CN1812983A - 取代的吡咯衍生物及其作为hmg-co抑制剂的用途 - Google Patents
取代的吡咯衍生物及其作为hmg-co抑制剂的用途 Download PDFInfo
- Publication number
- CN1812983A CN1812983A CNA2004800180992A CN200480018099A CN1812983A CN 1812983 A CN1812983 A CN 1812983A CN A2004800180992 A CNA2004800180992 A CN A2004800180992A CN 200480018099 A CN200480018099 A CN 200480018099A CN 1812983 A CN1812983 A CN 1812983A
- Authority
- CN
- China
- Prior art keywords
- compound
- general formula
- phenyl
- alkyl
- optional
- Prior art date
- Legal status (The legal status is an assumption and is not a legal conclusion. Google has not performed a legal analysis and makes no representation as to the accuracy of the status listed.)
- Pending
Links
Classifications
-
- C—CHEMISTRY; METALLURGY
- C07—ORGANIC CHEMISTRY
- C07D—HETEROCYCLIC COMPOUNDS
- C07D207/00—Heterocyclic compounds containing five-membered rings not condensed with other rings, with one nitrogen atom as the only ring hetero atom
- C07D207/02—Heterocyclic compounds containing five-membered rings not condensed with other rings, with one nitrogen atom as the only ring hetero atom with only hydrogen or carbon atoms directly attached to the ring nitrogen atom
- C07D207/30—Heterocyclic compounds containing five-membered rings not condensed with other rings, with one nitrogen atom as the only ring hetero atom with only hydrogen or carbon atoms directly attached to the ring nitrogen atom having two double bonds between ring members or between ring members and non-ring members
- C07D207/34—Heterocyclic compounds containing five-membered rings not condensed with other rings, with one nitrogen atom as the only ring hetero atom with only hydrogen or carbon atoms directly attached to the ring nitrogen atom having two double bonds between ring members or between ring members and non-ring members with hetero atoms or with carbon atoms having three bonds to hetero atoms with at the most one bond to halogen, e.g. ester or nitrile radicals, directly attached to ring carbon atoms
-
- A—HUMAN NECESSITIES
- A61—MEDICAL OR VETERINARY SCIENCE; HYGIENE
- A61K—PREPARATIONS FOR MEDICAL, DENTAL OR TOILETRY PURPOSES
- A61K31/00—Medicinal preparations containing organic active ingredients
- A61K31/33—Heterocyclic compounds
- A61K31/395—Heterocyclic compounds having nitrogen as a ring hetero atom, e.g. guanethidine or rifamycins
- A61K31/40—Heterocyclic compounds having nitrogen as a ring hetero atom, e.g. guanethidine or rifamycins having five-membered rings with one nitrogen as the only ring hetero atom, e.g. sulpiride, succinimide, tolmetin, buflomedil
-
- A—HUMAN NECESSITIES
- A61—MEDICAL OR VETERINARY SCIENCE; HYGIENE
- A61P—SPECIFIC THERAPEUTIC ACTIVITY OF CHEMICAL COMPOUNDS OR MEDICINAL PREPARATIONS
- A61P19/00—Drugs for skeletal disorders
- A61P19/08—Drugs for skeletal disorders for bone diseases, e.g. rachitism, Paget's disease
- A61P19/10—Drugs for skeletal disorders for bone diseases, e.g. rachitism, Paget's disease for osteoporosis
-
- A—HUMAN NECESSITIES
- A61—MEDICAL OR VETERINARY SCIENCE; HYGIENE
- A61P—SPECIFIC THERAPEUTIC ACTIVITY OF CHEMICAL COMPOUNDS OR MEDICINAL PREPARATIONS
- A61P25/00—Drugs for disorders of the nervous system
- A61P25/28—Drugs for disorders of the nervous system for treating neurodegenerative disorders of the central nervous system, e.g. nootropic agents, cognition enhancers, drugs for treating Alzheimer's disease or other forms of dementia
-
- A—HUMAN NECESSITIES
- A61—MEDICAL OR VETERINARY SCIENCE; HYGIENE
- A61P—SPECIFIC THERAPEUTIC ACTIVITY OF CHEMICAL COMPOUNDS OR MEDICINAL PREPARATIONS
- A61P3/00—Drugs for disorders of the metabolism
-
- A—HUMAN NECESSITIES
- A61—MEDICAL OR VETERINARY SCIENCE; HYGIENE
- A61P—SPECIFIC THERAPEUTIC ACTIVITY OF CHEMICAL COMPOUNDS OR MEDICINAL PREPARATIONS
- A61P3/00—Drugs for disorders of the metabolism
- A61P3/06—Antihyperlipidemics
-
- A—HUMAN NECESSITIES
- A61—MEDICAL OR VETERINARY SCIENCE; HYGIENE
- A61P—SPECIFIC THERAPEUTIC ACTIVITY OF CHEMICAL COMPOUNDS OR MEDICINAL PREPARATIONS
- A61P3/00—Drugs for disorders of the metabolism
- A61P3/08—Drugs for disorders of the metabolism for glucose homeostasis
- A61P3/10—Drugs for disorders of the metabolism for glucose homeostasis for hyperglycaemia, e.g. antidiabetics
-
- A—HUMAN NECESSITIES
- A61—MEDICAL OR VETERINARY SCIENCE; HYGIENE
- A61P—SPECIFIC THERAPEUTIC ACTIVITY OF CHEMICAL COMPOUNDS OR MEDICINAL PREPARATIONS
- A61P43/00—Drugs for specific purposes, not provided for in groups A61P1/00-A61P41/00
-
- A—HUMAN NECESSITIES
- A61—MEDICAL OR VETERINARY SCIENCE; HYGIENE
- A61P—SPECIFIC THERAPEUTIC ACTIVITY OF CHEMICAL COMPOUNDS OR MEDICINAL PREPARATIONS
- A61P9/00—Drugs for disorders of the cardiovascular system
-
- A—HUMAN NECESSITIES
- A61—MEDICAL OR VETERINARY SCIENCE; HYGIENE
- A61P—SPECIFIC THERAPEUTIC ACTIVITY OF CHEMICAL COMPOUNDS OR MEDICINAL PREPARATIONS
- A61P9/00—Drugs for disorders of the cardiovascular system
- A61P9/10—Drugs for disorders of the cardiovascular system for treating ischaemic or atherosclerotic diseases, e.g. antianginal drugs, coronary vasodilators, drugs for myocardial infarction, retinopathy, cerebrovascula insufficiency, renal arteriosclerosis
-
- A—HUMAN NECESSITIES
- A61—MEDICAL OR VETERINARY SCIENCE; HYGIENE
- A61P—SPECIFIC THERAPEUTIC ACTIVITY OF CHEMICAL COMPOUNDS OR MEDICINAL PREPARATIONS
- A61P9/00—Drugs for disorders of the cardiovascular system
- A61P9/12—Antihypertensives
-
- C—CHEMISTRY; METALLURGY
- C07—ORGANIC CHEMISTRY
- C07C—ACYCLIC OR CARBOCYCLIC COMPOUNDS
- C07C69/00—Esters of carboxylic acids; Esters of carbonic or haloformic acids
- C07C69/66—Esters of carboxylic acids having esterified carboxylic groups bound to acyclic carbon atoms and having any of the groups OH, O—metal, —CHO, keto, ether, acyloxy, groups, groups, or in the acid moiety
- C07C69/67—Esters of carboxylic acids having esterified carboxylic groups bound to acyclic carbon atoms and having any of the groups OH, O—metal, —CHO, keto, ether, acyloxy, groups, groups, or in the acid moiety of saturated acids
- C07C69/716—Esters of keto-carboxylic acids or aldehydo-carboxylic acids
-
- C—CHEMISTRY; METALLURGY
- C07—ORGANIC CHEMISTRY
- C07C—ACYCLIC OR CARBOCYCLIC COMPOUNDS
- C07C69/00—Esters of carboxylic acids; Esters of carbonic or haloformic acids
- C07C69/66—Esters of carboxylic acids having esterified carboxylic groups bound to acyclic carbon atoms and having any of the groups OH, O—metal, —CHO, keto, ether, acyloxy, groups, groups, or in the acid moiety
- C07C69/73—Esters of carboxylic acids having esterified carboxylic groups bound to acyclic carbon atoms and having any of the groups OH, O—metal, —CHO, keto, ether, acyloxy, groups, groups, or in the acid moiety of unsaturated acids
- C07C69/738—Esters of keto-carboxylic acids or aldehydo-carboxylic acids
-
- C—CHEMISTRY; METALLURGY
- C07—ORGANIC CHEMISTRY
- C07D—HETEROCYCLIC COMPOUNDS
- C07D401/00—Heterocyclic compounds containing two or more hetero rings, having nitrogen atoms as the only ring hetero atoms, at least one ring being a six-membered ring with only one nitrogen atom
- C07D401/02—Heterocyclic compounds containing two or more hetero rings, having nitrogen atoms as the only ring hetero atoms, at least one ring being a six-membered ring with only one nitrogen atom containing two hetero rings
- C07D401/12—Heterocyclic compounds containing two or more hetero rings, having nitrogen atoms as the only ring hetero atoms, at least one ring being a six-membered ring with only one nitrogen atom containing two hetero rings linked by a chain containing hetero atoms as chain links
-
- C—CHEMISTRY; METALLURGY
- C07—ORGANIC CHEMISTRY
- C07D—HETEROCYCLIC COMPOUNDS
- C07D403/00—Heterocyclic compounds containing two or more hetero rings, having nitrogen atoms as the only ring hetero atoms, not provided for by group C07D401/00
- C07D403/02—Heterocyclic compounds containing two or more hetero rings, having nitrogen atoms as the only ring hetero atoms, not provided for by group C07D401/00 containing two hetero rings
- C07D403/04—Heterocyclic compounds containing two or more hetero rings, having nitrogen atoms as the only ring hetero atoms, not provided for by group C07D401/00 containing two hetero rings directly linked by a ring-member-to-ring-member bond
-
- C—CHEMISTRY; METALLURGY
- C07—ORGANIC CHEMISTRY
- C07D—HETEROCYCLIC COMPOUNDS
- C07D405/00—Heterocyclic compounds containing both one or more hetero rings having oxygen atoms as the only ring hetero atoms, and one or more rings having nitrogen as the only ring hetero atom
- C07D405/02—Heterocyclic compounds containing both one or more hetero rings having oxygen atoms as the only ring hetero atoms, and one or more rings having nitrogen as the only ring hetero atom containing two hetero rings
- C07D405/06—Heterocyclic compounds containing both one or more hetero rings having oxygen atoms as the only ring hetero atoms, and one or more rings having nitrogen as the only ring hetero atom containing two hetero rings linked by a carbon chain containing only aliphatic carbon atoms
-
- C—CHEMISTRY; METALLURGY
- C07—ORGANIC CHEMISTRY
- C07D—HETEROCYCLIC COMPOUNDS
- C07D405/00—Heterocyclic compounds containing both one or more hetero rings having oxygen atoms as the only ring hetero atoms, and one or more rings having nitrogen as the only ring hetero atom
- C07D405/14—Heterocyclic compounds containing both one or more hetero rings having oxygen atoms as the only ring hetero atoms, and one or more rings having nitrogen as the only ring hetero atom containing three or more hetero rings
-
- C—CHEMISTRY; METALLURGY
- C07—ORGANIC CHEMISTRY
- C07D—HETEROCYCLIC COMPOUNDS
- C07D413/00—Heterocyclic compounds containing two or more hetero rings, at least one ring having nitrogen and oxygen atoms as the only ring hetero atoms
- C07D413/02—Heterocyclic compounds containing two or more hetero rings, at least one ring having nitrogen and oxygen atoms as the only ring hetero atoms containing two hetero rings
- C07D413/04—Heterocyclic compounds containing two or more hetero rings, at least one ring having nitrogen and oxygen atoms as the only ring hetero atoms containing two hetero rings directly linked by a ring-member-to-ring-member bond
Landscapes
- Chemical & Material Sciences (AREA)
- Organic Chemistry (AREA)
- Health & Medical Sciences (AREA)
- General Health & Medical Sciences (AREA)
- Bioinformatics & Cheminformatics (AREA)
- Engineering & Computer Science (AREA)
- Veterinary Medicine (AREA)
- Medicinal Chemistry (AREA)
- Public Health (AREA)
- Pharmacology & Pharmacy (AREA)
- Life Sciences & Earth Sciences (AREA)
- Animal Behavior & Ethology (AREA)
- General Chemical & Material Sciences (AREA)
- Nuclear Medicine, Radiotherapy & Molecular Imaging (AREA)
- Chemical Kinetics & Catalysis (AREA)
- Diabetes (AREA)
- Obesity (AREA)
- Cardiology (AREA)
- Heart & Thoracic Surgery (AREA)
- Physical Education & Sports Medicine (AREA)
- Hematology (AREA)
- Neurosurgery (AREA)
- Orthopedic Medicine & Surgery (AREA)
- Epidemiology (AREA)
- Biomedical Technology (AREA)
- Rheumatology (AREA)
- Neurology (AREA)
- Hospice & Palliative Care (AREA)
- Psychiatry (AREA)
- Endocrinology (AREA)
- Emergency Medicine (AREA)
- Urology & Nephrology (AREA)
- Vascular Medicine (AREA)
- Pharmaceuticals Containing Other Organic And Inorganic Compounds (AREA)
- Pyrrole Compounds (AREA)
- Plural Heterocyclic Compounds (AREA)
- Acyclic And Carbocyclic Compounds In Medicinal Compositions (AREA)
Abstract
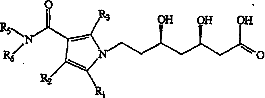
本发明涉及通式(I)的取代的吡咯衍生物,其可用作3-羟基-3-甲基戊二酰基-辅酶A(HMG-CoA)还原酶抑制剂。这里所揭示的化合物可用作降胆固醇药,并可用来治疗胆固醇相关的疾病和症状。提供制备所揭示的化合物的方法,以及含有所揭示化合物的药物组合物,并提供了治疗胆固醇相关疾病和相关症状的方法。其药学上可接受的盐、药学上可接受的溶剂化物、药物前体、代谢产物、多形体、互变异构体、外消旋体、纯对映异构体、非对映异构体或N-氧化物。
Description
技术领域
本发明涉及取代的吡咯衍生物,其可用作3-羟基-3-甲基戊二酰基-辅酶A(HMG-CoA)还原酶抑制剂。
这里所揭示的化合物可用作降胆固醇药,并可用来治疗胆固醇相关的疾病和症状。提供制备所揭示的化合物的方法,以及含有所揭示化合物的药物组合物,并提供了治疗胆固醇相关疾病和相关症状的方法。
背景技术
心血管疾病及其相关的疾病、功能障碍和并发症是引起残疾和死亡的主要原因。对此病理生理过程有着突出影响的一个特殊因素是动脉粥样硬化,其通常被认为是最主要的医疗保护问题,无论是在死亡率还是在医保费用方面。
动脉粥样硬化的特征在于脂肪物质主要是胆固醇的沉积,导致斑块在动脉血管壁的内表面形成,以及动脉血管的退化变质。
目前已经确定心血管障碍包括心肌梗塞、冠心病、高血压和低血压,脑血管障碍包括中风、脑血栓和由中风引起的失忆;周围血管疾病和小肠梗塞由动脉和微动脉的粥状硬化斑的堵塞所引起。粥状硬化斑的形成在其产生上是多因素的。高胆固醇血症,特别是低密度脂蛋白胆固醇(LDL)含量的升高是引起动脉粥样硬化和动脉硬化以及相关疾病的重要风险因素。
HMG-CoA还原酶抑制剂(他汀类药物)已用在降低LDL胆固醇的血含量中。胆固醇经甲瓦龙酸路径产生。减少胆固醇的前体甲瓦龙酸的形成,导致减少肝胆固醇生物合成,结果使细胞胆固醇存量减少。
授予Warner-Lambert的美国专利第4681893号中揭示了某种反-6-[2-(3-,或4-甲酰氨基(carbaoxamido)-取代的吡咯-1-基)烷基]-4-羟基吡喃-2-酮和相应的衍生自它们的开环羟基酸,包括反(±)-5-(4-氟苯基)-2-(1-甲基乙基)-N,4-二苯基-1-[2-四氢-4-羟基-6-氧代-2H-吡喃-2-基]乙基]-1H-吡咯-3-甲酰胺,其是一种重要的催化胆固醇细胞内合成的辅酶3-羟基-3-甲基戊二酰基-辅酶A还原酶(HMG-CoA)的抑制剂。
授予Warner Lambert的美国专利第5273995号中涉及由开环酸反-5-(4-氟苯基)-2-(1-甲基乙基-N,4-二苯基-1-[2-四氢-4-羟基-6-氧代-2H-吡喃-2-基]乙基)-1H-吡咯-3-甲酰胺的开环酸的光学纯(R,R)形式,即[R-(R*,R*)]-2-(4-氟苯基)-β,δ-二羟基-5-(1-甲基乙基)-3-苯基-4-[(苯基氨基)羰基]-1H-吡咯-1-庚酸及其药学上可接受的盐,特别是钙盐,其已用于治疗高胆固醇血症的钙盐(Atorvastatin、Lipitor@)。
美国专利第5、385、929号中揭示了某些美国专利第5、273、995号中所描述的化合物的苯基羟基衍生物,并且这些苯基羟基衍生物作为胆固醇生物合成的抑制剂也是活性的。
发明内容
本发明涉及可用作3-羟基-3-甲基戊二酰基-辅酶A(HMG-CoA)还原酶抑制剂的取代的吡咯衍生物,以及合成这些化合物的方法。这些化合物对于在胆固醇生物合成路径的关键速率限制步骤中抑制HMG-CoA还原酶是有用的。因此,这些化合物作为治疗高胆固醇血症和高脂血症的药物。
还提供了具有同类活性的这些化合物的药学上可接受的盐、药学上可接受的溶剂化物、互变异构体、外消旋体、多形体、纯对映异构体、非对映异构体、代谢产物、药物前体或N-氧化物。
还提供了含有此类化合物的药物组合物,该组合物还可含有药物学上可接受的载体或稀释剂,该组合物可用来治疗胆固醇相关疾病或相关症状。
本发明的其它方面将在随后说明书中进行阐述,并且这一部分说明书中是显而易见,并可从本发明的实施方式中得到理解。
依据另一方面,提供一种用于治疗患有胆固醇相关疾病、糖尿病及其相关疾病、脑血管疾病、心血管疾病的哺乳动物的方法,其包括向哺乳动物给予治疗上有效量的这里所揭示的化合物。
本发明的化合物可用来治疗动脉硬化、动脉粥样硬化、高胆固醇血症、高脂血症、高脂蛋白血症、高甘油三酸酯血症、高血压、中风、局部缺血、、内皮功能障碍、外周血管疾病、周边动脉疾病、冠心病、心肌梗塞、脑梗塞、心肌微血管疾病、痴呆、阿尔茨海默病、骨质疏松症和/或骨量减少症、心绞痛或再狭窄(resterosis)。
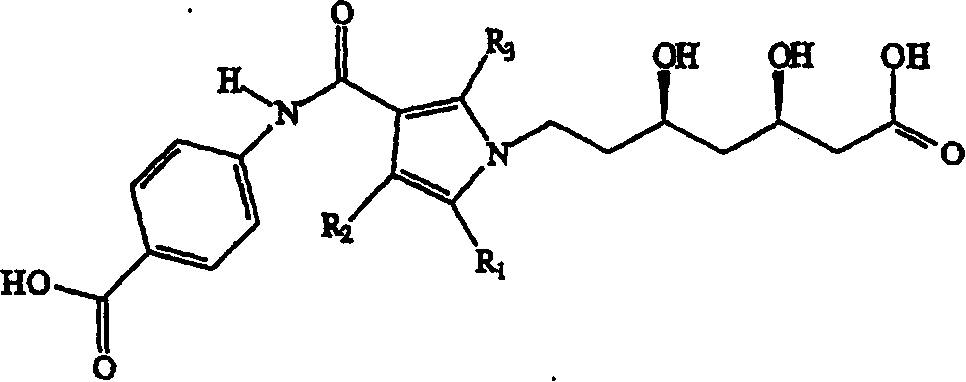
依据一方面,提供一种结构为通式I的化合物、
通式I
其药学上可接受的盐、药学上可接受的溶剂化物、药物前体、代谢产物、多形体、互变异构体、外消旋体、纯对映异构体、非对映异构体或N-氧化物,其中
R1为C1-C6、C3-C6或可任选取代的苯基(最多有三个取代基,独立选自卤素、C1-C6烷基、氰基或C1-C3全氟烷基);
R2为可任选取代的苯基(最多有三个取代基,独立选自氰基、乙酰基、或任选取代的氨基,其中任选取代的氨基最多有两个氨基取代基,独立选自C1-C6烷基、C3-C6环烷基、乙酰基或氨磺酰);
R3为可任选取代的C1-C6烷基或C3-C6环烷基(其中取代基独立选自卤素、羟基、C1-C3烷氧基和被保护的羟基);
R3也可为-NR8R9,其中R8和R9是任选取代的C1-C6烷基(其中,任选的一个或多个取代基选自卤素、羟基、C1-C3烷氧基和被保护的羟基);
R4为
其中,R5和R6各自独立为氢、C1-C6烷基、或C3-C6环烷基、任选取代的芳基或芳烷基,其中取代基选自卤素、氰基、任选取代的C1-C6烷基(其中最多2个取代基,独立选自羟基、被保护的羟基和一个或多个卤素)、任选取代的氨基(其中最多两个取代基,独立选自SO2R7、COR7、CONHR7,其中R7是C1-C6烷基或芳基)、或乙酰基、三氟甲基、或C1-C6烷氧基羰基,或者R5和R6一起形成带有一个或多个独立选自氮、氧和硫的任选杂原子的5-7元环,
或者R4也可为具有一个或多个杂原子的任选取代的单环、二环或三环杂环,其中所述一个或多个杂原子独立选自氧、氮和硫,任选的取代基独立选自卤素、羟基、被保护的羟基、C1-C3烷氧基、氰基、C1-C3全氟烷基、C1-C6烷基或C3-C6环烷基、芳基或任选取代的芳烷基,其中取代基独立选自卤素、羟基、被保护的羟基、C1-C3烷氧基、氰基、或C1-C3全氟烷基,
以及通式I的化合物的药物学上可接受的盐、互变异构体、外消旋体、纯对映异构体或非对映异构体,以及溶剂化物,
前提是,只有当(1)R5或R6是C3-C6环烷基或被乙酰基、烷基、环烷基、羟基烷基、烷基亚磺酰氨基、乙酰氨基取代的苯基,或者(2)当R5和R6一起形成带有或不带有一个或多个选自氮、氧和硫的杂原子的5-7元环,或者(3)当R5或R6是任选被卤素、氰基、C1-C6烷基、C1-C6卤代烷基取代的芳烷基,或者(4)当R4是任选的有一个或多个杂原子的单环、二环或三环杂环(其中,任选的取代基独立选自卤素、羟基、被保护的羟基、C1-C3烷氧基、氰基、C1-C3全氟烷基、C1-C6烷基或C3-C6环烷基、芳基或任选取代的芳烷基(其中芳烷基的取代基独立选自卤素、羟基、被保护的羟基、C1-C3烷氧基、氰基、C1-C3全氟烷基))时,R2是苯基。
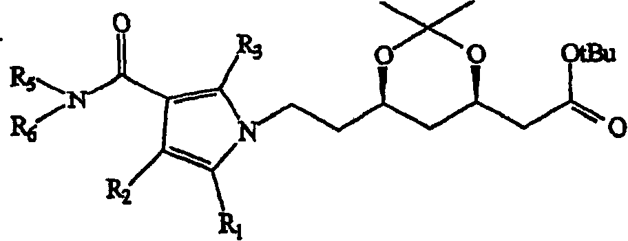
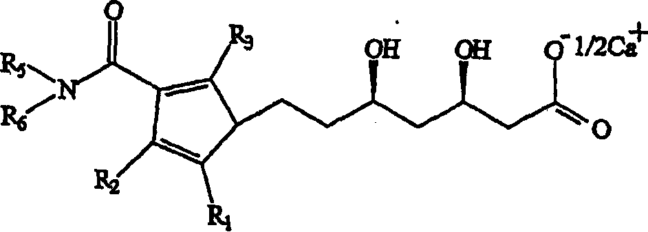
依据另一方面,提供一种结构为通式Ib的化合物、
通式Ib
其药学上可接受的盐、药学上可接受的溶剂化物、互变异构体、外消旋体、多形体、纯对映异构体、非对映异构体、代谢产物、药物前体或N-氧化物,其中
R1为C1-C6烷基、C3-C6环烷基或可任选取代的苯基(其中一个或多个取代基选自卤素、C1-C6烷基、氰基或C1-C3全氟烷基);
R2为可任选取代的苯基(其中,一个或多个取代基选自氰基、乙酰基、或任选取代的氨基);
R3为可任选取代的C1-C6烷基或C3-C6环烷基(其中一个或多个取代基选自卤素、羟基、C1-C3烷氧基和被保护的羟基);R3也可为-NR6R7,其中R6和R7是任选取代的C1-C6烷基(其中,任选的一个或多个取代基选自卤素、羟基、C1-C3烷氧基和被保护的羟基);
R4为乙酰基、C1-C2烷氧基羰基、任选取代的C1-C6烷基(其中,取代基是羟基或被保护的羟基)、NHR8[其中,R8选自烷基、芳烷基、SO2R9、COR9或CONHR9、CSNHR9(其中,R9为C1-C6烷基、芳基或芳烷基)];R4也可为-COR10(其中,R10选自羟基和-NR11R12(其中R11和R12独立选自氢、烷基、芳基、C3-C7环烷基、杂环基、芳烷基和R11和R12一起形成带有一个或多个任选的杂原子的5-7元环,其中一个或多个杂原子独立选自氮、氧和硫);
R5为氢、C1-C6烷基、或C3-C6环烷基、任选取代的芳基或芳烷基,[其中取代基选自卤素、氰基、任选取代的C1-C6烷基(其中取代基独立选自羟基、被保护的羟基和一个或多个卤素)、任选取代的氨基、乙酰基、三氟甲基和C1-C6烷氧基羰基。
在本发明的另一实施方式中,提供结构为通式Ib的化合物、
通式Ib
其药学上可接受的盐、药学上可接受的溶剂化物、互变异构体、外消旋体、多形体、纯对映异构体、非对映异构体、代谢产物、药物前体或N-氧化物,其中
R1、R2、R3和R5如前所定义。
R4可为NHR8[其中R8选自芳烷基、CONHR9(其中R9是芳烷基);CSNHR9(其中R9是C1-C6烷基、芳基或芳烷基];-COR10(其中R10选自羟基和-NR11R12(其中R11 and R12独立选自氢、烷基、芳基、C3-C7环烷基、芳烷基和R11和R12一起形成有一个或多个任选杂原子的5-7元环,其中一个或多个杂原子独立选自氮、氧和硫);
在本发明的另一实施方式中,提供结构为通式Ib的化合物、
通式Ib
其药学上可接受的盐、药学上可接受的溶剂化物、互变异构体、外消旋体、多形体、纯对映异构体、非对映异构体、代谢产物、药物前体或N-氧化物,其中
R1、R2、R3和R5分别为4-氟苯基、苯基、异丙基和氢;R4为C1-C2烷氧基羰基、任选取代的C1-C6烷基(其中取代基是羟基或被保护的羟基)、NHR8[其中R8选自SO2R9、COR9或CONHR9(其中R9是甲基或苯基)]。
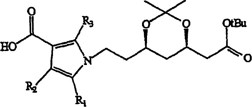
依据另一方面,提供结构为通式XIX的中间体,
通式XIX
其中R2是任选取代的苯基(其中一个或多个取代基选自氰基、乙酰基和任选取代的氨基;R3为任选取代的C1-C6烷基或C3-C6环烷基(其中一个或多个取代基卤素、羟基、C1-C3烷氧基、和被保护的羟基);R3也可为-NR6R7,其中R6和R7是任选取代的C1-C6烷基(其中任选的一个或多个取代基选自卤素、羟基、C1-C3烷氧基和被保护的羟基)。
依据第三方面,提供结构为通式XX的中间体,
通式XX
其中R1为C1-C6烷基、C3-C6环烷基、或任选取代的苯基(其中一个或多个取代基选自卤素、C1-C6烷基、氰基和C1-C3全氟烷基);
R2为任选取代的苯基(其中一个或多个取代基选自氰基、乙酰基和任选取代的氨基;
R3为任选取代的C1-C6烷基或C3-C6环烷基(其中一个或多个取代基选自卤素、羟基、C1-C3烷氧基和被保护的羟基);R3也可为-NR6R7,其中R6和R7为任选取代的C1-C6烷基(其中任选取代的一个或多个取代基选自卤素、羟基、C1-C3烷氧基和被保护的羟基)。
依据第四方面,提供结构为通式XXI的中间体,
通式XXI
其中R1为C1-C6烷基、C3-C6环烷基、或任选取代的苯基(其中一个或多个取代基选自卤素、C1-C6烷基、氰基和C1-C3全氟烷基);
R2为任选取代的苯基(其中一个或多个取代基选自氰基、乙酰基和任选取代的氨基;
R3为任选取代的C1-C6烷基或C3-C6环烷基(其中一个或多个取代基选自卤素、羟基、C1-C3烷氧基和被保护的羟基);R3也可为-NR6R7,其中R6和R7是任选取代的C1-C6烷基(其中任选的一个或多个取代基选自卤素、羟基、C1-C3烷氧基和被保护的羟基)。
依据第五方面,提供结构为通式XXII的中间体,
通式XXII
其中R1为C1-C6烷基、C3-C6环烷基、或任选取代的苯基(其中一个或多个取代基选自卤素、C1-C6烷基、氰基和C1-C3全氟烷基);
R2为任选取代的苯基(其中一个或多个取代基选自氰基、乙酰基和任选取代的氨基);
R3为可任选取代的C1-C6烷基或C3-C6环烷基(其中一个或多个取代基选自卤素、羟基、C1-C3烷氧基和被保护的羟基);R3也可为-NR6R7,其中R6和R7是任选取代的C1-C6烷基(其中任选的一个或多个取代基选自卤素、羟基、C1-C3烷氧基和被保护的羟基)。
除非有相反指示,文中的术语“烷基”指有1到10个碳原子的直链或支链烃。烷基的实例包括但不限于甲基、乙基、正丙基、异丙基、丁基、辛基等。
烷基可任选被卤素、羟基、被保护的羟基、C1-C3烷氧基、任选取代的氨基和C1-C6烷氧基羰基取代。
除非有相反指示,文中的术语“任选取代的氨基”指NR14R15,其中R14和R15独立选自氢、烷基、芳基、芳烷基、C3-C7环烷基、SO2R16、COR16、CONHR16和CSNHR16(其中R16为C1-C6烷基、芳基或芳烷基)。
文中的术语“被保护的羟基”指R17基团保护的羟基部分,其中R17选自烷基、环烷基、芳烷基、芳基、-(CH2)nOR18(其中R18选自烷基、环烷基、芳烷基、芳基,n表示1至6的整数)、COR19、CSR19、CONHR19和CSNHR19(其中R19选自烷基、芳基、芳烷基和杂环基)。被保护的羟基的实例包括但不限于-OCH3、-OC2H5、-O-正丙基、-O-异丙基、-O-环丙基、-O-CH2OCH3、-O-环戊基、-O-环己基、-O-苄基、-O-氯苄基、-O-甲氧基苄基、-O-苯基、-O-氯苯基、-O-COCH3、-O-COC2H5、-O-CO苄基、-O-CO苯基、-O-CO吡啶基、-O-CONH苯基、-O-CONH吡啶基、-O-CONH-辛基、-O-CSNH苯基等。
文中的术语″芳烷基″指(CH2)n芳基,其中n为1至6的整数。
除非有相反指示,文中的术语“芳基″指有6至14个碳原子的芳族基团。芳基的实例包括但不限于苯基、萘基、蒽基和联苯基等。
文中术语“杂环基”指在芳族或非芳族部分中具有一个或多个杂原子的非芳族、芳族或与非芳族环体系稠合的芳环体系,其中所述的一个或多个杂原子选自氮、硫和氧和包括单环、二环或三环的环体系。杂环的实例包括但不限于苯并噁嗪基、苯并噻嗪基(benzthiazinyl)、苯并咪唑基、苯并呋喃基、咔唑基、吲哚基、二氢吲哚基、噁唑基、吩噁嗪基、吡啶基和吩噻嗪基等。
所述的芳基或杂环基可任选被一个或多个独立选自卤素、羟基、硝基、氰基、烷基、芳基、烷氧基、硫代烷基、环烷氧基、任选取代的氨基所取代。
依据另一方面,提供制备所述化合物的方法。
依据另一方面,提供一种治疗患有胆固醇相关疾病、糖尿病及其相关疾病、脑血管疾病或心血管疾病的哺乳动物的方法,所述方法包括向哺乳动物给予治疗有效量的所述化合物。
本发明的化合物可用来治疗动脉硬化、动脉粥样硬化、高胆固醇血症、高脂血症、高脂蛋白血症、高甘油三酸酯血症、高血压、中风、局部缺血、内皮功能障碍、外周血管疾病、周边动脉疾病、冠心病、心肌梗塞、脑梗塞、心肌微血管疾病、痴呆、阿尔茨海默病、骨质疏松症和/或骨量减少症、心绞痛或再狭窄。
具体实施方式
文中所述的化合物可通过本领域众所周知且一般有机合成化学师所熟悉的技术来制备。另外,本发明的化合物可通过下列描述在方案I、Ia、Ib、II、IIa、III、IIIa和IV中的反应步骤来制备。其它可用来治疗这些疾病的方法以及制备此类化合物的方法揭示在于2003年5月30日提交的、题为“Substituted Pyrrole Derivatives”的美国专利申请序列号10/448770,和题为“Substituted Pyrrole Derivatives”的PCT申请PCT/IB2004/中,其全文通过引用包括于此。
方案I
方案I
通式XII的化合物可依据方案I制备。因此,通式II的化合物与通式III的化合物反应,其中R3、R5和R6如前文所定义,得到通式IV的化合物,通式IV的化合物与通式V的化合物(其中R2如前文所定义)反应,得到通式VI的化合物,通式VI的化合物用通式VII的化合物(其中R1如前文所定义)进行处理,生成通式VIII的化合物,该化合物进一步与通式IX的化合物反应,得到通式X的化合物,该化合物水解得到通式XI的化合物,通式XI的化合物可进一步转化为半钙盐(hemicalcium salt)。
通式II的化合物与通式III的化合物反应生成通式IV的化合物的反应可在非极性溶剂如二甲苯或甲苯中进行。通式II的化合物与通式III的化合物反应可在如三乙胺、吡啶或1,2-乙二胺之类的有机碱存在下进行。通式IV的化合物与通式V的醛反应生成通式VI的化合物的反应可在非极性溶剂中进行,如在己烷、庚烷、二氯甲烷或甲苯或它们的混合物中进行。通式IV的化合物与通式V的醛的反应可在如哌啶、吡啶或β-丙氨酸之类的有机碱和如冰醋酸或苯甲酸之类的有机酸存在下进行。通式VI的化合物与通式VII的醛反应生成通式VIII的化合物的反应可在合适的催化剂如氰化钠、3-乙基-5-(2-羟基乙基)-4-甲基噻唑鎓溴化物(thiazolium bromide)或3-苄基-5-(2-羟基乙基)-4-甲基噻唑鎓氯化物(thiazolium chloride)存在下,在无溶剂的条件下或在醇溶剂如甲醇、乙醇、丙醇或异丙醇中进行。通式VI的化合物与通式VII的醛的反应可在如三乙胺或吡啶之类的有机碱存在下进行。
通式VIII的化合物与通式IX的化合物反应生成通式X的化合物的反应可在非极性溶剂中进行,诸如在二甲苯、甲苯、己烷、庚烷、四氢呋喃或它们以合适的比例混合的混合物中进行。通式VIII的化合物与通式IX的化合物的反应可在如新戊酸或对甲苯磺酸之类的有机酸存在下进行。
通式X的化合物转化为通式XI的化合物可按两步方式进行,包括第一步缩酮的酸催化裂解,然后是叔丁基酯的碱催化水解。酸可为无机酸,诸如盐酸。缩酮的裂解可通过现有技术中已知的任何其它裂解方法进行。碱可为有机碱,诸如氢氧化锂、氢氧化钠或氢氧化钾。
通式XI的化合物可通过本领域技术人员所熟知的步骤转化为相应的半钙盐。通式XI的化合物的半钙盐也可以由通式XI的相应内酯形式通过现有技术中众所周知的步骤来制备。
方案Ia
方案Ia
通式XVII的化合物可依据方案Ia制备。因此,通式XIII的化合物(即,依据方案I制备的通式X,其中R5=/H,
水解生成通式XIV的化合物,该化合物还原生成通式XV的化合物,通式XV的化合物水解得到通式XVI的化合物,通式XVI的化合物可进一步转化为半钙盐。
通式XIII的化合物水解生成通式XIV的化合物的反应可在极性溶剂中进行,如在四氢呋喃、二噁烷、甲醇、乙醇或它们的混合物中进行。通式XIII的化合物的水解反应可在如氢氧化锂、氢氧化钠或氢氧化钾之类的无机碱存在下进行。
通式XIV的化合物还原生成通式XV的化合物的反应可在碘和还原剂存在下进行,还原剂例如在如四氢呋喃、二噁烷或二乙醚之类的有机溶剂中的硼氢化钠或硼烷二甲基硫醚。
通式XV的化合物转化为通式XVI的化合物可分两步进行,包括首先酸催化裂解缩酮,然后是叔丁基酯的碱催化水解。酸可为无机酸,诸如盐酸。缩酮的裂解可通过现有技术中已知的任何其它裂解方法进行。碱可为无机碱,诸如氢氧化锂、氢氧化钠或氢氧化钾。
通式XVI的化合物可通过本领域技术人员所熟知的步骤转化为相应的半钙盐。通式XVI的化合物的半钙盐也可以由通式XVI的相应内酯形式通过现有技术中众所周知的步骤来制备。
方案Ib
方案Ib
通式XIIb的化合物可依据方案Ib制备。因此,通式II的化合物与通式IIIb的化合物反应,其中R3、R4和R5如前文所定义,得到通式IVb的化合物,通式IVb的化合物与通式V的化合物(其中R2如前文所定义)反应,得到通式VIb的化合物,通式VIb的化合物用通式VII的化合物(其中R1如前文所定义)进行处理,生成通式VIIb的化合物,该化合物进一步与通式IX的化合物反应,得到通式Xb的化合物,该化合物水解得到通式XIb的化合物,通式XIb的化合物可进一步转化为半钙盐。
通式II的化合物与通式IIIb的化合物反应生成通式IVb的化合物的反应可在芳族溶剂如二甲苯或甲苯中进行。通式II的化合物与通式IIIb的化合物的反应可在如三乙胺、吡啶或1,2-乙二胺之类的有机碱存在下进行。
通式IVb的化合物与通式V的醛反应生成通式VIb的化合物的反应可在烃类溶剂中进行,如在己烷、庚烷、或二氯甲烷酯之类的卤代溶剂、或甲苯之类的芳族溶剂或它们的混合物中进行。通式IVb的化合物与通式V的醛的反应可在如哌啶、吡啶或β-丙氨酸之类的有机碱和如冰醋酸或苯甲酸之类的有机酸存在下进行。
通式VIb的化合物与通式VII的醛反应生成通式VIIIb的化合物的反应可在合适的催化剂如氰化钠、3-乙基-5-(2-羟基乙基)-4-甲基噻唑鎓溴化物或3-苄基-5-(2-羟基乙基)-4-甲基噻唑鎓氯化物存在下,在无溶剂的条件下或在醇溶剂如甲醇、乙醇、丙醇或异丙醇或如二噁烷或四氢呋喃之类的醚中进行。通式VIb的化合物与通式VII的醛的反应可在如三乙胺或吡啶之类的有机碱存在下进行。
通式VIIIb的化合物与通式IX的化合物反应生成通式Xb的化合物的反应可在溶剂中进行,例如在二甲苯、甲苯、己烷、庚烷、四氢呋喃或它们以合适的比例混合的混合物中进行。通式VIIIb的化合物与通式IX的化合物的反应可在如新戊酸或对甲苯磺酸之类的有机酸存在下进行。
通式Xb的化合物转化为通式XIb的化合物可按两步方式进行,包括第一步缩酮的酸催化裂解,然后是叔丁基酯的碱催化水解。酸可为无机酸,诸如盐酸。缩酮的裂解可通过现有技术中已知的任何其它裂解方法进行。碱可为无机碱,诸如氢氧化锂、氢氧化钠或氢氧化钾。
通式XIb的化合物可通过本领域技术人员所熟知的步骤转化为相应的半钙盐。通式XIb的化合物的半钙盐也可以由通式XIb的相应内酯形式通过现有技术中众所周知的步骤来制备。
方案II
方案II
通式XII的化合物也可依据方案II制备。因此,通式XVII的化合物与通式V的化合物反应,得到通式XIX的化合物(其中R2和R3如前文的方案I所定义),通式XIX的化合物与通式VII的化合物(其中R1如前文所定义)反应,得到通式XX的化合物,通式XX的化合物用通式IX的化合物进行处理,生成通式XXI的化合物,该化合物进行脱苄基反应,得到通式XXII的化合物,通式XXII的化合物
(a)转化为相应的酰氯,随后与通式III的胺反应(路径a),或
(b)与通式III的胺在偶合剂存在下反应(路径b),生成通式X的化合物,该化合物水解生成通式XI的化合物,通式XI的化合物可经本领域内众所周知的步骤进一步转化为通式XI的半钙盐。
通式XVIII的化合物与通式V的醛反应生成通式XIX的化合物的反应可在非极性溶剂中进行,如在二甲苯、甲苯、己烷、庚烷、或二氯甲烷或它们的混合物中进行。通式XVIII的化合物与通式V的化合物的反应可在如三乙胺、吡啶、哌啶、或β-丙氨酸之类的有机碱和如冰醋酸或苯甲酸之类的有机酸存在下进行。
通式XIX的化合物与通式VII的醛反应生成通式XX的化合物的反应可在极性溶剂中极性,如在甲醇、乙醇、丙醇或异丙醇之类的醇溶剂中进行。通式XIX的化合物与通式VII的醛的反应可在如三乙胺或吡啶之类的有机碱存在下进行。通式XIX的化合物与通式VII的醛反应生成通式XX的化合物的反应可在如氰化钠、3-乙基-5-(2-羟基乙基)-4-甲基噻唑鎓溴化物或3-苄基-5-(2-羟基乙基)-4-甲基噻唑鎓氯化物之类的催化剂存在下进行。
通式XX的化合物与通式IX的胺反应生成通式XXI的化合物的反应可在如新戊酸或对甲苯磺酸之类的有机酸存在下、在如己烷、庚烷、甲苯或四氢呋喃之类的非极性溶剂中进行。
通式XXI的化合物脱苄基化生成通式XXII的化合物的反应可在如钯/碳之类的催化剂和氢存在下、在如甲醇、乙醇、丙醇或二噁烷之类的极性溶剂中进行。
通式XXII的化合物转化为相应的酰氯的反应(路径a)可通过用合适的氯化剂如草酰氯在苯、二氯甲烷、四氢呋喃、甲苯或二甲苯之类的非极性溶剂中进行,然后在非极性溶剂如苯中、在如三乙胺或吡啶之类的有机碱存在下与通式III的胺反应生成通式X的化合物。
通式XXII的化合物与通式III的胺反应生成通式X的化合物的反应可在偶联剂存在下(路径b)、在极性溶剂如二甲基甲酰胺和有机碱如二异丙基乙基胺中进行,其中偶联剂例如O-苯并三唑-1-基-N,N,N′,N′-四甲基脲鎓六氟磷酸盐(HBTU)、双(2-氧代-3-噁唑烷基)膦(BOP)、1,3-二环己基碳二亚胺(DCC)、2-(1H-苯并三唑-1-基)-1,1,3,3-四甲基脲鎓四氟硼酸盐(TBTU)、苯并三唑-1-基-氧-三-吡咯烷-磷鎓六氟磷酸盐(PyBOP)或碳酰二咪唑(CDI)。
通式X的化合物转化为通式XI的化合物可按两步方式进行,包括第一步缩酮的酸催化裂解,然后是叔丁基酯的碱催化水解。酸可为无机酸,诸如盐酸。缩酮的裂解可通过现有技术中已知的任何其它裂解方法进行。碱可为无机碱,诸如氢氧化锂、氢氧化钠或氢氧化钾。
通式XI的化合物可通过本领域技术人员所熟知的步骤转化为相应的半钙盐。通式XI的化合物的半钙盐也可以由通式XI的相应内酯形式通过现有技术中众所周知的步骤来制备。
方案IIa
方案IIa
通式XVIa的化合物可依据方案IIa制备。因此,通式XIIIa的化合物(即,按方案I制备的,通式Xa,其中R5=H,R4=-COOCH3)水解生成通式XIVa的化合物,通式XIVa的化合物进一步水解得到通式XVa的化合物,该化合物进一步转化为二钠盐。
通式XIIIa的化合物转化为通式XVa的化合物可按两步方式进行,包括第一步缩酮的酸催化裂解,然后是甲基和叔丁基酯的碱催化水解。酸可为无机酸,诸如盐酸。缩酮的裂解可通过现有技术中已知的任何其它裂解方法进行。碱可为无机碱,诸如氢氧化锂、氢氧化钠或氢氧化钾。
通式XVa的化合物可通过本领域一般技术人员所熟知的步骤转化为相应的二钠盐。
方案III
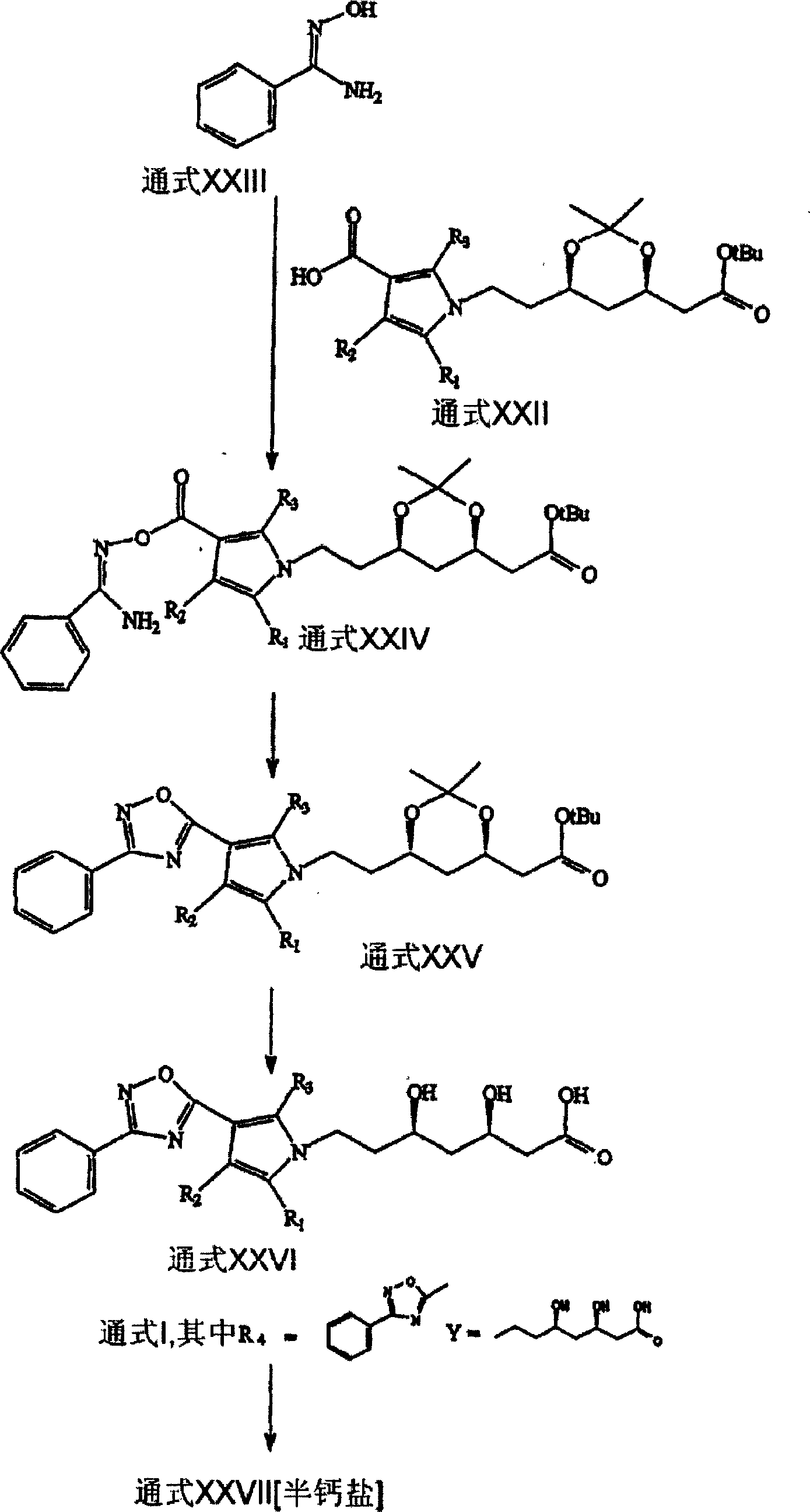
方案III
通式XXVII的化合物可依据方案III制备。通式XXIII的偕氨肟(根据J.Med.Chem.,
45:944(2002)and J.Med.Chem.,
29:2174(1986)中所描述的方法制得)与通式XXII的化合物(按通式II的步骤制备)偶联生成通式XXIV的化合物,该化合物在二甘醇二甲醚中发生成环反应,得到通式XXV的化合物,通式XXV的化合物水解生成通式XXVI,该化合物可进一步转化为它的半钙盐。
通式XXIII的化合物与通式XXII的化合物偶联的反应在N,N’-碳酰二咪唑存在下、在如四氢呋喃、二噁烷或乙醚之类有机溶剂中进行。
通式XXIV的化合物的成环反应可在二甘醇二甲醚中进行,生成通式XXV的化合物。
通式XXV的化合物转化为通式XXVI的化合物可按两步方式进行,包括第一步缩酮的酸催化裂解,然后是叔丁基酯的碱催化水解。酸可为无机酸,诸如盐酸。缩酮的裂解可通过现有技术中已知的任何其它裂解方法进行。碱可为无机碱,诸如氢氧化锂、氢氧化钠或氢氧化钾。
通式XXVI的化合物可通过本领域技术人员所熟知的步骤转化为相应的半钙盐。通式XXVI的化合物的半钙盐也可以由通式XXVI的相应内酯形式通过现有技术中众所周知的步骤来制备。
方案IIIa
方案IIIa
通式XIIa的化合物也可依据方案IIIa制备。因此,通式XVIII的化合物与通式V的化合物反应,得到通式XIX的化合物(其中R2和R3如前文定义),通式XIX的化合物与通式VII的化合物(其中R1如前文所定义)反应,得到通式XX的化合物,通式XX的化合物用通式IX的化合物进行处理,生成通式XXI的化合物,该化合物进行脱苄基反应,得到通式XXII的化合物,通式XXII的化合物
(a)转化为相应的酰氯,随后与通式IIIa的胺反应(路径a),或
(b)与通式IIIa的胺在偶合剂存在下反应(路径b),生成通式Xa的化合物,该化合物水解生成通式XIa的化合物,通式XIa的化合物可经本领域内众所周知的步骤进一步转化为通式XIa的半钙盐。
通式XVIII的化合物与通式V的醛反应生成通式XIX的化合物的反应可在烃类溶剂中进行,如在己烷、庚烷、或二氯甲烷之类的卤代溶剂、或甲苯或二甲苯之类的芳族溶剂、或它们的混合物中进行。通式XVIII的化合物与通式V的化合物的反应可在如三乙胺、吡啶、哌啶、或β-丙氨酸之类的有机碱和如冰醋酸或苯甲酸之类的有机酸存在下进行。
通式XIX的化合物与通式VII的醛反应生成通式XX的化合物的反应可在极性溶剂中极性,如在甲醇、乙醇、丙醇或异丙醇之类的醇溶剂中进行。通式XIX的化合物与通式VII的醛的反应可在如三乙胺或吡啶之类的有机碱存在下进行。通式XIX的化合物与通式VII的醛反应生成通式XX的化合物的反应可在如氰化钠、3-乙基-5-(2-羟基乙基)-4-甲基噻唑鎓溴化物或3-苄基-5-(2-羟基乙基)-4-甲基噻唑鎓氯化物之类的催化剂存在下进行。
通式XX的化合物与通式IX的胺反应生成通式XXI的化合物的反应可在如新戊酸和对甲苯磺酸之类的有机酸存在下、在如己烷、庚烷、甲苯或四氢呋喃之类的非极性溶剂中进行。
通式XXI的化合物脱苄基化生成通式XXI的化合物的反应可在如钯/碳之类的催化剂和氢存在下、在如甲醇、乙醇、丙醇之类的醇溶剂或如二噁烷之类的醚溶剂等极性溶剂中进行。
通式XXII的化合物转化为相应的酰氯的反应(路径a)可通过用合适的氯化剂如草酰氯或亚硫酰氯在如苯、甲苯或二甲苯之类的芳族溶剂或如二氯甲烷之类的卤代溶剂、或如四氢呋喃之类的醚中进行,然后在非极性溶剂如苯中、在如三乙胺或吡啶之类的有机碱存在下与通式IIIa的胺反应生成通式Xa的化合物。
通式XXII的化合物与通式IIIa的胺反应生成通式Xa的化合物的反应可在偶联剂存在下(路径b)、在极性溶剂如二甲基甲酰胺和有机碱如二异丙基乙基胺中进行,其中偶联剂例如O-苯并三唑-1-基-N,N,N′,N′-四甲基脲鎓六氟磷酸盐(HBTU)、双(2-氧代-3-噁唑烷基)膦(BOP)、1,3-二环己基碳二亚胺(DCC)、2-(1H-苯并三唑-1-基)-1,1,3,3-四甲基脲鎓四氟硼酸盐(TBTU)、苯并三唑-1-基-氧-三-吡咯烷-磷鎓六氟磷酸盐(PyBOP)或碳酰二咪唑(CDI)。
通式Xa的化合物转化为通式XIa的化合物可按两步方式进行,包括第一步缩酮的酸催化裂解,然后是叔丁基酯的碱催化水解。酸可为无机酸,诸如盐酸。缩酮的裂解可通过现有技术中已知的任何其它裂解方法进行。碱可为无机碱,诸如氢氧化锂、氢氧化钠或氢氧化钾。
通式XIa的化合物可通过本领域技术人员所熟知的步骤转化为相应的半钙盐。
通式XIa的化合物的半钙盐也可以由通式XIa的相应内酯形式通过现有技术中众所周知的步骤来制备。
方案IV
方案IV
通式XXXI的化合物可依据方案IV制备。因此,用氨处理通式XXII的化合物的酰氯,得到通式XXVIII的化合物,该化合物与N,N-二甲基苯甲酰胺二甲基缩酮缩合,然后在用水合肼处理,得到通式XXIX的化合物。该化合物水解生成通式XXX的化合物,通式XXX的化合物进一步转化为它的半钙盐。
通式XXII的化合物生成通式XXVIII的化合物的反应可在如草酰氯或亚硫酰氯之类的氯化剂存在下进行,然后与氨反应。
通式XXVIII的化合物与N,N-二甲基苯甲酰胺二甲基乙缩醛发生缩合反应后,再用水合肼进行处理,得到通式XXIX的化合物。
通式XXIX的化合物转化为通式XXX的化合物的反应可按两步方式进行,包括第一步缩酮的酸催化裂解,然后是叔丁基酯的碱催化水解。酸可为无机酸,诸如盐酸。缩酮的裂解可通过现有技术中已知的任何其它裂解方法进行。碱可为无机碱,诸如氢氧化锂、氢氧化钠或氢氧化钾。
通式XXX的化合物可通过本领域一般技术人员所熟知的步骤转化为相应的半钙盐。通式XXX的化合物的半钙盐也可以由通式XXX的相应内酯形式通过现有技术中众所周知的步骤来制备。
在上述方案中,提及具体的试剂,诸如具体的碱、还原剂、溶剂等,应理解其它的本领域技术人员所知的碱、还原剂、溶剂等也可以采用。相似的,可依据需要调节反应的温度和时间。
文中所述的具体化合物如下所列(也显示在表I中):
(3R,5R)-7-[2-(4-氟苯基)-5-异丙基-3-苯基-4-[(2-乙酰基苯基氨基)羰基]-吡咯-1-基]-3,5-二羟基庚酸(化合物1)
(3R,5R)-7-[2-(4-氟苯基)-5-异丙基-3-苯基-4-[(3-乙酰基苯基氨基)羰基]-吡咯-1-基]-3,5-二羟基庚酸(化合物2)
(3R,5R)-7-[2-(4-氟苯基)-5-异丙基-3-苯基-4-[(4-乙酰基苯基氨基)羰基]-吡咯-1-基]-3,5-二羟基庚酸(化合物3)
(3R,5R)-7-[2-(4-氟苯基)-5-异丙基-3-苯基-4-[(2,4-二甲基苯基氨基)羰基]-吡咯-1-基]-3,5-二羟基庚酸(化合物4)
(3R,5R)-7-[2-(4-氟苯基)-5-异丙基-3-苯基-4-[(环己基氨基)羰基]]-吡咯-1-基]-3,5-二羟基庚酸(化合物5)
(3R,5R)-7-[2-(4-氟苯基)-5-异丙基-3-苯基-4-[(4-三氟甲基苄基氨基)羰基]]-吡咯-1-基]-3,5-二羟基庚酸(化合物6)
(3R,5R)-7-[2-(4-氟苯基)-5-异丙基-3-苯基-4-(吗啉-4-羰基)-吡咯-1-基]-3,5-二羟基庚酸(化合物7)
(3R,5R)-7-[2-(4-氟苯基)-5-异丙基-3-苯基-4-(哌啶-1-羰基)-吡咯-1-基]-3,5-二羟基庚酸(化合物8)
(3R,5R)-7-[2-(4-氟苯基)-5-异丙基-3-苯基-4-[(4-羟基甲基苯基氨基)羰基]-吡咯-1-基]-3,5-二羟基庚酸(化合物11)
(3R,5R)-7-[2-(4-氟苯基)-5-异丙基-3-苯基-4-[(4-甲磺酰基氨基苯基氨基)羰基]-吡咯-1-基]-3,5-二羟基庚酸(化合物12)
(3R,5R)-7-[2-(4-氟苯基)-5-异丙基-3-苯基-4-[(4-乙酰基氨基苯基氨基)羰基]-吡咯-1-基]-3,5-二羟基庚酸(化合物13)
(3R,5R)-7-[2-(4-氟苯基)-5-异丙基-3-(4-氰基苯基)-4-[(苯基氨基)羰基]]-吡咯-1-基]-3,5-二羟基庚酸(化合物14)(3R,5R)-7-[2-(4-氟苯基)-5-异丙基-3-苯基-4-[4-羧基苯基)氨基)羰基]-吡咯-1-基]-3,5-二羟基庚酸(化合物1a)
(3R,5R)-7-[2-(4-氟苯基)-5-异丙基-3-苯基-4-[4-乙酰氧基甲基苯基]氨基]羰基]-吡咯-1-基]-3,5-二羟基庚酸(化合物2a)
(3R,5R)-7-[2-(4-氟苯基)-5-异丙基-3-苯基-4-[4-苯基氨基硫代氨甲酰基氧甲基苯基]氨基]羰基]-吡咯-1-基]-3,5-二羟基庚酸(化合物3a)
(3R,5R)-7-[2-(4-氟苯基)-5-异丙基-3-苯基-4-[4-丙酰基氧甲基苯基]氨基]羰基]-吡咯-1-基]-3,5-二羟基庚酸(化合物4a)
(3R,5R)-7-[2-(4-氟苯基)-5-异丙基-3-苯基-4-[4-辛基氨基甲酰基氧甲基苯基)氨基)羰基]-吡咯-1-基]-3,5-二羟基庚酸(化合物5a)
(3R,5R)-7-[2-(4-氟苯基)-5-异丙基-3-苯基-4-[(4-苯基乙酰氧基甲基苯基)氨基]羰基]-吡咯-1-基]-3,5-二羟基庚酸(化合物6a)
(3R,5R)-7-[2-(4-氟苯基)-5-异丙基-3-苯基-4-[4-苯基氨基甲酰基氧甲基苯基)氨基)羰基]-吡咯-1-基]-3,5-二羟基庚酸(化合物7a)
(3R,5R)-7-[2-(4-氟苯基)-5-异丙基-3-苯基-4-[4-苯甲酰氧甲基苯基]氨基]羰基]-吡咯-1-基]-3,5-二羟基-庚酸(化合物8a),
(3R,5R)-7-[2-(4-氟苯基)-5-异丙基-3-苯基-4-[4-异烟酰基氧甲基苯基]氨基]羰基]-吡咯-1-基]-3,5-二羟基庚酸(化合物9a),
(3R,5R)-7-[2-(4-氟苯基)-5-异丙基-3-苯基-4-[4-吡啶-4-基氨基甲酰基氧甲基苯基]氨基]羰基]-吡咯-1-基]-3,5-二羟基庚酸(化合物10a),
(3R,5R)-7-[2-(4-氟苯基)-5-异丙基-3-苯基-4-[4-苯基氨基甲酰基苯基]氨基]羰基]-吡咯-1-基]-3,5-二羟基庚酸(化合物11a),
(3R,5R)-7-[2-(4-氟苯基)-5-异丙基-3-苯基-4-[4-环己基氨基甲酰基苯基]氨基]羰基]-吡咯-1-基]-3,5-二羟基庚酸(化合物12a),
(3R,5R)-7-[2-(4-氟苯基)-5-异丙基-3-苯基-4-[4-甲基氨基甲酰基]苯基]氨基]羰基]-吡咯-1-基]-3,5-二羟基庚酸(化合物13a),
(3R,5R)-7-[2-(4-氟苯基)-5-异丙基-3-苯基-4-[4-苄基氨基甲酰基]苯基]氨基]羰基]-吡咯-1-基]-3,5-二羟基庚酸(化合物14a),
(3R,5R)-7-[2-(4-氟苯基)-5-异丙基-3-苯基-4-[4-(吗啉-4-羰基)-苯基]氨基]羰基]-吡咯-1-基]-3,5-二羟基庚酸(化合物15),
(3R,5R)-7-[2-(4-氟苯基)-5-异丙基-3-苯基-4-[4-(哌啶-1-羰基)-苯基]氨基]羰基]-吡咯-1-基]-3,5-二羟基庚酸(化合物16),
(3R,5R)-7-[2-(4-氟苯基)-5-异丙基-3-苯基-4-[4-苄基氨基苯基]氨基]羰基]-吡咯-1-基]-3,5-二羟基庚酸(化合物17),
(3R,5R)-7-[2-(4-氟苯基)-5-异丙基-3-苯基-4-[4-(1-羟基乙基)苯基氨基]羰基]-吡咯-1-基]-3,5-二羟基庚酸(化合物18),
(3R,5R)-7-[2-(4-氟苯基)-5-异丙基-3-苯基-4-[4-(2-羟基乙基)苯基氨基]羰基]-吡咯-1-基]-3,5-二羟基庚酸(化合物19),
(3R,5R)-7-[2-(4-氟苯基)-5-异丙基-3-苯基-4-[4-(3-羟基丙基苯基氨基)羰基]-吡咯-1-基]-3,5-二羟基庚酸(化合物20),
(3R,5R)-7-[2-(4-氟苯基)-5-异丙基-3-苯基-4-[(4-甲氧基甲基苯基氨基)羰基]-吡咯-1-基]-3,5-二羟基庚酸(化合物21),
(3R,5R)-7-[2-(4-氟苯基)-5-异丙基-3-苯基-4-[(4-乙氧基甲基苯基氨基)羰基]-吡咯-1-基]-3,5-二羟基庚酸(化合物22),
(3R,5R)-7-[2-(4-氟苯基)-5-异丙基-3-苯基-4-[(4-异丙氧基甲基苯基氨基)羰基]-吡咯-1-基]-3,5-二羟基庚酸(化合物23),
(3R,5R)-7-[2-(4-氟苯基)-5-异丙基-3-苯基-4-[(4-丙氧基甲基苯基氨基)羰基]-吡咯-1-基]-3,5-二羟基庚酸(化合物24),
(3R,5R)-7-[2-(4-氟苯基)-5-异丙基-3-苯基-4-[(4-甲氧基甲氧基甲基苯基氨基)羰基]-吡咯-1-基]-3,5-二羟基庚酸(化合物25),
(3R,5R)-7-[2-(4-氟苯基)-5-异丙基-3-苯基-4-[(4-环己氧基甲基苯基氨基)羰基]-吡咯-1-基]-3,5-二羟基庚酸(化合物26),
(3R,5R)-7-[2-(4-氟苯基)-5-异丙基-3-苯基-4-[(4-环戊氧基甲基苯基氨基)羰基]-吡咯-1-基]-3,5-二羟基庚酸(化合物27),
(3R,5R)-7-[2-(4-氟苯基)-5-异丙基-3-苯基-4-[(4-苄氧基甲基苯基氨基)羰基]-吡咯-1-基]-3,5-二羟基庚酸(化合物28),
(3R,5R)-7-[2-(4-氟苯基)-5-异丙基-3-苯基-4-[(4-氯苄氧基甲基苯基氨基)羰基]-吡咯-1-基]-3,5-二羟基庚酸(化合物29),
(3R,5R)-7-[2-(4-氟苯基)-5-异丙基-3-苯基-4-[(4-甲氧基苄氧基甲基苯基氨基)羰基]-吡咯-1-基]-3,5-二羟基庚酸(化合物30),
(3R,5R)-7-[2-(4-氟苯基)-5-异丙基-3-苯基-4-[(4-苯氧基甲基苯基氨基)羰基]-吡咯-1-基]-3,5-二羟基庚酸(化合物31),
(3R,5R)-7-[2-(4-氟苯基)-5-异丙基-3-苯基-4-[(4-氯苯氧基甲基苯基氨基)羰基]-吡咯-1-基]-3,5-二羟基庚酸(化合物32),
(3R,5R)-7-[2-(4-氟苯基)-5-异丙基-3-苯基-4-[(4-乙酰基氨基苯基氨基)羰基]-吡咯-1-基]-3,5-二羟基庚酸(化合物33),
(3R,5R)-7-[2-(4-氟苯基)-5-异丙基-3-苯基-4-[(4-苯甲酰基氨基苯基氨基)羰基]-吡咯-1-基]-3,5-二羟基庚酸(化合物34),
(3R,5R)-7-[2-(4-氟苯基)-5-异丙基-3-苯基-4-[(4-苯磺酰基氨基苯基氨基)羰基]-吡咯-1-基]-3,5-二羟基庚酸(化合物36),
(3R,5R)-7-[2-(4-氟苯基)-5-异丙基-3-苯基-4-[4-(3-苯基-脲基)-苯基氨基]羰基]-吡咯-1-基]-3,5-二羟基庚酸(化合物37),
(3R,5R)-7-[2-(4-氟苯基)-5-异丙基-3-苯基-4-[4-(3-甲基-脲基)-苯基氨基]羰基]-吡咯-1-基]-3,5-二羟基庚酸(化合物38),
(3R,5R)-7-[2-(4-氟苯基)-5-异丙基-3-苯基-4-[4-(3-苄基1-脲基)-苯基氨基]羰基]-吡咯-1-基]-3,5-二羟基庚酸(化合物39),
(3R,5R)-7-[2-(4-氟苯基)-5-异丙基-3-苯基-4-[4-(3-苄基-硫脲基)-苯基氨基]羰基]-吡咯-1-基]-3,5-二羟基庚酸(化合物40),
(3R,5R)-7-[2-(4-氟苯基)-5-异丙基-3-苯基-4-[4-(3-苯基-硫脲基)-苯基氨基]羰基]-吡咯-1-基]-3,5-二羟基庚酸(化合物41),
(3R,5R)-7-[2-(4-氟苯基)-5-异丙基-3-苯基-4-[4-(3-甲基-硫脲基)-苯基氨基]羰基]-吡咯-1-基]-3,5-二羟基庚酸(化合物42),
和它们的药学上可接受的盐、药学上可接受的溶剂化物、互变异构体、外消旋体、多形体、纯对映异构体、非对映异构体、代谢产物、药物前体或N-氧化物。
可通过方案III和IV制备的化合物如下所列(也显示在表I中):
(3R,5R)-7-[2-(4-氟苯基)-5-异丙基-3-苯基-4-(3-苯基-[1,2,4]噁二唑-5-基)-吡咯-1-基]-3,5-二羟基庚酸(化合物9)
(3R,5R)-7-[2-(4-氟苯基)-5-异丙基-3-苯基-4-(5-苯基-2H-[1,2,4]三唑-3-基)-吡咯-1-基]-3,5-二羟基庚酸(化合物10)
在表I和Ia中,除非有相反指示,R4是所指示的结构。
表I
| 化合物 | R1 | R2 | R3 | R4 | R5 | R6 |
| 1 | 4-氟苯基 | 苯基 | 异丙基 | - | 氢 | 2-乙酰基苯基 |
| 2 | 4-氟苯基 | 苯基 | 异丙基 | - | 氢 | 3-乙酰基苯基 |
| 3 | 4-氟苯基 | 苯基 | 异丙基 | - | 氢 | 4-乙酰基苯基 |
| 4 | 4-氟苯基 | 苯基 | 异丙基 | - | 氢 | 2,4-二甲基苯基 |
| 5 | 4-氟苯基 | 苯基 | 异丙基 | - | 氢 | 环己基 |
| 6 | 4-氟苯基 | 苯基 | 异丙基 | - | 氢 | 4-三氟甲基苄基 |
| 7 | 4-氟苯基 | 苯基 | 异丙基 | - | -(CH2)2O-(CH2)2- | |
| 8 | 4-氟苯基 | 苯基 | 异丙基 | - | -(CH2)5 | |
| 9* | 4-氟苯基 | 苯基 | 异丙基 | 1,2,4-噁二嗪基苯基 | -- | |
| 10* | 4-氟苯基 | 苯基 | 异丙基 | 1,2,4-三唑基苯基 | -- | |
| 11 | 4-氟苯基 | 苯基 | 异丙基 | - | 氢 | 4-(羟甲基)苯基 |
| 12 | 4-氟苯基 | 苯基 | 异丙基 | - | 氢 | 4-(甲基亚磺酰氨基)苯基 |
| 13 | 4-氟苯基 | 苯基 | 异丙基 | - | 氢 | 4-(乙酰氨基)苯基 |
| 14 | 4-氟苯基 | 4-氰基苯基 | 异丙基 | - | 氢 | 苯基 |
*假设的实施例
表Ia
通式I
其中
R1=4-氟苯基,R2=苯基,R3=异丙基,R5=氢
| 化合物 | R4 |
| 1a | COOH |
| 2a | 乙酰氧基甲基 |
| 3a | 苯基硫代氨甲酰氧甲基 |
| 4a | 丙酰氧甲基 |
| 5a | 辛基氨基甲酰氧甲基 |
| 6a | 苯基乙酰氧甲基 |
| 7a | 苯基氨基甲酰氧甲基 |
| 8a | 苯甲酰氧甲基 |
| 9a | 异烟酰氧甲基 |
| 10a | 吡啶-4-基氨基甲酰氧甲基 |
| 11a | 苯基氨基甲酰氧基 |
| 12a | 环己基氨基甲酰氧基 |
| 13a | 甲基氨基甲酰氧基 |
| 14 | 苄基氨基甲酰基 |
| 15 | 吗啉-4-羰基 |
| 16 | 哌啶-1羰基 |
| 17 | 苄氨基 |
| 18 | (1-羟基乙基) |
| 19 | (2-羟基乙基) |
| 20 | (3-羟基丙基) |
| 21 | 甲氧基甲基 |
| 22 | 乙氧基甲基 |
| 23 | 异丙氧基甲基 |
| 24 | 丙氧基甲基 |
| 25 | 甲氧基甲氧基甲基 |
| 26 | 环己氧基甲基 |
| 27 | 环戊氧基甲基 |
| 28 | 苄氧基甲基 |
| 化合物 | R4 |
| 29 | 4-氯苄氧基甲基 |
| 30 | 4-甲氧基苄氧基甲基 |
| 31 | 苯氧基甲基 |
| 32 | 4-氯苯氧基甲基 |
| 33 | 乙酰基氨基 |
| 34 | 苄氧基氨基 |
| 36 | 苯磺酰基氨基 |
| 37 | 3-苯基-脲基 |
| 38 | 3-甲基-脲基 |
| 39 | 3-苯基-脲基 |
| 40 | 3-苄基-硫脲基 |
| 41 | 3-苯基-硫脲基 |
| 42 | 3-甲基-硫脲基 |
术语“药学上可接受的”指经联邦管理机构或州政府同意的、或美国药典或其它的已普遍得到认同的药典所列的,用于动物或更特别地用在人体中的。
术语“药学上可接受的盐”指由药学上可接受的一价、二价或三价无毒金属或有机碱制得的盐。此类金属盐的实例包括但不限于锂、钠、钾、钙、镁、锌、铝等。此类有机碱包括但不限于氨基酸、氨、一烷基铵、二烷基铵、三烷基铵和N-甲基葡萄胺等。如果需要的话,本发明化合物的游离酸形式可由盐形式制备,通过将盐与酸的稀水溶液如盐酸接触来制备。碱加成盐与本发明化合物的游离酸形式在如溶解度和熔点等物理性质方面不同。
术语“药学上可接受的溶剂化物”指用水作溶剂的溶剂化物(即水合物)或用药学上可接受的溶剂作为溶剂的溶剂化物,例如,用乙醇等作为溶剂的溶剂化物。此类溶剂化物也包括在公开文本的范围内。
此外,文中所述的化合物的一些晶体形式可作为多形体存在,并且也旨在包括在公开文本的范围内。
本发明在其范围内也包括这些试剂的药物前体。一般来说,此类药物前体是这些化合物的官能衍生物,它们易于在体内转化为所需的化合物。选择和制备合适的药物前体衍生物的一般步骤描述在例如“design ofprodrugs″,ed.H Bundgaard and,Elsevier,1985中。
本发明还包括在进入生物体系后变得有活性的代谢产物。
本发明的化合物具有两个手性中心,因此,它们它们可以作为对映异构体和非对映异构体存在。应理解所有的这些同分异构体和外消旋混合物因为都应该被包括在本发明的范围内。较佳地,本发明期望只具有3R和4R构型的化合物。
文中所述的化合物的晶体或无定形形式可以多形体存在,并且旨在包括在本发明的范围内。
药物组合物包括文中所揭示的化合物、其药学上可接受的盐、药学上可接受的溶剂化物或多形体,文中还揭示了药学上可接受的载体或赋形剂。
这里所述的组合物,无论是含有一种所述化合物还是含有两种或多种化合物的组合物,都适合口服或肠胃外给药。组合物可进行调配以立即见效或持续释放治疗用化合物。这里所述的化合物可单独供给,但是通式通常是与合适的药物学上可接受的载体混合供给。术语“药物学上可接受的载体”旨在包括任何类型的无毒的、惰性固体、半固体、滤液、稀释、胶囊材料或配方添加剂。
用于口服的固体形式的制品可包括胶囊、药片、药丸、药粉、药粒或药栓剂。对于固体形式的制品,活性化合物与至少一种惰性的、药物学上可接受的赋形剂或载体相混合,例如柠檬酸钠、磷酸二钙和/或填充剂和或补充剂,诸如如淀粉、乳糖、蔗糖、葡萄糖、甘露醇或硅酸;粘合剂,例如羧甲基纤维素、藻酸盐、明胶、聚乙烯吡咯烷酮、蔗糖或阿拉伯树胶;分解剂,例如琼脂-琼脂、碳酸钙、马铃薯淀粉、藻酸(aliginic acid)、某些硅酸盐或碳酸钠;加速吸收剂,例如季铵化合物;润湿剂,例如,十六烷醇、丙三醇或单硬脂酸盐吸附剂,例如高岭土(Kaolin);润滑剂,例如,滑石、硬脂酸钙、硬脂酸镁、固体聚乙二醇或十二烷基硫酸钠,以及它们的混合物。
若为胶囊、药片和药丸,药剂形式也可包括缓冲剂。
药片、胶囊、药丸或药粒的固体制备可通过涂敷和/或成壳来完成,例如,肠衣涂敷或其它药物配方领域众所周知的涂敷方法。
用于口服的液体制品包括药物学上可接受的乳液、溶液、悬浮液、糖浆和酏剂。对于液体形式的制品,活性化合物可与水或其它溶剂、增溶剂和乳化剂混合,例如,乙醇、异丙醇、碳酸乙酯、乙酸乙酯、苯甲醇、苯甲酸苄酯、丙二醇、1,3-丁二醇、二甲基甲酰胺、油(例如,棉籽油、花生油、麦芽油、肝油、蓖麻(caster)油和芝麻(sesamine)油、丙三醇和失水山梨糖的脂肪酸酯和它们的混合物。
除惰性稀释剂外,口服的组合物还包括助剂,例如,润湿剂、乳化剂、悬浮剂、甜味剂、调味剂和香料。
这里所述的配方可根据本领域中众所周知的步骤进行调配,以使在对患者给药后,能够提供快速、持久或缓慢释放活性物质的效果。这里所述的术语“患者”指人或非人的哺乳动物,其是治疗、观察和实验的客体。
药物制品可以为小剂量形式,而在此形式下,制品被分成含有合适量的活性化合物的单位剂量。
对治疗特定的失调或病症有很大的影响的所述化合物的使用量可通过标准的临床技术来决定。另外,也可任选采用体外或体内的分析来帮助确认最佳的剂量范围。
以下实施例示范了用于制备具体的典型化合物的常规合成步骤。所提供的实施例用来阐述公开文本中的具体方面,并不限制权利要求所限定的本发明的范围。
实施例
常规步骤
方案I和Ib
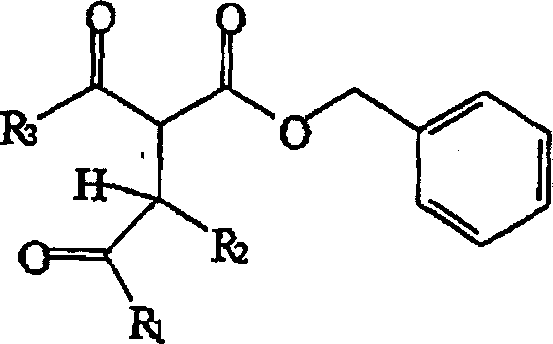
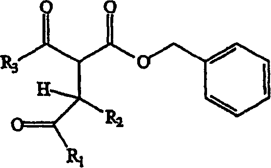
步骤1:β-酮酰胺-1(通式IV和IVb)的制备
β-酮酯(通式II,1当量)、胺(通式III,1当量)1,2-乙二胺(0.01当量)在二甲苯中共沸回流除去水。此反应完成后,蒸发溶剂并对剩余物进行柱纯化(硅胶;100-200目)。通式IVb的化合物可以类似的方式制备。根据上述常规步骤,制得下列中间体:
4-甲基-3-氧代-戊酸(3-乙酰基苯基)酰胺
1H NMR(CDCl3):δ1.19(d,J=6.9Hz,6H),2.61(s,3H),2.75(sep,J=6.9Hz,1H),3.64(s,2H),7.43(t,J=7.8Hz,1H),7.71(d,J=7.8Hz,1H),7.87(d,J=8.1Hz,1H),8.08(s,1H),9.44(brs,1H);MS(正离子形式):m/z 248[M+1];产率:49%
4-甲基-3-氧代-戊酸(4-乙酰基苯基)酰胺
1H NMR(CDCl3):δ1.19(d,J=6Hz,6H),2.58(s,3H),2.75(sep,J=6Hz,1H),3.65(s,2H),7.67(d,J=6Hz,2H),7.95(d,J=6Hz,2H),9.60(s,1H),MS(正离子形式):m/z248[M+1];产率54%
4-甲基-3-氧代-戊酸(2,4-二甲基苯基)酰胺
1H NMR(CDCl3):δ1.18(d,J=6Hz,6H),2.29(s,6H),2.73(Sep,J=6Hz,1H),3.64(s,2H),7.00(s,2H),7.76(d,J=6Hz,1H),9.11(brs,1H);MS(正离子形式):m/z 234[M+1]产率72%
4-甲基-3-氧代-戊酸4-三氟甲基苄基酰胺
1H NMR(CDCl3):δ1.14(d,J=6Hz,6H),2.70(sept,J=6Hz,1H),3.53(s,2H),4.53(d,J=6Hz,2H),7.40(d,J=6Hz,2H),7.59(d,J=6Hz,2H);MS(正离子形式):m/z 287
4-甲基-1-哌啶-1-基-戊烷-1,3-二酮
1H NMR(CDCl3,300MHz):δ1.14(d,J=6Hz,6H),1.57-1.65(m,6H),2.76(brs,1H),3.20-3.75(m,6H);
4-甲基-3-氧代-戊酸苯基酰胺
步骤2:β-酮酰胺-2(通式VI和VIb)的制备
向己烷溶剂中的β-酮酰胺-1(通式IV,1当量)中加入β-丙氨酸(0.18当量)、醛(通式V,1.1当量)和冰醋酸(β-酮酰胺-1,0.16%w/w)。将所得的悬浮液在共沸回流下加热除去水。反应混合物冷却,过滤分离产物。用热己烷、水清洗沉淀来纯化产物,将产物在真空下干燥,得到β-酮酰胺-2。通式VIb的化合物可以类似的方式制备。根据上述常规步骤,制得下列中间体:
2-亚苄基(benzylidine)-4-甲基-3-氧代-戊酸(3-乙酰基苯基)酰胺;异构体-1
1HNMR(CDCl3):δ1.1(d,J=6.9Hz,6H),2.50-2.70(m,4H),7.28-7.52(m,6H),7.73(d,J=7.2Hz,1H),7.93(d,J=8.1Hz,1H),8.19(d,J=9.9Hz,2H),9.23(s,1H);MS(正离子形式):m/z336[M+1];产率:13%
2-亚苄基-4-甲基-3-氧代-戊酸(3-乙酰基苯基)酰胺;异构体-2
1H NMR(CDCl3):δ1.24(d,J=9Hz,6H),2.60(s,3H),3.39(sep,J=6Hz,1H),7.33-7.98(m,11H);MS(正离子形式):m/z 336[M+1];产率:32%
2-亚苄基-4-甲基-3-氧代-戊酸(4-乙酰基苯基)酰胺
1H NMR(CDCl3):δ1.23(d,J=6.6Hz,6H),2.58(s,3H),3.37(Sep,J=6.6Hz,1H),7.27-7.42(m,3H),7.49-7.73(m,5H),7.95(d,J=8.7Hz,2H);MS(正离子形式):m/z 336[M+1]产率48%
2-亚苄基-4-甲基-3-氧代-戊酸(2,4-二甲基苯基)酰胺
1H NMR(CDCl3):δ1.23(d,J=6Hz,6H),1.99(s,1H),2.29(s,1H),3.38(Sep,J=6Hz,1H),6.97(s,1H),7.04(d,J=6Hz,1H),7.30(s,1H),7.35-7.45(m,3H),7.53-7.72(m,7H)MS(正离子形式):m/z 323[M+1];产率50%
2-亚苄基-4-甲基-3-氧代-戊酸4-三氟甲基苄基酰胺
1H NMR(CDCl3,300MHz):δ1.19(d,J=6.9Hz,6H),3.30(sept,J=6.9Hz,1H),6.16(brs,1H),7.26-7.60(m,10H)
2-亚苄基-4-甲基-1-哌啶-1-基-戊烷-1,3-二酮
1H NMR(CDCl3,300MHz):δ0.88-0.97(m,2H),1.15-1.35(m,8H),1.43-1.62(m,4H),3.13-3.30(m,3H),3.61(brs,1H),3.78(brs,1H),7.38(brs,3H),7.54(brs,3H);MS(正离子形式):m/z 286(M++1)
2-(4-氰基亚苄基)-4-甲基-3-氧代-戊酸苯基酰胺
1H NMR(CDCl3):δ1.23(d,J=6Hz,6H),3.34(Sep,J=6Hz,1H),7.18(t,J=6Hz,1H),7.36(t,J=6Hz,2H),7.48(d,J=6Hz,2H),7.57(s,1H),7.65(s,4H),7.81(s,1H);MS(正离子形式):m/z 319[M+1];产率:67%
步骤3:二酮(通式VIII和通式VIIIb)的制备
将β-酮酰胺-2(通式VI,1当量)、醛(通式VII,1.1当量)、三乙胺(1当量)乙醇和3-乙基-5-(2-羟基乙基)-4-甲基噻唑鎓溴化物(0.2当量)置于一个管形瓶中。用N2吹洗瓶内组分,立即将瓶封盖,并加热到78℃。在此反应完成后,反应物冷却,并与乙酸乙酯一起研制成粉末。有机层用6N盐酸、水进行清洗,用无水硫酸钠干燥,在旋转蒸发仪中浓缩,剩余物用色谱柱(硅胶,100-200目)进行纯化)。通式VIIIb的化合物可以用类似的方法制备。根据上述常规步骤,制得下列中间体:
2-[2-(氟苯基)-2-氧代-1-苯基-乙基]-4-甲基-3-氧代-戊酸(3-乙酰基苯基)酰胺
1H NMR(CDCl3):δ1.15(d,J=6Hz,3H),1.20(d,J=6Hz,3H),2.58(s,3H),2.99(sep,J=6Hz,1H),4.61(d,J=12Hz,1H),5.38(d,J=12Hz,1H),7.05(t,J=9Hz,2H),7.15-7.44(m,6H),7.54-7.72(m,4H),7.94-8.05(m,2H);MS(正离子形式):m/z 460[M+1];产率:55%
2-2-(4-氟苯基)-2-氧代-1-苯基乙基]-4-甲基-3-氧代-戊酸(4-乙酰基苯基)酰胺
1H NMR(CDCl3):δ1.16 d,J=6.9Hz,3H),1.23(d,J=6.9Hz,3H),2.55(s,3H),2.99(Sep,J=6.6Hz,1H),4.56(d,J=10.5Hz,1H),5.35(d,J=10.8Hz,1H),7.04(t,J=8.7Hz,3H),7.18-7.37(brm,6H),7.48(s,1H),7.86(d,J=8.4Hz,2H),7.87-8.03(m,2H);MS(正离子形式):m/z 460[M+1];产率64%
2-[2-(4-氟苯基)-2-氧代-1-苯基乙基]-4-甲基-3-氧代-戊酸(2,4-二甲基苯基)酰胺
1H NMR(DMSO-d6):δ0.99(d,J=6.6Hz,3H),1.19(d,J=6.9Hz,3H),1.67(s,3H),2.18(s,3H),3.00(Sep,J=6.9Hz,1H),4.94(d,J=11.1Hz,1H),5.36(d,s=10.8Hz,1H),6.68(d,J=8.1Hz,1H),6.82-6.93(m,2H),7.17-7.45(m,7H),
8.08-8.24(m,2H),9.60(brs,1H)MS(正离子形式):m/z 446[M+1];产率66%
2-[2-(4-氟苯基)-2-氧代-1-苯基-乙基]-4-甲基-3-氧代-戊酸4-三氟甲基苄基酰胺
1H NMR(CDCl3,300MHz):δ1.10(d,J=6.6Hz,3H),1.16(d,J=7.2Hz,3H),2.88(sept,J=6.9Hz,1H),4.15(dd,J=15 & 4.8Hz,1H),4.40(dd,J=15.9 & 6.6Hz,1H),4.46(d,J=11.1Hz,1H),5.32(d,J=10.8Hz,1H),5.80(brs,1H),6.89(d,J=7.8Hz,2H),6.97(t,J=8.4Hz,H),7.45(d,J=7.5Hz,2H),7.94-7.98(m,2H);MS(正离子形式):m/z 500(M++1}
1-(4-氟苯基)-5-甲基-2-戊基-3-(哌啶-1-羰基-己烷-1,4-二酮
1H NMR(CDCl3,300MHz):δ1.05(d,J=6.9Hz,3H),1.19(d,J=7.1Hz,4H),1.45(brs,5H),2.62(sept,J=6.8Hz,1H),2.95-3.15(m,1H),3.20-3.40(m,2H),3.45-3.60(m,1H),4.99(d,J=10.5Hz,1H),5.34(d,J=10.6Hz,1H),7.03(t,J=8.5Hz,2H),7.24(brs,5H),7.97-8.07(m,2H);MS(正离子形式):m/z493(M++1)
2-[1-(4-氰基苯基)-2-(4-氟苯基)-2-氧代-乙基]-4-甲基-3-氧代-戊酸苯基酰胺
MS(正离子形式):m/z 443[M+1]
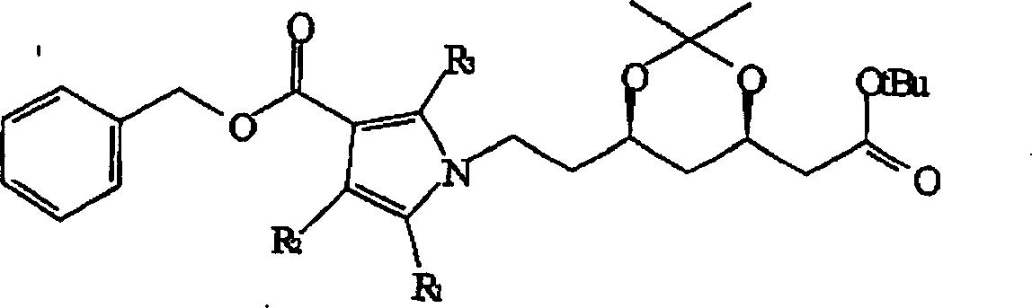
步骤4:吡咯(通式X和Xb)的制备
在庚烷∶甲苯∶四氢呋喃为4∶1∶1的溶剂中的二酮(通式VIII,1当量)、胺(通式IX,1.00当量)和新戊酸(1.03当量)的混合物进行回流,并使用Dean Stark除水器除去水。在此反应完成后,除去溶剂,将剩余物溶解在乙酸乙酯中。有机层用饱和碳酸氢钠溶液、水进行清洗,用无水硫酸钠干燥,在旋转蒸发仪中浓缩,剩余物用色谱柱(硅胶,100-200目)进行纯化)。通式Xb的化合物可以用类似的方法制备。根据上述常规步骤,制得下列中间体:
(6-{2-[3(3-乙酰基苯基氨基甲酰基)-5-(4-氟苯基)-2-异丙基-4-苯基-吡咯-1-基]-乙基)-2,2-二甲基-[1,3]二噁烷-4-基)-乙酸叔丁酯
1H NMR(CDCl3):δ1.30(s,3H),1.36(s,3H),1.43(s,9H),1.53(d,J=6Hz,6H),1.67(brs,2H),2.20-2.43(m,2H),2.52(s,3H),3.52-3.75(m,2H),3.76-3.88(m,1H),4.00-4.22(m,2H),6.85-7.05(m,3H),7.10-7.51(m,10H),7.58(d,J=9Hz,1H);MS(正离子形式):m/z 697[M+1];产率:23%
(6-{2-[3-(4-乙酰基苯基氨基甲酰基)-5-(4-氟苯基)-2-异丙基-4-苯基-吡咯-1-基]-乙基}-2,2-二甲基-[1,3]二噁烷-4-基)-乙酸叔丁酯
1H NMR(CDCl3):δ1.31(s,3H),1.38(s,3H),1.44(s,9H),1.53(d,J=9Hz,6H),1.66(brs,2H),2.22-2.49(m,2H),2.54(s,3H),3.49-3.75(m,2H),4.00-4.25(m,2H),7.01(t,J=6Hz,2H),7.06-7.26(m,10H),7.81(d,J=9Hz,zH);MS(正离子形式):m/z 698[M+1];产率:14%
(6-{2-[3-(2,4-二甲基苯基氨基甲酰基)-5-(4-氟苯基)-2-异丙基-4-苯基-吡咯-1-基]-乙基}-2,2-二甲基-[1,3]二噁烷-4-基-乙酸叔丁酯
1H NMR(CDCl3):δ1.30(s,3H),1.36(s,3H),1.43(s,9H),1.52(d,s=6Hz,6H),1.65-1.76(m,2H),2.18-2.32(m,4H),2.33-2.47(m,1H),3.48(Sep,J=6Hz,1H),3.63-3.90(m,2H),4.0-4.25m,2H),6.72(s,1H),6.81(s,1H),6.99(t,S=6Hz,3H),7.07-7.25(m,7H),7.88(d,J=6Hz,1H);MS(正离子形式):m/z 684[M+1];产率21%
(6-{2-[2-(4-氟苯基)-5-异丙基-3-苯基-4-(4-三氟甲基苄基氨基甲酰基)-吡咯-1-基]-乙基}-2,2-二甲基-[1,3]二噁烷-4-基)乙酸叔丁酯
1H NMR(CDCl3,300MHz):δ0.8-1.2(m,2H),1.29(s,3H),1.35(s,3H),1.43(s,9H),1.63(brs,2H),2.22-2.27(m,1H),2.38(dd,J=15.0 & 6.0Hz,1H),9.36-3.50(m,1H),3.6-3.7(m,1H),3.71-3.85(m,1H),4.1-4.25(m,2H),4.38(d,J=6.0Hz,2H),7.02-7.16(m,12H),7.41(d,J=9.0Hz,2H);MS(正离子):m/z737.4[M+1]+
6-{2-[2-(4-氟苯基)-5-异丙基-3-苯基-4-(哌啶-1-羰基)吡咯-1-基]-乙基}-2,2-二甲基-[1,3]二噁烷-4-基)-乙酸叔丁酯
1H NMR(CDCl3,300MHz):δ0.99-1.60(m,29H),2.17-2.52(m,2H),2.80-3.25m,3H),3.35-3.50(m,1H),3.65-3.90(m,3H),3.90-4.25(m,3H),6.91-7.19(m,9H);MS(正离子形式):m/z 646(M++1)
(6-{2-[3-(4-氰基苯基)-5-异丙基-2-(4-氟苯基)-4-(苯基氨基)羰基-吡咯-1-基]-乙基}-2,2-二甲基-[1,3]二噁烷-4-基)乙酸叔丁酯
1H NMR(CDCl3):δ1.30(s,3H),1.36(s,3H),1.44(s,9H),1.50(d,J=6.9Hz,6H),1.67(brs,3H),1.55-1.75(brm,3H),2.20-2.40(m,2H),3.38(sep,J=6.6Hz,1H),3.63-3.88(m,2H),3.97-4.24(m,2H),6.85(s,1H),6.96-7.48(m,12H);MS(正离子形式):m/z 680[M+1];产率:20%
步骤5:通式XI和XIb的化合物的半钙盐的制备
(a)向通式X的化合物的溶液(溶剂为甲醇和四氢呋喃(1∶1))中加入1N盐酸(3当量),并将混合物在环境温度下搅拌。在缩酮水解完成后,反应混合物冷却到0℃,加入氢氧化钠片(6当量)。然后将反应在环境温度下搅拌。酯水解结束后,除去溶剂,并将剩余物溶解在水中;水层用乙醚清洗,并用1N盐酸中和。有机相萃取到乙酸乙酯中,并进行浓缩。剩余物通过色谱柱(硅胶100-200目)纯化。
(b)向酸的钠盐的水溶液(通过加入1当量1N氢氧化钠溶液来制备)中逐滴加入乙酸钙(0.55当量)的水溶液(1M)。得到白色的沉淀,滤出该沉淀,用大量水清洗,在真空中干燥。
通式XIb和XIIb的化合物可以用类似的方法制备。根据上述常规步骤,制得下列中间体:
(3R,5R)-7-[2-(4-氟苯基)-5-异丙基-3-苯基-4-[(3-乙酰基苯基氨基)羰基]-吡咯-1-基]-3,5-二羟基-庚酸的半钙盐
1H NMR(DMSO-d6):δ1.23(brs,2H),1.38(d,J=6Hz,6H),1.63(brs,2H),1.90-2.15(m,2H),3.52(brs,1H),3.76(brs,2H),3.99(brs,1H),6.95-7.45(m,10H),7.60(d,J=7.5Hz,1H),7.71(d,J=7.5Hz,1H),8.15(s,1H),9.98(s,1H,D2O交换);MS(正离子形式):m/z 601[酸+1];产率:21.35;熔点:167.5-204℃
(3R,5R)-7-[2-(4-氟苯基)-5-异丙基-3-苯基-4-[(4-乙酰基苯基氨基)羰基]-吡咯-1-基]-3,5-二羟基-庚酸的半钙盐
1H NMR(DMSO-d6):δ1.24(brs,2H),1.37(d,3=6Hz,6H),1.58(brs,2H),1.88-1.99(m,1H),2.00-2.12(m,1H),3.53(brs,1H),3.73(brs,2H),3.96(brs,1H),7.09(brs,5H),7.14-7.37(m,4H),7.66(d,J=9Hz,2H),7.85(d,J=9Hz,2H),10.21(s,1H,D2O交换);MS(正离子形式):m/z 601[酸+1];产率23%;熔点188.9-216.5℃
(3R,5R)-7-[2-(4-氟苯基)-5-异丙基-3-苯基-4-[(2,4-二甲基苯基氨基)羰基]-吡咯-1-基]-3,5-二羟基-庚酸的半钙盐
1H NMR(DMSO):δ1.29(brs,2H),1.31-1.76(m,11H),1.87-2.01(dd,J=15 & 6Hz,1H),2.02-2.15(dd,J=15 & 3Hz,1H),2.19(s,3H),3.59(brs,1H),3.76(brs,2H),3.95(brs,1H),6.85-6.95(m,2H),7.05-7.33(m,10H),8.78(s,1H,D2O交换);MS(正离子形式):m/z 587[酸+1];产率45%;熔点172.6-198.9℃
(3R,5R)-7-2-(4-氟苯基)-5-异丙基-3-苯基-4-[(4-三氟甲基苄基氨基)羰基)]-吡咯-1-基]-3,5-二羟基庚酸的半钙盐
1H NMR(DMSO-d6,300MHz):δ1.15-1.24(m,2H),1.31(d,J=6Hz,6H),1.48-1.56(m,2H),1.84(dd,J=158,7.8Hz,1H),2.01(dd,J=15 & 4.2Hz,1H),3.15-3.33(m,1H),3.42(brs,1H),3.50(brs,1H),3.68-3.73(m,2H),3.80-4.02(m,1H),4.29d,J=5.4Hz,1H),6.99(brs,2H),7.05(brs,3H),7.12-7.23(m,6H),7.50(d,J=8.1Hz,2H),8.24(t,J=5.4Hz,1H);MS(正离子形式):m/z 641(酸+1)
(3R,5R)-7-[2-(4-氟苯基)-5-异丙基-3-苯基-4-(哌啶-1-羰基)-吡咯-1-基]-3,5-二羟基庚酸的半钙盐
1H NMR(DMSO-d6,300MHz,D2O交换):δ1.08-1.13(m,2H),1.24(brs,7H),1.27(d,J=9Hz,6H),1.43(brs,2H),2.02(dd,J=15 & 6Hz,1H),2.15-2.19(m,1H),2.88-2.95(m,2H),3.12-3.24m,2H),3.64-3.69(m,3H),6.95(d,J=6Hz,2H),7.05-7.15(m,5H),7.25(brs,2H),8.08(s,1H)。
(3R,5R)-7-[2-(4-氟苯基)-5-异丙基-3-(4-氰基苯基)-4-[(苯基氨基)羰基)]-吡咯-1-基]-3,5-二羟基庚酸的半钙盐
1H NMR(DMSO-d6):δ1.24(brs,2H),1.37(d,J=6Hz,6H),1.45-1.73(m,2H),1.87-2.15(m,2H),3.10-3.60(m,2H),3.70-3.90(brm,2H),3.91-4.08(brm,1H),7.01(t,J=6Hz,1H),7.13-7.35(m,8H),7.45-7.63(m,4H),10.02(s,1H,D2O交换);MS(正离子形式:m/z 584[酸+1];产率:87%;熔点197.7-222.1℃
方案Ia
步骤1:通式XIV的化合物的制备
将通式XIII的化合物(依据方案I的适当步骤产生具有适当取代基的通式X的化合物)溶解在四氢呋喃∶甲醇为1∶2的混合物中,加入1N氢氧化锂(当量)。将反应混合物在0℃搅拌12至15小时。反应完成后,将反应混合物酸化,并在减压下蒸发除去溶剂,得到粗产物。粗产物用50%的乙酸乙酯溶液(己烷为溶剂)经色谱柱(硅胶-100-200目)纯化。在此方式下,制备出如下中间体:
4-{[1-[2(6-叔丁氧基羰基甲基-2,2-二甲基-[1,3]二噁烷4-基)-乙基]-5-(4-氟苯基)-2-异丙基-4-苯基-1H-吡咯-3-羰基]-氨基}-苯甲酸
1H NMR(CDC13):δ1.03-1.11(m,1H),1.26(s,3H),1.30(s,3H),1.43(s,9H),1.53(d,J=7.2Hz,3H),1.65-1.69(m,2H),2.23(dd,J=15.6 & 6.3Hz,1H),2.40(dd,J=15.6 & 6.3Hz,1H),3.63-3.71(m,2H),3.75-3.8(m,1H),4.05-4.20(m,2H),6.96-7.20(m,12H),7.90(d,J=8.4Hz,2H);MS(正离子形式):m/z698(M++1);产率=51%
步骤2:通式XV的化合物的制备
方法A:将化合物XIV(1当量)溶解在干燥的四氢呋喃中,分两批或三批向其中慢慢加入硼氢化钠(2当量)。将所得的悬浮液在0℃搅拌5分钟。在0℃慢慢加入在四氢呋喃中的碘(1当量),并将反应混合物在环境温度下搅拌24至30小时。反应结束后,蒸发除去溶剂,得到粗产物。粗产物用50%的乙酸乙酯溶液(己烷为溶剂)经色谱柱(硅胶-100-200目)纯化。
1H NMR(CDCl3,300MHz):δ1.02=1.06(m,1H),1.26(s,3H),1.33(s,3H),1.43(s,9H),1.55(d,J=6Hz,6H),2.21(dd,J=15 & 6Hz,1H),2.38(dd,J=15 & 6Hz,1H),2.40-4.17(m,5H),4.58(s,2H),6.87-7.19(m,13H);MS(+ve离子模型):m/z 685(M++1);产率=87%
方法B:将通式XIV的化合物(1当量)和四氢呋喃(4毫升,干燥)的混合物放置在配有回流冷凝器的3颈圆底烧瓶中,用氮气吹洗。将反应混合物加热到约50℃,并在1小时内滴入二甲基硫醚硼烷(2当量)。向反应混合物中加入水(6毫升),蒸发溶剂。将固体剩余物溶解在乙酸乙酯中,用水清洗,水层用乙酸乙酯萃取。有机层用盐水进行清洗,并用无水硫酸钠干燥,浓缩。粗产物用硅胶柱色谱进行纯化,用乙酸乙酯和己烷作为洗脱剂。
产率:2.16g(73.72%)
步骤3:通式XVI的半钙盐的制备
(a)向XV的溶液(溶剂为甲醇和四氢呋喃(1∶1))中加入1N盐酸(3当量),并将混合物在环境温度下搅拌。在缩酮水解完成后,反应混合物冷却到0℃,加入氢氧化钠片(6当量)。然后将反应在环境温度下搅拌。酯水解结束后,除去溶剂,并将剩余物溶解在水中;水层用醚清洗,并用1N盐酸中和。有机相萃取到乙酸乙酯中,并进行浓缩。剩余物通过色谱柱(硅胶100-200目)被纯化。
(b)向酸的钠盐的水溶液(通过加入1当量1N氢氧化钠溶液来制备)中逐滴加入乙酸钙(0.55当量)的水溶液(1M)。得到白色的沉淀,滤出该沉淀,用大量水清洗,在真空中干燥。
下列化合物也可以通过类似的方法制备。
(3R,5R)-7-[2-(4-氟苯基)-5-异丙基-3-苯基-4-[(4-羟基甲基苯基氨基)羰基]-吡咯-1-基]-3,5-二羟基庚酸的半钙盐
1HNMR(DMSO-d6):δ1.22-1.62(M,11H),1.98(dd,J=15 & 8.1Hz,1H),2.06-2.16(m,1H),3.25-3.37(m,2H),3.57(brs,2H),3.80(brs,1H),4.43(s,2H),7.03-7.28(m,12H),7.50(d,J=6H,2H),9.80(s,1H);MS(正离子形式):m/z 589(酸+1);产率=31%;熔点=189-204℃
方案IIa
步骤I:通式XVa的化合物的制备
将通式XIIIa的化合物(1当量)和1N盐酸∶甲醇∶四氢呋喃(2∶5∶5)的混合物在室温下搅拌7小时。反应结束后,加入氢氧化钠片(7当量),并将反应混合物在室温下继续搅拌约5小时。浓缩反应混合物,并使剩余物溶解在蒸馏水中,并用1N盐酸酸化到~1pH。水层用乙酸乙酯进行萃取,并用水、盐水清洗,再用无水硫酸钠干燥。浓缩有机层,用硅胶(5%甲醇-二氯甲烷)对其进行吸附。下列化合物是通过上述步骤制备的。
(3R,5R)-7-[2-(4氟苯基)-5-异丙基-3-苯基-4-[4-羧基苯基)氨基)羰基]-吡咯-1-基J-3,5-二羟基-庚酸产率:5g(84.6%)
步骤II:通式XVa的化合物的二钠盐的制备
将通式XVa的化合物(1当量)、四氢呋喃∶甲醇(1∶1)和氢氧化钠(1N,2当量)溶液在环境温度下搅拌约2小时。通过在减压下蒸发溶剂来分离通式XVa的化合物的二钠盐。剩余物用二乙醚清洗,在真空下干燥,得到纯化合物,其产率为4.5克(84.9%)。下列化合物可依据上述步骤制备。
(3R,5R)-7-[2-(4-氟苯基)-5-异丙基-3-苯基-4-[4-羧基苯基)氨基)羰基]-吡咯-1-基]-3,5-二羟基庚酸的二钠盐
1H NMR(DMSO,300MHz):δ1.135-1.179(m,2H),1.365(d,J=6.3Hz,6H),1.752(brs,4H),1.752-1.779(m,1H),1.950-1.998(m,1H),2.733(s,1H),2.89(s,1H),3.607-3.75(m,3H),3.924-4.004(m,2H),6.99-7.07(m,5H),7.155-7.247(m,4H),7.4(d,J=6Hz,2H),7.70(d,J=9Hz,2H),9.827(s,1H);MS(正离子形式):m/z 603.13(酸++1产率:4.5g(84.9%)。
方案II
通式XIX的化合物的制备
向通式XVIII的化合物(4.5毫摩尔;依据Tet.Let.,
43:1161(2002)和J.Org.Chem.,
50:438(1985)中描述的方法制备)的甲苯(15毫升)溶液中加入通式V的化合物(4.9毫摩尔)、哌啶(0.02毫升)和乙酸(0.054毫升)。将混合物在共沸回流下加热约4到6小时除去水。浓缩反应混合物,剩余物萃取在二氯甲烷中。有机层用1N盐酸溶液、碳酸氢钾溶液、盐水进行清洗,然后用无水硫酸钠干燥,并进行浓缩。粗产物用色谱柱(硅胶,100-200目,2%EtOAc-己烷)进行纯化。
通式XX的化合物的制备
将通式XIX的化合物(6.49毫摩尔)、通式VII的化合物(7.14毫摩尔)、3-乙基-5-(2-羟基乙基)-4-甲基噻唑鎓溴化物(1.298毫摩尔)、三乙胺(6.49毫摩尔)和乙醇(0.6摩尔)放置在一个30毫升管形瓶中,用氮气吹洗,并将管形瓶适当密封。将反应混合物在70℃搅拌约12至15小时。向反应混合物中加入乙酸乙酯,并用水、6N盐酸,再用水和盐水对其进行清洗,用无水硫酸钠干燥,并浓缩得到粗产物。粗产物通过使用7%乙酸乙酯(己烷为溶剂)经色谱柱(硅胶100-200目)进行纯化。
通式XXI的化合物的制备
向通式XX(4.62毫摩尔)的庚烷∶甲苯∶四氢呋喃(4∶1∶1)溶液中加入通式IX的化合物(6.99毫摩尔)和新戊酸(4.768毫摩尔)。将混合物共沸回流约22至25小时除去水。浓缩反应混合物,加入乙酸乙酯,反应混合物用碳酸氢钠溶液、盐水进行清洗,用无水硫酸钠干燥,并浓缩得到粗产物。粗产物通过使用7%乙酸乙酯(己烷为溶剂)经色谱柱(硅胶,100-200目)纯化。
通式XXII的化合物的制备
向通式XXI的化合物(0.8克)的甲醇∶二噁烷(2∶8)混合物溶液中加入10%钯/碳(50%湿,60%w/w)。将所得的反应混合物在40psi下氢化约2.5小时。在反应结束后,将反应混合物通过硅藻土,并使所得的溶液在真空下浓缩,得到所需的产物,该产物用作下一步的原料。
通式X的化合物的制备:路径a
在0℃氩气氛那下向通式XXII的化合物(1当量)的苯溶液中逐滴加入草酰氯(2.0当量)。当不再有气体产生时,将反应混合物在油浴上于70℃加热2小时。将反应混合物蒸发直至干燥。将剩余物溶解在苯(干燥)中,并在环境温度下加入到通式III的胺(1.1当量)的苯溶液中。然后将反应混合物加热到70℃,直到反应进行完全。在真空条件下除去挥发性物质,剩余物用色谱柱(硅胶,100-200目)。依据上述常规步骤制得下列化合物
(6-{2-[3-(2-乙酰基苯基氨基甲酰基)-5-(4-氟苯基)-2-异丙基-4-苯基-吡咯-1-基]-乙基}-2,2-二甲基-[1,3]二噁烷-4-基)-乙酸叔丁酯
1H NMR(CDC13,300MHz):δ1.0-1.15(m,1H),1.30(s,1H),1.33(s,3H),1.44(s,9H),1.48(d,J=6.0Hz,6H),2.23(dd,J=15.0 & 6.0Hz,1H),2.35-2.5(m,4H),3.35(sept.J=6.0Hz,1H),3.64-3.89(m,2H),4.0-4.25(m,2H),6.93-7.08
(m,8H),7.18-7.22(m,2H),7.50(d,J=9.0Hz,1H),7.69(d,J=6.0Hz,1H),8.82(d,J=9.0Hz,1H),11.02(brs,1H);MS(正离子):m/z 697.500[M+1]+;产率=59%
通式X的化合物的制备:路径b
向通式XXII的化合物(1.2毫摩尔)的二甲基甲酰胺(2.5毫升)溶液中加入二异丙基乙基胺(2.4毫摩尔)和O-苯并三唑-1-基-N,N,N’,N’-四甲基脲鎓六氟磺酸盐(HBTU)(1.2毫摩尔)。然后向所得的澄清溶液中加入在二甲基甲酰胺(0.5毫升)中的环己胺(1.2毫摩尔)。将反应混合物在50℃至60℃下搅拌过夜。向反应混合物中加入水,并将混合物萃取在二氯甲烷,有机层用水、盐水进行清洗,再用无水硫酸钠干燥,并浓缩得到粗产物。粗产物通过使用10%乙酸乙酯(己烷为溶剂)经柱层析(硅胶,100-200目)进行纯化。下列化合物依据该步骤制得。
(6-{2[3-环己基氨基甲酰基)-5-(4-氟苯基)-2-异丙基-4-苯基-吡咯-1-基]-乙基}-2,2-二甲基-[1,3]二噁烷-4-基)-乙酸叔丁酯
1H NMR(CDCl3,300MHz):δ0.7-0.88(m,2H),0.97-1.05(m,2H),1.20-1.30(m,4H),1.30-1.34(s,3H),1.43(s,9H),1.47(d,J=6.9Hz,6H),1.43-1.48(m,2H),1.63(brs,3H),2.25(dd,J=15 & 6Hz,1H),2.35(dd,J=15 &6.9Hz,1H),3.35(sept,J=6.9Hz,1H),3.69-3.81(m,3H),3.85-4.15(m,1H),4.15-4.25(m,1H),6.91-6.99(m,3H),7.07-7.15(m,6H);MS(正离子形式):m/z 661(M++1)
通式XI的半钙盐的制备
(a)向X的化合物的溶液(溶剂为甲醇和四氢呋喃(1∶1))中加入1N盐酸(3当量),并将混合物在环境温度下搅拌。在缩酮水解完成后,反应混合物冷却到0℃,加入氢氧化钠片(6当量)。然后将反应在环境温度下搅拌。酯水解结束后,除去溶剂,并将剩余物溶解在水中;水层用乙醚清洗,并用1N盐酸中和。有机相萃取到乙酸乙酯中,并进行浓缩。剩余物然后通过色谱柱(硅胶100-200目)被纯化。
(b)向酸的钠盐的水溶液(通过加入1当量1N氢氧化钠溶液来制备)中逐滴加入乙酸钙(0.55当量)的水溶液(1M)。得到白色的沉淀,滤出该沉淀,用大量水清洗,在真空中干燥。
下列化合物通过上述常规步骤制得。
(3R,5R)-7-[2-(4-氟苯基)-5-异丙基-3-苯基-4-[(环己基氨基)羰基基)]-吡咯-1-基]-3,5-二羟基庚酸的半钙盐
1H NMR(DMSO-d6,D2O交换,300MHz):δ0.99(brs,2H),1.2-1.35(m,5H),1.35-1.50(m,7H),1.55(m,4H),1.90-2.1(m,1H),2.10-2.20(m,1H),3.17-3.20(m,1H),3.51(brs,1H),3.73(brs,1H),7.02-7.36(m,9H);MS(正离子形式):m/z 565(酸+1)。
(3R,5R)-7-[2-(4-氟苯基)-5-异丙基-3-苯基-4-[(2-乙酰基苯基氨基)羰基]-吡咯-1-基]-3,5-二羟基庚酸的半钙盐
1H NMR(DMSO-d6,300MHz):δ1.10-1.25(m,2H),1.39(d,J=6.0Hz,6H),1.5-1.7(m,2H),1.77(dd,J=150 & 6.0Hz,1H),1.97(dd,J=15.0 & 3.0Hz,1H),2.38(s,3H),6.94-7.01(m,5H),7.08-7.20(m,3H),7.29-7.34(m,2H),7.56(t,J=9.0Hz,1H),7.87(d,J=6.0Hz,1H),8.58(d,9.0Hz,1H),10.98(s,1H);MS(正离子):m/z 601.300[酸+1]+;产率=28%;熔点:202.6-208.7℃。
方案IIIa
通式XIX的化合物的制备
向通式XVIII的化合物(4.5毫摩尔;依据Tet.Let.,
43:1161(2002)和J.Org.Chem.,
50:438(1985)中描述的方法制备)的甲苯(15毫升)溶液中加入通式V的化合物(4.9毫摩尔)、哌啶(0.02毫升)和乙酸(0.054毫升)。将混合物在共沸回流下加热约4到6小时除去水。浓缩反应混合物,剩余物萃取在二氯甲烷中。有机层用1N盐酸溶液、碳酸氢钾溶液、盐水进行清洗,然后用无水硫酸钠干燥,并进行浓缩。粗产物用色谱柱(硅胶,100-200目,2%EtOAc-己烷)进行纯化。
1H NMR(CDCl3,300MHz):δ1.02(d,J=6.9Hz,6H),2.65(sept,J=7.2Hz,1H),5.26(s,2H),7.25(s,2H),7.25(brs,10H),7.81(s,1H).)。同分异构体2:1H NMR(CDCl3,300MHz):δ1.02(d,J=6.9Hz,6H),2.65(sept,J=6.9Hz,1H),5.27(s,2H),7.36(brs,10H),7.82(s,1H)。MS(+ve正离子形式):m/z 309(M++1);产率:70%
通式XX的化合物的制备
将通式XIX的化合物(6.49毫摩尔)、通式VII的化合物(7.14毫摩尔)、3-乙基-5-(2-羟基乙基)-4-甲基噻唑溴(1.298毫摩尔)、三乙胺(6.49毫摩尔)和乙醇(0.6摩尔)放置在一个30毫升管形瓶中,用氮气吹洗,并将管形瓶正确密封。将反应混合物在70℃搅拌约12至15小时。向反应混合物中加入乙酸乙酯,并用水、6N盐酸,再用水和盐水对其进行清洗,用无水硫酸钠干燥,并浓缩得到粗产物。粗产物通过使用7%乙酸乙酯(己烷为溶剂)经色谱柱(硅胶100-200目)进行纯化。
1H NMR(CDCl3,300MHz):(1∶1非对映异构体混合物)δ0.48(d,J=6.9Hz,3H),0.91(d,J=6.6Hz,3H),1.07(d,J=6.6Hz,3H),1.21(d,J=6.9Hz,3H),2.30(sept,J=6.6Hz,1H),2.82(sept,6.6Hz,1H),4.76(d,J=14Hz,1H),4.77(d,J=12.3Hz,1H),5.33(d,J=11.1Hz,1H),5.35(d,J=11.1Hz,1H),7.02(t,J=8.4Hz,6H),7.22-7.29(m,8H),7.75-7.99(m,4H);MS(+ve离子形式):m/z 433(M++1),产率:72%
通式XXI的化合物的制备
向通式XX(4.62毫摩尔)的化合物的己烷∶甲苯∶四氢呋喃(4∶1∶1)溶液中加入通式IX的化合物(6.99毫摩尔)和新戊酸(4.768毫摩尔)。将混合物共沸回流约22至25小时除去水。浓缩反应混合物,加入乙酸乙酯,反应混合物用碳酸氢钠溶液、盐水进行清洗,用无水硫酸钠干燥,并浓缩得到粗产物。粗产物通过使用7%乙酸乙酯(己烷为溶剂)经色谱柱(硅胶,100-200目)纯化。
1H NMR(CDCl3,300MHz):δ0.99-1.08(m,2H),1.25(s,3H),1.34(s),1.43(s,9H),1.96(d,J=6Hz,6H),1.58-1.63(m,2H),2.21(dd,J=158.6Hz,1H),2.37(dd,J=15 & 9Hz,1H),3.51(sept,J=6Hz),3.65(brs,1H),3.75-3.85(m,1H),4.00-4.25(m,2H),5.03(s,2H),6.83-7.25(m,14H).MS(+ve离子形式):m/z 670(M++1)。产率74%
通式XXII的化合物的制备
向通式XXI的化合物(0.8克)的甲醇∶二噁烷(2∶8)混合物溶液中加入10%钯/碳(50%湿,60%w/w)。将所得的反应混合物在40psi下氢化约2.5小时。在反应结束后,将反应混合物通过硅藻土,并使所得的溶液在真空下浓缩,得到所需的产物,该产物用作下一步的原料。
1H NMR(CDC13,300MHz):δ0.95-1.05(m,1H),1.21-1.28(m,1H),1.28(s,3H),1.34(s,3H),1.43(s,9H),1.47(d,J=7.1Hz),1.59-1.65(m,2H),2.22(dd,J=15.2 & 6.1Hz,1H),2.35(dd,J=15.2 & 6.1Hz,1H),3.61-3.66(m,2H),3.67-3.86(m,1H),4.00-4.15(m,2H),6.95(t,J=9Hz,2H),7.06-7.15(m,7H)MS(+ve离子形式):m/z 586(M++1)产率76%
通式Xa的化合物的制备:路径a
在0℃氩气气氛那下向通式XXII的化合物(1当量)的苯溶液中逐滴加入草酰氯(2.0当量)。当不再有气体产生时,将反应混合物在油浴上于70℃加热2小时。将反应混合物蒸发直至干燥。将剩余物溶解在苯(干燥)中,并在环境温度下将其加入到通式IIIa的胺(1.1当量)的苯和三乙胺溶液。然后将反应混合物加热到70℃,直到反应进行完全。在真空条件下除去挥发性物质,剩余物用色谱柱(硅胶,100-200目)纯化。
通式Xa的化合物的制备:路径b
向通式XXII的化合物(1.2毫摩尔)的二甲基甲酰胺(2.5毫升)溶液中加入二异丙基乙基胺(2.4毫摩尔)和O-苯并三唑-1-基-N,N,N’,N’-四甲基脲六氟磺酸盐(HBTU)(1.2毫摩尔)。然后向所得的澄清溶液中加入在二甲基甲酰胺(0.5毫升)中的环己胺(1.2毫摩尔)。将反应混合物在50℃至60℃下搅拌过夜。向反应混合物中加入水,并将混合物用二氯甲烷萃取,有机层用水、盐水进行清洗,再用无水硫酸钠干燥,并浓缩得到粗产物。粗产物通过使用10%乙酸乙酯(己烷为溶剂)经柱层析(硅胶,100-200目)进行纯化。
通式XIa的半钙盐的制备
(a)向通式Xa的化合物的溶液(溶剂为甲醇和四氢呋喃(1∶1))中加入1N盐酸(3当量),并将混合物在环境温度下搅拌。在缩酮水解完成后,反应混合物冷却到0℃,加入氢氧化钠片(6当量)。然后将反应在环境温度下搅拌。酯水解结束后,除去溶剂,并将剩余物溶解在水中;水层用醚清洗,并用1N盐酸中和。有机相萃取到乙酸乙酯中,并进行浓缩。剩余物然后通过色谱柱(硅胶100-200目)被纯化。
(b)向酸的钠盐的水溶液(通过加入1当量1N氢氧化钠溶液来制备)中逐滴加入乙酸钙(0.55当量)的水溶液(1M)。得到白色的沉淀,滤出该沉淀,用大量水清洗,在真空中干燥。下列化合物可依据方案Ib或IIIa或两者都有来制备。
(3R,5R)-7-[2-(4-氟苯基)-5-异丙基-3-苯基-4-[4-乙酰氧基甲基苯基)氨基)羰基]-吡咯-1-基]-3,5-二羟基庚酸(化合物2a)及其半钙盐,
(3R,5R)-7-[2-(4-氟苯基)-5-异丙基-3-苯基-4-[4-苯基氨基硫代氨甲酰基氧甲基苯基)氨基)羰基]-吡咯-1-基]-3,5-二羟基庚酸(化合物3a)及其半钙盐,
(3R,5R)-7-[2-(4-氟苯基)-5-异丙基-3-苯基-4-[4-丙酰基氧甲基苯基)氨基)羰基]-吡咯-1-基]-3,5-二羟基庚酸(化合物4a)及其半钙盐,
(3R,5R)-7-[2-(4-氟苯基)-5-异丙基-3-苯基-4-[4-辛基氨基甲酰基氧甲基苯基)氨基)羰基]-吡咯-1-基]-3,5-二羟基庚酸(化合物5a)及其半钙盐,
(3R,5R)-7-[2-(4-氟苯基)-5-异丙基-3-苯基-4-[(4-苯基乙酰氧基甲基苯基)氨基)羰基]-吡咯-1-基]-3,5-二羟基庚酸(化合物6a)及其半钙盐,
(3R,5R)-7-[2-(4-氟苯基)-5-异丙基-3-苯基-4-[4-苯基氨基甲酰基氧甲基苯基)氨基)羰基]-吡咯-1-基]-3,5-二羟基庚酸(化合物7a)及其半钙盐,
(3R,5R)-7-[2-(4-氟苯基)-5-异丙基-3-苯基-4-[4-苯甲酰氧甲基苯基)氨基)羰基]-吡咯-1-基]-3,5-二羟基-庚酸(化合物8a)及其半钙盐,
(3R,5R)-7-[2-(4-氟苯基)-5-异丙基-3-苯基-4-[4-异烟酰氧基甲基苯基)氨基)羰基]-吡咯-1-基]-3,5-二羟基庚酸(化合物9a)及其半钙盐,
(3R,5R)-7-[2-(4-氟苯基)-5-异丙基-3-苯基-4-[4-吡啶-4-基氨基甲酰氧甲基苯基)氨基)羰基]-吡咯-1-基]-3,5-二羟基庚酸(化合物10a)及其半钙盐,
(3R,5R)-7-[2-(4-氟苯基)-5-异丙基-3-苯基-4-[4-苯基氨基甲酰基苯基)氨基)羰基]-吡咯-1-基]-3,5-二羟基庚酸(化合物11a)及其半钙盐,
(3R,5R)-7-[2-(4-氟苯基)-5-异丙基-3-苯基-4-[4-环己基氨基甲酰基苯基)氨基)羰基]-吡咯-1-基]-3,5-二羟基庚酸(化合物12a)及其半钙盐,
(3R,5R)-7-[2-(4-氟苯基)-5-异丙基-3-苯基-4-[4-甲基氨基甲酰基)苯基)氨基)羰基]-吡咯-1-基]-3,5-二羟基庚酸(化合物13a)及其半钙盐,
(3R,5R)-7-[2-(4-氟苯基)-5-异丙基-3-苯基-4-[4-苄基氨基甲酰基)苯基)氨基)羰基]-吡咯-1-基]-3,5-二羟基庚酸(化合物14a)及其半钙盐,
(3R,5R)-7-[2-(4-氟苯基)-5-异丙基-3-苯基-4-[4-(吗啉-4-羰基)-苯基)氨基)羰基]-吡咯-1-基]-3,5-二羟基庚酸(化合物15)及其半钙盐,
(3R,5R)-7-[2-(4-氟苯基)-5-异丙基-3-苯基-4-[4-(哌啶-1-羰基)-苯基)氨基)羰基]-吡咯-1-基]-3,5-二羟基庚酸(化合物16)及其半钙盐,
(3R,5R)-7-[2-(4-氟苯基)-5-异丙基-3-苯基-4-[4-苄基氨基苯基)氨基)羰基]-吡咯-1-基]-3,5-二羟基庚酸(化合物17)及其半钙盐,
(3R,5R)-7-[2-(4-氟苯基)-5-异丙基-3-苯基-4-[4-(1-羟基乙基)苯基氨基)羰基]-吡咯-1-基]-3,5-二羟基庚酸(化合物18)及其半钙盐,
(3R,5R)-7-[2-(4-氟苯基)-5-异丙基-3-苯基-4-[4-(2-羟基乙基)苯基氨基)羰基]-吡咯-1-基]-3,5-二羟基庚酸(化合物19)及其半钙盐,
(3R,5R)-7-[2-(4-氟苯基)-5-异丙基-3-苯基-4-[4-(3-羟基丙基苯基氨基)羰基]-吡咯-1-基]-3,5-二羟基庚酸(化合物20)及其半钙盐,
(3R,5R)-7-[2-(4-氟苯基)-5-异丙基-3-苯基-4-[(4-甲氧基甲基苯基氨基)羰基]-吡咯-1-基]-3,5-二羟基庚酸(化合物21)及其半钙盐,
(3R,5R)-7-[2-(4-氟苯基)-5-异丙基-3-苯基-4-[(4-乙氧基甲基苯基氨基)羰基]-吡咯-1-基]-3,5-二羟基庚酸(化合物22)及其半钙盐,
(3R,5R)-7-[2-(4-氟苯基)-5-异丙基-3-苯基-4-[(4-异丙氧基甲基苯基氨基)羰基]-吡咯-1-基]-3,5-二羟基庚酸(化合物23)及其半钙盐,
(3R,5R)-7-[2-(4-氟苯基)-5-异丙基-3-苯基-4-[(4-丙氧基甲基苯基氨基)羰基]-吡咯-1-基]-3,5-二羟基庚酸(化合物24)及其半钙盐,
(3R,5R)-7-[2-(4-氟苯基)-5-异丙基-3-苯基-4-[(4-甲氧基甲氧基甲基苯基氨基)羰基]-吡咯-1-基]-3,5-二羟基庚酸(化合物25)及其半钙盐,
(3R,5R)-7-[2-(4-氟苯基)-5-异丙基-3-苯基-4-[(4-环己氧基甲基苯基氨基)羰基]-吡咯-1-基]-3,5-二羟基庚酸(化合物26)及其半钙盐,
(3R,5R)-7-[2-(4-氟苯基)-5-异丙基-3-苯基-4-[(4-环戊氧基甲基苯基氨基)羰基]-吡咯-1-基]-3,5-二羟基庚酸(化合物27)及其半钙盐,
(3R,5R)-7-[2-(4-氟苯基)-5-异丙基-3-苯基-4-[(4-苄氧基甲基苯基氨基)羰基]-吡咯-1-基]-3,5-二羟基庚酸(化合物28)及其半钙盐,
(3R,5R)-7-[2-(4-氟苯基)-5-异丙基-3-苯基-4-[(4-氯苄氧基甲基苯基氨基)羰基]-吡咯-1-基]-3,5-二羟基庚酸(化合物29)及其半钙盐,
(3R,5R)-7-[2-(4-氟苯基)-5-异丙基-3-苯基-4-[(4-甲氧基苄氧基甲基苯基氨基)羰基]-吡咯-1-基]-3,5-二羟基庚酸(化合物30)及其半钙盐,
(3R,5R)-7-[2-(4-氟苯基)-5-异丙基-3-苯基-4-[(4-苯氧基甲基苯基氨基)羰基]-吡咯-1-基]-3,5-二羟基庚酸(化合物31)及其半钙盐,
(3R,5R)-7-[2-(4-氟苯基)-5-异丙基-3-苯基-4-[(4-氯苯氧基甲基苯基氨基)羰基]-吡咯-1-基]-3,5-二羟基庚酸(化合物32)及其半钙盐,
(3R,5R)-7-[2-(4-氟苯基)-5-异丙基-3-苯基-4-[(4-乙酰基氨基苯基氨基)羰基]-吡咯-1-基]-3,5-二羟基庚酸(化合物33)及其半钙盐,
(3R,5R)-7-[2-(4-氟苯基)-5-异丙基-3-苯基-4-[(4-苯甲酰基氨基苯基氨基)羰基]-吡咯-1-基]-3,5-二羟基庚酸(化合物34)及其半钙盐,
(3R,5R)-7-[2-(4-氟苯基)-5-异丙基-3-苯基-4-[(4-苯磺酰基氨基苯基氨基)羰基]-吡咯-1-基]-3,5-二羟基庚酸(化合物36)及其半钙盐,
(3R,5R)-7-[2-(4-氟苯基)-5-异丙基-3-苯基-4-[4-(3-苯基-脲基)-苯基氨基]羰基]-吡咯-1-基]-3,5-二羟基庚酸(化合物37)及其半钙盐,
(3R,5R)-7-[2-(4-氟苯基)-5-异丙基-3-苯基-4-[4-(3-甲基-脲基)-苯基氨基]羰基]-吡咯-1-基]-3,5-二羟基庚酸(化合物38)及其半钙盐,
(3R,5R)-7-[2-(4-氟苯基)-5-异丙基-3-苯基-4-[4-(3-苄基1-脲基)-苯基氨基]羰基]-吡咯-1-基]-3,5-二羟基庚酸(化合物39)及其半钙盐,
(3R,5R)-7-[2-(4-氟苯基)-5-异丙基-3-苯基-4-[4-(3-苄基-硫脲基)-苯基氨基]羰基]-吡咯-1-基]-3,5-二羟基庚酸(化合物40)及其半钙盐,
(3R,5R)-7-[2-(4-氟苯基)-5-异丙基-3-苯基-4-[4-(3-苯基-硫脲基)-苯基氨基]羰基]-吡咯-1-基]-3,5-二羟基庚酸(化合物41)及其半钙盐,
(3R,5R)-7-[2-(4-氟苯基)-5-异丙基-3-苯基-4-[4-(3-甲基-硫脲基)-苯基氨基]羰基]-吡咯-1-基]-3,5-二羟基庚酸(化合物42)及其半钙盐。
药理活性
文中所述的化合物具有作为3-羟基-3-甲基-戊二醛基辅酶A(HMG-CoA)还原酶抑制剂的活性,因此对于抑制胆固醇的生物合成和/或降低甘油三酸酯是有用的。
文中所述的化合物在体外HMG-COA还原酶测试中进行筛选,如果Kubo等、Endocrinology 120:214(1987)和Hellar等、Biochem and Biophys.Res.Comm.50:859(1973)中所描述的。
HMG-COA还原酶是胆固醇生物合成中的速率限制酶,催化下列反应。
[14C]HMG-CoA+2NADPH+2H+<[14C]甲羟戊酸+CoA+2NADP+微粒体,使用2.5μM[14C]HMG-CoA作为底物。反应在100mM KH2PO4、20mM G-6-P、2.5mM NADP、10mM EDTA、5mM DTT和1.4 G-6-P脱氢酶存在下、在37℃反应15分钟,将[14C]甲羟戊酸作为最终产物进行滴定。为了进行IC50测定,溶解在1%二甲基亚砜中的各化合物用肝微体在37℃预培养30分钟。
大鼠肝微体中HMG-CoA还原酶抑制作用的IC50在0.1到0.96nM范围内。文中所述的化合物的效果在与阿伐他汀等效或比其4倍有效的范围内。文中所述的一些化合物在体内大鼠模型中抑制胆固醇合成方面比阿伐他汀有效。文中所述的一些化合物在人体肝微体中具有明显比阿伐他汀小的固有清除率,并且不是CYP3A4(细胞色素p4503A4)的主要底物。一些化合物在抑制大鼠原代肝细胞内胆固醇生物合成比阿伐他汀抑制外肝细胞/细胞系[例如,NRK-49F(或纤维细胞)和L6(成肌细胞)]中胆固醇生物合成方面有效性和选择性更强。
尽管本发明依据其具体实施方式进行了描述,但是一定的修改和等同对于本领域技术人员将是显而易见的,并且旨在包括在本发明的范围内。
Claims (99)
1.一种具有通式I的结构的化合物、
通式I
其药学上可接受的盐、药学上可接受的溶剂化物、互变异构体、外消旋体、纯对映异构体、药物前体、代谢产物、多形体、非对映异构体或N-氧化物,其中
或
R1为C1-C6、C3-C6或任选取代的苯基(其中最多有三个取代基,独立选自卤素、C1-C6烷基、氰基或C1-C3全氟烷基);
R2为任选取代的苯基(其中最多有三个取代基,独立选自氰基、乙酰基、或任选取代的氨基,其中任选取代的氨基最多有两个氨基取代基,独立选自C1-C6烷基、C3-C6环烷基、乙酰基或氨磺酰基);
R3为任选取代的C1-C6烷基或C3-C6环烷基(其中取代基独立选自卤素、羟基、C1-C3烷氧基和被保护的羟基);
R3也可为-NR8R9,其中R8和R9是任选取代的C1-C6烷基(其中,所述任选的一个或多个取代基选自卤素、羟基、C1-C3烷氧基和被保护的羟基);
R4为
其中,R5和R6各自独立为氢、C1-C6烷基、或C3-C6环烷基、任选取代的芳基或芳烷基,其中取代基选自卤素、氰基、任选取代的C1-C6烷基(其中最多2个取代基,独立选自羟基、被保护的羟基和一个或多个卤素)、任选取代的氨基(其中最多两个取代基,独立选自SO2R7、COR7、CONHR7,其中R7是C1-C6烷基或芳基)、或乙酰基、三氟甲基、或C1-C6烷氧基羰基,或者R5和R6一起形成带有一个或多个独立选自氮、氧和硫的任选杂原子的5-7元环,
或者R4也可为具有一个或多个杂原子的任选取代的单环、二环或三环杂环,其中所述一个或多个杂原子独立选自氧、氮和硫,任选的取代基独立选自卤素、羟基、被保护的羟基、C1-C3烷氧基、氰基、C1-C3全氟烷基、C1-C6烷基或C3-C6环烷基、芳基或任选取代的芳烷基,其中芳烷基的取代基独立选自卤素、羟基、被保护的羟基、C1-C3烷氧基、氰基、C1-C3全氟烷基,
以及通式I的化合物的药学上可接受的盐、互变异构体、外消旋体、纯对映异构体或非对映异构体,以及溶剂化物,
前提是,只有当(1)R5或R6是C3-C6环烷基或被乙酰基、烷基、环烷基、羟基烷基、烷基亚磺酰氨基、乙酰氨基取代的苯基,或者(2)当R5和R6一起形成带有或不带有一个或多个选自氮、氧和硫的杂原子的5-7元环,或者(3)当R5或R6是任选被卤素、氰基、C1-C6烷基、C1-C6卤代烷基取代的芳烷基,或者(4)当R4是任选的有一个或多个杂原子的单环、二环或三环杂环(其中,任选的取代基独立选自卤素、羟基、被保护的羟基、C1-C3烷氧基、氰基、C1-C3全氟烷基、C1-C6烷基或C3-C6环烷基、芳基或任选取代的芳烷基(其中芳烷基的取代基独立选自卤素、羟基、被保护的羟基、C1-C3烷氧基、氰基、C1-C3全氟烷基))时,R2方可为苯基。
2.一种具有通式Ib的结构的化合物、
通式Ib
其药学上可接受的盐、药学上可接受的溶剂化物、互变异构体、外消旋体、多形体、纯对映异构体、非对映异构体、代谢产物、药物前体或N-氧化物,其中
或
R1为C1-C6烷基、C3-C6环烷基或可任选取代的苯基(其中所述一个或多个取代基选自卤素、C1-C6烷基、氰基或C1-C3全氟烷基);
R2为可任选取代的苯基(其中,所述一个或多个取代基选自氰基、乙酰基、或任选取代的氨基);
R3为可任选取代的C1-C6烷基或C3-C6环烷基(其中所述一个或多个取代基选自卤素、羟基、C1-C3烷氧基和被保护的羟基);R3也可为-NR6R7,其中R6和R7是任选取代的C1-C6烷基(其中,所述任选的一个或多个取代基选自卤素、羟基、C1-C3烷氧基和被保护的羟基);
R4为NHR8[其中,R8选自芳烷基、CONHR9(其中R9为芳烷基)、CSNHR9(其中,R9为C1-C6烷基、芳基或芳烷基)];-COR10(其中,R10选自羟基和-NR11R12(其中R11和R12独立选自氢、烷基、芳基、C3-C7环烷基、芳烷基,和R11和R12一起形成带有一个或多个任选的杂原子的5-7元环,其中一个或多个杂原子独立选自氮、氧和硫);
R5为氢、C1-C6烷基、或C3-C6环烷基、任选取代的芳基或芳烷基[其中取代基选自卤素、氰基、任选取代的C1-C6烷基(其中取代基独立选自羟基、被保护的羟基和一个或多个卤素)]、任选取代的氨基、乙酰基、三氟甲基和C1-C6烷氧基羰基。
3.如权利要求1所述的化合物,其特征在于,R1是被一个或多个卤素取代的苯基。
4.如权利要求1所述的化合物,其特征在于,R1是被一个或多个氟原子取代的苯基。
5.如权利要求1所述的化合物,其特征在于,R1是4-氟苯基。
6.如权利要求1所述的化合物,其特征在于,R2是苯基,R5和R6分别是卤素和乙酰基取代的苯基。
7.如权利要求1所述的化合物,其特征在于,R6是2-乙酰基苯基。
8.如权利要求1所述的化合物,其特征在于,R6是3-乙酰基苯基。
9.如权利要求1所述的化合物,其特征在于,R6是4-乙酰基苯基。
10.如权利要求1所述的化合物,其特征在于,R2是苯基,R5和R6分别是氢和被一个或多个碳原子数为1到6的烷基取代的苯基。
11.如权利要求1所述的化合物,其特征在于,R6是2,4-二甲基苯基。
12.如权利要求1所述的化合物,其特征在于,R2是苯基,R5和R6分别是氢和具有三到六个碳原子的环烷基。
13.如权利要求1所述的化合物,其特征在于,R6是环己基。
14.如权利要求1所述的化合物,其特征在于,R2是苯基,R5和R6分别是氢和被具有1到6个碳原子的卤代烷基取代的苄基。
15.如权利要求1所述的化合物,其特征在于,R6是4-三氟甲基苄基。
16.如权利要求1所述的化合物,其特征在于,R2是苯基,R5和R6一起形成带有或不带有一个或多个杂原子的5-7元环,所述杂原子选自氮、氧和硫。
17.如权利要求1所述的化合物,其特征在于,R5和R6一起形成哌啶。
18.如权利要求1所述的化合物,其特征在于,R5和R6一起形成吗啉。
19.如权利要求1所述的化合物,其特征在于,R2是苯基,R5和R6分别是氢和被有1到6个碳原子的羟基化烷基取代的苯基。
20.如权利要求1所述的化合物,其特征在于,R6是4-羟甲基苯基。
21.如权利要求1所述的化合物,其特征在于,R2是苯基,R5和R6分别是氢和4-(甲基亚磺酰氨基)苯基。
22.如权利要求1所述的化合物,其特征在于,R2是苯基,R5和R6分别是氢和4-(乙酰氨基)苯基。
23.如权利要求1所述的化合物,其特征在于,R2是苯基,R4是1,2,4-噁二嗪基苯基。
24.如权利要求1所述的化合物,其特征在于,R2是苯基,R4是1,2,4-三唑基苯基。
25.如权利要求1所述的化合物,其特征在于,R2是4-氰基苯基,R5和R6分别是氢和苯基。
26.如权利要求1所述的化合物,其特征在于,R3是有1到6个碳原子的烷基或有3到6个碳原子的环烷基。
27.如权利要求1所述的化合物,其特征在于,R3是异丙基。
29.如权利要求2所述的化合物,其特征在于,R1是被一个或多个卤素取代的苯基。
30.如权利要求29所述的化合物,其特征在于,R1是被一个或多个氟取代的苯基。
31.如权利要求30所述的化合物,其特征在于,R1是4-氟苯基。
32.如权利要求28所述的化合物,其特征在于,R2和R5是分别是苯基和氢。
33.如权利要求2所述的化合物,其特征在于,R3是C1-C6烷基。
34.如权利要求33所述的化合物,其特征在于,R3是异丙基。
35.如权利要求2所述的化合物,其特征在于,R4是-COR10,其中R10是羟基。
36.如权利要求2所述的化合物,其特征在于,R4是-COR10,其中R10是NR11R12(其中R11和R12一起形成带有一个或多个任选杂原子的5-7元环,所述一个或多个杂原子独立选自氮、氧和硫)。
37.如权利要求2所述的化合物,其特征在于,R4是-COR10,其中R10是NR11R12,所述R11和R12一起形成吗啉基。
38.如权利要求2所述的化合物,其特征在于,R4是-COR10,其中R10是NR11R12,所述R11和R12一起形成哌啶基。
39.如权利要求2所述的化合物,其特征在于,R4是-COR10,其中R10是NR11R12,所述R11和R12分别是氢和C1-C10烷基。
40.如权利要求39所述的化合物,其特征在于,R4是-COR10,其中R10是NR11R12,所述R11和R12分别是氢和甲基。
41.如权利要求2所述的化合物,其特征在于,R4是-COR10,其中R10是NR11R12,所述R11和R12分别是氢和芳基。
42.如权利要求41所述的化合物,其特征在于,R4是-COR10,其中R10是NR11R12,所述R11和R12分别是氢和苯基。
43.如权利要求2所述的化合物,其特征在于,R4是-COR10,其中R10是NR11R12,所述R11和R12分别是氢和芳烷基。
44.如权利要求43所述的化合物,其特征在于,R4是-COR10,其中R10是NR11R12,所述R11和R12分别是氢和苄基。
45.如权利要求2所述的化合物,其特征在于,R4是-COR10,其中R10是NR11R12,所述R11和R12分别是氢和C3-C7环烷基。
46.如权利要求45所述的化合物,其特征在于,R4是-COR10,其中R10是NR11R12,所述R11和R12分别是氢和环己基。
47.如权利要求2所述的化合物,其特征在于,R4是NHR8,其中R8是芳烷基。
48.如权利要求47所述的化合物,其特征在于,R4是NHR8,其中R8是苄基。
49.如权利要求2所述的化合物,其特征在于,R4是NHR8,其中R8是CONHR9,所述R9是芳烷基。
50.如权利要求49所述的化合物,其特征在于,R4是NHR8,其中R8是CONHR9,所述R9是苄基。
51.如权利要求2所述的化合物,其特征在于,R4是NHR8,其中R8是CSNHR9,所述R9选自C1-C6烷基、芳基和芳烷基。
52.如权利要求51所述的化合物,其特征在于,R4是NHR8,其中R8是CSNHR9,所述R9选自甲基、苯基和苄基。
53.如权利要求28所述的化合物,其特征在于,R4是C1-C2烷氧基羰基。
54.如权利要求53所述的化合物,其特征在于,R4是甲氧基羰基。
55.如权利要求53所述的化合物,其特征在于,R4是乙氧基羰基。
56.如权利要求28所述的化合物,其特征在于,R4是任选取代的C1-C6烷基,其中任选取代基是羟基。
57.如权利要求56所述的化合物,其特征在于,R4是1-羟乙基。
58.如权利要求56所述的化合物,其特征在于,R4是2-羟乙基。
59.如权利要求56所述的化合物,其特征在于,R4是3-羟丙基。
60.如权利要求28所述的化合物,其特征在于,R4是NHR8,其中R8选自COCH3、COPh、SO2CH3、SO2Ph、CONHCH3和CONHPh。
61.如权利要求28所述的化合物,其特征在于,R4是任选取代的C1-C6烷基,其中任选取代基是选自-OCH3、-OC2H5、-O-正丙基、-O-异丙基、-O-环丙基、-O-CH2OCH3、-O-环戊基、-O-环己基、-O-苄基、-O-氯苄基、-O-甲氧基苄基、-O-苯基、-O-氯苯基、-O-COCH3、-O-COC2H5、-O-CO-苄基、-O-CO-苯基、-O-CO-吡啶基、-O-CONH-苯基、-O-CONH-辛基、-O-CONH-吡啶基和-O-CSNH-苯基的被保护羟基。
62.一种化合物,其是:
(3R,5R)-7-[2-(4-氟苯基)-5-异丙基-3-苯基-4-[(2-乙酰基苯基氨基)羰基]-吡咯-1-基]-3,5-二羟基庚酸(化合物1),
(3R,5R)-7-[2-(4-氟苯基)-5-异丙基-3-苯基-4-[(3-乙酰基苯基氨基)羰基]-吡咯-1-基]-3,5-二羟基庚酸(化合物2),
(3R,5R)-7-[2-(4-氟苯基)-5-异丙基-3-苯基-4-[(4-乙酰基苯基氨基)羰基]-吡咯-1-基]-3,5-二羟基庚酸(化合物3),
(3R,5R)-7-[2-(4-氟苯基)-5-异丙基-3-苯基-4-[(2,4-二甲基苯基氨基)羰基]-吡咯-1-基]-3,5-二羟基庚酸(化合物4),
(3R,5R)-7-[2-(4-氟苯基)-5-异丙基-3-苯基-4-[(环己基氨基)羰基]]-吡咯-1-基]-3,5-二羟基庚酸(化合物5),
(3R,5R)-7-[2-(4-氟苯基)-5-异丙基-3-苯基-4-[(4-三氟甲基苄基氨基)羰基]]-吡咯-1-基]-3,5-二羟基庚酸(化合物6),
(3R,5R)-7-[2-(4-氟苯基)-5-异丙基-3-苯基-4-(吗啉-4-羰基)-吡咯-1-基]-3,5-二羟基庚酸(化合物7),
(3R,5R)-7-[2-(4-氟苯基)-5-异丙基-3-苯基-4-(哌啶-1-羰基)-吡咯-1-基]-3,5-二羟基庚酸(化合物8),
(3R,5R)-7-[2-(4-氟苯基)-5-异丙基-3-苯基-4-[(4-羟基甲基苯基氨基)羰基]-吡咯-1-基]-3,5-二羟基庚酸(化合物11),
(3R,5R)-7-[2-(4-氟苯基)-5-异丙基-3-苯基-4-[(4-甲磺酰基氨基苯基氨基)羰基]-吡咯-1-基]-3,5-二羟基庚酸(化合物12),
(3R,5R)-7-[2-(4-氟苯基)-5-异丙基-3-苯基-4-[(4-乙酰基氨基苯基氨基)羰基]-吡咯-1-基]-3,5-二羟基庚酸(化合物13),
(3R,5R)-7-[2-(4-氟苯基)-5-异丙基-3-(4-氰基苯基)-4-[(苯基氨基)羰基]]-吡咯-1-基]-3,5-二羟基庚酸(化合物14),
(3R,5R)-7-[2-(4-氟苯基)-5-异丙基-3-苯基-4-[4-羧基苯基]氨基]羰基]-吡咯-1-基]-3,5-二羟基庚酸(化合物1a),
(3R,5R)-7-[2-(4-氟苯基)-5-异丙基-3-苯基-4-[4-乙酰氧基甲基苯基]氨基]羰基]-吡咯-1-基]-3,5-二羟基庚酸(化合物2a),
(3R,5R)-7-[2-(4-氟苯基)-5-异丙基-3-苯基-4-[4-苯基氨基硫代氨甲酰基氧甲基苯基]氨基]羰基]-吡咯-1-基]-3,5-二羟基庚酸(化合物3a),
(3R,5R)-7-[2-(4-氟苯基)-5-异丙基-3-苯基-4-[4-丙酰基氧甲基苯基]氨基]羰基]-吡咯-1-基]-3,5-二羟基庚酸(化合物4a),
(3R,5R)-7-[2-(4-氟苯基)-5-异丙基-3-苯基-4-[4-辛基氨基甲酰基氧甲基苯基)氨基)羰基]]-吡咯-1-基]-3,5-二羟基庚酸(化合物5a),
(3R,5R)-7-[2-(4-氟苯基)-5-异丙基-3-苯基-4-[(4-苯基乙酰氧基甲基苯基)氨基]羰基]-吡咯-1-基]-3,5-二羟基庚酸(化合物6a),
(3R,5R)-7-[2-(4-氟苯基)-5-异丙基-3-苯基-4-[4-苯基氨基甲酰基氧甲基苯基)氨基)羰基]-吡咯-1-基]-3,5-二羟基庚酸(化合物7a),
(3R,5R)-7-[2-(4-氟苯基)-5-异丙基-3-苯基-4-[4-苯甲酰氧甲基苯基]氨基]羰基]-吡咯-1-基]-3,5-二羟基-庚酸(化合物8a),
(3R,5R)-7-[2-(4-氟苯基)-5-异丙基-3-苯基-4-[4-异烟酰氧基甲基苯基]氨基]羰基]-吡咯-1-基]-3,5-二羟基庚酸(化合物9a),
(3R,5R)-7-[2-(4-氟苯基)-5-异丙基-3-苯基-4-[4-吡啶-4-基氨基甲酰氧甲基苯基]氨基]羰基]-吡咯-1-基]-3,5-二羟基庚酸(化合物10a),
(3R,5R)-7-[2-(4-氟苯基)-5-异丙基-3-苯基-4-[4-苯基氨基甲酰基苯基]氨基]羰基]-吡咯-1-基]-3,5-二羟基庚酸(化合物11a),
(3R,5R)-7-[2-(4-氟苯基)-5-异丙基-3-苯基-4-[4-环己基氨基甲酰基苯基]氨基]羰基]-吡咯-1-基]-3,5-二羟基庚酸(化合物12a),
(3R,5R)-7-[2-(4-氟苯基)-5-异丙基-3-苯基-4-[4-甲基氨基甲酰基]苯基]氨基]羰基]-吡咯-1-基]-3,5-二羟基庚酸(化合物13a),
(3R,5R)-7-[2-(4-氟苯基)-5-异丙基-3-苯基-4-[4-苄基氨基甲酰基]苯基]氨基]羰基]-吡咯-1-基]-3,5-二羟基庚酸(化合物14a),
(3R,5R)-7-[2-(4-氟苯基)-5-异丙基-3-苯基-4-[4-(吗啉-4-羰基)-苯基]氨基]羰基]-吡咯-1-基]-3,5-二羟基庚酸(化合物15),
(3R,5R)-7-[2-(4-氟苯基)-5-异丙基-3-苯基-4-[4-(哌啶-1-羰基)-苯基]氨基]羰基]-吡咯-1-基]-3,5-二羟基庚酸(化合物16),
(3R,5R)-7-[2-(4-氟苯基)-5-异丙基-3-苯基-4-[4-苄基氨基苯基]氨基]羰基]-吡咯-1-基]-3,5-二羟基庚酸(化合物17),
(3R,5R)-7-[2-(4-氟苯基)-5-异丙基-3-苯基-4-[4-(1-羟基乙基)苯基氨基]羰基]-吡咯-1-基]-3,5-二羟基庚酸(化合物18),
(3R,5R)-7-[2-(4-氟苯基)-5-异丙基-3-苯基-4-[4-(2-羟基乙基)苯基氨基]羰基]-吡咯-1-基]-3,5-二羟基庚酸(化合物19),
(3R,5R)-7-[2-(4-氟苯基)-5-异丙基-3-苯基-4-[4-(3-羟基丙基苯基氨基)羰基]-吡咯-1-基]-3,5-二羟基庚酸(化合物20),
(3R,5R)-7-[2-(4-氟苯基)-5-异丙基-3-苯基-4-[(4-甲氧基甲基苯基氨基)羰基]-吡咯-1-基]-3,5-二羟基庚酸(化合物21),
(3R,5R)-7-[2-(4-氟苯基)-5-异丙基-3-苯基-4-[(4-乙氧基甲基苯基氨基)羰基]-吡咯-1-基]-3,5-二羟基庚酸(化合物22),
(3R,5R)-7-[2-(4-氟苯基)-5-异丙基-3-苯基-4-[(4-异丙氧基甲基苯基氨基)羰基]-吡咯-1-基]-3,5-二羟基庚酸(化合物23),
(3R,5R)-7-[2-(4-氟苯基)-5-异丙基-3-苯基-4-[(4-丙氧基甲基苯基氨基)羰基]-吡咯-1-基]-3,5-二羟基庚酸(化合物24),
(3R,5R)-7-[2-(4-氟苯基)-5-异丙基-3-苯基-4-[(4-甲氧基甲氧基甲基苯基氨基)羰基]-吡咯-1-基]-3,5-二羟基庚酸(化合物25),
(3R,5R)-7-[2-(4-氟苯基)-5-异丙基-3-苯基-4-[(4-环己氧基甲基苯基氨基)羰基]-吡咯-1-基]-3,5-二羟基庚酸(化合物26),
(3R,5R)-7-[2-(4-氟苯基)-5-异丙基-3-苯基-4-[(4-环戊氧基甲基苯基氨基)羰基]-吡咯-1-基]-3,5-二羟基庚酸(化合物27),
(3R,5R)-7-[2-(4-氟苯基)-5-异丙基-3-苯基-4-[(4-苄氧基甲基苯基氨基)羰基]-吡咯-1-基]-3,5-二羟基庚酸(化合物28),
(3R,5R)-7-[2-(4-氟苯基)-5-异丙基-3-苯基-4-[(4-氯苄氧基甲基苯基氨基)羰基]-吡咯-1-基]-3,5-二羟基庚酸(化合物29),
(3R,5R)-7-[2-(4-氟苯基)-5-异丙基-3-苯基-4-[(4-甲氧基苄氧基甲基苯基氨基)羰基]-吡咯-1-基]-3,5-二羟基庚酸(化合物30),
(3R,5R)-7-[2-(4-氟苯基)-5-异丙基-3-苯基-4-[(4-苯氧基甲基苯基氨基)羰基]-吡咯-1-基]-3,5-二羟基庚酸(化合物31),
(3R,5R)-7-[2-(4-氟苯基)-5-异丙基-3-苯基-4-[(4-氯苯氧基甲基苯基氨基)羰基]-吡咯-1-基]-3,5-二羟基庚酸(化合物32),
(3R,5R)-7-[2-(4-氟苯基)-5-异丙基-3-苯基-4-[(4-乙酰基氨基苯基氨基)羰基]-吡咯-1-基]-3,5-二羟基庚酸(化合物33),
(3R,5R)-7-[2-(4-氟苯基)-5-异丙基-3-苯基-4-[(4-苯甲酰基氨基苯基氨基)羰基]-吡咯-1-基]-3,5-二羟基庚酸(化合物34),
(3R,5R)-7-[2-(4-氟苯基)-5-异丙基-3-苯基-4-[(4-苯磺酰基氨基苯基氨基)羰基]-吡咯-1-基]-3,5-二羟基庚酸(化合物36),
(3R,5R)-7-[2-(4-氟苯基)-5-异丙基-3-苯基-4-[4-(3-苯基-脲基)-苯基氨基]羰基]-吡咯-1-基]-3,5-二羟基庚酸(化合物37),
(3R,5R)-7-[2-(4-氟苯基)-5-异丙基-3-苯基-4-[4-(3-甲基-脲基)-苯基氨基]羰基]-吡咯-1-基]-3,5-二羟基庚酸(化合物38),
(3R,5R)-7-[2-(4-氟苯基)-5-异丙基-3-苯基-4-[4-(3-苄基1-脲基)-苯基氨基]羰基]-吡咯-1-基]-3,5-二羟基庚酸(化合物39),
(3R,5R)-7-[2-(4-氟苯基)-5-异丙基-3-苯基-4-[4-(3-苄基-硫脲基)-苯基氨基]羰基]-吡咯-1-基]-3,5-二羟基庚酸(化合物40),
(3R,5R)-7-[2-(4-氟苯基)-5-异丙基-3-苯基-4-[4-(3-苯基-硫脲基)-苯基氨基]羰基]-吡咯-1-基]-3,5-二羟基庚酸(化合物41),
(3R,5R)-7-[2-(4-氟苯基)-5-异丙基-3-苯基-4-[4-(3-甲基-硫脲基)-苯基氨基]羰基]-吡咯-1-基]-3,5-二羟基庚酸(化合物42),
和它们的内酯形式、药学上可接受的溶剂化物、药学上可接受的互变异构体、外消旋体、纯对映异构体、非对映异构体、代谢产物、药物前体、多形体、或N-氧化物。
63.一种如权利要求1所述的化合物的药学上可接受的盐,其中该盐选自锂、钠、钾、钙、镁、锌、铝、氨基酸、铵、一烷基铵、二烷基铵、三烷基铵和N-甲基葡萄糖胺。
64.如权利要求63所述的药学上可接受的盐,其特征在于,所述盐是钠盐。
65.如权利要求63所述的药学上可接受的盐,其特征在于,所述盐是钾盐。
66.如权利要求63所述的药学上可接受的盐,其特征在于,所述盐是半钙盐。
67.如权利要求63所述的药学上可接受的盐,其特征在于,所述盐是半镁盐。
68.如权利要求63所述的药学上可接受的盐,其特征在于,所述盐是半锌盐。
69.如权利要求63所述的药学上可接受的盐,其特征在于,所述盐N-甲基葡萄糖胺盐。
70.一种药物组合物,其包括治疗有效量的如权利要求1所述的化合物,以及药学上可接受的载体、赋形剂或稀释剂。
71.一种治疗患有胆固醇相关疾病、糖尿病和相关疾病、脑血管疾病或心血管疾病的哺乳动物或者预防上述疾病的方法,其包括对所述哺乳动物给予治疗有效量的如权利要求1所述的化合物。
72.一种治疗患有胆固醇相关疾病、糖尿病和相关疾病、脑血管疾病或心血管疾病的哺乳动物或者预防上述疾病的方法,其包括对所述哺乳动物供给治疗有效量的如权利要求70所述的组合物。
73.如权利要求72所述的方法,其特征在于,所述疾病选自动脉硬化、动脉粥样硬化、高脂血症、高脂蛋白血症、高胆固醇血症、高甘油三酸酯血症、高血压、中风、局部缺血、内皮组织机能障碍、外周血管疾病、周边动脉疾病、冠心病、心肌梗塞、脑梗塞、心肌微血管疾病、痴呆、阿尔茨海默疾病、骨质疏松症和/或骨量减少症、心绞痛或再狭窄。
74.如权利要求73所述的方法,其特征在于,所述疾病是高脂血症。
75.如权利要求73所述的方法,其特征在于,所述疾病是高胆固醇血症。
76.如权利要求73所述的方法,其特征在于,所述疾病是高脂蛋白血症。
77.如权利要求73所述的方法,其特征在于,所述疾病是高甘油三酸酯血症。
78.如权利要求73所述的方法,其特征在于,所述疾病是高血压。
79.一种通式XIb的化合物的制备方法,
通式XIb
其药学上可接受的盐、药学上可接受的溶剂化物、互变异构体、外消旋体、多形体、纯对映异构体、非对映异构体、代谢产物、药物前体或N-氧化物,其中
R1为C1-C6烷基、C3-C6环烷基或可任选取代的苯基(其中所述一个或多个取代基选自卤素、C1-C6烷基、氰基或C1-C3全氟烷基);
R2为可任选取代的苯基(其中所述一个或多个取代基选自氰基、乙酰基、或任选取代的氨基);
R3为可任选取代的C1-C6烷基或C3-C6环烷基(其中所述一个或多个取代基选自卤素、羟基、C1-C3烷氧基和被保护的羟基);R3也可为-NR6R7,其中R6和R7是任选取代的C1-C6烷基(其中,所述任选的一个或多个取代基选自卤素、羟基、C1-C3烷氧基和被保护的羟基);
R4为乙酰基、C1-C2烷氧基羰基、任选取代的C1-C6烷基(其中,取代基是羟基或被保护的羟基)、NHR8[其中,R8选自烷基、芳烷基、SO2R9、COR9或CONHR9、CSNHR9(其中,R9为C1-C6烷基、芳基或芳烷基)];R4也可为-COR10(其中,R10选自羟基和-NR11R12(其中R11和R12独立选自氢、烷基、芳基、C3-C7环烷基、杂环基、芳烷基,和R11和R12一起形成带有一个或多个任选的杂原子的5-7元环,其中一个或多个杂原子独立选自氮、氧和硫);
R5为氢、C1-C6烷基、或C3-C6环烷基、任选取代的芳基或芳烷基[其中取代基选自卤素、氰基、任选取代的C1-C6烷基(其中取代基独立选自羟基、被保护的羟基和一个或多个卤素)]、任选取代的氨基、乙酰基、三氟甲基和C1-C6烷氧基羰基,
所述方法包括:
通式II的化合物与通式IIIb的化合物反应,生成通式IVb的化合物;
通式II 通式IIIb 通式IVb
用通式V的醛处理通式IVb的化合物,生成通式VIb的化合物;
R2CHO
通式V 通式VIb
用通式VII的醛处理通式VIb的化合物,生成通式VIIIb的化合物;
通式VII 通式VIIIb
用通式IX的化合物处理通式VIIIb的化合物,生成通式Xb的化合物;
通式IX 通式Xb
水解通式Xb的化合物生成通式XIb的化合物。
80.一种通式XVa的化合物、
通式XVa
其内酯形式、其药学上可接受的盐、药学上可接受的溶剂化物、互变异构体、外消旋体、多形体、纯对映异构体、非对映异构体、代谢产物、药物前体或N-氧化物的制备方法,其中
R1为C1-C6烷基、C3-C6环烷基或可任选取代的苯基(其中最多三个取代基,独立选自卤素、C1-C6烷基、氰基或C1-C3全氟烷基);
R2为可任选取代的苯基(其中,最多三个取代基,独立选自氰基、乙酰基、或任选取代的氨基,其中最多两个氨基取代基,独立选自C1-C6烷基、C3-C6环烷基、乙酰基或氨磺酰基);以及
R3为可任选取代的C1-C6烷基或C3-C6环烷基(其中取代基选自卤素、羟基、C1-C3烷氧基和被保护的羟基);或R3为-NR6R7,其中R6和R7是任选取代的C1-C6烷基(其中,所述任选的一个或多个取代基选自卤素、羟基、C1-C3烷氧基和被保护的羟基);
所述方法包括:
水解通式XIIIa的化合物
通式XIIIa
通式Xa,其中R5=H,R4=-COOCH3
得到通式XIVa的化合物,通式XIVa的化合物进一步水解得到通式XVa的化合物。
81.一种通式XIa的化合物、
通式XIa
其药学上可接受的盐、药学上可接受的溶剂化物、互变异构体、外消旋体、多形体、纯对映异构体、非对映异构体、代谢产物、药物前体或N-氧化物的制备方法,其中
R1为C1-C6烷基、C3-C6环烷基或可任选取代的苯基(其中所述一个或多个取代基选自卤素、C1-C6烷基、氰基或C1-C3全氟烷基);
R2为可任选取代的苯基(其中,所述一个或多个取代基选自氰基、乙酰基、或任选取代的氨基);
R3为可任选取代的C1-C6烷基或C3-C6环烷基(其中所述一个或多个取代基选自卤素、羟基、C1-C3烷氧基和被保护的羟基);R3也可为-NR6R7,其中R6和R7是任选取代的C1-C6烷基(其中,所述任选的一个或多个取代基选自卤素、羟基、C1-C3烷氧基和被保护的羟基);
R4为乙酰基、C1-C2烷氧基羰基、任选取代的C1-C6烷基(其中,取代基是羟基或被保护的羟基)、NHR8[其中,R8选自烷基、芳烷基、SO2R9、COR9或CONHR9、CSNHR9(其中,R9为C1-C6烷基、芳基或芳烷基)];R4也可为-COR10(其中,R10选自羟基和-NR11R12(其中R11和R12独立选自氢、烷基、芳基、C3-C7环烷基、杂环基、芳烷基,和R11和R12一起形成带有一个或多个任选的杂原子的5-7元环,其中一个或多个杂原子独立选自氮、氧和硫);以及
R5为氢、C1-C6烷基、或C3-C6环烷基、任选取代的芳基或芳烷基,[其中取代基选自卤素、氰基、任选取代的C1-C6烷基(其中取代基独立选自羟基、被保护的羟基和一个或多个卤素)]、任选取代的氨基、乙酰基、三氟甲基和C1-C6烷氧基羰基,
所述方法包括:
通式XVIII的化合物与通式V的化合物反应,生成通式XIX的化合物;
通式XVIII 通式V 通式XIX
通式XIX的化合物与通式VII的化合物反应,生成通式XX的化合物;
通式VII 通式XX
用通式IX的化合物处理通式XX的化合物,生成通式XXI的化合物;
通式IX 通式XXI
通式XXI的化合物脱苄基生成通式XXII的化合物;
通式XXII
将通式XXII的化合物转化为相应的酰氯;
将通式XXII的化合物的酰氯形式与通式IIIa的胺反应,生成通式Xa的化合物;以及
通式IIIa 通式Xa
水解通式Xa的化合物生成通式XIa的化合物。
83.一种具有通式XX的结构的化合物,
通式XX
其中,
R1为C1-C6烷基、C3-C6环烷基、或任选取代的苯基(其中所述一个或多个取代基选自卤素、C1-C6烷基、氰基和C1-C3全氟烷基);
R2为任选取代的苯基(其中所述一个或多个取代基选自氰基、乙酰基和任选取代的氨基;
R3为任选取代的C1-C6烷基或C3-C6环烷基(其中所述一个或多个取代基选自卤素、羟基、C1-C3烷氧基和被保护的羟基);R3也可为-NR6R7,其中R6和R7为任选取代的C1-C6烷基(其中所述任选取代的一个或多个取代基选自卤素、羟基、C1-C3烷氧基和被保护的羟基)。
87.一种通式XX的化合物的制备方法,
通式XX
其中,
R1为C1-C6烷基、C3-C6环烷基、或任选取代的苯基(其中所述一个或多个取代基选自卤素、C1-C6烷基、氰基和C1-C3全氟烷基);
R2为任选取代的苯基(其中所述一个或多个取代基选自氰基、乙酰基和任选取代的氨基;
R3为任选取代的C1-C6烷基或C3-C6环烷基(其中所述一个或多个取代基选自卤素、羟基、C1-C3烷氧基和被保护的羟基);R3也可为-NR6R7,其中R6和R7为任选取代的C1-C6烷基(其中所述任选取代的一个或多个取代基选自卤素、羟基、C1-C3烷氧基和被保护的羟基),
所述方法包括:
通式XIX的化合物与通式VII的化合物反应,
R1CHO
通式VII 通式XIX
生成通式XX的化合物。
88.一种通式XXI的化合物的制备方法,
通式XXI
其中,
R1为C1-C6烷基、C3-C6环烷基、或任选取代的苯基(其中所述一个或多个取代基选自卤素、C1-C6烷基、氰基和C1-C3全氟烷基);
R2为任选取代的苯基(其中所述一个或多个取代基选自氰基、乙酰基和任选取代的氨基;
R3为任选取代的C1-C6烷基或C3-C6环烷基(其中所述一个或多个取代基选自卤素、羟基、C1-C3烷氧基和被保护的羟基);R3也可为-NR6R7,其中R6和R7是任选取代的C1-C6烷基(其中所述任选的一个或多个取代基选自卤素、羟基、C1-C3烷氧基和被保护的羟基),
所述方法包括:
用通式IX的化合物处理通式XX的化合物,
通式IX 通式XX
生成通式XXI的化合物。
89.一种通式XXII的化合物的制备方法,
通式XXII
其中,
R1为C1-C6烷基、C3-C6环烷基、或任选取代的苯基(其中所述一个或多个取代基选自卤素、C1-C6烷基、氰基和C1-C3全氟烷基);
R2为任选取代的苯基(其中所述一个或多个取代基选自氰基、乙酰基和任选取代的氨基);
R3为可任选取代的C1-C6烷基或C3-C6环烷基(其中所述一个或多个取代基选自卤素、羟基、C1-C3烷氧基和被保护的羟基);R3也可为-NR6R7,其中R6和R7是任选取代的C1-C6烷基(其中任选的一个或多个取代基选自卤素、羟基、C1-C3烷氧基和被保护的羟基)
所述方法包括:
通式XXI的化合物脱苄基,
通式XXI
生成通式XXII的化合物。
90.一种通式XI的化合物、
通式XI
通式I,其中
其内酯形式、其药学上可接受的盐、药学上可接受的溶剂化物、药物前体、代谢产物、多形体、互变异构体、外消旋体、纯对映异构体、非对映异构体或N-氧化物的制备方法,其中
R1为C1-C6烷基、C3-C6环烷基或可任选取代的苯基(其中最多三个取代基,独立选自卤素、C1-C6烷基、氰基或C1-C3全氟烷基);
R2为可任选取代的苯基(其中,最多三个取代基,独立选自氰基、乙酰基、或任选取代的氨基,其中最多两个氨基取代基,独立选自C1-C6烷基、C3-C6环烷基、乙酰基或氨磺酰基);
R3为可任选取代的C1-C6烷基或C3-C6环烷基(其中所述取代基选自卤素、羟基、C1-C3烷氧基和被保护的羟基);
R3也可为-NR8R9,其中R8和R9是任选取代的C1-C6烷基(其中,所述任选的一个或多个取代基选自卤素、羟基、C1-C3烷氧基和被保护的羟基);
R4为
其中,R5和R6各自独立为氢、C1-C6烷基、或C3-C6环烷基、任选取代的芳基或芳烷基,其中取代基选自卤素、氰基、任选取代的C1-C6烷基(其中最多2个取代基,独立选自羟基、被保护的羟基和一个或多个卤素)、任选取代的氨基(其中最多两个取代基,独立选自SO2R7、COR7、CONHR7,其中R7是C1-C6烷基或芳基)、或乙酰基、三氟甲基、或C1-C6烷氧基羰基,或者R5和R6一起形成带有一个或多个独立选自氮、氧和硫的任选杂原子的5-7元环,
或者R4也可为具有一个或多个杂原子的任选取代的单环、二环或三环杂环,其中所述一个或多个杂原子独立选自氧、氮和硫,任选的取代基独立选自卤素、羟基、被保护的羟基、C1-C3烷氧基、氰基、C1-C3全氟烷基、C1-C6烷基或C3-C6环烷基、芳基或任选取代的芳烷基,其中芳烷基的取代基独立选自卤素、羟基、被保护的羟基、C1-C3烷氧基、氰基、C1-C3全氟烷基,
以及通式I的化合物的药学上可接受的盐、互变异构体、外消旋体、纯对映异构体或非对映异构体,以及溶剂化物,
前提是,只有当(1)R5或R6是C3-C6环烷基或被乙酰基、烷基、环烷基、羟基烷基、烷基亚磺酰氨基、乙酰氨基取代的苯基,或者(2)当R5和R6一起形成带有或不带有一个或多个选自氮、氧和硫的杂原子的5-7元环,或者(3)当R5或R6是任选被卤素、氰基、C1-C6烷基、C1-C6卤代烷基取代的芳烷基,或者(4)当R4是任选的有一个或多个杂原子的单环、二环或三环杂环(其中,任选的取代基独立选自卤素、羟基、被保护的羟基、C1-C3烷氧基、氰基、C1-C3全氟烷基、C1-C6烷基或C3-C6环烷基、芳基或任选取代的芳烷基(其中芳烷基的取代基独立选自卤素、羟基、被保护的羟基、C1-C3烷氧基、氰基、C1-C3全氟烷基))时,R2是苯基,
所述方法包括:
通式II的化合物与通式III的化合物反应生成通式IV的化合物;
通式II 通式III 通式IV
用通式V的醛处理通式IV的化合物,生成通式VI的化合物;
通式V 通式VI
用通式VII的醛处理通式VI的化合物,生成通式VIII的化合物;
通式VII 通式VIII
用通式IX的化合物处理通式VIII的化合物,生成通式X的化合物;
通式IX 通式X
水解通式X的化合物生成通式XI的化合物。
91.一种通式XVI的化合物、
通式XVI
其内酯形式、其药学上可接受的盐、药学上可接受的溶剂化物、药物前体、代谢产物、多形体、互变异构体、外消旋体、纯对映异构体、非对映异构体或N-氧化物的制备方法,其中
R1为C1-C6烷基、C3-C6环烷基或可任选取代的苯基(其中最多三个取代基,独立选自卤素、C1-C6烷基、氰基或C1-C3全氟烷基);
R2为可任选取代的苯基(其中,最多三个取代基,独立选自氰基、乙酰基、或任选取代的氨基,其中最多两个氨基取代基,独立选自C1-C6烷基、C3-C6环烷基、乙酰基或氨磺酰基);
R3为可任选取代的C1-C6烷基或C3-C6环烷基(其中取代基选自卤素、羟基、C1-C3烷氧基和被保护的羟基);
R3也可为-NR8R9,其中R8和R9是任选取代的C1-C6烷基(其中,所述任选的一个或多个取代基选自卤素、羟基、C1-C3烷氧基和被保护的羟基);
所述方法包括:
水解通式XIII的化合物生成通式XIV的化合物;
通式XIII
通式XIV
还原通式的XIV的化合物得到通式XV的化合物;
通式XV
水解通式XV的化合物生成通式XVI的化合物。
92.一种通式XI的化合物、
通式XI
其内酯形式、其药学上可接受的盐、药学上可接受的溶剂化物、药物前体、代谢产物、多形体、互变异构体、外消旋体、纯对映异构体、非对映异构体或N-氧化物的制备方法,其中
R1为C1-C6烷基、C3-C6环烷基或可任选取代的苯基(其中最多三个取代基,独立选自卤素、C1-C6烷基、氰基或C1-C3全氟烷基);
R2为可任选取代的苯基(其中,最多三个取代基,独立选自氰基、乙酰基、或任选取代的氨基,其中最多两个氨基取代基,独立选自C1-C6烷基、C3-C6环烷基、乙酰基或氨磺酰基);
R3为可任选取代的C1-C6烷基或C3-C6环烷基(其中取代基选自卤素、羟基、C1-C3烷氧基和被保护的羟基);
R3也可为-NR8R9,其中R8和R9是任选取代的C1-C6烷基(其中所述任选的一个或多个取代基选自卤素、羟基、C1-C3烷氧基和被保护的羟基);
R4为
其中,R5和R6各自独立为氢、C1-C6烷基、或C3-C6环烷基、任选取代的芳基或芳烷基,其中取代基选自卤素、氰基、任选取代的C1-C6烷基(其中最多2个取代基,独立选自羟基、被保护的羟基和一个或多个卤素)、任选取代的氨基(其中最多两个取代基,独立选自SO2R7、COR7、CONHR7,其中R7是C1-C6烷基或芳基)、或乙酰基、三氟甲基、或C1-C6烷氧基羰基,或者R5和R6一起形成带有一个或多个独立选自氮、氧和硫的任选杂原子的5-7元环,
或者R4也可为具有一个或多个杂原子的任选取代的单环、二环或三环杂环,其中所述一个或多个杂原子独立选自氧、氮和硫,任选的取代基独立选自卤素、羟基、被保护的羟基、C1-C3烷氧基、氰基、C1-C3全氟烷基、C1-C6烷基或C3-C6环烷基、芳基或任选取代的芳烷基,其中取代基独立选自卤素、羟基、被保护的羟基、C1-C3烷氧基、氰基、C1-C3全氟烷基,
以及通式I的化合物的药学上可接受的盐、互变异构体、外消旋体、纯对映异构体或非对映异构体,以及溶剂化物,
前提是,只有当(1)R5或R6是C3-C6环烷基或用乙酰基、烷基、环烷基、羟基烷基、烷基磺酰氨基、乙酰氨基取代的苯基,或者(2)当R5和R6一起形成带有或不带有一个或多个选自氮、氧和硫的杂原子的5-7元环,或者(3)当R5或R6是任选用卤素、氰基、C1-C6烷基、C1-C6卤代烷基取代的芳烷基,或者(4)当R4是任选的有一个或多个杂原子的单环、二环或三环杂环(其中,任选的取代基独立选自卤素、羟基、被保护的羟基、C1-C3烷氧基、氰基、C1-C3全氟烷基、C1-C6烷基或C3-C6环烷基、芳基或任选取代的芳烷基(其中芳烷基的取代基独立选自卤素、羟基、被保护的羟基、C1-C3烷氧基、氰基、C1-C3全氟烷基))时,R2是苯基,
所述方法包括:
通式XVIII的化合物与通式V的化合物反应,生成通式XIX的化合物;
通式XVIII 通式V 通式XIX
通式XIX的化合物与通式VII的化合物反应生成通式XX的化合物;
通式VII 通式XX
用通式IX的化合物处理通式XX的化合物生成通式XXI的化合物;
通式IX 通式XXI
通式XXI的化合物脱苄基化生成通式XXII的化合物;
通式XXII
通式XXII的化合物转化为相应的酰氯;将通式XXII的化合物的酰氯形式与通式III的胺反应,生成通式X的化合物;
通式III 通式X
水解通式X的化合物生成通式XI的化合物。
93.一种通式XI的化合物、
通式XI
其内酯形式、其药学上可接受的盐、药学上可接受的溶剂化物、互变异构体、外消旋体、纯对映异构体、非对映异构体或N-氧化物的制备方法,其中
R1为C1-C6烷基、C3-C6环烷基或可任选取代的苯基(其中最多三个取代基,独立选自卤素、C1-C6烷基、氰基或C1-C3全氟烷基);
R2为可任选取代的苯基(其中,最多三个取代基,独立选自氰基、乙酰基、或任选取代的氨基,其中最多两个氨基取代基,独立选自C1-C6烷基、C3-C6环烷基、乙酰基或氨磺酰基);
R3为可任选取代的C1-C6烷基或C3-C6环烷基(其中取代基选自卤素、羟基、C1-C3烷氧基和被保护的羟基);
R3也可为-NR8R9,其中R8和R9是任选取代的C1-C6烷基(其中,任选的一个或多个取代基选自卤素、羟基、C1-C3烷氧基和被保护的羟基);
R4为
其中,R5和R6各自独立为氢、C1-C6烷基、或C3-C6环烷基、任选取代的芳基或芳烷基,其中取代基选自卤素、氰基、任选取代的C1-C6烷基(其中最多2个取代基,独立选自羟基、被保护的羟基和一个或多个卤素)、任选取代的氨基(其中最多两个取代基,独立选自SO2R7、COR7、CONHR7,其中R7是C1-C6烷基或芳基)、或乙酰基、三氟甲基、或C1-C6烷氧基羰基,或者R5和R6一起形成带有一个或多个独立选自氮、氧和硫的任选杂原子的5-7元环,
或者R4也可为具有一个或多个杂原子的任选取代的单环、二环或三环杂环,其中所述一个或多个杂原子独立选自氧、氮和硫,任选的取代基独立选自卤素、羟基、被保护的羟基、C1-C3烷氧基、氰基、C1-C3全氟烷基、C1-C6烷基或C3-C6环烷基、芳基或任选取代的芳烷基,其中取代基独立选自卤素、羟基、被保护的羟基、C1-C3烷氧基、氰基、C1-C3全氟烷基,
以及通式I的化合物的药学上可接受的盐、互变异构体、外消旋体、纯对映异构体或非对映异构体,以及溶剂化物,
前提是,只有当(1)R5或R6是C3-C6环烷基或用乙酰基、烷基、环烷基、羟基烷基、烷基亚磺酰氨基、乙酰氨基取代的苯基,或者(2)当R5和R6一起形成带有或不带有一个或多个选自氮、氧和硫的杂原子的5-7元环,或者(3)当R5或R6是任选用卤素、氰基、C1-C6烷基、C1-C6卤代烷基取代的芳烷基,或者(4)当R4是任选的有一个或多个杂原子的单环、二环或三环杂环(其中,任选的取代基独立选自卤素、羟基、被保护的羟基、C1-C3烷氧基、氰基、C1-C3全氟烷基、C1-C6烷基或C3-C6环烷基、芳基或任选取代的芳烷基(其中芳烷基的取代基独立选自卤素、羟基、被保护的羟基、C1-C3烷氧基、氰基、C1-C3全氟烷基))时,R2是苯基,
所述方法包括:
通式XVIII的化合物与通式V的化合物反应,生成通式XIX的化合物;
通式XVIII 通式V 通式XIX
通式XIX的化合物与通式VII的化合物反应生成通式XX的化合物;
R1CHO
通式VII 通式XX
用通式IX的化合物处理通式XX的化合物生成通式XXI的化合物;
通式IX 通式XXI
通式XXI的化合物脱苄基化生成通式XXII的化合物;
通式XXII
通式XXII的化合物与通式III的胺和偶联剂反应,生成通式X的化合物,
通式III 通式X
水解通式X的化合物生成通式XI的化合物。
94.一种通式XIIb的化合物、
通式XIIb
它们药物学上可接受的盐、药物学上可接受的溶剂化物、互变异构体、外消旋体、多形体、纯对映异构体、非对映异构体、代谢产物、药物前体或N-氧化物的制备方法,其中
R1为C1-C6烷基、C3-C6环烷基或可任选取代的苯基(其中一个或多个取代基选自卤素、C1-C6烷基、氰基或C1-C3全氟烷基);
R2为可任选取代的苯基(其中,一个或多个取代基选自氰基、乙酰基、或任选取代的氨基);
R3为可任选取代的C1-C6烷基或C3-C6环烷基(其中一个或多个取代基选自卤素、羟基、C1-C3烷氧基和被保护的羟基);R3也可为-NR6R7,其中R6和R7是任选取代的C1-C6烷基(其中,任选的一个或多个取代基选自卤素、羟基、C1-C3烷氧基和被保护的羟基);
R4为乙酰基、C1-C2烷氧基羰基、任选取代的C1-C6烷基(其中,取代基是羟基或被保护的羟基)、NHR8[其中,R8选自烷基、芳烷基、SO2R9、COR9或CONHR9、CSNHR9(其中,R9为C1-C6烷基、芳基或芳烷基)];R4也可为-COR10(其中,R10选自羟基和-NR11R12(其中R11和R12独立选自氢、烷基、芳基、C3-C7环烷基、杂环基、芳烷基和R11和R12一起形成带有一个或多个任选的杂原子的5-7元环,其中一个或多个杂原子独立选自氮、氧和硫);
R5为氢、C1-C6烷基、或C3-C6环烷基、任选取代的芳基或芳烷基,[其中取代基选自卤素、氰基、任选取代的C1-C6烷基(其中取代基独立选自羟基、被保护的羟基和一个或多个卤素)、任选取代的氨基、乙酰基、三氟甲基和C1-C6烷氧基羰基,
所述方法包括:
先用氢氧化钠,然后再用乙酸钙处理通式XIb的化合物,
通式XIb
生成通式XIIb的化合物。
95.一种通式XVIa的化合物的制备方法,
通式XVIa
其内酯形式、其药学上可接受的盐、药学上可接受的溶剂化物、互变异构体、外消旋体、多形体、纯对映异构体、非对映异构体、代谢产物、药物前体或N-氧化物,其中
R1为C1-C6烷基、C3-C6环烷基或可任选取代的苯基(其中最多三个取代基,独立选自卤素、C1-C6烷基、氰基或C1-C3全氟烷基);
R2为可任选取代的苯基(其中,最多三个取代基,独立选自氰基、乙酰基、或任选取代的氨基,其中最多两个氨基取代基,独立选自C1-C6烷基、C3-C6环烷基、乙酰基或氨磺酰基);
R3为可任选取代的C1-C6烷基或C3-C6环烷基(其中取代基选自卤素、羟基、C1-C3烷氧基和被保护的羟基);
或R3为-NR6R7,其中R6和R7是任选取代的C1-C6烷基(其中,任选的一个或多个取代基选自卤素、羟基、C1-C3烷氧基和被保护的羟基);
所述方法包括:
用氢氧化钠处理通式XVa的化合物,
通式XVa
生成通式XVIa的化合物。
96.一种通式XIIa的化合物、
通式XIIa
它们药物学上可接受的盐、药物学上可接受的溶剂化物、互变异构体、外消旋体、多形体、纯对映异构体、非对映异构体、代谢产物、药物前体或N-氧化物的制备方法,其中
R1为C1-C6烷基、C3-C6环烷基或可任选取代的苯基(其中所述一个或多个取代基选自卤素、C1-C6烷基、氰基或C1-C3全氟烷基);
R2为可任选取代的苯基(其中,所述一个或多个取代基选自氰基、乙酰基、或任选取代的氨基);
R3为可任选取代的C1-C6烷基或C3-C6环烷基(其中所述一个或多个取代基选自卤素、羟基、C1-C3烷氧基和被保护的羟基);R3也可为-NR6R7,其中R6和R7是任选取代的C1-C6烷基(其中,任选的一个或多个取代基选自卤素、羟基、C1-C3烷氧基和被保护的羟基);
R4为乙酰基、C1-C2烷氧基羰基、任选取代的C1-C6烷基(其中,取代基是羟基或被保护的羟基)、NHR8[其中,R8选自烷基、芳烷基、SO2R9、COR9或CONHR9、CSNHR9(其中,R9为C1-C6烷基、芳基或芳烷基)];R4也可为-COR10(其中,R10选自羟基和-NR11R12(其中R11和R12独立选自氢、烷基、芳基、C3-C7环烷基、杂环基、芳烷基和R11和R12一起形成带有一个或多个任选的杂原子的5-7元环,其中一个或多个杂原子独立选自氮、氧和硫);
R5为氢、C1-C6烷基、或C3-C6环烷基、任选取代的芳基或芳烷基,[其中取代基选自卤素、氰基、任选取代的C1-C6烷基(其中取代基独立选自羟基、被保护的羟基和一个或多个卤素)]、任选取代的氨基、乙酰基、三氟甲基和C1-C6烷氧基羰基,
所述方法包括:
先用氢氧化钠,在用乙酸钙处理通式XIa的化合物,
通式XIa
生成通式XIIa的化合物。
97.一种通式XII的化合物、
通式XII
通式I,其中
其内酯形式、其药学上可接受的盐、药学上可接受的溶剂化物、药物前体、代谢产物、多形体、互变异构体、外消旋体、纯对映异构体、非对映异构体或N-氧化物的制备方法,其中
R1为C1-C6烷基、C3-C6环烷基或可任选取代的苯基(其中最多三个取代基,独立选自卤素、C1-C6烷基、氰基或C1-C3全氟烷基);
R2为可任选取代的苯基(其中,最多三个取代基,独立选自氰基、乙酰基、或任选取代的氨基,其中最多两个氨基取代基,独立选自C1-C6烷基、C3-C6环烷基、乙酰基或氨磺酰基);
R3为可任选取代的C1-C6烷基或C3-C6环烷基(其中取代基选自卤素、羟基、C1-C3烷氧基和被保护的羟基);
R3也可为-NR8R9,其中R8和R9是任选取代的C1-C6烷基(其中,所述任选的一个或多个取代基选自卤素、羟基、C1-C3烷氧基和被保护的羟基);
R4为
其中,R5和R6各自独立为氢、C1-C6烷基、或C3-C6环烷基、任选取代的芳基或芳烷基,其中取代基选自卤素、氰基、任选取代的C1-C6烷基(其中最多2个取代基,独立选自羟基、被保护的羟基和一个或多个卤素)、任选取代的氨基(其中最多两个取代基,独立选自SO2R7、COR7、CONHR7,其中R7是C1-C6烷基或芳基)、或乙酰基、三氟甲基、或C1-C6烷氧基羰基,或者R5和R6一起形成带有一个或多个独立选自氮、氧和硫的任选杂原子的5-7元环,
或者R4也可为具有一个或多个杂原子的任选取代的单环、二环或三环杂环,其中所述一个或多个杂原子独立选自氧、氮和硫,任选的取代基独立选自卤素、羟基、被保护的羟基、C1-C3烷氧基、氰基、C1-C3全氟烷基、C1-C6烷基或C3-C6环烷基、芳基或任选取代的芳烷基,其中芳烷基的取代基独立选自卤素、羟基、被保护的羟基、C1-C3烷氧基、氰基、C1-C3全氟烷基,
以及通式I的化合物的药学上可接受的盐、互变异构体、外消旋体、纯对映异构体或非对映异构体,以及溶剂化物,
前提是,只有当(1)R5或R6是C3-C6环烷基或用乙酰基、烷基、环烷基、羟基烷基、烷基亚磺酰氨基、乙酰氨基取代的苯基,或者(2)当R5和R6一起形成带有或不带有一个或多个选自氮、氧和硫的杂原子的5-7元环,或者(3)当R5或R6是任选用卤素、氰基、C1-C6烷基、C1-C6卤代烷基取代的芳烷基,或者(4)当R4是任选的有一个或多个杂原子的单环、二环或三环杂环(其中,任选的取代基独立选自卤素、羟基、被保护的羟基、C1-C3烷氧基、氰基、C1-C3全氟烷基、C1-C6烷基或C3-C6环烷基、芳基或任选取代的芳烷基(其中芳烷基的取代基独立选自卤素、羟基、被保护的羟基、C1-C3烷氧基、氰基、C1-C3全氟烷基))时,R2是苯基,
所述方法包括:
先用氢氧化钠、再用乙酸钙处理通式XI的化合物,
通式XI
通式I,其中
生成通式XII的化合物。
98.一种通式XVI的化合物、
通式XVII
通式I,其中,
其内酯形式、其药学上可接受的盐、药学上可接受的溶剂化物、互变异构体、外消旋体、纯对映异构体、非对映异构体或N-氧化物的制备方法,其中
R1为C1-C6烷基、C3-C6环烷基或可任选取代的苯基(其中最多三个取代基,独立选自卤素、C1-C6烷基、氰基或C1-C3全氟烷基);
R2为可任选取代的苯基(其中,最多三个取代基,独立选自氰基、乙酰基、或任选取代的氨基,其中最多两个氨基取代基,独立选自C1-C6烷基、C3-C6环烷基、乙酰基或氨磺酰基);
R3为可任选取代的C1-C6烷基或C3-C6环烷基(其中取代基选自卤素、羟基、C1-C3烷氧基和被保护的羟基);
R3也可为-NR8R9,其中R8和R9是任选取代的C1-C6烷基(其中,任选的一个或多个取代基选自卤素、羟基、C1-C3烷氧基和被保护的羟基);
所述方法包括:
先用氢氧化钠,再用乙酸钙处理通式XVI的化合物,
通式XVI
生成通式XVII的化合物。
99.一种通式XII的化合物、
通式XII
通式I,其中
其内酯形式、其药学上可接受的盐、药学上可接受的溶剂化物、药物前体、代谢产物、多形体、互变异构体、外消旋体、纯对映异构体、非对映异构体或N-氧化物的制备方法,其中
R1为C1-C6烷基、C3-C6环烷基或可任选取代的苯基(其中最多三个取代基,独立选自卤素、C1-C6烷基、氰基或C1-C3全氟烷基);
R2为可任选取代的苯基(其中,最多三个取代基,独立选自氰基、乙酰基、或任选取代的氨基,其中最多两个氨基取代基,独立选自C1-C6烷基、C3-C6环烷基、乙酰基或氨磺酰基);
R3为可任选取代的C1-C6烷基或C3-C6环烷基(其中取代基选自卤素、羟基、C1-C3烷氧基和被保护的羟基);
R3也可为-NR8R9,其中R8和R9是任选取代的C1-C6烷基(其中,任选的一个或多个取代基选自卤素、羟基、C1-C3烷氧基和被保护的羟基);
R4为
其中,R5和R6各自独立为氢、C1-C6烷基、或C3-C6环烷基、任选取代的芳基或芳烷基,其中取代基选自卤素、氰基、任选取代的C1-C6烷基(其中最多2个取代基,独立选自羟基、被保护的羟基和一个或多个卤素)、任选取代的氨基(其中最多两个取代基,独立选自SO2R7、COR7、CONHR7,其中R7是C1-C6烷基或芳基)、或乙酰基、三氟甲基、或C1-C6烷氧基羰基,或者R5和R6一起形成带有一个或多个独立选自氮、氧和硫的任选杂原子的5-7元环,
或者R4也可为具有一个或多个杂原子的任选取代的单环、二环或三环杂环,其中所述一个或多个杂原子独立选自氧、氮和硫,任选的取代基独立选自卤素、羟基、被保护的羟基、C1-C3烷氧基、氰基、C1-C3全氟烷基、C1-C6烷基或C3-C6环烷基、芳基或任选取代的芳烷基-取代基独立选自卤素、羟基、被保护的羟基、C1-C3烷氧基、氰基、C1-C3全氟烷基,
以及通式I的化合物的药学上可接受的盐、互变异构体、外消旋体、纯对映异构体或非对映异构体,以及溶剂化物,
前提是,只有当(1)R5或R6是C3-C6环烷基或用乙酰基、烷基、环烷基、羟基烷基、烷基亚磺酰氨基、乙酰氨基取代的苯基,或者(2)当R5和R6一起形成带有或不带有一个或多个选自氮、氧和硫的杂原子的5-7元环,或者(3)当R5或R6是任选用卤素、氰基、C1-C6烷基、C1-C6卤代烷基取代的芳烷基,或者(4)当R4是任选的有一个或多个杂原子的单环、二环或三环杂环(其中,任选的取代基独立选自卤素、羟基、被保护的羟基、C1-C3烷氧基、氰基、C1-C3全氟烷基、C1-C6烷基或C3-C6环烷基、芳基或任选取代的芳烷基(其中芳烷基的取代基独立选自卤素、羟基、被保护的羟基、C1-C3烷氧基、氰基、C1-C3全氟烷基))时,R2是苯基,
所述方法包括:
先用氢氧化钠、再用乙酸钙处理通式XI的化合物,
通式XI
生成通式XII的化合物。
Applications Claiming Priority (2)
| Application Number | Priority Date | Filing Date | Title |
|---|---|---|---|
| US44941803A | 2003-05-30 | 2003-05-30 | |
| US10/449,418 | 2003-05-30 |
Related Child Applications (1)
| Application Number | Title | Priority Date | Filing Date |
|---|---|---|---|
| CN2010102819298A Division CN101967117A (zh) | 2003-05-30 | 2004-05-28 | 取代的吡咯衍生物及其作为hmg-co抑制剂的用途 |
Publications (1)
| Publication Number | Publication Date |
|---|---|
| CN1812983A true CN1812983A (zh) | 2006-08-02 |
Family
ID=33489407
Family Applications (2)
| Application Number | Title | Priority Date | Filing Date |
|---|---|---|---|
| CNA2004800180992A Pending CN1812983A (zh) | 2003-05-30 | 2004-05-28 | 取代的吡咯衍生物及其作为hmg-co抑制剂的用途 |
| CN2010102819298A Pending CN101967117A (zh) | 2003-05-30 | 2004-05-28 | 取代的吡咯衍生物及其作为hmg-co抑制剂的用途 |
Family Applications After (1)
| Application Number | Title | Priority Date | Filing Date |
|---|---|---|---|
| CN2010102819298A Pending CN101967117A (zh) | 2003-05-30 | 2004-05-28 | 取代的吡咯衍生物及其作为hmg-co抑制剂的用途 |
Country Status (29)
| Country | Link |
|---|---|
| US (3) | US7923467B2 (zh) |
| EP (2) | EP1658283A2 (zh) |
| JP (2) | JP4901474B2 (zh) |
| KR (2) | KR20110117731A (zh) |
| CN (2) | CN1812983A (zh) |
| AP (2) | AP1963A (zh) |
| AR (1) | AR044470A1 (zh) |
| AU (1) | AU2004242777B2 (zh) |
| BR (1) | BRPI0410840A (zh) |
| CA (2) | CA2526730A1 (zh) |
| CO (1) | CO5720994A2 (zh) |
| CR (1) | CR8111A (zh) |
| EA (1) | EA009646B1 (zh) |
| EC (1) | ECSP056193A (zh) |
| GE (1) | GEP20084406B (zh) |
| IL (1) | IL172257A0 (zh) |
| IS (1) | IS8195A (zh) |
| MA (1) | MA27844A1 (zh) |
| MX (1) | MXPA05012900A (zh) |
| MY (1) | MY148499A (zh) |
| NO (1) | NO20056218L (zh) |
| NZ (2) | NZ543741A (zh) |
| OA (1) | OA13174A (zh) |
| RS (1) | RS20050890A (zh) |
| SG (1) | SG141430A1 (zh) |
| TN (1) | TNSN05306A1 (zh) |
| UA (1) | UA82698C2 (zh) |
| WO (1) | WO2004106299A2 (zh) |
| ZA (1) | ZA200510277B (zh) |
Cited By (1)
| Publication number | Priority date | Publication date | Assignee | Title |
|---|---|---|---|---|
| CN107438595A (zh) * | 2015-03-31 | 2017-12-05 | 大元制药株式会社 | 晶型及其制备方法 |
Families Citing this family (11)
| Publication number | Priority date | Publication date | Assignee | Title |
|---|---|---|---|---|
| CN1812983A (zh) | 2003-05-30 | 2006-08-02 | 兰贝克赛实验室有限公司 | 取代的吡咯衍生物及其作为hmg-co抑制剂的用途 |
| WO2005118536A1 (en) * | 2004-05-31 | 2005-12-15 | Ranbaxy Laboratories Limited | Process for the preparation of atorvastatin |
| EP1671947A1 (en) * | 2004-12-20 | 2006-06-21 | Ratiopharm GmbH | Process for preparing pyrrole derivatives and intermediates |
| EP1705175A1 (en) * | 2005-03-24 | 2006-09-27 | ratiopharm GmbH | Process for preparing C5 products and their use for Atorvastatin synthesis |
| SG166829A1 (en) * | 2005-11-08 | 2010-12-29 | Ranbaxy Lab Ltd | Process for (3r, 5r)-7-[2-(4-fluorophenyl)-5-isopropyl-3-phenyl-4- [(4-hydroxy methyl phenyl amino) carbonyl]-pyrrol-1-yl]-3, 5-dihydroxy-heptanoic acid hemi calcium salt |
| AR059838A1 (es) * | 2006-03-14 | 2008-04-30 | Ranbaxy Lab Ltd | Formulaciones para dosis estabilizantes de estatina |
| CL2007002044A1 (es) * | 2006-07-14 | 2008-06-13 | Ranbaxy Lab Ltd | Polimorfo cristalino de la sal hemicalcica del acido (3r,5r)-7-[2-(4-fluorofenil)-5-isopropil-3-fenil-4-[(4-hidroximetilfenilamino)carbonil]-pirrol-1-il]-3,5-dihidroxiheptanoico; composicion farmaceutica; y uso para el tratamiento de la diabetes, enf |
| US8624063B2 (en) | 2009-06-30 | 2014-01-07 | Wisconsin Alumni Research Foundation | Non-lactone carbocyclic and heterocyclic antagonists and agonists of bacterial quorum sensing |
| WO2011153247A1 (en) * | 2010-06-01 | 2011-12-08 | Furiex Pharmaceuticals, Inc. | Combination therapies |
| US10526278B2 (en) | 2017-10-19 | 2020-01-07 | Wisconsin Alumni Research Foundation | Inhibitors of quorum sensing receptor LasR |
| KR102218320B1 (ko) * | 2019-07-12 | 2021-02-23 | 대원제약주식회사 | (3r,5r)-7-(2-(4-플루오로페닐)-5-이소프로필-3-페닐-4-((4-히드록시메틸페닐아미노)카보닐)-피롤-1-일)-3,5-디히드록시 헵탄산 헤미칼슘염의 제조방법, 및 이에 사용되는 중간체의 제조방법 |
Family Cites Families (186)
| Publication number | Priority date | Publication date | Assignee | Title |
|---|---|---|---|---|
| US2990173A (en) * | 1957-12-23 | 1961-06-27 | Melville Wilbur | Registration control methods and devices |
| GB993584A (zh) | 1962-01-24 | |||
| US3262977A (en) * | 1962-03-10 | 1966-07-26 | Chinoin Gyogyszer Es Vegyeszet | N-aralkyl-1, 1-diphenyl-propylamine derivatives |
| US3238215A (en) | 1963-10-17 | 1966-03-01 | Sterling Drug Inc | 1-[(3-, 2-, and 1-indolyl)-lower-alkyl-, lower-alkenyl-, and lower-alkynyl]piperidines |
| US3483221A (en) | 1964-09-10 | 1969-12-09 | Ciba Geigy Corp | 1 - (isopropylamino)-2-hydroxy-3-(alkenyloxyphenoxy) - propanes and the salts thereof |
| US3471515A (en) | 1965-02-01 | 1969-10-07 | Sandoz Ag | (2-hydroxy-3-substituted aminopropoxy)indoles |
| US3454635A (en) * | 1965-07-27 | 1969-07-08 | Hoechst Ag | Benzenesulfonyl-ureas and process for their manufacture |
| GB1200886A (en) * | 1966-09-23 | 1970-08-05 | Allen & Hanburys Ltd | Phenylaminoethanol derivatives |
| US3937838A (en) * | 1966-10-19 | 1976-02-10 | Aktiebolaget Draco | Orally active bronchospasmolytic compounds and their preparation |
| US3868460A (en) * | 1967-02-06 | 1975-02-25 | Boehringer Sohn Ingelheim | Therapeutic compositions and method |
| US3562257A (en) * | 1967-10-28 | 1971-02-09 | Tanabe Seiyaku Co | Benzothiazepine derivatives |
| US3857952A (en) | 1967-12-22 | 1974-12-31 | May & Baker Ltd | Certain benzene derivatives useful in treating cardiac disorders |
| US3674836A (en) * | 1968-05-21 | 1972-07-04 | Parke Davis & Co | 2,2-dimethyl-{11 -aryloxy-alkanoic acids and salts and esters thereof |
| US4058552A (en) | 1969-01-31 | 1977-11-15 | Orchimed Sa | Esters of p-carbonylphenoxy-isobutyric acids |
| US3934032A (en) * | 1969-02-21 | 1976-01-20 | Imperial Chemical Industries Limited | Alkanolamine derivatives for treating hypertension |
| FI52570C (fi) * | 1969-04-16 | 1977-10-10 | Sumitomo Chemical Co | Menetelmä veren kolesteroli- tai lipoidipitoisuutta alentavien fenoxia lifaattisten karboksyylihappoyhdisteiden ja -esteriyhdisteiden valmist amiseksi. |
| US3655663A (en) * | 1969-04-21 | 1972-04-11 | Burton K Wasson | 4-(3-secondary amino-2-hydroxy-proxy) 1 2 5-thiadiazoles |
| US3663570A (en) * | 1969-04-28 | 1972-05-16 | Sankyo Co | Coumarin derivatives |
| US3576883A (en) * | 1969-06-30 | 1971-04-27 | Consolidation Coal Co | Alkylidenedithiobisphenols |
| US4012444A (en) * | 1969-07-08 | 1977-03-15 | Allen & Hanburys Limited | 5-[1-Hydroxy-2-(1-methyl-3-phenylpropyl)aminoethyl] salicylamide and physiologically acceptable acid addition salts thereof |
| AT296986B (de) * | 1969-08-13 | 1972-03-10 | Merz & Co | Verfahren zur Herstellung von neuen α-Halogenphenoxy-isobutyroyl-β-nicotinoyl-glykolen |
| BE755071A (fr) * | 1969-09-17 | 1971-02-22 | Warner Lambert Pharmaceutical | Procede de resolution de la dl-5-/3-(terbutylamino)-2- hydroxy-propoxy/-3,4-dihydro-1(2h) naphtalenone |
| US3663706A (en) * | 1969-09-29 | 1972-05-16 | Pfizer | Use of 2,4-diaminoquinazolines as hypotensive agents |
| SE354851B (zh) | 1970-02-18 | 1973-03-26 | Haessle Ab | |
| US3879554A (en) * | 1970-03-20 | 1975-04-22 | Farmaceutici Italia | Use of 1,6-dimethyl-8-{62 -(5-bromonicotinoyloxymethyl)-10 {60 -methoxyergoline in treating cerebral and peripheral metabolic vascular disorders |
| US4032648A (en) * | 1970-04-06 | 1977-06-28 | Science Union Et Cie | Method and compositions containing thiochroman compounds for treating cardiac rhythm disorders |
| US3669968A (en) * | 1970-05-21 | 1972-06-13 | Pfizer | Trialkoxy quinazolines |
| US3932645A (en) * | 1971-04-10 | 1976-01-13 | Farbenfabriken Bayer Ag | Pharmaceutical compositions containing unsymmetrical esters of 1,4-dihydropyridine 3,5-dicarboxylic acid |
| US4056626A (en) | 1971-05-13 | 1977-11-01 | Kakenyaku Kako Co., Ltd. | Pharmaceutical composition containing benzofuran derivative |
| DE2230383C3 (de) | 1971-10-01 | 1981-12-03 | Boehringer Mannheim Gmbh, 6800 Mannheim | Phenoxyalkylcarbonsäurederivate und Verfahren zur Herstellung derselben |
| DE2815926A1 (de) * | 1978-04-13 | 1979-10-18 | Boehringer Mannheim Gmbh | Neue carbazolyl-(4)-oxy-propanolamin-derivate, verfahren zu ihrer herstellung und diese verbindungen enthaltende arzneimittel |
| US3773939A (en) | 1971-11-24 | 1973-11-20 | Janssen Pharmaceutica Nv | N-arallyl-n'-aralkyl piperazine pharmaceutical compositions |
| US3982021A (en) | 1971-12-01 | 1976-09-21 | E. R. Squibb & Sons, Inc. | Compositions for the treatment of coronary diseases containing tetrahydronaphthyloxy-aminopropanols |
| BE790165A (fr) | 1971-12-14 | 1973-02-15 | Parke Davis & Co | Nouveaux aminoalcanols et procede pour les preparer |
| US3994974A (en) | 1972-02-05 | 1976-11-30 | Yamanouchi Pharmaceutical Co., Ltd. | α-Aminomethylbenzyl alcohol derivatives |
| BE795735A (fr) * | 1972-03-06 | 1973-06-18 | Cerm Cent Europ Rech Mauvernay | Nouvelles ethylenediamines substituees a activite cardiovasculaire |
| JPS5229318B2 (zh) | 1972-03-30 | 1977-08-01 | ||
| US3910924A (en) | 1972-04-13 | 1975-10-07 | Otsuka Pharma Co Ltd | 3,4-Dihydrocarbostyril derivatives and a process for preparing the same |
| GB1435139A (en) * | 1972-08-17 | 1976-05-12 | Sumitomo Chemical Co | Thiazole derivatives |
| GB1422263A (en) | 1973-01-30 | 1976-01-21 | Ferrosan As | 4-phenyl-piperidine compounds |
| DE2308826C3 (de) | 1973-02-22 | 1980-03-27 | Ludwig Merckle Kg Chem. Pharm. Fabrik, 7902 Blaubeuren | Phenoxyalkancarbonsäureester von Oxyalkyltheophyllinen, Verfahren zu ihrer Herstellung und Arzneimittel |
| DE2322232A1 (de) * | 1973-05-03 | 1974-11-14 | Thomae Gmbh Dr K | Neue acylaminosaeureamide |
| US4011258A (en) * | 1973-06-21 | 1977-03-08 | Aktiebolaget Draco | Orally active bronchospasmolytic compounds |
| US4062950A (en) | 1973-09-22 | 1977-12-13 | Bayer Aktiengesellschaft | Amino sugar derivatives |
| AT334385B (de) * | 1973-12-20 | 1976-01-10 | Chemie Linz Ag | Verfahren zur herstellung von neuen phenoxypropylaminderivaten und deren salzen |
| US4314081A (en) * | 1974-01-10 | 1982-02-02 | Eli Lilly And Company | Arloxyphenylpropylamines |
| NL175059C (nl) | 1974-02-23 | Boehringer Mannheim Gmbh | Bereiding van bloeddrukverlagende stoffen en van preparaten die ze bevatten. | |
| GB1501632A (en) * | 1974-06-28 | 1978-02-22 | Cm Ind | Aromatic ketones having cardiovascular activity |
| US4051143A (en) | 1974-09-05 | 1977-09-27 | Merz & Co. | Process for the production of α-[2-(p-chlorophenoxy)-isobutyryl]-β-nicotinoyl glycol ester |
| US4129565A (en) | 1975-07-11 | 1978-12-12 | Nisshin Flour Milling Co., Ltd. | Isocarbostyril derivatives |
| DE2635209C2 (de) * | 1975-08-15 | 1983-01-27 | Sandoz-Patent-GmbH, 7850 Lörrach | 4-(2-Benzoyloxy-3-tert.butylamino-propoxy)-2-methylindol, dessen (S)-Enantiomeres, deren Säureadditionssalze, Verfahren zu deren Herstellung und diese Verbindungen enthaltende Heilmittel |
| GB1555654A (en) * | 1977-06-25 | 1979-11-14 | Exxon Research Engineering Co | Agricultural burner apparatus |
| US4105776A (en) | 1976-06-21 | 1978-08-08 | E. R. Squibb & Sons, Inc. | Proline derivatives and related compounds |
| US4154839A (en) * | 1975-11-05 | 1979-05-15 | Bayer Aktiengesellschaft | 2,6-Dimethyl-3-carboxymethoxy-4-(2-nitrophenyl)-5-carbisobutoxy-1,4-dihydropyridine |
| FR2330383A1 (fr) * | 1975-11-06 | 1977-06-03 | Synthelabo | Nouveaux ethers de phenols substitues, leurs sels, leur preparation et les medicaments qui les renferment |
| HU172137B (hu) * | 1976-03-02 | 1978-06-28 | Gyogyszerkutato Intezet | Sposob poluchenija zamehhjonnykh proizvodnykh fenoksi-propanolamina |
| DE2645710C2 (de) * | 1976-10-09 | 1985-06-27 | Merck Patent Gmbh, 6100 Darmstadt | Phenoxy-amino-propanole, Verfahren zu ihrer Herstellung und pharmazeutische Zubereitung |
| US4466972A (en) | 1977-06-20 | 1984-08-21 | Sandoz Ltd. | Benzoxadiazoles and benzothiadiazoles, their preparation and pharmaceutical compositions containing them |
| NO154918C (no) * | 1977-08-27 | 1987-01-14 | Bayer Ag | Analogifremgangsmaate til fremstilling av terapeutisk aktive derivater av 3,4,5-trihydroksypiperidin. |
| CA1147342A (en) | 1977-10-12 | 1983-05-31 | Kazuo Imai | Process of producing novel phenylethanolamine derivatives |
| US4188390A (en) * | 1977-11-05 | 1980-02-12 | Pfizer Inc. | Antihypertensive 4-amino-2-[4-(1,4-benzodioxan-2-carbonyl) piperazin-1-yl or homopiperazin-1-yl]quinazolines |
| IT1094076B (it) * | 1978-04-18 | 1985-07-26 | Acraf | Cicloalchiltriazoli |
| SE429652B (sv) * | 1978-06-30 | 1983-09-19 | Haessle Ab | 2.6-dimetyl-4-(2.3-diklorfenyl)-1.4-dihydropyridin-3.5-dikarboxylsyra-3-metylester-5-etylester |
| JPS559058A (en) * | 1978-07-06 | 1980-01-22 | Dainippon Pharmaceut Co Ltd | 1-(3-mercapto-2-methylpropanoyl)prolyl amino acid derivative |
| JPS5522636A (en) * | 1978-08-04 | 1980-02-18 | Takeda Chem Ind Ltd | Thiazoliding derivative |
| IL58849A (en) | 1978-12-11 | 1983-03-31 | Merck & Co Inc | Carboxyalkyl dipeptides and derivatives thereof,their preparation and pharmaceutical compositions containing them |
| US4508729A (en) * | 1979-12-07 | 1985-04-02 | Adir | Substituted iminodiacids, their preparation and pharmaceutical compositions containing them |
| JPS56110665A (en) * | 1980-02-08 | 1981-09-01 | Yamanouchi Pharmaceut Co Ltd | Sulfamoyl-substituted phenetylamine derivative and its preparation |
| US4344949A (en) | 1980-10-03 | 1982-08-17 | Warner-Lambert Company | Substituted acyl derivatives of 1,2,3,4-tetrahydroisoquinoline-3-carboxylic acids |
| US4470972A (en) | 1981-04-28 | 1984-09-11 | Schering Corporation | 7-Carboxyalkylaminoacyl-1,4-dithia-7-azaspiro[4.4]-nonane-8-carboxylic acids |
| ZA817261B (en) * | 1980-10-23 | 1982-09-29 | Schering Corp | Carboxyalkyl dipeptides,processes for their production and pharmaceutical compositions containing them |
| AU543804B2 (en) * | 1980-10-31 | 1985-05-02 | Takeda Chemical Industries Ltd. | Amides having bicyclic substituents on nitrogen |
| US4337201A (en) * | 1980-12-04 | 1982-06-29 | E. R. Squibb & Sons, Inc. | Phosphinylalkanoyl substituted prolines |
| DE3166093D1 (en) | 1981-01-05 | 1984-10-18 | Takeda Chemical Industries Ltd | N-substituted pseudo-aminosugars, their production and use |
| US4425355A (en) * | 1981-02-17 | 1984-01-10 | Warner-Lambert Company | Substituted acyl derivatives of chair form of octahydro-1H-indole-2-carboxylic acids |
| ZA821577B (en) * | 1981-04-06 | 1983-03-30 | Boots Co Plc | Therapeutic agents |
| JPS57171968A (en) * | 1981-04-17 | 1982-10-22 | Kyowa Hakko Kogyo Co Ltd | 1,4-dihydropyridine derivative |
| US4410520A (en) | 1981-11-09 | 1983-10-18 | Ciba-Geigy Corporation | 3-Amino-[1]-benzazepin-2-one-1-alkanoic acids |
| DK161312C (da) * | 1982-03-11 | 1991-12-09 | Pfizer | Analogifremgangsmaade til fremstilling af 2-aminoalkoxymethyl-4-phenyl-6-methyl-1,4-dihydropyridin-3,5-dicarboxylsyreestere eller syreadditionssalte deraf samt phthalimidoderivater til anvendelse som udgangsmateriale ved fremgangsmaaden |
| CA1247547A (en) * | 1983-06-22 | 1988-12-28 | Paul Hadvary | Leucine derivatives |
| GB8403866D0 (en) | 1984-02-14 | 1984-03-21 | Recordati Chem Pharm | Diphenylalkylaminoalkyl esters |
| JPS60222472A (ja) * | 1984-03-30 | 1985-11-07 | Kanebo Ltd | 新規なピペラジン誘導体および該化合物を有効成分とする医薬組成物 |
| SU1435151A3 (ru) | 1984-04-10 | 1988-10-30 | Санкио Компани Лимитед (Фирма) | Способ получени производных пергидротиазепина или их кислотно-аддитивных фармацевтически приемлемых солей |
| US4672068A (en) * | 1984-05-04 | 1987-06-09 | Fujirebio Kabushiki Kaisha | Antihypertensive 1,4-dihydropyridines having a conjugated ester |
| GB8418424D0 (en) * | 1984-07-19 | 1984-08-22 | Scras | Inhibition of platelets aggregation |
| NZ212895A (en) * | 1984-08-22 | 1988-07-28 | Glaxo Spa | 1,4-dihydropyridine derivatives and pharmaceutical compositions |
| AR240698A1 (es) | 1985-01-19 | 1990-09-28 | Takeda Chemical Industries Ltd | Procedimiento para preparar compuestos de 5-(4-(2-(5-etil-2-piridil)-etoxi)benzil)-2,4-tiazolidindiona y sus sales |
| DE3502392A1 (de) | 1985-01-25 | 1986-07-31 | Boehringer Ingelheim KG, 6507 Ingelheim | Neue thieno-triazolo-1,4-diazepino-2- carbonsaeureamide, verfahren zu ihrer herstellung und pharmazeutische zusammensetzungen |
| GB8608335D0 (en) | 1986-04-04 | 1986-05-08 | Pfizer Ltd | Pharmaceutically acceptable salts |
| US4681893A (en) * | 1986-05-30 | 1987-07-21 | Warner-Lambert Company | Trans-6-[2-(3- or 4-carboxamido-substituted pyrrol-1-yl)alkyl]-4-hydroxypyran-2-one inhibitors of cholesterol synthesis |
| US5138069A (en) * | 1986-07-11 | 1992-08-11 | E. I. Du Pont De Nemours And Company | Angiotensin II receptor blocking imidazoles |
| US4873259A (en) | 1987-06-10 | 1989-10-10 | Abbott Laboratories | Indole, benzofuran, benzothiophene containing lipoxygenase inhibiting compounds |
| AU1626488A (en) * | 1987-03-27 | 1988-11-02 | Byk Gulden Lomberg Chemische Fabrik Gmbh | 1,4-dihydropyridine enantiomers |
| EP0306228B1 (en) * | 1987-09-04 | 1999-11-17 | Beecham Group Plc | Substituted thiazolidinedione derivatives |
| US5114976A (en) * | 1989-01-06 | 1992-05-19 | Norden Michael J | Method for treating certain psychiatric disorders and certain psychiatric symptoms |
| GB8907256D0 (en) * | 1989-03-31 | 1989-05-17 | Rech Et D Applic Scient Scras | New derivatives of hetrazepine as anti-asthmatic anti-allergic and gastro-intestinal protectors |
| GB8911030D0 (en) | 1989-05-13 | 1989-06-28 | Scras | Hetrazepine derivatives |
| US5185351A (en) * | 1989-06-14 | 1993-02-09 | Smithkline Beecham Corporation | Imidazolyl-alkenoic acids useful as angiotensin II receptor antagonists |
| FI94339C (fi) * | 1989-07-21 | 1995-08-25 | Warner Lambert Co | Menetelmä farmaseuttisesti käyttökelpoisen /R-(R*,R*)/-2-(4-fluorifenyyli)- , -dihydroksi-5-(1-metyylietyyli)-3-fenyyli-4-/(fenyyliamino)karbonyyli/-1H-pyrroli-1-heptaanihapon ja sen farmaseuttisesti hyväksyttävien suolojen valmistamiseksi |
| NZ234883A (en) | 1989-08-22 | 1995-01-27 | Merck Frosst Canada Inc | Quinolin-2-ylmethoxy indole derivatives, preparation and pharmaceutical compositions thereof |
| PH30484A (en) * | 1990-02-19 | 1997-05-28 | Ciba Geigy | Acy compounds pharmaceutical composition containing said compound and method of use thereof |
| US5270317A (en) | 1990-03-20 | 1993-12-14 | Elf Sanofi | N-substituted heterocyclic derivatives, their preparation and the pharmaceutical compositions in which they are present |
| NZ238629A (en) * | 1990-06-22 | 1993-09-27 | Schering Corp | Bis-benzo- or benzopyrido-cyclohepta (where z is c, o, s or n) piperidine, piperidylidene or piperazine compounds, medicaments and methods of preparation |
| US5274094A (en) | 1990-08-15 | 1993-12-28 | British Bio-Technology Limited | Production of heterobicyclic containing benzene sulfonamides |
| US5994510A (en) | 1990-12-21 | 1999-11-30 | Celltech Therapeutics Limited | Recombinant antibodies specific for TNFα |
| US5155120A (en) | 1991-01-14 | 1992-10-13 | Pfizer Inc | Method for treating congestive heart failure |
| EP0542355A1 (en) | 1991-11-15 | 1993-05-19 | Merck Frosst Canada Inc. | Amorphous (Quinolin-2-ylmethoxy)indoles as leukotriene antagonists |
| US5254541A (en) | 1991-11-15 | 1993-10-19 | Merck Frosst Canada, Inc. | (Quinolin-2-ylmethoxy)indole/cyclodextrin complex |
| HU217629B (hu) | 1991-12-12 | 2000-03-28 | Novartis Ag. | Eljárás fluvasztatint tartalmazó stabilizált gyógyszerkészítmények előállítására |
| HU225869B1 (en) | 1992-04-02 | 2007-11-28 | Smithkline Beecham Corp | Compounds with antiallergic and antiinflammatory activity and pharmaceutical compns. contg. them |
| FR2692575B1 (fr) * | 1992-06-23 | 1995-06-30 | Sanofi Elf | Nouveaux derives du pyrazole, procede pour leur preparation et compositions pharmaceutiques les contenant. |
| GB9215665D0 (en) | 1992-07-23 | 1992-09-09 | British Bio Technology | Compounds |
| US5344914A (en) | 1992-10-05 | 1994-09-06 | The Center For Innovative Technology* | Commercially valuable polymeric ketones and method of preparing same |
| US5349056A (en) | 1992-10-09 | 1994-09-20 | Regeneron Pharmaceuticals | Modified ciliary neurotrophic factors |
| EP0606646B1 (en) | 1992-12-28 | 1997-09-24 | Asahi Medical Co., Ltd. | Filtermaterial, apparatus and method for removing leukocytes |
| US5362647A (en) * | 1993-02-12 | 1994-11-08 | Allergan, Inc. | Compositions and methods for destroying hydrogen peroxide |
| US5491172A (en) * | 1993-05-14 | 1996-02-13 | Warner-Lambert Company | N-acyl sulfamic acid esters (or thioesters), N-acyl sulfonamides, and N-sulfonyl carbamic acid esters (or thioesters) as hypercholesterolemic agents |
| US5424286A (en) * | 1993-05-24 | 1995-06-13 | Eng; John | Exendin-3 and exendin-4 polypeptides, and pharmaceutical compositions comprising same |
| US5474995A (en) | 1993-06-24 | 1995-12-12 | Merck Frosst Canada, Inc. | Phenyl heterocycles as cox-2 inhibitors |
| CN1046939C (zh) * | 1993-07-02 | 1999-12-01 | 比克·古尔顿·劳姆贝尔格化学公司 | 氟烷氧基取代的苯甲酰胺类及其制备方法和应用 |
| JP3286745B2 (ja) * | 1993-09-10 | 2002-05-27 | 日清食品株式会社 | シクロヘキサンジウレア誘導体及びその製法 |
| US5631365A (en) * | 1993-09-21 | 1997-05-20 | Schering Corporation | Hydroxy-substituted azetidinone compounds useful as hypocholesterolemic agents |
| US5466823A (en) | 1993-11-30 | 1995-11-14 | G.D. Searle & Co. | Substituted pyrazolyl benzenesulfonamides |
| KR0136986B1 (ko) * | 1993-12-31 | 1998-04-25 | 김준웅 | 신규 징코라이드 유도체와 이의 제조방법 |
| US5385929A (en) | 1994-05-04 | 1995-01-31 | Warner-Lambert Company | [(Hydroxyphenylamino) carbonyl] pyrroles |
| TW474813B (en) | 1994-06-10 | 2002-02-01 | Geltex Pharma Inc | Alkylated composition for removing bile salts from a patient |
| US5510332A (en) * | 1994-07-07 | 1996-04-23 | Texas Biotechnology Corporation | Process to inhibit binding of the integrin α4 62 1 to VCAM-1 or fibronectin and linear peptides therefor |
| US6268392B1 (en) * | 1994-09-13 | 2001-07-31 | G. D. Searle & Co. | Combination therapy employing ileal bile acid transport inhibiting benzothiepines and HMG Co-A reductase inhibitors |
| US6642268B2 (en) | 1994-09-13 | 2003-11-04 | G.D. Searle & Co. | Combination therapy employing ileal bile acid transport inhibiting benzothipines and HMG Co-A reductase inhibitors |
| DE4439947A1 (de) | 1994-11-09 | 1996-05-15 | Boehringer Mannheim Gmbh | 2,2-Dichloralkancarbonsäuren, Verfahren zu ihrer Herstellung und diese enthaltende Arzneimittel |
| US5633272A (en) * | 1995-02-13 | 1997-05-27 | Talley; John J. | Substituted isoxazoles for the treatment of inflammation |
| TW474809B (en) | 1995-07-03 | 2002-02-01 | Sankyo Co | A pharmaceutical composition for arteriosclerosis or xanthoma consisting of HMG-CoA reductase inhibitors and insulin sensitizers |
| FR2741619B1 (fr) | 1995-11-28 | 1998-02-13 | Pf Medicament | Nouveaux derives de 2,3,5-trimethyl-4-hydroxy-anilides, leur preparation et leur application en therapeutique |
| US5753653A (en) * | 1995-12-08 | 1998-05-19 | Agouron Pharmaceuticals, Inc. | Metalloproteinase inhibitors, pharmaceutical compositions containing them and their pharmaceutical uses |
| DK0892791T3 (da) | 1996-04-12 | 2003-06-23 | Searle & Co | N-[[4-(5-methyl-3-phenylisoxazol-4-yl]-phenyl]-sulfonylpropylamid og dets natriumsalt som prodrugs for COX-2-inhibitorer |
| HRP970330B1 (en) | 1996-07-08 | 2004-06-30 | Bayer Ag | Cycloalkano pyridines |
| DE19627431A1 (de) | 1996-07-08 | 1998-01-15 | Bayer Ag | Heterocyclisch kondensierte Pyridine |
| DE19647380A1 (de) | 1996-11-15 | 1998-05-20 | Hoechst Ag | 5-Ring-Heterocyclen als Inhibitoren der Leukozytenadhäsion und VLA-4-Antagonisten |
| JP2894445B2 (ja) * | 1997-02-12 | 1999-05-24 | 日本たばこ産業株式会社 | Cetp活性阻害剤として有効な化合物 |
| US5910319A (en) | 1997-05-29 | 1999-06-08 | Eli Lilly And Company | Fluoxetine enteric pellets and methods for their preparation and use |
| DE19741235A1 (de) | 1997-09-18 | 1999-03-25 | Hoechst Marion Roussel De Gmbh | Neue Imidazolidinderivate, ihre Herstellung, ihre Verwendung und sie enthaltende pharmazeutische Präparate |
| DE19741873A1 (de) | 1997-09-23 | 1999-03-25 | Hoechst Marion Roussel De Gmbh | Neue 5-Ring-Heterocyclen, ihre Herstellung, ihre Verwendung und sie enthaltende pharmazeutische Präparate |
| DE19751251A1 (de) | 1997-11-19 | 1999-05-20 | Hoechst Marion Roussel De Gmbh | Substituierte Imidazolidinderivate, ihre Herstellung, ihre Verwendung und sie enthaltende pharmezeutische Präparate |
| US20040029962A1 (en) * | 1997-12-12 | 2004-02-12 | Chih-Ming Chen | HMG-COA reductase inhibitor extended release formulation |
| AU3285499A (en) | 1998-02-13 | 1999-08-30 | G.D. Searle & Co. | Substituted pyridines useful for inhibiting cholesteryl ester transfer protein activity |
| US6197786B1 (en) * | 1998-09-17 | 2001-03-06 | Pfizer Inc | 4-Carboxyamino-2-substituted-1,2,3,4-tetrahydroquinolines |
| GT199900147A (es) | 1998-09-17 | 1999-09-06 | 1, 2, 3, 4- tetrahidroquinolinas 2-sustituidas 4-amino sustituidas. | |
| US6147090A (en) | 1998-09-17 | 2000-11-14 | Pfizer Inc. | 4-carboxyamino-2-methyl-1,2,3,4,-tetrahydroquinolines |
| US6329344B1 (en) | 1998-10-22 | 2001-12-11 | Ranbaxy Laboratories Limited | Derivatives of monosaccharides as cell adhesion inhibitors |
| DE19858789A1 (de) * | 1998-12-18 | 2000-06-21 | Bayer Ag | Kombination von Cerivastatin und Fibraten |
| IN190975B (zh) | 1999-01-15 | 2003-09-06 | Ranbaxy Lab Ltd | |
| US6015557A (en) * | 1999-02-24 | 2000-01-18 | Tobinick; Edward L. | Tumor necrosis factor antagonists for the treatment of neurological disorders |
| US6569461B1 (en) * | 1999-03-08 | 2003-05-27 | Merck & Co., Inc. | Dihydroxy open-acid and salts of HMG-CoA reductase inhibitors |
| SI1180121T1 (en) | 1999-05-17 | 2004-04-30 | Conjuchem, Inc. | Long lasting insulinotropic peptides |
| AU777012B2 (en) * | 1999-08-21 | 2004-09-30 | Takeda Gmbh | Synergistic combination of PDE inhibitors and beta 2 adrenoceptor agonist |
| US6677341B2 (en) | 1999-09-23 | 2004-01-13 | Pharmacia Corporation | (R)-Chiral halogenated substituted heteroaryl benzyl aminoalcohol compounds useful for inhibiting cholesteryl ester transfer protein activity |
| US20010018446A1 (en) | 1999-09-23 | 2001-08-30 | G.D. Searle & Co. | Substituted N-Aliphatic-N-Aromatictertiary-Heteroalkylamines useful for inhibiting cholesteryl ester transfer protein activity |
| JP4078074B2 (ja) | 1999-12-10 | 2008-04-23 | ファイザー・プロダクツ・インク | ピロロ[2,3−d]ピリミジン化合物 |
| US20020052312A1 (en) * | 2000-05-30 | 2002-05-02 | Reiss Theodore F. | Combination therapy of chronic obstructive pulmonary disease using muscarinic receptor antagonists |
| US20020028826A1 (en) | 2000-06-15 | 2002-03-07 | Robl Jeffrey A. | HMG-CoA reductase inhibitors and method |
| CZ2003390A3 (en) * | 2000-08-15 | 2004-03-17 | Pfizer Products Inc. | Therapeutic combination of a cetp inhibitor and atorvastatin |
| IL156055A0 (en) | 2000-11-30 | 2003-12-23 | Teva Pharma | Novel crystal forms of atorvastatin hemi calcium and processes for their preparation as well as novel processes for preparing other forms |
| US20040097555A1 (en) * | 2000-12-26 | 2004-05-20 | Shinegori Ohkawa | Concomitant drugs |
| EP1361867B1 (en) * | 2001-02-22 | 2007-03-21 | Jagotec AG | Fibrate-statin combinations with reduced fed-fasted effects |
| EP1414496B1 (en) * | 2001-08-07 | 2010-10-20 | Galephar M/F | Pharmaceutical composition containing a combinaition of ppar-alpha, pravastatin and polyglycolized glyceride |
| US7361772B2 (en) * | 2001-08-16 | 2008-04-22 | Biocon Limited | Process for the production of atorvastatin calcium |
| EP1291017A3 (en) * | 2001-09-10 | 2003-07-02 | Warner-Lambert Company | Use of statins to inhibit formation of osteoclasts |
| WO2003055467A1 (en) | 2001-12-18 | 2003-07-10 | Synthon B.V. | Simvastatin dosage forms |
| TW200810743A (en) | 2002-03-22 | 2008-03-01 | Novartis Ag | Combination of organic compounds |
| MY131170A (en) | 2002-03-28 | 2007-07-31 | Nissan Chemical Ind Ltd | Therapeutic agent for glomerular disease |
| US20040053842A1 (en) * | 2002-07-02 | 2004-03-18 | Pfizer Inc. | Methods of treatment with CETP inhibitors and antihypertensive agents |
| PL375415A1 (en) | 2002-08-06 | 2005-11-28 | Warner-Lambert Company Llc | Process for preparing 5-(4-fluorophenyl)-1-[2-((2r,4r)-4-hydroxy -6-oxo-tetrahydro-pyran-2-yl)ethyl]-2-isopropyl-4-phenyl-1h-pyrrole-3-carboxylic acid phenylamide |
| US20050187204A1 (en) | 2002-08-08 | 2005-08-25 | Sankyo Company, Limited | Medicinal composition for lowering blood lipid level |
| AU2003278935A1 (en) | 2002-09-26 | 2004-04-19 | Myriad Genetics, Inc | Method and composition for treating neurodegenerative disorders |
| US20040102511A1 (en) * | 2002-11-21 | 2004-05-27 | Jitendra Sattigeri | Substituted pyrrole derivatives |
| US20040132771A1 (en) | 2002-12-20 | 2004-07-08 | Pfizer Inc | Compositions of choleseteryl ester transfer protein inhibitors and HMG-CoA reductase inhibitors |
| DE10301371A1 (de) | 2003-01-16 | 2004-08-05 | Boehringer Ingelheim Pharma Gmbh & Co. Kg | Pharmazeutische Kombination zur Prophylaxe oder Therapie von kardiovaskulären, kardiopulmonalen, pulmonalen oder renalen Krankheiten |
| CN1812983A (zh) * | 2003-05-30 | 2006-08-02 | 兰贝克赛实验室有限公司 | 取代的吡咯衍生物及其作为hmg-co抑制剂的用途 |
| SE527189C2 (sv) * | 2003-06-19 | 2006-01-17 | Microdrug Ag | Inhalatoranordning samt kombinerade doser för formaterol och ett antikolinergiskt medel |
| US6884226B2 (en) * | 2003-07-02 | 2005-04-26 | Fred Pereira | Crib patting device |
| US7250444B2 (en) | 2003-08-11 | 2007-07-31 | Pfizer Inc. | Pyrrole-based HMG-CoA reductase inhibitors |
| EP1510208A1 (en) | 2003-08-22 | 2005-03-02 | Fournier Laboratories Ireland Limited | Pharmaceutical composition comprising a combination of metformin and statin |
| US20070259874A1 (en) | 2003-11-26 | 2007-11-08 | Palle Venkata P | Phosphodiesterase Inhibitors |
| SG166829A1 (en) * | 2005-11-08 | 2010-12-29 | Ranbaxy Lab Ltd | Process for (3r, 5r)-7-[2-(4-fluorophenyl)-5-isopropyl-3-phenyl-4- [(4-hydroxy methyl phenyl amino) carbonyl]-pyrrol-1-yl]-3, 5-dihydroxy-heptanoic acid hemi calcium salt |
| AR059838A1 (es) | 2006-03-14 | 2008-04-30 | Ranbaxy Lab Ltd | Formulaciones para dosis estabilizantes de estatina |
| CL2007002044A1 (es) * | 2006-07-14 | 2008-06-13 | Ranbaxy Lab Ltd | Polimorfo cristalino de la sal hemicalcica del acido (3r,5r)-7-[2-(4-fluorofenil)-5-isopropil-3-fenil-4-[(4-hidroximetilfenilamino)carbonil]-pirrol-1-il]-3,5-dihidroxiheptanoico; composicion farmaceutica; y uso para el tratamiento de la diabetes, enf |
-
2004
- 2004-05-28 CN CNA2004800180992A patent/CN1812983A/zh active Pending
- 2004-05-28 CA CA002526730A patent/CA2526730A1/en not_active Abandoned
- 2004-05-28 AU AU2004242777A patent/AU2004242777B2/en not_active Ceased
- 2004-05-28 EA EA200501881A patent/EA009646B1/ru not_active IP Right Cessation
- 2004-05-28 CA CA2753318A patent/CA2753318A1/en not_active Abandoned
- 2004-05-28 NZ NZ543741A patent/NZ543741A/en not_active IP Right Cessation
- 2004-05-28 SG SG200800558-9A patent/SG141430A1/en unknown
- 2004-05-28 US US10/558,859 patent/US7923467B2/en not_active Expired - Fee Related
- 2004-05-28 KR KR1020117023497A patent/KR20110117731A/ko not_active Ceased
- 2004-05-28 JP JP2006530701A patent/JP4901474B2/ja not_active Expired - Fee Related
- 2004-05-28 KR KR1020057022879A patent/KR20060021870A/ko not_active Ceased
- 2004-05-28 OA OA1200500340A patent/OA13174A/en unknown
- 2004-05-28 RS YUP-2005/0890A patent/RS20050890A/sr unknown
- 2004-05-28 CN CN2010102819298A patent/CN101967117A/zh active Pending
- 2004-05-28 EP EP04735296A patent/EP1658283A2/en not_active Withdrawn
- 2004-05-28 AP AP2005003459A patent/AP1963A/xx active
- 2004-05-28 BR BRPI0410840-0A patent/BRPI0410840A/pt not_active IP Right Cessation
- 2004-05-28 UA UAA200512851A patent/UA82698C2/uk unknown
- 2004-05-28 GE GEAP20049124A patent/GEP20084406B/en unknown
- 2004-05-28 EP EP10179877A patent/EP2319843B1/en not_active Expired - Lifetime
- 2004-05-28 MX MXPA05012900A patent/MXPA05012900A/es active IP Right Grant
- 2004-05-28 WO PCT/IB2004/001761 patent/WO2004106299A2/en not_active Ceased
- 2004-05-28 AP AP2009004783A patent/AP2501A/xx active
- 2004-05-28 NZ NZ577031A patent/NZ577031A/en not_active IP Right Cessation
- 2004-05-31 MY MYPI20042094A patent/MY148499A/en unknown
- 2004-05-31 AR ARP040101872A patent/AR044470A1/es not_active Application Discontinuation
-
2005
- 2005-11-29 CO CO05121080A patent/CO5720994A2/es not_active Application Discontinuation
- 2005-11-29 TN TNP2005000306A patent/TNSN05306A1/en unknown
- 2005-11-29 IL IL172257A patent/IL172257A0/en unknown
- 2005-11-29 MA MA28627A patent/MA27844A1/fr unknown
- 2005-11-30 EC EC2005006193A patent/ECSP056193A/es unknown
- 2005-11-30 CR CR8111A patent/CR8111A/es unknown
- 2005-12-19 ZA ZA200510277A patent/ZA200510277B/en unknown
- 2005-12-22 IS IS8195A patent/IS8195A/is unknown
- 2005-12-28 NO NO20056218A patent/NO20056218L/no unknown
-
2011
- 2011-04-11 US US13/084,390 patent/US20110190369A1/en not_active Abandoned
- 2011-04-11 US US13/084,374 patent/US20110190296A1/en not_active Abandoned
- 2011-06-15 JP JP2011133014A patent/JP2011236218A/ja not_active Withdrawn
Cited By (2)
| Publication number | Priority date | Publication date | Assignee | Title |
|---|---|---|---|---|
| CN107438595A (zh) * | 2015-03-31 | 2017-12-05 | 大元制药株式会社 | 晶型及其制备方法 |
| CN107438595B (zh) * | 2015-03-31 | 2021-05-18 | 大元制药株式会社 | 晶型及其制备方法 |
Also Published As
Similar Documents
| Publication | Publication Date | Title |
|---|---|---|
| CN1222521C (zh) | 阿托伐他汀钙中间体取代的1h-吡咯-3-甲酸苯基酰胺的合成方法 | |
| CN1064682C (zh) | 具有磷脂酶a2抑制活性的吡咯烷衍生物 | |
| CN1067986C (zh) | 1h-吲哚-3-乙酰肼磷脂酶a2抑制剂 | |
| CN1316995A (zh) | 用作mmp抑制剂的羟基2-哌啶酸酯异羟肟酸衍生物 | |
| CN1678317A (zh) | 用作治疗呕吐、抑郁症、焦虑症和咳嗽的神经激肽-1(nk-1)拮抗剂的1-酰氨基-4-苯基-4-苄氧基甲基-哌啶衍生物和相关化合物 | |
| CN1468216A (zh) | 含氮五员环化合物 | |
| CN1033325C (zh) | 抗炎异羟肟酸和n-羟基脲的制备方法 | |
| CN1812983A (zh) | 取代的吡咯衍生物及其作为hmg-co抑制剂的用途 | |
| CN1129448A (zh) | 具有内皮素拮抗活性的芳香杂环并环并环戊烯衍生物 | |
| CN1030910A (zh) | 脂肪族甲酰胺 | |
| CN1656091A (zh) | 四氢吡喃衍生物 | |
| CN1210273C (zh) | 取代的3-吡啶基-4-芳基吡咯及治疗和预防相关疾病的方法 | |
| CN1282643C (zh) | 用于制备具有5-羟色胺-2受体拮抗作用和α1-阻断作用的化合物的中间体及其制法 | |
| CN1708491A (zh) | N-苯并间二氧杂环戊烯基、n-苯并二噁烷基和n-苯并二氧杂䓬基芳基甲酰胺衍生物以及包含它们的药物组合物 | |
| CN1706824A (zh) | 作为ccr5拮抗剂的化合物 | |
| CN1099752A (zh) | 新型酰氨烷基-和亚氨烷基-哌嗪 | |
| CN1950361A (zh) | 用于治疗肥胖的吡咯或咪唑酰胺化合物 | |
| CN1655783A (zh) | 含有吡啶丙烯酰胺衍生物的磷酸二酯酶iv抑制剂 | |
| HK1049999A1 (zh) | 咪唑類衍生物 | |
| CN1177353A (zh) | 具有三环式稠合杂环的新颖的奎宁环衍生物 | |
| CN1784229A (zh) | 杂环激酶抑制剂:使用方法与合成 | |
| CN1832745A (zh) | 作为神经肽y5(npy5)配体用于治疗肥胖症的2-[4-(苯基氨基)-哌啶-1-基]-n-苯基-乙酰胺衍生物及相关化合物 | |
| CN1747930A (zh) | 具有脯氨酰基寡肽酶抑制活性的化合物 | |
| CN1926097A (zh) | 杂芳基-烷基氨基甲酸酯的衍生物、其制备方法和作为faah酶抑制剂的用途 | |
| CN87103684A (zh) | 全氢硫杂吖庚因及全氢吖庚因衍生物,它们的制备及其治疗上的用途 |
Legal Events
| Date | Code | Title | Description |
|---|---|---|---|
| C06 | Publication | ||
| PB01 | Publication | ||
| C10 | Entry into substantive examination | ||
| SE01 | Entry into force of request for substantive examination | ||
| C12 | Rejection of a patent application after its publication | ||
| RJ01 | Rejection of invention patent application after publication |
Open date: 20060802 |











































































