KR102134383B1 - 유기 발광 소자 - Google Patents
유기 발광 소자 Download PDFInfo
- Publication number
- KR102134383B1 KR102134383B1 KR1020170170536A KR20170170536A KR102134383B1 KR 102134383 B1 KR102134383 B1 KR 102134383B1 KR 1020170170536 A KR1020170170536 A KR 1020170170536A KR 20170170536 A KR20170170536 A KR 20170170536A KR 102134383 B1 KR102134383 B1 KR 102134383B1
- Authority
- KR
- South Korea
- Prior art keywords
- compound
- substituted
- group
- light emitting
- unsubstituted
- Prior art date
- Legal status (The legal status is an assumption and is not a legal conclusion. Google has not performed a legal analysis and makes no representation as to the accuracy of the status listed.)
- Active
Links
- 0 *c(cc1)ccc1-c(cc1)ccc1Cl Chemical compound *c(cc1)ccc1-c(cc1)ccc1Cl 0.000 description 3
- GDHTXPMDOSQJNN-UHFFFAOYSA-N Brc(cc1)cc(c2cc(Br)ccc22)c1[n]2-c1ccccc1-c1ccccc1 Chemical compound Brc(cc1)cc(c2cc(Br)ccc22)c1[n]2-c1ccccc1-c1ccccc1 GDHTXPMDOSQJNN-UHFFFAOYSA-N 0.000 description 1
- QUDNJIJOMGXYJZ-UHFFFAOYSA-N Clc(cc1)ccc1-c(cc1)ccc1-c(cc1)cc(c2cc(-c(cc3)ccc3-c(cc3)ccc3Cl)ccc22)c1[n]2-c(cccc1)c1-c1ccccc1 Chemical compound Clc(cc1)ccc1-c(cc1)ccc1-c(cc1)cc(c2cc(-c(cc3)ccc3-c(cc3)ccc3Cl)ccc22)c1[n]2-c(cccc1)c1-c1ccccc1 QUDNJIJOMGXYJZ-UHFFFAOYSA-N 0.000 description 1
- IZDMHHUABIBIOW-UHFFFAOYSA-N N#Cc1cc(-[n](c(cccc2)c2c2c3)c2ccc3-c(cc2c3ccccc33)ccc2[n]3-c(cc2)ccc2-c2ccccc2)ccc1 Chemical compound N#Cc1cc(-[n](c(cccc2)c2c2c3)c2ccc3-c(cc2c3ccccc33)ccc2[n]3-c(cc2)ccc2-c2ccccc2)ccc1 IZDMHHUABIBIOW-UHFFFAOYSA-N 0.000 description 1
- KTXPHOSPNQMLJK-UHFFFAOYSA-N c(cc1)ccc1-[n]1c(ccc(-c(cc2c3c4cccc3)ccc2[n]4-c2ccc3[o]c4ccccc4c3c2)c2)c2c2c1cccc2 Chemical compound c(cc1)ccc1-[n]1c(ccc(-c(cc2c3c4cccc3)ccc2[n]4-c2ccc3[o]c4ccccc4c3c2)c2)c2c2c1cccc2 KTXPHOSPNQMLJK-UHFFFAOYSA-N 0.000 description 1
- GVEOOAAZBOGDSN-UHFFFAOYSA-N c(cc1)ccc1-c(cc1)ccc1-[n](c1ccccc1c1c2)c1ccc2-c(cc1)cc(c2ccccc22)c1[n]2-c(cc1)ccc1-c1ccccc1 Chemical compound c(cc1)ccc1-c(cc1)ccc1-[n](c1ccccc1c1c2)c1ccc2-c(cc1)cc(c2ccccc22)c1[n]2-c(cc1)ccc1-c1ccccc1 GVEOOAAZBOGDSN-UHFFFAOYSA-N 0.000 description 1
- XCNLZZAXVAWCIF-UHFFFAOYSA-N c(cc1)ccc1-c(cc1)ccc1-[n](c1ccccc1c1c2)c1ccc2-c(cc1c2ccc3)ccc1[n]1c2c3c2c1cccc2 Chemical compound c(cc1)ccc1-c(cc1)ccc1-[n](c1ccccc1c1c2)c1ccc2-c(cc1c2ccc3)ccc1[n]1c2c3c2c1cccc2 XCNLZZAXVAWCIF-UHFFFAOYSA-N 0.000 description 1
Images
Classifications
-
- H01L51/0072—
-
- H—ELECTRICITY
- H10—SEMICONDUCTOR DEVICES; ELECTRIC SOLID-STATE DEVICES NOT OTHERWISE PROVIDED FOR
- H10K—ORGANIC ELECTRIC SOLID-STATE DEVICES
- H10K85/00—Organic materials used in the body or electrodes of devices covered by this subclass
- H10K85/60—Organic compounds having low molecular weight
- H10K85/649—Aromatic compounds comprising a hetero atom
- H10K85/657—Polycyclic condensed heteroaromatic hydrocarbons
- H10K85/6572—Polycyclic condensed heteroaromatic hydrocarbons comprising only nitrogen in the heteroaromatic polycondensed ring system, e.g. phenanthroline or carbazole
-
- C—CHEMISTRY; METALLURGY
- C09—DYES; PAINTS; POLISHES; NATURAL RESINS; ADHESIVES; COMPOSITIONS NOT OTHERWISE PROVIDED FOR; APPLICATIONS OF MATERIALS NOT OTHERWISE PROVIDED FOR
- C09K—MATERIALS FOR MISCELLANEOUS APPLICATIONS, NOT PROVIDED FOR ELSEWHERE
- C09K11/00—Luminescent, e.g. electroluminescent, chemiluminescent materials
- C09K11/06—Luminescent, e.g. electroluminescent, chemiluminescent materials containing organic luminescent materials
-
- H01L51/006—
-
- H01L51/5012—
-
- H01L51/5056—
-
- H—ELECTRICITY
- H10—SEMICONDUCTOR DEVICES; ELECTRIC SOLID-STATE DEVICES NOT OTHERWISE PROVIDED FOR
- H10K—ORGANIC ELECTRIC SOLID-STATE DEVICES
- H10K50/00—Organic light-emitting devices
- H10K50/10—OLEDs or polymer light-emitting diodes [PLED]
- H10K50/11—OLEDs or polymer light-emitting diodes [PLED] characterised by the electroluminescent [EL] layers
-
- H—ELECTRICITY
- H10—SEMICONDUCTOR DEVICES; ELECTRIC SOLID-STATE DEVICES NOT OTHERWISE PROVIDED FOR
- H10K—ORGANIC ELECTRIC SOLID-STATE DEVICES
- H10K50/00—Organic light-emitting devices
- H10K50/10—OLEDs or polymer light-emitting diodes [PLED]
- H10K50/14—Carrier transporting layers
- H10K50/15—Hole transporting layers
-
- H—ELECTRICITY
- H10—SEMICONDUCTOR DEVICES; ELECTRIC SOLID-STATE DEVICES NOT OTHERWISE PROVIDED FOR
- H10K—ORGANIC ELECTRIC SOLID-STATE DEVICES
- H10K50/00—Organic light-emitting devices
- H10K50/10—OLEDs or polymer light-emitting diodes [PLED]
- H10K50/14—Carrier transporting layers
- H10K50/16—Electron transporting layers
- H10K50/165—Electron transporting layers comprising dopants
-
- H—ELECTRICITY
- H10—SEMICONDUCTOR DEVICES; ELECTRIC SOLID-STATE DEVICES NOT OTHERWISE PROVIDED FOR
- H10K—ORGANIC ELECTRIC SOLID-STATE DEVICES
- H10K85/00—Organic materials used in the body or electrodes of devices covered by this subclass
- H10K85/60—Organic compounds having low molecular weight
- H10K85/631—Amine compounds having at least two aryl rest on at least one amine-nitrogen atom, e.g. triphenylamine
-
- H—ELECTRICITY
- H10—SEMICONDUCTOR DEVICES; ELECTRIC SOLID-STATE DEVICES NOT OTHERWISE PROVIDED FOR
- H10K—ORGANIC ELECTRIC SOLID-STATE DEVICES
- H10K85/00—Organic materials used in the body or electrodes of devices covered by this subclass
- H10K85/60—Organic compounds having low molecular weight
- H10K85/631—Amine compounds having at least two aryl rest on at least one amine-nitrogen atom, e.g. triphenylamine
- H10K85/633—Amine compounds having at least two aryl rest on at least one amine-nitrogen atom, e.g. triphenylamine comprising polycyclic condensed aromatic hydrocarbons as substituents on the nitrogen atom
-
- H—ELECTRICITY
- H10—SEMICONDUCTOR DEVICES; ELECTRIC SOLID-STATE DEVICES NOT OTHERWISE PROVIDED FOR
- H10K—ORGANIC ELECTRIC SOLID-STATE DEVICES
- H10K85/00—Organic materials used in the body or electrodes of devices covered by this subclass
- H10K85/60—Organic compounds having low molecular weight
- H10K85/649—Aromatic compounds comprising a hetero atom
- H10K85/654—Aromatic compounds comprising a hetero atom comprising only nitrogen as heteroatom
-
- H—ELECTRICITY
- H10—SEMICONDUCTOR DEVICES; ELECTRIC SOLID-STATE DEVICES NOT OTHERWISE PROVIDED FOR
- H10K—ORGANIC ELECTRIC SOLID-STATE DEVICES
- H10K85/00—Organic materials used in the body or electrodes of devices covered by this subclass
- H10K85/60—Organic compounds having low molecular weight
- H10K85/649—Aromatic compounds comprising a hetero atom
- H10K85/657—Polycyclic condensed heteroaromatic hydrocarbons
- H10K85/6574—Polycyclic condensed heteroaromatic hydrocarbons comprising only oxygen in the heteroaromatic polycondensed ring system, e.g. cumarine dyes
-
- H—ELECTRICITY
- H10—SEMICONDUCTOR DEVICES; ELECTRIC SOLID-STATE DEVICES NOT OTHERWISE PROVIDED FOR
- H10K—ORGANIC ELECTRIC SOLID-STATE DEVICES
- H10K85/00—Organic materials used in the body or electrodes of devices covered by this subclass
- H10K85/60—Organic compounds having low molecular weight
- H10K85/649—Aromatic compounds comprising a hetero atom
- H10K85/657—Polycyclic condensed heteroaromatic hydrocarbons
- H10K85/6576—Polycyclic condensed heteroaromatic hydrocarbons comprising only sulfur in the heteroaromatic polycondensed ring system, e.g. benzothiophene
-
- C—CHEMISTRY; METALLURGY
- C09—DYES; PAINTS; POLISHES; NATURAL RESINS; ADHESIVES; COMPOSITIONS NOT OTHERWISE PROVIDED FOR; APPLICATIONS OF MATERIALS NOT OTHERWISE PROVIDED FOR
- C09K—MATERIALS FOR MISCELLANEOUS APPLICATIONS, NOT PROVIDED FOR ELSEWHERE
- C09K2211/00—Chemical nature of organic luminescent or tenebrescent compounds
- C09K2211/10—Non-macromolecular compounds
- C09K2211/1003—Carbocyclic compounds
- C09K2211/1014—Carbocyclic compounds bridged by heteroatoms, e.g. N, P, Si or B
-
- C—CHEMISTRY; METALLURGY
- C09—DYES; PAINTS; POLISHES; NATURAL RESINS; ADHESIVES; COMPOSITIONS NOT OTHERWISE PROVIDED FOR; APPLICATIONS OF MATERIALS NOT OTHERWISE PROVIDED FOR
- C09K—MATERIALS FOR MISCELLANEOUS APPLICATIONS, NOT PROVIDED FOR ELSEWHERE
- C09K2211/00—Chemical nature of organic luminescent or tenebrescent compounds
- C09K2211/10—Non-macromolecular compounds
- C09K2211/1018—Heterocyclic compounds
- C09K2211/1025—Heterocyclic compounds characterised by ligands
- C09K2211/1029—Heterocyclic compounds characterised by ligands containing one nitrogen atom as the heteroatom
-
- H—ELECTRICITY
- H10—SEMICONDUCTOR DEVICES; ELECTRIC SOLID-STATE DEVICES NOT OTHERWISE PROVIDED FOR
- H10K—ORGANIC ELECTRIC SOLID-STATE DEVICES
- H10K2101/00—Properties of the organic materials covered by group H10K85/00
- H10K2101/10—Triplet emission
-
- H—ELECTRICITY
- H10—SEMICONDUCTOR DEVICES; ELECTRIC SOLID-STATE DEVICES NOT OTHERWISE PROVIDED FOR
- H10K—ORGANIC ELECTRIC SOLID-STATE DEVICES
- H10K2101/00—Properties of the organic materials covered by group H10K85/00
- H10K2101/90—Multiple hosts in the emissive layer
-
- H—ELECTRICITY
- H10—SEMICONDUCTOR DEVICES; ELECTRIC SOLID-STATE DEVICES NOT OTHERWISE PROVIDED FOR
- H10K—ORGANIC ELECTRIC SOLID-STATE DEVICES
- H10K50/00—Organic light-emitting devices
- H10K50/10—OLEDs or polymer light-emitting diodes [PLED]
- H10K50/14—Carrier transporting layers
- H10K50/15—Hole transporting layers
- H10K50/156—Hole transporting layers comprising a multilayered structure
-
- H—ELECTRICITY
- H10—SEMICONDUCTOR DEVICES; ELECTRIC SOLID-STATE DEVICES NOT OTHERWISE PROVIDED FOR
- H10K—ORGANIC ELECTRIC SOLID-STATE DEVICES
- H10K85/00—Organic materials used in the body or electrodes of devices covered by this subclass
- H10K85/30—Coordination compounds
- H10K85/341—Transition metal complexes, e.g. Ru(II)polypyridine complexes
- H10K85/342—Transition metal complexes, e.g. Ru(II)polypyridine complexes comprising iridium
Landscapes
- Chemical & Material Sciences (AREA)
- Physics & Mathematics (AREA)
- Engineering & Computer Science (AREA)
- Materials Engineering (AREA)
- Spectroscopy & Molecular Physics (AREA)
- Optics & Photonics (AREA)
- Organic Chemistry (AREA)
- Electroluminescent Light Sources (AREA)
Abstract
Description
| 정공 조절층 |
호스트: 도펀트 (부피비), 도펀트함량 |
@10mA/cm2 | 색좌표 (x,y) |
수명 (T95, h) (@20mA/cm2) |
||
| 전압 (V) |
효율 (cd/A) |
|||||
| 실시예 1 | 1-1 | 2-1:3-1:GD-1 (200:200), 6wt% |
3.52 | 137.2 | (0.22,0.72) | 189.5 |
| 실시예 2 | 1-2 | 2-1:3-2:GD-1 (200:200), 6wt% |
3.42 | 140.5 | (0.22,0.72) | 180.0 |
| 실시예 3 | 1-3 | 2-1:3-3:GD-1 (200:200), 6wt% |
3.62 | 138.1 | (0.22,0.72) | 140.9 |
| 실시예 4 | 1-4 | 2-1:3-4:GD-1 (200:200), 6wt% |
3.58 | 134.8 | (0.22,0.72) | 123.5 |
| 실시예 5 | 1-5 | 2-1:3-5:GD-1 (200:200), 6wt% |
3.55 | 139.2 | (0.22,0.72) | 158.1 |
| 실시예 6 | 1-6 | 2-1:3-6:GD-1 (200:200), 6wt% |
3.42 | 142.1 | (0.23,0.70) | 130.8 |
| 실시예 7 | 1-7 | 2-1:3-7:GD-1 (200:200), 6wt% |
3.56 | 137.5 | (0.22,0.72) | 133.7 |
| 실시예 8 | 1-8 | 2-2:3-1:GD-1 (200:200), 6wt% |
3.62 | 139.2 | (0.22,0.72) | 158.4 |
| 실시예 9 | 1-9 | 2-2:3-2:GD-1 (200:200), 6wt% |
3.33 | 138.4 | (0.22,0.72) | 155.2 |
| 실시예 10 | 1-10 | 2-2:3-3:GD-1 (200:200), 6wt% |
3.52 | 137.2 | (0.23,0.70) | 178.5 |
| 실시예 11 | 1-11 | 2-2:3-4:GD-1 (200:200), 6wt% |
3.48 | 141.1 | (0.22,0.72) | 155.2 |
| 실시예 12 | 1-12 | 2-2:3-5:GD-1 (200:200), 6wt% |
3.55 | 138.9 | (0.22,0.73) | 164.2 |
| 실시예 13 | 1-13 | 2-2:3-6:GD-1 (200:200), 6wt% |
3.44 | 132.8 | (0.22,0.73) | 158.3 |
| 실시예 14 | 1-14 | 2-2:3-7:GD-1 (200:200), 6wt% |
3.57 | 137.4 | (0.24,0.70) | 160.5 |
| 실시예 15 | 1-15 | 2-3:3-1:GD-1 (200:200), 6wt% |
3.50 | 135.8 | (0.23,0.70) | 166.2 |
| 실시예 16 | 1-16 | 2-3:3-2:GD-1 (200:200), 6wt% |
3.49 | 139.5 | (0.22,0.71) | 170.2 |
| 실시예 17 | 1-17 | 2-3:3-3:GD-1 (200:200), 6wt% |
3.61 | 132.8 | (0.23,0.70) | 171.2 |
| 실시예 18 | 1-18 | 2-3:3-4:GD-1 (200:200), 6wt% |
3.60 | 136.5 | (0.23,0.72) | 168.2 |
| 실시예 19 | 1-19 | 2-3:3-5:GD-1 (200:200), 6wt% |
3.59 | 138.2 | (0.23,0.70) | 169.2 |
| 실시예 20 | 1-20 | 2-3:3-6:GD-1 (200:200), 6wt% |
3.55 | 142.3 | (0.23,0.70) | 170.1 |
| 실시예 21 | 1-21 | 2-3:3-7:GD-1 (200:200), 6wt% |
3.57 | 140.1 | (0.22,0.71) | 155.8 |
| 실시예 22 | 1-22 | 2-4:3-1:GD-1 (200:200), 6% |
3.55 | 128.9 | (0.22,0.73) | 190.0 |
| 정공 조절층 |
호스트: 도펀트 (부피비), 도펀트함량 |
@10mA/cm2 | 색좌표 (x,y) |
수명 (T95, h) (@20mA/cm2) |
||
| 전압 (V) |
효율 (cd/A) |
|||||
| 실시예 23 | 1-1 | 2-4:3-2:GD-1 (200:200), 6wt% |
3.49 | 138.1 | (0.22,0.73) | 180.5 |
| 실시예 24 | 1-2 | 2-4:3-3:GD-1 (200:200), 6wt% |
3.61 | 141.1 | (0.24,0.70) | 142.5 |
| 실시예 25 | 1-3 | 2-4:3-4:GD-1 (200:200), 6wt% |
3.60 | 135.2 | (0.23,0.70) | 131.5 |
| 실시예 26 | 1-4 | 2-4:3-5:GD-1 (200:200), 6wt% |
3.52 | 136.1 | (0.22,0.72) | 144.5 |
| 실시예 27 | 1-5 | 2-4:3-6:GD-1 (200:200), 6wt% |
3.48 | 132.8 | (0.22,0.73) | 135.0 |
| 실시예 28 | 1-6 | 2-4:3-7:GD-1 (200:200), 6wt% |
3.38 | 133.4 | (0.22,0.73) | 138.1 |
| 실시예 29 | 1-7 | 2-5:3-1:GD-1 (200:200), 6wt% |
3.48 | 141.2 | (0.24,0.70) | 138.2 |
| 실시예 30 | 1-8 | 2-5:3-2:GD-1 (200:200), 6wt% |
3.57 | 138.2 | (0.23,0.70) | 140.1 |
| 실시예 31 | 1-9 | 2-5:3-3:GD-1 (200:200), 6wt% |
3.48 | 134.1 | (0.22,0.71) | 155.2 |
| 실시예 32 | 1-10 | 2-5:3-4:GD-1 (200:200), 6wt% |
3.56 | 141.2 | (0.23,0.70) | 160.2 |
| 실시예 33 | 1-11 | 2-5:3-5:GD-1 (200:200), 6wt% |
3.62 | 140.8 | (0.22,0.71) | 177.2 |
| 실시예 34 | 1-12 | 2-5:3-6:GD-1 (200:200), 6wt% |
3.33 | 139.9 | (0.23,0.70) | 161.2 |
| 실시예 35 | 1-13 | 2-5:3-7:GD-1 (200:200), 6wt% |
3.55 | 139.2 | (0.23,0.72) | 158.8 |
| 실시예 43 | 1-21 | 2-7:3-1:GD-1 (200:200), 6wt% |
3.58 | 134.8 | (0.24,0.71) | 189.5 |
| 실시예 44 | 1-22 | 2-7:3-2:GD-1 (200:200), 6wt% |
3.66 | 138.2 | (0.23,0.70) | 180.0 |
| 정공 조절층 |
호스트: 도펀트 (부피비), 도펀트함량 |
@10mA/cm2 | 색좌표 (x,y) |
수명 (T95, h) (@20mA/cm2) |
||
| 전압 (V) |
효율 (cd/A) |
|||||
| 실시예 45 | 1-1 | 2-7:3-3:GD-1 (200:200), 6wt% |
3.61 | 137.5 | (0.23,0.70) | 140.9 |
| 실시예 46 | 1-4 | 2-7:3-4:GD-1 (200:200), 6wt% |
3.51 | 141.2 | (0.23,0.70) | 123.5 |
| 실시예 47 | 1-5 | 2-7:3-5:GD-1 (200:200), 6wt% |
3.34 | 141.3 | (0.22,0.72) | 158.1 |
| 실시예 48 | 1-11 | 2-7:3-6:GD-1 (200:200), 6wt% |
4.06 | 137.5 | (0.22,0.73) | 130.8 |
| 실시예 49 | 1-16 | 2-7:3-7:GD-1 (200:200), 6wt% |
4.20 | 139.2 | (0.22,0.73) | 133.7 |
| 비교예 1 | HT-2 | PH-1:PH-4:GD-1 (200:200), 6wt% |
4.06 | 121.1 | (0.23,0.70) | 61.8 |
| 비교예 2 | HT-2 | PH-1:PH-5:GD-1 (200:200), 6wt% |
4.07 | 118.2 | (0.23,0.70) | 65.0 |
| 비교예 3 | HT-2 | PH-2:PH-4:GD-1 (200:200), 6wt% |
4.03 | 122.5 | (0.23,0.70) | 34.9 |
| 비교예 4 | 1-1 | PH-3:PH-5:GD-1 (200:200), 6wt% |
4.05 | 118.1 | (0.33,0.64) | 37.0 |
| 비교예 5 | 1-8 | PH-2:PH-5:GD-1 (200:200), 6wt% |
4.12 | 117.2 | (0.23,0.70) | 55.0 |
| 비교예 6 | 1-20 | PH-1:PH-4:GD-1 (200:200), 6wt% |
3.93 | 121.2 | (0.23,0.70) | 59.0 |
| 비교예 7 | HT-2 | 2-1:PH-4:GD-1 (200:200), 6wt% |
4.11 | 123.8 | (0.22,0.72) | 61.0 |
| 비교예 8 | HT-2 | 2-4:PH-5:GD-1 (200:200), 6wt% |
4.06 | 130.1 | (0.22,0.72) | 48.0 |
| 비교예 9 | HT-2 | PH-1:3-1:GD-1 (200:200), 6wt% |
4.20 | 122.8 | (0.22,0.72) | 55.0 |
| 비교예 10 | HT-2 | PH-2:3-5:GD-1 (200:200), 6wt% |
4.15 | 114.6 | (0.23,0.70) | 58.0 |
| 비교예 11 | 1-4 | PH-1:3-1:GD-1 (200:200), 6wt% |
4.20 | 117.6 | (0.22,0.72) | 56.0 |
| 비교예 12 | 1-12 | PH-3:3-5:GD-1 (200:200), 6wt% |
4.22 | 119.2 | (0.22,0.73) | 57.0 |
| 비교예 13 | HT-2 | 1-1:GD-1 (350) 6wt% |
3.93 | 120.1 | (0.22,0.72) | 22.3 |
| 비교예 14 | HT-2 | PH-1:GD-1 (350) 6wt% |
4.11 | 119.2 | (0.22,0.72) | 34.9 |
| 정공 조절층 |
호스트: 도펀트 (부피비), 도펀트함량 |
@10mA/cm2 | 색좌표 (x,y) |
수명 (T95, h) (@20mA/cm2) |
||
| 전압 (V) |
효율 (cd/A) |
|||||
| 실시예 50 | 1-1 | 2-1:3-1:GD-1 (200:200), 6wt% |
3.45 | 141.2 | (0.23,0.71) | 201.0 |
| 실시예 51 | 1-4 | 2-1:3-2:GD-1 (200:200), 6wt% |
3.54 | 139.9 | (0.23,0.70) | 190.2 |
| 실시예 52 | 1-3 | 2-1:3-3:GD-1 (200:200), 6wt% |
3.44 | 139.2 | (0.23,0.70) | 180.5 |
| 실시예 53 | 1-2 | 2-1:3-4:GD-1 (200:200), 6wt% |
3.57 | 138.5 | (0.23,0.70) | 190.4 |
| 실시예 54 | 1-5 | 2-1:3-5:GD-1 (200:200), 6wt% |
3.59 | 139.4 | (0.23,0.70) | 179.9 |
| 실시예 55 | 1-6 | 2-1:3-6:GD-1 (200:200), 6wt% |
3.49 | 141.1 | (0.23,0.64) | 150.8 |
| 실시예 56 | 1-8 | 2-1:3-7:GD-1 (200:200), 6wt% |
3.58 | 140.8 | (0.23,0.70) | 188.0 |
| 실시예 57 | 1-9 | 2-2:3-1:GD-1 (200:200), 6wt% |
3.38 | 135.8 | (0.22,0.72) | 178.2 |
| 실시예 58 | 1-7 | 2-2:3-2:GD-1 (210:140), 6wt% |
3.48 | 139.2 | (0.24,0.71) | 182.3 |
| 실시예 59 | 1-10 | 2-2:3-3:GD-1 (200:200), 6wt% |
3.57 | 143.1 | (0.23,0.70) | 188.2 |
| 실시예 60 | 1-14 | 2-2:3-4:GD-1 (200:200), 6wt% |
3.48 | 132.1 | (0.23,0.70) | 175.3 |
| 실시예 61 | 1-12 | 2-2:3-5:GD-1 (200:200), 6wt% |
3.43 | 140.1 | (0.24,0.71) | 170.5 |
| 실시예 62 | 1-13 | 2-2:3-6:GD-1 (200:200), 6wt% |
3.42 | 138.2 | (0.24,0.70) | 168.5 |
| 실시예 63 | 1-11 | 2-2:3-7:GD-1 (200:200), 6wt% |
3.52 | 139.5 | (0.23,0.70) | 173.5 |
| 실시예 64 | 1-15 | 2-3:3-1:GD-1 (200:200), 6wt% |
3.42 | 137.5 | (0.23,0.70) | 174.5 |
| 실시예 65 | 1-16 | 2-3:3-2:GD-1 (200:200), 6wt% |
3.55 | 139.5 | (0.23,0.70) | 180.2 |
| 실시예 66 | 1-17 | 2-3:3-3:GD-1 (200:200), 6wt% |
3.56 | 138.7 | (0.24,0.71) | 190.5 |
| 실시예 67 | 1-18 | 2-3:3-4:GD-1 (200:200), 6wt% |
3.61 | 140.2 | (0.23,0.70) | 179.8 |
| 실시예 68 | 1-19 | 2-3:3-5:GD-1 (200:200), 6wt% |
3.52 | 141.3 | (0.23,0.70) | 180.1 |
| 실시예 69 | 1-20 | 2-3:3-6:GD-1 (200:200), 6wt% |
3.55 | 134.8 | (0.23,0.70) | 193.5 |
| 실시예 70 | 1-21 | 2-3:3-7:GD-1 (200:200), 6wt% |
3.44 | 141.8 | (0.23,0.70) | 172.3 |
| 정공 조절층 |
호스트: 도펀트 (부피비), 도펀트함량 |
@10mA/cm2 | 색좌표 (x,y) |
수명 (T95, h) (@20mA/cm2) |
||
| 전압 (V) |
효율 (cd/A) |
|||||
| 실시예 71 | 1-22 | 2-4:3-1:GD-1 (200:200), 6% |
3.67 | 138.2 | (0.22,0.72) | 210.0 |
| 실시예 72 | 1-20 | 2-4:3-2:GD-1 (200:200), 6% |
3.58 | 142.3 | (0.22,0.72) | 195.4 |
| 실시예 73 | 1-19 | 2-4:3-3:GD-1 (200:200), 6% |
3.69 | 141.1 | (0.23,0.70) | 170.5 |
| 실시예 74 | 1-18 | 2-4:3-4:GD-1 (200:200), 6% |
3.50 | 135.2 | (0.22,0.72) | 166.7 |
| 실시예 75 | 1-4 | 2-4:3-5:GD-1 (200:200), 6% |
3.49 | 136.1 | (0.22,0.73) | 167.8 |
| 실시예 76 | 1-5 | 2-4:3-6:GD-1 (200:200), 6% |
3.60 | 132.8 | (0.22,0.73) | 170.8 |
| 실시예 77 | 1-6 | 2-4:3-7:GD-1 (200:200), 6% |
3.52 | 133.4 | (0.24,0.70) | 180.2 |
| 실시예 78 | 1-7 | 2-5:3-1:GD-1 (200:200), 6% |
3.48 | 141.2 | (0.23,0.70) | 189.2 |
| 실시예 79 | 1-8 | 2-5:3-2:GD-1 (200:200), 6% |
3.38 | 138.2 | (0.22,0.71) | 199.3 |
| 실시예 80 | 1-9 | 2-5:3-3:GD-1 (200:200), 6% |
3.49 | 134.1 | (0.23,0.70) | 170.5 |
| 실시예 81 | 1-10 | 2-5:3-4:GD-1 (200:200), 6% |
3.51 | 141.2 | (0.23,0.70) | 189.5 |
| 실시예 82 | 1-11 | 2-5:3-5:GD-1 (200:200), 6% |
3.55 | 135.8 | (0.23,0.70) | 189.4 |
| 실시예 83 | 1-12 | 2-5:3-6:GD-1 (200:200), 6% |
3.53 | 139.2 | (0.23,0.70) | 175.8 |
| 실시예 84 | 1-13 | 2-5:3-7:GD-1 (200:200), 6% |
3.51 | 143.1 | (0.24,0.71) | 177.4 |
| 정공 조절층 |
호스트: 도펀트 (부피비), 도펀트함량 |
@10mA/cm2 | 색좌표 (x,y) |
수명 (T95, h) (@20mA/cm2) |
||
| 전압 (V) |
효율 (cd/A) |
|||||
| 실시예 92 | 1-21 | 2-7:3-1:GD-1 (200:200), 6wt% |
3.55 | 138.9 | (0.24,0.70) | 198.2 |
| 실시예 93 | 1-22 | 2-7:3-2:GD-1 (200:200), 6wt% |
3.61 | 141.1 | (0.23,0.70) | 201.5 |
| 실시예 94 | 1-1 | 2-7:3-3:GD-1 (200:200), 6wt% |
3.51 | 135.2 | (0.22,0.71) | 200.5 |
| 실시예 95 | 1-4 | 2-7:3-4:GD-1 (200:200), 6wt% |
3.34 | 136.1 | (0.23,0.70) | 188.9 |
| 실시예 96 | 1-5 | 2-7:3-5:GD-1 (200:200), 6wt% |
3.53 | 132.8 | (0.23,0.70) | 178.1 |
| 실시예 97 | 1-11 | 2-7:3-6:GD-1 (200:200), 6wt% |
3.51 | 132.8 | (0.24,0.70) | 164.8 |
| 실시예 98 | 1-16 | 2-7:3-7:GD-1 (200:200), 6wt% |
3.61 | 133.4 | (0.23,0.70) | 165.2 |
| 실시예 99 | 1-1 | 2-7:3-7:GD-1 (210:140), 6wt% |
3.66 | 141.2 | (0.22,0.72) | 189.5 |
| 실시예 100 | 1-3 | 2-7:3-7:GD-1 (140:210), 6wt% |
3.61 | 138.2 | (0.22,0.73) | 180.0 |
| 실시예 101 | 1-20 | 2-7:3-7:GD-1 (210:140), 12wt% |
3.57 | 134.1 | (0.22,0.73) | 140.9 |
| 실시예 102 | 1-11 | 2-7:3-7:GD-1 (140:210), 12wt% |
3.48 | 139.4 | (0.24,0.70) | 123.5 |
| 실시예 103 | 1-22 | 2-7:3-7:GD-1 (210:140), 5wt% |
3.56 | 141.1 | (0.23,0.70) | 158.1 |
| 실시예 104 | 1-5 | 2-7:3-7:GD-1 (140:210), 5wt% |
3.62 | 140.8 | (0.22,0.71) | 130.8 |
| 실시예 105 | 1-20 | 2-7:3-7:GD-1 (210:140), 10wt% |
3.33 | 135.8 | (0.22,0.72) | 133.7 |
| 실시예 106 | 1-21 | 2-7:3-7:GD-1 (140:210), 10wt% |
3.46 | 139.2 | (0.22,0.73) | 133.7 |
| 정공 조절층 |
호스트: 도펀트 (부피비), 도펀트함량 |
@10mA/cm2 | 색좌표 (x,y) |
수명 (T95, h) (@20mA/cm2) |
||
| 전압 (V) |
효율 (cd/A) |
|||||
| 비교예 15 | HT-2 | PH-1:PH-4:GD-1 (200:200), 6wt% |
3.34 | 121.2 | (0.22,0.73) | 72.5 |
| 비교예 16 | HT-2 | PH-1:PH-5:GD-1 (200:200), 6wt% |
4.06 | 124.2 | (0.24,0.70) | 73.5 |
| 비교예 17 | HT-2 | PH-3:PH-4:GD-1 (200:200), 6wt% |
4.20 | 133.3 | (0.23,0.70) | 48.5 |
| 비교예 18 | 1-3 | PH-1:PH-4:GD-1 (200:200), 6wt% |
4.06 | 125.2 | (0.22,0.71) | 40.2 |
| 비교예 19 | 1-6 | PH-2:PH-5:GD-1 (200:200), 6wt% |
4.07 | 121.2 | (0.23,0.70) | 60.5 |
| 비교예 20 | 1-21 | PH-2:PH-5:GD-1 (200:200), 6wt% |
4.12 | 111.2 | (0.23,0.70) | 66.1 |
| 비교예 21 | HT-2 | 2-1:PH-4:GD-1 (200:200), 6wt% |
4.12 | 127.5 | (0.22,0.72) | 70.5 |
| 비교예 22 | HT-2 | 2-4:PH-5:GD-1 (200:200), 6wt% |
4.11 | 130.1 | (0.22,0.73) | 68.5 |
| 비교예 23 | HT-2 | PH-1:3-1:GD-1 (200:200), 6wt% |
3.88 | 126.8 | (0.22,0.73) | 72.0 |
| 비교예 24 | HT-2 | PH-1:3-5:GD-1 (200:200), 6wt% |
4.12 | 124.2 | (0.24,0.70) | 67.1 |
| 비교예 25 | 1-4 | PH-1:3-1:GD-1 (200:200), 6wt% |
4.20 | 125.3 | (0.23,0.70) | 72.8 |
| 비교예 26 | 1-12 | PH-1:3-5:GD-1 (200:200), 6wt% |
4.15 | 124.8 | (0.22,0.71) | 68.1 |
| 비교예 27 | HT-2 | 1-1:GD-1 (350) 6wt% |
4.20 | 125.5 | (0.23,0.70) | 66.5 |
| 비교예 28 | HT-2 | PH-1:GD-1 (350) 6wt% |
4.22 | 123.2 | (0.23,0.70) | 57.4 |
| 비교예 29 | HT-2 | 2-1:PH-5:GD-1 (140:210), 6wt% |
3.93 | 121.8 | (0.24,0.71) | 57.5 |
| 비교예 30 | HT-2 | 2-4:PH-2:GD-1 (210:140), 6wt% |
4.11 | 120.2 | (0.23,0.70) | 68.4 |
| 비교예 31 | 1-4 | PH-1:3-1:GD-1 (200:200), 5wt% |
4.22 | 118.8 | (0.23,0.70) | 60.2 |
| 비교예 32 | 1-12 | PH-1:3-5:GD-1 (200:200), 12wt% |
4.05 | 119.5 | (0.23,0.70) | 66.2 |
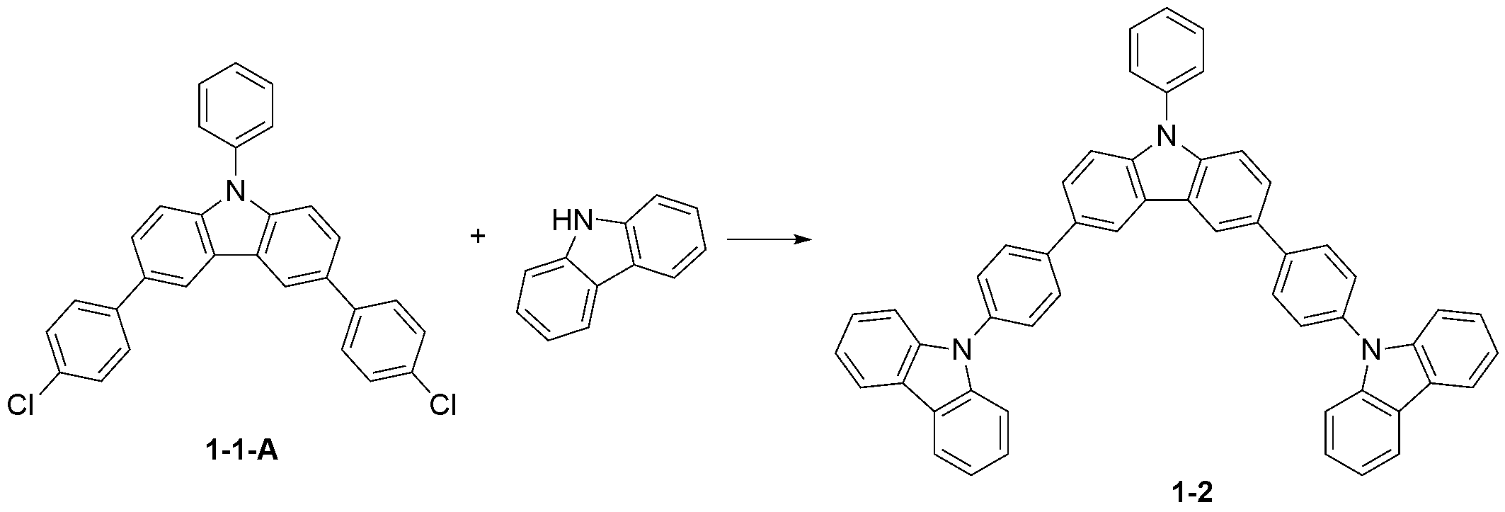
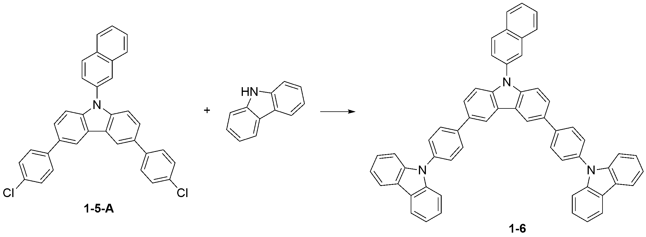
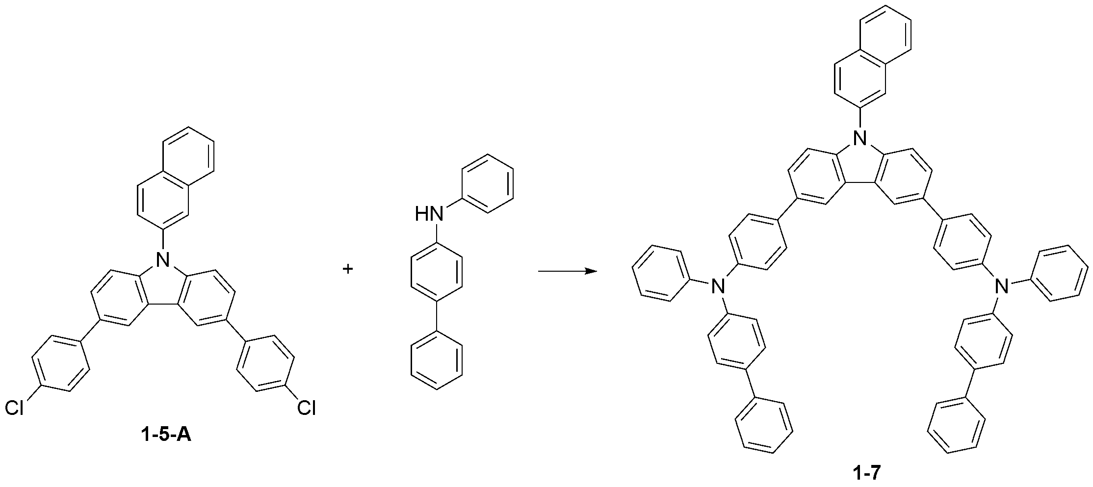
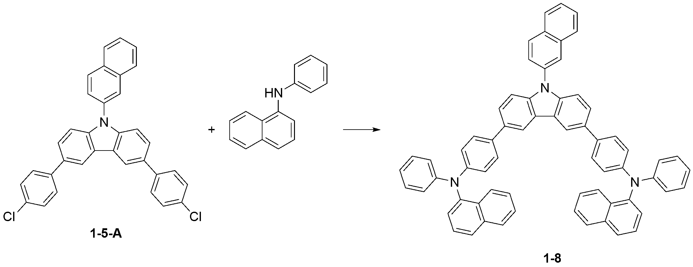
3: 정공수송층 4: 정공조절층
5: 발광층 6: 전자수송층
7: 음극
Claims (15)
- 양극;
정공수송층;
정공조절층;
발광층;
전자수송층; 및
음극을 포함하고,
상기 정공조절층은 하기 화학식 1로 표시되는 화합물을 포함하고,
상기 발광층은 (i) 하기 화학식 2-1로 표시되는 화합물, 또는 하기 화학식 2-2로 표시되는 화합물; 및 (ii) 하기 화학식 3으로 표시되는 화합물을 포함하는,
유기 발광 소자:
[화학식 1]
상기 화학식 1에서,
L11은 단일 결합; 또는 치환 또는 비치환된 C6-60 아릴렌이고,
L12 및 L13은 각각 독립적으로 단일 결합; 또는 치환 또는 비치환된 C6-60 아릴렌이고,
R11은 치환 또는 비치환된 C6-60 아릴이고,
R12 및 R13은 각각 독립적으로, 하기로 구성되는 군으로부터 선택되는 어느 하나이고,
상기에서, R'는 각각 독립적으로 치환 또는 비치환된 C6-60 아릴이고,
R14 및 R15는 수소이거나, 또는 서로 연결되고,
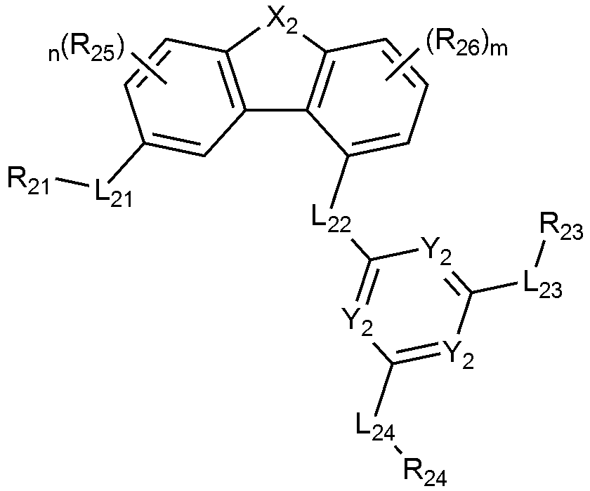
[화학식 2-1]
[화학식 2-2]
상기 화학식 2-1 및 2-2에서,
X2는 O, 또는 S이고,
Y2는 각각 독립적으로 N, 또는 CH이고, 단 Y2 중 적어도 하나는 N이고,
L21, L22, L23, 및 L24는 각각 독립적으로 단일 결합; 또는 치환 또는 비치환된 C6-60 아릴렌이고,
R21은 치환 또는 비치환된 C6-60 아릴, 또는 하기의 치환기이고,
상기에서, X'는 C, 또는 Si이고, R"는 각각 독립적으로 수소, C1-60 알킬, 또는 Si(C1-60 알킬)3이고,
R23 및 R24는 각각 독립적으로, 치환 또는 비치환된 C6-60 아릴; 또는 치환 또는 비치환된 N, O, 및 S로 구성되는 군으로부터 선택되는 어느 하나 이상의 헤테로원자를 포함하는 C2-60 헤테로아릴이고,
R25 및 R26은 각각 독립적으로, 수소, 중수소, 치환 또는 비치환된 C1-60 알킬, 시아노, 또는 치환 또는 비치환된 C6-60 아릴이고,
n 및 m은 각각 독립적으로 1 내지 3의 정수이고,
[화학식 3]
상기 화학식 3에서,
L31은 단일 결합; 또는 치환 또는 비치환된 C6-60 아릴렌이고,
L32는 단일 결합; 치환 또는 비치환된 C6-60 아릴렌이고,
R31은 치환 또는 비치환된 C3-60 사이클로알킬; 치환 또는 비치환된 C1-60 알킬, 치환 또는 비치환된 C6-60 아릴; 또는 치환 또는 비치환된 N, O, 및 S로 구성되는 군으로부터 선택되는 어느 하나 이상의 헤테로원자를 포함하는 C2-60 헤테로아릴이고,
R32 및 R33은 각각 독립적으로 수소, 시아노, 치환 또는 비치환된 C1-60 알킬, 치환 또는 비치환된 C6-60 아릴; 또는 치환 또는 비치환된 N, O, 및 S로 구성되는 군으로부터 선택되는 어느 하나 이상의 헤테로원자를 포함하는 C2-60 헤테로아릴이고,
X3은 O, S, C(CH3)2, N-R34, 또는 이고,
R34는 치환 또는 비치환된 C6-60 아릴이다.
- 제1항에 있어서,
L12 및 L13은 각각 독립적으로 단일 결합, 페닐렌, 또는 비페닐디일인,
유기 발광 소자.
- 제1항에 있어서,
R11은 페닐, 비페닐릴, 터페닐릴, 나프틸, 또는 디메틸플루오레닐인,
유기 발광 소자.
- 제1항에 있어서,
R'는 각각 독립적으로 페닐, 비페닐릴, 또는 나프틸인,
유기 발광 소자.
- 제1항에 있어서,
L21는 단일 결합, 페닐렌, 나프틸렌, 또는 페난쓰렌디일인,
유기 발광 소자.
- 제1항에 있어서,
L22는 단일 결합, 또는 페닐렌인,
유기 발광 소자.
- 제1항에 있어서,
R23 및 R24는 각각 독립적으로, 페닐, 1개 내지 5개의 중수소로 치환된 페닐, 비페닐릴, 터페닐릴, 나프틸, 페난쓰레닐, 플루오란테닐, 페닐플루오란테닐, 트리페닐레닐, 피레닐, 크리세닐, 페닐레닐, 디메틸플루오레닐, 디벤조퓨라닐, 또는 디벤조티오페닐인,
유기 발광 소자.
- 제1항에 있어서,
L31은 단일 결합, 또는 페닐렌인,
유기 발광 소자.
- 제1항에 있어서,
L32는 단일 결합, 또는 페닐렌인,
유기 발광 소자.
- 제1항에 있어서,
R31은 사이클로헥실, 페닐, 터트-부틸로 치환된 페닐, 시아노로 치환된 페닐, 비페닐릴, 터페닐릴, 나프틸, 페난쓰레닐, 트리페닐레닐, 디메틸플루오레닐, 디벤조퓨라닐, 디벤조티오페닐, 또는 9-페닐카바졸릴인,
유기 발광 소자.
- 제1항에 있어서,
R34는 페닐, 비페닐릴, 터페닐릴, 쿼터페닐릴, 나프틸, 또는 페난쓰레닐인,
유기 발광 소자.
Priority Applications (4)
| Application Number | Priority Date | Filing Date | Title |
|---|---|---|---|
| KR1020170170536A KR102134383B1 (ko) | 2017-12-12 | 2017-12-12 | 유기 발광 소자 |
| PCT/KR2018/011790 WO2019117440A1 (ko) | 2017-12-12 | 2018-10-05 | 유기 발광 소자 |
| US16/754,904 US11685859B2 (en) | 2017-12-12 | 2018-10-05 | Organic light emitting device |
| CN201880062752.7A CN111164777B (zh) | 2017-12-12 | 2018-10-05 | 有机发光器件 |
Applications Claiming Priority (1)
| Application Number | Priority Date | Filing Date | Title |
|---|---|---|---|
| KR1020170170536A KR102134383B1 (ko) | 2017-12-12 | 2017-12-12 | 유기 발광 소자 |
Publications (2)
| Publication Number | Publication Date |
|---|---|
| KR20190070064A KR20190070064A (ko) | 2019-06-20 |
| KR102134383B1 true KR102134383B1 (ko) | 2020-07-15 |
Family
ID=66819362
Family Applications (1)
| Application Number | Title | Priority Date | Filing Date |
|---|---|---|---|
| KR1020170170536A Active KR102134383B1 (ko) | 2017-12-12 | 2017-12-12 | 유기 발광 소자 |
Country Status (4)
| Country | Link |
|---|---|
| US (1) | US11685859B2 (ko) |
| KR (1) | KR102134383B1 (ko) |
| CN (1) | CN111164777B (ko) |
| WO (1) | WO2019117440A1 (ko) |
Families Citing this family (24)
| Publication number | Priority date | Publication date | Assignee | Title |
|---|---|---|---|---|
| KR101849747B1 (ko) * | 2016-07-20 | 2018-05-31 | 주식회사 엘지화학 | 신규한 헤테로 고리 화합물 및 이를 이용한 유기발광 소자 |
| JP7551273B2 (ja) * | 2018-01-11 | 2024-09-17 | 三星電子株式会社 | 化合物、有機エレクトロルミネッセンス素子用材料、有機エレクトロルミネッセンス素子用組成物、及び有機エレクトロルミネッセンス素子 |
| KR102054806B1 (ko) | 2019-08-02 | 2019-12-10 | 주식회사 엘지화학 | 신규한 화합물 및 이를 이용한 유기 발광 소자 |
| US12435073B2 (en) | 2019-08-19 | 2025-10-07 | Idemitsu Kosan Co., Ltd. | Compound, material for organic electroluminescent element, organic electroluminescent element, and electronic device |
| WO2021049819A1 (ko) * | 2019-09-11 | 2021-03-18 | 주식회사 엘지화학 | 신규한 화합물 및 이를 이용한 유기발광 소자 |
| KR102446401B1 (ko) * | 2019-09-11 | 2022-09-22 | 주식회사 엘지화학 | 신규한 화합물 및 이를 이용한 유기발광 소자 |
| TW202130783A (zh) * | 2019-11-04 | 2021-08-16 | 德商麥克專利有限公司 | 有機電致發光裝置 |
| KR102876927B1 (ko) | 2019-11-06 | 2025-10-24 | 삼성전자주식회사 | 광전 변환 소자, 센서 및 전자 장치 |
| CN112225706B (zh) * | 2019-12-31 | 2022-05-03 | 陕西莱特光电材料股份有限公司 | 有机化合物、使用其的电子器件及电子装置 |
| KR102778779B1 (ko) * | 2020-01-06 | 2025-03-11 | 덕산네오룩스 주식회사 | 유기전기소자용 화합물, 이를 이용한 유기전기소자 및 그 전자 장치 |
| CN111403629B (zh) * | 2020-03-20 | 2023-01-13 | 京东方科技集团股份有限公司 | 有机电致发光显示器件及显示装置 |
| CN114068824B (zh) * | 2020-07-29 | 2024-04-26 | 江苏三月科技股份有限公司 | 一种具有多空穴传输通道材料的有机电致发光器件 |
| US20230232717A1 (en) * | 2020-09-28 | 2023-07-20 | Lt Materials Co., Ltd. | Organic light-emitting device, composition for organic layer of organic lightemitting device, and method for manufacturing organic light-emitting device |
| CN114835686B (zh) * | 2021-02-02 | 2024-10-11 | 江苏三月科技股份有限公司 | 一种含有菲与三嗪结构的化合物及其应用 |
| CN112993199B (zh) * | 2021-02-25 | 2023-03-07 | 上海弗屈尔光电科技有限公司 | 一种三元组合物及含有该组合物的有机发光元件与应用 |
| JP2024504057A (ja) * | 2021-04-30 | 2024-01-30 | エルジー・ケム・リミテッド | 有機発光素子 |
| KR102768571B1 (ko) * | 2021-04-30 | 2025-02-17 | 주식회사 엘지화학 | 유기 발광 소자 |
| KR102786596B1 (ko) * | 2021-05-18 | 2025-03-26 | 삼성에스디아이 주식회사 | 유기 광전자 소자용 조성물, 유기 광전자 소자 및 표시 장치 |
| CN113972332B (zh) * | 2021-11-05 | 2024-05-24 | 陕西莱特光电材料股份有限公司 | 有机电致发光器件及包括其的电子装置 |
| CN114335399B (zh) * | 2021-12-03 | 2024-04-09 | 陕西莱特迈思光电材料有限公司 | 有机电致发光器件及包括其的电子装置 |
| US20240365660A1 (en) * | 2021-12-22 | 2024-10-31 | Lg Chem, Ltd. | Novel compound and organic light emitting device comprising the same |
| JPWO2024057958A1 (ko) * | 2022-09-14 | 2024-03-21 | ||
| KR20240052396A (ko) * | 2022-10-14 | 2024-04-23 | 삼성에스디아이 주식회사 | 유기 광전자 소자용 조성물, 유기 광전자 소자 및 표시 장치 |
| CN117567414B (zh) * | 2023-10-13 | 2026-01-23 | 濮阳惠成电子材料股份有限公司 | 一种光电材料中间体1-溴二苯并呋喃的合成方法 |
Citations (1)
| Publication number | Priority date | Publication date | Assignee | Title |
|---|---|---|---|---|
| KR101744248B1 (ko) * | 2016-09-06 | 2017-06-07 | 주식회사 엘지화학 | 유기발광 소자 |
Family Cites Families (32)
| Publication number | Priority date | Publication date | Assignee | Title |
|---|---|---|---|---|
| KR100430549B1 (ko) | 1999-01-27 | 2004-05-10 | 주식회사 엘지화학 | 신규한 착물 및 그의 제조 방법과 이를 이용한 유기 발광 소자 및 그의 제조 방법 |
| DE10135513B4 (de) | 2001-07-20 | 2005-02-24 | Novaled Gmbh | Lichtemittierendes Bauelement mit organischen Schichten |
| KR100719566B1 (ko) * | 2005-10-22 | 2007-05-17 | 삼성에스디아이 주식회사 | 유기 박막 트랜지스터, 및 이를 구비한 평판 표시 장치 |
| KR20090028943A (ko) * | 2007-09-17 | 2009-03-20 | (주)루디스 | 정공주입층/정공수송층 물질 및 이를 포함하는유기전계발광소자 |
| JP2009087783A (ja) * | 2007-09-28 | 2009-04-23 | Dainippon Printing Co Ltd | エレクトロルミネッセンス素子 |
| JPWO2009139475A1 (ja) * | 2008-05-16 | 2011-09-22 | 保土谷化学工業株式会社 | 有機エレクトロルミネッセンス素子 |
| KR20120116269A (ko) | 2011-04-12 | 2012-10-22 | 롬엔드하스전자재료코리아유한회사 | 신규한 유기 전자재료용 화합물 및 이를 포함하는 유기 전계 발광 소자 |
| KR20140126610A (ko) * | 2013-04-23 | 2014-10-31 | 삼성디스플레이 주식회사 | 유기 발광 소자 |
| KR101792908B1 (ko) * | 2014-05-26 | 2017-11-02 | 주식회사 엘지화학 | 헤테로고리 화합물 및 이를 포함하는 유기 발광 소자 |
| US10749113B2 (en) | 2014-09-29 | 2020-08-18 | Universal Display Corporation | Organic electroluminescent materials and devices |
| KR102471177B1 (ko) * | 2014-12-23 | 2022-11-24 | 엘지디스플레이 주식회사 | 유기 발광 소자 |
| WO2016108596A2 (ko) | 2014-12-29 | 2016-07-07 | 주식회사 동진쎄미켐 | 신규한 화합물 및 이를 포함하는 유기발광소자 |
| CN112480089A (zh) | 2014-12-29 | 2021-03-12 | 东进世美肯株式会社 | 新颖化合物及包含其的有机发光器件 |
| US11522140B2 (en) | 2015-08-17 | 2022-12-06 | Universal Display Corporation | Organic electroluminescent materials and devices |
| WO2017073932A1 (ko) * | 2015-10-26 | 2017-05-04 | 주식회사 엘지화학 | 아민 화합물 및 이를 포함하는 유기 발광 소자 |
| KR101905982B1 (ko) | 2015-10-26 | 2018-10-10 | 주식회사 엘지화학 | 아민 화합물 및 이를 포함하는 유기 발광 소자 |
| KR102362839B1 (ko) * | 2015-10-28 | 2022-02-15 | 삼성디스플레이 주식회사 | 유기 발광 소자, 그 유기 발광 소자의 제조방법 및 이를 포함하는 유기 발광 표시장치 |
| KR102076884B1 (ko) | 2015-12-08 | 2020-02-13 | 주식회사 엘지화학 | 헤테로고리 화합물 및 이를 포함하는 유기 발광 소자 |
| JP6754185B2 (ja) | 2015-12-10 | 2020-09-09 | コニカミノルタ株式会社 | 有機エレクトロルミネッセンス素子、表示装置、照明装置及び電子デバイス用有機機能性材料 |
| KR102512533B1 (ko) * | 2016-02-23 | 2023-03-22 | 삼성디스플레이 주식회사 | 유기 발광 소자 |
| KR102577726B1 (ko) | 2016-04-29 | 2023-09-14 | 솔루스첨단소재 주식회사 | 유기 화합물 및 이를 포함하는 유기 전계 발광 소자 |
| KR102018682B1 (ko) | 2016-05-26 | 2019-09-04 | 덕산네오룩스 주식회사 | 유기전기소자용 화합물, 이를 이용한 유기전기소자 및 그 전자 장치 |
| KR101961346B1 (ko) | 2016-05-27 | 2019-03-25 | 주식회사 엘지화학 | 유기 발광 소자 |
| KR102032598B1 (ko) | 2016-06-01 | 2019-10-15 | 주식회사 엘지화학 | 유기 발광 소자 |
| KR101849747B1 (ko) * | 2016-07-20 | 2018-05-31 | 주식회사 엘지화학 | 신규한 헤테로 고리 화합물 및 이를 이용한 유기발광 소자 |
| KR101885898B1 (ko) * | 2016-11-16 | 2018-08-06 | 주식회사 엘지화학 | 유기 발광 소자 |
| WO2018093015A1 (ko) * | 2016-11-16 | 2018-05-24 | 주식회사 엘지화학 | 유기 발광 소자 |
| KR102737075B1 (ko) * | 2016-11-30 | 2024-12-03 | 엘지디스플레이 주식회사 | 유기 발광 소자 및 이를 이용한 유기 발광 표시 장치 |
| KR102022689B1 (ko) * | 2017-03-30 | 2019-09-18 | 주식회사 엘지화학 | 유기 발광 소자 |
| WO2018182145A1 (ko) * | 2017-03-30 | 2018-10-04 | 주식회사 엘지화학 | 유기 발광 소자 |
| KR20190079341A (ko) * | 2017-12-27 | 2019-07-05 | 삼성에스디아이 주식회사 | 유기 화합물, 조성물, 유기 광전자 소자 및 표시 장치 |
| KR102163072B1 (ko) * | 2017-12-27 | 2020-10-07 | 주식회사 엘지화학 | 유기 발광 소자 |
-
2017
- 2017-12-12 KR KR1020170170536A patent/KR102134383B1/ko active Active
-
2018
- 2018-10-05 US US16/754,904 patent/US11685859B2/en active Active
- 2018-10-05 WO PCT/KR2018/011790 patent/WO2019117440A1/ko not_active Ceased
- 2018-10-05 CN CN201880062752.7A patent/CN111164777B/zh active Active
Patent Citations (1)
| Publication number | Priority date | Publication date | Assignee | Title |
|---|---|---|---|---|
| KR101744248B1 (ko) * | 2016-09-06 | 2017-06-07 | 주식회사 엘지화학 | 유기발광 소자 |
Also Published As
| Publication number | Publication date |
|---|---|
| CN111164777A (zh) | 2020-05-15 |
| US11685859B2 (en) | 2023-06-27 |
| US20210009894A1 (en) | 2021-01-14 |
| KR20190070064A (ko) | 2019-06-20 |
| CN111164777B (zh) | 2023-06-20 |
| WO2019117440A1 (ko) | 2019-06-20 |
Similar Documents
| Publication | Publication Date | Title |
|---|---|---|
| KR102134383B1 (ko) | 유기 발광 소자 | |
| KR102352825B1 (ko) | 신규한 화합물 및 이를 포함하는 유기발광 소자 | |
| KR101856728B1 (ko) | 유기 발광 소자 | |
| KR102163072B1 (ko) | 유기 발광 소자 | |
| JP6575673B2 (ja) | 有機発光素子 | |
| KR20200085232A (ko) | 신규한 화합물 및 이를 이용한 유기 발광 소자 | |
| KR102123015B1 (ko) | 신규한 화합물 및 이를 이용한 유기 발광 소자 | |
| KR102231197B1 (ko) | 신규한 화합물 및 이를 이용한 유기발광 소자 | |
| KR102447007B1 (ko) | 신규한 화합물 및 이를 포함하는 유기발광 소자 | |
| KR102225488B1 (ko) | 신규한 화합물 및 이를 이용한 유기발광 소자 | |
| KR20200110226A (ko) | 신규한 화합물 및 이를 이용한 유기발광 소자 | |
| KR102101476B1 (ko) | 신규한 헤테로 고리 화합물 및 이를 이용한 유기발광 소자 | |
| KR102126884B1 (ko) | 헤테로 고리 화합물 및 이를 이용한 유기발광 소자 | |
| KR102160653B1 (ko) | 신규한 화합물 및 이를 이용한 유기발광 소자 | |
| KR102206482B1 (ko) | 신규한 헤테로 고리 화합물 및 이를 이용한 유기발광 소자 | |
| KR20230025838A (ko) | 신규한 화합물 및 이를 이용한 유기발광 소자 | |
| KR102461122B1 (ko) | 유기 발광 소자 | |
| KR20210034528A (ko) | 신규한 화합물 및 이를 이용한 유기 발광 소자 | |
| KR20200078156A (ko) | 신규한 화합물 및 이를 포함하는 유기발광 소자 | |
| KR102278532B1 (ko) | 신규한 화합물 및 이를 이용한 유기발광 소자 | |
| KR20200052236A (ko) | 신규한 화합물 및 이를 이용한 유기 발광 소자 | |
| KR102278531B1 (ko) | 신규한 화합물 및 이를 이용한 유기발광 소자 | |
| KR102051625B1 (ko) | 신규한 헤테로 고리 화합물 및 이를 이용한 유기 발광 소자 | |
| KR20230095675A (ko) | 신규한 화합물 및 이를 이용한 유기 발광 소자 | |
| KR102264792B1 (ko) | 신규한 화합물 및 이를 이용한 유기발광 소자 |
Legal Events
| Date | Code | Title | Description |
|---|---|---|---|
| PA0109 | Patent application |
Patent event code: PA01091R01D Comment text: Patent Application Patent event date: 20171212 |
|
| A201 | Request for examination | ||
| PA0201 | Request for examination |
Patent event code: PA02012R01D Patent event date: 20190319 Comment text: Request for Examination of Application Patent event code: PA02011R01I Patent event date: 20171212 Comment text: Patent Application |
|
| PG1501 | Laying open of application | ||
| E902 | Notification of reason for refusal | ||
| PE0902 | Notice of grounds for rejection |
Comment text: Notification of reason for refusal Patent event date: 20191224 Patent event code: PE09021S01D |
|
| E701 | Decision to grant or registration of patent right | ||
| PE0701 | Decision of registration |
Patent event code: PE07011S01D Comment text: Decision to Grant Registration Patent event date: 20200628 |
|
| GRNT | Written decision to grant | ||
| PR0701 | Registration of establishment |
Comment text: Registration of Establishment Patent event date: 20200709 Patent event code: PR07011E01D |
|
| PR1002 | Payment of registration fee |
Payment date: 20200709 End annual number: 3 Start annual number: 1 |
|
| PG1601 | Publication of registration | ||
| PR1001 | Payment of annual fee |
Payment date: 20230627 Start annual number: 4 End annual number: 4 |































































































































































































