DE102010013806B4 - Materialien für organische Elektrolumineszenzvorrichtungen - Google Patents
Materialien für organische Elektrolumineszenzvorrichtungen Download PDFInfo
- Publication number
- DE102010013806B4 DE102010013806B4 DE102010013806.1A DE102010013806A DE102010013806B4 DE 102010013806 B4 DE102010013806 B4 DE 102010013806B4 DE 102010013806 A DE102010013806 A DE 102010013806A DE 102010013806 B4 DE102010013806 B4 DE 102010013806B4
- Authority
- DE
- Germany
- Prior art keywords
- organic
- group
- radicals
- substituted
- atoms
- Prior art date
- Legal status (The legal status is an assumption and is not a legal conclusion. Google has not performed a legal analysis and makes no representation as to the accuracy of the status listed.)
- Active
Links
- 239000000463 material Substances 0.000 title claims description 48
- 150000001875 compounds Chemical class 0.000 claims abstract description 64
- 125000003118 aryl group Chemical group 0.000 claims abstract description 60
- 125000004432 carbon atom Chemical group C* 0.000 claims abstract description 24
- 229910052799 carbon Inorganic materials 0.000 claims abstract description 18
- MWPLVEDNUUSJAV-UHFFFAOYSA-N anthracene Chemical compound C1=CC=CC2=CC3=CC=CC=C3C=C21 MWPLVEDNUUSJAV-UHFFFAOYSA-N 0.000 claims abstract description 16
- 229910052760 oxygen Inorganic materials 0.000 claims abstract description 16
- 229910052717 sulfur Inorganic materials 0.000 claims abstract description 15
- 125000001931 aliphatic group Chemical group 0.000 claims abstract description 11
- 229910052805 deuterium Inorganic materials 0.000 claims abstract description 11
- 229910052739 hydrogen Inorganic materials 0.000 claims abstract description 11
- 229910052794 bromium Inorganic materials 0.000 claims abstract description 10
- 125000004435 hydrogen atom Chemical group [H]* 0.000 claims abstract description 10
- 125000001424 substituent group Chemical group 0.000 claims abstract description 10
- 125000003342 alkenyl group Chemical group 0.000 claims abstract description 9
- 125000000217 alkyl group Chemical group 0.000 claims abstract description 9
- 229910052740 iodine Inorganic materials 0.000 claims abstract description 8
- 125000002950 monocyclic group Chemical group 0.000 claims abstract description 8
- 125000003367 polycyclic group Chemical group 0.000 claims abstract description 8
- 229910052710 silicon Inorganic materials 0.000 claims abstract description 8
- 125000003545 alkoxy group Chemical group 0.000 claims abstract description 7
- 125000000304 alkynyl group Chemical group 0.000 claims abstract description 7
- IJGRMHOSHXDMSA-UHFFFAOYSA-N Atomic nitrogen Chemical compound N#N IJGRMHOSHXDMSA-UHFFFAOYSA-N 0.000 claims abstract description 6
- 229910052757 nitrogen Inorganic materials 0.000 claims abstract description 6
- 125000005309 thioalkoxy group Chemical group 0.000 claims abstract description 6
- 125000006165 cyclic alkyl group Chemical group 0.000 claims abstract description 5
- 229910052731 fluorine Inorganic materials 0.000 claims abstract description 5
- OAICVXFJPJFONN-UHFFFAOYSA-N Phosphorus Chemical compound [P] OAICVXFJPJFONN-UHFFFAOYSA-N 0.000 claims abstract description 4
- 229910052801 chlorine Inorganic materials 0.000 claims abstract description 4
- ZOXJGFHDIHLPTG-UHFFFAOYSA-N Boron Chemical group [B] ZOXJGFHDIHLPTG-UHFFFAOYSA-N 0.000 claims abstract description 3
- 239000004215 Carbon black (E152) Substances 0.000 claims abstract description 3
- XUIMIQQOPSSXEZ-UHFFFAOYSA-N Silicon Chemical compound [Si] XUIMIQQOPSSXEZ-UHFFFAOYSA-N 0.000 claims abstract description 3
- 125000004104 aryloxy group Chemical group 0.000 claims abstract description 3
- 229910052796 boron Inorganic materials 0.000 claims abstract description 3
- 125000005553 heteroaryloxy group Chemical group 0.000 claims abstract description 3
- 229930195733 hydrocarbon Natural products 0.000 claims abstract description 3
- 229910052698 phosphorus Inorganic materials 0.000 claims abstract description 3
- 239000011574 phosphorus Substances 0.000 claims abstract description 3
- 239000010703 silicon Substances 0.000 claims abstract description 3
- -1 NR 13 Inorganic materials 0.000 claims description 28
- 239000000203 mixture Substances 0.000 claims description 25
- 150000001339 alkali metal compounds Chemical class 0.000 claims description 20
- 238000002347 injection Methods 0.000 claims description 15
- 239000007924 injection Substances 0.000 claims description 15
- 238000006243 chemical reaction Methods 0.000 claims description 10
- 150000003230 pyrimidines Chemical class 0.000 claims description 8
- 238000000034 method Methods 0.000 claims description 7
- 239000002904 solvent Substances 0.000 claims description 7
- 238000003786 synthesis reaction Methods 0.000 claims description 7
- 230000015572 biosynthetic process Effects 0.000 claims description 6
- 230000000903 blocking effect Effects 0.000 claims description 6
- 239000011159 matrix material Substances 0.000 claims description 6
- 230000008569 process Effects 0.000 claims description 6
- 150000001454 anthracenes Chemical class 0.000 claims description 4
- 125000005620 boronic acid group Chemical group 0.000 claims description 4
- 238000009472 formulation Methods 0.000 claims description 3
- 230000003287 optical effect Effects 0.000 claims description 3
- 230000005669 field effect Effects 0.000 claims description 2
- 108091008695 photoreceptors Proteins 0.000 claims description 2
- 238000010791 quenching Methods 0.000 claims description 2
- 239000010409 thin film Substances 0.000 claims description 2
- 230000000171 quenching effect Effects 0.000 claims 1
- 101150020251 NR13 gene Proteins 0.000 abstract 3
- 102220060025 rs141586345 Human genes 0.000 abstract 1
- 239000010410 layer Substances 0.000 description 99
- YXFVVABEGXRONW-UHFFFAOYSA-N Toluene Chemical compound CC1=CC=CC=C1 YXFVVABEGXRONW-UHFFFAOYSA-N 0.000 description 66
- 101100279534 Arabidopsis thaliana EIL1 gene Proteins 0.000 description 19
- 101100279532 Oryza sativa subsp. japonica EIL1A gene Proteins 0.000 description 19
- 101100279533 Oryza sativa subsp. japonica EIL1B gene Proteins 0.000 description 19
- 150000003254 radicals Chemical class 0.000 description 19
- 0 Cc1c(*)nc(C)nc1* Chemical compound Cc1c(*)nc(C)nc1* 0.000 description 15
- YMWUJEATGCHHMB-UHFFFAOYSA-N Dichloromethane Chemical compound ClCCl YMWUJEATGCHHMB-UHFFFAOYSA-N 0.000 description 15
- XEKOWRVHYACXOJ-UHFFFAOYSA-N Ethyl acetate Chemical compound CCOC(C)=O XEKOWRVHYACXOJ-UHFFFAOYSA-N 0.000 description 15
- 239000000243 solution Substances 0.000 description 15
- 125000001072 heteroaryl group Chemical group 0.000 description 13
- 239000011541 reaction mixture Substances 0.000 description 13
- HEDRZPFGACZZDS-UHFFFAOYSA-N Chloroform Chemical compound ClC(Cl)Cl HEDRZPFGACZZDS-UHFFFAOYSA-N 0.000 description 12
- VLKZOEOYAKHREP-UHFFFAOYSA-N n-Hexane Chemical compound CCCCCC VLKZOEOYAKHREP-UHFFFAOYSA-N 0.000 description 12
- 239000012074 organic phase Substances 0.000 description 11
- 230000006872 improvement Effects 0.000 description 10
- 229910052751 metal Inorganic materials 0.000 description 10
- 239000002184 metal Substances 0.000 description 10
- XLYOFNOQVPJJNP-UHFFFAOYSA-N water Substances O XLYOFNOQVPJJNP-UHFFFAOYSA-N 0.000 description 10
- 101100232347 Mus musculus Il11ra1 gene Proteins 0.000 description 8
- 201000001366 familial temporal lobe epilepsy 2 Diseases 0.000 description 8
- 150000002739 metals Chemical class 0.000 description 8
- WHXSMMKQMYFTQS-UHFFFAOYSA-N Lithium Chemical group [Li] WHXSMMKQMYFTQS-UHFFFAOYSA-N 0.000 description 7
- 150000001340 alkali metals Chemical class 0.000 description 7
- 238000001816 cooling Methods 0.000 description 7
- 125000004122 cyclic group Chemical group 0.000 description 7
- 201000001380 familial temporal lobe epilepsy 4 Diseases 0.000 description 7
- 229910052744 lithium Inorganic materials 0.000 description 7
- 101150037194 EIL2 gene Proteins 0.000 description 6
- 229910052783 alkali metal Inorganic materials 0.000 description 6
- 201000001379 familial temporal lobe epilepsy 3 Diseases 0.000 description 6
- 125000005842 heteroatom Chemical group 0.000 description 6
- 239000011734 sodium Substances 0.000 description 6
- DGAQECJNVWCQMB-PUAWFVPOSA-M Ilexoside XXIX Chemical compound C[C@@H]1CC[C@@]2(CC[C@@]3(C(=CC[C@H]4[C@]3(CC[C@@H]5[C@@]4(CC[C@@H](C5(C)C)OS(=O)(=O)[O-])C)C)[C@@H]2[C@]1(C)O)C)C(=O)O[C@H]6[C@@H]([C@H]([C@@H]([C@H](O6)CO)O)O)O.[Na+] DGAQECJNVWCQMB-PUAWFVPOSA-M 0.000 description 5
- MZRVEZGGRBJDDB-UHFFFAOYSA-N N-Butyllithium Chemical compound [Li]CCCC MZRVEZGGRBJDDB-UHFFFAOYSA-N 0.000 description 5
- 239000008346 aqueous phase Substances 0.000 description 5
- 239000000460 chlorine Substances 0.000 description 5
- ZUOUZKKEUPVFJK-UHFFFAOYSA-N diphenyl Chemical compound C1=CC=CC=C1C1=CC=CC=C1 ZUOUZKKEUPVFJK-UHFFFAOYSA-N 0.000 description 5
- 201000001382 familial temporal lobe epilepsy 5 Diseases 0.000 description 5
- 238000004519 manufacturing process Methods 0.000 description 5
- UHOVQNZJYSORNB-UHFFFAOYSA-N monobenzene Natural products C1=CC=CC=C1 UHOVQNZJYSORNB-UHFFFAOYSA-N 0.000 description 5
- 229910052708 sodium Inorganic materials 0.000 description 5
- 239000000725 suspension Substances 0.000 description 5
- YJTKZCDBKVTVBY-UHFFFAOYSA-N 1,3-Diphenylbenzene Chemical group C1=CC=CC=C1C1=CC=CC(C=2C=CC=CC=2)=C1 YJTKZCDBKVTVBY-UHFFFAOYSA-N 0.000 description 4
- FCEHBMOGCRZNNI-UHFFFAOYSA-N 1-benzothiophene Chemical compound C1=CC=C2SC=CC2=C1 FCEHBMOGCRZNNI-UHFFFAOYSA-N 0.000 description 4
- ZIRVQSRSPDUEOJ-UHFFFAOYSA-N 9-bromoanthracene Chemical compound C1=CC=C2C(Br)=C(C=CC=C3)C3=CC2=C1 ZIRVQSRSPDUEOJ-UHFFFAOYSA-N 0.000 description 4
- LFQSCWFLJHTTHZ-UHFFFAOYSA-N Ethanol Chemical compound CCO LFQSCWFLJHTTHZ-UHFFFAOYSA-N 0.000 description 4
- UFWIBTONFRDIAS-UHFFFAOYSA-N Naphthalene Chemical compound C1=CC=CC2=CC=CC=C21 UFWIBTONFRDIAS-UHFFFAOYSA-N 0.000 description 4
- ZLMJMSJWJFRBEC-UHFFFAOYSA-N Potassium Chemical compound [K] ZLMJMSJWJFRBEC-UHFFFAOYSA-N 0.000 description 4
- SMWDFEZZVXVKRB-UHFFFAOYSA-N Quinoline Chemical compound N1=CC=CC2=CC=CC=C21 SMWDFEZZVXVKRB-UHFFFAOYSA-N 0.000 description 4
- YTPLMLYBLZKORZ-UHFFFAOYSA-N Thiophene Chemical compound C=1C=CSC=1 YTPLMLYBLZKORZ-UHFFFAOYSA-N 0.000 description 4
- DZBUGLKDJFMEHC-UHFFFAOYSA-N acridine Chemical compound C1=CC=CC2=CC3=CC=CC=C3N=C21 DZBUGLKDJFMEHC-UHFFFAOYSA-N 0.000 description 4
- GVEPBJHOBDJJJI-UHFFFAOYSA-N fluoranthrene Natural products C1=CC(C2=CC=CC=C22)=C3C2=CC=CC3=C1 GVEPBJHOBDJJJI-UHFFFAOYSA-N 0.000 description 4
- 229910010272 inorganic material Inorganic materials 0.000 description 4
- 239000011147 inorganic material Substances 0.000 description 4
- 239000011777 magnesium Substances 0.000 description 4
- YNPNZTXNASCQKK-UHFFFAOYSA-N phenanthrene Chemical compound C1=CC=C2C3=CC=CC=C3C=CC2=C1 YNPNZTXNASCQKK-UHFFFAOYSA-N 0.000 description 4
- 229910052700 potassium Inorganic materials 0.000 description 4
- 239000011591 potassium Substances 0.000 description 4
- 238000007639 printing Methods 0.000 description 4
- 239000000047 product Substances 0.000 description 4
- BBEAQIROQSPTKN-UHFFFAOYSA-N pyrene Chemical compound C1=CC=C2C=CC3=CC=CC4=CC=C1C2=C43 BBEAQIROQSPTKN-UHFFFAOYSA-N 0.000 description 4
- 229940083082 pyrimidine derivative acting on arteriolar smooth muscle Drugs 0.000 description 4
- 229910052709 silver Inorganic materials 0.000 description 4
- ICPSWZFVWAPUKF-UHFFFAOYSA-N 1,1'-spirobi[fluorene] Chemical compound C1=CC=C2C=C3C4(C=5C(C6=CC=CC=C6C=5)=CC=C4)C=CC=C3C2=C1 ICPSWZFVWAPUKF-UHFFFAOYSA-N 0.000 description 3
- RYHBNJHYFVUHQT-UHFFFAOYSA-N 1,4-Dioxane Chemical compound C1COCCO1 RYHBNJHYFVUHQT-UHFFFAOYSA-N 0.000 description 3
- VGNJKZMRXOUJHK-UHFFFAOYSA-N 2-anthracen-9-yl-5-phenylpyrimidine Chemical compound C1=CC=CC=C1C1=CN=C(C=2C3=CC=CC=C3C=C3C=CC=CC3=2)N=C1 VGNJKZMRXOUJHK-UHFFFAOYSA-N 0.000 description 3
- CZPWVGJYEJSRLH-UHFFFAOYSA-N Pyrimidine Chemical compound C1=CN=CN=C1 CZPWVGJYEJSRLH-UHFFFAOYSA-N 0.000 description 3
- 229910001413 alkali metal ion Inorganic materials 0.000 description 3
- 125000004429 atom Chemical group 0.000 description 3
- 229910052792 caesium Inorganic materials 0.000 description 3
- TVFDJXOCXUVLDH-UHFFFAOYSA-N caesium atom Chemical compound [Cs] TVFDJXOCXUVLDH-UHFFFAOYSA-N 0.000 description 3
- 239000002019 doping agent Substances 0.000 description 3
- 230000007717 exclusion Effects 0.000 description 3
- 238000004128 high performance liquid chromatography Methods 0.000 description 3
- RAXXELZNTBOGNW-UHFFFAOYSA-N imidazole Natural products C1=CNC=N1 RAXXELZNTBOGNW-UHFFFAOYSA-N 0.000 description 3
- 239000003446 ligand Substances 0.000 description 3
- DLEDOFVPSDKWEF-UHFFFAOYSA-N lithium butane Chemical compound [Li+].CCC[CH2-] DLEDOFVPSDKWEF-UHFFFAOYSA-N 0.000 description 3
- 229910052749 magnesium Inorganic materials 0.000 description 3
- 125000001997 phenyl group Chemical group [H]C1=C([H])C([H])=C(*)C([H])=C1[H] 0.000 description 3
- 229910052701 rubidium Inorganic materials 0.000 description 3
- IGLNJRXAVVLDKE-UHFFFAOYSA-N rubidium atom Chemical compound [Rb] IGLNJRXAVVLDKE-UHFFFAOYSA-N 0.000 description 3
- DXBHBZVCASKNBY-UHFFFAOYSA-N 1,2-Benz(a)anthracene Chemical compound C1=CC=C2C3=CC4=CC=CC=C4C=C3C=CC2=C1 DXBHBZVCASKNBY-UHFFFAOYSA-N 0.000 description 2
- WJFKNYWRSNBZNX-UHFFFAOYSA-N 10H-phenothiazine Chemical compound C1=CC=C2NC3=CC=CC=C3SC2=C1 WJFKNYWRSNBZNX-UHFFFAOYSA-N 0.000 description 2
- TZMSYXZUNZXBOL-UHFFFAOYSA-N 10H-phenoxazine Chemical compound C1=CC=C2NC3=CC=CC=C3OC2=C1 TZMSYXZUNZXBOL-UHFFFAOYSA-N 0.000 description 2
- HWSFMWIXWXGLNN-UHFFFAOYSA-N 2-(10-benzo[a]anthracen-4-ylanthracen-9-yl)-5-phenylpyrimidine Chemical compound C1=CC=CC=C1C1=CN=C(C=2C3=CC=CC=C3C(C=3C4=C(C5=CC6=CC=CC=C6C=C5C=C4)C=CC=3)=C3C=CC=CC3=2)N=C1 HWSFMWIXWXGLNN-UHFFFAOYSA-N 0.000 description 2
- KTNZKRQCQCEYRN-UHFFFAOYSA-N 2-(10-bromoanthracen-9-yl)-5-phenylpyrimidine Chemical compound C12=CC=CC=C2C(Br)=C2C=CC=CC2=C1C(N=C1)=NC=C1C1=CC=CC=C1 KTNZKRQCQCEYRN-UHFFFAOYSA-N 0.000 description 2
- JAXPLQOGKYSCMO-UHFFFAOYSA-N 4-anthracen-9-ylbenzo[a]anthracene Chemical compound C1=CC=C2C(C3=C4C=CC=5C(C4=CC=C3)=CC3=CC=CC=C3C=5)=C(C=CC=C3)C3=CC2=C1 JAXPLQOGKYSCMO-UHFFFAOYSA-N 0.000 description 2
- JQZLTENYFIIBRN-UHFFFAOYSA-N 5-(10-bromoanthracen-9-yl)-2-pyridin-2-ylpyrimidine Chemical compound C12=CC=CC=C2C(Br)=C2C=CC=CC2=C1C(C=N1)=CN=C1C1=CC=CC=N1 JQZLTENYFIIBRN-UHFFFAOYSA-N 0.000 description 2
- FLIUZAGAOLWTAJ-UHFFFAOYSA-N 5-(10-phenanthren-3-ylanthracen-9-yl)-2-pyridin-2-ylpyrimidine Chemical compound N1=CC=CC=C1C1=NC=C(C=2C3=CC=CC=C3C(C=3C=C4C5=CC=CC=C5C=CC4=CC=3)=C3C=CC=CC3=2)C=N1 FLIUZAGAOLWTAJ-UHFFFAOYSA-N 0.000 description 2
- DZRZHUDQXZFUEB-UHFFFAOYSA-N 5-anthracen-9-yl-2-pyridin-2-ylpyrimidine Chemical compound N1=CC=CC=C1C1=NC=C(C=2C3=CC=CC=C3C=C3C=CC=CC3=2)C=N1 DZRZHUDQXZFUEB-UHFFFAOYSA-N 0.000 description 2
- UZDQWRMXMWSAQP-UHFFFAOYSA-N 5-bromo-2-pyridin-2-ylpyrimidine Chemical compound N1=CC(Br)=CN=C1C1=CC=CC=N1 UZDQWRMXMWSAQP-UHFFFAOYSA-N 0.000 description 2
- KDCGOANMDULRCW-UHFFFAOYSA-N 7H-purine Chemical compound N1=CNC2=NC=NC2=C1 KDCGOANMDULRCW-UHFFFAOYSA-N 0.000 description 2
- UJOBWOGCFQCDNV-UHFFFAOYSA-N 9H-carbazole Chemical compound C1=CC=C2C3=CC=CC=C3NC2=C1 UJOBWOGCFQCDNV-UHFFFAOYSA-N 0.000 description 2
- WKBOTKDWSSQWDR-UHFFFAOYSA-N Bromine atom Chemical group [Br] WKBOTKDWSSQWDR-UHFFFAOYSA-N 0.000 description 2
- XTHFKEDIFFGKHM-UHFFFAOYSA-N Dimethoxyethane Chemical compound COCCOC XTHFKEDIFFGKHM-UHFFFAOYSA-N 0.000 description 2
- YLQBMQCUIZJEEH-UHFFFAOYSA-N Furan Chemical compound C=1C=COC=1 YLQBMQCUIZJEEH-UHFFFAOYSA-N 0.000 description 2
- CPLXHLVBOLITMK-UHFFFAOYSA-N Magnesium oxide Chemical compound [Mg]=O CPLXHLVBOLITMK-UHFFFAOYSA-N 0.000 description 2
- PCNDJXKNXGMECE-UHFFFAOYSA-N Phenazine Natural products C1=CC=CC2=NC3=CC=CC=C3N=C21 PCNDJXKNXGMECE-UHFFFAOYSA-N 0.000 description 2
- KYQCOXFCLRTKLS-UHFFFAOYSA-N Pyrazine Chemical compound C1=CN=CC=N1 KYQCOXFCLRTKLS-UHFFFAOYSA-N 0.000 description 2
- JUJWROOIHBZHMG-UHFFFAOYSA-N Pyridine Chemical compound C1=CC=NC=C1 JUJWROOIHBZHMG-UHFFFAOYSA-N 0.000 description 2
- 229910052784 alkaline earth metal Inorganic materials 0.000 description 2
- 150000001342 alkaline earth metals Chemical class 0.000 description 2
- 125000006193 alkinyl group Chemical group 0.000 description 2
- 229910045601 alloy Inorganic materials 0.000 description 2
- 239000000956 alloy Substances 0.000 description 2
- 229910052782 aluminium Inorganic materials 0.000 description 2
- 229910052788 barium Inorganic materials 0.000 description 2
- DGGWKWSROZRHIX-UHFFFAOYSA-N benzo[a]anthracen-2-ylboronic acid Chemical compound C1=CC=C2C=C(C=3C(=CC=C(C=3)B(O)O)C=C3)C3=CC2=C1 DGGWKWSROZRHIX-UHFFFAOYSA-N 0.000 description 2
- IOJUPLGTWVMSFF-UHFFFAOYSA-N benzothiazole Chemical compound C1=CC=C2SC=NC2=C1 IOJUPLGTWVMSFF-UHFFFAOYSA-N 0.000 description 2
- 239000004305 biphenyl Substances 0.000 description 2
- 235000010290 biphenyl Nutrition 0.000 description 2
- GDTBXPJZTBHREO-UHFFFAOYSA-N bromine Chemical group BrBr GDTBXPJZTBHREO-UHFFFAOYSA-N 0.000 description 2
- 239000002800 charge carrier Substances 0.000 description 2
- 239000007795 chemical reaction product Substances 0.000 description 2
- 125000001309 chloro group Chemical group Cl* 0.000 description 2
- WDECIBYCCFPHNR-UHFFFAOYSA-N chrysene Chemical compound C1=CC=CC2=CC=C3C4=CC=CC=C4C=CC3=C21 WDECIBYCCFPHNR-UHFFFAOYSA-N 0.000 description 2
- 239000004020 conductor Substances 0.000 description 2
- 238000000354 decomposition reaction Methods 0.000 description 2
- TXCDCPKCNAJMEE-UHFFFAOYSA-N dibenzofuran Chemical compound C1=CC=C2C3=CC=CC=C3OC2=C1 TXCDCPKCNAJMEE-UHFFFAOYSA-N 0.000 description 2
- RMBPEFMHABBEKP-UHFFFAOYSA-N fluorene Chemical compound C1=CC=C2C3=C[CH]C=CC3=CC2=C1 RMBPEFMHABBEKP-UHFFFAOYSA-N 0.000 description 2
- 230000009477 glass transition Effects 0.000 description 2
- 230000005525 hole transport Effects 0.000 description 2
- AMGQUBHHOARCQH-UHFFFAOYSA-N indium;oxotin Chemical compound [In].[Sn]=O AMGQUBHHOARCQH-UHFFFAOYSA-N 0.000 description 2
- 238000007641 inkjet printing Methods 0.000 description 2
- PNDPGZBMCMUPRI-UHFFFAOYSA-N iodine Chemical group II PNDPGZBMCMUPRI-UHFFFAOYSA-N 0.000 description 2
- RBTARNINKXHZNM-UHFFFAOYSA-K iron trichloride Chemical compound Cl[Fe](Cl)Cl RBTARNINKXHZNM-UHFFFAOYSA-K 0.000 description 2
- AWJUIBRHMBBTKR-UHFFFAOYSA-N isoquinoline Chemical compound C1=NC=CC2=CC=CC=C21 AWJUIBRHMBBTKR-UHFFFAOYSA-N 0.000 description 2
- IMKMFBIYHXBKRX-UHFFFAOYSA-M lithium;quinoline-2-carboxylate Chemical class [Li+].C1=CC=CC2=NC(C(=O)[O-])=CC=C21 IMKMFBIYHXBKRX-UHFFFAOYSA-M 0.000 description 2
- 229910001092 metal group alloy Inorganic materials 0.000 description 2
- NIHNNTQXNPWCJQ-UHFFFAOYSA-N o-biphenylenemethane Natural products C1=CC=C2CC3=CC=CC=C3C2=C1 NIHNNTQXNPWCJQ-UHFFFAOYSA-N 0.000 description 2
- 150000002894 organic compounds Chemical class 0.000 description 2
- UPYVSYVLGOADDG-UHFFFAOYSA-N phenanthren-3-ylboronic acid Chemical compound C1=CC=C2C3=CC(B(O)O)=CC=C3C=CC2=C1 UPYVSYVLGOADDG-UHFFFAOYSA-N 0.000 description 2
- RDOWQLZANAYVLL-UHFFFAOYSA-N phenanthridine Chemical compound C1=CC=C2C3=CC=CC=C3C=NC2=C1 RDOWQLZANAYVLL-UHFFFAOYSA-N 0.000 description 2
- 229950000688 phenothiazine Drugs 0.000 description 2
- HZFPPBMKGYINDF-UHFFFAOYSA-N pyrimidin-5-ylboronic acid Chemical compound OB(O)C1=CN=CN=C1 HZFPPBMKGYINDF-UHFFFAOYSA-N 0.000 description 2
- 125000000714 pyrimidinyl group Chemical group 0.000 description 2
- XSCHRSMBECNVNS-UHFFFAOYSA-N quinoxaline Chemical compound N1=CC=NC2=CC=CC=C21 XSCHRSMBECNVNS-UHFFFAOYSA-N 0.000 description 2
- 239000004065 semiconductor Substances 0.000 description 2
- PUZPDOWCWNUUKD-UHFFFAOYSA-M sodium fluoride Chemical compound [F-].[Na+] PUZPDOWCWNUUKD-UHFFFAOYSA-M 0.000 description 2
- 239000007787 solid Substances 0.000 description 2
- 238000000859 sublimation Methods 0.000 description 2
- 230000008022 sublimation Effects 0.000 description 2
- 239000000758 substrate Substances 0.000 description 2
- 229940073455 tetraethylammonium hydroxide Drugs 0.000 description 2
- LRGJRHZIDJQFCL-UHFFFAOYSA-M tetraethylazanium;hydroxide Chemical compound [OH-].CC[N+](CC)(CC)CC LRGJRHZIDJQFCL-UHFFFAOYSA-M 0.000 description 2
- 229930192474 thiophene Natural products 0.000 description 2
- JOXIMZWYDAKGHI-UHFFFAOYSA-N toluene-4-sulfonic acid Chemical compound CC1=CC=C(S(O)(=O)=O)C=C1 JOXIMZWYDAKGHI-UHFFFAOYSA-N 0.000 description 2
- ITMCEJHCFYSIIV-UHFFFAOYSA-M triflate Chemical compound [O-]S(=O)(=O)C(F)(F)F ITMCEJHCFYSIIV-UHFFFAOYSA-M 0.000 description 2
- RIOQSEWOXXDEQQ-UHFFFAOYSA-N triphenylphosphine Chemical compound C1=CC=CC=C1P(C=1C=CC=CC=1)C1=CC=CC=C1 RIOQSEWOXXDEQQ-UHFFFAOYSA-N 0.000 description 2
- NHDIQVFFNDKAQU-UHFFFAOYSA-N tripropan-2-yl borate Chemical compound CC(C)OB(OC(C)C)OC(C)C NHDIQVFFNDKAQU-UHFFFAOYSA-N 0.000 description 2
- BWHDROKFUHTORW-UHFFFAOYSA-N tritert-butylphosphane Chemical compound CC(C)(C)P(C(C)(C)C)C(C)(C)C BWHDROKFUHTORW-UHFFFAOYSA-N 0.000 description 2
- 238000007740 vapor deposition Methods 0.000 description 2
- ZFXBERJDEUDDMX-UHFFFAOYSA-N 1,2,3,5-tetrazine Chemical compound C1=NC=NN=N1 ZFXBERJDEUDDMX-UHFFFAOYSA-N 0.000 description 1
- FNQJDLTXOVEEFB-UHFFFAOYSA-N 1,2,3-benzothiadiazole Chemical compound C1=CC=C2SN=NC2=C1 FNQJDLTXOVEEFB-UHFFFAOYSA-N 0.000 description 1
- UGUHFDPGDQDVGX-UHFFFAOYSA-N 1,2,3-thiadiazole Chemical compound C1=CSN=N1 UGUHFDPGDQDVGX-UHFFFAOYSA-N 0.000 description 1
- JYEUMXHLPRZUAT-UHFFFAOYSA-N 1,2,3-triazine Chemical compound C1=CN=NN=C1 JYEUMXHLPRZUAT-UHFFFAOYSA-N 0.000 description 1
- HTJMXYRLEDBSLT-UHFFFAOYSA-N 1,2,4,5-tetrazine Chemical compound C1=NN=CN=N1 HTJMXYRLEDBSLT-UHFFFAOYSA-N 0.000 description 1
- BBVIDBNAYOIXOE-UHFFFAOYSA-N 1,2,4-oxadiazole Chemical compound C=1N=CON=1 BBVIDBNAYOIXOE-UHFFFAOYSA-N 0.000 description 1
- YGTAZGSLCXNBQL-UHFFFAOYSA-N 1,2,4-thiadiazole Chemical compound C=1N=CSN=1 YGTAZGSLCXNBQL-UHFFFAOYSA-N 0.000 description 1
- FYADHXFMURLYQI-UHFFFAOYSA-N 1,2,4-triazine Chemical compound C1=CN=NC=N1 FYADHXFMURLYQI-UHFFFAOYSA-N 0.000 description 1
- UDGKZGLPXCRRAM-UHFFFAOYSA-N 1,2,5-thiadiazole Chemical compound C=1C=NSN=1 UDGKZGLPXCRRAM-UHFFFAOYSA-N 0.000 description 1
- FKASFBLJDCHBNZ-UHFFFAOYSA-N 1,3,4-oxadiazole Chemical compound C1=NN=CO1 FKASFBLJDCHBNZ-UHFFFAOYSA-N 0.000 description 1
- MBIZXFATKUQOOA-UHFFFAOYSA-N 1,3,4-thiadiazole Chemical compound C1=NN=CS1 MBIZXFATKUQOOA-UHFFFAOYSA-N 0.000 description 1
- JIHQDMXYYFUGFV-UHFFFAOYSA-N 1,3,5-triazine Chemical compound C1=NC=NC=N1 JIHQDMXYYFUGFV-UHFFFAOYSA-N 0.000 description 1
- BCMCBBGGLRIHSE-UHFFFAOYSA-N 1,3-benzoxazole Chemical compound C1=CC=C2OC=NC2=C1 BCMCBBGGLRIHSE-UHFFFAOYSA-N 0.000 description 1
- XJKSTNDFUHDPQJ-UHFFFAOYSA-N 1,4-diphenylbenzene Chemical group C1=CC=CC=C1C1=CC=C(C=2C=CC=CC=2)C=C1 XJKSTNDFUHDPQJ-UHFFFAOYSA-N 0.000 description 1
- FLBAYUMRQUHISI-UHFFFAOYSA-N 1,8-naphthyridine Chemical compound N1=CC=CC2=CC=CN=C21 FLBAYUMRQUHISI-UHFFFAOYSA-N 0.000 description 1
- OXKGTVPXFGKAQG-UHFFFAOYSA-N 10-(1-bromoanthracen-9-yl)benzo[a]anthracene Chemical compound C1=CC=C2C3=CC4=CC(C=5C6=CC=CC=C6C=C6C=CC=C(C=56)Br)=CC=C4C=C3C=CC2=C1 OXKGTVPXFGKAQG-UHFFFAOYSA-N 0.000 description 1
- QWENRTYMTSOGBR-UHFFFAOYSA-N 1H-1,2,3-Triazole Chemical compound C=1C=NNN=1 QWENRTYMTSOGBR-UHFFFAOYSA-N 0.000 description 1
- HYZJCKYKOHLVJF-UHFFFAOYSA-N 1H-benzimidazole Chemical compound C1=CC=C2NC=NC2=C1 HYZJCKYKOHLVJF-UHFFFAOYSA-N 0.000 description 1
- BAXOFTOLAUCFNW-UHFFFAOYSA-N 1H-indazole Chemical compound C1=CC=C2C=NNC2=C1 BAXOFTOLAUCFNW-UHFFFAOYSA-N 0.000 description 1
- USYCQABRSUEURP-UHFFFAOYSA-N 1h-benzo[f]benzimidazole Chemical compound C1=CC=C2C=C(NC=N3)C3=CC2=C1 USYCQABRSUEURP-UHFFFAOYSA-N 0.000 description 1
- IGHOZKDBCCFNNC-UHFFFAOYSA-N 1h-imidazole;quinoxaline Chemical compound C1=CNC=N1.N1=CC=NC2=CC=CC=C21 IGHOZKDBCCFNNC-UHFFFAOYSA-N 0.000 description 1
- 125000004206 2,2,2-trifluoroethyl group Chemical group [H]C([H])(*)C(F)(F)F 0.000 description 1
- PFRPMHBYYJIARU-UHFFFAOYSA-N 2,3-diazatetracyclo[6.6.2.04,16.011,15]hexadeca-1(14),2,4,6,8(16),9,11(15),12-octaene Chemical compound C1=CC=C2N=NC3=CC=CC4=CC=C1C2=C43 PFRPMHBYYJIARU-UHFFFAOYSA-N 0.000 description 1
- VEPOHXYIFQMVHW-XOZOLZJESA-N 2,3-dihydroxybutanedioic acid (2S,3S)-3,4-dimethyl-2-phenylmorpholine Chemical compound OC(C(O)C(O)=O)C(O)=O.C[C@H]1[C@@H](OCCN1C)c1ccccc1 VEPOHXYIFQMVHW-XOZOLZJESA-N 0.000 description 1
- UXGVMFHEKMGWMA-UHFFFAOYSA-N 2-benzofuran Chemical compound C1=CC=CC2=COC=C21 UXGVMFHEKMGWMA-UHFFFAOYSA-N 0.000 description 1
- LYTMVABTDYMBQK-UHFFFAOYSA-N 2-benzothiophene Chemical compound C1=CC=CC2=CSC=C21 LYTMVABTDYMBQK-UHFFFAOYSA-N 0.000 description 1
- INJBTFKWNNQGGN-UHFFFAOYSA-N 2-bromo-5-phenylpyrimidine Chemical compound C1=NC(Br)=NC=C1C1=CC=CC=C1 INJBTFKWNNQGGN-UHFFFAOYSA-N 0.000 description 1
- IMRWILPUOVGIMU-UHFFFAOYSA-N 2-bromopyridine Chemical compound BrC1=CC=CC=N1 IMRWILPUOVGIMU-UHFFFAOYSA-N 0.000 description 1
- 125000004493 2-methylbut-1-yl group Chemical group CC(C*)CC 0.000 description 1
- 125000005916 2-methylpentyl group Chemical group 0.000 description 1
- BNGNNFQSUWVWCW-UHFFFAOYSA-N 3-bromophenanthrene Chemical compound C1=CC=C2C3=CC(Br)=CC=C3C=CC2=C1 BNGNNFQSUWVWCW-UHFFFAOYSA-N 0.000 description 1
- CPDDXQJCPYHULE-UHFFFAOYSA-N 4,5,14,16-tetrazapentacyclo[9.7.1.12,6.015,19.010,20]icosa-1(18),2,4,6,8,10(20),11(19),12,14,16-decaene Chemical group C1=CC(C2=CC=CC=3C2=C2C=NN=3)=C3C2=CC=NC3=N1 CPDDXQJCPYHULE-UHFFFAOYSA-N 0.000 description 1
- NSPMIYGKQJPBQR-UHFFFAOYSA-N 4H-1,2,4-triazole Chemical compound C=1N=CNN=1 NSPMIYGKQJPBQR-UHFFFAOYSA-N 0.000 description 1
- IUKNPBPXZUWMNO-UHFFFAOYSA-N 5,12-diazatetracyclo[6.6.2.04,16.011,15]hexadeca-1(15),2,4,6,8(16),9,11,13-octaene Chemical compound N1=CC=C2C=CC3=NC=CC4=CC=C1C2=C43 IUKNPBPXZUWMNO-UHFFFAOYSA-N 0.000 description 1
- NHWJSCHQRMCCAD-UHFFFAOYSA-N 5,14-diazatetracyclo[6.6.2.04,16.011,15]hexadeca-1(14),2,4,6,8(16),9,11(15),12-octaene Chemical compound C1=CN=C2C=CC3=NC=CC4=CC=C1C2=C43 NHWJSCHQRMCCAD-UHFFFAOYSA-N 0.000 description 1
- PODJSIAAYWCBDV-UHFFFAOYSA-N 5,6-diazatetracyclo[6.6.2.04,16.011,15]hexadeca-1(14),2,4(16),5,7,9,11(15),12-octaene Chemical compound C1=NN=C2C=CC3=CC=CC4=CC=C1C2=C43 PODJSIAAYWCBDV-UHFFFAOYSA-N 0.000 description 1
- AMZJAMGOBVDLDC-UHFFFAOYSA-N 5-(10-benzo[a]anthracen-4-ylanthracen-9-yl)pyrimidine Chemical compound C=1C2=CC=CC=C2C=C(C2=CC=C3)C=1C=CC2=C3C(C1=CC=CC=C11)=C2C=CC=CC2=C1C1=CN=CN=C1 AMZJAMGOBVDLDC-UHFFFAOYSA-N 0.000 description 1
- ZEZKXPQIDURFKA-UHFFFAOYSA-N 5-bromo-2-iodopyrimidine Chemical compound BrC1=CN=C(I)N=C1 ZEZKXPQIDURFKA-UHFFFAOYSA-N 0.000 description 1
- SNFCXVRWFNAHQX-UHFFFAOYSA-N 9,9'-spirobi[fluorene] Chemical compound C12=CC=CC=C2C2=CC=CC=C2C21C1=CC=CC=C1C1=CC=CC=C21 SNFCXVRWFNAHQX-UHFFFAOYSA-N 0.000 description 1
- BPMFPOGUJAAYHL-UHFFFAOYSA-N 9H-Pyrido[2,3-b]indole Chemical compound C1=CC=C2C3=CC=CC=C3NC2=N1 BPMFPOGUJAAYHL-UHFFFAOYSA-N 0.000 description 1
- 239000005964 Acibenzolar-S-methyl Substances 0.000 description 1
- 229910018072 Al 2 O 3 Inorganic materials 0.000 description 1
- 229910016036 BaF 2 Inorganic materials 0.000 description 1
- FMMWHPNWAFZXNH-UHFFFAOYSA-N Benz[a]pyrene Chemical compound C1=C2C3=CC=CC=C3C=C(C=C3)C2=C2C3=CC=CC2=C1 FMMWHPNWAFZXNH-UHFFFAOYSA-N 0.000 description 1
- HKMTVMBEALTRRR-UHFFFAOYSA-N Benzo[a]fluorene Chemical compound C1=CC=CC2=C3CC4=CC=CC=C4C3=CC=C21 HKMTVMBEALTRRR-UHFFFAOYSA-N 0.000 description 1
- KHNYNFUTFKJLDD-UHFFFAOYSA-N Benzo[j]fluoranthene Chemical compound C1=CC(C=2C3=CC=CC=C3C=CC=22)=C3C2=CC=CC3=C1 KHNYNFUTFKJLDD-UHFFFAOYSA-N 0.000 description 1
- ROFVEXUMMXZLPA-UHFFFAOYSA-N Bipyridyl Chemical compound N1=CC=CC=C1C1=CC=CC=N1 ROFVEXUMMXZLPA-UHFFFAOYSA-N 0.000 description 1
- ZPIPUFJBRZFYKJ-UHFFFAOYSA-N C1=NC=C2C=CC3=CN=CC4=CC=C1C2=C34 Chemical compound C1=NC=C2C=CC3=CN=CC4=CC=C1C2=C34 ZPIPUFJBRZFYKJ-UHFFFAOYSA-N 0.000 description 1
- CPELXLSAUQHCOX-UHFFFAOYSA-N Hydrogen bromide Chemical compound Br CPELXLSAUQHCOX-UHFFFAOYSA-N 0.000 description 1
- 229910021578 Iron(III) chloride Inorganic materials 0.000 description 1
- 229910018068 Li 2 O Inorganic materials 0.000 description 1
- FYYHWMGAXLPEAU-UHFFFAOYSA-N Magnesium Chemical compound [Mg] FYYHWMGAXLPEAU-UHFFFAOYSA-N 0.000 description 1
- CTQNGGLPUBDAKN-UHFFFAOYSA-N O-Xylene Chemical compound CC1=CC=CC=C1C CTQNGGLPUBDAKN-UHFFFAOYSA-N 0.000 description 1
- ZCQWOFVYLHDMMC-UHFFFAOYSA-N Oxazole Chemical compound C1=COC=N1 ZCQWOFVYLHDMMC-UHFFFAOYSA-N 0.000 description 1
- WTKZEGDFNFYCGP-UHFFFAOYSA-N Pyrazole Chemical compound C=1C=NNC=1 WTKZEGDFNFYCGP-UHFFFAOYSA-N 0.000 description 1
- 229910052772 Samarium Inorganic materials 0.000 description 1
- VYPSYNLAJGMNEJ-UHFFFAOYSA-N Silicium dioxide Chemical compound O=[Si]=O VYPSYNLAJGMNEJ-UHFFFAOYSA-N 0.000 description 1
- BQCADISMDOOEFD-UHFFFAOYSA-N Silver Chemical compound [Ag] BQCADISMDOOEFD-UHFFFAOYSA-N 0.000 description 1
- PJANXHGTPQOBST-VAWYXSNFSA-N Stilbene Natural products C=1C=CC=CC=1/C=C/C1=CC=CC=C1 PJANXHGTPQOBST-VAWYXSNFSA-N 0.000 description 1
- 238000006069 Suzuki reaction reaction Methods 0.000 description 1
- DPOPAJRDYZGTIR-UHFFFAOYSA-N Tetrazine Chemical compound C1=CN=NN=N1 DPOPAJRDYZGTIR-UHFFFAOYSA-N 0.000 description 1
- FZWLAAWBMGSTSO-UHFFFAOYSA-N Thiazole Chemical compound C1=CSC=N1 FZWLAAWBMGSTSO-UHFFFAOYSA-N 0.000 description 1
- GCTFWCDSFPMHHS-UHFFFAOYSA-M Tributyltin chloride Chemical compound CCCC[Sn](Cl)(CCCC)CCCC GCTFWCDSFPMHHS-UHFFFAOYSA-M 0.000 description 1
- DGEZNRSVGBDHLK-UHFFFAOYSA-N [1,10]phenanthroline Chemical compound C1=CN=C2C3=NC=CC=C3C=CC2=C1 DGEZNRSVGBDHLK-UHFFFAOYSA-N 0.000 description 1
- 229910001515 alkali metal fluoride Inorganic materials 0.000 description 1
- 229910001618 alkaline earth metal fluoride Inorganic materials 0.000 description 1
- HSFWRNGVRCDJHI-UHFFFAOYSA-N alpha-acetylene Natural products C#C HSFWRNGVRCDJHI-UHFFFAOYSA-N 0.000 description 1
- XAGFODPZIPBFFR-UHFFFAOYSA-N aluminium Chemical compound [Al] XAGFODPZIPBFFR-UHFFFAOYSA-N 0.000 description 1
- 239000010405 anode material Substances 0.000 description 1
- 239000002585 base Substances 0.000 description 1
- RFRXIWQYSOIBDI-UHFFFAOYSA-N benzarone Chemical compound CCC=1OC2=CC=CC=C2C=1C(=O)C1=CC=C(O)C=C1 RFRXIWQYSOIBDI-UHFFFAOYSA-N 0.000 description 1
- RWCCWEUUXYIKHB-UHFFFAOYSA-N benzophenone Chemical compound C=1C=CC=CC=1C(=O)C1=CC=CC=C1 RWCCWEUUXYIKHB-UHFFFAOYSA-N 0.000 description 1
- 239000012965 benzophenone Substances 0.000 description 1
- QRUDEWIWKLJBPS-UHFFFAOYSA-N benzotriazole Chemical compound C1=CC=C2N[N][N]C2=C1 QRUDEWIWKLJBPS-UHFFFAOYSA-N 0.000 description 1
- 239000012964 benzotriazole Substances 0.000 description 1
- 125000002529 biphenylenyl group Chemical group C1(=CC=CC=2C3=CC=CC=C3C12)* 0.000 description 1
- 230000031709 bromination Effects 0.000 description 1
- 238000005893 bromination reaction Methods 0.000 description 1
- 125000004369 butenyl group Chemical group C(=CCC)* 0.000 description 1
- 125000000480 butynyl group Chemical group [*]C#CC([H])([H])C([H])([H])[H] 0.000 description 1
- SFBJROLJOBMJAS-UHFFFAOYSA-N c(cc1)ccc1-c1cnc(-c2c(cccc3)c3c(-c(cc3)cc4c3c(cccc3)c3cc4)c3c2cccc3)nc1 Chemical compound c(cc1)ccc1-c1cnc(-c2c(cccc3)c3c(-c(cc3)cc4c3c(cccc3)c3cc4)c3c2cccc3)nc1 SFBJROLJOBMJAS-UHFFFAOYSA-N 0.000 description 1
- QDEJSCJLCVDIAV-UHFFFAOYSA-N c1cc2ccc(ccc(-c3c(cccc4)c4c(-c4cncnc4)c4c3cccc4)c3)c3c2cc1 Chemical compound c1cc2ccc(ccc(-c3c(cccc4)c4c(-c4cncnc4)c4c3cccc4)c3)c3c2cc1 QDEJSCJLCVDIAV-UHFFFAOYSA-N 0.000 description 1
- 229910052791 calcium Inorganic materials 0.000 description 1
- 150000004649 carbonic acid derivatives Chemical class 0.000 description 1
- 239000012159 carrier gas Substances 0.000 description 1
- WCZVZNOTHYJIEI-UHFFFAOYSA-N cinnoline Chemical compound N1=NC=CC2=CC=CC=C21 WCZVZNOTHYJIEI-UHFFFAOYSA-N 0.000 description 1
- 230000000052 comparative effect Effects 0.000 description 1
- 238000010168 coupling process Methods 0.000 description 1
- 238000005859 coupling reaction Methods 0.000 description 1
- 125000001162 cycloheptenyl group Chemical group C1(=CCCCCC1)* 0.000 description 1
- 125000000582 cycloheptyl group Chemical group [H]C1([H])C([H])([H])C([H])([H])C([H])([H])C([H])(*)C([H])([H])C1([H])[H] 0.000 description 1
- 125000000596 cyclohexenyl group Chemical group C1(=CCCCC1)* 0.000 description 1
- 125000000113 cyclohexyl group Chemical group [H]C1([H])C([H])([H])C([H])([H])C([H])(*)C([H])([H])C1([H])[H] 0.000 description 1
- 125000000522 cyclooctenyl group Chemical group C1(=CCCCCCC1)* 0.000 description 1
- 125000000640 cyclooctyl group Chemical group [H]C1([H])C([H])([H])C([H])([H])C([H])([H])C([H])(*)C([H])([H])C([H])([H])C1([H])[H] 0.000 description 1
- 125000002433 cyclopentenyl group Chemical group C1(=CCCC1)* 0.000 description 1
- 125000001511 cyclopentyl group Chemical group [H]C1([H])C([H])([H])C([H])([H])C([H])(*)C1([H])[H] 0.000 description 1
- 150000001987 diarylethers Chemical class 0.000 description 1
- XXPBFNVKTVJZKF-UHFFFAOYSA-N dihydrophenanthrene Natural products C1=CC=C2CCC3=CC=CC=C3C2=C1 XXPBFNVKTVJZKF-UHFFFAOYSA-N 0.000 description 1
- 239000006185 dispersion Substances 0.000 description 1
- 238000001194 electroluminescence spectrum Methods 0.000 description 1
- 125000001495 ethyl group Chemical group [H]C([H])([H])C([H])([H])* 0.000 description 1
- 238000001704 evaporation Methods 0.000 description 1
- 230000008020 evaporation Effects 0.000 description 1
- JKFAIQOWCVVSKC-UHFFFAOYSA-N furazan Chemical compound C=1C=NON=1 JKFAIQOWCVVSKC-UHFFFAOYSA-N 0.000 description 1
- 238000007429 general method Methods 0.000 description 1
- 239000011521 glass Substances 0.000 description 1
- 229910052737 gold Inorganic materials 0.000 description 1
- 150000004820 halides Chemical class 0.000 description 1
- 125000006038 hexenyl group Chemical group 0.000 description 1
- 125000005980 hexynyl group Chemical group 0.000 description 1
- 229910052738 indium Inorganic materials 0.000 description 1
- HOBCFUWDNJPFHB-UHFFFAOYSA-N indolizine Chemical compound C1=CC=CN2C=CC=C21 HOBCFUWDNJPFHB-UHFFFAOYSA-N 0.000 description 1
- 239000011229 interlayer Substances 0.000 description 1
- 125000000959 isobutyl group Chemical group [H]C([H])([H])C([H])(C([H])([H])[H])C([H])([H])* 0.000 description 1
- 125000001449 isopropyl group Chemical group [H]C([H])([H])C([H])(*)C([H])([H])[H] 0.000 description 1
- ZLTPDFXIESTBQG-UHFFFAOYSA-N isothiazole Chemical compound C=1C=NSC=1 ZLTPDFXIESTBQG-UHFFFAOYSA-N 0.000 description 1
- 229910052747 lanthanoid Inorganic materials 0.000 description 1
- 150000002602 lanthanoids Chemical class 0.000 description 1
- 239000007791 liquid phase Substances 0.000 description 1
- 238000006138 lithiation reaction Methods 0.000 description 1
- 239000008204 material by function Substances 0.000 description 1
- 229910044991 metal oxide Inorganic materials 0.000 description 1
- 150000004706 metal oxides Chemical class 0.000 description 1
- 229910003455 mixed metal oxide Inorganic materials 0.000 description 1
- 125000004108 n-butyl group Chemical group [H]C([H])([H])C([H])([H])C([H])([H])C([H])([H])* 0.000 description 1
- 125000003136 n-heptyl group Chemical group [H]C([H])([H])C([H])([H])C([H])([H])C([H])([H])C([H])([H])C([H])([H])C([H])([H])* 0.000 description 1
- 125000001280 n-hexyl group Chemical group C(CCCCC)* 0.000 description 1
- 125000000740 n-pentyl group Chemical group [H]C([H])([H])C([H])([H])C([H])([H])C([H])([H])C([H])([H])* 0.000 description 1
- 125000004123 n-propyl group Chemical group [H]C([H])([H])C([H])([H])C([H])([H])* 0.000 description 1
- 125000005244 neohexyl group Chemical group [H]C([H])([H])C(C([H])([H])[H])(C([H])([H])[H])C([H])([H])C([H])([H])* 0.000 description 1
- 125000001971 neopentyl group Chemical group [H]C([*])([H])C(C([H])([H])[H])(C([H])([H])[H])C([H])([H])[H] 0.000 description 1
- 125000004433 nitrogen atom Chemical group N* 0.000 description 1
- 125000004365 octenyl group Chemical group C(=CCCCCCC)* 0.000 description 1
- 125000005069 octynyl group Chemical group [H]C([H])([H])C([H])([H])C([H])([H])C([H])([H])C([H])([H])C([H])([H])C#C* 0.000 description 1
- 238000007645 offset printing Methods 0.000 description 1
- 239000013110 organic ligand Substances 0.000 description 1
- 239000011368 organic material Substances 0.000 description 1
- 239000003960 organic solvent Substances 0.000 description 1
- 150000002902 organometallic compounds Chemical group 0.000 description 1
- 125000002524 organometallic group Chemical group 0.000 description 1
- XSXHWVKGUXMUQE-UHFFFAOYSA-N osmium dioxide Inorganic materials O=[Os]=O XSXHWVKGUXMUQE-UHFFFAOYSA-N 0.000 description 1
- WCPAKWJPBJAGKN-UHFFFAOYSA-N oxadiazole Chemical compound C1=CON=N1 WCPAKWJPBJAGKN-UHFFFAOYSA-N 0.000 description 1
- 125000004430 oxygen atom Chemical group O* 0.000 description 1
- 229930184652 p-Terphenyl Natural products 0.000 description 1
- NRNCYVBFPDDJNE-UHFFFAOYSA-N pemoline Chemical compound O1C(N)=NC(=O)C1C1=CC=CC=C1 NRNCYVBFPDDJNE-UHFFFAOYSA-N 0.000 description 1
- 229960000761 pemoline Drugs 0.000 description 1
- SLIUAWYAILUBJU-UHFFFAOYSA-N pentacene Chemical compound C1=CC=CC2=CC3=CC4=CC5=CC=CC=C5C=C4C=C3C=C21 SLIUAWYAILUBJU-UHFFFAOYSA-N 0.000 description 1
- 125000006340 pentafluoro ethyl group Chemical group FC(F)(F)C(F)(F)* 0.000 description 1
- 125000002255 pentenyl group Chemical group C(=CCCC)* 0.000 description 1
- 125000005981 pentynyl group Chemical group 0.000 description 1
- 125000002080 perylenyl group Chemical group C1(=CC=C2C=CC=C3C4=CC=CC5=CC=CC(C1=C23)=C45)* 0.000 description 1
- CSHWQDPOILHKBI-UHFFFAOYSA-N peryrene Natural products C1=CC(C2=CC=CC=3C2=C2C=CC=3)=C3C2=CC=CC3=C1 CSHWQDPOILHKBI-UHFFFAOYSA-N 0.000 description 1
- 238000001126 phototherapy Methods 0.000 description 1
- 229910052697 platinum Inorganic materials 0.000 description 1
- 229920000642 polymer Polymers 0.000 description 1
- 238000002360 preparation method Methods 0.000 description 1
- 125000004368 propenyl group Chemical group C(=CC)* 0.000 description 1
- 125000002568 propynyl group Chemical group [*]C#CC([H])([H])[H] 0.000 description 1
- CPNGPNLZQNNVQM-UHFFFAOYSA-N pteridine Chemical compound N1=CN=CC2=NC=CN=C21 CPNGPNLZQNNVQM-UHFFFAOYSA-N 0.000 description 1
- PBMFSQRYOILNGV-UHFFFAOYSA-N pyridazine Chemical compound C1=CC=NN=C1 PBMFSQRYOILNGV-UHFFFAOYSA-N 0.000 description 1
- UMJSCPRVCHMLSP-UHFFFAOYSA-N pyridine Natural products COC1=CC=CN=C1 UMJSCPRVCHMLSP-UHFFFAOYSA-N 0.000 description 1
- GDISDVBCNPLSDU-UHFFFAOYSA-N pyrido[2,3-g]quinoline Chemical compound C1=CC=NC2=CC3=CC=CN=C3C=C21 GDISDVBCNPLSDU-UHFFFAOYSA-N 0.000 description 1
- JWVCLYRUEFBMGU-UHFFFAOYSA-N quinazoline Chemical compound N1=CN=CC2=CC=CC=C21 JWVCLYRUEFBMGU-UHFFFAOYSA-N 0.000 description 1
- 230000009103 reabsorption Effects 0.000 description 1
- 238000010992 reflux Methods 0.000 description 1
- 150000003839 salts Chemical class 0.000 description 1
- 238000007650 screen-printing Methods 0.000 description 1
- 125000002914 sec-butyl group Chemical group [H]C([H])([H])C([H])([H])C([H])(*)C([H])([H])[H] 0.000 description 1
- 239000000741 silica gel Substances 0.000 description 1
- 229910002027 silica gel Inorganic materials 0.000 description 1
- 239000004332 silver Substances 0.000 description 1
- 238000004528 spin coating Methods 0.000 description 1
- 239000007858 starting material Substances 0.000 description 1
- PJANXHGTPQOBST-UHFFFAOYSA-N stilbene Chemical compound C=1C=CC=CC=1C=CC1=CC=CC=C1 PJANXHGTPQOBST-UHFFFAOYSA-N 0.000 description 1
- 235000021286 stilbenes Nutrition 0.000 description 1
- 238000005092 sublimation method Methods 0.000 description 1
- 238000006467 substitution reaction Methods 0.000 description 1
- 125000006836 terphenylene group Chemical group 0.000 description 1
- 125000000999 tert-butyl group Chemical group [H]C([H])([H])C(*)(C([H])([H])[H])C([H])([H])[H] 0.000 description 1
- 125000001973 tert-pentyl group Chemical group [H]C([H])([H])C([H])([H])C(*)(C([H])([H])[H])C([H])([H])[H] 0.000 description 1
- IFLREYGFSNHWGE-UHFFFAOYSA-N tetracene Chemical compound C1=CC=CC2=CC3=CC4=CC=CC=C4C=C3C=C21 IFLREYGFSNHWGE-UHFFFAOYSA-N 0.000 description 1
- 150000003536 tetrazoles Chemical class 0.000 description 1
- 238000001931 thermography Methods 0.000 description 1
- 238000010023 transfer printing Methods 0.000 description 1
- 125000005259 triarylamine group Chemical group 0.000 description 1
- 125000002023 trifluoromethyl group Chemical group FC(F)(F)* 0.000 description 1
- WRECIMRULFAWHA-UHFFFAOYSA-N trimethyl borate Chemical compound COB(OC)OC WRECIMRULFAWHA-UHFFFAOYSA-N 0.000 description 1
- YGPLLMPPZRUGTJ-UHFFFAOYSA-N truxene Chemical compound C1C2=CC=CC=C2C(C2=C3C4=CC=CC=C4C2)=C1C1=C3CC2=CC=CC=C21 YGPLLMPPZRUGTJ-UHFFFAOYSA-N 0.000 description 1
- 238000002061 vacuum sublimation Methods 0.000 description 1
- 238000009834 vaporization Methods 0.000 description 1
- 238000001947 vapour-phase growth Methods 0.000 description 1
- 239000008096 xylene Substances 0.000 description 1
- YVTHLONGBIQYBO-UHFFFAOYSA-N zinc indium(3+) oxygen(2-) Chemical compound [O--].[Zn++].[In+3] YVTHLONGBIQYBO-UHFFFAOYSA-N 0.000 description 1
Classifications
-
- C—CHEMISTRY; METALLURGY
- C07—ORGANIC CHEMISTRY
- C07D—HETEROCYCLIC COMPOUNDS
- C07D239/00—Heterocyclic compounds containing 1,3-diazine or hydrogenated 1,3-diazine rings
- C07D239/02—Heterocyclic compounds containing 1,3-diazine or hydrogenated 1,3-diazine rings not condensed with other rings
- C07D239/24—Heterocyclic compounds containing 1,3-diazine or hydrogenated 1,3-diazine rings not condensed with other rings having three or more double bonds between ring members or between ring members and non-ring members
- C07D239/26—Heterocyclic compounds containing 1,3-diazine or hydrogenated 1,3-diazine rings not condensed with other rings having three or more double bonds between ring members or between ring members and non-ring members with only hydrogen atoms, hydrocarbon or substituted hydrocarbon radicals, directly attached to ring carbon atoms
-
- C—CHEMISTRY; METALLURGY
- C07—ORGANIC CHEMISTRY
- C07D—HETEROCYCLIC COMPOUNDS
- C07D401/00—Heterocyclic compounds containing two or more hetero rings, having nitrogen atoms as the only ring hetero atoms, at least one ring being a six-membered ring with only one nitrogen atom
- C07D401/02—Heterocyclic compounds containing two or more hetero rings, having nitrogen atoms as the only ring hetero atoms, at least one ring being a six-membered ring with only one nitrogen atom containing two hetero rings
- C07D401/04—Heterocyclic compounds containing two or more hetero rings, having nitrogen atoms as the only ring hetero atoms, at least one ring being a six-membered ring with only one nitrogen atom containing two hetero rings directly linked by a ring-member-to-ring-member bond
-
- C—CHEMISTRY; METALLURGY
- C07—ORGANIC CHEMISTRY
- C07D—HETEROCYCLIC COMPOUNDS
- C07D401/00—Heterocyclic compounds containing two or more hetero rings, having nitrogen atoms as the only ring hetero atoms, at least one ring being a six-membered ring with only one nitrogen atom
- C07D401/02—Heterocyclic compounds containing two or more hetero rings, having nitrogen atoms as the only ring hetero atoms, at least one ring being a six-membered ring with only one nitrogen atom containing two hetero rings
- C07D401/10—Heterocyclic compounds containing two or more hetero rings, having nitrogen atoms as the only ring hetero atoms, at least one ring being a six-membered ring with only one nitrogen atom containing two hetero rings linked by a carbon chain containing aromatic rings
-
- C—CHEMISTRY; METALLURGY
- C07—ORGANIC CHEMISTRY
- C07D—HETEROCYCLIC COMPOUNDS
- C07D401/00—Heterocyclic compounds containing two or more hetero rings, having nitrogen atoms as the only ring hetero atoms, at least one ring being a six-membered ring with only one nitrogen atom
- C07D401/14—Heterocyclic compounds containing two or more hetero rings, having nitrogen atoms as the only ring hetero atoms, at least one ring being a six-membered ring with only one nitrogen atom containing three or more hetero rings
-
- C—CHEMISTRY; METALLURGY
- C09—DYES; PAINTS; POLISHES; NATURAL RESINS; ADHESIVES; COMPOSITIONS NOT OTHERWISE PROVIDED FOR; APPLICATIONS OF MATERIALS NOT OTHERWISE PROVIDED FOR
- C09K—MATERIALS FOR MISCELLANEOUS APPLICATIONS, NOT PROVIDED FOR ELSEWHERE
- C09K11/00—Luminescent, e.g. electroluminescent, chemiluminescent materials
- C09K11/06—Luminescent, e.g. electroluminescent, chemiluminescent materials containing organic luminescent materials
-
- H—ELECTRICITY
- H05—ELECTRIC TECHNIQUES NOT OTHERWISE PROVIDED FOR
- H05B—ELECTRIC HEATING; ELECTRIC LIGHT SOURCES NOT OTHERWISE PROVIDED FOR; CIRCUIT ARRANGEMENTS FOR ELECTRIC LIGHT SOURCES, IN GENERAL
- H05B33/00—Electroluminescent light sources
- H05B33/12—Light sources with substantially two-dimensional radiating surfaces
- H05B33/14—Light sources with substantially two-dimensional radiating surfaces characterised by the chemical or physical composition or the arrangement of the electroluminescent material, or by the simultaneous addition of the electroluminescent material in or onto the light source
-
- H—ELECTRICITY
- H10—SEMICONDUCTOR DEVICES; ELECTRIC SOLID-STATE DEVICES NOT OTHERWISE PROVIDED FOR
- H10K—ORGANIC ELECTRIC SOLID-STATE DEVICES
- H10K85/00—Organic materials used in the body or electrodes of devices covered by this subclass
- H10K85/60—Organic compounds having low molecular weight
- H10K85/615—Polycyclic condensed aromatic hydrocarbons, e.g. anthracene
-
- H—ELECTRICITY
- H10—SEMICONDUCTOR DEVICES; ELECTRIC SOLID-STATE DEVICES NOT OTHERWISE PROVIDED FOR
- H10K—ORGANIC ELECTRIC SOLID-STATE DEVICES
- H10K85/00—Organic materials used in the body or electrodes of devices covered by this subclass
- H10K85/60—Organic compounds having low molecular weight
- H10K85/615—Polycyclic condensed aromatic hydrocarbons, e.g. anthracene
- H10K85/626—Polycyclic condensed aromatic hydrocarbons, e.g. anthracene containing more than one polycyclic condensed aromatic rings, e.g. bis-anthracene
-
- H—ELECTRICITY
- H10—SEMICONDUCTOR DEVICES; ELECTRIC SOLID-STATE DEVICES NOT OTHERWISE PROVIDED FOR
- H10K—ORGANIC ELECTRIC SOLID-STATE DEVICES
- H10K85/00—Organic materials used in the body or electrodes of devices covered by this subclass
- H10K85/60—Organic compounds having low molecular weight
- H10K85/649—Aromatic compounds comprising a hetero atom
- H10K85/654—Aromatic compounds comprising a hetero atom comprising only nitrogen as heteroatom
-
- C—CHEMISTRY; METALLURGY
- C09—DYES; PAINTS; POLISHES; NATURAL RESINS; ADHESIVES; COMPOSITIONS NOT OTHERWISE PROVIDED FOR; APPLICATIONS OF MATERIALS NOT OTHERWISE PROVIDED FOR
- C09K—MATERIALS FOR MISCELLANEOUS APPLICATIONS, NOT PROVIDED FOR ELSEWHERE
- C09K2211/00—Chemical nature of organic luminescent or tenebrescent compounds
- C09K2211/10—Non-macromolecular compounds
- C09K2211/1003—Carbocyclic compounds
- C09K2211/1011—Condensed systems
-
- C—CHEMISTRY; METALLURGY
- C09—DYES; PAINTS; POLISHES; NATURAL RESINS; ADHESIVES; COMPOSITIONS NOT OTHERWISE PROVIDED FOR; APPLICATIONS OF MATERIALS NOT OTHERWISE PROVIDED FOR
- C09K—MATERIALS FOR MISCELLANEOUS APPLICATIONS, NOT PROVIDED FOR ELSEWHERE
- C09K2211/00—Chemical nature of organic luminescent or tenebrescent compounds
- C09K2211/10—Non-macromolecular compounds
- C09K2211/1018—Heterocyclic compounds
- C09K2211/1025—Heterocyclic compounds characterised by ligands
- C09K2211/1044—Heterocyclic compounds characterised by ligands containing two nitrogen atoms as heteroatoms
-
- H—ELECTRICITY
- H10—SEMICONDUCTOR DEVICES; ELECTRIC SOLID-STATE DEVICES NOT OTHERWISE PROVIDED FOR
- H10K—ORGANIC ELECTRIC SOLID-STATE DEVICES
- H10K50/00—Organic light-emitting devices
- H10K50/10—OLEDs or polymer light-emitting diodes [PLED]
- H10K50/14—Carrier transporting layers
-
- H—ELECTRICITY
- H10—SEMICONDUCTOR DEVICES; ELECTRIC SOLID-STATE DEVICES NOT OTHERWISE PROVIDED FOR
- H10K—ORGANIC ELECTRIC SOLID-STATE DEVICES
- H10K85/00—Organic materials used in the body or electrodes of devices covered by this subclass
- H10K85/60—Organic compounds having low molecular weight
- H10K85/615—Polycyclic condensed aromatic hydrocarbons, e.g. anthracene
- H10K85/622—Polycyclic condensed aromatic hydrocarbons, e.g. anthracene containing four rings, e.g. pyrene
-
- Y—GENERAL TAGGING OF NEW TECHNOLOGICAL DEVELOPMENTS; GENERAL TAGGING OF CROSS-SECTIONAL TECHNOLOGIES SPANNING OVER SEVERAL SECTIONS OF THE IPC; TECHNICAL SUBJECTS COVERED BY FORMER USPC CROSS-REFERENCE ART COLLECTIONS [XRACs] AND DIGESTS
- Y02—TECHNOLOGIES OR APPLICATIONS FOR MITIGATION OR ADAPTATION AGAINST CLIMATE CHANGE
- Y02E—REDUCTION OF GREENHOUSE GAS [GHG] EMISSIONS, RELATED TO ENERGY GENERATION, TRANSMISSION OR DISTRIBUTION
- Y02E10/00—Energy generation through renewable energy sources
- Y02E10/50—Photovoltaic [PV] energy
- Y02E10/549—Organic PV cells
Landscapes
- Chemical & Material Sciences (AREA)
- Organic Chemistry (AREA)
- Engineering & Computer Science (AREA)
- Materials Engineering (AREA)
- Physics & Mathematics (AREA)
- Spectroscopy & Molecular Physics (AREA)
- Electroluminescent Light Sources (AREA)
- Plural Heterocyclic Compounds (AREA)
Abstract
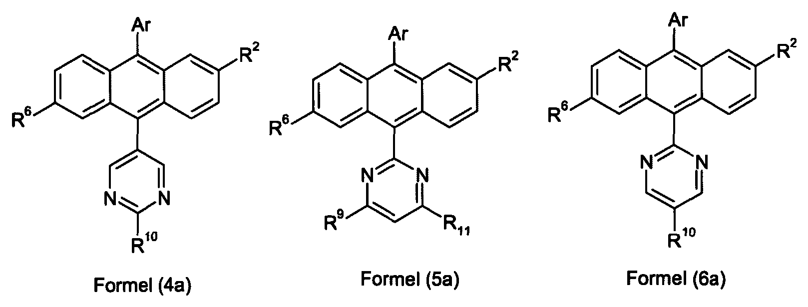
Verbindung gemäß Formel (1),wobei für die verwendeten Symbole und Indizes gilt:Pym ist eine Gruppe der folgenden Formel (2) oder (3),wobei die gestrichelte Bindung die Bindung an das Anthracen andeutet;Ar ist eine Gruppe der folgenden Formeln (9) bis (25)R1, R2, R3, R4, R5, R6, R7, R8, R9, R10, R11, R12ist bei jedem Auftreten gleich oder verschieden H, D, F, CI, Br, I, CHO, N(R13)2, N(Ar1)2, B(Ar1)2, Si(R13)2, Si(Ar1)2, C(=O)Ar1, P(=O)(Ar1)2, S(=0)Ar1, S(=O)2Ar', CR13=CR13Ar1, CN, NO2, Si(R13)3, B(OR13)2, B(R13)2, B(N(R13)2)2, OSO2R13, eine geradkettige Alkyl-, Alkenyl-, Alkinyl- , Alkoxy- oder Thioalkoxygruppe mit 1 bis 40 C-Atomen oder eine verzweigte oder cyclische Alkyl-, Alkenyl-, Alkinyl-, Alkoxy- oder Thioalkoxygruppe mit 3 bis 40 C-Atomen, die jeweils mit einem oder mehreren Resten R13substituiert sein kann, wobei eine oder mehrere nicht benachbarte CH2-Gruppen durch R13C=CR13, C=C , Si(R13)2, Ge(R13)2, Sn(R13)2, C=O, C=S, C=Se, C=NR13, P(=O)(R13), SO, SO2, NR13, O, S oder CONR13ersetzt sein können und wobei ein oder mehrere H-Atome durchAr1D, F, Cl, Br, I, CN oder NO2ersetzt sein können, oder ein aromatisches oder heteroaromatisches Ringsystem mit 5 bis 60 aromatischen Ringatomen, das jeweils durch einen oder mehrere Reste R13substituiert sein kann, oder eine Aryloxy- oder Heteroaryloxygruppe mit 5 bis 60 aromatischen Ring-atomen, die durch einen oder mehrere Reste R13substituiert sein kann, oder eine Kombination dieser Systeme; dabei können zwei oder mehrere benachbarte Substituenten R1bis R12auch miteinander ein mono- oder polycyclisches, aliphatisches oder aromatisches Ringsystem bilden; ist bei jedem Auftreten gleich oder verschieden ein aromatisches oder heteroaromatisches Ringsystem mit 5 bis 30 aromatischen Ringatomen, das mit einem oder mehreren Resten R13substituiert sein kann; dabei können auch zwei Reste Ar1, welche an dasselbe Stickstoff-, Phosphor-, Silicium- oder Boratom binden, durch eine Einfachbindung oder eine Brücke, ausgewählt aus B(R13), C(R13)2, Si(R13)2, C=O, C=NR13, C=C(R13)2, O, S, S=O, SO2, N(R13), P(R13) und P(=O)R13, miteinander verknüpft sein;R13ist bei jedem Auftreten gleich oder verschieden H, D oder ein aliphatischer, aromatischer und/oder heteroaromatischer Kohlenwasserstoffrest mit 1 bis 20 C-Atomen, in dem auch H-Atome durch D oder F ersetzt sein können; dabei können zwei oder mehrere benachbarte Substituenten R13auch miteinander ein mono- oder polycyclisches, aliphatisches oder aromatisches Ringsystem bilden.
Description
- Die vorliegende Erfindung betrifft Pyrimidinderivate sowie organische Elektrolumineszenzvorrichtungen, welche diese Pyrimidinderivate als Elektronentransportmaterialien enthalten.
- Der Aufbau organischer Elektrolumineszenzvorrichtungen (OLEDs), in denen organische Halbleiter als funktionelle Materialien eingesetzt werden, ist beispielsweise in
US 4539507 ,US 5151629 ,EP 0676461 und beschrieben. Allerdings sind noch weitere Verbesserungen wünschenswert. So gibt es insbesondere in Bezug auf die Lebensdauer, die Effizienz und die Betriebsspannung organischer Elektrolumineszenzvorrichtungen noch Verbesserungsbedarf. Weiterhin ist es erforderlich, dass die Verbindungen eine hohe thermische Stabilität und eine hohe Glasübergangstemperatur aufweisen und sich unzersetzt sublimieren lassen.WO 98/27136 - Die
EP 2108689 beschreibt neue organische Elektrolumineszenzverbindungen und organische Elektrolumineszenzvorrichtungen, die selbige verwenden. Die organischen Elektrolumineszenzverbindungen weisen eine gute Lichtausbeute und Lebensdauer auf und es können daraus OLEDs mit einer sehr guten Lebensdauer hergestellt werden. - Insbesondere auch bei den Elektronentransportmaterialien sind noch Verbesserungen der Eigenschaften wünschenswert, da gerade auch die Eigenschaften des Elektronentransportmaterials einen wesentlichen Einfluss auf die oben genannten Eigenschaften der organischen Elektrolumineszenzvorrichtung ausüben. Insbesondere besteht Verbesserungsbedarf bei Elektronentransportmaterialien, welche gleichzeitig zu guter Effizienz, hoher Lebensdauer und geringer Betriebsspannung führen. Gerade auch die Eigenschaften des Elektronentransportmaterials sind häufig limitierend für die Lebensdauer, die Effizienz und die Betriebsspannung der organischen Elektrolumineszenzvorrichtung.
- Dabei wäre es wünschenswert, Elektronentransportmaterialien zur Verfügung zu haben, welche zu einer besseren Elektroneninjektion in die emittierende Schicht führen, da eine elektronenreichere Emissionsschicht zu einer besseren Effizienz führt. Außerdem kann durch eine bessere Injektion die Betriebsspannung gesenkt werden. Hierfür sind daher weitere Verbesserungen des Elektronentransportmaterials erforderlich.
- Weiterhin besteht generell noch Verbesserungsbedarf bei der Prozessierbarkeit der Materialien, da viele Materialien, die gemäß dem Stand der Technik in organischen Elektrolumineszenzvorrichtungen verwendet werden, dazu neigen, an der Aufdampfquelle im Herstellungsprozess der Elektrolumineszenzvorrichtung zu kristallisieren und somit die Aufdampfquelle zu verstopfen. Diese Materialien können daher nur unter erhöhtem technischen Aufwand in der Massenproduktion eingesetzt werden.
- Elektrolumineszenzvorrichtungen, die AlQ3 als Elektronenleiter verwenden, sind schon lange bekannt und wurden schon 1993 in
US 4,539,507 beschrieben. AlQ3 wird seither häufig als Elektronentransportmaterial verwendet, hat allerdings mehrere Nachteile: Es lässt sich nicht rückstandsfrei aufdampfen, da es sich bei der Sublimationstemperatur teilweise zersetzt, was insbesondere für Produktionsanlagen ein großes Problem darstellt. Dies hat zur Folge, dass die Aufdampfquellen immer wieder gereinigt oder gewechselt werden müssen. Des Weiteren gelangen Zersetzungsprodukte von AIQ3 in die OLED, die dort zu einer verringerten Lebensdauer und reduzierten Quanten- und Leistungseffizienz beitragen. AlQ3 hat außerdem eine niedrige Elektronenbeweglichkeit, was zu höheren Spannungen und damit zu einer niedrigeren Leistungseffizienz führt. Um Kurzschlüsse im Display zu vermeiden, würde man gern die Schichtdicke erhöhen; dies ist mit AlQ3 wegen der geringen Ladungsträgerbeweglichkeit und der daraus resultierenden Spannungserhöhung nicht möglich. Die Ladungsträgerbeweglichkeit anderer Elektronenleiter (US 4,539,507 ) ist ebenfalls zu gering, um dickere Schichten damit aufzubauen, wobei die Lebensdauer der OLED noch schlechter ist als bei Verwendung von AlQ3. Als ungünstig erweist sich auch die Eigenfarbe (im Feststoff gelb) von AlQ3, die gerade bei blauen OLEDs durch Reabsorption und schwache Reemission zu Farbverschiebungen führen kann. Hier sind blaue OLEDs nur mit starken Effizienz- bzw. Farborteinbußen darstellbar. - Es besteht also weiterhin Bedarf an Elektronentransportmaterialien, die in organischen Elektrolumineszenzvorrichtungen zu guten Effizienzen und gleichzeitig zu hohen Lebensdauern führen. Es wurde nun überraschend gefunden, dass die im Folgenden aufgeführten Pyrimidinderivate als Elektronentransportmaterialien deutliche Verbesserungen gegenüber den Materialien gemäß dem Stand der Technik aufweisen. Mit diesen Materialien ist es möglich, gleichzeitig hohe Effizienzen und lange Lebensdauern zu erhalten, was mit Materialien gemäß dem Stand der Technik nicht in dem Maße möglich ist. Zudem wurde gefunden, dass zusätzlich die Betriebsspannung deutlich gesenkt werden kann, was zu höheren Leistungseffizienzen führt.
- Weiterhin wurde gefunden, dass organische Elektrolumineszenzvorrichtungen, die diese Pyrimidinderivate als Elektronentransportmaterial in Kombination mit einer organischen Alkalimetallverbindung enthalten, deutliche Verbesserungen gegenüber dem Stand der Technik aufweisen. Mit dieser Materialkombination werden gleichzeitig hohe Effizienzen und lange Lebensdauern erzielt und die Betriebsspannungen gesenkt.
- Aus der
EP 1582516 und ist die Verwendung von Stickstoff-haltigen Heterocyclen als Elektronentransportmaterial in organischen Elektrolumineszenzvorrichtungen bekannt. Es gibt jedoch auch gegenüben den darin offenbarten Materialien noch weiteren Verbesserungsbedarf, insbesondere im Hinblick auf Betriebsspannung, Lebensdauer und Effzienz.WO 2006/067931 -
- Ar
- ist eine Gruppe der folgenden Formeln (9) bis (25)
- R1, R2, R3, R4, R5, R6, R7, R8, R9, R10, R11, R12
- ist bei jedem Auftreten gleich oder verschieden H, D, F, CI, Br, I, CHO, N(R13)2, N(Ar1)2, B(Ar1)2, Si(R13)2, Si(Ar1)2, C(=O)Ar1, P(=O)(Ar1)2, S(=O)Ar1, S(=O)2Ar1, CR13=CR13Ar1, CN, NO2, Si(R13)3, B(OR13)2, B(R13)2, B(N(R13)2)2, OSO2R13, eine geradkettige Alkyl-, Alkenyl-, Alkinyl-, Alkoxy- oder Thioalkoxygruppe mit 1 bis 40 C-Atomen oder eine verzweigte oder cyclische Alkyl-, Alkenyl-, Alkinyl-, Alkoxy- oder Thioalkoxygruppe mit 3 bis 40 C-Atomen, die jeweils mit einem oder mehreren Resten R13 substituiert sein kann, wobei eine oder mehrere nicht benachbarte CH2-Gruppen durch R13C=CR13, C=C , Si(R13)2, Ge(R13)2, Sn(R13)2, C=O, C=S, C=Se, C=NR13, P(=O)(R13), SO, SO2, NR13, O, S oder CONR13 ersetzt sein können und wobei ein oder mehrere H-Atome durch D, F, CI, Br, I, CN oder NO2 ersetzt sein können, oder ein aromatisches oder heteroaromatisches Ringsystem mit 5 bis 60 aromatischen Ringatomen, das jeweils durch einen oder mehrere Reste R13 substituiert sein kann, oder eine Aryloxy- oder Heteroaryloxygruppe mit 5 bis 60 aromatischen Ringatomen, die durch einen oder mehrere Reste R13 substituiert sein kann, oder eine Kombination dieser Systeme; dabei können zwei oder mehrere benachbarte Substituenten R1 bis R12 auch miteinander ein mono- oder polycyclisches, aliphatisches oder aromatisches Ringsystem bilden;
- Ar1
- ist bei jedem Auftreten gleich oder verschieden ein aromatisches oder heteroaromatisches Ringsystem mit 5 bis 30 aromatischen Ring-atomen, das mit einem oder mehreren Resten R13 substituiert sein kann; dabei können auch zwei Reste Ar1, welche an dasselbe Stickstoff-, Phosphor-, Silicium- oder Boratom binden, durch eine Einfachbindung oder eine Brücke, ausgewählt aus B(R13), C(R13)2, Si(R13)2, C=O, C=NR13, C=C(R13)2, O, S, S=O, SO2, N(R13), P(R13) und P(=O)R13, miteinander verknüpft sein;
- R13
- ist bei jedem Auftreten gleich oder verschieden H, D oder ein aliphatischer, aromatischer und/oder heteroaromatischer Kohlenwasserstoffrest mit 1 bis 20 C-Atomen, in dem auch H-Atome durch D oder F ersetzt sein können; dabei können zwei oder mehrere benachbarte Substituenten R13 auch miteinander ein mono- oder polycyclisches, aliphatisches oder aromatisches Ringsystem bilden.
- Unter benachbarten Substituenten R1 bis R12 im Sinne dieser Erfindung werden Substituenten verstanden, die an direkt benachbarte Kohlenstoffatome binden, also an Kohlenstoffatome, die aneinander gebunden sind.
- Eine Arylgruppe im Sinne dieser Erfindung enthält mindestens 6 C-Atome; eine Heteroarylgruppe im Sinne dieser Erfindung enthält mindestens 2 C-Atome und mindestens 1 Heteroatom, mit der Maßgabe, dass die Summe aus C-Atomen und Heteroatomen mindestens 5 ergibt. Die Heteroatome sind bevorzugt ausgewählt aus N, O und/oder S. Dabei wird unter einer Arylgruppe bzw. Heteroarylgruppe entweder ein einfacher aromatischer Cyclus, also Benzol, bzw. ein einfacher heteroaromatischer Cyclus, beispielsweise Pyridin, Pyrimidin, Thiophen, etc., oder eine kondensierte Aryl- oder Heteroarylgruppe verstanden.
- Unter einer kondensierten Aryl- oder Heteroarylgruppe im Sinne dieser Erfindung wird eine Aryl- bzw. Heteroarylgruppe verstanden, in der mindestens zwei aromatische oder heteroaromatische Ringe, beispielsweise Benzolringe, miteinander „verschmolzen“, d. h. durch Anellierung einander ankondensiert sind, also mindestens eine gemeinsame Kante und dadurch auch ein gemeinsames aromatisches System aufweisen. So sind beispielsweise Systeme wie Naphthalin, Anthracen, Phenanthren, Benzanthracen, Pyren, etc. als kondensierte Arylgruppen und Chinolin, Acridin, Benzothiophen, Carbazol, etc. als kondensierte Heteroarylgruppen im Sinne dieser Erfindung zu sehen, während beispielsweise Fluoren, Spirobifluoren, etc. keine kondensierten Arylgruppen darstellen, da es sich hierbei um separate aromatische Elektronensysteme handelt.
- Ein aromatisches Ringsystem im Sinne dieser Erfindung enthält mindestens 6 C-Atome im Ringsystem. Ein heteroaromatisches Ringsystem im Sinne dieser Erfindung enthält mindestens 1 C-Atome und mindestens ein Heteroatom im Ringsystem, mit der Maßgabe, dass die Summe aus C-Atomen und Heteroatomen mindestens 5 ergibt. Die Heteroatome sind bevorzugt ausgewählt aus N, O und/oder S. Unter einem aromatischen oder heteroaromatischen Ringsystem im Sinne dieser Erfindung soll ein System verstanden werden, das nicht notwendigerweise nur Aryl- oder Heteroarylgruppen enthält, sondern in dem auch mehrere Aryl- oder Heteroarylgruppen durch eine kurze, nicht-aromatische Einheit (bevorzugt weniger als 10 % der von H verschiedenen Atome), wie z. B. ein sp3-hybridisiertes C-, N- oder O-Atom, unterbrochen sein können. So sollen beispielsweise auch Systeme wie 9,9'-Spirobifluoren, 9,9-Diarylfluoren, Triarylamin, Diarylether, Stilben, Benzophenon, etc. als aromatische Ringsysteme im Sinne dieser Erfindung verstanden werden. Ebenso werden unter einem aromatischen bzw. heteroaromatischen Ringsystem Systeme verstanden, in denen mehrere Aryl- bzw. Heteroarylgruppen durch Einfachbindungen miteinander verknüpft sind, beispielsweise Biphenyl, Terphenyl oder Bipyridin.
- Im Rahmen der vorliegenden Erfindung werden unter einer C1- bis C40-Alkylgruppe, in der auch einzelne H-Atome oder CH2-Gruppen durch die oben genannten Gruppen substituiert sein können, besonders bevorzugt die Reste Methyl, Ethyl, n-Propyl, i-Propyl, n-Butyl, i-Butyl, s-Butyl, t-Butyl, 2-Methylbutyl, n-Pentyl, s-Pentyl, tert-Pentyl, 2-Pentyl, neo-Pentyl, Cyclopentyl, n-Hexyl, s-Hexyl, tert-Hexyl, 2-Hexyl, 3-Hexyl, neo-Hexyl, Cyclohexyl, 2-Methylpentyl, n-Heptyl, 2-Heptyl, 3-Heptyl, 4-Heptyl, Cycloheptyl, 1-Methylcyclohexyl, n-Octyl, 2-Ethylhexyl, Cyclooctyl, 1-Bicyclo[2,2,2]octyl, 2-Bicyclo[2,2,2]octyl, 2-(2,6-Dimethyl)octyl, 3-(3,7-Dimethyl)octyl, Trifluormethyl, Pentafluorethyl und 2,2,2-Trifluorethyl verstanden. Unter einer Alkenylgruppe werden besonders bevorzugt die Reste Ethenyl, Propenyl, Butenyl, Pentenyl, Cyclopentenyl, Hexenyl, Cyclohexenyl, Heptenyl, Cycloheptenyl, Octenyl und Cyclooctenyl verstanden. Unter einer Alkinylgruppe werden besonders bevorzugt die Reste Ethinyl, Propinyl, Butinyl, Pentinyl, Hexinyl, Heptinyl oder Octinyl verstanden. Unter einer C1- bis C40-Alkoxygruppe werden besonders bevorzugt Methoxy, Trifluormethoxy, Ethoxy, n-Propoxy, i-Propoxy, n-Butoxy, i-Butoxy, s-Butoxy, t-Butoxy oder 2-Methylbutoxy verstanden. Unter einem aromatischen oder heteroaromatischen Ringsystem mit 5 - 60 aromatischen Ringatomen, welches noch jeweils mit den oben genannten Resten R substituiert sein kann und welches über beliebige Positionen am Aromaten bzw. Heteroaromaten verknüpft sein kann, werden insbesondere Gruppen verstanden, die abgeleitet sind von Benzol, Naphthalin, Anthracen, Phenanthren, Benzanthracen, Pyren, Chrysen, Perylen, Fluoranthen, Benzfluoranthen, Naphthacen, Pentacen, Benzpyren, Biphenyl, Biphenylen, Terphenyl, Terphenylen, Fluoren, Benzofluoren, Dibenzofluoren, Spirobifluoren, Dihydrophenanthren, Dihydropyren, Tetrahydropyren, cis- oder trans-Indenofluoren, cis- oder trans-Monobenzoindenofluoren, cis- oder trans-Dibenzoindenofluoren, Truxen, Isotruxen, Spirotruxen, Spiroisotruxen, Furan, Benzofuran, Isobenzofuran, Dibenzofuran, Thiophen, Benzothiophen, Isobenzothiophen, Dibenzothiophen, Pyrrol, Indol, Isoindol, Carbazol, Pyridin, Chinolin, Isochinolin, Acridin, Phenanthridin, Benzo-5,6-chinolin, Benzo-6,7-chinolin, Benzo-7,8-chinolin, Phenothiazin, Phenoxazin, Pyrazol, Indazol, Imidazol, Benzimidazol, Naphthimidazol, Phenanthrimidazol, Pyridimidazol, Pyrazinimidazol, Chinoxalinimidazol, Oxazol, Benzoxazol, Naphthoxazol, Anthroxazol, Phenanthroxazol, Isoxazol, 1,2-Thiazol, 1,3-Thiazol, Benzothiazol, Pyridazin, Benzopyridazin, Pyrimidin, Benzpyrimidin, Chinoxalin, 1,5-Diazaanthracen, 2,7-Diazapyren, 2,3-Diazapyren, 1,6-Diazapyren, 1,8-Diazapyren, 4,5-Diazapyren, 4,5,9,10-Tetraazaperylen, Pyrazin, Phenazin, Phenoxazin, Phenothiazin, Fluorubin, Naphthyridin, Azacarbazol, Benzocarbolin, Phenanthrolin, 1,2,3-Triazol, 1,2,4-Triazol, Benzotriazol, 1,2,3-Oxadiazol, 1,2,4-Oxadiazol, 1,2,5-Oxadiazol, 1,3,4-Oxadiazol, 1,2,3-Thiadiazol, 1,2,4-Thiadiazol, 1,2,5-Thiadiazol, 1,3,4-Thiadiazol, 1,3,5-Triazin, 1,2,4-Triazin, 1,2,3-Triazin, Tetrazol, 1,2,4,5-Tetrazin, 1,2,3,4-Tetrazin, 1,2,3,5-Tetrazin, Purin, Pteridin, Indolizin und Benzothiadiazol.
- Bevorzugt weisen die Verbindungen gemäß Formel (1) eine Glasübergangstemperatur TG von größer als 70 °C auf, besonders bevorzugt groß er als 90 °C, ganz besonders bevorzugt größer als 110 °C.
-
-
-
-
- Besonders bevorzugt sind unter den oben genannten Gruppen die Gruppen der Formeln (9), (10), (12), (14) und (16).
-
- In einer bevorzugten Ausführungsform der Erfindung sind die Reste R1 bis R12 bei jedem Auftreten gleich oder verschieden ausgewählt aus der Gruppe bestehend aus H, D, F, N(Ar1)2, C(=O)Ar1, P(=O)(Ar1)2, S(=O)Ar1, S(=O)2Ar1, CN, Si(R13)3, einer geradkettigen Alkylgruppe mit 1 bis 10 C-Atomen oder einer verzweigten oder cyclischen Alkylgruppe mit 3 bis 10 C-Atomen, die jeweils mit einem oder mehreren Resten R13 substituiert sein kann, wobei eine oder mehrere nicht benachbarte CH2-Gruppen durch R13C=CR13 ersetzt sein können und wobei ein oder mehrere H-Atome durch D oder F ersetzt sein können, oder einem aromatischen oder heteroaromatischen Ringsystem mit 5 bis 30 aromatischen Ringatomen, das jeweils durch einen oder mehrere Reste R13 substituiert sein kann; dabei können zwei oder mehrere benachbarte Substituenten R1 bis R12 auch miteinander ein mono- oder polycyclisches, aliphatisches oder aromatisches Ringsystem bilden.
- In einer besonders bevorzugten Ausführungsform der Erfindung sind die Reste R1 bis R12 bei jedem Auftreten gleich oder verschieden ausgewählt aus der Gruppe bestehend aus H, D, F, CN, einer geradkettigen Alkylgruppe mit 1 bis 8 C-Atomen oder einer verzweigten oder cyclischen Alkylgruppe mit 3 bis 8 C-Atomen, die jeweils mit einem oder mehreren Resten R13 substituiert sein kann und wobei ein oder mehrere H-Atome durch D ersetzt sein können, oder einem aromatischen oder heteroaromatischen Ringsystem mit 5 bis 24 aromatischen Ringatomen, das jeweils durch einen oder mehrere Reste R13 substituiert sein kann.
- Diese Bevorzugung gilt insbesondere auch für die Reste R2 und R6 in den Strukturen der Formeln (4a) bis (6a).
- Insbesondere bevorzugt stehen die Reste R9, R10 und R11 gleich oder verschieden für H oder ein aromatisches oder heteroaromatisches Ringsystem mit 5 bis 24 aromatischen Ringatomen, welches jeweils durch einen oder mehrere Reste R13 substituiert sein kann. Wenn die R9, R10 und/oder R11 für ein aromatisches oder heteroaromatisches Ringsystem stehen, dann stehen sich bevorzugt für Phenyl, o-, m- oder p-Biphenyl, o-, m- oder p-Terphenyl, verzweigtes Terphenyl oder lineares oder verzweigtes Quaterphenyl, welches jeweils durch einen oder mehrere Reste R13 substituiert sein kann, bevorzugt aber unsubstituiert ist.
-
- Die Synthese der erfindungsgemäßen Verbindungen gemäß Formel (1) kann nach dem Fachmann allgemein bekannten Syntheseschritten erfolgen und ist allgemein in den folgenden Schemata 1 und 2 dargestellt. Als Ausgangsverbindung kann das entsprechende 9-Bromanthracen dienen. Dabei zeigen Schema 1 und 2 Synthesen für Verbindungen, die eine Pyrimidingruppe der Formel (2) enthalten.
- Die Suzuki-Kupplung im ersten und dritten Schritt findet unter Standardbedingungen statt, wie sie dem Fachmann der organischen Chemie bekannt sind, beispielsweise mit Pd(PPh3)4 in Toluol/Wasser unter Zusatz einer Base bei erhöhter Temperatur. Die Bromierung im zweiten Schritt kann beispielsweise mit elementarem Brom oder mit NBS erfolgen. Alternativ können auch die erfindungsgemäßen Verbindungen gemäß Formel (1) nach Schema 2 synthetisiert werden:
- Statt Lithiierung kann im ersten Schritt auch die Umsetzung mit einem anderen reaktiven Metall, beispielsweise Magnesium, erfolgen.
- Diese Reaktionen können ganz analog auch mit einem 2-Brom- bzw. 2-Boronsäurepyrimidin-Derivat durchgeführt werden, um so Verbindungen der Formel (1) zu synthetisieren, die eine Pyrimidingruppe der Formel (3) enthalten.
- Die Verbindungen in Schema 1 und 2 können auch durch einen oder mehrere Reste substituiert sein, wobei diese Reste definiert sind, wie unter Formel (1) beschrieben. Ar steht in Schema 1 und 2 für eine kondensierte Aryl- oder Heteroarylgruppe, wie für Formel (1) definiert.
- Ein weiterer Gegenstand der vorliegenden Erfindung ist ein Verfahren zur Herstellung einer erfindungsgemäßen Verbindung, umfassend die Reaktion eines Anthracenderivats, welches mit einer reaktiven Abgangsgruppe, insbesondere Chlor, Brom, lod, Triflat oder Tosylat, substituiert ist, mit einem Pyrimidinderivat, welches mit einer Boronsäuregruppe bzw. einer Boronsäureestergruppe substituiert ist, oder umfassend die Reaktion eines Anthracenderivats, welches mit einer Boronsäuregruppe bzw. einer Boronsäureestergruppe substituiert ist, mit einem Pyrimidinderivat, welches mit einer reaktiven Abgangsgruppe, insbesondere Chlor, Brom, lod, Triflat oder Tosylat, substituiert ist.
- Die erfindungsgemäßen Verbindungen eignen sich für die Verwendung in einer elektronischen Vorrichtung. Dabei wird unter einer elektronischen Vorrichtung eine Vorrichtung verstanden, welche mindestens eine Schicht enthält, die mindestens eine organische Verbindung enthält. Das Bauteil kann dabei aber auch anorganische Materialien enthalten oder auch Schichten, welche vollständig aus anorganischen Materialien aufgebaut sind.
- Ein weiterer Gegenstand der vorliegenden Erfindung ist daher die Verwendung der erfindungsgemäßen Verbindungen in einer elektronischen Vorrichtung, insbesondere in einer organischen Elektrolumineszenzvorrichtung.
- Unter einer organischen Elektrolumineszenzvorrichtung wird eine Vorrichtung verstanden, welche Anode, Kathode und mindestens eine emittierende Schicht, welche zwischen der Anode und der Kathode angeordnet ist, enthält, wobei mindestens eine Schicht zwischen der Anode und der Kathode mindestens eine organische bzw. metallorganische Verbindung enthält. Eine organische Elektrolumineszenzvorrichtung muss nicht notwendigerweise nur Schichten enthalten, welche aus organischen oder metallorganischen Materialien aufgebaut sind. So ist es auch möglich, dass eine oder mehrere Schichten anorganische Materialien enthalten oder ganz aus anorganischen Materialien aufgebaut sind. Dabei kann die erfindungsgemäße Verbindung in einer oder mehreren Schichten zwischen der Anode und der Kathode vorliegen und/oder sie kann in einer zusätzlichen Schicht auf der Anode oder der Kathode als so genannte „optical out-coupling layer“ vorliegen.
- Nochmals ein weiterer Gegenstand der vorliegenden Erfindung ist eine elektronische Vorrichtung enthaltend mindestens eine erfindungsgemäße Verbindung. Dabei gelten die oben ausgeführten Bevorzugungen ebenso für die elektronischen Vorrichtungen.
- Die elektronische Vorrichtung ist bevorzugt ausgewählt aus der Gruppe bestehend aus organischen Elektrolumineszenzvorrichtungen (organischen Leuchtdioden, OLEDs), organischen integrierten Schaltungen (O-ICs), organischen Feld-Effekt-Transistoren (O-FETs), organischen Dünnfilmtransistoren (O-TFTs), organischen lichtemittierenden Transistoren (O-LETs), organischen Solarzellen (O-SCs), farbstoffsensibilisierten organischen Solarzellen (ODSSCs), organischen optischen Detektoren, organischen Photorezeptoren, organischen Feld-Quench-Devices (O-FQDs), lichtemittierenden elektrochemischen Zellen (LECs), organischen Laserdioden (O-Laser) und „organic plasmon emitting devices“ (D. M. Koller et al., Nature Photonics 2008, 1-4), bevorzugt aber organischen Elektrolumineszenzvorrichtungen (OLEDs).
- Die organischen Elektrolumineszenzvorrichtungen und die lichtemittierenden elektrochemischen Zellen können für verschiedene Anwendungen verwendet werden, beispielsweise für einfarbige oder mehrfarbige Displays, für Beleuchtungsanwendungen oder für medizinische Anwendungen, beispielsweise in der Phototherapie.
- Die organische Elektrolumineszenzvorrichtung enthält Kathode, Anode und mindestens eine emittierende Schicht. Außer diesen Schichten kann sie noch weitere Schichten enthalten, beispielsweise jeweils eine oder mehrere Lochinjektionsschichten, Lochtransportschichten, Lochblockierschichten, Elektronentransportschichten, Elektroneninjektionsschichten, Exzitonenblockierschichten, Elektronenblockierschichten und/oder Ladungserzeugungsschichten (Charge-Generation Layers). Ebenso können zwischen zwei emittierende Schichten Zwischenschichten (Interlayer) eingebracht sein, welche beispielsweise eine exzitonenblockierende Funktion aufweisen und/oder welche die Ladungsbalance im Device steuern. Weiterhin können die Schichten, insbesondere die Ladungstransportschichten, auch dotiert sein. Die Dotierung der Schichten kann für einen verbesserten Ladungstransport vorteilhaft sein. Es sei aber darauf hingewiesen, dass nicht notwendigerweise jede dieser Schichten vorhanden sein muss und die Wahl der Schichten immer von den verwendeten Verbindungen abhängt.
- Dabei kann die organische Elektrolumineszenzvorrichtung eine emittierende Schicht enthalten, oder sie kann mehrere emittierende Schichten enthalten. Wenn mehrere Emissionsschichten vorhanden sind, weisen diese bevorzugt insgesamt mehrere Emissionsmaxima zwischen 380 nm und 750 nm auf, so dass insgesamt weiße Emission resultiert, d. h. in den emittierenden Schichten werden verschiedene emittierende Verbindungen verwendet, die fluoreszieren oder phosphoreszieren können. Insbesondere bevorzugt sind Systeme mit drei emittierenden Schichten, wobei die drei Schichten blaue, grüne und orange oder rote Emission zeigen (für den prinzipiellen Aufbau siehe z. B.
). Dabei ist es möglich, dass alle emittierenden Schichten fluoreszierend sind oder dass alle emittierenden Schichten phosphoreszierend sind oder dass eine oder mehrere emittierende Schichten fluoreszierend und eine oder mehrere andere Schichten phosphoreszierend sind.WO 05/011013 - Die erfindungsgemäße Verbindung gemäß den oben aufgeführten Ausführungsformen kann dabei in unterschiedlichen Schichten eingesetzt werden, je nach genauer Struktur. Bevorzugt ist eine organische Elektrolumineszenzvorrichtung, enthaltend eine Verbindung gemäß Formel (1) bzw. (4) bis (6) bzw. (4a) bis (6a) in einer Elektronentransportschicht und/oder in einer Lochblockierschicht und/oder als Matrixmaterial für fluoreszierende Emitter. Dabei gelten die oben aufgeführten bevorzugten Ausführungsformen auch für die Verwendung der Materialien in elektronischen Vorrichtungen.
- Insbesondere bevorzugt wird die erfindungsgemäße Verbindung als Elektronentransportmaterial in einer Elektronentransportschicht bzw. in einer Elektroneninjektionsschicht eingesetzt, insbesondere in einer organischen Elektrolumineszenzvorrichtung.
- Dabei kann die erfindungsgemäße Verbindung entweder als Reinschicht verwendet werden oder als Mischung mit einem oder mehreren weiteren Materialien.
- In einer bevorzugten Ausführungsform der Erfindung wird die erfindungsgemäße Verbindung in der Elektronentransportschicht bzw. in der Elektroneninjektionsschicht als Reinmaterial verwendet.
- In einer weiteren bevorzugten Ausführungsform der Erfindung wird die erfindungsgemäße Verbindung in der Elektronentransportschicht bzw. in der Elektroneninjektionsschicht in Mischung mit einem weiteren Elektronentransport- bzw. Elektroneninjektionsmaterial verwendet. Bevorzugt handelt es sich bei diesem weiteren Material um eine organische Alkalimetallverbindung.
- Ebenso bevorzugt wird die erfindungsgemäße Verbindung als Reinmaterial in der Elektronentransportschicht verwendet, wobei zwischen der Elektronentransportschicht enthaltend die erfindungsgemäße Verbindung und der Kathode eine weitere Schicht eingebracht ist, welche eine organische oder anorganische Alkalimetallverbindung enthält.
- Unter einer organischen Alkalimetallverbindung im Sinne dieser Erfindung soll eine Verbindung verstanden werden, welche mindestens ein Alkalimetall, also Lithium, Natrium, Kalium, Rubidium oder Caesium, enthält und welche weiterhin mindestens einen organischen Liganden bzw. ein organisches Gegenion enthält.
- Unter einer anorganischen Alkalimetallverbindung soll eine Verbindung verstanden werden, welche mindestens ein Alkalimetall, also Lithium, Natrium, Kalium, Rubidium oder Caesium, enthält und welche weiterhin nur anorganische Gegenionen, wie zum Beispiel ein Halogenid oder Oxid, enthält.
- Geeignete organische Alkalimetallverbindungen sind beispielsweise die in
,WO 2007/050301 undWO 2007/050334 EP 1144543 offenbarten Verbindungen. Diese sind via Zitat Bestandteil der vorliegenden Anmeldung. - Bevorzugte organische Alkalimetallverbindungen sind die Verbindungen der folgenden Formel (28),
wobei R14 dieselbe Bedeutung hat, wie oben für R1 bis R12 beschrieben, die gebogene Linie zwei oder drei Atome und Bindungen darstellt, welche erforderlich sind, um mit M einen 5- oder 6-Ring zu ergänzen, wobei diese Atome auch durch einen oder mehrere Reste R12 substituiert sein können, und M ein Alkalimetall, ausgewählt aus Lithium, Natrium, Kalium, Rubidium oder Caesium, darstellt. - Dabei ist es möglich, dass der Komplex gemäß Formel (28) in monomerer Form vorliegt, wie oben abgebildet, oder dass er in Form von Aggregaten vorliegt, beispielsweise aus zwei Alkalimetallionen und zwei Liganden, vier Alkalimetallionen und vier Liganden, sechs Alkalimetallionen und sechs Liganden oder andere Aggregate.
-
-
- Bevorzugt ist das Alkalimetall gewählt aus Lithium, Natrium und Kalium, besonders bevorzugt Lithium und Natrium, ganz besonders bevorzugt Lithium.
- Besonders bevorzugt ist eine Verbindung der Formel (29), insbesondere mit M = Lithium. Ganz besonders bevorzugt sind weiterhin die Indizes m = 0. Ganz besonders bevorzugt handelt es sich also um unsubstituiertes Lithiumchinolinat.
-
- Wenn die erfindungsgemäße Verbindung und die organische Alkalimetallverbindung in einer Mischung vorliegen, beträgt das Verhältnis der erfindungsgemäßen Verbindung zur organischen Alkalimetallverbindung bevorzugt 20:80 bis 80:20, besonders bevorzugt 30:70 bis 70:30, ganz besonders bevorzugt 30:70 bis 50:50, insbesondere 30:70 bis 45:55.
- Wenn die erfindungsgemäße Verbindung und die organische Alkalimetallverbindung in einer Mischung vorliegen beträgt die Schichtdicke dieser Elektronentransportschicht bevorzugt zwischen 3 und 150 nm, besonders bevorzugt zwischen 5 und 100 nm, ganz besonders bevorzugt zwischen 10 und 60 nm, insbesondere zwischen 15 und 40 nm.
- Wenn die erfindungsgemäße Verbindung und die organische Alkalimetallverbindung in zwei aufeinanderfolgenden Schichten vorliegen, so beträgt die Schichtdicke der Schicht, welche die erfindungsgemäße Verbindung enthält, bevorzugt zwischen 3 und 150 nm, besonders bevorzugt zwischen 5 und 100 nm, ganz besonders bevorzugt zwischen 10 und 60 nm, insbesondere zwischen 15 und 40 nm. Die Schichtdicke der Schicht, welche die organische Alkalimetallverbindung enthält und welche zwischen der Schicht enthaltend die erfindungsgemäße Verbindung und der Kathode angeordnet ist, beträgt bevorzugt zwischen 0.5 und 20 nm, besonders bevorzugt zwischen 1 und 10 nm, ganz besonders bevorzugt zwischen 1 und 5 nm, insbesondere zwischen 1.5 und 3 nm.
- Dabei kann die emittierende Schicht eine fluoreszierende oder phosphoreszierende Schicht sein. Generell eignen sich alle bekannten emittierenden Materialien und Schichten in Kombination mit der erfindungsgemäßen Elektronentransportschicht und der Fachmann kann ohne erfinderisches Zutun beliebige emittierende Schichten mit der erfindungsgemäßen Elektronentransportschicht kombinieren.
- Als Kathode der erfindungsgemäßen Elektrolumineszenzvorrichtung sind Metalle mit geringer Austrittsarbeit, Metalllegierungen oder mehrlagige Strukturen aus verschiedenen Metallen bevorzugt, wie beispielsweise Erdalkalimetalle, Alkalimetalle, Hauptgruppenmetalle oder Lanthanoide (z. B. Ca, Ba, Mg, AI, In, Mg, Yb, Sm, etc.). Bei mehrlagigen Strukturen können auch zusätzlich zu den genannten Metallen weitere Metalle verwendet werden, die eine relativ hohe Austrittsarbeit aufweisen, wie z. B. Ag, wobei dann in der Regel Kombinationen der Metalle, wie beispielsweise Mg/Ag, Ca/Ag oder Ba/Ag verwendet werden. Ebenso bevorzugt sind Metalllegierungen, insbesondere Legierungen aus einem Alkalimetall oder Erdalkalimetall und Silber, besonders bevorzugt eine Legierung aus Mg und Ag. Es kann auch bevorzugt sein, zwischen einer metallischen Kathode und dem organischen Halbleiter eine dünne Zwischenschicht eines Materials mit einer hohen Dielektrizitätskonstante einzubringen.
- Diese Schicht dient als Elektroneninjektionsschicht Hierfür kommen beispielsweise Alkalimetall- oder Erdalkalimetallfluoride, aber auch die entsprechenden Oxide, Carbonate oder andere Salze in Frage, ebenso wie auch andere Metalle (z. B. LiF, Li2O, LiBo2, K2SiO3, CsF, Cs2CO3, BaF2, MgO, NaF, Al2O3, etc.), ebenso wie organische Alkalimetallverbindungen, wie z. B. Lithiumchinolinat. Die Schichtdicke dieser Schicht beträgt bevorzugt zwischen 0.5 und 5 nm.
- Als Anode der erfindungsgemäßen Elektrolumineszenzvorrichtung sind Materialien mit hoher Austrittsarbeit bevorzugt. Bevorzugt weist die Anode eine Austrittsarbeit größer 4.5 eV vs. Vakuum auf. Hierfür sind einerseits Metalle mit hohem Redoxpotential geeignet, wie beispielsweise Ag, Pt oder Au. Es können andererseits auch Metall/Metalloxid-Elektroden (z. B. Al/Ni/NiOx, Al/PtOx) bevorzugt sein. Dabei muss mindestens eine der Elektroden transparent oder teiltransparent sein, um die Auskopplung von Licht zu ermöglichen. Bevorzugte transparente oder teiltransparente Anodenmaterialien sind leitfähige gemischte Metalloxide. Besonders bevorzugt sind Indium-Zinn-Oxid (ITO) oder Indium-Zink Oxid (IZO). Bevorzugt sind weiterhin leitfähige, dotierte organische Materialien, insbesondere leitfähige dotierte Polymere.
- Die Vorrichtung wird entsprechend (je nach Anwendung) strukturiert, kontaktiert und schließlich hermetisch versiegelt, da sich die Lebensdauer derartiger Vorrichtungen bei Anwesenheit von Wasser und/oder Luft drastisch verkürzt.
- Es können generell alle weiteren Materialien, wie sie gemäß dem Stand der Technik in organischen Elektrolumineszenzvorrichtungen eingesetzt werden, auch in Kombination mit der erfindungsgemäßen Elektronentransportschicht eingesetzt werden.
- Weiterhin bevorzugt ist eine organische Elektrolumineszenzvorrichtung, dadurch gekennzeichnet, dass eine oder mehrere Schichten mit einem Sublimationsverfahren beschichtet werden. Dabei werden die Materialien in Vakuum-Sublimationsanlagen bei einem Anfangsdruck von üblicherweise kleiner 10-5 mbar, bevorzugt kleiner 10-6 mbar aufgedampft. Es sei jedoch angemerkt, dass der Druck auch noch geringer sein kann, beispielsweise kleiner 107 mbar.
- Bevorzugt ist ebenfalls eine organische Elektrolumineszenzvorrichtung, dadurch gekennzeichnet, dass eine oder mehrere Schichten mit dem OVPD (Organic Vapour Phase Deposition) Verfahren oder mit Hilfe einer Trägergassublimation beschichtet werden. Dabei werden die Materialien bei einem Druck zwischen 10-5 mbar und 1 bar aufgebracht. Ein Spezialfall dieses Verfahrens ist das OVJP (Organic Vapour Jet Printing) Verfahren, bei dem die Materialien direkt durch eine Düse aufgebracht und so strukturiert werden (z. B. M. S. Arnold et al., Appl. Phys. Lett. 2008, 92, 053301).
- Weiterhin bevorzugt ist eine organische Elektrolumineszenzvorrichtung, dadurch gekennzeichnet, dass eine oder mehrere Schichten aus Lösung, wie z. B. durch Spincoating, oder mit einem beliebigen Druckverfahren, wie z. B. Siebdruck, Flexodruck, Offsetdruck, LITI (Light Induced Thermal Imaging, Thermotransferdruck), Ink-Jet Druck (Tintenstrahldruck) oder Nozzle Printing, hergestellt werden. Hierfür sind lösliche Verbindungen nötig. Hohe Löslichkeit lässt sich durch geeignete Substitution der Verbindungen erreichen. Dabei können nicht nur Lösungen aus einzelnen Materialien aufgebracht werden, sondern auch Lösungen, die mehrere Verbindungen enthalten, beispielsweise Matrixmaterialien und Dotanden.
- Die organische Elektrolumineszenzvorrichtung kann auch als Hybridsystem hergestellt werden, indem eine oder mehrere Schichten aus Lösung aufgebracht werden und eine oder mehrere andere Schichten aufgedampft werden. So ist es beispielsweise möglich, eine emittierende Schicht aus Lösung aufzubringen und darauf eine Elektronentransportschicht enthaltend eine erfindungsgemäße Verbindung, ggf. in Kombination mit einer organischen Alkalimetallverbindung, im Vakuum aufzudampfen.
- Diese Verfahren sind dem Fachmann generell bekannt und können von ihm ohne Probleme auf organische Elektrolumineszenzvorrichtungen enthaltend die erfindungsgemäßen Verbindungen angewandt werden.
- Für das Aufbringen aus flüssiger Phase sind Formulierungen der erfindungsgemäßen Verbindungen nötig. Ein weiterer Gegenstand der vorliegenden Erfindung betrifft daher eine Formulierung, vorzugsweise eine Lösung, Dispersion oder Miniemulsion, enthaltend mindestens eine erfindungsgemäße Verbindung und mindestens ein Lösemittel, bevorzugt ein organisches Lösemittel.
- Ein weiterer Gegenstand der vorliegenden Erfindung sind Mischungen enthaltend mindestens eine erfindungsgemäße Verbindung und mindestens eine organische Alkalimetallverbindung. Die organische Alkalimetallverbindung ist dabei bevorzugt gewählt aus den Verbindungen der oben aufgeführten Formel (28) bis (31).
- Die erfindungsgemäßen organischen Elektrolumineszenzvorrichtungen weisen folgende überraschende Vorteile gegenüber dem Stand der Technik auf:
- 1. Die erfindungsgemäßen organischen Elektrolumineszenzvorrichtungen weisen eine sehr hohe Effizienz auf. Die verbesserte Effizienz ist möglicherweise auf eine verbesserte Elektroneninjektion aus der Elektronentransportschicht in die emittierende Schicht zurückzuführen.
- 2. Die erfindungsgemäßen organischen Elektrolumineszenzvorrichtungen weisen gleichzeitig eine vergleichbare oder verbesserte Lebensdauer auf.
- 3. Die erfindungsgemäßen organischen Elektrolumineszenzvorrichtungen weisen gleichzeitig eine verringerte Betriebsspannung auf. Die verringerte Betriebsspannung ist möglicherweise auf eine verbesserte Elektroneninjektion aus der Elektronentransportschicht in die emittierende Schicht zurückzuführen.
- Die Erfindung wird durch die nachfolgenden Beispiele genauer beschrieben, ohne sie dadurch einschränken zu wollen. Der Fachmann kann, ohne erfinderisch tätig zu werden, weitere erfindungsgemäße Verbindungen herstellen und diese in organischen elektronischen Vorrichtungen verwenden.
- Beispiele
- Beispiel 1: Synthese von 5-(10-Benzo[a]anthracen-4-yl-anthracen-9-yl)-pyrimidin
- 4-Anthracen-9-yl-benzo[a]anthracen
-
49.7 g (184 mmol ) 9-Bromanthracen, 50 g (184 mmol) 2-Benzo[a]-anthracenboronsäure und 88.9 g (386 mmol) K3PO4 werden in 900 mL Toluol, 180 mL 1,4-Dioxan und 1100 mL Wasser suspendiert. Zu dieser Suspension werden 0.42 g (2 mmol) Pd(OAc)2 und 11 mL einer 1M Tri-tert-butylphosphin-Lösung gegeben. Die Reaktionsmischung wird 16 h unter Rückfluss erhitzt. Nach Erkalten wird die Reaktionsmischung über Kieselgel filtriert, die organische Phase abgetrennt, dreimal mit 200 mL Wasser gewaschen und anschließend zur Trockene eingeengt. Der Rückstand wird aus Toluol umkristallisiert. Ausbeute 48 g, 65% der Theorie. - 4-(10-Brom-anthracen-9-yI)-benzo[a]anthracen
-
30.9 g (76.4 mmol) 4-Anthracen-9-yl-benzo[a]anthracen werden in 500 mL Chloroform vorgelegt und mit 1.2 g (7.6 mmol) Eisen(III)chlorid versetzt. Anschließend tropft man unter Lichtausschluss bei 0 °C eine Lösung aus 15.6 g (87.86 mmol) NBS in 20 ml Chloroform hinzu und rührt 2 h weiter bei dieser Temperatur. Anschließend wird die Mischung mit 150 mL Wasser versetzt und mit Essigester extrahiert. Die organische Phase wird über MgSO4 getrocknet und die Lösungsmittel im Vakuum entfernt. Das Produkt wird aus Toluol umkristallisiert. Ausbeute: 20.4 g, 55 % der Theorie, Reinheit nach HPLC ca. 98 %. - 5-(10-Benzo[a]anthracen-4-yl-anthracen-9-y1)-pyrimidin
-
5-Pyrimidinboronsäure wird analog zu Org. Biomol.Chem., 2004, 2, 852 dargestellt. 20 g (41.4 mmol) 10-(Brom-anthracen-9-yl)-benzo[a]anthracen und 7.2 g (57.9 mmol) 5-Pyrimidinboronsäure werden 600 ml Ethylenglycoldimethylether und 150 mL EtOH suspendiert. Die Reaktionsmischung wird mit 200 mL einer 0,5M Na2CO3-Lösung versetzt. Zu dieser Suspension werden 500 mg (0.414 mmol) Pd(PPh3)4 gegeben und 12 h unter Rückfluss erhitzt. Nach Erkalten wird den ausgefallenen Feststoff abgesaugt, mit Wasser und Ethanol gewaschen und getrocknet. Der Rückstand wird mit Toluol heiß extrahiert, aus Toluol umkristallisiert und abschließend im Hochvakuum sublimiert. Reinheit beträgt 99.9%. Ausbeute: 10 g, 50% der Theorie. - Beispiel 2: Synthese von 2-(10-Benzo[a]anthracen-4-yl-anthracen-9-yl)-5-phenyl-pyrimidin
- 2-Anthracen-9-y1-5-phenyl-pyrimidin
-
36.1 g (140.4 mmol) 9-Bromanthracen werden in 600 mL trockenem THF gelöst und auf -78 °C gekühlt. Bei dieser Temperatu r wird mit 66.4 mL (165.9 mmol / 2.5 M in Hexan) n-Butyllithium innerhalb von ca. 20 min. versetzt und anschließend für 2.5 h bei -78 °C nach gerührt. Bei dieser Temperatur wird mit 45.1 mL (191.4 mmol) Borsäure-trimethylester möglichst zügig versetzt und die Reaktion langsam auf Raumtemperatur kommen gelassen (ca. 18 h). - 30 g (127.6 mmol) 2-Brom-5-phenyl-pyrimidin werden in einem entgasten Gemisch aus 800 mL Toluol und 68 mL Tetraethylammoniumhydroxid gelöst und mit 4.4 g (3.83 mmol) Pd(PPh3)4 versetzt. Die 9-Boronsäureanthracen-Lösung wird dazu getropft. Die Reaktionsmischung wird für 8 h unter Rückfluss erhitzt. Nach dem Abkühlen wird mit Dichlormethan versetzt, die Wasserphase abgetrennt und die organische Phase mit Toluol azeotrop eingeengt. Das Reaktionsprodukt wird aus Toluol umkristallisiert, und man erhält 35 g (82%) des 2-Anthracen-9-yl-5-phenyl-pyrimidin.
- 2-(10-Brom-anthracen-9-yl)-5-phenyl-pyrimidin
-
35 g (105.3 mmol) 2-Anthracen-9-yl-5-phenyl-pyrimidin werden in 500 mL Chloroform vorgelegt. Anschließend tropft man unter Lichtausschluss bei 0 °C eine Lösung aus 20.7 g (115.8 mmol) NBS in 500 ml Chloroform hinzu und rührt weitere 4 h bei dieser Temperatur. Anschließend wird die Mischung mit 150 mL Wasser versetzt und mit Essigester extrahiert. Die organische Phase wird über MgSO4 getrocknet und die Lösungsmittel im Vakuum entfernt. Das Produkt wird aus Toluol umkristallisiert. Ausbeute: 32.5 g, 75 % der Theorie, Reinheit nach HPLC ca. 98 %. - 2-(10-Benzo[a]anthracen-4-yl-anthracen-9-yl)-5-phenyl-pyrimidin
-
30 g (72.94 mmol ) 2-(10-Brom-anthracen-9-yl)-5-phenyl-pyrimidin, 21.8 g (80.24 mmol) 2-Benzo[a]anthracenboronsäure und 32 g (153 mmol) K3PO4 werden in 600 mL Toluol, 150 mL 1,4-Dioxan und 150 mL Wasser suspendiert. Zu dieser Suspension werden 2.1g (1.82 mmol) Pd(PPh3)4. Die Reaktionsmischung wird 16 h unter Rückfluss erhitzt. Nach Erkalten wird die Reaktionsmischung mit Dichlormethan versetzt, die Wasserphase abgetrennt, die organische Phase mit Toluol azeotrop eingeengt und anschließend zur Trockene eingeengt. Der Rückstand wird aus Toluol umkristallisiert und abschließend im Hochvakuum sublimiert. Reinheit beträgt 99.9%. Ausbeute: 20 g, 50% der Theorie. - Beispiel 3: Synthese von 5-(10-Phenanthren-3-yl-anthracen-9-yl)-2-pyridin-2-yl-pyrimidin
- 5-Brom-2-pyridin-2-yl-pyrimidin
-
14.6 mL (150 mmol) 2-Brompyridin werden in 700 mL trockenem THF gelöst und auf -78 °C gekühlt. Bei dieser Temperatu r wird mit 66.0 mL (165 mmol / 2.5 M in Hexan) n-BuLi innerhalb von ca. 20 min. versetzt und anschließend für 2.5 h bei -78 °C nachgerührt. Bei dieser Temperatur wird mit 44.8 mL (165 mmol) Tributylzinnchlorid möglichst zügig versetzt und die Reaktion langsam auf Raumtemperatur kommen gelassen (ca. 18 h). Anschließend wird die Reaktionsmischung mit 150 mL NH4Cl-Lösung versetzt und mit Essigester extrahiert. Die organische Phase wird über MgSO4 getrocknet und die Lösungsmittel im Vakuum entfernt. Ausbeute: 44 g von 2-(Tributylzinn)pyridin, 80 % der Theorie. - 30 g (108.6 mmol) 2-(Tributylzinn)pyridin werden in 600 mL Xylol suspendiert und mit 31 g (108.6 mmol) 2-lod-5-brompyrimidin versetzt. Zu dieser Suspension werden 3.8 g (5.43 mmol) Pd(PPh3)2Cl2 und 2.85 g (10.86 mmol) Triphenylphosphin zugegeben Die Reaktionsmischung wird 16 h unter Rückfluss erhitzt. Nach Erkalten wird die Reaktionsmischung mit Dichlormethan versetzt, die Wasserphase abgetrennt, die organische Phase mit Toluol azeotrop eingeengt und anschließend zur Trockene eingeengt. Der Rückstand wird aus Toluol umkristallisiert. Ausbeute: 20 g, 78% der Theorie.
- 5-Anthracen-9-y1-2-pyridin-2-yl-pyrimidin
-
20.6 g (80 mmol) 9-Bromanthracen werden in 400 mL trockenem THF gelöst und auf -78 °C gekühlt. Bei dieser Temperatu r wird mit 36.8 mL (92 mmol / 2.5 M in Hexan) n-BuLi innerhalb von ca. 20 min. versetzt und anschließend für 2.5 h bei -78 °C nachgerührt. Bei dieser Temperatur wird mit 26.4 mL (112 mmol) Borsäure-triisopropylester möglichst zügig versetzt und die Reaktion langsam auf Raumtemperatur kommen gelassen (ca. 18 h). - 18.9 g (80 mmol) 5-Brom-2-pyridin-2-yl-pyrimidin werden in einem entgasten Gemisch aus 400 mL Toluol und 42 mL Tetraethylammoniumhydroxid (20%) gelöst und mit 2.77 g (2.4 mmol) Pd(PPh3)4 versetzt. Die 9-Boronsäureanthracen-Lösung wird dazu getropft. Die Reaktionsmischung wird für 8 h unter Rückfluss erhitzt. Nach dem Abkühlen wird mit Dichlormethan versetzt, die Wasserphase abgetrennt und die organische Phase mit Toluol azeotrop eingeengt. Das Reaktionsprodukt wird aus Toluol umkristallisiert und man erhält 23 g (85%) des 5-Anthracen-9-yl-2-pyridin-2-yl-pyrimidin.
- 5-(10-Brom-anthracen-9-yl)-2-pyridin-2-yl-pyrimidin
-
20 g (68 mmol) 5-Anthracen-9-yl-2-pyridin-2-yl-pyrimidin werden in 300 mL Chloroform vorgelegt. Anschließend tropft man unter Lichtausschluss bei 0 °C eine Lösung aus 13.31 g (74.8 mmol) NBS in 200 ml Chloroform hinzu und rührt 4 h weiter bei dieser Temperatur. Anschließend wird die Mischung mit 150 mL Wasser versetzt und mit Essigester extrahiert. Die organische Phase wird über MgSO4 getrocknet und die Lösungsmittel im Vakuum entfernt. Das Produkt wird aus Toluol umkristallisiert. Ausbeute: 22.4 g, 80% der Theorie, Reinheit nach HPLC ca. 98 %. - 5-(10-Phenanthren-3-yl-anthracen-9-yl)-2-pyridin-2-yl-pyrimidin
-
20 g (77.8 mmol) 3-Bromphenanthren werden in 400 mL trockenem THF gelöst und auf -78 °C gekühlt. Bei dieser Temperatu r wird mit 40.5 mL (101.1 mmol / 2.5 M in Hexan) n-BuLi innerhalb von ca. 20 min. versetzt und anschließend für 2.5 h bei -78 °C nachgerührt. Bei dieser Temperatur wird mit 28.7 mL (124.4 mmol) Borsäure-triisopropylester möglichst zügig versetzt und die Reaktion langsam auf Raumtemperatur kommen gelassen (ca. 18 h). Anschließend wird die Reaktionsmischung mit 100 mL NH4Cl-Lösung versetzt und mit Essigester extrahiert. Die organische Phase wird über MgSO4 getrocknet und die Lösungsmittel im Vakuum entfernt. Ausbeute: 14 g von 3-Phenanthrenboronsäure, 80 % der Theorie. - 22 g (53.36 mmol ) 5-(10-Brom-anthracen-9-yl)-2-pyridin-2-yl-pyrimidin, 13 g (58.7 mmol) 3-Phenanthrenboronsäure und 23.8 g (112 mmol) K3PO4 werden in 200 mL Toluol, 200 mL 1,4-Dioxan und 120 mL Wasser suspendiert. Zu dieser Suspension werden 1.85 g (1.6 mmol) Pd(PPh3)4. Die Reaktionsmischung wird 16 h unter Rückfluss erhitzt. Nach Erkalten wird die Reaktionsmischung mit Dichlormethan versetzt, die Wasserphase abgetrennt, die organische Phase mit Toluol azeotrop eingeengt und anschließend zur Trockene eingeengt. Der Rückstand wird aus Toluol umkristallisiert und abschließend im Hochvakuum sublimiert, Reinheit beträgt 99.9%. Ausbeute: 16 g, 60% der Theorie.
- Beispiel 4: Herstellung der OLEDs
- Die Herstellung von erfindungsgemäßen OLEDs sowie OLEDs nach dem Stand der Technik erfolgt nach einem allgemeinen Verfahren gemäß
, das auf die hier beschriebenen Gegebenheiten (Schichtdickenvariation, verwendete Materialien) angepasst wird.WO 2004/058911 - In den folgenden OLED-Beispielen 1-23 (siehe Tabellen 1 und 2) werden die Ergebnisse verschiedener OLEDs vorgestellt. Glasplättchen, die mit strukturiertem ITO (Indium Zinn Oxid) der Dicke 50 nm beschichtet sind bilden die Substrate, auf welche die OLEDs aufgebracht werden. Die OLEDs haben prinzipiell den folgenden Schichtaufbau: Substrat ITO / Lochtransportschicht (HTL, 140 nm) / Zwischenschicht (IL, 5nm) / Elektronenblockierschicht (EBL, 20nm) / Emissionsschicht (EML (H1 + x% D1), z nm) / Elektronentransportschicht (ETL, y nm) / optionale Elektroneninjektionsschicht (EIL, x nm) und abschließend eine Kathode. Die Kathode wird durch eine 100 nm dicke Aluminiumschicht gebildet. Der genaue Aufbau der OLEDs ist Tabelle 1 zu entnehmen. Die zur Herstellung der OLEDs verwendeten Materialien sind in Tabelle 3 gezeigt.
- Alle Materialien werden in einer Vakuumkammer thermisch aufgedampft. Dabei besteht die Emissionsschicht immer aus mindestens einem Matrixmaterial (Hostmaterial, Wirtsmaterial) und einem emittierenden Dotierstoff (Dotand, Emitter), der dem Matrixmaterial bzw. den Matrixmaterialien durch Coverdampfung in einem bestimmten Volumenanteil beigemischt wird. Eine Angabe wie H1:D1 (95%: 5%) bedeutet hierbei, dass das Material H1 in einem Volumenanteil von 95 % und D1 in einem Volumenanteil von 5% in der Schicht vorliegt. Analog kann auch die Elektronentransportschicht aus einer Mischung zweier Materialien bestehen.
- Die OLEDs werden standardmäßig charakterisiert. Hierfür werden die Elektrolumineszenzspektren, Strom-Spannungs-Helligkeits-Kennlinien (IUL-Kennlinien) sowie die Lebensdauer gemessen. Als Lebensdauer wird die Zeit definiert, nach der die Leuchtdichte von einer bestimmten Startleuchtdichte I0 auf einen gewissen Anteil abgesunken ist. Die Angabe LD50 bedeutet, dass es sich bei der genannten Lebensdauer um die Zeit handelt, bei der die Leuchtdichte auf 0.5·I0(auf 50 %) abgefallen ist. In den Beispielen für Blau (y<0.25) von 6000 cd/m2 auf 3000 cd/m2 in den anderen Beispielen von 4000 cd/m2 auf 2000 cd/m2. Die Stromeffizienz (cd/A) und die Leistungseffizienz (Im/W) werden aus den IUL Kennlinien berechnet.
- Die erfindungsgemäßen Verbindungen lassen sich unter anderem als Elektronentransportmaterial in einer Elektronentransportschicht (ETL) für fluoreszierende und phosphoreszierende OLEDs einsetzen. Hierbei kommen die erfindungsgemäßen Verbindungen ETL2, ETL3 und ETL4 zum Einsatz. Als Vergleich gemäß dem Stand der Technik werden die Verbindungen ETL1 und ETL5 verwendet. Die Ergebnisse der OLEDs sind in Tabelle 2 zusammengefasst. Die Beispiele 1-5 und 21-23 zeigen OLEDs mit Materialien gemäß dem Stand der Technik und dienen als Vergleichsbeispiele. Die erfindungsgemäßen OLEDs gemäß den Beispielen 6-20 zeigen die Vorteile beim Einsatz von erfindungsgemäßen Verbindungen gemäß Formel (1).
- Durch den Einsatz von erfindungsgemäßen Verbindungen lassen sich, verglichen mit dem Stand der Technik, Verbesserungen in der operativen Spannung, Effizienz und Lebensdauer der Bauteile erzielen
- Im Vergleich zu den Referenzbauteilen sind die elektrischen Kenndaten in alle Fällen besser. Bei sonst identischen Schichtaufbau zeigen die erfindungsgemäßen Bauteile verbesserte Leistungsdaten. Tabelle 1: Aufbau der OLEDs
Tabelle 2: Ergebnisse für die OLEDsBsp. EML ETL EIL 1 H1:D1 ETL1 EIL1 (Vgl.) (95%:5%) 20 nm 3 nm 30 nm 2 H1:D1 ETL1:EIL1 - (Vgl.) (95%:5%) (50%:50%) 30 nm 20 nm 3 H2:D2 ETL1 EIL2 (Vgl.) (85%:15%) 30 nm 1 nm 40 nm 4 H2:D2 ETL1 EIL1 (Vgl.) (85%:15%) 30 nm 3 nm 40 nm 5 H2:D2 ETL1:EIL1 - (Vgl.) (85%:15%) (50%:50%) 40 nm 30 nm 6 H1:D1 ETL2 EIL1 (95%:5%) 20 nm 3 nm 30 nm 7 H1:D1 ETL3 EIL1 (95%:5%) 20 nm 3nm 30 nm 8 H1:D1 ETL4 EIL1 (95%:5%) 20 nm 3 nm 30 nm 9 H1:D1 ETL2:EIL1 (95%:5%) (50%:50%) 30 nm 20 nm 10 H1:D1 ETL3:EIL1 (95%:5%) (50%:50%) 30 nm 20 nm 11 H1:D1 ETL4:EIL1 (95%:5%) (50%:50%) 30 nm 20 nm 12 H1:D1 ETL2:EIL1 (95%:5%) (30%:70%) 30 nm 20 nm 13 H2:D2 ETL2 EIL2 (85%:15%) 20nm 1 nm 40nm 14 H2:D2 ETL3 EIL2 (85%:15%) 20 nm 1 nm 40 nm 15 H2:D2 ETL4 EIL2 (85%:15%) 20 nm 1 nm 40 nm 16 H2:D2 ETL2:EIL1 (85%:15%) (50:50) 40 nm 20 nm 17 H2:D2 ETL3:EIL1 (85%:15%) (50%:50%) 40 nm 20 nm 18 H2:D2 ETL4:EIL1 (85%:15%) (50%:50%) 40nm 20 nm 19 H2:D2 ETL2 EIL1 (85%:15%) 20 nm 3 nm 40 nm 20 H2:D2 ETL4 EIL1 (85%:15%) 20 nm 3 nm 40 nm 21 H2:D2 ETL5:EIL1 - (Vgl.) (85%:15%) (50%:50%) 40 nm 30 nm 22 H2:D2 ETL5 EIL2 (Vgl.) (85%:15%) 30 nm 1 nm 40 nm 23 H2:D2 ETL5 EIL1 (Vgl.) (85%:15%) 30 nm 3 nm 40nm Tabelle 3: Strukturformeln der verwendeten MaterialienBsp. Spannung [V] für 1000 cd/m2 Effizienz [cd/A] bei 1000 cd/m2 CIE x/y bei 1000 cd/m2 LD50 I = 6000 cd/m2 1 (Vgl.) 4.9 6.6 0.14 0.15 250 6 4.3 7.0 0.14 0.14 290 7 4.6 6.9 0.14 0.15 270 8 4.4 7.2 0.14 0.14 310 2 (Vgl.) 5.1 6.9 0.14 0.15 300 9 4.4 8.4 0.14 0.14 330 10 4.8 8.3 0.14 0.15 320 11 4.6 8.1 0.14 0.14 370 12 4.6 7.9 0.14 0.14 350 3 (Vgl.) 3.7 46.3 0.33 0.62 900 22 vgl. 3.9 43.4 0.33 0.61 800 13 3.4 49.1 0.33 0.62 1900 14 3.6 48.5 0.33 0.62 1700 15 3.5 48.7 0.33 0.62 2100 4 (Vgl.) 4.1 43.3 0.33 0.62 1070 23 (Vgl.) 4.3 41.2 0.33 0.61 950 19 3.9 45.1 0.33 0.62 1450 20 3.5 50.3 0.33 0.62 1600 5 (Vgl.) 3.6 44.5 0.33 0.62 1100 21 (Vgl.) 3.8 41.3 0.33 0.62 900 16 3.4 49.2 0.33 0.62 2100 17 3.5 47.2 0.33 0.62 1700 18 3.3 53.7 0.33 0.62 3100 IL HTL EBL ETL1 (Vergleich) EIL1 H1 D1 H2 D2 ETL2 ETL3 ETL4 ETL5 (Vergleich) - Als EIL2 wird LiF verwendet.
Claims (13)
- Verbindung gemäß Formel (1),
wobei für die verwendeten Symbole und Indizes gilt: Pym ist eine Gruppe der folgenden Formel (2) oder (3), wobei die gestrichelte Bindung die Bindung an das Anthracen andeutet; Ar ist eine Gruppe der folgenden Formeln (9) bis (25) R1, R2, R3, R4, R5, R6, R7, R8, R9, R10, R11, R12 ist bei jedem Auftreten gleich oder verschieden H, D, F, CI, Br, I, CHO, N(R13)2, N(Ar1)2, B(Ar1)2, Si(R13)2, Si(Ar1)2, C(=O)Ar1, P(=O)(Ar1)2, S(=0)Ar1, S(=O)2Ar', CR13=CR13Ar1, CN, NO2, Si(R13)3, B(OR13)2, B(R13)2, B(N(R13)2)2, OSO2R13, eine geradkettige Alkyl-, Alkenyl-, Alkinyl- , Alkoxy- oder Thioalkoxygruppe mit 1 bis 40 C-Atomen oder eine verzweigte oder cyclische Alkyl-, Alkenyl-, Alkinyl-, Alkoxy- oder Thioalkoxygruppe mit 3 bis 40 C-Atomen, die jeweils mit einem oder mehreren Resten R13 substituiert sein kann, wobei eine oder mehrere nicht benachbarte CH2-Gruppen durch R13C=CR13, C=C , Si(R13)2, Ge(R13)2, Sn(R13)2, C=O, C=S, C=Se, C=NR13, P(=O)(R13), SO, SO2, NR13, O, S oder CONR13 ersetzt sein können und wobei ein oder mehrere H-Atome durch Ar1 D, F, Cl, Br, I, CN oder NO2 ersetzt sein können, oder ein aromatisches oder heteroaromatisches Ringsystem mit 5 bis 60 aromatischen Ringatomen, das jeweils durch einen oder mehrere Reste R13 substituiert sein kann, oder eine Aryloxy- oder Heteroaryloxygruppe mit 5 bis 60 aromatischen Ring-atomen, die durch einen oder mehrere Reste R13 substituiert sein kann, oder eine Kombination dieser Systeme; dabei können zwei oder mehrere benachbarte Substituenten R1 bis R12 auch miteinander ein mono- oder polycyclisches, aliphatisches oder aromatisches Ringsystem bilden; ist bei jedem Auftreten gleich oder verschieden ein aromatisches oder heteroaromatisches Ringsystem mit 5 bis 30 aromatischen Ringatomen, das mit einem oder mehreren Resten R13 substituiert sein kann; dabei können auch zwei Reste Ar1, welche an dasselbe Stickstoff-, Phosphor-, Silicium- oder Boratom binden, durch eine Einfachbindung oder eine Brücke, ausgewählt aus B(R13), C(R13)2, Si(R13)2, C=O, C=NR13, C=C(R13)2, O, S, S=O, SO2, N(R13), P(R13) und P(=O)R13, miteinander verknüpft sein; R13 ist bei jedem Auftreten gleich oder verschieden H, D oder ein aliphatischer, aromatischer und/oder heteroaromatischer Kohlenwasserstoffrest mit 1 bis 20 C-Atomen, in dem auch H-Atome durch D oder F ersetzt sein können; dabei können zwei oder mehrere benachbarte Substituenten R13 auch miteinander ein mono- oder polycyclisches, aliphatisches oder aromatisches Ringsystem bilden. - Verbindung nach einem oder mehreren der
Ansprüche 1 bis4 , dadurch gekennzeichnet, dass die Reste R1 bis R12 bei jedem Auftreten gleich oder verschieden ausgewählt sind aus der Gruppe bestehend aus H, D, F, N(Ar1)2, C(=O)Ar1, P(=O)(Ar1)2, S(=O)Ar1, S(=O)2Ar1, CN, Si(R13)3, einer geradkettigen Alkylgruppe mit 1 bis 10 C-Atomen oder einer verzweigten oder cyclischen Alkylgruppe mit 3 bis 10 C-Atomen, die jeweils mit einem oder mehreren Resten R13 substituiert sein kann, wobei eine oder mehrere nicht benachbarte CH2-Gruppen durch R13C=CR13 ersetzt sein können und wobei ein oder mehrere H-Atome durch D oder F ersetzt sein können, oder einem aromatischen oder heteroaromatischen Ringsystem mit 5 bis 30 aromatischen Ringatomen, das jeweils durch einen oder mehrere Reste R13 substituiert sein kann; dabei können zwei oder mehrere benachbarte Substituenten R1 bis R12 auch miteinander ein mono- oder polycyclisches, aliphatisches oder aromatisches Ringsystem bilden. - Verbindung nach einem oder mehreren der
Ansprüche 1 bis5 , dadurch gekennzeichnet, dass die Reste R9, R10 und R11 gleich oder verschieden bei jedem Auftreten für H oder ein aromatisches oder heteroaromatisches Ringsystem mit 5 bis 24 aromatischen Ringatomen, welches jeweils durch einen oder mehrere Reste R13 substituiert sein kann, stehen. - Verfahren zur Synthese einer Verbindung nach einem oder mehreren der
Ansprüche 1 bis6 , umfassend die Reaktion eines Anthracenderivats, welches mit einer reaktiven Abgangsgruppe substituiert ist, mit einem Pyrimidinderivat, welches mit einer Boronsäuregruppe bzw. einer Boronsäureestergruppe substituiert ist, oder umfassend die Reaktion eines Anthracenderivats, welches mit einer Boronsäuregruppe bzw. einer Boronsäureestergruppe substituiert ist, mit einem Pyrimidinderivat, welches mit einer reaktiven Abgangsgruppe substituiert ist. - Verwendung einer Verbindung nach einem oder mehreren der
Ansprüche 1 bis6 in einer elektronischen Vorrichtung, insbesondere in einer organischen Elektrolumineszenzvorrichtung. - Elektronische Vorrichtung, bevorzugt ausgewählt aus der Gruppe bestehend aus organischen Elektrolumineszenzvorrichtungen, organischen integrierten Schaltungen, organischen Feld-Effekt-Transistoren, organischen Dünnfilmtransistoren, organischen lichtemittierenden Transistoren, organischen Solarzellen, farbstoffsensibilisierten organischen Solarzellen, organischen optischen Detektoren, organischen Photorezeptoren, organischen Feld-Quench-Devices, lichtemittierenden elektrochemischen Zellen, organischen Laserdioden und „organic plasmon emitting devices“, enthaltend mindestens eine Verbindung nach einem oder mehreren der
Ansprüche 1 bis6 . - Organische Elektrolumineszenzvorrichtung nach
Anspruch 9 , dadurch gekennzeichnet, dass die Verbindung nach einem oder mehreren derAnsprüche 1 bis6 in einer Elektronentransportschicht und/oder einer Elektroneninjektionsschicht und/oder in einer Lochblockierschicht und/oder als Matrixmaterial für fluoreszierende Emitter in einer emittierenden Schicht eingesetzt wird. - Organische Elektrolumineszenzvorrichtung nach
Anspruch 10 , dadurch gekennzeichnet, dass die Verbindung nach einem oder mehreren derAnsprüche 1 bis6 in einer Elektronentransportschicht bzw. in einer Elektroneninjektionsschicht in Mischung mit einem weiteren Elektronentransport- bzw. Elektroneninjektionsmaterial verwendet wird, insbesondere mit einer organischen Alkalimetallverbindung. - Mischung enthaltend mindestens eine Verbindung nach einem oder mehreren der
Ansprüche 1 bis6 und mindestens eine organische Alkalimetallverbindung. - Formulierung enthaltend mindestens eine Verbindung nach einem oder mehreren der
Ansprüche 1 bis6 und mindestens eine Lösemittel.
Priority Applications (5)
| Application Number | Priority Date | Filing Date | Title |
|---|---|---|---|
| DE102010013806.1A DE102010013806B4 (de) | 2010-04-03 | 2010-04-03 | Materialien für organische Elektrolumineszenzvorrichtungen |
| PCT/EP2011/001143 WO2011120626A1 (de) | 2010-04-03 | 2011-03-09 | Materialien für organische elektrolumineszenzvorrichtungen |
| JP2013503022A JP6230908B2 (ja) | 2010-04-03 | 2011-03-09 | 有機エレクトロルミネセンスデバイス用材料 |
| US13/638,975 US9796684B2 (en) | 2010-04-03 | 2011-03-09 | Materials for organic electroluminescence devices |
| JP2015247681A JP6141397B2 (ja) | 2010-04-03 | 2015-12-18 | 有機エレクトロルミネセンスデバイス用材料 |
Applications Claiming Priority (1)
| Application Number | Priority Date | Filing Date | Title |
|---|---|---|---|
| DE102010013806.1A DE102010013806B4 (de) | 2010-04-03 | 2010-04-03 | Materialien für organische Elektrolumineszenzvorrichtungen |
Publications (2)
| Publication Number | Publication Date |
|---|---|
| DE102010013806A1 DE102010013806A1 (de) | 2011-10-06 |
| DE102010013806B4 true DE102010013806B4 (de) | 2021-06-10 |
Family
ID=43927620
Family Applications (1)
| Application Number | Title | Priority Date | Filing Date |
|---|---|---|---|
| DE102010013806.1A Active DE102010013806B4 (de) | 2010-04-03 | 2010-04-03 | Materialien für organische Elektrolumineszenzvorrichtungen |
Country Status (4)
| Country | Link |
|---|---|
| US (1) | US9796684B2 (de) |
| JP (2) | JP6230908B2 (de) |
| DE (1) | DE102010013806B4 (de) |
| WO (1) | WO2011120626A1 (de) |
Families Citing this family (16)
| Publication number | Priority date | Publication date | Assignee | Title |
|---|---|---|---|---|
| US8171567B1 (en) | 2002-09-04 | 2012-05-01 | Tracer Detection Technology Corp. | Authentication method and system |
| US7995196B1 (en) | 2008-04-23 | 2011-08-09 | Tracer Detection Technology Corp. | Authentication method and system |
| DE102010013806B4 (de) * | 2010-04-03 | 2021-06-10 | Merck Patent Gmbh | Materialien für organische Elektrolumineszenzvorrichtungen |
| DE102011117364A1 (de) * | 2011-10-29 | 2013-05-02 | Merck Patent Gmbh | Hautaufheller in der Phototherapie |
| CN103130724A (zh) * | 2011-11-23 | 2013-06-05 | 海洋王照明科技股份有限公司 | 含萘基蒽的有机半导体材料、其制备方法和应用 |
| CN103288730A (zh) * | 2012-02-27 | 2013-09-11 | 海洋王照明科技股份有限公司 | 含喹啉有机半导体材料、其制备方法及有机电致发光器件 |
| GB201403096D0 (en) * | 2014-02-21 | 2014-04-09 | Oxford Nanopore Tech Ltd | Sample preparation method |
| WO2016013184A1 (ja) * | 2014-07-25 | 2016-01-28 | 保土谷化学工業株式会社 | 有機エレクトロルミネッセンス素子 |
| WO2016079944A1 (ja) * | 2014-11-18 | 2016-05-26 | 保土谷化学工業株式会社 | 有機エレクトロルミネッセンス素子 |
| US10566543B2 (en) * | 2015-01-20 | 2020-02-18 | Hodogaya Chemical Co., Ltd. | Pyrimidine derivative and organic electroluminescent devices |
| KR102471110B1 (ko) * | 2015-08-11 | 2022-11-28 | 삼성디스플레이 주식회사 | 유기 발광 소자 |
| US20180327339A1 (en) * | 2015-08-28 | 2018-11-15 | Merck Patent Gmbh | Compounds for electronic devices |
| CN111247128B (zh) * | 2018-03-22 | 2023-05-23 | 株式会社Lg化学 | 化合物和包含其的有机发光二极管 |
| DE112020001394T5 (de) * | 2019-03-22 | 2021-12-02 | Semiconductor Energy Laboratory Co., Ltd. | Organische Verbindung, Licht emittierende Vorrichtung, Licht emittierende Einrichtung, elektronische Vorrichtung und Beleuchtungsvorrichtung |
| KR102763275B1 (ko) * | 2019-07-15 | 2025-02-10 | 삼성디스플레이 주식회사 | 화합물 및 이를 포함하는 유기 발광 소자 |
| TW202110821A (zh) * | 2019-07-26 | 2021-03-16 | 日商半導體能源研究所股份有限公司 | 發光器件、發光裝置、電子裝置、照明設備及化合物 |
Citations (2)
| Publication number | Priority date | Publication date | Assignee | Title |
|---|---|---|---|---|
| EP1582516A1 (de) * | 2003-01-10 | 2005-10-05 | Idemitsu Kosan Co., Ltd. | Stickstoffhaltiges heterozyklisches derivat und organisches elektrolumineszenzelement damit |
| EP2108689A2 (de) * | 2008-04-02 | 2009-10-14 | Gracel Display Inc. | Neue organische Elektrolumineszenzverbindungen und damit versehene organische Elektrolumineszenzvorrichtung |
Family Cites Families (18)
| Publication number | Priority date | Publication date | Assignee | Title |
|---|---|---|---|---|
| US4539507A (en) | 1983-03-25 | 1985-09-03 | Eastman Kodak Company | Organic electroluminescent devices having improved power conversion efficiencies |
| US5151629A (en) | 1991-08-01 | 1992-09-29 | Eastman Kodak Company | Blue emitting internal junction organic electroluminescent device (I) |
| EP0676461B1 (de) | 1994-04-07 | 2002-08-14 | Covion Organic Semiconductors GmbH | Spiroverbindungen und ihre Verwendung als Elektrolumineszenzmaterialien |
| DE19652261A1 (de) | 1996-12-16 | 1998-06-18 | Hoechst Ag | Arylsubstituierte Poly(p-arylenvinylene), Verfahren zur Herstellung und deren Verwendung in Elektroluminszenzbauelementen |
| GB9826406D0 (en) | 1998-12-02 | 1999-01-27 | South Bank Univ Entpr Ltd | Quinolates |
| JP4646494B2 (ja) | 2002-04-11 | 2011-03-09 | 出光興産株式会社 | 新規含窒素複素環誘導体及びそれを用いた有機エレクトロルミネッセンス素子 |
| JP2006511939A (ja) | 2002-12-23 | 2006-04-06 | コビオン・オーガニック・セミコンダクターズ・ゲーエムベーハー | 有機エレクトロルミネセンス素子 |
| DE10333232A1 (de) | 2003-07-21 | 2007-10-11 | Merck Patent Gmbh | Organisches Elektrolumineszenzelement |
| JP4496949B2 (ja) * | 2004-12-13 | 2010-07-07 | 株式会社豊田自動織機 | 有機el素子 |
| JP4790260B2 (ja) | 2004-12-22 | 2011-10-12 | 出光興産株式会社 | アントラセン誘導体を用いた有機エレクトロルミネッセンス素子 |
| US20070092759A1 (en) | 2005-10-26 | 2007-04-26 | Begley William J | Organic element for low voltage electroluminescent devices |
| US7767317B2 (en) | 2005-10-26 | 2010-08-03 | Global Oled Technology Llc | Organic element for low voltage electroluminescent devices |
| JP5532705B2 (ja) * | 2008-07-01 | 2014-06-25 | 東レ株式会社 | 発光素子 |
| BRPI0919221A2 (pt) | 2008-09-15 | 2015-12-08 | Osi Optoelectronics Inc | fotodiodo de espinha de peixe de camada ativa fina com uma camada n+ rasa e método de fabricação do mesmo |
| KR20100109050A (ko) * | 2009-03-31 | 2010-10-08 | 다우어드밴스드디스플레이머티리얼 유한회사 | 신규한 유기 발광 화합물 및 이를 포함하는 유기 전계 발광소자 |
| KR101427605B1 (ko) * | 2009-03-31 | 2014-08-07 | 롬엔드하스전자재료코리아유한회사 | 신규한 유기 발광 화합물 및 이를 채용하고 있는 유기 전계발광 소자 |
| KR101177172B1 (ko) * | 2009-09-22 | 2012-08-24 | 주식회사 두산 | 신규한 안트라센 유도체 및 이를 이용한 유기 전계 발광 소자 |
| DE102010013806B4 (de) | 2010-04-03 | 2021-06-10 | Merck Patent Gmbh | Materialien für organische Elektrolumineszenzvorrichtungen |
-
2010
- 2010-04-03 DE DE102010013806.1A patent/DE102010013806B4/de active Active
-
2011
- 2011-03-09 WO PCT/EP2011/001143 patent/WO2011120626A1/de not_active Ceased
- 2011-03-09 US US13/638,975 patent/US9796684B2/en active Active
- 2011-03-09 JP JP2013503022A patent/JP6230908B2/ja not_active Expired - Fee Related
-
2015
- 2015-12-18 JP JP2015247681A patent/JP6141397B2/ja not_active Expired - Fee Related
Patent Citations (2)
| Publication number | Priority date | Publication date | Assignee | Title |
|---|---|---|---|---|
| EP1582516A1 (de) * | 2003-01-10 | 2005-10-05 | Idemitsu Kosan Co., Ltd. | Stickstoffhaltiges heterozyklisches derivat und organisches elektrolumineszenzelement damit |
| EP2108689A2 (de) * | 2008-04-02 | 2009-10-14 | Gracel Display Inc. | Neue organische Elektrolumineszenzverbindungen und damit versehene organische Elektrolumineszenzvorrichtung |
Also Published As
| Publication number | Publication date |
|---|---|
| JP2013523788A (ja) | 2013-06-17 |
| DE102010013806A1 (de) | 2011-10-06 |
| US9796684B2 (en) | 2017-10-24 |
| US20130032764A1 (en) | 2013-02-07 |
| WO2011120626A1 (de) | 2011-10-06 |
| JP2016106094A (ja) | 2016-06-16 |
| JP6141397B2 (ja) | 2017-06-07 |
| JP6230908B2 (ja) | 2017-11-15 |
Similar Documents
| Publication | Publication Date | Title |
|---|---|---|
| DE102010013806B4 (de) | Materialien für organische Elektrolumineszenzvorrichtungen | |
| DE102010019306B4 (de) | Organische Elektrolumineszenzvorrichtungen | |
| EP2883422B1 (de) | Materialien für organische elektrolumineszenzvorrichtungen | |
| DE112010006144B4 (de) | Organische Elektrolumineszenzvorrichtungen | |
| DE112010004381B4 (de) | Materialien für elektronische Vorrichtungen | |
| EP3457450B1 (de) | Organische elektrolumineszenzvorrichtung | |
| EP2303814B1 (de) | Verbindungen für elektronische vorrichtungen | |
| EP3016952B1 (de) | Spirokondensierte lactamverbindungen für organische elektrolumineszenzvorrichtungen | |
| EP3107977B1 (de) | Materialien für organische elektrolumineszenzvorrichtungen | |
| WO2010136109A1 (de) | Materialien für organische elektrolumineszenzvorrichtungen | |
| WO2011060877A2 (de) | Materialien für organische elektrolumineszenzvorrichtungen | |
| WO2014015935A2 (de) | Verbindungen und organische elektronische vorrichtungen | |
| EP2737554A1 (de) | Verbindungen für elektronische vorrichtungen | |
| EP2941472A1 (de) | Materialien für elektronische vorrichtungen | |
| EP2773721A1 (de) | Organische elektrolumineszenzvorrichtung | |
| EP3335254A1 (de) | Materialien für organische elektrolumineszenzvorrichtungen | |
| EP2828266A1 (de) | 9,9'-spirobixanthenderivate für elektrolumineszenzvorrichtungen | |
| EP2697225B1 (de) | Materialien für elektronische vorrichtungen | |
| EP2906661A1 (de) | Materialien für organische elektrolumineszenzvorrichtungen | |
| EP3898605A2 (de) | Materialien für elektronische vorrichtungen | |
| WO2011157346A1 (de) | Verbindungen für elektronische vorrichtungen | |
| EP3512848A1 (de) | Verbindungen mit carbazol-strukturen | |
| EP4078692A1 (de) | Verbindungen für elektronische vorrichtungen | |
| WO2019048458A1 (de) | Materialien für elektronische vorrichtungen | |
| EP2697226B1 (de) | Verbindungen für elektronische vorrichtungen |
Legal Events
| Date | Code | Title | Description |
|---|---|---|---|
| R012 | Request for examination validly filed | ||
| R016 | Response to examination communication | ||
| R016 | Response to examination communication | ||
| R018 | Grant decision by examination section/examining division | ||
| R020 | Patent grant now final |


































































































































































