KR101423067B1 - 신규한 유기 전계 발광 화합물 및 이를 포함하는 유기 전계 발광 소자 - Google Patents
신규한 유기 전계 발광 화합물 및 이를 포함하는 유기 전계 발광 소자 Download PDFInfo
- Publication number
- KR101423067B1 KR101423067B1 KR1020120110303A KR20120110303A KR101423067B1 KR 101423067 B1 KR101423067 B1 KR 101423067B1 KR 1020120110303 A KR1020120110303 A KR 1020120110303A KR 20120110303 A KR20120110303 A KR 20120110303A KR 101423067 B1 KR101423067 B1 KR 101423067B1
- Authority
- KR
- South Korea
- Prior art keywords
- substituted
- unsubstituted
- compound
- aryl
- organic electroluminescent
- Prior art date
- Legal status (The legal status is an assumption and is not a legal conclusion. Google has not performed a legal analysis and makes no representation as to the accuracy of the status listed.)
- Active
Links
- 0 CCC(C[C@](C1)C1=*=C)(C1)C=Cc2c1c(C=C*(*[C@](C)CCN)C=C1)c1[n]2* Chemical compound CCC(C[C@](C1)C1=*=C)(C1)C=Cc2c1c(C=C*(*[C@](C)CCN)C=C1)c1[n]2* 0.000 description 2
- HIDVHRIXGHRONR-UHFFFAOYSA-N C(C1)C=Cc2c1c(CC(C=CC=C1)C1=C1C(N3)=CC(c4ccccc4)NC3N3c4cc(-c5ccccc5)ccc4C4C3=CC=CC4)c1[o]2 Chemical compound C(C1)C=Cc2c1c(CC(C=CC=C1)C1=C1C(N3)=CC(c4ccccc4)NC3N3c4cc(-c5ccccc5)ccc4C4C3=CC=CC4)c1[o]2 HIDVHRIXGHRONR-UHFFFAOYSA-N 0.000 description 1
- VSFWJYINJSDPBY-UHFFFAOYSA-N C(C12)=CC(c3ccccc3)=CC1N(C1NC=CC(c3cccc(c4ccc5)c3[s]c4c5-c3ccccc3)N1)c1c2cccc1 Chemical compound C(C12)=CC(c3ccccc3)=CC1N(C1NC=CC(c3cccc(c4ccc5)c3[s]c4c5-c3ccccc3)N1)c1c2cccc1 VSFWJYINJSDPBY-UHFFFAOYSA-N 0.000 description 1
- ZHTRBVRKXLBBBB-UHFFFAOYSA-N C1C=CC=CC1C(C=C(c1c2[s]c(c(cccc3)c3cc3)c3c2ccc1)N1)=NC1[n]1c2cc(-c3ccccc3)ccc2c2c1cccc2 Chemical compound C1C=CC=CC1C(C=C(c1c2[s]c(c(cccc3)c3cc3)c3c2ccc1)N1)=NC1[n]1c2cc(-c3ccccc3)ccc2c2c1cccc2 ZHTRBVRKXLBBBB-UHFFFAOYSA-N 0.000 description 1
- PWKITUUKHMUNJC-UHFFFAOYSA-N CC(C1)C(c2ccccc2)=Cc2c1c(ccc(-c1ccccc1)c1)c1[n]2-c1nc(-c2cccc(C(C(C)C=C3)c4c3c(cccc3)c3[s]4)c2)ccn1 Chemical compound CC(C1)C(c2ccccc2)=Cc2c1c(ccc(-c1ccccc1)c1)c1[n]2-c1nc(-c2cccc(C(C(C)C=C3)c4c3c(cccc3)c3[s]4)c2)ccn1 PWKITUUKHMUNJC-UHFFFAOYSA-N 0.000 description 1
- IFIZYKLKZBWNLM-UHFFFAOYSA-N CC[N+]1=CC1c1cccc(-c2c3[s]c4ccccc4c3ccc2)c1 Chemical compound CC[N+]1=CC1c1cccc(-c2c3[s]c4ccccc4c3ccc2)c1 IFIZYKLKZBWNLM-UHFFFAOYSA-N 0.000 description 1
- RHKKOVHIOXCXMA-UHFFFAOYSA-N ClC(NC=C1)N=C1c1cccc2c1[s]c1c2cccc1-c1ccccc1 Chemical compound ClC(NC=C1)N=C1c1cccc2c1[s]c1c2cccc1-c1ccccc1 RHKKOVHIOXCXMA-UHFFFAOYSA-N 0.000 description 1
- IHGKPBAFAOLHJW-YSLWTGOOSA-N N/C=C\C(c1cccc(-c2c3[s]c4ccccc4c3ccc2)c1)=N Chemical compound N/C=C\C(c1cccc(-c2c3[s]c4ccccc4c3ccc2)c1)=N IHGKPBAFAOLHJW-YSLWTGOOSA-N 0.000 description 1
- NWLCIOKUOGGKKK-UHFFFAOYSA-N c(cc1)ccc1-c(cc1)cc2c1c(ccc(-c1ccccc1)c1)c1[nH]2 Chemical compound c(cc1)ccc1-c(cc1)cc2c1c(ccc(-c1ccccc1)c1)c1[nH]2 NWLCIOKUOGGKKK-UHFFFAOYSA-N 0.000 description 1
- IMLDYQBWZHPGJA-UHFFFAOYSA-N c(cc1)ccc1-c(cc1)cc2c1c(cccc1)c1[nH]2 Chemical compound c(cc1)ccc1-c(cc1)cc2c1c(cccc1)c1[nH]2 IMLDYQBWZHPGJA-UHFFFAOYSA-N 0.000 description 1
- GHRZADPSIMZGNV-UHFFFAOYSA-N c(cc1)ccc1-c(cc1)cc2c1c(cccc1)c1[n]2-c1nc(-c2ccccc2)cc(-c2c3[s]c(cc(cccc4)c4c4)c4c3ccc2)n1 Chemical compound c(cc1)ccc1-c(cc1)cc2c1c(cccc1)c1[n]2-c1nc(-c2ccccc2)cc(-c2c3[s]c(cc(cccc4)c4c4)c4c3ccc2)n1 GHRZADPSIMZGNV-UHFFFAOYSA-N 0.000 description 1
Classifications
-
- H—ELECTRICITY
- H10—SEMICONDUCTOR DEVICES; ELECTRIC SOLID-STATE DEVICES NOT OTHERWISE PROVIDED FOR
- H10K—ORGANIC ELECTRIC SOLID-STATE DEVICES
- H10K85/00—Organic materials used in the body or electrodes of devices covered by this subclass
- H10K85/60—Organic compounds having low molecular weight
- H10K85/649—Aromatic compounds comprising a hetero atom
- H10K85/657—Polycyclic condensed heteroaromatic hydrocarbons
- H10K85/6572—Polycyclic condensed heteroaromatic hydrocarbons comprising only nitrogen in the heteroaromatic polycondensed ring system, e.g. phenanthroline or carbazole
-
- C—CHEMISTRY; METALLURGY
- C07—ORGANIC CHEMISTRY
- C07D—HETEROCYCLIC COMPOUNDS
- C07D209/00—Heterocyclic compounds containing five-membered rings, condensed with other rings, with one nitrogen atom as the only ring hetero atom
- C07D209/56—Ring systems containing three or more rings
- C07D209/80—[b, c]- or [b, d]-condensed
- C07D209/82—Carbazoles; Hydrogenated carbazoles
-
- H—ELECTRICITY
- H10—SEMICONDUCTOR DEVICES; ELECTRIC SOLID-STATE DEVICES NOT OTHERWISE PROVIDED FOR
- H10K—ORGANIC ELECTRIC SOLID-STATE DEVICES
- H10K85/00—Organic materials used in the body or electrodes of devices covered by this subclass
- H10K85/60—Organic compounds having low molecular weight
- H10K85/649—Aromatic compounds comprising a hetero atom
- H10K85/654—Aromatic compounds comprising a hetero atom comprising only nitrogen as heteroatom
-
- H—ELECTRICITY
- H10—SEMICONDUCTOR DEVICES; ELECTRIC SOLID-STATE DEVICES NOT OTHERWISE PROVIDED FOR
- H10K—ORGANIC ELECTRIC SOLID-STATE DEVICES
- H10K85/00—Organic materials used in the body or electrodes of devices covered by this subclass
- H10K85/60—Organic compounds having low molecular weight
- H10K85/649—Aromatic compounds comprising a hetero atom
- H10K85/657—Polycyclic condensed heteroaromatic hydrocarbons
- H10K85/6574—Polycyclic condensed heteroaromatic hydrocarbons comprising only oxygen in the heteroaromatic polycondensed ring system, e.g. cumarine dyes
-
- H—ELECTRICITY
- H10—SEMICONDUCTOR DEVICES; ELECTRIC SOLID-STATE DEVICES NOT OTHERWISE PROVIDED FOR
- H10K—ORGANIC ELECTRIC SOLID-STATE DEVICES
- H10K85/00—Organic materials used in the body or electrodes of devices covered by this subclass
- H10K85/60—Organic compounds having low molecular weight
- H10K85/649—Aromatic compounds comprising a hetero atom
- H10K85/657—Polycyclic condensed heteroaromatic hydrocarbons
- H10K85/6576—Polycyclic condensed heteroaromatic hydrocarbons comprising only sulfur in the heteroaromatic polycondensed ring system, e.g. benzothiophene
Landscapes
- Chemical & Material Sciences (AREA)
- Physics & Mathematics (AREA)
- Spectroscopy & Molecular Physics (AREA)
- Engineering & Computer Science (AREA)
- Materials Engineering (AREA)
- Organic Chemistry (AREA)
- Electroluminescent Light Sources (AREA)
Abstract
Description
Claims (6)
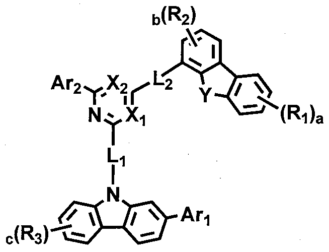
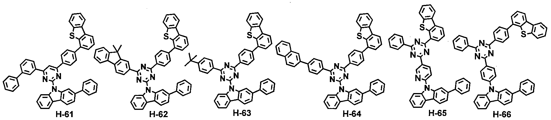
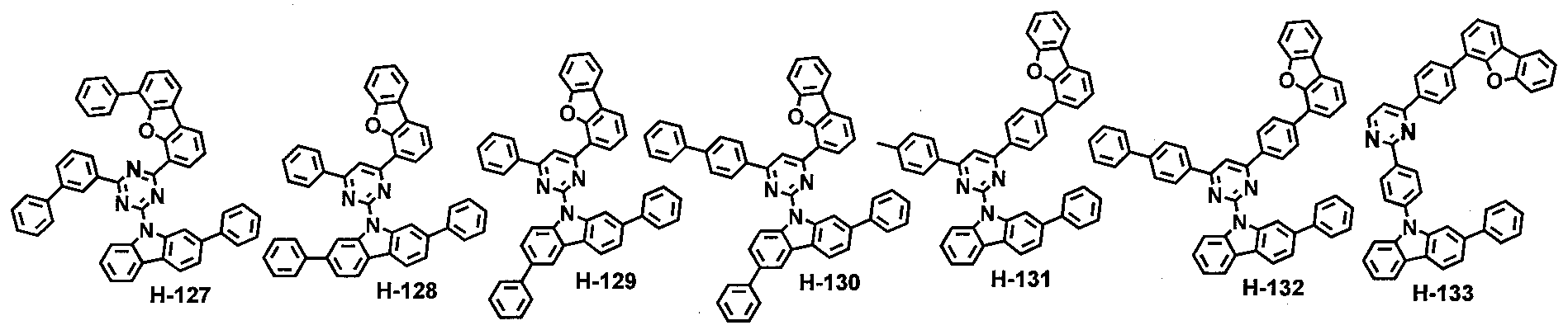
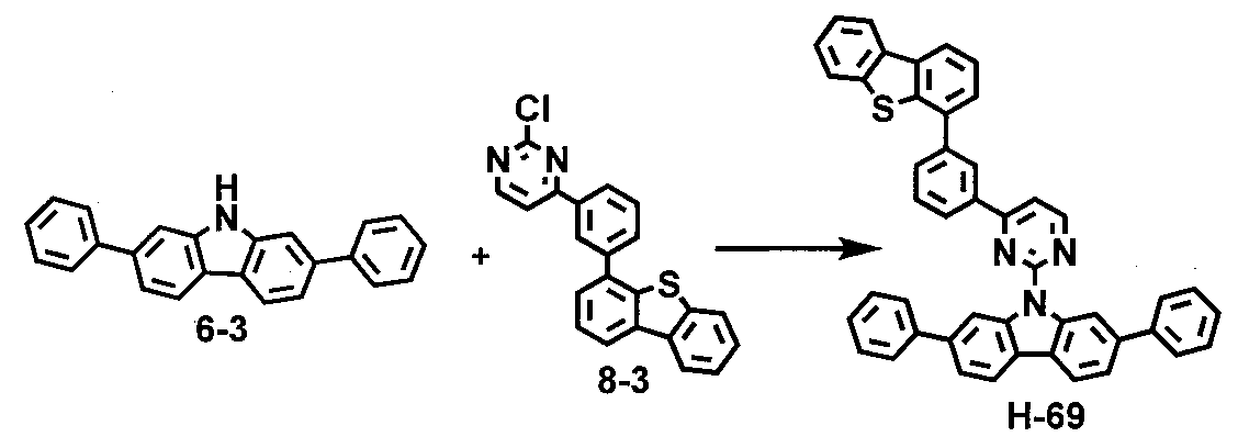
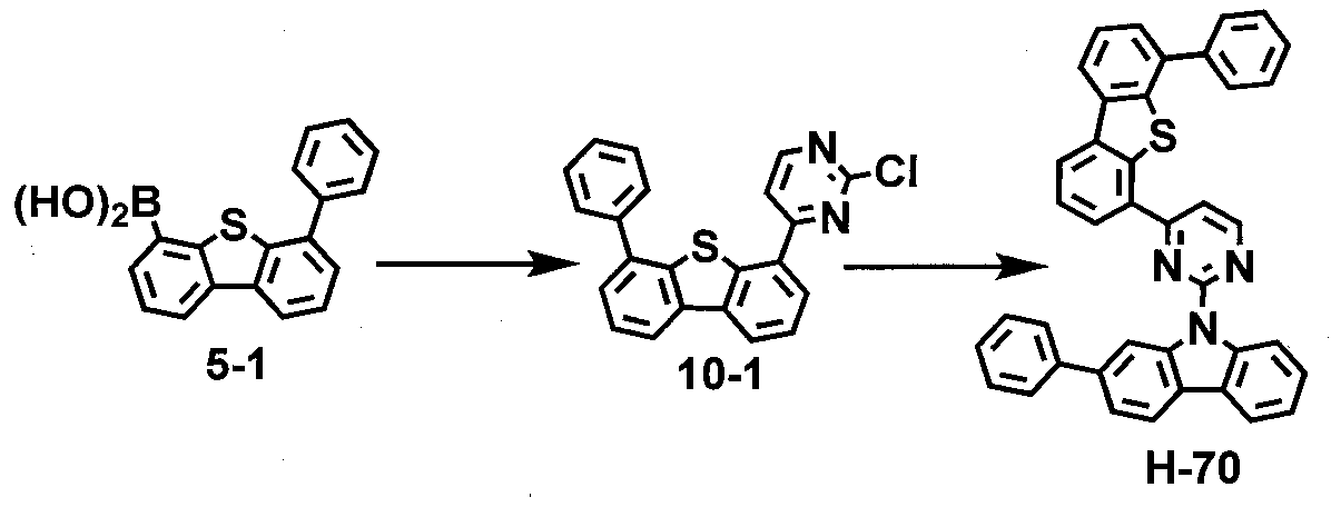
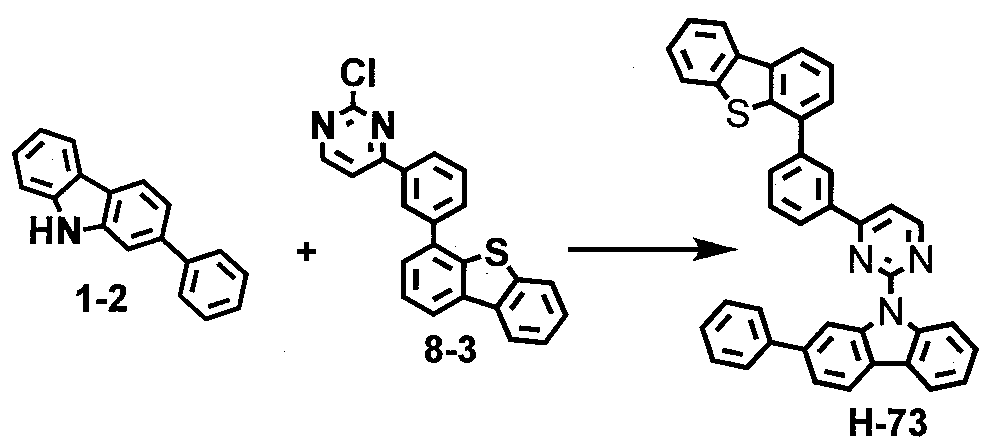
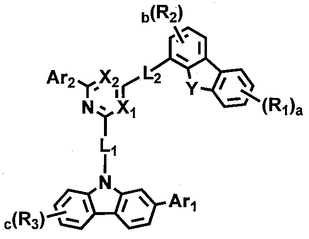
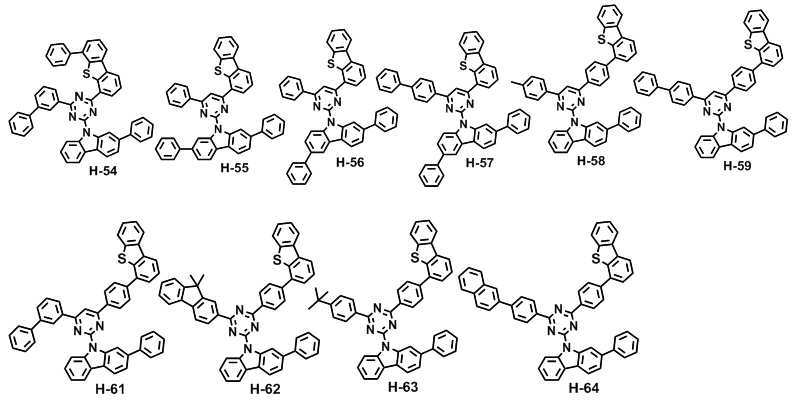
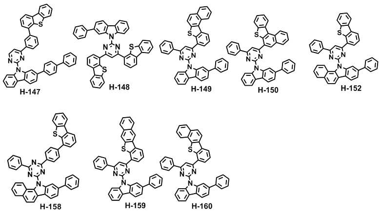
- 하기 화학식 1로 표시되는 유기 전계 발광 화합물:
[화학식 1]
상기 화학식 1에서,
L1은 단일결합이고;
L2는 단일결합, 치환 또는 비치환된 (3-30원)헤테로아릴렌, 또는 치환 또는 비치환된 (C6-C30)아릴렌이고;
X1 및 X2은 각각 독립적으로 CH 또는 N이며;
Y는 -S-이고;
Ar1은 치환 또는 비치환된 (C6-C30)아릴, 또는 치환 또는 비치환된 (3-30원)헤테로아릴이며;
Ar2는 수소, 중수소, 할로겐, 치환 또는 비치환된 (C1-C30)알킬, 치환 또는 비치환된 (C6-C30)아릴, 또는 치환 또는 비치환된 (3-30원)헤테로아릴이고;
R1 내지 R3은 각각 독립적으로 수소, 중수소, 할로겐, 치환 또는 비치환된 (C1-C30)알킬, 치환 또는 비치환된 (C6-C30)아릴, 치환 또는 비치환된 (3-30원)헤테로아릴, 치환 또는 비치환된 (C3-C30)시클로알킬, 치환 또는 비치환된 (5-7원)헤테로시클로알킬, 치환 또는 비치환된 (C6-C30)아르(C1-C30)알킬, -NR14R15, -SiR16R17R18, -SR19, -OR20, 시아노, 나이트로 또는 하이드록시이거나, 인접한 치환체와 함께 단일환 또는 다환의 (C5-C30) 지환족 또는 방향족 고리를 형성할 수 있으며, 상기 형성된 지환족 또는 방향족 고리의 탄소 원자는 질소, 산소 및 황으로부터 선택되는 하나 이상의 헤테로원자로 대체될 수 있고;
R11 내지 R20은 각각 독립적으로 수소, 중수소, 할로겐, 치환 또는 비치환된 (C1-C30)알킬, 치환 또는 비치환된 (C6-C30)아릴, 치환 또는 비치환된 (3-30원)헤테로아릴, 치환 또는 비치환된 (5-7원)헤테로시클로알킬, 또는 치환 또는 비치환된 (C3-C30)시클로알킬이거나, 인접한 치환체와 함께 단일환 또는 다환의 (C5-C30) 지환족 또는 방향족 고리를 형성할 수 있으며, 상기 형성된 지환족 또는 방향족 고리의 탄소 원자는 질소, 산소 및 황으로부터 선택되는 하나 이상의 헤테로원자로 대체될 수 있고;
a 및 c는 각각 독립적으로 1 내지 4의 정수이며, a 또는 c가 2 이상의 정수인 경우 각각의 R1 또는 각각의 R3은 동일하거나 상이할 수 있고;
b는 1 내지 3의 정수이며, b가 2 이상의 정수인 경우 각각의 R2는 동일하거나 상이할 수 있고
상기 헤테로아릴렌, 헤테로시클로알킬 및 헤테로아릴은 B, N, O, S, P(=O), Si 및 P로부터 선택된 하나 이상의 헤테로원자를 포함한다. - 제1항에 있어서, 상기 L1, L2, Ar1, Ar2, R1 내지 R3, R11 내지 R20에서 치환 알킬, 치환 아릴(렌), 치환 헤테로아릴(렌), 치환 시클로알킬(렌), 치환 헤테로시클로알킬 및 치환 아랄킬의 치환체는 각각 독립적으로 중수소, 할로겐, 할로겐으로 치환되거나 비치환된 (C1-C30)알킬, (C6-C30)아릴, (C6-C30)아릴로 치환되거나 비치환된 (3-30원)헤테로아릴, (C3-C30)시클로알킬, (5-7원)헤테로시클로알킬, 트리(C1-C30)알킬실릴, 트리(C6-C30)아릴실릴, 디(C1-C30)알킬(C6-C30)아릴실릴, (C1-C30)알킬디(C6-C30)아릴실릴, (C2-C30)알케닐, (C2-C30)알키닐, 시아노, N-카바졸릴, 디(C1-C30)알킬아미노, 디(C6-C30)아릴아미노, (C1-C30)알킬(C6-C30)아릴아미노, 디(C6-C30)아릴보로닐, 디(C1-C30)알킬보로닐, (C1-C30)알킬(C6-C30)아릴보로닐, (C6-C30)아르(C1-C30)알킬, (C1-C30)알킬(C6-C30)아릴, 카르복실, 니트로 및 히드록시로 이루어진 군으로부터 선택되는 하나 이상인 것을 특징으로 하는 유기 전계 발광 화합물.
- 제1항에 있어서, 상기 L2가 단일결합, 치환 또는 비치환된 (3-15원)헤테로아릴렌, 또는 치환 또는 비치환된 (C6-C15)아릴렌이고;
상기 X1 및 X2가 각각 독립적으로 CH 또는 N이며;
상기 Ar1이 치환 또는 비치환된 (C6-C15)아릴, 또는 치환 또는 비치환된 (3-15원)헤테로아릴이고;
상기 Ar2가 수소, 치환 또는 비치환된 (C6-C15)아릴, 또는 치환 또는 비치환된 (3-15원)헤테로아릴이고;
상기 R1 내지 R3이 각각 독립적으로 수소, 치환 또는 비치환된 (C6-C15)아릴, 또는 치환 또는 비치환된 (3-30원)헤테로아릴이거나, 인접한 치환체와 함께 단일환 또는 다환의 (C5-C30) 지환족 또는 방향족 고리를 형성할 수 있으며, 상기 형성된 지환족 또는 방향족 고리의 탄소 원자는 질소, 산소 및 황으로부터 선택되는 하나 이상의 헤테로원자로 대체될 수 있고;
상기 a 내지 c가 각각 독립적으로 1 또는 2의 정수인 것을 특징으로 하는 유기 전계 발광 화합물. - 제1항에 있어서, 상기 L2가 단일결합, 비치환된 (3-10원)헤테로아릴렌, 또는 치환 또는 비치환된 (C6-C10)아릴렌이고;
상기 X1 및 X2가 각각 독립적으로 CH 또는 N이며;
상기 Ar1이 치환 또는 비치환된 (C6-C10)아릴, 또는 치환된 (3-15원)헤테로아릴이고;
상기 Ar2가 수소, 치환 또는 비치환된 (C6-C15)아릴, 또는 치환된 (3-15원)헤테로아릴이며;
상기 R1 내지 R3이 각각 독립적으로 수소, 또는 치환 또는 비치환된 (C6-C10)아릴이거나 인접한 치환체와 함께 단일환 또는 다환의 (C5-C30) 지환족 또는 방향족 고리를 형성할 수 있으며, 상기 형성된 지환족 또는 방향족 고리의 탄소 원자는 질소, 산소 및 황으로부터 선택되는 하나 이상의 헤테로원자로 대체될 수 있고;
상기 a 내지 c가 1의 정수인 것을 특징으로 하는 유기 전계 발광 화합물. - 제1항에 따른 화합물을 포함하는 것을 특징으로 하는 유기 전계 발광 소자.
Priority Applications (4)
| Application Number | Priority Date | Filing Date | Title |
|---|---|---|---|
| KR1020120110303A KR101423067B1 (ko) | 2012-10-04 | 2012-10-04 | 신규한 유기 전계 발광 화합물 및 이를 포함하는 유기 전계 발광 소자 |
| PCT/KR2013/008891 WO2014054912A1 (en) | 2012-10-04 | 2013-10-04 | Organic electroluminescent compounds and organic electroluminescent device comprising the same |
| CN201380058475.XA CN104812750A (zh) | 2012-10-04 | 2013-10-04 | 有机电致发光化合物和包含其的有机电致发光装置 |
| TW102136149A TW201425527A (zh) | 2012-10-04 | 2013-10-04 | 有機電場發光化合物及包含該化合物之有機電場發光裝置 |
Applications Claiming Priority (1)
| Application Number | Priority Date | Filing Date | Title |
|---|---|---|---|
| KR1020120110303A KR101423067B1 (ko) | 2012-10-04 | 2012-10-04 | 신규한 유기 전계 발광 화합물 및 이를 포함하는 유기 전계 발광 소자 |
Related Child Applications (1)
| Application Number | Title | Priority Date | Filing Date |
|---|---|---|---|
| KR1020140050148A Division KR20140076534A (ko) | 2014-04-25 | 2014-04-25 | 신규한 유기 전계 발광 화합물 및 이를 포함하는 유기 전계 발광 소자 |
Publications (2)
| Publication Number | Publication Date |
|---|---|
| KR20140046541A KR20140046541A (ko) | 2014-04-21 |
| KR101423067B1 true KR101423067B1 (ko) | 2014-07-29 |
Family
ID=50653433
Family Applications (1)
| Application Number | Title | Priority Date | Filing Date |
|---|---|---|---|
| KR1020120110303A Active KR101423067B1 (ko) | 2012-10-04 | 2012-10-04 | 신규한 유기 전계 발광 화합물 및 이를 포함하는 유기 전계 발광 소자 |
Country Status (1)
| Country | Link |
|---|---|
| KR (1) | KR101423067B1 (ko) |
Cited By (7)
| Publication number | Priority date | Publication date | Assignee | Title |
|---|---|---|---|---|
| US11084806B2 (en) | 2016-07-12 | 2021-08-10 | Samsung Sdi Co., Ltd. | Compound for organic optoelectronic device, composition for organic optoelectronic device, organic optoelectronic device, and display device |
| US11158817B2 (en) | 2017-01-05 | 2021-10-26 | Samsung Sdi Co., Ltd. | Compound for organic optoelectronic device, composition for organic optoelectronic device and organic optoelectronic device and display device |
| US11264574B2 (en) | 2016-07-29 | 2022-03-01 | Samsung Sdi Co., Ltd. | Composition for organic optoelectronic element, organic optoelectronic element, and display device |
| US11453659B2 (en) | 2019-06-28 | 2022-09-27 | Samsung Sdi Co., Ltd. | Compound for organic optoelectronic device, composition for organic optoelectronic device, organic optoelectronic device and display device |
| US11678572B2 (en) | 2016-06-29 | 2023-06-13 | Samsung Sdi Co., Ltd. | Compound for organic optoelectronic device, composition for organic optoelectronic device, organic optoelectronic device and display apparatus |
| US11706975B2 (en) | 2016-06-29 | 2023-07-18 | Samsung Sdi Co., Ltd. | Compound for organic optoelectronic device, composition for organic optoelectronic device, organic optoelectronic device and display apparatus |
| US12225815B2 (en) | 2016-10-07 | 2025-02-11 | Samsung Sdi Co., Ltd. | Composition for organic optoelectronic device, organic optoelectronic device, and display device |
Families Citing this family (26)
| Publication number | Priority date | Publication date | Assignee | Title |
|---|---|---|---|---|
| US10985329B2 (en) | 2013-12-17 | 2021-04-20 | Samsung Electronics Co., Ltd. | Condensed cyclic compound and organic light-emitting device including the same |
| KR102140018B1 (ko) * | 2013-12-17 | 2020-07-31 | 삼성전자주식회사 | 축합환 화합물 및 이를 포함한 유기 발광 소자 |
| US10297762B2 (en) | 2014-07-09 | 2019-05-21 | Universal Display Corporation | Organic electroluminescent materials and devices |
| EP3180411B1 (de) * | 2014-08-13 | 2018-08-29 | Merck Patent GmbH | Materialien für organische elektrolumineszenzvorrichtungen |
| KR101864473B1 (ko) * | 2014-09-22 | 2018-06-04 | 주식회사 엘지화학 | 헤테로환 화합물 및 이를 포함하는 유기 발광 소자 |
| KR102611317B1 (ko) * | 2014-12-24 | 2023-12-07 | 솔루스첨단소재 주식회사 | 유기 화합물 및 이를 포함하는 유기 전계 발광 소자 |
| WO2016105050A1 (ko) * | 2014-12-24 | 2016-06-30 | 주식회사 두산 | 유기 전계 발광 소자 |
| KR102360221B1 (ko) * | 2015-01-08 | 2022-02-09 | 솔루스첨단소재 주식회사 | 유기 전계 발광 소자 |
| KR102463894B1 (ko) * | 2015-08-20 | 2022-11-07 | 삼성전자주식회사 | 축합환 화합물 및 이를 포함한 유기 발광 소자 |
| KR102685450B1 (ko) * | 2016-12-15 | 2024-07-16 | 솔루스첨단소재 주식회사 | 유기 발광 화합물 및 이를 이용한 유기 전계 발광 소자 |
| KR101947747B1 (ko) | 2018-05-04 | 2019-02-13 | 삼성에스디아이 주식회사 | 유기 광전자 소자용 화합물, 유기 광전자 소자용 조성물, 유기 광전자 소자 및 표시 장치 |
| KR102008897B1 (ko) | 2017-06-22 | 2019-10-23 | 삼성에스디아이 주식회사 | 유기 광전자 소자 및 표시 장치 |
| US20190198772A1 (en) | 2017-06-22 | 2019-06-27 | Samsung Sdi Co., Ltd. | Compound for organic optoelectronic device, composition for organic optoelectronic device and organic optoelectronic device and display deivce |
| CN110799510B (zh) | 2017-11-17 | 2023-07-14 | 株式会社Lg化学 | 化合物和包含其的有机发光器件 |
| WO2019163826A1 (ja) * | 2018-02-20 | 2019-08-29 | 出光興産株式会社 | 新規化合物及びそれを用いた有機エレクトロルミネッセンス素子 |
| CN111712938B (zh) | 2018-02-20 | 2025-01-14 | 出光兴产株式会社 | 有机电致发光元件和电子设备 |
| KR102508374B1 (ko) * | 2018-04-17 | 2023-03-10 | 엘티소재주식회사 | 헤테로고리 화합물 및 이를 포함하는 유기 발광 소자 |
| KR102044943B1 (ko) | 2018-05-28 | 2019-11-14 | 삼성에스디아이 주식회사 | 화합물, 조성물, 유기 광전자 소자 및 표시 장치 |
| KR20200072211A (ko) * | 2018-12-12 | 2020-06-22 | 삼성에스디아이 주식회사 | 유기 광전자 소자용 화합물, 유기 광전자 소자 및 표시 장치 |
| WO2020189984A1 (ko) * | 2019-03-15 | 2020-09-24 | 주식회사 엘지화학 | 유기 발광 소자 |
| KR102263104B1 (ko) | 2019-03-15 | 2021-06-09 | 주식회사 엘지화학 | 유기 발광 소자 |
| KR102237410B1 (ko) * | 2019-07-19 | 2021-04-07 | 엘티소재주식회사 | 유기 발광 소자 및 유기 발광 소자의 유기물층용 조성물 |
| KR102441472B1 (ko) * | 2019-10-01 | 2022-09-07 | 주식회사 엘지화학 | 신규한 화합물 및 이를 이용한 유기 발광 소자 |
| CN115551854A (zh) * | 2020-08-04 | 2022-12-30 | 株式会社Lg化学 | 新型化合物及包含其的有机发光器件 |
| KR102889048B1 (ko) * | 2020-10-20 | 2025-11-19 | 주식회사 엘지화학 | 신규한 화합물 및 이를 이용한 유기발광 소자 |
| KR20220063558A (ko) * | 2020-11-10 | 2022-05-17 | 솔루스첨단소재 주식회사 | 유기 화합물 및 이를 포함하는 유기 전계 발광 소자 |
Citations (4)
| Publication number | Priority date | Publication date | Assignee | Title |
|---|---|---|---|---|
| US20070141387A1 (en) | 2005-12-15 | 2007-06-21 | Idemitsu Kosan Co., Ltd. | Material for organic electroluminescence device and electroluminescence device employing the same |
| KR20110015836A (ko) * | 2009-08-10 | 2011-02-17 | 다우어드밴스드디스플레이머티리얼 유한회사 | 신규한 유기 발광 화합물 및 이를 포함하는 유기 전계 발광 소자 |
| KR20120009761A (ko) * | 2010-07-21 | 2012-02-02 | 롬엔드하스전자재료코리아유한회사 | 신규한 유기 발광 화합물 및 이를 포함하는 유기 전계 발광 소자 |
| KR20120102374A (ko) * | 2011-03-08 | 2012-09-18 | 롬엔드하스전자재료코리아유한회사 | 신규한 유기 전자재료용 화합물 및 이를 포함하는 유기 전계 발광 소자 |
-
2012
- 2012-10-04 KR KR1020120110303A patent/KR101423067B1/ko active Active
Patent Citations (4)
| Publication number | Priority date | Publication date | Assignee | Title |
|---|---|---|---|---|
| US20070141387A1 (en) | 2005-12-15 | 2007-06-21 | Idemitsu Kosan Co., Ltd. | Material for organic electroluminescence device and electroluminescence device employing the same |
| KR20110015836A (ko) * | 2009-08-10 | 2011-02-17 | 다우어드밴스드디스플레이머티리얼 유한회사 | 신규한 유기 발광 화합물 및 이를 포함하는 유기 전계 발광 소자 |
| KR20120009761A (ko) * | 2010-07-21 | 2012-02-02 | 롬엔드하스전자재료코리아유한회사 | 신규한 유기 발광 화합물 및 이를 포함하는 유기 전계 발광 소자 |
| KR20120102374A (ko) * | 2011-03-08 | 2012-09-18 | 롬엔드하스전자재료코리아유한회사 | 신규한 유기 전자재료용 화합물 및 이를 포함하는 유기 전계 발광 소자 |
Cited By (9)
| Publication number | Priority date | Publication date | Assignee | Title |
|---|---|---|---|---|
| US11678572B2 (en) | 2016-06-29 | 2023-06-13 | Samsung Sdi Co., Ltd. | Compound for organic optoelectronic device, composition for organic optoelectronic device, organic optoelectronic device and display apparatus |
| US11706975B2 (en) | 2016-06-29 | 2023-07-18 | Samsung Sdi Co., Ltd. | Compound for organic optoelectronic device, composition for organic optoelectronic device, organic optoelectronic device and display apparatus |
| US11084806B2 (en) | 2016-07-12 | 2021-08-10 | Samsung Sdi Co., Ltd. | Compound for organic optoelectronic device, composition for organic optoelectronic device, organic optoelectronic device, and display device |
| US11264574B2 (en) | 2016-07-29 | 2022-03-01 | Samsung Sdi Co., Ltd. | Composition for organic optoelectronic element, organic optoelectronic element, and display device |
| US12225815B2 (en) | 2016-10-07 | 2025-02-11 | Samsung Sdi Co., Ltd. | Composition for organic optoelectronic device, organic optoelectronic device, and display device |
| US12289993B2 (en) | 2016-10-07 | 2025-04-29 | Samsung Sdi Co., Ltd. | Composition for organic optoelectronic device, organic optoelectronic device, and display device |
| US12310232B2 (en) | 2016-10-07 | 2025-05-20 | Samsung Sdi Co., Ltd. | Composition for organic optoelectronic device, organic optoelectronic device, and display device |
| US11158817B2 (en) | 2017-01-05 | 2021-10-26 | Samsung Sdi Co., Ltd. | Compound for organic optoelectronic device, composition for organic optoelectronic device and organic optoelectronic device and display device |
| US11453659B2 (en) | 2019-06-28 | 2022-09-27 | Samsung Sdi Co., Ltd. | Compound for organic optoelectronic device, composition for organic optoelectronic device, organic optoelectronic device and display device |
Also Published As
| Publication number | Publication date |
|---|---|
| KR20140046541A (ko) | 2014-04-21 |
Similar Documents
| Publication | Publication Date | Title |
|---|---|---|
| KR101423067B1 (ko) | 신규한 유기 전계 발광 화합물 및 이를 포함하는 유기 전계 발광 소자 | |
| KR101712808B1 (ko) | 유기 전계 발광 화합물, 및 이를 포함하는 복수종의 호스트 재료 및 유기 전계 발광 소자 | |
| KR101396171B1 (ko) | 신규한 유기 발광 화합물 및 이를 채용하는 유기 전계 발광 소자 | |
| KR101477614B1 (ko) | 신규한 유기 발광 화합물 및 이를 채용하고 있는 유기 전계 발광 소자 | |
| JP5903448B2 (ja) | 新規な有機エレクトロルミネッセンス化合物およびそれを用いる有機エレクトロルミネッセンス素子 | |
| KR101483933B1 (ko) | 신규한 유기 전계 발광 화합물 및 이를 포함하는 유기 전계 발광 소자 | |
| KR101431645B1 (ko) | 발광층 및 이를 포함하는 유기 전계 발광 소자 | |
| KR102251474B1 (ko) | 신규한 유기 전계 발광 화합물 및 이를 포함하는 유기 전계 발광 소자 | |
| CN111566186B (zh) | 有机电致发光化合物和包含其的有机电致发光装置 | |
| CN104812750A (zh) | 有机电致发光化合物和包含其的有机电致发光装置 | |
| KR20210124149A (ko) | 유기 전계 발광 화합물 및 이를 포함하는 유기 전계 발광 소자 | |
| KR20140035737A (ko) | 신규한 유기 전계 발광 화합물 및 이를 포함하는 유기 전계 발광 소자 | |
| KR20170066241A (ko) | 유기 전계 발광 화합물 및 이를 포함하는 유기 전계 발광 소자 | |
| KR20150045295A (ko) | 유기 전계 발광 소자 | |
| KR20150077513A (ko) | 신규한 유기 전계 발광 화합물 및 이를 포함하는 유기 전계 발광 소자 | |
| KR20150135109A (ko) | 유기 전계 발광 화합물 및 이를 포함하는 유기 전계 발광 소자 | |
| KR20150064878A (ko) | 신규한 유기 전계 발광 화합물 및 이를 포함하는 유기 전계 발광 소자 | |
| KR20130134202A (ko) | 신규한 유기 발광 화합물 및 이를 포함하고 있는 유기 전계 발광 소자 | |
| KR101427620B1 (ko) | 신규한 유기 전계 발광 화합물 및 이를 포함하는 유기 전계 발광 소자 | |
| KR20120050557A (ko) | 신규한 유기 발광 화합물 및 이를 채용하고 있는 유기 전계 발광 소자 | |
| CN111742035B (zh) | 有机电致发光化合物以及包含其的有机电致发光装置 | |
| KR20140144550A (ko) | 유기 전계 발광 화합물 및 이를 포함하는 유기 전계 발광 소자 | |
| KR20140082486A (ko) | 신규한 유기 전계 발광 화합물 및 이를 포함하는 유기 전계 발광 소자 | |
| KR20220136967A (ko) | 유기 전계 발광 화합물 및 이를 포함하는 유기 전계 발광 소자 | |
| TW201641501A (zh) | 磷主體材料及包括其之有機電致發光裝置 |
Legal Events
| Date | Code | Title | Description |
|---|---|---|---|
| PA0109 | Patent application |
Patent event code: PA01091R01D Comment text: Patent Application Patent event date: 20121004 |
|
| A201 | Request for examination | ||
| A302 | Request for accelerated examination | ||
| PA0201 | Request for examination |
Patent event code: PA02012R01D Patent event date: 20131011 Comment text: Request for Examination of Application Patent event code: PA02011R01I Patent event date: 20121004 Comment text: Patent Application |
|
| PA0302 | Request for accelerated examination |
Patent event date: 20131011 Patent event code: PA03022R01D Comment text: Request for Accelerated Examination Patent event date: 20121004 Patent event code: PA03021R01I Comment text: Patent Application |
|
| E902 | Notification of reason for refusal | ||
| PE0902 | Notice of grounds for rejection |
Comment text: Notification of reason for refusal Patent event date: 20140225 Patent event code: PE09021S01D |
|
| PG1501 | Laying open of application | ||
| A107 | Divisional application of patent | ||
| PA0107 | Divisional application |
Comment text: Divisional Application of Patent Patent event date: 20140425 Patent event code: PA01071R01D |
|
| E701 | Decision to grant or registration of patent right | ||
| PE0701 | Decision of registration |
Patent event code: PE07011S01D Comment text: Decision to Grant Registration Patent event date: 20140627 |
|
| GRNT | Written decision to grant | ||
| PR0701 | Registration of establishment |
Comment text: Registration of Establishment Patent event date: 20140718 Patent event code: PR07011E01D |
|
| PR1002 | Payment of registration fee |
Payment date: 20140721 End annual number: 3 Start annual number: 1 |
|
| PG1601 | Publication of registration | ||
| FPAY | Annual fee payment |
Payment date: 20170616 Year of fee payment: 4 |
|
| PR1001 | Payment of annual fee |
Payment date: 20170616 Start annual number: 4 End annual number: 4 |
|
| FPAY | Annual fee payment |
Payment date: 20190617 Year of fee payment: 6 |
|
| PR1001 | Payment of annual fee |
Payment date: 20190617 Start annual number: 6 End annual number: 6 |
|
| PR1001 | Payment of annual fee |
Payment date: 20200618 Start annual number: 7 End annual number: 7 |
|
| PR1001 | Payment of annual fee |
Payment date: 20210617 Start annual number: 8 End annual number: 8 |
|
| PR1001 | Payment of annual fee |
Payment date: 20220615 Start annual number: 9 End annual number: 9 |
|
| PR1001 | Payment of annual fee |
Payment date: 20230615 Start annual number: 10 End annual number: 10 |
|
| PR1001 | Payment of annual fee |
Payment date: 20240619 Start annual number: 11 End annual number: 11 |
|
| PR1001 | Payment of annual fee |
Payment date: 20250616 Start annual number: 12 End annual number: 12 |

























































































