KR102132350B1 - 신규한 헤테로 고리 화합물 및 이를 이용한 유기 발광 소자 - Google Patents
신규한 헤테로 고리 화합물 및 이를 이용한 유기 발광 소자 Download PDFInfo
- Publication number
- KR102132350B1 KR102132350B1 KR1020180084350A KR20180084350A KR102132350B1 KR 102132350 B1 KR102132350 B1 KR 102132350B1 KR 1020180084350 A KR1020180084350 A KR 1020180084350A KR 20180084350 A KR20180084350 A KR 20180084350A KR 102132350 B1 KR102132350 B1 KR 102132350B1
- Authority
- KR
- South Korea
- Prior art keywords
- compound
- group
- light emitting
- formula
- layer
- Prior art date
- Legal status (The legal status is an assumption and is not a legal conclusion. Google has not performed a legal analysis and makes no representation as to the accuracy of the status listed.)
- Active
Links
- RGTWCCOQVAMEIV-UHFFFAOYSA-N CC(C)(c(cccc1)c1-c1c2)c1cc1c2c(cccc2)c2[n]1-c1cc(-c2nc(-c3ccccc3)nc(-c3ccccc3)n2)ccc1 Chemical compound CC(C)(c(cccc1)c1-c1c2)c1cc1c2c(cccc2)c2[n]1-c1cc(-c2nc(-c3ccccc3)nc(-c3ccccc3)n2)ccc1 RGTWCCOQVAMEIV-UHFFFAOYSA-N 0.000 description 1
- ATKYWSFRPTWICM-NIXSHMJDSA-O N=C(/C=C\C(c1cccc2c1cccc2)=[NH2+])c(cc12)ccc1[o]c1c2c(-c2nc(-c3ccccc3)nc(-c3ccccc3)n2)ccc1 Chemical compound N=C(/C=C\C(c1cccc2c1cccc2)=[NH2+])c(cc12)ccc1[o]c1c2c(-c2nc(-c3ccccc3)nc(-c3ccccc3)n2)ccc1 ATKYWSFRPTWICM-NIXSHMJDSA-O 0.000 description 1
- OWZDSZPOTJANPT-UHFFFAOYSA-N c(cc1)ccc1-c(cc1)ccc1-c1nc(-c2ccccc2)nc(-c2c(c3cccc(-c4nc(c(cccc5)c5cc5)c5cc4)c3[s]3)c3ccc2)n1 Chemical compound c(cc1)ccc1-c(cc1)ccc1-c1nc(-c2ccccc2)nc(-c2c(c3cccc(-c4nc(c(cccc5)c5cc5)c5cc4)c3[s]3)c3ccc2)n1 OWZDSZPOTJANPT-UHFFFAOYSA-N 0.000 description 1
- XKQCRZOMPMWRFK-UHFFFAOYSA-N c(cc1)ccc1-c1cc(-c(cc2c3c4)ccc2[o]c3ccc4-c2nc(-c3ccccc3)nc(-c3ccccc3)c2)nc(-c2ccccc2)n1 Chemical compound c(cc1)ccc1-c1cc(-c(cc2c3c4)ccc2[o]c3ccc4-c2nc(-c3ccccc3)nc(-c3ccccc3)c2)nc(-c2ccccc2)n1 XKQCRZOMPMWRFK-UHFFFAOYSA-N 0.000 description 1
- HSOVPDOJOAMLCV-UHFFFAOYSA-N c(cc1)ccc1-c1cc(-c2c3[s]c4cccc(-c5cc(-c6ccccc6)nc(-c6ccccc6)n5)c4c3ccc2)nc2ccccc12 Chemical compound c(cc1)ccc1-c1cc(-c2c3[s]c4cccc(-c5cc(-c6ccccc6)nc(-c6ccccc6)n5)c4c3ccc2)nc2ccccc12 HSOVPDOJOAMLCV-UHFFFAOYSA-N 0.000 description 1
- DCYUMAJMUBPJOR-UHFFFAOYSA-N c(cc1)ccc1-c1cc(-c2c3[s]c4cccc(-c5cccc(-c6nc(-c7ccccc7)nc(-c7ccccc7)n6)c5)c4c3ccc2)nc2ccccc12 Chemical compound c(cc1)ccc1-c1cc(-c2c3[s]c4cccc(-c5cccc(-c6nc(-c7ccccc7)nc(-c7ccccc7)n6)c5)c4c3ccc2)nc2ccccc12 DCYUMAJMUBPJOR-UHFFFAOYSA-N 0.000 description 1
- PMPUDADMPIJTSE-UHFFFAOYSA-N c(cc1)ccc1-c1cc(-c2c3[s]c4cccc(-c5nc(-c6ccccc6)nc(-c6ccccc6)n5)c4c3ccc2)nc2ccccc12 Chemical compound c(cc1)ccc1-c1cc(-c2c3[s]c4cccc(-c5nc(-c6ccccc6)nc(-c6ccccc6)n5)c4c3ccc2)nc2ccccc12 PMPUDADMPIJTSE-UHFFFAOYSA-N 0.000 description 1
- NWCMYMHFWVOLGW-UHFFFAOYSA-N c(cc1)ccc1-c1cc(-c2nc(-c3ccccc3)cc(-c3c(c4cccc(-c5nc(cccc6)c6c(-c6ccccc6)n5)c4[s]4)c4ccc3)n2)ccc1 Chemical compound c(cc1)ccc1-c1cc(-c2nc(-c3ccccc3)cc(-c3c(c4cccc(-c5nc(cccc6)c6c(-c6ccccc6)n5)c4[s]4)c4ccc3)n2)ccc1 NWCMYMHFWVOLGW-UHFFFAOYSA-N 0.000 description 1
- RCIOKJAEYJHNHK-UHFFFAOYSA-N c(cc1)ccc1-c1cc(-c2nc(-c3ccccc3)nc(-c3c(c4cccc(-c5nc(cccc6)c6c(-c6ccccc6)n5)c4[s]4)c4ccc3)n2)ccc1 Chemical compound c(cc1)ccc1-c1cc(-c2nc(-c3ccccc3)nc(-c3c(c4cccc(-c5nc(cccc6)c6c(-c6ccccc6)n5)c4[s]4)c4ccc3)n2)ccc1 RCIOKJAEYJHNHK-UHFFFAOYSA-N 0.000 description 1
- UUKGQQQUPJXECD-UHFFFAOYSA-N c(cc1)ccc1-c1nc(-c(cc2)ccc2-c2ccc3[o]c4ccccc4c3c2)nc(-c2ccccc2)n1 Chemical compound c(cc1)ccc1-c1nc(-c(cc2)ccc2-c2ccc3[o]c4ccccc4c3c2)nc(-c2ccccc2)n1 UUKGQQQUPJXECD-UHFFFAOYSA-N 0.000 description 1
- UZWIWPHCQQOJNJ-UHFFFAOYSA-N c(cc1)ccc1-c1nc(-c2c(c(cccc3-c4nc(cccc5)c5c5nc(cccc6)c6[n]45)c3[s]3)c3ccc2)nc(-c2cccc3c2[s]c2ccccc32)n1 Chemical compound c(cc1)ccc1-c1nc(-c2c(c(cccc3-c4nc(cccc5)c5c5nc(cccc6)c6[n]45)c3[s]3)c3ccc2)nc(-c2cccc3c2[s]c2ccccc32)n1 UZWIWPHCQQOJNJ-UHFFFAOYSA-N 0.000 description 1
- XJGRORFDAZLQKC-UHFFFAOYSA-N c(cc1)ccc1-c1nc(-c2c(c3cccc(-c4cc(nccc5)c5cc4)c3[s]3)c3ccc2)nc(-c2cccc3c2[o]c2c3cccc2)n1 Chemical compound c(cc1)ccc1-c1nc(-c2c(c3cccc(-c4cc(nccc5)c5cc4)c3[s]3)c3ccc2)nc(-c2cccc3c2[o]c2c3cccc2)n1 XJGRORFDAZLQKC-UHFFFAOYSA-N 0.000 description 1
- LKLWCDUUYMVMOJ-UHFFFAOYSA-N c(cc1)ccc1-c1nc(-c2c3[s]c(cccc4)c4c3ccc2)nc(-c2c(c(cc(cc3)-c4nc(cccc5)c5c5nc(cccc6)c6[n]45)c3[o]3)c3ccc2)n1 Chemical compound c(cc1)ccc1-c1nc(-c2c3[s]c(cccc4)c4c3ccc2)nc(-c2c(c(cc(cc3)-c4nc(cccc5)c5c5nc(cccc6)c6[n]45)c3[o]3)c3ccc2)n1 LKLWCDUUYMVMOJ-UHFFFAOYSA-N 0.000 description 1
- ATQZITRSCJNWJR-UHFFFAOYSA-N c(cc1)ccc1-c1nc(-c2ccccc2)nc(-c2c(c(cc(cc3)-c4nc5ccccc5c(-c5ccc(c6ccccc6[n]6-c7ccccc7)c6c5)n4)c3[o]3)c3ccc2)n1 Chemical compound c(cc1)ccc1-c1nc(-c2ccccc2)nc(-c2c(c(cc(cc3)-c4nc5ccccc5c(-c5ccc(c6ccccc6[n]6-c7ccccc7)c6c5)n4)c3[o]3)c3ccc2)n1 ATQZITRSCJNWJR-UHFFFAOYSA-N 0.000 description 1
- JZPCUHCNDJQHLJ-UHFFFAOYSA-N c(cc1)ccc1-c1nc(-c2ccccc2)nc(-c2c(c(cc(cc3)-c4nc5ccccc5c5nc(cccc6)c6[n]45)c3[o]3)c3ccc2)n1 Chemical compound c(cc1)ccc1-c1nc(-c2ccccc2)nc(-c2c(c(cc(cc3)-c4nc5ccccc5c5nc(cccc6)c6[n]45)c3[o]3)c3ccc2)n1 JZPCUHCNDJQHLJ-UHFFFAOYSA-N 0.000 description 1
Images
Classifications
-
- C—CHEMISTRY; METALLURGY
- C07—ORGANIC CHEMISTRY
- C07D—HETEROCYCLIC COMPOUNDS
- C07D495/00—Heterocyclic compounds containing in the condensed system at least one hetero ring having sulfur atoms as the only ring hetero atoms
- C07D495/02—Heterocyclic compounds containing in the condensed system at least one hetero ring having sulfur atoms as the only ring hetero atoms in which the condensed system contains two hetero rings
- C07D495/04—Ortho-condensed systems
-
- C—CHEMISTRY; METALLURGY
- C07—ORGANIC CHEMISTRY
- C07D—HETEROCYCLIC COMPOUNDS
- C07D209/00—Heterocyclic compounds containing five-membered rings, condensed with other rings, with one nitrogen atom as the only ring hetero atom
- C07D209/56—Ring systems containing three or more rings
- C07D209/80—[b, c]- or [b, d]-condensed
- C07D209/82—Carbazoles; Hydrogenated carbazoles
-
- C—CHEMISTRY; METALLURGY
- C07—ORGANIC CHEMISTRY
- C07D—HETEROCYCLIC COMPOUNDS
- C07D307/00—Heterocyclic compounds containing five-membered rings having one oxygen atom as the only ring hetero atom
- C07D307/77—Heterocyclic compounds containing five-membered rings having one oxygen atom as the only ring hetero atom ortho- or peri-condensed with carbocyclic rings or ring systems
- C07D307/91—Dibenzofurans; Hydrogenated dibenzofurans
-
- C—CHEMISTRY; METALLURGY
- C07—ORGANIC CHEMISTRY
- C07D—HETEROCYCLIC COMPOUNDS
- C07D333/00—Heterocyclic compounds containing five-membered rings having one sulfur atom as the only ring hetero atom
- C07D333/50—Heterocyclic compounds containing five-membered rings having one sulfur atom as the only ring hetero atom condensed with carbocyclic rings or ring systems
- C07D333/52—Benzo[b]thiophenes; Hydrogenated benzo[b]thiophenes
-
- C—CHEMISTRY; METALLURGY
- C07—ORGANIC CHEMISTRY
- C07D—HETEROCYCLIC COMPOUNDS
- C07D407/00—Heterocyclic compounds containing two or more hetero rings, at least one ring having oxygen atoms as the only ring hetero atoms, not provided for by group C07D405/00
- C07D407/14—Heterocyclic compounds containing two or more hetero rings, at least one ring having oxygen atoms as the only ring hetero atoms, not provided for by group C07D405/00 containing three or more hetero rings
-
- C—CHEMISTRY; METALLURGY
- C07—ORGANIC CHEMISTRY
- C07D—HETEROCYCLIC COMPOUNDS
- C07D409/00—Heterocyclic compounds containing two or more hetero rings, at least one ring having sulfur atoms as the only ring hetero atoms
- C07D409/14—Heterocyclic compounds containing two or more hetero rings, at least one ring having sulfur atoms as the only ring hetero atoms containing three or more hetero rings
-
- C—CHEMISTRY; METALLURGY
- C07—ORGANIC CHEMISTRY
- C07D—HETEROCYCLIC COMPOUNDS
- C07D413/00—Heterocyclic compounds containing two or more hetero rings, at least one ring having nitrogen and oxygen atoms as the only ring hetero atoms
- C07D413/14—Heterocyclic compounds containing two or more hetero rings, at least one ring having nitrogen and oxygen atoms as the only ring hetero atoms containing three or more hetero rings
-
- C—CHEMISTRY; METALLURGY
- C07—ORGANIC CHEMISTRY
- C07D—HETEROCYCLIC COMPOUNDS
- C07D417/00—Heterocyclic compounds containing two or more hetero rings, at least one ring having nitrogen and sulfur atoms as the only ring hetero atoms, not provided for by group C07D415/00
- C07D417/14—Heterocyclic compounds containing two or more hetero rings, at least one ring having nitrogen and sulfur atoms as the only ring hetero atoms, not provided for by group C07D415/00 containing three or more hetero rings
-
- C—CHEMISTRY; METALLURGY
- C07—ORGANIC CHEMISTRY
- C07D—HETEROCYCLIC COMPOUNDS
- C07D471/00—Heterocyclic compounds containing nitrogen atoms as the only ring hetero atoms in the condensed system, at least one ring being a six-membered ring with one nitrogen atom, not provided for by groups C07D451/00 - C07D463/00
- C07D471/02—Heterocyclic compounds containing nitrogen atoms as the only ring hetero atoms in the condensed system, at least one ring being a six-membered ring with one nitrogen atom, not provided for by groups C07D451/00 - C07D463/00 in which the condensed system contains two hetero rings
- C07D471/04—Ortho-condensed systems
-
- C—CHEMISTRY; METALLURGY
- C07—ORGANIC CHEMISTRY
- C07D—HETEROCYCLIC COMPOUNDS
- C07D487/00—Heterocyclic compounds containing nitrogen atoms as the only ring hetero atoms in the condensed system, not provided for by groups C07D451/00 - C07D477/00
- C07D487/02—Heterocyclic compounds containing nitrogen atoms as the only ring hetero atoms in the condensed system, not provided for by groups C07D451/00 - C07D477/00 in which the condensed system contains two hetero rings
- C07D487/04—Ortho-condensed systems
-
- C—CHEMISTRY; METALLURGY
- C07—ORGANIC CHEMISTRY
- C07D—HETEROCYCLIC COMPOUNDS
- C07D491/00—Heterocyclic compounds containing in the condensed ring system both one or more rings having oxygen atoms as the only ring hetero atoms and one or more rings having nitrogen atoms as the only ring hetero atoms, not provided for by groups C07D451/00 - C07D459/00, C07D463/00, C07D477/00 or C07D489/00
- C07D491/02—Heterocyclic compounds containing in the condensed ring system both one or more rings having oxygen atoms as the only ring hetero atoms and one or more rings having nitrogen atoms as the only ring hetero atoms, not provided for by groups C07D451/00 - C07D459/00, C07D463/00, C07D477/00 or C07D489/00 in which the condensed system contains two hetero rings
- C07D491/04—Ortho-condensed systems
- C07D491/044—Ortho-condensed systems with only one oxygen atom as ring hetero atom in the oxygen-containing ring
- C07D491/048—Ortho-condensed systems with only one oxygen atom as ring hetero atom in the oxygen-containing ring the oxygen-containing ring being five-membered
-
- H01L51/0071—
-
- H01L51/0073—
-
- H01L51/5072—
-
- H01L51/5092—
-
- H—ELECTRICITY
- H10—SEMICONDUCTOR DEVICES; ELECTRIC SOLID-STATE DEVICES NOT OTHERWISE PROVIDED FOR
- H10K—ORGANIC ELECTRIC SOLID-STATE DEVICES
- H10K50/00—Organic light-emitting devices
- H10K50/10—OLEDs or polymer light-emitting diodes [PLED]
- H10K50/14—Carrier transporting layers
- H10K50/16—Electron transporting layers
-
- H—ELECTRICITY
- H10—SEMICONDUCTOR DEVICES; ELECTRIC SOLID-STATE DEVICES NOT OTHERWISE PROVIDED FOR
- H10K—ORGANIC ELECTRIC SOLID-STATE DEVICES
- H10K50/00—Organic light-emitting devices
- H10K50/10—OLEDs or polymer light-emitting diodes [PLED]
- H10K50/17—Carrier injection layers
- H10K50/171—Electron injection layers
-
- H—ELECTRICITY
- H10—SEMICONDUCTOR DEVICES; ELECTRIC SOLID-STATE DEVICES NOT OTHERWISE PROVIDED FOR
- H10K—ORGANIC ELECTRIC SOLID-STATE DEVICES
- H10K85/00—Organic materials used in the body or electrodes of devices covered by this subclass
- H10K85/60—Organic compounds having low molecular weight
- H10K85/615—Polycyclic condensed aromatic hydrocarbons, e.g. anthracene
-
- H—ELECTRICITY
- H10—SEMICONDUCTOR DEVICES; ELECTRIC SOLID-STATE DEVICES NOT OTHERWISE PROVIDED FOR
- H10K—ORGANIC ELECTRIC SOLID-STATE DEVICES
- H10K85/00—Organic materials used in the body or electrodes of devices covered by this subclass
- H10K85/60—Organic compounds having low molecular weight
- H10K85/649—Aromatic compounds comprising a hetero atom
- H10K85/654—Aromatic compounds comprising a hetero atom comprising only nitrogen as heteroatom
-
- H—ELECTRICITY
- H10—SEMICONDUCTOR DEVICES; ELECTRIC SOLID-STATE DEVICES NOT OTHERWISE PROVIDED FOR
- H10K—ORGANIC ELECTRIC SOLID-STATE DEVICES
- H10K85/00—Organic materials used in the body or electrodes of devices covered by this subclass
- H10K85/60—Organic compounds having low molecular weight
- H10K85/649—Aromatic compounds comprising a hetero atom
- H10K85/657—Polycyclic condensed heteroaromatic hydrocarbons
-
- H—ELECTRICITY
- H10—SEMICONDUCTOR DEVICES; ELECTRIC SOLID-STATE DEVICES NOT OTHERWISE PROVIDED FOR
- H10K—ORGANIC ELECTRIC SOLID-STATE DEVICES
- H10K85/00—Organic materials used in the body or electrodes of devices covered by this subclass
- H10K85/60—Organic compounds having low molecular weight
- H10K85/649—Aromatic compounds comprising a hetero atom
- H10K85/657—Polycyclic condensed heteroaromatic hydrocarbons
- H10K85/6572—Polycyclic condensed heteroaromatic hydrocarbons comprising only nitrogen in the heteroaromatic polycondensed ring system, e.g. phenanthroline or carbazole
-
- H—ELECTRICITY
- H10—SEMICONDUCTOR DEVICES; ELECTRIC SOLID-STATE DEVICES NOT OTHERWISE PROVIDED FOR
- H10K—ORGANIC ELECTRIC SOLID-STATE DEVICES
- H10K85/00—Organic materials used in the body or electrodes of devices covered by this subclass
- H10K85/60—Organic compounds having low molecular weight
- H10K85/649—Aromatic compounds comprising a hetero atom
- H10K85/657—Polycyclic condensed heteroaromatic hydrocarbons
- H10K85/6574—Polycyclic condensed heteroaromatic hydrocarbons comprising only oxygen in the heteroaromatic polycondensed ring system, e.g. cumarine dyes
-
- H—ELECTRICITY
- H10—SEMICONDUCTOR DEVICES; ELECTRIC SOLID-STATE DEVICES NOT OTHERWISE PROVIDED FOR
- H10K—ORGANIC ELECTRIC SOLID-STATE DEVICES
- H10K85/00—Organic materials used in the body or electrodes of devices covered by this subclass
- H10K85/60—Organic compounds having low molecular weight
- H10K85/649—Aromatic compounds comprising a hetero atom
- H10K85/657—Polycyclic condensed heteroaromatic hydrocarbons
- H10K85/6576—Polycyclic condensed heteroaromatic hydrocarbons comprising only sulfur in the heteroaromatic polycondensed ring system, e.g. benzothiophene
-
- H—ELECTRICITY
- H10—SEMICONDUCTOR DEVICES; ELECTRIC SOLID-STATE DEVICES NOT OTHERWISE PROVIDED FOR
- H10K—ORGANIC ELECTRIC SOLID-STATE DEVICES
- H10K2101/00—Properties of the organic materials covered by group H10K85/00
- H10K2101/10—Triplet emission
-
- H—ELECTRICITY
- H10—SEMICONDUCTOR DEVICES; ELECTRIC SOLID-STATE DEVICES NOT OTHERWISE PROVIDED FOR
- H10K—ORGANIC ELECTRIC SOLID-STATE DEVICES
- H10K2101/00—Properties of the organic materials covered by group H10K85/00
- H10K2101/90—Multiple hosts in the emissive layer
-
- H—ELECTRICITY
- H10—SEMICONDUCTOR DEVICES; ELECTRIC SOLID-STATE DEVICES NOT OTHERWISE PROVIDED FOR
- H10K—ORGANIC ELECTRIC SOLID-STATE DEVICES
- H10K50/00—Organic light-emitting devices
- H10K50/10—OLEDs or polymer light-emitting diodes [PLED]
- H10K50/11—OLEDs or polymer light-emitting diodes [PLED] characterised by the electroluminescent [EL] layers
-
- H—ELECTRICITY
- H10—SEMICONDUCTOR DEVICES; ELECTRIC SOLID-STATE DEVICES NOT OTHERWISE PROVIDED FOR
- H10K—ORGANIC ELECTRIC SOLID-STATE DEVICES
- H10K50/00—Organic light-emitting devices
- H10K50/10—OLEDs or polymer light-emitting diodes [PLED]
- H10K50/11—OLEDs or polymer light-emitting diodes [PLED] characterised by the electroluminescent [EL] layers
- H10K50/12—OLEDs or polymer light-emitting diodes [PLED] characterised by the electroluminescent [EL] layers comprising dopants
-
- H—ELECTRICITY
- H10—SEMICONDUCTOR DEVICES; ELECTRIC SOLID-STATE DEVICES NOT OTHERWISE PROVIDED FOR
- H10K—ORGANIC ELECTRIC SOLID-STATE DEVICES
- H10K50/00—Organic light-emitting devices
- H10K50/10—OLEDs or polymer light-emitting diodes [PLED]
- H10K50/14—Carrier transporting layers
- H10K50/16—Electron transporting layers
- H10K50/166—Electron transporting layers comprising a multilayered structure
-
- H—ELECTRICITY
- H10—SEMICONDUCTOR DEVICES; ELECTRIC SOLID-STATE DEVICES NOT OTHERWISE PROVIDED FOR
- H10K—ORGANIC ELECTRIC SOLID-STATE DEVICES
- H10K85/00—Organic materials used in the body or electrodes of devices covered by this subclass
- H10K85/30—Coordination compounds
- H10K85/341—Transition metal complexes, e.g. Ru(II)polypyridine complexes
- H10K85/342—Transition metal complexes, e.g. Ru(II)polypyridine complexes comprising iridium
-
- H—ELECTRICITY
- H10—SEMICONDUCTOR DEVICES; ELECTRIC SOLID-STATE DEVICES NOT OTHERWISE PROVIDED FOR
- H10K—ORGANIC ELECTRIC SOLID-STATE DEVICES
- H10K85/00—Organic materials used in the body or electrodes of devices covered by this subclass
- H10K85/60—Organic compounds having low molecular weight
- H10K85/631—Amine compounds having at least two aryl rest on at least one amine-nitrogen atom, e.g. triphenylamine
-
- H—ELECTRICITY
- H10—SEMICONDUCTOR DEVICES; ELECTRIC SOLID-STATE DEVICES NOT OTHERWISE PROVIDED FOR
- H10K—ORGANIC ELECTRIC SOLID-STATE DEVICES
- H10K85/00—Organic materials used in the body or electrodes of devices covered by this subclass
- H10K85/60—Organic compounds having low molecular weight
- H10K85/631—Amine compounds having at least two aryl rest on at least one amine-nitrogen atom, e.g. triphenylamine
- H10K85/633—Amine compounds having at least two aryl rest on at least one amine-nitrogen atom, e.g. triphenylamine comprising polycyclic condensed aromatic hydrocarbons as substituents on the nitrogen atom
-
- Y—GENERAL TAGGING OF NEW TECHNOLOGICAL DEVELOPMENTS; GENERAL TAGGING OF CROSS-SECTIONAL TECHNOLOGIES SPANNING OVER SEVERAL SECTIONS OF THE IPC; TECHNICAL SUBJECTS COVERED BY FORMER USPC CROSS-REFERENCE ART COLLECTIONS [XRACs] AND DIGESTS
- Y02—TECHNOLOGIES OR APPLICATIONS FOR MITIGATION OR ADAPTATION AGAINST CLIMATE CHANGE
- Y02E—REDUCTION OF GREENHOUSE GAS [GHG] EMISSIONS, RELATED TO ENERGY GENERATION, TRANSMISSION OR DISTRIBUTION
- Y02E10/00—Energy generation through renewable energy sources
- Y02E10/50—Photovoltaic [PV] energy
- Y02E10/549—Organic PV cells
Landscapes
- Chemical & Material Sciences (AREA)
- Organic Chemistry (AREA)
- Physics & Mathematics (AREA)
- Spectroscopy & Molecular Physics (AREA)
- Engineering & Computer Science (AREA)
- Materials Engineering (AREA)
- Optics & Photonics (AREA)
- Electroluminescent Light Sources (AREA)
- Plural Heterocyclic Compounds (AREA)
Abstract
Description
도 2는 기판 (1), 양극(2), 정공주입층(5), 정공수송층(6), 발광층(7), 전자수송층(8) 및 음극(4)으로 이루어진 유기 발광 소자의 예를 도시한 것이다.
| 구분 | 화합물 | 전압(V) (@10mA/cm2) |
효율(Cd/A) (@10mA/cm2) |
색좌표 (x,y) |
수명(h) (LT95 at 50mA/cm2) |
| 실험예 1 | 화합물 1 | 3.5 | 80 | 0.46, 0.52 | 105 |
| 실험예 2 | 화합물 2 | 3.4 | 74 | 0.45, 0.54 | 120 |
| 실험예 3 | 화합물 5 | 3.6 | 79 | 0.45, 0.53 | 110 |
| 실험예 4 | 화합물 6 | 3.6 | 76 | 0.46, 0.53 | 120 |
| 실험예 5 | 화합물 8 | 3.7 | 78 | 0.46, 0.52 | 100 |
| 비교실험예 1 | C1 | 3.6 | 68 | 0.45, 0.54 | 91 |
| 비교실험예 2 | C2 | 4.0 | 60 | 0.46, 0.53 | 61 |
| 비교실험예 3 | C3 | 4.2 | 60 | 0.45, 0.53 | 65 |
3: 발광층 4: 음극
5: 정공주입층 6: 정공수송층
7: 발광층 8: 전자수송층
Claims (14)
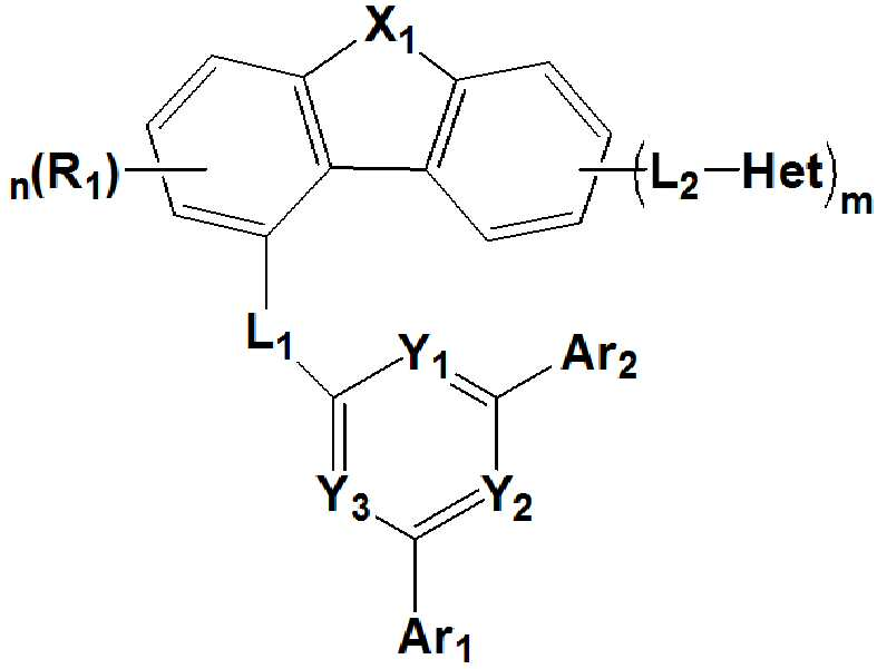
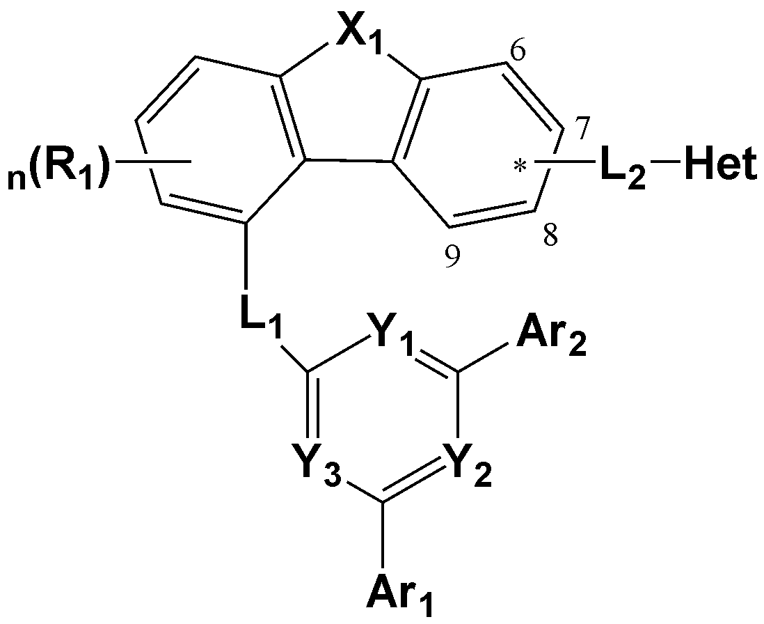
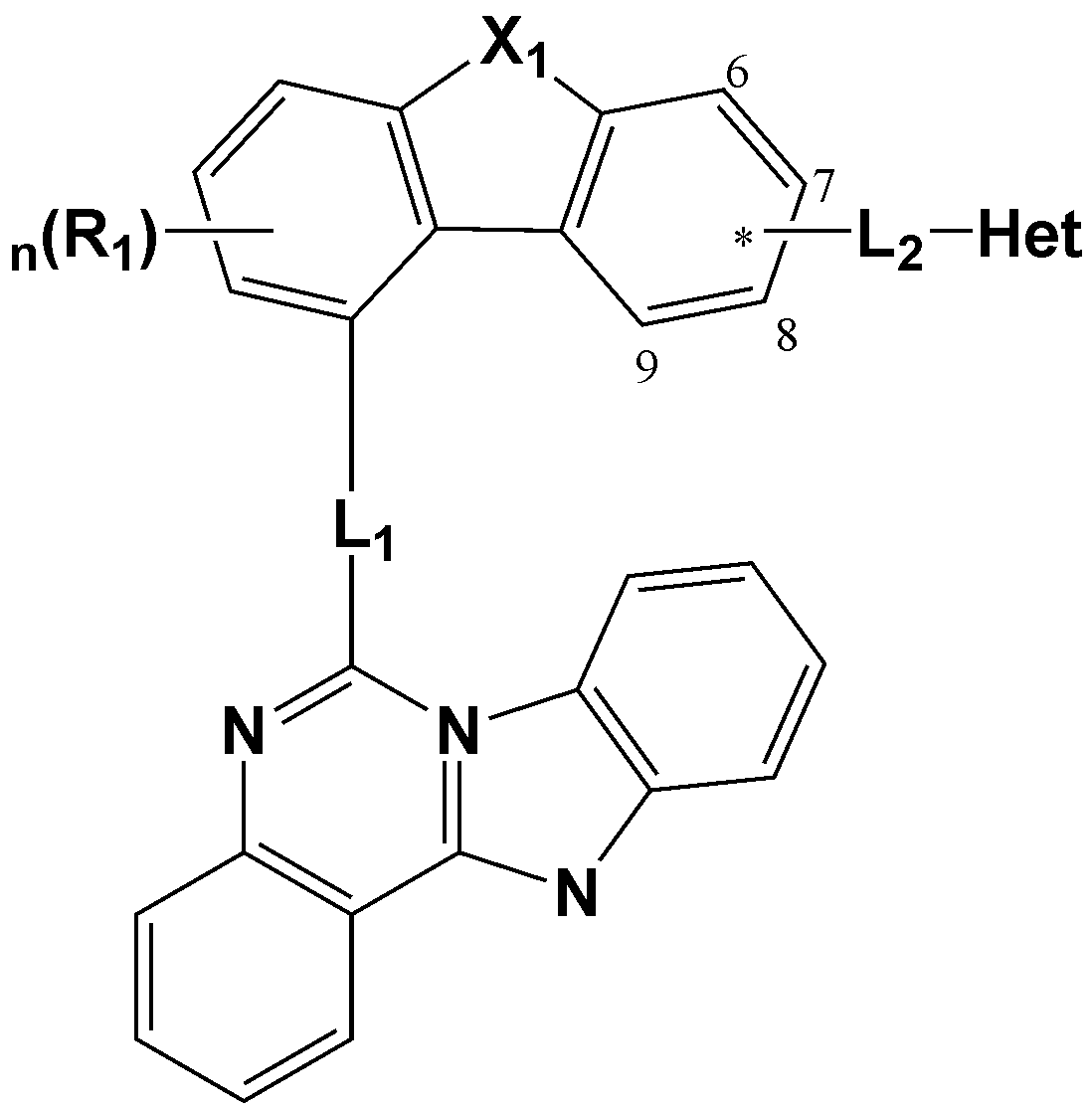
- 하기 화학식 1로 표시되는 화합물:
[화학식 1]
상기 화학식 1에서,
X1은 O 또는 S이고,
R1는 수소 또는 치환 또는 비치환된 C1-60의 알킬이고,
L1 및 L2는 각각 독립적으로 직접 결합 또는 치환 또는 비치환된 C6-60 아릴렌이고,
Y1, Y2 및 Y3는 각각 독립적으로 N 또는 CR2이고, 단 이들 중 하나 이상이 N이고, R2는 수소 또는 치환 또는 비치환된 C1-60의 알킬이고,
Ar1 및 Ar2는 각각 독립적으로 치환 또는 비치환된 C6-60 아릴 또는 N, O 및 S 중 1개 이상을 포함하는 치환 또는 비치환된 C5-60 헤테로아릴이고, 이들은 인접한 Y1, Y2 및 Y3와 결합하여 고리를 형성할 수 있고,
*-L2-Het는 6, 7, 8 및 9 중 어느 하나와 연결되며,
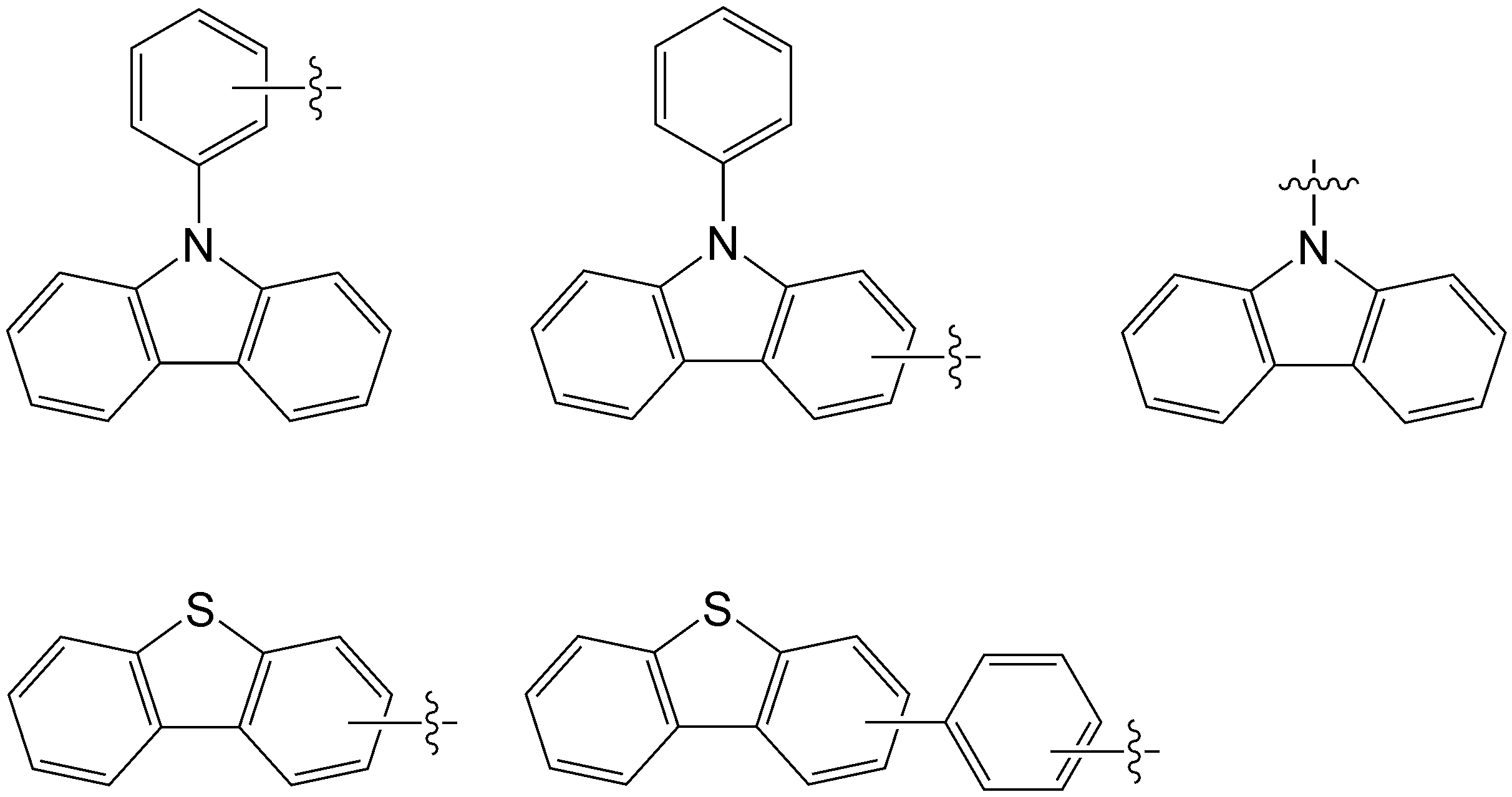
상기 Het는 하기로 이루어진 군에서 선택되는 어느 하나이고,
상기 화학식 [1-1] 내지 [1-22] 중에서,
B는 O 또는 S이고,
Z1, Z2, Z3 및 Z4는 각각 독립적으로 N 또는 CH이며, 단, 각 화학식 내에서 이들 중 하나 이상이 N이고,
R3는 각각 독립적으로 수소, 치환 또는 비치환된 C1-60의 알킬, 치환 또는 비치환된 C6-60 아릴, 또는 N 및 S 중 1개 이상을 포함하는 치환 또는 비치환된 C5-60 헤테로아릴이고,
l 은 각각 독립적으로 1 또는 2이고,
단, *-L2-Het이 8과 연결되고, 동시에 Het가 상기 식 [1-4] 및 [1-6] 내지 [1-19]로 이루어진 군에서 선택된 어느 하나인 경우, R3는 N 및 S 중 1개 이상을 포함하는 치환 또는 비치환된 C5-60 헤테로아릴이고,
n은 1 또는 2임.
- 삭제
- 삭제
- 제 1항에 있어서,
R1은 수소 또는 치환 또는 비치환된 C1-10의 알킬인, 화합물.
- 제1 전극; 상기 제1 전극과 대향하여 구비된 제2 전극; 및 상기 제1 전극과 상기 제2 전극 사이에 구비된 1층 이상의 유기물층을 포함하는 유기 발광 소자로서, 상기 유기물층 중 1층 이상은 제 1항 및 제 5항 내지 제 9항 중 어느 하나의 항에 따른 화합물을 포함하는 것인, 유기 발광 소자.
- 제 10항에 있어서,
상기 화합물을 포함하는 유기물층은 발광층인, 유기 발광 소자.
- 제 11항에 있어서,
상기 화합물은 발광층 내의 호스트 재료인, 유기 발광 소자.
- 제 12항에 있어서,
상기 발광층은 도펀트 재료를 더 포함하는, 유기 발광 소자.
- 제 10항에 있어서,
상기 화합물을 포함하는 유기물층은 전자주입층; 전자수송층; 또는 전자주입과 전자수송을 동시에 하는 층인 것을 특징으로 하는, 유기 발광 소자.
Priority Applications (4)
| Application Number | Priority Date | Filing Date | Title |
|---|---|---|---|
| CN201880035734.XA CN110709403B (zh) | 2017-07-20 | 2018-07-20 | 新的杂环化合物和使用其的有机发光器件 |
| US16/621,210 US11840538B2 (en) | 2017-07-20 | 2018-07-20 | Heterocyclic compounds and organic light emitting device using the same |
| TW107125258A TWI687504B (zh) | 2017-07-20 | 2018-07-20 | 新式雜環化合物以及使用此雜環化合物的有機發光裝置 |
| PCT/KR2018/008232 WO2019017730A1 (ko) | 2017-07-20 | 2018-07-20 | 신규한 헤테로 고리 화합물 및 이를 이용한 유기 발광 소자 |
Applications Claiming Priority (2)
| Application Number | Priority Date | Filing Date | Title |
|---|---|---|---|
| KR1020170092174 | 2017-07-20 | ||
| KR20170092174 | 2017-07-20 |
Publications (2)
| Publication Number | Publication Date |
|---|---|
| KR20190010476A KR20190010476A (ko) | 2019-01-30 |
| KR102132350B1 true KR102132350B1 (ko) | 2020-07-09 |
Family
ID=65276708
Family Applications (3)
| Application Number | Title | Priority Date | Filing Date |
|---|---|---|---|
| KR1020180084350A Active KR102132350B1 (ko) | 2017-07-20 | 2018-07-19 | 신규한 헤테로 고리 화합물 및 이를 이용한 유기 발광 소자 |
| KR1020180084348A Active KR101982791B1 (ko) | 2017-07-20 | 2018-07-19 | 신규한 헤테로 고리 화합물 및 이를 이용한 유기 발광 소자 |
| KR1020180084349A Active KR101982792B1 (ko) | 2017-07-20 | 2018-07-19 | 신규한 헤테로 고리 화합물 및 이를 이용한 유기 발광 소자 |
Family Applications After (2)
| Application Number | Title | Priority Date | Filing Date |
|---|---|---|---|
| KR1020180084348A Active KR101982791B1 (ko) | 2017-07-20 | 2018-07-19 | 신규한 헤테로 고리 화합물 및 이를 이용한 유기 발광 소자 |
| KR1020180084349A Active KR101982792B1 (ko) | 2017-07-20 | 2018-07-19 | 신규한 헤테로 고리 화합물 및 이를 이용한 유기 발광 소자 |
Country Status (4)
| Country | Link |
|---|---|
| US (3) | US11840538B2 (ko) |
| KR (3) | KR102132350B1 (ko) |
| CN (3) | CN110366554B (ko) |
| TW (3) | TWI690527B (ko) |
Families Citing this family (22)
| Publication number | Priority date | Publication date | Assignee | Title |
|---|---|---|---|---|
| WO2019058200A1 (ja) * | 2017-09-20 | 2019-03-28 | 株式会社半導体エネルギー研究所 | 有機化合物、発光素子、発光装置、電子機器、および照明装置 |
| KR102418440B1 (ko) | 2017-09-29 | 2022-07-07 | 덕산네오룩스 주식회사 | 유기전기 소자용 화합물, 이를 이용한 유기전기소자 및 그 전자 장치 |
| CN112204034A (zh) | 2019-01-04 | 2021-01-08 | 株式会社Lg化学 | 新的化合物和包含其的有机发光器件 |
| KR102392658B1 (ko) * | 2019-05-23 | 2022-04-29 | 주식회사 엘지화학 | 신규한 화합물 및 이를 이용한 유기발광 소자 |
| KR102322872B1 (ko) * | 2019-05-24 | 2021-11-05 | 주식회사 엘지화학 | 신규한 화합물 및 이를 이용한 유기발광 소자 |
| KR102342248B1 (ko) * | 2019-07-15 | 2021-12-22 | 주식회사 엘지화학 | 신규한 화합물 및 이를 이용한 유기 발광 소자 |
| KR102342249B1 (ko) * | 2019-07-15 | 2021-12-23 | 주식회사 엘지화학 | 신규한 화합물 및 이를 이용한 유기 발광 소자 |
| CN112745315B (zh) * | 2019-10-31 | 2022-12-09 | 南京高光半导体材料有限公司 | 一种绿色磷光主体材料及含有该材料的有机电致发光器件 |
| CN110964009B (zh) * | 2019-11-15 | 2021-08-17 | 北京绿人科技有限责任公司 | 一种含菲啰啉结构的化合物及其应用和一种有机电致发光器件 |
| KR102833526B1 (ko) | 2019-12-06 | 2025-07-14 | 듀폰스페셜티머터리얼스코리아 유한회사 | 유기 전계 발광 화합물 및 이를 포함하는 유기 전계 발광 소자 |
| KR102288205B1 (ko) * | 2019-12-13 | 2021-08-11 | 엘티소재주식회사 | 헤테로고리 화합물 및 이를 포함하는 유기 발광 소자 |
| KR102580845B1 (ko) * | 2020-05-29 | 2023-09-20 | 주식회사 엘지화학 | 신규한 화합물 및 이를 이용한 유기발광 소자 |
| CN112028883B (zh) * | 2020-09-02 | 2021-07-13 | 南京高光半导体材料有限公司 | 一种化合物及有机电致发光器件 |
| CN112341447B (zh) * | 2020-09-29 | 2022-12-06 | 烟台京师材料基因组工程研究院 | 一种电子传输材料、有机电致发光器件和显示装置 |
| TW202231838A (zh) | 2020-10-27 | 2022-08-16 | 德商麥克專利有限公司 | 有機電致發光裝置 |
| CN112812106B (zh) * | 2021-04-19 | 2021-07-09 | 南京高光半导体材料有限公司 | 一种化合物及有机电致发光器件 |
| CN116217557A (zh) * | 2021-12-02 | 2023-06-06 | 常州强力昱镭光电材料有限公司 | 含二苯并呋喃的化合物和有机电致发光元件 |
| CN116925062A (zh) * | 2022-03-29 | 2023-10-24 | 北京夏禾科技有限公司 | 有机电致发光材料及其器件 |
| CN117263912A (zh) * | 2022-06-09 | 2023-12-22 | 烟台显华科技集团股份有限公司 | 一种氮杂萘基取代吸电片段化合物及其应用 |
| KR20240015360A (ko) | 2022-07-27 | 2024-02-05 | 롬엔드하스전자재료코리아유한회사 | 복수 종의 호스트 재료 및 이를 포함하는 유기 전계 발광 소자 |
| CN115960095B (zh) * | 2023-01-04 | 2025-03-14 | 京东方科技集团股份有限公司 | 包含苯并噁唑类基团和螺环结构的有机化合物及其作为电子传输材料的用途 |
| KR20240112027A (ko) * | 2023-01-11 | 2024-07-18 | 덕산네오룩스 주식회사 | 유기전기소자용 화합물, 이를 이용한 유기전기소자 및 그 전자 장치 |
Family Cites Families (66)
| Publication number | Priority date | Publication date | Assignee | Title |
|---|---|---|---|---|
| NL7803370A (nl) | 1977-04-06 | 1978-10-10 | Kernforschungsanlage Juelich | Meerkanaalskollimatorinrichting. |
| JPS5831654B2 (ja) | 1977-11-26 | 1983-07-07 | 富士通株式会社 | 磁気デイスク塗膜組成物 |
| DE10135513B4 (de) | 2001-07-20 | 2005-02-24 | Novaled Gmbh | Lichtemittierendes Bauelement mit organischen Schichten |
| DE602006011734D1 (de) | 2005-05-30 | 2010-03-04 | Basf Se | Elektrolumineszenz-gerät |
| WO2009069442A1 (ja) | 2007-11-26 | 2009-06-04 | Konica Minolta Holdings, Inc. | 有機エレクトロルミネッセンス素子、表示装置及び照明装置 |
| KR101367514B1 (ko) | 2008-07-11 | 2014-02-27 | 주식회사 엘지화학 | 신규한 안트라센 유도체 및 이를 이용한 유기전자소자 |
| DE102008036982A1 (de) | 2008-08-08 | 2010-02-11 | Merck Patent Gmbh | Organische Elektrolumineszenzvorrichtung |
| DE102008064200A1 (de) | 2008-12-22 | 2010-07-01 | Merck Patent Gmbh | Organische Elektrolumineszenzvorrichtung |
| KR101233367B1 (ko) | 2008-12-29 | 2013-02-15 | 제일모직주식회사 | 신규한 유기광전소자용 화합물 및 이를 포함하는 유기광전소자 |
| KR101741415B1 (ko) * | 2009-04-29 | 2017-05-30 | 롬엔드하스전자재료코리아유한회사 | 신규한 유기 발광 화합물 및 이를 채용하고 있는 유기 전계 발광 소자 |
| KR20110112098A (ko) | 2010-04-06 | 2011-10-12 | 다우어드밴스드디스플레이머티리얼 유한회사 | 신규한 유기 발광 화합물 및 이를 채용하고 있는 유기 전계 발광 소자 |
| JP6014938B2 (ja) | 2010-06-18 | 2016-10-26 | ユー・ディー・シー アイルランド リミテッド | 少なくとも1種の金属有機化合物及び少なくとも1種の金属酸化物を含有する層を含む有機電子デバイス |
| US9203037B2 (en) | 2010-06-18 | 2015-12-01 | Basf Se | Organic electronic devices comprising a layer of a dibenzofurane compound and a 8-hydroxypquinolinolato earth alkaline metal, or alkali metal complex |
| JP5990515B2 (ja) | 2010-06-18 | 2016-09-14 | ビーエーエスエフ ソシエタス・ヨーロピアBasf Se | ジベンゾフラン化合物と8−ヒドロキシキノリノラトアルカリ土類金属錯体または8−ヒドロキシキノリノラトアルカリ金属錯体との層を含む、有機電子デバイス |
| KR20120033017A (ko) * | 2010-09-29 | 2012-04-06 | 롬엔드하스전자재료코리아유한회사 | 신규한 유기 전자재료용 화합물 및 이를 포함하는 유기 전계 발광 소자 |
| KR20130069431A (ko) | 2011-12-16 | 2013-06-26 | (주)피엔에이치테크 | 새로운 유기전계발광소자용 화합물 및 그를 포함하는 유기전계발광소자 |
| JP5857724B2 (ja) | 2011-12-20 | 2016-02-10 | コニカミノルタ株式会社 | 有機エレクトロルミネッセンス素子用材料、有機エレクトロルミネッセンス素子、表示装置、照明装置及び有機エレクトロルミネッセンス素子の製造方法 |
| KR101497133B1 (ko) | 2011-12-23 | 2015-02-27 | 제일모직 주식회사 | 유기광전자소자용 화합물, 이를 포함하는 유기발광소자 및 상기 유기발광소자를 포함하는 표시장치 |
| WO2013168534A1 (ja) | 2012-05-09 | 2013-11-14 | コニカミノルタ株式会社 | 有機エレクトロルミネッセンス素子、有機エレクトロルミネッセンス素子の製造方法、表示装置および照明装置 |
| KR102240991B1 (ko) | 2012-09-12 | 2021-04-16 | 이데미쓰 고산 가부시키가이샤 | 신규 화합물, 유기 일렉트로 루미네선스 소자용 재료, 유기 일렉트로 루미네선스 소자 및 전자 기기 |
| KR20140035737A (ko) | 2012-09-14 | 2014-03-24 | 롬엔드하스전자재료코리아유한회사 | 신규한 유기 전계 발광 화합물 및 이를 포함하는 유기 전계 발광 소자 |
| KR102022524B1 (ko) | 2012-11-22 | 2019-09-18 | 엘지디스플레이 주식회사 | 청색 인광 화합물 및 이를 사용한 유기전계발광소자 |
| WO2014123369A1 (ko) | 2013-02-06 | 2014-08-14 | 주식회사 엘지화학 | 신규한 화합물 및 이를 이용한 유기 전자 소자 |
| CN105103327B (zh) | 2013-03-26 | 2018-09-07 | 株式会社半导体能源研究所 | 发光元件、化合物、有机化合物、显示模块、照明模块、发光装置、显示装置、照明装置以及电子设备 |
| KR20140125576A (ko) | 2013-04-19 | 2014-10-29 | 롬엔드하스전자재료코리아유한회사 | 신규한 유기 전계 발광 화합물 및 이를 포함하는 유기 전계 발광 소자 |
| KR101516965B1 (ko) | 2013-04-29 | 2015-05-04 | 덕산네오룩스 주식회사 | 유기전기 소자용 화합물, 이를 이용한 유기전기소자 및 그 전자 장치 |
| WO2015014434A1 (de) | 2013-07-30 | 2015-02-05 | Merck Patent Gmbh | Materialien für elektronische vorrichtungen |
| JP6580571B2 (ja) | 2013-09-11 | 2019-09-25 | メルク パテント ゲーエムベーハー | 電子素子 |
| KR102093186B1 (ko) | 2013-12-03 | 2020-03-25 | 덕산네오룩스 주식회사 | 유기전기 소자용 화합물, 이를 이용한 유기전기소자 및 그 전자 장치 |
| KR20150074603A (ko) | 2013-12-24 | 2015-07-02 | 희성소재 (주) | 플루오렌계 화합물 및 이를 이용한 유기발광소자 |
| CN105899518B (zh) | 2014-01-10 | 2019-04-16 | 三星Sdi株式会社 | 稠环化合物以及含有其的有机发光元件 |
| US9755159B2 (en) | 2014-01-23 | 2017-09-05 | Universal Display Corporation | Organic materials for OLEDs |
| KR102231248B1 (ko) | 2014-04-18 | 2021-03-24 | 덕산네오룩스 주식회사 | 유기전기 소자용 화합물, 이를 이용한 유기전기소자 및 그 전자 장치 |
| EP3140302B1 (de) | 2014-05-05 | 2019-08-21 | Merck Patent GmbH | Materialien für organische elektrolumineszenzvorrichtungen |
| KR101729660B1 (ko) | 2014-05-09 | 2017-04-26 | (주)씨엠디엘 | 신규한 유기 전계 발광 소자용 화합물, 이를 포함하는 유기 전계 발광 소자 및 전자 기기 |
| KR102287012B1 (ko) | 2014-05-28 | 2021-08-09 | 덕산네오룩스 주식회사 | 유기전기 소자용 화합물, 이를 이용한 유기전기소자 및 그 전자 장치 |
| JP6629291B2 (ja) | 2014-07-21 | 2020-01-15 | メルク、パテント、ゲゼルシャフト、ミット、ベシュレンクテル、ハフツングMerck Patent GmbH | 電子素子用材料 |
| KR101862192B1 (ko) | 2014-07-25 | 2018-05-29 | 삼성에스디아이 주식회사 | 유기 광전자 소자 및 표시 장치 |
| CN106661006B (zh) | 2014-07-29 | 2019-11-08 | 默克专利有限公司 | 用于有机电致发光器件的材料 |
| EP3180411B1 (de) | 2014-08-13 | 2018-08-29 | Merck Patent GmbH | Materialien für organische elektrolumineszenzvorrichtungen |
| KR101825543B1 (ko) | 2014-08-19 | 2018-02-05 | 삼성에스디아이 주식회사 | 유기 광전자 소자 및 표시장치 |
| KR102413062B1 (ko) | 2014-08-28 | 2022-06-24 | 에스에프씨주식회사 | 신규한 헤테로고리 화합물 및 이를 포함하는 유기 발광 소자 |
| US10749113B2 (en) | 2014-09-29 | 2020-08-18 | Universal Display Corporation | Organic electroluminescent materials and devices |
| CN104370904B (zh) | 2014-10-16 | 2016-05-25 | 中节能万润股份有限公司 | 一种电子传输材料、制备方法及其应用 |
| KR102308117B1 (ko) | 2014-10-17 | 2021-10-01 | 삼성전자주식회사 | 카바졸계 화합물 및 이를 포함한 유기 발광 소자 |
| JP5831654B1 (ja) | 2015-02-13 | 2015-12-09 | コニカミノルタ株式会社 | 芳香族複素環誘導体、それを用いた有機エレクトロルミネッセンス素子、照明装置及び表示装置 |
| US9911928B2 (en) | 2015-03-19 | 2018-03-06 | Universal Display Corporation | Organic electroluminescent materials and devices |
| US11495749B2 (en) | 2015-04-06 | 2022-11-08 | Universal Display Corporation | Organic electroluminescent materials and devices |
| US10403826B2 (en) | 2015-05-07 | 2019-09-03 | Universal Display Corporation | Organic electroluminescent materials and devices |
| JP2018525331A (ja) | 2015-06-10 | 2018-09-06 | メルク パテント ゲーエムベーハー | 有機エレクトロルミネッセンス素子のための材料 |
| CN107922359A (zh) | 2015-07-30 | 2018-04-17 | 默克专利有限公司 | 用于有机电致发光器件的材料 |
| US11522140B2 (en) | 2015-08-17 | 2022-12-06 | Universal Display Corporation | Organic electroluminescent materials and devices |
| JP6754185B2 (ja) | 2015-12-10 | 2020-09-09 | コニカミノルタ株式会社 | 有機エレクトロルミネッセンス素子、表示装置、照明装置及び電子デバイス用有機機能性材料 |
| KR20170075122A (ko) * | 2015-12-22 | 2017-07-03 | 삼성디스플레이 주식회사 | 유기 발광 소자 |
| WO2017109637A1 (en) | 2015-12-25 | 2017-06-29 | Semiconductor Energy Laboratory Co., Ltd. | Compound, light-emitting element, display device, electronic device, and lighting device |
| CN108884087A (zh) | 2016-04-11 | 2018-11-23 | 默克专利有限公司 | 包含二苯并呋喃和/或二苯并噻吩结构的杂环化合物 |
| CN106565433B (zh) | 2016-10-26 | 2020-01-10 | 北京绿人科技有限责任公司 | 一种有机化合物及其在电致发光器件中的应用 |
| WO2018093080A1 (ko) | 2016-11-16 | 2018-05-24 | 주식회사 엘지화학 | 신규한 헤테로 고리 화합물 및 이를 이용한 유기발광 소자 |
| KR102040226B1 (ko) | 2016-12-14 | 2019-11-27 | 주식회사 엘지화학 | 유기 발광 소자 |
| KR101857703B1 (ko) * | 2016-12-26 | 2018-05-14 | 주식회사 엘지화학 | 신규한 헤테로 고리 화합물 및 이를 이용한 유기발광 소자 |
| KR101784147B1 (ko) | 2016-12-27 | 2017-10-12 | 롬엔드하스전자재료코리아유한회사 | 신규한 유기 발광 화합물 및 이를 채용하고 있는 유기 전계 발광 소자 |
| KR102360108B1 (ko) | 2017-05-23 | 2022-02-09 | 솔루스첨단소재 주식회사 | 유기 화합물 및 이를 포함하는 유기 전계 발광 소자 |
| KR102118629B1 (ko) | 2017-07-14 | 2020-06-03 | 주식회사 엘지화학 | 유기 발광 소자 |
| KR102107085B1 (ko) | 2017-07-14 | 2020-05-06 | 주식회사 엘지화학 | 유기 발광 소자 |
| CN110869372B (zh) | 2017-11-17 | 2022-05-27 | 株式会社Lg化学 | 化合物及利用其的有机发光元件 |
| KR102163072B1 (ko) | 2017-12-27 | 2020-10-07 | 주식회사 엘지화학 | 유기 발광 소자 |
-
2018
- 2018-07-19 KR KR1020180084350A patent/KR102132350B1/ko active Active
- 2018-07-19 KR KR1020180084348A patent/KR101982791B1/ko active Active
- 2018-07-19 KR KR1020180084349A patent/KR101982792B1/ko active Active
- 2018-07-20 CN CN201880013760.2A patent/CN110366554B/zh active Active
- 2018-07-20 TW TW107125240A patent/TWI690527B/zh active
- 2018-07-20 CN CN201880038393.1A patent/CN110770241B/zh active Active
- 2018-07-20 US US16/621,210 patent/US11840538B2/en active Active
- 2018-07-20 TW TW107125258A patent/TWI687504B/zh active
- 2018-07-20 US US16/619,912 patent/US11518769B2/en active Active
- 2018-07-20 US US16/490,014 patent/US11578076B2/en active Active
- 2018-07-20 CN CN201880035734.XA patent/CN110709403B/zh active Active
- 2018-07-20 TW TW107125265A patent/TWI682934B/zh active
Also Published As
| Publication number | Publication date |
|---|---|
| TWI687504B (zh) | 2020-03-11 |
| US20200190069A1 (en) | 2020-06-18 |
| US20200010476A1 (en) | 2020-01-09 |
| CN110770241B (zh) | 2022-06-10 |
| KR20190010474A (ko) | 2019-01-30 |
| US11518769B2 (en) | 2022-12-06 |
| US11578076B2 (en) | 2023-02-14 |
| CN110366554B (zh) | 2022-12-27 |
| KR20190010475A (ko) | 2019-01-30 |
| KR101982791B1 (ko) | 2019-05-27 |
| TW201908464A (zh) | 2019-03-01 |
| TWI682934B (zh) | 2020-01-21 |
| TWI690527B (zh) | 2020-04-11 |
| TW201908309A (zh) | 2019-03-01 |
| US11840538B2 (en) | 2023-12-12 |
| CN110709403A (zh) | 2020-01-17 |
| CN110709403B (zh) | 2022-08-12 |
| KR20190010476A (ko) | 2019-01-30 |
| CN110366554A (zh) | 2019-10-22 |
| CN110770241A (zh) | 2020-02-07 |
| TW201908323A (zh) | 2019-03-01 |
| US20200207754A1 (en) | 2020-07-02 |
| KR101982792B1 (ko) | 2019-05-27 |
Similar Documents
| Publication | Publication Date | Title |
|---|---|---|
| KR102132350B1 (ko) | 신규한 헤테로 고리 화합물 및 이를 이용한 유기 발광 소자 | |
| KR102580845B1 (ko) | 신규한 화합물 및 이를 이용한 유기발광 소자 | |
| KR102095001B1 (ko) | 신규한 헤테로 고리 화합물 및 이를 이용한 유기발광 소자 | |
| KR20200063060A (ko) | 신규한 화합물 및 이를 이용한 유기 발광 소자 | |
| KR102098222B1 (ko) | 유기발광 소자 | |
| KR20200085232A (ko) | 신규한 화합물 및 이를 이용한 유기 발광 소자 | |
| KR102123015B1 (ko) | 신규한 화합물 및 이를 이용한 유기 발광 소자 | |
| KR102136381B1 (ko) | 신규한 헤테로 고리 화합물 및 이를 이용한 유기 발광 소자 | |
| KR102106121B1 (ko) | 신규한 헤테로 고리 화합물 및 이를 이용한 유기 발광 소자 | |
| KR102160653B1 (ko) | 신규한 화합물 및 이를 이용한 유기발광 소자 | |
| KR102080286B1 (ko) | 신규한 화합물 및 이를 이용한 유기발광 소자 | |
| KR102101476B1 (ko) | 신규한 헤테로 고리 화합물 및 이를 이용한 유기발광 소자 | |
| KR102147480B1 (ko) | 신규한 화합물 및 이를 이용한 유기발광 소자 | |
| KR20210019949A (ko) | 신규한 화합물 및 이를 이용한 유기발광 소자 | |
| KR20200052239A (ko) | 신규한 화합물 및 이를 이용한 유기 발광 소자 | |
| KR20200052236A (ko) | 신규한 화합물 및 이를 이용한 유기 발광 소자 | |
| KR102134379B1 (ko) | 신규한 페난트렌 화합물 및 이를 이용한 유기발광 소자 | |
| KR20200045423A (ko) | 신규한 헤테로 고리 화합물 및 이를 이용한 유기발광 소자 | |
| KR20200042786A (ko) | 신규한 헤테로 고리 화합물 및 이를 이용한 유기발광 소자 | |
| KR102235478B1 (ko) | 신규한 헤테로 고리 화합물 및 이를 이용한 유기 발광 소자 | |
| KR102591469B1 (ko) | 신규한 화합물 및 이를 이용한 유기 발광 소자 | |
| KR102098918B1 (ko) | 신규한 헤테로 고리 화합물 및 이를 이용한 유기발광 소자 | |
| KR20200044562A (ko) | 신규한 헤테로 고리 화합물 및 이를 이용한 유기발광 소자 | |
| KR20230096213A (ko) | 신규한 화합물 및 이를 이용한 유기 발광 소자 | |
| KR102235477B1 (ko) | 신규한 헤테로 고리 화합물 및 이를 이용한 유기 발광 소자 |
Legal Events
| Date | Code | Title | Description |
|---|---|---|---|
| A201 | Request for examination | ||
| PA0109 | Patent application |
Patent event code: PA01091R01D Comment text: Patent Application Patent event date: 20180719 |
|
| PA0201 | Request for examination | ||
| PG1501 | Laying open of application | ||
| E902 | Notification of reason for refusal | ||
| PE0902 | Notice of grounds for rejection |
Comment text: Notification of reason for refusal Patent event date: 20190819 Patent event code: PE09021S01D |
|
| E902 | Notification of reason for refusal | ||
| PE0902 | Notice of grounds for rejection |
Comment text: Notification of reason for refusal Patent event date: 20200204 Patent event code: PE09021S01D |
|
| E701 | Decision to grant or registration of patent right | ||
| PE0701 | Decision of registration |
Patent event code: PE07011S01D Comment text: Decision to Grant Registration Patent event date: 20200622 |
|
| PR0701 | Registration of establishment |
Comment text: Registration of Establishment Patent event date: 20200703 Patent event code: PR07011E01D |
|
| PR1002 | Payment of registration fee |
Payment date: 20200703 End annual number: 3 Start annual number: 1 |
|
| PG1601 | Publication of registration | ||
| PR1001 | Payment of annual fee |
Payment date: 20230627 Start annual number: 4 End annual number: 4 |
|
| PR1001 | Payment of annual fee |
Payment date: 20250623 Start annual number: 6 End annual number: 6 |

















































































