CN112601553A - 具有可酶切的接头和改善的活性谱的针对cxcr5的结合剂-药物缀合物 - Google Patents
具有可酶切的接头和改善的活性谱的针对cxcr5的结合剂-药物缀合物 Download PDFInfo
- Publication number
- CN112601553A CN112601553A CN201980054004.9A CN201980054004A CN112601553A CN 112601553 A CN112601553 A CN 112601553A CN 201980054004 A CN201980054004 A CN 201980054004A CN 112601553 A CN112601553 A CN 112601553A
- Authority
- CN
- China
- Prior art keywords
- ser
- val
- seq
- leu
- gly
- Prior art date
- Legal status (The legal status is an assumption and is not a legal conclusion. Google has not performed a legal analysis and makes no representation as to the accuracy of the status listed.)
- Pending
Links
Images
Classifications
-
- A—HUMAN NECESSITIES
- A61—MEDICAL OR VETERINARY SCIENCE; HYGIENE
- A61K—PREPARATIONS FOR MEDICAL, DENTAL OR TOILETRY PURPOSES
- A61K47/00—Medicinal preparations characterised by the non-active ingredients used, e.g. carriers or inert additives; Targeting or modifying agents chemically bound to the active ingredient
- A61K47/50—Medicinal preparations characterised by the non-active ingredients used, e.g. carriers or inert additives; Targeting or modifying agents chemically bound to the active ingredient the non-active ingredient being chemically bound to the active ingredient, e.g. polymer-drug conjugates
- A61K47/51—Medicinal preparations characterised by the non-active ingredients used, e.g. carriers or inert additives; Targeting or modifying agents chemically bound to the active ingredient the non-active ingredient being chemically bound to the active ingredient, e.g. polymer-drug conjugates the non-active ingredient being a modifying agent
- A61K47/62—Medicinal preparations characterised by the non-active ingredients used, e.g. carriers or inert additives; Targeting or modifying agents chemically bound to the active ingredient the non-active ingredient being chemically bound to the active ingredient, e.g. polymer-drug conjugates the non-active ingredient being a modifying agent the modifying agent being a protein, peptide or polyamino acid
- A61K47/65—Peptidic linkers, binders or spacers, e.g. peptidic enzyme-labile linkers
-
- A—HUMAN NECESSITIES
- A61—MEDICAL OR VETERINARY SCIENCE; HYGIENE
- A61K—PREPARATIONS FOR MEDICAL, DENTAL OR TOILETRY PURPOSES
- A61K47/00—Medicinal preparations characterised by the non-active ingredients used, e.g. carriers or inert additives; Targeting or modifying agents chemically bound to the active ingredient
- A61K47/50—Medicinal preparations characterised by the non-active ingredients used, e.g. carriers or inert additives; Targeting or modifying agents chemically bound to the active ingredient the non-active ingredient being chemically bound to the active ingredient, e.g. polymer-drug conjugates
- A61K47/51—Medicinal preparations characterised by the non-active ingredients used, e.g. carriers or inert additives; Targeting or modifying agents chemically bound to the active ingredient the non-active ingredient being chemically bound to the active ingredient, e.g. polymer-drug conjugates the non-active ingredient being a modifying agent
- A61K47/68—Medicinal preparations characterised by the non-active ingredients used, e.g. carriers or inert additives; Targeting or modifying agents chemically bound to the active ingredient the non-active ingredient being chemically bound to the active ingredient, e.g. polymer-drug conjugates the non-active ingredient being a modifying agent the modifying agent being an antibody, an immunoglobulin or a fragment thereof, e.g. an Fc-fragment
- A61K47/6801—Drug-antibody or immunoglobulin conjugates defined by the pharmacologically or therapeutically active agent
- A61K47/6803—Drugs conjugated to an antibody or immunoglobulin, e.g. cisplatin-antibody conjugates
-
- A—HUMAN NECESSITIES
- A61—MEDICAL OR VETERINARY SCIENCE; HYGIENE
- A61K—PREPARATIONS FOR MEDICAL, DENTAL OR TOILETRY PURPOSES
- A61K31/00—Medicinal preparations containing organic active ingredients
- A61K31/33—Heterocyclic compounds
- A61K31/395—Heterocyclic compounds having nitrogen as a ring hetero atom, e.g. guanethidine or rifamycins
- A61K31/40—Heterocyclic compounds having nitrogen as a ring hetero atom, e.g. guanethidine or rifamycins having five-membered rings with one nitrogen as the only ring hetero atom, e.g. sulpiride, succinimide, tolmetin, buflomedil
-
- A—HUMAN NECESSITIES
- A61—MEDICAL OR VETERINARY SCIENCE; HYGIENE
- A61K—PREPARATIONS FOR MEDICAL, DENTAL OR TOILETRY PURPOSES
- A61K47/00—Medicinal preparations characterised by the non-active ingredients used, e.g. carriers or inert additives; Targeting or modifying agents chemically bound to the active ingredient
- A61K47/50—Medicinal preparations characterised by the non-active ingredients used, e.g. carriers or inert additives; Targeting or modifying agents chemically bound to the active ingredient the non-active ingredient being chemically bound to the active ingredient, e.g. polymer-drug conjugates
- A61K47/51—Medicinal preparations characterised by the non-active ingredients used, e.g. carriers or inert additives; Targeting or modifying agents chemically bound to the active ingredient the non-active ingredient being chemically bound to the active ingredient, e.g. polymer-drug conjugates the non-active ingredient being a modifying agent
- A61K47/68—Medicinal preparations characterised by the non-active ingredients used, e.g. carriers or inert additives; Targeting or modifying agents chemically bound to the active ingredient the non-active ingredient being chemically bound to the active ingredient, e.g. polymer-drug conjugates the non-active ingredient being a modifying agent the modifying agent being an antibody, an immunoglobulin or a fragment thereof, e.g. an Fc-fragment
- A61K47/6835—Medicinal preparations characterised by the non-active ingredients used, e.g. carriers or inert additives; Targeting or modifying agents chemically bound to the active ingredient the non-active ingredient being chemically bound to the active ingredient, e.g. polymer-drug conjugates the non-active ingredient being a modifying agent the modifying agent being an antibody, an immunoglobulin or a fragment thereof, e.g. an Fc-fragment the modifying agent being an antibody or an immunoglobulin bearing at least one antigen-binding site
- A61K47/6849—Medicinal preparations characterised by the non-active ingredients used, e.g. carriers or inert additives; Targeting or modifying agents chemically bound to the active ingredient the non-active ingredient being chemically bound to the active ingredient, e.g. polymer-drug conjugates the non-active ingredient being a modifying agent the modifying agent being an antibody, an immunoglobulin or a fragment thereof, e.g. an Fc-fragment the modifying agent being an antibody or an immunoglobulin bearing at least one antigen-binding site the antibody targeting a receptor, a cell surface antigen or a cell surface determinant
-
- A—HUMAN NECESSITIES
- A61—MEDICAL OR VETERINARY SCIENCE; HYGIENE
- A61K—PREPARATIONS FOR MEDICAL, DENTAL OR TOILETRY PURPOSES
- A61K47/00—Medicinal preparations characterised by the non-active ingredients used, e.g. carriers or inert additives; Targeting or modifying agents chemically bound to the active ingredient
- A61K47/50—Medicinal preparations characterised by the non-active ingredients used, e.g. carriers or inert additives; Targeting or modifying agents chemically bound to the active ingredient the non-active ingredient being chemically bound to the active ingredient, e.g. polymer-drug conjugates
- A61K47/51—Medicinal preparations characterised by the non-active ingredients used, e.g. carriers or inert additives; Targeting or modifying agents chemically bound to the active ingredient the non-active ingredient being chemically bound to the active ingredient, e.g. polymer-drug conjugates the non-active ingredient being a modifying agent
- A61K47/68—Medicinal preparations characterised by the non-active ingredients used, e.g. carriers or inert additives; Targeting or modifying agents chemically bound to the active ingredient the non-active ingredient being chemically bound to the active ingredient, e.g. polymer-drug conjugates the non-active ingredient being a modifying agent the modifying agent being an antibody, an immunoglobulin or a fragment thereof, e.g. an Fc-fragment
- A61K47/6835—Medicinal preparations characterised by the non-active ingredients used, e.g. carriers or inert additives; Targeting or modifying agents chemically bound to the active ingredient the non-active ingredient being chemically bound to the active ingredient, e.g. polymer-drug conjugates the non-active ingredient being a modifying agent the modifying agent being an antibody, an immunoglobulin or a fragment thereof, e.g. an Fc-fragment the modifying agent being an antibody or an immunoglobulin bearing at least one antigen-binding site
- A61K47/6851—Medicinal preparations characterised by the non-active ingredients used, e.g. carriers or inert additives; Targeting or modifying agents chemically bound to the active ingredient the non-active ingredient being chemically bound to the active ingredient, e.g. polymer-drug conjugates the non-active ingredient being a modifying agent the modifying agent being an antibody, an immunoglobulin or a fragment thereof, e.g. an Fc-fragment the modifying agent being an antibody or an immunoglobulin bearing at least one antigen-binding site the antibody targeting a determinant of a tumour cell
- A61K47/6867—Medicinal preparations characterised by the non-active ingredients used, e.g. carriers or inert additives; Targeting or modifying agents chemically bound to the active ingredient the non-active ingredient being chemically bound to the active ingredient, e.g. polymer-drug conjugates the non-active ingredient being a modifying agent the modifying agent being an antibody, an immunoglobulin or a fragment thereof, e.g. an Fc-fragment the modifying agent being an antibody or an immunoglobulin bearing at least one antigen-binding site the antibody targeting a determinant of a tumour cell the tumour determinant being from a cell of a blood cancer
-
- A—HUMAN NECESSITIES
- A61—MEDICAL OR VETERINARY SCIENCE; HYGIENE
- A61K—PREPARATIONS FOR MEDICAL, DENTAL OR TOILETRY PURPOSES
- A61K47/00—Medicinal preparations characterised by the non-active ingredients used, e.g. carriers or inert additives; Targeting or modifying agents chemically bound to the active ingredient
- A61K47/50—Medicinal preparations characterised by the non-active ingredients used, e.g. carriers or inert additives; Targeting or modifying agents chemically bound to the active ingredient the non-active ingredient being chemically bound to the active ingredient, e.g. polymer-drug conjugates
- A61K47/51—Medicinal preparations characterised by the non-active ingredients used, e.g. carriers or inert additives; Targeting or modifying agents chemically bound to the active ingredient the non-active ingredient being chemically bound to the active ingredient, e.g. polymer-drug conjugates the non-active ingredient being a modifying agent
- A61K47/68—Medicinal preparations characterised by the non-active ingredients used, e.g. carriers or inert additives; Targeting or modifying agents chemically bound to the active ingredient the non-active ingredient being chemically bound to the active ingredient, e.g. polymer-drug conjugates the non-active ingredient being a modifying agent the modifying agent being an antibody, an immunoglobulin or a fragment thereof, e.g. an Fc-fragment
- A61K47/6889—Conjugates wherein the antibody being the modifying agent and wherein the linker, binder or spacer confers particular properties to the conjugates, e.g. peptidic enzyme-labile linkers or acid-labile linkers, providing for an acid-labile immuno conjugate wherein the drug may be released from its antibody conjugated part in an acidic, e.g. tumoural or environment
-
- A—HUMAN NECESSITIES
- A61—MEDICAL OR VETERINARY SCIENCE; HYGIENE
- A61P—SPECIFIC THERAPEUTIC ACTIVITY OF CHEMICAL COMPOUNDS OR MEDICINAL PREPARATIONS
- A61P35/00—Antineoplastic agents
-
- C—CHEMISTRY; METALLURGY
- C07—ORGANIC CHEMISTRY
- C07K—PEPTIDES
- C07K16/00—Immunoglobulins [IGs], e.g. monoclonal or polyclonal antibodies
- C07K16/18—Immunoglobulins [IGs], e.g. monoclonal or polyclonal antibodies against material from animals or humans
- C07K16/28—Immunoglobulins [IGs], e.g. monoclonal or polyclonal antibodies against material from animals or humans against receptors, cell surface antigens or cell surface determinants
- C07K16/2866—Immunoglobulins [IGs], e.g. monoclonal or polyclonal antibodies against material from animals or humans against receptors, cell surface antigens or cell surface determinants against receptors for cytokines, lymphokines, interferons
-
- C—CHEMISTRY; METALLURGY
- C07—ORGANIC CHEMISTRY
- C07K—PEPTIDES
- C07K16/00—Immunoglobulins [IGs], e.g. monoclonal or polyclonal antibodies
- C07K16/40—Immunoglobulins [IGs], e.g. monoclonal or polyclonal antibodies against enzymes
-
- C—CHEMISTRY; METALLURGY
- C07—ORGANIC CHEMISTRY
- C07K—PEPTIDES
- C07K2317/00—Immunoglobulins specific features
- C07K2317/70—Immunoglobulins specific features characterized by effect upon binding to a cell or to an antigen
- C07K2317/77—Internalization into the cell
-
- C—CHEMISTRY; METALLURGY
- C07—ORGANIC CHEMISTRY
- C07K—PEPTIDES
- C07K2317/00—Immunoglobulins specific features
- C07K2317/90—Immunoglobulins specific features characterized by (pharmaco)kinetic aspects or by stability of the immunoglobulin
- C07K2317/92—Affinity (KD), association rate (Ka), dissociation rate (Kd) or EC50 value
Landscapes
- Health & Medical Sciences (AREA)
- Life Sciences & Earth Sciences (AREA)
- Chemical & Material Sciences (AREA)
- Bioinformatics & Cheminformatics (AREA)
- Engineering & Computer Science (AREA)
- Medicinal Chemistry (AREA)
- General Health & Medical Sciences (AREA)
- Immunology (AREA)
- Animal Behavior & Ethology (AREA)
- Pharmacology & Pharmacy (AREA)
- Public Health (AREA)
- Veterinary Medicine (AREA)
- Epidemiology (AREA)
- Organic Chemistry (AREA)
- Cell Biology (AREA)
- Proteomics, Peptides & Aminoacids (AREA)
- Biophysics (AREA)
- Molecular Biology (AREA)
- Genetics & Genomics (AREA)
- Biochemistry (AREA)
- Chemical Kinetics & Catalysis (AREA)
- General Chemical & Material Sciences (AREA)
- Nuclear Medicine, Radiotherapy & Molecular Imaging (AREA)
- Hematology (AREA)
- Oncology (AREA)
- Peptides Or Proteins (AREA)
- Medicinal Preparation (AREA)
- Pharmaceuticals Containing Other Organic And Inorganic Compounds (AREA)
- Medicines Containing Antibodies Or Antigens For Use As Internal Diagnostic Agents (AREA)
Abstract
本发明涉及一种具有改善性质的新的结合剂‑药物缀合物,涉及ADC的活性代谢物及其制备方法。本发明特别涉及具有CXCR5抗体和选择的KSP抑制剂的抗体‑药物缀合物(ADC)。本发明还涉及所述缀合物用于治疗和/或预防疾病的用途,以及所述缀合物用于制备用于治疗和/或预防疾病特别是过度增生和/或血管生成性疾病,例如癌症的药物的用途。
Description
背景技术
本发明涉及具有改善性质的新型结合剂-活性剂缀合物(例如抗体-药物缀合物(ADC))、这些结合剂-活性剂缀合物的活性代谢物及其制备方法。本发明还涉及这些缀合物用于治疗和/或预防疾病的用途,以及所述缀合物用于制备药物,特别是过度增生性和/或血管生成性疾病(例如癌症)的药物的用途。这样的治疗可以作为单一疗法或与其他药物或另外的治疗措施联合进行。根据本发明,结合剂优选为抗体。
癌症是各种组织中细胞生长失控的结果。在许多情况下,新细胞会侵入现有组织(侵袭性生长),或者转移至远处的器官。癌症发生在各种的器官中,并且通常具有组织特异性的病程。因此,术语“癌症”作为描述不同器官、组织和细胞类型的大量已定义的疾病的通用术语。
可以通过手术和放射治疗措施清除一些早期阶段的肿瘤。通常,转移性肿瘤只能用化学治疗剂进行姑息治疗。在这种情况下的目标是实现改善生活质量和延长寿命的最佳组合。
结合蛋白与一种或多种活性剂分子的缀合物是已知的,特别是所谓的“抗体药物缀合物”(ADC)形式的缀合物,其中针对肿瘤相关抗原的内化抗体通过结合单元(“接头”)共价键合至细胞毒素剂。在将ADC引入肿瘤细胞并随后解离缀合物后,细胞毒素剂本身或由此形成的另一种细胞毒性代谢产物在肿瘤细胞内释放,并可以在其中直接和选择性地发挥其作用。这样,与常规化学疗法相比,可以将对正常组织的损害保持在明显更窄的范围内[参见,例如,J.M.Lambert,Curr.Opin.Pharmacol.5,543-549(2005);A.M.Wu和P.D.Senter,Nat.Biotechnol.23,1137-1146(2005);P.D.Senter,Curr.Opin.Chem.Biol.13,235-244(2009);L.Ducry和B.Stump,Bioconjugate Chem.21,5-13(2010)]。WO2012/171020描述了ADC,其中多个毒簇分子经由聚合物接头连接至抗体。在WO2012/171020提及了可能的毒簇,包括物质SB 743921、SB 715992(伊匹尼塞(ispinesib))、MK-0371、AZD8477、AZ3146和ARRY-520。
最后提到的物质是所谓的驱动蛋白纺锤体蛋白抑制剂。驱动蛋白纺锤体蛋白(KSP,也称为Eg5、HsEg5、KNSL1或KIL11)是一种类似于驱动蛋白的运动蛋白,对双极有丝分裂纺锤体的功能至关重要。KSP的抑制导致有丝分裂停滞,并在较长期间内导致细胞凋亡(Tao等人,Cancer Cell 2005年7月8日(1),39-59)。在发现第一种可透过细胞的KSP抑制剂monastrol之后,KSP抑制剂已成为一类新型的化学疗法(Mayer等人,Science 286:971-974,1999),并且是多项专利的主题(例如WO2006/044825;WO2005/051922;
WO2006/060737;WO03/060064;WO03/040979和WO03/049527)。但是,由于KSP仅在有丝分裂期的短时期内呈现活性,因此在该阶段中KSP抑制剂必须以足够高的浓度存在。在WO2014/151030中公开了具有某些KSP抑制剂的ADC。
此外,从WO2006/002236、WO2007/021794和WO2008/086122已知具有咪唑KSP抑制剂的ADC,其在结构上与这里所述的ADC的KSP抑制剂不同。
此外,从US 7,662,58l B1已知作为活性化合物的咪唑或苯并咪唑衍生物。
咪唑、噁唑和二氮杂卓衍生物在WO2004/100873中也被描述为活性化合物。
本发明涉及具有吡咯和吡唑KSP抑制剂的ADC。
在WO2015/096982和WO2016/096610中,公开了具有KSP抑制剂的ADC,其还包含可酶切的接头并具有相应的活性谱(activity profile)。然而,期望获得明显更好的活性谱和/或呈现改善的性质。
因此,本发明的目的是提供新的结合剂/活性剂缀合物,特别是具有改善的活性分布和/或改善的性质的、具有KSP抑制剂和可酶切的接头的ADC。
豆荚蛋白为一种肿瘤相关性天冬酰胺酰基内肽酶(S.Ishii,MethodsEnzymol.1994,244,604;J.M.Chen等人,J.Biol.Chem.1997,272,8090),并已用于处理细胞毒性小分子的前药,例如多柔比星和依托泊苷衍生物的前药(W.Wu等人,Cancer Res.202006,66,970;L.Stem等人,Bioconjugate Chem.2009,20,500;K.M.Bajjuri等人,ChemMedChem 2011,6,54)。
其他溶酶体酶是例如组织蛋白酶或糖苷酶,例如β-葡糖醛酸酶,它们也已用于通过前药的酶解释放活性化合物。体内可酶切的基团特别地为2-8-寡肽基团或糖苷。肽切割位点公开于Bioconjugate Chem.2002,13,855-869、Bioorganic&Medicinal ChemistryLetters 8(1998)3341-3346以及Bioconjugate Chem.1998,9,618-626中。这些包括例如,缬氨酸-丙氨酸、缬氨酸-赖氨酸、缬氨酸-瓜氨酸、丙氨酸-赖氨酸和苯丙氨酸-赖氨酸(任选地具有额外的酰胺基)。
发明内容
现有技术中已经描述了具有可酶切的接头的各种抗体-药物缀合物(ADC),但是它们的活性谱不是最佳的。例如,期望具有对不同细胞表现出更广泛功效的可用ADC。此外,此类ADC还应具有良好的活性,同时具有较低的活性化合物浓度以及改善的性质。
因此,本发明的目的是提供更有效的化合物,其以相对低的浓度施用后,表现出持久的凋亡作用,因此可用于癌症治疗。一方面,从ADC释放到细胞内的代谢产物的特性起决定性作用。通常,由ADC形成的代谢产物是外排泵的底物和/或具有穿过细胞膜的高渗透性。两种现象都可能导致较短的停留时间,并因此在肿瘤细胞中产生未达最佳的凋亡作用。
因此,本发明的主题是结合剂/活性剂缀合物,特别是具有特定活性剂(毒簇)-接头-抗体组合物的ADC,其在效力和活性谱方面具有特别令人感兴趣的活性谱。为了进一步改善ADC及其代谢产物的肿瘤选择性,为ADC提供了肽接头,这些肽接头可以被溶酶体肿瘤相关酶(如豆蔻蛋白)切割,从而释放出代谢物(毒簇)。
合适的抗体是例如选自CXCR5抗体的抗体。
因此,不仅通过抗体的选择,而且还通过肽衍生物,例如通过肿瘤相关的酶(例如豆蔻蛋白)的酶解来确定肿瘤的选择性。由根据本发明的ADC在肿瘤细胞中释放的代谢产物的特征还在于,特别令人感兴趣的性质谱。它们还表现出从肿瘤细胞低流出,导致高暴露于肿瘤中的活性剂。因此,实现了在肿瘤细胞中的高活性,而由于通透性差,仅存在低的全身细胞毒性活性,导致低的脱靶毒性。
在根据本发明的ADC中使用的驱动蛋白纺锤体蛋白抑制剂具有对该作用必不可少的氨基。通过用肽衍生物修饰该氨基,阻断了对驱动蛋白纺锤体蛋白的作用,因此也抑制了细胞毒性作用的发展。这些肽衍生物也可以是与抗体的接头的组分。但是,如果该肽残基或肽接头可通过肿瘤相关的酶如豆荚蛋白从活性剂中释放出来,则该作用可在肿瘤组织中以可控的方式重新建立。通过在与分子中的氨基的不同位置处进一步修饰驱动蛋白纺锤体蛋白抑制剂,保证了在肿瘤中形成的代谢产物的特定性质谱,但这不会损害靶标处的高效能。
另外,根据本发明的ADC允许抗体的高负载(称为DAR,药物与抗体的比率),其与未缀合的抗体相比,出乎预料地不会不利地影响ADC的物理化学和药代动力学行为。
出乎预料地,现已发现通式(I)的抗体-活性剂缀合物及其盐、溶剂化物和这些溶剂化物的盐,它们与现有技术中已知的缀合物相比具有更好的性质,
其中
X1 代表N,
X2 代表N且
X3 代表C;
或者
X1 代表CH或CF
X2 代表C且
X3 代表N;
或者
X1 代表NH
X2 代表C且
X3 代表C;
或者
X1 代表CH
X2 代表N且
X3 代表C,
R1 代表氢或甲基,
R2 代表甲基、乙基、-CH2-CH(CH3)2、-CH2-C(=O)OH或异丙基;
R3 代表甲基、乙基、-CH2-CH(CH3)2或-CH2-C(=O)-NH2,
M 代表以下基团
#-C(=O)-CH(CH3)-NH-C(=O)-(CH2)2-8-C(=O)-###或
#-C(=O)-(CH2)3-C(=O)-###,
n 代表1至50的数值,
AK2 代表结合剂或其衍生物,优选代表抗体或抗原结合片段,
# 代表与活性剂的键,并且
### 代表与结合剂的赖氨酸侧链的N原子的键。
优选具有如下的式(I)的那些结合剂/活性剂缀合物及其盐、溶剂化物和这些溶剂化物的盐,
其中
X1 代表CH,
X2 代表C且
X3 代表N;
R1 代表氢或甲基,
R2 代表甲基、-CH2-CH(CH3)2、-CH2-C(=O)OH或异丙基,
R3 代表甲基、乙基、-CH2-CH(CH3)2或-CH2-C(=O)-NH2,
M 代表以下基团
#-C(=O)-CH(CH3)-NH-C(=O)-(CH2)3-C(=O)-###或
#-C(=O)-(CH2)3-C(=O)-###,
n 代表1至50的数值,
AK2 代表结合剂或其衍生物,优选代表抗体或抗原结合片段,
# 代表与活性剂的键,并且
### 代表与结合剂的赖氨酸侧链的N原子的键。
特别优选的是,具有如下的式(I)的那些结合剂/活性剂缀合物,及其盐、溶剂化物和这些溶剂化物的盐,
其中
X1 代表CH,
X2 代表C且
X3 代表N;
R1 代表氢或甲基,
R2 代表甲基或异丙基,
R3 代表甲基或-CH2-C(=O)-NH2,
M 代表以下基团
#-C(=O)-CH(CH3)-NH-C(=O)-(CH2)3-C(=O)-###,
n 代表1至50的数值,
AK2 代表结合剂或其衍生物,优选代表抗体或抗原结合片段,
# 代表与活性剂的键,并且
### 代表与结合剂的赖氨酸侧链的N原子的键。
非常特别优选的是,具有如下的式(I)的那些结合剂/活性剂缀合物,及其盐、溶剂化物和这些溶剂化物的盐,其中
X1 代表CH,
X2 代表C且
X3 代表N;
R1 代表甲基
R2 代表甲基,
R3 代表-CH2-C(=O)-NH2,
M 代表以下基团
#-C(=O)-CH(CH3)-NH-C(=O)-(CH2)3-C(=O)-###,
n 代表1至50的数值,
AK2 代表结合剂或其衍生物,优选代表抗体或抗原结合片段,
# 代表与活性剂的键,并且
### 代表与结合剂的赖氨酸侧链的N-原子的键。
特别优选的是,具有以下的式(I)的那些结合剂-活性剂缀合物及其盐、溶剂化物和这些溶剂化物的盐,
其中
R1 代表甲基,
R2 代表甲基,
R3 代表-CH2-C(=O)-NH2,
M 代表以下基团
#-C(=O)-CH(CH3)-NH-C(=O)-(CH2)3-C(=O)-###,
n 代表1至20的数值,并且
AK2 代表抗体或代表其抗原结合抗体片段,
# 代表与活性剂的键,并且
### 代表与抗体或其抗原结合抗体片段的赖氨酸侧链的N-原子的键。
选择根据如下结构的式(I)的那些结合剂/活性剂缀合物及其盐、溶剂化物和这些溶剂化物的盐,
其中
AK2 代表通过赖氨酸侧链的N-原子连接的抗体,且
n 为1至50。
优选的是,其中n为1至20的那些结合剂/活性剂缀合物及其盐、溶剂化物和这些溶剂化物的盐。
还优选的是,其中n为1至8的那些结合剂/活性剂缀合物及其盐、溶剂化物和这些溶剂化物的盐。
还优选的是,其中n为4至8的那些结合剂/活性剂缀合物及其盐、溶剂化物和这些溶剂化物的盐。
优选的是,其中AK2代表与细胞外癌症靶分子特异性结合的结合剂的上述式的那些结合剂/活性剂缀合物。在一个优选的实施方案中,结合剂在结合至靶细胞上的其细胞外靶分子后,通过结合被靶细胞内化。优选地,结合物是抗体或抗原结合片段。
在本发明的优选主题中,细胞外癌症靶分子选自癌症靶分子CXCR5。
在本发明的优选主题中,结合剂AK2是抗CXCR5抗体或其抗原结合抗体片段。
优选的是,其中AK2代表选自TPP-10063、TPP-14511、TPP14509、TPP-14499、TPP-14505、TPP-14514和TPP-14495的抗体或其抗原结合片段的上述式的那些结合剂/活性剂缀合物。特别优选的是,其中AK2代表选自TPP14511、TPP-14509、TPP-14499、TPP-14505、TPP-14514和TPP-14495的抗体或其抗原结合片段的上述式的那些结合剂/活性剂缀合物。
附图说明
图1:结合剂/活性剂缀合物的抗体序列和靶蛋白序列的序列表。
具体实施方式
本发明提供了结合剂或其衍生物与一种或多种活性剂分子的缀合物,其中所述活性剂分子是驱动蛋白纺锤体蛋白抑制剂(KSP抑制剂)。
在下文中,将描述可以结合使用而不受限制的根据本发明可使用的结合剂、根据本发明可使用的KSP抑制剂以及根据本发明可使用的接头。特别地,可以将优选或特别优选提供的结合剂与优选或特别优选提供的KSP抑制剂组合使用,任选地与优选或特别优选提供的相应接头组合使用。
特别优选的KSP抑制剂缀合物(结合剂/活性剂缀合物)
根据本发明特别优选的是以下KSP抑制剂缀合物,其中AK2代表结合剂或其衍生物(优选抗体),并且n代表1至50,优选1至20,优选1至8,特别优选4至8的数值。AK2优选代表通过赖氨酸残基键合至KSP抑制剂的抗体。在此使用的结合剂或抗体优选是在说明书中优选描述的结合剂和抗体。
特别优选的是以下结合剂/活性剂-缀合物:
特别优选呈现的是其中AK2代表与细胞外癌症靶分子特异性结合的结合剂所述式的那些结合剂/活性剂缀合物。在一个优选的实施方案中,结合剂在结合至靶细胞上的其细胞外靶分子后,通过结合被靶细胞内化。
在本发明的优选主题中,细胞外癌症靶分子选自癌症靶分子,特别是CXCR5。
在本发明的优选主题中,结合剂AK2是抗CXCR5抗体或其抗原结合抗体片段。
优选的是,其中AK2代表选自TPP-10063、TPP-14511、TPP-14509、TPP-14499、TPP-14505、TPP-14514和TPP-14495的抗体或代表其抗原结合片段的所述式的那些结合剂/活性剂缀合物。特别优选的是,其中AK2代表选自TPP-14511、TPP-14509、TPP-14499、TPP-14505、TPP14514和TPP-14495的抗体或抗原其结合片段的所述式的那些结合剂/活性剂缀合物。
因此,特别优选的是,如下的式(I)的那些结合剂/活性剂缀合物及其盐、溶剂化物和这些溶剂化物的盐,
其中
R1 代表甲基,
R2 代表甲基,
R3 代表-CH2-C(=O)-NH2,
M 代表以下基团
#-C(=O)-CH(CH3)-NH-C(=O)-(CH2)3-C(=O)-###,
n 代表1至20的数值,并且
AK2 代表选自TPP-14511、TPP-14509、TPP-14499、TPP-14505、TPP-14514和TPP14495的抗CXCR5抗体,或代表其抗原结合抗体片段,
# 代表与活性化合物的键,且
### 代表与抗体或其抗原结合抗体片段的赖氨酸侧链的N-原子的键。
KSP抑制剂-接头中间体和缀合物的制备
制备根据本发明的缀合物的方法是,首先为其低分子量KSP抑制剂提供接头。然后使以此方式制备的中间体与结合剂(优选抗体)反应。
对于与赖氨酸残基偶联以及随后与抗体偶联的中间体,反应可如下所示:
在以上反应方案中,X1、X2、X3、R1、R2、R3和AK2具有式(I)中给出的含义,并且其中R4表示甲基且m为0或1。
在WO2015/096982中描述了结构单元A的合成。通过经典的肽化学方法制备肽衍生物B和C。在室温下,在N,N-二异丙基乙胺的存在下,在DMF中使用HATU将中间体C和D偶联。然后通过在活性炭上的10%钯上进行氢解,将苄氧羰基保护基和苄基两者分离。然后在室温下,在N,N二异丙基乙胺的存在下,将完全脱保护的中间体与1,1'-[(1,5-二氧代戊烷-1,5-二基)双(氧基)]二吡咯烷-2,5-二酮于DMF中反应,以形成ADC前体分子E。然后将该活性酯与相应的抗体进行偶联,如B-4章节所述。
在以上反应方案中,X1、X2、X3、R1、R2、R3和AK2具有式(I)中给出的含义,并且此处R4代表甲基且n为1。
使用类似的过程,也可以制备其中m代表0的化合物。
结合剂
最广义上,术语“结合剂”应理解为意指与存在于待使用结合剂/活性剂缀合物处理的特定群体中的靶分子结合的分子。术语结合剂应以其最广泛的含义来理解,并且还包括例如凝集素、能够结合某些糖链的蛋白、或磷脂结合蛋白。这样的结合剂包括例如高分子量蛋白(结合蛋白)、多肽或肽(结合肽)、非肽类(例如适体(US5,270,163)Keefe AD.等人的综述文章,Nat.Rev.Drug Discov.2010;9:537-550)或维生素)和所有其他细胞结合分子或物质。结合蛋白是例如抗体和抗体片段或抗体模拟物,例如亲和体、adnectin、抗运载蛋白(anticalin)、DARPins、avimer、纳米抗体(Gebauer M等人的综述文章,Curr.Opinion,Chem.Biol.2009;13:245-255,Nuttall S.D.等人,Curr.Opinion,Pharmacology 2008;8:608-617)。结合肽是例如配体-受体对的配体,例如配体-受体对VEGF/KDR的VEGF,例如配体-受体对转铁蛋白/转铁蛋白受体的转铁蛋白,或细胞因子/细胞因子受体,例如配体-受体对TNFα/TNFα受体的TNFα。
结合剂可以是结合蛋白。结合剂的优选实施方案是抗体、抗原结合抗体片段、多特异性抗体或抗体模拟物。
从文献中还已知将有机分子与结合剂特别是抗体进行共价偶联(缀合)的各种可能性。根据本发明,优选的是,毒簇在抗体的半胱氨酸残基的一个或多个硫原子上和/或在抗体的赖氨酸残基的一个或多个NH基团上与抗体缀合。但是,也有可能通过游离的羧基或抗体的糖残基将毒簇与抗体结合。
最广义上,“靶分子”应理解为是指存在于靶细胞中的分子,可以是蛋白质(例如,生长因子的受体)或非肽类分子(例如,糖或磷脂)。优选地,它是受体或抗原。
术语“细胞外”靶分子描述了与细胞结合的靶分子,其位于细胞外部,或是位于细胞外部的靶分子的一部分,即结合剂可以结合至完整的细胞,结合至其细胞外靶分子。细胞外靶分子可以锚定在细胞膜中或可以是细胞膜的组成部分。本领域技术人员知晓用于鉴定细胞外靶分子的方法。对于蛋白质,这可以通过确定跨膜结构域和蛋白质在膜中的取向来进行。该信息通常存储在蛋白质数据库中(例如SwissProt)。
术语“癌症靶分子”描述了一种靶分子,该靶分子在一种或多种癌细胞上比在相同组织类型的非癌细胞上以增加量存在。优选地,与相同组织类型的非癌细胞相比,癌症靶分子选择性地存在于一种或多种癌细胞上,其中选择性描述了与相同组织的非癌细胞相比,在癌细胞上至少富集两倍(“选择性癌症靶分子”)。癌症靶分子的使用允许使用本发明的缀合物选择性治疗癌细胞。
结合剂可以通过键连接至接头。结合剂可以通过结合剂的杂原子连接。可用于连接的根据本发明的结合剂的杂原子是硫(在一个实施方案中,通过结合剂的巯基)、氧(根据本发明,通过结合剂的羧基或羟基)和氮(在一个实施方案中,通过结合剂的伯胺基或仲胺基或酰胺基)。这些杂原子可以存在于天然结合剂中或通过化学或分子生物学方法引入。根据本发明,结合剂与毒簇的连接对结合剂与靶分子的结合活性仅具有微小的影响。在一个优选的实施方案中,该连接对结合剂与靶分子的结合活性没有影响。
根据本发明的术语“抗体”应从其最广泛的意义上理解,并包括免疫球蛋白分子,例如完整或修饰的单克隆抗体、多克隆抗体或多特异性抗体(例如,双特异性抗体)。免疫球蛋白分子优选包括具有四个多肽链、两个重链(H链)和两个轻链(L链)的分子,它们通常通过二硫桥连接。每条重链包括重链的一个可变结构域(缩写为VH)和重链的恒定结构域。例如,重链的恒定结构域可包括三个结构域CH1、CH2和CH3。每条轻链包括一个可变结构域(缩写为VL)和恒定结构域。轻链的恒定结构域包括一个结构域(缩写为CL)。VH和VL结构域可以进一步细分为具有高变异性的区域,也称为互补决定区(缩写为CDR)和具有较低序列变异性的区域(“框架区”,缩写为FR)。每个VH和VL区域通常由三个CDR和最多四个FR组成,例如以如下顺序从氨基末端到羧基末端:FR1、CDR1、FR2、CDR2、FR3、CDR3、FR4。可以从每种适合其的物种中获得抗体,例如兔子、羊驼、骆驼、小鼠或大鼠。在一个实施方案中,抗体是人或鼠源的。例如,抗体可以是人的、人源化的或嵌合的。
术语“单克隆”抗体是指从基本上均质的抗体群体中获得的抗体,即该群体中的各个抗体除了可能少量存在的天然发生的突变以外是相同的。单克隆抗体以高特异性识别单个抗原结合位点。术语单克隆抗体不涉及特定的生产过程。
术语“完整”抗体是指既包含抗原结合结构域又包含轻链和重链的恒定结构域的抗体。恒定结构域可以是天然存在的结构域或其变体(其中若干多个氨基酸位置被修饰),并且也可以被糖基化。
术语“修饰的完整”抗体是指经由其氨基末端或羧基末端通过共价键(例如,肽键)与不是源自抗体的另外的多肽或蛋白质融合的完整抗体。另外,可以修饰抗体,使得在限定的位置引入反应性半胱氨酸以促进与毒簇的偶联(参见Junutula等人,NatBiotechnol.2008年8月;26(8):925-32)。
此处的“氨基酸修饰”或“突变”表示多肽序列中的氨基酸取代、插入和/或缺失。此处优选的氨基酸修饰是取代。此处的“氨基酸取代”或“取代”是指蛋白质序列中给定位置的氨基酸被另一个氨基酸取代。例如,取代Y50W描述了亲本多肽的变体,其中在位置50处的酪氨酸被色氨酸取代。多肽的“变体”描述了一种多肽,其氨基酸序列与参考多肽(通常是天然或“亲本”多肽)基本相同。该多肽变体可以在天然氨基酸序列中的特定位置具有一个或多个氨基酸替换、缺失和/或插入。
术语“人”抗体是指可以从人获得的抗体或是合成的人抗体的抗体。“合成的”人抗体是基于对人抗体序列的分析,可以部分或困难地完全从计算机合成序列中获得的抗体。例如,人抗体可以被从人源的抗体序列文库中分离的核酸编码。此类抗体的一个示例发现于等人,Nature Biotech.2000,18:853-856。此类“人”和“合成的”抗体还包括通过以下获得的无糖基化变体:通过用PNGaseF的脱糖基化或从通过重链的N297(Kabat编号)突变为任何其他氨基酸。
术语“人源化”或“嵌合”抗体描述了由非人类和人类序列部分组成的抗体。在这些抗体中,人类免疫球蛋白(受体)的部分序列被非人类免疫球蛋白(供体)的序列部分替代。在许多情况下,供体是鼠免疫球蛋白。在人源化抗体中,受体的CDR的氨基酸被供体的氨基酸替代。有时框架的氨基酸也被供体的相应氨基酸替代。在一些情况下,人源化抗体包含的氨基酸既不存在于受体中,也不存在于供体中,而是在优化抗体过程中引入的。在嵌合抗体中,供体免疫球蛋白的可变结构域与人抗体的恒定结构域融合在一起。此类“人源化”和“嵌合”抗体还包括通过经PNGaseF的去糖基化或通过从重链的N297(Kabat编号)突变成任何其他氨基酸产生的无糖基化变体。
如本文所用,术语互补决定区(CDR)涉及与抗原结合所需的可变抗体结构域的氨基酸。每个可变区通常具有三个CDR区域,分别称为CDR1、CDR2和CDR3。每个CDR区域可包含根据Kabat的定义的氨基酸和/或根据Chotia定义的高变环的氨基酸。例如,根据Kabat的定义包括可变轻链/结构域(VL)的大约氨基酸位置24-34(CDR1)、50-56(CDR2)和89-97(CDR3)的区域和可变重链/结构域(VH)的大约氨基酸位置31-35(CDR1)、50-65(CDR2)和95-102(CDR3)的区域(Kabat等人,Sequences of Proteins of Immunological Interest,第5版,Public Health Service,National Institutes of Health,Bethesda,MD.(1991))。例如,根据Chotia的定义包括可变轻链(VL)的大约氨基酸位置26-32(CDR1)、50-52(CDR2)和91-96(CDR3)的区域和可变重链(VH)的大约氨基酸位置26-32(CDR1)、53-55(CDR2)和96-101(CDR3)的区域(Chothia和Lesk;J Mol Biol 196:901-917(1987))。在一些情况下,CDR可包含来自根据Kabat和Chotia定义的CDR区域的氨基酸。
根据重链的恒定结构域的氨基酸序列,抗体可分为不同的类别。存在五种主要类别的完整抗体:IgA、IgD、IgE、IgG和IgM,其中它们中的若干可以细分为其他亚类,(同种型)例如IgG1、IgG2、IgG3、IgG4、IgA1和IgA2。对应于不同的类别的重链的恒定结构域,被命名为[α/α]、[δ/δ]、[ε/ε]、[γ/γ]和[μ/μ]。抗体的三维结构和亚基结构均是已知的。
术语抗体/免疫球蛋白的“功能片段”或“抗原结合抗体片段”被定义为抗体/免疫球蛋白的片段(例如IgG的可变结构域),其仍包含所述抗体/免疫球蛋白的抗原结合结构域。抗体的“抗原结合结构域”通常包含一个或多个抗体的高变区,例如CDR、CDR2和/或CDR3区域。但是抗体的“框架”或“骨架”区域还起到将抗体与抗原结合的作用。框架区形成CDR的骨架。优选地,抗原结合结构域至少包含可变轻链的氨基酸4至103和可变重链的氨基酸5至109,更优选地包含可变轻链的氨基酸3至107和可变重链的氨基酸4至111,特别优选地包含完整的可变轻链和重链,即VL的氨基酸1至109和VH的氨基酸的1至113(根据WO97/08320编号)。
本发明的“功能片段”或“抗原结合抗体片段”非排他性地包括Fab、Fab'、F(ab')2和Fv片段、双抗体、单结构域抗体(DAb)、线性抗体、单链抗体(单链Fv,缩写为scFv);以及由抗体片段形成的多特异性抗体,例如双特异性抗体和三特异性抗体。C.A.K.Borrebaeck,编辑(1995)Antibody Engineering(Breakthroughs in Molecular Biology),牛津大学出版社;R.Kontermann&S.Duebel,编辑(2001)Antibody Engineering(Springer LaboratoryManual),Springer Verlag)。除“多特异性”或“多功能性”以外的抗体是具有相同结合位点的那些抗体。多特异性抗体可以对抗原的各种表位具有特异性或对多于一种抗原的表位具有特异性(参见,例如,WO 93/17715;WO 92/08802;WO 91/00360;WO 92/05793;Tutt等人,1991,J.Immunol.147:6069;美国专利号4,474,893;4,714,681;4,925,648;5,573,920;5,601,819;或Kostelny等人,1992,J.Immunol.148:15471553)。可以构建F(ab')2或Fab分子,使得可以减少在Chl和CL结构域之间发生的分子间二硫键相互作用的数量或完全防止其发生。
“表位”是指可以与免疫球蛋白或T细胞受体进行特异性结合的蛋白质决定簇。表位决定簇通常由分子(例如氨基酸或糖侧链或其组合)的化学活性表面基团组成,并且通常具有特定的三维结构特征以及特定的电荷特征。
“功能片段”或“抗原结合抗体片段”可通过其氨基末端或羧基末端通过共价键(例如,肽键)与不是源自抗体的另外的多肽或蛋白质融合。另外,可以通过在限定的位置引入反应性半胱氨酸来修饰抗体和抗原结合片段以促进与毒簇的偶联(参见Junutula等人,NatBiotechnol.2008年8月;26(8):925-32)。
多克隆抗体可以通过本领域普通技术人员已知的方法制备。单克隆抗体可以通过本领域普通技术人员已知的方法制备(Kohler和Milstein,Nature,256,495-497,1975)。人类或人源化单克隆抗体可以通过本领域普通技术人员已知的方法制备(Olsson等人,MethEnzymol.92,3-16或Cabilly等人,US4,816,567或Boss等人,US4,816,397)。
本领域技术人员知道用于产生人抗体和片段的各种方法,例如使用转基因小鼠(NLonberg和D Huszar,Int Rev Immunol.1995;13(1):65-93)或Phage DisplayTechnologies(8月15日;352(6336):624-8)。本发明的抗体可以从重组抗体文库获得,所述重组抗体文库包含例如由大量健康志愿者汇编的多种抗体的氨基酸序列。抗体也可以使用已知的重组DNA制备。抗体的核酸序列可以通过常规测序确定或从公开可获得的数据库获得。
已经纯化“分离的”抗体或结合剂以去除细胞的其他成分。可以干扰其诊断或治疗用途的细胞污染成分例如是酶、激素或细胞的其他肽或非肽成分。优选的抗体或结合剂是基于抗体或结合剂被纯化至大于95重量%的程度的抗体或结合剂(通过例如Lowry法、UV-Vis光谱法或通过SDS毛细管凝胶电泳测定)。另外,已将抗体纯化至可以从氨基末端或内部氨基酸序列确定至少15个氨基酸或纯化至同质性的程度,其中同质性通过SDS-PAGE在还原或非还原条件(检测可通过考马斯蓝染色或优选通过银染色进行)下确定。但是,通常通过一个或多个纯化步骤来制备抗体。
术语“特异性结合”或“特异性地结合”是指与预定抗原/靶分子结合的抗体或结合剂。抗体或结合剂的特异性结合通常描述了亲和力至少为10-7M(作为Kd值;因此优选Kd值小于10-7M的亲和力)的抗体或结合剂,其中抗体或结合剂对预定的抗原/靶分子的亲和力为对作为非预定抗原/靶分子或密切相关的抗原/靶分子的非特异性抗原/靶分子(例如牛血清白蛋白或酪蛋白)的亲和力的至少两倍。抗体或结合剂的特异性结合并不排除抗体或结合剂结合多种抗原/靶分子(例如,来自各种物种的同源体)的可能性。涉及的抗体具有至少10-7M的亲和力(作为Kd值;因此,优选Kd值小于10-7M的那些抗体),优选至少10-8M,特别优选在10-9M至10-11M范围内。Kd值可以例如通过表面等离振子共振光谱法确定。
根据本发明的抗体-活性剂缀合物同样具有在这些范围内的亲和力。优选地,亲和力基本上不受活性剂缀合的影响(亲和力通常降低小于一个数量级,因此例如至多为10-8M至10-7M)。
此外,根据本发明使用的抗体优选地特征在于高选择性。当根据本发明的抗体对靶蛋白的亲和力比对不相关的其他抗原例如人血清蛋白的亲和力至少高2倍、优选5倍或特别优选10倍时,存在高选择性(亲和力可以例如通过表面等离振子共振光谱法确定)。
另外,根据本发明使用的抗体优选是交叉反应性的。为了促进临床前研究,例如毒理学或功效研究(例如在异种移植小鼠中)并更清楚地解释它们,有利的是,根据本发明使用的抗体不仅结合人靶蛋白,而且结合在用于研究的物种中使用的物种的物种靶蛋白。在一个实施方案中,除人靶蛋白外,根据本发明使用的抗体还与至少一种另外物种的靶蛋白交叉反应。来自啮齿动物、狗和非人类灵长类动物家族的物种优选用于毒理学和功效研究。优选的啮齿动物物种是小鼠和大鼠。优选的非人类灵长类动物是恒河猴、黑猩猩和长尾猕猴。
在一个实施方案中,除了人靶蛋白之外,根据本发明使用的抗体还与选自小鼠、大鼠和长尾猕猴(成束猴)的至少一种另外物种的靶蛋白交叉反应。根据本发明使用的特别优选的抗体是除人靶蛋白之外还与猴靶蛋白(例如黑猩猩)至少交叉反应的那些抗体。优选的是交叉反应性抗体,其与其他非人类物种的靶蛋白的亲和力与对人靶蛋白的亲和力相差不超过50倍,特别地不超过10倍。
针对癌症靶分子的抗体
优选地,结合剂例如抗体或其抗原结合片段所针对的靶分子是癌症靶分子。术语“癌症靶分子”描述了与相同组织类型的非癌细胞相比,以更大量存在于一种或多种类型的癌细胞上的靶分子。优选地,与相同组织类型的非癌细胞相比,癌症靶分子选择性地存在于一种或多种癌细胞类型上,其中选择性地意味着与相同组织类型的非癌细胞相比癌细胞的两倍富集(“选择性癌症靶分子”)。癌症靶分子的使用允许使用根据本发明的缀合物对癌细胞进行选择性治疗。
对抗原(例如癌细胞抗原)具有特异性的抗体可以由本领域技术人员使用他或她熟悉的方法(例如重组表达)或在商业上获得(例如获自MerckKGaA,德国)的方法制备。在癌症治疗中已知的可商购获得的抗体的示例是(西妥昔单抗,Merck KGaA)、(贝伐单抗,Roche)和(曲妥珠单抗,Genentech)。曲妥珠单抗是IgG1kappa型重组人源化单克隆抗体,其在基于细胞的测定中(Kd=5nM)以高亲和力结合人表皮生长受体的胞外域。使用重组技术在CHO细胞中生产抗体。所有这些抗体也可以通过使用PNGase F进行去糖基化或通过将重链的N297(Kabat编号)突变为任何氨基酸而制备为该抗体的无糖基化变体。
在一个优选的实施方案中,靶分子是选择性癌症靶分子。
在特别优选的实施方案中,靶分子是蛋白质。
癌症靶分子是本领域技术人员已知的。
在本发明的优选主题中,癌症靶分子是CXCR5(CD185;SwissProt:P32302;NCBI-基因ID643,NCBI参考序列:NP_001707.1)。
在一个优选的实施方案中,结合剂在结合至靶细胞上的其细胞外靶分子后,通过键被靶细胞内化。这意味着可以是免疫缀合物或ADC的结合剂/活性剂缀合物被靶细胞吸收。然后优选在细胞内、优选在经溶酶体处理结合剂。
在一个实施方案中,结合剂是结合蛋白。在一个优选的实施方案中,结合剂是抗体、抗原结合抗体片段、多特异性抗体或抗体模拟物。
优选的抗体模拟物是亲和体、adnectin、抗运载蛋白、DARPins、avimer或纳米抗体。优选的多特异性抗体是双特异性抗体和三特异性抗体。
在一个优选的实施方案中,结合剂是抗体或抗原结合抗体片段,更优选地是分离的抗体或分离的抗原结合抗体片段。
优选的抗原结合抗体片段是Fab、Fab'、F(ab')2和Fv片段、双抗体、DAb、线性抗体和scFv。特别优选的是Fab、双抗体和scFv。
在一个特别优选的实施方案中,结合剂是抗体。特别优选的是单克隆抗体或其抗原结合抗体片段。进一步特别优选的是人抗体、人源化抗体或嵌合抗体或其抗原结合抗体片段。
结合癌症靶分子的抗体或抗原结合抗体片段可以由本领域技术人员使用已知方法,例如化学合成或重组表达来制备。用于癌症靶分子的结合剂可以商业获得或可以由本领域技术人员使用已知方法例如化学合成或重组表达来制备。用于制备抗体或抗原结合抗体片段的另外方法描述于WO2007/070538中(参见第22页“antibodies(抗体)”)。本领域技术人员知道,可以创建诸如所谓的噬菌体展示文库(例如,Morphosys HuCAL Gold)之类的方法,并将其用于发现抗体或抗原结合抗体片段(参见WO2007/070538,第24页及以后和第70页的AK[antibody(抗体)]实施例1,第72页的AK实施例2)。用于使用来自B细胞的DNA文库制备抗体的另外方法描述于例如第26页(WO2007/070538)。用于使抗体人源化的方法描述于WO2007/070538的第30-32页,并且详细描述于Queen等人,Proc.Natl.Acad.Sci.USA 86:10029-10033,1989或WO90/0786中。另外,本领域技术人员了解通常用于蛋白质特别是抗体的重组表达的方法(参见例如,在Berger和Kimmel中(Guide to Molecular CloningTechniques,Methods in Enzymology,第152卷,Academic Press,Inc.;Sambrook等人,(《分子克隆:实验室手册》(第二版,Cold Spring Harbor Laboratory Press;冷泉港,纽约;1989年)第1-3卷);Current Protocols in Molecular Biolony,(F.M.Ausabel等人,[编],Current Protocols,Green Publishing Associates,Inc./JohnWiley&Sons,Inc.);Harlow等人,(《单克隆抗体:实验室手册》,Cold Spring Harbor Laboratory Press(19881),Paul[编];基础免疫学(Lippincott Williams&Wilkins(1998));和Harlow等人(《使用抗体:实验室手册》,Cold Spring Harbor Laboratory Press(1998))。本领域知道表达蛋白/抗体的必需的相应载体、启动子和信号肽。常规方法也描述于WO2007/070538,第41-45页。制备IgG1抗体的方法描述于例如WO2007/070538,实施例6,第74页及以后。可以确定抗体与其抗原结合后的内化的过程是本领域技术人员熟悉的,并且描述于例如WO2007/070538,第80页。本领域技术人员可以使用在WO2007/070538中描述的方法,其用于制备碳酸酐酶IX(Mn)抗体,类似地用于制备具有其他靶分子特异性的抗体。
细菌表达
本领域技术人员知道可以借助于细菌表达来制备抗体、其抗原结合片段或其变体的方式。
通过将编码所需蛋白的DNA序列插入功能性阅读框中并与合适的翻译起始信号和翻译终止信号以及功能性启动子一起来构建用于所需蛋白的细菌表达的合适表达载体。载体包含一种或多种表型选择标记物和复制起点,以使得能够保留载体,并且如果需要的话,使其能够在宿主内扩增。用于转化的合适的原核宿主包括但不限于大肠杆菌(E.coli)、枯草芽孢杆菌(Bacillus subtilis)、鼠伤寒沙门氏菌(Salmonella typhimurium)和来自假单胞菌属(Pseudomonas)、链霉菌属(Streptomyces)和葡萄球菌属(Staphylococcus)的各种物种。细菌载体可以基于例如细菌噬菌体、质粒或噬菌粒。这些载体可包含选择性标记物和源自可商购质粒的细菌复制起点。许多可商购的质粒包含众所周知的克隆载体pBR322(ATCC 37017)的典型元件。在细菌体系中,可以基于要表达的蛋白质的预期用途选择许多有利的表达载体。
在合适的宿主菌株转化和宿主菌株生长到合适的细胞密度后,通过合适的手段(例如温度变化或化学诱导)去抑制/诱导选择的启动子,并将细胞再培养一段时间。通常通过离心收获细胞,如果必要的话,通过物理手段或用化学试剂进行消化,并将所得的粗提物保留用于进一步纯化。
因此,本发明的另一个实施方案是一种表达载体,其包含编码本发明新型抗体的核酸。
自然地,本发明的抗体或其抗原结合片段包括天然纯化的产物,源自化学合成的产物以及通过重组技术在原核宿主中产生的产物,所述原核宿主例如为大肠杆菌、枯草芽孢杆菌、鼠伤寒沙门氏菌和来自假单胞菌属、链霉菌属和葡萄球菌属的各种物种,优选为大肠杆菌。
哺乳动物细胞表达
本领域技术人员知道可以借助于哺乳动物细胞表达来产生抗体、其抗原结合片段或其变体的方式。
在哺乳动物细胞宿主中表达的优选调控序列包含导致在哺乳动物细胞中高表达的病毒元件,例如来源于巨细胞病毒(CMV)的启动子和/或表达扩增子(例如CMV启动子/增强子)、来源于猿猴病毒40的启动子和/或表达扩增子(SV40)(例如SV40启动子/增强子)、来源于腺病毒的启动子和/或表达扩增子(例如,腺病毒主要晚期启动子(AdMLP))和来源于多瘤的启动子和/或表达扩增子。抗体的表达可以以组成性或调节性方式发生(例如,通过加入或去除小分子诱导剂如四环素结合Tet系统而进行诱导)。
为了进一步描述病毒调节元件及其序列,可参考例如Stinski的U.S.5,168,062,Bell等人的U.S.4,510,245和Schaffner等人的U.S.4,968,615。重组表达载体可同样包括复制起点和选择性标记物(参见,例如,U.S.4,399,216、4,634,665和U.S.5,179,017)。合适的选择性标记物包括将载体插入细胞中时赋予物质诸如G418、嘌呤霉素、潮霉素、杀稻瘟素、博来霉素(zeocin/bleomycin)或甲氨蝶呤抗性的基因,或导致宿主细胞营养缺陷型的选择性标记物,例如谷氨酰胺合成酶(Bebbington等人,Biotechnology(N Y).1992年2月;10(2):169-75)。
例如,二氢叶酸还原酶(DHFR)基因赋予对甲氨蝶呤的抗性,neo基因赋予对G418的抗性,土曲霉(Aspergillus terreus)的bsd基因赋予对杀稻瘟素的抗性,嘌呤霉素N-乙酰基转移酶赋予对嘌呤霉素的抗性,Sh ble基因产物赋予对博来霉素的抗性,而对潮霉素的抗性由大肠杆菌潮霉素抗性基因(hyg或hph)赋予。选择性标记物(例如DHFR或谷氨酰胺合成酶)也有助于与MTX和MSX相关的扩增技术。
表达载体到宿主细胞中的转染可以借助标准技术使用电穿孔、核转染、磷酸钙沉淀、脂质转染、基于聚阳离子的转染例如基于聚乙烯亚胺(PEI)的转染和DEAE-葡聚糖转染等来完成。
用于表达抗体、其抗原结合片段或其变体的合适的哺乳动物宿主细胞包括中国仓鼠卵巢(CHO)细胞,例如描述于Urlaub和Chasin,(1980年),Proc.Natl.Acad.Sci.USA 77:4216-4220和Urlaub等人,Cell.1983年6月;33(2):405-12的CHO-K1、CHO-S、CHO-KISV[包括DHFR-CHO细胞,与DHFR选择标记物一起使用(如R.J.Kaufman和P.A.Sharp(1982)Mol.Biol.159:601-621所述);以及列在Fan等人的Biotechnol Bioeng.2012年4月;109(4):1007-15)的其他敲除细胞、NSO骨髓瘤细胞、COS细胞、HEK293细胞、HKB11细胞、BHK21细胞、CAP细胞、EB66细胞和SP2细胞。
抗体、其抗原结合片段或其变体的表达也可以在表达系统例如HEK293、HEK293T、HEK293-EBNA、HEK293E、HEK293-6E、HEK293-Freestyle、HKB11、Expi293F、293EBNALT75、CHOFreestyle、CHO-S、CHO-Kl、CHO-KISV、CHOEBNALT85、CHOS-XE、CHO-3E7或CAP-T细胞(例如在Durocher等人,Nucleic Acids Res.2002年1月15日;30(2):E9)中以瞬时或半稳定的方式发生。
在一些实施方案中,构建表达载体在于将要表达的蛋白质分泌到宿主细胞生长所在的细胞培养基中。抗体、其抗原结合片段或其变体可以借助本领域技术人员已知的蛋白质纯化方法从细胞培养基中获得。
纯化
可以使用众所周知的方法从重组细胞培养物中获得并纯化抗体、其抗原结合片段或其变体,所述方法包括例如硫酸铵或乙醇沉淀、酸提取、蛋白A色谱法、蛋白G色谱法、阴离子或阳离子交换色谱法、磷酸纤维素色谱法、疏水相互作用色谱法(HIC)、亲和色谱法、羟基磷灰石色谱法和凝集素色谱法。高效液相色谱法(HPLC)也可以用于纯化。参见,例如,Colligan,Current Protocols in Immunology或Current Protocols in ProteinScience,John Wiley&Sons,NY,N.Y.,(1997-2001),例如,第1、4、6、8、9、10章。
本发明的抗体或其抗原结合片段或其变体包括天然纯化的产物,来自化学合成方法的产物以及使用重组技术在原核或真核宿主细胞中制备的产物。真核宿主包括例如酵母细胞、高等植物细胞、昆虫细胞和哺乳动物细胞。取决于选择用于重组表达的宿主细胞,表达的蛋白质可以糖基化或非糖基化形式存在。
在一个优选的实施方案中,将抗体纯化(1)至大于95重量%的程度,例如用Lowry法、UV-Vis光谱法或SDS毛细管凝胶电泳(例如用Caliper LabChip GXII、GX90或BioradBioanalyzer仪器)测量,并且在更优选的实施方案中,至大于99重量%的程度;(2)至适于确定N端或内部氨基酸序列的至少15个残基的程度;或(3)至在还原或非还原条件下使用考马斯亮蓝或优选银染色法通过SDS-PAGE确定的均一性。
通常,借助于至少一个蛋白质纯化步骤获得分离的抗体。
抗CXCR5抗体
根据本发明,可以使用抗CXCR5抗体。
术语“抗CXCR5抗体”或“与CXCR5特异性结合的抗体”是指与癌症靶分子CXCR5(NCBI参考序列:NP_001707.1;SEQ ID NO 81)特异性结合的抗体,优选具有足以用于诊断和/或治疗应用的亲和力。在某些实施方案中,抗体以≤100nM、≤10nM或≤1nM的解离常数(KD)结合CXCR5。
与人CXCR5结合的抗体和抗原结合片段的示例是本领域技术人员已知的,例如,如WO2014/177652中所述的大鼠抗体克隆RF8B2(ACC2153)或人抗体40C01。
在本发明的上下文中特别优选的是抗CXCR5抗体TPP-14511、TPP-14509、TPP-14499、TPP-14505、TPP-14514和TPP-14495。通过使用噬菌体展示技术在肽和细胞上进行选择来选择所提到的抗体的前体(例如TPP-10063),然后通过蛋白质工程优化它们的性质。
用于根据本发明的结合剂/活性剂缀合物的优选抗体和抗原结合抗体片段
在本申请中,如下表所示,结合剂/活性剂缀合物中使用了以下优选的抗体:TPP-14511、TPP-14509、TPP-14499、TPP-14505、TPP-14514和TPP-14495。
表:抗体的蛋白质序列:
TPP-14511、TPP-14509、TPP-14499、TPP-14505、TPP-14514、TPP-14495、TPP-10063和40C01是包含重链可变区(VH)或轻链可变区(VL)的上表所示的一个或多个CDR序列(H-CDR1、H-CDR2、H-CDR3、L-CDR1、L-CDR2、L-CDR3)的抗体。优选地,抗体包含重链的特定可变区(VH)和/或轻链的可变区(VL)。优选地,抗体包含重链的特定区域(IgG重链)和/或轻链的特定区域(IgG轻链)。
TPP-14495是抗CXCR5抗体,其包含重链的可变区(VH)和轻链的可变区(VL),该重链的可变区(VH)包含重链的可变CDR1序列(H-CDR1)(如SEQ ID NO:2所示)、重链的可变CDR2序列(H-CDR2)(如SEQ ID NO:3所示)和重链的可变CDR3序列(H-CDR3)(如SEQ ID NO:4所示);该轻链的可变区(VL)包含轻链的可变CDR1序列(L-CDR1)(如SEQ ID NO:6所示)、轻链的可变CDR2序列(L-CDR2)(如SEQ ID NO:7所示)和轻链的可变CDR3序列(L-CDR3)(如SEQID NO:8所示)。
TPP-14499是抗CXCR5抗体,其包含重链的可变区(VH)和轻链的可变区(VL),该重链的可变区(VH)包含重链的可变CDR1序列(H-CDR1)(如SEQ ID NO:12所示)、重链的可变CDR2序列(H-CDR2)(如SEQ ID NO:13所示)和重链的可变CDR3序列(H-CDR3)(如SEQ ID NO:14所示);该轻链的可变区(VL)包含轻链的可变CDR1序列(L-CDR1)(如SEQ ID NO:16所示)、轻链的可变CDR2序列(L-CDR2)(如SEQ ID NO:17所示)和轻链的可变CDR3序列(L-CDR3)(如SEQ ID NO:18所示)。
TPP-14505是抗CXCR5抗体,其包含重链的可变区(VH)和轻链的可变区(VL),该重链的可变区(VH)包含重链的可变CDR1序列(H-CDR1)(如SEQ ID NO:22所示)、重链的可变CDR2序列(H-CDR2)(如SEQ ID NO:23所示)和重链的可变CDR3序列(H-CDR3)(如SEQ ID NO:24所示);该轻链的可变区(VL)包含轻链的可变CDR1序列(L-CDR1)(如SEQ ID NO:26所示)、轻链的可变CDR2序列(L-CDR2)(如SEQ ID NO:27所示)和轻链的可变CDR3序列(L-CDR3)(如SEQ ID NO:28所示)。
TPP-14509是抗CXCR5抗体,其包含重链的可变区(VH)和轻链的可变区(VL),该重链的可变区(VH)包含重链的可变CDR1序列(H-CDR1)(如SEQ ID NO:32所示)、重链的可变CDR2序列(H-CDR2)(如SEQ ID NO:33所示)和重链的可变CDR3序列(H-CDR3)(如SEQ ID NO:34所示);该轻链的可变区(VL)包含轻链的可变CDR1序列(L-CDR1)(如SEQ ID NO:36所示)、轻链的可变CDR2序列(L-CDR2)(如SEQ ID NO:37所示)和轻链的可变CDR3序列(L-CDR3)(如SEQ ID NO:38所示)。
TPP-14511是抗CXCR5抗体,其包含重链的可变区(VH)和轻链的可变区(VL),该重链的可变区(VH)包含重链的可变CDR1序列(H-CDR1)(如SEQ ID NO:42所示)、重链的可变CDR2序列(H-CDR2)(如SEQ ID NO:43所示)和重链的可变CDR3序列(H-CDR3)(如SEQ ID NO:44所示);该轻链的可变区(VL)包含轻链的可变CDR1序列(L-CDR1)(如SEQ ID NO:46所示)、轻链的可变CDR2序列(L-CDR2)(如SEQ ID NO:47所示)和轻链的可变CDR3序列(L-CDR3)(如SEQ ID NO:48所示)。
TPP-14514是抗CXCR5抗体,其包含重链的可变区(VH)和轻链的可变区(VL),该重链的可变区(VH)包含重链的可变CDR1序列(H-CDR1)(如SEQ ID NO:52所示)、重链的可变CDR2序列(H-CDR2)(如SEQ ID NO:53所示)和重链的可变CDR3序列(H-CDR3)(如SEQ ID NO:54所示);该轻链的可变区(VL)包含轻链的可变CDR1序列(L-CDR1)(如SEQ ID NO:56所示)、轻链的可变CDR2序列(L-CDR2)(如SEQ ID NO:57所示)和轻链的可变CDR3序列(L-CDR3)(如SEQ ID NO:58所示)。
TPP-10063是抗CXCR5抗体,其包含重链的可变区(VH)和轻链的可变区(VL),该重链的可变区(VH)包含重链的可变CDR1序列(H-CDR1)(如SEQ ID NO:62所示)、重链的可变CDR2序列(H-CDR2)(如SEQ ID NO:63所示)和重链的可变CDR3序列(H-CDR3)(如SEQ ID NO:64所示);该轻链的可变区(VL)包含轻链的可变CDR1序列(L-CDR1)(如SEQ ID NO:66所示)、轻链的可变CDR2序列(L-CDR2)(如SEQ ID NO:67所示)和轻链的可变CDR3序列(L-CDR3)(如SEQ ID NO:68所示)。
TPP-14495是抗CXCR5抗体,其优选包含对应于SEQ ID NO:1的重链的可变区(VH)以及对应于SEQ ID NO:5的轻链的可变区(VL)。
TPP-14499是抗CXCR5抗体,其优选包含对应于SEQ ID NO:11的重链的可变区(VH)以及对应于SEQ ID NO:15的轻链的可变区(VL)。
TPP-14505是抗CXCR5抗体,其优选包含对应于SEQ ID NO:21的重链的可变区(VH)以及对应于SEQ ID NO:25的轻链的可变区(VL)。
TPP-14509是抗CXCR5抗体,其优选包含对应于SEQ ID NO:31的重链的可变区(VH)以及对应于SEQ ID NO:35的轻链的可变区(VL)。
TPP-14511是抗CXCR5抗体,其优选包含对应于SEQ ID NO:41的重链的可变区(VH)以及对应于SEQ ID NO:45的轻链的可变区(VL)。
TPP-14514是抗CXCR5抗体,其优选包含对应于SEQ ID NO:51的重链的可变区(VH)以及对应于SEQ ID NO:55的轻链的可变区(VL)。
TPP-10063是抗CXCR5抗体,其优选包含对应于SEQ ID NO:61的重链的可变区(VH)以及对应于SEQ ID NO:65的轻链的可变区(VL)。
TPP-14495是抗CXCR5抗体,其优选包含对应于SEQ ID NO:9的重链区域以及对应于SEQ ID NO:10的轻链区域。
TPP-14499是抗CXCR5抗体,其优选包含对应于SEQ ID NO:19的重链区域以及对应于SEQ ID NO:20的轻链区域。
TPP-14505是抗CXCR5抗体,其优选包含对应于SEQ ID NO:29的重链区域以及对应于SEQ ID NO:30的轻链区域。
TPP-14509是抗CXCR5抗体,其优选包含对应于SEQ ID NO:39的重链区域以及对应于SEQ ID NO:40的轻链区域。
TPP-14511是抗CXCR5抗体,优选包含对应于SEQ ID NO:49的重链区域以及对应于SEQ ID NO:50的轻链区域。
TPP-14514是抗CXCR5抗体,其优选包含对应于SEQ ID NO:59的重链区域以及对应于SEQ ID NO:60的轻链区域。
TPP-10063是抗CXCR5抗体,其优选包含对应于SEQ ID NO:69的重链区域以及对应于SEQ ID NO:70的轻链区域。
40C01是如WO2014/177652中所述的抗CXCR5抗体,并且在此由上表中指定的序列(SEQ ID NO:71-80)表示。
同位素、盐、溶剂化物、同位素变体
本发明还包括根据本发明的化合物的所有合适的同位素变体。在此,根据本发明的化合物的同位素变体被定义为如下化合物:其中根据本发明的化合物中的至少一个原子已经被替换为原子序数相同但原子质量与通常或主要存在于自然界的原子质量不同的另一个原子。可以掺入根据本发明的化合物中的同位素的示例是氢、碳、氮、氧、磷、硫、氟、氯、溴和碘的那些同位素、例如2H(氘)、3H(氚)、13C、14C、15N、17O、18O、32P、33P、33S、34S、35S、36S、18F、36Cl、82Br、123I、124I、129I和131I。根据本发明的化合物的某些同位素变体,特别是其中掺入一种或多种放射性同位素的那些同位素变体,例如对于研究活性剂的作用机理或活性剂在体内的分布可以是有益的,因为相对容易制备和检测,特别是用3H或14C同位素标记的化合物。另外,掺入同位素(例如氘)可产生某些治疗益处,因为该化合物具有更高的代谢稳定性,例如延长了体内的半衰期或降低了所需的有效剂量,因此,对根据本发明的化合物的这种修饰也可以任选地代表本发明的优选实施方案。可以根据本领域技术人员已知的方法和示例性实施方案中的描述,通过使用各个试剂和/或起始化合物的相应同位素修饰来制备根据本发明的化合物的同位素变体。
在本发明的上下文中,优选的盐是根据本发明的化合物的生理上可接受的盐。还包括本身不适合药物应用,但是可以用于例如分离或纯化根据本发明的化合物的盐。
根据本发明的化合物的生理上可接受的盐包括矿物酸、羧酸和磺酸的酸加成盐,例如盐酸、氢溴酸、硫酸、磷酸、甲磺酸、乙磺酸、苯磺酸、甲苯磺酸、萘二磺酸、乙酸、三氟乙酸、丙酸、乳酸、酒石酸、苹果酸、柠檬酸、富马酸、马来酸和苯甲酸的盐。
根据本发明的化合物的生理学上可接受的盐还包含常见碱的盐,例如并且优选碱金属盐(例如钠盐和钾盐)、碱土金属盐(例如钙盐和镁盐)、和衍生自氨或具有1至16个C原子的有机胺的铵盐,有机胺例如优选乙胺、二乙胺、三乙胺、乙基二异丙胺、单乙醇胺、二乙醇胺、三乙醇胺、二环己胺、二甲基氨基乙醇、普鲁卡因、二苄胺、N-甲基哌啶、N-甲基吗啉、精氨酸、赖氨酸和1,2-乙二胺。
在本发明的上下文中使用的溶剂化物是以固态或液态通过与溶剂分子配位而形成复合物的根据本发明的化合物的那些形式。水合物是溶剂化物的一种特殊形式,其中与水发生配位作用。在本发明的上下文中,优选的溶剂化物是水合物。
治疗用途
可以使用根据本发明的化合物治疗的过度增殖性疾病尤其包括癌症和肿瘤疾病。在本发明的上下文中,这些疾病被理解为特别是指以下疾病,但不限于以下疾病:乳腺癌和乳腺肿瘤(包括导管和小叶形式的乳腺癌,也是原位的)、呼吸道肿瘤(小细胞和非小细胞癌、支气管癌)、脑瘤(例如脑干和下丘脑、星形细胞瘤、室管膜瘤、胶质母细胞瘤、神经胶质瘤、髓母细胞瘤、脑膜瘤以及神经外胚层和松果体肿瘤)、消化器官肿瘤(食道癌、胃癌、胆囊癌、小肠癌、大肠癌、直肠癌和肛门癌)、肝肿瘤(包括肝细胞癌、胆管癌和混合性肝细胞胆管癌)、头颈部肿瘤(喉癌、下咽癌、鼻咽癌、口咽癌、唇癌和口腔癌、口腔黑色素瘤)、皮肤肿瘤(基底细胞瘤、脊柱浆瘤(spinaliomas)、鳞状细胞癌、卡波济肉瘤、恶性黑色素瘤、非黑素瘤性皮肤癌、默克尔细胞皮肤癌、肥大细胞肿瘤)、支持和结缔组织肿瘤(包括软组织肉瘤、骨肉瘤、恶性纤维组织细胞瘤、软骨肉瘤、纤维肉瘤、血管肉瘤、平滑肌肉瘤、脂肪肉瘤、淋巴肉瘤和横纹肌肉瘤)、眼肿瘤(包括眼内黑色素瘤和视网膜母细胞瘤)、内分泌腺和外分泌腺肿瘤(例如甲状腺和甲状旁腺、胰腺和唾液腺癌、腺癌)、尿道肿瘤(膀胱肿瘤、阴茎肿瘤、肾盂肿瘤和输尿管肿瘤)和生殖器官肿瘤(女性子宫内膜癌、宫颈癌、卵巢癌、阴道癌、外阴癌和子宫癌以及男性前列腺癌和睾丸癌)。还包括血液、淋巴系统和骨髓的固体形式和循环细胞形式的增生性疾病,例如白血病、淋巴瘤和骨髓增生性疾病,例如急性髓样、急性淋巴母细胞、慢性淋巴细胞、慢性髓性和毛细胞白血病以及与艾滋病有关的淋巴瘤、霍奇金淋巴瘤、非霍奇金淋巴瘤、皮肤T细胞淋巴瘤、伯基特淋巴瘤和中枢神经系统淋巴瘤。
这些在人类中明确表征的疾病,也可以在其他哺乳动物中以类似的病因发生,并且这些疾病也可以用本发明的化合物治疗。
本文所述的针对CXCR5的结合剂-或抗体-药物缀合物(ADC)可优选用于治疗表达CXCR5的病症,例如表达CXCR5的癌症。通常,此类癌细胞表现出在蛋白质水平(例如,通过免疫测定)或RNA水平测量的可测量的量的CXCR5。与优选在同一患者中测量的相同类型的非癌组织相比,这些癌组织中的一些表现出增高水平的CXCR5。任选地,在开始用抗体-药物缀合物(ADC)进行癌症治疗之前测量CXCR5的含量(患者分层)。针对CXCR5的结合剂-药物缀合物(ADC)可优选用于治疗表达CXCR5的病症,例如表达CXCR5的癌症,例如造血和淋巴组织的肿瘤或造血和淋巴恶性肿瘤。与CXCR5表达相关的癌症的示例包括淋巴疾病,例如伯基特淋巴瘤、滤泡型淋巴瘤、慢性淋巴性白血病(CLL)、套细胞淋巴瘤(MCL)、弥漫性大B细胞淋巴瘤(DLBCL)和霍奇金淋巴瘤。另外,还可以在实体瘤例如乳房、前列腺、胃和结肠的肿瘤中发现CXCR5的表达增加。
所述的本发明的方法包括治疗患有表达CXCR5的癌症的患者,其中该方法包括施用根据本发明的抗体-药物缀合物(ADC)。
用根据本发明的化合物治疗上述癌症包括对实体瘤的治疗及对其转移或循环形式的治疗。
在本发明中,在常规意义上使用术语“治疗”意指主治、护理和照料患者,以例如在癌症的情况下达成对抗、减少、改善或减轻疾病或健康异常并改善受到这种疾病的损害的生活条件的目的。
因此,本发明的另一主题是根据本发明的化合物用于治疗和/或预防疾病,特别是上述疾病的用途。
本发明的另一个主题是根据本发明的化合物在制备用于治疗和/或预防疾病,特别是上述疾病的药物中的用途。
本发明的另一主题是根据本发明的化合物在治疗和/或预防疾病,特别是上述疾病的方法中的用途。
本发明的另一个主题是用于使用有效量的至少一种本发明的化合物治疗和/或预防疾病,特别是上述疾病的方法。
根据本发明的化合物可以单独使用,或者如有必要可以与一种或多种其他药理学活性剂组合使用,只要这种组合不会导致不良和不可接受的副作用即可。因此,本发明的另一主题是提供包含至少一种根据本发明的化合物和一种或多种另外的活性剂的、特别是用于治疗和/或预防上述疾病的药物。
例如,本发明的化合物可以与已知的抗过度增殖物质、抑制细胞生长物质、细胞毒性物质或免疫治疗物质组合以治疗癌症。合适的组合活性剂的示例包括:
131I-chTNT、阿倍瑞克(Abarelix)、玻玛西林(abemaciclib)、阿比特龙、阿卡替尼(acalabrutinib)、阿柔比星、阿达木单抗、曲妥珠单抗-美坦新偶联物(ado-trastuzumabemtansin)、阿法替尼、阿柏西普、阿地白介素、艾乐替尼、阿仑单抗(alemtuzumab)、阿仑棒酸、阿利维A酸(alitretinoin)、六甲蜜胺、氨磷汀、氨鲁米特、己基-5-氨基乙酰丙酸酯、氨柔比星、安吖啶、阿那曲唑、安西司亭、茴三硫(anethole dithiolethione)、雷星-阿奈妥单抗(anetumab ravtansine)、血管紧张素II、抗凝血酶III、阿帕他胺(apalutamide)、阿瑞吡坦、阿西莫单抗、阿加来必(arglabin)、三氧化二砷、天冬酰胺酶、阿特珠单抗、阿维鲁单抗、阿基仑赛(axicabtagen ciloleucel)、阿西替尼、阿扎胞苷、巴利昔单抗、贝洛替康(Belotecan)、苯达莫司汀、贝索单抗、贝利司他、贝伐单抗(bevacizumab)、贝沙罗汀(bexaroten)、比卡鲁胺、比生群(bisantren)、博来霉素、博纳吐单抗、硼替佐米、布舍瑞林、博舒替尼、本妥昔单抗(brentuximab vedotin)、布加替尼、白消安、卡巴他赛(cabazitaxel)、卡博替尼、降血钙素、亚叶酸钙、左亚叶酸钙、卡培他滨、卡罗单抗、卡巴咪嗪、卡铂、卡波醌(carboquon)、卡非佐米、卡莫氟、卡莫司汀、卡妥索单抗(catumaxomab)、塞来昔布、西莫白介素、色瑞替尼、西妥昔单抗、苯丁酸氮芥、氯地孕酮、氮芥、西多福韦、西那卡塞、顺铂、克拉屈滨、氯膦酸、氯法拉滨(clofarabin)、考比替尼、库潘尼西(copanlisib)、克立他酶(crisantaspase)、克唑替尼、环磷酰胺、环丙孕酮、阿糖胞苷、达卡巴嗪、放线菌素、达雷木单抗、阿法达贝泊汀(darbepoetin alpha)、达拉非尼、达洛鲁胺(darolutamide)、达沙替尼、柔红霉素、地西他滨、地加瑞克、地尼白介素(denileukin-diftitox)、地诺塞麦(denosumab)、地普奥肽、地洛瑞林、右丙亚胺、二溴螺氯铵、二去水矛醇、达妥昔单抗(dinutuximab)、双氯芬酸、多西他赛、多拉司琼、去氧氟尿苷、多柔比星、多柔比星+雌酮、屈大麻酚、度伐单抗(durvalumab)、依库丽单抗、依决洛单抗、依利醋铵、内皮抑素、依诺他滨、恩扎鲁胺、艾卡哚司他(epacadostat)、表柔比星、环硫雄醇、依泊汀α、依泊汀β、依泊汀ζ、依铂、艾日布林(eribulin)、埃洛替尼、埃索美拉唑、雌二醇、雌莫司汀(estramustin)、依托泊苷、乙炔雌二醇、依维莫司、依西美坦、法屈唑、芬太尼、非格司亭、氟羟甲基睾丸酮、氟尿苷、氟达拉滨、氟尿嘧啶、氟他胺、叶酸、福美坦、福沙吡坦、福莫司汀、氟维司群、钆布醇、加多利道、钆特酸葡甲胺盐、钆弗塞胺、钆塞酸二钠盐(Gd-EOB-DTPA二钠盐)、硝酸镓、加尼瑞克、吉非替尼、吉西他滨、吉妥单抗(gemtuzumab)、羧肽酶、glutoxim、戈舍瑞林、格兰西龙、粒细胞集落刺激因子(g-csf)、粒细胞巨噬细胞集落刺激因子(gm-csf)、二盐酸组胺、组氨瑞林(histrelin)、羟基脲、I-125粒子、兰索拉唑、依班膦酸、替伊莫单抗(ibritumomab-tiuxetan)、依鲁替尼、伊达比星、异环磷酰胺、伊马替尼、咪喹莫特、英丙舒凡(improsulfan)、吲地司琼、英卡膦酸、巨大戟醇甲基丁烯酸酯、奥英妥珠单抗(inotuzumab ozogamicin)、干扰素α、干扰素β、干扰素γ、碘比醇、碘苄胍(1231)、碘美普尔、易普利姆玛(ipilimumab)、伊立替康、伊曲康唑、伊沙匹隆、伊沙佐米、兰瑞肽、兰索拉唑、兰索拉唑(lansoprazol)、拉帕替尼(lapatinib)、lasocholine、来那度胺(lenalidomid)、乐伐替尼、来格司亭、香菇多糖、来曲唑、亮丙瑞林、左旋四咪唑、左炔诺孕酮、左甲状腺素钠、聚乙二醇非格司亭(lipegfilgrastim)、麦角乙脲、乐铂、环己亚硝脲、氯尼达明、镥177注射液(lutetium Lu 177dotatate)、马索罗酚、甲羟孕酮、甲地孕酮、美拉胂醇、美法仑、美雄烷、巯基嘌呤、美司钠、美沙酮、氨甲喋呤、甲氧呋豆素、甲基氨基酮戊酸盐、甲基泼尼松龙、甲基睾酮、metirosin、米哚妥林、米伐木肽(mifamurtide)、米特福辛、米铂(miriplatin)、二溴甘露醇、丙脒腙、二溴卫矛醇、丝裂霉素、米托坦、米托蒽醌、莫格利组单抗(mogamulizumab)、莫拉司亭、莫哌达醇、盐酸吗啡、硫酸吗啡、mvasi(贝伐珠单抗)、大麻隆、纳比西莫(nabiximols)、那法瑞林、纳洛酮+戊唑辛、纳曲酮、那托司亭、耐昔妥珠单抗(necitumumab)、奈达铂、奈拉滨(nelarabin)、来那替尼、奈立膦酸、奈妥吡坦/帕洛诺司琼、纳武单抗、纳武单抗喷曲肽、尼洛替尼(nilotinib)、尼鲁米特、尼莫唑、尼妥珠单抗(nimotuzumab)、嘧啶亚硝脲、尼达尼布、尼拉帕尼、二胺硝吖啶(nitracrin)、纳武单抗、阿托珠单抗、奥曲肽、奥法木单抗(ofatumumab)、奥拉帕尼、奥拉单抗(olaratumab)、高三尖杉酯碱(omacetaxin-mepesuccinate)、奥美拉唑、奥坦西隆、奥普瑞白介素、奥古蛋白、orilotimod、奥希替尼、奥沙利铂、羟考酮、羟甲烯龙、奥佐米星(ozogamicin)、p53-基因治疗剂、紫杉醇、帕博西尼、帕利夫明、钯-103粒子、帕洛诺司琼、帕米膦酸、帕尼单抗(panitumumab)、帕比司他、泮托拉唑、帕唑帕尼(pazopanib)、培门冬酶、聚乙二醇-重组人肾红细胞生成素β(甲氧基聚乙二醇-重组人肾红细胞生成素β)、派姆单抗、聚乙二醇非格司亭、聚乙二醇干扰素-α-2b、培美曲塞、镇痛新、喷司他丁、培洛霉素、全氟丁烷、培磷酰胺、帕妥株单抗、溶链菌制剂(picibanil)、毛果芸香碱、吡柔比星、匹克生琼、普乐沙福(plerixafor)、普卡霉素、聚氨葡糖(poliglusam)、磷酸聚雌二醇、聚乙烯吡咯烷酮+透明质酸钠、多糖-K、泊马度胺、帕纳替尼、卟吩姆钠、普拉曲沙(pralatrexate)、松龙苯芥、泼尼松、甲基苄肼、丙考达唑、普萘洛尔、喹高利特、雷贝拉唑、雷妥莫单抗(racotumomab)、氯化镭223、拉多替尼、雷诺昔酚、雷替曲塞(raltitrexed)、雷莫司琼、雷莫芦单抗、雷莫司汀、拉布立酶、丙亚胺(razoxan)、瑞美替尼(refametinib)、瑞戈非尼(regorafenib)、瑞博西尼、利塞膦酸、铼-186依替膦酸盐(rhenium-186etidronat)、利妥昔单抗、罗加替尼(rogaratinib)、罗拉吡坦、罗米地辛、罗米司亭、罗莫肽(romurtid)、罗尼西利、卢卡帕尼、来昔决南钐(153sm)、沙格司亭、萨瑞鲁单抗(sarilumab)、沙妥莫单抗、分泌素、司妥昔单抗、西普鲁塞(sipuleucel-t)、甘氨双唑钠、索尼德吉、索拉非尼、康力龙、西佐喃、obuzoxan、链脲霉素、舒尼替尼、他拉泊芬(talaporfin)、talimogen laherparepvec、他米巴罗汀(tamibaroten)、他莫昔芬、他喷他多、他索纳明(tasonermin)、替西白介素(teceleukin)、锝[99mtc]巯诺莫单抗、99mtc-HYNIC-[tyr3]-奥曲肽、替加氟、替加氟+吉美嘧啶(gimeracil)+奥替拉西(oteracil)、替莫卟吩、替莫唑胺、西罗莫司(temsirolimus)、鬼臼噻吩甙(teniposid)、睾酮、替曲膦(tetrofosmin)、沙利度胺、噻替派、胸腺法新(thymalfasin)、促甲状腺素α、硫鸟嘌呤(tioguanine)、替沙仑赛(tisagenlecleucel)、托珠单抗(tocilizumab)、拓扑替康、托瑞米芬、托西莫单抗(tositumomab)、曲贝替定(trabectedin)、曲美替尼、曲马多、曲妥珠单抗、曲妥珠单抗-美坦新偶联物、曲奥舒凡(treosulfan)、曲磷胺、促血小板生成素、色氨酸、乌苯美司、戊柔比星(valrubicin)、凡德他尼(vandetanib)、伐普肽(vapreotidw)、瓦他拉尼、维罗非尼、长春碱、长春新碱、长春地辛、长春氟宁(vinflunin)、长春瑞宾(vinorelbinw)、维莫德吉、伏立诺他(vorinostat)、伏氯唑(vorozolw)、钇-90-玻璃微球、净司他丁、净司他丁斯酯(zinostatin-stimalamer)、唑来膦酸、佐柔比星。
此外,本发明的化合物可以例如与可例如结合下列靶标的结合剂(例如,抗体)组合:OX-40、CD137/4-1BB、DR3、IDO1/IDO2、LAG-3、CD40。
由于结合剂-药物缀合物(ADC)的非细胞渗透性毒簇代谢物应当对于适应性免疫系统的细胞无损害效应,所以根据本发明的结合剂-药物缀合物(ADC)与癌症免疫治疗的组合以用于治疗癌症或肿瘤是本发明的另一主题。细胞毒性结合剂-活性剂缀合物的内在作用机制包括直接触发肿瘤细胞的细胞死亡和因此释放可刺激免疫反应的肿瘤抗原。此外,有迹象表明KSP抑制剂毒簇类别在体外诱导所谓免疫细胞死亡[ICD]的标记物。因此,本发明的结合剂-药物缀合物(ADC)与一种或多种癌症免疫治疗的治疗方法或与一种或多种活性剂(优选地针对癌症免疫治疗的分子靶标的抗体)的组合,代表用于治疗癌症或肿瘤的优选方法。i)癌症免疫治疗的治疗方法的示例包括免疫调节单克隆抗体和针对癌症免疫治疗的靶标的低分子量物质、疫苗、CAR T细胞、双特异性T细胞-招募抗体、溶瘤病毒、基于细胞的疫苗接种方法。ii)适用于免疫调节单克隆抗体的所选的癌症免疫治疗的靶标的示例包括CTLA-4、PD-1/PDL-1、OX-40、CD137、DR3、IDOI、IDO2、TDO2、LAG-3、TIM-3、CD40、ICOS/ICOSL、TIGIT、GITR/GITRL、VISTA、CD70、CD27、HVEM/BTLA、CEACAMI、CEACAM6、ILDR2、CD73、CD47、B7H3和TLR。因此,根据本发明的结合剂-药物缀合物(ADC)与癌症免疫治疗的组合,在一个方面,可赋予具有弱免疫原性的肿瘤更大的免疫原性并增强癌症免疫治疗的效果,并进一步发挥持久的治疗作用。
此外,根据本发明的化合物也可以与放射疗法和/或外科手术联合使用。
通常,使用本发明的化合物与其它抑制细胞生长剂、细胞毒性剂或免疫治疗活性剂的组合达到下列目标:
·与用单一活性剂治疗相比,在减慢肿瘤生长、减小其尺寸或甚至完全消除其方面改善的效果;
·比单一疗法的情况以更低的剂量使用所选择化疗剂的可能性;
·与单一疗法相比,更佳的耐受性治疗、副作用较少的可能性;
·治疗更广谱的肿瘤的可能性;
·实现更高的治疗响应率;
·与现有的标准疗法相比,更长的患者存活时间。
此外,根据本发明的化合物也可以与放射疗法和/或外科手术联合使用。
本发明的另外主题为包含至少一种根据本发明的化合物与一种或多种惰性、无毒性的药学上可接受的赋形剂的药物,及其用于上述目的的用途。
根据本发明的化合物可以全身和/或局部发挥作用。为此,它们可通过合适方式,例如肠胃外、可能吸入或作为植入物或支架施用。
根据本发明的化合物可以以适合这些施用途径的施用形式施用。
肠胃外施用可以绕开吸收步骤(例如静脉内、动脉内、心脏内、脊柱内或腰椎内)或包括再吸收(例如肌肉内、皮下、皮内、经皮或腹膜内)进行。适合肠胃外施用的施用形式包括以溶液剂、混悬剂、乳剂或冻干物形式的注射和输注制剂。优选的是肠胃外施用,尤其是静脉内施用。
通常已经证明,在肠胃外施用中有利的是施用约0.1至20mg/kg体重,优选约0.3至7mg/kg体重的量以实现更有效的结果。
然而,有时必需偏离所提及的量,具体取决于体重、施用途径、个体对活性剂的响应、制剂性质和施用时间点或时间间隔。例如,在一些情况下,少于上述最低量可以是足够的,而在另一些情况下,必须超过所提到的上限。在要施用更大量的情况下,可以有利的是,将它们在一天内分成多个单剂。
实施例
下列实施例将说明本发明。本发明不限于这些实施例。
除非另行指明,否则下列测试和实施例中的百分比为重量百分比。所有的液体-液体溶液的溶剂比、稀释比和浓度数据都基于体积。
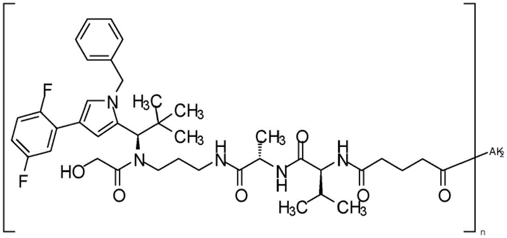
合成途径:
下图表示示例性实施方案的实施例。
图1:具有豆荚蛋白可切割接头的赖氨酸连接的ADC的合成
在以上反应方案中,X1、X2、X3、n和AK2具有在式(I)中指定的含义。
a):HATU,DMF,N,N-二异丙基乙胺,RT;b):H2,10%Pd-C,甲醇,1.5h,RT;
c):1,1'-[(1,5-二氧代戊烷-1,5-二基)双(氧基)]-二吡咯烷-2,5-二酮,N,N-二异丙基乙胺,DMF,在RT下搅拌过夜;d)在PBS中的AK2,在氩气下添加3-5当量的溶解于DMSO的活性酯,在RT下在氩气下搅拌60min,再添加3-5当量溶解于DMSO中的活性酯,在RT下在氩气下搅拌60min,然后用以PBS缓冲剂(pH 7.2)平衡的PD 10柱(G-25,GEHealthcare)纯化,随后通过超速离心浓缩,用PBS缓冲剂(pH 7.2)调节至所需的浓度。对于体内的批次,可随后进行无菌过滤。
A.实施例
缩写和首字母缩略词:
ABCB1 ATP-结合盒亚家族B成员1(P-gp和MDR1的同义词)
abs. 纯
Ac 乙酰基
ACN 乙腈
aq. 水性的,水溶液
ATP 三磷酸腺苷
BCRP 乳腺癌抗性蛋白,外排转运子
BEP 2-溴-1-乙基吡啶鎓四氟硼酸盐
Boc 叔丁氧基羰基
br. 宽(在NMR中)
Bsp. 示例
C 浓度
approx. 大约、约
CI 化学电离(在MS中)
DAR 药物:抗体比
D 双重峰(在NMR中)
D 天
DC 薄层色谱法
DCI 直接化学电离(在MS中)
DCM 二氯甲烷
Dd 双重双峰(在NMR中)
DMAP 4-N,N-二甲基氨基吡啶
DME 1,2-二甲氧基乙烷
DMEM Dulbecco氏改良的Eagle培养基(用于细胞培养的标准化营养培养基)
DMF N,N-二甲基甲酰胺
DMSO 二甲亚砜
D/P 染料(荧光染料)/蛋白比
DPBS,D-PBS Dulbecco氏磷酸盐缓冲的盐溶液
DSMZ 德国微生物和细胞培养物保藏中心
PBS PBS=DPBS=D-PBS,pH 7.4,来自Sigma,No.D8537组成:
0.2g KCl
0.2g KH2PO4(无水的)8.0g NaCl
1.15g Na2HPO4(无水的),补充H2O以配成1L
Dt 双重三峰(在NMR中)
DTT DL-二硫苏糖醇
d.Th. 理论值的(化学产率)
EDC N'-(3-二甲基氨基丙基)-N-乙基碳二亚胺盐酸盐
EGFR 表皮生长因子受体
EI 电子碰撞电离(在MS中)
ELISA 酶联免疫吸附测定法
eq. 当量
ESI 电喷雾电离(在MS中)
ESI-Micro Tofq ESI MicroTofq(质谱仪名称,Tof=飞行时间且q=四极)
FCS 胎牛血清
Fmoc (9H-芴-9-基甲氧基)羰基
ges. 饱和的
GTP 5'-三磷酸鸟苷
H 小时
HATU O-(7-氮杂苯并三唑-1-基)-N,N,N',N'-四甲基脲鎓六氟磷酸盐
HLB-1 人肿瘤细胞系
HEPES 4-(2-羟乙基)哌嗪-1-乙烷磺酸
HOAc 乙酸
HOAt 1-羟基-7-氮杂苯并三唑
HOBt 1-羟基-1H-苯并三唑水合物
HOSu N-羟基琥珀酰亚胺
HPLC 高压高效液相色谱法
IC50 半最大抑制浓度
i.m. 肌肉内,施用至肌肉中
i.v. 静脉内,施用至静脉中
conc. 浓缩
LC-MS 液相色谱法-质谱法联用
LLC-PK1细胞 Lewis肺癌猪肾细胞系
L-MDR 人MDR1转染的LLC-PK1细胞
M 多重峰(在NMR中)
Me 甲基
MDR1 多药抗性蛋白1
MeCN 乙腈
Min 分钟
MS 质谱法
MTT 3-(4,5-二甲基噻唑-2-基)-2,5-二苯基-2H-四唑鎓溴化物
NCI-H292 人肿瘤细胞系
NMM N-甲基吗啉
NMP N-甲基-2-吡咯烷酮
NMR 核磁共振谱法
NMRI 小鼠品系,来自Naval Medical Research Institute(NMRI)
Nude mouse 裸小鼠(实验动物)
NSCLC 非小细胞肺癌(非小细胞支气管癌)
Oci-Ly-1 人肿瘤细胞系
PBS 磷酸盐缓冲的盐溶液
Pd/C 活性炭载钯
P-gp P-糖蛋白,转运蛋白
PNGaseF 用于裂解糖的酶
quant. 定量(产率)
Quart 四重峰(在NMR中)
Quint 五重峰(在NMR中)
Rec-1 人肿瘤细胞系
Rf 保留指数(在TLC中)
RT 室温
Rt 保留时间(在HPLC中)
S 单重峰(在NMR中)
s.c. 皮下,在皮肤下施用
SCID小鼠 具有重症联合免疫缺陷的实验小鼠
SU-DHL6 人肿瘤细胞系
T 三重峰(在NMR中)
TBAF 四正丁基氟化铵
TCEP 三(2-羧乙基)膦
TEMPO (2,2,6,6-四甲基-哌啶-1-基)氧基
Teoc 三甲基甲硅烷基乙氧基羰基
tert. 叔
TFA 三氟乙酸
THF 四氢呋喃
UV 紫外光谱法
v/v (溶液的)体积比
Z 苄氧基羰基
HPLC和LC-MS方法:
方法1(LC-MS):
仪器:Waters ACQUITY SQD UPLC系统;柱:Waters Acquity UPLC HSS T3 1.8μ50×1mm;洗脱液A:1l水+0.25ml 99%甲酸,洗脱液B:1L乙腈+0.25ml 99%甲酸;梯度:0.0min90%A→1.2min 5%A→2.0min 5%A;烘箱:50℃;流速:0.40mL/min;UV检测:208-400nm。
方法6(LC-MS):
仪器:Micromass Quattro Premier与Waters UPLC Acquity;柱:ThermoHypersil GOLD 1.9μ50×1mm;洗脱液A:1l水+0.5ml 50%甲酸,洗脱液B:1l乙腈+0.5ml50%甲酸;梯度:0.0min 97%A→0.5min 97%A→3.2min 5%A→4.0min 5%A烘箱:50℃;流速:0.3mL/min;UV检测:210nm。
方法7(LC-MS):
仪器:Agilent MS Quad 6150;HPLC:Agilent 1290;柱:Waters Acquity UPLCHSS T3 1.8μ50×2.1mm;洗脱液A:1l水+0.25ml 99%甲酸;洗脱液B:1l乙腈+0.25ml 99%甲酸;梯度:0.0min 90%A→0.3min 90%A→1.7min 5%A→3.0min 5%A烘箱:50℃;流速:1.20mL/min;UV检测:205-305nm。
方法12(LC-MS):
仪器MS:Thermo Scientific FT-MS;仪器UHPLC+:Thermo Scientific UltiMate3000;柱:Waters,HSST3,2.1×75mm,C18 1.8μm;洗脱液A:1l水+0.01%甲酸;洗脱液B:1l乙腈+0.01%甲酸;梯度:0.0min 10%B→2.5min 95%B→3.5min 95%B;烘箱:50℃;流速:0.90ml/min;UV检测:210nm/最佳积分途径210-300nm。
下文没有明确描述其制备的所有反应物或试剂购自一般可得的来源。对于其制备同样没有描述在下文中并且不可购得或获自非一般可得的来源的所有其它反应物或试剂,参考描述了其制备的公开文献。
起始化合物和中间体:
中间体C52
将在100.0mL DMF中的10.00g(49.01mmol)4-溴-1H-吡咯-2-甲酸甲酯置于容器中,并添加20.76g(63.72mmol)碳酸铯和9.22g(53.91mmol)苄基溴。将反应混合物在室温下搅拌过夜。将反应混合物分配于水和乙酸乙酯之间且用乙酸乙酯萃取水相。合并的有机相经硫酸镁干燥并在真空下蒸发溶剂至干。用90.0g 4-溴-1H-吡咯-2-甲酸甲酯重复反应。
合并的两个批次通过制备型RP-HPLC(柱:Daiso 300×100;10μ,流速:250mL/min,MeCN/水)纯化。在真空下蒸发溶剂且在高真空下干燥残余物。产物为125.15g(理论值的87%)化合物1-苄基-4-溴-1H-吡咯-2-甲酸甲酯。
LC-MS(方法1):Rt=1.18min;MS(ESipos):m/z=295[M+H]+。
在氩气下,将4.80g(16.32mmol)1-苄基-4-溴-1H-吡咯-2-甲酸甲酯置于DMF中,并添加3.61g(22.85mmol)(2,5-二氟苯基)硼酸、19.20mL饱和碳酸钠溶液和1.33g(1.63mmol)[1,1'-双(二苯基膦基)二茂铁]-二氯钯(II):二氯甲烷。将反应混合物在85℃下搅拌过夜。将反应混合物通过硅藻土过滤且用乙酸乙酯洗涤滤饼。将有机相用水萃取且然后用饱和NaCl溶液洗涤。有机相经硫酸镁干燥并在真空下蒸发溶剂。残余物在硅胶上纯化(流动相:环己烷/乙酸乙酯100:3)。在真空下蒸发溶剂且在高真空下干燥残余物。这得到3.60g(理论值的67%)化合物1-苄基-4-(2,5-二氟苯基)-1H-吡咯-2-甲酸甲酯。
LC-MS(方法7):Rt=1.59min;MS(ESipos):m/z=328[M+H]+。
将3.60g(11.00mmol)1-苄基-4-(2,5-二氟苯基)-1H-吡咯-2-甲酸甲酯置于90.0mL THF中,并在0℃下用1.04g(27.50mmol)氢化锂铝(2.4M,在THF中)处理。将反应混合物在0℃下搅拌30分钟。在0℃下,添加饱和酒石酸钾钠溶液,并向反应混合物中加入乙酸乙酯。将有机相用饱和酒石酸钾钠溶液萃取三次。将有机相用饱和NaCl溶液洗涤一次且经硫酸镁干燥。在真空下蒸发并将残余物溶解于30.0mL二氯甲烷中。然后添加3.38g(32.99mmol)氧化锰(IV),并在室温下搅拌混合物48小时。添加另外2.20g(21.47mmol)氧化锰(IV),并在室温下搅拌过夜。将反应混合物通过硅藻土过滤且用二氯甲烷洗涤滤饼。在真空下蒸发溶剂,且残余物2.80g(1-苄基-4-(2,5-二氟苯基)-1H-吡咯-2-甲醛)未经进一步纯化即用于下一合成步骤。
LC-MS(方法7):Rt=1.48min;MS(ESipos):m/z=298[M+H]+。
将28.21g(94.88mmol)1-苄基-4-(2,5-二氟苯基)-1H-吡咯-2-甲醛与23.00g(189.77mmol)(R)-2-甲基丙烷-2-亚磺酰胺一起置于403.0mL纯THF中,与67.42g(237.21mmol)异丙醇钛(IV)混合并在室温下搅拌过夜。添加500mL饱和NaCl溶液和1000.0mL乙酸乙酯,并在室温下搅拌1小时。将溶液通过硅藻土过滤且用饱和NaCl溶液洗涤滤液两次。有机相经硫酸镁干燥,在真空下蒸发溶剂且使用Biotage Isolera(硅胶,柱1500+340g SNAP,流速200mL/min,乙酸乙酯/环己烷1:10)纯化残余物。
LC-MS(方法7):Rt=1.63min;MS(ESipos):m/z=401[M+H]+。
在氩气下将25.00g(62.42mmol)(R)-N-{(E/Z)-[1-苄基-4-(2,5-二氟苯基)-1H-吡咯-2-基]亚甲基}-2-甲基丙烷-2-亚磺酰胺置于无水THF中并冷却至-78℃。然后在-78℃下添加12.00g(187.27mmol)叔丁基锂(戊烷中的1.7M溶液)并在该温度下搅拌3小时。然后在-78℃下,相继添加71.4mL甲醇和214.3mL饱和氯化铵溶液,并使反应混合物升温至室温并在室温下搅拌1小时。将其用乙酸乙酯稀释并用水洗涤。有机相经硫酸镁干燥并在真空下蒸发溶剂。残余物(R)-N-{(1R)-1-[1-苄基-4-(2,5-二氟苯基)-1H-吡咯-2-基]-2,2-二甲基丙基}-2-甲基丙烷-2-亚磺酰胺未经进一步纯化即用于下一合成步骤。
LC-MS(方法6):Rt=2.97min;MS(ESipos):m/z=459[M+H]+。
将28.00g(61.05mmol)(R)-N-{(1R)-1-[1-苄基-4-(2,5-二氟苯基)-1H-吡咯-2-基]-2,2-二甲基丙基}-2-甲基丙烷-2-亚磺酰胺置于186.7mL1,4-二氧杂环己烷中,然后添加45.8mL HCl的1,4-二氧杂环己烷溶液(4.0M)。将反应混合物在室温下搅拌2小时并在真空下蒸发溶剂。残余物通过制备型RP-HPLC(柱:Kinetix 100×30;流速:60mL/min,MeCN/水)纯化。在真空下蒸发乙腈并将二氯甲烷添加至水性残余物。将有机相用碳酸氢钠溶液洗涤且经硫酸镁干燥。在真空下蒸发溶剂且在高真空下干燥残余物。产率:16.2g(理论值的75%)标题化合物。
LC-MS(方法6):Rt=2.10min;MS(ESipos):m/z=338[M-NH2]+,709[2M+H]+。
1H-NMR(400MHz,DMSO-d6):δ[ppm]=0.87(s,9H),1.53(s,2H),3.59(s,1H),5.24(d,2H),6.56(s,1H),6.94(m,1H),7.10(d,2H),7.20(m,1H),7.26(m,2H),7.34(m,2H),7.46(m,1H)。
中间体C58
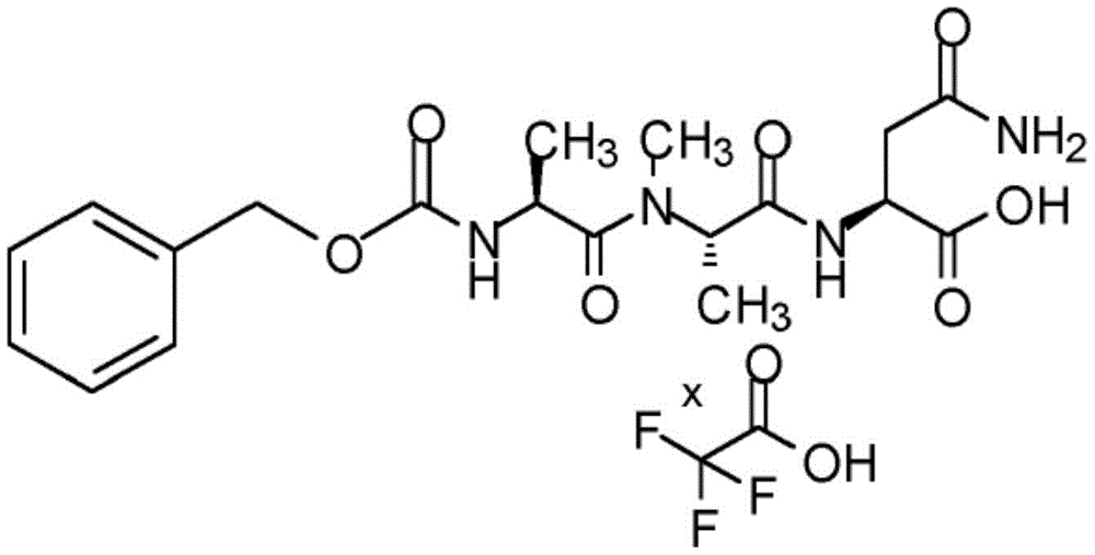
(2S)-4-[{(1R)-1-[1-苄基-4-(2,5-二氟苯基)-1H-吡咯-2-基]-2,2-二甲基丙基}(乙醇酰基)氨基]-2-({[2-(三甲基甲硅烷基)乙氧基]羰基}氨基)丁酸
将4.3g(12.2mmol)的中间体C52溶解于525mL DCM中,并添加3.63g(17.12mmol)三乙酰氧基硼氢化钠和8.4mL乙酸。在室温下搅拌5min之后,添加溶解于175mL DCM中的8.99g(24.5mmol)中间体L57并将反应混合物在室温下再搅拌45min。然后用300mL DCM稀释反应混合物并用100mL碳酸氢钠溶液洗涤二次并用饱和的NaCl溶液洗涤一次。将有机相经硫酸镁干燥,在真空下蒸发溶剂并在高真空下干燥残余物。然后通过制备型RP-HPLC(柱:Chromatorex C18)纯化残余物。将相应的级分纯化之后,在真空下蒸发溶剂并在高真空下干燥残余物。以此方式得到4.6g(理论值的61%)(2S)-4-({(1R)-1-[1-苄基-4-(2,5-二氟苯基)-1H-吡咯-2-基]-2,2-二甲基丙基}氨基)-2-({[2-(三甲基甲硅烷基)乙氧基]羰基}氨基)丁酸甲酯。
LC-MS(方法12):Rt=1.97min;MS(ESipos):m/z=614(M+H)+。
将2.06g(3.36mmol)此中间体置于76mL DCM中并用0.81mL(7.17mmol)乙酸2-氯-2-氧代乙酯在2.1ml三乙胺存在的情况下酰化。在室温下搅拌20h之后,添加另外的0.36mL乙酸2-氯-2-氧代乙酯和0.94mL三乙胺并将反应混合物在室温下再搅拌15min。然后用500mL乙酸乙酯稀释反应混合物并相继用300mL 5%柠檬酸洗涤二次,用300mL饱和碳酸氢钠溶液洗涤两次并用100mL饱和氯化钠溶液洗涤一次,然后经硫酸镁干燥和蒸发浓缩。在高真空下干燥后,得到2.17g(理论值的79%)保护的中间体。
LC-MS(方法1):Rt=1.48min;MS(ESipos):m/z=714(M+H)+。
将2.17mg(2.64mmol)的此中间体溶解于54mL THF中,并添加27mL水和26mL 2M氢氧化锂溶液。将反应混合物在室温下搅拌30min,然后使用1.4mL TFA将pH调节至3和4之间。在真空下浓缩反应混合物。大部分的THF已蒸发掉后,用DCM萃取水溶液两次,然后在真空下蒸发至干燥。通过制备型HPLC(柱:Chromatorex C18)纯化残余物。将级分合并之后,在真空下蒸发溶剂并将残余物从乙腈/水中冻干。以此方式得到1.1g(理论值的63%)的标题化合物。
LC-MS(方法1):Rt=1.34min;MS(ESipos):m/z=656(M-H)-。
1H-NMR(400MHz,DMSO-d6):δ[ppm]=0.03(s,9H),0.58(m,1H),0.74-0.92(m,1H),1.40(m,1H),3.3(m,2H),3.7(m,1H),3.8-4.0(m,2H),4.15(q,2H),4.9和5.2(2d,2H),5.61(s,1H),6.94(m,2H),7.13-7.38(m,7H),7.48(s,1H),7.60(m,1H),12.35(s,1H)。
中间体C61
N-[(2S)-4-[{(1R)-1-[1-苄基-4-(2,5-二氟苯基)-1H-吡咯-2-基]-2,2-二甲基丙基}(乙醇酰基)氨基]-2-({[2-(三甲基甲硅烷基)乙氧基]羰基}氨基)丁酰基]-β-丙氨酸
通过将60mg(0.091mmol)中间体C58与β-丙氨酸甲酯偶联,然后用2M氢氧化锂溶液进行酯切割,制得标题化合物。这通过两步得到67mg(理论值的61%)的标题化合物。
LC-MS(方法1):Rt=1.29min;MS(ESipos):m/z=729(M-H)+。
中间体C110(D)
二苄基-N-{(2S)-2-氨基-4-[{(1R)-1-[1-苄基-4-(2,5-二氟苯基)-1H-吡咯-2-基]-2,2-二甲基丙基}(乙醇酰基)氨基]丁酰基}-β-丙氨酰基-D-谷氨酸酯
通过在HATU和N,N-二丙基乙胺的存在下,通过将先前通过在乙酸乙酯和5%碳酸氢钠溶液之间进行分配而从二苄基-D-谷氨酸酯的对甲苯磺酸盐中释放出的二苄基-D-谷氨酸酯与中间体C61偶联,然后用三氟乙醇中的氯化锌脱去Teoc保护基来制备标题化合物。
LC-MS(方法1):Rt=1.08min;MS(ESipos):m/z=894[M+H]+。
中间体L57
(2S)-4-氧代-2-({[2-(三甲基甲硅烷基)乙氧基]羰基}氨基)丁酸甲酯
将500.0mg(2.72mmol)L-天冬酰胺甲酯盐酸盐和706.3mg
(2.72mmol)2-(三甲基甲硅烷基)乙基-2,5-二氧代吡咯烷-1-甲酸酯置于5.0mL1,4-二氧杂环己烷中,并添加826.8mg(8.17mmol)三乙胺。将反应混合物在室温下搅拌过夜。将反应混合物直接通过制备型RP-HPLC(柱:Reprosil 250×40;10μ,流速:50mL/min,MeCN/水,0.1%TFA)纯化。然后在真空下蒸发溶剂并在高真空下干燥残余物。这得到583.9mg(理论值的74%)化合物(3S)-4-甲氧基-4-氧代-3-({[2-(三甲基甲硅烷基)乙氧基]羰基}氨基)丁酸。
LC-MS(方法1):Rt=0.89min;MS(ESIneg):m/z=290(M-H)-。
将592.9mg(3S)-4-甲氧基-4-氧代-3-({[2-(三甲基甲硅烷基)乙氧基]羰基}氨基)丁酸置于10.0mL 1,2-二甲氧基乙烷中,冷却至-15℃并添加205.8mg(2.04mmol)4-甲基吗啉和277.9mg(2.04mmol)氯甲酸异丁酯。15分钟后,通过抽吸滤出沉淀并洗涤两次,每次用10.0mL 1,2-二甲氧基乙烷。将滤液冷却至-10℃,并在强烈搅拌下添加溶解于10mL水中的115.5mg(3.05mmol)硼氢化钠。分离各相并将有机相用饱和碳酸氢钠溶液和饱和NaCl溶液洗涤各一次。有机相经硫酸镁干燥,在真空下蒸发溶剂并在高真空下干燥残余物。这得到515.9mg(理论值的91%)化合物N-{[2-(三甲基甲硅烷基)乙氧基]羰基}-L-高丝氨酸甲酯。
LC-MS(方法1):Rt=0.87min;MS(ESipos):m/z=278(M+H)+。
将554.9mg(2.00mmol)N-{[2-(三甲基甲硅烷基)乙氧基]羰基}-L-高丝氨酸甲酯置于30.0mL二氯甲烷中,并添加1.27g(3.0mmol)Dess-Martin高价碘化物和474.7mg(6.00mmol)吡啶。将反应混合物在室温下搅拌过夜。4小时后,将反应混合物用二氯甲烷稀释并将有机相各自用10%Na2S2O3溶液、10%柠檬酸溶液和饱和碳酸氢钠溶液洗涤三次。有机相经硫酸镁干燥并在真空下蒸发溶剂。这得到565.7mg(理论值的97%)标题化合物。
1H-NMR(400MHz,DMSO-d6):δ[ppm]=0.03(s,9H),0.91(m,2H),2.70-2.79(m,1H),2.88(dd,1H),3.63(s,3H),4.04(m,2H),4.55(m,1H),7.54(d,1H),9.60(t,1H)。
中间体L111
N-(吡啶-4-基乙酰基)-L-丙氨酰基-N-甲基-L-丙氨酰基-L-天门冬酰胺
如下进行标题化合物的合成:根据肽化学的标准方法,在N,N-二异丙基乙胺的存在下,从用HATU偶联N-[(苄氧基)羰基]-L-丙氨酸和N-甲基-L-丙氨酸叔丁酯盐酸盐开始,并用DCM中的三氟乙酸使羧基脱保护。这之后在HATU和N,N-二异丙基乙胺的存在下与L-天冬酰胺叔丁酯进行偶联,然后在室温下在氢气常压下,于10%活性炭载钯上于DCM/甲醇1:1中氢解分解出Z保护基。最后,在HATU和N,N-二异丙基乙胺存在下,通过与4-吡啶-乙酸偶联,并用DCM中的三氟乙酸使羧基脱保护,将中间体转化为标题化合物。
LC-MS(方法1):Rt=0.16min;MS(ESipos):m/z=408(M+H)+。
中间体L116
N-[(苄氧基)羰基]-L-丙氨酰基-N-甲基-L-丙氨酸
使用肽化学的标准方法,在HATU存在下,从市售N[(苄氧基)羰基]-L-丙氨酸开始通过与N-甲基-L-丙氨酸叔丁酯盐酸盐偶联,最终通过用TFA分解出叔丁酯保护基,制备标题化合物。
LC-MS(方法1):Rt=0.68min;MS(ESipos):m/z=309[M+H]+
中间体L117
N-[(苄氧基)羰基]-L-丙氨酰基-N-甲基-L-丙氨酰基-L-天冬酰胺-三氟乙酸盐
使用肽化学的标准方法,在HATU的存在下,从市售的L-天冬酰胺4-叔丁酯开始,通过与N[(苄氧基)羰基]-L-丙氨酰基-N-甲基-L-丙氨酸(中间体L116)偶联,最终通过用TFA分离出叔丁酯保护基,制备标题化合物。
LC-MS(方法1):Rt=0.57min;MS(ESineg):m/z=421[M-H]-
中间体O2
N-{5-[(2,5-二氧代吡咯烷-1-基)氧基]-5-氧代戊酰基}-L-丙氨酰基-N-甲基-L-丙氨酰基-N1-{(2S)-4-[{(1R)-1-[1-苄基-4-(2,5-二氟苯基)-1H-吡咯-2-基]-2,2-二甲基丙基}(乙醇酰基)氨基]-1-[(3-{[(1R)-1,3-二羧基丙基]氨基}-3-氧代丙基)氨基]-1-氧丁烷-2-基}-L-天冬酰胺
如下制备标题化合物:首先从化合物C110D开始,通过在HATU和N,N-二异丙基乙胺存在下与中间体L117偶联。下一步,通过在室温下在常压氢气下,在DCM-甲醇1:1中,在10%活性炭载钯上氢化1小时,除去所有保护基,然后在N,N-二异丙基乙胺存在下,将脱保护的中间体通过与1,1'-[((1,5-二氧代戊烷-1,5-二基)双(氧基)]二吡咯烷-2,5-二酮反应,转化为标题化合物。
B:抗体/药物缀合物(ADC)的制备
B-1.产生抗体的一般方法
将所用的抗体,例如TPP-14511、TPP-14509、TPP-14499、TPP-14505、TPP-14514、TPP-14495、TPP-10063和40C01的蛋白序列(氨基酸序列),通过本领域技术人员已知的方法转变成编码相应蛋白的DNA序列并插入适用于瞬时哺乳动物细胞培养的表达载体中(如Tom等人,Methods Express的第12章:Expression Systems,由Micheal R.Dyson和YvesDurocher编辑,Scion Publishing Ltd,2007中所述)。
B-2.用于在哺乳动物细胞中表达抗体的一般方法
抗体,例如TPP-14511、TPP-14509、TPP-14499、TPP-14505、TPP-14514、TPP-14495和TPP-10063在瞬时哺乳动物细胞培养物中产生,如Tom等人,MethodsExpress的第12章:Expression Systems,由Micheal R.Dyson和Yves Durocher编辑,ScionPublishing Ltd,2007中所述。
B-3.从细胞上清液中纯化抗体的一般方法
抗体,例如TPP-14511、TPP-14509、TPP-14499、TPP-14505、TPP-14514、TPP-14495和TPP10063,获自细胞培养上清液。该细胞上清液通过离心来清除细胞。该细胞上清液然后通过在MabSelect Sure(GE Healthcare)色谱柱上的亲和色谱法进行纯化。为此,将该柱在DPBS pH 7.4(Sigma/Aldrich)中平衡,施加细胞上清液,且将该柱用约10柱体积的DPBS pH7.4+500mM氯化钠洗涤。在50mM乙酸钠pH 3.5+500mM氯化钠中洗脱抗体,然后在Superdex200柱(GE Healthcare)上在DPBS pH 7.4中通过凝胶渗透色谱法进一步纯化。
市售抗体使用标准色谱法(蛋白A色谱法,制备型凝胶过滤色谱(SEC-尺寸排阻色谱法))从市售产品纯化。
B-4.用于偶联至赖氨酸侧链的一般方法
以下抗体用于该偶联反应中:
实施例x:
TPP-14495
TPP-14499
TPP-14505
TPP-14509
TPP-14511
TPP-14514
TPP-10063
40C01
偶联反应通常在氩气下进行。
取决于所需的载量,将作为在DMSO中的溶液的2-10当量的待偶联前体化合物添加到浓度范围为1mg/mL至20mg/mL,优选约10mg/mL的合适的抗体在PBS缓冲液中的溶液中。在室温搅拌30分钟至6小时后,再次加入相同量的DMSO中的前体化合物。在此过程中,DMSO的体积不应超过总体积的10%。在室温下再搅拌30分钟至6小时后,将反应混合物施加至在PBS中平衡的PD 10柱(G-25,GE Healthcare),并用PBS缓冲液洗脱。在PD10柱上纯化后,在每种情况下均获得适当ADC在PBS缓冲液中的溶液。然后通过超速离心进行浓缩,并任选地用PBS缓冲液再稀释样品。如果需要更好地除去低分子量组分,则在用PBS缓冲液再稀释后,通过超滤重复浓缩。对于生物学测试,根据需要,可通过再稀释在最终ADC样品中建立0.5-15mg/mL的浓度范围。
确定示例性实施方案中ADC溶液各自指定的蛋白质浓度。另外,使用B-6中描述的方法检测抗体的载量(活性剂/mAb比)。
AK2在所示的结构式中具有以下含义:
实施例x:TPP-14495-NH§2
TPP-14499-NH§2
TPP-14505-NH§2
TPP-14509-NH§2
TPP-14511-NH§2
TPP-14514-NH§2
TPP-10063-NH§2
40C01-NH§2
其中
§2代表与羰基的键。
并且
NH代表抗体的赖氨酸残基的侧链氨基。
根据本发明的缀合物的进一步纯化和表征
B-5.检查ADC的抗原结合
进行偶联后,检查结合剂与靶分子的结合能力。用于此的许多方法是本领域技术人员已知的。例如,可以使用ELISA技术表面等离振子共振分析(BIAcoreTM测量)检查缀合物的亲和力。本领域技术人员可以使用常规方法测量缀合物浓度,例如对于抗体缀合物通过蛋白测定进行测定(还参见Doronina等人;Nature Biotechnol.2003;21:778-784和Polson等人,Blood 2007;1102:616-623)。
B-6.抗体和毒簇载量的测定
如示例性实施方案中所述获得的PBS缓冲溶液中缀合物的毒簇载量(在表中表示为DAR,药物:抗体比)确定如下:
通过尺寸排阻色谱法(SEC)中的UV(以下简称为SEC-UV)吸收来确定抗体的毒簇载量(DAR),其与结合位点无关。为此,通过SEC分析50μL的ADC。分析在Agilent 1260HPLC系统上进行,其中在280nm处检测并在260nm处检测。使用GE Healthcare的Superdex 200 10/300GL柱(批号:10194037)(10×310mm,粒径1μm),在等度条件下的流速为1ml/min。流动相由PBS缓冲液(pH 7.2)组成。为了从HPLC色谱图确定活性剂负载,确定在260nm和280nm处的单体峰的峰面积的比率R。由此如下确定药物载量(DAR):
在此,ε表示抗体(Ab)和药物(D)的摩尔消光系数。λ药物代表260nm的波长,而280代表280nm。通过实验确定抗体在280nm和260nm处的消光系数。各种抗体的这些测定的平均值用于DAR计算。还通过实验确定了KSP毒簇在280nm和260nm处的摩尔消光系数。以下波长和消光系数用于DAR计算:
| (λ<sub>药物</sub>)(nm) | ε(280nm)[1/μM] | ε(260nm)[1/μM] | |
| 抗体 | 0.2284 | 0.1163 | |
| KSP | 260 | 0.010 | 0.014 |
ADC的浓度通过测量280nm处的UV吸收来确定。通过相应抗体的摩尔吸收系数确定浓度。为了还考虑在280nm处毒簇的吸收,使用以下等式校正了在280nm处测量的浓度:
浓度=初始浓度/(1+DARuv*(□毒簇280nm/□抗体280nm))
此处,“初始浓度”表示仅使用抗体的吸收系数计算出的浓度,DARuv是通过SEC-UV测定的各个ADC的DAR,□毒簇280nm和□抗体280nm是毒簇和抗体分别在280nm处的消光系数。
在一些情况下,赖氨酸连接的ADC的DAR测定也通过质谱法测定各个缀合物种类的分子量来进行。这也使得可以确认抗体和偶联的接头-毒簇物质。为此,首先将抗体缀合物用PNGaseF去糖基化,酸化样品,并在HPLC分离/脱盐后,通过ESI-MicroTofQ(BrukerDaltonik)进行质谱分析。将TIC(总离子色谱图)中信号上的所有光谱加在一起,并基于MaxEnt去卷积计算各种缀合物种类的分子量。在各种种类的信号整合之后,然后计算DAR(=药物/抗体比)。为此,将所有种类的毒簇数量加权积分结果之和除以所有种类的简单加权积分结果之和。
在偶联之前进行蛋白质鉴定。除了去糖基化和/或变性后的分子量测定之外,为此目的还进行了胰蛋白酶消化,并且在变性、还原和衍生化之后,基于证明的胰蛋白酶肽证实了蛋白质的身份。
代谢产物的示例性实施方案
实施例M1
N-{(2S)-2-氨基-4-[{(1R)-1-[1-苄基-4-(2,5-二氟苯基)-1H-吡咯-2-基]-2,2-二甲基丙基}(乙醇酰基)氨基)丁酰基}-β-丙氨酰基-D-谷氨酸
在室温下,在常压氢气下,通过在乙醇中在10%的活性炭载钯上的进行1小时的氢化反应,将中间体C110D转化成标题化合物。
LC-MS(方法1):Rt=1.78min;MS(ESipos):m/z=714[M+H]+。
以下实施例示出的ADC可以释放具有优选药理学特性的优选代谢产物M1。
示例性实施方案-ADC
实施例1
示例性程序A:
在氩气下,向于0.3mL PBS(c=10mg/mL)中的2.9mg所讨论的抗体中,添加溶于30μL DMSO中的10当量(0.2mg)中间体Q2。在室温搅拌1小时后,再次加入相同量,并将反应混合物在室温下再搅拌1小时。然后将反应混合物用PBS缓冲液(pH7.2)稀释至2.5mL,在Sephadex柱上纯化,然后通过超速离心浓缩并用PBS(pH7.2)再稀释。
示例性程序B:
在氩气下,向于6mL PBS缓冲液(pH7.2)(c=10mg/mL)中的60mg所讨论的抗体中添加溶于300μL DMSO中的10当量(4.78mg)的中间体Q2。然后将反应混合物用PBS缓冲液(pH7.2)稀释至10mL,在Sephadex柱上纯化,然后通过超速离心进行浓缩,用PBS(pH7.2)再稀释、再浓缩并无菌过滤。
出于比较目的,制备了以下ADC:
参考示例R1:
WO2015/096982和WO2016/096610中公开了这种类型的ADC,其具有各种抗体,包括例如西妥昔单抗和曲妥珠单抗。为了进行比较,还使其中公开的前体中间体F194进一步与抗CXCR5抗体TPP-14495、TPP-14499、TPP-14509和TPP-14511反应。以下ADC用于比较目的:
对于WO2015/096982中的参考示例R1,描述了由其形成的代谢产物示例98;它将在此处显示为参考示例RIM。
参考示例R1M:
N-(3-氨基丙基)-N-{(IR)-1-[1-苄基-4-(2,5-二氟苯基)-IH-吡咯-2-基]-2,2-二甲基丙基}-2-羟基乙酰胺
如WO2015/096982中所述进行制备,作为示例98。
这些参考化合物的生物学数据已在所述申请中公开或通过新的参考化合物获得,将在部分C中进行描述。
C:生物活性评价
根据本发明的化合物的生物活性可以通过以下描述的测定来证明。
a.C-1a
ADC的细胞毒活性测定
在多种细胞系上进行ADC的细胞毒性活性分析:
Rec-1:人套细胞淋巴瘤细胞(B细胞非霍奇金淋巴瘤)ATCC CRL-3004,标准培养基:RPMI 1640(Gibco,编号21875-034)+GlutaMAX I(Invitrogen 61870)+10%FCS优越(Biochrom,编号S0615))CXCR5阳性
HBL-1:人B细胞淋巴瘤细胞(弥漫性大B细胞淋巴瘤)ATT CRL-RRID(ResourceIdentification Initiative):CVCL_4213,最早在Abe等人,Cancer 61:483-490(1988)中描述,由明斯特大学的Lenz教授获得;标准培养基:RPMI 1640(Biochrom;#FG1215,稳定型谷氨酰胺)+10%FCS(Biochrom;#S0415),类似于Rec-I细胞进行培养;CXCR5阳性
NCI-H292:人粘液表皮样肺癌细胞,ATCC-CRL-1848,标准培养基:RPMI 1640(Biochrom;#FG1215,稳定型谷氨酰胺)+10%FCS(Sigma#F2442),TWEAKR阳性;EGFR阳性。
Oci-Ly-1:人B细胞淋巴瘤细胞(B细胞非霍奇金淋巴瘤,属于生发中心B细胞样亚型),DSMZ ACC-722,标准培养基:IMDM(Gibco编号31980-22)+20%FCS优越(Biochrom,编号S0615);CXCR5阳性。
SU-DHL-6:人B细胞淋巴瘤细胞(B细胞非霍奇金,描述为弥漫型混合的小细胞和大细胞类型;细胞系)ATCC-CRL-2959,标准培养基:带有L-谷氨酰胺的RPMI-1640高葡萄糖(ATCC 30-2001),Hepes,丙酮酸钠+10%FCS(FBS Gibco 10500-064热灭活,欧盟批准),CXCR5阳性。
细胞的培养按照标准方法进行,如在美国组织培养物保藏所(ATCC)或Leibniz-Institut DSMZ-Deutsche Sammlung von Mikroorganismen und Zellkulturen GmbH(DSMZ)为各种细胞系所规定的标准方法。
CTG测定
使用标准方法,以C-1指定的生长培养基培养细胞。为了进行测试,对悬浮的细胞进行计数并接种到带有白色背景的96孔培养板中(Perkin Elmer,NO 10775584)(75μL/孔;每孔的所得细胞数为:Rec-1:3000个细胞/孔,HBL-1和Oci-Ly-1:6000个细胞/孔),并在37℃和5%二氧化碳的培养箱中温育。24小时后,将在25μL培养基中的抗体-活性剂缀合物(浓缩4倍)施加到细胞上,使抗体-活性剂缀合物的终浓度在细胞上(一式三份)达到3×10-7M至3×10-12M。然后在37℃和5%二氧化碳的培养箱中培养细胞。在平行板上,用Cell TiterGlow(CTG)发光细胞活力测定(Promega#G7573和#G7571)在活性剂处理开始时(第0天)测定细胞活力。为此,每细胞批次添加100μL底物;然后将板用铝箔覆盖,用板摇床以180rpm摇动2分钟,在实验室工作台上静置8分钟,然后用光度计(Victor X2,Perkin Elmer)测量。底物检测到活细胞中的ATP含量,产生发光信号,其高度与细胞的活力成正比。与抗体-活性剂缀合物一起温育72小时后,还使用如上所述的Cell Titer Glow发光细胞活力测定法测定这些细胞的活力。根据测量的数据,使用基于4参数拟合的DRC(剂量响应曲线)分析电子表格,与未处理的细胞和第0天相比,计算生长抑制的IC50。DRC分析电子表格是由Bayer PharmaAG和Bayer Business Services在IDBS E-WorkBook Suite平台(IDBS:ID BusinessSolutions Ltd.,Guildford,UK)上开发的Biobook电子表格。
MTT测定
细胞的培养根据标准方法用在C-1下指定的生长培养基进行。为了执行,将细胞用Accutase的PBS溶液(BiochromAG#L2143)分离,制粒,重悬于培养基中,计数并接种在具有白色背景的96孔培养板上(Costar#3610)(NCI H292):2500个细胞/孔;总体积为100μL)。然后在37℃和5%二氧化碳的温育箱中温育细胞。48小时后,更换培养基。然后将10μL培养基中浓度为10-5M至10-13M的抗体-活性剂缀合物吸取到细胞中(一式三份),然后在37℃和5%二氧化碳的温育箱中温育混合物。计数悬浮液中的细胞并接种到具有白色背景的96孔培养板中(Costar#3610)(#3610)(Rec-1:3000个细胞/孔,总体积为100μL)。在37℃和5%的二氧化碳的温育箱中温育6小时后,更换培养基,并将浓度为10-5M至10-13M的在10μL培养基中的抗体-活性剂缀合物或代谢产物吸取到90μL的细胞中(一式三份)。将反应混合物在37℃和5%二氧化碳的温育箱中温育。96小时后,使用MTT测定法(ATCC,Manassas,Virginia,USA,目录号30-1010K)检测细胞增殖。为此,将MTT试剂与细胞一起温育4小时,然后通过添加去污剂将细胞裂解过夜。在570nm(Infinite M1000 pro,Tecan)处检测形成的颜色。基于测量的数据,使用DRC(剂量反应曲线)计算生长抑制的IC50。将未用测试物质但在其他方面具有相同处理的细胞的增殖定义为100%的值。
在下表1a中,给出了该测定法的代表性示例性实施方案的IC50值:
表1a
在下面的表1b中,给出了该测定的参考示例的IC50值。
表1b
指定的活性数据涉及在本实验部分中描述的具有指定的活性剂
/mAB比的示例性实施方案。该值在其他活性剂/mAB比下可能不同。IC50值是来自多个独立实验的平均值,或单个值。抗体-活性剂缀合物的功效相对于各自的同种型对照是选择性的,其分别包含适当的接头和毒簇。
优于相应的参考示例,更有本发明的ADC通常表现出明显改善的细胞毒性效力。
C-1b使用选定的实施例确定驱动蛋白纺锤体蛋白KSP/Eg5的抑制作用
在室温下,将人类驱动蛋白纺锤体蛋白KSP/Eg5的马达结构域(tebu-bio/Cytoskeleton Inc,编号027EG01-XL)以10nM的浓度与用50μg/ml紫杉酚(Sigma编号T7191-5MG)稳定化的微管(牛或猪,tebu-bio/Cytoskeleton Inc)一起在15mM PIPES pH 6.8(5mMMgCl2和10mM DTT,Sigma)中温育5分钟。将新鲜制备的混合物等分至384MTP(来自Corning)中。然后添加浓度为1.0×10-6M至1.0×10-13M的待研究的抑制剂以及ATP(最终浓度500μM,Sigma)。将混合物在室温下温育2小时。通过使用孔雀绿(Biomol)检测所形成的无机磷酸盐来检测ATP酶活性。添加试剂之后,在室温下温育50分钟,然后在620nm的波长下检测吸收。单星素(Monastrol)(Sigma,M8515-1mg)和伊斯平斯(Ispinesib)(AdooQ BioscienceA10486)用作阳性对照。剂量效应曲线的各个数据根据八倍测定。IC50值是两次独立实验的平均值。100%对照是未用抑制剂处理的样品。
下表2总结了所述测定的代表性示例性实施方案的IC50值和相应的细胞毒性数据(MTT测定):
表2
呈现的活性数据涉及本实验部分中描述的示例性实施方案。
C-1c酶法测定
豆荚蛋白测定
用重组人酶进行豆荚蛋白测定。将重组人豆荚蛋白酶溶液(目录#2199-CY,R&DSystems)在50mM乙酸钠缓冲液/100mM NaCl(pH4.0)中稀释至所需浓度,并在37℃下预温育2h。然后在50mM MES缓冲液、250mM NaCl中在pH5.0将rh豆荚蛋白的最终浓度调节为1ng/μL。对于每种待研究的豆荚蛋白可裂解的前药,在微反应容器(0.5ml,Eppendorf)中配制反应混合物。为此,用50mM MES缓冲液、250mM NaCl在pH5.0将底物溶液调节至所需浓度(2倍浓度)。为了进行酶反应的动力学测量,首先取250μL的豆荚蛋白溶液,并通过添加250μL的底物溶液(最终浓度,单一浓度;3μM)开始酶促反应。在不同时间分别取50μL样品。立即向样品中加入100μL冰冷的甲醇以终止酶促反应,然后在-20℃冷冻。选择的采样时间是在0.5小时、1小时、3小时和24小时之后。然后通过RP-HPLC分析和LC-MS检测样品。释放的毒簇的测定使得能够确定酶促反应的半衰期t1/2。
作为证明豆荚蛋白介导的解离的代表性实施例,制备了模型化合物作为豆荚蛋白测定的底物。
参考示例模型化合物A
N-(吡啶-4-基乙酰基)-L-丙氨酰基-N-甲基-L-丙氨酰基-N1-(2S)-4-[{(IR)-1-[1-苄基-4-(2,5-二氟苯基)-IH-吡咯-2-基]-2,2-二甲基丙基}(乙醇酰基)氨基]-1-(甲基氨基)-1-氧丁烷-2-基]-L-天冬酰胺
首先,如WO2015096982A1中所述制备三氟乙酸(2S)-2-氨基-4-[{(1R)-1-[1-苄基-4-(2,5-二氟苯基)-1H-吡咯-2-基]-2,2-二甲基丙基}(乙醇酰基)氨基]-N-甲基丁酰胺。然后在HATU和N,N-二异丙基乙胺存在下,通过与中间体L111在DMF中偶联,由该中间体制备标题化合物。
LC-MS(方法1):Rt=0.83min;MS(ESipos):m/z=916[M+H]+。
在上述条件下,将模型化合物A从豆荚蛋白中分离出来,其中半衰期为0.5小时。
C-2用悬浮细胞进行内化测定
内化是能够经由抗体-药物缀合物(ADC)在表达抗原的癌细胞中特异性且有效制备细胞毒性有效负载的关键过程。经由特异性抗体和同种型对照抗体的荧光标记来进行该过程。为此,首先将荧光染料与抗体的赖氨酸缀合。使用两倍至10倍摩尔过量的CypHer 5E单NHS酯(批次357392,GE Healthcare)在pH 8.3下进行缀合。偶联完成之后,将反应混合物通过凝胶色谱(Zeba旋转脱盐柱,40K,Thermo Scientific,编号87768;洗脱缓冲液:DULBECCO的PBS,Sigma-Aldrich,编号D8537)纯化,以消除过量染料并调节pH值。使用VIVASPIN 500柱(Sartorius stedim biotec)浓缩蛋白溶液。抗体的染料载量通过分光光度分析(NanoDrop)随后通过计算(D/P=A染料□蛋白:(A280-0.16A染料)□染料)确定。
在此研究的抗体和同种型对照的染料载量在可比拟的数量级内。完成细胞结合测试,发现偶联不会导致抗体亲和力发生变化。
待研究的抗原由造血细胞悬浮细胞表达,因此在基于FACS的内化测定中检测内化。
研究了具有各种靶标表达水平的细胞。将细胞(5×104/孔)接种到总体积为100μL的96-MTP(Greiner bio-one,CELLSTAR,650 180,U型底)中。加入最终浓度为10μg/ml的靶标特异性抗体后,将反应混合物在37℃下温育不同的时间长度(1小时、2小时、6小时,一式三份测定)。在相同条件下进行同种型检查。将平行反应混合物保持恒定并在4℃下温育(阴性对照)。使用Guava流式细胞仪(Millipore)进行FACS分析。通过测量荧光强度进行动力学评价,并使用guavaSoft 2.6软件(Millipore)进行评估。在各种细胞中检测到此处所述的靶标特异性抗体的显著且特异性的内化。在这些测试中,与TPP-10063和40C01相比之下,本发明的抗体TPP-14495、TPP14499、TPP-14505、TPP-14509、TPP-14511、TPP-14514的内化在Rec-1和SU-DHL-6细胞上得到了改善(TPP-14495对SU-DHL-6细胞没有显示改善)。同种型对照没有表现出内化。
表3总结了对于CXCR5高表达的Rec-1细胞系和CXCR5中度表达的SU-DHL6细胞系,观察到的荧光强度(MFI)。
表3
| 抗体-实施例 | 内化Rec-1[MFI] | 内化SU-DHL-6[MFI] |
| TPP-14495 | 84 | 12 |
| TPP-14499 | 122 | 55 |
| TPP-14505 | 135 | 61 |
| TPP-14509 | 129 | 51 |
| TPP-14511 | 99 | 24 |
| TPP-14514 | 134 | 53 |
| TPP-10063 | 65 | 22 |
| 40C01 | 49 | 13 |
| 同种型对照 | 2 | 1 |
C-3用于确定细胞渗透性的体外测试
物质的细胞渗透性可借助于体外测试在使用Caco-2细胞系的通量测定中进行研究[M.D.Troutman和D.R.Thakker,Pharm.Res.20(8),1210-1224(2003)]。为此,将细胞在24孔过滤板上培养15-16天。为了测定渗透,将在HEPES缓冲液中的各种测试物质在顶端(A)或基底(B)放置在细胞上并温育2小时。0小时之后和2小时之后,从顺式和反式隔室中获取样品。通过HPLC(Agilent 1200,德国)使用反相柱分离样品。HPLC系统经由涡流离子喷雾界面与API 4000三重四极柱质谱仪(AB SCIEX Deutschland GmbH,Darmstadt,德国)联用。基于Papp值来评价渗透性,该值使用Schwab等人[D.Schwab等人,J.Med.Chem.46,1716-1725(2003)]公开的公式计算。当Papp(B-A)与Papp(A-B)的比率(流出比率)>2或<0.5时,物质被分类为主动输送。
对于细胞内释放的毒簇至关重要的是B至A的渗透率[Papp(B-A)]和Papp(B-A)与Papp(A-B)的比率(流出比率):该渗透率越低,物质通过Caco-2细胞的单层的主动和被动输送过程越慢,因此,物质在细胞内释放之后可较长时间保留于细胞中。因此,代谢产物在细胞内的这种持久性增加了与生物化学靶标(在此:驱动蛋白纺锤体蛋白,KSP/Eg5)相互作用的可能性,这提高了细胞毒性作用。
下表4显示了来自该测定法的代表性示例性实施方案的渗透性数据:
表4
| 示例性实施方案 | P<sub>app</sub>(B-A)[nm/s] | 流出比率 |
| M1 | 2.7 | 1.6 |
| R1M | 213 | 16 |
与可以由参考示例的结合剂/活性剂缀合物形成的参考代谢产物R1M相比,可以由根据本发明的结合剂/活性剂缀合物形成的代谢产物M1既显著降低了从细胞的转运,又降低了流出比率。
C-4用于确定P-糖蛋白(P-gp)底物性质的体外测试
许多肿瘤细胞表达活性化合物的转运蛋白,这经常伴随着产生针对细胞抑制剂的抗性。不是此类转运蛋白(例如P-糖蛋白(P-gp)或BCRP)的底物的物质因此可展现改善的活性谱。
P-gp的物质(ABCB1)的底物特性通过使用过表达P-gp(L-MDR1细胞)的LLC-PK1细胞的通量测定来测定[A.H.Schinkel等人,J.Clin.Invest.96,1698-1705(1995)]。为此目的,将LLC-PKl细胞或L-MDR1细胞在96孔过滤板上培养3-4天。为了测定渗透,将单独或在抑制剂(例如伊维菌素(Ivermectin)或维拉帕米(Verapamil))存在的情况下的各种测试物质(在HEPES缓冲液中)在顶端(A)或基底(B)施加于细胞并温育2小时。0小时之后和2小时之后,从顺式和反式隔室中获取样品。通过HPLC使用反相柱分离样品。HPLC系统经由涡轮离子喷雾界面与API3000(Applied Biosystems Applera,Darmstadt,德国)三重四极柱质谱仪联用。基于Papp值来评价渗透性,该值使用Schwab等人[D.Schwab等人,J.Med.Chem.46,1716-1725(2003)]公开的公式计算。如果Papp(B-A)与Papp(A-B)的流出比率>2,则物质被分类为P-gp底物。
作为评价P-gp底物特性的另外标准,可相互比较L-MDR1细胞和LLC-PKl细胞中的流出比率或在抑制剂存在或不存在的情况下的流出比率。如果这些值相差大于2倍,则所讨论物质为P-gp底物。
C-5药代动力学
在雄性Wistar大鼠中测定实施例1x-10063、1x-14495、1x-14499、1x-14509和1x-14511的药代动力学参数。要研究的物质以静脉内溶液形式施用。为了简化物质施用前的血液收集,将有机硅导管置入每只动物的右颈静脉中。在实验前至少一天,在异氟烷麻醉下进行外科手术。施用该物质后,经过长达168小时的时间段从动物身上收集血液。为了收集血浆,将样品在EDTA管中离心,并任选地储存在-20℃下直至进一步处理。从记录的血浆浓度-时间曲线计算ADC的药代动力学特征,例如清除率(CL)、曲线下面积(AUC)和最终半衰期(t1/2)。使用合适的ELISA(酶联免疫吸附测定)方法对化合物进行定量。
在表5中,总结了实施例1x-10063、1x-14495、1x-14499、1x-14509和1x-14511的药代动力学参数。
表5
| 实施例 | 1x10063 | 1x-14495 | 1x-14499 | 1x-14509 | 1x-14511 | |
| AUC<sub>正常</sub> | [kg*h/L] | 2515 | 3193 | 4063 | 2899 | 4292 |
| Cl<sub>基质</sub> | [mL/h/kg] | 0.4 | 0.31 | 0.25 | 0.34 | 0.23 |
| V<sub>ss</sub> | [L/kg] | 0.13 | 0.08 | 0.08 | 0.09 | 0.1 |
| t<sub>1/2</sub> | [h] | 239 | 194 | 229 | 187 | 318 |
在静脉内注射后的这项初步大鼠PK研究中施用后,所有实施例均观察到典型的IgG谱。实施例之间未发现明显差异。
所用ADC的定量分析
通过配体结合测定(ELISA),将ADC的抗体部分确定为血浆样品中的总IgG浓度。使用了夹心ELISA形式。此ELISA适用于确定血浆和肿瘤样品中ADC的浓度。将ELISA板用山羊抗人IgG-Fc抗体包被。与样品一起温育后,将板洗涤并与来自猴抗人IgG(H+L)抗体和辣根过氧化物酶(HRP)的检测物缀合物一起温育。在另外的洗涤步骤之后,加入HRP底物OPD,并随后通过在490nm处的吸收来进行显色。使用4参数方程拟合已知IgG浓度的标准样品。在定量下限(LLOQ)和定量上限(ULOQ)之间,通过内插法确定未知浓度。
C5a:体外鉴定内化后的ADC代谢产物
方法描述:
用免疫缀合物进行内化测试以分析细胞内产生的代谢产物。为此目的,将合适的肿瘤细胞(3×105/孔)接种到6孔板中,并温育过夜(37℃,5%CO2)。用10μg/mL(66nM)的待研究物质进行处理。内化在37℃和5%CO2下进行。在各个时间点(0、4、24、48、72小时)采集细胞样品,以进行进一步分析。首先收集上清液(约5mL),然后离心(2min,室温,1000rpmHeraeusVariofuge 3.0R),在-80℃储存。用PBS洗涤细胞,用Accutase分离并进行细胞计数。再次洗涤后,将一定数量的细胞(2×105)与100mL裂解缓冲液(哺乳动物细胞裂解试剂盒(Sigma MCL1))混合,并在连续振荡(Thermomixer,15分钟,4℃,650rpm)下于蛋白质LoBind管(Eppendorf目录号0030 108.116)中温育。温育后,将裂解物离心(10min,4℃,12000g,Eppendorf 5415R),收集上清液,将上清液在-80℃储存,然后如下分析所有样品。
为了检查50μL培养物上清液/细胞裂解物,将其与150μL沉淀试剂(甲醇)混合并振荡10秒钟。沉淀试剂含有合适浓度(通常在20-100μg/L范围内)的内标(ISTD)。在1881g下离心10分钟后,将上清液转移到装有与洗脱液匹配的300μL缓冲液的自动采样瓶中,并在1881g下再离心10分钟。
最后,使用来自AB SCIEX Deutschland GmbH的HPLC联用的API6500三重四极柱质谱仪进行细胞裂解物和上清液样品的测量。
为了校正,添加适当浓度(0.1-1000μg/L)的空白裂解液或空白上清液。检测限(LLOQ)约为0.2μg/L。
测试有效性的质量对照为4μg/L和40μg/L。
C5b:体内鉴定ADC代谢产物
在静脉内施用3-30mg/kg的各种ADC后,可以测量ADC的血浆和肿瘤浓度以及潜在的代谢产物,并可以计算药代动力学参数,例如清除率(CL)、曲线下面积(AUC)和半衰期(t1/2)。
潜在代谢产物的定量分析
血浆、肿瘤、肝和肾中的化合物测定在通常用甲醇沉淀蛋白后使用高压液相色谱(HPLC)与三重四极质谱仪(MS)联用进行。
为了检查50μL血浆,将其与150μL沉淀试剂(通常为甲醇)混合并振荡10秒。沉淀试剂含有合适浓度(通常在20-100μg/L范围内)的内标(ISTD)。在1881g下离心10分钟后,将上清液转移至装有与洗脱液匹配的300μL缓冲液的自动采样瓶中,并再次振荡。
在检查肿瘤或器官材料时,将各种材料与其体积的3-20倍的提取缓冲液混合。提取缓冲液包含50mL组织蛋白提取试剂(Pierce,Rockford,IL)、两团完整的蛋白酶抑制剂混合物(Roche Diagnostics GmbH,曼海姆,德国)和最终浓度为1mM的苯甲基磺酰氟(Sigma,St.Louis,MO)。基于组织类型(硬:肿瘤;软:肝、肾)选择Prescellys 24的裂解和均质化程序和裂解和均质化设备(Bertin Technologies)(www.prescellys.com)。将均质化的样品在4℃下静置过夜。将50μL的均质化物转移到自动采样瓶中,并用150μL含ISTD的甲醇补充,振荡10秒钟,然后静置5分钟。加入300μL乙酸铵缓冲液(pH6.8)并短暂振荡后,将样品在1881g下离心10分钟。
为了校准血浆样品,添加血浆,对于组织样品,添加浓度为0.6-1000μg/L的空白基质。根据样品类型或组织类型,检测限(LOQ)在1-20μg/L之间。
最后,在来自AB SCIEX Deutschland GmbH的HPLC联用的API4500三重四极柱质谱仪上对血浆和基质样品进行测量。
有效性测试的质量对照为4μg/L、40μg/L和400μg/L。
C-6体内活性测试
例如使用异种移植模型,可以在体内测试根据本发明的缀合物的活性。本领域技术人员知晓现有技术中可以测试根据本发明的化合物的活性的方法(参见例如WO 2005/081711;Polson等人,Cancer Res.2009年3月15日;69(6):2358-64)。例如,为此目的,用表达结合剂的靶分子的肿瘤细胞系接种啮齿动物(例如小鼠)。然后将根据本发明的缀合物、同种型抗体对照缀合物或对照抗体或等渗盐溶液施用于接种的动物。施用进行一次或多次。在数天的温育时间之后,确定肿瘤大小以用于经缀合物治疗的动物和对照组之间的比较。在经缀合物治疗的动物中,肿瘤较小。
C-6a.小鼠中实验性肿瘤的生长抑制/消退
将表达抗体-活性化合物缀合物的抗原的人肿瘤细胞皮下接种到免疫抑制小鼠,例如NMRI裸鼠或SCID小鼠的侧部中。从细胞培养物中分离出一百万至一千万个细胞,离心并用培养基或Matrigel重悬。将细胞悬浮液注射到小鼠皮肤下。
几天内肿瘤开始在此部位生长。肿瘤形成后开始治疗,肿瘤大小约为100mm3。为了研究对更大肿瘤的疗效,也可以仅在200-500mm3的肿瘤大小时开始治疗。
用ADC的治疗通过静脉内(i.v.)途径进入小鼠的尾静脉来进行。以5-10mL/kg的体积给用ADC。
治疗方案取决于抗体的药代动力学。对于根据本发明的缀合物,标准治疗方案是每周一次,持续1-3周。对于较早的评价,单一治疗的时间表可能是合适的。但是,治疗也可以继续进行,或者可以在以后的时间进行为期三天的第二周期治疗。
标准方法是每个治疗组使用10-12只动物。除了接受活性剂的组外,根据与对照组相同的方案用缓冲液处理一组。
在实验过程中,使用卡尺定期测量二维(长度/宽度)的肿瘤体积。根据(长度×宽度2)/2确定肿瘤体积。将治疗组与对照组的平均肿瘤体积的比较指定为指定的%T/C体积。(%T/C=[治疗组的平均肿瘤体积/对照组的平均肿瘤体积]×100。)
如果在治疗结束后同时停止实验中的所有组,则可以切除肿瘤并称重。将治疗组与对照组的平均肿瘤重量的比较指定为%T/C重量(%T/C=[治疗组的平均肿瘤重量/对照组的平均肿瘤重量]×100)。
将应答率评价为另外的功效终点。它对应于治疗后具有完全和部分肿瘤消退的小鼠数量(在指定的一天,肿瘤比治疗开始时的尺寸小至少30%)。
C-6b.根据本发明的CXCR5
ADC在各种肿瘤模型中的活性
在雌性SCID小鼠(Janvier)的侧部皮下接种肿瘤细胞(例如REC-1,OCI-LYI)。在约280mm3的平均肿瘤大小/组时,施用CXCR5-ADC进行静脉内治疗。治疗后,在一些情况下还可以任选进一步追踪肿瘤的生长。
与对照组和缀合的同种型对照抗体相比,用根据本发明的CXCR5-ADC进行的治疗导致对肿瘤生长的显著且有时持久的抑制。表7显示了在研究结束的各天通过肿瘤体积确定的T/C值,其是在治疗开始后计算的。
表7:
a)%T/C体积,对于REC-1而言第11天,对于OCI-LY-1而言治疗后第13天,
b)应答率,对于REC-1而言第45天,对于OCI-LY-1而言治疗后第41天
在单一治疗后,所有研究的CXCR5-ADC都显示出非常高的功效,其中T/C<10%并且90-100%的小鼠长期肿瘤消退。
序列表
<110> 拜耳股份有限公司
<120> 具有可酶切的接头和改善的活性谱的针对CXCR5的结合剂-药物缀合物
<130> BHC181021
<160> 81
<170> PatentIn版本3.5
<210> 1
<211> 118
<212> PRT
<213> VH TPP-14495
<400> 1
Glu Val Gln Leu Leu Glu Ser Gly Gly Gly Leu Val Gln Pro Gly Gly
1 5 10 15
Ser Leu Arg Leu Ser Cys Ala Ala Ser Gly Phe Thr Phe Ser Asn Tyr
20 25 30
Trp Met Ser Trp Val Arg Gln Ala Pro Gly Lys Gly Leu Glu Trp Val
35 40 45
Ser Ala Ile Ser Gly Ser Gly Gly Ser Thr Arg Tyr Ala Asp Ser Val
50 55 60
Lys Gly Arg Phe Thr Ile Ser Arg Asp Asn Ser Lys Asn Thr Leu Tyr
65 70 75 80
Leu Gln Met Asn Ser Leu Arg Ala Glu Asp Thr Ala Val Tyr Tyr Cys
85 90 95
Thr Thr Gln Arg Arg Glu Leu Gly Ala Thr Asn Trp Gly Gln Gly Thr
100 105 110
Leu Val Thr Val Ser Ser
115
<210> 2
<211> 5
<212> PRT
<213> HCDR1 TPP-14495
<400> 2
Asn Tyr Trp Met Ser
1 5
<210> 3
<211> 17
<212> PRT
<213> HCDR2 TPP-14495
<400> 3
Ala Ile Ser Gly Ser Gly Gly Ser Thr Arg Tyr Ala Asp Ser Val Lys
1 5 10 15
Gly
<210> 4
<211> 9
<212> PRT
<213> HCDR3 TPP-14495
<400> 4
Gln Arg Arg Glu Leu Gly Ala Thr Asn
1 5
<210> 5
<211> 111
<212> PRT
<213> VL TPP-14495
<400> 5
Gln Ser Val Leu Thr Gln Pro Pro Ser Ala Ser Gly Thr Pro Gly Gln
1 5 10 15
Arg Val Thr Ile Ser Cys Thr Gly Ser Ser Ser Asn Ile Gly Ala Gly
20 25 30
Tyr Val Val His Trp Tyr Gln Gln Leu Pro Gly Thr Ala Pro Lys Leu
35 40 45
Leu Ile Tyr Ser Asn Asn Gln Arg Pro Ser Gly Val Pro Asp Arg Phe
50 55 60
Ser Gly Ser Lys Ser Gly Thr Ser Ala Ser Leu Ala Ile Ser Gly Leu
65 70 75 80
Arg Ser Glu Asp Glu Ala Asp Tyr Tyr Cys Gln Ser Tyr Asp Ser Ser
85 90 95
Leu Ser Gly Val Val Phe Gly Gly Gly Thr Lys Leu Thr Val Leu
100 105 110
<210> 6
<211> 14
<212> PRT
<213> LCDR1 TPP-14495
<400> 6
Thr Gly Ser Ser Ser Asn Ile Gly Ala Gly Tyr Val Val His
1 5 10
<210> 7
<211> 7
<212> PRT
<213> LCDR2 TPP-14495
<400> 7
Ser Asn Asn Gln Arg Pro Ser
1 5
<210> 8
<211> 11
<212> PRT
<213> LCDR3 TPP-14495
<400> 8
Gln Ser Tyr Asp Ser Ser Leu Ser Gly Val Val
1 5 10
<210> 9
<211> 447
<212> PRT
<213> 重链TPP-14495
<400> 9
Glu Val Gln Leu Leu Glu Ser Gly Gly Gly Leu Val Gln Pro Gly Gly
1 5 10 15
Ser Leu Arg Leu Ser Cys Ala Ala Ser Gly Phe Thr Phe Ser Asn Tyr
20 25 30
Trp Met Ser Trp Val Arg Gln Ala Pro Gly Lys Gly Leu Glu Trp Val
35 40 45
Ser Ala Ile Ser Gly Ser Gly Gly Ser Thr Arg Tyr Ala Asp Ser Val
50 55 60
Lys Gly Arg Phe Thr Ile Ser Arg Asp Asn Ser Lys Asn Thr Leu Tyr
65 70 75 80
Leu Gln Met Asn Ser Leu Arg Ala Glu Asp Thr Ala Val Tyr Tyr Cys
85 90 95
Thr Thr Gln Arg Arg Glu Leu Gly Ala Thr Asn Trp Gly Gln Gly Thr
100 105 110
Leu Val Thr Val Ser Ser Ala Ser Thr Lys Gly Pro Ser Val Phe Pro
115 120 125
Leu Ala Pro Ser Ser Lys Ser Thr Ser Gly Gly Thr Ala Ala Leu Gly
130 135 140
Cys Leu Val Lys Asp Tyr Phe Pro Glu Pro Val Thr Val Ser Trp Asn
145 150 155 160
Ser Gly Ala Leu Thr Ser Gly Val His Thr Phe Pro Ala Val Leu Gln
165 170 175
Ser Ser Gly Leu Tyr Ser Leu Ser Ser Val Val Thr Val Pro Ser Ser
180 185 190
Ser Leu Gly Thr Gln Thr Tyr Ile Cys Asn Val Asn His Lys Pro Ser
195 200 205
Asn Thr Lys Val Asp Lys Lys Val Glu Pro Lys Ser Cys Asp Lys Thr
210 215 220
His Thr Cys Pro Pro Cys Pro Ala Pro Glu Leu Leu Gly Gly Pro Ser
225 230 235 240
Val Phe Leu Phe Pro Pro Lys Pro Lys Asp Thr Leu Met Ile Ser Arg
245 250 255
Thr Pro Glu Val Thr Cys Val Val Val Asp Val Ser His Glu Asp Pro
260 265 270
Glu Val Lys Phe Asn Trp Tyr Val Asp Gly Val Glu Val His Asn Ala
275 280 285
Lys Thr Lys Pro Arg Glu Glu Gln Tyr Asn Ser Thr Tyr Arg Val Val
290 295 300
Ser Val Leu Thr Val Leu His Gln Asp Trp Leu Asn Gly Lys Glu Tyr
305 310 315 320
Lys Cys Lys Val Ser Asn Lys Ala Leu Pro Ala Pro Ile Glu Lys Thr
325 330 335
Ile Ser Lys Ala Lys Gly Gln Pro Arg Glu Pro Gln Val Tyr Thr Leu
340 345 350
Pro Pro Ser Arg Asp Glu Leu Thr Lys Asn Gln Val Ser Leu Thr Cys
355 360 365
Leu Val Lys Gly Phe Tyr Pro Ser Asp Ile Ala Val Glu Trp Glu Ser
370 375 380
Asn Gly Gln Pro Glu Asn Asn Tyr Lys Thr Thr Pro Pro Val Leu Asp
385 390 395 400
Ser Asp Gly Ser Phe Phe Leu Tyr Ser Lys Leu Thr Val Asp Lys Ser
405 410 415
Arg Trp Gln Gln Gly Asn Val Phe Ser Cys Ser Val Met His Glu Ala
420 425 430
Leu His Asn His Tyr Thr Gln Lys Ser Leu Ser Leu Ser Pro Gly
435 440 445
<210> 10
<211> 217
<212> PRT
<213> 轻链TPP-14495
<400> 10
Gln Ser Val Leu Thr Gln Pro Pro Ser Ala Ser Gly Thr Pro Gly Gln
1 5 10 15
Arg Val Thr Ile Ser Cys Thr Gly Ser Ser Ser Asn Ile Gly Ala Gly
20 25 30
Tyr Val Val His Trp Tyr Gln Gln Leu Pro Gly Thr Ala Pro Lys Leu
35 40 45
Leu Ile Tyr Ser Asn Asn Gln Arg Pro Ser Gly Val Pro Asp Arg Phe
50 55 60
Ser Gly Ser Lys Ser Gly Thr Ser Ala Ser Leu Ala Ile Ser Gly Leu
65 70 75 80
Arg Ser Glu Asp Glu Ala Asp Tyr Tyr Cys Gln Ser Tyr Asp Ser Ser
85 90 95
Leu Ser Gly Val Val Phe Gly Gly Gly Thr Lys Leu Thr Val Leu Gly
100 105 110
Gln Pro Lys Ala Ala Pro Ser Val Thr Leu Phe Pro Pro Ser Ser Glu
115 120 125
Glu Leu Gln Ala Asn Lys Ala Thr Leu Val Cys Leu Ile Ser Asp Phe
130 135 140
Tyr Pro Gly Ala Val Thr Val Ala Trp Lys Ala Asp Ser Ser Pro Val
145 150 155 160
Lys Ala Gly Val Glu Thr Thr Thr Pro Ser Lys Gln Ser Asn Asn Lys
165 170 175
Tyr Ala Ala Ser Ser Tyr Leu Ser Leu Thr Pro Glu Gln Trp Lys Ser
180 185 190
His Arg Ser Tyr Ser Cys Gln Val Thr His Glu Gly Ser Thr Val Glu
195 200 205
Lys Thr Val Ala Pro Thr Glu Cys Ser
210 215
<210> 11
<211> 118
<212> PRT
<213> VH TPP-14499
<400> 11
Glu Val Gln Leu Leu Glu Ser Gly Gly Gly Leu Val Gln Pro Gly Gly
1 5 10 15
Ser Leu Arg Leu Ser Cys Ala Ala Ser Gly Phe Thr Phe Ser Asn Tyr
20 25 30
Trp Gly Ser Trp Val Arg Gln Ala Pro Gly Lys Gly Leu Glu Trp Val
35 40 45
Ser Ala Ile Ser Gly Ser Gly Gly Ser Thr Tyr Tyr Ala Asp Ser Val
50 55 60
Lys Gly Arg Phe Thr Ile Ser Arg Asp Asn Ser Lys Asn Thr Leu Tyr
65 70 75 80
Leu Gln Met Asn Ser Leu Arg Ala Glu Asp Thr Ala Val Tyr Tyr Cys
85 90 95
Thr Val Leu Arg Arg Glu Leu Gly Ala Thr Asn Trp Gly Gln Gly Thr
100 105 110
Leu Val Thr Val Ser Ser
115
<210> 12
<211> 5
<212> PRT
<213> HCDR1 TPP-14499
<400> 12
Asn Tyr Trp Gly Ser
1 5
<210> 13
<211> 17
<212> PRT
<213> HCDR2 TPP-14499
<400> 13
Ala Ile Ser Gly Ser Gly Gly Ser Thr Tyr Tyr Ala Asp Ser Val Lys
1 5 10 15
Gly
<210> 14
<211> 9
<212> PRT
<213> HCDR3 TPP-14499
<400> 14
Leu Arg Arg Glu Leu Gly Ala Thr Asn
1 5
<210> 15
<211> 111
<212> PRT
<213> VL TPP-14499
<400> 15
Gln Ser Val Leu Thr Gln Pro Pro Ser Ala Ser Gly Thr Pro Gly Gln
1 5 10 15
Arg Val Thr Ile Ser Cys Thr Gly Ser Ser Ser Asn Ile Gly Ala Gly
20 25 30
Tyr Val Val His Trp Tyr Gln Gln Leu Pro Gly Thr Ala Pro Lys Leu
35 40 45
Leu Ile Tyr Ser Asn Asn Gln Arg Pro Ser Gly Val Pro Asp Arg Phe
50 55 60
Ser Gly Ser Lys Ser Gly Thr Ser Ala Ser Leu Ala Ile Ser Gly Leu
65 70 75 80
Arg Ser Glu Asp Glu Ala Asp Tyr Tyr Cys Gln Ser Tyr Asp Ser Ser
85 90 95
Leu Ser Gly Val Val Phe Gly Gly Gly Thr Lys Leu Thr Val Leu
100 105 110
<210> 16
<211> 14
<212> PRT
<213> LCDR1 TPP-14499
<400> 16
Thr Gly Ser Ser Ser Asn Ile Gly Ala Gly Tyr Val Val His
1 5 10
<210> 17
<211> 7
<212> PRT
<213> LCDR2 TPP-14499
<400> 17
Ser Asn Asn Gln Arg Pro Ser
1 5
<210> 18
<211> 11
<212> PRT
<213> LCDR3 TPP-14499
<400> 18
Gln Ser Tyr Asp Ser Ser Leu Ser Gly Val Val
1 5 10
<210> 19
<211> 447
<212> PRT
<213> 重链TPP-14499
<400> 19
Glu Val Gln Leu Leu Glu Ser Gly Gly Gly Leu Val Gln Pro Gly Gly
1 5 10 15
Ser Leu Arg Leu Ser Cys Ala Ala Ser Gly Phe Thr Phe Ser Asn Tyr
20 25 30
Trp Gly Ser Trp Val Arg Gln Ala Pro Gly Lys Gly Leu Glu Trp Val
35 40 45
Ser Ala Ile Ser Gly Ser Gly Gly Ser Thr Tyr Tyr Ala Asp Ser Val
50 55 60
Lys Gly Arg Phe Thr Ile Ser Arg Asp Asn Ser Lys Asn Thr Leu Tyr
65 70 75 80
Leu Gln Met Asn Ser Leu Arg Ala Glu Asp Thr Ala Val Tyr Tyr Cys
85 90 95
Thr Val Leu Arg Arg Glu Leu Gly Ala Thr Asn Trp Gly Gln Gly Thr
100 105 110
Leu Val Thr Val Ser Ser Ala Ser Thr Lys Gly Pro Ser Val Phe Pro
115 120 125
Leu Ala Pro Ser Ser Lys Ser Thr Ser Gly Gly Thr Ala Ala Leu Gly
130 135 140
Cys Leu Val Lys Asp Tyr Phe Pro Glu Pro Val Thr Val Ser Trp Asn
145 150 155 160
Ser Gly Ala Leu Thr Ser Gly Val His Thr Phe Pro Ala Val Leu Gln
165 170 175
Ser Ser Gly Leu Tyr Ser Leu Ser Ser Val Val Thr Val Pro Ser Ser
180 185 190
Ser Leu Gly Thr Gln Thr Tyr Ile Cys Asn Val Asn His Lys Pro Ser
195 200 205
Asn Thr Lys Val Asp Lys Lys Val Glu Pro Lys Ser Cys Asp Lys Thr
210 215 220
His Thr Cys Pro Pro Cys Pro Ala Pro Glu Leu Leu Gly Gly Pro Ser
225 230 235 240
Val Phe Leu Phe Pro Pro Lys Pro Lys Asp Thr Leu Met Ile Ser Arg
245 250 255
Thr Pro Glu Val Thr Cys Val Val Val Asp Val Ser His Glu Asp Pro
260 265 270
Glu Val Lys Phe Asn Trp Tyr Val Asp Gly Val Glu Val His Asn Ala
275 280 285
Lys Thr Lys Pro Arg Glu Glu Gln Tyr Asn Ser Thr Tyr Arg Val Val
290 295 300
Ser Val Leu Thr Val Leu His Gln Asp Trp Leu Asn Gly Lys Glu Tyr
305 310 315 320
Lys Cys Lys Val Ser Asn Lys Ala Leu Pro Ala Pro Ile Glu Lys Thr
325 330 335
Ile Ser Lys Ala Lys Gly Gln Pro Arg Glu Pro Gln Val Tyr Thr Leu
340 345 350
Pro Pro Ser Arg Asp Glu Leu Thr Lys Asn Gln Val Ser Leu Thr Cys
355 360 365
Leu Val Lys Gly Phe Tyr Pro Ser Asp Ile Ala Val Glu Trp Glu Ser
370 375 380
Asn Gly Gln Pro Glu Asn Asn Tyr Lys Thr Thr Pro Pro Val Leu Asp
385 390 395 400
Ser Asp Gly Ser Phe Phe Leu Tyr Ser Lys Leu Thr Val Asp Lys Ser
405 410 415
Arg Trp Gln Gln Gly Asn Val Phe Ser Cys Ser Val Met His Glu Ala
420 425 430
Leu His Asn His Tyr Thr Gln Lys Ser Leu Ser Leu Ser Pro Gly
435 440 445
<210> 20
<211> 217
<212> PRT
<213> 轻链TPP-14499
<400> 20
Gln Ser Val Leu Thr Gln Pro Pro Ser Ala Ser Gly Thr Pro Gly Gln
1 5 10 15
Arg Val Thr Ile Ser Cys Thr Gly Ser Ser Ser Asn Ile Gly Ala Gly
20 25 30
Tyr Val Val His Trp Tyr Gln Gln Leu Pro Gly Thr Ala Pro Lys Leu
35 40 45
Leu Ile Tyr Ser Asn Asn Gln Arg Pro Ser Gly Val Pro Asp Arg Phe
50 55 60
Ser Gly Ser Lys Ser Gly Thr Ser Ala Ser Leu Ala Ile Ser Gly Leu
65 70 75 80
Arg Ser Glu Asp Glu Ala Asp Tyr Tyr Cys Gln Ser Tyr Asp Ser Ser
85 90 95
Leu Ser Gly Val Val Phe Gly Gly Gly Thr Lys Leu Thr Val Leu Gly
100 105 110
Gln Pro Lys Ala Ala Pro Ser Val Thr Leu Phe Pro Pro Ser Ser Glu
115 120 125
Glu Leu Gln Ala Asn Lys Ala Thr Leu Val Cys Leu Ile Ser Asp Phe
130 135 140
Tyr Pro Gly Ala Val Thr Val Ala Trp Lys Ala Asp Ser Ser Pro Val
145 150 155 160
Lys Ala Gly Val Glu Thr Thr Thr Pro Ser Lys Gln Ser Asn Asn Lys
165 170 175
Tyr Ala Ala Ser Ser Tyr Leu Ser Leu Thr Pro Glu Gln Trp Lys Ser
180 185 190
His Arg Ser Tyr Ser Cys Gln Val Thr His Glu Gly Ser Thr Val Glu
195 200 205
Lys Thr Val Ala Pro Thr Glu Cys Ser
210 215
<210> 21
<211> 118
<212> PRT
<213> VH TPP-14505
<400> 21
Glu Val Gln Leu Leu Glu Ser Gly Gly Gly Leu Val Gln Pro Gly Gly
1 5 10 15
Ser Leu Arg Leu Ser Cys Ala Ala Ser Gly Phe Thr Phe Ser Asn Asn
20 25 30
Trp Met Ser Trp Val Arg Gln Ala Pro Gly Lys Gly Leu Glu Trp Val
35 40 45
Ser Ala Ile Ser Gly Ser Gly Gly Ser Thr Tyr Tyr Ala Asp Ser Val
50 55 60
Lys Gly Arg Phe Thr Ile Ser Arg Asp Asn Ser Lys Asn Thr Leu Tyr
65 70 75 80
Leu Gln Met Asn Ser Leu Arg Ala Glu Asp Thr Ala Val Tyr Tyr Cys
85 90 95
Asn Val Gln Arg Arg Glu Leu Gly Ala Thr Asn Trp Gly Gln Gly Thr
100 105 110
Leu Val Thr Val Ser Ser
115
<210> 22
<211> 5
<212> PRT
<213> HCDR1 TPP-14505
<400> 22
Asn Asn Trp Met Ser
1 5
<210> 23
<211> 17
<212> PRT
<213> HCDR2 TPP-14505
<400> 23
Ala Ile Ser Gly Ser Gly Gly Ser Thr Tyr Tyr Ala Asp Ser Val Lys
1 5 10 15
Gly
<210> 24
<211> 9
<212> PRT
<213> HCDR3 TPP-14505
<400> 24
Gln Arg Arg Glu Leu Gly Ala Thr Asn
1 5
<210> 25
<211> 111
<212> PRT
<213> VL TPP-14505
<400> 25
Gln Ser Val Leu Thr Gln Pro Pro Ser Ala Ser Gly Thr Pro Gly Gln
1 5 10 15
Arg Val Thr Ile Ser Cys Thr Gly Ser Ser Ser Asn Ile Gly Ala Gly
20 25 30
Tyr Val Val His Trp Tyr Gln Gln Leu Pro Gly Thr Ala Pro Lys Leu
35 40 45
Leu Ile Tyr Ser Asn Asn Gln Arg Pro Ser Gly Val Pro Asp Arg Phe
50 55 60
Ser Gly Ser Lys Ser Gly Thr Ser Ala Ser Leu Ala Ile Ser Gly Leu
65 70 75 80
Arg Ser Glu Asp Glu Ala Asp Tyr Tyr Cys Gln Ser Tyr Asp Ser Ser
85 90 95
Leu Ser Gly Val Val Phe Gly Gly Gly Thr Lys Leu Thr Val Leu
100 105 110
<210> 26
<211> 14
<212> PRT
<213> LCDR1 TPP-14505
<400> 26
Thr Gly Ser Ser Ser Asn Ile Gly Ala Gly Tyr Val Val His
1 5 10
<210> 27
<211> 7
<212> PRT
<213> LCDR2 TPP-14505
<400> 27
Ser Asn Asn Gln Arg Pro Ser
1 5
<210> 28
<211> 11
<212> PRT
<213> LCDR3 TPP-14505
<400> 28
Gln Ser Tyr Asp Ser Ser Leu Ser Gly Val Val
1 5 10
<210> 29
<211> 447
<212> PRT
<213> 重链TPP-14505
<400> 29
Glu Val Gln Leu Leu Glu Ser Gly Gly Gly Leu Val Gln Pro Gly Gly
1 5 10 15
Ser Leu Arg Leu Ser Cys Ala Ala Ser Gly Phe Thr Phe Ser Asn Asn
20 25 30
Trp Met Ser Trp Val Arg Gln Ala Pro Gly Lys Gly Leu Glu Trp Val
35 40 45
Ser Ala Ile Ser Gly Ser Gly Gly Ser Thr Tyr Tyr Ala Asp Ser Val
50 55 60
Lys Gly Arg Phe Thr Ile Ser Arg Asp Asn Ser Lys Asn Thr Leu Tyr
65 70 75 80
Leu Gln Met Asn Ser Leu Arg Ala Glu Asp Thr Ala Val Tyr Tyr Cys
85 90 95
Asn Val Gln Arg Arg Glu Leu Gly Ala Thr Asn Trp Gly Gln Gly Thr
100 105 110
Leu Val Thr Val Ser Ser Ala Ser Thr Lys Gly Pro Ser Val Phe Pro
115 120 125
Leu Ala Pro Ser Ser Lys Ser Thr Ser Gly Gly Thr Ala Ala Leu Gly
130 135 140
Cys Leu Val Lys Asp Tyr Phe Pro Glu Pro Val Thr Val Ser Trp Asn
145 150 155 160
Ser Gly Ala Leu Thr Ser Gly Val His Thr Phe Pro Ala Val Leu Gln
165 170 175
Ser Ser Gly Leu Tyr Ser Leu Ser Ser Val Val Thr Val Pro Ser Ser
180 185 190
Ser Leu Gly Thr Gln Thr Tyr Ile Cys Asn Val Asn His Lys Pro Ser
195 200 205
Asn Thr Lys Val Asp Lys Lys Val Glu Pro Lys Ser Cys Asp Lys Thr
210 215 220
His Thr Cys Pro Pro Cys Pro Ala Pro Glu Leu Leu Gly Gly Pro Ser
225 230 235 240
Val Phe Leu Phe Pro Pro Lys Pro Lys Asp Thr Leu Met Ile Ser Arg
245 250 255
Thr Pro Glu Val Thr Cys Val Val Val Asp Val Ser His Glu Asp Pro
260 265 270
Glu Val Lys Phe Asn Trp Tyr Val Asp Gly Val Glu Val His Asn Ala
275 280 285
Lys Thr Lys Pro Arg Glu Glu Gln Tyr Asn Ser Thr Tyr Arg Val Val
290 295 300
Ser Val Leu Thr Val Leu His Gln Asp Trp Leu Asn Gly Lys Glu Tyr
305 310 315 320
Lys Cys Lys Val Ser Asn Lys Ala Leu Pro Ala Pro Ile Glu Lys Thr
325 330 335
Ile Ser Lys Ala Lys Gly Gln Pro Arg Glu Pro Gln Val Tyr Thr Leu
340 345 350
Pro Pro Ser Arg Asp Glu Leu Thr Lys Asn Gln Val Ser Leu Thr Cys
355 360 365
Leu Val Lys Gly Phe Tyr Pro Ser Asp Ile Ala Val Glu Trp Glu Ser
370 375 380
Asn Gly Gln Pro Glu Asn Asn Tyr Lys Thr Thr Pro Pro Val Leu Asp
385 390 395 400
Ser Asp Gly Ser Phe Phe Leu Tyr Ser Lys Leu Thr Val Asp Lys Ser
405 410 415
Arg Trp Gln Gln Gly Asn Val Phe Ser Cys Ser Val Met His Glu Ala
420 425 430
Leu His Asn His Tyr Thr Gln Lys Ser Leu Ser Leu Ser Pro Gly
435 440 445
<210> 30
<211> 217
<212> PRT
<213> 轻链TPP-14505
<400> 30
Gln Ser Val Leu Thr Gln Pro Pro Ser Ala Ser Gly Thr Pro Gly Gln
1 5 10 15
Arg Val Thr Ile Ser Cys Thr Gly Ser Ser Ser Asn Ile Gly Ala Gly
20 25 30
Tyr Val Val His Trp Tyr Gln Gln Leu Pro Gly Thr Ala Pro Lys Leu
35 40 45
Leu Ile Tyr Ser Asn Asn Gln Arg Pro Ser Gly Val Pro Asp Arg Phe
50 55 60
Ser Gly Ser Lys Ser Gly Thr Ser Ala Ser Leu Ala Ile Ser Gly Leu
65 70 75 80
Arg Ser Glu Asp Glu Ala Asp Tyr Tyr Cys Gln Ser Tyr Asp Ser Ser
85 90 95
Leu Ser Gly Val Val Phe Gly Gly Gly Thr Lys Leu Thr Val Leu Gly
100 105 110
Gln Pro Lys Ala Ala Pro Ser Val Thr Leu Phe Pro Pro Ser Ser Glu
115 120 125
Glu Leu Gln Ala Asn Lys Ala Thr Leu Val Cys Leu Ile Ser Asp Phe
130 135 140
Tyr Pro Gly Ala Val Thr Val Ala Trp Lys Ala Asp Ser Ser Pro Val
145 150 155 160
Lys Ala Gly Val Glu Thr Thr Thr Pro Ser Lys Gln Ser Asn Asn Lys
165 170 175
Tyr Ala Ala Ser Ser Tyr Leu Ser Leu Thr Pro Glu Gln Trp Lys Ser
180 185 190
His Arg Ser Tyr Ser Cys Gln Val Thr His Glu Gly Ser Thr Val Glu
195 200 205
Lys Thr Val Ala Pro Thr Glu Cys Ser
210 215
<210> 31
<211> 118
<212> PRT
<213> VH TPP-14509
<400> 31
Glu Val Gln Leu Leu Glu Ser Gly Gly Gly Leu Val Gln Pro Gly Gly
1 5 10 15
Ser Leu Arg Leu Ser Cys Ala Ala Ser Gly Phe Thr Phe Ser Asn Tyr
20 25 30
Trp Met Ser Trp Val Arg Gln Ala Pro Gly Lys Gly Leu Glu Trp Val
35 40 45
Ser Ala Ile Ser Gly Ser Gly Gly Ser Thr Tyr Tyr Ala Asp Ser Val
50 55 60
Lys Gly Arg Phe Thr Ile Ser Arg Asp Asn Ser Lys Asn Thr Leu Tyr
65 70 75 80
Leu Gln Met Asn Ser Leu Arg Ala Glu Asp Thr Ala Val Tyr Tyr Cys
85 90 95
Thr Val Gln Arg Arg Glu Leu Gly Ala Thr Asn Trp Gly Gln Gly Thr
100 105 110
Leu Val Thr Val Ser Ser
115
<210> 32
<211> 5
<212> PRT
<213> HCDR1 TPP-14509
<400> 32
Asn Tyr Trp Met Ser
1 5
<210> 33
<211> 17
<212> PRT
<213> HCDR2 TPP-14509
<400> 33
Ala Ile Ser Gly Ser Gly Gly Ser Thr Tyr Tyr Ala Asp Ser Val Lys
1 5 10 15
Gly
<210> 34
<211> 9
<212> PRT
<213> HCDR3 TPP-14509
<400> 34
Gln Arg Arg Glu Leu Gly Ala Thr Asn
1 5
<210> 35
<211> 111
<212> PRT
<213> VL TPP-14509
<400> 35
Gln Ser Val Leu Thr Gln Pro Pro Ser Ala Ser Gly Thr Pro Gly Gln
1 5 10 15
Arg Val Thr Ile Ser Cys Thr Gly Ser Ser Ser Asn Ile Gly Ala Gly
20 25 30
Tyr Val Val His Trp Tyr Gln Gln Leu Pro Gly Thr Ala Pro Lys Leu
35 40 45
Leu Ile Tyr Ser Asn Asn Gln Arg Pro Ser Gly Val Pro Asp Arg Phe
50 55 60
Ser Gly Ser Lys Ser Gly Thr Ser Ala Ser Leu Ala Ile Ser Gly Leu
65 70 75 80
Arg Ser Glu Asp Glu Ala Asp Tyr Tyr Cys Gln Ser Tyr Asp Ser Ser
85 90 95
Leu Ser Gly Val Val Phe Gly Gly Gly Thr Lys Leu Thr Val Leu
100 105 110
<210> 36
<211> 14
<212> PRT
<213> LCDR1 TPP-14509
<400> 36
Thr Gly Ser Ser Ser Asn Ile Gly Ala Gly Tyr Val Val His
1 5 10
<210> 37
<211> 7
<212> PRT
<213> LCDR2 TPP-14509
<400> 37
Ser Asn Asn Gln Arg Pro Ser
1 5
<210> 38
<211> 11
<212> PRT
<213> LCDR3 TPP-14509
<400> 38
Gln Ser Tyr Asp Ser Ser Leu Ser Gly Val Val
1 5 10
<210> 39
<211> 447
<212> PRT
<213> 重链TPP-14509
<400> 39
Glu Val Gln Leu Leu Glu Ser Gly Gly Gly Leu Val Gln Pro Gly Gly
1 5 10 15
Ser Leu Arg Leu Ser Cys Ala Ala Ser Gly Phe Thr Phe Ser Asn Tyr
20 25 30
Trp Met Ser Trp Val Arg Gln Ala Pro Gly Lys Gly Leu Glu Trp Val
35 40 45
Ser Ala Ile Ser Gly Ser Gly Gly Ser Thr Tyr Tyr Ala Asp Ser Val
50 55 60
Lys Gly Arg Phe Thr Ile Ser Arg Asp Asn Ser Lys Asn Thr Leu Tyr
65 70 75 80
Leu Gln Met Asn Ser Leu Arg Ala Glu Asp Thr Ala Val Tyr Tyr Cys
85 90 95
Thr Val Gln Arg Arg Glu Leu Gly Ala Thr Asn Trp Gly Gln Gly Thr
100 105 110
Leu Val Thr Val Ser Ser Ala Ser Thr Lys Gly Pro Ser Val Phe Pro
115 120 125
Leu Ala Pro Ser Ser Lys Ser Thr Ser Gly Gly Thr Ala Ala Leu Gly
130 135 140
Cys Leu Val Lys Asp Tyr Phe Pro Glu Pro Val Thr Val Ser Trp Asn
145 150 155 160
Ser Gly Ala Leu Thr Ser Gly Val His Thr Phe Pro Ala Val Leu Gln
165 170 175
Ser Ser Gly Leu Tyr Ser Leu Ser Ser Val Val Thr Val Pro Ser Ser
180 185 190
Ser Leu Gly Thr Gln Thr Tyr Ile Cys Asn Val Asn His Lys Pro Ser
195 200 205
Asn Thr Lys Val Asp Lys Lys Val Glu Pro Lys Ser Cys Asp Lys Thr
210 215 220
His Thr Cys Pro Pro Cys Pro Ala Pro Glu Leu Leu Gly Gly Pro Ser
225 230 235 240
Val Phe Leu Phe Pro Pro Lys Pro Lys Asp Thr Leu Met Ile Ser Arg
245 250 255
Thr Pro Glu Val Thr Cys Val Val Val Asp Val Ser His Glu Asp Pro
260 265 270
Glu Val Lys Phe Asn Trp Tyr Val Asp Gly Val Glu Val His Asn Ala
275 280 285
Lys Thr Lys Pro Arg Glu Glu Gln Tyr Asn Ser Thr Tyr Arg Val Val
290 295 300
Ser Val Leu Thr Val Leu His Gln Asp Trp Leu Asn Gly Lys Glu Tyr
305 310 315 320
Lys Cys Lys Val Ser Asn Lys Ala Leu Pro Ala Pro Ile Glu Lys Thr
325 330 335
Ile Ser Lys Ala Lys Gly Gln Pro Arg Glu Pro Gln Val Tyr Thr Leu
340 345 350
Pro Pro Ser Arg Asp Glu Leu Thr Lys Asn Gln Val Ser Leu Thr Cys
355 360 365
Leu Val Lys Gly Phe Tyr Pro Ser Asp Ile Ala Val Glu Trp Glu Ser
370 375 380
Asn Gly Gln Pro Glu Asn Asn Tyr Lys Thr Thr Pro Pro Val Leu Asp
385 390 395 400
Ser Asp Gly Ser Phe Phe Leu Tyr Ser Lys Leu Thr Val Asp Lys Ser
405 410 415
Arg Trp Gln Gln Gly Asn Val Phe Ser Cys Ser Val Met His Glu Ala
420 425 430
Leu His Asn His Tyr Thr Gln Lys Ser Leu Ser Leu Ser Pro Gly
435 440 445
<210> 40
<211> 217
<212> PRT
<213> 轻链TPP-14509
<400> 40
Gln Ser Val Leu Thr Gln Pro Pro Ser Ala Ser Gly Thr Pro Gly Gln
1 5 10 15
Arg Val Thr Ile Ser Cys Thr Gly Ser Ser Ser Asn Ile Gly Ala Gly
20 25 30
Tyr Val Val His Trp Tyr Gln Gln Leu Pro Gly Thr Ala Pro Lys Leu
35 40 45
Leu Ile Tyr Ser Asn Asn Gln Arg Pro Ser Gly Val Pro Asp Arg Phe
50 55 60
Ser Gly Ser Lys Ser Gly Thr Ser Ala Ser Leu Ala Ile Ser Gly Leu
65 70 75 80
Arg Ser Glu Asp Glu Ala Asp Tyr Tyr Cys Gln Ser Tyr Asp Ser Ser
85 90 95
Leu Ser Gly Val Val Phe Gly Gly Gly Thr Lys Leu Thr Val Leu Gly
100 105 110
Gln Pro Lys Ala Ala Pro Ser Val Thr Leu Phe Pro Pro Ser Ser Glu
115 120 125
Glu Leu Gln Ala Asn Lys Ala Thr Leu Val Cys Leu Ile Ser Asp Phe
130 135 140
Tyr Pro Gly Ala Val Thr Val Ala Trp Lys Ala Asp Ser Ser Pro Val
145 150 155 160
Lys Ala Gly Val Glu Thr Thr Thr Pro Ser Lys Gln Ser Asn Asn Lys
165 170 175
Tyr Ala Ala Ser Ser Tyr Leu Ser Leu Thr Pro Glu Gln Trp Lys Ser
180 185 190
His Arg Ser Tyr Ser Cys Gln Val Thr His Glu Gly Ser Thr Val Glu
195 200 205
Lys Thr Val Ala Pro Thr Glu Cys Ser
210 215
<210> 41
<211> 118
<212> PRT
<213> VH TPP-14511
<400> 41
Glu Val Gln Leu Leu Glu Ser Gly Gly Gly Leu Val Gln Pro Gly Gly
1 5 10 15
Ser Leu Arg Leu Ser Cys Ala Ala Ser Gly Phe Thr Phe Ser Asn Tyr
20 25 30
Trp Met Ser Trp Val Arg Gln Ala Pro Gly Lys Gly Leu Glu Trp Val
35 40 45
Ser Ala Ile Ser Gly Ser Gly Gly Thr Thr Tyr Tyr Ala Asp Ser Val
50 55 60
Lys Gly Arg Phe Thr Ile Ser Arg Asp Asn Ser Lys Asn Thr Leu Tyr
65 70 75 80
Leu Gln Met Asn Ser Leu Arg Ala Glu Asp Thr Ala Val Tyr Tyr Cys
85 90 95
Thr Thr Gln Arg Arg Glu Leu Gly Ala Thr Asn Trp Gly Gln Gly Thr
100 105 110
Leu Val Thr Val Ser Ser
115
<210> 42
<211> 5
<212> PRT
<213> HCDR1 TPP-14511
<400> 42
Asn Tyr Trp Met Ser
1 5
<210> 43
<211> 17
<212> PRT
<213> HCDR2 TPP-14511
<400> 43
Ala Ile Ser Gly Ser Gly Gly Thr Thr Tyr Tyr Ala Asp Ser Val Lys
1 5 10 15
Gly
<210> 44
<211> 9
<212> PRT
<213> HCDR3 TPP-14511
<400> 44
Gln Arg Arg Glu Leu Gly Ala Thr Asn
1 5
<210> 45
<211> 111
<212> PRT
<213> VL1 TPP-14511
<400> 45
Gln Ser Val Leu Thr Gln Pro Pro Ser Ala Ser Gly Thr Pro Gly Gln
1 5 10 15
Arg Val Thr Ile Ser Cys Thr Gly Ser Ser Ser Asn Ile Gly Ala Gly
20 25 30
Tyr Val Val His Trp Tyr Gln Gln Leu Pro Gly Thr Ala Pro Lys Leu
35 40 45
Leu Ile Tyr Ser Asn Asn Gln Arg Pro Ser Gly Val Pro Asp Arg Phe
50 55 60
Ser Gly Ser Lys Ser Gly Thr Ser Ala Ser Leu Ala Ile Ser Gly Leu
65 70 75 80
Arg Ser Glu Asp Glu Ala Asp Tyr Tyr Cys Gln Ser Tyr Asp Ser Ser
85 90 95
Leu Ser Gly Val Val Phe Gly Gly Gly Thr Lys Leu Thr Val Leu
100 105 110
<210> 46
<211> 14
<212> PRT
<213> LCDR1 TPP-14511
<400> 46
Thr Gly Ser Ser Ser Asn Ile Gly Ala Gly Tyr Val Val His
1 5 10
<210> 47
<211> 7
<212> PRT
<213> LCDR2 TPP-14511
<400> 47
Ser Asn Asn Gln Arg Pro Ser
1 5
<210> 48
<211> 11
<212> PRT
<213> LCDR3 TPP-14511
<400> 48
Gln Ser Tyr Asp Ser Ser Leu Ser Gly Val Val
1 5 10
<210> 49
<211> 447
<212> PRT
<213> 重链TPP-14511
<400> 49
Glu Val Gln Leu Leu Glu Ser Gly Gly Gly Leu Val Gln Pro Gly Gly
1 5 10 15
Ser Leu Arg Leu Ser Cys Ala Ala Ser Gly Phe Thr Phe Ser Asn Tyr
20 25 30
Trp Met Ser Trp Val Arg Gln Ala Pro Gly Lys Gly Leu Glu Trp Val
35 40 45
Ser Ala Ile Ser Gly Ser Gly Gly Thr Thr Tyr Tyr Ala Asp Ser Val
50 55 60
Lys Gly Arg Phe Thr Ile Ser Arg Asp Asn Ser Lys Asn Thr Leu Tyr
65 70 75 80
Leu Gln Met Asn Ser Leu Arg Ala Glu Asp Thr Ala Val Tyr Tyr Cys
85 90 95
Thr Thr Gln Arg Arg Glu Leu Gly Ala Thr Asn Trp Gly Gln Gly Thr
100 105 110
Leu Val Thr Val Ser Ser Ala Ser Thr Lys Gly Pro Ser Val Phe Pro
115 120 125
Leu Ala Pro Ser Ser Lys Ser Thr Ser Gly Gly Thr Ala Ala Leu Gly
130 135 140
Cys Leu Val Lys Asp Tyr Phe Pro Glu Pro Val Thr Val Ser Trp Asn
145 150 155 160
Ser Gly Ala Leu Thr Ser Gly Val His Thr Phe Pro Ala Val Leu Gln
165 170 175
Ser Ser Gly Leu Tyr Ser Leu Ser Ser Val Val Thr Val Pro Ser Ser
180 185 190
Ser Leu Gly Thr Gln Thr Tyr Ile Cys Asn Val Asn His Lys Pro Ser
195 200 205
Asn Thr Lys Val Asp Lys Lys Val Glu Pro Lys Ser Cys Asp Lys Thr
210 215 220
His Thr Cys Pro Pro Cys Pro Ala Pro Glu Leu Leu Gly Gly Pro Ser
225 230 235 240
Val Phe Leu Phe Pro Pro Lys Pro Lys Asp Thr Leu Met Ile Ser Arg
245 250 255
Thr Pro Glu Val Thr Cys Val Val Val Asp Val Ser His Glu Asp Pro
260 265 270
Glu Val Lys Phe Asn Trp Tyr Val Asp Gly Val Glu Val His Asn Ala
275 280 285
Lys Thr Lys Pro Arg Glu Glu Gln Tyr Asn Ser Thr Tyr Arg Val Val
290 295 300
Ser Val Leu Thr Val Leu His Gln Asp Trp Leu Asn Gly Lys Glu Tyr
305 310 315 320
Lys Cys Lys Val Ser Asn Lys Ala Leu Pro Ala Pro Ile Glu Lys Thr
325 330 335
Ile Ser Lys Ala Lys Gly Gln Pro Arg Glu Pro Gln Val Tyr Thr Leu
340 345 350
Pro Pro Ser Arg Asp Glu Leu Thr Lys Asn Gln Val Ser Leu Thr Cys
355 360 365
Leu Val Lys Gly Phe Tyr Pro Ser Asp Ile Ala Val Glu Trp Glu Ser
370 375 380
Asn Gly Gln Pro Glu Asn Asn Tyr Lys Thr Thr Pro Pro Val Leu Asp
385 390 395 400
Ser Asp Gly Ser Phe Phe Leu Tyr Ser Lys Leu Thr Val Asp Lys Ser
405 410 415
Arg Trp Gln Gln Gly Asn Val Phe Ser Cys Ser Val Met His Glu Ala
420 425 430
Leu His Asn His Tyr Thr Gln Lys Ser Leu Ser Leu Ser Pro Gly
435 440 445
<210> 50
<211> 217
<212> PRT
<213> 轻链TPP-14511
<400> 50
Gln Ser Val Leu Thr Gln Pro Pro Ser Ala Ser Gly Thr Pro Gly Gln
1 5 10 15
Arg Val Thr Ile Ser Cys Thr Gly Ser Ser Ser Asn Ile Gly Ala Gly
20 25 30
Tyr Val Val His Trp Tyr Gln Gln Leu Pro Gly Thr Ala Pro Lys Leu
35 40 45
Leu Ile Tyr Ser Asn Asn Gln Arg Pro Ser Gly Val Pro Asp Arg Phe
50 55 60
Ser Gly Ser Lys Ser Gly Thr Ser Ala Ser Leu Ala Ile Ser Gly Leu
65 70 75 80
Arg Ser Glu Asp Glu Ala Asp Tyr Tyr Cys Gln Ser Tyr Asp Ser Ser
85 90 95
Leu Ser Gly Val Val Phe Gly Gly Gly Thr Lys Leu Thr Val Leu Gly
100 105 110
Gln Pro Lys Ala Ala Pro Ser Val Thr Leu Phe Pro Pro Ser Ser Glu
115 120 125
Glu Leu Gln Ala Asn Lys Ala Thr Leu Val Cys Leu Ile Ser Asp Phe
130 135 140
Tyr Pro Gly Ala Val Thr Val Ala Trp Lys Ala Asp Ser Ser Pro Val
145 150 155 160
Lys Ala Gly Val Glu Thr Thr Thr Pro Ser Lys Gln Ser Asn Asn Lys
165 170 175
Tyr Ala Ala Ser Ser Tyr Leu Ser Leu Thr Pro Glu Gln Trp Lys Ser
180 185 190
His Arg Ser Tyr Ser Cys Gln Val Thr His Glu Gly Ser Thr Val Glu
195 200 205
Lys Thr Val Ala Pro Thr Glu Cys Ser
210 215
<210> 51
<211> 118
<212> PRT
<213> VH TPP-14514
<400> 51
Glu Val Gln Leu Leu Glu Ser Gly Gly Gly Leu Val Gln Pro Gly Gly
1 5 10 15
Ser Leu Arg Leu Ser Cys Ala Ala Ser Gly Phe Thr Phe Ser Asn Asn
20 25 30
Trp Met Ser Trp Val Arg Gln Ala Pro Gly Lys Gly Leu Glu Trp Val
35 40 45
Ser Ala Ile Ser Gly Ser Gly Gly Ser Thr Tyr Tyr Ala Asp Ser Val
50 55 60
Lys Gly Arg Phe Thr Ile Ser Arg Asp Asn Ser Lys Asn Thr Leu Tyr
65 70 75 80
Leu Gln Met Asn Ser Leu Arg Ala Glu Asp Thr Ala Val Tyr Tyr Cys
85 90 95
Thr Val Gln Arg Arg Glu Leu Gly Ala Thr Asn Trp Gly Gln Gly Thr
100 105 110
Leu Val Thr Val Ser Ser
115
<210> 52
<211> 5
<212> PRT
<213> HCDR1 TPP-14514
<400> 52
Asn Asn Trp Met Ser
1 5
<210> 53
<211> 17
<212> PRT
<213> HCDR2 TPP-14514
<400> 53
Ala Ile Ser Gly Ser Gly Gly Ser Thr Tyr Tyr Ala Asp Ser Val Lys
1 5 10 15
Gly
<210> 54
<211> 9
<212> PRT
<213> HCDR3 TPP-14514
<400> 54
Gln Arg Arg Glu Leu Gly Ala Thr Asn
1 5
<210> 55
<211> 111
<212> PRT
<213> VL TPP-14514
<400> 55
Gln Ser Val Leu Thr Gln Pro Pro Ser Ala Ser Gly Thr Pro Gly Gln
1 5 10 15
Arg Val Thr Ile Ser Cys Thr Gly Ser Ser Ser Asn Ile Gly Ala Gly
20 25 30
Tyr Val Val His Trp Tyr Gln Gln Leu Pro Gly Thr Ala Pro Lys Leu
35 40 45
Leu Ile Tyr Ser Asn Asn Gln Arg Pro Ser Gly Val Pro Asp Arg Phe
50 55 60
Ser Gly Ser Lys Ser Gly Thr Ser Ala Ser Leu Ala Ile Ser Gly Leu
65 70 75 80
Arg Ser Glu Asp Glu Ala Asp Tyr Tyr Cys Gln Ser Tyr Asp Ser Ser
85 90 95
Leu Ser Gly Val Val Phe Gly Gly Gly Thr Lys Leu Thr Val Leu
100 105 110
<210> 56
<211> 14
<212> PRT
<213> LCDR1 TPP-14514
<400> 56
Thr Gly Ser Ser Ser Asn Ile Gly Ala Gly Tyr Val Val His
1 5 10
<210> 57
<211> 7
<212> PRT
<213> LCDR2 TPP-14514
<400> 57
Ser Asn Asn Gln Arg Pro Ser
1 5
<210> 58
<211> 11
<212> PRT
<213> LCDR3 TPP-14514
<400> 58
Gln Ser Tyr Asp Ser Ser Leu Ser Gly Val Val
1 5 10
<210> 59
<211> 447
<212> PRT
<213> 重链TPP-14514
<400> 59
Glu Val Gln Leu Leu Glu Ser Gly Gly Gly Leu Val Gln Pro Gly Gly
1 5 10 15
Ser Leu Arg Leu Ser Cys Ala Ala Ser Gly Phe Thr Phe Ser Asn Asn
20 25 30
Trp Met Ser Trp Val Arg Gln Ala Pro Gly Lys Gly Leu Glu Trp Val
35 40 45
Ser Ala Ile Ser Gly Ser Gly Gly Ser Thr Tyr Tyr Ala Asp Ser Val
50 55 60
Lys Gly Arg Phe Thr Ile Ser Arg Asp Asn Ser Lys Asn Thr Leu Tyr
65 70 75 80
Leu Gln Met Asn Ser Leu Arg Ala Glu Asp Thr Ala Val Tyr Tyr Cys
85 90 95
Thr Val Gln Arg Arg Glu Leu Gly Ala Thr Asn Trp Gly Gln Gly Thr
100 105 110
Leu Val Thr Val Ser Ser Ala Ser Thr Lys Gly Pro Ser Val Phe Pro
115 120 125
Leu Ala Pro Ser Ser Lys Ser Thr Ser Gly Gly Thr Ala Ala Leu Gly
130 135 140
Cys Leu Val Lys Asp Tyr Phe Pro Glu Pro Val Thr Val Ser Trp Asn
145 150 155 160
Ser Gly Ala Leu Thr Ser Gly Val His Thr Phe Pro Ala Val Leu Gln
165 170 175
Ser Ser Gly Leu Tyr Ser Leu Ser Ser Val Val Thr Val Pro Ser Ser
180 185 190
Ser Leu Gly Thr Gln Thr Tyr Ile Cys Asn Val Asn His Lys Pro Ser
195 200 205
Asn Thr Lys Val Asp Lys Lys Val Glu Pro Lys Ser Cys Asp Lys Thr
210 215 220
His Thr Cys Pro Pro Cys Pro Ala Pro Glu Leu Leu Gly Gly Pro Ser
225 230 235 240
Val Phe Leu Phe Pro Pro Lys Pro Lys Asp Thr Leu Met Ile Ser Arg
245 250 255
Thr Pro Glu Val Thr Cys Val Val Val Asp Val Ser His Glu Asp Pro
260 265 270
Glu Val Lys Phe Asn Trp Tyr Val Asp Gly Val Glu Val His Asn Ala
275 280 285
Lys Thr Lys Pro Arg Glu Glu Gln Tyr Asn Ser Thr Tyr Arg Val Val
290 295 300
Ser Val Leu Thr Val Leu His Gln Asp Trp Leu Asn Gly Lys Glu Tyr
305 310 315 320
Lys Cys Lys Val Ser Asn Lys Ala Leu Pro Ala Pro Ile Glu Lys Thr
325 330 335
Ile Ser Lys Ala Lys Gly Gln Pro Arg Glu Pro Gln Val Tyr Thr Leu
340 345 350
Pro Pro Ser Arg Asp Glu Leu Thr Lys Asn Gln Val Ser Leu Thr Cys
355 360 365
Leu Val Lys Gly Phe Tyr Pro Ser Asp Ile Ala Val Glu Trp Glu Ser
370 375 380
Asn Gly Gln Pro Glu Asn Asn Tyr Lys Thr Thr Pro Pro Val Leu Asp
385 390 395 400
Ser Asp Gly Ser Phe Phe Leu Tyr Ser Lys Leu Thr Val Asp Lys Ser
405 410 415
Arg Trp Gln Gln Gly Asn Val Phe Ser Cys Ser Val Met His Glu Ala
420 425 430
Leu His Asn His Tyr Thr Gln Lys Ser Leu Ser Leu Ser Pro Gly
435 440 445
<210> 60
<211> 217
<212> PRT
<213> 轻链TPP-14514
<400> 60
Gln Ser Val Leu Thr Gln Pro Pro Ser Ala Ser Gly Thr Pro Gly Gln
1 5 10 15
Arg Val Thr Ile Ser Cys Thr Gly Ser Ser Ser Asn Ile Gly Ala Gly
20 25 30
Tyr Val Val His Trp Tyr Gln Gln Leu Pro Gly Thr Ala Pro Lys Leu
35 40 45
Leu Ile Tyr Ser Asn Asn Gln Arg Pro Ser Gly Val Pro Asp Arg Phe
50 55 60
Ser Gly Ser Lys Ser Gly Thr Ser Ala Ser Leu Ala Ile Ser Gly Leu
65 70 75 80
Arg Ser Glu Asp Glu Ala Asp Tyr Tyr Cys Gln Ser Tyr Asp Ser Ser
85 90 95
Leu Ser Gly Val Val Phe Gly Gly Gly Thr Lys Leu Thr Val Leu Gly
100 105 110
Gln Pro Lys Ala Ala Pro Ser Val Thr Leu Phe Pro Pro Ser Ser Glu
115 120 125
Glu Leu Gln Ala Asn Lys Ala Thr Leu Val Cys Leu Ile Ser Asp Phe
130 135 140
Tyr Pro Gly Ala Val Thr Val Ala Trp Lys Ala Asp Ser Ser Pro Val
145 150 155 160
Lys Ala Gly Val Glu Thr Thr Thr Pro Ser Lys Gln Ser Asn Asn Lys
165 170 175
Tyr Ala Ala Ser Ser Tyr Leu Ser Leu Thr Pro Glu Gln Trp Lys Ser
180 185 190
His Arg Ser Tyr Ser Cys Gln Val Thr His Glu Gly Ser Thr Val Glu
195 200 205
Lys Thr Val Ala Pro Thr Glu Cys Ser
210 215
<210> 61
<211> 118
<212> PRT
<213> VH TPP-10063
<400> 61
Glu Val Gln Leu Leu Glu Ser Gly Gly Gly Leu Val Gln Pro Gly Gly
1 5 10 15
Ser Leu Arg Leu Ser Cys Ala Ala Ser Gly Phe Thr Phe Ser Asn Tyr
20 25 30
Trp Met Ser Trp Val Arg Gln Ala Pro Gly Lys Gly Leu Glu Trp Val
35 40 45
Ser Ala Ile Ser Gly Ser Gly Gly Ser Thr Tyr Tyr Ala Asp Ser Val
50 55 60
Lys Gly Arg Phe Thr Ile Ser Arg Asp Asn Ser Lys Asn Thr Leu Tyr
65 70 75 80
Leu Gln Met Asn Ser Leu Arg Ala Glu Asp Thr Ala Val Tyr Tyr Cys
85 90 95
Thr Thr Leu Arg Arg Glu Leu Gly Ala Thr Asn Trp Gly Gln Gly Thr
100 105 110
Leu Val Thr Val Ser Ser
115
<210> 62
<211> 5
<212> PRT
<213> HCDR1 TPP-10063
<400> 62
Asn Tyr Trp Met Ser
1 5
<210> 63
<211> 17
<212> PRT
<213> HCDR2 TPP-10063
<400> 63
Ala Ile Ser Gly Ser Gly Gly Ser Thr Tyr Tyr Ala Asp Ser Val Lys
1 5 10 15
Gly
<210> 64
<211> 9
<212> PRT
<213> HCDR3 TPP-10063
<400> 64
Leu Arg Arg Glu Leu Gly Ala Thr Asn
1 5
<210> 65
<211> 111
<212> PRT
<213> VL TPP-10063
<400> 65
Gln Ser Val Leu Thr Gln Pro Pro Ser Ala Ser Gly Thr Pro Gly Gln
1 5 10 15
Arg Val Thr Ile Ser Cys Thr Gly Ser Ser Ser Asn Ile Gly Ala Gly
20 25 30
Tyr Val Val His Trp Tyr Gln Gln Leu Pro Gly Thr Ala Pro Lys Leu
35 40 45
Leu Ile Tyr Ser Asn Asn Gln Arg Pro Ser Gly Val Pro Asp Arg Phe
50 55 60
Ser Gly Ser Lys Ser Gly Thr Ser Ala Ser Leu Ala Ile Ser Gly Leu
65 70 75 80
Arg Ser Glu Asp Glu Ala Asp Tyr Tyr Cys Gln Ser Tyr Asp Ser Ser
85 90 95
Leu Ser Gly Val Val Phe Gly Gly Gly Thr Lys Leu Thr Val Leu
100 105 110
<210> 66
<211> 14
<212> PRT
<213> LCDR1 TPP-10063
<400> 66
Thr Gly Ser Ser Ser Asn Ile Gly Ala Gly Tyr Val Val His
1 5 10
<210> 67
<211> 7
<212> PRT
<213> LCDR2 TPP-10063
<400> 67
Ser Asn Asn Gln Arg Pro Ser
1 5
<210> 68
<211> 11
<212> PRT
<213> LCDR3 TPP-100635
<400> 68
Gln Ser Tyr Asp Ser Ser Leu Ser Gly Val Val
1 5 10
<210> 69
<211> 447
<212> PRT
<213> 重链TPP-10063
<400> 69
Glu Val Gln Leu Leu Glu Ser Gly Gly Gly Leu Val Gln Pro Gly Gly
1 5 10 15
Ser Leu Arg Leu Ser Cys Ala Ala Ser Gly Phe Thr Phe Ser Asn Tyr
20 25 30
Trp Met Ser Trp Val Arg Gln Ala Pro Gly Lys Gly Leu Glu Trp Val
35 40 45
Ser Ala Ile Ser Gly Ser Gly Gly Ser Thr Tyr Tyr Ala Asp Ser Val
50 55 60
Lys Gly Arg Phe Thr Ile Ser Arg Asp Asn Ser Lys Asn Thr Leu Tyr
65 70 75 80
Leu Gln Met Asn Ser Leu Arg Ala Glu Asp Thr Ala Val Tyr Tyr Cys
85 90 95
Thr Thr Leu Arg Arg Glu Leu Gly Ala Thr Asn Trp Gly Gln Gly Thr
100 105 110
Leu Val Thr Val Ser Ser Ala Ser Thr Lys Gly Pro Ser Val Phe Pro
115 120 125
Leu Ala Pro Ser Ser Lys Ser Thr Ser Gly Gly Thr Ala Ala Leu Gly
130 135 140
Cys Leu Val Lys Asp Tyr Phe Pro Glu Pro Val Thr Val Ser Trp Asn
145 150 155 160
Ser Gly Ala Leu Thr Ser Gly Val His Thr Phe Pro Ala Val Leu Gln
165 170 175
Ser Ser Gly Leu Tyr Ser Leu Ser Ser Val Val Thr Val Pro Ser Ser
180 185 190
Ser Leu Gly Thr Gln Thr Tyr Ile Cys Asn Val Asn His Lys Pro Ser
195 200 205
Asn Thr Lys Val Asp Lys Lys Val Glu Pro Lys Ser Cys Asp Lys Thr
210 215 220
His Thr Cys Pro Pro Cys Pro Ala Pro Glu Leu Leu Gly Gly Pro Ser
225 230 235 240
Val Phe Leu Phe Pro Pro Lys Pro Lys Asp Thr Leu Met Ile Ser Arg
245 250 255
Thr Pro Glu Val Thr Cys Val Val Val Asp Val Ser His Glu Asp Pro
260 265 270
Glu Val Lys Phe Asn Trp Tyr Val Asp Gly Val Glu Val His Asn Ala
275 280 285
Lys Thr Lys Pro Arg Glu Glu Gln Tyr Asn Ser Thr Tyr Arg Val Val
290 295 300
Ser Val Leu Thr Val Leu His Gln Asp Trp Leu Asn Gly Lys Glu Tyr
305 310 315 320
Lys Cys Lys Val Ser Asn Lys Ala Leu Pro Ala Pro Ile Glu Lys Thr
325 330 335
Ile Ser Lys Ala Lys Gly Gln Pro Arg Glu Pro Gln Val Tyr Thr Leu
340 345 350
Pro Pro Ser Arg Asp Glu Leu Thr Lys Asn Gln Val Ser Leu Thr Cys
355 360 365
Leu Val Lys Gly Phe Tyr Pro Ser Asp Ile Ala Val Glu Trp Glu Ser
370 375 380
Asn Gly Gln Pro Glu Asn Asn Tyr Lys Thr Thr Pro Pro Val Leu Asp
385 390 395 400
Ser Asp Gly Ser Phe Phe Leu Tyr Ser Lys Leu Thr Val Asp Lys Ser
405 410 415
Arg Trp Gln Gln Gly Asn Val Phe Ser Cys Ser Val Met His Glu Ala
420 425 430
Leu His Asn His Tyr Thr Gln Lys Ser Leu Ser Leu Ser Pro Gly
435 440 445
<210> 70
<211> 217
<212> PRT
<213> 轻链TPP-10063
<400> 70
Gln Ser Val Leu Thr Gln Pro Pro Ser Ala Ser Gly Thr Pro Gly Gln
1 5 10 15
Arg Val Thr Ile Ser Cys Thr Gly Ser Ser Ser Asn Ile Gly Ala Gly
20 25 30
Tyr Val Val His Trp Tyr Gln Gln Leu Pro Gly Thr Ala Pro Lys Leu
35 40 45
Leu Ile Tyr Ser Asn Asn Gln Arg Pro Ser Gly Val Pro Asp Arg Phe
50 55 60
Ser Gly Ser Lys Ser Gly Thr Ser Ala Ser Leu Ala Ile Ser Gly Leu
65 70 75 80
Arg Ser Glu Asp Glu Ala Asp Tyr Tyr Cys Gln Ser Tyr Asp Ser Ser
85 90 95
Leu Ser Gly Val Val Phe Gly Gly Gly Thr Lys Leu Thr Val Leu Gly
100 105 110
Gln Pro Lys Ala Ala Pro Ser Val Thr Leu Phe Pro Pro Ser Ser Glu
115 120 125
Glu Leu Gln Ala Asn Lys Ala Thr Leu Val Cys Leu Ile Ser Asp Phe
130 135 140
Tyr Pro Gly Ala Val Thr Val Ala Trp Lys Ala Asp Ser Ser Pro Val
145 150 155 160
Lys Ala Gly Val Glu Thr Thr Thr Pro Ser Lys Gln Ser Asn Asn Lys
165 170 175
Tyr Ala Ala Ser Ser Tyr Leu Ser Leu Thr Pro Glu Gln Trp Lys Ser
180 185 190
His Arg Ser Tyr Ser Cys Gln Val Thr His Glu Gly Ser Thr Val Glu
195 200 205
Lys Thr Val Ala Pro Thr Glu Cys Ser
210 215
<210> 71
<211> 123
<212> PRT
<213> VH 抗体40C01
<400> 71
Glu Val Gln Leu Leu Glu Ser Gly Gly Gly Leu Val Gln Pro Gly Gly
1 5 10 15
Ser Leu Arg Leu Ser Cys Ala Ala Ser Gly Phe Thr Phe Ser Arg Tyr
20 25 30
Val Met Val Trp Val Arg Gln Ala Pro Gly Lys Gly Leu Glu Trp Val
35 40 45
Ser Gly Ile Ser Pro Ser Gly Gly Val Thr Arg Tyr Ala Ala Ser Val
50 55 60
Lys Gly Arg Phe Thr Ile Ser Arg Asp Asn Ser Lys Asn Thr Leu Tyr
65 70 75 80
Leu Gln Met Asn Ser Leu Arg Ala Glu Asp Thr Ala Val Tyr Tyr Cys
85 90 95
Ala Arg Ile Arg Lys Glu Met Thr Thr Ile Ser Tyr Phe Phe Asp Tyr
100 105 110
Trp Gly Gln Gly Thr Leu Val Thr Val Ser Ser
115 120
<210> 72
<211> 5
<212> PRT
<213> HCDR1 抗体40C01
<400> 72
Arg Tyr Val Met Val
1 5
<210> 73
<211> 17
<212> PRT
<213> HCDR2 抗体40C01
<400> 73
Gly Ile Ser Pro Ser Gly Gly Val Thr Arg Tyr Ala Ala Ser Val Lys
1 5 10 15
Gly
<210> 74
<211> 14
<212> PRT
<213> HCDR3 抗体40C01
<400> 74
Ile Arg Lys Glu Met Thr Thr Ile Ser Tyr Phe Phe Asp Tyr
1 5 10
<210> 75
<211> 107
<212> PRT
<213> VL 抗体40C01
<400> 75
Asp Ile Gln Met Thr Gln Ser Pro Ser Ser Leu Ser Ala Ser Val Gly
1 5 10 15
Asp Arg Val Thr Ile Thr Cys Arg Ala Ser Gln Gly Val Asp Ala Tyr
20 25 30
Val Ala Trp Tyr Gln Gln Lys Pro Gly Lys Val Pro Lys Leu Leu Ile
35 40 45
Tyr Ser Thr Ser Thr Leu Ala Ser Gly Val Pro Ser Arg Phe Ser Gly
50 55 60
Ser Gly Ser Gly Thr Asp Phe Thr Leu Thr Ile Ser Ser Leu Gln Pro
65 70 75 80
Glu Asp Val Ala Thr Tyr Tyr Cys Gln Ser His Asn Ala Ala Val Val
85 90 95
Thr Phe Gly Gln Gly Thr Arg Leu Glu Ile Lys
100 105
<210> 76
<211> 11
<212> PRT
<213> LCDR1 抗体40C01
<400> 76
Arg Ala Ser Gln Gly Val Asp Ala Tyr Val Ala
1 5 10
<210> 77
<211> 7
<212> PRT
<213> LCDR2 抗体40C01
<400> 77
Ser Thr Ser Thr Leu Ala Ser
1 5
<210> 78
<211> 9
<212> PRT
<213> LCDR3 抗体40C01
<400> 78
Gln Ser His Asn Ala Ala Val Val Thr
1 5
<210> 79
<211> 452
<212> PRT
<213> 重链抗体40C01
<400> 79
Glu Val Gln Leu Leu Glu Ser Gly Gly Gly Leu Val Gln Pro Gly Gly
1 5 10 15
Ser Leu Arg Leu Ser Cys Ala Ala Ser Gly Phe Thr Phe Ser Arg Tyr
20 25 30
Val Met Val Trp Val Arg Gln Ala Pro Gly Lys Gly Leu Glu Trp Val
35 40 45
Ser Gly Ile Ser Pro Ser Gly Gly Val Thr Arg Tyr Ala Ala Ser Val
50 55 60
Lys Gly Arg Phe Thr Ile Ser Arg Asp Asn Ser Lys Asn Thr Leu Tyr
65 70 75 80
Leu Gln Met Asn Ser Leu Arg Ala Glu Asp Thr Ala Val Tyr Tyr Cys
85 90 95
Ala Arg Ile Arg Lys Glu Met Thr Thr Ile Ser Tyr Phe Phe Asp Tyr
100 105 110
Trp Gly Gln Gly Thr Leu Val Thr Val Ser Ser Ala Ser Thr Lys Gly
115 120 125
Pro Ser Val Phe Pro Leu Ala Pro Ser Ser Lys Ser Thr Ser Gly Gly
130 135 140
Thr Ala Ala Leu Gly Cys Leu Val Lys Asp Tyr Phe Pro Glu Pro Val
145 150 155 160
Thr Val Ser Trp Asn Ser Gly Ala Leu Thr Ser Gly Val His Thr Phe
165 170 175
Pro Ala Val Leu Gln Ser Ser Gly Leu Tyr Ser Leu Ser Ser Val Val
180 185 190
Thr Val Pro Ser Ser Ser Leu Gly Thr Gln Thr Tyr Ile Cys Asn Val
195 200 205
Asn His Lys Pro Ser Asn Thr Lys Val Asp Lys Lys Val Glu Pro Lys
210 215 220
Ser Cys Asp Lys Thr His Thr Cys Pro Pro Cys Pro Ala Pro Glu Leu
225 230 235 240
Leu Gly Gly Pro Ser Val Phe Leu Phe Pro Pro Lys Pro Lys Asp Thr
245 250 255
Leu Met Ile Ser Arg Thr Pro Glu Val Thr Cys Val Val Val Asp Val
260 265 270
Ser His Glu Asp Pro Glu Val Lys Phe Asn Trp Tyr Val Asp Gly Val
275 280 285
Glu Val His Asn Ala Lys Thr Lys Pro Arg Glu Glu Gln Tyr Asn Ser
290 295 300
Thr Tyr Arg Val Val Ser Val Leu Thr Val Leu His Gln Asp Trp Leu
305 310 315 320
Asn Gly Lys Glu Tyr Lys Cys Lys Val Ser Asn Lys Ala Leu Pro Ala
325 330 335
Pro Ile Glu Lys Thr Ile Ser Lys Ala Lys Gly Gln Pro Arg Glu Pro
340 345 350
Gln Val Tyr Thr Leu Pro Pro Ser Arg Asp Glu Leu Thr Lys Asn Gln
355 360 365
Val Ser Leu Thr Cys Leu Val Lys Gly Phe Tyr Pro Ser Asp Ile Ala
370 375 380
Val Glu Trp Glu Ser Asn Gly Gln Pro Glu Asn Asn Tyr Lys Thr Thr
385 390 395 400
Pro Pro Val Leu Asp Ser Asp Gly Ser Phe Phe Leu Tyr Ser Lys Leu
405 410 415
Thr Val Asp Lys Ser Arg Trp Gln Gln Gly Asn Val Phe Ser Cys Ser
420 425 430
Val Met His Glu Ala Leu His Asn His Tyr Thr Gln Lys Ser Leu Ser
435 440 445
Leu Ser Pro Gly
450
<210> 80
<211> 214
<212> PRT
<213> 轻链抗体40C01
<400> 80
Asp Ile Gln Met Thr Gln Ser Pro Ser Ser Leu Ser Ala Ser Val Gly
1 5 10 15
Asp Arg Val Thr Ile Thr Cys Arg Ala Ser Gln Gly Val Asp Ala Tyr
20 25 30
Val Ala Trp Tyr Gln Gln Lys Pro Gly Lys Val Pro Lys Leu Leu Ile
35 40 45
Tyr Ser Thr Ser Thr Leu Ala Ser Gly Val Pro Ser Arg Phe Ser Gly
50 55 60
Ser Gly Ser Gly Thr Asp Phe Thr Leu Thr Ile Ser Ser Leu Gln Pro
65 70 75 80
Glu Asp Val Ala Thr Tyr Tyr Cys Gln Ser His Asn Ala Ala Val Val
85 90 95
Thr Phe Gly Gln Gly Thr Arg Leu Glu Ile Lys Arg Thr Val Ala Ala
100 105 110
Pro Ser Val Phe Ile Phe Pro Pro Ser Asp Glu Gln Leu Lys Ser Gly
115 120 125
Thr Ala Ser Val Val Cys Leu Leu Asn Asn Phe Tyr Pro Arg Glu Ala
130 135 140
Lys Val Gln Trp Lys Val Asp Asn Ala Leu Gln Ser Gly Asn Ser Gln
145 150 155 160
Glu Ser Val Thr Glu Gln Asp Ser Lys Asp Ser Thr Tyr Ser Leu Ser
165 170 175
Ser Thr Leu Thr Leu Ser Lys Ala Asp Tyr Glu Lys His Lys Val Tyr
180 185 190
Ala Cys Glu Val Thr His Gln Gly Leu Ser Ser Pro Val Thr Lys Ser
195 200 205
Phe Asn Arg Gly Glu Cys
210
<210> 81
<211> 372
<212> PRT
<213> 智人
<400> 81
Met Asn Tyr Pro Leu Thr Leu Glu Met Asp Leu Glu Asn Leu Glu Asp
1 5 10 15
Leu Phe Trp Glu Leu Asp Arg Leu Asp Asn Tyr Asn Asp Thr Ser Leu
20 25 30
Val Glu Asn His Leu Cys Pro Ala Thr Glu Gly Pro Leu Met Ala Ser
35 40 45
Phe Lys Ala Val Phe Val Pro Val Ala Tyr Ser Leu Ile Phe Leu Leu
50 55 60
Gly Val Ile Gly Asn Val Leu Val Leu Val Ile Leu Glu Arg His Arg
65 70 75 80
Gln Thr Arg Ser Ser Thr Glu Thr Phe Leu Phe His Leu Ala Val Ala
85 90 95
Asp Leu Leu Leu Val Phe Ile Leu Pro Phe Ala Val Ala Glu Gly Ser
100 105 110
Val Gly Trp Val Leu Gly Thr Phe Leu Cys Lys Thr Val Ile Ala Leu
115 120 125
His Lys Val Asn Phe Tyr Cys Ser Ser Leu Leu Leu Ala Cys Ile Ala
130 135 140
Val Asp Arg Tyr Leu Ala Ile Val His Ala Val His Ala Tyr Arg His
145 150 155 160
Arg Arg Leu Leu Ser Ile His Ile Thr Cys Gly Thr Ile Trp Leu Val
165 170 175
Gly Phe Leu Leu Ala Leu Pro Glu Ile Leu Phe Ala Lys Val Ser Gln
180 185 190
Gly His His Asn Asn Ser Leu Pro Arg Cys Thr Phe Ser Gln Glu Asn
195 200 205
Gln Ala Glu Thr His Ala Trp Phe Thr Ser Arg Phe Leu Tyr His Val
210 215 220
Ala Gly Phe Leu Leu Pro Met Leu Val Met Gly Trp Cys Tyr Val Gly
225 230 235 240
Val Val His Arg Leu Arg Gln Ala Gln Arg Arg Pro Gln Arg Gln Lys
245 250 255
Ala Val Arg Val Ala Ile Leu Val Thr Ser Ile Phe Phe Leu Cys Trp
260 265 270
Ser Pro Tyr His Ile Val Ile Phe Leu Asp Thr Leu Ala Arg Leu Lys
275 280 285
Ala Val Asp Asn Thr Cys Lys Leu Asn Gly Ser Leu Pro Val Ala Ile
290 295 300
Thr Met Cys Glu Phe Leu Gly Leu Ala His Cys Cys Leu Asn Pro Met
305 310 315 320
Leu Tyr Thr Phe Ala Gly Val Lys Phe Arg Ser Asp Leu Ser Arg Leu
325 330 335
Leu Thr Lys Leu Gly Cys Thr Gly Pro Ala Ser Leu Cys Gln Leu Phe
340 345 350
Pro Ser Trp Arg Arg Ser Ser Leu Ser Glu Ser Glu Asn Ala Thr Ser
355 360 365
Leu Thr Thr Phe
370
Claims (23)
1.一种通式(I)的结合剂-活性剂缀合物及其盐、其溶剂化物和这些溶剂化物的盐,
其中
X1代表N,
X2代表N且
X3代表C;
或者
X1代表CH或CF,
X2代表C且
X3代表N;
或者
X1代表NH
X2代表C且
X3代表C,
或者
X1代表CH,
X2代表N且
X3代表C,
R1代表氢或甲基,
R2代表甲基、乙基、-CH2-CH(CH3)2、-CH2-C(=O)OH或异丙基,
R3代表甲基、乙基、-CH2-CH(CH3)2或-CH2-C(=O)-NH2,
M代表以下基团
#-C(=O)-CH(CH3)-NH-C(=O)-(CH2)2-8-C(=O)-###或#-C(=O)-(CH2)3-C(=O)-###,
n代表1至50的数值,
AK2代表结合剂或其衍生物,优选代表抗体或抗原结合片段,
#代表与所述活性剂的键,并且
###代表与所述结合剂的赖氨酸侧链的N原子的键。
2.根据权利要求1所述的通式(I)的结合剂/活性剂缀合物及其盐、其溶剂化物和这些溶剂化物的盐,其中
X1代表CH,
X2代表C且
X3代表N,
R1代表氢或甲基,
R2代表甲基、-CH2-CH(CH3)2、-CH2-C(=O)OH或异丙基,
R3代表甲基、乙基、-CH2-CH(CH3)2或-CH2-C(=O)-NH2,
M代表以下基团
#-C(=O)-CH(CH3)-NH-C(=O)-(CH2)3-C(=O)-###或#-C(=O)-(CH2)3-C(=O)-###,
n代表1至50的数值,
AK2代表结合剂或其衍生物,优选代表抗体或抗原结合片段,
#代表与所述活性剂的键,并且
###代表与所述结合剂的赖氨酸侧链的N原子结合的键。
3.根据权利要求1和2所述的通式(I)的结合剂/活性剂缀合物及其盐、其溶剂化物和这些溶剂化物的盐,其中
X1代表CH,
X2代表C且
X3代表N,
R1代表氢或甲基,
R2代表甲基或异丙基,
R3代表甲基或-CH2-C(=O)-NH2,
M代表以下基团
#-C(=O)-CH(CH3)-NH-C(=O)-(CH2)3-C(=O)-###,
n代表1至50的数值,
AK2代表结合剂或其衍生物,优选代表抗体或抗原结合片段,
#代表与所述活性剂的键,并且
###代表与所述结合剂的赖氨酸侧链的N-原子的键。
4.根据权利要求1至3所述的通式(I)的结合剂/活性剂缀合物及其盐、其溶剂化物和这些溶剂化物的盐,其中
X1代表CH,
X2代表C且
X3代表N,
R1代表甲基,
R2代表甲基,
R3代表-CH2-C(=O)-NH2,
M代表以下基团
#-C(=O)-CH(CH3)-NH-C(=O)-(CH2)3-C(=O)-###,
n代表1至50的数值,
AK2代表结合剂或其衍生物,优选代表抗体或抗原结合片段,
#代表与所述活性剂的键,并且
###代表与所述结合剂的赖氨酸侧链的N-原子的键。
5.根据权利要求1至4所述的式(I)的结合剂/活性剂缀合物及其盐、其溶剂化物和这些溶剂化物的盐,其中
R1代表甲基,
R2代表甲基,
R3代表-CH2-C(=O)-NH2,
M代表以下基团
#-C(=O)-CH(CH3)-NH-C(=O)-(CH2)3-C(=O)-###,
n代表1至20的数值,并且
AK2代表抗体或代表其抗原结合抗体片段,
#代表与所述活性剂的键合,并且
###代表与所述抗体或其抗原结合抗体片段的赖氨酸侧链的N-原子的键。
7.根据权利要求6所述的结合剂/活性剂缀合物及其盐、其溶剂化物和这些溶剂化物的盐,其中n为1至20。
8.根据权利要求6和7所述的结合剂/活性剂缀合物及其盐、其溶剂化物和这些溶剂化物的盐,其中n为1至8。
9.根据权利要求6至8所述的结合剂/活性剂缀合物及其盐、其溶剂化物和这些溶剂化物的盐,其中n为4至8。
10.根据权利要求1至9所述的结合剂/活性剂缀合物,其中AK2代表抗CXCR5抗体或其抗原结合抗体片段。
11.根据权利要求1至10所述的结合剂/活性剂缀合物,其中AK2代表选自TPP 14511、TPP14509、TPP 14499、TPP 14505、TPP 14514和TPP 14495的抗CXCR5抗体或代表其抗原结合片段。
12.根据权利要求1至5所述的通式(I)的结合剂/活性剂缀合物,及其盐、其溶剂化物和这些溶剂化物的盐,其中
R1代表甲基,
R2代表甲基,
R3代表-CH2-C(=O)-NH2,
M代表以下基团
#-C(=O)-CH(CH3)-NH-C(=O)-(CH2)3-C(=O)-###,
n代表1至20的数值,并且
AK2代表选自TPP 14511、TPP 14509、TPP 14499、TPP 14505、TPP 14514和TPP 14495的抗CXCR5抗体,或代表其抗原结合抗体片段,
#代表与所述活性剂的键,且
###代表与所述抗体或其抗原结合抗体片段的赖氨酸侧链的N-原子的键。
13.根据权利要求1至12所述的结合剂/活性剂缀合物,其中AK2
(i)代表抗CXCR5抗体,其包含重链的可变区(VH)和轻链的可变区(VL),所述重链的可变区(VH)包含重链的可变CDR1序列(H-CDR1)(如SEQ ID NO:2所示)、重链的可变CDR2序列(H-CDR2)(如SEQ ID NO:3所示)和重链的可变CDR3序列(H-CDR3)(如SEQ ID NO:4所示);所述轻链的可变区(VL)包含轻链的可变CDR1序列(L-CDR1)(如SEQ ID NO:6所示)、轻链的可变CDR2序列(L-CDR2)(如SEQ ID NO:7所示)和轻链的可变CDR3序列(L-CDR3)(如SEQ IDNO:8所示),
(ii)代表抗CXCR5抗体,其包含重链的可变区(VH)和轻链的可变区(VL),所述重链的可变区(VH)包含重链的可变CDR1序列(H-CDR1)(如SEQ ID NO:12所示)、重链的可变CDR2序列(H-CDR2)(如SEQ ID NO:13所示)和重链的可变CDR3序列(H-CDR3)(如SEQ ID NO:14所示);所述轻链的可变区(VL)包含轻链的可变CDR1序列(L-CDR1)(如SEQ ID NO:16所示)、轻链的可变CDR2序列(L-CDR2)(如SEQ ID NO:17所示)和轻链的可变CDR3序列(L-CDR3)(如SEQ IDNO:18所示),
(iii)代表抗CXCR5抗体,其包含重链的可变区(VH)和轻链的可变区(VL),所述重链的可变区(VH)包含重链的可变CDR1序列(H-CDR1)(如SEQ ID NO:22所示)、重链的可变CDR2序列(H-CDR2)(如SEQ ID NO:23所示)和重链的可变CDR3序列(H-CDR3)(如SEQ ID NO:24所示);所述轻链的可变区(VL)包含轻链的可变CDR1序列(L-CDR1)(如SEQ ID NO:26所示)、轻链的可变CDR2序列(L-CDR2)(如SEQ ID NO:27所示)和轻链的可变CDR3序列(L-CDR3)(如SEQ ID NO:28所示),
(iv)代表抗CXCR5抗体,其包含重链的可变区(VH)和轻链的可变区(VL),所述重链的可变区(VH)包含重链的可变CDR1序列(H-CDR1)(如SEQ ID NO:32所示)、重链的可变CDR2序列(H-CDR2)(如SEQ ID NO:33所示)和重链的可变CDR3序列(H-CDR3)(如SEQ ID NO:34所示);所述轻链的可变区(VL)包含轻链的可变CDR1序列(L-CDR1)(如SEQ ID NO:36所示)、轻链的可变CDR2序列(L-CDR2)(如SEQ ID NO:37所示)和轻链的可变CDR3序列(L-CDR3)(如SEQ IDNO:38所示),
(v)代表抗CXCR5抗体,其包含重链的可变区(VH)和轻链的可变区(VL),所述重链的可变区(VH)包含重链的可变CDR1序列(H-CDR1)(如SEQ ID NO:42所示)、重链的可变CDR2序列(H-CDR2)(如SEQ ID NO:43所示)和重链的可变CDR3序列(H-CDR3)(如SEQ ID NO:44所示);所述轻链的可变区(VL)包含轻链的可变CDR1序列(L-CDR1)(如SEQ ID NO:46所示)、轻链的可变CDR2序列(L-CDR2)(如SEQ ID NO:47所示)和轻链的可变CDR3序列(L-CDR3)(如SEQ IDNO:48所示),
(vi)代表抗CXCR5抗体,其包含重链的可变区(VH;SEQ ID NO:51)和轻链的可变区(VL;SEQ ID NO:55),所述重链的可变区(VH;SEQ ID NO:51)包含重链的可变CDR1序列(H-CDR1)(如SEQ ID NO:52所示)、重链的可变CDR2序列(H-CDR2)(如SEQ ID NO:53所示)和重链的可变CDR3序列(H-CDR3)(如SEQ ID NO:54所示);所述轻链的可变区(VL;SEQ ID NO:55)包含轻链的可变CDR1序列(L-CDR1)(如SEQ ID NO:56所示)、轻链的可变CDR2序列(L-CDR2)(如SEQ ID NO:57所示)和轻链的可变CDR3序列(L-CDR3)(如SEQ ID NO:58所示),
或代表这些抗体的抗原结合片段。
14.根据权利要求1至12中任一项所述的结合剂/活性剂缀合物,其中AK2
(i)代表抗CXCR5抗体,其包含如SEQ ID NO:1所示的重链的可变区(VH)以及如SEQ IDNO:5所示的轻链的可变区(VL),
(ii)代表抗CXCR5抗体,其包含如SEQ ID NO:11所示的重链(VH)的可变区以及如SEQID NO:15所示的轻链的可变区(VL),c
(iii)代表抗CXCR5抗体,其包含如SEQ ID NO:21所示的重链的可变区(VH)以及如SEQID NO:25所示的轻链的可变区(VL),
(iv)代表抗CXCR5抗体,其包含如SEQ ID NO:31所示的重链的可变区(VH)以及如SEQID NO:35所示的轻链的可变区(VL),
(v)代表抗CXCR5抗体,其包含如SEQ ID NO:41所示的重链的可变区(VH)以及如SEQ IDNO:45所示的轻链的可变区(VL),
(vi)代表抗CXCR5抗体,其包含如SEQ ID NO:51所示的重链的可变区(VH)以及如SEQID NO:55所示的轻链的可变区(VL),或代表这些抗体的抗原结合片段。
15.根据权利要求1至12中任一项所述的结合剂/活性剂缀合物,其中AK2
(i)代表抗CXCR5抗体,其包含如SEQ ID NO:9所示的重链区域以及如SEQ ID NO:10所示的轻链区域,
(ii)代表抗CXCR5抗体,其包含如SEQ ID NO:19所示的重链区域以及如SEQ ID NO:20所示的轻链区域,
(iii)代表抗CXCR5抗体,其包含如SEQ ID NO:29所示的重链区域以及如SEQ ID NO:30所示的轻链区域,
(iv)代表抗CXCR5抗体,其包含如SEQ ID NO:39所示的重链区域以及如SEQ ID NO:40所示的轻链区域,
(v)代表抗CXCR5抗体,其包含如SEQ ID NO:49所示的重链区域以及如SEQ ID NO:50所示的轻链区域,
(iv)代表抗CXCR5抗体,其包含如SEQ ID NO:59所示的重链区域以及如SEQ ID NO:60所示的轻链区域,
或代表这些抗体的抗原结合片段。
16.根据权利要求1至15中任一项所述的结合剂/活性剂缀合物,其中所述抗体或所述抗原结合抗体片段结合至细胞外靶分子。
17.根据权利要求1至16中任一项所述的结合剂/活性剂缀合物,其中所述抗体或抗原结合抗体片段结合至细胞外癌症靶分子。
18.根据权利要求1至17中任一项所述的结合剂/活性剂缀合物,其中所述抗体或与抗原结合的抗体片段与细胞外靶分子结合后通过与靶细胞结合而在所述靶细胞上内化。
19.一种药物组合物,其包含至少一种根据前述权利要求中一项或多项所述的结合剂/活性剂缀合物,所述结合剂/活性剂缀合物结合有惰性的、无毒的、药学上可接受的赋形剂。
20.根据前述权利要求中任一项或多项所述的结合剂/活性剂缀合物,其用于治疗和/或预防疾病的方法中。
21.根据前述权利要求中任一项或多项所述的结合剂/活性剂缀合物,其用于治疗过度增殖性和/或血管生成性疾病的方法中。
22.根据前述权利要求中任一项或多项所述的结合剂/活性剂缀合物,其用于治疗癌症和肿瘤的方法中。
23.根据前述权利要求中任一项或多项所述的结合剂/活性剂缀合物,其与一种或多种用于癌症免疫疗法的治疗组合物组合或与一种或多种针对癌症免疫疗法的分子靶标的活性化合物组合,用于治疗癌症和肿瘤的方法中。
Applications Claiming Priority (3)
| Application Number | Priority Date | Filing Date | Title |
|---|---|---|---|
| EP18178299.6 | 2018-06-18 | ||
| EP18178299 | 2018-06-18 | ||
| PCT/EP2019/065517 WO2019243159A1 (de) | 2018-06-18 | 2019-06-13 | Gegen cxcr5 gerichtete binder-wirkstoff-konjugate mit enzymatisch spaltbaren linkern und verbessertem wirkungsprofil |
Publications (1)
| Publication Number | Publication Date |
|---|---|
| CN112601553A true CN112601553A (zh) | 2021-04-02 |
Family
ID=62705502
Family Applications (1)
| Application Number | Title | Priority Date | Filing Date |
|---|---|---|---|
| CN201980054004.9A Pending CN112601553A (zh) | 2018-06-18 | 2019-06-13 | 具有可酶切的接头和改善的活性谱的针对cxcr5的结合剂-药物缀合物 |
Country Status (14)
| Country | Link |
|---|---|
| US (1) | US20210275686A1 (zh) |
| EP (1) | EP3806908A1 (zh) |
| JP (1) | JP2021527640A (zh) |
| KR (1) | KR20210033470A (zh) |
| CN (1) | CN112601553A (zh) |
| AU (1) | AU2019289506A1 (zh) |
| BR (1) | BR112020025718A2 (zh) |
| CA (1) | CA3103327A1 (zh) |
| EA (1) | EA202190059A1 (zh) |
| IL (1) | IL279400A (zh) |
| MA (1) | MA71421A (zh) |
| MX (1) | MX2020013832A (zh) |
| SG (1) | SG11202012608VA (zh) |
| WO (1) | WO2019243159A1 (zh) |
Families Citing this family (13)
| Publication number | Priority date | Publication date | Assignee | Title |
|---|---|---|---|---|
| WO2016207089A1 (de) | 2015-06-22 | 2016-12-29 | Bayer Pharma Aktiengesellschaft | Binder-wirkstoff-konjugate (adcs) und binder-prodrug-konjugate (apdcs) mit enzymatisch spaltbaren gruppen |
| US10973923B2 (en) | 2015-06-23 | 2021-04-13 | Bayer Pharma Aktiengesellschaft | Site specific homogeneous with KSP inhibitors |
| KR20180123047A (ko) | 2016-03-24 | 2018-11-14 | 바이엘 파마 악티엔게젤샤프트 | 효소적으로 절단가능한 기를 갖는 세포독성 활성제의 전구약물 |
| WO2017216028A1 (en) | 2016-06-15 | 2017-12-21 | Bayer Pharma Aktiengesellschaft | Specific antibody-drug-conjugates (adcs) with ksp inhibitors and anti-cd123-antibodies |
| US12059472B2 (en) | 2016-12-21 | 2024-08-13 | Bayer Aktiengesellschaft | Prodrugs of cytotoxic active agents having enzymatically cleavable groups |
| CA3047522A1 (en) | 2016-12-21 | 2018-06-28 | Bayer Pharma Aktiengesellschaft | Specific antibody drug conjugates (adcs) having ksp inhibitors |
| WO2018114578A1 (de) | 2016-12-21 | 2018-06-28 | Bayer Pharma Aktiengesellschaft | Binder-wirkstoff-konjugate (adcs) mit enzymatisch spaltbaren gruppen |
| TW202216771A (zh) | 2020-06-26 | 2022-05-01 | 德商拜耳廠股份有限公司 | 用於治療應用之ccr8抗體 |
| CN116745323A (zh) | 2021-01-22 | 2023-09-12 | 拜耳股份有限公司 | Lrrc15抗体及其缀合物 |
| CN115400223B (zh) * | 2022-09-29 | 2024-11-22 | 山东大学 | 一种二茂铁和tlr7/8激动剂共连接纳米粒及其制备方法和应用 |
| WO2025113643A1 (en) | 2023-12-01 | 2025-06-05 | Gilead Sciences Inc. | Anti-fap-light fusion protein and use thereof |
| WO2025179294A2 (en) | 2024-02-22 | 2025-08-28 | Capstan Therapeutics, Inc. | Immune engineering amplification |
| WO2025259871A1 (en) | 2024-06-14 | 2025-12-18 | Gilead Sciences, Inc. | Anti-ccr8 antibodies and uses thereof |
Family Cites Families (43)
| Publication number | Priority date | Publication date | Assignee | Title |
|---|---|---|---|---|
| US4399216A (en) | 1980-02-25 | 1983-08-16 | The Trustees Of Columbia University | Processes for inserting DNA into eucaryotic cells and for producing proteinaceous materials |
| US4634665A (en) | 1980-02-25 | 1987-01-06 | The Trustees Of Columbia University In The City Of New York | Processes for inserting DNA into eucaryotic cells and for producing proteinaceous materials |
| US5179017A (en) | 1980-02-25 | 1993-01-12 | The Trustees Of Columbia University In The City Of New York | Processes for inserting DNA into eucaryotic cells and for producing proteinaceous materials |
| US4714681A (en) | 1981-07-01 | 1987-12-22 | The Board Of Reagents, The University Of Texas System Cancer Center | Quadroma cells and trioma cells and methods for the production of same |
| US4474893A (en) | 1981-07-01 | 1984-10-02 | The University of Texas System Cancer Center | Recombinant monoclonal antibodies |
| US4510245A (en) | 1982-11-18 | 1985-04-09 | Chiron Corporation | Adenovirus promoter system |
| GB8308235D0 (en) | 1983-03-25 | 1983-05-05 | Celltech Ltd | Polypeptides |
| US4816567A (en) | 1983-04-08 | 1989-03-28 | Genentech, Inc. | Recombinant immunoglobin preparations |
| US5168062A (en) | 1985-01-30 | 1992-12-01 | University Of Iowa Research Foundation | Transfer vectors and microorganisms containing human cytomegalovirus immediate-early promoter-regulatory DNA sequence |
| US4968615A (en) | 1985-12-18 | 1990-11-06 | Ciba-Geigy Corporation | Deoxyribonucleic acid segment from a virus |
| US4925648A (en) | 1988-07-29 | 1990-05-15 | Immunomedics, Inc. | Detection and treatment of infectious and inflammatory lesions |
| US5601819A (en) | 1988-08-11 | 1997-02-11 | The General Hospital Corporation | Bispecific antibodies for selective immune regulation and for selective immune cell binding |
| GB8905592D0 (en) | 1989-03-10 | 1989-04-19 | Gkn Technology Ltd | Automatic length adjuster |
| ES2096590T3 (es) | 1989-06-29 | 1997-03-16 | Medarex Inc | Reactivos biespecificos para la terapia del sida. |
| US5270163A (en) | 1990-06-11 | 1993-12-14 | University Research Corporation | Methods for identifying nucleic acid ligands |
| CA2093022C (en) | 1990-10-05 | 2005-02-22 | Michael W. Fanger | Targeted immunostimulation with bispecific reagents |
| EP0557300B1 (en) | 1990-10-29 | 1997-11-19 | Chiron Corporation | Bispecific antibodies, method of production, and uses thereof |
| WO1992019973A1 (en) | 1991-04-26 | 1992-11-12 | Surface Active Limited | Novel antibodies, and methods for their use |
| ES2193143T3 (es) | 1992-03-05 | 2003-11-01 | Univ Texas | Uso de inmunoconjugados para la diagnosis y/o terapia de tumores vascularizaos. |
| DK1143006T3 (da) | 1995-08-18 | 2008-07-14 | Morphosys Ip Gmbh | Vektorer/DNA-sekvenser fra humane kombinatoriske antistofbiblioteker |
| WO2003060064A2 (en) | 2001-07-12 | 2003-07-24 | Incyte Genomics, Inc. | Intracellular signaling molecules |
| SG114505A1 (en) | 2001-10-17 | 2005-09-28 | First Cube Pte Ltd | System and method for facilitating delivery and return service |
| DE60232994D1 (de) | 2001-12-06 | 2009-08-27 | Merck & Co Inc | Inhibitoren von mitotischem kinesin |
| WO2004100873A2 (en) | 2003-05-07 | 2004-11-25 | Cytokinetics, Inc. | Compounds, compositions, and methods |
| PT2489364E (pt) | 2003-11-06 | 2015-04-16 | Seattle Genetics Inc | Compostos de monometilvalina conjugados com anticorpos |
| KR20060127413A (ko) | 2003-11-25 | 2006-12-12 | 카이론 코포레이션 | 항암제로서의 퀴나졸리논 화합물 |
| DE10355904A1 (de) * | 2003-11-29 | 2005-06-30 | Merck Patent Gmbh | Feste Formen von anti-EGFR-Antikörpern |
| US7662581B1 (en) | 2003-12-18 | 2010-02-16 | Novartis Vaccines And Diagnostics, Inc. | Eg5 co-crystals |
| KR101170925B1 (ko) | 2004-06-18 | 2012-08-07 | 노바티스 백신즈 앤드 다이아그노스틱스 인코포레이티드 | 암 치료용 키네신 방추 단백질 (ksp) 억제제로서의n-(1-(1-벤질-4-페닐-1h-이미다졸-2-일)-2,2-디메틸프로필)벤자미드 유도체 및 관련 화합물 |
| US7449486B2 (en) | 2004-10-19 | 2008-11-11 | Array Biopharma Inc. | Mitotic kinesin inhibitors and methods of use thereof |
| US20100093767A1 (en) | 2004-12-03 | 2010-04-15 | Takeda San Diego, Inc. | Mitotic Kinase Inhibitors |
| TW200800951A (en) | 2005-08-09 | 2008-01-01 | Novartis Ag | Substituted imidazole compounds as KSP inhibitors |
| DOP2006000277A (es) | 2005-12-12 | 2007-08-31 | Bayer Pharmaceuticals Corp | Anticuerpos anti mn y métodos para su utilización |
| GEP20125415B (en) | 2007-01-05 | 2012-03-12 | Novartis Ag | Imidazole derivatives as kinesin spindle protein inhibitors (eg-5) |
| MX2010001975A (es) * | 2007-08-29 | 2010-03-10 | Sanofi Aventis | Anticuerpos anti-cxcr5 humanizados, derivados de los mismos y su uso. |
| KR102087854B1 (ko) | 2011-06-10 | 2020-03-12 | 메르사나 테라퓨틱스, 인코포레이티드 | 단백질-중합체-약물 접합체 |
| CN105451773A (zh) | 2013-03-15 | 2016-03-30 | 诺华股份有限公司 | 细胞增殖抑制剂及其缀合物 |
| WO2014177652A1 (en) | 2013-05-02 | 2014-11-06 | Ares Trading S.A | Monoclonal antibody directed against cxcr5 |
| KR102329024B1 (ko) | 2013-12-23 | 2021-11-19 | 바이엘 파마 악티엔게젤샤프트 | 키네신 스핀들 단백질(ksp)과의 항체 약물 접합체 (adcs) |
| JP6743015B2 (ja) | 2014-12-15 | 2020-08-19 | バイエル ファーマ アクチエンゲゼルシャフト | Ksp阻害剤の脱グリコシル化抗tweakr抗体との抗体薬物複合体(adc類) |
| WO2016207089A1 (de) * | 2015-06-22 | 2016-12-29 | Bayer Pharma Aktiengesellschaft | Binder-wirkstoff-konjugate (adcs) und binder-prodrug-konjugate (apdcs) mit enzymatisch spaltbaren gruppen |
| KR20180123047A (ko) * | 2016-03-24 | 2018-11-14 | 바이엘 파마 악티엔게젤샤프트 | 효소적으로 절단가능한 기를 갖는 세포독성 활성제의 전구약물 |
| WO2018114578A1 (de) * | 2016-12-21 | 2018-06-28 | Bayer Pharma Aktiengesellschaft | Binder-wirkstoff-konjugate (adcs) mit enzymatisch spaltbaren gruppen |
-
2019
- 2019-06-13 WO PCT/EP2019/065517 patent/WO2019243159A1/de not_active Ceased
- 2019-06-13 AU AU2019289506A patent/AU2019289506A1/en not_active Abandoned
- 2019-06-13 JP JP2020568439A patent/JP2021527640A/ja active Pending
- 2019-06-13 CA CA3103327A patent/CA3103327A1/en active Pending
- 2019-06-13 KR KR1020217001448A patent/KR20210033470A/ko not_active Ceased
- 2019-06-13 CN CN201980054004.9A patent/CN112601553A/zh active Pending
- 2019-06-13 MA MA71421A patent/MA71421A/fr unknown
- 2019-06-13 EP EP19729312.9A patent/EP3806908A1/de not_active Withdrawn
- 2019-06-13 MX MX2020013832A patent/MX2020013832A/es unknown
- 2019-06-13 US US17/253,086 patent/US20210275686A1/en not_active Abandoned
- 2019-06-13 SG SG11202012608VA patent/SG11202012608VA/en unknown
- 2019-06-13 BR BR112020025718-4A patent/BR112020025718A2/pt not_active IP Right Cessation
- 2019-06-13 EA EA202190059A patent/EA202190059A1/ru unknown
-
2020
- 2020-12-13 IL IL279400A patent/IL279400A/en unknown
Also Published As
| Publication number | Publication date |
|---|---|
| SG11202012608VA (en) | 2021-02-25 |
| AU2019289506A1 (en) | 2021-02-04 |
| BR112020025718A2 (pt) | 2021-04-06 |
| CA3103327A1 (en) | 2019-12-26 |
| EA202190059A1 (ru) | 2021-04-21 |
| MX2020013832A (es) | 2021-03-25 |
| KR20210033470A (ko) | 2021-03-26 |
| US20210275686A1 (en) | 2021-09-09 |
| JP2021527640A (ja) | 2021-10-14 |
| MA71421A (fr) | 2025-04-30 |
| WO2019243159A1 (de) | 2019-12-26 |
| EP3806908A1 (de) | 2021-04-21 |
| IL279400A (en) | 2021-01-31 |
Similar Documents
| Publication | Publication Date | Title |
|---|---|---|
| JP7307231B2 (ja) | 酵素的に切断可能な基を有する抗体薬物コンジュゲート(adc) | |
| CN112601553A (zh) | 具有可酶切的接头和改善的活性谱的针对cxcr5的结合剂-药物缀合物 | |
| CN110072556A (zh) | 具有ksp抑制剂的特异性抗体药物缀合物(adc) | |
| KR20190099250A (ko) | 효소적으로 절단가능한 기를 갖는 세포독성 활성제의 전구약물 | |
| JP2018528161A (ja) | Ksp阻害剤との部位特異的均一複合体 | |
| HK40096469A (zh) | 具有酶促可裂解基团的抗体-药物-缀合物(adc) | |
| HK40016986B (zh) | 具有酶促可裂解基团的抗体-药物-缀合物(adc) | |
| HK40016986A (zh) | 具有酶促可裂解基团的抗体-药物-缀合物(adc) | |
| BR112019012883B1 (pt) | Conjugados de anticorpo-fármaco, uso dos mesmos e composição farmacêutica |
Legal Events
| Date | Code | Title | Description |
|---|---|---|---|
| PB01 | Publication | ||
| PB01 | Publication | ||
| WD01 | Invention patent application deemed withdrawn after publication |
Application publication date: 20210402 |
|
| WD01 | Invention patent application deemed withdrawn after publication |







































