DE102010015123A1 - New benzylamidic diphenylazetidinone compounds, useful for treating lipid disorders, hyperlipidemia, atherosclerotic manifestations or insulin resistance, and for reducing serum cholesterol levels - Google Patents
New benzylamidic diphenylazetidinone compounds, useful for treating lipid disorders, hyperlipidemia, atherosclerotic manifestations or insulin resistance, and for reducing serum cholesterol levels Download PDFInfo
- Publication number
- DE102010015123A1 DE102010015123A1 DE102010015123A DE102010015123A DE102010015123A1 DE 102010015123 A1 DE102010015123 A1 DE 102010015123A1 DE 102010015123 A DE102010015123 A DE 102010015123A DE 102010015123 A DE102010015123 A DE 102010015123A DE 102010015123 A1 DE102010015123 A1 DE 102010015123A1
- Authority
- DE
- Germany
- Prior art keywords
- compound
- formula
- combination
- compounds
- administered
- Prior art date
- Legal status (The legal status is an assumption and is not a legal conclusion. Google has not performed a legal analysis and makes no representation as to the accuracy of the status listed.)
- Withdrawn
Links
- HVYWMOMLDIMFJA-DPAQBDIFSA-N cholesterol Chemical compound C1C=C2C[C@@H](O)CC[C@]2(C)[C@@H]2[C@@H]1[C@@H]1CC[C@H]([C@H](C)CCCC(C)C)[C@@]1(C)CC2 HVYWMOMLDIMFJA-DPAQBDIFSA-N 0.000 title claims description 13
- 208000031226 Hyperlipidaemia Diseases 0.000 title claims description 4
- 230000003143 atherosclerotic effect Effects 0.000 title claims description 3
- 206010022489 Insulin Resistance Diseases 0.000 title claims 2
- 208000001072 type 2 diabetes mellitus Diseases 0.000 title claims 2
- VDOXIAUNJCHYRC-UHFFFAOYSA-N 1,3-diphenylazetidin-2-one Chemical class O=C1C(C=2C=CC=CC=2)CN1C1=CC=CC=C1 VDOXIAUNJCHYRC-UHFFFAOYSA-N 0.000 title abstract description 7
- 150000002632 lipids Chemical class 0.000 title description 3
- 208000037265 diseases, disorders, signs and symptoms Diseases 0.000 title 1
- 208000035475 disorder Diseases 0.000 title 1
- 150000003839 salts Chemical class 0.000 claims abstract description 29
- 239000003814 drug Substances 0.000 claims abstract description 20
- 239000013543 active substance Substances 0.000 claims abstract description 8
- 150000001875 compounds Chemical class 0.000 claims description 277
- 239000004480 active ingredient Substances 0.000 claims description 86
- 239000000203 mixture Substances 0.000 claims description 27
- 238000002360 preparation method Methods 0.000 claims description 14
- 238000000034 method Methods 0.000 claims description 11
- 238000011282 treatment Methods 0.000 claims description 10
- XUKUURHRXDUEBC-KAYWLYCHSA-N Atorvastatin Chemical compound C=1C=CC=CC=1C1=C(C=2C=CC(F)=CC=2)N(CC[C@@H](O)C[C@@H](O)CC(O)=O)C(C(C)C)=C1C(=O)NC1=CC=CC=C1 XUKUURHRXDUEBC-KAYWLYCHSA-N 0.000 claims description 7
- XUKUURHRXDUEBC-UHFFFAOYSA-N Atorvastatin Natural products C=1C=CC=CC=1C1=C(C=2C=CC(F)=CC=2)N(CCC(O)CC(O)CC(O)=O)C(C(C)C)=C1C(=O)NC1=CC=CC=C1 XUKUURHRXDUEBC-UHFFFAOYSA-N 0.000 claims description 7
- RYMZZMVNJRMUDD-UHFFFAOYSA-N SJ000286063 Natural products C12C(OC(=O)C(C)(C)CC)CC(C)C=C2C=CC(C)C1CCC1CC(O)CC(=O)O1 RYMZZMVNJRMUDD-UHFFFAOYSA-N 0.000 claims description 7
- 229960005370 atorvastatin Drugs 0.000 claims description 7
- 238000004519 manufacturing process Methods 0.000 claims description 7
- 229960002855 simvastatin Drugs 0.000 claims description 7
- RYMZZMVNJRMUDD-HGQWONQESA-N simvastatin Chemical compound C([C@H]1[C@@H](C)C=CC2=C[C@H](C)C[C@@H]([C@H]12)OC(=O)C(C)(C)CC)C[C@@H]1C[C@@H](O)CC(=O)O1 RYMZZMVNJRMUDD-HGQWONQESA-N 0.000 claims description 7
- 229940121710 HMGCoA reductase inhibitor Drugs 0.000 claims description 6
- PCZOHLXUXFIOCF-UHFFFAOYSA-N Monacolin X Natural products C12C(OC(=O)C(C)CC)CC(C)C=C2C=CC(C)C1CCC1CC(O)CC(=O)O1 PCZOHLXUXFIOCF-UHFFFAOYSA-N 0.000 claims description 5
- 239000002471 hydroxymethylglutaryl coenzyme A reductase inhibitor Substances 0.000 claims description 5
- 229960004844 lovastatin Drugs 0.000 claims description 5
- PCZOHLXUXFIOCF-BXMDZJJMSA-N lovastatin Chemical compound C([C@H]1[C@@H](C)C=CC2=C[C@H](C)C[C@@H]([C@H]12)OC(=O)[C@@H](C)CC)C[C@@H]1C[C@@H](O)CC(=O)O1 PCZOHLXUXFIOCF-BXMDZJJMSA-N 0.000 claims description 5
- QLJODMDSTUBWDW-UHFFFAOYSA-N lovastatin hydroxy acid Natural products C1=CC(C)C(CCC(O)CC(O)CC(O)=O)C2C(OC(=O)C(C)CC)CC(C)C=C21 QLJODMDSTUBWDW-UHFFFAOYSA-N 0.000 claims description 5
- 229960000672 rosuvastatin Drugs 0.000 claims description 5
- BPRHUIZQVSMCRT-VEUZHWNKSA-N rosuvastatin Chemical compound CC(C)C1=NC(N(C)S(C)(=O)=O)=NC(C=2C=CC(F)=CC=2)=C1\C=C\[C@@H](O)C[C@@H](O)CC(O)=O BPRHUIZQVSMCRT-VEUZHWNKSA-N 0.000 claims description 5
- ZGGHKIMDNBDHJB-NRFPMOEYSA-M (3R,5S)-fluvastatin sodium Chemical compound [Na+].C12=CC=CC=C2N(C(C)C)C(\C=C\[C@@H](O)C[C@@H](O)CC([O-])=O)=C1C1=CC=C(F)C=C1 ZGGHKIMDNBDHJB-NRFPMOEYSA-M 0.000 claims description 4
- TUZYXOIXSAXUGO-UHFFFAOYSA-N Pravastatin Natural products C1=CC(C)C(CCC(O)CC(O)CC(O)=O)C2C(OC(=O)C(C)CC)CC(O)C=C21 TUZYXOIXSAXUGO-UHFFFAOYSA-N 0.000 claims description 4
- 229960005110 cerivastatin Drugs 0.000 claims description 4
- SEERZIQQUAZTOL-ANMDKAQQSA-N cerivastatin Chemical compound COCC1=C(C(C)C)N=C(C(C)C)C(\C=C\[C@@H](O)C[C@@H](O)CC(O)=O)=C1C1=CC=C(F)C=C1 SEERZIQQUAZTOL-ANMDKAQQSA-N 0.000 claims description 4
- 229960003765 fluvastatin Drugs 0.000 claims description 4
- 229960002797 pitavastatin Drugs 0.000 claims description 4
- VGYFMXBACGZSIL-MCBHFWOFSA-N pitavastatin Chemical compound OC(=O)C[C@H](O)C[C@H](O)\C=C\C1=C(C2CC2)N=C2C=CC=CC2=C1C1=CC=C(F)C=C1 VGYFMXBACGZSIL-MCBHFWOFSA-N 0.000 claims description 4
- 229960002965 pravastatin Drugs 0.000 claims description 4
- TUZYXOIXSAXUGO-PZAWKZKUSA-N pravastatin Chemical compound C1=C[C@H](C)[C@H](CC[C@@H](O)C[C@@H](O)CC(O)=O)[C@H]2[C@@H](OC(=O)[C@@H](C)CC)C[C@H](O)C=C21 TUZYXOIXSAXUGO-PZAWKZKUSA-N 0.000 claims description 4
- 230000008569 process Effects 0.000 claims description 3
- 208000017170 Lipid metabolism disease Diseases 0.000 claims description 2
- 230000037356 lipid metabolism Effects 0.000 claims description 2
- 230000003178 anti-diabetic effect Effects 0.000 abstract description 10
- 239000003472 antidiabetic agent Substances 0.000 abstract description 7
- 230000000694 effects Effects 0.000 abstract description 5
- 125000002947 alkylene group Chemical group 0.000 abstract 1
- 230000002402 anti-lipaemic effect Effects 0.000 abstract 1
- 230000010534 mechanism of action Effects 0.000 abstract 1
- -1 7 Chemical compound 0.000 description 152
- XEKOWRVHYACXOJ-UHFFFAOYSA-N Ethyl acetate Chemical compound CCOC(C)=O XEKOWRVHYACXOJ-UHFFFAOYSA-N 0.000 description 144
- YMWUJEATGCHHMB-UHFFFAOYSA-N Dichloromethane Chemical compound ClCCl YMWUJEATGCHHMB-UHFFFAOYSA-N 0.000 description 126
- XLYOFNOQVPJJNP-UHFFFAOYSA-N water Substances O XLYOFNOQVPJJNP-UHFFFAOYSA-N 0.000 description 104
- OKKJLVBELUTLKV-UHFFFAOYSA-N Methanol Chemical compound OC OKKJLVBELUTLKV-UHFFFAOYSA-N 0.000 description 90
- 239000003112 inhibitor Substances 0.000 description 88
- 239000000243 solution Substances 0.000 description 83
- IMNFDUFMRHMDMM-UHFFFAOYSA-N N-Heptane Chemical compound CCCCCCC IMNFDUFMRHMDMM-UHFFFAOYSA-N 0.000 description 51
- WEVYAHXRMPXWCK-UHFFFAOYSA-N Acetonitrile Chemical compound CC#N WEVYAHXRMPXWCK-UHFFFAOYSA-N 0.000 description 48
- ZMXDDKWLCZADIW-UHFFFAOYSA-N N,N-Dimethylformamide Chemical compound CN(C)C=O ZMXDDKWLCZADIW-UHFFFAOYSA-N 0.000 description 45
- 239000000556 agonist Substances 0.000 description 38
- DTQVDTLACAAQTR-UHFFFAOYSA-N Trifluoroacetic acid Chemical compound OC(=O)C(F)(F)F DTQVDTLACAAQTR-UHFFFAOYSA-N 0.000 description 34
- 235000002639 sodium chloride Nutrition 0.000 description 34
- WYURNTSHIVDZCO-UHFFFAOYSA-N Tetrahydrofuran Chemical compound C1CCOC1 WYURNTSHIVDZCO-UHFFFAOYSA-N 0.000 description 33
- NOESYZHRGYRDHS-UHFFFAOYSA-N insulin Chemical compound N1C(=O)C(NC(=O)C(CCC(N)=O)NC(=O)C(CCC(O)=O)NC(=O)C(C(C)C)NC(=O)C(NC(=O)CN)C(C)CC)CSSCC(C(NC(CO)C(=O)NC(CC(C)C)C(=O)NC(CC=2C=CC(O)=CC=2)C(=O)NC(CCC(N)=O)C(=O)NC(CC(C)C)C(=O)NC(CCC(O)=O)C(=O)NC(CC(N)=O)C(=O)NC(CC=2C=CC(O)=CC=2)C(=O)NC(CSSCC(NC(=O)C(C(C)C)NC(=O)C(CC(C)C)NC(=O)C(CC=2C=CC(O)=CC=2)NC(=O)C(CC(C)C)NC(=O)C(C)NC(=O)C(CCC(O)=O)NC(=O)C(C(C)C)NC(=O)C(CC(C)C)NC(=O)C(CC=2NC=NC=2)NC(=O)C(CO)NC(=O)CNC2=O)C(=O)NCC(=O)NC(CCC(O)=O)C(=O)NC(CCCNC(N)=N)C(=O)NCC(=O)NC(CC=3C=CC=CC=3)C(=O)NC(CC=3C=CC=CC=3)C(=O)NC(CC=3C=CC(O)=CC=3)C(=O)NC(C(C)O)C(=O)N3C(CCC3)C(=O)NC(CCCCN)C(=O)NC(C)C(O)=O)C(=O)NC(CC(N)=O)C(O)=O)=O)NC(=O)C(C(C)CC)NC(=O)C(CO)NC(=O)C(C(C)O)NC(=O)C1CSSCC2NC(=O)C(CC(C)C)NC(=O)C(NC(=O)C(CCC(N)=O)NC(=O)C(CC(N)=O)NC(=O)C(NC(=O)C(N)CC=1C=CC=CC=1)C(C)C)CC1=CN=CN1 NOESYZHRGYRDHS-UHFFFAOYSA-N 0.000 description 33
- 239000011541 reaction mixture Substances 0.000 description 31
- FAPWRFPIFSIZLT-UHFFFAOYSA-M Sodium chloride Chemical compound [Na+].[Cl-] FAPWRFPIFSIZLT-UHFFFAOYSA-M 0.000 description 30
- 239000012071 phase Substances 0.000 description 30
- 239000012074 organic phase Substances 0.000 description 27
- 239000012043 crude product Substances 0.000 description 26
- 239000003921 oil Substances 0.000 description 26
- VEXZGXHMUGYJMC-UHFFFAOYSA-N Hydrochloric acid Chemical compound Cl VEXZGXHMUGYJMC-UHFFFAOYSA-N 0.000 description 25
- LRHPLDYGYMQRHN-UHFFFAOYSA-N N-Butanol Chemical compound CCCCO LRHPLDYGYMQRHN-UHFFFAOYSA-N 0.000 description 25
- HEMHJVSKTPXQMS-UHFFFAOYSA-M Sodium hydroxide Chemical compound [OH-].[Na+] HEMHJVSKTPXQMS-UHFFFAOYSA-M 0.000 description 24
- 239000011734 sodium Substances 0.000 description 23
- VYPSYNLAJGMNEJ-UHFFFAOYSA-N Silicium dioxide Chemical compound O=[Si]=O VYPSYNLAJGMNEJ-UHFFFAOYSA-N 0.000 description 21
- 239000005557 antagonist Substances 0.000 description 21
- 239000000741 silica gel Substances 0.000 description 21
- 229910002027 silica gel Inorganic materials 0.000 description 21
- 239000007787 solid Substances 0.000 description 21
- 102000004877 Insulin Human genes 0.000 description 19
- 108090001061 Insulin Proteins 0.000 description 19
- 125000001255 4-fluorophenyl group Chemical group [H]C1=C([H])C(*)=C([H])C([H])=C1F 0.000 description 17
- IAZDPXIOMUYVGZ-WFGJKAKNSA-N Dimethyl sulfoxide Chemical compound [2H]C([2H])([2H])S(=O)C([2H])([2H])[2H] IAZDPXIOMUYVGZ-WFGJKAKNSA-N 0.000 description 17
- 238000006243 chemical reaction Methods 0.000 description 17
- YLQBMQCUIZJEEH-UHFFFAOYSA-N tetrahydrofuran Natural products C=1C=COC=1 YLQBMQCUIZJEEH-UHFFFAOYSA-N 0.000 description 17
- BZLVMXJERCGZMT-UHFFFAOYSA-N Methyl tert-butyl ether Chemical compound COC(C)(C)C BZLVMXJERCGZMT-UHFFFAOYSA-N 0.000 description 16
- IXCSERBJSXMMFS-UHFFFAOYSA-N hydrogen chloride Substances Cl.Cl IXCSERBJSXMMFS-UHFFFAOYSA-N 0.000 description 16
- 239000000047 product Substances 0.000 description 16
- 238000001816 cooling Methods 0.000 description 15
- 229940125396 insulin Drugs 0.000 description 15
- 229920006395 saturated elastomer Polymers 0.000 description 15
- XZWYZXLIPXDOLR-UHFFFAOYSA-N metformin Chemical compound CN(C)C(=N)NC(N)=N XZWYZXLIPXDOLR-UHFFFAOYSA-N 0.000 description 14
- 125000004172 4-methoxyphenyl group Chemical group [H]C1=C([H])C(OC([H])([H])[H])=C([H])C([H])=C1* 0.000 description 13
- DTHNMHAUYICORS-KTKZVXAJSA-N Glucagon-like peptide 1 Chemical class C([C@@H](C(=O)N[C@@H]([C@@H](C)CC)C(=O)N[C@@H](C)C(=O)N[C@@H](CC=1C2=CC=CC=C2NC=1)C(=O)N[C@@H](CC(C)C)C(=O)N[C@@H](C(C)C)C(=O)N[C@@H](CCCCN)C(=O)NCC(=O)N[C@@H](CCCNC(N)=N)C(N)=O)NC(=O)[C@H](CCC(O)=O)NC(=O)[C@H](CCCCN)NC(=O)[C@H](C)NC(=O)[C@H](C)NC(=O)[C@H](CCC(N)=O)NC(=O)CNC(=O)[C@H](CCC(O)=O)NC(=O)[C@H](CC(C)C)NC(=O)[C@H](CC=1C=CC(O)=CC=1)NC(=O)[C@H](CO)NC(=O)[C@H](CO)NC(=O)[C@@H](NC(=O)[C@H](CC(O)=O)NC(=O)[C@H](CO)NC(=O)[C@@H](NC(=O)[C@H](CC=1C=CC=CC=1)NC(=O)[C@@H](NC(=O)CNC(=O)[C@H](CCC(O)=O)NC(=O)[C@H](C)NC(=O)[C@@H](N)CC=1N=CNC=1)[C@@H](C)O)[C@@H](C)O)C(C)C)C1=CC=CC=C1 DTHNMHAUYICORS-KTKZVXAJSA-N 0.000 description 13
- PVNIIMVLHYAWGP-UHFFFAOYSA-N Niacin Chemical compound OC(=O)C1=CC=CN=C1 PVNIIMVLHYAWGP-UHFFFAOYSA-N 0.000 description 13
- 229940044601 receptor agonist Drugs 0.000 description 13
- 239000000018 receptor agonist Substances 0.000 description 13
- RMVRSNDYEFQCLF-UHFFFAOYSA-N thiophenol Chemical compound SC1=CC=CC=C1 RMVRSNDYEFQCLF-UHFFFAOYSA-N 0.000 description 13
- YXFVVABEGXRONW-UHFFFAOYSA-N Toluene Chemical compound CC1=CC=CC=C1 YXFVVABEGXRONW-UHFFFAOYSA-N 0.000 description 12
- 238000004587 chromatography analysis Methods 0.000 description 11
- 238000000746 purification Methods 0.000 description 11
- HVCNXQOWACZAFN-UHFFFAOYSA-N 4-ethylmorpholine Chemical compound CCN1CCOCC1 HVCNXQOWACZAFN-UHFFFAOYSA-N 0.000 description 10
- XKRFYHLGVUSROY-UHFFFAOYSA-N Argon Chemical compound [Ar] XKRFYHLGVUSROY-UHFFFAOYSA-N 0.000 description 10
- NTYJJOPFIAHURM-UHFFFAOYSA-N Histamine Chemical compound NCCC1=CN=CN1 NTYJJOPFIAHURM-UHFFFAOYSA-N 0.000 description 10
- 239000002253 acid Substances 0.000 description 10
- 239000008346 aqueous phase Substances 0.000 description 10
- RIFGWPKJUGCATF-UHFFFAOYSA-N ethyl chloroformate Chemical compound CCOC(Cl)=O RIFGWPKJUGCATF-UHFFFAOYSA-N 0.000 description 10
- 102000005962 receptors Human genes 0.000 description 10
- 108020003175 receptors Proteins 0.000 description 10
- 239000000126 substance Substances 0.000 description 10
- SDOFMBGMRVAJNF-SLPGGIOYSA-N (2r,3r,4r,5s)-6-aminohexane-1,2,3,4,5-pentol Chemical compound NC[C@H](O)[C@@H](O)[C@H](O)[C@H](O)CO SDOFMBGMRVAJNF-SLPGGIOYSA-N 0.000 description 9
- CSCPPACGZOOCGX-UHFFFAOYSA-N Acetone Chemical compound CC(C)=O CSCPPACGZOOCGX-UHFFFAOYSA-N 0.000 description 9
- 102100025012 Dipeptidyl peptidase 4 Human genes 0.000 description 9
- 101000930822 Giardia intestinalis Dipeptidyl-peptidase 4 Proteins 0.000 description 9
- 229960003512 nicotinic acid Drugs 0.000 description 9
- 235000001968 nicotinic acid Nutrition 0.000 description 9
- 239000011664 nicotinic acid Substances 0.000 description 9
- 239000011780 sodium chloride Substances 0.000 description 9
- 238000003756 stirring Methods 0.000 description 9
- QTBSBXVTEAMEQO-UHFFFAOYSA-N Acetic acid Chemical compound CC(O)=O QTBSBXVTEAMEQO-UHFFFAOYSA-N 0.000 description 8
- 239000003795 chemical substances by application Substances 0.000 description 8
- 229940079593 drug Drugs 0.000 description 8
- OLNTVTPDXPETLC-XPWALMASSA-N ezetimibe Chemical compound N1([C@@H]([C@H](C1=O)CC[C@H](O)C=1C=CC(F)=CC=1)C=1C=CC(O)=CC=1)C1=CC=C(F)C=C1 OLNTVTPDXPETLC-XPWALMASSA-N 0.000 description 8
- 239000007788 liquid Substances 0.000 description 8
- 230000014759 maintenance of location Effects 0.000 description 8
- 229960003105 metformin Drugs 0.000 description 8
- HYAFETHFCAUJAY-UHFFFAOYSA-N pioglitazone Chemical compound N1=CC(CC)=CC=C1CCOC(C=C1)=CC=C1CC1C(=O)NC(=O)S1 HYAFETHFCAUJAY-UHFFFAOYSA-N 0.000 description 8
- 101710198884 GATA-type zinc finger protein 1 Proteins 0.000 description 7
- 102100040918 Pro-glucagon Human genes 0.000 description 7
- 229960000815 ezetimibe Drugs 0.000 description 7
- 210000004185 liver Anatomy 0.000 description 7
- OETHQSJEHLVLGH-UHFFFAOYSA-N metformin hydrochloride Chemical compound Cl.CN(C)C(=N)N=C(N)N OETHQSJEHLVLGH-UHFFFAOYSA-N 0.000 description 7
- 238000012360 testing method Methods 0.000 description 7
- 238000005160 1H NMR spectroscopy Methods 0.000 description 6
- JUJWROOIHBZHMG-UHFFFAOYSA-N Pyridine Chemical compound C1=CC=NC=C1 JUJWROOIHBZHMG-UHFFFAOYSA-N 0.000 description 6
- PMZURENOXWZQFD-UHFFFAOYSA-L Sodium Sulfate Chemical compound [Na+].[Na+].[O-]S([O-])(=O)=O PMZURENOXWZQFD-UHFFFAOYSA-L 0.000 description 6
- 229940100389 Sulfonylurea Drugs 0.000 description 6
- ZMANZCXQSJIPKH-UHFFFAOYSA-N Triethylamine Chemical compound CCN(CC)CC ZMANZCXQSJIPKH-UHFFFAOYSA-N 0.000 description 6
- OIRDTQYFTABQOQ-KQYNXXCUSA-N adenosine Chemical compound C1=NC=2C(N)=NC=NC=2N1[C@@H]1O[C@H](CO)[C@@H](O)[C@H]1O OIRDTQYFTABQOQ-KQYNXXCUSA-N 0.000 description 6
- 239000003054 catalyst Substances 0.000 description 6
- 238000001035 drying Methods 0.000 description 6
- 229960002297 fenofibrate Drugs 0.000 description 6
- YMTINGFKWWXKFG-UHFFFAOYSA-N fenofibrate Chemical compound C1=CC(OC(C)(C)C(=O)OC(C)C)=CC=C1C(=O)C1=CC=C(Cl)C=C1 YMTINGFKWWXKFG-UHFFFAOYSA-N 0.000 description 6
- 239000007789 gas Substances 0.000 description 6
- 239000004615 ingredient Substances 0.000 description 6
- 229960004329 metformin hydrochloride Drugs 0.000 description 6
- 150000004702 methyl esters Chemical class 0.000 description 6
- 108090000765 processed proteins & peptides Proteins 0.000 description 6
- 229940044551 receptor antagonist Drugs 0.000 description 6
- 239000002464 receptor antagonist Substances 0.000 description 6
- 229910052938 sodium sulfate Inorganic materials 0.000 description 6
- 235000011152 sodium sulphate Nutrition 0.000 description 6
- 239000001384 succinic acid Substances 0.000 description 6
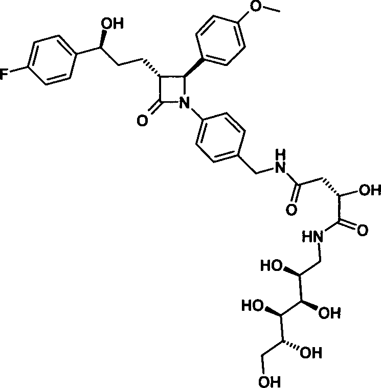
- ZIFWYCYPTCFKCS-DSNGMDLFSA-N (3r,4s)-1-[4-(aminomethyl)phenyl]-3-[(3s)-3-(4-fluorophenyl)-3-hydroxypropyl]-4-(4-methoxyphenyl)azetidin-2-one Chemical compound C1=CC(OC)=CC=C1[C@H]1N(C=2C=CC(CN)=CC=2)C(=O)[C@@H]1CC[C@H](O)C1=CC=C(F)C=C1 ZIFWYCYPTCFKCS-DSNGMDLFSA-N 0.000 description 5
- 108090000079 Glucocorticoid Receptors Proteins 0.000 description 5
- 102100033417 Glucocorticoid receptor Human genes 0.000 description 5
- 102100031545 Microsomal triglyceride transfer protein large subunit Human genes 0.000 description 5
- 241000699666 Mus <mouse, genus> Species 0.000 description 5
- WETWJCDKMRHUPV-UHFFFAOYSA-N acetyl chloride Chemical compound CC(Cl)=O WETWJCDKMRHUPV-UHFFFAOYSA-N 0.000 description 5
- 239000012346 acetyl chloride Substances 0.000 description 5
- 239000012190 activator Substances 0.000 description 5
- 229910052786 argon Inorganic materials 0.000 description 5
- 235000012000 cholesterol Nutrition 0.000 description 5
- 150000002148 esters Chemical class 0.000 description 5
- 238000009472 formulation Methods 0.000 description 5
- 229960001340 histamine Drugs 0.000 description 5
- PBGKTOXHQIOBKM-FHFVDXKLSA-N insulin (human) Chemical compound C([C@@H](C(=O)N[C@@H](CC(C)C)C(=O)N[C@H]1CSSC[C@H]2C(=O)N[C@H](C(=O)N[C@@H](CO)C(=O)N[C@H](C(=O)N[C@H](C(N[C@@H](CO)C(=O)N[C@@H](CC(C)C)C(=O)N[C@@H](CC=3C=CC(O)=CC=3)C(=O)N[C@@H](CCC(N)=O)C(=O)N[C@@H](CC(C)C)C(=O)N[C@@H](CCC(O)=O)C(=O)N[C@@H](CC(N)=O)C(=O)N[C@@H](CC=3C=CC(O)=CC=3)C(=O)N[C@@H](CSSC[C@H](NC(=O)[C@H](C(C)C)NC(=O)[C@H](CC(C)C)NC(=O)[C@H](CC=3C=CC(O)=CC=3)NC(=O)[C@H](CC(C)C)NC(=O)[C@H](C)NC(=O)[C@H](CCC(O)=O)NC(=O)[C@H](C(C)C)NC(=O)[C@H](CC(C)C)NC(=O)[C@H](CC=3NC=NC=3)NC(=O)[C@H](CO)NC(=O)CNC1=O)C(=O)NCC(=O)N[C@@H](CCC(O)=O)C(=O)N[C@@H](CCCNC(N)=N)C(=O)NCC(=O)N[C@@H](CC=1C=CC=CC=1)C(=O)N[C@@H](CC=1C=CC=CC=1)C(=O)N[C@@H](CC=1C=CC(O)=CC=1)C(=O)N[C@@H]([C@@H](C)O)C(=O)N1[C@@H](CCC1)C(=O)N[C@@H](CCCCN)C(=O)N[C@@H]([C@@H](C)O)C(O)=O)C(=O)N[C@@H](CC(N)=O)C(O)=O)=O)CSSC[C@@H](C(N2)=O)NC(=O)[C@H](CCC(N)=O)NC(=O)[C@H](CCC(O)=O)NC(=O)[C@H](C(C)C)NC(=O)[C@@H](NC(=O)CN)[C@@H](C)CC)[C@@H](C)CC)[C@@H](C)O)NC(=O)[C@H](CCC(N)=O)NC(=O)[C@H](CC(N)=O)NC(=O)[C@@H](NC(=O)[C@@H](N)CC=1C=CC=CC=1)C(C)C)C1=CN=CN1 PBGKTOXHQIOBKM-FHFVDXKLSA-N 0.000 description 5
- 239000004026 insulin derivative Substances 0.000 description 5
- 229910052763 palladium Inorganic materials 0.000 description 5
- 238000005191 phase separation Methods 0.000 description 5
- 238000002953 preparative HPLC Methods 0.000 description 5
- 239000000725 suspension Substances 0.000 description 5
- 239000003826 tablet Substances 0.000 description 5
- WRGVLTAWMNZWGT-VQSPYGJZSA-N taspoglutide Chemical compound C([C@@H](C(=O)N[C@@H]([C@@H](C)CC)C(=O)N[C@@H](C)C(=O)N[C@@H](CC=1C2=CC=CC=C2NC=1)C(=O)N[C@@H](CC(C)C)C(=O)N[C@@H](C(C)C)C(=O)N[C@@H](CCCCN)C(=O)NC(C)(C)C(=O)N[C@@H](CCCNC(N)=N)C(N)=O)NC(=O)[C@H](CCC(O)=O)NC(=O)[C@H](CCCCN)NC(=O)[C@H](C)NC(=O)[C@H](C)NC(=O)[C@H](CCC(N)=O)NC(=O)CNC(=O)[C@H](CCC(O)=O)NC(=O)[C@H](CC(C)C)NC(=O)[C@H](CC=1C=CC(O)=CC=1)NC(=O)[C@H](CO)NC(=O)[C@H](CO)NC(=O)[C@@H](NC(=O)[C@H](CC(O)=O)NC(=O)[C@H](CO)NC(=O)[C@@H](NC(=O)[C@H](CC=1C=CC=CC=1)NC(=O)[C@@H](NC(=O)CNC(=O)[C@H](CCC(O)=O)NC(=O)C(C)(C)NC(=O)[C@@H](N)CC=1NC=NC=1)[C@@H](C)O)[C@@H](C)O)C(C)C)C1=CC=CC=C1 WRGVLTAWMNZWGT-VQSPYGJZSA-N 0.000 description 5
- 238000005406 washing Methods 0.000 description 5
- 102100022089 Acyl-[acyl-carrier-protein] hydrolase Human genes 0.000 description 4
- 108700001281 BIM 51077 Proteins 0.000 description 4
- 102100021334 Bcl-2-related protein A1 Human genes 0.000 description 4
- 102100038495 Bile acid receptor Human genes 0.000 description 4
- 102100036214 Cannabinoid receptor 2 Human genes 0.000 description 4
- 101710187022 Cannabinoid receptor 2 Proteins 0.000 description 4
- 102100021752 Corticoliberin Human genes 0.000 description 4
- 239000000055 Corticotropin-Releasing Hormone Substances 0.000 description 4
- 108010039731 Fatty Acid Synthases Proteins 0.000 description 4
- 108010004460 Gastric Inhibitory Polypeptide Proteins 0.000 description 4
- 102100039994 Gastric inhibitory polypeptide Human genes 0.000 description 4
- 102100033839 Glucose-dependent insulinotropic receptor Human genes 0.000 description 4
- 101000603876 Homo sapiens Bile acid receptor Proteins 0.000 description 4
- 102100030643 Hydroxycarboxylic acid receptor 2 Human genes 0.000 description 4
- CSNNHWWHGAXBCP-UHFFFAOYSA-L Magnesium sulfate Chemical compound [Mg+2].[O-][S+2]([O-])([O-])[O-] CSNNHWWHGAXBCP-UHFFFAOYSA-L 0.000 description 4
- 102000010909 Monoamine Oxidase Human genes 0.000 description 4
- 108010062431 Monoamine oxidase Proteins 0.000 description 4
- 241000872931 Myoporum sandwicense Species 0.000 description 4
- 108010015847 Non-Receptor Type 1 Protein Tyrosine Phosphatase Proteins 0.000 description 4
- 101800001672 Peptide YY(3-36) Proteins 0.000 description 4
- GHUUBYQTCDQWRA-UHFFFAOYSA-N Pioglitazone hydrochloride Chemical compound Cl.N1=CC(CC)=CC=C1CCOC(C=C1)=CC=C1CC1C(=O)NC(=O)S1 GHUUBYQTCDQWRA-UHFFFAOYSA-N 0.000 description 4
- YASAKCUCGLMORW-UHFFFAOYSA-N Rosiglitazone Chemical compound C=1C=CC=NC=1N(C)CCOC(C=C1)=CC=C1CC1SC(=O)NC1=O YASAKCUCGLMORW-UHFFFAOYSA-N 0.000 description 4
- 108091006300 SLC2A4 Proteins 0.000 description 4
- WBWWGRHZICKQGZ-UHFFFAOYSA-N Taurocholic acid Natural products OC1CC2CC(O)CCC2(C)C2C1C1CCC(C(CCC(=O)NCCS(O)(=O)=O)C)C1(C)C(O)C2 WBWWGRHZICKQGZ-UHFFFAOYSA-N 0.000 description 4
- 108010021436 Type 4 Melanocortin Receptor Proteins 0.000 description 4
- 102100033001 Tyrosine-protein phosphatase non-receptor type 1 Human genes 0.000 description 4
- 150000001732 carboxylic acid derivatives Chemical class 0.000 description 4
- 210000004027 cell Anatomy 0.000 description 4
- 230000008878 coupling Effects 0.000 description 4
- 238000010168 coupling process Methods 0.000 description 4
- 238000005859 coupling reaction Methods 0.000 description 4
- 230000001419 dependent effect Effects 0.000 description 4
- 229940125753 fibrate Drugs 0.000 description 4
- 238000001914 filtration Methods 0.000 description 4
- 239000006260 foam Substances 0.000 description 4
- 238000005984 hydrogenation reaction Methods 0.000 description 4
- NXFFJDQHYLNEJK-CYBMUJFWSA-N laropiprant Chemical compound C=1([C@@H](CC(O)=O)CCC=1C=1C=C(F)C=C(C2=1)S(=O)(=O)C)N2CC1=CC=C(Cl)C=C1 NXFFJDQHYLNEJK-CYBMUJFWSA-N 0.000 description 4
- 229950008292 laropiprant Drugs 0.000 description 4
- 229940039781 leptin Drugs 0.000 description 4
- HGTJLOSSHOFXQI-UHFFFAOYSA-N pent-4-enoxymethylbenzene Chemical compound C=CCCCOCC1=CC=CC=C1 HGTJLOSSHOFXQI-UHFFFAOYSA-N 0.000 description 4
- 239000008194 pharmaceutical composition Substances 0.000 description 4
- DHHVAGZRUROJKS-UHFFFAOYSA-N phentermine Chemical compound CC(C)(N)CC1=CC=CC=C1 DHHVAGZRUROJKS-UHFFFAOYSA-N 0.000 description 4
- 229960005095 pioglitazone Drugs 0.000 description 4
- 229960002827 pioglitazone hydrochloride Drugs 0.000 description 4
- 125000006239 protecting group Chemical group 0.000 description 4
- 230000001681 protective effect Effects 0.000 description 4
- 229920005989 resin Polymers 0.000 description 4
- 239000011347 resin Substances 0.000 description 4
- QZAYGJVTTNCVMB-UHFFFAOYSA-N serotonin Chemical compound C1=C(O)C=C2C(CCN)=CNC2=C1 QZAYGJVTTNCVMB-UHFFFAOYSA-N 0.000 description 4
- 229960004034 sitagliptin Drugs 0.000 description 4
- MFFMDFFZMYYVKS-SECBINFHSA-N sitagliptin Chemical compound C([C@H](CC(=O)N1CC=2N(C(=NN=2)C(F)(F)F)CC1)N)C1=CC(F)=C(F)C=C1F MFFMDFFZMYYVKS-SECBINFHSA-N 0.000 description 4
- YROXIXLRRCOBKF-UHFFFAOYSA-N sulfonylurea Chemical class OC(=N)N=S(=O)=O YROXIXLRRCOBKF-UHFFFAOYSA-N 0.000 description 4
- WBWWGRHZICKQGZ-GIHLXUJPSA-N taurocholic acid Chemical compound C([C@@H]1C[C@H]2O)[C@@H](O)CC[C@]1(C)[C@@H]1[C@@H]2[C@@H]2CC[C@@H]([C@@H](CCC(=O)NCCS(O)(=O)=O)C)[C@@]2(C)[C@H](O)C1 WBWWGRHZICKQGZ-GIHLXUJPSA-N 0.000 description 4
- 230000001225 therapeutic effect Effects 0.000 description 4
- 238000010626 work up procedure Methods 0.000 description 4
- HSINOMROUCMIEA-FGVHQWLLSA-N (2s,4r)-4-[(3r,5s,6r,7r,8s,9s,10s,13r,14s,17r)-6-ethyl-3,7-dihydroxy-10,13-dimethyl-2,3,4,5,6,7,8,9,11,12,14,15,16,17-tetradecahydro-1h-cyclopenta[a]phenanthren-17-yl]-2-methylpentanoic acid Chemical compound C([C@@]12C)C[C@@H](O)C[C@H]1[C@@H](CC)[C@@H](O)[C@@H]1[C@@H]2CC[C@]2(C)[C@@H]([C@H](C)C[C@H](C)C(O)=O)CC[C@H]21 HSINOMROUCMIEA-FGVHQWLLSA-N 0.000 description 3
- JSYGLDMGERSRPC-FQUUOJAGSA-N (2s,4s)-4-fluoro-1-[2-[[(1r,3s)-3-(1,2,4-triazol-1-ylmethyl)cyclopentyl]amino]acetyl]pyrrolidine-2-carbonitrile Chemical compound C1[C@@H](F)C[C@@H](C#N)N1C(=O)CN[C@H]1C[C@@H](CN2N=CN=C2)CC1 JSYGLDMGERSRPC-FQUUOJAGSA-N 0.000 description 3
- LMDZBCPBFSXMTL-UHFFFAOYSA-N 1-Ethyl-3-(3-dimethylaminopropyl)carbodiimide Substances CCN=C=NCCCN(C)C LMDZBCPBFSXMTL-UHFFFAOYSA-N 0.000 description 3
- PJUPKRYGDFTMTM-UHFFFAOYSA-N 1-hydroxybenzotriazole;hydrate Chemical compound O.C1=CC=C2N(O)N=NC2=C1 PJUPKRYGDFTMTM-UHFFFAOYSA-N 0.000 description 3
- RXTUBUKGYMZYPJ-UHFFFAOYSA-N 2-(3-phenylmethoxypropyl)oxirane Chemical class C1OC1CCCOCC1=CC=CC=C1 RXTUBUKGYMZYPJ-UHFFFAOYSA-N 0.000 description 3
- ZZRFQBQNZLFESZ-BTQNPOSSSA-N 2-[(3r)-4-[(4-chlorophenyl)methyl]-7-fluoro-5-methylsulfonyl-2,3-dihydro-1h-cyclopenta[b]indol-3-yl]acetic acid;pyridine-3-carboxylic acid Chemical compound OC(=O)C1=CC=CN=C1.C=1([C@@H](CC(O)=O)CCC=1C=1C=C(F)C=C(C2=1)S(=O)(=O)C)N2CC1=CC=C(Cl)C=C1 ZZRFQBQNZLFESZ-BTQNPOSSSA-N 0.000 description 3
- FPQQSJJWHUJYPU-UHFFFAOYSA-N 3-(dimethylamino)propyliminomethylidene-ethylazanium;chloride Chemical compound Cl.CCN=C=NCCCN(C)C FPQQSJJWHUJYPU-UHFFFAOYSA-N 0.000 description 3
- NHQDETIJWKXCTC-UHFFFAOYSA-N 3-chloroperbenzoic acid Chemical compound OOC(=O)C1=CC=CC(Cl)=C1 NHQDETIJWKXCTC-UHFFFAOYSA-N 0.000 description 3
- WFDIJRYMOXRFFG-UHFFFAOYSA-N Acetic anhydride Chemical compound CC(=O)OC(C)=O WFDIJRYMOXRFFG-UHFFFAOYSA-N 0.000 description 3
- 239000002126 C01EB10 - Adenosine Substances 0.000 description 3
- 102100033868 Cannabinoid receptor 1 Human genes 0.000 description 3
- 101710187010 Cannabinoid receptor 1 Proteins 0.000 description 3
- 240000008886 Ceratonia siliqua Species 0.000 description 3
- 235000013912 Ceratonia siliqua Nutrition 0.000 description 3
- LFQSCWFLJHTTHZ-UHFFFAOYSA-N Ethanol Chemical compound CCO LFQSCWFLJHTTHZ-UHFFFAOYSA-N 0.000 description 3
- 102000003973 Fibroblast growth factor 21 Human genes 0.000 description 3
- 108090000376 Fibroblast growth factor 21 Proteins 0.000 description 3
- 108010017464 Fructose-Bisphosphatase Proteins 0.000 description 3
- 102000027487 Fructose-Bisphosphatase Human genes 0.000 description 3
- 101800001586 Ghrelin Proteins 0.000 description 3
- 108050002557 Glucose-dependent insulinotropic receptors Proteins 0.000 description 3
- PEDCQBHIVMGVHV-UHFFFAOYSA-N Glycerine Chemical compound OCC(O)CO PEDCQBHIVMGVHV-UHFFFAOYSA-N 0.000 description 3
- 102000007390 Glycogen Phosphorylase Human genes 0.000 description 3
- 108010046163 Glycogen Phosphorylase Proteins 0.000 description 3
- 108010051975 Glycogen Synthase Kinase 3 beta Proteins 0.000 description 3
- 102100038104 Glycogen synthase kinase-3 beta Human genes 0.000 description 3
- 108010065920 Insulin Lispro Proteins 0.000 description 3
- 102000016267 Leptin Human genes 0.000 description 3
- 108010092277 Leptin Proteins 0.000 description 3
- 102100034028 Membrane-bound transcription factor site-1 protease Human genes 0.000 description 3
- JGFZNNIVVJXRND-UHFFFAOYSA-N N,N-Diisopropylethylamine (DIPEA) Chemical compound CCN(C(C)C)C(C)C JGFZNNIVVJXRND-UHFFFAOYSA-N 0.000 description 3
- LFTLOKWAGJYHHR-UHFFFAOYSA-N N-methylmorpholine N-oxide Chemical compound CN1(=O)CCOCC1 LFTLOKWAGJYHHR-UHFFFAOYSA-N 0.000 description 3
- 102000004257 Potassium Channel Human genes 0.000 description 3
- 102000000019 Sterol Esterase Human genes 0.000 description 3
- 108010055297 Sterol Esterase Proteins 0.000 description 3
- 108010037150 Transient Receptor Potential Channels Proteins 0.000 description 3
- 102000011753 Transient Receptor Potential Channels Human genes 0.000 description 3
- XSTXAVWGXDQKEL-UHFFFAOYSA-N Trichloroethylene Chemical compound ClC=C(Cl)Cl XSTXAVWGXDQKEL-UHFFFAOYSA-N 0.000 description 3
- 230000009102 absorption Effects 0.000 description 3
- 238000010521 absorption reaction Methods 0.000 description 3
- 229960005305 adenosine Drugs 0.000 description 3
- 150000001336 alkenes Chemical class 0.000 description 3
- 229940025084 amphetamine Drugs 0.000 description 3
- 239000003613 bile acid Substances 0.000 description 3
- SNPPWIUOZRMYNY-UHFFFAOYSA-N bupropion Chemical compound CC(C)(C)NC(C)C(=O)C1=CC=CC(Cl)=C1 SNPPWIUOZRMYNY-UHFFFAOYSA-N 0.000 description 3
- 229960001058 bupropion Drugs 0.000 description 3
- 239000000480 calcium channel blocker Substances 0.000 description 3
- 230000003197 catalytic effect Effects 0.000 description 3
- 229920001429 chelating resin Polymers 0.000 description 3
- JUFFVKRROAPVBI-PVOYSMBESA-N chembl1210015 Chemical compound C([C@@H](C(=O)N[C@@H]([C@@H](C)CC)C(=O)N[C@@H](CCC(O)=O)C(=O)N[C@@H](CC=1C2=CC=CC=C2NC=1)C(=O)N[C@@H](CC(C)C)C(=O)N[C@@H](CCCCN)C(=O)N[C@@H](CC(=O)N[C@H]1[C@@H]([C@@H](O)[C@H](O[C@H]2[C@@H]([C@@H](O)[C@@H](O)[C@@H](CO[C@]3(O[C@@H](C[C@H](O)[C@H](O)CO)[C@H](NC(C)=O)[C@@H](O)C3)C(O)=O)O2)O)[C@@H](CO)O1)NC(C)=O)C(=O)NCC(=O)NCC(=O)N1[C@@H](CCC1)C(=O)N[C@@H](CO)C(=O)N[C@@H](CO)C(=O)NCC(=O)N[C@@H](C)C(=O)N1[C@@H](CCC1)C(=O)N1[C@@H](CCC1)C(=O)N1[C@@H](CCC1)C(=O)N[C@@H](CO)C(N)=O)NC(=O)[C@H](CC(C)C)NC(=O)[C@H](CCCNC(N)=N)NC(=O)[C@@H](NC(=O)[C@H](C)NC(=O)[C@H](CCC(O)=O)NC(=O)[C@H](CCC(O)=O)NC(=O)[C@H](CCC(O)=O)NC(=O)[C@H](CCSC)NC(=O)[C@H](CCC(N)=O)NC(=O)[C@H](CCCCN)NC(=O)[C@H](CO)NC(=O)[C@H](CC(C)C)NC(=O)[C@H](CC(O)=O)NC(=O)[C@H](CO)NC(=O)[C@@H](NC(=O)[C@H](CC=1C=CC=CC=1)NC(=O)[C@@H](NC(=O)CNC(=O)[C@H](CCC(O)=O)NC(=O)CNC(=O)[C@@H](N)CC=1NC=NC=1)[C@@H](C)O)[C@@H](C)O)C(C)C)C1=CC=CC=C1 JUFFVKRROAPVBI-PVOYSMBESA-N 0.000 description 3
- 230000001906 cholesterol absorption Effects 0.000 description 3
- 238000011097 chromatography purification Methods 0.000 description 3
- 230000029142 excretion Effects 0.000 description 3
- 238000013265 extended release Methods 0.000 description 3
- 239000000284 extract Substances 0.000 description 3
- 230000002550 fecal effect Effects 0.000 description 3
- 230000030136 gastric emptying Effects 0.000 description 3
- 239000008187 granular material Substances 0.000 description 3
- 239000008241 heterogeneous mixture Substances 0.000 description 3
- WNRQPCUGRUFHED-DETKDSODSA-N humalog Chemical compound C([C@H](NC(=O)[C@H](CC(C)C)NC(=O)[C@H](CO)NC(=O)[C@H](CS)NC(=O)[C@H]([C@@H](C)CC)NC(=O)[C@H](CO)NC(=O)[C@H]([C@@H](C)O)NC(=O)[C@H](CS)NC(=O)[C@H](CS)NC(=O)[C@H](CCC(N)=O)NC(=O)[C@H](CCC(O)=O)NC(=O)[C@H](C(C)C)NC(=O)[C@@H](NC(=O)CN)[C@@H](C)CC)C(=O)N[C@@H](CCC(N)=O)C(=O)N[C@@H](CC(C)C)C(=O)N[C@@H](CCC(O)=O)C(=O)N[C@@H](CC(N)=O)C(=O)N[C@@H](CC=1C=CC(O)=CC=1)C(=O)N[C@@H](CS)C(=O)N[C@@H](CC(N)=O)C(O)=O)C1=CC=C(O)C=C1.C([C@@H](C(=O)N[C@@H](CC(C)C)C(=O)N[C@H](C(=O)N[C@@H](CCC(O)=O)C(=O)N[C@@H](C)C(=O)N[C@@H](CC(C)C)C(=O)N[C@@H](CC=1C=CC(O)=CC=1)C(=O)N[C@@H](CC(C)C)C(=O)N[C@@H](C(C)C)C(=O)N[C@@H](CS)C(=O)NCC(=O)N[C@@H](CCC(O)=O)C(=O)N[C@@H](CCCNC(N)=N)C(=O)NCC(=O)N[C@@H](CC=1C=CC=CC=1)C(=O)N[C@@H](CC=1C=CC=CC=1)C(=O)N[C@@H](CC=1C=CC(O)=CC=1)C(=O)N[C@@H]([C@@H](C)O)C(=O)N[C@@H](CCCCN)C(=O)N1[C@@H](CCC1)C(=O)N[C@@H]([C@@H](C)O)C(O)=O)C(C)C)NC(=O)[C@H](CO)NC(=O)CNC(=O)[C@H](CS)NC(=O)[C@H](CC(C)C)NC(=O)[C@H](CC=1NC=NC=1)NC(=O)[C@H](CCC(N)=O)NC(=O)[C@H](CC(N)=O)NC(=O)[C@@H](NC(=O)[C@@H](N)CC=1C=CC=CC=1)C(C)C)C1=CN=CN1 WNRQPCUGRUFHED-DETKDSODSA-N 0.000 description 3
- NPZTUJOABDZTLV-UHFFFAOYSA-N hydroxybenzotriazole Substances O=C1C=CC=C2NNN=C12 NPZTUJOABDZTLV-UHFFFAOYSA-N 0.000 description 3
- 229940028435 intralipid Drugs 0.000 description 3
- 150000002500 ions Chemical class 0.000 description 3
- 229940060975 lantus Drugs 0.000 description 3
- NRYBAZVQPHGZNS-ZSOCWYAHSA-N leptin Chemical compound O=C([C@H](CO)NC(=O)[C@H](CC(C)C)NC(=O)[C@H](CC(O)=O)NC(=O)[C@H](CC(C)C)NC(=O)[C@H](CCC(N)=O)NC(=O)[C@H](CC=1C2=CC=CC=C2NC=1)NC(=O)[C@H](CC(C)C)NC(=O)[C@@H](NC(=O)[C@H](CC(O)=O)NC(=O)[C@H](CCC(N)=O)NC(=O)[C@H](CC(C)C)NC(=O)[C@H](CO)NC(=O)CNC(=O)[C@H](CCC(N)=O)NC(=O)[C@@H](N)CC(C)C)CCSC)N1CCC[C@H]1C(=O)NCC(=O)N[C@@H](CS)C(O)=O NRYBAZVQPHGZNS-ZSOCWYAHSA-N 0.000 description 3
- 239000003446 ligand Substances 0.000 description 3
- 239000007937 lozenge Substances 0.000 description 3
- 239000000463 material Substances 0.000 description 3
- 230000002503 metabolic effect Effects 0.000 description 3
- PSHKMPUSSFXUIA-UHFFFAOYSA-N n,n-dimethylpyridin-2-amine Chemical compound CN(C)C1=CC=CC=N1 PSHKMPUSSFXUIA-UHFFFAOYSA-N 0.000 description 3
- VLKZOEOYAKHREP-UHFFFAOYSA-N n-Hexane Chemical compound CCCCCC VLKZOEOYAKHREP-UHFFFAOYSA-N 0.000 description 3
- JRZJOMJEPLMPRA-UHFFFAOYSA-N olefin Natural products CCCCCCCC=C JRZJOMJEPLMPRA-UHFFFAOYSA-N 0.000 description 3
- 108020001213 potassium channel Proteins 0.000 description 3
- LPNYRYFBWFDTMA-UHFFFAOYSA-N potassium tert-butoxide Chemical compound [K+].CC(C)(C)[O-] LPNYRYFBWFDTMA-UHFFFAOYSA-N 0.000 description 3
- 239000000843 powder Substances 0.000 description 3
- 108010029667 pramlintide Proteins 0.000 description 3
- NRKVKVQDUCJPIZ-MKAGXXMWSA-N pramlintide acetate Chemical compound C([C@@H](C(=O)NCC(=O)N1CCC[C@H]1C(=O)N[C@@H]([C@@H](C)CC)C(=O)N[C@@H](CC(C)C)C(=O)N1[C@@H](CCC1)C(=O)N1[C@@H](CCC1)C(=O)N[C@@H]([C@@H](C)O)C(=O)N[C@@H](CC(N)=O)C(=O)N[C@@H](C(C)C)C(=O)NCC(=O)N[C@@H](CO)C(=O)N[C@@H](CC(N)=O)C(=O)N[C@@H]([C@@H](C)O)C(=O)N[C@@H](CC=1C=CC(O)=CC=1)C(N)=O)NC(=O)[C@H](CC(N)=O)NC(=O)[C@H](CC(N)=O)NC(=O)[C@H](CO)NC(=O)[C@H](CO)NC(=O)[C@H](CC=1NC=NC=1)NC(=O)[C@@H](NC(=O)[C@H](CC(C)C)NC(=O)[C@H](CC=1C=CC=CC=1)NC(=O)[C@H](CC(N)=O)NC(=O)[C@H](C)NC(=O)[C@H](CC(C)C)NC(=O)[C@H](CCCNC(N)=N)NC(=O)[C@H](CCC(N)=O)NC(=O)[C@@H](NC(=O)[C@H](C)NC(=O)[C@H](CS)NC(=O)[C@@H](NC(=O)[C@H](C)NC(=O)[C@@H](NC(=O)[C@H](CC(N)=O)NC(=O)[C@H](CS)NC(=O)[C@@H](N)CCCCN)[C@@H](C)O)[C@@H](C)O)[C@@H](C)O)C(C)C)C1=CC=CC=C1 NRKVKVQDUCJPIZ-MKAGXXMWSA-N 0.000 description 3
- 102000004196 processed proteins & peptides Human genes 0.000 description 3
- 239000000651 prodrug Substances 0.000 description 3
- 229940002612 prodrug Drugs 0.000 description 3
- 108090000623 proteins and genes Proteins 0.000 description 3
- UMJSCPRVCHMLSP-UHFFFAOYSA-N pyridine Natural products COC1=CC=CN=C1 UMJSCPRVCHMLSP-UHFFFAOYSA-N 0.000 description 3
- 150000003254 radicals Chemical class 0.000 description 3
- 230000001105 regulatory effect Effects 0.000 description 3
- 238000011160 research Methods 0.000 description 3
- 108010048078 site 1 membrane-bound transcription factor peptidase Proteins 0.000 description 3
- AKHNMLFCWUSKQB-UHFFFAOYSA-L sodium thiosulfate Chemical compound [Na+].[Na+].[O-]S([O-])(=O)=S AKHNMLFCWUSKQB-UHFFFAOYSA-L 0.000 description 3
- 235000019345 sodium thiosulphate Nutrition 0.000 description 3
- 229950007151 taspoglutide Drugs 0.000 description 3
- BCNZYOJHNLTNEZ-UHFFFAOYSA-N tert-butyldimethylsilyl chloride Chemical compound CC(C)(C)[Si](C)(C)Cl BCNZYOJHNLTNEZ-UHFFFAOYSA-N 0.000 description 3
- XUFXOAAUWZOOIT-SXARVLRPSA-N (2R,3R,4R,5S,6R)-5-[[(2R,3R,4R,5S,6R)-5-[[(2R,3R,4S,5S,6R)-3,4-dihydroxy-6-methyl-5-[[(1S,4R,5S,6S)-4,5,6-trihydroxy-3-(hydroxymethyl)-1-cyclohex-2-enyl]amino]-2-oxanyl]oxy]-3,4-dihydroxy-6-(hydroxymethyl)-2-oxanyl]oxy]-6-(hydroxymethyl)oxane-2,3,4-triol Chemical compound O([C@H]1O[C@H](CO)[C@H]([C@@H]([C@H]1O)O)O[C@H]1O[C@@H]([C@H]([C@H](O)[C@H]1O)N[C@@H]1[C@@H]([C@@H](O)[C@H](O)C(CO)=C1)O)C)[C@@H]1[C@@H](CO)O[C@@H](O)[C@H](O)[C@H]1O XUFXOAAUWZOOIT-SXARVLRPSA-N 0.000 description 2
- XSOXUIXLUNBLJA-RNRVQEDPSA-N (2r)-6-[(2r)-2-[[(2r)-2-(3-chlorophenyl)-2-hydroxyethyl]amino]propyl]-2,3-dihydro-1,4-benzodioxine-2-carboxylic acid Chemical compound C1([C@@H](O)CN[C@@H](CC=2C=C3OC[C@@H](OC3=CC=2)C(O)=O)C)=CC=CC(Cl)=C1 XSOXUIXLUNBLJA-RNRVQEDPSA-N 0.000 description 2
- AMNXBQPRODZJQR-DITALETJSA-N (2s)-2-cyclopentyl-2-[3-[(2,4-dimethylpyrido[2,3-b]indol-9-yl)methyl]phenyl]-n-[(1r)-2-hydroxy-1-phenylethyl]acetamide Chemical compound C1([C@@H](C=2C=CC=C(C=2)CN2C3=CC=CC=C3C3=C(C)C=C(N=C32)C)C(=O)N[C@@H](CO)C=2C=CC=CC=2)CCCC1 AMNXBQPRODZJQR-DITALETJSA-N 0.000 description 2
- AXJQVVLKUYCICH-OAQYLSRUSA-N (4s)-5-(4-chlorophenyl)-n-(4-chlorophenyl)sulfonyl-n'-methyl-4-phenyl-3,4-dihydropyrazole-2-carboximidamide Chemical compound C=1C=C(Cl)C=CC=1C([C@H](C1)C=2C=CC=CC=2)=NN1C(=NC)NS(=O)(=O)C1=CC=C(Cl)C=C1 AXJQVVLKUYCICH-OAQYLSRUSA-N 0.000 description 2
- GXTXRHJGEQTXTL-UHFFFAOYSA-M (7-ethoxy-7-oxoheptyl)-triphenylphosphanium;bromide Chemical compound [Br-].C=1C=CC=CC=1[P+](C=1C=CC=CC=1)(CCCCCCC(=O)OCC)C1=CC=CC=C1 GXTXRHJGEQTXTL-UHFFFAOYSA-M 0.000 description 2
- KWTSXDURSIMDCE-QMMMGPOBSA-N (S)-amphetamine Chemical group C[C@H](N)CC1=CC=CC=C1 KWTSXDURSIMDCE-QMMMGPOBSA-N 0.000 description 2
- RYHBNJHYFVUHQT-UHFFFAOYSA-N 1,4-Dioxane Chemical compound C1COCCO1 RYHBNJHYFVUHQT-UHFFFAOYSA-N 0.000 description 2
- ONBQEOIKXPHGMB-VBSBHUPXSA-N 1-[2-[(2s,3r,4s,5r)-3,4-dihydroxy-5-(hydroxymethyl)oxolan-2-yl]oxy-4,6-dihydroxyphenyl]-3-(4-hydroxyphenyl)propan-1-one Chemical compound O[C@@H]1[C@H](O)[C@@H](CO)O[C@H]1OC1=CC(O)=CC(O)=C1C(=O)CCC1=CC=C(O)C=C1 ONBQEOIKXPHGMB-VBSBHUPXSA-N 0.000 description 2
- 102000008645 11-beta-Hydroxysteroid Dehydrogenase Type 1 Human genes 0.000 description 2
- 108010088011 11-beta-Hydroxysteroid Dehydrogenase Type 1 Proteins 0.000 description 2
- 102100036506 11-beta-hydroxysteroid dehydrogenase 1 Human genes 0.000 description 2
- 101710186107 11-beta-hydroxysteroid dehydrogenase 1 Proteins 0.000 description 2
- VTAKZNRDSPNOAU-UHFFFAOYSA-M 2-(chloromethyl)oxirane;hydron;prop-2-en-1-amine;n-prop-2-enyldecan-1-amine;trimethyl-[6-(prop-2-enylamino)hexyl]azanium;dichloride Chemical compound Cl.[Cl-].NCC=C.ClCC1CO1.CCCCCCCCCCNCC=C.C[N+](C)(C)CCCCCCNCC=C VTAKZNRDSPNOAU-UHFFFAOYSA-M 0.000 description 2
- CMLUGNQVANVZHY-POURPWNDSA-N 2-[1-[2-[(3r,5s)-1-(3-acetyloxy-2,2-dimethylpropyl)-7-chloro-5-(2,3-dimethoxyphenyl)-2-oxo-5h-4,1-benzoxazepin-3-yl]acetyl]piperidin-4-yl]acetic acid Chemical compound COC1=CC=CC([C@@H]2C3=CC(Cl)=CC=C3N(CC(C)(C)COC(C)=O)C(=O)[C@@H](CC(=O)N3CCC(CC(O)=O)CC3)O2)=C1OC CMLUGNQVANVZHY-POURPWNDSA-N 0.000 description 2
- JWAZHODZSADEHB-UHFFFAOYSA-M 2-[4-(4-chlorobenzoyl)phenoxy]-2-methylpropanoate;2-hydroxyethyl(trimethyl)azanium Chemical compound C[N+](C)(C)CCO.C1=CC(OC(C)(C)C([O-])=O)=CC=C1C(=O)C1=CC=C(Cl)C=C1 JWAZHODZSADEHB-UHFFFAOYSA-M 0.000 description 2
- 108010092861 2-acylglycerol O-acyltransferase Proteins 0.000 description 2
- YZQLWPMZQVHJED-UHFFFAOYSA-N 2-methylpropanethioic acid S-[2-[[[1-(2-ethylbutyl)cyclohexyl]-oxomethyl]amino]phenyl] ester Chemical compound C=1C=CC=C(SC(=O)C(C)C)C=1NC(=O)C1(CC(CC)CC)CCCCC1 YZQLWPMZQVHJED-UHFFFAOYSA-N 0.000 description 2
- DFRAKBCRUYUFNT-UHFFFAOYSA-N 3,8-dicyclohexyl-2,4,7,9-tetrahydro-[1,3]oxazino[5,6-h][1,3]benzoxazine Chemical compound C1CCCCC1N1CC(C=CC2=C3OCN(C2)C2CCCCC2)=C3OC1 DFRAKBCRUYUFNT-UHFFFAOYSA-N 0.000 description 2
- VPCSYAVXDAUHLT-UHFFFAOYSA-N 3-[3,5-dibromo-4-(4-hydroxy-3-propan-2-ylphenoxy)anilino]-3-oxopropanoic acid Chemical compound C1=C(O)C(C(C)C)=CC(OC=2C(=CC(NC(=O)CC(O)=O)=CC=2Br)Br)=C1 VPCSYAVXDAUHLT-UHFFFAOYSA-N 0.000 description 2
- NPOAOTPXWNWTSH-UHFFFAOYSA-N 3-hydroxy-3-methylglutaric acid Chemical compound OC(=O)CC(O)(C)CC(O)=O NPOAOTPXWNWTSH-UHFFFAOYSA-N 0.000 description 2
- VHYFNPMBLIVWCW-UHFFFAOYSA-N 4-Dimethylaminopyridine Chemical compound CN(C)C1=CC=NC=C1 VHYFNPMBLIVWCW-UHFFFAOYSA-N 0.000 description 2
- SWLAMJPTOQZTAE-UHFFFAOYSA-N 4-[2-[(5-chloro-2-methoxybenzoyl)amino]ethyl]benzoic acid Chemical class COC1=CC=C(Cl)C=C1C(=O)NCCC1=CC=C(C(O)=O)C=C1 SWLAMJPTOQZTAE-UHFFFAOYSA-N 0.000 description 2
- WIGIZIANZCJQQY-UHFFFAOYSA-N 4-ethyl-3-methyl-N-[2-[4-[[[(4-methylcyclohexyl)amino]-oxomethyl]sulfamoyl]phenyl]ethyl]-5-oxo-2H-pyrrole-1-carboxamide Chemical compound O=C1C(CC)=C(C)CN1C(=O)NCCC1=CC=C(S(=O)(=O)NC(=O)NC2CCC(C)CC2)C=C1 WIGIZIANZCJQQY-UHFFFAOYSA-N 0.000 description 2
- HMXDWDSNPRNUKI-UHFFFAOYSA-N 5-(4-bromophenyl)-1-(2,4-dichlorophenyl)-4-ethyl-N-(1-piperidinyl)-3-pyrazolecarboxamide Chemical compound CCC=1C(C(=O)NN2CCCCC2)=NN(C=2C(=CC(Cl)=CC=2)Cl)C=1C1=CC=C(Br)C=C1 HMXDWDSNPRNUKI-UHFFFAOYSA-N 0.000 description 2
- IETKPTYAGKZLKY-UHFFFAOYSA-N 5-[[4-[(3-methyl-4-oxoquinazolin-2-yl)methoxy]phenyl]methyl]-1,3-thiazolidine-2,4-dione Chemical compound N=1C2=CC=CC=C2C(=O)N(C)C=1COC(C=C1)=CC=C1CC1SC(=O)NC1=O IETKPTYAGKZLKY-UHFFFAOYSA-N 0.000 description 2
- 102000014156 AMP-Activated Protein Kinases Human genes 0.000 description 2
- 108010011376 AMP-Activated Protein Kinases Proteins 0.000 description 2
- 244000215068 Acacia senegal Species 0.000 description 2
- 102000000452 Acetyl-CoA carboxylase Human genes 0.000 description 2
- 108010016219 Acetyl-CoA carboxylase Proteins 0.000 description 2
- 101710190443 Acetyl-CoA carboxylase 1 Proteins 0.000 description 2
- 102100034542 Acyl-CoA (8-3)-desaturase Human genes 0.000 description 2
- 102100031786 Adiponectin Human genes 0.000 description 2
- 108010076365 Adiponectin Proteins 0.000 description 2
- 108010005094 Advanced Glycation End Products Proteins 0.000 description 2
- 229940077274 Alpha glucosidase inhibitor Drugs 0.000 description 2
- NLXLAEXVIDQMFP-UHFFFAOYSA-N Ammonia chloride Chemical compound [NH4+].[Cl-] NLXLAEXVIDQMFP-UHFFFAOYSA-N 0.000 description 2
- 208000019901 Anxiety disease Diseases 0.000 description 2
- CIWBSHSKHKDKBQ-JLAZNSOCSA-N Ascorbic acid Chemical compound OC[C@H](O)[C@H]1OC(=O)C(O)=C1O CIWBSHSKHKDKBQ-JLAZNSOCSA-N 0.000 description 2
- IJGRMHOSHXDMSA-UHFFFAOYSA-N Atomic nitrogen Chemical compound N#N IJGRMHOSHXDMSA-UHFFFAOYSA-N 0.000 description 2
- 229940123208 Biguanide Drugs 0.000 description 2
- 108010018763 Biotin carboxylase Proteins 0.000 description 2
- 101710155857 C-C motif chemokine 2 Proteins 0.000 description 2
- PKMUHQIDVVOXHQ-HXUWFJFHSA-N C[C@H](C1=CC(C2=CC=C(CNC3CCCC3)S2)=CC=C1)NC(C1=C(C)C=CC(NC2CNC2)=C1)=O Chemical compound C[C@H](C1=CC(C2=CC=C(CNC3CCCC3)S2)=CC=C1)NC(C1=C(C)C=CC(NC2CNC2)=C1)=O PKMUHQIDVVOXHQ-HXUWFJFHSA-N 0.000 description 2
- 108090000312 Calcium Channels Proteins 0.000 description 2
- 102000003922 Calcium Channels Human genes 0.000 description 2
- 229940127291 Calcium channel antagonist Drugs 0.000 description 2
- OKTJSMMVPCPJKN-UHFFFAOYSA-N Carbon Chemical compound [C] OKTJSMMVPCPJKN-UHFFFAOYSA-N 0.000 description 2
- 108010078791 Carrier Proteins Proteins 0.000 description 2
- 108091006146 Channels Proteins 0.000 description 2
- 239000004381 Choline salt Substances 0.000 description 2
- 229920002905 Colesevelam Polymers 0.000 description 2
- 108010022152 Corticotropin-Releasing Hormone Proteins 0.000 description 2
- 102000005636 Cyclic AMP Response Element-Binding Protein Human genes 0.000 description 2
- 108010045171 Cyclic AMP Response Element-Binding Protein Proteins 0.000 description 2
- 108010079245 Cystic Fibrosis Transmembrane Conductance Regulator Proteins 0.000 description 2
- 102100023419 Cystic fibrosis transmembrane conductance regulator Human genes 0.000 description 2
- 208000032131 Diabetic Neuropathies Diseases 0.000 description 2
- 108010001348 Diacylglycerol O-acyltransferase Proteins 0.000 description 2
- 102000002148 Diacylglycerol O-acyltransferase Human genes 0.000 description 2
- RTZKZFJDLAIYFH-UHFFFAOYSA-N Diethyl ether Chemical compound CCOCC RTZKZFJDLAIYFH-UHFFFAOYSA-N 0.000 description 2
- ZAFNJMIOTHYJRJ-UHFFFAOYSA-N Diisopropyl ether Chemical compound CC(C)OC(C)C ZAFNJMIOTHYJRJ-UHFFFAOYSA-N 0.000 description 2
- 108010032363 ERRalpha estrogen-related receptor Proteins 0.000 description 2
- 102100031375 Endothelial lipase Human genes 0.000 description 2
- 101710087274 Endothelial lipase Proteins 0.000 description 2
- 108020002908 Epoxide hydrolase Proteins 0.000 description 2
- 102000003951 Erythropoietin Human genes 0.000 description 2
- 108090000394 Erythropoietin Proteins 0.000 description 2
- 108010011459 Exenatide Proteins 0.000 description 2
- 102100029111 Fatty-acid amide hydrolase 1 Human genes 0.000 description 2
- 102100027844 Fibroblast growth factor receptor 4 Human genes 0.000 description 2
- 101710182387 Fibroblast growth factor receptor 4 Proteins 0.000 description 2
- 102100025353 G-protein coupled bile acid receptor 1 Human genes 0.000 description 2
- 102000030782 GTP binding Human genes 0.000 description 2
- 108091000058 GTP-Binding Proteins 0.000 description 2
- ZJDOESGVOWAULF-OGJQONSISA-N Geniposidic acid Chemical compound O[C@@H]1[C@@H](O)[C@H](O)[C@@H](CO)O[C@H]1O[C@H]1[C@@H]2C(CO)=CC[C@@H]2C(C(O)=O)=CO1 ZJDOESGVOWAULF-OGJQONSISA-N 0.000 description 2
- VYAALAFRWREWLA-BVTMAQQCSA-N Geniposidic acid Natural products CCC1=CC[C@H]2[C@@H]1[C@H](O[C@@H]3O[C@H](CO)[C@@H](O)[C@H](O)[C@H]3O)OC=C2C(=O)O VYAALAFRWREWLA-BVTMAQQCSA-N 0.000 description 2
- ZJDOESGVOWAULF-UHFFFAOYSA-N Geniposidinsaeure Natural products OC1C(O)C(O)C(CO)OC1OC1C2C(CO)=CCC2C(C(O)=O)=CO1 ZJDOESGVOWAULF-UHFFFAOYSA-N 0.000 description 2
- 102400000442 Ghrelin-28 Human genes 0.000 description 2
- 229940122904 Glucagon receptor antagonist Drugs 0.000 description 2
- FAEKWTJYAYMJKF-QHCPKHFHSA-N GlucoNorm Chemical compound C1=C(C(O)=O)C(OCC)=CC(CC(=O)N[C@@H](CC(C)C)C=2C(=CC=CC=2)N2CCCCC2)=C1 FAEKWTJYAYMJKF-QHCPKHFHSA-N 0.000 description 2
- 108010021582 Glucokinase Proteins 0.000 description 2
- 102000030595 Glucokinase Human genes 0.000 description 2
- 102100024017 Glycerol-3-phosphate acyltransferase 3 Human genes 0.000 description 2
- 102100025376 Glycerol-3-phosphate acyltransferase 4 Human genes 0.000 description 2
- 101710199766 Glycerol-3-phosphate acyltransferase 4 Proteins 0.000 description 2
- 108010051696 Growth Hormone Proteins 0.000 description 2
- 102100033067 Growth factor receptor-bound protein 2 Human genes 0.000 description 2
- 108091009389 Growth factor receptor-bound protein 2 Proteins 0.000 description 2
- ZRALSGWEFCBTJO-UHFFFAOYSA-N Guanidine Chemical compound NC(N)=N ZRALSGWEFCBTJO-UHFFFAOYSA-N 0.000 description 2
- 229920000084 Gum arabic Polymers 0.000 description 2
- 102000003964 Histone deacetylase Human genes 0.000 description 2
- 108090000353 Histone deacetylase Proteins 0.000 description 2
- 101000677540 Homo sapiens Acetyl-CoA carboxylase 2 Proteins 0.000 description 2
- 101000894929 Homo sapiens Bcl-2-related protein A1 Proteins 0.000 description 2
- 101000969553 Homo sapiens Cell surface glycoprotein CD200 receptor 1 Proteins 0.000 description 2
- 101000917134 Homo sapiens Fibroblast growth factor receptor 4 Proteins 0.000 description 2
- 101000843809 Homo sapiens Hydroxycarboxylic acid receptor 2 Proteins 0.000 description 2
- 101000864800 Homo sapiens Serine/threonine-protein kinase Sgk1 Proteins 0.000 description 2
- 102000008100 Human Serum Albumin Human genes 0.000 description 2
- 108091006905 Human Serum Albumin Proteins 0.000 description 2
- CPELXLSAUQHCOX-UHFFFAOYSA-N Hydrogen bromide Chemical compound Br CPELXLSAUQHCOX-UHFFFAOYSA-N 0.000 description 2
- 101710125793 Hydroxycarboxylic acid receptor 2 Proteins 0.000 description 2
- 208000035150 Hypercholesterolemia Diseases 0.000 description 2
- 108010089308 Insulin Detemir Proteins 0.000 description 2
- 229940122355 Insulin sensitizer Drugs 0.000 description 2
- LTXREWYXXSTFRX-QGZVFWFLSA-N Linagliptin Chemical compound N=1C=2N(C)C(=O)N(CC=3N=C4C=CC=CC4=C(C)N=3)C(=O)C=2N(CC#CC)C=1N1CCC[C@@H](N)C1 LTXREWYXXSTFRX-QGZVFWFLSA-N 0.000 description 2
- 229940086609 Lipase inhibitor Drugs 0.000 description 2
- 102100025357 Lipid-phosphate phosphatase Human genes 0.000 description 2
- YSDQQAXHVYUZIW-QCIJIYAXSA-N Liraglutide Chemical compound C([C@@H](C(=O)N[C@@H](CC(C)C)C(=O)N[C@@H](CCC(O)=O)C(=O)NCC(=O)N[C@@H](CCC(N)=O)C(=O)N[C@@H](C)C(=O)N[C@@H](C)C(=O)N[C@@H](CCCCNC(=O)CC[C@H](NC(=O)CCCCCCCCCCCCCCC)C(O)=O)C(=O)N[C@@H](CCC(O)=O)C(=O)N[C@@H](CC=1C=CC=CC=1)C(=O)N[C@@H]([C@@H](C)CC)C(=O)N[C@@H](C)C(=O)N[C@@H](CC=1C2=CC=CC=C2NC=1)C(=O)N[C@@H](CC(C)C)C(=O)N[C@@H](C(C)C)C(=O)N[C@@H](CCCNC(N)=N)C(=O)NCC(=O)N[C@@H](CCCNC(N)=N)C(=O)NCC(O)=O)NC(=O)[C@H](CO)NC(=O)[C@H](CO)NC(=O)[C@@H](NC(=O)[C@H](CC(O)=O)NC(=O)[C@H](CO)NC(=O)[C@@H](NC(=O)[C@H](CC=1C=CC=CC=1)NC(=O)[C@@H](NC(=O)CNC(=O)[C@H](CCC(O)=O)NC(=O)[C@H](C)NC(=O)[C@@H](N)CC=1NC=NC=1)[C@@H](C)O)[C@@H](C)O)C(C)C)C1=CC=C(O)C=C1 YSDQQAXHVYUZIW-QCIJIYAXSA-N 0.000 description 2
- XVVOERDUTLJJHN-UHFFFAOYSA-N Lixisenatide Chemical compound C=1NC2=CC=CC=C2C=1CC(C(=O)NC(CC(C)C)C(=O)NC(CCCCN)C(=O)NC(CC(N)=O)C(=O)NCC(=O)NCC(=O)N1C(CCC1)C(=O)NC(CO)C(=O)NC(CO)C(=O)NCC(=O)NC(C)C(=O)N1C(CCC1)C(=O)N1C(CCC1)C(=O)NC(CO)C(=O)NC(CCCCN)C(=O)NC(CCCCN)C(=O)NC(CCCCN)C(=O)NC(CCCCN)C(=O)NC(CCCCN)C(=O)NC(CCCCN)C(N)=O)NC(=O)C(CCC(O)=O)NC(=O)C(C(C)CC)NC(=O)C(NC(=O)C(CC(C)C)NC(=O)C(CCCNC(N)=N)NC(=O)C(NC(=O)C(C)NC(=O)C(CCC(O)=O)NC(=O)C(CCC(O)=O)NC(=O)C(CCC(O)=O)NC(=O)C(CCSC)NC(=O)C(CCC(N)=O)NC(=O)C(CCCCN)NC(=O)C(CO)NC(=O)C(CC(C)C)NC(=O)C(CC(O)=O)NC(=O)C(CO)NC(=O)C(NC(=O)C(CC=1C=CC=CC=1)NC(=O)C(NC(=O)CNC(=O)C(CCC(O)=O)NC(=O)CNC(=O)C(N)CC=1NC=NC=1)C(C)O)C(C)O)C(C)C)CC1=CC=CC=C1 XVVOERDUTLJJHN-UHFFFAOYSA-N 0.000 description 2
- 108010075639 MAP Kinase Kinase Kinase 5 Proteins 0.000 description 2
- 102400001132 Melanin-concentrating hormone Human genes 0.000 description 2
- 101800002739 Melanin-concentrating hormone Proteins 0.000 description 2
- 102000001796 Melanocortin 4 receptors Human genes 0.000 description 2
- 239000000637 Melanocyte-Stimulating Hormone Substances 0.000 description 2
- 108010007013 Melanocyte-Stimulating Hormones Proteins 0.000 description 2
- 241001465754 Metazoa Species 0.000 description 2
- IBAQFPQHRJAVAV-ULAWRXDQSA-N Miglitol Chemical compound OCCN1C[C@H](O)[C@@H](O)[C@H](O)[C@H]1CO IBAQFPQHRJAVAV-ULAWRXDQSA-N 0.000 description 2
- 108090000375 Mineralocorticoid Receptors Proteins 0.000 description 2
- 102100021316 Mineralocorticoid receptor Human genes 0.000 description 2
- 102100033127 Mitogen-activated protein kinase kinase kinase 5 Human genes 0.000 description 2
- 102000005398 Monoacylglycerol Lipase Human genes 0.000 description 2
- 108020002334 Monoacylglycerol lipase Proteins 0.000 description 2
- 101000813110 Mus musculus Elongation of very long chain fatty acids protein 6 Proteins 0.000 description 2
- 241000699670 Mus sp. Species 0.000 description 2
- 108010057466 NF-kappa B Proteins 0.000 description 2
- 108090000028 Neprilysin Proteins 0.000 description 2
- 102000003729 Neprilysin Human genes 0.000 description 2
- 102000029748 Neuropeptide Y2 receptor Human genes 0.000 description 2
- 102000008052 Nitric Oxide Synthase Type III Human genes 0.000 description 2
- 108010075520 Nitric Oxide Synthase Type III Proteins 0.000 description 2
- 102100023050 Nuclear factor NF-kappa-B p105 subunit Human genes 0.000 description 2
- 102100037588 Orexin receptor type 2 Human genes 0.000 description 2
- 102100028141 Orexin/Hypocretin receptor type 1 Human genes 0.000 description 2
- 108010028924 PPAR alpha Proteins 0.000 description 2
- 102000023984 PPAR alpha Human genes 0.000 description 2
- 102000003728 Peroxisome Proliferator-Activated Receptors Human genes 0.000 description 2
- 108090000029 Peroxisome Proliferator-Activated Receptors Proteins 0.000 description 2
- 229940080774 Peroxisome proliferator-activated receptor gamma agonist Drugs 0.000 description 2
- 108091000080 Phosphotransferase Proteins 0.000 description 2
- ZLMJMSJWJFRBEC-UHFFFAOYSA-N Potassium Chemical compound [K] ZLMJMSJWJFRBEC-UHFFFAOYSA-N 0.000 description 2
- 102100038955 Proprotein convertase subtilisin/kexin type 9 Human genes 0.000 description 2
- 101710180553 Proprotein convertase subtilisin/kexin type 9 Proteins 0.000 description 2
- SMWDFEZZVXVKRB-UHFFFAOYSA-N Quinoline Chemical compound N1=CC=CC2=CC=CC=C21 SMWDFEZZVXVKRB-UHFFFAOYSA-N 0.000 description 2
- 241000700159 Rattus Species 0.000 description 2
- 102100038246 Retinol-binding protein 4 Human genes 0.000 description 2
- 101710137011 Retinol-binding protein 4 Proteins 0.000 description 2
- 108091006299 SLC2A2 Proteins 0.000 description 2
- 108091006277 SLC5A1 Proteins 0.000 description 2
- 108091006269 SLC5A2 Proteins 0.000 description 2
- BZPMXJKRKXDRID-UOIKKKDVSA-N Scandoside Natural products OC[C@H]1O[C@@H](O[C@H]2CC=C([C@@H]3[C@@H](O)C=C(CO)[C@H]23)C(=O)O)[C@H](O)[C@@H](O)[C@@H]1O BZPMXJKRKXDRID-UOIKKKDVSA-N 0.000 description 2
- 102000015785 Serine C-Palmitoyltransferase Human genes 0.000 description 2
- 108010024814 Serine C-palmitoyltransferase Proteins 0.000 description 2
- 102100030070 Serine/threonine-protein kinase Sgk1 Human genes 0.000 description 2
- 229940127318 Sigma-1 Receptor Antagonists Drugs 0.000 description 2
- 108020004459 Small interfering RNA Proteins 0.000 description 2
- QNAZTOHXCZPOSA-UHFFFAOYSA-N Sobetirome Chemical compound C1=C(O)C(C(C)C)=CC(CC=2C(=CC(OCC(O)=O)=CC=2C)C)=C1 QNAZTOHXCZPOSA-UHFFFAOYSA-N 0.000 description 2
- 102000058090 Sodium-Glucose Transporter 1 Human genes 0.000 description 2
- 102000058081 Sodium-Glucose Transporter 2 Human genes 0.000 description 2
- 101710181093 Sodium-dependent glucose transporter 1 Proteins 0.000 description 2
- 102100029795 Sodium-dependent glucose transporter 1 Human genes 0.000 description 2
- 102000007637 Soluble Guanylyl Cyclase Human genes 0.000 description 2
- 108010007205 Soluble Guanylyl Cyclase Proteins 0.000 description 2
- 102000005157 Somatostatin Human genes 0.000 description 2
- 108010056088 Somatostatin Proteins 0.000 description 2
- 102000004117 Somatostatin receptor 3 Human genes 0.000 description 2
- 108090000674 Somatostatin receptor 3 Proteins 0.000 description 2
- 102100038803 Somatotropin Human genes 0.000 description 2
- 102100028897 Stearoyl-CoA desaturase Human genes 0.000 description 2
- 102100036832 Steroid hormone receptor ERR1 Human genes 0.000 description 2
- 102000009822 Sterol Regulatory Element Binding Proteins Human genes 0.000 description 2
- 108010020396 Sterol Regulatory Element Binding Proteins Proteins 0.000 description 2
- 102100021588 Sterol carrier protein 2 Human genes 0.000 description 2
- RKSMVPNZHBRNNS-UHFFFAOYSA-N Succinobucol Chemical compound CC(C)(C)C1=C(O)C(C(C)(C)C)=CC(SC(C)(C)SC=2C=C(C(OC(=O)CCC(O)=O)=C(C=2)C(C)(C)C)C(C)(C)C)=C1 RKSMVPNZHBRNNS-UHFFFAOYSA-N 0.000 description 2
- 229930006000 Sucrose Natural products 0.000 description 2
- CZMRCDWAGMRECN-UGDNZRGBSA-N Sucrose Chemical compound O[C@H]1[C@H](O)[C@@H](CO)O[C@@]1(CO)O[C@@H]1[C@H](O)[C@@H](O)[C@H](O)[C@@H](CO)O1 CZMRCDWAGMRECN-UGDNZRGBSA-N 0.000 description 2
- 229940123464 Thiazolidinedione Drugs 0.000 description 2
- 102100033451 Thyroid hormone receptor beta Human genes 0.000 description 2
- KJADKKWYZYXHBB-XBWDGYHZSA-N Topiramic acid Chemical compound C1O[C@@]2(COS(N)(=O)=O)OC(C)(C)O[C@H]2[C@@H]2OC(C)(C)O[C@@H]21 KJADKKWYZYXHBB-XBWDGYHZSA-N 0.000 description 2
- 102100040114 Trace amine-associated receptor 1 Human genes 0.000 description 2
- 102000008316 Type 4 Melanocortin Receptor Human genes 0.000 description 2
- 108010059705 Urocortins Proteins 0.000 description 2
- 102000005630 Urocortins Human genes 0.000 description 2
- 102000009659 Vesicular Monoamine Transport Proteins Human genes 0.000 description 2
- 108010020033 Vesicular Monoamine Transport Proteins Proteins 0.000 description 2
- 108010091383 Xanthine dehydrogenase Proteins 0.000 description 2
- 102000005773 Xanthine dehydrogenase Human genes 0.000 description 2
- 108010093894 Xanthine oxidase Proteins 0.000 description 2
- LNUFLCYMSVYYNW-ZPJMAFJPSA-N [(2r,3r,4s,5r,6r)-2-[(2r,3r,4s,5r,6r)-6-[(2r,3r,4s,5r,6r)-6-[(2r,3r,4s,5r,6r)-6-[[(3s,5s,8r,9s,10s,13r,14s,17r)-10,13-dimethyl-17-[(2r)-6-methylheptan-2-yl]-2,3,4,5,6,7,8,9,11,12,14,15,16,17-tetradecahydro-1h-cyclopenta[a]phenanthren-3-yl]oxy]-4,5-disulfo Chemical compound O([C@@H]1[C@@H](COS(O)(=O)=O)O[C@@H]([C@@H]([C@H]1OS(O)(=O)=O)OS(O)(=O)=O)O[C@@H]1[C@@H](COS(O)(=O)=O)O[C@@H]([C@@H]([C@H]1OS(O)(=O)=O)OS(O)(=O)=O)O[C@@H]1[C@@H](COS(O)(=O)=O)O[C@H]([C@@H]([C@H]1OS(O)(=O)=O)OS(O)(=O)=O)O[C@@H]1C[C@@H]2CC[C@H]3[C@@H]4CC[C@@H]([C@]4(CC[C@@H]3[C@@]2(C)CC1)C)[C@H](C)CCCC(C)C)[C@H]1O[C@H](COS(O)(=O)=O)[C@@H](OS(O)(=O)=O)[C@H](OS(O)(=O)=O)[C@H]1OS(O)(=O)=O LNUFLCYMSVYYNW-ZPJMAFJPSA-N 0.000 description 2
- 239000000205 acacia gum Substances 0.000 description 2
- 235000010489 acacia gum Nutrition 0.000 description 2
- 229960002632 acarbose Drugs 0.000 description 2
- XUFXOAAUWZOOIT-UHFFFAOYSA-N acarviostatin I01 Natural products OC1C(O)C(NC2C(C(O)C(O)C(CO)=C2)O)C(C)OC1OC(C(C1O)O)C(CO)OC1OC1C(CO)OC(O)C(O)C1O XUFXOAAUWZOOIT-UHFFFAOYSA-N 0.000 description 2
- MBMBGCFOFBJSGT-KUBAVDMBSA-N all-cis-docosa-4,7,10,13,16,19-hexaenoic acid Chemical compound CC\C=C/C\C=C/C\C=C/C\C=C/C\C=C/C\C=C/CCC(O)=O MBMBGCFOFBJSGT-KUBAVDMBSA-N 0.000 description 2
- XXROGKLTLUQVRX-UHFFFAOYSA-N allyl alcohol Chemical compound OCC=C XXROGKLTLUQVRX-UHFFFAOYSA-N 0.000 description 2
- KEJICOXJTRHYAK-XFULWGLBSA-N alogliptin benzoate Chemical compound OC(=O)C1=CC=CC=C1.C=1C=CC=C(C#N)C=1CN1C(=O)N(C)C(=O)C=C1N1CCC[C@@H](N)C1 KEJICOXJTRHYAK-XFULWGLBSA-N 0.000 description 2
- 229960000447 alogliptin benzoate Drugs 0.000 description 2
- 239000003888 alpha glucosidase inhibitor Substances 0.000 description 2
- 150000001408 amides Chemical class 0.000 description 2
- 150000001412 amines Chemical class 0.000 description 2
- 150000001450 anions Chemical class 0.000 description 2
- 230000000692 anti-sense effect Effects 0.000 description 2
- 239000003524 antilipemic agent Substances 0.000 description 2
- 230000036506 anxiety Effects 0.000 description 2
- 125000003118 aryl group Chemical group 0.000 description 2
- 210000000227 basophil cell of anterior lobe of hypophysis Anatomy 0.000 description 2
- WPYMKLBDIGXBTP-UHFFFAOYSA-N benzoic acid group Chemical group C(C1=CC=CC=C1)(=O)O WPYMKLBDIGXBTP-UHFFFAOYSA-N 0.000 description 2
- AGEZXYOZHKGVCM-UHFFFAOYSA-N benzyl bromide Chemical compound BrCC1=CC=CC=C1 AGEZXYOZHKGVCM-UHFFFAOYSA-N 0.000 description 2
- 125000001797 benzyl group Chemical group [H]C1=C([H])C([H])=C(C([H])=C1[H])C([H])([H])* 0.000 description 2
- WGQKYBSKWIADBV-UHFFFAOYSA-N benzylamine Chemical compound NCC1=CC=CC=C1 WGQKYBSKWIADBV-UHFFFAOYSA-N 0.000 description 2
- 229960000516 bezafibrate Drugs 0.000 description 2
- IIBYAHWJQTYFKB-UHFFFAOYSA-N bezafibrate Chemical compound C1=CC(OC(C)(C)C(O)=O)=CC=C1CCNC(=O)C1=CC=C(Cl)C=C1 IIBYAHWJQTYFKB-UHFFFAOYSA-N 0.000 description 2
- 230000015572 biosynthetic process Effects 0.000 description 2
- OZVBMTJYIDMWIL-AYFBDAFISA-N bromocriptine Chemical compound C1=CC(C=2[C@H](N(C)C[C@@H](C=2)C(=O)N[C@]2(C(=O)N3[C@H](C(N4CCC[C@H]4[C@]3(O)O2)=O)CC(C)C)C(C)C)C2)=C3C2=C(Br)NC3=C1 OZVBMTJYIDMWIL-AYFBDAFISA-N 0.000 description 2
- 229960002802 bromocriptine Drugs 0.000 description 2
- 239000004067 bulking agent Substances 0.000 description 2
- 239000002775 capsule Substances 0.000 description 2
- MVCQKIKWYUURMU-UHFFFAOYSA-N cetilistat Chemical compound C1=C(C)C=C2C(=O)OC(OCCCCCCCCCCCCCCCC)=NC2=C1 MVCQKIKWYUURMU-UHFFFAOYSA-N 0.000 description 2
- 229950002397 cetilistat Drugs 0.000 description 2
- 239000003354 cholesterol ester transfer protein inhibitor Substances 0.000 description 2
- 235000019417 choline salt Nutrition 0.000 description 2
- 208000020832 chronic kidney disease Diseases 0.000 description 2
- 229960000674 colesevelam hydrochloride Drugs 0.000 description 2
- 239000012230 colorless oil Substances 0.000 description 2
- 229940125904 compound 1 Drugs 0.000 description 2
- 229940126142 compound 16 Drugs 0.000 description 2
- 229940125782 compound 2 Drugs 0.000 description 2
- 229940126179 compound 72 Drugs 0.000 description 2
- VFLDPWHFBUODDF-FCXRPNKRSA-N curcumin Chemical compound C1=C(O)C(OC)=CC(\C=C\C(=O)CC(=O)\C=C\C=2C=C(OC)C(O)=CC=2)=C1 VFLDPWHFBUODDF-FCXRPNKRSA-N 0.000 description 2
- 125000004122 cyclic group Chemical group 0.000 description 2
- NKLCNNUWBJBICK-UHFFFAOYSA-N dess–martin periodinane Chemical compound C1=CC=C2I(OC(=O)C)(OC(C)=O)(OC(C)=O)OC(=O)C2=C1 NKLCNNUWBJBICK-UHFFFAOYSA-N 0.000 description 2
- 238000001514 detection method Methods 0.000 description 2
- 206010012601 diabetes mellitus Diseases 0.000 description 2
- 239000002934 diuretic Substances 0.000 description 2
- 229940030606 diuretics Drugs 0.000 description 2
- VYFYYTLLBUKUHU-UHFFFAOYSA-N dopamine Chemical compound NCCC1=CC=C(O)C(O)=C1 VYFYYTLLBUKUHU-UHFFFAOYSA-N 0.000 description 2
- 231100000673 dose–response relationship Toxicity 0.000 description 2
- 230000037149 energy metabolism Effects 0.000 description 2
- 150000002118 epoxides Chemical class 0.000 description 2
- 229950011248 eprotirome Drugs 0.000 description 2
- 229940105423 erythropoietin Drugs 0.000 description 2
- 108091008577 estrogen receptors gamma Proteins 0.000 description 2
- DTMGIJFHGGCSLO-FIAQIACWSA-N ethyl (4z,7z,10z,13z,16z,19z)-docosa-4,7,10,13,16,19-hexaenoate;ethyl (5z,8z,11z,14z,17z)-icosa-5,8,11,14,17-pentaenoate Chemical compound CCOC(=O)CCC\C=C/C\C=C/C\C=C/C\C=C/C\C=C/CC.CCOC(=O)CC\C=C/C\C=C/C\C=C/C\C=C/C\C=C/C\C=C/CC DTMGIJFHGGCSLO-FIAQIACWSA-N 0.000 description 2
- 125000004494 ethyl ester group Chemical group 0.000 description 2
- 229960001519 exenatide Drugs 0.000 description 2
- 108010046094 fatty-acid amide hydrolase Proteins 0.000 description 2
- 239000000706 filtrate Substances 0.000 description 2
- GNKDKYIHGQKHHM-RJKLHVOGSA-N ghrelin Chemical compound C([C@H](NC(=O)[C@@H](NC(=O)[C@H](CO)NC(=O)CN)COC(=O)CCCCCCC)C(=O)N[C@@H](CC(C)C)C(=O)N[C@@H](CO)C(=O)N1[C@@H](CCC1)C(=O)N[C@@H](CCC(O)=O)C(=O)N[C@@H](CC=1N=CNC=1)C(=O)N[C@@H](CCC(N)=O)C(=O)N[C@@H](CCCNC(N)=N)C(=O)N[C@@H](C(C)C)C(=O)N[C@@H](CCC(N)=O)C(=O)N[C@@H](CCC(N)=O)C(=O)N[C@@H](CCCNC(N)=N)C(=O)N[C@@H](CCCCN)C(=O)N[C@@H](CCC(O)=O)C(=O)N[C@@H](CO)C(=O)N[C@@H](CCCCN)C(=O)N[C@@H](CCCCN)C(=O)N1[C@@H](CCC1)C(=O)N1[C@@H](CCC1)C(=O)N[C@@H](C)C(=O)N[C@@H](CCCCN)C(=O)N[C@@H](CC(C)C)C(=O)N[C@@H](CCC(N)=O)C(=O)N1[C@@H](CCC1)C(=O)N[C@@H](CCCNC(N)=N)C(O)=O)C1=CC=CC=C1 GNKDKYIHGQKHHM-RJKLHVOGSA-N 0.000 description 2
- 230000006377 glucose transport Effects 0.000 description 2
- 239000000122 growth hormone Substances 0.000 description 2
- 125000001072 heteroaryl group Chemical group 0.000 description 2
- 229940088597 hormone Drugs 0.000 description 2
- 239000005556 hormone Substances 0.000 description 2
- 102000055699 human FGFR4 Human genes 0.000 description 2
- 230000002102 hyperpolarization Effects 0.000 description 2
- 229940126904 hypoglycaemic agent Drugs 0.000 description 2
- KPRTURMJVWXURQ-UHFFFAOYSA-N ibrolipim Chemical compound C1=CC(CP(=O)(OCC)OCC)=CC=C1C(=O)NC1=CC=C(Br)C=C1C#N KPRTURMJVWXURQ-UHFFFAOYSA-N 0.000 description 2
- 229950005809 implitapide Drugs 0.000 description 2
- 238000000338 in vitro Methods 0.000 description 2
- 238000001727 in vivo Methods 0.000 description 2
- 239000000411 inducer Substances 0.000 description 2
- 229960002068 insulin lispro Drugs 0.000 description 2
- 230000003914 insulin secretion Effects 0.000 description 2
- UGOZVNFCFYTPAZ-IOXYNQHNSA-N levemir Chemical compound CCCCCCCCCCCCCC(=O)NCCCC[C@@H](C(O)=O)NC(=O)[C@@H]1CCCN1C(=O)[C@H]([C@@H](C)O)NC(=O)[C@@H](NC(=O)[C@H](CC=1C=CC=CC=1)NC(=O)[C@H](CC=1C=CC=CC=1)NC(=O)CNC(=O)[C@H](CCCNC(N)=N)NC(=O)[C@H](CCC(O)=O)NC(=O)CNC(=O)[C@H]1NC(=O)[C@H](C(C)C)NC(=O)[C@H](CC(C)C)NC(=O)[C@H](CC=2C=CC(O)=CC=2)NC(=O)[C@H](CC(C)C)NC(=O)[C@H](C)NC(=O)[C@H](CCC(O)=O)NC(=O)[C@H](C(C)C)NC(=O)[C@H](CC(C)C)NC(=O)[C@H](CC=2N=CNC=2)NC(=O)[C@H](CO)NC(=O)CNC(=O)[C@@H](NC(=O)[C@H](CC(C)C)NC(=O)[C@H](CC=2N=CNC=2)NC(=O)[C@H](CCC(N)=O)NC(=O)[C@H](CC(N)=O)NC(=O)[C@@H](NC(=O)[C@@H](N)CC=2C=CC=CC=2)C(C)C)CSSC[C@@H]2NC(=O)[C@@H](NC(=O)[C@H](CCC(N)=O)NC(=O)[C@H](CCC(O)=O)NC(=O)[C@@H](NC(=O)[C@@H](NC(=O)CN)[C@@H](C)CC)C(C)C)CSSC[C@H](NC(=O)[C@H]([C@@H](C)CC)NC(=O)[C@H](CO)NC(=O)[C@H]([C@@H](C)O)NC2=O)C(=O)N[C@@H](CO)C(=O)N[C@@H](CC(C)C)C(=O)N[C@@H](CC=2C=CC(O)=CC=2)C(=O)N[C@@H](CCC(N)=O)C(=O)N[C@@H](CC(C)C)C(=O)N[C@@H](CCC(O)=O)C(=O)N[C@@H](CC(N)=O)C(=O)N[C@@H](CC=2C=CC(O)=CC=2)C(=O)N[C@@H](CSSC1)C(=O)N[C@@H](CC(N)=O)C(O)=O)CC1=CC=C(O)C=C1 UGOZVNFCFYTPAZ-IOXYNQHNSA-N 0.000 description 2
- 229960002397 linagliptin Drugs 0.000 description 2
- 102000004311 liver X receptors Human genes 0.000 description 2
- 108090000865 liver X receptors Proteins 0.000 description 2
- 229960001093 lixisenatide Drugs 0.000 description 2
- 108010004367 lixisenatide Proteins 0.000 description 2
- CHHXEZSCHQVSRE-UHFFFAOYSA-N lobeglitazone Chemical compound C1=CC(OC)=CC=C1OC1=CC(N(C)CCOC=2C=CC(CC3C(NC(=O)S3)=O)=CC=2)=NC=N1 CHHXEZSCHQVSRE-UHFFFAOYSA-N 0.000 description 2
- 229950007685 lobeglitazone Drugs 0.000 description 2
- QKVKOFVWUHNEBX-UHFFFAOYSA-N lomitapide mesylate Chemical compound CS(O)(=O)=O.C12=CC=CC=C2C2=CC=CC=C2C1(C(=O)NCC(F)(F)F)CCCCN(CC1)CCC1NC(=O)C1=CC=CC=C1C1=CC=C(C(F)(F)F)C=C1 QKVKOFVWUHNEBX-UHFFFAOYSA-N 0.000 description 2
- ITIHHRMYZPNGRC-QRPNPIFTSA-N lorcaserin hydrochloride Chemical compound Cl.C[C@H]1CNCCC2=CC=C(Cl)C=C12 ITIHHRMYZPNGRC-QRPNPIFTSA-N 0.000 description 2
- 239000011777 magnesium Substances 0.000 description 2
- 229910052943 magnesium sulfate Inorganic materials 0.000 description 2
- 235000019341 magnesium sulphate Nutrition 0.000 description 2
- 235000012054 meals Nutrition 0.000 description 2
- 229950004994 meglitinide Drugs 0.000 description 2
- ORRDHOMWDPJSNL-UHFFFAOYSA-N melanin concentrating hormone Chemical compound N1C(=O)C(C(C)C)NC(=O)C(CCCNC(N)=N)NC(=O)CNC(=O)C(C(C)C)NC(=O)C(CCSC)NC(=O)C(NC(=O)C(CCCNC(N)=N)NC(=O)C(NC(=O)C(NC(=O)C(N)CC(O)=O)C(C)O)CCSC)CSSCC(C(=O)NC(CC=2C3=CC=CC=C3NC=2)C(=O)NC(CCC(O)=O)C(=O)NC(C(C)C)C(O)=O)NC(=O)C2CCCN2C(=O)C(CCCNC(N)=N)NC(=O)C1CC1=CC=C(O)C=C1 ORRDHOMWDPJSNL-UHFFFAOYSA-N 0.000 description 2
- 229950009585 melogliptin Drugs 0.000 description 2
- 125000002496 methyl group Chemical group [H]C([H])([H])* 0.000 description 2
- 230000003228 microsomal effect Effects 0.000 description 2
- 229960001110 miglitol Drugs 0.000 description 2
- 108091060283 mipomersen Proteins 0.000 description 2
- RHLMXWCISNJNDH-UHFFFAOYSA-N n-[2-[3-[[5-[3-(dimethylcarbamoyl)phenyl]-2-methoxyphenyl]sulfonylamino]anilino]ethyl]-3-methylbenzamide Chemical compound COC1=CC=C(C=2C=C(C=CC=2)C(=O)N(C)C)C=C1S(=O)(=O)NC(C=1)=CC=CC=1NCCNC(=O)C1=CC=CC(C)=C1 RHLMXWCISNJNDH-UHFFFAOYSA-N 0.000 description 2
- YBWLTKFZAOSWSM-UHFFFAOYSA-N n-[6-methoxy-5-(2-methoxyphenoxy)-2-pyridin-4-ylpyrimidin-4-yl]-5-methylpyridine-2-sulfonamide Chemical compound COC1=CC=CC=C1OC(C(=NC(=N1)C=2C=CN=CC=2)OC)=C1NS(=O)(=O)C1=CC=C(C)C=N1 YBWLTKFZAOSWSM-UHFFFAOYSA-N 0.000 description 2
- 108010089579 neuropeptide Y2 receptor Proteins 0.000 description 2
- 235000020660 omega-3 fatty acid Nutrition 0.000 description 2
- 229940012843 omega-3 fatty acid Drugs 0.000 description 2
- 239000004031 partial agonist Substances 0.000 description 2
- 229960003562 phentermine Drugs 0.000 description 2
- PMOIAJVKYNVHQE-UHFFFAOYSA-N phosphanium;bromide Chemical compound [PH4+].[Br-] PMOIAJVKYNVHQE-UHFFFAOYSA-N 0.000 description 2
- 102000020233 phosphotransferase Human genes 0.000 description 2
- BITYAPCSNKJESK-UHFFFAOYSA-N potassiosodium Chemical compound [Na].[K] BITYAPCSNKJESK-UHFFFAOYSA-N 0.000 description 2
- 229910052700 potassium Inorganic materials 0.000 description 2
- 239000011591 potassium Substances 0.000 description 2
- SCVFZCLFOSHCOH-UHFFFAOYSA-M potassium acetate Chemical compound [K+].CC([O-])=O SCVFZCLFOSHCOH-UHFFFAOYSA-M 0.000 description 2
- OXCMYAYHXIHQOA-UHFFFAOYSA-N potassium;[2-butyl-5-chloro-3-[[4-[2-(1,2,4-triaza-3-azanidacyclopenta-1,4-dien-5-yl)phenyl]phenyl]methyl]imidazol-4-yl]methanol Chemical compound [K+].CCCCC1=NC(Cl)=C(CO)N1CC1=CC=C(C=2C(=CC=CC=2)C2=N[N-]N=N2)C=C1 OXCMYAYHXIHQOA-UHFFFAOYSA-N 0.000 description 2
- 239000002243 precursor Substances 0.000 description 2
- 102000004169 proteins and genes Human genes 0.000 description 2
- LXNHXLLTXMVWPM-UHFFFAOYSA-N pyridoxine Chemical compound CC1=NC=C(CO)C(CO)=C1O LXNHXLLTXMVWPM-UHFFFAOYSA-N 0.000 description 2
- 150000003248 quinolines Chemical class 0.000 description 2
- 230000035484 reaction time Effects 0.000 description 2
- 229960002354 repaglinide Drugs 0.000 description 2
- XMSXOLDPMGMWTH-UHFFFAOYSA-N rivoglitazone Chemical compound CN1C2=CC(OC)=CC=C2N=C1COC(C=C1)=CC=C1CC1SC(=O)NC1=O XMSXOLDPMGMWTH-UHFFFAOYSA-N 0.000 description 2
- 229960004586 rosiglitazone Drugs 0.000 description 2
- QGJUIPDUBHWZPV-SGTAVMJGSA-N saxagliptin Chemical compound C1C(C2)CC(C3)CC2(O)CC13[C@H](N)C(=O)N1[C@H](C#N)C[C@@H]2C[C@@H]21 QGJUIPDUBHWZPV-SGTAVMJGSA-N 0.000 description 2
- 229960004937 saxagliptin Drugs 0.000 description 2
- 108010033693 saxagliptin Proteins 0.000 description 2
- 239000000849 selective androgen receptor modulator Substances 0.000 description 2
- 229940076279 serotonin Drugs 0.000 description 2
- 239000003772 serotonin uptake inhibitor Substances 0.000 description 2
- 229960004115 sitagliptin phosphate Drugs 0.000 description 2
- 229940126121 sodium channel inhibitor Drugs 0.000 description 2
- GEHJYWRUCIMESM-UHFFFAOYSA-L sodium sulfite Chemical class [Na+].[Na+].[O-]S([O-])=O GEHJYWRUCIMESM-UHFFFAOYSA-L 0.000 description 2
- LLDXOPKUNJTIRF-QFIPXVFZSA-N solabegron Chemical compound C([C@H](O)C=1C=C(Cl)C=CC=1)NCCNC(C=1)=CC=CC=1C1=CC=CC(C(O)=O)=C1 LLDXOPKUNJTIRF-QFIPXVFZSA-N 0.000 description 2
- 239000002904 solvent Substances 0.000 description 2
- NHXLMOGPVYXJNR-ATOGVRKGSA-N somatostatin Chemical compound C([C@H]1C(=O)N[C@H](C(N[C@@H](CO)C(=O)N[C@@H](CSSC[C@@H](C(=O)N[C@@H](CCCCN)C(=O)N[C@@H](CC(N)=O)C(=O)N[C@@H](CC=2C=CC=CC=2)C(=O)N[C@@H](CC=2C=CC=CC=2)C(=O)N[C@@H](CC=2C3=CC=CC=C3NC=2)C(=O)N[C@@H](CCCCN)C(=O)N[C@H](C(=O)N1)[C@@H](C)O)NC(=O)CNC(=O)[C@H](C)N)C(O)=O)=O)[C@H](O)C)C1=CC=CC=C1 NHXLMOGPVYXJNR-ATOGVRKGSA-N 0.000 description 2
- 229960000553 somatostatin Drugs 0.000 description 2
- 102000004052 somatostatin receptor 2 Human genes 0.000 description 2
- 108090000586 somatostatin receptor 2 Proteins 0.000 description 2
- 102000004115 somatostatin receptor 5 Human genes 0.000 description 2
- 108090000680 somatostatin receptor 5 Proteins 0.000 description 2
- 239000004059 squalene synthase inhibitor Substances 0.000 description 2
- 239000007858 starting material Substances 0.000 description 2
- 239000005720 sucrose Substances 0.000 description 2
- 150000003462 sulfoxides Chemical class 0.000 description 2
- 229950003174 surinabant Drugs 0.000 description 2
- 238000003786 synthesis reaction Methods 0.000 description 2
- RTZRUVMEWWPNRR-UHFFFAOYSA-N tert-butyl n-(3-iodo-1h-pyrrolo[2,3-b]pyridin-5-yl)carbamate Chemical compound CC(C)(C)OC(=O)NC1=CN=C2NC=C(I)C2=C1 RTZRUVMEWWPNRR-UHFFFAOYSA-N 0.000 description 2
- 238000002560 therapeutic procedure Methods 0.000 description 2
- 108091008762 thyroid hormone receptors ß Proteins 0.000 description 2
- JOXIMZWYDAKGHI-UHFFFAOYSA-N toluene-4-sulfonic acid Chemical compound CC1=CC=C(S(O)(=O)=O)C=C1 JOXIMZWYDAKGHI-UHFFFAOYSA-N 0.000 description 2
- 229960004394 topiramate Drugs 0.000 description 2
- 229940071546 trilipix Drugs 0.000 description 2
- RIOQSEWOXXDEQQ-UHFFFAOYSA-N triphenylphosphine Chemical compound C1=CC=CC=C1P(C=1C=CC=CC=1)C1=CC=CC=C1 RIOQSEWOXXDEQQ-UHFFFAOYSA-N 0.000 description 2
- 125000002221 trityl group Chemical group [H]C1=C([H])C([H])=C([H])C([H])=C1C([*])(C1=C(C(=C(C(=C1[H])[H])[H])[H])[H])C1=C([H])C([H])=C([H])C([H])=C1[H] 0.000 description 2
- GXPHKUHSUJUWKP-UHFFFAOYSA-N troglitazone Chemical compound C1CC=2C(C)=C(O)C(C)=C(C)C=2OC1(C)COC(C=C1)=CC=C1CC1SC(=O)NC1=O GXPHKUHSUJUWKP-UHFFFAOYSA-N 0.000 description 2
- 229960001641 troglitazone Drugs 0.000 description 2
- GXPHKUHSUJUWKP-NTKDMRAZSA-N troglitazone Natural products C([C@@]1(OC=2C(C)=C(C(=C(C)C=2CC1)O)C)C)OC(C=C1)=CC=C1C[C@H]1SC(=O)NC1=O GXPHKUHSUJUWKP-NTKDMRAZSA-N 0.000 description 2
- 239000000777 urocortin Substances 0.000 description 2
- SYOKIDBDQMKNDQ-XWTIBIIYSA-N vildagliptin Chemical compound C1C(O)(C2)CC(C3)CC1CC32NCC(=O)N1CCC[C@H]1C#N SYOKIDBDQMKNDQ-XWTIBIIYSA-N 0.000 description 2
- 239000000664 voltage gated sodium channel blocking agent Substances 0.000 description 2
- 239000003643 water by type Substances 0.000 description 2
- DBGIVFWFUFKIQN-VIFPVBQESA-N (+)-Fenfluramine Chemical compound CCN[C@@H](C)CC1=CC=CC(C(F)(F)F)=C1 DBGIVFWFUFKIQN-VIFPVBQESA-N 0.000 description 1
- DBGIVFWFUFKIQN-UHFFFAOYSA-N (+-)-Fenfluramine Chemical group CCNC(C)CC1=CC=CC(C(F)(F)F)=C1 DBGIVFWFUFKIQN-UHFFFAOYSA-N 0.000 description 1
- JWZZKOKVBUJMES-UHFFFAOYSA-N (+-)-Isoprenaline Chemical compound CC(C)NCC(O)C1=CC=C(O)C(O)=C1 JWZZKOKVBUJMES-UHFFFAOYSA-N 0.000 description 1
- SFLSHLFXELFNJZ-QMMMGPOBSA-N (-)-norepinephrine Chemical compound NC[C@H](O)C1=CC=C(O)C(O)=C1 SFLSHLFXELFNJZ-QMMMGPOBSA-N 0.000 description 1
- IOQRTGZPCYYQLE-RTBURBONSA-N (1r,2r)-2-[4-[3-fluoro-4-[(6-fluoro-1,3-benzothiazol-2-yl)amino]phenyl]benzoyl]cyclopentane-1-carboxylic acid Chemical compound OC(=O)[C@@H]1CCC[C@H]1C(=O)C1=CC=C(C=2C=C(F)C(NC=3SC4=CC(F)=CC=C4N=3)=CC=2)C=C1 IOQRTGZPCYYQLE-RTBURBONSA-N 0.000 description 1
- BSMNRYCSBFHEMQ-KCJUWKMLSA-N (1r,5s)-1-(3,4-dichlorophenyl)-3-azabicyclo[3.1.0]hexane Chemical compound C1=C(Cl)C(Cl)=CC=C1[C@]1(CNC2)[C@@H]2C1 BSMNRYCSBFHEMQ-KCJUWKMLSA-N 0.000 description 1
- SZUVGFMDDVSKSI-WIFOCOSTSA-N (1s,2s,3s,5r)-1-(carboxymethyl)-3,5-bis[(4-phenoxyphenyl)methyl-propylcarbamoyl]cyclopentane-1,2-dicarboxylic acid Chemical compound O=C([C@@H]1[C@@H]([C@](CC(O)=O)([C@H](C(=O)N(CCC)CC=2C=CC(OC=3C=CC=CC=3)=CC=2)C1)C(O)=O)C(O)=O)N(CCC)CC(C=C1)=CC=C1OC1=CC=CC=C1 SZUVGFMDDVSKSI-WIFOCOSTSA-N 0.000 description 1
- HFVMEOPYDLEHBR-UHFFFAOYSA-N (2-fluorophenyl)-phenylmethanol Chemical compound C=1C=CC=C(F)C=1C(O)C1=CC=CC=C1 HFVMEOPYDLEHBR-UHFFFAOYSA-N 0.000 description 1
- VGSSUFQMXBFFTM-UHFFFAOYSA-N (24R)-24-ethyl-5alpha-cholestane-3beta,5,6beta-triol Natural products C1C(O)C2(O)CC(O)CCC2(C)C2C1C1CCC(C(C)CCC(CC)C(C)C)C1(C)CC2 VGSSUFQMXBFFTM-UHFFFAOYSA-N 0.000 description 1
- GHYOCDFICYLMRF-UTIIJYGPSA-N (2S,3R)-N-[(2S)-3-(cyclopenten-1-yl)-1-[(2R)-2-methyloxiran-2-yl]-1-oxopropan-2-yl]-3-hydroxy-3-(4-methoxyphenyl)-2-[[(2S)-2-[(2-morpholin-4-ylacetyl)amino]propanoyl]amino]propanamide Chemical compound C1(=CCCC1)C[C@@H](C(=O)[C@@]1(OC1)C)NC([C@H]([C@@H](C1=CC=C(C=C1)OC)O)NC([C@H](C)NC(CN1CCOCC1)=O)=O)=O GHYOCDFICYLMRF-UTIIJYGPSA-N 0.000 description 1
- XMAYWYJOQHXEEK-ZEQKJWHPSA-N (2S,4R)-ketoconazole Chemical compound C1CN(C(=O)C)CCN1C(C=C1)=CC=C1OC[C@H]1O[C@](CN2C=NC=C2)(C=2C(=CC(Cl)=CC=2)Cl)OC1 XMAYWYJOQHXEEK-ZEQKJWHPSA-N 0.000 description 1
- DBSABEYSGXPBTA-RXSVEWSESA-N (2r)-2-[(1s)-1,2-dihydroxyethyl]-3,4-dihydroxy-2h-furan-5-one;phosphoric acid Chemical compound OP(O)(O)=O.OC[C@H](O)[C@H]1OC(=O)C(O)=C1O DBSABEYSGXPBTA-RXSVEWSESA-N 0.000 description 1
- BUHVIAUBTBOHAG-FOYDDCNASA-N (2r,3r,4s,5r)-2-[6-[[2-(3,5-dimethoxyphenyl)-2-(2-methylphenyl)ethyl]amino]purin-9-yl]-5-(hydroxymethyl)oxolane-3,4-diol Chemical compound COC1=CC(OC)=CC(C(CNC=2C=3N=CN(C=3N=CN=2)[C@H]2[C@@H]([C@H](O)[C@@H](CO)O2)O)C=2C(=CC=CC=2)C)=C1 BUHVIAUBTBOHAG-FOYDDCNASA-N 0.000 description 1
- VRHOBXXCNBZJRX-IBGZPJMESA-N (2s)-2-[[3-[[4-(4-fluorophenoxy)phenyl]methylcarbamoyl]-4-methoxyphenyl]methyl]butanoic acid Chemical compound CC[C@H](C(O)=O)CC1=CC=C(OC)C(C(=O)NCC=2C=CC(OC=3C=CC(F)=CC=3)=CC=2)=C1 VRHOBXXCNBZJRX-IBGZPJMESA-N 0.000 description 1
- VVQIIIAZJXTLRE-QMMMGPOBSA-N (2s)-2-amino-6-[(2-methylpropan-2-yl)oxycarbonylamino]hexanoic acid Chemical compound CC(C)(C)OC(=O)NCCCC[C@H](N)C(O)=O VVQIIIAZJXTLRE-QMMMGPOBSA-N 0.000 description 1
- SNZIFNXFAFKRKT-NSHDSACASA-N (2s)-2-azaniumyl-3-[4-[(2-methylpropan-2-yl)oxy]phenyl]propanoate Chemical compound CC(C)(C)OC1=CC=C(C[C@H]([NH3+])C([O-])=O)C=C1 SNZIFNXFAFKRKT-NSHDSACASA-N 0.000 description 1
- KWSPYUOBNIMILB-SANMLTNESA-N (2s)-2-methyl-3-[4-[2-(5-methyl-2-thiophen-2-yl-1,3-oxazol-4-yl)ethoxy]phenyl]-2-phenoxypropanoic acid Chemical compound O([C@@](C)(CC1=CC=C(C=C1)OCCC=1N=C(OC=1C)C=1SC=CC=1)C(O)=O)C1=CC=CC=C1 KWSPYUOBNIMILB-SANMLTNESA-N 0.000 description 1
- LOGFVTREOLYCPF-KXNHARMFSA-N (2s,3r)-2-[[(2r)-1-[(2s)-2,6-diaminohexanoyl]pyrrolidine-2-carbonyl]amino]-3-hydroxybutanoic acid Chemical compound C[C@@H](O)[C@@H](C(O)=O)NC(=O)[C@H]1CCCN1C(=O)[C@@H](N)CCCCN LOGFVTREOLYCPF-KXNHARMFSA-N 0.000 description 1
- ONOURAAVVKGJNM-SCZZXKLOSA-N (2s,3r)-2-azaniumyl-3-phenylmethoxybutanoate Chemical compound [O-]C(=O)[C@@H]([NH3+])[C@@H](C)OCC1=CC=CC=C1 ONOURAAVVKGJNM-SCZZXKLOSA-N 0.000 description 1
- OSCCDBFHNMXNME-WDCZJNDASA-N (2s,3s,4r)-2-amino-4-hydroxy-3-methylpentanoic acid Chemical compound C[C@@H](O)[C@@H](C)[C@H](N)C(O)=O OSCCDBFHNMXNME-WDCZJNDASA-N 0.000 description 1
- IZRXENCTXNMAMI-DIJFLQFKSA-N (2s,3s,4r,5r)-2-[(2-fluorophenyl)sulfanylmethyl]-5-[6-[[(1r,2r)-2-hydroxycyclopentyl]amino]purin-9-yl]oxolane-3,4-diol Chemical compound O[C@@H]1CCC[C@H]1NC1=NC=NC2=C1N=CN2[C@H]1[C@H](O)[C@H](O)[C@@H](CSC=2C(=CC=CC=2)F)O1 IZRXENCTXNMAMI-DIJFLQFKSA-N 0.000 description 1
- NPBCMXATLRCCLF-IRRLEISYSA-N (2s,4r)-4-[(3r,5s,6r,7r,8r,9s,10s,12s,13r,14s,17r)-6-ethyl-3,7,12-trihydroxy-10,13-dimethyl-2,3,4,5,6,7,8,9,11,12,14,15,16,17-tetradecahydro-1h-cyclopenta[a]phenanthren-17-yl]-2-methylpentanoic acid Chemical compound C([C@@]12C)C[C@@H](O)C[C@H]1[C@@H](CC)[C@@H](O)[C@@H]1[C@@H]2C[C@H](O)[C@]2(C)[C@@H]([C@H](C)C[C@H](C)C(O)=O)CC[C@H]21 NPBCMXATLRCCLF-IRRLEISYSA-N 0.000 description 1
- FNHHVPPSBFQMEL-KQHDFZBMSA-N (3S)-5-N-[(1S,5R)-3-hydroxy-6-bicyclo[3.1.0]hexanyl]-7-N,3-dimethyl-3-phenyl-2H-1-benzofuran-5,7-dicarboxamide Chemical compound CNC(=O)c1cc(cc2c1OC[C@@]2(C)c1ccccc1)C(=O)NC1[C@H]2CC(O)C[C@@H]12 FNHHVPPSBFQMEL-KQHDFZBMSA-N 0.000 description 1
- RUDATBOHQWOJDD-UHFFFAOYSA-N (3beta,5beta,7alpha)-3,7-Dihydroxycholan-24-oic acid Natural products OC1CC2CC(O)CCC2(C)C2C1C1CCC(C(CCC(O)=O)C)C1(C)CC2 RUDATBOHQWOJDD-UHFFFAOYSA-N 0.000 description 1
- HLCHESOMJVGDSJ-LOYHVIPDSA-N (3r)-n-[(2r)-3-(4-chlorophenyl)-1-[4-cyclohexyl-4-(1,2,4-triazol-1-ylmethyl)piperidin-1-yl]-1-oxopropan-2-yl]-1,2,3,4-tetrahydroisoquinoline-3-carboxamide Chemical compound C1=CC(Cl)=CC=C1C[C@H](C(=O)N1CCC(CN2N=CN=C2)(CC1)C1CCCCC1)NC(=O)[C@@H]1NCC2=CC=CC=C2C1 HLCHESOMJVGDSJ-LOYHVIPDSA-N 0.000 description 1
- STPKWKPURVSAJF-LJEWAXOPSA-N (4r,5r)-5-[4-[[4-(1-aza-4-azoniabicyclo[2.2.2]octan-4-ylmethyl)phenyl]methoxy]phenyl]-3,3-dibutyl-7-(dimethylamino)-1,1-dioxo-4,5-dihydro-2h-1$l^{6}-benzothiepin-4-ol Chemical compound O[C@H]1C(CCCC)(CCCC)CS(=O)(=O)C2=CC=C(N(C)C)C=C2[C@H]1C(C=C1)=CC=C1OCC(C=C1)=CC=C1C[N+]1(CC2)CCN2CC1 STPKWKPURVSAJF-LJEWAXOPSA-N 0.000 description 1
- ZROLHBHDLIHEMS-HUUCEWRRSA-N (6ar,10ar)-6,6,9-trimethyl-3-propyl-6a,7,8,10a-tetrahydrobenzo[c]chromen-1-ol Chemical compound C1=C(C)CC[C@H]2C(C)(C)OC3=CC(CCC)=CC(O)=C3[C@@H]21 ZROLHBHDLIHEMS-HUUCEWRRSA-N 0.000 description 1
- PHIQHXFUZVPYII-ZCFIWIBFSA-O (R)-carnitinium Chemical compound C[N+](C)(C)C[C@H](O)CC(O)=O PHIQHXFUZVPYII-ZCFIWIBFSA-O 0.000 description 1
- NSMXQKNUPPXBRG-SECBINFHSA-N (R)-lisofylline Chemical group O=C1N(CCCC[C@H](O)C)C(=O)N(C)C2=C1N(C)C=N2 NSMXQKNUPPXBRG-SECBINFHSA-N 0.000 description 1
- WHTVZRBIWZFKQO-AWEZNQCLSA-N (S)-chloroquine Chemical compound ClC1=CC=C2C(N[C@@H](C)CCCN(CC)CC)=CC=NC2=C1 WHTVZRBIWZFKQO-AWEZNQCLSA-N 0.000 description 1
- BJEPYKJPYRNKOW-REOHCLBHSA-N (S)-malic acid Chemical compound OC(=O)[C@@H](O)CC(O)=O BJEPYKJPYRNKOW-REOHCLBHSA-N 0.000 description 1
- QAMJBKXUQQOLPQ-AQRBRUGDSA-N (e,3r,5s)-7-[4-(4-fluorophenyl)-2-[methyl-(2-methyl-1,2,4-triazol-3-yl)amino]-6-propan-2-ylpyrimidin-5-yl]-3,5-dihydroxyhept-6-enoic acid Chemical compound OC(=O)C[C@H](O)C[C@H](O)/C=C/C=1C(C(C)C)=NC(N(C)C=2N(N=CN=2)C)=NC=1C1=CC=C(F)C=C1 QAMJBKXUQQOLPQ-AQRBRUGDSA-N 0.000 description 1
- 125000003088 (fluoren-9-ylmethoxy)carbonyl group Chemical group 0.000 description 1
- 125000004814 1,1-dimethylethylene group Chemical group [H]C([H])([H])C([*:1])(C([H])([H])[H])C([H])([H])[*:2] 0.000 description 1
- ZOBPZXTWZATXDG-UHFFFAOYSA-N 1,3-thiazolidine-2,4-dione Chemical compound O=C1CSC(=O)N1 ZOBPZXTWZATXDG-UHFFFAOYSA-N 0.000 description 1
- AKMNUCBQGHFICM-UHFFFAOYSA-N 1-(2-methyl-1,3-benzoxazol-6-yl)-3-(1,5-naphthyridin-4-yl)urea Chemical compound C1=CN=C2C(NC(=O)NC3=CC=C4N=C(OC4=C3)C)=CC=NC2=C1 AKMNUCBQGHFICM-UHFFFAOYSA-N 0.000 description 1
- OMXRTIUYSHDUTH-UHFFFAOYSA-N 1-(3-ethyl-1-benzofuran-7-yl)piperazine;oxalic acid Chemical compound OC(=O)C(O)=O.C1=CC=C2C(CC)=COC2=C1N1CCNCC1 OMXRTIUYSHDUTH-UHFFFAOYSA-N 0.000 description 1
- IJUQCWMZCMFFJP-GQSLRNSLSA-N 1-[(2R,4S,5R)-4-[[(2R,3S,5R)-3-[[(2R,3S,5R)-3-[[(2R,3S,5R)-5-(4-amino-5-methyl-2-oxopyrimidin-1-yl)-3-[[(2R,3S,5R)-5-(4-amino-5-methyl-2-oxopyrimidin-1-yl)-3-[[(2R,3S,5R)-3-[[(2R,3S,5R)-3-[[(2R,3S,5R)-5-(4-amino-5-methyl-2-oxopyrimidin-1-yl)-3-[[(2R,3R,4R,5R)-3-[[(2R,3R,4R,5R)-3-[[(2R,3R,4R,5R)-3-[[(2R,3R,4R,5R)-5-(6-aminopurin-9-yl)-3-[hydroxy-[[(2R,3R,4R,5R)-3-hydroxy-4-(2-methoxyethoxy)-5-(5-methyl-2,4-dioxopyrimidin-1-yl)oxolan-2-yl]methoxy]phosphinothioyl]oxy-4-(2-methoxyethoxy)oxolan-2-yl]methoxy-hydroxyphosphinothioyl]oxy-4-(2-methoxyethoxy)-5-(5-methyl-2,4-dioxopyrimidin-1-yl)oxolan-2-yl]methoxy-hydroxyphosphinothioyl]oxy-4-(2-methoxyethoxy)-5-(5-methyl-2,4-dioxopyrimidin-1-yl)oxolan-2-yl]methoxy-hydroxyphosphinothioyl]oxy-4-(2-methoxyethoxy)-5-(5-methyl-2,4-dioxopyrimidin-1-yl)oxolan-2-yl]methoxy-hydroxyphosphinothioyl]oxyoxolan-2-yl]methoxy-hydroxyphosphinothioyl]oxy-5-(2-amino-6-oxo-1H-purin-9-yl)oxolan-2-yl]methoxy-hydroxyphosphinothioyl]oxy-5-(6-aminopurin-9-yl)oxolan-2-yl]methoxy-hydroxyphosphinothioyl]oxyoxolan-2-yl]methoxy-hydroxyphosphinothioyl]oxyoxolan-2-yl]methoxy-hydroxyphosphinothioyl]oxy-5-(5-methyl-2,4-dioxopyrimidin-1-yl)oxolan-2-yl]methoxy-hydroxyphosphinothioyl]oxy-5-(2-amino-6-oxo-1H-purin-9-yl)oxolan-2-yl]methoxy-hydroxyphosphinothioyl]oxy-5-[[[(2R,3S,5R)-2-[[[(2R,3S,5R)-5-(4-amino-5-methyl-2-oxopyrimidin-1-yl)-2-[[[(2R,3R,4R,5R)-2-[[[(2R,3R,4R,5R)-2-[[[(2R,3R,4R,5R)-5-(4-amino-5-methyl-2-oxopyrimidin-1-yl)-2-[[[(2R,3R,4R,5R)-5-(2-amino-6-oxo-1H-purin-9-yl)-2-[[[(2R,3R,4R,5R)-5-(6-aminopurin-9-yl)-2-(hydroxymethyl)-4-(2-methoxyethoxy)oxolan-3-yl]oxy-hydroxyphosphinothioyl]oxymethyl]-4-(2-methoxyethoxy)oxolan-3-yl]oxy-sulfanylphosphoryl]oxymethyl]-4-(2-methoxyethoxy)oxolan-3-yl]oxy-hydroxyphosphinothioyl]oxymethyl]-4-(2-methoxyethoxy)-5-(5-methyl-2,4-dioxopyrimidin-1-yl)oxolan-3-yl]oxy-hydroxyphosphinothioyl]oxymethyl]-4-(2-methoxyethoxy)-5-(5-methyl-2,4-dioxopyrimidin-1-yl)oxolan-3-yl]oxy-hydroxyphosphinothioyl]oxymethyl]oxolan-3-yl]oxy-hydroxyphosphinothioyl]oxymethyl]-5-(5-methyl-2,4-dioxopyrimidin-1-yl)oxolan-3-yl]oxy-hydroxyphosphinothioyl]oxymethyl]oxolan-2-yl]-5-methylpyrimidine-2,4-dione Chemical compound COCCO[C@@H]1[C@H](O)[C@@H](COP(O)(=S)O[C@@H]2[C@@H](COP(O)(=S)O[C@@H]3[C@@H](COP(O)(=S)O[C@@H]4[C@@H](COP(O)(=S)O[C@@H]5[C@@H](COP(O)(=S)O[C@H]6C[C@@H](O[C@@H]6COP(O)(=S)O[C@H]6C[C@@H](O[C@@H]6COP(O)(=S)O[C@H]6C[C@@H](O[C@@H]6COP(O)(=S)O[C@H]6C[C@@H](O[C@@H]6COP(O)(=S)O[C@H]6C[C@@H](O[C@@H]6COP(O)(=S)O[C@H]6C[C@@H](O[C@@H]6COP(O)(=S)O[C@H]6C[C@@H](O[C@@H]6COP(O)(=S)O[C@H]6C[C@@H](O[C@@H]6COP(O)(=S)O[C@H]6C[C@@H](O[C@@H]6COP(O)(=S)O[C@H]6C[C@@H](O[C@@H]6COP(O)(=S)O[C@@H]6[C@@H](COP(O)(=S)O[C@@H]7[C@@H](COP(O)(=S)O[C@@H]8[C@@H](COP(S)(=O)O[C@@H]9[C@@H](COP(O)(=S)O[C@@H]%10[C@@H](CO)O[C@H]([C@@H]%10OCCOC)n%10cnc%11c(N)ncnc%10%11)O[C@H]([C@@H]9OCCOC)n9cnc%10c9nc(N)[nH]c%10=O)O[C@H]([C@@H]8OCCOC)n8cc(C)c(N)nc8=O)O[C@H]([C@@H]7OCCOC)n7cc(C)c(=O)[nH]c7=O)O[C@H]([C@@H]6OCCOC)n6cc(C)c(=O)[nH]c6=O)n6cc(C)c(N)nc6=O)n6cc(C)c(=O)[nH]c6=O)n6cc(C)c(=O)[nH]c6=O)n6cnc7c6nc(N)[nH]c7=O)n6cc(C)c(=O)[nH]c6=O)n6cc(C)c(N)nc6=O)n6cc(C)c(N)nc6=O)n6cnc7c(N)ncnc67)n6cnc7c6nc(N)[nH]c7=O)n6cc(C)c(N)nc6=O)O[C@H]([C@@H]5OCCOC)n5cc(C)c(=O)[nH]c5=O)O[C@H]([C@@H]4OCCOC)n4cc(C)c(=O)[nH]c4=O)O[C@H]([C@@H]3OCCOC)n3cc(C)c(=O)[nH]c3=O)O[C@H]([C@@H]2OCCOC)n2cnc3c(N)ncnc23)O[C@H]1n1cc(C)c(=O)[nH]c1=O IJUQCWMZCMFFJP-GQSLRNSLSA-N 0.000 description 1
- IBDOVKSLMMFQPJ-IUPOGUASSA-N 1-[2-[(4ar,11r,11as)-11-methyl-9-(trifluoromethyl)-1,3,4,4a,5,6,11,11a-octahydropyrido[4,3-b]carbazol-2-yl]ethyl]cyclohexane-1-carboxylic acid;benzenesulfonic acid Chemical compound OS(=O)(=O)C1=CC=CC=C1.C([C@@H]1[C@H](C=2C3=CC(=CC=C3NC=2C[C@H]1CC1)C(F)(F)F)C)N1CCC1(C(O)=O)CCCCC1 IBDOVKSLMMFQPJ-IUPOGUASSA-N 0.000 description 1
- FAFVVBJEQCPDIA-UHFFFAOYSA-N 1-[4-amino-2,6-di(propan-2-yl)phenyl]-3-[1-butyl-4-[3-(3-hydroxypropoxy)phenyl]-2-oxo-1,8-naphthyridin-3-yl]urea;hydrochloride Chemical compound Cl.CC(C)C=1C=C(N)C=C(C(C)C)C=1NC(=O)NC=1C(=O)N(CCCC)C2=NC=CC=C2C=1C1=CC=CC(OCCCO)=C1 FAFVVBJEQCPDIA-UHFFFAOYSA-N 0.000 description 1
- BYUKMGPIDIWLAC-UHFFFAOYSA-N 1-[4-chloro-3-(methylsulfonylmethyl)phenyl]-2-[2-[(2,3-dimethyl-1h-indol-6-yl)oxy]ethylamino]ethanol;hydrochloride Chemical compound Cl.C=1C=C2C(C)=C(C)NC2=CC=1OCCNCC(O)C1=CC=C(Cl)C(CS(C)(=O)=O)=C1 BYUKMGPIDIWLAC-UHFFFAOYSA-N 0.000 description 1
- UNILWMWFPHPYOR-KXEYIPSPSA-M 1-[6-[2-[3-[3-[3-[2-[2-[3-[[2-[2-[[(2r)-1-[[2-[[(2r)-1-[3-[2-[2-[3-[[2-(2-amino-2-oxoethoxy)acetyl]amino]propoxy]ethoxy]ethoxy]propylamino]-3-hydroxy-1-oxopropan-2-yl]amino]-2-oxoethyl]amino]-3-[(2r)-2,3-di(hexadecanoyloxy)propyl]sulfanyl-1-oxopropan-2-yl Chemical compound O=C1C(SCCC(=O)NCCCOCCOCCOCCCNC(=O)COCC(=O)N[C@@H](CSC[C@@H](COC(=O)CCCCCCCCCCCCCCC)OC(=O)CCCCCCCCCCCCCCC)C(=O)NCC(=O)N[C@H](CO)C(=O)NCCCOCCOCCOCCCNC(=O)COCC(N)=O)CC(=O)N1CCNC(=O)CCCCCN\1C2=CC=C(S([O-])(=O)=O)C=C2CC/1=C/C=C/C=C/C1=[N+](CC)C2=CC=C(S([O-])(=O)=O)C=C2C1 UNILWMWFPHPYOR-KXEYIPSPSA-M 0.000 description 1
- QQQSLUJJBRKRHP-UHFFFAOYSA-N 1-[[3-methoxy-2-[4-(trifluoromethyl)phenyl]benzoyl]amino]-3,4-dihydro-1h-isoquinoline-2-carboxylic acid Chemical compound COC1=CC=CC(C(=O)NC2C3=CC=CC=C3CCN2C(O)=O)=C1C1=CC=C(C(F)(F)F)C=C1 QQQSLUJJBRKRHP-UHFFFAOYSA-N 0.000 description 1
- PMGZJNCIQHGNLT-UHFFFAOYSA-N 1-[bis(2,2-dimethylpropanoyloxymethoxy)phosphoryl]-4-(3-phenoxyphenyl)butane-1-sulfonic acid Chemical compound CC(C)(C)C(=O)OCOP(=O)(OCOC(=O)C(C)(C)C)C(S(O)(=O)=O)CCCC1=CC=CC(OC=2C=CC=CC=2)=C1 PMGZJNCIQHGNLT-UHFFFAOYSA-N 0.000 description 1
- IVVNZDGDKPTYHK-JTQLQIEISA-N 1-cyano-2-[(2s)-3,3-dimethylbutan-2-yl]-3-pyridin-4-ylguanidine Chemical compound CC(C)(C)[C@H](C)N=C(NC#N)NC1=CC=NC=C1 IVVNZDGDKPTYHK-JTQLQIEISA-N 0.000 description 1
- GUSVHVVOABZHAH-OPZWKQDFSA-N 1aw8p77hkj Chemical compound O([C@@H]1[C@@H](CO)O[C@H]([C@@H]([C@H]1O)O)O[C@@H]1C[C@@H]2CC[C@H]3[C@@H]4C[C@H]5[C@@H]([C@]4(CC[C@@H]3[C@@]2(C)CC1)C)[C@@H]([C@]1(OC[C@H](C)CC1)O5)C)[C@@H]1O[C@H](CO)[C@@H](O)[C@H](O)[C@H]1O GUSVHVVOABZHAH-OPZWKQDFSA-N 0.000 description 1
- YQTCQNIPQMJNTI-UHFFFAOYSA-N 2,2-dimethylpropan-1-one Chemical group CC(C)(C)[C]=O YQTCQNIPQMJNTI-UHFFFAOYSA-N 0.000 description 1
- NMRWDFUZLLQSBN-UHFFFAOYSA-N 2,4-dichloro-n-(3,5-dichloro-4-quinolin-3-yloxyphenyl)benzenesulfonamide Chemical compound ClC1=CC(Cl)=CC=C1S(=O)(=O)NC(C=C1Cl)=CC(Cl)=C1OC1=CN=C(C=CC=C2)C2=C1 NMRWDFUZLLQSBN-UHFFFAOYSA-N 0.000 description 1
- VCUXVXLUOHDHKK-UHFFFAOYSA-N 2-(2-aminopyrimidin-4-yl)-4-(2-chloro-4-methoxyphenyl)-1,3-thiazole-5-carboxamide Chemical compound ClC1=CC(OC)=CC=C1C1=C(C(N)=O)SC(C=2N=C(N)N=CC=2)=N1 VCUXVXLUOHDHKK-UHFFFAOYSA-N 0.000 description 1
- HQSRVYUCBOCBLY-XOOFNSLWSA-N 2-[(2r)-butan-2-yl]-4-[4-[4-[4-[[(2s,4r)-2-(4-chlorophenyl)-2-[(4-methyl-1,2,4-triazol-3-yl)sulfanylmethyl]-1,3-dioxolan-4-yl]methoxy]phenyl]piperazin-1-yl]phenyl]-1,2,4-triazol-3-one Chemical compound O=C1N([C@H](C)CC)N=CN1C1=CC=C(N2CCN(CC2)C=2C=CC(OC[C@H]3O[C@@](CSC=4N(C=NN=4)C)(OC3)C=3C=CC(Cl)=CC=3)=CC=2)C=C1 HQSRVYUCBOCBLY-XOOFNSLWSA-N 0.000 description 1
- IDQOCLIWDMZKBZ-SCSAIBSYSA-N 2-[(4r)-2,2-dimethyl-5-oxo-1,3-dioxolan-4-yl]acetic acid Chemical compound CC1(C)O[C@H](CC(O)=O)C(=O)O1 IDQOCLIWDMZKBZ-SCSAIBSYSA-N 0.000 description 1
- IDQOCLIWDMZKBZ-BYPYZUCNSA-N 2-[(4s)-2,2-dimethyl-5-oxo-1,3-dioxolan-4-yl]acetic acid Chemical compound CC1(C)O[C@@H](CC(O)=O)C(=O)O1 IDQOCLIWDMZKBZ-BYPYZUCNSA-N 0.000 description 1
- NFTMKHWBOINJGM-UHFFFAOYSA-N 2-[1-(5-ethylpyrimidin-2-yl)piperidin-4-yl]-4-[[4-(tetrazol-1-yl)phenoxy]methyl]-1,3-thiazole Chemical compound N1=CC(CC)=CN=C1N1CCC(C=2SC=C(COC=3C=CC(=CC=3)N3N=NN=C3)N=2)CC1 NFTMKHWBOINJGM-UHFFFAOYSA-N 0.000 description 1
- UJGBTZUTZSMGCO-UHFFFAOYSA-N 2-[2-[[4-(4-chloro-2,5-dimethoxyphenyl)-5-(2-cyclohexylethyl)-1,3-thiazol-2-yl]carbamoyl]-5,7-dimethylindol-1-yl]acetic acid;2,2,2-trifluoroacetic acid Chemical compound OC(=O)C(F)(F)F.C1=C(Cl)C(OC)=CC(C2=C(SC(NC(=O)C=3N(C4=C(C)C=C(C)C=C4C=3)CC(O)=O)=N2)CCC2CCCCC2)=C1OC UJGBTZUTZSMGCO-UHFFFAOYSA-N 0.000 description 1
- SJRVJRYZAQYCEE-UHFFFAOYSA-N 2-[3-[2-(5-ethyl-3,4-diphenylpyrazol-1-yl)phenyl]phenoxy]acetic acid Chemical compound CCC1=C(C=2C=CC=CC=2)C(C=2C=CC=CC=2)=NN1C1=CC=CC=C1C1=CC=CC(OCC(O)=O)=C1 SJRVJRYZAQYCEE-UHFFFAOYSA-N 0.000 description 1
- FIMRNLAKAARHPD-IRXDYDNUSA-N 2-[4-[[2-[(2s,5r)-2-cyano-5-ethynylpyrrolidin-1-yl]-2-oxoethyl]amino]-4-methylpiperidin-1-yl]pyridine-4-carboxylic acid Chemical compound C1CC(C)(NCC(=O)N2[C@@H](CC[C@@H]2C#C)C#N)CCN1C1=CC(C(O)=O)=CC=N1 FIMRNLAKAARHPD-IRXDYDNUSA-N 0.000 description 1
- UJIBXDMNCMEJAY-UHFFFAOYSA-N 2-[[3-[[2-(4-chlorophenyl)-5-methyl-1,3-oxazol-4-yl]methoxy]phenyl]methyl-methoxycarbonylamino]acetic acid Chemical compound COC(=O)N(CC(O)=O)CC1=CC=CC(OCC2=C(OC(=N2)C=2C=CC(Cl)=CC=2)C)=C1 UJIBXDMNCMEJAY-UHFFFAOYSA-N 0.000 description 1
- OPHWZEQODBXRCZ-UHFFFAOYSA-N 2-[[5-[[2-(4-chlorophenyl)-5-methyl-1,3-oxazol-4-yl]methoxy]-2-fluorophenyl]methyl-methoxycarbonylamino]acetic acid Chemical compound C1=C(F)C(CN(CC(O)=O)C(=O)OC)=CC(OCC2=C(OC(=N2)C=2C=CC(Cl)=CC=2)C)=C1 OPHWZEQODBXRCZ-UHFFFAOYSA-N 0.000 description 1
- NQKIWLUUQGGHDS-SSEXGKCCSA-N 2-amino-n-[(1r)-1-[4-benzyl-5-[3-(1h-indol-3-yl)propyl]-1,2,4-triazol-3-yl]-2-(1h-indol-3-yl)ethyl]-2-methylpropanamide Chemical compound C1([C@@H](CC=2C3=CC=CC=C3NC=2)NC(=O)C(C)(N)C)=NN=C(CCCC=2C3=CC=CC=C3NC=2)N1CC1=CC=CC=C1 NQKIWLUUQGGHDS-SSEXGKCCSA-N 0.000 description 1
- OZSZELOMMMKWTM-HHHXNRCGSA-N 2-amino-n-[(1r)-2-(1h-indol-3-yl)-1-[4-[(4-methoxyphenyl)methyl]-5-(2-phenylethyl)-1,2,4-triazol-3-yl]ethyl]acetamide Chemical compound C1=CC(OC)=CC=C1CN1C([C@@H](CC=2C3=CC=CC=C3NC=2)NC(=O)CN)=NN=C1CCC1=CC=CC=C1 OZSZELOMMMKWTM-HHHXNRCGSA-N 0.000 description 1
- CZWQBSKNHUVZLI-UHFFFAOYSA-N 2-benzyl-6,7,8,9-tetrahydro-5h-pyrimido[4,5-d]azepine Chemical compound N=1C=C2CCNCCC2=NC=1CC1=CC=CC=C1 CZWQBSKNHUVZLI-UHFFFAOYSA-N 0.000 description 1
- ABSNGNUGFQIDDO-UHFFFAOYSA-N 2-benzylguanidine Chemical compound NC(N)=NCC1=CC=CC=C1 ABSNGNUGFQIDDO-UHFFFAOYSA-N 0.000 description 1
- ZWJCOMNQUHSECN-UHFFFAOYSA-L 2-ethyl-4-oxopyran-3-olate;oxygen(2-);vanadium(4+) Chemical compound [O-2].[V+4].CCC=1OC=CC(=O)C=1[O-].CCC=1OC=CC(=O)C=1[O-] ZWJCOMNQUHSECN-UHFFFAOYSA-L 0.000 description 1
- GJJVAFUKOBZPCB-UHFFFAOYSA-N 2-methyl-2-(4,8,12-trimethyltrideca-3,7,11-trienyl)-3,4-dihydrochromen-6-ol Chemical compound OC1=CC=C2OC(CCC=C(C)CCC=C(C)CCC=C(C)C)(C)CCC2=C1 GJJVAFUKOBZPCB-UHFFFAOYSA-N 0.000 description 1
- YCOXJFAUNLRWPU-UHFFFAOYSA-N 2-methyl-n,n-dipropyl-9-(2,4,6-trimethylphenyl)pyrimido[4,5-b]indol-4-amine Chemical compound C12=CC=CC=C2C=2C(N(CCC)CCC)=NC(C)=NC=2N1C1=C(C)C=C(C)C=C1C YCOXJFAUNLRWPU-UHFFFAOYSA-N 0.000 description 1
- GVIYUKXRXPXMQM-BPXGDYAESA-N 221231-10-3 Chemical compound C([C@H](N)C(=O)N[C@@H](CC(C)C)C(=O)N[C@@H](CCCNC(N)=N)C(=O)N[C@@H]([C@@H](C)CC)C(=O)N[C@@H](C(C)C)C(=O)N[C@@H](CCC(N)=O)C(=O)N[C@@H]1C(N[C@@H](CCCNC(N)=N)C(=O)N[C@@H](CO)C(=O)N[C@H](C(=O)N[C@@H](CCC(O)=O)C(=O)NCC(=O)N[C@@H](CO)C(=O)N[C@@H](CSSC1)C(=O)NCC(=O)N[C@@H](CC=1C=CC=CC=1)C(O)=O)C(C)C)=O)C1=CC=C(O)C=C1 GVIYUKXRXPXMQM-BPXGDYAESA-N 0.000 description 1
- WONYMNWUJVKVII-UHFFFAOYSA-N 3,5-diiodothyropropionic acid Chemical compound IC1=CC(CCC(=O)O)=CC(I)=C1OC1=CC=C(O)C=C1 WONYMNWUJVKVII-UHFFFAOYSA-N 0.000 description 1
- UOXXTZDTECBLDK-FRWZKJFKSA-N 3-(diaminomethylidene)-1,1-dimethylguanidine (2R)-1-[2-[(3-hydroxy-1-adamantyl)amino]acetyl]pyrrolidine-2-carbonitrile Chemical compound CN(C)C(=N)N=C(N)N.OC12CC3CC(C1)CC(C3)(C2)NCC(=O)N1CCC[C@@H]1C#N UOXXTZDTECBLDK-FRWZKJFKSA-N 0.000 description 1
- MDBARDSTXONTFS-MNDUUMEHSA-N 3-[3-[3-methyl-4-[[5-propan-2-yl-3-[(2s,3r,4s,5s,6r)-3,4,5-trihydroxy-6-(hydroxymethyl)oxan-2-yl]oxy-1h-pyrazol-4-yl]methyl]phenoxy]propylamino]propanamide Chemical compound C=1C=C(OCCCNCCC(N)=O)C=C(C)C=1CC1=C(C(C)C)NN=C1O[C@@H]1O[C@H](CO)[C@@H](O)[C@H](O)[C@H]1O MDBARDSTXONTFS-MNDUUMEHSA-N 0.000 description 1
- KIWODJBCHRADND-UHFFFAOYSA-N 3-anilino-4-[1-[3-(1-imidazolyl)propyl]-3-indolyl]pyrrole-2,5-dione Chemical compound O=C1NC(=O)C(C=2C3=CC=CC=C3N(CCCN3C=NC=C3)C=2)=C1NC1=CC=CC=C1 KIWODJBCHRADND-UHFFFAOYSA-N 0.000 description 1
- UOQHWNPVNXSDDO-UHFFFAOYSA-N 3-bromoimidazo[1,2-a]pyridine-6-carbonitrile Chemical compound C1=CC(C#N)=CN2C(Br)=CN=C21 UOQHWNPVNXSDDO-UHFFFAOYSA-N 0.000 description 1
- YDPRNGAPPNPYQQ-UHFFFAOYSA-N 3-chloro-2-methyl-n-[4-[2-(4-methylpiperazin-1-yl)-2-oxoethyl]-1,3-thiazol-2-yl]benzenesulfonamide Chemical compound C1CN(C)CCN1C(=O)CC1=CSC(NS(=O)(=O)C=2C(=C(Cl)C=CC=2)C)=N1 YDPRNGAPPNPYQQ-UHFFFAOYSA-N 0.000 description 1
- TWJQZBXURHWBPV-UHFFFAOYSA-N 3-cyclohexyl-1-(4,4-dimethyl-6,7-dihydro-1h-imidazo[4,5-c]pyridin-5-yl)propan-1-one;oxalic acid Chemical compound OC(=O)C(O)=O.C1CC=2NC=NC=2C(C)(C)N1C(=O)CCC1CCCCC1 TWJQZBXURHWBPV-UHFFFAOYSA-N 0.000 description 1
- YMPALHOKRBVHOJ-UHFFFAOYSA-N 3-{5-methoxy-1-[(4-methoxyphenyl)sulfonyl]-1h-indol-3-yl}propanoic acid Chemical compound C1=CC(OC)=CC=C1S(=O)(=O)N1C2=CC=C(OC)C=C2C(CCC(O)=O)=C1 YMPALHOKRBVHOJ-UHFFFAOYSA-N 0.000 description 1
- QFRLDZGQEZCCJZ-UHFFFAOYSA-N 4-(2,3-dihydro-1,4-benzodioxin-6-yl)-3-[(5-nitro-2-thiazolyl)thio]-1H-1,2,4-triazol-5-one Chemical compound S1C([N+](=O)[O-])=CN=C1SC1=NNC(=O)N1C1=CC=C(OCCO2)C2=C1 QFRLDZGQEZCCJZ-UHFFFAOYSA-N 0.000 description 1
- ZROSUBKIGBSZCG-UHFFFAOYSA-N 4-(4-methylphenyl)-2-(2-propyl-4-pyridinyl)thiazole Chemical compound C1=NC(CCC)=CC(C=2SC=C(N=2)C=2C=CC(C)=CC=2)=C1 ZROSUBKIGBSZCG-UHFFFAOYSA-N 0.000 description 1
- GSUZWFZKTIOWTI-MQWQBNKOSA-N 4-(diethylaminomethyl)-n-[2-(2-methoxyphenyl)ethyl]-n-[(3r)-pyrrolidin-3-yl]benzamide;dihydrochloride Chemical compound Cl.Cl.C1=CC(CN(CC)CC)=CC=C1C(=O)N([C@H]1CNCC1)CCC1=CC=CC=C1OC GSUZWFZKTIOWTI-MQWQBNKOSA-N 0.000 description 1
- QBQLYIISSRXYKL-UHFFFAOYSA-N 4-[[4-[2-(5-methyl-2-phenyl-1,3-oxazol-4-yl)ethoxy]phenyl]methyl]-1,2-oxazolidine-3,5-dione Chemical compound CC=1OC(C=2C=CC=CC=2)=NC=1CCOC(C=C1)=CC=C1CC1C(=O)NOC1=O QBQLYIISSRXYKL-UHFFFAOYSA-N 0.000 description 1
- RWJPQBWTYNIUEF-UHFFFAOYSA-N 4-ethyl-3-methyl-n-[2-[4-[(4-methylcyclohexyl)carbamoylsulfamoyl]phenyl]ethyl]-5-oxo-2h-pyrrole-1-carboxamide;5-[[4-[2-(5-ethylpyridin-2-yl)ethoxy]phenyl]methyl]-1,3-thiazolidine-2,4-dione;hydrochloride Chemical compound Cl.N1=CC(CC)=CC=C1CCOC(C=C1)=CC=C1CC1C(=O)NC(=O)S1.O=C1C(CC)=C(C)CN1C(=O)NCCC1=CC=C(S(=O)(=O)NC(=O)NC2CCC(C)CC2)C=C1 RWJPQBWTYNIUEF-UHFFFAOYSA-N 0.000 description 1
- BXFHAYIBEKOAMV-UHFFFAOYSA-N 4-hydroxydodecanedioic acid Chemical compound OC(=O)CCC(O)CCCCCCCC(O)=O BXFHAYIBEKOAMV-UHFFFAOYSA-N 0.000 description 1
- QBBIDMMGINYIJJ-FIRIVFDPSA-N 4-nitrooxybutyl (3r,5r)-7-[2-(4-fluorophenyl)-3-phenyl-4-(phenylcarbamoyl)-5-propan-2-ylpyrrol-1-yl]-3,5-dihydroxyheptanoate Chemical compound C=1C=CC=CC=1C1=C(C=2C=CC(F)=CC=2)N(CC[C@@H](O)C[C@@H](O)CC(=O)OCCCCO[N+]([O-])=O)C(C(C)C)=C1C(=O)NC1=CC=CC=C1 QBBIDMMGINYIJJ-FIRIVFDPSA-N 0.000 description 1
- 102000049773 5-HT2A Serotonin Receptor Human genes 0.000 description 1
- 108010072564 5-HT2A Serotonin Receptor Proteins 0.000 description 1
- 102000006902 5-HT2C Serotonin Receptor Human genes 0.000 description 1
- 108010072553 5-HT2C Serotonin Receptor Proteins 0.000 description 1
- 108091005435 5-HT6 receptors Proteins 0.000 description 1
- NKOHRVBBQISBSB-UHFFFAOYSA-N 5-[(4-hydroxyphenyl)methyl]-1,3-thiazolidine-2,4-dione Chemical compound C1=CC(O)=CC=C1CC1C(=O)NC(=O)S1 NKOHRVBBQISBSB-UHFFFAOYSA-N 0.000 description 1
- AJJISMLYIMQAKP-OAHLLOKOSA-N 5-[4-[(2r)-4-(3-fluoro-4-methylsulfonylphenoxy)butan-2-yl]piperidin-1-yl]-3-propan-2-yl-1,2,4-oxadiazole Chemical compound CC(C)C1=NOC(N2CCC(CC2)[C@H](C)CCOC=2C=C(F)C(=CC=2)S(C)(=O)=O)=N1 AJJISMLYIMQAKP-OAHLLOKOSA-N 0.000 description 1
- VKLKXFOZNHEBSW-UHFFFAOYSA-N 5-[[3-[(4-morpholin-4-ylbenzoyl)amino]phenyl]methoxy]pyridine-3-carboxamide Chemical compound O1CCN(CC1)C1=CC=C(C(=O)NC=2C=C(COC=3C=NC=C(C(=O)N)C=3)C=CC=2)C=C1 VKLKXFOZNHEBSW-UHFFFAOYSA-N 0.000 description 1
- HAAXAFNSRADSMK-UHFFFAOYSA-N 5-[[4-[2-(5-methyl-2-phenyl-1,3-oxazol-4-yl)ethoxy]-1-benzothiophen-7-yl]methyl]-1,3-thiazolidine-2,4-dione Chemical compound CC=1OC(C=2C=CC=CC=2)=NC=1CCOC(C=1C=CSC=11)=CC=C1CC1SC(=O)NC1=O HAAXAFNSRADSMK-UHFFFAOYSA-N 0.000 description 1
- AUEUBSJNKBZSKK-UHFFFAOYSA-N 5-benzylsulfonyl-2-[2-(dimethylamino)ethyl-ethylamino]-n,n-diethyl-4-(4-phenylpiperidin-1-yl)benzamide Chemical compound C1=C(N(CC)CCN(C)C)C(C(=O)N(CC)CC)=CC(S(=O)(=O)CC=2C=CC=CC=2)=C1N(CC1)CCC1C1=CC=CC=C1 AUEUBSJNKBZSKK-UHFFFAOYSA-N 0.000 description 1
- OOIQBABUMXSCPC-UHFFFAOYSA-N 5-chloro-n-[3-[2-(dimethylamino)ethyl]-1h-indol-5-yl]naphthalene-2-sulfonamide Chemical compound ClC1=CC=CC2=CC(S(=O)(=O)NC3=CC=C4NC=C(C4=C3)CCN(C)C)=CC=C21 OOIQBABUMXSCPC-UHFFFAOYSA-N 0.000 description 1
- 102100022738 5-hydroxytryptamine receptor 1A Human genes 0.000 description 1
- 101710138638 5-hydroxytryptamine receptor 1A Proteins 0.000 description 1
- 102000040125 5-hydroxytryptamine receptor family Human genes 0.000 description 1
- 108091032151 5-hydroxytryptamine receptor family Proteins 0.000 description 1
- RSIWALKZYXPAGW-NSHDSACASA-N 6-(3-fluorophenyl)-3-methyl-7-[(1s)-1-(7h-purin-6-ylamino)ethyl]-[1,3]thiazolo[3,2-a]pyrimidin-5-one Chemical compound C=1([C@@H](NC=2C=3N=CNC=3N=CN=2)C)N=C2SC=C(C)N2C(=O)C=1C1=CC=CC(F)=C1 RSIWALKZYXPAGW-NSHDSACASA-N 0.000 description 1
- FRKXOBMDEXCHHD-SFHVURJKSA-N 6-(4-fluorophenoxy)-2-methyl-3-[[(3s)-1-propan-2-ylpiperidin-3-yl]methyl]quinazolin-4-one Chemical compound C1N(C(C)C)CCC[C@@H]1CN1C(=O)C2=CC(OC=3C=CC(F)=CC=3)=CC=C2N=C1C FRKXOBMDEXCHHD-SFHVURJKSA-N 0.000 description 1
- SDMBRCRVFFHJKR-UHFFFAOYSA-N 6-(5-carboxy-5-methylhexoxy)-2,2-dimethylhexanoic acid Chemical compound OC(=O)C(C)(C)CCCCOCCCCC(C)(C)C(O)=O SDMBRCRVFFHJKR-UHFFFAOYSA-N 0.000 description 1
- OCBMECSFDVUYQN-ROUUACIJSA-N 6-[[3-[(2s)-1-methoxypropan-2-yl]oxy-5-[(2s)-1-phenylpropan-2-yl]oxybenzoyl]amino]pyridine-3-carboxylic acid Chemical compound C([C@H](C)OC=1C=C(C=C(C=1)C(=O)NC=1N=CC(=CC=1)C(O)=O)O[C@@H](C)COC)C1=CC=CC=C1 OCBMECSFDVUYQN-ROUUACIJSA-N 0.000 description 1
- YLLWQNAEYILHLV-UHFFFAOYSA-N 7-chloro-3-methyl-1$l^{6},2,4-benzothiadiazin-2-ide 1,1-dioxide;2-hydroxyethyl(trimethyl)azanium Chemical compound C[N+](C)(C)CCO.C1=C(Cl)C=C2S(=O)(=O)[N-]C(C)=NC2=C1 YLLWQNAEYILHLV-UHFFFAOYSA-N 0.000 description 1
- HFDKKNHCYWNNNQ-YOGANYHLSA-N 75976-10-2 Chemical compound C([C@@H](C(=O)N[C@@H]([C@@H](C)CC)C(=O)N[C@@H](CC(N)=O)C(=O)N[C@@H](CCSC)C(=O)N[C@@H](CC(C)C)C(=O)N[C@@H]([C@@H](C)O)C(=O)N[C@@H](CCCNC(N)=N)C(=O)N1[C@@H](CCC1)C(=O)N[C@@H](CCCNC(N)=N)C(=O)N[C@@H](CC=1C=CC(O)=CC=1)C(N)=O)NC(=O)[C@H](CCCNC(N)=N)NC(=O)[C@H](CCCNC(N)=N)NC(=O)[C@H](CC(C)C)NC(=O)[C@H](CC(O)=O)NC(=O)[C@H](C)NC(=O)[C@H](C)NC(=O)[C@H](CC=1C=CC(O)=CC=1)NC(=O)[C@H](CCC(N)=O)NC(=O)[C@H](C)NC(=O)[C@H](CCSC)NC(=O)[C@H](CCC(N)=O)NC(=O)[C@H](CCC(O)=O)NC(=O)[C@H]1N(CCC1)C(=O)[C@@H](NC(=O)[C@H](C)NC(=O)[C@H](CC(N)=O)NC(=O)[C@H](CC(O)=O)NC(=O)CNC(=O)[C@H]1N(CCC1)C(=O)[C@H](CC=1C=CC(O)=CC=1)NC(=O)[C@@H](NC(=O)[C@H]1N(CCC1)C(=O)[C@H](CCC(O)=O)NC(=O)[C@H](CC(C)C)NC(=O)[C@H]1N(CCC1)C(=O)[C@H](C)N)C(C)C)[C@@H](C)O)C1=CC=C(O)C=C1 HFDKKNHCYWNNNQ-YOGANYHLSA-N 0.000 description 1
- XASOHFCUIQARJT-UHFFFAOYSA-N 8-methoxy-6-[7-(2-morpholin-4-ylethoxy)imidazo[1,2-a]pyridin-3-yl]-2-(2,2,2-trifluoroethyl)-3,4-dihydroisoquinolin-1-one Chemical compound C(N1C(=O)C2=C(OC)C=C(C=3N4C(=NC=3)C=C(C=C4)OCCN3CCOCC3)C=C2CC1)C(F)(F)F XASOHFCUIQARJT-UHFFFAOYSA-N 0.000 description 1
- 101150092476 ABCA1 gene Proteins 0.000 description 1
- 102100031585 ADP-ribosyl cyclase/cyclic ADP-ribose hydrolase 1 Human genes 0.000 description 1
- 108010070305 AOD 9604 Proteins 0.000 description 1
- 102000000872 ATM Human genes 0.000 description 1
- 108700005241 ATP Binding Cassette Transporter 1 Proteins 0.000 description 1
- 102000004146 ATP citrate synthases Human genes 0.000 description 1
- 108090000662 ATP citrate synthases Proteins 0.000 description 1
- 101710102367 Acyl-CoA (8-3)-desaturase Proteins 0.000 description 1
- 101710159293 Acyl-CoA desaturase 1 Proteins 0.000 description 1
- 108010060263 Adenosine A1 Receptor Proteins 0.000 description 1
- 229940077122 Adenosine A1 receptor agonist Drugs 0.000 description 1
- 102000007471 Adenosine A2A receptor Human genes 0.000 description 1
- 108010085277 Adenosine A2A receptor Proteins 0.000 description 1
- 102000007470 Adenosine A2B Receptor Human genes 0.000 description 1
- 108010085273 Adenosine A2B receptor Proteins 0.000 description 1
- 229940123053 Adenosine A2b receptor antagonist Drugs 0.000 description 1
- 108010060261 Adenosine A3 Receptor Proteins 0.000 description 1
- 102000008161 Adenosine A3 Receptor Human genes 0.000 description 1
- 102100031933 Adhesion G protein-coupled receptor F5 Human genes 0.000 description 1
- 101150078577 Adora2b gene Proteins 0.000 description 1
- 101710134784 Agnoprotein Proteins 0.000 description 1
- 102000009027 Albumins Human genes 0.000 description 1
- 108010088751 Albumins Proteins 0.000 description 1
- 229940123338 Aldosterone synthase inhibitor Drugs 0.000 description 1
- UXOWGYHJODZGMF-QORCZRPOSA-N Aliskiren Chemical compound COCCCOC1=CC(C[C@@H](C[C@H](N)[C@@H](O)C[C@@H](C(C)C)C(=O)NCC(C)(C)C(N)=O)C(C)C)=CC=C1OC UXOWGYHJODZGMF-QORCZRPOSA-N 0.000 description 1
- 102100022622 Alpha-1,3-mannosyl-glycoprotein 2-beta-N-acetylglucosaminyltransferase Human genes 0.000 description 1
- 229940123471 Angiotensin II agonist Drugs 0.000 description 1
- 101150102415 Apob gene Proteins 0.000 description 1
- 108010059886 Apolipoprotein A-I Proteins 0.000 description 1
- 101710095342 Apolipoprotein B Proteins 0.000 description 1
- 102000030169 Apolipoprotein C-III Human genes 0.000 description 1
- 108010056301 Apolipoprotein C-III Proteins 0.000 description 1
- 102000007592 Apolipoproteins Human genes 0.000 description 1
- 108010071619 Apolipoproteins Proteins 0.000 description 1
- 102000018616 Apolipoproteins B Human genes 0.000 description 1
- 108010027006 Apolipoproteins B Proteins 0.000 description 1
- 206010003210 Arteriosclerosis Diseases 0.000 description 1
- 241000416162 Astragalus gummifer Species 0.000 description 1
- 101150065175 Atm gene Proteins 0.000 description 1
- PTQXTEKSNBVPQJ-UHFFFAOYSA-N Avasimibe Chemical compound CC(C)C1=CC(C(C)C)=CC(C(C)C)=C1CC(=O)NS(=O)(=O)OC1=C(C(C)C)C=CC=C1C(C)C PTQXTEKSNBVPQJ-UHFFFAOYSA-N 0.000 description 1
- 102000017916 BDKRB1 Human genes 0.000 description 1
- 102100021264 Band 3 anion transport protein Human genes 0.000 description 1
- 102100034159 Beta-3 adrenergic receptor Human genes 0.000 description 1
- 244000104272 Bidens pilosa Species 0.000 description 1
- 235000010662 Bidens pilosa Nutrition 0.000 description 1
- XNCOSPRUTUOJCJ-UHFFFAOYSA-N Biguanide Chemical compound NC(N)=NC(N)=N XNCOSPRUTUOJCJ-UHFFFAOYSA-N 0.000 description 1
- 108010073466 Bombesin Receptors Proteins 0.000 description 1
- 102100028628 Bombesin receptor subtype-3 Human genes 0.000 description 1
- UQBSOXXWYBLSSJ-UHFFFAOYSA-N Borapetoside F Natural products CC12C(C(=O)OC)=CCCC2C2(C)CC(C3=COC=C3)OC(=O)C2=CC1OC1OC(CO)C(O)C(O)C1O UQBSOXXWYBLSSJ-UHFFFAOYSA-N 0.000 description 1
- 108010044231 Bradykinin B1 Receptor Proteins 0.000 description 1
- COVZYZSDYWQREU-UHFFFAOYSA-N Busulfan Chemical compound CS(=O)(=O)OCCCCOS(C)(=O)=O COVZYZSDYWQREU-UHFFFAOYSA-N 0.000 description 1
- 102100021943 C-C motif chemokine 2 Human genes 0.000 description 1
- PWDLDBWXTVILPC-WGAVTJJLSA-N CC(C)(N)CC1=CC=CC=C1.C1O[C@@]2(COS(N)(=O)=O)OC(C)(C)O[C@H]2[C@@H]2OC(C)(C)O[C@@H]21 Chemical compound CC(C)(N)CC1=CC=CC=C1.C1O[C@@]2(COS(N)(=O)=O)OC(C)(C)O[C@H]2[C@@H]2OC(C)(C)O[C@@H]21 PWDLDBWXTVILPC-WGAVTJJLSA-N 0.000 description 1
- VUGZQAYKKIITPW-UHFFFAOYSA-N CC(OC(CCCOCc1ccccc1)C(C#CCCCCC(OC)=O)OC(C)=O)=O Chemical compound CC(OC(CCCOCc1ccccc1)C(C#CCCCCC(OC)=O)OC(C)=O)=O VUGZQAYKKIITPW-UHFFFAOYSA-N 0.000 description 1
- KCBAMQOKOLXLOX-BSZYMOERSA-N CC1=C(SC=N1)C2=CC=C(C=C2)[C@H](C)NC(=O)[C@@H]3C[C@H](CN3C(=O)[C@H](C(C)(C)C)NC(=O)CCCCCCCCCCNCCCONC(=O)C4=C(C(=C(C=C4)F)F)NC5=C(C=C(C=C5)I)F)O Chemical compound CC1=C(SC=N1)C2=CC=C(C=C2)[C@H](C)NC(=O)[C@@H]3C[C@H](CN3C(=O)[C@H](C(C)(C)C)NC(=O)CCCCCCCCCCNCCCONC(=O)C4=C(C(=C(C=C4)F)F)NC5=C(C=C(C=C5)I)F)O KCBAMQOKOLXLOX-BSZYMOERSA-N 0.000 description 1
- 102000004497 CCR2 Receptors Human genes 0.000 description 1
- 108010017312 CCR2 Receptors Proteins 0.000 description 1
- HPWIKAVXRHCHPE-BQAIUKQQSA-N CN(C)C(=N)N=C(N)N.C1=C(C(O)=O)C(OCC)=CC(CC(=O)N[C@@H](CC(C)C)C=2C(=CC=CC=2)N2CCCCC2)=C1 Chemical compound CN(C)C(=N)N=C(N)N.C1=C(C(O)=O)C(OCC)=CC(CC(=O)N[C@@H](CC(C)C)C=2C(=CC=CC=2)N2CCCCC2)=C1 HPWIKAVXRHCHPE-BQAIUKQQSA-N 0.000 description 1
- 108010006931 CNTO 736 Proteins 0.000 description 1
- ZLSBGCKMEMMXTM-OSIZDYNKSA-N COc1ccc([C@H]([C@@H](CC[C@@H](c(cc2)ccc2F)O)C2=O)N2c2ccc(CNC(C[C@H](C(NC[C@@H]([C@H]([C@@H]([C@@H](CO)O)O)O)O)=O)O)O)cc2)cc1 Chemical compound COc1ccc([C@H]([C@@H](CC[C@@H](c(cc2)ccc2F)O)C2=O)N2c2ccc(CNC(C[C@H](C(NC[C@@H]([C@H]([C@@H]([C@@H](CO)O)O)O)O)=O)O)O)cc2)cc1 ZLSBGCKMEMMXTM-OSIZDYNKSA-N 0.000 description 1
- SGNBVLSWZMBQTH-FGAXOLDCSA-N Campesterol Natural products O[C@@H]1CC=2[C@@](C)([C@@H]3[C@H]([C@H]4[C@@](C)([C@H]([C@H](CC[C@H](C(C)C)C)C)CC4)CC3)CC=2)CC1 SGNBVLSWZMBQTH-FGAXOLDCSA-N 0.000 description 1
- 102000003846 Carbonic anhydrases Human genes 0.000 description 1
- 108090000209 Carbonic anhydrases Proteins 0.000 description 1
- GUYMHFIHHOEFOA-ZCPGHIKRSA-N Carmegliptin Chemical compound N1([C@H]2CN3CCC=4C=C(C(=CC=4[C@@H]3C[C@@H]2N)OC)OC)C[C@@H](CF)CC1=O GUYMHFIHHOEFOA-ZCPGHIKRSA-N 0.000 description 1
- 108010018424 Carnitine O-palmitoyltransferase Proteins 0.000 description 1
- 102000002666 Carnitine O-palmitoyltransferase Human genes 0.000 description 1
- 102100027943 Carnitine O-palmitoyltransferase 1, liver isoform Human genes 0.000 description 1
- 229920000623 Cellulose acetate phthalate Polymers 0.000 description 1
- 102000044956 Ceramide glucosyltransferases Human genes 0.000 description 1
- 108010017573 Ceramide kinase Proteins 0.000 description 1
- 102100036158 Ceramide kinase Human genes 0.000 description 1
- 102000000018 Chemokine CCL2 Human genes 0.000 description 1
- VEXZGXHMUGYJMC-UHFFFAOYSA-M Chloride anion Chemical compound [Cl-] VEXZGXHMUGYJMC-UHFFFAOYSA-M 0.000 description 1
- 229940122502 Cholesterol absorption inhibitor Drugs 0.000 description 1
- 229920001268 Cholestyramine Polymers 0.000 description 1
- 241000159155 Cipadessa baccifera Species 0.000 description 1
- 102100038018 Corticotropin-releasing factor receptor 1 Human genes 0.000 description 1
- 241000699800 Cricetinae Species 0.000 description 1
- TVZCRIROJQEVOT-CABCVRRESA-N Cromakalim Chemical compound N1([C@@H]2C3=CC(=CC=C3OC([C@H]2O)(C)C)C#N)CCCC1=O TVZCRIROJQEVOT-CABCVRRESA-N 0.000 description 1
- 102000001189 Cyclic Peptides Human genes 0.000 description 1
- 108010069514 Cyclic Peptides Proteins 0.000 description 1
- LKDRXBCSQODPBY-OEXCPVAWSA-N D-tagatose Chemical compound OCC1(O)OC[C@@H](O)[C@H](O)[C@@H]1O LKDRXBCSQODPBY-OEXCPVAWSA-N 0.000 description 1
- JVHXJTBJCFBINQ-ADAARDCZSA-N Dapagliflozin Chemical compound C1=CC(OCC)=CC=C1CC1=CC([C@H]2[C@@H]([C@@H](O)[C@H](O)[C@@H](CO)O2)O)=CC=C1Cl JVHXJTBJCFBINQ-ADAARDCZSA-N 0.000 description 1
- 108010073542 Delta-5 Fatty Acid Desaturase Proteins 0.000 description 1
- ZROLHBHDLIHEMS-UHFFFAOYSA-N Delta9 tetrahydrocannabivarin Natural products C1=C(C)CCC2C(C)(C)OC3=CC(CCC)=CC(O)=C3C21 ZROLHBHDLIHEMS-UHFFFAOYSA-N 0.000 description 1
- 206010012335 Dependence Diseases 0.000 description 1
- 208000007342 Diabetic Nephropathies Diseases 0.000 description 1
- 241000196324 Embryophyta Species 0.000 description 1
- 229940121889 Endothelin A receptor antagonist Drugs 0.000 description 1
- 102000010180 Endothelin receptor Human genes 0.000 description 1
- 108050001739 Endothelin receptor Proteins 0.000 description 1
- 102000004190 Enzymes Human genes 0.000 description 1
- 108090000790 Enzymes Proteins 0.000 description 1
- 108010014384 Erythrocyte Anion Exchange Protein 1 Proteins 0.000 description 1
- 108010007005 Estrogen Receptor alpha Proteins 0.000 description 1
- 108010041356 Estrogen Receptor beta Proteins 0.000 description 1
- 102100038595 Estrogen receptor Human genes 0.000 description 1
- 102100029951 Estrogen receptor beta Human genes 0.000 description 1
- 108010043222 Exubera Proteins 0.000 description 1
- 108010087894 Fatty acid desaturases Proteins 0.000 description 1
- 102100030431 Fatty acid-binding protein, adipocyte Human genes 0.000 description 1
- 102100026148 Free fatty acid receptor 1 Human genes 0.000 description 1
- 102100040133 Free fatty acid receptor 2 Human genes 0.000 description 1
- 102100040134 Free fatty acid receptor 4 Human genes 0.000 description 1
- 108091006027 G proteins Proteins 0.000 description 1
- 101710154531 G-protein coupled bile acid receptor 1 Proteins 0.000 description 1
- 229940100607 GPR119 agonist Drugs 0.000 description 1
- 229940121970 Galanin receptor antagonist Drugs 0.000 description 1
- 108010010803 Gelatin Proteins 0.000 description 1
- 102000000393 Ghrelin Receptors Human genes 0.000 description 1
- 108010016122 Ghrelin Receptors Proteins 0.000 description 1
- 108010063919 Glucagon Receptors Proteins 0.000 description 1
- 102100040890 Glucagon receptor Human genes 0.000 description 1
- 102000004366 Glucosidases Human genes 0.000 description 1
- 108010056771 Glucosidases Proteins 0.000 description 1
- 102000002754 Glycerol-3-Phosphate O-Acyltransferase Human genes 0.000 description 1
- 108010018837 Glycerol-3-Phosphate O-Acyltransferase Proteins 0.000 description 1
- 101710199764 Glycerol-3-phosphate acyltransferase 3 Proteins 0.000 description 1
- 229920002527 Glycogen Polymers 0.000 description 1
- 229940122069 Glycosidase inhibitor Drugs 0.000 description 1
- 229940123995 Growth hormone secretagogue receptor antagonist Drugs 0.000 description 1
- BTEISVKTSQLKST-UHFFFAOYSA-N Haliclonasterol Natural products CC(C=CC(C)C(C)(C)C)C1CCC2C3=CC=C4CC(O)CCC4(C)C3CCC12C BTEISVKTSQLKST-UHFFFAOYSA-N 0.000 description 1
- 240000000950 Hippophae rhamnoides Species 0.000 description 1
- 235000003145 Hippophae rhamnoides Nutrition 0.000 description 1
- 229940115480 Histamine H3 receptor antagonist Drugs 0.000 description 1
- 229940122931 Histamine H3 receptor inverse agonist Drugs 0.000 description 1
- 101000777636 Homo sapiens ADP-ribosyl cyclase/cyclic ADP-ribose hydrolase 1 Proteins 0.000 description 1
- 101000775045 Homo sapiens Adhesion G protein-coupled receptor F5 Proteins 0.000 description 1
- 101000972916 Homo sapiens Alpha-1,3-mannosyl-glycoprotein 2-beta-N-acetylglucosaminyltransferase Proteins 0.000 description 1
- 101000859570 Homo sapiens Carnitine O-palmitoyltransferase 1, liver isoform Proteins 0.000 description 1
- 101000878678 Homo sapiens Corticotropin-releasing factor receptor 1 Proteins 0.000 description 1
- 101001062864 Homo sapiens Fatty acid-binding protein, adipocyte Proteins 0.000 description 1
- 101000912510 Homo sapiens Free fatty acid receptor 1 Proteins 0.000 description 1
- 101000890668 Homo sapiens Free fatty acid receptor 2 Proteins 0.000 description 1
- 101000890672 Homo sapiens Free fatty acid receptor 4 Proteins 0.000 description 1
- 101000857733 Homo sapiens G-protein coupled bile acid receptor 1 Proteins 0.000 description 1
- 101000788682 Homo sapiens GATA-type zinc finger protein 1 Proteins 0.000 description 1
- 101000996752 Homo sapiens Glucose-dependent insulinotropic receptor Proteins 0.000 description 1
- 101000904259 Homo sapiens Glycerol-3-phosphate acyltransferase 3 Proteins 0.000 description 1
- 101000968127 Homo sapiens Lipoyl synthase, mitochondrial Proteins 0.000 description 1
- 101000978418 Homo sapiens Melanocortin receptor 4 Proteins 0.000 description 1
- 101000588130 Homo sapiens Microsomal triglyceride transfer protein large subunit Proteins 0.000 description 1
- 101000604005 Homo sapiens NPC1-like intracellular cholesterol transporter 1 Proteins 0.000 description 1
- 101000634561 Homo sapiens Neuropeptide FF receptor 2 Proteins 0.000 description 1
- 101000986786 Homo sapiens Orexin/Hypocretin receptor type 1 Proteins 0.000 description 1
- 101001121539 Homo sapiens P2Y purinoceptor 14 Proteins 0.000 description 1
- 101000983116 Homo sapiens Pancreatic prohormone Proteins 0.000 description 1
- 101001067946 Homo sapiens Protein phosphatase 1 regulatory subunit 3A Proteins 0.000 description 1
- 101000801643 Homo sapiens Retinal-specific phospholipid-transporting ATPase ABCA4 Proteins 0.000 description 1
- 101000851696 Homo sapiens Steroid hormone receptor ERR2 Proteins 0.000 description 1
- 101000844521 Homo sapiens Transient receptor potential cation channel subfamily M member 5 Proteins 0.000 description 1
- 101000830742 Homo sapiens Tryptophan 5-hydroxylase 1 Proteins 0.000 description 1
- 241001504224 Hoodia gordonii Species 0.000 description 1
- 102000002265 Human Growth Hormone Human genes 0.000 description 1
- 108010000521 Human Growth Hormone Proteins 0.000 description 1
- 239000000854 Human Growth Hormone Substances 0.000 description 1
- 108010090613 Human Regular Insulin Proteins 0.000 description 1
- 102000013266 Human Regular Insulin Human genes 0.000 description 1
- 101100450577 Human herpesvirus 6B (strain Z29) U74 gene Proteins 0.000 description 1
- 208000001953 Hypotension Diseases 0.000 description 1
- 239000003458 I kappa b kinase inhibitor Substances 0.000 description 1
- 108010035620 INGAP peptide Proteins 0.000 description 1
- DGAQECJNVWCQMB-PUAWFVPOSA-M Ilexoside XXIX Chemical compound C[C@@H]1CC[C@@]2(CC[C@@]3(C(=CC[C@H]4[C@]3(CC[C@@H]5[C@@]4(CC[C@@H](C5(C)C)OS(=O)(=O)[O-])C)C)[C@@H]2[C@]1(C)O)C)C(=O)O[C@H]6[C@@H]([C@H]([C@@H]([C@H](O6)CO)O)O)O.[Na+] DGAQECJNVWCQMB-PUAWFVPOSA-M 0.000 description 1
- 108050004689 Inhibitor of carbonic anhydrases Proteins 0.000 description 1
- 108010073961 Insulin Aspart Proteins 0.000 description 1
- 108010057186 Insulin Glargine Proteins 0.000 description 1
- FYZPCMFQCNBYCY-WIWKJPBBSA-N Insulin degludec Chemical compound CC[C@H](C)[C@H](NC(=O)CN)C(=O)N[C@@H](C(C)C)C(=O)N[C@@H](CCC(O)=O)C(=O)N[C@@H](CCC(N)=O)C(=O)N[C@H]1CSSC[C@@H]2NC(=O)[C@@H](NC(=O)[C@H](CO)NC(=O)[C@@H](NC(=O)[C@H](CSSC[C@H](NC(=O)[C@H](CC(C)C)NC(=O)[C@H](Cc3c[nH]cn3)NC(=O)[C@H](CCC(N)=O)NC(=O)[C@H](CC(N)=O)NC(=O)[C@@H](NC(=O)[C@@H](N)Cc3ccccc3)C(C)C)C(=O)NCC(=O)N[C@@H](CO)C(=O)N[C@@H](Cc3c[nH]cn3)C(=O)N[C@@H](CC(C)C)C(=O)N[C@@H](C(C)C)C(=O)N[C@@H](CCC(O)=O)C(=O)N[C@@H](C)C(=O)N[C@@H](CC(C)C)C(=O)N[C@@H](Cc3ccc(O)cc3)C(=O)N[C@@H](CC(C)C)C(=O)N[C@@H](C(C)C)C(=O)N[C@@H](CSSC[C@H](NC(=O)[C@H](Cc3ccc(O)cc3)NC(=O)[C@H](CC(N)=O)NC(=O)[C@H](CCC(O)=O)NC(=O)[C@H](CC(C)C)NC(=O)[C@H](CCC(N)=O)NC(=O)[C@H](Cc3ccc(O)cc3)NC(=O)[C@H](CC(C)C)NC(=O)[C@H](CO)NC2=O)C(=O)N[C@@H](CC(N)=O)C(O)=O)C(=O)NCC(=O)N[C@@H](CCC(O)=O)C(=O)N[C@@H](CCCNC(N)=N)C(=O)NCC(=O)N[C@@H](Cc2ccccc2)C(=O)N[C@@H](Cc2ccccc2)C(=O)N[C@@H](Cc2ccc(O)cc2)C(=O)N[C@@H]([C@@H](C)O)C(=O)N2CCC[C@H]2C(=O)N[C@@H](CCCCNC(=O)CC[C@H](NC(=O)CCCCCCCCCCCCCCC(O)=O)C(O)=O)C(O)=O)NC1=O)[C@@H](C)O)[C@@H](C)CC FYZPCMFQCNBYCY-WIWKJPBBSA-N 0.000 description 1
- COCFEDIXXNGUNL-RFKWWTKHSA-N Insulin glargine Chemical compound C([C@@H](C(=O)N[C@@H](CC(C)C)C(=O)N[C@H]1CSSC[C@H]2C(=O)N[C@H](C(=O)N[C@@H](CO)C(=O)N[C@H](C(=O)N[C@H](C(N[C@@H](CO)C(=O)N[C@@H](CC(C)C)C(=O)N[C@@H](CC=3C=CC(O)=CC=3)C(=O)N[C@@H](CCC(N)=O)C(=O)N[C@@H](CC(C)C)C(=O)N[C@@H](CCC(O)=O)C(=O)N[C@@H](CC(N)=O)C(=O)N[C@@H](CC=3C=CC(O)=CC=3)C(=O)N[C@@H](CSSC[C@H](NC(=O)[C@H](C(C)C)NC(=O)[C@H](CC(C)C)NC(=O)[C@H](CC=3C=CC(O)=CC=3)NC(=O)[C@H](CC(C)C)NC(=O)[C@H](C)NC(=O)[C@H](CCC(O)=O)NC(=O)[C@H](C(C)C)NC(=O)[C@H](CC(C)C)NC(=O)[C@H](CC=3NC=NC=3)NC(=O)[C@H](CO)NC(=O)CNC1=O)C(=O)NCC(=O)N[C@@H](CCC(O)=O)C(=O)N[C@@H](CCCNC(N)=N)C(=O)NCC(=O)N[C@@H](CC=1C=CC=CC=1)C(=O)N[C@@H](CC=1C=CC=CC=1)C(=O)N[C@@H](CC=1C=CC(O)=CC=1)C(=O)N[C@@H]([C@@H](C)O)C(=O)N1[C@@H](CCC1)C(=O)N[C@@H](CCCCN)C(=O)N[C@@H]([C@@H](C)O)C(=O)N[C@@H](CCCNC(N)=N)C(=O)N[C@@H](CCCNC(N)=N)C(O)=O)C(=O)NCC(O)=O)=O)CSSC[C@@H](C(N2)=O)NC(=O)[C@H](CCC(N)=O)NC(=O)[C@H](CCC(O)=O)NC(=O)[C@H](C(C)C)NC(=O)[C@@H](NC(=O)CN)[C@@H](C)CC)[C@@H](C)CC)[C@@H](C)O)NC(=O)[C@H](CCC(N)=O)NC(=O)[C@H](CC(N)=O)NC(=O)[C@@H](NC(=O)[C@@H](N)CC=1C=CC=CC=1)C(C)C)C1=CN=CN1 COCFEDIXXNGUNL-RFKWWTKHSA-N 0.000 description 1
- 102000003777 Interleukin-1 beta Human genes 0.000 description 1
- 108090000193 Interleukin-1 beta Proteins 0.000 description 1
- 206010022998 Irritability Diseases 0.000 description 1
- 108010041872 Islet Amyloid Polypeptide Proteins 0.000 description 1
- 102000036770 Islet Amyloid Polypeptide Human genes 0.000 description 1
- 108010055717 JNK Mitogen-Activated Protein Kinases Proteins 0.000 description 1
- 239000012825 JNK inhibitor Substances 0.000 description 1
- 229940118135 JNK inhibitor Drugs 0.000 description 1
- 102000012359 KCNQ Potassium Channels Human genes 0.000 description 1
- 108010022282 KCNQ Potassium Channels Proteins 0.000 description 1
- PWKSKIMOESPYIA-BYPYZUCNSA-N L-N-acetyl-Cysteine Chemical compound CC(=O)N[C@@H](CS)C(O)=O PWKSKIMOESPYIA-BYPYZUCNSA-N 0.000 description 1
- VGALFAWDSNRXJK-VIFPVBQESA-N L-aspartic acid beta-benzyl ester Chemical compound OC(=O)[C@@H](N)CC(=O)OCC1=CC=CC=C1 VGALFAWDSNRXJK-VIFPVBQESA-N 0.000 description 1
- OUYCCCASQSFEME-QMMMGPOBSA-N L-tyrosine Chemical compound OC(=O)[C@@H](N)CC1=CC=C(O)C=C1 OUYCCCASQSFEME-QMMMGPOBSA-N 0.000 description 1
- 102000000853 LDL receptors Human genes 0.000 description 1
- 108010001831 LDL receptors Proteins 0.000 description 1
- 102000004882 Lipase Human genes 0.000 description 1
- 108090001060 Lipase Proteins 0.000 description 1
- 239000004367 Lipase Substances 0.000 description 1
- 108010013563 Lipoprotein Lipase Proteins 0.000 description 1
- 102100022119 Lipoprotein lipase Human genes 0.000 description 1
- 102000057248 Lipoprotein(a) Human genes 0.000 description 1
- 108010033266 Lipoprotein(a) Proteins 0.000 description 1
- 102100021174 Lipoyl synthase, mitochondrial Human genes 0.000 description 1
- 108010019598 Liraglutide Proteins 0.000 description 1
- 108010011449 Long-chain-fatty-acid-CoA ligase Proteins 0.000 description 1
- 229940122014 Lyase inhibitor Drugs 0.000 description 1
- UPYKUZBSLRQECL-UKMVMLAPSA-N Lycopene Natural products CC(=C/C=C/C=C(C)/C=C/C=C(C)/C=C/C1C(=C)CCCC1(C)C)C=CC=C(/C)C=CC2C(=C)CCCC2(C)C UPYKUZBSLRQECL-UKMVMLAPSA-N 0.000 description 1
- JEVVKJMRZMXFBT-XWDZUXABSA-N Lycophyll Natural products OC/C(=C/CC/C(=C\C=C\C(=C/C=C/C(=C\C=C\C=C(/C=C/C=C(\C=C\C=C(/CC/C=C(/CO)\C)\C)/C)\C)/C)\C)/C)/C JEVVKJMRZMXFBT-XWDZUXABSA-N 0.000 description 1
- 102100026299 MAP kinase-interacting serine/threonine-protein kinase 1 Human genes 0.000 description 1
- 101710139011 MAP kinase-interacting serine/threonine-protein kinase 1 Proteins 0.000 description 1
- FYYHWMGAXLPEAU-UHFFFAOYSA-N Magnesium Chemical compound [Mg] FYYHWMGAXLPEAU-UHFFFAOYSA-N 0.000 description 1
- 241000124008 Mammalia Species 0.000 description 1
- ZPXSCAKFGYXMGA-UHFFFAOYSA-N Mazindol Chemical group N12CCN=C2C2=CC=CC=C2C1(O)C1=CC=C(Cl)C=C1 ZPXSCAKFGYXMGA-UHFFFAOYSA-N 0.000 description 1
- 102100023724 Melanocortin receptor 4 Human genes 0.000 description 1
- ZRVUJXDFFKFLMG-UHFFFAOYSA-N Meloxicam Chemical compound OC=1C2=CC=CC=C2S(=O)(=O)N(C)C=1C(=O)NC1=NC=C(C)S1 ZRVUJXDFFKFLMG-UHFFFAOYSA-N 0.000 description 1
- 241000699673 Mesocricetus auratus Species 0.000 description 1
- 101000610097 Mesocricetus auratus Pancreatic beta cell growth factor Proteins 0.000 description 1
- CERQOIWHTDAKMF-UHFFFAOYSA-N Methacrylic acid Chemical compound CC(=C)C(O)=O CERQOIWHTDAKMF-UHFFFAOYSA-N 0.000 description 1
- VVQNEPGJFQJSBK-UHFFFAOYSA-N Methyl methacrylate Chemical compound COC(=O)C(C)=C VVQNEPGJFQJSBK-UHFFFAOYSA-N 0.000 description 1
- 208000019695 Migraine disease Diseases 0.000 description 1
- MZRVEZGGRBJDDB-UHFFFAOYSA-N N-Butyllithium Chemical compound [Li]CCCC MZRVEZGGRBJDDB-UHFFFAOYSA-N 0.000 description 1
- UULIGRNKXHCLQN-UHFFFAOYSA-N N-[[4-[[(4-amino-2-quinazolinyl)amino]methyl]cyclohexyl]methyl]-1-naphthalenesulfonamide Chemical compound C1=CC=C2C(N)=NC(NCC3CCC(CNS(=O)(=O)C=4C5=CC=CC=C5C=CC=4)CC3)=NC2=C1 UULIGRNKXHCLQN-UHFFFAOYSA-N 0.000 description 1
- CHJJGSNFBQVOTG-UHFFFAOYSA-N N-methyl-guanidine Natural products CNC(N)=N CHJJGSNFBQVOTG-UHFFFAOYSA-N 0.000 description 1
- 102100031455 NAD-dependent protein deacetylase sirtuin-1 Human genes 0.000 description 1
- 102100030710 NAD-dependent protein deacetylase sirtuin-3, mitochondrial Human genes 0.000 description 1
- 238000011785 NMRI mouse Methods 0.000 description 1
- 102100038441 NPC1-like intracellular cholesterol transporter 1 Human genes 0.000 description 1
- OKJHGOPITGTTIM-DEOSSOPVSA-N Naveglitazar Chemical compound C1=CC(C[C@H](OC)C(O)=O)=CC=C1OCCCOC(C=C1)=CC=C1OC1=CC=CC=C1 OKJHGOPITGTTIM-DEOSSOPVSA-N 0.000 description 1
- 102100029050 Neuropeptide FF receptor 2 Human genes 0.000 description 1
- 102000028435 Neuropeptide Y4 receptor Human genes 0.000 description 1
- 108010002245 Neuropeptide Y4 receptor Proteins 0.000 description 1
- 102000028582 Neuropeptide Y5 receptor Human genes 0.000 description 1
- 108010046593 Neuropeptide Y5 receptor Proteins 0.000 description 1
- 101000755720 Neurospora crassa (strain ATCC 24698 / 74-OR23-1A / CBS 708.71 / DSM 1257 / FGSC 987) Palmitoyltransferase akr1 Proteins 0.000 description 1
- 102000019315 Nicotinic acetylcholine receptors Human genes 0.000 description 1
- 108050006807 Nicotinic acetylcholine receptors Proteins 0.000 description 1
- KAFHLONDOVSENM-HNNXBMFYSA-N O-Benzyl-L-tyrosine Chemical compound C1=CC(C[C@H](N)C(O)=O)=CC=C1OCC1=CC=CC=C1 KAFHLONDOVSENM-HNNXBMFYSA-N 0.000 description 1
- 108010036875 ORMD-0801 Proteins 0.000 description 1
- 208000008589 Obesity Diseases 0.000 description 1
- 101800000590 Obestatin Proteins 0.000 description 1
- 108091034117 Oligonucleotide Proteins 0.000 description 1
- 102000003840 Opioid Receptors Human genes 0.000 description 1
- 108090000137 Opioid Receptors Proteins 0.000 description 1
- 108050000742 Orexin Receptor Proteins 0.000 description 1
- 102000008834 Orexin receptor Human genes 0.000 description 1
- 108050001089 Orexin receptor 2 Proteins 0.000 description 1
- 102400000319 Oxyntomodulin Human genes 0.000 description 1
- 101800001388 Oxyntomodulin Proteins 0.000 description 1
- 102100025808 P2Y purinoceptor 14 Human genes 0.000 description 1
- 108010014865 PLIalpha Proteins 0.000 description 1
- 108010015181 PPAR delta Proteins 0.000 description 1
- 229940124754 PPAR-alpha/gamma agonist Drugs 0.000 description 1
- 229940122985 Peptide agonist Drugs 0.000 description 1
- 229940122054 Peroxisome proliferator-activated receptor delta agonist Drugs 0.000 description 1
- 229940123898 Phospholipase A2 inhibitor Drugs 0.000 description 1
- 108010064785 Phospholipases Proteins 0.000 description 1
- 102000015439 Phospholipases Human genes 0.000 description 1
- 102100033616 Phospholipid-transporting ATPase ABCA1 Human genes 0.000 description 1
- 239000004698 Polyethylene Substances 0.000 description 1
- 102100034355 Potassium voltage-gated channel subfamily A member 3 Human genes 0.000 description 1
- 102000009389 Prostaglandin D receptors Human genes 0.000 description 1
- 108050000258 Prostaglandin D receptors Proteins 0.000 description 1
- 108050008032 Prostaglandin DP receptors Proteins 0.000 description 1
- 102000015433 Prostaglandin Receptors Human genes 0.000 description 1
- 108010050183 Prostaglandin Receptors Proteins 0.000 description 1
- 108010024526 Protein Kinase C beta Proteins 0.000 description 1
- 108010059000 Protein Phosphatase 1 Proteins 0.000 description 1
- 102000005569 Protein Phosphatase 1 Human genes 0.000 description 1
- 102100024923 Protein kinase C beta type Human genes 0.000 description 1
- 102100034503 Protein phosphatase 1 regulatory subunit 3A Human genes 0.000 description 1
- 102000004022 Protein-Tyrosine Kinases Human genes 0.000 description 1
- 108090000412 Protein-Tyrosine Kinases Proteins 0.000 description 1
- 108091030071 RNAI Proteins 0.000 description 1
- 239000007868 Raney catalyst Substances 0.000 description 1
- NPXOKRUENSOPAO-UHFFFAOYSA-N Raney nickel Chemical compound [Al].[Ni] NPXOKRUENSOPAO-UHFFFAOYSA-N 0.000 description 1
- 229910000564 Raney nickel Inorganic materials 0.000 description 1
- 241000700157 Rattus norvegicus Species 0.000 description 1
- GSINGUMRKGRYJP-VZWAGXQNSA-N Remogliflozin Chemical compound C1=CC(OC(C)C)=CC=C1CC1=C(C)N(C(C)C)N=C1O[C@H]1[C@H](O)[C@@H](O)[C@H](O)[C@@H](CO)O1 GSINGUMRKGRYJP-VZWAGXQNSA-N 0.000 description 1
- QNVSXXGDAPORNA-UHFFFAOYSA-N Resveratrol Natural products OC1=CC=CC(C=CC=2C=C(O)C(O)=CC=2)=C1 QNVSXXGDAPORNA-UHFFFAOYSA-N 0.000 description 1
- 102100033617 Retinal-specific phospholipid-transporting ATPase ABCA4 Human genes 0.000 description 1
- 108091005770 SIRT3 Proteins 0.000 description 1
- 101000930003 Saccharomyces cerevisiae (strain ATCC 204508 / S288c) Diacylglycerol O-acyltransferase 1 Proteins 0.000 description 1
- 101000948733 Saccharomyces cerevisiae (strain ATCC 204508 / S288c) Probable phospholipid translocase non-catalytic subunit CRF1 Proteins 0.000 description 1
- BUGBHKTXTAQXES-UHFFFAOYSA-N Selenium Chemical compound [Se] BUGBHKTXTAQXES-UHFFFAOYSA-N 0.000 description 1
- 102100037310 Serine/threonine-protein kinase D1 Human genes 0.000 description 1
- 102000019208 Serotonin Plasma Membrane Transport Proteins Human genes 0.000 description 1
- 108010012996 Serotonin Plasma Membrane Transport Proteins Proteins 0.000 description 1
- 108010071390 Serum Albumin Proteins 0.000 description 1
- 102000007562 Serum Albumin Human genes 0.000 description 1
- 229910004298 SiO 2 Inorganic materials 0.000 description 1
- 108010041191 Sirtuin 1 Proteins 0.000 description 1
- LGJMUZUPVCAVPU-JFBKYFIKSA-N Sitostanol Natural products O[C@@H]1C[C@H]2[C@@](C)([C@@H]3[C@@H]([C@H]4[C@@](C)([C@@H]([C@@H](CC[C@H](C(C)C)CC)C)CC4)CC3)CC2)CC1 LGJMUZUPVCAVPU-JFBKYFIKSA-N 0.000 description 1
- 239000004133 Sodium thiosulphate Substances 0.000 description 1
- 102000011011 Sphingosine 1-phosphate receptors Human genes 0.000 description 1
- 108050001083 Sphingosine 1-phosphate receptors Proteins 0.000 description 1
- 229940123495 Squalene synthetase inhibitor Drugs 0.000 description 1
- 102100036831 Steroid hormone receptor ERR2 Human genes 0.000 description 1
- 101710126903 Sterol carrier protein 2 Proteins 0.000 description 1
- 102000003673 Symporters Human genes 0.000 description 1
- 108090000088 Symporters Proteins 0.000 description 1
- 102000003691 T-Type Calcium Channels Human genes 0.000 description 1
- 108090000030 T-Type Calcium Channels Proteins 0.000 description 1
- 229940127103 TKS-1225 Drugs 0.000 description 1
- 108010036769 TRPA1 Cation Channel Proteins 0.000 description 1
- 102000012253 TRPA1 Cation Channel Human genes 0.000 description 1
- 102000003566 TRPV1 Human genes 0.000 description 1
- 108010025083 TRPV1 receptor Proteins 0.000 description 1
- 102000003568 TRPV3 Human genes 0.000 description 1
- QLYKJCMUNUWAGO-GAJHUEQPSA-N Taranabant Chemical compound N([C@@H](C)[C@@H](CC=1C=CC(Cl)=CC=1)C=1C=C(C=CC=1)C#N)C(=O)C(C)(C)OC1=CC=C(C(F)(F)F)C=N1 QLYKJCMUNUWAGO-GAJHUEQPSA-N 0.000 description 1
- FEWJPZIEWOKRBE-UHFFFAOYSA-N Tartaric Acid Chemical compound [H+].[H+].[O-]C(=O)C(O)C(O)C([O-])=O FEWJPZIEWOKRBE-UHFFFAOYSA-N 0.000 description 1
- 101710203399 Thiamin pyrophosphokinase 1 Proteins 0.000 description 1
- 102100037495 Thiamin pyrophosphokinase 1 Human genes 0.000 description 1
- 229940127535 Thyroid Hormone Receptor Agonists Drugs 0.000 description 1
- RBPCODNTTHTSFN-DOKCBJKLSA-N Tinocrisporide Natural products COC(=O)C1=CCC[C@@H]2[C@]3(C)C[C@@H](OC(=O)[C@@H]3C[C@@H](O[C@H]4O[C@@H](CO)[C@H](O)[C@@H](O)[C@@H]4O)[C@@]12C)c5cocc5 RBPCODNTTHTSFN-DOKCBJKLSA-N 0.000 description 1
- 240000003428 Tinospora crispa Species 0.000 description 1
- JLRGJRBPOGGCBT-UHFFFAOYSA-N Tolbutamide Chemical compound CCCCNC(=O)NS(=O)(=O)C1=CC=C(C)C=C1 JLRGJRBPOGGCBT-UHFFFAOYSA-N 0.000 description 1
- 108090000946 Trace amine-associated receptor 1 Proteins 0.000 description 1
- 229920001615 Tragacanth Polymers 0.000 description 1
- LUKBXSAWLPMMSZ-OWOJBTEDSA-N Trans-resveratrol Chemical compound C1=CC(O)=CC=C1\C=C\C1=CC(O)=CC(O)=C1 LUKBXSAWLPMMSZ-OWOJBTEDSA-N 0.000 description 1
- 101150016206 Trpv1 gene Proteins 0.000 description 1
- 101150043371 Trpv3 gene Proteins 0.000 description 1
- 101710138398 Tryptophan 5-hydroxylase Proteins 0.000 description 1
- 102100024971 Tryptophan 5-hydroxylase 1 Human genes 0.000 description 1
- LEHOTFFKMJEONL-UHFFFAOYSA-N Uric Acid Chemical compound N1C(=O)NC(=O)C2=C1NC(=O)N2 LEHOTFFKMJEONL-UHFFFAOYSA-N 0.000 description 1
- TVWHNULVHGKJHS-UHFFFAOYSA-N Uric acid Natural products N1C(=O)NC(=O)C2NC(=O)NC21 TVWHNULVHGKJHS-UHFFFAOYSA-N 0.000 description 1
- 102100038286 Vasoactive intestinal polypeptide receptor 2 Human genes 0.000 description 1
- 101710137651 Vasoactive intestinal polypeptide receptor 2 Proteins 0.000 description 1
- 102100023048 Very long-chain acyl-CoA synthetase Human genes 0.000 description 1
- 229930003779 Vitamin B12 Natural products 0.000 description 1
- HCHKCACWOHOZIP-UHFFFAOYSA-N Zinc Chemical group [Zn] HCHKCACWOHOZIP-UHFFFAOYSA-N 0.000 description 1
- JKIHWNQARLENJW-GGMFNZDASA-N [(4r,5s)-5-amino-4-(3,4,5-trifluorophenyl)cyclohexen-1-yl]-[3-(trifluoromethyl)-6,8-dihydro-5h-[1,2,4]triazolo[4,3-a]pyrazin-7-yl]methanone;2,2,2-trifluoroacetic acid Chemical compound OC(=O)C(F)(F)F.C1([C@H]2CC=C(C[C@@H]2N)C(=O)N2CC=3N(C(=NN=3)C(F)(F)F)CC2)=CC(F)=C(F)C(F)=C1 JKIHWNQARLENJW-GGMFNZDASA-N 0.000 description 1
- IMIPDPVHGGHVNH-YWVHRCQQSA-N [(8r,9s,13s,14s)-13-methyl-17-oxo-7,8,9,11,12,14,15,16-octahydro-6h-cyclopenta[a]phenanthren-3-yl] (z)-octadec-9-enoate Chemical compound C1C[C@]2(C)C(=O)CC[C@H]2[C@@H]2CCC3=CC(OC(=O)CCCCCCC\C=C/CCCCCCCC)=CC=C3[C@H]21 IMIPDPVHGGHVNH-YWVHRCQQSA-N 0.000 description 1
- VEUACKUBDLVUAC-UHFFFAOYSA-N [Na].[Ca] Chemical compound [Na].[Ca] VEUACKUBDLVUAC-UHFFFAOYSA-N 0.000 description 1
- 125000002777 acetyl group Chemical group [H]C([H])([H])C(*)=O 0.000 description 1
- OIPILFWXSMYKGL-UHFFFAOYSA-N acetylcholine Chemical compound CC(=O)OCC[N+](C)(C)C OIPILFWXSMYKGL-UHFFFAOYSA-N 0.000 description 1
- 229960004373 acetylcholine Drugs 0.000 description 1
- 230000002378 acidificating effect Effects 0.000 description 1
- 150000007513 acids Chemical class 0.000 description 1
- DFDGRKNOFOJBAJ-UHFFFAOYSA-N acifran Chemical compound C=1C=CC=CC=1C1(C)OC(C(O)=O)=CC1=O DFDGRKNOFOJBAJ-UHFFFAOYSA-N 0.000 description 1
- 230000004913 activation Effects 0.000 description 1
- 239000002582 adenosine A1 receptor agonist Substances 0.000 description 1
- 229960004733 albiglutide Drugs 0.000 description 1
- OGWAVGNOAMXIIM-UHFFFAOYSA-N albiglutide Chemical compound O=C(O)C(NC(=O)CNC(=O)C(NC(=O)C(NC(=O)C(NC(=O)C(NC(=O)C(NC(=O)C(NC(=O)C(NC(=O)C(NC(=O)C(NC(=O)C(NC(=O)C(NC(=O)C(NC(=O)CNC(=O)C(NC(=O)C(NC(=O)C(NC(=O)C(NC(=O)C(NC(=O)C(NC(=O)C(NC(=O)C(NC(=O)C(NC(=O)C(NC(=O)C(NC(=O)CNC(=O)C(NC(=O)CNC(=O)C(N)CC=1(N=CNC=1))CCC(=O)O)C(O)C)CC2(=CC=CC=C2))C(O)C)CO)CC(=O)O)C(C)C)CO)CO)CC3(=CC=C(O)C=C3))CC(C)C)CCC(=O)O)CCC(=O)N)C)C)CCCCN)CCC(=O)O)CC4(=CC=CC=C4))C(CC)C)C)CC=6(C5(=C(C=CC=C5)NC=6)))CC(C)C)C(C)C)CCCCN)CCCNC(=N)N OGWAVGNOAMXIIM-UHFFFAOYSA-N 0.000 description 1
- 150000001299 aldehydes Chemical class 0.000 description 1
- DAYKLWSKQJBGCS-NRFANRHFSA-N aleglitazar Chemical compound C1=2C=CSC=2C(C[C@H](OC)C(O)=O)=CC=C1OCCC(=C(O1)C)N=C1C1=CC=CC=C1 DAYKLWSKQJBGCS-NRFANRHFSA-N 0.000 description 1
- 229950010157 aleglitazar Drugs 0.000 description 1
- 229960004601 aliskiren Drugs 0.000 description 1
- 229910052783 alkali metal Inorganic materials 0.000 description 1
- 150000001447 alkali salts Chemical class 0.000 description 1
- 125000000217 alkyl group Chemical group 0.000 description 1
- 238000005905 alkynylation reaction Methods 0.000 description 1
- JAZBEHYOTPTENJ-JLNKQSITSA-N all-cis-5,8,11,14,17-icosapentaenoic acid Chemical compound CC\C=C/C\C=C/C\C=C/C\C=C/C\C=C/CCCC(O)=O JAZBEHYOTPTENJ-JLNKQSITSA-N 0.000 description 1
- OENHQHLEOONYIE-UKMVMLAPSA-N all-trans beta-carotene Natural products CC=1CCCC(C)(C)C=1/C=C/C(/C)=C/C=C/C(/C)=C/C=C/C=C(C)C=CC=C(C)C=CC1=C(C)CCCC1(C)C OENHQHLEOONYIE-UKMVMLAPSA-N 0.000 description 1
- IYABWNGZIDDRAK-UHFFFAOYSA-N allene Chemical group C=C=C IYABWNGZIDDRAK-UHFFFAOYSA-N 0.000 description 1
- ZSBOMTDTBDDKMP-OAHLLOKOSA-N alogliptin Chemical compound C=1C=CC=C(C#N)C=1CN1C(=O)N(C)C(=O)C=C1N1CCC[C@@H](N)C1 ZSBOMTDTBDDKMP-OAHLLOKOSA-N 0.000 description 1
- 102000047725 alpha7 Nicotinic Acetylcholine Receptor Human genes 0.000 description 1
- 108700006085 alpha7 Nicotinic Acetylcholine Receptor Proteins 0.000 description 1
- 150000001413 amino acids Chemical class 0.000 description 1
- 235000019270 ammonium chloride Nutrition 0.000 description 1
- 150000003863 ammonium salts Chemical class 0.000 description 1
- 239000003392 amylase inhibitor Substances 0.000 description 1
- 108091005466 amylin receptors Proteins 0.000 description 1
- MZZLGJHLQGUVPN-HAWMADMCSA-N anacetrapib Chemical compound COC1=CC(F)=C(C(C)C)C=C1C1=CC=C(C(F)(F)F)C=C1CN1C(=O)O[C@H](C=2C=C(C=C(C=2)C(F)(F)F)C(F)(F)F)[C@@H]1C MZZLGJHLQGUVPN-HAWMADMCSA-N 0.000 description 1
- 229950000285 anacetrapib Drugs 0.000 description 1
- 239000002333 angiotensin II receptor antagonist Substances 0.000 description 1
- 229940126317 angiotensin II receptor antagonist Drugs 0.000 description 1
- 229920006318 anionic polymer Polymers 0.000 description 1
- 230000001539 anorectic effect Effects 0.000 description 1
- 230000003556 anti-epileptic effect Effects 0.000 description 1
- 230000001346 anti-hypertriglyceridemic effect Effects 0.000 description 1
- 239000003146 anticoagulant agent Substances 0.000 description 1
- 229940127219 anticoagulant drug Drugs 0.000 description 1
- 239000001961 anticonvulsive agent Substances 0.000 description 1
- 229940125708 antidiabetic agent Drugs 0.000 description 1
- 229960003965 antiepileptics Drugs 0.000 description 1
- 239000002220 antihypertensive agent Substances 0.000 description 1
- 229940030600 antihypertensive agent Drugs 0.000 description 1
- 239000003963 antioxidant agent Substances 0.000 description 1
- 230000003078 antioxidant effect Effects 0.000 description 1
- 235000006708 antioxidants Nutrition 0.000 description 1
- 239000000074 antisense oligonucleotide Substances 0.000 description 1
- 238000012230 antisense oligonucleotides Methods 0.000 description 1
- RCHHVVGSTHAVPF-ZPHPLDECSA-N apidra Chemical compound C([C@@H](C(=O)N[C@@H](CC(C)C)C(=O)N[C@H]1CSSC[C@H]2C(=O)N[C@H](C(=O)N[C@@H](CO)C(=O)N[C@H](C(=O)N[C@H](C(N[C@@H](CO)C(=O)N[C@@H](CC(C)C)C(=O)N[C@@H](CC=3C=CC(O)=CC=3)C(=O)N[C@@H](CCC(N)=O)C(=O)N[C@@H](CC(C)C)C(=O)N[C@@H](CCC(O)=O)C(=O)N[C@@H](CC(N)=O)C(=O)N[C@@H](CC=3C=CC(O)=CC=3)C(=O)N[C@@H](CSSC[C@H](NC(=O)[C@H](C(C)C)NC(=O)[C@H](CC(C)C)NC(=O)[C@H](CC=3C=CC(O)=CC=3)NC(=O)[C@H](CC(C)C)NC(=O)[C@H](C)NC(=O)[C@H](CCC(O)=O)NC(=O)[C@H](C(C)C)NC(=O)[C@H](CC(C)C)NC(=O)[C@H](CC=3N=CNC=3)NC(=O)[C@H](CO)NC(=O)CNC1=O)C(=O)NCC(=O)N[C@@H](CCC(O)=O)C(=O)N[C@@H](CCCNC(N)=N)C(=O)NCC(=O)N[C@@H](CC=1C=CC=CC=1)C(=O)N[C@@H](CC=1C=CC=CC=1)C(=O)N[C@@H](CC=1C=CC(O)=CC=1)C(=O)N[C@@H]([C@@H](C)O)C(=O)N1[C@@H](CCC1)C(=O)N[C@@H](CCC(O)=O)C(=O)N[C@@H]([C@@H](C)O)C(O)=O)C(=O)N[C@@H](CC(N)=O)C(O)=O)=O)CSSC[C@@H](C(N2)=O)NC(=O)[C@H](CCC(N)=O)NC(=O)[C@H](CCC(O)=O)NC(=O)[C@H](C(C)C)NC(=O)[C@@H](NC(=O)CN)[C@@H](C)CC)[C@@H](C)CC)[C@@H](C)O)NC(=O)[C@H](CCC(N)=O)NC(=O)[C@H](CCCCN)NC(=O)[C@@H](NC(=O)[C@@H](N)CC=1C=CC=CC=1)C(C)C)C1=CNC=N1 RCHHVVGSTHAVPF-ZPHPLDECSA-N 0.000 description 1
- 239000002830 appetite depressant Substances 0.000 description 1
- 238000013459 approach Methods 0.000 description 1
- 239000007864 aqueous solution Substances 0.000 description 1
- 208000011775 arteriosclerosis disease Diseases 0.000 description 1
- 235000010323 ascorbic acid Nutrition 0.000 description 1
- 239000011668 ascorbic acid Substances 0.000 description 1
- 229960005070 ascorbic acid Drugs 0.000 description 1
- 229940071097 ascorbyl phosphate Drugs 0.000 description 1
- 230000001363 autoimmune Effects 0.000 description 1
- 229950010046 avasimibe Drugs 0.000 description 1
- 229950011524 avosentan Drugs 0.000 description 1
- KGSXMPPBFPAXLY-UHFFFAOYSA-N azilsartan Chemical compound CCOC1=NC2=CC=CC(C(O)=O)=C2N1CC(C=C1)=CC=C1C1=CC=CC=C1C1=NOC(=O)N1 KGSXMPPBFPAXLY-UHFFFAOYSA-N 0.000 description 1
- 235000015173 baked goods and baking mixes Nutrition 0.000 description 1
- 229950010663 balaglitazone Drugs 0.000 description 1
- 239000002585 base Substances 0.000 description 1
- 150000007514 bases Chemical class 0.000 description 1
- BMWITAUNXBHIPO-OZZZDHQUSA-N benzenesulfonic acid;(2s,4s)-4-fluoro-1-[2-[(1-hydroxy-2-methylpropan-2-yl)amino]acetyl]pyrrolidine-2-carbonitrile Chemical compound OS(=O)(=O)C1=CC=CC=C1.OCC(C)(C)NCC(=O)N1C[C@@H](F)C[C@H]1C#N BMWITAUNXBHIPO-OZZZDHQUSA-N 0.000 description 1
- 125000003236 benzoyl group Chemical group [H]C1=C([H])C([H])=C(C([H])=C1[H])C(*)=O 0.000 description 1
- 125000001584 benzyloxycarbonyl group Chemical group C(=O)(OCC1=CC=CC=C1)* 0.000 description 1
- 102000012740 beta Adrenergic Receptors Human genes 0.000 description 1
- 108010079452 beta Adrenergic Receptors Proteins 0.000 description 1
- LGJMUZUPVCAVPU-UHFFFAOYSA-N beta-Sitostanol Natural products C1CC2CC(O)CCC2(C)C2C1C1CCC(C(C)CCC(CC)C(C)C)C1(C)CC2 LGJMUZUPVCAVPU-UHFFFAOYSA-N 0.000 description 1
- 235000013734 beta-carotene Nutrition 0.000 description 1
- 239000011648 beta-carotene Substances 0.000 description 1
- TUPZEYHYWIEDIH-WAIFQNFQSA-N beta-carotene Natural products CC(=C/C=C/C=C(C)/C=C/C=C(C)/C=C/C1=C(C)CCCC1(C)C)C=CC=C(/C)C=CC2=CCCCC2(C)C TUPZEYHYWIEDIH-WAIFQNFQSA-N 0.000 description 1
- 108040005346 beta3-adrenergic receptor activity proteins Proteins 0.000 description 1
- 229960002747 betacarotene Drugs 0.000 description 1
- UUQMNUMQCIQDMZ-UHFFFAOYSA-N betahistine Chemical compound CNCCC1=CC=CC=N1 UUQMNUMQCIQDMZ-UHFFFAOYSA-N 0.000 description 1
- 229960004536 betahistine Drugs 0.000 description 1
- NZUPCNDJBJXXRF-UHFFFAOYSA-O bethanechol Chemical compound C[N+](C)(C)CC(C)OC(N)=O NZUPCNDJBJXXRF-UHFFFAOYSA-O 0.000 description 1
- 229960000910 bethanechol Drugs 0.000 description 1
- 230000001588 bifunctional effect Effects 0.000 description 1
- 150000004283 biguanides Chemical class 0.000 description 1
- 102000030904 bile acid binding Human genes 0.000 description 1
- 108091022863 bile acid binding Proteins 0.000 description 1
- AQOKCDNYWBIDND-FTOWTWDKSA-N bimatoprost Chemical compound CCNC(=O)CCC\C=C/C[C@H]1[C@@H](O)C[C@@H](O)[C@@H]1\C=C\[C@@H](O)CCC1=CC=CC=C1 AQOKCDNYWBIDND-FTOWTWDKSA-N 0.000 description 1
- 229960002470 bimatoprost Drugs 0.000 description 1
- 230000027455 binding Effects 0.000 description 1
- 239000011230 binding agent Substances 0.000 description 1
- 230000004071 biological effect Effects 0.000 description 1
- 230000037396 body weight Effects 0.000 description 1
- 108010063504 bombesin receptor subtype 3 Proteins 0.000 description 1
- GCXIISSOWSXMCD-WOVZMQRJSA-N borapetoside A Natural products C[C@]12C[C@H](OC(=O)[C@@H]1C[C@@H]3OC(=O)[C@@]4(O)[C@@H](CC[C@H]2[C@]34C)O[C@H]5O[C@@H](CO)[C@H](O)[C@@H](O)[C@@H]5O)c6cocc6 GCXIISSOWSXMCD-WOVZMQRJSA-N 0.000 description 1
- GCXIISSOWSXMCD-MZYRCUENSA-N borapetoside a Chemical compound O([C@H]1CC[C@H]2[C@]3(C)C[C@H](OC(=O)[C@@H]3C[C@H]3[C@]2([C@@]1(O)C(=O)O3)C)C1=COC=C1)[C@@H]1O[C@H](CO)[C@@H](O)[C@H](O)[C@H]1O GCXIISSOWSXMCD-MZYRCUENSA-N 0.000 description 1
- FFHBJDQSGDNCIV-MFVUMRCOSA-N bremelanotide Chemical compound C([C@@H]1C(=O)N[C@@H](CCCNC(N)=N)C(=O)N[C@@H](CC=2C3=CC=CC=C3NC=2)C(=O)N[C@@H](CCCCNC(=O)C[C@@H](C(N[C@@H](CC=2NC=NC=2)C(=O)N1)=O)NC(=O)[C@@H](NC(C)=O)CCCC)C(O)=O)C1=CC=CC=C1 FFHBJDQSGDNCIV-MFVUMRCOSA-N 0.000 description 1
- 108010072543 bremelanotide Proteins 0.000 description 1
- 239000002021 butanolic extract Substances 0.000 description 1
- 229910001424 calcium ion Inorganic materials 0.000 description 1
- 230000003913 calcium metabolism Effects 0.000 description 1
- 159000000007 calcium salts Chemical class 0.000 description 1
- SGNBVLSWZMBQTH-PODYLUTMSA-N campesterol Chemical compound C1C=C2C[C@@H](O)CC[C@]2(C)[C@@H]2[C@@H]1[C@@H]1CC[C@H]([C@H](C)CC[C@@H](C)C(C)C)[C@@]1(C)CC2 SGNBVLSWZMBQTH-PODYLUTMSA-N 0.000 description 1
- 235000000431 campesterol Nutrition 0.000 description 1
- 229960001713 canagliflozin Drugs 0.000 description 1
- VHOFTEAWFCUTOS-TUGBYPPCSA-N canagliflozin hydrate Chemical compound O.CC1=CC=C([C@H]2[C@@H]([C@@H](O)[C@H](O)[C@@H](CO)O2)O)C=C1CC(S1)=CC=C1C1=CC=C(F)C=C1.CC1=CC=C([C@H]2[C@@H]([C@@H](O)[C@H](O)[C@@H](CO)O2)O)C=C1CC(S1)=CC=C1C1=CC=C(F)C=C1 VHOFTEAWFCUTOS-TUGBYPPCSA-N 0.000 description 1
- ORIYPICUSOGUOA-UHFFFAOYSA-N cannabidiol propyl analogue Natural products CCCc1cc(O)c(C2CC(=CCC2C(=C)C)C)c(O)c1 ORIYPICUSOGUOA-UHFFFAOYSA-N 0.000 description 1
- 230000023852 carbohydrate metabolic process Effects 0.000 description 1
- 150000001720 carbohydrates Chemical class 0.000 description 1
- 125000004432 carbon atom Chemical group C* 0.000 description 1
- 229950003594 carmegliptin Drugs 0.000 description 1
- 229960004203 carnitine Drugs 0.000 description 1
- 239000000969 carrier Substances 0.000 description 1
- 238000009903 catalytic hydrogenation reaction Methods 0.000 description 1
- 150000001768 cations Chemical class 0.000 description 1
- 239000013553 cell monolayer Substances 0.000 description 1
- 229940081734 cellulose acetate phthalate Drugs 0.000 description 1
- 108091000114 ceramide glucosyltransferase Proteins 0.000 description 1
- 235000012182 cereal bars Nutrition 0.000 description 1
- FAIMGWSOSCFGRU-IYBDPMFKSA-N chembl182150 Chemical compound N([C@H]1CC[C@H](CC1)NC=1N=C(C2=CC=CC=C2N=1)N(C)C)C(=O)C1=CC=C(F)C(F)=C1 FAIMGWSOSCFGRU-IYBDPMFKSA-N 0.000 description 1
- TZRFSLHOCZEXCC-HIVFKXHNSA-N chembl2219536 Chemical compound N1([C@H]2C[C@@H]([C@H](O2)COP(O)(=O)S[C@@H]2[C@H](O[C@H](C2)N2C3=C(C(NC(N)=N3)=O)N=C2)COP(O)(=O)S[C@@H]2[C@H](O[C@H](C2)N2C(NC(=O)C(C)=C2)=O)COP(O)(=O)S[C@@H]2[C@H](O[C@H](C2)N2C(N=C(N)C(C)=C2)=O)COP(O)(=O)S[C@@H]2[C@H](O[C@H](C2)N2C(NC(=O)C(C)=C2)=O)COP(O)(=O)S[C@@H]2[C@H](O[C@H](C2)N2C3=C(C(NC(N)=N3)=O)N=C2)COP(O)(=O)S[C@@H]2[C@H](O[C@H](C2)N2C3=NC=NC(N)=C3N=C2)COP(O)(=O)S[C@H]2[C@H]([C@@H](O[C@@H]2COP(O)(=O)S[C@H]2[C@H]([C@@H](O[C@@H]2COP(O)(=O)S[C@H]2[C@H]([C@@H](O[C@@H]2COP(O)(=O)S[C@H]2[C@H]([C@@H](O[C@@H]2COP(O)(=O)S[C@H]2[C@H]([C@@H](O[C@@H]2CO)N2C3=C(C(NC(N)=N3)=O)N=C2)OCCOC)N2C(N=C(N)C(C)=C2)=O)OCCOC)N2C(N=C(N)C(C)=C2)=O)OCCOC)N2C(NC(=O)C(C)=C2)=O)OCCOC)N2C(N=C(N)C(C)=C2)=O)OCCOC)SP(O)(=O)OC[C@H]2O[C@H](C[C@@H]2SP(O)(=O)OC[C@H]2O[C@H](C[C@@H]2SP(O)(=O)OC[C@H]2O[C@H](C[C@@H]2SP(O)(=O)OC[C@@H]2[C@H]([C@H]([C@@H](O2)N2C3=C(C(NC(N)=N3)=O)N=C2)OCCOC)SP(O)(=O)OC[C@H]2[C@@H]([C@@H]([C@H](O2)N2C(N=C(N)C(C)=C2)=O)OCCOC)SP(O)(=O)OC[C@H]2[C@@H]([C@@H]([C@H](O2)N2C3=NC=NC(N)=C3N=C2)OCCOC)SP(O)(=O)OC[C@H]2[C@@H]([C@@H]([C@H](O2)N2C(N=C(N)C(C)=C2)=O)OCCOC)SP(O)(=O)OC[C@H]2[C@H](O)[C@@H]([C@H](O2)N2C(N=C(N)C(C)=C2)=O)OCCOC)N2C(N=C(N)C(C)=C2)=O)N2C(NC(=O)C(C)=C2)=O)N2C(NC(=O)C(C)=C2)=O)C=C(C)C(N)=NC1=O TZRFSLHOCZEXCC-HIVFKXHNSA-N 0.000 description 1
- AOXOCDRNSPFDPE-UKEONUMOSA-N chembl413654 Chemical class C([C@H](C(=O)NCC(=O)N[C@H](CC=1C2=CC=CC=C2NC=1)C(=O)N[C@H](CCSC)C(=O)N[C@H](CC(O)=O)C(=O)N[C@H](CC=1C=CC=CC=1)C(N)=O)NC(=O)[C@@H](C)NC(=O)[C@@H](CCC(O)=O)NC(=O)[C@@H](CCC(O)=O)NC(=O)[C@@H](CCC(O)=O)NC(=O)[C@H](CCC(O)=O)NC(=O)[C@H](CCC(O)=O)NC(=O)[C@H](CC(C)C)NC(=O)[C@H](CC=1C2=CC=CC=C2NC=1)NC(=O)[C@H]1N(CCC1)C(=O)CNC(=O)[C@@H](N)CCC(O)=O)C1=CC=C(O)C=C1 AOXOCDRNSPFDPE-UKEONUMOSA-N 0.000 description 1
- 239000003153 chemical reaction reagent Substances 0.000 description 1
- 229940112822 chewing gum Drugs 0.000 description 1
- 235000015218 chewing gum Nutrition 0.000 description 1
- 125000001309 chloro group Chemical group Cl* 0.000 description 1
- 229960003677 chloroquine Drugs 0.000 description 1
- WHTVZRBIWZFKQO-UHFFFAOYSA-N chloroquine Natural products ClC1=CC=C2C(NC(C)CCCN(CC)CC)=CC=NC2=C1 WHTVZRBIWZFKQO-UHFFFAOYSA-N 0.000 description 1
- 229940125881 cholesteryl ester transfer protein inhibitor Drugs 0.000 description 1
- 229950009226 ciglitazone Drugs 0.000 description 1
- YZFWTZACSRHJQD-UHFFFAOYSA-N ciglitazone Chemical compound C=1C=C(CC2C(NC(=O)S2)=O)C=CC=1OCC1(C)CCCCC1 YZFWTZACSRHJQD-UHFFFAOYSA-N 0.000 description 1
- 229960001214 clofibrate Drugs 0.000 description 1
- KNHUKKLJHYUCFP-UHFFFAOYSA-N clofibrate Chemical compound CCOC(=O)C(C)(C)OC1=CC=C(Cl)C=C1 KNHUKKLJHYUCFP-UHFFFAOYSA-N 0.000 description 1
- AGVAZMGAQJOSFJ-WZHZPDAFSA-M cobalt(2+);[(2r,3s,4r,5s)-5-(5,6-dimethylbenzimidazol-1-yl)-4-hydroxy-2-(hydroxymethyl)oxolan-3-yl] [(2r)-1-[3-[(1r,2r,3r,4z,7s,9z,12s,13s,14z,17s,18s,19r)-2,13,18-tris(2-amino-2-oxoethyl)-7,12,17-tris(3-amino-3-oxopropyl)-3,5,8,8,13,15,18,19-octamethyl-2 Chemical compound [Co+2].N#[C-].[N-]([C@@H]1[C@H](CC(N)=O)[C@@]2(C)CCC(=O)NC[C@@H](C)OP(O)(=O)O[C@H]3[C@H]([C@H](O[C@@H]3CO)N3C4=CC(C)=C(C)C=C4N=C3)O)\C2=C(C)/C([C@H](C\2(C)C)CCC(N)=O)=N/C/2=C\C([C@H]([C@@]/2(CC(N)=O)C)CCC(N)=O)=N\C\2=C(C)/C2=N[C@]1(C)[C@@](C)(CC(N)=O)[C@@H]2CCC(N)=O AGVAZMGAQJOSFJ-WZHZPDAFSA-M 0.000 description 1
- FDJOLVPMNUYSCM-WZHZPDAFSA-L cobalt(3+);[(2r,3s,4r,5s)-5-(5,6-dimethylbenzimidazol-1-yl)-4-hydroxy-2-(hydroxymethyl)oxolan-3-yl] [(2r)-1-[3-[(1r,2r,3r,4z,7s,9z,12s,13s,14z,17s,18s,19r)-2,13,18-tris(2-amino-2-oxoethyl)-7,12,17-tris(3-amino-3-oxopropyl)-3,5,8,8,13,15,18,19-octamethyl-2 Chemical compound [Co+3].N#[C-].N([C@@H]([C@]1(C)[N-]\C([C@H]([C@@]1(CC(N)=O)C)CCC(N)=O)=C(\C)/C1=N/C([C@H]([C@@]1(CC(N)=O)C)CCC(N)=O)=C\C1=N\C([C@H](C1(C)C)CCC(N)=O)=C/1C)[C@@H]2CC(N)=O)=C\1[C@]2(C)CCC(=O)NC[C@@H](C)OP([O-])(=O)O[C@H]1[C@@H](O)[C@@H](N2C3=CC(C)=C(C)C=C3N=C2)O[C@@H]1CO FDJOLVPMNUYSCM-WZHZPDAFSA-L 0.000 description 1
- 238000004440 column chromatography Methods 0.000 description 1
- 238000002485 combustion reaction Methods 0.000 description 1
- 229940125797 compound 12 Drugs 0.000 description 1
- 229940126543 compound 14 Drugs 0.000 description 1
- 229940125833 compound 23 Drugs 0.000 description 1
- 229940125898 compound 5 Drugs 0.000 description 1
- 239000007891 compressed tablet Substances 0.000 description 1
- 229940126165 cortisol synthesis inhibitor Drugs 0.000 description 1
- 229950004210 cromakalim Drugs 0.000 description 1
- 238000002425 crystallisation Methods 0.000 description 1
- 230000008025 crystallization Effects 0.000 description 1
- 235000012754 curcumin Nutrition 0.000 description 1
- 239000004148 curcumin Substances 0.000 description 1
- 229940109262 curcumin Drugs 0.000 description 1
- 125000002993 cycloalkylene group Chemical group 0.000 description 1
- GVJHHUAWPYXKBD-UHFFFAOYSA-N d-alpha-tocopherol Natural products OC1=C(C)C(C)=C2OC(CCCC(C)CCCC(C)CCCC(C)C)(C)CCC2=C1C GVJHHUAWPYXKBD-UHFFFAOYSA-N 0.000 description 1
- 229950004181 dalcetrapib Drugs 0.000 description 1
- 229960003834 dapagliflozin Drugs 0.000 description 1
- 229950004456 darapladib Drugs 0.000 description 1
- 206010061428 decreased appetite Diseases 0.000 description 1
- CYQFCXCEBYINGO-IAGOWNOFSA-N delta1-THC Chemical class C1=C(C)CC[C@H]2C(C)(C)OC3=CC(CCCCC)=CC(O)=C3[C@@H]21 CYQFCXCEBYINGO-IAGOWNOFSA-N 0.000 description 1
- 238000010511 deprotection reaction Methods 0.000 description 1
- 229960004597 dexfenfluramine Drugs 0.000 description 1
- 208000033679 diabetic kidney disease Diseases 0.000 description 1
- 229960004042 diazoxide Drugs 0.000 description 1
- MHDVGSVTJDSBDK-UHFFFAOYSA-N dibenzyl ether Chemical compound C=1C=CC=CC=1COCC1=CC=CC=C1 MHDVGSVTJDSBDK-UHFFFAOYSA-N 0.000 description 1
- FPUQGCOBYOXAED-UHFFFAOYSA-N diethyl 2-[[2-[3-(dimethylcarbamoyl)-4-[[2-[4-(trifluoromethyl)phenyl]benzoyl]amino]phenyl]acetyl]oxymethyl]-2-phenylpropanedioate Chemical compound C=1C=CC=CC=1C(C(=O)OCC)(C(=O)OCC)COC(=O)CC(C=C1C(=O)N(C)C)=CC=C1NC(=O)C1=CC=CC=C1C1=CC=C(C(F)(F)F)C=C1 FPUQGCOBYOXAED-UHFFFAOYSA-N 0.000 description 1
- VFLDPWHFBUODDF-UHFFFAOYSA-N diferuloylmethane Natural products C1=C(O)C(OC)=CC(C=CC(=O)CC(=O)C=CC=2C=C(OC)C(O)=CC=2)=C1 VFLDPWHFBUODDF-UHFFFAOYSA-N 0.000 description 1
- 229960000616 diflunisal Drugs 0.000 description 1
- HUPFGZXOMWLGNK-UHFFFAOYSA-N diflunisal Chemical compound C1=C(O)C(C(=O)O)=CC(C=2C(=CC(F)=CC=2)F)=C1 HUPFGZXOMWLGNK-UHFFFAOYSA-N 0.000 description 1
- 230000029087 digestion Effects 0.000 description 1
- METQSPRSQINEEU-UHFFFAOYSA-N dihydrospirorenone Natural products CC12CCC(C3(CCC(=O)C=C3C3CC33)C)C3C1C1CC1C21CCC(=O)O1 METQSPRSQINEEU-UHFFFAOYSA-N 0.000 description 1
- HSUGRBWQSSZJOP-RTWAWAEBSA-N diltiazem Chemical compound C1=CC(OC)=CC=C1[C@H]1[C@@H](OC(C)=O)C(=O)N(CCN(C)C)C2=CC=CC=C2S1 HSUGRBWQSSZJOP-RTWAWAEBSA-N 0.000 description 1
- 229960004166 diltiazem Drugs 0.000 description 1
- 239000003085 diluting agent Substances 0.000 description 1
- SWSQBOPZIKWTGO-UHFFFAOYSA-N dimethylaminoamidine Natural products CN(C)C(N)=N SWSQBOPZIKWTGO-UHFFFAOYSA-N 0.000 description 1
- KPUWHANPEXNPJT-UHFFFAOYSA-N disiloxane Chemical compound [SiH3]O[SiH3] KPUWHANPEXNPJT-UHFFFAOYSA-N 0.000 description 1
- 239000002270 dispersing agent Substances 0.000 description 1
- 238000004090 dissolution Methods 0.000 description 1
- 235000020669 docosahexaenoic acid Nutrition 0.000 description 1
- 229940090949 docosahexaenoic acid Drugs 0.000 description 1
- 229960003638 dopamine Drugs 0.000 description 1
- 239000003210 dopamine receptor blocking agent Substances 0.000 description 1
- 239000000221 dopamine uptake inhibitor Substances 0.000 description 1
- RUZYUOTYCVRMRZ-UHFFFAOYSA-N doxazosin Chemical compound C1OC2=CC=CC=C2OC1C(=O)N(CC1)CCN1C1=NC(N)=C(C=C(C(OC)=C2)OC)C2=N1 RUZYUOTYCVRMRZ-UHFFFAOYSA-N 0.000 description 1
- 229960001389 doxazosin Drugs 0.000 description 1
- IQQBRKLVEALROM-UHFFFAOYSA-N drinabant Chemical compound C=1C(F)=CC(F)=CC=1N(S(=O)(=O)C)C(C1)CN1C(C=1C=CC(Cl)=CC=1)C1=CC=C(Cl)C=C1 IQQBRKLVEALROM-UHFFFAOYSA-N 0.000 description 1
- METQSPRSQINEEU-HXCATZOESA-N drospirenone Chemical compound C([C@]12[C@H]3C[C@H]3[C@H]3[C@H]4[C@@H]([C@]5(CCC(=O)C=C5[C@@H]5C[C@@H]54)C)CC[C@@]31C)CC(=O)O2 METQSPRSQINEEU-HXCATZOESA-N 0.000 description 1
- 229960004845 drospirenone Drugs 0.000 description 1
- 238000012377 drug delivery Methods 0.000 description 1
- 230000009977 dual effect Effects 0.000 description 1
- 235000020673 eicosapentaenoic acid Nutrition 0.000 description 1
- 229960005135 eicosapentaenoic acid Drugs 0.000 description 1
- JAZBEHYOTPTENJ-UHFFFAOYSA-N eicosapentaenoic acid Natural products CCC=CCC=CCC=CCC=CCC=CCCCC(O)=O JAZBEHYOTPTENJ-UHFFFAOYSA-N 0.000 description 1
- 230000008030 elimination Effects 0.000 description 1
- 238000003379 elimination reaction Methods 0.000 description 1
- 239000003062 endothelin A receptor antagonist Substances 0.000 description 1
- 239000003623 enhancer Substances 0.000 description 1
- 230000002708 enhancing effect Effects 0.000 description 1
- BJXYHBKEQFQVES-NWDGAFQWSA-N enpatoran Chemical compound N[C@H]1CN(C[C@H](C1)C(F)(F)F)C1=C2C=CC=NC2=C(C=C1)C#N BJXYHBKEQFQVES-NWDGAFQWSA-N 0.000 description 1
- 239000002702 enteric coating Substances 0.000 description 1
- 238000009505 enteric coating Methods 0.000 description 1
- CTKZZUXRWBCFEI-UHFFFAOYSA-N ethyl 2-[[[5-[2-amino-5-(2,2-dimethylpropanoyl)-1,3-thiazol-4-yl]furan-2-yl]-[(1-ethoxy-2-methyl-1-oxopropan-2-yl)amino]phosphoryl]amino]-2-methylpropanoate Chemical compound O1C(P(=O)(NC(C)(C)C(=O)OCC)NC(C)(C)C(=O)OCC)=CC=C1C1=C(C(=O)C(C)(C)C)SC(N)=N1 CTKZZUXRWBCFEI-UHFFFAOYSA-N 0.000 description 1
- AKFNKZFJBFQFAA-DIOPXHOYSA-N ethyl 4-[[2-[(2s,4s)-2-cyano-4-fluoropyrrolidin-1-yl]-2-oxoethyl]amino]bicyclo[2.2.2]octane-1-carboxylate Chemical compound C1CC(C(=O)OCC)(CC2)CCC12NCC(=O)N1C[C@@H](F)C[C@H]1C#N AKFNKZFJBFQFAA-DIOPXHOYSA-N 0.000 description 1
- OOBFNDGMAGSNKA-UHFFFAOYSA-N ethyl 7-bromoheptanoate Chemical compound CCOC(=O)CCCCCCBr OOBFNDGMAGSNKA-UHFFFAOYSA-N 0.000 description 1
- DEQYTNZJHKPYEZ-UHFFFAOYSA-N ethyl acetate;heptane Chemical compound CCOC(C)=O.CCCCCCC DEQYTNZJHKPYEZ-UHFFFAOYSA-N 0.000 description 1
- 238000011156 evaluation Methods 0.000 description 1
- 238000002474 experimental method Methods 0.000 description 1
- 238000000605 extraction Methods 0.000 description 1
- 229940012151 exubera Drugs 0.000 description 1
- ZZCHHVUQYRMYLW-HKBQPEDESA-N farglitazar Chemical compound N([C@@H](CC1=CC=C(C=C1)OCCC=1N=C(OC=1C)C=1C=CC=CC=1)C(O)=O)C1=CC=CC=C1C(=O)C1=CC=CC=C1 ZZCHHVUQYRMYLW-HKBQPEDESA-N 0.000 description 1
- 210000003608 fece Anatomy 0.000 description 1
- 229960001582 fenfluramine Drugs 0.000 description 1
- 238000003818 flash chromatography Methods 0.000 description 1
- 239000000796 flavoring agent Substances 0.000 description 1
- 235000019634 flavors Nutrition 0.000 description 1
- 235000013305 food Nutrition 0.000 description 1
- 235000012041 food component Nutrition 0.000 description 1
- 239000005417 food ingredient Substances 0.000 description 1
- 230000037406 food intake Effects 0.000 description 1
- 235000012631 food intake Nutrition 0.000 description 1
- ZHNUHDYFZUAESO-UHFFFAOYSA-N formamide Substances NC=O ZHNUHDYFZUAESO-UHFFFAOYSA-N 0.000 description 1
- 125000002485 formyl group Chemical group [H]C(*)=O 0.000 description 1
- OSCCDBFHNMXNME-UHFFFAOYSA-N gamma-hydroxyisoleucine Natural products CC(O)C(C)C(N)C(O)=O OSCCDBFHNMXNME-UHFFFAOYSA-N 0.000 description 1
- 229940125695 gastrointestinal agent Drugs 0.000 description 1
- 239000004083 gastrointestinal agent Substances 0.000 description 1
- 230000005176 gastrointestinal motility Effects 0.000 description 1
- 238000003304 gavage Methods 0.000 description 1
- 239000008273 gelatin Substances 0.000 description 1
- 229920000159 gelatin Polymers 0.000 description 1
- 235000019322 gelatine Nutrition 0.000 description 1
- 235000011852 gelatine desserts Nutrition 0.000 description 1
- 229950004781 gemcabene Drugs 0.000 description 1
- 230000009368 gene silencing by RNA Effects 0.000 description 1
- AFLFKFHDSCQHOL-IZZDOVSWSA-N gft505 Chemical compound C1=CC(SC)=CC=C1C(=O)\C=C\C1=CC(C)=C(OC(C)(C)C(O)=O)C(C)=C1 AFLFKFHDSCQHOL-IZZDOVSWSA-N 0.000 description 1
- 229960004580 glibenclamide Drugs 0.000 description 1
- 229960004346 glimepiride Drugs 0.000 description 1
- WIGIZIANZCJQQY-RUCARUNLSA-N glimepiride Chemical compound O=C1C(CC)=C(C)CN1C(=O)NCCC1=CC=C(S(=O)(=O)NC(=O)N[C@@H]2CC[C@@H](C)CC2)C=C1 WIGIZIANZCJQQY-RUCARUNLSA-N 0.000 description 1
- ZJJXGWJIGJFDTL-UHFFFAOYSA-N glipizide Chemical compound C1=NC(C)=CN=C1C(=O)NCCC1=CC=C(S(=O)(=O)NC(=O)NC2CCCCC2)C=C1 ZJJXGWJIGJFDTL-UHFFFAOYSA-N 0.000 description 1
- 229960001381 glipizide Drugs 0.000 description 1
- MASNOZXLGMXCHN-ZLPAWPGGSA-N glucagon Chemical group C([C@@H](C(=O)N[C@H](C(=O)N[C@@H](CCC(N)=O)C(=O)N[C@@H](CC=1C2=CC=CC=C2NC=1)C(=O)N[C@@H](CC(C)C)C(=O)N[C@@H](CCSC)C(=O)N[C@@H](CC(N)=O)C(=O)N[C@@H]([C@@H](C)O)C(O)=O)C(C)C)NC(=O)[C@H](CC(O)=O)NC(=O)[C@H](CCC(N)=O)NC(=O)[C@H](C)NC(=O)[C@H](CCCNC(N)=N)NC(=O)[C@H](CCCNC(N)=N)NC(=O)[C@H](CO)NC(=O)[C@H](CC(O)=O)NC(=O)[C@H](CC(C)C)NC(=O)[C@H](CC=1C=CC(O)=CC=1)NC(=O)[C@H](CCCCN)NC(=O)[C@H](CO)NC(=O)[C@H](CC=1C=CC(O)=CC=1)NC(=O)[C@H](CC(O)=O)NC(=O)[C@H](CO)NC(=O)[C@@H](NC(=O)[C@H](CC=1C=CC=CC=1)NC(=O)[C@@H](NC(=O)CNC(=O)[C@H](CCC(N)=O)NC(=O)[C@H](CO)NC(=O)[C@@H](N)CC=1NC=NC=1)[C@@H](C)O)[C@@H](C)O)C1=CC=CC=C1 MASNOZXLGMXCHN-ZLPAWPGGSA-N 0.000 description 1
- 108010063245 glucagon-like peptide 1 (7-36)amide Proteins 0.000 description 1
- 230000004110 gluconeogenesis Effects 0.000 description 1
- 230000004190 glucose uptake Effects 0.000 description 1
- ZNNLBTZKUZBEKO-UHFFFAOYSA-N glyburide Chemical compound COC1=CC=C(Cl)C=C1C(=O)NCCC1=CC=C(S(=O)(=O)NC(=O)NC2CCCCC2)C=C1 ZNNLBTZKUZBEKO-UHFFFAOYSA-N 0.000 description 1
- 229940096919 glycogen Drugs 0.000 description 1
- 230000004116 glycogenolysis Effects 0.000 description 1
- 239000003316 glycosidase inhibitor Substances 0.000 description 1
- QWEWGXUTRTXFRF-KBPBESRZSA-N gosogliptin Chemical compound C1C(F)(F)CCN1C(=O)[C@H]1NC[C@@H](N2CCN(CC2)C=2N=CC=CN=2)C1 QWEWGXUTRTXFRF-KBPBESRZSA-N 0.000 description 1
- 150000002357 guanidines Chemical class 0.000 description 1
- 229940093915 gynecological organic acid Drugs 0.000 description 1
- 238000010438 heat treatment Methods 0.000 description 1
- 230000002440 hepatic effect Effects 0.000 description 1
- 238000004128 high performance liquid chromatography Methods 0.000 description 1
- 238000000589 high-performance liquid chromatography-mass spectrometry Methods 0.000 description 1
- 239000003395 histamine H3 receptor antagonist Substances 0.000 description 1
- 239000010015 huanglian Substances 0.000 description 1
- 229940038661 humalog Drugs 0.000 description 1
- 102000046327 human PPY Human genes 0.000 description 1
- 229940103471 humulin Drugs 0.000 description 1
- 150000002430 hydrocarbons Chemical group 0.000 description 1
- 229910052739 hydrogen Inorganic materials 0.000 description 1
- 125000004435 hydrogen atom Chemical group [H]* 0.000 description 1
- 229910000042 hydrogen bromide Inorganic materials 0.000 description 1
- 125000002887 hydroxy group Chemical group [H]O* 0.000 description 1
- 229940031704 hydroxypropyl methylcellulose phthalate Drugs 0.000 description 1
- 229920003132 hydroxypropyl methylcellulose phthalate Polymers 0.000 description 1
- 230000000055 hyoplipidemic effect Effects 0.000 description 1
- 230000001227 hypertriglyceridemic effect Effects 0.000 description 1
- 230000002218 hypoglycaemic effect Effects 0.000 description 1
- 208000021822 hypotensive Diseases 0.000 description 1
- 230000001077 hypotensive effect Effects 0.000 description 1
- 229950011100 ibipinabant Drugs 0.000 description 1
- 229950008060 ibrolipim Drugs 0.000 description 1
- 230000006872 improvement Effects 0.000 description 1
- 239000012535 impurity Substances 0.000 description 1
- 229950009732 indeglitazar Drugs 0.000 description 1
- 150000002476 indolines Chemical class 0.000 description 1
- 239000003701 inert diluent Substances 0.000 description 1
- 229960004717 insulin aspart Drugs 0.000 description 1
- 108010050259 insulin degludec Proteins 0.000 description 1
- 229960004225 insulin degludec Drugs 0.000 description 1
- 229960003948 insulin detemir Drugs 0.000 description 1
- 230000003993 interaction Effects 0.000 description 1
- 239000000543 intermediate Substances 0.000 description 1
- 230000000968 intestinal effect Effects 0.000 description 1
- 210000004347 intestinal mucosa Anatomy 0.000 description 1
- 238000005342 ion exchange Methods 0.000 description 1
- VQTUBCCKSQIDNK-UHFFFAOYSA-N iso-butene Natural products CC(C)=C VQTUBCCKSQIDNK-UHFFFAOYSA-N 0.000 description 1
- 125000000654 isopropylidene group Chemical group C(C)(C)=* 0.000 description 1
- 229940103445 janumet Drugs 0.000 description 1
- JVTAAEKCZFNVCJ-UHFFFAOYSA-N lactic acid Chemical compound CC(O)C(O)=O JVTAAEKCZFNVCJ-UHFFFAOYSA-N 0.000 description 1
- HDGUKVZPMPJBFK-LEAFIULHSA-N lapaquistat Chemical compound COC1=CC=CC([C@@H]2C3=CC(Cl)=CC=C3N(CC(C)(C)CO)C(=O)[C@@H](CC(=O)N3CCC(CC(O)=O)CC3)O2)=C1OC HDGUKVZPMPJBFK-LEAFIULHSA-N 0.000 description 1
- 229950002188 lapaquistat Drugs 0.000 description 1
- 229940102988 levemir Drugs 0.000 description 1
- 125000005647 linker group Chemical group 0.000 description 1
- 235000019421 lipase Nutrition 0.000 description 1
- 229960002701 liraglutide Drugs 0.000 description 1
- 229950011606 lisofylline Drugs 0.000 description 1
- 229960003566 lomitapide Drugs 0.000 description 1
- 229960005060 lorcaserin Drugs 0.000 description 1
- 229960003283 lorcaserin hydrochloride Drugs 0.000 description 1
- 229940115970 lovaza Drugs 0.000 description 1
- 239000000314 lubricant Substances 0.000 description 1
- 239000002697 lyase inhibitor Substances 0.000 description 1
- 235000012661 lycopene Nutrition 0.000 description 1
- 229960004999 lycopene Drugs 0.000 description 1
- OAIJSZIZWZSQBC-GYZMGTAESA-N lycopene Chemical compound CC(C)=CCC\C(C)=C\C=C\C(\C)=C\C=C\C(\C)=C\C=C\C=C(/C)\C=C\C=C(/C)\C=C\C=C(/C)CCC=C(C)C OAIJSZIZWZSQBC-GYZMGTAESA-N 0.000 description 1
- 239000001751 lycopene Substances 0.000 description 1
- 229910052749 magnesium Inorganic materials 0.000 description 1
- VZCYOOQTPOCHFL-UPHRSURJSA-N maleic acid Chemical compound OC(=O)\C=C/C(O)=O VZCYOOQTPOCHFL-UPHRSURJSA-N 0.000 description 1
- 239000011976 maleic acid Substances 0.000 description 1
- 239000001630 malic acid Substances 0.000 description 1
- 229960000299 mazindol Drugs 0.000 description 1
- 238000005259 measurement Methods 0.000 description 1
- 238000002483 medication Methods 0.000 description 1
- 229960001929 meloxicam Drugs 0.000 description 1
- 239000002207 metabolite Substances 0.000 description 1
- AFVFQIVMOAPDHO-UHFFFAOYSA-N methanesulfonic acid Substances CS(O)(=O)=O AFVFQIVMOAPDHO-UHFFFAOYSA-N 0.000 description 1
- RBPCODNTTHTSFN-ZDMQDBCMSA-N methyl (2s,4ar,6r,6ar,10as,10bs)-2-(furan-3-yl)-6a,10b-dimethyl-4-oxo-6-[(2r,3r,4s,5s,6r)-3,4,5-trihydroxy-6-(hydroxymethyl)oxan-2-yl]oxy-1,2,4a,5,6,9,10,10a-octahydrobenzo[f]isochromene-7-carboxylate Chemical compound O([C@@H]1C[C@H]2C(=O)O[C@@H](C[C@@]2(C)[C@@H]2CCC=C([C@]12C)C(=O)OC)C1=COC=C1)[C@@H]1O[C@H](CO)[C@@H](O)[C@H](O)[C@H]1O RBPCODNTTHTSFN-ZDMQDBCMSA-N 0.000 description 1
- 229920000609 methyl cellulose Polymers 0.000 description 1
- 239000001923 methylcellulose Substances 0.000 description 1
- 108700008455 metreleptin Proteins 0.000 description 1
- 229960000668 metreleptin Drugs 0.000 description 1
- 108010038232 microsomal triglyceride transfer protein Proteins 0.000 description 1
- 206010027599 migraine Diseases 0.000 description 1
- 150000007522 mineralic acids Chemical class 0.000 description 1
- 229960004778 mipomersen Drugs 0.000 description 1
- OSGPYAHSKOGBFY-KMHHXCEHSA-A mipomersen sodium Chemical compound [Na+].[Na+].[Na+].[Na+].[Na+].[Na+].[Na+].[Na+].[Na+].[Na+].[Na+].[Na+].[Na+].[Na+].[Na+].[Na+].[Na+].[Na+].[Na+].N1([C@H]2C[C@@H]([C@H](O2)COP([O-])(=O)S[C@@H]2[C@H](O[C@H](C2)N2C3=C(C(NC(N)=N3)=O)N=C2)COP([O-])(=O)S[C@@H]2[C@H](O[C@H](C2)N2C(NC(=O)C(C)=C2)=O)COP([O-])(=O)S[C@@H]2[C@H](O[C@H](C2)N2C(N=C(N)C(C)=C2)=O)COP([O-])(=O)S[C@@H]2[C@H](O[C@H](C2)N2C(NC(=O)C(C)=C2)=O)COP([O-])(=O)S[C@@H]2[C@H](O[C@H](C2)N2C3=C(C(NC(N)=N3)=O)N=C2)COP([O-])(=O)S[C@@H]2[C@H](O[C@H](C2)N2C3=NC=NC(N)=C3N=C2)COP([O-])(=O)S[C@H]2[C@H]([C@@H](O[C@@H]2COP([O-])(=O)S[C@H]2[C@H]([C@@H](O[C@@H]2COP([O-])(=O)S[C@H]2[C@H]([C@@H](O[C@@H]2COP([O-])(=O)S[C@H]2[C@H]([C@@H](O[C@@H]2COP([O-])(=O)S[C@H]2[C@H]([C@@H](O[C@@H]2CO)N2C3=C(C(NC(N)=N3)=O)N=C2)OCCOC)N2C(N=C(N)C(C)=C2)=O)OCCOC)N2C(N=C(N)C(C)=C2)=O)OCCOC)N2C(NC(=O)C(C)=C2)=O)OCCOC)N2C(N=C(N)C(C)=C2)=O)OCCOC)SP([O-])(=O)OC[C@H]2O[C@H](C[C@@H]2SP([O-])(=O)OC[C@H]2O[C@H](C[C@@H]2SP([O-])(=O)OC[C@H]2O[C@H](C[C@@H]2SP([O-])(=O)OC[C@@H]2[C@H]([C@H]([C@@H](O2)N2C3=C(C(NC(N)=N3)=O)N=C2)OCCOC)SP([O-])(=O)OC[C@H]2[C@@H]([C@@H]([C@H](O2)N2C(N=C(N)C(C)=C2)=O)OCCOC)SP([O-])(=O)OC[C@H]2[C@@H]([C@@H]([C@H](O2)N2C3=NC=NC(N)=C3N=C2)OCCOC)SP([O-])(=O)OC[C@H]2[C@@H]([C@@H]([C@H](O2)N2C(N=C(N)C(C)=C2)=O)OCCOC)SP([O-])(=O)OC[C@H]2[C@H](O)[C@@H]([C@H](O2)N2C(N=C(N)C(C)=C2)=O)OCCOC)N2C(N=C(N)C(C)=C2)=O)N2C(NC(=O)C(C)=C2)=O)N2C(NC(=O)C(C)=C2)=O)C=C(C)C(N)=NC1=O OSGPYAHSKOGBFY-KMHHXCEHSA-A 0.000 description 1
- 229960003365 mitiglinide Drugs 0.000 description 1
- WPGGHFDDFPHPOB-BBWFWOEESA-N mitiglinide Chemical compound C([C@@H](CC(=O)N1C[C@@H]2CCCC[C@@H]2C1)C(=O)O)C1=CC=CC=C1 WPGGHFDDFPHPOB-BBWFWOEESA-N 0.000 description 1
- 230000002438 mitochondrial effect Effects 0.000 description 1
- 238000002156 mixing Methods 0.000 description 1
- 239000007932 molded tablet Substances 0.000 description 1
- PXZWGQLGAKCNKD-DPNMSELWSA-N molport-023-276-326 Chemical compound C([C@@H](C(=O)N[C@H](C(=O)N[C@@H](CCC(N)=O)C(=O)N[C@@H](CC=1C2=CC=CC=C2NC=1)C(=O)N[C@@H](CC(C)C)C(=O)N[C@@H](CCSC)C(=O)N[C@@H](CC(N)=O)C(=O)N[C@H](C(=O)N[C@@H](CCCCN)C(=O)N[C@@H](CCCNC(N)=N)C(=O)N[C@@H](CC(N)=O)C(=O)N[C@@H](CCCCN)C(=O)N[C@@H](CC(N)=O)C(=O)N[C@@H](CC(N)=O)C(=O)N[C@@H]([C@@H](C)CC)C(=O)N[C@@H](C)C(O)=O)[C@@H](C)O)C(C)C)NC(=O)[C@H](CC(O)=O)NC(=O)[C@H](CCC(N)=O)NC(=O)[C@H](C)NC(=O)[C@H](CCCNC(N)=N)NC(=O)[C@H](CCCNC(N)=N)NC(=O)[C@H](CO)NC(=O)[C@H](CC(O)=O)NC(=O)[C@H](CC(C)C)NC(=O)[C@H](CC=1C=CC(O)=CC=1)NC(=O)[C@H](CCCCN)NC(=O)[C@H](CO)NC(=O)[C@H](CC=1C=CC(O)=CC=1)NC(=O)[C@H](CC(O)=O)NC(=O)[C@H](CO)NC(=O)[C@@H](NC(=O)[C@H](CC=1C=CC=CC=1)NC(=O)[C@@H](NC(=O)CNC(=O)[C@H](CCC(N)=O)NC(=O)[C@H](CO)NC(=O)[C@@H](N)CC=1NC=NC=1)[C@@H](C)O)[C@@H](C)O)C1=CC=CC=C1 PXZWGQLGAKCNKD-DPNMSELWSA-N 0.000 description 1
- 125000000896 monocarboxylic acid group Chemical group 0.000 description 1
- 238000000465 moulding Methods 0.000 description 1
- 230000003551 muscarinic effect Effects 0.000 description 1
- 239000003158 myorelaxant agent Substances 0.000 description 1
- DCYOADKBABEMIQ-OWMUPTOHSA-N myricitrin Chemical compound O[C@@H]1[C@H](O)[C@@H](O)[C@H](C)O[C@H]1OC1=C(C=2C=C(O)C(O)=C(O)C=2)OC2=CC(O)=CC(O)=C2C1=O DCYOADKBABEMIQ-OWMUPTOHSA-N 0.000 description 1
- DCYOADKBABEMIQ-FLCVNNLFSA-N myricitrin Natural products O([C@H]1[C@@H](O)[C@H](O)[C@@H](O)[C@H](C)O1)C1=C(c2cc(O)c(O)c(O)c2)Oc2c(c(O)cc(O)c2)C1=O DCYOADKBABEMIQ-FLCVNNLFSA-N 0.000 description 1
- UPQJYTNALAIZCC-UHFFFAOYSA-N n-(2-methoxy-5-methylphenyl)-7-piperidin-4-yloxy-1-benzofuran-5-sulfonamide Chemical compound COC1=CC=C(C)C=C1NS(=O)(=O)C1=CC(OC2CCNCC2)=C(OC=C2)C2=C1 UPQJYTNALAIZCC-UHFFFAOYSA-N 0.000 description 1
- LYAUICDWKQJAGX-UHFFFAOYSA-N n-(7-hydroxy-2,2,4,6-tetramethyl-1,3-dihydroinden-1-yl)-2-[4-(3-methoxyphenyl)piperazin-1-yl]acetamide Chemical compound COC1=CC=CC(N2CCN(CC(=O)NC3C(CC4=C3C(=C(C)C=C4C)O)(C)C)CC2)=C1 LYAUICDWKQJAGX-UHFFFAOYSA-N 0.000 description 1
- UMGBPWZCCHVQAY-WJOKGBTCSA-N n-[(1r)-1-[4-[(2,4-dimethoxyphenyl)methyl]-5-(2-phenylethyl)-1,2,4-triazol-3-yl]-2-(1h-indol-3-yl)ethyl]pyridine-2-carboxamide Chemical compound COC1=CC(OC)=CC=C1CN1C([C@@H](CC=2C3=CC=CC=C3NC=2)NC(=O)C=2N=CC=CC=2)=NN=C1CCC1=CC=CC=C1 UMGBPWZCCHVQAY-WJOKGBTCSA-N 0.000 description 1
- QWRYEBIUSXZEDO-WJOKGBTCSA-N n-[(1r)-2-(1h-indol-3-yl)-1-[4-[(4-methoxyphenyl)methyl]-5-(2-phenylethyl)-1,2,4-triazol-3-yl]ethyl]piperidine-4-carboxamide Chemical compound C1=CC(OC)=CC=C1CN1C([C@@H](CC=2C3=CC=CC=C3NC=2)NC(=O)C2CCNCC2)=NN=C1CCC1=CC=CC=C1 QWRYEBIUSXZEDO-WJOKGBTCSA-N 0.000 description 1
- PXCNVWWWTVXCME-UHFFFAOYSA-N n-[1-(2-ethoxyethyl)-4,6-dimethyl-5-(sulfamoylamino)-2,3-dihydroindol-7-yl]-2,2-dimethylpropanamide Chemical compound CC(C)(C)C(=O)NC1=C(C)C(NS(N)(=O)=O)=C(C)C2=C1N(CCOCC)CC2 PXCNVWWWTVXCME-UHFFFAOYSA-N 0.000 description 1
- PILCQJJJAFRKHO-UHFFFAOYSA-N n-[1-(5-chloro-2,3-dimethoxyphenyl)ethyl]-2-methylsulfonyl-5-piperazin-1-ylaniline;hydrochloride Chemical compound Cl.COC1=CC(Cl)=CC(C(C)NC=2C(=CC=C(C=2)N2CCNCC2)S(C)(=O)=O)=C1OC PILCQJJJAFRKHO-UHFFFAOYSA-N 0.000 description 1
- LXEDKSZTPGCEPU-UHFFFAOYSA-N n-[2-(3a-benzyl-2-methyl-3-oxo-6,7-dihydro-4h-pyrazolo[4,3-c]pyridin-5-yl)-1-(4-chlorophenyl)-2-oxoethyl]-1-amino-1,2,3,4-tetrahydronaphthalene-2-carboxamide Chemical compound O=C1N(C)N=C2CCN(C(=O)C(NC(=O)C3C(C4=CC=CC=C4CC3)N)C=3C=CC(Cl)=CC=3)CC21CC1=CC=CC=C1 LXEDKSZTPGCEPU-UHFFFAOYSA-N 0.000 description 1
- WDPFJWLDPVQCAJ-UHFFFAOYSA-N n-[2-(diethylamino)ethyl]-2-[2-[(4-fluorophenyl)methylsulfanyl]-4-oxo-6,7-dihydro-5h-cyclopenta[d]pyrimidin-1-yl]-n-[[4-[4-(trifluoromethyl)phenyl]phenyl]methyl]acetamide Chemical compound C1=2CCCC=2C(=O)N=C(SCC=2C=CC(F)=CC=2)N1CC(=O)N(CCN(CC)CC)CC(C=C1)=CC=C1C1=CC=C(C(F)(F)F)C=C1 WDPFJWLDPVQCAJ-UHFFFAOYSA-N 0.000 description 1
- WULKGVCEOREGQF-UHFFFAOYSA-N n-[5-(1-cyclopropyl-2,6-dioxo-3-propyl-7h-purin-8-yl)pyridin-2-yl]-n-ethylpyridine-3-carboxamide Chemical compound O=C1N(CCC)C=2N=C(C=3C=NC(=CC=3)N(CC)C(=O)C=3C=NC=CC=3)NC=2C(=O)N1C1CC1 WULKGVCEOREGQF-UHFFFAOYSA-N 0.000 description 1
- YGBMCLDVRUGXOV-UHFFFAOYSA-N n-[6-[6-chloro-5-[(4-fluorophenyl)sulfonylamino]pyridin-3-yl]-1,3-benzothiazol-2-yl]acetamide Chemical compound C1=C2SC(NC(=O)C)=NC2=CC=C1C(C=1)=CN=C(Cl)C=1NS(=O)(=O)C1=CC=C(F)C=C1 YGBMCLDVRUGXOV-UHFFFAOYSA-N 0.000 description 1
- GYFZLPNRKWCIBS-UHFFFAOYSA-N n-[[4-(3h-benzimidazol-5-yloxy)phenyl]methyl]-4,4-dimethylcyclohexan-1-amine Chemical compound C1CC(C)(C)CCC1NCC(C=C1)=CC=C1OC1=CC=C(NC=N2)C2=C1 GYFZLPNRKWCIBS-UHFFFAOYSA-N 0.000 description 1
- DIQDKUNCSVFGHH-UHFFFAOYSA-N n-[[4-[[(4-aminoquinazolin-2-yl)amino]methyl]cyclohexyl]methyl]naphthalene-1-sulfonamide;hydrochloride Chemical compound Cl.C1=CC=C2C(N)=NC(NCC3CCC(CNS(=O)(=O)C=4C5=CC=CC=C5C=CC=4)CC3)=NC2=C1 DIQDKUNCSVFGHH-UHFFFAOYSA-N 0.000 description 1
- BDQCDIWFPIDPQU-NDEPHWFRSA-N n-methyl-5-[4-[1-[(1r)-3-oxospiro[2-benzofuran-1,3'-pyrrolidine]-1'-carbonyl]cyclopropyl]phenyl]pyridine-2-carboxamide Chemical compound C1=NC(C(=O)NC)=CC=C1C1=CC=C(C2(CC2)C(=O)N2C[C@@]3(CC2)C2=CC=CC=C2C(=O)O3)C=C1 BDQCDIWFPIDPQU-NDEPHWFRSA-N 0.000 description 1
- DQCKKXVULJGBQN-XFWGSAIBSA-N naltrexone Chemical compound N1([C@@H]2CC3=CC=C(C=4O[C@@H]5[C@](C3=4)([C@]2(CCC5=O)O)CC1)O)CC1CC1 DQCKKXVULJGBQN-XFWGSAIBSA-N 0.000 description 1
- 229960003086 naltrexone Drugs 0.000 description 1
- 239000002539 nanocarrier Substances 0.000 description 1
- 229960000698 nateglinide Drugs 0.000 description 1
- OELFLUMRDSZNSF-BRWVUGGUSA-N nateglinide Chemical compound C1C[C@@H](C(C)C)CC[C@@H]1C(=O)N[C@@H](C(O)=O)CC1=CC=CC=C1 OELFLUMRDSZNSF-BRWVUGGUSA-N 0.000 description 1
- 229950003494 naveglitazar Drugs 0.000 description 1
- 230000002981 neuropathic effect Effects 0.000 description 1
- 238000006386 neutralization reaction Methods 0.000 description 1
- VAKYVNYLCIABRV-UHFFFAOYSA-N ngd-4715 Chemical compound C1=C(OC)C(OC)=CC=C1CN1CCN(C=2N=C(OC)C(Br)=CC=2)CC1 VAKYVNYLCIABRV-UHFFFAOYSA-N 0.000 description 1
- 108010052671 nicotinic receptor alpha4beta2 Proteins 0.000 description 1
- 229910052757 nitrogen Inorganic materials 0.000 description 1
- 239000002767 noradrenalin uptake inhibitor Substances 0.000 description 1
- 230000002474 noradrenergic effect Effects 0.000 description 1
- 229960002748 norepinephrine Drugs 0.000 description 1
- SFLSHLFXELFNJZ-UHFFFAOYSA-N norepinephrine Natural products NCC(O)C1=CC=C(O)C(O)=C1 SFLSHLFXELFNJZ-UHFFFAOYSA-N 0.000 description 1
- 229940127221 norepinephrine reuptake inhibitor Drugs 0.000 description 1
- VOMXSOIBEJBQNF-UTTRGDHVSA-N novorapid Chemical compound C([C@H](NC(=O)[C@H](CC(C)C)NC(=O)[C@H](CO)NC(=O)[C@H](CS)NC(=O)[C@H]([C@@H](C)CC)NC(=O)[C@H](CO)NC(=O)[C@H]([C@@H](C)O)NC(=O)[C@H](CS)NC(=O)[C@H](CS)NC(=O)[C@H](CCC(N)=O)NC(=O)[C@H](CCC(O)=O)NC(=O)[C@H](C(C)C)NC(=O)[C@@H](NC(=O)CN)[C@@H](C)CC)C(=O)N[C@@H](CCC(N)=O)C(=O)N[C@@H](CC(C)C)C(=O)N[C@@H](CCC(O)=O)C(=O)N[C@@H](CC(N)=O)C(=O)N[C@@H](CC=1C=CC(O)=CC=1)C(=O)N[C@@H](CS)C(=O)N[C@@H](CC(N)=O)C(O)=O)C1=CC=C(O)C=C1.C([C@@H](C(=O)N[C@@H](CC(C)C)C(=O)N[C@H](C(=O)N[C@@H](CCC(O)=O)C(=O)N[C@@H](C)C(=O)N[C@@H](CC(C)C)C(=O)N[C@@H](CC=1C=CC(O)=CC=1)C(=O)N[C@@H](CC(C)C)C(=O)N[C@@H](C(C)C)C(=O)N[C@@H](CS)C(=O)NCC(=O)N[C@@H](CCC(O)=O)C(=O)N[C@@H](CCCNC(N)=N)C(=O)NCC(=O)N[C@@H](CC=1C=CC=CC=1)C(=O)N[C@@H](CC=1C=CC=CC=1)C(=O)N[C@@H](CC=1C=CC(O)=CC=1)C(=O)N[C@@H]([C@@H](C)O)C(=O)N[C@@H](CC(O)=O)C(=O)N[C@@H](CCCCN)C(=O)N[C@@H]([C@@H](C)O)C(O)=O)C(C)C)NC(=O)[C@H](CO)NC(=O)CNC(=O)[C@H](CS)NC(=O)[C@H](CC(C)C)NC(=O)[C@H](CC=1NC=NC=1)NC(=O)[C@H](CCC(N)=O)NC(=O)[C@H](CC(N)=O)NC(=O)[C@@H](NC(=O)[C@@H](N)CC=1C=CC=CC=1)C(C)C)C1=CN=CN1 VOMXSOIBEJBQNF-UTTRGDHVSA-N 0.000 description 1
- 235000016709 nutrition Nutrition 0.000 description 1
- 230000035764 nutrition Effects 0.000 description 1
- 239000007764 o/w emulsion Substances 0.000 description 1
- 235000020824 obesity Nutrition 0.000 description 1
- 239000006014 omega-3 oil Substances 0.000 description 1
- 229940125395 oral insulin Drugs 0.000 description 1
- 229940125636 orexin 1 receptor antagonist Drugs 0.000 description 1
- 150000007524 organic acids Chemical class 0.000 description 1
- 235000005985 organic acids Nutrition 0.000 description 1
- AHLBNYSZXLDEJQ-FWEHEUNISA-N orlistat Chemical compound CCCCCCCCCCC[C@H](OC(=O)[C@H](CC(C)C)NC=O)C[C@@H]1OC(=O)[C@H]1CCCCCC AHLBNYSZXLDEJQ-FWEHEUNISA-N 0.000 description 1
- 229960001243 orlistat Drugs 0.000 description 1
- UNAZAADNBYXMIV-UHFFFAOYSA-N otenabant Chemical compound C1CC(NCC)(C(N)=O)CCN1C1=NC=NC2=C1N=C(C=1C(=CC=CC=1)Cl)N2C1=CC=C(Cl)C=C1 UNAZAADNBYXMIV-UHFFFAOYSA-N 0.000 description 1
- YDCVQGAUCOROHB-UHFFFAOYSA-N oxadiazolidine-4,5-dione Chemical class O=C1NNOC1=O YDCVQGAUCOROHB-UHFFFAOYSA-N 0.000 description 1
- MHHDXUNFNAZUGB-UHFFFAOYSA-N oxidovanadium(2+) Chemical compound [V+2]=O MHHDXUNFNAZUGB-UHFFFAOYSA-N 0.000 description 1
- 150000002923 oximes Chemical class 0.000 description 1
- 125000005740 oxycarbonyl group Chemical group [*:1]OC([*:2])=O 0.000 description 1
- VWMZIGBYZQUQOA-QEEMJVPDSA-N pamaqueside Chemical compound O([C@@H]1[C@@H](CO)O[C@H]([C@@H]([C@H]1O)O)O[C@@H]1C[C@@H]2CC[C@H]3[C@@H]4C[C@H]5[C@@H]([C@]4(CC(=O)[C@@H]3[C@@]2(C)CC1)C)[C@@H]([C@]1(OC[C@H](C)CC1)O5)C)[C@@H]1O[C@H](CO)[C@@H](O)[C@H](O)[C@H]1O VWMZIGBYZQUQOA-QEEMJVPDSA-N 0.000 description 1
- 229950005482 pamaqueside Drugs 0.000 description 1
- LQAVWYMTUMSFBE-UHFFFAOYSA-N pent-4-en-1-ol Chemical compound OCCCC=C LQAVWYMTUMSFBE-UHFFFAOYSA-N 0.000 description 1
- 102000014187 peptide receptors Human genes 0.000 description 1
- 108010011903 peptide receptors Proteins 0.000 description 1
- 230000035699 permeability Effects 0.000 description 1
- 239000000546 pharmaceutical excipient Substances 0.000 description 1
- 239000000825 pharmaceutical preparation Substances 0.000 description 1
- 230000000144 pharmacologic effect Effects 0.000 description 1
- 238000001050 pharmacotherapy Methods 0.000 description 1
- 125000001997 phenyl group Chemical group [H]C1=C([H])C([H])=C(*)C([H])=C1[H] 0.000 description 1
- UYWQUFXKFGHYNT-UHFFFAOYSA-N phenylmethyl ester of formic acid Natural products O=COCC1=CC=CC=C1 UYWQUFXKFGHYNT-UHFFFAOYSA-N 0.000 description 1
- 229930029653 phosphoenolpyruvate Natural products 0.000 description 1
- DTBNBXWJWCWCIK-UHFFFAOYSA-N phosphoenolpyruvic acid Chemical compound OC(=O)C(=C)OP(O)(O)=O DTBNBXWJWCWCIK-UHFFFAOYSA-N 0.000 description 1
- 150000003906 phosphoinositides Chemical class 0.000 description 1
- 239000003358 phospholipase A2 inhibitor Substances 0.000 description 1
- 229960002310 pinacidil Drugs 0.000 description 1
- 229940096701 plain lipid modifying drug hmg coa reductase inhibitors Drugs 0.000 description 1
- 229940100467 polyvinyl acetate phthalate Drugs 0.000 description 1
- 230000018656 positive regulation of gluconeogenesis Effects 0.000 description 1
- 235000011056 potassium acetate Nutrition 0.000 description 1
- 239000004036 potassium channel stimulating agent Substances 0.000 description 1
- 159000000001 potassium salts Chemical class 0.000 description 1
- 229960003611 pramlintide Drugs 0.000 description 1
- 229960004457 pramlintide acetate Drugs 0.000 description 1
- 229940103420 prandimet Drugs 0.000 description 1
- 239000002244 precipitate Substances 0.000 description 1
- 230000002265 prevention Effects 0.000 description 1
- FYPMFJGVHOHGLL-UHFFFAOYSA-N probucol Chemical compound C=1C(C(C)(C)C)=C(O)C(C(C)(C)C)=CC=1SC(C)(C)SC1=CC(C(C)(C)C)=C(O)C(C(C)(C)C)=C1 FYPMFJGVHOHGLL-UHFFFAOYSA-N 0.000 description 1
- 229960003912 probucol Drugs 0.000 description 1
- 230000002035 prolonged effect Effects 0.000 description 1
- XTRUQJBVQBUKSQ-UHFFFAOYSA-N propan-2-yl 4-[1-(2-fluoro-4-methylsulfonylphenyl)pyrazolo[3,4-d]pyrimidin-4-yl]oxypiperidine-1-carboxylate Chemical compound C1CN(C(=O)OC(C)C)CCC1OC1=NC=NC2=C1C=NN2C1=CC=C(S(C)(=O)=O)C=C1F XTRUQJBVQBUKSQ-UHFFFAOYSA-N 0.000 description 1
- 238000011321 prophylaxis Methods 0.000 description 1
- 125000001436 propyl group Chemical group [H]C([*])([H])C([H])([H])C([H])([H])[H] 0.000 description 1
- 125000004805 propylene group Chemical group [H]C([H])([H])C([H])([*:1])C([H])([H])[*:2] 0.000 description 1
- 108010061269 protein kinase D Proteins 0.000 description 1
- 238000000425 proton nuclear magnetic resonance spectrum Methods 0.000 description 1
- LHZWKWCEAXQUMX-UHFFFAOYSA-N psn-632,408 Chemical compound C1CN(C(=O)OC(C)(C)C)CCC1OCC1=NC(C=2C=CN=CC=2)=NO1 LHZWKWCEAXQUMX-UHFFFAOYSA-N 0.000 description 1
- RADKZDMFGJYCBB-UHFFFAOYSA-N pyridoxal hydrochloride Natural products CC1=NC=C(CO)C(C=O)=C1O RADKZDMFGJYCBB-UHFFFAOYSA-N 0.000 description 1
- 108700027806 rGLP-1 Proteins 0.000 description 1
- 230000002285 radioactive effect Effects 0.000 description 1
- 239000000700 radioactive tracer Substances 0.000 description 1
- 239000000376 reactant Substances 0.000 description 1
- 238000010992 reflux Methods 0.000 description 1
- 229940126844 remogliflozin Drugs 0.000 description 1
- 230000030558 renal glucose absorption Effects 0.000 description 1
- 239000002461 renin inhibitor Substances 0.000 description 1
- 230000036454 renin-angiotensin system Effects 0.000 description 1
- 229940086526 renin-inhibitors Drugs 0.000 description 1
- 235000021283 resveratrol Nutrition 0.000 description 1
- 229940016667 resveratrol Drugs 0.000 description 1
- JZCPYUJPEARBJL-UHFFFAOYSA-N rimonabant Chemical compound CC=1C(C(=O)NN2CCCCC2)=NN(C=2C(=CC(Cl)=CC=2)Cl)C=1C1=CC=C(Cl)C=C1 JZCPYUJPEARBJL-UHFFFAOYSA-N 0.000 description 1
- 229960003015 rimonabant Drugs 0.000 description 1
- 230000000630 rising effect Effects 0.000 description 1
- 229950010764 rivoglitazone Drugs 0.000 description 1
- WMMMJGKFKKBRQR-UHFFFAOYSA-N rosonabant Chemical compound C1=CC(Cl)=CC=C1C1N(C=2C(=CC(Cl)=CC=2)Cl)N=C(C(=O)NN2CCCCC2)C1 WMMMJGKFKKBRQR-UHFFFAOYSA-N 0.000 description 1
- 229950007834 rosonabant Drugs 0.000 description 1
- ZCBUQCWBWNUWSU-SFHVURJKSA-N ruboxistaurin Chemical compound O=C1NC(=O)C2=C1C(C1=CC=CC=C11)=CN1CCO[C@H](CN(C)C)CCN1C3=CC=CC=C3C2=C1 ZCBUQCWBWNUWSU-SFHVURJKSA-N 0.000 description 1
- 229950000261 ruboxistaurin Drugs 0.000 description 1
- 150000003335 secondary amines Chemical class 0.000 description 1
- 230000028327 secretion Effects 0.000 description 1
- 229910052711 selenium Inorganic materials 0.000 description 1
- 239000011669 selenium Substances 0.000 description 1
- 235000011649 selenium Nutrition 0.000 description 1
- 229940091258 selenium supplement Drugs 0.000 description 1
- 238000000926 separation method Methods 0.000 description 1
- 229940126842 sergliflozin Drugs 0.000 description 1
- HFLCZNNDZKKXCS-OUUBHVDSSA-N sergliflozin Chemical compound C1=CC(OC)=CC=C1CC1=CC=CC=C1O[C@H]1[C@H](O)[C@@H](O)[C@H](O)[C@@H](CO)O1 HFLCZNNDZKKXCS-OUUBHVDSSA-N 0.000 description 1
- 230000002295 serotoninergic effect Effects 0.000 description 1
- 238000007493 shaping process Methods 0.000 description 1
- 229960004425 sibutramine Drugs 0.000 description 1
- UNAANXDKBXWMLN-UHFFFAOYSA-N sibutramine Chemical compound C=1C=C(Cl)C=CC=1C1(C(N(C)C)CC(C)C)CCC1 UNAANXDKBXWMLN-UHFFFAOYSA-N 0.000 description 1
- 210000000813 small intestine Anatomy 0.000 description 1
- 229950007873 sobetirome Drugs 0.000 description 1
- 229910052708 sodium Inorganic materials 0.000 description 1
- 229940121377 sodium-glucose co-transporter inhibitor Drugs 0.000 description 1
- 229950009659 solabegron Drugs 0.000 description 1
- 239000012453 solvate Substances 0.000 description 1
- 241000894007 species Species 0.000 description 1
- 230000009870 specific binding Effects 0.000 description 1
- IASPBORHOMBZMY-UHFFFAOYSA-N srt1720 Chemical compound C=1N=C2C=CC=CC2=NC=1C(=O)NC1=CC=CC=C1C(N=C1SC=2)=CN1C=2CN1CCNCC1 IASPBORHOMBZMY-UHFFFAOYSA-N 0.000 description 1
- 235000000891 standard diet Nutrition 0.000 description 1
- SIARJEKBADXQJG-LFZQUHGESA-N stearoyl-CoA Chemical compound O[C@@H]1[C@H](OP(O)(O)=O)[C@@H](COP(O)(=O)OP(O)(=O)OCC(C)(C)[C@@H](O)C(=O)NCCC(=O)NCCSC(=O)CCCCCCCCCCCCCCCCC)O[C@H]1N1C2=NC=NC(N)=C2N=C1 SIARJEKBADXQJG-LFZQUHGESA-N 0.000 description 1
- 108010058363 sterol carrier proteins Proteins 0.000 description 1
- LGJMUZUPVCAVPU-HRJGVYIJSA-N stigmastanol Chemical compound C([C@@H]1CC2)[C@@H](O)CC[C@]1(C)[C@@H]1[C@@H]2[C@@H]2CC[C@H]([C@H](C)CC[C@@H](CC)C(C)C)[C@@]2(C)CC1 LGJMUZUPVCAVPU-HRJGVYIJSA-N 0.000 description 1
- 210000002784 stomach Anatomy 0.000 description 1
- 229950009108 succinobucol Drugs 0.000 description 1
- 125000000542 sulfonic acid group Chemical group 0.000 description 1
- 229910052717 sulfur Inorganic materials 0.000 description 1
- QAOWNCQODCNURD-UHFFFAOYSA-N sulfuric acid group Chemical class S(O)(O)(=O)=O QAOWNCQODCNURD-UHFFFAOYSA-N 0.000 description 1
- 239000004094 surface-active agent Substances 0.000 description 1
- 229940099093 symlin Drugs 0.000 description 1
- 230000002195 synergetic effect Effects 0.000 description 1
- 239000011975 tartaric acid Substances 0.000 description 1
- 108010048573 taspoglutide Proteins 0.000 description 1
- 108010061506 tau-protein kinase Proteins 0.000 description 1
- ZAOPBCHLHBOUPR-UHFFFAOYSA-N tert-butyl 1-[2-[di(propan-2-yl)amino]ethylcarbamoyl]-6-phenylmethoxy-3,4-dihydro-1h-isoquinoline-2-carboxylate Chemical compound C=1C=C2C(C(=O)NCCN(C(C)C)C(C)C)N(C(=O)OC(C)(C)C)CCC2=CC=1OCC1=CC=CC=C1 ZAOPBCHLHBOUPR-UHFFFAOYSA-N 0.000 description 1
- FDYIABOYSPSXAU-UHFFFAOYSA-N tert-butyl 4-[1-[3-(3-fluoro-4-methylsulfonylphenyl)-1,2,4-oxadiazol-5-yl]ethoxy]piperidine-1-carboxylate Chemical compound N=1C(C=2C=C(F)C(=CC=2)S(C)(=O)=O)=NOC=1C(C)OC1CCN(C(=O)OC(C)(C)C)CC1 FDYIABOYSPSXAU-UHFFFAOYSA-N 0.000 description 1
- 125000001981 tert-butyldimethylsilyl group Chemical group [H]C([H])([H])[Si]([H])(C([H])([H])[H])[*]C(C([H])([H])[H])(C([H])([H])[H])C([H])([H])[H] 0.000 description 1
- 230000035924 thermogenesis Effects 0.000 description 1
- 150000001467 thiazolidinediones Chemical class 0.000 description 1
- 229950004437 tiqueside Drugs 0.000 description 1
- 210000001519 tissue Anatomy 0.000 description 1
- 235000010384 tocopherol Nutrition 0.000 description 1
- 229960001295 tocopherol Drugs 0.000 description 1
- 229930003799 tocopherol Natural products 0.000 description 1
- 239000011732 tocopherol Substances 0.000 description 1
- 229930003802 tocotrienol Natural products 0.000 description 1
- 239000011731 tocotrienol Substances 0.000 description 1
- 235000019148 tocotrienols Nutrition 0.000 description 1
- 229960005371 tolbutamide Drugs 0.000 description 1
- CMSGWTNRGKRWGS-NQIIRXRSSA-N torcetrapib Chemical compound COC(=O)N([C@H]1C[C@@H](CC)N(C2=CC=C(C=C21)C(F)(F)F)C(=O)OCC)CC1=CC(C(F)(F)F)=CC(C(F)(F)F)=C1 CMSGWTNRGKRWGS-NQIIRXRSSA-N 0.000 description 1
- 229950004514 torcetrapib Drugs 0.000 description 1
- 239000000196 tragacanth Substances 0.000 description 1
- 235000010487 tragacanth Nutrition 0.000 description 1
- 229940116362 tragacanth Drugs 0.000 description 1
- ZCIHMQAPACOQHT-ZGMPDRQDSA-N trans-isorenieratene Natural products CC(=C/C=C/C=C(C)/C=C/C=C(C)/C=C/c1c(C)ccc(C)c1C)C=CC=C(/C)C=Cc2c(C)ccc(C)c2C ZCIHMQAPACOQHT-ZGMPDRQDSA-N 0.000 description 1
- 238000012546 transfer Methods 0.000 description 1
- ILJSQTXMGCGYMG-UHFFFAOYSA-N triacetic acid Chemical compound CC(=O)CC(=O)CC(O)=O ILJSQTXMGCGYMG-UHFFFAOYSA-N 0.000 description 1
- 150000003626 triacylglycerols Chemical class 0.000 description 1
- UFTFJSFQGQCHQW-UHFFFAOYSA-N triformin Chemical compound O=COCC(OC=O)COC=O UFTFJSFQGQCHQW-UHFFFAOYSA-N 0.000 description 1
- WUJVPODXELZABP-FWJXURDUSA-N trodusquemine Chemical group C([C@@H]1C[C@H]2O)[C@@H](NCCCNCCCCNCCCN)CC[C@]1(C)[C@@H]1[C@@H]2[C@@H]2CC[C@H]([C@H](C)CC[C@H](C(C)C)OS(O)(=O)=O)[C@@]2(C)CC1 WUJVPODXELZABP-FWJXURDUSA-N 0.000 description 1
- 229950004499 trodusquemine Drugs 0.000 description 1
- INASOKQDNHHMRE-UHFFFAOYSA-N turofexorate isopropyl Chemical compound C1C(C)(C)C(C2=CC=CC=C2N2)=C2C(C(=O)OC(C)C)=CN1C(=O)C1=CC=C(F)C(F)=C1 INASOKQDNHHMRE-UHFFFAOYSA-N 0.000 description 1
- 229940116269 uric acid Drugs 0.000 description 1
- RUDATBOHQWOJDD-UZVSRGJWSA-N ursodeoxycholic acid Chemical compound C([C@H]1C[C@@H]2O)[C@H](O)CC[C@]1(C)[C@@H]1[C@@H]2[C@@H]2CC[C@H]([C@@H](CCC(O)=O)C)[C@@]2(C)CC1 RUDATBOHQWOJDD-UZVSRGJWSA-N 0.000 description 1
- 229960001661 ursodiol Drugs 0.000 description 1
- 108010010132 valyl-histidyl-threonyl-aspartamide Proteins 0.000 description 1
- TWYFGYXQSYOKLK-CYUSMAIQSA-N varenicline tartrate Chemical group OC(=O)[C@H](O)[C@@H](O)C(O)=O.C12=CC3=NC=CN=C3C=C2[C@H]2C[C@@H]1CNC2 TWYFGYXQSYOKLK-CYUSMAIQSA-N 0.000 description 1
- 229960003977 varenicline tartrate Drugs 0.000 description 1
- 239000003981 vehicle Substances 0.000 description 1
- 229960001254 vildagliptin Drugs 0.000 description 1
- 229940088594 vitamin Drugs 0.000 description 1
- 235000013343 vitamin Nutrition 0.000 description 1
- 239000011782 vitamin Substances 0.000 description 1
- 229930003231 vitamin Natural products 0.000 description 1
- 235000019163 vitamin B12 Nutrition 0.000 description 1
- 239000011715 vitamin B12 Substances 0.000 description 1
- 235000019158 vitamin B6 Nutrition 0.000 description 1
- 239000011726 vitamin B6 Substances 0.000 description 1
- 229940011671 vitamin b6 Drugs 0.000 description 1
- 150000003722 vitamin derivatives Chemical class 0.000 description 1
- 229940009349 vytorin Drugs 0.000 description 1
- PNAMDJVUJCJOIX-XVZWKFLSSA-N vytorin Chemical compound C([C@H]1[C@@H](C)C=CC2=C[C@H](C)C[C@@H]([C@H]12)OC(=O)C(C)(C)CC)C[C@@H]1C[C@@H](O)CC(=O)O1.N1([C@@H]([C@H](C1=O)CC[C@@H](O)C=1C=CC(F)=CC=1)C=1C=CC(O)=CC=1)C1=CC=C(F)C=C1 PNAMDJVUJCJOIX-XVZWKFLSSA-N 0.000 description 1
- 239000007762 w/o emulsion Substances 0.000 description 1
- 238000010792 warming Methods 0.000 description 1
- 230000004580 weight loss Effects 0.000 description 1
- 239000011701 zinc Substances 0.000 description 1
- 229910052725 zinc Inorganic materials 0.000 description 1
- 229960002911 zonisamide Drugs 0.000 description 1
- UBQNRHZMVUUOMG-UHFFFAOYSA-N zonisamide Chemical compound C1=CC=C2C(CS(=O)(=O)N)=NOC2=C1 UBQNRHZMVUUOMG-UHFFFAOYSA-N 0.000 description 1
- GVJHHUAWPYXKBD-IEOSBIPESA-N α-tocopherol Chemical compound OC1=C(C)C(C)=C2O[C@@](CCC[C@H](C)CCC[C@H](C)CCCC(C)C)(C)CCC2=C1C GVJHHUAWPYXKBD-IEOSBIPESA-N 0.000 description 1
- OENHQHLEOONYIE-JLTXGRSLSA-N β-Carotene Chemical compound CC=1CCCC(C)(C)C=1\C=C\C(\C)=C\C=C\C(\C)=C\C=C\C=C(/C)\C=C\C=C(/C)\C=C\C1=C(C)CCCC1(C)C OENHQHLEOONYIE-JLTXGRSLSA-N 0.000 description 1
Classifications
-
- C—CHEMISTRY; METALLURGY
- C07—ORGANIC CHEMISTRY
- C07D—HETEROCYCLIC COMPOUNDS
- C07D205/00—Heterocyclic compounds containing four-membered rings with one nitrogen atom as the only ring hetero atom
- C07D205/02—Heterocyclic compounds containing four-membered rings with one nitrogen atom as the only ring hetero atom not condensed with other rings
- C07D205/06—Heterocyclic compounds containing four-membered rings with one nitrogen atom as the only ring hetero atom not condensed with other rings having one double bond between ring members or between a ring member and a non-ring member
- C07D205/08—Heterocyclic compounds containing four-membered rings with one nitrogen atom as the only ring hetero atom not condensed with other rings having one double bond between ring members or between a ring member and a non-ring member with one oxygen atom directly attached in position 2, e.g. beta-lactams
-
- A—HUMAN NECESSITIES
- A61—MEDICAL OR VETERINARY SCIENCE; HYGIENE
- A61P—SPECIFIC THERAPEUTIC ACTIVITY OF CHEMICAL COMPOUNDS OR MEDICINAL PREPARATIONS
- A61P3/00—Drugs for disorders of the metabolism
-
- A—HUMAN NECESSITIES
- A61—MEDICAL OR VETERINARY SCIENCE; HYGIENE
- A61P—SPECIFIC THERAPEUTIC ACTIVITY OF CHEMICAL COMPOUNDS OR MEDICINAL PREPARATIONS
- A61P3/00—Drugs for disorders of the metabolism
- A61P3/06—Antihyperlipidemics
Landscapes
- Health & Medical Sciences (AREA)
- Chemical & Material Sciences (AREA)
- Organic Chemistry (AREA)
- Nuclear Medicine, Radiotherapy & Molecular Imaging (AREA)
- Pharmacology & Pharmacy (AREA)
- Obesity (AREA)
- Diabetes (AREA)
- Chemical Kinetics & Catalysis (AREA)
- General Chemical & Material Sciences (AREA)
- Medicinal Chemistry (AREA)
- Bioinformatics & Cheminformatics (AREA)
- Engineering & Computer Science (AREA)
- Hematology (AREA)
- Life Sciences & Earth Sciences (AREA)
- Animal Behavior & Ethology (AREA)
- General Health & Medical Sciences (AREA)
- Public Health (AREA)
- Veterinary Medicine (AREA)
- Medicines That Contain Protein Lipid Enzymes And Other Medicines (AREA)
- Pharmaceuticals Containing Other Organic And Inorganic Compounds (AREA)
Abstract
Description
Die Erfindung betrifft benzylamidische Diphenylazetidinone, deren physiologisch verträgliche Salze sowie physiologisch funktionelle Derivate.The invention relates to benzylamidic Diphenylazetidinone, their physiologically acceptable salts and physiologically functional derivatives.
Es sind bereits Diphenylazetidinone (wie z. B. Ezetimibe) sowie deren Verwendung zur Behandlung von Hyperlipidämie sowie Arteriosklerose und Hypercholesterinämie beschrieben worden (
Der Erfindung lag die Aufgabe zugrunde, weitere Verbindungen zur Verfügung zu stellen, die eine therapeutisch verwertbare hypolipidämische Wirkung entfalten. Insbesondere bestand die Aufgabe darin, neue Verbindungen zu finden, die nur sehr gering resorbierbar sind. Unter sehr gering resorbierbar werden Verbindungen verstanden, deren in vitro Permeabilitätswert in einem Caco-Zellmodell kleiner als 10 × 10–7 cm/sec ist.The object of the invention was to provide further compounds which display a therapeutically utilizable hypolipidemic action. In particular, the task was to find new compounds that are only very slightly absorbable. Under very low resorbable compounds are understood, the in vitro permeability value in a Caco cell model is less than 10 × 10 -7 cm / sec.
Bei geringerer Resorption zeigen pharmazeutische Wirkstoffe in der Regel deutlich weniger Nebenwirkungen.With lower absorption, pharmaceutical active ingredients generally show significantly fewer side effects.
Die Erfindung betrifft daher Verbindungen der Formel I, worin bedeuten
X -(C1-C30)-Alkylen-, wobei der Alkylenrest ein oder mehrfach durch -OH substituiert ist;
sowie deren pharmazeutisch verträglichen Salze.The invention therefore relates to compounds of the formula I, in which mean
X - (C 1 -C 30 ) -alkylene-, wherein the alkylene radical is mono- or polysubstituted by -OH;
and their pharmaceutically acceptable salts.
Bevorzugt sind Verbindungen der Formel I, worin bedeutet
X -(C2-C10)-Alkylen-, wobei der Alkylenrest ein oder mehrfach durch -OH substituiert ist;
sowie deren pharmazeutisch verträglichen Salze.Preference is given to compounds of the formula I in which
X - (C 2 -C 10 ) -alkylene-, wherein the alkylene radical is mono- or polysubstituted by -OH;
and their pharmaceutically acceptable salts.
Ganz besonders bevorzugt sind Verbindungen der Formel I, worin bedeutet
X -(C2-C10)-Alkylen-, wobei der Alkylenrest ein bis dreifach durch -OH substituiert ist;
sowie deren pharmazeutisch verträglichen Salze.Very particular preference is given to compounds of the formula I in which
X - (C 2 -C 10 ) -alkylene-, wherein the alkylene radical is substituted one to three times by -OH;
and their pharmaceutically acceptable salts.
Unter einem Alkylenrest wird eine geradkettige oder verzweigte Kohlenwasserstoffkette mit zwei freien Valenzen verstanden, wie z. B. Methylen, Ethylen, iso-Propylen, 1,1-Dimethylethylen.An alkylene radical is understood to mean a straight-chain or branched hydrocarbon chain having two free valences, such as. As methylene, ethylene, iso-propylene, 1,1-dimethylethylene.
Pharmazeutisch verträgliche Salze sind aufgrund ihrer höheren Wasserlöslichkeit gegenüber den Ausgangs- bzw. Basisverbindungen besonders geeignet für medizinische Anwendungen. Diese Salze müssen ein pharmazeutisch verträgliches Anion oder Kation aufweisen. Geeignete pharmazeutisch verträgliche Säureadditionssalze der erfindungsgemäßen Verbindungen sind Salze anorganischer Säuren, wie Salzsäure, Bromwasserstoff-, Phosphor-, Metaphosphor-, Salpeter-, Sulfon- und Schwefelsäure sowie organischer Säuren, wie z. B. Essigsäure, Benzolsulfon-, Benzoe-, Zitronen-, Ethansulfon-, Fumar-, Glucon-, Glykol-, Isothion-, Milch-, Lactobion-, Malein-, Apfel-, Methansulfon-, Bernstein-, p-Toluolsulfon-, Wein- und Trifluoressigsäure. Für medizinische Zwecke wird in besonders bevorzugter Weise das Chlorsalz verwendet. Geeignete pharmazeutisch verträgliche basische Salze sind Ammoniumsalze, Alkalimetallsalze (wie Natrium- und Kaliumsalze) und Erdalkalisalze (wie Magnesium- und Calciumsalze).Pharmaceutically acceptable salts are particularly suitable for medical applications because of their higher water solubility compared to the starting or basic compounds. These salts must have a pharmaceutically acceptable anion or cation. Suitable pharmaceutically acceptable acid addition salts of the compounds according to the invention are salts of inorganic acids, such as hydrochloric acid, hydrogen bromide, phosphoric, metaphosphoric, nitric, sulfonic and sulfuric acids and organic acids, such as. Acetic acid, benzenesulfonic, benzoic, citric, ethanesulfonic, fumaric, gluconic, glycolic, isothionic, lactic, lactobionic, maleic, malic, methanesulfonic, succinic, p-toluenesulfonic , Tartaric and trifluoroacetic acid. For medical purposes, the chloro salt is used in a particularly preferred manner. Suitable pharmaceutically acceptable basic salts are ammonium salts, alkali metal salts (such as sodium and potassium salts) and alkaline earth salts (such as magnesium and calcium salts).
Salze mit einem nicht pharmazeutisch verträglichen Anion gehören ebenfalls in den Rahmen der Erfindung als nützliche Zwischenprodukte für die Herstellung oder Reinigung pharmazeutisch verträglicher Salze und/oder für die Verwendung in nicht-therapeutischen, zum Beispiel in-vitro-Anwendungen. Salts with a non-pharmaceutically acceptable anion are also within the scope of the invention as useful intermediates for the preparation or purification of pharmaceutically acceptable salts and / or for use in non-therapeutic, for example, in vitro applications.
Der hier verwendete Begriff ”physiologisch funktionelles Derivat” bezeichnet jedes physiologisch verträgliche Derivat einer erfindungsgemäßen Verbindung, z. B. ein Ester, das bei Verabreichung an einen Säuger, wie z. B. den Menschen, in der Lage ist, (direkt oder indirekt) eine solche Verbindung oder einen aktiven Metaboliten hiervon zu bilden.The term "physiologically functional derivative" as used herein refers to any physiologically acceptable derivative of a compound of the invention, e.g. For example, an ester which, when administered to a mammal, such as. Human, is able to form (directly or indirectly) such a compound or an active metabolite thereof.
Ein weiterer Aspekt dieser Erfindung sind Prodrugs der erfindungsgemäßen Verbindungen. Solche Prodrugs können in vivo zu einer erfindungsgemäßen Verbindung metabolisiert werden. Diese Prodrugs können selbst wirksam sein oder nicht.Another aspect of this invention are prodrugs of the compounds of the invention. Such prodrugs can be metabolized in vivo to a compound of the invention. These prodrugs may or may not be effective.
Die erfindungsgemäßen Verbindungen können auch in verschiedenen polymorphen Formen vorliegen, z. B. als amorphe und kristalline polymorphe Formen. Alle polymorphen Formen der erfindungsgemäßen Verbindungen gehören in den Rahmen der Erfindung und sind ein weiterer Aspekt der Erfindung.The compounds of the invention may also be present in different polymorphic forms, for. B. as amorphous and crystalline polymorphic forms. All polymorphic forms of the compounds of the invention are within the scope of the invention and are a further aspect of the invention.
Nachfolgend beziehen sich alle Verweise auf ”Verbindung(en) gemäß Formel (I)” auf Verbindung(en) der Formel (I) wie vorstehend beschrieben, sowie ihre Salze, Solvate und physiologisch funktionellen Derivate wie hierin beschrieben.Hereinafter, all references to "compound (s) according to formula (I)" refer to compound (s) of formula (I) as described above, as well as their salts, solvates and physiologically functional derivatives as described herein.
Die Verbindungen der Formel I und deren pharmazeutisch verträgliche Salze und physiologisch funktionelle Derivate stellen ideale Arzneimittel zur Behandlung von Lipidstoffwechselstörungen, insbesondere von Hyperlipidämie dar. Die Verbindungen der Formel I eignen sich ebenfalls zur Beeinflussung des Serumcholesterinspiegels sowie zur Prävention und Behandlung arteriosklerotischer Erscheinungen.The compounds of the formula I and their pharmaceutically acceptable salts and physiologically functional derivatives are ideal drugs for the treatment of lipid metabolism disorders, in particular hyperlipidemia. The compounds of the formula I are likewise suitable for influencing the serum cholesterol level and for the prevention and treatment of atherosclerotic phenomena.
Die Verbindung(en) der Formel (I) können auch in Kombination mit weiteren Wirkstoffen verabreicht werden.The compound (s) of the formula (I) can also be administered in combination with other active substances.
Die Menge einer Verbindung gemäß Formel (I), die erforderlich ist, um den gewünschten biologischen Effekt zu erreichen, ist abhängig von einer Reihe von Faktoren, z. B. der gewählten spezifischen Verbindung, der beabsichtigten Verwendung, der Art der Verabreichung und dem klinischen Zustand des Patienten. Im allgemeinen liegt die Tagesdosis im Bereich von 0,1 mg bis 100 mg (typischerweise von 0,1 mg und 50 mg) pro Tag pro Kilogramm Körpergewicht, z. B. 0,1–10 mg/kg/Tag. Tabletten oder Kapseln, können beispielsweise von 0,01 bis 100 mg, typischerweise von 0,02 bis 50 mg enthalten. Im Falle pharmazeutisch verträglicher Salze beziehen sich die vorgenannten Gewichtsangaben auf das Gewicht des vom Salz abgeleiteten Diphenylazetidinon-Ions. Zur Prophylaxe oder Therapie der oben genannten Zustände können die Verbindungen gemäß Formel (I) selbst als Verbindung verwendet werden, vorzugsweise liegen sie jedoch mit einem verträglichen Träger in Form einer pharmazeutischen Zusammensetzung vor. Der Träger muß natürlich verträglich sein, in dem Sinne, daß er mit den anderen Bestandteilen der Zusammensetzung kompatibel ist und nicht gesundheitsschädlich für den Patienten ist. Der Träger kann ein Feststoff oder eine Flüssigkeit oder beides sein und wird vorzugsweise mit der Verbindung als Einzeldosis formuliert, beispielsweise als Tablette, die von 0,05% bis 95 Gew.-% des Wirkstoffs enthalten kann. Weitere pharmazeutisch aktive Substanzen können ebenfalls vorhanden sein, einschließlich weiterer Verbindungen gemäß Formel (I). Die erfindungsgemäßen pharmazeutischen Zusammensetzungen können nach einer der bekannten pharmazeutischen Methoden hergestellt werden, die im wesentlichen darin bestehen, daß die Bestandteile mit pharmakologisch verträglichen Träger- und/oder Hilfsstoffen gemischt werden.The amount of a compound of formula (I) required to achieve the desired biological effect depends on a number of factors, e.g. The particular compound chosen, the intended use, the mode of administration and the clinical condition of the patient. In general, the daily dose is in the range of 0.1 mg to 100 mg (typically 0.1 mg and 50 mg) per day per kilogram of body weight, e.g. 0.1-10 mg / kg / day. For example, tablets or capsules may contain from 0.01 to 100 mg, typically from 0.02 to 50 mg. In the case of pharmaceutically acceptable salts, the abovementioned weights are based on the weight of the diphenylazetidinone ion derived from the salt. For the prophylaxis or therapy of the abovementioned conditions, the compounds according to formula (I) may themselves be used as compound, but they are preferably present with a tolerable carrier in the form of a pharmaceutical composition. The carrier must of course be compatible in the sense that it is compatible with the other ingredients of the composition and is not harmful to the patient. The carrier may be a solid or a liquid, or both, and is preferably formulated with the compound as a single dose, for example, as a tablet, which may contain from 0.05% to 95% by weight of the active ingredient. Other pharmaceutically active substances may also be present, including further compounds according to formula (I). The pharmaceutical compositions according to the invention can be prepared by one of the known pharmaceutical methods, which consist essentially in that the ingredients are mixed with pharmacologically acceptable carriers and / or excipients.
Erfindungsgemäße pharmazeutische Zusammensetzungen sind solche, die für orale und perorale (z. B. sublinguale) Verabreichung geeignet sind, wenngleich die geeignetste Verabreichungsweise in jedem Einzelfall von der Art und Schwere des zu behandelnden Zustandes und von der Art der jeweils verwendeten Verbindung gemäß Formel (I) abhängig ist. Auch dragierte Formulierungen und dragierte Retardformulierungen gehören in den Rahmen der Erfindung. Bevorzugt sind säure- und magensaftresistente Formulierungen. Geeignete magensaftresistente Beschichtungen umfassen Celluloseacetatphthalat, Polyvinalacetatphthalat, Hydroxypropylmethylcellulosephthalat und anionische Polymere von Methacrylsäure und Methacrylsäuremethylester.Pharmaceutical compositions according to the invention are those suitable for oral and peroral (e.g., sublingual) administration, although the most suitable mode of administration in each individual case is the nature and severity of the condition being treated and the nature of the particular compound of formula (I) used ) is dependent. Also coated formulations and coated slow release formulations are within the scope of the invention. Preference is given to acid and enteric formulations. Suitable enteric coatings include cellulose acetate phthalate, polyvinyl acetate phthalate, hydroxypropyl methylcellulose phthalate and anionic polymers of methacrylic acid and methyl methacrylate.
Geeignete pharmazeutische Verbindungen für die orale Verabreichung können in separaten Einheiten vorliegen, wie zum Beispiel Kapseln, Oblatenkapseln, Lutschtabletten oder Tabletten, die jeweils eine bestimmte Menge der Verbindung gemäß Formel (I) enthalten; als Pulver oder Granulate; als Lösung oder Suspension in einer wäßrigen oder nicht-wäßrigen Flüssigkeit; oder als eine Öl-in-Wasser- oder Wasser-in Öl-Emulsion. Diese Zusammensetzungen können, wie bereits erwähnt, nach jeder geeigneten pharmazeutischen Methode zubereitet werden, die einen Schritt umfaßt, bei dem der Wirkstoff und der Träger (der aus einem oder mehreren zusätzlichen Bestandteilen bestehen kann) in Kontakt gebracht werden. Im allgemeinen werden die Zusammensetzungen durch gleichmäßiges und homogenes Vermischen des Wirkstoffs mit einem flüssigen und/oder feinverteilten festen Träger hergestellt, wonach das Produkt, falls erforderlich, geformt wird. So kann beispielsweise eine Tablette hergestellt werden, indem ein Pulver oder Granulat der Verbindung verpreßt oder geformt wird, gegebenenfalls mit einem oder mehreren zusätzlichen Bestandteilen. Gepreßte Tabletten können durch Tablettieren der Verbindung in frei fließender Form, wie beispielsweise einem Pulver oder Granulat, gegebenenfalls gemischt mit einem Bindemittel, Gleitmittel, inertem Verdünner und/oder einem (mehreren) oberflächenaktiven/dispergierenden Mittel in einer geeigneten Maschine hergestellt werden. Geformte Tabletten können durch Formen der pulverförmigen, mit einem inerten flüssigen Verdünnungsmittel befeuchteten Verbindung in einer geeigneten Maschine hergestellt werden.Suitable pharmaceutical compounds for oral administration may be in separate units, such as capsules, cachets, lozenges or tablets, each containing a certain amount of the compound of formula (I); as a powder or granules; as a solution or Suspension in an aqueous or non-aqueous liquid; or as an oil-in-water or water-in-oil emulsion. As already mentioned, these compositions may be prepared by any suitable pharmaceutical method comprising a step of contacting the active ingredient and the carrier (which may consist of one or more additional ingredients). In general, the compositions are prepared by uniformly and homogeneously mixing the active ingredient with a liquid and / or finely divided solid carrier, after which the product is molded, if necessary. For example, a tablet can be made by compressing or molding a powder or granules of the compound, optionally with one or more additional ingredients. Compressed tablets may be prepared by tableting the compound in free-flowing form, such as a powder or granules, optionally mixed with a binder, lubricant, inert diluent and / or surfactant / dispersing agent in a suitable machine. Molded tablets may be prepared by shaping the powdered compound moistened with an inert liquid diluent in a suitable machine.
Pharmazeutische Zusammensetzungen, die für eine perorale (sublinguale) Verabreichung geeignet sind, umfassen Lutschtabletten, die eine Verbindung gemäß Formel (I) mit einem Geschmacksstoff enthalten, üblicherweise Saccharose und Gummi arabicum oder Tragant, und Pastillen, die die Verbindung in einer inerten Basis wie Gelatine und Glycerin oder Saccharose und Gummi arabicum umfassen.Pharmaceutical compositions suitable for peroral (sublingual) administration include lozenges containing a compound of formula (I) having a flavor, usually sucrose and gum arabic or tragacanth, and lozenges containing the compound in an inert base such as gelatin and glycerol or sucrose and gum arabic.
Als weitere Wirkstoffe für die Kombinationspräparate sind geeignet: Alle Antidiabetika, die in der
Antidiabetika umfassen Insulin und Insulinderivate, wie z. B. Lantus® (siehe
GLP-1-Derivate und GLP-1 Agonisten wie z. B. Exenatide oder spezielle Zubereitungen davon, wie sie z. B. in
GLP-1 derivatives and GLP-1 agonists such. As exenatides or special preparations thereof, as z. In
Antidiabetika umfassen auch Gastrinanaloga wie z. B. TT-223.Antidiabetics also include gastrin analogs such as. Eg TT-223.
Weiterhin umfassen Antidiabetika poly- oder monoklonale Antikörper, welche z. B. gegen Interleukin-1-beta (IL-1β), wie z. B. XOMA-052, gerichtet sind.Furthermore, antidiabetics include poly- or monoclonal antibodies, which, for. B. against interleukin-1-beta (IL-1β), such as. XOMA-052.
Antidiabetika umfassen weiterhin Peptide, welche an den humanen Pro-Insel Peptidrezeptor (human pro-islet petide (HIP) receptor) binden können wie sie z. B. in
Antidiabetika umfassen auch Agonisten des Glukose-abhängigen insulinotropen Polypeptids (GIP) Rezeptors wie sie z. B. in
Antidiabetika umfassen auch das Glukose-abhängige insulinotrope Polypeptid (GIP) wie auch analoge Verbindungen wie sie z. B. in
Weiterhin eingeschlossen sind Analoga und Derivate des humanen pankreatischen Polypeptids (human pancreatic polypeptide) wie sie z. B. in
Antidiabetika umfassen ferner verkapselte Insulin-produzierende Schweinezellen wie z. B. Diabecell®.Antidiabetic agents further comprise encapsulated insulin-producing porcine cells such as e.g. B. DIABECELL ®.
Antidiabetika umfassen auch Analoga und Derivate des Fibroblastenwachstumsfaktors 21 (FGF-21, fibroblast growth factor 21) wie sie z. B. in
Die oral wirksamen hypoglykämischen Wirkstoffe umfassen vorzugsweise
Sulfonylharnstoffe,
Biguanidine,
Meglitinide,
Oxadiazolidindione,
Thiazolidindione,
PPAR- und RXR-Modulatoren,
Glukosidase-Inhibitoren,
Hemmstoffe der Glykogenphosphorylase,
Glucagonrezeptor-Antagonisten,
Glukokinaseaktivatoren,
Inhibitoren der Fructose-1,6-bisphosphatase,
Modulatoren des Glukosetransporters-4 (GLUT4),
Inhibitoren der Glutamin-Fructose-6-Phosphat-Amidotransferase (GFAT),
GLP-1-Agonisten,
Kaliumkanalöffner, wie z. B. Pinacidil, Cromakalim, Diazoxid, Diazoxid Cholinsalz oder solche wie sie bei
Wirkstoffe, die auf den ATP-abhängigen Kaliumkanal der Betazellen wirken,
Inhibitoren der Dipeptidylpeptidase-IV (DPP-IV),
Insulin-Sensitizer,
Inhibitoren von Leberenzymen, die an der Stimulation der Glukoneogenese und/oder Glykogenolyse beteiligt sind,
Modulatoren der Glukoseaufnahme, des Glukosetransports und der Glukoserückresorption,
Modulatoren der natrium-abhängigen Glukosetransporter 1 oder 2 (SGLT1, SGLT2),
Hemmstoffe der 11-beta-Hydroxysteroid-Dehydrogenase-1 (11β-HSD1),
Inhibitoren der Protein-Tyrosin-Phosphatase-1B (PTP-1B),
Nikotinsäurerezeptoragonisten,
Inhibitoren der hormon-sensitiven bzw. endothelialen Lipasen,
Hemmstoffen der Acetyl-CoA Carboxylase (ACC1 und/oder ACC2) oder Inhibitoren der GSK-3 beta.The orally active hypoglycemic agents preferably comprise
sulfonylureas,
biguanides,
meglitinides,
oxadiazolidinediones,
thiazolidinediones,
PPAR and RXR modulators,
Glucosidase inhibitors,
Inhibitors of glycogen phosphorylase,
Glucagon receptor antagonists,
glucokinase
Inhibitors of fructose 1,6-bisphosphatase,
Glucose Transporter 4 Modulators (GLUT4),
Inhibitors of glutamine-fructose 6-phosphate amidotransferase (GFAT),
GLP-1 agonists,
Potassium channel opener, such as. As pinacidil, cromakalim, diazoxide, diazoxide choline salt or such as in
Agents that act on the ATP-dependent potassium channel of beta cells,
Inhibitors of dipeptidyl peptidase-IV (DPP-IV),
Insulin sensitizers,
Inhibitors of liver enzymes involved in the stimulation of gluconeogenesis and / or glycogenolysis,
Modulators of glucose uptake, glucose transport and glucose reabsorption,
Modulators of the Sodium-Dependent Glucose Transporter 1 or 2 (SGLT1, SGLT2),
Inhibitors of 11-beta-hydroxysteroid dehydrogenase-1 (11β-HSD1),
Inhibitors of protein tyrosine phosphatase-1B (PTP-1B),
Nicotinic receptor agonists,
Inhibitors of hormone-sensitive or endothelial lipases,
Inhibitors of acetyl-CoA carboxylase (ACC1 and / or ACC2) or inhibitors of GSK-3 beta.
Weiterhin sind umfasst den Fettstoffwechsel verändernde Verbindungen wie antihyperlipidämische Wirkstoffe und antilipidämische Wirkstoffe,
HMGCoA-Reduktase-Inhibitoren,
Farnesoid X Rezeptor (FXR) Modulatoren,
Fibrate,
Cholesterinresreptionsinhibitoren,
CETP-Inhibitoren,
Gallensäureresorptionsinhibitoren,
MTP-Inhibitoren,
Agonisten des Estrogenrezeptors gamma (ERRγ Agonisten),
Sigma-1 Rezeptorantagonisten,
Antagonisten des Somatostatin 5 Rezeptors (SST5 Rezeptor);
Verbindungen, die die Nahrungsmitteleinnahme verringern und
Verbindungen, die die Thermogenese erhöhen. Also included are lipid metabolism-altering compounds such as antihyperlipidemic agents and antilipidemic agents.
HMGCoA reductase inhibitors,
Farnesoid X Receptor (FXR) Modulators,
fibrates,
Cholesterinresreptionsinhibitoren,
CETP inhibitors,
bile acid,
MTP inhibitors
Agonists of the estrogen receptor gamma (ERRγ agonists),
Sigma-1 receptor antagonists,
Antagonists of the somatostatin 5 receptor (SST5 receptor);
Compounds that reduce food intake and
Compounds that increase thermogenesis.
Bei einer Ausführungsform der Erfindung wird die Verbindung der Formel I in Kombination mit Insulin verabreicht.In one embodiment of the invention, the compound of the formula I is administered in combination with insulin.
Bei einer anderen Ausführungsform der Erfindung wird die verbindung der Formel I in Kombination mit einem Insulin-Sensitizer wie z. B. PN-2034 oder ISIS-113715 verabreicht.In another embodiment of the invention, the compound of the formula I in combination with an insulin sensitizer such. PN-2034 or ISIS-113715.
Bei einer Ausführungsform wird die Verbindung der Formel I in Kombination mit einem Wirkstoff, der auf den ATP-abhängigen Kaliumkanal der Betazellen wirkt, z. B. Sulfonylharnstoffe, wie z. B. Tolbutamid, Glibenclamid, Glipizid, Gliclazide oder Glimepirid oder solche Zubereitungen wie sie z. B. in
Bei einer Ausführungsform wird die Verbindung der Formel I in Kombination mit einer Tablette verabreicht, die sowohl Glimeprid enthält, welches schnell freigesetzt wird wie auch Metformin enthält, welches über einen längeren Zeitraum freigesetzt wird (wie z. B. in
Bei einer Ausführungsform wird die Verbindung der Formel I in Kombination mit einem Biguanid, wie z. B. Metformin oder einem seiner Salze, verabreicht.In one embodiment, the compound of the formula I in combination with a biguanide, such. As metformin or one of its salts.
Bei einer weiteren Ausführungsform wird die Verbindung der Formel I in Kombination mit einem Guanidin, wie z. B. Benzylguanidin oder einem seiner Salze, oder solchen Guanidinen wie sie in
Bei wieder einer Ausführungsform wird die Verbindung der Formel I in Kombination mit einem Meglitinid, wie z. B. Repaglinide, Nateglinide oder Mitiglinide verabreicht.In yet another embodiment, the compound of formula I in combination with a meglitinide, such as. B. repaglinide, nateglinide or mitiglinide administered.
Bei einer weiteren Ausführungsform wird die Verbindung der Formel I mit einer Kombination von Mitiglinide mit einem Glitazon, z. B. Pioglitazon Hydrochlorid, verabreicht.In another embodiment, the compound of formula I is reacted with a combination of mitiglinides with a glitazone, e.g. As pioglitazone hydrochloride administered.
Bei einer weiteren Ausführungsform wird die Verbindung der Formel I mit einer Kombination von Mitiglinide mit einem alpha-Glukosidaseinhibitor verabreicht.In another embodiment, the compound of formula I is administered with a combination of mitiglinides with an alpha-glucosidase inhibitor.
Bei einer weiteren Ausführungsform wird die Verbindung der Formel I in Kombination mit antidiabetischen Verbindungen, wie sie in
Bei einer weiteren Ausführungsform wird die Verbindung der Formel I in Kombination mit antihypoglykämischen Verbindungen, wie sie in
Bei einer Ausführungsform wird die Verbindung der Formel I in Kombination mit einem Thiazolidindion, wie z. B. Troglitazon, Ciglitazon, Pioglitazon, Rosiglitazon oder den in
Bei einer Ausführungsform der Erfindung wird die Verbindung der Formel I in Kombination mit einem PPAR gamma Agonisten, wie z. B. Rosiglitazon, Pioglitazon, JTT-501, GI 262570, R-483, CS-011 (Rivoglitazon), DRL-17564, DRF-2593 (Balaglitazon), INT-131, T-2384 oder solchen, wie sie in
Bei einer Ausführungsform der Erfindung wird die Verbindung der Formel I in Kombination mit CompetactTM, einer festen Kombination von Pioglitazon Hydrochlorid mit Metformin Hydrochlorid, verabreicht.In one embodiment of the invention, the compound of formula I is administered in combination with Competact ™ , a solid combination of pioglitazone hydrochloride with metformin hydrochloride.
Bei einer Ausführungsform der Erfindung wird die Verbindung der Formel I in Kombination mit TandemactTM, einer festen Kombination von Pioglitazon mit Glimeprid, verabreicht.In one embodiment of the invention, the compound of formula I is administered in combination with Tandemact ™ , a solid combination of pioglitazone with glimepride.
Bei einer weiteren Ausführungsform der Erfindung wird die Verbindung der Formel I in Kombination mit einer festen Kombination von Pioglitazon Hydrochlorid mit einem Angiotensin II Agonisten, wie z. B. TAK-536, verabreicht.In a further embodiment of the invention, the compound of the formula I in combination with a solid combination of pioglitazone hydrochloride with an angiotensin II agonist, such. TAK-536.
Bei einer Ausführungsform der Erfindung wird die Verbindung der Formel I in Kombination mit einem PPAR alpha Agonisten bzw. gemischten PPAR alpha/PPAR delta Agonisten, wie z. B. GW9578, GW-590735, K-111, LY-674, KRP-101, DRF-10945, LY-518674, CP-900691, BMS-687453, BMS-711939 oder solchen wie sie in
Bei einer Ausführungsform der Erfindung wird die Verbindung der Formel I in Kombination mit einem gemischten PPAR alpha/gamma Agonisten, wie z. B. Naveglitazar, Aleglitazar, LY-510929, ONO-5129, E-3030, AVE 8042, AVE 8134, AVE 0847, CKD-501 (Lobeglitazon Sulfat), MBX-213, KY-201, BMS-759509 oder wie in
Bei einer Ausführungsform der Erfindung wird die Verbindung der Formel I in Kombination mit einem PPAR delta Agonisten, wie z. B. GW-501516 oder wie sie in
Bei einer Ausführungsform der Erfindung wird die Verbindung der Formel I in Kombination mit einem pan-SPPARM (selective PPAR modulator alpha, gamma, delta), wie z. B. GFT-505, Indeglitazar oder solchen wie sie in
Bei einer Ausführungsform wird die Verbindung der Formel I in Kombination mit Metaglidasen oder mit MBX-2044 oder anderen partiellen PPAR gamma Agonisten/Antagonisten verabreicht.In one embodiment, the compound of formula I is administered in combination with metaglidases or with MBX-2044 or other partial PPAR gamma agonist / antagonist.
Bei einer Ausführungsform wird die Verbindung der Formel I in Kombination mit einem α-Glukosidase-Inhibitor, wie z. B. Miglitol oder Acarbose oder solchen, wie sie z. B. in
Bei einer Ausführungsform wird die Verbindung der Formel I in Kombination mit einem Hemmstoff der Glykogenphosphorylase, wie z. B. PSN-357 oder
Bei einer anderen Ausführungsform wird die Verbindung der Formel I in Kombination mit einem Inhibitor der Interaktion der Leberglykogenphosphorylase mit dem Protein PPP1R3 (GL-Untereinheit der Glykogen-assoziierten Proteinphosphatase 1 (PP1)), wie z. B. in
Bei einer Ausführungsform wird die Verbindung der Formel I in Kombination mit Glucagon-Rezeptor-Antagonisten, wie z. B. A-770077 oder NNC-25-2504 oder wie in
Bei einer weiteren Ausführungsform wird die Verbindung der Formel I in Kombination mit einer Antisense-Verbindung, z. B. ISIS-325568, verabreicht, welche die Produktion des Glucagonrezeptors inhibiert.In another embodiment, the compound of formula I is used in combination with an antisense compound, e.g. ISIS-325568, which inhibits the production of the glucagon receptor.
Bei einer Ausführungsform wird die Verbindung der Formel I in Kombination mit Aktivatoren der Glukokinase, wie z. B. LY-2121260 (
Bei einer Ausführungsform wird die Verbindung der Formel I in Kombination mit einem Inhibitor der Glukoneogenese, wie sie z. B. in
Bei einer Ausführungsform wird die Verbindung der Formel I in Kombination mit Inhibitoren der Fructose-1,6-bisphosphatase (FBPase) wie z. B. MB-07729, CS-917 (MB-06322) oder MB-07803 oder solchen wie sie in
Bei einer Ausführungsform wird die Verbindung der Formel I in Kombination mit Modulatoren des Glukosetransporters-4 (GLUT4), wie z. B. KST-48 (
Bei einer Ausführungsform wird die Verbindung der Formel I in Kombination mit Inhibitoren der Glutamin-Fructose-6-Phosphat-Amidotransferase (GFAT), wie sie z. B. in
Bei einer Ausführungsform wird die Verbindung der Formel I in Kombination mit Inhibitoren der Dipeptidylpeptidase-IV (DPP-IV), wie z. B. Vildagliptin (LAF-237), Sitagliptin (MK-0431), Sitagliptin Phosphat, Saxagliptin (BMS-477118), GSK-823093, PSN-9301, SYR-322, SYR-619, TA-6666, TS-021, GRC-8200 (Melogliptin), GW-825964X, KRP-104, DP-893, ABT-341, ABT-279 oder ein anderes Salz davon, S-40010, S-40755, PF-00734200, BI-1356, PHX-1149, DSP-7238, Alogliptin Benzoat, Linagliptin, Melogliptin, Carmegliptin oder solchen Verbindungen wie sie in
Bei einer Ausführungsform wird die Verbindung der Formel I in Kombination mit JanumetTM, einer festen Kombination von Sitagliptin Phosphat mit Metformin Hydrochlorid, verabreicht.In one embodiment, the compound of formula I is administered in combination with Janumet ™ , a solid combination of sitagliptin phosphate with metformin hydrochloride.
Bei einer Ausführungsform wird die Verbindung der Formel I in Kombination mit Eucreas®, einer festen Kombination von Vildagliptin mit Metformin Hydrochlorid, verabreicht.In one embodiment, the compound of formula I in combination with Eucreas ®, a fixed combination of vildagliptin with metformin hydrochloride is administered.
Bei einer weiteren Ausführungsform wird die Verbindung der Formel I in Kombination mit einer festen Kombination von Alogliptin Benzoat mit Pioglitazone verabreicht.In another embodiment, the compound of formula I is administered in combination with a solid combination of alogliptin benzoate with pioglitazone.
Bei einer Ausführungsform wird die Verbindung der Formel I in Kombination mit einer festen Kombination von eines Salzes von Sitagliptin mit Metformin Hydrochlorid, verabreicht.In one embodiment, the compound of formula I is administered in combination with a solid combination of a salt of sitagliptin with metformin hydrochloride.
Bei einer Ausführungsform wird die Verbindung der Formel I in Kombination mit einer Kombination eines DPP-IV-Inhibitors mit omega-3-Fettsäuren oder omega-3-Fettsäureestern, wie z. B. in
Bei einer Ausführungsform wird die Verbindung der Formel I in Kombination mit einer Kombination eines DPP-IV-Inhibitors mit Metformin Hydrochlorid, wie z. B. in
Bei einer Ausführungsform wird die Verbindung der Formel I in Kombination mit einer Kombination eines DPP-IV-Inhibitors mit einem GPR-119-Agonisten, wie z. B. in
Bei einer Ausführungsform wird die Verbindung der Formel I in Kombination mit einer Kombination eines DPP-IV-Inhibitors mit Miglitol, wie z. B. in
Bei einer Ausführungsform wird die Verbindung der Formel I in Kombination mit einer festen Kombination von einem Salz von Sitagliptin mit Metformin Hydrochlorid verabreicht.In one embodiment, the compound of formula I is administered in combination with a solid combination of a salt of sitagliptin with metformin hydrochloride.
Bei einer Ausführungsform wird die Verbindung der Formel I in Kombination mit einer festen Kombination von Alopliptin Benzoat mit Pioglitazon Hydrochlorid verabreicht.In one embodiment, the compound of formula I is administered in combination with a fixed combination of alopliptin benzoate with pioglitazone hydrochloride.
Bei einer Ausführungsform wird die Verbindung der Formel I in Kombination mit einer die Insulinsekretion verstärkende Substanz, wie z. B. KCP-265 (
Bei einer Ausführungsform wird die Verbindung der Formel I in Kombination mit Agonisten des glucose-abhängigen insulinotropischen Rezeptors (GDIR) wie z. B. APD-668 verabreicht.In one embodiment, the compound of the formula I in combination with agonists of the glucose-dependent insulinotropic receptor (GDIR) such. B. APD-668 administered.
Bei einer Ausführungsform der Erfindung wird die Verbindung der Formel I in Kombination mit einem ATP-Citrat-Lyase Inhibitor, wie z. B. SB-204990, verabreicht.In one embodiment of the invention, the compound of the formula I in combination with an ATP citrate lyase inhibitor, such as. SB-204990.
Bei einer Ausführungsform wird die Verbindung der Formel I in Kombination mit Modulatoren des natrium-abhängigen Glukosetransporters 1 und/oder 2 (SGLT1, SGLT2), wie z. B. KGA-2727, T-1095, SGL-0010, AVE 2268, SAR 7226, SGL-5083, SGL-5085, SGL-5094, ISIS-388626, Sergliflozin, Dapagliflozin oder Remogliflozin Etanobat, Canagliflozin oder wie sie z. B. in
Bei einer weiteren Ausführungsform der Erfindung wird die Verbindung der Formel I in Kombination mit einer festen Kombination eines SGLT-Inhibitors mit einem DPP-IV Inhibitor, wie in
Bei einer Ausführungsform wird die Verbindung der Formel I in Kombination mit einem Stimulator des Glukosetransports, wie z. B. in
Bei einer Ausführungsform wird die Verbindung der Formel I in Kombination mit Hemmstoffen der 11-beta-Hydroxysteroid-Dehydrogenase-1 (11β-HSD1), wie z. B. BVT-2733, JNJ-25918646, INCB-13739, INCB-20817, DIO-92 ((–)-Ketoconazol) oder solche, wie sie z. B. in
Bei einer Ausführungsform wird die Verbindung der Formel I in Kombination mit Inhibitoren der Protein-Tyrosin-Phosphatase-1B (PTP-1B), wie sie z. B. in
Bei einer weiteren Ausführungsform wird die Verbindung der Formel I in Kombination mit Stimulatoren der Tyrosin-Kinase-B (Trk-B), wie sie z. B. in
Bei einer Ausführungsform der Erfindung wird die Verbindung der Formel I in Kombination mit einem Agonisten des GPR109A (HM74A Rezeptor Agonisten; NAR-Agonisten (Nikotinsäurerezeptoragonisten)), wie z. B. Nicotinsäure oder „extended release niacin” in Verbindung mit MK-0524A (Laropiprant) oder MK-0524 oder solchen Verbindungen, wie sie in
Bei einer anderen Ausführungsform der Erfindung wird die Verbindung der Formel I in Kombination mit einer festen Kombination von Niacin mit Simvastatin verabreicht.In another embodiment of the invention, the compound of formula I is administered in combination with a solid combination of niacin with simvastatin.
Bei einer anderen Ausführungsform der Erfindung wird die Verbindung der Formel I in Kombination mit Nicotinsäure oder „extended release niacin” in Verbindung mit MK-0524A (Laropiprant) verabreicht.In another embodiment of the invention, the compound of formula I is administered in combination with nicotinic acid or extended release niacin in association with MK-0524A (laropiprant).
Bei einer weiteren Ausführungsform der Erfindung wird die Verbindung der Formel I in Kombination mit Nicotinsäure oder „extended release niacin” in Verbindung mit MK-0524A (Laropiprant) und mit Simvastatin verabreicht.In a further embodiment of the invention, the compound of the formula I is administered in combination with nicotinic acid or extended release niacin in conjunction with MK-0524A (laropiprant) and with simvastatin.
Bei einer Ausführungsform der Erfindung wird die Verbindung der Formel I in Kombination mit Nicotinsäure oder einem anderen Nicotinsäurerezeptoragonisten und einem Prostaglandin DP Rezeptorantagonisten, wie z. B. solchen wie sie in
Bei einer anderen Ausführungsform der Erfindung wird die Verbindung der Formel I in Kombination mit einer festen Kombination von Niacin mit Meloxicam, wie z. B. in
Bei einer anderen Ausführungsform der Erfindung wird die Verbindung der Formel I in Kombination mit einem Agonisten des GPR116, wie sie z. B. in
Bei einer Ausführungsform wird die Verbindung der Formel I in Kombination mit Modulatoren des GPR40, wie sie z. B. in
Bei einer Ausführungsform wird die Verbindung der Formel I in Kombination mit Modulatoren des GPR119 (G-Protein-gekoppelter Glukose-abhängiger insulinotroper Rezeptor), wie z. B. PSN-119-1, PSN-821, PSN-119-2, MBX-2982 oder solchen wie sie z. B. in
Bei einer weiteren Ausführungsform wird die Verbindung der Formel I in Kombination mit Modulatoren des GPR120, wie sie z. B. in
Bei einer anderen Ausführungsform wird die Verbindung der Formel I in Kombination mit Antagonisten des GPR105, wie sie z. B. in
Bei einer weiteren Ausführungsform wird die Verbindung der Formel I in Kombination mit Agonisten des GPR43, wie z. B. ESN-282 verabreicht.In a further embodiment, the compound of formula I in combination with agonists of GPR43, such as. B. ESN-282 administered.
Bei einer Ausführungsform wird die Verbindung der Formel I in Kombination mit Inhibitoren der hormon-sensitiven Lipase (HSL) und/oder Phospholipasen, wie z. B. in
Bei einer Ausführungsform wird die Verbindung der Formel I in Kombination mit Inhibitoren der endothelialen Lipase, wie z. B. in
Bei einer Ausführungsform wird die Verbindung der Formel I in Kombination mit einem Phospholipase A2 Inhibitor wie z. B. Darapladib oder A-002 oder solchen, wie sie in
Bei einer Ausführungsform wird die Verbindung der Formel I in Kombination mit Myricitrin, einem Lipase-Inhibitor (
Bei einer Ausführungsform wird die Verbindung der Formel I in Kombination mit einem Inhibitor der Glykogen Synthase Kinase-3 beta (GSK-3 beta), wie z. B. in
Bei einer Ausführungsform wird die Verbindung der Formel I in Kombination mit einem Inhibitor der Phosphoenolpyruvatcarboxykinase (PEPCK), wie z. B. solchen, wie in
Bei einer Ausführungsform wird die Verbindung der Formel I in Kombination mit einem Inhibitor der Phosphoinositidkinase-3 (PI3K), wie z. B. solchen, wie in
Bei einer Ausführungsform wird die Verbindung der Formel I in Kombination mit einem Inhibitor der Serum/Glucocorticoid regulierten Kinase (SGK), wie z. B. in
Bei einer Ausführungsform wird die Verbindung der Formel I in Kombination mit einem Modulator des Glucocorticoidrezeptors, wie z. B. in
Bei einer Ausführungsform wird die Verbindung der Formel I in Kombination mit einem Modulator des Mineralocorticoidrezeptors (MR), wie z. B. Drospirenone, oder solchen wie sie in
Bei einer Ausführungsform wird die Verbindung der Formel I in Kombination mit einem Inhibitor der Protein Kinase C beta (PKC beta), wie z. B. Ruboxistaurin, oder solchen wie sie in
Bei einer Ausführungsform wird die Verbindung der Formel I in Kombination mit einem Inhibitor der Protein Kinase D, wie z. B. Doxazosin (
Bei einer weiteren Ausführungsform wird die Verbindung der Formel I in Kombination mit einem Aktivator/Modulator der AMP-aktivierten Proteinkinase (AMPK), wie sie z. B. in
Bei einer Ausführungsform wird die Verbindung der Formel I in Kombination mit einem Inhibitor der Ceramidkinase, wie sie z. B. in
Bei einer weiteren Ausführungsform wird die Verbindung der Formel I in Kombination mit einem Inhibitor der MAPK-interagierenden Kinase 1 oder 2 (MNK1 oder 2), wie sie z. B. in
Bei einer Ausführungsform wird die Verbindung der Formel I in Kombination mit Inhibitoren der „I-kappaB kinase” (IKK Inhibitoren), wie sie z. B. in
Bei einer anderen Ausführungsform wird die Verbindung der Formel I in Kombination mit Inhibitoren der NF-kappaB (NFKB) Aktivierung, wie sie z. B. Salsalate verabreicht.In another embodiment, the compound of formula I in combination with inhibitors of NF-kappaB (NFKB) activation, as described, for. As salsalates administered.
Bei einer weiteren Ausführungsform wird die Verbindung der Formel I in Kombination mit Inhibitoren der ASK-1 (apoptosis signal-regulating kinase 1), wie sie z. B. in
Bei einer Ausführungsform der Erfindung wird die Verbindungen der Formel I in Kombination mit einem HMGCoA-Reduktase Inhibitor wie Simvastatin, Fluvastatin, Pravastatin, Lovastatin, Atorvastatin, Cerivastatin, Rosuvastatin, Pitavastatin, L-659699, BMS-644950, NCX-6560 oder solchen, wie sie in
Bei einer weiteren Ausführungsform der Erfindung wird die Verbindung der Formel I in Kombination mit einem Farnesoid X Rezeptor (FXR) Modulatoren, wie z. B. WAY-362450 oder solchen wie in
Bei einer anderen Ausführungsform der Erfindung wird die Verbindung der Formel I in Kombination mit einem Liganden des Leber X Rezeptors (liver X receptor; LXR), wie z. B. in
Bei einer Ausführungsform der Erfindung wird die Verbindung der Formel I in Kombination mit einem Fibrat, wie z. B. Fenofibrat, Clofibrat, Bezafibrat, oder solchen wie sie in
Bei einer Ausführungsform der Erfindung wird die Verbindung der Formel I in Kombination mit Fibraten, wie z. B. dem Cholinsalz von Fenofibrat (SLV-348; TrilipixTM), verabreicht.In one embodiment of the invention, the compound of the formula I in combination with fibrates, such as. The choline salt of fenofibrate (SLV-348, Trilipix ™ ).
Bei einer Ausführungsform der Erfindung wird die Verbindung der Formel I in Kombination mit Fibraten, wie z. B. dem Cholinsalz von Fenofibrat (TrilipixTM) und einem HMGCoA Reduktase Inhibitor, wie z. B. Rosuvastatin, verabreicht.In one embodiment of the invention, the compound of the formula I in combination with fibrates, such as. As the choline salt of fenofibrate (Trilipix TM ) and a HMGCoA reductase inhibitor, such as. Rosuvastatin.
Bei einer weiteren Ausführungsform der Erfindung wird die Verbindung der Formel I in Kombination mit Bezafibrat und Diflunisal verabreicht.In a further embodiment of the invention, the compound of the formula I is administered in combination with bezafibrate and diflunisal.
Bei einer weiteren Ausführungsform der Erfindung wird die Verbindung der Formel I in Kombination mit einer festen Kombination von Fenofibrat oder einem Salz davon mit Simvastatin, Rosuvastatin, Fluvastatin, Lovastatin, Cerivastatin, Pravastatin, Pitavastatin oder Atorvastatin verabreicht.In a further embodiment of the invention, the compound of formula I is administered in combination with a fixed combination of fenofibrate or a salt thereof with simvastatin, rosuvastatin, fluvastatin, lovastatin, cerivastatin, pravastatin, pitavastatin or atorvastatin.
Bei einer weiteren Ausführungsform der Erfindung wird die Verbindung der Formel I in Kombination mit Synordia®, einer festen Kombination von Fenofibrat mit Metformin, verabreicht.In a further embodiment of the invention the compound of formula I in combination with Synordia ®, a fixed combination of fenofibrate with metformin is administered.
Bei einer anderen Ausführungsform der Erfindung wird die Verbindung der Formel I in Kombination mit einer festen Kombination von Metformin mit einem MTP-Inhibitor, wie in
Bei einer Ausführungsform der Erfindung wird die Verbindung der Formel I in Kombination mit einem Cholesterinresorptionsinhibitor, wie z. B. Ezetimibe, Tiqueside, Pamaqueside, FM-VP4 (sitostanol/campesterol ascorbyl phosphat; Forbes Medi-Tech,
Bei einer Ausführungsform der Erfindung wird die Verbindung der Formel I in Kombination mit einem NPC1L1-Antagonisten, wie z. B. solchen, wie sie in
Bei einer Ausführungsform der Erfindung wird die Verbindung der Formel I in Kombination mit VytorinTM, einer festen Kombination von Ezetimibe mit Simvastatin, verabreicht.In one embodiment of the invention, the compound of formula I is administered in combination with Vytorin ™ , a fixed combination of ezetimibe with simvastatin.
Bei einer Ausführungsform der Erfindung wird die Verbindung der Formel I in Kombination mit einer festen Kombination von Ezetimibe mit Atorvastatin, verabreicht.In one embodiment of the invention, the compound of formula I is administered in combination with a fixed combination of ezetimibe with atorvastatin.
Bei einer Ausführungsform der Erfindung wird die Verbindung der Formel I in Kombination mit einer festen Kombination von Ezetimibe mit Fenofibrat verabreicht.In one embodiment of the invention, the compound of formula I is administered in combination with a fixed combination of ezetimibe with fenofibrate.
Bei einer Ausführungsform der Erfindung ist der weitere Wirkstoff ein Diphenylazetidinonderivat, wie z. B. in
Bei einer weiteren Ausführungsform der Erfindung ist der weitere Wirkstoff ein Diphenylazetidinonderivat, wie z. B. in
Bei einer Ausführungsform der Erfindung wird die Verbindung der Formel I in Kombination mit einer festen Kombination von Lapaquistat, einem Squalensynthase-Inhibitor, mit Atorvastatin verabreicht.In one embodiment of the invention, the compound of formula I is administered in combination with a solid combination of Lapaquistat, a squalene synthase inhibitor, with atorvastatin.
Bei einer weiteren Ausführungsform der Erfindung wird die Verbindung der Formel I in Kombination mit einem Konjugat bestehend aus dem HMGCoA-Reduktaseinhibitor Atorvastatin mit dem Renininhibitor Aliskiren (
Bei einer Ausführungsform der Erfindung wird die Verbindung der Formel I in Kombination mit einem CETP-Inhibitor, wie z. B. Torcetrapib, Anacetrapib oder JTT-705 (Dalcetrapib) oder solchen wie sie in
Bei einer Ausführungsform der Erfindung wird die Verbindung der Formel I in Kombination mit Gallensäureresorptionsinhibitoren (Inhibitoren des intestinalen Gallensäuretransporters (IBAT)) (siehe z. B.
Bei einer Ausführungsform wird die Verbindung der Formel I in Kombination mit Agonisten des GPBAR1 (G-protein-coupled-bile-acid-receptor-1; TGR5), wie z. B. INT-777 oder solchen wie sie z. B. in
Bei einer Ausführungsform wird die Verbindung der Formel I in Kombination mit Modulatoren der Histon-Deacetylase, wie z. B. Ursodeoxycholsäure wie in
Bei einer Ausführungsform wird die Verbindung der Formel I in Kombination mit Inhibitoren/Modulatoren des TRPM5 Kanals (TRP-Cation-Channel-M5), wie sie z. B. in
Bei einer Ausführungsform wird die Verbindung der Formel I in Kombination mit Inhibitoren/Modulatoren des TRPA1 Kanals (TRP-Cation-Channel-A1), wie sie z. B. in
Bei einer Ausführungsform wird die Verbindung der Formel I in Kombination mit Inhibitoren/Modulatoren des TRPV3 Kanals (TRP-Cation-Channel-V3), wie sie z. B. in
Bei einer Ausführungsform der Erfindung wird die Verbindung der Formel I in Kombination mit einem polymeren Gallensäureadsorber, wie z. B. Cholestyramin, Colesevelam Hydrochlorid, verabreicht.In one embodiment of the invention, the compound of the formula I in combination with a polymeric bile acid adsorber, such. Cholestyramine, colesevelam hydrochloride.
Bei einer Ausführungsform der Erfindung wird die Verbindung der Formel I in Kombination mit Colesevelam Hydrochlorid und Metformin oder einem Sulfonylharnstoff oder Insulin verabreicht.In one embodiment of the invention, the compound of the formula I is administered in combination with colesevelam hydrochloride and metformin or a sulfonylurea or insulin.
Bei einer Ausführungsform der Erfindung wird die Verbindung der Formel I in Kombination mit Tocotrienol und Insulin oder einem Insulinderivat verabreicht.In one embodiment of the invention, the compound of the formula I is administered in combination with tocotrienol and insulin or an insulin derivative.
Bei einer Ausführungsform der Erfindung wird die Verbindung der Formel I in Kombination mit einem Phytosterole enthaltenden Kaugummi (ReductolTM) verabreicht.In one embodiment of the invention, the compound of formula I is administered in combination with a phytosterol-containing chewing gum (Reductol ™ ).
Bei einer Ausführungsform der Erfindung wird die Verbindung der Formel I in Kombination mit einem Inhibitor des mikrosomalen Triglycerid-Transfer-Proteins (MTTP-Inhibitor), wie z. B. Implitapide, BMS-201038, R-103757, AS-1552133, SLx-4090, AEGR-733, JTT-130 oder solchen wie in
Bei einer weiteren Ausführungsform der Erfindung wird die Verbindung der Formel I in Kombination mit einer Kombinbation eines Cholesterolabsorptionsinhibitors, wie z. B. Ezetimibe, und einem Inhibitor des Triglycerid-Transfer-Proteins (MTP-Inhibitor), wie z. B. Implitapide, wie in
Bei einer Ausführungsform der Erfindung wird die Verbindung der Formel I in Kombination mit einem antihypertriglyceridämischen Wirkstoff, wie z. B. solchen wie sie in
Bei einer anderen Ausführungsform der Erfindung wird die Verbindung der Formel I in Kombination mit einem Antagonisten des Somatostatin 5 Rezeptors (SST5 Rezeptor), wie z. B. solchen wie sie in
Bei einer Ausführungsform der Erfindung wird die Verbindung der Formel I in Kombination mit einem ACAT-Inhibitor, wie z. B. Avasimibe, SMP-797 oder KY-382 oder solchen, wie sie in
Bei einer weiteren Ausführungsform der Erfindung wird die Verbindung der Formel I in Kombination mit einem Inhibitor der Leber-Carnitin Palmitoyltransferase-1 (L-CPT1), wie sie z. B. in
Bei einer anderen Ausführungsform der Erfindung wird die Verbindung der Formel I in Kombination mit einem Inhibitor der Carnitin-O-Palmitoyltransferase-II (CPT2), wie sie z. B. in
Bei einer weiteren Ausführungsform der Erfindung wird die Verbindung der Formel I in Kombination mit einem Modulator der Serin-Palmitoyltransferase (SPT), wie sie z. B. in
Bei einer Ausführungsform der Erfindung wird die Verbindung der Formel I in Kombination mit einem Squalen Synthetase Inhibitor, wie z. B. BMS-188494, TAK-475 (Lapaquistat Acetat) oder wie in
Bei einer Ausführungsform der Erfindung wird die Verbindung der Formel I in Kombination mit ISIS-301012 (Mipomersen), einem Antisense-Oligonukleotid, welches in der Lage ist, das Apolipoprotein B Gen zu regulieren, verabreicht.In one embodiment of the invention, the compound of formula I is administered in combination with ISIS-301012 (mipomersen), an antisense oligonucleotide capable of regulating the apolipoprotein B gene.
Bei einer Ausführungsform der Erfindung wird die Verbindung der Formel I in Kombination mit Apolipoprotein (ApoB) SNALP, einem therapeutischen Produkt, welches eine siRNA (gerichtet gegen das ApoB-Gen) enthält, verabreicht.In one embodiment of the invention, the compound of formula I is administered in combination with apolipoprotein (ApoB) SNALP, a therapeutic product containing an siRNA (directed against the ApoB gene).
Bei einer Ausführungsform der Erfindung wird die Verbindung der Formel I in Kombination mit einem Stimulator des ApoA-1 Gens, wie er z. B. in
Bei einer Ausführungsform der Erfindung wird die Verbindung der Formel I in Kombination mit einem Modulator der Synthese von Apolipoprotein C-III, wie z. B. ISIS-APOCIIIRx, verabreicht.In one embodiment of the invention, the compound of the formula I in combination with a modulator of the synthesis of apolipoprotein C-III, such. B. ISIS-APOCIIIRx administered.
Bei einer Ausführungsform der Erfindung wird die Verbindung der Formel I in Kombination mit einem LDL-Rezeptorinducer (siehe
Bei einer anderen Ausführungsform der Erfindung wird die Verbindung der Formel I in Kombination mit einem HDL-Cholesterol-erhöhenden Agens, wie z. B. solchen wie sie in
Bei einer Ausführungsform der Erfindung wird die Verbindung der Formel I in Kombination mit einem ABCA1 Expressionsverstäker, wie sie z. B. in
Bei einer Ausführungsform der Erfindung wird die Verbindung der Formel I in Kombination mit einem Lipoprotein-Lipase Modulator, wie z. B. Ibrolipim (NO-1886), verabreicht.In one embodiment of the invention, the compound of the formula I in combination with a lipoprotein-lipase modulator, such. Ibrolipim (NO-1886).
Bei einer Ausführungsform der Erfindung wird die Verbindung der Formel I in Kombination mit einem Lipoprotein(a) antagonist, wie z. B. Gemcabene (CI-1027) verabreicht.In one embodiment of the invention, the compound of the formula I in combination with a lipoprotein (a) antagonist, such as. G., Gemcabene (CI-1027).
Bei einer Ausführungsform der Erfindung wird die Verbindung der Formel I in Kombination mit einem Lipase Inhibitor, wie z. B. Orlistat oder Cetilistat (ATL-962), verabreicht.In one embodiment of the invention, the compound of the formula I in combination with a lipase inhibitor, such as. Orlistat or cetilistat (ATL-962).
Bei einer Ausführungsform der Erfindung wird die Verbindung der Formel I in Kombination mit einem Adenosin A1 Rezeptor Agonisten (Adenosin A1 R), wie z. B. CVT-3619 oder solchen wie sie z. B. in
Bei einer Ausführungsform der Erfindung wird die Verbindung der Formel I in Kombination mit einem Adenosin A2B Rezeptor Agonisten (Adenosin A2B R) wie z. B. ATL-801 verabreicht.In one embodiment of the invention, the compound of the formula I in combination with an adenosine A2B receptor agonist (adenosine A2B R) such. B. ATL-801 administered.
Bei einer anderen Ausführungsform der Erfindung wird die Verbindung der Formel I in Kombination mit einem Modulator der Adenosin A2A und/oder Adenosin A3 Rezeptoren, wie z. B. in
Bei einer weiteren Ausführungsform der Erfindung wird die Verbindung der Formel I in Kombination mit einem Liganden der Adenosin A1/A2B Rezeptoren, wie z. B. in
Bei einer Ausführungsform der Erfindung wird die Verbindung der Formel I in Kombination mit einem Adenosin A2B Rezeptor Antagonisten (Adenosin A2B R), wie sie in
Bei einer Ausführungsform wird die Verbindung der Formel I in Kombination mit Hemmstoffen der Acetyl-CoA Carboxylase (ACC1 und/oder ACC2) wie z. B. solchen wie in
Bei einer anderen Ausführungsform wird die Verbindung der Formel I in Kombination mit Modulatoren der mikrosomalen Acyl-CoA:Glycerol-3-Phosphat-Acyltransferase 3 (GPAT3, beschrieben in
Bei einer weiteren Ausführungsform wird die Verbindung der Formel I in Kombination mit Modulatoren der Xanthin-Oxidoreductase (XOR) verabreicht.In a further embodiment, the compound of the formula I is administered in combination with modulators of xanthine oxidoreductase (XOR).
Bei einer anderen Ausführungsform wird die Verbindung der Formel I in Kombination mit Inhibitoren der löslichen Epoxidhydrolase (sEH), wie sie z. B. in
Bei einer weiteren Ausführungsform wird die Verbindung der Formel I in Kombination mit CART-Modulatoren (siehe
NPY-Antagonisten wie z. B. Naphthalin-1-sulfonsäure-{4-[(4-amino-quinazolin-2-ylamino)-methyl]-cyclohexylmethyl}-amid Hydrochlorid (CGP 71683A) oder Velneperit oder solche wie sie in
NPY-5 Rezeptorantagonisten/-rezeptormodulatoren wie L-152804 oder die Verbindung „NPY-5-BY” der Firma Banyu oder wie sie z. B. in
NPY-4-Rezeptorantagonisten wie sie z. B. in
NPY-2-Rezeptorantagonisten/-modulatoren wie sie z. B. in
Peptid YY 3-36 (PYY3-36) oder analoge Verbindungen wie z. B. CJC-1682 (PYY3-36 konjugiert mit humanem Serum Albumin über Cys34) oder CJC-1643 (Derivat des PYY3-36, welches sich in vivo an Serum Albumin konjugiert) oder solche, wie sie in
NPY-2-Rezeptoragonisten wie sie z. B. in
Derivaten des Peptids Obestatin wie sie
CB1R (Cannabinoid Rezeptor 1) Antagonisten/inverse Agonisten, wie z. B. Rimonabant, Surinabant (SR147778), SLV-319 (Ibipinabant), AVE-1625, Taranabant (MK-0364) oder Salze davon, Otenabant (CP-945,598), Rosonabant, V-24343 oder solche Verbindungen wie sie in z. B.
Cannabinoid Rezeptor 1/Cannabinoid Rezeptor 2 (CB1/CB2) modulierende Verbindungen wie z. B. delta-9-Tetrahydrocannabivarin oder solchen wie sie z. B. in
Cannabinoid Rezeptor 2 (CB2) modulierende Verbindungen wie z. B. solchen wie sie z. B. in
Modulatoren der FAAH (fatty acid amide hydrolase) wie sie z. B. in
Inhibitoren der Fettsäuresynthase (fatty acid synthase; FAS), wie sie z. B. in
Inhibitoren der LCE (long chain fatty acid elongase)/Long-Chain-Fatty-Acid-CoA-Ligase, wie sie z. B. in
Vanilloid-1-Rezeptor Modulatoren (Modulatoren des TRPV1), wie sie z. B. in
Modulatoren, Liganden, Antagonisten oder inverse Agonisten der Opioidrezeptoren, wie z. B. GSK-982 oder solche wie sie z. B. in
Modulatoren des „orphan opioid (ORL-1) receptor” wie sie z. B. in
Agonisten des Prostaglandinrezeptors, wie z. B. Bimatoprost oder solchen Verbindungen wie sie in
MC4-Rezeptor Agonisten (Melanocortin-4 Rezeptor Agonisten, MC4R Agonisten wie z. B. 1-Amino-1,2,3,4-tetrahydro-naphthalin-2-carbonsäure [2-(3a-benzyl-2-methyl-3-oxo-2,3,3a,4,6,7-hexahydro-pyrazolo[4,3-c]pyridin-5-yl)-1-(4-chloro-phenyl)-2-oxoethyl]-amid; (
MC4-Rezeptor Modulatoren (Melanocortin-4 Rezeptor Modulatoren) wie sie z. B. in
Orexin-Rezeptor 1 Antagonisten (OX1R Antagonisten), Orexin-Rezeptor 2 Antagonisten (OX2R Antagonisten) oder gemischte OX1R/OX2R Antagonisten (z. B. 1-(2-Methyl-benzoxazol-6-yl)-3-[1,5]naphthyridin-4-yl-harnstoff Hydrochlorid (SB-334867-A) oder solche, wie sie z. B. in
Histamin H3 Rezeptor Antagonisten/inverse Agonisten (z. B. 3-Cyclohexyl-1-(4,4-dimethyl-1,4,6,7-tetrahydro-imidazo[4,5-c]pyridin-5-yl)-propan-1-on Oxalsäuresalz (
Histamin H1/Histamin H3 Modulatoren, wie z. B. Betahistin bzw. seinem Dihydrochlorid;
Modulatoren des Histamin H3 Transporters oder der Histamin H3/Serotonin Transporter wie sie z. B. in
Modulatoren des vesikulären Monoamintransporters 2 (vesicular monoamine transporter 2 (VMAT2)) wie sie z. B. in
Histamin H4 Modulatoren wie sie z. B. in
CRF-Antagonisten (z. B. [2-Methyl-9-(2,4,6-trimethyl-phenyl)-9H-1,3,9-triaza-fluoren-4-yl]-dipropyl-amin (
CRF BP-Antagonisten (z. B. Urocortin);
Urocortin-Agonisten;
Modulatoren des beta-3 Adrenoceptors wie z. B. 1-(4-Chloro-3-methanesulfonylmethyl-phenyl)-2-[2-(2,3-dimethyl-1H-indol-6-yloxy)-ethylamino]-ethanol Hydrochlorid (
MSH (Melanocyt-stimulierendes Hormon)-Agonisten;
MCH (melanin-konzentrierendes Hormon) Rezeptor Antagonisten (wie z. B. NBI-845, A-761, A-665798, A-798, ATC-0175, T-226296, T-71 (AMG-071, AMG-076), GW-856464, NGD-4715, ATC-0453, ATC-0759, GW-803430 oder solche Verbindungen, wie sie in
CCK-A (CCK-1) Agonisten/Modulatoren (wie z. B. {2-[4-(4-Chloro-2,5-dimethoxy-phenyl)-5-(2-cyclohexyl-ethyl)-thiazol-2-ylcarbamoyl]-5,7-dimethyl-indol-1-yl}-essigsäure Trifluoressigsäuresalz (
Serotonin-Wiederaufnahme-Inhibitoren (z. B. Dexfenfluramine) oder solchen wie sie in
gemischte Serotonin-/Dopamin-Wiederaufnahme-Inhibitoren (z. B. Bupropion) oder solche wie sie in
gemischte Wiederaufnahmeinhibitoren wie z. B. DOV-21947 oder solche wie sie in
gemischte Serotonin- und noradrenerge Verbindungen (z. B.
5-HT-Rezeptor Agonisten z. B. 1-(3-Ethyl-benzofuran-7-yl)-piperazin Oxalsäuresalz (
gemischte Dopamin/Norepinephrin/Acetylcholin-Wiederaufnahme-Inhibitoren (z. B. Tesofensine) oder solchen wie sie z. B. in
Dopaminantagonisten wie sie z. B. in
Norepinephrin-Wiederaufnahme-Inhibitoren wie sie z. B. in
5-HT1A Rezeptor Modulatoren wie sie z. B. in
5-HT2A Rezeptor Antagonisten wie sie z. B. in
5-HT2C Rezeptor Agonisten (wie z. B. Lorcaserin Hydrochlorid (APD-356) oder BVT-933 oder solche, wie sie in
5-HT6 Rezeptor Modulatoren, wie z. B. E-6837, BVT-74316, PF-3246799 oder PRX-07034 oder solche wie sie z. B. in
Agonisten des Estrogenrezeptors gamma (ERRγ Agonisten), wie sie z. B. in
Agonisten des Estrogenrezeptors alpha (ERRα/ERR1 Agonisten), wie sie z. B. in
Agonisten des Estrogenrezeptors beta (ERRβ Agonisten), wie sie z. B. in
Sigma-1 Rezeptorantagonisten, wie sie z. B. in
Muscarin 3 Rezeptor (M3R) Antagonisten, wie sie z. B. in
Bombesin-Rezeptor Agonisten (BRS-3 Agonisten), wie sie z. B. in
Galanin-Rezeptor Antagonisten;
Wachstumshormon (z. B. humanes Wachstumshormon oder AOD-9604);
Wachstumshormon freisetzende Verbindungen (6-Benzyloxy-1-(2-diisopropylamino-ethylcarbamoyl)-3,4-dihydro-1H-isochinolin-2-carbonsäuretertiärbutylester (
Growth Hormone Secretagogue Rezeptor Antagonisten (Ghrelin Antagonisten) wie z. B. A-778193 oder solchen, wie sie in
Growth Hormone Secretagogue Receptor Modulatoren (Ghrelin-Modulatoren) wie z. B. JMV-2959, JMV-3002, JMV-2810, JMV-2951 oder solchen, wie sie in
TRH-Agonisten (siehe z. B.
entkoppelnde Protein 2- oder 3-Modulatoren (wie z. B. in
chemische Entkoppler (z. B.
Leptinrezeptoragonisten (siehe z. B.
Leptinrezeptormodulatoren wie sie z. B. in
DA-Agonisten (Bromocriptin, Bromocriptin Mesylat, Doprexin) oder solche wie sie in
Lipase/Amylase-Inhibitoren (z. B.
Inhibitoren der Diacylglycerol O-Acyltransferasen (DGATs) wie z. B. BAY-74-4113 oder wie z. B. in
Inhibitoren der Monoacylglycerolacyltransferase (2-Acylglycerol-O-Acyltransferase; MGAT) wie sie z. B. in
Inhibitoren der Fettsäuresynthase (FAS) wie z. B. C75 oder solchen, wie in
Inhibitoren der Stearoyl-CoA delta9 Desaturase (SCD1) wie sie z. B. in
Inhibitoren der Fatty-Acid-Desaturase-1 (delta5 Desaturase) wie sie z. B. in
Inhibitoren der Monoglycerid-Lipase (MGL) wie sie in
hypoglykämische/hypertriglyceridämische Indolinverbindungen wie sie in
Inhibitoren des „Adipocyte fatty acid-binding protein aP2” wie z. B. BMS-309403 oder solchen wie sie in
Aktivatoren der Adiponectinsekretion, wie z. B. in
Promotoren der Adiponectinproduktion, wie z. B. in
modifizierte Adiponectine wie z. B. in
Oxyntomodulin oder Analoga davon (wie z. B. TKS-1225);
Oleoyl-Estron
oder Agonisten oder partiellen Agonisten des Schilddrüsenhormonrezeptors (thyroid hormone receptor agonists) wie z. B: KB-2115 (Eprotirome), QRX-431 (Sobetirome) oder DITPA oder solche, wie in
oder Agonisten des Schilddrüsenhormonrezeptors beta (TR-beta) wie z. B. MB-07811 oder MB-07344, oder solchen wie in
NPY antagonists such. For example, naphthalene-1-sulfonic acid {4 - [(4-amino-quinazolin-2-ylamino) -methyl] -cyclohexylmethyl} -amide hydrochloride (CGP 71683A) or Velneperite or those as described in U.S. Pat
NPY-5 receptor antagonists / receptor modulators such as L-152804 or the compound "NPY-5-BY" of the company Banyu or as they are, for. In
NPY-4 receptor antagonists as they are e.g. In
NPY-2 receptor antagonists / modulators as described, for. In
Peptide YY 3-36 (PYY3-36) or analogous compounds such. CJC-1682 (PYY3-36 conjugated to human serum albumin via Cys34) or CJC-1643 (derivative of PYY3-36 conjugated to serum albumin in vivo) or those as described in U.S. Pat
NPY-2 receptor agonists as described, for. In
Derivatives of the peptide obestatin like them
CB1R (cannabinoid receptor 1) antagonists / inverse agonists, such as. Rimonabant, Surinabant (SR147778), SLV-319 (Ibipinabant), AVE-1625, Taranabant (MK-0364) or salts thereof, Otenabant (CP-945,598), Rosonabant, V-24343, or such compounds as described in e.g. B.
Cannabinoid receptor 1 / cannabinoid receptor 2 (CB1 / CB2) modulating compounds such as. B. delta-9-Tetrahydrocannabivarin or such as z. In
Cannabinoid receptor 2 (CB2) modulating compounds such. B. such as z. In
Modulators of FAAH (fatty acid amide hydrolase) as z. In
Inhibitors of fatty acid synthase (FAS), as described, for. In
Long Chain Fatty Acid Elongase (LCE) inhibitors / Long Chain Fatty Acid CoA ligase, as described, for example, in US Pat. In
Vanilloid-1 receptor modulators (modulators of the TRPV1), as they are e.g. In
Modulators, ligands, antagonists or inverse agonists of the opioid receptors, such as. B. GSK-982 or such as z. In
Modulators of the "orphan opioid (ORL-1) receptor" as z. In
Agonists of the prostaglandin receptor, such as. B. Bimatoprost or such compounds as in
MC4 receptor agonists (melanocortin-4 receptor agonists, MC4R agonists such as 1-amino-1,2,3,4-tetrahydronaphthalene-2-carboxylic acid [2- (3a-benzyl-2-methyl-3 -oxo-2,3,3a, 4,6,7-hexahydro-pyrazolo [4,3-c] pyridin-5-yl) -1- (4-chlorophenyl) -2-oxoethyl] -amide;
MC4 receptor modulators (melanocortin-4 receptor modulators) as they are e.g. In
Orexin receptor 1 antagonists (OX1R antagonists), orexin receptor 2 antagonists (OX2R antagonists), or mixed OX1R / OX2R antagonists (eg, 1- (2-methyl-benzoxazol-6-yl) -3- [1.5 ] naphthyridin-4-ylurea hydrochloride (SB-334867-A) or those as described, for example, in US Pat
Histamine H3 receptor antagonist / inverse agonists (eg, 3-cyclohexyl-1- (4,4-dimethyl-1,4,6,7-tetrahydro-imidazo [4,5-c] pyridin-5-yl) - propan-1-one oxalic acid salt (
Histamine H1 / histamine H3 modulators, such as. B. Betahistine or its dihydrochloride;
Modulators of the histamine H3 transporter or the histamine H3 / serotonin transporter as described, for example, in US Pat. In
Modulators of vesicular monoamine transporter 2 (vesicular monoamine transporter 2 (VMAT2)) as described, for example, in US Pat. In
Histamine H4 modulators as they are eg. In
CRF antagonists (eg, [2-methyl-9- (2,4,6-trimethyl-phenyl) -9H-1,3,9-triaza-fluoren-4-yl] -dipropyl-amine (
CRF BP antagonists (eg, urocortin);
Urocortin agonists;
Modulators of the beta-3 adrenoceptor such. B. 1- (4-chloro-3-methanesulfonylmethylphenyl) -2- [2- (2,3-dimethyl-1H-indol-6-yloxy) -ethylamino] -ethanol hydrochloride (
MSH (melanocyte-stimulating hormone) agonists;
MCH (melanin-concentrating hormone) receptor antagonists (such as NBI-845, A-761, A-665798, A-798, ATC-0175, T-226296, T-71 (AMG-071, AMG-076 ), GW-856464, NGD-4715, ATC-0453, ATC-0759, GW-803430, or such compounds as described in U.S. Pat
CCK-A (CCK-1) agonists / modulators (such as {2- [4- (4-chloro-2,5-dimethoxy-phenyl) -5- (2-cyclohexyl-ethyl) -thiazole-2 -ylcarbamoyl] -5,7-dimethyl-indol-1-yl} -acetic acid trifluoroacetic acid salt (
Serotonin reuptake inhibitors (eg, dexfenfluramines) or those as described in U.S. Pat
mixed serotonin / dopamine reuptake inhibitors (e.g., bupropion) or those as described in U.S. Pat
mixed reuptake inhibitors such. DOV-21947 or such as in
mixed serotonin and noradrenergic compounds (e.g.
5-HT receptor agonists z. B. 1- (3-ethyl-benzofuran-7-yl) -piperazine oxalic acid salt (
mixed dopamine / norepinephrine / acetylcholine reuptake inhibitors (e.g., tesofensins) or those as described e.g. In
Dopamine antagonists as z. In
Norepinephrine reuptake inhibitors as described, for. In
5-HT1A receptor modulators as they are e.g. In
5-HT2A receptor antagonists as they are e.g. In
5-HT2C receptor agonists (such as Lorcaserin hydrochloride (APD-356) or BVT-933 or those as described in
5-HT6 receptor modulators, such as For example, E-6837, BVT-74316, PF-3246799 or PRX-07034 or such as. In
Agonists of the estrogen receptor gamma (ERRγ agonists), as described, for. In
Agonists of the estrogen receptor alpha (ERRα / ERR1 agonists), as described, for. In
Agonists of the estrogen receptor beta (ERRβ agonists), as described, for. In
Sigma-1 receptor antagonists, such as. In
Muscarinic 3 Receptor (M3R) Antagonists as They Are In
Bombesin receptor agonists (BRS-3 agonists), such as those described in US Pat. In
Galanin receptor antagonists;
Growth hormone (eg, human growth hormone or AOD-9604);
Growth Hormone Releasing Compounds (6-Benzyloxy-1- (2-diisopropylamino-ethylcarbamoyl) -3,4-dihydro-1H-isoquinoline-2-carboxylic acid tert-butyl ester (
Growth Hormone Secretagogue receptor antagonists (ghrelin antagonists) such as. B. A-778193 or those as described in
Growth Hormone Secretagogue Receptor Modulators (ghrelin modulators) such as: JMV-2959, JMV-3002, JMV-2810, JMV-2951, or those as described in U.S. Pat
TRH agonists (see eg.
decoupling protein 2- or 3-modulators (such as in
chemical decouplers (eg
Leptin receptor agonists (see, e.g.
Leptinrezeptormodulatoren as z. In
DA agonists (bromocriptine, bromocriptine mesylate, doprexin) or those like them in
Lipase / amylase inhibitors (eg.
Inhibitors of diacylglycerol O-acyltransferases (DGATs) such. B. BAY-74-4113 or such. In
Inhibitors of monoacylglycerol acyltransferase (2-acylglycerol-O-acyltransferase; MGAT) as described e.g. In
Inhibitors of fatty acid synthase (FAS) such. B. C75 or such, as in
Inhibitors of stearoyl-CoA delta9 desaturase (SCD1) as described e.g. In
Inhibitors of fatty acid desaturase-1 (delta5 desaturase) as described, for. In
Inhibitors of monoglyceride lipase (MGL) as found in
hypoglycemic / hypertriglyceridemic indoline compounds as in
Inhibitors of "adipocyte fatty acid-binding protein aP2" such. BMS-309403 or such as in
Activators of adiponectin secretion, such. In
Promoters of adiponectin production, such as. In
modified adiponectins such. In
Oxyntomodulin or analogs thereof (such as TKS-1225);
Oleoyl-estrone
or agonists or partial agonists of the thyroid hormone receptor agonists such as. B: KB-2115 (Eprotirome), QRX-431 (Sobetirome) or DITPA or those as in
or agonists of the thyroid hormone receptor beta (TR-beta) such. MB-07811 or MB-07344, or such as in
Bei einer Ausführungsform der Erfindung wird die Verbindung der Formel I in Kombination mit einer Kombination von Eprotirome mit Ezetimibe verabreicht.In one embodiment of the invention, the compound of the formula I is administered in combination with a combination of Ezetimibe Eprotiromes.
Bei einer Ausführungsform der Erfindung wird die Verbindung der Formel I in Kombination mit einem Inhibitor der Site-1 Protease (S1P), wie z. B. PF-429242, verabreicht.In one embodiment of the invention, the compound of formula I in combination with an inhibitor of Site-1 protease (S1P), such as. PF-429242.
Bei einer weiteren Ausführungsform der Erfindung wird die Verbindung der Formel I in Kombination mit einem Modulator des ”Trace-Amine-Associated-Receptor-1” (TAAR1), wie sie z. B. in
Bei einer Ausführungsform der Erfindung wird die Verbindung der Formel I in Kombination mit einem Inhibitor des Growth-Factor-Receptor-Bound-Protein-2 (GRB2), wie z. B. in
Bei einer weiteren Ausführungsform der Erfindung wird die Verbindung der Formel I in Kombination mit einem RNAi (siRNA) Therapeutikum, welches gegen PCSK9 (Proprotein Convertase Subtilisin/Kexin Typ 9) gerichtet ist, verabreicht.In a further embodiment of the invention, the compound of the formula I is administered in combination with an RNAi (siRNA) therapeutic which is directed against PCSK9 (proprotein convertase subtilisin / kexin type 9).
Bei einer Ausführungsform wird die Verbindung der Formel I in Kombination mit Omacor® oder LovazaTM (Omega-3-Fettsäureester; hochkonzentrierte Ethylester der Eicosapentaensäure und der Docosahexaensäure) verabreicht. In one embodiment, the compound of formula I in combination with Omacor ® or Lovaza ™ (omega-3 fatty acid ester; highly concentrated ethyl esters of eicosapentaenoic acid and docosahexaenoic acid) is administered.
Bei einer Ausführungsform wird die Verbindung der Formel I in Kombination mit Lycopin verabreicht.In one embodiment, the compound of the formula I is administered in combination with lycopene.
Bei einer Ausführungsform der Erfindung wird die Verbindung der Formel I in Kombination mit einem Antioxidans, wie z. B. OPC-14117, AGI-1067 (Succinobucol), Probucol, Tocopherol, Ascorbinsäure, β-Caroten oder Selen oder solchen, wie sie in
Bei einer Ausführungsform der Erfindung wird die Verbindung der Formel I in Kombination mit einem Vitamin, wie z. B. Vitamin B6 oder Vitamin B12 verabreicht.In one embodiment of the invention, the compound of the formula I in combination with a vitamin, such as. As vitamin B6 or vitamin B12 administered.
Bei einer Ausführungsform wird die Verbindung der Formel I in Kombination mit mehr als einer der vorstehend genannten Verbindungen, z. B. in Kombination mit einem Sulfonylharnstoff und Metformin, einem Sulfonylharnstoff und Acarbose, Repaglinide und Metformin (PrandiMet(TM)), Insulin und einem Sulfonylharnstoff, Insulin und Metformin, Insulin und Troglitazon, Insulin und Lovastatin, etc. verabreicht.In one embodiment, the compound of formula I is used in combination with more than one of the aforementioned compounds, e.g. In combination with a sulfonylurea and metformin, a sulfonylurea and acarbose, repaglinide and metformin (PrandiMet (TM) ), insulin and a sulfonylurea, insulin and metformin, insulin and troglitazone, insulin and lovastatin, etc.
Bei einer weiteren Ausführungsform wird die Verbindung der Formel I in Kombination mit einem Aktivator der löslichen Guanylatcyclase (soluble guanylate cyclase (sGC)) verabreicht wie sie z. B. in
Bei einer anderen Ausführungsform wird die Verbindung der Formel I in Kombination mit einem Inhibitor der Carboanhydrase Typ 2 (Carbonic anhydrase type 2), wie z. B. solchen, wie in
Bei einer anderen Ausführungsform wird die Verbindung der Formel I in Kombination mit Topiramat oder einem Derivat davon, wie es in
Bei einer weiteren Ausführungsform wird die Verbindung der Formel I in Kombination mit einer festen Kombination von Topiramat mit Phentermin (QnexaTM) verabreicht.In another embodiment, the compound of formula I is administered in combination with a solid combination of topiramate with phentermine (Qnexa ™ ).
Bei einer weiteren Ausführungsform wird die Verbindung der Formel I in Kombination mit einer Antisense-Verbindung, z. B. ISIS-377131, verabreicht, welche die Produktion des Glukokortikoidrezeptors inhibiert.In another embodiment, the compound of formula I is used in combination with an antisense compound, e.g. ISIS-377131, which inhibits the production of the glucocorticoid receptor.
Bei einer anderen Ausführungsform wird die Verbindung der Formel I in Kombination mit einem Aldosteronsynthaseinhibitor und einem Antagonisten des Glucocorticoidrezeptors, einem Cortisolsyntheseinhibitor und/oder einem Antagonisten des Corticotropin-freisetzenden Faktors (corticotropin releasing factor), wie z. B. in
Bei einer Ausführungsform wird die Verbindung der Formel I in Kombination mit einem Agonisten des RUP3 Rezeptors, wie z. B. in
Bei einer anderen Ausführungsform wird die Verbindung der Formel I in Kombination mit einem Aktivator des Gens, welches für die Ataxia Telangiectasia Mutated (ATM) Proteinkinase kodiert, wie z. B. Chloroquin, verabreicht.In another embodiment, the compound of the formula I in combination with an activator of the gene coding for the Ataxia Telangiectasia Mutated (ATM) protein kinase, such as. As chloroquine administered.
Bei einer Ausführungsform wird die Verbindung der Formel I in Kombination mit einem Tau-Protein-Kinase-1-Inhibitor (TPK1 Inhibitor), wie z. B. in
Bei einer Ausführungsform wird die Verbindung der Formel I in Kombination mit einem „c-Jun N-terminal kinase” Inhibitor (JNK-Inhibitor), wie z. B. BI-78D3 oder solchen wie in
Bei einer Ausführungsform wird die Verbindung der Formel I in Kombination mit einem Endothelin-A-Rezeptor Antagonisten, wie z. B. Avosentan (SPP-301), verabreicht. In one embodiment, the compound of formula I in combination with an endothelin A receptor antagonist, such as. B. avosentan (SPP-301).
Bei einer Ausführungsform wird die Verbindung der Formel I in Kombination mit Inhibitoren der neutralen Endopeptidase (NEP Inhibitoren), wie z. B. in
Bei einer Ausführungsform wird die Verbindung der Formel I in Kombination mit Modulatoren des Glukokortikoidrezeptors (GR), wie z. B. KB-3305 oder solchen Verbindungen wie sie z. B. in
Bei einer Ausführungsform ist der weitere Wirkstoff Varenicline Tartrate, ein partieller Agonist des alpha 4-beta 2 nikotinischen Acetylcholinrezeptors.In one embodiment, the other active ingredient is varenicline tartrate, a partial agonist of the alpha 4-beta 2 nicotinic acetylcholine receptor.
Bei einer Ausführungsform ist der weitere Wirkstoff ein Agonist des alpha 7-nikotinischen Acetylcholinrezeptors, wie sie z. B. in
Bei einer Ausführungsform ist der weitere Wirkstoff Trodusquemine.In one embodiment, the other active ingredient is trodusquemine.
Bei einer Ausführungsform ist der weitere Wirkstoff ein Modulator des Enzyms SIRT1 und/oder SIRT3 (einer NAD+-abhängigen Proteindeacetylase); dieser Wirkstoff kann z. B. Resveratrol in geeigneten Formulierungen sein, oder solche Verbindungen wie sie in
Bei einer Ausführungsform der Erfindung ist der weitere Wirkstoff DM-71 (N-Acetyl-L-Cystein mit Bethanechol).In one embodiment of the invention, the further active ingredient is DM-71 (N-acetyl-L-cysteine with bethanechol).
Bei einer Ausführungsform wird die Verbindung der Formel I in Kombination mit antihypercholesterolemisch wirkenden Verbindungen, wie sie z. B. in
Bei einer weiteren Ausführungsform wird die Verbindung der Formel I in Kombination mit Inhibitoren des SREBP (sterol regulatory element-binding protein), wie z. B. Fatostatin oder solchen wie sie z. B. in
Bei einer anderen Ausführungsform wird die Verbindung der Formel I in Kombination mit einem cyclischen Peptidagonisten des VPAC2 Rezeptors, wie sie z. B. in
Bei einer weiteren Ausführungsform wird die Verbindung der Formel I in Kombination mit einem Agonisten des Endothelinrezeptors, wie sie z. B. in
Bei einer weiteren Ausführungsform wird die Verbindung der Formel I in Kombination mit AKP-020 (Bis(ethylmaltolato)oxovanadium-IV) verabreicht.In a further embodiment, the compound of the formula I is administered in combination with AKP-020 (bis (ethylmaltolato) oxovanadium-IV).
Bei einer anderen Ausführungsform wird die Verbindung der Formel I in Kombination mit gewebe-selektiven Androgenrezeptor Modulatoren („tissue-selective androgen receptor modulators”; SARM), wie sie z. B. in
Bei einer weiteren Ausführungsform wird die Verbindung der Formel I in Kombination mit einem AGE (advanced glycation endproduct) Inhibitor, wie sie z. B. in
Bei einer Ausführungsform der Erfindung ist der weitere Wirkstoff Leptin; siehe z. B.
Bei einer anderen Ausführungsform der Erfindung ist der weitere Wirkstoff Metreleptin (rekombinantes Methionyl-Leptin) kombiniert mit Pramlintide.In another embodiment of the invention, the further active ingredient is metreleptin (recombinant methionyl-leptin) combined with pramlintide.
Bei einer weiteren Ausführungsform der Erfindung ist der weitere Wirkstoff das Tetrapeptid ISF-402. In a further embodiment of the invention, the further active ingredient is the tetrapeptide ISF-402.
Bei einer Ausführungsform ist der weitere Wirkstoff Dexamphetamin oder Amphetamin.In one embodiment, the other active ingredient is dexamphetamine or amphetamine.
Bei einer Ausführungsform ist der weitere Wirkstoff Fenfluramin oder Dexfenfluramin.In one embodiment, the other active ingredient is fenfluramine or dexfenfluramine.
Bei noch einer Ausführungsform ist der weitere Wirkstoff Sibutramin oder solche Derivate wie sie in
Bei einer Ausführungsform ist der weitere Wirkstoff Mazindol oder Phentermin.In one embodiment, the other active ingredient is mazindol or phentermine.
Bei einer weiteren Ausführungsform ist der weitere Wirkstoff Geniposidinsäure (geniposidic acid;
Bei einer anderen Ausführungsform ist der weitere Wirkstoff ein Agonist des Neuropeptids FF2 wie er z. B. in
Bei einer Ausführungsform ist der weitere Wirkstoff ein nasal verabreichter Calciumkanalblocker wie z. B. Diltiazem oder solche, wie sie in
Bei einer Ausführungsform ist der weitere Wirkstoff ein Inhibitor des Natrium-Calcium-Ionen-Austausches wie z. B. solche, wie sie in
Bei einer weiteren Ausführungsform ist der weitere Wirkstoff ein Blocker von Calciumkanälen wie z. B. des CaV3.2 oder CaV2.2 wie sie in
Bei einer Ausführungsform ist der weitere Wirkstoff ein Modulator eines Calciumkanals wie z. B. solche, wie sie in
Bei einer Ausführungsform ist der weitere Wirkstoff ein Inhibitor des Calciummetabolismus wie z. B. solche, wie sie in
Bei einer Ausführungsform ist der weitere Wirkstoff ein Blocker des „T-type calcium channel” wie sie z. B. in
Bei einer Ausführungsform ist der weitere Wirkstoff ein Inhibitor des KCNQ-Kaliumkanal-2 bzw. -3 wie z. B. solche, wie sie in
Bei einer Ausführungsform ist der weitere Wirkstoff ein Modulator des KCNN-Kaliumkanal-1, -2 bzw. -3 (Modulatoren des SK1-, SK2- und/oder SK3-Kanals) wie z. B. solche, wie sie in
Bei einer Ausführungsform ist der weitere Wirkstoff ein Inhibitor/Blocker des Kalium Kv1.3 Ionenkanals wie z. B. solchen, wie sie in
Bei einer Ausführungsform ist der weitere Wirkstoff ein Kaliumkanalmodulator wie z. B. solche, wie sie in
Bei einer weiteren Ausführungsform ist der weitere Wirkstoff ein hyperpolarisationsaktivierter und durch zyklisches Nukleotid gesteuerter Kalium-Natrium-Kanal Inhibitor („hyperpolarisation-activated cyclic nucleotide-gated (HCN) potassium-sodium channel inhibitor”) wie z. B. solche, wie sie in
Bei einer anderen Ausführungsform ist der weitere Wirkstoff ein Inhibitor des Natrium-Kalium-2-Chlorid (NKCCl) Co-Transporters wie z. B. solche, wie sie in
Bei einer anderen Ausführungsform ist der weitere Wirkstoff ein Inhibitor spannungsgeleiteten Natiumkanals (voltage-gated sodium channel inhibitor) wie z. B. solche, wie sie in
Bei einer anderen Ausführungsform ist der weitere Wirkstoff ein Modulator des MCP-1 Rezeptors (monocyte chemoattractant protein-1 (MCP-1)) wie z. B. solche, wie sie in
Bei einer Ausführungsform ist der weitere Wirkstoff ein Modulator des Somatostatinrezeptors 3 (SSTR3) wie z. B. solche, wie sie in
Bei einer Ausführungsform ist der weitere Wirkstoff ein Modulator des Somatostatinrezeptors 5 (SSTR5) wie z. B. solche, wie sie in
Bei einer Ausführungsform ist der weitere Wirkstoff ein Modulator des Somatostatinrezeptors 2 (SSTR2) wie z. B. solche, wie sie in
Bei einer Ausführungsform ist der weitere Wirkstoff eine Verbindung, welche in der Lage ist, die Menge des Retinol-bindenden Proteins 4 (RBP4) zu reduzieren, wie z. B. solche, wie sie in
Bei einer Ausführungsform ist der weitere Wirkstoff ein Erythropoietin-mimetisches Peptid, welches als Erythropoietin (EPO) Rezeptoragonist agiert. Solche Moleküle sind z. B. in
Bei einer weiteren Ausführungsform ist der weitere Wirkstoff ein Anorektikum/eine hypoglykämische Verbindung wie z. B. solche, wie sie in
Bei einer Ausführungsform ist der weitere Wirkstoff ein Induktor der Liponsäuresynthetase wie z. B. solche, wie sie in
Bei einer Ausführungsform ist der weitere Wirkstoff ein Stimulator der endothelialen Nitric-Oxid-Synthase (eNOS) wie z. B. solche, wie sie in
Bei einer Ausführungsform ist der weitere Wirkstoff ein Modulator des Kohlenhydrat- und/oder Lipidstoffwechsels wie z. B. solche, wie sie in
Bei einer weiteren Ausführungsform ist der weitere Wirkstoff ein Angiotensin II Rezeptorantagonist wie z. B. solche, wie sie in
Bei einer Ausführungsform ist der weitere Wirkstoff ein Agonist des Sphingosin-1-Phosphatrezeptors (S1P) wie z. B. solche, wie sie in
Bei einer Ausführungsform ist der weitere Wirkstoff ein Mittel, welches die Magenentleerung retardiert wie z. B. 4-Hydroxyisoleucin (
Bei einer Ausführungsform ist der weitere Wirkstoff ein Trytophan-5-Hydroxylase-Inhibitor-1 (TPH1 Inhibitor), welcher die gastrointestinale Motilität moduliert wie z. B. in
Bei einer Ausführungsform ist der weitere Wirkstoff eine Muskel-relaxierende Substanz wie sie z. B. in
Bei einer weiteren Ausführungsform ist der weitere Wirkstoff ein Inhibitor der Monoaminoxidase B (MAO-B) wie z. B. solche, wie sie in
Bei einer weiteren Ausführungsform ist der weitere Wirkstoff ein Inhibitor der Monoaminoxidase A (MAO-A) wie z. B. solche, wie sie in
Bei einer anderen Ausführungsform ist der weitere Wirkstoff ein Inhibitor der Bindung von Cholesterol und/oder Triglyceriden an das SCP-2 Protein (sterol carrier protein-2) wie z. B. solche, wie sie in
Bei einer weiteren Ausführungsform ist der weitere Wirkstoff eine Verbindung, welche an die β-Untereinheit des trimeren GTP-bindenden Proteins bindet, z. B. solchen wie sie in
Bei einer Ausführungsform ist der weitere Wirkstoff ein Inhibitor des Harnsäureanionaustauschers-1 (urate-anion-exchanger-inhibitor-1), wie sie z. B. in
Bei einer Ausführungsform ist der weitere Wirkstoff ein Modulator des ATP-Transporters, wie z. B. in
Bei einer anderen Ausführungsform ist der weitere Wirkstoff Lisofylline, welcher Autoimmunschäden an insulinproduzierenden Zellen verhindert.In another embodiment, the other active ingredient is lisofylline, which prevents autoimmune damage to insulin-producing cells.
Bei einer noch anderen Ausführungsform ist der weitere Wirkstoff ein Extrakt aus Bidens pilosa mit dem Inhaltsstoff Cytopiloin wie in
Bei einer Ausführungsform ist der weitere Wirkstoff ein Inhibitor der Glucosylceramid-Synthase wie z. B. in
Bei einer weiteren Ausführungsform der Erfindung ist der weitere Wirkstoff ein Glycosidaseinhibitor wie z. B. in
Bei einer anderen Ausführungsform ist der weitere Wirkstoff ein Inhaltsstoff der Pflanze Hoodia Gordonii wie er in
Bei einer Ausführungsform ist der weitere Wirkstoff ein Antidiabetikum wie z. B. D-Tagatose.In one embodiment, the further active ingredient is an antidiabetic such. B. D-tagatose.
Bei einer Ausführungsform ist der weitere Wirkstoff ein Zinkkomplex von Curcumin wie er in
Bei einer Ausführungsform ist der weitere Wirkstoff ein Inhibitor des „cAMP response element binding protein” (CREB) wie er in
Bei einer anderen Ausführungsform ist der weitere Wirkstoff ein Antagonist des Bradykinin B1 Rezeptors wie er in
Bei einer weiteren Ausführungsform ist der weitere Wirkstoff eine Verbindung, die in der Lage ist, die diabetische periphere Neuropathie (DPN) zu modulieren. Solche Modulatoren sind z. B. FK-1706 oder SB-509 oder solche wie sie in
Bei einer Ausführungsform ist der weitere Wirkstoff eine Verbindung, die in der Lage ist, die diabetische Nephropathie zu modulieren. Solche Verbindungen sind z. B. in
Bei einer Ausführungsform ist der weitere Wirkstoff ein Inhibitor (z. B. ein Anti-CD38 Antikörper) von CD38 wie in
Bei einer Ausführungsform ist der weitere Wirkstoff ein Inhibitor des humanen Fibroblastenwachstumsfaktor-Rezeptor 4 (human fibroblast growth factor receptor 4 (FGFR4)) wie z. B. in
Bei einer weiteren Ausführungsform der Erfindung ist der weitere Wirkstoff eine die Betazelle schützende Verbindung wie z. B. 14-alpha-Lipolyl-andrographolide (AL-1).In a further embodiment of the invention, the further active ingredient is a betazelle protective compound such as. B. 14-alpha-lipolyl-andrographolide (AL-1).
Bei einer noch anderen Ausführungsform der Erfindung ist der weitere Wirkstoff das INGAP Peptid (islet neogenesis associated protein), ein Peptid, welches die Insulinproduktion in Patienten mit Diabetes Mellitus wieder herstellt.In yet another embodiment of the invention, the further active ingredient is the INGAP peptide (isletneogenesis associated protein), a peptide which restores insulin production in patients with diabetes mellitus.
Bei einer Ausführungsform der Erfindung ist der weitere Wirkstoff ein Modulator des CFTR (cystic fibrosis transmembrane conductance regulator) wie er z. B. in
Bei einer Ausführungsform der Erfindung ist der weitere Wirkstoff eine Verbindung, welche die Insulinfreisetzung stimuliert/moduliert, wie z. B. solche wie sie in
Bei einer Ausführungsform der Erfindung ist der weitere Wirkstoff ein Extrakt aus Hippophae rhamnoides, wie er z. B. in
Bei einer Ausführungsform der Erfindung ist der weitere Wirkstoff ein aus Huanglian und Ku Ding Cha, wie er z. B. in
Bei einer anderen Ausführungsform der Erfindung ist der weitere Wirkstoff ein Wurzelextrakt aus Cipadessa baccifera, wie er in
Bei einer Ausführungsform der Erfindung sind die weiteren Wirkstoffe Borapetoside A und/oder Borapetoside C, welche aus der Pflanze SDH-V, einer Species von Tinospora crispa, isoliert werden können, wie sie z. B. in
Bei einer Ausführungsform wird die Verbindung der Formel I in Kombination mit Ballaststoffen, vorzugsweise unlöslichen Ballaststoffen (siehe z. B. Carob/Caromax® (
Es versteht sich, dass jede geeignete Kombination der erfindungsgemäßen Verbindungen mit einer oder mehreren der vorstehend genannten Verbindungen und wahlweise einer oder mehreren weiteren pharmakologisch wirksamen Substanzen als unter den Schutzbereich der vorliegenden Erfindung fallend angesehen wird.It is understood that any suitable combination of the compounds of the present invention with one or more of the foregoing compounds and optionally one or more other pharmacologically active substances is considered to fall within the scope of the present invention.
Weiterhin sind folgende Wirkstoffe für Kombinationspräparate geeignet:
Alle Antiepileptika, die in der
alle Antihypertonika, die in der
alle Hypotonika, die in der
alle Antikoagulantia, die in der
alle Arteriosklerosemittel, die in der
alle Betarezeptoren-, Calciumkanalblocker und Hemmstoffe des Renin-Angiotensin-Systems, die in der
alle Diuretika und Durchblutungsfördernde Mittel, die in der
alle Entwöhnungsmittel/Mittel zur Behandlung von Suchterkrankungen, die in der
alle Koronarmittel und Magen-Darm-Mittel, die in der
alle Migränemittel, Neuropathiepräparate und Parkinsonmittel, die in der
All antiepileptics used in the
all antihypertensive agents used in the
all hypotensives in the
all anticoagulants found in the
all arteriosclerotic agents used in the
all beta-receptors, calcium channel blockers and inhibitors of the renin-angiotensin system used in the
all diuretics and circulation-promoting agents used in the
all weaning aids / means of treatment for addictions found in the
all coronary and gastrointestinal agents used in the
all migraine medications, neuropathic preparations and Parkinson 's drugs used in the
Es versteht sich, dass jede geeignete Kombination der erfindungsgemäßen Verbindungen mit einer oder mehreren der vorstehend genannten Verbindungen und wahlweise einer oder mehreren weiteren pharmakologisch wirksamen Substanzen als unter den Schutzbereich der vorliegenden Erfindung fallend angesehen wird. It is understood that any suitable combination of the compounds of the present invention with one or more of the foregoing compounds and optionally one or more other pharmacologically active substances is considered to fall within the scope of the present invention.
Gegenstand der Erfindung sind weiterhin sowohl Stereoisomerengemische der Formel I, als auch die reinen Stereoisomere der Formel I, sowie Diastereomerengemische der Formel I als auch die reinen Diastereomere. Die Trennung der Gemische erfolgt auf chromatographischem Weg.The invention furthermore relates to stereoisomer mixtures of the formula I as well as to the pure stereoisomers of the formula I and to diastereomer mixtures of the formula I and also to the pure diastereomers. The separation of the mixtures is carried out by chromatographic means.
Bevorzugt sind racemische als auch enantiomerenreine Verbindungen der Formel I mit folgender Struktur: Preference is given to racemic as well as enantiomerically pure compounds of formula I having the following structure:
Für die Hydroxygruppen kommen im wesentlichen folgende Schutzgruppen in Frage: Benzyl-, Acetyl-, Benzoyl-, Pivaloyl-, Trityl-, tert.-Butyldimethylsilyl-, Benzyliden-, Cyclohexyliden- oder Isopropylidenschutzgruppen.Substantially the following protective groups are suitable for the hydroxy groups: benzyl, acetyl, benzoyl, pivaloyl, trityl, tert-butyldimethylsilyl, benzylidene, cyclohexylidene or isopropylidene protective groups.
Geeignete Schutzgruppen (siehe z. B.
Arg(Tos), Arg(Mts), Arg(Mtr), Arg(PMV), Asp(OBzl), Asp(OBut), Cys(4-MeBzl), Cys(Acm), Cys(SBut), Glu(Obzl), Glu(Obut), His(Tos), His(Fmoc), His(Dnp), His(Trt), Lys(Cl-Z), Lys(Boc), Met(O), Ser(Bzl), Ser(But), Thr(Bzl), Thr(But), Trp(Mts), Trp(CHO), Tyr(Br-Z), Tyr(Bzl) oder Tyr(But) eingesetzt werden.Suitable protecting groups (see eg
Arg (Tos), Arg (Mts), Arg (Mtr), Arg (PMV), Asp (OBzl), Asp (OBut), Cys (4-MeBzl), Cys (Acm), Cys (SBut), Glu (Obzl ), Glu (Obut), His (Tos), His (Fmoc), His (Dnp), His (Trt), Lys (Cl-Z), Lys (Boc), Met (O), Ser (Bzl), Ser (But), Thr (Bzl), Thr (But), Trp (Mts), Trp (CHO), Tyr (Br-Z), Tyr (Bzl) or Tyr (But).
Als Aminoschutzgruppen werden bevorzugt der durch katalytische Hydrierung abspaltbare Benzyloxycarbonyl-(Z-)Rest, der durch schwache Säuren abspaltbare 2-(3,5-Dimethyloxyphenyl)propyl(2)oxycarbonyl (Ddz-) oder Trityl-(Trt)-Rest, der durch Säuren wie 3 M Salzsäure abspaltbare t-Butylcarbamat(BOC-)-Rest und der durch sekundäre Amine abspaltbare 9-Fluorenylmethyloxycarbonyl-(Fmoc)-Rest herangezogen.Preferred amino-protecting groups are the benzyloxycarbonyl (Z) radical which can be split off by catalytic hydrogenation, the 2- (3,5-dimethyloxyphenyl) propyl (2) oxycarbonyl (Ddz) or trityl (Trt) radical which can be split off by weak acids t-butylcarbamate (BOC) radical which can be split off by acids, such as 3 M hydrochloric acid, and the 9-fluorenylmethyloxycarbonyl (Fmoc) radical cleavable by secondary amines.
Die Erfindung betrifft weiterhin ein Verfahren zur Herstellung von benzylamidischen Diphenylazetidinonderivaten der Formel I. wobei Y = CO ist;
W die Bedeuting -(C1-C10)-Alkylen- hat, wobei ein oder mehrere C-Atome des Alkylenrests durch -CH(OH)-, -CHF-, -CF2-, -CH(NH2)-, -C(Alkyl1)(Alkyl2)-, -CH(Alkyl1)-, -C[(C2-C6)-cycloalkylen], -CH(Aryl)-, -CH(Heteroaryl)-, -CH(CF3)-, -C(OH)(Alkyl1)- ersetzt sein können, und wobei Alkyl1 und Alkyl2 unabhängig voneinander (C1-C5)-Alkyl sein können, und wobei der Aryl- und Heteroarylring bis zu dreifach mit F, Cl, CF3, OCF3, OCH3, OC2H5, OCH(CH3)2, O-Phenyl, CN, SO2-CH3, SO2NH2, COOH substituiert sein kann.The invention furthermore relates to a process for the preparation of benzylamidic diphenylazetidinone derivatives of the formula I. where Y = CO;
W is the meaning of - (C 1 -C 10 ) -alkylene, where one or more C atoms of the alkylene radical are represented by -CH (OH) -, -CHF-, -CF 2 -, -CH (NH 2 ) -, -C (Alkyl1) (alkyl 2) -, -CH (Alkyl1) -, -C [(C 2 -C 6) cycloalkylene], -CH (aryl) -, -CH (heteroaryl) -, -CH (CF 3 ), -C (OH) (alkyl1) - may be replaced, and wherein alkyl1 and alkyl2 can be independently (C 1 -C 5 ) -alkyl, and wherein the aryl and heteroaryl ring up to three times with F, Cl, CF 3 , OCF 3 , OCH 3 , OC 2 H 5 , OCH (CH 3 ) 2 , O-phenyl, CN, SO 2 -CH 3 , SO 2 NH 2 , COOH.
Das Verfahren zur Herstellung der Verbindungen der Formel I ist z. B. dadurch gekennzeichnet, daß man ein Amin der Formel II mit einem Acylierungsreagenz umsetzt, das bevorzugt in omega-Position eine weitere Funktionalität – evtl. in geschützter Form – trägt. Diese wird (nach Entschützung) zur Anknüpfung der (LAG) verwendet, beispielsweise unter Ausbildung von Amidbindungen.The process for the preparation of the compounds of formula I is z. Example, characterized in that reacting an amine of formula II with an acylating reagent, preferably in the omega position another functionality - possibly in protected form - carries. This is used (after deprotection) to attach the (LAG), for example, to form amide bonds.
Allgemeine experimentelle Verfahren:General experimental procedures:
1H-NMR: 1 H-NMR:
Die 1H-NMR Spektren wurden in deuteriertem Dimethylsulfoxid an einem 500 MHz-Gerät (DRX 500, Firma Bruker) bei 300°K gemessen. Angaben: δ in ppm, Multiplizität (s für Singulett, d für Dublett, t für Triplett, q für Quartett, m für Multiplett, × H (Anzahl der Wasserstoffatome)The 1 H-NMR spectra were measured in deuterated dimethyl sulfoxide on a 500 MHz instrument (DRX 500, Bruker) at 300 ° K. Data: δ in ppm, multiplicity (s for singlet, d for doublet, t for triplet, q for quartet, m for multiplet, × H (number of hydrogen atoms)
HPLC/MS:HPLC / MS:
Die HPLC-MS-Messungen wurden an einem LCT-Gerät der Firma Waters durchgeführt. Säule: Waters XBridge C18 4.6 × 50 mm 4 μm;
Gradient [A]: (Acetonitril + 0.05% Trifluoressigsäure):(Wasser + 0.05% Trifluoressigsäure) 5:95 (0 Minuten) nach 95:5 (3 Minuten);
Gradient [B]: (Acetonitril + 0.05% Trifluoressigsäure):(Wasser + 0.05% Trifluoressigsäure) 5:95 (0 Minuten) nach 95:5 (2.5 Minuten) nach 95:5 (3.0 Minuten);
Gradient [C]: (Acetonitril + 0.05% Trifluoressigsäure):(Wasser + 0.05% Trifluoressigsäure) 5:95 (0 Minuten) nach 95:5 (3.4 Minuten) nach 95:5 (4.4 Minuten);
Gradient [C1]: (Wasser + 0.05% Trifluoressigsäure):(Acetonitril + 0.05% Trifluoressigsäure) 95:5 (0 Minuten) nach 95:5 (0.2 Minuten) nach 5:95 (2.4 Minuten) nach 5:95 (3.5 Minuten) nach 95:5 (3.6 Minuten) nach 95:5 (4.5 Minuten);
Gradient [D]: (Wasser + 0.1% Trifluoressigsäure):(Acetonitril + 0.1% Trifluoressigsäure) 97:3 (0 Minuten) nach 40:60 (3.5 Minuten) nach 2:98 (5 Minuten) nach 97:3 (5.2 Minuten) nach 97:3 (6.5 Minuten);
Gradient [E]: (Acetonitril + 0.05% Trifluoressigsäure):(Wasser + 0.05% Trifluoressigsäure) 5:95 (0 Minuten) nach 5:95 (0.3 Minuten) nach 95:5 (3.5 Minuten) nach 95:5 (4 Minuten);
Gradient [F]: Säule: YMC Jsphere ODS H80 20 × 2 mm, 4 μm; (Wasser + 0.05% Trifluoressigsäure):(Acetonitril + 0.05% Trifluoressigsäure) 96:4 (0 Minuten) nach 5:95 (2 Minuten) nach 96:4 (2.4 Minuten); Detektor: Tecan-LCT.The HPLC-MS measurements were carried out on a Waters LCT device. Column: Waters XBridge C18 4.6 × 50 mm 4 μm;
Gradient [A]: (acetonitrile + 0.05% trifluoroacetic acid) :( water + 0.05% trifluoroacetic acid) 5:95 (0 minutes) at 95: 5 (3 minutes);
Gradient [B]: (acetonitrile + 0.05% trifluoroacetic acid) :( water + 0.05% trifluoroacetic acid) 5:95 (0 minutes) at 95: 5 (2.5 minutes) at 95: 5 (3.0 minutes);
Gradient [C]: (acetonitrile + 0.05% trifluoroacetic acid) :( water + 0.05% trifluoroacetic acid) 5:95 (0 minutes) at 95: 5 (3.4 minutes) at 95: 5 (4.4 minutes);
Gradient [C1]: (water + 0.05% trifluoroacetic acid) :( acetonitrile + 0.05% trifluoroacetic acid) 95: 5 (0 minutes) at 95: 5 (0.2 minutes) at 5:95 (2.4 minutes) at 5:95 (3.5 minutes ) after 95: 5 (3.6 minutes) after 95: 5 (4.5 minutes);
Gradient [D]: (water + 0.1% trifluoroacetic acid) :( acetonitrile + 0.1% trifluoroacetic acid) 97: 3 (0 minutes) after 40:60 (3.5 minutes) after 2:98 (5 minutes) after 97: 3 (5.2 minutes after 97: 3 (6.5 minutes);
Gradient [E]: (acetonitrile + 0.05% trifluoroacetic acid) :( water + 0.05% trifluoroacetic acid) 5:95 (0 minutes) to 5:95 (0.3 minutes) to 95: 5 (3.5 minutes) to 95: 5 (4 minutes );
Gradient [F]: column: YMC Jsphere ODS H80 20 × 2 mm, 4 μm; (Water + 0.05% trifluoroacetic acid) :( acetonitrile + 0.05% trifluoroacetic acid) 96: 4 (0 minutes) to 5:95 (2 minutes) to 96: 4 (2.4 minutes); Detector: Tecan LCT.
Chromatographische Reinigungsmethoden:Chromatographic purification methods:
- [RP1]: Fluss: 30 ml/min; Gradient: Acetonitril/Wasser + 0,1% Trifluoressigsäure; 30 min. Säule: XTerra C18 5 μm 30 × 100 mm; Detektion: MS (ESI), UV (DAD).[RP1]: flow: 30 ml / min; Gradient: acetonitrile / water + 0.1% trifluoroacetic acid; 30 min. Column: XTerra C18 5 μm 30 × 100 mm; Detection: MS (ESI), UV (DAD).
- [RP2]: Fluss: 150 ml/min; Gradient: Acetonitril/Wasser + 0,1% Trifluoressigsäure; 20 min. Säule: XTerra C18 10 μm 50 × 250 mm; Detektion: MS (ESI), UV (DAD).[RP2]: flow: 150 ml / min; Gradient: acetonitrile / water + 0.1% trifluoroacetic acid; 20 min. Column: XTerra C18 10 μm 50 × 250 mm; Detection: MS (ESI), UV (DAD).
Die nachfolgenden Beispiele dienen zur näheren Erläuterung der Erfindung, ohne dieselbe auf in den Beispielen beschriebene Produkte und Ausführungsformen einzuschränken.The following examples serve to illustrate the invention without restricting it to products and embodiments described in the examples.
Beispiel I Example I
4-Hydroxy-dodecandisäure-1-{4-[(2S,3R)-3-[(S)-3-(4-fluor-phenyl)-3-hydroxy-propyl]-2-(4-methoxy-phenyl)-4-oxo-azetidin-1-yl]-benzylamid}-12-[((2S,3R,4R,5R)-2,3,4,5,6-pentahydroxy-hexyl)-amid] (17): 4-Hydroxy-dodecanedioic acid-1- {4 - [(2S, 3R) -3 - [(S) -3- (4-fluoro-phenyl) -3-hydroxy-propyl] -2- (4-methoxy-phenyl ) -4-oxo-azetidin-1-yl] -benzylamide} -12 - [((2S, 3R, 4R, 5R) -2,3,4,5,6-pentahydroxy-hexyl) -amide] (17) :
a) (3R,4S)-1-(4-Aminomethyl-phenyl)-3-[(S)-3-(4-fluor-phenyl)-3-hydroxy-propyl]-4-(4-methoxy-phenyl)-azetidin-2-on (1): a) (3R, 4S) -1- (4-aminomethyl-phenyl) -3 - [(S) -3- (4-fluoro-phenyl) -3-hydroxy-propyl] -4- (4-methoxyphenyl ) -azetidin-2-one (1):
Die Verbindung 1 wird wie in
b) Pent-4-enyloxymethyl-benzol (2): b) Pent-4-enyloxymethylbenzene (2):
11.5 ml 4-Pentenol werden in 150 ml Tetrahydrofuran (Tetrahydrofuran) vorgelegt. 15.1 g Kalium-tert.-butylat (KOtBu) werden portionsweise eintragen. Es entsteht eine klare, gelbe Lösung, die sich im Verlauf eintrübt und leicht erwärmt. Es wird 20 min bei Raumtemperatur nachgerührt. Dann wird eine Lösung aus 16.2 ml Benzylbromid (BnBr) und 15 ml Tetrahydrofuran in 45 min zugetropft. Die Innentemperatur wird bei ca. 20°C gehalten (Eisbad). Es bildet sich ein heller Feststoff. Die Suspension rührt weiter 1 h bei Raumtemperatur. Die Suspension wird abgesaugt und der Feststoff zweimal mit 10 ml Tetrahydrofuran gewaschen. Die gelbe Lösung wird bei Raumtemperatur im Vakuum vollständig eingeengt. Der gelbe flüssige Rückstand (ca. 25 g) wird in 50 ml Dichlormethan (DCM) aufgenommen, mit 20 ml Wasser gewaschen und mit Natriumsulfat getrocknet. Die resultierende Dichlormethan-Lösung der Verbindung 2 wird direkt weiter umgesetzt.11.5 ml of 4-pentenol are placed in 150 ml of tetrahydrofuran (tetrahydrofuran). 15.1 g of potassium tert-butoxide (KOtBu) are added in portions. The result is a clear, yellow solution that turns cloudy and slightly warm. It is stirred for 20 min at room temperature. Then a solution of 16.2 ml of benzyl bromide (BnBr) and 15 ml of tetrahydrofuran is added dropwise in 45 min. The internal temperature is kept at about 20 ° C (ice bath). It forms a bright solid. The suspension is stirred for a further 1 h at room temperature. The suspension is filtered off with suction and the solid washed twice with 10 ml of tetrahydrofuran. The yellow solution is completely concentrated at room temperature in vacuo. The yellow liquid residue (about 25 g) is taken up in 50 ml of dichloromethane (DCM), washed with 20 ml of water and dried with sodium sulfate. The resulting dichloromethane solution of compound 2 is reacted further directly.
c) 2-(3-Benzyloxy-propyl)-oxirane (3) c) 2- (3-Benzyloxypropyl) oxiranes (3)
Die Dichlormethan-Lösung des Pentenbenzylethers (Verbindung 2) wird durch Zugabe von DCM auf ein Volumen von 150 ml verdünnt. Unter Rühren bei 0–5°C (Eisbad) wird eine Lösung aus 26,5 g m-Chlorperbenzoesäure (mCPBA) in 200 ml DCM innerhalb von 2 h zugetropft. Es bildet sich eine milchige Lösung, die Innentemperatur beim Zutropfen beträgt nie mehr als 3°C. Es wird 30 min im Eisbad und dann bei Raumtemperatur über Nacht gerührt. Nach insgesamt 19-ständigem Rühren wird der Ansatz aufgearbeitet. Die flockige Suspension wird 30 min mit 50 ml gesättigter Natriumsulfitlösung gerührt; die Phasen werden getrennt und die DCM-Phase mit 30 ml 2 N NaOH gewaschen. Nach der Phasentrennung wird die DCM-Phase noch zweimal mit 20 ml gesättigter Natriumsulfitlösung und einmal mit 30 ml 1 N NaOH ausgeschüttelt und mit Natriumsulfat getrocknet. Die klare DCM-Lösung wird im Vakuum eingeengt. Man erhält eine farblose bis blassgelbe, leicht ölige Flüssigkeit; Rohausbeute: 25.2 g. Das Rohprodukt 3 wird direkt weiter umgesetzt.The dichloromethane solution of the pentenobenzyl ether (compound 2) is diluted to a volume of 150 ml by the addition of DCM. With stirring at 0-5 ° C (ice bath), a solution of 26.5 g of m-chloroperbenzoic acid (mCPBA) in 200 ml DCM is added dropwise within 2 h. It forms a milky solution, the internal temperature during the dropping is never more than 3 ° C. It is stirred for 30 minutes in an ice bath and then at room temperature overnight. After a total of 19 hours of stirring the batch is worked up. The fluffy suspension is stirred for 30 minutes with 50 ml of saturated sodium sulfite solution; the phases are separated and the DCM phase washed with 30 ml of 2 N NaOH. After the phase separation, the DCM phase is extracted by shaking twice more with 20 ml of saturated sodium sulfite solution and once with 30 ml of 1 N NaOH and dried with sodium sulfate. The clear DCM solution is concentrated in vacuo. A colorless to pale yellow, slightly oily liquid is obtained; Crude yield: 25.2 g. The crude product 3 is further reacted directly.
d) 5-Benzyloxy-1-phenylsulfanyl-pentan-2-ol (4): d) 5-Benzyloxy-1-phenylsulfanylpentan-2-ol (4):
Das Rohprodukt 3 wird in 250 ml 1,4-Dioxan vorgelegt und stark gerührt. Dann wird eine Mischung aus 14.2 ml Thiophenol (HSPh), 250 ml NaOH und 100 ml Dioxan bei Raumtemperatur in 30 min zugetropft. Es wird 1 h bei Raumtemperatur gerührt. Die Lösung wird anschließend mit reichlich DCM versetzt, die Phasen werden getrennten, und die organische Phase wird mit 100 ml halbkonzentrierter Ammoniumchloridlösung gewaschen. Die wässrige Phase wird mit 20 ml DCM gewaschen; die vereinten organischen Phasen werden mit Natriumsulfat getrocknet und im Vakuum eingengt. Man erhält 33.8 g der Verbindung 4 als farblose, leicht ölige, noch Reste von Thiophenol enthaltende Flüssigkeit. Überschüssiges Thiophenol kann durch Chromatographie an Kieselgel (Heptan/Essigsäureethylester 10:1 bis 3:1) abgetrennt werden.The crude product 3 is initially charged in 250 ml of 1,4-dioxane and stirred vigorously. Then a mixture of 14.2 ml of thiophenol (HSPh), 250 ml of NaOH and 100 ml of dioxane is added dropwise at room temperature in 30 min. It is stirred for 1 h at room temperature. The solution is then treated with abundant DCM, the phases are separated, and the organic phase is washed with 100 ml of half-concentrated ammonium chloride solution. The aqueous phase is washed with 20 ml DCM; The combined organic phases are dried with sodium sulfate and concentrated in vacuo. This gives 33.8 g of compound 4 as a colorless, slightly oily, still residues of thiophenol-containing liquid. Excess thiophenol can be separated by chromatography on silica gel (heptane / ethyl acetate 10: 1 to 3: 1).
e) (4-Benzyloxy-1-phenylsulfanylmethyl-butoxy)-tert-butyl-dimethyl-silan (5): e) (4-Benzyloxy-1-phenylsulfanylmethyl-butoxy) -tert-butyl-dimethyl-silane (5):
31.1 g der Verbindung 4 werden in 300 ml DCM gelöst, mit 18 ml Triethylamin und 75 mg Dimethylaminopyridin (DMAP) versetzt und auf etwa 10°C gekühlt. Dann wird eine Lösung aus 14,5 g tert.-Butyldimethylsilylchlorid (TBDMS-Cl) und 40 ml DCM innerhalb von 5 min zugegeben, ohne dass die Temperatur merklich ansteigt. Die Reaktion wird bei Raumtemperatur 19 h gerührt; danach wird die Reaktionsmischung 50 ml DCM auf etwa 200 ml verdünnt und weitere 8,0 g TBDMS-Cl, 12 ml Triethylamin und 150 mg 4-Dimethylaminopyridin werden zugegeben. Der Ansatz wird bei 40°C gerührt. Nach 19 h bei 40°C ist das Edukt fast komplett umgesetzt. Nach Abkühlen auf Raumtemperatur wird der Ansatz mit 150 ml Wasser ausgeschüttelt. Die organische Phase wird zunächst mit ca. 70 ml 1 M HCL, dann mit 50 ml halbkonzentrierter NaHCO3- und zuletzt mit 20 ml ges. NaCl-Lösung gewaschen. Trocknen (Na2SO4) und Einengen im Vakuum ergibt 45 g eines braunen, öligen Rohproduktes. Das Rohprodukt wird einer Flash-Chromatographie an Kieselgel (Gradient Heptan:Essigsäureethylester 25:1 bis 2:1) unterzogen. Man erhält 34.6 g des silylierten Produktes 5 und 2.0 g zurückgewonnenes Edukt 4.31.1 g of compound 4 are dissolved in 300 ml of DCM, treated with 18 ml of triethylamine and 75 mg of dimethylaminopyridine (DMAP) and cooled to about 10 ° C. Then a solution of 14.5 g of tert-butyldimethylsilyl chloride (TBDMS-Cl) and 40 ml of DCM is added over 5 minutes without the temperature rising appreciably. The reaction is stirred at room temperature for 19 h; Thereafter, the reaction mixture is diluted to 50 ml DCM to about 200 ml and a further 8.0 g of TBDMS-Cl, 12 ml of triethylamine and 150 mg of 4-dimethylaminopyridine are added. The batch is stirred at 40.degree. After 19 h at 40 ° C, the reactant is almost completely implemented. After cooling to room temperature, the batch is extracted by shaking with 150 ml of water. The organic phase is first with about 70 ml of 1 M HCL, then with 50 ml of semi-concentrated NaHCO 3 - and finally with 20 ml of sat. Washed NaCl solution. Drying (Na 2 SO 4 ) and concentration in vacuo gives 45 g of a brown, oily crude product. The crude product is subjected to flash chromatography on silica gel (gradient heptane: ethyl acetate 25: 1 to 2: 1). 34.6 g of the silylated product 5 and 2.0 g of recovered educt 4 are obtained.
f) (1-Benzolsulfinylmethyl-4-benzyloxy-butoxy)-tert-butyl-dimethyl-silan (6): f) (1-Benzenesulfinylmethyl-4-benzyloxy-butoxy) -tert-butyl-dimethyl-silane (6):
16.1 g der silylierten Verbindung 5 werden in 100 ml DCM vorgelegt. Unter Rühren werden 8,7 g mCPBA bei 0–5°C (Eisbad) innerhalb von 2 min portionsweise eingetragen. Nach 5 min wird das Eisbad entfernt und der Ansatz rührt bei 25°C im Wasserbad. Nach ca. 6 h wird die Reaktionsmischung mit 50 ml ges. Na2SO3-Lsg. (pH ~10) versetzt und 30 min gut gerührt (Teststäbchen: peroxidfrei). Es werden 30 ml ges. Na2CO3-Lsg. zugegeben, 15 min gerührt, die Phasen getrennt und die DCM-Phase erst mit 30 ml halbgesättigter Na2SO3-Lsg. und dann mit 20 ml Wasser gewaschen. Die vereinten wässrigen Phasen werden zweimal mit 20 ml DCM extrahiert. Die vereinten organischen Phasen werden mit Na2SO4 getrocknet, filtriert und im Vakuum eingeengt; 17.8 g Rohprodukt werden erhalten. Durch Auskristallisieren bei 4–8°C (Kühlschrank) kann eine Verunreinigung entfernt werden; es verbleiben 16.9 g des Sulfoxids 6 als fast farbloses, zähflüssiges Öl.16.1 g of the silylated compound 5 are initially charged in 100 ml of DCM. While stirring, 8.7 g mCPBA at 0-5 ° C (ice bath) are added in portions within 2 min. After 5 minutes, the ice bath is removed and the mixture is stirred at 25 ° C in a water bath. After about 6 h, the reaction mixture with 50 ml of sat. Na 2 SO 3 sol. (pH ~ 10) and stirred well for 30 minutes (test strips: peroxide-free). There are 30 ml of sat. Na 2 CO 3 sol. added, stirred for 15 min, the phases separated and the DCM phase first with 30 ml of semisaturated Na 2 SO 3 -Lsg. and then washed with 20 ml of water. The combined aqueous phases are extracted twice with 20 ml DCM. The combined organic phases are dried with Na 2 SO 4 , filtered and concentrated in vacuo; 17.8 g of crude product are obtained. Crystallization at 4-8 ° C (refrigerator) may remove an impurity; 16.9 g of sulfoxide 6 remain as an almost colorless, viscous oil.
g) Essigsäure 5-benzyloxy-2-(tert-butyl-dimethyl-silanyloxy)-1-phenylsulfanylpentyl ester (7): g) Acetic acid 5-benzyloxy-2- (tert-butyl-dimethyl-silanyloxy) -1-phenylsulfanylpentyl ester (7):
16.0 g des Sulfoxids 6 werden in 100 ml Essigsäureanhydrid vorgelegt, mit etwa 100 mg Kaliumacetat versetzt und bei 140°C gerührt. Die Lösung färbt sich langsam braun. Nach 4.5 h wird die Ölbadtemperatur auf 155°C erhöht (Rückfluss). Nach 8 h wird die Heizung ausgeschaltet und der Ansatz steht über Nacht bei Raumtemperatur. Einengen der Reaktionsmischung am Rotationsverdampfer ergibt 20 g eines braunen Öls. Digerieren mit Heptan/Diisopropylether 4:1, Waschen der resultierenden Heptan/Diisopropylether-Lösung mit Wasser und anschließend mit wässriger NaHCO3-Lösung sowie Trocknen der organischen Phase mit Na2SO4 ergibt nach Einengen im Vakuum 15.8 g der Verbindung 7 als bräunliches Öl.16.0 g of sulfoxide 6 are initially charged in 100 ml of acetic anhydride, mixed with about 100 mg of potassium acetate and stirred at 140 ° C. The solution slowly turns brown. After 4.5 h, the oil bath temperature is increased to 155 ° C (reflux). After 8 hours, the heating is switched off and the batch is left overnight at room temperature. Concentration of the reaction mixture on a rotary evaporator gives 20 g of a brown oil. Digestion with heptane / diisopropyl ether 4: 1, washing the resulting heptane / diisopropyl ether solution with water and then with aqueous NaHCO 3 solution and drying the organic phase with Na 2 SO 4 yields after concentration in vacuo 15.8 g of compound 7 as a brownish oil ,
h) 5-Benzyloxy-2-(tert-butyl-dimethyl-silanyloxy)-pentan-1-ol (8): h) 5-Benzyloxy-2- (tert-butyl-dimethyl-silanyloxy) -pentan-1-ol (8):
7.1 g des Öls 7 werden in 40 ml Tetrahydrofuran gelöst, unter Argon-Schutzgas portionsweise mit 0.75 g LiBH4 versetzt und 64 h bei 23–35°C gerührt. Die Reaktionsmischung wird vorsichtig mit Wasser versetzt (Gasentwicklung, H2) und 30 min gerührt. Mit Heptan/Ethylacetat 9:1 wird gründlich extrahiert. Die Wasser-Phasen werden nochmals mit Ethylacetat gewaschen. Anschließend werden die vereinten organischen Phasen mit Na2SO4 getrocknet und im Vakuum eingeengt. Man erhält 5.29 g eines gelben, nach Thiophenol riechenden öligen Rohprodukt. Das Rohprodukt wird an 10 g Kieselgel chromatographiert (Heptan/Ethylacetat 10:1 bis 3:1). Man erhält 3.93 g des farblosen Öls 8.7.1 g of the oil 7 are dissolved in 40 ml of tetrahydrofuran, added under argon protective gas in portions with 0.75 g of LiBH 4 and stirred at 23-35 ° C for 64 h. The reaction mixture is cautiously mixed with water (evolution of gas, H 2 ) and stirred for 30 min. With heptane / ethyl acetate 9: 1 is extracted thoroughly. The water phases are washed again with ethyl acetate. Subsequently, the combined organic phases are dried with Na 2 SO 4 and concentrated in vacuo. This gives 5.29 g of a yellow, after thiophenol smelling oily crude product. The crude product is chromatographed on 10 g of silica gel (heptane / ethyl acetate 10: 1 to 3: 1). 3.93 g of the colorless oil 8 are obtained.
i) 5-Benzyloxy-2-(tert-butyl-dimethyl-silanyloxy)-pentanal (9): i) 5-Benzyloxy-2- (tert-butyl-dimethyl-silanyloxy) -pentanal (9):
0.91 g des Alkohols 8 werden in 15 ml Dichlormethan gelöst und portionsweise mit 8.72 ml Dess-Martin Periodinan (15% in Methylenchlorid) versetzt und bei Raumtemperatur gerührt. Nach ca. 2.5 h werden 5 ml gesättigte. NaHCO3-Lösung zupipettiert und danach werden portionsweise insgesamt 0,5 g Natriumthiosulfat zugegeben und die Mischung wird 15 min gerührt. Die wässrige Phase wird abgetrennt, die organische Phase mit 5 ml Wasser und 5 ml gesättigter NaCl-Lösung gewaschen. Die DCM-Phase wird mit Natriumsulfat getrocknet und im Vakuum eingeengt. Zur abschließenden Reinigung wird die Substanz an Kieselgel chromatographiert (Heptan/Essigsäureethylester 9:1); 0.679 g der Substanz 9 werden erhalten.0.91 g of the alcohol 8 are dissolved in 15 ml of dichloromethane and added in portions with 8.72 ml Dess-Martin periodinane (15% in methylene chloride) and stirred at room temperature. After about 2.5 h, 5 ml of saturated. Piped to NaHCO 3 solution and then a total of 0.5 g of sodium thiosulfate are added in portions and the mixture is stirred for 15 min. The aqueous phase is separated, the organic phase washed with 5 ml of water and 5 ml of saturated NaCl solution. The DCM phase is dried with sodium sulfate and concentrated in vacuo. For final purification, the substance is chromatographed on silica gel (heptane / ethyl acetate 9: 1); 0.679 g of substance 9 are obtained.
k) (6-Ethoxycarbonyl-hexyl)-triphenyl-phosphonium Bromid (10): k) (6-ethoxycarbonyl-hexyl) -triphenyl-phosphonium bromide (10):
4.7 g Triphenylphosphin werden in ca. 10 ml Essigsäureethylester vorgelegt, 4 ml 7-Brom-heptansäureethylester werden zugetropft und die Reaktionsmischung unter Rühren in der Mikrowelle 2 h bei 160°C (5–6 bar) erhitzt. Das dunkle Reaktionsgemisch wird in Dichlormethan aufgenommen, am Rotationsverdampfer eingeengt und das zurückbleibende Harz an Kieselgel mit Dichlormethan/Methanol 9:1 bis 5:1 chromatographiert. Man erhält 5.7 g des Phosphoniumbromids 10.4.7 g of triphenylphosphine are initially charged in about 10 ml of ethyl acetate, 4 ml of 7-bromo-heptanoic acid ethyl ester are added dropwise and the reaction mixture is heated with stirring in the microwave for 2 h at 160 ° C (5-6 bar). The dark reaction mixture is taken up in dichloromethane, on a rotary evaporator concentrated and the remaining resin on silica gel with dichloromethane / methanol 9: 1 to 5: 1 chromatographed. 5.7 g of the phosphonium bromide 10 are obtained.
l) (E)-12-Benzyloxy-9-(tert-butyl-dimethyl-silanyloxy)-dodec-7-ensäureethylester (11): 1) Ethyl (E) -12-benzyloxy-9- (tert-butyl-dimethyl-silanyloxy) -dodec-7-enoate (11):
1.56 g des Phosphoniumbromids 10 werden mit 20 ml trockenem Tetrahydrofuran im Ultraschallbad gelöst. Bei –73°C werden unter Argon-Schutzgas 3.16 ml einer 1 M Lösung von KOtBu in Tetrahydrofuran in 15 min zugetropft. Dabei verfärbt sich die Reaktionsmischung über gelb und orange nach rotorange. Anschließend rührt der Ansatz 1 h bei –70 bis –30°C. Dann wird auf –70°C gekühlt und der in 3 ml trockenem Tetrahydrofuran gelöste Aldehyd 9 innerhalb von 15 min zugetropft. Die Farbe der Lösung verändert sich von orangerot nach hellgelb. Die Reaktionstemperatur wird in ca. 2.5 h von –70°C auf Raumtemperatur erhöht, die Reaktionsmischung rührt weitere 2 h bei Raumtemperatur. Die Reaktion wird durch Zugabe von gesättigter NH4Cl-Lösung abgebrochen. Nach Zugabe von wenig Wasser werden die Phasen und die Tetrahydrofuran-Phase mit gesättigter wässriger NaCl-Lösung gewaschen. Die organische Phase wird mit Natriumsulfat getrocknet und nach Einengen im Vakuum an Kieselgel gereinigt (Laufmittel Heptan/Essigsäureethylester 19:1). Man erhält 0.87 g des Olefins 11.1.56 g of phosphonium bromide 10 are dissolved in 20 ml of dry tetrahydrofuran in an ultrasonic bath. At -73 ° C., 3.16 ml of a 1 M solution of KOtBu in tetrahydrofuran are added dropwise in the course of 15 minutes under argon blanketing gas. The reaction mixture turns yellow and orange into red-orange. The mixture is then stirred for 1 h at -70 to -30 ° C. It is then cooled to -70 ° C and the dissolved in 3 ml of dry tetrahydrofuran aldehyde 9 is added dropwise within 15 min. The color of the solution changes from orange red to pale yellow. The reaction temperature is raised in about 2.5 h from -70 ° C to room temperature, the reaction mixture is stirred for a further 2 h at room temperature. The reaction is stopped by adding saturated NH 4 Cl solution. After adding a little water, the phases and the tetrahydrofuran phase are washed with saturated aqueous NaCl solution. The organic phase is dried with sodium sulfate and, after concentration in vacuo, purified on silica gel (mobile phase heptane / ethyl acetate 19: 1). 0.87 g of the olefin 11 are obtained.
m) 9-(tert-Butyl-dimethyl-silanyloxy)-12-hydroxy-dodecansäureethylester (12): m) ethyl 9- (tert-butyl-dimethyl-silanyloxy) -12-hydroxy-dodecanoate (12):
275 mg des O-benzyl-geschützten Olefins 11 werden in 3 ml Essigsäureethylester gelöst, mit 16 mg 10% Pd/C versetzt und bei Normaldruck hydriert. In ca. 25 min werden 30 ml H2 aufgenommen. Der Ansatz wird belüftet und zentrifugiert; der Katalysator wird mit Essigsäureethylester gewaschen und die vereinte organische Lösung wird eingeengt; man erhält 0.207 g eines öligen Rohproduktes. Chromatographie an Kieselgel mit Heptan/Essigsäureethylester 3:1 ergibt 127 mg der Verbindung 12 als farbloses Öl.275 mg of the O-benzyl-protected olefin 11 are dissolved in 3 ml of ethyl acetate, mixed with 16 mg of 10% Pd / C and hydrogenated at normal pressure. 30 ml H 2 be in about 25 min was added. The batch is aerated and centrifuged; the catalyst is washed with ethyl acetate and the combined organic solution is concentrated; 0.207 g of an oily crude product are obtained. Chromatography on silica gel with heptane / ethyl acetate 3: 1 gives 127 mg of compound 12 as a colorless oil.
n) 4-(tert-Butyl-dimethyl-silanyloxy)-dodecanedionsäure-12-ethylester (13): n) 4- (tert-Butyl-dimethyl-silanyloxy) -dodecanedionic acid 12-ethyl ester (13):
Die heterogene Mischung aus 104 mg des hydrierten Produktes 12, 1 ml CCl4, 1 ml CH3CN und 1.5 ml H2O wird bei Raumtemperatur mit 237 mg NaIO4 und katalytischen Mengen RuCl3 versetzt und bei Raumtemperatur gerührt. Nach 2 h werden Dichlormethan und Wasser zugegeben, die Phasen getrennt, die Wasserphase mit Dichlormethan gewaschen, die vereinigten organischen Phasen getrocknet (Na2SO4) und im Vakuum eingeengt; Rohausbeute 130 mg. Verbindung 13 wird ohne Reinigung weiter umgesetzt.The heterogeneous mixture of 104 mg of hydrogenated product 12, 1 ml of CCl 4 , 1 ml of CH 3 CN and 1.5 ml of H 2 O is treated at room temperature with 237 mg NaIO 4 and catalytic amounts RuCl 3 and stirred at room temperature. After 2 h, dichloromethane and water are added, the phases are separated, the aqueous phase is washed with dichloromethane, the combined organic phases are dried (Na 2 SO 4 ) and concentrated in vacuo; Crude yield 130 mg. Compound 13 is reacted further without purification.
o) 9-(tert-Butyl-dimethyl-silanyloxy)-11-{4-[(2S,3R)-3-[(S)-3-(4-fluoro-phenyl)-3-hydroxy-propyl]-2-(4-methoxy-phenyl)-4-oxo-azetidin-1-yl]-benzylcarbamoyl}-undecansäureethylester (14): o) 9- (tert-Butyl-dimethyl-silanyloxy) -11- {4 - [(2S, 3R) -3 - [(S) -3- (4-fluoro-phenyl) -3-hydroxy-propyl] - Ethyl 2- (4-methoxy-phenyl) -4-oxo-azetidin-1-yl] -benzylcarbamoyl-undecanoate (14):
130 mg des Dodecandicarbonsäurederivat 13 werden in 5 ml Dimethylformamid gelöst, mit 59.6 μl N-Ethyl-morpholin versetzt, auf 0°C (Eis/Wasser) gekühlt, dann mit 36.3 μl Chlorameisensäureethylester versetzt und 1.5 h bei 0°C gerührt. Dann werden 174 mg des benzylischen Amins 1 als Feststoff zugegeben (sofortiges Lösen) und die Kühlung entfernt. Es wird 2 h bei Raumtemperatur gerührt. Danach wird die Reaktionsmischung mit wässriger KHSO4-Lösung versetzt. Zweimalige Extraktion mit DCM, Waschen der DCM-Phase mit gesättigter NaCl-Lösung, Trocknen (Na2SO4) und Einengen im Vakuum ergibt 275 mg eines klaren, gelblichen Öls; Rohausbeute: 274 mg. Chromatographie an Kieselgel (Essigsäureethylester/n-Heptan 4:3) ergibt 190 mg der Verbindung 14.130 mg of the Dodecandicarbonsäurederivat 13 are dissolved in 5 ml of dimethylformamide, mixed with 59.6 ul N-ethyl-morpholine, cooled to 0 ° C (ice / water), then treated with 36.3 ul ethyl chloroformate and stirred at 0 ° C for 1.5 h. Then, 174 mg of the benzylic amine 1 are added as a solid (immediate dissolution) and the cooling is removed. It is stirred for 2 h at room temperature. Thereafter, the reaction mixture is treated with aqueous KHSO 4 solution. Extraction twice with DCM, washing the DCM phase with saturated NaCl solution, drying (Na 2 SO 4 ) and concentration in vacuo gives 275 mg of a clear, yellowish oil; Crude yield: 274 mg. Chromatography on silica gel (ethyl acetate / n-heptane 4: 3) gives 190 mg of compound 14.
p) 9-(tert-Butyl-dimethyl-silanyloxy)-11-{4-[(2S,3R)-3-[(S)-3-(4-fluoro-phenyl)-3-hydroxy-propyl]-2-(4-methoxy-phenyl)-4-oxo-azetidin-1-yl]-benzylcarbamoyl}-undecansäure (15): p) 9- (tert-Butyl-dimethyl-silanyloxy) -11- {4 - [(2S, 3R) -3 - [(S) -3- (4-fluoro-phenyl) -3-hydroxy-propyl] - 2- (4-methoxyphenyl) -4-oxo-azetidin-1-yl] benzylcarbamoyl} undecanoic acid (15):
300 mg des Ethylesters 14 werden in 35 ml Acetonitril und 25 ml Wasser aufgenommen, mit 1 ml 2 N NaOH versetzt und 65 h bei Raumtemperatur gerührt. Neutralisation mit wässriger gesättigter NH4Cl-Lösung und Abdestillieren von Acetonitril ergibt 300 mg Rohprodukt. Chromatographie an Kieselgel (Methyl-tert.Butyl-Ether → Methyl-tert.Butyl-Ether/Essigsäureethylester 4:1 → MeOH) ergibt 104 mg der reinen Carbonsäure 15.300 mg of the ethyl ester 14 are taken up in 35 ml of acetonitrile and 25 ml of water, treated with 1 ml of 2N NaOH and stirred at room temperature for 65 h. Neutralization with aqueous saturated NH 4 Cl solution and distilling off acetonitrile gives 300 mg of crude product. Chromatography on silica gel (methyl tert-butyl ether → methyl tert-butyl ether / ethyl acetate 4: 1 → MeOH) gives 104 mg of the pure carboxylic acid 15.
q) 11-{4-[(2S,3R)-3-[(S)-3-(4-Fluoro-phenyl)-3-hydroxy-propyl]-2-(4-methoxy-phenyl)-4-oxo-azetidin-1-yl]-benzylcarbamoyl}-9-hydroxy-undecansäure (16): q) 11- {4 - [(2S, 3R) -3 - [(S) -3- (4-fluoro-phenyl) -3-hydroxypropyl] -2- (4-methoxy-phenyl) -4- oxo-azetidin-1-yl] -benzylcarbamoyl} -9-hydroxy undecanoic acid (16):
100 mg des geschützten Silylethers 15 werden in 30 ml Tetrahydrofuran und 15 ml Wasser aufgenommen, mit 1.7 ml halbkonzentrierter Salzsäure versetzt und bei Raumtemperatur gerührt. Nach ca. 30 min wird wässrige Na2CO3-Lösung zugegeben. Es wird mit Essigsäureethylester extrahiert, getrocknet (Na2SO4) und im Vakuum eingeengt; man erhält 141 mg des Rohproduktes. Chromatographie an Kieselgel (Essigsäureethylester → DCM/MeOH) ergibt 84 mg der desilylierten Verbindung 16.100 mg of the protected silyl ether 15 are taken up in 30 ml of tetrahydrofuran and 15 ml of water, admixed with 1.7 ml of half-concentrated hydrochloric acid and stirred at room temperature. After about 30 minutes, aqueous Na 2 CO 3 solution is added. It is extracted with ethyl acetate, dried (Na 2 SO 4 ) and concentrated in vacuo; 141 mg of the crude product are obtained. Chromatography on silica gel (ethyl acetate → DCM / MeOH) gives 84 mg of the desilylated compound 16.
r) 4-Hydroxy-dodecandisäure-1-{4-[(2S,3R)-3-[(S)-3-(4-fluor-phenyl)-3-hydroxy-propyl]-2-(4-methoxy-phenyl)-4-oxo-azetidin-1-yl]-benzylamid}-12-[((2S,3R,4R,5R)-2,3,4,5,6-pentahydroxy-hexyl)-amid] (17): r) 4-Hydroxy-dodecanedioic acid 1- {4 - [(2S, 3R) -3 - [(S) -3- (4-fluoro-phenyl) -3-hydroxy-propyl] -2- (4-methoxy -phenyl) -4-oxo-azetidin-1-yl] -benzylamide} -12 - [((2S, 3R, 4R, 5R) -2,3,4,5,6-pentahydroxy-hexyl) -amide] ( 17):
84 mg der desilylierten Verbindung 16 werden in 5–10 mL Dimethylformamid gelöst, mit 25 μl N-Ethyl-morpholin versetzt, auf 0°C (Eisbad) gekühlt, mit 14.6 μl Chlorameisensäureethylester versetzt und 1.5 h bei 0°C (Eis/Wasser) gerührt. Dann wird die Kühlung entfernt und in die noch kalte Lösung werden 29.7 mg D-Glucamin in einer Portion zugegeben. Es bildete sich nach ca. 20 min eine Lösung. Nach ca. 2 h Rühren bei Raumtemperatur wird gesättigte wässrige NH4Cl-Lösung zugegeben, die resultierende Suspension dreimal mit Essigsäureethylester extrahiert. Die gesammelten Essigsäureethylester-Phasen werden getrocknet (Na2SO4) und im Vakuum eingeengt. Es verbleiben etwa 2 ml einer nahezu farblosen Lösung, die im Hochvakuum weiter eingeengt wurde; Rohausbeute 97 mg. Nach Reinigung per präparativer HPLC (YMC Pro C18RS, 5 μm, 150 × 20 mm; Acetonitril/Wasser 47:53) werden 65 mg des Amids 17 mit einer Reinheit von 98% erhalten. 1H-NMR (CH3CN-D2O):
Beispiel IIExample II
(S)-N*4*-{4-[(2S,3R)-3-[(S)-3-(4-Fluor-phenyl)-3-hydroxy-propyl]-2-(4-methoxy-phenyl)-4-oxo-azetidin-1-yl]-benzyl}-2-hydroxy-N*1*-((2S,3R,4R,5R)-2,3,4,5,6-pentahydroxy-hexyl)-bernsteinsäureamid (21): (S) -N * 4 * - {4 - [(2S, 3R) -3 - [(S) -3- (4-fluoro-phenyl) -3-hydroxy-propyl] -2- (4-methoxy- phenyl) -4-oxo-azetidin-1-yl] -benzyl} -2-hydroxy-N * 1 * - ((2S, 3R, 4R, 5R) -2,3,4,5,6-pentahydroxy-hexyl ) -succinic acid amide (21):
a) (S)-N-{4-[(2S,3R)-3-[(S)-3-(4-Fluor-phenyl)-3-hydroxy-propyl]-2-(4-methoxy-phenyl)-4-oxo-azetidin-1-yl]-benzyl}-2-hydroxy-bernsteinsäurehalbamid (18): a) (S) -N- {4 - [(2S, 3R) -3 - [(S) -3- (4-fluoro-phenyl) -3-hydroxy-propyl] -2- (4-methoxy-phenyl ) -4-oxo-azetidin-1-yl] -benzyl} -2-hydroxy-succinic acid-hemiamide (18):
220 mg (1,27 mmol) (S)-(+)-2,2-Dimethyl-5-oxo-1,3-dioxolan-4-essigsäure werden in 10 ml trockenem Dimethylformamid gelöst, mit 220 mg (1,44 mmol) 1-Hydroxybenzotriazol Hydrat (HOBt), 276 mg (1,44 mmol) 1-Ethyl-3-(3-dimethylaminopropyl)carbodiimid Hydrochlorid (EDC) und mit 223 mg (285 μl; 1,73 mmol) N,N-Diisopropyl-ethyl-amin (DIPEA) versetzt, und die Mischung wird 30 Minuten bei Raumtemperatur gerührt. Danach fügt man 500 mg (1,15 mmol) der Verbindung 1 zu und rührt die Mischung 12 h bei Raumtemperatur. Zur Aufarbeitung wird die Reaktionsmischung im Vakuum eingeengt, der Rückstand mit 20 ml Wasser versetzt und danach zweimal mit je 20 ml Essigsäureethylester ausgeschüttelt. Die organische Phase wird über Magnesiumsulfat getrocknet, filtriert und im Vakuum eingeengt. Der Rückstand wird über eine Reversed Phase Säule (Methode [RP1]) chromatographisch gereinigt. Man erhält (S)-N-{4-[(2S,3R)-3-[(S)-3-(4-Fluor-phenyl)-3-hydroxy-propyl]-2-(4-methoxy-phenyl)-4-oxo-azetidin-1-yl]-benzyl}-2-hydroxy-bernsteinsäurehalbamid (18); Molekulargewicht 550,21 (C30H31FN2O7); Retentionszeit Rt = 2.28 min. [E]; MS (ESI): 552,21 (MH+). Daneben werden noch 2-((S)-2,2-Dimethyl-5-oxo-[1,3]dioxolan-4-yl)-N-{4-[(2S,3R)-3-[(S)-3-(4-fluor-phenyl)-3-hydroxy-propyl]-2-(4-methoxy-phenyl)-4-oxo-azetidin-1-yl]-benzyl}-acetamid (19) (Molekulargewicht 590,24 (C33H35FN2O7); Retentionszeit Rt = 3.15 min. [E]; MS (ESI): 591.24 (MH+)) und (S)-N*1*,N*4*-Bis-{4-[(2S,3R)-3-[(S)-3-(4-fluor-phenyl)-3-hydroxy-propyl]-2-(4-methoxy-phenyl)-4-oxo-azetidin-1-yl]-benzyl}-2-hydroxy-bernsteinsäureamid (20) (Molekulargewicht 966,40 (C56H56F2N4O9); Retentionszeit Rt = 3.31 min. [E]; MS (ESI): 967.37 (MH+)) isoliert.220 mg (1.27 mmol) of (S) - (+) - 2,2-dimethyl-5-oxo-1,3-dioxolane-4-acetic acid are dissolved in 10 ml of dry dimethylformamide, washed with 220 mg (1.44 mmol) of 1-hydroxybenzotriazole hydrate (HOBt), 276 mg (1.44 mmol) of 1-ethyl-3- (3-dimethylaminopropyl) carbodiimide hydrochloride (EDC) and 223 mg (285 μL, 1.73 mmol) of N, N Diisopropylethylamine (DIPEA), and the mixture is stirred for 30 minutes at room temperature. Thereafter, 500 mg (1.15 mmol) of compound 1 are added and the mixture is stirred for 12 hours at room temperature. For workup, the reaction mixture is concentrated in vacuo, the residue is mixed with 20 ml of water and then extracted by shaking twice with 20 ml of ethyl acetate. The organic phase is dried over magnesium sulfate, filtered and concentrated in vacuo. The residue is purified by chromatography over a reversed-phase column (method [RP1]). There are obtained (S) -N- {4 - [(2S, 3R) -3 - [(S) -3- (4-fluoro-phenyl) -3-hydroxy-propyl] -2- (4-methoxyphenyl ) -4-oxo-azetidin-1-yl] benzyl} -2-hydroxy-succinic acid hemiamide (18); Molecular weight 550.21 (C 30 H 31 FN 2 O 7 ); Retention time R t = 2.28 min. [E]; MS (ESI): 552.21 (MH + ). In addition, 2 - ((S) -2,2-dimethyl-5-oxo [1,3] dioxolan-4-yl) -N- {4 - [(2S, 3R) -3 - [(S) -3- (4-fluoro-phenyl) -3-hydroxy-propyl] -2- (4-methoxyphenyl) -4-oxo-azetidin-1-yl] -benzyl} -acetamide (19) (Molecular weight 590.24 (C 33 H 35 FN 2 O 7 ); retention time R t = 3.15 min. [E]; MS (ESI): 591.24 (MH + )) and (S) -N * 1 *, N * * 4-bis {4 - [(2S, 3R) -3 - [(S) -3- (4-fluoro-phenyl) -3-hydroxy-propyl] -2- (4-methoxy-phenyl) -4 -oxo-azetidin-1-yl] -benzyl} -2-hydroxy-succinic acid amide (20) (Molecular weight 966.40 (C 56 H 56 F 2 N 4 O 9 ); retention time R t = 3.31 min. [E]; MS (ESI): 967.37 (MH + )) isolated.
b) (S)-N*4*-{4-[(2S,3R)-3-[(S)-3-(4-Fluor-phenyl)-3-hydroxy-propyl]-2-(4-methoxy-phenyl)-4-oxo-azetidin-1-yl]-benzyl}-2-hydroxy-N*1*-((2S,3R,4R,5R)-2,3,4,5,6-pentahydroxy-hexyl)-bernsteinsäureamid (21):b) (S) -N * 4 * - {4 - [(2S, 3R) -3 - [(S) -3- (4-fluoro-phenyl) -3-hydroxy-propyl] -2- (4) methoxy-phenyl) -4-oxo-azetidin-1-yl] -benzyl} -2-hydroxy-N * 1 * - ((2S, 3R, 4R, 5R) -2,3,4,5,6-pentahydroxy -hexyl) -succinic acid amide (21):
300 mg (0,545 mmol) der Verbindung 18 werden in 6 ml trockenem Dimethylformamid gelöst und nacheinander mit 104 mg HOBt, 131 mg EDC und 143 μl DIPEA versetzt und die Mischung wird 30 Minuten bei Raumtemperatur gerührt. Danach setzt man der Mischung 109 mg D-Glucamin zu und rührt weitere 6 h bei Raumtemperatur. Die Aufarbeitung erfolgt so wie für die Verbindung 18 beschrieben. Man erhält (S)-N*4*-{4-[(2S,3R)-3-[(S)-3-(4-Fluor-phenyl)-3-hydroxy-propyl]-2-(4-methoxy-phenyl)-4-oxo-azetidin-1-yl]-benzyl}-2-hydroxy-N*1*-((2S,3R,4R,5R)-2,3,4,5,6-pentahydroxy-hexyl)-bernsteinsäureamid (21); Molekulargewicht 713,29 (C36H44FN3O11); Retentionszeit Rt = 3.44 min. [D]; MS (ESI): 714,57 (MH+).300 mg (0.545 mmol) of compound 18 are dissolved in 6 ml of dry dimethylformamide and admixed successively with 104 mg of HOBt, 131 mg of EDC and 143 μl of DIPEA, and the mixture is stirred for 30 minutes at room temperature. Thereafter, the mixture is added to the mixture 109 mg of D-glucamine and stirred for a further 6 h at room temperature. The work-up is carried out as described for the compound 18. (S) -N * 4 * - {4 - [(2S, 3R) -3 - [(S) -3- (4-fluoro-phenyl) -3-hydroxy-propyl] -2- (4) methoxy-phenyl) -4-oxo-azetidin-1-yl] -benzyl} -2-hydroxy-N * 1 * - ((2S, 3R, 4R, 5R) -2,3,4,5,6-pentahydroxy -hexyl) -succinic acid amide (21); Molecular weight 713.29 (C 36 H 44 FN 3 O 11 ); Retention time R t = 3.44 min. [D]; MS (ESI): 714.57 (MH + ).
Beispiel IIIExample III
(R)-N*4*-{4-[(2S,3R)-3-[(S)-3-(4-Fluor-phenyl)-3-hydroxy-propyl]-2-(4-methoxy-phenyl)-4-oxo-azetidin-1-yl]-benzyl}-2-hydroxy-N*1*-((2S,3R,4R,5R)-2,3,4,5,6-pentahydroxy-hexyl)-bernsteinsäureamid (24): (R) -N * 4 * - {4 - [(2S, 3R) -3 - [(S) -3- (4-fluoro-phenyl) -3-hydroxy-propyl] -2- (4-methoxy- phenyl) -4-oxo-azetidin-1-yl] -benzyl} -2-hydroxy-N * 1 * - ((2S, 3R, 4R, 5R) -2,3,4,5,6-pentahydroxy-hexyl ) -succinic acid amide (24):
Analog der Vorgehensweise für die Herstellung der Verbindung des Beispiels II wird die enantiomere (R)-(–)-2,2-Dimethyl-5-oxo-1,3-dioxolan-4-essigsäure in einem ersten Schritt mit dem Benzylamin 1 umgesetzt. Man erhält 2-((R)-2,2-Dimethyl-5-oxo-[1,3]dioxolan-4-yl)-N-{4-[(2S,3R)-3-[(S)-3-(4-fluoro-phenyl)-3-hydroxy-propyl]-2-(4-methoxy-phenyl)-4-oxo-azetidin-1-yl]-benzyl}-acetamid (22) Molekulargewicht 590,24 (C33H35FN2O7); Retentionszeit Rt = 3.15 min. [E]; MS (ESI): 591.24 (MH+) und als Hauptprodukt (R)-N-{4-[(2S,3R)-3-[(S)-3-(4-Fluor-phenyl)-3-hydroxy-propyl]-2-(4-methoxy-phenyl)-4-oxo-azetidin-1-yl]-benzyl}-2-hydroxy-bernsteinsäurehalbamid (23)Die Verbindung 23 wird ohne weitere Reinigung wie für das Beispiel II beschrieben mit D-Glucamin weiter umgesetzt. Man erhält (R)-N*4*-{4-[(2S,3R)-3-[(S)-3-(4-Fluor-phenyl)-3-hydroxy-propyl]-2-(4-methoxy-phenyl)-4-oxo-azetidin-1-yl]-benzyl}-2-hydroxy-N*1*-((2S,3R,4R,5R)-2,3,4,5,6-pentahydroxy-hexyl)-bernsteinsäureamid (24); Molekulargewicht 713,29 (C36H44FN3O11); Retentionszeit Rt = 3.45 min. [D]; MS (ESI): 714,57 (MH+).Analogously to the procedure for the preparation of the compound of Example II, the enantiomeric (R) - (-) - 2,2-dimethyl-5-oxo-1,3-dioxolane-4-acetic acid in a first step with the benzylamine 1 implemented. This gives 2 - ((R) -2,2-dimethyl-5-oxo [1,3] dioxolan-4-yl) -N- {4 - [(2S, 3R) -3 - [(S) - 3- (4-fluoro-phenyl) -3-hydroxy-propyl] -2- (4-methoxyphenyl) -4-oxo-azetidin-1-yl] -benzyl} -acetamide (22) Molecular weight 590.24 (C 33 H 35 FN 2 O 7 ); Retention time R t = 3.15 min. [E]; MS (ESI): 591.24 (MH + ) and as main product (R) -N- {4 - [(2S, 3R) -3 - [(S) -3- (4-fluoro-phenyl) -3-hydroxy] propyl] -2- (4-methoxyphenyl) -4-oxo-azetidin-1-yl] benzyl} -2-hydroxy-succinic acid hemiamide (23) The compound 23 is further reacted without further purification as described for Example II with D-glucamine. There are obtained (R) -N * 4 * - {4 - [(2S, 3R) -3 - [(S) -3- (4-fluoro-phenyl) -3-hydroxy-propyl] -2- (4- methoxy-phenyl) -4-oxo-azetidin-1-yl] -benzyl} -2-hydroxy-N * 1 * - ((2S, 3R, 4R, 5R) -2,3,4,5,6-pentahydroxy -hexyl) -succinic acid amide (24); Molecular weight 713.29 (C 36 H 44 FN 3 O 11 ); Retention time R t = 3.45 min. [D]; MS (ESI): 714.57 (MH + ).
Beispiel XXIVExample XXIV
3-Hydroxy-3-methyl-pentandisäure 4-[(2S,3R)-3-[(S)-3-(4-fluor-phenyl)-3-hydroxy-propyl]-2-(4-methoxy-phenyl)-4-oxo-azetidin-1-yl]-benzylamid ((2S,3R,4R,5R)-2,3,4,5,6-pentahydroxy-hexyl)-amid (64): 3-Hydroxy-3-methyl-pentanedioic acid 4 - [(2S, 3R) -3 - [(S) -3- (4-fluoro-phenyl) -3-hydroxy-propyl] -2- (4-methoxy-phenyl ) -4-oxo-azetidin-1-yl] -benzylamide ((2S, 3R, 4R, 5R) -2,3,4,5,6-pentahydroxy-hexyl) -amide (64):
Das Amid 64 wird über die Säure 63, 4-{4-[(2S,3R)-3-[(S)-3-(4-Fluor-phenyl)-3-hydroxy-propyl]-2-(4-methoxy-phenyl)-4-oxo-azetidin-1-yl]-benzylcarbamoyl}-3-hydroxy-3-methyl-buttersäure, gewonnen, welche ihrerseits durch Umsatz von 1 mit 3-Hydroxy-3-methylglutarsäure hergestellt wird.
63: Molekulargewicht 578,24 (C32H35FN2O7); Retentionszeit Rt = 3.93 min. [D]; MS (ESI): 561,08 (MH+-H2O);
64: Molekulargewicht 741,32 (C38H48FN3O11); Retentionszeit Rt = 1.91 min. [C1]; MS (ESI): 742,53 (MH+).The amide 64 is prepared via the acid 63, 4- {4 - [(2S, 3R) -3 - [(S) -3- (4-fluoro-phenyl) -3-hydroxypropyl] -2- (4- methoxy-phenyl) -4-oxo-azetidin-1-yl] -benzylcarbamoyl} -3-hydroxy-3-methyl-butyric acid, which in turn is prepared by conversion of 1 with 3-hydroxy-3-methylglutaric acid.
63: molecular weight 578.24 (C 32 H 35 FN 2 O 7 ); Retention time R t = 3.93 min. [D]; MS (ESI): 561.08 (MH + -H 2 O);
64: molecular weight 741.32 (C 38 H 48 FN 3 O 11 ); Retention time R t = 1.91 min. [C1]; MS (ESI): 742.53 (MH + ).
Beispiel XXVIExample XXVI
4,5-Dihydroxy-dodecandisäure 1-{4-[(2S,3R)-3-[(S)-3-(4-fluor-phenyl)-3-hydroxy-propyl]-2-(4-methoxy-phenyl)-4-oxo-azetidin-1-yl]-benzylamid} 12-[((2S,3R,4R,5R)-2,3,4,5,6-pentahydroxy-hexyl)-amid] (76): 4,5-Dihydroxy-dodecanedioic acid 1- {4 - [(2S, 3R) -3 - [(S) -3- (4-fluoro-phenyl) -3-hydroxypropyl] -2- (4-methoxy) phenyl) -4-oxo-azetidin-1-yl] -benzylamide} 12 - [((2S, 3R, 4R, 5R) -2,3,4,5,6-pentahydroxy-hexyl) -amide] (76) :
a) Hept-6-insäuremethylester (67): a) Hept-6-methylic acid ester (67):
5 g Hept-6-insäure werden unter Argon-Schutzgas zu einer Mischung aus 3.5 ml Acetylchlorid und 70–80 ml Methanol gegeben und bei Raumtemperatur gerührt. Nach Stehen über Nacht, Einengen im Vakuum, Aufnehmen des Rohproduktes in 5–10 ml Dichlormethan und Filtration der Dichlormethan-Lösung über Kieselgel erhält man 5.5 g des Methylesters 67.5 g of hept-6-acetic acid are added under argon protective gas to a mixture of 3.5 ml of acetyl chloride and 70-80 ml of methanol and stirred at room temperature. After standing overnight, concentration in vacuo, taking up the crude product in 5-10 ml of dichloromethane and filtration of the dichloromethane solution on silica gel to obtain 5.5 g of the methyl ester 67th
b) 7-Iod-hept-6-insäuremethylester (68): b) 7-Iodohept-6-methyl acetate (68):
6.6 g der Verbindung 67 werden unter Argon-Schutzgas in 100 ml Aceton gelöst, auf 0°C (Eis/Wasser) gekühlt und mit 11.7 g NI-Iodsuccinimid und 4.37 mg AgNO3 versetzt und bei 0°C gerührt. Nach 1.5 h wird die Reaktion durch Zugabe von gesättigter wässriger NH4Cl und reichlich Essigsäureethylster abgebrochen. Die organische Phase wird abgetrennt; die wässrige Phase wird mit Essigsäureethylester ausgeschüttelt und die organische Phase anschließend mit gesättigter wässriger Kochsalzlösung gewaschen. Die organischen Phasen werden vereinigt, über Magnesiumsulfat getrocknet, filtriert und im Vakuum eingeengt. Das Rohprodukt (Öl) wird über 100 ml Kieselgel mit Essigsäureethylester filtriert; nach dem Einengen im Vakuum erhält man 10.9 g des DC-reinen Iodalkins 68.6.6 g of the compound 67 are dissolved under argon protective gas in 100 ml of acetone, cooled to 0 ° C (ice / water) and treated with 11.7 g of NI-iodosuccinimide and 4.37 mg AgNO 3 and stirred at 0 ° C. After 1.5 h, the reaction is stopped by adding saturated aqueous NH 4 Cl and plenty of ethyl acetate. The organic phase is separated off; the aqueous phase is extracted by shaking with ethyl acetate and the organic phase is then washed with saturated aqueous common salt solution. The organic phases are combined, dried over magnesium sulfate, filtered and concentrated in vacuo. The crude product (oil) is filtered through 100 ml of silica gel with ethyl acetate; after concentration in vacuo, 10.9 g of the DC-pure iodoalkyne 68 are obtained.
c) 12-Benzyloxy-9-(tert-butyl-dimethyl-silanyloxy)-8-hydroxy-dodec-6-insäuremethylester (69): c) 12-Benzyloxy-9- (tert-butyldimethyl-silanyloxy) -8-hydroxy-dodec-6-methyl acetate (69):
Eine Mischung aus 4.1 g CrCl2 und 5 mg NiCl2 wird in einem 100 ml-2Hals-Kolben unter Argon-Schutzgas mit 30 ml trockenem und entgastem Tetrahydrofuran versetzt, mit 3.63 g Alkinyliodid 68, gelöst in 7 ml trockenem und entgastem Tetrahydrofuran, versetzt und 7–10 min bei Raumtemperatur gerührt. Dann wird bei Raumtemperatur eine Lösung aus 3 g des Aldehyds 9 in 6 ml entgastem Tetrahydrofuran tropfenweise (in ~ 5 min) zugegeben und bei Raumtemperatur weiter gerührt. Nach 40 min wird gesättigte wässrige NH4Cl-Lösung und Methyl-tert.butylether zugegeben und kräftig gerührt. Die Phasen werden getrennt, die grüne wässrige mit Methyl-tert.butylether, die gelbe organische mit gesättigter wässriger NaCl-Lösung gewaschen. Die organischen Phasen werden vereint, getrocknet (Na2SO4) und im Vakuum eingeengt. Man erhält 3.9 g eines öligen, gelb-orangefarbenen Rohproduktes. Chromatographie (Kieselgel, Essigsäureethylester/n-Heptan 1:3); ergibt 3 g des Produktes 69. A mixture of 4.1 g of CrCl 2 and 5 mg of NiCl 2 is mixed in a 100 ml 2Hals flask under argon gas with 30 ml of dry and degassed tetrahydrofuran, with 3.63 g of alkynyl iodide 68, dissolved in 7 ml of dry and degassed tetrahydrofuran and stirred at room temperature for 7-10 min. Then, at room temperature, a solution of 3 g of aldehyde 9 in 6 ml of degassed tetrahydrofuran is added dropwise (in ~ 5 min) and stirring is continued at room temperature. After 40 minutes, saturated aqueous NH 4 Cl solution and methyl tert-butyl ether are added and stirred vigorously. The phases are separated, the green aqueous washed with methyl tert-butyl ether, the yellow organic with saturated aqueous NaCl solution. The organic phases are combined, dried (Na 2 SO 4 ) and concentrated in vacuo. This gives 3.9 g of an oily, yellow-orange crude product. Chromatography (silica gel, ethyl acetate / n-heptane 1: 3); gives 3 g of product 69.
d) 8,9-Diacetoxy-12-benzyloxy-dodec-6-insäuremethylester (70): d) Methyl 8,9-diacetoxy-12-benzyloxy-dodec-6-acidate (70):
1.5 g des Produktes 69 werden in 20 ml Tetrahydrofuran aufgenommen und bei Raumtemperatur mit 2 g Bu4NF × 3H2O versetzt. Die klare gelbliche Lösung wird bei Raumtemperatur gerührt. Nach 1 h werden gesättigte wässrige NH4Cl-Lösung und Methyl-tert.butylether zugegeben; nach Phasentrennung wird die organische Phase mit gesättigter wässriger NaCl-Lösung und danach mit Wasser gewaschen. Die vereinigten Wasser-Phasen werden mit Methyl-tert.butylether gewaschen; die vereinten organischen Phasen werden getrocknet (MgSO4) und eingeengt. Das Rohprodukt wird in 10–15 ml Pyridin aufgenommen, mit einer katalytischen Mengen Dimethylaminopyridin versetzt und portionsweise 2 ml Acetylchlorid zugegeben. Danach wird 1 h bei Raumtemperatur gerührt. Anschließend wird das Reaktionsgemisch zwischen gesättigter KHSO4-Lösung und Dichlormethan und zwischen Wasser und Dichlormethan. Säulenchromatographie an 100 g Kieselgel (Essigsäureethylester/n-Heptan 1:2) ergibt 600 mg des Diacetats 70.1.5 g of product 69 are taken up in 20 ml of tetrahydrofuran and treated at room temperature with 2 g Bu 4 NF × 3H 2 O. The clear yellowish solution is stirred at room temperature. After 1 h, saturated aqueous NH 4 Cl solution and methyl tert-butyl ether are added; after phase separation, the organic phase is washed with saturated aqueous NaCl solution and then with water. The combined water phases are washed with methyl tert-butyl ether; The combined organic phases are dried (MgSO 4 ) and concentrated. The crude product is taken up in 10-15 ml of pyridine, treated with a catalytic amounts of dimethylaminopyridine and added in portions 2 ml of acetyl chloride. Thereafter, it is stirred for 1 h at room temperature. The reaction mixture is then partitioned between saturated KHSO 4 solution and dichloromethane and between water and dichloromethane. Column chromatography on 100 g of silica gel (ethyl acetate / n-heptane 1: 2) gives 600 mg of diacetate 70.
e) 8,9-Diacetoxy-12-hydroxy-dodecansäuremethylester (71): e) Methyl 8,9-diacetoxy-12-hydroxy-dodecanoate (71):
390 mg des Diacetats 70 werden in einer Büchi Hydrierapparatur in 10 ml Methanol mit 45 mg 5% Pd/C (50% wasserfeucht) 3 h bei 3 bar hydriert. Die Reaktionslösung wird anschließend zentrifugiert und der abgetrennte Katalysator wird mit wenigen ml Essigsäureethylester gewaschen. Die vereinten organischen Lösungen werden durch einen Spritzenfilter gegeben und dann eingeengt; man erhält 316 mg der farblosen, öligen Verbindung 71.390 mg of diacetate 70 are hydrogenated in a Büchi hydrogenation apparatus in 10 ml of methanol with 45 mg of 5% Pd / C (50% water-moist) for 3 h at 3 bar. The reaction solution is then centrifuged and the separated catalyst is washed with a few ml of ethyl acetate. The combined organic solutions are passed through a syringe filter and then concentrated; 316 mg of the colorless, oily compound 71 are obtained.
f) 4,5-Diacetoxy-dodecanedisäure 12-methyl ester (72): f) 12-methyl-4,5-diacetoxy-dodecanoic acid (72):
316 mg des Alkohols 71 werden mit 2 ml CCl4, 2 ml CH3CN und 3 ml H2O bei Raumtemperatur versetzt. Zu dieser heterogenen Mischung gibt man 508 mg NaIO4 und 4 mg RuCl3 und rührt 2 h bei Raumtemperatur. Dann werden Dichlormethan und Wasser zugegeben, die Phasen getrennt, die Wasserphase zweimal mit Dichlormethan und einmal mit Essigsäureethylester extrahiert, die vereinten organischen Lösungen getrocknet (Na2SO4) und eingeengt. Man erhält 329 mg der Verbindung 72 als schwarz gefärbtes, klares Öl.316 mg of the alcohol 71 are treated with 2 ml of CCl 4 , 2 ml of CH 3 CN and 3 ml of H 2 O at room temperature. To this heterogeneous mixture are added 508 mg NaIO 4 and 4 mg RuCl 3 and stirred for 2 h at room temperature. Then dichloromethane and water are added, the phases are separated, the water phase is extracted twice with dichloromethane and once with ethyl acetate, the combined organic solutions are dried (Na 2 SO 4 ) and concentrated. 329 mg of compound 72 are obtained as a black-colored, clear oil.
g) 8,9-Diacetoxy-11-{4-[(2S,3R)-3-[(S)-3-(4-fluor-phenyl)-3-hydroxy-propyl]-2-(4-methoxy-phenyl)-4-oxo-azetidin-1-yl]-benzylcarbamoyl}-undecansäuremethylester (73): g) 8,9-Diacetoxy-11- {4 - [(2S, 3R) -3 - [(S) -3- (4-fluoro-phenyl) -3-hydroxy-propyl] -2- (4-methoxy -phenyl) -4-oxo-azetidin-1-yl] -benzylcarbamoyl} -undecanoic acid methyl ester (73):
350 mg des Rohproduktes der Verbindung 72 werden in 10 ml Dimethylformamid gelöst, mit 200 μL N-Ethyl-morpholin versetzt, auf 0°C (Eis/Wasser) gekühlt, nach wenigen Minuten mit 120 μL Chlorameisensäureethylester versetzt und 90 min bei 0°C gerührt. Anschließend werden 520 mg des benzylischen Amins 1 fest zugegeben und die Kühlung entfernt. Nach insgesamt 2 h Reaktionsdauer wird zunächst Wasser, dann 3 M Salzsäure (bis pH = 6) und Essigsäureethylester zugegeben. Nach erfolgter Phasentrennung wird die wässrige Phase zweimal mit Essigsäureethylester extrahiert. Die vereinten Essigsäureethylester-Phase wird mit gesättigter NaCl-Lösung Gewaschen, über Natriumsulfat getrocknet, filtriert und dann im Vakuum eingeengt. Man erhält ein klares, dunkles Öl; Rohausbeute: 870 mg. Chromatographie an 180 g Kieselgel (Essigsäureethylester/n-Heptan 4:1 bis Essigsäureethylester pur) ergibt 550 mg der Verbindung 73 als weißen Schaum.350 mg of the crude product of compound 72 are dissolved in 10 ml of dimethylformamide, mixed with 200 .mu.l of N-ethyl-morpholine, cooled to 0 ° C. (ice / water), admixed after a few minutes with 120 .mu.l of ethyl chloroformate and 90 min at 0 ° C. touched. Subsequently, 520 mg of the benzylic amine 1 are added firmly and the cooling is removed. After a total of 2 h reaction time, water, then 3 M hydrochloric acid (to pH = 6) and ethyl acetate are added first. After phase separation, the aqueous phase is extracted twice with ethyl acetate. The combined ethyl acetate phase is washed with saturated NaCl solution, dried over sodium sulfate, filtered and then concentrated in vacuo. This gives a clear, dark oil; Crude yield: 870 mg. Chromatography on 180 g of silica gel (ethyl acetate / n-heptane 4: 1 to pure ethyl acetate) gives 550 mg of compound 73 as a white foam.
h) 11-{4-[(2S,3R)-3-[(S)-3-(4-Fluor-phenyl)-3-hydroxy-propyl]-2-(4-methoxy-phenyl)-4-oxo-azetidin-1-yl]-benzylcarbamoyl}-8,9-dihydroxy-undecansäuremethylester 74: h) 11- {4 - [(2S, 3R) -3 - [(S) -3- (4-fluoro-phenyl) -3-hydroxy-propyl] -2- (4-methoxy-phenyl) -4- oxo-azetidin-1-yl] -benzylcarbamoyl} -8,9-dihydroxy-undecanoic acid methyl ester 74:
300 mg des Kupplungsproduktes 73 werden mit 30 ml MeOH und 124 mg K2CO3 versetzt und bei Raumtemperatur gerührt. Nach dreistündiger Reaktion wird die Reaktionsmischung durch Zugabe von Amberlite IR120 H resin (vorher kurz mit 5–6 M HCl gerührt, filtriert und mehrfach mit Methanol gewaschen) auf pH 6–7 gebracht, der Ionenaustauscher abfiltriert und gewaschen und dann die wässrig-methanolische Lösung im Vakuum weitgehend eingeengt; man erhält 240 mg der Verbindung 74 in Form eines gelblichen Schaums.300 mg of the coupling product 73 are mixed with 30 ml MeOH and 124 mg K 2 CO 3 and stirred at room temperature. After reaction for three hours, the reaction mixture is brought to pH 6-7 by addition of Amberlite IR120 H resin (previously briefly stirred with 5-6 M HCl, filtered and washed several times with methanol), the ion exchanger is filtered off and washed, and then the aqueous methanolic solution largely concentrated in vacuo; 240 mg of compound 74 are obtained in the form of a yellowish foam.
i) 11-{4-[(2S,3R)-3-[(S)-3-(4-Fluor-phenyl)-3-hydroxy-propyl]-2-(4-methoxy-phenyl)-4-oxo-azetidin-1-yl]-benzylcarbamoyl}-8,9-dihydroxy-undecansäure (75) i) 11- {4 - [(2S, 3R) -3 - [(S) -3- (4-fluoro-phenyl) -3-hydroxy-propyl] -2- (4-methoxy-phenyl) -4- oxo-azetidin-1-yl] -benzylcarbamoyl} -8,9-dihydroxy-undecanoic acid (75)
130 mg des Methylesters 74 werden in 5 ml CH3CN und 1 ml Wasser klar gelöst, dann mit 300 μL 2 M Natronlauge versetzt (pH 10) und die klare Lösung bei Raumtemperatur gerührt. Nach 3 h und wird die Reaktion durch Zugabe von 2 ml Wasser und 63.5 μL 30% HCl abgebrochen (pH ~ 6). Zugabe von Wasser und Acetonitril führt zu einer wasserklaren Lösung (Σ 60 ml). Diese wird in einen 500 ml-Kolben umgefüllt und über Nacht gefriergetrocknet. Am folgenden Tag wird die Substanz zur Abtrennung von Salzen in Dichlormethan/Methanol: 8/2 an Kieselgel filtriert; Rohausbeute: 85 mg der Carbonsäure (75).130 mg of the methyl ester 74 are clearly dissolved in 5 ml of CH 3 CN and 1 ml of water, then treated with 300 .mu.l 2 M sodium hydroxide solution (pH 10) and the clear solution stirred at room temperature. After 3 h and the reaction is stopped by the addition of 2 ml of water and 63.5 μL 30% HCl (pH ~ 6). Addition of water and acetonitrile leads to a water-clear solution (Σ 60 ml). This is transferred to a 500 ml flask and freeze-dried overnight. The following day the substance is filtered to remove salts in dichloromethane / methanol: 8/2 on silica gel; Crude yield: 85 mg of the carboxylic acid (75).
k) 4,5-Dihydroxy-dodecanedisäure 1-{4-[(2S,3R)-3-[(S)-3-(4-fluor-phenyl)-3-hydroxy-propyl]-2-(4-methoxy-phenyl)-4-oxo-azetidin-1-yl]-benzylamide} 12-[((2S,3R,4R,5R)-2,3,4,5,6-pentahydroxy-hexyl)-amid] (76): k) 4,5-Dihydroxydodecanedioic acid 1- {4 - [(2S, 3R) -3 - [(S) -3- (4-fluoro-phenyl) -3-hydroxy-propyl] -2- (4- methoxy-phenyl) -4-oxo-azetidin-1-yl] -benzylamides} 12 - [((2S, 3R, 4R, 5R) -2,3,4,5,6-pentahydroxy-hexyl) -amide] ( 76):
85 mg des Rohproduktes der Verbindung 75 werden in 10 ml Dimethylformamid aufgenommen, mit 63 μL N-Ethyl morpholin versetzt, auf 0°C (Eis/Wasser) gekühlt, mit 16 μL Chlorameisensäureethylester versetzt und 1 h 25 min bei 0°C Eis/Wasser) gerührt. Dann wird die Kühlung entfernt und in die noch kalte Lösung wurden 34 mg D-Glucamin in einer Portion zugegeben. Das trübe Reaktionsgemisch (Glucamin war nach 25 min weitgehend gelöst) wird bei Raumtemperatur weiter gerührt. Die Reaktion wird nach 1.5 h durch Zugabe von wässriger NaCl-Lösung und 3 M HCl abgebrochen und auf pH = 6 gebracht. Die trübe, leicht gelblich gefärbte Lösung wird dreimal mit n-Butanol extrahiert. Die vereinten Butanol-Phasen werden getrocknet (Na2SO4) und im Vakuum weitestgehend eingeengt. Es wird zweimal Methanol zugegeben und jeweils im Vakuum eingeengt; man erhält 670 mg eines zähen, weiß-gelblichen, noch nach Butanol riechender Rückstandes. Das Material wurde per präparativer HPLC gereinigt (Methode [RP2]). Man erhält 65 mg (97.5% Reinheit) der Verbindung (76). 1H-NMR (δ, DMSO-d6):
Beispiel XXVIIExample XXVII
4,5,6-Trihydroxy-dodecandisäure 1-{4-[(2S,3R)-3-[(S)-3-(4-fluor-phenyl)-3-hydroxy-propyl]-2-(4-methoxy-phenyl)-4-oxo-azetidin-1-yl]-benzylamid} 12-[((2S,3R,4R,5R)-2,3,4,5,6-pentahydroxy-hexyl)-amid] (85): 4,5,6-Trihydroxy-dodecanedioic acid 1- {4 - [(2S, 3R) -3 - [(S) -3- (4-fluoro-phenyl) -3-hydroxypropyl] -2- (4- methoxy-phenyl) -4-oxo-azetidin-1-yl] -benzylamide} 12 - [((2S, 3R, 4R, 5R) -2,3,4,5,6-pentahydroxy-hexyl) -amide] ( 85):
a) (E)-12-Benzyloxy-9-hydroxy-dodec-7-ensäureethyleste (77): a) (E) -12-Benzyloxy-9-hydroxy-dodec-7-enoic Acid Ethyl Esters (77):
500 mg des TBDMS-geschützten Olefins 11 werden in 10 ml Tetrahydrofuran aufgenommen, bei Raumtemperatur mit 1 g NBu4F × 3H2O versetzt und 3 h bei Raumtemperatur gerührt. Die Reaktionsmischung steht über Nacht bei Raumtemperatur. Am nächsten Tag wird die Reaktionsmischung mit 50–100 ml Wasser versetzt und mehrfach mit Essigsäureethylester extrahiert.500 mg of the TBDMS-protected olefin 11 are taken up in 10 ml of tetrahydrofuran, admixed at room temperature with 1 g of NBu 4 F × 3H 2 O and stirred for 3 hours at room temperature. The reaction mixture is at room temperature overnight. The next day, the reaction mixture is mixed with 50-100 ml of water and extracted several times with ethyl acetate.
Trocknen der organischen Phasen mit MgSO4, Filtration und Einengen des Filtrats im Vakuum ergibt 580 mg Verbindung 77 als gelbliches Öl, das ohne weitere Reinigung weiter umgesetzt wird.Drying of the organic phases with MgSO 4 , filtration and concentration of the filtrate in vacuo gives 580 mg of compound 77 as a yellowish oil, which is reacted further without further purification.
b) 12-Benzyloxy-7,8,9-trihydroxy-dodecansäureethylester (78): b) 12-Benzyloxy-7,8,9-trihydroxy-dodecanoic acid ethyl ester (78):
580 mg des Allylalkohols 77 werden in 20 ml Aceton aufgenommen, bei 0–5°C (Eis/Wasser) mit 339 mg N-Methylmorpholin-N-Oxid (NMO) und insgesamt 4 ml Wasser versetzt. Dann wird 1 ml einer 4%igen wässrigen Lösung von OsO4 zugegeben. Die Kühlung wird entfernt und weitere 2 h bei Raumtemperatur gerührt. Die klare, leicht gelbliche Reaktionslösung steht über Nacht. Am folgenden Tag werden 10 ml Wasser und ein Überschuss Natriumthiosullfat zugegeben und etwa 5 h gerührt; nach einer weiteren Zugabe von Wasser und von gesättigter NaCl-Lösung wird die Reaktionsmischung zweimal mit Essigsäureethylester extrahiert. Die vereinigten organischen Phasen werden mit gesättigter NaCl-Lösung gewaschen, über MgSO4 getrocknet, filtriert und im Vakuum eingeengt. Man erhält 650 mg der Verbindung 78 als bräunliches Öl, das direkt weiter umgesetzt wird.580 mg of allyl alcohol 77 are taken up in 20 ml of acetone, mixed at 0-5 ° C (ice / water) with 339 mg of N-methylmorpholine-N-oxide (NMO) and a total of 4 ml of water. Then 1 ml of a 4% aqueous solution of OsO 4 is added. The cooling is removed and stirred for a further 2 h at room temperature. The clear, slightly yellowish reaction solution is left overnight. The following day, 10 ml of water and an excess of sodium thiosulphate are added and stirred for about 5 hours; after a further addition of water and saturated NaCl solution, the reaction mixture is extracted twice with ethyl acetate. The combined organic phases are washed with saturated NaCl solution, dried over MgSO 4 , filtered and concentrated in vacuo. 650 mg of compound 78 are obtained as a brownish oil, which is reacted further directly.
c) 7,8,9-Triacetoxy-12-benzyloxy-dodecansäureethylester (79): c) 7,8,9-triacetoxy-12-benzyloxy-dodecanoic acid ethyl ester (79):
650 mg des rohen Triols 78 werden in 15 ml Dichlormethan aufgenommen, mit 685 μl Pyridin versetzt, auf 0–5°C (Eis/Wasser) gekühlt, mit 506 μλ Acetylchlorid versetzt und nach kurzem Rühren in der Kälte die Kühlung entfernt und bei Raumtemperatur über das Wochenende gerührt. Weiteres Dichlormethan wird zugegeben und die Reaktionsmischung wird einmal mit 2 M HCl gewaschen. Anschließend wird die organische Phase mit gesättigter NaCl-Lösung und mit Wasser gewaschen, getrocknet (MgSO4), im Vakuum eingeengt, nochmals mit Toluol aufgenommen, erneut eingedampft und an Kieselgel chromatographiert (EE/n-Heptan 1:1); Ausbeute: 440 mg des gelblichen Öls 79.650 mg of the crude triol 78 are taken up in 15 ml of dichloromethane, admixed with 685 μl of pyridine, cooled to 0-5 ° C (ice / water), mixed with 506 μλ acetyl chloride and after brief stirring in the cold the cooling is removed and at room temperature stirred over the weekend. Additional dichloromethane is added and the reaction mixture is washed once with 2M HCl. The organic phase is then washed with saturated NaCl solution and with water, dried (MgSO 4 ), concentrated in vacuo, taken up again with toluene, re-evaporated and chromatographed on silica gel (EA / n-heptane 1: 1); Yield: 440 mg of the yellowish oil 79.
d) 7,8,9-Triacetoxy-12-hydroxy-dodecansäureethylester (80): d) 7,8,9-triacetoxy-12-hydroxy-dodecanoic acid ethyl ester (80):
415 mg des Triacetates 79 werden mit 41 mg Katalysator (5–10% Pd/C, 54% H2O, Typ101N/W 1, Degussa) und 10 ml Methanol versetzt und bei 1.5 bar H2 hydriert. Nach 2 h ist kein Edukt mehr nachweisbar. Der Katalysator wird abgetrennt und mit 3 ml Methanol gewaschen. Nach Filtration wird das blassgrüne, methanolische Filtrat im Vakuum eingeengt; man erhält 425 mg des blassgrünen Öls 80.415 mg of triacetate 79 are mixed with 41 mg of catalyst (5-10% Pd / C, 54% H 2 O, Type 101 N / W 1, Degussa) and 10 ml of methanol and hydrogenated at 1.5 bar H 2 . After 2 h, no starting material is detectable. The catalyst is separated and washed with 3 ml of methanol. After filtration, the pale green, methanolic filtrate is concentrated in vacuo; 425 mg of the pale green oil 80 are obtained.
e) 4,5,6-Triacetoxy-dodecanedisäure 12-ethylester (81): e) 4,5,6-triacetoxy-dodecane-diacid 12-ethyl ester (81):
425 mg des rohen Hydrierproduktes 80 werden in 4 ml CCl4, 5 ml CH3CN und 5 ml H2O bei Raumtemperatur mit 1.03 g NaIO4 und einer katalytischen Mengep RuCl3 versetzt und bei Raumtemperatur gerührt. Nach 1.5 h kann kein Edukt mehr nachgewiesen werden. Es werden Wasser und Essigsäureethylester zugegeben, die Phasen getrennt, die Wasserphase zeimal mit Essigsäureethylester gewaschen, getrocknet (Mg2SO4) und im Vakuum eingeengt. Man erhält ein gelbliches Öl. Zur vollständigen Entfernung von Lösungsmittelresten und Wasser wird zweimal mit Toluol versetzt und im Vakuum bei 30–35°C eingeengt; man erhält 381 mg der Verbindung 81 in Form eines gelb-schwarzen Öls, das ohne weitere Reinigung in die nächste Reaktion eingesetzt wird.425 mg of the crude hydrogenation product 80 are mixed in 4 ml of CCl 4 , 5 ml of CH 3 CN and 5 ml of H 2 O at room temperature with 1.03 g of NaIO 4 and a catalytic amount of RuCl 3 and stirred at room temperature. After 1.5 h, no starting material can be detected. Water and ethyl acetate are added, the phases are separated, the aqueous phase is washed with ethyl acetate, dried (Mg 2 SO 4 ) and concentrated in vacuo. A yellowish oil is obtained. For complete removal of solvent residues and water is added twice with toluene and concentrated in vacuo at 30-35 ° C; 381 mg of compound 81 are obtained in the form of a yellow-black oil, which is used without further purification in the next reaction.
f) 7,8,9-Triacetoxy-11-{4-[(2S,3R)-3-[(S)-3-(4-fluor-phenyl)-3-hydroxy-propyl]-2-(4-methoxy-phenyl)-4-oxo-azetidin-1-yl]-benzylcarbamoyl}-undecansäureethylester (82): f) 7,8,9-triacetoxy-11- {4 - [(2S, 3R) -3 - [(S) -3- (4-fluoro-phenyl) -3-hydroxy-propyl] -2- (4 -methoxy-phenyl) -4-oxo-azetidin-1-yl] -benzylcarbamoyl} -undecanoic acid, ethyl ester (82):
381 mg der Carbonsäure 81 werden in 10 ml Dimethylformamid gelöst, mit 191 μL N-Ethyl-morpholin versetzt, auf 0–5°C (Eis/Wasser) gekühlt, nach wenigen Minuten mit 113 μL Chlorameisensäureethylester versetzt und 1.5 h bei 0–5°C gerührt. Anschließend werden 536 mg des benzylischen Amins 1 fest zugegeben und die Kühlung entfernt. Nach 2.5 h erfolgt die Aufarbeitung durch Zugabe von Wasser, wenigen Tropfen 3 M HCl und Essigsäureethylester. Die wässrige Phase wird zweimal mit Essigsäureethylester extrahiert, die organischen Phasen mit gesättigter NaCl-Lösung gewaschen, über MgSO4 getrocknet, filtriert und im Vakuum eingeengt. Man erhält 1.04 g eines klaren, dunklen Öls; Chromatographie (40 g SiO2, Essigsäureethylester/n-Heptan 3:1 ergibt 550 mg der Verbindung 82 in Form eines weißen, leicht gelblichen Schaums.Dissolve 381 mg of the carboxylic acid 81 in 10 ml of dimethylformamide, add 191 μL of N-ethylmorpholine, cool to 0-5 ° C (ice / water), add 113 μL ethyl chloroformate after a few minutes, and add 0-5 for 1.5 h ° C stirred. Subsequently, 536 mg of the benzylic amine 1 are added firmly and the cooling is removed. After 2.5 h, the work-up is carried out by adding water, a few drops of 3 M HCl and ethyl acetate. The aqueous phase is extracted twice with ethyl acetate, the organic phases are washed with saturated NaCl solution, dried over MgSO 4 , filtered and concentrated in vacuo. This gives 1.04 g of a clear, dark oil; Chromatography (40 g SiO 2 , ethyl acetate / n-heptane 3: 1 gives 550 mg of compound 82 as a white, slightly yellowish foam.
g) 11-{4-[(2S,3R)-3-[(S)-3-(4-Fluor-phenyl)-3-hydroxy-propyl]-2-(4-methoxy-phenyl)-4-oxo-azetidin-1-yl]-benzylcarbamoyl}-7,8,9-trihydroxy-undecansäuremethylester (83): g) 11- {4 - [(2S, 3R) -3 - [(S) -3- (4-fluoro-phenyl) -3-hydroxypropyl] -2- (4-methoxy-phenyl) -4- oxo-azetidin-1-yl] -benzylcarbamoyl} -7,8,9-trihydroxy-undecanoic acid methyl ester (83):
350 mg des Kupplungsproduktes 82 werden mit 20 ml Methanol und 167 mg K2CO3 versetzt und bei Raumtemperatur 6 h gerührt. Der pH-Wert der Reaktionsmischnung wird anschließend durch Zugabe von Amberlite IR120 H resin auf 6–7 gebracht, der Ionenaustauscher wird abfiltriert und gewaschen, dann die methanolische Lösung des Produktes im Vakuum eingeengt, einmal mit MeOH/Toluol und einmal mit MeOH pur eingeengt. Man erhält 326 mg des deacetylierten Methylesters 83 als gelbliches Öl.350 mg of the coupling product 82 are mixed with 20 ml of methanol and 167 mg K 2 CO 3 and stirred at room temperature for 6 h. The pH of the reaction mixture is then brought to 6-7 by addition of Amberlite IR120 H resin, the ion exchanger is filtered off and washed, then concentrated the methanolic solution of the product in vacuo, once concentrated pure with MeOH / toluene and once with MeOH. 326 mg of the deacetylated methyl ester 83 are obtained as a yellowish oil.
h) 11-{4-[(2S,3R)-3-[(S)-3-(4-Fluor-phenyl)-3-hydroxy-propyl]-2-(4-methoxy-phenyl)-4-oxo-azetidin-1-yl]-benzylcarbamoyl}-7,8,9-trihydroxy-undecansäure (84): h) 11- {4 - [(2S, 3R) -3 - [(S) -3- (4-fluoro-phenyl) -3-hydroxy-propyl] -2- (4-methoxy-phenyl) -4- oxo-azetidin-1-yl] -benzylcarbamoyl} -7,8,9-trihydroxy undecanoic acid (84):
218 mg des Methylesters 83 werden mit 9 ml CH3CN, 3 ml Wasser und 400 μL 2 M NaOH versetzt (pH 9–10) und bei Raumtemperatur gerührt. Die klare Lösung wird etwa 3 h gerührt, dann durch Zugabe von 84 μL 30% HCl abgebrochen und die Reaktionsmischung mehrfach im Vakuum eingeengt. Der Rückstand wird in Dichlormethan/Methanol 8:2 an Kieselgel chromatographiert; Das Rohprodukt wird in wenigen ml CH3CN und Dimethylformamid aufgenommen und im Vakuum eingeengt; Rohausbeute: 200 mg der Verbindung 84.218 mg of methyl ester 83 are mixed with 9 ml of CH 3 CN, 3 ml of water and 400 .mu.l of 2 M NaOH (pH 9-10) and stirred at room temperature. The clear solution is stirred for about 3 h, then quenched by addition of 84 μL 30% HCl and the reaction mixture is concentrated several times in vacuo. The residue is chromatographed on silica gel in dichloromethane / methanol 8: 2; The crude product is taken up in a few ml of CH 3 CN and dimethylformamide and concentrated in vacuo; Crude yield: 200 mg of compound 84.
i) 4,5,6-Trihydroxy-dodecanedisäure 1-{4-[(2S,3R)-3-[(S)-3-(4-fluor-phenyl)-3-hydroxy-propyl]-2-(4-methoxy-phenyl)-4-oxo-azetidin-1-yl]-benzylamid} 12-[((2S,3R,4R,5R)-2,3,4,5,6-pentahydroxy-hexyl)-amid] (85): i) 4,5,6-Trihydroxy-dodecane-diacid 1- {4 - [(2S, 3R) -3 - [(S) -3- (4-fluoro-phenyl) -3-hydroxy-propyl] -2- ( 4-methoxy-phenyl) -4-oxo-azetidin-1-yl] -benzylamide} 12 - [((2S, 3R, 4R, 5R) -2,3,4,5,6-pentahydroxy-hexyl) -amide ] (85):
200 mg der Verbindung 84 werden in 10 ml Dimethylformamid gelöst, mit 74 μl N-Ethyl-morpholin versetzt, auf 0°C (Eis/Wasser) gekühlt, mit 37 μl Chlorameisensäureethylester versetzt und 1 h 25 min bei 0°C (Eis/Wasser) gerührt. Dann wird die Kühlung entfernt und in die noch kalte Lösung werden 79 mg D-Glucamin als Feststoff in einer Portion zugegeben. Das leicht trübe Reaktionsgemisch (Glucamin war nach 25 min vollständig gelöst) wird bei Raumtemperatur 110 min gerührt; die Reaktion wird dann durch Zugabe von 3 Tropfen 3 M HCl (→ pH 6–7) und wässriger gesättigter NaCl-Lösung abgebrochen. Die trübe Lösung wird dreimal mit n-Butanol extrahiert. Die vereinigten Butanol-Phasen werden einmal mit gesättigter wässriger NaCl-Lösung gewaschen, getrocknet (Na2SO4) und im Vakuum weitestgehend eingeengt. Es wird Methanol zugegeben und erneut eingeengt; Rückstand: 410 mg. Das Rohprodukt wird mittels präparativer HPLC (YMC Pro C18RS, 5 μm, 150 × 20 mm; Acetonitril/Wasser 47:53) gereinigt, die Hauptfraktion wird über Nacht im (Hoch)Vakuum getrocknet; Ausbeute: 98 mg (Reinheit 97.3%) 85. 1H-NMR (δ, DMSO-d6):
Beispiel XXVIIIExample XXVIII
4,5-Dihydroxy-dodecandisäure 12-{4-[(2S,3R)-3-[(S)-3-(4-fluor-phenyl)-3-hydroxy-propyl]-2-(4-methoxy-phenyl)-4-oxo-azetidin-1-yl]-benzylamid} 1-[((2S,3R,4R,5R)-2,3,4,5,6-pentahydroxy-hexyl)-amid] (88): 4,5-Dihydroxydodecanedioic acid 12- {4 - [(2S, 3R) -3 - [(S) -3- (4-fluoro-phenyl) -3-hydroxy-propyl] -2- (4-methoxy) phenyl) -4-oxo-azetidin-1-yl] -benzylamide} 1 - [((2S, 3R, 4R, 5R) -2,3,4,5,6-pentahydroxy-hexyl) -amide] (88) :
a) 8,9-Diacetoxy-11-((2S,3R,4R,5R)-2,3,4,5,6-pentahydroxy-hexylcarbamoyl)-undecansäuremethylester (86): a) Methyl 8,9-diacetoxy-11 - ((2S, 3R, 4R, 5R) -2,3,4,5,6-pentahydroxy-hexylcarbamoyl) -undecanoate (86):
376 mg der schwarz gefärbten, öligen Carbonsäure 72 werden in 10 ml Dimethylformamid aufgenommen, mit 226 μL N-Ethyl-morpholin versetzt, auf 0°C (Eis/Wasser) gekühlt, dann mit 134 μL Chlorameisensäureethylester versetzt und 1 h bei 0°C gerührt. Dann werden 265 mg D-Glucamin fest zugegeben und die Kühlung entfernt. Es wird 1.5 h bei Raumtemperatur gerührt; die Reaktionsmischung steht über Nacht bei Raumtemperatur ound wird am folgenden Tag durch Zugabe von Wasser, n-Butanol und 10%iger HCl abgebrochen und auf pH ~ 2 eingestellt. Nach erfolgter Trennung der Phasen wird die Wasser-Phase mit Butanol ausgeschüttelt; die organische Phase wird getrocknet (Na2SO4), filtriert und eingeengt. Anschließend wird das Rohprodukt in viel Acetonitril aufgenommen und über eine Chromabond C18-Kartusche filtriert, dann wieder eingeengt; Rohausbeute: 650 mg der Verbindung 86 als schwarzes Öl; Die Substanz wird ohne weitere Reinigung in die nächste Stufe eingesetzt.376 mg of the black-colored, oily carboxylic acid 72 are taken up in 10 ml of dimethylformamide, admixed with 226 μl of N-ethylmorpholine, cooled to 0 ° C. (ice / water), then combined with 134 μl ethyl chloroformate and 1 h at 0 ° C. touched. Then 265 mg of D-glucamine are added firmly and the cooling is removed. It is stirred for 1.5 h at room temperature; the reaction mixture is at room temperature overnight and is quenched the next day by addition of water, n-butanol and 10% HCl and adjusted to pH ~ 2. After the phases have been separated, the water phase is shaken out with butanol; The organic phase is dried (Na 2 SO 4 ), filtered and concentrated. Subsequently, the crude product is taken up in a large amount of acetonitrile and filtered through a Chromabond C18 cartridge, then concentrated again; Crude yield: 650 mg of Compound 86 as black oil; The substance is used without further purification in the next stage.
b) 8,9-Dihydroxy-11-((2S,3R,4R,5R)-2,3,4,5,6-pentahydroxy-hexylcarbamoyl)-undecansäure (87): b) 8,9-Dihydroxy-11 - ((2S, 3R, 4R, 5R) -2,3,4,5,6-pentahydroxy-hexylcarbamoyl) undecanoic acid (87):
650 mg des Methylesters 86 werden in 10 ml CH3CN aufgenommen; 9 ml der Lösung werden mit 1.67 ml 2 M NaOH versetzt und bei Raumtemperatur gerührt. Nach 30 min wird die heterogene Reaktionsmischung mit 4 ml Wasser versetzt und der entstandene Feststoff gelöst. Die Reaktionsmischung wird weitere 2 h gerührt; danach erfolgt die Zugabe von 600 μL 30% HCl. Die saure Reaktionsmischung bzw. das Rohprodukt wird mehrfach mit CH3CN und Dimethylformamid (Lösungsmittel der Folgestufe) versetzt und im Vakuum eingeengt um Wasser und Essigsäure zu entfernen; Rohprodukt: 990 mg eines bräunlich-gelben Öls (87). 650 mg of methyl ester 86 are taken up in 10 ml of CH 3 CN; 9 ml of the solution are mixed with 1.67 ml of 2 M NaOH and stirred at room temperature. After 30 minutes, the heterogeneous reaction mixture is mixed with 4 ml of water and the resulting solid is dissolved. The reaction mixture is stirred for a further 2 h; then the addition of 600 μL 30% HCl. The acidic reaction mixture or the crude product is treated several times with CH 3 CN and dimethylformamide (solvent of the next stage) and concentrated in vacuo to remove water and acetic acid; Crude product: 990 mg of a brownish-yellow oil (87).
c) 4,5-Dihydroxy-dodecanedisäure 12-{4-[(2S,3R)-3-[(S)-3-(4-fluor-phenyl)-3-hydroxy-propyl]-2-(4-methoxy-phenyl)-4-oxo-azetidin-1-yl]-benzylamid} 1-[((2S,3R,4R,5R)-2,3,4,5,6-pentahydroxy-hexyl)-amid] (88): c) 4,5-Dihydroxydodecanedioic acid 12- {4 - [(2S, 3R) -3 - [(S) -3- (4-fluoro-phenyl) -3-hydroxypropyl] -2- (4- methoxy-phenyl) -4-oxo-azetidin-1-yl] -benzylamide} 1 - [((2S, 3R, 4R, 5R) -2,3,4,5,6-pentahydroxy-hexyl) -amide] ( 88):
990 mg des gelb-braunen Rohproduktes 87 werden in 30 ml Dimethylformamid gelöst, mit 400 μL N-Ethyl-morpholin versetzt, auf 0–5°C (Eis/Wasser) gekühlt, nach wenigen Minuten mit 144 μL Chlorameisensäureethylester versetzt, 80 min bei 0–5°C gerührt, abschließend 682 mg Amins 1 fest zugegeben und die Kühlung entfernt. Der Reaktionsansatz rührt 105 min. bei Raumtemperatur und wird dann durch Zugabe von 30%ige HCl, Wasser, n-Butanol und wässrige, gesättigte NaCl-Lösung abgebrochen. Nach erfolgter Phasentrennung wird die Wasserphase zweimal mit n-Butanol extrahiert; die Butanol-Lösung wird im Vakuum eingeengt. Ausgefallene Salze werden abgetrennt und mit Butanol gründlich gewaschen. Die vereinten Butanolextrakte werden im Vakuum eingeengt; der Rückstand wird wird mit Methanol versetzt und erneut eingeengt. Der ölige Rückstand wird über eine präparative HPLC Säule gereinigt. Man erhält 157 mg der Verbindung 88. 1H-NMR (δ, DMSO-d6)
Beispiel XXIXExample XXIX
4,6,7-Trihydroxy-dodecandisäure 1-{4-[(2S,3R)-3-[(S)-3-(4-fluor-phenyl)-3-hydroxy-propyl]-2-(4-methoxy-phenyl)-4-oxo-azetidin-1-yl]-benzylamid} 12-[((2S,3R,4R,5R)-2,3,4,5,6-pentahydroxy-hexyl)-amid] (100): 4,6,7-trihydroxy-dodecanedioic acid 1- {4 - [(2S, 3R) -3 - [(S) -3- (4-fluoro-phenyl) -3-hydroxy-propyl] -2- (4- methoxy-phenyl) -4-oxo-azetidin-1-yl] -benzylamide} 12 - [((2S, 3R, 4R, 5R) -2,3,4,5,6-pentahydroxy-hexyl) -amide] ( 100):
a) Trisisopropylester der Hept-6-insäure (89): a) Trisisopropyl ester of hept-6-acid (89):
1.85 g der farblosen, klaren Heptinsäure werden in 50 ml Dichlormethan gelöst, mit 4.5 g NEt3 versetzt und unter starkem Rühren mit 4.72 ml Trisisopropylsilylchlorid (TIPS-Cl) versetzt. Die zügige portionsweise Zugabe des Silylierungsmittels ist begleitet von einer leichten Erwärmung und der Bildung eines kräftigen weißen Niederschlages. Die Reaktionsmischung wird 3 h kräftig bei Raumtemperatur gerührt. Anschließend erfolgt die Aufarbeitung durch Zugabe von wässriger gesättigter NH4Cl-Lösung. Die Wasserphase wird mit Dichlormethan extrahiert. Die organische Phase wird mit wässriger gesättigter NaCl-Lösung gewaschen, über Na2SO4 getrocknet, filtriert und im Vakuum eingeengt. Die chromatographische Reinigung (Essigsäureethylester/n-Heptan 1:17.5) ergibt 4.04 g des TIPS-Esters 89.1.85 g of the colorless, clear heptinic acid are dissolved in 50 ml of dichloromethane, admixed with 4.5 g of NEt 3 and combined with vigorous stirring with 4.72 ml of trisisopropylsilyl chloride (TIPS-Cl). The rapid portionwise addition of the silylating agent is accompanied by a slight warming and the formation of a vigorous white precipitate. The reaction mixture is stirred vigorously for 3 h at room temperature. The work-up is then carried out by addition of aqueous saturated NH 4 Cl solution. The water phase is extracted with dichloromethane. The organic phase is washed with aqueous saturated NaCl solution, dried over Na 2 SO 4 , filtered and concentrated in vacuo. Chromatographic purification (ethyl acetate / n-heptane 1: 17.5) gives 4.04 g of TIPS ester 89.
b) Trisisopropylester der 12-Benzyloxy-9-hydroxy-dodec-6-insäure (90): b) Trisisopropyl ester of 12-benzyloxy-9-hydroxy-dodec-6-acetic acid (90):
1 g des farblosen, klaren Heptinsäure-TIPS-esters 89 werden in 10 ml Tetrahydrofuran gelöst, auf –95°C gekühlt (flüssiger Stickstoff/Methanol), mit 2.32 ml BuLi/Hexan tropfenweise versetzt (5 min) und 30 min bei dieser Temperatur gerührt. Dann werden 0.981 ml BF3-Etherat zugegeben und weitere 10 min bei –95°C gerührt. Anschließend werden 750 mg des frisch chromatographiereten Epoxids 3, gelöst in 5 ml Tetrahydrofuran in 5 min zugetropft und die Mischung 30 min bei –95°C und anschließend bei –80°C gerührt. 1.5 h nach Zugabe des Epoxids werden gesättigte wässrige NH4Cl-Lösung und Methyl-tert.butylether zugegeben und es wird kräftig gerührt. Nach Phasentrennung, erneutem Waschen der wässrigen Phase mit Methyl-tert.butylether, Trocknen der organischen Phase mit Na2SO4, Filtration und Einengen im Vakuum erfolgt die chromatographische Reinigung an Kieselgel (Essigsäureethylester/n-Heptan 1:4). Produktenthaltende Fraktionen werden im Vakuum eingeengt und ergeben 775 mg der Verbindung 90.1 g of the colorless, clear heptinic acid TIPS ester 89 are dissolved in 10 ml of tetrahydrofuran, cooled to -95 ° C (liquid nitrogen / methanol), treated dropwise with 2.32 ml BuLi / hexane (5 min) and 30 min at this temperature touched. Then 0.981 ml of BF 3 etherate are added and the mixture is stirred at -95 ° C. for a further 10 minutes. Subsequently, 750 mg of the freshly chromatographed epoxide 3, dissolved in 5 ml of tetrahydrofuran are added dropwise in 5 min and the mixture for 30 min at -95 ° C and then stirred at -80 ° C. 1.5 After addition of the epoxide, saturated aqueous NH 4 Cl solution and methyl tert-butyl ether are added and the mixture is stirred vigorously. After phase separation, washing the aqueous phase again with methyl tert-butyl ether, drying the organic phase with Na 2 SO 4 , filtration and concentration in vacuo, the chromatographic purification is carried out on silica gel (ethyl acetate / n-heptane 1: 4). Product-containing fractions are concentrated in vacuo to give 775 mg of compound 90.
c) 12-Benzyloxy-9-hydroxy-dodec-6-insäuremethylester (91): c) 12-Benzyloxy-9-hydroxy-dodec-6-methyl acetate (91):
1.2 g des farblosen, klaren TIPS-Esters 90 aus der Yamaguchi-Alkinylierung werden mit 28 ml methanolischer HCl – zuvor hergestellt aus 3 ml Acetylchlorid und 25 ml Methanol – versetzt und bei Raumtemperatur gerührt. Nach 1.5 h wird die Reaktionsmischung mehrfach mit Methanol im Vakuum eingeengt; man erhält 850 mg der Verbindung 91. Das Rohprodukt wird ohne weitere Reinigung weiter umgesetzt.1.2 g of the colorless, clear TIPS ester 90 from the Yamaguchi alkynylation are mixed with 28 ml of methanolic HCl - previously prepared from 3 ml of acetyl chloride and 25 ml of methanol - and stirred at room temperature. After 1.5 h, the reaction mixture is concentrated several times with methanol in vacuo; 850 mg of compound 91 are obtained. The crude product is reacted further without further purification.
d) 12-Benzyloxy-9-hydroxy-dodec-6-ensäuremethylester (92): d) 12-Benzyloxy-9-hydroxy-dodec-6-enoic acid methyl ester (92):
1.14 g der Verbindung 91 werden in einem Büchi Hydrierautomat in 10 ml n-Heptan/Essigsäureethylester 2:1 mit 50 mg Chinolin und 200 mg Lindlar-Kat (5% Pd/CaCO3, bleivergiftet, ABCR 121386) versetzt und 16 h bei 3.5 bar hydriert. Der Ansatz wird zentrifugiert, der Katalysator mit Essigsäureethylester gewaschen und die Reaktionslösung eingeengt; man erhält 1.1 g 92 als braunes Öl.1.14 g of compound 91 are in a Büchi hydrogenator in 10 ml of n-heptane / ethyl acetate 2: 1 with 50 mg of quinoline and 200 mg Lindlar-Kat (5% Pd / CaCO 3 , lead poisoned, ABCR 121386) and 16 h at 3.5 hydrogenated bar. The mixture is centrifuged, the catalyst is washed with ethyl acetate and the reaction solution is concentrated; 1.1 g of 92 are obtained as a brown oil.
e) 12-Benzyloxy-6,7,9-trihydroxy-dodecansäuremethylester (93): e) 12-Benzyloxy-6,7,9-trihydroxy-dodecanoic acid methyl ester (93):
1 g des Rohproduktes 92 aus der Hydrierung unter Lindlar-Bedingungen wird in 30 ml Aceton aufgenommen, bei 0–5°C (Eis/Wasser) mit 600 mg N-Methylmorpholin-N-oxid, 6 ml Wasser und 1.8 ml einer 4%igen wss. OsO4-Lösung versetzt. Die Kühlung wird entfernt und die klare bräunliche Lösung wird 7 h bei Raumtemperatur gerührt. Dann wird Wasser und ein Überschuss Natriumthiosulfat zugegeben. Die klare Reaktionsmischung steht über Nacht. Zugabe von NaCl-Lösung, dreimaliges Waschen mit Essigsäureethylester, Waschen der vereinten organischen Phasen mit gesättigter NaCl-Lösung, Trocknen über MgSO4 und Einengen im Vakuum führt zu 1.24 g des Triols 93 als braunes Öl.1 g of the crude product 92 from the hydrogenation under Lindlar conditions is taken up in 30 ml of acetone, at 0-5 ° C (ice / water) with 600 mg of N-methylmorpholine-N-oxide, 6 ml of water and 1.8 ml of a 4% wss. OsO 4 solution added. The cooling is removed and the clear brownish solution is stirred for 7 h at room temperature. Then water and an excess of sodium thiosulfate are added. The clear reaction mixture is left overnight. Addition of NaCl solution, washing three times with ethyl acetate, washing the combined organic phases with saturated NaCl solution, drying over MgSO 4 and concentration in vacuo gives 1.24 g of triol 93 as a brown oil.
f) 6,7,9-Triacetoxy-12-benzyloxy-dodecansäuremethylester (94): f) methyl 6,7,9-triacetoxy-12-benzyloxy-dodecanoate (94):
1.24 g des Triols 93 werden in 30 ml Dichlormethan aufgenommen, mit 2 ml Pyridin versetzt, auf 0–5°C (Eis/Wasser) gekühlt, in 3 Portionen mit 1.5 ml Acetylchlorid Versetzt. Nach kurzem Rühren in der Kälte wird die Kühlung entfernt und bei Raumtemperatur gerührt. Nach 6 h wird mit 1–2 M HCl gewaschen. Anschließend wird mit gesättigter NaCl-Lösung und mit Wasser extrahiert, die organische Phase getrocknet (MgSO4), filtriert, eingeengt, mit Toluol aufgenommen und im Vakuum eingeengt: 1.49 g eines dunkelbraunen Öls werden erhalten. Chromatographie an 150 g Kieselgel (Essigsäureethylester/n-Heptan 1:3) ergibt 1.0 g eines leicht gelblichen Öles der Verbindung 94.1.24 g of triol 93 are taken up in 30 ml of dichloromethane, mixed with 2 ml of pyridine, cooled to 0-5 ° C (ice / water), in 3 portions with 1.5 ml of acetyl chloride. After brief stirring in the cold, the cooling is removed and stirred at room temperature. After 6 h, it is washed with 1-2 M HCl. It is then extracted with saturated NaCl solution and with water, the organic phase is dried (MgSO 4 ), filtered, concentrated, taken up with toluene and concentrated under reduced pressure: 1.49 g of a dark brown oil are obtained. Chromatography on 150 g of silica gel (ethyl acetate / n-heptane 1: 3) gives 1.0 g of a slightly yellowish oil of compound 94.
g) 6,7,9-Triacetoxy-12-hydroxy-dodecansäuremethylester (95): g) Methyl 6,7,9-triacetoxy-12-hydroxy-dodecanoate (95):
1 g des Benzylethers 94 wird in einem Büchi Hydrierautomat mit 75 mg 5–10% Pd/C (54% Wasser, Typ 101 N/W 1, Degussa) in 15 ml Methanol bei Raumtemperatur und 3,5 bar H2 3 h hydriert. Anschließend wird die Reaktionslösung zentrifugiert und der Katalysator mit 2 ml Methanol gewaschen. Nach vollständigem Einengen im Vakuum werden 809 mg der farblosen öligen Verbindung 95 erhalten. Die Verbindung wird ohne weitere Reinigung in die nächste Stufe eingesetzt.1 g of benzyl ether 94 is hydrogenated in a Büchi hydrogenator with 75 mg of 5-10% Pd / C (54% water, type 101 N / W 1, Degussa) in 15 ml of methanol at room temperature and 3.5 bar H 2 3 h , Subsequently, the reaction solution is centrifuged and the catalyst washed with 2 ml of methanol. After complete concentration in vacuo, 809 mg of the colorless oily compound 95 are obtained. The compound is used without further purification in the next stage.
h) 4,6,7-Triacetoxy-dodecandisäure 12-methylester (96): h) 4,6,7-triacetoxy-dodecanedioic acid 12-methyl ester (96):
824 mg des Alkohols 95 werden mit 9 ml CCl4, 9 ml CH3CN und 12 ml H2O bei Raumtemperatur versetzt. Zu dieser heterogenen Mischung gibt man 1.75 g NaIO4 und 21 mg RuCl3 und rührt 1.5 h bei Raumtemperatur. Dann werden Dichlormethan und Wasser zugegeben, die Phasen getrennt, die Wasserphase zweimal mit Dichlormethan und einmal mit Essigsäureethylester extrahiert; die vereinten organischen Phasen werden getrocknet (Na2SO4), filtriert und eingeengt. Man erhält 950 mg eines schwarz gefärbten, klaren Öls 96.824 mg of the alcohol 95 are mixed with 9 ml of CCl 4 , 9 ml of CH 3 CN and 12 ml of H 2 O at room temperature. To this heterogeneous mixture are added 1.75 g NaIO 4 and 21 mg RuCl 3 and stirred for 1.5 h at room temperature. Then dichloromethane and water are added, the phases are separated, the water phase is extracted twice with dichloromethane and once with ethyl acetate; The combined organic phases are dried (Na 2 SO 4 ), filtered and concentrated. 950 mg of a black-colored, clear oil 96 are obtained.
i) 6,7,9-Triacetoxy-11-{4-[(2S,3R)-3-[(S)-3-(4-fluor-phenyl)-3-hydroxy-propyl]-2-(4-methoxy-phenyl)-4-oxo-azetidin-1-yl]-benzylcarbamoyl}-undecansäuremethylester (97): i) 6,7,9-triacetoxy-11- {4 - [(2S, 3R) -3 - [(S) -3- (4-fluoro-phenyl) -3-hydroxy-propyl] -2- (4 -methoxy-phenyl) -4-oxo-azetidin-1-yl] -benzylcarbamoyl} -undecanoic acid methyl ester (97):
950 mg des Rohproduktes 96 werden in 25 ml Dimethylformamid gelöst, einige ml im Vakuum abdestilliert, mit 442 μL N-Ethyl-morpholin versetzt, auf 0–5°C (Eis/Wasser) gekühlt, nach wenigen Minuten mit 262 μL Chlorameisensäureethylester versetzt und 80 min bei 0–5°C gerührt. Anschließend werden 1.24 g des benzylischen Amins 1 als Feststoff zugegeben und die Kühlung entfernt. Nach Insgesamt 2 h Reaktionsdauer wird reichlich Wasser, 10 Tropfen 3 M HCl (pH ~ 6) und Essigsäureethylester zugegeben. Die wässrige Phase wird zweimal mit Essigsäureethylester extrahiert. Die vereinten organischen Phasen werden mit gesättigter NaCl-Lösung gewaschen, über Na2SO4 getrocknet und im Vakuum eingeengt. Man erhält ein klares, dunkles Öl; Rohausbeute: 2.1 g. Chromatographie an 180 g Kieselgel (Essigsäureethylester/n-Heptan 2:1 bis Essigsäureethylester pur) ergibt nach Einengen im Vakuum 1.12 g der Verbindung 97 als weißen-leicht gelblichen Schaum und 305 mg eines etwa 80%igen Materials.950 mg of the crude product 96 are dissolved in 25 ml of dimethylformamide, distilled off a few ml in vacuo, treated with 442 μL N-ethyl-morpholine, cooled to 0-5 ° C (ice / water), after a few minutes with 262 μL ethyl chloroformate and Stirred at 0-5 ° C for 80 min. Subsequently, 1.24 g of the benzylic amine 1 are added as a solid and the cooling is removed. After a total reaction time of 2 h, plenty of water, 10 drops of 3 M HCl (pH ~ 6) and ethyl acetate are added. The aqueous phase is extracted twice with ethyl acetate. The combined organic phases are washed with saturated NaCl solution, dried over Na 2 SO 4 and concentrated in vacuo. This gives a clear, dark oil; Crude yield: 2.1 g. Chromatography on 180 g of silica gel (ethyl acetate / n-heptane 2: 1 to pure ethyl acetate) gives after concentration in vacuo 1.12 g of compound 97 as a white-slightly yellowish foam and 305 mg of an approximately 80% material.
k) 11-{4-[(2S,3R)-3-[(S)-3-(4-Fluor-phenyl)-3-hydroxy-propyl]-2-(4-methoxy-phenyl)-4-oxo-azetidin-1-yl]-benzylcarbamoyl}-6,7,9-trihydroxy-undecansäuremethylester (98): k) 11- {4 - [(2S, 3R) -3 - [(S) -3- (4-fluoro-phenyl) -3-hydroxy-propyl] -2- (4-methoxy-phenyl) -4- oxo-azetidin-1-yl] -benzylcarbamoyl} -6,7,9-trihydroxy-undecanoic acid methyl ester (98):
1.12 g des Kupplungsproduktes 97 werden mit 50 ml Methanol und 556 mg K2CO3 versetzt und bei Raumtemperatur gerührt. Nach vierstündiger Reaktion wird die Reaktionsmischung durch Zugabe von Amberlite IR120 H resin (vorher kurz mit 5–6 M HCl gerührt, filtriert und mehrfach mit Methanol gewaschen) auf pH 5–6 gebracht, der Ionenaustauscher abfiltriert und gewaschen und dann die wässrig-methanolische Lösung der Verbindung 98 im Vakuum weitgehend eingeengt, bei etwa –4°C aufbewahrt oder direkt in die nächste Stufe eingesetzt.1.12 g of the coupling product 97 are mixed with 50 ml of methanol and 556 mg K 2 CO 3 and stirred at room temperature. After reaction for four hours, the reaction mixture is brought to pH 5-6 by addition of Amberlite IR120 H resin (previously briefly stirred with 5-6 M HCl, filtered and washed several times with methanol), the ion exchanger is filtered off and washed, and then the aqueous methanolic solution of the compound 98 largely concentrated in vacuo, stored at about -4 ° C or used directly in the next stage.
l) 11-{4-[(2S,3R)-3-[(S)-3-(4-Fluor-phenyl)-3-hydroxy-propyl]-2-(4-methoxy-phenyl)-4-oxo-azetidin-1-yl]-benzylcarbamoyl}-6,7,9-trihydroxy-undecansäure (99): l) 11- {4 - [(2S, 3R) -3 - [(S) -3- (4-fluoro-phenyl) -3-hydroxy-propyl] -2- (4-methoxy-phenyl) -4- oxo-azetidin-1-yl] -benzylcarbamoyl} -6,7,9-trihydroxy undecanoic acid (99):
1 g des Methylesters 98 wird in 60 ml Acetonitril und 25 ml Wasser klar gelöst, dann mit 1 ml 2 M NaOH versetzt (pH 10) und die klare Lösung bei Raumtemperatur gerührt. Nach 2 h und 15 min wird die Reaktion durch Zugabe von 2.11 ml 30% HCl abgebrochen (pH ~ 6) und die Reaktionsmischung zunächst zweimal mit Methanol, dann mit 10 ml und nochmal mit 20 ml Dimethylformamid aufgenommen und im Vakuum eingeengt. Man erhält 99 als zähes, gelbliches Öl, das ohne weitere Reinigung in die anschließende D-Glucamin-Kupplung eingesetzt wird.1 g of methyl ester 98 is clearly dissolved in 60 ml of acetonitrile and 25 ml of water, then treated with 1 ml of 2 M NaOH (pH 10) and the clear solution stirred at room temperature. After 2 h and 15 min, the reaction is stopped by the addition of 2.11 ml of 30% HCl (pH ~ 6) and the reaction mixture was first taken twice with methanol, then with 10 ml and again with 20 ml of dimethylformamide and concentrated in vacuo. 99 is obtained as a tough, yellowish oil which is used without further purification in the subsequent D-glucamine coupling.
m) 4,6,7-Trihydroxy-dodecanedisäure 1-{4-[(2S,3R)-3-[(S)-3-(4-fluor-phenyl)-3-hydroxy-propyl]-2-(4-methoxy-phenyl)-4-oxo-azetidin-1-yl]-benzylamid} 12-[((2S,3R,4R,5R)-2,3,4,5,6-pentahydroxy-hexyl)-amid] (100): m) 4,6,7-Trihydroxy-dodecane-diacid 1- {4 - [(2S, 3R) -3 - [(S) -3- (4-fluoro-phenyl) -3-hydroxy-propyl] -2- ( 4-methoxy-phenyl) -4-oxo-azetidin-1-yl] -benzylamide} 12 - [((2S, 3R, 4R, 5R) -2,3,4,5,6-pentahydroxy-hexyl) -amide ] (100):
2 g des Rohproduktes 99 werden in 30 ml Dimethylformamid aufgenommen mit 370 μL N-Ethyl-morpholin versetzt, auf 0°C (Eis/Wasser) gekühlt, mit 185 μL Chlorameisensäureethylester versetzt und 1 h 25 min bei 0°C (Eis/Wasser) gerührt. Anschließend wird die Kühlung entfernt und in die noch kalte Lösung werden 395 mg D-Glucamin in einer Portion zugegeben. Das trübe Reaktionsgemisch (D-Glucamin ist nach 25 min weitgehend gelöst) wird bei Raumtemperatur weiter gerührt. Die Reaktion wird nach 3 h durch Zugabe von wässriger NaCl-Lösung und 3 M HCl abgebrochen und auf pH = 6 gebracht. Die trübe, leicht gelblich gefärbte Lösung wird dreimal mit n-Butanol extrahiert. Vereinte Butanol-Phasen werden getrocknet (Na2SO4) und im Vakuum weitestgehend eingeengt. Es wird zweimal Methanol zugegeben und jeweils im Vakuum eingeengt; man erhält 1.8 g eines zähen, farblosen, noch nach Butanolriechender Rückstandes. Dieses Material wird an präparativer HPLC gereinigt. Man erhält 448 mg der Verbindung 100. 1H-NMR (δ, DMSO-d6)
Die erfindungsgemäßen Verbindungen der Formel I wurden mit der nachfolgend beschriebenen Methode auf ihre Wirkung geprüft:The compounds of the formula I according to the invention were tested for their activity by the method described below:
Beeinflussung der Cholesterolabsorption + 3H-Taurocholsäureausscheidung anhand der fäkalen Ausscheidung an der Maus, Ratte oder HamsterInfluence of cholesterol absorption + 3 H-taurocholic acid excretion on the basis of fecal excretion in the mouse, rat or hamster
NMRI-Mäuse, Wistar-Ratten, oder Golden Syrian Hamster (in Gruppen von n = 4–6) werden unter Standarddiät (Altromin, Lage (Lippe)) in Stoffwechselkäfigen gehalten. Am Nachmittag vor Gabe der radioaktiven Tracer (14C-Cholesterol) werden die Tiere nüchtern gesetzt und auf Gitterroste adaptiert.NMRI mice, Wistar rats, or Golden Syrian hamsters (in groups of n = 4-6) are kept in metabolic cages under standard diet (Altromin, Lage (Lippe)). On the afternoon before administration of radioactive tracers ( 14 C-cholesterol), the animals are fasted and adapted to grids.
Zusätzlich werden die Tiere werden 24 Stunden vor der peroralen Applikation der Testmahlzeit (14C-Cholesterol in Intralipid® 20, Pharmacia-Upjohn) mit 3H-TCA (Taurocholic acid) s. c. gelabelt (z. B. 1 μCi/Maus bis 5 μCi/Ratte)In addition, the animals 24 hours before the oral administration of the test meal (14 C-cholesterol in Intralipid ® 20, Pharmacia-Upjohn) with 3 H-TCA (Taurocholic acid) sc labeled (eg., 1 uCi / mouse to 5 uCi /Rat)
Cholesterolabsorptionstest: 0,25 ml/Maus Intralipid® 20 (Pharmacia-Upjohn) ((Spikung mit 0,25 μCi 14C-Cholesterol in 0,1 mg Cholesterol) werden peroral mit der Schlundsonde verabreicht. Cholesterol absorption: orally administered 0.25 ml / mouse Intralipid ® 20 (Pharmacia-Upjohn) ((spiked with 0.25 uCi 14 C-cholesterol in 0.1 mg of cholesterol) by gavage.
Testsubstanzen werden getrennt in 0,5%/(Methylcellulose (Sigma)/5% Solutol (BASF, Ludwigshafen) oder geeignetem Vehikel angesetzt.Test substances are prepared separately in 0.5% / (methylcellulose (Sigma) / 5% Solutol (BASF, Ludwigshafen) or suitable vehicle.
Das Applikationsvolumen der Testsubstanz beträgt 0,5 ml/Maus. Die Testsubstanz wird unmittelbar vor der Testmahlzeit (Intralipid mit 14C-Cholesterol-label) (Cholesterolabsorptionstest) appliziert.The application volume of the test substance is 0.5 ml / mouse. The test substance is administered immediately before the test meal (intralipid with 14 C-cholesterol label) (cholesterol absorption test).
Der Kot wird über 24 h gesammelt: die fäkale Elimination von 14C-Cholesterol und 3H Taurocholsäure (TCA) nach 24 Std. wird bestimmt.The feces are collected over 24 h: the fecal elimination of 14 C-cholesterol and 3 H taurocholic acid (TCA) after 24 h is determined.
Die Lebern werden entnommen, homogenisiert und Aliquots im Oximaten (Model 307, Packard) verbrannt zur Bestimmung der aufgenommenn/resorbierten Menge an 14C-Cholesterol.Livers are harvested, homogenized and aliquots in oxime (Model 307, Packard) are burned to determine the ingested / absorbed amount of 14 C-cholesterol.
Auswertung:Evaluation:
Kotproben:Fecal samples:
Gesamtgewicht bestimmen, mit Wasser auf definiertes Volumen auffüllen, dann homogenisieren, Aliquot eintrockenen und im Oximat (Model 307, Packard zur Verbrennung von radioaktiv gelabelten Proben) verbrennen: Die Menge von radioaktiv 3H-H2O und 14C-CO2 wird hochgerechnet auf die ausgeschiedene Menge an 3H-Taurocholsäure bzw. 14C-Cholesterol (Dual-Isotopen-Technik). Die ED200-Werte werden als Dosis aus einer Dosiswirkungskurve interpoliert als diejenige Dosen, die die Auscheidung an TCA bzw. Cholesterol verdoppeln, bezogen auf eine zeitgleich behandelte Kontrollgruppe.Determine total weight, fill with water to defined volume, then homogenize, dry aliquot and incinerate in Oximat (Model 307, Packard for the combustion of radioactively labeled samples). The amount of radioactive 3 H-H2O and 14 C-CO2 is extrapolated to the precipitated Amount of 3 H-taurocholic acid or 14 C-cholesterol (dual isotope technique). The ED 200 values are interpolated as a dose from a dose response curve than those doses that double the excretion of TCA and cholesterol, respectively, based on a control group treated simultaneously.
Leberproben:Liver samples:
Die aufgenommene Menge von 14C-Cholesterols in die Leber wird bezogen auf die applizierte Dosis. Die ED50 Werte werden interpoliert aus einer Dosiswirkungskurve als diejenige Dosis, die die Aufnahme von 14C-Cholesterol in die Leber halbiert (50%), bezogen auf eine KontrollgruppeThe amount of 14 C-cholesterol absorbed into the liver is related to the applied dose. The ED 50 values are interpolated from a dose response curve as the dose that halves the uptake of 14 C-cholesterol into the liver (50%) relative to a control group
Die folgenden ED50-Werte belegen die Aktivität der erfindungsgemäßen Verbindungen der Formel I
Aus der Tabelle ist abzulesen, daß die Verbindungen der Formel I eine sehr gute Cholesterin senkende Wirkung besitzen.From the table it can be seen that the compounds of formula I have a very good cholesterol lowering effect.
Resorbierbarkeit:absorbability:
Die Resorbierbarkeit der Verbindungen der Formel I wurde in einem Caco-Zellmodell geprüft (
Aus den Meßdaten ist abzulesen, daß die erfindungsgemäßen Verbindungen der Formel I gegenüber den im Stand der Technik beschriebenen Verbindungen Ezetimibe (Referenzstruktur 1) und der Verbindung aus
ZITATE ENTHALTEN IN DER BESCHREIBUNG QUOTES INCLUDE IN THE DESCRIPTION
Diese Liste der vom Anmelder aufgeführten Dokumente wurde automatisiert erzeugt und ist ausschließlich zur besseren Information des Lesers aufgenommen. Die Liste ist nicht Bestandteil der deutschen Patent- bzw. Gebrauchsmusteranmeldung. Das DPMA übernimmt keinerlei Haftung für etwaige Fehler oder Auslassungen.This list of the documents listed by the applicant has been generated automatically and is included solely for the better information of the reader. The list is not part of the German patent or utility model application. The DPMA assumes no liability for any errors or omissions.
Zitierte PatentliteraturCited patent literature
- WO 2002/050027 [0002] WO 2002/050027 [0002]
- US 7205290 B2 [0002, 0355] US 7205290 B2 [0002, 0355]
- WO 2009152128 [0022] WO 2009152128 [0022]
- WO 2005005477 [0022] WO 2005005477 [0022]
- US 6221633 [0022] US 6221633 [0022]
- WO 2007128815 [0022] WO 2007128815 [0022]
- WO 2007128817 [0022] WO 2007128817 [0022]
- WO 2008034881 [0022] WO 2008034881 [0022]
- WO 2008049711 [0022] WO 2008049711 [0022]
- WO 2008145721 [0022] WO 2008145721 [0022]
- WO 2009034117 [0022] WO 2009034117 [0022]
- WO 2009060071 [0022] WO 2009060071 [0022]
- WO 2009133099 [0022] WO 2009133099 [0022]
- WO 2009121884 [0022] WO 2009121884 [0022]
- WO 2008061355 [0022] WO 2008061355 [0022]
- WO 2009080024 [0022] WO 2009080024 [0022]
- WO 2009080032 [0022] WO 2009080032 [0022]
- WO 98/08871 [0022] WO 98/08871 [0022]
- WO 2005027978 [0022] WO 2005027978 [0022]
- WO 2006037811 [0022] WO 2006037811 [0022]
- WO 2006037810 [0022] WO 2006037810 [0022]
- WO 01/04156 [0022] WO 01/04156 [0022]
- WO 00/34331 [0022] WO 00/34331 [0022]
- WO 2009107900 [0022] WO 2009107900 [0022]
- US 2009238879 [0022] US 2009238879 [0022]
- WO 2006124529 [0022] WO 2006124529 [0022]
- WO 2007124461 [0022] WO 2007124461 [0022]
- WO 2008062457 [0022] WO 2008062457 [0022]
- WO 2008082274 [0022] WO 2008082274 [0022]
- WO 2008101017 [0022, 0022] WO 2008101017 [0022, 0022]
- WO 2008081418 [0022] WO 2008081418 [0022]
- WO 2008112939 [0022] WO 2008112939 [0022]
- WO 2008112941 [0022] WO 2008112941 [0022]
- WO 2008113601 [0022] WO 2008113601 [0022]
- WO 2008116294 [0022] WO 2008116294 [0022]
- WO 2008116648 [0022] WO 2008116648 [0022]
- WO 2008119238 [0022] WO 2008119238 [0022]
- WO 2008148839 [0022] WO 2008148839 [0022]
- US 2008299096 [0022] US 2008299096 [0022]
- WO 2008152403 [0022] WO 2008152403 [0022]
- WO 2009030738 [0022] WO 2009030738 [0022]
- WO 2009030771 [0022] WO 2009030771 [0022]
- WO 2009030774 [0022] WO 2009030774 [0022]
- WO 2009035540 [0022] WO 2009035540 [0022]
- WO 2009058734 [0022, 0057] WO 2009058734 [0022, 0057]
- WO 2009111700 [0022] WO 2009111700 [0022]
- WO 2009125424 [0022] WO 2009125424 [0022]
- WO 2009129696 [0022] WO 2009129696 [0022]
- WO 2009149148 [0022] WO 2009149148 [0022]
- WO 2007104789 [0022] WO 2007104789 [0022]
- WO 2009034119 [0022] WO 2009034119 [0022]
- WO 2007120899 [0022] WO 2007120899 [0022]
- WO 2008022015 [0022] WO 2008022015 [0022]
- WO 2008056726 [0022] WO 2008056726 [0022]
- WO 2009155257 [0022] WO 2009155257 [0022]
- WO 2009155258 [0022] WO 2009155258 [0022]
- WO 2009153960 [0022] WO 2009153960 [0022]
- WO 2009049222 [0025] WO 2009049222 [0025]
- WO 2006121860 [0026] WO 2006121860 [0026]
- WO 2008021560 [0027] WO 2008021560 [0027]
- WO 2010016935 [0027] WO 2010016935 [0027]
- WO 2010016936 [0027] WO 2010016936 [0027]
- WO 2010016938 [0027] WO 2010016938 [0027]
- WO 2010016940 [0027] WO 2010016940 [0027]
- WO 2010016944 [0027] WO 2010016944 [0027]
- WO 2009007714 [0028] WO 2009007714 [0028]
- WO 2009149171 [0030] WO 2009149171 [0030]
- WO 2010006214 [0030] WO 2010006214 [0030]
- WO 97/26265 [0031] WO 97/26265 [0031]
- WO 99/03861 [0031] WO 99/03861 [0031]
- EP 2103302 [0035] EP 2103302 [0035]
- US 2007264331 [0036] US 2007264331 [0036]
- WO 2008050987 [0036] WO 2008050987 [0036]
- WO 2008062273 [0036] WO 2008062273 [0036]
- WO 2009087395 [0038] WO 2009087395 [0038]
- WO 2007095462 [0042] WO 2007095462 [0042]
- WO 2007101060 [0042] WO 2007101060 [0042]
- WO 2007105650 [0042] WO 2007105650 [0042]
- WO 2007137008 [0043] WO 2007137008 [0043]
- WO 2008020607 [0043, 0108, 0157] WO 2008020607 [0043, 0108, 0157]
- WO 97/41097 [0044] WO 97/41097 [0044]
- WO 2005086904 [0045] WO 2005086904 [0045]
- WO 2007060992 [0045] WO 2007060992 [0045]
- WO 2007100027 [0045] WO 2007100027 [0045]
- WO 2007103252 [0045, 0049] WO 2007103252 [0045, 0049]
- WO 2007122970 [0045] WO 2007122970 [0045]
- WO 2007138485 [0045] WO 2007138485 [0045]
- WO 2008006319 [0045] WO 2008006319 [0045]
- WO 2008006969 [0045] WO 2008006969 [0045]
- WO 2008010238 [0045] WO 2008010238 [0045]
- WO 2008017398 [0045] WO 2008017398 [0045]
- WO 2008028188 [0045] WO 2008028188 [0045]
- WO 2008066356 [0045, 0051] WO 2008066356 [0045, 0051]
- WO 2008084303 [0045] WO 2008084303 [0045]
- WO 2008089461 [0045] WO 2008089461 [0045]
- WO 2008089464 [0045] WO 2008089464 [0045]
- WO 2008093639 [0045] WO 2008093639 [0045]
- WO 2008096769 [0045] WO 2008096769 [0045]
- WO 2008096820 [0045] WO 2008096820 [0045]
- WO 2008096829 [0045] WO 2008096829 [0045]
- US 2008194617 [0045, 0075] US 2008194617 [0045, 0075]
- WO 2008099944 [0045] WO 2008099944 [0045]
- WO 2008108602 [0045] WO 2008108602 [0045]
- WO 2008109334 [0045] WO 2008109334 [0045]
- WO 2008110062 [0045] WO 2008110062 [0045]
- WO 2008126731 [0045] WO 2008126731 [0045]
- WO 2008126732 [0045] WO 2008126732 [0045]
- WO 2008137105 [0045] WO 2008137105 [0045]
- WO 2009005672 [0045] WO 2009005672 [0045]
- WO 2009038681 [0045] WO 2009038681 [0045]
- WO 2009046606 [0045] WO 2009046606 [0045]
- WO 2009080821 [0045] WO 2009080821 [0045]
- WO 2009083526 [0045] WO 2009083526 [0045]
- WO 2009102226 [0045] WO 2009102226 [0045]
- WO 2009128558 [0045] WO 2009128558 [0045]
- WO 2009139430 [0045] WO 2009139430 [0045]
- WO 2001040207 [0049] WO 2001040207 [0049]
- WO 2002096894 [0049] WO 2002096894 [0049]
- WO 2005097076 [0049] WO 2005097076 [0049]
- WO 2007056771 [0049] WO 2007056771 [0049]
- WO 2007087448 [0049] WO 2007087448 [0049]
- WO 2007089667 [0049] WO 2007089667 [0049]
- WO 2007089557 [0049] WO 2007089557 [0049]
- WO 2007102515 [0049] WO 2007102515 [0049]
- JP 2007246474 [0049] JP 2007246474 [0049]
- WO 2007118963 [0049] WO 2007118963 [0049]
- WO 2007118964 [0049] WO 2007118964 [0049]
- WO 2007126043 [0049] WO 2007126043 [0049]
- WO 2008006043 [0049] WO 2008006043 [0049]
- WO 2008006044 [0049] WO 2008006044 [0049]
- WO 2008012470 [0049] WO 2008012470 [0049]
- WO 2008035359 [0049, 0052] WO 2008035359 [0049, 0052]
- WO 2008087365 [0049] WO 2008087365 [0049]
- WO 2008087366 [0049] WO 2008087366 [0049]
- WO 2008087367 [0049] WO 2008087367 [0049]
- WO 2008117982 [0049] WO 2008117982 [0049]
- JP 2009023975 [0049] JP 2009023975 [0049]
- WO 2009033561 [0049] WO 2009033561 [0049]
- WO 2009047240 [0049] WO 2009047240 [0049]
- WO 2009072581 [0049, 0052] WO 2009072581 [0049, 0052]
- WO 2009080248 [0049] WO 2009080248 [0049]
- WO 2009080242 [0049] WO 2009080242 [0049]
- WO 2009149819 [0049, 0050, 0050, 0051] WO 2009149819 [0049, 0050, 0050, 0051]
- WO 2009149820 [0049, 0050, 0051] WO 2009149820 [0049, 0050, 0051]
- WO 2009147121 [0049] WO 2009147121 [0049]
- WO 2009153496 [0049] WO 2009153496 [0049]
- WO 2010008299 [0049] WO 2010008299 [0049]
- WO 2010014771 [0049] WO 2010014771 [0049]
- WO 00/64888 [0050] WO 00/64888 [0050]
- WO 00/64876 [0050] WO 00/64876 [0050]
- WO 03/020269 [0050] WO 03/020269 [0050]
- WO 2004024726 [0050] WO 2004024726 [0050]
- WO 2007099553 [0050] WO 2007099553 [0050]
- US 2007276041 [0050] US 2007276041 [0050]
- WO 2007085135 [0050] WO 2007085135 [0050]
- WO 2007085136 [0050] WO 2007085136 [0050]
- WO 2007141423 [0050, 0051] WO 2007141423 [0050, 0051]
- WO 2008016175 [0050, 0051] WO 2008016175 [0050, 0051]
- WO 2008053331 [0050] WO 2008053331 [0050]
- WO 2008109697 [0050] WO 2008109697 [0050]
- WO 2008108735 [0050] WO 2008108735 [0050]
- WO 2009026657 [0050] WO 2009026657 [0050]
- WO 2009026658 [0050] WO 2009026658 [0050]
- WO 2006059744 [0051] WO 2006059744 [0051]
- WO 2006084176 [0051] WO 2006084176 [0051]
- WO 2006029699 [0051] WO 2006029699 [0051]
- WO 2007039172 [0051] WO 2007039172 [0051]
- WO 2007039178 [0051] WO 2007039178 [0051]
- WO 2007071766 [0051] WO 2007071766 [0051]
- WO 2007101864 [0051] WO 2007101864 [0051]
- US 2007244094 [0051] US 2007244094 [0051]
- WO 2007119887 [0051] WO 2007119887 [0051]
- US 2008004281 [0051] US 2008004281 [0051]
- WO 2008071311 [0051] WO 2008071311 [0051]
- WO 2008084962 [0051] WO 2008084962 [0051]
- US 2008176861 [0051] US 2008176861 [0051]
- WO 2009012650 [0051] WO 2009012650 [0051]
- US 2009137671 [0051] US 2009137671 [0051]
- WO 2009080223 [0051] WO 2009080223 [0051]
- WO 2010000353 [0051] WO 2010000353 [0051]
- WO 2007114532 [0054] WO 2007114532 [0054]
- WO 2007140230 [0054] WO 2007140230 [0054]
- US 2007287674 [0054] US 2007287674 [0054]
- US 2008103201 [0054] US 2008103201 [0054]
- WO 2008065796 [0054] WO 2008065796 [0054]
- WO 2008082017 [0054] WO 2008082017 [0054]
- US 2009076129 [0054] US 2009076129 [0054]
- FR 258900 [0055] FR 258900 [0055]
- WO 2003084922 [0055] WO 2003084922 [0055]
- WO 2004007455 [0055] WO 2004007455 [0055]
- WO 2005073229-31 [0055] WO 2005073229-31 [0055]
- WO 2005073231 [0055] WO 2005073231 [0055]
- WO 2005067932 [0055] WO 2005067932 [0055]
- WO 2008062739 [0055] WO 2008062739 [0055]
- WO 2008099000 [0055] WO 2008099000 [0055]
- WO 2008113760 [0055] WO 2008113760 [0055]
- WO 2009016118 [0055] WO 2009016118 [0055]
- WO 2009016119 [0055] WO 2009016119 [0055]
- WO 2009030715 [0055, 0056] WO 2009030715 [0055, 0056]
- WO 2009045830 [0055] WO 2009045830 [0055]
- WO 2009045831 [0055] WO 2009045831 [0055]
- WO 2009127723 [0055] WO 2009127723 [0055]
- WO 2004100875 [0057] WO 2004100875 [0057]
- WO 2005065680 [0057] WO 2005065680 [0057]
- WO 2006086488 [0057] WO 2006086488 [0057]
- WO 2007047177 [0057] WO 2007047177 [0057]
- WO 2007106181 [0057] WO 2007106181 [0057]
- WO 2007111864 [0057] WO 2007111864 [0057]
- WO 2007120270 [0057] WO 2007120270 [0057]
- WO 2007120284 [0057] WO 2007120284 [0057]
- WO 2007123581 [0057] WO 2007123581 [0057]
- WO 2007136577 [0057] WO 2007136577 [0057]
- WO 2008042223 [0057] WO 2008042223 [0057]
- WO 2008098244 [0057] WO 2008098244 [0057]
- WO 2009057784 [0057] WO 2009057784 [0057]
- WO 2009058662 [0057] WO 2009058662 [0057]
- WO 2009110520 [0057] WO 2009110520 [0057]
- WO 2009120530 [0057] WO 2009120530 [0057]
- WO 2009140342 [0057] WO 2009140342 [0057]
- WO 2010019828 [0057] WO 2010019828 [0057]
- WO 2004063179 [0059] WO 2004063179 [0059]
- WO 2004072031 [0059] WO 2004072031 [0059]
- WO 2004072066 [0059] WO 2004072066 [0059]
- WO 2005080360 [0059] WO 2005080360 [0059]
- WO 2005044801 [0059] WO 2005044801 [0059]
- WO 2006016194 [0059] WO 2006016194 [0059]
- WO 2006058923 [0059] WO 2006058923 [0059]
- WO 2006112549 [0059] WO 2006112549 [0059]
- WO 2006125972 [0059] WO 2006125972 [0059]
- WO 2007017549 [0059] WO 2007017549 [0059]
- WO 2007017649 [0059] WO 2007017649 [0059]
- WO 2007007910 [0059] WO 2007007910 [0059]
- WO 2007007040 [0059] WO 2007007040 [0059]
- WO 2007007042 [0059] WO 2007007042 [0059]
- WO 2007006760 [0059] WO 2007006760 [0059]
- WO 2007006761 [0059] WO 2007006761 [0059]
- WO 2007006814 [0059] WO 2007006814 [0059]
- WO 2007007886 [0059] WO 2007007886 [0059]
- WO 2007028135 [0059] WO 2007028135 [0059]
- WO 2007031739 [0059] WO 2007031739 [0059]
- WO 2007041365 [0059] WO 2007041365 [0059]
- WO 2007041366 [0059] WO 2007041366 [0059]
- WO 2007037534 [0059] WO 2007037534 [0059]
- WO 2007043638 [0059] WO 2007043638 [0059]
- WO 2007053345 [0059] WO 2007053345 [0059]
- WO 2007051846 [0059] WO 2007051846 [0059]
- WO 2007051845 [0059] WO 2007051845 [0059]
- WO 2007053765 [0059] WO 2007053765 [0059]
- WO 2007051847 [0059] WO 2007051847 [0059]
- WO 2007061923 [0059] WO 2007061923 [0059]
- WO 2007075847 [0059] WO 2007075847 [0059]
- WO 2007089512 [0059] WO 2007089512 [0059]
- WO 2007104034 [0059] WO 2007104034 [0059]
- WO 2007117381 [0059] WO 2007117381 [0059]
- WO 2007122482 [0059] WO 2007122482 [0059]
- WO 2007125103 [0059] WO 2007125103 [0059]
- WO 2007125105 [0059] WO 2007125105 [0059]
- US 2007281942 [0059] US 2007281942 [0059]
- WO 2008005914 [0059] WO 2008005914 [0059]
- WO 2008005964 [0059] WO 2008005964 [0059]
- WO 2008043701 [0059] WO 2008043701 [0059]
- WO 2008044777 [0059] WO 2008044777 [0059]
- WO 2008047821 [0059] WO 2008047821 [0059]
- US 2008096877 [0059] US 2008096877 [0059]
- WO 2008050117 [0059] WO 2008050117 [0059]
- WO 2008050101 [0059] WO 2008050101 [0059]
- WO 2008059625 [0059] WO 2008059625 [0059]
- US 2008146625 [0059] US 2008146625 [0059]
- WO 2008078674 [0059] WO 2008078674 [0059]
- WO 2008079787 [0059] WO 2008079787 [0059]
- WO 2008084043 [0059, 0059] WO 2008084043 [0059, 0059]
- WO 2008084044 [0059, 0059] WO 2008084044 [0059, 0059]
- WO 2008084872 [0059, 0059] WO 2008084872 [0059, 0059]
- WO 2008089892 [0059, 0059] WO 2008089892 [0059, 0059]
- WO 2008091770 [0059, 0059] WO 2008091770 [0059, 0059]
- WO 2008075073 [0059] WO 2008075073 [0059]
- WO 2008084873 [0059] WO 2008084873 [0059]
- JP 2008189659 [0059] JP 2008189659 [0059]
- WO 2008104994 [0059] WO 2008104994 [0059]
- WO 2008111473 [0059] WO 2008111473 [0059]
- WO 2008116107 [0059] WO 2008116107 [0059]
- WO 2008118718 [0059] WO 2008118718 [0059]
- WO 2008120754 [0059] WO 2008120754 [0059]
- US 2008280875 [0059] US 2008280875 [0059]
- WO 2008136428 [0059] WO 2008136428 [0059]
- WO 2008136444 [0059] WO 2008136444 [0059]
- WO 2008149382 [0059] WO 2008149382 [0059]
- WO 2008154563 [0059] WO 2008154563 [0059]
- WO 2008156174 [0059] WO 2008156174 [0059]
- WO 2008156757 [0059] WO 2008156757 [0059]
- US 2009030046 [0059] US 2009030046 [0059]
- WO 2009018065 [0059] WO 2009018065 [0059]
- WO 2009023718 [0059] WO 2009023718 [0059]
- WO 2009039944 [0059] WO 2009039944 [0059]
- WO 2009042435 [0059] WO 2009042435 [0059]
- WO 2009046784 [0059] WO 2009046784 [0059]
- WO 2009046802 [0059] WO 2009046802 [0059]
- WO 2009047798 [0059] WO 2009047798 [0059]
- WO 2009063821 [0059] WO 2009063821 [0059]
- WO 2009081782 [0059] WO 2009081782 [0059]
- WO 2009082152 [0059] WO 2009082152 [0059]
- WO 2009083553 [0059] WO 2009083553 [0059]
- WO 2009091014 [0059] WO 2009091014 [0059]
- US 2009181981 [0059] US 2009181981 [0059]
- WO 2009092432 [0059] WO 2009092432 [0059]
- WO 2009099080 [0059] WO 2009099080 [0059]
- WO 2009106203 [0059] WO 2009106203 [0059]
- WO 2009106209 [0059] WO 2009106209 [0059]
- WO 2009109270 [0059] WO 2009109270 [0059]
- WO 2009125873 [0059] WO 2009125873 [0059]
- WO 2009127544 [0059] WO 2009127544 [0059]
- WO 2009127546 [0059] WO 2009127546 [0059]
- WO 2009128481 [0059] WO 2009128481 [0059]
- WO 2009133687 [0059] WO 2009133687 [0059]
- WO 2009140624 [0059] WO 2009140624 [0059]
- WO 2010013161 [0059] WO 2010013161 [0059]
- WO 2010015849 [0059] WO 2010015849 [0059]
- WO 2010018800 [0059] WO 2010018800 [0059]
- FR 225654 [0060] FR 225654 [0060]
- WO 2008053446 [0060] WO 2008053446 [0060]
- WO 2006023515 [0061] WO 2006023515 [0061]
- WO 2006104030 [0061] WO 2006104030 [0061]
- WO 2007014619 [0061] WO 2007014619 [0061]
- WO 2007137962 [0061] WO 2007137962 [0061]
- WO 2008019309 [0061] WO 2008019309 [0061]
- WO 2008037628 [0061] WO 2008037628 [0061]
- WO 2009012039 [0061] WO 2009012039 [0061]
- EP 2058308 [0061] EP 2058308 [0061]
- WO 2009068467 [0061] WO 2009068467 [0061]
- WO 2009068468 [0061] WO 2009068468 [0061]
- WO 2004101528 [0063] WO 2004101528 [0063]
- WO 2003074500 [0064] WO 2003074500 [0064]
- WO 2003106456 [0064] WO 2003106456 [0064]
- WO 2004037169 [0064] WO 2004037169 [0064]
- WO 200450658 [0064] WO 200450658 [0064]
- WO 2005037828 [0064] WO 2005037828 [0064]
- WO 2005058901 [0064] WO 2005058901 [0064]
- WO 2005012312 [0064] WO 2005012312 [0064]
- WO 2005/012308 [0064] WO 2005/012308 [0064]
- WO 2006039325 [0064] WO 2006039325 [0064]
- WO 2006058064 [0064] WO 2006058064 [0064]
- WO 2006015691 [0064] WO 2006015691 [0064]
- WO 2006015701 [0064] WO 2006015701 [0064]
- WO 2006015699 [0064] WO 2006015699 [0064]
- WO 2006015700 [0064] WO 2006015700 [0064]
- WO 2006018117 [0064] WO 2006018117 [0064]
- WO 2006099943 [0064] WO 2006099943 [0064]
- WO 2006099941 [0064] WO 2006099941 [0064]
- JP 2006160733 [0064] JP 2006160733 [0064]
- WO 2006071752 [0064] WO 2006071752 [0064]
- WO 2006065826 [0064] WO 2006065826 [0064]
- WO 2006078676 [0064] WO 2006078676 [0064]
- WO 2006073167 [0064] WO 2006073167 [0064]
- WO 2006068163 [0064] WO 2006068163 [0064]
- WO 2006085685 [0064] WO 2006085685 [0064]
- WO 2006090915 [0064] WO 2006090915 [0064]
- WO 2006104356 [0064] WO 2006104356 [0064]
- WO 2006127530 [0064] WO 2006127530 [0064]
- WO 2006111261 [0064] WO 2006111261 [0064]
- US 2006890898 [0064] US 2006890898 [0064]
- US 2006803357 [0064] US 2006803357 [0064]
- US 2006303661 [0064] US 2006303661 [0064]
- WO 2007015767 [0064] WO 2007015767 [0064]
- WO 2007024993 [0064] WO 2007024993 [0064]
- WO 2007029086 [0064] WO 2007029086 [0064]
- WO 2007063928 [0064] WO 2007063928 [0064]
- WO 2007070434 [0064] WO 2007070434 [0064]
- WO 2007071738 [0064] WO 2007071738 [0064]
- WO 2007071576 [0064] WO 2007071576 [0064]
- WO 2007077508 [0064] WO 2007077508 [0064]
- WO 2007087231 [0064] WO 2007087231 [0064]
- WO 2007097931 [0064] WO 2007097931 [0064]
- WO 2007099385 [0064] WO 2007099385 [0064]
- WO 2007100374 [0064] WO 2007100374 [0064]
- WO 2007112347 [0064] WO 2007112347 [0064]
- WO 2007112669 [0064] WO 2007112669 [0064]
- WO 2007113226 [0064] WO 2007113226 [0064]
- WO 2007113634 [0064] WO 2007113634 [0064]
- WO 2007115821 [0064] WO 2007115821 [0064]
- WO 2007116092 [0064] WO 2007116092 [0064]
- US 2007259900 [0064] US 2007259900 [0064]
- EP 1852108 [0064] EP 1852108 [0064]
- US 2007270492 [0064] US 2007270492 [0064]
- WO 2007126745 [0064] WO 2007126745 [0064]
- WO 2007136603 [0064] WO 2007136603 [0064]
- WO 2007142253 [0064] WO 2007142253 [0064]
- WO 2007148185 [0064] WO 2007148185 [0064]
- WO 2008017670 [0064] WO 2008017670 [0064]
- US 2008051452 [0064] US 2008051452 [0064]
- WO 2008027273 [0064] WO 2008027273 [0064]
- WO 2008028662 [0064] WO 2008028662 [0064]
- WO 2008029217 [0064] WO 2008029217 [0064]
- JP 2008031064 [0064] JP 2008031064 [0064]
- JP 2008063256 [0064] JP 2008063256 [0064]
- WO 2008033851 [0064] WO 2008033851 [0064]
- WO 2008040974 [0064] WO 2008040974 [0064]
- WO 2008040995 [0064] WO 2008040995 [0064]
- WO 2008060488 [0064] WO 2008060488 [0064]
- WO 2008064107 [0064] WO 2008064107 [0064]
- WO 2008066070 [0064] WO 2008066070 [0064]
- WO 2008077597 [0064] WO 2008077597 [0064]
- JP 2008156318 [0064] JP 2008156318 [0064]
- WO 2008087560 [0064] WO 2008087560 [0064]
- WO 2008089636 [0064] WO 2008089636 [0064]
- WO 2008093960 [0064] WO 2008093960 [0064]
- WO 2008096841 [0064] WO 2008096841 [0064]
- WO 2008101953 [0064] WO 2008101953 [0064]
- WO 2008118848 [0064] WO 2008118848 [0064]
- WO 2008119005 [0064] WO 2008119005 [0064]
- WO 2008119208 [0064] WO 2008119208 [0064]
- WO 2008120813 [0064] WO 2008120813 [0064]
- WO 2008121506 [0064] WO 2008121506 [0064]
- WO 2008130151 [0064] WO 2008130151 [0064]
- WO 2008131149 [0064] WO 2008131149 [0064]
- WO 2009003681 [0064] WO 2009003681 [0064]
- WO 2009014676 [0064] WO 2009014676 [0064]
- WO 2009025784 [0064] WO 2009025784 [0064]
- WO 2009027276 [0064] WO 2009027276 [0064]
- WO 2009037719 [0064] WO 2009037719 [0064]
- WO 2009068531 [0064] WO 2009068531 [0064]
- WO 2009070314 [0064] WO 2009070314 [0064]
- WO 2009065298 [0064] WO 2009065298 [0064]
- WO 2009082134 [0064] WO 2009082134 [0064]
- WO 2009082881 [0064] WO 2009082881 [0064]
- WO 2009084497 [0064] WO 2009084497 [0064]
- WO 2009093269 [0064] WO 2009093269 [0064]
- WO 2009099171 [0064] WO 2009099171 [0064]
- WO 2009099172 [0064] WO 2009099172 [0064]
- WO 2009111239 [0064] WO 2009111239 [0064]
- WO 2009113423 [0064] WO 2009113423 [0064]
- WO 2009116067 [0064] WO 2009116067 [0064]
- US 2009247532 [0064] US 2009247532 [0064]
- WO 2010000469 [0064] WO 2010000469 [0064]
- WO 2010015664 [0064] WO 2010015664 [0064]
- WO 2007128801 [0069] WO 2007128801 [0069]
- WO 2009121945 [0070] WO 2009121945 [0070]
- WO 2009123992 [0071] WO 2009123992 [0071]
- WO 2009139362 [0072] WO 2009139362 [0072]
- WO 2003097064 [0075] WO 2003097064 [0075]
- WO 2007026761 [0075] WO 2007026761 [0075]
- WO 2008045484 [0075] WO 2008045484 [0075]
- WO 2009109259 [0075] WO 2009109259 [0075]
- WO 2009109341 [0075] WO 2009109341 [0075]
- WO 2004007517 [0078] WO 2004007517 [0078]
- WO 200452903 [0078] WO 200452903 [0078]
- WO 200452902 [0078] WO 200452902 [0078]
- EP 2005/005959 [0078] EP 2005/005959 [0078]
- WO 2005085237 [0078] WO 2005085237 [0078]
- JP 2004359630 [0078] JP 2004359630 [0078]
- WO 2005121161 [0078] WO 2005121161 [0078]
- WO 2006018150 [0078] WO 2006018150 [0078]
- WO 2006035796 [0078] WO 2006035796 [0078]
- WO 2006062224 [0078] WO 2006062224 [0078]
- WO 2006058597 [0078] WO 2006058597 [0078]
- WO 2006073197 [0078] WO 2006073197 [0078]
- WO 2006080577 [0078] WO 2006080577 [0078]
- WO 2006087997 [0078] WO 2006087997 [0078]
- WO 2006108842 [0078] WO 2006108842 [0078]
- WO 2007000445 [0078] WO 2007000445 [0078]
- WO 2007014895 [0078] WO 2007014895 [0078]
- WO 2007080170 [0078] WO 2007080170 [0078]
- WO 2007093610 [0078] WO 2007093610 [0078]
- WO 2007126117 [0078] WO 2007126117 [0078]
- WO 2007128480 [0078] WO 2007128480 [0078]
- WO 2007129668 [0078] WO 2007129668 [0078]
- US 2007275907 [0078] US 2007275907 [0078]
- WO 2007136116 [0078] WO 2007136116 [0078]
- WO 2007143316 [0078] WO 2007143316 [0078]
- WO 2007147478 [0078] WO 2007147478 [0078]
- WO 2008001864 [0078] WO 2008001864 [0078]
- WO 2008002824 [0078] WO 2008002824 [0078]
- WO 2008013277 [0078] WO 2008013277 [0078]
- WO 2008013280 [0078] WO 2008013280 [0078]
- WO 2008013321 [0078] WO 2008013321 [0078]
- WO 2008013322 [0078] WO 2008013322 [0078]
- WO 2008016132 [0078] WO 2008016132 [0078]
- WO 2008020011 [0078] WO 2008020011 [0078]
- JP 2008031161 [0078] JP 2008031161 [0078]
- WO 2008034859 [0078] WO 2008034859 [0078]
- WO 2008042688 [0078] WO 2008042688 [0078]
- WO 2008044762 [0078] WO 2008044762 [0078]
- WO 2008046497 [0078] WO 2008046497 [0078]
- WO 2008049923 [0078] WO 2008049923 [0078]
- WO 2008055870 [0078] WO 2008055870 [0078]
- WO 2008055940 [0078] WO 2008055940 [0078]
- WO 2008069327 [0078] WO 2008069327 [0078]
- WO 2008070609 [0078, 0168] WO 2008070609 [0078, 0168]
- WO 2008071288 [0078] WO 2008071288 [0078]
- WO 2008072726 [0078] WO 2008072726 [0078]
- WO 2008083200 [0078] WO 2008083200 [0078]
- WO 2008090209 [0078] WO 2008090209 [0078]
- WO 2008090210 [0078] WO 2008090210 [0078]
- WO 2008101586 [0078] WO 2008101586 [0078]
- WO 2008101939 [0078] WO 2008101939 [0078]
- WO 2008116179 [0078] WO 2008116179 [0078]
- WO 2008116195 [0078] WO 2008116195 [0078]
- US 2008242596 [0078] US 2008242596 [0078]
- US 2008287529 [0078] US 2008287529 [0078]
- WO 2009026537 [0078] WO 2009026537 [0078]
- WO 2009049731 [0078] WO 2009049731 [0078]
- WO 2009076550 [0078] WO 2009076550 [0078]
- WO 2009084531 [0078] WO 2009084531 [0078]
- WO 2009096503 [0078] WO 2009096503 [0078]
- WO 2009100936 [0078] WO 2009100936 [0078]
- WO 2009121939 [0078] WO 2009121939 [0078]
- WO 2009124638 [0078] WO 2009124638 [0078]
- WO 2009128421 [0078] WO 2009128421 [0078]
- WO 2009135673 [0078] WO 2009135673 [0078]
- WO 2010009197 [0078] WO 2010009197 [0078]
- WO 2010018435 [0078] WO 2010018435 [0078]
- WO 2010018438 [0078] WO 2010018438 [0078]
- WO 2009091082 [0079] WO 2009091082 [0079]
- WO 2008136392 [0080] WO 2008136392 [0080]
- WO 2008136393 [0080] WO 2008136393 [0080]
- WO 200190090 [0081] WO 200190090 [0081]
- WO 200190094 [0081] WO 200190094 [0081]
- WO 200343999 [0081] WO 200343999 [0081]
- WO 2004112782 [0081] WO 2004112782 [0081]
- WO 200344000 [0081] WO 200344000 [0081]
- WO 200344009 [0081] WO 200344009 [0081]
- WO 2004112779 [0081] WO 2004112779 [0081]
- WO 2004113310 [0081] WO 2004113310 [0081]
- WO 2004103980 [0081] WO 2004103980 [0081]
- WO 2004112784 [0081] WO 2004112784 [0081]
- WO 2003065983 [0081] WO 2003065983 [0081]
- WO 2003104207 [0081] WO 2003104207 [0081]
- WO 2003104208 [0081] WO 2003104208 [0081]
- WO 2004106294 [0081] WO 2004106294 [0081]
- WO 2004011410 [0081] WO 2004011410 [0081]
- WO 2004033427 [0081] WO 2004033427 [0081]
- WO 2004041264 [0081] WO 2004041264 [0081]
- WO 2004037251 [0081] WO 2004037251 [0081]
- WO 2004056744 [0081] WO 2004056744 [0081]
- WO 2004058730 [0081] WO 2004058730 [0081]
- WO 2004065351 [0081] WO 2004065351 [0081]
- WO 2004089367 [0081] WO 2004089367 [0081]
- WO 2004089380 [0081] WO 2004089380 [0081]
- WO 2004089471 [0081, 0081] WO 2004089471 [0081, 0081]
- WO 2004089896 [0081] WO 2004089896 [0081]
- WO 2005016877 [0081] WO 2005016877 [0081]
- WO 2005063247 [0081] WO 2005063247 [0081]
- WO 2005097759 [0081] WO 2005097759 [0081]
- WO 2006010546 [0081] WO 2006010546 [0081]
- WO 2006012227 [0081] WO 2006012227 [0081]
- WO 2006012173 [0081] WO 2006012173 [0081]
- WO 2006017542 [0081] WO 2006017542 [0081]
- WO 2006034804 [0081] WO 2006034804 [0081]
- WO 2006040329 [0081, 0081] WO 2006040329 [0081, 0081]
- WO 2006051662 [0081] WO 2006051662 [0081]
- WO 2006048750 [0081] WO 2006048750 [0081]
- WO 2006049952 [0081] WO 2006049952 [0081]
- WO 2006048331 [0081] WO 2006048331 [0081]
- WO 2006050908 [0081] WO 2006050908 [0081]
- WO 2006024627 [0081] WO 2006024627 [0081]
- WO 2006066109 [0081] WO 2006066109 [0081]
- WO 2006074244 [0081] WO 2006074244 [0081]
- WO 2006078006 [0081] WO 2006078006 [0081]
- WO 2006106423 [0081] WO 2006106423 [0081]
- WO 2006132436 [0081] WO 2006132436 [0081]
- WO 2006134481 [0081] WO 2006134481 [0081]
- WO 2006134467 [0081] WO 2006134467 [0081]
- WO 2006135795 [0081] WO 2006135795 [0081]
- WO 2006136502 [0081] WO 2006136502 [0081]
- WO 2006138508 [0081] WO 2006138508 [0081]
- WO 2006138695 [0081] WO 2006138695 [0081]
- WO 2006133926 [0081] WO 2006133926 [0081]
- WO 2007003521 [0081] WO 2007003521 [0081]
- WO 2007007688 [0081] WO 2007007688 [0081]
- US 2007066584 [0081] US 2007066584 [0081]
- WO 2007029021 [0081] WO 2007029021 [0081]
- WO 2007047625 [0081] WO 2007047625 [0081]
- WO 2007051811 [0081] WO 2007051811 [0081]
- WO 2007051810 [0081] WO 2007051810 [0081]
- WO 2007057768 [0081] WO 2007057768 [0081]
- WO 2007058346 [0081] WO 2007058346 [0081]
- WO 2007061661 [0081] WO 2007061661 [0081]
- WO 2007068330 [0081] WO 2007068330 [0081]
- WO 2007070506 [0081] WO 2007070506 [0081]
- WO 2007087150 [0081] WO 2007087150 [0081]
- WO 2007092435 [0081] WO 2007092435 [0081]
- WO 2007089683 [0081] WO 2007089683 [0081]
- WO 2007101270 [0081] WO 2007101270 [0081]
- WO 2007105753 [0081] WO 2007105753 [0081]
- WO 2007107470 [0081] WO 2007107470 [0081]
- WO 2007107550 [0081] WO 2007107550 [0081]
- WO 2007111921 [0081] WO 2007111921 [0081]
- US 2007207985 [0081] US 2007207985 [0081]
- US 2007208001 [0081] US 2007208001 [0081]
- WO 2007115935 [0081] WO 2007115935 [0081]
- WO 2007118185 [0081] WO 2007118185 [0081]
- WO 2007122411 [0081] WO 2007122411 [0081]
- WO 2007124329 [0081] WO 2007124329 [0081]
- WO 2007124337 [0081] WO 2007124337 [0081]
- WO 2007124254 [0081] WO 2007124254 [0081]
- WO 2007127688 [0081] WO 2007127688 [0081]
- WO 2007127693 [0081] WO 2007127693 [0081]
- WO 2007127704 [0081] WO 2007127704 [0081]
- WO 2007127726 [0081] WO 2007127726 [0081]
- WO 2007127763 [0081] WO 2007127763 [0081]
- WO 2007127765 [0081] WO 2007127765 [0081]
- WO 2007127901 [0081] WO 2007127901 [0081]
- US 2007270424 [0081] US 2007270424 [0081]
- JP 2007291075 [0081] JP 2007291075 [0081]
- WO 2007130898 [0081] WO 2007130898 [0081]
- WO 2007135427 [0081] WO 2007135427 [0081]
- WO 2007139992 [0081] WO 2007139992 [0081]
- WO 2007144394 [0081] WO 2007144394 [0081]
- WO 2007145834 [0081] WO 2007145834 [0081]
- WO 2007145835 [0081] WO 2007145835 [0081]
- WO 2007146761 [0081, 0172] WO 2007146761 [0081, 0172]
- WO 2008000950 [0081] WO 2008000950 [0081]
- WO 2008000951 [0081] WO 2008000951 [0081]
- WO 2008003611 [0081] WO 2008003611 [0081]
- WO 2008005910 [0081] WO 2008005910 [0081]
- WO 2008006702 [0081] WO 2008006702 [0081]
- WO 2008006703 [0081] WO 2008006703 [0081]
- WO 2008011453 [0081] WO 2008011453 [0081]
- WO 2008012532 [0081] WO 2008012532 [0081]
- WO 2008024497 [0081] WO 2008024497 [0081]
- WO 2008024892 [0081] WO 2008024892 [0081]
- WO 2008032164 [0081, 0172] WO 2008032164 [0081, 0172]
- WO 2008034032 [0081, 0172] WO 2008034032 [0081, 0172]
- WO 2008043544 [0081] WO 2008043544 [0081]
- WO 2008044656 [0081] WO 2008044656 [0081]
- WO 2008046758 [0081] WO 2008046758 [0081]
- WO 2008052638 [0081] WO 2008052638 [0081]
- WO 2008053194 [0081] WO 2008053194 [0081]
- WO 2008071169 [0081] WO 2008071169 [0081]
- WO 2008074384 [0081] WO 2008074384 [0081]
- WO 2008076336 [0081] WO 2008076336 [0081]
- WO 2008076862 [0081] WO 2008076862 [0081]
- WO 2008078725 [0081] WO 2008078725 [0081]
- WO 2008087654 [0081] WO 2008087654 [0081]
- WO 2008088540 [0081] WO 2008088540 [0081]
- WO 2008099145 [0081] WO 2008099145 [0081]
- WO 2008101885 [0081] WO 2008101885 [0081]
- WO 2008101886 [0081] WO 2008101886 [0081]
- WO 2008101907 [0081] WO 2008101907 [0081]
- WO 2008101914 [0081] WO 2008101914 [0081]
- WO 2008106128 [0081] WO 2008106128 [0081]
- WO 2008110196 [0081] WO 2008110196 [0081]
- WO 2008119017 [0081] WO 2008119017 [0081]
- WO 2008120655 [0081] WO 2008120655 [0081]
- WO 2008127924 [0081] WO 2008127924 [0081]
- WO 2008130951 [0081] WO 2008130951 [0081]
- WO 2008134221 [0081] WO 2008134221 [0081]
- WO 2008142859 [0081] WO 2008142859 [0081]
- WO 2008142986 [0081] WO 2008142986 [0081]
- WO 2008157752 [0081] WO 2008157752 [0081]
- WO 2009001817 [0081] WO 2009001817 [0081]
- WO 2009010416 [0081] WO 2009010416 [0081]
- WO 2009017664 [0081] WO 2009017664 [0081]
- WO 2009020140 [0081] WO 2009020140 [0081]
- WO 2009023180 [0081] WO 2009023180 [0081]
- WO 2009023181 [0081] WO 2009023181 [0081]
- WO 2009023664 [0081] WO 2009023664 [0081]
- WO 2009026422 [0081] WO 2009026422 [0081]
- WO 2009038064 [0081] WO 2009038064 [0081]
- WO 2009045753 [0081] WO 2009045753 [0081]
- WO 2009056881 [0081] WO 2009056881 [0081]
- WO 2009059666 [0081] WO 2009059666 [0081]
- WO 2009061498 [0081] WO 2009061498 [0081]
- WO 2009063061 [0081] WO 2009063061 [0081]
- WO 2009070497 [0081] WO 2009070497 [0081]
- WO 2009074789 [0081] WO 2009074789 [0081]
- WO 2009075835 [0081] WO 2009075835 [0081]
- WO 2009088997 [0081] WO 2009088997 [0081]
- WO 2009090239 [0081] WO 2009090239 [0081]
- WO 2009094169 [0081] WO 2009094169 [0081]
- WO 2009098501 [0081] WO 2009098501 [0081]
- WO 2009100872 [0081] WO 2009100872 [0081]
- WO 2009102428 [0081] WO 2009102428 [0081]
- WO 2009102460 [0081] WO 2009102460 [0081]
- WO 2009102761 [0081] WO 2009102761 [0081]
- WO 2009106817 [0081] WO 2009106817 [0081]
- WO 2009108332 [0081] WO 2009108332 [0081]
- WO 2009112691 [0081] WO 2009112691 [0081]
- WO 2009112845 [0081] WO 2009112845 [0081]
- WO 2009114173 [0081] WO 2009114173 [0081]
- WO 2009117109 [0081] WO 2009117109 [0081]
- US 2009264401 [0081] US 2009264401 [0081]
- WO 2009118473 [0081, 0172] WO 2009118473 [0081, 0172]
- WO 2009131669 [0081] WO 2009131669 [0081]
- WO 2009132986 [0081] WO 2009132986 [0081]
- WO 2009134384 [0081] WO 2009134384 [0081]
- WO 2009134387 [0081] WO 2009134387 [0081]
- WO 2009134392 [0081] WO 2009134392 [0081]
- WO 2009134400 [0081] WO 2009134400 [0081]
- WO 2009135581 [0081] WO 2009135581 [0081]
- WO 2009138386 [0081] WO 2009138386 [0081]
- WO 2010006940 [0081] WO 2010006940 [0081]
- WO 2010010157 [0081] WO 2010010157 [0081]
- WO 2010010174 [0081] WO 2010010174 [0081]
- WO 2010011917 [0081] WO 2010011917 [0081]
- WO 200119830 [0082] WO 200/19830 [0082]
- WO 200119831 [0082] WO 200119831 [0082]
- WO 200117516 [0082] WO 200/75166 [0082]
- WO 2004506446 [0082] WO 2004506446 [0082]
- WO 2005012295 [0082] WO 2005012295 [0082]
- WO 2005116003 [0082, 0082] WO 2005116003 [0082, 0082]
- WO 2006007959 [0082] WO 2006007959 [0082]
- DE 102004060542 [0082] DE 102004060542 [0082]
- WO 2007009911 [0082] WO 2007009911 [0082]
- WO 2007028145 [0082] WO 2007028145 [0082]
- WO 2007067612 [0082] WO 2007067612 [0082]
- WO 2007067615 [0082] WO 2007067615 [0082]
- WO 2007081755 [0082] WO 2007081755 [0082]
- WO 2007115058 [0082] WO 2007115058 [0082]
- US 2008004325 [0082] US 2008004325 [0082]
- WO 2008033455 [0082] WO 2008033455 [0082]
- WO 2008033931 [0082] WO 2008033931 [0082]
- WO 2008033932 [0082] WO 2008033932 [0082]
- WO 2008033934 [0082] WO 2008033934 [0082]
- WO 2008089581 [0082] WO 2008089581 [0082]
- WO 2008148744 [0082] WO 2008148744 [0082]
- WO 2009032321 [0082] WO 2009032321 [0082]
- WO 2009109999 [0082] WO 2009109999 [0082]
- WO 2009109998 [0082] WO 2009109998 [0082]
- WO 2010014613 [0083] WO 2010014613 [0083]
- WO 2004041274 [0084] WO 2004041274 [0084]
- WO 2006045565 [0084] WO 2006045565 [0084]
- WO 2006045564 [0084] WO 2006045564 [0084]
- WO 2006069242 [0084] WO 2006069242 [0084]
- WO 2006085108 [0084] WO 2006085108 [0084]
- WO 2006085112 [0084] WO 2006085112 [0084]
- WO 2006085113 [0084] WO 2006085113 [0084]
- WO 2006124490 [0084] WO 2006124490 [0084]
- WO 2006113150 [0084] WO 2006113150 [0084]
- WO 2007002557 [0084] WO 2007002557 [0084]
- WO 2007017261 [0084, 0084] WO 2007017261 [0084, 0084]
- WO 2007017265 [0084] WO 2007017265 [0084]
- WO 2007015744 [0084] WO 2007015744 [0084]
- WO 2007027532 [0084] WO 2007027532 [0084]
- WO 2007092364 [0084] WO 2007092364 [0084]
- WO 2007120575 [0084] WO 2007120575 [0084]
- WO 2007134986 [0084] WO 2007134986 [0084]
- WO 2007150025 [0084] WO 2007150025 [0084]
- WO 2007150026 [0084] WO 2007150026 [0084]
- WO 2008016968 [0084] WO 2008016968 [0084]
- WO 2008051403 [0084] WO 2008051403 [0084]
- WO 2008086949 [0084] WO 2008086949 [0084]
- WO 2008091338 [0084] WO 2008091338 [0084]
- WO 2008097535 [0084] WO 2008097535 [0084]
- WO 2008099448 [0084] WO 2008099448 [0084]
- US 2008234277 [0084] US 2008234277 [0084]
- WO 2008127591 [0084] WO 2008127591 [0084]
- WO 2008039882 [0088] WO 2008039882 [0088]
- WO 2009149056 [0089] WO 2009149056 [0089]
- WO 2006067531 [0090] WO 2006067531 [0090]
- WO 2006067532 [0090] WO 2006067532 [0090]
- WO 2007013689 [0091] WO 2007013689 [0091]
- WO 2007033002 [0091] WO 2007033002 [0091]
- WO 2007106469 [0091] WO 2007106469 [0091]
- US 2007265332 [0091, 0091] US 2007265332 [0091, 0091]
- WO 2007123225 [0091] WO 2007123225 [0091]
- WO 2007131619 [0091] WO 2007131619 [0091]
- WO 2007131620 [0091] WO 2007131620 [0091]
- WO 2007131621 [0091] WO 2007131621 [0091]
- WO 2007131622 [0091] WO 2007131622 [0091]
- WO 2007136572 [0091] WO 2007136572 [0091]
- WO 2008001931 [0091] WO 2008001931 [0091]
- WO 2008030520 [0091] WO 2008030520 [0091]
- WO 2008030618 [0091] WO 2008030618 [0091]
- WO 2008054674 [0091] WO 2008054674 [0091]
- WO 2008054675 [0091] WO 2008054675 [0091]
- WO 2008066097 [0091] WO 2008066097 [0091]
- US 2008176912 [0091] US 2008176912 [0091]
- WO 2008130514 [0091] WO 2008130514 [0091]
- WO 2009038204 [0091, 0093] WO 2009038204 [0091, 0093]
- WO 2009039942 [0091] WO 2009039942 [0091]
- WO 2009039943 [0091] WO 2009039943 [0091]
- WO 2009048527 [0091] WO 2009048527 [0091]
- WO 2009054479 [0091] WO 2009054479 [0091]
- WO 2009058237 [0091] WO 2009058237 [0091]
- WO 2009111056 [0091] WO 2009111056 [0091]
- WO 2010012650 [0091] WO 2010012650 [0091]
- WO 2004065380 [0092] WO 2004065380 [0092]
- WO 2005061489 [0092] WO 2005061489 [0092]
- WO 2006083491 [0092] WO 2006083491 [0092]
- WO 2007003960-62 [0092] WO 2007003960-62 [0092]
- WO 2007003962 [0092] WO 2007003962 [0092]
- WO 2007003964 [0092] WO 2007003964 [0092]
- WO 2007035355 [0092, 0189] WO 2007035355 [0092, 0189]
- WO 2007116229 [0092] WO 2007116229 [0092]
- WO 2007116230 [0092] WO 2007116230 [0092]
- WO 2008005569 [0092] WO 2008005569 [0092]
- WO 2008005576 [0092, 0189] WO 2008005576 [0092, 0189]
- WO 2008008887 [0092] WO 2008008887 [0092]
- WO 2008008895 [0092] WO 2008008895 [0092]
- WO 2008025798 [0092] WO 2008025798 [0092]
- WO 2008025799 [0092] WO 2008025799 [0092]
- WO 2008025800 [0092] WO 2008025800 [0092]
- WO 2008070692 [0092] WO 2008070692 [0092]
- WO 2008076243 [0092] WO 2008076243 [0092]
- WO 200807692 [0092] WO 200807692 [0092]
- WO 2008081204 [0092] WO 2008081204 [0092]
- WO 2008081205 [0092] WO 2008081205 [0092]
- WO 2008081206 [0092] WO 2008081206 [0092]
- WO 2008081207 [0092] WO 2008081207 [0092]
- WO 2008081208 [0092] WO 2008081208 [0092]
- WO 2008083238 [0092] WO 2008083238 [0092]
- WO 2008085316 [0092] WO 2008085316 [0092]
- WO 2008109702 [0092] WO 2008109702 [0092]
- WO 2008130581 [0092] WO 2008130581 [0092]
- WO 2008130584 [0092] WO 2008130584 [0092]
- WO 2008130615 [0092] WO 2008130615 [0092]
- WO 2008137435 [0092] WO 2008137435 [0092]
- WO 2008137436 [0092] WO 2008137436 [0092]
- WO 2009012275 [0092] WO 2009012275 [0092]
- WO 2009012277 [0092] WO 2009012277 [0092]
- WO 2009014910 [0092] WO 2009014910 [0092]
- WO 2009034388 [0092] WO 2009034388 [0092]
- WO 2009038974 [0092] WO 2009038974 [0092]
- WO 2009050522 [0092] WO 2009050522 [0092]
- WO 2009050523 [0092] WO 2009050523 [0092]
- WO 2009055331 [0092] WO 2009055331 [0092]
- WO 2009105715 [0092] WO 2009105715 [0092]
- WO 2009105717 [0092] WO 2009105717 [0092]
- WO 2009105722 [0092] WO 2009105722 [0092]
- WO 2009106561 [0092] WO 2009106561 [0092]
- WO 2009106565 [0092] WO 2009106565 [0092]
- WO 2009117421 [0092] WO 2009117421 [0092]
- WO 2009125434 [0092] WO 2009125434 [0092]
- WO 2009126535 [0092] WO 2009126535 [0092]
- WO 2009129036 [0092] WO 2009129036 [0092]
- US 2009286812 [0092] US 2009286812 [0092]
- WO 2009143049 [0092] WO 2009143049 [0092]
- WO 2009150144 [0092] WO 2009150144 [0092]
- WO 2010001166 [0092] WO 2010001166 [0092]
- WO 2010004343 [0092] WO 2010004343 [0092]
- WO 2010004344 [0092] WO 2010004344 [0092]
- WO 2010004345 [0092] WO 2010004345 [0092]
- WO 2010004346 [0092] WO 2010004346 [0092]
- WO 2010004347 [0092] WO 2010004347 [0092]
- WO 2010004348 [0092] WO 2010004348 [0092]
- WO 2010008739 [0092] WO 2010008739 [0092]
- WO 2010006191 [0092] WO 2010006191 [0092]
- WO 2010009183 [0092] WO 2010009183 [0092]
- WO 2010009195 [0092] WO 2010009195 [0092]
- WO 2010009207 [0092] WO 2010009207 [0092]
- WO 2010009208 [0092] WO 2010009208 [0092]
- WO 2010014593 [0092] WO 2010014593 [0092]
- EP 1688138 [0093] EP 1688138 [0093]
- WO 2008066131 [0093, 0093] WO 2008066131 [0093, 0093]
- WO 2008103500 [0093] WO 2008103500 [0093]
- WO 2008103501 [0093] WO 2008103501 [0093]
- WO 2008139879 [0093] WO 2008139879 [0093]
- WO 2009147990 [0093] WO 2009147990 [0093]
- WO 2010008831 [0093] WO 2010008831 [0093]
- WO 2009000087 [0094] WO 2009000087 [0094]
- WO 2009070873 [0094] WO 2009070873 [0094]
- WO 2005073199 [0096] WO 2005073199 [0096]
- WO 2006074957 [0096] WO 2006074957 [0096]
- WO 2006087309 [0096] WO 2006087309 [0096]
- WO 2006111321 [0096] WO 2006111321 [0096]
- WO 2007042178 [0096] WO 2007042178 [0096]
- WO 2007119837 [0096] WO 2007119837 [0096]
- WO 2008122352 [0096] WO 2008122352 [0096]
- WO 2008122357 [0096] WO 2008122357 [0096]
- WO 2009009287 [0096] WO 2009009287 [0096]
- WO 2007110216 [0097] WO 2007110216 [0097]
- WO 2008048866 [0098] WO 2008048866 [0098]
- WO 20080488867 [0098] WO 20080488867 [0098]
- US 2009062369 [0098] US 2009062369 [0098]
- WO 2007119827 [0099] WO 2007119827 [0099]
- US 2005222220 [0100] US 2005222220 [0100]
- WO 2005085230 [0100] WO 2005085230 [0100]
- WO 2005111018 [0100] WO 2005111018 [0100]
- WO 2003078403 [0100] WO 2003078403 [0100]
- WO 2004022544 [0100] WO 2004022544 [0100]
- WO 2003106410 [0100] WO 2003106410 [0100]
- WO 2005058908 [0100] WO 2005058908 [0100]
- US 2005038023 [0100] US 2005038023 [0100]
- WO 2005009997 [0100] WO 2005009997 [0100]
- US 2005026984 [0100] US 2005026984 [0100]
- WO 2005000836 [0100] WO 2005000836 [0100]
- WO 2004106343 [0100] WO 2004106343 [0100]
- EP 1460075 [0100] EP 1460075 [0100]
- WO 2004014910 [0100] WO 2004014910 [0100]
- WO 2003076442 [0100] WO 2003076442 [0100]
- WO 2005087727 [0100] WO 2005087727 [0100]
- WO 2004046117 [0100] WO 2004046117 [0100]
- WO 2007073117 [0100] WO 2007073117 [0100]
- WO 2007083978 [0100] WO 2007083978 [0100]
- WO 2007120102 [0100] WO 2007120102 [0100]
- WO 2007122634 [0100] WO 2007122634 [0100]
- WO 2007125109 [0100] WO 2007125109 [0100]
- WO 2007125110 [0100] WO 2007125110 [0100]
- US 2007281949 [0100] US 2007281949 [0100]
- WO 2008002244 [0100] WO 2008002244 [0100]
- WO 2008002245 [0100] WO 2008002245 [0100]
- WO 2008016123 [0100] WO 2008016123 [0100]
- WO 2008023239 [0100] WO 2008023239 [0100]
- WO 2008044700 [0100] WO 2008044700 [0100]
- WO 2008056266 [0100] WO 2008056266 [0100]
- WO 2008057940 [0100] WO 2008057940 [0100]
- WO 2008077138 [0100] WO 2008077138 [0100]
- EP 1939191 [0100] EP 1939191 [0100]
- EP 1939192 [0100] EP 1939192 [0100]
- WO 2008078196 [0100] WO 2008078196 [0100]
- WO 2008094992 [0100] WO 2008094992 [0100]
- WO 2008112642 [0100] WO 2008112642 [0100]
- WO 2008112651 [0100] WO 2008112651 [0100]
- WO 2008113469 [0100] WO 2008113469 [0100]
- WO 2008121063 [0100] WO 2008121063 [0100]
- WO 2008121064 [0100] WO 2008121064 [0100]
- EP 1992620 [0100] EP 1992620 [0100]
- EP 1992621 [0100] EP 1992621 [0100]
- EP 1992624 [0100] EP 1992624 [0100]
- EP 1992625 [0100] EP 1992625 [0100]
- WO 2008130312 [0100] WO 2008130312 [0100]
- WO 2009007029 [0100] WO 2009007029 [0100]
- EP 2020232 [0100] EP 2020232 [0100]
- WO 2009017452 [0100] WO 2009017452 [0100]
- WO 2009035634 [0100] WO 2009035634 [0100]
- WO 2009035684 [0100] WO 2009035684 [0100]
- WO 2009038385 [0100] WO 2009038385 [0100]
- WO 2009095787 [0100] WO 2009095787 [0100]
- WO 2009095788 [0100] WO 2009095788 [0100]
- WO 2009095789 [0100] WO 2009095789 [0100]
- WO 2009095792 [0100] WO 2009095792 [0100]
- WO 2009145814 [0100] WO 2009145814 [0100]
- US 2009291982 [0100] US 2009291982 [0100]
- WO 2009154697 [0100] WO 2009154697 [0100]
- WO 2009156857 [0100] WO 2009156857 [0100]
- WO 2009156859 [0100] WO 2009156859 [0100]
- WO 2009156860 [0100] WO 2009156860 [0100]
- WO 2009156861 [0100] WO 2009156861 [0100]
- WO 2009156863 [0100] WO 2009156863 [0100]
- WO 2009156864 [0100] WO 2009156864 [0100]
- WO 2009156865 [0100] WO 2009156865 [0100]
- WO 2010013168 [0100] WO 2010013168 [0100]
- WO 2010014794 [0100] WO 2010014794 [0100]
- WO 2004074288 [0101] WO 2004074288 [0101]
- WO 2008027584 [0102] WO 2008027584 [0102]
- WO 2008070150 [0102] WO 2008070150 [0102]
- WO 2008125833 [0102] WO 2008125833 [0102]
- WO 2008125835 [0102] WO 2008125835 [0102]
- WO 2008125839 [0102] WO 2008125839 [0102]
- WO 2009010530 [0102] WO 2009010530 [0102]
- WO 2009026345 [0102] WO 2009026345 [0102]
- WO 2009071888 [0102] WO 2009071888 [0102]
- WO 2009071890 [0102] WO 2009071890 [0102]
- WO 2009071895 [0102] WO 2009071895 [0102]
- WO 2006072354 [0103] WO 2006072354 [0103]
- WO 2007093264 [0103] WO 2007093264 [0103]
- WO 2008009335 [0103] WO 2008009335 [0103]
- WO 2008086854 [0103] WO 2008086854 [0103]
- WO 2008138448 [0103] WO 2008138448 [0103]
- WO 2008057855 [0104] WO 2008057855 [0104]
- WO 2008057856 [0104] WO 2008057856 [0104]
- WO 2008057857 [0104] WO 2008057857 [0104]
- WO 2008057859 [0104] WO 2008057859 [0104]
- WO 2008057862 [0104] WO 2008057862 [0104]
- WO 2008059867 [0104] WO 2008059867 [0104]
- WO 2008059866 [0104] WO 2008059866 [0104]
- WO 2008059865 [0104] WO 2008059865 [0104]
- WO 2008070507 [0104] WO 2008070507 [0104]
- WO 2008124665 [0104] WO 2008124665 [0104]
- WO 2008124745 [0104] WO 2008124745 [0104]
- WO 2008146871 [0104] WO 2008146871 [0104]
- WO 2009015067 [0104] WO 2009015067 [0104]
- WO 2009040288 [0104, 0195] WO 2009040288 [0104, 0195]
- WO 2009069736 [0104] WO 2009069736 [0104]
- WO 2009149139 [0104] WO 2009149139 [0104]
- WO 2008104306 [0105] WO 2008104306 [0105]
- WO 2008119918 [0105] WO 2008119918 [0105]
- WO 2008096260 [0106] WO 2008096260 [0106]
- WO 2008125945 [0106] WO 2008125945 [0106]
- WO 2008088006 [0107] WO 2008088006 [0107]
- WO 2007062568 [0108] WO 2007062568 [0108]
- WO 2008006432 [0108] WO 2008006432 [0108]
- WO 2008016278 [0108] WO 2008016278 [0108]
- WO 2008016730 [0108] WO 2008016730 [0108]
- WO 2008083124 [0108] WO 2008083124 [0108]
- WO 2008136642 [0108] WO 2008136642 [0108]
- WO 2009019445 [0108] WO 2009019445 [0108]
- WO 2009019446 [0108] WO 2009019446 [0108]
- WO 2009019600 [0108] WO 2009019600 [0108]
- WO 2009028891 [0108] WO 2009028891 [0108]
- WO 2009065131 [0108] WO 2009065131 [0108]
- WO 2009076631 [0108] WO 2009076631 [0108]
- WO 2009079921 [0108] WO 2009079921 [0108]
- WO 2009100130 [0108] WO 2009100130 [0108]
- WO 2009124636 [0108] WO 2009124636 [0108]
- WO 2009135580 [0108] WO 2009135580 [0108]
- WO 2009152909 [0108] WO 2009152909 [0108]
- WO 2007112914 [0109] WO 2007112914 [0109]
- WO 2007149865 [0109] WO 2007149865 [0109]
- WO 2007104053 [0110] WO 2007104053 [0110]
- WO 2007115822 [0110] WO 2007115822 [0110]
- WO 2008008547 [0110] WO 2008008547 [0110]
- WO 2008075741 [0110] WO 2008075741 [0110]
- WO 2001000610 [0111] WO 2001000610 [0111]
- WO 2001030774 [0111] WO 2001030774 [0111]
- WO 2004022057 [0111] WO 2004022057 [0111]
- WO 2004022553 [0111] WO 2004022553 [0111]
- WO 2005097129 [0111] WO 2005097129 [0111]
- WO 2005113544 [0111] WO 2005113544 [0111]
- US 2007244140 [0111] US 2007244140 [0111]
- WO 2008099072 [0111] WO 2008099072 [0111]
- WO 2008099073 [0111, 0111] WO 2008099073 [0111, 0111]
- WO 2008099074 [0111] WO 2008099074 [0111]
- WO 2008099075 [0111] WO 2008099075 [0111]
- WO 2009056693 [0111] WO 2009056693 [0111]
- WO 2009075277 [0111] WO 2009075277 [0111]
- WO 2009089042 [0111] WO 2009089042 [0111]
- WO 2009120801 [0111] WO 2009120801 [0111]
- WO 2008016131 [0113] WO 2008016131 [0113]
- WO 2009123986 [0113] WO 2009123986 [0113]
- US 2007249583 [0114] US 2007249583 [0114]
- WO 2008083551 [0114] WO 2008083551 [0114]
- WO 2009054682 [0114] WO 2009054682 [0114]
- WO 2003099821 [0115] WO 2003099821 [0115]
- WO 2005056554 [0115] WO 2005056554 [0115]
- WO 2007052843 [0115] WO 2007052843 [0115]
- WO 2007070796 [0115] WO 2007070796 [0115]
- WO 2007092751 [0115] WO 2007092751 [0115]
- JP 2007230909 [0115] JP 2007230909 [0115]
- WO 2007095174 [0115] WO 2007095174 [0115]
- WO 2007140174 [0115] WO 2007140174 [0115]
- WO 2007140183 [0115] WO 2007140183 [0115]
- WO 2008000643 [0115] WO 2008000643 [0115]
- WO 2008002573 [0115] WO 2008002573 [0115]
- WO 2008025539 [0115] WO 2008025539 [0115]
- WO 2008025540 [0115] WO 2008025540 [0115]
- JP 2008214222 [0115] JP 2008214222 [0115]
- JP 2008273847 [0115] JP 2008273847 [0115]
- WO 2008157270 [0115] WO 2008157270 [0115]
- US 2008299118 [0115] US 2008299118 [0115]
- US 2008300235 [0115] US 2008300235 [0115]
- WO 2009005998 [0115] WO 2009005998 [0115]
- WO 2009012125 [0115] WO 2009012125 [0115]
- WO 2009027264 [0115] WO 2009027264 [0115]
- WO 2009062874 [0115] WO 2009062874 [0115]
- US 2009131409 [0115] US 2009131409 [0115]
- US 2009137554 [0115] US 2009137554 [0115]
- US 2009163552 [0115] US 2009163552 [0115]
- WO 2009127321 [0115] WO 2009127321 [0115]
- EP 2128158 [0115] EP 2128158 [0115]
- WO 2007092965 [0116] WO 2007092965 [0116]
- WO 2008041003 [0116] WO 2008041003 [0116]
- WO 2008049047 [0116] WO 2008049047 [0116]
- WO 2008065754 [0116] WO 2008065754 [0116]
- WO 2008073825 [0116] WO 2008073825 [0116]
- US 2008242677 [0116] US 2008242677 [0116]
- WO 2009020683 [0116] WO 2009020683 [0116]
- US 2009030082 [0116] US 2009030082 [0116]
- WO 2009021868 [0116] WO 2009021868 [0116]
- US 2009069373 [0116] US 2009069373 [0116]
- WO 2009024550 [0116] WO 2009024550 [0116]
- WO 2009040289 [0116] WO 2009040289 [0116]
- WO 2009086123 [0116] WO 2009086123 [0116]
- WO 2009086129 [0116] WO 2009086129 [0116]
- WO 2009086130 [0116] WO 2009086130 [0116]
- WO 2009086138 [0116] WO 2009086138 [0116]
- WO 2009107387 [0116] WO 2009107387 [0116]
- US 2009247587 [0116] US 2009247587 [0116]
- WO 2009133692 [0116] WO 2009133692 [0116]
- WO 2008138438 [0116] WO 2008138438 [0116]
- WO 2009144961 [0116] WO 2009144961 [0116]
- WO 2009150109 [0116] WO 2009150109 [0116]
- WO 2008093655 [0117] WO 2008093655 [0117]
- WO 2009090210 [0123] WO 2009090210 [0123]
- WO 2005042692 [0124] WO 2005042692 [0124]
- WO 2005005453 [0124] WO 2005005453 [0124]
- WO 2005021497 [0124] WO 2005021497 [0124]
- WO 2005021495 [0124] WO 2005021495 [0124]
- WO 2002066464 [0124] WO 2002066464 [0124]
- WO 2005000353 [0124] WO 2005000353 [0124]
- WO 2005044256 [0124] WO 2005044256 [0124]
- WO 2005062824 [0124] WO 2005062824 [0124]
- WO 2005061451 [0124] WO 2005061451 [0124]
- WO 2005061452 [0124] WO 2005061452 [0124]
- WO 2006017257 [0124] WO 2006017257 [0124]
- WO 2005033100 [0124] WO 2005033100 [0124]
- WO 2002050060 [0124] WO 2002050060 [0124]
- WO 2002050068 [0124] WO 2002050068 [0124]
- WO 2004000803 [0124, 0201] WO 2004000803 [0124, 0201]
- WO 2004000804 [0124] WO 2004000804 [0124]
- WO 2004000805 [0124, 0201] WO 2004000805 [0124, 0201]
- WO 2004087655 [0124, 0201] WO 2004087655 [0124, 0201]
- WO 2004097655 [0124] WO 2004097655 [0124]
- WO 2005047248 [0124] WO 2005047248 [0124]
- WO 2006086562 [0124] WO 2006086562 [0124]
- WO 2006102674 [0124] WO 2006102674 [0124]
- WO 2006116499 [0124] WO 2006116499 [0124]
- WO 2006121861 [0124] WO 2006121861 [0124]
- WO 2006122186 [0124] WO 2006122186 [0124]
- WO 2006122216 [0124] WO 2006122216 [0124]
- WO 2006127893 [0124] WO 2006127893 [0124]
- WO 2006137794 [0124] WO 2006137794 [0124]
- WO 2006137796 [0124] WO 2006137796 [0124]
- WO 2006137782 [0124] WO 2006137782 [0124]
- WO 2006137793 [0124] WO 2006137793 [0124]
- WO 2006137797 [0124] WO 2006137797 [0124]
- WO 2006137795 [0124] WO 2006137795 [0124]
- WO 2006137792 [0124] WO 2006137792 [0124]
- WO 2006138163 [0124] WO 2006138163 [0124]
- WO 2007059871 [0124, 0201] WO 2007059871 [0124, 0201]
- US 2007232688 [0124] US 2007232688 [0124]
- WO 2007126358 [0124] WO 2007126358 [0124]
- WO 2008033431 [0124, 0219, 0222] WO 2008033431 [0124, 0219, 0222]
- WO 2008033465 [0124, 0125, 0219] WO 2008033465 [0124, 0125, 0219]
- WO 2008052658 [0124, 0201] WO 2008052658 [0124, 0201]
- WO 2008057336 [0124] WO 2008057336 [0124]
- WO 2008085300 [0124] WO 2008085300 [0124]
- WO 2008104875 [0124] WO 2008104875 [0124]
- US 2008280836 [0124, 0201] US 2008280836 [0124, 0201]
- WO 2008108486 [0124] WO 2008108486 [0124]
- WO 2008033464 [0125, 0219] WO 2008033464 [0125, 0219]
- US 6992067 [0129, 0130] US 6992067 [0129, 0130]
- US 7205290 [0129, 0130] US 7205290 [0129, 0130]
- WO 2009090158 [0132] WO 2009090158 [0132]
- WO 2006002342 [0133] WO 2006002342 [0133]
- WO 2006010422 [0133] WO 2006010422 [0133]
- WO 2006012093 [0133] WO 2006012093 [0133]
- WO 2006073973 [0133] WO 2006073973 [0133]
- WO 2006072362 [0133] WO 2006072362 [0133]
- WO 2007088996 [0133] WO 2007088996 [0133]
- WO 2007088999 [0133] WO 2007088999 [0133]
- US 2007185058 [0133] US 2007185058 [0133]
- US 2007185113 [0133] US 2007185113 [0133]
- US 2007185154 [0133] US 2007185154 [0133]
- US 2007185182 [0133] US 2007185182 [0133]
- WO 2006097169 [0133] WO 2006097169 [0133]
- WO 2007041494 [0133] WO 2007041494 [0133]
- WO 2007090752 [0133] WO 2007090752 [0133]
- WO 2007107243 [0133] WO 2007107243 [0133]
- WO 2007120621 [0133] WO 2007120621 [0133]
- US 2007265252 [0133] US 2007265252 [0133]
- US 2007265304 [0133] US 2007265304 [0133]
- WO 2007128568 [0133] WO 2007128568 [0133]
- WO 2007132906 [0133] WO 2007132906 [0133]
- WO 2008006257 [0133] WO 2008006257 [0133]
- WO 2008009435 [0133] WO 2008009435 [0133]
- WO 2008018529 [0133] WO 2008018529 [0133]
- WO 2008058961 [0133] WO 2008058961 [0133]
- WO 2008058967 [0133] WO 2008058967 [0133]
- WO 2008059513 [0133] WO 2008059513 [0133]
- WO 2008070496 [0133] WO 2008070496 [0133]
- WO 2008115442 [0133] WO 2008115442 [0133]
- WO 2008111604 [0133] WO 2008111604 [0133]
- WO 2008129951 [0133] WO 2008129951 [0133]
- WO 2008141077 [0133] WO 2008141077 [0133]
- US 2009118287 [0133] US 2009118287 [0133]
- WO 2009062371 [0133] WO 2009062371 [0133]
- WO 2009071509 [0133] WO 2009071509 [0133]
- US 6245744 [0134] US 6245744 [0134]
- US 6221897 [0134] US 6221897 [0134]
- WO 00/61568 [0134] WO 00/61568 [0134]
- DE 102005033099 [0134] DE 102005033099 [0134]
- DE 102005033100 [0134] DE 102005033100 [0134]
- DE 102006053635 [0134] DE 102006053635 [0134]
- DE 102006053637 [0134] DE 102006053637 [0134]
- WO 2007009655 [0134] WO 2007009655 [0134]
- WO 2007009656 [0134] WO 2007009656 [0134]
- WO 2008058628 [0134] WO 2008058628 [0134]
- WO 2008058629 [0134] WO 2008058629 [0134]
- WO 2008058630 [0134] WO 2008058630 [0134]
- WO 2008058631 [0134] WO 2008058631 [0134]
- US 20060199795 [0135] US 20060199795 [0135]
- WO 2007110237 [0135] WO 2007110237 [0135]
- WO 2007127505 [0135] WO 2007127505 [0135]
- WO 2008009407 [0135] WO 2008009407 [0135]
- WO 2008067219 [0135] WO 2008067219 [0135]
- WO 2008067222 [0135] WO 2008067222 [0135]
- FR 2908310 [0135] FR 2908310 [0135]
- WO 2008091540 [0135] WO 2008091540 [0135]
- WO 2008097976 [0135] WO 2008097976 [0135]
- US 2009054304 [0135] US 2009054304 [0135]
- WO 2009026241 [0135] WO 2009026241 [0135]
- WO 2009146772 [0135] WO 2009146772 [0135]
- WO 2010014739 [0135] WO 2010014739 [0135]
- WO 2010014836 [0135] WO 2010014836 [0135]
- WO 2009011420 [0136] WO 2009011420 [0136]
- WO 2008097504 [0137] WO 2008097504 [0137]
- WO 2009038722 [0137] WO 2009038722 [0137]
- US 2009176883 [0138] US 2009176883 [0138]
- WO 2009089083 [0138] WO 2009089083 [0138]
- WO 2009144548 [0138] WO 2009144548 [0138]
- WO 2009084034 [0139] WO 2009084034 [0139]
- WO 2009130560 [0139] WO 2009130560 [0139]
- WO 2005085226 [0144] WO 2005085226 [0144]
- WO 2005121091 [0144] WO 2005121091 [0144]
- WO 2006010423 [0144] WO 2006010423 [0144]
- WO 2006113910 [0144] WO 2006113910 [0144]
- WO 2007143164 [0144] WO 2007143164 [0144]
- WO 2008049806 [0144] WO 2008049806 [0144]
- WO 2008049808 [0144] WO 2008049808 [0144]
- WO 2008090198 [0144] WO 2008090198 [0144]
- WO 2008100423 [0144] WO 2008100423 [0144]
- WO 2009014674 [0144] WO 2009014674 [0144]
- WO 2008030382 [0145] WO 2008030382 [0145]
- WO 2008079398 [0145] WO 2008079398 [0145]
- WO 2008032980 [0146] WO 2008032980 [0146]
- WO 2006094682 [0147] WO 2006094682 [0147]
- WO 2008087029 [0148] WO 2008087029 [0148]
- WO 2008087030 [0148] WO 2008087030 [0148]
- WO 2008095189 [0148] WO 2008095189 [0148]
- WO 2009030746 [0148] WO 2009030746 [0148]
- WO 2009030747 [0148] WO 2009030747 [0148]
- WO 2009030750 [0148] WO 2009030750 [0148]
- WO 2009030752 [0148] WO 2009030752 [0148]
- WO 2009070130 [0148] WO 2009070130 [0148]
- WO 2009081957 [0148, 0148] WO 2009081957 [0148, 0148]
- WO 2007063012 [0149] WO 2007063012 [0149]
- WO 2007096251 [0149] WO 2007096251 [0149]
- WO 2008015081 [0149] WO 2008015081 [0149]
- US 2008103182 [0149] US 2008103182 [0149]
- WO 2008074692 [0149] WO 2008074692 [0149]
- WO 2008145596 [0149] WO 2008145596 [0149]
- WO 2009019199 [0149] WO 2009019199 [0149]
- WO 2009156479 [0149] WO 2009156479 [0149]
- WO 2010008473 [0149] WO 2010008473 [0149]
- US 2009270500 [0150] US 2009270500 [0150]
- US 2009270505 [0150] US 2009270505 [0150]
- WO 2009132978 [0150] WO 2009132978 [0150]
- WO 2009132979 [0150] WO 2009132979 [0150]
- WO 2008031032 [0151] WO 2008031032 [0151]
- WO 2008046071 [0151] WO 2008046071 [0151]
- WO 2008083280 [0151] WO 2008083280 [0151]
- WO 2008084300 [0151] WO 2008084300 [0151]
- WO 2005077907 [0152] WO 2005077907 [0152]
- JP 2007022943 [0152] JP 2007022943 [0152]
- WO 2008003424 [0152] WO 2008003424 [0152]
- WO 2008132846 [0152] WO 2008132846 [0152]
- WO 2008133288 [0152] WO 2008133288 [0152]
- WO 2009136396 [0152] WO 2009136396 [0152]
- WO 2008092231 [0155] WO 2008092231 [0155]
- US 6342512 [0157] US 6342512 [0157]
- WO 2005097738 [0157] WO 2005097738 [0157]
- WO 2008040651 [0158] WO 2008040651 [0158]
- WO 2008099278 [0158] WO 2008099278 [0158]
- WO 2009071099 [0158] WO 2009071099 [0158]
- WO 2009086096 [0158] WO 2009086096 [0158]
- US 2009247550 [0158] US 2009247550 [0158]
- WO 2006072393 [0159] WO 2006072393 [0159]
- WO 2008062830 [0159] WO 2008062830 [0159]
- WO 2009100326 [0159] WO 2009100326 [0159]
- EP 1258247 [0163] EP 1258247 [0163]
- EP 1375508 [0163] EP 1375508 [0163]
- WO 2008028590 [0163] WO 2008028590 [0163]
- WO 2008077050 [0163] WO 2008077050 [0163]
- WO 2009050199 [0163] WO 2009050199 [0163]
- WO 2009080197 [0163] WO 2009080197 [0163]
- WO 2009100827 [0163, 0166] WO 2009100827 [0163, 0166]
- WO 2009112155 [0163] WO 2009112155 [0163]
- WO 2007111954 [0165] WO 2007111954 [0165]
- WO 2007121918 [0165] WO 2007121918 [0165]
- WO 2007121921 [0165] WO 2007121921 [0165]
- WO 2007121923 [0165] WO 2007121923 [0165]
- WO 2008070661 [0165] WO 2008070661 [0165]
- WO 2009010871 [0165] WO 2009010871 [0165]
- WO 2008064788 [0166] WO 2008064788 [0166]
- WO 2008064789 [0166] WO 2008064789 [0166]
- WO 2009080198 [0166] WO 2009080198 [0166]
- WO 2009143992 [0166] WO 2009143992 [0166]
- US 2007270433 [0167] US 2007270433 [0167]
- WO 2008027585 [0167] WO 2008027585 [0167]
- WO 2008080461 [0167] WO 2008080461 [0167]
- WO 2009037463 [0167] WO 2009037463 [0167]
- WO 2009037467 [0167] WO 2009037467 [0167]
- WO 2009037468 [0167] WO 2009037468 [0167]
- WO 2009118759 [0167] WO 2009118759 [0167]
- WO 199946262 [0168] WO 199946262 [0168]
- WO 200372197 [0168] WO 200372197 [0168]
- WO 2003072197 [0168] WO 2003072197 [0168]
- WO 2005044814 [0168] WO 2005044814 [0168]
- WO 2005108370 [0168] WO 2005108370 [0168]
- JP 2006131559 [0168] JP 2006131559 [0168]
- WO 2007011809 [0168] WO 2007011809 [0168]
- WO 2007011811 [0168] WO 2007011811 [0168]
- WO 2007013691 [0168] WO 2007013691 [0168]
- WO 2007095601 [0168] WO 2007095601 [0168]
- JP 2007095603 [0168] JP 2007095603 [0168]
- WO 2007119833 [0168] WO 2007119833 [0168]
- WO 2008065508 [0168] WO 2008065508 [0168]
- WO 2008069500 [0168] WO 2008069500 [0168]
- WO 2008072850 [0168] WO 2008072850 [0168]
- WO 2008079610 [0168] WO 2008079610 [0168]
- WO 2008088688 [0168] WO 2008088688 [0168]
- WO 2008088689 [0168] WO 2008088689 [0168]
- WO 2008088692 [0168] WO 2008088692 [0168]
- US 2008171761 [0168] US 2008171761 [0168]
- WO 2008090944 [0168] WO 2008090944 [0168]
- JP 2008179621 [0168] JP 2008179621 [0168]
- US 2008200461 [0168] US 2008200461 [0168]
- WO 2008102749 [0168] WO 2008102749 [0168]
- WO 2008103382 [0168] WO 2008103382 [0168]
- WO 2008121592 [0168] WO 2008121592 [0168]
- WO 2009082346 [0168] WO 2009082346 [0168]
- US 2009253725 [0168] US 2009253725 [0168]
- JP 2009196966 [0168] JP 2009196966 [0168]
- WO 2009144554 [0168] WO 2009144554 [0168]
- WO 2009144555 [0168] WO 2009144555 [0168]
- WO 2010003624 [0168] WO 2010003624 [0168]
- WO 2010002010 [0168] WO 2010002010 [0168]
- WO 2007100789 [0169] WO 2007100789 [0169]
- WO 2007100833 [0169] WO 2007100833 [0169]
- WO 2010005922 [0169] WO 2010005922 [0169]
- WO 2008051873 [0171] WO 2008051873 [0171]
- WO 2008051875 [0171] WO 2008051875 [0171]
- WO 2008073623 [0171] WO 2008073623 [0171]
- WO 2008094869 [0171] WO 2008094869 [0171]
- WO 2008112022 [0171] WO 2008112022 [0171]
- WO 2009011872 [0171] WO 2009011872 [0171]
- WO 2009049154 [0171] WO 2009049154 [0171]
- WO 2009049157 [0171] WO 2009049157 [0171]
- WO 2009049165 [0171] WO 2009049165 [0171]
- WO 2009073772 [0171] WO 2009073772 [0171]
- WO 2009097476 [0171] WO 2009097476 [0171]
- WO 2009111207 [0171] WO 2009111207 [0171]
- WO 2009129508 [0171] WO 2009129508 [0171]
- WO 2009151800 [0171] WO 2009151800 [0171]
- WO 2009110510 [0172] WO 2009110510 [0172]
- WO 2006001318 [0172] WO 2006001318 [0172]
- WO 2007103295 [0172] WO 2007103295 [0172]
- WO 2007125952 [0172] WO 2007125952 [0172]
- WO 2008026563 [0172] WO 2008026563 [0172]
- WO 2008026564 [0172] WO 2008026564 [0172]
- WO 2008052769 [0172] WO 2008052769 [0172]
- WO 2008092887 [0172] WO 2008092887 [0172]
- WO 2008092888 [0172] WO 2008092888 [0172]
- WO 2008092891 [0172] WO 2008092891 [0172]
- WO 2008129007 [0172] WO 2008129007 [0172]
- WO 2008134228 [0172] WO 2008134228 [0172]
- WO 2009054434 [0172] WO 2009054434 [0172]
- WO 2009095377 [0172] WO 2009095377 [0172]
- WO 2009131096 [0172] WO 2009131096 [0172]
- WO 2007038942 [0172] WO 2007038942 [0172]
- WO 2007038943 [0172] WO 2007038943 [0172]
- WO 2009006185 [0172] WO 2009006185 [0172]
- US 2009099199 [0172] US 2009099199 [0172]
- US 2009099243 [0172] US 2009099243 [0172]
- US 2009099244 [0172] US 2009099244 [0172]
- WO 2009079593 [0172] WO 2009079593 [0172]
- WO 2009079597 [0172] WO 2009079597 [0172]
- WO 2005080424 [0172] WO 2005080424 [0172]
- WO 2006095166 [0172] WO 2006095166 [0172]
- WO 2008003947 [0172] WO 2008003947 [0172]
- WO 2009080608 [0172, 0172] WO 2009080608 [0172, 0172]
- WO 2006096847 [0172] WO 2006096847 [0172]
- EP 0656354 [0172] EP 0656354 [0172]
- WO 00/15609 [0172] WO 00/15609 [0172]
- WO 2001/64632 [0172] WO 2001/64632 [0172]
- WO 2001/64634 [0172] WO 2001/64634 [0172]
- WO 02/076949 [0172] WO 02/076949 [0172]
- WO 2005080345 [0172] WO 2005080345 [0172]
- WO 2005080328 [0172] WO 2005080328 [0172]
- WO 2005080343 [0172] WO 2005080343 [0172]
- WO 2005075450 [0172] WO 2005075450 [0172]
- WO 2005080357 [0172] WO 2005080357 [0172]
- WO 200170700 [0172] WO 200170700 [0172]
- WO 2003026647 [0172] WO 2003026647 [0172]
- WO 2003026648 [0172] WO 2003026648 [0172]
- WO 200302776 [0172] WO 200302776 [0172]
- WO 2003040107 [0172] WO 2003040107 [0172]
- WO 2003007887 [0172] WO 2003007887 [0172]
- WO 2003027069 [0172] WO 2003027069 [0172]
- US 6509367 [0172] US 6509367 [0172]
- WO 200132663 [0172] WO 200132663 [0172]
- WO 2003086288 [0172] WO 2003086288 [0172]
- WO 2003087037 [0172] WO 2003087037 [0172]
- WO 2004048317 [0172] WO 2004048317 [0172]
- WO 2004058145 [0172] WO 2004058145 [0172]
- WO 2003084930 [0172] WO 2003084930 [0172]
- WO 2003084943 [0172] WO 2003084943 [0172]
- WO 2004058744 [0172] WO 2004058744 [0172]
- WO 2004013120 [0172] WO 2004013120 [0172]
- WO 2004029204 [0172] WO 2004029204 [0172]
- WO 2004035566 [0172] WO 2004035566 [0172]
- WO 2004058249 [0172] WO 2004058249 [0172]
- WO 2004058255 [0172] WO 2004058255 [0172]
- WO 2004058727 [0172] WO 2004058727 [0172]
- WO 2004069838 [0172] WO 2004069838 [0172]
- US 20040214837 [0172] US 20040214837 [0172]
- US 20040214855 [0172] US 20040214855 [0172]
- US 20040214856 [0172] US 20040214856 [0172]
- WO 2004096209 [0172] WO 2004096209 [0172]
- WO 2004096763 [0172] WO 2004096763 [0172]
- WO 2004096794 [0172] WO 2004096794 [0172]
- WO 2005000809 [0172] WO 2005000809 [0172]
- WO 2004099157 [0172] WO 2004099157 [0172]
- US 20040266845 [0172] US 20040266845 [0172]
- WO 2004110453 [0172] WO 2004110453 [0172]
- WO 2004108728 [0172] WO 2004108728 [0172]
- WO 2004000817 [0172] WO 2004000817 [0172]
- WO 2005000820 [0172] WO 2005000820 [0172]
- US 20050009870 [0172] US 20050009870 [0172]
- WO 200500974 [0172] WO 200500974 [0172]
- WO 2004111033 [0172] WO 2004111033 [0172]
- WO 2004111034 [0172] WO 2004111034 [0172]
- WO 200411038 [0172] WO 200411038 [0172]
- WO 200411039 [0172] WO 200411039 [0172]
- WO 2005016286 [0172] WO 2005016286 [0172]
- WO 2005007111 [0172] WO 2005007111 [0172]
- WO 2005007628 [0172] WO 2005007628 [0172]
- US 20050054679 [0172] US 20050054679 [0172]
- WO 2005027837 [0172] WO 2005027837 [0172]
- WO 2005028456 [0172] WO 2005028456 [0172]
- WO 2005063761 [0172] WO 2005063761 [0172]
- WO 2005063762 [0172] WO 2005063762 [0172]
- WO 2005061509 [0172] WO 2005061509 [0172]
- WO 2005077897 [0172] WO 2005077897 [0172]
- WO 2006018662 [0172] WO 2006018662 [0172]
- WO 2006047516 [0172] WO 2006047516 [0172]
- WO 2006060461 [0172] WO 2006060461 [0172]
- WO 2006067428 [0172] WO 2006067428 [0172]
- WO 2006067443 [0172] WO 2006067443 [0172]
- WO 2006087480 [0172] WO 2006087480 [0172]
- WO 2006087476 [0172] WO 2006087476 [0172]
- WO 2006100208 [0172] WO 2006100208 [0172]
- WO 2006106054 [0172] WO 2006106054 [0172]
- WO 2006111849 [0172] WO 2006111849 [0172]
- WO 2006113704 [0172] WO 2006113704 [0172]
- WO 2007009705 [0172] WO 2007009705 [0172]
- WO 2007017124 [0172] WO 2007017124 [0172]
- WO 2007017126 [0172] WO 2007017126 [0172]
- WO 2007018459 [0172] WO 2007018459 [0172]
- WO 2007018460 [0172] WO 2007018460 [0172]
- WO 2007016460 [0172] WO 2007016460 [0172]
- WO 2007020502 [0172] WO 2007020502 [0172]
- WO 2007026215 [0172] WO 2007026215 [0172]
- WO 2007028849 [0172] WO 2007028849 [0172]
- WO 2007031720 [0172] WO 2007031720 [0172]
- WO 2007031721 [0172] WO 2007031721 [0172]
- WO 2007036945 [0172] WO 2007036945 [0172]
- WO 2007038045 [0172] WO 2007038045 [0172]
- WO 2007039740 [0172] WO 2007039740 [0172]
- US 20070015810 [0172] US 20070015810 [0172]
- WO 2007046548 [0172] WO 2007046548 [0172]
- WO 2007047737 [0172, 0172] WO 2007047737 [0172, 0172]
- WO 2007057687 [0172] WO 2007057687 [0172]
- WO 2007062193 [0172] WO 2007062193 [0172]
- WO 2007064272 [0172] WO 2007064272 [0172]
- WO 2007079681 [0172] WO 2007079681 [0172]
- WO 2007084319 [0172] WO 2007084319 [0172]
- WO 2007084450 [0172] WO 2007084450 [0172]
- WO 2007086080 [0172] WO 2007086080 [0172]
- EP 1816125 [0172] EP 1816125 [0172]
- US 2007213302 [0172] US 2007213302 [0172]
- WO 2007095513 [0172, 0172] WO 2007095513 [0172, 0172]
- WO 2007096764 [0172, 0172] WO 2007096764 [0172, 0172]
- US 2007254863 [0172] US 2007254863 [0172]
- WO 2007119001 [0172] WO 2007119001 [0172]
- WO 2007120454 [0172] WO 2007120454 [0172]
- WO 2007121687 [0172] WO 2007121687 [0172]
- WO 2007123949 [0172] WO 2007123949 [0172]
- US 2007259934 [0172] US 2007259934 [0172]
- WO 2007131219 [0172] WO 2007131219 [0172]
- WO 2007133820 [0172] WO 2007133820 [0172]
- WO 2007136571 [0172, 0172] WO 2007136571 [0172, 0172]
- WO 2007136607 [0172] WO 2007136607 [0172]
- US 7297710 [0172] US 7297710 [0172]
- WO 2007138050 [0172] WO 2007138050 [0172]
- WO 2007139464 [0172] WO 2007139464 [0172]
- WO 2007140385 [0172] WO 2007140385 [0172]
- WO 2007140439 [0172] WO 2007140439 [0172]
- WO 2007148061 [0172] WO 2007148061 [0172]
- WO 2007148062 [0172] WO 2007148062 [0172]
- US 2007293509 [0172] US 2007293509 [0172]
- WO 2008004698 [0172] WO 2008004698 [0172]
- WO 2008017381 [0172] WO 2008017381 [0172]
- US 2008021031 [0172] US 2008021031 [0172]
- WO 2008024284 [0172] WO 2008024284 [0172]
- WO 2008031734 [0172] WO 2008031734 [0172]
- WO 2008035356 [0172] WO 2008035356 [0172]
- WO 2008036021 [0172] WO 2008036021 [0172]
- WO 2008036022 [0172] WO 2008036022 [0172]
- WO 2008039023 [0172] WO 2008039023 [0172]
- WO 2998043544 [0172] WO 2998043544 [0172]
- WO 2008044111 [0172] WO 2008044111 [0172]
- WO 2008048648 [0172] WO 2008048648 [0172]
- EP 1921072 A1 [0172] EP 1921072 A1 [0172]
- WO 2008053341 [0172] WO 2008053341 [0172]
- WO 2008056377 [0172] WO 2008056377 [0172]
- WO 2008059207 [0172] WO 2008059207 [0172]
- WO 2008059335 [0172, 0172] WO 2008059335 [0172, 0172]
- WO 2008062424 [0172] WO 2008062424 [0172]
- WO 2008068423 [0172] WO 2008068423 [0172]
- WO 2008068424 [0172] WO 2008068424 [0172]
- WO 2008070305 [0172] WO 2008070305 [0172]
- WO 2008070306 [0172] WO 2008070306 [0172]
- WO 2008074816 [0172] WO 2008074816 [0172]
- WO 2008074982 [0172] WO 2008074982 [0172]
- WO 2008075012 [0172] WO 2008075012 [0172]
- WO 2008075013 [0172] WO 2008075013 [0172]
- WO 2008075019 [0172] WO 2008075019 [0172]
- WO 2008075118 [0172] WO 2008075118 [0172]
- WO 2008076754 [0172] WO 2008076754 [0172]
- WO 2008081009 [0172] WO 2008081009 [0172]
- WO 2008084057 [0172] WO 2008084057 [0172]
- EP 1944295 [0172] EP 1944295 [0172]
- US 2008090809 [0172] US 2008090809 [0172]
- US 2008090810 [0172] US 2008090810 [0172]
- WO 2008092816 [0172] WO 2008092816 [0172]
- WO 2008094473 [0172] WO 2008094473 [0172]
- WO 2008094476 [0172] WO 2008094476 [0172]
- WO 2008099076 [0172] WO 2008099076 [0172]
- WO 2008099139 [0172] WO 2008099139 [0172]
- WO 2008101995 [0172] WO 2008101995 [0172]
- US 2008207704 [0172] US 2008207704 [0172]
- WO 2008107179 [0172] WO 2008107179 [0172]
- WO 2008109027 [0172] WO 2008109027 [0172]
- WO 2008112674 [0172] WO 2008112674 [0172]
- WO 2008115705 [0172] WO 2008115705 [0172]
- WO 2008118414 [0172] WO 2008118414 [0172]
- WO 2008119999 [0172] WO 2008119999 [0172]
- WO 200812000 [0172] WO 200812000 [0172]
- WO 2008121257 [0172] WO 2008121257 [0172]
- WO 2008127585 [0172] WO 2008127585 [0172]
- WO 2008129157 [0172] WO 2008129157 [0172]
- WO 2008130616 [0172] WO 2008130616 [0172]
- WO 2008134300 [0172] WO 2008134300 [0172]
- US 2008262066 [0172] US 2008262066 [0172]
- US 2008287505 [0172] US 2008287505 [0172]
- WO 2009005645 [0172] WO 2009005645 [0172]
- WO 2009005646 [0172] WO 2009005646 [0172]
- WO 2009005671 [0172] WO 2009005671 [0172]
- WO 2009023292 [0172] WO 2009023292 [0172]
- WO 2009023653 [0172] WO 2009023653 [0172]
- WO 2009024819 [0172] WO 2009024819 [0172]
- WO 2009033125 [0172] WO 2009033125 [0172]
- EP 2042175 [0172] EP 2042175 [0172]
- WO 2009053548 [0172] WO 2009053548 [0172]
- WO 2009053553 [0172] WO 2009053553 [0172]
- WO 2009054923 [0172] WO 2009054923 [0172]
- WO 2009054929 [0172] WO 2009054929 [0172]
- WO 2009059264 [0172] WO 2009059264 [0172]
- WO 2009073138 [0172] WO 2009073138 [0172]
- WO 2009074782 [0172, 0172] WO 2009074782 [0172, 0172]
- WO 2009075691 [0172] WO 2009075691 [0172]
- WO 2009078498 [0172] WO 2009078498 [0172]
- WO 2009087285 [0172] WO 2009087285 [0172]
- WO 2009097590 [0172] WO 2009097590 [0172]
- WO 2009097995 [0172] WO 2009097995 [0172]
- WO 2009097996 [0172] WO 2009097996 [0172]
- WO 2009097998 [0172] WO 2009097998 [0172]
- WO 2009097999 [0172] WO 2009097999 [0172]
- WO 2009098000 [0172] WO 2009098000 [0172]
- WO 2009106708 [0172] WO 2009106708 [0172]
- US 2009239909 [0172] US 2009239909 [0172]
- US 2009264436 [0172] US 2009264436 [0172]
- US 2009264476 [0172] US 2009264476 [0172]
- WO 2009130234 [0172] WO 2009130234 [0172]
- WO 2009131814 [0172] WO 2009131814 [0172]
- WO 2009131815 [0172] WO 2009131815 [0172]
- US 2009286758 [0172] US 2009286758 [0172]
- WO 2009141532 [0172] WO 2009141532 [0172]
- WO 2009141533 [0172] WO 2009141533 [0172]
- WO 2009153569 [0172] WO 2009153569 [0172]
- WO 2010003760 [0172] WO 2010003760 [0172]
- WO 2010012437 [0172] WO 2010012437 [0172]
- WO 2010019762 [0172] WO 2010019762 [0172]
- WO 2007001939 [0172] WO 2007001939 [0172]
- WO 2007044215 [0172] WO 2007044215 [0172]
- WO 2007112399 [0172] WO 2007112399 [0172]
- WO 2007112402 [0172] WO 2007112402 [0172]
- WO 2008122618 [0172] WO 2008122618 [0172]
- WO 2009007697 [0172] WO 2009007697 [0172]
- WO 2009012227 [0172] WO 2009012227 [0172]
- WO 2009087564 [0172] WO 2009087564 [0172]
- WO 2009093018 [0172] WO 2009093018 [0172]
- WO 2009095752 [0172] WO 2009095752 [0172]
- WO 2009120660 [0172] WO 2009120660 [0172]
- WO 2010012964 [0172] WO 2010012964 [0172]
- WO 2008063625 [0172] WO 2008063625 [0172]
- WO 2008157500 [0172] WO 2008157500 [0172]
- WO 2009004171 [0172] WO 2009004171 [0172]
- WO 2009032754 [0172] WO 2009032754 [0172]
- WO 2009055357 [0172] WO 2009055357 [0172]
- WO 2009061652 [0172] WO 2009061652 [0172]
- WO 2009063495 [0172] WO 2009063495 [0172]
- WO 2009067613 [0172] WO 2009067613 [0172]
- WO 2009114566 [0172] WO 2009114566 [0172]
- WO 2007140005 [0172] WO 2007140005 [0172]
- WO 2008019357 [0172] WO 2008019357 [0172]
- WO 2008021625 [0172] WO 2008021625 [0172]
- WO 2008023720 [0172] WO 2008023720 [0172]
- WO 2008030532 [0172] WO 2008030532 [0172]
- WO 2008129129 [0172] WO 2008129129 [0172]
- WO 2008145839 [0172] WO 2008145839 [0172]
- WO 2008145843 [0172] WO 2008145843 [0172]
- WO 2008147553 [0172] WO 2008147553 [0172]
- WO 2008153752 [0172] WO 2008153752 [0172]
- WO 2009011904 [0172] WO 2009011904 [0172]
- WO 2009048101 [0172] WO 2009048101 [0172]
- WO 2009084970 [0172] WO 2009084970 [0172]
- WO 2009105220 [0172] WO 2009105220 [0172]
- WO 2009109504 [0172] WO 2009109504 [0172]
- WO 2009109743 [0172] WO 2009109743 [0172]
- WO 2009117444 [0172] WO 2009117444 [0172]
- WO 2009127944 [0172] WO 2009127944 [0172]
- WO 2009138416 [0172] WO 2009138416 [0172]
- WO 2009151991 [0172] WO 2009151991 [0172]
- WO 2009152025 [0172] WO 2009152025 [0172]
- WO 2009154785 [0172] WO 2009154785 [0172]
- WO 2010005572 [0172] WO 2010005572 [0172]
- WO 2010017079 [0172] WO 2010017079 [0172]
- WO 2008057585 [0172] WO 2008057585 [0172]
- WO 2008059214 [0172] WO 2008059214 [0172]
- WO 2008075064 [0172] WO 2008075064 [0172]
- WO 2008075070 [0172] WO 2008075070 [0172]
- WO 2008075077 [0172] WO 2008075077 [0172]
- WO 2009079860 [0172] WO 2009079860 [0172]
- WO 2008120653 [0172] WO 2008120653 [0172]
- WO 2009038021 [0172] WO 2009038021 [0172]
- WO 2009044788 [0172] WO 2009044788 [0172]
- WO 2009081789 [0172] WO 2009081789 [0172]
- WO 2009099086 [0172] WO 2009099086 [0172]
- WO 2007091948 [0172] WO 2007091948 [0172]
- WO 2007129188 [0172] WO 2007129188 [0172]
- WO 2007133637 [0172] WO 2007133637 [0172]
- WO 2008007780 [0172] WO 2008007780 [0172]
- WO 2008010061 [0172, 0172] WO 2008010061 [0172, 0172]
- WO 2008007211 [0172] WO 2008007211 [0172]
- WO 2008015335 [0172] WO 2008015335 [0172]
- WO 2008018827 [0172] WO 2008018827 [0172]
- WO 2008024433 [0172] WO 2008024433 [0172]
- WO 2008024438 [0172] WO 2008024438 [0172]
- WO 2008032204 [0172] WO 2008032204 [0172]
- WO 2008050199 [0172] WO 2008050199 [0172]
- WO 2008059339 [0172] WO 2008059339 [0172]
- WO 2008059370 [0172] WO 2008059370 [0172]
- WO 2008066664 [0172] WO 2008066664 [0172]
- WO 2008075150 [0172] WO 2008075150 [0172]
- WO 2008090382 [0172] WO 2008090382 [0172]
- WO 2008090434 [0172] WO 2008090434 [0172]
- WO 2008093024 [0172] WO 2008093024 [0172]
- WO 2008107543 [0172] WO 2008107543 [0172]
- WO 2008107544 [0172] WO 2008107544 [0172]
- WO 2008110863 [0172] WO 2008110863 [0172]
- WO 2008125295 [0172] WO 2008125295 [0172]
- WO 2008125296 [0172] WO 2008125296 [0172]
- WO 2008125337 [0172] WO 2008125337 [0172]
- WO 2008125342 [0172] WO 2008125342 [0172]
- WO 2008132600 [0172] WO 2008132600 [0172]
- WO 2008133973 [0172] WO 2008133973 [0172]
- WO 2009010529 [0172] WO 2009010529 [0172]
- WO 2009010824 [0172] WO 2009010824 [0172]
- WO 2009016241 [0172] WO 2009016241 [0172]
- WO 2009023539 [0172] WO 2009023539 [0172]
- WO 2009038812 [0172] WO 2009038812 [0172]
- WO 2009050348 [0172] WO 2009050348 [0172]
- WO 2009055629 [0172] WO 2009055629 [0172]
- WO 2009055749 [0172] WO 2009055749 [0172]
- WO 2009064449 [0172] WO 2009064449 [0172]
- WO 2009081222 [0172] WO 2009081222 [0172]
- WO 2009089057 [0172] WO 2009089057 [0172]
- WO 2009109710 [0172] WO 2009109710 [0172]
- WO 2009112677 [0172] WO 2009112677 [0172]
- WO 2009112678 [0172] WO 2009112678 [0172]
- WO 2009112679 [0172] WO 2009112679 [0172]
- WO 2009121036 [0172] WO 2009121036 [0172]
- WO 2009124551 [0172] WO 2009124551 [0172]
- WO 2009136625 [0172] WO 2009136625 [0172]
- WO 2010002209 [0172] WO 2010002209 [0172]
- WO 2007047397 [0172] WO 2007047397 [0172]
- WO 2008021849 [0172] WO 2008021849 [0172]
- WO 2008021851 [0172] WO 2008021851 [0172]
- WO 2008032156 [0172] WO 2008032156 [0172]
- WO 2008125348 [0172] WO 2008125348 [0172]
- WO 2008125349 [0172] WO 2008125349 [0172]
- WO 2008142454 [0172] WO 2008142454 [0172]
- WO 2009030962 [0172] WO 2009030962 [0172]
- WO 2009103552 [0172] WO 2009103552 [0172]
- WO 2009115257 [0172] WO 2009115257 [0172]
- US 2008249122 [0172] US 2008249122 [0172]
- WO 2008089201 [0172] WO 2008089201 [0172]
- WO 2007111806 [0172] WO 2007111806 [0172]
- WO 01/91752 [0172] WO 01/91752 [0172]
- WO 2005060985 [0172] WO 2005060985 [0172]
- WO 2005009950 [0172] WO 2005009950 [0172]
- WO 2004087159 [0172] WO 2004087159 [0172]
- WO 2004078717 [0172] WO 2004078717 [0172]
- WO 2004078716 [0172] WO 2004078716 [0172]
- WO 2004024720 [0172] WO 2004024720 [0172]
- US 20050124652 [0172] US 20050124652 [0172]
- WO WO2005051391 [0172] WO2005051391 [0172]
- WO 2004112793 [0172] WO 2004112793 [0172]
- US 20050176728 [0172] US 20050176728 [0172]
- US 20050164914 [0172] US 20050164914 [0172]
- US 20050124636 [0172] US 20050124636 [0172]
- US 20050130988 [0172] US 20050130988 [0172]
- US 20040167201 [0172] US 20040167201 [0172]
- WO 2004005324 [0172] WO 2004005324 [0172]
- WO 2004037797 [0172] WO 2004037797 [0172]
- WO 2004089307 [0172] WO 2004089307 [0172]
- WO 2005042516 [0172] WO 2005042516 [0172]
- WO 2005040109 [0172] WO 2005040109 [0172]
- WO 2005030797 [0172] WO 2005030797 [0172]
- US 20040224901 [0172] US 20040224901 [0172]
- WO 200501921 [0172] WO 200501921 [0172]
- WO 200509184 [0172] WO 200509184 [0172]
- WO 2005000339 [0172] WO 2005000339 [0172]
- EP 1460069 [0172] EP 1460069 [0172]
- WO 2005047253 [0172] WO 2005047253 [0172]
- WO 2005047251 [0172] WO 2005047251 [0172]
- WO 2005118573 [0172] WO 2005118573 [0172]
- EP 1538159 [0172] EP 1538159 [0172]
- WO 2004072076 [0172] WO 2004072076 [0172]
- WO 2004072077 [0172] WO 2004072077 [0172]
- WO 2006021655 [0172] WO 2006021655 [0172]
- WO 2006021657 [0172] WO 2006021657 [0172]
- WO 2007009894 [0172] WO 2007009894 [0172]
- WO 2007015162 [0172] WO 2007015162 [0172]
- WO 2007041061 [0172] WO 2007041061 [0172]
- WO 2007041052 [0172] WO 2007041052 [0172]
- JP 2007131570 [0172] JP 2007131570 [0172]
- EP 1842846 [0172] EP 1842846 [0172]
- WO 2007096186 [0172] WO 2007096186 [0172]
- WO 2007096763 [0172] WO 2007096763 [0172]
- WO 2007141343 [0172] WO 2007141343 [0172]
- WO 2008007930 [0172] WO 2008007930 [0172]
- WO 2008017852 [0172] WO 2008017852 [0172]
- WO 2008039418 [0172] WO 2008039418 [0172]
- WO 2008087186 [0172, 0172] WO 2008087186 [0172, 0172]
- WO 2008087187 [0172] WO 2008087187 [0172]
- WO 2008087189 [0172] WO 2008087189 [0172]
- WO 2008087190 [0172] WO 2008087190 [0172]
- WO 2008090357 [0172] WO 2008090357 [0172]
- WO 2008142319 [0172] WO 2008142319 [0172]
- WO 2009015867 [0172] WO 2009015867 [0172]
- WO 2009061411 [0172] WO 2009061411 [0172]
- US 2009076029 [0172] US 2009076029 [0172]
- US 2009131465 [0172] US 2009131465 [0172]
- WO 2009071101 [0172] WO 2009071101 [0172]
- US 2009305960 [0172] US 2009305960 [0172]
- WO 2009144432 [0172] WO 2009144432 [0172]
- WO 2009151383 [0172] WO 2009151383 [0172]
- WO 2010015972 [0172] WO 2010015972 [0172]
- WO 2009010299 [0172] WO 2009010299 [0172]
- WO 2009074157 [0172] WO 2009074157 [0172]
- WO 200196302 [0172] WO 200196302 [0172]
- WO 200185693 [0172] WO 200185693 [0172]
- WO 2004085403 [0172] WO 2004085403 [0172]
- WO 2005075458 [0172] WO 2005075458 [0172]
- WO 2006067224 [0172] WO 2006067224 [0172]
- WO 2007085718 [0172] WO 2007085718 [0172]
- WO 2007088276 [0172] WO 2007088276 [0172]
- WO 2007116374 [0172] WO 2007116374 [0172]
- WO 2007122591 [0172] WO 2007122591 [0172]
- WO 2007126934 [0172] WO 2007126934 [0172]
- WO 2007126935 [0172] WO 2007126935 [0172]
- WO 2008008517 [0172] WO 2008008517 [0172]
- WO 2008008518 [0172] WO 2008008518 [0172]
- WO 2008008551 [0172] WO 2008008551 [0172]
- WO 2008020405 [0172] WO 2008020405 [0172]
- WO 2008026149 [0172] WO 2008026149 [0172]
- WO 2008038251 [0172] WO 2008038251 [0172]
- US 2008132490 [0172] US 2008132490 [0172]
- WO 2008065626 [0172] WO 2008065626 [0172]
- WO 2008078291 [0172] WO 2008078291 [0172]
- WO 2008087611 [0172] WO 2008087611 [0172]
- WO 2008081399 [0172] WO 2008081399 [0172]
- WO 2008108991 [0172] WO 2008108991 [0172]
- WO 2008107335 [0172] WO 2008107335 [0172]
- US 2008249125 [0172] US 2008249125 [0172]
- WO 2008147518 [0172] WO 2008147518 [0172]
- WO 2008150364 [0172] WO 2008150364 [0172]
- WO 2009003993 [0172] WO 2009003993 [0172]
- WO 2009003997 [0172] WO 2009003997 [0172]
- WO 2009011775 [0172] WO 2009011775 [0172]
- WO 2009016087 [0172] WO 2009016087 [0172]
- WO 2009020642 [0172] WO 2009020642 [0172]
- WO 2009058238 [0172] WO 2009058238 [0172]
- US 2009186920 [0172] US 2009186920 [0172]
- US 2009203736 [0172] US 2009203736 [0172]
- WO 2009092642 [0172] WO 2009092642 [0172]
- WO 2009100994 [0172] WO 2009100994 [0172]
- WO 2009104155 [0172] WO 2009104155 [0172]
- WO 2009124956 [0172] WO 2009124956 [0172]
- WO 2009133522 [0172] WO 2009133522 [0172]
- WO 2009156951 [0172] WO 2009156951 [0172]
- WO 2010017260 [0172] WO 2010017260 [0172]
- WO 00/63208 [0172] WO 00/63208 [0172]
- WO 200064884 [0172] WO 200064884 [0172]
- WO 2005082893 [0172] WO 2005082893 [0172]
- WO 2005123716 [0172] WO 2005123716 [0172]
- US 2005171181 [0172] US 2005171181 [0172]
- WO 2006107661 [0172] WO 2006107661 [0172]
- WO 2007003804 [0172] WO 2007003804 [0172]
- WO 2007016496 [0172] WO 2007016496 [0172]
- WO 2007020213 [0172] WO 2007020213 [0172]
- WO 2007049798 [0172] WO 2007049798 [0172]
- WO 2007055418 [0172] WO 2007055418 [0172]
- WO 2007057329 [0172] WO 2007057329 [0172]
- WO 2007062999 [0172] WO 2007062999 [0172]
- WO 2007065820 [0172] WO 2007065820 [0172]
- WO 2007068620 [0172] WO 2007068620 [0172]
- WO 2007068641 [0172] WO 2007068641 [0172]
- WO 2007075629 [0172] WO 2007075629 [0172]
- WO 2007080140 [0172] WO 2007080140 [0172]
- WO 2007082840 [0172] WO 2007082840 [0172]
- WO 2007088450 [0172] WO 2007088450 [0172]
- WO 2007088462 [0172] WO 2007088462 [0172]
- WO 2007094962 [0172] WO 2007094962 [0172]
- WO 2007099423 [0172] WO 2007099423 [0172]
- WO 2007100990 [0172] WO 2007100990 [0172]
- WO 2007105053 [0172] WO 2007105053 [0172]
- WO 2007106349 [0172] WO 2007106349 [0172]
- WO 2007110364 [0172] WO 2007110364 [0172]
- WO 2007115938 [0172] WO 2007115938 [0172]
- WO 2007131907 [0172] WO 2007131907 [0172]
- WO 2007133561 [0172] WO 2007133561 [0172]
- US 2007270440 [0172] US 2007270440 [0172]
- WO 2007135111 [0172] WO 2007135111 [0172]
- WO 2007137955 [0172] WO 2007137955 [0172]
- US 2007281923 [0172] US 2007281923 [0172]
- WO 2007137968 [0172] WO 2007137968 [0172]
- WO 2007138431 [0172] WO 2007138431 [0172]
- WO 2007146122 [0172] WO 2007146122 [0172]
- WO 2008005338 [0172] WO 2008005338 [0172]
- WO 2008012010 [0172] WO 2008012010 [0172]
- WO 2008015125 [0172] WO 2008015125 [0172]
- WO 2008045371 [0172] WO 2008045371 [0172]
- EP 1757594 [0172] EP 1757594 [0172]
- WO 2008068173 [0172] WO 2008068173 [0172]
- WO 2008068174 [0172] WO 2008068174 [0172]
- US 20080171753 [0172] US 20080171753 [0172]
- WO 2008072703 [0172] WO 2008072703 [0172]
- WO 2008072724 [0172] WO 2008072724 [0172]
- US 2008188484 [0172] US 2008188484 [0172]
- US 2008188486 [0172] US 2008188486 [0172]
- US 2008188487 [0172] US 2008188487 [0172]
- WO 2008109333 [0172] WO 2008109333 [0172]
- WO 2008109336 [0172] WO 2008109336 [0172]
- WO 2008126886 [0172] WO 2008126886 [0172]
- WO 2008154126 [0172] WO 2008154126 [0172]
- WO 2008151957 [0172] WO 2008151957 [0172]
- US 2008318952 [0172] US 2008318952 [0172]
- WO 2009003003 [0172] WO 2009003003 [0172]
- WO 2009013195 [0172] WO 2009013195 [0172]
- WO 2009036132 [0172] WO 2009036132 [0172]
- WO 2009039431 [0172] WO 2009039431 [0172]
- WO 2009045313 [0172] WO 2009045313 [0172]
- WO 2009058300 [0172] WO 2009058300 [0172]
- WO 2009063953 [0172] WO 2009063953 [0172]
- WO 2009067401 [0172] WO 2009067401 [0172]
- WO 2009067405 [0172] WO 2009067405 [0172]
- WO 2009067406 [0172] WO 2009067406 [0172]
- US 2009163464 [0172] US 2009163464 [0172]
- WO 2009100120 [0172] WO 2009100120 [0172]
- WO 2009105206 [0172] WO 2009105206 [0172]
- WO 2009121812 [0172] WO 2009121812 [0172]
- WO 2009126782 [0172] WO 2009126782 [0172]
- WO 2010011653 [0172] WO 2010011653 [0172]
- WO 2010011657 [0172] WO 2010011657 [0172]
- WO 2008002816 [0172] WO 2008002816 [0172]
- WO 2008002817 [0172] WO 2008002817 [0172]
- WO 2008002818 [0172] WO 2008002818 [0172]
- WO 2008002820 [0172] WO 2008002820 [0172]
- WO 2009126305 [0172] WO 2009126305 [0172]
- WO 2007117399 [0172] WO 2007117399 [0172]
- US 2009156613 [0172] US 2009156613 [0172]
- WO 00/66585 [0172] WO 00/66585 [0172]
- WO 2007105113 [0172] WO 2007105113 [0172]
- WO 2007133756 [0172] WO 2007133756 [0172]
- WO 2008036541 [0172] WO 2008036541 [0172]
- WO 2008036579 [0172] WO 2008036579 [0172]
- WO 2008083070 [0172] WO 2008083070 [0172]
- WO 2010015628 [0172] WO 2010015628 [0172]
- WO 2010015655 [0172] WO 2010015655 [0172]
- WO 01/83451 [0172] WO 01/83451 [0172]
- JP 2006111553 [0172] JP 2006111553 [0172]
- WO 2002038543 [0172] WO 2002038543 [0172]
- WO 2002038544 [0172] WO 2002038544 [0172]
- WO 2007048840 [0172] WO 2007048840 [0172]
- WO 2007048843 [0172] WO 2007048843 [0172]
- WO 2008015558 [0172] WO 2008015558 [0172]
- EP 1947103 [0172] EP 1947103 [0172]
- WO 2008132162 [0172] WO 2008132162 [0172]
- WO 2005085200 [0172] WO 2005085200 [0172]
- WO 2005019240 [0172] WO 2005019240 [0172]
- wO 2004011438 [0172] WO 2004011438 [0172]
- WO 2004012648 [0172] WO 2004012648 [0172]
- WO 2003015769 [0172] WO 2003015769 [0172]
- WO 2004072025 [0172] WO 2004072025 [0172]
- WO 2005070898 [0172] WO 2005070898 [0172]
- WO 2005070925 [0172] WO 2005070925 [0172]
- WO 2004039780 [0172] WO 2004039780 [0172]
- WO 2004092181 [0172] WO 2004092181 [0172]
- WO 2003033476 [0172] WO 2003033476 [0172]
- WO 2002006245 [0172] WO 2002006245 [0172]
- WO 2002089729 [0172] WO 2002089729 [0172]
- WO 2002002744 [0172] WO 2002002744 [0172]
- WO 2003004027 [0172] WO 2003004027 [0172]
- FR 2868780 [0172] FR 2868780 [0172]
- WO 2006010446 [0172] WO 2006010446 [0172]
- WO 2006038680 [0172] WO 2006038680 [0172]
- WO 2006044293 [0172] WO 2006044293 [0172]
- WO 2006044174 [0172] WO 2006044174 [0172]
- JP 2006176443 [0172] JP 2006176443 [0172]
- WO 2006018280 [0172] WO 2006018280 [0172]
- WO 2006018279 [0172] WO 2006018279 [0172]
- WO 2006118320 [0172] WO 2006118320 [0172]
- WO 2006130075 [0172] WO 2006130075 [0172]
- WO 2007018248 [0172] WO 2007018248 [0172]
- WO 2007012661 [0172] WO 2007012661 [0172]
- WO 2007029847 [0172] WO 2007029847 [0172]
- WO 2007024004 [0172] WO 2007024004 [0172]
- WO 2007039462 [0172] WO 2007039462 [0172]
- WO 2007042660 [0172] WO 2007042660 [0172]
- WO 2007042668 [0172] WO 2007042668 [0172]
- WO 2007042669 [0172] WO 2007042669 [0172]
- US 2007093508 [0172] US 2007093508 [0172]
- US 2007093509 [0172] US 2007093509 [0172]
- WO 2007048802 [0172] WO 2007048802 [0172]
- JP 2007091649 [0172] JP 2007091649 [0172]
- WO 2007092416 [0172] WO 2007092416 [0172]
- WO 2007093363 [0172] WO 2007093363 [0172]
- WO 2007093366 [0172] WO 2007093366 [0172]
- WO 2007114902 [0172] WO 2007114902 [0172]
- WO 2007114916 [0172] WO 2007114916 [0172]
- WO 2007141200 [0172] WO 2007141200 [0172]
- WO 2007142217 [0172] WO 2007142217 [0172]
- US 2007299062 [0172] US 2007299062 [0172]
- WO 2007146758 [0172] WO 2007146758 [0172]
- WO 2007146759 [0172] WO 2007146759 [0172]
- WO 2008001160 [0172] WO 2008001160 [0172]
- WO 2008016811 [0172] WO 2008016811 [0172]
- WO 2008020799 [0172] WO 2008020799 [0172]
- WO 2008022979 [0172] WO 2008022979 [0172]
- WO 2008038692 [0172] WO 2008038692 [0172]
- WO 2008041090 [0172] WO 2008041090 [0172]
- WO 2008044632 [0172] WO 2008044632 [0172]
- WO 2008047544 [0172] WO 2008047544 [0172]
- WO 2008061109 [0172] WO 2008061109 [0172]
- WO 2008065021 [0172] WO 2008065021 [0172]
- WO 2008068265 [0172] WO 2008068265 [0172]
- WO 2008071646 [0172] WO 2008071646 [0172]
- WO 2008076562 [0172] WO 2008076562 [0172]
- JP 2008088120 [0172] JP 2008088120 [0172]
- WO 2008086404 [0172] WO 2008086404 [0172]
- WO 2008086409 [0172] WO 2008086409 [0172]
- US 2008269110 [0172] US 2008269110 [0172]
- WO 2008140239 [0172] WO 2008140239 [0172]
- WO 2009021740 [0172] WO 2009021740 [0172]
- US 2009011994 [0172] US 2009011994 [0172]
- US 2009082359 [0172] US 2009082359 [0172]
- WO 2009041567 [0172] WO 2009041567 [0172]
- WO 2009076387 [0172] WO 2009076387 [0172]
- WO 2009089482 [0172] WO 2009089482 [0172]
- WO 2009103478 [0172] WO 2009103478 [0172]
- WO 2009119726 [0172] WO 2009119726 [0172]
- WO 2009120655 [0172] WO 2009120655 [0172]
- WO 2009123194 [0172] WO 2009123194 [0172]
- WO 2009137270 [0172] WO 2009137270 [0172]
- WO 2009146365 [0172] WO 2009146365 [0172]
- WO 2009154132 [0172] WO 2009154132 [0172]
- WO 99/15525 [0172] WO 99/15525 [0172]
- WO 0244150 [0172] WO 0244150 [0172]
- WO 2005116034 [0172] WO 2005116034 [0172]
- WO 2007120655 [0172] WO 2007120655 [0172]
- WO 2007120688 [0172] WO 2007120688 [0172]
- WO 2007120718 [0172] WO 2007120718 [0172]
- WO 2008091631 [0172] WO 2008091631 [0172]
- WO 2007148341 [0172] WO 2007148341 [0172]
- WO 2008034142 [0172, 0213] WO 2008034142 [0172, 0213]
- WO 2008081477 [0172] WO 2008081477 [0172]
- WO 2008120761 [0172] WO 2008120761 [0172]
- WO 2008141081 [0172] WO 2008141081 [0172]
- WO 2008141082 [0172] WO 2008141082 [0172]
- WO 2008145135 [0172] WO 2008145135 [0172]
- WO 2008150848 [0172] WO 2008150848 [0172]
- WO 2009043834 [0172] WO 2009043834 [0172]
- WO 2009077858 [0172] WO 2009077858 [0172]
- WO 2008063673 [0172] WO 2008063673 [0172]
- WO 2009016214 [0172] WO 2009016214 [0172]
- WO 2009016215 [0172] WO 2009016215 [0172]
- WO 2009077584 [0172] WO 2009077584 [0172]
- WO 2009098208 [0172] WO 2009098208 [0172]
- WO 2009098209 [0172] WO 2009098209 [0172]
- WO 2009106769 [0172] WO 2009106769 [0172]
- WO 2009109517 [0172] WO 2009109517 [0172]
- WO 2009109518 [0172] WO 2009109518 [0172]
- WO 2009109519 [0172] WO 2009109519 [0172]
- WO 2009109608 [0172] WO 2009109608 [0172]
- WO 2009145357 [0172] WO 2009145357 [0172]
- WO 2009149258 [0172] WO 2009149258 [0172]
- WO 00/71549 [0172] WO 00/71549 [0172]
- WO 01/09111 [0172] WO 01/09111 [0172]
- WO 2006085118 [0172] WO 2006085118 [0172]
- WO 2008150480 [0172] WO 2008150480 [0172]
- WO 2008079838 [0172] WO 2008079838 [0172]
- WO 2008079839 [0172] WO 2008079839 [0172]
- WO 2008079847 [0172] WO 2008079847 [0172]
- WO 2008079848 [0172] WO 2008079848 [0172]
- US 2008076724 [0172] US 2008076724 [0172]
- WO 2009062318 [0172] WO 2009062318 [0172]
- WO 2009006227 [0172] WO 2009006227 [0172]
- WO 2009137679 [0172] WO 2009137679 [0172]
- WO 2009137732 [0172] WO 2009137732 [0172]
- WO 2007138343 [0172] WO 2007138343 [0172]
- WO 200077010 [0172] WO 200077010 [0172]
- WO 200077001 [0172] WO 200077001 [0172]
- WO 200077002 [0172] WO 200077002 [0172]
- WO 2005019180 [0172] WO 2005019180 [0172]
- WO 2003064423 [0172] WO 2003064423 [0172]
- WO 200242304 [0172] WO 200242304 [0172]
- WO 2005035533 [0172] WO 2005035533 [0172]
- WO 2005082859 [0172] WO 2005082859 [0172]
- WO 2006004937 [0172] WO 2006004937 [0172]
- US 2006025601 [0172] US 2006025601 [0172]
- WO 2006028961 [0172] WO 2006028961 [0172]
- WO 2006077025 [0172] WO 2006077025 [0172]
- WO 2006103511 [0172] WO 2006103511 [0172]
- WO 2007028132 [0172] WO 2007028132 [0172]
- WO 2007084622 [0172] WO 2007084622 [0172]
- US 2007249709 [0172] US 2007249709 [0172]
- WO 2007132841 [0172] WO 2007132841 [0172]
- WO 2007140213 [0172] WO 2007140213 [0172]
- WO 2008007661 [0172] WO 2008007661 [0172]
- WO 2008007664 [0172] WO 2008007664 [0172]
- WO 2008009125 [0172] WO 2008009125 [0172]
- WO 2008010073 [0172] WO 2008010073 [0172]
- WO 2008108445 [0172] WO 2008108445 [0172]
- WO 2009063991 [0172] WO 2009063991 [0172]
- WO 2009063992 [0172] WO 2009063992 [0172]
- WO 2009063993 [0172] WO 2009063993 [0172]
- WO 2009079765 [0172] WO 2009079765 [0172]
- WO 2005058858 [0172] WO 2005058858 [0172]
- WO 2007054257 [0172] WO 2007054257 [0172]
- WO 2007107373 [0172] WO 2007107373 [0172]
- WO 2007108569 [0172] WO 2007108569 [0172]
- WO 2007108742 [0172] WO 2007108742 [0172]
- WO 2007108744 [0172] WO 2007108744 [0172]
- WO 2008003703 [0172] WO 2008003703 [0172]
- WO 2008027073 [0172] WO 2008027073 [0172]
- WO 2008034815 [0172] WO 2008034815 [0172]
- WO 2008054288 [0172] WO 2008054288 [0172]
- EP 1947085 [0172] EP 1947085 [0172]
- WO 2008084491 [0172] WO 2008084491 [0172]
- WO 2008084492 [0172] WO 2008084492 [0172]
- WO 2008092665 [0172] WO 2008092665 [0172]
- WO 2008092666 [0172] WO 2008092666 [0172]
- WO 2008101247 [0172] WO 2008101247 [0172]
- WO 2008110598 [0172] WO 2008110598 [0172]
- WO 2008116831 [0172] WO 2008116831 [0172]
- WO 2008116833 [0172] WO 2008116833 [0172]
- WO 2008117169 [0172] WO 2008117169 [0172]
- WO 2008136017 [0172] WO 2008136017 [0172]
- WO 2008147812 [0172] WO 2008147812 [0172]
- EP 2036888 [0172] EP 2036888 [0172]
- WO 2009013010 [0172] WO 2009013010 [0172]
- WO 2009034581 [0172] WO 2009034581 [0172]
- WO 2009053997 [0172] WO 2009053997 [0172]
- WO 2009056632 [0172] WO 2009056632 [0172]
- WO 2009073118 [0172] WO 2009073118 [0172]
- WO 2009115515 [0172] WO 2009115515 [0172]
- WO 2009135925 [0172] WO 2009135925 [0172]
- WO 2009135927 [0172] WO 2009135927 [0172]
- WO 2010000456 [0172] WO 2010000456 [0172]
- WO 2010012806 [0172] WO 2010012806 [0172]
- EP 2145887 [0172] EP 2145887 [0172]
- WO 2007131005 [0172] WO 2007131005 [0172]
- WO 2008052709 [0172] WO 2008052709 [0172]
- WO 2008109727 [0172] WO 2008109727 [0172]
- WO 2009055734 [0172] WO 2009055734 [0172]
- WO 2009100335 [0172] WO 2009100335 [0172]
- WO 2009127686 [0172] WO 2009127686 [0172]
- WO 2007098953 [0172] WO 2007098953 [0172]
- WO 2007098961 [0172] WO 2007098961 [0172]
- WO 2008015266 [0172] WO 2008015266 [0172]
- WO 2008055932 [0172] WO 2008055932 [0172]
- WO 2008055933 [0172] WO 2008055933 [0172]
- WO 2009071657 [0172] WO 2009071657 [0172]
- WO 2007110782 [0172] WO 2007110782 [0172]
- WO 2008041184 [0172] WO 2008041184 [0172]
- WO 2008051404 [0172] WO 2008051404 [0172]
- WO 2008051405 [0172] WO 2008051405 [0172]
- WO 2008051406 [0172] WO 2008051406 [0172]
- WO 2008073311 [0172] WO 2008073311 [0172]
- WO 01/85695 [0172] WO 01/85695 [0172]
- WO 2005030734 [0172] WO 2005030734 [0172]
- WO 2007127457 [0172] WO 2007127457 [0172]
- WO 2008008286 [0172] WO 2008008286 [0172]
- WO 2009056707 [0172] WO 2009056707 [0172]
- WO 2006012577 [0172] WO 2006012577 [0172]
- WO 2007079239 [0172] WO 2007079239 [0172]
- WO 2008092681 [0172] WO 2008092681 [0172]
- WO 2008145749 [0172] WO 2008145749 [0172]
- WO 2008148853 [0172] WO 2008148853 [0172]
- WO 2008148854 [0172] WO 2008148854 [0172]
- WO 2008148856 [0172] WO 2008148856 [0172]
- WO 2009047558 [0172] WO 2009047558 [0172]
- WO 2009071283 [0172] WO 2009071283 [0172]
- WO 2009115503 [0172] WO 2009115503 [0172]
- EP 0462884 [0172] EP 0462884 [0172]
- WO 2009128583 [0172] WO 2009128583 [0172]
- WO 2008059023 [0172, 0239] WO 2008059023 [0172, 0239]
- WO 2008059024 [0172, 0239] WO 2008059024 [0172, 0239]
- WO 2008059025 [0172, 0239] WO 2008059025 [0172, 0239]
- WO 2008059026 [0172, 0239] WO 2008059026 [0172, 0239]
- WO 2009019427 [0172] WO 2009019427 [0172]
- WO 2009071658 [0172] WO 2009071658 [0172]
- WO 2009071668 [0172] WO 2009071668 [0172]
- WO 2009071677 [0172] WO 2009071677 [0172]
- WO 2009071678 [0172] WO 2009071678 [0172]
- WO 2009147211 [0172] WO 2009147211 [0172]
- WO 2009147216 [0172] WO 2009147216 [0172]
- WO 2009147219 [0172] WO 2009147219 [0172]
- WO 2009147221 [0172] WO 2009147221 [0172]
- US 2009143390 [0172] US 2009143390 [0172]
- WO 00/40569 [0172] WO 00/40569 [0172]
- WO 2008107184 [0172] WO 2008107184 [0172]
- WO 2009049428 [0172] WO 2009049428 [0172]
- WO 2009125819 [0172] WO 2009125819 [0172]
- US 2004/0224997 [0172] US 2004/0224997 [0172]
- WO 2004094618 [0172] WO 2004094618 [0172]
- WO 200058491 [0172] WO 200058491 [0172]
- WO 2005044250 [0172] WO 2005044250 [0172]
- WO 2005072740 [0172] WO 2005072740 [0172]
- JP 2005206492 [0172] JP 2005206492 [0172]
- WO 2005013907 [0172] WO 2005013907 [0172]
- WO 2006004200 [0172] WO 2006004200 [0172]
- WO 2006019020 [0172] WO 2006019020 [0172]
- WO 2006064189 [0172] WO 2006064189 [0172]
- WO 2006082952 [0172] WO 2006082952 [0172]
- WO 2006120125 [0172] WO 2006120125 [0172]
- WO 2006113919 [0172] WO 2006113919 [0172]
- WO 2006134317 [0172] WO 2006134317 [0172]
- WO 2007016538 [0172] WO 2007016538 [0172]
- WO 2007060140 [0172] WO 2007060140 [0172]
- JP 2007131584 [0172] JP 2007131584 [0172]
- WO 2007071966 [0172] WO 2007071966 [0172]
- WO 2007126957 [0172] WO 2007126957 [0172]
- WO 2007137103 [0172] WO 2007137103 [0172]
- WO 2007137107 [0172] WO 2007137107 [0172]
- WO 2007138304 [0172] WO 2007138304 [0172]
- WO 2007138311 [0172] WO 2007138311 [0172]
- WO 2007141502 [0172] WO 2007141502 [0172]
- WO 2007141517 [0172] WO 2007141517 [0172]
- WO 2007141538 [0172] WO 2007141538 [0172]
- WO 2007141545 [0172] WO 2007141545 [0172]
- WO 2007144571 [0172] WO 2007144571 [0172]
- WO 2008011130 [0172] WO 2008011130 [0172]
- WO 2008011131 [0172] WO 2008011131 [0172]
- WO 2008039007 [0172] WO 2008039007 [0172]
- WO 2008048991 [0172] WO 2008048991 [0172]
- WO 2008067257 [0172] WO 2008067257 [0172]
- WO 2008099221 [0172] WO 2008099221 [0172]
- WO 2008129319 [0172] WO 2008129319 [0172]
- WO 2008141976 [0172] WO 2008141976 [0172]
- WO 2008148840 [0172] WO 2008148840 [0172]
- WO 2008148849 [0172] WO 2008148849 [0172]
- WO 2008148851 [0172] WO 2008148851 [0172]
- WO 2008148868 [0172] WO 2008148868 [0172]
- WO 2009011285 [0172] WO 2009011285 [0172]
- WO 2009016462 [0172] WO 2009016462 [0172]
- WO 2009024821 [0172] WO 2009024821 [0172]
- US 2009076275 [0172] US 2009076275 [0172]
- WO 2009040410 [0172] WO 2009040410 [0172]
- WO 2009071483 [0172] WO 2009071483 [0172]
- WO 2009081195 [0172] WO 2009081195 [0172]
- WO 2009119534 [0172] WO 2009119534 [0172]
- WO 2009126624 [0172] WO 2009126624 [0172]
- WO 2009126861 [0172] WO 2009126861 [0172]
- WO 2010007046 [0172] WO 2010007046 [0172]
- WO 2010017040 [0172] WO 2010017040 [0172]
- WO 2008038768 [0172] WO 2008038768 [0172]
- WO 2004005277 [0172] WO 2004005277 [0172]
- WO 2008006113 [0172] WO 2008006113 [0172]
- WO 2007009236 [0172] WO 2007009236 [0172]
- WO 2007044085 [0172] WO 2007044085 [0172]
- WO 2007046867 [0172] WO 2007046867 [0172]
- WO 2007046868 [0172] WO 2007046868 [0172]
- WO 20070501124 [0172] WO 20070501124 [0172]
- WO 2007056846 [0172] WO 2007056846 [0172]
- WO 2007071023 [0172] WO 2007071023 [0172]
- WO 2007130075 [0172] WO 2007130075 [0172]
- WO 2007134457 [0172] WO 2007134457 [0172]
- WO 2007136746 [0172] WO 2007136746 [0172]
- WO 2007143597 [0172] WO 2007143597 [0172]
- WO 2007143823 [0172] WO 2007143823 [0172]
- WO 2007143824 [0172] WO 2007143824 [0172]
- WO 2008003753 [0172] WO 2008003753 [0172]
- WO 2008017161 [0172] WO 2008017161 [0172]
- WO 2008024390 [0172] WO 2008024390 [0172]
- WO 2008029266 [0172] WO 2008029266 [0172]
- WO 2008036715 [0172] WO 2008036715 [0172]
- WO 2008043087 [0172] WO 2008043087 [0172]
- WO 2008044767 [0172] WO 2008044767 [0172]
- WO 2008046226 [0172] WO 2008046226 [0172]
- WO 2008056687 [0172] WO 2008056687 [0172]
- WO 2008062276 [0172] WO 2008062276 [0172]
- WO 2008064474 [0172] WO 2008064474 [0172]
- WO 2008074824 [0172] WO 2008074824 [0172]
- WO 2008074832 [0172] WO 2008074832 [0172]
- WO 2008074833 [0172] WO 2008074833 [0172]
- WO 2008074834 [0172] WO 2008074834 [0172]
- WO 2008074835 [0172] WO 2008074835 [0172]
- WO 2008089580 [0172] WO 2008089580 [0172]
- WO 2008096746 [0172] WO 2008096746 [0172]
- WO 2008104524 [0172] WO 2008104524 [0172]
- WO 2008116898 [0172] WO 2008116898 [0172]
- US 2008249100 [0172] US 2008249100 [0172]
- WO 2008120744 [0172] WO 2008120744 [0172]
- WO 2008120759 [0172] WO 2008120759 [0172]
- WO 2008123469 [0172] WO 2008123469 [0172]
- WO 2008127349 [0172] WO 2008127349 [0172]
- WO 2008128335 [0172] WO 2008128335 [0172]
- WO 2008135141 [0172] WO 2008135141 [0172]
- WO 2008139845 [0172] WO 2008139845 [0172]
- WO 2008141455 [0172, 0172] WO 2008141455 [0172, 0172]
- US 20080255130 [0172] US 20080255130 [0172]
- US 2008255161 [0172] US 2008255161 [0172]
- WO 2009010560 [0172] WO 2009010560 [0172]
- WO 2009016216 [0172] WO 2009016216 [0172]
- WO 2009012573 [0172] WO 2009012573 [0172]
- WO 2009024287 [0172] WO 2009024287 [0172]
- JP 2009019013 [0172] JP 2009019013 [0172]
- WO 2009037542 [0172] WO 2009037542 [0172]
- WO 2009056556 [0172] WO 2009056556 [0172]
- WO 2009060053 [0172] WO 2009060053 [0172]
- WO 2009060054 [0172] WO 2009060054 [0172]
- WO 2009070533 [0172] WO 2009070533 [0172]
- WO 2009073973 [0172] WO 2009073973 [0172]
- WO 2009103739 [0172] WO 2009103739 [0172]
- WO 2009117659 [0172] WO 2009117659 [0172]
- WO 2009117676 [0172] WO 2009117676 [0172]
- US 2009253693 [0172] US 2009253693 [0172]
- US 2009253738 [0172] US 2009253738 [0172]
- WO 2009124259 [0172] WO 2009124259 [0172]
- WO 2009126123 [0172] WO 2009126123 [0172]
- WO 2009126527 [0172] WO 2009126527 [0172]
- WO 2009129625 [0172] WO 2009129625 [0172]
- WO 2009137201 [0172] WO 2009137201 [0172]
- WO 2009150196 [0172] WO 2009150196 [0172]
- WO 2009156484 [0172] WO 2009156484 [0172]
- WO 2010006962 [0172] WO 2010006962 [0172]
- WO 2010007482 [0172] WO 2010007482 [0172]
- WO 2008089310 [0172] WO 2008089310 [0172]
- WO 2008145842 [0172] WO 2008145842 [0172]
- WO 2008039087 [0172] WO 2008039087 [0172]
- WO 2009051119 [0172] WO 2009051119 [0172]
- WO 2009028248 [0172] WO 2009028248 [0172]
- WO 2006082978 [0172] WO 2006082978 [0172]
- WO 2008105533 [0172] WO 2008105533 [0172]
- WO 2008136173 [0172] WO 2008136173 [0172]
- WO 2007125946 [0172] WO 2007125946 [0172]
- WO 2008038712 [0172] WO 2008038712 [0172]
- WO 2008121009 [0172] WO 2008121009 [0172]
- WO 20058279 [0172] WO 20058279 [0172]
- WO 200172692 [0172] WO 200172692 [0172]
- WO 200194293 [0172] WO 200194293 [0172]
- WO 2003084915 [0172] WO 2003084915 [0172]
- WO 2004018421 [0172] WO 2004018421 [0172]
- WO 2005092316 [0172] WO 2005092316 [0172]
- WO 2007003419 [0172] WO 2007003419 [0172]
- WO 2007009913 [0172] WO 2007009913 [0172]
- WO 2007039125 [0172] WO 2007039125 [0172]
- WO 2007110225 [0172] WO 2007110225 [0172]
- WO 2007110226 [0172] WO 2007110226 [0172]
- WO 2007128492 [0172] WO 2007128492 [0172]
- WO 2007132475 [0172] WO 2007132475 [0172]
- WO 2007134864 [0172] WO 2007134864 [0172]
- WO 2008001959 [0172] WO 2008001959 [0172]
- WO 2008106213 [0172] WO 2008106213 [0172]
- JP 2009155261 [0172] JP 2009155261 [0172]
- WO 2008062469 [0172] WO 2008062469 [0172]
- US 2008146523 [0175] US 2008146523 [0175]
- WO 2008092785 [0175] WO 2008092785 [0175]
- WO 2008067270 [0176] WO 2008067270 [0176]
- WO 2009135918 [0180] WO 2009135918 [0180]
- WO 2009032249 [0183] WO 2009032249 [0183]
- WO 2007065948 [0184] WO 2007065948 [0184]
- WO 2009050252 [0184] WO 2009050252 [0184]
- WO 2008027557 [0185] WO 2008027557 [0185]
- US 2009304789 [0185] US 2009304789 [0185]
- EP 1886695 [0188] EP 1886695 [0188]
- WO 2008119744 [0188] WO 2008119744 [0188]
- WO 2007119463 [0191] WO 2007119463 [0191]
- WO 2009035159 [0191] WO 2009035159 [0191]
- WO 2009035162 [0191] WO 2009035162 [0191]
- WO 2007125405 [0192] WO 2007125405 [0192]
- WO 2008028860 [0192] WO 2008028860 [0192]
- WO 2008118626 [0192] WO 2008118626 [0192]
- WO 2009138122 [0194] WO 2009138122 [0194]
- WO 2009135526 [0194] WO 2009135526 [0194]
- WO 2005090336 [0195] WO 2005090336 [0195]
- WO 2006071609 [0195] WO 2006071609 [0195]
- WO 2006135826 [0195] WO 2006135826 [0195]
- WO 2007105766 [0195] WO 2007105766 [0195]
- WO 2008120661 [0195] WO 2008120661 [0195]
- WO 2009058944 [0195] WO 2009058944 [0195]
- WO 2009108525 [0195] WO 2009108525 [0195]
- WO 2009111214 [0195] WO 2009111214 [0195]
- WO 2009018551 [0197] WO 2009018551 [0197]
- WO 2009071519 [0197] WO 2009071519 [0197]
- WO 2009071576 [0197] WO 2009071576 [0197]
- WO 2009071577 [0197] WO 2009071577 [0197]
- WO 2007019416 [0199] WO 2007019416 [0199]
- WO 2008073451 [0199] WO 2008073451 [0199]
- WO 2008156866 [0199] WO 2008156866 [0199]
- WO 2008156869 [0199] WO 2008156869 [0199]
- WO 2009026701 [0199] WO 2009026701 [0199]
- WO 2009049018 [0199] WO 2009049018 [0199]
- WO 2009058348 [0199] WO 2009058348 [0199]
- WO 2009061453 [0199] WO 2009061453 [0199]
- WO 2009134973 [0199] WO 2009134973 [0199]
- WO 2009146358 [0199] WO 2009146358 [0199]
- WO 2010003048 [0199] WO 2010003048 [0199]
- WO 2006000804 [0201] WO 2006000804 [0201]
- WO 2005113496 [0201] WO 2005113496 [0201]
- WO 2007107587 [0201] WO 2007107587 [0201]
- WO 2007111994 [0201] WO 2007111994 [0201]
- WO 2008106600 [0201] WO 2008106600 [0201]
- WO 2008113796 [0201] WO 2008113796 [0201]
- WO 2009113952 [0201] WO 2009113952 [0201]
- US 2009312302 [0201] US 2009312302 [0201]
- WO 2008097835 [0202] WO 2008097835 [0202]
- WO 2007101146 [0203] WO 2007101146 [0203]
- WO 2007133828 [0203] WO 2007133828 [0203]
- WO 2007112069 [0204] WO 2007112069 [0204]
- WO 2007099200 [0206] WO 2007099200 [0206]
- WO 2007137874 [0206] WO 2007137874 [0206]
- JP 2008024673 [0207] JP 2008024673 [0207]
- WO 2007100104 [0215] WO 2007100104 [0215]
- JP 2008106008 [0215] JP 2008106008 [0215]
- WO 2009038012 [0216] WO 2009038012 [0216]
- US 7138107 [0217] US 7138107 [0217]
- WO 2008028958 [0218] WO 2008028958 [0218]
- WO 2008085711 [0218] WO 2008085711 [0218]
- WO 2008033447 [0219] WO 2008033447 [0219]
- WO 2008033356 [0219] WO 2008033356 [0219]
- WO 2008033460 [0219] WO 2008033460 [0219]
- WO 2008033468 [0219] WO 2008033468 [0219]
- WO 2008073461 [0219] WO 2008073461 [0219]
- WO 2008073934 [0220] WO 2008073934 [0220]
- WO 2008073936 [0220] WO 2008073936 [0220]
- WO 2009107660 [0220] WO 2009107660 [0220]
- US 2009124680 [0221] US 2009124680 [0221]
- WO 2008110008 [0222] WO 2008110008 [0222]
- US 2008280900 [0222] US 2008280900 [0222]
- WO 2008141446 [0222] WO 2008141446 [0222]
- US 2009270338 [0222] US 2009270338 [0222]
- WO 2009146540 [0222] WO 2009146540 [0222]
- US 2009325979 [0222] US 2009325979 [0222]
- WO 2009146539 [0222] WO 2009146539 [0222]
- US 2008027049 [0223] US 2008027049 [0223]
- US 2008027090 [0223] US 2008027090 [0223]
- US 2009036475 [0224] US 2009036475 [0224]
- WO 2008040057 [0225] WO 2008040057 [0225]
- WO 2008040058 [0225] WO 2008040058 [0225]
- WO 2008046065 [0225] WO 2008046065 [0225]
- WO 2009043117 [0225] WO 2009043117 [0225]
- WO 2008135447 [0226] WO 2008135447 [0226]
- WO 2008135448 [0226] WO 2008135448 [0226]
- WO 2008135591 [0226] WO 2008135591 [0226]
- WO 2009099820 [0226] WO 2009099820 [0226]
- US 2009069296 [0227] US 2009069296 [0227]
- WO 2009130735 [0228] WO 2009130735 [0228]
- WO 2009049180 [0229] WO 2009049180 [0229]
- WO 2009049181 [0229] WO 2009049181 [0229]
- WO 2008014360 [0230] WO 2008014360 [0230]
- WO 2008014381 [0230] WO 2008014381 [0230]
- WO 2009011836 [0231] WO 2009011836 [0231]
- WO 2008019967 [0232] WO 2008019967 [0232]
- US 2008064697 [0232] US 2008064697 [0232]
- US 2008249101 [0232] US 2008249101 [0232]
- WO 2008000692 [0232] WO 2008000692 [0232]
- US 2008293756 [0232] US 2008293756 [0232]
- WO 2008148710 [0232] WO 2008148710 [0232]
- WO 2008051272 [0233] WO 2008051272 [0233]
- WO 2009051244 [0234] WO 2009051244 [0234]
- WO 2009145286 [0234] WO 2009145286 [0234]
- WO 2008042800 [0235] WO 2008042800 [0235]
- WO 2008035305 [0236] WO 2008035305 [0236]
- WO 2008035306 [0236] WO 2008035306 [0236]
- WO 2008035686 [0236] WO 2008035686 [0236]
- WO 2008036966 [0237] WO 2008036966 [0237]
- WO 2008036967 [0237] WO 2008036967 [0237]
- WO 2008058641 [0238] WO 2008058641 [0238]
- WO 2008074413 [0238] WO 2008074413 [0238]
- WO 2008062905 [0240, 0240] WO 2008062905 [0240, 0240]
- WO 2008067378 [0240] WO 2008067378 [0240]
- WO 2008064315 [0241] WO 2008064315 [0241]
- WO 2008074820 [0241] WO 2008074820 [0241]
- WO 2008074821 [0241] WO 2008074821 [0241]
- WO 2008135522 [0241] WO 2008135522 [0241]
- WO 2009019167 [0241] WO 2009019167 [0241]
- WO 2009043013 [0241] WO 2009043013 [0241]
- WO 2009080663 [0241] WO 2009080663 [0241]
- WO 2009085847 [0241] WO 2009085847 [0241]
- WO 2009151529 [0241] WO 2009151529 [0241]
- WO 2009151621 [0241] WO 2009151621 [0241]
- WO 2009151626 [0241] WO 2009151626 [0241]
- WO 2009154737 [0241] WO 2009154737 [0241]
- WO 2008044770 [0242] WO 2008044770 [0242]
- WO 2009014972 [0243] WO 2009014972 [0243]
- WO 2008090200 [0244] WO 2008090200 [0244]
- WO 2008092091 [0245] WO 2008092091 [0245]
- WO 2009066152 [0245] WO 2009066152 [0245]
- WO 2009030968 [0246] WO 2009030968 [0246]
- US 2008194658 [0247] US 2008194658 [0247]
- WO 2008126920 [0248] WO 2008126920 [0248]
- WO 2009070740 [0249] WO 2009070740 [0249]
- WO 2009108657 [0250] WO 2009108657 [0250]
- EP 1955701 [0252] EP 1955701 [0252]
- WO 2008150486 [0253] WO 2008150486 [0253]
- WO 2009117829 [0254] WO 2009117829 [0254]
- WO 2009155753 [0254] WO 2009155753 [0254]
- US 2009042813 [0255] US 2009042813 [0255]
- EP 2044852 [0255] EP 2044852 [0255]
- WO 2009079902 [0257] WO 2009079902 [0257]
- WO 2009143391 [0258] WO 2009143391 [0258]
- WO 2009124746 [0259] WO 2009124746 [0259]
- WO 1989005304 [0260] WO 1989005304 [0260]
- WO 2009092129 [0260] WO 2009092129 [0260]
- WO 2010002956 [0260] WO 2010002956 [0260]
- WO 2009089545 [0261] WO 2009089545 [0261]
- WO 2009153261 [0261] WO 2009153261 [0261]
- US 2009196825 [0262] US 2009196825 [0262]
- WO 2009046141 [0263] WO 2009046141 [0263]
- US 2009246137 [0266] US 2009246137 [0266]
- US 2009264433 [0266] US 2009264433 [0266]
- US 2009264441 [0266] US 2009264441 [0266]
- US 2009264471 [0266] US 2009264471 [0266]
- US 2009264481 [0266] US 2009264481 [0266]
- US 2009264486 [0266] US 2009264486 [0266]
- WO 2010019239 [0266] WO 2010019239 [0266]
- WO 2009109258 [0267] WO 2009109258 [0267]
- WO 2009132739 [0267] WO 2009132739 [0267]
- US 2009281057 [0267] US 2009281057 [0267]
- WO 2009157418 [0267] WO 2009157418 [0267]
- WO 2009125071 [0268] WO 2009125071 [0268]
- WO 2009133458 [0269] WO 2009133458 [0269]
- US 2009238900 [0270] US 2009238900 [0270]
- US 2010016213 [0271] US 2010016213 [0271]
- EP 1345895 [0286] EP 1345895 [0286]
Zitierte Nicht-PatentliteraturCited non-patent literature
- Roten Liste 2010, Kapitel 12 [0021] Red List 2010, chapter 12 [0021]
- Roten Liste 2007, Kapitel 1 [0021] Red List 2007, Chapter 1 [0021]
- Roten Liste 2010, Kapitel 36 [0021] Red List 2010, chapter 36 [0021]
- Roten Liste 2010, Kapitel 58 [0021] Red List 2010, Chapter 58 [0021]
- USP Dictionary of USAN and International Drug Names, US Pharmacopeia, Rockville 2006 [0021] USP Dictionary of US and International Drug Names, US Pharmacopeia, Rockville 2006 [0021]
- www.lantus.com [0022] www.lantus.com [0022]
- D. Chen et al., Proc. Natl. Acad. Sci. USA 104 (2007) 943 [0022] D. Chen et al., Proc. Natl. Acad. Sci. USA 104 (2007) 943 [0022]
- R. D. Carr et al., Diabetes 52, 2003, 2513.2518 [0031] RD Carr et al., Diabetes 52, 2003, 2513.2518 [0031]
- J. B. Hansen et al., Current Medicinal Chemistry 11, 2004, 1595–1615 [0031] JB Hansen et al., Current Medicinal Chemistry 11, 2004, 1595-1615 [0031]
- T. M. Tagmose et al., J. Med. Chem. 47, 2004, 3202–3211 [0031] Tagmose et al., J. Med. Chem. 47, 2004, 3202-3211 [0031]
- M. J. Coghlan et al., J. Med. Chem. 44, 2001, 1627–1653 [0031] MJ Coghlan et al., J.Med.Chem. 44, 2001, 1627-1653 [0031]
- J. P. Berger et al., TRENDS in Pharmacological Sciences 28 (5), 244–251, 2005 [0050] JP Berger et al., TRENDS in Pharmacological Sciences 28 (5), 244-251, 2005 [0050]
- D.-O. Lee et al.: Arzneim.-Forsch. Drug Res. 54 (12), 835 (2004) [0062] DO. Lee et al .: Arzneim.-Forsch. Drug Res. 54 (12), 835 (2004) [0062]
- A. L. Handlon in Expert Opin. Ther. Patents (2005) 15 (11), 1531–1540 [0078] AL Handlon in Expert Opinion. Ther. Patents (2005) 15 (11), 1531-1540 [0078]
- ”Cocaine-amphetamine-regulated transcript influences energy metabolism, anxiety and gastric emptying in mice” Asakawa, A. et al.: Hormone and Metabolic Research (2001), 33 (9), 554–558 [0172] "Cocaine-amphetamine-regulated transcript-influencing energy metabolism, anxiety and gastric emptying in mice" Asakawa, A. et al .: Hormones and Metabolic Research (2001), 33 (9), 554-558 [0172]
- Lee, Daniel W.; Leinung, Matthew C.; Rozhavskaya-Arena, Marina; Grasso, Patricia. Leptin agonists as a potential approach to the treatment of obesity. Drugs of the Future (2001), 26 (9), 873–881 [0172] Lee, Daniel W .; Leinung, Matthew C .; Rozhavskaya Arena, Marina; Grasso, Patricia. Leptin agonists as a potential approach to the treatment of obesity. Drugs of the Future (2001), 26 (9), 873-881 [0172]
- ”Perspectives in the therapeutic use of leptin”, Salvador, Javier; Gomez-Ambrosi, Javier; Fruhbeck, Gema, Expert Opinion on Pharmacotherapy (2001), 2 (10), 1615–1622 [0208] "Perspectives in the therapeutic use of leptin", Salvador, Javier; Gomez-Ambrosi, Javier; Fruhbeck, Gema, Expert Opinion on Pharmacotherapy (2001), 2 (10), 1615-1622 [0208]
- Zunft H J; et al., Carob pule preparation for treatment of hypercholesterolemia, ADVANCES IN THERAPY (2001 Sep–Oct), 18 (5), 230-6 [0272] Guild HJ; et al., Carob pule preparation for the treatment of hypercholesterolemia, ADVANCES IN THERAPY (2001 Sep-Oct), 18 (5), 230-6 [0272]
- Roten Liste 2010, Kapitel 15 [0274] Red List 2010, Chapter 15 [0274]
- Roten Liste 2010, Kapitel 17 [0274] Red List 2010, Chapter 17 [0274]
- Roten Liste 2010, Kapitel 19 [0274] Red List 2010, Chapter 19 [0274]
- Roten Liste 2010, Kapitel 20 [0274] Red List 2010, Chapter 20 [0274]
- Roten Liste 2010, Kapitel 25 [0274] Red List 2010, Chapter 25 [0274]
- Roten Liste 2010, Kapitel 27 [0274] Red List 2010, Chapter 27 [0274]
- Roten Liste 2010, Kapitel 36 und 37 [0274] Red List 2010, chapters 36 and 37 [0274]
- Roten Liste 2010, Kapitel 39 [0274] Red List 2010, Chapter 39 [0274]
- Roten Liste 2010, Kapitel 55 und 60 [0274] Red List 2010, chapters 55 and 60 [0274]
- Roten Liste 2010, Kapitel 61, 66 und 70 [0274] Red List 2010, Chapters 61, 66 and 70 [0274]
- T. W. Greene, ”Protective Groups in Organic Synthesis” [0279] TW Greene, "Protective Groups in Organic Synthesis" [0279]
- A. R. Hilgers et al., Caco-2 cell monolayers as a model for drug transport across the intestinal mucosa, Pharm. Res. 1990, 7, 902 [0354] AR Hilgers et al., Caco-2 cell monolayers as a model for drug delivery across the intestinal mucosa, Pharm. Res. 1990, 7, 902 [0354]
Claims (13)
Priority Applications (1)
| Application Number | Priority Date | Filing Date | Title |
|---|---|---|---|
| DE102010015123A DE102010015123A1 (en) | 2010-04-16 | 2010-04-16 | New benzylamidic diphenylazetidinone compounds, useful for treating lipid disorders, hyperlipidemia, atherosclerotic manifestations or insulin resistance, and for reducing serum cholesterol levels |
Applications Claiming Priority (1)
| Application Number | Priority Date | Filing Date | Title |
|---|---|---|---|
| DE102010015123A DE102010015123A1 (en) | 2010-04-16 | 2010-04-16 | New benzylamidic diphenylazetidinone compounds, useful for treating lipid disorders, hyperlipidemia, atherosclerotic manifestations or insulin resistance, and for reducing serum cholesterol levels |
Publications (1)
| Publication Number | Publication Date |
|---|---|
| DE102010015123A1 true DE102010015123A1 (en) | 2011-10-20 |
Family
ID=44730553
Family Applications (1)
| Application Number | Title | Priority Date | Filing Date |
|---|---|---|---|
| DE102010015123A Withdrawn DE102010015123A1 (en) | 2010-04-16 | 2010-04-16 | New benzylamidic diphenylazetidinone compounds, useful for treating lipid disorders, hyperlipidemia, atherosclerotic manifestations or insulin resistance, and for reducing serum cholesterol levels |
Country Status (1)
| Country | Link |
|---|---|
| DE (1) | DE102010015123A1 (en) |
Citations (98)
| Publication number | Priority date | Publication date | Assignee | Title |
|---|---|---|---|---|
| WO1997026265A1 (en) | 1996-01-17 | 1997-07-24 | Novo Nordisk A/S | Fused 1,2,4-thiadiazine and fused 1,4-thiazine derivatives, their preparation and use |
| WO1997041097A2 (en) | 1996-12-31 | 1997-11-06 | Dr. Reddy's Research Foundation | Novel heterocyclic compounds process for their preparation and pharmaceutical compositions containing them and their use in the treatment of diabetes and related diseases |
| WO1998008871A1 (en) | 1996-08-30 | 1998-03-05 | Novo Nordisk A/S | Glp-1 derivatives |
| WO1999003861A1 (en) | 1997-07-16 | 1999-01-28 | Novo Nordisk A/S | Fused 1,2,4-thiadiazine derivatives, their preparation and use |
| WO2000034331A2 (en) | 1998-12-07 | 2000-06-15 | Societe De Conseils De Recherches Et D'applications Scientifiques Sas | Analogues of glp-1 |
| WO2001004156A1 (en) | 1999-07-12 | 2001-01-18 | Zealand Pharmaceuticals A/S | Peptides that lower blood glucose levels |
| US6221633B1 (en) | 1997-06-20 | 2001-04-24 | Aventis Pharma Deutschland Gmbh | Insulin derivatives having a rapid onset of action |
| WO2002050027A1 (en) | 2000-12-21 | 2002-06-27 | Aventis Pharma Deutschland Gmbh | Novel 1,2-diphenzylazetidinones, method for producing the same, medicaments containing said compounds, and the use thereof for treating disorders of the lipid metabolism |
| WO2005005477A2 (en) | 2003-07-11 | 2005-01-20 | Novo Nordisk A/S | Stabilised insulin compositions |
| WO2005027978A2 (en) | 2003-09-19 | 2005-03-31 | Novo Nordisk A/S | Albumin-binding derivatives of therapeutic peptides |
| WO2005086904A2 (en) | 2004-03-08 | 2005-09-22 | Amgen Inc. | Therapeutic modulation of ppar (gamma) activity |
| WO2006037810A2 (en) | 2004-10-07 | 2006-04-13 | Novo Nordisk A/S | Protracted glp-1 compounds |
| WO2006037811A2 (en) | 2004-10-07 | 2006-04-13 | Novo Nordisk A/S | Protracted exendin-4 compounds |
| WO2006121860A2 (en) | 2005-05-06 | 2006-11-16 | Bayer Pharmaceuticals Corporation | Glucagon-like peptide 1 (glp-1) receptor agonists and their pharmacological methods of use |
| WO2006124529A1 (en) | 2005-05-13 | 2006-11-23 | Eli Lilly And Company | Glp-1 pegylated compounds |
| US7205290B2 (en) | 2003-04-01 | 2007-04-17 | Sanofi-Aventis Deutschland Gmbh | Diphenylazetidinone with improved physiological properties, process for its preparation, medicaments comprising this compound, and its use |
| WO2007060992A1 (en) | 2005-11-25 | 2007-05-31 | Kaneka Corporation | Agent for preventing or improving metabolic syndrome or insulin-resistance syndrome |
| WO2007095462A2 (en) | 2006-02-13 | 2007-08-23 | Wellstat Therapeutics Corporation | Compounds for the treatment of metabolic disorders |
| WO2007100027A1 (en) | 2006-03-02 | 2007-09-07 | Daiichi Sankyo Company, Limited | Optically active thiazolidinedione derivative |
| WO2007101060A2 (en) | 2006-02-28 | 2007-09-07 | Wellstat Therapeutics Corporation | Compounds for the treatment of metabolic disorders |
| WO2007103252A2 (en) | 2006-03-03 | 2007-09-13 | Merck & Co., Inc. | Novel crystalline forms of antidiabetic compounds |
| WO2007105650A1 (en) | 2006-03-10 | 2007-09-20 | Ajinomoto Co., Inc. | 4-hydroxyisoleucine derivative and process for producing the derivative |
| WO2007104789A2 (en) | 2006-03-15 | 2007-09-20 | Novo Nordisk A/S | Amylin derivatives |
| WO2007120899A2 (en) | 2006-04-13 | 2007-10-25 | Societe De Conseils De Recherches Et D'applications Scientifiques, S.A.S. | Pharmaceutical compositions of hglp-1, exendin-4 and analogs thereof |
| WO2007124461A2 (en) | 2006-04-20 | 2007-11-01 | Amgen Inc. | Glp-1 compounds |
| WO2007122970A1 (en) | 2006-04-20 | 2007-11-01 | Osaka University | Ligand capable of binding to nuclear receptor |
| WO2007128815A1 (en) | 2006-05-09 | 2007-11-15 | Novo Nordisk A/S | Insulin derivative |
| US20070264331A1 (en) | 2005-09-08 | 2007-11-15 | Laboratorios Silanes, S.A De C.V. | Stable pharmaceutical composition of immediate-release glimepiride and extended-release metformin |
| WO2007128817A2 (en) | 2006-05-09 | 2007-11-15 | Novo Nordisk A/S | Insulin derivative |
| WO2007137008A2 (en) | 2006-05-18 | 2007-11-29 | Wellstat Therapeutics Corporation | Compounds for the treatment of metabolic disorders |
| WO2007138485A2 (en) | 2006-01-18 | 2007-12-06 | Evolva Sa | Ppar modulators |
| WO2008006969A2 (en) | 2006-07-10 | 2008-01-17 | Les Laboratoires Servier | Novel tetracyclic derivatives, process for the preparation thereof and pharmaceutical compositions which contain them |
| WO2008006319A1 (en) | 2006-07-07 | 2008-01-17 | Shanghai Allist Pharmaceutical., Inc. | BIBENZIMIDAZOLE DERIVATIVES HAVING PPARγ AGONIST ACTIVITY AND THEIR USES |
| WO2008010238A2 (en) | 2006-07-21 | 2008-01-24 | Lupin Limited | Antidiabetic azabicyclo [3. 1. 0] hexan compounds |
| WO2008017398A2 (en) | 2006-08-07 | 2008-02-14 | Krka | Polymorphic forms of rosiglitazone base |
| WO2008022015A2 (en) | 2006-08-11 | 2008-02-21 | Trustees Of Tufts College | Retro-inverso incretin analogues, and methods of use thereof |
| WO2008021560A2 (en) | 2006-08-17 | 2008-02-21 | Amylin Pharmaceuticals, Inc. | Dpp-iv resistant gip hybrid polypeptides with selectable properties |
| WO2008020607A1 (en) | 2006-08-17 | 2008-02-21 | Dainippon Sumitomo Pharma Co., Ltd. | Phthalide derivative and salt thereof |
| WO2008028188A2 (en) | 2006-09-01 | 2008-03-06 | The Ticket Reserve | Demand aggregation for future items contingent upon threshold demand |
| WO2008034881A1 (en) | 2006-09-22 | 2008-03-27 | Novo Nordisk A/S | Protease resistant insulin analogues |
| WO2008049711A1 (en) | 2006-10-27 | 2008-05-02 | Novo Nordisk A/S | Peptide extended insulins |
| WO2008050987A1 (en) | 2006-10-23 | 2008-05-02 | Hanall Pharmaceutical Co., Ltd. | Combination formulation with controlled release comprising metformin and glimepiride |
| WO2008056726A1 (en) | 2006-11-09 | 2008-05-15 | Sanwa Kagaku Kenkyusho Co., Ltd. | Glp-1 derivative and use thereof |
| WO2008061355A1 (en) | 2006-11-24 | 2008-05-29 | Matregen Corp. | Glp-1 depot systems, and methods of manufacture and uses thereof |
| WO2008062273A2 (en) | 2006-11-20 | 2008-05-29 | Cadila Pharmaceuticals Limited | Solid oral dosage form having antidiabetic drug combination |
| WO2008062457A2 (en) | 2006-10-03 | 2008-05-29 | Cadila Healthcare Limited | Antidiabetic compounds |
| WO2008066356A1 (en) | 2006-12-02 | 2008-06-05 | Seoul National University Industry Foundation | Aryl compounds as ppar ligands and their use |
| WO2008081418A1 (en) | 2007-01-05 | 2008-07-10 | Covx Technologies Ireland Limited | Glucagon-like protein-1 receptor (glp-1r) agonist compounds |
| WO2008082274A1 (en) | 2007-01-05 | 2008-07-10 | Hanmi Pharmaceutical Co., Ltd. | An insulinotropic complex using an immunoglobulin fragment |
| WO2008084303A1 (en) | 2006-12-21 | 2008-07-17 | Pfizer Products Inc. | Compounds having both angiotensin ii receptor antagonism and ppary activating activities |
| WO2008089461A1 (en) | 2007-01-18 | 2008-07-24 | Evolva Sa | Substituted 1,3-dioxanes useful as ppar modulators |
| WO2008089464A1 (en) | 2007-01-18 | 2008-07-24 | Evolva Sa | Prodrugs of substituted 1,3-dioxanes and their uses |
| WO2008093639A1 (en) | 2007-01-29 | 2008-08-07 | Takeda Pharmaceutical Company Limited | Pyrazole compound |
| WO2008096820A1 (en) | 2007-02-07 | 2008-08-14 | Kyowa Hakko Kirin Co., Ltd. | Biphenyl derivative |
| WO2008096769A1 (en) | 2007-02-08 | 2008-08-14 | Daiichi Sankyo Company, Limited | Pharmaceutical compositions containing substituted cercosporamide derivatives |
| WO2008101017A2 (en) | 2007-02-15 | 2008-08-21 | Indiana Unversity Research And Technology Corporation | Glucagon/glp-1 receptor co-agonists |
| WO2008112941A1 (en) | 2007-03-13 | 2008-09-18 | Board Of Regents The University Of Texas System | Composition and method for the treatment of diseases affected by a peptide receptor |
| WO2008113601A1 (en) | 2007-03-21 | 2008-09-25 | Biocompatibles Uk Ltd. | Glp-1 fusion peptides conjugated to polymer(s), their production and use |
| WO2008116648A2 (en) | 2007-03-27 | 2008-10-02 | Biocompatibles Uk Ltd. | Novel glp-1 fusion peptides, their production and use |
| WO2008116294A1 (en) | 2007-03-23 | 2008-10-02 | Matregen Corp. | Exendin analogs |
| WO2008119238A1 (en) | 2007-03-30 | 2008-10-09 | Shanghai Institute Of Materia Medica, Chinese Academy Of Sciences | Substituted five membered heterocycle compounds, preparation method and medical use thereof |
| WO2008145721A2 (en) | 2007-06-01 | 2008-12-04 | Novo Nordisk A/S | N-terminal modification of polypeptides for protection against degradation by aminopeptidases |
| US20080299096A1 (en) | 2007-06-01 | 2008-12-04 | Tatake Revati J | Modified nucleotide sequence encoding glucagon-like peptide-1 (glp-1), nucleic acid construct comprising same for production of glucagon-like peptide-1 (glp-1), human cells comprising said construct and insulin-producing constructs, and methods of use thereof |
| WO2008148839A2 (en) | 2007-06-08 | 2008-12-11 | Ascendis Pharma As | Long-acting polymeric prodrugs of exendin |
| WO2008152403A1 (en) | 2007-06-15 | 2008-12-18 | Zealand Pharma A/S | Glucagon analogues |
| WO2009007714A2 (en) | 2007-07-09 | 2009-01-15 | Imperial Innovations Limited | Human pancreatic polypeptide (hpp) analogues and their effects on feeding behaviour |
| WO2009030771A1 (en) | 2007-09-05 | 2009-03-12 | Novo Nordisk A/S | Peptides derivatized with a-b-c-d- and their therapeutical use |
| WO2009030774A1 (en) | 2007-09-05 | 2009-03-12 | Novo Nordisk A/S | Truncated glp-1 derivatives and their therapeutical use |
| WO2009030738A1 (en) | 2007-09-05 | 2009-03-12 | Novo Nordisk A/S | Glucagon-like peptide-1 derivatives and their pharmaceutical use |
| WO2009035540A2 (en) | 2007-09-07 | 2009-03-19 | Ipsen Pharma S.A.S. | Analogues of exendin-4 and exendin-3 |
| WO2009034117A1 (en) | 2007-09-11 | 2009-03-19 | Novo Nordisk A/S | Mixture comprising an amylin peptide and a protracted insulin |
| WO2009034119A1 (en) | 2007-09-11 | 2009-03-19 | Novo Nordisk A/S | Improved derivatives of amylin |
| WO2009049222A1 (en) | 2007-10-12 | 2009-04-16 | Curedm, Inc. | Compositions and methods of using the human proislet peptide receptor |
| WO2009058734A1 (en) | 2007-10-30 | 2009-05-07 | Indiana University Research And Technology Corporation | Compounds exhibiting glucagon antagonist and glp-1 agonist activity |
| WO2009060071A1 (en) | 2007-11-08 | 2009-05-14 | Novo Nordisk A/S | Insulin derivative |
| WO2009080024A1 (en) | 2007-12-20 | 2009-07-02 | Fertin Pharma A/S | Compressed chewing gum comprising an incretin mimetic |
| WO2009080032A1 (en) | 2007-12-20 | 2009-07-02 | Fertin Pharma A/S | Compressed chewing gum comprising a systemically active small peptide |
| WO2009087395A1 (en) | 2008-01-10 | 2009-07-16 | University Of Strathclyde | Weight reducing compounds |
| WO2009107900A1 (en) | 2008-02-25 | 2009-09-03 | Sungkyunkwan University Foundation For Corporate Collaboration | Exendin derivative linked biotin, method for the preparation thereof and pharmaceutical composition comprising the same |
| WO2009111700A2 (en) | 2008-03-07 | 2009-09-11 | Transtech Pharma, Inc. | Oxadiazoanthracene compounds for the treatment of diabetes |
| EP2103302A1 (en) | 2008-03-21 | 2009-09-23 | Les Laboratoires Servier | Divisible dosage form allowing modified release of the active principle |
| US20090238879A1 (en) | 2008-01-24 | 2009-09-24 | Northwestern University | Delivery scaffolds and related methods of use |
| WO2009121884A1 (en) | 2008-04-01 | 2009-10-08 | Novo Nordisk A/S | Insulin albumin conjugates |
| WO2009125424A2 (en) | 2007-12-11 | 2009-10-15 | Cadila Healthcare Limited | Peptidomimetics with glucagon antagonistic and glp-1 agonistic activities |
| WO2009129696A1 (en) | 2008-04-25 | 2009-10-29 | 国家新药筛选中心 | A kind of receptor signaling transoluction positive modulators, preparation methods and uses thereof |
| WO2009133099A2 (en) | 2008-04-28 | 2009-11-05 | Novo Nordisk A/S | Insulin precursors for diabetes treatment |
| WO2009149148A2 (en) | 2008-06-03 | 2009-12-10 | Trustees Of Tufts College | Long-acting glp-1 derivatives, and methods of treating cardiac dysfunction |
| WO2009149171A2 (en) | 2008-06-04 | 2009-12-10 | Amgen Inc. | Fgf21 mutants and uses thereof |
| WO2009152128A1 (en) | 2008-06-13 | 2009-12-17 | Eli Lilly And Company | Pegylated insulin lispro compounds |
| WO2009153960A1 (en) | 2008-06-17 | 2009-12-23 | 大塚化学株式会社 | Glycosylated glp-1 peptide |
| WO2009155257A1 (en) | 2008-06-17 | 2009-12-23 | Indiana University Research And Technology Corporation | Glucagon analogs exhibiting enhanced solubility and stability physiological ph buffers |
| WO2009155258A2 (en) | 2008-06-17 | 2009-12-23 | Indiana University Research And Technology Corporation | Glucagon/glp-1 receptor co-agonists |
| WO2010006214A1 (en) | 2008-07-09 | 2010-01-14 | Ambrx, Inc. | Fgf-21 neutralizing antibodies and their uses |
| WO2010016944A2 (en) | 2008-08-07 | 2010-02-11 | Ipsen Pharma S.A.S. | Analogues of glucose-dependent insulinotropic polypeptide (gip) modified at n-terminal |
| WO2010016940A2 (en) | 2008-08-07 | 2010-02-11 | Ipsen Pharma S.A.S. | Analogues of glucose-dependent insulinotropic polypeptide |
| WO2010016938A2 (en) | 2008-08-07 | 2010-02-11 | Ipsen Pharma S.A.S. | Glucose-dependent insulinotropic polypeptide analogues |
| WO2010016936A1 (en) | 2008-08-07 | 2010-02-11 | Ipsen Pharma S.A.S. | Pharmaceutical compositions of analogues of glucose-dependent insulinotropic polypeptide |
| WO2010016935A2 (en) | 2008-08-07 | 2010-02-11 | Ipsen Pharma S.A.S. | Truncated analogues of glucose-dependent insulinotropic polypeptide |
-
2010
- 2010-04-16 DE DE102010015123A patent/DE102010015123A1/en not_active Withdrawn
Patent Citations (99)
| Publication number | Priority date | Publication date | Assignee | Title |
|---|---|---|---|---|
| WO1997026265A1 (en) | 1996-01-17 | 1997-07-24 | Novo Nordisk A/S | Fused 1,2,4-thiadiazine and fused 1,4-thiazine derivatives, their preparation and use |
| WO1998008871A1 (en) | 1996-08-30 | 1998-03-05 | Novo Nordisk A/S | Glp-1 derivatives |
| WO1997041097A2 (en) | 1996-12-31 | 1997-11-06 | Dr. Reddy's Research Foundation | Novel heterocyclic compounds process for their preparation and pharmaceutical compositions containing them and their use in the treatment of diabetes and related diseases |
| US6221633B1 (en) | 1997-06-20 | 2001-04-24 | Aventis Pharma Deutschland Gmbh | Insulin derivatives having a rapid onset of action |
| WO1999003861A1 (en) | 1997-07-16 | 1999-01-28 | Novo Nordisk A/S | Fused 1,2,4-thiadiazine derivatives, their preparation and use |
| WO2000034331A2 (en) | 1998-12-07 | 2000-06-15 | Societe De Conseils De Recherches Et D'applications Scientifiques Sas | Analogues of glp-1 |
| WO2001004156A1 (en) | 1999-07-12 | 2001-01-18 | Zealand Pharmaceuticals A/S | Peptides that lower blood glucose levels |
| WO2002050027A1 (en) | 2000-12-21 | 2002-06-27 | Aventis Pharma Deutschland Gmbh | Novel 1,2-diphenzylazetidinones, method for producing the same, medicaments containing said compounds, and the use thereof for treating disorders of the lipid metabolism |
| US7205290B2 (en) | 2003-04-01 | 2007-04-17 | Sanofi-Aventis Deutschland Gmbh | Diphenylazetidinone with improved physiological properties, process for its preparation, medicaments comprising this compound, and its use |
| WO2005005477A2 (en) | 2003-07-11 | 2005-01-20 | Novo Nordisk A/S | Stabilised insulin compositions |
| WO2005027978A2 (en) | 2003-09-19 | 2005-03-31 | Novo Nordisk A/S | Albumin-binding derivatives of therapeutic peptides |
| WO2005086904A2 (en) | 2004-03-08 | 2005-09-22 | Amgen Inc. | Therapeutic modulation of ppar (gamma) activity |
| WO2006037811A2 (en) | 2004-10-07 | 2006-04-13 | Novo Nordisk A/S | Protracted exendin-4 compounds |
| WO2006037810A2 (en) | 2004-10-07 | 2006-04-13 | Novo Nordisk A/S | Protracted glp-1 compounds |
| WO2006121860A2 (en) | 2005-05-06 | 2006-11-16 | Bayer Pharmaceuticals Corporation | Glucagon-like peptide 1 (glp-1) receptor agonists and their pharmacological methods of use |
| WO2006124529A1 (en) | 2005-05-13 | 2006-11-23 | Eli Lilly And Company | Glp-1 pegylated compounds |
| US20070264331A1 (en) | 2005-09-08 | 2007-11-15 | Laboratorios Silanes, S.A De C.V. | Stable pharmaceutical composition of immediate-release glimepiride and extended-release metformin |
| WO2007060992A1 (en) | 2005-11-25 | 2007-05-31 | Kaneka Corporation | Agent for preventing or improving metabolic syndrome or insulin-resistance syndrome |
| WO2007138485A2 (en) | 2006-01-18 | 2007-12-06 | Evolva Sa | Ppar modulators |
| WO2007095462A2 (en) | 2006-02-13 | 2007-08-23 | Wellstat Therapeutics Corporation | Compounds for the treatment of metabolic disorders |
| WO2007101060A2 (en) | 2006-02-28 | 2007-09-07 | Wellstat Therapeutics Corporation | Compounds for the treatment of metabolic disorders |
| WO2007100027A1 (en) | 2006-03-02 | 2007-09-07 | Daiichi Sankyo Company, Limited | Optically active thiazolidinedione derivative |
| WO2007103252A2 (en) | 2006-03-03 | 2007-09-13 | Merck & Co., Inc. | Novel crystalline forms of antidiabetic compounds |
| WO2007105650A1 (en) | 2006-03-10 | 2007-09-20 | Ajinomoto Co., Inc. | 4-hydroxyisoleucine derivative and process for producing the derivative |
| WO2007104789A2 (en) | 2006-03-15 | 2007-09-20 | Novo Nordisk A/S | Amylin derivatives |
| WO2007120899A2 (en) | 2006-04-13 | 2007-10-25 | Societe De Conseils De Recherches Et D'applications Scientifiques, S.A.S. | Pharmaceutical compositions of hglp-1, exendin-4 and analogs thereof |
| WO2007124461A2 (en) | 2006-04-20 | 2007-11-01 | Amgen Inc. | Glp-1 compounds |
| WO2007122970A1 (en) | 2006-04-20 | 2007-11-01 | Osaka University | Ligand capable of binding to nuclear receptor |
| WO2007128815A1 (en) | 2006-05-09 | 2007-11-15 | Novo Nordisk A/S | Insulin derivative |
| WO2007128817A2 (en) | 2006-05-09 | 2007-11-15 | Novo Nordisk A/S | Insulin derivative |
| WO2007137008A2 (en) | 2006-05-18 | 2007-11-29 | Wellstat Therapeutics Corporation | Compounds for the treatment of metabolic disorders |
| WO2008006319A1 (en) | 2006-07-07 | 2008-01-17 | Shanghai Allist Pharmaceutical., Inc. | BIBENZIMIDAZOLE DERIVATIVES HAVING PPARγ AGONIST ACTIVITY AND THEIR USES |
| WO2008006969A2 (en) | 2006-07-10 | 2008-01-17 | Les Laboratoires Servier | Novel tetracyclic derivatives, process for the preparation thereof and pharmaceutical compositions which contain them |
| WO2008010238A2 (en) | 2006-07-21 | 2008-01-24 | Lupin Limited | Antidiabetic azabicyclo [3. 1. 0] hexan compounds |
| WO2008017398A2 (en) | 2006-08-07 | 2008-02-14 | Krka | Polymorphic forms of rosiglitazone base |
| WO2008022015A2 (en) | 2006-08-11 | 2008-02-21 | Trustees Of Tufts College | Retro-inverso incretin analogues, and methods of use thereof |
| WO2008020607A1 (en) | 2006-08-17 | 2008-02-21 | Dainippon Sumitomo Pharma Co., Ltd. | Phthalide derivative and salt thereof |
| WO2008021560A2 (en) | 2006-08-17 | 2008-02-21 | Amylin Pharmaceuticals, Inc. | Dpp-iv resistant gip hybrid polypeptides with selectable properties |
| WO2008028188A2 (en) | 2006-09-01 | 2008-03-06 | The Ticket Reserve | Demand aggregation for future items contingent upon threshold demand |
| WO2008034881A1 (en) | 2006-09-22 | 2008-03-27 | Novo Nordisk A/S | Protease resistant insulin analogues |
| WO2008062457A2 (en) | 2006-10-03 | 2008-05-29 | Cadila Healthcare Limited | Antidiabetic compounds |
| WO2008050987A1 (en) | 2006-10-23 | 2008-05-02 | Hanall Pharmaceutical Co., Ltd. | Combination formulation with controlled release comprising metformin and glimepiride |
| WO2008049711A1 (en) | 2006-10-27 | 2008-05-02 | Novo Nordisk A/S | Peptide extended insulins |
| WO2008056726A1 (en) | 2006-11-09 | 2008-05-15 | Sanwa Kagaku Kenkyusho Co., Ltd. | Glp-1 derivative and use thereof |
| WO2008062273A2 (en) | 2006-11-20 | 2008-05-29 | Cadila Pharmaceuticals Limited | Solid oral dosage form having antidiabetic drug combination |
| WO2008061355A1 (en) | 2006-11-24 | 2008-05-29 | Matregen Corp. | Glp-1 depot systems, and methods of manufacture and uses thereof |
| WO2008066356A1 (en) | 2006-12-02 | 2008-06-05 | Seoul National University Industry Foundation | Aryl compounds as ppar ligands and their use |
| WO2008084303A1 (en) | 2006-12-21 | 2008-07-17 | Pfizer Products Inc. | Compounds having both angiotensin ii receptor antagonism and ppary activating activities |
| WO2008081418A1 (en) | 2007-01-05 | 2008-07-10 | Covx Technologies Ireland Limited | Glucagon-like protein-1 receptor (glp-1r) agonist compounds |
| WO2008082274A1 (en) | 2007-01-05 | 2008-07-10 | Hanmi Pharmaceutical Co., Ltd. | An insulinotropic complex using an immunoglobulin fragment |
| WO2008089461A1 (en) | 2007-01-18 | 2008-07-24 | Evolva Sa | Substituted 1,3-dioxanes useful as ppar modulators |
| WO2008089464A1 (en) | 2007-01-18 | 2008-07-24 | Evolva Sa | Prodrugs of substituted 1,3-dioxanes and their uses |
| WO2008093639A1 (en) | 2007-01-29 | 2008-08-07 | Takeda Pharmaceutical Company Limited | Pyrazole compound |
| WO2008096820A1 (en) | 2007-02-07 | 2008-08-14 | Kyowa Hakko Kirin Co., Ltd. | Biphenyl derivative |
| WO2008096769A1 (en) | 2007-02-08 | 2008-08-14 | Daiichi Sankyo Company, Limited | Pharmaceutical compositions containing substituted cercosporamide derivatives |
| WO2008101017A2 (en) | 2007-02-15 | 2008-08-21 | Indiana Unversity Research And Technology Corporation | Glucagon/glp-1 receptor co-agonists |
| WO2008112941A1 (en) | 2007-03-13 | 2008-09-18 | Board Of Regents The University Of Texas System | Composition and method for the treatment of diseases affected by a peptide receptor |
| WO2008112939A2 (en) | 2007-03-13 | 2008-09-18 | Board Of Regents, The University Of Texas System | Composition and method for making oligo-benzamide compounds |
| WO2008113601A1 (en) | 2007-03-21 | 2008-09-25 | Biocompatibles Uk Ltd. | Glp-1 fusion peptides conjugated to polymer(s), their production and use |
| WO2008116294A1 (en) | 2007-03-23 | 2008-10-02 | Matregen Corp. | Exendin analogs |
| WO2008116648A2 (en) | 2007-03-27 | 2008-10-02 | Biocompatibles Uk Ltd. | Novel glp-1 fusion peptides, their production and use |
| WO2008119238A1 (en) | 2007-03-30 | 2008-10-09 | Shanghai Institute Of Materia Medica, Chinese Academy Of Sciences | Substituted five membered heterocycle compounds, preparation method and medical use thereof |
| WO2008145721A2 (en) | 2007-06-01 | 2008-12-04 | Novo Nordisk A/S | N-terminal modification of polypeptides for protection against degradation by aminopeptidases |
| US20080299096A1 (en) | 2007-06-01 | 2008-12-04 | Tatake Revati J | Modified nucleotide sequence encoding glucagon-like peptide-1 (glp-1), nucleic acid construct comprising same for production of glucagon-like peptide-1 (glp-1), human cells comprising said construct and insulin-producing constructs, and methods of use thereof |
| WO2008148839A2 (en) | 2007-06-08 | 2008-12-11 | Ascendis Pharma As | Long-acting polymeric prodrugs of exendin |
| WO2008152403A1 (en) | 2007-06-15 | 2008-12-18 | Zealand Pharma A/S | Glucagon analogues |
| WO2009007714A2 (en) | 2007-07-09 | 2009-01-15 | Imperial Innovations Limited | Human pancreatic polypeptide (hpp) analogues and their effects on feeding behaviour |
| WO2009030771A1 (en) | 2007-09-05 | 2009-03-12 | Novo Nordisk A/S | Peptides derivatized with a-b-c-d- and their therapeutical use |
| WO2009030774A1 (en) | 2007-09-05 | 2009-03-12 | Novo Nordisk A/S | Truncated glp-1 derivatives and their therapeutical use |
| WO2009030738A1 (en) | 2007-09-05 | 2009-03-12 | Novo Nordisk A/S | Glucagon-like peptide-1 derivatives and their pharmaceutical use |
| WO2009035540A2 (en) | 2007-09-07 | 2009-03-19 | Ipsen Pharma S.A.S. | Analogues of exendin-4 and exendin-3 |
| WO2009034117A1 (en) | 2007-09-11 | 2009-03-19 | Novo Nordisk A/S | Mixture comprising an amylin peptide and a protracted insulin |
| WO2009034119A1 (en) | 2007-09-11 | 2009-03-19 | Novo Nordisk A/S | Improved derivatives of amylin |
| WO2009049222A1 (en) | 2007-10-12 | 2009-04-16 | Curedm, Inc. | Compositions and methods of using the human proislet peptide receptor |
| WO2009058734A1 (en) | 2007-10-30 | 2009-05-07 | Indiana University Research And Technology Corporation | Compounds exhibiting glucagon antagonist and glp-1 agonist activity |
| WO2009060071A1 (en) | 2007-11-08 | 2009-05-14 | Novo Nordisk A/S | Insulin derivative |
| WO2009125424A2 (en) | 2007-12-11 | 2009-10-15 | Cadila Healthcare Limited | Peptidomimetics with glucagon antagonistic and glp-1 agonistic activities |
| WO2009080024A1 (en) | 2007-12-20 | 2009-07-02 | Fertin Pharma A/S | Compressed chewing gum comprising an incretin mimetic |
| WO2009080032A1 (en) | 2007-12-20 | 2009-07-02 | Fertin Pharma A/S | Compressed chewing gum comprising a systemically active small peptide |
| WO2009087395A1 (en) | 2008-01-10 | 2009-07-16 | University Of Strathclyde | Weight reducing compounds |
| US20090238879A1 (en) | 2008-01-24 | 2009-09-24 | Northwestern University | Delivery scaffolds and related methods of use |
| WO2009107900A1 (en) | 2008-02-25 | 2009-09-03 | Sungkyunkwan University Foundation For Corporate Collaboration | Exendin derivative linked biotin, method for the preparation thereof and pharmaceutical composition comprising the same |
| WO2009111700A2 (en) | 2008-03-07 | 2009-09-11 | Transtech Pharma, Inc. | Oxadiazoanthracene compounds for the treatment of diabetes |
| EP2103302A1 (en) | 2008-03-21 | 2009-09-23 | Les Laboratoires Servier | Divisible dosage form allowing modified release of the active principle |
| WO2009121884A1 (en) | 2008-04-01 | 2009-10-08 | Novo Nordisk A/S | Insulin albumin conjugates |
| WO2009129696A1 (en) | 2008-04-25 | 2009-10-29 | 国家新药筛选中心 | A kind of receptor signaling transoluction positive modulators, preparation methods and uses thereof |
| WO2009133099A2 (en) | 2008-04-28 | 2009-11-05 | Novo Nordisk A/S | Insulin precursors for diabetes treatment |
| WO2009149148A2 (en) | 2008-06-03 | 2009-12-10 | Trustees Of Tufts College | Long-acting glp-1 derivatives, and methods of treating cardiac dysfunction |
| WO2009149171A2 (en) | 2008-06-04 | 2009-12-10 | Amgen Inc. | Fgf21 mutants and uses thereof |
| WO2009152128A1 (en) | 2008-06-13 | 2009-12-17 | Eli Lilly And Company | Pegylated insulin lispro compounds |
| WO2009153960A1 (en) | 2008-06-17 | 2009-12-23 | 大塚化学株式会社 | Glycosylated glp-1 peptide |
| WO2009155257A1 (en) | 2008-06-17 | 2009-12-23 | Indiana University Research And Technology Corporation | Glucagon analogs exhibiting enhanced solubility and stability physiological ph buffers |
| WO2009155258A2 (en) | 2008-06-17 | 2009-12-23 | Indiana University Research And Technology Corporation | Glucagon/glp-1 receptor co-agonists |
| WO2010006214A1 (en) | 2008-07-09 | 2010-01-14 | Ambrx, Inc. | Fgf-21 neutralizing antibodies and their uses |
| WO2010016944A2 (en) | 2008-08-07 | 2010-02-11 | Ipsen Pharma S.A.S. | Analogues of glucose-dependent insulinotropic polypeptide (gip) modified at n-terminal |
| WO2010016940A2 (en) | 2008-08-07 | 2010-02-11 | Ipsen Pharma S.A.S. | Analogues of glucose-dependent insulinotropic polypeptide |
| WO2010016938A2 (en) | 2008-08-07 | 2010-02-11 | Ipsen Pharma S.A.S. | Glucose-dependent insulinotropic polypeptide analogues |
| WO2010016936A1 (en) | 2008-08-07 | 2010-02-11 | Ipsen Pharma S.A.S. | Pharmaceutical compositions of analogues of glucose-dependent insulinotropic polypeptide |
| WO2010016935A2 (en) | 2008-08-07 | 2010-02-11 | Ipsen Pharma S.A.S. | Truncated analogues of glucose-dependent insulinotropic polypeptide |
Non-Patent Citations (30)
| Title |
|---|
| "Cocaine-amphetamine-regulated transcript influences energy metabolism, anxiety and gastric emptying in mice" Asakawa, A. et al.: Hormone and Metabolic Research (2001), 33 (9), 554-558 |
| "Perspectives in the therapeutic use of leptin", Salvador, Javier; Gomez-Ambrosi, Javier; Fruhbeck, Gema, Expert Opinion on Pharmacotherapy (2001), 2 (10), 1615-1622 |
| A. L. Handlon in Expert Opin. Ther. Patents (2005) 15 (11), 1531-1540 |
| A. R. Hilgers et al., Caco-2 cell monolayers as a model for drug transport across the intestinal mucosa, Pharm. Res. 1990, 7, 902 |
| D. Chen et al., Proc. Natl. Acad. Sci. USA 104 (2007) 943 |
| D.-O. Lee et al.: Arzneim.-Forsch. Drug Res. 54 (12), 835 (2004) |
| J. B. Hansen et al., Current Medicinal Chemistry 11, 2004, 1595-1615 |
| J. P. Berger et al., TRENDS in Pharmacological Sciences 28 (5), 244-251, 2005 |
| Lee, Daniel W.; Leinung, Matthew C.; Rozhavskaya-Arena, Marina; Grasso, Patricia. Leptin agonists as a potential approach to the treatment of obesity. Drugs of the Future (2001), 26 (9), 873-881 |
| M. J. Coghlan et al., J. Med. Chem. 44, 2001, 1627-1653 |
| R. D. Carr et al., Diabetes 52, 2003, 2513.2518 |
| Roten Liste 2007, Kapitel 1 |
| Roten Liste 2010, Kapitel 12 |
| Roten Liste 2010, Kapitel 15 |
| Roten Liste 2010, Kapitel 17 |
| Roten Liste 2010, Kapitel 19 |
| Roten Liste 2010, Kapitel 20 |
| Roten Liste 2010, Kapitel 25 |
| Roten Liste 2010, Kapitel 27 |
| Roten Liste 2010, Kapitel 36 |
| Roten Liste 2010, Kapitel 36 und 37 |
| Roten Liste 2010, Kapitel 39 |
| Roten Liste 2010, Kapitel 55 und 60 |
| Roten Liste 2010, Kapitel 58 |
| Roten Liste 2010, Kapitel 61, 66 und 70 |
| T. M. Tagmose et al., J. Med. Chem. 47, 2004, 3202-3211 |
| T. W. Greene, "Protective Groups in Organic Synthesis" |
| USP Dictionary of USAN and International Drug Names, US Pharmacopeia, Rockville 2006 |
| www.lantus.com |
| Zunft H J; et al., Carob pule preparation for treatment of hypercholesterolemia, ADVANCES IN THERAPY (2001 Sep-Oct), 18 (5), 230-6 |
Similar Documents
| Publication | Publication Date | Title |
|---|---|---|
| US8530413B2 (en) | Heterocyclically substituted methoxyphenyl derivatives with an oxo group, processes for preparation thereof and use thereof as medicaments | |
| EP2203416B1 (en) | (carboxy alkylene-phenyl)-phenyl-oxalamides, method for their manufacture and their application as medicines | |
| EP2203415B1 (en) | (cyclopropyl-phenyl)-phenyl-oxalamides, method for their manufacture and their application as medicines | |
| EP2590930B1 (en) | Spirocyclically substituted 1,3-propane dioxide derivatives, methods for the production thereof and use of the same as medicament | |
| US8648038B2 (en) | (2-aryloxyacetylamino)phenylpropionic acid derivatives, processes for preparation thereof and use thereof as medicaments | |
| US20110059910A1 (en) | Novel aromatic fluoroglycoside derivatives, pharmaceuticals comprising said compounds and the use thereof | |
| EP2590929A1 (en) | Aryloxy-alkylene substituted hydroxyphenyl hexynoic acids, methods for the production thereof and use of the same as medicament | |
| EP2242745A1 (en) | Novel phenyl-substituted imidazolidines, method for the production thereof, medicaments containing said compounds and use thereof | |
| US20090264402A1 (en) | Novel diphenylazetidinone substituted by piperazine-1-sulfonic acid and having improved pharmacological properties | |
| US20130172248A1 (en) | 3-[4-(phenylaminooxalylamino)phenyl]hex-4-ynoic acids, process for preparation thereof and use thereof as a medicament | |
| EP2220040B1 (en) | New crystalline diphenyl acetidinone hydrate, pharmaceutical agent containing said compound and use thereof | |
| WO2011107494A1 (en) | Novel aromatic glycoside derivatives, medicaments containing said compounds, and the use thereof | |
| EP2252592A1 (en) | Arylchalcogeno-arylalkyl-substituted imidazolidine-2,4-diones, method for the production thereof, medicaments containing said compounds and use thereof | |
| EP2252591B1 (en) | Aryl-substituted imidazolidine-2,4-diones, method for the production thereof, medicaments containing said compounds and use thereof | |
| EP2683704B1 (en) | Branched oxathiazine derivatives, method for the production thereof, use thereof as medicine and drug containing said derivatives and use thereof | |
| DE102010015123A1 (en) | New benzylamidic diphenylazetidinone compounds, useful for treating lipid disorders, hyperlipidemia, atherosclerotic manifestations or insulin resistance, and for reducing serum cholesterol levels |
Legal Events
| Date | Code | Title | Description |
|---|---|---|---|
| R016 | Response to examination communication | ||
| R120 | Application withdrawn or ip right abandoned | ||
| R120 | Application withdrawn or ip right abandoned |
Effective date: 20140725 |


















































































