KR102050000B1 - 유기 광전자 소자용 화합물, 유기 광전자 소자용 조성물, 유기 광전자 소자 및 표시 장치 - Google Patents
유기 광전자 소자용 화합물, 유기 광전자 소자용 조성물, 유기 광전자 소자 및 표시 장치 Download PDFInfo
- Publication number
- KR102050000B1 KR102050000B1 KR1020160088232A KR20160088232A KR102050000B1 KR 102050000 B1 KR102050000 B1 KR 102050000B1 KR 1020160088232 A KR1020160088232 A KR 1020160088232A KR 20160088232 A KR20160088232 A KR 20160088232A KR 102050000 B1 KR102050000 B1 KR 102050000B1
- Authority
- KR
- South Korea
- Prior art keywords
- group
- substituted
- unsubstituted
- compound
- optoelectronic device
- Prior art date
- Legal status (The legal status is an assumption and is not a legal conclusion. Google has not performed a legal analysis and makes no representation as to the accuracy of the status listed.)
- Active
Links
- 0 C*CCc1nc([Al])nc(-c(cc2)cc3c2-c2ccccc2*3)n1 Chemical compound C*CCc1nc([Al])nc(-c(cc2)cc3c2-c2ccccc2*3)n1 0.000 description 4
- IIHYWGUSBKUCDL-UHFFFAOYSA-N Cc1cc(-c2nc(-c3ccccc3)cc(-c(cc3)cc4c3c3ccccc3[s]4)n2)ccc1 Chemical compound Cc1cc(-c2nc(-c3ccccc3)cc(-c(cc3)cc4c3c3ccccc3[s]4)n2)ccc1 IIHYWGUSBKUCDL-UHFFFAOYSA-N 0.000 description 1
- PBZPGFGFTNZUGO-UHFFFAOYSA-N Cc1cc(-c2nc(-c3ccccc3)cc(C)n2)ccc1 Chemical compound Cc1cc(-c2nc(-c3ccccc3)cc(C)n2)ccc1 PBZPGFGFTNZUGO-UHFFFAOYSA-N 0.000 description 1
- TZZWBKGBEIFQOY-UHFFFAOYSA-N Cc1cc(-c2nc(-c3ccccc3)cc(O)n2)ccc1 Chemical compound Cc1cc(-c2nc(-c3ccccc3)cc(O)n2)ccc1 TZZWBKGBEIFQOY-UHFFFAOYSA-N 0.000 description 1
- YONYPNNXOHWPBZ-UHFFFAOYSA-N Cc1nc(-c2ccccc2)nc(-c2ccccc2)n1 Chemical compound Cc1nc(-c2ccccc2)nc(-c2ccccc2)n1 YONYPNNXOHWPBZ-UHFFFAOYSA-N 0.000 description 1
- PYOUNXOAWVTCLO-UHFFFAOYSA-N c(cc1)ccc1-c1cc(-c2ccc(c3ccccc3[s]3)c3c2)nc(-c2cccc(-c3nc(-c4ccccc4)nc(-c4ccccc4)n3)c2)n1 Chemical compound c(cc1)ccc1-c1cc(-c2ccc(c3ccccc3[s]3)c3c2)nc(-c2cccc(-c3nc(-c4ccccc4)nc(-c4ccccc4)n3)c2)n1 PYOUNXOAWVTCLO-UHFFFAOYSA-N 0.000 description 1
- ILIZWIINOLHAEA-UHFFFAOYSA-N c(cc1)ccc1-c1cc(-c2nc(-c3ccccc3)nc(-c3cc(-c4nc(-c5ccccc5)cc(-c5ccc(c6cc(-c7cc(-c8cccc(-c9nc(-c%10cccc(-c%11nc(-c%12ccc(c%13ccccc%13[o]%13)c%13c%12)cc(-c%12ccccc%12)n%11)c%10)nc(-c%10ccccc%10)n9)c8)ccc7)ccc6[s]6)c6c5)n4)ccc3)n2)ccc1 Chemical compound c(cc1)ccc1-c1cc(-c2nc(-c3ccccc3)nc(-c3cc(-c4nc(-c5ccccc5)cc(-c5ccc(c6cc(-c7cc(-c8cccc(-c9nc(-c%10cccc(-c%11nc(-c%12ccc(c%13ccccc%13[o]%13)c%13c%12)cc(-c%12ccccc%12)n%11)c%10)nc(-c%10ccccc%10)n9)c8)ccc7)ccc6[s]6)c6c5)n4)ccc3)n2)ccc1 ILIZWIINOLHAEA-UHFFFAOYSA-N 0.000 description 1
- FUPBQOYEDWDACS-UHFFFAOYSA-N c(cc1)ccc1-c1cccc(-c2cc(-c3ccc(c4ccccc4[o]4)c4c3)nc(-c3cccc(-c4nc(-c5ccccc5)nc(-c5ccccc5)n4)c3)n2)c1 Chemical compound c(cc1)ccc1-c1cccc(-c2cc(-c3ccc(c4ccccc4[o]4)c4c3)nc(-c3cccc(-c4nc(-c5ccccc5)nc(-c5ccccc5)n4)c3)n2)c1 FUPBQOYEDWDACS-UHFFFAOYSA-N 0.000 description 1
- YZLIJNKXKJMQFM-UHFFFAOYSA-N c(cc1)ccc1-c1cccc(-c2cc(-c3ccc(c4ccccc4[s]4)c4c3)nc(-c3cccc(-c4nc(-c5ccccc5)nc(-c5ccccc5)n4)c3)n2)c1 Chemical compound c(cc1)ccc1-c1cccc(-c2cc(-c3ccc(c4ccccc4[s]4)c4c3)nc(-c3cccc(-c4nc(-c5ccccc5)nc(-c5ccccc5)n4)c3)n2)c1 YZLIJNKXKJMQFM-UHFFFAOYSA-N 0.000 description 1
Images
Classifications
-
- C—CHEMISTRY; METALLURGY
- C07—ORGANIC CHEMISTRY
- C07D—HETEROCYCLIC COMPOUNDS
- C07D251/00—Heterocyclic compounds containing 1,3,5-triazine rings
- C07D251/02—Heterocyclic compounds containing 1,3,5-triazine rings not condensed with other rings
- C07D251/12—Heterocyclic compounds containing 1,3,5-triazine rings not condensed with other rings having three double bonds between ring members or between ring members and non-ring members
- C07D251/14—Heterocyclic compounds containing 1,3,5-triazine rings not condensed with other rings having three double bonds between ring members or between ring members and non-ring members with hydrogen or carbon atoms directly attached to at least one ring carbon atom
- C07D251/24—Heterocyclic compounds containing 1,3,5-triazine rings not condensed with other rings having three double bonds between ring members or between ring members and non-ring members with hydrogen or carbon atoms directly attached to at least one ring carbon atom to three ring carbon atoms
-
- C—CHEMISTRY; METALLURGY
- C07—ORGANIC CHEMISTRY
- C07D—HETEROCYCLIC COMPOUNDS
- C07D405/00—Heterocyclic compounds containing both one or more hetero rings having oxygen atoms as the only ring hetero atoms, and one or more rings having nitrogen as the only ring hetero atom
- C07D405/14—Heterocyclic compounds containing both one or more hetero rings having oxygen atoms as the only ring hetero atoms, and one or more rings having nitrogen as the only ring hetero atom containing three or more hetero rings
-
- C—CHEMISTRY; METALLURGY
- C07—ORGANIC CHEMISTRY
- C07D—HETEROCYCLIC COMPOUNDS
- C07D407/00—Heterocyclic compounds containing two or more hetero rings, at least one ring having oxygen atoms as the only ring hetero atoms, not provided for by group C07D405/00
- C07D407/14—Heterocyclic compounds containing two or more hetero rings, at least one ring having oxygen atoms as the only ring hetero atoms, not provided for by group C07D405/00 containing three or more hetero rings
-
- C—CHEMISTRY; METALLURGY
- C07—ORGANIC CHEMISTRY
- C07D—HETEROCYCLIC COMPOUNDS
- C07D409/00—Heterocyclic compounds containing two or more hetero rings, at least one ring having sulfur atoms as the only ring hetero atoms
- C07D409/14—Heterocyclic compounds containing two or more hetero rings, at least one ring having sulfur atoms as the only ring hetero atoms containing three or more hetero rings
-
- C—CHEMISTRY; METALLURGY
- C09—DYES; PAINTS; POLISHES; NATURAL RESINS; ADHESIVES; COMPOSITIONS NOT OTHERWISE PROVIDED FOR; APPLICATIONS OF MATERIALS NOT OTHERWISE PROVIDED FOR
- C09K—MATERIALS FOR MISCELLANEOUS APPLICATIONS, NOT PROVIDED FOR ELSEWHERE
- C09K11/00—Luminescent, e.g. electroluminescent, chemiluminescent materials
- C09K11/06—Luminescent, e.g. electroluminescent, chemiluminescent materials containing organic luminescent materials
-
- H01L51/0067—
-
- H01L51/5012—
-
- H01L51/5056—
-
- H01L51/5072—
-
- H01L51/5092—
-
- H—ELECTRICITY
- H10—SEMICONDUCTOR DEVICES; ELECTRIC SOLID-STATE DEVICES NOT OTHERWISE PROVIDED FOR
- H10K—ORGANIC ELECTRIC SOLID-STATE DEVICES
- H10K30/00—Organic devices sensitive to infrared radiation, light, electromagnetic radiation of shorter wavelength or corpuscular radiation
- H10K30/30—Organic devices sensitive to infrared radiation, light, electromagnetic radiation of shorter wavelength or corpuscular radiation comprising bulk heterojunctions, e.g. interpenetrating networks of donor and acceptor material domains
- H10K30/353—Organic devices sensitive to infrared radiation, light, electromagnetic radiation of shorter wavelength or corpuscular radiation comprising bulk heterojunctions, e.g. interpenetrating networks of donor and acceptor material domains comprising blocking layers, e.g. exciton blocking layers
-
- H—ELECTRICITY
- H10—SEMICONDUCTOR DEVICES; ELECTRIC SOLID-STATE DEVICES NOT OTHERWISE PROVIDED FOR
- H10K—ORGANIC ELECTRIC SOLID-STATE DEVICES
- H10K50/00—Organic light-emitting devices
- H10K50/10—OLEDs or polymer light-emitting diodes [PLED]
- H10K50/11—OLEDs or polymer light-emitting diodes [PLED] characterised by the electroluminescent [EL] layers
-
- H—ELECTRICITY
- H10—SEMICONDUCTOR DEVICES; ELECTRIC SOLID-STATE DEVICES NOT OTHERWISE PROVIDED FOR
- H10K—ORGANIC ELECTRIC SOLID-STATE DEVICES
- H10K50/00—Organic light-emitting devices
- H10K50/10—OLEDs or polymer light-emitting diodes [PLED]
- H10K50/14—Carrier transporting layers
- H10K50/15—Hole transporting layers
-
- H—ELECTRICITY
- H10—SEMICONDUCTOR DEVICES; ELECTRIC SOLID-STATE DEVICES NOT OTHERWISE PROVIDED FOR
- H10K—ORGANIC ELECTRIC SOLID-STATE DEVICES
- H10K50/00—Organic light-emitting devices
- H10K50/10—OLEDs or polymer light-emitting diodes [PLED]
- H10K50/14—Carrier transporting layers
- H10K50/16—Electron transporting layers
-
- H—ELECTRICITY
- H10—SEMICONDUCTOR DEVICES; ELECTRIC SOLID-STATE DEVICES NOT OTHERWISE PROVIDED FOR
- H10K—ORGANIC ELECTRIC SOLID-STATE DEVICES
- H10K50/00—Organic light-emitting devices
- H10K50/10—OLEDs or polymer light-emitting diodes [PLED]
- H10K50/17—Carrier injection layers
- H10K50/171—Electron injection layers
-
- H—ELECTRICITY
- H10—SEMICONDUCTOR DEVICES; ELECTRIC SOLID-STATE DEVICES NOT OTHERWISE PROVIDED FOR
- H10K—ORGANIC ELECTRIC SOLID-STATE DEVICES
- H10K85/00—Organic materials used in the body or electrodes of devices covered by this subclass
- H10K85/60—Organic compounds having low molecular weight
- H10K85/649—Aromatic compounds comprising a hetero atom
- H10K85/654—Aromatic compounds comprising a hetero atom comprising only nitrogen as heteroatom
-
- H—ELECTRICITY
- H10—SEMICONDUCTOR DEVICES; ELECTRIC SOLID-STATE DEVICES NOT OTHERWISE PROVIDED FOR
- H10K—ORGANIC ELECTRIC SOLID-STATE DEVICES
- H10K85/00—Organic materials used in the body or electrodes of devices covered by this subclass
- H10K85/60—Organic compounds having low molecular weight
- H10K85/649—Aromatic compounds comprising a hetero atom
- H10K85/657—Polycyclic condensed heteroaromatic hydrocarbons
- H10K85/6574—Polycyclic condensed heteroaromatic hydrocarbons comprising only oxygen in the heteroaromatic polycondensed ring system, e.g. cumarine dyes
-
- H—ELECTRICITY
- H10—SEMICONDUCTOR DEVICES; ELECTRIC SOLID-STATE DEVICES NOT OTHERWISE PROVIDED FOR
- H10K—ORGANIC ELECTRIC SOLID-STATE DEVICES
- H10K85/00—Organic materials used in the body or electrodes of devices covered by this subclass
- H10K85/60—Organic compounds having low molecular weight
- H10K85/649—Aromatic compounds comprising a hetero atom
- H10K85/657—Polycyclic condensed heteroaromatic hydrocarbons
- H10K85/6576—Polycyclic condensed heteroaromatic hydrocarbons comprising only sulfur in the heteroaromatic polycondensed ring system, e.g. benzothiophene
-
- C—CHEMISTRY; METALLURGY
- C09—DYES; PAINTS; POLISHES; NATURAL RESINS; ADHESIVES; COMPOSITIONS NOT OTHERWISE PROVIDED FOR; APPLICATIONS OF MATERIALS NOT OTHERWISE PROVIDED FOR
- C09K—MATERIALS FOR MISCELLANEOUS APPLICATIONS, NOT PROVIDED FOR ELSEWHERE
- C09K2211/00—Chemical nature of organic luminescent or tenebrescent compounds
- C09K2211/10—Non-macromolecular compounds
- C09K2211/1018—Heterocyclic compounds
- C09K2211/1025—Heterocyclic compounds characterised by ligands
- C09K2211/1059—Heterocyclic compounds characterised by ligands containing three nitrogen atoms as heteroatoms
-
- C—CHEMISTRY; METALLURGY
- C09—DYES; PAINTS; POLISHES; NATURAL RESINS; ADHESIVES; COMPOSITIONS NOT OTHERWISE PROVIDED FOR; APPLICATIONS OF MATERIALS NOT OTHERWISE PROVIDED FOR
- C09K—MATERIALS FOR MISCELLANEOUS APPLICATIONS, NOT PROVIDED FOR ELSEWHERE
- C09K2211/00—Chemical nature of organic luminescent or tenebrescent compounds
- C09K2211/10—Non-macromolecular compounds
- C09K2211/1018—Heterocyclic compounds
- C09K2211/1025—Heterocyclic compounds characterised by ligands
- C09K2211/1088—Heterocyclic compounds characterised by ligands containing oxygen as the only heteroatom
-
- H—ELECTRICITY
- H10—SEMICONDUCTOR DEVICES; ELECTRIC SOLID-STATE DEVICES NOT OTHERWISE PROVIDED FOR
- H10K—ORGANIC ELECTRIC SOLID-STATE DEVICES
- H10K2101/00—Properties of the organic materials covered by group H10K85/00
- H10K2101/10—Triplet emission
-
- H—ELECTRICITY
- H10—SEMICONDUCTOR DEVICES; ELECTRIC SOLID-STATE DEVICES NOT OTHERWISE PROVIDED FOR
- H10K—ORGANIC ELECTRIC SOLID-STATE DEVICES
- H10K30/00—Organic devices sensitive to infrared radiation, light, electromagnetic radiation of shorter wavelength or corpuscular radiation
- H10K30/50—Photovoltaic [PV] devices
-
- H—ELECTRICITY
- H10—SEMICONDUCTOR DEVICES; ELECTRIC SOLID-STATE DEVICES NOT OTHERWISE PROVIDED FOR
- H10K—ORGANIC ELECTRIC SOLID-STATE DEVICES
- H10K85/00—Organic materials used in the body or electrodes of devices covered by this subclass
- H10K85/30—Coordination compounds
- H10K85/341—Transition metal complexes, e.g. Ru(II)polypyridine complexes
- H10K85/342—Transition metal complexes, e.g. Ru(II)polypyridine complexes comprising iridium
-
- H—ELECTRICITY
- H10—SEMICONDUCTOR DEVICES; ELECTRIC SOLID-STATE DEVICES NOT OTHERWISE PROVIDED FOR
- H10K—ORGANIC ELECTRIC SOLID-STATE DEVICES
- H10K85/00—Organic materials used in the body or electrodes of devices covered by this subclass
- H10K85/60—Organic compounds having low molecular weight
- H10K85/649—Aromatic compounds comprising a hetero atom
- H10K85/657—Polycyclic condensed heteroaromatic hydrocarbons
- H10K85/6572—Polycyclic condensed heteroaromatic hydrocarbons comprising only nitrogen in the heteroaromatic polycondensed ring system, e.g. phenanthroline or carbazole
-
- Y—GENERAL TAGGING OF NEW TECHNOLOGICAL DEVELOPMENTS; GENERAL TAGGING OF CROSS-SECTIONAL TECHNOLOGIES SPANNING OVER SEVERAL SECTIONS OF THE IPC; TECHNICAL SUBJECTS COVERED BY FORMER USPC CROSS-REFERENCE ART COLLECTIONS [XRACs] AND DIGESTS
- Y02—TECHNOLOGIES OR APPLICATIONS FOR MITIGATION OR ADAPTATION AGAINST CLIMATE CHANGE
- Y02E—REDUCTION OF GREENHOUSE GAS [GHG] EMISSIONS, RELATED TO ENERGY GENERATION, TRANSMISSION OR DISTRIBUTION
- Y02E10/00—Energy generation through renewable energy sources
- Y02E10/50—Photovoltaic [PV] energy
- Y02E10/549—Organic PV cells
Landscapes
- Chemical & Material Sciences (AREA)
- Organic Chemistry (AREA)
- Physics & Mathematics (AREA)
- Engineering & Computer Science (AREA)
- Materials Engineering (AREA)
- Spectroscopy & Molecular Physics (AREA)
- Optics & Photonics (AREA)
- Electromagnetism (AREA)
- Electroluminescent Light Sources (AREA)
- Photovoltaic Devices (AREA)
- Devices For Indicating Variable Information By Combining Individual Elements (AREA)
- Plural Heterocyclic Compounds (AREA)
Abstract
상기 화학식 1에 대한 상세 내용은 명세서에서 정의한 바와 같다.
Description
| 호스트 | 색 | 효율 Cd/A |
구동 (Vd) |
|
| 실시예 2 | 화합물 A-1 | 녹색 | 42 | 3.5 |
| 실시예 3 | 화합물 A-2 | 녹색 | 39 | 3.5 |
| 비교예 1 | 비교 화합물 1 | 녹색 | 32 | 3.7 |
| 비교예 2 | 비교 화합물 2 | 녹색 | 28 | 4.0 |
| 제1 호스트 | 제2 호스트 | 제1호스트+제2호스트 비율 |
색 | 효율 Cd/A |
수명 (T90) |
구동 (Vd) |
|
| 실시예 1 | 화합물 A-1 | 화합물 E-130 | 3:7 | 녹색 | 52 | 550 | 3.6 |
| 실시예 4 | 화합물 A-1 | 화합물 E-99 | 3:7 | 녹색 | 51 | 600 | 3.4 |
| 실시예 5 | 화합물 A-1 | 화합물 E-137 | 3:7 | 녹색 | 51 | 650 | 3.6 |
| 실시예 6 | 화합물 A-1 | 화합물 E-138 | 3:7 | 녹색 | 52 | 570 | 3.7 |
| 실시예 7 | 화합물 A-2 | 화합물 E-137 | 3:7 | 녹색 | 50 | 470 | 3.7 |
| 실시예 8 | 화합물 A-3 | 화합물 E-137 | 3:7 | 녹색 | 50 | 640 | 3.7 |
| 비교예 3 | 비교 화합물 1 | 화합물 E-137 | 3:7 | 녹색 | 48 | 360 | 4.0 |
| 비교예 4 | 비교 화합물 2 | 화합물 E-137 | 3:7 | 녹색 | 46 | 240 | 4.4 |
| 비교예 5 | 비교 화합물 3 | 화합물 E-137 | 3:7 | 녹색 | 46 | 230 | 4.7 |
| 제1 호스트 | 제2 호스트 | 제1호스트+제2호스트 비율 |
색 | 효율 Cd/A |
수명 (T90) |
구동 (Vd) |
|
| 실시예 9 | 화합물 A-10 | 화합물 E-137 | 3:7 | 녹색 | 52 | 590 | 3.6 |
| 실시예 10 | 화합물 A-49 | 화합물 E-137 | 3:7 | 녹색 | 51 | 530 | 3.6 |
| 실시예 11 | 화합물 A-51 | 화합물 E-137 | 3:7 | 녹색 | 50 | 510 | 3.7 |
| 비교예 6 | 비교 화합물 4 | 화합물 E-137 | 3:7 | 녹색 | 52 | 190 | 4.5 |
| 소자 | 전자수송보조층 | 발광 효율 (cd/A) |
색좌표 (x, y) |
T97(h) @750nit |
| 실시예 12 | 화합물 A-1 | 6.2 | (0.132, 0.149) | 95 |
| 실시예 13 | 화합물 A-2 | 6.1 | (0.131, 0.148) | 85 |
| 실시예 14 | 화합물 A-3 | 6.4 | (0.132, 0.150) | 110 |
| 비교예 7 | 비교 화합물 1 | 5.9 | (0.133, 0.149) | 48 |
105: 유기층
110: 음극
120: 양극
130: 발광층
140: 정공 보조층
Claims (15)
- 하기 화학식 1로 표현되는 유기 광전자 소자용 화합물:
[화학식 1]
상기 화학식 1에서,
X1 내지 X6은 각각 독립적으로 N 또는 CRa이고,
X1 내지 X3 중 적어도 둘은 N이고,
X4 내지 X6 중 적어도 둘은 N이고,
Y은 O 또는 S이고,
Ar1 내지 Ar3은 각각 독립적으로 치환 또는 비치환된 페닐기, 치환 또는 비치환된 바이페닐기, 치환 또는 비치환된 터페닐기, 또는 치환 또는 비치환된 나프틸기이고,
Ra 및 R1 내지 R3은 각각 독립적으로 수소, 중수소, 치환 또는 비치환된 C1 내지 C10 알킬기, 치환 또는 비치환된 C6 내지 C30 아릴기, 또는 이들의 조합이고,
n1 및 n2은 각각 독립적으로 0 내지 2의 정수 중 하나이고,
상기 "치환"이란, 적어도 하나의 수소가 중수소, C1 내지 C20 알킬기, C6 내지 C30 아릴기, 또는 C2 내지 C30 헤테로아릴기로 치환된 것을 의미한다. - 제1항에 있어서,
하기 화학식 1-Ⅰ, 화학식 1-Ⅱ, 화학식 1-Ⅲ, 화학식 1-Ⅳ, 화학식 1-Ⅴ 및 화학식 1-Ⅵ 중 어느 하나로 표현되는 유기 광전자 소자용 화합물:
[화학식 1-Ⅰ] [화학식 1-Ⅱ]
[화학식 1-Ⅲ] [화학식 1-Ⅳ]
[화학식 1-Ⅴ] [화학식 1-Ⅵ]
상기 화학식 1-Ⅰ, 화학식 1-Ⅱ, 화학식 1-Ⅲ, 화학식 1-Ⅳ, 화학식 1-Ⅴ 및 화학식 1-Ⅵ에서,
Y은 O 또는 S이고,
Ar1 내지 Ar3은 각각 독립적으로 치환 또는 비치환된 페닐기, 치환 또는 비치환된 바이페닐기, 치환 또는 비치환된 터페닐기, 또는 치환 또는 비치환된 나프틸기이고,
R1 내지 R3은 각각 독립적으로 수소, 중수소, 치환 또는 비치환된 C1 내지 C10 알킬기, 치환 또는 비치환된 C6 내지 C30 아릴기, 또는 이들의 조합이고,
n1 및 n2은 각각 독립적으로 0 내지 2의 정수 중 하나이다. - 제1항에 있어서,
하기 화학식 1-1 내지 1-3 중 어느 하나로 표현되는 유기 광전자 소자용 화합물:
[화학식 1-1] [화학식 1-2]
[화학식 1-3]
상기 화학식 1-1 내지 1-3에서,
X1 내지 X6은 각각 독립적으로 N 또는 CH이고,
X1 내지 X3 중 적어도 둘은 N이고,
X4 내지 X6 중 적어도 둘은 N이고,
Y은 O 또는 S이고,
Ar1 내지 Ar3은 각각 독립적으로 치환 또는 비치환된 페닐기, 치환 또는 비치환된 바이페닐기, 치환 또는 비치환된 터페닐기, 또는 치환 또는 비치환된 나프틸기이고,
R1 내지 R3은 각각 독립적으로 수소, 중수소, 치환 또는 비치환된 C1 내지 C10 알킬기, 치환 또는 비치환된 C6 내지 C30 아릴기, 또는 이들의 조합이고,
n1 및 n2은 각각 독립적으로 0 내지 2의 정수 중 하나이다. - 삭제
- 제1항에 있어서,
상기 R1 내지 R3은 각각 독립적으로 수소, 중수소, 메틸기, 에틸기, n-프로필기, iso-프로필기, 치환 또는 비치환된 페닐기, 또는 치환 또는 비치환된 나프틸기인 유기 광전자 소자용 화합물. - 제1항에 있어서,
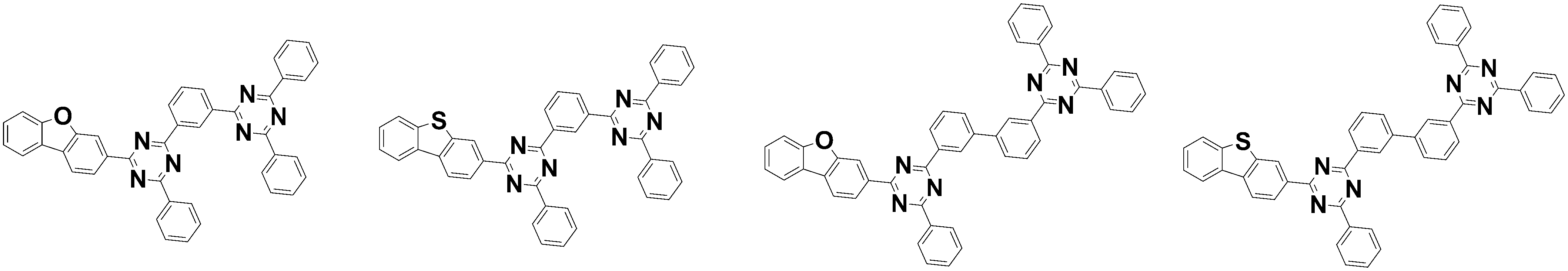
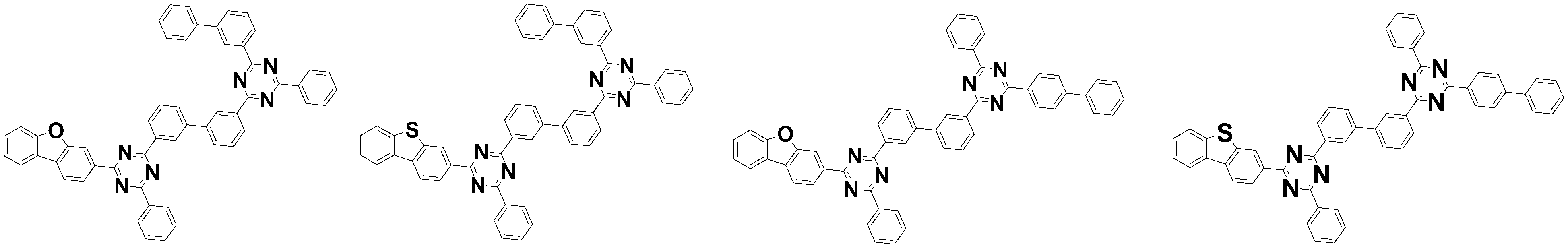
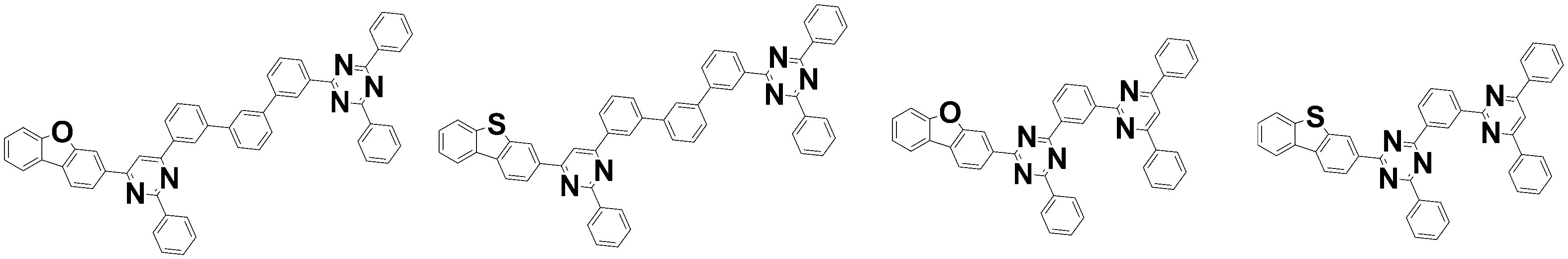
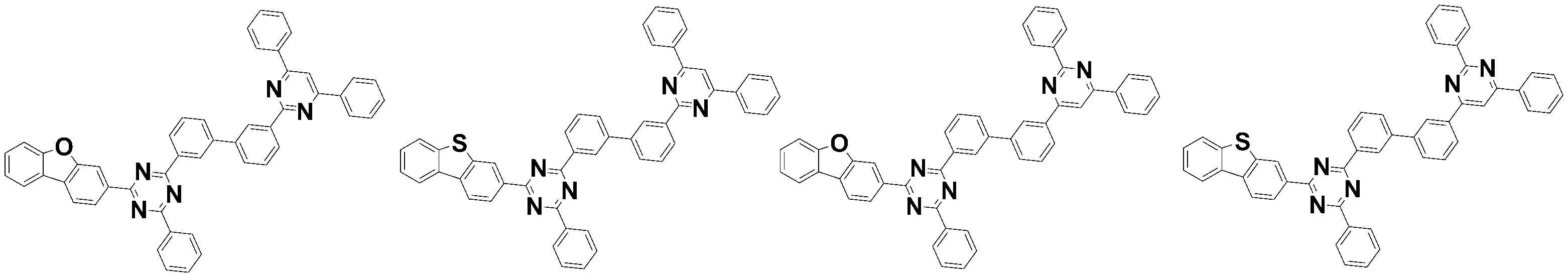
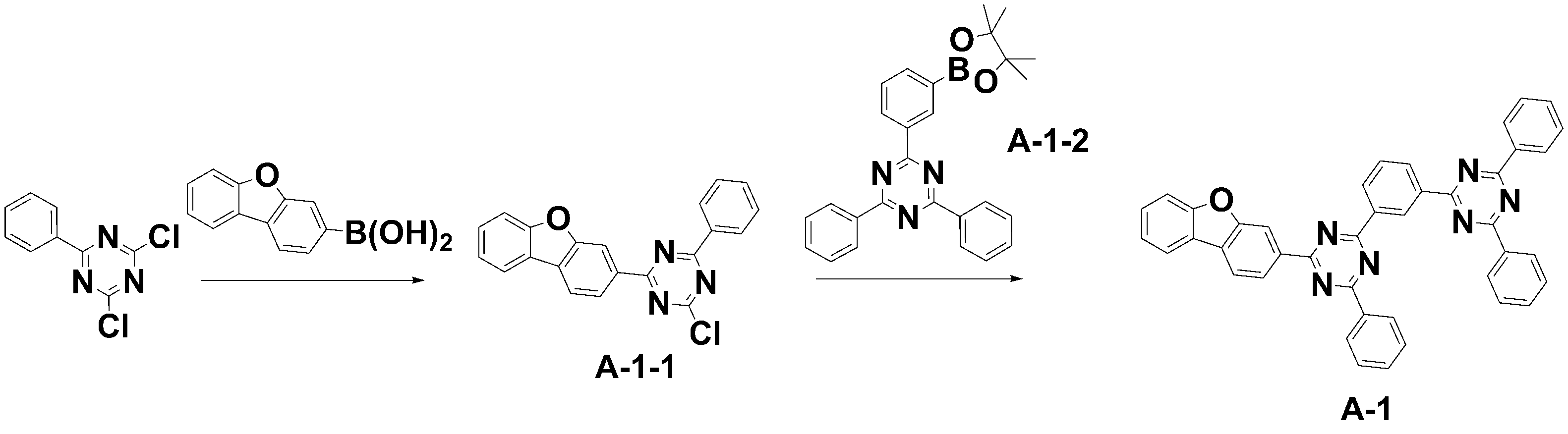
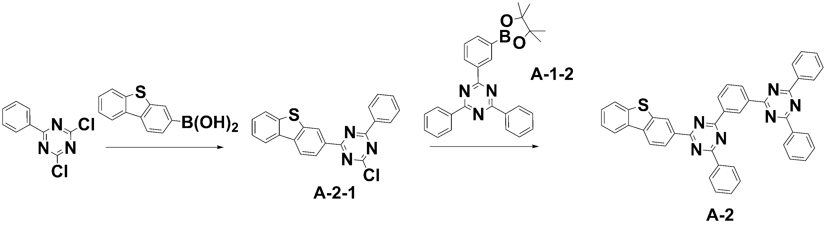
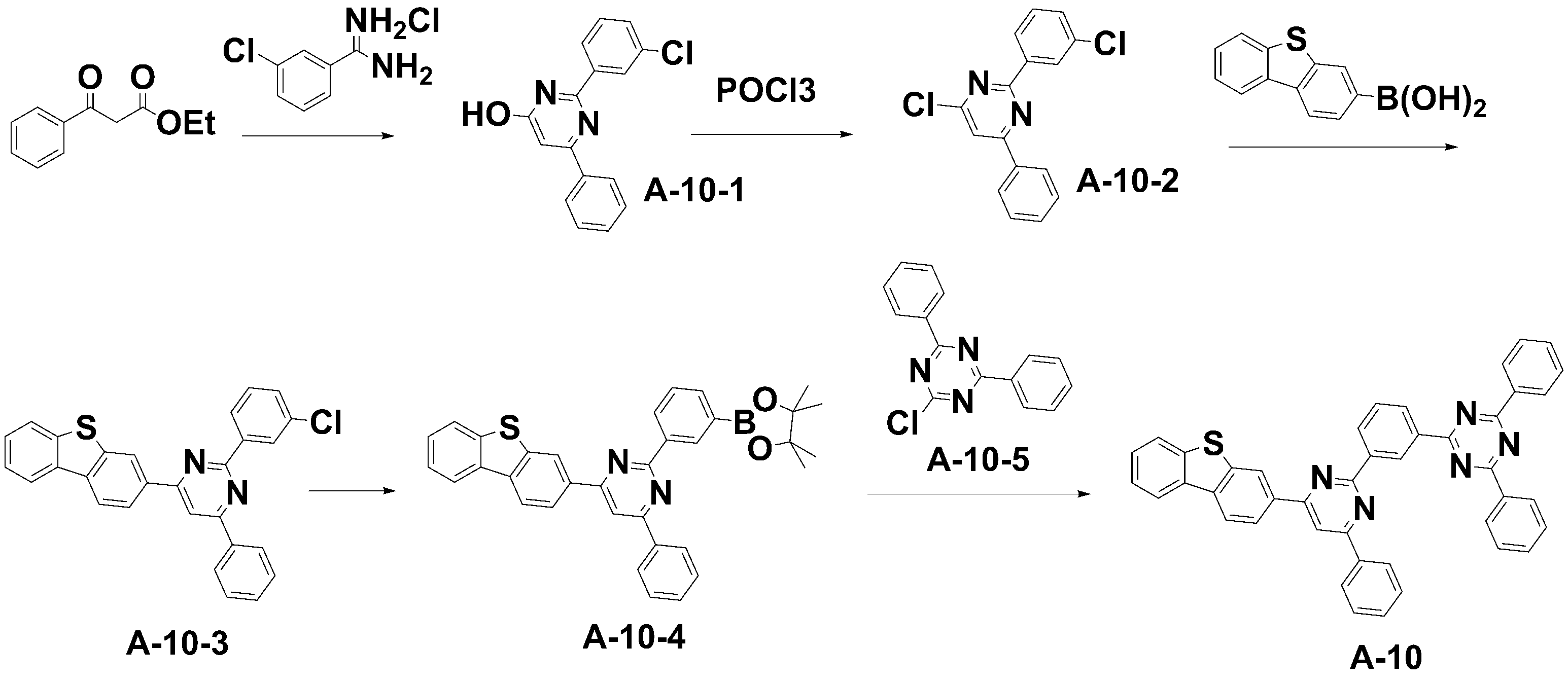
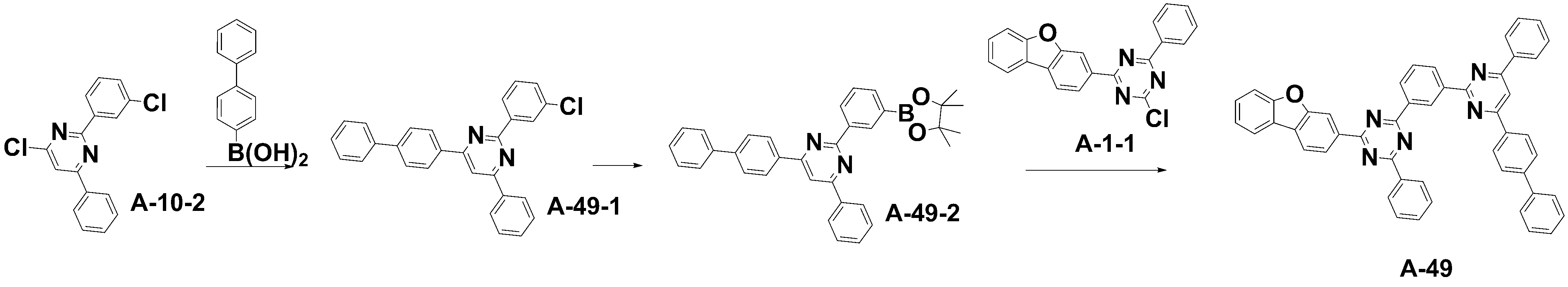
하기 그룹 1에 나열된 화합물에서 선택되는 하나인 유기 광전자 소자용 화합물:
[그룹 1]
[A-1][A-2][A-3][A-4]
[A-5][A-6][A-7][A-8]
[A-9][A-10][A-11][A-12]
[A-13][A-14][A-15][A-16]
[A-17][A-18][A-19][A-20]
[A-21][A-22][A-23][A-24]
[A-25][A-26][A-27][A-28]
[A-29][A-30][A-31][A-32]
[A-33][A-34][A-35][A-36]
[A-37][A-38][A-39][A-40]
[A-41][A-42][A-43][A-44]
[A-45][A-46][A-47][A-48]
[A-49][A-50][A-51][A-52]
[A-53][A-54][A-55][A-56]
. - 상기 제1항에 따른 제1 유기 광전자 소자용 화합물; 및
하기 화학식 2로 표현되는 제2 유기 광전자 소자용 화합물을 포함하는 유기 광전자 소자용 조성물:
[화학식 2]
상기 화학식 2에서,
L1 및 L2는 각각 독립적으로 단일 결합, 또는 치환 또는 비치환된 C6 내지 C30 아릴렌기이고,
Z1 및 Z2은 각각 독립적으로 치환 또는 비치환된 C6 내지 C30 아릴기, 치환 또는 비치환된 C2 내지 C30 헤테로고리기, 또는 이들의 조합이고,
R4 내지 R9은 각각 독립적으로 수소, 중수소, 치환 또는 비치환된 C1 내지 C20 알킬기, 치환 또는 비치환된 C6 내지 C30 아릴기, 치환 또는 비치환된 C2 내지 C30 헤테로고리기, 또는 이들의 조합이고,
상기 "치환"이란, 적어도 하나의 수소가 중수소, C1 내지 C4 알킬기, C6 내지 C18 아릴기, 또는 C2 내지 C30 헤테로아릴기로 치환된 것을 의미한다. - 제7항에 있어서,
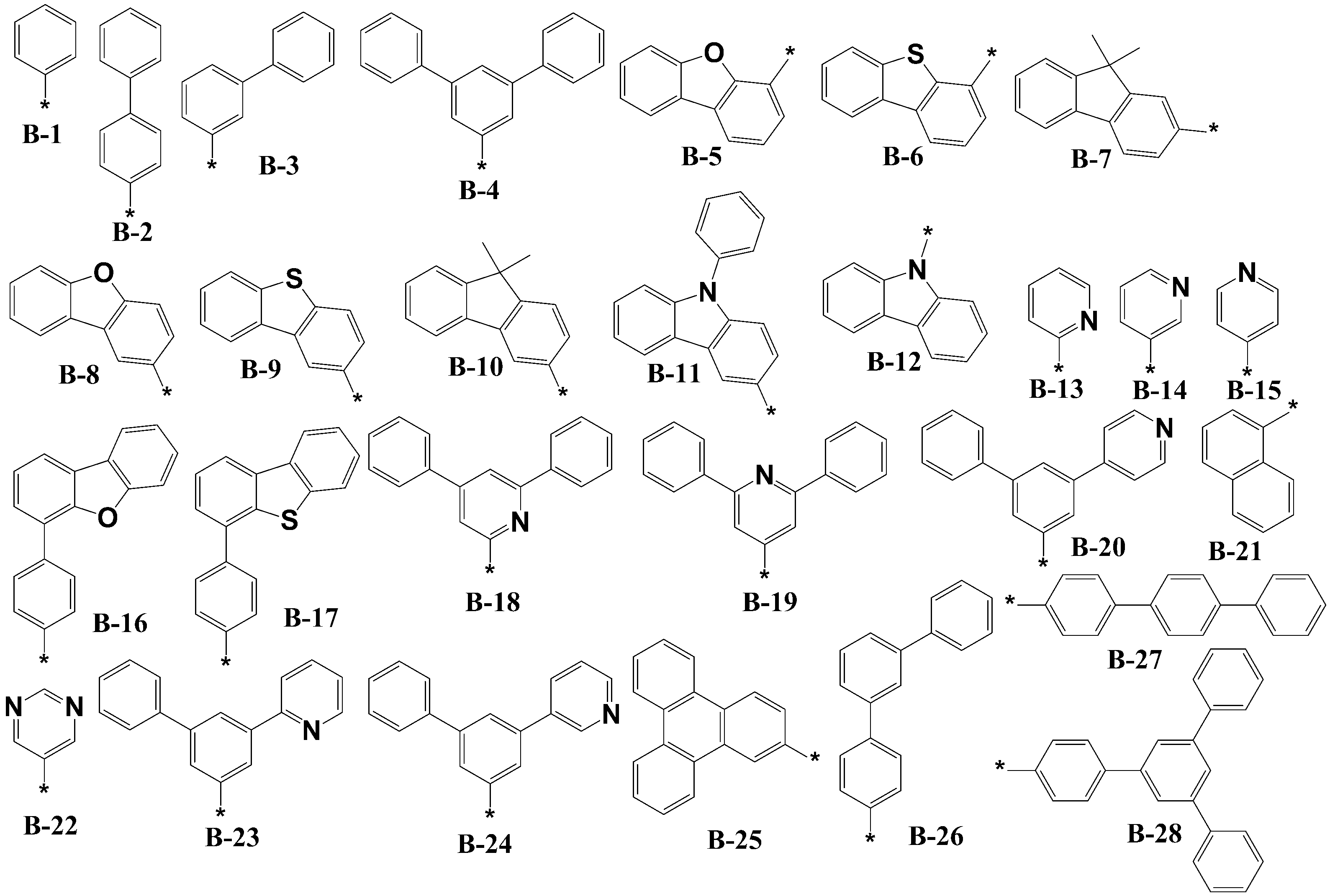
상기 화학식 2의 Z1 및 Z2은 각각 독립적으로, 치환 또는 비치환된 페닐기, 치환 또는 비치환된 바이페닐기, 치환 또는 비치환된 터페닐기, 치환 또는 비치환된 나프틸기, 치환 또는 비치환된 안트라세닐기, 치환 또는 비치환된 트리페닐렌기, 치환 또는 비치환된 피리디닐기, 치환 또는 비치환된 피리미디닐기, 치환 또는 비치환된 트리아지닐기, 치환 또는 비치환된 퀴놀리닐기, 치환 또는 비치환된 이소퀴놀리닐기, 치환 또는 비치환된 퀴나졸일기, 치환 또는 비치환된 디벤조티오펜일기, 치환 또는 비치환된 디벤조퓨란일기, 치환 또는 비치환된 카바졸일기, 치환 또는 비치환된 플루오레닐기, 또는 이들의 조합인 유기 광전자 소자용 조성물. - 제9항에 있어서,
상기 *-L1-Z1 및 *-L2-Z2은 상기 그룹 Ⅱ의 B-1, B-2, B-3, B-16 및 B-17에서 선택되는 치환기 중 하나인 유기 광전자 소자용 조성물. - 서로 마주하는 양극과 음극, 그리고
상기 양극과 상기 음극 사이에 위치하는 적어도 한 층의 유기층을 포함하고,
상기 유기층은 제1항 내지 제3항, 제5항 및 제6항 중 어느 한 항에 따른 유기 광전자 소자용 화합물; 또는
상기 제7항 내지 제10항 중 어느 한 항에 따른 유기 광전자 소자용 조성물을 포함하는 유기 광전자 소자. - 제11항에 있어서,
상기 유기층은 발광층을 포함하고,
상기 발광층은 상기 유기 광전자 소자용 화합물 또는 상기 유기 광전자 소자용 조성물을 포함하는 유기 광전자 소자. - 제12항에 있어서,
상기 유기 광전자 소자용 화합물 또는 상기 유기 광전자 소자용 조성물은 상기 발광층의 호스트로서 포함되는 유기 광전자 소자. - 제12항에 있어서,
상기 유기층은 정공주입층, 정공수송층, 전자차단층, 전자수송층, 전자주입층 및 정공차단층에서 선택된 적어도 하나의 보조층을 더 포함하고,
상기 보조층은 상기 발광층에 인접한 전자수송보조층을 더 포함하고,
상기 전자수송보조층은 상기 유기 광전자 소자용 화합물; 또는 상기 유기 광전자 소자용 조성물을 포함하는 유기 광전자 소자. - 제11항에 따른 유기 광전자 소자를 포함하는 표시장치.
Priority Applications (7)
| Application Number | Priority Date | Filing Date | Title |
|---|---|---|---|
| KR1020160088232A KR102050000B1 (ko) | 2016-07-12 | 2016-07-12 | 유기 광전자 소자용 화합물, 유기 광전자 소자용 조성물, 유기 광전자 소자 및 표시 장치 |
| CN201780036346.9A CN109312230B (zh) | 2016-07-12 | 2017-05-10 | 用于有机光电装置的化合物、用于有机光电装置的组成物以及有机光电装置及显示装置 |
| EP17827792.7A EP3486299B1 (en) | 2016-07-12 | 2017-05-10 | Compound for organic optoelectronic device, composition for organic optoelectronic device, organic optoelectronic device, and display device |
| PCT/KR2017/004834 WO2018012718A1 (ko) | 2016-07-12 | 2017-05-10 | 유기 광전자 소자용 화합물, 유기 광전자 소자용 조성물, 유기 광전자 소자 및 표시 장치 |
| US16/097,657 US11084806B2 (en) | 2016-07-12 | 2017-05-10 | Compound for organic optoelectronic device, composition for organic optoelectronic device, organic optoelectronic device, and display device |
| JP2019501478A JP6781327B2 (ja) | 2016-07-12 | 2017-05-10 | 有機光電子素子用化合物、有機光電子素子用組成物、有機光電子素子および表示装置 |
| TW106118179A TWI641605B (zh) | 2016-07-12 | 2017-06-02 | 用於有機光電裝置的化合物、用於有機光電裝置的組成物以及有機光電裝置及顯示裝置 |
Applications Claiming Priority (1)
| Application Number | Priority Date | Filing Date | Title |
|---|---|---|---|
| KR1020160088232A KR102050000B1 (ko) | 2016-07-12 | 2016-07-12 | 유기 광전자 소자용 화합물, 유기 광전자 소자용 조성물, 유기 광전자 소자 및 표시 장치 |
Publications (2)
| Publication Number | Publication Date |
|---|---|
| KR20180007243A KR20180007243A (ko) | 2018-01-22 |
| KR102050000B1 true KR102050000B1 (ko) | 2019-11-28 |
Family
ID=60951832
Family Applications (1)
| Application Number | Title | Priority Date | Filing Date |
|---|---|---|---|
| KR1020160088232A Active KR102050000B1 (ko) | 2016-07-12 | 2016-07-12 | 유기 광전자 소자용 화합물, 유기 광전자 소자용 조성물, 유기 광전자 소자 및 표시 장치 |
Country Status (7)
| Country | Link |
|---|---|
| US (1) | US11084806B2 (ko) |
| EP (1) | EP3486299B1 (ko) |
| JP (1) | JP6781327B2 (ko) |
| KR (1) | KR102050000B1 (ko) |
| CN (1) | CN109312230B (ko) |
| TW (1) | TWI641605B (ko) |
| WO (1) | WO2018012718A1 (ko) |
Families Citing this family (14)
| Publication number | Priority date | Publication date | Assignee | Title |
|---|---|---|---|---|
| KR101847347B1 (ko) * | 2017-06-30 | 2018-04-09 | 주식회사 두산 | 유기 화합물 및 이를 이용한 유기 전계 발광 소자 |
| KR101884130B1 (ko) * | 2017-08-29 | 2018-07-31 | 주식회사 두산 | 유기 전계 발광 소자 |
| KR102147908B1 (ko) * | 2018-05-11 | 2020-08-25 | 주식회사 엘지화학 | 신규한 헤테로 고리 화합물 및 이를 이용한 유기발광 소자 |
| WO2019216743A1 (ko) * | 2018-05-11 | 2019-11-14 | 주식회사 엘지화학 | 신규한 헤테로 고리 화합물 및 이를 이용한 유기발광 소자 |
| KR102044943B1 (ko) | 2018-05-28 | 2019-11-14 | 삼성에스디아이 주식회사 | 화합물, 조성물, 유기 광전자 소자 및 표시 장치 |
| KR102569556B1 (ko) * | 2018-06-26 | 2023-08-23 | 삼성디스플레이 주식회사 | 유기 전계 발광 소자 및 유기 전계 발광 소자용 헤테로환 화합물 |
| CN112566908A (zh) * | 2018-08-13 | 2021-03-26 | 辛诺拉有限公司 | 用于光电器件的有机分子 |
| JP7631663B2 (ja) * | 2018-10-22 | 2025-02-19 | 東ソー株式会社 | 環状アジン化合物、有機電界発光素子用材料、有機電界発光素子用電子輸送材料、及び有機電界発光素子 |
| WO2020085319A1 (ja) * | 2018-10-22 | 2020-04-30 | 東ソー株式会社 | 環状アジン化合物、有機電界発光素子用材料、有機電界発光素子用電子輸送材料、及び有機電界発光素子 |
| KR102808267B1 (ko) * | 2019-09-16 | 2025-05-20 | 솔루스첨단소재 주식회사 | 유기 전계 발광 소자 |
| CN111116562A (zh) * | 2019-12-24 | 2020-05-08 | 吉林奥来德光电材料股份有限公司 | 一种有机发光化合物及其制备方法和应用 |
| KR102902621B1 (ko) * | 2019-12-31 | 2025-12-22 | 엘지디스플레이 주식회사 | 유기전기소자, 이를 포함하는 표시패널 및 이를 포함하는 표시장치 |
| CN114057706B (zh) * | 2020-07-31 | 2023-12-01 | 江苏三月科技股份有限公司 | 一种含有三嗪结构的有机化合物及其应用 |
| CN115340531B (zh) * | 2021-05-12 | 2024-02-13 | 江苏三月科技股份有限公司 | 一种含三嗪和嘧啶结构的化合物及其在有机电致发光器件上的应用 |
Citations (2)
| Publication number | Priority date | Publication date | Assignee | Title |
|---|---|---|---|---|
| JP2016506414A (ja) | 2013-01-03 | 2016-03-03 | メルク パテント ゲーエムベーハー | 電子素子のための材料 |
| US20160329502A1 (en) | 2015-05-07 | 2016-11-10 | Universal Display Corporation | Organic Electroluminescent Materials and Devices |
Family Cites Families (77)
| Publication number | Priority date | Publication date | Assignee | Title |
|---|---|---|---|---|
| US6229012B1 (en) * | 1998-10-01 | 2001-05-08 | Xerox Corporation | Triazine compositions |
| US6900458B2 (en) | 2003-02-21 | 2005-05-31 | Universal Display Corporation | Transflective display having an OLED backlight |
| US7306970B2 (en) | 2004-08-30 | 2007-12-11 | International Business Machines Corporation | Method and apparatus for manufacturing an optoelectronic device |
| US7651791B2 (en) | 2005-12-15 | 2010-01-26 | Idemitsu Kosan Co., Ltd. | Material for organic electroluminescence device and electroluminescence device employing the same |
| WO2010044342A1 (ja) | 2008-10-15 | 2010-04-22 | コニカミノルタホールディングス株式会社 | 有機エレクトロルミネッセンス素子、有機エレクトロルミネッセンス素子の製造方法、白色有機エレクトロルミネッセンス素子、表示装置及び照明装置 |
| EP3046156A1 (en) | 2009-02-06 | 2016-07-20 | Konica Minolta Holdings, Inc. | Organic electroluminescent element, and illumination device and display device each comprising the element |
| KR101741415B1 (ko) * | 2009-04-29 | 2017-05-30 | 롬엔드하스전자재료코리아유한회사 | 신규한 유기 발광 화합물 및 이를 채용하고 있는 유기 전계 발광 소자 |
| KR101297158B1 (ko) * | 2010-02-22 | 2013-08-21 | 제일모직주식회사 | 유기광전소자용 화합물 및 이를 포함하는 유기광전소자 |
| KR20120057561A (ko) | 2010-04-20 | 2012-06-05 | 이데미쓰 고산 가부시키가이샤 | 비스카르바졸 유도체, 유기 일렉트로루미네선스 소자용 재료 및 그것을 사용한 유기 일렉트로루미네선스 소자 |
| JP5990515B2 (ja) | 2010-06-18 | 2016-09-14 | ビーエーエスエフ ソシエタス・ヨーロピアBasf Se | ジベンゾフラン化合物と8−ヒドロキシキノリノラトアルカリ土類金属錯体または8−ヒドロキシキノリノラトアルカリ金属錯体との層を含む、有機電子デバイス |
| JP5847420B2 (ja) | 2010-09-08 | 2016-01-20 | ユー・ディー・シー アイルランド リミテッド | 有機電界発光素子及び化合物 |
| WO2012087960A1 (en) | 2010-12-20 | 2012-06-28 | E. I. Du Pont De Nemours And Company | Triazine derivatives for electronic applications |
| TWI557116B (zh) | 2011-04-07 | 2016-11-11 | 三菱化學股份有限公司 | 有機化合物,電荷輸送材料,含有該化合物之組成物,有機電致發光元件,顯示裝置及照明裝置 |
| KR20120129733A (ko) | 2011-05-20 | 2012-11-28 | (주)씨에스엘쏠라 | 유기발광화합물 및 이를 이용한 유기 광소자 |
| CN103380508B (zh) | 2011-11-22 | 2017-09-08 | 出光兴产株式会社 | 芳香族杂环衍生物、有机电致发光元件用材料以及有机电致发光元件 |
| KR20130061371A (ko) * | 2011-12-01 | 2013-06-11 | 롬엔드하스전자재료코리아유한회사 | 신규한 유기 발광 화합물 및 이를 채용하고 있는 유기 전계 발광 소자 |
| US9876189B2 (en) | 2012-04-24 | 2018-01-23 | Konica Minolta, Inc. | Transparent electrode, electronic device, and transparent electrode manufacturing method |
| KR101686076B1 (ko) | 2012-07-04 | 2016-12-13 | 제일모직주식회사 | 유기발광소자용 조성물, 이를 포함하는 유기발광층 및 유기발광소자 |
| KR102125199B1 (ko) | 2012-07-23 | 2020-06-22 | 메르크 파텐트 게엠베하 | 유기 전계발광 소자용 재료 |
| CN102850329A (zh) | 2012-08-28 | 2013-01-02 | 李崇 | 一种三嗪基衍生物化合物及其在oled上的应用 |
| KR101423067B1 (ko) | 2012-10-04 | 2014-07-29 | 롬엔드하스전자재료코리아유한회사 | 신규한 유기 전계 발광 화합물 및 이를 포함하는 유기 전계 발광 소자 |
| KR20140144550A (ko) * | 2013-06-11 | 2014-12-19 | 롬엔드하스전자재료코리아유한회사 | 유기 전계 발광 화합물 및 이를 포함하는 유기 전계 발광 소자 |
| CN104812750A (zh) | 2012-10-04 | 2015-07-29 | 罗门哈斯电子材料韩国有限公司 | 有机电致发光化合物和包含其的有机电致发光装置 |
| JP6357422B2 (ja) | 2012-12-17 | 2018-07-11 | 新日鉄住金化学株式会社 | 有機電界発光素子 |
| JP6335428B2 (ja) | 2012-12-21 | 2018-05-30 | 出光興産株式会社 | 有機エレクトロルミネッセンス素子および電子機器 |
| WO2014123369A1 (ko) * | 2013-02-06 | 2014-08-14 | 주식회사 엘지화학 | 신규한 화합물 및 이를 이용한 유기 전자 소자 |
| JP6317544B2 (ja) * | 2013-02-15 | 2018-04-25 | 出光興産株式会社 | 有機エレクトロルミネッセンス素子および電子機器 |
| CN103232843B (zh) | 2013-04-18 | 2015-02-25 | 烟台万润精细化工股份有限公司 | 一种电致发光材料及其应用 |
| KR102117610B1 (ko) | 2013-06-10 | 2020-06-02 | 삼성디스플레이 주식회사 | 헤테로고리 화합물 및 이를 포함한 유기 발광 소자 |
| JP6421474B2 (ja) | 2013-06-28 | 2018-11-14 | 東ソー株式会社 | 環状アジン化合物、その製造方法、及びそれを用いた有機電界発光素子 |
| KR101593465B1 (ko) | 2013-06-28 | 2016-02-12 | (주)피엔에이치테크 | 새로운 유기전계발광소자용 화합물 및 그를 포함하는 유기전계발광소자 |
| EP2821459B1 (en) | 2013-07-01 | 2017-10-04 | Cheil Industries Inc. | Composition and organic optoelectric device and display device |
| KR102167199B1 (ko) | 2013-07-02 | 2020-10-19 | 메르크 파텐트 게엠베하 | 유기 전계발광 소자 |
| JP6495259B2 (ja) | 2013-07-02 | 2019-04-03 | メルク パテント ゲーエムベーハー | 電子素子のための材料 |
| JP6010508B2 (ja) | 2013-07-03 | 2016-10-19 | ボーグワーナー インコーポレーテッド | 摺動部材の製造方法、ならびにチェーン用リンクの製造方法および当該リンクを備えたチェーンの製造方法 |
| WO2015014434A1 (de) | 2013-07-30 | 2015-02-05 | Merck Patent Gmbh | Materialien für elektronische vorrichtungen |
| KR101686078B1 (ko) | 2013-08-12 | 2016-12-13 | 제일모직 주식회사 | 조성물, 유기 광전자 소자 및 표시 장치 |
| KR101618409B1 (ko) | 2013-10-10 | 2016-05-04 | 주식회사 두산 | 유기 화합물 및 이를 포함하는 유기 전계 발광 소자 |
| KR102145888B1 (ko) | 2013-12-13 | 2020-08-20 | 삼성디스플레이 주식회사 | 트리아진계 화합물 및 이를 포함하는 유기 발광 소자 |
| KR102140018B1 (ko) | 2013-12-17 | 2020-07-31 | 삼성전자주식회사 | 축합환 화합물 및 이를 포함한 유기 발광 소자 |
| US9755159B2 (en) | 2014-01-23 | 2017-09-05 | Universal Display Corporation | Organic materials for OLEDs |
| KR101542714B1 (ko) | 2014-04-04 | 2015-08-12 | 주식회사 엘지화학 | 헤테로고리 화합물 및 이를 포함하는 유기 발광 소자 |
| WO2015156587A1 (en) | 2014-04-08 | 2015-10-15 | Rohm And Haas Electronic Materials Korea Ltd. | Multi-component host material and organic electroluminescent device comprising the same |
| KR101754715B1 (ko) | 2014-04-08 | 2017-07-10 | 롬엔드하스전자재료코리아유한회사 | 복수종의 호스트 재료와 이를 포함하는 유기 전계 발광 소자 |
| KR101502316B1 (ko) | 2014-04-18 | 2015-03-13 | 롬엔드하스전자재료코리아유한회사 | 복수종의 호스트 재료 및 이를 포함하는 유기 전계 발광 소자 |
| EP3140302B1 (de) | 2014-05-05 | 2019-08-21 | Merck Patent GmbH | Materialien für organische elektrolumineszenzvorrichtungen |
| KR101729660B1 (ko) * | 2014-05-09 | 2017-04-26 | (주)씨엠디엘 | 신규한 유기 전계 발광 소자용 화합물, 이를 포함하는 유기 전계 발광 소자 및 전자 기기 |
| KR101770463B1 (ko) | 2014-05-15 | 2017-08-23 | 주식회사 엘지화학 | 헤테로고리 화합물 및 이를 포함하는 유기 발광 소자 |
| US9997716B2 (en) | 2014-05-27 | 2018-06-12 | Universal Display Corporation | Organic electroluminescent materials and devices |
| KR102287012B1 (ko) | 2014-05-28 | 2021-08-09 | 덕산네오룩스 주식회사 | 유기전기 소자용 화합물, 이를 이용한 유기전기소자 및 그 전자 장치 |
| US10297762B2 (en) | 2014-07-09 | 2019-05-21 | Universal Display Corporation | Organic electroluminescent materials and devices |
| CN106661006B (zh) | 2014-07-29 | 2019-11-08 | 默克专利有限公司 | 用于有机电致发光器件的材料 |
| KR20160034528A (ko) | 2014-09-19 | 2016-03-30 | 삼성디스플레이 주식회사 | 유기 발광 소자 |
| KR102384649B1 (ko) | 2014-11-10 | 2022-04-11 | 삼성디스플레이 주식회사 | 유기 발광 소자 |
| WO2016076384A1 (ja) | 2014-11-14 | 2016-05-19 | 保土谷化学工業株式会社 | 有機エレクトロルミネッセンス素子 |
| WO2016084962A1 (ja) | 2014-11-28 | 2016-06-02 | 出光興産株式会社 | 化合物、有機エレクトロルミネッセンス素子用材料、有機エレクトロルミネッセンス素子および電子機器 |
| CN112480089A (zh) * | 2014-12-29 | 2021-03-12 | 东进世美肯株式会社 | 新颖化合物及包含其的有机发光器件 |
| KR102613166B1 (ko) | 2015-03-13 | 2023-12-14 | 롬엔드하스전자재료코리아유한회사 | 복수 종의 호스트 재료 및 이를 포함하는 유기 전계 발광 소자 |
| WO2016148390A1 (en) | 2015-03-13 | 2016-09-22 | Rohm And Haas Electronic Materials Korea Ltd. | A plurality of host materials and organic electroluminescent device comprising the same |
| US11495749B2 (en) | 2015-04-06 | 2022-11-08 | Universal Display Corporation | Organic electroluminescent materials and devices |
| US9972792B2 (en) | 2015-04-22 | 2018-05-15 | Rohm And Haas Electronic Materials Llc | Electron transport layer and film having improved thermal stability |
| CN107922359A (zh) | 2015-07-30 | 2018-04-17 | 默克专利有限公司 | 用于有机电致发光器件的材料 |
| CN105153130B (zh) | 2015-08-03 | 2019-01-15 | 上海道亦化工科技有限公司 | 三嗪类衍生物电子传输化合物及其有机电致发光器件 |
| KR102112786B1 (ko) * | 2015-08-19 | 2020-05-20 | 롬엔드하스전자재료코리아유한회사 | 유기 전계 발광 화합물 및 이를 포함하는 유기 전계 발광 소자 |
| KR102639370B1 (ko) | 2016-01-27 | 2024-02-22 | 에스에프씨 주식회사 | 신규한 헤테로고리 화합물 및 이를 포함하는 유기 발광 소자 |
| KR20170097820A (ko) | 2016-02-18 | 2017-08-29 | 삼성디스플레이 주식회사 | 유기 발광 소자 |
| KR101755986B1 (ko) | 2016-02-23 | 2017-07-07 | 주식회사 엘지화학 | 헤테로고리 화합물 및 이를 포함하는 유기 발광 소자 |
| WO2017171420A1 (ko) | 2016-03-30 | 2017-10-05 | 주식회사 엘지화학 | 화합물 및 이를 이용하는 유기 발광 소자 |
| KR101916572B1 (ko) | 2016-04-12 | 2018-11-07 | 주식회사 엘지화학 | 화합물 및 이를 포함하는 유기 전자 소자 |
| WO2017179911A1 (ko) | 2016-04-12 | 2017-10-19 | 주식회사 엘지화학 | 화합물 및 이를 포함하는 유기 전자 소자 |
| KR101857704B1 (ko) | 2016-06-14 | 2018-05-14 | 주식회사 엘지화학 | 신규한 화합물 및 이를 포함하는 유기발광 소자 |
| WO2018016742A1 (ko) | 2016-07-20 | 2018-01-25 | 주식회사 엘지화학 | 신규한 헤테로 고리 화합물 및 이를 이용한 유기발광 소자 |
| KR102054277B1 (ko) | 2016-07-29 | 2019-12-10 | 삼성에스디아이 주식회사 | 유기 광전자 소자용 조성물, 유기 광전자 소자 및 표시 장치 |
| KR102041588B1 (ko) | 2016-09-29 | 2019-11-06 | 삼성에스디아이 주식회사 | 유기 광전자 소자용 화합물, 유기 광전자 소자용 조성물, 유기 광전자 소자 및 표시 장치 |
| KR102037816B1 (ko) | 2016-11-16 | 2019-10-29 | 삼성에스디아이 주식회사 | 유기 광전자 소자 및 표시 장치 |
| KR102037817B1 (ko) | 2016-11-24 | 2019-10-29 | 삼성에스디아이 주식회사 | 유기 광전자 소자 및 표시 장치 |
| WO2018128255A1 (ko) | 2017-01-05 | 2018-07-12 | 삼성에스디아이 주식회사 | 유기 광전자 소자용 화합물, 유기 광전자 소자용 조성물, 유기 광전자 소자 및 표시 장치 |
-
2016
- 2016-07-12 KR KR1020160088232A patent/KR102050000B1/ko active Active
-
2017
- 2017-05-10 WO PCT/KR2017/004834 patent/WO2018012718A1/ko not_active Ceased
- 2017-05-10 EP EP17827792.7A patent/EP3486299B1/en active Active
- 2017-05-10 CN CN201780036346.9A patent/CN109312230B/zh active Active
- 2017-05-10 US US16/097,657 patent/US11084806B2/en active Active
- 2017-05-10 JP JP2019501478A patent/JP6781327B2/ja active Active
- 2017-06-02 TW TW106118179A patent/TWI641605B/zh active
Patent Citations (2)
| Publication number | Priority date | Publication date | Assignee | Title |
|---|---|---|---|---|
| JP2016506414A (ja) | 2013-01-03 | 2016-03-03 | メルク パテント ゲーエムベーハー | 電子素子のための材料 |
| US20160329502A1 (en) | 2015-05-07 | 2016-11-10 | Universal Display Corporation | Organic Electroluminescent Materials and Devices |
Also Published As
| Publication number | Publication date |
|---|---|
| KR20180007243A (ko) | 2018-01-22 |
| CN109312230B (zh) | 2021-12-14 |
| EP3486299B1 (en) | 2023-02-15 |
| US20200317654A1 (en) | 2020-10-08 |
| TW201802082A (zh) | 2018-01-16 |
| JP2019527930A (ja) | 2019-10-03 |
| TWI641605B (zh) | 2018-11-21 |
| EP3486299A1 (en) | 2019-05-22 |
| CN109312230A (zh) | 2019-02-05 |
| US11084806B2 (en) | 2021-08-10 |
| EP3486299A4 (en) | 2020-03-18 |
| WO2018012718A1 (ko) | 2018-01-18 |
| JP6781327B2 (ja) | 2020-11-04 |
Similar Documents
| Publication | Publication Date | Title |
|---|---|---|
| KR102027961B1 (ko) | 유기 광전자 소자용 화합물, 유기 광전자 소자용 조성물, 유기 광전자 소자 및 표시 장치 | |
| KR102050000B1 (ko) | 유기 광전자 소자용 화합물, 유기 광전자 소자용 조성물, 유기 광전자 소자 및 표시 장치 | |
| JP7113070B2 (ja) | 有機光電子素子用化合物、有機光電子素子および表示装置 | |
| JP7007455B2 (ja) | 有機光電子素子および表示装置 | |
| KR102122340B1 (ko) | 유기 광전자 소자용 화합물, 유기 광전자 소자용 조성물, 유기 광전자 소자 및 표시 장치 | |
| KR102041588B1 (ko) | 유기 광전자 소자용 화합물, 유기 광전자 소자용 조성물, 유기 광전자 소자 및 표시 장치 | |
| JP6786702B2 (ja) | 有機光電子素子用組成物、有機光電子素子および表示装置 | |
| KR102054276B1 (ko) | 유기 광전자 소자용 화합물, 유기 광전자 소자용 조성물, 유기 광전자 소자 및 표시 장치 | |
| CN111148738B (zh) | 有机化合物、组合物、有机光电装置和显示装置 | |
| KR102037817B1 (ko) | 유기 광전자 소자 및 표시 장치 | |
| CN116669455A (zh) | 用于光电器件的组合物和有机光电器件及显示装置 | |
| KR20180007617A (ko) | 유기 광전자 소자용 조성물, 유기 광전자 소자 및 표시 장치 | |
| KR102037816B1 (ko) | 유기 광전자 소자 및 표시 장치 | |
| KR102199076B1 (ko) | 유기 광전자 소자용 화합물, 유기 광전자 소자용 조성물, 유기 광전자 소자 및 표시 장치 | |
| KR102129510B1 (ko) | 유기 광전자 소자용 화합물, 유기 광전자 소자용 조성물, 유기 광전자 소자 및 표시 장치 | |
| KR102308643B1 (ko) | 유기 화합물, 조성물, 유기 광전자 소자 및 표시 장치 | |
| KR20180010533A (ko) | 유기 광전자 소자용 조성물, 유기 광전자 소자 및 표시 장치 | |
| KR102171073B1 (ko) | 유기 광전자 소자용 화합물, 유기 광전자 소자용 조성물, 유기 광전자 소자 및 표시 장치 | |
| KR102129952B1 (ko) | 유기 광전자 소자용 화합물, 유기 광전자 소자용 조성물, 유기 광전자 소자 및 표시 장치 | |
| KR102015405B1 (ko) | 유기 광전자 소자용 조성물, 유기 광전자 소자 및 표시 장치 | |
| KR20250134429A (ko) | 유기광전자소자용 조성물, 유기광전자소자 및 표시 장치 | |
| KR20250134428A (ko) | 유기광전자소자용 조성물, 유기광전자소자 및 표시 장치 | |
| KR20250107641A (ko) | 유기 광전자 소자용 화합물, 유기 광전자 소자용 조성물, 유기 광전자 소자 및 표시 장치 | |
| KR20190001820A (ko) | 유기 광전자 소자용 화합물, 유기 광전자 소자용 조성물, 유기 광전자 소자 및 표시 장치 |
Legal Events
| Date | Code | Title | Description |
|---|---|---|---|
| PA0109 | Patent application |
Patent event code: PA01091R01D Comment text: Patent Application Patent event date: 20160712 |
|
| A201 | Request for examination | ||
| PA0201 | Request for examination |
Patent event code: PA02012R01D Patent event date: 20170731 Comment text: Request for Examination of Application Patent event code: PA02011R01I Patent event date: 20160712 Comment text: Patent Application |
|
| PG1501 | Laying open of application | ||
| E902 | Notification of reason for refusal | ||
| PE0902 | Notice of grounds for rejection |
Comment text: Notification of reason for refusal Patent event date: 20190405 Patent event code: PE09021S01D |
|
| E701 | Decision to grant or registration of patent right | ||
| PE0701 | Decision of registration |
Patent event code: PE07011S01D Comment text: Decision to Grant Registration Patent event date: 20191021 |
|
| PR0701 | Registration of establishment |
Comment text: Registration of Establishment Patent event date: 20191122 Patent event code: PR07011E01D |
|
| PR1002 | Payment of registration fee |
Payment date: 20191122 End annual number: 3 Start annual number: 1 |
|
| PG1601 | Publication of registration | ||
| PR1001 | Payment of annual fee |
Payment date: 20221101 Start annual number: 4 End annual number: 4 |
|
| PR1001 | Payment of annual fee |
Payment date: 20231102 Start annual number: 5 End annual number: 5 |
|
| PR1001 | Payment of annual fee |
Payment date: 20241028 Start annual number: 6 End annual number: 6 |
































































































