WMFOQBRAJBCJND-UHFFFAOYSA-M 0.000 description 2
- ZOKXTWBITQBERF-AKLPVKDBSA-N Molybdenum Mo-99 Chemical compound [99Mo] ZOKXTWBITQBERF-AKLPVKDBSA-N 0.000 description 2
- NQTADLQHYWFPDB-UHFFFAOYSA-N N-Hydroxysuccinimide Chemical compound ON1C(=O)CCC1=O NQTADLQHYWFPDB-UHFFFAOYSA-N 0.000 description 2
- GRYLNZFGIOXLOG-UHFFFAOYSA-N Nitric acid Chemical compound O[N+]([O-])=O GRYLNZFGIOXLOG-UHFFFAOYSA-N 0.000 description 2
- 108010067902 Peptide Library Proteins 0.000 description 2
- 229940083963 Peptide antagonist Drugs 0.000 description 2
- JXWLMUIXUXLIJR-QWRGUYRKSA-N Phe-Glu Chemical compound OC(=O)CC[C@@H](C(O)=O)NC(=O)[C@@H](N)CC1=CC=CC=C1 JXWLMUIXUXLIJR-QWRGUYRKSA-N 0.000 description 2
- XYFCBTPGUUZFHI-UHFFFAOYSA-N Phosphine Chemical compound P XYFCBTPGUUZFHI-UHFFFAOYSA-N 0.000 description 2
- ONIBWKKTOPOVIA-UHFFFAOYSA-N Proline Natural products OC(=O)C1CCCN1 ONIBWKKTOPOVIA-UHFFFAOYSA-N 0.000 description 2
- ATUOYWHBWRKTHZ-UHFFFAOYSA-N Propane Chemical compound CCC ATUOYWHBWRKTHZ-UHFFFAOYSA-N 0.000 description 2
- 108010039491 Ricin Proteins 0.000 description 2
- BQCADISMDOOEFD-UHFFFAOYSA-N Silver Chemical compound [Ag] BQCADISMDOOEFD-UHFFFAOYSA-N 0.000 description 2
- 108050001286 Somatostatin Receptor Proteins 0.000 description 2
- 102000011096 Somatostatin receptor Human genes 0.000 description 2
- 239000012317 TBTU Substances 0.000 description 2
- 108091008605 VEGF receptors Proteins 0.000 description 2
- 108010048673 Vitronectin Receptors Proteins 0.000 description 2
- CLZISMQKJZCZDN-UHFFFAOYSA-N [benzotriazol-1-yloxy(dimethylamino)methylidene]-dimethylazanium Chemical compound C1=CC=C2N(OC(N(C)C)=[N+](C)C)N=NC2=C1 CLZISMQKJZCZDN-UHFFFAOYSA-N 0.000 description 2
- 125000005073 adamantyl group Chemical group C12(CC3CC(CC(C1)C3)C2)* 0.000 description 2
- 238000013019 agitation Methods 0.000 description 2
- 239000003513 alkali Substances 0.000 description 2
- 125000003342 alkenyl group Chemical group 0.000 description 2
- 125000002877 alkyl aryl group Chemical group 0.000 description 2
- 125000005907 alkyl ester group Chemical group 0.000 description 2
- 230000009435 amidation Effects 0.000 description 2
- 238000007112 amidation reaction Methods 0.000 description 2
- 238000010171 animal model Methods 0.000 description 2
- 125000000129 anionic group Chemical group 0.000 description 2
- 239000005557 antagonist Substances 0.000 description 2
- 230000000259 anti-tumor effect Effects 0.000 description 2
- RBFQJDQYXXHULB-UHFFFAOYSA-N arsane Chemical compound [AsH3] RBFQJDQYXXHULB-UHFFFAOYSA-N 0.000 description 2
- 125000003710 aryl alkyl group Chemical group 0.000 description 2
- 235000010323 ascorbic acid Nutrition 0.000 description 2
- 239000011668 ascorbic acid Substances 0.000 description 2
- 229960005070 ascorbic acid Drugs 0.000 description 2
- 229960001230 asparagine Drugs 0.000 description 2
- 235000009582 asparagine Nutrition 0.000 description 2
- 150000001510 aspartic acids Chemical class 0.000 description 2
- FZCSTZYAHCUGEM-UHFFFAOYSA-N aspergillomarasmine B Natural products OC(=O)CNC(C(O)=O)CNC(C(O)=O)CC(O)=O FZCSTZYAHCUGEM-UHFFFAOYSA-N 0.000 description 2
- 238000003556 assay Methods 0.000 description 2
- 150000001540 azides Chemical class 0.000 description 2
- 239000003637 basic solution Substances 0.000 description 2
- 125000003785 benzimidazolyl group Chemical group N1=C(NC2=C1C=CC=C2)* 0.000 description 2
- 125000004603 benzisoxazolyl group Chemical group O1N=C(C2=C1C=CC=C2)* 0.000 description 2
- OQFSQFPPLPISGP-UHFFFAOYSA-N beta-carboxyaspartic acid Natural products OC(=O)C(N)C(C(O)=O)C(O)=O OQFSQFPPLPISGP-UHFFFAOYSA-N 0.000 description 2
- 125000002618 bicyclic heterocycle group Chemical group 0.000 description 2
- 239000011230 binding agent Substances 0.000 description 2
- 229910052797 bismuth Inorganic materials 0.000 description 2
- JCXGWMGPZLAOME-UHFFFAOYSA-N bismuth atom Chemical compound [Bi] JCXGWMGPZLAOME-UHFFFAOYSA-N 0.000 description 2
- FATUQANACHZLRT-KMRXSBRUSA-L calcium glucoheptonate Chemical compound [Ca+2].OC[C@@H](O)[C@@H](O)[C@H](O)[C@@H](O)C(O)C([O-])=O.OC[C@@H](O)[C@@H](O)[C@H](O)[C@@H](O)C(O)C([O-])=O FATUQANACHZLRT-KMRXSBRUSA-L 0.000 description 2
- 150000001735 carboxylic acids Chemical class 0.000 description 2
- 230000000747 cardiac effect Effects 0.000 description 2
- HVYWMOMLDIMFJA-DPAQBDIFSA-N cholesterol Chemical compound C1C=C2C[C@@H](O)CC[C@]2(C)[C@@H]2[C@@H]1[C@@H]1CC[C@H]([C@H](C)CCCC(C)C)[C@@]1(C)CC2 HVYWMOMLDIMFJA-DPAQBDIFSA-N 0.000 description 2
- 238000004587 chromatography analysis Methods 0.000 description 2
- 238000003776 cleavage reaction Methods 0.000 description 2
- 125000001995 cyclobutyl group Chemical group [H]C1([H])C([H])([H])C([H])(*)C1([H])[H] 0.000 description 2
- 229940097362 cyclodextrins Drugs 0.000 description 2
- NLUNLVTVUDIHFE-UHFFFAOYSA-N cyclooctylcyclooctane Chemical compound C1CCCCCCC1C1CCCCCCC1 NLUNLVTVUDIHFE-UHFFFAOYSA-N 0.000 description 2
- 125000001559 cyclopropyl group Chemical group [H]C1([H])C([H])([H])C1([H])* 0.000 description 2
- 229910001882 dioxygen Inorganic materials 0.000 description 2
- 230000008030 elimination Effects 0.000 description 2
- 238000003379 elimination reaction Methods 0.000 description 2
- 230000013020 embryo development Effects 0.000 description 2
- 125000002541 furyl group Chemical group 0.000 description 2
- 229910052733 gallium Inorganic materials 0.000 description 2
- GDSRMADSINPKSL-HSEONFRVSA-N gamma-cyclodextrin Chemical compound OC[C@H]([C@H]([C@@H]([C@H]1O)O)O[C@H]2O[C@@H]([C@@H](O[C@H]3O[C@H](CO)[C@H]([C@@H]([C@H]3O)O)O[C@H]3O[C@H](CO)[C@H]([C@@H]([C@H]3O)O)O[C@H]3O[C@H](CO)[C@H]([C@@H]([C@H]3O)O)O[C@H]3O[C@H](CO)[C@H]([C@@H]([C@H]3O)O)O[C@H]3O[C@H](CO)[C@H]([C@@H]([C@H]3O)O)O3)[C@H](O)[C@H]2O)CO)O[C@@H]1O[C@H]1[C@H](O)[C@@H](O)[C@@H]3O[C@@H]1CO GDSRMADSINPKSL-HSEONFRVSA-N 0.000 description 2
- 229940050410 gluconate Drugs 0.000 description 2
- 239000004220 glutamic acid Substances 0.000 description 2
- 150000002307 glutamic acids Chemical class 0.000 description 2
- ZDXPYRJPNDTMRX-UHFFFAOYSA-N glutamine Natural products OC(=O)C(N)CCC(N)=O ZDXPYRJPNDTMRX-UHFFFAOYSA-N 0.000 description 2
- 235000004554 glutamine Nutrition 0.000 description 2
- PCHJSUWPFVWCPO-UHFFFAOYSA-N gold Chemical compound [Au] PCHJSUWPFVWCPO-UHFFFAOYSA-N 0.000 description 2
- 229910052737 gold Inorganic materials 0.000 description 2
- 229940093915 gynecological organic acid Drugs 0.000 description 2
- 125000001188 haloalkyl group Chemical group 0.000 description 2
- HNDVDQJCIGZPNO-UHFFFAOYSA-N histidine Natural products OC(=O)C(N)CC1=CN=CN1 HNDVDQJCIGZPNO-UHFFFAOYSA-N 0.000 description 2
- 229960002885 histidine Drugs 0.000 description 2
- 125000005597 hydrazone group Chemical group 0.000 description 2
- 150000007857 hydrazones Chemical class 0.000 description 2
- 150000002430 hydrocarbons Chemical group 0.000 description 2
- 125000004435 hydrogen atom Chemical group [H]* 0.000 description 2
- 125000002883 imidazolyl group Chemical group 0.000 description 2
- 150000002466 imines Chemical class 0.000 description 2
- 230000001900 immune effect Effects 0.000 description 2
- 238000000338 in vitro Methods 0.000 description 2
- 238000011065 in-situ storage Methods 0.000 description 2
- 125000001041 indolyl group Chemical group 0.000 description 2
- 239000003112 inhibitor Substances 0.000 description 2
- 150000002527 isonitriles Chemical class 0.000 description 2
- 150000002576 ketones Chemical class 0.000 description 2
- 229910052747 lanthanoid Inorganic materials 0.000 description 2
- 150000002602 lanthanoids Chemical class 0.000 description 2
- 239000007791 liquid phase Substances 0.000 description 2
- RLSSMJSEOOYNOY-UHFFFAOYSA-N m-cresol Chemical compound CC1=CC=CC(O)=C1 RLSSMJSEOOYNOY-UHFFFAOYSA-N 0.000 description 2
- 238000004519 manufacturing process Methods 0.000 description 2
- 230000007246 mechanism Effects 0.000 description 2
- 239000000693 micelle Substances 0.000 description 2
- 230000005012 migration Effects 0.000 description 2
- 238000013508 migration Methods 0.000 description 2
- 238000010172 mouse model Methods 0.000 description 2
- 230000002107 myocardial effect Effects 0.000 description 2
- 230000007935 neutral effect Effects 0.000 description 2
- 150000007524 organic acids Chemical class 0.000 description 2
- 235000005985 organic acids Nutrition 0.000 description 2
- 230000016087 ovulation Effects 0.000 description 2
- IWDCLRJOBJJRNH-UHFFFAOYSA-N p-cresol Chemical compound CC1=CC=C(O)C=C1 IWDCLRJOBJJRNH-UHFFFAOYSA-N 0.000 description 2
- 229910052763 palladium Inorganic materials 0.000 description 2
- 230000001575 pathological effect Effects 0.000 description 2
- 239000012071 phase Substances 0.000 description 2
- 108010012581 phenylalanylglutamate Proteins 0.000 description 2
- OXNIZHLAWKMVMX-UHFFFAOYSA-N picric acid Chemical compound OC1=C([N+]([O-])=O)C=C([N+]([O-])=O)C=C1[N+]([O-])=O OXNIZHLAWKMVMX-UHFFFAOYSA-N 0.000 description 2
- 229910052697 platinum Inorganic materials 0.000 description 2
- 229920001983 poloxamer Polymers 0.000 description 2
- 229920000642 polymer Polymers 0.000 description 2
- 229920006316 polyvinylpyrrolidine Polymers 0.000 description 2
- 229960002429 proline Drugs 0.000 description 2
- 125000003226 pyrazolyl group Chemical group 0.000 description 2
- 125000000714 pyrimidinyl group Chemical group 0.000 description 2
- 125000000719 pyrrolidinyl group Chemical group 0.000 description 2
- 125000000168 pyrrolyl group Chemical group 0.000 description 2
- 108091008598 receptor tyrosine kinases Proteins 0.000 description 2
- 102000027426 receptor tyrosine kinases Human genes 0.000 description 2
- 238000004007 reversed phase HPLC Methods 0.000 description 2
- MHOVAHRLVXNVSD-UHFFFAOYSA-N rhodium atom Chemical compound [Rh] MHOVAHRLVXNVSD-UHFFFAOYSA-N 0.000 description 2
- FSYKKLYZXJSNPZ-UHFFFAOYSA-N sarcosine Chemical compound C[NH2+]CC([O-])=O FSYKKLYZXJSNPZ-UHFFFAOYSA-N 0.000 description 2
- 230000007017 scission Effects 0.000 description 2
- 239000004332 silver Substances 0.000 description 2
- 239000010944 silver (metal) Substances 0.000 description 2
- 239000002356 single layer Substances 0.000 description 2
- 239000011780 sodium chloride Substances 0.000 description 2
- 239000002904 solvent Substances 0.000 description 2
- 238000003860 storage Methods 0.000 description 2
- 229940124530 sulfonamide Drugs 0.000 description 2
- 150000003456 sulfonamides Chemical class 0.000 description 2
- 230000002194 synthesizing effect Effects 0.000 description 2
- 125000004213 tert-butoxy group Chemical group [H]C([H])([H])C(O*)(C([H])([H])[H])C([H])([H])[H] 0.000 description 2
- 238000002560 therapeutic procedure Methods 0.000 description 2
- FWPIDFUJEMBDLS-UHFFFAOYSA-L tin(II) chloride dihydrate Chemical compound O.O.Cl[Sn]Cl FWPIDFUJEMBDLS-UHFFFAOYSA-L 0.000 description 2
- 125000002088 tosyl group Chemical group [H]C1=C([H])C(=C([H])C([H])=C1C([H])([H])[H])S(*)(=O)=O 0.000 description 2
- 125000004044 trifluoroacetyl group Chemical group FC(C(=O)*)(F)F 0.000 description 2
- 230000004614 tumor growth Effects 0.000 description 2
- 238000002604 ultrasonography Methods 0.000 description 2
- 238000012285 ultrasound imaging Methods 0.000 description 2
- 210000003556 vascular endothelial cell Anatomy 0.000 description 2
- VWQVUPCCIRVNHF-UHFFFAOYSA-N yttrium atom Chemical compound [Y] VWQVUPCCIRVNHF-UHFFFAOYSA-N 0.000 description 2
- TXUICONDJPYNPY-UHFFFAOYSA-N (1,10,13-trimethyl-3-oxo-4,5,6,7,8,9,11,12,14,15,16,17-dodecahydrocyclopenta[a]phenanthren-17-yl) heptanoate Chemical compound C1CC2CC(=O)C=C(C)C2(C)C2C1C1CCC(OC(=O)CCCCCC)C1(C)CC2 TXUICONDJPYNPY-UHFFFAOYSA-N 0.000 description 1
- PCWPQSDFNIFUPO-VDQKLNDWSA-N (1S,3R,5R,6S,8R,10R,11S,13R,15R,16S,18R,20R,21S,23R,25R,26S,28R,30R,31S,33R,35R,36R,37S,38R,39S,40R,41S,42R,43S,44R,45S,46R,47S,48R,49S)-37,39,41,43,45,47,49-heptakis(2-hydroxyethoxy)-5,10,15,20,25,30,35-heptakis(hydroxymethyl)-2,4,7,9,12,14,17,19,22,24,27,29,32,34-tetradecaoxaoctacyclo[31.2.2.23,6.28,11.213,16.218,21.223,26.228,31]nonatetracontane-36,38,40,42,44,46,48-heptol Chemical compound OCCO[C@H]1[C@H](O)[C@@H]2O[C@H]3O[C@H](CO)[C@@H](O[C@H]4O[C@H](CO)[C@@H](O[C@H]5O[C@H](CO)[C@@H](O[C@H]6O[C@H](CO)[C@@H](O[C@H]7O[C@H](CO)[C@@H](O[C@H]8O[C@H](CO)[C@@H](O[C@H]1O[C@@H]2CO)[C@@H](O)[C@@H]8OCCO)[C@@H](O)[C@@H]7OCCO)[C@@H](O)[C@@H]6OCCO)[C@@H](O)[C@@H]5OCCO)[C@@H](O)[C@@H]4OCCO)[C@@H](O)[C@@H]3OCCO PCWPQSDFNIFUPO-VDQKLNDWSA-N 0.000 description 1
- NHUCANAMPJGMQL-ZDUSSCGKSA-N (2,5-dioxopyrrolidin-1-yl) (2s)-2-[(2-methylpropan-2-yl)oxycarbonylamino]-3-phenylpropanoate Chemical compound C([C@H](NC(=O)OC(C)(C)C)C(=O)ON1C(CCC1=O)=O)C1=CC=CC=C1 NHUCANAMPJGMQL-ZDUSSCGKSA-N 0.000 description 1
- WPWJFABXGZAMQI-SFHVURJKSA-N (2s)-2-(hexadecanoylamino)-4-sulfanylbutanoic acid Chemical compound CCCCCCCCCCCCCCCC(=O)N[C@H](C(O)=O)CCS WPWJFABXGZAMQI-SFHVURJKSA-N 0.000 description 1
- FPDYKABXINADKS-LURJTMIESA-N (2s)-2-(methylazaniumyl)hexanoate Chemical compound CCCC[C@H](NC)C(O)=O FPDYKABXINADKS-LURJTMIESA-N 0.000 description 1
- AQTUACKQXJNHFQ-LURJTMIESA-N (2s)-2-[(2-methylpropan-2-yl)oxycarbonylamino]pentanedioic acid Chemical compound CC(C)(C)OC(=O)N[C@H](C(O)=O)CCC(O)=O AQTUACKQXJNHFQ-LURJTMIESA-N 0.000 description 1
- CCQGGCWKGAMHGT-KKMMWDRVSA-N (2s)-2-[(4-aminocyclohexyl)amino]propanoic acid Chemical compound OC(=O)[C@H](C)NC1CCC(N)CC1 CCQGGCWKGAMHGT-KKMMWDRVSA-N 0.000 description 1
- OIXLLKLZKCBCPS-RZVRUWJTSA-N (2s)-2-azanyl-5-[bis(azanyl)methylideneamino]pentanoic acid Chemical compound OC(=O)[C@@H](N)CCCNC(N)=N.OC(=O)[C@@H](N)CCCNC(N)=N OIXLLKLZKCBCPS-RZVRUWJTSA-N 0.000 description 1
- VDEMEKSASUGYHM-AXDSSHIGSA-N (2s)-3-phenylpyrrolidine-2-carboxylic acid Chemical compound OC(=O)[C@H]1NCCC1C1=CC=CC=C1 VDEMEKSASUGYHM-AXDSSHIGSA-N 0.000 description 1
- MZOFCQQQCNRIBI-VMXHOPILSA-N (3s)-4-[[(2s)-1-[[(2s)-1-[[(1s)-1-carboxy-2-hydroxyethyl]amino]-4-methyl-1-oxopentan-2-yl]amino]-5-(diaminomethylideneamino)-1-oxopentan-2-yl]amino]-3-[[2-[[(2s)-2,6-diaminohexanoyl]amino]acetyl]amino]-4-oxobutanoic acid Chemical compound OC[C@@H](C(O)=O)NC(=O)[C@H](CC(C)C)NC(=O)[C@H](CCCN=C(N)N)NC(=O)[C@H](CC(O)=O)NC(=O)CNC(=O)[C@@H](N)CCCCN MZOFCQQQCNRIBI-VMXHOPILSA-N 0.000 description 1
- PDVFSPNIEOYOQL-UHFFFAOYSA-N (4-methylphenyl)sulfonyl 4-methylbenzenesulfonate Chemical compound C1=CC(C)=CC=C1S(=O)(=O)OS(=O)(=O)C1=CC=C(C)C=C1 PDVFSPNIEOYOQL-UHFFFAOYSA-N 0.000 description 1
- 125000000027 (C1-C10) alkoxy group Chemical group 0.000 description 1
- 125000006272 (C3-C7) cycloalkyl group Chemical group 0.000 description 1
- UKAUYVFTDYCKQA-UHFFFAOYSA-N -2-Amino-4-hydroxybutanoic acid Natural products OC(=O)C(N)CCO UKAUYVFTDYCKQA-UHFFFAOYSA-N 0.000 description 1
- 125000004502 1,2,3-oxadiazolyl group Chemical group 0.000 description 1
- 125000004511 1,2,3-thiadiazolyl group Chemical group 0.000 description 1
- 125000001399 1,2,3-triazolyl group Chemical group N1N=NC(=C1)* 0.000 description 1
- 125000004504 1,2,4-oxadiazolyl group Chemical group 0.000 description 1
- 125000004514 1,2,4-thiadiazolyl group Chemical group 0.000 description 1
- 125000001376 1,2,4-triazolyl group Chemical group N1N=C(N=C1)* 0.000 description 1
- 125000004506 1,2,5-oxadiazolyl group Chemical group 0.000 description 1
- 125000004517 1,2,5-thiadiazolyl group Chemical group 0.000 description 1
- CITHEXJVPOWHKC-UUWRZZSWSA-N 1,2-di-O-myristoyl-sn-glycero-3-phosphocholine Chemical compound CCCCCCCCCCCCCC(=O)OC[C@H](COP([O-])(=O)OCC[N+](C)(C)C)OC(=O)CCCCCCCCCCCCC CITHEXJVPOWHKC-UUWRZZSWSA-N 0.000 description 1
- SNKAWJBJQDLSFF-NVKMUCNASA-N 1,2-dioleoyl-sn-glycero-3-phosphocholine Chemical compound CCCCCCCC\C=C/CCCCCCCC(=O)OC[C@H](COP([O-])(=O)OCC[N+](C)(C)C)OC(=O)CCCCCCC\C=C/CCCCCCCC SNKAWJBJQDLSFF-NVKMUCNASA-N 0.000 description 1
- AFSHUZFNMVJNKX-LLWMBOQKSA-N 1,2-dioleoyl-sn-glycerol Chemical compound CCCCCCCC\C=C/CCCCCCCC(=O)OC[C@H](CO)OC(=O)CCCCCCC\C=C/CCCCCCCC AFSHUZFNMVJNKX-LLWMBOQKSA-N 0.000 description 1
- NRJAVPSFFCBXDT-HUESYALOSA-N 1,2-distearoyl-sn-glycero-3-phosphocholine Chemical compound CCCCCCCCCCCCCCCCCC(=O)OC[C@H](COP([O-])(=O)OCC[N+](C)(C)C)OC(=O)CCCCCCCCCCCCCCCCC NRJAVPSFFCBXDT-HUESYALOSA-N 0.000 description 1
- 125000001781 1,3,4-oxadiazolyl group Chemical group 0.000 description 1
- 125000004520 1,3,4-thiadiazolyl group Chemical group 0.000 description 1
- BDNKZNFMNDZQMI-UHFFFAOYSA-N 1,3-diisopropylcarbodiimide Chemical compound CC(C)N=C=NC(C)C BDNKZNFMNDZQMI-UHFFFAOYSA-N 0.000 description 1
- RYHBNJHYFVUHQT-UHFFFAOYSA-N 1,4-Dioxane Chemical compound C1COCCO1 RYHBNJHYFVUHQT-UHFFFAOYSA-N 0.000 description 1
- MKZAOYBSWAVHBO-UHFFFAOYSA-N 1-(4-methylphenyl)sulfonyl-2-methylsulfanyl-4,5-dihydroimidazole Chemical compound CSC1=NCCN1S(=O)(=O)C1=CC=C(C)C=C1 MKZAOYBSWAVHBO-UHFFFAOYSA-N 0.000 description 1
- RUAUPNFNQOGIFF-UHFFFAOYSA-N 1-(4-tert-butyl-2,5-dimethoxyphenyl)propan-2-amine Chemical compound COC1=CC(C(C)(C)C)=C(OC)C=C1CC(C)N RUAUPNFNQOGIFF-UHFFFAOYSA-N 0.000 description 1
- ASOKPJOREAFHNY-UHFFFAOYSA-N 1-Hydroxybenzotriazole Chemical compound C1=CC=C2N(O)N=NC2=C1 ASOKPJOREAFHNY-UHFFFAOYSA-N 0.000 description 1
- NILQLFBWTXNUOE-UHFFFAOYSA-N 1-aminocyclopentanecarboxylic acid Chemical compound OC(=O)C1(N)CCCC1 NILQLFBWTXNUOE-UHFFFAOYSA-N 0.000 description 1
- QAQSNXHKHKONNS-UHFFFAOYSA-N 1-ethyl-2-hydroxy-4-methyl-6-oxopyridine-3-carboxamide Chemical compound CCN1C(O)=C(C(N)=O)C(C)=CC1=O QAQSNXHKHKONNS-UHFFFAOYSA-N 0.000 description 1
- IIZPXYDJLKNOIY-JXPKJXOSSA-N 1-palmitoyl-2-arachidonoyl-sn-glycero-3-phosphocholine Chemical compound CCCCCCCCCCCCCCCC(=O)OC[C@H](COP([O-])(=O)OCC[N+](C)(C)C)OC(=O)CCC\C=C/C\C=C/C\C=C/C\C=C/CCCCC IIZPXYDJLKNOIY-JXPKJXOSSA-N 0.000 description 1
- PTBDIHRZYDMNKB-UHFFFAOYSA-N 2,2-Bis(hydroxymethyl)propionic acid Chemical compound OCC(C)(CO)C(O)=O PTBDIHRZYDMNKB-UHFFFAOYSA-N 0.000 description 1
- LDGWQMRUWMSZIU-LQDDAWAPSA-M 2,3-bis[(z)-octadec-9-enoxy]propyl-trimethylazanium;chloride Chemical compound [Cl-].CCCCCCCC\C=C/CCCCCCCCOCC(C[N+](C)(C)C)OCCCCCCCC\C=C/CCCCCCCC LDGWQMRUWMSZIU-LQDDAWAPSA-M 0.000 description 1
- OGNSCSPNOLGXSM-UHFFFAOYSA-N 2,4-diaminobutyric acid Chemical compound NCCC(N)C(O)=O OGNSCSPNOLGXSM-UHFFFAOYSA-N 0.000 description 1
- OMGHIGVFLOPEHJ-UHFFFAOYSA-N 2,5-dihydro-1h-pyrrol-1-ium-2-carboxylate Chemical compound OC(=O)C1NCC=C1 OMGHIGVFLOPEHJ-UHFFFAOYSA-N 0.000 description 1
- QGKBSGBYSPTPKJ-UZMKXNTCSA-N 2,6-di-o-methyl-β-cyclodextrin Chemical compound COC[C@H]([C@H]([C@@H]([C@H]1OC)O)O[C@H]2O[C@@H]([C@@H](O[C@H]3O[C@H](COC)[C@H]([C@@H]([C@H]3OC)O)O[C@H]3O[C@H](COC)[C@H]([C@@H]([C@H]3OC)O)O[C@H]3O[C@H](COC)[C@H]([C@@H]([C@H]3OC)O)O[C@H]3O[C@H](COC)[C@H]([C@@H]([C@H]3OC)O)O3)[C@H](O)[C@H]2OC)COC)O[C@@H]1O[C@H]1[C@H](O)[C@@H](OC)[C@@H]3O[C@@H]1COC QGKBSGBYSPTPKJ-UZMKXNTCSA-N 0.000 description 1
- JNYAEWCLZODPBN-UHFFFAOYSA-N 2-(1,2-dihydroxyethyl)oxolane-3,4-diol Polymers OCC(O)C1OCC(O)C1O JNYAEWCLZODPBN-UHFFFAOYSA-N 0.000 description 1
- APIMXAGCLCGUGB-UHFFFAOYSA-N 2-(2-azaniumyl-1,3-thiazol-5-yl)acetate Chemical compound NC1=NC=C(CC(O)=O)S1 APIMXAGCLCGUGB-UHFFFAOYSA-N 0.000 description 1
- VYCNOBNEBXGHKT-UHFFFAOYSA-N 2-(2-methylhydrazinyl)acetic acid Chemical compound CNNCC(O)=O VYCNOBNEBXGHKT-UHFFFAOYSA-N 0.000 description 1
- CLTMYNWFSDZKKI-UHFFFAOYSA-N 2-(aminomethyl)benzoic acid Chemical compound NCC1=CC=CC=C1C(O)=O CLTMYNWFSDZKKI-UHFFFAOYSA-N 0.000 description 1
- FALRKNHUBBKYCC-UHFFFAOYSA-N 2-(chloromethyl)pyridine-3-carbonitrile Chemical compound ClCC1=NC=CC=C1C#N FALRKNHUBBKYCC-UHFFFAOYSA-N 0.000 description 1
- ZSXHABVLNSQDFP-UHFFFAOYSA-N 2-(dihydroxyamino)-2-phenylacetic acid;ethane-1,2-diamine Chemical compound NCCN.ON(O)C(C(O)=O)C1=CC=CC=C1 ZSXHABVLNSQDFP-UHFFFAOYSA-N 0.000 description 1
- CQJAWZCYNRBZDL-UHFFFAOYSA-N 2-(methylazaniumyl)butanoate Chemical compound CCC(NC)C(O)=O CQJAWZCYNRBZDL-UHFFFAOYSA-N 0.000 description 1
- LAROZEWEPNAWMD-HAGHYFMRSA-N 2-[(2s,5r,8s,11s)-8-(4-aminobutyl)-11-[3-(diaminomethylideneamino)propyl]-5-[(4-hydroxyphenyl)methyl]-3,6,9,12,15-pentaoxo-1,4,7,10,13-pentazacyclopentadec-2-yl]acetic acid Chemical compound N1C(=O)[C@H](CC(O)=O)NC(=O)CNC(=O)[C@H](CCCNC(N)=N)NC(=O)[C@H](CCCCN)NC(=O)[C@H]1CC1=CC=C(O)C=C1 LAROZEWEPNAWMD-HAGHYFMRSA-N 0.000 description 1
- URDCARMUOSMFFI-UHFFFAOYSA-N 2-[2-[bis(carboxymethyl)amino]ethyl-(2-hydroxyethyl)amino]acetic acid Chemical compound OCCN(CC(O)=O)CCN(CC(O)=O)CC(O)=O URDCARMUOSMFFI-UHFFFAOYSA-N 0.000 description 1
- CUJVBAPGYBSBHJ-YWBSARSQSA-N 2-[[(1R,3R,5R,6S,8R,10R,11S,13R,15R,16S,18R,20R,21R,23R,25R,26R,28R,30R,31R,33R,35R,36R,37R,38R,39R,40R,41R,42R,43R,44R,45R,46R,47R,48R,49R)-36,38,40,42-tetrakis(carboxymethoxy)-10,15-bis(carboxymethoxymethyl)-37,39,41,43,44,45,46,47,48,49-decahydroxy-20,25,30,35-tetrakis(hydroxymethyl)-2,4,7,9,12,14,17,19,22,24,27,29,32,34-tetradecaoxaoctacyclo[31.2.2.23,6.28,11.213,16.218,21.223,26.228,31]nonatetracontan-5-yl]methoxy]acetic acid Chemical compound OC[C@H]1O[C@@H]2O[C@H]3[C@H](O)[C@@H](O)[C@H](O[C@@H]3COCC(O)=O)O[C@H]3[C@H](O)[C@@H](O)[C@H](O[C@@H]3COCC(O)=O)O[C@H]3[C@H](O)[C@@H](O)[C@H](O[C@@H]3COCC(O)=O)O[C@@H]3[C@@H](CO)O[C@H](O[C@@H]4[C@@H](CO)O[C@H](O[C@@H]5[C@@H](CO)O[C@H](O[C@H]1[C@H](OCC(O)=O)[C@H]2O)[C@H](O)[C@H]5OCC(O)=O)[C@H](O)[C@H]4OCC(O)=O)[C@H](O)[C@H]3OCC(O)=O CUJVBAPGYBSBHJ-YWBSARSQSA-N 0.000 description 1
- GBUGXAULUBTJFM-UHFFFAOYSA-N 2-[bis(methylamino)amino]acetic acid Chemical compound CNN(NC)CC(O)=O GBUGXAULUBTJFM-UHFFFAOYSA-N 0.000 description 1
- 125000005273 2-acetoxybenzoic acid group Chemical group 0.000 description 1
- YVOOPGWEIRIUOX-UHFFFAOYSA-N 2-azanyl-3-sulfanyl-propanoic acid Chemical compound SCC(N)C(O)=O.SCC(N)C(O)=O YVOOPGWEIRIUOX-UHFFFAOYSA-N 0.000 description 1
- XLMXUUQMSMKFMH-UZRURVBFSA-N 2-hydroxyethyl (z,12r)-12-hydroxyoctadec-9-enoate Chemical compound CCCCCC[C@@H](O)C\C=C/CCCCCCCC(=O)OCCO XLMXUUQMSMKFMH-UZRURVBFSA-N 0.000 description 1
- BWLBGMIXKSTLSX-UHFFFAOYSA-M 2-hydroxyisobutyrate Chemical compound CC(C)(O)C([O-])=O BWLBGMIXKSTLSX-UHFFFAOYSA-M 0.000 description 1
- PZZRSEUDGCFXIH-UHFFFAOYSA-N 2-methylsulfanyl-4,5-dihydro-1h-imidazol-1-ium;iodide Chemical compound I.CSC1=NCCN1 PZZRSEUDGCFXIH-UHFFFAOYSA-N 0.000 description 1
- GSWYUZQBLVUEPH-UHFFFAOYSA-N 3-(azaniumylmethyl)benzoate Chemical compound NCC1=CC=CC(C(O)=O)=C1 GSWYUZQBLVUEPH-UHFFFAOYSA-N 0.000 description 1
- KLDLRDSRCMJKGM-UHFFFAOYSA-N 3-[chloro-(2-oxo-1,3-oxazolidin-3-yl)phosphoryl]-1,3-oxazolidin-2-one Chemical compound C1COC(=O)N1P(=O)(Cl)N1CCOC1=O KLDLRDSRCMJKGM-UHFFFAOYSA-N 0.000 description 1
- LOTVQXNRIAEYCG-UHFFFAOYSA-N 3-hydroxy-2-(hydroxymethyl)-2-[hydroxymethyl(methyl)amino]propanoic acid Chemical compound OCN(C)C(CO)(CO)C(O)=O LOTVQXNRIAEYCG-UHFFFAOYSA-N 0.000 description 1
- UQTZMGFTRHFAAM-ZETCQYMHSA-N 3-iodo-L-tyrosine Chemical compound OC(=O)[C@@H](N)CC1=CC=C(O)C(I)=C1 UQTZMGFTRHFAAM-ZETCQYMHSA-N 0.000 description 1
- ADVPTQAUNPRNPO-REOHCLBHSA-N 3-sulfino-L-alanine Chemical compound OC(=O)[C@@H](N)C[S@@](O)=O ADVPTQAUNPRNPO-REOHCLBHSA-N 0.000 description 1
- NKOTXYPTXKUCDL-UHFFFAOYSA-N 4-(trifluoromethyl)pyrimidin-2-amine Chemical compound NC1=NC=CC(C(F)(F)F)=N1 NKOTXYPTXKUCDL-UHFFFAOYSA-N 0.000 description 1
- QGHDLJAZIIFENW-UHFFFAOYSA-N 4-[1,1,1,3,3,3-hexafluoro-2-(4-hydroxy-3-prop-2-enylphenyl)propan-2-yl]-2-prop-2-enylphenol Chemical group C1=C(CC=C)C(O)=CC=C1C(C(F)(F)F)(C(F)(F)F)C1=CC=C(O)C(CC=C)=C1 QGHDLJAZIIFENW-UHFFFAOYSA-N 0.000 description 1
- XIIQDZOQBSLDBF-UHFFFAOYSA-N 4-[1,3-di(hexadecanoyloxy)propan-2-yloxy]-4-oxobutanoic acid Chemical compound CCCCCCCCCCCCCCCC(=O)OCC(OC(=O)CCC(O)=O)COC(=O)CCCCCCCCCCCCCCC XIIQDZOQBSLDBF-UHFFFAOYSA-N 0.000 description 1
- KHABBYNLBYZCKP-UHFFFAOYSA-N 4-aminopiperidin-1-ium-4-carboxylate Chemical compound OC(=O)C1(N)CCNCC1 KHABBYNLBYZCKP-UHFFFAOYSA-N 0.000 description 1
- GAMYYCRTACQSBR-UHFFFAOYSA-N 4-azabenzimidazole Chemical compound C1=CC=C2NC=NC2=N1 GAMYYCRTACQSBR-UHFFFAOYSA-N 0.000 description 1
- 125000005986 4-piperidonyl group Chemical group 0.000 description 1
- 125000002471 4H-quinolizinyl group Chemical group C=1(C=CCN2C=CC=CC12)* 0.000 description 1
- HFKRAQJDTVSWNX-UHFFFAOYSA-N 5-amino-2-benzylpentanoic acid Chemical compound NCCCC(C(O)=O)CC1=CC=CC=C1 HFKRAQJDTVSWNX-UHFFFAOYSA-N 0.000 description 1
- XVMSFILGAMDHEY-UHFFFAOYSA-N 6-(4-aminophenyl)sulfonylpyridin-3-amine Chemical compound C1=CC(N)=CC=C1S(=O)(=O)C1=CC=C(N)C=N1 XVMSFILGAMDHEY-UHFFFAOYSA-N 0.000 description 1
- SLXKOJJOQWFEFD-UHFFFAOYSA-N 6-aminohexanoic acid Chemical compound NCCCCCC(O)=O SLXKOJJOQWFEFD-UHFFFAOYSA-N 0.000 description 1
- ZCYVEMRRCGMTRW-UHFFFAOYSA-N 7553-56-2 Chemical compound [I] ZCYVEMRRCGMTRW-UHFFFAOYSA-N 0.000 description 1
- QTBSBXVTEAMEQO-UHFFFAOYSA-M Acetate Chemical compound CC([O-])=O QTBSBXVTEAMEQO-UHFFFAOYSA-M 0.000 description 1
- GUBGYTABKSRVRQ-XLOQQCSPSA-N Alpha-Lactose Chemical compound O[C@@H]1[C@@H](O)[C@@H](O)[C@@H](CO)O[C@H]1O[C@@H]1[C@@H](CO)O[C@H](O)[C@H](O)[C@H]1O GUBGYTABKSRVRQ-XLOQQCSPSA-N 0.000 description 1
- 102100022987 Angiogenin Human genes 0.000 description 1
- IYMAXBFPHPZYIK-BQBZGAKWSA-N Arg-Gly-Asp Chemical group NC(N)=NCCC[C@H](N)C(=O)NCC(=O)N[C@@H](CC(O)=O)C(O)=O IYMAXBFPHPZYIK-BQBZGAKWSA-N 0.000 description 1
- KDZOASGQNOPSCU-WDSKDSINSA-N Argininosuccinic acid Chemical compound OC(=O)[C@@H](N)CCC\N=C(/N)N[C@H](C(O)=O)CC(O)=O KDZOASGQNOPSCU-WDSKDSINSA-N 0.000 description 1
- 244000186140 Asperula odorata Species 0.000 description 1
- 241000894006 Bacteria Species 0.000 description 1
- COVZYZSDYWQREU-UHFFFAOYSA-N Busulfan Chemical compound CS(=O)(=O)OCCCCOS(C)(=O)=O COVZYZSDYWQREU-UHFFFAOYSA-N 0.000 description 1
- CURLTUGMZLYLDI-UHFFFAOYSA-N Carbon dioxide Chemical compound O=C=O CURLTUGMZLYLDI-UHFFFAOYSA-N 0.000 description 1
- 108010067225 Cell Adhesion Molecules Proteins 0.000 description 1
- 102000016289 Cell Adhesion Molecules Human genes 0.000 description 1
- CXRFDZFCGOPDTD-UHFFFAOYSA-M Cetrimide Chemical compound [Br-].CCCCCCCCCCCCCC[N+](C)(C)C CXRFDZFCGOPDTD-UHFFFAOYSA-M 0.000 description 1
- LZZYPRNAOMGNLH-UHFFFAOYSA-M Cetrimonium bromide Chemical compound [Br-].CCCCCCCCCCCCCCCC[N+](C)(C)C LZZYPRNAOMGNLH-UHFFFAOYSA-M 0.000 description 1
- VEXZGXHMUGYJMC-UHFFFAOYSA-M Chloride anion Chemical compound [Cl-] VEXZGXHMUGYJMC-UHFFFAOYSA-M 0.000 description 1
- BHYOQNUELFTYRT-UHFFFAOYSA-N Cholesterol sulfate Natural products C1C=C2CC(OS(O)(=O)=O)CCC2(C)C2C1C1CCC(C(C)CCCC(C)C)C1(C)CC2 BHYOQNUELFTYRT-UHFFFAOYSA-N 0.000 description 1
- KRKNYBCHXYNGOX-UHFFFAOYSA-K Citrate Chemical compound [O-]C(=O)CC(O)(CC([O-])=O)C([O-])=O KRKNYBCHXYNGOX-UHFFFAOYSA-K 0.000 description 1
- 108010001463 Collagen Type XVIII Proteins 0.000 description 1
- 102000047200 Collagen Type XVIII Human genes 0.000 description 1
- 206010069729 Collateral circulation Diseases 0.000 description 1
- FBPFZTCFMRRESA-FSIIMWSLSA-N D-Glucitol Natural products OC[C@H](O)[C@H](O)[C@@H](O)[C@H](O)CO FBPFZTCFMRRESA-FSIIMWSLSA-N 0.000 description 1
- FBPFZTCFMRRESA-JGWLITMVSA-N D-glucitol Chemical compound OC[C@H](O)[C@@H](O)[C@H](O)[C@H](O)CO FBPFZTCFMRRESA-JGWLITMVSA-N 0.000 description 1
- 229920002307 Dextran Polymers 0.000 description 1
- 206010012689 Diabetic retinopathy Diseases 0.000 description 1
- BWGNESOTFCXPMA-UHFFFAOYSA-N Dihydrogen disulfide Chemical compound SS BWGNESOTFCXPMA-UHFFFAOYSA-N 0.000 description 1
- 229910052692 Dysprosium Inorganic materials 0.000 description 1
- 102000004190 Enzymes Human genes 0.000 description 1
- 108090000790 Enzymes Proteins 0.000 description 1
- OTMSDBZUPAUEDD-UHFFFAOYSA-N Ethane Chemical compound CC OTMSDBZUPAUEDD-UHFFFAOYSA-N 0.000 description 1
- CWYNVVGOOAEACU-UHFFFAOYSA-N Fe2+ Chemical class [Fe+2] CWYNVVGOOAEACU-UHFFFAOYSA-N 0.000 description 1
- 108010049003 Fibrinogen Proteins 0.000 description 1
- 102000008946 Fibrinogen Human genes 0.000 description 1
- 102000044168 Fibroblast Growth Factor Receptor Human genes 0.000 description 1
- 108010067306 Fibronectins Proteins 0.000 description 1
- 102000016359 Fibronectins Human genes 0.000 description 1
- 229920001917 Ficoll Polymers 0.000 description 1
- 235000008526 Galium odoratum Nutrition 0.000 description 1
- 244000068988 Glycine max Species 0.000 description 1
- 235000010469 Glycine max Nutrition 0.000 description 1
- 229910004373 HOAc Inorganic materials 0.000 description 1
- SQUHHTBVTRBESD-UHFFFAOYSA-N Hexa-Ac-myo-Inositol Natural products CC(=O)OC1C(OC(C)=O)C(OC(C)=O)C(OC(C)=O)C(OC(C)=O)C1OC(C)=O SQUHHTBVTRBESD-UHFFFAOYSA-N 0.000 description 1
- 108010027412 Histocompatibility Antigens Class II Proteins 0.000 description 1
- 102000018713 Histocompatibility Antigens Class II Human genes 0.000 description 1
- 241000282412 Homo Species 0.000 description 1
- 101000808011 Homo sapiens Vascular endothelial growth factor A Proteins 0.000 description 1
- LCWXJXMHJVIJFK-UHFFFAOYSA-N Hydroxylysine Natural products NCC(O)CC(N)CC(O)=O LCWXJXMHJVIJFK-UHFFFAOYSA-N 0.000 description 1
- PMMYEEVYMWASQN-DMTCNVIQSA-N Hydroxyproline Chemical compound O[C@H]1CN[C@H](C(O)=O)C1 PMMYEEVYMWASQN-DMTCNVIQSA-N 0.000 description 1
- DGAQECJNVWCQMB-PUAWFVPOSA-M Ilexoside XXIX Chemical compound C[C@@H]1CC[C@@]2(CC[C@@]3(C(=CC[C@H]4[C@]3(CC[C@@H]5[C@@]4(CC[C@@H](C5(C)C)OS(=O)(=O)[O-])C)C)[C@@H]2[C@]1(C)O)C)C(=O)O[C@H]6[C@@H]([C@H]([C@@H]([C@H](O6)CO)O)O)O.[Na+] DGAQECJNVWCQMB-PUAWFVPOSA-M 0.000 description 1
- 102000008394 Immunoglobulin Fragments Human genes 0.000 description 1
- 108010021625 Immunoglobulin Fragments Proteins 0.000 description 1
- 102000006992 Interferon-alpha Human genes 0.000 description 1
- 108010047761 Interferon-alpha Proteins 0.000 description 1
- 102000003996 Interferon-beta Human genes 0.000 description 1
- 108090000467 Interferon-beta Proteins 0.000 description 1
- 229930194542 Keto Natural products 0.000 description 1
- WTDRDQBEARUVNC-LURJTMIESA-N L-DOPA Chemical compound OC(=O)[C@@H](N)CC1=CC=C(O)C(O)=C1 WTDRDQBEARUVNC-LURJTMIESA-N 0.000 description 1
- WTDRDQBEARUVNC-UHFFFAOYSA-N L-Dopa Natural products OC(=O)C(N)CC1=CC=C(O)C(O)=C1 WTDRDQBEARUVNC-UHFFFAOYSA-N 0.000 description 1
- QUOGESRFPZDMMT-UHFFFAOYSA-N L-Homoarginine Natural products OC(=O)C(N)CCCCNC(N)=N QUOGESRFPZDMMT-UHFFFAOYSA-N 0.000 description 1
- QUOGESRFPZDMMT-YFKPBYRVSA-N L-homoarginine Chemical compound OC(=O)[C@@H](N)CCCCNC(N)=N QUOGESRFPZDMMT-YFKPBYRVSA-N 0.000 description 1
- FFFHZYDWPBMWHY-VKHMYHEASA-N L-homocysteine Chemical compound OC(=O)[C@@H](N)CCS FFFHZYDWPBMWHY-VKHMYHEASA-N 0.000 description 1
- UKAUYVFTDYCKQA-VKHMYHEASA-N L-homoserine Chemical compound OC(=O)[C@@H](N)CCO UKAUYVFTDYCKQA-VKHMYHEASA-N 0.000 description 1
- FEWJPZIEWOKRBE-JCYAYHJZSA-L L-tartrate(2-) Chemical compound [O-]C(=O)[C@H](O)[C@@H](O)C([O-])=O FEWJPZIEWOKRBE-JCYAYHJZSA-L 0.000 description 1
- XUIIKFGFIJCVMT-LBPRGKRZSA-N L-thyroxine Chemical compound IC1=CC(C[C@H]([NH3+])C([O-])=O)=CC(I)=C1OC1=CC(I)=C(O)C(I)=C1 XUIIKFGFIJCVMT-LBPRGKRZSA-N 0.000 description 1
- JVTAAEKCZFNVCJ-UHFFFAOYSA-M Lactate Chemical compound CC(O)C([O-])=O JVTAAEKCZFNVCJ-UHFFFAOYSA-M 0.000 description 1
- GUBGYTABKSRVRQ-QKKXKWKRSA-N Lactose Natural products OC[C@H]1O[C@@H](O[C@H]2[C@H](O)[C@@H](O)C(O)O[C@@H]2CO)[C@H](O)[C@@H](O)[C@H]1O GUBGYTABKSRVRQ-QKKXKWKRSA-N 0.000 description 1
- 239000000232 Lipid Bilayer Substances 0.000 description 1
- 108700018351 Major Histocompatibility Complex Proteins 0.000 description 1
- HYMLWHLQFGRFIY-UHFFFAOYSA-N Maltol Natural products CC1OC=CC(=O)C1=O HYMLWHLQFGRFIY-UHFFFAOYSA-N 0.000 description 1
- PWHULOQIROXLJO-UHFFFAOYSA-N Manganese Chemical compound [Mn] PWHULOQIROXLJO-UHFFFAOYSA-N 0.000 description 1
- 241001465754 Metazoa Species 0.000 description 1
- NLLHXVBITYTYHA-UHFFFAOYSA-N Nitrofor Chemical compound CCN(CC)C1=C([N+]([O-])=O)C=C(C(F)(F)F)C=C1[N+]([O-])=O NLLHXVBITYTYHA-UHFFFAOYSA-N 0.000 description 1
- UYFXDTIRCJKJGJ-UHFFFAOYSA-N OS(=O)(=O)C1=CC=CC=C1C=NNC1=CCC(=C=O)C=N1 Chemical compound OS(=O)(=O)C1=CC=CC=C1C=NNC1=CCC(=C=O)C=N1 UYFXDTIRCJKJGJ-UHFFFAOYSA-N 0.000 description 1
- 241000283973 Oryctolagus cuniculus Species 0.000 description 1
- 229910019142 PO4 Inorganic materials 0.000 description 1
- 241001111421 Pannus Species 0.000 description 1
- 208000034038 Pathologic Neovascularization Diseases 0.000 description 1
- 102000013566 Plasminogen Human genes 0.000 description 1
- 108010051456 Plasminogen Proteins 0.000 description 1
- 229920000388 Polyphosphate Polymers 0.000 description 1
- 239000004793 Polystyrene Substances 0.000 description 1
- 108010077895 Sarcosine Proteins 0.000 description 1
- BUGBHKTXTAQXES-UHFFFAOYSA-N Selenium Chemical compound [Se] BUGBHKTXTAQXES-UHFFFAOYSA-N 0.000 description 1
- 244000191761 Sida cordifolia Species 0.000 description 1
- UIIMBOGNXHQVGW-UHFFFAOYSA-M Sodium bicarbonate Chemical class [Na+].OC([O-])=O UIIMBOGNXHQVGW-UHFFFAOYSA-M 0.000 description 1
- DWAQJAXMDSEUJJ-UHFFFAOYSA-M Sodium bisulfite Chemical compound [Na+].OS([O-])=O DWAQJAXMDSEUJJ-UHFFFAOYSA-M 0.000 description 1
- 229930182558 Sterol Natural products 0.000 description 1
- LSNNMFCWUKXFEE-UHFFFAOYSA-N Sulfurous acid Chemical class OS(O)=O LSNNMFCWUKXFEE-UHFFFAOYSA-N 0.000 description 1
- 108060008245 Thrombospondin Proteins 0.000 description 1
- 102000002938 Thrombospondin Human genes 0.000 description 1
- AUYYCJSJGJYCDS-LBPRGKRZSA-N Thyrolar Chemical compound IC1=CC(C[C@H](N)C(O)=O)=CC(I)=C1OC1=CC=C(O)C(I)=C1 AUYYCJSJGJYCDS-LBPRGKRZSA-N 0.000 description 1
- 229910021626 Tin(II) chloride Inorganic materials 0.000 description 1
- GYDJEQRTZSCIOI-UHFFFAOYSA-N Tranexamic acid Chemical compound NCC1CCC(C(O)=O)CC1 GYDJEQRTZSCIOI-UHFFFAOYSA-N 0.000 description 1
- 102000004887 Transforming Growth Factor beta Human genes 0.000 description 1
- 108090001012 Transforming Growth Factor beta Proteins 0.000 description 1
- 102400001320 Transforming growth factor alpha Human genes 0.000 description 1
- 101800004564 Transforming growth factor alpha Proteins 0.000 description 1
- 108060008682 Tumor Necrosis Factor Proteins 0.000 description 1
- 102000000852 Tumor Necrosis Factor-alpha Human genes 0.000 description 1
- ZOBLBMGJKVJVEV-BZSNNMDCSA-N Tyr-Lys-Lys Chemical compound C1=CC(=CC=C1C[C@@H](C(=O)N[C@@H](CCCCN)C(=O)N[C@@H](CCCCN)C(=O)O)N)O ZOBLBMGJKVJVEV-BZSNNMDCSA-N 0.000 description 1
- 238000005411 Van der Waals force Methods 0.000 description 1
- 102000009484 Vascular Endothelial Growth Factor Receptors Human genes 0.000 description 1
- 108010031318 Vitronectin Proteins 0.000 description 1
- 102100035140 Vitronectin Human genes 0.000 description 1
- BBAWTPDTGRXPDG-UHFFFAOYSA-N [1,3]thiazolo[4,5-b]pyridine Chemical compound C1=CC=C2SC=NC2=N1 BBAWTPDTGRXPDG-UHFFFAOYSA-N 0.000 description 1
- DDPGACIVVDXPCY-UHFFFAOYSA-N [As].[AsH3] Chemical compound [As].[AsH3] DDPGACIVVDXPCY-UHFFFAOYSA-N 0.000 description 1
- VYRDHRYMAZWQJH-UHFFFAOYSA-N [P].P Chemical compound [P].P VYRDHRYMAZWQJH-UHFFFAOYSA-N 0.000 description 1
- 230000005856 abnormality Effects 0.000 description 1
- JVFGXECLSQXABC-UHFFFAOYSA-N ac1l3obq Chemical compound O1C(C(C2O)O)C(COCC(C)O)OC2OC(C(C2O)O)C(COCC(C)O)OC2OC(C(C2O)O)C(COCC(C)O)OC2OC(C(C2O)O)C(COCC(C)O)OC2OC(C(C2O)O)C(COCC(C)O)OC2OC(C(O)C2O)C(COCC(O)C)OC2OC(C(C2O)O)C(COCC(C)O)OC2OC2C(O)C(O)C1OC2COCC(C)O JVFGXECLSQXABC-UHFFFAOYSA-N 0.000 description 1
- DHKHKXVYLBGOIT-UHFFFAOYSA-N acetaldehyde Diethyl Acetal Natural products CCOC(C)OCC DHKHKXVYLBGOIT-UHFFFAOYSA-N 0.000 description 1
- 150000001241 acetals Chemical class 0.000 description 1
- 125000000641 acridinyl group Chemical group C1(=CC=CC2=NC3=CC=CC=C3C=C12)* 0.000 description 1
- 230000004913 activation Effects 0.000 description 1
- 125000002252 acyl group Chemical group 0.000 description 1
- 238000005917 acylation reaction Methods 0.000 description 1
- 125000005076 adamantyloxycarbonyl group Chemical group C12(CC3CC(CC(C1)C3)C2)OC(=O)* 0.000 description 1
- 239000000654 additive Substances 0.000 description 1
- 230000002411 adverse Effects 0.000 description 1
- 150000001336 alkenes Chemical class 0.000 description 1
- 150000005215 alkyl ethers Chemical group 0.000 description 1
- 230000029936 alkylation Effects 0.000 description 1
- 238000005804 alkylation reaction Methods 0.000 description 1
- 208000026935 allergic disease Diseases 0.000 description 1
- HSFWRNGVRCDJHI-UHFFFAOYSA-N alpha-acetylene Natural products C#C HSFWRNGVRCDJHI-UHFFFAOYSA-N 0.000 description 1
- ADVPTQAUNPRNPO-UHFFFAOYSA-N alpha-amino-beta-sulfino-propionic acid Natural products OC(=O)C(N)CS(O)=O ADVPTQAUNPRNPO-UHFFFAOYSA-N 0.000 description 1
- HFHDHCJBZVLPGP-RWMJIURBSA-N alpha-cyclodextrin Chemical compound OC[C@H]([C@H]([C@@H]([C@H]1O)O)O[C@H]2O[C@@H]([C@@H](O[C@H]3O[C@H](CO)[C@H]([C@@H]([C@H]3O)O)O[C@H]3O[C@H](CO)[C@H]([C@@H]([C@H]3O)O)O[C@H]3O[C@H](CO)[C@H]([C@@H]([C@H]3O)O)O3)[C@H](O)[C@H]2O)CO)O[C@@H]1O[C@H]1[C@H](O)[C@@H](O)[C@@H]3O[C@@H]1CO HFHDHCJBZVLPGP-RWMJIURBSA-N 0.000 description 1
- LBDSXVIYZYSRII-IGMARMGPSA-N alpha-particle Chemical compound [4He+2] LBDSXVIYZYSRII-IGMARMGPSA-N 0.000 description 1
- 150000003862 amino acid derivatives Chemical class 0.000 description 1
- 229960002684 aminocaproic acid Drugs 0.000 description 1
- 125000004202 aminomethyl group Chemical group [H]N([H])C([H])([H])* 0.000 description 1
- QCTBMLYLENLHLA-UHFFFAOYSA-N aminomethylbenzoic acid Chemical compound NCC1=CC=C(C(O)=O)C=C1 QCTBMLYLENLHLA-UHFFFAOYSA-N 0.000 description 1
- 150000003863 ammonium salts Chemical class 0.000 description 1
- 108010072788 angiogenin Proteins 0.000 description 1
- 108010066999 angiogenin receptor Proteins 0.000 description 1
- 238000002583 angiography Methods 0.000 description 1
- 238000011122 anti-angiogenic therapy Methods 0.000 description 1
- 239000003963 antioxidant agent Substances 0.000 description 1
- 235000006708 antioxidants Nutrition 0.000 description 1
- 239000012062 aqueous buffer Substances 0.000 description 1
- 125000006615 aromatic heterocyclic group Chemical group 0.000 description 1
- 229910052785 arsenic Inorganic materials 0.000 description 1
- RQNWIZPPADIBDY-UHFFFAOYSA-N arsenic atom Chemical compound [As] RQNWIZPPADIBDY-UHFFFAOYSA-N 0.000 description 1
- 150000007860 aryl ester derivatives Chemical class 0.000 description 1
- 125000004931 azocinyl group Chemical group N1=C(C=CC=CC=C1)* 0.000 description 1
- 210000002469 basement membrane Anatomy 0.000 description 1
- 230000008901 benefit Effects 0.000 description 1
- 229960000686 benzalkonium chloride Drugs 0.000 description 1
- 125000004604 benzisothiazolyl group Chemical group S1N=C(C2=C1C=CC=C2)* 0.000 description 1
- JBIROUFYLSSYDX-UHFFFAOYSA-M benzododecinium chloride Chemical compound [Cl-].CCCCCCCCCCCC[N+](C)(C)CC1=CC=CC=C1 JBIROUFYLSSYDX-UHFFFAOYSA-M 0.000 description 1
- 125000000499 benzofuranyl group Chemical group O1C(=CC2=C1C=CC=C2)* 0.000 description 1
- WPYMKLBDIGXBTP-UHFFFAOYSA-N benzoic acid group Chemical group C(C1=CC=CC=C1)(=O)O WPYMKLBDIGXBTP-UHFFFAOYSA-N 0.000 description 1
- 125000001164 benzothiazolyl group Chemical group S1C(=NC2=C1C=CC=C2)* 0.000 description 1
- 125000004196 benzothienyl group Chemical group S1C(=CC2=C1C=CC=C2)* 0.000 description 1
- 125000003354 benzotriazolyl group Chemical group N1N=NC2=C1C=CC=C2* 0.000 description 1
- 125000004935 benzoxazolinyl group Chemical group O1C(=NC2=C1C=CC=C2)* 0.000 description 1
- 125000004541 benzoxazolyl group Chemical group O1C(=NC2=C1C=CC=C2)* 0.000 description 1
- 125000003236 benzoyl group Chemical group [H]C1=C([H])C([H])=C(C([H])=C1[H])C(*)=O 0.000 description 1
- 125000005512 benztetrazolyl group Chemical group 0.000 description 1
- CADWTSSKOVRVJC-UHFFFAOYSA-N benzyl(dimethyl)azanium;chloride Chemical compound [Cl-].C[NH+](C)CC1=CC=CC=C1 CADWTSSKOVRVJC-UHFFFAOYSA-N 0.000 description 1
- OCBHHZMJRVXXQK-UHFFFAOYSA-M benzyl-dimethyl-tetradecylazanium;chloride Chemical compound [Cl-].CCCCCCCCCCCCCC[N+](C)(C)CC1=CC=CC=C1 OCBHHZMJRVXXQK-UHFFFAOYSA-M 0.000 description 1
- DLNWMWYCSOQYSQ-UHFFFAOYSA-M benzyl-hexadecyl-dimethylazanium;bromide Chemical compound [Br-].CCCCCCCCCCCCCCCC[N+](C)(C)CC1=CC=CC=C1 DLNWMWYCSOQYSQ-UHFFFAOYSA-M 0.000 description 1
- 125000000051 benzyloxy group Chemical group [H]C1=C([H])C([H])=C(C([H])=C1[H])C([H])([H])O* 0.000 description 1
- WHGYBXFWUBPSRW-FOUAGVGXSA-N beta-cyclodextrin Chemical compound OC[C@H]([C@H]([C@@H]([C@H]1O)O)O[C@H]2O[C@@H]([C@@H](O[C@H]3O[C@H](CO)[C@H]([C@@H]([C@H]3O)O)O[C@H]3O[C@H](CO)[C@H]([C@@H]([C@H]3O)O)O[C@H]3O[C@H](CO)[C@H]([C@@H]([C@H]3O)O)O[C@H]3O[C@H](CO)[C@H]([C@@H]([C@H]3O)O)O3)[C@H](O)[C@H]2O)CO)O[C@@H]1O[C@H]1[C@H](O)[C@@H](O)[C@@H]3O[C@@H]1CO WHGYBXFWUBPSRW-FOUAGVGXSA-N 0.000 description 1
- 235000011175 beta-cyclodextrine Nutrition 0.000 description 1
- 230000004071 biological effect Effects 0.000 description 1
- 230000031018 biological processes and functions Effects 0.000 description 1
- 229920001400 block copolymer Polymers 0.000 description 1
- 210000004556 brain Anatomy 0.000 description 1
- 210000000481 breast Anatomy 0.000 description 1
- 125000005997 bromomethyl group Chemical group 0.000 description 1
- 239000001273 butane Substances 0.000 description 1
- 229940067596 butylparaben Drugs 0.000 description 1
- 210000004900 c-terminal fragment Anatomy 0.000 description 1
- 210000004899 c-terminal region Anatomy 0.000 description 1
- 235000013877 carbamide Nutrition 0.000 description 1
- 125000000609 carbazolyl group Chemical group C1(=CC=CC=2C3=CC=CC=C3NC12)* 0.000 description 1
- 125000002837 carbocyclic group Chemical group 0.000 description 1
- 125000004623 carbolinyl group Chemical group 0.000 description 1
- 150000001721 carbon Chemical group 0.000 description 1
- 239000011203 carbon fibre reinforced carbon Substances 0.000 description 1
- PFKFTWBEEFSNDU-UHFFFAOYSA-N carbonyldiimidazole Chemical compound C1=CN=CN1C(=O)N1C=CN=C1 PFKFTWBEEFSNDU-UHFFFAOYSA-N 0.000 description 1
- 150000003857 carboxamides Chemical class 0.000 description 1
- 150000001732 carboxylic acid derivatives Chemical class 0.000 description 1
- 239000003183 carcinogenic agent Substances 0.000 description 1
- 239000000969 carrier Substances 0.000 description 1
- 239000004359 castor oil Substances 0.000 description 1
- 235000019438 castor oil Nutrition 0.000 description 1
- 150000001768 cations Chemical class 0.000 description 1
- 230000030833 cell death Effects 0.000 description 1
- 230000003822 cell turnover Effects 0.000 description 1
- 230000001413 cellular effect Effects 0.000 description 1
- SXPWTBGAZSPLHA-UHFFFAOYSA-M cetalkonium chloride Chemical compound [Cl-].CCCCCCCCCCCCCCCC[N+](C)(C)CC1=CC=CC=C1 SXPWTBGAZSPLHA-UHFFFAOYSA-M 0.000 description 1
- 229960000228 cetalkonium chloride Drugs 0.000 description 1
- 229940115457 cetyldimethylethylammonium bromide Drugs 0.000 description 1
- YMKDRGPMQRFJGP-UHFFFAOYSA-M cetylpyridinium chloride Chemical compound [Cl-].CCCCCCCCCCCCCCCC[N+]1=CC=CC=C1 YMKDRGPMQRFJGP-UHFFFAOYSA-M 0.000 description 1
- 229960001927 cetylpyridinium chloride Drugs 0.000 description 1
- 230000008859 change Effects 0.000 description 1
- 231100000045 chemical toxicity Toxicity 0.000 description 1
- 230000000973 chemotherapeutic effect Effects 0.000 description 1
- 238000002512 chemotherapy Methods 0.000 description 1
- 150000001805 chlorine compounds Chemical class 0.000 description 1
- 125000001309 chloro group Chemical group Cl* 0.000 description 1
- 229960004926 chlorobutanol Drugs 0.000 description 1
- OSASVXMJTNOKOY-UHFFFAOYSA-N chlorobutanol Chemical compound CC(C)(O)C(Cl)(Cl)Cl OSASVXMJTNOKOY-UHFFFAOYSA-N 0.000 description 1
- 235000012000 cholesterol Nutrition 0.000 description 1
- BHYOQNUELFTYRT-DPAQBDIFSA-N cholesterol sulfate Chemical compound C1C=C2C[C@@H](OS(O)(=O)=O)CC[C@]2(C)[C@@H]2[C@@H]1[C@@H]1CC[C@H]([C@H](C)CCCC(C)C)[C@@]1(C)CC2 BHYOQNUELFTYRT-DPAQBDIFSA-N 0.000 description 1
- 150000001841 cholesterols Chemical class 0.000 description 1
- WLNARFZDISHUGS-MIXBDBMTSA-N cholesteryl hemisuccinate Chemical compound C1C=C2C[C@@H](OC(=O)CCC(O)=O)CC[C@]2(C)[C@@H]2[C@@H]1[C@@H]1CC[C@H]([C@H](C)CCCC(C)C)[C@@]1(C)CC2 WLNARFZDISHUGS-MIXBDBMTSA-N 0.000 description 1
- 125000003016 chromanyl group Chemical group O1C(CCC2=CC=CC=C12)* 0.000 description 1
- 125000004230 chromenyl group Chemical group O1C(C=CC2=CC=CC=C12)* 0.000 description 1
- 125000000259 cinnolinyl group Chemical group N1=NC(=CC2=CC=CC=C12)* 0.000 description 1
- 239000000084 colloidal system Substances 0.000 description 1
- 210000001072 colon Anatomy 0.000 description 1
- 238000004440 column chromatography Methods 0.000 description 1
- 230000000536 complexating effect Effects 0.000 description 1
- 238000010668 complexation reaction Methods 0.000 description 1
- 238000009833 condensation Methods 0.000 description 1
- 230000005494 condensation Effects 0.000 description 1
- 239000013058 crude material Substances 0.000 description 1
- XSYZCZPCBXYQTE-UHFFFAOYSA-N cyclodecylcyclodecane Chemical compound C1CCCCCCCCC1C1CCCCCCCCC1 XSYZCZPCBXYQTE-UHFFFAOYSA-N 0.000 description 1
- 125000000582 cycloheptyl group Chemical group [H]C1([H])C([H])([H])C([H])([H])C([H])([H])C([H])(*)C([H])([H])C1([H])[H] 0.000 description 1
- 125000000113 cyclohexyl group Chemical group [H]C1([H])C([H])([H])C([H])([H])C([H])(*)C([H])([H])C1([H])[H] 0.000 description 1
- 125000000640 cyclooctyl group Chemical group [H]C1([H])C([H])([H])C([H])([H])C([H])([H])C([H])(*)C([H])([H])C([H])([H])C1([H])[H] 0.000 description 1
- 125000004856 decahydroquinolinyl group Chemical group N1(CCCC2CCCCC12)* 0.000 description 1
- 125000002704 decyl group Chemical group [H]C([H])([H])C([H])([H])C([H])([H])C([H])([H])C([H])([H])C([H])([H])C([H])([H])C([H])([H])C([H])([H])C([H])([H])* 0.000 description 1
- YSMODUONRAFBET-UHFFFAOYSA-N delta-DL-hydroxylysine Natural products NCC(O)CCC(N)C(O)=O YSMODUONRAFBET-UHFFFAOYSA-N 0.000 description 1
- 230000001419 dependent effect Effects 0.000 description 1
- AQEFLFZSWDEAIP-UHFFFAOYSA-N di-tert-butyl ether Chemical compound CC(C)(C)OC(C)(C)C AQEFLFZSWDEAIP-UHFFFAOYSA-N 0.000 description 1
- 238000000502 dialysis Methods 0.000 description 1
- 238000009792 diffusion process Methods 0.000 description 1
- 230000029087 digestion Effects 0.000 description 1
- 229940043279 diisopropylamine Drugs 0.000 description 1
- BGRWYRAHAFMIBJ-UHFFFAOYSA-N diisopropylcarbodiimide Natural products CC(C)NC(=O)NC(C)C BGRWYRAHAFMIBJ-UHFFFAOYSA-N 0.000 description 1
- 238000010790 dilution Methods 0.000 description 1
- 239000012895 dilution Substances 0.000 description 1
- CSNHNGDROQRZKT-DSVPTQILSA-M dimethyl-[(2,3,4,5,6-pentadeuteriophenyl)methyl]-tetradecylazanium bromide Chemical compound [Br-].C(C1=C(C(=C(C(=C1[2H])[2H])[2H])[2H])[2H])[N+](CCCCCCCCCCCCCC)(C)C CSNHNGDROQRZKT-DSVPTQILSA-M 0.000 description 1
- 230000003467 diminishing effect Effects 0.000 description 1
- 229960003724 dimyristoylphosphatidylcholine Drugs 0.000 description 1
- ZWWCURLKEXEFQT-UHFFFAOYSA-N dinitrogen pentaoxide Chemical compound [O-][N+](=O)O[N+]([O-])=O ZWWCURLKEXEFQT-UHFFFAOYSA-N 0.000 description 1
- MWRBNPKJOOWZPW-CLFAGFIQSA-N dioleoyl phosphatidylethanolamine Chemical compound CCCCCCCC\C=C/CCCCCCCC(=O)OCC(COP(O)(=O)OCCN)OC(=O)CCCCCCC\C=C/CCCCCCCC MWRBNPKJOOWZPW-CLFAGFIQSA-N 0.000 description 1
- XPPKVPWEQAFLFU-UHFFFAOYSA-J diphosphate(4-) Chemical compound [O-]P([O-])(=O)OP([O-])([O-])=O XPPKVPWEQAFLFU-UHFFFAOYSA-J 0.000 description 1
- 235000011180 diphosphates Nutrition 0.000 description 1
- PWRPHTBBQPNXQA-UHFFFAOYSA-L disodium;3-[phenyl-(3-sulfonatophenyl)phosphanyl]benzenesulfonate Chemical compound [Na+].[Na+].[O-]S(=O)(=O)C1=CC=CC(P(C=2C=CC=CC=2)C=2C=C(C=CC=2)S([O-])(=O)=O)=C1 PWRPHTBBQPNXQA-UHFFFAOYSA-L 0.000 description 1
- 238000006073 displacement reaction Methods 0.000 description 1
- 238000009826 distribution Methods 0.000 description 1
- GRWZHXKQBITJKP-UHFFFAOYSA-L dithionite(2-) Chemical compound [O-]S(=O)S([O-])=O GRWZHXKQBITJKP-UHFFFAOYSA-L 0.000 description 1
- PMMYEEVYMWASQN-UHFFFAOYSA-N dl-hydroxyproline Natural products OC1C[NH2+]C(C([O-])=O)C1 PMMYEEVYMWASQN-UHFFFAOYSA-N 0.000 description 1
- XJWSAJYUBXQQDR-UHFFFAOYSA-M dodecyltrimethylammonium bromide Chemical compound [Br-].CCCCCCCCCCCC[N+](C)(C)C XJWSAJYUBXQQDR-UHFFFAOYSA-M 0.000 description 1
- 239000002552 dosage form Substances 0.000 description 1
- 229940079593 drug Drugs 0.000 description 1
- KBQHZAAAGSGFKK-UHFFFAOYSA-N dysprosium atom Chemical compound [Dy] KBQHZAAAGSGFKK-UHFFFAOYSA-N 0.000 description 1
- 230000002526 effect on cardiovascular system Effects 0.000 description 1
- 239000000839 emulsion Substances 0.000 description 1
- 210000003989 endothelium vascular Anatomy 0.000 description 1
- 230000007515 enzymatic degradation Effects 0.000 description 1
- YSMODUONRAFBET-UHNVWZDZSA-N erythro-5-hydroxy-L-lysine Chemical compound NC[C@H](O)CC[C@H](N)C(O)=O YSMODUONRAFBET-UHNVWZDZSA-N 0.000 description 1
- 230000032050 esterification Effects 0.000 description 1
- 238000005886 esterification reaction Methods 0.000 description 1
- 125000003754 ethoxycarbonyl group Chemical group C(=O)(OCC)* 0.000 description 1
- 125000001495 ethyl group Chemical group [H]C([H])([H])C([H])([H])* 0.000 description 1
- VUFOSBDICLTFMS-UHFFFAOYSA-M ethyl-hexadecyl-dimethylazanium;bromide Chemical compound [Br-].CCCCCCCCCCCCCCCC[N+](C)(C)CC VUFOSBDICLTFMS-UHFFFAOYSA-M 0.000 description 1
- KSCHLNBLIAOANF-UHFFFAOYSA-M ethyl-hexadecyl-dimethylazanium;chloride Chemical compound [Cl-].CCCCCCCCCCCCCCCC[N+](C)(C)CC KSCHLNBLIAOANF-UHFFFAOYSA-M 0.000 description 1
- IFQUWYZCAGRUJN-UHFFFAOYSA-N ethylenediaminediacetic acid Chemical compound OC(=O)CNCCNCC(O)=O IFQUWYZCAGRUJN-UHFFFAOYSA-N 0.000 description 1
- 125000002534 ethynyl group Chemical group [H]C#C* 0.000 description 1
- 230000029142 excretion Effects 0.000 description 1
- 238000002710 external beam radiation therapy Methods 0.000 description 1
- 210000003414 extremity Anatomy 0.000 description 1
- 239000003925 fat Substances 0.000 description 1
- 230000002349 favourable effect Effects 0.000 description 1
- 229940012952 fibrinogen Drugs 0.000 description 1
- 238000001914 filtration Methods 0.000 description 1
- 239000012530 fluid Substances 0.000 description 1
- 125000003983 fluorenyl group Chemical group C1(=CC=CC=2C3=CC=CC=C3CC12)* 0.000 description 1
- NBVXSUQYWXRMNV-UHFFFAOYSA-N fluoromethane Chemical compound FC NBVXSUQYWXRMNV-UHFFFAOYSA-N 0.000 description 1
- 125000003838 furazanyl group Chemical group 0.000 description 1
- UIWYJDYFSGRHKR-UHFFFAOYSA-N gadolinium atom Chemical compound [Gd] UIWYJDYFSGRHKR-UHFFFAOYSA-N 0.000 description 1
- QPJBWNIQKHGLAU-IQZHVAEDSA-N ganglioside GM1 Chemical compound O[C@@H]1[C@@H](O)[C@H](OC[C@H](NC(=O)CCCCCCCCCCCCCCCCC)[C@H](O)\C=C\CCCCCCCCCCCCC)O[C@H](CO)[C@H]1O[C@H]1[C@H](O)[C@@H](O[C@]2(O[C@H]([C@H](NC(C)=O)[C@@H](O)C2)[C@H](O)[C@H](O)CO)C(O)=O)[C@@H](O[C@H]2[C@@H]([C@@H](O[C@H]3[C@@H]([C@@H](O)[C@@H](O)[C@@H](CO)O3)O)[C@@H](O)[C@@H](CO)O2)NC(C)=O)[C@@H](CO)O1 QPJBWNIQKHGLAU-IQZHVAEDSA-N 0.000 description 1
- 229960005219 gentisic acid Drugs 0.000 description 1
- 239000011521 glass Substances 0.000 description 1
- 230000009477 glass transition Effects 0.000 description 1
- 229960002989 glutamic acid Drugs 0.000 description 1
- 229960002743 glutamine Drugs 0.000 description 1
- ZEMPKEQAKRGZGQ-XOQCFJPHSA-N glycerol triricinoleate Natural products CCCCCC[C@@H](O)CC=CCCCCCCCC(=O)OC[C@@H](COC(=O)CCCCCCCC=CC[C@@H](O)CCCCCC)OC(=O)CCCCCCCC=CC[C@H](O)CCCCCC ZEMPKEQAKRGZGQ-XOQCFJPHSA-N 0.000 description 1
- 150000002339 glycosphingolipids Chemical class 0.000 description 1
- 229910052736 halogen Inorganic materials 0.000 description 1
- 150000002367 halogens Chemical class 0.000 description 1
- IXCSERBJSXMMFS-UHFFFAOYSA-N hcl hcl Chemical compound Cl.Cl IXCSERBJSXMMFS-UHFFFAOYSA-N 0.000 description 1
- 238000010438 heat treatment Methods 0.000 description 1
- 125000003187 heptyl group Chemical group [H]C([*])([H])C([H])([H])C([H])([H])C([H])([H])C([H])([H])C([H])([H])C([H])([H])[H] 0.000 description 1
- 125000001072 heteroaryl group Chemical group 0.000 description 1
- 125000000592 heterocycloalkyl group Chemical group 0.000 description 1
- WMIYKQLTONQJES-UHFFFAOYSA-N hexafluoroethane Chemical compound FC(F)(F)C(F)(F)F WMIYKQLTONQJES-UHFFFAOYSA-N 0.000 description 1
- 125000004051 hexyl group Chemical group [H]C([H])([H])C([H])([H])C([H])([H])C([H])([H])C([H])([H])C([H])([H])* 0.000 description 1
- 102000058223 human VEGFA Human genes 0.000 description 1
- 125000000717 hydrazino group Chemical group [H]N([*])N([H])[H] 0.000 description 1
- 238000006698 hydrazinolysis reaction Methods 0.000 description 1
- 230000002209 hydrophobic effect Effects 0.000 description 1
- QJHBJHUKURJDLG-UHFFFAOYSA-N hydroxy-L-lysine Natural products NCCCCC(NO)C(O)=O QJHBJHUKURJDLG-UHFFFAOYSA-N 0.000 description 1
- NPZTUJOABDZTLV-UHFFFAOYSA-N hydroxybenzotriazole Substances O=C1C=CC=C2NNN=C12 NPZTUJOABDZTLV-UHFFFAOYSA-N 0.000 description 1
- UWYVPFMHMJIBHE-OWOJBTEDSA-N hydroxymaleic acid group Chemical group O/C(/C(=O)O)=C/C(=O)O UWYVPFMHMJIBHE-OWOJBTEDSA-N 0.000 description 1
- 125000004029 hydroxymethyl group Chemical group [H]OC([H])([H])* 0.000 description 1
- 229960002591 hydroxyproline Drugs 0.000 description 1
- 150000002463 imidates Chemical class 0.000 description 1
- 125000002632 imidazolidinyl group Chemical group 0.000 description 1
- 125000002636 imidazolinyl group Chemical group 0.000 description 1
- NBZBKCUXIYYUSX-UHFFFAOYSA-N iminodiacetic acid Chemical compound OC(=O)CNCC(O)=O NBZBKCUXIYYUSX-UHFFFAOYSA-N 0.000 description 1
- 210000002865 immune cell Anatomy 0.000 description 1
- 229940051026 immunotoxin Drugs 0.000 description 1
- 239000002596 immunotoxin Substances 0.000 description 1
- 238000001727 in vivo Methods 0.000 description 1
- 125000003392 indanyl group Chemical group C1(CCC2=CC=CC=C12)* 0.000 description 1
- 229910052738 indium Inorganic materials 0.000 description 1
- APFVFJFRJDLVQX-UHFFFAOYSA-N indium atom Chemical compound [In] APFVFJFRJDLVQX-UHFFFAOYSA-N 0.000 description 1
- PZOUSPYUWWUPPK-UHFFFAOYSA-N indole Natural products CC1=CC=CC2=C1C=CN2 PZOUSPYUWWUPPK-UHFFFAOYSA-N 0.000 description 1
- RKJUIXBNRJVNHR-UHFFFAOYSA-N indolenine Natural products C1=CC=C2CC=NC2=C1 RKJUIXBNRJVNHR-UHFFFAOYSA-N 0.000 description 1
- 125000004926 indolenyl group Chemical group 0.000 description 1
- 125000003387 indolinyl group Chemical group N1(CCC2=CC=CC=C12)* 0.000 description 1
- 125000003406 indolizinyl group Chemical group C=1(C=CN2C=CC=CC12)* 0.000 description 1
- 230000006698 induction Effects 0.000 description 1
- 239000011261 inert gas Substances 0.000 description 1
- 210000004969 inflammatory cell Anatomy 0.000 description 1
- 230000002401 inhibitory effect Effects 0.000 description 1
- CDAISMWEOUEBRE-GPIVLXJGSA-N inositol Chemical compound O[C@H]1[C@H](O)[C@@H](O)[C@H](O)[C@H](O)[C@@H]1O CDAISMWEOUEBRE-GPIVLXJGSA-N 0.000 description 1
- 229960000367 inositol Drugs 0.000 description 1
- 230000002452 interceptive effect Effects 0.000 description 1
- 229960001388 interferon-beta Drugs 0.000 description 1
- 238000011835 investigation Methods 0.000 description 1
- 239000011630 iodine Substances 0.000 description 1
- 150000002500 ions Chemical class 0.000 description 1
- GKOZUEZYRPOHIO-UHFFFAOYSA-N iridium atom Chemical compound [Ir] GKOZUEZYRPOHIO-UHFFFAOYSA-N 0.000 description 1
- 229910052742 iron Inorganic materials 0.000 description 1
- 230000007794 irritation Effects 0.000 description 1
- 125000004936 isatinoyl group Chemical group N1(C(=O)C(=O)C2=CC=CC=C12)C(=O)* 0.000 description 1
- 230000000302 ischemic effect Effects 0.000 description 1
- 125000001977 isobenzofuranyl group Chemical group C=1(OC=C2C=CC=CC12)* 0.000 description 1
- 125000003384 isochromanyl group Chemical group C1(OCCC2=CC=CC=C12)* 0.000 description 1
- YDNLNVZZTACNJX-UHFFFAOYSA-N isocyanatomethylbenzene Chemical compound O=C=NCC1=CC=CC=C1 YDNLNVZZTACNJX-UHFFFAOYSA-N 0.000 description 1
- 125000005438 isoindazolyl group Chemical group 0.000 description 1
- 125000004594 isoindolinyl group Chemical group C1(NCC2=CC=CC=C12)* 0.000 description 1
- 125000000904 isoindolyl group Chemical group C=1(NC=C2C=CC=CC12)* 0.000 description 1
- 238000002955 isolation Methods 0.000 description 1
- FZWBNHMXJMCXLU-BLAUPYHCSA-N isomaltotriose Chemical compound O[C@@H]1[C@@H](O)[C@H](O)[C@@H](CO)O[C@@H]1OC[C@@H]1[C@@H](O)[C@H](O)[C@@H](O)[C@@H](OC[C@@H](O)[C@@H](O)[C@H](O)[C@@H](O)C=O)O1 FZWBNHMXJMCXLU-BLAUPYHCSA-N 0.000 description 1
- 125000001449 isopropyl group Chemical group [H]C([H])([H])C([H])(*)C([H])([H])[H] 0.000 description 1
- 125000002183 isoquinolinyl group Chemical group C1(=NC=CC2=CC=CC=C12)* 0.000 description 1
- 125000001786 isothiazolyl group Chemical group 0.000 description 1
- 125000000842 isoxazolyl group Chemical group 0.000 description 1
- 125000000468 ketone group Chemical group 0.000 description 1
- 210000003734 kidney Anatomy 0.000 description 1
- BEJNERDRQOWKJM-UHFFFAOYSA-N kojic acid Chemical compound OCC1=CC(=O)C(O)=CO1 BEJNERDRQOWKJM-UHFFFAOYSA-N 0.000 description 1
- 229960004705 kojic acid Drugs 0.000 description 1
- WZNJWVWKTVETCG-UHFFFAOYSA-N kojic acid Natural products OC(=O)C(N)CN1C=CC(=O)C(O)=C1 WZNJWVWKTVETCG-UHFFFAOYSA-N 0.000 description 1
- 239000008101 lactose Substances 0.000 description 1
- 239000000787 lecithin Substances 0.000 description 1
- 235000010445 lecithin Nutrition 0.000 description 1
- 229940067606 lecithin Drugs 0.000 description 1
- 230000000670 limiting effect Effects 0.000 description 1
- 239000013554 lipid monolayer Substances 0.000 description 1
- 238000004811 liquid chromatography Methods 0.000 description 1
- 230000004807 localization Effects 0.000 description 1
- 230000007774 longterm Effects 0.000 description 1
- 210000004072 lung Anatomy 0.000 description 1
- AEDROEGYZIARPU-SUNKFXMWSA-K lutetium-177(3+);trichloride Chemical compound [Cl-].[Cl-].[Cl-].[177Lu+3] AEDROEGYZIARPU-SUNKFXMWSA-K 0.000 description 1
- 210000002540 macrophage Anatomy 0.000 description 1
- 208000002780 macular degeneration Diseases 0.000 description 1
- 235000019341 magnesium sulphate Nutrition 0.000 description 1
- 229940043353 maltol Drugs 0.000 description 1
- 229910052748 manganese Inorganic materials 0.000 description 1
- 239000011572 manganese Substances 0.000 description 1
- 230000001404 mediated effect Effects 0.000 description 1
- MBKDYNNUVRNNRF-UHFFFAOYSA-N medronic acid Chemical compound OP(O)(=O)CP(O)(O)=O MBKDYNNUVRNNRF-UHFFFAOYSA-N 0.000 description 1
- 239000012528 membrane Substances 0.000 description 1
- 210000004379 membrane Anatomy 0.000 description 1
- 229910044991 metal oxide Inorganic materials 0.000 description 1
- 150000004706 metal oxides Chemical class 0.000 description 1
- 125000000956 methoxy group Chemical group [H]C([H])([H])O* 0.000 description 1
- 125000000250 methylamino group Chemical group [H]N(*)C([H])([H])[H] 0.000 description 1
- 229940102859 methylene diphosphonate Drugs 0.000 description 1
- 229960002216 methylparaben Drugs 0.000 description 1
- 230000003278 mimic effect Effects 0.000 description 1
- 230000004048 modification Effects 0.000 description 1
- 238000012986 modification Methods 0.000 description 1
- 102000035118 modified proteins Human genes 0.000 description 1
- 108091005573 modified proteins Proteins 0.000 description 1
- PJUIMOJAAPLTRJ-UHFFFAOYSA-N monothioglycerol Chemical compound OCC(O)CS PJUIMOJAAPLTRJ-UHFFFAOYSA-N 0.000 description 1
- 125000002757 morpholinyl group Chemical group 0.000 description 1
- 210000004165 myocardium Anatomy 0.000 description 1
- PSHKMPUSSFXUIA-UHFFFAOYSA-N n,n-dimethylpyridin-2-amine Chemical compound CN(C)C1=CC=CC=N1 PSHKMPUSSFXUIA-UHFFFAOYSA-N 0.000 description 1
- PEECTLLHENGOKU-UHFFFAOYSA-N n,n-dimethylpyridin-4-amine Chemical compound CN(C)C1=CC=NC=C1.CN(C)C1=CC=NC=C1 PEECTLLHENGOKU-UHFFFAOYSA-N 0.000 description 1
- LNOLJFCCYQZFBQ-UHFFFAOYSA-N n-[(4-nitrophenyl)-phenylmethylidene]hydroxylamine Chemical compound C=1C=C([N+]([O-])=O)C=CC=1C(=NO)C1=CC=CC=C1 LNOLJFCCYQZFBQ-UHFFFAOYSA-N 0.000 description 1
- QDESRDISWOMNLD-UHFFFAOYSA-N n-[3-[2-[2-(3-aminopropoxy)ethoxy]ethoxy]propyl]-n-[(2-methylpropan-2-yl)oxy]formamide Chemical compound CC(C)(C)ON(C=O)CCCOCCOCCOCCCN QDESRDISWOMNLD-UHFFFAOYSA-N 0.000 description 1
- GFXMFSCCEVADLF-UHFFFAOYSA-N n-[5-[(5-tert-butyl-1,3-oxazol-2-yl)methylsulfanyl]-1,3-thiazol-2-yl]acetamide Chemical compound S1C(NC(=O)C)=NC=C1SCC1=NC=C(C(C)(C)C)O1 GFXMFSCCEVADLF-UHFFFAOYSA-N 0.000 description 1
- IJDNQMDRQITEOD-UHFFFAOYSA-N n-butane Chemical compound CCCC IJDNQMDRQITEOD-UHFFFAOYSA-N 0.000 description 1
- 125000004108 n-butyl group Chemical group [H]C([H])([H])C([H])([H])C([H])([H])C([H])([H])* 0.000 description 1
- OFBQJSOFQDEBGM-UHFFFAOYSA-N n-pentane Natural products CCCCC OFBQJSOFQDEBGM-UHFFFAOYSA-N 0.000 description 1
- 125000000740 n-pentyl group Chemical group [H]C([H])([H])C([H])([H])C([H])([H])C([H])([H])C([H])([H])* 0.000 description 1
- 125000004123 n-propyl group Chemical group [H]C([H])([H])C([H])([H])C([H])([H])* 0.000 description 1
- 239000002077 nanosphere Substances 0.000 description 1
- 125000001624 naphthyl group Chemical group 0.000 description 1
- 125000004593 naphthyridinyl group Chemical group N1=C(C=CC2=CC=CN=C12)* 0.000 description 1
- MGFYIUFZLHCRTH-UHFFFAOYSA-N nitrilotriacetic acid Chemical compound OC(=O)CN(CC(O)=O)CC(O)=O MGFYIUFZLHCRTH-UHFFFAOYSA-N 0.000 description 1
- 125000004433 nitrogen atom Chemical group N* 0.000 description 1
- PSACHCMMPFMFAJ-UHFFFAOYSA-N nmm n-methylmorpholine Chemical compound CN1CCOCC1.CN1CCOCC1 PSACHCMMPFMFAJ-UHFFFAOYSA-N 0.000 description 1
- 239000012457 nonaqueous media Substances 0.000 description 1
- 125000001400 nonyl group Chemical group [H]C([*])([H])C([H])([H])C([H])([H])C([H])([H])C([H])([H])C([H])([H])C([H])([H])C([H])([H])C([H])([H])[H] 0.000 description 1
- 238000002414 normal-phase solid-phase extraction Methods 0.000 description 1
- 230000000269 nucleophilic effect Effects 0.000 description 1
- 235000015097 nutrients Nutrition 0.000 description 1
- QYSGYZVSCZSLHT-UHFFFAOYSA-N octafluoropropane Chemical compound FC(F)(F)C(F)(F)C(F)(F)F QYSGYZVSCZSLHT-UHFFFAOYSA-N 0.000 description 1
- 125000004930 octahydroisoquinolinyl group Chemical group C1(NCCC2CCCC=C12)* 0.000 description 1
- 125000002347 octyl group Chemical group [H]C([*])([H])C([H])([H])C([H])([H])C([H])([H])C([H])([H])C([H])([H])C([H])([H])C([H])([H])[H] 0.000 description 1
- 229920001542 oligosaccharide Polymers 0.000 description 1
- 150000002894 organic compounds Chemical class 0.000 description 1
- 239000003960 organic solvent Substances 0.000 description 1
- 125000001715 oxadiazolyl group Chemical group 0.000 description 1
- QNNHQVPFZIFNFK-UHFFFAOYSA-N oxazolo[4,5-b]pyridine Chemical compound C1=CC=C2OC=NC2=N1 QNNHQVPFZIFNFK-UHFFFAOYSA-N 0.000 description 1
- 125000002971 oxazolyl group Chemical group 0.000 description 1
- 230000033116 oxidation-reduction process Effects 0.000 description 1
- 125000003544 oxime group Chemical group 0.000 description 1
- 125000004095 oxindolyl group Chemical group N1(C(CC2=CC=CC=C12)=O)* 0.000 description 1
- LXCFILQKKLGQFO-UHFFFAOYSA-N p-hydroxybenzoic acid methyl ester Natural products COC(=O)C1=CC=C(O)C=C1 LXCFILQKKLGQFO-UHFFFAOYSA-N 0.000 description 1
- QELSKZZBTMNZEB-UHFFFAOYSA-N p-hydroxybenzoic acid propyl ester Natural products CCCOC(=O)C1=CC=C(O)C=C1 QELSKZZBTMNZEB-UHFFFAOYSA-N 0.000 description 1
- 230000000149 penetrating effect Effects 0.000 description 1
- 125000006340 pentafluoro ethyl group Chemical group FC(F)(F)C(F)(F)* 0.000 description 1
- 230000002093 peripheral effect Effects 0.000 description 1
- 239000008177 pharmaceutical agent Substances 0.000 description 1
- 125000004934 phenanthridinyl group Chemical group C1(=CC=CC2=NC=C3C=CC=CC3=C12)* 0.000 description 1
- 125000004625 phenanthrolinyl group Chemical group N1=C(C=CC2=CC=C3C=CC=NC3=C12)* 0.000 description 1
- 125000001791 phenazinyl group Chemical group C1(=CC=CC2=NC3=CC=CC=C3N=C12)* 0.000 description 1
- 125000001484 phenothiazinyl group Chemical group C1(=CC=CC=2SC3=CC=CC=C3NC12)* 0.000 description 1
- 125000005954 phenoxathiinyl group Chemical group 0.000 description 1
- 125000001644 phenoxazinyl group Chemical group C1(=CC=CC=2OC3=CC=CC=C3NC12)* 0.000 description 1
- WVDDGKGOMKODPV-ZQBYOMGUSA-N phenyl(114C)methanol Chemical compound O[14CH2]C1=CC=CC=C1 WVDDGKGOMKODPV-ZQBYOMGUSA-N 0.000 description 1
- WLJVXDMOQOGPHL-UHFFFAOYSA-N phenylacetic acid Chemical compound OC(=O)CC1=CC=CC=C1 WLJVXDMOQOGPHL-UHFFFAOYSA-N 0.000 description 1
- UYWQUFXKFGHYNT-UHFFFAOYSA-N phenylmethyl ester of formic acid Natural products O=COCC1=CC=CC=C1 UYWQUFXKFGHYNT-UHFFFAOYSA-N 0.000 description 1
- NBIIXXVUZAFLBC-UHFFFAOYSA-K phosphate Chemical compound [O-]P([O-])([O-])=O NBIIXXVUZAFLBC-UHFFFAOYSA-K 0.000 description 1
- 239000010452 phosphate Substances 0.000 description 1
- 150000008103 phosphatidic acids Chemical class 0.000 description 1
- 150000008105 phosphatidylcholines Chemical class 0.000 description 1
- 150000008104 phosphatidylethanolamines Chemical class 0.000 description 1
- 229940067605 phosphatidylethanolamines Drugs 0.000 description 1
- 150000008106 phosphatidylserines Chemical class 0.000 description 1
- 125000005541 phosphonamide group Chemical group 0.000 description 1
- UEZVMMHDMIWARA-UHFFFAOYSA-M phosphonate Chemical compound [O-]P(=O)=O UEZVMMHDMIWARA-UHFFFAOYSA-M 0.000 description 1
- 229910000073 phosphorus hydride Inorganic materials 0.000 description 1
- 125000004592 phthalazinyl group Chemical group C1(=NN=CC2=CC=CC=C12)* 0.000 description 1
- 125000001557 phthalyl group Chemical group C(=O)(O)C1=C(C(=O)*)C=CC=C1 0.000 description 1
- 230000004962 physiological condition Effects 0.000 description 1
- 230000035790 physiological processes and functions Effects 0.000 description 1
- 125000004193 piperazinyl group Chemical group 0.000 description 1
- 150000003053 piperidines Chemical class 0.000 description 1
- 125000003386 piperidinyl group Chemical group 0.000 description 1
- 125000004928 piperidonyl group Chemical group 0.000 description 1
- 229960005235 piperonyl butoxide Drugs 0.000 description 1
- 125000004591 piperonyl group Chemical group C(C1=CC=2OCOC2C=C1)* 0.000 description 1
- 229920001308 poly(aminoacid) Polymers 0.000 description 1
- 229920001748 polybutylene Polymers 0.000 description 1
- 229920005646 polycarboxylate Polymers 0.000 description 1
- 235000010482 polyoxyethylene sorbitan monooleate Nutrition 0.000 description 1
- 239000000244 polyoxyethylene sorbitan monooleate Substances 0.000 description 1
- 229920002503 polyoxyethylene-polyoxypropylene Polymers 0.000 description 1
- 229920001184 polypeptide Polymers 0.000 description 1
- 239000001205 polyphosphate Substances 0.000 description 1
- 235000011176 polyphosphates Nutrition 0.000 description 1
- 229920001451 polypropylene glycol Polymers 0.000 description 1
- 229920000136 polysorbate Polymers 0.000 description 1
- 229920000053 polysorbate 80 Polymers 0.000 description 1
- 229940068965 polysorbates Drugs 0.000 description 1
- 229920002223 polystyrene Polymers 0.000 description 1
- 239000000843 powder Substances 0.000 description 1
- 230000001023 pro-angiogenic effect Effects 0.000 description 1
- 230000035755 proliferation Effects 0.000 description 1
- 230000002035 prolonged effect Effects 0.000 description 1
- 239000001294 propane Substances 0.000 description 1
- 125000004368 propenyl group Chemical group C(=CC)* 0.000 description 1
- 125000001436 propyl group Chemical group [H]C([*])([H])C([H])([H])C([H])([H])[H] 0.000 description 1
- 229960003415 propylparaben Drugs 0.000 description 1
- 125000002568 propynyl group Chemical group [*]C#CC([H])([H])[H] 0.000 description 1
- 210000002307 prostate Anatomy 0.000 description 1
- 125000001042 pteridinyl group Chemical group N1=C(N=CC2=NC=CN=C12)* 0.000 description 1
- 230000005180 public health Effects 0.000 description 1
- 125000000561 purinyl group Chemical group N1=C(N=C2N=CNC2=C1)* 0.000 description 1
- 125000004309 pyranyl group Chemical group O1C(C=CC=C1)* 0.000 description 1
- 125000003373 pyrazinyl group Chemical group 0.000 description 1
- 125000003072 pyrazolidinyl group Chemical group 0.000 description 1
- 125000002755 pyrazolinyl group Chemical group 0.000 description 1
- 125000002098 pyridazinyl group Chemical group 0.000 description 1
- GGOZGYRTNQBSSA-UHFFFAOYSA-N pyridine-2,3-diol Chemical class OC1=CC=CN=C1O GGOZGYRTNQBSSA-UHFFFAOYSA-N 0.000 description 1
- 230000001698 pyrogenic effect Effects 0.000 description 1
- 125000001422 pyrrolinyl group Chemical group 0.000 description 1
- 150000003242 quaternary ammonium salts Chemical class 0.000 description 1
- 125000002294 quinazolinyl group Chemical group N1=C(N=CC2=CC=CC=C12)* 0.000 description 1
- 125000002943 quinolinyl group Chemical group N1=C(C=CC2=CC=CC=C12)* 0.000 description 1
- 125000001567 quinoxalinyl group Chemical group N1=C(C=NC2=CC=CC=C12)* 0.000 description 1
- 125000004621 quinuclidinyl group Chemical group N12C(CC(CC1)CC2)* 0.000 description 1
- 239000002516 radical scavenger Substances 0.000 description 1
- 150000003254 radicals Chemical class 0.000 description 1
- 230000005258 radioactive decay Effects 0.000 description 1
- 230000003439 radiotherapeutic effect Effects 0.000 description 1
- 238000001953 recrystallisation Methods 0.000 description 1
- 210000000664 rectum Anatomy 0.000 description 1
- 230000009467 reduction Effects 0.000 description 1
- 238000010992 reflux Methods 0.000 description 1
- 230000004044 response Effects 0.000 description 1
- VGGUKFAVHPGNBF-UHFFFAOYSA-N s-ethyl 2,2,2-trifluoroethanethioate Chemical compound CCSC(=O)C(F)(F)F VGGUKFAVHPGNBF-UHFFFAOYSA-N 0.000 description 1
- MOODSJOROWROTO-UHFFFAOYSA-N salicylsulfuric acid Chemical compound OC(=O)C1=CC=CC=C1OS(O)(=O)=O MOODSJOROWROTO-UHFFFAOYSA-N 0.000 description 1
- 239000000523 sample Substances 0.000 description 1
- 229940043230 sarcosine Drugs 0.000 description 1
- CDAISMWEOUEBRE-UHFFFAOYSA-N scyllo-inosotol Natural products OC1C(O)C(O)C(O)C(O)C1O CDAISMWEOUEBRE-UHFFFAOYSA-N 0.000 description 1
- 125000002914 sec-butyl group Chemical group [H]C([H])([H])C([H])([H])C([H])(*)C([H])([H])[H] 0.000 description 1
- 150000003335 secondary amines Chemical class 0.000 description 1
- 229910052711 selenium Inorganic materials 0.000 description 1
- 239000011669 selenium Substances 0.000 description 1
- 238000007086 side reaction Methods 0.000 description 1
- 150000004756 silanes Chemical class 0.000 description 1
- 150000003384 small molecules Chemical class 0.000 description 1
- 239000011734 sodium Substances 0.000 description 1
- 229910052708 sodium Inorganic materials 0.000 description 1
- 229940001607 sodium bisulfite Drugs 0.000 description 1
- HRZFUMHJMZEROT-UHFFFAOYSA-L sodium disulfite Chemical compound [Na+].[Na+].[O-]S(=O)S([O-])(=O)=O HRZFUMHJMZEROT-UHFFFAOYSA-L 0.000 description 1
- 235000010267 sodium hydrogen sulphite Nutrition 0.000 description 1
- 229940001584 sodium metabisulfite Drugs 0.000 description 1
- 235000010262 sodium metabisulphite Nutrition 0.000 description 1
- 238000010532 solid phase synthesis reaction Methods 0.000 description 1
- 230000003381 solubilizing effect Effects 0.000 description 1
- 238000000638 solvent extraction Methods 0.000 description 1
- JNYAEWCLZODPBN-CTQIIAAMSA-N sorbitan Polymers OCC(O)C1OCC(O)[C@@H]1O JNYAEWCLZODPBN-CTQIIAAMSA-N 0.000 description 1
- 239000000600 sorbitol Substances 0.000 description 1
- 241000894007 species Species 0.000 description 1
- 238000001228 spectrum Methods 0.000 description 1
- 150000003408 sphingolipids Chemical class 0.000 description 1
- 150000003413 spiro compounds Chemical class 0.000 description 1
- 239000001119 stannous chloride Substances 0.000 description 1
- 235000011150 stannous chloride Nutrition 0.000 description 1
- ANOBYBYXJXCGBS-UHFFFAOYSA-L stannous fluoride Chemical compound F[Sn]F ANOBYBYXJXCGBS-UHFFFAOYSA-L 0.000 description 1
- 229960002799 stannous fluoride Drugs 0.000 description 1
- 239000007858 starting material Substances 0.000 description 1
- 125000003696 stearoyl group Chemical group O=C([*])C([H])([H])C([H])([H])C([H])([H])C([H])([H])C([H])([H])C([H])([H])C([H])([H])C([H])([H])C([H])([H])C([H])([H])C([H])([H])C([H])([H])C([H])([H])C([H])([H])C([H])([H])C([H])([H])C([H])([H])[H] 0.000 description 1
- 239000008174 sterile solution Substances 0.000 description 1
- 150000003431 steroids Chemical class 0.000 description 1
- 235000003702 sterols Nutrition 0.000 description 1
- 150000003432 sterols Chemical class 0.000 description 1
- 230000004936 stimulating effect Effects 0.000 description 1
- 229940014800 succinic anhydride Drugs 0.000 description 1
- BDHFUVZGWQCTTF-UHFFFAOYSA-M sulfonate Chemical compound [O-]S(=O)=O BDHFUVZGWQCTTF-UHFFFAOYSA-M 0.000 description 1
- 125000001273 sulfonato group Chemical group [O-]S(*)(=O)=O 0.000 description 1
- 229940071103 sulfosalicylate Drugs 0.000 description 1
- 230000020382 suppression by virus of host antigen processing and presentation of peptide antigen via MHC class I Effects 0.000 description 1
- 239000000725 suspension Substances 0.000 description 1
- 238000010189 synthetic method Methods 0.000 description 1
- 238000009121 systemic therapy Methods 0.000 description 1
- 229940095064 tartrate Drugs 0.000 description 1
- 229940127058 technelite Drugs 0.000 description 1
- 229910052714 tellurium Inorganic materials 0.000 description 1
- PORWMNRCUJJQNO-UHFFFAOYSA-N tellurium atom Chemical compound [Te] PORWMNRCUJJQNO-UHFFFAOYSA-N 0.000 description 1
- 150000003505 terpenes Chemical class 0.000 description 1
- 235000007586 terpenes Nutrition 0.000 description 1
- NPDBDJFLKKQMCM-UHFFFAOYSA-N tert-butylglycine Chemical compound CC(C)(C)C(N)C(O)=O NPDBDJFLKKQMCM-UHFFFAOYSA-N 0.000 description 1
- 125000005931 tert-butyloxycarbonyl group Chemical group [H]C([H])([H])C(OC(*)=O)(C([H])([H])[H])C([H])([H])[H] 0.000 description 1
- 150000003512 tertiary amines Chemical class 0.000 description 1
- 238000012360 testing method Methods 0.000 description 1
- YLQBMQCUIZJEEH-UHFFFAOYSA-N tetrahydrofuran Natural products C=1C=COC=1 YLQBMQCUIZJEEH-UHFFFAOYSA-N 0.000 description 1
- 125000003718 tetrahydrofuranyl group Chemical group 0.000 description 1
- 125000003039 tetrahydroisoquinolinyl group Chemical group C1(NCCC2=CC=CC=C12)* 0.000 description 1
- 125000001712 tetrahydronaphthyl group Chemical group C1(CCCC2=CC=CC=C12)* 0.000 description 1
- 125000000147 tetrahydroquinolinyl group Chemical group N1(CCCC2=CC=CC=C12)* 0.000 description 1
- 125000003831 tetrazolyl group Chemical group 0.000 description 1
- ZRKFYGHZFMAOKI-QMGMOQQFSA-N tgfbeta Chemical compound C([C@H](NC(=O)[C@H](C(C)C)NC(=O)CNC(=O)[C@H](CCC(O)=O)NC(=O)[C@H](CCCNC(N)=N)NC(=O)[C@H](CC(N)=O)NC(=O)[C@H](CC(C)C)NC(=O)[C@H]([C@@H](C)O)NC(=O)[C@H](CCC(O)=O)NC(=O)[C@H]([C@@H](C)O)NC(=O)[C@H](CC(C)C)NC(=O)CNC(=O)[C@H](C)NC(=O)[C@H](CO)NC(=O)[C@H](CCC(N)=O)NC(=O)[C@@H](NC(=O)[C@H](C)NC(=O)[C@H](C)NC(=O)[C@@H](NC(=O)[C@H](CC(C)C)NC(=O)[C@@H](N)CCSC)C(C)C)[C@@H](C)CC)C(=O)N[C@@H]([C@@H](C)O)C(=O)N[C@@H](C(C)C)C(=O)N[C@@H](CC=1C=CC=CC=1)C(=O)N[C@@H](C)C(=O)N1[C@@H](CCC1)C(=O)N[C@@H]([C@@H](C)O)C(=O)N[C@@H](CC(N)=O)C(=O)N[C@@H](CCC(O)=O)C(=O)N[C@@H](C)C(=O)N[C@@H](CC=1C=CC=CC=1)C(=O)N[C@@H](CCCNC(N)=N)C(=O)N[C@@H](C)C(=O)N[C@@H](CC(C)C)C(=O)N1[C@@H](CCC1)C(=O)N1[C@@H](CCC1)C(=O)N[C@@H](CCCNC(N)=N)C(=O)N[C@@H](CCC(O)=O)C(=O)N[C@@H](CCCNC(N)=N)C(=O)N[C@@H](CO)C(=O)N[C@@H](CCCNC(N)=N)C(=O)N[C@@H](CC(C)C)C(=O)N[C@@H](CC(C)C)C(O)=O)C1=CC=C(O)C=C1 ZRKFYGHZFMAOKI-QMGMOQQFSA-N 0.000 description 1
- 125000004627 thianthrenyl group Chemical group C1(=CC=CC=2SC3=CC=CC=C3SC12)* 0.000 description 1
- 125000000335 thiazolyl group Chemical group 0.000 description 1
- HNKJADCVZUBCPG-UHFFFAOYSA-N thioanisole Chemical compound CSC1=CC=CC=C1 HNKJADCVZUBCPG-UHFFFAOYSA-N 0.000 description 1
- 125000002813 thiocarbonyl group Chemical group *C(*)=S 0.000 description 1
- 150000003585 thioureas Chemical class 0.000 description 1
- XUIIKFGFIJCVMT-UHFFFAOYSA-N thyroxine-binding globulin Natural products IC1=CC(CC([NH3+])C([O-])=O)=CC(I)=C1OC1=CC(I)=C(O)C(I)=C1 XUIIKFGFIJCVMT-UHFFFAOYSA-N 0.000 description 1
- 231100000331 toxic Toxicity 0.000 description 1
- 230000002588 toxic effect Effects 0.000 description 1
- 230000009466 transformation Effects 0.000 description 1
- 229910052723 transition metal Inorganic materials 0.000 description 1
- 150000003624 transition metals Chemical class 0.000 description 1
- ODLHGICHYURWBS-LKONHMLTSA-N trappsol cyclo Chemical compound CC(O)COC[C@H]([C@H]([C@@H]([C@H]1O)O)O[C@H]2O[C@@H]([C@@H](O[C@H]3O[C@H](COCC(C)O)[C@H]([C@@H]([C@H]3O)O)O[C@H]3O[C@H](COCC(C)O)[C@H]([C@@H]([C@H]3O)O)O[C@H]3O[C@H](COCC(C)O)[C@H]([C@@H]([C@H]3O)O)O[C@H]3O[C@H](COCC(C)O)[C@H]([C@@H]([C@H]3O)O)O3)[C@H](O)[C@H]2O)COCC(O)C)O[C@@H]1O[C@H]1[C@H](O)[C@@H](O)[C@@H]3O[C@@H]1COCC(C)O ODLHGICHYURWBS-LKONHMLTSA-N 0.000 description 1
- 238000011277 treatment modality Methods 0.000 description 1
- 125000004306 triazinyl group Chemical group 0.000 description 1
- 125000006000 trichloroethyl group Chemical group 0.000 description 1
- 125000003866 trichloromethyl group Chemical group ClC(Cl)(Cl)* 0.000 description 1
- PQDJYEQOELDLCP-UHFFFAOYSA-N trimethylsilane Chemical compound C[SiH](C)C PQDJYEQOELDLCP-UHFFFAOYSA-N 0.000 description 1
- 229960004799 tryptophan Drugs 0.000 description 1
- 238000000108 ultra-filtration Methods 0.000 description 1
- 150000003672 ureas Chemical class 0.000 description 1
- 230000002792 vascular Effects 0.000 description 1
- 210000005167 vascular cell Anatomy 0.000 description 1
- 210000000264 venule Anatomy 0.000 description 1
- 230000007998 vessel formation Effects 0.000 description 1
- 125000000391 vinyl group Chemical group [H]C([*])=C([H])[H] 0.000 description 1
- 238000005406 washing Methods 0.000 description 1
- 239000001993 wax Substances 0.000 description 1
- 230000029663 wound healing Effects 0.000 description 1
- 230000037314 wound repair Effects 0.000 description 1
- 125000001834 xanthenyl group Chemical group C1=CC=CC=2OC3=CC=CC=C3C(C12)* 0.000 description 1
Classifications
-
- C—CHEMISTRY; METALLURGY
- C07—ORGANIC CHEMISTRY
- C07K—PEPTIDES
- C07K7/00—Peptides having 5 to 20 amino acids in a fully defined sequence; Derivatives thereof
- C07K7/64—Cyclic peptides containing only normal peptide links
-
- A—HUMAN NECESSITIES
- A61—MEDICAL OR VETERINARY SCIENCE; HYGIENE
- A61K—PREPARATIONS FOR MEDICAL, DENTAL OR TOILETRY PURPOSES
- A61K49/00—Preparations for testing in vivo
- A61K49/0002—General or multifunctional contrast agents, e.g. chelated agents
-
- A—HUMAN NECESSITIES
- A61—MEDICAL OR VETERINARY SCIENCE; HYGIENE
- A61K—PREPARATIONS FOR MEDICAL, DENTAL OR TOILETRY PURPOSES
- A61K49/00—Preparations for testing in vivo
- A61K49/22—Echographic preparations; Ultrasound imaging preparations ; Optoacoustic imaging preparations
- A61K49/222—Echographic preparations; Ultrasound imaging preparations ; Optoacoustic imaging preparations characterised by a special physical form, e.g. emulsions, liposomes
- A61K49/227—Liposomes, lipoprotein vesicles, e.g. LDL or HDL lipoproteins, micelles, e.g. phospholipidic or polymeric
-
- A—HUMAN NECESSITIES
- A61—MEDICAL OR VETERINARY SCIENCE; HYGIENE
- A61K—PREPARATIONS FOR MEDICAL, DENTAL OR TOILETRY PURPOSES
- A61K51/00—Preparations containing radioactive substances for use in therapy or testing in vivo
- A61K51/02—Preparations containing radioactive substances for use in therapy or testing in vivo characterised by the carrier, i.e. characterised by the agent or material covalently linked or complexing the radioactive nucleus
- A61K51/04—Organic compounds
- A61K51/08—Peptides, e.g. proteins, carriers being peptides, polyamino acids, proteins
- A61K51/082—Peptides, e.g. proteins, carriers being peptides, polyamino acids, proteins the peptide being a RGD-containing peptide
-
- A—HUMAN NECESSITIES
- A61—MEDICAL OR VETERINARY SCIENCE; HYGIENE
- A61K—PREPARATIONS FOR MEDICAL, DENTAL OR TOILETRY PURPOSES
- A61K51/00—Preparations containing radioactive substances for use in therapy or testing in vivo
- A61K51/02—Preparations containing radioactive substances for use in therapy or testing in vivo characterised by the carrier, i.e. characterised by the agent or material covalently linked or complexing the radioactive nucleus
- A61K51/04—Organic compounds
- A61K51/08—Peptides, e.g. proteins, carriers being peptides, polyamino acids, proteins
- A61K51/088—Peptides, e.g. proteins, carriers being peptides, polyamino acids, proteins conjugates with carriers being peptides, polyamino acids or proteins
-
- A—HUMAN NECESSITIES
- A61—MEDICAL OR VETERINARY SCIENCE; HYGIENE
- A61P—SPECIFIC THERAPEUTIC ACTIVITY OF CHEMICAL COMPOUNDS OR MEDICINAL PREPARATIONS
- A61P29/00—Non-central analgesic, antipyretic or antiinflammatory agents, e.g. antirheumatic agents; Non-steroidal antiinflammatory drugs [NSAID]
-
- A—HUMAN NECESSITIES
- A61—MEDICAL OR VETERINARY SCIENCE; HYGIENE
- A61P—SPECIFIC THERAPEUTIC ACTIVITY OF CHEMICAL COMPOUNDS OR MEDICINAL PREPARATIONS
- A61P35/00—Antineoplastic agents
-
- C—CHEMISTRY; METALLURGY
- C07—ORGANIC CHEMISTRY
- C07D—HETEROCYCLIC COMPOUNDS
- C07D401/00—Heterocyclic compounds containing two or more hetero rings, having nitrogen atoms as the only ring hetero atoms, at least one ring being a six-membered ring with only one nitrogen atom
- C07D401/02—Heterocyclic compounds containing two or more hetero rings, having nitrogen atoms as the only ring hetero atoms, at least one ring being a six-membered ring with only one nitrogen atom containing two hetero rings
- C07D401/12—Heterocyclic compounds containing two or more hetero rings, having nitrogen atoms as the only ring hetero atoms, at least one ring being a six-membered ring with only one nitrogen atom containing two hetero rings linked by a chain containing hetero atoms as chain links
-
- C—CHEMISTRY; METALLURGY
- C07—ORGANIC CHEMISTRY
- C07D—HETEROCYCLIC COMPOUNDS
- C07D401/00—Heterocyclic compounds containing two or more hetero rings, having nitrogen atoms as the only ring hetero atoms, at least one ring being a six-membered ring with only one nitrogen atom
- C07D401/14—Heterocyclic compounds containing two or more hetero rings, having nitrogen atoms as the only ring hetero atoms, at least one ring being a six-membered ring with only one nitrogen atom containing three or more hetero rings
Definitions
- the present invention provides novel pharmaceuticals useful for the diagnosis and treatment of cancer, methods of imaging tumors in a patient, and methods of treating cancer in a patient.
- the present invention also provides novel pharmaceuticals useful for monitoring therapeutic angiogenesis treatment and destruction of new angiogenic vasculature.
- the pharmaceuticals are comprised of a targeting moiety that binds to a receptor that is upregulated during angiogenesis, an optional linking group, and a therapeutically effective radioisotope or diagnostically effective imageable moiety.
- the therapeutically effective radioisotope emits a particle or electron sufficient to be cytotoxic.
- the imageable moiety is a gamma ray or positron emitting radioisotope, a magnetic resonance imaging contrast agent, an X-ray contrast agent, or an ultrasound contrast agent.
- Cancer is a major public health concern in the United States and around the world. It is estimated that over 1 million new cases of invasive cancer will be diagnosed in the United States in 1998. The most prevalent forms of the disease are solid tumors of the lung, breast, prostate, colon and rectum. Cancer is typically diagnosed by a combination of in vitro tests and imaging procedures.
- the imaging procedures include X-ray computed tomography, magnetic resonance imaging, ultrasound imaging and radionuclide scintigraphy.
- a contrast agent is administered to the patient to enhance the image obtained by X-ray CT, MRI and ultrasound, and the administration of a radiopharmaceutical that localizes in tumors is required for radionuclide scintigraphy.
- Treatment of cancer typically involves the use of external beam radiation therapy and chemotherapy, either alone or in combination, depending on the type and extent of the disease.
- a number of chemotherapeutic agents are available, but generally they all suffer from a lack of specificity for tumors versus normal tissues, resulting in considerable side-effects.
- the effectiveness of these treatment modalities is also limited, as evidenced by the high mortality rates for a number of cancer types, especially the more prevalent solid tumor diseases. More effective and specific treatment means continue to be needed.
- This tumor specific metallopharmaceutical approach can also be used for the treatment of cancer when the metallopharmaceutical is comprised of a particle emitting radioisotope.
- the radioactive decay of the isotope at the site of the tumor results in sufficient ionizing radiation to be toxic to the tumor cells.
- the specificity of this approach for tumors minimizes the amount of normal tissue that is exposed to the cytotoxic agent and thus may provide more effective treatment with fewer side-effects.
- Angiogenesis is the process by which new blood vessels are formed from pre-existing capillaries or post capillary venules; it is an important component of a variety of physiological processes including ovulation, embryonic development, wound repair, and collateral vascular generation in the myocardium. It is also central to a number of pathological conditions such as tumor growth and metastasis, diabetic retinopathy, and macular degeneration.
- the process begins with the activation of existing vascular endothelial cells in response to a variety of cytokines and growth factors. Tumor released cytokines or angiogenic factors stimulate vascular endothelial cells by interacting with specific cell surface receptors for the factors.
- the activated endothelial cells secrete enzymes that degrade the basement membrane of the vessels.
- the endothelial cells then proliferate and invade into the tumor tissue.
- the endothelial cells differentiate to form lumens, making new vessel offshoots of pre-existing vessels.
- the new blood vessels then provide nutrients to the tumor permitting further growth and a route for metastasis.
- endothelial cell proliferation is a very slow process, but it increases for a short period of time during embryogenesis, ovulation and wound healing. This temporary increase in cell turnover is governed by a combination of a number of growth stimulatory factors and growth suppressing factors. In pathological angiogenesis, this normal balance is disrupted resulting in continued increased endothelial cell proliferation.
- pro-angiogenic factors include basic fibroblast growth factor (bFGF), angiogenin, TGF-alpha, TGF-beta, and vascular endothelium growth factor (VEGF), while interferon-alpha, interferon-beta and thrombospondin are examples of angiogenesis suppressors.
- Integrins are a diverse family of heterodimeric cell surface receptors by which endothelial cells attach to the extracellular matrix, each other and other cells.
- the integrin ⁇ v ⁇ 3 is a receptor for a wide variety of extracellular matrix proteins with an exposed tripeptide Arg-Gly-Asp moiety and mediates cellular adhesion to its ligands: vitronectin, fibronectin, and fibrinogen, among others.
- the integrin ⁇ v ⁇ 3 is minimally expressed on normal blood vessels, but, is significantly upregulated on vascular cells within a variety of human tumors.
- the role of the ⁇ v ⁇ 3 receptors is to mediate the interaction of the endothelial cells and the extracellular matrix and facilitate the migration of the cells in the direction of the angiogenic signal, the tumor cell population.
- Angiogenesis induced by bFGF or TNF-alpha depend on the agency of the integrin ⁇ v ⁇ 3
- angiogenesis induced by VEGF depends on the integrin ⁇ v ⁇ 5 (Cheresh et. al., Science, 1995, 270, 1500-2).
- Induction of expression of the integrins ⁇ 1 ⁇ 1 and ⁇ 2 ⁇ 1 on the endothelial cell surface is another important mechanism by which VEGF promotes angiogenesis (Senger, et. al., Proc. Natl. Acad, Sci USA, 1997, 94, 13612-7).
- Angiogenic factors interact with endothelial cell surface receptors such as the receptor tyrosine kinases EGFR, FGFR, PDGFR, Flk-1/KDR, Flt-1, Tek, Tie, neuropilin-1, endoglin, endosialin, and Axl.
- the receptors Flk-1/KDR, neuropilin-1, and Flt-1 recognize VEGF and these interactions play key roles in VEGF-induced angiogenesis.
- the Tie subfamily of receptor tyrosine kinases are also expressed prominently during blood vessel formation.
- angiostatin is a 38 kDa fragment of plasminogen that has been shown in animal models to be a potent inhibitor of endothelial cell proliferation.
- Endostatin is a 20 kDa C-terminal fragment of collagen XVIII that has also been shown to be a potent inhibitor.
- Another approach to anti-angiogenic therapy is to use targeting moieties that interact with endothelial cell surface receptors expressed in the angiogenic vasculature to which are attached chemotherapeutic agents.
- Burrows and Thorpe Proc. Nat. Acad. Sci, USA, 1993, 90, 8996-9000
- the antibody was raised against an endothelial cell class II antigen of the major histocompatibility complex and was then conjugated with the cytotoxic agent, deglycosylated ricin A chain. The same group (Clin. Can.
- the receptor binding compounds target the radioisotope to the tumor neovasculature.
- the beta or alpha-particle emitting radioisotope emits a cytotoxic amount of ionizing radiation which results in cell death.
- the penetrating ability of radiation obviates the requirement that the cytotoxic agent diffuse or be transported into the cell to be cytotoxic.
- These pharmaceuticals comprise a targeting moiety that binds to a receptor that is upregulated during angiogenesis, an optional linking group, and a radioisotope that emits cytotoxic radiation (i.e., beta particles, alpha particles and Auger or Coster-Kronig electrons).
- cytotoxic radiation i.e., beta particles, alpha particles and Auger or Coster-Kronig electrons.
- tumor imaging agents comprised of targeting moiety that binds to a receptor that is upregulated during angiogenesis, an optional linking group, and an imageable moiety, such as a gamma ray or positron emitting radioisotope, a magnetic resonance imaging contrast agent, an X-ray contrast agent, or an ultrasound contrast agent.
- Imaging agents for monitoring the progress and results of therapeutic angiogenesis treatment.
- These agents comprise of targeting moiety that binds to a receptor that is upregulated during angiogenesis, an optional linking group, and an imageable moiety.
- Imaging agents of the present invention could be administered intravenously periodically after the administration of growth factors and imaging would be performed using standard techniques of the affected areas, heart or limbs, to monitor the progress and results of the therapeutic angiogenesis treatment (i.e., image the formation of new blood vessels).
- These compounds are comprised of a peptide or peptidomimetic targeting moiety that binds to a receptor that is upregulated during angiogenesis, Q, an optional linking group, L n , and a metal chelator or bonding moiety, C h .
- the compounds may have one or more protecting groups attached to the metal chelator or bonding moiety. The protecting groups provide improved stability to the reagents for long-term storage and are removed either immediately prior to or concurrent with the synthesis of the radiopharmaceuticals.
- the compounds of the present invention are comprised of a peptide or peptidomimetic targeting moiety that binds to a receptor that is upregulated during angiogenesis, Q, an optional linking group, L n , and a surfactant, S f .
- the pharmaceuticals of the present invention may be used for diagnostic and/or therapeutic purposes.
- Diagnostic radiopharmaceuticals of the present invention are pharmaceuticals comprised of a diagnostically useful radionuclide (i.e., a radioactive metal ion that has imageable gamma ray or positron emissions).
- Therapeutic radiopharmaceuticals of the present invention are pharmaceuticals comprised of a therapeutically useful radionuclide, a radioactive metal ion that emits ionizing radiation such as beta particles, alpha particles and Auger or Coster-Kronig electrons.
- the pharmaceuticals comprising a gamma ray or positron emitting radioactive metal ion are useful for imaging tumors by gamma scintigraphy or positron emission tomography.
- the pharmaceuticals comprising a gamma ray or positron emitting radioactive metal ion are also useful for imaging therapeutic angiogenesis by gamma scintigraphy or positron emission tomography.
- the pharmaceuticals comprising a particle emitting radioactive metal ion are useful for treating cancer by delivering a cytotoxic dose of radiation to the tumors.
- the pharmaceuticals comprising a particle emitting radioactive metal ion are also useful for treating rheumatoid arthritis by destroying the formation of angiogenic vasculature.
- the pharmaceuticals comprising a paramagnetic metal ion are useful as magnetic resonance imaging contrast agents.
- the pharmaceuticals comprising one or more X-ray absorbing or “heavy” atoms of atomic number 20 or greater are useful as X-ray contrast agents.
- the pharmaceuticals comprising a microbubble of a biocompatible gas, a liquid carrier, and a surfactant microsphere, are useful as ultrasound contrast agents.
- the present invention provides a novel compound, comprising: a targeting moiety and a chelator, wherein the targeting moiety is bound to the chelator, is a peptide or peptidomimetic, and binds to a receptor that is upregulated during angiogenesis and the compound has 0-1 linking groups between the targeting moiety and chelator.
- the targeting moiety is a peptide or a mimetic thereof and the receptor is selected from the group: EGFR, FGFR, PDGFR, Flk-1/KDR, Flt-1, Tek, Tie, neuropilin-1, endoglin, endosialin, Axl, ⁇ v ⁇ 3 , ⁇ v ⁇ 5 , ⁇ 5 ⁇ 1 , ⁇ 4 ⁇ 1 , ⁇ 1 ⁇ 1 , and ⁇ 2 ⁇ 2 and the linking group is present between the targeting moiety and chelator.
- the receptor is the integrin ⁇ v ⁇ 3 and the compound is of the formula:
- Q is a peptide independently selected from the group:
- K is an L-amino acid independently selected at each occurrence from the group: arginine, citrulline, N-methylarginine, lysine, homolysine, 2-aminoethylcysteine, ⁇ -N-2-imidazolinylornithine, ⁇ -N-benzylcarbamoylornithine, and ⁇ -2-benzimidazolylacetyl-1,2-diaminopropionic acid;
- K is a D-amino acid independently selected at each occurrence from the group: arginine, citrulline, N-methylarginine, lysine, homolysine, 2-aminoethylcysteine, ⁇ -N-2-imidazolinylornithine, ⁇ -N-benzylcarbamoylornithine, and ⁇ -2-benzimidazolylacetyl-1,2-diaminopropionic acid;
- L is independently selected at each occurrence from the group: glycine, L-alanine, and D-alanine;
- M is L-aspartic acid
- M′ is D-aspartic acid
- R 1 is an amino acid substituted with 0-1 bonds to L n , independently selected at each occurrence from the group: glycine, L-valine, D-valine, alanine, leucine, isoleucine, norleucine, 2-aminobutyric acid, 2-aminohexanoic acid, tyrosine, phenylalanine, thienylalanine, phenylglycine, cyclohexylalanine, homophenylalanine, 1-naphthylalanine, lysine, serine, ornithine, 1,2-diaminobutyric acid, 1,2-diaminopropionic acid, cysteine, penicillamine, and methionine;
- R 2 is an amino acid, substituted with 0-1 bonds to L n , independently selected at each occurrence from the group: glycine, valine, alanine, leucine, isoleucine, norleucine, 2-aminobutyric acid, 2-aminohexanoic acid, tyrosine, L-phenylalanine, D-phenylalanine, thienylalanine, phenylglycine, biphenylglycine, cyclohexylalanine, homophenylalanine, L-1-naphthylalanine, D-1-naphthylalanine, lysine, serine, ornithine, 1,2-diaminobutyric acid, 1,2-diaminopropionic acid, cysteine, penicillamine, methionine, and 2-aminothiazole-4-acetic acid;
- R 3 is an amino acid, substituted with 0-1 bonds to L n , independently selected at each occurrence from the group: glycine, D-valine, D-alanine, D-leucine, D-isoleucine, D-norleucine, D-2-aminobutyric acid, D-2-aminohexanoic acid, D-tyrosine, D-phenylalanine, D-thienylalanine, D-phenylglycine, D-cyclohexylalanine, D-homophenylalanine, D-1-naphthylalanine, D-lysine, D-serine, D-ornithine, D-1,2-diaminobutyric acid, D-1,2-diaminopropionic acid, D-cysteine, D-penicillamine, and D-methionine;
- R 4 is an amino acid, substituted with 0-1 bonds to L n , independently selected at each occurrence from the group: glycine, D-valine, D-alanine, D-leucine, D-isoleucine, D-norleucine, D-2-aminobutyric acid, D-2-aminohexanoic acid, D-tyrosine, D-phenylalanine, D-thienylalanine, D-phenylglycine, D-cyclohexylalanine, D-homophenylalanine, D-1-naphthylalanine, D-lysine, D-serine, D-ornithine, D-1,2-diaminobutyric acid, D-1,2-diaminopropionic acid, D-cysteine, D-penicillamine, D-methionine, and 2-aminothiazole-4-acetic acid;
- R 5 is an amino acid, substituted with 0-1 bonds to L n , independently selected at each occurrence from the group: glycine, L-valine, L-alanine, L-leucine, L-isoleucine, L-norleucine, L-2-aminobutyric acid, L-2-aminohexanoic acid, L-tyrosine, L-phenylalanine, L-thienylalanine, L-phenylglycine, L-cyclohexylalanine, L-homophenylalanine, L-1-naphthylalanine, L-lysine, L-serine, L-ornithine, L-1,2-diaminobutyric acid, L-1,2-diaminopropionic acid, L-cysteine, L-penicillamine, L-methionine, and 2-aminothiazole-4-acetic acid;
- R 1 , R 2 , R 3 , R 4 , and R 5 in each Q is substituted with a bond to L n , further provided that when R 2 is 2-aminothiazole-4-acetic acid, K is N-methylarginine, further provided that when R 4 is 2-aminothiazole-4-acetic acid, K and K′ are N-methylarginine, and still further provided that when R 5 is 2-aminothiazole-4-acetic acid, K′ is N-methylarginine;
- d is selected from 1, 2, 3, 4, 5, 6, 7, 8, 9, and 10;
- L n is a linking group having the formula:
- W is independently selected at each occurrence from the group: O, S, NH, NHC( ⁇ O), C( ⁇ O)NH, C( ⁇ O), C( ⁇ O)O, OC( ⁇ O), NHC( ⁇ S)NH, NHC( ⁇ O)NH, SO 2 , (OCH 2 CH 2 ) s , (CH 2 CH 2 O) s′ , (OCH 2 CH 2 CH 2 ) s ′′, (CH 2 CH 2 CH 2 O) t , and (aa) t′ ;
- aa is independently at each occurrence an amino acid
- Z is selected from the group: aryl substituted with 0-3 R 10 , C 3-10 cycloalkyl substituted with 0-3 R 10 , and a 5-10 membered heterocyclic ring system containing 1-4 heteroatoms independently selected from N, S, and O and substituted with 0-3 R 10 ;
- R 6 , R 6a , R 7 , R 7a , R 8 , R 8a , R 9 and R 9a are independently selected at each occurrence from the group: H, ⁇ O, COOH, SO 3 H, PO 3 H, C 1 -C 5 alkyl substituted with 0-3 R 10 , aryl substituted with 0-3 R 10 , benzyl substituted with 0-3 R 10 , and C 1 -C 5 alkoxy substituted with 0-3 R 10 , NHC( ⁇ O)R 11 , C( ⁇ O)NHR 11 , NHC( ⁇ O)NHR 11 , NHR 11 , R 11 , and a bond to C h ;
- R 10 is independently selected at each occurrence from the group: a bond to C h , COOR 11 , OH, NHR 11 , SO 3 H, PO 3 H, aryl substituted with 0-3 R 11 , C 1-5 alkyl substituted with 0-1 R 12 , C 1-5 alkoxy substituted with 0-1 R 12 , and a 5-10 membered heterocyclic ring system containing 1-4 heteroatoms independently selected from N, S, and O and substituted with 0-3 R 11 ;
- R 11 is independently selected at each occurrence from the group: H, aryl substituted with 0-1 R 12 , a 5-10 membered heterocyclic ring system containing 1-4 heteroatoms independently selected from N, S, and O and substituted with 0-1 R 12 , C 3-10 cycloalkyl substituted with 0-1 R 12 , polyalkylene glycol substituted with 0-1 R 12 , carbohydrate substituted with 0-1 R 12 , cyclodextrin substituted with 0-1 R 12 , amino acid substituted with 0-1 R 12 , polycarboxyalkyl substituted with 0-1 R 12 , polyazaalkyl substituted with 0-1 R 12 , peptide substituted with 0-1 R 12 , wherein the peptide is comprised of 2-10 amino acids, and a bond to C h ;
- R 12 is a bond to C h ;
- k is selected from 0, 1, and 2;
- h is selected from 0, 1, and 2;
- h′ is selected from 0, 1, 2, 3, 4, and 5;
- h′′ is selected from 0, 1, 2, 3, 4, and 5;
- g is selected from 0, 1, 2, 3, 4, 5, 6, 7, 8, 9, and 10;
- g′ is selected from 0, 1, 2, 3, 4, 5, 6, 7, 8, 9, and 10;
- g′′ is selected from 0, 1, 2, 3, 4, 5, 6, 7, 8, 9, and 10;
- g′′′ is selected from 0, 1, 2, 3, 4, 5, 6, 7, 8, 9, and 10;
- s is selected from 0, 1, 2, 3, 4, 5, 6, 7, 8, 9, and 10;
- s′ is selected from 0, 1, 2, 3, 4, 5, 6, 7, 8, 9, and 10;
- s′′ is selected from 0, 1, 2, 3, 4, 5, 6, 7, 8, 9, and 10;
- t is selected from 0, 1, 2, 3, 4, 5, 6, 7, 8, 9, and 10;
- t′ is selected from 0, 1, 2, 3, 4, 5, 6, 7, 8, 9, and 10;
- C h is a metal bonding unit having a formula selected from the group:
- a 1 , A 2 , A 3 , A 4 , A 5 , A 6 , A 7 , and A 8 are independently selected at each occurrence from the group: N, NR 13 , NR 13 R 14 , S, SH, S(Pg), O, OH, PR 13 , PR 13 R 14 , P(O)R 15 R 16 , and a bond to L n ;
- E is a bond, CH, or a spacer group independently selected at each occurrence from the group: C 1 -C 10 alkyl substituted with 0-3 R 17 , aryl substituted with 0-3 R 17 , C 3 - 10 cycloalkyl substituted with 0-3 R 17 , heterocyclo-C 1-10 alkyl substituted with 0-3 R 17 , wherein the heterocyclo group is a 5-10 membered heterocyclic ring system containing 1-4 heteroatoms independently selected from N, S, and O, C 6-10 aryl-C 1-10 alkyl substituted with 0-3 R 17 , C 1-10 alkyl-C 6-0 aryl- substituted with 0-3 R 17 , and a 5-10 membered heterocyclic ring system containing 1-4 heteroatoms independently selected from N, S, and O and substituted with 0-3 R 17 ;
- R 13 , and R 14 are each independently selected from the group: a bond to L n , hydrogen, C 1 -C 10 alkyl substituted with 0-3 R 17 , aryl substituted with 0-3 R 17 , C 1-10 cycloalkyl substituted with 0-3 R 17 , heterocyclo-C 1-10 alkyl substituted with 0-3 R 17 , wherein the heterocyclo group is a 5-10 membered heterocyclic ring system containing 1-4 heteroatoms independently selected from N, S, and O, C 6-10 aryl-C 1-10 alkyl substituted with 0-3 R 17 , C 1-10 alkyl-C 6-10 aryl- substituted with 0-3 R 17 , a 5-10 membered heterocyclic ring system containing 1-4 heteroatoms independently selected from N, S, and O and substituted with 0-3 R 17 , and an electron, provided that when one of R 13 or R 14 is an electron, then the other is also an electron;
- R 13 and R 14 combine to form ⁇ C(R 20 ) (R 21 );
- R 15 and R 16 are each independently selected from the group: a bond to L n , —OH, C 1 -C 10 alkyl substituted with 0-3 R 17 , C 1 -C 10 alkyl substituted with 0-3 R 17 , aryl substituted with 0-3 R 17 , C 3-10 cycloalkyl substituted with 0-3 R 17 , heterocyclo-C 1-10 alkyl substituted with 0-3 R 17 , wherein the heterocyclo group is a 5-10 membered heterocyclic ring system containing 1-4 heteroatoms independently selected from N, S, and O, C 6-10 aryl-C 1-10 alkyl substituted with 0-3 R 17 , C 1-10 alkyl-C 6-10 aryl-substituted with 0-3 R 17 , and a 5-10 membered heterocyclic ring system containing 1-4 heteroatoms independently selected from N, S, and O and substituted with 0-3 R 17 ;
- R 17 is independently selected at each occurrence from the group: a bond to L n , ⁇ O, F, Cl, Br, I, —CF 3 , —CN, —CO 2 R 18 , —C( ⁇ O)R 18 , —C( ⁇ O)N(R 18 ) 2 , —CHO, —CH 2 OR 18 , —OC( ⁇ O)R 18 , OC( ⁇ O)OR 18a , —OR 18 , —OC( ⁇ O)N(R 18 ) 2 , —NR 19 C( ⁇ O)R 18 , —NR 19 C( ⁇ O)OR 18a , —NR 19 C( ⁇ O)N(R 18 ) 2 , —NR 19 SO 2 N(R 18 ) 2 , —NR 19 SO 2 R 18a , —SO 3 H, —SO 2 R 18a , —SR 18 , —S( ⁇ O)R 18a , —SO 2 N(R 18 ) 2 , —
- R 18 , R 18a , and R 19 are independently selected at each occurrence from the group: a bond to L n , H, C 1 -C 6 alkyl, phenyl, benzyl, C 1 -C 6 alkoxy, halide, nitro, cyano, and trifluoromethyl;
- Pg is a thiol protecting group
- R 20 and R 21 are independently selected from the group: H, C 1 -C 10 alkyl, —CN, —CO 2 R 25 , —C( ⁇ O)R 25 , —C( ⁇ O)N(R 25 ) 2 , C 2 -C 10 1-alkene substituted with 0-3 R 23 , C 2 -C 10 1-alkyne substituted with 0-3 R 23 , aryl substituted with 0-3 R 23 , unsaturated 5-10 membered heterocyclic ring system containing 1-4 heteroatoms independently selected from N, S, and O and substituted with 0-3 R 23 , and unsaturated C 3-10 carbocycle substituted with 0-3 R 23 ;
- R 20 and R 21 taken together with the divalent carbon radical to which they are attached form:
- R 22 and R 23 are independently selected from the group: H, R 24 , C 1 -C 10 alkyl substituted with 0-3 R 24 , C 2 -C 10 alkenyl substituted with 0-3 R 24 , C 2 -C 10 alkynyl substituted with 0-3 R 24 , aryl substituted with 0-3 R 24 , a 5-10 membered heterocyclic ring system containing 1-4 heteroatoms independently selected from N, S, and O and substituted with 0-3 R 24 , and C 3-10 carbocycle substituted with 0-3 R 24 ;
- a and b indicate the positions of optional double bonds and n is 0 or 1;
- R 24 is independently selected at each occurrence from the group: ⁇ O, F, Cl, Br, I, —CF 3 , —CN, —CO 2 R 25 , —C( ⁇ O)R 25 , —C( ⁇ O)N(R 25 ) 2 , —N(R 25 ) 3 + , —CH 2 OR 25 , —OC( ⁇ O)R 25 , —OC( ⁇ O)OR 25a , —OR 25 , —OC( ⁇ O)N(R 25 ) 2 , —NR 26 C( ⁇ O)R 25 , —NR 26 C( ⁇ O)OR 25a , —NR 26 C( ⁇ O)N(R 25 ) 2 , —NR 26 SO 2 N(R 25 ) 2 , —NR 26 SO 2 R 25a , —SO 3 H, —SO 2 R 25a , —SR 25 , —S( ⁇ O)R 25a , —SO 2 N(R 25 ) 2 , —
- R 25 , R 25a , and R 26 are each independently selected at each occurrence from the group: hydrogen and C 1 -C 6 alkyl;
- the present invention provides a compound, wherein:
- L is glycine
- R 1 is an amino acid, optionally substituted with a bond to L n , independently selected at each occurrence from the group: L-valine, D-valine, alanine, leucine, isoleucine, norleucine, 2-aminobutyric acid, tyrosine, phenylalanine, phenylglycine, cyclohexylalanine, homophenylalanine, lysine, ornithine, 1,2-diaminobutyric acid, and 1,2-diaminopropionic acid;
- R 2 is an amino acid, optionally substituted with a bond to L n , independently selected at each occurrence from the group: valine, alanine, leucine, isoleucine, norleucine, 2-aminobutyric acid, tyrosine, L-phenylalanine, D-phenylalanine, thienylalanine, phenylglycine, biphenylglycine, cyclohexylalanine, homophenylalanine, L-1-naphthylalanine, D-1-naphthylalanine, lysine, ornithine, 1,2-diaminobutyric acid, 1,2-diaminopropionic acid, and 2-aminothiazole-4-acetic acid;
- R 3 is an amino acid, optionally substituted with a bond to L n , independently selected at each occurrence from the group: D-valine, D-alanine, D-leucine, D-isoleucine, D-norleucine, D-2-aminobutyric acid, D-tyrosine, D-phenylalanine, D-phenylglycine, D-cyclohexylalanine, D-homophenylalanine, D-lysine, D-serine, D-ornithine, D-1,2-diaminobutyric acid, and D-1,2-diaminopropionic acid;
- R 4 is an amino acid, optionally substituted with a bond to L n , independently selected at each occurrence from the group: D-valine, D-alanine, D-leucine, D-isoleucine, D-norleucine, D-2-aminobutyric acid, D-tyrosine, D-phenylalanine, D-thienylalanine, D-phenylglycine, D-cyclohexylalanine, D-homophenylalanine, D-1-naphthylalanine, D-lysine, D-ornithine, D-1,2-diaminobutyric acid, D-1,2-diaminopropionic acid, and 2-aminothiazole-4-acetic acid;
- R 5 is an amino acid, optionally substituted with a bond to L n , independently selected at each occurrence from the group: L-valine, L-alanine, L-leucine, L-isoleucine, L-norleucine, L-2-aminobutyric acid, L-tyrosine, L-phenylalanine, L-thienylalanine, L-phenylglycine, L-cyclohexylalanine, L-homophenylalanine, L-1-naphthylalanine, L-lysine, L-ornithine, L-1,2-diaminobutyric acid, L-1,2-diaminopropionic acid, and 2-aminothiazole-4-acetic acid;
- d is selected from 1, 2, and 3;
- W is independently selected at each occurrence from the group: O, NH, NHC( ⁇ O), C( ⁇ O)NH, C( ⁇ O), C( ⁇ O)O, OC( ⁇ O), NHC( ⁇ S)NH, NHC( ⁇ O)NH, SO 2 , (OCH 2 CH 2 ) s , (CH 2 CH 2 O) s′ , (OCH 2 CH 2 CH 2 ) s′′ , and (CH 2 CH 2 CH 2 O) t ,
- Z is selected from the group: aryl substituted with 0-1 R 10 , C 3-10 cycloalkyl substituted with 0-1 R 10 , and a 5-10 membered heterocyclic ring system containing 1-4 heteroatoms independently selected from N, S, and O and substituted with 0-1 R 10 ;
- R 6 , R 6a , R 7 , R 7a , R 8 , R 8a , R 9 , and R 9a are independently selected at each occurrence from the group: H, ⁇ O, COOH, SO 3 H, C 1 -C 5 alkyl substituted with 0-1 R 10 , aryl substituted with 0-1 R 10 , benzyl substituted with 0-1 R 10 , and C 1 -C 5 alkoxy substituted with 0-1 R 10 , NHC( ⁇ O)R 11 , C( ⁇ O)NHR 11 , NHC( ⁇ O)NHR 11 , NHR 11 , R 11 , and a bond to C h ;
- R 10 is independently selected at each occurrence from the group: COOR 11 , OH, NHR 11 , SO 3 H, aryl substituted with 0-1 R 11 , a 5-10 membered heterocyclic ring system containing 1-4 heteroatoms independently selected from N, S, and O and substituted with 0-1 R 11 , C 1 -C 5 alkyl substituted with 0-1 R 12 , C 1 -C 5 alkoxy substituted with 0-1 R 12 , and a bond to C h ;
- R 11 is independently selected at each occurrence from the group: H, aryl substituted with 0-1 R 12 , a 5-10 membered heterocyclic ring system containing 1-4 heteroatoms independently selected from N, S, and O and substituted with 0-1 R 12 , polyalkylene glycol substituted with 0-1 R 12 , carbohydrate substituted with 0-1 R 12 , cyclodextrin substituted with 0-1 R 12 , amino acid substituted with 0-1 R 12 , and a bond to C h ;
- k is 0 or 1;
- h is 0 or 1;
- h′ is 0 or 1
- s is selected from 0, 1, 2, 3, 4, and 5;
- s′ is selected from 0, 1, 2, 3, 4, and 5;
- s′′ is selected from 0, 1, 2, 3, 4, and 5;
- t is selected from 0, 1, 2, 3, 4, and 5;
- a 1 , A 2 , A 3 , A 4 , A 5 , A 6 , A 7 , and A 8 are independently selected at each occurrence from the group: NR 13 , NR 13 R 14 , S, SH, S(Pg), OH, and a bond to L n ;
- E is a bond, CH, or a spacer group independently selected at each occurrence from the group: C 1 -C 10 alkyl substituted with 0-3 R 17 , aryl substituted with 0-3 R 17 , C 3-10 cycloalkyl substituted with 0-3 R 17 , and a 5-10 membered heterocyclic ring system containing 1-4 heteroatoms independently selected from N, S, and O and substituted with 0-3 R 17 ;
- R 13 , and R 14 are each independently selected from the group: a bond to L n , hydrogen, C 1 -C 10 alkyl substituted with 0-3 R 17 , aryl substituted with 0-3 R 17 , a 5-10 membered heterocyclic ring system containing 1-4 heteroatoms independently selected from N, S, and O and substituted with 0-3 R 1 7, and an electron, provided that when one of R 13 or R 14 is an electron, then the other is also an electron;
- R 13 and R 14 combine to form ⁇ C(R 20 )(R 21 );
- R 17 is independently selected at each occurrence from the group: a bond to L n , ⁇ O, F, Cl, Br, I, —CF 3 , —CN, —CO 2 R 18 , —C( ⁇ O)R 18 , —C( ⁇ O)N(R 18 ) 2 , —CH 2 OR 18 , —OC( ⁇ O)R 18 , —OC( ⁇ O)OR 18a , —OR 18 , —OC( ⁇ O)N(R 18 ) 2 , —NR 19 C( ⁇ O)R 18 , —NR 19 C( ⁇ O)OR 18a , —NR 19 C( ⁇ O)N(R 18 ) 2 , —NR 19 SO 2 N(R 18 ) 2 , —NR 19 SO 2 R 18a , —SO 3 H, —SO 2 R 18a , —S( ⁇ O)R 18a , —SO 2 N(R 18 ) 2 , —N(R 18 )
- R 18 R 18a , and R 19 are independently selected at each occurrence from the group: a bond to L n , H, and C 1 -C 6 alkyl;
- R 20 and R 21 are independently selected from the group: H, C 1 -C 5 alkyl, —CO 2 R 25 , C 2 -C 5 1-alkene substituted with 0-3 R 23 , C 2 -C 5 1-alkyne substituted with 0-3 R 23 , aryl substituted with 0-3 R 23 , and unsaturated 5-10 membered heterocyclic ring system containing 1-4 heteroatoms independently selected from N, S, and O and substituted with 0-3 R 23 ;
- R 20 and R 21 taken together with the divalent carbon radical to which they are attached form:
- R 22 and R 23 are independently selected from the group: H, and R 24 ;
- R 24 is independently selected at each occurrence from the group: —CO 2 R 25 , —C( ⁇ O)N(R 25 ) 2 , —CH 2 OR 25 , —OC( ⁇ O)R 25 , —OR 25 , —SO 3 H, —N(R 25 ) 2 , and —OCH 2 CO 2 H; and,
- R 25 is independently selected at each occurrence from the group: H and C 1 -C 3 alkyl.
- the present invention provides a compound, wherein:
- Q is a peptide selected from the group:
- R 1 is L-valine, D-valine, D-lysine optionally substituted on the ⁇ amino group with a bond to L n or L-lysine optionally substituted on the ⁇ amino group with a bond to L n ;
- R 2 is L-phenylalanine, D-phenylalanine, D-1-naphthylalanine, 2-aminothiazole-4-acetic acid, L-lysine optionally substituted on the ⁇ amino group with a bond to L n or tyrosine, the tyrosine optionally substituted on the hydroxy group with a bond to L n ;
- R 3 is D-valine, D-phenylalanine, or L-lysine optionally substituted on the ⁇ amino group with a bond to L n ;
- R 4 is D-phenylalanine, D-tyrosine substituted on the hydroxy group with a bond to L n , or L-lysine optionally substituted on the ⁇ amino group with a bond to L n ;
- R 1 and R 2 in each Q are substituted with a bond to L n , and further provided that when R 2 is 2-aminothiazole-4-acetic acid, K is N-methylarginine;
- d is 1 or 2;
- W is independently selected at each occurrence from the group: NHC( ⁇ O), C( ⁇ O)NH, C( ⁇ O), (CH 2 CH 2 O) s′ , and (CH 2 CH 2 CH 2 O) t ;
- R 6 , R 6a , R 7 , R 7a , R 8 , R 8a , R 9 , and R 9a are independently selected at each occurrence from the group: H, NHC( ⁇ O)R 11 , and a bond to C h ;
- h′′ is selected from 0, 1, 2, and 3;
- g is selected from 0, 1, 2, 3, 4, and 5;
- g′ is selected from 0, 1, 2, 3, 4, and 5;
- g′′ is selected from 0, 1, 2, 3, 4, and 5;
- g′′′ is selected from 0, 1, 2, 3, 4, and 5;
- s′ is 1 or 2;
- t is 1 or 2;
- a 1 is selected from the group: OH, and a bond to L n ;
- a 2 , A 4 , and A 6 are each N;
- a 3 , A 5 , and A 8 are each OH;
- a 7 is a bond to L n or NH-bond to L n ;
- E is a C 2 alkyl substituted with 0-1 R 17 ;
- R 17 is ⁇ O
- a 1 is NH 2 or N ⁇ C(R 20 )(R 21 );
- a 2 is NHR 13 ;
- R 13 is a heterocycle substituted with R 17 , the heterocycle being selected from pyridine and pyrimidine;
- R 17 is selected from a bond to L n , C( ⁇ O)NHR 18 , and C( ⁇ O)R 18 ;
- R 18 is a bond to L n ;
- R 24 is selected from the group: —CO 2 R 25 , —OR 25 , —SO 3 H, and —N(R 25 ) 2 ;
- R 25 is independently selected at each occurrence from the group: hydrogen and methyl
- a 1 , A 2 , A 3 , and A 4 are each N;
- a 5 , A 6 , and A 8 are each OH;
- a 7 is a bond to L n ;
- E is a C 2 alkyl substituted with 0-1 R 17 ;
- R 17 is ⁇ O.
- the present invention provides a compound selected from the group:
- the present invention provides a kit comprising a compound of the present invention.
- the kit further comprises one or more ancillary ligands and a reducing agent.
- the ancillary ligands are tricine and TPPTS.
- the reducing agent is tin(II).
- the present invention provides a novel diagnostic or therapeutic metallopharmaceutical compostion, comprising: a metal, a chelator capable of chelating the metal and a targeting moiety, wherein the targeting moiety is bound to the chelator, is a peptide or peptidomimetic and binds to a receptor that is upregulated during angiogenesis and the compound has 0-1 linking groups between the targeting moiety and chelator.
- the metallopharmaceutical is a diagnostic radiopharmaceutical
- the metal is a radioisotope selected from the group: 99m Tc, 95 Tc, 111 In, 62 Cu, 64 Cu, 67 Ga, and 68 Ga
- the targeting moiety is a peptide or a mimetic thereof and the receptor is selected from the group: EGFR, FGFR, PDGFR, Flk-1/KDR, Flt-1, Tek, Tie, neuropilin-1, endoglin, endosialin, Axl, ⁇ v ⁇ 3 , ⁇ v ⁇ 5 , ⁇ 5 ⁇ 1 , ⁇ 4 ⁇ 1 , ⁇ 1 ⁇ 1 , and ⁇ 2 ⁇ 2 and the linking group is present between the targeting moiety and chelator.
- the targeting moiety is a cyclic pentapeptide and the receptor is ⁇ v ⁇ 3 .
- the radioisotope is 99m Tc or 95 Tc
- the radiopharmaceutical further comprises a first ancillary ligand and a second ancillary ligand capable of stabilizing the radiopharmaceutical.
- the radioisotope is 99m Tc.
- the radiopharmaceutical is selected from the group:
- the radioisotope is 111 In.
- the radiopharmaceutical is selected from the group:
- the metallopharmaceutical is a therapeutic radiopharmaceutical
- the metal is a radioisotope selected from the group: 186 Re, 188 Re, 153 Sm, 166 Ho, 177 Lu, 149 Pm, 90 Y, 212 Bi, 103 Pd, 109 Pd, 159 Gd, 140 La, 198 Au, 199 Au, 169 Yb, 175 Yb, 165 Dy, 166 Dy, 67 Cu, 105 Rh, 111 Ag, and 192 Ir
- the targeting moiety is a peptide or a mimetic thereof and the receptor is selected from the group: EGFR, FGFR, PDGFR, Flk-1/KDR, Flt-1, Tek, Tie, neuropilin-1, endoglin, endosialin, Axl, ⁇ v ⁇ 3 , ⁇ v ⁇ 5 , ⁇ 5 ⁇ 1 , ⁇ 4 ⁇ 1 ,
- the targeting moiety is a cyclic pentapeptide and the receptor is ⁇ v ⁇ 3 .
- the radioisotope is 153 Sm.
- the radiopharmaceutical is selected from the group:
- the radioisotope is 177 Lu.
- the radiopharmaceutical is selected from the group:
- the radioisotope is 90 Y.
- the radiopharmaceutical is:
- the metallopharmaceutical is a MRI contrast agent
- the metal is a paramagnetic metal ion selected from the group: Gd(III), Dy(III), Fe(III), and Mn(II)
- the targeting moiety is a peptide or a mimetic thereof and the receptor is selected from the group: EGFR, FGFR, PDGFR, Flk-1/KDR, Flt-1, Tek, Tie, neuropilin-1, endoglin, endosialin, Axl, ⁇ v ⁇ 3 , ⁇ v ⁇ 5 , ⁇ 5 ⁇ 1 , ⁇ 4 ⁇ 1 , ⁇ 1 ⁇ 1 , and ⁇ 2 ⁇ 2 and the linking group is present between the targeting moiety and chelator.
- the targeting moiety is a cyclic pentapeptide and the receptor is ⁇ v ⁇ 3 .
- the metal ion is Gd(III).
- the contrast agent is:
- the metallopharmaceutical is a X-ray contrast agent
- the metal is selected from the group: Re, Sm, Ho, Lu, Pm, Y, Bi, Pd, Gd, La, Au, Au, Yb, Dy, Cu, Rh, Ag, and Ir
- the targeting moiety is a cyclic pentapeptide
- the receptor is ⁇ v ⁇ 3
- the linking group is present between the targeting moiety and chelator.
- the present invention provides a novel method of treating rheumatoid arthritis in a patient comprising: administering a therapeutic radiopharmaceutical of the present invention capable of localizing in new angiogenic vasculature to a patient by injection or infusion.
- the present invention provides a novel method of treating cancer in a patient comprising: administering to a patient in need thereof a therapeutic radiopharmaceutical of the present invention by injection or infusion.
- the present invention provides a novel method of imaging formation of new blood vessels in a patient comprising: (1) administering a diagnostic radiopharmaceutical, a MRI contrast agent, or a X-ray contrast agent of the present invention to a patient by injection or infusion; (2) imaging the area of the patient wherein the desired formation of new blood vessels is located.
- the present invention provides a novel method of imaging cancer in a patient comprising: (1) administering a diagnostic radiopharmaceutical of the present invention to a patient by injection or infusion; (2) imaging the patient using planar or SPECT gamma scintigraphy, or positron emission tomography.
- the present invention provides a novel method of imaging cancer in a patient comprising: (1) administering a MRI contrast agent of the present invention; and (2) imaging the patient using magnetic resonance imaging.
- the present invention provides a novel method of imaging cancer in a patient comprising: (1) administering a X-ray contrast agent of the present invention; and (2) imaging the patient using X-ray computed tomography.
- the present invention provides a novel compound capable of being used in an ultrasound contrast composition, comprising: a targeting moiety and a surfactant, wherein the targeting moiety is bound to the surfactant, is a peptide or peptidomimetic, and binds to a receptor that is upregulated during angiogenesis and the compound has 0-1 linking groups between the targeting moiety and surfactant.
- the targeting moiety is a peptide or a mimetic thereof and the receptor is selected from the group: EGFR, FGFR, PDGFR, Flk-1/KDR, Flt-1, Tek, Tie, neuropilin-1, endoglin, endosialin, Axl, ⁇ v ⁇ 3 , ⁇ v ⁇ 5 , ⁇ 5 ⁇ 1 , ⁇ 4 ⁇ 1 , ⁇ 1 ⁇ 1 , and ⁇ 2 ⁇ 2 and the linking group is present between the targeting moiety and surfactant.
- the receptor is the integrin ⁇ v ⁇ 3 and the compound is of the formula:
- Q is a cyclic pentapeptide independently selected from the group:
- K is an L-amino acid independently selected at each occurrence from the group: arginine, citrulline, N-methylarginine, lysine, homolysine, 2-aminoethylcysteine, ⁇ -N-2-imidazolinylornithine, ⁇ -N-benzylcarbamoylornithine, and ⁇ -2-benzimidazolylacetyl-1,2-diaminopropionic acid;
- K′ is a D-amino acid independently selected at each occurrence from the group: arginine, citrulline, N-methylarginine, lysine, homolysine, 2-aminoethylcysteine, ⁇ -N-2-imidazolinylornithine, ⁇ -N-benzylcarbamoylornithine, and ⁇ -2-benzimidazolylacetyl-1,2-diaminopropionic acid;
- L is independently selected at each occurrence from the group: glycine, L-alanine, and D-alanine;
- M is L-aspartic acid
- M′ is D-aspartic acid
- R 1 is an amino acid substituted with 0-1 bonds to L n , independently selected at each occurrence from the group: glycine, L-valine, D-valine, alanine, leucine, isoleucine, norleucine, 2-aminobutyric acid, 2-aminohexanoic acid, tyrosine, phenylalanine, thienylalanine, phenylglycine, cyclohexylalanine, homophenylalanine, l-naphthylalanine, lysine, serine, ornithine, 1,2-diaminobutyric acid, 1,2-diaminopropionic acid, cysteine, penicillamine, and methionine;
- R 2 is an amino acid, substituted with 0-1 bonds to L n , independently selected at each occurrence from the group: glycine, valine, alanine, leucine, isoleucine, norleucine, 2-aminobutyric acid, 2-aminohexanoic acid, tyrosine, L-phenylalanine, D-phenylalanine, thienylalanine, phenylglycine, biphenylglycine, cyclohexylalanine, homophenylalanine, L-1-naphthylalanine, D-1-naphthylalanine, lysine, serine, ornithine, 1,2-diaminobutyric acid, 1,2-diaminopropionic acid, cysteine, penicillamine, methionine, and 2-aminothiazole-4-acetic acid;
- R 3 is an amino acid, substituted with 0-1 bonds to L n , independently selected at each occurrence from the group: glycine, D-valine, D-alanine, D-leucine, D-isoleucine, D-norleucine, D-2-aminobutyric acid, D-2-aminohexanoic acid, D-tyrosine, D-phenylalanine, D-thienylalanine, D-phenylglycine, D-cyclohexylalanine, D-homophenylalanine, D-1-naphthylalanine, D-lysine, D-serine, D-ornithine, D-1,2-diaminobutyric acid, D-1,2-diaminopropionic acid, D-cysteine, D-penicillamine, and D-methionine;
- R 4 is an amino acid, substituted with 0-1 bonds to L n , independently selected at each occurrence from the group: glycine, D-valine, D-alanine, D-leucine, D-isoleucine, D-norleucine, D-2-aminobutyric acid, D-2-aminohexanoic acid, D-tyrosine, D-phenylalanine, D-thienylalanine, D-phenylglycine, D-cyclohexylalanine, D-homophenylalanine, D-1-naphthylalanine, D-lysine, D-serine, D-ornithine, D-1,2-diaminobutyric acid, D-1,2-diaminopropionic acid, D-cysteine, D-penicillamine, D-methionine, and 2-aminothiazole-4-acetic acid;
- R 5 is an amino acid, substituted with 0-1 bonds to L n , independently selected at each occurrence from the group: glycine, L-valine, L-alanine, L-leucine, L-isoleucine, L-norleucine, L-2-aminobutyric acid, L-2-aminohexanoic acid, L-tyrosine, L-phenylalanine, L-thienylalanine, L-phenylglycine, L-cyclohexylalanine, L-homophenylalanine, L-1-naphthylalanine, L-lysine, L-serine, L-ornithine, L-1,2-diaminobutyric acid, L-1,2-diaminopropionic acid, L-cysteine, L-penicillamine, L-methionine, and 2-aminothiazole-4-acetic acid;
- R 1 , R 2 , R 3 , R 4 , and R 5 in each Q is substituted with a bond to L n , further provided that when R 2 is 2-aminothiazole-4-acetic acid, K is N-methylarginine, further provided that when R 4 is 2-aminothiazole-4-acetic acid, K and K′ are N-methylarginine, and still further provided that when R 5 is 2-aminothiazole-4-acetic acid, K′ is N-methylarginine;
- d is selected from 1, 2, 3, 4, 5, 6, 7, 8, 9, and 10;
- S f is a surfactant which is a lipid or a compound of the formula:
- a 9 is selected from the group: OH and OR 27 ;
- a 10 is OR 27 ;
- R 27 is C( ⁇ O)C 1-20 alkyl
- E 1 is C 1-10 alkylene substituted with 1-3 R 28 ;
- R 28 is independently selected at each occurrence from the group: R 30 , —PO 3 H—R 30 , ⁇ O, —CO 2 R 29 , —C( ⁇ O)R 29 , —C( ⁇ O)N(R 29 ) 2 , —CH 2 OR 29 , —OR 29 , —N(R 29 ) 2 , C 1 -C 5 alkyl, and C 2 -C 4 alkenyl;
- R 29 is independently selected at each occurrence from the group: R 30 , H, C 1 -C 6 alkyl, phenyl, benzyl, and trifluoromethyl;
- R 30 is a bond to L n ;
- L n is a linking group having the formula:
- W is independently selected at each occurrence from the group: O, S, NH, NHC( ⁇ O), C( ⁇ O)NH, C( ⁇ O), C( ⁇ O)O, OC( ⁇ O), NHC( ⁇ S)NH, NHC( ⁇ O)NH, SO 2 , (OCH 2 CH 2 ) 20-200 , (CH 2 CH 2 O) 20-200 , (OCH 2 CH 2 CH 2 ) 20-200 , (CH 2 CH 2 CH 2 O) 20-200 , and (aa) t′ ;
- aa is independently at each occurrence an amino acid
- Z is selected from the group: aryl substituted with 0-3 R 10 , C 3-10 cycloalkyl substituted with 0-3 R 10 , and a 5-10 membered heterocyclic ring system containing 1-4 heteroatoms independently selected from N, S, and O and substituted with 0-3 R 10 ;
- R 6 , R 6a , R 7 , R 7a , R 8 , R 8a , R 9 and R 9a are independently selected at each occurrence from the group: H, ⁇ O, COOH, SO 3 H, PO 3 H, C 1 -C 5 alkyl substituted with 0-3 R 10 , aryl substituted with 0-3 R 10 , benzyl substituted with 0-3 R 10 , and C 1 -C 5 alkoxy substituted with 0-3 R 10 , NHC( ⁇ O)R 11 , C( ⁇ O)NHR 11 , NHC( ⁇ O)NHR 11 , NHR 11 , R 11 , and a bond to S f ;
- R 10 is independently selected at each occurrence from the group: a bond to S f , COOR 11 , OH, NHR 11 , SO 3 H, PO 3 H, aryl substituted with 0-3 R 11 , C 1-5 alkyl substituted with 0-1 R 12 , C 1-5 alkoxy substituted with 0-1 R 12 , and a 5-10 membered heterocyclic ring system containing 1-4 heteroatoms independently selected from N, S, and O and substituted with 0-3 R 11 ;
- R 11 is independently selected at each occurrence from the group: H, aryl substituted with 0-1 R 12 , a 5-10 membered heterocyclic ring system containing 1-4 heteroatoms independently selected from N, S, and O and substituted with 0-1 R 12 , C 3-10 cycloalkyl substituted with 0-1 R 12 , amino acid substituted with 0-1 R 12 , and a bond to S f ;
- R 12 is a bond to S f ;
- k is selected from 0, 1, and 2;
- h is selected from 0, 1, and 2;
- h′ is selected from 0, 1, 2, 3, 4, and 5;
- h′′ is selected from 0, 1, 2, 3, 4, and 5;
- g is selected from 0, 1, 2, 3, 4, 5, 6, 7, 8, 9, and 10;
- g′ is selected from 0, 1, 2, 3, 4, 5, 6, 7, 8, 9, and 10;
- g′′ is selected from 0, 1, 2, 3, 4, 5, 6, 7, 8, 9, and 10;
- g′′′ is selected from 0, 1, 2, 3, 4, 5, 6, 7, 8, 9, and 10;
- t′ is selected from 0, 1, 2, 3, 4, 5, 6, 7, 8, 9, and 10;
- the compound is of the formula:
- Q is a cyclic pentapeptide independently selected from the group:
- K is an L-amino acid independently selected at each occurrence from the group: arginine, citrulline, N-methylarginine, lysine, homolysine, 2-aminoethylcysteine, ⁇ -N-2-imidazolinylornithine, ⁇ -N-benzylcarbamoylornithine, and ⁇ -2-benzimidazolylacetyl-1,2-diaminopropionic acid;
- K′ is a D-amino acid independently selected at each occurrence from the group: arginine, citrulline, N-methylarginine, lysine, homolysine, 2-aminoethylcysteine, ⁇ -N-2-imidazolinylornithine, ⁇ -N-benzylcarbamoylornithine, and ⁇ -2-benzimidazolylacetyl-1,2-diaminopropionic acid;
- L is independently selected at each occurrence from the group: glycine, L-alanine, and D-alanine;
- M is L-aspartic acid
- M′ is D-aspartic acid
- R 1 is an amino acid substituted with 0-1 bonds to L n , independently selected at each occurrence from the group: glycine, L-valine, D-valine, alanine, leucine, isoleucine, norleucine, 2-aminobutyric acid, 2-aminohexanoic acid, tyrosine, phenylalanine, thienylalanine, phenylglycine, cyclohexylalanine, homophenylalanine, 1-naphthylalanine, lysine, serine, ornithine, 1,2-diaminobutyric acid, 1,2-diaminopropionic acid, cysteine, penicillamine, and methionine;
- R 2 is an amino acid, substituted with 0-1 bonds to L n , independently selected at each occurrence from the group: glycine, valine, alanine, leucine, isoleucine, norleucine, 2-aminobutyric acid, 2-aminohexanoic acid, tyrosine, L-phenylalanine, D-phenylalanine, thienylalanine, phenylglycine, biphenylglycine, cyclohexylalanine, homophenylalanine, L-1-naphthylalanine, D-1-naphthylalanine, lysine, serine, ornithine, 1,2-diaminobutyric acid, 1,2-diaminopropionic acid, cysteine, penicillamine, methionine, and 2-aminothiazole-4-acetic acid;
- R 3 is an amino acid, substituted with 0-1 bonds to L n , independently selected at each occurrence from the group: glycine, D-valine, D-alanine, D-leucine, D-isoleucine, D-norleucine, D-2-aminobutyric acid, D-2-aminohexanoic acid, D-tyrosine, D-phenylalanine, D-thienylalanine, D-phenylglycine, D-cyclohexylalanine, D-homophenylalanine, D-1-naphthylalanine, D-lysine, D-serine, D-ornithine, D-1,2-diaminobutyric acid, D-1,2-diaminopropionic acid, D-cysteine, D-penicillamine, and D-methionine;
- R 4 is an amino acid, substituted with 0-1 bonds to L n , independently selected at each occurrence from the group: glycine, D-valine, D-alanine, D-leucine, D-isoleucine, D-norleucine, D-2-aminobutyric acid, D-2-aminohexanoic acid, D-tyrosine, D-phenylalanine, D-thienylalanine, D-phenylglycine, D-cyclohexylalanine, D-homophenylalanine, D-1-naphthylalanine, D-lysine, D-serine, D-ornithine, D-1,2-diaminobutyric acid, D-1,2-diaminopropionic acid, D-cysteine, D-penicillamine, D-methionine, and 2-aminothiazole-4-acetic acid;
- R 5 is an amino acid, substituted with 0-1 bonds to L n , independently selected at each occurrence from the group: glycine, L-valine, L-alanine, L-leucine, L-isoleucine, L-norleucine, L-2-aminobutyric acid, L-2-aminohexanoic acid, L-tyrosine, L-phenylalanine, L-thienylalanine, L-phenylglycine, L-cyclohexylalanine, L-homophenylalanine, L-1-naphthylalanine, L-lysine, L-serine, L-ornithine, L-1,2-diaminobutyric acid, L-1,2-diaminopropionic acid, L-cysteine, L-penicillamine, L-methionine, and 2-aminothiazole-4-acetic acid;
- R 1 , R 2 , R 3 , R 4 , and R 5 in each Q is substituted with a bond to L n , further provided that when R 2 is 2-aminothiazole-4-acetic acid, K is N-methylarginine, further provided that when R 4 is 2-aminothiazole-4-acetic acid, K and K′ are N-methylarginine, and still further provided that when R 5 is 2-aminothiazole-4-acetic acid, K′ is N-methylarginine;
- S f is a surfactant which is a lipid or a compound of the formula:
- a 9 is OR 27 ;
- a 10 is OR 27 ;
- R 27 is C( ⁇ O)C 1-15 alkyl
- E 1 is C 1-4 alkylene substituted with 1-3 R 28 ;
- R 28 is independently selected at each occurrence from the group: R 30 , —PO 3 H—R 30 , ⁇ O, —CO 2 R 29 , —C( ⁇ O)R 29 , —CH 2 OR 29 , —OR 29 , and C 1 -C 5 alkyl;
- R 29 is independently selected at each occurrence from the group: R 30 , H, C 1 -C 6 alkyl, phenyl, and benzyl;
- R 30 is a bond to L n ;
- L n is a linking group having the formula:
- W is independently selected at each occurrence from the group: O, S, NH, NHC( ⁇ O), C( ⁇ O)NH, C( ⁇ O), C( ⁇ O)O, OC( ⁇ O), NHC( ⁇ S)NH, NHC( ⁇ O)NH, SO 2 , (OCH 2 CH 2 ) 20-200 , (CH 2 CH 2 O) 20-200 , (OCH 2 CH 2 CH 2 ) 20-200 , (CH 2 CH 2 CH 2 O) 20-200 , and (aa) t′ ;
- aa is independently at each occurrence an amino acid
- Z is selected from the group: aryl substituted with 0-3 R 10 C 3-10 cycloalkyl substituted with 0-3 R 10 , and a 5-10 membered heterocyclic ring system containing 1-4 heteroatoms independently selected from N, S, and O and substituted with 0-3 R 10 ;
- R 6 , R 6a , R 7 , R 7a , R 8 , R 8a , R 9 and R 9a are independently selected at each occurrence from the group: H, ⁇ O, C 1 -C 5 alkyl substituted with 0-3 R 10 , and C 1 -C 5 alkoxy substituted with 0-3 R 10 , and a bond to S f ;
- R 10 is independently selected at each occurrence from the group: a bond to S f , COOR 11 , OH, NHR 11 , C 1-5 alkyl substituted with 0-1 R 12 , and C 1-5 alkoxy substituted with 0-1 R 12 ;
- R 11 is independently selected at each occurrence from the group: H, aryl substituted with 0-1 R 12 , C 3-10 cycloalkyl substituted with 0-1 R 12 , amino acid substituted with 0-1
- R 12 is a bond to S f ;
- k is selected from 0, 1, and 2;
- h is selected from 0, 1, and 2;
- h′ is selected from 0, 1, 2, 3, 4, and 5;
- h′′ is selected from 0, 1, 2, 3, 4, and 5;
- g is selected from 0, 1, 2, 3, 4, and 5;
- g′ is selected from 0, 1, 2, 3, 4, and 5;
- g′′ is selected from 0, 1, 2, 3, 4, and 5;
- g′′′ is selected from 0, 1, 2, 3, 4, and 5;
- s is selected from 0, 1, 2, 3, 4, and 5;
- s′ is selected from 0, 1, 2, 3, 4, and 5;
- s′′ is selected from 0, 1, 2, 3, 4, and 5;
- t is selected from 0, 1, 2, 3, 4, and 5;
- t′ is selected from 0, 1, 2, 3, 4, and 5;
- the present invention provides a compound selected from the group:
- the present invention provides a novel ultrasound contrast agent composition, comprising:
- the ultrasound contrast agent further comprises: 1,2-dipalmitoyl-sn-glycero-3-phosphotidic acid, 1,2-dipalmitoyl-sn-glycero-3-phosphatidylcholine, and N-(methoxypolyethylene glycol 5000 carbamoyl)-1,2-dipalmitoyl-sn-glycero-3-phosphatidylethanolamine.
- the echogenic gas is a C 2-5 perfluorocarbon.
- the present invention provides a method of imaging cancer in a patient comprising: (1) administering, by injection or infusion, a ultrasound contrast agent composition of the present invention to a patient; and (2) imaging the patient using sonography.
- the present invention provides a novel method of imaging formation of new blood vessels in a patient comprising: (1) administering, by injection or infusion, a ultrasound contrast agent composition of the present invention to a patient; (2) imaging the area of the patient wherein the desired formation of new blood vessels is located.
- the present invention provides a novel therapeutic radiopharmaceutical composition, comprising:
- the present invention provides a novel diagnostic radiopharmaceutical composition, comprising:
- the present invention provides a novel therapeutic radiopharmaceutical composition, comprising: a radiolabelled targeting moiety, wherein the targeting moiety is a compound Q and the radiolabel is a therapeutic isotope selected from the group: 35 S, 32 P, 125 I, 131 I, and 211 At.
- the present invention provides a novel therapeutic radiopharmaceutical composition, comprising: a radiolabelled targeting moiety, wherein the targeting moiety is a compound Q and the radiolabel is a therapeutic isotope which is 131 I.
- Diagnostic kits of the present invention comprise one or more vials containing the sterile, non-pyrogenic, formulation comprised of a predetermined amount of a reagent of the present invention, and optionally other components such as one or two ancillary ligands, reducing agents, transfer ligands, buffers, lyophilization aids, stabilization aids, solubilization aids and bacteriostats.
- the inclusion of one or more optional components in the formulation will frequently improve the ease of synthesis of the radiopharmaceutical by the practicing end user, the ease of manufacturing the kit, the shelf-life of the kit, or the stability and shelf-life of the radiopharmaceutical.
- the inclusion of one or two ancillary ligands is required for diagnostic kits comprising reagent comprising a hydrazine or hydrazone bonding moiety.
- the one or more vials that contain all or part of the formulation can independently be in the form of a sterile solution or a lyophilized solid.
- the compounds herein described may have asymmetric centers. Unless otherwise indicated, all chiral, diastereomeric and racemic forms are included in the present invention. Many geometric isomers of olefins, C ⁇ N double bonds, and the like can also be present in the compounds described herein, and all such stable isomers are contemplated in the present invention. It will be appreciated that compounds of the present invention contain asymmetrically substituted carbon atoms, and may be isolated in optically active or racemic forms. It is well known in the art how to prepare optically active forms, such as by resolution of racemic forms or by synthesis from optically active starting materials.
- any variable occurs more than one time in any substituent or in any formula, its definition on each occurrence is independent of its definition at every other occurrence.
- a group is shown to be substituted with 0-2 R 52 , then said group may optionally be substituted with up to two R 52 , and R 52 at each occurrence is selected independently from the defined list of possible R 52 .
- R 52 at each occurrence is selected independently from the defined list of possible R 52 .
- each of the two R 53 substituents on N is independently selected from the defined list of possible R 53 .
- Combinations of substituents and/or variables are permissible only if such combinations result in stable compounds.
- a bond to a substituent is shown to cross the bond connecting two atoms in a ring, then such substituent may be bonded to any atom on the ring.
- reagent is meant a compound of this invention capable of direct transformation into a metallopharmaceutical of this invention. Reagents may be utilized directly for the preparation of the metallopharmaceuticals of this invention or may be a component in a kit of this invention.
- binding agent means a metallopharmaceutical of this invention having affinity for and capable of binding to the vitronectin receptor.
- the binding agents of this invention preferably have Ki ⁇ 1000 nM.
- Metallopharmaceutical as used herein is intended to refer to a pharmaceutically acceptable compound containing a metal, wherein the compound is useful for imaging, magnetic resonance imaging, contrast imaging, or x-ray imaging.
- the metal is the cause of the imageable signal in diagnostic applications and the source of the cytotoxic radiation in radiotherapeutic applications.
- Radiopharmaceuticals are metallopharmaceuticals in which the metal is a radioisotope.
- stable compound or “stable structure” is meant herein a compound that is sufficiently robust to survive isolation to a useful degree of purity from a reaction mixture, and formulation into an efficacious pharmaceutical agent.
- substituted means that one or more hydrogens on the designated atom or group is replaced with a selection from the indicated group, provided that the designated atom's or group's normal valency is not exceeded, and that the substitution results in a stable compound.
- a substituent is keto (i.e., ⁇ O)
- 2 hydrogens on the atom are replaced.
- bond means either a single or double bond.
- salt is used as defined in the CRC Handbook of Chemistry and Physics, 65th Edition, CRC Press, Boca Raton, Fla., 1984, as any substance which yields ions, other than hydrogen or hydroxyl ions.
- pharmaceutically acceptable salts refer to derivatives of the disclosed compounds modified by making acid or base salts. Examples of pharmaceutically acceptable salts include, but are not limited to, mineral or organic acid salts of basic residues such as amines; alkali or organic salts of acidic residues such as carboxylic acids; and the like.
- phrases “pharmaceutically acceptable” is employed herein to refer to those compounds, materials, compositions, and/or dosage forms which are, within the scope of sound medical judgment, suitable for use in contact with the tissues of human beings and animals without excessive toxicity, irritation, allergic response, or other problem or complication, commensurate with a reasonable benefit/risk ratio.
- pharmaceutically acceptable salts refer to derivatives of the disclosed compounds wherein the parent compound is modified by making acid or base salts thereof.
- examples of pharmaceutically acceptable salts include, but are not limited to, mineral or organic acid salts of basic residues such as amines; alkali or organic salts of acidic residues such as carboxylic acids; and the like.
- the pharmaceutically acceptable salts include the conventional non-toxic salts or the quaternary ammonium salts of the parent compound formed, for example, from non-toxic inorganic or organic acids.
- such conventional non-toxic salts include those derived from inorganic acids such as hydrochloric, hydrobromic, sulfuric, sulfamic, phosphoric, nitric and the like; and the salts prepared from organic acids such as acetic, propionic, succinic, glycolic, stearic, lactic, tartaric, citric, ascorbic, pamoic, maleic, hydroxymaleic, phenylacetic, glutamic, benzoic, salicylic, sulfanilic, 2-acetoxybenzoic, fumaric, toluenesulfonic, methanesulfonic, ethane disulfonic, oxalic, isethionic, and the like.
- inorganic acids such as hydrochloric, hydrobromic, sulfuric, sulfamic, phosphoric, nitric and the like
- organic acids such as acetic, propionic, succinic, glycolic, stearic, lactic, tartaric
- the pharmaceutically acceptable salts of the present invention can be synthesized from the parent compound which contains a basic or acidic moiety by conventional chemical methods. Generally, such salts can be prepared by reacting the free acid or base forms of these compounds with a stoichiometric amount of the appropriate base or acid in water or in an organic solvent, or in a mixture of the two; generally, nonaqueous media like ether, ethyl acetate, ethanol, isopropanol, or acetonitrile are preferred. Lists of suitable salts are found in Remington's Pharmaceutical Sciences, 17th ed., Mack Publishing Company, Easton, Pa., 1985, p. 1418, the disclosure of which is hereby incorporated by reference.
- alkyl is intended to include both branched and straight-chain saturated aliphatic hydrocarbon groups having the specified number of carbon atoms.
- C 1-10 alkyl is intended to include C 1 , C 2 , C 3 , C 4 , C 5 , C 6 , C 7 , C 8 , C 9 , and C 10 alkyl groups.
- alkyl include, but are not limited to, methyl, ethyl, n-propyl, i-propyl, n-butyl, s-butyl, t-butyl, n-pentyl, and s-pentyl.
- haloalkyl include, but are not limited to, trifluoromethyl, trichloromethyl, pentafluoroethyl, and pentachloroethyl.
- Alkoxy represents an alkyl group as defined above with the indicated number of carbon atoms attached through an oxygen bridge.
- C 1-10 alkoxy is intended to include C 1 , C 2 , C 3 , C 4 , C 5 , C 6 , C 7 , C 8 , C 9 , and C 10 alkoxy groups.
- alkoxy include, but are not limited to, methoxy, ethoxy, n-propoxy, i-propoxy, n-butoxy, s-butoxy, t-butoxy, n-pentoxy, and s-pentoxy.
- “Cycloalkyl” is intended to include saturated ring groups, such as cyclopropyl, cyclobutyl, or cyclopentyl.
- C 3-7 cycloalkyl is intended to include C 3 , C 4 , C 5 , C 6 , and C 7 cycloalkyl groups.
- Alkenyl is intended to include hydrocarbon chains of either a straight or branched configuration and one or more unsaturated carbon-carbon bonds which may occur in any stable point along the chain, such as ethenyl and propenyl.
- C 2-10 alkenyl is intended to include C 2 , C 3 , C 4 , C 5 , C 6 , C 7 , C 8 , C 9 , and C 10 alkenyl groups.
- Alkynyl is intended to include hydrocarbon chains of either a straight or branched configuration and one or more triple carbon-carbon bonds which may occur in any stable point along the chain, such as ethynyl and propynyl.
- C 2-10 alkynyl is intended to include C 2 , C 3 , C 4 , C 5 , C 6 , C 7 , C 8 , C 9 , and C 10 alkynyl groups.
- “carbocycle” or “carbocyclic residue” is intended to mean any stable 3, 4, 5, 6, or 7-membered monocyclic or bicyclic or 7, 8, 9, 10, 11, 12, or 13-membered bicyclic or tricyclic, any of which may be saturated, partially unsaturated, or aromatic.
- carbocycles include, but are not limited to, cyclopropyl, cyclobutyl, cyclopentyl, cyclohexyl, cycloheptyl, adamantyl, cyclooctyl, [3.3.0]bicyclooctane, [4.3.0]bicyclononane, [4.4.0]bicyclodecane, [2.2.2]bicyclooctane, fluorenyl, phenyl, naphthyl, indanyl, adamantyl, and tetrahydronaphthyl.
- alkaryl means an aryl group bearing an alkyl group of 1, 2, 3, 4, 5, 6, 7, 8, 9, or 10 carbon atoms
- aralkyl means an alkyl group of 1, 2, 3, 4, 5, 6, 7, 8, 9, or 10 carbon atoms bearing an aryl group
- arylalkaryl means an aryl group bearing an alkyl group of 1-10 carbon atoms bearing an aryl group
- heterocycloalkyl means an alkyl group of 1, 2, 3, 4, 5, 6, 7, 8, 9, or 10 carbon atoms bearing a heterocycle.
- heterocycle or “heterocyclic system” is intended to mean a stable 5, 6, or 7-membered monocyclic or bicyclic or 7, 8, 9, or 10-membered bicyclic heterocyclic ring which is saturated, partially unsaturated or unsaturated (aromatic), and which consists of carbon atoms and 1, 2, 3, or 4 heteroatoms independently selected from the group consisting of N, NH, O and S and including any bicyclic group in which any of the above-defined heterocyclic rings is fused to a benzene ring.
- the nitrogen and sulfur heteroatoms may optionally be oxidized.
- the heterocyclic ring may be attached to its pendant group at any heteroatom or carbon atom which results in a stable structure.
- heterocyclic rings described herein may be substituted on carbon or on a nitrogen atom if the resulting compound is stable.
- a nitrogen in the heterocycle may optionally be quaternized. It is preferred that when the total number of S and O atoms in the heterocycle exceeds 1, then these heteroatoms are not adjacent to one another. It is preferred that the total number of S and O atoms in the heterocycle is not more than 1.
- aromatic heterocyclic system or “heteroaryl” is intended to mean a stable 5, 6, or 7-membered monocyclic or bicyclic or 7, 8, 9, or 10-membered bicyclic heterocyclic aromatic ring which consists of carbon atoms and 1, 2, 3, or 4 heterotams independently selected from the group consisting of N, NH, O and S. It is to be noted that total number of S and O atoms in the aromatic heterocycle is not more than 1.
- heterocycles include, but are not limited to, acridinyl, azocinyl, benzimidazolyl, benzofuranyl, benzothiofuranyl, benzothiophenyl, benzoxazolyl, benzthiazolyl, benztriazolyl, benztetrazolyl, benzisoxazolyl, benzisothiazolyl, benzimidazolinyl, carbazolyl, 4aH-carbazolyl, carbolinyl, chromanyl, chromenyl, cinnolinyl, decahydroquinolinyl, 2H,6H-1,5,2-dithiazinyl, dihydrofuro[2,3-b]tetrahydrofuran, furanyl, furazanyl, imidazolidinyl, imidazolinyl, imidazolyl, 1H-indazolyl, indolenyl, ind
- Preferred heterocycles include, but are not limited to, pyridinyl, furanyl, thienyl, pyrrolyl, pyrazolyl, pyrrolidinyl, imidazolyl, indolyl, benzimidazolyl, 1H-indazolyl, oxazolidinyl, benzotriazolyl, benzisoxazolyl, oxindolyl, benzoxazolinyl, and isatinoyl. Also included are fused ring and spiro compounds containing, for example, the above heterocycles.
- a “polyalkylene glycol” is a polyethylene glycol, polypropylene glycol or polybutylene glycol having a molecular weight of less than about 5000, terminating in either a hydroxy or alkyl ether moiety.
- a “carbohydrate” is a polyhydroxy aldehyde, ketone, alcohol or acid, or derivatives thereof, including polymers thereof having polymeric linkages of the acetal type.
- a “cyclodextrin” is a cyclic oligosaccharide.
- examples of cyclodextrins include, but are not limited to, ⁇ -cyclodextrin, hydroxyethyl- ⁇ -cyclodextrin, hydroxypropyl- ⁇ -cyclodextrin, ⁇ -cyclodextrin, hydroxypropyl- ⁇ -cyclodextrin, carboxymethyl- ⁇ -cyclodextrin, dihydroxypropyl- ⁇ -cyclodextrin, hydroxyethyl- ⁇ -cyclodextrin, 2,6 di-O-methyl- ⁇ -cyclodextrin, sulfated- ⁇ -cyclodextrin, ⁇ -cyclodextrin, hydroxypropyl- ⁇ -cyclodextrin, dihydroxypropyl- ⁇ -cyclodextrin, hydroxyethyl- ⁇ -cyclodextrin, and sulfated ⁇ -cyclod
- polycarboxyalkyl means an alkyl group having between two and about 100 carbon atoms and a plurality of carboxyl substituents; and the term “polyazaalkyl” means a linear or branched alkyl group having between two and about 100 carbon atoms, interrupted by or substituted with a plurality of amine groups.
- a “reducing agent” is a compound that reacts with a radionuclide, which is typically obtained as a relatively unreactive, high oxidation state compound, to lower its oxidation state by transferring electron(s) to the radionuclide, thereby making it more reactive.
- Reducing agents useful in the preparation of radiopharmaceuticals and in diagnostic kits useful for the preparation of said radiopharmaceuticals include but are not limited to stannous chloride, stannous fluoride, formamidine sulfinic acid, ascorbic acid, cysteine, phosphines, and cuprous or ferrous salts. Other reducing agents are described in Brodack et. al., PCT Application 94/22496, which is incorporated herein by reference.
- a “transfer ligand” is a ligand that forms an intermediate complex with a metal ion that is stable enough to prevent unwanted side-reactions but labile enough to be converted to a metallopharmaceutical.
- the formation of the intermediate complex is kinetically favored while the formation of the metallopharmaceutical is thermodynamically favored.
- Transfer ligands useful in the preparation of metallopharmaceuticals and in diagnostic kits useful for the preparation of diagnostic radiopharmaceuticals include but are not limited to gluconate, glucoheptonate, mannitol, glucarate, N,N,N′,N′-ethylenediaminetetraacetic acid, pyrophosphate and methylenediphosphonate.
- transfer ligands are comprised of oxygen or nitrogen donor atoms.
- donor atom refers to the atom directly attached to a metal by a chemical bond.
- Radionuclide coordination sphere is composed of one or more chelators or bonding units from one or more reagents and one or more ancillary or co-ligands, provided that there are a total of two types of ligands, chelators or bonding units.
- a radiopharmaceutical comprised of one chelator or bonding unit from one reagent and two of the same ancillary or co-ligands and a radiopharmaceutical comprised of two chelators or bonding units from one or two reagents and one ancillary or co-ligand are both considered to be comprised of binary ligand systems.
- the radionuclide coordination sphere is composed of one or more chelators or bonding units from one or more reagents and one or more of two different types of ancillary or co-ligands, provided that there are a total of three types of ligands, chelators or bonding units.
- a radiopharmaceutical comprised of one chelator or bonding unit from one reagent and two different ancillary or co-ligands is considered to be comprised of a ternary ligand system.
- Ancillary or co-ligands useful in the preparation of radiopharmaceuticals and in diagnostic kits useful for the preparation of said radiopharmaceuticals are comprised of one or more oxygen, nitrogen, carbon, sulfur, phosphorus, arsenic, selenium, and tellurium donor atoms.
- a ligand can be a transfer ligand in the synthesis of a radiopharmaceutical and also serve as an ancillary or co-ligand in another radiopharmaceutical.
- a ligand is termed a transfer or ancillary or co-ligand depends on whether the ligand remains in the radionuclide coordination sphere in the radiopharmaceutical, which is determined by the coordination chemistry of the radionuclide and the chelator or bonding unit of the reagent or reagents.
- a “chelator” or “bonding unit” is the moiety or group on a reagent that binds to a metal ion through the formation of chemical bonds with one or more donor atoms.
- binding site means the site in vivo or in vitro that binds a biologically active molecule.
- a “diagnostic kit” or “kit” comprises a collection of components, termed the formulation, in one or more vials which are used by the practicing end user in a clinical or pharmacy setting to synthesize diagnostic radiopharmaceuticals.
- the kit provides all the requisite components to synthesize and use the diagnostic radiopharmaceutical except those that are commonly available to the practicing end user, such as water or saline for injection, a solution of the radionuclide, equipment for heating the kit during the synthesis of the radiopharmaceutical, if required, equipment necessary for administering the radiopharmaceutical to the patient such as syringes and shielding, and imaging equipment.
- Radiopharmaceuticals, X-ray contrast agent pharmaceuticals, ultrasound contrast agent pharmaceuticals and metallopharmaceuticals for magnetic resonance imaging contrast are provided to the end user in their final form in a formulation contained typically in one vial, as either a lyophilized solid or an aqueous solution.
- the end user reconstitutes the lyophilized with water or saline and withdraws the patient dose or just withdraws the dose from the aqueous solution formulation as provided.
- a “lyophilization aid” is a component that has favorable physical properties for lyophilization, such as the glass transition temperature, and is added to the formulation to improve the physical properties of the combination of all the components of the formulation for lyophilization.
- a “stabilization aid” is a component that is added to the metallopharmaceutical or to the diagnostic kit either to stabilize the metallopharmaceutical or to prolong the shelf-life of the kit before it must be used.
- Stabilization aids can be antioxidants, reducing agents or radical scavengers and can provide improved stability by reacting preferentially with species that degrade other components or the metallopharmaceutical.
- a “solubilization aid” is a component that improves the solubility of one or more other components in the medium required for the formulation.
- a “bacteriostat” is a component that inhibits the growth of bacteria in a formulation either during its storage before use of after a diagnostic kit is used to synthesize a radiopharmaceutical.
- amino acid as used herein means an organic compound containing both a basic amino group and an acidic carboxyl group. Included within this term are natural amino acids (e.g., L-amino acids), modified and unusual amino acids (e.g., D-amino acids), as well as amino acids which are known to occur biologically in free or combined form but usually do not occur in proteins. Included within this term are modified and unusual amino acids, such as those disclosed in, for example, Roberts and Vellaccio (1983) The Peptides, 5: 342-429, the teaching of which is hereby incorporated by reference.
- natural amino acids e.g., L-amino acids
- modified and unusual amino acids e.g., D-amino acids
- Natural protein occurring amino acids include, but are not limited to, alanine, arginine, asparagine, aspartic acid, cysteine, glutamic acid, glutamine, glycine, histidine, isoleucine, leucine, lysine, methionine, phenylalanine, serine, threonine, tyrosine, tyrosine, tryptophan, proline, and valine.
- Natural non-protein amino acids include, but are not limited to arginosuccinic acid, citrulline, cysteine sulfinic acid, 3,4-dihydroxyphenylalanine, homocysteine, homoserine, ornithine, 3-monoiodotyrosine, 3,5-diiodotryosine, 3,5,5′-triiodothyronine, and 3,3′,5,5′-tetraiodothyronine.
- Modified or unusual amino acids which can be used to practice the invention include, but are not limited to, D-amino acids, hydroxylysine, 4-hydroxyproline, an N-Cbz-protected amino acid, 2,4-diaminobutyric acid, homoarginine, norleucine, N-methylaminobutyric acid, naphthylalanine, phenylglycine, ⁇ -phenylproline, tert-leucine, 4-aminocyclohexylalanine, N-methyl-norleucine, 3,4-dehydroproline, N,N-dimethylaminoglycine, N-methylaminoglycine, 4-aminopiperidine-4-carboxylic acid, 6-aminocaproic acid, trans-4-(aminomethyl)-cyclohexanecarboxylic acid, 2-, 3-, and 4-(aminomethyl)-benzoic acid, 1-aminocyclopentanecarboxylic acid, 1-
- peptide as used herein means a linear compound that consists of two or more amino acids (as defined herein) that are linked by means of a peptide bond.
- a “peptide” as used in the presently claimed invention is intended to refer to a moiety with a molecular weight of less than 10,000 Daltons, preferable less than 5,000 Daltons, and more preferably less than 2,500 Daltons.
- the term “peptide” also includes compounds containing both peptide and non-peptide components, such as pseudopeptide or peptidomimetic residues or other non-amino acid components. Such a compound containing both peptide and non-peptide components may also be referred to as a “peptide analog”.
- a “pseudopeptide” or “peptidomimetic” is a compound which mimics the structure of an amino acid residue or a peptide, for example, by using linking groups other than amide linkages between the peptide mimetic and an amino acid residue (pseudopeptide bonds) and/or by using non-amino acid substituents and/or a modified amino acid residue.
- a “pseudopeptide residue” means that portion of an pseudopeptide or peptidomimetic that is present in a peptide.
- peptide bond means a covalent amide linkage formed by loss of a molecule of water between the carboxyl group of one amino acid and the amino group of a second amino acid.
- peptide bonds includes peptide bond isosteres which may be used in place of or as substitutes for the normal amide linkage. These substitute or amide “equivalent” linkages are formed from combinations of atoms not normally found in peptides or proteins which mimic the spatial requirements of the amide bond and which should stabilize the molecule to enzymatic degradation.
- the pharmaceuticals of the present invention are comprised of a targeting moiety for a receptor that is expressed or upregulated in angiogenic tumor vasculature.
- the targeting moieties are comprised of peptides or peptidomimetics that bind with high affinity to the receptors.
- peptides comprised of a 23 amino acid portion of the C-terminal domain of VEGF have been synthesized which competitively inhibit binding of VEGF to VEGFR (Soker, et. al., J. Biol. Chem., 1997, 272, 31582-8).
- Linear peptides of 11 to 23 amino acid residues that bind to the basic FGF receptor are described by Cosic et. al., Mol. and Cell. Biochem., 1994, 130, 1-9.
- a preferred linear peptide antagonist of the bFGFR is the 16 amino acid peptide, Met-Trp-Tyr-Arg-Pro-Asp-Leu-Asp-Glu-Arg-Lys-Gln-Gln-Lys-Arg-Glu.
- Gho et. al. (Cancer Research, 1997, 57, 3733-40) describe the identification of small peptides that bind with high affinity to the angiogenin receptor on the surface of endothelial cells.
- a preferred peptide is Ala-Gln-Leu-Ala-Gly-Glu-Cys-Arg-Glu-Asn-Val-Cys-Met-Gly-Ile-Glu-Gly-Arg, in which the two Cys residues form an intramolecular disulfide bond.
- Yayon et. al. (Proc. Natl. Acad. Sci, USA, 1993, 90, 10643-7) describe other linear peptide antagonists of FGFR, identified from a random phage-displayed peptide library.
- Two linear octapeptides Ala-Pro-Ser-Gly-His-Tyr-Lys-Gly and Lys-Arg-Thr-Gly-Gln-Tyr-Lys-Leu are preferred for inhibiting binding of bFGF to it receptor.
- Targeting moieties for integrins expressed in tumor vasculature include peptides and peptidomimetics that bind to ⁇ v ⁇ 3 , ⁇ v ⁇ 5 , ⁇ 5 ⁇ 1 , ⁇ 4 ⁇ 1 , ⁇ 1 ⁇ 1 , and ⁇ 2 ⁇ 2 .
- Pierschbacher and Rouslahti describe peptides that bind selectively to ⁇ 5 ⁇ 1 and ⁇ v ⁇ 3 .
- U.S. Pat. No. 5,536,814 describe peptides that bind with high affinity to the integrin ⁇ 5 ⁇ 1 . Burgess and Lim (J.
- 5,780,426, disclose cyclic peptides that have an exocyclic Arg amino acid that have high affinity for ⁇ v ⁇ 3 .
- Srivatsa et. al. (Cardiovascular Res., 1997, 36, 408-28) describe the cyclic peptide antagonist for ⁇ v ⁇ 3 , cyclo[Ala-Arg-Gly-Asp-Mamb].
- the targeting moieties of the present invention preferably, have a binding affinity for the integrin ⁇ v ⁇ 3 of less than 1000 nM. More preferably, the targeting moieties of the present invention, preferably, have a binding affinity for the integrin ⁇ v ⁇ 3 of less than 100 nM. Even more preferably, the targeting moieties of the present invention, preferably, have a binding affinity for the integrin ⁇ v ⁇ 3 of less than 10 nM.
- the ultrasound contrast agents of the present invention comprise a plurality of angiogenic tumor vasculature targeting moieties attached to or incorporated into a microbubble of a biocompatible gas, a liquid carrier, and a surfactant microsphere, further comprising an optional linking moiety, L n , between the targeting moieties and the microbubble.
- liquid carrier means aqueous solution
- surfactant means any amphiphilic material which produces a reduction in interfacial tension in a solution.
- surfactant microsphere includes nanospheres, liposomes, vesicles and the like.
- the biocompatible gas can be air, or a fluorocarbon, such as a C 3 -C 5 perfluoroalkane, for example, perflouropropane, perflourobutane, or perflouropentane, which provides the difference in echogenicity and thus the contrast in ultrasound imaging.
- the gas is encapsulated or contained in the microsphere to which is attached the biodirecting group, optionally via a linking group.
- the attachment can be covalent, ionic or by van der Waals forces.
- Specific examples of such contrast agents include lipid encapsulated perfluorocarbons with a plurality of tumor neovasculature receptor binding peptides or peptidomimetics.
- S f as used herein is a surfactant which is either a lipid or a compound of the formula A 1 —E—A 2 , defined above.
- the surfactant is intended to form a vesicle (e.g., a microsphere) capable of containing an echogenic gas.
- the ultrasound contrast agent compositions of the present invention are intended to be capable upon agitation (e.g., shaking, stirring, etc. . . . ) of encapsulating an echogenic gas in a vescicle in such a way as to allow for the resultant product to be useful as an ultrasound contrast agent.
- vesicle refers to a spherical entity which is characterized by the presence of an internal void.
- Preferred vesicles are formulated from lipids, including the various lipids described herein.
- the lipids may be in the form of a monolayer or bilayer, and the mono- or bilayer lipids may be used to form one of more mono- or bilayers. In the case of more than one mono- or bilayer, the mono- or bilayers are generally concentric.
- the lipid vesicles described herein include such entities commonly referred to as liposomes, micelles, bubbles, microbubbles, microspheres and the like.
- the lipids may be used to form a unilamellar vesicle (comprised of one monolayer or bilayer), an oligolamellar vesicle (comprised of about two or about three monolayers or bilayers) or a multilamellar vesicle (comprised of more than about three monolayers or bilayers).
- the internal void of the vesicles may be filled with a liquid, including, for example, an aqueous liquid, a gas, a gaseous precursor, and/or a solid or solute material, including, for example, a bioactive agent, as desired.
- Vascular composition refers to a composition which is formulate from lipids and which comprises vesicles.
- Vehicle formulation refers to a composition which comprises vesicles and a bioactive agent.
- Microsphere is preferably a sphere of less than or equal to 10 microns.
- Liposome may include a single lipid layer (a lipid monolayer), two lipid layers (a lipid bilayer) or more than two lipid layers (a lipid multilayer).
- Lipomes refers to a generally spherical cluster or aggregate of amphipathic compounds, including lipid compounds, typically in the form of one or more concentric layers, for example, bilayers. They may also be referred to herein as lipid vesicles.
- bubbles refers to vesicles which are generally characterized by the presence of one or more membranes or walls surrounding an internal void that is filled with a gas or precursor thereto.
- Exemplary bubbles include, for example, liposomes, micelles and the like.
- Lipid refers to a synthetic or naturally-occurring amphipathic compound which comprises a hydrophilic component and a hydrophobic component. Lipids include, for example, fatty acids, neutral fats, phosphatides, glycolipids, aliphatic alchols and waxes, terpenes and steroids.
- Lipid composition refers to a composition which comprises a lipid compound.
- exemplary lipid compositions include suspensions, emulsions and vesicular compositions.
- Lipid formulation refers to a composition which comprises a lipid compound and a bioactive agent.
- Suitable lipids and specific suitable lipids include: phosphatidylcholines, such as dioleoylphosphatidylcholine, dimyristoylphosphatidylcholine, dipalmitoylphosphatidylcholine (DPPC), and distearoylphosphatidylcholine; phosphatidylethanolamines, such as dipalmitoylphosphatidylethanolamine (DPPE), dioleoylphosphatidylethanolamine and N-succinyl-dioleoylphosphatidylethanolamine; phosphatidylserines; phosphatidylglycerols; sphingolipids; glycolipids, such as ganglioside GM1; glucolipids; sulfatides; glycosphingolipids; phosphatidic acids, such as dipalmatoylphosphatidic acid (DPPA); palmitic fatty acids; stearic fatty acids;
- DPPA dip
- the echogenic gas may be one gas or mixture of gases, such as CF 4 , C 2 F 6 , C 3 F 8 , cyclo-C 4 F 8 , C 4 F 10 , C 5 F 12 , cyclo-C 5 F 10 ,cyclo-C 4 F 7 (1-trifluoromethyl), propane (2-trifluoromethyl)-1,1,1,3,3,3 hexafluoro, and butane (2-trifluoromethyl)-1,1,1,3,3,3,4,4,4 nonafluoro.
- gases such as CF 4 , C 2 F 6 , C 3 F 8 , cyclo-C 4 F 8 , C 4 F 10 , C 5 F 12 , cyclo-C 5 F 10 ,cyclo-C 4 F 7 (1-trifluoromethyl), propane (2-trifluoromethyl)-1,1,1,3,3,3 hexafluoro, and butane (2-trifluoromethyl)-1,1,1,3,3,3,4,4,4 nonafluoro.
- mixtures of these gases especially mixtures of perfluorocarbons with other perfluorocarbons and mixtures of perfluorocarbons with other inert gases, such as air, N 2 , O 2 , He, would be useful. Examples of these can be found in Quay, U.S. Pat. No. 5,595,723, the contents of which are herein incorporated by reference.
- X-ray contrast agents of the present invention are comprised of one or more angiogenic tumor vasculature targeting moieties attached to one or more X-ray absorbing or “heavy” atoms of atomic number 20 or greater, further comprising an optional linking moiety, L n , between the targeting moieties and the X-ray absorbing atoms.
- the frequently used heavy atom in X-ray contrast agents is iodine.
- X-ray contrast agents comprised of metal chelates (Wallace, R., U.S. Pat. No. 5,417,959) and polychelates comprised of a plurality of metal ions (Love, D., U.S. Pat. No. 5,679,810) have been disclosed.
- X-ray contrast agents U.S. Pat. No. 5,804,161, PCT WO91/14460, and PCT WO 92/17215.
- X-ray agents include the non-radioactive or naturally occurring analogs of the above listed radionuclides (e.g., Re, Sm, Ho, Lu, Pm, Y, Bi, Pd, Gd, La, Au, Au, Yb, Dy, Cu, Rh, Ag, and Ir).
- MRI contrast agents of the present invention are comprised of one or more angiogenic tumor vasculature targeting moieties attached to one or more paramagnetic metal ions, further comprising an optional linking moiety, L n , between the targeting moieties and the paramagnetic metal ions.
- the paramagnetic metal ions are present in the form of metal complexes or metal oxide particles.
- U.S. Pat. Nos. 5,412,148, and 5,760,191 describe examples of chelators for paramagnetic metal ions for use in MRI contrast agents.
- 5,281,704 describe examples of polychelants useful for complexing more than one paramagnetic metal ion for use in MRI contrast agents.
- U.S. Pat. No. 5,520,904 describes particulate compositions comprised of paramagnetic metal ions for use as MRI contrast agents.
- the pharmaceuticals of the present invention have the formulae, (Q) d —L n —(C h —X), (Q) d —L n —(C h —X 1 ) d′ , (Q) d —L n —(X 2 ) d′′ , and (Q) d —L n —(X 3 ), wherein Q represents a peptide or peptidomimetic that binds to a receptor expressed in angiogenic tumor vasculature, d is 1-10, L n represents an optional linking group, C h represents a metal chelator or bonding moiety, X represents a radioisotope, X 1 represents paramagnetic metal ion, X 2 represents a paramagnetic metal ion or heavy atom containing insoluble solid particle, d′′ is 1-100, and X 3 represents a surfactant microsphere of an echogenic gas.
- Preferred pharmaceuticals of the present invention are comprised of targeting moieties, Q, that are peptides and peptidomimetics that bind to the vitronectin receptors ⁇ v ⁇ 3 and ⁇ v ⁇ 5 . More preferred pharmaceuticals of the present invention are comprised of targeting moieties, Q, that are peptides and peptidomimetics that bind to ⁇ v ⁇ 3 .
- Most preferred pharmaceuticals of the present invention are comprised of ⁇ v ⁇ 3 targeting moieties, Q, that are comprised of one to ten cyclic pentapeptides or peptidomimetics, independently attached to a therapeutic radioisotope or imageable moiety, further comprising an optional linking moiety, L n , between the targeting moieties and the therapeutic radioisotopes or imageable moieties.
- the cyclic peptides are comprised of a tripeptide sequence that binds to the ⁇ v ⁇ 3 receptor and two amino acids either one of which can be attached to L n , C h , X 2 , or X 3 .
- the pharmaceuticals of the present invention can be synthesized by several approaches.
- One approach involves the synthesis of the targeting peptide or peptidomimetic moiety, Q, and direct attachment of one or more moieties, Q, to one or more metal chelators or bonding moieties, C h , or to a paramagnetic metal ion or heavy atom containing solid particle, or to an echogenic gas microbubble.
- Another approach involves the attachment of one or more moieties, Q, to the linking group, L n , which is then attached to one or more metal chelators or bonding moieties, C h , or to a paramagnetic metal ion or heavy atom containing solid particle, or to an echogenic gas microbubble.
- the resulting moiety, Q—L n is then attached to one or more metal chelators or bonding moieties, C h , or to a paramagnetic metal ion or heavy atom containing solid particle, or to an echogenic gas microbubble.
- Another approach involves the synthesis of a peptide or peptidomimetic, Q, bearing a fragment of the linking group, L n , one or more of which are then attached to the remainder of the linking group and then to one or more metal chelators or bonding moieties, C h , or to a paramagnetic metal ion or heavy atom containing solid particle, or to an echogenic gas microbubble.
- the peptides or peptidomimetics, Q, optionally bearing a linking group, L n , or a fragment of the linking group, can be synthesized using standard synthetic methods known to those skilled in the art. Preferred methods include but are not limited to those methods described below.
- peptides and peptidomimetics are elongated by deprotecting the alpha-amine of the C-terminal residue and coupling the next suitably protected amino acid through a peptide linkage using the methods described. This deprotection and coupling procedure is repeated until the desired sequence is obtained.
- This coupling can be performed with the constituent amino acids in a stepwise fashion, or condensation of fragments (two to several amino acids), or combination of both processes, or by solid phase peptide synthesis according to the method originally described by Merrifield, J. Am. Chem. Soc., 85, 2149-2154 (1963), the disclosure of which is hereby incorporated by reference.
- the peptides and peptidomimetics may also be synthesized using automated synthesizing equipment.
- procedures for peptide and peptidomimetic synthesis are described in Stewart and Young, “Solid Phase Peptide Synthesis”, 2nd ed, Pierce Chemical Co., Rockford, Ill. (1984); Gross, Meienhofer, Udenfriend, Eds., “The Peptides: Analysis, Synthesis, Biology, Vol. 1, 2, 3, 5, and 9, Academic Press, New York, (1980-1987); Bodanszky, “Peptide Chemistry: A Practical Textbook”, Springer-Verlag, New York (1988); and Bodanszky et al. “The Practice of Peptide Synthesis” Springer-Verlag, New York (1984), the disclosures of which are hereby incorporated by reference.
- the coupling between two amino acid derivatives, an amino acid and a peptide or peptidomimetic, two peptide or peptidomimetic fragments, or the cyclization of a peptide or peptidomimetic can be carried out using standard coupling procedures such as the azide method, mixed carbonic acid anhydride (isobutyl chloroformate) method, carbodiimide (dicyclohexylcarbodiimide, diisopropylcarbodiimide, or water-soluble carbodiimides) method, active ester (p-nitrophenyl ester, N-hydroxysuccinic imido ester) method, Woodward reagent K method, carbonyldiimidazole method, phosphorus reagents such as BOP-Cl, or oxidation-reduction method. Some of these methods (especially the carbodiimide) can be enhanced by the addition of 1-hydroxybenzotriazole. These coupling reactions may be performed in either solution (liquid phase)
- the alpha-carboxyl group of the C-terminal residue is usually protected by an ester that can be cleaved to give the carboxylic acid.
- These protecting groups include: 1) alkyl esters such as methyl and t-butyl, 2) aryl esters such as benzyl and substituted benzyl, or 3) esters which can be cleaved by mild base treatment or mild reductive means such as trichloroethyl and phenacyl esters.
- an insoluble carrier usually polystyrene
- insoluble carriers contain a group which will react with the carboxyl group to form a bond which is stable to the elongation conditions but readily cleaved later.
- examples of which are: oxime resin (DeGrado and Kaiser (1980) J. Org. Chem. 45, 1295-1300) chloro or bromomethyl resin, hydroxymethyl resin, and aminomethyl resin.
- oxime resin DeGrado and Kaiser (1980) J. Org. Chem. 45, 1295-1300
- chloro or bromomethyl resin hydroxymethyl resin
- aminomethyl resin aminomethyl resin.
- Many of these resins are commercially available with the desired C-terminal amino acid already incorporated.
- the alpha-amino group of each amino acid must be protected. Any protecting group known in the art can be used. Examples of these are: 1) acyl types such as formyl, trifluoroacetyl, phthalyl, and p-toluenesulfonyl; 2) aromatic carbamate types such as benzyloxycarbonyl (Cbz) and substituted benzyloxycarbonyls, 1-(p-biphenyl)-1-methylethoxycarbonyl, and 9-fluorenylmethyloxycarbonyl (Fmoc); 3) aliphatic carbamate types such as tert-butyloxycarbonyl (Boc), ethoxycarbonyl, diisopropylmethoxycarbonyl, and allyloxycarbonyl; 4) cyclic alkyl carbamate types such as cyclopentyloxycarbonyl and adamantyloxycarbonyl; 5) alkyl types such as tripheny
- the alpha-amino protecting group is cleaved prior to the coupling of the next amino acid.
- the methods of choice are trifluoroacetic acid, neat or in dichloromethane, or HCl in dioxane.
- the resulting ammonium salt is then neutralized either prior to the coupling or in situ with basic solutions such as aqueous buffers, or tertiary amines in dichloromethane or dimethylformamide.
- the reagents of choice are piperidine or substituted piperidines in dimethylformamide, but any secondary amine or aqueous basic solutions can be used.
- the deprotection is carried out at a temperature between 0° C. and room temperature.
- any of the amino acids or amino acid mimetics bearing side chain functionalities must be protected during the preparation of the peptide using any of the above-identified groups.
- Those skilled in the art will appreciate that the selection and use of appropriate protecting groups for these side chain functionalities will depend upon the amino acid or amino acid mimetic and presence of other protecting groups in the peptide or peptidomimetic. The selection of such a protecting group is important in that it must not be removed during the deprotection and coupling of the alpha-amino group.
- Boc is chosen for the alpha-amine protection
- protecting groups are acceptable: p-toluenesulfonyl (tosyl) moieties and nitro for arginine; benzyloxycarbonyl, substituted benzyloxycarbonyls, tosyl or trifluoroacetyl for lysine; benzyl or alkyl esters such as cyclopentyl for glutamic and aspartic acids; benzyl ethers for serine and threonine; benzyl ethers, substituted benzyl ethers or 2-bromobenzyloxycarbonyl for tyrosine; p-methylbenzyl, p-methoxybenzyl, acetamidomethyl, benzyl, or t-butylsulfonyl for cysteine; and the indole of tryptophan can either be left unprotected or protected with a formyl group
- Fmoc is chosen for the alpha-amine protection usually tert-butyl based protecting groups are acceptable.
- Boc can be used for lysine, tert-butyl ether for serine, threonine and tyrosine, and tert-butyl ester for glutamic and aspartic acids.
- the peptide or peptidomimetic should be removed from the resin without simultaneously removing protecting groups from functional groups that might interfere with the cyclization process.
- the cleavage conditions need to be chosen such that a free a-carboxylate and a free a-amino group are generated without simultaneously removing other protecting groups.
- the peptide or peptidomimetic may be removed from the resin by hydrazinolysis, and then coupled by the azide method.
- Another very convenient method involves the synthesis of peptides or peptidomimetics on an oxime resin, followed by intramolecular nucleophilic displacement from the resin, which generates a cyclic peptide or peptidomimetic (Osapay, Profit, and Taylor (1990) Tetrahedron Letters 43, 6121-6124).
- the oxime resin is employed, the Boc protection scheme is generally chosen.
- the preferred method for removing side chain protecting groups generally involves treatment with anhydrous HF containing additives such as dimethyl sulfide, anisole, thioanisole, or p-cresol at 0° C.
- the cleavage of the peptide or peptidomimetic can also be accomplished by other acid reagents such as trifluoromethanesulfonic acid/trifluoroacetic acid mixtures.
- Unusual amino acids used in this invention can be synthesized by standard methods familiar to those skilled in the art (“The Peptides: Analysis, Synthesis, Biology, Vol. 5, pp. 342-449, Academic Press, New York (1981)). N-Alkyl amino acids can be prepared using procedures described in previously (Cheung et al., (1977) Can. J. Chem. 55, 906; Freidinger et al., (1982) J. Org. Chem. 48, 77 (1982)), which are incorporated herein by reference.
- linking groups, L n to the peptides and peptidomimetics, Q; chelators or bonding units, C h , to the peptides and peptidomimetics, Q, or to the linking groups, L n ; and peptides and peptidomimetics bearing a fragment of the linking group to the remainder of the linking group, in combination forming the moiety, (Q) d —L n , and then to the moiety C h ; can all be performed by standard techniques. These include, but are not limited to, amidation, esterification, alkylation, and the formation of ureas or thioureas. Procedures for performing these attachments can be found in Brinkley, M., Bioconjugate Chemistry 1992, 3(1), which is incorporated herein by reference.
- a number of methods can be used to attach the peptides and peptidomimetics, Q, to paramagnetic metal ion or heavy atom containing solid particles, X 2 , by one of skill in the art of the surface modification of solid particles.
- the targeting moiety Q or the combination (Q) d L n is attached to a coupling group that react with a constituent of the surface of the solid particle.
- the coupling groups can be any of a number of silanes which react with surface hydroxyl groups on the solid particle surface, as described in co-pending U.S. application Ser. No. 60/092,360, and can also include polyphosphonates, polycarboxylates, polyphosphates or mixtures thereof which couple with the surface of the solid particles, as described in U.S. Pat. No. 5,520,904.
- reaction schemes can be used to attach the peptides and peptidomimetics, Q, to the surfactant microsphere, X 3 . These are illustrated in following reaction schemes where S f represents a surfactant moiety that forms the surfactant microsphere.
- Y is a leaving group or active ester
- the linking group L n can serve several roles. First it provides a spacing group between the metal chelator or bonding moiety, C h , the paramagnetic metal ion or heavy atom containing solid particle, X 2 , and the surfactant microsphere, X 3 , and the one or more of the peptides or peptidomimetics, Q, so as to minimize the possibility that the moieties C h —X, C h —X 1 , X 2 , and X 3 , will interfere with the interaction of the recognition sequences of Q with angiogenic tumor vasculature receptors.
- a linking group also provides a means of independently attaching multiple peptides and peptidomimetics, Q, to one group that is attached to C h —X, C h —X 1 , X 2 , or X 3 .
- the linking group also provides a means of incorporating a pharmacokinetic modifier into the pharmaceuticals of the present invention.
- the pharmacokinetic modifier serves to direct the biodistibution of the injected pharmaceutical other than by the interaction of the targeting moieties, Q, with the receptors expressed in the tumor neovasculature.
- a wide variety of functional groups can serve as pharmacokinetic modifiers, including, but not limited to, carbohydrates, polyalkylene glycols, peptides or other polyamino acids, and cyclodextrins.
- the modifiers can be used to enhance or decrease hydrophilicity and to enhance or decrease the rate of blood clearance.
- the modifiers can also be used to direct the route of elimination of the pharmaceuticals.
- Preferred pharmacokinetic modifiers are those that result in moderate to fast blood clearance and enhanced renal excretion.
- the metal chelator or bonding moiety, C h is selected to form stable complexes with the metal ion chosen for the particular application.
- Chelators or bonding moieties for diagnostic radiopharmaceuticals are selected to form stable complexes with the radioisotopes that have imageable gamma ray or positron emissions, such as 99m Tc, 95 Tc, 111 In, 62 Cu, 60 Cu, 64 Cu, 67 Ga, 68 Ga, 86 Y.
- Chelators for technetium, copper and gallium isotopes are selected from diaminedithiols, monoamine-monoamidedithiols, triamide-monothiols, monoamine-diamide-monothiols, diaminedioximes, and hydrazines.
- the chelators are generally tetradentate with donor atoms selected from nitrogen, oxygen and sulfur.
- Preferred reagents are comprised of chelators having amine nitrogen and thiol sulfur donor atoms and hydrazine bonding units.
- the thiol sulfur atoms and the hydrazines may bear a protecting group which can be displaced either prior to using the reagent to synthesize a radiopharmaceutical or preferably in situ during the synthesis of the radiopharmaceutical.
- Exemplary thiol protecting groups include those listed in Greene and Wuts, “Protective Groups in Organic Synthesis” John Wiley & Sons, New York (1991), the disclosure of which is hereby incorporated by reference. Any thiol protecting group known in the art can be used. Examples of thiol protecting groups include, but are not limited to, the following: acetamidomethyl, benzamidomethyl, 1-ethoxyethyl, benzoyl, and triphenylmethyl.
- Exemplary protecting groups for hydrazine bonding units are hydrazones which can be aldehyde or ketone hydrazones having substituents selected from hydrogen, alkyl, aryl and heterocycle. Particularly preferred hydrazones are described in co-pending U.S. Ser. No. 08/476,296 the disclosure of which is herein incorporated by reference in its entirety.
- the hydrazine bonding unit when bound to a metal radionuclide is termed a hydrazido, or diazenido group and serves as the point of attachment of the radionuclide to the remainder of the radiopharmaceutical.
- a diazenido group can be either terminal (only one atom of the group is bound to the radionuclide) or chelating. In order to have a chelating diazenido group at least one other atom of the group must also be bound to the radionuclide.
- the atoms bound to the metal are termed donor atoms.
- Chelators for 111 I and 86 Y are selected from cyclic and acyclic polyaminocarboxylates such as DTPA, DOTA, DO3A, 2-benzyl-DOTA, alpha-(2-phenethyl)1,4,7,10-tetraazazcyclododecane-1-acetic-4,7,10-tris(methylacetic)acid, 2-benzyl-cyclohexyldiethylenetriaminepentaacetic acid, 2-benzyl-6-methyl-DTPA, and 6,6′′-bis[N,N,N′′,N′′-tetra(carboxymethyl)aminomethyl)-4′-(3-amino-4-methoxyphenyl)-2,2′:6′,2′′-terpyridine.
- cyclic and acyclic polyaminocarboxylates such as DTPA, DOTA, DO3A, 2-benzyl-DOTA, alpha-(2-phenethyl)1,4,7
- the coordination sphere of metal ion includes all the ligands or groups bound to the metal.
- a transition metal radionuclide to be stable it typically has a coordination number (number of donor atoms) comprised of an integer greater than or equal to 4 and less than or equal to 8; that is there are 4 to 8 atoms bound to the metal and it is said to have a complete coordination sphere.
- the requisite coordination number for a stable radionuclide complex is determined by the identity of the radionuclide, its oxidation state, and the type of donor atoms.
- the coordination sphere is completed by donor atoms from other ligands, termed ancillary or co-ligands, which can also be either terminal or chelating.
- a large number of ligands can serve as ancillary or co-ligands, the choice of which is determined by a variety of considerations such as the ease of synthesis of the radiopharmaceutical, the chemical and physical properties of the ancillary ligand, the rate of formation, the yield, and the number of isomeric forms of the resulting radiopharmaceuticals, the ability to administer said ancillary or co-ligand to a patient without adverse physiological consequences to said patient, and the compatibility of the ligand in a lyophilized kit formulation.
- the charge and lipophilicity of the ancillary ligand will effect the charge and lipophilicity of the radiopharmaceuticals.
- 4,5-dihydroxy-1,3-benzene disulfonate results in radiopharmaceuticals with an additional two anionic groups because the sulfonate groups will be anionic under physiological conditions.
- N-alkyl substituted 3,4-hydroxypyridinones results in radiopharmaceuticals with varying degrees of lipophilicity depending on the size of the alkyl substituents.
- Preferred technetium radiopharmaceuticals of the present invention are comprised of a hydrazido or diazenido bonding unit and an ancillary ligand, A L1 , or a bonding unit and two types of ancillary A L1 and A L2 , or a tetradentate chelator comprised of two nitrogen and two sulfur atoms.
- Ancillary ligands A L1 are comprised of two or more hard donor atoms such as oxygen and amine nitrogen (sp 3 hybridized).
- the donor atoms occupy at least two of the sites in the coordination sphere of the radionuclide metal; the ancillary ligand A L1 serves as one of the three ligands in the ternary ligand system.
- ancillary ligands A L1 include but are not limited to dioxygen ligands and functionalized aminocarboxylates. A large number of such ligands are available from commercial sources.
- Ancillary dioxygen ligands include ligands that coordinate to the metal ion through at least two oxygen donor atoms. Examples include but are not limited to: glucoheptonate, gluconate, 2-hydroxyisobutyrate, lactate, tartrate, mannitol, glucarate, maltol, Kojic acid, 2,2-bis(hydroxymethyl)propionic acid, 4,5-dihydroxy-1,3-benzene disulfonate, or substituted or unsubstituted 1,2 or 3,4 hydroxypyridinones. (The names for the ligands in these examples refer to either the protonated or non-protonated forms of the ligands.)
- Functionalized aminocarboxylates include ligands that have a combination of amine nitrogen and oxygen donor atoms. Examples include but are not limited to: iminodiacetic acid, 2,3-diaminopropionic acid, nitrilotriacetic acid, N,N′-ethylenediamine diacetic acid, N,N,N′-ethylenediamine triacetic acid, hydroxyethylethylenediamine triacetic acid, and N,N′-ethylenediamine bis-hydroxyphenylglycine. (The names for the ligands in these examples refer to either the protonated or non-protonated forms of the ligands.)
- a series of functionalized aminocarboxylates are disclosed by Bridger et. al. in U.S. Pat. No. 5,350,837, herein incorporated by reference, that result in improved rates of formation of technetium labeled hydrazino modified proteins. We have determined that certain of these aminocarboxylates result in improved yields of the radiopharmaceuticals of the present invention.
- the preferred ancillary ligands A L1 functionalized aminocarboxylates that are derivatives of glycine; the most preferred is tricine (tris(hydroxymethyl)methylglycine).
- the most preferred technetium radiopharmaceuticals of the present invention are comprised of a hydrazido or diazenido bonding unit and two types of ancillary designated A L1 and A L2 , or a diaminedithiol chelator.
- the second type of ancillary ligands A L2 are comprised of one or more soft donor atoms selected from the group: phosphine phosphorus, arsine arsenic, imine nitrogen (sp 2 hybridized), sulfur (sp 2 hybridized) and carbon (sp hybridized); atoms which have p-acid character.
- Ligands A L2 can be monodentate, bidentate or tridentate, the denticity is defined by the number of donor atoms in the ligand.
- One of the two donor atoms in a bidentate ligand and one of the three donor atoms in a tridentate ligand must be a soft donor atom.
- radiopharmaceuticals comprised of one or more ancillary or co-ligands A L2 are more stable compared to radiopharmaceuticals that are not comprised of one or more ancillary ligands, A L2 ; that is, they have a minimal number of isomeric forms, the relative ratios of which do not change significantly with time, and that remain substantially intact upon dilution.
- the ligands A L2 that are comprised of phosphine or arsine donor atoms are trisubstituted phosphines, trisubstituted arsines, tetrasubstituted diphosphines and tetrasubstituted diarsines.
- the ligands A L2 that are comprised of imine nitrogen are unsaturated or aromatic nitrogen-containing, 5 or 6-membered heterocycles.
- the ligands that are comprised of sulfur (sp 2 hybridized) donor atoms are thiocarbonyls, comprised of the moiety C ⁇ S.
- the ligands comprised of carbon (sp hybridized) donor atoms are isonitriles, comprised of the moiety CNR, where R is an organic radical.
- Isonitriles can be synthesized as described in European Patent 0107734 and in U.S. Pat. No. 4,988,827, herein incorporated by reference.
- Preferred ancillary ligands A L2 are trisubstituted phosphines and unsaturated or aromatic 5 or 6 membered heterocycles.
- the most preferred ancillary ligands A L2 are trisubstituted phosphines and unsaturated 5 membered heterocycles.
- the ancillary ligands A L2 may be substituted with alkyl, aryl, alkoxy, heterocycle, aralkyl, alkaryl and arylalkaryl groups and may or may not bear functional groups comprised of heteroatoms such as oxygen, nitrogen, phosphorus or sulfur.
- functional groups include but are not limited to: hydroxyl, carboxyl, carboxamide, nitro, ether, ketone, amino, ammonium, sulfonate, sulfonamide, phosphonate, and phosphonamide.
- the functional groups may be chosen to alter the lipophilicity and water solubility of the ligands which may affect the biological properties of the radiopharmaceuticals, such as altering the distribution into non-target tissues, cells or fluids, and the mechanism and rate of elimination from the body.
- Chelators or bonding moieties for therapeutic radiopharmaceuticals are selected to form stable complexes with the radioisotopes that have alpha particle, beta particle, Auger or Coster-Kronig electron emissions, such as 186 Re, 188 Re, 153 Sm, 166 Ho, 177 Lu, 149 Pm, 90 Y, 212 Bi, 103 Pd, 109 Pd, 159 Gd, 140 La, 198 Au, 199 Au, 169 Yb, 175 Yb, 165 Dy, 166 Dy, 67 Cu, 105 Rh, 111 Ag, and 192 Ir.
- Chelators for rhenium, copper, palladium, platinum, iridium, rhodium, silver and gold isotopes are selected from diaminedithiols, monoamine-monoamidedithiols, triamide-monothiols, monoamine-diamide-monothiols, diaminedioximes, and hydrazines.
- Chelators for yttrium, bismuth, and the lanthanide isotopes are selected from cyclic and acyclic polyaminocarboxylates such as DTPA, DOTA, DO3A, 2-benzyl-DOTA, alpha-(2-phenethyl)1,4,7,10-tetraazacyclododecane-1-acetic-4,7,10-tris(methylacetic)acid, 2-benzyl-cyclohexyldiethylenetriaminepentaacetic acid, 2-benzyl-6-methyl-DTPA, and 6,6′′-bis[N,N,N′′,N′′-tetra(carboxymethyl)aminomethyl)-4′-(3-amino-4-methoxyphenyl)-2,2′:6′,2′′-terpyridine.
- cyclic and acyclic polyaminocarboxylates such as DTPA, DOTA, DO3A, 2-benzyl-DOTA, alpha
- Chelators for magnetic resonance imaging contrast agents are selected to form stable complexes with paramagnetic metal ions, such as Gd(III), Dy(III), Fe(III), and Mn(II), are selected from cyclic and acyclic polyaminocarboxylates such as DTPA, DOTA, DO3A, 2-benzyl-DOTA, alpha-(2-phenethyl)1,4,7,10-tetraazacyclododecane-1-acetic-4,7,10-tris(methylacetic)acid, 2-benzylcyclohexyldiethylenetriaminepentaacetic acid, 2-benzyl-6-methyl-DTPA, and 6,6′′-bis[N,N,N′′,N′′-tetra(carboxymethyl)aminomethyl)-4′-(3-amino-4-methoxyphenyl)-2,2′:6′,2′′-terpyridine.
- paramagnetic metal ions such as Gd(III), Dy(III),
- the technetium and rhenium radiopharmaceuticals of the present invention comprised of a hydrazido or diazenido bonding unit can be easily prepared by admixing a salt of a radionuclide, a reagent of the present invention, an ancillary ligand A L1 , an ancillary ligand A L2 , and a reducing agent, in an aqueous solution at temperatures from 0 to 100° C.
- the technetium and rhenium radiopharmaceuticals of the present invention comprised of a tetradentate chelator having two nitrogen and two sulfur atoms can be easily prepared by admixing a salt of a radionuclide, a reagent of the present invention, and a reducing agent, in an aqueous solution at temperatures from 0 to 100° C.
- the bonding unit in the reagent of the present invention When the bonding unit in the reagent of the present invention is present as a hydrazone group, then it must first be converted to a hydrazine, which may or may not be protonated, prior to complexation with the metal radionuclide.
- the conversion of the hydrazone group to the hydrazine can occur either prior to reaction with the radionuclide, in which case the radionuclide and the ancillary or co-ligand or ligands are combined not with the reagent but with a hydrolyzed form of the reagent bearing the chelator or bonding unit, or in the presence of the radionuclide in which case the reagent itself is combined with the radionuclide and the ancillary or co-ligand or ligands. In the latter case, the pH of the reaction mixture must be neutral or acidic.
- the radiopharmaceuticals of the present invention comprised of a hydrazido or diazenido bonding unit can be prepared by first admixing a salt of a radionuclide, an ancillary ligand A L1 , and a reducing agent in an aqueous solution at temperatures from 0 to 100° C. to form an intermediate radionuclide complex with the ancillary ligand A L1 then adding a reagent of the present invention and an ancillary ligand A L2 and reacting further at temperatures from 0 to 100° C.
- the radiopharmaceuticals of the present invention comprised of a hydrazido or diazenido bonding unit can be prepared by first admixing a salt of a radionuclide, an ancillary ligand A L1 , a reagent of the present invention, and a reducing agent in an aqueous solution at temperatures from 0 to 100° C. to form an intermediate radionuclide complex, and then adding an ancillary ligand A L2 and reacting further at temperatures from 0 to 100° C.
- the technetium and rhenium radionuclides are preferably in the chemical form of pertechnetate or perrhenate and a pharmaceutically acceptable cation.
- the pertechnetate salt form is preferably sodium pertechnetate such as obtained from commercial Tc-99m generators.
- the amount of pertechnetate used to prepare the radiopharmaceuticals of the present invention can range from 0.1 mCi to 1 Ci, or more preferably from 1 to 200 mCi.
- the amount of the reagent of the present invention used to prepare the technetium and rhenium radiopharmaceuticals of the present invention can range from 0.01 ⁇ g to 10 mg, or more preferably from 0.5 ⁇ g to 200 ⁇ g. The amount used will be dictated by the amounts of the other reactants and the identity of the radiopharmaceuticals of the present invention to be prepared.
- the amounts of the ancillary ligands A L1 used can range from 0.1 mg to 1 g, or more preferably from 1 mg to 100 mg.
- the exact amount for a particular radiopharmaceutical is a function of identity of the radiopharmaceuticals of the present invention to be prepared, the procedure used and the amounts and identities of the other reactants. Too large an amount of A L1 will result in the formation of by-products comprised of technetium labeled A L1 without a biologically active molecule or by-products comprised of technetium labeled biologically active molecules with the ancillary ligand A L1 but without the ancillary ligand A L2 .
- a L1 Too small an amount of A L1 will result in other by-products such as technetium labeled biologically active molecules with the ancillary ligand A L2 but without the ancillary ligand A L1 , or reduced hydrolyzed technetium, or technetium colloid.
- the amounts of the ancillary ligands A L2 used can range from 0.001 mg to 1 g, or more preferably from 0.01 mg to 10 mg.
- the exact amount for a particular radiopharmaceutical is a function of the identity of the radiopharmaceuticals of the present invention to be prepared, the procedure used and the amounts and identities of the other reactants. Too large an amount of A L2 will result in the formation of by-products comprised of technetium labeled A L2 without a biologically active molecule or by-products comprised of technetium labeled biologically active molecules with the ancillary ligand A L2 but without the ancillary ligand A L1 .
- the reagent bears one or more substituents that are comprised of a soft donor atom, as defined above, at least a ten-fold molar excess of the ancillary ligand A L2 to the reagent of formula 2 is required to prevent the substituent from interfering with the coordination of the ancillary ligand A L2 to the metal radionuclide.
- Suitable reducing agents for the synthesis of the radiopharmaceuticals of the present invention include stannous salts, dithionite or bisulfite salts, borohydride salts, and formamidinesulfinic acid, wherein the salts are of any pharmaceutically acceptable form.
- the preferred reducing agent is a stannous salt.
- the amount of a reducing agent used can range from 0.001 mg to 10 mg, or more preferably from 0.005 mg to 1 mg.
- Radiopharmaceuticals of the present invention comprised of a hydrazido or diazenido bonding unit will depend on the identity of the reagent of the present invention used, the identity of any ancillary ligand A L1 , the identity of any ancillary ligand A L2 , and the identity of the radionuclide.
- Radiopharmaceuticals comprised of a hydrazido or diazenido bonding unit synthesized using concentrations of reagents of ⁇ 100 ⁇ g/mL, will be comprised of one hydrazido or diazenido group.
- Those synthesized using >1 mg/mL concentrations will be comprised of two hydrazido or diazenido groups from two reagent molecules.
- the biologically active molecule can be injected and not result in undesired side-effects, such as chemical toxicity, interference with a biological process or an altered biodistribution of the radiopharmaceutical. Therefore, the radiopharmaceuticals which require higher concentrations of the reagents comprised in part of the biologically active molecule, will have to be diluted or purified after synthesis to avoid such side-effects.
- the identities and amounts used of the ancillary ligands A L1 and A L2 will determine the values of the variables y and z.
- the values of y and z can independently be an integer from 1 to 2. In combination, the values of y and z will result in a technetium coordination sphere that is made up of at least five and no more than seven donor atoms.
- z can be an integer from 1 to 2; for bidentate or tridentate ancillary ligands A L2 , Z is 1.
- the preferred combination for monodentate ligands is y equal to 1 or 2 and z equal to 1.
- the preferred combination for bidentate or tridentate ligands is y equal to 1 and z equal to 1.
- the indium, copper, gallium, silver, palladium, rhodium, gold, platinum, bismuth, yttrium and lanthanide radiopharmaceuticals of the present invention can be easily prepared by admixing a salt of a radionuclide and a reagent of the present invention, in an aqueous solution at temperatures from 0 to 100° C.
- These radionuclides are typically obtained as a dilute aqueous solution in a mineral acid, such as hydrochloric, nitric or sulfuric acid.
- the radionuclides are combined with from one to about one thousand equivalents of the reagents of the present invention dissolved in aqueous solution.
- a buffer is typically used to maintain the pH of the reaction mixture between 3 and 10.
- the gadolinium, dysprosium, iron and manganese metallopharmaceuticals of the present invention can be easily prepared by admixing a salt of the paramagnetic metal ion and a reagent of the present invention, in an aqueous solution at temperatures from 0 to 100° C.
- These paramagnetic metal ions are typically obtained as a dilute aqueous solution in a mineral acid, such as hydrochloric, nitric or sulfuric acid.
- the paramagnetic metal ions are combined with from one to about one thousand equivalents of the reagents of the present invention dissolved in aqueous solution.
- a buffer is typically used to maintain the pH of the reaction mixture between 3 and 10.
- the total time of preparation will vary depending on the identity of the metal ion, the identities and amounts of the reactants and the procedure used for the preparation.
- the preparations may be complete, resulting in >80% yield of the radiopharmaceutical, in 1 minute or may require more time. If higher purity metallopharmaceuticals are needed or desired, the products can be purified by any of a number of techniques well known to those skilled in the art such as liquid chromatography, solid phase extraction, solvent extraction, dialysis or ultrafiltration.
- Buffers useful in the preparation of metallopharmaceuticals and in diagnostic kits useful for the preparation of said radiopharmaceuticals include but are not limited to phosphate, citrate, sulfosalicylate, and acetate. A more complete list can be found in the United States Pharmacopeia.
- Lyophilization aids useful in the preparation of diagnostic kits useful for the preparation of radiopharmaceuticals include but are not limited to mannitol, lactose, sorbitol, dextran, Ficoll, and polyvinylpyrrolidine (PVP).
- Stabilization aids useful in the preparation of metallopharmaceuticals and in diagnostic kits useful for the preparation of radiopharmaceuticals include but are not limited to ascorbic acid, cysteine, monothioglycerol, sodium bisulfite, sodium metabisulfite, gentisic acid, and inositol.
- Solubilization aids useful in the preparation of metallopharmaceuticals and in diagnostic kits useful for the preparation of radiopharmaceuticals include but are not limited to ethanol, glycerin, polyethylene glycol, propylene glycol, polyoxyethylene sorbitan monooleate, sorbitan monoloeate, polysorbates, poly(oxyethylene)poly(oxypropylene)poly(oxyethylene) block copolymers (Pluronics) and lecithin.
- Preferred solubilizing aids are polyethylene glycol, and Pluronics.
- Bacteriostats useful in the preparation of metallopharmaceuticals and in diagnostic kits useful for the preparation of radiopharmaceuticals include but are not limited to benzyl alcohol, benzalkonium chloride, chlorbutanol, and methyl, propyl or butyl paraben.
- a component in a diagnostic kit can also serve more than one function.
- a reducing agent can also serve as a stabilization aid
- a buffer can also serve as a transfer ligand
- a lyophilization aid can also serve as a transfer, ancillary or co-ligand and so forth.
- the diagnostic radiopharmaceuticals are administered by intravenous injection, usually in saline solution, at a dose of 1 to 100 mCi per 70 kg body weight, or preferably at a dose of 5 to 50 mCi. Imaging is performed using known procedures.
- the therapeutic radiopharmaceuticals are administered by intravenous injection, usually in saline solution, at a dose of 0.1 to 100 mCi per 70 kg body weight, or preferably at a dose of 0.5 to 5 mCi per 70 kg body weight.
- the magnetic resonance imaging contrast agents of the present invention may be used in a similar manner as other MRI agents as described in U.S. Pat. No. 5,155,215; U.S. Pat. No. 5,087,440; Margerstadt et al., Magn. Reson. Med., 1986, 3, 808; Runge et al., Radiology, 1988, 166, 835; and Bousquet et al., Radiology, 1988, 166, 693.
- sterile aqueous solutions of the contrast agents are administered to a patient intravenously in dosages ranging from 0.01 to 1.0 mmoles per kg body weight.
- compositions of the present invention should generally have a heavy atom concentration of 1 mM to 5 M, preferably 0.1 M to 2 M.
- Dosages, administered by intravenous injection will typically range from 0.5 mmol/kg to 1.5 mmol/kg, preferably 0.8 mmol/kg to 1.2 mmol/kg. Imaging is performed using known techniques, preferably X-ray computed tomography.
- the ultrasound contrast agents of the present invention are administered by intravenous injection in an amount of 10 to 30 ⁇ L of the echogenic gas per kg body weight or by infusion at a rate of approximately 3 ⁇ L/kg/min. Imaging is performed using known techniques of sonography.
- HBTU 2-(1H-Benzotriazol-1-yl)-1,1,3,3-tetramethyluronium hexafluorophosphate
- TBTU 2-(1H-Benzotriazol-1-yl)-1,1,3,3-tetramethyluronium hexafluorophosphate
- N-methylmorpholine NMM
- m-cresol D-2-aminobutyric acid
- Abu trimethylacetylchloride
- DIEA diisopropylethylamine
- 1,2,4-triazole 1,2,4-triazole
- stannous chloride dihydrate and tris(3-sulfonatophenyl)phosphine trisodium salt (TPPTS) were purchased from Aldrich Chemical Company.
- Bis(3-sulfonatophenyl)phenylphosphine disodium salt TPPDS was prepared by the published procedure (Kuntz, E., U.S. Pat. No. 4,248,802).
- TPMS (3-Sulfonatophenyl)diphenylphosphine monosodium salt
- Tricine was obtained from Research Organics, Inc.
- Technetium-99m-pertechnetate 99m TcO 4 ⁇
- In-111-chloride was obtained from Amersham Medi-Physics, Inc.
- Sm-153-chloride and Lutetium-177-chloride were obtained from the University of Missouri Research Reactor (MURR).
- Yttrium-90 chloride was obtained from the Pacific Northwest Research Laboratories.
- Synthesis of the protected pentapeptide-resin intermediate was achieved by first coupling Boc-Gly-OH to the oxime resin (substitution 0.69 mmol/g or 0.95 mmol/g). Attachment of Boc-Gly-OH onto the oxime resin was achieved by using five equivalents each of the amino acid, HBTU and diisopropylethylamine (DIPEA) in DMF. Coupling of the first amino acid generally occurred over 2-3 days. After thorough washing, substitution levels were determined using the picric acid assay (Stewart and Martin). Unreacted oxime groups on the resin were then capped with a solution of DIPEA and trimethylacetyl chloride in DMF.
- DIPEA diisopropylethylamine
- the boc-group was deprotected using 50% or 25% TFA in DCM (30 min). Coupling of the other protected boc-amino acids were performed in a similar manner by overnight shaking (1-2 days), and the coupling yields for each newly added amino acid was determined using the picric acid assay.
- the peptides were cleaved from the HMPB-BHA resin using a solution of 1% TFA/DCM and collecting the peptide solutions in a solution of pyridine in methanol (1:10).
- the linear protected peptides were isolated by removing the solvents and reagents in vacuo and triturating the crude residue in diethyl ether.
- Boc-HomoLys(Tfa)-OH and Boc-Cys(2-N-Tfa-aminoethyl)-OH are prepared via the reaction of Boc-HomoLys-OH and Boc-Cys(2-aminoethyl)-OH, respectively, with ethyl thioltrifluoroacetate in Aq. NaOH, and purified by recrystallization from ethanol.
- HPLC Method 1 Instrument HP1050 Column: Vydac C18 (4.6 ⁇ 250 mm) Detector: Diode array detector 220 nm/500 ref Flow Rate: 1.0 mL/min. Column Temp: 50° C. Sample Size: 15 uL Mobile Phase: A: 0.1% TFA in water B: 0.1% TFA in ACN/Water (9:1) Time (min) % A % B Gradient A: 0 80 20 20 0 100 30 0 100 31 80 20 Gradient B: 0 98 2 16 63.2 36.8 18 0 100 28 0 100 30 98 2
- Part A Preparation of Cyclo ⁇ Arg(Tos)-Gly-Asp(OBzl)-D-Tyr(N-Cbz-3-aminopropyl)-Val ⁇
- Part A Preparation of 3-(N-(3-(2-(2-(3-((tert-butoxy)carbonylamino)propoxy)ethoxy)ethoxy)propyl)carbamoyl)-propanoic Acid
- N-(3-(2-(2-(3-Aminopropoxy)ethoxy)ethoxy)propyl)(tert-butoxy)formamide (1.5 g, 4.68 mmol) was added to DMF (15 mL).
- pyridine (15 mL)
- succinic anhydride (0.47 g, 4.68 mmol) were added, followed by dimethylaminopyridine (62 mL, 0.468 ⁇ mol).
- the reaction mixture was stirred overnight at 100° C.
- the mixture was concentrated under high vacuum and the residue was brought up in water, acidified to pH 2.5 with 1N HCl, and extracted with ethyl acetate (3 ⁇ ). The combined organic extracts were dried over MgSO 4 and filtered.
- Part B Preparation of 3-(N-(3-(2-(2-(3-((tert-butoxy)carbonylamino)propoxy)ethoxy)ethoxy)propyl)carbamoyl) propanoic Acid Succinimide Ester
- the peptide Asp(OtBu)-D-Nal-Lys(Boc)-Arg(Mtr)-Gly was obtained by automated solid phase peptide synthesis using Fmoc chemistry.
- a 100 mL round bottom flask was charged with HBTU (349 mg, 0.92 mmol) and DMF (10 mL). The solution was stirred at 60° 60 C. for 5 min.
- To this a solution of Asp(OtBu)-D-Nal-Lys(Boc)Arg(Mtr)-Gly (0.684 g) and Hunig's base (0.34 mL, 1.97 mmol.) in DMF (10 mL) was added and the solution stirred at 60° C.
- Cyclo ⁇ Arg-Gly-Asp-D-Nal-Lys ⁇ TFA salt (0.056 g, 0.064 mmol) was dissolved in DMF (2 mL). Triethylamine (27 ⁇ L, 0.19 mmol) was added, and after 5 min of stirring 2-[[[5-[[(2,5-dioxo-1-pyrrolidinyl)oxy]carbonyl]-2-pyridinyl]-hydrazono]methyl]-benzenesulfonic acid, monosodium salt (0.039 g, 0.089 mmol) was added. The reaction mixture was stirred overnight, under nitrogen, and then concentrated to an oil under high vacuum.
- N-terminus Boc-protecting group of the peptide sequence Boc-Arg(Tos)-D-Val-D-Tyr(N-Cbz-aminopropyl)-D-Asp(OBzl)-Gly-Oxime resin was removed using standard deprotection (50% TFA in CH 2 Cl 2 ). After washing with DCM (8 ⁇ ), the resin was neutralized with 10% DIEA/DCM (2 ⁇ 10 min). The resin was washed with DCM (5 ⁇ ) and dried under high vacuum overnight. The resin (1.08 g, 0.36 mmol/g) was then suspended in N,N-dimethylformamide (12 mL).
- Part C Preparation of ⁇ Cyclo(Arg-D-Val-D-Tyr(N-[2-[[[5-[carbonyl]-2-pyridinyl]hydrazono]methyl]-benzenesulfonic acid]-3-aminopropyl)-D-Asp-Gly ⁇
- Part A Preparation of Cyclo ⁇ D-Lys(Cbz)-D-Phe-D-Asp(OBzl)-Gly-Arg(Tos) ⁇
- Part A Preparation of Cyclo ⁇ N-Me-Arg(Tos)-Gly-Asp(OBzl)-ATA-D-Lys(Cbz) ⁇
- the peptide Asp(OtBu)-D-Phe-Lys(Boc)-Cit-Gly was obtained by automated solid phase peptide synthesis using Fmoc chemistry (see general procedure).
- a 100 mL round bottom flask was charged with HBTU (271 mg, 0.71 mmol) and DMF (10 mL). The solution was stirred at 60° C. for 5 min.
- Part A Preparation of Cyclo ⁇ Orn(d-N-1-Tos-2-Imidazolinyl)-Gly-Asp(OBzl)-D-Tyr (N-Cbz-3-aminopropyl)-Val ⁇
- N-terminus Boc- protecting group of the peptide sequence Boc-Asp (OBzl)-D-Tyr (N-Cbz-aminopropyl)-Val-Orn (d-N-1-Tos-2-Imidazolinyl)-Gly-Oxime resin is removed using standard deprotection (25% TFA in CH 2 Cl 2 ). After eight washes with DCM, the resin is treated with 10% DIEA/DCM (2 ⁇ 10 min.). The resin is subsequently washed with DCM ( ⁇ 5) and dried under high vacuum. The resin (1.75 g, 0.55 mmol/g) is then suspended in dimethylformamide (15 mL).
- Glacial acetic acid (55.0 ⁇ L, 0.961 mmol) is added, and the reaction mixture is heated at 50° C. for 72 h.
- the resin is filtered, and washed with DMF (2 ⁇ 10 mL).
- the filtrate is concentrated to an oil under high vacuum.
- the resulting oil is triturated with ethyl acetate.
- the solid is filtered, washed with ethyl acetate, and is dried under high vacuum to obtain the desired product.
- N-terminus Boc- protecting group of the peptide sequence Boc-Asp(OBzl)-D-Tyr(N-Cbz-aminopropyl)-Val-Lys(Tfa)-Gly-Oxime resin is removed using standard deprotection (25% TFA in CH 2 Cl 2 ). After eight washes with DCM, the resin is treated with 10% DIEA/DCM (2 ⁇ 10 min.). The resin is subsequently washed with DCM ( ⁇ 5) and dried under high vacuum. The resin (1.75 g, 0.55 mmol/g) is then suspended in dimethylformamide (15 mL).
- Glacial acetic acid (55.0 ⁇ L, 0.961 mmol) is added, and the reaction mixture is heated at 50° C. for 72 h.
- the resin is filtered, and washed with DMF (2 ⁇ 10 mL).
- the filtrate is concentrated to an oil under high vacuum.
- the resulting oil is triturated with ethyl acetate.
- the solid thus obtained is filtered, washed with ethyl acetate, and is dried under high vacuum to obtain the desired product.
- Part A Preparation of Cyclo ⁇ Cys(2-N-Tfa-aminoethyl)-Gly-Asp(OBzl)-D-Tyr(N-Cbz-3-aminopropyl)-Val ⁇
- N-terminus Boc- protecting group of the peptide sequence Boc-Asp(OBzl)-D-Tyr(N-Cbz-aminopropyl)-Val-Cys(2-N-Tfa-aminoethyl)-Gly-Oxime resin is removed using standard deprotection (25% TFA in CH 2 Cl 2 ). After eight washes with DCM, the resin is treated with 10% DIEA/DCM (2 ⁇ 10 min.). The resin is subsequently washed with DCM ( ⁇ 5) and dried under high vacuum. The resin (1.75 g, 0.55 mmol/g) is then suspended in dimethylformamide (15 mL).
- Glacial acetic acid (55.0 ⁇ L, 0.961 mmol) is added, and the reaction mixture is heated at 50° C. for 72 h.
- the resin is filtered, and washed with DMF (2 ⁇ 10 mL).
- the filtrate is concentrated to an oil under high vacuum.
- the resulting oil is triturated with ethyl acetate.
- the solid thus obtained is filtered, washed with ethyl acetate, and dried under high vacuum to obtain the desired product.
- Part A Preparation of Cyclo ⁇ HomoLys(Tfa)-Gly-Asp(OBzl)-D-Tyr(N-Cbz-3-aminopropyl)-Val ⁇
- N-terminus Boc- protecting group of the peptide sequence Boc-Asp (OBzl)-D-Tyr (N-Cbz-aminopropyl)-Val-HomoLys(Tfa)-Gly-Oxime resin is removed using standard deprotection (25% TFA in CH 2 Cl 2 ). After eight washes with DCM, the resin is treated with 10% DIEA/DCM (2 ⁇ 10 min). The resin is subsequently washed with DCM ( ⁇ 5) and dried under high vacuum. The resin (1.75 g, 0.55 mmol/g) is then suspended in dimethylformamide (15 mL).
- Glacial acetic acid (55.0 ⁇ L, 0.961 mmol) is added, and the reaction mixture is heated at 50° C. for 72 h.
- the resin is filtered, and washed with DMF (2 ⁇ 10 mL).
- the filtrate is concentrated to an oil under high vacuum.
- the resulting oil is triturated with ethyl acetate.
- the solid thus obtained is filtered, washed with ethyl acetate, and dried under high vacuum to obtain the desired product.
- Part B Preparation of Cyclo ⁇ HomoLys(Tfa)-Gly-Asp-D-Tyr(3-aminopropyl)-Val ⁇ , Trifluoroacetic Acid Salt
- Part A Preparation of Cyclo ⁇ Orn(d-N-Benzylcarbamoyl)-Gly-Asp(OBzl)-D-Tyr(N-Cbz-3-aminopropyl)-Val ⁇
- N-terminus Boc- protecting group of the peptide sequence Boc-Asp(OBzl)-D-Tyr(N-Cbz-aminopropyl)-Val-Orn(d-N-Benzylcarbamoyl)-Gly-Oxime resin is removed using standard deprotection (25% TFA in CH 2 Cl 2 ) After eight washes with DCM, the resin is treated with 10% DIEA/DCM (2 ⁇ 10 min.). The resin is subsequently washed with DCM ( ⁇ 5) and dried under high vacuum. The resin (1.75 g, 0.55 mmol/g) is then suspended in dimethylformamide (15 mL).
- Glacial acetic acid (55.0 ⁇ L, 0.961 mmol) is added, and the reaction mixture is heated at 50° C. for 72 h.
- the resin is filtered, and washed with DMF (2 ⁇ 10 mL).
- the filtrate is concentrated to an oil under high vacuum.
- the resulting oil is triturated with ethyl acetate.
- the solid thus obtained is filtered, washed with ethyl acetate, and dried under high vacuum to obtain the desired product.
- Part A Preparation of Cyclo ⁇ Dap(b-(1-Tos-2-benzimidazolylacetyl))-Gly-Asp(OBzl)-D-Tyr(N-Cbz-3-aminopropyl)-Val ⁇
- N-terminus Boc- protecting group of the peptide sequence Boc-Asp(OBzl)-D-Tyr(N-Cbz-aminopropyl)-Val-Dap(b-(1-Tos-2-benzimidazolylacetyl))-Gly-Oxime resin is removed using standard deprotection (25% TFA in CH 2 Cl 2 ). After eight washes with DCM, the resin is treated with 10% DIEA/DCM (2 ⁇ 10 min.). The resin is subsequently washed with DCM ( ⁇ 5) and dried under high vacuum. The resin (1.75 g, 0.55 mmol/g) is then suspended in dimethylformamide (15 mL).
- Glacial acetic acid (55.0 ⁇ L, 0.961 mmol) is added, and the reaction-mixture is heated at 50° C. for 72 h.
- the resin is filtered, and washed with DMF (2 ⁇ 10 mL).
- the filtrate is concentrated to an oil under high vacuum.
- the resulting oil is triturated with ethyl acetate.
- the solid thus obtained is filtered, washed with ethyl acetate, and dried under high vacuum to obtain the desired product.
- Part A Preparation of Cyclo ⁇ Orn(d-N-1-Tos-2-Imidazolinyl)-Gly-Asp(OBzl)-D-Phe-Lys(Cbz) ⁇
- N-terminus Boc- protecting group of the peptide sequence Boc-Asp(OBzl)-D-Phe-Lys(Z)-Orn(d-N-1-Tos-2-Imidazolinyl)-Gly-Oxime resin is removed using standard deprotection (25% TFA in CH 2 Cl 2 ). After eight washes with DCM, the resin is treated with 10% DIEA/DCM (2 ⁇ 10 min.). The resin is subsequently washed with DCM ( ⁇ 5) and dried under high vacuum. The resin (1.75 g, 0.55 mmol/g) is then suspended in dimethylformamide (15 mL).
- Glacial acetic acid (55.0 ⁇ L, 0.961 mmol) is added, and the reaction mixture is heated at 50° C. for 72 h.
- the resin is filtered, and washed with DMF (2 ⁇ 10 mL).
- the filtrate is concentrated to an oil under high vacuum.
- the resulting oil is triturated with ethyl acetate.
- the solid thus obtained is filtered, washed with ethyl acetate, and dried under high vacuum to obtain the desired product.
- Part A Preparation of Cyclo ⁇ Orn(d-N-Benzylcarbamoyl)-Gly-Asp(OBzl)-D-Phe-Lys(Cbz) ⁇
- N-terminus Boc- protecting group of the peptide sequence Boc-Asp(OBzl)-D-Phe-Lys(Z)-Orn(d-N-Benzylcarbamoyl)-Gly-Oxime resin is removed using standard deprotection (25% TFA in CH 2 Cl 2 ). After eight washes with DCM, the resin is treated with 10% DIEA/DCM (2 ⁇ 10 min.). The resin is subsequently washed with DCM ( ⁇ 5) and dried under high vacuum. The resin (1.75 g, 0.55 mmol/g) is then suspended in dimethylformamide (15 mL).
- Glacial acetic acid (55.0 ⁇ L, 0.961 mmol) is added, and the reaction mixture is heated at 50° C. for 72 h.
- the resin is filtered, and washed with DMF (2 ⁇ 10 mL).
- the filtrate is concentrated to an oil under high vacuum.
- the resulting oil is triturated with ethyl acetate.
- the solid thus obtained is filtered, washed with ethyl acetate, and dried under high vacuum to obtain the desired product.
- Part A Preparation of Cyclo ⁇ Lys(Tfa)-D-Val-D-Tyr(N-Cbz-3-aminopropyl)-D-Asp(OBzl)-Gly ⁇
- N-terminus Boc-protecting group of the peptide sequence Boc-Lys(Tfa)-D-Val-D-Tyr(N-Cbz-aminopropyl)-D-Asp(OBzl)-Gly-Oxime resin is removed using standard deprotection (50% TFA in CH 2 Cl 2 ). After washing with DCM (8 ⁇ ), the resin is neutralized with 10% DIEA/DCM (2 ⁇ 10 min). The resin is washed with DCM (5 ⁇ ) and dried under high vacuum overnight. The resin (1.0 g, about 0.36 mmol/g) is then suspended in N,N-dimethylformamide (12 mL).
- Glacial acetic acid (67 mL, 1.16 mmol) is added and the reaction mixture is heated to 55° C. for 72 h.
- the resin is filtered and washed with DMF (3 ⁇ 10 mL).
- the filtrate is concentrated under high vacuum to give an oil.
- the resulting oil is triturated with ethyl acetate.
- the desired product is purified by reverse-phase HPLC.
- Part A Preparation of Cyclo ⁇ Orn(d-N-Benzylcarbamoyl)-D-Val-D-Tyr(N-Cbz-3-aminopropyl)-D-Asp(OBzl)-Gly ⁇
- N-terminus Boc-protecting group of the peptide sequence Boc-Orn(d-N-Benzylcarbamoyl)-D-Val-D-Tyr(N-Cbz-aminopropyl)-D-Asp(OBzl)-Gly-Oxime resin is removed using standard deprotection (50% TFA in CH 2 Cl 2 ). After washing with DCM (8 ⁇ ), the resin is neutralized with 10% DIEA/DCM (2 ⁇ 10 min). The resin is washed with DCM (5 ⁇ ) and dried under high vacuum overnight. The resin (1.0 g, about 0.36 mmol/g) is then suspended in N,N-dimethylformamide (12 mL).
- Glacial acetic acid (67 mL, 1.16 mmol) is added and the reaction mixture is heated to 55° C. for 72 h.
- the resin is filtered and washed with DMF (3 ⁇ 10 mL).
- the filtrate is concentrated under high vacuum to give an oil.
- the resulting oil is triturated with ethyl acetate.
- the desired product is purified by reverse-phase HPLC.
- Part B Preparation of Cyclo ⁇ Orn(d-N-Benzylcarbamoyl)-D-Val-D-Tyr(3-aminopropyl)-D-Asp-Gly ⁇ , Trifuoroacetic Acid Salt
- Part C Preparation of Cyclo ⁇ Orn(d-N-Benzylcarbamoyl)-D-Val-D-Tyr(N-[2-[[[5-[carbonyl]-2-pyridinyl]hydrazono]methyl]-benzenesulfonic acid]-3-aminopropyl)-D-Asp-Gly ⁇
- Part A Preparation of Cyclo ⁇ Orn(d-N-1-Tos-2-Imidazolinyl)-D-Val-D-Tyr(N-Cbz-3-aminopropyl)-D-Asp(OBzl)-Gly ⁇
- N-terminus Boc-protecting group of the peptide sequence Boc-Orn(d-N-1-Tos-2-Imidazolinyl)-D-Val-D-Tyr(N-Cbz-aminopropyl)-D-Asp(OBzl)-Gly-Oxime resin is removed using standard deprotection (50% TFA in CH 2 Cl 2 ). After washing with DCM (8 ⁇ ), the resin is neutralized with 10% DIEA/DCM (2 ⁇ 10 min). The resin is washed with DCM (5 ⁇ ) and dried under high vacuum overnight. The resin (1.0 g, about 0.36 mmol/g) is then suspended in N,N-dimethylformamide (12 mL).
- Glacial acetic acid (67 mL, 1.16 mmol) is added and the reaction mixture is heated to 55° C. for 72 h.
- the resin is filtered and washed with DMF (3 ⁇ 10 mL).
- the filtrate is concentrated under high vacuum to give an oil.
- the resulting oil is triturated with ethyl acetate.
- the desired product is purified by reverse-phase HPLC.
- Part B Preparation of Cyclo ⁇ Orn(d-N-2-Imidazolinyl)-D-Val-D-Tyr(3-aminopropyl)-D-Asp-Gly ⁇ , Trifuoroacetic Acid Salt
- the complex was purified by performing a 300-400 ⁇ L injection on the HPLC and collecting the fraction into a shielded flask. The collected fraction was evaporated to dryness, redissolved in saline containing 0-5 vol % Tween 80, and then re-analyzed using HPLC Method 3.
- the complex was purified by performing a 300-400 ⁇ L injection on the HPLC and collecting the fraction into a shielded flask. The collected fraction was evaporated to dryness, redissolved in saline containing 0-5 vol % Tween 80, and then re-analyzed using HPLC Method 3.
- VnA 99m Tc (VnA) (tricine) (Phosphine) Complexes Complex Ex. Reagent Ex. No. No.
- TPPTS % Yield RT (min) 33 1 TPPTS 88 8.2 34 2 TPPTS 96 19.5 35 3 TPPTS 91 33.7 36 4 TPPTS 92 21.8 37 5 TPPTS 65 25.1 38 6 TPPTS 91 41.7 39 7 TPPTS 89 20.4 40 8 TPPTS 93 16.4 41 9 TPPTS 90 13.4 42 10 TPPTS 93 12.9 43 12 TPPMS 94 23.5 44 12 TPPDS 93 18.1 45 12 TPPTS 93 13.6 46 13 TPPTS 93 11.2 47 14 TPPTS 79 11.0 48 15 TPPTS 94 11.2 49 16 TPPTS 81 9.2 50 17 TPPTS 97 10.4
- Reagents of the present invention comprised of either a DOTA (Example 18), DTPA monoamide (Examples 19 and 20) or DTPA bisamide chelator (Example 21) readily form complexes with metal ions of elements 31, 39, 49, and 58-71.
- the following examples demonstrate the synthesis of complexes with 153 Sm, 177 Lu, and 90 Y, beta particle emitting isotopes used in radiopharmaceutical therapy, and 111 In, a gamma emitting isotope used in radiopharmaceutical imaging agents.
- the metal ion is bound to the DOTA, DTPA monoamide or DTPA bisamide chelator moiety of the reagents.
- the gadolinium complex of the reagent of Example 21 was prepared according to the following procedure. 3-3.5 mg of the reagent was dissolved in 2 mL 1 M ammonium acetate buffer at pH 7.0, and one equivalent Gd(NO 3 ) 3 solution (0.02 M in water) was added to it. The reaction mixture was allowed to stay at room temperature for 3-5 hours and the product was isolated by HPLC Method 4. The fraction containing the complex was lyophilized and dissolved in 1 mL H 2 O resulting in a solution approximately 2 mM in Gd as determined by ICP analysis. The identity of the complex was confirmed by mass spectroscopy. (API-ESMS:Found [M+2H + ] 1176.9, Calcd. 1176.2 for C 43 H 64 N 12 O 17 Gd].
- ultrasound contrast agents of the present invention comprised of targeting moieties for tumor neovasculature that are ⁇ v ⁇ 3 receptor antagonists.
- An aqueous solution of this lipid admixture (1 mg/mL), sodium chloride (7 mg/mL), glycerin (0.1 mL/mL), propylene glycol (0.1 mL/mL), at pH 6-7 is then prepared in a 2 cc glass vial.
- the air in the vial is evacuated and replaced with perfluoropropane and the vial is sealed.
- the ultrasound contrast agent composition is completed by agitating the sealed vial in a dental amalgamator for 30-45 sec. to form a milky white solution.
- Part B Preparation of 1-(1,2-Dipalmitoyl-sn-glycero-3-phosphoethanolamino)-12-(( ⁇ -amino-PEG 3400 - ⁇ -carbonyl)-cyclo(Arg-Gly-Asp-D-Phe-Lys))-Dodecane-1,12-Dione
- the 1-(1,2-Dipalmitoyl-sn-glycero-3-phosphoethanolamino)-12-(( ⁇ -amino-PEG 3400 - ⁇ -carbonyl)-cyclo (Arg-Gly-Asp-D-Phe-Lys))-Dodecane-1,12-Dione is admixed with three other lipids, 1,2-dipalmitoyl-sn-glycero-3-phosphotidic acid, 1,2-dipalmitoyl-sn-glycero-3-phosphatidylcholine, and N-(methoxypolyethylene glycol 5000 carbamoyl)-1,2-dipalmitoyl-sn-glycero-3-phosphatidylethanolamine in relative amounts of 1 wt.
- An aqueous solution of this lipid admixture (1 mg/mL), sodium chloride (7 mg/mL), glycerin (0.1 mL/mL), propylene glycol (0.1 mL/mL), at pH 6-7 is then prepared in a 2 cc glass vial.
- the air in the vial is evacuated and replaced with perfluoropropane and the vial is sealed.
- the ultrasound contrast agent composition is completed by agitating the sealed vial in a dental amalgamator for 30-45 sec. to form a milky white solution.
- Part B Preparation of 1-(1,2-Dipalmitoyl-sn-glycero-3-phosphoethanolamino)-12-(( ⁇ -amino-PEG 3400 - ⁇ -carbonyl)-Glu-(cyclo(Arg-Gly-Asp-D-Phe-Lys)) 2 )-Dodecane-1,12-Dione
- An aqueous solution of this lipid admixture (1 mg/mL), sodium chloride (7 mg/mL), glycerin (0.1 mL/mL), propylene glycol (0.1 mL/mL), at pH 6-7 is then prepared in a 2 cc glass vial.
- the air in the vial is evacuated and replaced with perfluoropropane and the vial is sealed.
- the ultrasound contrast agent composition is completed by agitating the sealed vial in a dental amalgamator for 30-45 sec. to form a milky white solution.
- Detector sodium iodide (NaI) radiometric probe or beta detector
- Gradient A (Exs. 33, 51) t (min) 0 20 30 31 40 % B 0 75 75 0 0
- Gradient B (Exs. 39, 40, 43, 44, 45, 46, 48, 50) t (min) 0 20 30 31 35 36 40 % B 0 25 25 75 75 0 0
- Gradient C (Examples 34, 35, 36, 37, 38, 42): t (min) 0 40 41 46 47 55 % B 0 35 75 75 0 0
- Gradient D (Ex. 49) t (min) 0 20 30 31 40 % B 0 25 25 0 0
- Gradient E (Exs.
- the pharmaceuticals of the present invention are useful for imaging angiogenic tumor vasculature in a patient or for treating cancer in a patient.
- the radiopharmaceuticals of the present invention comprised of a gamma emitting isotope are useful for imaging of pathological processes involving angiogenic neovasculature, including cancer, diabetic retinopathy, macular degeneration, restenosis of blood vessels after angioplasty, and wound healing. Diagnostic utilities also include imaging of unstable coronary syndromes (e.g., unstable coronary plaque).
- the radiopharmaceuticals of the present invention comprised of a beta, alpha or Auger electron emitting isotope are useful for treatment of pathological processes involving angiogenic neovasculature, by delivering a cytotoxic dose of radiation to the locus of the angiogenic neovasculature.
- the treatment of cancer is affected by the systemic administration of the radiopharmaceuticals resulting in a cytotoxic radiation dose to tumors.
- the compounds of the present invention comprised of one or more paramagnetic metal ions selected from gadolinium, dysprosium, iron, and manganese, are useful as contrast agents for magnetic resonance imaging (MRI) of pathological processes involving angiogenic neovasculature.
- MRI magnetic resonance imaging
- the compounds of the present invention comprised of one or more heavy atoms with atmic number of 20 or greater are useful as X-ray contrast agents for X-ray imaging of pathological processes involving angiogenic neovasculature.
- the compounds of the present invention comprised of an echogenic gas containing surfactant microsphere are useful as ultrasound contrast agents for sonography of pathological processes involving angiogenic neovasculature.
- the receptors were isolated from normal, fresh, non-infectious (HIV, hepatitis B and C, syphilis, and HTLV free) human placenta.
- the tissue was lysed and tissue debris removed via centrifugation.
- the lysate was filtered.
- the receptors were isolated by affinity chromatography using the immobilized ⁇ v ⁇ 3 antibody.
- the plates are then washed 3 ⁇ with wash buffer. Blocking buffer is added and plates incubated for 120 minutes at room temperature. During this time, compounds to be tested and [I-125]vitronectin are premixed in a reservoir plate. Blocking buffer is removed and compound mixture pipetted. Competition is carried out for 60 minutes at room temperature. Unbound material is then removed and wells are separated and counted via gamma scintillation.
- the study involves the use of the c-Neu Oncomouse® and FVB mice simultaneously as controls.
- the mice are anesthetized with sodium pentobarbital and injected with approximately 0.5 mCi of radiopharmaceutical.
- the tumor locations on each Oncomouse® are recorded and tumor size measured using calipers.
- the animals are positioned on the camera head so as to image the anterior or posterior of the animals. 5 Minute dynamic images are acquired serially over 2 hours using a 256 ⁇ 256 matrix and a zoom of 2 ⁇ .
- the images are evaluated by circumscribing the tumor as the target region of interest (ROI) and a background site in the neck area below the carotid salivary glands.
- ROI target region of interest
- This model can also be used to assess the effectiveness of the radiopharmaceuticals of the present invention comprised of a beta, alpha or Auger electron emitting isotope.
- the radiopharmaceuticals are administered in appropriate amounts and the uptake in the tumors can be quantified either non-invasively by imaging for those isotopes with a coincident imageable gamma emission, or by excision of the tumors and counting the amount of radioactivity present by standard techniques.
- the therapeutic effect of the radiopharmaceuticals can be assessed by monitoring the rate of growth of the tumors in control mice versus those in the mice administered the radiopharmaceuticals of the present invention.
- This model can also be used to assess the compounds of the present invention comprised of paramagnetic metals as MRI contrast agents. After administration of the appropriate amount of the paramagnetic compounds, the whole animal can be placed in a commercially available magnetic resonance imager to image the tumors. The effectiveness of the contrast agents can be readily seen by comparison to the images obtain from animals that are not administered a contrast agent.
- This model can also be used to assess the compounds of the present invention comprised of heavy atoms as X-ray contrast agents. After administration of the appropriate amount of the X-ray absorbing compounds, the whole animal can be placed in a commercially available X-ray imager to image the tumors. The effectiveness of the contrast agents can be readily seen by comparison to the images obtain from animals that are not administered a contrast agent.
- This model can also be used to assess the compounds of the present invention comprised of an echogenic gas containing surfactant microsphere as ultrasound contrast agents.
- the tumors in the animal can be imaging using an ultrasound probe held proximate to the tumors.
- the effectiveness of the contrast agents can be readily seen by comparison to the images obtain from animals that are not administered a contrast agent.
- This model was adapted from a matrigel model intended for the study of angiogenesis in mice.
- Matrigel (Becton & Dickinson, USA) is a basement membrane rich in laminin, collagen IV, entactin, HSPG and other growth factors.
- growth factors such as bFGF [500 ng/ml] or VEGF [2 ⁇ g/ml] and injected subcutaneously into the mid-abdominal region of the mice, it solidifies into a gel and stimulates angiogenesis at the site of injection within 4-8 days.
- New Zealand White rabbits (2.5-3.0 kg) are injected with 2.0 ml of matrigel, plus 1 ⁇ g bFGF and 4 ⁇ g VEGF. The radiopharmaceutical is then injected 7 days later and the images obtained.
- This model can also be used to assess the effectiveness of the radiopharmaceuticals of the present invention comprised of a beta, alpha or Auger electron emitting isotope.
- the radiopharmaceuticals are administered in appropriate amounts and the uptake at the angiogenic sites can be quantified either non-invasively by imaging for those isotopes with a coincident imageable gamma emission, or by excision of the angiogenic sites and counting the amount of radioactivity present by standard techniques.
- the therapeutic effect of the radiopharmaceuticals can be assessed by monitoring the rate of growth of the angiogenic sites in control rabbits versus those in the rabbits administered the radiopharmaceuticals of the present invention.
- This model can also be used to assess the compounds of the present invention comprised of paramagnetic metals as MRI contrast agents. After administration of the appropriate amount of the paramagnetic compounds, the whole animal can be placed in a commercially available magnetic resonance imager to image the angiogenic sites. The effectiveness of the contrast agents can be readily seen by comparison to the images obtain from animals that are not administered a contrast agent.
- This model can also be used to assess the compounds of the present invention comprised of heavy atoms as X-ray contrast agents. After administration of the appropriate amount of the X-ray absorbing compounds, the whole animal can be placed in a commercially available X-ray imager to image the angiogenic sites. The effectiveness of the contrast agents can be readily seen by comparison to the images obtain from animals that are not administered a contrast agent.
- This model can also be used to assess the compounds of the present invention comprised of an echogenic gas containing surfactant microsphere as ultrasound contrast agents.
- the angiogenic sites in the animal can be imaging using an ultrasound probe held proximate to the tumors.
- the effectiveness of the contrast agents can be readily seen by comparison to the images obtain from animals that are not administered a contrast agent.
- Heart rate and EKG were monitored using a cardiotachometer (Biotech, Grass Quincy, Mass.) triggered from a lead II electrocardiogram generated by limb leads. Blood samples are generally taken at ⁇ 10 minutes (control), end of infusion, (1 minute), 15 min, 30 min, 60 min, 90 min, and 120 min for whole blood cell number and counting. Radiopharmaceutical dose was 300 ⁇ Ci/kg adminitered as an i.v. bolus with saline flush. Parameters were monitored continuously on a polygraph recorder (Model 7E Grass) at a paper speed of 10 mm/min or 10 mm/sec.
- Imaging of the laterals were for 2 hours with a 256 ⁇ 256 matrix, no zoom, 5 minute dynamic images.
- a known source is placed in the image field (20-90 ⁇ Ci) to evaluate region of interest (ROI) uptake. Images were also acquired 24 hours post injection to determine retention of the compound in the tumor. The uptake is determined by taking the fraction of the total counts in an inscribed area for ROI/source and multiplying the known ⁇ Ci. The result is ⁇ Ci for the ROI.
- This model can also be used to assess the effectiveness of the radiopharmaceuticals of the present invention comprised of a beta, alpha or Auger electron emitting isotope.
- the radiopharmaceuticals are administered in appropriate amounts and the uptake in the tumors can be quantified either non-invasively by imaging for those isotopes with a coincident imageable gamma emission, or by excision of the tumors and counting the amount of radioactivity present by standard techniques.
- the therapeutic effect of the radiopharmaceuticals can be assessed by monitoring the size of the tumors over time.
- This model can also be used to assess the compounds of the present invention comprised of paramagnetic metals as MRI contrast agents. After administration of the appropriate amount of the paramagnetic compounds, the whole animal can be placed in a commercially available magnetic resonance imager to image the tumors. The effectiveness of the contrast agents can be readily seen by comparison to the images obtain from animals that are not administered a contrast agent.
- This model can also be used to assess the compounds of the present invention comprised of heavy atoms as X-ray contrast agents. After administration of the appropriate amount of the X-ray absorbing compounds, the whole animal can be placed in a commercially available X-ray imager to image the tumors. The effectiveness of the contrast agents can be readily seen by comparison to the images obtain from animals that are not administered a contrast agent.
- This model can also be used to assess the compounds of the present invention comprised of an echogenic gas containing surfactant microsphere as ultrasound contrast agents.
- the tumors in the animal can be imaging using an ultrasound probe held proximate to the tumors.
- the effectiveness of the contrast agents can be readily seen by comparison to the images obtain from animals that are not administered a contrast agent.
Landscapes
- Health & Medical Sciences (AREA)
- Chemical & Material Sciences (AREA)
- Life Sciences & Earth Sciences (AREA)
- Organic Chemistry (AREA)
- General Health & Medical Sciences (AREA)
- Veterinary Medicine (AREA)
- Animal Behavior & Ethology (AREA)
- Public Health (AREA)
- Proteomics, Peptides & Aminoacids (AREA)
- Epidemiology (AREA)
- Medicinal Chemistry (AREA)
- Pharmacology & Pharmacy (AREA)
- Physics & Mathematics (AREA)
- Nuclear Medicine, Radiotherapy & Molecular Imaging (AREA)
- Optics & Photonics (AREA)
- General Chemical & Material Sciences (AREA)
- Chemical Kinetics & Catalysis (AREA)
- Acoustics & Sound (AREA)
- Radiology & Medical Imaging (AREA)
- Rheumatology (AREA)
- Pain & Pain Management (AREA)
- Biochemistry (AREA)
- Biophysics (AREA)
- Genetics & Genomics (AREA)
- Molecular Biology (AREA)
- Medicines That Contain Protein Lipid Enzymes And Other Medicines (AREA)
- Peptides Or Proteins (AREA)
- Medicines Containing Antibodies Or Antigens For Use As Internal Diagnostic Agents (AREA)
- Pharmaceuticals Containing Other Organic And Inorganic Compounds (AREA)
Abstract
Description
- The present invention provides novel pharmaceuticals useful for the diagnosis and treatment of cancer, methods of imaging tumors in a patient, and methods of treating cancer in a patient. The present invention also provides novel pharmaceuticals useful for monitoring therapeutic angiogenesis treatment and destruction of new angiogenic vasculature. The pharmaceuticals are comprised of a targeting moiety that binds to a receptor that is upregulated during angiogenesis, an optional linking group, and a therapeutically effective radioisotope or diagnostically effective imageable moiety. The therapeutically effective radioisotope emits a particle or electron sufficient to be cytotoxic. The imageable moiety is a gamma ray or positron emitting radioisotope, a magnetic resonance imaging contrast agent, an X-ray contrast agent, or an ultrasound contrast agent.
- Cancer is a major public health concern in the United States and around the world. It is estimated that over 1 million new cases of invasive cancer will be diagnosed in the United States in 1998. The most prevalent forms of the disease are solid tumors of the lung, breast, prostate, colon and rectum. Cancer is typically diagnosed by a combination of in vitro tests and imaging procedures. The imaging procedures include X-ray computed tomography, magnetic resonance imaging, ultrasound imaging and radionuclide scintigraphy. Frequently, a contrast agent is administered to the patient to enhance the image obtained by X-ray CT, MRI and ultrasound, and the administration of a radiopharmaceutical that localizes in tumors is required for radionuclide scintigraphy.
- Treatment of cancer typically involves the use of external beam radiation therapy and chemotherapy, either alone or in combination, depending on the type and extent of the disease. A number of chemotherapeutic agents are available, but generally they all suffer from a lack of specificity for tumors versus normal tissues, resulting in considerable side-effects. The effectiveness of these treatment modalities is also limited, as evidenced by the high mortality rates for a number of cancer types, especially the more prevalent solid tumor diseases. More effective and specific treatment means continue to be needed.
- Despite the variety of imaging procedures available for the diagnosis of cancer, there remains a need for improved methods. In particular, methods that can better differentiate between cancer and other pathologic conditions or benign physiologic abnormalities are needed. One means of achieving this desired improvement would be to administer to the patient a metallopharmaceutical that localizes specifically in the tumor by binding to a receptor expressed only in tumors or expressed to a significantly greater extent in tumors than in other tissue. The location of the metallopharmaceutical could then be detected externally either by its imageable emission in the case of certain radiopharmaceuticals or by its effect on the relaxation rate of water in the immediate vicinity in the case of magnetic resonance imaging contrast agents.
- This tumor specific metallopharmaceutical approach can also be used for the treatment of cancer when the metallopharmaceutical is comprised of a particle emitting radioisotope. The radioactive decay of the isotope at the site of the tumor results in sufficient ionizing radiation to be toxic to the tumor cells. The specificity of this approach for tumors minimizes the amount of normal tissue that is exposed to the cytotoxic agent and thus may provide more effective treatment with fewer side-effects.
- Previous efforts to achieve these desired improvements in cancer imaging and treatment have centered on the use of radionuclide labeled monoclonal antibodies, antibody fragments and other proteins or polypeptides (i.e., molecular weight over 10,000 D) that bind to tumor cell surface receptors. The specificity of these radiopharmaceuticals is frequently very high, but they suffer from several disadvantages. First, because of their high molecular weight, they are generally cleared from the blood stream very slowly, resulting in a prolonged blood background in the images. Also, due to their molecular weight they do not extravasate readily at the site of the tumor and then only slowly diffuse through the extravascular space to the tumor cell surface. This results in a very limited amount of the radiopharmaceutical reaching the receptors and thus very low signal intensity in imaging and insufficient cytotoxic effect for treatment.
- Alternative approaches to cancer imaging and therapy have involved the use of small molecules, such as peptides, that bind to tumor cell surface receptors. An 111In labeled somatostatin receptor binding peptide, 111In-DTPA-D-Phe1-octeotide, is in clinical use in many countries for imaging tumors that express the somatostatin receptor (Baker, et al., Life Sci., 1991, 49, 1583-91 and Krenning, et al., Eur. J. Nucl. Med., 1993, 20, 716-31). Higher doses of this radiopharmaceutical have been investigated for potential treatment of these types of cancer (Krenning, et al., Digestion, 1996, 57, 57-61). Several groups are investigating the use of Tc-99m labeled analogs of 111In-DTPA-D-Phe1-octeotide for imaging and Re-186 labeled analogs for therapy (Flanagan, et al., U.S. Pat. No. 5,556,939, Lyle, et al., U.S. Pat. Nos. 5,382,654, and Albert et al., U.S. Pat. No. 5,650,134).
- Angiogenesis is the process by which new blood vessels are formed from pre-existing capillaries or post capillary venules; it is an important component of a variety of physiological processes including ovulation, embryonic development, wound repair, and collateral vascular generation in the myocardium. It is also central to a number of pathological conditions such as tumor growth and metastasis, diabetic retinopathy, and macular degeneration. The process begins with the activation of existing vascular endothelial cells in response to a variety of cytokines and growth factors. Tumor released cytokines or angiogenic factors stimulate vascular endothelial cells by interacting with specific cell surface receptors for the factors. The activated endothelial cells secrete enzymes that degrade the basement membrane of the vessels. The endothelial cells then proliferate and invade into the tumor tissue. The endothelial cells differentiate to form lumens, making new vessel offshoots of pre-existing vessels. The new blood vessels then provide nutrients to the tumor permitting further growth and a route for metastasis.
- Under normal conditions, endothelial cell proliferation is a very slow process, but it increases for a short period of time during embryogenesis, ovulation and wound healing. This temporary increase in cell turnover is governed by a combination of a number of growth stimulatory factors and growth suppressing factors. In pathological angiogenesis, this normal balance is disrupted resulting in continued increased endothelial cell proliferation. Some of the pro-angiogenic factors that have been identified include basic fibroblast growth factor (bFGF), angiogenin, TGF-alpha, TGF-beta, and vascular endothelium growth factor (VEGF), while interferon-alpha, interferon-beta and thrombospondin are examples of angiogenesis suppressors.
- The proliferation and migration of endothelial cells in the extracellular matrix is mediated by interaction with a variety of cell adhesion molecules (Folkman, J., Nature Medicine, 1995, 1, 27-31). Integrins are a diverse family of heterodimeric cell surface receptors by which endothelial cells attach to the extracellular matrix, each other and other cells. The integrin α vβ3 is a receptor for a wide variety of extracellular matrix proteins with an exposed tripeptide Arg-Gly-Asp moiety and mediates cellular adhesion to its ligands: vitronectin, fibronectin, and fibrinogen, among others. The integrin αvβ3 is minimally expressed on normal blood vessels, but, is significantly upregulated on vascular cells within a variety of human tumors. The role of the αvβ3 receptors is to mediate the interaction of the endothelial cells and the extracellular matrix and facilitate the migration of the cells in the direction of the angiogenic signal, the tumor cell population. Angiogenesis induced by bFGF or TNF-alpha depend on the agency of the integrin αvβ3, while angiogenesis induced by VEGF depends on the integrin αvβ5 (Cheresh et. al., Science, 1995, 270, 1500-2). Induction of expression of the integrins α1β1 and α2β1 on the endothelial cell surface is another important mechanism by which VEGF promotes angiogenesis (Senger, et. al., Proc. Natl. Acad, Sci USA, 1997, 94, 13612-7).
- Angiogenic factors interact with endothelial cell surface receptors such as the receptor tyrosine kinases EGFR, FGFR, PDGFR, Flk-1/KDR, Flt-1, Tek, Tie, neuropilin-1, endoglin, endosialin, and Axl. The receptors Flk-1/KDR, neuropilin-1, and Flt-1 recognize VEGF and these interactions play key roles in VEGF-induced angiogenesis. The Tie subfamily of receptor tyrosine kinases are also expressed prominently during blood vessel formation.
- Because of the importance of angiogenesis to tumor growth and metastasis, a number of chemotherapeutic approaches are being developed to interfere with or prevent this process. One of these approaches, involves the use of anti-angiogenic proteins such as angiostatin and endostatin. Angiostatin is a 38 kDa fragment of plasminogen that has been shown in animal models to be a potent inhibitor of endothelial cell proliferation. (O'Reilly et. al., Cell, 1994, 79, 315-328) Endostatin is a 20 kDa C-terminal fragment of collagen XVIII that has also been shown to be a potent inhibitor. (O'Reilly et. al., Cell, 1997, 88, 277-285)
- Systemic therapy with endostatin has been shown to result in strong anti-tumor activity in animal models. However, human clinical trials of these two chemotherapeutic agents of biological origin have been hampered by lack of availability.
- Another approach to anti-angiogenic therapy is to use targeting moieties that interact with endothelial cell surface receptors expressed in the angiogenic vasculature to which are attached chemotherapeutic agents. Burrows and Thorpe (Proc. Nat. Acad. Sci, USA, 1993, 90, 8996-9000) described the use of an antibody-immunotoxin conjugate to eradicate tumors in a mouse model by destroying the tumor vasculature. The antibody was raised against an endothelial cell class II antigen of the major histocompatibility complex and was then conjugated with the cytotoxic agent, deglycosylated ricin A chain. The same group (Clin. Can. Res., 1995, 1, 1623-1634) investigated the use of antibodies raised against the endothelial cell surface receptor, endoglin, conjugated to deglycosylated ricin A chain. Both of these conjugates exhibited potent anti-tumor activity in mouse models. However, both still suffer drawbacks to routine human use. As with most antibodies or other large, foreign proteins, there is considerable risk of immunologic toxicity which could limit or preclude administration to humans. Also, while the vasculature targeting may improve the local concentration of the attached chemotherapeutic agents, the agents still must be cleaved from the antibody carrier and be transported or diffuse into the cells to be cytotoxic.
- Thus, it is desirable to provide anti-angiogenic pharmaceuticals and tumor or new vasculature imaging agents which don't suffer from poor diffusion or transportation, possible immunologic toxicity, limited availability, and/or a lack of specificity.
- There is also a growing interest in therapeutic angiogenesis to improve blood flow in regions of the body that have become ischemic or poorly perfused. Several investigators are using growth factors administered locally to cause new vasculature to form either in the limbs or the heart. The growth factors VEGF and bFGF are the most common for this application. Recent publications include: Takeshita, S., et. al., J. Clin. Invest., 1994, 93, 662-670; and Schaper, W. and Schaper, J., Collateral Circulation:Heart, Brain, Kidney, Limbs, Kluwer Academic Publishers, Boston, 1993. The main applications that are under investigation in a number of laboratories are for improving cardiac blood flow and in improving peripheral vessal blood flow in the limbs. For example, Henry, T. et. al. (J. Amer. College Cardiology, 1998, 31, 65A) describe the use of recombinant human VEGF in patients for improving myocardial perfusion by therapeutic angiogenesis. Patients received infusions of rhVEGF and were monitored by nuclear perfusion imaging 30 and 60 days post treatment to determine improvement in myocardial perfusion. About 50% of patients showed improvement by nuclear perfusion imaging whereas 5/7 showed new collatoralization by angiography.
- Thus, it is desirable to discover a method of monitoring improved cardiac blood flow which is targeted to new collateral vessels themselves and not, as in nuclear perfusion imaging, a regional consequence of new collateral vessels.
- It is one object of the present invention to provide anti-angiogenic pharmaceuticals, comprised of a targeting moiety that binds to a receptor that is expressed in tumor neovasculature, an optional linking group, and a radioactive metal ion that emits ionizing radiation such as beta particles, alpha particles and Auger or Coster-Kronig electrons. The receptor binding compounds target the radioisotope to the tumor neovasculature. The beta or alpha-particle emitting radioisotope emits a cytotoxic amount of ionizing radiation which results in cell death. The penetrating ability of radiation obviates the requirement that the cytotoxic agent diffuse or be transported into the cell to be cytotoxic.
- It is another object of the present invention to provide pharmaceuticals to treat rheumatoid arthritis. These pharmaceuticals comprise a targeting moiety that binds to a receptor that is upregulated during angiogenesis, an optional linking group, and a radioisotope that emits cytotoxic radiation (i.e., beta particles, alpha particles and Auger or Coster-Kronig electrons). In rheumatoid arthritis, the ingrowth of a highly vascularized pannus is caused by the excessive production of angiogenic factors by the infiltrating macrophages, immune cells, or inflammatory cells. Therefore, the radiopharmaceuticals of the present invention that emit cytotoxic radiation could be used to destroy the new angiogenic vasculature that results and thus treat the disease.
- It is another object of the present invention to provide tumor imaging agents, comprised of targeting moiety that binds to a receptor that is upregulated during angiogenesis, an optional linking group, and an imageable moiety, such as a gamma ray or positron emitting radioisotope, a magnetic resonance imaging contrast agent, an X-ray contrast agent, or an ultrasound contrast agent.
- It is another object of the present invention to provide imaging agents for monitoring the progress and results of therapeutic angiogenesis treatment. These agents comprise of targeting moiety that binds to a receptor that is upregulated during angiogenesis, an optional linking group, and an imageable moiety. Imaging agents of the present invention could be administered intravenously periodically after the administration of growth factors and imaging would be performed using standard techniques of the affected areas, heart or limbs, to monitor the progress and results of the therapeutic angiogenesis treatment (i.e., image the formation of new blood vessels).
- It is another object of the present invention to provide compounds useful for preparing the pharmaceuticals of the present invention. These compounds are comprised of a peptide or peptidomimetic targeting moiety that binds to a receptor that is upregulated during angiogenesis, Q, an optional linking group, L n, and a metal chelator or bonding moiety, Ch. The compounds may have one or more protecting groups attached to the metal chelator or bonding moiety. The protecting groups provide improved stability to the reagents for long-term storage and are removed either immediately prior to or concurrent with the synthesis of the radiopharmaceuticals. Alternatively, the compounds of the present invention are comprised of a peptide or peptidomimetic targeting moiety that binds to a receptor that is upregulated during angiogenesis, Q, an optional linking group, Ln, and a surfactant, Sf.
- The pharmaceuticals of the present invention may be used for diagnostic and/or therapeutic purposes. Diagnostic radiopharmaceuticals of the present invention are pharmaceuticals comprised of a diagnostically useful radionuclide (i.e., a radioactive metal ion that has imageable gamma ray or positron emissions). Therapeutic radiopharmaceuticals of the present invention are pharmaceuticals comprised of a therapeutically useful radionuclide, a radioactive metal ion that emits ionizing radiation such as beta particles, alpha particles and Auger or Coster-Kronig electrons.
- The pharmaceuticals comprising a gamma ray or positron emitting radioactive metal ion are useful for imaging tumors by gamma scintigraphy or positron emission tomography. The pharmaceuticals comprising a gamma ray or positron emitting radioactive metal ion are also useful for imaging therapeutic angiogenesis by gamma scintigraphy or positron emission tomography. The pharmaceuticals comprising a particle emitting radioactive metal ion are useful for treating cancer by delivering a cytotoxic dose of radiation to the tumors. The pharmaceuticals comprising a particle emitting radioactive metal ion are also useful for treating rheumatoid arthritis by destroying the formation of angiogenic vasculature. The pharmaceuticals comprising a paramagnetic metal ion are useful as magnetic resonance imaging contrast agents. The pharmaceuticals comprising one or more X-ray absorbing or “heavy” atoms of atomic number 20 or greater are useful as X-ray contrast agents. The pharmaceuticals comprising a microbubble of a biocompatible gas, a liquid carrier, and a surfactant microsphere, are useful as ultrasound contrast agents.
- [1] Thus, in a first embodiment, the present invention provides a novel compound, comprising: a targeting moiety and a chelator, wherein the targeting moiety is bound to the chelator, is a peptide or peptidomimetic, and binds to a receptor that is upregulated during angiogenesis and the compound has 0-1 linking groups between the targeting moiety and chelator.
- [2] In a preferred embodiment, the targeting moiety is a peptide or a mimetic thereof and the receptor is selected from the group: EGFR, FGFR, PDGFR, Flk-1/KDR, Flt-1, Tek, Tie, neuropilin-1, endoglin, endosialin, Axl, α vβ3, αvβ5, α5β1, α4β1, α1β1, and α2β2 and the linking group is present between the targeting moiety and chelator.
- [3] In a more preferred embodiment, the receptor is the integrin α vβ3 and the compound is of the formula:
- (Q)d—Ln—Ch or (Q)d—Ln—(Ch)d′
-
- K is an L-amino acid independently selected at each occurrence from the group: arginine, citrulline, N-methylarginine, lysine, homolysine, 2-aminoethylcysteine, δ-N-2-imidazolinylornithine, δ-N-benzylcarbamoylornithine, and β-2-benzimidazolylacetyl-1,2-diaminopropionic acid;
- K is a D-amino acid independently selected at each occurrence from the group: arginine, citrulline, N-methylarginine, lysine, homolysine, 2-aminoethylcysteine, δ-N-2-imidazolinylornithine, δ-N-benzylcarbamoylornithine, and β-2-benzimidazolylacetyl-1,2-diaminopropionic acid;
- L is independently selected at each occurrence from the group: glycine, L-alanine, and D-alanine;
- M is L-aspartic acid;
- M′ is D-aspartic acid;
- R 1 is an amino acid substituted with 0-1 bonds to Ln, independently selected at each occurrence from the group: glycine, L-valine, D-valine, alanine, leucine, isoleucine, norleucine, 2-aminobutyric acid, 2-aminohexanoic acid, tyrosine, phenylalanine, thienylalanine, phenylglycine, cyclohexylalanine, homophenylalanine, 1-naphthylalanine, lysine, serine, ornithine, 1,2-diaminobutyric acid, 1,2-diaminopropionic acid, cysteine, penicillamine, and methionine;
- R 2 is an amino acid, substituted with 0-1 bonds to Ln, independently selected at each occurrence from the group: glycine, valine, alanine, leucine, isoleucine, norleucine, 2-aminobutyric acid, 2-aminohexanoic acid, tyrosine, L-phenylalanine, D-phenylalanine, thienylalanine, phenylglycine, biphenylglycine, cyclohexylalanine, homophenylalanine, L-1-naphthylalanine, D-1-naphthylalanine, lysine, serine, ornithine, 1,2-diaminobutyric acid, 1,2-diaminopropionic acid, cysteine, penicillamine, methionine, and 2-aminothiazole-4-acetic acid;
- R 3 is an amino acid, substituted with 0-1 bonds to Ln, independently selected at each occurrence from the group: glycine, D-valine, D-alanine, D-leucine, D-isoleucine, D-norleucine, D-2-aminobutyric acid, D-2-aminohexanoic acid, D-tyrosine, D-phenylalanine, D-thienylalanine, D-phenylglycine, D-cyclohexylalanine, D-homophenylalanine, D-1-naphthylalanine, D-lysine, D-serine, D-ornithine, D-1,2-diaminobutyric acid, D-1,2-diaminopropionic acid, D-cysteine, D-penicillamine, and D-methionine;
- R 4 is an amino acid, substituted with 0-1 bonds to Ln, independently selected at each occurrence from the group: glycine, D-valine, D-alanine, D-leucine, D-isoleucine, D-norleucine, D-2-aminobutyric acid, D-2-aminohexanoic acid, D-tyrosine, D-phenylalanine, D-thienylalanine, D-phenylglycine, D-cyclohexylalanine, D-homophenylalanine, D-1-naphthylalanine, D-lysine, D-serine, D-ornithine, D-1,2-diaminobutyric acid, D-1,2-diaminopropionic acid, D-cysteine, D-penicillamine, D-methionine, and 2-aminothiazole-4-acetic acid;
- R 5 is an amino acid, substituted with 0-1 bonds to Ln, independently selected at each occurrence from the group: glycine, L-valine, L-alanine, L-leucine, L-isoleucine, L-norleucine, L-2-aminobutyric acid, L-2-aminohexanoic acid, L-tyrosine, L-phenylalanine, L-thienylalanine, L-phenylglycine, L-cyclohexylalanine, L-homophenylalanine, L-1-naphthylalanine, L-lysine, L-serine, L-ornithine, L-1,2-diaminobutyric acid, L-1,2-diaminopropionic acid, L-cysteine, L-penicillamine, L-methionine, and 2-aminothiazole-4-acetic acid;
- provided that one of R 1, R2, R3, R4, and R5 in each Q is substituted with a bond to Ln, further provided that when R2 is 2-aminothiazole-4-acetic acid, K is N-methylarginine, further provided that when R4 is 2-aminothiazole-4-acetic acid, K and K′ are N-methylarginine, and still further provided that when R5 is 2-aminothiazole-4-acetic acid, K′ is N-methylarginine;
- d is selected from 1, 2, 3, 4, 5, 6, 7, 8, 9, and 10;
- L n is a linking group having the formula:
- (CR6R7)g—(W)h—(CR6aR7a)g′—(Z)k—(W)h′—(CR8R9)g″—(W)h″—(CR8aR9a)g″′
- provided that g+h+g′+k+h′+g″+h″+g″′ is other than 0;
- W is independently selected at each occurrence from the group: O, S, NH, NHC(═O), C(═O)NH, C(═O), C(═O)O, OC(═O), NHC(═S)NH, NHC(═O)NH, SO 2, (OCH2CH2)s, (CH2CH2O)s′, (OCH2CH2CH2)s″, (CH2CH2CH2O)t, and (aa)t′;
- aa is independently at each occurrence an amino acid;
- Z is selected from the group: aryl substituted with 0-3 R 10, C3-10 cycloalkyl substituted with 0-3 R10, and a 5-10 membered heterocyclic ring system containing 1-4 heteroatoms independently selected from N, S, and O and substituted with 0-3 R10;
- R 6, R6a, R7, R7a, R8, R8a, R9 and R9a are independently selected at each occurrence from the group: H, ═O, COOH, SO3H, PO3H, C1-C5 alkyl substituted with 0-3 R10, aryl substituted with 0-3 R10, benzyl substituted with 0-3 R10, and C1-C5 alkoxy substituted with 0-3 R10, NHC(═O)R11, C(═O)NHR11, NHC(═O)NHR11, NHR11, R11, and a bond to Ch;
- R 10 is independently selected at each occurrence from the group: a bond to Ch, COOR11, OH, NHR11, SO3H, PO3H, aryl substituted with 0-3 R11, C1-5 alkyl substituted with 0-1 R12, C1-5 alkoxy substituted with 0-1 R12, and a 5-10 membered heterocyclic ring system containing 1-4 heteroatoms independently selected from N, S, and O and substituted with 0-3 R11;
- R 11 is independently selected at each occurrence from the group: H, aryl substituted with 0-1 R12, a 5-10 membered heterocyclic ring system containing 1-4 heteroatoms independently selected from N, S, and O and substituted with 0-1 R12, C3-10 cycloalkyl substituted with 0-1 R12, polyalkylene glycol substituted with 0-1 R12, carbohydrate substituted with 0-1 R12, cyclodextrin substituted with 0-1 R12, amino acid substituted with 0-1 R12, polycarboxyalkyl substituted with 0-1 R12, polyazaalkyl substituted with 0-1 R12, peptide substituted with 0-1 R12, wherein the peptide is comprised of 2-10 amino acids, and a bond to Ch;
- R 12 is a bond to Ch;
- k is selected from 0, 1, and 2;
- h is selected from 0, 1, and 2;
- h′ is selected from 0, 1, 2, 3, 4, and 5;
- h″ is selected from 0, 1, 2, 3, 4, and 5;
- g is selected from 0, 1, 2, 3, 4, 5, 6, 7, 8, 9, and 10;
- g′ is selected from 0, 1, 2, 3, 4, 5, 6, 7, 8, 9, and 10;
- g″ is selected from 0, 1, 2, 3, 4, 5, 6, 7, 8, 9, and 10;
- g″′ is selected from 0, 1, 2, 3, 4, 5, 6, 7, 8, 9, and 10;
- s is selected from 0, 1, 2, 3, 4, 5, 6, 7, 8, 9, and 10;
- s′ is selected from 0, 1, 2, 3, 4, 5, 6, 7, 8, 9, and 10;
- s″ is selected from 0, 1, 2, 3, 4, 5, 6, 7, 8, 9, and 10;
- t is selected from 0, 1, 2, 3, 4, 5, 6, 7, 8, 9, and 10;
- t′ is selected from 0, 1, 2, 3, 4, 5, 6, 7, 8, 9, and 10;
-
- A 1, A2, A3, A4, A5, A6, A7, and A8 are independently selected at each occurrence from the group: N, NR13, NR13R14, S, SH, S(Pg), O, OH, PR13, PR13R14, P(O)R15R16, and a bond to Ln;
- E is a bond, CH, or a spacer group independently selected at each occurrence from the group: C 1-C10 alkyl substituted with 0-3 R17, aryl substituted with 0-3 R17, C3-10 cycloalkyl substituted with 0-3 R17, heterocyclo-C1-10 alkyl substituted with 0-3 R17, wherein the heterocyclo group is a 5-10 membered heterocyclic ring system containing 1-4 heteroatoms independently selected from N, S, and O, C6-10 aryl-C1-10 alkyl substituted with 0-3 R17, C1-10 alkyl-C6-0 aryl- substituted with 0-3 R17, and a 5-10 membered heterocyclic ring system containing 1-4 heteroatoms independently selected from N, S, and O and substituted with 0-3 R17;
- R 13, and R14 are each independently selected from the group: a bond to Ln, hydrogen, C1-C10 alkyl substituted with 0-3 R17, aryl substituted with 0-3 R17, C1-10 cycloalkyl substituted with 0-3 R17, heterocyclo-C1-10 alkyl substituted with 0-3 R17, wherein the heterocyclo group is a 5-10 membered heterocyclic ring system containing 1-4 heteroatoms independently selected from N, S, and O, C6-10 aryl-C1-10 alkyl substituted with 0-3 R17, C1-10 alkyl-C6-10 aryl- substituted with 0-3 R17, a 5-10 membered heterocyclic ring system containing 1-4 heteroatoms independently selected from N, S, and O and substituted with 0-3 R17, and an electron, provided that when one of R13 or R14 is an electron, then the other is also an electron;
- alternatively, R 13 and R14 combine to form ═C(R20) (R21);
- R 15 and R16 are each independently selected from the group: a bond to Ln, —OH, C1-C10 alkyl substituted with 0-3 R17, C1-C10 alkyl substituted with 0-3 R17, aryl substituted with 0-3 R17, C3-10 cycloalkyl substituted with 0-3 R17, heterocyclo-C1-10 alkyl substituted with 0-3 R17, wherein the heterocyclo group is a 5-10 membered heterocyclic ring system containing 1-4 heteroatoms independently selected from N, S, and O, C6-10 aryl-C1-10 alkyl substituted with 0-3 R17, C1-10 alkyl-C6-10 aryl-substituted with 0-3 R17, and a 5-10 membered heterocyclic ring system containing 1-4 heteroatoms independently selected from N, S, and O and substituted with 0-3 R17;
- R 17 is independently selected at each occurrence from the group: a bond to Ln, ═O, F, Cl, Br, I, —CF3, —CN, —CO2R18, —C(═O)R18, —C(═O)N(R18)2, —CHO, —CH2OR18, —OC(═O)R18, OC(═O)OR18a, —OR18, —OC(═O)N(R18)2, —NR19C(═O)R18, —NR19C(═O)OR18a, —NR19C(═O)N(R18)2, —NR19SO2N(R18)2, —NR19SO2R18a, —SO3H, —SO2R18a, —SR18, —S(═O)R18a, —SO2N(R18)2, —N(R18)2, —NHC(═S)NHR18, ═NOR18, NO2, —C(═O)NHOR18, —C(═O)NHNR18R18a, —OCH2CO2H, 2-(1-morpholino)ethoxy, C1-C5 alkyl, C2-C4 alkenyl, C3-C6 cycloalkyl, C3-C6 cycloalkylmethyl, C2-C6 alkoxyalkyl, aryl substituted with 0-2 R18, and a 5-10 membered heterocyclic ring system containing 1-4 heteroatoms independently selected from N, S, and O;
- R 18, R18a, and R19 are independently selected at each occurrence from the group: a bond to Ln, H, C1-C6 alkyl, phenyl, benzyl, C1-C6 alkoxy, halide, nitro, cyano, and trifluoromethyl;
- Pg is a thiol protecting group;
- R 20 and R21 are independently selected from the group: H, C1-C10 alkyl, —CN, —CO2R25, —C(═O)R25, —C(═O)N(R25)2, C2-C10 1-alkene substituted with 0-3 R23, C2-C10 1-alkyne substituted with 0-3 R23, aryl substituted with 0-3 R23, unsaturated 5-10 membered heterocyclic ring system containing 1-4 heteroatoms independently selected from N, S, and O and substituted with 0-3 R23, and unsaturated C3-10 carbocycle substituted with 0-3 R23;
-
- R 22 and R23 are independently selected from the group: H, R24, C1-C10 alkyl substituted with 0-3 R24, C2-C10 alkenyl substituted with 0-3 R24, C2-C10 alkynyl substituted with 0-3 R24, aryl substituted with 0-3 R24, a 5-10 membered heterocyclic ring system containing 1-4 heteroatoms independently selected from N, S, and O and substituted with 0-3 R24, and C3-10 carbocycle substituted with 0-3 R24;
- alternatively, R 22, R23 taken together form a fused aromatic or a 5-10 membered heterocyclic ring system containing 1-4 heteroatoms independently selected from N, S, and O;
- a and b indicate the positions of optional double bonds and n is 0 or 1;
- R 24 is independently selected at each occurrence from the group: ═O, F, Cl, Br, I, —CF3, —CN, —CO2R25, —C(═O)R25, —C(═O)N(R25)2, —N(R25)3 +, —CH2OR25, —OC(═O)R25, —OC(═O)OR25a, —OR25, —OC(═O)N(R25)2, —NR26C(═O)R25, —NR26C(═O)OR25a, —NR26C(═O)N(R25)2, —NR26SO2N(R25)2, —NR26SO2R25a, —SO3H, —SO2R25a, —SR25, —S(═O)R25a, —SO2N(R25)2, —N(R25)2, ═NOR25, —C(═O)NHOR25, —OCH2CO2H, and 2-(1-morpholino)ethoxy; and,
- R 25, R25a, and R26 are each independently selected at each occurrence from the group: hydrogen and C1-C6 alkyl;
- and a pharmaceutically acceptable salt thereof.
- [4] In an even more preferred embodiment, the present invention provides a compound, wherein:
- L is glycine;
- R 1 is an amino acid, optionally substituted with a bond to Ln, independently selected at each occurrence from the group: L-valine, D-valine, alanine, leucine, isoleucine, norleucine, 2-aminobutyric acid, tyrosine, phenylalanine, phenylglycine, cyclohexylalanine, homophenylalanine, lysine, ornithine, 1,2-diaminobutyric acid, and 1,2-diaminopropionic acid;
- R 2 is an amino acid, optionally substituted with a bond to Ln, independently selected at each occurrence from the group: valine, alanine, leucine, isoleucine, norleucine, 2-aminobutyric acid, tyrosine, L-phenylalanine, D-phenylalanine, thienylalanine, phenylglycine, biphenylglycine, cyclohexylalanine, homophenylalanine, L-1-naphthylalanine, D-1-naphthylalanine, lysine, ornithine, 1,2-diaminobutyric acid, 1,2-diaminopropionic acid, and 2-aminothiazole-4-acetic acid;
- R 3 is an amino acid, optionally substituted with a bond to Ln, independently selected at each occurrence from the group: D-valine, D-alanine, D-leucine, D-isoleucine, D-norleucine, D-2-aminobutyric acid, D-tyrosine, D-phenylalanine, D-phenylglycine, D-cyclohexylalanine, D-homophenylalanine, D-lysine, D-serine, D-ornithine, D-1,2-diaminobutyric acid, and D-1,2-diaminopropionic acid;
- R 4 is an amino acid, optionally substituted with a bond to Ln, independently selected at each occurrence from the group: D-valine, D-alanine, D-leucine, D-isoleucine, D-norleucine, D-2-aminobutyric acid, D-tyrosine, D-phenylalanine, D-thienylalanine, D-phenylglycine, D-cyclohexylalanine, D-homophenylalanine, D-1-naphthylalanine, D-lysine, D-ornithine, D-1,2-diaminobutyric acid, D-1,2-diaminopropionic acid, and 2-aminothiazole-4-acetic acid;
- R 5 is an amino acid, optionally substituted with a bond to Ln, independently selected at each occurrence from the group: L-valine, L-alanine, L-leucine, L-isoleucine, L-norleucine, L-2-aminobutyric acid, L-tyrosine, L-phenylalanine, L-thienylalanine, L-phenylglycine, L-cyclohexylalanine, L-homophenylalanine, L-1-naphthylalanine, L-lysine, L-ornithine, L-1,2-diaminobutyric acid, L-1,2-diaminopropionic acid, and 2-aminothiazole-4-acetic acid;
- d is selected from 1, 2, and 3;
- W is independently selected at each occurrence from the group: O, NH, NHC(═O), C(═O)NH, C(═O), C(═O)O, OC(═O), NHC(═S)NH, NHC(═O)NH, SO 2, (OCH2CH2)s, (CH2CH2O)s′, (OCH2CH2CH2)s″, and (CH2CH2CH2O)t,
- Z is selected from the group: aryl substituted with 0-1 R 10, C3-10 cycloalkyl substituted with 0-1 R10, and a 5-10 membered heterocyclic ring system containing 1-4 heteroatoms independently selected from N, S, and O and substituted with 0-1 R10;
- R 6, R6a, R7, R7a, R8, R8a, R9, and R9a are independently selected at each occurrence from the group: H, ═O, COOH, SO3H, C1-C5 alkyl substituted with 0-1 R10, aryl substituted with 0-1 R10, benzyl substituted with 0-1 R10, and C1-C5 alkoxy substituted with 0-1 R10, NHC(═O)R11, C(═O)NHR11, NHC(═O)NHR11, NHR11, R11, and a bond to Ch;
- R 10 is independently selected at each occurrence from the group: COOR11, OH, NHR11, SO3H, aryl substituted with 0-1 R11, a 5-10 membered heterocyclic ring system containing 1-4 heteroatoms independently selected from N, S, and O and substituted with 0-1 R11, C1-C5 alkyl substituted with 0-1 R12, C1-C5 alkoxy substituted with 0-1 R12, and a bond to Ch;
- R 11 is independently selected at each occurrence from the group: H, aryl substituted with 0-1 R12, a 5-10 membered heterocyclic ring system containing 1-4 heteroatoms independently selected from N, S, and O and substituted with 0-1 R12, polyalkylene glycol substituted with 0-1 R12, carbohydrate substituted with 0-1 R12, cyclodextrin substituted with 0-1 R12, amino acid substituted with 0-1 R12, and a bond to Ch;
- k is 0 or 1;
- h is 0 or 1;
- h′ is 0 or 1;
- s is selected from 0, 1, 2, 3, 4, and 5;
- s′ is selected from 0, 1, 2, 3, 4, and 5;
- s″ is selected from 0, 1, 2, 3, 4, and 5;
- t is selected from 0, 1, 2, 3, 4, and 5;
- A 1, A2, A3, A4, A5, A6, A7, and A8 are independently selected at each occurrence from the group: NR13, NR13R14, S, SH, S(Pg), OH, and a bond to Ln;
- E is a bond, CH, or a spacer group independently selected at each occurrence from the group: C 1-C10 alkyl substituted with 0-3 R17, aryl substituted with 0-3 R17, C3-10 cycloalkyl substituted with 0-3 R17, and a 5-10 membered heterocyclic ring system containing 1-4 heteroatoms independently selected from N, S, and O and substituted with 0-3 R17;
- R 13, and R14 are each independently selected from the group: a bond to Ln, hydrogen, C1-C10 alkyl substituted with 0-3 R17, aryl substituted with 0-3 R17, a 5-10 membered heterocyclic ring system containing 1-4 heteroatoms independently selected from N, S, and O and substituted with 0-3 R17, and an electron, provided that when one of R13 or R14 is an electron, then the other is also an electron;
- alternatively, R 13 and R14 combine to form ═C(R20)(R21);
- R 17 is independently selected at each occurrence from the group: a bond to Ln, ═O, F, Cl, Br, I, —CF3, —CN, —CO2R18, —C(═O)R18, —C(═O)N(R18)2, —CH2OR18, —OC(═O)R18, —OC(═O)OR18a, —OR18, —OC(═O)N(R18)2, —NR19C(═O)R18, —NR19C(═O)OR18a, —NR19C(═O)N(R18)2, —NR19SO2N(R18)2, —NR19SO2R18a, —SO3H, —SO2R18a, —S(═O)R18a, —SO2N(R18)2, —N(R18)2, —NHC(═S)NHR18, ═NOR18, —C(═O)NHNR18R18a, —OCH2CO2H, and 2-(1-morpholino)ethoxy;
- R 18 R18a, and R19 are independently selected at each occurrence from the group: a bond to Ln, H, and C1-C6 alkyl;
- R 20 and R21 are independently selected from the group: H, C1-C5 alkyl, —CO2R25, C2-C5 1-alkene substituted with 0-3 R23, C2-C5 1-alkyne substituted with 0-3 R23, aryl substituted with 0-3 R23, and unsaturated 5-10 membered heterocyclic ring system containing 1-4 heteroatoms independently selected from N, S, and O and substituted with 0-3 R23;
-
- R 22 and R23 are independently selected from the group: H, and R24;
- alternatively, R 22, R23 taken together form a fused aromatic or a 5-10 membered heterocyclic ring system containing 1-4 heteroatoms independently selected from N, S, and O;
- R 24 is independently selected at each occurrence from the group: —CO2R25, —C(═O)N(R25)2, —CH2OR25, —OC(═O)R25, —OR25, —SO3H, —N(R25)2, and —OCH2CO2H; and,
- R 25 is independently selected at each occurrence from the group: H and C1-C3 alkyl.
- [5] In a still more preferred embodiment, the present invention provides a compound, wherein:
-
- R 1 is L-valine, D-valine, D-lysine optionally substituted on the ε amino group with a bond to Ln or L-lysine optionally substituted on the ε amino group with a bond to Ln;
- R 2 is L-phenylalanine, D-phenylalanine, D-1-naphthylalanine, 2-aminothiazole-4-acetic acid, L-lysine optionally substituted on the ε amino group with a bond to Ln or tyrosine, the tyrosine optionally substituted on the hydroxy group with a bond to Ln;
- R 3 is D-valine, D-phenylalanine, or L-lysine optionally substituted on the ε amino group with a bond to Ln;
- R 4 is D-phenylalanine, D-tyrosine substituted on the hydroxy group with a bond to Ln, or L-lysine optionally substituted on the ε amino group with a bond to Ln;
- provided that one of R 1 and R2 in each Q is substituted with a bond to Ln, and further provided that when R2 is 2-aminothiazole-4-acetic acid, K is N-methylarginine;
- d is 1 or 2;
- W is independently selected at each occurrence from the group: NHC(═O), C(═O)NH, C(═O), (CH 2CH2O)s′, and (CH2CH2CH2O)t;
- R 6, R6a, R7, R7a, R8, R8a, R9, and R9a are independently selected at each occurrence from the group: H, NHC(═O)R11, and a bond to Ch;
- k is 0;
- h″ is selected from 0, 1, 2, and 3;
- g is selected from 0, 1, 2, 3, 4, and 5;
- g′ is selected from 0, 1, 2, 3, 4, and 5;
- g″ is selected from 0, 1, 2, 3, 4, and 5;
- g″′ is selected from 0, 1, 2, 3, 4, and 5;
- s′ is 1 or 2;
- t is 1 or 2;
-
- A 1 is selected from the group: OH, and a bond to Ln;
- A 2, A4, and A6 are each N;
- A 3, A5, and A8 are each OH;
- A 7 is a bond to Ln or NH-bond to Ln;
- E is a C 2 alkyl substituted with 0-1 R17;
- R 17 is ═O;
-
- A 1 is NH2 or N═C(R20)(R21);
- E is a bond;
- A 2 is NHR13;
- R 13 is a heterocycle substituted with R17, the heterocycle being selected from pyridine and pyrimidine;
- R 17 is selected from a bond to Ln, C(═O)NHR18, and C(═O)R18;
- R 18 is a bond to Ln;
- R 24 is selected from the group: —CO2R25, —OR25, —SO3H, and —N(R25)2;
- R 25 is independently selected at each occurrence from the group: hydrogen and methyl;
-
- A 1, A2, A3, and A4 are each N;
- A 5, A6, and A8 are each OH;
- A 7 is a bond to Ln;
- E is a C 2 alkyl substituted with 0-1 R17; and,
- R 17 is ═O.
- [6] In another even more preferred embodiment, the present invention provides a compound selected from the group:
- (a) cyclo{Arg-Gly-Asp-D-Tyr(N-[2-[[[5-[carbonyl]-2-pyridinyl]hydrazono]methyl]-benzenesulfonic acid]-3-aminopropyl)-Val};
- (b) cyclo{Arg-Gly-Asp-D-Tyr((N-[2-[[[5-[carbonyl]-2-pyridinyl]hydrazono]methyl]-benzenesulfonic acid]-18-amino-14-aza-4,7,10-oxy-15-oxo-octadecoyl)-3-aminopropyl)-Val};
- (c) [2-[[[5-[carbonyl]-2-pyridinyl]hydrazono]methyl]-benzenesulfonic acid]-Glu(cyclo{D-Tyr(3-aminopropyl)-Val-Arg-Gly-Asp})-cyclo{D-Tyr(3-aminopropyl)-Val-Arg-Gly-Asp};
- (d) cyclo(Arg-Gly-Asp-D-Tyr-Lys([2-[[[5-[carbonyl]-2-pyridinyl]hydrazono]methyl]-benzenesulfonic acid])};
- (e) cyclo{Arg-Gly-Asp-D-Phe-Lys([2-[[[5-[carbonyl]-2-pyridinyl]hydrazono]methyl]-benzenesulfonic acid])};
- (f) [2-[[[5-[carbonyl]-2-pyridinyl]hydrazono]methyl]-benzenesulfonic acid]-Glu(cyclo{Lys-Arg-Gly-Asp-D-Phe})-cyclo{Lys-Arg-Gly-Asp-D-Phe};
- (g) [2-[[[5-[carbonyl]-2-pyridinyl]hydrazono]methyl]-benzenesulfonic acid]-Phe-Glu(cyclo{Lys-Arg-Gly-Asp-D-Phe})-cyclo{Lys-Arg-Gly-Asp-D-Phe};
- (h) cyclo{Arg-Gly-Asp-D-Nal-Lys([2-[[[5-[carbonyl]-2-pyridinyl]hydrazono]methyl]-benzenesulfonic acid])};
- (i) [2-[[[5-[carbonyl]-2-pyridinyl]-hydrazono]methyl]-benzenesulfonic acid]-Glu(cyclo{Lys-Arg-Gly-Asp-D-Nal})-cyclo{Lys-Arg-Gly-Asp-D-Nal};
- (j) cyclo{Arg-Gly-Asp-Lys([2-[[[5-[carbonyl]-2-pyridinyl]hydrazono]methyl]-benzenesulfonic acid])-D-Val};
- (k) [2-[[[5-[carbonyl]-2-pyridinyl]hydrazono]methyl]-benzenesulfonic acid]-Glu(cyclo{Lys-D-Val-Arg-Gly-Asp})-cyclo{Lys-D-Val-Arg-Gly-Asp};
- (l) {cyclo(Arg-D-Val-D-Tyr(N-[2-[[[5-[carbonyl]-2-pyridinyl]hydrazono]methyl]-benzenesulfonic acid]-3-aminopropyl)-D-Asp-Gly};
- (m) cyclo{D-Lys([2-[[[5-[carbonyl]-2-pyridinyl]hydrazono]methyl]-benzenesulfonic acid])-D-Phe-D-Asp-Gly-Arg};
- (n) [2-[[[5-[carbonyl]-2-pyridinyl]hydrazono]methyl]-benzenesulfonic acid]-Glu(cyclo{D-Lys-D-Phe-D-Asp-Gly-Arg})-cyclo{D-Lys-D-Phe-D-Asp-Gly-Arg};
- (o) cyclo{D-Phe-D-Lys([2-[[[5-[carbonyl]-2-pyridinyl]hydrazono]methyl]-benzenesulfonic acid])-D-Asp-Gly-Arg};
- (p) cyclo{N-Me-Arg-Gly-Asp-ATA-D-Lys([2-[[[5-[carbonyl]-2-pyridinyl]hydrazono]methyl]-benzenesulfonic acid])};
- (q) cyclo{Cit-Gly-Asp-D-Phe-Lys([2-[[[5-[carbonyl]-2-pyridinyl]hydrazono]methyl]-benzenesulfonic acid])};
- (r) 2-(1,4,7,10-tetraaza-4,7,10-tris(carboxymethyl)-1-cyclododecyl)acetyl-Glu(cyclo{Lys-Arg-Gly-Asp-D-Phe}-cyclo{Lys-Arg-Gly-Asp-D-Phe};
- (s) cyclo{Arg-Gly-Asp-D-Phe-Lys(DTPA)};
- (t) cyclo{Arg-Gly-Asp-D-Phe-Lys} 2(DTPA);
- (u) Cyclo{Arg-Gly-Asp-D-Tyr(N-DTPA-3-aminopropyl)-Val};
- (v) cyclo{Orn(d-N-2-Imidazolinyl)-Gly-Asp-D-Tyr(N-[2-[[[5-[carbonyl]-2-pyridinyl]hydrazono]methyl]-benzenesulfonic acid]-3-aminopropyl)-Val};
- (w) cyclo{Lys-Gly-Asp-D-Tyr(N-[2-[[[5-[carbonyl]-2-pyridinyl]hydrazono]methyl]-benzenesulfonic acid]-3-aminopropyl)-Val};
- (x) cyclo{Cys(2-aminoethyl)-Gly-Asp-D-Tyr(N-[2-[[[5-[carbonyl]-2-pyridinyl]hydrazono]methyl]-benzenesulfonic acid]-3-aminopropyl)-Val};
- (y) cyclo{HomoLys-Gly-Asp-D-Tyr(N-[2-[[[5-[carbonyl]-2-pyridinyl]hydrazono]methyl]-benzenesulfonic acid]-3-aminopropyl)-Val};
- (z) cyclo{Orn(d-N-Benzylcarbamoyl)-Gly-Asp-D-Tyr(N-[2-[[[5-[carbonyl]-2-pyridinyl]hydrazono]methyl]-benzenesulfonic acid]-3-aminopropyl)-Val};
- (aa) cyclo{Dap(b-(2-benzimidazolylacetyl))-Gly-Asp-D-Tyr(N-[2-[[[5-[carbonyl]-2-pyridinyl]hydrazono]methyl]-benzenesulfonic acid]-3-aminopropyl)-Val};
- (bb) cyclo{Orn(d-N-2-Imidazolinyl)-Gly-Asp-D-Phe-Lys(N-[2-[[[5-[carbonyl]-2-pyridinyl]hydrazono]methyl]-benzenesulfonic acid])};
- (cc) cyclo{Orn(d-N-Benzylcarbamoyl)-Gly-Asp-D-Phe-Lys(N-[2-[[[5-[carbonyl]-2-pyridinyl]hydrazono]methyl]-benzenesulfonic acid])};
- (dd) cyclo{Lys-D-Val-D-Tyr(N-[2-[[[5-[carbonyl]-2-pyridinyl]hydrazono]methyl]-benzenesulfonic acid]-3-aminopropyl)-D-Asp-Gly};
- (ee) cyclo{Orn(d-N-Benzylcarbamoyl)-D-Val-D-Tyr(N-[2-[[[5-[carbonyl]-2-pyridinyl]hydrazono]methyl]-benzenesulfonic acid]-3-aminopropyl)-D-Asp-Gly}; and,
- (ff) cyclo{Orn(d-N-2-Imidazolinyl)-D-Val-D-Tyr(N-[2-[[[5-[carbonyl]-2-pyridinyl]hydrazono]methyl]-benzenesulfonic acid]-3-aminopropyl)-D-Asp-Gly};
- or a pharmaceutically acceptable salt form thereof.
- [7] In a further preferred embodiment, the present invention provides a kit comprising a compound of the present invention.
- [8] In an even further preferred embodiment, the kit further comprises one or more ancillary ligands and a reducing agent.
- [9] In a still further preferred embodiment, the ancillary ligands are tricine and TPPTS.
- [10] In another still further preferred embodiment, the reducing agent is tin(II).
- [11] In a second embodiment, the present invention provides a novel diagnostic or therapeutic metallopharmaceutical compostion, comprising: a metal, a chelator capable of chelating the metal and a targeting moiety, wherein the targeting moiety is bound to the chelator, is a peptide or peptidomimetic and binds to a receptor that is upregulated during angiogenesis and the compound has 0-1 linking groups between the targeting moiety and chelator.
- [12] In another preferred embodiment, the metallopharmaceutical is a diagnostic radiopharmaceutical, the metal is a radioisotope selected from the group: 99mTc, 95Tc, 111In, 62Cu, 64Cu, 67Ga, and 68Ga, the targeting moiety is a peptide or a mimetic thereof and the receptor is selected from the group: EGFR, FGFR, PDGFR, Flk-1/KDR, Flt-1, Tek, Tie, neuropilin-1, endoglin, endosialin, Axl, αvβ3, αvβ5, α5β1, α4β1, α1β1, and α2β2 and the linking group is present between the targeting moiety and chelator.
- [13] In another more preferred embodiment, the targeting moiety is a cyclic pentapeptide and the receptor is α vβ3.
- [14] In another even more preferred embodiment, the radioisotope is 99mTc or 95Tc, the radiopharmaceutical further comprises a first ancillary ligand and a second ancillary ligand capable of stabilizing the radiopharmaceutical.
- [15] In another still more preferred embodiment, the radioisotope is 99mTc.
- [16] In another further preferred embodiment, the radiopharmaceutical is selected from the group:
- 99mTc(tricine)(TPPTS)(cyclo(Arg-Gly-Asp-D-Tyr(N-[[5-[carbonyl]-2-pyridinyl]diazenido]-3-aminopropyl)-Val));
- 99mTc(tricine)(TPPMS)(cyclo(Arg-D-Val-D-Tyr(N-[[5-[carbonyl]-2-pyridinyl]diazenido]-3-aminopropyl)-D-Asp-Gly));
- 99mTc(tricine)(TPPDS)(cyclo(Arg-D-Val-D-Tyr(N-[[5-[carbonyl]-2-pyridinyl]diazenido]-3-aminopropyl)-D-Asp-Gly));
- 99mTc(tricine)(TPPTS)(cyclo(Arg-D-Val-D-Tyr(N-[[5-[carbonyl]-2-pyridinyl]diazenido]-3-aminopropyl)-D-Asp-Gly));
- 99mTc(tricine)(TPPTS)(cyclo(Arg-Gly-Asp-D-Phe-Lys(N-[[5-[carbonyl]-2-pyridinyl]diazenido])));
- 99mTc(tricine)(TPPTS)(cyclo(Arg-Gly-Asp-D-Tyr-Lys(N-[[5-[carbonyl]-2-pyridinyl]diazenido])));
- 99mTc(tricine)(TPPTS)([2-[[[5-[carbonyl]-2-pyridinyl]hydrazono]methyl]-benzenesulfonic acid]-Phe-Glu(cyclo{Lys-Arg-Gly-Asp-D-Phe})-cyclo{Lys-Arg-Gly-Asp-D-Phe});
- 99mTc(tricine)(TPPTS)(cyclo{Arg-Gly-Asp-D-Nal-Lys([2-[[[5-[carbonyl]-2-pyridinyl]hydrazono]methyl]-benzenesulfonic acid])});
- 99mTc(tricine)(TPPTS)([2-[[[5-[carbonyl]-2-pyridinyl]hydrazono]methyl]-benzenesulfonic acid]-Glu(cyclo{Lys-Arg-Gly-Asp-D-Nal})-cyclo{Lys-Arg-Gly-Asp-D-Nal});
- 99mTc(tricine)(TPPTS)(cyclo(Arg-Gly-Asp-D-Tyr((N-[[5-[carbonyl]-2-pyridinyl]diazenido]-18-amino-14-aza-4,7,10-oxy-15-oxo-octadecoyl)-3-aminopropyl)-Val));
- 99mTc(tricine)(TPPTS)(N-[[5-[carbonyl]-2-pyridinyl]diazenido]-Glu(O-cyclo(Lys-Arg-Gly-Asp-D-Phe))-O-cyclo(Lys-Arg-Gly-Asp-D-Phe));
- 99mTc(tricine)(TPPTS)(N-[[5-[carbonyl]-2-pyridinyl]diazenido]-Glu(O-cyclo(D-Tyr(3-aminopropyl)-Val-Arg-Gly-Asp))-O-cyclo(D-Tyr(3-aminopropyl)-Val-Arg-Gly-Asp));
- 99mTc(tricine)(TPPTS)(cyclo(Arg-Gly-Asp-Lys(N-[[5-[carbonyl]-2-pyridinyl]diazenido])-D-Val));
- 99mTc(tricine)(TPPTS)(cyclo{D-Lys([2-[[[5-[carbonyl]-2-pyridinyl]hydrazono]methyl]-benzenesulfonic acid])-D-Phe-D-Asp-Gly-Arg});
- 99mTc(tricine)(TPPTS)([2-[[[5-[carbonyl]-2-pyridinyl]hydrazono]methyl]-benzenesulfonic acid]-Glu(cyclo{D-Lys-D-Phe-D-Asp-Gly-Arg})-cyclo{D-Lys-D-Phe-D-Asp-Gly-Arg});
- 99mTc(tricine)(TPPTS)(cyclo{D-Phe-D-Lys([2-[[[5-[carbonyl]-2-pyridinyl]hydrazono]methyl]-benzenesulfonic acid])-D-Asp-Gly-Arg});
- 99mTc(tricine)(TPPTS)(cyclo(N-Me-Arg-Gly-Asp-ATA-D-Lys(N-[[5-[carbonyl]-2-pyridinyl]diazenido])));
- 99mTc(tricine)(TPPTS)(cyclo{Cit-Gly-Asp-D-Phe-Lys([2-[[[5-[carbonyl]-2-pyridinyl]hydrazono]methyl]-benzenesulfonic acid])}); and,
- 99mTc(tricine)(1,2,4-triazole)(cyclo(Arg-Gly-Asp-D-Tyr(N-[[5-[carbonyl]-2-pyridinyl]diazenido]-3-aminopropyl)-Val)).
- [17] In another even more preferred embodiment, the radioisotope is 111In.
- [18] In another still more preferred embodiment, the radiopharmaceutical is selected from the group:
- (DOTA- 111In)-Glu(cyclo{Lys-Arg-Gly-Asp-D-Phe})-cyclo{Lys-Arg-Gly-Asp-D-Phe};
- cyclo(Arg-Gly-Asp-D-Phe-Lys(DTPA- 111In)); and,
- cyclo(Arg-Gly-Asp-D-Phe-Lys) 2(DTPA-111In).
- [19] In another preferred embodiment, the metallopharmaceutical is a therapeutic radiopharmaceutical, the metal is a radioisotope selected from the group: 186Re, 188Re, 153Sm, 166Ho, 177Lu, 149Pm, 90Y, 212Bi, 103Pd, 109Pd, 159Gd, 140La, 198Au, 199Au, 169Yb, 175Yb, 165Dy, 166Dy, 67Cu, 105Rh, 111Ag, and 192Ir, the targeting moiety is a peptide or a mimetic thereof and the receptor is selected from the group: EGFR, FGFR, PDGFR, Flk-1/KDR, Flt-1, Tek, Tie, neuropilin-1, endoglin, endosialin, Axl, αvβ3, αvβ5, α5β1, α4β1, α1β1, and α2β2 and the linking group is present between the targeting moiety and chelator.
- [20] In another more preferred embodiment, the targeting moiety is a cyclic pentapeptide and the receptor is α vβ3.
- [21] In another even more preferred embodiment, the radioisotope is 153Sm.
- [22] In another still more preferred embodiment, the radiopharmaceutical is selected from the group:
- cyclo(Arg-Gly-Asp-D-Phe-Lys(DTPA- 153Sm));
- cyclo(Arg-Gly-Asp-D-Phe-Lys) 2(DTPA-153Sm); and,
- cyclo(Arg-Gly-Asp-D-Tyr(N-DTPA( 153Sm)-3-aminopropyl)-Val).
- [23] In another even more preferred embodiment, the radioisotope is 177Lu.
- [24] In another still more preferred embodiment, the radiopharmaceutical is selected from the group:
- cyclo(Arg-Gly-Asp-D-Phe-Lys(DTPA- 177Lu));
- (DOTA- 177Lu)-Glu(cyclo{Lys-Arg-Gly-Asp-D-Phe})-cyclo{Lys-Arg-Gly-Asp-D-Phe};
- cyclo(Arg-Gly-Asp-D-Phe-Lys) 2(DTPA-177Lu); and,
- cyclo(Arg-Gly-Asp-D-Tyr(N-DTPA( 177Lu)-3-aminopropyl)-Val).
- [25] In another even more preferred embodiment, the radioisotope is 90Y.
- [26] In another still more preferred embodiment, the radiopharmaceutical is:
- (DOTA- 90Y)-Glu(cyclo{Lys-Arg-Gly-Asp-D-Phe})-cyclo{Lys-Arg-Gly-Asp-D-Phe};
- [27] In another preferred embodiment, the metallopharmaceutical is a MRI contrast agent, the metal is a paramagnetic metal ion selected from the group: Gd(III), Dy(III), Fe(III), and Mn(II), the targeting moiety is a peptide or a mimetic thereof and the receptor is selected from the group: EGFR, FGFR, PDGFR, Flk-1/KDR, Flt-1, Tek, Tie, neuropilin-1, endoglin, endosialin, Axl, α vβ3, αvβ5, α5β1, α4β1, α1β1, and α2β2 and the linking group is present between the targeting moiety and chelator.
- [28] In another more preferred embodiment, the targeting moiety is a cyclic pentapeptide and the receptor is α vβ3.
- [29] In another even more preferred embodiment, the metal ion is Gd(III).
- [30] In another still more preferred embodiment, the contrast agent is:
- cyclo(Arg-Gly-Asp-D-Tyr(N-DTPA(Gd(III))-3-aminopropyl)-Val).
- [31] In another preferred embodiment, the metallopharmaceutical is a X-ray contrast agent, the metal is selected from the group: Re, Sm, Ho, Lu, Pm, Y, Bi, Pd, Gd, La, Au, Au, Yb, Dy, Cu, Rh, Ag, and Ir, the targeting moiety is a cyclic pentapeptide, the receptor is α vβ3, and the linking group is present between the targeting moiety and chelator.
- [32] In another even more preferred embodiment, the present invention provides a novel method of treating rheumatoid arthritis in a patient comprising: administering a therapeutic radiopharmaceutical of the present invention capable of localizing in new angiogenic vasculature to a patient by injection or infusion.
- [33] In another even more preferred embodiment, the present invention provides a novel method of treating cancer in a patient comprising: administering to a patient in need thereof a therapeutic radiopharmaceutical of the present invention by injection or infusion.
- [34] In another even more preferred embodiment, the present invention provides a novel method of imaging formation of new blood vessels in a patient comprising: (1) administering a diagnostic radiopharmaceutical, a MRI contrast agent, or a X-ray contrast agent of the present invention to a patient by injection or infusion; (2) imaging the area of the patient wherein the desired formation of new blood vessels is located.
- [35] In another even more preferred embodiment, the present invention provides a novel method of imaging cancer in a patient comprising: (1) administering a diagnostic radiopharmaceutical of the present invention to a patient by injection or infusion; (2) imaging the patient using planar or SPECT gamma scintigraphy, or positron emission tomography.
- [36] In another even more preferred embodiment, the present invention provides a novel method of imaging cancer in a patient comprising: (1) administering a MRI contrast agent of the present invention; and (2) imaging the patient using magnetic resonance imaging.
- [37] In another even more preferred embodiment, the present invention provides a novel method of imaging cancer in a patient comprising: (1) administering a X-ray contrast agent of the present invention; and (2) imaging the patient using X-ray computed tomography.
- [38] In a third embodiment, the present invention provides a novel compound capable of being used in an ultrasound contrast composition, comprising: a targeting moiety and a surfactant, wherein the targeting moiety is bound to the surfactant, is a peptide or peptidomimetic, and binds to a receptor that is upregulated during angiogenesis and the compound has 0-1 linking groups between the targeting moiety and surfactant.
- [39] In a preferred embodiment, the targeting moiety is a peptide or a mimetic thereof and the receptor is selected from the group: EGFR, FGFR, PDGFR, Flk-1/KDR, Flt-1, Tek, Tie, neuropilin-1, endoglin, endosialin, Axl, α vβ3, αvβ5, α5β1, α4β1, α1β1, and α2β2 and the linking group is present between the targeting moiety and surfactant.
- [40] In a more preferred embodiment, the receptor is the integrin α vβ3 and the compound is of the formula:
- (Q)d—Ln—Sf
-
- K is an L-amino acid independently selected at each occurrence from the group: arginine, citrulline, N-methylarginine, lysine, homolysine, 2-aminoethylcysteine, δ-N-2-imidazolinylornithine, δ-N-benzylcarbamoylornithine, and β-2-benzimidazolylacetyl-1,2-diaminopropionic acid;
- K′ is a D-amino acid independently selected at each occurrence from the group: arginine, citrulline, N-methylarginine, lysine, homolysine, 2-aminoethylcysteine, δ-N-2-imidazolinylornithine, δ-N-benzylcarbamoylornithine, and β-2-benzimidazolylacetyl-1,2-diaminopropionic acid;
- L is independently selected at each occurrence from the group: glycine, L-alanine, and D-alanine;
- M is L-aspartic acid;
- M′ is D-aspartic acid;
- R 1 is an amino acid substituted with 0-1 bonds to Ln, independently selected at each occurrence from the group: glycine, L-valine, D-valine, alanine, leucine, isoleucine, norleucine, 2-aminobutyric acid, 2-aminohexanoic acid, tyrosine, phenylalanine, thienylalanine, phenylglycine, cyclohexylalanine, homophenylalanine, l-naphthylalanine, lysine, serine, ornithine, 1,2-diaminobutyric acid, 1,2-diaminopropionic acid, cysteine, penicillamine, and methionine;
- R 2 is an amino acid, substituted with 0-1 bonds to Ln, independently selected at each occurrence from the group: glycine, valine, alanine, leucine, isoleucine, norleucine, 2-aminobutyric acid, 2-aminohexanoic acid, tyrosine, L-phenylalanine, D-phenylalanine, thienylalanine, phenylglycine, biphenylglycine, cyclohexylalanine, homophenylalanine, L-1-naphthylalanine, D-1-naphthylalanine, lysine, serine, ornithine, 1,2-diaminobutyric acid, 1,2-diaminopropionic acid, cysteine, penicillamine, methionine, and 2-aminothiazole-4-acetic acid;
- R 3 is an amino acid, substituted with 0-1 bonds to Ln, independently selected at each occurrence from the group: glycine, D-valine, D-alanine, D-leucine, D-isoleucine, D-norleucine, D-2-aminobutyric acid, D-2-aminohexanoic acid, D-tyrosine, D-phenylalanine, D-thienylalanine, D-phenylglycine, D-cyclohexylalanine, D-homophenylalanine, D-1-naphthylalanine, D-lysine, D-serine, D-ornithine, D-1,2-diaminobutyric acid, D-1,2-diaminopropionic acid, D-cysteine, D-penicillamine, and D-methionine;
- R 4 is an amino acid, substituted with 0-1 bonds to Ln, independently selected at each occurrence from the group: glycine, D-valine, D-alanine, D-leucine, D-isoleucine, D-norleucine, D-2-aminobutyric acid, D-2-aminohexanoic acid, D-tyrosine, D-phenylalanine, D-thienylalanine, D-phenylglycine, D-cyclohexylalanine, D-homophenylalanine, D-1-naphthylalanine, D-lysine, D-serine, D-ornithine, D-1,2-diaminobutyric acid, D-1,2-diaminopropionic acid, D-cysteine, D-penicillamine, D-methionine, and 2-aminothiazole-4-acetic acid;
- R 5 is an amino acid, substituted with 0-1 bonds to Ln, independently selected at each occurrence from the group: glycine, L-valine, L-alanine, L-leucine, L-isoleucine, L-norleucine, L-2-aminobutyric acid, L-2-aminohexanoic acid, L-tyrosine, L-phenylalanine, L-thienylalanine, L-phenylglycine, L-cyclohexylalanine, L-homophenylalanine, L-1-naphthylalanine, L-lysine, L-serine, L-ornithine, L-1,2-diaminobutyric acid, L-1,2-diaminopropionic acid, L-cysteine, L-penicillamine, L-methionine, and 2-aminothiazole-4-acetic acid;
- provided that one of R 1, R2, R3, R4, and R5 in each Q is substituted with a bond to Ln, further provided that when R2 is 2-aminothiazole-4-acetic acid, K is N-methylarginine, further provided that when R4 is 2-aminothiazole-4-acetic acid, K and K′ are N-methylarginine, and still further provided that when R5 is 2-aminothiazole-4-acetic acid, K′ is N-methylarginine;
- d is selected from 1, 2, 3, 4, 5, 6, 7, 8, 9, and 10;
-
- A 9 is selected from the group: OH and OR27;
- A 10 is OR27;
- R 27 is C(═O)C1-20 alkyl;
- E 1 is C1-10 alkylene substituted with 1-3 R28;
- R 28 is independently selected at each occurrence from the group: R30, —PO3H—R30, ═O, —CO2R29, —C(═O)R29, —C(═O)N(R29)2, —CH2OR29, —OR29, —N(R29)2, C1-C5 alkyl, and C2-C4 alkenyl;
- R 29 is independently selected at each occurrence from the group: R30, H, C1-C6 alkyl, phenyl, benzyl, and trifluoromethyl;
- R 30 is a bond to Ln;
- L n is a linking group having the formula:
- (CR6R7)g—(W)h—(CR6aR7a)g′—(Z)k—(W)h′(CR8R9)g″—(W)h″—(CR8aR9a)g″′
- W is independently selected at each occurrence from the group: O, S, NH, NHC(═O), C(═O)NH, C(═O), C(═O)O, OC(═O), NHC(═S)NH, NHC(═O)NH, SO 2, (OCH2CH2)20-200, (CH2CH2O)20-200, (OCH2CH2CH2)20-200, (CH2CH2CH2O)20-200, and (aa)t′;
- aa is independently at each occurrence an amino acid;
- Z is selected from the group: aryl substituted with 0-3 R 10, C3-10 cycloalkyl substituted with 0-3 R10, and a 5-10 membered heterocyclic ring system containing 1-4 heteroatoms independently selected from N, S, and O and substituted with 0-3 R10;
- R 6, R6a, R7, R7a, R8, R8a, R9 and R9a are independently selected at each occurrence from the group: H, ═O, COOH, SO3H, PO3H, C1-C5 alkyl substituted with 0-3 R10, aryl substituted with 0-3 R10, benzyl substituted with 0-3 R10, and C1-C5 alkoxy substituted with 0-3 R10, NHC(═O)R11, C(═O)NHR11, NHC(═O)NHR11, NHR11, R11, and a bond to Sf;
- R 10 is independently selected at each occurrence from the group: a bond to Sf, COOR11, OH, NHR11, SO3H, PO3H, aryl substituted with 0-3 R11, C1-5 alkyl substituted with 0-1 R12, C1-5 alkoxy substituted with 0-1 R12, and a 5-10 membered heterocyclic ring system containing 1-4 heteroatoms independently selected from N, S, and O and substituted with 0-3 R11;
- R 11 is independently selected at each occurrence from the group: H, aryl substituted with 0-1 R12, a 5-10 membered heterocyclic ring system containing 1-4 heteroatoms independently selected from N, S, and O and substituted with 0-1 R12, C3-10 cycloalkyl substituted with 0-1 R12, amino acid substituted with 0-1 R12, and a bond to Sf;
- R 12 is a bond to Sf;
- k is selected from 0, 1, and 2;
- h is selected from 0, 1, and 2;
- h′ is selected from 0, 1, 2, 3, 4, and 5;
- h″ is selected from 0, 1, 2, 3, 4, and 5;
- g is selected from 0, 1, 2, 3, 4, 5, 6, 7, 8, 9, and 10;
- g′ is selected from 0, 1, 2, 3, 4, 5, 6, 7, 8, 9, and 10;
- g″ is selected from 0, 1, 2, 3, 4, 5, 6, 7, 8, 9, and 10;
- g″′ is selected from 0, 1, 2, 3, 4, 5, 6, 7, 8, 9, and 10;
- t′ is selected from 0, 1, 2, 3, 4, 5, 6, 7, 8, 9, and 10;
- and a pharmaceutically acceptable salt thereof.
- [41] In another even more preferred embodiment, the compound is of the formula:
- Q—Ln—Sf
-
- K is an L-amino acid independently selected at each occurrence from the group: arginine, citrulline, N-methylarginine, lysine, homolysine, 2-aminoethylcysteine, δ-N-2-imidazolinylornithine, δ-N-benzylcarbamoylornithine, and β-2-benzimidazolylacetyl-1,2-diaminopropionic acid;
- K′ is a D-amino acid independently selected at each occurrence from the group: arginine, citrulline, N-methylarginine, lysine, homolysine, 2-aminoethylcysteine, δ-N-2-imidazolinylornithine, δ-N-benzylcarbamoylornithine, and β-2-benzimidazolylacetyl-1,2-diaminopropionic acid;
- L is independently selected at each occurrence from the group: glycine, L-alanine, and D-alanine;
- M is L-aspartic acid;
- M′ is D-aspartic acid;
- R 1 is an amino acid substituted with 0-1 bonds to Ln, independently selected at each occurrence from the group: glycine, L-valine, D-valine, alanine, leucine, isoleucine, norleucine, 2-aminobutyric acid, 2-aminohexanoic acid, tyrosine, phenylalanine, thienylalanine, phenylglycine, cyclohexylalanine, homophenylalanine, 1-naphthylalanine, lysine, serine, ornithine, 1,2-diaminobutyric acid, 1,2-diaminopropionic acid, cysteine, penicillamine, and methionine;
- R 2 is an amino acid, substituted with 0-1 bonds to Ln, independently selected at each occurrence from the group: glycine, valine, alanine, leucine, isoleucine, norleucine, 2-aminobutyric acid, 2-aminohexanoic acid, tyrosine, L-phenylalanine, D-phenylalanine, thienylalanine, phenylglycine, biphenylglycine, cyclohexylalanine, homophenylalanine, L-1-naphthylalanine, D-1-naphthylalanine, lysine, serine, ornithine, 1,2-diaminobutyric acid, 1,2-diaminopropionic acid, cysteine, penicillamine, methionine, and 2-aminothiazole-4-acetic acid;
- R 3 is an amino acid, substituted with 0-1 bonds to Ln, independently selected at each occurrence from the group: glycine, D-valine, D-alanine, D-leucine, D-isoleucine, D-norleucine, D-2-aminobutyric acid, D-2-aminohexanoic acid, D-tyrosine, D-phenylalanine, D-thienylalanine, D-phenylglycine, D-cyclohexylalanine, D-homophenylalanine, D-1-naphthylalanine, D-lysine, D-serine, D-ornithine, D-1,2-diaminobutyric acid, D-1,2-diaminopropionic acid, D-cysteine, D-penicillamine, and D-methionine;
- R 4 is an amino acid, substituted with 0-1 bonds to Ln, independently selected at each occurrence from the group: glycine, D-valine, D-alanine, D-leucine, D-isoleucine, D-norleucine, D-2-aminobutyric acid, D-2-aminohexanoic acid, D-tyrosine, D-phenylalanine, D-thienylalanine, D-phenylglycine, D-cyclohexylalanine, D-homophenylalanine, D-1-naphthylalanine, D-lysine, D-serine, D-ornithine, D-1,2-diaminobutyric acid, D-1,2-diaminopropionic acid, D-cysteine, D-penicillamine, D-methionine, and 2-aminothiazole-4-acetic acid;
- R 5 is an amino acid, substituted with 0-1 bonds to Ln, independently selected at each occurrence from the group: glycine, L-valine, L-alanine, L-leucine, L-isoleucine, L-norleucine, L-2-aminobutyric acid, L-2-aminohexanoic acid, L-tyrosine, L-phenylalanine, L-thienylalanine, L-phenylglycine, L-cyclohexylalanine, L-homophenylalanine, L-1-naphthylalanine, L-lysine, L-serine, L-ornithine, L-1,2-diaminobutyric acid, L-1,2-diaminopropionic acid, L-cysteine, L-penicillamine, L-methionine, and 2-aminothiazole-4-acetic acid;
- provided that one of R 1, R2, R3, R4, and R5 in each Q is substituted with a bond to Ln, further provided that when R2 is 2-aminothiazole-4-acetic acid, K is N-methylarginine, further provided that when R4 is 2-aminothiazole-4-acetic acid, K and K′ are N-methylarginine, and still further provided that when R5 is 2-aminothiazole-4-acetic acid, K′ is N-methylarginine;
-
- A 9 is OR27;
- A 10 is OR27;
- R 27 is C(═O)C1-15 alkyl;
- E 1 is C1-4 alkylene substituted with 1-3 R28;
- R 28 is independently selected at each occurrence from the group: R30, —PO3H—R30, ═O, —CO2R29, —C(═O)R29, —CH2OR29, —OR29, and C1-C5 alkyl;
- R 29 is independently selected at each occurrence from the group: R30, H, C1-C6 alkyl, phenyl, and benzyl;
- R 30 is a bond to Ln;
- L n is a linking group having the formula:
- (CR6R7)g—(W)h—(CR6aR7a)g′(Z)k—(W)h′—(CR8R9)g″(W)h″—(CR8aR9a)g″′
- W is independently selected at each occurrence from the group: O, S, NH, NHC(═O), C(═O)NH, C(═O), C(═O)O, OC(═O), NHC(═S)NH, NHC(═O)NH, SO 2, (OCH2CH2)20-200, (CH2CH2O)20-200, (OCH2CH2CH2)20-200, (CH2CH2CH2O)20-200, and (aa)t′;
- aa is independently at each occurrence an amino acid;
- Z is selected from the group: aryl substituted with 0-3 R 10 C3-10 cycloalkyl substituted with 0-3 R10, and a 5-10 membered heterocyclic ring system containing 1-4 heteroatoms independently selected from N, S, and O and substituted with 0-3 R10;
- R 6, R6a, R7, R7a, R8, R8a, R9 and R9a are independently selected at each occurrence from the group: H, ═O, C1-C5 alkyl substituted with 0-3 R10, and C1-C5 alkoxy substituted with 0-3 R10, and a bond to Sf;
- R 10 is independently selected at each occurrence from the group: a bond to Sf, COOR11, OH, NHR11, C1-5 alkyl substituted with 0-1 R12, and C1-5 alkoxy substituted with 0-1 R12;
- R 11 is independently selected at each occurrence from the group: H, aryl substituted with 0-1 R12, C3-10 cycloalkyl substituted with 0-1 R12, amino acid substituted with 0-1
- R 12, and a bond to Sf;
- R 12 is a bond to Sf;
- k is selected from 0, 1, and 2;
- h is selected from 0, 1, and 2;
- h′ is selected from 0, 1, 2, 3, 4, and 5;
- h″ is selected from 0, 1, 2, 3, 4, and 5;
- g is selected from 0, 1, 2, 3, 4, and 5;
- g′ is selected from 0, 1, 2, 3, 4, and 5;
- g″ is selected from 0, 1, 2, 3, 4, and 5;
- g″′ is selected from 0, 1, 2, 3, 4, and 5;
- s is selected from 0, 1, 2, 3, 4, and 5;
- s′ is selected from 0, 1, 2, 3, 4, and 5;
- s″ is selected from 0, 1, 2, 3, 4, and 5;
- t is selected from 0, 1, 2, 3, 4, and 5;
- t′ is selected from 0, 1, 2, 3, 4, and 5;
- and a pharmaceutically acceptable salt thereof.
- [42] In another still more preferred embodiment, the present invention provides a compound selected from the group:
- 1-(1,2-Dipalmitoyl-sn-glycero-3-phosphoethanolamino)-12-(cyclo(Arg-Gly-Asp-D-Phe-Lys)-dodecane-1,12-dione;
- 1-(1,2-Dipalmitoyl-sn-glycero-3-phosphoethanolamino)-12-((ω-amino-PEG 3400-α-carbonyl)-cyclo(Arg-Gly-Asp-D-Phe-Lys))-dodecane-1,12-dione; and,
- 1-(1,2-Dipalmitoyl-sn-glycero-3-phosphoethanolamino)-12-((ω-amino-PEG 3400-α-carbonyl)-Glu-(cyclo (Arg-Gly-Asp-D-Phe-Lys))2)-Dodecane-1,12-dione.
- [43] In another even more preferred embodiment, the present invention provides a novel ultrasound contrast agent composition, comprising:
- (a) a compound comprising: a cyclic pentapeptide that binds to the integrin α vβ3, a surfactant and a linking group between the cyclicpentapeptide and the surfactant;
- (b) a parenterally acceptable carrier; and,
- (c) an echogenic gas.
- [44] In another still more preferred embodiment, the ultrasound contrast agent further comprises: 1,2-dipalmitoyl-sn-glycero-3-phosphotidic acid, 1,2-dipalmitoyl-sn-glycero-3-phosphatidylcholine, and N-(methoxypolyethylene glycol 5000 carbamoyl)-1,2-dipalmitoyl-sn-glycero-3-phosphatidylethanolamine.
- [45] In another further preferred embodiment, the echogenic gas is a C 2-5 perfluorocarbon.
- [46] In another even more preferred embodiment, the present invention provides a method of imaging cancer in a patient comprising: (1) administering, by injection or infusion, a ultrasound contrast agent composition of the present invention to a patient; and (2) imaging the patient using sonography.
- [47] In another even more preferred embodiment, the present invention provides a novel method of imaging formation of new blood vessels in a patient comprising: (1) administering, by injection or infusion, a ultrasound contrast agent composition of the present invention to a patient; (2) imaging the area of the patient wherein the desired formation of new blood vessels is located.
- [48] In another even more preferred embodiment, the present invention provides a novel therapeutic radiopharmaceutical composition, comprising:
- (a) a therapeutic radiopharmaceutical of the present invention; and,
- (b) a parenterally acceptable carrier.
- [49] In another even more preferred embodiment, the present invention provides a novel diagnostic radiopharmaceutical composition, comprising:
- (a) a diagnostic radiopharmaceutical, a MRI contrast agent, or a X-ray contrast agent of the present invention; and,
- (b) a parenterally acceptable carrier.
- [50] In another even more preferred embodiment, the present invention provides a novel therapeutic radiopharmaceutical composition, comprising: a radiolabelled targeting moiety, wherein the targeting moiety is a compound Q and the radiolabel is a therapeutic isotope selected from the group: 35S, 32P, 125I, 131I, and 211At.
- [51] In another further preferred embodiment, the present invention provides a novel therapeutic radiopharmaceutical composition, comprising: a radiolabelled targeting moiety, wherein the targeting moiety is a compound Q and the radiolabel is a therapeutic isotope which is 131I.
- Another embodiment of the present invention is diagnostic kits for the preparation of radiopharmaceuticals useful as imaging agents for cancer or imaging agents for imaging formation of new blood vessels. Diagnostic kits of the present invention comprise one or more vials containing the sterile, non-pyrogenic, formulation comprised of a predetermined amount of a reagent of the present invention, and optionally other components such as one or two ancillary ligands, reducing agents, transfer ligands, buffers, lyophilization aids, stabilization aids, solubilization aids and bacteriostats. The inclusion of one or more optional components in the formulation will frequently improve the ease of synthesis of the radiopharmaceutical by the practicing end user, the ease of manufacturing the kit, the shelf-life of the kit, or the stability and shelf-life of the radiopharmaceutical. The inclusion of one or two ancillary ligands is required for diagnostic kits comprising reagent comprising a hydrazine or hydrazone bonding moiety. The one or more vials that contain all or part of the formulation can independently be in the form of a sterile solution or a lyophilized solid.
- The compounds herein described may have asymmetric centers. Unless otherwise indicated, all chiral, diastereomeric and racemic forms are included in the present invention. Many geometric isomers of olefins, C═N double bonds, and the like can also be present in the compounds described herein, and all such stable isomers are contemplated in the present invention. It will be appreciated that compounds of the present invention contain asymmetrically substituted carbon atoms, and may be isolated in optically active or racemic forms. It is well known in the art how to prepare optically active forms, such as by resolution of racemic forms or by synthesis from optically active starting materials. Two distinct isomers (cis and trans) of the peptide bond are known to occur; both can also be present in the compounds described herein, and all such stable isomers are contemplated in the present invention. The D and L-isomers of a particular amino acid are designated herein using the conventional 3-letter abbreviation of the amino acid, as indicated by the following examples: D-Leu, or L-Leu.
- When any variable occurs more than one time in any substituent or in any formula, its definition on each occurrence is independent of its definition at every other occurrence. Thus, for example, if a group is shown to be substituted with 0-2 R 52, then said group may optionally be substituted with up to two R52, and R52 at each occurrence is selected independently from the defined list of possible R52. Also, by way of example, for the group —N(R53)2, each of the two R53 substituents on N is independently selected from the defined list of possible R53. Combinations of substituents and/or variables are permissible only if such combinations result in stable compounds. When a bond to a substituent is shown to cross the bond connecting two atoms in a ring, then such substituent may be bonded to any atom on the ring.
- By “reagent” is meant a compound of this invention capable of direct transformation into a metallopharmaceutical of this invention. Reagents may be utilized directly for the preparation of the metallopharmaceuticals of this invention or may be a component in a kit of this invention.
- The term “binding agent” means a metallopharmaceutical of this invention having affinity for and capable of binding to the vitronectin receptor. The binding agents of this invention preferably have Ki<1000 nM.
- Metallopharmaceutical as used herein is intended to refer to a pharmaceutically acceptable compound containing a metal, wherein the compound is useful for imaging, magnetic resonance imaging, contrast imaging, or x-ray imaging. The metal is the cause of the imageable signal in diagnostic applications and the source of the cytotoxic radiation in radiotherapeutic applications. Radiopharmaceuticals are metallopharmaceuticals in which the metal is a radioisotope.
- By “stable compound” or “stable structure” is meant herein a compound that is sufficiently robust to survive isolation to a useful degree of purity from a reaction mixture, and formulation into an efficacious pharmaceutical agent.
- The term “substituted”, as used herein, means that one or more hydrogens on the designated atom or group is replaced with a selection from the indicated group, provided that the designated atom's or group's normal valency is not exceeded, and that the substitution results in a stable compound. When a substituent is keto (i.e., ═O), then 2 hydrogens on the atom are replaced.
- The term “bond”, as used herein, means either a single or double bond.
- The term “salt”, as used herein, is used as defined in the CRC Handbook of Chemistry and Physics, 65th Edition, CRC Press, Boca Raton, Fla., 1984, as any substance which yields ions, other than hydrogen or hydroxyl ions. As used herein, “pharmaceutically acceptable salts” refer to derivatives of the disclosed compounds modified by making acid or base salts. Examples of pharmaceutically acceptable salts include, but are not limited to, mineral or organic acid salts of basic residues such as amines; alkali or organic salts of acidic residues such as carboxylic acids; and the like.
- The phrase “pharmaceutically acceptable” is employed herein to refer to those compounds, materials, compositions, and/or dosage forms which are, within the scope of sound medical judgment, suitable for use in contact with the tissues of human beings and animals without excessive toxicity, irritation, allergic response, or other problem or complication, commensurate with a reasonable benefit/risk ratio.
- As used herein, “pharmaceutically acceptable salts” refer to derivatives of the disclosed compounds wherein the parent compound is modified by making acid or base salts thereof. Examples of pharmaceutically acceptable salts include, but are not limited to, mineral or organic acid salts of basic residues such as amines; alkali or organic salts of acidic residues such as carboxylic acids; and the like. The pharmaceutically acceptable salts include the conventional non-toxic salts or the quaternary ammonium salts of the parent compound formed, for example, from non-toxic inorganic or organic acids. For example, such conventional non-toxic salts include those derived from inorganic acids such as hydrochloric, hydrobromic, sulfuric, sulfamic, phosphoric, nitric and the like; and the salts prepared from organic acids such as acetic, propionic, succinic, glycolic, stearic, lactic, tartaric, citric, ascorbic, pamoic, maleic, hydroxymaleic, phenylacetic, glutamic, benzoic, salicylic, sulfanilic, 2-acetoxybenzoic, fumaric, toluenesulfonic, methanesulfonic, ethane disulfonic, oxalic, isethionic, and the like.
- The pharmaceutically acceptable salts of the present invention can be synthesized from the parent compound which contains a basic or acidic moiety by conventional chemical methods. Generally, such salts can be prepared by reacting the free acid or base forms of these compounds with a stoichiometric amount of the appropriate base or acid in water or in an organic solvent, or in a mixture of the two; generally, nonaqueous media like ether, ethyl acetate, ethanol, isopropanol, or acetonitrile are preferred. Lists of suitable salts are found in Remington's Pharmaceutical Sciences, 17th ed., Mack Publishing Company, Easton, Pa., 1985, p. 1418, the disclosure of which is hereby incorporated by reference.
- As used herein, “alkyl” is intended to include both branched and straight-chain saturated aliphatic hydrocarbon groups having the specified number of carbon atoms. C 1-10 alkyl, is intended to include C1, C2, C3, C4, C5, C6, C7, C8, C9, and C10 alkyl groups. Examples of alkyl include, but are not limited to, methyl, ethyl, n-propyl, i-propyl, n-butyl, s-butyl, t-butyl, n-pentyl, and s-pentyl. “Haloalkyl” is intended to include both branched and straight-chain saturated aliphatic hydrocarbon groups having the specified number of carbon atoms, substituted with 1 or more halogen (for example −CvFw where v=1 to 3 and w=1 to (2v+1)). Examples of haloalkyl include, but are not limited to, trifluoromethyl, trichloromethyl, pentafluoroethyl, and pentachloroethyl. “Alkoxy” represents an alkyl group as defined above with the indicated number of carbon atoms attached through an oxygen bridge. C1-10 alkoxy, is intended to include C1, C2, C3, C4, C5, C6, C7, C8, C9, and C10 alkoxy groups. Examples of alkoxy include, but are not limited to, methoxy, ethoxy, n-propoxy, i-propoxy, n-butoxy, s-butoxy, t-butoxy, n-pentoxy, and s-pentoxy. “Cycloalkyl” is intended to include saturated ring groups, such as cyclopropyl, cyclobutyl, or cyclopentyl. C3-7 cycloalkyl, is intended to include C3, C4, C5, C6, and C7 cycloalkyl groups. Alkenyl” is intended to include hydrocarbon chains of either a straight or branched configuration and one or more unsaturated carbon-carbon bonds which may occur in any stable point along the chain, such as ethenyl and propenyl. C2-10 alkenyl, is intended to include C2, C3, C4, C5, C6, C7, C8, C9, and C10 alkenyl groups. “Alkynyl” is intended to include hydrocarbon chains of either a straight or branched configuration and one or more triple carbon-carbon bonds which may occur in any stable point along the chain, such as ethynyl and propynyl. C2-10 alkynyl, is intended to include C2, C3, C4, C5, C6, C7, C8, C9, and C10 alkynyl groups.
- As used herein, “carbocycle” or “carbocyclic residue” is intended to mean any stable 3, 4, 5, 6, or 7-membered monocyclic or bicyclic or 7, 8, 9, 10, 11, 12, or 13-membered bicyclic or tricyclic, any of which may be saturated, partially unsaturated, or aromatic. Examples of such carbocycles include, but are not limited to, cyclopropyl, cyclobutyl, cyclopentyl, cyclohexyl, cycloheptyl, adamantyl, cyclooctyl, [3.3.0]bicyclooctane, [4.3.0]bicyclononane, [4.4.0]bicyclodecane, [2.2.2]bicyclooctane, fluorenyl, phenyl, naphthyl, indanyl, adamantyl, and tetrahydronaphthyl.
- As used herein, the term “alkaryl” means an aryl group bearing an alkyl group of 1, 2, 3, 4, 5, 6, 7, 8, 9, or 10 carbon atoms; the term “aralkyl” means an alkyl group of 1, 2, 3, 4, 5, 6, 7, 8, 9, or 10 carbon atoms bearing an aryl group; the term “arylalkaryl” means an aryl group bearing an alkyl group of 1-10 carbon atoms bearing an aryl group; and the term “heterocycloalkyl” means an alkyl group of 1, 2, 3, 4, 5, 6, 7, 8, 9, or 10 carbon atoms bearing a heterocycle.
- As used herein, the term “heterocycle” or “heterocyclic system” is intended to mean a stable 5, 6, or 7-membered monocyclic or bicyclic or 7, 8, 9, or 10-membered bicyclic heterocyclic ring which is saturated, partially unsaturated or unsaturated (aromatic), and which consists of carbon atoms and 1, 2, 3, or 4 heteroatoms independently selected from the group consisting of N, NH, O and S and including any bicyclic group in which any of the above-defined heterocyclic rings is fused to a benzene ring. The nitrogen and sulfur heteroatoms may optionally be oxidized. The heterocyclic ring may be attached to its pendant group at any heteroatom or carbon atom which results in a stable structure. The heterocyclic rings described herein may be substituted on carbon or on a nitrogen atom if the resulting compound is stable. A nitrogen in the heterocycle may optionally be quaternized. It is preferred that when the total number of S and O atoms in the heterocycle exceeds 1, then these heteroatoms are not adjacent to one another. It is preferred that the total number of S and O atoms in the heterocycle is not more than 1. As used herein, the term “aromatic heterocyclic system” or “heteroaryl” is intended to mean a stable 5, 6, or 7-membered monocyclic or bicyclic or 7, 8, 9, or 10-membered bicyclic heterocyclic aromatic ring which consists of carbon atoms and 1, 2, 3, or 4 heterotams independently selected from the group consisting of N, NH, O and S. It is to be noted that total number of S and O atoms in the aromatic heterocycle is not more than 1.
- Examples of heterocycles include, but are not limited to, acridinyl, azocinyl, benzimidazolyl, benzofuranyl, benzothiofuranyl, benzothiophenyl, benzoxazolyl, benzthiazolyl, benztriazolyl, benztetrazolyl, benzisoxazolyl, benzisothiazolyl, benzimidazolinyl, carbazolyl, 4aH-carbazolyl, carbolinyl, chromanyl, chromenyl, cinnolinyl, decahydroquinolinyl, 2H,6H-1,5,2-dithiazinyl, dihydrofuro[2,3-b]tetrahydrofuran, furanyl, furazanyl, imidazolidinyl, imidazolinyl, imidazolyl, 1H-indazolyl, indolenyl, indolinyl, indolizinyl, indolyl, 3H-indolyl, isobenzofuranyl, isochromanyl, isoindazolyl, isoindolinyl, isoindolyl, isoquinolinyl, isothiazolyl, isoxazolyl, methylenedioxyphenyl, morpholinyl, naphthyridinyl, octahydroisoquinolinyl, oxadiazolyl, 1,2,3-oxadiazolyl, 1,2,4-oxadiazolyl, 1,2,5-oxadiazolyl, 1,3,4-oxadiazolyl, oxazolidinyl, oxazolyl, oxazolidinyl, pyrimidinyl, phenanthridinyl, phenanthrolinyl, phenazinyl, phenothiazinyl, phenoxathiinyl, phenoxazinyl, phthalazinyl, piperazinyl, piperidinyl, piperidonyl, 4-piperidonyl, piperonyl, pteridinyl, purinyl, pyranyl, pyrazinyl, pyrazolidinyl, pyrazolinyl, pyrazolyl, pyridazinyl, pyridooxazole, pyridoimidazole, pyridothiazole, pyridinyl, pyridyl, pyrimidinyl, pyrrolidinyl, pyrrolinyl, 2H-pyrrolyl, pyrrolyl, quinazolinyl, quinolinyl, 4H-quinolizinyl, quinoxalinyl, quinuclidinyl, tetrahydrofuranyl, tetrahydroisoquinolinyl, tetrahydroquinolinyl, tetrazolyl, 6H-1,2,5-thiadiazinyl, 1,2,3-thiadiazolyl, 1,2,4-thiadiazolyl, 1,2,5-thiadiazolyl, 1,3,4-thiadiazolyl, thianthrenyl, thiazolyl, thienyl, thienothiazolyl, thienooxazolyl, thienoimidazolyl, thiophenyl, triazinyl, 1,2,3-triazolyl, 1,2,4-triazolyl, 1,2,5-triazolyl, 1,3,4-triazolyl, and xanthenyl. Preferred heterocycles include, but are not limited to, pyridinyl, furanyl, thienyl, pyrrolyl, pyrazolyl, pyrrolidinyl, imidazolyl, indolyl, benzimidazolyl, 1H-indazolyl, oxazolidinyl, benzotriazolyl, benzisoxazolyl, oxindolyl, benzoxazolinyl, and isatinoyl. Also included are fused ring and spiro compounds containing, for example, the above heterocycles.
- A “polyalkylene glycol” is a polyethylene glycol, polypropylene glycol or polybutylene glycol having a molecular weight of less than about 5000, terminating in either a hydroxy or alkyl ether moiety.
- A “carbohydrate” is a polyhydroxy aldehyde, ketone, alcohol or acid, or derivatives thereof, including polymers thereof having polymeric linkages of the acetal type.
- A “cyclodextrin” is a cyclic oligosaccharide. Examples of cyclodextrins include, but are not limited to, α-cyclodextrin, hydroxyethyl-α-cyclodextrin, hydroxypropyl-α-cyclodextrin, β-cyclodextrin, hydroxypropyl-β-cyclodextrin, carboxymethyl-β-cyclodextrin, dihydroxypropyl-β-cyclodextrin, hydroxyethyl-β-cyclodextrin, 2,6 di-O-methyl-β-cyclodextrin, sulfated-β-cyclodextrin, γ-cyclodextrin, hydroxypropyl-γ-cyclodextrin, dihydroxypropyl-γ-cyclodextrin, hydroxyethyl-γ-cyclodextrin, and sulfated γ-cyclodextrin.
- As used herein, the term “polycarboxyalkyl” means an alkyl group having between two and about 100 carbon atoms and a plurality of carboxyl substituents; and the term “polyazaalkyl” means a linear or branched alkyl group having between two and about 100 carbon atoms, interrupted by or substituted with a plurality of amine groups.
- A “reducing agent” is a compound that reacts with a radionuclide, which is typically obtained as a relatively unreactive, high oxidation state compound, to lower its oxidation state by transferring electron(s) to the radionuclide, thereby making it more reactive. Reducing agents useful in the preparation of radiopharmaceuticals and in diagnostic kits useful for the preparation of said radiopharmaceuticals include but are not limited to stannous chloride, stannous fluoride, formamidine sulfinic acid, ascorbic acid, cysteine, phosphines, and cuprous or ferrous salts. Other reducing agents are described in Brodack et. al., PCT Application 94/22496, which is incorporated herein by reference.
- A “transfer ligand” is a ligand that forms an intermediate complex with a metal ion that is stable enough to prevent unwanted side-reactions but labile enough to be converted to a metallopharmaceutical. The formation of the intermediate complex is kinetically favored while the formation of the metallopharmaceutical is thermodynamically favored. Transfer ligands useful in the preparation of metallopharmaceuticals and in diagnostic kits useful for the preparation of diagnostic radiopharmaceuticals include but are not limited to gluconate, glucoheptonate, mannitol, glucarate, N,N,N′,N′-ethylenediaminetetraacetic acid, pyrophosphate and methylenediphosphonate. In general, transfer ligands are comprised of oxygen or nitrogen donor atoms.
- The term “donor atom” refers to the atom directly attached to a metal by a chemical bond.
- “Ancillary” or “co-ligands” are ligands that are incorporated into a radiopharmaceutical during its synthesis. They serve to complete the coordination sphere of the radionuclide together with the chelator or radionuclide bonding unit of the reagent. For radiopharmaceuticals comprised of a binary ligand system, the radionuclide coordination sphere is composed of one or more chelators or bonding units from one or more reagents and one or more ancillary or co-ligands, provided that there are a total of two types of ligands, chelators or bonding units. For example, a radiopharmaceutical comprised of one chelator or bonding unit from one reagent and two of the same ancillary or co-ligands and a radiopharmaceutical comprised of two chelators or bonding units from one or two reagents and one ancillary or co-ligand are both considered to be comprised of binary ligand systems. For radiopharmaceuticals comprised of a ternary ligand system, the radionuclide coordination sphere is composed of one or more chelators or bonding units from one or more reagents and one or more of two different types of ancillary or co-ligands, provided that there are a total of three types of ligands, chelators or bonding units. For example, a radiopharmaceutical comprised of one chelator or bonding unit from one reagent and two different ancillary or co-ligands is considered to be comprised of a ternary ligand system.
- Ancillary or co-ligands useful in the preparation of radiopharmaceuticals and in diagnostic kits useful for the preparation of said radiopharmaceuticals are comprised of one or more oxygen, nitrogen, carbon, sulfur, phosphorus, arsenic, selenium, and tellurium donor atoms. A ligand can be a transfer ligand in the synthesis of a radiopharmaceutical and also serve as an ancillary or co-ligand in another radiopharmaceutical. Whether a ligand is termed a transfer or ancillary or co-ligand depends on whether the ligand remains in the radionuclide coordination sphere in the radiopharmaceutical, which is determined by the coordination chemistry of the radionuclide and the chelator or bonding unit of the reagent or reagents.
- A “chelator” or “bonding unit” is the moiety or group on a reagent that binds to a metal ion through the formation of chemical bonds with one or more donor atoms.
- The term “binding site” means the site in vivo or in vitro that binds a biologically active molecule.
- A “diagnostic kit” or “kit” comprises a collection of components, termed the formulation, in one or more vials which are used by the practicing end user in a clinical or pharmacy setting to synthesize diagnostic radiopharmaceuticals. The kit provides all the requisite components to synthesize and use the diagnostic radiopharmaceutical except those that are commonly available to the practicing end user, such as water or saline for injection, a solution of the radionuclide, equipment for heating the kit during the synthesis of the radiopharmaceutical, if required, equipment necessary for administering the radiopharmaceutical to the patient such as syringes and shielding, and imaging equipment.
- Therapeutic radiopharmaceuticals, X-ray contrast agent pharmaceuticals, ultrasound contrast agent pharmaceuticals and metallopharmaceuticals for magnetic resonance imaging contrast are provided to the end user in their final form in a formulation contained typically in one vial, as either a lyophilized solid or an aqueous solution. The end user reconstitutes the lyophilized with water or saline and withdraws the patient dose or just withdraws the dose from the aqueous solution formulation as provided.
- A “lyophilization aid” is a component that has favorable physical properties for lyophilization, such as the glass transition temperature, and is added to the formulation to improve the physical properties of the combination of all the components of the formulation for lyophilization.
- A “stabilization aid” is a component that is added to the metallopharmaceutical or to the diagnostic kit either to stabilize the metallopharmaceutical or to prolong the shelf-life of the kit before it must be used. Stabilization aids can be antioxidants, reducing agents or radical scavengers and can provide improved stability by reacting preferentially with species that degrade other components or the metallopharmaceutical.
- A “solubilization aid” is a component that improves the solubility of one or more other components in the medium required for the formulation.
- A “bacteriostat” is a component that inhibits the growth of bacteria in a formulation either during its storage before use of after a diagnostic kit is used to synthesize a radiopharmaceutical.
- The term “amino acid” as used herein means an organic compound containing both a basic amino group and an acidic carboxyl group. Included within this term are natural amino acids (e.g., L-amino acids), modified and unusual amino acids (e.g., D-amino acids), as well as amino acids which are known to occur biologically in free or combined form but usually do not occur in proteins. Included within this term are modified and unusual amino acids, such as those disclosed in, for example, Roberts and Vellaccio (1983) The Peptides, 5: 342-429, the teaching of which is hereby incorporated by reference. Natural protein occurring amino acids include, but are not limited to, alanine, arginine, asparagine, aspartic acid, cysteine, glutamic acid, glutamine, glycine, histidine, isoleucine, leucine, lysine, methionine, phenylalanine, serine, threonine, tyrosine, tyrosine, tryptophan, proline, and valine. Natural non-protein amino acids include, but are not limited to arginosuccinic acid, citrulline, cysteine sulfinic acid, 3,4-dihydroxyphenylalanine, homocysteine, homoserine, ornithine, 3-monoiodotyrosine, 3,5-diiodotryosine, 3,5,5′-triiodothyronine, and 3,3′,5,5′-tetraiodothyronine. Modified or unusual amino acids which can be used to practice the invention include, but are not limited to, D-amino acids, hydroxylysine, 4-hydroxyproline, an N-Cbz-protected amino acid, 2,4-diaminobutyric acid, homoarginine, norleucine, N-methylaminobutyric acid, naphthylalanine, phenylglycine, β-phenylproline, tert-leucine, 4-aminocyclohexylalanine, N-methyl-norleucine, 3,4-dehydroproline, N,N-dimethylaminoglycine, N-methylaminoglycine, 4-aminopiperidine-4-carboxylic acid, 6-aminocaproic acid, trans-4-(aminomethyl)-cyclohexanecarboxylic acid, 2-, 3-, and 4-(aminomethyl)-benzoic acid, 1-aminocyclopentanecarboxylic acid, 1-aminocyclopropanecarboxylic acid, and 2-benzyl-5-aminopentanoic acid.
- The term “peptide” as used herein means a linear compound that consists of two or more amino acids (as defined herein) that are linked by means of a peptide bond. A “peptide” as used in the presently claimed invention is intended to refer to a moiety with a molecular weight of less than 10,000 Daltons, preferable less than 5,000 Daltons, and more preferably less than 2,500 Daltons. The term “peptide” also includes compounds containing both peptide and non-peptide components, such as pseudopeptide or peptidomimetic residues or other non-amino acid components. Such a compound containing both peptide and non-peptide components may also be referred to as a “peptide analog”.
- A “pseudopeptide” or “peptidomimetic” is a compound which mimics the structure of an amino acid residue or a peptide, for example, by using linking groups other than amide linkages between the peptide mimetic and an amino acid residue (pseudopeptide bonds) and/or by using non-amino acid substituents and/or a modified amino acid residue. A “pseudopeptide residue” means that portion of an pseudopeptide or peptidomimetic that is present in a peptide.
- The term “peptide bond” means a covalent amide linkage formed by loss of a molecule of water between the carboxyl group of one amino acid and the amino group of a second amino acid.
- The term “pseudopeptide bonds” includes peptide bond isosteres which may be used in place of or as substitutes for the normal amide linkage. These substitute or amide “equivalent” linkages are formed from combinations of atoms not normally found in peptides or proteins which mimic the spatial requirements of the amide bond and which should stabilize the molecule to enzymatic degradation.
- The following abbreviations are used herein:
Acm acetamidomethyl b-Ala, beta-Ala 3-aminopropionic acid or bAla ATA 2-aminothiazole-5-acetic acid or 2- aminothiazole-5-acetyl group Boc t-butyloxycarbonyl CBZ, Cbz or Z Carbobenzyloxy Cit citrulline Dap 2,3-diaminopropionic acid DCC dicyclohexylcarbodiimide DIEA diisopropylethylamine DMAP 4-dimethylaminopyridine EOE ethoxyethyl HBTU 2-(1H-Benzotriazol-1-yl)-1,1,3,3- tetramethyluronium hexafluorophosphate hynic boc-hydrazinonicotinyl group or 2-[[[5- [carbonyl]-2-pyridinyl]hydrazono]methyl]- benzenesulfonic acid, NMeArg or MeArg a-N-methyl arginine NMeAsp a-N-methyl aspartic acid NMM N-methylmorpholine OcHex O-cyclohexyl OBzl O-benzyl oSu O-succinimidyl TBTU 2-(1H-Benzotriazol-1-yl)-1,1,3,3 tetramethyluronium tetrafluoroborate THF tetrahydrofuranyl THP tetrahydropyranyl Tos tosyl Tr trityl - The following conventional three-letter amino acid abbreviations are used herein; the conventional one-letter amino acid abbreviations are NOT used herein:
Ala alanine Arg arginine Asn asparagine Asp aspartic acid Cys cysteine Gln glutamine Glu glutamic acid Gly glycine His histidine Ile isoleucine Leu leucine Lys lysine Met methionine Nle norleucine Orn ornithine Phe phenylalanine Phg phenylglycine Pro proline Sar sarcosine Ser serine Thr threonine Trp tryptophan Tyr tyrosine Val valine - The pharmaceuticals of the present invention are comprised of a targeting moiety for a receptor that is expressed or upregulated in angiogenic tumor vasculature. For targeting the VEGF receptors, Flk-1/KDR, Flt-1, and neuropilin-1, the targeting moieties are comprised of peptides or peptidomimetics that bind with high affinity to the receptors. For example, peptides comprised of a 23 amino acid portion of the C-terminal domain of VEGF have been synthesized which competitively inhibit binding of VEGF to VEGFR (Soker, et. al., J. Biol. Chem., 1997, 272, 31582-8). Linear peptides of 11 to 23 amino acid residues that bind to the basic FGF receptor (bFGFR) are described by Cosic et. al., Mol. and Cell. Biochem., 1994, 130, 1-9. A preferred linear peptide antagonist of the bFGFR is the 16 amino acid peptide, Met-Trp-Tyr-Arg-Pro-Asp-Leu-Asp-Glu-Arg-Lys-Gln-Gln-Lys-Arg-Glu. Gho et. al. (Cancer Research, 1997, 57, 3733-40) describe the identification of small peptides that bind with high affinity to the angiogenin receptor on the surface of endothelial cells. A preferred peptide is Ala-Gln-Leu-Ala-Gly-Glu-Cys-Arg-Glu-Asn-Val-Cys-Met-Gly-Ile-Glu-Gly-Arg, in which the two Cys residues form an intramolecular disulfide bond. Yayon et. al. (Proc. Natl. Acad. Sci, USA, 1993, 90, 10643-7) describe other linear peptide antagonists of FGFR, identified from a random phage-displayed peptide library. Two linear octapeptides, Ala-Pro-Ser-Gly-His-Tyr-Lys-Gly and Lys-Arg-Thr-Gly-Gln-Tyr-Lys-Leu are preferred for inhibiting binding of bFGF to it receptor.
- Targeting moieties for integrins expressed in tumor vasculature include peptides and peptidomimetics that bind to α vβ3, αvβ5, α5β1, α4β1, α1β1, and α2β2. Pierschbacher and Rouslahti (J. Biol. Chem., 1987, 262, 17294-8) describe peptides that bind selectively to α5β1 and αvβ3. U.S. Pat. No. 5,536,814 describe peptides that bind with high affinity to the integrin α5β1. Burgess and Lim (J. Med. Chem., 1996, 39, 4520-6) disclose the synthesis three peptides that bind with high affinity to αvβ3: cyclo[Arg-Gly-Asp-Arg-Gly-Asp], cyclo[Arg-Gly-Asp-Arg-Gly-D-Asp] and the linear peptide Arg-Gly-Asp-Arg-Gly-Asp. U.S. Pat. No. 5,770,565 and U.S. Pat. No. 5,766,591 disclose peptides that bind with high affinity to αvβ3. U.S. Pat. No. 5,767,071 and U.S. Pat. No. 5,780,426, disclose cyclic peptides that have an exocyclic Arg amino acid that have high affinity for αvβ3. Srivatsa et. al., (Cardiovascular Res., 1997, 36, 408-28) describe the cyclic peptide antagonist for αvβ3, cyclo[Ala-Arg-Gly-Asp-Mamb]. Tran et. al., (Bioorg. Med. Chem. Lett., 1997, 7, 997-1002) disclose the cyclic peptide cyclo[Arg-Gly-Asp-Val-Gly-Ser-BTD-Ser-Gly-Val-Ala] that binds with high affinity to αvβ3. Arap et. al. (Science, 1998, 279, 377-80) describe cyclic peptides that bind to αvβ3 and αvβ5, Cys-Asp-Cys-Arg-Gly-Asp-Cys-Phe-Cys, and cyclo[Cys-Asn-Gly-Asp-Cys]. Corbett et. al. (Biorg. Med. Chem. Lett., 1997, 7, 1371-6) describe a series of αvβ3 selective peptidomimetics. And Haubner et. al., (Angew. Chem. Int. Ed. Engl., 1997, 36, 1374-89) disclose peptides and peptidomimetic αvβ3 antagonists obtained from peptide libraries.
- The targeting moieties of the present invention, preferably, have a binding affinity for the integrin α vβ3 of less than 1000 nM. More preferably, the targeting moieties of the present invention, preferably, have a binding affinity for the integrin αvβ3 of less than 100 nM. Even more preferably, the targeting moieties of the present invention, preferably, have a binding affinity for the integrin αvβ3 of less than 10 nM.
- The ultrasound contrast agents of the present invention comprise a plurality of angiogenic tumor vasculature targeting moieties attached to or incorporated into a microbubble of a biocompatible gas, a liquid carrier, and a surfactant microsphere, further comprising an optional linking moiety, L n, between the targeting moieties and the microbubble. In this context, the term liquid carrier means aqueous solution and the term surfactant means any amphiphilic material which produces a reduction in interfacial tension in a solution. A list of suitable surfactants for forming surfactant microspheres is disclosed in EP0727225A2, herein incorporated by reference. The term surfactant microsphere includes nanospheres, liposomes, vesicles and the like. The biocompatible gas can be air, or a fluorocarbon, such as a C3-C5 perfluoroalkane, for example, perflouropropane, perflourobutane, or perflouropentane, which provides the difference in echogenicity and thus the contrast in ultrasound imaging. The gas is encapsulated or contained in the microsphere to which is attached the biodirecting group, optionally via a linking group. The attachment can be covalent, ionic or by van der Waals forces. Specific examples of such contrast agents include lipid encapsulated perfluorocarbons with a plurality of tumor neovasculature receptor binding peptides or peptidomimetics.
- S f as used herein is a surfactant which is either a lipid or a compound of the formula A1—E—A2, defined above. The surfactant is intended to form a vesicle (e.g., a microsphere) capable of containing an echogenic gas. The ultrasound contrast agent compositions of the present invention are intended to be capable upon agitation (e.g., shaking, stirring, etc. . . . ) of encapsulating an echogenic gas in a vescicle in such a way as to allow for the resultant product to be useful as an ultrasound contrast agent.
- “Vesicle” refers to a spherical entity which is characterized by the presence of an internal void. Preferred vesicles are formulated from lipids, including the various lipids described herein. In any given vesicle, the lipids may be in the form of a monolayer or bilayer, and the mono- or bilayer lipids may be used to form one of more mono- or bilayers. In the case of more than one mono- or bilayer, the mono- or bilayers are generally concentric. The lipid vesicles described herein include such entities commonly referred to as liposomes, micelles, bubbles, microbubbles, microspheres and the like. Thus, the lipids may be used to form a unilamellar vesicle (comprised of one monolayer or bilayer), an oligolamellar vesicle (comprised of about two or about three monolayers or bilayers) or a multilamellar vesicle (comprised of more than about three monolayers or bilayers). The internal void of the vesicles may be filled with a liquid, including, for example, an aqueous liquid, a gas, a gaseous precursor, and/or a solid or solute material, including, for example, a bioactive agent, as desired.
- “Vesicular composition” refers to a composition which is formulate from lipids and which comprises vesicles.
- “Vesicle formulation” refers to a composition which comprises vesicles and a bioactive agent.
- Microsphere, as used herein, is preferably a sphere of less than or equal to 10 microns. Liposome, as used herein, may include a single lipid layer (a lipid monolayer), two lipid layers (a lipid bilayer) or more than two lipid layers (a lipid multilayer). “Lipsomes” refers to a generally spherical cluster or aggregate of amphipathic compounds, including lipid compounds, typically in the form of one or more concentric layers, for example, bilayers. They may also be referred to herein as lipid vesicles.
- The term “bubbles”, as used herein, refers to vesicles which are generally characterized by the presence of one or more membranes or walls surrounding an internal void that is filled with a gas or precursor thereto. Exemplary bubbles include, for example, liposomes, micelles and the like.
- “Lipid” refers to a synthetic or naturally-occurring amphipathic compound which comprises a hydrophilic component and a hydrophobic component. Lipids include, for example, fatty acids, neutral fats, phosphatides, glycolipids, aliphatic alchols and waxes, terpenes and steroids.
- “Lipid composition” refers to a composition which comprises a lipid compound. Exemplary lipid compositions include suspensions, emulsions and vesicular compositions.
- “Lipid formulation” refers to a composition which comprises a lipid compound and a bioactive agent.
- Examples of classes of suitable lipids and specific suitable lipids include: phosphatidylcholines, such as dioleoylphosphatidylcholine, dimyristoylphosphatidylcholine, dipalmitoylphosphatidylcholine (DPPC), and distearoylphosphatidylcholine; phosphatidylethanolamines, such as dipalmitoylphosphatidylethanolamine (DPPE), dioleoylphosphatidylethanolamine and N-succinyl-dioleoylphosphatidylethanolamine; phosphatidylserines; phosphatidylglycerols; sphingolipids; glycolipids, such as ganglioside GM1; glucolipids; sulfatides; glycosphingolipids; phosphatidic acids, such as dipalmatoylphosphatidic acid (DPPA); palmitic fatty acids; stearic fatty acids; arachidonic fatty acids; lauric fatty acids; myristic fatty acids; lauroleic fatty acids; physeteric fatty acids; myristoleic fatty acids; palmitoleic fatty acids; petroselinic fatty acids; oleic fatty acids; isolauric fatty acids; isomyristic fatty acids; isopalmitic fatty acids; isostearic fatty acids; cholesterol and cholesterol derivatives, such as cholesterol hemisuccinate, cholesterol sulfate, and cholesteryl-(4′-trimethylammonio)-butanoate; polyoxyethylene fatty acid esters; polyoxyethylene fatty acid alcohols; polyoxyethylene fatty acid alcohol ethers; polyoxyethylated sorbitan fatty acid esters; glycerol polyethylene glycol oxystearate; glycerol polyethylene glycol ricinoleate; ethoxylated soybean sterols; ethoxylated castor oil; polyoxyethylene-polyoxypropylene fatty acid polymers; polyoxyethylene fatty acid stearates; 12-(((7′-diethylaminocoumarin-3-yl)-carbonyl)methylamino)-octadecanoic acid; N-[12-(((7′-diethylaminocoumarin-3-yl)-carbonyl)-methyl-amino)octadecanoyl]-2-aminopalmitic acid; 1,2-dioleoyl-sn-glycerol; 1,2-dipalmitoyl-sn-3-succinylglycerol; 1,3-dipalmitoyl-2-succinyl-glycerol; and 1-hexadecyl-2-palmitoyl-glycerophosphoethanolamine and palmitoylhomocysteine; lauryltrimethylammonium bromide; cetyltrimethylammonium bromide; myristyltrimethylammonium bromide; alkyldimethylbenzylammonium chlorides, such as wherein alkyl is a C 12, C14 or C16 alkyl; benzyldimethyldodecylammonium bromide; benzyldimethyldodecylammonium chloride, benzyldimethylhexadecylammonium bromide; benzyldimethylhexadecylammonium chloride; benzyldimethyltetradecylammonium bromide; benzyldimethyltetradecylammonium chloride; cetyldimethylethylammonium bromide; cetyldimethylethylammonium chloride; cetylpyridinium bromide; cetylpyridinium chloride; N-[1,2,3-dioleoyloxy)-propyl]-N,N,N-trimethylammonium chloride (DOTMA); 1,2-dioleoyloxy-3-(trimethylammonio)propane (DOTAP); and 1,2-dioleoyl-c-(4′-trimethylammonio)-butanoyl-sn-glycerol (DOTB).
- The echogenic gas may be one gas or mixture of gases, such as CF 4, C2F6, C3F8, cyclo-C4F8, C4F10, C5F12, cyclo-C5F10,cyclo-C4F7 (1-trifluoromethyl), propane (2-trifluoromethyl)-1,1,1,3,3,3 hexafluoro, and butane (2-trifluoromethyl)-1,1,1,3,3,3,4,4,4 nonafluoro. Also preferred are the the corresponding unsaturated versions of the above compounds, for example C2F4, C3F6, the isomers of C4F8. Also, mixtures of these gases, especially mixtures of perfluorocarbons with other perfluorocarbons and mixtures of perfluorocarbons with other inert gases, such as air, N2, O2, He, would be useful. Examples of these can be found in Quay, U.S. Pat. No. 5,595,723, the contents of which are herein incorporated by reference.
- X-ray contrast agents of the present invention are comprised of one or more angiogenic tumor vasculature targeting moieties attached to one or more X-ray absorbing or “heavy” atoms of atomic number 20 or greater, further comprising an optional linking moiety, L n, between the targeting moieties and the X-ray absorbing atoms. The frequently used heavy atom in X-ray contrast agents is iodine. Recently, X-ray contrast agents comprised of metal chelates (Wallace, R., U.S. Pat. No. 5,417,959) and polychelates comprised of a plurality of metal ions (Love, D., U.S. Pat. No. 5,679,810) have been disclosed. More recently, multinuclear cluster complexes have been disclosed as X-ray contrast agents (U.S. Pat. No. 5,804,161, PCT WO91/14460, and PCT WO 92/17215). Examples of X-ray agents include the non-radioactive or naturally occurring analogs of the above listed radionuclides (e.g., Re, Sm, Ho, Lu, Pm, Y, Bi, Pd, Gd, La, Au, Au, Yb, Dy, Cu, Rh, Ag, and Ir).
- MRI contrast agents of the present invention are comprised of one or more angiogenic tumor vasculature targeting moieties attached to one or more paramagnetic metal ions, further comprising an optional linking moiety, L n, between the targeting moieties and the paramagnetic metal ions. The paramagnetic metal ions are present in the form of metal complexes or metal oxide particles. U.S. Pat. Nos. 5,412,148, and 5,760,191, describe examples of chelators for paramagnetic metal ions for use in MRI contrast agents. U.S. Pat. No. 5,801,228, U.S. Pat. No. 5,567,411, and U.S. Pat. No. 5,281,704, describe examples of polychelants useful for complexing more than one paramagnetic metal ion for use in MRI contrast agents. U.S. Pat. No. 5,520,904, describes particulate compositions comprised of paramagnetic metal ions for use as MRI contrast agents.
- The pharmaceuticals of the present invention have the formulae, (Q) d—Ln—(Ch—X), (Q)d—Ln—(Ch—X1)d′, (Q)d—Ln—(X2)d″, and (Q)d—Ln—(X3), wherein Q represents a peptide or peptidomimetic that binds to a receptor expressed in angiogenic tumor vasculature, d is 1-10, Ln represents an optional linking group, Ch represents a metal chelator or bonding moiety, X represents a radioisotope, X1 represents paramagnetic metal ion, X2 represents a paramagnetic metal ion or heavy atom containing insoluble solid particle, d″ is 1-100, and X3 represents a surfactant microsphere of an echogenic gas. Preferred pharmaceuticals of the present invention are comprised of targeting moieties, Q, that are peptides and peptidomimetics that bind to the vitronectin receptors αvβ3 and αvβ5. More preferred pharmaceuticals of the present invention are comprised of targeting moieties, Q, that are peptides and peptidomimetics that bind to αvβ3. Most preferred pharmaceuticals of the present invention are comprised of αvβ3 targeting moieties, Q, that are comprised of one to ten cyclic pentapeptides or peptidomimetics, independently attached to a therapeutic radioisotope or imageable moiety, further comprising an optional linking moiety, Ln, between the targeting moieties and the therapeutic radioisotopes or imageable moieties. The cyclic peptides are comprised of a tripeptide sequence that binds to the αvβ3 receptor and two amino acids either one of which can be attached to Ln, Ch, X2, or X3. The interaction of the tripeptide recognition sequences of the cyclic peptide or peptidomimetic portion of the pharmaceuticals with the αvβ3 receptor results in localization of the pharmaceuticals in angiogenic tumor vasculature, which express the αvβ3 receptor.
- The pharmaceuticals of the present invention can be synthesized by several approaches. One approach involves the synthesis of the targeting peptide or peptidomimetic moiety, Q, and direct attachment of one or more moieties, Q, to one or more metal chelators or bonding moieties, C h, or to a paramagnetic metal ion or heavy atom containing solid particle, or to an echogenic gas microbubble. Another approach involves the attachment of one or more moieties, Q, to the linking group, Ln, which is then attached to one or more metal chelators or bonding moieties, Ch, or to a paramagnetic metal ion or heavy atom containing solid particle, or to an echogenic gas microbubble. Another approach, useful in the synthesis of pharmaceuticals wherein d is 1, involves the synthesis of the moiety, Q—Ln, together, by incorporating an amino acid or amino acid mimetic residue bearing Ln into the synthesis of the peptide or peptidomimetic. The resulting moiety, Q—Ln, is then attached to one or more metal chelators or bonding moieties, Ch, or to a paramagnetic metal ion or heavy atom containing solid particle, or to an echogenic gas microbubble. Another approach involves the synthesis of a peptide or peptidomimetic, Q, bearing a fragment of the linking group, Ln, one or more of which are then attached to the remainder of the linking group and then to one or more metal chelators or bonding moieties, Ch, or to a paramagnetic metal ion or heavy atom containing solid particle, or to an echogenic gas microbubble.
- The peptides or peptidomimetics, Q, optionally bearing a linking group, L n, or a fragment of the linking group, can be synthesized using standard synthetic methods known to those skilled in the art. Preferred methods include but are not limited to those methods described below.
- Generally, peptides and peptidomimetics are elongated by deprotecting the alpha-amine of the C-terminal residue and coupling the next suitably protected amino acid through a peptide linkage using the methods described. This deprotection and coupling procedure is repeated until the desired sequence is obtained. This coupling can be performed with the constituent amino acids in a stepwise fashion, or condensation of fragments (two to several amino acids), or combination of both processes, or by solid phase peptide synthesis according to the method originally described by Merrifield, J. Am. Chem. Soc., 85, 2149-2154 (1963), the disclosure of which is hereby incorporated by reference.
- The peptides and peptidomimetics may also be synthesized using automated synthesizing equipment. In addition to the foregoing, procedures for peptide and peptidomimetic synthesis are described in Stewart and Young, “Solid Phase Peptide Synthesis”, 2nd ed, Pierce Chemical Co., Rockford, Ill. (1984); Gross, Meienhofer, Udenfriend, Eds., “The Peptides: Analysis, Synthesis, Biology, Vol. 1, 2, 3, 5, and 9, Academic Press, New York, (1980-1987); Bodanszky, “Peptide Chemistry: A Practical Textbook”, Springer-Verlag, New York (1988); and Bodanszky et al. “The Practice of Peptide Synthesis” Springer-Verlag, New York (1984), the disclosures of which are hereby incorporated by reference.
- The coupling between two amino acid derivatives, an amino acid and a peptide or peptidomimetic, two peptide or peptidomimetic fragments, or the cyclization of a peptide or peptidomimetic can be carried out using standard coupling procedures such as the azide method, mixed carbonic acid anhydride (isobutyl chloroformate) method, carbodiimide (dicyclohexylcarbodiimide, diisopropylcarbodiimide, or water-soluble carbodiimides) method, active ester (p-nitrophenyl ester, N-hydroxysuccinic imido ester) method, Woodward reagent K method, carbonyldiimidazole method, phosphorus reagents such as BOP-Cl, or oxidation-reduction method. Some of these methods (especially the carbodiimide) can be enhanced by the addition of 1-hydroxybenzotriazole. These coupling reactions may be performed in either solution (liquid phase) or solid phase.
- The functional groups of the constituent amino acids or amino acid mimetics must be protected during the coupling reactions to avoid undesired bonds being formed. The protecting groups that can be used are listed in Greene, “Protective Groups in Organic Synthesis” John Wiley & Sons, New York (1981) and “The Peptides: Analysis, Synthesis, Biology, Vol. 3, Academic Press, New York (1981), the disclosure of which is hereby incorporated by reference.
- The alpha-carboxyl group of the C-terminal residue is usually protected by an ester that can be cleaved to give the carboxylic acid. These protecting groups include: 1) alkyl esters such as methyl and t-butyl, 2) aryl esters such as benzyl and substituted benzyl, or 3) esters which can be cleaved by mild base treatment or mild reductive means such as trichloroethyl and phenacyl esters. In the solid phase case, the C-terminal amino acid is attached to an insoluble carrier (usually polystyrene). These insoluble carriers contain a group which will react with the carboxyl group to form a bond which is stable to the elongation conditions but readily cleaved later. Examples of which are: oxime resin (DeGrado and Kaiser (1980) J. Org. Chem. 45, 1295-1300) chloro or bromomethyl resin, hydroxymethyl resin, and aminomethyl resin. Many of these resins are commercially available with the desired C-terminal amino acid already incorporated.
- The alpha-amino group of each amino acid must be protected. Any protecting group known in the art can be used. Examples of these are: 1) acyl types such as formyl, trifluoroacetyl, phthalyl, and p-toluenesulfonyl; 2) aromatic carbamate types such as benzyloxycarbonyl (Cbz) and substituted benzyloxycarbonyls, 1-(p-biphenyl)-1-methylethoxycarbonyl, and 9-fluorenylmethyloxycarbonyl (Fmoc); 3) aliphatic carbamate types such as tert-butyloxycarbonyl (Boc), ethoxycarbonyl, diisopropylmethoxycarbonyl, and allyloxycarbonyl; 4) cyclic alkyl carbamate types such as cyclopentyloxycarbonyl and adamantyloxycarbonyl; 5) alkyl types such as triphenylmethyl and benzyl; 6) trialkylsilane such as trimethylsilane; and 7) thiol containing types such as phenylthiocarbonyl and dithiasuccinoyl. The preferred alpha-amino protecting group is either Boc or Fmoc. Many amino acid or amino acid mimetic derivatives suitably protected for peptide synthesis are commercially available.
- The alpha-amino protecting group is cleaved prior to the coupling of the next amino acid. When the Boc group is used, the methods of choice are trifluoroacetic acid, neat or in dichloromethane, or HCl in dioxane. The resulting ammonium salt is then neutralized either prior to the coupling or in situ with basic solutions such as aqueous buffers, or tertiary amines in dichloromethane or dimethylformamide. When the Fmoc group is used, the reagents of choice are piperidine or substituted piperidines in dimethylformamide, but any secondary amine or aqueous basic solutions can be used. The deprotection is carried out at a temperature between 0° C. and room temperature.
- Any of the amino acids or amino acid mimetics bearing side chain functionalities must be protected during the preparation of the peptide using any of the above-identified groups. Those skilled in the art will appreciate that the selection and use of appropriate protecting groups for these side chain functionalities will depend upon the amino acid or amino acid mimetic and presence of other protecting groups in the peptide or peptidomimetic. The selection of such a protecting group is important in that it must not be removed during the deprotection and coupling of the alpha-amino group.
- For example, when Boc is chosen for the alpha-amine protection the following protecting groups are acceptable: p-toluenesulfonyl (tosyl) moieties and nitro for arginine; benzyloxycarbonyl, substituted benzyloxycarbonyls, tosyl or trifluoroacetyl for lysine; benzyl or alkyl esters such as cyclopentyl for glutamic and aspartic acids; benzyl ethers for serine and threonine; benzyl ethers, substituted benzyl ethers or 2-bromobenzyloxycarbonyl for tyrosine; p-methylbenzyl, p-methoxybenzyl, acetamidomethyl, benzyl, or t-butylsulfonyl for cysteine; and the indole of tryptophan can either be left unprotected or protected with a formyl group.
- When Fmoc is chosen for the alpha-amine protection usually tert-butyl based protecting groups are acceptable. For instance, Boc can be used for lysine, tert-butyl ether for serine, threonine and tyrosine, and tert-butyl ester for glutamic and aspartic acids.
- Once the elongation of the peptide or peptidomimetic, or the elongation and cyclization of a cyclic peptide or peptidomimetic is completed all of the protecting groups are removed. For the liquid phase synthesis the protecting groups are removed in whatever manner as dictated by the choice of protecting groups. These procedures are well known to those skilled in the art.
- When a solid phase synthesis is used to synthesize a cyclic peptide or peptidomimetic, the peptide or peptidomimetic should be removed from the resin without simultaneously removing protecting groups from functional groups that might interfere with the cyclization process. Thus, if the peptide or peptidomimetic is to be cyclized in solution, the cleavage conditions need to be chosen such that a free a-carboxylate and a free a-amino group are generated without simultaneously removing other protecting groups. Alternatively, the peptide or peptidomimetic may be removed from the resin by hydrazinolysis, and then coupled by the azide method. Another very convenient method involves the synthesis of peptides or peptidomimetics on an oxime resin, followed by intramolecular nucleophilic displacement from the resin, which generates a cyclic peptide or peptidomimetic (Osapay, Profit, and Taylor (1990) Tetrahedron Letters 43, 6121-6124). When the oxime resin is employed, the Boc protection scheme is generally chosen. Then, the preferred method for removing side chain protecting groups generally involves treatment with anhydrous HF containing additives such as dimethyl sulfide, anisole, thioanisole, or p-cresol at 0° C. The cleavage of the peptide or peptidomimetic can also be accomplished by other acid reagents such as trifluoromethanesulfonic acid/trifluoroacetic acid mixtures.
- Unusual amino acids used in this invention can be synthesized by standard methods familiar to those skilled in the art (“The Peptides: Analysis, Synthesis, Biology, Vol. 5, pp. 342-449, Academic Press, New York (1981)). N-Alkyl amino acids can be prepared using procedures described in previously (Cheung et al., (1977) Can. J. Chem. 55, 906; Freidinger et al., (1982) J. Org. Chem. 48, 77 (1982)), which are incorporated herein by reference.
- Additional synthetic procedures that can be used by one of skill in the art to synthesize the peptides and peptidomimetics targeting moieties are described in PCT WO94/22910, the contents of which are herein incorporated by reference.
- The attachment of linking groups, L n, to the peptides and peptidomimetics, Q; chelators or bonding units, Ch, to the peptides and peptidomimetics, Q, or to the linking groups, Ln; and peptides and peptidomimetics bearing a fragment of the linking group to the remainder of the linking group, in combination forming the moiety, (Q)d—Ln, and then to the moiety Ch; can all be performed by standard techniques. These include, but are not limited to, amidation, esterification, alkylation, and the formation of ureas or thioureas. Procedures for performing these attachments can be found in Brinkley, M., Bioconjugate Chemistry 1992, 3(1), which is incorporated herein by reference.
- A number of methods can be used to attach the peptides and peptidomimetics, Q, to paramagnetic metal ion or heavy atom containing solid particles, X 2, by one of skill in the art of the surface modification of solid particles. In general, the targeting moiety Q or the combination (Q)dLn is attached to a coupling group that react with a constituent of the surface of the solid particle. The coupling groups can be any of a number of silanes which react with surface hydroxyl groups on the solid particle surface, as described in co-pending U.S. application Ser. No. 60/092,360, and can also include polyphosphonates, polycarboxylates, polyphosphates or mixtures thereof which couple with the surface of the solid particles, as described in U.S. Pat. No. 5,520,904.
- A number of reaction schemes can be used to attach the peptides and peptidomimetics, Q, to the surfactant microsphere, X 3. These are illustrated in following reaction schemes where Sf represents a surfactant moiety that forms the surfactant microsphere.
- Acylation Reaction
- Sf—C(═O)—Y+Q—NH2 or→Sf—C(═O)—NH—Q
- Q—OH or Sf—C(═O)—O—Q
- Y is a leaving group or active ester
- Disulfide Coupling
- Sf—SH+Q—SH→Sf—S—S—Q
- Sulfonamide Coupling
- Sf—S(═O)2—Y+Q—NH2→Sf—S(═O)2—NH—Q
- Reductive Amidation
- S f—CHO+Q—NH2→Sf—NH—Q
- In these reaction schemes, the substituents S f and Q can be reversed as well.
- The linking group L n can serve several roles. First it provides a spacing group between the metal chelator or bonding moiety, Ch, the paramagnetic metal ion or heavy atom containing solid particle, X2, and the surfactant microsphere, X3, and the one or more of the peptides or peptidomimetics, Q, so as to minimize the possibility that the moieties Ch—X, Ch—X1, X2, and X3, will interfere with the interaction of the recognition sequences of Q with angiogenic tumor vasculature receptors. The necessity of incorporating a linking group in a reagent is dependent on the identity of Q, Ch—X, Ch—X1, X2, and X3. If Ch—X, Ch—X1, X2, and X3, cannot be attached to Q without substantially diminishing its affinity for the receptors, then a linking group is used. A linking group also provides a means of independently attaching multiple peptides and peptidomimetics, Q, to one group that is attached to Ch—X, Ch—X1, X2, or X3.
- The linking group also provides a means of incorporating a pharmacokinetic modifier into the pharmaceuticals of the present invention. The pharmacokinetic modifier serves to direct the biodistibution of the injected pharmaceutical other than by the interaction of the targeting moieties, Q, with the receptors expressed in the tumor neovasculature. A wide variety of functional groups can serve as pharmacokinetic modifiers, including, but not limited to, carbohydrates, polyalkylene glycols, peptides or other polyamino acids, and cyclodextrins. The modifiers can be used to enhance or decrease hydrophilicity and to enhance or decrease the rate of blood clearance. The modifiers can also be used to direct the route of elimination of the pharmaceuticals. Preferred pharmacokinetic modifiers are those that result in moderate to fast blood clearance and enhanced renal excretion.
- The metal chelator or bonding moiety, C h, is selected to form stable complexes with the metal ion chosen for the particular application. Chelators or bonding moieties for diagnostic radiopharmaceuticals are selected to form stable complexes with the radioisotopes that have imageable gamma ray or positron emissions, such as 99mTc, 95Tc, 111In, 62Cu, 60Cu, 64Cu, 67Ga, 68Ga, 86Y.
- Chelators for technetium, copper and gallium isotopes are selected from diaminedithiols, monoamine-monoamidedithiols, triamide-monothiols, monoamine-diamide-monothiols, diaminedioximes, and hydrazines. The chelators are generally tetradentate with donor atoms selected from nitrogen, oxygen and sulfur. Preferred reagents are comprised of chelators having amine nitrogen and thiol sulfur donor atoms and hydrazine bonding units. The thiol sulfur atoms and the hydrazines may bear a protecting group which can be displaced either prior to using the reagent to synthesize a radiopharmaceutical or preferably in situ during the synthesis of the radiopharmaceutical.
- Exemplary thiol protecting groups include those listed in Greene and Wuts, “Protective Groups in Organic Synthesis” John Wiley & Sons, New York (1991), the disclosure of which is hereby incorporated by reference. Any thiol protecting group known in the art can be used. Examples of thiol protecting groups include, but are not limited to, the following: acetamidomethyl, benzamidomethyl, 1-ethoxyethyl, benzoyl, and triphenylmethyl.
- Exemplary protecting groups for hydrazine bonding units are hydrazones which can be aldehyde or ketone hydrazones having substituents selected from hydrogen, alkyl, aryl and heterocycle. Particularly preferred hydrazones are described in co-pending U.S. Ser. No. 08/476,296 the disclosure of which is herein incorporated by reference in its entirety.
- The hydrazine bonding unit when bound to a metal radionuclide is termed a hydrazido, or diazenido group and serves as the point of attachment of the radionuclide to the remainder of the radiopharmaceutical. A diazenido group can be either terminal (only one atom of the group is bound to the radionuclide) or chelating. In order to have a chelating diazenido group at least one other atom of the group must also be bound to the radionuclide. The atoms bound to the metal are termed donor atoms.
- Chelators for 111I and 86Y are selected from cyclic and acyclic polyaminocarboxylates such as DTPA, DOTA, DO3A, 2-benzyl-DOTA, alpha-(2-phenethyl)1,4,7,10-tetraazazcyclododecane-1-acetic-4,7,10-tris(methylacetic)acid, 2-benzyl-cyclohexyldiethylenetriaminepentaacetic acid, 2-benzyl-6-methyl-DTPA, and 6,6″-bis[N,N,N″,N″-tetra(carboxymethyl)aminomethyl)-4′-(3-amino-4-methoxyphenyl)-2,2′:6′,2″-terpyridine. Procedures for synthesizing these chelators that are not commercially available can be found in Brechbiel, M. and Gansow, O., J. Chem. Soc. Perkin Trans. 1992, 1, 1175; Brechbiel, M. and Gansow, O., Bioconjugate Chem. 1991, 2, 187; Deshpande, S., et. al., J. Nucl. Med. 1990, 31, 473; Kruper, J., U.S. Pat. No. 5,064,956, and Toner, J., U.S. Pat. No. 4,859,777, the disclosures of which are hereby incorporated by reference in their entirety.
- The coordination sphere of metal ion includes all the ligands or groups bound to the metal. For a transition metal radionuclide to be stable it typically has a coordination number (number of donor atoms) comprised of an integer greater than or equal to 4 and less than or equal to 8; that is there are 4 to 8 atoms bound to the metal and it is said to have a complete coordination sphere. The requisite coordination number for a stable radionuclide complex is determined by the identity of the radionuclide, its oxidation state, and the type of donor atoms. If the chelator or bonding unit does not provide all of the atoms necessary to stabilize the metal radionuclide by completing its coordination sphere, the coordination sphere is completed by donor atoms from other ligands, termed ancillary or co-ligands, which can also be either terminal or chelating.
- A large number of ligands can serve as ancillary or co-ligands, the choice of which is determined by a variety of considerations such as the ease of synthesis of the radiopharmaceutical, the chemical and physical properties of the ancillary ligand, the rate of formation, the yield, and the number of isomeric forms of the resulting radiopharmaceuticals, the ability to administer said ancillary or co-ligand to a patient without adverse physiological consequences to said patient, and the compatibility of the ligand in a lyophilized kit formulation. The charge and lipophilicity of the ancillary ligand will effect the charge and lipophilicity of the radiopharmaceuticals. For example, the use of 4,5-dihydroxy-1,3-benzene disulfonate results in radiopharmaceuticals with an additional two anionic groups because the sulfonate groups will be anionic under physiological conditions. The use of N-alkyl substituted 3,4-hydroxypyridinones results in radiopharmaceuticals with varying degrees of lipophilicity depending on the size of the alkyl substituents.
- Preferred technetium radiopharmaceuticals of the present invention are comprised of a hydrazido or diazenido bonding unit and an ancillary ligand, A L1, or a bonding unit and two types of ancillary AL1 and AL2, or a tetradentate chelator comprised of two nitrogen and two sulfur atoms. Ancillary ligands AL1 are comprised of two or more hard donor atoms such as oxygen and amine nitrogen (sp3 hybridized). The donor atoms occupy at least two of the sites in the coordination sphere of the radionuclide metal; the ancillary ligand AL1 serves as one of the three ligands in the ternary ligand system. Examples of ancillary ligands AL1 include but are not limited to dioxygen ligands and functionalized aminocarboxylates. A large number of such ligands are available from commercial sources.
- Ancillary dioxygen ligands include ligands that coordinate to the metal ion through at least two oxygen donor atoms. Examples include but are not limited to: glucoheptonate, gluconate, 2-hydroxyisobutyrate, lactate, tartrate, mannitol, glucarate, maltol, Kojic acid, 2,2-bis(hydroxymethyl)propionic acid, 4,5-dihydroxy-1,3-benzene disulfonate, or substituted or unsubstituted 1,2 or 3,4 hydroxypyridinones. (The names for the ligands in these examples refer to either the protonated or non-protonated forms of the ligands.)
- Functionalized aminocarboxylates include ligands that have a combination of amine nitrogen and oxygen donor atoms. Examples include but are not limited to: iminodiacetic acid, 2,3-diaminopropionic acid, nitrilotriacetic acid, N,N′-ethylenediamine diacetic acid, N,N,N′-ethylenediamine triacetic acid, hydroxyethylethylenediamine triacetic acid, and N,N′-ethylenediamine bis-hydroxyphenylglycine. (The names for the ligands in these examples refer to either the protonated or non-protonated forms of the ligands.)
- A series of functionalized aminocarboxylates are disclosed by Bridger et. al. in U.S. Pat. No. 5,350,837, herein incorporated by reference, that result in improved rates of formation of technetium labeled hydrazino modified proteins. We have determined that certain of these aminocarboxylates result in improved yields of the radiopharmaceuticals of the present invention. The preferred ancillary ligands A L1 functionalized aminocarboxylates that are derivatives of glycine; the most preferred is tricine (tris(hydroxymethyl)methylglycine).
- The most preferred technetium radiopharmaceuticals of the present invention are comprised of a hydrazido or diazenido bonding unit and two types of ancillary designated A L1 and AL2, or a diaminedithiol chelator. The second type of ancillary ligands AL2 are comprised of one or more soft donor atoms selected from the group: phosphine phosphorus, arsine arsenic, imine nitrogen (sp2 hybridized), sulfur (sp2 hybridized) and carbon (sp hybridized); atoms which have p-acid character. Ligands AL2 can be monodentate, bidentate or tridentate, the denticity is defined by the number of donor atoms in the ligand. One of the two donor atoms in a bidentate ligand and one of the three donor atoms in a tridentate ligand must be a soft donor atom. We have disclosed in co-pending U.S. Ser. No. 08/415,908, and U.S. Ser. Nos. 60/013360 and 08/646,886, the disclosures of which are herein incorporated by reference in their entirety, that radiopharmaceuticals comprised of one or more ancillary or co-ligands AL2 are more stable compared to radiopharmaceuticals that are not comprised of one or more ancillary ligands, AL2; that is, they have a minimal number of isomeric forms, the relative ratios of which do not change significantly with time, and that remain substantially intact upon dilution.
- The ligands A L2 that are comprised of phosphine or arsine donor atoms are trisubstituted phosphines, trisubstituted arsines, tetrasubstituted diphosphines and tetrasubstituted diarsines. The ligands AL2 that are comprised of imine nitrogen are unsaturated or aromatic nitrogen-containing, 5 or 6-membered heterocycles. The ligands that are comprised of sulfur (sp2 hybridized) donor atoms are thiocarbonyls, comprised of the moiety C═S. The ligands comprised of carbon (sp hybridized) donor atoms are isonitriles, comprised of the moiety CNR, where R is an organic radical. A large number of such ligands are available from commercial sources. Isonitriles can be synthesized as described in European Patent 0107734 and in U.S. Pat. No. 4,988,827, herein incorporated by reference.
- Preferred ancillary ligands A L2 are trisubstituted phosphines and unsaturated or aromatic 5 or 6 membered heterocycles. The most preferred ancillary ligands AL2 are trisubstituted phosphines and unsaturated 5 membered heterocycles.
- The ancillary ligands A L2 may be substituted with alkyl, aryl, alkoxy, heterocycle, aralkyl, alkaryl and arylalkaryl groups and may or may not bear functional groups comprised of heteroatoms such as oxygen, nitrogen, phosphorus or sulfur. Examples of such functional groups include but are not limited to: hydroxyl, carboxyl, carboxamide, nitro, ether, ketone, amino, ammonium, sulfonate, sulfonamide, phosphonate, and phosphonamide. The functional groups may be chosen to alter the lipophilicity and water solubility of the ligands which may affect the biological properties of the radiopharmaceuticals, such as altering the distribution into non-target tissues, cells or fluids, and the mechanism and rate of elimination from the body.
- Chelators or bonding moieties for therapeutic radiopharmaceuticals are selected to form stable complexes with the radioisotopes that have alpha particle, beta particle, Auger or Coster-Kronig electron emissions, such as 186Re, 188Re, 153Sm, 166Ho, 177Lu, 149Pm, 90Y, 212Bi, 103Pd, 109Pd, 159Gd, 140La, 198Au, 199Au, 169Yb, 175Yb, 165Dy, 166Dy, 67Cu, 105Rh, 111Ag, and 192Ir. Chelators for rhenium, copper, palladium, platinum, iridium, rhodium, silver and gold isotopes are selected from diaminedithiols, monoamine-monoamidedithiols, triamide-monothiols, monoamine-diamide-monothiols, diaminedioximes, and hydrazines. Chelators for yttrium, bismuth, and the lanthanide isotopes are selected from cyclic and acyclic polyaminocarboxylates such as DTPA, DOTA, DO3A, 2-benzyl-DOTA, alpha-(2-phenethyl)1,4,7,10-tetraazacyclododecane-1-acetic-4,7,10-tris(methylacetic)acid, 2-benzyl-cyclohexyldiethylenetriaminepentaacetic acid, 2-benzyl-6-methyl-DTPA, and 6,6″-bis[N,N,N″,N″-tetra(carboxymethyl)aminomethyl)-4′-(3-amino-4-methoxyphenyl)-2,2′:6′,2″-terpyridine.
- Chelators for magnetic resonance imaging contrast agents are selected to form stable complexes with paramagnetic metal ions, such as Gd(III), Dy(III), Fe(III), and Mn(II), are selected from cyclic and acyclic polyaminocarboxylates such as DTPA, DOTA, DO3A, 2-benzyl-DOTA, alpha-(2-phenethyl)1,4,7,10-tetraazacyclododecane-1-acetic-4,7,10-tris(methylacetic)acid, 2-benzylcyclohexyldiethylenetriaminepentaacetic acid, 2-benzyl-6-methyl-DTPA, and 6,6″-bis[N,N,N″,N″-tetra(carboxymethyl)aminomethyl)-4′-(3-amino-4-methoxyphenyl)-2,2′:6′,2″-terpyridine.
- The technetium and rhenium radiopharmaceuticals of the present invention comprised of a hydrazido or diazenido bonding unit can be easily prepared by admixing a salt of a radionuclide, a reagent of the present invention, an ancillary ligand A L1, an ancillary ligand AL2, and a reducing agent, in an aqueous solution at temperatures from 0 to 100° C. The technetium and rhenium radiopharmaceuticals of the present invention comprised of a tetradentate chelator having two nitrogen and two sulfur atoms can be easily prepared by admixing a salt of a radionuclide, a reagent of the present invention, and a reducing agent, in an aqueous solution at temperatures from 0 to 100° C.
- When the bonding unit in the reagent of the present invention is present as a hydrazone group, then it must first be converted to a hydrazine, which may or may not be protonated, prior to complexation with the metal radionuclide. The conversion of the hydrazone group to the hydrazine can occur either prior to reaction with the radionuclide, in which case the radionuclide and the ancillary or co-ligand or ligands are combined not with the reagent but with a hydrolyzed form of the reagent bearing the chelator or bonding unit, or in the presence of the radionuclide in which case the reagent itself is combined with the radionuclide and the ancillary or co-ligand or ligands. In the latter case, the pH of the reaction mixture must be neutral or acidic.
- Alternatively, the radiopharmaceuticals of the present invention comprised of a hydrazido or diazenido bonding unit can be prepared by first admixing a salt of a radionuclide, an ancillary ligand A L1, and a reducing agent in an aqueous solution at temperatures from 0 to 100° C. to form an intermediate radionuclide complex with the ancillary ligand AL1 then adding a reagent of the present invention and an ancillary ligand AL2 and reacting further at temperatures from 0 to 100° C.
- Alternatively, the radiopharmaceuticals of the present invention comprised of a hydrazido or diazenido bonding unit can be prepared by first admixing a salt of a radionuclide, an ancillary ligand A L1, a reagent of the present invention, and a reducing agent in an aqueous solution at temperatures from 0 to 100° C. to form an intermediate radionuclide complex, and then adding an ancillary ligand AL2 and reacting further at temperatures from 0 to 100° C.
- The technetium and rhenium radionuclides are preferably in the chemical form of pertechnetate or perrhenate and a pharmaceutically acceptable cation. The pertechnetate salt form is preferably sodium pertechnetate such as obtained from commercial Tc-99m generators. The amount of pertechnetate used to prepare the radiopharmaceuticals of the present invention can range from 0.1 mCi to 1 Ci, or more preferably from 1 to 200 mCi.
- The amount of the reagent of the present invention used to prepare the technetium and rhenium radiopharmaceuticals of the present invention can range from 0.01 μg to 10 mg, or more preferably from 0.5 μg to 200 μg. The amount used will be dictated by the amounts of the other reactants and the identity of the radiopharmaceuticals of the present invention to be prepared.
- The amounts of the ancillary ligands A L1 used can range from 0.1 mg to 1 g, or more preferably from 1 mg to 100 mg. The exact amount for a particular radiopharmaceutical is a function of identity of the radiopharmaceuticals of the present invention to be prepared, the procedure used and the amounts and identities of the other reactants. Too large an amount of AL1 will result in the formation of by-products comprised of technetium labeled AL1 without a biologically active molecule or by-products comprised of technetium labeled biologically active molecules with the ancillary ligand AL1 but without the ancillary ligand AL2. Too small an amount of AL1 will result in other by-products such as technetium labeled biologically active molecules with the ancillary ligand AL2 but without the ancillary ligand AL1, or reduced hydrolyzed technetium, or technetium colloid.
- The amounts of the ancillary ligands A L2 used can range from 0.001 mg to 1 g, or more preferably from 0.01 mg to 10 mg. The exact amount for a particular radiopharmaceutical is a function of the identity of the radiopharmaceuticals of the present invention to be prepared, the procedure used and the amounts and identities of the other reactants. Too large an amount of AL2 will result in the formation of by-products comprised of technetium labeled AL2 without a biologically active molecule or by-products comprised of technetium labeled biologically active molecules with the ancillary ligand AL2 but without the ancillary ligand AL1. If the reagent bears one or more substituents that are comprised of a soft donor atom, as defined above, at least a ten-fold molar excess of the ancillary ligand AL2 to the reagent of formula 2 is required to prevent the substituent from interfering with the coordination of the ancillary ligand AL2 to the metal radionuclide.
- Suitable reducing agents for the synthesis of the radiopharmaceuticals of the present invention include stannous salts, dithionite or bisulfite salts, borohydride salts, and formamidinesulfinic acid, wherein the salts are of any pharmaceutically acceptable form. The preferred reducing agent is a stannous salt. The amount of a reducing agent used can range from 0.001 mg to 10 mg, or more preferably from 0.005 mg to 1 mg.
- The specific structure of a radiopharmaceutical of the present invention comprised of a hydrazido or diazenido bonding unit will depend on the identity of the reagent of the present invention used, the identity of any ancillary ligand A L1, the identity of any ancillary ligand AL2, and the identity of the radionuclide. Radiopharmaceuticals comprised of a hydrazido or diazenido bonding unit synthesized using concentrations of reagents of <100 μg/mL, will be comprised of one hydrazido or diazenido group. Those synthesized using >1 mg/mL concentrations will be comprised of two hydrazido or diazenido groups from two reagent molecules. For most applications, only a limited amount of the biologically active molecule can be injected and not result in undesired side-effects, such as chemical toxicity, interference with a biological process or an altered biodistribution of the radiopharmaceutical. Therefore, the radiopharmaceuticals which require higher concentrations of the reagents comprised in part of the biologically active molecule, will have to be diluted or purified after synthesis to avoid such side-effects.
- The identities and amounts used of the ancillary ligands A L1 and AL2 will determine the values of the variables y and z. The values of y and z can independently be an integer from 1 to 2. In combination, the values of y and z will result in a technetium coordination sphere that is made up of at least five and no more than seven donor atoms. For monodentate ancillary ligands AL2, z can be an integer from 1 to 2; for bidentate or tridentate ancillary ligands AL2, Z is 1. The preferred combination for monodentate ligands is y equal to 1 or 2 and z equal to 1. The preferred combination for bidentate or tridentate ligands is y equal to 1 and z equal to 1.
- The indium, copper, gallium, silver, palladium, rhodium, gold, platinum, bismuth, yttrium and lanthanide radiopharmaceuticals of the present invention can be easily prepared by admixing a salt of a radionuclide and a reagent of the present invention, in an aqueous solution at temperatures from 0 to 100° C. These radionuclides are typically obtained as a dilute aqueous solution in a mineral acid, such as hydrochloric, nitric or sulfuric acid. The radionuclides are combined with from one to about one thousand equivalents of the reagents of the present invention dissolved in aqueous solution. A buffer is typically used to maintain the pH of the reaction mixture between 3 and 10.
- The gadolinium, dysprosium, iron and manganese metallopharmaceuticals of the present invention can be easily prepared by admixing a salt of the paramagnetic metal ion and a reagent of the present invention, in an aqueous solution at temperatures from 0 to 100° C. These paramagnetic metal ions are typically obtained as a dilute aqueous solution in a mineral acid, such as hydrochloric, nitric or sulfuric acid. The paramagnetic metal ions are combined with from one to about one thousand equivalents of the reagents of the present invention dissolved in aqueous solution. A buffer is typically used to maintain the pH of the reaction mixture between 3 and 10.
- The total time of preparation will vary depending on the identity of the metal ion, the identities and amounts of the reactants and the procedure used for the preparation. The preparations may be complete, resulting in >80% yield of the radiopharmaceutical, in 1 minute or may require more time. If higher purity metallopharmaceuticals are needed or desired, the products can be purified by any of a number of techniques well known to those skilled in the art such as liquid chromatography, solid phase extraction, solvent extraction, dialysis or ultrafiltration.
- Buffers useful in the preparation of metallopharmaceuticals and in diagnostic kits useful for the preparation of said radiopharmaceuticals include but are not limited to phosphate, citrate, sulfosalicylate, and acetate. A more complete list can be found in the United States Pharmacopeia.
- Lyophilization aids useful in the preparation of diagnostic kits useful for the preparation of radiopharmaceuticals include but are not limited to mannitol, lactose, sorbitol, dextran, Ficoll, and polyvinylpyrrolidine (PVP).
- Stabilization aids useful in the preparation of metallopharmaceuticals and in diagnostic kits useful for the preparation of radiopharmaceuticals include but are not limited to ascorbic acid, cysteine, monothioglycerol, sodium bisulfite, sodium metabisulfite, gentisic acid, and inositol.
- Solubilization aids useful in the preparation of metallopharmaceuticals and in diagnostic kits useful for the preparation of radiopharmaceuticals include but are not limited to ethanol, glycerin, polyethylene glycol, propylene glycol, polyoxyethylene sorbitan monooleate, sorbitan monoloeate, polysorbates, poly(oxyethylene)poly(oxypropylene)poly(oxyethylene) block copolymers (Pluronics) and lecithin. Preferred solubilizing aids are polyethylene glycol, and Pluronics.
- Bacteriostats useful in the preparation of metallopharmaceuticals and in diagnostic kits useful for the preparation of radiopharmaceuticals include but are not limited to benzyl alcohol, benzalkonium chloride, chlorbutanol, and methyl, propyl or butyl paraben.
- A component in a diagnostic kit can also serve more than one function. A reducing agent can also serve as a stabilization aid, a buffer can also serve as a transfer ligand, a lyophilization aid can also serve as a transfer, ancillary or co-ligand and so forth.
- The diagnostic radiopharmaceuticals are administered by intravenous injection, usually in saline solution, at a dose of 1 to 100 mCi per 70 kg body weight, or preferably at a dose of 5 to 50 mCi. Imaging is performed using known procedures.
- The therapeutic radiopharmaceuticals are administered by intravenous injection, usually in saline solution, at a dose of 0.1 to 100 mCi per 70 kg body weight, or preferably at a dose of 0.5 to 5 mCi per 70 kg body weight.
- The magnetic resonance imaging contrast agents of the present invention may be used in a similar manner as other MRI agents as described in U.S. Pat. No. 5,155,215; U.S. Pat. No. 5,087,440; Margerstadt et al., Magn. Reson. Med., 1986, 3, 808; Runge et al., Radiology, 1988, 166, 835; and Bousquet et al., Radiology, 1988, 166, 693. Generally, sterile aqueous solutions of the contrast agents are administered to a patient intravenously in dosages ranging from 0.01 to 1.0 mmoles per kg body weight.
- For use as X-ray contrast agents, the compositions of the present invention should generally have a heavy atom concentration of 1 mM to 5 M, preferably 0.1 M to 2 M. Dosages, administered by intravenous injection, will typically range from 0.5 mmol/kg to 1.5 mmol/kg, preferably 0.8 mmol/kg to 1.2 mmol/kg. Imaging is performed using known techniques, preferably X-ray computed tomography.
- The ultrasound contrast agents of the present invention are administered by intravenous injection in an amount of 10 to 30 μL of the echogenic gas per kg body weight or by infusion at a rate of approximately 3 μL/kg/min. Imaging is performed using known techniques of sonography.
- Other features of the invention will become apparent in the course of the following descriptions of exemplary embodiments which are given for illustration of the invention and are not intended to be limiting thereof.
- Representative materials and methods that may be used in preparing the compounds of the invention are described further below.
- Manual solid phase peptide synthesis was performed in 25 mL polypropylene filtration tubes purchased from BioRad Inc., or in 60 mL hour-glass reaction vessels purchased from Peptides International. Oxime resin (substitution level=0.96 mmol/g) was prepared according to published procedure (DeGrado and Kaiser, J. Org. Chem. 1980, 45, 1295), or was purchased from Novabiochem (substitution level=0.62 mmol/g). All chemicals and solvents (reagent grade) were used as supplied from the vendors cited without further purification. t-Butyloxycarbonyl (Boc) amino acids and other starting amino acids may be obtained commercially from Bachem Inc., Bachem Biosciences Inc. (Philadelphia, Pa.), Advanced ChemTech (Louisville, Ky.), Peninsula Laboratories (Belmont, Calif.), or Sigma (St. Louis, Mo.). 2-(1H-Benzotriazol-1-yl)-1,1,3,3-tetramethyluronium hexafluorophosphate (HBTU) and TBTU were purchased from Advanced ChemTech. N-methylmorpholine (NMM), m-cresol, D-2-aminobutyric acid (Abu), trimethylacetylchloride, diisopropylethylamine (DIEA), 1,2,4-triazole, stannous chloride dihydrate, and tris(3-sulfonatophenyl)phosphine trisodium salt (TPPTS) were purchased from Aldrich Chemical Company. Bis(3-sulfonatophenyl)phenylphosphine disodium salt (TPPDS) was prepared by the published procedure (Kuntz, E., U.S. Pat. No. 4,248,802). (3-Sulfonatophenyl)diphenylphosphine monosodium salt (TPPMS) was purchased from TCI America, Inc. Tricine was obtained from Research Organics, Inc. Technetium-99m-pertechnetate (99mTcO4 −) was obtained from a DuPont Pharma 99Mo/99mTc Technelite® generator. In-111-chloride (Indichlor®) was obtained from Amersham Medi-Physics, Inc. Sm-153-chloride and Lutetium-177-chloride were obtained from the University of Missouri Research Reactor (MURR). Yttrium-90 chloride was obtained from the Pacific Northwest Research Laboratories. Dimethylformamide (DMF), ethyl acetate, chloroform (CHCl3), methanol (MeOH), pyridine and hydrochloric acid (HCl) were obtained from Baker. Acetonitrile, dichloromethane (DCM), acetic acid (HOAc), trifluoroacetic acid (TFA), ethyl ether, triethylamine, acetone, and magnesium sulfate were commercially obtained. Absolute ethanol was obtained from Quantum Chemical Corporation.
- The appropriately protected cyclic peptides, described in the Examples, were prepared by manual solid phase peptide synthesis using Boc-teabag chemistry (Houghton, 1985) on a p-nitrobenzophenone oxime solid support (DeGrado, 1982, Scarr and Findeis, 1990). The 5.0 cm×5.0 cm teabags were made from 0.75 mm mesh polypropylene filters (Spectra Filters) and filled with 0.5 g (or 1 g) of the oxime resin. The coupling and deprotection steps were carried out in a polypropylene reactor using a table-top shaker for agitation. Synthesis of the protected pentapeptide-resin intermediate was achieved by first coupling Boc-Gly-OH to the oxime resin (substitution 0.69 mmol/g or 0.95 mmol/g). Attachment of Boc-Gly-OH onto the oxime resin was achieved by using five equivalents each of the amino acid, HBTU and diisopropylethylamine (DIPEA) in DMF. Coupling of the first amino acid generally occurred over 2-3 days. After thorough washing, substitution levels were determined using the picric acid assay (Stewart and Martin). Unreacted oxime groups on the resin were then capped with a solution of DIPEA and trimethylacetyl chloride in DMF. The boc-group was deprotected using 50% or 25% TFA in DCM (30 min). Coupling of the other protected boc-amino acids were performed in a similar manner by overnight shaking (1-2 days), and the coupling yields for each newly added amino acid was determined using the picric acid assay.
- The appropriately protected linear peptide precursors to the cyclic peptides, described in the Examples, were also prepared by automated solid phase peptide synthesis using Fmoc chemistry on an Advanced ChemTech Model 90 Synthesizer and using HMPB-BHA resin as the solid support. Synthesis of the protected pentapeptide-resin intermediates was achieved by coupling (for 3 h) the Fmoc-amino acids sequentially to the commercially available (Novabiochem) Fmoc-Gly-HMPB-BHA resin (usually 2 g, substitution 0.47 to 0.60 mmol/g) by using three to five equivalents each of the amino acid, HBTU, HOBt and diisopropylethylamine (DIPEA) in DMF. The Fmoc-group was deprotected using 20% piperidine in DMF (30 min). The peptides were cleaved from the HMPB-BHA resin using a solution of 1% TFA/DCM and collecting the peptide solutions in a solution of pyridine in methanol (1:10). The linear protected peptides were isolated by removing the solvents and reagents in vacuo and triturating the crude residue in diethyl ether.
- The syntheses of several amino acids that are not commercially available are described in the following procedures.
- Boc-HomoLys(Tfa)-OH and Boc-Cys(2-N-Tfa-aminoethyl)-OH are prepared via the reaction of Boc-HomoLys-OH and Boc-Cys(2-aminoethyl)-OH, respectively, with ethyl thioltrifluoroacetate in Aq. NaOH, and purified by recrystallization from ethanol.
- To a solution of Boc-Orn (1 mmol) in DMF (30 mL) is added benzylisocyanate (2.2 mmol), and diisopropylamine (3 mmol). The reaction mixture is then stirred overnight at room temperature. The volatiles are removed in vacuo and the crude material is purified by column chromatography to obtain the desired product.
- A solution of Boc-Orn-OH (10 mmol), 1-tosyl-2-methylthio-2-imidazoline (12 mmol, (which in turn is prepared from the reaction of the commercially available 2-methylthio-2-imidazoline hydriodide and p-toluenesulfonic anhydride in methylene chloride (0° C. to RT) in the presence of triethylamine)), and diisopropylethylamine (12 mmol) is stirred at reflux, overnight. The volatiles are removed and the desired product isolated by chromatography.
- To a solution of 1-Tos-2-benzimidazolylacetic acid (10 mmol, prepared using tosyl chloride and standard reported conditions) and N-methylmorpholine (10 mmol) in anhydrous DMF is added isobutyl chloroformate (10 mmol). After stirring at ice bath temperature for 5-10 min., Boc-Orn-OH (10 mmol) and N-methylmorpholine (20 mmol) in anhydrous DMF is added in one portion. The reaction mixture is stirred overnight at room temperature, the volatiles removed in vacuo, and the product is isolated by chromatography. (Alternatively, Boc-Orn-OMe is used and the product isolated is treated with aqueous LiOH to obtain the acid.)
- The analytical HPLC methods utilized are described below:
HPLC Method 1 Instrument: HP1050 Column: Vydac C18 (4.6 × 250 mm) Detector: Diode array detector 220 nm/500 ref Flow Rate: 1.0 mL/min. Column Temp: 50° C. Sample Size: 15 uL Mobile Phase: A: 0.1% TFA in water B: 0.1% TFA in ACN/Water (9:1) Time (min) % A % B Gradient A: 0 80 20 20 0 100 30 0 100 31 80 20 Gradient B: 0 98 2 16 63.2 36.8 18 0 100 28 0 100 30 98 2 -
- Part A: Preparation of Cyclo{Arg(Tos)-Gly-Asp(OBzl)-D-Tyr(N-Cbz-3-aminopropyl)-Val}
- The N-terminus Boc- protecting group of the peptide sequence Boc-Asp(OBzl)-D-Tyr(N-Cbz-aminopropyl)-Val-Arg(Tos)-Gly-Oxime resin was removed using standard deprotection (25% TFA in CH 2Cl2). After eight washes with DCM, the resin was treated with 10% DIEA/DCM (2×10 min.). The resin was subsequently washed with DCM (×5) and dried under high vacuum. The resin (1.7474 g, 0.55 mmol/g) was then suspended in dimethylformamide (15 mL). Glacial acetic acid (55.0 μL, 0.961 mmol) was added, and the reaction mixture was heated at 50° C. for 72 h. The resin was filtered, and washed with DMF (2×10 mL). The filtrate was concentrated to an oil under high vacuum. The resulting oil was triturated with ethyl acetate. The solid thus obtained was filtered, washed with ethyl acetate, and dried under high vacuum to give 444.4 mg of the desired product. ESMS: Calcd. for C51H63N9O12S, 1025.43; Found, 1026.6 [M+H]+1. Analytical HPLC, Method 1A, Rt=14.366 min, Purity=75%.
-
- Cyclo{Arg(Tos)-Gly-Asp(OBzl)-D-Tyr(N-Cbz-3-aminopropyl)-Val} (0.150 g, 0.146 mmol) was dissolved in trifluoroacetic acid (0.6 mL) and cooled to −10° C. Trifluoromethanesulfonic acid (0.5 mL) was added dropwise, maintaining the temperature at −10° C. Anisole (0.1 mL) was added and the reaction mixture was stirred at −10° C. for 3 h. Diethyl ether was added, the reaction mixture cooled to −35° C. and then stirred for 30 min. The reaction mixture was cooled further to −50° C. and stirred for 30 min. The crude product obtained was filtered, washed with diethyl ether, dried under high vacuum, and purified by preparative HPLC Method 1, to give 29.7 mg (23%) of the desired product as a lyophilized solid. ESMS: Calcd. for C 29H45N9O8, 647.34; Found, 648.5 [M+H]+1. Analytical HPLC, Method 1B, Rt=10.432 min, Purity=91%.
Preparative HPLC Method 1 Instrument: Rainin Rabbit; Dynamax software Column: Vydac C-18 (21.2 mm × 25 cm) Detector: Knauer VWM Flow Rate: 15 ml/min Column Temp: RT Mobile Phase: A: 0.1% TFA in H2O B: 0.1% TFA in ACN/H2O (9:1) Gradient: Time (min) % A % B 0 98 2 16 63.2 36.8 18 0 100 28 0 100 30 98 2 - Part C. Preparation of Cyclo{Arg-Gly-Asp-D-Tyr(N-[2-[[[5-[carbonyl]-2-pyridinyl]hydrazono]methyl]-benzenesulfonic acid]-3-aminopropyl)-Val}
- Cyclo{Arg-Gly-Asp-D-Tyr(3-aminopropyl)-Val} trifluoroacetic acid salt (0.020 g, 0.0228 mmol) was dissolved in DMF (1 mL). Triethylamine (9.5 μL, 0.0648 mmol) was added, and after 5 min of stirring 2-[[[5-[[(2,5-dioxo-1-pyrrolidinyl)oxy]carbonyl]-2-pyridinyl]hydrazono]methyl]-benzenesulfonic acid, monosodium salt (0.0121 g, 0.0274 mmol) was added. The reaction mixture was stirred for 7 days, and then concentrated to an oil under high vacuum. The oil was purified by preparative HPLC Method 1 to give 8.9 mg (37%) of the title product as a lyophilized solid (TFA salt). HRMS: Calcd. for C 42H54N12O12S+H, 951.3783; Found, 951.3767. Analytical HPLC, Method 1B, Rt=14.317 min, Purity=95%.
-
- Part A: Preparation of 3-(N-(3-(2-(2-(3-((tert-butoxy)carbonylamino)propoxy)ethoxy)ethoxy)propyl)carbamoyl)-propanoic Acid
- N-(3-(2-(2-(3-Aminopropoxy)ethoxy)ethoxy)propyl)(tert-butoxy)formamide (1.5 g, 4.68 mmol) was added to DMF (15 mL). To this solution pyridine (15 mL), succinic anhydride (0.47 g, 4.68 mmol) were added, followed by dimethylaminopyridine (62 mL, 0.468 μmol). The reaction mixture was stirred overnight at 100° C. The mixture was concentrated under high vacuum and the residue was brought up in water, acidified to pH 2.5 with 1N HCl, and extracted with ethyl acetate (3×). The combined organic extracts were dried over MgSO 4 and filtered. The filtrate was concentrated in vacuo to provide 1.24 g of an oil product (63%). The desired product was used without further purification. 1H NMR (CDCl3) 3.67-3.45 (m, 11H), 3.41-3.28 (m, 2H), 3.21-3.09 (m, 2H), 2.95-2.82 (m, 2H), 2.80-2.35 (m, 3H), 1.81-1.68 (m, 4H), 1.50-1.35 (s, 9H); ESMS: Calculated for C19H36N2O8, 420.2471 Found 419.3 [M-H]−1.
-
- To a solution of 3-(N-(3-(2-(2-(3-((tert-butoxy)carbonylamino)propoxy)ethoxy)ethoxy)propyl)carbamoyl)propanoic acid (1.12 g, 2.66 mmol), N-hydroxysuccinimide (0.40 g, 3.46 mmol), and N,N-dimethylformamide (40 mL) was added 1-(3-dimethylaminopropyl)-3-ethylcarbodimide (0.67 g, 3.46 mmol). The reaction mixture was stirred at room temperature for 48 h. The mixture was concentrated under high vacuum and the residue was brought up in 0.1N HCl and extracted with ethyl acetate (3×). The combined organic extracts were washed with water (2×) then saturated sodium chloride, dried over MgSO 4, and filtered. The filtrate was cocnentrated in vacuo to give 1.0 g of the product as an oil (73%). The desired product was used without further purification. ESMS: Calculated for C23H39N3O10, 517.2635 Found 518.2 [M+H]+1.
-
- Cyclo{Arg-Gly-Asp-D-Tyr(3-aminopropyl)-Val}. TFA salt (0.040 g, 0.0457 mmol) was dissolved in DMF (2 mL). Triethylamine (19.1 μL, 0.137 mmol) was added and after stirring for 5 minutes 3-(N-(3-(2-(2-(3-((tert-butoxy)carbonylamino)propoxy)ethoxy)ethoxy)propyl)carbamoyl)propanoic acid succinimide ester (0.0284 g, 0.0548 mmol) was added. The reaction mixture was stirred under N 2 for 48 h and then concentrated to an oil under high vacuum. The oil was triturated with ethyl acetate, the product filtered, washed with ethyl acetate, and dried under high vacuum. The crude product was purified by Preparative HPLC Method 1 to give 7.4 mg (14%) of the desired product as a lyophilized solid. ESMS: Calcd. for C48H79N11O15, 1049.58; Found, 1050.5 [M+H]+1. Analytical HPLC, Method 1B, Rt=20.417 min, Purity=100%.
- Part D. Preparation of Cyclo{Arg-Gly-Asp-D-Tyr(3-(3-(N-(3-(2-(2-(3-(amino)propoxy)ethoxy)ethoxy)propyl)carbamoyl)propanamido)propyl)-Val}
- Cyclo{Arg-Gly-Asp-D-Tyr(3-(3-(N-(3-(2-(2-(3-((tert-butoxy)-carbonylamino)propoxy)ethoxy)ethoxy)propyl)carbamoyl)-propanamido)propyl)-Val} (6.0 mg, 0.00515 mmol) was dissolved in methylene chloride (1 mL) and trifluoroacetic acid (1 mL) was added. The solution stirred for 2 h and then concentrated to an oil under high vacuum. The oil was triturated with diethyl ether, the product filtered, washed with diethyl ether, and dried under high vacuum to give 6.0 mg (98%) of the desired product. ESMS: Calcd. for C 43H71N11O13, 949.52; Found, 950.6 [M+H]+1. Analytical HPLC, Method 1B, Rt=14.821 min, Purity=73%.
- Part E. Preparation of Cyclo{Arg-Gly-Asp-D-Tyr((N-[2-[[[5-[carbonyl]-2-pyridinyl]hydrazono]methyl]-benzenesulfonic acid]-18-amino-14-aza-4,7,10-oxy-15-oxo-octadecoyl)-3-aminopropyl)-Val}
- Cyclo{Arg-Gly-Asp-D-Tyr(3-(3-(N-(3-(2-(2-(3-(amino)propoxy)ethoxy)ethoxy)propyl)carbamoyl)propanamido)propyl)-Val} (5.0 mg, 0.00424 mmol) was dissolved in dimethylformamide (1 mL). Triethylamine (1.8 μL, 0.0127 mmol) was added, and after stirring for 5 min 2-[[[5-[[(2,5-dioxo-1-pyrrolidinyl)oxy]-carbonyl]-2-pyridinyl]hydrazono]methyl]-benzenesulfonic acid, monosodium salt (2.2 mg, 0.00509 mmol) was added. The reaction mixture was stirred for 24 h and then concentrated to an oil under high vacuum. The oil was purified by preparative HPLC Method 1 to give 2.2 mg (38%) of the desired product as a lyophilized solid (TFA salt). ESMS: Calcd. for C 56H80N14O17S, 1252.6; Found, 1253.7 (M+H+). Analytical HPLC, Method 1B, Rt==17.328 min, Purity=100%.
-
- Part A. Preparation of Boc-Glu(cyclo{D-Tyr(3-aminopropyl)-Val-Arg-Gly-Asp})-cyclo{D-Tyr(3-aminopropyl)-Val-Arg-Gly-Asp}
- Cyclo{D-Tyr(3-aminopropyl)-Val-Arg-Gly-Asp} (0.040 g, 0.0457 mmol) was dissolved in dimethylformamide (2 mL). Triethylamine (19.1 μL, 0.137 mmol) was added and the reaction mixture was stirred for 5 minutes. Boc-Glu(OSu)-OSu (0.0101 g, 0.0.229 mmol) was added and the reaction mixture was stirred under N 2 for 18 h. The reaction mixture was then concentrated to an oil under high vacuum. The oil was triturated with ethyl acetate. The product was filtered, washed with ethyl acetate, and dried under high vacuum to give 38.0 mg (55%) of the desired product. ESMS: Calcd. for C68H103N19O20, 1505.76; Found, 1504.9 [M−H]−1. Analytical HPLC, Method 1B, Rt=19.797 min, Purity=73%.
-
- Boc-Glu(cyclo{D-Tyr(3-aminopropyl)-Val-Arg-Gly-Asp})-cyclo{D-Tyr(3-aminopropyl)-Val-Arg-Gly-Asp} (0.035 g, 0.0232 mmol) was dissolved in methylene chloride (1 mL). Trifluoroacetic acid (1 mL) was added, and the reaction mixture was stirred for 2 h, concentrated to an oil under high vacuum and triturated with ether. The product obtained was filtered, washed with diethyl ether, and dried under high vacuum to give 30.7 mg (76%) of the desired product. ESMS: Calcd. for C 63H95N19O18, 1405.71; Found, 1404.7 [M−H]−1. Analytical HPLC, Method 1B, Rt=15.907 min, Purity=77%.
- Part C. Preparation of [2-[[[5-[carbonyl]-2-pyridinyl]hydrazono]methyl]-benzenesulfonic acid]-Glu(cyclo{D-Tyr(3-aminopropyl)-Val-Arg-Gly-Asp})-cyclo{D-Tyr(3-aminopropyl)-Val-Arg-Gly-Asp}
- To a solution of Glu(cyclo{D-Tyr(3-aminopropyl)-Val-Arg-Gly-Asp})-cyclo{D-Tyr(3-aminopropyl)-Val-Arg-Gly-Asp} (0.025 g, 0.0143 mmol) in dimethylformamide (2 mL) was added triethylamine (6.0 μL, 0.0429 mmol) and the reaction mixture was stirred for 5 min. 2-[[[5-[[(2,5-Dioxo-1-pyrrolidinyl)oxy]carbonyl]-2-pyridinyl]hydrazono]methyl]-benzenesulfonic acid, monosodium salt (0.0076 g, 0.0172 mmol) was added, and the reaction mixture was stirred for 5 days, then concentrated to an oil under high vacuum. The oil was purified by Preparative HPLC Method 1 to give 12.0 mg (43%) of the desired product as a lyophilized solid. ESMS: Calcd. for C 76H104N22O22S, 1708.7; Found, 1710.1 (M+H+). Analytical HPLC, Method 1B, Rt=17.218 min, Purity=94%.
-
- Part A. Preparation of Cyclo{Arg(Tos)-Gly-Asp(OBzl)-D-Tyr(Bzl)-Lys(Cbz)}
- The N-terminus Boc-protecting group of the peptide sequence Boc-Asp(OBzl)-D-Tyr(Bzl)-Lys(Z)-Arg(Tos)-Gly-oxime resin was removed using standard deprotection (25% TFA in CH 2Cl2). After eight washes with DCM, the resin was treated with 10% DIEA/DCM (2×10 min.). The resin was subsequently washed with DCM (×5) and dried under high vacuum. The resin (1.8711 g, 0.44 mmol/g) was then suspended in DMF (15 mL). Glacial acetic acid (47.1 μL, 0.823 mmol) was added, and the reaction was heated at 60° C. for 72 h. The resin was filtered, and washed with DMF (2×10 mL). The filtrate was concentrated to an oil under high vacuum. The resulting oil was triturated with ethyl acetate. The solid thus obtained was filtered, washed with ethyl acetate, and dried under high vacuum to give 653.7 mg of the desired product. ESMS: Calcd. for C56H65N9O12S, 1087.45; Found, 1088.7 [M+H]+1. Analytical HPLC, Method 1A, Rt=17.559 min, Purity=82%.
-
- Cyclo{Arg(Tos)-Gly-Asp(OBzl)-D-Tyr(Bzl)-Lys(Cbz)} (0.200 g, 0.184 mmol) was dissolved in trifluoroacetic acid (0.6 mL) and cooled to −10° C. Trifluoromethanesulfonic acid (0.5 mL) was added dropwise, maintaining the temperature at −10° C. Anisole (0.1 mL) was added and the reaction mixture was stirred at −10° C. for 3 h. Diethyl ether was added, the reaction was cooled to −50° C., and stirred for 1 h. The crude product was filtered, washed with diethyl ether, and dried under high vacuum. The crude product was purified by Preparative HPLC Method 1, to give 15.2 mg (10%) of the desired product as a lyophilized solid. HRMS: Calcd. for C 27H41N9O8 +H, 620.3156; Found, 620.3145. Analytical HPLC, Method 1B, Rt=8.179 min, Purity 100%.
- Part C. Preparation of Cyclo{Arg-Gly-Asp-D-Tyr-Lys ([2-[[[5-[carbonyl]-2-pyridinyl]hydrazono]methyl]-benzenesulfonic acid])}
- Cyclo{Arg-Gly-Asp-D-Tyr-Lys} TFA salt (0.010 g, 0.0118 mmol) was dissolved in DMF (1 mL). Triethylamine (5.0 μL, 0.0354 mmol) was added, and after stirring for 5 min 2-[[[5-[[(2,5-Dioxo-1-pyrrolidinyl) oxy]carbonyl]-2-pyridinyl]hydrazono]-methyl]-benzenesulfonic acid, monosodium salt (0.0062 g, 0.0142 mmol) was added. The reaction mixture was stirred for 20 h and then concentrated to an oil under high vacuum. The oil was purified by Preparative HPLC Method 1 to give 6.2 mg (46%) of the desired product as a lyophilized solid. HRMS: Calcd. for C 40H50N12O12S+H, 923.3470; Found, 923.3486. Analytical HPLC, Method 1B, Rt=11.954 min, Purity=100%.
-
- Part A. Preparation of Cyclo{Arg(Tos)-Gly-Asp(OBzl)-D-Phe-Lys(Cbz)}
- The N-terminus Boc- protecting group of the peptide sequence Boc-Asp(OBzl)-D-Phe-Lys(Z)-Arg(Tos)-Gly-Oxime resin was removed using standard deprotection (25% TFA in CH 2Cl2). After eight washes with DCM, the resin was treated with 10% DIEA/DCM (2×10 min.). The resin was subsequently washed with DCM (×5) and dried under high vacuum. The resin (1.7053 g, 0.44 mmol/g) was then suspended in dimethylformamide (15 mL). Glacial acetic acid (43.0 μL, 0.750 mmol) was added, and the reaction was heated to 60° C. for 72 h. The resin was filtered, and washed with DMF (2×10 mL). The filtrate was concentrated to an oil under high vacuum. The resulting oil was triturated with ethyl acetate. The solid thus obtained was filtered, washed with ethyl acetate, and dried under high vacuum to give 510.3 mg of the desired product. ESMS: Calcd. for C49H59N9O11S, 981.40; Found, 982.6 [M+H]+1. Analytical HPLC, Method 1A, Rt=15.574 min, Purity=89%.
-
- Cyclo{Arg(Tos)-Gly-Asp(OBzl)-D-Phe-Lys(Cbz)} (0.200 g, 0.204 mmol) was dissolved in trifluoracetic acid (0.6 mL) and cooled to −10° C. Trifluoromethanesulfonic acid (0.5 mL) was added dropwise, maintaining the temperature at −10° C. Anisole (0.1 mL) was added and the reaction was stirred at −10° C. for 3 h. Diethyl ether was added, the reaction was cooled to −50° C., and stirred for 1 h. The crude product was filtered, washed with diethyl ether, dried under high vacuum and purified by Preparative HPLC Method 1, to give 121.1 mg (71%) of the desired product as a lyophilized solid. HRMS: Calcd. for C 27H41N9O7 +H, 604.3207; Found, 604.3206. Analytical HPLC, Method 1B, Rt=11.197 min, Purity=100%.
- Part C. Preparation of Cyclo{Arg-Gly-Asp-D-Phe-Lys([2-[[[5-[carbonyl]-2-pyridinyl]hydrazono]methyl]-benzenesulfonic acid])}
- Cyclo{Arg-Gly-Asp-D-Phe-Lys} TFA salt (0.040 g, 0.0481 mmol) was dissolved in DMF (2 mL). Triethylamine (20.1 μL, 0.144 mmol) was added, and after 5 min of stirring 2-[[[5-[[(2,5-dioxo-1-pyrrolidinyl)oxy]carbonyl]-2-pyridinyl]hydrazono]-methyl]-benzenesulfonic acid, monosodium salt (0.0254 g, 0.0577 mmol) was added. The reaction mixture was stirred for 20 h and then concentrated to an oil under high vacuum. The oil was purified by Preparative HPLC Method 1 to give 38.2 mg (78%) of the desired product as a lyophilized solid. HRMS: Calcd. for C 40H50N12O11S +H, 907.3521; Found, 907.3534. Analytical HPLC, Method 1B, Rt=14.122 min, Purity=91%.
-
-
- To a solution of Boc-Glu-OH (8.0 g, 32.25 mmol), N-hydroxysuccinimide (8.94 g, 77.64 mmol), and DMF (120 mL) was added 1-(3-dimethylaminopropyl)-3-ethylcarbodimide (14.88 g, 77.64 mmol). The reaction mixture was stirred at room temperature for 48 h. The mixture was concentrated under high vacuum and the residue was brought up in 0.1 N HCl and extracted with ethyl acetate (3×). The combined organic extracts were washed with water, saturated sodium bicarbonate and then saturated sodium chloride, dried over MgSO 4, and filtered. The filtrate was concentrated in vacuo and purified via reverse-phase HPLC (Vydac C18 column, 18 to 90% acetonitrile gradient containing 0.1% TFA, Rt=9.413 min) to afford 8.5 g (60%) of the desired product as a white powder. 1H NMR (CDCl3): 2.98-2.70 (m, 11H), 2.65-2.25 (m, 2H), 1.55-1.40 (s, 9H); ESMS: Calculated for C18H23N3O10, 441.1383 Found 459.2 [M+NH4]+1.
- Part B. Preparation of Boc-Glu(cyclo{Lys-Arg-Gly-Asp-D-Phe})-cyclo{Lys-Arg-Gly-Asp-D-Phe}
- To a solution of cyclo(Lys-Arg-Gly-Asp-D-Phe) (0.050 g, 0.0601 mmol) in dimethylformamide (2 mL) was added triethylamine (25.1 μL, 0.183 mmol). After stirring for 5 minutes Boc-Glu(OSu)-OSu (0.0133 g, 0.0301 mmol) was added. The reaction mixture was stirred under N 2 for 20 h, then concentrated to an oil under high vacuum and triturated with ethyl acetate. The product thus obtained was filtered, washed with ethyl acetate, and dried under high vacuum to give 43.7 mg (44%) of the desired product. ESMS: Calcd. for C64H95N19O18, 1417.71; Found, 1418.8 [M+H]+1. Analytical HPLC, Method 1B, Rt=19.524 min, Purity=73%.
-
- To a solution of Boc-Glu(cyclo{Lys-Arg-Gly-Asp-D-Phe})-cyclo{Lys-Arg-Gly-Asp-D-Phe} (0.040 g, 0.0243 mmol) in methylene chloride (1 mL) was added trifluoroacetic acid (1 mL). The reaction mixture was stirred for 2 h, concentrated to an oil under high vacuum and triturated with diethyl ether. The product was filtered, washed with diethyl ether, and dried under high vacuum to give 39.9 mg (100%) of the desired product. ESMS: Calcd. for C 59H87N19O16, 1317.66; Found, 1318.9 [M+H]+1. Analytical HPLC, Method 1B, Rt=15.410 min, Purity=73%.
- Part D. Preparation of [2-[[[5-[carbonyl]-2-pyridinyl]hydrazono]methyl]-benzenesulfonic acid]-Glu(cyclo{Lys-Arg-Gly-Asp-D-Phe})-cyclo{Lys-Arg-Gly-Asp-D-Phe}
- To a solution of Glu(cyclo{Lys-Arg-Gly-Asp-D-Phe})-cyclo{Lys-Arg-Gly-Asp-D-Phe} (0.030 g, 0.0183 mmol) in dimethylformamide (3 mL) was added triethylamine (7.6 μL, 0.0549 mmol) and the reaction mixture was stirred for 5 min. 2-[[[5-[[(2,5-Dioxo-1-pyrrolidinyl)oxy]carbonyl]-2-pyridinyl]hydrazono]methyl]-benzenesulfonic acid, monosodium salt (0.0096 g, 0.0220 mmol) was added, and the reaction mixture was stirred for 18 h, then concentrated to an oil under high vacuum. The oil was purified by Preparative HPLC Method 1 to give 11.0 mg (32%) of the desired product as a lyophilized solid. ESMS: Calcd. for C 72H96N22O20S, 1620.7; Found, 1620.1 (M−H+). Analytical HPLC, Method 1B, Rt==16.753 min, Purity=91%.
-
-
- A solution of Glu(cyclo{Lys-Arg-Gly-Asp-D-Phe})-cyclo{Lys-Arg-Gly-Asp-D-Phe} (23.4 mg, 0.014 mmol) and triethylamine (7.8 μL, 0.56 mmol) in DMF (2 mL) was stirred for 5 min. To this was added Boc-Phe-OSu (5.1 mg, 0.014 mmol) and the reaction mixture was stirred overnight at room temperature under nitrogen. DMF was removed in vacuo, and the resulting residue was dissolved in TFA (1.5 mL) and methylene chloride (1.5 mL). The solution was stirred for 2 h and concentrated in vacuo to provide 31 mg of the desired product as the TFA salt. ESMS: Calcd. for C 68H96N20O17, 1464.7; Found, 1465.6 (M+H)+1. Analytical HPLC, Method 1B, Rt=15.48 min, Purity=95%.
- Part B. Preparation of [2-[[[5-[carbonyl]-2-pyridinyl]hydrazono]methyl]-benzenesulfonic acid]-Phe-Glu(cyclo{Lys-Arg-Gly-Asp-D-Phe})-cyclo{Lys-Arg-Gly-Asp-D-Phe}
- To a solution of Phe-Glu(cyclo{Lys-Arg-Gly-Asp-D-Phe})-cyclo{Lys-Arg-Gly-Asp-D-Phe} (0.030 g, 0.016 mmol) in dimethylformamide (2 mL) was added triethylamine (9 μL, 0.064 mmol) and the reaction mixture was stirred for 5 min. 2-[[[5-[[(2,5-Dioxo-1-pyrrolidinyl)oxy]carbonyl]-2-pyridinyl]hydrazono]methyl]-benzenesulfonic acid, monosodium salt (0.0099 g, 0.0220 mmol) was added, and the reaction mixture was stirred for 18 h, then concentrated under high vacuum. The residue was purified by preparative RP-HPLC Method 1 to give 7 mg (22%) of the desired product as a lyophilized solid (TFA salt). ESMS: Calcd. for C 81H105N23O21S, 1767.8; Found, 1768.8 (M−H+). Analytical HPLC, Method 1B, Rt==17.68 min, Purity=99%.
-
-
- The peptide Asp(OtBu)-D-Nal-Lys(Boc)-Arg(Mtr)-Gly was obtained by automated solid phase peptide synthesis using Fmoc chemistry. A 100 mL round bottom flask was charged with HBTU (349 mg, 0.92 mmol) and DMF (10 mL). The solution was stirred at 60° 60 C. for 5 min. To this a solution of Asp(OtBu)-D-Nal-Lys(Boc)Arg(Mtr)-Gly (0.684 g) and Hunig's base (0.34 mL, 1.97 mmol.) in DMF (10 mL) was added and the solution stirred at 60° C. for 4 h under nitrogen. The solvent was then removed in vacuo and the residue was triturated with ethyl acetate. The solids were filtered and washed with ethyl acetate (3×5 mL) and dried in vacuo to give the desired product (520 mg, 86%). ESMS: Calcd. for C50H71N9O12S, 1021.5; Found, 1022.5 [M+H]+1. Analytical HPLC, Method 1A, Rt=15.91 min (purity 99%).
-
- A solution of cyclo{Arg(Mtr)-Gly-Asp(OtBu)-D-Nal-Lys(Boc)} (500 mg, 0.49 mmol), TFA (7 mL), triisopropylsilane (0.25 mL) and water (0.25 mL) was stirred at room temperature under nitrogen for 18 h. The solvents were removed in vacuo (over 3 h) and the residue triturated with diethyl ether to give the desired product as the TFA salt (426 mg, 98%). ESMS: Calcd. for C 31H43N9O7, 653.3; Found, 654.3 [M+H]+1. Analytical HPLC, Method 1B, Rt=13.30 min, Purity=97%.
- Part C. Preparation of Cyclo{Arg-Gly-Asp-D-Nal-Lys([2-[[[5-[carbonyl]-2-pyridinyl]hydrazono]methyl]-benzenesulfonic acid])}
- Cyclo{Arg-Gly-Asp-D-Nal-Lys} TFA salt (0.056 g, 0.064 mmol) was dissolved in DMF (2 mL). Triethylamine (27 μL, 0.19 mmol) was added, and after 5 min of stirring 2-[[[5-[[(2,5-dioxo-1-pyrrolidinyl)oxy]carbonyl]-2-pyridinyl]-hydrazono]methyl]-benzenesulfonic acid, monosodium salt (0.039 g, 0.089 mmol) was added. The reaction mixture was stirred overnight, under nitrogen, and then concentrated to an oil under high vacuum. The oil was purified by Preparative HPLC Method 1 to give 49.3 mg (72%) of the desired product as a lyophilized solid (TFA salt). ESMS: Calcd. for C 44H52N12O11S, 956.4; Found, 957.5 [M+H]+1. Analytical HPLC, Method 1B, Rt=16.19 min, Purity=99%.
-
- Part A. Preparation of Boc-Glu(cyclo{Lys-Arg-Gly-Asp-D-Nal})-cyclo{Lys-Arg-Gly-Asp-D-Nal}
- To a solution of cyclo{Lys-Arg-Gly-Asp-D-Nal} (0.052 g, 0.059 mmol) in dimethylformamide (2 mL) was added triethylamine (25 μL). After stirring for 5 minutes Boc-Glu(OSu)-OSu (0.013 g, 0.029 mmol) was added. The reaction mixture was stirred under N 2 for 20 h, then concentrated to an oil under high vacuum and triturated with ethyl acetate. The product thus obtained was filtered, washed with ethyl acetate, and dried under high vacuum to give 35.2 mg of the desired product in crude form. ESMS: Calcd. for C72H99N19O18, 1517.7; Found, 760.1 [M+2H]+2. Analytical HPLC, Method 1B, Rt=21.07 min (65%).
-
- To a solution of the crude Boc-Glu(cyclo{Lys-Arg-Gly-Asp-D-Nal})-cyclo{Lys-Arg-Gly-Asp-D-Nal} (35.2 mg) in methylene chloride (1.5 mL) was added trifluoroacetic acid (1.5 mL). The reaction mixture was stirred for 2 h, concentrated to an oil under high vacuum and triturated with diethyl ether. The product was filtered, washed with diethyl ether, and dried under high vacuum to give 34.9 mg of the crude desired product (TFA salt). ESMS: Calcd. for C 67H91N19O16, 1417.69; Found, 1418.7 [M+H]+1. Analytical HPLC, Method 1B, Rt=19.1 min, Purity=62%.
- Part C. Preparation of [2-[[[5-[carbonyl]-2-pyridinyl]hydrazono]methyl]-benzenesulfonic acid]-Glu(cyclo{Lys-Arg-Gly-Asp-D-Nal})-cyclo{Lys-Arg-Gly-Asp-D-Nal}
- To a solution of Glu(cyclo{Lys-Arg-Gly-Asp-D-Nal})-cyclo{Lys-Arg-Gly-Asp-D-Nal} (34.9 mg) in dimethylformamide (2 mL) was added triethylamine (10 μL, 0.074 mmol) and the reaction mixture was stirred for 5 min. 2-[[[5-[[(2,5-Dioxo-1-pyrrolidinyl)oxy]carbonyl]-2-pyridinyl]-hydrazono]methyl]-benzenesulfonic acid, monosodium salt (15.2 mg, 0.0344 mmol) was added, and the reaction mixture was stirred for 18 h, then concentrated to an oil under high vacuum. The oil was purified by preparative RP-HPLC Method 1 to give 3 mg of the desired product (TFA salt). ESMS: Calcd. for C 80H100N22O20S, 1720.7; Found, 1722.6 (M+H)+1. Analytical HPLC, Method 1B, Rt==19.78 min, Purity=92%.
-
- Part A. Preparation of Cyclo{Arg(Tos)-Gly-Asp(OBzl)-Lys(Cbz)-D-Val}
- The N-terminus Boc- protecting group of the peptide sequence Boc-Asp(OBzl)-Lys(Z)-D-Val-Arg(Tos)-Gly-Oxime resin was removed using standard deprotection (25% TFA in CH 2Cl2). After eight washes with DCM, the resin was treated with 10% DIEA/DCM (2×10 min.). The resin was subsequently washed with DCM (×5) and dried under high vacuum. The resin (1.3229 g, 0.44 mmol/g) was then suspended in dimethylformamide (10 mL). Glacial acetic acid (33.3 μL, 0.582 mmol) was added, and the reaction was heated at 65° C. for 72 h. The resin was filtered, and washed with DMF (2×10 mL). The filtrate was concentrated to an oil under high vacuum. The resulting oil was triturated with ethyl acetate. The solid thus obtained was filtered, washed with ethyl acetate, dried under high vacuum, then purified by Preparative HPLC Method 2 to give 93.0 mg of the desired product as a lyophilized solid. ESMS: Calcd. for C45H59N9O11S, 933.41; Found, 934.5 [M+H]+1. Analytical HPLC, Method 1A, Rt=14.078 min, Purity=85%.
Preparative HPLC Method 2 Instrument: Rainin Rabbit; Dynamax software Column: Vydac C-18 (21.2 mm × 25 cm) Detector: Knauer VWM Flow Rate: 15 ml/min Column Temp: RT Mobile Phase: A: 0.1% TFA in H2O B: 0.1% TFA in ACN/H2O (9:1) Gradient: Time (min) % A % B 0 80 20 20 0 100 30 0 100 31 80 20 -
- Cyclo{Arg(Tos)-Gly-Asp(OBzl)-Lys(Cbz)-D-Val} (0.080 g, 0.0856 mmol) was dissolved in trifluoroacetic acid (0.6 mL) and cooled to −10° C. Trifluoromethanesulfonic acid (0.5 mL) was added dropwise, maintaining the temperature at −10° C. Anisole (0.1 mL) was added and the reaction mixture was stirred at −10° C. for 3 h. Diethyl ether was added, the reaction mixture cooled to −50° C. and stirred for 30 mins. The crude product obtained was filtered, washed with ether, dried under high vacuum and purified by Preparative HPLC Method 1, to give 44.2 mg (66%) of the desired product as a lyophilized solid. ESMS: Calcd. for C 23H41N9O7, 555.31; Found, 556.3 [M+H]+1. Analytical HPLC, Method 1B, Rt=8.959 min, Purity=92%.
- Part C. Preparation of Cyclo{Arg-Gly-Asp-Lys([2-[[[5-[carbonyl]-2-pyridinyl]hydrazono]methyl]-benzenesulfonic acid])-D-Val}
- To a solution of cyclo{Arg-Gly-Asp-Lys-D-Val} (0.036 g, 0.0459 mmol) in dimethylformamide (3 mL) was added triethylamine (19.2 μL, 0.0138 mmol) and stirred for 5 min. Methyl sulfoxide was added (0.7 mL) followed by 2-[[[5-[[(2,5-dioxo-1-pyrrolidinyl)oxy]carbonyl]-2-pyridinyl]hydrazono]methyl]-benzenesulfonic acid, monosodium salt (0.0243 g, 0.0551 mmol) and the reaction mixture stirred for 20 h. The reaction mixture was concentrated to an oil under high vacuum and purified by Preparative HPLC Method 1 to give 13.9 mg (31%) of the desired product as a lyophilized solid. HRMS: Calcd. for C 36H50N12O11S +H, 859.3443; Found, 859.3503. Analytical HPLC, Method 1B, Rt=13.479 min, Purity=92%.
- Part A. Preparation of Boc-Glu(cyclo{Lys-D-Val-Arg-Gly-Asp})-cyclo{Lys-D-Val-Arg-Gly-Asp}
- To a solution of cyclo{Lys-D-Val-Arg-Gly-Asp} (0.400 g, 0.51 mmol) in dimethylformamide (7 mL) was added triethylamine (0.21 mL, 1.53 mmol). After stirring for 5 minutes Boc-Glu(OSu)-OSu (115 mg, 0.26 mmol) was added. The reaction mixture was stirred under N 2 for 20 h, then concentrated to an oil. The product thus obtained was partially purified by preparative RP-HPLC to give 124 mg of product. ESMS: Calcd. for C56H95N19O18, 1321.71; Found, 1322.6 [M+H]+1.
-
- To a solution of the impure Boc-Glu(cyclo{Lys-D-Val-Arg-Gly-Asp})-cyclo{Lys-D-Val-Arg-Gly-Asp} (0.124 g) in methylene chloride (5 mL) was added trifluoroacetic acid (5 mL). The reaction mixture was stirred for 2 h, concentrated to an oil under high vacuum and triturated with diethyl ether. The product was filtered, washed with diethyl ether, and dried under high vacuum to give 16.2 mg of the desired product after RP-HPLC (TFA salt). ESMS: Calcd. for C 51H87N19O16, 1221.66; Found, 1222.6 [M+H]+1. Analytical HPLC, Method 1B, Rt=11.43 min, Purity=93%.
- Part C. Preparation of [2-[[[5-[carbonyl]-2-pyridinyl]hydrazono]methyl]-benzenesulfonic acid]-Glu(cyclo{Lys-D-Val-Arg-Gly-Asp})-cyclo{Lys-D-Val-Arg-Gly-Asp}
- To a solution of Glu(cyclo{Lys-D-Val-Arg-Gly-Asp})-cyclo{Lys-D-Val-Arg-Gly-Asp} (0.016 g, 0.01 mmol) in dimethylformamide (2 mL) was added triethylamine (4.2 μL) and the reaction mixture was stirred for 5 min. 2-[[[5-[[(2,5-Dioxo-1-pyrrolidinyl)oxy]carbonyl]-2-pyridinyl]hydrazono]methyl]-benzenesulfonic acid, monosodium salt (0.0063 g, 0.014 mmol) was added, and the reaction mixture was stirred for 18 h, then concentrated to an oil under high vacuum. The residue was purified by preparative RP-HPLC Method 1 to give the desired product (TFA salt). ESMS: Calcd. for C 64H96N22O20S, 1524.7; Found, 1525.7 (M+H)+1. Analytical HPLC, Method 1B, Rt==13.20 min, Purity=99%.
-
- Part A: Preparation of Cyclo{Arg(Tos)-D-Val-D-Tyr(N-Cbz-3-aminopropyl)-D-Asp(OBzl)-Gly}
- The N-terminus Boc-protecting group of the peptide sequence Boc-Arg(Tos)-D-Val-D-Tyr(N-Cbz-aminopropyl)-D-Asp(OBzl)-Gly-Oxime resin was removed using standard deprotection (50% TFA in CH 2Cl2). After washing with DCM (8×), the resin was neutralized with 10% DIEA/DCM (2×10 min). The resin was washed with DCM (5×) and dried under high vacuum overnight. The resin (1.08 g, 0.36 mmol/g) was then suspended in N,N-dimethylformamide (12 mL). Glacial acetic acid (67 mL, 1.16 mmol) was added and the reaction mixture was heated to 55° C. for 72 h. The resin was filtered and washed with DMF (3×10 mL). The filtrate was concentrated under high vacuum to give an oil. The resulting oil was triturated with ethyl acetate. The solid obtained was purified by reverse-phase HPLC (Vydac C18 column, 18 to 90% acetonitrile gradient containing 0.1% TFA, Rt=15.243 min) to afford 101 mg of a white powdered product (30%). ESMS: Calculated for C44H57N9O12S, 935.3847 Found 936.5 [M+H]+1.
-
- The protected cyclic peptide cyclo{Arg(Tos)-D-Val-D-Tyr(N-Cbz-3-aminopropyl)-D-Asp(OBzl)-Gly} (90 mg, 0.0961 mmol) was dissolved in trifluoroacetic acid (0.95 mL) and cooled to −10° C. in a dry ice/acetone bath. To this solution was added trifluoromethanesulfonic acid (0.1.16 mmol), followed by anisole (190 mL). The reaction mixture was stirred at −16° C. for 3 h. The dry ice/acetone bath was then cooled to −35° C. and cold ether (40 mL) was added to the solution. The mixture was stirred for 30 min at −35° C., then cooled to −50° C. and stirred for another 30 min. The crude product was filtered, redissolved in water/acetonitrile (1/1), lyophilized, and purified by reverse-phase HPLC (Vydac C18 Column, 1.8 to 90% acetonitrile gradient containing 0.1% TFA, R t=13.383 min) to generate 17 mg of the title product (27%). ESMS: Calculated for C29H45N9O8, 647.3391 Found 648.2 [M+H]+1.
- Part C: Preparation of {Cyclo(Arg-D-Val-D-Tyr(N-[2-[[[5-[carbonyl]-2-pyridinyl]hydrazono]methyl]-benzenesulfonic acid]-3-aminopropyl)-D-Asp-Gly}
- A solution of cyclo{Arg-D-Val-D-Tyr(3-aminopropyl)-D-Asp-Gly} (14 mg, 0.0216 mmol) in N,N-dimethylformamide (2 mL) was added triethylamine (15 mL, 0.108 mmol) and stirred at room temperature for 10 min. 2-[[[5-[[(2,5-Dioxo-1-pyrrolidinyl)oxy]carbonyl-2-pyridinyl]-hydrazono]methyl-benzenesulfonic acid, monosodium salt (11 mg, 0.0260 mmol) was added, and the mixture was stirred for 18 h. The mixture was concentrated under high vacumm and the residue was purified by reverse-phase HPLC (Vydac C18 Column, 1.8 to 90% acetonitrile gradient containing 0.1% TFA, R t=16.264 min) to afford 10 mg of a white powdered product (49%). ESMS: Calculated for C42H54N12O12S, 950.3705 Found 951.3 [M+H]+1.
-
- Part A: Preparation of Cyclo{D-Lys(Cbz)-D-Phe-D-Asp(OBzl)-Gly-Arg(Tos)}
- The N-terminus Boc- protecting group of the peptide sequence Boc-Arg(Tos)-D-Lys(Cbz)-D-Phe-D-Asp(OBzl)-Gly-Oxime resin was removed using standard deprotection (25% TFA in CH 2Cl2). After eight washes with DCM, the resin was treated with 10% DIEA/DCM (2×10 min.). The resin was subsequently washed with DCM (×5) and dried under high vacuum. The resin (1.93 g, 0.44 mmol/g) was then suspended in dimethylformamide (15 mL). Glacial acetic acid (77 μL) was added, and the reaction was heated to 60° C. for 72 h. The resin was filtered, and washed with DMF (2×10 mL). The filtrate was concentrated to an oil under high vacuum. The resulting oil was triturated with ethyl acetate. The solid thus obtained was filtered, washed with ethyl acetate, and dried under high vacuum to give the desired product which was then purified by preparative RP-HPLC (yield=252 mg). ESMS: Calcd. for C49H59N9O11S, 981.40; Found, 982.3 [M+H]+1. Analytical HPLC, Method 1A, Rt=14.577 min.
-
- Cyclo{D-Lys(Cbz)-D-Phe-D-Asp(OBzl)-Gly-Arg(Tos)} (0.152 g, 0.155 mmol) was dissolved in trifluoracetic acid (1.55 mL) and cooled to −16° C. Trifluoromethanesulfonic acid (1.86 mL) was added dropwise, maintaining the temperature at −16° C. Anisole (0.31 mL) was added and the reaction was stirred at −16° C. for 3 h. Diethyl ether was added, the reaction was cooled to −35° C., and stirred for 20 min. The crude product was filtered, washed with diethyl ether, dried under high vacuum and purified by Preparative HPLC Method 1, to give 69 mg (˜53%) of the desired product as a lyophilized solid (TFA salt). ESMS: Calcd. for C 27H41N9O7 +H, 604.3207; Found, 604.4. Analytical HPLC, Method 1B, Rt=10.35 min, Purity=93%.
- Part C: Preparation of Cyclo{D-Lys([2-[[[5-[carbonyl]-2-pyridinyl]hydrazono]methyl]-benzenesulfonic acid])-D-Phe-D-Asp-Gly-Arg} TFA Salt
- Cyclo{D-Lys-D-Phe-D-Asp-Gly-Arg} TFA salt (0.056 g, 0.0673 mmol) was dissolved in DMF (2 mL). Triethylamine (28 μL, 0.202 mmol) was added, and after 5 min of stirring 2-[[[5-[[(2,5-dioxo-1-pyrrolidinyl)oxy]carbonyl]-2-pyridinyl]hydrazono]-methyl]-benzenesulfonic acid, monosodium salt (0.029 g, 0.0673 mmol) was added. The reaction mixture was stirred for 70 h and then concentrated to an oil under high vacuum. The oil was purified by preparative HPLC Method 1 to give 14 mg (78%) of the desired product as a lyophilized solid (TFA salt). ESMS: Calcd. for C 40H50N12O11S +H, 907.3521; Found, 907.3. Analytical HPLC, Method 1B, Rt=14.17 min, Purity=99%.
-
- Part A. Preparation of Boc-Glu(cyclo{D-Lys-D-Phe-D-Asp-Gly-Arg})-cyclo{D-Lys-D-Phe-D-Asp-Gly-Arg}
- To a solution of cyclo(D-Lys-D-Phe-D-Asp-Gly-Arg) (0.190 g, 0.228 mmol) in dimethylformamide (5 mL) was added triethylamine (95 μL, 0.684 mmol). After stirring for 5 minutes Boc-Glu(OSu)-OSu (0.050 g, 0.114 mmol) was added. The reaction mixture was stirred under N 2 for 20 h, then concentrated to an oil under high vacuum and triturated with ethyl acetate. The product thus obtained was filtered, washed with ethyl acetate, and dried under high vacuum to give 172 mg of the desired product in crude form. ESMS: Calcd. for C64H95N19O18, 1417.71; Found, 1418.7 [M+H]+1. Analytical HPLC, Method 1B, Rt=16.8 min.
-
- To a solution of the crude Boc-Glu(cyclo{D-Lys-D-Phe-D-Asp-Gly-Arg})-cyclo{D-Lys-D-Phe-D-Asp-Gly-Arg} (0.172 g) in methylene chloride (4.5 mL) was added trifluoroacetic acid (4.5 mL). The reaction mixture was stirred for 2 h, concentrated to an oil under high vacuum and triturated with diethyl ether. The product was filtered, washed with diethyl ether, and dried under high vacuum to give 38 mg of the desired product after RP-HPLC as a lyophilized solid (TFA salt). ESMS: Calcd. for C 59H87N19O16, 1317.66; Found, 1318.9 [M+H]+1. Analytical HPLC, Method 1B, Rt=13.06 min, Purity=93%.
-
- To a solution of Glu(cyclo{D-Lys-D-Phe-D-Asp-Gly-Arg})-cyclo{D-Lys-D-Phe-D-Asp-Gly-Arg} (0.025 g, 0.015 mmol) in dimethylformamide (2 mL) was added triethylamine (6.3 μL, 0.045 mmol) and the reaction mixture was stirred for 5 min. 2-[[[5-[[(2,5-Dioxo-1-pyrrolidinyl)oxy]carbonyl]-2-pyridinyl]hydrazono]methyl]-benzenesulfonic acid, monosodium salt (0.0092 g, 0.0210 mmol) was added, and the reaction mixture was stirred for 18 h, then concentrated to an oil under high vacuum. The oil was purified by Preparative HPLC Method 1 to give 12.5 mg of the desired product as a lyophilized solid (TFA salt). ESMS: Calcd. for C 72H96N22O20S, 1620.7; Found, 1622.5 (M+H)+1. Analytical HPLC, Method 1B, Rt==14.62 min, Purity=96%.
-
- Part A. Preparation of Cyclo{D-Phe-D-Lys(Cbz)-D-Asp(OBzl)-Gly-Arg(Tos)}
- The N-terminus Boc- protecting group of the peptide sequence Boc-Arg(Tos)-D-Phe-D-Lys(Cbz)-D-Asp(OBzl)-Gly-Oxime resin was removed using standard deprotection (25% TFA in CH 2Cl2). After eight washes with DCM, the resin was treated with 10% DIEA/DCM (2×10 min.). The resin was subsequently washed with DCM (×5) and dried under high vacuum. The resin (1.5 g, 0.44 mmol/g) was then suspended in dimethylformamide (12 mL). Glacial acetic acid (61 μL) was added, and the reaction was heated to 60° C. for 72 h. The resin was filtered, and washed with DMF (2×10 mL). The filtrate was concentrated to an oil under high vacuum. The resulting oil was triturated with ethyl acetate. The solid thus obtained was filtered, washed with ethyl acetate, and dried under high vacuum to give the desired product (yield=370 mg). ESMS: Calcd. for C49H59N9O11S, 981.40; Found, 982.4 [M+H]+1. Analytical HPLC, Method 1A, Rt=14.32 min (purity 60%).
-
- The crude cyclo{D-Phe-D-Lys(Cbz)-D-Asp (OBzl)-Gly-Arg(Tos)} (0.146 g) was dissolved in trifluoracetic acid (1.5 mL) and cooled to −16° C. Trifluoromethanesulfonic acid (1.8 mL) was added dropwise, maintaining the temperature at −16° C. Anisole (0.3 mL) was added and the reaction was stirred at −16° C. for 3 h. Diethyl ether was added, the reaction was cooled to −35° C., and stirred for 20 min. The crude product was filtered, washed with diethyl ether, dried under high vacuum and purified by Preparative HPLC Method 1, to give 100 mg of the desired product as a lyophilized solid (TFA salt). ESMS: Calcd. for C 27H41N9O7 +H, 604.3; Found, 604.3. Analytical HPLC, Method 1B, Rt=10.25 min, Purity 90%.
- Part C. Preparation of Cyclo{D-Phe-D-Lys([2-[[[5-[carbonyl]-2-pyridinyl]hydrazono]methyl]-benzenesulfonic acid])-D-Asp-Gly-Arg}
- Cyclo{D-Phe-D-Lys-D-Asp-Gly-Arg} TFA salt (0.090 g, 0.108 mmol) was dissolved in DMF (2 mL). Triethylamine (45 μL, 0.324 mmol) was added, and after 5 min of stirring 2-[[[5-[[(2,5-dioxo-1-pyrrolidinyl)oxy]carbonyl]-2-pyridinyl]hydrazono]-methyl]-benzenesulfonic acid, monosodium salt (0.048 g, 0.108 mmol) was added. The reaction mixture was stirred for 70 h and then concentrated to an oil under high vacuum. The oil was purified by Preparative HPLC Method 1 to give 10 mg of the desired product as a lyophilized solid (TFA salt). ESMS: Calcd. for C 40H50N12O11S +H, 907.4; Found, 907.3. Analytical HPLC, Method 1B, Rt=13.47 min, Purity=89%.
-
- Part A: Preparation of Cyclo{N-Me-Arg(Tos)-Gly-Asp(OBzl)-ATA-D-Lys(Cbz)}
- The N-terminus Boc-protecting group of the peptide sequence Boc-Asp(OBzl)-ATA-D-Lys(Z)-N-Me-Arg(Tos)-Gly-Oxime resin was removed using standard deprotection (50% TFA in CH 2Cl2). After washing with DCM (8×), the resin was treated with 10% DIEA/DCM (2×10 min). The resin was washed with DCM (5×) and dried under high vacuum overnight. The resin (1.24 g, 0.39 mmol/g) was then suspended in DMF (12 mL). Glacial acetic acid (67 mL, 1.16 mmol) was added and the reaction mixture was heated at 50° C. for 72 h. The resin was filtered and washed with DMF (3×10 mL). The filtrate was concentrated under high vacuum to give an oil. The resulting oil was triturated with ethyl acetate. The solid obtained was purified by reverse-phase HPLC (Vydac C18 column, 18 to 90% acetonitrile gradient containing 0.1% TFA, Rt=14.129 min) to afford 42 mg (9%) of the desired product as a lyophilized solid. ESMS: Calculated for C46H56N10O11S2, 988.3571 Found 989.4 [M+H]+1.
-
- Cyclo{N-Me-Arg(Tos)-Gly-Asp(OBzl)-ATA-D-Lys(Cbz)} (36 mg, 0.0364 mmol) was dissolved in trifluoroacetic acid (0.364 mL) and cooled to −10° C. in a dry ice/acetone bath. To this solution was added trifluoromethanesulfonic acid (0.437 mmol), followed by anisole (70 mL). The reaction mixture was stirred at −10° C. for 3 h. The dry ice/acetone bath was then cooled to −35° C. and cold ether (40 mL) was added to the solution. The mixture was stirred for 30 min at −35° C., then cooled further to −50° C. and stirred for another 30 min. The crude product was filtered, redissolved in water/acetonitrile (1/1), and lyophilized to generate 35 mg of the title product (100%). ESMS: Calculated for C 24H38N10O7S, 610.2646 Found 611.4 [M+H]+1.
- Part C: Preparation of Cyclo{N-Me-Arg-Gly-Asp-ATA-D-Lys([2-[[[5-[carbonyl]-2-pyridinyl]hydrazono]methyl]-benzenesulfonic acid])}
- To a solution of cyclo{N-Me-Arg-Gly-Asp-ATA-D-Lys} (31 mg, 0.051 mmol) in DMF (2 mL) was added triethylamine (28 mL, 0.204 mmol) and the reaction mixture stirred at room temperature for 10 min. 2-[[[5-[[(2,5-Dioxo-1-pyrrolidinyl)-oxy]carbonyl-2-pyridinyl]hydrazono]methyl-benzenesulfonic acid, monosodium salt (27 mg, 0.0612 mmol) was added, the mixture stirred for 18 h and then concentrated under high vacuum. The residue obtained was purified by reverse-phase HPLC (Shandon HS-BDS column, 3 to 10% acetonitrile, R t=13.735 min) to afford 4 mg (8.8%) of the desired product as a lyophilized solid. ESMS: Calculated for C37H47N13O11S2, 913.2959 Found 914.5 [M+H]+1.
-
- Part A. Preparation of Cyclo{Cit-Gly-Asp(OtBu)-D-Phe-Lys(Boc)}
- The peptide Asp(OtBu)-D-Phe-Lys(Boc)-Cit-Gly was obtained by automated solid phase peptide synthesis using Fmoc chemistry (see general procedure). A 100 mL round bottom flask was charged with HBTU (271 mg, 0.71 mmol) and DMF (10 mL). The solution was stirred at 60° C. for 5 min. To this a solution of Asp(OtBu)-D-Phe-Lys(Boc)-Cit-Gly (0.456 g) and Hunig's base (0.27 mL, 1.53 mmol.) in DMF (10 mL) was added and the solution stirred at 60° C. for 4 h under nitrogen. The solvent was then removed in vacuo and the residue was triturated with ethyl acetate. The solids were filtered and washed with ethyl acetate (3×6 mL) and dried in vacuo to give the desired product (305 mg, 78%). ESMS: Calcd. for C 36H56N8O10, 760.4; Found, 761.4 [M+H]+1. Analytical HPLC, Method 1A, Rt=11.8 min (purity 99%).
-
- A solution of cyclo{Cit-Gly-Asp(OtBu)-D-Phe-Lys(Boc)} (287 mg, 0.38 mmol), TFA (6 mL), triisopropylsilane (0.25 mL) and water (0.25 mL) was stirred at room temperature under nitrogen for 4 h. The solvents were removed in vacuo (over 3 h) and the residue triturated with diethyl ether, filtered and washed with ether to give the desired product (315 mg) (TFA salt). ESMS: Calcd. for C 27H40N8O8, 604.3; Found, 605.4 [M+H]+1. Analytical HPLC, Method 1B, Rt=9.6 min, Purity=97%.
- Part C. Preparation of Cyclo{Cit-Gly-Asp-D-Phe-Lys([2-[[[5-[carbonyl]-2-pyridinyl]hydrazono]methyl]-benzenesulfonic acid])}
- Cyclo{Cit-Gly-Asp-D-Phe-Lys} TFA salt (0.044 g) was dissolved in DMF (2 mL). Triethylamine (22 μL, 0.156 mmol) was added, and after 5 min of stirring 2-[[[5-[[(2,5-dioxo-1-pyrrolidinyl)oxy]carbonyl]-2-pyridinyl]hydrazono]-methyl]-benzenesulfonic acid, monosodium salt (0.032 g, 0.073 mmol) was added. The reaction mixture was stirred overnight, under nitrogen, and then concentrated under high vacuum. The residue was purified by preparative RP-HPLC Method 1 to give 37 mg (70%) of the desired product as a lyophilized solid (TFA salt). ESMS: Calcd. for C 40H49N11O12S, 907.3; Found, 908.4 [M+H]+1. Analytical HPLC, Method 1B, Rt=14.15 min, Purity=99%.
-
-
- A solution of tert-butyl (1,4,7,10-tetraaza-4,7-bis(((tert-butyl)oxycarbonyl)methyl)cyclododecyl)acetate (0.922 g, 1.79 mmol), TEA (1.8 mL) and benzyl bromoacetate (0.86 mL, 5.37 mmol) in anhydrous DMF (24 mL) was stirred at ambient temperatures under a nitrogen atmosphere for 24 h. The DMF was removed under vacuum and the resulting oil was dissolved in EtOAc (300 mL). This solution was washed consecutively with water (2×50 mL) and saturated NaCl (50 mL), dried (MgSO 4), and concentrated to give the title compound as an amorphous solid (1.26 g). MS: m/e 663.5 [M+H].
- Part B. Preparation of 2-(1,4,7,10-tetraaza-4,7,10-tris(((tert-butyl)oxycarbonyl)methyl)cyclododecyl)acetic acid
- The product from Part A, above (165 mg, 0.25 mmol) was hydrogenolyzed over 10% Pd on carbon (50 mg) in EtOH (15 mL) at 60 psi for 24 h. The catalyst was removed by filtration through filter aid and washed with EtOH. The filtrates were concentrated to give the title compound as an amorphous solid (134 mg, 94%). MS: m/e 573.5 [M+H].
-
-
- To a solution of tris(t-butyl)-1,4,7,10-tetra-azacyclododecane-1,4,7,10-tetraacetic acid (28 mg, 0.049 mmol) and Hunig's base (14 μL) in DMF (2 mL) was added HBTU (17 mg, 0.0456 mmol) and the mixture stirred for 5 min. To this was added a solution of Glu(cyclo{Lys-Arg-Gly-Asp-D-Phe})-cyclo{Lys-Arg-Gly-Asp-D-Phe} (54.1 mg, 0.0326 mmol) in DMF (1 mL) and the reaction mixture allowed to stir under nitrogen at room temperature for 4 h. The solvent was removed in vacuo and the residue purified by preparative RP-HPLC to give the product as a lyophilized solid (18.3 mg) (TFA salt). ESMS: Calcd. for C 87H137N23O23, 1872.0; Found, 937.2 [M+2H]+2. Analytical HPLC, Method 1B, Rt=19.98 min, Purity=99%.
- Part B. Preparation of 2-(1,4,7,10-tetraaza-4,7,10-tris(carboxymethyl)-1-cyclododecyl)acetyl-Glu(cyclo{Lys-Arg-Gly-Asp-D-Phe})-cyclo{Lys-Arg-Gly-Asp-D-Phe}
- A solution of 2-(1,4,7,10-tetraaza-4,7,10-tris(t-butoxycarbonylmethyl)-1-cyclododecyl)acetyl-Glu(cyclo{Lys-Arg-Gly-Asp-D-Phe})-cyclo{Lys-Arg-Gly-Asp-D-Phe} (18.3 mg, 8.71 mmol) in TFA (3 mL) was stirred at room temperature under nitrogen for 5 h. The solution was concentrated in vacuo and the residue was purified by preparative RP-HPLC to give 8 mg (45%) of the desired product as the lyophilized solid (TFA salt). ESMS: Calcd. for C 75H113N23O23, 1703.8; Found, 853.0 [M+2H]+2. Analytical HPLC, Method 1B, Rt=13.13 min, Purity=99%.
-
- To a solution of cyclo{Arg-Gly-Asp-D-Phe-Lys} (0.050 g, 0.0601 mmol) in DMF (2 mL) was added triethylamine (41.9 μL, 0.301 mmol). This solution was added dropwise over 4 h to a solution of diethylenetriaminepentaacetic dianhydride (0.1074 g, 0.301 mmol) in DMF (2 mL) and methyl sulfoxide (2 mL). The reaction mixture was then stirred for 16 h, concentrated to an oil under high vacuum and purified by Preparative HPLC Method 1 to give 29.9 mg (46%) of the desired product as a lyophilized solid. ESMS: Calcd. for C 41H62N12O16, 978.4; Found, 977.5 (M−H+). Analytical HPLC, Method 1B, Rt=11.916 min. Purity=100%.
-
- The oil obtained in Example 9 upon purification by Preparative HPLC Method 1, also gave 21.5 mg (21%) of the title product as a lyophilized solid. ESMS: Calcd. for C 68H101N21O22, 1563.7; Found, 1562.8 (M−H+). Analytical HPLC, Method 1B, Rt=15.135 min, Purity=93%.
-
- To a solution of cyclo{Arg-Gly-Asp-D-Tyr(3-aminopropyl)-Val} (0.050 g, 0.0571 mmol) in dimethylformamide (2 mL) was added triethylamine (39.8 μL, 0.286 mmol). This solution was added dropwise over 5 h to a solution of diethylenetriamine-pentaacetic dianhydride (0.1020 g, 0.286 mmol) in methyl sulfoxide (2 mL). The reaction mixture was stirred for an additional 18 h, then concentrated to an oil under high vacuum and purified by Preparative HPLC Method 1 to give 41.9 mg (65%) of the desired product as a lyophilized solid. ESMS: Calcd. for C 43H66N12O17, 1022.5; Found, 1021.4 (M−H+). Analytical HPLC, Method 1B, Rt=15.690 min, Purity=96%.
-
- Part A: Preparation of Cyclo{Orn(d-N-1-Tos-2-Imidazolinyl)-Gly-Asp(OBzl)-D-Tyr (N-Cbz-3-aminopropyl)-Val}
- The N-terminus Boc- protecting group of the peptide sequence Boc-Asp (OBzl)-D-Tyr (N-Cbz-aminopropyl)-Val-Orn (d-N-1-Tos-2-Imidazolinyl)-Gly-Oxime resin is removed using standard deprotection (25% TFA in CH 2Cl2). After eight washes with DCM, the resin is treated with 10% DIEA/DCM (2×10 min.). The resin is subsequently washed with DCM (×5) and dried under high vacuum. The resin (1.75 g, 0.55 mmol/g) is then suspended in dimethylformamide (15 mL). Glacial acetic acid (55.0 μL, 0.961 mmol) is added, and the reaction mixture is heated at 50° C. for 72 h. The resin is filtered, and washed with DMF (2×10 mL). The filtrate is concentrated to an oil under high vacuum. The resulting oil is triturated with ethyl acetate. The solid is filtered, washed with ethyl acetate, and is dried under high vacuum to obtain the desired product.
- Part B: Preparation of Cyclo{Orn(d-N-2-Imidazolinyl)-Gly-Asp-D-Tyr(3-aminopropyl)-Val}. Trifluoroacetic Acid Salt
- Cyclo{Orn(d-N-1-Tos-2-Imidazolinyl)-Gly-Asp(OBzl)-D-Tyr(N-Cbz-3-aminopropyl)-Val) (0.146 mmol) is dissolved in trifluoroacetic acid (0.6 mL) and cooled to −10° C. Trifluoromethanesulfonic acid (0.5 mL) is added dropwise, maintaining the temperature at −10° C. Anisole (0.1 mL) is added and the reaction mixture is stirred at −10° C. for 3 h. Diethyl ether is added, the reaction mixture cooled to −35° C. and then stirred for 30 min. The reaction mixture is cooled further to −50° C. and stirred for 30 min. The crude product is filtered, washed with diethyl ether, dried under high vacuum, and is purified by preparative HPLC to obtain the desired product.
- Part C. Preparation of Cyclo{Orn(d-N-2-Imidazolinyl)-Gly-Asp-D-Tyr(N-[2-[[[5-[carbonyl]-2-pyridinyl]hydrazono]methyl]-benzenesulfonic acid]-3-aminopropyl)-Val}
- Cyclo{Orn(d-N-2-Imidazolinyl)-Gly-Asp-D-Tyr(3-aminopropyl)-Val} trifluoroacetic acid salt (0.0228 mmol) is dissolved in DMF (1 mL). Triethylamine (0.0648 mmol) is added, and after 5 min of stirring 2-[[[5-[[(2,5-dioxo-1-pyrrolidinyl)oxy]carbonyl]-2-pyridinyl]hydrazono]methyl]-benzenesulfonic acid, monosodium salt (0.0274 mmol) is added. The reaction mixture is stirred for 1-2 days, and then concentrated to an oil under high vacuum. The oil is purified by preparative HPLC to obtain the desired product.
-
- The N-terminus Boc- protecting group of the peptide sequence Boc-Asp(OBzl)-D-Tyr(N-Cbz-aminopropyl)-Val-Lys(Tfa)-Gly-Oxime resin is removed using standard deprotection (25% TFA in CH 2Cl2). After eight washes with DCM, the resin is treated with 10% DIEA/DCM (2×10 min.). The resin is subsequently washed with DCM (×5) and dried under high vacuum. The resin (1.75 g, 0.55 mmol/g) is then suspended in dimethylformamide (15 mL). Glacial acetic acid (55.0 μL, 0.961 mmol) is added, and the reaction mixture is heated at 50° C. for 72 h. The resin is filtered, and washed with DMF (2×10 mL). The filtrate is concentrated to an oil under high vacuum. The resulting oil is triturated with ethyl acetate. The solid thus obtained is filtered, washed with ethyl acetate, and is dried under high vacuum to obtain the desired product.
- Part B: Preparation of Cyclo{Lys(Tfa)-Gly-Asp-D-Tyr(3-aminopropyl)-Val} Trifluoroacetic Acid Salt
- Cyclo{Lys(Tfa)-Gly-Asp(OBzl)-D-Tyr(N-Cbz-3-aminopropyl)-Val} (0.146 mmol) is dissolved in trifluoroacetic acid (0.6 mL) and cooled to −10° C. Trifluoromethanesulfonic acid (0.5 mL) is added dropwise, maintaining the temperature at −10° C. Anisole (0.1 mL) is added and the reaction mixture is stirred at −10° C. for 3 h. Diethyl ether is added, the reaction mixture cooled to −35° C. and then stirred for 30 min. The reaction mixture is cooled further to −50° C. and stirred for 30 min. The crude product obtained is filtered, washed with diethyl ether, dried under high vacuum, and is purified by preparative HPLC to obtain the desired product.
- Part C. Preparation of Cyclo{Lys-Gly-Asp-D-Tyr(N-[2-[[[5-[carbonyl]-2-pyridinyl]hydrazono]methyl]-benzenesulfonic acid]-3-aminopropyl)-Val}
- Cyclo{Lys(Tfa)-Gly-Asp-D-Tyr(3-aminopropyl)-Val} trifluoroacetic acid salt (0.0228 mmol) is dissolved in DMF (1 mL). Triethylamine (0.0648 mmol) is added, and after 5 min of stirring 2-[[[5-[[(2,5-dioxo-1-pyrrolidinyl)oxy]carbonyl]-2-pyridinyl]hydrazono]methyl]-benzenesulfonic acid, monosodium salt (0.0274 mmol) is added. The reaction mixture is stirred for 1-2 days, and then concentrated to an oil under high vacuum. The oil is treated with 20% piperidine in DMF, and the crude material is purified by preparative HPLC to obtain the desired product.
-
- Part A: Preparation of Cyclo{Cys(2-N-Tfa-aminoethyl)-Gly-Asp(OBzl)-D-Tyr(N-Cbz-3-aminopropyl)-Val}
- The N-terminus Boc- protecting group of the peptide sequence Boc-Asp(OBzl)-D-Tyr(N-Cbz-aminopropyl)-Val-Cys(2-N-Tfa-aminoethyl)-Gly-Oxime resin is removed using standard deprotection (25% TFA in CH 2Cl2). After eight washes with DCM, the resin is treated with 10% DIEA/DCM (2×10 min.). The resin is subsequently washed with DCM (×5) and dried under high vacuum. The resin (1.75 g, 0.55 mmol/g) is then suspended in dimethylformamide (15 mL). Glacial acetic acid (55.0 μL, 0.961 mmol) is added, and the reaction mixture is heated at 50° C. for 72 h. The resin is filtered, and washed with DMF (2×10 mL). The filtrate is concentrated to an oil under high vacuum. The resulting oil is triturated with ethyl acetate. The solid thus obtained is filtered, washed with ethyl acetate, and dried under high vacuum to obtain the desired product.
- Part B: Preparation of Cyclo{Cys(2-N-Tfa-aminoethyl)-Gly-Asp-D-Tyr(3-aminopropyl)-Val}. Trifluoroacetic Acid Salt
- Cyclo{Cys(2-N-Tfa-aminoethyl)-Gly-Asp(OBzl)-D-Tyr(N-Cbz-3-aminopropyl)-Val} (0.146 mmol) is dissolved in trifluoroacetic acid (0.6 mL) and cooled to −10° C. Trifluoromethanesulfonic acid (0.5 mL) is added dropwise, maintaining the temperature at −10° C. Anisole (0.1 mL) is added and the reaction mixture is stirred at −10° C. for 3 h. Diethyl ether is added, the reaction mixture cooled to −35° C. and then stirred for 30 min. The reaction mixture is cooled further to −50° C. and stirred for 30 min. The crude product obtained is filtered, washed with diethyl ether, dried under high vacuum, and is purified by preparative HPLC to obtain the desired product.
- Part C. Preparation of Cyclo{Cys(2-aminoethyl)-Gly-Asp-D-Tyr(N-[2-[[[5-[carbonyl]-2-pyridinyl]hydrazono]methyl]-benzenesulfonic acid]-3-aminopropyl)-Val}
- Cyclo{Cys(2-N-Tfa-aminoethyl)-Gly-Asp-D-Tyr(3-aminopropyl)-Val} trifluoroacetic acid salt (0.0228 mmol) is dissolved in DMF (1 mL). Triethylamine (9.5 μL, 0.0648 mmol) is added, and after 5 min of stirring 2-[[[5-[[(2,5-dioxo-1-pyrrolidinyl)oxy]carbonyl]-2-pyridinyl]hydrazono]methyl]-benzenesulfonic acid, monosodium salt (0.0121 g, 0.0274 mmol) is added. The reaction mixture is stirred for 1-2 days, and then concentrated to an oil under high vacuum. The oil is treated with 20% piperidine in DMF, and the crude material is purified by preparative HPLC to obtain the desired product.
-
- Part A: Preparation of Cyclo{HomoLys(Tfa)-Gly-Asp(OBzl)-D-Tyr(N-Cbz-3-aminopropyl)-Val}
- The N-terminus Boc- protecting group of the peptide sequence Boc-Asp (OBzl)-D-Tyr (N-Cbz-aminopropyl)-Val-HomoLys(Tfa)-Gly-Oxime resin is removed using standard deprotection (25% TFA in CH 2Cl2). After eight washes with DCM, the resin is treated with 10% DIEA/DCM (2×10 min). The resin is subsequently washed with DCM (×5) and dried under high vacuum. The resin (1.75 g, 0.55 mmol/g) is then suspended in dimethylformamide (15 mL). Glacial acetic acid (55.0 μL, 0.961 mmol) is added, and the reaction mixture is heated at 50° C. for 72 h. The resin is filtered, and washed with DMF (2×10 mL). The filtrate is concentrated to an oil under high vacuum. The resulting oil is triturated with ethyl acetate. The solid thus obtained is filtered, washed with ethyl acetate, and dried under high vacuum to obtain the desired product.
- Part B: Preparation of Cyclo{HomoLys(Tfa)-Gly-Asp-D-Tyr(3-aminopropyl)-Val}, Trifluoroacetic Acid Salt
- Cyclo{HomoLys(Tfa)-Gly-Asp(OBzl)-D-Tyr(N-Cbz-3-aminopropyl)-Val} (0.146 mmol) is dissolved in trifluoroacetic acid (0.6 mL) and cooled to −10° C. Trifluoromethanesulfonic acid (0.5 mL) is added dropwise, maintaining the temperature at −10° C. Anisole (0.1 mL) is added and the reaction mixture is stirred at −10° C. for 3 h. Diethyl ether is added, the reaction mixture cooled to −35° C. and then stirred for 30 min. The reaction mixture is cooled further to −50° C. and stirred for 30 min. The crude product obtained is filtered, washed with diethyl ether, dried under high vacuum, and is purified by preparative HPLC to obtain the desired product.
- Part C. Preparation of Cyclo{HomoLys-Gly-Asp-D-Tyr(N-[2-[[[5-[carbonyl]-2-pyridinyl]hydrazono]methyl]-benzenesulfonic acid]-3-aminopropyl)-Val}
- Cyclo{HomoLys(Tfa)-Gly-Asp-D-Tyr(3-aminopropyl)-Val} trifluoroacetic acid salt (0.0228 mmol) is dissolved in DMF (1 mL). Triethylamine (9.5 μL, 0.0648 mmol) is added, and after 5 min of stirring 2-[[[5-[[(2,5-dioxo-1-pyrrolidinyl)oxy]carbonyl]-2-pyridinyl]hydrazono]methyl]-benzenesulfonic acid, monosodium salt (0.0121 g, 0.0274 mmol) is added. The reaction mixture is stirred for 1-2 days, and then concentrated to an oil under high vacuum. The oil is treated with 20% piperidine in DMF, and the crude material is purified by preparative HPLC to obtain the desired product.
-
- Part A: Preparation of Cyclo{Orn(d-N-Benzylcarbamoyl)-Gly-Asp(OBzl)-D-Tyr(N-Cbz-3-aminopropyl)-Val}
- The N-terminus Boc- protecting group of the peptide sequence Boc-Asp(OBzl)-D-Tyr(N-Cbz-aminopropyl)-Val-Orn(d-N-Benzylcarbamoyl)-Gly-Oxime resin is removed using standard deprotection (25% TFA in CH 2Cl2) After eight washes with DCM, the resin is treated with 10% DIEA/DCM (2×10 min.). The resin is subsequently washed with DCM (×5) and dried under high vacuum. The resin (1.75 g, 0.55 mmol/g) is then suspended in dimethylformamide (15 mL). Glacial acetic acid (55.0 μL, 0.961 mmol) is added, and the reaction mixture is heated at 50° C. for 72 h. The resin is filtered, and washed with DMF (2×10 mL). The filtrate is concentrated to an oil under high vacuum. The resulting oil is triturated with ethyl acetate. The solid thus obtained is filtered, washed with ethyl acetate, and dried under high vacuum to obtain the desired product.
- Part B: Preparation of Cyclo{Orn(d-N-Benzylcarbamoyl)-Gly-Asp-D-Tyr(3-aminopropyl)-Val}. Trifluoroacetic Acid Salt
- Cyclo{Orn(d-N-Benzylcarbamoyl)-Gly-Asp(OBzl)-D-Tyr(N-Cbz-3-aminopropyl)-Val} (0.146 mmol) is dissolved in trifluoroacetic acid (0.6 mL) and cooled to −10° C. Trifluoromethanesulfonic acid (0.5 mL) is added dropwise, maintaining the temperature at −10° C. Anisole (0.1 mL) is added and the reaction mixture is stirred at −10° C. for 3 h. Diethyl ether is added, the reaction mixture cooled to −35° C. and then stirred for 30 min. The reaction mixture is cooled further to −50° C. and stirred for 30 min. The crude product obtained is filtered, washed with diethyl ether, dried under high vacuum, and is purified by preparative HPLC to obtain the desired product.
- Part C. Preparation of Cyclo{Orn(d-N-Benzylcarbamoyl)-Gly-Asp-D-Tyr(N-[2-[[[5-[carbonyl]-2-pyridinyl]hydrazono]methyl]-benzenesulfonic acid]-3-aminopropyl)-Val}
- Cyclo{Orn(d-N-Benzylcarbamoyl)-Gly-Asp-D-Tyr(3-aminopropyl)-Val} trifluoroacetic acid salt (0.0228 mmol) is dissolved in DMF (1 mL). Triethylamine (9.5 μL, 0.0648 mmol) is added, and after 5 min of stirring 2-[[[5-[[(2,5-dioxo-1-pyrrolidinyl)oxy]carbonyl]-2-pyridinyl]hydrazono]methyl]-benzenesulfonic acid, monosodium salt (0.0121 g, 0.0274 mmol) is added. The reaction mixture is stirred for 1-2 days, and then concentrated to an oil under high vacuum. The oil is purified by preparative HPLC to obtain the desired product.
-
- Part A: Preparation of Cyclo{Dap(b-(1-Tos-2-benzimidazolylacetyl))-Gly-Asp(OBzl)-D-Tyr(N-Cbz-3-aminopropyl)-Val}
- The N-terminus Boc- protecting group of the peptide sequence Boc-Asp(OBzl)-D-Tyr(N-Cbz-aminopropyl)-Val-Dap(b-(1-Tos-2-benzimidazolylacetyl))-Gly-Oxime resin is removed using standard deprotection (25% TFA in CH 2Cl2). After eight washes with DCM, the resin is treated with 10% DIEA/DCM (2×10 min.). The resin is subsequently washed with DCM (×5) and dried under high vacuum. The resin (1.75 g, 0.55 mmol/g) is then suspended in dimethylformamide (15 mL). Glacial acetic acid (55.0 μL, 0.961 mmol) is added, and the reaction-mixture is heated at 50° C. for 72 h. The resin is filtered, and washed with DMF (2×10 mL). The filtrate is concentrated to an oil under high vacuum. The resulting oil is triturated with ethyl acetate. The solid thus obtained is filtered, washed with ethyl acetate, and dried under high vacuum to obtain the desired product.
- Part B: Preparation of Cyclo{Dap(b-(2-benzimidazolylacetyl))-Gly-Asp-D-Tyr(3-aminopropyl)-Val}. Trifluoroacetic Acid Salt
- Cyclo{Dap(b-(1-Tos-2-benzimidazolylacetyl))-Gly-Asp(OBzl)-D-Tyr(N-Cbz-3-aminopropyl)-Val} (0.146 mmol) is dissolved in trifluoroacetic acid (0.6 mL) and cooled to −10° C. Trifluoromethanesulfonic acid (0.5 mL) is added dropwise, maintaining the temperature at −10° C. Anisole (0.1 mL) is added and the reaction mixture is stirred at −10° C. for 3 h. Diethyl ether is added, the reaction mixture cooled to −35° C. and then stirred for 30 min. The reaction mixture is cooled further to −50° C. and stirred for 30 min. The crude product obtained is filtered, washed with diethyl ether, dried under high vacuum, and purified by preparative HPLC to obtain the desired product.
- Part C. Preparation of Cyclo{(Dap(b-(2-benzimidazolylacetyl))-Gly-Asp-D-Tyr(N-[2-[[[5-[carbonyl]-2-pyridinyl]hydrazono]methyl]-benzenesulfonic acid]-3-aminopropyl)-Val}
- Cyclo{Dap(b-(2-benzimidazolylacetyl))-Gly-Asp-D-Tyr(3-aminopropyl)-Val} trifluoroacetic acid salt (0.0228 mmol) is dissolved in DMF (1 mL). Triethylamine (9.5 μL, 0.0648 mmol) is added, and after 5 min of stirring 2-[[[5-[[(2,5-dioxo-1-pyrrolidinyl)oxy]carbonyl]-2-pyridinyl]hydrazono]methyl]-benzenesulfonic acid, monosodium salt (0.0121 g, 0.0274 mmol) is added. The reaction mixture is stirred for 1-2 days, and then concentrated to an oil under high vacuum. The oil is purified by the method described below to obtain the desired product.
-
- Part A: Preparation of Cyclo{Orn(d-N-1-Tos-2-Imidazolinyl)-Gly-Asp(OBzl)-D-Phe-Lys(Cbz)}
- The N-terminus Boc- protecting group of the peptide sequence Boc-Asp(OBzl)-D-Phe-Lys(Z)-Orn(d-N-1-Tos-2-Imidazolinyl)-Gly-Oxime resin is removed using standard deprotection (25% TFA in CH 2Cl2). After eight washes with DCM, the resin is treated with 10% DIEA/DCM (2×10 min.). The resin is subsequently washed with DCM (×5) and dried under high vacuum. The resin (1.75 g, 0.55 mmol/g) is then suspended in dimethylformamide (15 mL). Glacial acetic acid (55.0 μL, 0.961 mmol) is added, and the reaction mixture is heated at 50° C. for 72 h. The resin is filtered, and washed with DMF (2×10 mL). The filtrate is concentrated to an oil under high vacuum. The resulting oil is triturated with ethyl acetate. The solid thus obtained is filtered, washed with ethyl acetate, and dried under high vacuum to obtain the desired product.
- Part B. Preparation of Cyclo{Orn(d-N-2-Imidazolinyl)-Gly-Asp-D-Phe-Lys}
- Cyclo{Orn(d-N-1-Tos-2-Imidazolinyl)-Gly-Asp(OBzl)-D-Phe-Lys(Cbz)} (0.204 mmol) is dissolved in trifluoroacetic acid (0.6 mL) and cooled to −10° C. Trifluoromethanesulfonic acid (0.5 mL) is added dropwise, maintaining the temperature at −10° C. Anisole (0.1 mL) is added and the reaction is stirred at −10° C. for 3 h. Diethyl ether is added, the reaction is cooled to −50° C., and stirred for 1 h. The crude product is filtered, washed with diethyl ether, dried under high vacuum and purified by preparative HPLC to obtain the desires product.
- Part C. Preparation of Cyclo{Orn(d-N-2-Imidazolinyl)-Gly-Asp-D-Phe-L-Lys(N-[2-[[[5-[carbonyl]-2-pyridinyl]hydrazono]methyl]-benzenesulfonic acid])}
- Cyclo{Orn(d-N-2-Imidazolinyl)-Gly-Asp-D-Phe-Lys} TFA salt (0.0481 mmol) is dissolved in DMF (2 mL). Triethylamine (20.1 μL, 0.144 mmol) is added, and after 5 min of stirring 2-[[[5-[[(2,5-dioxo-1-pyrrolidinyl)oxy]carbonyl]-2-pyridinyl]hydrazono]-methyl]-benzenesulfonic acid, monosodium salt (0.0254 g, 0.0577 mmol) is added. The reaction mixture is stirred for 20 h and then concentrated to an oil under high vacuum. The oil is purified by preparative HPLC to obtain the desired product.
-
- Part A: Preparation of Cyclo{Orn(d-N-Benzylcarbamoyl)-Gly-Asp(OBzl)-D-Phe-Lys(Cbz)}
- The N-terminus Boc- protecting group of the peptide sequence Boc-Asp(OBzl)-D-Phe-Lys(Z)-Orn(d-N-Benzylcarbamoyl)-Gly-Oxime resin is removed using standard deprotection (25% TFA in CH 2Cl2). After eight washes with DCM, the resin is treated with 10% DIEA/DCM (2×10 min.). The resin is subsequently washed with DCM (×5) and dried under high vacuum. The resin (1.75 g, 0.55 mmol/g) is then suspended in dimethylformamide (15 mL). Glacial acetic acid (55.0 μL, 0.961 mmol) is added, and the reaction mixture is heated at 50° C. for 72 h. The resin is filtered, and washed with DMF (2×10 mL). The filtrate is concentrated to an oil under high vacuum. The resulting oil is triturated with ethyl acetate. The solid thus obtained is filtered, washed with ethyl acetate, and dried under high vacuum to obtain the desired product.
- Part B. Preparation of Cyclo{Orn(d-N-Benzylcarbamoyl)-Gly-Asp-D-Phe-Lys}
- Cyclo{Orn(d-N-Benzylcarbamoyl)-Gly-Asp(OBzl)-D-Phe-Lys(Cbz)} (0.204 mmol) is dissolved in trifluoroacetic acid (0.6 mL) and cooled to −10° C. Trifluoromethanesulfonic acid (0.5 mL) is added dropwise, maintaining the temperature at −10° C. Anisole (0.1 mL) is added and the reaction is stirred at −10° C. For 3 h. Diethyl ether is added, the reaction is cooled to −50° C., and stirred for 1 h. The crude product is filtered, washed with diethyl ether, dried under high vacuum and purified by preparative HPLC to obtain the desires product.
- Part C. Preparation of Cyclo{Orn(d-N-Benzylcarbamoyl)-Gly-Asp-D-Phe-Lys(N-[2-[[[5-[carbonyl]-2-pyridinyl]hydrazono]methyl]-benzenesulfonic acid])}
- Cyclo{Orn(d-N-Benzylcarbamoyl)-Gly-Asp-D-Phe-Lys} TFA salt (0.0481 mmol) is dissolved in DMF (2 mL). Triethylamine (20.1 μL, 0.144 mmol) is added, and after 5 min of stirring 2-[[[5-[[(2,5-dioxo-1-pyrrolidinyl)oxy]carbonyl]-2-pyridinyl]hydrazono]-methyl]-benzenesulfonic acid, monosodium salt (0.0254 g, 0.0577 mmol) is added. The reaction mixture is stirred for 20 h and then concentrated to an oil under high vacuum. The oil is purified by preparative HPLC to obtain the desired product.
-
- Part A: Preparation of Cyclo{Lys(Tfa)-D-Val-D-Tyr(N-Cbz-3-aminopropyl)-D-Asp(OBzl)-Gly}
- The N-terminus Boc-protecting group of the peptide sequence Boc-Lys(Tfa)-D-Val-D-Tyr(N-Cbz-aminopropyl)-D-Asp(OBzl)-Gly-Oxime resin is removed using standard deprotection (50% TFA in CH 2Cl2). After washing with DCM (8×), the resin is neutralized with 10% DIEA/DCM (2×10 min). The resin is washed with DCM (5×) and dried under high vacuum overnight. The resin (1.0 g, about 0.36 mmol/g) is then suspended in N,N-dimethylformamide (12 mL). Glacial acetic acid (67 mL, 1.16 mmol) is added and the reaction mixture is heated to 55° C. for 72 h. The resin is filtered and washed with DMF (3×10 mL). The filtrate is concentrated under high vacuum to give an oil. The resulting oil is triturated with ethyl acetate. The desired product is purified by reverse-phase HPLC.
- Part B: Preparation of Cyclo{Lys-D-Val-D-Tyr(3-aminopropyl)-D-Asp-Gly}, Trifuoroacetic Acid Salt
- The protected cyclic peptide cyclo{Lys(Tfa)-D-Val-D-Tyr(N-Cbz-3-aminopropyl)-D-Asp(OBzl)-Gly} (0.10 mmol) is dissolved in trifluoroacetic acid (0.95 mL) and cooled to −10° C. in a dry ice/acetone bath. To this solution is added trifluoromethanesulfonic acid (0.12 mmol), followed by anisole (190 mL). The reaction mixture is stirred at −16° C. for 3 h. The dry ice/acetone bath is then cooled to −35° C. and cold ether (40 mL) is added to the solution. The mixture is stirred for 30 min at −35° C., then cooled to −50° C. and stirred for another 30 min. The crude product is filtered, redissolved in water/acetonitrile (1/1), lyophilized, and purified by reverse-phase HPLC to give the desired product.
- Part C: Preparation of Cyclo{Lys-D-Val-D-Tyr(N-[2-[[[5-[carbonyl]-2-pyridinyl]hydrazono]methyl]-benzenesulfonic acid]-3-aminopropyl)-D-Asp-Gly}
- A solution of cyclo{Lys(Tfa)-D-Val-D-Tyr(3-aminopropyl)-D-Asp-Gly} (0.0216 mmol) in N,N-dimethylformamide (2 mL) is added triethylamine (15 mL, 0.108 mmol) and stirred at room temperature for 10 min. 2-[[[5-[[(2,5-Dioxo-1-pyrrolidinyl)oxy]carbonyl-2-pyridinyl]-hydrazono]methyl-benzenesulfonic acid, monosodium salt (0.0260 mmol) is added, and the mixture is stirred for 18 h. The mixture is concentrated under high vacumm, the oil is treated with 20% piperidine in DMF, and is again concntrated in vacuo. The residue is purified by reverse-phase HPLC to give the desired product.
-
- Part A: Preparation of Cyclo{Orn(d-N-Benzylcarbamoyl)-D-Val-D-Tyr(N-Cbz-3-aminopropyl)-D-Asp(OBzl)-Gly}
- The N-terminus Boc-protecting group of the peptide sequence Boc-Orn(d-N-Benzylcarbamoyl)-D-Val-D-Tyr(N-Cbz-aminopropyl)-D-Asp(OBzl)-Gly-Oxime resin is removed using standard deprotection (50% TFA in CH 2Cl2). After washing with DCM (8×), the resin is neutralized with 10% DIEA/DCM (2×10 min). The resin is washed with DCM (5×) and dried under high vacuum overnight. The resin (1.0 g, about 0.36 mmol/g) is then suspended in N,N-dimethylformamide (12 mL). Glacial acetic acid (67 mL, 1.16 mmol) is added and the reaction mixture is heated to 55° C. for 72 h. The resin is filtered and washed with DMF (3×10 mL). The filtrate is concentrated under high vacuum to give an oil. The resulting oil is triturated with ethyl acetate. The desired product is purified by reverse-phase HPLC.
- Part B: Preparation of Cyclo{Orn(d-N-Benzylcarbamoyl)-D-Val-D-Tyr(3-aminopropyl)-D-Asp-Gly}, Trifuoroacetic Acid Salt
- The protected cyclic peptide cyclo{Orn(d-N-Benzylcarbamoyl)-D-Val-D-Tyr(N-Cbz-3-aminopropyl)-D-Asp(OBzl)-Gly} (0.10 mmol) is dissolved in trifluoroacetic acid (0.95 mL) and cooled to −10° C. in a dry ice/acetone bath. To this solution is added trifluoromethanesulfonic acid (0.12 mmol), followed by anisole (190 mL). The reaction mixture is stirred at −16° C. for 3 h. The dry ice/acetone bath is then cooled to −35° C. and cold ether (40 mL) is added to the solution. The mixture is stirred for 30 min at −35° C., then cooled to −50° C. and stirred for another 30 min. The crude product is filtered, redissolved in water/acetonitrile (1/1), lyophilized, and purified by reverse-phase HPLC to give the desired product.
- Part C: Preparation of Cyclo{Orn(d-N-Benzylcarbamoyl)-D-Val-D-Tyr(N-[2-[[[5-[carbonyl]-2-pyridinyl]hydrazono]methyl]-benzenesulfonic acid]-3-aminopropyl)-D-Asp-Gly}
- A solution of cyclo{Orn(d-N-Benzylcarbamoyl)-D-Val-D-Tyr(3-aminopropyl)-D-Asp-Gly} (0.0216 mmol) in N,N-dimethylformamide (2 mL) is added triethylamine (15 mL, 0.108 mmol) and stirred at room temperature for 10 min. 2-[[[5-[[(2,5-Dioxo-1-pyrrolidinyl)oxy]carbonyl-2-pyridinyl]hydrazono]methyl-benzenesulfonic acid, monosodium salt (0.0260 mmol) is added, and the mixture is stirred for 18 h. The mixture is concentrated under high vacuum and the residue is purified by reverse-phase HPLC to give the desired product.
-
- Part A: Preparation of Cyclo{Orn(d-N-1-Tos-2-Imidazolinyl)-D-Val-D-Tyr(N-Cbz-3-aminopropyl)-D-Asp(OBzl)-Gly}
- The N-terminus Boc-protecting group of the peptide sequence Boc-Orn(d-N-1-Tos-2-Imidazolinyl)-D-Val-D-Tyr(N-Cbz-aminopropyl)-D-Asp(OBzl)-Gly-Oxime resin is removed using standard deprotection (50% TFA in CH 2Cl2). After washing with DCM (8×), the resin is neutralized with 10% DIEA/DCM (2×10 min). The resin is washed with DCM (5×) and dried under high vacuum overnight. The resin (1.0 g, about 0.36 mmol/g) is then suspended in N,N-dimethylformamide (12 mL). Glacial acetic acid (67 mL, 1.16 mmol) is added and the reaction mixture is heated to 55° C. for 72 h. The resin is filtered and washed with DMF (3×10 mL). The filtrate is concentrated under high vacuum to give an oil. The resulting oil is triturated with ethyl acetate. The desired product is purified by reverse-phase HPLC.
- Part B: Preparation of Cyclo{Orn(d-N-2-Imidazolinyl)-D-Val-D-Tyr(3-aminopropyl)-D-Asp-Gly}, Trifuoroacetic Acid Salt
- The protected cyclic peptide cyclo{Orn(d-N-1-Tos-2-Imidazolinyl)-D-Val-D-Tyr(N-Cbz-3-aminopropyl)-D-Asp(OBzl)-Gly} (0.10 mmol) is dissolved in trifluoroacetic acid (0.95 mL) and cooled to −10° C. in a dry ice/acetone bath. To this solution is added trifluoromethanesulfonic acid (0.12 mmol), followed by anisole (190 mL). The reaction mixture is stirred at −16° C. for 3 h. The dry ice/acetone bath is then cooled to −35° C. and cold ether (40 mL) is added to the solution. The mixture is stirred for 30 min at −35° C., then cooled to −50° C. and stirred for another 30 min. The crude product is filtered, redissolved in water/acetonitrile (1/1), lyophilized, and purified by reverse-phase HPLC to give the desired product.
- Part C: Preparation of Cyclo{Orn(d-N-2-Imidazolinyl)-D-Val-D-Tyr(N-[2-[[[5-[carbonyl]-2-pyridinyl]hydrazono]methyl]-benzenesulfonic acid]-3-aminopropyl)-D-Asp-Gly}
- A solution of cyclo{Orn(d-N-2-Imidazolinyl)-D-Val-D-Tyr(3-aminopropyl)-D-Asp-Gly} (0.0216 mmol) in N,N-dimethylformamide (2 mL) is added triethylamine (15 mL, 0.108 mmol) and stirred at room temperature for 10 min. 2-[[[5-[[(2,5-Dioxo-1-pyrrolidinyl)oxy]carbonyl-2-pyridinyl]hydrazono]methyl-benzenesulfonic acid, monosodium salt (0.0260 mmol) is added, and the mixture is stirred for 18 h. The mixture is concentrated under high vacumm and the residue is purified by reverse-phase HPLC to give the desired product.
- The following procedures (A, B) describe the synthesis of radiopharmaceuticals of the present invention of the formula 99mTc(VnA) (tricine) (phosphine), in which (VnA) represents the vitronectin receptor antagonist compound bonded to the Tc through a diazenido (—N═N—) or hydrazido (═N—NH—) moiety. The diazenido or hydrazido moiety results from the reaction of the hydrazinonicotinamido group, present either as the free hydrazine or protected as a hydrazone, with the Tc-99m. The other two ligands in the Tc coordination sphere are tricine and a phosphine.
- 10-30 μg (0.2-0.4 mL) of a reagent of the present invention dissolved in saline or 50% aqueous ethanol, 40 mg (0.4 mL) of tricine in water, 1-7 mg (0.10-0.30 mL) of phosphine dissolved in water or ethanol, 25 μg (25 μL) SnCl 2.2H2O dissolved in 0.1 M HCl, 0-0.25 mL ethanol and 50-150 mCi 99mTcO4 − in saline were combined in a 10 cc vial. The kit was heated in a 100° C. water bath for 10-20 minutes, then a 50 μL sample analyzed by HPLC Method 3. If necessary, the complex was purified by performing a 300-400 μL injection on the HPLC and collecting the fraction into a shielded flask. The collected fraction was evaporated to dryness, redissolved in saline containing 0-5 vol % Tween 80, and then re-analyzed using HPLC Method 3.
- To a lyophilized vial containing 4.84 mg TPPTS, 6.3 mg tricine, 40 mg mannitol and 0.25 mmol succinate buffer, pH 4.8, was added 0.2-0.4 mL (20-40 μg) of a reagent of the present invention dissolved in saline or 50% aqueous ethanol, 50-100 mCi 99mTcO4 − in saline, and additional saline to give a total volume of 1.3-1.5 mL. The kit is heated in an 100° C. water bath for 10-15 minutes, and a sample was then analyzed by HPLC Method 3. If necessary, the complex was purified by performing a 300-400 μL injection on the HPLC and collecting the fraction into a shielded flask. The collected fraction was evaporated to dryness, redissolved in saline containing 0-5 vol % Tween 80, and then re-analyzed using HPLC Method 3.
TABLE 1 Analytical and Yield Data for 99mTc (VnA) (tricine) (Phosphine) Complexes Complex Ex. Reagent Ex. No. No. Phosphine % Yield RT (min) 33 1 TPPTS 88 8.2 34 2 TPPTS 96 19.5 35 3 TPPTS 91 33.7 36 4 TPPTS 92 21.8 37 5 TPPTS 65 25.1 38 6 TPPTS 91 41.7 39 7 TPPTS 89 20.4 40 8 TPPTS 93 16.4 41 9 TPPTS 90 13.4 42 10 TPPTS 93 12.9 43 12 TPPMS 94 23.5 44 12 TPPDS 93 18.1 45 12 TPPTS 93 13.6 46 13 TPPTS 93 11.2 47 14 TPPTS 79 11.0 48 15 TPPTS 94 11.2 49 16 TPPTS 81 9.2 50 17 TPPTS 97 10.4 - The following example describes the synthesis of radiopharmaceuticals of the present invention of the formula 99mTc(VnA)(tricine)(L) (L=Imine-Nitrogen Containing Heterocycle), in which (VnA) represents the vitronectin receptor antagonist compound bonded to the Tc through a diazenido (—N═N—) or hydrazido (═N—NH—) moiety. The other two ligands in the Tc coordination sphere are tricine and an imine-nitrogen containing heterocycle.
- 30 μg of the Reagent of Example 1 (0.30 mL 50/50 EtOH/H 2O), 40 mg tricine (0.25 mL/H2O), 8 mg 1, 2, 4-triazole (0.25 mL/H2O), 25 μg SnCl2 (25 μL/0.1 N HCl), 0.50 mL water and 0.20 mL 50±5 mCi 99mTcO4 − were combined in a shielded 10 cc vial and heated at 100° C. for 10 minutes. 50 μL of the kit contents were analyzed by HPLC using Method listed below. The product eluted at a retention time of 8.33 min and had a radiochemical purity of 88.1%.
- Reagents of the present invention comprised of either a DOTA (Example 18), DTPA monoamide (Examples 19 and 20) or DTPA bisamide chelator (Example 21) readily form complexes with metal ions of elements 31, 39, 49, and 58-71. The following examples; demonstrate the synthesis of complexes with 153Sm, 177Lu, and 90Y, beta particle emitting isotopes used in radiopharmaceutical therapy, and 111In, a gamma emitting isotope used in radiopharmaceutical imaging agents. In both types of complexes, the metal ion is bound to the DOTA, DTPA monoamide or DTPA bisamide chelator moiety of the reagents.
- To a clean sealed 10 mL vial was added 0.5 mL of the reagent of Example 18 (200 μg/mL in 0.25 M ammonium acetate buffer, pH 7.0), followed by 0.05-0.1 mL of gentisic acid (sodium salt, 10 mg/mL in 0.25 M ammonium acetate buffer, pH 7.0) solution, 0.3 mL of 0.25 M ammonium acetate buffer (pH 7.0), and 0.05 mL of 177LuCl3 solution or 90YCl3 solution (100-200 mCi/mL) in 0.05 N HCl. The resulting mixture was heated at 100° C. for 35 min. After cooling to room temperature, a sample of the resulting solution was analyzed by radio-HPLC and ITLC. The complex of Example 53 was analyzed by mass spectroscopy (Found [M+H+]=1877.6, Calcd. 1875.8 for C75H110N23O23Lu) which confirmed identity.
- To a lead shielded 300 μL autosampler vial was added 50 μL of gentisic acid (10 mg/mL in 0.1 M ammonium acetate buffer, pH 6.75) solution, followed by 100 μL of the reagent of Example 18 (200 μg/mL in 0.2 M ammonium acetate buffer, pH 5.0), and 50 μL of 111InCl3 solution (10 mCi/mL) in 0.04 N HCl. The pH of the reaction mixture was about 4.0. The solution was heated at 100° C. for 25 min. A sample of the resulting solution was analyzed by radio-HPLC and ITLC.
TABLE 1A Analytical and Yield Data for Y-90, In-111, and Lu- 177 Complexes of DOTA-Conjugated Vitronectin Receptor Antagonists. Complex Ex. Reagent Ex. HPLC Ret. Time No. No. Isotope % Yield (min) 52 18 Y-90 96 16.5 53 18 Lu-177 96 16.5 54 18 In-111 95 16.5 - 0.2 mL of 111InCl3 (1.7 mCi) in 0.1 N HCl, 0.2 mL of 1.0 M ammonium acetate buffer (pH 6.9) and 0.1 ml of the reagent of the present invention dissolved in water were combined in a 10 cc glass vial and allowed to react at room temperature for 30 min. The reaction mixture was analyzed by HPLC Method 3.
TABLE 2 Analytical and Yield Data for 111In Complexes Complex Ex. Reagent Ex. HPLC Ret. Time No. No. % Yield (min) 55 19 86 11.1 56 20 96 18.8 - 0.25 mL of a 153SmCl3 stock solution (54 mCi/μmol Sm, 40 mCi/mL) in 0.1 N HCl was combined with the reagent of the present invention (50-fold molar excess) dissolved in 1 N ammonium acetate buffer in a 10 cc glass vial. The reaction was allowed to proceed at room temperature for ˜30 min and was then analyzed by ITLC and HPLC (Method 3). If necessary, the complex was purified by performing a 300-400 μL injection on the HPLC and collecting the fraction into a shielded flask. The collected fraction was evaporated to dryness, redissolved in saline, and then re-analyzed using HPLC Method 3.
TABLE 3 Analytical and Yield Data for 153Sm Complexes Complex Ex. Reagent Ex. HPLC Ret. Time No. No. % Yield (min) 57 19 91 11.7 58 20 84 13.1 59 21 96 16.9 - The non-radioactive (naturally occurring) samarium analog of the Radiopharmaceutical of Example 59 was prepared by combining 3.3. mg (2.9 μmol) of the Reagent of Example 21 dissolved in 2 mL of 1 M ammonium acetate buffer, pH 7, and 0.29 mL of 0.01 M solution of SmCl 3 in 0.1 N HCl. The reaction was allowed to proceed for ˜5 h at room temperature and then the product was isolated by HPLC Method 3. The volatiles were removed by lyophilization. The identity of the complex was confirmed by mass spectroscopy. (API-ESMS:Found [M+2H+=1172.4, Calcd. 1172.9 for C43H64N12O17Sm] A stock solution of the complex was made in water and its concentration determined by ICP analysis for use in determining the binding affinity of the complex for the vitronectin receptor αvβ3.
-
- 5×10 −9 mol of a reagent of the present invention was dissolved in 1.0 mL of 0.1 N acetate buffer, pH 6.8. 1×10−9 mol of Lu-177 (40 μl, 3 mCi) dissolved in 0.1 N HCl was added and the reaction allowed to proceed at room temperature for 30-45 min. The reaction mixtures were analyzed by HPLC Method 3.
TABLE 4 Analytical and Yield Data for 177Lu Complexes Complex Ex. Reagent Ex. HPLC Ret. Time No. No. % Yield (min) 60 19 98 11.0 61 20 98 15.6 62 21 98 11.7 - The gadolinium complex of the reagent of Example 21 was prepared according to the following procedure. 3-3.5 mg of the reagent was dissolved in 2 mL 1 M ammonium acetate buffer at pH 7.0, and one equivalent Gd(NO 3)3 solution (0.02 M in water) was added to it. The reaction mixture was allowed to stay at room temperature for 3-5 hours and the product was isolated by HPLC Method 4. The fraction containing the complex was lyophilized and dissolved in 1 mL H2O resulting in a solution approximately 2 mM in Gd as determined by ICP analysis. The identity of the complex was confirmed by mass spectroscopy. (API-ESMS:Found [M+2H+] 1176.9, Calcd. 1176.2 for C43H64N12O17Gd].
- The following examples describe the synthesis of ultrasound contrast agents of the present invention comprised of targeting moieties for tumor neovasculature that are α vβ3 receptor antagonists.
-
- A solution of disuccinimidyl dodecane-1,12-dioate (0.424 g, 1 mmol), 1,2-dipalmitoyl-sn-glycero-3-phosphoethanolamine (1.489 g, 1 mmol) and cyclo(Arg-Gly-Asp-D-Phe-Lys) TFA salt (0.831 g, 1 mmol) in 25 ml chloroform is stirred for 5 min. Sodium carbonate (1 mmol) and sodium sulfate (1 mmol) are added and the solution is stirred at room temperature under nitrogen for 18 h. DMF is removed in vacuo and the crude product is purified to obtain the title compound.
- Part B. Preparation of Contrast Agent Composition
- The Synthesis of 1-(1,2-Dipalmitoyl-sn-glycero-3-phosphoethanolamino)-12-(cyclo(Arg-Gly-Asp-D-Phe-Lys)-dodecane-1,12-dione is admixed with three other lipids, 1,2-dipalmitoyl-sn-glycero-3-phosphotidic acid, 1,2-dipalmitoyl-sn-glycero-3-phosphatidylcholine, and N-(methoxypolyethylene glycol 5000 carbamoyl)-1,2-dipalmitoyl-sn-glycero-3-phosphatidylethanolamine in relative amounts of 1 wt. %:6 wt. %:54 wt. %:41 wt. %. An aqueous solution of this lipid admixture (1 mg/mL), sodium chloride (7 mg/mL), glycerin (0.1 mL/mL), propylene glycol (0.1 mL/mL), at pH 6-7 is then prepared in a 2 cc glass vial. The air in the vial is evacuated and replaced with perfluoropropane and the vial is sealed. The ultrasound contrast agent composition is completed by agitating the sealed vial in a dental amalgamator for 30-45 sec. to form a milky white solution.
-
- To a solution of N-Boc-ω-amino-PEG 3400-α-carboxylate sucinimidyl ester (1 mmol) and cyclo(Arg-Gly-Asp-D-Phe-Lys) (1 mmol) in DMF (25 mL) is added triethylamine (3 mmol). The reaction mixture is stirred under nitrogen at room temperature overnight and the solvent is removed in vacuo. The crude product is dissolved in 50% trifluoroacetic acid/dichloromethane and is stirred for 4 h. The volatiles are removed and the title compound is isolated as the TFA salt via trituration in diethyl ether.
-
- A solution of disuccinimidyl dodecanoate (1 mmol), 1,2-dipalmitoyl-sn-glycero-3-phosphoethanolamine (1 mmol) and (ω-amino-PEG 3400-α-carbonyl)-cyclo(Arg-Gly-Asp-D-Phe-Lys) TFA salt (1 mmol) in 25 ml chloroform is stirred for 5 min. Sodium carbonate (1 mmol) and sodium sulfate (1 mmol) are added and the solution is stirred at room temperature under nitrogen for 18 h. DMF is removed in vacuo and the crude product is purified to obtain the title compound.
- Part C. Preparation of Contrast Agent Composition
- The 1-(1,2-Dipalmitoyl-sn-glycero-3-phosphoethanolamino)-12-((ω-amino-PEG 3400-α-carbonyl)-cyclo (Arg-Gly-Asp-D-Phe-Lys))-Dodecane-1,12-Dione is admixed with three other lipids, 1,2-dipalmitoyl-sn-glycero-3-phosphotidic acid, 1,2-dipalmitoyl-sn-glycero-3-phosphatidylcholine, and N-(methoxypolyethylene glycol 5000 carbamoyl)-1,2-dipalmitoyl-sn-glycero-3-phosphatidylethanolamine in relative amounts of 1 wt. %:6 wt. %:54 wt. %:41 wt. %. An aqueous solution of this lipid admixture (1 mg/mL), sodium chloride (7 mg/mL), glycerin (0.1 mL/mL), propylene glycol (0.1 mL/mL), at pH 6-7 is then prepared in a 2 cc glass vial. The air in the vial is evacuated and replaced with perfluoropropane and the vial is sealed. The ultrasound contrast agent composition is completed by agitating the sealed vial in a dental amalgamator for 30-45 sec. to form a milky white solution.
-
- To a solution of N-Boc-ω-amino-PEG 3400-α-carboxylate sucinimidyl ester (1 mmol) and Glu-(cyclo(Arg-Gly-Asp-D-Phe-Lys))2 (1 mmol) in DMF (25 mL) is added triethylamine (3 mmol). The reaction mixture is stirred under nitrogen at room temperature overnight and the solvent is removed in vacuo. The crude product is dissolved in 50% trifluoroacetic acid/dichloromethane and is stirred for 4 h. The volatiles are removed and the title compound is isolated as the TFA salt via trituration in diethyl ether.
-
- A solution of disuccinimidyl dodecanoate (1 mmol), 1,2-dipalmitoyl-sn-glycero-3-phosphoethanolamine (1 mmol) and (ω-amino-PEG 3400-α-carbonyl)-Glu-(cyclo(Arg-Gly-Asp-D-Phe-Lys))2 TFA salt (1 mmol) in 25 ml chloroform is stirred for 5 min. Sodium carbonate (1 mmol) and sodium sulfate (1 mmol) are added and the solution is stirred at room temperature under nitrogen for 18 h. DMF is removed in vacuo and the crude product is purified to obtain the title compound.
- Part C. Preparation of Contrast Agent Composition
- The 1-(1,2-Dipalmitoyl-sn-glycero-3-phosphoethanolamino)-12-((ω-amino-PEG 3400-α-carbonyl)-Glu-(cyclo(Arg-Gly-Asp-D-Phe-Lys))2)-Dodecane-1,12-Dione is admixed with three other lipids, 1,2-dipalmitoyl-sn-glycero-3-phosphotidic acid, 1,2-dipalmitoyl-sn-glycero-3-phosphatidylcholine, and N-(methoxypolyethylene glycol 5000 carbamoyl)-1,2-dipalmitoyl-sn-glycero-3-phosphatidylethanolamine in relative amounts of 1 wt. %:6 wt. %:54 wt. %:41 wt. %. An aqueous solution of this lipid admixture (1 mg/mL), sodium chloride (7 mg/mL), glycerin (0.1 mL/mL), propylene glycol (0.1 mL/mL), at pH 6-7 is then prepared in a 2 cc glass vial. The air in the vial is evacuated and replaced with perfluoropropane and the vial is sealed. The ultrasound contrast agent composition is completed by agitating the sealed vial in a dental amalgamator for 30-45 sec. to form a milky white solution.
- HPLC Method 3
- Column: Zorbax C18, 25 cm×4.6 mm or Vydac C18, 25 cm×4.6 mm
- Column Temperature: ambient
- Flow: 1.0 mL/min
- Solvent A: 10 mM sodium phosphate buffer pH 6
- Solvent B: 100% Acetonitrile
- Detector: sodium iodide (NaI) radiometric probe or beta detector
Gradient A (Exs. 33, 51) t (min) 0 20 30 31 40 % B 0 75 75 0 0 Gradient B (Exs. 39, 40, 43, 44, 45, 46, 48, 50) t (min) 0 20 30 31 35 36 40 % B 0 25 25 75 75 0 0 Gradient C (Examples 34, 35, 36, 37, 38, 42): t (min) 0 40 41 46 47 55 % B 0 35 75 75 0 0 Gradient D (Ex. 49) t (min) 0 20 30 31 40 % B 0 25 25 0 0 Gradient E (Exs. 55, 56): t (min) 0 20 21 30 31 40 % B 0 20 50 50 0 0 Gradient F (Exs. 57, 58): t (min) 0 15 16 25 26 35 % B 0 20 75 75 0 0 Gradient G (Ex. 59): t (min) 0 20 21 30 31 40 % B 0 20 75 75 0 0 Gradient H (Exs. 60, 61, 62): t (min) 0 15 16 21 22 40 % B 0 20 50 50 0 0 Gradient I (Exs. 52, 53, 54) t (min) 0 20 21 30 31 40 % Solvent B 5 20 60 60 5 5 Gradient J (Ex. 41) t (min) 0 20 30 31 40 % Solvent B 0 50 50 0 0 Gradient K (Ex. 47) t (min) 0 20 21 30 31 40 % Solvent B 10 20 60 60 10 10 HPLC Method 4 Column: Zorbax C18, 25 cm × 4.6 mm Flow: 1.0 mL/min Solvent A: 10 mM ammonium acetate Solvent B: 100% methanol Gradient: t (min) 0 23 26 27 % B 8 100 100 8 UV Detection ITLC Method Gelman ITLC-SG strips (2 cm × 7.5 cm) Solvent System: 1:1 acetone:saline Detection using a Bioscan System 200. - The pharmaceuticals of the present invention are useful for imaging angiogenic tumor vasculature in a patient or for treating cancer in a patient. The radiopharmaceuticals of the present invention comprised of a gamma emitting isotope are useful for imaging of pathological processes involving angiogenic neovasculature, including cancer, diabetic retinopathy, macular degeneration, restenosis of blood vessels after angioplasty, and wound healing. Diagnostic utilities also include imaging of unstable coronary syndromes (e.g., unstable coronary plaque). The radiopharmaceuticals of the present invention comprised of a beta, alpha or Auger electron emitting isotope are useful for treatment of pathological processes involving angiogenic neovasculature, by delivering a cytotoxic dose of radiation to the locus of the angiogenic neovasculature. The treatment of cancer is affected by the systemic administration of the radiopharmaceuticals resulting in a cytotoxic radiation dose to tumors.
- The compounds of the present invention comprised of one or more paramagnetic metal ions selected from gadolinium, dysprosium, iron, and manganese, are useful as contrast agents for magnetic resonance imaging (MRI) of pathological processes involving angiogenic neovasculature.
- The compounds of the present invention comprised of one or more heavy atoms with atmic number of 20 or greater are useful as X-ray contrast agents for X-ray imaging of pathological processes involving angiogenic neovasculature.
- The compounds of the present invention comprised of an echogenic gas containing surfactant microsphere are useful as ultrasound contrast agents for sonography of pathological processes involving angiogenic neovasculature.
- Representative compounds of the present invention were tested in the following in vitro and in vivo assays and models and were found to be active.
- Immobilized Human Placental α vβ3 Receptor Assay
- The assay conditions were developed and validated using [I-125]vitronectin. Assay validation included Scatchard format analysis (n=3) where receptor number (Bmax) and Kd (affinity) were determined. Assay format is such that compounds are preliminarily screened at 10 and 100 nM final concentrations prior to IC50 determination. Three standards (vitronectin, anti-α vβ3 antibody, LM609, and anti-αvβ 5, P1F6) and five reference peptides have been evaluated for IC50 determination. Briefly, the method involves immobilizing previously isolated receptors in 96 well plates and incubating overnight. The receptors were isolated from normal, fresh, non-infectious (HIV, hepatitis B and C, syphilis, and HTLV free) human placenta. The tissue was lysed and tissue debris removed via centrifugation. The lysate was filtered. The receptors were isolated by affinity chromatography using the immobilized αvβ3 antibody. The plates are then washed 3× with wash buffer. Blocking buffer is added and plates incubated for 120 minutes at room temperature. During this time, compounds to be tested and [I-125]vitronectin are premixed in a reservoir plate. Blocking buffer is removed and compound mixture pipetted. Competition is carried out for 60 minutes at room temperature. Unbound material is then removed and wells are separated and counted via gamma scintillation.
- Other Receptor Binding Assays
- Whole cell assays for the determination of the binding affinity of pharmaceuticals of the present invention for the VEGF receptors, Flk-1/KDR and Flt-1, are described in Ortega, et. al., Amer. J. Pathol., 1997, 151, 1215-1224, and Dougher, et. al., Growth Factors, 1997, 14, 257-268. An in vitro assay for determining the affinity of pharmaceuticals of the present invention for the bFGF receptor is described in Yayon, et. al., Proc. Natl. Acad. Sci USA, 1993, 90, 10643-10647. Gho et. al., Cancer Research, 1997, 57, 3733-40, describe assays for angiogenin receptor binding peptides. Senger, et. al., Proc. Natl. Acad. Sci USA, 1997, 94, 13612-13617 describe assays for antagonists of the integrins a1B1 and a2B1. U.S. Pat. No. 5,536,814 describes assays for compounds that bind to the integrin a5B1.
- Oncomouse® Imaging
- The study involves the use of the c-Neu Oncomouse® and FVB mice simultaneously as controls. The mice are anesthetized with sodium pentobarbital and injected with approximately 0.5 mCi of radiopharmaceutical. Prior to injection, the tumor locations on each Oncomouse® are recorded and tumor size measured using calipers. The animals are positioned on the camera head so as to image the anterior or posterior of the animals. 5 Minute dynamic images are acquired serially over 2 hours using a 256×256 matrix and a zoom of 2×. Upon completion of the study, the images are evaluated by circumscribing the tumor as the target region of interest (ROI) and a background site in the neck area below the carotid salivary glands.
- This model can also be used to assess the effectiveness of the radiopharmaceuticals of the present invention comprised of a beta, alpha or Auger electron emitting isotope. The radiopharmaceuticals are administered in appropriate amounts and the uptake in the tumors can be quantified either non-invasively by imaging for those isotopes with a coincident imageable gamma emission, or by excision of the tumors and counting the amount of radioactivity present by standard techniques. The therapeutic effect of the radiopharmaceuticals can be assessed by monitoring the rate of growth of the tumors in control mice versus those in the mice administered the radiopharmaceuticals of the present invention.
- This model can also be used to assess the compounds of the present invention comprised of paramagnetic metals as MRI contrast agents. After administration of the appropriate amount of the paramagnetic compounds, the whole animal can be placed in a commercially available magnetic resonance imager to image the tumors. The effectiveness of the contrast agents can be readily seen by comparison to the images obtain from animals that are not administered a contrast agent.
- This model can also be used to assess the compounds of the present invention comprised of heavy atoms as X-ray contrast agents. After administration of the appropriate amount of the X-ray absorbing compounds, the whole animal can be placed in a commercially available X-ray imager to image the tumors. The effectiveness of the contrast agents can be readily seen by comparison to the images obtain from animals that are not administered a contrast agent.
- This model can also be used to assess the compounds of the present invention comprised of an echogenic gas containing surfactant microsphere as ultrasound contrast agents. After administration of the appropriate amount of the echogenic compounds, the tumors in the animal can be imaging using an ultrasound probe held proximate to the tumors. The effectiveness of the contrast agents can be readily seen by comparison to the images obtain from animals that are not administered a contrast agent.
- Rabbit Matrigel Model
- This model was adapted from a matrigel model intended for the study of angiogenesis in mice. Matrigel (Becton & Dickinson, USA) is a basement membrane rich in laminin, collagen IV, entactin, HSPG and other growth factors. When combined with growth factors such as bFGF [500 ng/ml] or VEGF [2 μg/ml] and injected subcutaneously into the mid-abdominal region of the mice, it solidifies into a gel and stimulates angiogenesis at the site of injection within 4-8 days. In the rabbit model, New Zealand White rabbits (2.5-3.0 kg) are injected with 2.0 ml of matrigel, plus 1 μg bFGF and 4 μg VEGF. The radiopharmaceutical is then injected 7 days later and the images obtained.
- This model can also be used to assess the effectiveness of the radiopharmaceuticals of the present invention comprised of a beta, alpha or Auger electron emitting isotope. The radiopharmaceuticals are administered in appropriate amounts and the uptake at the angiogenic sites can be quantified either non-invasively by imaging for those isotopes with a coincident imageable gamma emission, or by excision of the angiogenic sites and counting the amount of radioactivity present by standard techniques. The therapeutic effect of the radiopharmaceuticals can be assessed by monitoring the rate of growth of the angiogenic sites in control rabbits versus those in the rabbits administered the radiopharmaceuticals of the present invention.
- This model can also be used to assess the compounds of the present invention comprised of paramagnetic metals as MRI contrast agents. After administration of the appropriate amount of the paramagnetic compounds, the whole animal can be placed in a commercially available magnetic resonance imager to image the angiogenic sites. The effectiveness of the contrast agents can be readily seen by comparison to the images obtain from animals that are not administered a contrast agent.
- This model can also be used to assess the compounds of the present invention comprised of heavy atoms as X-ray contrast agents. After administration of the appropriate amount of the X-ray absorbing compounds, the whole animal can be placed in a commercially available X-ray imager to image the angiogenic sites. The effectiveness of the contrast agents can be readily seen by comparison to the images obtain from animals that are not administered a contrast agent.
- This model can also be used to assess the compounds of the present invention comprised of an echogenic gas containing surfactant microsphere as ultrasound contrast agents. After administration of the appropriate amount of the echogenic compounds, the angiogenic sites in the animal can be imaging using an ultrasound probe held proximate to the tumors. The effectiveness of the contrast agents can be readily seen by comparison to the images obtain from animals that are not administered a contrast agent.
- Canine Spontaneous Tumor Model
- Adult dogs with spontaneous mammary tumors were sedated with xylazine (20 mg/kg)/atropine (1 ml/kg). Upon sedation the animals were intubated using ketamine (5 mg/kg)/diazepam (0.25 mg/kg) for full anethesia. Chemical restraint was continued with ketamine (3 mg/kg)/xylazine (6 mg/kg) titrating as necessary. If required the animals were ventilated with room air via an endotrachael tube (12 strokes/min, 25 ml/kg) during the study. Peripheral veins were catheterized using 20G I.V. catheters, one to serve as an infusion port for compound while the other for exfusion of blood samples. Heart rate and EKG were monitored using a cardiotachometer (Biotech, Grass Quincy, Mass.) triggered from a lead II electrocardiogram generated by limb leads. Blood samples are generally taken at ˜10 minutes (control), end of infusion, (1 minute), 15 min, 30 min, 60 min, 90 min, and 120 min for whole blood cell number and counting. Radiopharmaceutical dose was 300 μCi/kg adminitered as an i.v. bolus with saline flush. Parameters were monitored continuously on a polygraph recorder (Model 7E Grass) at a paper speed of 10 mm/min or 10 mm/sec.
- Imaging of the laterals were for 2 hours with a 256×256 matrix, no zoom, 5 minute dynamic images. A known source is placed in the image field (20-90 μCi) to evaluate region of interest (ROI) uptake. Images were also acquired 24 hours post injection to determine retention of the compound in the tumor. The uptake is determined by taking the fraction of the total counts in an inscribed area for ROI/source and multiplying the known μCi. The result is μCi for the ROI.
- This model can also be used to assess the effectiveness of the radiopharmaceuticals of the present invention comprised of a beta, alpha or Auger electron emitting isotope. The radiopharmaceuticals are administered in appropriate amounts and the uptake in the tumors can be quantified either non-invasively by imaging for those isotopes with a coincident imageable gamma emission, or by excision of the tumors and counting the amount of radioactivity present by standard techniques. The therapeutic effect of the radiopharmaceuticals can be assessed by monitoring the size of the tumors over time.
- This model can also be used to assess the compounds of the present invention comprised of paramagnetic metals as MRI contrast agents. After administration of the appropriate amount of the paramagnetic compounds, the whole animal can be placed in a commercially available magnetic resonance imager to image the tumors. The effectiveness of the contrast agents can be readily seen by comparison to the images obtain from animals that are not administered a contrast agent.
- This model can also be used to assess the compounds of the present invention comprised of heavy atoms as X-ray contrast agents. After administration of the appropriate amount of the X-ray absorbing compounds, the whole animal can be placed in a commercially available X-ray imager to image the tumors. The effectiveness of the contrast agents can be readily seen by comparison to the images obtain from animals that are not administered a contrast agent.
- This model can also be used to assess the compounds of the present invention comprised of an echogenic gas containing surfactant microsphere as ultrasound contrast agents. After administration of the appropriate amount of the echogenic compounds, the tumors in the animal can be imaging using an ultrasound probe held proximate to the tumors. The effectiveness of the contrast agents can be readily seen by comparison to the images obtain from animals that are not administered a contrast agent.
- Obviously, numerous modifications and variations of the present invention are possible in light of the above teachings. It is therefore to be understood that within the scope of the appended claims, the invention may be practiced otherwise that as specifically described herein.
Claims (51)
Priority Applications (4)
| Application Number | Priority Date | Filing Date | Title |
|---|---|---|---|
| US09/281,474 US20020001566A1 (en) | 1998-03-31 | 1999-03-30 | Pharmaceuticals for the imaging of angiogenic disorders |
| US09/599,295 US6537520B1 (en) | 1998-03-31 | 2000-06-21 | Pharmaceuticals for the imaging of angiogenic disorders |
| US10/342,081 US6800273B2 (en) | 1998-03-31 | 2003-01-14 | Pharmaceuticals for the imaging of angiogenic disorders |
| US10/622,246 US7052673B2 (en) | 1998-03-31 | 2003-07-18 | Pharmaceuticals for the imaging of angiogenic disorders |
Applications Claiming Priority (3)
| Application Number | Priority Date | Filing Date | Title |
|---|---|---|---|
| US8015098P | 1998-03-31 | 1998-03-31 | |
| US11271598P | 1998-12-18 | 1998-12-18 | |
| US09/281,474 US20020001566A1 (en) | 1998-03-31 | 1999-03-30 | Pharmaceuticals for the imaging of angiogenic disorders |
Related Child Applications (1)
| Application Number | Title | Priority Date | Filing Date |
|---|---|---|---|
| US09/599,295 Continuation-In-Part US6537520B1 (en) | 1998-03-31 | 2000-06-21 | Pharmaceuticals for the imaging of angiogenic disorders |
Publications (1)
| Publication Number | Publication Date |
|---|---|
| US20020001566A1 true US20020001566A1 (en) | 2002-01-03 |
Family
ID=26763137
Family Applications (2)
| Application Number | Title | Priority Date | Filing Date |
|---|---|---|---|
| US09/281,474 Abandoned US20020001566A1 (en) | 1998-03-31 | 1999-03-30 | Pharmaceuticals for the imaging of angiogenic disorders |
| US09/281,207 Expired - Fee Related US6322770B1 (en) | 1998-03-31 | 1999-03-30 | Indazole vitronectin receptor antagonist pharmaceuticals |
Family Applications After (1)
| Application Number | Title | Priority Date | Filing Date |
|---|---|---|---|
| US09/281,207 Expired - Fee Related US6322770B1 (en) | 1998-03-31 | 1999-03-30 | Indazole vitronectin receptor antagonist pharmaceuticals |
Country Status (20)
| Country | Link |
|---|---|
| US (2) | US20020001566A1 (en) |
| EP (1) | EP1068224B1 (en) |
| JP (1) | JP4487019B2 (en) |
| KR (1) | KR20010042288A (en) |
| CN (1) | CN1295578A (en) |
| AR (1) | AR020586A1 (en) |
| AT (1) | ATE295369T1 (en) |
| AU (1) | AU5541799A (en) |
| BR (1) | BR9909420A (en) |
| CA (1) | CA2324555A1 (en) |
| DE (1) | DE69925262T2 (en) |
| EA (1) | EA200001007A1 (en) |
| EE (1) | EE200000574A (en) |
| ES (1) | ES2241313T3 (en) |
| HU (1) | HUP0101468A2 (en) |
| IL (1) | IL138093A0 (en) |
| NO (1) | NO20004917L (en) |
| PL (1) | PL343804A1 (en) |
| SK (1) | SK13952000A3 (en) |
| WO (1) | WO1999058162A2 (en) |
Cited By (19)
| Publication number | Priority date | Publication date | Assignee | Title |
|---|---|---|---|---|
| US20030185832A1 (en) * | 1992-03-05 | 2003-10-02 | Board Of Regents, The University Of Texas System | Combined methods and compositions for tumor vasculature targeting and tumor treatment |
| US20030219441A1 (en) * | 1992-03-05 | 2003-11-27 | Board Of Regents, The University Of Texas System | Combined methods and compositions for coagulation and tumor treatment |
| US20040018974A1 (en) * | 2002-03-01 | 2004-01-29 | Christophe Arbogast | Multivalent constructs for therapeutic and diagnostic applications |
| US20040122354A1 (en) * | 2002-09-05 | 2004-06-24 | Semba Charles P. | Infusion catheter having an integrated doppler transducer |
| US20040210041A1 (en) * | 2002-03-01 | 2004-10-21 | Christophe Arbogast | Multivalent constructs for therapeutic and diagnostic applications |
| US20050100963A1 (en) * | 2002-03-01 | 2005-05-12 | Dyax Corporation | KDR and VEGF/KDR binding peptides and their use in diagnosis and therapy |
| US20050112064A1 (en) * | 2003-08-12 | 2005-05-26 | Sonya Franklin | DNA-dependent MRI contrast agents |
| US20050147555A1 (en) * | 2002-03-01 | 2005-07-07 | Hong Fan | Methods for preparing multivalent constructs for therapeutic and diagnostic applications and methods of preparing the same |
| US20050250700A1 (en) * | 2002-03-01 | 2005-11-10 | Sato Aaron K | KDR and VEGF/KDR binding peptides |
| US7109167B2 (en) | 2000-06-02 | 2006-09-19 | Bracco International B.V. | Compounds for targeting endothelial cells, compositions containing the same and methods for their use |
| US20060263295A1 (en) * | 2005-03-10 | 2006-11-23 | Cyr John E | Chelators for radioactively labeled conjugates comprising a stabilizing sidechain |
| US20080107607A1 (en) * | 2002-03-01 | 2008-05-08 | Bracco International B.V. | Targeting vector-phospholipid conjugates |
| WO2008073842A1 (en) * | 2006-12-08 | 2008-06-19 | Molecular Image Inc. | Methods for diagnosis and monitoring of neurologic diseases using magnetic resonance methods |
| US20080152594A1 (en) * | 2002-03-01 | 2008-06-26 | Philippe Bussat | Targeting vector-phospholipid conjugates |
| US20110097275A1 (en) * | 2002-03-01 | 2011-04-28 | Bracco Suisse Sa | Kdr and vegf/kdr binding peptides and their use in diagnosis and therapy |
| US8263739B2 (en) | 2000-06-02 | 2012-09-11 | Bracco Suisse Sa | Compounds for targeting endothelial cells, compositions containing the same and methods for their use |
| US20130302209A1 (en) * | 2002-05-08 | 2013-11-14 | Phoseon Technology, Inc. | High Efficiency Solid-State Light Source and Methods of Use and Manufacture |
| US20160069918A1 (en) * | 2013-03-27 | 2016-03-10 | Theranos, Inc. | Biological sample processing |
| US20230067643A1 (en) * | 2021-08-26 | 2023-03-02 | University Of Washington | Iron oxide nanoparticle for targeted chemo-immunotherapy |
Families Citing this family (42)
| Publication number | Priority date | Publication date | Assignee | Title |
|---|---|---|---|---|
| US6537520B1 (en) | 1998-03-31 | 2003-03-25 | Bristol-Myers Squibb Pharma Company | Pharmaceuticals for the imaging of angiogenic disorders |
| US6794518B1 (en) | 1998-12-18 | 2004-09-21 | Bristol-Myers Squibb Pharma Company | Vitronectin receptor antagonist pharmaceuticals |
| US6989139B2 (en) * | 2000-02-15 | 2006-01-24 | Bristol-Myers Squibb Pharma Company | Matrix metalloproteinase inhibitors |
| EP1281068B1 (en) * | 2000-05-08 | 2008-03-26 | TTP LabTech Ltd | Microphysiometer |
| AU7002501A (en) * | 2000-06-21 | 2002-01-02 | Du Pont Pharm Co | Vitronectin receptor antagonist pharmaceuticals for use in combination therapy |
| JP2005538030A (en) * | 2000-06-21 | 2005-12-15 | デュポン ファーマシューティカルズ カンパニー | Medicament for diagnostic imaging of angiogenesis disorders for use in combination therapy |
| AU2002218751A1 (en) * | 2000-07-06 | 2002-01-21 | Bristol-Myers Squibb Pharma Company | Stable radiopharmaceutical compositions |
| CA2429956A1 (en) | 2000-11-27 | 2002-07-18 | Alan P. Carpenter, Jr. | Simultaneous imaging of cardiac perfusion and a vitronectin receptor targeted imaging agent |
| US7271180B2 (en) * | 2001-01-23 | 2007-09-18 | Wyeth | 1-Aryl-or 1-alkylsulfonylbenzazole derivatives as 5-hydroxytryptamine-6 ligands |
| TW593278B (en) * | 2001-01-23 | 2004-06-21 | Wyeth Corp | 1-aryl-or 1-alkylsulfonylbenzazole derivatives as 5-hydroxytryptamine-6 ligands |
| EP1381396B1 (en) | 2001-04-23 | 2009-04-01 | Mallinckrodt Inc. | Tc and re labeled radioactive glycosylated octreotide derivatives |
| CA2452478A1 (en) * | 2001-08-08 | 2003-02-20 | Bristol-Myers Squibb Pharma Company | Simultaneous imaging of cardiac perfusion and a vitronectin receptor targeted imaging agent |
| CN100560131C (en) | 2001-10-22 | 2009-11-18 | 斯克里普斯研究学院 | Antibody targeting compounds |
| US7255875B2 (en) | 2002-01-24 | 2007-08-14 | Barnes-Jewish Hospital | Integrin targeted imaging agents |
| US7279150B2 (en) | 2002-01-24 | 2007-10-09 | Barnes-Jewish Hospital | Chelating agents with lipophilic carriers |
| EP2301587B1 (en) * | 2002-03-01 | 2014-06-25 | Dyax Corp. | KDR and VEGF/KDR binding peptides and their use in diagnosis |
| US6961607B2 (en) * | 2002-07-31 | 2005-11-01 | Uzgiris Egidijus E | Method for assessing myocardial angiogenesis |
| US20040224986A1 (en) | 2002-08-16 | 2004-11-11 | Bart De Corte | Piperidinyl targeting compounds that selectively bind integrins |
| US20040047917A1 (en) * | 2002-09-06 | 2004-03-11 | Stephen Wilson | Drug delivery and targeting with vitamin B12 conjugates |
| EP1539804B1 (en) * | 2002-09-19 | 2007-01-03 | Centre National De La Recherche Scientifique (Cnrs) | Synthesis and characterization of novel systems for guidance and vectorization of molecules of therapeutic interest towards target cells |
| WO2004069281A1 (en) * | 2003-01-30 | 2004-08-19 | The General Hospital Corporation | Bifunctional molecules comprising at least one integrin-binding and their use in imaging and therapy of angiogenesis and related disorders |
| ES2557286T3 (en) | 2003-03-03 | 2016-01-25 | Dyax Corp. | Uses of peptides that specifically bind to the HGF receptor (cMet) |
| EP1622647B1 (en) * | 2003-05-12 | 2009-11-25 | Lantheus Medical Imaging, Inc. | Vitronectin receptor antagonist compounds and their use in the preparation of radiopharmaceuticals |
| JP2007501797A (en) * | 2003-08-08 | 2007-02-01 | バーンズ−ジューイッシュ ホスピタル | Contrast and therapeutic emulsion particles and methods of use thereof |
| WO2005077407A1 (en) * | 2004-01-16 | 2005-08-25 | Barnes-Jewish Hospital | Targeted atherosclerosis treatment |
| JP2007523248A (en) * | 2004-02-23 | 2007-08-16 | ダウ グローバル テクノロジーズ インコーポレイティド | Aqueous adhesive for bonding low surface energy substrates |
| WO2005122891A1 (en) | 2004-06-09 | 2005-12-29 | Kereos, Inc. | Lipophilic derivatives of chelate monoamides |
| DE602005000853D1 (en) * | 2004-07-02 | 2007-05-24 | Vivactis Nv | Measurement of heat generated by a chemical or biological process. |
| CA2606479A1 (en) * | 2005-04-29 | 2006-11-09 | Wyeth | Nogo receptor functional motifs and peptide mimetics related thereto and methods of using the same |
| CA2630415A1 (en) * | 2005-10-20 | 2007-04-26 | The Scripps Research Institute | Fc labeling for immunostaining and immunotargeting |
| US20070140973A1 (en) * | 2005-12-15 | 2007-06-21 | Bristol-Myers Squibb Pharma Company | Contrast agents for myocardium perfusion imaging |
| CA2650574A1 (en) * | 2006-04-27 | 2007-11-08 | Barnes-Jewish Hospital | Detection and imaging of target tissue |
| AU2007303465A1 (en) * | 2006-09-29 | 2008-04-10 | Washington University | Combinations for treatment of neovasculature |
| US8194963B2 (en) * | 2008-03-10 | 2012-06-05 | Siemens Medical Solutions Usa, Inc. | Efficient estimator of pharmacokinetic parameters in breast MRI |
| JP5265762B2 (en) | 2008-05-13 | 2013-08-14 | ユニバーシティ・オブ・カンザス | Metal Extraction Peptide (MAP) Tag and Related Methods |
| US20100178245A1 (en) * | 2009-01-13 | 2010-07-15 | Arnsdorf Morton F | Biocompatible Microbubbles to Deliver Radioactive Compounds to Tumors, Atherosclerotic Plaques, Joints and Other Targeted Sites |
| JP2012517447A (en) | 2009-02-10 | 2012-08-02 | ザ スクリプス リサーチ インスティチュート | Chemically programmed vaccination methods |
| CN101659694B (en) * | 2009-05-06 | 2012-12-12 | 河北科技大学 | Anti-tumor cyclic pentapeptide compound and preparation method thereof |
| WO2013181461A2 (en) | 2012-06-01 | 2013-12-05 | University Of Kansas | Metal abstraction peptide with superoxide dismutase activity |
| US11274139B2 (en) * | 2013-04-12 | 2022-03-15 | Evox Therapeutics Ltd | Therapeutic delivery vesicles |
| DE102013113156A1 (en) * | 2013-11-28 | 2015-05-28 | Freie Universität Berlin | A compound and method for selectively radiolabeling polypeptides by solid phase synthesis |
| KR102548998B1 (en) * | 2020-03-31 | 2023-06-29 | 재단법인 아산사회복지재단 | Radiopharmaceuticals and composition for thrombus imaging |
Citations (1)
| Publication number | Priority date | Publication date | Assignee | Title |
|---|---|---|---|---|
| US6331285B1 (en) * | 1996-06-05 | 2001-12-18 | Palatin Technologies, Inc. | Structurally determined cyclic metallo-constructs and applications |
Family Cites Families (38)
| Publication number | Priority date | Publication date | Assignee | Title |
|---|---|---|---|---|
| US4957939A (en) | 1981-07-24 | 1990-09-18 | Schering Aktiengesellschaft | Sterile pharmaceutical compositions of gadolinium chelates useful enhancing NMR imaging |
| EP0086627B1 (en) | 1982-02-12 | 1985-08-28 | Unitika Ltd. | Anti-cancer device |
| US4472509A (en) | 1982-06-07 | 1984-09-18 | Gansow Otto A | Metal chelate conjugated monoclonal antibodies |
| US5135736A (en) | 1988-08-15 | 1992-08-04 | Neorx Corporation | Covalently-linked complexes and methods for enhanced cytotoxicity and imaging |
| IL91933A (en) | 1988-10-11 | 1994-12-29 | Univ Southern California | Vasoactive immunoconjugates useful for increasing the vascular permeability or the blood supply to neoplastic or otherwise diseased tissues |
| EP0534944B1 (en) | 1988-11-14 | 1996-09-11 | Brigham And Women's Hospital | Antibodies specific for elam-1 and the use thereof |
| US5376356A (en) | 1989-03-14 | 1994-12-27 | Neorx Corporation | Imaging tissue sites of inflammation |
| IL112768A (en) | 1989-04-10 | 1998-06-15 | Oncogen | Pharmaceutical compositions containing oncostatin m for inhibiting angiogenesis |
| US5395609A (en) | 1989-06-19 | 1995-03-07 | Antisoma Limited | Synthetic peptides for use in tumor detection |
| AU638043B2 (en) | 1989-07-20 | 1993-06-17 | Novartis Ag | Labeled polypeptide derivatives |
| IN172208B (en) | 1990-04-02 | 1993-05-01 | Sint Sa | |
| AU2861692A (en) | 1991-10-18 | 1993-05-21 | Beth Israel Hospital Association, The | Vascular permeability factor targeted compounds |
| ES2193143T3 (en) | 1992-03-05 | 2003-11-01 | Univ Texas | USE OF IMMUNOCONJUGADOS FOR THE DIAGNOSIS AND / OR THERAPY OF VASCULARIZA TUMORS. |
| US5660827A (en) | 1992-03-05 | 1997-08-26 | Board Of Regents, The University Of Texas System | Antibodies that bind to endoglin |
| US5965132A (en) | 1992-03-05 | 1999-10-12 | Board Of Regents, The University Of Texas System | Methods and compositions for targeting the vasculature of solid tumors |
| US5342757A (en) | 1992-11-13 | 1994-08-30 | Ludwig Institute For Cancer Research | Monoclonal antibodies which specifically binds to endosialin, a 165 Kd glycoprotein found on tumor vascular endothelium, and uses thereof |
| CN1701814A (en) | 1992-11-13 | 2005-11-30 | 马克斯普朗克科学促进协会 | F1K-1 is a receptor for vascular endothelial growth factor |
| DE4301871A1 (en) | 1993-01-13 | 1994-07-14 | Diagnostikforschung Inst | New means of diagnosing vascular diseases |
| US5744120A (en) | 1993-03-30 | 1998-04-28 | The Dupont Merick Pharmaceutical Company | Ternary radiopharmaceutical complexes |
| DE4311023C2 (en) | 1993-03-31 | 1996-05-02 | Diagnostikforschung Inst | Bifunctional chalcogen atom-interrupted chelating agents of type XN¶1¶S¶1¶O¶1¶ for radioactive isotopes, their metal complexes, processes for their preparation and pharmaceutical compositions containing them |
| JPH09500140A (en) | 1993-07-19 | 1997-01-07 | レゾリューション・ファーマスーティカルズ・インコーポレーテッド | Hydrazino-type radionuclide chelating agent having N configuration 3 S configuration |
| US5753230A (en) | 1994-03-18 | 1998-05-19 | The Scripps Research Institute | Methods and compositions useful for inhibition of angiogenesis |
| ZA955391B (en) | 1994-06-29 | 1996-02-09 | Smithkline Beecham Corp | Vitronectin receptor antagonists |
| WO1996001653A1 (en) | 1994-07-11 | 1996-01-25 | Board Of Regents, The University Of Texas System | Methods and compositions for the specific coagulation of vasculature |
| JPH11510814A (en) | 1995-08-30 | 1999-09-21 | ジー.ディー.サール アンド カンパニー | Meta-guanidine, urea, thiourea or azacyclic aminobenzoic acid derivatives as integrin antagonists |
| DE19536785A1 (en) | 1995-09-21 | 1997-03-27 | Diagnostikforschung Inst | Bifunctional sulfide-containing sulfonamide chelating agents of type S¶2¶NY for radioactive isotopes |
| DE19536781A1 (en) | 1995-09-21 | 1997-03-27 | Diagnostikforschung Inst | Bifunctional sulfide-containing sulfonamide chelating agents of the type XSNS for radioactive isotopes |
| ATE243230T1 (en) * | 1995-11-01 | 2003-07-15 | Bracco Research Sa | GELATED MAGNETICALLY LABELED MOLECULAR SYSTEMS AS NMR IMAGING AGENT |
| HUP0201479A2 (en) | 1995-11-14 | 2002-08-28 | Bristol Myers Squibb Pharma Co | Novel macrocyclic compounds as metalloprotease inhibitors and pharmaceutical compositions containing them |
| ZA978758B (en) * | 1996-10-02 | 1999-03-30 | Du Pont Merck Pharma | Technetium-99m-labeled chelator incorporated cyclic peptides that bind to the GPIIb/IIIa receptor as imaging agents |
| US6056973A (en) | 1996-10-11 | 2000-05-02 | Sequus Pharmaceuticals, Inc. | Therapeutic liposome composition and method of preparation |
| WO1998016256A1 (en) * | 1996-10-16 | 1998-04-23 | The Burnham Institute | Magnetic resonance imaging of thrombi |
| GB9708265D0 (en) | 1997-04-24 | 1997-06-18 | Nycomed Imaging As | Contrast agents |
| EP0946202B1 (en) | 1996-10-28 | 2003-09-10 | Amersham Health AS | Contrast agents |
| DE19725368A1 (en) * | 1997-06-16 | 1998-12-17 | Merck Patent Gmbh | New cyclic peptides inhibit ligand binding to integrins |
| DE69839844D1 (en) * | 1997-09-10 | 2008-09-18 | Burnham Inst | METHOD FOR COLLECTING TARGET SEARCH COMPOUNDS SPECIFIC FOR ANGIOGENIC VASCULATURE |
| WO1999040947A2 (en) * | 1998-02-11 | 1999-08-19 | Resolution Pharmaceuticals Inc. | Angiogenesis targeting molecules |
| EP1100506A4 (en) | 1998-07-29 | 2002-06-26 | Merck & Co Inc | INTEGRIN RECEPTOR ANTAGONISTS |
-
1999
- 1999-03-29 JP JP2000548013A patent/JP4487019B2/en not_active Expired - Fee Related
- 1999-03-29 DE DE69925262T patent/DE69925262T2/en not_active Expired - Lifetime
- 1999-03-29 BR BR9909420-7A patent/BR9909420A/en not_active IP Right Cessation
- 1999-03-29 EP EP99941944A patent/EP1068224B1/en not_active Expired - Lifetime
- 1999-03-29 WO PCT/US1999/006826 patent/WO1999058162A2/en not_active Ceased
- 1999-03-29 IL IL13809399A patent/IL138093A0/en unknown
- 1999-03-29 ES ES99941944T patent/ES2241313T3/en not_active Expired - Lifetime
- 1999-03-29 EA EA200001007A patent/EA200001007A1/en unknown
- 1999-03-29 AU AU55417/99A patent/AU5541799A/en not_active Abandoned
- 1999-03-29 CN CN99804710A patent/CN1295578A/en active Pending
- 1999-03-29 CA CA002324555A patent/CA2324555A1/en not_active Abandoned
- 1999-03-29 HU HU0101468A patent/HUP0101468A2/en unknown
- 1999-03-29 KR KR1020007010831A patent/KR20010042288A/en not_active Withdrawn
- 1999-03-29 EE EEP200000574A patent/EE200000574A/en unknown
- 1999-03-29 AT AT99941944T patent/ATE295369T1/en not_active IP Right Cessation
- 1999-03-29 PL PL99343804A patent/PL343804A1/en unknown
- 1999-03-29 SK SK1395-2000A patent/SK13952000A3/en unknown
- 1999-03-30 US US09/281,474 patent/US20020001566A1/en not_active Abandoned
- 1999-03-30 US US09/281,207 patent/US6322770B1/en not_active Expired - Fee Related
- 1999-03-30 AR ARP990101448A patent/AR020586A1/en not_active Application Discontinuation
-
2000
- 2000-09-29 NO NO20004917A patent/NO20004917L/en not_active Application Discontinuation
Patent Citations (1)
| Publication number | Priority date | Publication date | Assignee | Title |
|---|---|---|---|---|
| US6331285B1 (en) * | 1996-06-05 | 2001-12-18 | Palatin Technologies, Inc. | Structurally determined cyclic metallo-constructs and applications |
Cited By (51)
| Publication number | Priority date | Publication date | Assignee | Title |
|---|---|---|---|---|
| US20030219441A1 (en) * | 1992-03-05 | 2003-11-27 | Board Of Regents, The University Of Texas System | Combined methods and compositions for coagulation and tumor treatment |
| US7691380B2 (en) | 1992-03-05 | 2010-04-06 | Board Of Regents, The University Of Texas System | Combined methods for tumor coagulation and tumor treatment |
| US20030185832A1 (en) * | 1992-03-05 | 2003-10-02 | Board Of Regents, The University Of Texas System | Combined methods and compositions for tumor vasculature targeting and tumor treatment |
| US7125541B2 (en) | 1992-03-05 | 2006-10-24 | The University Of Texas System Board Of Regents | Combined methods for tumor vasculature targeting and tumor treatment with radiotherapy |
| US7112317B2 (en) | 1992-03-05 | 2006-09-26 | Board Of Regents, The University Of Texas System | Combined methods and compositions for tumor vasculature targeting and tumor treatment |
| US20060210473A1 (en) * | 1992-03-05 | 2006-09-21 | Board Of Regents, The University Of Texas System | VEGF-conjugate combined methods for tumor vasculature targeting and tumor treatment |
| US7109167B2 (en) | 2000-06-02 | 2006-09-19 | Bracco International B.V. | Compounds for targeting endothelial cells, compositions containing the same and methods for their use |
| US8263739B2 (en) | 2000-06-02 | 2012-09-11 | Bracco Suisse Sa | Compounds for targeting endothelial cells, compositions containing the same and methods for their use |
| US7884183B2 (en) | 2000-06-02 | 2011-02-08 | Bracco Suisse Sa | Compounds for targeting endothelial cells, compositions containing the same and methods for their use |
| US7820621B2 (en) | 2000-06-02 | 2010-10-26 | Bracco International B.V. | Compounds for targeting endothelial cells, compositions containing the same and methods for their use |
| US7666979B2 (en) | 2002-03-01 | 2010-02-23 | Bracco International B.V. | Methods for preparing multivalent constructs for therapeutic and diagnostic applications and methods of preparing the same |
| US8663603B2 (en) | 2002-03-01 | 2014-03-04 | Bracco Suisse Sa | Multivalent constructs for therapeutic and diagnostic applications |
| US20050147555A1 (en) * | 2002-03-01 | 2005-07-07 | Hong Fan | Methods for preparing multivalent constructs for therapeutic and diagnostic applications and methods of preparing the same |
| US9629934B2 (en) | 2002-03-01 | 2017-04-25 | Dyax Corp. | KDR and VEGF/KDR binding peptides and their use in diagnosis and therapy |
| US9446155B2 (en) | 2002-03-01 | 2016-09-20 | Bracco Suisse Sa | KDR and VEGF/KDR binding peptides and their use in diagnosis and therapy |
| US7211240B2 (en) | 2002-03-01 | 2007-05-01 | Bracco International B.V. | Multivalent constructs for therapeutic and diagnostic applications |
| US7261876B2 (en) | 2002-03-01 | 2007-08-28 | Bracco International Bv | Multivalent constructs for therapeutic and diagnostic applications |
| US20070243139A1 (en) * | 2002-03-01 | 2007-10-18 | Bracco International B.V. | Multivalent constructs for therapeutic and diagnostic applications |
| US20080107607A1 (en) * | 2002-03-01 | 2008-05-08 | Bracco International B.V. | Targeting vector-phospholipid conjugates |
| US9408926B2 (en) | 2002-03-01 | 2016-08-09 | Bracco Suisse S.A. | KDR and VEGF/KDR binding peptides and their use in diagnosis and therapy |
| US20080152594A1 (en) * | 2002-03-01 | 2008-06-26 | Philippe Bussat | Targeting vector-phospholipid conjugates |
| US9381258B2 (en) | 2002-03-01 | 2016-07-05 | Bracco Suisse S.A. | Targeting vector-phospholipid conjugates |
| US20100003195A1 (en) * | 2002-03-01 | 2010-01-07 | Sato Aaron K | Kdr and vegf/kdr binding peptides and their use in diagnosis and therapy |
| US9295737B2 (en) | 2002-03-01 | 2016-03-29 | Bracco Suisse Sa | Targeting vector-phospholipid conjugates |
| US20050100963A1 (en) * | 2002-03-01 | 2005-05-12 | Dyax Corporation | KDR and VEGF/KDR binding peptides and their use in diagnosis and therapy |
| US20050027105A9 (en) * | 2002-03-01 | 2005-02-03 | Christophe Arbogast | Multivalent constructs for therapeutic and diagnostic applications |
| US7794693B2 (en) | 2002-03-01 | 2010-09-14 | Bracco International B.V. | Targeting vector-phospholipid conjugates |
| US20100233090A1 (en) * | 2002-03-01 | 2010-09-16 | Bracco International B.V. | Targeting vector-phospholipid conjugates |
| US20040210041A1 (en) * | 2002-03-01 | 2004-10-21 | Christophe Arbogast | Multivalent constructs for therapeutic and diagnostic applications |
| US7854919B2 (en) | 2002-03-01 | 2010-12-21 | Bracco, Suisse SA | Multivalent constructs for therapeutic and diagnostic applications |
| US9056138B2 (en) | 2002-03-01 | 2015-06-16 | Bracco Suisse Sa | Multivalent constructs for therapeutic and diagnostic applications |
| US7910088B2 (en) | 2002-03-01 | 2011-03-22 | Bracco Suisse Sa | Multivalent constructs for therapeutic and diagnostic applications |
| US20110070165A1 (en) * | 2002-03-01 | 2011-03-24 | Christophe Arbogast | Multivalent constructs for therapeutic and diagnostic applications |
| US20110097275A1 (en) * | 2002-03-01 | 2011-04-28 | Bracco Suisse Sa | Kdr and vegf/kdr binding peptides and their use in diagnosis and therapy |
| US7985402B2 (en) | 2002-03-01 | 2011-07-26 | Bracco Suisse Sa | Targeting vector-phospholipid conjugates |
| US20040018974A1 (en) * | 2002-03-01 | 2004-01-29 | Christophe Arbogast | Multivalent constructs for therapeutic and diagnostic applications |
| US8551450B2 (en) | 2002-03-01 | 2013-10-08 | Philippe Bussat | Targeting vector-phospholipid conjugates |
| US20050250700A1 (en) * | 2002-03-01 | 2005-11-10 | Sato Aaron K | KDR and VEGF/KDR binding peptides |
| US8623822B2 (en) | 2002-03-01 | 2014-01-07 | Bracco Suisse Sa | KDR and VEGF/KDR binding peptides and their use in diagnosis and therapy |
| US8632753B2 (en) | 2002-03-01 | 2014-01-21 | Bracco Suisse Sa | Multivalent constructs for therapeutic and diagnostic applications |
| US8642010B2 (en) | 2002-03-01 | 2014-02-04 | Dyax Corp. | KDR and VEGF/KDR binding peptides and their use in diagnosis and therapy |
| US20130302209A1 (en) * | 2002-05-08 | 2013-11-14 | Phoseon Technology, Inc. | High Efficiency Solid-State Light Source and Methods of Use and Manufacture |
| US20040122354A1 (en) * | 2002-09-05 | 2004-06-24 | Semba Charles P. | Infusion catheter having an integrated doppler transducer |
| US20050112064A1 (en) * | 2003-08-12 | 2005-05-26 | Sonya Franklin | DNA-dependent MRI contrast agents |
| US7481993B2 (en) * | 2005-03-10 | 2009-01-27 | Schering Ag | Chelators for radioactively labeled conjugates comprising a stabilizing sidechain |
| US20060263295A1 (en) * | 2005-03-10 | 2006-11-23 | Cyr John E | Chelators for radioactively labeled conjugates comprising a stabilizing sidechain |
| US20100016706A1 (en) * | 2006-12-08 | 2010-01-21 | Molecular Image, Inc. | Methods for diagnosis and monitoring of neurologic diseases using magnetic resonance methods |
| WO2008073842A1 (en) * | 2006-12-08 | 2008-06-19 | Molecular Image Inc. | Methods for diagnosis and monitoring of neurologic diseases using magnetic resonance methods |
| US20160069918A1 (en) * | 2013-03-27 | 2016-03-10 | Theranos, Inc. | Biological sample processing |
| US20230067643A1 (en) * | 2021-08-26 | 2023-03-02 | University Of Washington | Iron oxide nanoparticle for targeted chemo-immunotherapy |
| US12377166B2 (en) * | 2021-08-26 | 2025-08-05 | University Of Washington | Iron oxide nanoparticle for targeted chemo-immunotherapy |
Also Published As
| Publication number | Publication date |
|---|---|
| IL138093A0 (en) | 2001-10-31 |
| EP1068224A2 (en) | 2001-01-17 |
| AR020586A1 (en) | 2002-05-22 |
| DE69925262D1 (en) | 2005-06-16 |
| ATE295369T1 (en) | 2005-05-15 |
| CN1295578A (en) | 2001-05-16 |
| JP2002514611A (en) | 2002-05-21 |
| ES2241313T3 (en) | 2005-10-16 |
| CA2324555A1 (en) | 1999-11-18 |
| WO1999058162A3 (en) | 2000-04-06 |
| EP1068224B1 (en) | 2005-05-11 |
| NO20004917L (en) | 2000-11-02 |
| KR20010042288A (en) | 2001-05-25 |
| PL343804A1 (en) | 2001-09-10 |
| HUP0101468A2 (en) | 2001-08-28 |
| WO1999058162A2 (en) | 1999-11-18 |
| NO20004917D0 (en) | 2000-09-29 |
| EA200001007A1 (en) | 2001-04-23 |
| AU5541799A (en) | 1999-11-29 |
| SK13952000A3 (en) | 2001-12-03 |
| BR9909420A (en) | 2001-09-25 |
| EE200000574A (en) | 2002-10-15 |
| US6322770B1 (en) | 2001-11-27 |
| JP4487019B2 (en) | 2010-06-23 |
| DE69925262T2 (en) | 2006-02-23 |
Similar Documents
| Publication | Publication Date | Title |
|---|---|---|
| EP1068224B1 (en) | Pharmaceuticals for the imaging of angiogenic disorders | |
| US6800273B2 (en) | Pharmaceuticals for the imaging of angiogenic disorders | |
| AU2007201609A1 (en) | Simultaneous imaging of cardiac perfusion and a vitronectin receptor targeted imaging agent | |
| US6683163B2 (en) | Vitronectin receptor antagonist pharmaceuticals | |
| US6524553B2 (en) | Quinolone vitronectin receptor antagonist pharmaceuticals | |
| US6558649B1 (en) | Vitronectin receptor antagonist pharmaceuticals | |
| EP1311302A2 (en) | Pharmaceuticals for the imaging of angiogenic disorders | |
| US6548663B1 (en) | Benzodiazepine vitronectin receptor antagonist pharmaceuticals | |
| US6569402B1 (en) | Vitronectin receptor antagonist pharmaceuticals | |
| US6818659B2 (en) | (2S)-2-amino-4-(2-amino-(3,4,5,6-tetrahydropyrimidin-4-yl) butanoyl and its use in cyclic and acyclic peptides | |
| AU2002243238A1 (en) | Simultaneous imaging of cardiac perfusion and a vitronectin receptor targeted imaging agent | |
| MXPA00009574A (en) | Pharmaceuticals for the imaging of angiogenic disorders | |
| CZ20003353A3 (en) | Pharmaceutical compounds intended for representation of angiogenesis disorders |
Legal Events
| Date | Code | Title | Description |
|---|---|---|---|
| AS | Assignment |
Owner name: DUPONT PHARMACEUTICALS COMPANY, DELAWARE Free format text: ASSIGNMENT OF ASSIGNORS INTEREST;ASSIGNORS:RAJOPADHYE, MILAND;EDWARDS, D. SCOTT;HARRIS, THOMAS D.;AND OTHERS;REEL/FRAME:010099/0792;SIGNING DATES FROM 19990510 TO 19990511 |
|
| AS | Assignment |
Owner name: BRISTOL-MYERS SQUIBB PHARMA COMPANY, NEW JERSEY Free format text: CHANGE OF NAME;ASSIGNOR:DUPONT PHARMACEUTICALS COMPANY;REEL/FRAME:012607/0038 Effective date: 20011001 |
|
| STCB | Information on status: application discontinuation |
Free format text: ABANDONED -- AFTER EXAMINER'S ANSWER OR BOARD OF APPEALS DECISION |



















































































