CN108349995B - 吡唑acc抑制剂及其用途 - Google Patents
吡唑acc抑制剂及其用途 Download PDFInfo
- Publication number
- CN108349995B CN108349995B CN201680067509.5A CN201680067509A CN108349995B CN 108349995 B CN108349995 B CN 108349995B CN 201680067509 A CN201680067509 A CN 201680067509A CN 108349995 B CN108349995 B CN 108349995B
- Authority
- CN
- China
- Prior art keywords
- compounds
- compound
- compositions
- inhibitors
- trichophyton
- Prior art date
- Legal status (The legal status is an assumption and is not a legal conclusion. Google has not performed a legal analysis and makes no representation as to the accuracy of the status listed.)
- Active
Links
Classifications
-
- C—CHEMISTRY; METALLURGY
- C07—ORGANIC CHEMISTRY
- C07D—HETEROCYCLIC COMPOUNDS
- C07D495/00—Heterocyclic compounds containing in the condensed system at least one hetero ring having sulfur atoms as the only ring hetero atoms
- C07D495/02—Heterocyclic compounds containing in the condensed system at least one hetero ring having sulfur atoms as the only ring hetero atoms in which the condensed system contains two hetero rings
- C07D495/04—Ortho-condensed systems
-
- A—HUMAN NECESSITIES
- A01—AGRICULTURE; FORESTRY; ANIMAL HUSBANDRY; HUNTING; TRAPPING; FISHING
- A01N—PRESERVATION OF BODIES OF HUMANS OR ANIMALS OR PLANTS OR PARTS THEREOF; BIOCIDES, e.g. AS DISINFECTANTS, AS PESTICIDES OR AS HERBICIDES; PEST REPELLANTS OR ATTRACTANTS; PLANT GROWTH REGULATORS
- A01N43/00—Biocides, pest repellants or attractants, or plant growth regulators containing heterocyclic compounds
- A01N43/90—Biocides, pest repellants or attractants, or plant growth regulators containing heterocyclic compounds having two or more relevant hetero rings, condensed among themselves or with a common carbocyclic ring system
-
- A—HUMAN NECESSITIES
- A61—MEDICAL OR VETERINARY SCIENCE; HYGIENE
- A61P—SPECIFIC THERAPEUTIC ACTIVITY OF CHEMICAL COMPOUNDS OR MEDICINAL PREPARATIONS
- A61P3/00—Drugs for disorders of the metabolism
- A61P3/04—Anorexiants; Antiobesity agents
-
- A—HUMAN NECESSITIES
- A61—MEDICAL OR VETERINARY SCIENCE; HYGIENE
- A61P—SPECIFIC THERAPEUTIC ACTIVITY OF CHEMICAL COMPOUNDS OR MEDICINAL PREPARATIONS
- A61P31/00—Antiinfectives, i.e. antibiotics, antiseptics, chemotherapeutics
- A61P31/04—Antibacterial agents
-
- A—HUMAN NECESSITIES
- A61—MEDICAL OR VETERINARY SCIENCE; HYGIENE
- A61P—SPECIFIC THERAPEUTIC ACTIVITY OF CHEMICAL COMPOUNDS OR MEDICINAL PREPARATIONS
- A61P31/00—Antiinfectives, i.e. antibiotics, antiseptics, chemotherapeutics
- A61P31/10—Antimycotics
-
- A—HUMAN NECESSITIES
- A61—MEDICAL OR VETERINARY SCIENCE; HYGIENE
- A61P—SPECIFIC THERAPEUTIC ACTIVITY OF CHEMICAL COMPOUNDS OR MEDICINAL PREPARATIONS
- A61P33/00—Antiparasitic agents
-
- C—CHEMISTRY; METALLURGY
- C07—ORGANIC CHEMISTRY
- C07D—HETEROCYCLIC COMPOUNDS
- C07D487/00—Heterocyclic compounds containing nitrogen atoms as the only ring hetero atoms in the condensed system, not provided for by groups C07D451/00 - C07D477/00
- C07D487/02—Heterocyclic compounds containing nitrogen atoms as the only ring hetero atoms in the condensed system, not provided for by groups C07D451/00 - C07D477/00 in which the condensed system contains two hetero rings
- C07D487/04—Ortho-condensed systems
-
- C—CHEMISTRY; METALLURGY
- C07—ORGANIC CHEMISTRY
- C07D—HETEROCYCLIC COMPOUNDS
- C07D491/00—Heterocyclic compounds containing in the condensed ring system both one or more rings having oxygen atoms as the only ring hetero atoms and one or more rings having nitrogen atoms as the only ring hetero atoms, not provided for by groups C07D451/00 - C07D459/00, C07D463/00, C07D477/00 or C07D489/00
- C07D491/02—Heterocyclic compounds containing in the condensed ring system both one or more rings having oxygen atoms as the only ring hetero atoms and one or more rings having nitrogen atoms as the only ring hetero atoms, not provided for by groups C07D451/00 - C07D459/00, C07D463/00, C07D477/00 or C07D489/00 in which the condensed system contains two hetero rings
- C07D491/04—Ortho-condensed systems
- C07D491/044—Ortho-condensed systems with only one oxygen atom as ring hetero atom in the oxygen-containing ring
- C07D491/048—Ortho-condensed systems with only one oxygen atom as ring hetero atom in the oxygen-containing ring the oxygen-containing ring being five-membered
-
- C—CHEMISTRY; METALLURGY
- C12—BIOCHEMISTRY; BEER; SPIRITS; WINE; VINEGAR; MICROBIOLOGY; ENZYMOLOGY; MUTATION OR GENETIC ENGINEERING
- C12N—MICROORGANISMS OR ENZYMES; COMPOSITIONS THEREOF; PROPAGATING, PRESERVING, OR MAINTAINING MICROORGANISMS; MUTATION OR GENETIC ENGINEERING; CULTURE MEDIA
- C12N9/00—Enzymes; Proenzymes; Compositions thereof; Processes for preparing, activating, inhibiting, separating or purifying enzymes
- C12N9/93—Ligases (6)
-
- C—CHEMISTRY; METALLURGY
- C12—BIOCHEMISTRY; BEER; SPIRITS; WINE; VINEGAR; MICROBIOLOGY; ENZYMOLOGY; MUTATION OR GENETIC ENGINEERING
- C12Y—ENZYMES
- C12Y604/00—Ligases forming carbon-carbon bonds (6.4)
- C12Y604/01—Ligases forming carbon-carbon bonds (6.4.1)
- C12Y604/01002—Acetyl-CoA carboxylase (6.4.1.2)
Landscapes
- Chemical & Material Sciences (AREA)
- Organic Chemistry (AREA)
- Health & Medical Sciences (AREA)
- Life Sciences & Earth Sciences (AREA)
- Engineering & Computer Science (AREA)
- General Health & Medical Sciences (AREA)
- Zoology (AREA)
- Wood Science & Technology (AREA)
- Bioinformatics & Cheminformatics (AREA)
- Genetics & Genomics (AREA)
- Medicinal Chemistry (AREA)
- General Engineering & Computer Science (AREA)
- Biochemistry (AREA)
- Veterinary Medicine (AREA)
- General Chemical & Material Sciences (AREA)
- Public Health (AREA)
- Animal Behavior & Ethology (AREA)
- Pharmacology & Pharmacy (AREA)
- Nuclear Medicine, Radiotherapy & Molecular Imaging (AREA)
- Chemical Kinetics & Catalysis (AREA)
- Plant Pathology (AREA)
- Agronomy & Crop Science (AREA)
- Molecular Biology (AREA)
- Biomedical Technology (AREA)
- Biotechnology (AREA)
- Microbiology (AREA)
- Environmental Sciences (AREA)
- Dentistry (AREA)
- Pest Control & Pesticides (AREA)
- Communicable Diseases (AREA)
- Oncology (AREA)
- Diabetes (AREA)
- Tropical Medicine & Parasitology (AREA)
- Child & Adolescent Psychology (AREA)
- Hematology (AREA)
- Obesity (AREA)
- Pharmaceuticals Containing Other Organic And Inorganic Compounds (AREA)
- Plural Heterocyclic Compounds (AREA)
- Agricultural Chemicals And Associated Chemicals (AREA)
- Heterocyclic Carbon Compounds Containing A Hetero Ring Having Oxygen Or Sulfur (AREA)
Abstract
本发明提供抑制乙酰基CoA羧化酶(ACC)的式I的吡唑化合物、组合物和其用于治疗肥胖症或者作为杀真菌剂的用途。
Description
相关申请的交叉引用
本申请要求在2015年11月25日提交的美国临时申请62/259,973根据 35U.S.C.§119(e)的权益,将其全部内容通过引用并入本申请。
背景技术
肥胖症为庞大群体的健康危机。由每个成人所损失的质量调整生命年 (quality-adjusted life-years)测量的肥胖症的健康负担已超过吸烟,从而成为最严重的、可预防的死因。在美国,约34%的成人患有肥胖症,高达从1999 年的31%和1960年至1980年的约15%。肥胖症增加所有年龄和所有种族的男性和女性因所有原因所致的死亡率。肥胖症还导致社会贬低和歧视,这显著降低生活品质。因肥胖症引起的慢性疾病使美国经济每年在体重相关的医疗帐单方面花费超过1500亿美元。此外,约一半肥胖群体和25%一般群体患有代谢综合征,即,与腹部肥胖症、高血压、血浆甘油三酯增加、HDL 胆固醇降低和胰岛素抵抗相关的病症,其增加2型糖尿病(T2DM)、中风和冠状动脉性心脏病的风险。[Harwood,Expert Opin.Ther.Targets 9:267, 2005]。
饮食和运动即使当结合当前药物疗法使用时,也不会提供长期健康效益所需的可持续性减重。当前,在美国仅批准使用少数抗肥胖症药物,脂肪吸收抑制剂奥利司他(orlistat,)、5-HT2C拮抗剂罗卡西林(lorcaserin,)和组合疗法苯丁胺/托吡酯(phentermine/topiramate,)。令人遗憾的是,较差功效和不良胃肠副作用限制奥利司他的使用。手术可能有效,但限于具有极高身体质量指数(BMI)的患者,并且较低手术处理量使此方式的影响限于每年约20万患者。大多数在临床开发中的肥胖症药物经设计以在CNS中经中枢作用减少热量摄取(例如降食欲剂和饱腹感药剂)。然而,因 CNS活性剂的适度功效和所观测/潜在的副作用分布,FDA对其采取反对立场。
持续并且渐增的肥胖症问题和当前缺乏治疗其的安全并且有效的药物突出强调了对用以治疗此病症和其根本原因的新药物的迫切需要。
另一个持续存在的问题是缺乏对广谱真菌病原体具有活性的抗真菌药物。通常,给定的抗真菌药物对一种真菌物种具有活性,但对其他(甚至密切相关的)物种如白色念珠菌、克鲁斯念珠菌和近平滑念珠菌缺乏活性。
发明内容
现已发现,本发明化合物和其药学上可接受的组合物可有效作为乙酰基 -CoA羧化酶(ACC)的抑制剂。所述化合物具有通式I:
或其药学上可接受的盐或者农业上可接受的盐,其中各变量如本文所定义和描述。
本发明化合物和其药学上可接受的组合物可用于治疗多种与调控脂肪酸的产生或氧化相关的疾病、障碍或病症。所述疾病、障碍或病症包括本文所述的那些。
本发明化合物和其农业上可接受的组合物可用于在农业中防治真菌病原体。
由本发明提供的化合物也可用于研究生物和病理现象中的ACC酶;研究出现在脂肪生成组织中的细胞内信号转导途径;和比较性评估体外或者体内脂肪酸水平的新ACC抑制剂或者其它调节剂。
具体实施方式
1.本发明化合物的一般描述:
在一些实施方案中,本发明提供式I的化合物:
或其药学上可接受的盐或者农业上可接受的盐,其中:
X为-O-、-S-,或者-NR-;
R1为氢、C1-4脂族基团,其任选取代有1-4个以下基团:卤素、-OR、 -SR、-N(R)2、-N(R)C(O)R、-C(O)N(R)2、-N(R)C(O)N(R)2、-N(R)C(O)OR、 -OC(O)N(R)2、-N(R)S(O)2R、-S(O)2N(R)2、-C(O)R、-C(O)OR、-OC(O)R、 -S(O)R,或者-S(O)2R;
每一R2、R6、R7、R8和R10独立地为氧代、卤素、-CN、-Ra、-OR、-SR、 -N(R)2、-N(R)C(O)R、-C(O)N(R)2、-N(R)C(O)N(R)2、-N(R)C(O)OR、 -OC(O)N(R)2、-N(R)S(O)2R、-S(O)2N(R)2、-C(O)R、-C(O)OR、-OC(O)R、 -S(O)R,或者-S(O)2R;
每一R为氢或者Ra;
每一Ra独立地为任选取代的选自以下的基团:C1-6脂族基团、3-8元饱和的或者部分不饱和的单环碳环、苯基、8-10元二环芳族碳环、具有1-2个独立地选自氮、氧或者硫的杂原子的4-8元饱和的或者部分不饱和的单环杂环、具有1-4个独立地选自氮、氧或者硫的杂原子的5-6元单环杂芳环,或者具有1-5个独立地选自氮、氧或者硫的杂原子的8-10元二环杂芳环;
L1为共价键、1-6元直链或者支链的二价烃链、亚环丙基、亚环丁基,或者亚氧杂环丁烷基;
L2为共价键或者1-6元直链或者支链的二价烃链,其中L2被n个R9取代;
R3为-OR、-C(O)OR、-N(R)C(O)OR、-OC(O)N(R)2、-C(O)N(R)OR、 -C(O)NH2、-C(O)NHRa、-C(O)N(Ra)2,或者-C(O)Hy;
Hy为具有1-2个独立地选自氮、氧或者硫的杂原子的3-8元饱和的或者部分不饱和的单环杂环、具有1-4个独立地选自氮、氧或者硫的杂原子的5-6 元单环杂芳环,或者具有1-5个独立地选自氮、氧或者硫的杂原子的8-10 元二环杂芳环,其中Hy被p个R6取代;
R4选自3-8元单环饱和的或者部分不饱和的碳环、具有1-2个独立地选自氮、氧或者硫的杂原子的4-8元单环饱和的或者部分不饱和的杂环、苯基、 8-10元二环芳基环、具有1-4个独立地选自氮、氧或者硫的杂原子的5-6元单环杂芳基环和具有1-4个独立地选自氮、氧或者硫的杂原子的8-10元二环杂芳基环,其中R4被q个R7取代;
每一R5独立地选自氢、C1-4脂族基团、3-8元单环饱和的或者部分不饱和的碳环、具有1-2个独立地选自氮、氧或者硫的杂原子的4-8元单环饱和的或者部分不饱和的杂环、苯基、8-10元二环芳基环、具有1-4个独立地选自氮、氧或者硫的杂原子的5-6元单环杂芳基环,或者具有1-4个独立地选自氮、氧或者硫的杂原子的8-10元二环杂芳基环,其中每一R5取代有r个 R8;
每一R9独立地为R10或者-OR5;
m为0、1、2,或者3;
n为0、1,或者2;
p为0、1、2、3,或者4;
q为0、1、2、3、4,或者5;和
r为0、1、2、3,或者4。
2.化合物和定义:
本发明化合物包括上文一般描述的化合物并且由本文所公开的类别、子类和种类进一步说明。除非另有指示,否则如本文所用的以下定义应适用。就本发明而言,根据元素周期表,CAS版本,化学与物理手册,第75版 (Periodic Table of the Elements,CASversion,Handbook of Chemistry and Physics,75th Ed)来鉴别化学元素。另外,有机化学的一般原理描述于“Organic Chemistry”,Thomas Sorrell,University Science Books,Sausalito:1999,and “March’s Advanced Organic Chemistry”,5th Ed.,Ed.:Smith,M.B.and March, J.,John Wiley&Sons,New York:2001中,所述文献的全部内容因此以引用的方式并入。
如本文所用的术语“脂族”或“脂族基团”是指完全饱和或含有一个或多个不饱和单元的直链(即,未分支)或支链、经取代或未经取代的烃链,或完全饱和或含有一个或多个不饱和单元、但不为芳族的单环烃或双环烃(本文中也称作“碳环”、“脂环族”或“环烷基”),其与分子的其余部分具有单一连接点。除非另有说明,否则脂族基团含有1-6个脂族碳原子。在一些实施例中,脂族基团含有1-5个脂族碳原子。在其它实施例中,脂族基团含有1-4个脂族碳原子。在其它实施例中,脂族基团含有1-3个脂族碳原子,并且在其它实施例中,脂族基团含有1-2个脂族碳原子。在一些实施例中,“脂环族”(或“碳环”或“环烷基”)是指完全饱和或含有一个或多个不饱和单元、但不为芳族的单环C3-C6烃,其与分子的其余部分具有单一连接点。适合的脂族基团包括(但不限于)直链或支链、经取代或未经取代的烷基、烯基、炔基和其混合物,例如(环烷基)烷基、(环烯基)烷基或(环烷基)烯基。
术语“低级烷基”是指C1-4直链或支链烷基。示例性低级烷基为甲基、乙基、丙基、异丙基、丁基、异丁基和叔丁基。
术语“低级卤烷基”是指经一个或多个卤素原子取代的C1-4直链或支链烷基。
术语“杂原子”是指氧、硫、氮、磷或硅中的一个或多个(包括氮、硫、磷或硅的任何氧化形式;任何碱性氮的季铵化形式;或杂环的可取代氮,例如N(如在3,4-二氢-2H-吡咯基中)、NH(如在吡咯烷基中)或NR+(如在N-取代的吡咯烷基中))。
如本文所用的术语“不饱和”是指某一基团具有一个或多个不饱和单元。
如本文所用的术语“二价C1-8(或C1-6)饱和或不饱和、直链或支链烃链”是指如本文所定义的直链或支链二价亚烷基、亚烯基和亚炔基链。
术语“亚烷基”是指二价烷基。“亚烷基链”为聚亚甲基,即-(CH2)n-,其中 n为正整数,优选为1至6、1至4、1至3、1至2或2至3。经取代的亚烷基链为一个或多个亚甲基氢原子经取代基替代的聚亚甲基。适合的取代基包括下文关于经取代的脂族基团所述的取代基。
术语“亚烯基”是指二价烯基。经取代的亚烯基链为含有至少一个双键并且一个或多个氢原子经取代基替代的聚亚甲基。适合的取代基包括下文关于经取代的脂族基团所述的取代基。
术语“卤素”是指F、Cl、Br或I。
单独使用或作为如“芳烷基”、“芳烷氧基”或“芳氧基烷基”的较大基团的一部分使用的术语“芳基”是指具有总共5至14个环成员的单环或双环体系,其中所述体系中的至少一个环为芳族并且其中所述体系中的各环含有3至7 个环成员。术语“芳基”可与术语“芳基环”互换使用。
单独使用或作为如“芳烷基”、“芳烷氧基”或“芳氧基烷基”的较大基团的一部分使用的术语“芳基”是指具有总共5至10个环成员的单环和双环体系,其中所述体系中的至少一个环为芳族并且其中所述体系中的各环含有3至7 个环成员。术语“芳基”可与术语“芳基环”互换使用。在本发明的某些实施例中,“芳基”是指芳族环体系,包括(但不限于)苯基、联苯基、萘基、蒽基等,其可带有一个或多个取代基。如本文所用的术语“芳基”的范围内还包括芳族环与一个或多个非芳族环稠合的基团,例如茚满基、邻苯二甲酰亚氨基、萘二甲酰亚氨基、菲啶基或四氢萘基等。
单独使用或作为例如“杂芳烷基”或“杂芳烷氧基”的较大基团的一部分使用的术语“杂芳基”和“杂芳-”是指如下基团:具有5至10个环原子,优选5、 6或9个环原子;具有6、10或14个在环阵列中共享的π电子;并且除碳原子以外还具有1至5个杂原子。杂芳基包括(但不限于)噻吩基、呋喃基、吡咯基、咪唑基、吡唑基、三唑基、四唑基、噁唑基、异噁唑基、噁二唑基、噻唑基、异噻唑基、噻二唑基、吡啶基、哒嗪基、嘧啶基、吡嗪基、吲嗪基、嘌呤基、二氮杂萘基和蝶啶基。如本文所用的术语“杂芳基”和“杂芳-”还包括杂芳族环与一个或多个芳基、脂环族或杂环基环稠合的基团,其中连接基团或连接点在杂芳族环上。非限制性实例包括吲哚基、异吲哚基、苯并噻吩基、苯并呋喃基、二苯并呋喃基、吲唑基、苯并咪唑基、苯并噻唑基、喹啉基、异喹啉基、噌啉基、酞嗪基、喹唑啉基、喹喔啉基、4H-喹嗪基、咔唑基、吖啶基、吩嗪基、吩噻嗪基、吩噁嗪基、四氢喹啉基、四氢异喹啉基和吡啶并[2,3-b]-1,4- 噁嗪-3(4H)-酮。杂芳基可为单环或双环。术语“杂芳基”可与术语“杂芳基环”、“杂芳基”或“杂芳族”互换使用,所述术语中的任一个均包括任选经取代的环。术语“杂芳烷基”是指经杂芳基取代的烷基,其中烷基和杂芳基部分独立地任选经取代。
如本文所用的术语“杂环(heterocycle)”、“杂环基”、“杂环基团”和“杂环的环(heterocyclic ring)”可互换使用,并且是指饱和或部分不饱和并且除碳原子以外还具有一个或多个、优选一至四个如上文所定义的杂原子的稳定5至7 元单环或7-10元双环杂环基团。当关于杂环的环原子使用时,术语“氮”包括经取代的氮。作为一个实例,在具有0-3个选自氧、硫或氮的饱和或部分不饱和环中,氮可为N(如在3,4-二氢-2H-吡咯基中)、NH(如在吡咯烷基中)或+NR(如在N-取代的吡咯烷基中)。
杂环可在任何杂原子或碳原子处连接于其侧基,从而产生稳定结构,并且任何环原子可任选经取代。所述饱和或部分不饱和杂环基团的实例包括 (但不限于)四氢呋喃基、四氢噻吩基、吡咯烷基、哌啶基、吡咯啉基、四氢喹啉基、四氢异喹啉基、十氢喹啉基、噁唑烷基、哌嗪基、二噁烷基、二氧杂环戊烷基、二氮杂环庚三烯基、氧氮杂环庚三烯基、硫氮杂环庚三烯基、吗啉基和奎宁环基。术语“杂环”、“杂环基”、“杂环基环”、“杂环基团(heterocyclic group)”、“杂环部分”和“杂环基团(heterocyclic radical)”在本文中可互换使用,并且还包括杂环基环与一个或多个芳基、杂芳基或脂环族环稠合的基团,例如二氢吲哚基、3H-吲哚基、色满基、菲啶基或四氢喹啉基,其中连接基团或连接点在杂环基环上。杂环基可为单环或双环。术语“杂环基烷基”是指经杂环基取代的烷基,其中烷基和杂环基部分独立地任选经取代。
如本文所用的术语“部分不饱和”是指包括至少一个双键或叁键的环基团。术语“部分不饱和”意欲涵盖具有多个不饱和位点的环,但不旨在包括如本文所定义的芳基或杂芳基基团。
如本文所述,本发明化合物可含有“任选经取代”的基团。一般而言,术语“经取代”无论前置术语“任选”与否,均是指指定基团的一个或多个氢经适合取代基替代。除非另有指示,否则“任选经取代”的基团可在所述基团的各可取代位置处具有适合取代基,并且当任何给定结构中的一个以上位置可经一个以上选自指定群组的取代基取代时,每个位置处的取代基可相同或不同。本发明所预见的取代基组合优选为形成稳定或化学上可行的化合物的组合。如本文所用的术语“稳定”是指化合物在经受其制备、检测的条件并且在某些具体实例中经受其回收、纯化和用于本文所公开的一个或多个目的的条件时,基本上不变化。
“任选经取代”的基团的可取代碳原子上的适合单价取代基独立地为卤素;-(CH2)0-4R○;-(CH2)0-4OR○;-O-(CH2)0-4R○;-O-(CH2)0-4C(O)OR○; -(CH2)0-4CH(OR○)2;-(CH2)0- 4SR○;-(CH2)0-4Ph,其可经R○取代; -(CH2)0-4O(CH2)0-1Ph,其可经R○取代;-CH=CHPh,其可经R○取代; -(CH2)0-4O(CH2)0-1-吡啶基,其可经R○取代;-NO2;-CN;-N3; -(CH2)0-4N(R○)2;-(CH2)0-4N(R○)C(O)R○;-N(R○)C(S)R○; -(CH2)0-4N(R○)C(O)NR○ 2;-N(R○)C(S)NR○ 2;-(CH2)0-4N(R○)C(O)OR○; -N(R○)N(R○)C(O)R○;-N(R○)N(R○)C(O)NR○ 2;-N(R○)N(R○)C(O)OR○; -(CH2)0-4C(O)R○;-C(S)R○;-(CH2)0-4C(O)OR○;-(CH2)0-4C(O)SR○; -(CH2)0-4C(O)OSiR○ 3;-(CH2)0-4OC(O)R○;-OC(O)(CH2)0-4SR-; -(CH2)0-4SC(O)R○;-(CH2)0-4C(O)NR○ 2;-C(S)NR○ 2;-C(S)SR○;-SC(S)SR○; -(CH2)0-4OC(O)NR○ 2;-C(O)N(OR○)R○;-C(O)C(O)R○;-C(O)CH2C(O)R○;-C(NOR○)R○;-(CH2)0-4SSR○;-(CH2)0-4S(O)2R○;-(CH2)0-4S(O)2OR○; -(CH2)0-4OS(O)2R○;-S(O)2NR○ 2;-(CH2)0-4S(O)R○;-N(R○)S(O)2NR○ 2; -N(R○)S(O)2R○;-N(OR○)R○;-C(NH)NR○ 2;-P(O)2R○;-P(O)R○ 2; -OP(O)R○ 2;-OP(O)(OR○)2;SiR○ 3;-(C1-4直链或支链亚烷基)O-N(R○)2;或-(C1-4直链或支链亚烷基)C(O)O-N(R○)2,其中各R○可如下文所定义经取代并且独立地为氢、C1-6脂族基团、-CH2Ph、-O(CH2)0-1Ph、-CH2-(5-6元杂芳基环)或具有0-4个独立地选自氮、氧或硫的杂原子的5-6元饱和、部分不饱和或芳基环,或尽管有上述定义,但两个独立出现的R○与其插入原子 (intervening)一起形成具有0-4个独立地选自氮、氧或硫的杂原子的3-12元饱和、部分不饱和或芳基单环或双环,其可如下文所定义经取代。
R○(或由两个独立出现的R○与其插入原子一起形成的环)上的适合单价取代基独立地为卤素、-(CH2)0-2R●、-(卤代R●)、-(CH2)0-2OH、 -(CH2)0-2OR●、-(CH2)0-2CH(OR●)2、-O(卤代R●)、-CN、-N3、 -(CH2)0-2C(O)R●、-(CH2)0-2C(O)OH、-(CH2)0-2C(O)OR●、-(CH2)0-2SR●、 -(CH2)0-2SH、-(CH2)0-2NH2、-(CH2)0-2NHR●、-(CH2)0-2NR● 2、-NO2、-SiR● 3、 -OSiR● 3、-C(O)SR●、-(C1-4直链或支链亚烷基)C(O)OR●或-SSR●;其中各R●未经取代或当前置“卤代”时仅经一个或多个卤素取代,并且独立地选自C1-4脂族基团、-CH2Ph、-O(CH2)0-1Ph或具有0-4个独立地选自氮、氧或硫的杂原子的5-6元饱和、部分不饱和或芳基环。R○的饱和碳原子上的适合二价取代基包括=O和=S。
“任选经取代”的基团的饱和碳原子上的适合二价取代基包括以下:=O、=S、=NNR* 2、=NNHC(O)R*、=NNHC(O)OR*、=NNHS(O)2R*、=NR*、=NOR*、-O(C(R* 2))2-3O-或-S(C(R* 2))2-3S-,其中各独立出现的R*选自氢、可如下文所定义经取代的C1-6脂族基团或具有0-4个独立地选自氮、氧或硫的杂原子的未经取代的5-6元饱和、部分不饱和或芳基环。结合于“任选经取代”的基团的邻位可取代碳的适合二价取代基包括:-O(CR* 2)2-3O-,其中各独立出现的R*选自氢、可如下文所定义经取代的C1-6脂族基团或具有0-4 个独立地选自氮、氧或硫的杂原子的未经取代的5-6元饱和、部分不饱和或芳基环。
脂族基团上R*上的适合取代基包括卤素、-R●、-(卤代R●)、-OH、-OR●、 -O(卤代R●)、-CN、-C(O)OH、-C(O)OR●、-NH2、-NHR●、-NR● 2或-NO2,其中各R●未经取代或当前置“卤代”时仅经一个或多个卤素取代,并且独立地为 C1-4脂族基团、-CH2Ph、-O(CH2)0-1Ph或具有0-4个独立地选自氮、氧或硫的杂原子的5-6元饱和、部分不饱和或芳基环。
“任选经取代”的基团的可取代氮上的适合取代基包括 或其中各独立地为氢、可如下文所定义经取代的C1-6脂族基团、未经取代的-OPh或具有0-4个独立地选自氮、氧或硫的杂原子的未经取代的5-6元饱和、部分不饱和或芳基环,或尽管有上述定义,但两个独立出现的与其插入原子一起形成具有0-4个独立地选自氮、氧或硫的杂原子的未经取代的3-12元饱和、部分不饱和或芳基单环或双环。
脂族基团上的适合取代基独立地为卤素、-R●、-(卤代R●)、-OH、-OR●、 -O(卤代R●)、-CN、-C(O)OH、-C(O)OR●、-NH2、-NHR●、-NR● 2或-NO2,其中各R●未经取代或当前置“卤代”时仅经一个或多个卤素取代,并且独立地为C1-4脂族基团、-CH2Ph、-O(CH2)0-1Ph或具有0-4个独立地选自氮、氧或硫的杂原子的5-6元饱和、部分不饱和或芳基环。
如本文所用的术语“药学上可接受的盐”是指在合理医学判断的范围内适用于与人类和低等动物的组织接触而无过度的毒性、刺激性、过敏反应和其类似反应,并且与合理效益/风险比相匹配的那些盐。药学上可接受的盐在本领域中为熟知的。举例而言,S.M.Berge等人于药物制剂科学杂志(J. Pharmaceutical Sciences),1977,66,1-19中详细描述药学上可接受的盐,所述文献以引用的方式并入本文中。本发明化合物的药学上可接受的盐包括来源于适合无机和有机酸和碱的盐。药学上可接受的无毒酸加成盐的实例为由例如盐酸、氢溴酸、磷酸、硫酸和高氯酸的无机酸或由例如乙酸、草酸、顺丁烯二酸、酒石酸、柠檬酸、丁二酸或丙二酸的有机酸形成或通过使用本领域中所用的其它方法(例如离子交换)而形成的氨基的盐。其它药学上可接受的盐包括己二酸盐、海藻酸盐、抗坏血酸盐、天冬氨酸盐、苯磺酸盐、苯甲酸盐、硫酸氢盐、硼酸盐、丁酸盐、樟脑酸盐、樟脑磺酸盐、柠檬酸盐、环戊烷丙酸盐、二葡糖酸盐、十二烷基硫酸盐、乙烷磺酸盐、甲酸盐、反丁烯二酸盐、葡糖庚酸盐、甘油磷酸盐、葡糖酸盐、半硫酸盐、庚酸盐、己酸盐、氢碘酸盐、2-羟基-乙烷磺酸盐、乳糖酸盐、乳酸盐、月桂酸盐、月桂基硫酸盐、苹果酸盐、顺丁烯二酸盐、丙二酸盐、甲烷磺酸盐、2-萘磺酸盐、烟酸盐、硝酸盐、油酸盐、草酸盐、棕榈酸盐、双羟萘酸盐、果胶酸盐、过硫酸盐、3-苯基丙酸盐、磷酸盐、特戊酸盐、丙酸盐、硬脂酸盐、丁二酸盐、硫酸盐、酒石酸盐、硫氰酸盐、对甲苯磺酸盐、十一烷酸盐、戊酸盐等。
来源于适当碱的盐包括碱金属盐、碱土金属盐、铵盐和N+(C1-4烷基)4盐。代表性碱金属或碱土金属盐包括钠盐、锂盐、钾盐、钙盐、镁盐等。适当时,其它药学上可接受的盐包括无毒铵、季铵,和使用例如卤素离子、氢氧根、羧酸根、硫酸根、磷酸根、硝酸根、低级烷基磺酸根和芳基磺酸根的抗衡离子形成的胺阳离子。
除非另有说明,否则本文所描绘的结构还欲包括所述结构的所有异构体 (例如对映异构体、非对映异构体和几何(或构型)异构体)形式;例如各不对称中心的R和S构型,Z和E双键异构体,和Z和E构型异构体。因此,本发明化合物的单一立体化学异构体以及对映异构体、非对映异构体和几何 (或构型)异构体混合物在本发明的范围内。除非另有说明,否则本发明化合物的所有互变异构型式均在本发明的范围内。另外,除非另有说明,否则本文所描绘的结构还欲包括不同之处仅为存在一个或多个同位素富集原子的化合物。举例而言,具有包括以氘或氚替代氢或以13C或14C富集的碳替代碳的本发明结构的化合物在本发明的范围内。所述化合物适用作例如分析工具、生物分析中的探针或本发明的治疗剂。
如本文所用的短语“念珠菌性甲癣”是指由念珠菌属(包括例如白色念珠菌和近平滑念珠菌)导致的手指甲和/或脚趾甲的真菌酵母菌感染。
如本文所用的术语“皮肤真菌病”是指由皮肤真菌导致的皮肤的真菌感染。
如本文所用的短语“真菌感染”是指任何浅表性真菌感染,包括例如下列中的一个或者多个:皮肤的浅表性真菌感染、甲癣,和毛囊的真菌感染,其中的每个如本文中所限定。所述真菌感染可包括皮肤的浅表性真菌感染,包括例如下列中的一个或者多个:股癣、体癣、趾间足癣、鹿皮型足癣 (moccasin-type Tinea pedis)、手癣、花斑癣(糠疹)、掌黑癣、皮肤念珠菌病、面癣,和白色和黑色毛结节菌病;毛囊的真菌感染,其包括下列中的一个或者多个:头癣、黄癣(Tinea Favose,favus),和须癣;和甲癣,一种由例如皮肤真菌、酵母菌和非皮肤真菌霉菌导致的甲床、基体和甲板中的一个或者多个的真菌感染。
如本文所用的短语“毛囊的真菌感染”是指含有个体的头皮、眉毛、睫毛和胡须区域中的任何一个或者多个的毛发根部的表皮(皮肤)的至少管状内褶的真菌感染。短语“毛囊的真菌感染”也是指含有个体的头皮、眉毛、睫毛和胡须区域中的任何一个或者多个的毛发根部的表皮(皮肤)的管状内褶的真菌感染,以及毛干的真菌感染。所述真菌感染可包括例如头癣、黄癣和须癣中的一个或者多个。所述术语“毛囊”是指含有毛发根部的表皮(皮肤)的管状内褶。所述毛囊衬有来源于皮肤表皮层的细胞。头癣(或者严重的高度炎性病例,有时被称为脓癣)是头皮、眉毛和睫毛的皮肤的浅表性真菌感染(皮肤真菌病),其攻击毛囊和毛干。所述疾病主要由发癣菌属和小孢子菌属中的皮肤真菌导致,包括例如头癣小孢霉(Microsporum audouini)、犬小孢子菌 (Microsporum canis)、扭曲小孢子菌(Microsporum distortum)、石膏样小孢子菌(Microsporum gypseum)、麦格尼发癣菌(Trichophyton megninii)、须毛癣菌 (Trichophyton mentagrophytes)、红色毛癣菌(Trichophyton rubrum)、许兰毛菌 (Trichophyton schoenleinii)、断发毛癣菌(Trichophyton tonsurans)和疣状毛癣菌(Trichophyton verrucosum)。临床表现通常是单个或多个脱发斑块,有时具有“黑点”图案(通常具有脱落的毛发),其可能伴有炎症、结垢、脓疱和瘙痒。黄癣可被认为是头癣的变型,因为黄癣涉及头皮;然而,黄癣也可涉及无毛皮肤和指甲。黄癣主要由发癣菌属和小孢子菌属中的皮肤真菌导致,包括例如,石膏样小孢子菌和许兰毛菌。须癣是浅表皮肤真菌病,其局限于面部、颈部、下巴、脸颊和/或嘴唇的胡须区域并且几乎全部发生在年龄大的青少年和成年男性身上。须癣的临床表现包括炎性的,深的,脓癣样斑块和类似体癣或者细菌性毛囊炎的非炎性浅表性斑块。导致须癣的机制类似于头癣,并且通常是红色毛癣菌(T.rubrum)感染的结果,但是也可能是颗粒须毛藓菌(Trichophyton mentagrophytes var granulosum)和疣状毛癣菌的结果。最后,已经知道犬小孢子菌和刺猬须毛藓菌(Trichophyton mentagrophytes var erinacei) 导致须癣,但是相对罕见。
如本文所用的术语"感染"是指微生物在另一生物体内或者在另一生物体上的侵袭、发展和/或繁殖。感染可局限于生物体的特定区域或者为全身性的。
如本文所用的术语“甲癣”是指甲床、基体和/或甲板的真菌感染。甲癣由三个主要类别的真菌导致:皮肤真菌、酵母菌(念珠菌性甲癣)和非皮肤真菌霉菌。皮肤真菌是甲癣的最常见的原因。由非皮肤真菌霉菌导致的甲癣在世界范围内正在变得更加常见。念珠菌属导致的甲癣不常见。可导致甲癣的皮肤真菌包括下列中的一种或者多种:红色毛癣菌、趾间毛癣菌、絮状麦皮癣菌、紫色毛癣菌、石膏样小孢子菌、断发毛癣菌、苏丹奈斯发癣菌和疣状毛癣菌,以及所述疾病通常也被称为Tinea ungium。念珠菌性甲癣包括由一种或者多种念珠菌属物种(包括例如白色念珠菌和近平滑念珠菌)导致的皮肤念珠菌病和皮肤粘膜念珠菌病。可导致甲癣的非皮肤真菌霉菌可包括例如短尾帚霉、镰刀菌属、曲霉菌(曲霉菌属)、链格孢属、支顶孢属、双间柱顶孢 (Scytalidinum dimidiatum)和透明小柱孢(Scytalidinium hyalinum)中的一种或者多种。具有四个典型甲癣类型,其包括:远端和外侧甲下甲癣(distal and lateral subungal onychomycosis,DLSO),其为最常见的甲癣形式,并且通常由红色毛癣菌和/或趾间毛癣菌导致,其侵袭甲床和甲板下侧;白色浅表性甲癣(WSO)由甲板浅表层的真菌(例如,须毛藓菌)侵袭导致,以在板上形成" 白色岛屿",非皮肤真菌霉菌导致深的白色浅表性甲癣;近端甲下甲癣(PSO) 是通过近端甲褶真菌渗入新形成的甲板,它是健康人中最不常见的甲癣形式,但当患者免疫受损时更常见;甲内型甲癣(EO)和念珠菌性甲癣(CO),其为指甲的念珠菌属物种侵袭。
如本文所用的术语“皮肤的浅表性真菌感染”是指存在于皮肤外层上的真菌感染,包括股癣(股部表皮癣菌病)、体癣(金钱癣)、足癣、趾间足癣、鹿皮型足癣、手癣、花斑癣(piyriasis)、掌黑癣、皮肤念珠菌病、面癣(面部金钱癣),以及白色和黑色毛结节菌病。体癣(身体金钱癣)、股癣(股部表皮癣菌病)和面癣(面部金钱癣)可由絮状麦皮癣菌、犬小孢子菌、须毛癣菌、红色毛癣菌、断发毛癣菌、疣状毛癣菌和/或紫色毛癣菌导致。足癣(脚气)或者手癣(手的真菌感染)由絮状麦皮癣菌、犬小孢子菌、须毛癣菌、红色毛癣菌、断发毛癣菌、疣状毛癣菌和/或紫色毛癣菌导致。皮肤念珠菌病可由白色念珠菌(C.albicans)导致。
3.示例性实施方案的描述:
在一些实施方案中,本发明提供式I的化合物:
或其药学上可接受的盐或者农业上可接受的盐,其中:
X为-O-、-S-,或者-NR-;
R1为氢、C1-4脂族基团,其任选取代有1-4个以下基团:卤素、-OR、 -SR、-N(R)2、-N(R)C(O)R、-C(O)N(R)2、-N(R)C(O)N(R)2、-N(R)C(O)OR、 -OC(O)N(R)2、-N(R)S(O)2R、-S(O)2N(R)2、-C(O)R、-C(O)OR、-OC(O)R、 -S(O)R,或者-S(O)2R;
每一R2、R6、R7和R8独立地为氧代、卤素、-CN、-Ra、-OR、-SR、 -N(R)2、-N(R)C(O)R、-C(O)N(R)2、-N(R)C(O)N(R)2、-N(R)C(O)OR、 -OC(O)N(R)2、-N(R)S(O)2R、-S(O)2N(R)2、-C(O)R、-C(O)OR、-OC(O)R、 -S(O)R,或者-S(O)2R;
每一R独立地为氢或者Ra;
每一Ra独立地为任选取代的选自以下的基团:C1-6脂族基团、3-8元饱和的或者部分不饱和的单环碳环、苯基、8-10元二环芳族碳环、具有1-2个独立地选自氮、氧或者硫的杂原子的4-8元饱和的或者部分不饱和的单环杂环、具有1-4个独立地选自氮、氧或者硫的杂原子的5-6元单环杂芳环,或者具有1-5个独立地选自氮、氧或者硫的杂原子的8-10元二环杂芳环;
L1为共价键、1-6元直链或者支链的二价烃链、亚环丙基、亚环丁基,或者亚氧杂环丁烷基;
L2为共价键或者1-6元直链或者支链的二价烃链,其中L2被n个R9取代;
R3为-OR、-C(O)OR、-N(R)C(O)OR、-OC(O)N(R)2、-C(O)N(R)OR、 -C(O)NH2、-C(O)NHRa、-C(O)N(Ra)2,或者-C(O)Hy;
Hy为具有1-2个独立地选自氮、氧或者硫的杂原子的3-8元饱和的或者部分不饱和的单环杂环、具有1-4个独立地选自氮、氧或者硫的杂原子的5-6 元单环杂芳环,或者具有1-5个独立地选自氮、氧或者硫的杂原子的8-10 元二环杂芳环,其中Hy被p个R6取代;
R4选自3-8元单环饱和的或者部分不饱和的碳环、具有1-2个独立地选自氮、氧或者硫的杂原子的4-8元单环饱和的或者部分不饱和的杂环、苯基、 8-10元二环芳基环、具有1-4个独立地选自氮、氧或者硫的杂原子的5-6元单环杂芳基环和具有1-4个独立地选自氮、氧或者硫的杂原子的8-10元二环杂芳基环,其中R4被q个R7取代;
每一R5独立地选自氢、C1-4脂族基团、3-8元单环饱和的或者部分不饱和的碳环、具有1-2个独立地选自氮、氧或者硫的杂原子的4-8元单环饱和的或者部分不饱和的杂环、苯基、8-10元二环芳基环、具有1-4个独立地选自氮、氧或者硫的杂原子的5-6元单环杂芳基环,或者具有1-4个独立地选自氮、氧或者硫的杂原子的8-10元二环杂芳基环,其中每一R5取代有r个 R8;
每一R9独立地为氧代或者-OR5;
m为0、1、2,或者3;
n为0、1,或者2;
p为0、1、2、3,或者4;
q为0、1、2、3、4,或者5;和
r为0、1、2、3,或者4。
如上面一般定义,X为-O-、-S-,或者-N(R)-。在一些实施方案中,X 为-O-。在一些实施方案中,X为-S-。在一些实施方案中,X为-N(R)-。
如上面一般定义,R1为氢、C1-4脂族基团,其任选取代有1-4个以下基团:卤素、-OR、-SR、-N(R)2、-N(R)C(O)R、-C(O)N(R)2、 -N(R)C(O)N(R)2、-N(R)C(O)OR、-OC(O)N(R)2、-N(R)S(O)2R、 -S(O)2N(R)2、-C(O)R、-C(O)OR、-OC(O)R、-S(O)R,或者-S(O)2R。
在一些实施方案中,R1为氢。在一些实施方案中,R1为C1-4脂族基团,其任选取代有1-4个卤素。在一些实施方案中,R1为-OR。在一些实施方案中,R1为-SR。在一些实施方案中,R1为-N(R)2。在一些实施方案中,R1为 -N(R)C(O)R。在一些实施方案中,R1为-C(O)N(R)2。在一些实施方案中,R1为-N(R)C(O)N(R)2。在一些实施方案中,R1为-N(R)C(O)OR。在一些实施方案中,R1为-OC(O)N(R)2。在一些实施方案中,R1为-N(R)S(O)2R。在一些实施方案中,R1为-S(O)2N(R)2。在一些实施方案中,R1为-C(O)R。在一些实施方案中,R1为-C(O)OR。在一些实施方案中,R1为-OC(O)R。在一些实施方案中,R1为-S(O)R。在一些实施方案中,R1为-S(O)2R。
在一些实施方案中,R1为甲基。
如上面一般定义,R2为氧代、卤素、-CN、-Ra、-OR、-SR、-N(R)2、 -N(R)C(O)R、-C(O)N(R)2、-N(R)C(O)N(R)2、-N(R)C(O)OR、 -OC(O)N(R)2、-N(R)S(O)2R、-S(O)2N(R)2、-C(O)R、-C(O)OR、-OC(O)R、 -S(O)R,或者-S(O)2R。
在一些实施方案中,R2为氧代。在一些实施方案中,R2为卤素。在一些实施方案中,R2为-CN。在一些实施方案中,R2为-Ra。在一些实施方案中,R2为-OR。在一些实施方案中,R2为-SR。在一些实施方案中,R2为-N(R)2。在一些实施方案中,R2为-N(R)C(O)R。在一些实施方案中,R2为-C(O)N(R)2。在一些实施方案中,R2为-N(R)C(O)N(R)2。在一些实施方案中,R2为 -N(R)C(O)OR。在一些实施方案中,R2为-OC(O)N(R)2。在一些实施方案中, R2为-N(R)S(O)2R。在一些实施方案中,R2为-S(O)2N(R)2。在一些实施方案中,R2为-C(O)R。在一些实施方案中,R2为-C(O)OR。在一些实施方案中, R2为-OC(O)R。在一些实施方案中,R2为-S(O)R。在一些实施方案中,R2为-S(O)2R。在一些实施方案中,R2为C1-4脂族基团,其任选取代有一个或者多个以下基团:卤素、-OR、-SR、-N(R)2、-N(R)C(O)R、-C(O)N(R)2、 -N(R)C(O)N(R)2、-N(R)C(O)OR、-OC(O)N(R)2、-N(R)S(O)2R、-S(O)2N(R)2、 -C(O)R、-C(O)OR、-OC(O)R、-S(O)R,或者-S(O)2R。
在一些实施方案中,R2选自下面组 1 中所示的那些。
如上面一般定义,R6为氧代、卤素、-CN、-Ra、-OR、-SR、-N(R)2、 -N(R)C(O)R、-C(O)N(R)2、-N(R)C(O)N(R)2、-N(R)C(O)OR、 -OC(O)N(R)2、-N(R)S(O)2R、-S(O)2N(R)2、-C(O)R、-C(O)OR、-OC(O)R、 -S(O)R,或者-S(O)2R。
在一些实施方案中,R6为氧代。在一些实施方案中,R6为卤素。在一些实施方案中,R6为-CN。在一些实施方案中,R6为-Ra。在一些实施方案中,R6为-OR。在一些实施方案中,R6为-SR。在一些实施方案中,R6为-N(R)2。在一些实施方案中,R6为-N(R)C(O)R。在一些实施方案中,R6为-C(O)N(R)2。在一些实施方案中,R6为-N(R)C(O)N(R)2。在一些实施方案中,R6为 -N(R)C(O)OR。在一些实施方案中,R6为-OC(O)N(R)2。在一些实施方案中, R6为-N(R)S(O)2R。在一些实施方案中,R6为-S(O)2N(R)2。在一些实施方案中,R6为-C(O)R。在一些实施方案中,R6为-C(O)OR。在一些实施方案中, R6为-OC(O)R。在一些实施方案中,R6为-S(O)R。在一些实施方案中,R6为-S(O)2R。在一些实施方案中,R6为C1-4脂族基团,其任选取代有一个或者多个以下基团:卤素、-OR、-SR、-N(R)2、-N(R)C(O)R、-C(O)N(R)2、 -N(R)C(O)N(R)2、-N(R)C(O)OR、-OC(O)N(R)2、-N(R)S(O)2R、-S(O)2N(R)2、 -C(O)R、-C(O)OR、-OC(O)R、-S(O)R,或者-S(O)2R。
在一些实施方案中,R6为羟基。
在一些实施方案中,R6选自下面组 1 中所示的那些。
如上面一般定义,R7为氧代、卤素、-CN、-Ra、-OR、-SR、-N(R)2、 -N(R)C(O)R、-C(O)N(R)2、-N(R)C(O)N(R)2、-N(R)C(O)OR、 -OC(O)N(R)2、-N(R)S(O)2R、-S(O)2N(R)2、-C(O)R、-C(O)OR、-OC(O)R、 -S(O)R,或者-S(O)2R。
在一些实施方案中,R7为氧代。在一些实施方案中,R7为卤素。在一些实施方案中,R7为-CN。在一些实施方案中,R7为-Ra。在一些实施方案中,R7为-OR。在一些实施方案中,R7为-SR。在一些实施方案中,R7为-N(R)2。在一些实施方案中,R7为-N(R)C(O)R。在一些实施方案中,R7为-C(O)N(R)2。在一些实施方案中,R7为-N(R)C(O)N(R)2。在一些实施方案中,R7为 -N(R)C(O)OR。在一些实施方案中,R7为-OC(O)N(R)2。在一些实施方案中, R7为-N(R)S(O)2R。在一些实施方案中,R7为-S(O)2N(R)2。在一些实施方案中,R7为-C(O)R。在一些实施方案中,R7为-C(O)OR。在一些实施方案中, R7为-OC(O)R。在一些实施方案中,R7为-S(O)R。在一些实施方案中,R7为-S(O)2R。在一些实施方案中,R7为C1-4脂族基团,其任选取代有一个或者多个以下基团:卤素、-OR、-SR、-N(R)2、-N(R)C(O)R、-C(O)N(R)2、 -N(R)C(O)N(R)2、-N(R)C(O)OR、-OC(O)N(R)2、-N(R)S(O)2R、-S(O)2N(R)2、 -C(O)R、-C(O)OR、-OC(O)R、-S(O)R,或者-S(O)2R。
在一些实施方案中,R7为氟。在一些实施方案中,R7为甲氧基。
在一些实施方案中,R7选自下面组 1 中所示的那些。
如上面一般定义,R8为氧代、卤素、-CN、-Ra、-OR、-SR、-N(R)2、 -N(R)C(O)R、-C(O)N(R)2、-N(R)C(O)N(R)2、-N(R)C(O)OR、 -OC(O)N(R)2、-N(R)S(O)2R、-S(O)2N(R)2、-C(O)R、-C(O)OR、-OC(O)R、 -S(O)R,或者-S(O)2R。
在一些实施方案中,R8为氧代。在一些实施方案中,R8为卤素。在一些实施方案中,R8为-CN。在一些实施方案中,R8为-Ra。在一些实施方案中,R8为-OR。在一些实施方案中,R8为-SR。在一些实施方案中,R8为-N(R)2。在一些实施方案中,R8为-N(R)C(O)R。在一些实施方案中,R8为-C(O)N(R)2。在一些实施方案中,R8为-N(R)C(O)N(R)2。在一些实施方案中,R8为 -N(R)C(O)OR。在一些实施方案中,R8为-OC(O)N(R)2。在一些实施方案中, R8为-N(R)S(O)2R。在一些实施方案中,R8为-S(O)2N(R)2。在一些实施方案中,R8为-C(O)R。在一些实施方案中,R8为-C(O)OR。在一些实施方案中, R8为-OC(O)R。在一些实施方案中,R8为-S(O)R。在一些实施方案中,R8为-S(O)2R。在一些实施方案中,R8为C1-4脂族基团,其任选取代有一个或者多个以下基团:卤素、-OR、-SR、-N(R)2、-N(R)C(O)R、-C(O)N(R)2、 -N(R)C(O)N(R)2、-N(R)C(O)OR、-OC(O)N(R)2、-N(R)S(O)2R、-S(O)2N(R)2、 -C(O)R、-C(O)OR、-OC(O)R、-S(O)R,或者-S(O)2R。
在一些实施方案中,R8为羟基。在一些实施方案中,R8为氧代。在一些实施方案中,R8为甲氧基。
在一些实施方案中,R8选自下面组 1 中所示的那些。
如上面一般定义,L1为共价键、1-6元直链或者支链的二价烃链、亚环丙基、亚环丁基,或者亚氧杂环丁烷基。
在一些实施方案中,L1为共价键。在一些实施方案中,L1为1-6元直链或者支链的二价烃链。在一些实施方案中,L1为亚环丙基。在一些实施方案中,L1为亚环丁基。在一些实施方案中,L1为亚氧杂环丁烷基。
在一些实施方案中,L1为-C(CH3)2-。在一些实施方案中,L1为-CH2-。在一些实施方案中,L1为-CH(CH3)-。在一些实施方案中,L1为在手性中心处具有(S)构型的-CH(CH3)-。在一些实施方案中,L1为在手性中心处具有(R) 构型的-CH(CH3)-。
在一些实施方案中,L1选自下面组 1 中所示的那些。
如上面一般定义,L2为共价键或者1-6元直链或者支链的二价烃链;其中L2被n个-OR5取代。
在一些实施方案中,L2为共价键。在一些实施方案中,L2为1-6元直链或者支链的二价烃链;其中L2被n个R9取代。
在一些实施方案中,L2为2-元的直链二价烃链;其中L2被n个R9取代。在一些实施方案中,L2为取代有1-2个R9的亚乙基。
如上面一般定义,每一R9独立地为R10或者-OR5。在一些实施方案中,每一R9独立地为氧代或者-OR5。在一些实施方案中,至少一个R9为氧代。在一些实施方案中,至少一个R9为-OR5。在一些实施方案中,R9为R10。在一些实施方案中,R10为任选取代的C1-C6脂族基团。
在一些实施方案中,L2为-CH2CH(OR5)-。在一些实施方案中,L2为 -CH2C(O)-。
在一些实施方案中,L2(R9)n一起为:
其中#是与R4的连接点。
在一些实施方案中,L2选自下面组 1 中所示的那些。
如上面一般定义,R3为-OR、-C(O)OR、-N(R)C(O)OR、-OC(O)N(R)2、 -C(O)N(R)OR、-C(O)NH2、-C(O)NHRa、-C(O)NRa 2,或者-C(O)Hy。
在一些实施方案中,R3为-C(O)NHRa、-C(O)NRa 2,或者-C(O)Hy。
在一些实施方案中,R3为-OR。在一些实施方案中,R3为-C(O)OR。在一些实施方案中,R3为-C(O)N(R)OR。在一些实施方案中,R3为-C(O)NH2。在一些实施方案中,R3为-C(O)NHRa。在一些实施方案中,R3为-C(O)N(Ra)2。在一些实施方案中,R3为-C(O)Hy。
在一些实施方案中,R3为-C(O)NH2。在一些实施方案中,R3为 -C(O)NHRa,其中Ra为任选取代的C1-6烷基。在一些实施方案中,R3为:
在一些实施方案中,R3为:
在一些实施方案中,R3选自下面组 1 中所示的那些。
在一些实施方案中,-L1-R3一起为:
在一些实施方案中,-L1-R3一起为:
在一些实施方案中,L1-R3选自下面组 1 中所示的那些。
如上面一般定义,Hy为具有1-2个独立地选自氮、氧或者硫的杂原子的3-8元饱和的或者部分不饱和的单环杂环、具有1-4个独立地选自氮、氧或者硫的杂原子的5-6元单环杂芳环,或者具有1-5个独立地选自氮、氧或者硫的杂原子的8-10元二环杂芳环;其中Hy被p个R6取代。
在一些实施方案中,Hy为具有1-2个独立地选自氮、氧或者硫的杂原子的3-8元饱和的或者部分不饱和的单环杂环;其中Hy被p个R6取代。在一些实施方案中,Hy为具有1-4个独立地选自氮、氧或者硫的杂原子的5-6 元单环杂芳环;其中Hy被p个R6取代。在一些实施方案中,Hy为具有1-5 个独立地选自氮、氧或者硫的杂原子的8-10元二环杂芳环;其中Hy被p个 R6取代。
在一些实施方案中,Hy选自下面组 1 中所示的那些。
如上面一般定义,R4为环,其选自3-8元单环饱和的或者部分不饱和的碳环、具有1-2个独立地选自氮、氧或者硫的杂原子的4-8元单环饱和的或者部分不饱和的杂环、苯基、8-10元二环芳基环、具有1-4个独立地选自氮、氧或者硫的杂原子的5-6元单环杂芳基环和具有1-4个独立地选自氮、氧或者硫的杂原子的8-10元二环杂芳基环,其中R4被q个R7取代。
在一些实施方案中,R4为环,其选自3-8元单环饱和的或者部分不饱和的碳环;其中R4被q个R7取代。在一些实施方案中,R4为具有1-2个独立地选自氮、氧或者硫的杂原子的4-8元单环饱和的或者部分不饱和的杂环;其中R4被q个R7取代。在一些实施方案中,R4为苯基;其中R4被q个R7取代。在一些实施方案中,R4为8-10元二环芳基环;其中R4被q个R7取代。在一些实施方案中,R4为具有1-4个独立地选自氮、氧或者硫的杂原子的5-6元单环杂芳基环;其中R4被q个R7取代。在一些实施方案中,R4为具有1-4个独立地选自氮、氧或者硫的杂原子的8-10元二环杂芳基环;其中 R4被q个R7取代。
在一些实施方案中,R4(R7)q一起为在一些实施方案中,R4(R7)q一起为在一些实施方案中, R4(R7)q一起为在一些实施方案中,R4(R7)q一起为在一些实施方案中,R4(R7)q一起为在一些实施方案中,R4(R7)q一起为在一些实施方案中,R4(R7)q一起为
在一些实施方案中,R4(R7)q一起为 在一些实施方案中, R4(R7)q一起为在一些实施方案中,R4(R7)q一起为在一些实施方案中,R4(R7)q一起为在一些实施方案中, R4(R7)q一起为在一些实施方案中,R4(R7)q一起为在一些实施方案中,R4(R7)q一起为在一些实施方案中,R4(R7)q一起为
在一些实施方案中,R4(R7)q一起为 在一些实施方案中,R4(R7)q一起为在一些实施方案中,R4(R7)q一起为在一些实施方案中,R4(R7)q一起为在一些实施方案中,R4(R7)q一起为在一些实施方案中,R4(R7)q一起为在一些实施方案中,R4(R7)q一起为在一些实施方案中,R4(R7)q一起为在一些实施方案中,R4(R7)q一起为在一些实施方案中,R4(R7)q一起为
在一些实施方案中,R4选自下面组 1 中所示的那些。
在一些实施方案中,L2-R4选自下面组 1 中所示的那些。
如上面一般定义,每一R5独立地为氢、C1-4脂族基团、3-8元单环饱和的或者部分不饱和的碳环、具有1-2个独立地选自氮、氧或者硫的杂原子的 4-8元单环饱和的或者部分不饱和的杂环、苯基、8-10元二环芳基环、具有 1-4个独立地选自氮、氧或者硫的杂原子的5-6元单环杂芳基环,或者具有 1-4个独立地选自氮、氧或者硫的杂原子的8-10元二环杂芳基环,其中每一 R5取代有r个R8。
在一些实施方案中,R5为氢。在一些实施方案中,R5为C1-4脂族基团;其中每一R5取代有r个R8。在一些实施方案中,R5为3-8元单环饱和的或者部分不饱和的碳环,其中每一R5取代有r个R8。在一些实施方案中,R5为具有1-2个独立地选自氮、氧或者硫的杂原子的4-8元单环饱和的或者部分不饱和的杂环,其中每一R5取代有r个R8。在一些实施方案中,R5为苯基,其中每一R5取代有r个R8。在一些实施方案中,R5为8-10元二环芳基环,其中每一R5取代有r个R8。在一些实施方案中,R5为具有1-4个独立地选自氮、氧或者硫的杂原子的5-6元单环杂芳基环,其中每一R5取代有r 个R8。在一些实施方案中,R5为具有1-4个独立地选自氮、氧或者硫的杂原子的8-10元二环杂芳基环,其中每一R5取代有r个R8。
在一些实施方案中,R5为异丙基。在一些实施方案中,R5为4-四氢吡喃基。在一些实施方案中,R5为异丁基。在一些实施方案中,R5为环己基,其中R8为氧代。在一些实施方案中,R5为环己基,其中R8为羟基。在一些实施方案中,R5为乙基。
在一些实施方案中,R5选自下面组 1 中所示的那些。
如上面一般定义,m为0-3。在一些实施方案中,m为0。在一些实施方案中,m为1。在一些实施方案中,m为2。在一些实施方案中,m为3。
如上面一般定义,n为0-2。在一些实施方案中,n为0。在一些实施方案中,n为1-2。在一些实施方案中,n为1。在一些实施方案中,n为2。
如上面一般定义,p为0-4。在一些实施方案中,p为0。在一些实施方案中,p为1。在一些实施方案中,p为2。在一些实施方案中,p为3。在一些实施方案中,p为4。
如上面一般定义,q为0-5。在一些实施方案中,q为0。在一些实施方案中,q为1。在一些实施方案中,q为2。在一些实施方案中,q为3。在一些实施方案中,q为4。在一些实施方案中,q为5。
如上面一般定义,r为0-4。在一些实施方案中,r为0。在一些实施方案中,r为1。在一些实施方案中,r为2。在一些实施方案中,r为3。在一些实施方案中,r为4。
在一些实施方案中,本发明提供式II-a或者II-b化合物:
或其药学上可接受的盐或者农业上可接受的盐,其中R1、R2、R3、R5、 R7、m、q,和L1中的每个(单独和呈组合形式)如上所限定并且描述在本文中的实施方案中。
在一些实施方案中,本发明提供式II-a-i化合物:
或其药学上可接受的盐或者农业上可接受的盐,其中R1、R2、R3、R5、 R7、m、q,和L1中的每个(单独和呈组合形式)如上所限定并且描述在本文中的实施方案中。
在一些实施方案中,本发明提供式III-a、III-b、III-c,或者III-d化合物:
或其药学上可接受的盐或者农业上可接受的盐,其中R、R1、R2、R3、 R5、R7、m和L1中的每个(单独和呈组合形式)如上所限定并且描述在本文中的实施方案中。
在一些实施方案中,本发明提供式III-a-i,或者III-b-i化合物:
或其药学上可接受的盐或者农业上可接受的盐,其中R、R1、R2、R3、 R5、R7、m和L1中的每个(单独和呈组合形式)如上所限定并且描述在本文中的实施方案中。
在一些实施方案中,本发明提供式IV-a、IV-b,或者IV-c化合物:
或其药学上可接受的盐或者农业上可接受的盐,其中R、R1、R2、R4、 m和L2中的每个(单独和呈组合形式)如上所限定并且描述在本文中的实施方案中。
在一些实施方案中,本发明提供式IV-a、IV-b、IV-c、IV-d、IV-e,或者IV-f化合物:
或其药学上可接受的盐或者农业上可接受的盐,其中Ra、R1、R2、R4、 m和L2中的每个(单独和呈组合形式)如上所限定并且描述在本文中的实施方案中。
在一些实施方案中,本发明提供式IV-b-i,或者IV-b-ii化合物:
或其药学上可接受的盐或者农业上可接受的盐,其中R、R1、R2、R4、 m和L2中的每个(单独和呈组合形式)如上所限定并且描述在本文中的实施方案中。
在一些实施方案中,本发明提供式IV-b-i、IV-b-ii、IV-e-i,或者IV-e-ii 化合物:
或其药学上可接受的盐或者农业上可接受的盐,其中Ra、R1、R2、R4、 m和L2中的每个(单独和呈组合形式)如上所限定并且描述在本文中的实施方案中。
在一些实施方案中,本发明提供式V-a、V-b、V-c、V-d、V-e,或者 V-f化合物:
或其药学上可接受的盐或者农业上可接受的盐,其中R、R1、R2、R5、 R7、m和q中的每个(单独和呈组合形式)如上所限定并且描述在本文中的实施方案中。
在一些实施方案中,本发明提供式V-a、V-b、V-c、V-d、V-e、V-f、 V-g、V-h、V-i、V-j、V-k,或者V-l化合物:
或其药学上可接受的盐或者农业上可接受的盐,其中Ra、R1、R2、R5、 R7、m和q中的每个(单独和呈组合形式)如上所限定并且描述在本文中的实施方案中。
在一些实施方案中,本发明提供式V-c-i、V-c-ii、V-f-i,或者V-f-ii化合物:
或其药学上可接受的盐或者农业上可接受的盐,其中R、R1、R2、R5、 R7、m和q中的每个(单独和呈组合形式)如上所限定并且描述在本文中的实施方案中。
在一些实施方案中,本发明提供式V-c-i、V-c-ii、V-f-i、V-f-ii、 V-i-i、V-i-ii、V-l-i,或者V-l-ii化合物:
或其药学上可接受的盐或者农业上可接受的盐,其中Ra、R1、R2、R5、 R7、m和q中的每个(单独和呈组合形式)如上所限定并且描述在本文中的实施方案中。
在一些实施方案中,本发明提供式VI-a、VI-b,或者VI-c化合物:
或其药学上可接受的盐或者农业上可接受的盐,其中R、R1、R2、R5、 R7、m和q中的每个(单独和呈组合形式)如上所限定并且描述在本文中的实施方案中。
在一些实施方案中,本发明提供式VI-a、VI-b、VI-c、VI-d、VI-e,或者VI-f化合物:
或其药学上可接受的盐或者农业上可接受的盐,其中Ra、R1、R2、R5、 R7、m和q中的每个(单独和呈组合形式)如上所限定并且描述在本文中的实施方案中。
在一些实施方案中,本发明提供式VI-c-i,或者VI-c-ii化合物:
或其药学上可接受的盐或者农业上可接受的盐,其中R、R1、R2、R5、 R7、m和q中的每个(单独和呈组合形式)如上所限定并且描述在本文中的实施方案中。
在一些实施方案中,本发明提供式VI-c-i、VI-c-ii、VI-f-i,或者VI-f-ii 化合物:
或其药学上可接受的盐或者农业上可接受的盐,其中Ra、R1、R2、R5、 R7、m和q中的每个(单独和呈组合形式)如上所限定并且描述在本文中的实施方案中。
在一些实施方案中,本发明提供式VII-a、VII-b,或者VII-c化合物:
或其药学上可接受的盐或者农业上可接受的盐,其中R、R1、R2、R5、 m中的每个(单独和呈组合形式)如上所限定并且描述在本文中的实施方案中。
在一些实施方案中,本发明提供式VII-a、VII-b、VII-c、VII-d、 VII-e,或者VII-f化合物:
或其药学上可接受的盐或者农业上可接受的盐,其中R、Ra、R1、R2、 R5、m中的每个(单独和呈组合形式)如上所限定并且描述在本文中的实施方案中。
在一些实施方案中,本发明提供式VII-c-i,或者VII-c-ii化合物:
或其药学上可接受的盐或者农业上可接受的盐,其中R、R1、R2、R5、 m中的每个(单独和呈组合形式)如上所限定并且描述在本文中的实施方案中。
在一些实施方案中,本发明提供式VII-c-i、VII-c-ii、VII-f-i,或者 VII-f-ii化合物:
或其药学上可接受的盐或者农业上可接受的盐,其中R、Ra、R1、R2、 R5和m中的每个(单独和呈组合形式)如上所限定并且描述在本文中的实施方案中。
在一些实施方案中,本发明提供式VIII-a、VIII-b,或者VIII-c化合物:
或其药学上可接受的盐或者农业上可接受的盐,其中R、R1、R2、R5和m中的每个(单独和呈组合形式)如上所限定并且描述在本文中的实施方案中。
在一些实施方案中,本发明提供式VIII-a、VIII-b、VIII-c、VIII-d、 VIII-e,或者VIII-f化合物:
或其药学上可接受的盐或者农业上可接受的盐,其中R、Ra、R1、R2、 R5和m中的每个(单独和呈组合形式)如上所限定并且描述在本文中的实施方案中。
在一些实施方案中,本发明提供式VIII-c-i,或者VIII-c-ii化合物:
或其药学上可接受的盐或者农业上可接受的盐,其中R、R1、R2、R5和m中的每个(单独和呈组合形式)如上所限定并且描述在本文中的实施方案中。
在一些实施方案中,本发明提供式VIII-c-i、VIII-c-ii、VIII-f-i,或者 VIII-f-ii化合物:
或其药学上可接受的盐或者农业上可接受的盐,其中R、Ra、R1、R2、 R5和m中的每个(单独和呈组合形式)如上所限定并且描述在本文中的实施方案中。
在一些实施方案中,本发明提供式IX-a、IX-b,或者IX-c化合物:
或其药学上可接受的盐或者农业上可接受的盐,其中R、R1、R2、R4、 Hy、m和L2中的每个(单独和呈组合形式)如上所限定并且描述在本文中的实施方案中。
在一些实施方案中,本发明提供式IX-b-i,或者IX-b-ii化合物:
或其药学上可接受的盐或者农业上可接受的盐,其中R、R1、R2、R4、 m和L2中的每个(单独和呈组合形式)如上所限定并且描述在本文中的实施方案中。
在一些实施方案中,本发明提供式X-a、X-b、X-c、X-d、X-e,或者 X-f化合物:
或其药学上可接受的盐或者农业上可接受的盐,其中R1、R2、R5、R6、 R7、R8、Hy、m和q中的每个(单独和呈组合形式)如上所限定并且描述在本文中的实施方案中。
在一些实施方案中,本发明提供式X-c-i,或者X-c-ii化合物:
或其药学上可接受的盐或者农业上可接受的盐,其中R1、R2、R5、R7、 Hy、m和q中的每个(单独和呈组合形式)如上所限定并且描述在本文中的实施方案中。
在一些实施方案中,本发明提供式XI-a、XI-b,或者XI-c化合物:
或其药学上可接受的盐或者农业上可接受的盐,其中R1、R2、R5、R7、 Hy、m和q中的每个(单独和呈组合形式)如上所限定并且描述在本文中的实施方案中。
在一些实施方案中,本发明提供式XI-c-i,或者XI-c-ii化合物:
或其药学上可接受的盐或者农业上可接受的盐,其中R1、R2、R5、R7、 Hy、m和q中的每个(单独和呈组合形式)如上所限定并且描述在本文中的实施方案中。
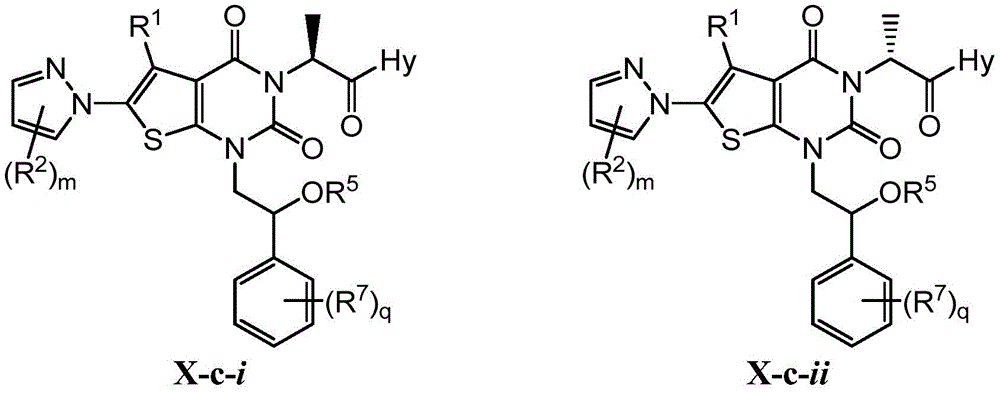
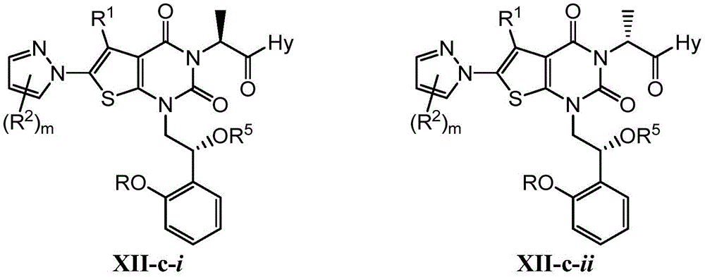
在一些实施方案中,本发明提供式XII-a、XII-b,或者XII-c化合物:
或其药学上可接受的盐或者农业上可接受的盐,其中R1、R2、R5、R6、 R8、m、p、r和R中的每个(单独和呈组合形式)如上所限定并且描述在本文中的实施方案中。
在一些实施方案中,本发明提供式XII-c-i,或者XII-c-ii化合物:
或其药学上可接受的盐或者农业上可接受的盐,其中R、R1、R2、R5、 Hy和m中的每个(单独和呈组合形式)如上所限定并且描述在本文中的实施方案中。
在一些实施方案中,本发明提供式XIII-a、XIII-b和XIII-c化合物:
或其药学上可接受的盐或者农业上可接受的盐,其中R、R1、R2、R5、 R6、R8、Hy和m中的每个(单独和呈组合形式)如上所限定并且描述在本文中的实施方案中。
在一些实施方案中,本发明提供式XIII-c-i,或者XIII-c-ii化合物:
或其药学上可接受的盐或者农业上可接受的盐,其中R、R1、R2、R5、 Hy和m中的每个(单独和呈组合形式)如上所限定并且描述在本文中的实施方案中。
式I的示例性化合物列在下面组 1 中:
组 1 .式I的示例性化合物
在一些实施方案中,本发明提供选自上面组 1 中所示化合物的任何化合物,或其药学上可接受的盐或者农业上可接受的盐。
在一些实施方案中,本发明提供如上所述的化合物,其中所述化合物作为药学上可接受的盐存在。在一些实施方案中,本发明提供如上所述的化合物,其中所述化合物作为农业上可接受的盐存在。
4.用于提供本发明化合物的一般方法
通常可以通过本领域技术人员已知的类似化合物的合成和/或半合成方法和本文实施例中详细描述的方法来制备或分离本发明的化合物。
在下面的方案中,在描述了特定的保护基团(“PG”)、离去基团(“LG”)或转化条件的情况下,本领域普通技术人员将理解其他保护基团、离去基团和转化条件也是合适的并且是可以预期的。这种基团和转化详细描述在以下文献中:March's Advanced OrganicChemistry:Reactions,Mechanisms,and Structure,M.B.Smith and J.March,5thEdition,John Wiley&Sons,2001, Comprehensive Organic Transformations,R.C.Larock,2nd Edition,John Wiley &Sons,1999,and Protecting Groups in OrganicSynthesis,T.W.Greene and P. G.M.Wuts,3rd edition,John Wiley&Sons,1999,将其中的每个的全部内容通过引用并入本申请。
如本文所用的短语“离去基团”(LG)包括但不限于卤素(例如,氟、氯、溴、碘)、磺酸酯(例如,甲磺酸酯、甲苯磺酸酯、苯磺酸酯、对溴苯磺酸酯、对硝基苯磺酸酯、三氟甲磺酸酯)、重氮基等。
如本文所用的短语“氧保护基团”包括例如羰基保护基团、羟基保护基团等。羟基保护基团是本领域公知的并且包括详细描述在Protecting Groups in OrganicSynthesis,T.W.Greene and P.G.M.Wuts,3rd edition,John Wiley& Sons,1999中的那些,将其全部内容通过引用并入本申请。适合的羟基保护基团的实例包括但不限于酯、烯丙基醚、醚、甲硅烷基醚、烷基醚、芳基烷基醚和烷氧基烷基醚。这种酯的实例包括甲酸酯、乙酸酯、碳酸酯和磺酸酯。具体实例包括甲酸酯、苯甲酰基甲酸酯、氯乙酸酯、三氟乙酸酯、甲氧基乙酸酯、三苯基甲氧基乙酸酯、对-氯苯氧基乙酸酯、3-苯基丙酸酯、4-氧代戊酸酯、4,4-(亚乙基二硫基)戊酸酯、新戊酸酯(三甲基乙酰基)、巴豆酸酯、4- 甲氧基-巴豆酸酯、苯甲酸酯、对-苄基苯甲酸酯、2,4,6-三甲基苯甲酸酯、碳酸酯如甲基、9-芴基甲基、乙基、2,2,2-三氯乙基、2-(三甲基甲硅烷基)乙基、 2-(苯基磺酰基)乙基、乙烯基、烯丙基和对-硝基苄基的碳酸酯。这种甲硅烷基醚的实例包括三甲基甲硅烷基、三乙基甲硅烷基、叔丁基二甲基甲硅烷基、叔丁基二苯基甲硅烷基、三异丙基甲硅烷基和其它三烷基甲硅烷基醚。烷基醚包括甲基、苄基、对-甲氧基苄基、3,4-二甲氧基苄基、三苯甲基、叔丁基、烯丙基和烯丙基氧基羰基醚或者衍生物。烷氧基烷基醚包括缩醛如甲氧基甲基、甲基硫基甲基、(2-甲氧基乙氧基)甲基、苄基氧基甲基、β-(三甲基甲硅烷基)乙氧基甲基和四氢吡喃基醚。芳基烷基醚的实例包括苄基、对-甲氧基苄基(MPM)、3,4-二甲氧基苄基、邻-硝基苄基、对-硝基苄基、对-卤代苄基、 2,6-二氯苄基、对-氰基苄基,以及2-和4-(2-甲基吡啶基)。
氨基保护基团是本领域公知的并且包括详细描述在Protecting Groups inOrganic Synthesis,T.W.Greene and P.G.M.Wuts,3rd edition,John Wiley& Sons,1999中的那些,将其全部内容通过引用并入本申请。适合的氨基保护基团包括但不限于芳烷基胺、氨基甲酸酯、环状酰亚胺、烯丙基胺、酰胺等。这种基团的实例包括叔丁基氧基羰基(BOC)、乙基氧基羰基、甲基氧基羰基、三氯乙基氧基羰基、烯丙基氧基羰基(Alloc)、苄基氧基羰基(CBZ)、烯丙基、邻苯二甲酰亚胺、苄基(Bn)、芴基甲基羰基(Fmoc)、甲酰基、乙酰基、氯乙酰基、二氯乙酰基、三氯乙酰基、苯基乙酰基、三氟乙酰基、苯甲酰基等。
在一些实施方案中,式I的本发明化合物一般地根据下面阐述的方案I 制备:
方案I
在上面的方案I中,PG、LG、R1、R2、R3、R4、L1、L2和X中的每个如上文和下文以及如本文所述的类和亚类中所定义。
在一个方面,本发明提供根据以上方案I中描绘的步骤制备式G-9化合物的方法。在一些实施方案中,步骤S-1包括保护式G-1化合物的胺,从而形成式G-2化合物。在一些实施方案中,所述PG为乙酰基。在一些实施方案中,乙酰基保护通过使用乙酸酐来完成。在一些实施方案中,加入催化剂以促进反应。在一些实施方案中,所述催化剂为MgClO4。
在一些实施方案中,步骤S-2包括在式G-2化合物内形成LG,从而形成式G-3化合物。在一些实施方案中,LG是磺酸酯。在一些实施方案中, LG为卤素。在一些实施方案中,LG为氯。在一些实施方案中,LG为溴。在一些实施方案中,通过使用N-溴代琥珀酰亚胺产生含溴化合物G-3。
在一些实施方案中,步骤S-3包括与式G-3化合物的偶联,由此形成式G-4化合物。在一些实施方案中,所述偶联是Stille交叉偶联。在一些实施方案中,M为金属络合物。在一些实施方案中,M为SnR3,其中 R如上所定义并描述于其中。在一些实施方案中,M为Sn(C4H9)3。在一些实施方案中,添加另外的金属催化剂以促进偶联。在一些实施方案中,所述金属催化剂包含Pd。在一些实施方案中,所述金属催化剂为Pd(PPh3)4。在一些实施方案中,所述偶联是铜催化的。在一些实施方案中,所述金属催化剂为CuSO4。在一些实施方案中,添加碱。在一些实施方案中,所述碱为 Cs2CO3。在一些实施方案中,所述溶剂为DMF。
在一些实施方案中,步骤S-4包含式G-4化合物的胺的脱保护,由此形成式G-5的化合物。在一些实施方案中,PG是乙酰基。在一些实施方案中,脱保护通过使用肼实现。在一些实施方案中,将水加入到反应混合物中。在一些实施方案中,将乙醇加入到反应混合物中。
在一些实施方案中,步骤S-5包括使式G-5的化合物与试剂接触,由此形成式G-6的化合物。在一些实施方案中,所述试剂为碳酸二(三氯甲基)酯。在一些实施方案中,步骤S-5还包括碱。在一些实施方案中,所述碱为三乙胺。在一些实施方案中,所述溶剂为CH2Cl2。
在一些实施方案中,步骤S-6包括使式G-6的化合物与试剂接触,由此形成式G-7的化合物。在一些实施方案中,所述试剂为H2N-L1-R3,其中L1和R3如上面所定义并描述于其中。
在一些实施方案中,步骤S-7包括式G-7化合物的环化,由此形成式 G-8化合物。在一些实施方案中,加入碱以催化环化。在一些实施方案中,所述碱为Cs2CO3。在一些实施方案中,所述溶剂为t-BuOH。
在一些实施方案中,步骤S-8包括使式G-8的化合物与试剂接触,由此形成式G-9的化合物。在一些实施方案中,所述试剂为HO-L2-R4。在一些实施方案中,L2-R4的添加通过使用另外的试剂完成。在一些实施方案中,所述另外的试剂为偶氮二甲酸二异丁酯和三苯基膦。在一些实施方案中,所述溶剂为THF。
本领域技术人员将会理解,式G-9的化合物可含有一个或多个立体异构中心,并且可作为外消旋或非对映异构体混合物存在。本领域技术人员还理解,存在许多用于分离异构体的本领域已知方法,以获得立体富集的或立体纯的那些化合物的异构体,所述方法包括但不局限于HPLC、手性HPLC、分级结晶非对映异构体盐、动力学酶分离(例如通过真菌、细菌或动物来源的脂肪酶或酯酶),以及使用对映体富集的试剂形成共价的非对映异构体衍生物。
在一些实施方案中,式II的本发明化合物一般地根据下面阐述的方案 II制备。
本领域技术人员将会理解,本发明化合物中存在的各种官能团如脂族基团、醇、羧酸、酯、酰胺、醛、卤素和腈可以通过本领域公知的技术相互转化,包括但不限于还原、氧化、酯化、水解、部分氧化、部分还原、卤化、脱水、部分水合和水合。参见例如,“March’sAdvanced Organic Chemistry”,5th Ed.,Ed.:Smith,M.B.and March,J.,John Wiley&Sons,New York:2001,将其全部内容通过引用并入本申请。这种相互转换可能需要一种或多种上述技术,并且下面在实施例中描述了用于合成本发明化合物的某些方法。
5.用途、制剂和给药和药学上可接受的组合物
根据另一实施方案,本发明提供一种组合物,其包含本发明化合物或其药学上可接受的盐、酯或酯盐和药学上可接受的载体、辅料或媒介物。本发明组合物中化合物的量为有效地以可测量程度抑制生物样品中或患者中的 ACC的量。在某些实施方案中,本发明组合物中化合物的量为有效地以可测量程度抑制生物样品中或患者中的ACC的量。在某些实施方案中,本发明组合物经配制以供给药于需要所述组合物的患者。在一些实施方案中,本发明组合物经配制以供经口给药于患者。
如本文所用的术语“患者”是指动物,优选为哺乳动物,并且最优选为人类。
术语“药学上可接受的载体、辅料或媒介物”是指不破坏与其一起配制的化合物的药理活性的无毒载体、辅料或媒介物。可用于本发明组合物中的药学上可接受的载体、辅料或媒介物包括(但不限于)离子交换剂;氧化铝;硬脂酸铝;卵磷脂;血清蛋白,例如人血清白蛋白;缓冲物质,例如磷酸盐;甘氨酸;山梨酸;山梨酸钾;饱和植物脂肪酸的偏甘油酯混合物;水;盐或电解质,例如硫酸鱼精蛋白(protamine sulfate)、磷酸氢二钠、磷酸氢钾、氯化钠、锌盐;胶体二氧化硅;三硅酸镁;聚乙烯吡咯烷酮;基于纤维素的物质;聚乙二醇;羧甲基纤维素钠;聚丙烯酸酯;蜡;聚乙烯-聚氧丙烯-嵌段聚合物;聚乙二醇和羊毛脂。
“药学上可接受的衍生物”是指本发明化合物的任何无毒盐、酯、酯盐或其它衍生物,其在给药于接受者时,能够直接或间接提供本发明化合物或其抑制的活性代谢物或残余物。
如本文所用的术语“其抑制的活性代谢物或残余物”是指其代谢物或残余物也为ACC抑制剂。
本发明组合物可经口、肠胃外、由吸入喷雾、局部、经直肠、经鼻、含服、经阴道或经由植入式贮器给药。如本文所用的术语“肠胃外”包括皮下、静脉内、肌肉内、关节内、滑膜内、胸骨内、鞘内、肝内、病灶内和颅内注射或输注技术。组合物优选经口、腹膜内或静脉内给药。本发明组合物的无菌可注射形式可为水性或油性悬浮液。这些悬浮液可根据本领域中已知的技术使用适合分散剂或湿润剂和悬浮剂来配制。无菌可注射制剂也可为于肠胃外可接受的无毒稀释剂或溶剂中的无菌可注射溶液或悬浮液,例如于1,3-丁二醇中的溶液。可采用的可接受媒介物和溶剂有水、林格氏溶液(Ringer's solution)和等张氯化钠溶液。另外,无菌不挥发性油常规用作溶剂或悬浮介质。
出于此目的,可以采用任何温和不挥发性油,包括合成的单酸甘油酯或二酸甘油酯。油酸的脂肪酸和其甘油酯衍生物如同天然药学上可接受的油 (如橄榄油或蓖麻油,尤其呈其聚氧乙基化形式)那样适用于制备可注射剂。这些油溶液或悬浮液还可以含有长链醇稀释剂或分散剂,如羧甲基纤维素或常用于配制药学上可接受的剂型(包括乳液和悬浮液)的类似分散剂。出于配制的目的,还可以使用其它常用表面活性剂(如吐温(Tweens)、司盘(Spans)) 和其它常用于制造药学上可接受的固体、液体或其它剂型的乳化剂或生物利用度增强剂。
本发明的药学上可接受的组合物可以按任何经口可接受剂型经口给药,所述剂型包括(但不限于)胶囊、片剂、水性悬浮液或溶液。在用于经口使用的片剂的情况下,常用载体包括乳糖和玉米淀粉。还通常添加如硬脂酸镁的润滑剂。对于以胶囊形式经口投药,有用的稀释剂包括乳糖和干燥的玉米淀粉。当为了经口用途需要水性悬浮液时,将活性成分与乳化剂和悬浮剂组合。必要时,也可以添加某些甜味剂、调味剂或着色剂。
或者,本发明的药学上可接受的组合物可以供直肠给药的栓剂形式给药。这些栓剂可通过将药剂与适合的非刺激性赋形剂混合来制备,所述赋形剂在室温为固体而在直肠温度下为液体并且因此将在直肠中熔化以释放药物。所述物质包括可可脂、蜂蜡和聚乙二醇。
本发明的药学上可接受的组合物也可局部给药,尤其当治疗目标包括通过局部施用而容易到达的区域或器官(包括眼、皮肤或下肠道的疾病)时。对于这些区域或器官中的每一个,易制备适合的局部制剂。
对下肠道的局部施用可以直肠栓剂制剂(见上文)或以适合灌肠剂制剂实现。还可使用局部经皮贴片。
对于局部施用,所提供的药学上可接受的组合物可配制于含有悬浮或溶解于一种或多种载体中的活性组分的适合软膏中。用于局部给药本发明化合物的载体包括(但不限于)矿物油、液体矿脂、白矿脂、丙二醇、聚氧乙烯、聚氧丙烯化合物、乳化蜡和水。或者,所提供的药学上可接受的组合物可配制于含有悬浮或溶解于一种或多种药学上可接受的载体中的活性组分的适合洗剂或乳膏中。适合载体包括(但不限于)矿物油、脱水山梨糖醇单硬脂酸酯、聚山梨酸酯60、鲸蜡酯蜡、鲸蜡硬脂醇、2-辛基十二烷醇、苄醇和水。
对于眼部使用,所提供的药学上可接受的组合物可在存在或不存在例如氯苄烷铵(benzylalkonium chloride)的防腐剂的情况下配制成于pH值经调整的等张无菌盐水中的微粉化尺寸化悬浮液,或优选配制成于pH值经调整的等张无菌盐水中的溶液。或者,对于眼部使用,药学上可接受的组合物可配制于例如矿脂的软膏中。
本发明的药学上可接受的组合物也可通过鼻用气雾剂或吸入给药。所述组合物根据药物配制技术中熟知的技术来制备,并且可采用苄醇或其它适合防腐剂、用以增强生物利用度的吸收促进剂、碳氟化合物和/或其它常规增溶剂或分散剂而制备成于盐水中的溶液。
本发明的药学上可接受的组合物最优选经配制以供经口给药。所述制剂可与食物或不与食物一起给药。在一些实施方案中,本发明的药学上可接受的组合物不与食物一起给药。在其它实施方案中,本发明的药学上可接受的组合物与食物一起给药。
可与载体物质组合产生呈单一剂型的组合物的本发明化合物的量将视所治疗的主体、特定给药模式而变化。所提供的组合物优选应经配制以使得可向接受这些组合物的患者给药0.01-100毫克/千克体重/日的剂量的抑制剂。
还应了解,针对任何特定患者的特定剂量和治疗方案将视多种因素而定,包括所用特定化合物的活性、年龄、体重、一般健康状况、性别、饮食、给药时间、排泄速率、药物组合和治疗医师的判断以及所治疗的特定疾病的严重性。组合物中本发明化合物的量还将视组合物中的特定化合物而定。
化合物及其组合物的用途
医药用途
乙酰基-CoA羧化酶(ACC)催化乙酰基-CoA的ATP依赖性羧化以形成丙二酰基-CoA。以两个半反应,即生物素羧化酶(BC)反应和羧基转移酶(CT) 反应进行的此反应为脂肪酸(FA)生物合成中的第一关键步骤并且为该通路的限速反应。ACC催化反应的产物丙二酰基-CoA除了作为FA生物合成中的底物的作用以外,还在通过催化粒线体FA氧化中的第一关键步骤的酶- 肉碱棕榈酰基转移酶I(CPT-I)的别位抑制而控制粒线体FA吸收方面起重要调控作用。因此,丙二酰基-CoA为对例如在运动期间动物的饮食变化和营养需求改变作出反应而控制FA产生和利用的关键代谢信号,并且因此在控制肝脏和骨胳肌中的碳水化合物与脂肪利用之间的转换方面起关键作用[哈伍德(Harwood),2005]。
在哺乳动物中,ACC以两种组织特异性同工酶形式存在,即存在于脂质生成组织(肝脏、脂肪)中的ACC1和存在于氧化组织(肝脏、心脏、骨胳肌) 中的ACC2。ACC1和ACC2是由独立基因编码,展现不同细胞分布,并且除了将ACC2指向粒线体膜的ACC2的N端延长序列(extension)以外共享 75%的总体氨基酸序列一致性。缺乏此靶向序列的ACC1定位至细胞质。在合成脂肪酸的能力有限的心脏和骨胳肌中,由ACC2形成的丙二酰基-CoA 发挥调控FA氧化的功能。在肝脏中,在细胞质中通过ACC1的作用而形成的丙二酰基-CoA用于FA合成和伸长,促使甘油三酯形成和VLDL产生,而在粒线体表面上由ACC2形成的丙二酰基-CoA用以调控FA氧化[童(Tong) 和哈伍德(Harwood),细胞生物化学杂志(J.Cellular Biochem.)99:1476, 2006]。丙二酰基-CoA的此区室化来自于合成接近性(synthesis proximity)[阿布-艾海格(Abu-Elheiga)等人,PNAS(USA)102:12011,2005]与丙二酰基-CoA 去羧酶的快速作用[陈(Cheng)等人,药物化学杂志(J.Med.Chem.)49:1517, 2006]的组合。
对ACC1和ACC2的酶活性的同时抑制提供抑制脂质生成组织(例如肝脏和脂肪)中重新产生FA的能力,同时刺激氧化组织(例如肝脏和骨胳肌)中的FA氧化,并且因此提供以协同方式有利影响与肥胖症、糖尿病、胰岛素抵抗和代谢综合征相关的许多心血管危险因素的具有吸引力的模式。
多方证据强有力地支持以下概念:直接抑制作为重要治疗目标的ACC 活性来治疗肥胖症、糖尿病、胰岛素抵抗和代谢综合征。
阿布-艾海格(Abu-Elheiga)等人[美国科学院院刊(Proc.Natl.Acad.Sci. USA)100:10207-10212,2003]证明,ACC2基因敲除小鼠展现骨胳肌和心肌丙二酰基-CoA减少、肌肉FA氧化增加、肝脏脂肪减少、总体脂肪减少、骨胳肌解偶联蛋白3(UCP3)升高(其指示能量消耗增加)、体重下降、血浆游离 FA减少、血糖减少和组织糖原减少,并且免于患上饮食诱发的糖尿病和肥胖症。
萨维奇(Savage)等人[临床研究杂志(J.Clin.Invest.)116:817,2006]使用 ACC1和ACC2反义寡核苷酸来证明,分离的大鼠肝细胞中和喂食高脂肪膳食的大鼠中的FA氧化受到刺激、和肝脏甘油三酯降低、胰岛素敏感性改善、肝脏葡萄糖产生减少和高脂肪喂养大鼠中的UCP1mRNA增加。ACC1与 ACC2表达均受抑制的情况与ACC1或ACC2表达单独受抑制的情况相比,这些效应较高。
哈伍德(Harwood)等人[生物化学杂志(J.Biol.Chem.)278:37099,2003]证明,同等抑制从大鼠、小鼠、猴和人类分离的ACC1和ACC2(IC50=约60nM) 而不抑制丙酮酸羧化酶或丙酰基-CoA羧化酶的同工酶非选择性ACC抑制剂 CP-640186减少Hep-G2细胞中的FA合成、甘油三酯合成和分泌而不影响胆固醇合成,并且减少apoB分泌而不影响apoA1分泌。CP-640186还刺激 C2C12细胞中和大鼠肌肉薄片中的FA氧化,并且增加Hep-G2细胞中的 CPT-I活性。在实验动物中,CP-640186急剧降低喂食状态与禁食状态下脂质生成组织与氧化组织中的丙二酰基-CoA浓度,减少肝脏和脂肪组织FA 合成,并且增加全身FA氧化。在经CP-640186处理三周的蔗糖喂养大鼠中, CP-640186以时间和剂量依赖性方式减少肝脏、肌肉和脂肪甘油三酯,因选择性脂肪减少使体重下降而不减少瘦体质,降低瘦素(leptin)含量,减轻由高蔗糖膳食产生的高胰岛素血症而不改变血糖含量,并且改善胰岛素敏感性。
萨哈(Saha)等人[糖尿病杂志(Diabetes)55:A288,2006]证明,由CP-640186 在化合物给药30分钟内刺激胰岛素抵抗大鼠肌肉组织中的胰岛素敏感性,并且富勒(Furler)等人[糖尿病杂志(Diabetes)55:A333,2006]的研究使用双示踪剂分析显示用CP-640186急性(46分钟)处理大鼠刺激FA清除而不减少葡萄糖清除。
ACC在脂肪酸合成中是限速酶,且其产物丙二酰基CoA充当脂肪酸氧化的重要调节剂。因此,ACC抑制剂既减少从头脂质合成又促进现有脂肪的氧化。对脂质代谢的这一双重作用提高ACC抑制剂与其它机制相比将实质上更有效地减少过量脂肪的可能性。此外,ACC抑制剂将影响胰岛素敏感性、血浆和组织甘油三酯以及空腹血浆葡萄糖,因此全身和组织特异性脂肪质量减少且不需要多重用药(poly-pharmacy)。
ACC抑制剂仅需要在外周隔室中接近肝脏和肌肉。避开CNS将解决与靶向CNS受体的晚期肥胖症程序相关的许多副作用。还预期ACC抑制剂会具有优于现有代谢疾病药剂的安全性特征。举例来说,ACC抑制剂将不大可能促成如在胰岛素模拟物、胰岛素促分泌物和胰岛素降解抑制剂下通常可见的危及生命的低血糖。此外,由于ACC抑制剂将减少全身脂肪质量,故其将优于会增加全身脂肪质量作为其作用机制一部分的格列酮(glitazone)。
引起显著体重减轻且改进其它代谢终点的外周起作用的药剂充分符合美国FDA批准新肥胖症药剂的要求。然而,如果对肥胖症的批准在5-7年内持续具挑战性,那么ACC抑制剂可被批准用于家族性联合高脂质血症和非酒精性脂肪性肝炎(NASH)。目前尚无市售的ACC抑制剂,因此同工酶非选择性ACC抑制剂将代表用于治疗肥胖症和代谢综合症的首创一类新药 (first-in-class)疗法。
可在体外或体内分析在本发明中用作ACC的抑制剂或者肥胖症或代谢综合症治疗的化合物的活性。可使用肥胖症或代谢综合症的动物模型(例如啮齿动物或灵长类动物模型)进行本发明化合物功效的体内评估。可使用例如从表达ACC的组织中分离的细胞系进行基于细胞的分析。另外,可进行基于生物化学或机制的分析,例如使用经纯化蛋白的转录分析、RNA印迹 (Northern blot)、RT-PCR等。体外分析包括测定经本发明化合物处理的细胞的细胞形态、蛋白质表达、和/或细胞毒性、酶抑制活性、和/或后续功能后果的分析。替代性体外分析定量一种抑制剂结合于细胞内的蛋白或核酸分子的能力。抑制剂结合可通过在结合之前放射性标记所述抑制剂、分离抑制剂 /靶标分子复合物以及测定所结合的放射性标记的量来测量。或者,抑制剂结合可以通过进行竞争实验来测定,其中将新抑制剂与结合到已知放射性配体的经纯化蛋白或核酸一起孵育。用于分析在本发明中用作ACC抑制剂的化合物的详细条件阐述于以下实施例中。上述分析为示例性的且并不意欲限制本发明的范围。熟练的从业者可了解,可对常规分析进行修改以开发会获得相同结果的等效分析。
本文中所用的术语“治疗(treatment、treat和treating)”是指逆转、减轻如本文中所述的疾病或病症或其一或多种症状,延迟其发作,或抑制其进展。在一些实施方案中,治疗可在已出现一或多种症状后给药。在其它实施方案中,治疗可在不存在症状下给药。举例来说,可以在症状发作之前向易感个体(例如根据症状病史和/或根据遗传学或其它易感性因素)给药治疗。还可以在症状已消退之后继续进行治疗,例如以预防或延迟其复发。
根据本发明方法的化合物和组合物可使用有效治疗代谢障碍或病症、癌症、细菌感染、真菌感染、寄生虫感染(例如疟疾)、自身免疫病症、神经变性或神经病症、精神分裂症、骨相关病症、肝病或心脏病症或者减轻其严重度的任何量和任何给药途径给药。
在一些实施方案中,根据本发明方法的化合物和组合物可使用有效治疗与ACC相关的疾病或减轻其严重度的任何量和任何给药途径给药((Tong等人,“Acetyl-coenzyme Acarboxylase:crucial metabolic enzyme并attractive target for drug discovery”Cell and Molecular Life Sciences(2005)62, 1784-1803)。
在一些实施方案中,根据本发明方法的化合物和组合物可使用有效治疗代谢障碍、疾病或病症或减轻其严重度的任何量和任何给药途径给药。在一些实施方案中,代谢障碍为肥胖症;代谢综合症;糖尿病或糖尿病相关的病症,包括1型糖尿病(胰岛素依赖性糖尿病,IDDM)和2型糖尿病(非胰岛素依赖性糖尿病,NIDDM);葡萄糖耐量受损;胰岛素抵抗;高血糖症;糖尿病并发症,包括但不限于动脉粥样硬化、冠心病、中风、外周血管疾病、肾病变、高血压、神经病变和肾病变;肥胖症并存病,包括但不限于代谢综合症、血脂异常、高血压、胰岛素抵抗、糖尿病(包括1型和2型糖尿病)、冠状动脉疾病和心脏衰竭。在一些实施方案中,代谢障碍、疾病或病症为非酒精性脂肪肝病或肝脏胰岛素抵抗。
在一些实施方案中,本发明提供一种治疗本文中描述的代谢障碍、疾病或病症的方法,其包含给药本发明化合物以及一或多种药剂。可以与本发明化合物组合使用的适合的药剂包括抗肥胖症药剂(包括食欲抑制剂)、抗糖尿病药剂、抗高血糖药剂、降脂剂和抗高血压药剂。
可与本发明化合物结合使用的适合的降脂剂包括但不限于胆酸螯合剂、 HMG-CoA还原酶抑制剂、HMG-CoA合成酶抑制剂、胆固醇吸收抑制剂、酰基辅酶A-胆固醇酰基转移酶(ACAT)抑制剂、CETP抑制剂、角鲨烯合成酶抑制剂、PPAR-α激动剂、FXR受体调节剂、LXR受体调节剂、脂蛋白合成抑制剂、肾素-血管紧张素系统抑制剂、PPAR-δ部分激动剂、胆酸再吸收抑制剂、PPAR-γ激动剂、甘油三酯合成抑制剂、微粒体甘油三酯转运抑制剂、转录调节剂、角鲨烯环氧酶抑制剂、低密度脂蛋白受体诱导剂、血小板凝集抑制剂、5-LO或FLAP抑制剂、烟酸和烟酸结合的铬。
可与本发明化合物结合使用的适合的抗高血压药剂包括但不限于利尿剂、β-肾上腺素阻断剂、钙离子通道阻断剂、血管紧张素转化酶(ACE)抑制剂、中性内肽酶抑制剂、内皮素拮抗剂、血管扩张剂、血管紧张素II受体拮抗剂、α/β肾上腺素阻断剂、α1阻断剂、α2激动剂、醛固酮抑制剂、盐皮质激素受体抑制剂、肾素抑制剂和血管生成素2结合剂。
可与本发明化合物结合使用的适合的抗糖尿病药剂包括但不限于其它乙酰-CoA羧化酶(ACC)抑制剂、DGAT-1抑制剂、AZD7687、LCQ908、DGAT-2抑制剂、单酰基甘油O-酰基转移酶抑制剂、PDE-10抑制剂、AMPK 活化剂、磺酰脲(例如乙酰苯磺酰环己脲(acetohexamide)、氯磺丙脲 (chlorpropamide)、氢磺丙脲(diabinese)、格列本脲(glibenclamide)、格列吡嗪 (glipizide)、格列苯脲(glyburide)、格列美脲(blimipiride)、格列齐特(gliclazide)、格列太特(glipentide)、格列喹酮(gliquidone)、格列索脲(glisolamide)、甲磺吖庚脲(tolazamide)、甲苯磺丁脲(tolbutamide))、美格替耐(meglitinides)、α-淀粉酶抑制剂(例如淀粉酶抑肽(tendamistat)、萃他丁(treastatin)、AL-3688)、α- 葡糖苷水解酶抑制剂(例如阿卡波糖(acarbose))、α-葡糖苷酶抑制剂(例如脂解素(adiposine)、卡格列波糖(camiglibose)、乙格列酯(emiglitate)、米格列醇 (miglitol)、伏格列波糖(voglibose)、普拉米星-Q(pradimicin-Q)、萨保菌素(sarbostatin))、PPAR-γ激动剂(例如巴拉列酮(balaglitazone)、环格列酮(ciglitazone)、达格列酮(darglitazone)、恩格列酮(englitazone)、伊萨列酮(isaglitazone)、吡格列酮(pioglitazone)、罗格列酮(rosiglitazone)、曲格列酮(troglitazone))、PPAR-α/γ激动剂(例如CLX-0940、GW-1536、GW-1929、 GW-2433、KRP-297、L-796449、LR-90、MK-0767、SB-219994)、双胍(例如二甲双胍(metformin)、丁双胍(buformin))、GLP-1调节剂(肠促胰岛素类似物(exendin)-3、肠促胰岛素类似物-4)、利拉鲁肽(liraglutide)、阿必鲁肽 (albiglutide)、艾塞那肽(exenatide,Byetta)、他司鲁肽(taspoglutide)、利司那肽(lixisenatide)、度拉糖肽(dulaglutide)、司美鲁肽(semaglutide)、N,N-9924、 TTP-054、PTP-1B抑制剂(特罗杜明(trodusquemine)、西替欧醛萃取物(hyrtiosal extract))、SIRT-1抑制剂(例如白藜芦醇(resveratrol)、GSK2245840、GSK184072)、DPP-IV抑制剂(例如西他列汀(sitagliptin)、维格列汀 (vildagliptin)、阿格列汀(alogliptin)、多格列汀(dutogliptin)、利拉利汀 (linagliptin)、沙格列汀(saxagliptin))、胰岛素促分泌物、脂肪酸氧化抑制剂、A2拮抗剂、JNK抑制剂、葡糖激酶活化剂(例如TTP-399、TTP-355、TTP-547、 AZD1656、ARRY403、MK-0599、TAK-329、AZD5658、GKM-001)、胰岛素、胰岛素模拟物、糖原磷酸化酶抑制剂(例如GSK1362885)、VPAC2受体激动剂、SGLT2抑制剂(达格列净(dapagliflozin)、卡格列净(canagliflozin)、 BI-10733、托格列净(tofogliflozin)、ASP-1941、THR1474、TS-071、ISIS388626、 LX4211)、胰高血糖素受体调节剂、GPR119调节剂(例如MBX-2982、 GSK1292263、APD597、PSN821)、FGF21衍生物、TGR5(GPBAR1)受体激动剂(例如INT777)、GPR40激动剂(例如TAK-875)、GPR120激动剂、烟酸受体(HM74A)活化剂、SGLT1抑制剂(例如GSK1614235)、肉碱棕榈酰基转移酶抑制剂、果糖1,6-二磷酸酶抑制剂、醛糖还原酶抑制剂、盐皮质激素受体抑制剂、TORC2抑制剂、CCR2抑制剂、CCR5抑制剂、PKC(例如PKC-α、 PKC-β、PKC-γ)抑制剂、脂肪酸合成酶抑制剂、丝氨酸棕榈酰基转移酶抑制剂、GPR81调节剂、GPR39调节剂、GPR43调节剂、GPR41调节剂、GPR105 调节剂、Kv1.3抑制剂、视黄醇结合蛋白4抑制剂、糖皮质激素受体调节剂、生长抑素受体(例如SSTR1、SSTR2、SSTR3、SSTR5)抑制剂、PDHK2抑制剂、PDHK4抑制剂、MAP4K4抑制剂、IL1-β调节剂和RXR-α调节剂。
适合的抗肥胖症药剂包括但不限于11-β-羟基类固醇去氢酶1抑制剂、硬脂酰基CoA去饱和酶(SCD-1)抑制剂、MCR-4激动剂、CCK-A激动剂、单胺再摄取抑制剂(例如西布曲明(sibutramine))、拟交感神经药剂、β-3-肾上腺素受体激动剂、多巴胺受体激动剂(例如溴麦角环肽(bromocriptine))、黑色素细胞刺激激素和其类似物、5-HT2C激动剂(例如氯卡色林(lorcaserin)/百维克(Belviq))、黑色素浓集激素拮抗剂、瘦素、瘦素类似物、瘦素激动剂、甘丙胺素拮抗剂、脂肪酶抑制剂(例如四氢利普司他汀(四氢lipstatin)/奥利司他)、厌食剂(例如铃蟾素(bombesin)激动剂)、NPY拮抗剂(例如韦利贝特 (velneperit)、PYY3-36(和其类似物)、BRS3调节剂、阿片样受体混合拮抗剂、拟甲状腺素药剂、脱氢表雄酮、糖皮质激素激动剂或拮抗剂、食欲素拮抗剂、 GLP-1激动剂、睫状神经营养因子(例如阿索开(Axokine))、人类鼠灰色相关蛋白质(AGRP)抑制剂、H3拮抗剂或反向激动剂、神经介肽U激动剂、 MTP/ApoB抑制剂(例如消化道选择性MTP抑制剂,如迪罗哌德(dirlotapide)、JTT130、优斯他派(Usistapide)、SLX4090)、MetAp2抑制剂(例如ZGN-433);在胰高血糖素、GIP和GLP1受体中的两者或两者以上处具有混合调节活性的药剂(例如MAR-701、ZP2929);去甲肾上腺素再摄取抑制剂、阿片样拮抗剂(例如纳曲酮(naltrexone))、CB1受体拮抗剂或反向激动剂、胃内激素激动剂或拮抗剂、胃泌酸调节素和其类似物、单胺摄取抑制剂(例如泰索酚辛 (tesofensine))、和组合药剂(例如丁胺苯丙酮(buproprion)加唑尼沙胺(zonisamide)(恩派提克(Empatic))、普兰林肽(pramlintide)加美曲普汀(metreleptin)、丁胺苯丙酮(buproprion)加纳曲酮(肯特拉伍(Contrave))、苯丁胺加托吡酯(topiramate)(Qsymia)。
在一些实施方案中,与本发明化合物组合使用的抗肥胖症药剂选自消化道选择性MTP抑制剂(例如迪罗哌德(dirlotapide)、米瑞他匹(mitratapide)、英普他派(implitapide)、R56918)、CCK-A激动剂、5-HT2C激动剂(例如氯卡色林/百维克)、MCR4激动剂、脂肪酶抑制剂(例如赛利司他(Cetilistat))、 PYY3-36(包括其类似物和聚乙二醇化类似物)、阿片样拮抗剂(例如纳曲酮)、油酰基雌酮、奥尼匹肽(obinepitide)、普兰林肽、泰索酚辛、瘦素、溴麦角环肽、奥利司他、AOD-9604和西布曲明。
在一些实施方案中,根据本发明方法的化合物和组合物可使用有效治疗 LKB1或Kras相关疾病或减轻其严重度的任何量和任何给药途径给药。在一些实施方案中,LKB1或Kras相关疾病选自肝细胞癌、LKB1突变体癌症、 LKB1杂合性缺失(LOH)驱动的癌症、Kras突变体癌症、普-杰二氏综合症 (Peutz-Jeghers syndrome,PJS)、考登氏病(Cowden'sdisease,CD)和结节性脑硬化(TS)((Makowski等人,“Role of LKB1in Lung CancerDevelopment” British Journal of Cancer(2008)99,683-688)。在一些实施方案中,LKB1或 Kras相关疾病为Kras阳性/LKB1缺陷型肺肿瘤。
在一些实施方案中,根据本发明方法的化合物和组合物可使用有效治疗癌症或减轻其严重度或抑制癌细胞生长或诱导其凋亡的任何量和任何给药途径给药(Wang等人,“Acetyl-CoA Carboxylase-alpha Inhibitor TOFA Induces Human Cancer CellApoptosis”Biochem Biophys Res Commun.(2009)385(3), 302-306;Chajes等人,“Acetyl-CoA Carboxylase alpha Is Essential to Breast Cancer Cell Survival”Cancer Res.(2006)66,5287-5294;Beckers等人,“Chemical Inhibition of Acetyl-CoACarboxylase Induces Growth Arrest and Cytotoxicity Selectivity in CancerCells”Cancer Res.(2007)8180-8187; Brusselmans等人,“RNA Interference-MediatedSilencing of the Acetyl-CoA-Carboxylase-alpha Gene Induces Growth Inhibitionand Apoptosis of Prostate Cancer Cells”Cancer Res.(2005)65,6719-6725;Brunet等人,“BRCA1and Acetyl-CoA Carboxylase:The Metabolic Syndrom of Breast Cancer”Molecular Carcinogenesis(2008)47,157-163;Cairns等人,“Regulation of CancerCell Metabolism”(2011)11,85-95;Chiaradonna等人,“From Cancer Metabolism to NewBiomarkers and Drug Targets”Biotechnology Advances (2012)30,30-51)。
在一些实施方案中,根据本发明方法的化合物和组合物可使用有效治疗黑素瘤或减轻其严重度的任何量和任何给药途径给药。在一些实施方案中,黑素瘤为携带有活化MAPK通路的黑素瘤(Petti等人,“AMPK activators inhibit the proliferation ofhuman melanomas bearing the activated MAPK pathway”Melanoma Research(2012)22,341-350)。
本发明化合物特别适用于三阴性乳癌,因为肿瘤抑制因子蛋白BRCA1 结合ACC的非活性形式且使其稳定,由此上调从头脂质合成,引起癌细胞增殖(Brunet等人,“BRCA1andacetyl-CoA carboxylase:the metabolic syndrome of breast cancer”Mol.Carcinog.(2008)47(2),157-163)。
在一些实施方案中,根据本发明方法的化合物和组合物可使用有效治疗脂肪肉瘤或减轻其严重度的任何量和任何给药途径给药。脂肪肉瘤已展示出依赖于从头长链脂肪酸合成以便生长,且沙罗酚A(soraphen A)对ACC的抑制会抑制脂肪生成以及肿瘤细胞生长(Olsen等人,“Fatty acid synthesis is a therapeutic target in humanliposarcoma”International J.of Oncology(2010)36, 1309-1314)。
在一些实施方案中,根据本发明方法的化合物和组合物可使用有效治疗肝病或减轻其严重度的任何量和任何给药途径给药。在一些实施方案中,肝病选自丙型肝炎、肝细胞癌、家族性联合高脂质血症和非酒精性脂肪性肝炎(NASH)、肝癌、胆管癌、血管肉瘤、血管内皮瘤和进行性家族性肝内胆汁郁积。
在一些实施方案中,根据本发明方法的化合物和组合物可使用有效治疗细菌感染或减轻其严重度或抑制细菌生长的任何量和任何给药途径给药。
在一些实施方案中,根据本发明方法的化合物和组合物可使用有效治疗真菌感染或减轻其严重度或抑制真菌细胞生长的任何量和任何给药途径给药(Shen等人,“AMechanism for the Potent Inhibition of Eukaryotic Acetyl-Coenzyme ACarboxylase by Soraphen A,a Macrocyclic Polyketide Natural Product”MolecularCell(2004)16,881-891)。
在一些实施方式中,本发明化合物抑制一个或多个真菌物种,其MIC 为2μg/mL或更低。在一些实施方式中,本发明化合物以2μg/mL或更低的浓度抑制白色念珠菌、克鲁斯念珠菌和近平滑念珠菌中的至少一种。在一些实施方式中,本发明化合物以1μg/mL或更低的浓度抑制白色念珠菌/克鲁斯念珠菌和近平滑念珠菌中的至少一种。在一些实施方式中,本发明化合物以2μg/mL或更低的浓度抑制白色念珠菌、克鲁斯念珠菌和近平滑念珠菌中的至少两种。在一些实施方式中,本发明化合物以1μg/mL或更低的浓度抑制白色念珠菌、克鲁斯念珠菌和近平滑念珠菌中的至少两种。在一些实施方式中,本发明化合物以2μg/mL或更低的浓度抑制白色念珠菌、克鲁斯念珠菌和近平滑念珠菌中的每一种。在一些实施方式中,本发明化合物以1μg/mL 或更低的浓度抑制白色念珠菌、克鲁斯念珠菌和近平滑念珠菌中的每一种。
在一些实施方式中,本发明化合物以2μg/mL或更低的浓度抑制番茄灰霉菌(Botrtyis cinerea)、禾生炭疽病菌(Collectotrichum graminicola)、马伊德壳色单隔孢(Diplodia maydis)、串珠镰刀菌(Fusarium moniliforme)、大豆猝死综合症病菌(Fusarium virguliforme)、辣椒疫霉菌(Phytophthora capsici)、立枯丝核菌(Rhizoctonia solani)和壳针孢属(Septoria)中的至少一种。在一些实施方式中,本发明化合物以1μg/mL或更低的浓度抑制番茄灰霉菌、禾生炭疽病菌、马伊德壳色单隔孢、串珠镰刀菌、大豆猝死综合症病菌、辣椒疫霉菌、立枯丝核菌和壳针孢属中的至少一种。在一些实施方式中,本发明化合物以2 μg/mL或更低的浓度抑制番茄灰霉菌、禾生炭疽病菌、马伊德壳色单隔孢、串珠镰刀菌、大豆猝死综合症病菌、辣椒疫霉菌、立枯丝核菌和壳针孢属中的至少两种。在一些实施方式中,本发明化合物以1μg/mL或更低的浓度抑制番茄灰霉菌、禾生炭疽病菌、马伊德壳色单隔孢、串珠镰刀菌、大豆猝死综合症病菌、辣椒疫霉菌、立枯丝核菌和壳针孢属中的至少两种。在一些实施方式中,本发明化合物以2μg/mL或更低的浓度抑制番茄灰霉菌、禾生炭疽病菌、马伊德壳色单隔孢、串珠镰刀菌、大豆猝死综合症病菌、辣椒疫霉菌、立枯丝核菌和壳针孢属中的至少三种。在一些实施方式中,本发明化合物以1μg/mL或更低的浓度抑制番茄灰霉菌、禾生炭疽病菌、马伊德壳色单隔孢、串珠镰刀菌、大豆猝死综合症病菌、辣椒疫霉菌、立枯丝核菌和壳针孢属中的至少三种。
在一些实施方案中,根据本发明方法的化合物和组合物可使用有效治疗细菌感染或减轻其严重度的任何量和任何给药途径给药(Tong,L.等人,J. Cell.Biochem.(2006)99,1476-1488)。
在一些实施方案中,根据本发明方法的化合物和组合物可使用有效治疗病毒感染或减轻其严重度的任何量和任何给药途径给药(Munger等人,Nat. Biotechnol.(2008)26,1179-1186)。在一些实施方案中,病毒感染为丙型肝炎。
在一些实施方案中,根据本发明方法的化合物和组合物可使用有效治疗神经疾病或减轻其严重度的任何量和任何给药途径给药(Henderson等人, Neurotherapeutics(2008)5,470-480;Costantini等人,Neurosci.(2008)9Suppl. 2:S16;Baranano等人,Curr.Treat.Opin.Neurol.(2008)10,410-419)。
在一些实施方案中,根据本发明方法的化合物和组合物可使用有效治疗寄生虫感染或减轻其严重度或抑制寄生虫生长的任何量和任何给药途径给药(例如疟疾和弓虫:Gornicki等人,“Apicoplast fatty acid biosynthesis as a target for medicalintervention in apicomplexan parasites”International Journal of Parasitology(2003)33,885-896;Zuther等人,“Growth of Toxoplasma gondii is inhibited byaryloxyphenoxypropionate herbicides targeting acetyl-CoA carboxylase”PNAS(1999)96(23)13387-13392)。
在一些实施方案中,根据本发明方法的化合物和组合物可使用有效治疗心脏病症或减轻其严重度的任何量和任何给药途径给药。在一些实施方案中,心脏病症为心脏肥大。在一些实施方案中,心脏病症通过由经由ACC 抑制增加脂肪酸氧化引起的心脏保护机制治疗或减轻其严重度(Kolwicz等人,“Cardiac-specific deletion of acetyl CoAcarboxylase 2(ACC2)prevents metabolic remodeling during pressure-overloadhypertrophy”Circ.Res.(2012); DOI:10.1161/CIRCRESAHA.112.268128)。
在具体实施方案中,根据本发明方法的化合物和组合物可以用作除草剂。在一些实施方案中,本发明提供一种抑制植物生长或存活力的方法,其包含用本发明化合物处理植物。在本发明的一些实施方案中,本发明化合物可以用于通过抑制ACC来抑制植物的生长或存活力。在一些实施方案中,本发明的方法包含使用本发明化合物以在植物中抑制脂肪酸产生或增加脂肪酸氧化。
所需的精确量将在受试者之间变化,取决于受试者的物种、年龄以及整体状况、感染的严重程度、特定药剂、其给药模式等。优选地按单位剂型配制本发明化合物以实现易于给药和剂量均一性。如本文中所用的表述“单位剂型”是指适于待治疗患者的药剂的物理不连续单位。然而,应了解,本发明的化合物和组合物的每日总用量将由主治医师在合理医学判断范围内来决定。针对任何特定患者或有机体的特定有效剂量水平将取决于多种因素,包括所治疗的病症和病症的严重程度;所用特定化合物的活性;所用特定组合物;患者的年龄、体重、一般健康状况、性别和饮食;所用特定化合物的给药时间、给药途径和排泄率;治疗持续时间;与所用特定化合物组合或同时使用的药物;和医学领域中熟知的类似因素。
本发明的药学上可接受的组合物可以取决于所治疗感染的严重程度而口服、经直肠、肠胃外、脑池内、阴道内、腹膜内、局部(如通过散剂、软膏或滴剂)、含服、作为口服或鼻喷雾等向人类和其它动物给药。在具体实施方案中,本发明化合物可以每日每千克受试者体重约0.01mg到约50mg 且优选地每千克受试者体重约1mg到约25mg的剂量水平,每日一或多次口服或肠胃外给药,以获得所要治疗效果。
用于口服给药的液体剂型包括但不限于药学上可接受的乳液、微乳液、溶液、悬浮液、糖浆和酏剂。除活性化合物外,液体剂型还可含有所属领域中常用的惰性稀释剂,例如水或其它溶剂、增溶剂和乳化剂,诸如乙醇、异丙醇、碳酸乙酯、乙酸乙酯、苯甲醇、苯甲酸苯甲酯、丙二醇、1,3-丁二醇、二甲基甲酰胺、油类(尤其是棉籽油、落花生油、玉米油、胚芽油、橄榄油、蓖麻油和芝麻油)、甘油、四氢糠醇、聚乙二醇和脱水山梨糖醇脂肪酸酯和其混合物。除惰性稀释剂外,口服组合物还可包括辅料,如湿润剂、乳化剂和悬浮剂、甜味剂、调味剂和芳香剂。
可根据已知技术使用适合的分散剂或湿润剂和悬浮剂来配制可注射制剂,例如无菌可注射水性或油性悬浮液。无菌可注射制剂也可以是在无毒肠胃外可接受的稀释剂或溶剂中的无菌可注射溶液、悬浮液或乳液,例如呈在 1,3-丁二醇中的溶液形式。可使用的可接受媒介物和溶剂包括水、林格氏溶液、U.S.P.和等渗氯化钠溶液。另外,常规地采用无菌不挥发性油作为溶剂或悬浮介质。出于这个目的,可以使用任何温和不挥发性油,包括合成单酸甘油酯或二酸甘油酯。此外,在可注射剂制备中使用脂肪酸,如油酸。
可注射制剂可例如通过经由截留细菌的过滤器过滤和/或通过并入杀菌剂来灭菌,所述制剂呈在使用之前可溶解或分散于无菌水或其它无菌可注射介质中的无菌固体组合物形式。
为了延长本发明化合物的作用,通常需要减慢化合物从皮下或肌肉内注射的吸收。这可以使用具有弱水溶性的结晶或非晶形物质的液体悬浮液来实现。化合物的吸收速率则取决于其溶解速率,溶解速率又可以取决于晶体尺寸和结晶形式。或者,通过将化合物溶解或悬浮于油媒介物中来延迟肠胃外给药的化合物形式的吸收。通过形成化合物在可生物降解聚合物(如聚丙交酯-聚乙交酯)中的微胶囊基质来制造可注射贮库形式。取决于化合物与聚合物的比率和所用特定聚合物的性质,可以控制化合物的释放速率。其它可生物降解聚合物的实例包括聚(原酸酯)和聚(酸酐)。还通过将化合物覆埋于与身体组织可相容的脂质体或微乳液中来制备贮库可注射制剂。
用于直肠或阴道给药的组合物优选是栓剂,其可通过混合本发明化合物与适合的无刺激性赋形剂或载体(如可可脂、聚乙二醇)或栓剂蜡来制备,所述栓剂蜡在环境温度下是固体,但在体温下是液体,且因此在直肠或阴道腔中熔化并释放活性化合物。
用于口服给药的固体剂型包括胶囊、片剂、丸剂、散剂和颗粒。在所述固体剂型中,将活性化合物与如以下至少一种惰性的药学上可接受的赋形剂或载体混合:柠檬酸钠或磷酸二钙;和/或a)填充剂或增量剂,如淀粉、乳糖、蔗糖、葡萄糖、甘露糖醇和硅酸;b)粘合剂,如羧甲基纤维素、藻酸盐、明胶、聚乙烯吡咯烷酮、蔗糖和阿拉伯胶;c)保湿剂,如甘油;d)崩解剂,如琼脂-琼脂、碳酸钙、马铃薯或木薯淀粉、海藻酸、某些硅酸盐和碳酸钠; e)溶解延迟剂,如石蜡;f)吸收加速剂,如季铵化合物;g)湿润剂,如鲸蜡醇和单硬脂酸甘油酯;h)吸附剂,如高岭土和膨润土;和i)润滑剂,如滑石、硬脂酸钙、硬脂酸镁、固体聚乙二醇、月桂基硫酸钠,和其混合物。在胶囊、片剂和丸剂的情况下,剂型也可包含缓冲剂。
也可使用相似类型的固体组合物作为使用如乳糖(lactose/milk sugar)以及高分子量聚乙二醇等的赋形剂的软质和硬质填充明胶胶囊中的填充剂。片剂、糖衣药丸、胶囊、丸剂和颗粒的固体剂型可以用包衣和外壳(如肠溶包衣和药物制剂技术中众所周知的其它包衣)来制备。它们可以任选地含有遮光剂,并且也可以具有使其任选地以延迟方式仅或优先在肠道某一部分中释放活性成分的组成。可使用的包埋组合物的实例包括聚合物和蜡。也可使用相似类型的固体组合物作为使用如乳糖以及高分子量聚乙二醇等的赋形剂的软质和硬质填充明胶胶囊中的填充剂。
活性化合物还可以呈与一或多种如上文所示的赋形剂的微囊包囊形式。片剂、糖衣药丸、胶囊、丸剂以及颗粒的固体剂型可以用包衣和外壳(如肠溶衣、释放控制包衣和药物配制技术中众所周知的其它包衣)来制备。在此类固体剂型中,活性化合物可以与至少一种惰性稀释剂(如蔗糖、乳糖或淀粉)混合。正常实践时,此类剂型还可以包含除惰性稀释剂以外的其它物质,例如压片润滑剂和其它压片助剂,如硬脂酸镁和微晶纤维素。在胶囊、片剂和丸剂的情况下,所述剂型还可包含缓冲剂。其可任选含有遮光剂,且也可具有使其任选地以延迟方式仅在或优先在肠道某一部分释放活性成分的组成。可使用的包埋组合物的实例包括聚合物和蜡。
用于局部或经皮给药本发明化合物的剂型包括软膏、糊剂、乳膏、洗剂、凝胶、散剂、溶液、喷雾剂、吸入剂或贴片。在无菌条件下将活性组分与药学上可接受的载体和任何所需防腐剂或缓冲剂按要求混合。还预期眼用制剂、滴耳剂和滴眼剂处于本发明的范围内。此外,本发明涵盖使用经皮贴片,其具有提供化合物向身体的控制递送的额外优点。所述剂型可通过将化合物溶解或分散于适当介质中来制备。也可使用吸收增强剂来增加化合物穿过皮肤的流量。速率可通过提供速率控制膜或将化合物分散于聚合物基质或凝胶中来控制。
根据一个实施方案,本发明涉及一种抑制生物样品中的ACC的方法,其包含以下步骤:使所述生物样品与本发明化合物或包含所述化合物的组合物接触。
在具体实施方案中,本发明涉及一种调节生物样品中的脂肪酸水平的方法,其包含以下步骤:使所述生物样品与本发明化合物或包含所述化合物的组合物接触。
本文中所用的术语“生物样品”包括但不限于细胞培养物或其提取物;由哺乳动物获得的活组织检查物质或其提取物;和血液、唾液、尿液、粪便、精液、眼泪或其它体液或其提取物。
抑制生物样品中的酶适用于所属领域的技术人员已知的多种目的。所述目的的实例包括但不限于生物学分析、基因表达研究和生物靶标鉴别。
本发明的另一实施方案涉及一种抑制患者的ACC的方法,其包含以下步骤:向所述患者给药本发明化合物或包含所述化合物的组合物。
根据另一实施方案,本发明涉及一种在患者中抑制脂肪酸产生、刺激脂肪酸氧化或两者皆有的方法,其包含以下步骤:向所述患者给药本发明化合物或包含所述化合物的组合物。根据具体实施方案,本发明涉及一种在患者中抑制脂肪酸产生、刺激脂肪酸氧化或两者皆有使得减轻肥胖症或缓解代谢综合症的症状的方法,其包含以下步骤:向所述患者给药本发明化合物或包含所述化合物的组合物。在其它实施方案中,本发明提供一种治疗有需要的患者的由ACC介导的病症的方法,其包含以下步骤:向所述患者给药根据本发明的化合物或其药学上可接受的组合物。所述病症详细地描述在本文中。
在一些实施方案中,本发明的化合物和组合物可以用于治疗肥胖症或另一种代谢障碍的方法。在具体实施方案中,本发明的化合物和组合物可以用于治疗哺乳动物的肥胖症或其它代谢障碍。在具体实施方案中,哺乳动物为人类患者。在具体实施方案中,本发明的化合物和组合物可以用于治疗人类患者的肥胖症或其它代谢障碍。
在一些实施方案中,本发明提供一种治疗肥胖症或另一种代谢障碍的方法,其包含向患有肥胖症或另一种代谢障碍的患者给药本发明的化合物或组合物。在具体实施方案中,治疗肥胖症或另一种代谢障碍的方法包含向哺乳动物给药本发明的化合物和组合物。在具体实施方案中,哺乳动物为人类。在一些实施方案中,代谢障碍为血脂异常或高脂质血症。在一些实施方案中,肥胖症为普拉德-威利综合症(Prader-Willi syndrome)、巴迪特-别铎综合症 (Bardet-Biedl syndrome)、柯亨综合症(Cohen syndrome)或MOMO综合症的症状。在一些实施方案中,肥胖症为给药另一种药物的副作用,所述另一种药物包括但不限于胰岛素、磺脲、噻唑烷二酮、抗精神病药、抗抑郁剂、类固醇、抗惊厥剂(包括苯妥英(phenytoin)和丙戊酸盐)、苯噻啶(pizotifen)或激素避孕药。
在具体实施方案中,本发明提供一种治疗癌症或另一种增生性病症的方法,其包含向患有癌症或另一种增生性病症的患者给药本发明的化合物或组合物。在具体实施方案中,治疗癌症或另一种增生性病症的方法包含向哺乳动物给药本发明的化合物和组合物。在具体实施方案中,哺乳动物为人类。
如本文所用,术语“抑制癌症”和“抑制癌细胞增殖”是指通过细胞毒性、营养物耗乏或诱导细胞凋亡来抑制单独地或与其它癌细胞聚集的癌细胞的生长、分裂、成熟或存活力和/或引起癌细胞死亡。
含有增殖受到本文所述的化合物和组合物抑制且本文所述的方法适用于对抗的癌细胞的组织的实例包括但不限于乳房、前列腺、脑、血液、骨髓、肝脏、胰脏、皮肤、肾脏、结肠、卵巢、肺、睾丸、阴茎、甲状腺、副甲状腺、垂体、胸腺、视网膜、葡萄膜、结膜、脾、头、颈、气管、胆囊、直肠、唾液腺、肾上腺、咽喉、食道、淋巴结、汗腺、皮脂腺、肌肉、心脏和胃。
在一些实施方案中,利用本发明的化合物或组合物治疗的癌症为黑素瘤、脂肪肉瘤、肺癌、乳癌、前列腺癌、白血病、肾癌、食道癌、脑癌、淋巴瘤或结肠癌。在具体实施方案中,癌症为原发性渗出性淋巴瘤(PEL)。在某些优选实施方案中,待利用本发明的化合物或组合物治疗的癌症为携带有活化MAPK通路的癌症。在一些实施方案中,携带有活化MAPK通路的癌症为黑素瘤。在某些优选实施方案中,利用本发明的化合物或组合物治疗的癌症为与BRCA1突变相关的癌症。在一个尤其优选的实施方案中,利用本发明的化合物或组合物治疗的癌症为三阴性乳癌。
在具体实施方案中,可利用本发明化合物治疗的疾病为神经病症。在一些实施方案中,所述神经病症为阿尔茨海默病(Alzheimer's Disease)、帕金森病(Parkinson'sDisease)、癫痫症、局部缺血、年龄相关的记忆损伤、轻度认知障碍、弗里德希氏共济失调(Friedreich's Ataxia)、GLUT1缺陷型癫痫症、矮妖精貌综合症(Leprechaunism)、拉布桑-门登霍尔综合症 (Rabson-Mendenhall Syndrome)、冠状动脉旁路移植痴呆、麻醉诱发的记忆丢失、肌肉萎缩性侧索硬化、神经胶质瘤亨廷顿病(gliomaor Huntington's Disease)。
在具体实施方案中,可利用本发明化合物治疗的疾病为感染性疾病。在一些实施方案中,感染性疾病为病毒感染。在一些实施方案中,病毒感染为巨细胞病毒感染或流感感染。在一些实施方案中,感染性疾病为真菌感染。在一些实施方案中,感染性疾病为细菌感染。
取决于待治疗的特定病症或疾病,通常给药以治疗所述病症的额外治疗剂可以与本发明的化合物和组合物组合给药。如本文所用,通常给药以治疗特定疾病或病症的额外治疗剂被称为“适于所治疗的疾病或病症”。
在具体实施方式中,本发明化合物或其组合物与一种或多种其它抗真菌 (抗霉菌)剂组合给予用于治疗真菌感染。在一些实施方式中,所述一种或多种其它抗真菌(抗霉菌)剂选自多烯抗真菌剂(包括但不局限于两性霉素B(作为两性霉素B脱氧胆酸盐、两性霉素B脂质复合物或脂质体两性霉素B)、克念菌素、非律平、哈霉素、那他霉素、制霉菌素和龟裂杀菌素)、唑抗真菌剂(包括但不局限于阿巴芬净、阿巴康唑、联苯苄唑、布康唑、克霉唑、益康唑、依那康唑、环氧康那唑、芬替康唑、氟康唑、艾沙康唑、异康唑、伊曲康唑、酮康唑、鲁利康唑、咪康唑、奥莫康唑、奥昔康唑、泊沙康唑、丙环唑、雷夫康唑、舍他康唑、硫康唑、特康唑、噻康唑和伏立康唑)、烯丙胺类(包括但不局限于阿莫洛芬、布替萘芬、萘替芳和特比萘芬)、棘球白素类(包括但不局限于阿尼芬净、卡泊芬净和米卡芬净)、苯甲酸、环吡酮、氟胞嘧啶、灰黄霉素、卤普罗近、托萘酯、十一烯酸和结晶紫。
在具体实施方案中,所提供的化合物或其组合物与另一种ACC抑制剂或抗肥胖药剂组合给药。在一些实施方案中,所提供的化合物或其组合物与一或多种其它治疗剂组合给药。所述治疗剂药剂包括但不限于如奥利司他 (赛尼可(Xenical))、CNS刺激剂、奎斯米亚(Qsymia)或百维克(Belviq)。
在具体实施方案中,所提供的化合物或其组合物与另一种抗癌药、细胞毒素或化学治疗剂组合给药有需要的患者。
在具体实施方案中,与本发明的化合物或组合物组合使用的抗癌药或化学治疗剂包括但不限于二甲双胍、苯乙双胍(phenformin)、丁双胍、伊马替尼(imatinib)、尼罗替尼(nilotinib)、吉非替尼(gefitinib)、舒尼替尼(sunitinib)、卡非唑米(carfilzomib)、盐孢菌素A(salinosporamide A)、视黄酸、顺铂 (cisplatin)、卡铂(carboplatin)、奥沙利铂(oxaliplatin)、氮芥(mechlorethamine)、环磷酰胺(cyclophosphamide)、苯丁酸氮芥(chlorambucil)、异环磷酰胺 (ifosfamide)、硫唑嘌呤(azathioprine)、巯嘌呤(mercaptopurine)、去氧氟尿苷 (doxifluridine)、氟尿嘧啶(fluorouracil)、吉西他滨(gemcitabine)、甲氨蝶呤 (methotrexate)、硫鸟嘌呤(tioguanine)、长春新碱(vincristine)、长春碱 (vinblastine)、长春瑞滨(vinorelbine)、长春地辛(vindesine)、鬼臼毒素 (podophyllotoxin)、依托泊苷(etoposide)、替尼泊苷(teniposide)、塔呋泊苷(tafluposide)、太平洋紫杉醇(paclitaxel)、多西他赛(docetaxel)、伊立替康(irinotecan)、拓扑替康(topotecan)、安吖啶(amsacrine)、放线菌素(actinomycin)、多柔比星(doxorubicin)、道诺霉素(daunorubicin)、伐柔比星(valrubicin)、伊达比星(idarubicin)、表柔比星(epirubicin)、普卡霉素(plicamycin)、丝裂霉素 (mitomycin)、米托蒽醌(mitoxantrone)、美法仑(melphalan)、白消安(busulfan)、卡培他滨(capecitabine)、培美曲塞(pemetrexed)、埃博霉素(epothilones)、13- 顺式-视黄酸、2-CdA、2-氯去氧腺苷、5-阿扎胞苷(Azacitidine)、5-氟尿嘧啶、 5-FU、6-巯嘌呤、6-MP、6-TG、6-硫鸟嘌呤、阿布拉生(Abraxane)、放线菌素D(Actinomycin-D)、 阿地白介素(Aldesleukin)、阿仑单抗(Alemtuzumab)、ALIMTA、阿利维甲酸(Alitretinoin)、全反式维甲酸、α干扰素、六甲蜜胺(Altretamine)、氨甲蝶呤(Amethopterin)、氨磷汀(Amifostine)、氨鲁米特(Aminoglutethimide)、阿那格雷(Anagrelide)、阿那曲唑(Anastrozole)、阿糖胞苷(Arabinosylcytosine)、Ara-C、 三氧化二砷、ArzerraTM、天冬酰胺酶、 ATRA、阿扎胞苷(Azacitidine)、BCG、BCNU、苯达莫司汀 (Bendamustine)、贝伐单抗(Bevacizumab)、贝瑟罗汀(Bexarotene)、比卡鲁胺(Bicalutamide)、BiCNU、博来霉素(Bleomycin)、硼替佐米(Bortezomib)、白消安(Busulfan)、C225、甲酰四氢叶酸钙 (CalciumLeucovorin)、喜树碱(Camptothecin)-11、卡培他滨(Capecitabine)、CaracTM、卡铂、卡莫司汀(Carmustine)、卡莫司汀晶片、CC-5013、CCI-779、CCNU、CDDP、CeeNU、西妥昔单抗(Cetuximab)、苯丁酸氮芥(Chlorambucil)、柠胶因子(Citrovorum Factor)、克拉屈滨(Cladribine)、可的松(Cortisone)、CPT-11、达卡巴嗪(Dacarbazine)、达克金 (Dacogen)、放线菌素(Dactinomycin)、阿法达贝泊汀(Darbepoetin Alfa)、达沙替尼(Dasatinib)、道诺霉素(Daunomycin)、道诺霉素盐酸盐、道诺霉素脂质体、地卡特隆(Decadron)、地西他滨(Decitabine)、 地尼白介素(Denileukin)、迪夫托斯(Diftitox)、DepoCytTM、地塞米松(Dexamethasone)、醋酸地塞米松、地塞米松磷酸钠、德克松(Dexasone)、右雷佐生(Dexrazoxane)、DHAD、DIC、迪欧戴克斯(Diodex)、多西他赛(Docetaxel)、多柔比星(Doxorubicin)、多柔比星脂质体、DroxiaTM、 DTIC、EligardTM、EllenceTM、EloxatinTM、表柔比星(Epirubicin)、阿法依伯汀(Epoetin Alfa)、爱必妥(Erbitux)、埃罗替尼(Erlotinib)、欧文菌属(Erwinia)L-天冬酰胺酶、雌莫司汀(Estramustine)、益护尔(Ethyol)、依托泊苷(Etoposide)、磷酸依托泊苷、依维莫司(Everolimus)、依西美坦(Exemestane)、非格司亭(Filgrastim)、氟尿苷(Floxuridine)、氟达拉宾(Fludarabine)、氟尿嘧啶(Fluorouracil)、氟尿嘧啶(乳膏)、氟羟甲睾酮(Fluoxymesterone)、氟他胺(Flutamide)、亚叶酸、氟维司群(Fulvestrant)、G-CSF、吉非替尼(Gefitinib)、吉西他滨 (Gemcitabine)、吉妥单抗(Gemtuzumab)、奥唑米星(ozogamicin)、Gemzar GleevecTM、晶片、GM-CSF、戈舍瑞林(Goserelin)、粒细胞群落刺激因子、粒细胞巨噬细胞群落刺激因子、甲氟烯索 (Hexadrol)、六甲蜜胺(Hexamethylmelamine)、HMM、 Hydrocort氢化可的松(Hydrocortisone)、氢化可的松磷酸钠(Hydrocortisone Sodium Phosphate)、氢化可的松琥珀酸钠、氢化可的松磷酸酯、羟基脲(Hydroxyurea)、异贝莫单抗(Ibritumomab)、异贝莫单抗、泰泽坦(Tiuxetan)、IdarubicinIFN-α、异环磷酰胺(Ifosfamide)、 IL-11、IL-2、甲磺酸伊马替尼(Imatinib mesylate)、咪唑甲酰胺、干扰素α、干扰素α-2b(PEG结合物)、白介素-2、白介素-11、Intron(干扰素α-2b)、伊立替康(Irinotecan)、异维甲酸(Isotretinoin)、伊沙匹隆(Ixabepilone)、 IxempraTM、拉帕替尼(Lapatinib)、L-天冬酰胺酶、 LCR、来那度胺(Lenalidomide)、来曲唑(Letrozole)、甲酰四氢叶酸 (Leucovorin)、瘤可宁(Leukeran)、LeukineTM、亮丙瑞林(Leuprolide)、新长春碱(Leurocristine)、LeustatinTM、脂质体Ara-C、Liquid洛莫司汀 (Lomustine)、L-PAM、L-溶肉瘤素(L-Sarcolysin)、Lupron 玛西德克斯(Maxidex)、氮芥、氮芥盐酸盐、 甲地孕酮(Megestrol)、乙酸甲地孕酮、美法仑(Melphalan)、巯嘌呤(Mercaptopurine)、美司钠(Mesna)、MesnexTM、甲氨蝶呤(Methotrexate)、甲氨蝶呤钠、甲基泼尼松龙(Methylprednisolone)、丝裂霉素 (Mitomycin)、丝裂霉素-C、米托蒽醌(Mitoxantrone)、MTC、 MTX、氮芥(Mustine)、MylocelTM、奈拉滨(Nelarabine)、NeulastaTM、尼罗替尼(Nilotinib)、尼鲁米特(Nilutamide)、氮芥(Nitrogen Mustard)、 奈普雷特(Nplate)、奥曲肽(Octreotide)、乙酸奥曲肽、奥法木单抗(Ofatumumab)、OnxalTM、奥普瑞白介素(Oprelvekin)、奥沙利铂(Oxaliplatin)、太平洋紫杉醇、结合蛋白质的太平洋紫杉醇、帕米膦酸盐(Pamidronate)、帕尼单抗 (Panitumumab)、帕唑帕尼(Pazopanib)、 PEG干扰素、培门冬酶(Pegaspargase)、乙二醇化非格司亭(Pegfilgrastim)、 PEG-INTRONTM、PEG-L-天冬酰胺酶、培美曲塞(PEMETREXED)、喷司他汀(Pentostatin)、苯丙氨酸氮芥、泼尼松龙 (Prednisolone)、强的松(Prednisone)、丙卡巴肼(Procarbazine)、Prolifeprospan 20与卡莫司汀植入物、雷诺昔酚(Raloxifene)、利妥昔单抗 (Rituximab)、(干扰素α-2a)、罗米司亭(Romiplostim)、红比霉素盐酸盐(Rubidomycinhydrochloride)、Sandostatin 沙格司亭(Sargramostim)、索拉非尼 (Sorafenib)、SPRYCELTM、STI-571、链脲霉素(Streptozocin)、SU11248、舒尼替尼(Sunitinib)、他莫昔芬(Tamoxifen)、 替莫唑胺(Temozolomide)、坦罗莫司(Temsirolimus)、替尼泊苷(Teniposide)、TESPA、沙立度胺(Thalidomide)、硫鸟嘌呤(Thioguanine)、硫鸟嘌呤硫代磷酰胺(Thiophosphoamide)、噻替派(Thiotepa)、拓扑替康(Topotecan)、托瑞米芬(Toremifene)、托西莫单抗(Tositumomab)、曲妥珠单抗(Trastuzumab)、维甲酸 (Tretinoin)、TrexallTM、TSPA、VCR、VectibixTM、ViadurTM、长春碱(Vinblastine)、硫酸长春碱、Vincasar长春新碱(Vincristine)、长春瑞滨(Vinorelbine)、酒石酸长春瑞滨、VLB、VM-26、伏立诺他(Vorinostat)、维曲特(Votrient)、VP-16、ZevalinTM、 唑来膦酸(Zoledronic acid)、佐林扎(Zolinza)、或以上各者中的任一者的组合。
在具体实施方案中,本发明化合物可与选自二甲双胍、苯乙双胍或丁双胍的双胍一起给药有需要的患者。在具体实施方案中,被给药本发明化合物和双胍的组合的患者罹患癌症、肥胖症、肝病、糖尿病或上述中的两者或两者以上。
在具体实施方式中,两种或更多种治疗剂的组合可以与本发明化合物一起给药。在具体实施方式中,三种或更多种治疗剂的组合可以与本发明化合物一起给药。
本发明抑制剂也可与之组合的药剂的其它实例包括但不限于:维生素和营养补充剂;癌症疫苗;用于嗜中性白血球减少症的疗法(例如G-CSF、非格司亭(filgrastim)、来格司亭(lenograstim));用于血小板减少的疗法(例如血液输液、促红细胞生成素);PI3激酶(PI3K)抑制剂;MEK抑制剂;AMPK 活化剂;PCSK9抑制剂;SREBP位点1蛋白酶抑制剂;HMGCoA-还原酶抑制剂;止吐药(例如5-HT3受体拮抗剂、多巴胺拮抗剂、NK1受体拮抗剂、组胺受体拮抗剂、大麻素(cannabinoid)、苯二氮类或抗胆碱能药物);用于阿尔茨海默病的疗法,如和用于帕金森氏病的疗法,如 L-DOPA/卡比多巴(carbidopa)、恩他卡朋(entacapone)、罗匹尼洛(ropinrole)、普拉克索(pramipexole)、溴麦角环肽(bromocriptine)、培高利特(pergolide)、三己芬迪(trihexephendyl)和金刚胺(amantadine);用于治疗多发性硬化症(MS) 的药剂,如β干扰素(例如和)、和米托蒽醌 (mitoxantrone);用于哮喘的疗法,如沙丁胺醇(albuterol)和用于治疗精神分裂症的药剂,如再普乐(zyprexa)、理斯必妥(risperdal)、思瑞康 (seroquel)和氟哌啶醇(haloperidol);抗炎剂,如皮质类固醇、TNF阻断剂、 IL-1RA、硫唑嘌呤、环磷酰胺和柳氮磺胺吡啶(sulfasalazine);免疫调节剂和免疫抑制剂,如环孢素(cyclosporin)、他克莫司(tacrolimus)、雷帕霉素 (rapamycin)、霉酚酸吗啉乙酯(mycophenolate mofetil)、干扰素、皮质类固醇、环磷酰胺、硫唑嘌呤和柳氮磺胺吡啶;神经营养因子,如乙酰胆碱酯酶抑制剂、MAO抑制剂、干扰素、抗惊厥剂、离子通道阻断剂、利鲁唑(riluzole) 和抗帕金森氏病剂;用于治疗心血管疾病的药剂,如β-阻断剂、ACE抑制剂、利尿剂、硝酸酯类、钙离子通道阻断剂和他汀类药(statin)、贝特类药 (fibrate)、胆固醇吸收抑制剂、胆酸螯合剂和烟酸;用于治疗肝病的药剂,如皮质类固醇、消胆胺(cholestyramine)、干扰素和抗病毒剂;用于治疗血液病症的药剂,如皮质类固醇、抗白血病药剂和生长因子;用于治疗免疫缺乏病症的药剂,如γ球蛋白;和抗糖尿病药剂,如双胍(二甲双胍、苯乙双胍、丁双胍)、噻唑烷二酮(罗格列酮、吡格列酮、曲格列酮)、磺酰脲(甲苯磺丁脲、乙酰苯磺酰环己脲、甲磺吖庚脲、氯磺丙脲、格列吡嗪、格列苯脲、格列美脲、格列齐特)、氯茴苯酸类(meglitinides)(瑞格列奈(repaglinide)、那格列奈(nateglinide))、α-葡糖苷酶抑制剂(米格列醇、阿卡波糖)、肠促胰岛素模拟物(艾塞那肽、利拉鲁肽、他司鲁肽)、胃抑制性肽类似物、DPP-4抑制剂(维格列汀、西他列汀、沙格列汀、利拉利汀、阿格列汀)、淀粉素类似物(普兰林肽)以及胰岛素和胰岛素类似物。
在具体实施方案中,本发明化合物或其药学上可接受的组合物与反义药剂、单克隆或多克隆抗体或siRNA治疗剂组合给药。
那些额外的药剂可以与本发明的化合物或组合物分开给药,作为多次给药方案的一部分。或者,那些药剂可以是单一剂型的一部分,在单一组合物中与本发明化合物一起混合。如果作为多次给药方案的一部分给药,那么两种活性剂可以同时、依次或彼此间隔一定时间段(通常彼此间隔在五小时以内)提供。
本文中所用的术语“组合(combination)”、“结合(combined)”和相关术语是指同时或依次给药根据本发明的治疗剂。举例来说,本发明化合物可以与另一治疗剂以独立单位剂型或共同呈单一单位剂型同时或依次给药。因此,本发明提供包含本发明化合物、其它治疗剂和药学上可接受的载体、辅料或媒介物的单一单位剂型。
可以与载体物质组合产生单一剂型的本发明化合物和其它治疗剂两者 (在包含如上所述的其它治疗剂的那些组合物中)的量将取决于所治疗的主体和特定给药模式而变化。优选地,应该配制本发明组合物,使得可以给药介于每天每千克体重0.01mg与100mg之间的剂量。
在包含其它治疗剂的那些组合物中,所述其它治疗剂和本发明化合物可以协同地起作用。因此,这些组合物中其它治疗剂的量将低于仅使用所述治疗剂的单一疗法中所需的量。在这些组合物中,可以给药剂量介于每天每千克体重0.01μg与100μg之间的其它治疗剂。
存在于本发明组合物中的其它治疗剂的量将不大于通常在包含所述治疗剂作为唯一活性剂的组合物中所给药的量。优选地,本发明所公开的组合物中其它治疗剂的量将在通常存在于包含所述药剂作为唯一治疗活性剂的组合物中的量的约50%到100%范围内。
农业用途
本发明进一步涉及一种农业组合物,其包含至少一种如上文所定义的本发明化合物或其农业上可接受的盐和液体或固体载体。下文定义了适合的载体以及也可含于本发明的组合物中的助剂和其它活性化合物。
适合的“农业上可接受的盐”包括但不限于其阳离子和阴离子分别对本发明化合物的杀真菌作用无不良影响的那些阳离子的盐或那些酸的酸加成盐。因此,适合的阳离子尤其为碱金属的离子,优选是钠和钾;碱土金属的离子,优选是钙、镁和钡;和过渡金属的离子,优选是锰、铜、锌和铁;以及铵离子,其必要时可携带一到四个C1-C4烷基取代基和/或一个苯基或苯甲基取代基,优选是二异丙基铵、四甲基铵、四丁基铵、三甲基苯甲基铵。其它农业上可接受的盐包括鏻离子;硫鎓离子,优选是三(C1-C4烷基)硫鎓;和氧化锍(sulfoxonium)离子,优选是三(C1-C4烷基)氧化锍。适用的酸加成盐的阴离子主要为氯离子、溴离子、氟离子、硫酸氢根、硫酸根、磷酸二氢根、磷酸氢根、磷酸根、硝酸根、碳酸氢根、碳酸根、六氟硅酸根、六氟磷酸根、苯甲酸根、以及C1-C4烷酸的阴离子(优选是甲酸根、乙酸根、丙酸根和丁酸根)。所述农业上可接受的酸加成盐可通过使携带有碱性可电离基团的本发明化合物与对应阴离子的酸(优选是盐酸、氢溴酸、硫酸、磷酸或硝酸)反应来形成。
根据本发明的化合物和组合物分别适用作杀真菌剂。其特点为对广谱的植物病原性真菌具有显著有效性,所述真菌包括土传真菌,其尤其来源于以下纲:根肿菌纲(Plasmodiophoromycetes)、卵菌纲(Peronosporomycetes)(同义词:卵菌纲(Oomycetes))、壶菌纲(Chytridiomycetes)、接合菌纲(Zygomycetes)、子囊菌纲(Ascomycetes)、担子菌纲(Basidiomycetes)和半知菌纲 (Deuteromycetes)(同义词:半知菌纲(Fungiimperfecti))。一些为系统地有效的且其可在作物保护中用作叶面杀真菌剂、拌种杀真菌剂和土壤杀真菌剂。此外,其适合于控制尤其存在于木材或植物根中的有害真菌。
在一些实施方案中,根据本发明的化合物和组合物在控制各种栽培植物和植物繁殖材料(如种子)和这些植物的作物材料上的植物病原性真菌方面尤其重要,所述栽培植物如谷物,例如小麦、黑麦、大麦、黑小麦、燕麦或稻米;甜菜,例如糖用甜菜或饲料甜菜;果实,如梨果、核果或软果,例如苹果、梨、李、桃、杏仁、樱桃、草莓、覆盆子、黑莓或醋栗;豆科植物,如扁豆、豌豆、苜蓿或大豆;含油植物,如油菜、芥菜、橄榄、向日葵、椰子、可可豆、蓖麻油植物、油棕、落花生或大豆;葫芦科植物,如南瓜、黄瓜或甜瓜;纤维植物,如棉花、亚麻、大麻或黄麻;柑橘果实,如柑橘、柠檬、葡萄柚或蜜橘;蔬菜,如菠菜、莴苣、芦笋、甘蓝、胡萝卜、洋葱、蕃茄、马铃薯、葫芦或红辣椒;月桂科植物,如鳄梨、肉桂或樟脑;能量和原料植物,如玉米、大豆、油菜、甘蔗或油棕;玉米;烟草;坚果;咖啡;茶;香蕉;藤本植物(餐桌葡萄和葡萄汁葡萄藤);蛇麻子;草皮;天然橡胶植物或观赏植物和林业植物,如花卉、灌木、阔叶树或常青树,例如针叶树。
在一些实施方案中,本发明化合物和其组合物分别用于控制田间作物上的众多真菌,所述田间作物如马铃薯、糖甜菜、烟草、小麦、黑麦、大麦、燕麦、稻米、玉米、棉花、大豆、油菜、豆荚、向日葵、咖啡或甘蔗;果实;藤本植物;观赏性植物;或蔬菜,如黄瓜、蕃茄、菜豆或南瓜。
术语“植物繁殖材料”应理解为表示植物中可用于植物繁殖的所有生殖性部分(如种子)和营养性(vegetative)植物材料(如插条和块茎(例如马铃薯))。此植物繁殖材料包括种子、根、果实、块茎、鳞茎、根茎、芽、新枝和植物的其它部分,包括欲在发芽之后或自土壤中出苗之后移植的秧苗和幼小植物。这些幼小植物也可在移植之前通过用浸没或浇注进行整体或部分处理来保护。
在一些实施方案中,用本发明化合物和其组合物分别处理植物繁殖材料用于控制谷类(如小麦、黑麦、大麦和燕麦)、稻米、玉米、棉花和大豆上的众多真菌。
术语“栽培植物”应被理解为包括已通过育种、诱变或遗传工程改造而修饰的植物,包括但不限于市场上或研发中的农业生物技术产品。经基因修饰的植物为遗传物质已通过使用重组DNA技术进行修饰的在天然情形下不能轻易通过交叉育种、突变或天然重组获得的植物。通常,已将一或多种基因整合到遗传修饰植物的遗传物质中,以便改善植物的某些特性。所述基因修饰还包括但不限于例如通过糖基化或聚合物添加(如异戊二烯基化、乙酰基化或法尼基化部分或PEG部分)进行的蛋白质、寡肽或多肽的靶向翻译后修饰。
作为常规育种或遗传工程改造方法的结果,已促使通过育种、诱变或遗传工程改造而修饰的植物耐受特定类别除草剂的施用,所述除草剂为如羟基苯基丙酮酸双加氧酶(HPPD)抑制剂;乙酰乳酸合成酶(ALS)抑制剂,如磺酰脲(参见例如US 6,222,100、WO 01/82685、WO 00/26390、WO 97/41218、 WO 98/02526、WO 98/02527、WO 04/106529、WO 05/20673、WO 03/14357、 WO 03/13225、WO 03/14356、WO 04/16073)或咪唑啉酮(参见例如US6,222,100、WO 01/82685、WO 00/026390、WO 97/41218、WO 98/002526、 WO 98/02527、WO04/106529、WO 05/20673、WO 03/014357、WO 03/13225、 WO 03/14356、WO 04/16073);烯醇丙酮酰莽草酸-3-磷酸酯合成酶(EPSPS) 抑制剂,如草甘膦(glyphosate)(参见例如WO 92/00377);谷氨酰胺合成酶(GS) 抑制剂,如草铵膦(glufosinate)(参见例如EP-A 242 236、EP-A 242 246)或苯腈除草剂(参见例如US 5,559,024)。通过常规育种(诱变)方法已促使数种栽培植物耐受除草剂,例如夏季油菜(芥花(Canola),德国巴斯夫股份公司(BASF SE,Germany))耐受咪唑啉酮,例如甲氧咪草烟(imazamox)。已使用遗传工程改造方法促使如大豆、棉花、玉米、甜菜和油菜的栽培植物耐受如草甘膦和草铵膦的除草剂,其中的一些以商品名(耐草甘膦,美国孟山都(Monsanto,U.S.A.))和(耐草铵膦,德国拜耳作物科学(CropScience,Germany))可购得。
此外,还涵盖通过使用重组DNA技术而能够合成以下各者的植物:一或多种杀昆虫蛋白质,尤其已知来自芽孢杆菌属细菌,具体来说来自苏云金芽孢杆菌(Bacillusthuringiensis)的蛋白质,如δ-内毒素,例如CrylA(b)、 CrylA(c)、CrylF、CrylF(a2)、CryllA(b)、CrylllA、CrylllB(bi)和Cryθc;营养期杀昆虫蛋白质(VIP),例如VIP1、VIP2、VIP3或VIP3A;细菌定殖线虫的杀昆虫蛋白质,例如光杆状菌属(Photorhabdus spp.)或致病杆菌属 (Xenor-habdus spp.);由动物产生的毒素,如蝎毒素、蜘蛛毒素、黄蜂毒素或其它昆虫特异性神经毒素;由真菌产生的毒素,如链霉菌毒素、植物凝集素,如豌豆或大麦凝集素;凝血素(agglutinin);蛋白酶抑制剂,如胰蛋白酶抑制剂、丝氨酸蛋白酶抑制剂、块茎储藏蛋白(patatin)、胱抑素(cystatin)或木瓜蛋白酶抑制剂;核糖体失活蛋白(RIP),如蓖麻毒素(ricin)、玉米RIP、相思豆毒素(abrin)、丝瓜毒素(luffin)、沙泊宁(saporin)或异株泻根毒蛋白(bryodin);类固醇代谢酶,如3-羟基类固醇氧化酶、蜕皮类固酸-IDP-糖基-转移酶、胆固醇氧化酶、蜕皮激素抑制剂或HMG-CoA还原酶;离子通道阻断剂,如钠或钙通道阻断剂;保幼激素酯酶;利尿剂激素受体(异株泻根毒蛋白受体);芪合成酶、联苄合成酶、几丁质酶或葡聚糖酶。在本发明的上下文中,这些杀昆虫蛋白质或毒素也应明确地理解为前毒素、杂交蛋白质、截短或以其它方式修饰的蛋白质。杂交蛋白质的特征为蛋白质域的新组合(参见例如WO 02/015701)。所述毒素或能够合成所述毒素的经基因修饰的植物的其它实例公开在例如EP-A 374 753、WO 93/007278、WO 95/34656、EP-A 427 529、 EP-A 451 878、WO 03/18810和WO 03/52073中。产生所述经基因修饰植物的方法通常为所属领域的技术人员所已知并且描述于例如以上提及的出版物中。经基因修饰的植物中所含的这些杀昆虫蛋白质赋予产生这些蛋白质的植物对来自节肢动物的所有分类群的有害害虫,尤其对甲虫(鞘翅目)、双翅昆虫(双翅目)和蛾类(鳞翅目)和对线虫(线虫纲)的耐受性。能够合成一或多种杀昆虫蛋白质的经基因修饰的植物例如描述于上文所提及的出版物中,且其中一些可在市面上购得,如(产生CryiAb毒素的玉米栽培品种)、Plus(产生Cry1Ab和Cry3Bb1毒素的玉米栽培品种)、(产生Cry9c毒素的玉米栽培品种)、RW(产生Cry34Ab1、Cry35Ab1 和酶(草胺膦-N-乙酰基转移酶[PAT])的玉米栽培品种);(产生 Cry1Ac毒素的棉花栽培品种)、I(产生CryiAc毒素的棉花栽培品种)、I1(产生CryiAc和Cry2Ab2毒素的棉花栽培品种);(产生VIP-毒素的棉花栽培品种);(产生Cry3A毒素的马铃薯栽培品种);来自法国先正达种子公司(Syngenta Seeds SAS,France)的 Bt 1 1(例如CB) 和Bt176(产生CryiAb毒素和PAT酶的玉米栽培品种)、来自法国先正达种子公司的MIR604(产生Cry3A毒素的经修饰型式的玉米栽培品种,参见WO 03/018810)、来自比利时孟山都欧洲公司(Monsanto Europe S.A.,Belgium)的 MON 863(产生Cry3Bb1毒素的玉米栽培品种)、来自比利时孟山都欧洲公司的IPC 531(产生CryiAc毒素的经修饰型式的棉花栽培品种)和来自比利时先锋海外公司(Pioneer Overseas Corporation,Belgium)的1507(产生Cry1F毒素和PAT酶的玉米栽培品种)。
此外,还涵盖通过使用重组DNA技术而能够合成一或多种用于增加那些植物对细菌、病毒或真菌病原体的抗性或耐受性的蛋白质的植物。所述蛋白质的实例为所谓的“发病机制相关蛋白”(PR蛋白质,参见例如EP-A 392225)、植物疾病抗性基因(例如表达针对衍生自墨西哥野生型马铃薯球栗薯(Solanum bulbocastanum)的致病疫霉(Phytophthorainfestans)起作用的抗性基因的马铃薯栽培品种)或T4-溶菌酶(例如能够合成这些具有增加的针对如梨火疫病菌(Erwinia amylvora)的细菌的抗性的蛋白质的马铃薯栽培品种)。产生所述经基因修饰植物的方法通常为所属领域的技术人员所已知并且描述于例如以上提及的出版物中。
此外,还涵盖通过使用重组DNA技术而能够合成一或多种用于增加那些植物的产率(例如生物质产量、谷粒产量、淀粉含量、油含量或蛋白质含量);对干旱、盐度或其它限制生长的环境因素的耐受性;或对害虫和真菌性、细菌性或病毒性病原体的耐受性的蛋白质的植物。
此外,还涵盖通过使用重组DNA技术而含有经改进量的物质含量或新物质含量(确切地说用以改善人类或动物营养)的植物,例如产生促进健康的长链ω-3脂肪酸或不饱和ω-9脂肪酸的含油作物(例如油菜,加拿大陶氏农业科学(DOW Agro Sciences,Canada))。
本发明化合物和其组合物分别尤其适用于控制以下植物疾病:
观赏植物、蔬菜(例如白锈菌(A.Candida)和向日葵(例如婆罗门参白锈菌(A.tragopogonis))上的白锈菌属(Albugo spp.);蔬菜、油菜(芸苔生链格孢菌(A.brassicola)或芸苔链格孢菌(A.brassicae))、糖用甜菜(极细链格孢菌(A. tenuis))、水果、稻米、大豆、马铃薯(例如立枯链格孢菌(A.solani)或赤星链格孢菌(A.alternata))、蕃茄(例如立枯链格孢菌或赤星链格孢菌)和小麦上的链格孢菌属(Altemaria spp.)(链格孢菌属叶斑病);糖用甜菜和蔬菜上的丝囊霉属(Aphanomyces spp.);谷物和蔬菜上的壳二孢属(Ascochyta spp.),例如小麦上的小麦壳二孢(A.tritici)(炭疽病)和大麦上的大麦壳二孢(A.hordei);平脐蠕孢属(Bipolaris spp.)和内脐蠕孢属(Drechslera spp.)(有性型:旋孢腔菌属 (Cochliobolus spp.)),例如玉米上的南方叶枯病(玉蜀黍内脐蠕孢(D.maydis)) 或北方叶枯病(玉米生平脐蠕孢(B.zeicola)),例如谷物上的斑点病(麦根腐平脐蠕孢(B.sorokiniana))和例如稻米和草皮上的稻平脐蠕孢(B.oryzae);谷物上(例如小麦或大麦上)的布氏白粉菌(Blumeriagraminis(先前为Erysiphe))(白粉病);水果和浆果(例如草莓)、蔬菜(例如莴苣、胡萝卜、芹菜和甘蓝)、油菜、花卉、葡萄藤、林业植物和小麦上的番茄灰霉菌(Botrytis cinerea)(有性型:富氏葡萄孢盘菌(Botryotiniafuckeliana):灰色霉病);莴苣上的莴苣露菌病(Bremia lactucae)(霜霉病);阔叶树和常青树上的长喙壳属(Ceratocystis spp.)(同义词Ophiostoma)(枯病或萎蔫病),例如榆树上的榆长喙壳(C. ulmi)(荷兰榆树病);玉米上(例如灰色叶斑病:玉蜀黍尾孢菌(C.zeaemaydis))、稻米、糖用甜菜(例如甜菜尾孢菌(C.beticola)、甘蔗、蔬菜、咖啡、大豆(例如大豆尾孢菌(C.sojina)或菊池尾孢菌(C.kikuchii))和稻米上的尾孢菌属(Cercospora spp.)(尾孢菌叶斑病);蕃茄(例如黄枝孢菌(C.fulvum):叶霉病) 和谷物上的枝孢菌属(Cladosporium spp.),例如小麦上的草芽枝孢菌(C. herbarum)(黑穗病);谷物上的紫色麦角菌(Claviceps purpurea)(麦角病);玉米 (灰色旋孢腔菌(C.carbonum))、谷物(例如禾旋孢腔菌(C.sativus,无性型):麦根腐平脐蠕孢(B.sorokiniana))和稻米(例如宫部旋孢腔菌(C.miyabeanus,无性型):稻长蠕孢(H.oryzae))上的旋孢腔菌属(无性型:(平脐蠕孢属的长蠕孢))(叶斑病);棉花(例如棉炭疽病菌(C.gossypii))、玉米(例如禾生炭疽病菌 (C.graminicola):炭疽茎枯病)、软果、马铃薯(例如西瓜炭疽病菌(C.coccodes):黑斑病)、蚕豆(例如菜豆炭疽病菌(C.lindemuthianum))和大豆(例如大豆炭疽病菌(C.truncatum)或胶孢炭疽病菌(C.gloeosporioides))上的炭疽病菌属(Colletotrichum)(有性型:小丛壳(Glomerella)(炭疽病);伏革菌属 (Corticium spp.),例如稻米上的笹木伏革菌(C.sasakii)(外皮枯萎病);大豆和观赏植物上的多主棒孢霉(Corynespora cassiicola)(叶斑病);锈斑病菌属 (Cycloconium spp.),例如橄榄树上的橄榄锈斑病菌(C.oleaginum);果树、葡萄藤(例如鹅掌楸柱孢菌(C.liriodendri),有性型:鹅掌楸新丛赤壳菌 (Neonectria liriodendri):乌脚病)和观赏植物上的柱孢菌属(Cylindrocarpon spp.)(例如果树溃疡病或幼葡萄藤衰弱病,有性型:丛赤壳属(Nectriaspp.)或新丛赤壳属(Neonectria spp.);大豆上的白纹羽束丝菌(Dematophora necatrix(有性型:白纹病菌属(Rosellinia)))(根和茎枯病);北茎溃疡菌属 (Diaporthe spp.),例如大豆上的大豆北茎溃疡病菌(D.phaseolorum)(猝倒病);玉米、谷物(如大麦(例如大麦网斑内脐蠕孢(D.teres),网斑病)和小麦(例如黄褐斑内脐蠕孢(D.tritici-repentis):黄褐斑病))、稻米和草皮上的内脐蠕孢属(同义词Helminthosporium,有性型:核腔菌属(Pyrenophora));由斑褐孔菌 (Formitiporia punctata(同义词Phellinus))、海洋孔菌(F.mediterranea)、根霉格抱菌(Phaeomoniella chlamydospora)(以前为Phaeo-acremonium chlamydosporum)、鸡腿蘑丝孢(Phaeoacremonium aleophilum)和/或葡萄座腔菌(Botryosphaeria obtusa)引起的葡萄藤上的埃斯卡病(Esca)(顶枯病、干枯病);梨果(E.pyri)和软果(覆盆子痂囊腔菌(E.veneta):炭疽病)和葡萄藤(葡萄痂囊腔菌(E.ampelina):炭疽病)上的痂囊腔菌属(Elsinoe spp.);稻米上的稻叶黑粉菌(Entylomaoryzae)(叶黑粉病);小麦上的附球菌属(Epicoccum spp.)(黑霉病);糖用甜菜(甜菜白粉菌(E.betae))、蔬菜(例如豌豆白粉菌(E. pisi))(如黄瓜(例如二孢白粉菌(E.cichoracearum))、甘蓝、油菜(例如十字花科白粉菌(E.cruciferarum))上的白粉菌属(Erysiphe spp.)(白粉病);果树、葡萄藤和观赏树木上的侧弯孢菌(Eutypa lata)(侧弯孢菌溃疡病或顶枯病,无性型:长额囊孢菌(Cytosporina lata),同义词(Libertellablepharis));玉米(例如玉米大斑病菌(E.turcicum))上的突脐蠕孢属(Exserohilumspp.)(同义词 Helminthosporium);各种植物上的镰刀菌属(Fusarium spp.)(有性型:赤霉 (Gibberella))(枯萎病,根或茎枯病),如谷物(例如小麦或大麦)上的禾谷镰刀菌(F.graminearum)或黄色镰刀菌(F.culmorum)(根枯病、疮痂病或头枯萎病)、蕃茄上的尖镰刀菌(F.oxysporum)、大豆上的茄腐镰刀菌(F.solani)和玉米上的轮枝镰刀菌(F.verticillioides);谷物(例如小麦或大麦)和玉米上的禾顶囊壳 (Gaeumannomycesgraminis)(全蚀病);谷物(例如玉蜀黍赤霉(G.zeae))和稻米 (例如藤仓赤霉(G.fujikuroi):恶苗病)上的赤霉属(Gibberella spp.);葡萄藤、梨果和其它植物上的围小丛壳菌(Glomerella cingulata)和棉花上的棉小丛壳菌(G.gossypii);稻米上的谷粒染色复合物;葡萄藤上的葡萄球座菌 (Guignardia bidwellii)(黑枯病);蔷薇科植物和剌柏上的锈菌属 (Gymnosporangium spp.),例如梨上的圆柏锈菌(G.sabinae)(锈病);玉米、谷物和稻米上的长蠕孢属(Helminthosporium spp.)(同义词Drechslera,有性型:旋孢腔菌属);驼孢锈菌属(Hemileia spp.),例如咖啡上的咖啡鸵孢锈菌(H. vastatrix)(咖啡叶锈病);葡萄藤上的揭斑拟棒束孢(lsariopsis clavispora)(同义词Cladosporium vitis);大豆和棉花上的菜豆壳球孢(Macrophomina phaseolina)(同义词phaseoli))(根和茎枯病);谷物(例如小麦或大麦)上的雪腐镰刀菌(Microdochiumnivale)(同义词Fusarium)(粉色雪霉病);大豆上的扩散叉丝壳(Microsphaera diffusa)(白粉病);链核盘菌属(Monilinia spp.),例如核果和其它蔷薇科植物上的核果链核盘菌(M.laxa)、美澳型核果链核盘菌(M. fructicola)和果生链核盘菌(M.fructigena)(花枝枯萎病,褐枯病);谷物、香蕉、软果和落花生上的球腔菌属(Mycosphaerella spp.),如小麦上的禾生球腔菌(M.graminicola)(无性型:小麦壳针孢(壳针孢属tritici),壳针孢叶斑病)或香蕉上的斐济球腔菌(M.fijiensis)(黑斑病);甘蓝(例如芸苔霜霉(P.brassicae))、油菜 (例如寄生霜霉(P.parasitica))、洋葱(例如葱霜霉(P.destructor))、烟草(烟草霜霉(P.tabacina))和大豆(例如大豆霜霉(P.manshurica))上的霜霉属(Peronospora spp.)(霜霉病);大豆上的豆薯层锈菌(Phakopsora pachyrhizi)和山马蝗层镑菌 (P.meibomiae)(大豆锈病);例如葡萄藤(例如维管束瓶霉菌(P.tracheiphila)和四孢瓶霉菌(P.tetraspora))和大豆(例如大豆蓬揭腐病菌(P.gregata):茎枯病) 上的瓶霉菌属(Phialophora spp.);油菜和甘蓝上的黑胫茎点霉(Phoma lingam)(根和茎枯病)以及糖用甜菜上的甜菜茎点霉(P.betae)(根枯病、叶斑病和猝倒病);向日葵、葡萄藤(例如葡萄黑腐病菌(P.viticola):茎和叶斑病)和大豆(例如茎枯病:菜豆疫霉病菌(P.phaseoli),有性型:大豆北茎溃疡病菌 (Diaporthephaseolorum))上的拟茎点霉属(Phomopsis spp.);玉米上的玉蜀黍褐斑病菌(Physodermamaydis)(褐斑病);各种植物(如红辣椒和葫芦(例如辣椒疫霉菌(P.capsici))、大豆(例如大豆疫霉(P.megasperma),同义词P.sojae))、马铃薯和蕃茄(例如致病疫霉(P.infestans):晚疫病)和阔叶树(例如栎树猝死病菌(P.ramorum):橡树猝死病)上的疫霉属(Phytophthora spp.)(枯萎病,根、叶、果实和茎根);甘蓝、油菜、萝卜和其它植物上的芸苔根肿菌 (Plasmodiophora brassicae)(根肿病);单轴霉属(Plasmopara spp.),例如葡萄藤上的葡萄生单轴霉(P.viticola)(葡萄藤霜霉病)和向日葵上的霍尔斯单轴霉(P.halstediiou);蔷薇科植物、蛇麻子、梨果和软果上的叉丝单囊壳属(Podosphaera spp.)(白粉病),例如苹果上的苹果白粉病菌(P.leucotricha);谷物(如大麦和小麦)(禾谷多粘菌(P.graminis))和糖用甜菜(甜菜多粘菌(P.betae))上的多粘菌属 (Polymyxa spp.)以及由此传播的病毒性病害;谷物(例如小麦或大麦)上的铺毛拟小尾孢(Pseudocercosporella herpotrichoides)(眼斑病,有性型:塔普斯菌 (Tapesiayallundae));各种植物上的假霜霉属(Pseudoperonospora)(霜霉病),例如葫芦上的古巴假霜霉(P.cubensis)或蛇麻子上的萚草假霜(P.humili);葡萄藤上的维管束假无柄盘菌(Pseudopezicula tracheiphila)(红火病(red fire disease或rotbrenner'),无性型:瓶霉属(Phialophora));各种植物上的柄锈菌属(Puccinia spp.)(锈病),例如谷物(如小麦、大麦或黑麦)和芦笋(例如天门冬属柄锈病(P.asparagi))上的小麦柄锈菌(P.triticina)(褐锈病或叶锈病),条形柄锈病(P.striiformis)(条锈病或黄锈病),大麦柄锈病(P.hordei)(萎缩锈病),禾柄锈菌(P.graminis)(茎锈病或黑锈病)或小麦叶锈菌(P.recondita)(褐锈病或叶锈病);小麦上的黄褐斑核腔菌(Pyrenophora tritici-repentis)(无性型:内脐蠕孢属)(黄褐斑病)或大麦上的大麦网斑核腔菌(P.teres)(网斑病);梨孢属 (Pyricularia spp.),例如稻米上的稻梨孢菌(P.oryzae)(有性型:稻瘟病菌(Magnaporthe grisea),稻热病)和草皮谷物上的稻瘟梨孢菌(P.grisea);草皮、稻米、玉米、小麦、棉花、油菜、向日葵、大豆、糖用甜菜、蔬菜和各种其它植物上的腐霉属(Pythiumspp.)(猝倒病)(例如终极腐霉(P.ultimum)或瓜果腐霉(P.aphanidermatum));柱隔孢属(Ramularia spp.),例如大麦上的大麦柱隔孢(R.collo-cygni)(柱隔孢属叶斑病、生理叶斑病)和糖用甜菜上的甜菜柱隔孢(R.beticola);棉花、稻米、马铃薯、草皮、玉米、油菜、马铃薯、糖用甜菜、蔬菜和各种其它植物上的丝核菌属(Rhizoctonia spp.),例如大豆上的立枯丝核菌(R.solani)(根枯病和茎枯病)、稻米上的立枯丝核菌(外皮枯萎病)或小麦或大麦上的禾谷丝核菌(R.cerealis)(丝核菌春季枯萎病);草莓、胡萝卜、甘蓝、葡萄藤和蕃茄上的葡枝根霉(Rhizopus stolonifer)(黑霉病、软枯病);大麦、黑麦和黑小麦上的黑麦喙孢(Rhynchosporium secalis)(褐斑病);稻米上的稻帚枝霉(Sarocladium oryzae)和渐狭帚枝霉(S.attenuatum)(外皮枯病);蔬菜和田间作物(如油菜、向日葵(例如向日葵核盘菌(S.sclerotiorum))和大豆(例如齐整核盘菌(S.rolfsii)或向日葵核盘菌))上的核盘菌属(Sclerotinia spp.)(茎枯病或白霉病);各种植物上的壳针孢属(Septoria spp.),例如大豆上的大豆壳针孢(S.glycines)(褐斑病)、小麦上的小麦壳针孢(S.tritici)(壳针孢叶斑病)和谷物上的颖枯壳针孢(S.nodorum)(同义词Stagonospora)(叶花斑枯病);葡萄藤上的葡萄钩丝壳菌(Uncinula necator)(同义词Erysiphe)(白粉病,无性型:葡萄粉孢(Oidiumtuckeri));玉米(例如玉米大斑病菌(S.turcicum),同义词 Helminthosporium turcicum)和草皮上的大斑病菌属(Setospaeria spp.)(叶枯萎病);玉米(例如丝轴黑粉菌(S.miliaria):头黑穗病)、高梁和甘蔗上的轴黑粉菌属(Sphacelotheca spp.)(黑穗病);葫芦上的单丝壳白粉菌(Sphaerotheca fuliginea)(白粉病);马铃薯上的粉痴菌(Spongospora subterranea)(粉痂病)和由此传播的病毒性病害;谷物上的壳多孢属(Stagonospora spp.),例如小麦上的颖枯壳多孢(S.nodorum)(叶花斑枯病,有性型:颖枯球腔菌(Leptosphaeria nodorum[同义词Phaeosphaeria]));马铃薯上的内生集壶菌(Synchytrium endobioticum)(马铃薯癌肿病);外囊菌属(Taphrina spp.),例如桃上的畸形外囊菌(T.deformans)(缩叶病)和李上的李外囊菌(T.pruni)(李袋果病);烟草、梨果、蔬菜、大豆和棉花上的根串珠霉属(Thielaviopsis spp.)(黑色根枯病),例如黑色根串珠霉(T.basicola)(同义词Chalara elegans);谷物上的腥黑粉菌属 (Tilletia spp.)(普通黑穗病(common bunt)或腥黑穗病(stinking smut)),如小麦上的小麦腥黑粉菌(T.tritici)(同义词T.caries,小麦黑穗病)和小麦矮腥黑穗菌(T.controversa)(萎缩黑穗病);大麦或小麦上的肉孢核瑚菌(Typhula incarnata)(灰雪霉病);条黑粉菌属(Urocystis spp.),例如黑麦上的隐条黑粉菌 (U.occulta)(茎黑穗病);蔬菜(如蚕豆(例如疣顶单胞锈菌(U.appendiculatus),同义词U.phaseoli)和糖用甜菜(例如甜菜单胞锈菌(U.betae)))上的单孢锈菌属(Uromyces spp.)(锈病);谷物(例如裸单胞锈菌(U.nuda)和燕麦散黑粉菌(U. avaenae))、玉米(例如玉蜀黍黑粉菌(U.maydis):玉米黑穗病)和甘蔗上的黑粉菌属(Ustilago spp.)(散黑穗病);苹果(例如苹果黑星病(V.inaequalis))和梨上的黑星菌属(Venturia spp.)(疮痂病);和各种植物(如果树和观赏植物、葡萄藤、软果、蔬菜和田间作物)上的轮枝菌属(Verticillium spp.)(萎蔫病),例如草莓、油菜、马铃薯和蕃茄上的大丽轮枝菌(V.dahliae)。
本发明化合物和其组合物分别也适用于在保护储藏产品或收获物时或在保护材料时控制有害真菌。术语“材料保护”应理解为表示保护工业材料和非生活材料,如粘着剂、胶、木材、纸和纸板、织物、皮革、油漆分散液、塑料、冷却润滑剂、纤维或织物,以防由有害微生物(如真菌和细菌)造成的侵袭和破坏。关于木材和其它材料的保护,应特别注意以下有害真菌:子囊菌纲,如长喙霉属(Ophiostoma spp.)、长喙壳属(Ceratocystis spp.)、出芽短梗霉菌(Aureobasidium pullulans)、核茎点霉属(Sclerophoma spp.)、毛壳菌属(Chaetomium spp.)、腐殖菌属(Humicola spp.)、石座菌属(Petriella spp.)、毛束霉属(Trichurus spp.);担子菌纲,如粉孢革菌属(Coniophora spp.)、革盖菌属 (Coriolusspp.)、粘褶菌属(Gloeophyllum spp.)、香菇属(Lentinus spp.)、侧耳属(Pleurotusspp.)、卧孔菌属(Poria spp.)、蟠龙介属(Serpula spp.)和干酪菌属 (Tyromyces spp);半知菌纲,如曲霉菌属(Aspergillus spp.)、枝孢菌属 (Cladosporium spp.)、青霉菌属(Penicillium spp.)、木霉菌属(Trichorma spp.)、链格孢菌属(Alternaria spp.)、拟青霉菌属(Paecilomyces spp.);和接合菌纲,如白霉菌属(Mucor spp.);且另外在储藏产品和收获物的保护中,值得注意的是以下酵母菌:假丝酵母属(Candida spp.)和酿酒酵母(Saccharomyces cerevisae)。
本发明化合物和其组合物分别可以用于改善植物的健康状况。本发明还涉及一种通过以下方式改善植物健康状况的方法:用有效量的本发明化合物或其组合物分别处理植物、其繁殖材料和/或植物正在生长或欲生长的地点。
术语“植物健康”应理解为表示植物和/或其产品由若干指标单独或彼此组合所确定的状况,所述指标如产量(例如增加的生物质和/或增加的有价值成分含量)、植物活力(例如改善的植物生长和/或较绿的叶子(“绿化效应”))、质量(例如改善的某些成分的含量或组成)和对非生物应激和/或生物应激的耐受性。以上经鉴别用于植物健康状况的指标可相互依赖或可由彼此产生。
本发明化合物可以生物活性可不同的不同晶体变体形式存在。所述晶体变体同样为本发明的主题。
本发明化合物按原样或以组合物形式使用,以通过用杀真菌有效量的活性物质处理真菌或植物、植物繁殖材料(如种子)、土壤、表面、材料或空间而免受真菌攻击。可在真菌感染植物、植物繁殖材料(如种子)、土壤、表面、材料或空间之前与之后进行施用。
可预防性地在种植或移植之时或之前用本发明化合物或包含至少一种本发明化合物的组合物处理植物繁殖材料。
本发明还涉及包含溶剂或固体载体和至少一种本发明化合物的农用化学组合物以及控制有害真菌的用途。
农用化学组合物包含杀真菌有效量的化合物。术语“有效量”表示足以控制栽培植物上或在保护材料时的有害真菌且对经处理植物不产生实质性破坏的组合物或本发明化合物的量。所述量可在广泛范围内变化且取决于各种因素,如欲控制的真菌种类、所处理的栽培植物或材料、气候条件和所用的特定本发明化合物。
本发明化合物和其药学上可接受的盐可转化成惯用类型的农用化学组合物,例如溶液、乳液、悬浮液、撒粉、粉剂、糊剂和颗粒。组合物类型取决于特定预定目的;在各种情况下,应确保本发明化合物的精细且均匀的分布。
组合物类型的实例为悬浮液(SC、OD、FS)、可乳化浓缩物(EC)、乳液 (EW、EO、ES)、糊剂、片剂、可湿性粉剂或撒粉(WP、SP、SS、WS、DP、 DS)或颗粒(GR、FG、GG、MG)(其可具水溶性或可湿性),以及用于处理如种子的植物繁殖材料的凝胶制剂(GF)。
组合物类型(例如SC、OD、FS、EC、WG、SG、WP、SP、SS、WS、 GF)通常在稀释后使用。如DP、DS、GR、FG、GG和MG的组合物类型通常未经稀释即使用。
组合物以已知方式制备(参见US 3,060,084、EP-A 707 445(关于液体浓缩物)、Browning:"Agglomeration",Chemical Engineering,Dec.4,1967,147-48, Perry'sChemical Engineer's Handbook,4th Ed.,McGraw-Hill,New York,1963, pp.8-57和以下各专利申请:WO 91/13546、US 4,172,714、US 4,144,050、 US 3,920,442、US 5,180,587、US 5,232,701、US 5,208,030、GB 2,095,558、 US 3,299,566、Klingman:Weed Control asa Science(J.Wiley&Sons,New York,1961)、Hance等人:Weed Control Handbook(8thEd.,Blackwell Scientific, Oxford,1989)和Mollet,H.and Grubemann,A.:Formulationtechnology(Wiley VCH Verlag,Weinheim,2001)。
农用化学组合物还可包含农用化学组合物中惯用的助剂。所用助剂分别取决于特定施用形式和活性物质。
适合助剂的实例为溶剂、固体载体、分散剂或乳化剂(如其它增溶剂、保护性胶体、表面活性剂和粘着剂)、有机和无机增稠剂、杀细菌剂、抗冻剂、消泡剂、(适当时)着色剂和增粘剂或粘合剂(例如用于种子处理制剂)。适合的溶剂为水;有机溶剂,如中沸点到高沸点矿物油部分,如煤油或柴油;此外为煤焦油和植物或动物来源的油;脂肪族、环状和芳香族烃,例如甲苯、二甲苯、石蜡、四氢萘、烷基化萘或其衍生物;醇,如甲醇、乙醇、丙醇、丁醇和环己醇;二醇;酮,如环己酮;和γ-丁内酯;脂肪酸二甲基酰胺;脂肪酸和脂肪酸酯和强力极性溶剂,例如胺,如N-甲基吡咯烷酮。
固体载体为矿物土,如硅酸盐、二氧化硅凝胶、滑石、高岭土、石灰石、石灰、白垩、红玄武土、黄土、粘土、白云石、硅藻土、硫酸钙、硫酸镁、氧化镁;粉碎合成材料;肥料(如硫酸铵、磷酸铵、硝酸铵、脲);和植物来源的产品(如谷物粗粉、树皮粗粉、木材粗粉和坚果壳粗粉)、纤维素粉末和其它固体载体。
适合的表面活性剂(辅料、湿润剂、增粘剂、分散剂或乳化剂)为芳香族磺酸(如木质素磺酸(型,挪威宝利葛公司(Borregard,Norway))、酚磺酸、萘磺酸(型,美国阿克苏诺贝尔公司(Akzo Nobel,U.S.A.))、二丁基萘磺酸(型,德国巴斯夫公司(BASF,Germany)))的碱金属、碱土金属和铵盐,和脂肪酸、烷基磺酸盐、烷基芳基磺酸盐、烷基硫酸盐、月桂基醚硫酸盐、脂肪醇硫酸盐和硫酸化己酸盐、硫酸化庚酸盐和硫酸化十八烷酸盐、硫酸化脂肪醇二醇醚,此外为萘或萘磺酸与苯酚和甲醛的缩合物、聚氧乙烯辛基苯基醚、乙氧基化异辛基苯酚、辛基苯酚、壬基苯酚、烷基苯基聚乙二醇醚、三丁基苯基聚乙二醇醚、三硬脂酰基苯基聚乙二醇醚、烷基芳基聚醚醇、醇与脂肪醇/环氧乙烷缩合物、乙氧基化蓖麻油、聚氧乙烯烷基醚、乙氧基化聚氧丙烯、月桂醇聚乙二醇醚缩醛、山梨糖醇酯、木质素亚硫酸盐废液和蛋白质、变性蛋白质、多糖(例如甲基纤维素)、疏水改性的淀粉、聚乙烯醇(型,瑞士科莱恩公司(Clariant,Switzerland))、聚羧酸酯(型,德国巴斯夫公司)、聚烷氧基化物、聚乙烯胺(型,德国巴斯夫公司)、聚乙烯吡咯烷酮和其共聚物。
增稠剂(即赋予组合物改变的流动性,即在静态条件下具高粘度且在搅动期间具低粘度的化合物)的实例为多糖和有机与无机粘土,如黄原胶 (Xanthan gum)(美国斯比凯克公司(CP Kelco,U.S.A.))、 23(法国罗地亚公司(Rhodia,France))、(RT.美国范德比尔特 (Vanderbilt,U.S.A.))或(美国新泽西州安格化工有限公司(Engelhard Corp.,NJ,USA))。
可添加杀细菌剂以保存组合物且使其稳定。适合的杀细菌剂的实例为基于双氯酚(dichlorophene)和苯甲醇半缩甲醛的杀细菌剂(来自ICI的或来自索尔化学公司(Thor Chemie)的RS和来自罗门哈斯公司 (Rohm&Haas)的MK)和异噻唑啉酮衍生物,如烷基异噻唑啉酮和苯并异噻唑啉酮(来自索尔化学公司的MBS)。
适合的抗冻剂的实例为乙二醇、丙二醇、脲和丙三醇。
适合的着色剂为低水溶性颜料和水溶性染料。所提及的实例和名称为罗丹明B(rhodamin B)、C.I.颜料红112、C.I.溶剂红1、颜料蓝15:4、颜料蓝 15:3、颜料蓝15:2、颜料蓝15:1、颜料蓝80、颜料黄1、颜料黄13、颜料红 112、颜料红48:2、颜料红48:1、颜料红57:1、颜料红53:1、颜料橙43、颜料橙34、颜料橙5、颜料绿36、颜料绿7、颜料白6、颜料棕25、碱性紫10、碱性紫49、酸性红51、酸性红52、酸性红14、酸性蓝9、酸性黄23、碱性红10、碱性红108。
粉剂、撒布用材料和撒粉可通过混合或同时研磨本发明化合物和(适当时)其它活性物质与至少一种固体载体来制备。
颗粒,例如经涂布颗粒、经浸渍颗粒和均质颗粒可通过使活性物质结合于固体载体来制备。固体载体的实例为矿物土,如二氧化硅凝胶、硅酸盐、滑石、高岭土、美国活性白土(attaclay)、石灰石、石灰、白垩、红玄武土、黄土、粘土、白云石、硅藻土、硫酸钙、硫酸镁、氧化镁;粉碎合成材料;肥料(如硫酸铵、磷酸铵、硝酸铵、脲);和植物来源的产品(如谷物粗粉、树皮粗粉、木材粗粉和坚果壳粗粉)、纤维素粉末和其它固体载体。
组合物类型的实例包括但不限于:1.用于用水稀释的组合物类型,i)水溶性浓缩物(SL、LS):将10重量份的本发明本发明化合物溶解于90重量份的水或水溶性溶剂中。作为一个替代方案,添加湿润剂或其它助剂。在用水稀释时活性物质溶解。以此方式,获得活性物质含量为10重量%的组合物。 ii)可分散浓缩物(DC):将20重量份的本发明本发明化合物溶解于70重量份的环己酮中,且添加10重量份的分散剂(例如聚乙烯吡咯烷酮)。用水稀释得到分散液。活性物质含量为20重量%。iii)可乳化浓缩物(EC):将15重量份的本发明本发明化合物溶解于75重量份的二甲苯中,且添加十二烷基苯磺酸钙和乙氧基化蓖麻油(各者为5重量份)。用水稀释得到乳液。组合物的活性物质含量为15重量%。iv)乳液(EW、EO、ES):将25重量份的本发明本发明化合物溶解于35重量份的二甲苯中,且添加十二烷基苯磺酸钙和乙氧基化蓖麻油(各者为5重量份)。此混合物借助于乳化机(Ultraturrax)引入到30重量份的水中且制成均质乳液。用水稀释得到乳液。组合物的活性物质含量为25重量%。v)悬浮液(SC、OD、FS):在搅动式球磨机中,将20重量份的本发明本发明化合物粉碎,且添加10重量份的分散剂和湿润剂和70重量份的水或有机溶剂,得到精细活性物质悬浮液。用水稀释得到活性物质的稳定悬浮液。组合物中的活性物质含量为20重量%。vi)水分散性颗粒的水溶性颗粒(WG、SG),将50重量份的本发明本发明化合物细磨,且添加50重量份的分散剂和湿润剂,且借助于工业级设备(例如挤出机、喷雾塔、流化床) 制备为水分散性或水溶性颗粒。用水稀释得到活性物质的稳定分散液或溶液。组合物的活性物质含量为50重量%。vii)水分散性粉剂和水溶性粉剂 (WP、SP、SS、WS),将75重量份的本发明本发明化合物在转子-定子研磨机中粉碎,且添加25重量份的分散剂、湿润剂和硅胶。用水稀释得到活性物质的稳定分散液或溶液。组合物的活性物质含量为75重量%。viii)凝胶 (GF):在搅动式球磨机中,将20重量份的本发明本发明化合物粉碎,且添加10重量份的分散剂、1重量份的胶凝剂湿润剂和70重量份的水或有机溶剂,得到活性物质的精细悬浮液。用水稀释,得到活性物质的稳定悬浮液,借此获得具有20%(w/w)活性物质的组合物。
2.未经稀释即施用的组合物类型:ix)可粉化粉剂(DP、DS):将5重量份的本发明本发明化合物细磨,且与95重量份的细粉状高岭土均匀混合。这得到活性物质含量为5重量%的可粉化组合物。x)颗粒(GR、FG、GG、 MG):将0.5重量份的本发明本发明化合物细磨且与99.5重量份的载体缔合。当前方法为挤出、喷雾干燥或流化床。这得到活性物质含量为0.5重量%的未经稀释即施用的颗粒。xi)ULV溶液(UL),将10重量份的本发明本发明化合物溶解于90重量份的有机溶剂(例如二甲苯)中。这得到活性物质含量为 10重量%的未经稀释即施用的组合物。
农用化学组合物通常包含在0.01重量%与95重量%之间、优选在0.1 重量%与90重量%之间、最优选在0.5重量%与90重量%之间的活性物质。活性物质以90%到100%、优选95%到100%(根据NMR光谱)的纯度使用。
出于处理植物繁殖材料、尤其种子的目的,通常采用水溶性浓缩物(LS)、可流动浓缩物(FS)、用于干燥处理的粉剂(DS)、用于浆料处理的水分散性粉剂(WS)、水溶性粉剂(SS)、乳液(ES)、可乳化浓缩物(EC)和凝胶(GF)。这些组合物可在稀释后或未经稀释即施用于植物繁殖材料,尤其种子。所讨论的组合物在两倍到十倍稀释之后在即用制剂中得到0.01重量%到60重量%、优选0.1重量%到40重量%的活性物质浓度。可在播种之前或期间进行施用。用于分别施用或处理农用化学化合物和组合物到植物繁殖材料、尤其种子上的方法为所属领域中已知的,且包括繁殖材料的敷裹、包覆、粒化、撒粉、浸泡和沟内施用方法。在一个优选实施方案中,通过不会诱导萌芽的方法,例如通过拌种、粒化、包覆和撒粉将本申请提供的化合物或其组合物分别施用到植物繁殖材料上。
在一个优选实施方案中,悬浮液型(FS)组合物用于种子处理。FS组合物通常可包含1-800g/l活性物质、1-200g/l表面活性剂、0到200g/l抗冻剂、 0到400g/l粘合剂、0到200g/l颜料和最多1升溶剂(优选是水)。
活性物质可以按原样或以其组合物形式使用,例如以可直接喷雾溶液、粉剂、悬浮液、分散液、乳液、分散液、糊剂、可粉化产品、用于撒布的材料或颗粒形式借助于喷雾、雾化、撒粉、撒布、刷拭、浸没或浇灌来使用。施用形式完全取决于预定目的;意欲确保在各种情况下本发明的活性物质尽可能的最精细地分布。水性施用形式可从乳液浓缩物、糊剂或可湿性粉剂(可喷雾粉剂、油分散液)通过添加水来制备。为了制备乳液、糊剂或油分散液,按原样或溶解于油或溶剂中的物质可在水中借助于湿润剂、增粘剂、分散剂或乳化剂均质化。或者,可制备由活性物质、湿润剂、增粘剂、分散剂或乳化剂以及(适当时)溶剂或油构成的浓缩物,且所述浓缩物适用于用水稀释。
即用制剂中的活性物质浓度可在相对较宽范围内改变。一般来说,其为 0.0001重量%到10重量%、优选为0.001重量%到1重量%的活性物质。
活性物质也可成功地用于超低体积工艺(ULV),可施用包含超过95重量%活性物质的组合物,或甚至施用无添加剂的活性物质。
当用于植物保护时,取决于所需效果的种类,活性物质的施用量为每公顷0.001到2kg,优选是每公顷0.005到2kg,更优选是每公顷0.05到0.9kg,尤其是每公顷0.1到0.75kg。
在植物繁殖材料(如种子)例如通过撒粉、包覆或浸湿种子的处理中,通常需要活性物质的量为每100千克植物繁殖材料(优选是种子)0.1到1000g、优选地1到1000g、更优选地1到100g且最优选地5到100g。
当用于材料或储存产品的保护中时,活性物质的施用量取决于施用区域的种类和所要效果。在材料保护中惯常施用的量为例如每立方米所处理材料 0.001g到2kg、优选是0.005g到1kg活性物质。
可向活性物质或包含其的组合物中添加各种类型的油、湿润剂、辅料、除草剂、杀细菌剂、其它杀真菌剂和/或农药,适当时直到在即将使用前才添加(罐混)。这些试剂可以1:100到100:1、优选1:10到10:1的重量比与本发明的组合物混合。
可使用的辅料尤其为有机改性型聚硅氧烷,如Break Thru S烷氧基化醇,如AtplusAtplus MBAPIurafac LF和Lutensol ON EO/PO嵌段聚合物,例如Pluronic RPE和Genapol乙氧基化醇,如Lutensol XP以及磺基丁二酸二辛基钠,如Leophen
本发明组合物以作为杀真菌剂的使用形式还可与其它活性物质一起,例如与农药、生长调节剂、杀真菌剂一起或者与肥料一起以预混物形式存在,或适当时直到在即将使用前才混合(罐混)。所述农药可为例如,杀虫剂、杀真菌剂、除草剂或其他杀线虫剂。所述组合物还可以包括一种或多种其他活性物质,包括生物防治剂、微生物提取物、天然产物、植物生长活化剂和/ 或植物防御剂。
将呈作为杀真菌剂的使用形式的本发明化合物或包含其的组合物与其它杀真菌剂混合在许多情况下会扩大所获得活性的杀真菌范围或防止杀真菌剂抗性发展。此外,在许多情况下,获得协同效应。
可与本发明化合物联合使用的活性物质的以下列表意欲说明可能的组合,但并不限于此:
A)嗜球果伞素类(strobilurin):腈嘧菌酯(azoxystrobin)、丁香菌酯(coumoxystrobin)、甲氧菌平(dimoxystrobin)、烯肟菌酯(enestroburin)、烯肟菌酯(enoxastrobin)、芬托芬(fenaminstrobin)、氟嘧菌酯(fluoxastrobin)、氟氧西菌素(flufenoxystrobin)、醚菌酯(kresoxim-methyl)、灭蚁灵(mandestrobin)、叉氨苯酰胺(metominostrobin)、肟醚菌胺(orysastrobin)、啶氧菌酯 (picoxystrobin)、唑菌胺酯(pyraclostrobin)、唑胺菌酯(pyrametostrobin)、唑菌酯(pyraoxystrobin)、吡喹酮(pyribencarb)、肟菌脂(trifloxystrobin)、2-(2-(6-(3- 氯-2-甲基-苯氧基)-5-氟-嘧啶-4-基氧基)-苯基)-2-甲氧基亚氨基-N-甲基-乙酰胺、3-甲氧基-2-(2-(N-(4-甲氧基-苯基)-环丙烷-羧亚胺酰基硫基甲基)-苯基)- 丙烯酸甲酯、(2-氯-5-[1-(3-甲基苯甲氧基亚氨基)乙基]苯甲基)氨基甲酸甲酯和2-(2-(3-(2,6-二氯苯基)-1-甲基-亚烯丙基胺氧基甲基)-苯基)-2-甲氧基亚氨基-N-甲基-乙酰胺;
B)羧酰胺和羧酰苯胺类:苯霜灵(benalaxyl)、精苯霜灵(benalaxyl-M)、麦锈灵(benodanil)、苯并烯氟菌唑(benzovindiflupyr)、联苯吡菌胺(bixafen)、啶酰菌胺(boscalid)、萎锈灵(carboxin)、甲呋酰胺(fenfuram)、环酰菌胺 (fenhexamid)、fluindapyr、氟酰胺(flutolanil)、氟吡赛(fluxapyroxad)、呋吡唑灵(furametpyr)、吡唑萘菌胺(isopyrazam)、异噻菌胺(isotianil)、克拉昔 (kiralaxyl)、灭锈胺(mepronil)、甲霜灵(metalaxyl)、精甲霜灵 (metalaxyl-M/mefenoxam)、甲呋酰胺(ofurace)、恶霜灵(oxadixyl)、氧化萎锈灵(oxycarboxin)、氟噻唑吡乙酮(oxathiapiprolin)、戊苯吡菌胺(penflufen)、吡噻菌胺(penthiopyrad)、pydiflumetofen、塞达克森(sedaxane)、叶枯酞(tecloftalam)、噻氟菌胺(thifluzamide)、噻酰菌胺(tiadinil)、2-氨基-4-甲基-噻唑-5-甲酰苯胺、2-氯-N-(1,1,3-三甲基-茚满-4-基)-烟酰胺、N-(3',4',5'-三氟联苯-2-基)-3-二氟甲基-1-甲基-1H-吡唑-4-甲酰胺、N-(4'-三氟甲基硫代联苯-2- 基)-3-二氟甲基-1-甲基-1H-吡唑-4-甲酰胺、N-(2-(1,3-二甲基-丁基)-苯基)-1,3- 二甲基-5-氟-1H-吡唑-4-甲酰胺和N-(2-(1,3,3-三甲基-丁基)-苯基)-1,3-二甲基 -5-氟-1H-吡唑-4-甲酰胺;羧吗啉类(carboxylic morpholide):烯酰吗啉 (dimethomorph)、氟吗啉(flumorph)、丁吡吗啉(pyrimorph);苯甲酸酰胺类:氟酰菌胺(flumetover)、氟吡菌胺(fluopicolide)、氟吡胺(fluopyram)、苯酰菌胺(zoxamide)、N-(3-乙基-3,5,5-三甲基-环己基)-3-甲酰胺基-2-羟基-苯甲酰胺;其它甲酰胺类:加普胺(carpropamid)、双环维林(dicyclomet)、双炔酰菌胺(mandiproamid)、土霉素(oxytetracyclin)、硅噻菌胺(silthiofarm)和N-(6-甲氧基-吡啶-3-基)环丙烷甲酸酰胺;
C)唑和三唑类:唑嘧菌胺(ametoctradin)、阿扎康唑(azaconazole)、联苯三唑醇(bitertanol)、糠菌唑(bromuconazole)、环丙唑醇(cyproconazole)、苯醚甲环唑(difenoconazole)、烯唑醇(diniconazole)、高效烯唑醇(diniconazole-M)、氧唑菌(epoxiconazole)、分菌氰唑(fenbuconazole)、氟喹唑(fluquinconazole)、氟硅唑(flusilazole)、粉唑醇(flutriafol)、氟硝唑(flutriazole)、己唑醇 (hexaconazole)、亚胺唑(imibenconazole)、种菌唑(ipconazole)、叶菌唑 (metconazole)、灭克落(myclobutanil)、噁咪唑(oxpoconazole)、多效唑 (paclobutrazole)、配那唑(penconazole)、丙环唑(propiconazole)、丙硫菌唑 (prothioconazole)、硅氟唑(simeconazole)、戊唑醇(tebuconazole)、氟醚唑 (tetraconazole)、三唑酮(triadimefon)、三唑醇(triadimenol)、灭菌唑 (triticonazole)、烯效唑(uniconazole)、1-(4-氯-苯基)-2-([1,2,4]三唑-1-基)-环庚醇;咪唑类:氰霜唑(cyazofamid)、烯菌灵(imazalil)、稻瘟酯(pefurazoate)、咪鲜胺(prochloraz)、氟菌唑(triflumizol);苯并咪唑类:苯菌灵(benomyl)、多菌灵(carbendazim)、麦穗宁(fuberidazole)、噻苯达唑(thiabendazole);-其它:噻唑菌胺(ethaboxam)、土菌灵(etridiazole)、土菌消(hymexazole)和2-(4-氯- 苯基)-N-4-(3,4-二甲氧基-苯基)-异噁唑-5-基]-2-丙-2-炔氧基-乙酰胺;
D)杂环化合物吡啶类:氟啶胺(fluazinam)、啶斑肟(pyrifenox)、氯啶菌酯(triclopyricarb)、3-[5-(4-氯-苯基)-2,3-二甲基-异噁唑烷-3-基]-吡啶、3-[5-(4- 甲基-苯基)-2,3-二甲基-异噁唑烷-3-基]-吡啶、2,3,5,6-四-氯-4-甲磺酰基-吡啶、 3,4,5-三氯吡啶-2,6-二-甲腈、N-(1-(5-溴-3-氯-吡啶-2-基)-乙基)-2,4-二氯烟酰胺、N-[(5-溴-3-氯-吡啶-2-基)-甲基]-2,4-二氯-烟酰胺;嘧啶类:磺嘧菌灵 (bupirimate)、嘧菌环胺(cyprodinil)、二氟林(diflumetorim)、氯苯嘧啶醇 (fenarimol)、嘧菌腙(ferimzone)、嘧菌胺(mepanipyrim)、三氯甲基吡啶 (nitrapyrin)、氟苯嘧啶醇(nuarimol)、嘧霉胺(pyrimethanil);哌嗪类:嗪氨灵 (triforine);吡咯类:拌种咯(fenpiclonil)、咯菌腈(fludioxonil);吗啉类:阿迪吗啉(aldimorph)、十二环吗啉(dodemorph)、十二环吗啉乙酸盐 (dodemorph-acetate)、丁苯吗啉(fenpropimorph)、克啉菌(tridemorph);哌啶类:苯锈啶(fenpropidin);-二羧酰亚胺类:氟菌安(fluoroimid)、异菌脲(iprodione)、腐霉利(procymidone)、乙烯菌核利(vinclozolin);非芳香族5元杂环:噁唑菌酮(famoxadone)、咪唑菌酮(fenamidone)、氟噻菌净(flutianil)、辛噻酮 (octhilinone)、噻菌灵(probenazole)、5-氨基-2-异丙基-3-氧代-4-邻-甲苯基-2,3- 二氢-吡唑-1-硫代甲酸S-烯丙酯;其它:活化酯-S-甲基、吲唑磺菌胺 (amisulbrom)、敌菌灵(anilazin)、杀稻瘟菌素-S(blasticidin-S)、敌菌丹 (captafol)、克菌丹(captan)、灭螨猛(chinomethionat)、棉隆(dazomet)、咪菌威 (debacarb)、哒菌清(diclomezine)、野燕枯(difenzoquat)、野燕枯甲基硫酸酯 (difenzoquat-methylsulfate)、氰菌胺(fenoxanil)、灭菌丹(Folpet)、欧索林酸 (oxolinic acid)、粉病灵(piperalin)、丙氧喹啉(proquinazid)、咯喹酮(pyroquilon)、喹氧灵(quinoxyfen)、咪唑嗪(triazoxide)、三环唑(tricyclazole)、2-丁氧基-6- 碘-3-丙基苯并吡喃-4-酮、5-氯-1-(4,6-二甲氧基-嘧啶-2-基)-2-甲基-1H-苯并咪唑、5-氯-7-(4-甲基哌啶-1-基)-6-(2,4,6-三氟苯基)-[1,2,4]三唑并[1,5-a]嘧啶和5-乙基-6-辛基-[1,2,4]三唑并[1,5-a]嘧啶-7-基胺;
E)氨基甲酸酯类、硫代氨基甲酸酯和二硫代氨基甲酸酯:福美铁 (ferbam)、代森锰锌(mancozeb)、代森锰(maneb)、威百亩(metam)、磺菌威 (methasulfocarb)、磺菌威(methasulphocarb)、代森联(metiram)、丙森锌 (propineb)、硫菌威(prothiocarb)、福美双(thiram)、代森锌(zineb)、福美锌 (ziram);氨基甲酸酯类:苯噻菌胺(benthiavalicarb)、乙霉威(diethofencarb)、丙森锌(iprovalicarb)、霜霉威(propamocarb)、盐酸霜霉威(propamocarb hydrochlorid)、霜霉灭(valiphenal)和N-(1-(1-(4-氰基-苯基)乙烷磺酰基)-丁-2- 基)氨基甲酸-(4-氟苯基)酯;
F)其它活性物质-胍类:胍、多果定(dodine)、多果定游离碱(dodine free base)、双胍辛胺(guazatine)、双胍辛胺乙酸盐(guazatine-acetate)、双胍辛烷(iminoctadine)、双胍辛烷三乙酸盐(iminoctadine-triacetate)、双胍辛烷苯磺酸盐(iminoctadine-tris(albesilate));抗生素类:春日霉素(kasugamycin)、水合盐酸春日霉素(kasugamycinhydrochloride-hydrate)、链霉素(streptomycin)、保粒霉素(polyoxine)、有效霉毒A(validamycin A);硝基苯基衍生物:乐杀螨 (binapacryl)、消螨通(dinobuton)、消螨普(dinocap)、酞菌酯(nitrthal-isopropyl)、四氯硝基苯(tecnazen),有机金属化合物:三苯锡盐(fentin salt)、如醋酸三苯锡(fentin-acetate)、三苯氯锡(fentin chloride)或三苯羟锡(fentin hydroxide);含硫杂环基化合物:二噻农(dithianon)、稻瘟灵(isoprothiolane);有机磷化合物:敌瘟磷(edifenphos)、福赛得(fosetyl)、乙膦铝(fosetyl-aluminum)、异稻瘟净(iprobenfos)、亚磷酸和其盐、定菌磷(pyrazophos)、甲基立枯磷 (tolclofos-methyl);有机氯化合物:百菌清(chlorothalonil)、苯氟磺胺(dichlofluanid)、二氯酚(dichlorophen)、磺菌胺(flusulfamide)、六氯苯(hexachlorobenzene)、纹枯脲(pencycuron)、五氯酚和其盐、四氯苯酞 (phthalide)、五氯硝基苯(quintozene)、硫菌灵(thiophanate)、甲基硫菌灵 (thiophanate-methyl)、对甲抑菌灵(tolylfluanid)、N-(4-氯-2-硝基-苯基)-N-乙基 -4-甲基-苯磺酰胺;无机活性物质:波尔多混合物(Bordeaux mixture)、乙酸铜、氢氧化铜、氧氯化铜、碱性硫酸铜、硫;联苯、溴硝丙二醇(bronopol)、环氟菌胺(cyflufenamid)、霜脲氰(cymoxanil)、二苯胺(diphenylamin)、苯菌酮 (metrafenone)、灭粉霉素(mildiomycin)、快得宁(oxin-copper)、调环酸钙 (prohexadione-calcium)、螺恶茂胺(spiroxamine)、甲基益发灵、N-(环丙基甲氧基亚氨基-(6-二氟-甲氧基-2,3-二氟-苯基)-甲基)-2-苯基乙酰胺、N'-(4-(4-氯 -3-三氟甲基-苯氧基)-2,5-二甲基-苯基)-N-乙基-N-甲基甲脒、N'-(4-(4-氟-3-三氟甲基-苯氧基)-2,5-二甲基-苯基)-N-乙基-N-甲基甲脒、N'-(2-甲基-5-三氟甲基-4-(3-三甲基硅烷基-丙氧基)-苯基)-N-乙基-N-甲基甲脒、N'-(5-二氟甲基 -2-甲基-4-(3-三甲基硅烷基-丙氧基)-苯基)-N-乙基-N-甲基甲脒、2-{1-[2-(5- 甲基-3-三氟甲基-吡唑-1-基)-乙酰基]-哌啶-4-基}-噻唑-4-甲酸甲基-(1,2,3,4- 四氢-萘-1-基)-酰胺、2-{1-[2-(5-甲基-3-三氟甲基-吡唑-1-基)-乙酰基]-哌啶-4- 基}-噻唑-4-甲酸甲基-(1,2,3,4-四氢-萘-1-基)-酰胺、乙酸6-叔丁基-8-氟-2,3- 二甲基-喹啉-4-基酯和甲氧基-乙酸6-叔丁基-8-氟-2,3-二甲基-喹啉-4-基酯。
G)生长调节剂脱落酸(abscisic acid)、先甲草胺(amidochlor)、环丙嘧啶醇(ancymidol)、6-苯甲基氨基嘌呤、芸苔素内酯(brassinolide)、比达宁(butralin)、克美素(chlormequat)(矮壮素(chlormequat chloride))、氯化胆碱(choline chloride)、环丙酸酰胺(cyclanilide)、亚拉生长素(daminozide)、调呋酸 (dikegulac)、获萎得(dimethipin)、2,6-二甲基嘌啶、益收生长素(ethephon)、氟节胺(flumetralin)、呋嘧醇(flurprimidol)、氟噻乙草酯(fluthiacet)、福芬素 (forchlorfenuron)、赤霉酸(gibberellic acid)、依纳素(inabenfide)、吲哚-3-乙酸、顺丁烯二酰肼、氟磺酰草胺(mefluidide)、壮棉素(mepiquat)(缩节胺(mepiquat chloride))、萘乙酸、N-6-苯甲基腺嘌呤、巴克素(paclobutrazol)、调环酸 (prohexadione)(调环酸钙)、茉莉酸丙酯(prohydrojasmon)、噻苯隆(thidiazuron)、抑芽唑(triapenthenol)、三硫代磷酸三丁酯(tributyl phosphorotrithioate)、2,3,5- 三碘苯甲酸、抗倒酯(trinexapac-ethyl)和烯效唑;
H)除草剂乙酰胺类:乙草胺(acetochlor)、甲草胺(alachlor)、去草胺(butachlor)、二甲草胺(dimethachlor)、噻吩草胺(dimethenamid)、氟噻胺 (flufeacet)、苯噻酰草胺(mefenacet)、异丙甲草胺(metolachlor)、吡草胺 (metazachlor)、萘丙酰草胺(napropamide)、萘丙胺(naproanilide)、烯草胺 (pethoxamid)、丙草胺(pretilachlor)、毒草胺(propachlor)、甲氧噻草胺 (thenylchlor);氨基酸衍生物:双丙氨酰膦(bilanafos)、草甘膦、草丁膦、草硫膦(sulfosate);芳氧基苯氧基丙酸酯类:炔禾灵(chlorazifop)、炔草酸 (clodinafop)、氯丁草(clofop)、氰氟草酯(cyhalofop)、禾草灵(diclofop)、丁基赛伏草(cyhalofop-butyl)、噁唑禾草灵(fenoxaprop)、高噁唑禾草灵(fenoxaprop-p)、噻唑禾草灵(fenthiaprop)、吡氟禾草灵(fluazifop)、精吡氟禾草灵(fluazifop-P)、吡氟氯禾灵(haloxyfop)、精吡氟氯禾灵(haloxyfop-P)、恶草醚(isoxapyrifop)、喹草烯(kuicaoxi)、噁唑酰草胺(metamifop)、喔草酯 (propaquizafop)、喹禾灵(quizalofop)、精喹禾灵(quizalofop-P)、喹禾糠酯 (quizalofop-P-tefuryl)、三氟苯氧丙酸(trifop);联吡啶类:敌草快(diquat)、百草枯(paraquat);(硫代)氨基甲酸酯类:黄草灵(asulam)、苏达灭(butylate)、草长灭(carbetamide)、甜菜安(desmedipham)、哌草丹(dimepiperate)、扑草灭 (eptam,EPTC)、戊草丹(esprocarb)、得草灭(molinate)、坪草丹(orbencarb)、甜菜宁(phenmedipham)、苄草丹(prosulfocarb)、稗草丹(pyributicarb)、杀丹 (thiobencarb)、野麦畏(triallate);环己二酮类:枯杀达(alloxydim)、丁苯草酮 (butroxydim)、烯草酮(clethodim)、环己烯草酮(cloproxydim)、噻草酮 (cycloxydim)、草吡唑(pinoxaden)、环苯草酮(profoxydim)、稀禾定(sethoxydim)、吡喃草酮(tepraloxydim)、肟草酮(tralkoxydim);-二硝基苯胺类:氟草胺(benfluralin)、乙丁烯氟灵(ethalfluralin)、氨磺乐灵(oryzalin)、二甲戊乐灵(pendimethalin)、氨基丙氟灵(prodiamine)、氟乐灵(trifluralin);二苯基醚类:三氟羧草醚(acifluorfen)、苯草醚(aclonifen)、治草醚(bifenox)、禾草灵 (diclofop)、氯氟草醚(ethoxyfen)、氟磺胺草醚(fomesafen)、乳氟禾草灵 (lactofen)、乙氧氟草醚(oxyfluorfen);羟基苯甲腈类:溴草腈(bomoxynil)、敌草腈(dichlobenil)、碘苯腈(ioxynil);-咪唑啉酮类:咪草酸(imazamethabenz)、甲氧咪草烟(imazamox)、甲基咪草烟(imazapic)、灭草烟(imazapyr)、灭草喹 (imazaquin)、咪草烟(imazethapyr);苯氧基乙酸类:稗草胺(clomeprop)、2,4- 二氯苯氧基乙酸(2,4-D)、2,4-DB、滴丙酸(dichlorprop)、MCPA、MCPA-硫基乙基、MCPB、甲氯丙酸(Mecoprop);吡嗪类:氯草敏(chloridazon)、氟哒嗪草乙酯(flufenpyr-ethyl)、氟噻乙草酯(fluthiacet)、达草灭(norflurazon)、哒草特(pyridate);吡啶类:氯氨吡啶酸(aminopyralid)、二氯吡啶酸(clopyralid)、吡氟草胺(diflufenican)、氟硫草定(dithiopyr)、氟啶草酮(fluridone)、氟草定 (fluroxypyr)、毒莠定(picloram)、氟吡草胺(picolinafen)、噻草啶(thiazopyr)、定草酯(triclopyr);磺酰脲类:酰嘧磺隆(amidosulfuron)、四唑嘧磺隆 (azimsulfuron)、苄嘧磺隆(bensulfuron)、乙基氯嘧磺隆(chlorimuron-ethyl)、氯磺隆(chlorsulfuron)、醚磺隆(cinosulfuron)、环磺隆(cyclosulfamuron)、乙氧嘧磺隆(ethoxysulfuron)、嘧啶磺隆(flazasulfuron)、氟吡磺隆(flucetosulfuron)、氟啶嘧磺隆(flupyrsulfuron)、甲酰嘧磺隆(foramsulfuron)、氯吡嘧磺隆 (halosulfuron)、唑吡嘧磺隆(imazosulfuron)、碘甲磺隆(iodosulfuron)、甲基二磺隆(mesosulfuron)、甲磺隆(metsulfuron-methyl)、烟嘧磺隆(nicosulfuron)、环氧嘧磺隆(oxasulfuron)、氟嘧磺隆(primisulfuron)、氟磺隆(prosulfuron)、吡嘧磺隆(pyrazosulfuron)、砜嘧磺隆(rimsulfuron)、甲嘧磺隆(sulfometuron)、磺酰磺隆(sulfosulfuron)、噻吩磺隆(thifensulfuron)、醚苯磺隆(triasulfuron)、苯磺隆(tribenuron)、三氟啶磺隆(trifloxysulfuron)、氟胺磺隆(triflusulfuron)、三氟甲磺隆(tritosulfuron)、1-((2-氯-6-丙基-咪唑并[1,2-b]哒嗪-3-基)磺酰基)-3-(4,6-二甲氧基-嘧啶-2-基)脲;三嗪类:莠灭净(ametryn)、莠去津 (atrazine)、氰草津(cyanazine)、异戊乙净(dimethametryn)、乙嗪草酮(ethiozin)、六嗪酮(hexazinone)、苯嗪草酮(metamitron)、赛克津(metribuzin)、扑草净 (prometryn)、西玛津(simazine)、特丁津(terbuthylazine)、去草净(terbutryn)、三嗪氟草胺(triaziflam);脲类:绿麦隆(chlorotoluron)、杀草隆(daimuron)、敌草隆(diuron)、伏草隆(fluometuron)、异丙隆(isoproturon)、利谷隆(linuron)、甲基苯噻隆(methabenzthiazuron)、丁噻隆(tebuthiuron);其它乙酰乳酸合成酶抑制剂:双草醚钠(bispyribac-sodium)、氯酯磺草胺(cloransulam-methyl)、双氯磺草胺(diclosulam)、双氟磺草胺(florasulam)、氟酮磺隆(flucarbazone)、唑嘧磺草胺(flumetsulam)、磺草唑胺(metosulam)、嘧苯胺磺隆 (ortho-sulfamuron)、五氟磺草胺(penoxsulam)、丙苯磺隆(propoxycarbazone)、丙酯草醚(pyribambenz-propyl)、嘧啶肟草醚(pyribenzoxim)、环酯草醚 (pyriftalid)、嘧草醚(pyriminobac-methyl)、嘧啶硫蕃(pyrimisulfan)、嘧硫草醚 (pyrithiobac)、吡咯磺隆(pyroxasulfone)、嘧氧磺胺(pyroxsulam);其它:氨唑草酮(amicarbazone)、氨基三唑(aminotriazole)、莎稗磷(anilofos)、氟丁酰草胺(beflubutamid)、草除灵(benazolin)、酰苯草酮(bencarbazone)、呋草黄 (benfluresate)、吡草酮(benzofenap)、灭草松(bentazone)、苯并双环酮 (benzobicyclon)、除草定(bromacil)、溴丁酰草胺(bromobutide)、氟丙嘧草酯 (butafenacil)、抑草磷(butamifos)、唑草胺(cafenstrole)、唑草酮(carfentrazone)、吲哚酮草酯(cinidon-ethlyl)、敌草索(chlorthal-dimethyl)、环庚草醚 (cinmethylin)、异噁草酮(clomazone)、苄草隆(cumyluron)、可普磺酰胺(cyprosulfamide)、麦草畏(dicamba)、野燕枯(difenzoquat)、二氟吡隆(diflufenzopyr)、稗内脐蠕孢菌(Drechslera monoceras)、草藻灭(endothal)、乙呋草黄(ethofumesate)、乙氧苯草胺(etobenzanid)、四唑酰草胺(fentrazamide)、氟胺草酯(flumiclorac-pentyl)、丙炔氟草胺(flumioxazin)、氟胺草唑(flupoxam)、氟咯草酮(flurochloridone)、呋草酮(flurtamone)、氟氯吡啶酯(halauxifen)、茚草酮(indanofan)、异噁草胺(isoxaben)、异噁唑草酮(isoxaflutole)、环草定 (lenacil)、敌稗(propanil)、戊炔草胺(propyzamide)、二氯喹啉酸(quinclorac)、喹草酸(quinmerac)、甲基磺草酮(mesotrione)、甲基胂酸、萘草胺(naptalam)、丙炔噁草酮(oxadiargyl)、噁草酮(oxadiazon)、噁嗪草酮(oxaziclomefone)、环戊噁草酮(pentoxazone)、唑啉草酯(pinoxaden)、双唑草腈(pyraclonil)、吡草醚(pyraflufen-ethyl)、吡磺夫特(pyrasulfotole)、苄草唑(pyrazoxyfen)、吡唑特 (pyrazolynate)、灭藻醌(quinoclamine)、苯啶磺草胺(saflufenacil)、磺草酮 (sulcotrione)、甲磺草胺(sulfentrazone)、特草定(terbacil)、特呋喃隆 (tefuryltrione)、环磺酮(tembotrione)、噻酮磺隆(thiencarbazone)、苯吡唑草酮 (topramezone)、4-羟基-3-[2-(2-甲氧基-乙氧基甲基)-6-三氟甲基-吡啶-3-羰基]- 双环[3.2.1]辛-3-烯-2-酮、(3-[2-氯-4-氟-5-(3-甲基-2,6-二氧代-4-三氟甲基-3,6- 二氢-2H-嘧啶-1-基)-苯氧基]-吡啶-2-基氧基)-乙酸乙酯、1,5-二甲基-6-硫代 -3-(2,2,7-三氟-3,4-二氢-3-氧代-4-丙-2-炔-2H-1,4-苯并噁嗪-6-基)-1,3,5-三嗪 -2,4-二酮(三氟莫嗪(trifludimoxazin))、6-氨基-5-氯-2-环丙基-嘧啶-4-甲酸甲酯、6-氯-3-(2-环丙基-6-甲基-苯氧基)-哒嗪-4-醇、4-氨基-3-氯-6-(4-氯-苯基)-5- 氟-吡啶-2-甲酸、4-氨基-3-氯-6-(4-氯-2-氟-3-甲氧基-苯基)-吡啶-2-甲酸甲酯和4-氨基-3-氯-6-(4-氯-3-二甲基氨基-2-氟-苯基)-吡啶-2-甲酸甲酯。
I)杀昆虫剂和杀线虫剂-有机(硫代)磷酸酯类:高灭磷(acephate)、甲基吡啶磷(azamethiphos)、谷硫磷(azinphos-methyl)、毒死稗(chlorpyrifos)、甲基毒死稗(chlorpyrifos-methyl)、克芬松(chlorfenvinphos)、二嗪磷(diazinon)、二氯松(dichlorvos)、百治磷(dicrotophos)、大灭松(dimethoate)、二硫松(disulfoton)、乙硫磷(ethion)、苯线磷(fenamiphos)、杀螟硫磷(fenitrothion)、倍硫磷 (fenthion)、异噁唑磷(isoxathion)、马拉松(malathion)、达马松(methamidophos)、杀扑磷(methidathion)、甲基巴拉松(methylparathion)、速灭磷(mevinphos)、久效磷(monocrotophos)、亚砜磷(oxydemeton-methyl)、巴拉奥克松(paraoxon)、巴拉松(parathion)、稻丰散(phenthoate)、伏杀磷(phosalone)、亚胺硫磷 (phosmet)、磷胺(phosphamidon)、甲拌磷(phorate)、巴赛松(phoxim)、嘧啶磷 (pirimiphos-methyl)、丙溴磷(profenofos)、丙硫磷(prothiofos)、杀普松 (sulprophos)、乐本松(tetrachlorvinphos)、特丁磷(terbufos)、三唑磷(triazophos)、三氯磷酸酯(trichlorfon);氨基甲酸酯类:棉灵威(alanycarb)、得灭克(aldicarb)、恶虫威(bendiocarb)、丙硫克百威(benfuracarb)、加保利(carbaryl)、加保扶 (carbofuran)、丁基加保扶(carbosulfan)、苯氧威(fenoxycarb)、呋线威(furathiocarb)、灭虫威(methiocarb)、灭多虫(methomyl)、草氨酰(oxamyl)、抗蚜威(pirimicarb)、残杀威(propoxur)、硫敌克(thiodicarb)、唑蚜威(triazamate);拟除虫菊酯类:丙烯菊酯(allethrin)、联苯菊酯(bifenthrin)、赛扶宁(cyfluthrin)、赛洛宁(cyhalothrin)、苯氰菊酯(cyphenothrin)、赛灭宁(cypermethrin)、α-赛灭宁(alpha-cypermethrin)、β-赛灭宁(beta-cypermethrin)、ξ-赛灭宁 (zeta-cypermethrin)、第灭宁(deltamethrin)、高氰戊菊酯(esfenvalerate)、依芬宁(etofenprox)、甲氰菊酯(fenpropathrin)、氰戊菊酯(fenvalerate)、炔咪菊酯 (imiprothrin)、λ-赛洛宁(lambda-cyhalothrin)、苄氯菊酯(permethrin)、炔丙菊酯(prallethrin)、除虫菊酯(pyrethrin)I和II、苄呋菊脂(resmethrin)、氟硅菊酯 (silafluofen)、τ-氟胺氰菊酯(tau-fluvalinate)、七氟菊酯(tefluthrin)、胺菊酯 (tetramethrin)、四溴菊酯(tralomethrin)、四氟苯菊酯(transfluthrin)、丙氟菊酯 (profluthrin)、四氟甲醚菊酯(dimefluthrin);昆虫生长调节剂:a)甲壳素合成抑制剂:苯甲酰基脲类:克福隆(chlorfluazuron)、赛灭净(cyramazin)、除虫脲(diflubenzuron)、氟环脲(flucycloxuron)、氟芬隆(flufenoxuron)、六伏隆 (hexaflumuron)、禄芬隆(lufenuron)、诺伐隆(novaluron)、氟苯脲 (teflubenzuron)、三福隆(triflumuron);布芬净(buprofezin)、苯虫醚(diofenolan)、噻螨酮(hexythiazox)、依杀螨(etoxazole)、克芬螨(clofentazine);b)蜕皮激素拮抗剂:氯虫酰肼(halofenozide)、甲氧虫酰肼(methoxyfenozide)、虫酰肼 (tebufenozide)、印楝素(azadirachtin);c)保幼激素类似物:百利普芬 (pyriproxyfen)、烯虫酯(methoprene)、苯氧威(fenoxycarb);d)脂质生物合成抑制剂:螺螨酯(spirodiclofen)、螺甲螨酯(spiromesifen)、螺虫乙酯(spirotetramat);烟碱受体激动剂/拮抗剂化合物:可尼丁(clothianidin)、呋虫胺(dinotefuran)、益达胺(imidacloprid)、噻虫嗪(thiamethoxam)、烯啶虫胺(nitenpyram)、啶虫脒(acetamiprid)、噻虫啉(thiacloprid)、1-(2-氯-噻唑-5-基甲基)-2-硝基亚氨基-3,5-二甲基-[1,3,5]三嗪烷;GABA拮抗剂化合物:硫丹 (endosulfan)、乙虫清(ethiprole)、氟虫腈(fipronil)、凡尼普罗(vaniliprole)、氟虫腈(pyrafluprole)、派瑞乐(pyriprole)、5-氨基-1-(2,6-二氯-4-甲基-苯基)-4-胺亚磺酰基-1H-吡唑-3-硫代甲酸酰胺;大环内酯杀昆虫剂:阿维菌素 (abamectin)、因灭汀(emamectin)、密灭汀(milbemectin)、林皮没丁(lepimectin)、多杀菌素(spinosad)、乙基多杀菌素(spinetoram);线粒体电子传递抑制剂 (METI)I杀螨剂:芬杀螨(fenazaquin)、毕达本(pyridaben)、吡螨胺 (tebufenpyrad)、唑虫酰胺(tolfenpyrad)、嘧虫胺(flufenerim);METI II和III 化合物:亚醌螨(acequinocyl)、福瑞姆(fluacyprim)、爱美松(hydramethylnon);去偶联剂:克凡派(chlorfenapyr);-氧化磷酸化抑制剂:锡螨丹(cyhexatin)、丁醚脲(diafenthiuron)、苯丁锡(fenbutatin oxide)、克螨特(propargite);蜕皮瓦解化合物:赛灭净(cryomazine);混合功能氧化酶抑制剂:胡椒基丁醚 (piperonyl butoxide);钠通道阻断剂:因得克(indoxacarb)、氰氟虫腙(metaflumizone);-其它:苯氯噻(benclothiaz)、毕芬载(bifenazate)、培丹(cartap)、氟尼胺(flonicamid)、啶虫丙醚(pyridalyl)、吡蚜酮(pymetrozine)、硫、杀虫环(thiocyclam)、氟虫双酰胺(flubendiamide)、氯虫苯甲酰胺(chlorantraniliprole)、斯阿皮(cyazypyr,HGW86)、腈吡螨酯(cyenopyrafen)、吡氟硫磷(flupyrazofos)、丁氟螨酯(cyflumetofen)、磺胺螨酯(amidoflumet)、新烟磷(imicyafos)、双三氟虫脲(bistrifluron)和吡氟喹腙(pyrifluquinazon);-其他杀昆虫剂和杀线虫剂:布罗萘内酯(broflanilide)、环溴虫酰胺(cyclaniliprole)、氟啶虫胺腈 (sulfoxaflor)、氟吡呋喃酮(flupyradifurone)、阿米曲士(amitraz)、嘧螨醚 (pyrimidifen)、氰虫酰胺(cyantraniliprole)、三氟咪啶酰胺(fluazaindolizine)、氟氰虫酰胺(tetraniliprole)和tioxazafen。
J)生物防治剂:-细菌属:放线菌属(Actinomycetes)、土壤杆菌属(Agrobacterium)、节细菌属(Arthrobacter)、产碱杆菌属(Alcaligenes)、金杆菌属(Aureobacterium)、固氮菌属(Azobacter)、芽孢杆菌属(Bacillus)、拜叶林克氏菌属(Beijerinckia)、短根瘤菌属(Bradyrhizobium),短芽孢杆菌属 (Brevibacillus)、伯克氏菌属(Burkholderia)、色杆菌属(Chromobacterium)、梭菌属(Clostridium)、棒形杆菌属(Clavibacter)、丛毛单胞菌属(Comamonas)、棒状杆菌属(Corynebacterium)、短小杆菌属(Curtobacterium)、肠杆菌属 (Enterobacter)、黄杆菌属(Flavobacterium)、葡糖杆菌属(Gluconobacter)、噬氢菌属(Hydrogenophaga)、克雷伯氏杆菌属(Klebsiella)、绿僵菌(Metarhizium)、甲基杆菌属(Methylobacterium)、类芽孢杆菌属(Paenibacillus)、巴斯德氏芽菌属(Pasteuria)、发光杆菌属(Photorhabdus)、叶杆菌属(Phyllobacterium)、假单胞菌属(Pseudomonas)、根瘤菌属(Rhizobium)、沙雷氏菌属(Serratia)、鞘氨醇杆菌属(Sphingobacterium)、寡养单胞菌属(Stenotrophomonas)、链霉菌属 (Streptomyces)、贪噬菌属(Variovorax)以及线虫共生菌属(Xenorhabdus);-真菌属:链格孢属(Alternaria)、白粉寄生菌属(Ampelomyces)、曲霉属 (Aspergillus)、短梗霉属(Aureobasidium)、白僵菌属(Beauveria)、刺盘孢属 (Colletotrichum)、盾壳霉属(Coniothyrium)、粘帚霉属(Gliocladium)、绿僵菌属(Metarhizium)、产气霉属(Muscodor)、拟青霉属(Paecilomyces)、青霉属 (Penicillium)、木霉属(Trichoderma)、核瑚菌属(Typhula)、细基格孢属 (Ulocladium)以及轮枝孢属(Verticillium);-植物生长活化剂或植物防御剂:超敏蛋白(harpin)、大虎杖(Reynoutria sachalinensis)、茉莉酮酸酯(jasmonate)、脂质几丁寡糖(lipochitooligosaccharides)、水杨酸和/或异黄酮。
此外,本发明涉及农用化学组合物,其包含以下的混合物:至少一种本发明化合物(组分1);和如上文所述的至少一种适用于植物保护的其它活性物质,例如选自A)组到J)组的活性物质(组分2),尤其一种其它杀真菌剂,例如一或多种来自A)组到F)组的杀真菌剂;和必要时一种适合的溶剂或固体载体。由于那些混合物中有许多在相同施用量下对有害真菌展示出较高效率,故其备受关注。此外,以本发明化合物与如上文所述的至少一种来自A)组到F)组的杀真菌剂的混合物对抗有害真菌相较于以单独的本发明化合物或来自A)组到F)组的单独的杀真菌剂对抗那些真菌更有效。通过将本发明化合物与至少一种来自A)组到J)的活性物质一起施用,可获得协同效应,即获得超过个体效应的简单相加(协同混合物)。
根据本发明,将本发明化合物与至少一种其它活性物质一起施用应理解为表示杀真菌有效量的至少一种本发明化合物和至少一种其它活性物质同时出现在作用场所(即待控制的有害真菌或其生境,如经感染的植物、植物繁殖材料(尤其种子)、表面、材料或土壤以及欲免受真菌攻击的植物、植物繁殖材料(尤其种子)、土壤、表面、材料或空间)。这可通过同时联合(例如以罐混物形式)或独立施用或依次施用本发明化合物和至少一种其它活性物质而获得,在依次施用时选择单独施用之间的时间间隔以确保在施用其它活性物质时首先施用的活性物质仍以足够的量出现在作用场所。施用次序对于本发明的操作并不重要。
在二元混合物中,即包含一种本发明化合物(组分1)和一种其它活性物质(组分2)(例如一种来自A)组到J)组的活性物质)的本发明组合物中,组分1 与组分2的重量比通常取决于所用活性物质的特性,其通常在1:100到100:1 范围内,经常在1:50到50:1范围内,优选在1:20到20:1范围内,更优选地在1:10到10:1范围内,且尤其在1:3到3:1范围内。
在三元混合物,即包含一种本发明化合物(组分1)和第一其它活性物质 (组分2)和第二其它活性物质(组分3)(例如两种来自A)组到J)组的活性物质) 的本发明组合物中,组分1与组分2的重量比取决于所用活性物质的特性,其优选在1:50到50:1范围内,且尤其在1:10到10:1范围内,且组分1与组分3的重量比优选在1:50到50:1范围内,且尤其在1:10到10:1范围内。
组分可单独使用或已部分或完全彼此混合以制备本发明组合物。也可将所述组分包装且进一步作为组合型组合物(如试剂盒组件)使用。
在本发明的一个实施方案中,试剂盒可包括一或多种(包括所有)可以用于制备本发明农用化学组合物的组分。举例来说,试剂盒可包括一或多种杀真菌剂组分和/或辅料组分和/或杀昆虫剂组分和/或生长调节剂组分和/或除草剂。组分中的一或多者可能已组合在一起或经预配制。在试剂盒中提供两种以上组分的那些实施方案中,组分可能已经组合在一起并且按原样包装在如小瓶、瓶、罐、囊、袋或小罐的单一容器中。在其它实施方案中,试剂盒的两种或两种以上组分可单独地包装,即,未经预配制。因此,试剂盒可包括一或多个单独的容器,如小瓶、罐、瓶、囊、袋或小罐,每个容器含有农用化学组合物的单独组分。在两种形式中,试剂盒的一种组分可与其它组分分开施用或一起施用,或作为本发明的组合型组合物的组分来制备本发明组合物。
使用者通常用预配药装置、背负式喷雾器、喷雾罐或喷雾机施用本发明组合物。此处,农用化学组合物是用水和/或缓冲液制成所需施用浓度,适当时可添加其它助剂,且由此获得本发明的即用喷雾液或农用化学组合物。在一些实施方案中,每公顷农业上适用的区域施用50到500升即用喷雾液。在一些实施方案中,每公顷施用100到400升即用喷雾液。在一些实施方案中,本发明提供一种用于温室施用的本发明的即用组合物的试剂盒。
根据一个实施方案,本发明组合物的单独组分,如试剂盒的部件或二元或三元混合物的部件可由使用者本人在喷雾罐中混合且适当时可添加其它助剂(罐混)。在另一实施方案中,本发明组合物的单独组分或部分预混合组分,例如包含本发明化合物和/或来自A)组到I)组的活性物质的组分可由使用者在喷雾罐中混合且适当时可添加其它助剂和添加剂(罐混)。
在另一实施方案中,本发明组合物的单独组分或部分预混合的组分,例如包含本发明化合物和/或来自A)组到J)组的活性物质的组分可联合(例如在罐混之后)或相继施用。
在一些实施方案中,本发明提供一种混合物,其包含本发明化合物(组分1)和至少一种选自A)组的嗜球果伞素类且尤其选自腈嘧菌酯、甲氧菌平、氟嘧菌酯、醚菌酯、肟醚菌胺、啶氧菌酯、唑菌胺酯和肟菌脂的活性物质(组分2)。
在一些实施方案中,本发明提供一种混合物,其包含本发明化合物(组分1)和至少一种选自B)组的羧酰胺类的活性物质(组分2)。在一些实施方案中,羧酰胺类选自以下:联苯吡菌胺、啶酰菌胺、塞达克森、环酰菌胺、甲霜灵、吡唑萘菌胺、精甲霜灵、甲呋酰胺、烯酰吗啉、氟吗啉、氟吡菌胺(吡考苯胺(picobenzamid))、苯酰菌胺、加普胺、双炔酰菌胺和N-(3',4',5'-三氟联苯-2-基)-3-二氟甲基-1-甲基-1H-吡唑-4-甲酰胺。
在一些实施方案中,本发明提供一种混合物,其包含本发明化合物(组分1)和至少一种选自C)组的唑类的活性物质(组分2)。在一些实施方案中,唑选自以下:环丙唑醇、苯醚甲环唑、氧唑菌、氟喹唑、氟硅唑、粉唑醇、叶菌唑、灭克落、配那唑、丙环唑、丙硫菌唑、三唑酮、三唑醇、戊唑醇、氟醚唑、灭菌唑、咪鲜胺、氰霜唑、苯菌灵、多菌灵和噻唑菌胺。
在一些实施方案中,本发明提供一种混合物,其包含本发明化合物(组分1)和至少一种选自D)组的杂环化合物的活性物质(组分2)。在一些实施方案中,D)组的杂环化合物选自以下:氟啶胺、嘧菌环胺、氯苯嘧啶醇、嘧菌胺、嘧霉胺、嗪氨灵、咯菌腈、十二环吗啉、丁苯吗啉、克啉菌、苯锈啶、异菌脲、乙烯菌核利、噁唑菌酮、咪唑菌酮、噻菌灵、丙氧喹啉、阿拉酸式苯-S-甲基、敌菌丹、灭菌丹、氰菌胺、喹氧灵和5-乙基-6-辛基-[1,2,4]三唑并[1,5-a]嘧啶-7-基胺。
在一些实施方案中,本发明提供一种混合物,其包含本发明化合物(组分1)和至少一种选自E)组的氨基甲酸酯类的活性物质(组分2)。在一些实施方案中,氨基甲酸酯类选自以下:代森锰锌、代森联、丙森锌、福美双、丙森锌、苯噻菌胺和霜霉威。
在一些实施方案中,本发明提供一种混合物,其包含本发明化合物(组分1)和至少一种选自在F)组中给出的杀真菌剂的活性物质(组分2)。在一些实施方案中,F)组的杀真菌剂选自以下:二噻农、三苯锡盐(如醋酸三苯锡)、福赛得、乙膦铝、H3PO3和其盐、百菌清、苯氟磺胺、甲基硫菌灵、乙酸铜、氢氧化铜、氧氯化铜、硫酸铜、硫、霜脲氰、苯菌酮和螺恶茂胺。
在一些实施方案中,本发明提供一种混合物,其包含本发明化合物(组分1)和至少一种选自在H)组中给出的除草剂的活性物质(组分2)。在一些实施方案中,H)组的除草剂选自以下:乙草胺、烯草酮、麦草畏、1,5-二甲基 -6-硫代-3-(2,2,7-三氟-3,4-二氢-3-氧代-4-丙-2-炔-2H-1,4-苯并噁嗪-6- 基)-1,3,5-三嗪-2,4-二酮(三氟莫嗪(trifludimoxazin))、2-((3-(2-氯-4-氟-5-(3-甲基-2,6-二氧代-4-(三氟甲基)-2,3-二氢嘧啶-1(6H)-基)苯氧基)吡啶-2-基)氧基) 乙酸乙酯、丙炔氟草胺、氟磺胺草醚、草甘磷、草丁膦、氟氯吡啶酯、异噁唑草酮、甲基磺草酮、异丙甲草胺、喹禾灵、苯啶磺草胺、磺草酮、环磺酮、苯吡唑草酮和2,4-D。在一些实施方式中,H)组中给出的除草剂选自炔禾灵、炔草酸、禾草灵、氰氟草酯、禾草灵、噁唑禾草灵、高噁唑禾草灵、噻唑禾草灵、吡氟禾草灵、精吡氟禾草灵、吡氟氯禾灵、精吡氟氯禾灵、恶草醚、喹草烯、噁唑酰草胺、喔草酯、喹禾灵、精喹禾灵、三氟苯氧丙酸、枯杀达、丁苯草酮、烯草酮、环己烯草酮、噻草酮、环苯草酮、稀禾定、吡喃草酮、肟草酮和唑啉草酯。
在一些实施方案中,本发明提供一种混合物,其包含本发明化合物(组分1)和至少一种选自在I)组中给出的杀昆虫剂和杀线虫剂的活性物质(组分 2)。在一些实施方案中,I)组的杀昆虫剂和杀线虫剂选自以下:阿维菌素、得灭克、涕灭砜威、联苯菊酯、布罗萘内酯、加保扶、氯虫苯甲酰胺、可尼丁、氰虫酰胺、环溴虫酰胺、赛扶宁、赛洛宁、赛灭宁、第灭宁、呋虫胺、因灭汀、乙虫清、苯线磷、氟虫腈、氟虫双酰胺、噻唑磷、益达胺、伊维菌素、λ-赛洛宁、密灭汀、3-苯基-5-(2-噻吩基)-1,2,4-噁二唑、烯啶虫胺、草氨酰、苄氯菊酯、乙基多杀菌素、多杀菌素、螺二氯芬、螺虫乙酯、七氟菊酯、氟氰虫酰胺、噻虫啉、噻虫嗪、硫敌克和tioxazafen。
在一些实施方案中,本发明提供一种混合物,其包含本发明化合物(组分1)和至少一种选自在J)组中给出的生物防治剂的活性物质(组分2)。在一些实施方案中,J)组的生物防治剂的细菌选自以下:解淀粉芽胞杆菌、蜡状芽孢杆菌、坚强芽胞杆菌、芽孢杆菌属、地衣类、短小芽孢杆菌、球形芽孢杆菌、枯草杆菌、苏云金杆菌、大豆慢生根瘤菌、Chromobacterium subtsugae、绿僵菌、Pasteuria nishizawae、穿透巴斯德菌、Pasteuriausage、荧光假单胞菌和利迪链霉菌。在一些实施方式中,J)组的生物防治剂的真菌选自以下:巴西安白僵菌、盾壳霉、绿粘帚霉、Muscodor albus、淡紫色拟青霉、多孢木霉菌和绿木霉菌。
称为组分2的活性物质、其制备和其对抗有害真菌的活性为所属领域中已知的。在一些实施方案中,这些物质为可商购的。由IUPAC命名法描述的化合物、其制备和其杀真菌活性也为所属领域中已知的(参见加拿大植物科学杂志(Can.J.Plant Sci.)48(6),587-94,1968;EP-A 141 317、EP-A 152 031、 EP-A 226 917、EP-A 243 970、EP-A 256 503、EP-A 428 941、EP-A 532 022、 EP-A 1 028 125、EP-A 1 035 122、EP-A 1 201 648、EP-A 1122 244、JP 2002316902、DE 19650197、DE 10021412、DE 102005009458、US 3,296,272、US 3,325,503、WO 98/46608、WO 99/14187、WO 99/24413、WO 99/27783、 WO 00/29404、WO00/46148、WO 00/65913、WO 01/54501、WO 01/56358、 WO 02/22583、WO 02/40431、WO 03/10149、WO 03/1 1853、WO 03/14103、 WO 03/16286、WO 03/53145、WO 03/61388、WO 03/66609、WO 03/74491、 WO 04/49804、WO 04/83193、WO 05/120234、WO 05/123689、WO 05/123690、 WO 05/63721、WO 05/87772、WO 05/87773、WO 06/15866、WO 06/87325、 WO 06/87343、WO 07/82098、WO 07/90624;WO 12/030887)。
通过常用方式,例如通过针对本发明化合物的组合物所给出的方式,可将活性物质的混合物制备成除活性成分以外还包含至少一种惰性成分的组合物。
关于所述组合物的常用成分,提及针对含有本发明化合物的组合物所给出的解释。
本发明的活性物质的混合物如同本发明化合物般适用作杀真菌剂。在一些实施方案中,本发明的混合物和组合物适用于保护植物免于广谱植物病原性真菌。在一些实施方案中,植物病原性真菌来自以下纲:子囊菌纲、担子菌、半知菌纲和卵菌纲(同义词:卵菌纲)。
抗霉菌用途
本发明化合物及其药学上可接受的盐也适用于治疗人类和动物的疾病,尤其作为抗霉菌剂用于治疗癌症和用于治疗病毒感染。术语“抗霉菌剂”不同于术语“杀真菌剂”,是指对抗动物病原性真菌或人类病原性真菌,即用于对抗动物、尤其哺乳动物(包括人类)和禽鸟中的真菌的药物。
在一些实施方案中,本发明提供一种药物,其包含至少一种本发明化合物或其药学上可接受的盐和药学上可接受的载体。
在一些实施方案中,本发明涉及本发明化合物或其药学上可接受的盐的用途,其用于制备抗霉菌药物;即,用于制备供治疗和/或预防人类病原性真菌和/或动物病原性真菌感染用的药物。
本发明化合物或其组合物具有对抗微生物的杀真菌活性,包括但不局限于皮肤真菌,包括例如,红色毛癣菌、趾间毛癣菌(Trichophyton interdigitale)、疣状毛癣菌、须毛癣菌、麦格尼发癣菌、断发毛癣菌、许兰毛菌、苏丹奈斯发癣菌、紫色毛癣菌、絮状麦皮癣菌、头癣小孢霉、犬小孢子菌、扭曲小孢子菌、石膏样小孢子菌;非皮肤真菌霉菌包括例如,帚霉属,包括例如,短尾帚霉、镰刀菌属,包括例如,茄病镰刀菌、曲霉菌属,包括例如,黄曲霉菌、支顶孢属,包括例如,透明支顶孢(Acremonium hyalinum)、链格孢属、双间柱顶孢和透明小柱孢;念珠菌属,包括例如,白色念珠菌和近平滑念珠菌;马拉色霉菌属,包括例如,糠秕马拉色菌;隐球菌属;芽生菌属;组织胞浆菌属;和申氏孢子丝菌。
在一些实施方式中,本发明提供了在受试者中治疗微生物感染的方法,包括:向需要的受试者局部给药有用于治疗微生物感染的治疗有效量的本发明化合物或其组合物。
在一些实施方式中,本发明化合物或其组合物的给药减少给药的哺乳动物中或哺乳动物上的微生物(优选致病微生物)的数量。本发明组合物可以对其起作用的微生物选自真菌、霉菌、酵母及其组合。
在一些实施方式中,本发明主题涉及在受试者中治疗障碍、疾病或病症的方法,其中所述障碍、疾病或病症是真菌感染。在具体实施方式中,所述真菌感染为皮肤的真菌感染。在具体实施方式中,所述真菌感染为指甲的真菌感染。在具体实施方式中,所述真菌感染为毛囊的真菌感染。
在一些实施方式中,本发明主题涉及本发明化合物或其组合物在受试者中治疗微生物感染的用途,通过向需要的受试者局部给药所述化合物或组合物。
在一些实施方式中,本发明主题涉及本发明化合物或其组合物在受试者中治疗真菌感染的用途,通过向需要的受试者局部给药所述化合物或组合物。
在一些实施方式中,本发明主题涉及杀真菌剂或其药学上可接受的盐在制备用于治疗真菌感染的药物中的用途。
在一些实施方式中,本发明主题涉及本发明化合物或其组合物在制备治疗真菌感染的药物中的用途。
在一些实施方案中,通过给药本申请提供的化合物或其组合物治疗的病症包括皮肤的浅表性真菌感染,其出现在皮肤外层上并可导致股癣(股部表皮癣菌病)、体癣(金钱癣)、足癣、趾间足癣、鹿皮型足癣、手癣、花斑癣 (piyriasis)、掌黑癣、皮肤念珠菌病、面癣(面部金钱癣),以及白色和黑色毛结节菌病。
体癣(身体金钱癣)、股癣(股部表皮癣菌病),和面癣(面部金钱癣)可由絮状麦皮癣菌、犬小孢子菌、须毛癣菌、红色毛癣菌、断发毛癣菌、疣状毛癣菌和/或紫色毛癣菌导致,并可通过给药本申请提供的化合物或其组合物治疗。
足癣(脚气)或者手癣(手的真菌感染)(其可由絮状麦皮癣菌、犬小孢子菌、须毛癣菌、红色毛癣菌、断发毛癣菌、疣状毛癣菌和/或紫色毛癣菌导致)可通过给药本申请提供的化合物或其组合物治疗。
皮肤念珠菌病(其可由白色念珠菌导致)也可通过给药本申请提供的化合物或其组合物治疗。
提供的化合物或其组合物针对多种有机体具有杀真菌活性。因此,本发明组合物的给药可治疗例如与絮状麦皮癣菌、犬小孢子菌、石膏样小孢子菌、须毛癣菌、趾间毛癣菌、红色毛癣菌、苏丹奈斯发癣菌、断发毛癣菌、疣状毛癣菌、紫色毛癣菌,和白色念珠菌相关或者由絮状麦皮癣菌、犬小孢子菌、石膏样小孢子菌、须毛癣菌、趾间毛癣菌、红色毛癣菌、苏丹奈斯发癣菌、断发毛癣菌、疣状毛癣菌、紫色毛癣菌和白色念珠菌导致的皮肤的浅表性真菌感染。
在一些实施方案中,本发明主题还涉及在哺乳动物中治疗和/或预防毛囊的真菌感染(包括例如头癣、黄癣和须癣中的一种或者多种)的方法,其包括向需要的哺乳动物给药有效量的提供的化合物或其组合物。
在一些实施方案中,通过给药本申请提供的化合物或者组合物治疗的病症包括头癣和/或黄癣和/或须癣。
头癣是头皮、眉毛和睫毛的皮肤的浅表性真菌感染(皮肤真菌病),其攻击毛干和毛囊。所述疾病主要由发癣菌属和小孢子菌属中的皮肤真菌原发性导致,包括例如头癣小孢霉、犬小孢子菌、扭曲小孢子菌、石膏样小孢子菌、麦格尼发癣菌、须毛癣菌、红色毛癣菌、许兰毛菌、断发毛癣菌和疣状毛癣菌。临床表现通常是单个或多个脱发斑块,有时具有“黑点”图案(通常具有脱落的毛发),其可能伴有炎症,结垢,脓疱和瘙痒。由于涉及头皮,因此黄癣可被认为是头癣的变型。黄癣主要由发癣菌属和小孢子菌属中的皮肤真菌导致,包括例如石膏样小孢子菌和许兰毛菌。须癣是一种浅表性皮肤真菌病,仅限于脸部和颈部的胡须部位,几乎全部发生在青春期和成年男性中。须癣的临床表现包括炎性的,深的,脓癣状斑块和类似于体癣或者细菌毛囊炎的非炎性浅表斑块。导致须癣的机制类似于头癣,并且通常是红色毛癣菌 (T.rubrum)感染的结果,但是也可能是颗粒须毛藓菌和疣状毛癣菌的结果。最后,已经知道犬小孢子菌和刺猬须毛藓菌导致须癣,但是相对罕见。
头癣(其可由头癣小孢霉、犬小孢子菌、扭曲小孢子菌、石膏样小孢子菌、麦格尼发癣菌、须毛癣菌、红色毛癣菌、许兰毛菌、断发毛癣菌和/或疣状毛癣菌中的一种或者多种导致)和黄癣(其可由石膏样小孢子菌和/或许兰毛菌中的一种或者多种导致)和须癣(其可由红色毛癣菌(T.rubrum)、颗粒须毛藓菌、疣状毛癣菌、犬小孢子菌和刺猬须毛藓菌中的一种或者多种导致) 可通过给药本申请提供的化合物或其组合物治疗。
本申请提供的化合物或其药学上可接受的盐针对多种有机体具有杀真菌活性。因此,本发明组合物的给药可治疗例如与头癣小孢霉、犬小孢子菌、扭曲小孢子菌、石膏样小孢子菌、麦格尼发癣菌、颗粒须毛藓菌、刺猬须毛藓菌、红色毛癣菌、许兰毛菌、断发毛癣菌和/或疣状毛癣菌相关或者由头癣小孢霉、犬小孢子菌、扭曲小孢子菌、石膏样小孢子菌、麦格尼发癣菌、颗粒须毛藓菌、刺猬须毛藓菌、红色毛癣菌、许兰毛菌、断发毛癣菌和/或疣状毛癣菌导致的病症。
在一些实施方案中,本发明主题涉及治疗和/或预防受试者中的甲癣的方法,其包括向需要的受试者给药有效量的提供的化合物或其组合物。
通过给药本申请提供的化合物或其组合物治疗的非限制性病症包括甲癣,其包括由皮肤真菌、酵母菌(念珠菌性甲癣)和非皮肤真菌霉菌中的一种或者多种导致的甲癣。
甲癣可通过给药本申请提供的化合物或其组合物治疗。
甲癣是甲床、基体和/或或者甲板的真菌感染。甲癣由三个主要类别的真菌导致:皮肤真菌、酵母菌(念珠菌性甲癣)和非皮肤真菌霉菌。皮肤真菌是甲癣的最常见的原因,但是由非皮肤真菌霉菌导致的甲癣在世界范围内正在变得更加常见。念珠菌属导致的甲癣不常见。可导致甲癣的皮肤真菌包括下列中的一种或者多种:红色毛癣菌、趾间毛癣菌、絮状麦皮癣菌、紫色毛癣菌、石膏样小孢子菌、断发毛癣菌、苏丹奈斯发癣菌和疣状毛癣菌,以及皮肤真菌相关的甲癣经常也被称为tinea ungium。念珠菌性甲癣包括皮肤念珠菌病和皮肤粘膜念珠菌病,其由一种或者多种念珠菌属物种导致,包括例如白色念珠菌和近平滑念珠菌。可导致甲癣的非皮肤真菌霉菌可包括例如短尾帚霉、镰刀菌属、曲霉菌属、链格孢属、支顶孢属、双间柱顶孢和透明小柱孢中的一种或者多种。
具有四个典型甲癣类型,其包括:远端指(趾)甲下甲癣(distal subungualonychomycosis,DLSO),其为最常见的甲癣形式,并且通常由红色毛癣菌和 /或趾间毛癣菌导致,其侵袭甲床和甲板下侧;白色浅表性甲癣(WSO)由甲板浅表层的真菌(例如,须毛藓菌)侵袭导致,以在板上形成"白色岛屿",非皮肤真菌霉菌导致深的白色浅表性甲癣;近端甲下甲癣(PSO)是通过近端甲褶真菌渗入新形成的甲板,它是健康人中最不常见的甲癣形式,但当患者免疫受损时更常见;甲内型甲癣(EO)和念珠菌性甲癣(CO),其为指甲的念珠菌属物种侵袭。
提供的化合物或其组合物针对多种有机体具有杀真菌活性。因此,提供的化合物或者组合物的给药可治疗例如病症,其包括例如与一种或者多种皮肤真菌相关或者由一种或者多种皮肤真菌导致的甲癣,其包括例如红色毛癣菌、趾间毛癣菌、絮状麦皮癣菌、紫色毛癣菌、石膏样小孢子菌、断发毛癣菌、苏丹奈斯发癣菌和疣状毛癣菌;由一种或者多种念珠菌属物种导致的甲癣,包括例如白色念珠菌和近平滑念珠菌;和/或由一种或者多种霉菌导致的甲癣,包括例如短尾帚霉、镰刀菌属、曲霉菌属、链格孢属、支顶孢属、双间柱顶孢和透明小柱孢。
在一些实施方案中,本发明提供了所提供的化合物或其组合物,其中所述组合物与物理/机械渗透增强剂组合,所述物理/机械渗透增强剂例如通过可逆地破坏或改变角质层或指甲表面的物理化学性质以降低其扩散阻力来增加渗透性。这种机械增强可以包括本领域已知的那些,例如手工和电子指甲磨损、酸蚀刻、激光消融、微孔化、离子电渗疗法或施加低频超声波、在指甲或皮肤上/穿过指甲或皮肤施加热或电流以使局部部分的扩散更有效。
所提供的化合物或其组合物可以以任何制剂(包括凝胶)局部施用。足够量的局部制剂可以轻轻地摩擦到患病区域和周围皮肤上,例如,其量足以覆盖受影响区域以及受影响区域周围的健康皮肤或组织的边缘,例如,大约 0.5英寸的边缘。所提供的组合物可以应用于任何身体表面,包括例如皮肤表面、头皮、眉毛、睫毛、胡须区域、指甲表面、甲床、指甲基体和甲褶以及口腔、阴道、眼睛、鼻子或其他粘膜。
对于皮肤的大部分浅表性真菌感染,提供的化合物或其组合物可按以下方式施用:单一的一次性涂抹、一周一次、二周一次、一月一次,或者每日 1-4次,持续足以减轻症状或者清除真菌感染的时间,例如,持续时间为一周、1至12周或者更多、1至10周、1至8周、2至12周、2至10周、2 至8周、2至6周、2至4周、4至12周、4至10周、4至8周、4至6周。提供的化合物或其组合物可例如以每日一次或者每日两次的频率给药。提供的化合物或其组合物可每日一次局部给药,持续1周至8周、1周至4周、 1周、2周、3周、4周、5周、6周、7周,或者8周。
所提供的化合物或其组合物可以以治疗有效量施用,例如足以覆盖受影响的区域加上受影响区域周围的健康皮肤或组织边缘的量,例如约0.5英寸的边缘。例如,每次施用每个受影响的区域或每个受影响的区域的累积日剂量(例如24小时内的两次施用)的合适量可以包括例如约0.1克至约8克;约 0.2克至约4.5克;约0.3克至约4克;约0.4克至约3.5克;约0.4克至约3 克;约0.4克至约2.5克;约0.4克至约2克;约0.4克至约1.5克;约0.5 克至约8克;约0.5克至约6克;约0.5克至约5克;约0.5克至约4.5克;约0.5克至约4克;约0.5克至约3.5克;约0.5克至约3克;约0.5克至约 2.5克;约0.5克至约2克;约0.5克至约1.5克;约0.5克至约1克;约1 克至约8克;约1克至约8克;约1克至约7克;约1克至约6克;约1克至约5克;约1克至约4.5克;约1克至约4克;约1克至约3.5克;约1 克至约3克;约1克至约2.5克;约1克至约2克;约1克至约1.5克;约 1.5克至约8克;约1.5克至约7克;约1.5克至约6克;约1.5克至约5克;约1.5克至约4.5克;约1.5克至约4克;约1.5克至约3.5克;约1.5克至约3克;约1.5克至约2.5克;约1.5克至约2克;约2克至约8克;约2 克至约7克;约2克至约6克;约2克至约5克;约2克至约4.5克;约2 克至约4克;约2克至约3.5克;约2克至约3克;约2克至约2.5克;约 2.5克至约8克;约2.5克至约7克;约2.5克至约6克;约2.5克至约5克;约2.5克至约4.5克;约2.5克至约4克;约2.5克至约3.5克;约2.5克至约3克;约3克至约8克;约3克至约7克;约3克至约6克;约3克至约 5克;约3克至约4.5克;约3克至约4克;约3克至约3.5克;约3.5克至约8克;约3.5克至约7克;约3.5克至约6克;约3.5克至约5克;约3.5 克至约4.5克;约3.5克至约4克;约4克至约8克;约4克至约7克;约 4克至约6克;约4克至约5克;约4克至约4.5克;约4.5克至约8克;约4.5克至约7克;约4.5克至约6克;约4.5克至约5克;约5克至约8克;约5克至约7克;约5克至约6克;约5.5克至约8克;约5.5克至约 7克;约5.5克至约6克;约6克至约8克;约6克至约7克;约6.5克至约8克;约6.5克至约7克;约7克至约8克;约7.5克至约8克;约0.2 克;约0.5克;约1克;约1.5克;约2克;约2.5克;约3克、约3.5克;约4克、约4.5克;约5克、约5.5克;约6克、约6.5克;约7克、约7.5 克;或者约8克。
在例如足癣和/或股癣的某些严重的情况下,对于每次施用每个受影响区域,可将8克本发明所述组合物的最大剂量施用至受影响区域,例如,每日一次或者两次。
例如,通常对于体癣或者股癣或者面癣,本发明组合物可以例如每天一次或两次,例如早晨和晚上施用,约2-4周。通常对于足癣应用,本发明组合物可以每天施用一次,持续2周或更长时间。例如,所提供的化合物或其组合物可以以足以覆盖受影响的区域加受影响区域周围的健康皮肤或组织的边缘(例如约0.5英寸的边缘)的量以一定频率局部施用,例如每天一次,持续一段时间,例如约两周。
如果需要,可以将其它治疗剂与所提供的化合物或其组合物联合使用。可与载体材料组合以产生单一剂型的药物活性成分的量将根据所治疗的主体、疾病的性质、障碍或病症以及活性成分的性质而变化。
在一些实施方案中,所提供的化合物或其药物组合物以每个时间段的单个或多个剂量给予,例如每日,每周,每两周或每月。例如,在一些实施方案中,所提供的化合物或其药物组合物每个时间段给予一次至四次。
在一些实施方案中,对于皮肤的浅表性真菌感染,每周给予一次所提供的化合物或其组合物持续1至6周的时间,例如一周,两周,三周,四周,五周,或者六周。
在一些实施方案中,对于甲癣感染,所提供的化合物或其组合物以每日1-4次的频率施用,包括例如每日一次,每日两次,每日三次或每日四次,每天一次或每周一次,或每月或每隔一个月的时间方案,持续一段足以减轻症状或清除真菌感染的时间,例如1至52周、1至26周、26至52周、13 至39周、20至40周、20至48周、5至50周、10至45周、15至40周、 20至35周、25至30周,约30周;28周至50周、30周至48周、32至46 周、34至44周、36至42周、38至40周、2至24周、2至22周、2至20 周、2至18周、2至16周、2至14周、2至12周、2至10周、2至8周、 2至6周、2至4周、10至48周、12至48周、14至48周、16至48周、 18至48周、20至48周、22周至48周、24周至48周、26至48周、28至 48周、30至48周、32至48周、34至48周、34至48周、36至48周、38 至48周、40至48周、42至48周、44至48周、46至48周、1周、2周、 4周、6周、8周、10周、12周、24周、26周、28周、30周、32周、34 周、36周、38周、40周、42周、44周、46周、48周、50周,或者52周。例如,可以以每天一次的频率局部施用本发明的组合物,持续1周至52周的时间段,例如约24周至48周。
在一些实施方案中,对于甲癣感染,本发明描述的组合物以治疗有效量施用,例如足以覆盖受影响的区域加上受影响区域周围的健康皮肤和/或指甲的边缘的量,例如约0.1至约0.5英寸的边缘。例如,每次施用每个受影响的区域或每个受影响的区域的累积日剂量(一个或多个指甲,和例如在24 小时内的一次或两次施用)的合适量可以包括例如约0.1克至约8克;约0.2 克至约4.5克;约0.3克至约4克;约0.4克至约3.5克;约0.4克至约3克;约0.4克至约2.5克;约0.4克至约2克;约0.4克至约1.5克;约0.5克至约8克;约0.5克至约6克;约0.5克至约5克;约0.5克至约4.5克;约0.5 克至约4克;约0.5克至约3.5克;约0.5克至约3克;约0.5克至约2.5克;约0.5克至约2克;约0.5克至约1.5克;约0.5克至约1克;约1克至约8克;约1克至约8克;约1克至约7克;约1克至约6克;约1克至约5克;约1克至约4.5克;约1克至约4克;约1克至约3.5克;约1克至约3克;约1克至约2.5克;约1克至约2克;约1克至约1.5克;约1.5克至约8 克;约1.5克至约7克;约1.5克至约6克;约1.5克至约5克;约1.5克至约4.5克;约1.5克至约4克;约1.5克至约3.5克;约1.5克至约3克;约 1.5克至约2.5克;约1.5克至约2克;约2克至约8克;约2克至约7克;约2克至约6克;约2克至约5克;约2克至约4.5克;约2克至约4克;约2克至约3.5克;约2克至约3克;约2克至约2.5克;约2.5克至约8 克;约2.5克至约7克;约2.5克至约6克;约2.5克至约5克;约2.5克至约4.5克;约2.5克至约4克;约2.5克至约3.5克;约2.5克至约3克;约 3克至约8克;约3克至约7克;约3克至约6克;约3克至约5克;约3 克至约4.5克;约3克至约4克;约3克至约3.5克;约3.5克至约8克;约3.5克至约7克;约3.5克至约6克;约3.5克至约5克;约3.5克至约4.5 克;约3.5克至约4克;约4克至约8克;约4克至约7克;约4克至约6 克;约4克至约5克;约4克至约4.5克;约4.5克至约8克;约4.5克至约7克;约4.5克至约6克;约4.5克至约5克;约5克至约8克;约5克至约7克;约5克至约6克;约5.5克至约8克;约5.5克至约7克;约5.5 克至约6克;约6克至约8克;约6克至约7克;约6.5克至约8克;约6.5 克至约7克;约7克至约8克;约7.5克至约8克;约0.2克;约0.5克;约1克;约1.5克;约2克;约2.5克;约3克、约3.5克;约4克、约4.5 克;约5克、约5.5克;约6克、约6.5克;约7克、约7.5克;或者约8 克。
在某些甲癣病例中,对于每次施用每个受影响的区域,将8克提供的化合物或其组合物的最大剂量施用至受影响的区域(所有指甲),例如,每日一次或者两次。在一些实施方案中,施用提供的化合物或其组合物,例如每日一次或者两次,例如,早晨和/或夜晚,持续约1-52周。例如,在一些实施方案中,所提供的化合物或其组合物以足以覆盖受影响的区域加上受影响区域周围的健康皮肤和/或指甲的边缘(例如约0.1至约0.5英寸的边缘)的量被局部施用,频率为例如一天一次,持续一段时间,例如约24至约48周。
范例
如以下实施例中所描述的,在某些示例性实施方案中,根据以下一般操作制备化合物。应该理解的是,尽管一般方法描述了本发明的某些化合物的合成,但是下列通用方法和本领域普通技术人员已知的其它方法可以应用于所有化合物和亚类以及这些化合物中的每一种,如本文所述。
实验操作:
实施例1:合成(R)-2-(1-(2-(5-氟-2-甲氧基苯基)-2-异丙氧基乙基)-5-甲基 -2,4-二氧代-6-(1H-吡唑-1-基)-1,4-二氢噻吩并[2,3-d]嘧啶-3(2H)-基)-N-异丙基-2-甲基丙酰胺,I-1.
合成化合物1.2.在氮气下向3000-mL 3颈圆底烧瓶中添加1.1(100 g, 487.75mmol,1.00当量)、THF(1.5 L)。然后在搅拌下在-78℃滴加正丁基锂 (215.6 mL)。将所得溶液在-78℃搅拌1小时。在搅拌下在-78℃向其滴加 DMF(71.54 g,978.79 mmol,2.01当量)。将反应在室温搅拌1小时,然后通过添加800 mL NH4Cl(水溶液)淬灭。所得溶液用500 mL乙酸乙酯萃取,将有机层合并,并且在真空下浓缩。将粗品通过柱色谱法纯化,得到65.7 g(87%)1.2,其为浅黄色固体。
合成化合物1.3.在氮气下向2000-mL 3颈圆底烧瓶中添加DMSO(700 mL)、NaH(20.48 g,512.00 mmol,1.20当量,60%)。将反应在40℃搅拌1小时。然后分数批添加S,S-二甲基甲烷亚磺酰碘(112.64 g,511.83 mmol,1.20当量)。在搅拌下在15℃向其滴加1.2(65.7 g,426.24 mmol,1.00当量)。将反应在室温搅拌1小时,然后通过添加600 mL NH4Cl(水溶液)淬灭。所得溶液用 600 mL乙酸乙酯萃取并将有机层合并。所得混合物用2x400 mL水、500 mL 盐水洗涤,干燥并浓缩,提供40 g(56%)1.3,其为浅棕色油状物。
合成化合物1.4.向1000-mL 3颈圆底烧瓶中添加FeCl3(11.978 g,73.85 mmol,0.10当量)、丙-2-醇(223.2 g,3.71 mol,5.00当量)。然后在搅拌下在0℃滴加1.3(125 g,743.32 mmol,1.00当量)。将反应在室温搅拌2小时,然后通过添加400 mL水淬灭。所得溶液用2x300 mL EtOAc萃取,将有机层合并,并且在真空下浓缩。将粗品通过柱色谱法纯化,得到48 g(28%)1.4,其为无色油状物。
合成化合物1.5.向500-mL 3颈圆底烧瓶中添加1.4(48 g,210.29 mmol, 1.00当量)、甲苯(250 mL)、丁酸乙烯基酯(14.478 g,126.84 mmol,0.60当量)、 CAL-B(720 mg)。将所得溶液在室温搅拌3小时。将固体滤出。将所得混合物在真空下浓缩。将粗品通过柱色谱法纯化,得到28.5 g(45%)1.5,其为无色油状物。
合成化合物1.6.向500-mL 3颈圆底烧瓶中添加1.5(21.8g,73.07mmol, 1.00当量)、甲醇(300mL)、水(150mL)、NaOH(5.84g,146.01mmol,2.00当量)。将反应在室温搅拌30分钟。将溶液的pH值用AcOH调节至7。所得混合物在真空下浓缩,用3x100mL EtOAc萃取并将有机层合并。将粗品通过柱色谱法纯化,得到16g(96%)1.6,其为无色油状物。
合成化合物1.8.向2000-mL圆底烧瓶中添加1.7(320g,2.46mol,1.00当量)在乙醇(600mL)中的溶液、硫(80g,1.00当量),和2-氰基乙酸乙基酯(280 g,2.48mol,1.00当量)。然后在搅拌下在45℃在30分钟内滴加吗啉(235g, 1.00当量)。将反应在60℃搅拌5小时。将固体滤出。将溶液用3000mL H2O 稀释。固体通过过滤收集并将滤饼用1L EtOH(30%)洗涤,提供380 g(60%)1.8,其为黄色固体。
合成化合物1.9.向用氮气的惰性气氛吹扫并保持的2000-mL 3颈圆底烧瓶中添加1.8(200g,777.28mmol,1.00当量)、CH2Cl2(1000mL)。然后在搅拌下在0℃添加碳酸二(三氯甲基)酯(76.9g,259.14mmol,0.33当量)。然后在搅拌下在0℃在2小时内滴加Et3N(314g,3.10mol,3.99当量)。将所得溶液在0℃搅拌3小时。在0℃向其添加2-氨基-2-甲基丙酸叔丁基酯(152g, 776.70mmol,1.00当量)。将反应在室温搅拌过夜,然后通过添加1L水淬灭。将所得混合物在真空下浓缩。将粗产物重结晶,提供105g(31%)1.9,其为黄色固体。
合成化合物1.91.在氮气下向1-L 3颈圆底烧瓶中添加1.9(42g,94.91 mmol,1.00当量)、1,4-二噁烷(400mL)。然后在10℃添加NaH(5.7g,142.50 mmol,1.50当量)。将反应在110℃搅拌2小时,然后通过添加500mL NH4Cl(水溶液)淬灭。所得溶液用3x200mL EtOAc萃取并将有机层合并,并且在真空下浓缩。将粗产物重结晶,提供24.4g(65%)1.91,其为白色固体。
合成化合物1.92.向500-mL 3颈圆底烧瓶中添加1.91(24.4g,61.54 mmol,1.00当量)、NaOH(12.2g,305.00mmol,4.96当量)、水(20mL)、甲醇 (250mL)。将所得溶液在50℃搅拌4小时。将所得混合物在真空下浓缩。将溶液的pH值用HCl(10%)调节至2。将反应用3x300mL EtOAc萃取,将有机层合并,并且经无水硫酸钠干燥并在真空下浓缩,提供19.4g(86%)1.92,其为白色固体。
合成化合物1.93.向1-L 3颈圆底烧瓶中添加1.92(19.4g,52.66mmol, 1.00当量)、K2CO3(8.7g,62.95mmol,1.20当量)、CH3COOAg(10.5g)和 NMP(400mL)。将反应在110℃搅拌2小时。然后将反应通过添加1L水淬灭。所得溶液用5x200mL EtOAc萃取,将有机层合并,并且在真空下浓缩。将粗品通过柱色谱法纯化,得到15.3g(90%)1.93,其为白色固体。
合成化合物1.94.向1000-mL 3颈圆底烧瓶中添加1.93(15.3g,47.16 mmol,1.00当量)、CH3COONa(8.5g,103.66mmol,2.20当量)、乙酸(300 ml)。然后在搅拌下滴加Br2(8.3g,51.94mmol,1.10当量)。将反应在室温搅拌1小时。所得混合物用500mL H2O洗涤并在真空下浓缩,提供17 g(89%)1.94,其为白色固体。
合成化合物1.95.向用氮气的惰性气氛吹扫并保持的500-mL 3颈圆底烧瓶中添加1.94(13g,32.23mmol,1.00当量)、DMF(200mL)。然后在搅拌下在1小时内滴加NaH(1.52g,1.18当量,60%)。向其添加[溴(苯基)-甲基]苯(9.348g,37.83mmol,1.17当量)。将反应在室温搅拌过夜,然后通过添加饱和NH4Cl水溶液淬灭,用2x200mL EtOAc萃取。将有机层合并,并在真空下浓缩。将粗品通过柱色谱法纯化,得到17g(93%)1.95,其为黄色固体。
合成化合物1.96.在氮气下向100-mL圆底烧瓶中添加1.95(2g,3.51 mmol,1.00当量)、1H-吡唑(10g,146.89mmol,41.83当量)、CuSO4(2g)、 Cs2CO3(4g,12.28mmol,3.50当量)、DMF(40mL)、2-吡啶羧酸(1g)。将反应在油浴中在130℃搅拌过夜。所得混合物用200mLH2O稀释,用2x200mL EtOAc萃取并将有机层合并,并且在真空下浓缩。将粗品通过柱色谱法纯化,得到500mg(26%)1.96,其为黄色固体。
合成化合物1.97.向100-mL圆底烧瓶中添加1.96(500mg,0.90mmol, 1.00当量)在三氟乙酸(5mL)中的溶液。然后添加三氟甲烷磺酸(384mg,2.56 mmol,1.00当量)。将所得溶液在室温搅拌3小时。然后将反应通过添加50mL 水淬灭,然后用2x50mL EtOAC萃取。将有机层合并,并在真空下浓缩,提供1g(粗)1.97,其为白色固体。
合成化合物1.98.向50-mL圆底烧瓶中添加1.97(1g,2.99mmol,1.00当量)、THF(10mL)、TBDPSCl(1.64g,2.00当量)、咪唑(407mg,2.00当量)。将反应在室温搅拌2小时。将所得混合物在真空下浓缩。将粗品通过柱色谱法纯化,得到650mg(38%)1.98,其为白色固体。
合成化合物1.99.在氮气下向50-mL 3颈圆底烧瓶中添加1.98(650mg, 1.13mmol,1.00当量)、THF(10mL)、1.6(310mg,1.36mmol,1.2当量)、 DIAD(458mg,2.26mmol,2.00当量),和PPh3(594mg,2.26mmol,2.00当量)。将反应在室温搅拌过夜。将所得混合物在真空下浓缩。将粗品通过柱色谱法纯化,得到500mg(57%)1.99,其为白色固体。
合成化合物1.991.向50-mL圆底烧瓶中添加1.99(500mg,粗品)、 TBAF(500mg)和THF(20mL)。将反应在室温搅拌过夜。将所得混合物在真空下浓缩。将粗品通过柱色谱法纯化,得到200mg 1.991,其为白色固体。
合成化合物I-1.向50-mL圆底烧瓶中添加1.991(200mg,0.37mmol, 1.00当量)、丙-2-胺(44mg,0.74mmol,2.03当量)、DCC(228mg,1.11mmol, 3.01当量)、4-二甲基氨基吡啶(90mg,0.74mmol,2.01当量),和CH2Cl2(10 mL)。将反应在50℃搅拌过夜。将所得混合物在真空下浓缩。将粗品通过柱色谱法纯化,得到101.5mg(47%)I-1,其为白色固体。LC-MS(ES,m/z): [M-C4NOH8]+527,[M+Na]+608;1H NMR(300MHz,DMSO-d6):δ 0.96-1.03(m,12H),1.61-1.64(d,6H),2.30(s,3H),3.40-3.48(m,1H),3.70(s,3H), 3.75-4.00(m,3H),5.12-5.16(t,1H),6.56(t,1H),6.93-7.00(m,1H),7.06-7.27(m, 3H),δ7.80(s,1H),8.10(s,1H)。
实施例2:合成(R)-1-(2-(5-氟-2-甲氧基苯基)-2-异丙氧基乙基)-5-甲基 -3-(2-甲基-1-氧代-1-(哌啶-1-基)丙-2-基)-6-(1H-吡唑-1-基)噻吩并[2,3-d]嘧啶 -2,4(1H,3H)-二酮,I-2.
向50-mL圆底烧瓶中添加1.991(200mg,0.37mmol,1.00当量)、 DCC(151.5mg,0.73mmol,2.00当量)、4-二甲基氨基吡啶(90mg,0.74mmol, 2.01当量)、哌啶(60mg,0.70mmol,1.92当量),和CH2Cl2(20mL)。将反应在50℃搅拌5小时。将所得混合物在真空下浓缩。将粗品通过柱色谱法纯化,得到49mg(22%)I-2,其为白色固体。LC-MS-PH(ES,m/z)[M-C5NH10]+ 527,[M+Na]+634;1H NMR(400MHz,DMSO-d6):δ0.99-1.03(m,6H), 1.30-1.80(m,12H),2.35(s,3H),3.10-3.35(m,4H),3.48-3.53(m,1H),3.79(s,3H), 3.90-4.30(m,2H),5.20(t,1H),6.60(s,1H),6.98-7.05(m,1H),7.12-7.28(m,2H), 7.82(s,1H),8.19(s,1H)。
实施例3:合成(R)-1-(2-(5-氟-2-甲氧基苯基)-2-异丙氧基乙基)-5-甲基 -3-(2-甲基-1-吗啉代-1-氧代丙-2-基)-6-(1H-吡唑-1-基)噻吩并[2,3-d]嘧啶 -2,4(1H,3H)-二酮,I-3.
化合物I-3使用如实施例2中所述的类似操作由化合物1.991和吗啉以 46%收率制备。LC-MS(ES,m/z):[M+Na]+636;1H NMR(400MHz,DMSO-d6): δ0.98-1.03(m,6H),1.60-1.80(d,6H),2.36(s,3H),3.15-3.40(m,4H), 3.48-3.60(m,5H),3.78(s,3H),3.90-4.30(m,2H),5.20(t,1H),6.60(s,1H), 7.03-7.05(m,1H),7.12-7.25(m,2H),7.82(s,1H),8.20(s,1H)。
实施例4:合成(R)-2-(1-(2-(5-氟-2-甲氧基苯基)-2-((四氢-2H-吡喃-4-基) 氧基)乙基)-5-甲基-2,4-二氧代-6-(1H-吡唑-1-基)-1,4-二氢噻吩并[2,3-d]嘧啶 -3(2H)-基)-2-甲基丙酰胺,I-4.
化合物I-4使用实施例2中所述的操作由化合物4.1和NH4Cl以65.4%收率制备。LC-MS(ES,m/z):[M+Na]+608;1H NMR(300MHz,DMSO-d6):δ 8.13(s,1H),7.80(d,1H),7.22-7.18(m,1H),7.15-7.11(m,1H),7.09-6.97(m,1H), 6.90-6.60(brs,1H),6.59-6.56(t,1H),5.26-5.22(m,1H),4.02-3.80(m,2H),3.74(s, 3H),3.62-3.55(m,2H),3.40-3.37(m,1H),3.31-3.22(m,2H),2.32(s,3H), 1.66-1.65(m,8H),1.35-1.24(m,2H)。
实施例5:合成2-(1-((R)-2-(5-氟-2-甲氧基苯基)-2-(((1s,4S)-4-羟基环己基)氧基)乙基)-5-甲基-2,4-二氧代-6-(1H-吡唑-1-基)-1,4-二氢-噻吩并[2,3-d] 嘧啶-3(2H)-基)-2-甲基丙酰胺,I-5.
合成化合物I-25.向100-mL圆底烧瓶中添加5.1(700mg,1.17mmol, 1.00当量)、DCC(485mg,2.35mmol,2.01当量)、DMAP(285mg,2.33mmol, 2.00当量)、NH4Cl(125mg,2.34mmol,2.00当量)和CH2Cl2(20mL)。将反应在50℃搅拌4小时。将所得混合物在真空下浓缩。将粗品通过柱色谱法纯化,得到600mg(86%)I-25,其为白色固体。
合成化合物I-5.在氮气下向100-mL 3颈圆底烧瓶中添加I-25(600mg, 1.00mmol,1.00当量)、THF(20mL)。然后在-78℃添加三仲丁基硼氢化锂 (L-selectride)(3mL,1M)。将反应在-78℃搅拌1小时,然后通过添加20mL NH4Cl(水溶液)淬灭。所得溶液用3x30mLCH2Cl2萃取并将有机层合并,并且在真空下浓缩。将粗产物通过制备性HPLC纯化,提供241.8mg(40%)I-5,其为白色固体。
LC-MS(ES,m/z)[M-NH2]+583,[M+H]+600,[M+Na]+622;1H NMR(400 MHz,DMSO-d6):1.23-1.40(m,6H),1.48-1.60(m,2H),1.62-1.70(d,6H),2.31(s, 3H),3.18-3.23(m,1H),3.38-3.48(m,1H),3.75(s,3H),3.82-4.10(m,2H), 4.36-4.37(d,1H),5.20-5.23(t,1H),6.59(s,1H),6.60-6.80(brs,1H),6.98-7.03(m, 1H),7.07-7.15(m,1H),7.19-7.22(m,1H),7.79(s,1H),8.13(s,1H)。
实施例6:合成(R)-2-(1-(2-(5-氟-2-甲氧基苯基)-2-((四氢-2H-吡喃-4-基) 氧基)乙基)-5-甲基-2,4-二氧代-6-(1H-吡唑-1-基)-1,4-二氢噻吩并[2,3-d]嘧啶 -3(2H)-基)-N-异丙基-2-甲基丙酰胺,I-6.
向8-mL微波瓶中添加4.1(200mg,0.34mmol,1.00当量)、DCC(210mg, 1.02mmol,3.00当量)、4-二甲基氨基吡啶(83mg,0.68mmol,2.00当量)、丙 -2-胺(40mg,0.68mmol,2.00当量),和CH2Cl2(2mL)。将反应在50℃在油浴中搅拌8小时。将混合物在真空下浓缩。将粗品通过柱色谱法和制备性 HPLC纯化,得到58.2mg(27%)I-6,其为白色固体。LC-MS(ES,m/z): [M-C3H8N]+569;1H NMR(300MHz,DMSO-d6):δ1.00-1.02(m,6H), 1.24-1.31(m,2H),1.61-1.70(m,8H),2.31(s,3H),3.26-3.29(m,2H),3.30-3.32(m, 1H),3.54-3.58(m,2H),3.73(s,3H),3.83-3.88(m,2H),3.99-4.10(m,1H), 5.21-5.25(t,1H),6.57(s,1H),7.00-7.05(m,1H),7.07-7.17(m,1H),7.18-7.27(m, 2H),7.78(s,1H),8.13(s,1H)。
实施例7:合成(R)-1-(2-(5-氟-2-甲氧基苯基)-2-((四氢-2H-吡喃-4-基)氧基)乙基)-5-甲基-3-(2-甲基-1-氧代-1-(吡咯烷-1-基)丙-2-基)-6-(1H-吡唑-1-基) 噻吩并[2,3-d]嘧啶-2,4(1H,3H)-二酮,I-7.
化合物I-7使用实施例6中所述的操作由化合物4.1和吡咯烷以30%收率制备。LC-MS(ES,m/z):[M-C4H8N]+569;1H NMR(300MHz,DMSO-d6): δ1.15-1.46(m,2H),1.64-1.96(m,12H),2.31(s,3H),3.00-3.20(m,2H), 3.21-3.30(m,5H),3.31-3.41(m,1H),3.56-3.69(m,2H),3.77(s,3H),3.89-4.10(m, 1H),5.21-5.25(t,1H),6.57(s,1H),6.90-7.20(m,3H),7.79(s,1H),8.17(s,1H)。
实施例8:合成(R)-1-(2-(5-氟-2-甲氧基苯基)-2-((四氢-2H-吡喃-4-基)氧基)乙基)-5-甲基-3-(2-甲基-1-氧代-1-(哌啶-1-基)丙-2-基)-6-(1H-吡唑-1-基)噻吩并[2,3-d]嘧啶-2,4(1H,3H)-二酮,I-8.
化合物I-8使用实施例6中所述的操作由化合物4.1和哌啶以34%收率制备。LC-MS(ES,m/z):[M-C5H10N]+569;1H NMR(300MHz,DMSO-d6): δ1.19-1.57(m,8H),1.58-1.83(m,8H),2.28(s,3H),δ3.09-3.33(m,5H), 3.34-3.43(m,3H),3.57-3.69(m,2H),3.77(s,3H),3.89-4.10(m,1H),5.21-5.25(t, 1H),6.57(s,1H),6.90-7.20(m,3H),7.79(s,1H),8.17(s,1H)。
实施例9:合成(R)-1-(2-(5-氟-2-甲氧基苯基)-2-((四氢-2H-吡喃-4-基)氧基)乙基)-3-(1-(3-羟基氮杂环丁烷-1-基)-2-甲基-1-氧代丙-2-基)-5-甲基 -6-(1H-吡唑-1-基)噻吩并[2,3-d]嘧啶-2,4(1H,3H)-二酮,I-9.
向8-mL圆底烧瓶中添加4.1(200mg,0.34mmol,1.00当量)、CH2Cl2(2 mL)、EDCI(98mg,0.51mmol,1.50当量)、HOBt(46mg,0.34mmol,1.00当量)、DIEA(131.6mg,1.02mmol,2.99当量)和氮杂环丁烷-3-醇盐酸盐(75mg,0.68 mmol,2.01当量)。将反应在25℃搅拌8小时。所得混合物用2mL H2O洗涤。将粗产物通过制备性HPLC纯化,得到53.1mg(24%)I-9,其为白色固体。LC-MS(ES,m/z):[M-C3H6NO]+569;1H NMR(400MHz,CD3OD):δ 1.45-1.55(m,2H),1.75-1.80(m,7H),1.81-1.85(m,1H),2.37(s,3H),3.37-3.45(m, 2H),3.46-3.52(m,1H),3.73-3.83(m,7H),4.15-4.54(m,4H),4.87-4.91(t,1H), 5.39-5.43(t,1H),6.59(s,1H),6.95-6.99(m,1H),7.00-7.12(m,1H),7.20-7.25(m, 1H),7.80(d,1H),7.95-7.96(d,1H)。
实施例10:合成(R)-2-(1-(2-(2-甲氧基苯基)-2-((四氢-2H-吡喃-4-基)氧基)乙基)-5-甲基-2,4-二氧代-6-(1H-吡唑-1-基)-1,4-二氢噻吩并[2,3-d]嘧啶 -3(2H)-基)-2-甲基丙酰胺,I-10.
合成化合物10.2.向25-mL圆底烧瓶中添加1.98(500mg,0.87mmol, 1.00当量)、THF(5mL)、10.1(276mg,1.09mmol,1.25当量)、DIAD(251mg, 1.24mmol,1.42当量),和PPh3(340mg,1.30mmol,1.48当量)。将反应在50℃在油浴中搅拌12小时。将粗产物通过柱色谱法纯化,得到600mg(85%)10.2,其为白色固体。
合成化合物10.3.向50-mL圆底烧瓶中添加10.2(1.2g,1.49mmol,1.00 当量)、TBAF(1.23g,3.73mmol,2.51当量),和THF(12mL)。将反应在25℃搅拌12小时。所得混合物在真空下浓缩,然后用EtOAc稀释。所得混合物用H2O洗涤并在真空下浓缩。将粗产物通过柱色谱法纯化,得到400 mg(47%)10.3,其为白色固体。
合成化合物I-10.向8-mL圆底烧瓶中添加10.3(200mg,0.35mmol,1.00 当量)、CH2Cl2(2mL)、DCC(217mg,1.05mmol,3.00当量)、DMAP(85.4mg, 0.70mmol,2.00当量)和NH4Cl(36mg,0.67mmol,3.00当量)。将反应在50℃在油浴中搅拌8小时。将粗产物通过柱色谱法纯化,得到51.1mg(26%)I-10,其为白色固体。LC-MS(ES,m/z):[M-NH2]+551;1H NMR(400MHz,DMSO-d6): δ1.24-1.34(m,2H),1.62-1.68(m,8H),2.33(s,3H),3.23-3.30(m,2H), 3.53-3.60(m,2H),3.76(s,3H),3.80-3.95(m,1H),3.96-4.10(m,1H),5.25-5.29(t,1H),6.57-6.58(t,1H),6.66-6.80(brs,1H),6.98-7.05(m,2H),7.06-7.15(brs,1H),7.28-7.32(t,1H),7.45-7.47(d,1H),7.78-7.79(d,1H),8.13-8.14(d,1H)。
实施例11:合成(R)-N-异丙基-2-(1-(2-(2-甲氧基苯基)-2-((四氢-2H-吡喃 -4-基)氧基)乙基)-5-甲基-2,4-二氧代-6-(1H-吡唑-1-基)-1,4-二氢噻吩并[2,3-d] 嘧啶-3(2H)-基)-2-甲基丙酰胺,I-11.
向8-mL圆底烧瓶中添加10.3(200mg,0.35mmol,1.00当量)、DCC(217 mg,1.05mmol,2.99当量)、DMAP(85.4mg,0.70mmol,1.99当量)、丙-2-胺 (41.3mg,0.70mmol,1.99当量),和CH2Cl2(2mL)。将反应在50℃搅拌12 小时。将粗产物通过柱色谱法和制备性HPLC纯化,得到50.2mg(23%)I-11,其为白色固体。LC-MS(ES,m/z):[M-C3H8N]+551;1H NMR(400MHz, DMSO-d6):δ1.01-1.03(m,6H),1.24-1.29(m,2H),1.62-1.68(m,8H),2.33(s,3H), 3.23-3.29(m,2H),3.31-3.38(m,1H),3.53-3.60(m,2H),3.76(s,3H),3.80-3.92(m,2H),3.97-4.10(m,1H),5.25-5.29(t,1H),6.57(s,1H),6.97-7.03(m,2H), 7.26-7.32(m,2H),7.45-7.47(d,1H),7.78-7.79(d,1H),8.13-8.14(d,1H)。
实施例12:合成(R)-1-(2-(2-甲氧基苯基)-2-((四氢-2H-吡喃-4-基)氧基) 乙基)-5-甲基-3-(2-甲基-1-氧代-1-(吡咯烷-1-基)丙-2-基)-6-(1H-吡唑-1-基)噻吩并[2,3-d]嘧啶-2,4(1H,3H)-二酮,I-12.
化合物I-12使用实施例11中所述的操作由吡咯烷和10.3以26%收率制备。LC-MS(ES,m/z):[M-C4H8N]+551;1H NMR(400MHz,DMSO-d6): δ1.18-1.25(m,1H),1.27-1.34(m,1H),1.65-1.72(m,12H),2.33(s,3H), 3.12-3.20(m,2H),3.21-3.3.28(m,2H),3.29-3.32(m,2H),3.33-3.38(m,1H), 3.57-3.65(m,2H),3.76(s,3H),3.89-4.12(m,2H),5.25-5.29(t,1H),6.57(s,1H), 6.97-7.03(m,2H),7.30-7.36(m,1H),7.38-7.45(m,1H),7.78(d,1H),8.17-8.18(d, 1H)。
实施例13:合成(R)-1-(2-(2-甲氧基苯基)-2-((四氢-2H-吡喃-4-基)氧基) 乙基)-5-甲基-3-(2-甲基-1-氧代-1-(哌啶-1-基)丙-2-基)-6-(1H-吡唑-1-基)噻吩并[2,3-d]嘧啶-2,4(1H,3H)-二酮,I-13.
化合物I-13由化合物10.3和哌啶以26%收率制备。LC-MS(ES,m/z): [M-C5H10N]+551;1H NMR(300MHz,DMSO-d6):δ1.20-1.55(m,8H), 1.56-1.64(m,8H),2.33(s,3H),3.12-3.31(m,5H),3.32-3.38(m,3H),3.57-3.65(m, 2H),3.76(s,3H),3.89-4.12(m,1H),5.25-5.29(t,1H),6.57(s,1H),6.97-7.03(m, 2H),7.30-7.36(m,1H),7.38-7.45(m,1H),7.78(s,1H),8.14(s,1H)。
实施例14:合成2-(1-((R)-2-(5-氟-2-甲氧基苯基)-2-(((1s,4S)-4-羟基环己基)氧基)乙基)-5-甲基-2,4-二氧代-6-(1H-吡唑-1-基)-1,4-二氢-噻吩并[2,3-d] 嘧啶-3(2H)-基)-N-异丙基-2-甲基丙酰胺,I-14.
在氮气下向50-mL 3颈圆底烧瓶中添加I-26(160mg,0.25mmol,1.00当量)在THF(6mL)中的溶液。然后在搅拌下在-78℃滴加三仲丁基硼氢化锂 (L-selectride)(0.75mL,0.75mmol,3.00当量,1mol/L)。将反应在-78℃搅拌 40分钟。所得混合物用NH4Cl(aq)淬灭并在真空下浓缩。将粗产物通过制备性HPLC纯化,提供88mg(55%)I-14,其为白色固体。LC-MS(ES,m/z):[M+H]+ 642;1H NMR:(400MHz,DMSO-d6):δ8.11(d,1H),7.77(d,1H),7.24-7.17(m, 2H),7.13-7.10(m,1H),7.09-6.96(m,1H),6.56(m,1H),5.20-5.17(m,1H),4.35(d,1H),4.05-3.90(m,1H),3.88-3.75(m,2H),3.71(s,3H),3.55-3.35(m,1H),3.20(m, 1H),2.28(s,3H),1.61-1.54(m,6H),1.52-1.51(m,2H),1.32-1.20(m,6H), 1.01-0.99(dd,6H)。
实施例15:合成1-((R)-2-(5-氟-2-甲氧基苯基)-2-(((1s,4S)-4-羟基环己基)氧基)乙基)-5-甲基-3-(2-甲基-1-氧代-1-(吡咯烷-1-基)丙-2-基)-6-(1H-吡唑-1- 基)噻吩并[2,3-d]嘧啶-2,4(1H,3H)-二酮,I-15.
在氮气下向25-mL 3颈圆底烧瓶中添加I-27(190mg,0.29mmol,1.00当量)在THF(5mL)中的溶液和三仲丁基硼氢化锂(0.9mL,0.87mmol,3.00当量, 1mol/L)。将反应在-78℃搅拌30分钟。所得混合物用NH4Cl(水溶液)淬灭并在真空下浓缩。将粗产物通过制备性HPLC纯化,得到136mg(71%)I-15,其为白色固体。LC-MS(ES,m/z):[M+H]+654;1H NMR(300MHz,DMSO-d6): δ8.14(d,1H),7.79(d,1H),7.20-7.09(m,2H),7.06-7.00(m,1H),6.57(m,1H), 5.21-5.17(m,1H),4.34-4.33(d,1H),4.11-3.80(m,2H),3.77(s,3H),3.50-3.35(m, 2H),3.30-3.00(m,3H),2.29(s,3H),1.88-1.60(m,10H),1.60-1.40(m,3H), 1.40-1.20(m,6H)。
实施例16:合成(R)-2-(1-(2-异丙氧基-2-(2-甲氧基苯基)乙基)-5-甲基-2,4-二氧代-6-(1H-吡唑-1-基)-1,4-二氢噻吩并[2,3-d]嘧啶-3(2H)-基)-2-甲基丙酰胺,I-16.
向6-mL密封的管中添加16.1(150mg,0.28mmol,1.00当量)、CH2Cl2(2 mL)、DCC(142mg,0.69mmol,2.42当量)、4-DMAP(56mg,0.46mmol,1.61 当量),和胺盐酸盐(36.9mg,0.69mmol,2.42当量)。将反应在50℃搅拌过夜。将所得混合物在真空下浓缩。将粗产物通过制备性TLC纯化,得到69.4 mg(46%)I-16,其为白色固体。LC-MS(ES,m/z):[M-NH2]+509;1HNMR(400 MHz,DMSO-d6):δ0.94-0.98(dd,6H),1.65-1.66(d,6H),2.31(s,3H), 3.37-3.43(m,1H),3.73(s,3H),3.93(s,2H),5.16-5.19(t,1H),6.56-6.57(d,1H), 6.72(brs,1H),6.94-7.05(m,3H),7.25-7.29(m,1H),7.42-7.44(m,1H), 7.77-7.78(d,1H),8.12-8.13(d,1H)。
实施例17:合成(R)-2-(1-(2-异丙氧基-2-(2-甲氧基苯基)乙基)-5-甲基-2,4-二氧代-6-(1H-吡唑-1-基)-1,4-二氢噻吩并[2,3-d]嘧啶-3(2H)-基)-N-异丙基-2- 甲基丙酰胺,I-17.
向6-mL密封的管中添加16.1(150mg,0.28mmol,1.00当量)、CH2Cl2(2 mL)、DCC(142mg,0.69mmol,2.42当量)、DMAP(56mg,0.46mmol,1.61当量)和丙-2-胺(27mg,0.46mmol,1.60当量)。将反应在50℃搅拌过夜。将所得混合物在真空下浓缩。将粗产物通过制备性TLC和HPLC纯化,得到86.9 mg(54%)I-17,其为白色固体。LC-MS(ES,m/z):[M-C3H8N]+509;1H NMR(400 MHz,DMSO-d6):δ0.97-1.03(m,12H),1.61-1.65(d,6H),2.31(s,3H), 3.39-3.44(m,1H),3.72(s,3H),3.80-3.97(m,3H),5.16-5.19(t,1H),6.56-6.57(t,1H),6.94-7.02(m,2H),7.25-7.29(m,2H),7.42-7.43(m,1H),7.77-7.78(d,1H), 8.11-8.12(d,1H)。
实施例18:合成(R)-1-(2-异丙氧基-2-(2-甲氧基苯基)乙基)-5-甲基-3-(2- 甲基-1-氧代-1-(吡咯烷-1-基)丙-2-基)-6-(1H-吡唑-1-基)噻吩并[2,3-d]嘧啶 -2,4(1H,3H)-二酮,I-18.
化合物I-18使用实施例17中所述的操作由化合物16.1和吡咯烷以46%收率制备。LC-MS(ES,m/z):[M-C4H8N]+509;1H NMR(400MHz,DMSO-d6): δ0.93-0.98(dd,6H),1.65-1.72(m,10H),2.31(s,3H),3.05-3.12(m,2H), 3.30-3.32(m,2H),3.33-3.43(m,1H),3.77(s,3H),3.95-3.99(m,2H),5.18-5.21(t, 1H),6.57-6.58(t,1H),6.98-7.02(t,2H),7.27-7.32(m,1H),δ.40-7.42(d,1H), 7.79(d,1H),8.16-8.17(d,1H)。
实施例19:合成(R)-1-(2-异丙氧基-2-(2-甲氧基苯基)乙基)-5-甲基-3-(2- 甲基-1-氧代-1-(哌啶-1-基)丙-2-基)-6-(1H-吡唑-1-基)噻吩并[2,3-d]嘧啶 -2,4(1H,3H)-二酮,I-19.
化合物I-19使用实施例17中所述的操作由化合物16.1和哌啶以50%收率制备。LC-MS(ES,m/z):[M-C5H10N]+509;1H NMR(400MHz,DMSO-d6):δ 0.98-0.99(dd,6H),1.36-1.64(m,12H),2.33(s,3H),3.30-3.48(m,5H), 3.72-4.23(m,5H),5.21(m,1H),6.57-6.58(t,1H),6.98-7.02(t,2H),7.27-7.32(m, 1H),7.40(m,1H),7.79(s,1H),8.17(s,1H)。
实施例20:合成(R)-2-(1-(2-异丁氧基-2-(2-甲氧基苯基)乙基)-5-甲基-2,4-二氧代-6-(1H-吡唑-1-基)-1,4-二氢噻吩并[2,3-d]嘧啶-3(2H)-基)-2-甲基丙酰胺,I-20.
向8-mL圆底烧瓶中添加20.1(200mg,0.37mmol,1.00当量)、DCC(229 mg,1.11mmol,3.00当量)、DMAP(90.4mg,0.74mmol,2.00当量)、NH4Cl(58.9 mg,1.10mmol,2.98当量),和CH2Cl2(2mL)。将反应在50℃在油浴中搅拌12小时。将粗产物通过柱色谱法和制备性HPLC纯化,得到83.1 mg(42%)I-20,其为白色固体。LC-MS(ES,m/z):[M-NH2]+523;1H NMR(400 MHz,DMSO-d6):δ0.69-0.77(dd,6H),1.65-1.71(m,7H),2.32(s,3H), 2.93-2.97(m,1H),3.05-3.09(m,1H),3.74(s,3H),3.92-4.03(m,2H),5.07-5.11(t, 1H),6.56-6.57(t,1H),6.71(brs,1H),6.96-7.03(m,3H),7.27-7.31(m,1H), 7.35-7.37(m,1H),7.78(d,1H),8.11(d,1H)。
实施例21:合成(R)-2-(1-(2-异丁氧基-2-(2-甲氧基苯基)乙基)-5-甲基-2,4-二氧代-6-(1H-吡唑-1-基)-1,4-二氢噻吩并[2,3-d]嘧啶-3(2H)-基)-N-异丙基-2- 甲基丙酰胺,I-21.
化合物I-21使用实施例20中所述的操作由化合物20.1和丙-2-胺以53%收率制备。LC-MS(ES,m/z):[M-C3H8N]+523;1H NMR(400MHz,DMSO-d6): δ0.73-0.75(dd,6H),0.99-1.02(t,6H),1.61-1.70(m,7H),2.30(s,3H), 2.93-3.00(m,1H),3.01-3.07(m,1H),3.73(s,3H),3.92-4.03(m,3H),5.07-5.11(t, 1H),6.56-6.57(t,1H),6.96-7.03(m,2H),7.26-7.32(m,2H),7.33-7.37(m,1H), 7.78(d,1H),8.11(d,1H)。
实施例22:合成(R)-1-(2-异丁氧基-2-(2-甲氧基苯基)乙基)-5-甲基-3-(2- 甲基-1-氧代-1-(吡咯烷-1-基)丙-2-基)-6-(1H-吡唑-1-基)噻吩并[2,3-d]嘧啶 -2,4(1H,3H)-二酮,I-22.
化合物I-22使用实施例20中所述的操作由化合物20.1和吡咯烷以39%收率制备。LC-MS(ES,m/z):[M-C4H8N]+523;1H NMR(400MHz,DMSO-d6): δ0.73-0.75(dd,6H),1.64-1.73(m,11H),2.31(s,3H),2.90-3.14(m,4H),3.33(s, 2H),3.78(s,3H),4.01-4.15(m,2H),5.07-5.11(t,1H),6.57-6.58(t,1H), 7.01-7.03(m,2H),7.26-7.37(m,2H),7.79(d,1H),8.14-8.15(d,1H)。
实施例23:合成(R)-1-(2-异丁氧基-2-(2-甲氧基苯基)乙基)-5-甲基-3-(2- 甲基-1-氧代-1-(哌啶-1-基)丙-2-基)-6-(1H-吡唑-1-基)噻吩并[2,3-d]嘧啶 -2,4(1H,3H)-二酮,I-23.
化合物I-23使用实施例20中所述的操作由化合物20.1和哌啶以31%收率制备。LC-MS(ES,m/z):[M-C5H10N]+523;1H NMR(400MHz,DMSO-d6):δ 0.73-0.75(dd,6H),1.35-1.68(m,13H),2.32(s,3H),2.88-3.00(m,1H), 3.01-3.10(m,1H),3.28-3.30(m,2H),3.31-3.33(m,2H),3.78(s,3H),3.87-4.17(m, 2H),5.07-5.11(t,1H),6.57-6.58(t,1H),6.96-7.03(m,2H),7.26-7.37(m,2H), 7.79(d,1H),8.15(s,1H)。
实施例24:合成(R)-1-(2-(5-氟-2-甲氧基苯基)-2-异丙氧基乙基)-5-甲基 -3-(2-甲基-1-氧代-1-(吡咯烷-1-基)丙-2-基)-6-(1H-吡唑-1-基)噻吩并[2,3-d]嘧啶-2,4(1H,3H)-二酮,I-24.
向50-mL圆底烧瓶中添加1.991(350mg,0.64mmol,1.00当量)、DCC(265 mg,1.28mmol,2.00当量)、DMAP(157mg,1.29mmol,2.00当量)、CH2Cl2(10 mL)和吡咯烷(92mg,1.29mmol,2.01当量)。将反应在50℃搅拌过夜。将粗产物通过柱色谱法纯化,提供75.2mg(20%)I-24,其为白色固体。LC-MS(ES, m/z):[M-C4NH8]+527;1H NMR(400MHz,DMSO-d6):δ0.96-1.00(d,6H), 1.64-1.80(m,10H),2.31(s,3H),3.05-3.20(m,2H),3.21-3.25(m,2H),3.50-3.55(m,1H),3.76(s,3H),3.85-4.20(m,2H),5.14-5.17(t,1H),6.57(s,1H), 6.99-7.03(m,1H),7.10-7.17(m,2H),7.79(s,1H),8.16(s,1H)。
实施例25:合成(R)-2-(1-(2-(5-氟-2-甲氧基苯基)-2-((4-氧代环己基)氧基)乙基)-5-甲基-2,4-二氧代-6-(1H-吡唑-1-基)-1,4-二氢-噻吩并[2,3-d]嘧啶 -3(2H)-基)-2-甲基丙酰胺,I-25.
化合物I-25如实施例5中所述由化合物5.1制备。LC-MS(ES,m/z): [M+H]+598;1HNMR(400MHz,DMSO-d6):δ8.12-8.11(d,1H),7.78(d,1H), 7.27~7.24(m,1H),7.17~7.00(m,3H),6.57(brs,1H),6.56(s,1H),5.30~5.27(t, 1H),4.15~3.86(m,2H),3.76(s,3H),3.59-3.57(m,1H),2.29~2.15(m,4H), 2.15~2.07(m,3H),1.81~1.76(m,4H),1.64(m,6H)。
实施例26:合成(R)-2-(1-(2-(5-氟-2-甲氧基苯基)-2-((4-氧代环己基)氧基)乙基)-5-甲基-2,4-二氧代-6-(1H-吡唑-1-基)-1,4-二氢-噻吩并[2,3-d]嘧啶 -3(2H)-基)-N-异丙基-2-甲基丙酰胺,I-26.
向用氮气的惰性气氛吹扫并保持的25-mL圆底烧瓶中添加5.1(400mg, 0.67mmol,1.00当量)在CH2Cl2(4mL)中的溶液、丙-2-胺(79mg,1.34mmol, 2.00当量)、DCC(275.6mg,1.34mmol,2.00当量),和DMAP(163mg,1.33 mmol,2.00当量)。将反应在50℃搅拌16小时。将粗产物通过柱色谱法和制备性HPLC纯化,得到53.6mg I-26,其为白色固体。LC-MS(ES,m/z): [M+H]+640;1H NMR(400MHz,DMSO-d6):δ8.11-8.10(d,1H),7.78-7.77(d, 1H),7.27-7.24(m,2H),7.17-7.11(m,1H),7.03-7.00(m,1H),6.57(s,1H), 5.30-5.27(m,1H),4.15-3.86(m,2H),3.86-3.81(m,1H),3.74(s,3H),3.59-3.57(m, 1H),2.29-2.20(m,4H),2.20-2.07(m,3H),1.81-1.76(m,4H),1.63-1.59(dd,6H), 1.01-0.99(dd,6H)。
实施例27:合成(R)-1-(2-(5-氟-2-甲氧基苯基)-2-((4-氧代环己基)氧基) 乙基)-5-甲基-3-(2-甲基-1-氧代-1-(吡咯烷-1-基)丙-2-基)-6-(1H-吡唑-1-基)噻吩并[2,3-d]嘧啶-2,4(1H,3H)-二酮,I-27.
在氮气下向50-mL圆底烧瓶中添加5.1(400mg,0.67mmol,1.00当量)在 CH2Cl2(20mL)中的溶液、吡咯烷(100mg,1.41mmol,2.00当量)、HATU(508 mg,1.34mmol,2.00当量),和DIEA(175mg,1.35mmol,2.00当量)。将所得溶液在25℃搅拌16小时。将所得混合物在真空下浓缩。将粗产物通过制备性HPLC纯化,得到260mg(60%)I-27,其为白色固体。LC-MS(ES,m/z): [M+H]+652;1H-NMR:(400MHz,DMSO-d6):δ8.14(s,1H),7.78(s,1H), 7.25~7.23(m,1H),7.17~7.13(m,1H),7.05~7.03(m,1H),6.57(s,1H),5.28(m, 1H),4.10(m,2H),3.92(s,3H),3.60(m,1H),3.30(m,1H),3.06(m,2H), 2.29~2.20(m,4H),2.20~2.05(m,3H),1.91~1.50(m,15H)。
实施例28:合成(R)-1-(2-(5-氟-2-甲氧基苯基)-2-异丙氧基乙基)-5-甲基 -3-(2-氧代-2-(吡咯烷-1-基)乙基)-6-(1H-吡唑-1-基)噻吩并[2,3-d]嘧啶 -2,4(1H,3H)-二酮,I-28.
合成化合物28.2.向100-mL 3颈圆底烧瓶中添加28.1(5g,19.90mmol, 1.00当量)、CH2Cl2(50mL)、三光气(2.34g,0.40当量),和Et3N(8g,79.06mmol, 4.00当量)。将所得溶液在室温搅拌2小时。将粗产物不经进一步纯化就直接用于后续步骤中。
合成化合物28.3.向100-mL 3颈圆底烧瓶中添加28.2(5.5g,19.83mmol, 1.00当量)、CH2Cl2(50mL),和2-[(2-氨基乙酰基)氧基]-2-甲基丙基盐酸盐(3.3 g,19.80mmol,1.00当量)。将反应在室温搅拌2小时。然后将反应通过添加 10mL水淬灭。所得溶液用3x20mL乙酸乙酯萃取并将有机层合并,并且在真空下浓缩,提供6.4g(79%)28.3,其为灰白色固体。
合成化合物28.4.向250-mL圆底烧瓶中添加28.3(6.4g,15.67mmol, 1.00当量)、1,4-二噁烷(65mL),和叔丁醇钾(3.5g,31.19mmol,2.00当量)。将反应在室温搅拌3小时,然后通过添加NH4Cl(水溶液)淬灭。所得溶液用 3x20mL EtOAc萃取,将有机层合并,并在真空下浓缩,提供2g(35%)28.4,其为浅黄色固体。
合成化合物28.5.向50-mL圆底烧瓶中添加28.4(2g,5.52mmol,1.00当量)、CH2Cl2(20mL),和2,2,2-三氟乙醛(0.5mL)。将反应在室温搅拌2小时。所得混合物在真空下浓缩,提供1.6g(95%)28.5,其为黄色固体。
合成化合物28.6.向50-mL圆底烧瓶中添加28.5(1.6g,5.22mmol,1.00 当量)、THF(16mL)、1H-咪唑(750mg,11.02mmol,2.00当量),和叔丁基(氯化)二苯基硅烷(3g,10.91mmol,2.00当量)。将反应在室温搅拌2小时。将粗产物通过柱色谱法纯化,得到1.5g(53%)28.6,其为浅黄色固体。
合成化合物28.7.向用氮气的惰性气氛吹扫并保持的50-mL 3颈圆底烧瓶中添加28.6(1.5g,2.75mmol,1.00当量)、1.6(753mg,3.30mmol,1.20当量)、THF(15mL)、DIAD(834mg,6.37mmol,1.50当量),和PPh3(1.08g,4.12 mmol,1.50当量)。将所得溶液在室温搅拌10小时。将粗产物通过柱色谱法纯化,得到1.8g(粗)28.7,其为黄色固体。
合成化合物28.8.向100-mL圆底烧瓶中添加28.7(1.8g,2.38mmol,1.00 当量)、THF(18mL)和TBAF(2.5g,9.58mmol,4.00当量)。将反应在室温搅拌10小时。将粗品通过柱色谱法纯化,得到500mg(41%)28.8,其为白色固体。
合成化合物I-28.向8-mL圆底烧瓶中添加28.8(500mg,0.97mmol,1.00 当量)、CH2Cl2(5mL)、DIEA(260mg,2.01mmol,2.00当量)、HATU(760mg, 2.00mmol,2.00当量)和吡咯烷(142mg,2.00mmol,2.00当量)。将反应在室温搅拌10小时。将粗产物通过柱色谱法和制备性HPLC纯化,得到195.1 mg(35%)I-28,其为白色固体。LC-MS(ES,m/z):[M+H]+570;1H NMR(300 MHz,DMSO-d6):0.91-0.98(m,6H),1.78-1.83(m,2H),1.93-1.97(m,2H),2.37(s,3H),3.29-3.34(m,2H),3.40-3.44(m,1H),3.53-3.57(t,2H),δ3.75(s,3H), 4.86-4.12(m,2H),4.68(s,2H),5.12-5.16(m,1H),6.57-6.59(t,1H),7.00-7.02(m, 1H),7.12-7.19(m,1H),7.21-7.23(m,1H),7.78-7.99(d,1H),8.16-8.17(d,1H)。
实施例29:合成2-(1-((R)-2-(5-氟-2-甲氧基苯基)-2-异丙氧基-乙基)-5- 甲基-2,4-二氧代-6-(1H-吡唑-1-基)-1,4-二氢噻吩并[2,3-d]嘧啶-3(2H)-基)-N- 异丙基丙酰胺,I-29.
向5-mL圆底烧瓶中添加29.1(110mg,0.21mmol,1.00当量)、T3P(198 mg)、Et3N(63mg,0.62mmol,3.00当量)、EtOAc(2mL)和丙-2-胺(25mL)。将反应在室温搅拌1小时。将所得混合物在真空下浓缩。将粗品通过柱色谱法纯化,得到68.1mg(57%)I-29,其为白色固体。LC-MS(ES,m/z):[M+H]+572;1H NMR(300MHz,DMSO-d6):δ0.92-1.05(m,12H),1.38-1.41(m,3H),2.37(s, 3H),3.41-3.44(m,1H),3.72-3.75(m,3H),3.88-4.12(m,3H),5.16-5.25(m,2H), 6.58(t,1H),7.00-7.03(m,1H),7.10-7.20(m,2H),7.44-7.51(m,1H),7.79(d,1H), 8.17(t,1H)。
实施例30:合成(R)-2-(1-((R)-2-(5-氟-2-甲氧基苯基)-2-异丙氧基乙基)-5-甲基-2,4-二氧代-6-(1H-吡唑-1-基)-1,4-二氢噻吩并[2,3-d]嘧啶-3(2H)- 基)-N-异丙基丙酰胺,I-30.
向6-mL密封的管中添加30.1(100mg,0.19mmol,1.00当量)、乙酸乙酯 (1.5mL)、T3P(90.3mg)、Et3N(57.3mg,0.57mmol,3.00当量)和丙-2-胺(22.3 mg,0.38mmol,2.00当量)。将反应在室温搅拌3小时。将所得混合物在真空下浓缩。将粗产物通过制备性TLC和HPLC纯化,得到33.1mg(31%)I-30,其为白色固体。
LC-MS(ES,m/z):[M+H]+572;1H NMR(400MHz,DMSO-d6): δ0.92-1.05(m,12H),1.38-1.41(t,3H),2.37(s,3H),3.41-3.44(m,1H),3.72-3.75(d, 3H),3.88-4.01(m,3H),5.15-5.25(m,2H),6.58-6.59(t,1H),6.99-7.03(m,1H), 7.10-7.20(m,2H),7.44-7.51(m,1H),7.79-7.80(d,1H),8.17-8.18(t,1H)。
实施例31:合成1-((R)-2-(5-氟-2-甲氧基苯基)-2-异丙氧基乙基)-5-甲基 -3-((S)-1-氧代-1-(吡咯烷-1-基)丙-2-基)-6-(1H-吡唑-1-基)噻吩并[2,3-d]嘧啶 -2,4(1H,3H)-二酮,I-31.
向5-mL圆底烧瓶中添加31.1(110mg,0.21mmol,1.00当量)、T3P(198 mg)、Et3N(63mg,0.62mmol,3.00当量)、EtOAc(2mL)和吡咯烷(25mg,0.35 mmol,1.70当量)。将反应在室温搅拌1小时。将粗产物通过柱色谱法纯化,得到76.6mg(63%)I-31,其为白色固体。LC-MS(ES,m/z):[M+H]+584;1H NMR(300MHz,DMSO-d6):δ0.90-0.93(m,3H),0.95-0.99(m,3H),1.32-1.37(m, 3H),1.55-1.59(m,1H),1.72-1.78(m,3H),2.27(s,3H),2.73-2.80(m,1H),3.19-3.25(m,2H),3.31-3.41(m,2H),3.76-3.78(m,3H),3.89-4.10(m,2H), 5.17-5.21(m,1H),5.40-5.43(m,1H),6.59(s,1H),7.01-7.05(m,1H),7.10-7.19(m, 2H),7.80(d,1H),8.19(d,1H)。
实施例32:合成1-((R)-2-(5-氟-2-甲氧基苯基)-2-异丙氧基乙基)-5-甲基 -3-(1-氧代-1-(吡咯烷-1-基)丙-2-基)-6-(1H-吡唑-1-基)噻吩并[2,3-d]嘧啶 -2,4(1H,3H)-二酮,I-32.
化合物I-32使用实施例29中所述的操作由化合物29.1和吡咯烷制备。 LC-MS(ES,m/z):[M+H]+584;1H NMR(400MHz,DMSO-d6):δ0.90(d,3H), 0.91(d,3H),1.32-1.37(m,3H),1.61(m,1H),δ1.78(m,3H),2.39(s,3H), 2.77-2.79(m,1H),3.22-3.31(m,2H),3.33-3.41(m,2H),3.76-3.78(d,3H), 3.81-4.17(m,2H),5.18-5.21(m,1H),5.40-5.43(m,1H),6.58-6.59(t,1H), 7.01-7.04(m,1H),7.11-7.20(m,2H),7.80(d,1H),8.19-8.21(t,1H)。
实施例33:合成(R)-2-(1-(2-乙氧基-2-(5-氟-2-甲氧基苯基)乙基)-5-甲基-2,4-二氧代-6-(1H-吡唑-1-基)-1,4-二氢噻吩并[2,3-d]嘧啶-3(2H)-基)-N-异丙基-2-甲基丙酰胺,I-33.
向6-mL密封的管中添加33.1(300mg,0.57mmol,1.00当量)、CH2Cl2(2 mL)、丙-2-胺(66.8mg,1.13mmol,2.00当量)、DMAP(138.1mg,1.13mmol, 2.00当量)和DCC(349.8mg,12.93mmol,22.88当量)。将反应在50℃在油浴中搅拌过夜。将所得混合物在真空下浓缩。将粗产物通过制备性TLC和 HPLC纯化,得到110.1mg(34%)I-33,其为白色固体。LC-MS(ES,m/z): [M-C3H8N]+513;1H NMR(400MHz,DMSO-d6):δ1.01-1.06(m,9H), 1.59-1.63(d,6H),2.29(s,3H),3.37-3.39(m,2H),3.67(s,3H),3.81-3.87(m,1H), 3.96-3.99(m,2H),5.03-5.06(t,1H),6.56-6.57(t,1H),6.94-6.97(m,1H), 7.07-7.16(m,2H),7.28-7.30(d,1H),7.77(d,1H),8.10(d,1H)。
实施例34:合成(R)-1-(2-乙氧基-2-(5-氟-2-甲氧基苯基)乙基)-5-甲基 -3-(2-甲基-1-氧代-1-(吡咯烷-1-基)丙-2-基)-6-(1H-吡唑-1-基)噻吩并[2,3-d]嘧啶-2,4(1H,3H)-二酮,I-34.
化合物I-34使用实施例33中所述的操作由化合物33.1和吡咯烷制备。 LC-MS(ES,m/z):[M-C5H8N]+513;1H NMR(400MHz,DMSO-d6):δ1.02-1.06(t, 3H),1.61-1.73(m,10H),2.30(s,3H),2.90-3.00(m,1H),3.13-3.14(m,1H), 3.30(m,2H),3.32-3.40(m,2H),3.74(s,3H),4.01(m,2H),5.05-5.07(t,1H), 6.57-6.58(t,1H),6.99-7.00(m,1H),7.10-7.15(m,2H),7.79(d,1H),8.15(d,1H)。
实施例35:合成(R)-2-(1-(2-(5-氟-2-甲氧基苯基)-2-(2-羟基-乙氧基)乙基)-5-甲基-2,4-二氧代-6-(1H-吡唑-1-基)-1,4-二氢噻吩并[2,3-d]嘧啶-3(2H)- 基)-N-异丙基-2-甲基丙酰胺,I-35.
向25-mL圆底烧瓶中添加35.1(100mg,0.18mmol,1.00当量)、EtOAc(10 mL)、丙-2-胺(20mg,0.34mmol,1.85当量)、Et3N(55mg,0.54mmol,2.97当量)、T3P(87mg,0.27mmol,1.50当量)。将反应在25℃搅拌12小时。将所得混合物在真空下浓缩。将粗产物通过柱色谱法和制备性HPLC纯化,提供 3.0mg(3%)I-35,其为白色固体。LC-MS(ES,m/z):[M+H]+588,[M+Na]+610;1H NMR(300MHz,DMSO-d6):δ0.98-1.02(t,6H),1.59-1.62(d,6H), 2.27-2.29(m,2H),3.32(s,3H),3.37-3.44(m,2H),3.66(s,3H),3.82-3.98(m,1H), 3.97-4.00(m,2H),4.60(t,1H),5.07-5.10(m,1H),6.56-6.57(m,1H),6.91-6.97(m, 1H),7.07-7.10(m,1H),7.2-7.28(m,2H),7.78(d,1H),8.09(s,1H)。
实施例36:合成(R)-1-(2-(5-氟-2-甲氧基苯基)-2-(2-羟基-乙氧基)乙基)-5-甲基-3-(2-甲基-1-氧代-1-(吡咯烷-1-基)丙-2-基)-6-(1H-吡唑-1-基)噻吩并 [2,3-d]嘧啶-2,4(1H,3H)-二酮,I-36.
化合物I-36使用实施例35中所述的操作由化合物35.1和吡咯烷制备。 LC-MS(ES,m/z):[M-C4H8N]+529,[M+H]+600;1H NMR(300MHz,DMSO-d6): δ1.52-1.78(m,10H),2.29(s,3H),3.30-3.40(m,7H),3.40-3.45(m,2H),3.72(s, 3H),3.92-4.01(m,1H),4.55-4.65(m,1H),5.08-5.12(m,1H),6.5-6.58(m,1H), 6.92-6.99(m,1H),7.05-7.10(m,1H),7.11-7.21(m,1H),7.79-7.90(d,1H), 8.11-8.15(d,1H)。
实施例37:合成1-((R)-2-(5-氟-2-甲氧基苯基)-2-((R)-2-羟基-丙氧基)乙基)-5-甲基-3-(2-甲基-1-氧代-1-(吡咯烷-1-基)丙-2-基)-6-(1H-吡唑-1-基)噻吩并[2,3-d]嘧啶-2,4(1H,3H)-二酮,I-37.
向8-mL瓶中添加37.1(80mg,0.14mmol,1.00当量)、EtOAc(2mL)、 T3P(181mg)、Et3N(43mg,0.42mmol,2.98当量)和吡咯烷(20mg,0.28mmol, 1.97当量)。将反应在室温搅拌过夜。所得混合物用1x3mL H2O洗涤。将所得混合物在真空下浓缩。将粗品通过柱色谱法纯化,得到58.7mg(67%)I-37,其为白色固体。LC-MS(ES,m/z):[M+H]+614;1H NMR(300MHz,DMSO-d6): δ0.94-0.96(d,3H),1.61-1.72(m,10H),2.30(s,3H),2.95-3.10(m,1H), 3.13-3.14(d,3H),3.29-3.31(m,2H),3.57-3.6 3(m,1H),3.74(s,3H),4.06-4.19(m, 2H),4.50-4.52(d,1H),5.09-5.13(t,1H),6.56-6.57(t,1H),6.98-7.03(m,1H), 7.09-7.16(m,1H),7.78-7.79(d,1H),8.13-8.14(d,1H)。
实施例38:合成2-(1-((R)-2-(5-氟-2-甲氧基苯基)-2-((S)-2-羟基-丙氧基) 乙基)-5-甲基-2,4-二氧代-6-(1H-吡唑-1-基)-1,4-二氢噻吩并[2,3-d]嘧啶 -3(2H)-基)-N-异丙基-2-甲基丙酰胺,I-38.
化合物I-38使用实施例37中所述的操作由化合物38.1和丙-2-胺以30%收率制备。LC-MS(ES,m/z):[M+Na]+624;1H NMR(300MHz,DMSO-d6):δ 0.95-0.98(d,3H),1.02-1.14(t,6H),1.60-1.62(d,6H),2.29(s,3H),3.04-3.09(m, 1H),3.18-3.23(m,1H),3.61-3.68(m,4H),3.78-3.87(m,1H),3.89-3.99(m,2H), 4.55-4.56(d,1H),5.06-5.10(t,1H),6.56-6.57(t,1H),6.93-6.97(m,1H), 7.06-7.13(m,1H),7.20-7.26(m,2H),7.77(d,1H),8.09(d,1H)。
实施例39:合成2-(1-((R)-2-(5-氟-2-甲氧基苯基)-2-((R)-2-羟基-丙氧基) 乙基)-5-甲基-2,4-二氧代-6-(1H-吡唑-1-基)-1,4-二氢噻吩并[2,3-d]嘧啶 -3(2H)-基)-N-异丙基-2-甲基丙酰胺,I-39.
向8-mL瓶中添加37.1(80mg,0.14mmol,1.00当量)、EtOAc(2mL)、 Et3N(43mg,0.42mmol,2.98当量)、丙-2-胺(20mg,0.34mmol,2.37当量)和 T3P(181mg,0.28mmol,1.99当量)。将反应在室温搅拌过夜。所得混合物用 1x3mL H2O洗涤,然后在真空下浓缩。将粗产物通过制备性TLC纯化,得到23.9mg(28%)I-39,其为白色固体。LC-MS(ES,m/z):[M+Na]+624;1H NMR(400MHz,DMSO-d6):δ0.95-0.97(d,3H),0.99-1.02(t,6H),1.60-1.63(d, 6H),2.33(s,3H),3.13-3.15(d,2H),3.59-3.65(m,1H),3.69(s,3H),3.80-3.87(m, 1H),4.04-4.14(m,2H),4.51-4.53(d,1H),5.08-5.12(t,1H),6.57(s,1H), 6.95-6.98(m,1H),7.08-7.14(m,1H),7.14-7.19(m,1H),7.25-7.27(m,1H),7.78(s, 1H),8.10(s,1H)。
实施例40:合成1-((R)-2-(5-氟-2-甲氧基苯基)-2-((S)-2-羟基-丙氧基)乙基)-5-甲基-3-(2-甲基-1-氧代-1-(吡咯烷-1-基)丙-2-基)-6-(1H-吡唑-1-基)噻吩并[2,3-d]嘧啶-2,4(1H,3H)-二酮,I-40.
化合物I-40使用实施例37中开发的操作由化合物38.1和吡咯烷以65%收率制备。LC-MS(ES,m/z):[M+H]+614[M+Na]+636;1H NMR(400MHz, DMSO-d6):δ0.94-0.96(d,3H),1.62-1.73(m,10H),2.30(s,3H),2.90-3.11(m, 2H),3.12-3.19(m,1H),3.20-3.23(m,1H),3.30-3.33(m,2H),3.62-3.68(m,1H), 3.74(s,3H),3.95-4.17(m,2H),4.56-4.57(d,1H),5.08-5.11(t,1H),6.57-6.58(t, 1H),6.99-7.01(m,1H),7.02-7.15(m,1H),7.19-7.21(m,1H),7.79-7.80(d,1H), 8.14-8.15(d,1H)。
实施例41:合成(R)-2-(1-(2-(5-氟-2-甲氧基苯基)-2-(2-羟基-2-甲基丙氧基)乙基)-5-甲基-2,4-二氧代-6-(1H-吡唑-1-基)-1,4-二氢-噻吩并[2,3-d]嘧啶 -3(2H)-基)-N-异丙基-2-甲基丙酰胺,I-41.
向8-mL瓶中添加41.1(160mg,0.28mmol,1.00当量)、DCC(114mg,0.55 mmol,1.98当量)、DMAP(68mg,0.56mmol,2.00当量)、CH2Cl2(2mL)和丙-2- 胺(34mg,0.58mmol,2.07当量)。将反应在50℃搅拌过夜。将所得混合物在真空下浓缩。将粗产物通过制备性TLC纯化,得到134.5mg(78%)I-41,其为灰白色固体。LC-MS(ES,m/z):[M+H]+616[M+Na]+638;1H NMR(300 MHz,DMSO-d6):δ0.93-1.03(m,12H),1.60-1.63(d,6H),2.50(s,3H), 2.92-2.95(d,1H),3.08-3.11(d,1H),3.72(s,3H),3.78-3.89(m,1H),3.98-4.00(m, 2H),4.27(s,1H),5.09-5.13(t,1H),6.56-6.57(t,3H),6.97-7.01(m,1H), 7.08-7.24(m,3H),7.77-7.78(d,1H),8.09-8.10(d,1H)。
实施例42:合成(R)-1-(2-(5-氟-2-甲氧基苯基)-2-(2-羟基-2-甲基丙氧基) 乙基)-5-甲基-3-(2-甲基-1-氧代-1-(吡咯烷-1-基)丙-2-基)-6-(1H-吡唑-1-基)噻吩并[2,3-d]嘧啶-2,4(1H,3H)-二酮,I-42.
化合物I-42使用实施例41中所述的操作由41.1和吡咯烷(pyrollidine) 以76%收率制备。LC-MS(ES,m/z):[M+H]+628[M+Na]+650;1H NMR(300 MHz,DMSO-d6):δ0.93-1.00(m,6H),1.64-1.80(m,10H),2.30(s,3H), 2.90-3.24(m,6H),3.76(s,1H),4.00-4.08(m,2H),4.27(s,1H),5.08-5.12(t,1H), 6.56-6.58(t,1H),7.00-7.05(m,1H),7.10-7.17(m,2H),7.78-7.79(d,1H), 8.12-8.13(d,1H)。
实施例43:合成(R)-2-(1-(2-(5-氟-2-甲氧基苯基)-2-(2-甲氧基-乙氧基)乙基)-5-甲基-2,4-二氧代-6-(1H-吡唑-1-基)-1,4-二氢噻吩并[2,3-d]嘧啶-3(2H)- 基)-N-异丙基-2-甲基丙酰胺,I-43.
向10-mL圆底烧瓶中添加43.1(200mg,0.36mmol,1.00当量)在 CH2Cl2(1.5mL)中的溶液、HATU(274mg,0.72mmol,2.00当量)、DIEA(92mg, 0.71mmol,2.00当量)和丙-2-胺(42mg,0.73mmol,2.00当量)。将反应在室温搅拌1小时。所得溶液用CH2Cl2稀释,并用H2O洗涤。将所得混合物在真空下浓缩。将粗产物通过制备性HPLC纯化,得到126.6mg(59%)I-43,其为白色固体。LC-MS(ES,m/z):[M+Na]+624;1H NMR(400MHz,DMSO-d6):δ 8.11-8.10(d,1H),7.78(d,1H),7.26-7.24(d,1H),7.18-7.10(m,2H),6.98-6.94(m, 1H),6.57-6.56(m,1H),5.12-5.09(m,1H),4.00-3.93(m,2H),3.90-3.75(m,1H), 3.68(s,3H),3.50-3.43(m,1H),3.39-3.32(m,3H),3.12(s,3H),2.30(s,3H), 1.63-1.60(d,6H),1.02-0.99(dd,6H)。
实施例44:合成(R)-1-(2-(5-氟-2-甲氧基苯基)-2-(2-甲氧基-乙氧基)乙基)-5-甲基-3-(2-甲基-1-氧代-1-(吡咯烷-1-基)丙-2-基)-6-(1H-吡唑-1-基)噻吩并[2,3-d]嘧啶-2,4(1H,3H)-二酮,I-44.
化合物I-44使用实施例43中所述的操作由化合物43.1和吡咯烷以55%收率制备。LC-MS(ES,m/z):[M+H]+614;1H NMR(400MHz,CD3OD-d4):δ 7.94(d,1H),7.78(d,1H),7.19-7.16(d,1H),7.06-7.00(m,1H),6.98-6.95(m,1H), 6.59-6.57(m,1H),5.26-5.23(m,1H),4.50-3.93(m,2H),3.83(s,3H),3.59-3.51(m, 1H),3.50-3.42(m,5H),3.33-3.25(m,1H),3.24(s,3H),3.29-3.12(m,1H),2.32(s, 3H),1.88-1.60(m,10H)。
实施例45:合成(R)-3-(1-(2,5-二氢-1H-吡咯-1-基)-2-甲基-1-氧代丙-2- 基)-1-(2-(5-氟-2-甲氧基苯基)-2-((四氢-2H-吡喃-4-基)氧基)乙基)-5-甲基 -6-(1H-吡唑-1-基)噻吩并[2,3-d]嘧啶-2,4(1H,3H)-二酮,I-45.
向8-mL圆底烧瓶中添加化合物4.1(200mg,0.34mmol,1.00当量)、 CH2Cl2(2mL)、DCC(210mg,1.02mmol,2.99当量)、4-DMAP(83.3mg,0.68 mmol,2.00当量)和2,5-二氢-1H-吡咯(47mg,0.68mmol,1.99当量)。将反应在室温搅拌过夜。将所得混合物在真空下浓缩。将粗产物通过制备性HPLC 纯化,得到85.0mg(39%)I-45,其为白色固体。LC-MS(ES,m/z):[M-C4H6N]+ 569[M+Na]+660;1H NMR(400MHz,DMSO-d6):δ1.13-1.48(m,2H), 1.54-1.80(m,8H),2.32(s,3H),3.23-3.26(m,2H),3.39-3.41(m,1H),3.60-3.70(m, 2H),3.79(s,3H),3.95-4.12(m,6H),5.25(m,1H),5.76-5.90(m,2H),6.58-6.59(t, 1H),7.02-7.05(m,1H),7.13-7.21(m,2H),7.79-7.80(d,1H),8.17-8.18(d,1H)。
实施例46.合成(R)-N-环己基-2-(1-(2-(5-氟-2-甲氧基苯基)-2-(2-甲氧基乙氧基)乙基)-5-甲基-2,4-二氧代-6-(1H-吡唑-1-基)-1,4-二氢噻吩并[2,3-d]嘧啶-3(2H)-基)-2-甲基丙酰胺,I-46.
化合物I-46使用实施例43中所述的操作由化合物43.1和环己胺制备。 LC-MS:(ES,m/z):[M+H]+642;1H NMR(400MHz,DMSO-d6):δ8.10(d,1H), 7.78(d,1H),7.25-7.22(d,1H),7.18-7.09(m,2H),6.98-6.94(m,1H), 6.58-6.56(m,1H),5.12-5.08(m,1H),3.99-3.93(m,2H),3.68(s,3H), 3.50-3.43(m,2H),3.39-3.34(m,3H),3.12(s,3H),2.29(s,3H),1.75-1.53(m,10H),1.25-1.18(m,2H),1.17-0.99(m,3H)。
实施例47.合成(R)-N-环丁基-2-(1-(2-(5-氟-2-甲氧基苯基)-2-(2-甲氧基乙氧基)乙基)-5-甲基-2,4-二氧代-6-(1H-吡唑-1-基)-1,4-二氢噻吩并[2,3-d]嘧啶-3(2H)-基)-2-甲基丙酰胺,I-47.
化合物I-47使用实施例43中所述的操作由化合物43.1和环丁胺制备。 LC-MS(ES,m/z):[M+H]+614;1H NMR(400MHz,DMSO-d6):δ8.11(d,1H), 7.78(d,1H),7.63-7.61(d,1H),7.18-7.09(m,2H),6.98-6.95(m,1H), 6.58-6.56(m,1H),5.12-5.08(m,1H),4.15-4.12(m,1H),4.02-3.93(m,2H), 3.69(s,3H),3.47-3.40(m,1H),3.39-3.34(m,3H),3.12(s,3H),2.30(s,3H), 2.10-2.05(m,2H),1.90-1.82(m,2H),1.62(s,3H),1.60(s,3H),1.60-1.55(m,2H)。
实施例54.合成1-((R)-2-(5-氟-2-甲氧基苯基)-2-(2-甲氧基乙氧基)乙基)-5-甲基-3-(1-氧代-1-(吡咯烷-1-基)丙-2-基)-6-(1H-吡唑-1-基)噻吩并[2,3-d] 嘧啶-2,4(1H,3H)-二酮,I-54.
向在氮气下吹扫的25-mL圆底烧瓶添加54.1(500mg,0.91mmol,1.00当量)、CH2Cl2(10.0mL)、DIEA(235mg,1.82mmol,2.00当量)、吡咯烷(129mg, 1.81mmol,2.00当量)和HATU(416mg,1.09mmol,1.20当量)。将反应在室温搅拌过夜。完成后,将所得混合物用NaCl(水溶液)洗涤,然后用EtOAc萃取。将有机层合并,并在真空下浓缩。将粗品通过柱色谱法纯化,提供395 mg(72.0%)I-54,其为白色固体。LC-MS:(ES,m/z):[M+H]+600;1H NMR(300 MHz,DMSO-d6):δ8.16-8.18(t,1H),7.79-7.80(d,1H),7.11-7.17(m,2H), 7.03-7.05(m,1H),6.57-6.59(t,1H),5.37-5.40(m,1H),5.12-5.14(m,1H), 4.04-4.12(m,2H),3.74-3.76(m,3H),3.43-3.50(m,5H),3.20-3.29(m,2H), 3.07(s,3H),2.73-2.81(m,1H),2.38(s,3H),1.74-1.81(m,3H),1.55-1.63(m,1H), 1.32-1.36(m,3H)。
实施例73.合成(S)-2-(1-((R)-2-(5-氟-2-甲氧基苯基)-2-(2-甲氧基-乙氧基)乙基)-5-甲基-2,4-二氧代-6-(1H-吡唑-1-基)-1,4-二氢噻吩并[2,3-d]嘧啶 -3(2H)-基)-N-异丙基丙酰胺,I-73.
合成化合物73.2.在氮气下向100-mL圆底烧瓶中添加73.1(3.0g,5.37 mmol,1.00当量)、THF(30mL)、DIAD(1.62g,8.01mmol,1.50当量)和 (2R)-2-(5-氟-2-甲氧基苯基)-2-(2-甲氧基乙氧基)乙-1-醇(1.57g,6.43mmol, 1.20当量),然后分数份添加PPh3(1.68g,6.41mmol,1.20当量)。将反应在室温搅拌10小时。完成后,将混合物在真空下浓缩,并将粗品通过柱色谱法纯化,得到4.0g(粗)73.2,其为白色固体。
合成化合物73.3.在氮气下向100-mL圆底烧瓶中添加73.2(4g,5.10 mmol,1.00当量)、THF(40mL)、H2O(8.0mL)和TBAF(5.73g,21.92mmol,3.00 当量)。将反应在室温搅拌过夜,然后通过添加水淬灭。所得溶液用EtOAc 萃取,将有机层合并,并在真空下浓缩。将粗品通过柱色谱法纯化,提供 1.1g(39.0%)73.3,其为白色固体。
合成化合物73.4.在氮气下向50-mL圆底烧瓶中添加73.3(1.1g,2.01 mmol,1.00当量)、CH2Cl2(15.0mL)、DIEA(510mg,3.95mmol,2.00当量)、丙-2-胺(270mg,4.57mmol,2.00当量)、HATU(910mg,2.39mmol,1.20当量)。将反应在室温搅拌过夜,然后用NaCl(水溶液)洗涤。混合物用EtOAc萃取,将有机层合并,并在真空下浓缩。将粗品通过柱色谱法纯化,得到400 mg(34.0%)73.4,其为白色固体。
合成化合物I-73.粗73.4通过手性分离纯化,提供I-73。LC-MS(ES,m/z): [M+H]+588;1H NMR(300MHz,DMSO-d6):δ0.94-1.0(dd,6H), 1.35-1.37(d,3H),2.33(s,3H),3.05(s,3H),3.27-3.33(m,1H),3.39-3.45(m,3H), 3.69(s,3H),3.85-4.02(m,3H),5.04-5.08(t,1H),5.18-5.20(q,1H),6.53-6.55(t,1H), 6.94-6.99(m,1H),7.05-7.15(m,2H),7.40-7.43(d,1H),7.74-7.75(d,1H), 8.10-8.11(d,1H)。
实施例74.合成(R)-2-(1-((R)-2-(5-氟-2-甲氧基苯基)-2-(2-甲氧基-乙氧基)乙基)-5-甲基-2,4-二氧代-6-(1H-吡唑-1-基)-1,4-二氢噻吩并[2,3-d]嘧啶 -3(2H)-基)-N-异丙基丙酰胺,I-74.
化合物I-74通过手性分离化合物73.4制备。LC-MS:(ES,m/z):[M+H]+ 588;1H NMR(300MHz,DMSO-d6):δ0.93-1.01(dd,6H),1.33-1.35(d,3H), 2.32(s,3H),3.05(s,3H),3.27-3.29(m,1H),3.29-3.35(m,2H),3.42-3.46(m,1H), 3.70(s,3H),3.84-4.06(m,3H),5.09-5.17(m,2H),6.53-6.55(t,1H),6.93-6.97(m,1H), 7.05-7.14(m,2H),7.37-7.40(m,1H),7.74-7.75(d,1H),8.10-8.11(d,1H)。
实施例75.合成1-((R)-2-(5-氟-2-甲氧基苯基)-2-(2-甲氧基乙氧基)乙基)-5-甲基-3-((S)-1-氧代-1-(吡咯烷-1-基)丙-2-基)-6-(1H-吡唑-1-基)噻吩并 [2,3-d]嘧啶-2,4(1H,3H)-二酮,I-75.
化合物I-75通过手性分离化合物I-54制备。LC-MS:(ES,m/z):[M+H]+ 600;1H NMR(300MHz,DMSO-d6):δ1.30-1.32(d,3H),1.51-1.73(m,4H), 2.33(s,3H),2.74-2.79(m,1H),3.03(s,3H),3.19-3.23(m,4H),δ3.23-3.30(m,2H), 3.33-3.45(m,1H),3.72(s,3H),δ3.96-4.10(m,2H),5.05-5.10(t,1H), 5.31-5.37(m,1H),6.53-6.55(t,1H),6.96-7.12(m,3H),7.75-7.76(d,1H), 8.12-8.13(d,1H)。
实施例76.合成1-((R)-2-(5-氟-2-甲氧基苯基)-2-(2-甲氧基乙氧基)乙基)-5-甲基-3-((R)-1-氧代-1-(吡咯烷-1-基)丙-2-基)-6-(1H-吡唑-1-基)噻吩并 [2,3-d]嘧啶-2,4(1H,3H)-二酮,I-76.
化合物I-76通过手性纯化化合物I-54制备。LC-MS[M+H]+600;1H NMR(300MHz,DMSO-d6):δ1.27-1.30(d,3H),1.52-1.55(m,1H), 1.56-1.73(m,3H),2.33(s,3H),2.74-2.79(m,1H),3.03(s,3H),3.18-3.24(m,4H), 3.24-3.29(m,2H),3.42-3.45(m,1H),3.70(s,3H),3.97-4.11(m,2H),5.08-5.12(t,1H), 5.31-5.36(m,1H),6.54-6.55(t,1H),6.96-7.14(m,3H),7.75-7.76(d,1H),8.12-8.1 3(d,1H)。
实施例77.合成(R)-2-(1-(2-(2-氰基乙氧基)-2-(5-氟-2-甲氧基苯基)乙基)-5-甲基-2,4-二氧代-6-(1H-吡唑-1-基)-1,4-二氢噻吩并[2,3-d]嘧啶-3(2H)- 基)-2-甲基丙酰胺,I-77.
化合物I-77使用实施例43中所述的操作由化合物77.1和NH4Cl制备。 LC-MS(ES,m/z):[M-NH2]+538,[M+H]+555;1H NMR(400MHz,DMSO-d6):δ 1.64-1.65(d,6H),2.30(s,3H),2.69-2.72(t,2H),3.47-3.56(m,2H),3.72(s,3H), 3.96-4.01(m,1H),4.08-4.12(m,1H),5.12-5.16(t,1H),6.57-6.58(d,1H), 6.61-6.80(brs,1H),6.95-7.02(m,2H),7.12-7.16(m,1H),7.20-7.23(m,1H), 7.77-7.78(d,1H),8.09-8.10(d,1H)。
实施例78.合成(R)-2-(1-(2-(2-氰基乙氧基)-2-(5-氟-2-甲氧基苯基)乙基)-5-甲基-2,4-二氧代-6-(1H-吡唑-1-基)-1,4-二氢噻吩并[2,3-d]嘧啶-3(2H)- 基)-N-异丙基-2-甲基丙酰胺,I-78.
化合物I-78使用实施例43中所述的操作由化合物77.1和丙-2-胺制备。 LC-MS(ES,m/z):[M-C3H8N]+538,[M+H]+597;1H NMR(400MHz, DMSO-d6):δ1.00-1.03(t,6H),1.61-1.64(d,6H),2.29(s,3H),2.68-2.7(t,2H), 3.46-3.56(m,2H),3.79(s,3H),3.81-3.90(m,1H),4.02-4.06(m,2H),5.12-5.16(t,1H), 6.57-6.58(d,1H),6.98-7.02(m,1H),7.08-7.21(m,3H),7.78(d,1H),8.09(d,1H)。
实施例80.合成(R)-2-(1-(2-(2-氰基乙氧基)-2-(2-甲氧基苯基)乙基)-5-甲基-2,4-二氧代-6-(1H-吡唑-1-基)-1,4-二氢噻吩并[2,3-d]嘧啶-3(2H)-基)-N-异丙基-2-甲基丙酰胺,I-80.
化合物I-80使用实施例43中所述的操作由化合物80.1和丙-2-胺制备。 LC-MS[M+H]+579;1H NMR(300MHz,DMSO-d6):δ0.99-1.03(dd,6H), 1.61-1.64(d,6H),2.29(s,3H),2.64-2.69(m,2H),3.42-3.52(m,2H),3.73(s,3H), 3.78-3.88(m,1H),3.99-4.02(m,2H),5.15-5.17(t,1H),6.55-6.57(t,1H), 6.97-7.04(m,2H),7.14-7.17(d,1H),7.29-7.31(m,1H),7.40-7.43(m,1H), 7.76-7.77(d,1H),8.08-8.09(d,1H)。
实施例81.合成(R)-3-(1-(5-氟-2-甲氧基苯基)-2-(5-甲基-3-(2-甲基-1-氧代-1-(吡咯烷-1-基)丙-2-基)-2,4-二氧代-6-(1H-吡唑-1-基)-3,4-二氢噻吩并 [2,3-d]嘧啶-1(2H)-基)乙氧基)丙腈,I-81.
化合物I-81使用实施例43中所述的操作由化合物77.1和吡咯烷制备。 LC-MS(ES,m/z):[M-C4H8N]+538,[M+H]+609;1H NMR(400MHz, DMSO-d6):δ1.59-1.62(m,8H),1.62-1.76(m,2H),2.29(s,3H),2.74(s,4H), 2.94-3.13(m,2H),3.44-3.53(m,2H),3.75(s,3H),4.01-4.09(m,2H),5.02-5.06(t,1H), 6.56-6.58(t,1H),7.01-7.05(m,1H),δ7.13-7.19(m,2H),7.78-7.79(d,1H), 8.12(d,1H)。
实施例84.合成(R)-3-(1-(2-甲氧基苯基)-2-(5-甲基-3-(2-甲基-1-氧代 -1-(吡咯烷-1-基)丙-2-基)-2,4-二氧代-6-(1H-吡唑-1-基)-3,4-二氢噻吩并[2,3-d] 嘧啶-1(2H)-基)乙氧基)丙腈,I-84.
化合物I-84使用实施例43中所述的操作由化合物80.1和吡咯烷制备。 LC-MS-PH-NAM-2342-0:(ES,m/z):[M-C4H8N]+520;1H NMR(300MHz, DMSO-d6):δ1.62-1.80(m,10H),2.29(s,3H),2.64-2.68(m,3H),2.95-3.18(m,2H), 3.32-3.33(m,1H),3.33-3.42(m,2H),3.76(s,3H),4.01-4.18(m,2H),5.12-5.17(t,1H), 6.55-6.57(m,1H),6.98-7.03(m,2H),7.29-7.40(m,2H),7.77-7.78(d,1H), 8.10-8.11(d,1H)。
实施例86.合成(R)-2-(1-(2-(5-氟-2-甲氧基苯基)-2-羟基乙基)-5-甲基 -2,4-二氧代-6-(1H-吡唑-1-基)-1,4-二氢噻吩并[2,3-d]嘧啶-3(2H)-基)-N-异丙基-2-甲基丙酰胺,I-86.
化合物I-86使用实施例43中所述的操作由化合物I-85制备。LC-MS(ES, m/z):[M-C3H8N]+485;1H NMR(300MHz,DMSO-d6):δ0.98-1.01(d,6H), 1.62(s,6H),2.30(s,3H),3.69(s,3H),3.80-3.87(m,2H),3.93-4.0(m,1H), 5.30-5.33(m,1H),5.78-5.80(d,1H),6.56-6.58(t,1H),6.90-6.95(m,1H), 7.03-7.10(m,1H),7.22-7.26(m,2H),7.77-7.78(d,1H),8.11-8.12(d,1H)。
实施例114
体外乙酰基-CoA羧化酶(ACC)抑制测定
可用于确定本发明化合物对人(hACC2)或真菌(fACC2)ACC2的抑制作用的体外ACC抑制测定的示例性程序如下。使用来自普洛麦格公司(Promega) 的ADP-GloTM激酶测定试剂盒。ADP-GloTM激酶测定为发光ADP检测测定,用以通过定量酶反应期间所产生的ADP量来测量酶活性。所述测定以两个步骤进行;首先,在酶反应之后,添加等体积ADP-GloTM试剂以终止反应并且耗尽剩余ATP。其后,添加激酶检测试剂以同时将ADP转化成ATP并且可使用荧光素酶/荧光素反应测量新合成的ATP。可通过使用ATP向ADP 转化的曲线使发光与ADP浓度相关联。详细程序如下。将50μL所测试的化合物(600μM,于DMSO中)添加至384孔稀释板中。对于各列中的11个孔,用DMSO以1:3连续稀释化合物。将0.5μL ACC2工作溶液添加至384 孔白色Optiplate测定板中。将来自步骤2的于各列中的0.5μL经稀释化合物溶液添加至测定板中,各列含有2个重复试样。对于最后两列,一列中添加0.5μL阴性对照(DMSO)并且另一列添加0.5μL阳性对照(化合物I-97)。在室温将所述板孵育15分钟。将5μL底物工作溶液添加至各孔中以起始反应。最终ACC2反应浓度由以下组成:5nM ACC2,20μM ATP,20μM乙酰基-CoA,12mM NaHCO3,0.01%Brij35,2mM DTT,5%DMSO,测试化合物浓度:30μM、10μM、3.33μM、1.11μM、0.37μM、0.123μM、0.0411 μM、0.0137μM、0.00457μM、0.00152μM和0.00051μM。在室温将板孵育 60分钟。添加10μL ADP glo试剂。在室温将板孵育40分钟。添加20μL 激酶检测试剂。在室温将板孵育40分钟,接着在铂金埃尔默(Perkin Elmer)EnVision 2104板读取器上以相对光单位(RLU)读取发光。
取各浓度以及阳性和阴性对照的数据的平均值,并且计算标准差。由下式计算抑制百分比:100×(平均阴性对照-化合物)/(平均阴性对照-平均阳性对照)。通过使数据与非线性回归方程式拟合来计算各化合物的IC50:Y=最低值+(最高值-最低值)/(1+10^((LogIC50-X)×希尔斜率)),其中X为化合物浓度的对数并且Y为抑制百分比。
体外ACC2抑制测定的结果在表1 中列出。化合物编号对应于组 1 中的化合物编号。活性指定为“AA”的化合物具有的IC50为0.0006-0.003μM;活性指定为“A”的化合物具有的IC50为0.003-0.01μM;活性指定为“B”的化合物具有的IC50为0.01-0.04μM;和活性指定为“C”的化合物具有的IC50>0.04 μM。“NA”代表“未测定”。
表1 .体外ACC2抑制测定的结果
实施例115
热转移测定
在热转移测定中使用实质上类似于Vedadi等人,“Chemical screening methodsto identify ligands that promote protein stability,protein crystallization,and structure determination.”PNAS(2006)第103卷,43,15835-15840(其全文以引用的方式并入本文中)所述的方法评估本发明化合物。
实施例116
[14C]乙酸盐掺入测定
将本发明的化合物在[14C]乙酸盐掺入测定中评估。下面是用于测定同位素标记的乙酸盐掺入脂肪酸中的测定的示例性程序。将HepG2细胞维持在含有补充有2mM L-谷氨酰胺、青霉素G(100单位/mL)、含10%FBS的100 μg/mL链霉素的DMEM的T-75烧瓶中,并在37℃,在5%CO2的湿润培养箱中培养。每2-3天饲喂细胞。在第1天,将细胞以1.2×105个细胞/ml/孔的密度与生长培养基接种在24孔板中。在第3天,用含有10%FBS的新鲜培养基更换培养基。在第4天,将培养基替换为0.5ml含有测试化合物的新鲜培养基(在DMSO中;最终[DMSO]为0.5%),将细胞在37℃培养1小时。向板的一个拷贝中加入4μl[2-14C]乙酸盐(56mCi/mmol;1mCi/ml; PerkinElmer),并将细胞在37℃,5%CO2培养5小时。向平板的第二个拷贝中加入4μl冷乙酸盐,并将细胞在37℃,5%CO2下培养5小时。该板用于蛋白质浓度测量。将培养基移出并置于15ml离心管(BD,Falcon/352096)中。用1mL PBS冲洗细胞,然后抽吸,重复冲洗和抽吸步骤。向每个孔中加入 0.5ml的0.1N NaOH并放置在室温以溶解细胞单层。剩余的细胞悬浮液与培养基合并。对于蛋白质测定板,取出等分试样用于蛋白质测定(25ul)。将 1.0mL EtOH和0.17mL 50%KOH加入含有培养基和细胞悬浮液的管中。细胞在90℃培养1小时,然后冷却至室温。每管中加入5ml石油醚,剧烈振荡,1000rpm离心5分钟,并将500μL石油醚层转移至用于Microbeta读数的管中,然后向每个管中加入2ml Aquasol-2,并将管振荡并用Microbeta液体闪烁计数器(Perkin Elmer)计数。
丢弃剩余的石油醚层,保留水相用于脂肪酸提取。将水相用1ml浓HCl 酸化,检查一种或两种提取物的pH值以确保pH低于1。每管加入5ml石油醚,剧烈振摇,以1000rpm离心5分钟,并将4ml石油醚层转移到新的玻璃管(10*18mm)中。每管加入5ml石油醚,剧烈振摇,1000rpm离心5分钟,并将5ml石油醚层转移到玻璃管中,并再次重复提取。将石油醚萃取物合并并蒸发至干过夜。在第5天,将来自石油醚级分的残余物重新悬浮于含有200μg亚油酸作为载体的120μL氯仿-己烷(1:1)中。将其中5μL点在硅胶片上,并使用庚烷-二乙醚-乙酸(90:30:1)作为洗脱剂对板进行显影。用碘蒸气使脂肪酸带显现,并将相应的带切到闪烁小瓶中。将2ml Aquasol-2加入到每个小瓶中,并将小瓶振荡并在闪烁计数器上计数。
实施例117
本发明化合物在抗真菌活性测定中进行评估。下面是用于测定各种念珠菌属物种对抗真菌化合物的易感性的测定的示例性程序。将待测化合物(包括氟康唑和两性霉素B)溶于DMSO中以获得浓度为1mg/mL的溶液。使用 0.22μm尼龙注射器过滤器将这些储备溶液无菌过滤,然后用无菌水稀释以达到128μg/mL的最终浓度。
将所有物种通过直接铺板到新鲜制备的Sabouraud葡萄糖琼脂(BD, Difco)从冷冻储备液中生长,并在35℃的环境空气中培养过夜24小时。在 RPMI 1640+MOPS(Lonza,Biowhittaker)中通过使用浸泡在无菌盐水中的无菌拭子从过夜培养物中取单个菌落来制备直接悬浮液。使用预定的标准曲线确定悬浮液的浓度。然后按照CLSI指南(M27-A3,Vol.28No.14)将这些悬浮液稀释至5×103CFU/mL,一旦加入到微量滴定板中达到2.5×103CFU/ mL的终浓度。
按照CLSI指南(M27-A3,Vol.28No.14)制备肉汤微量滴定MIC激发板。最初的CLSI指南集中在孵育48小时后读取念珠菌MIC。由于仅24小时后的读取提供了病人护理的明显优势,因此24小时内所有药物的质量控制限制都已建立。据称在24小时时两性霉素B不存在已知解析断点(interpretive breakpoint)并且当前氟康唑解析断点基于48小时读取。在48小时时记录测试化合物的MIC。通过目视比较抗生素激发孔中所见的生长与生长对照的生长来实现所有MIC测定。将不显示生长(或完全抑制)的稀释方案中所存在的第一孔记录为MIC。
抗真菌活性测定的结果展示于表2 中。活性指定为“AA”的化合物提供 0.08-0.24μg/mL的MIC;“A”提供0.25-1.0μg/mL的MIC;活性指定为“B”的化合物提供1.1-2.0μg/mL的MIC;活性指定为“C”的化合物提供2.1-4.0 μg/mL的MIC;和活性指定为“D”的化合物提供>4.1μg/mL的MIC。
表2 .示例性抗真菌(念珠菌属)活性测定结果
在生长抑制测定中评价化合物防治真菌病原体生长的能力,所述真菌病原体例如番茄灰霉菌(Botrtyis cinerea,Bc)、禾生炭疽病菌(Collectotrichum graminicola,Cg)、马伊德壳色单隔孢(Diplodia maydis,Dm)、串珠镰刀菌 (Fusarium moniliforme,Fm)、大豆猝死综合症病菌(Fusarium virguliforme, Fv)、辣椒疫霉菌(Phytophthora capsici,Pc)、立枯丝核菌(Rhizoctonia solani,Rs) 和小麦壳针孢(Septoria tritici,St)。
将待测试的化合物各自以2.5mg/ml溶解于DMSO中以产生化合物储备溶液("储备液")。在96孔储存板中通过5倍系列稀释用DMSO将储备液稀释,并在体外获得两组终浓度,为50、10和2ppm或2、0.4和0.08ppm。还制备了一组阳性对照,其中在五倍连续稀释后获得各种浓度的 Soraphen(2、0.4和0.08ppm)、甲霜灵(1.1、0.22和0.04ppm)和叶菌唑(2、0.4 和0.08ppm或0.2、0.04和0.008ppm)。每个板上的阴性对照包括2%DMSO、水和空白(培养基+2%DMSO)。
从番茄灰霉菌(Bc)、禾生炭疽病菌(Cg)、马伊德壳色单隔孢(Dm)、串珠镰刀菌(Fm)、北美大豆猝死综合症病菌(Fv)、辣椒疫霉菌(Pc)和小麦壳针孢(St) 的以前传代培养的平板上分离真菌孢子。用17%V8液体培养基将分离的孢子稀释至各个浓度。对于立枯丝核菌(Rs)和畸雌腐霉(Pythium irregulare),使用1.5mm菌丝头(mycelial plug)代替孢子,并使用1/4马铃薯葡萄糖肉汤(PDB) 进行稀释。孢子浓度和菌头大小基于每种病原体在48小时生成的生长曲线。
在第二个96孔板中,将孢子或菌丝头、培养基、稀释的化合物溶液和对照组合。一旦添加化合物,通过OD600读数测量每个孔中化合物的真实终浓度,所述OD600读数针对孔中可能出现的任何化合物沉淀进行校正。在24和48小时重复板读数。空白阴性对照用作背景扣除。在24小时和48 小时进行额外视觉评级,以检查沉淀和确认有效性。将在48小时的化合物的视觉和OD600等级与2%DMSO阴性对照进行比较,并且基于这些值确定病原体生长抑制的百分比。
生长抑制测定的结果在表3 a和3 b中示出。活性指定为“AA”的化合物在抑制90%真菌病原体时具有0.08ppm的化合物浓度;活性指定为“A”的化合物在抑制90%真菌病原体时具有0.4ppm的化合物浓度;活性指定为“B”的化合物在抑制90%真菌病原体时具有2.0ppm的化合物浓度;活性指定为“C”的化合物在抑制90%真菌病原体时具有10.0ppm的化合物浓度;和活性指定为“D”的化合物在抑制90%真菌病原体时具有>50ppm的化合物浓度。
表3 a.示例性抗真菌活性测定结果
Bc=番茄灰霉菌;Cg=禾生炭疽病菌;Dm=马伊德壳色单隔孢;Fm =串珠镰刀菌;Fv=大豆猝死综合症病菌;Pc=辣椒疫霉菌;Rs=立枯丝核菌;St=壳针孢属
表3 b.示例性抗真菌活性测定结果
Bc=番茄灰霉菌;Cg=禾生炭疽病菌;Dm=马伊德壳色单隔孢;Fm =串珠镰刀菌;Fv=大豆猝死综合症病菌;Pc=辣椒疫霉菌;Rs=立枯丝核菌;St=壳针孢属
抗真菌(念珠菌属)活性测定的结果表明,许多本发明化合物以小于2 μg/mL的浓度抑制白色念珠菌、克鲁斯念珠菌和近平滑念珠菌中的每种,以及一些化合物以小于1μg/mL的浓度抑制这些有机体中的每种。
实施例118
还在如Beckers等人,“Chemical Inhibition of Acetyl-CoA CarboxylaseInduces Growth Arrest and Cytotoxicity Selectively in Cancer Cells”CancerRes. (2007)67,8180-8187所述的癌细胞存活力测定中测定本发明化合物。测量在给药抑制剂化合物之后存活的癌细胞百分比的测定的示例性程序如下。
在37℃孵育以4×105涂于每个6cm培养皿中的LNCaP(前列腺癌细胞系) 细胞,并且次日将其用渐增浓度的抑制剂化合物处理并孵育。使用锥虫蓝 (trypan blue)染色,从第0天起每日计数并计算活细胞和死细胞百分比,持续 5天。
实施例119
还在如哈伍德(Harwood)等人,“Isozyme-nonselective N-SubstitutedBipiperidylcarboxamide Acetyl-CoA Carboxylase Inhibitors Reduce TissueMalonyl-CoA Concentrations,Inhibit Fatty Acid Synthesis,and Increase FattyAcid Oxidation in Cultured Cells and in Experimental Animals”Journal ofBiological Chemistry(2008)278,37099-37111所述的体内脂肪酸合成研究中测定本发明化合物。测量掺入大鼠肝组织中的放射性[C14]-乙酸盐的量的测定的示例性程序如下。
用含有0.5%甲基纤维素的水溶液(媒介物)或含有0.5%甲基纤维素加上测试化合物的水溶液以每200克体重(大鼠)1.0毫升的体积经口处理随意提供食物和水的动物。给药化合物之后1至4小时,动物接受0.5mL[C14]-乙酸盐(64μCi/mL;56μCi/mL)的腹膜内注射。给药经放射性标记的乙酸盐之后1小时,通过CO2窒息将动物处死,并且移出两个0.75g肝切片并且在 1.5mL 2.5M NaOH中于70℃皂化120分钟。皂化后,将2.5mL无水乙醇添加至各样品中,并且使溶液混合并静置过夜。接着将石油醚(4.8mL)添加至各样品中,并且首先剧烈震荡混合物2分钟,接着在工作台上用Sorvall中以1000×g离心5分钟。去除并弃去含有不可皂化脂质的所得石油醚层。通过添加12M HCl将剩余水层酸化至pH<2,并且用4.8mL石油醚萃取两次。将所收集的有机部分转移至液体闪烁小瓶中,在氮气下干燥,溶解于7mLAquasol液体闪烁流体中,并且使用Beckman 6500液体闪烁计数器评估放射性。以每毫克组织的每分钟衰变(DPM,disintigrations per minute)记录结果。
实施例120
还在如哈伍德(Harwood)等人,“Isozyme-nonselective N-SubstitutedBipiperidylcarboxamide Acetyl-CoA Carboxylase Inhibitors Reduce TissueMalonyl-CoA Concentrations,Inhibit Fatty Acid Synthesis,and Increase FattyAcid Oxidation in Cultured Cells and in Experimental Animals”Journal ofBiological Chemistry(2008)278,37099-37111所述的呼吸商测量测定中测定本发明化合物。测量大鼠中二氧化碳产生量与氧气消耗量的比率的测定的示例性程序如下。
将在实验之前圈养于标准实验室条件下,喂食普通食物(chow)、禁食或者禁食并且再喂食高蔗糖膳食持续2天的雄性史泊格多利大鼠 (Sprague-Dawley rat)(350-400g)从其饲养笼中移出,称重,并且置于具有热量计的密封隔室(43"43"10cm)中(每个隔室一只大鼠)。将腔室置于活动监视器中。在每次使用之前校准热量计,将空气流速调整至1.6升/分钟,并且将系统稳定和取样时间分别设定为60秒和15秒。在处理之前每10分钟测量基线氧气消耗量、CO2产生量和走动活动,持续至多3小时。收集基线数据之后,打开隔室并且向大鼠提供0.5%甲基纤维素水溶液(媒介物对照)或含有测试化合物的0.5%甲基纤维素水溶液的1.0ml口服大丸剂,接着使其返回至Oxymax隔室。给药后每30分钟进行测量,再持续3-6小时。喂食媒介物对照用于评估因给药媒介物和在实验过程中RQ测量的漂移(如果存在) 所产生的影响。使用禁食过夜并且经媒介物处理的对照来测定最大潜在RQ 降低。将结果绘制成其绝对RQ值(±SEM)随时间而变的曲线。
实施例121
还在碘化丙锭(PI)细胞死亡测定中,基于范·安吉兰德(van Engeland)等人,“Anovel assay to measure loss of plasma membrane asymmetry during apoptosis ofadherent cells in culture”Cytometry(1996)24(2),131-139所述的程序来测定本发明化合物。测量施用药物之后完整有丝分裂细胞数目的测定的示例性程序如下。
将肝细胞癌细胞(例如HepG2或Hep3B)于0.5ml培养基中以1.106/ml 的密度接种于24孔板中,并且孵育3小时以使细胞有时间附着。用实验化合物1μM多柔比星(1,2)或媒介物(DMSO)对照处理细胞120小时,处理之后: a.首先移出培养物上清液至2mL聚丙烯管中并且置于冰上;b.然后用0.5mL PBS洗涤细胞,将洗涤体积转移至含有培养物上清液(漂浮细胞)的2mL管中。将细胞保持于冰上。通过向孔中添加200μL细胞消化液(accutase)持续5 分钟完成收集。然后将细胞消化液用300μL培养基灭活。将混合物上下吸液,并将经胰蛋白酶处理的细胞从孔转移至含有漂浮细胞的2mL管中(总体积:1.5mL)。将细胞保持于冰上。在4℃使细胞以0.6rcf离心旋转10分钟。在离心后,抽吸培养基,并将细胞通过脉冲式涡旋约15秒重新悬浮于500μL 培养基中。将细胞保持于冰上。
对于细胞计数:在脉冲式涡旋15秒之后将20μL细胞添加至板中,并将所述板保持于冰上。接着添加20μL锥虫蓝,随即进行计数。用TC10伯乐公司(biorad)细胞计数器对细胞计数。在4℃使细胞以0.6rcf离心旋转10 分钟。小心抽吸培养基,并将细胞通过涡旋再悬浮于500μL 1X膜联蛋白结合缓冲液(annexin binding buffer)中。将细胞悬浮液转移至5mlFACS管中,接着添加5μl碘化丙锭。轻轻地混合细胞并且在室温于黑暗中孵育15分钟。
对于流式细胞测定,在每个时间点使用未经染色/未经处理的样品作为阴性对照,并且在每个时间点使用经多柔比星处理的样品作为阳性对照。使用FACScan流式细胞仪,并且用FlowJo软件测定FL2-A直方图。
实施例122
还在高脂肪膳食诱发的肥胖症(DIO)研究中测定本发明化合物。测定的代表性方案如下。
本发明化合物容易适于作为抗肥胖剂、胰岛素增敏剂、高胰岛素血症逆转剂和肝脂肪变性逆转剂供临床使用。所述活性如下确定:在哺乳动物中评估化合物的量,相对于不含测试化合物的对照媒介物,所述化合物减少体重和体脂肪百分比、降低血浆胰岛素含量、减缓对口服葡萄糖激发产生响应的血浆胰岛素和葡萄糖含量的上升和/或加速其下降、并且降低肝脏脂质含量。在给药测试化合物之前和期间,向史泊格多利大鼠喂食普通食物、高蔗糖膳食(例如AIN76A啮齿动物膳食;研究饲料有限公司(Research diets Inc.)目录号10001)或高脂肪膳食(例如研究饲料有限公司(Research diets Inc.)目录号 12451),持续3-8周。
通过使用基于所属领域的技术人员已知的标准程序的方法评估对脂质和碳水化合物代谢的多种参数的改变来展示本发明化合物的抗肥胖、胰岛素增敏、高胰岛素血症逆转和肝脂肪变性逆转潜力。举例而言,在随意喂食普通食物、高脂肪膳食或高蔗糖膳食3-8周时段后,通过使用每日一次(Q.D.)、每日两次(B.I.D)或每日三次(T.I.D.)给药方案于水或生理食盐水或者含有 0.5%甲基纤维素的水或生理食盐水中经口管饲而给药测试化合物来处理继续接受膳食的动物,持续1-8周。在研究期间的多个时间和在处死(通过CO2窒息)时,从未麻醉大鼠的尾静脉或从处死时动物的腔静脉收集血液至含有肝素或EDTA的管中以供离心分离来制备血浆。使用所属领域的技术人员已知的方法测量与抗肥胖、胰岛素增敏、高胰岛素血症逆转和肝脂肪变性逆转作用相一致改变的所属领域的技术人员已知的脂质和碳水化合物代谢参数的血浆水平,所述参数包括(但不限于)胆固醇和甘油三酯、葡萄糖、胰岛素、瘦素、脂连素、酮体、游离脂肪酸和甘油。
还可通过评估本发明化合物引起体重下降、体脂肪百分比(通过例如双能量X射线吸收测定(DEXA)测定测量)减少和血浆瘦素含量降低的潜力来展示本发明化合物的抗肥胖潜力。还可通过使用所属领域的技术人员已知的提取和定量程序评估本发明化合物降低肝脏中的甘油三酯浓度的潜力来展示本发明化合物的抗肥胖和肝脂肪变性逆转潜力。还可通过使用所属领域的技术人员已知的程序评估本发明化合物减缓对口服葡萄糖激发产生响应的血浆胰岛素和葡萄糖含量的上升和/或加速其下降来展示本发明化合物的胰岛素增敏和高胰岛素血症逆转潜力。
尽管我们已经描述了本发明的多个实施方案,但显然可以改变我们的基本实施例以提供利用本发明的化合物和方法的其他实施方案。因此,可以理解的是,本发明的范围由所附权利要求限定,而不是由作为示例表示的具体实施例限定。
Claims (2)
Applications Claiming Priority (3)
| Application Number | Priority Date | Filing Date | Title |
|---|---|---|---|
| US201562259973P | 2015-11-25 | 2015-11-25 | |
| US62/259,973 | 2015-11-25 | ||
| PCT/US2016/063386 WO2017091600A1 (en) | 2015-11-25 | 2016-11-22 | Pyrazole acc inhibitors and uses thereof |
Publications (2)
| Publication Number | Publication Date |
|---|---|
| CN108349995A CN108349995A (zh) | 2018-07-31 |
| CN108349995B true CN108349995B (zh) | 2021-08-03 |
Family
ID=57543206
Family Applications (1)
| Application Number | Title | Priority Date | Filing Date |
|---|---|---|---|
| CN201680067509.5A Active CN108349995B (zh) | 2015-11-25 | 2016-11-22 | 吡唑acc抑制剂及其用途 |
Country Status (18)
| Country | Link |
|---|---|
| US (2) | US20170166582A1 (zh) |
| EP (1) | EP3380480B1 (zh) |
| JP (1) | JP2019502660A (zh) |
| KR (1) | KR20180082556A (zh) |
| CN (1) | CN108349995B (zh) |
| AR (1) | AR106798A1 (zh) |
| AU (1) | AU2016361412A1 (zh) |
| BR (1) | BR112018010113B1 (zh) |
| CA (1) | CA3004796C (zh) |
| CL (1) | CL2018001356A1 (zh) |
| CO (1) | CO2018005368A2 (zh) |
| EA (1) | EA201890913A1 (zh) |
| ES (1) | ES2939833T3 (zh) |
| MX (1) | MX2018006286A (zh) |
| PL (1) | PL3380480T3 (zh) |
| PT (1) | PT3380480T (zh) |
| SI (1) | SI3380480T1 (zh) |
| WO (1) | WO2017091600A1 (zh) |
Families Citing this family (28)
| Publication number | Priority date | Publication date | Assignee | Title |
|---|---|---|---|---|
| LT2776038T (lt) | 2011-11-11 | 2018-04-25 | Gilead Apollo, Llc | Acc inhibitoriai ir jų panaudojimas |
| WO2015117087A1 (en) | 2014-01-31 | 2015-08-06 | Dana-Farber Cancer Institute, Inc. | Uses of diazepane derivatives |
| MX2016009974A (es) | 2014-01-31 | 2016-10-31 | Dana Farber Cancer Inst Inc | Derivados de diaminopirimidina bencensulfona y sus usos. |
| CA2996977A1 (en) | 2015-09-11 | 2017-03-16 | Dana-Farber Cancer Institute, Inc. | Acetamide thienotriazolodiazepines and uses thereof |
| KR20180049058A (ko) | 2015-09-11 | 2018-05-10 | 다나-파버 캔서 인스티튜트 인크. | 시아노 티에노트리아졸로디아제핀 및 그의 용도 |
| AR106472A1 (es) | 2015-10-26 | 2018-01-17 | Gilead Apollo Llc | Inhibidores de acc y usos de los mismos |
| MX2018006287A (es) | 2015-11-25 | 2018-09-07 | Gilead Apollo Llc | Inhibidores de acc de triazol y usos de los mismos. |
| EA201890913A1 (ru) | 2015-11-25 | 2018-11-30 | Джилид Аполло, Ллс | Пиразоловые соединения в качестве ингибиторов акк и их применение |
| WO2017091602A1 (en) | 2015-11-25 | 2017-06-01 | Gilead Apollo, Llc | Ester acc inhibitors and uses thereof |
| CN108347939B (zh) | 2015-11-25 | 2021-09-28 | 吉利德阿波罗公司 | 含有2,4-二氧代-1,4-二氢噻吩并[2,3-d]嘧啶的衍生物的杀真菌组合物 |
| SG10201913450PA (en) | 2015-11-25 | 2020-03-30 | Dana Farber Cancer Inst Inc | Bivalent bromodomain inhibitors and uses thereof |
| BR112018067408A2 (pt) | 2016-03-02 | 2018-12-26 | Gilead Apollo Llc | formas sólidas de um inibidor de acc de tienopirimidinadiona e métodos para a produção das mesmas |
| KR102577824B1 (ko) | 2017-01-22 | 2023-09-13 | 선샤인 레이크 파르마 컴퍼니 리미티드 | 티에노피리미딘 유도체 및 의약에서 이의 용도 |
| JP2020509038A (ja) | 2017-03-03 | 2020-03-26 | ギリアド アポロ, エルエルシー | 殺真菌剤化合物を調製するための方法 |
| WO2018171698A1 (zh) * | 2017-03-24 | 2018-09-27 | 浙江海正药业股份有限公司 | 杂芳基并嘧啶酮类衍生物及其制备方法和用途 |
| EP4122464B1 (en) | 2017-03-28 | 2024-05-15 | Gilead Sciences, Inc. | Therapeutic combinations for treating liver diseases |
| CN110709402B (zh) * | 2017-06-15 | 2022-05-10 | 浙江海正药业股份有限公司 | 杂芳基并嘧啶酮类衍生物、其制备方法及其在医药上用途 |
| WO2019015583A1 (en) | 2017-07-17 | 2019-01-24 | Nanjing Ruijie Pharmatech Co., Ltd. | NOVEL COMPOUNDS AND THEIR USES AS ACC INHIBITORS |
| CN110950884B (zh) * | 2018-09-27 | 2024-03-26 | 上海翰森生物医药科技有限公司 | 含二并环类衍生物抑制剂、其制备方法和应用 |
| TW202033511A (zh) | 2018-10-29 | 2020-09-16 | 美商基利阿波羅有限責任公司 | 用於製備殺真菌化合物之方法 |
| CN111484504B (zh) * | 2019-01-25 | 2024-05-10 | 南京圣和药业股份有限公司 | Acc抑制剂的光学异构体及其应用 |
| WO2021000242A1 (zh) | 2019-07-02 | 2021-01-07 | 广东东阳光药业有限公司 | 具有立体构型的噻吩并嘧啶衍生物及其在药物中的应用 |
| AR119594A1 (es) | 2019-08-09 | 2021-12-29 | Gilead Sciences Inc | Derivados de tienopirimidina como inhibidores acc y usos de los mismos |
| CN110746439B (zh) * | 2019-10-18 | 2020-10-30 | 南京瑞捷医药科技有限公司 | 一种噻吩并嘧啶二酮化合物的制备方法 |
| CN111039880B (zh) * | 2019-12-10 | 2022-06-21 | 河南大学 | 咪康唑及其衍生物作为tgr5激动剂的应用 |
| US11478533B2 (en) | 2020-04-27 | 2022-10-25 | Novo Nordisk A/S | Semaglutide for use in medicine |
| CN113968871A (zh) * | 2020-07-25 | 2022-01-25 | 南京圣和药业股份有限公司 | 苯基取代类acc抑制剂的晶型 |
| US20220192956A1 (en) * | 2020-12-18 | 2022-06-23 | The Procter & Gamble Company | Superior efficacy of azoxystrobin and other strobilurins |
Citations (8)
| Publication number | Priority date | Publication date | Assignee | Title |
|---|---|---|---|---|
| CN104105485A (zh) * | 2011-11-11 | 2014-10-15 | 尼普斯阿波罗有限公司 | Acc抑制剂和其用途 |
| WO2014182950A1 (en) * | 2013-05-10 | 2014-11-13 | Nimbus Apollo, Inc. | Acc inhibitors and uses thereof |
| WO2014182943A1 (en) * | 2013-05-10 | 2014-11-13 | Nimbus Apollo, Inc. | Acc inhibitors and uses thereof |
| WO2014182951A1 (en) * | 2013-05-10 | 2014-11-13 | Nimbus Apollo, Inc. | Acc inhibitors and uses thereof |
| WO2015003879A1 (en) * | 2013-07-08 | 2015-01-15 | Syngenta Participations Ag | Microbiocidal heterobicylic derivatives |
| WO2015007451A1 (en) * | 2013-07-15 | 2015-01-22 | Syngenta Participations Ag | Microbiocidal heterobicyclic derivatives |
| WO2016112305A1 (en) * | 2015-01-09 | 2016-07-14 | Nimbus Apollo, Inc. | Acc inhibitor combination therapy for the treatment of non-alcoholic fatty liver disease |
| CN108347939A (zh) * | 2015-11-25 | 2018-07-31 | 吉利德阿波罗公司 | 含有2,4-二氧代-1,4-二氢噻吩并[2,3-d]嘧啶的衍生物的杀真菌组合物 |
Family Cites Families (122)
| Publication number | Priority date | Publication date | Assignee | Title |
|---|---|---|---|---|
| US3060084A (en) | 1961-06-09 | 1962-10-23 | Du Pont | Improved homogeneous, readily dispersed, pesticidal concentrate |
| US3299566A (en) | 1964-06-01 | 1967-01-24 | Olin Mathieson | Water soluble film containing agricultural chemicals |
| US3325503A (en) | 1965-02-18 | 1967-06-13 | Diamond Alkali Co | Polychloro derivatives of mono- and dicyano pyridines and a method for their preparation |
| US3296272A (en) | 1965-04-01 | 1967-01-03 | Dow Chemical Co | Sulfinyl- and sulfonylpyridines |
| US4144050A (en) | 1969-02-05 | 1979-03-13 | Hoechst Aktiengesellschaft | Micro granules for pesticides and process for their manufacture |
| US3920442A (en) | 1972-09-18 | 1975-11-18 | Du Pont | Water-dispersible pesticide aggregates |
| US4172714A (en) | 1976-12-20 | 1979-10-30 | E. I. Du Pont De Nemours And Company | Dry compactible, swellable herbicidal compositions and pellets produced therefrom |
| GB2095558B (en) | 1981-03-30 | 1984-10-24 | Avon Packers Ltd | Formulation of agricultural chemicals |
| DE3338292A1 (de) | 1983-10-21 | 1985-05-02 | Basf Ag, 6700 Ludwigshafen | 7-amino-azolo(1,5-a)-pyrimidine und diese enthaltende fungizide |
| CA1249832A (en) | 1984-02-03 | 1989-02-07 | Shionogi & Co., Ltd. | Azolyl cycloalkanol derivatives and agricultural fungicides |
| US5304732A (en) | 1984-03-06 | 1994-04-19 | Mgi Pharma, Inc. | Herbicide resistance in plants |
| BR8600161A (pt) | 1985-01-18 | 1986-09-23 | Plant Genetic Systems Nv | Gene quimerico,vetores de plasmidio hibrido,intermediario,processo para controlar insetos em agricultura ou horticultura,composicao inseticida,processo para transformar celulas de plantas para expressar uma toxina de polipeptideo produzida por bacillus thuringiensis,planta,semente de planta,cultura de celulas e plasmidio |
| DE3545319A1 (de) | 1985-12-20 | 1987-06-25 | Basf Ag | Acrylsaeureester und fungizide, die diese verbindungen enthalten |
| ATE57390T1 (de) | 1986-03-11 | 1990-10-15 | Plant Genetic Systems Nv | Durch gentechnologie erhaltene und gegen glutaminsynthetase-inhibitoren resistente pflanzenzellen. |
| US4670560A (en) | 1986-04-28 | 1987-06-02 | Ortho Pharmaceutical Corporation | Thienopyrimidine-2,4-dione derivatives and intermediates thereof |
| CN1015981B (zh) | 1986-05-02 | 1992-03-25 | 施托福化学公司 | 吡啶基亚胺酸酯的制备方法 |
| DE256503T1 (de) | 1986-08-12 | 1990-02-08 | Mitsubishi Kasei Corp., Tokio/Tokyo | Pyridincarboxamid-derivate und ihre verwendung als fungizides mittel. |
| FR2629098B1 (fr) | 1988-03-23 | 1990-08-10 | Rhone Poulenc Agrochimie | Gene chimerique de resistance herbicide |
| US5180587A (en) | 1988-06-28 | 1993-01-19 | E. I. Du Pont De Nemours And Company | Tablet formulations of pesticides |
| EP0374753A3 (de) | 1988-12-19 | 1991-05-29 | American Cyanamid Company | Insektizide Toxine, Gene, die diese Toxine kodieren, Antikörper, die sie binden, sowie transgene Pflanzenzellen und transgene Pflanzen, die diese Toxine exprimieren |
| JPH02225485A (ja) | 1989-02-27 | 1990-09-07 | Taiho Yakuhin Kogyo Kk | チエノピリミジン―3―酢酸誘導体 |
| ES2199931T3 (es) | 1989-03-24 | 2004-03-01 | Syngenta Participations Ag | Plantas transgenicas resistentes a enfermedades. |
| ZW13690A1 (en) | 1989-08-30 | 1990-11-21 | Aeci Ltd | Active ingredient dosage device |
| ES2074547T3 (es) | 1989-11-07 | 1995-09-16 | Pioneer Hi Bred Int | Lectinas larvicidas, y resistencia inducida de las plantas a los insectos. |
| AU628229B2 (en) | 1989-11-10 | 1992-09-10 | Agro-Kanesho Co. Ltd. | Hexahydrotriazine compounds and insecticides |
| AU651335B2 (en) | 1990-03-12 | 1994-07-21 | E.I. Du Pont De Nemours And Company | Water-dispersible or water-soluble pesticide granules from heat-activated binders |
| WO1992000377A1 (en) | 1990-06-25 | 1992-01-09 | Monsanto Company | Glyphosate tolerant plants |
| EP0480679B1 (en) | 1990-10-11 | 1996-09-18 | Sumitomo Chemical Company Limited | Pesticidal composition |
| JP2828186B2 (ja) | 1991-09-13 | 1998-11-25 | 宇部興産株式会社 | アクリレート系化合物、その製法及び殺菌剤 |
| UA48104C2 (uk) | 1991-10-04 | 2002-08-15 | Новартіс Аг | Фрагмент днк, який містить послідовність,що кодує інсектицидний протеїн, оптимізовану для кукурудзи,фрагмент днк, який забезпечує направлену бажану для серцевини стебла експресію зв'язаного з нею структурного гена в рослині, фрагмент днк, який забезпечує специфічну для пилку експресію зв`язаного з нею структурного гена в рослині, рекомбінантна молекула днк, спосіб одержання оптимізованої для кукурудзи кодуючої послідовності інсектицидного протеїну, спосіб захисту рослин кукурудзи щонайменше від однієї комахи-шкідника |
| DE4322211A1 (de) | 1993-07-03 | 1995-01-12 | Basf Ag | Wäßrige, mehrphasige, stabile Fertigformulierung für Pflanzenschutz-Wirkstoffe und Verfahren zu ihrer Herstellung |
| JP3811196B2 (ja) | 1993-08-26 | 2006-08-16 | 武田薬品工業株式会社 | エンドセリン拮抗剤、チエノピリミジン誘導体およびその製造法 |
| TW276256B (zh) | 1993-08-26 | 1996-05-21 | Takeda Pharm Industry Co Ltd | |
| US5530195A (en) | 1994-06-10 | 1996-06-25 | Ciba-Geigy Corporation | Bacillus thuringiensis gene encoding a toxin active against insects |
| JPH09110873A (ja) | 1995-08-17 | 1997-04-28 | Takeda Chem Ind Ltd | チエノピリミジン誘導体、その製造法および用途 |
| CA2227384A1 (en) | 1995-08-17 | 1997-02-27 | Toshifumi Watanabe | Thienopyrimidine derivatives, their production and use |
| US5773704A (en) | 1996-04-29 | 1998-06-30 | Board Of Supervisors Of Louisiana State University And Agricultural And Mechanical College | Herbicide resistant rice |
| CA2250908C (en) | 1996-04-30 | 2012-03-13 | Takeda Chemical Industries, Ltd. | Combined use of gnrh agonist and antagonist |
| JP2007302703A (ja) | 1996-04-30 | 2007-11-22 | Takeda Chem Ind Ltd | 医薬組成物 |
| US5773702A (en) | 1996-07-17 | 1998-06-30 | Board Of Trustees Operating Michigan State University | Imidazolinone herbicide resistant sugar beet plants |
| AU3596697A (en) | 1996-07-17 | 1998-02-09 | Michigan State University | Imidazolinone herbicide resistant sugar beet plants |
| DE19650197A1 (de) | 1996-12-04 | 1998-06-10 | Bayer Ag | 3-Thiocarbamoylpyrazol-Derivate |
| TW460476B (en) | 1997-04-14 | 2001-10-21 | American Cyanamid Co | Fungicidal trifluoromethylalkylamino-triazolopyrimidines |
| US6984644B2 (en) | 1997-05-28 | 2006-01-10 | Astrazeneca Ab | Treatment of skin disorders using thieno[2,3-D]pyrimidinediones |
| SE9702001D0 (sv) | 1997-05-28 | 1997-05-28 | Astra Pharma Prod | Novel compounds |
| NZ503594A (en) | 1997-09-18 | 2001-08-31 | Basf Ag | (Phenyl, thienyl or pyrazolyl)-substituted and alkyl-substituted benzamidoxime derivatives, and benzonitrile intermediates, useful as fungicides |
| DE19750012A1 (de) | 1997-11-12 | 1999-05-20 | Bayer Ag | Isothiazolcarbonsäureamide |
| AU1621799A (en) | 1997-12-04 | 1999-06-16 | Dow Agrosciences Llc | Fungicidal compositions and methods, and compounds and methods for the preparation thereof |
| DE19754082A1 (de) | 1997-12-05 | 1999-06-10 | Knoll Ag | Methode zur Bekämpfung der Fettleibigkeit |
| US6348643B1 (en) | 1998-10-29 | 2002-02-19 | American Cyanamid Company | DNA sequences encoding the arabidopsis acetohydroxy-acid synthase small subunit and methods of use |
| AU755538B2 (en) | 1998-11-17 | 2002-12-12 | Ihara Chemical Industry Co. Ltd. | Pyrimidinylbenzimidazole and triazinylbenzimidazole derivatives and agricultural/horticultural fungicides |
| IT1303800B1 (it) | 1998-11-30 | 2001-02-23 | Isagro Ricerca Srl | Composti dipeptidici aventi elevata attivita' fungicida e loroutilizzo agronomico. |
| JP3417862B2 (ja) | 1999-02-02 | 2003-06-16 | 新東工業株式会社 | 酸化チタン光触媒高担持シリカゲルおよびその製造方法 |
| AU770077B2 (en) | 1999-03-11 | 2004-02-12 | Dow Agrosciences Llc | Heterocyclic substituted isoxazolidines and their use as fungicides |
| EP1171442B1 (en) | 1999-04-09 | 2005-12-07 | Cell Therapeutics, Inc. | Xanthine derivatives and analogs as cell signalling inhibitors |
| US6586617B1 (en) | 1999-04-28 | 2003-07-01 | Sumitomo Chemical Takeda Agro Company, Limited | Sulfonamide derivatives |
| UA73307C2 (uk) | 1999-08-05 | 2005-07-15 | Куміаі Кемікал Індастрі Ко., Лтд. | Похідна карбамату і фунгіцид сільськогосподарського/садівницького призначення |
| DE10021412A1 (de) | 1999-12-13 | 2001-06-21 | Bayer Ag | Fungizide Wirkstoffkombinationen |
| DK1250047T3 (da) | 2000-01-25 | 2005-05-30 | Syngenta Participations Ag | Herbicidt middel |
| US6376548B1 (en) | 2000-01-28 | 2002-04-23 | Rohm And Haas Company | Enhanced propertied pesticides |
| IL167957A (en) | 2000-02-04 | 2009-07-20 | Sumitomo Chemical Co | Hydroxypyridine compounds |
| MX233208B (es) | 2000-04-28 | 2005-12-20 | Basf Ag | Uso del gen mutante ahas 2 del maiz xi12 y herbicidas de imidazolinona para la seleccion de plantas de maiz, arroz y trigo, monocotiledoneas transgenicas, resistentes a los herbicidas de imidazolinona. |
| CN100353846C (zh) | 2000-08-25 | 2007-12-12 | 辛根塔参与股份公司 | 新的来自苏云金芽孢杆菌杀虫晶体蛋白的杀虫毒素 |
| MXPA03002338A (es) | 2000-09-18 | 2003-09-10 | Du Pont | Piridinilamidas y piridinilimidas para uso como fungicidas. |
| NZ525744A (en) | 2000-11-17 | 2004-10-29 | Dow Agrosciences Llc | Compounds having fungicidal activity and processes to make and use same |
| EP1370562A1 (en) | 2001-02-14 | 2003-12-17 | Warner-Lambert Company LLC | Thieno[2,3-d]pyrimidindione derivatives as matrix metalloproteinase inhibitors |
| JP5034142B2 (ja) | 2001-04-20 | 2012-09-26 | 住友化学株式会社 | 植物病害防除剤組成物 |
| DE10136065A1 (de) | 2001-07-25 | 2003-02-13 | Bayer Cropscience Ag | Pyrazolylcarboxanilide |
| AR037228A1 (es) | 2001-07-30 | 2004-11-03 | Dow Agrosciences Llc | Compuestos del acido 6-(aril o heteroaril)-4-aminopicolinico, composicion herbicida que los comprende y metodo para controlar vegetacion no deseada |
| FR2828196A1 (fr) | 2001-08-03 | 2003-02-07 | Aventis Cropscience Sa | Derives de chromone a action fongicide, procede de preparation et application dans le domaine de l'agriculture |
| US7897845B2 (en) | 2001-08-09 | 2011-03-01 | University Of Saskatchewan | Wheat plants having increased resistance to imidazolinone herbicides |
| RU2337532C2 (ru) | 2001-08-09 | 2008-11-10 | Юниверсити Оф Саскачеван | Растения пшеницы с повышенной устойчивостью к имидазолиноновым гербицидам |
| ES2417012T3 (es) | 2001-08-09 | 2013-08-05 | Northwest Plant Breeding Co. | Plantas de trigo que exhiben resistencia aumentada a los herbicidas de imidazolinona |
| US7655658B2 (en) | 2001-08-10 | 2010-02-02 | Palatin Technologies, Inc. | Thieno [2,3-D]pyrimidine-2,4-dione melanocortin-specific compounds |
| JPWO2003016286A1 (ja) | 2001-08-17 | 2004-12-02 | 三共アグロ株式会社 | 3−フェノキシ−4−ピリダジノール誘導体及びそれを含有する除草剤組成物 |
| US7230167B2 (en) | 2001-08-31 | 2007-06-12 | Syngenta Participations Ag | Modified Cry3A toxins and nucleic acid sequences coding therefor |
| WO2003052073A2 (en) | 2001-12-17 | 2003-06-26 | Syngenta Participations Ag | Novel corn event |
| WO2003053145A1 (en) | 2001-12-21 | 2003-07-03 | Nissan Chemical Industries, Ltd. | Bactericidal composition |
| TWI327462B (en) | 2002-01-18 | 2010-07-21 | Sumitomo Chemical Co | Condensed heterocyclic sulfonyl urea compound, a herbicide containing the same, and a method for weed control using the same |
| DE10204390A1 (de) | 2002-02-04 | 2003-08-14 | Bayer Cropscience Ag | Disubstituierte Thiazolylcarboxanilide |
| PL372887A1 (en) | 2002-02-27 | 2005-08-08 | Pfizer Products Inc. | Acc inhibitors |
| HK1079785B (zh) | 2002-03-05 | 2007-08-10 | 辛根塔参与股份公司 | 邻环丙基-n-甲酰苯胺及其作为杀菌剂的用途 |
| EP1551218B1 (en) | 2002-07-10 | 2017-05-17 | The Department of Agriculture, Western Australia | Wheat plants having increased resistance to imidazolinone herbicides |
| AU2003253165A1 (en) | 2002-08-13 | 2004-02-25 | Warner-Lambert Company Llc | Pyrimidine fused bicyclic metalloproteinase inhibitors |
| GB0227966D0 (en) | 2002-11-29 | 2003-01-08 | Syngenta Participations Ag | Organic Compounds |
| DE602004020052D1 (de) | 2003-01-06 | 2009-04-30 | Israel State | Pflanzliche acetyl-coa carboxylase-hemmende herbizide als pestizide |
| CA2514407C (en) | 2003-01-29 | 2012-01-03 | Takeda Pharmaceutical Company Limited | Thienopyrimidine compounds and use thereof |
| WO2004083193A1 (ja) | 2003-03-17 | 2004-09-30 | Sumitomo Chemical Company, Limited | アミド化合物およびこれを含有する殺菌剤組成物 |
| MXPA05012733A (es) | 2003-05-28 | 2006-05-17 | Basf Ag | Plantas de trigo que tienen tolerancia incrementada a los herbicidas de imidazolinona. |
| ES2743420T3 (es) | 2003-08-29 | 2020-02-19 | Instituto Nac De Tecnologia Agropecuaria | Plantas de arroz que tienen tolerancia incrementada frente a herbicidas de imidazolinona |
| TWI355894B (en) | 2003-12-19 | 2012-01-11 | Du Pont | Herbicidal pyrimidines |
| JP2007527886A (ja) | 2004-03-10 | 2007-10-04 | ビーエーエスエフ アクチェンゲゼルシャフト | 5,6−ジアルキル−7−アミノトリアゾロピリミジン、その調製、および有害真菌を防除するためのその使用、ならびにそれらの化合物を含む組成物 |
| HRP20100538T1 (hr) | 2004-03-10 | 2010-12-31 | Basf Se | 5,6-dialkil-7-aminotriazolopirimidini, postupci za njihovo dobijanje, njihova primjena za kontrolu patogenih gljiva, kao i sredstva koja sadrže spomenute spojeve |
| WO2005120234A2 (en) | 2004-06-03 | 2005-12-22 | E.I. Dupont De Nemours And Company | Fungicidal mixtures of amidinylphenyl compounds |
| EP1761498A1 (de) | 2004-06-18 | 2007-03-14 | Basf Aktiengesellschaft | 1-methyl-3-difluormethyl-pyrazol-4-carbonsäure-(ortho-phenyl)-anilide und ihre verwendung als fungizid |
| ATE458722T1 (de) | 2004-06-18 | 2010-03-15 | Basf Se | 1-methyl-3-trifluormethyl-pyrazol-4-carbonsäure (ortho-phenyl)-anilide und ihre verwendung als fungizid |
| WO2006014647A2 (en) | 2004-07-21 | 2006-02-09 | Athersys, Inc. | Cyclic n-hydroxy imides as inhibitors of flap endonuclease and uses thereof |
| GB0418048D0 (en) | 2004-08-12 | 2004-09-15 | Syngenta Participations Ag | Method for protecting useful plants or plant propagation material |
| WO2006087325A1 (de) | 2005-02-16 | 2006-08-24 | Basf Aktiengesellschaft | 5-alkoxyalkyl-6-alkyl-7-amino-azolopyrimidine, verfahren zu ihrer herstellung und ihre verwendung zur bekämpfung von schadpilzen sowie sie enthaltende mittel |
| DE102005007160A1 (de) | 2005-02-16 | 2006-08-24 | Basf Ag | Pyrazolcarbonsäureanilide, Verfahren zu ihrer Herstellung und sie enthaltende Mittel zur Bekämpfung von Schadpilzen |
| DE102005009458A1 (de) | 2005-03-02 | 2006-09-07 | Bayer Cropscience Ag | Pyrazolylcarboxanilide |
| KR101288144B1 (ko) | 2005-06-14 | 2013-07-18 | 아스카 세이야쿠 가부시키가이샤 | 티에노피리미딘 유도체 |
| PL1973881T3 (pl) | 2006-01-13 | 2010-04-30 | Dow Agrosciences Llc | 6-(wielo-podstawione arylo)-4-aminopikoliniany i ich zastosowanie jako herbicydy |
| EP1983832A2 (en) | 2006-02-09 | 2008-10-29 | Syngeta Participations AG | A method of protecting a plant propagation material, a plant, and/or plant organs |
| US20070208040A1 (en) | 2006-03-02 | 2007-09-06 | Elfatih Elzein | A2a adenosine receptor antagonists |
| JPWO2008143262A1 (ja) | 2007-05-21 | 2010-08-12 | 武田薬品工業株式会社 | 複素環化合物およびその用途 |
| JP5535931B2 (ja) | 2008-10-27 | 2014-07-02 | 武田薬品工業株式会社 | 二環性化合物 |
| US8623880B2 (en) | 2009-03-23 | 2014-01-07 | Glenmark Pharmaceuticals S.A. | Fused pyrimidine-dione derivatives as TRPA1 modulators |
| HRP20140035T1 (hr) | 2009-12-29 | 2014-02-14 | Poxel | Tieno[2,3-b]piridindion aktivatori ampk i njihove terapijske uporabe |
| AU2011252874A1 (en) | 2010-05-14 | 2012-11-29 | University Of Rochester | Compositions and methods for targeting A3G:RNA complexes |
| WO2012030887A1 (en) | 2010-09-02 | 2012-03-08 | Divergence, Inc. | New compositions and methods for controlling nematode pests |
| MX2015015422A (es) | 2013-05-10 | 2016-06-21 | Nimbus Apollo Inc | Inhibidores de acetil-coa carboxilasa (acc) y usos de los mismos. |
| TWI652012B (zh) | 2013-05-20 | 2019-03-01 | 杜邦股份有限公司 | 殺真菌吡唑的固態形式 |
| WO2015003881A1 (en) * | 2013-07-08 | 2015-01-15 | Syngenta Participations Ag | Microbiocidal heterobicyclic derivatives |
| AR106472A1 (es) | 2015-10-26 | 2018-01-17 | Gilead Apollo Llc | Inhibidores de acc y usos de los mismos |
| EA201890913A1 (ru) | 2015-11-25 | 2018-11-30 | Джилид Аполло, Ллс | Пиразоловые соединения в качестве ингибиторов акк и их применение |
| WO2017091602A1 (en) | 2015-11-25 | 2017-06-01 | Gilead Apollo, Llc | Ester acc inhibitors and uses thereof |
| SG10201913450PA (en) | 2015-11-25 | 2020-03-30 | Dana Farber Cancer Inst Inc | Bivalent bromodomain inhibitors and uses thereof |
| MX2018006287A (es) | 2015-11-25 | 2018-09-07 | Gilead Apollo Llc | Inhibidores de acc de triazol y usos de los mismos. |
| JP7105691B2 (ja) | 2015-11-25 | 2022-07-25 | イーフェクター セラピューティクス, インコーポレイテッド | Eif4a-阻害化合物およびそれに関連する方法 |
| BR112018067408A2 (pt) | 2016-03-02 | 2018-12-26 | Gilead Apollo Llc | formas sólidas de um inibidor de acc de tienopirimidinadiona e métodos para a produção das mesmas |
| SG10201911221RA (en) | 2016-12-16 | 2020-02-27 | Cystic Fibrosis Found | Bicyclic heteroaryl derivatives as cftr potentiators |
-
2016
- 2016-11-22 EA EA201890913A patent/EA201890913A1/ru unknown
- 2016-11-22 AU AU2016361412A patent/AU2016361412A1/en not_active Abandoned
- 2016-11-22 PT PT168101897T patent/PT3380480T/pt unknown
- 2016-11-22 KR KR1020187016696A patent/KR20180082556A/ko not_active Withdrawn
- 2016-11-22 SI SI201631675T patent/SI3380480T1/sl unknown
- 2016-11-22 WO PCT/US2016/063386 patent/WO2017091600A1/en not_active Ceased
- 2016-11-22 US US15/358,627 patent/US20170166582A1/en not_active Abandoned
- 2016-11-22 PL PL16810189.7T patent/PL3380480T3/pl unknown
- 2016-11-22 ES ES16810189T patent/ES2939833T3/es active Active
- 2016-11-22 CN CN201680067509.5A patent/CN108349995B/zh active Active
- 2016-11-22 BR BR112018010113-3A patent/BR112018010113B1/pt active IP Right Grant
- 2016-11-22 JP JP2018525693A patent/JP2019502660A/ja active Pending
- 2016-11-22 MX MX2018006286A patent/MX2018006286A/es unknown
- 2016-11-22 CA CA3004796A patent/CA3004796C/en active Active
- 2016-11-22 EP EP16810189.7A patent/EP3380480B1/en active Active
- 2016-11-23 AR ARP160103590A patent/AR106798A1/es not_active Application Discontinuation
-
2018
- 2018-05-18 CL CL2018001356A patent/CL2018001356A1/es unknown
- 2018-05-23 CO CONC2018/0005368A patent/CO2018005368A2/es unknown
-
2019
- 2019-01-03 US US16/239,360 patent/US10941158B2/en active Active
Patent Citations (8)
| Publication number | Priority date | Publication date | Assignee | Title |
|---|---|---|---|---|
| CN104105485A (zh) * | 2011-11-11 | 2014-10-15 | 尼普斯阿波罗有限公司 | Acc抑制剂和其用途 |
| WO2014182950A1 (en) * | 2013-05-10 | 2014-11-13 | Nimbus Apollo, Inc. | Acc inhibitors and uses thereof |
| WO2014182943A1 (en) * | 2013-05-10 | 2014-11-13 | Nimbus Apollo, Inc. | Acc inhibitors and uses thereof |
| WO2014182951A1 (en) * | 2013-05-10 | 2014-11-13 | Nimbus Apollo, Inc. | Acc inhibitors and uses thereof |
| WO2015003879A1 (en) * | 2013-07-08 | 2015-01-15 | Syngenta Participations Ag | Microbiocidal heterobicylic derivatives |
| WO2015007451A1 (en) * | 2013-07-15 | 2015-01-22 | Syngenta Participations Ag | Microbiocidal heterobicyclic derivatives |
| WO2016112305A1 (en) * | 2015-01-09 | 2016-07-14 | Nimbus Apollo, Inc. | Acc inhibitor combination therapy for the treatment of non-alcoholic fatty liver disease |
| CN108347939A (zh) * | 2015-11-25 | 2018-07-31 | 吉利德阿波罗公司 | 含有2,4-二氧代-1,4-二氢噻吩并[2,3-d]嘧啶的衍生物的杀真菌组合物 |
Non-Patent Citations (1)
| Title |
|---|
| 以乙酰辅酶A羧化酶(Accase)为靶标的抗菌剂研究进展;魏少鹏,等;《世界农药》;20140630;第36卷(第3期);第16-19页 * |
Also Published As
| Publication number | Publication date |
|---|---|
| CL2018001356A1 (es) | 2018-08-17 |
| PL3380480T3 (pl) | 2023-05-08 |
| CA3004796C (en) | 2023-11-14 |
| EP3380480A1 (en) | 2018-10-03 |
| US20170166582A1 (en) | 2017-06-15 |
| US10941158B2 (en) | 2021-03-09 |
| PT3380480T (pt) | 2023-03-14 |
| KR20180082556A (ko) | 2018-07-18 |
| AR106798A1 (es) | 2018-02-21 |
| AU2016361412A9 (en) | 2018-12-06 |
| CN108349995A (zh) | 2018-07-31 |
| EP3380480B1 (en) | 2022-12-14 |
| WO2017091600A9 (en) | 2018-07-19 |
| JP2019502660A (ja) | 2019-01-31 |
| CO2018005368A2 (es) | 2018-05-31 |
| ES2939833T3 (es) | 2023-04-27 |
| AU2016361412A1 (en) | 2018-05-24 |
| WO2017091600A1 (en) | 2017-06-01 |
| CA3004796A1 (en) | 2017-06-01 |
| BR112018010113A2 (pt) | 2018-11-21 |
| MX2018006286A (es) | 2018-09-07 |
| SI3380480T1 (sl) | 2023-04-28 |
| EA201890913A1 (ru) | 2018-11-30 |
| BR112018010113B1 (pt) | 2022-06-14 |
| US20190375759A1 (en) | 2019-12-12 |
Similar Documents
| Publication | Publication Date | Title |
|---|---|---|
| CN108349995B (zh) | 吡唑acc抑制剂及其用途 | |
| CN108290902B (zh) | 酯类acc抑制剂及其用途 | |
| US10179793B2 (en) | ACC inhibitors and uses thereof | |
| CA3005900C (en) | Triazole acc inhibitors and uses thereof | |
| US9765089B2 (en) | ACC inhibitors and uses thereof | |
| US9988399B2 (en) | Bicyclic compounds as ACC inhibitors and uses thereof | |
| US10208063B2 (en) | ACC inhibitors and uses thereof | |
| HK1221420A1 (zh) | Acc抑制剂和其用途 |
Legal Events
| Date | Code | Title | Description |
|---|---|---|---|
| PB01 | Publication | ||
| PB01 | Publication | ||
| SE01 | Entry into force of request for substantive examination | ||
| SE01 | Entry into force of request for substantive examination | ||
| GR01 | Patent grant | ||
| GR01 | Patent grant |




































































































































































































































































































































