CN106749665B - Cc-1065类似物和双功能接头的缀合物 - Google Patents
Cc-1065类似物和双功能接头的缀合物 Download PDFInfo
- Publication number
- CN106749665B CN106749665B CN201611090112.6A CN201611090112A CN106749665B CN 106749665 B CN106749665 B CN 106749665B CN 201611090112 A CN201611090112 A CN 201611090112A CN 106749665 B CN106749665 B CN 106749665B
- Authority
- CN
- China
- Prior art keywords
- antibody
- moiety
- formula
- group
- another embodiment
- Prior art date
- Legal status (The legal status is an assumption and is not a legal conclusion. Google has not performed a legal analysis and makes no representation as to the accuracy of the status listed.)
- Active
Links
Images
Classifications
-
- A—HUMAN NECESSITIES
- A61—MEDICAL OR VETERINARY SCIENCE; HYGIENE
- A61K—PREPARATIONS FOR MEDICAL, DENTAL OR TOILETRY PURPOSES
- A61K31/00—Medicinal preparations containing organic active ingredients
- A61K31/33—Heterocyclic compounds
- A61K31/395—Heterocyclic compounds having nitrogen as a ring hetero atom, e.g. guanethidine or rifamycins
- A61K31/435—Heterocyclic compounds having nitrogen as a ring hetero atom, e.g. guanethidine or rifamycins having six-membered rings with one nitrogen as the only ring hetero atom
- A61K31/4353—Heterocyclic compounds having nitrogen as a ring hetero atom, e.g. guanethidine or rifamycins having six-membered rings with one nitrogen as the only ring hetero atom ortho- or peri-condensed with heterocyclic ring systems
- A61K31/437—Heterocyclic compounds having nitrogen as a ring hetero atom, e.g. guanethidine or rifamycins having six-membered rings with one nitrogen as the only ring hetero atom ortho- or peri-condensed with heterocyclic ring systems the heterocyclic ring system containing a five-membered ring having nitrogen as a ring hetero atom, e.g. indolizine, beta-carboline
-
- A—HUMAN NECESSITIES
- A61—MEDICAL OR VETERINARY SCIENCE; HYGIENE
- A61K—PREPARATIONS FOR MEDICAL, DENTAL OR TOILETRY PURPOSES
- A61K38/00—Medicinal preparations containing peptides
- A61K38/16—Peptides having more than 20 amino acids; Gastrins; Somatostatins; Melanotropins; Derivatives thereof
- A61K38/17—Peptides having more than 20 amino acids; Gastrins; Somatostatins; Melanotropins; Derivatives thereof from animals; from humans
- A61K38/38—Albumins
- A61K38/385—Serum albumin
-
- A—HUMAN NECESSITIES
- A61—MEDICAL OR VETERINARY SCIENCE; HYGIENE
- A61K—PREPARATIONS FOR MEDICAL, DENTAL OR TOILETRY PURPOSES
- A61K39/00—Medicinal preparations containing antigens or antibodies
- A61K39/395—Antibodies; Immunoglobulins; Immune serum, e.g. antilymphocytic serum
- A61K39/44—Antibodies bound to carriers
-
- A—HUMAN NECESSITIES
- A61—MEDICAL OR VETERINARY SCIENCE; HYGIENE
- A61K—PREPARATIONS FOR MEDICAL, DENTAL OR TOILETRY PURPOSES
- A61K47/00—Medicinal preparations characterised by the non-active ingredients used, e.g. carriers or inert additives; Targeting or modifying agents chemically bound to the active ingredient
- A61K47/50—Medicinal preparations characterised by the non-active ingredients used, e.g. carriers or inert additives; Targeting or modifying agents chemically bound to the active ingredient the non-active ingredient being chemically bound to the active ingredient, e.g. polymer-drug conjugates
- A61K47/51—Medicinal preparations characterised by the non-active ingredients used, e.g. carriers or inert additives; Targeting or modifying agents chemically bound to the active ingredient the non-active ingredient being chemically bound to the active ingredient, e.g. polymer-drug conjugates the non-active ingredient being a modifying agent
- A61K47/54—Medicinal preparations characterised by the non-active ingredients used, e.g. carriers or inert additives; Targeting or modifying agents chemically bound to the active ingredient the non-active ingredient being chemically bound to the active ingredient, e.g. polymer-drug conjugates the non-active ingredient being a modifying agent the modifying agent being an organic compound
- A61K47/545—Heterocyclic compounds
-
- A—HUMAN NECESSITIES
- A61—MEDICAL OR VETERINARY SCIENCE; HYGIENE
- A61K—PREPARATIONS FOR MEDICAL, DENTAL OR TOILETRY PURPOSES
- A61K47/00—Medicinal preparations characterised by the non-active ingredients used, e.g. carriers or inert additives; Targeting or modifying agents chemically bound to the active ingredient
- A61K47/50—Medicinal preparations characterised by the non-active ingredients used, e.g. carriers or inert additives; Targeting or modifying agents chemically bound to the active ingredient the non-active ingredient being chemically bound to the active ingredient, e.g. polymer-drug conjugates
- A61K47/51—Medicinal preparations characterised by the non-active ingredients used, e.g. carriers or inert additives; Targeting or modifying agents chemically bound to the active ingredient the non-active ingredient being chemically bound to the active ingredient, e.g. polymer-drug conjugates the non-active ingredient being a modifying agent
- A61K47/54—Medicinal preparations characterised by the non-active ingredients used, e.g. carriers or inert additives; Targeting or modifying agents chemically bound to the active ingredient the non-active ingredient being chemically bound to the active ingredient, e.g. polymer-drug conjugates the non-active ingredient being a modifying agent the modifying agent being an organic compound
- A61K47/545—Heterocyclic compounds
- A61K47/546—Porphyrines; Porphyrine with an expanded ring system, e.g. texaphyrine
-
- A—HUMAN NECESSITIES
- A61—MEDICAL OR VETERINARY SCIENCE; HYGIENE
- A61K—PREPARATIONS FOR MEDICAL, DENTAL OR TOILETRY PURPOSES
- A61K47/00—Medicinal preparations characterised by the non-active ingredients used, e.g. carriers or inert additives; Targeting or modifying agents chemically bound to the active ingredient
- A61K47/50—Medicinal preparations characterised by the non-active ingredients used, e.g. carriers or inert additives; Targeting or modifying agents chemically bound to the active ingredient the non-active ingredient being chemically bound to the active ingredient, e.g. polymer-drug conjugates
- A61K47/51—Medicinal preparations characterised by the non-active ingredients used, e.g. carriers or inert additives; Targeting or modifying agents chemically bound to the active ingredient the non-active ingredient being chemically bound to the active ingredient, e.g. polymer-drug conjugates the non-active ingredient being a modifying agent
- A61K47/56—Medicinal preparations characterised by the non-active ingredients used, e.g. carriers or inert additives; Targeting or modifying agents chemically bound to the active ingredient the non-active ingredient being chemically bound to the active ingredient, e.g. polymer-drug conjugates the non-active ingredient being a modifying agent the modifying agent being an organic macromolecular compound, e.g. an oligomeric, polymeric or dendrimeric molecule
-
- A—HUMAN NECESSITIES
- A61—MEDICAL OR VETERINARY SCIENCE; HYGIENE
- A61K—PREPARATIONS FOR MEDICAL, DENTAL OR TOILETRY PURPOSES
- A61K47/00—Medicinal preparations characterised by the non-active ingredients used, e.g. carriers or inert additives; Targeting or modifying agents chemically bound to the active ingredient
- A61K47/50—Medicinal preparations characterised by the non-active ingredients used, e.g. carriers or inert additives; Targeting or modifying agents chemically bound to the active ingredient the non-active ingredient being chemically bound to the active ingredient, e.g. polymer-drug conjugates
- A61K47/51—Medicinal preparations characterised by the non-active ingredients used, e.g. carriers or inert additives; Targeting or modifying agents chemically bound to the active ingredient the non-active ingredient being chemically bound to the active ingredient, e.g. polymer-drug conjugates the non-active ingredient being a modifying agent
- A61K47/56—Medicinal preparations characterised by the non-active ingredients used, e.g. carriers or inert additives; Targeting or modifying agents chemically bound to the active ingredient the non-active ingredient being chemically bound to the active ingredient, e.g. polymer-drug conjugates the non-active ingredient being a modifying agent the modifying agent being an organic macromolecular compound, e.g. an oligomeric, polymeric or dendrimeric molecule
- A61K47/59—Medicinal preparations characterised by the non-active ingredients used, e.g. carriers or inert additives; Targeting or modifying agents chemically bound to the active ingredient the non-active ingredient being chemically bound to the active ingredient, e.g. polymer-drug conjugates the non-active ingredient being a modifying agent the modifying agent being an organic macromolecular compound, e.g. an oligomeric, polymeric or dendrimeric molecule obtained otherwise than by reactions only involving carbon-to-carbon unsaturated bonds, e.g. polyureas or polyurethanes
- A61K47/60—Medicinal preparations characterised by the non-active ingredients used, e.g. carriers or inert additives; Targeting or modifying agents chemically bound to the active ingredient the non-active ingredient being chemically bound to the active ingredient, e.g. polymer-drug conjugates the non-active ingredient being a modifying agent the modifying agent being an organic macromolecular compound, e.g. an oligomeric, polymeric or dendrimeric molecule obtained otherwise than by reactions only involving carbon-to-carbon unsaturated bonds, e.g. polyureas or polyurethanes the organic macromolecular compound being a polyoxyalkylene oligomer, polymer or dendrimer, e.g. PEG, PPG, PEO or polyglycerol
-
- A—HUMAN NECESSITIES
- A61—MEDICAL OR VETERINARY SCIENCE; HYGIENE
- A61K—PREPARATIONS FOR MEDICAL, DENTAL OR TOILETRY PURPOSES
- A61K47/00—Medicinal preparations characterised by the non-active ingredients used, e.g. carriers or inert additives; Targeting or modifying agents chemically bound to the active ingredient
- A61K47/50—Medicinal preparations characterised by the non-active ingredients used, e.g. carriers or inert additives; Targeting or modifying agents chemically bound to the active ingredient the non-active ingredient being chemically bound to the active ingredient, e.g. polymer-drug conjugates
- A61K47/51—Medicinal preparations characterised by the non-active ingredients used, e.g. carriers or inert additives; Targeting or modifying agents chemically bound to the active ingredient the non-active ingredient being chemically bound to the active ingredient, e.g. polymer-drug conjugates the non-active ingredient being a modifying agent
- A61K47/62—Medicinal preparations characterised by the non-active ingredients used, e.g. carriers or inert additives; Targeting or modifying agents chemically bound to the active ingredient the non-active ingredient being chemically bound to the active ingredient, e.g. polymer-drug conjugates the non-active ingredient being a modifying agent the modifying agent being a protein, peptide or polyamino acid
- A61K47/64—Drug-peptide, drug-protein or drug-polyamino acid conjugates, i.e. the modifying agent being a peptide, protein or polyamino acid which is covalently bonded or complexed to a therapeutically active agent
-
- A—HUMAN NECESSITIES
- A61—MEDICAL OR VETERINARY SCIENCE; HYGIENE
- A61K—PREPARATIONS FOR MEDICAL, DENTAL OR TOILETRY PURPOSES
- A61K47/00—Medicinal preparations characterised by the non-active ingredients used, e.g. carriers or inert additives; Targeting or modifying agents chemically bound to the active ingredient
- A61K47/50—Medicinal preparations characterised by the non-active ingredients used, e.g. carriers or inert additives; Targeting or modifying agents chemically bound to the active ingredient the non-active ingredient being chemically bound to the active ingredient, e.g. polymer-drug conjugates
- A61K47/51—Medicinal preparations characterised by the non-active ingredients used, e.g. carriers or inert additives; Targeting or modifying agents chemically bound to the active ingredient the non-active ingredient being chemically bound to the active ingredient, e.g. polymer-drug conjugates the non-active ingredient being a modifying agent
- A61K47/62—Medicinal preparations characterised by the non-active ingredients used, e.g. carriers or inert additives; Targeting or modifying agents chemically bound to the active ingredient the non-active ingredient being chemically bound to the active ingredient, e.g. polymer-drug conjugates the non-active ingredient being a modifying agent the modifying agent being a protein, peptide or polyamino acid
- A61K47/64—Drug-peptide, drug-protein or drug-polyamino acid conjugates, i.e. the modifying agent being a peptide, protein or polyamino acid which is covalently bonded or complexed to a therapeutically active agent
- A61K47/643—Albumins, e.g. HSA, BSA, ovalbumin or a Keyhole Limpet Hemocyanin [KHL]
-
- A—HUMAN NECESSITIES
- A61—MEDICAL OR VETERINARY SCIENCE; HYGIENE
- A61K—PREPARATIONS FOR MEDICAL, DENTAL OR TOILETRY PURPOSES
- A61K47/00—Medicinal preparations characterised by the non-active ingredients used, e.g. carriers or inert additives; Targeting or modifying agents chemically bound to the active ingredient
- A61K47/50—Medicinal preparations characterised by the non-active ingredients used, e.g. carriers or inert additives; Targeting or modifying agents chemically bound to the active ingredient the non-active ingredient being chemically bound to the active ingredient, e.g. polymer-drug conjugates
- A61K47/51—Medicinal preparations characterised by the non-active ingredients used, e.g. carriers or inert additives; Targeting or modifying agents chemically bound to the active ingredient the non-active ingredient being chemically bound to the active ingredient, e.g. polymer-drug conjugates the non-active ingredient being a modifying agent
- A61K47/62—Medicinal preparations characterised by the non-active ingredients used, e.g. carriers or inert additives; Targeting or modifying agents chemically bound to the active ingredient the non-active ingredient being chemically bound to the active ingredient, e.g. polymer-drug conjugates the non-active ingredient being a modifying agent the modifying agent being a protein, peptide or polyamino acid
- A61K47/64—Drug-peptide, drug-protein or drug-polyamino acid conjugates, i.e. the modifying agent being a peptide, protein or polyamino acid which is covalently bonded or complexed to a therapeutically active agent
- A61K47/646—Drug-peptide, drug-protein or drug-polyamino acid conjugates, i.e. the modifying agent being a peptide, protein or polyamino acid which is covalently bonded or complexed to a therapeutically active agent the entire peptide or protein drug conjugate elicits an immune response, e.g. conjugate vaccines
-
- A—HUMAN NECESSITIES
- A61—MEDICAL OR VETERINARY SCIENCE; HYGIENE
- A61K—PREPARATIONS FOR MEDICAL, DENTAL OR TOILETRY PURPOSES
- A61K47/00—Medicinal preparations characterised by the non-active ingredients used, e.g. carriers or inert additives; Targeting or modifying agents chemically bound to the active ingredient
- A61K47/50—Medicinal preparations characterised by the non-active ingredients used, e.g. carriers or inert additives; Targeting or modifying agents chemically bound to the active ingredient the non-active ingredient being chemically bound to the active ingredient, e.g. polymer-drug conjugates
- A61K47/51—Medicinal preparations characterised by the non-active ingredients used, e.g. carriers or inert additives; Targeting or modifying agents chemically bound to the active ingredient the non-active ingredient being chemically bound to the active ingredient, e.g. polymer-drug conjugates the non-active ingredient being a modifying agent
- A61K47/62—Medicinal preparations characterised by the non-active ingredients used, e.g. carriers or inert additives; Targeting or modifying agents chemically bound to the active ingredient the non-active ingredient being chemically bound to the active ingredient, e.g. polymer-drug conjugates the non-active ingredient being a modifying agent the modifying agent being a protein, peptide or polyamino acid
- A61K47/65—Peptidic linkers, binders or spacers, e.g. peptidic enzyme-labile linkers
-
- A—HUMAN NECESSITIES
- A61—MEDICAL OR VETERINARY SCIENCE; HYGIENE
- A61K—PREPARATIONS FOR MEDICAL, DENTAL OR TOILETRY PURPOSES
- A61K47/00—Medicinal preparations characterised by the non-active ingredients used, e.g. carriers or inert additives; Targeting or modifying agents chemically bound to the active ingredient
- A61K47/50—Medicinal preparations characterised by the non-active ingredients used, e.g. carriers or inert additives; Targeting or modifying agents chemically bound to the active ingredient the non-active ingredient being chemically bound to the active ingredient, e.g. polymer-drug conjugates
- A61K47/51—Medicinal preparations characterised by the non-active ingredients used, e.g. carriers or inert additives; Targeting or modifying agents chemically bound to the active ingredient the non-active ingredient being chemically bound to the active ingredient, e.g. polymer-drug conjugates the non-active ingredient being a modifying agent
- A61K47/68—Medicinal preparations characterised by the non-active ingredients used, e.g. carriers or inert additives; Targeting or modifying agents chemically bound to the active ingredient the non-active ingredient being chemically bound to the active ingredient, e.g. polymer-drug conjugates the non-active ingredient being a modifying agent the modifying agent being an antibody, an immunoglobulin or a fragment thereof, e.g. an Fc-fragment
- A61K47/6801—Drug-antibody or immunoglobulin conjugates defined by the pharmacologically or therapeutically active agent
- A61K47/6803—Drugs conjugated to an antibody or immunoglobulin, e.g. cisplatin-antibody conjugates
-
- A—HUMAN NECESSITIES
- A61—MEDICAL OR VETERINARY SCIENCE; HYGIENE
- A61K—PREPARATIONS FOR MEDICAL, DENTAL OR TOILETRY PURPOSES
- A61K47/00—Medicinal preparations characterised by the non-active ingredients used, e.g. carriers or inert additives; Targeting or modifying agents chemically bound to the active ingredient
- A61K47/50—Medicinal preparations characterised by the non-active ingredients used, e.g. carriers or inert additives; Targeting or modifying agents chemically bound to the active ingredient the non-active ingredient being chemically bound to the active ingredient, e.g. polymer-drug conjugates
- A61K47/51—Medicinal preparations characterised by the non-active ingredients used, e.g. carriers or inert additives; Targeting or modifying agents chemically bound to the active ingredient the non-active ingredient being chemically bound to the active ingredient, e.g. polymer-drug conjugates the non-active ingredient being a modifying agent
- A61K47/68—Medicinal preparations characterised by the non-active ingredients used, e.g. carriers or inert additives; Targeting or modifying agents chemically bound to the active ingredient the non-active ingredient being chemically bound to the active ingredient, e.g. polymer-drug conjugates the non-active ingredient being a modifying agent the modifying agent being an antibody, an immunoglobulin or a fragment thereof, e.g. an Fc-fragment
- A61K47/6835—Medicinal preparations characterised by the non-active ingredients used, e.g. carriers or inert additives; Targeting or modifying agents chemically bound to the active ingredient the non-active ingredient being chemically bound to the active ingredient, e.g. polymer-drug conjugates the non-active ingredient being a modifying agent the modifying agent being an antibody, an immunoglobulin or a fragment thereof, e.g. an Fc-fragment the modifying agent being an antibody or an immunoglobulin bearing at least one antigen-binding site
- A61K47/6851—Medicinal preparations characterised by the non-active ingredients used, e.g. carriers or inert additives; Targeting or modifying agents chemically bound to the active ingredient the non-active ingredient being chemically bound to the active ingredient, e.g. polymer-drug conjugates the non-active ingredient being a modifying agent the modifying agent being an antibody, an immunoglobulin or a fragment thereof, e.g. an Fc-fragment the modifying agent being an antibody or an immunoglobulin bearing at least one antigen-binding site the antibody targeting a determinant of a tumour cell
-
- A—HUMAN NECESSITIES
- A61—MEDICAL OR VETERINARY SCIENCE; HYGIENE
- A61P—SPECIFIC THERAPEUTIC ACTIVITY OF CHEMICAL COMPOUNDS OR MEDICINAL PREPARATIONS
- A61P35/00—Antineoplastic agents
-
- A—HUMAN NECESSITIES
- A61—MEDICAL OR VETERINARY SCIENCE; HYGIENE
- A61P—SPECIFIC THERAPEUTIC ACTIVITY OF CHEMICAL COMPOUNDS OR MEDICINAL PREPARATIONS
- A61P35/00—Antineoplastic agents
- A61P35/04—Antineoplastic agents specific for metastasis
-
- C—CHEMISTRY; METALLURGY
- C07—ORGANIC CHEMISTRY
- C07D—HETEROCYCLIC COMPOUNDS
- C07D471/00—Heterocyclic compounds containing nitrogen atoms as the only ring hetero atoms in the condensed system, at least one ring being a six-membered ring with one nitrogen atom, not provided for by groups C07D451/00 - C07D463/00
- C07D471/02—Heterocyclic compounds containing nitrogen atoms as the only ring hetero atoms in the condensed system, at least one ring being a six-membered ring with one nitrogen atom, not provided for by groups C07D451/00 - C07D463/00 in which the condensed system contains two hetero rings
- C07D471/04—Ortho-condensed systems
Landscapes
- Health & Medical Sciences (AREA)
- Life Sciences & Earth Sciences (AREA)
- Chemical & Material Sciences (AREA)
- Bioinformatics & Cheminformatics (AREA)
- Engineering & Computer Science (AREA)
- Medicinal Chemistry (AREA)
- Pharmacology & Pharmacy (AREA)
- Animal Behavior & Ethology (AREA)
- General Health & Medical Sciences (AREA)
- Public Health (AREA)
- Veterinary Medicine (AREA)
- Epidemiology (AREA)
- Organic Chemistry (AREA)
- Proteomics, Peptides & Aminoacids (AREA)
- Immunology (AREA)
- Molecular Biology (AREA)
- Chemical Kinetics & Catalysis (AREA)
- General Chemical & Material Sciences (AREA)
- Nuclear Medicine, Radiotherapy & Molecular Imaging (AREA)
- Zoology (AREA)
- Gastroenterology & Hepatology (AREA)
- Mycology (AREA)
- Microbiology (AREA)
- Virology (AREA)
- Cell Biology (AREA)
- Oncology (AREA)
- Pharmaceuticals Containing Other Organic And Inorganic Compounds (AREA)
- Medicinal Preparation (AREA)
- Medicines That Contain Protein Lipid Enzymes And Other Medicines (AREA)
- Peptides Or Proteins (AREA)
- Medicines Containing Antibodies Or Antigens For Use As Internal Diagnostic Agents (AREA)
- Nitrogen Condensed Heterocyclic Rings (AREA)
Abstract
本发明涉及CC‑1065类似物和双功能接头的缀合物。此外,本发明涉及用于制备所述药物和缀合物的中间体。所述缀合物被设计用于在一种或多种活化步骤和/或以由该缀合物控制的速度和时间跨度之后释放它们的(多个)有效负载,以便选择性地递送和/或可控地释放一种或多种DNA烷化剂。所述药物、缀合物和中间体可用于治疗以不希望的(细胞)增殖为特征的疾病。例如,本发明的所述药物和缀合物可用于治疗肿瘤。
Description
本申请是申请号为201180027560.0、申请日为2011年4月21日、发明名称为“CC-1065类似物和双功能接头的新型缀合物”的专利申请的分案申请。
技术领域
本发明涉及DNA烷化剂CC-1065的新型类似物,以及它们的缀合物。此外,本发明涉及用于制备所述药剂和轭合物的中间体。所述缀合物被设计在一个或多个活化步骤和/或以由该缀合物控制的速度和时间跨度之后释放它们的(多个)有效负载,以便选择性地递送和/或可控地释放一种或多种所述的DNA烷化剂。所述药剂、缀合物和中间体可用于治疗特征在于不希望的(细胞)增殖的疾病。例如,本发明的所述药剂和缀合物可用于治疗肿瘤。
背景技术
首次从链霉菌属菌种的培养肉汤分离的倍癌霉素(duocarmycins)是抗肿瘤抗生素家族的成员,所述抗肿瘤抗生素家族也包括CC-1065。据说这些极其有效的药物的生物活性源于其序列选择性地在小沟中腺嘌呤的N3位将DNA烷基化,所述烷基化激发事件的级联,所述级联以细胞凋亡的机理结束。1
尽管CC-1065已经表现出非常有效的细胞毒性,但是它由于严重的延迟性肝脏毒性而不能用于临床。2这一观察结果导致对开发CC-1065的合成类似物的需要(CC-1065衍生物,参见例如Aristoff等人,J.Org.Chem.1992,57,6234;Boger等人,Bioorg.Med.Chem.Lett.1996,6,2207;Boger等人,Chem.Rev.1997,97,787;Milbank等人,J.Med.Chem.1999,42,649;Atwell等人,J.Med.Chem.1999,42,3400;Wang等人,J.Med.Chem.2000,43,1541;Boger等人,Bioorg.Med.Chem.Lett.2001,11,2021;Parrish等人,Bioorg.Med.Chem.2003,11,3815;Daniell等人,Bioorg.Med.Chem.Lett.2005,15,177;Tichenor等人,J.Am.Chem.Soc.2006,128,15683;Purnell等人,Bioorg.Med.Chem.2006,16,5677;Bando and Sugiyama,Acc.Chem.Res.2006,39,935;Tichenor等人,Nat.Prod.Rep.2008,25,220;MacMillan等人,J.Am.Chem.Soc.2009,131,1187;Tietze等人,抗Cancer Agents Med.Chem.2009,9,304;Gauss等人,Tetrahedron2009,65,6591;Robertson等人,Bioorg.Med.Chem.Lett.2010,20,2722;Boyle等人,Bioorg.Med.Chem.Lett.2010,20,1854;Chavda等人,Bioorg.Med.Chem.2010,18,5016;EP0154445;WO 88/04659;WO 90/02746;WO 97/12862;WO 97/32850;WO 97/45411;WO 98/52925;WO 99/19298;WO 01/83482;WO 02/067937;WO 02/067930;WO 02/068412;WO 03/022806;WO 2004/101767;WO 2006/043839;以及WO 2007/051081),其通常表现出具有类似的细胞毒性,但是肝脏毒性降低。然而,这些衍生物对于肿瘤细胞的选择性不足,因为这些药物–通常是胞毒剂–的选择性部分是基于肿瘤细胞和标准细胞的增殖速率的差异,并因此它们也影响表现出较高增殖速率的健康细胞。这典型地导致严重的副作用。由于限制剂量的副作用,例如胃肠道和骨髓毒性,不能达到会完全消灭肿瘤的药物浓度。另外,肿瘤可以在长期治疗之后发展出针对抗癌剂的抗药性。因此,在现代药物开发中,可以将使细胞毒类药物靶向肿瘤位置作为主要目标之一。
获得增加的对肿瘤细胞或肿瘤组织的选择性的一个有前景的方法是利用可以起到靶标作用的肿瘤相关性抗原、受体和其它感受性部分的存在。这种靶标可以被相对于其它组织向上调节或在某种程度上特异性地存在于肿瘤组织或密切相关的组织例如新血管组织中,以便实现有效的靶向。已经鉴定并验证了许多靶标,并且已经开发出了几种用于鉴定和验证靶标的方法。3通过将这种肿瘤相关性抗原、受体或其它感受性部分的配体例如抗体或抗体片段偶联至治疗剂,可以使这种药物选择性地靶向肿瘤组织。
获得对肿瘤细胞或肿瘤组织的选择性的另一个有前景的方法是利用肿瘤相关性酶的存在。主要位于肿瘤位置的酶可以在肿瘤附近或肿瘤内部将药理学非活性的前药转化为相应的药物,所述非活性的前药由直接或间接连接至毒性药物的酶底物组成。通过这种概念,可以在肿瘤位置选择性地形成毒性抗癌剂的高浓度。如果剂量充分高,则所有的肿瘤细胞都可以被杀死,这样可以降低抗药性肿瘤细胞的发展。
酶也可以通过例如抗体导向的酶-前药疗法(ADEPT)、聚合物导向的酶-前药疗法(PDEPT)或大分子导向的酶-前药疗法(MDEPT)、病毒导向的酶-前药疗法(VDEPT)或基因导向的酶-前药疗法(GDEPT)被转运到靶细胞或靶组织的附近或内部。例如,通过ADEPT,可以通过预先已经被靶向到靶细胞表面的抗体-酶缀合物在靶细胞的表面上将无毒的前药选择性地转化为细胞毒性化合物。
获得对肿瘤细胞或肿瘤组织的选择性的还一个有前景的方法是利用增强的渗透力和保持(EPR)效应。通过这种EPR效应,由于血管生成性肿瘤脉管系统的组织被破坏的病理学,其内皮不连续(导致对大的大分子的高渗透性)并且缺乏有效的肿瘤淋巴引流,大分子被动地在实体瘤中累积。4通过将治疗剂直接或间接地偶联至大分子,所述药物可以被选择性地靶向肿瘤组织。
除了有效的靶向之外,胞毒剂的靶向缀合物在肿瘤治疗中的成功应用的其它重要标准是一种或多种药物在肿瘤位置被有效地从缀合物释放,并且所述缀合物是非细胞毒的或只有非常弱的细胞毒性,而胞毒剂本身表现出高度有效的细胞毒性。理想地,这导致只在肿瘤位置生成细胞毒性分子,产生相对于非靶向胞毒剂大大地增加的治疗指数。成功的靶向缀合物的另一个重要的标准在于该缀合物必需具有适合的药理学性能,例如在循环系统中的足够的稳定性、低的聚集趋势和好的水溶性。药物和/或接头的适当的水溶性和亲水性可以有助于改善药理学性能。
已经描述了CC-1065和衍生物的几种缀合物(CC-1065衍生物的缀合物,参见例如Suzawa等人,Bioorg.Med.Chem.2000,8,2175;Jeffrey等人,J.Med.Chem.2005,48,1344;Wang等人,Bioorg.Med.Chem.2006,14,7854;Tietze等人,Chem.Eur.J.2007,13,4396;Tietze等人,Chem.Eur.J.2008,14,2811;Tietze等人,ChemMedChem2008,3,1946;Li等人,Tetrahedron Lett.2009,50,2932;Tietze等人,Angew.Chem.Int.Ed.2010,49,7336;WO91/16324;WO 94/04535;WO 95/31971;US 5,475,092;US 5,585,499;US 5,646,298;WO97/07097;WO 97/44000;US 5,739,350;WO 98/11101;WO 98/25898;US 5,843,937;US 5,846,545;WO 02/059122;WO 02/30894;WO 03/086318;WO 2005/103040;WO 2005/112919;WO 2006/002895;WO 2006/110476;WO 2007/038658;WO 2007/059404;WO 2008/083312;WO2008/103693;WO 2009/026274;WO 2009/064908;WO 2009/073533;WO 2009/073524;WO2009/073546;WO 2009/134977;以及US 2009/0162372)。在这些缀合物中,以上讨论的有利性能中的一种或几种可能并非最佳。
因此,对于表现出高的治疗窗、包含具有有效的细胞毒性和有利的药理学性能的CC-1065衍生物、且有效地释放CC-1065衍生物的CC-1065衍生物的缀合物仍有明确的需求。
发明内容
本发明用以下式(I)或(II)的化合物或其药学上可接受的盐、水合物或溶剂合物来满足上述需求:
其中
DB是DNA结合部分,且选自:
R1是离去基团;
R2、R2'、R3、R3'、R4、R4'、R12和R19独立地选自H、OH、SH、NH2、N3、NO2、NO、CF3、CN、C(O)NH2、C(O)H、C(O)OH、卤素、Ra、SRa、S(O)Ra、S(O)2Ra、S(O)ORa、S(O)2ORa、OS(O)Ra、OS(O)2Ra、OS(O)ORa、OS(O)2ORa、ORa、NHRa、N(Ra)Rb、+N(Ra)(Rb)Rc、P(O)(ORa)(ORb)、OP(O)(ORa)(ORb)、SiRaRbRc、C(O)Ra、C(O)ORa、C(O)N(Ra)Rb、OC(O)Ra、OC(O)ORa、OC(O)N(Ra)Rb、N(Ra)C(O)Rb、N(Ra)C(O)ORb和N(Ra)C(O)N(Rb)Rc,其中
Ra、Rb和Rc独立地选自H和任选被取代的C1-3烷基或C1-3杂烷基,
或者R3+R3'和/或R4+R4'独立地选自=O、=S、=NOR18、=C(R18)R18'和=NR18、R18和R18'独立地选自H和任选被取代的C1-3烷基,R2、R2'、R3、R3'、R4、R4'和R12中的两个或更多个任选地通过一个或多个键结合以形成一个或多个任选被取代的碳环和/或杂环;
X2选自O、C(R14)(R14')和NR14',其中R14和R14'具有与对于R7所定义的相同的含义,且被独立地选择,或者R14'和R7'不存在,使得在标记带有R7'和R14'的原子之间形成双键;
R5、R5'、R6、R6'、R7和R7'独立地选自H、OH、SH、NH2、N3、NO2、NO、CF3、CN、C(O)NH2、C(O)H、C(O)OH、卤素、Re、SRe、S(O)Re、S(O)2Re、S(O)ORe、S(O)2ORe、OS(O)Re、OS(O)2Re、OS(O)ORe、OS(O)2ORe、ORe、NHRe、N(Re)Rf、+N(Re)(Rf)Rg、P(O)(ORe)(ORf)、OP(O)(ORe)(ORf)、SiReRfRg、C(O)Re、C(O)ORe、C(O)N(Re)Rf、OC(O)Re、OC(O)ORe、OC(O)N(Re)Rf、N(Re)C(O)Rf、N(Re)C(O)ORf、N(Re)C(O)N(Rf)Rg和水溶性基团,其中
Re、Rf和Rg独立地选自H和任选被取代的(CH2CH2O)eeCH2CH2X13Re1、C1-15烷基、C1-15杂烷基、C3-15环烷基、C1-15杂环烷基、C5-15芳基或C1-15杂芳基,其中ee选自1到1000,X13选自O、S和NRf1,和Rf1和Re1独立地选自H和C1-3烷基、Re、Rf和/或Rg中的任选的取代基中的一个或多个任选地是水溶性基团、Re、Rf和Rg中的两个或更多个任选地通过一个或多个键结合以形成一个或多个任选被取代的碳环和/或杂环,
或者R5+R5'和/或R6+R6'和/或R7+R7'独立地选自=O、=S、=NORe3、=C(Re3)Re4和=NRe3,Re3和Re4独立地选自H和任选被取代的C1-3烷基,或者R5'+R6'和/或R6'+R7'和/或R7'+R14'不存在,使得在标记带有R5'和R6'和/或R6'和R7'和/或R7'和R14'的原子之间分别形成双键,R5、R5'、R6、R6'、R7、R7'、R14和R14'中的两个或更多个任选地通过一个或多个键结合以形成一个或多个任选被取代的碳环和/或杂环;
X1选自O、S和NR13,其中R13选自H和任选被取代的C1-8烷基或C1-8杂烷基且不与任何其它取代基结合;
X3选自O、S、C(R15)R15'、-C(R15)(R15')-C(R15″)(R15″′)-、-N(R15)-N(R15')-、-C(R15)(R15')-N(R15″)-、-N(R15″)-C(R15)(R15')-、-C(R15)(R15')-O-、-O-C(R15)(R15')-、-C(R15)(R15')-S-、-S-C(R15)(R15')-、-C(R15)=C(R15')-、=C(R15)-C(R15')=、-N=C(R15')-、=N-C(R15')=、-C(R15)=N-、=C(R15)-N=、-N=N-、=N-N=、CR15、N和NR15,或者,在DB1和DB2中,-X3-表示-X3a和X3b-,其中X3a连接至X34、在X34和X4之间存在有双键,和X3b连接至X11,其中X3a独立地选自H和任选被取代的(CH2CH2O)eeCH2CH2X13Re1、C1-8烷基或C1-8杂烷基且不与任何其它取代基结合;
X4选自O、S、C(R16)R16'、NR16、N和CR16;
X5选自O、S、C(R17)R17'、NOR17和NR17,其中R17和R17'独立地选自H和任选被取代的C1-8烷基或C1-8杂烷基且不与任何其它取代基结合;
X6选自CR11、CR11(R11')、N、NR11、O和S;
X7选自CR8、CR8(R8')、N、NR8、O和S;
X8选自CR9、CR9(R9')、N、NR9、O和S;
X9选自CR10、CR10(R10')、N、NR10、O和S;
X10选自CR20、CR20(R20')、N、NR20、O和S;
X11选自C、CR21和N,或者X11-X3b选自CR21、CR21(R21')、N、NR21、O和S;
X12选自C、CR22和N;
X6*、X7*、X8*、X9*、X10*和X11*分别具有对于X6、X7、X8、X9、X10和X11所定义的相同的含义,且被独立地选择;
X34选自C、CR23和N;
DB6和DB7中的X11*的环B原子连接至环A的环原子,使得DB6和DB7中的环A和环B直接通过单键连接;
R8、R8'、R9、R9'、R10、R10'、R11、R11'、R15、R15'、R15″、R15″′、R16、R16'、R20、R20'、R21、R21'、R22和R23各自独立地选自H、OH、SH、NH2、N3、NO2、NO、CF3、CN、C(O)NH2、C(O)H、C(O)OH、卤素、Rh、SRh、S(O)Rh、S(O)2Rh、S(O)ORh、S(O)2ORh、OS(O)Rh、OS(O)2Rh、OS(O)ORh、OS(O)2ORh、ORh、NHRh、N(Rh)Ri、+N(Rh)(Ri)Rj、P(O)(ORh)(ORi)、OP(O)(ORh)(ORi)、SiRhRiRj、C(O)Rh、C(O)ORh、C(O)N(Rh)Ri、OC(O)Rh、OC(O)ORh、OC(O)N(Rh)Ri、N(Rh)C(O)Ri、N(Rh)C(O)ORi、N(Rh)C(O)N(Ri)Rj和水溶性基团,其中
Rh、Ri和Rj独立地选自H和任选被取代的(CH2CH2O)eeCH2CH2X13Re1、C1-15烷基、C1-15杂烷基、C3-15环烷基、C1-15杂环烷基、C5-15芳基或C1-15杂芳基、Rh、Ri和/或Rj中的任选的取代基中的一个或多个任选地是水溶性基团,Rh、Ri和Rj中的两个或更多个任选地通过一个或多个键结合,以形成一个或多个任选被取代的碳环和/或杂环,
或者R8+R8'和/或R9+R9'和/或R10+R10'和/或R11+R11'和/或R15+R15'和/或R15″+R15″′和/或R16+R16'和/或R20+R20'和/或R21+R21'独立地选自=O、=S、=NORh1、=C(Rh1)Rh2和=NRh1,Rh1和Rh2独立地选自H和任选被取代的C1-3烷基,R8、R8'、R9、R9'、R10、R10'、R11、R11'、R15、R15'、R15″、R15″′、R16、R16'、R20、R20'、R21、R21'、R22和R23中的两个或更多个任选地通过一个或多个键结合以形成一个或多个任选被取代的碳环和/或杂环;
R8b和R9b被独立地选择且具有如R8的含义,不同之处在于它们不能与任何其它取代基连接;
R4和R4'之一与R16和R16'之一可以任选地通过一个或多个键连接以形成一个或多个任选被取代的碳环和/或杂环;
R2、R2'、R3和R3'之一与R5和R5'之一可以任选地通过一个或多个键连接以形成一个或多个任选被取代的碳环和/或杂环;以及
a和b独立地选自0和1。
在另一个方面中,本发明涉及式(I')或(II')的化合物:
其通过相应的式(I)和(II)的化合物的重排以及伴随从该化合物消除H-R1而形成,所述的式(I)和(II)的化合物是开环化合物(seco化合物)(参见图1)。所述的包含环丙基环的类似物被认为是活性化合物,其被认为是在体内通过所述的重排由式(I)和(II)的化合物而形成的。
在更具体的实施方案中,本发明涉及如上所述的式(I)或(II)的化合物,其中
a)DB部分不包括DA1、DA2、DA1'或DA2'部分;以及
b)DB1中的环B是杂环;以及
c)如果DB1中的X3表示-X3a和X3b-并且环B是芳香族的,则所述环B上的两个邻近的取代基结合在一起形成与所述环B稠合的任选被取代的碳环或杂环;以及
d)如果DB2中的X3表示-X3a和X3b-并且环B是芳香族的,则所述环B上的两个邻近的取代基结合在一起形成与所述环B稠合的任选被取代的杂环、与所述环B稠合的任选被取代的非芳香族碳环或与所述环B稠合且连接有至少一个取代基的被取代的芳香族碳环,所述取代基包含羟基、伯氨基或仲氨基,所述伯胺或仲胺既不是芳香族环系统中的环原子,也不是酰胺的一部分;以及
e)如果DB2中的环A是6元芳环,则环B上的取代基不结合形成与环B稠合的环;以及
f)DB8中环A上的两个邻近的取代基结合在一起形成与所述环A稠合的任选被取代的碳环或杂环,由此形成没有另外的环与之稠合的双环部分;以及
g)DB9中的环A连同任何与所述环A稠合的环包含至少两个环杂原子。
在另一个实施方案中,本发明涉及如上所述的式(I)或(II)的化合物,其中取代基R1、R5、R5'、R6、R6'、R7、R7'、R14、R14'、R8、R8'、R9、R9'、R10、R10'、R11、R11'、R15、R15'、R15″、R15″′、R16、R16'、R20、R20'、R21、R21'、R22和R23中的至少一个包含X14(CH2CH2O)ffCH2CH2X14部分,其中ff选自1到1000且每个X14独立地选自
其通过直接的键或通过一个部分(该部分是所述同一取代基的一部分且不包括二硫化物、腙、酰肼、酯、天然氨基酸或包含至少一个天然氨基酸的肽)连接至所述取代基的连接位点,且其中,如果DB1中的环B是全碳环,X3是O或NR15,X4是CH,X34是C,在所述式(I)或(II)的化合物中只存在一个X14(CH2CH2O)ffCH2CH2X14部分,且所述部分是R6、R7、R8、R10或R15的一部分,则b=1和ff≥5。
其中ff大于1000的式(I)或(II)的化合物或其缀合物也被包括在本发明范围之内。
在另一个实施方案中,本发明涉及如上所述的式(I)或(II)的化合物,其中取代基R1、R5、R5'、R6、R6'、R7、R7'、R14、R14'、R8、R8'、R9、R9'、R10、R10'、R11、R11'、R15、R15'、R15″、R15″′、R16、R16'、R20、R20'、R21、R21'、R22和R23中的至少一个包含一个三唑部分。
应该理解,如果-X3-表示部分DB1和DB2中的-X3a和X3b-,这些部分实际上由以下结构表示:
在另一个方面中,本发明涉及式(I)、(II)、(I')或(II')的化合物的缀合物。
在又一个方面中,本发明涉及式(III)的化合物:
或其药学上可接受的盐、水合物或者溶剂合物,其中
V2不存在或者是一个功能性部分;
每个L2独立地不存在或者是将V2连接至L的一个连接基团;
每个L独立地不存在或者是将L2连接至一个或多个V1和/或Y的连接基团;
每个V1独立地不存在或者是可条件性裂解或可条件性转化的部分,其可以通过化学、光化学、物理、生物学或酶促方法而被裂解或转化;
每个Y独立地不存在或者是由一个或多个自消除性间隔基组成的自消除性间隔基系统并连接至V1(任选地连接至L)和一个或多个Z;
每个p和q是表示支化度的数字且各自独立地是正整数;
z是等于或小于Z的连接位点的总数的正整数;
每个Z独立地是上述定义的式(I)、(II)、(I')或(II')的化合物,其中X1、R5、R5'、R6、R6'、R7、R7'、R14、R14'、R8、R8'、R9、R9'、R10、R10'、R11、R11'、R15、R15'、R15″、R15″′、R16、R16'、R20、R20'、R21、R21'、R22和R23一个或多个可以任选地另外被式(V)的取代基取代或是式(V)的取代基:
其中每个V2'、L2'、L'、V1'、Y'、Z'、p'、q'和Z'分别具有如对于V2、L2、L、V1、Y、Z、p、q和z所定义的含义,且被独立地选择,式(V)的一个或多个取代基独立地通过Y'连接至X1、R5、R5'、R6、R6'、R7、R7'、R14、R14'、R8、R8'、R9、R9'、R10、R10'、R11、R11'、R15、R15'、R15″、R15″′、R16、R16'、R20、R20'、R21、R21'、R22、R23中的一个或多个,和/或带有这些R取代基的一个或多个原子;
每个Z独立地通过X1,R5、R5'、R6、R6'、R7、R7'、R14、R14'、R8、R8'、R9、R9'、R10、R10'、R11、R11'、R15、R15'、R15″、R15″′、R16、R16'、R20、R20'、R21、R21'、R22、R23中的原子,或带有这些R取代基中任意取代基的原子连接至Y;以及
至少存在V2或V1。
应注意的是,在式(III)的化合物中,需要存在有V2或V1。然而,在任选地存在于Z中的式(V)的一个或多个部分中,每个V2'和V1'可以独立地选择为存在或不存在。
在另一个方面中,本发明涉及式(III)的化合物,其中
V2是存在的且被选择为靶向部分,且至少有一个式(V)的基团,该基团包含V1'部分,且包含V2'、L2'或L'部分,该V2'、L2'或L'部分包含X14(CH2CH2O)ggCH2CH2X14部分,其中gg选自3到1000且每个X14独立地选自
或者所述同一式(V)的基团包括至少两个X14CH2CH2OCH2CH2X14部分,其中每个X14被独立地选择。
应指出的是,可以存在于式(III)的化合物中的-CH2CH2X14部分中的单独X14部分是独立进行选择的。
应进一步指出的是,z不表示聚合度;因此z不表示彼此连接的部分Z或RM2的个数。
应进一步指出的是,如果Y或Y'连接至带有特定R取代基的Z或RM2的原子而不是连接至这个R取代基本身,这实际上意味着这个R取代基是不存在的,如果满足化合价规则必需这样的话。
本发明还涉及式(IV)的化合物:
或其药学上可接受的盐、水合物或者溶剂合物,其中
RM是反应性部分,且L、V1、Y、Z、p和z如上述定义的,不同之处在于L现在将RM连接至一个或多个V1和/或Y,且V1、Y和Z可以包含保护基,且任选地存在于上文所定义的Z中的一个或多个V2'-L2'部分可以任选地且独立地为RM',其是一个反应性部分,且其中,如果在(IV)中存在有多于一个反应性部分,一些和全部的反应性部分相同或不同。可以或者可以不将式(IV)的这些接头-药物缀合物看作是式(III)的化合物的中间体。
在另一个方面中,本发明涉及式(IV)的化合物,其中RM是一个反应性部分,选自氨基甲酰卤、酰基卤、活性酯、酐、α-卤代乙酰基、α-卤代乙酰胺、马来酰亚胺、异氰酸酯、异硫氰酸酯、二硫化物、硫醇、肼、酰肼、磺酰氯、醛、甲基酮、乙烯砜、卤甲基和甲基磺酸酯,且其中作为Z的一部分的至少一个式(V)的基团包含V1'部分,且或者包括V2'、L2'或L'部分,该V2'、L2'或L'部分包含X14(CH2CH2O)ggCH2CH2X14部分,其中gg选自3到1000且每个X14独立地选自
或者所述同一式(V)的基团包括至少两个X14CH2CH2OCH2CH2X14部分,其中每个X14被独立地选择。可以或者可以不将式(IV)的这些接头-药物缀合物看作是式(III)的化合物的中间体。
在又一个方面中,本发明涉及包含裂解位点、自消除性间隔基系统和两个反应性部分的新的双功能接头,所述两个反应性部分之一可以与治疗用或诊断用部分例如式(I)或(II)的化合物反应,而另一个可以与功能性部分例如靶向部分反应。这些双功能接头可用于制备本发明的式(III)和(IV)或类似的化合物与不同的治疗用或诊断用部分的缀合物。
更具体地,本发明涉及式(VIII)的化合物:
或其药学上可接受的盐、水合物或者溶剂合物,其中
L、V1、Y、RM、p和z如对于式(IV)的化合物所定义的,且RM2是一反应性部分或离去基团。RM和每个RM2被独立地选择。可以或者可以不将式(VIII)的这些接头-药物缀合物看作是式(III)和(IV)的化合物的中间体。
本发明涉及对映体纯的和/或非对映体纯的式(I)、(II)、(III)、(IV)和(VIII)的化合物,以及涉及式(I)、(II)、(III)、(IV)和(VIII)的化合物的对映体和/或非对映体混合物。本发明涉及纯的式(I)、(II)、(III)、(IV)和(VIII)的化合物以及涉及式(I)、(II)、(III)、(IV)和(VIII)的化合物的异构体混合物。
式(I)和(II)的化合物代表了倍癌霉素衍生物,其优选在DNA结合部分中或DNA结合性部分或DNA-烷基化部分上的取代基中的选定位置具有杂原子或极性基团。出乎意料地发现作为式(I)和(II)的化合物的缀合物存在的式(III)的化合物在体内更有效,并具有与现有技术已知的类似化合物相比得以改善的性能,例如增加的极性和优化的药物释放。
在一个实施方案中,本发明的涉及根据上述实施方案之一的式(I)或(II)的化合物的缀合物以及涉及它们的衍生物。这种缀合物包含一个或多个前体部分。有利地,这种缀合物在循环系统中具有足够的稳定性,但是在靶位置有效地且选择性地被活化以释放式(I)或(II)的化合物,产生适合的治疗窗。功能性部分和式(I)或(II)的化合物之间的接头的长度和性质被证明具有重要的贡献。在本发明的一个方面中,所述接头的接头长度相对于现有技术中的类似缀合物中的接头长度有所缩短,其产生得以改善的功效。在另一个方面中,接头包含具有改善的性能的自消除性间隔基系统,导致例如优化的自消除速率、优化的药物释放和或增加的极性。在又一个方面中,功能性部分和式(I)或(II)的化合物之间的接头包含一个或多个被设计用于改善缀合物的药物动力学性能的基团。这些基团可以存在于L和/或Y中和/或存在于构成式(III)的化合物的任一其它部分中。
母体药物,即式(I)或(II)的化合物,在循环系统中的提前释放可能不是合乎需要的,但是所释放的化合物的相对快速失活可能在这种情况下降低毒性副作用。失活可以通过选择适当的DNA-烷基化部分和DNA结合性部分加以调节。失活可以通过若干种机理发生,包括DNA-烷基化单元从DNA-结合单元的酶促或水解裂解。
式(I)和(II)的化合物适合用于使用式(III)和(IV)的化合物的药物递送目的的应用中,包括药物靶向和控制释放应用。
附图简述
图1.开环化合物到包含环丙基的化合物的重排。
图2.一系列环化间隔基-倍癌霉素化合物在25℃和pH 7.4(上部曲线)和在37℃和pH 5(下部曲线)时的环化速率的图示。
图3.一系列HSA-缀合的接头-药物缀合物的人血浆稳定性。
图4.在带有N87异种移植物的雌性nu/nu小鼠中使用基于曲妥珠单抗的抗体-药物缀合物(ADC)进行的单剂量功效研究。
图5.N-乙酰半胱氨酸-淬灭的接头-药物缀合物被组织蛋白酶B的裂解。
发明详述
提供以下发明详述以便可以更完全地理解本发明。
定义
除非另有定义,本文中使用的所有的技术和科学名词都具有与本领域技术人员的通常理解相同的含义。
如本文中使用的术语”抗体”是指全长的免疫球蛋白分子、全长免疫球蛋白分子的免疫活性部分或全长免疫球蛋白分子或其活性部分的衍生物,即,包含抗原结合部位的分子,所述抗原结合部位免疫特异性地结合目标靶的抗原或其一部分,这种靶包括但不限于肿瘤细胞。因此,全长免疫球蛋白分子的片段或衍生物与所述全长免疫球蛋白分子免疫特异性地结合相同的抗原。免疫球蛋白可以为任何类型(例如,IgG、IgE、IgM、IgD、IgA或IgY)、类别(例如,IgG1、IgG2、IgG3、IgG4、IgA1或IgA2)或子类。免疫球蛋白或其衍生物或活性部分可以源于任何物种,例如,人、啮齿动物(例如,小鼠、大鼠或仓鼠)、驴、绵羊、兔、山羊、豚鼠、骆驼(camelid)、马、牛或鸡,但是优选源于人、鼠科动物或兔,或源于不止一个物种。可用于本发明的抗体包括但不限于单克隆的、多克隆的、双特异性的、多特异性的、人源的、人源化的、嵌合的和基因工程的抗体,单链抗体、Fv片段、Fd片段、Fab片段、F(ab')片段、F(ab’)2片段、dAb片段、由Fab表达文库产生的片段、抗独特型抗体、分离的CDRs和特异性地结合于目标抗原的上述任一种的免疫抗原决定基-结合片段。
术语“离去基团”是指在取代反应中可以被另一个基团代替的基团。这种离去基团是本领域中公知的,其实例包括但不限于卤化物(氟化物、氯化物、溴化物和碘化物)、叠氮化物、磺酸酯(例如,任选被取代的C1-6烷烃磺酸酯例如甲烷磺酸酯、三氟甲烷磺酸酯和单独乙烷磺酸酯,或任选被取代的苯磺酸酯例如对甲苯磺酸酯和对硝基苯磺酸酯)、咪唑、环状亚胺硫酮、琥珀酰亚胺-N-氧化物、邻苯二甲酰亚胺-N-氧化物、p-硝基苯氧化物、o-硝基苯氧化物、五氟苯氧化物、四氟苯氧化物、1,3,5-三氯苯氧化物、1,3,5-三氟苯氧化物、羧酸酯、氨基羧酸酯(氨基甲酸酯)和烷氧基羧酸酯(碳酸酯)。对于饱和碳上的置换,优选的离去基团是卤化物和磺酸酯。对于羰基碳上的置换,可以使用例如卤化物、琥珀酰亚胺-N-氧化物、p-硝基苯氧化物、五氟苯氧化物、四氟苯氧化物、羧酸酯或烷氧基羧酸酯(碳酸酯)作为离去基团。术语“离去基团”还指由于消除反应(例如,电子级联反应或螺环化反应)而被消除的基团。在这种情况中,可以使用例如卤化物、磺酸酯、叠氮化物、氨基羧酸酯(氨基甲酸酯)或烷氧基羧酸酯(碳酸酯)作为离去基团。因此,依据这种定义,通过(多重)自消除从缀合物释放的药物或其衍生物被定义为离去基团。
术语“活性酯”是指其中酯部分的烷氧基是好的离去基团的官能团。这种烷氧基的实例包括但不限于琥珀酰亚胺-N-氧化物、对硝基苯氧化物、五氟苯氧化物、四氟苯氧化物、1-羟基苯并三唑和1-羟基-7-氮杂苯并三唑和具有类似离去能力的基团。基于未被取代的烷基的烷氧基基团例如甲氧基、乙氧基、异丙氧基和叔丁氧基不被认为是好的离去基团,因此甲基、乙基、异丙基和叔丁基的酯不被认为是活性酯。
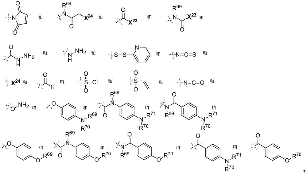
本文中的术语“反应性部分”是指可以在相对温和的条件下且无需反应性部分的预先官能化的情况下与第二官能团化学反应的官能团。反应性部分和所述第二官能团之间的反应只需要施加一些热、压力、催化剂、酸和/或碱。反应性部分的实例包括但不限于氨基甲酰卤、酰基卤、活性酯类、酐、α-卤代乙酰基、α-卤代乙酰胺、马来酰亚胺、异氰酸酯、异硫氰酸酯、二硫化物、硫醇、肼、酰肼、磺酰氯、醛、甲基酮、乙烯砜、卤代甲基和甲基磺酸酯。
术语“前体部分”是指偶联于式(I)或(II)的化合物以改变其性能并能够在体内从所述式(I)或(II)的化合物(部分)除去的部分。
术语“水溶性基团”是指在含水环境中充分溶剂化并赋予与之连接的化合物以改善的水溶性的官能团。水溶性基团的实例包括但不限于多元醇;直链或环状的糖类;伯、仲、叔、季胺和聚胺;硫酸基、磺酸基、亚磺酸基、羧酸基、磷酸基、膦酸基、次膦酸基、抗坏血酸基;二醇类(包括聚乙二醇);以及聚醚类。优选的水溶性基团是伯胺类、仲胺类、叔胺类、季胺类、羧酸基、膦酸基、磷酸盐基、磺酸基、硫酸基、-(CH2CH2O)yyCH2CH2X17Ryy、-(CH2CH2O)yyCH2CH2X17-、-X17(CH2CH2O)yyCH2CH2-、乙二醇、低聚乙二醇和聚乙二醇,其中yy选自1到1000,X17选自O、S和NRzz,且Rzz和Ryy独立地选自H和C1-3烷基。
术语“被取代的”,在用于修饰“烷基”、“杂烷基”、“环烷基”、“杂环烷基”、“芳基”、“杂芳基”等时,是指所述的“烷基”、“杂烷基”、“环烷基”、“杂环烷基”、“芳基”、“杂芳基”或类似基团包含一个或多个取代基(通过置换氢引入)。示例性的取代基包括但不限于OH、=O、=S、=NRk、=N-ORk、SH、NH2、NO2、NO、N3、CF3、CN、℃N、SCN、NCO、NCS、C(O)NH2、C(O)H、C(O)OH、卤素、Rk、SRk、S(O)Rk、S(O)ORk、S(O)2Rk、S(O)2ORk、OS(O)Rk、OS(O)ORk、OS(O)2Rk、OS(O)2ORk、S(O)N(Rk)Rl、OS(O)N(Rk)Rl、S(O)2N(Rk)Rl、OS(O)2N(Rk)Rl、OP(O)(ORk)(ORl)、P(O)(ORk)(ORl)、ORk、NHRk、N(Rk)Rl、+N(Rk)(Rl)RM、Si(Rk)(Rl)(RM)、C(O)Rk、C(O)ORk、C(O)N(Rk)Rl、OC(O)Rk、OC(O)ORk、OC(O)N(Rk)Rl、N(Rk)C(O)Rl、N(Rk)C(O)ORl、N(Rk)C(O)N(Rl)RM、水溶性基团和这些取代基的硫代衍生物、以及这些取代基中任一种的质子化的、荷电的和去质子化的形式,其中Rk、Rl和RM独立地选自H和任选被取代的-(CH2CH2O)yyCH2CH2X17Ryy、C1-15烷基、C1-15杂烷基、C3-15环烷基、C1-15杂环烷基、C5-15芳基或C1-15杂芳基或其组合,其中yy选自1到1000,X17独立地选自O、S和NRzz,且Rzz和Ryy独立地选自H和C1-3烷基,Rk、Rl和RM中的两个或更多个任选地通过一个或多个键结合以形成一个或多个任选被取代的碳环和/或杂环。在存在有不止一个取代基时,每个取代基被独立地选择。两个或更多个取代基可以通过用一个或多个连接键置换每个取代基上的一个或多个氢原子彼此连接,所述连接键可以是单键、双键或三键,或者如果共振结构是可能的,两个或更多个这些共振结构的所述键的键级可以不同。因此两个取代基可以连接,形成一个或多个环。
在取代基可以“通过一个或多个键结合以形成一个或多个任选被取代的碳环和/或杂环”时,这意味着所述取代基可以通过由一个或多个连接键置换每个取代基上的一个或多个氢原子而彼此连接。
如本文中使用的术语“芳基”是指包括5到24个环碳原子的碳环芳香族取代基,其可以是带电荷的或不带电荷的并且可以由一个环或稠合在一起的两个或更多个环组成。芳基基团的实例包括但不限于苯基、萘基和蒽基。
如本文中使用的术语“杂芳基”是指包括1到24个环碳原子和至少一个环杂原子的杂环芳香族取代基,其可以由一个环或稠合在一起的两个或更多个环组成,所述的环杂原子例如氧、氮、硫、硅或磷,其中氮和硫可以任选地被氧化且氮可以任选地被季铵化。杂原子可以直接彼此连接。杂芳基基团的实例包括但不限于吡啶基、嘧啶基、呋喃基、吡咯基、三唑基、吡唑基、吡嗪基、唑基、异唑基、噻唑基、咪唑基、噻吩基、吲哚基、苯并呋喃基、苯并咪唑基、苯并噻唑基、嘌呤基、吲唑基、苯并三唑基、苯并异唑基、喹喔啉基、异喹啉基和喹啉基。在一个实施方案中,杂芳基基团包括1到4个杂原子。应该指出的是,”C1杂芳基基团”表示在杂芳族基团的环系统中只存在有一个碳(任选的取代基中的碳原子没有计算在内)。这种杂芳族基团的实例是四唑基基团。
“芳基”和“杂芳基”基团还包括这样的环系统,即其中一个或多个非芳香族环稠合于芳基或杂芳基的环或环系统。
如本文中使用的术语“烷基”是指直链或支链的、饱和的或不饱和的烃基取代基。烷基基团的实例包括但不限于甲基、乙基、丙基、丁基、戊基、己基、辛基、癸基、异丙基、仲-丁基、异丁基、叔丁基、异戊基、2-甲基丁基、乙烯基、烯丙基、1-丁烯基、2-丁烯基、异丁烯基、1-戊烯基、2-戊烯基和1-丁炔基。
如本文中使用的术语“杂烷基”是指直链或支链的、饱和的或不饱和的烃基取代基,其中的至少一个碳原子被杂原子代替,所述的环杂原子例如氧、氮、硫、硅或磷,其中氮和硫可以任选地被氧化且氮可以任选地被季铵化。杂原子可以直接彼此连接。实例包括但不限于甲氧基、乙氧基、丙氧基、异丙氧基、正丁基氧基、叔丁基氧基、甲基氧基甲基、乙基氧基甲基、甲基氧基乙基、乙基氧基乙基、甲基氨基甲基、二甲基氨基甲基、甲基氨基乙基、二甲基氨基乙基、甲基硫甲基、乙基硫甲基、乙基硫乙基和甲基硫乙基。
如本文中使用的术语“环烷基”是指饱和的或不饱和的非芳香族环烃基取代基,其可以由一个环或稠合在一起的两个或更多个环组成。实例包括但不限于环丙基、环丁基、环戊基、环戊烯基、环戊二烯基、环己基、环己烯基、1,3-环己二烯基、十氢萘基和1,4-环己二烯基。
如本文中使用的术语“杂环烷基”是指饱和的或不饱和的非芳香族环烃基取代基,其可以由一个环或稠合在一起的两个或更多个环组成,其中的一个环中的至少一个碳被杂原子代替,所述杂原子例如氧、氮、硫、硅或磷,其中氮和硫可以任选地被氧化且氮可以任选地被季铵化。杂原子可以直接彼此连接。实例包括但不限于四氢呋喃基、吡咯烷基、哌啶基、1,4-二氧杂环己基、十氢喹啉基、哌嗪基、唑烷基和吗啉基。应该指出的是,“C1杂环烷基基团”表示在杂环烷基的环系统中只存在有一个碳(任选的取代基中的碳原子没有计算在内)。这种基团的实例是氧杂环丙烷基团。
“烷基”、“杂烷基”、“环烷基”、“杂环烷基”、“芳基”、“杂芳基”等可以包含的碳原子的数目是由所述术语前面的命名表示的,即,C1-10烷基是指所述烷基可以包含一个到十个碳(连接至这个烷基的任选的取代基的碳原子没有计算在内)。
本文中的术语”碳环”是指饱和的或不饱和的环烷烃或芳烃部分,其中术语“环烷烃”和“芳烃”分别定义为如上述定义的“环烷基”和“芳基”取代基的母体部分。
本文中的术语“杂环”是指饱和的或不饱和的杂环烷或杂芳烃,其中术语“杂环烷”和“杂芳烃”分别定义为如上述定义的“杂环烷基”和“杂芳基”取代基的母体部分。
后缀“-亚基”与“-基”不同,例如不同于“烷基”的“亚烷基”表示该“亚烷基”是通过至少一个或多个双键或两个或更多个单键连接至一个或多个其它部分的二价(或多价)部分,这与例如所述“烷基”的情况中的通过一个单键连接至一个部分的单价基团不同。因此术语“亚烷基”是指直链或支链的、饱和的或不饱和的亚烃基部分;如本文中使用的术语“亚杂烷基”是指其中至少一个碳被杂原子代替的直链或支链的、饱和的或不饱和的亚烃基部分;如本文中使用的术语“亚芳基”是指可以由一个环或稠合在一起的两个或更多个环组成的碳环芳香族部分;如本文中使用的术语“亚杂芳基”是指其中至少一个碳被杂原子代替的可以由一个环或稠合在一起的两个或更多个环组成的碳环芳香族部分;如本文中使用的术语“亚环烷基”是指可以由一个环或周和在一起的两个或更多个环组成的饱和的或不饱和的非芳香族环状亚烃基部分;如本文中使用的术语“亚杂环烷基”是指可以由一个环或稠合在一起的两个或更多个环组成的饱和的或不饱和的非芳香族环状亚烃基部分,其中一个环中的至少一个碳被杂原子代替。示例性的二价部分包括从中除去一个氢原子的对于上述单价基团给出的那些实例。
术语“聚亚烷基”、“聚亚杂烷基”、“聚亚芳基”、”聚亚杂芳基”、“聚亚环烷基”、”聚亚杂环烷基”等中的前缀“聚”表示例如亚烷基部分的这种“亚基”部分中的两个或更多个结合在一起以形成包含两个或更多个连接位点的支链的或非支链的多价部分。类似地,例如低聚乙二醇中的前缀“低聚”表示两个或更多个乙二醇部分结合在一起以形成支链的或非支链的多价部分。前缀“低聚”和“聚”之间的不同之处在于前缀“低聚”最经常用于表示相对少的重复单位,而前缀“聚”通常是指相对多的重复单位。
本发明的某些化合物具有手性中心和/或双键,和/或可以具有互变异构体或阻转异构体;因此,任意组合形式的两个或更多个异构体的互变异构体混合物、对映体混合物、非对映体混合物、阻转异构体混合物和几何学混合物、以及单独的异构体(包括互变异构体和阻转异构体)都被包括在本发明范围内。在使用术语“异构体”时,其是指阻转异构体、互变异构体的、对映异构体、非对映异构体和/或几何异构体或是指这些异构体中的两个或更多个的混合物,除非上下文有其它描述。
术语“肽模拟物”是指结构不同于氨基酸或肽的普通化学结构但是以类似于天然存在的氨基酸或肽的方式起作用的基团或结构。因此,肽模拟物是氨基酸模拟物或肽模拟物。
术语“非天然氨基酸”意在表示天然存在的氨基酸的D型立体异构体。
术语“键”在本文中是指两个原子之间的共价连接比国内切可以指单键、双键或三键,或者如果共振结构是可能的,这些共振结构中的两个或更多个的所述键的键级可能不同。例如,如果所述键是芳环的一部分,该结合可能在一个共振结构中是单键而在另一个共振结构中是双键。如果称两个原子之间存在有“双键”或“三键”,则这个双键或三键可以是局域化的,但是这个双键或三键也可能是离域的,这意味着双键或三键实际上只在一个或一些共振结构中存在于两个原子之间,而该键级可能不同于一个或多个其它共振结构。同时,在一个共振结构中标记为单键的键在另一个共振结构中可能是双键。
本发明的化合物还可以包含构成这种化合物的一个或多个原子的非天然比例的原子同位素。本发明化合物的所有同位素变体,无论是否为放射性的,都被包括在本发明范围内。
如本文中使用的短语“药学活性的盐”是指本发明化合物的药学上可接受的有机盐或无机盐。对于包含一个或多个碱性基团如胺基团的化合物,可以形成酸加成盐。对于包含一个或多个酸性基团如羧酸基团的化合物,可以形成碱加成盐。对于同时包含酸性和碱性基团的化合物,可以另外获得两性离子作为盐。在本发明化合物包括不止一个荷电原子或基团时,可以具有多种(不同的)平衡离子。
短语“药学上可接受的溶剂化物”是指一个或多个溶剂分子与本发明化合物的组合。形成药学上可接受的溶剂化物的溶剂的实例包括但不限于水、异丙醇、乙醇、甲醇、DMSO、乙酸乙酯和醋酸。在水作为溶剂化物的溶剂时,可以使用术语“水合物”。
下文中的术语“缀合物”是指式(III)的化合物或是指式(I)或(II)的化合物或其衍生物的缀合物,除非上下文有其它描述。下文中的术语“接头-药物缀合物”是指式(IV)的化合物,除非上下文有其它描述。下文中的术语“药物”是指式(I)、(II)、(I')或(II')的化合物,除非上下文有其它描述。
下文中的术语“双功能接头”是指式(VIII)的化合物,除非上下文有其它描述。术语“接头”泛指将V2连接至式(III)的化合物中的Z的部分或是连接至式(IV)的化合物中的Z的前体部分。
一个部分如DNA结合性部分或DNA-烷基化部分的术语“核心”或“核心结构”是指在从表示所述部分的化学式除去所有的R取代基之后剩余的部分。
术语“靶向部分”是指与在靶位置处或其附近、在靶细胞上、靶细胞中或靶细胞附近或在靶组织或靶器官中(或附近)特异性地或相对过量存在的部分(例如,受体、受体复合物、底物、抗原决定簇或其它感受性部分)特异性地结合或反应性地关联或络合的任何部分,或是指可以借助其性质(例如,通过EPR效应)将缀合物靶向到靶位置的任何部分。靶向部分的实例包括但不限于适配体、抗体或抗体片段或衍生物、聚合物、树枝型聚合物、凝集素、生物反应调节剂、酶、维生素类、生长因子、甾族化合物、糖残基、低聚糖残基、载体蛋白和激素或其任何组合。
短语“改善化合物的药理学性能的部分”是指改变本发明化合物的药理学性能(例如,药效学性能、药物动力学性能、物理化学性能和生物药学性能)以便可以获得更好的治疗效果的部分。所述部分可以例如增加水溶性、增加循环时间、增加治疗指数或降低免疫原性。
术语“连接基”是指化合物的将所述化合物的一个结构单元连接至所述同一化合物的一个或多个其它结构单元的结构单元。
短语“表示支化度的数字”用于表示紧跟在右括号之后的下标数字表示有多少个括号内部分的单位各自直接地连接至紧挨着相应左括号的部分。例如,A-(B)b中的b是表示支化度的数字,其是指右b个单位B全部直接地连接至A。这意味着,在b是2时,该化学式表示B-A-B。
短语“表示聚合度的数字”用于表示紧跟在右括号之后的下标数字表示有多少个括号内部分的单位彼此连接。例如,在A-(B)b中的b是表示聚合度的数字时,在b是2时,该化学式为A-B-B。
术语“单个-释放间隔基”是指在自我破坏时可以释放一个部分的自消除性间隔基。
术语“多重-释放间隔基”是指在(重复的)自破坏时可以释放两个或更多个部分的自消除性间隔基。
术语“电子级联间隔基”是指支链的或非支链的自消除性间隔基,其可以通过一个或多个1,2+2n电子级联消除(n≥1)进行自消除。
术语”ω-氨基氨基羰基环化间隔基”是指可以通过形成环状尿素衍生物的环化过程消除的自消除性间隔基。
术语“间隔基系统”是指单个的自消除性间隔基部分或是指偶联在一起的两个或更多个相同或不同的自消除性间隔基部分。间隔基系统可以是支链的或非支链的且包含用于Z以及V1和任选的L的一个或多个连接位点。
在本说明书以及权利要求书中,动词“包括”、“具有”、“包含”和它们的动词变化以非限制性意义使用,是指所“包括”、“具有”、“包含”的项目被包括在内,但是并不排除没有具体提及的项目。另外,由不定冠词“一”或“一个”修饰的要素并不排出存在有不止一个要素的可能性,除非具体环境明确要求有一个且只有一个该要素。因此不定冠词“a”或“an”通常表示“至少一个”。
本说明书包括许多实施方案。应指出的是,没有具体记载的实施方案以及所记载的实施方案中的两个或更多个的组合所形成的实施方案也被包括在本发明范围内。
在本说明书中和权利要求书中的通式结构中,用字母限定结构单元。这些字母中的一些可能被误认为用于表示原子,例如C、N、O、P、K、B、F、S、U、V、W、I和Y。为了避免混淆,在这些字母不表示原子时,它们以粗体形式给出。
在由一个或多个形容词和/或形容词短语修饰名词时,在a)所述名词是一系列名词中的第一个或b)所述名词是一系列名词中间的任何位置且所述名词和形容词一起冠以词语“和“或“或”时,该形容词不仅修饰所述名词,而是分别修饰随后的,除非上下文有其它描述。这意味着,例如,短语”任选被取代的C1-4烷基、C1-4杂烷基、C3-7环烷基或C1-7杂环烷基”应该是”任选被取代的C1-4烷基、任选被取代的C1-4杂烷基、任选被取代的C3-7环烷基或任选被取代的C1-7杂环烷基”,而短语”C1-4烷基、C1-4杂烷基和任选被取代的C3-7环烷基、C5-8芳基或C1-7杂环烷基”应该是”C1-4烷基、C1-4杂烷基和任选被取代的C3-7环烷基、任选被取代的C5-8芳基或任选被取代的C1-7杂环烷基”。
在本说明书中以及在权利要求书中,绘出了分子结构或其部分。照常,在这种绘图中,原子之间的键由线条表示,在一些情况中由波浪线、粗线和虚线或楔形线表示立体化学。由波状线表示的键表示其所连接的手性中心的立体化学未予指明,具有一个或多个这种波状键的结构或子结构实际上表示其中每个手性中心可以具有R构造或S构造的一组(子)结构。通常,末端的线(自由末端),即,在一个末端上没有连接另一个线条或特定原子,表示CH3基团。对于表示本发明化合物的描绘来说情况是这样。对于表示本发明化合物的结构单元的那些结构来说,末端的线条可以表示与该化合物的另一个结构单元的连接位置。这表示为与该自由线条垂直并交叉的波状线。
此外,在如下假定下描绘了所述结构或其部分:该结构是从左到右来读的,意味着例如在化学式(III)的化合物的绘图中,V2(如果存在)位于这种结构或其部分的左侧而Z位于右侧,除非上下文有其它暗示。
本文中使用以下缩写,其分别具有以下所示的定义:Ac:乙酰基;Bn:苄基;Boc:叔丁基氧基羰基;CBI:1,2,9,9a-四氢环丙[c]苯并[e]吲哚-4-酮;Cbz:苄氧羰基;Cit:瓜氨酸;DCC:N、N'-二环己基碳二亚胺;DCE:1,2-二氯乙烷;DCM:二氯甲烷;DMAP:4-二甲基氨基吡啶;DMF:N、N-二甲基甲酰胺;DMSO:二甲基亚砜;DiPEA:N、N-二异丙基乙基胺;EEDQ:2-乙氧基-1-乙氧基羰基-1,2-二氢喹啉;ESI:电喷射离子化;Fmoc:芴基甲基氧基羰基;HOBt:1-羟基苯并三唑;HOSu:羟基琥珀酰亚胺;HSA:人血清白蛋白;LC/MS:液相色谱-质谱学;MOMCl:甲基氯甲基醚;PABA:p-氨基苄基醇;PNPCl:对硝基苯基氯甲酸酯;RT:室温;SEC:尺寸排阻色谱法;TCEP:三(2-羧基乙基)膦;TFA:三氟乙酸;THF:四氢呋喃;Val:缬氨酸。
药物、接头-药物缀合物、缀合物和双功能接头
本发明涉及DNA烷化剂CC-1065的新型类似物。本发明的药物被认为可用于治疗以不希望的(细胞)增殖为特征的疾病。例如,本发明的药物可用于治疗肿瘤、癌症、自身免疫性疾病或感染性疾病。
在一个方面中,本发明的缀合物被认为是可用于将式(I)和(II)的药物靶向到特定的靶位置,在那里缀合物可以被转化为一种或多种药物或被诱导以便被转化为一种或多种所述的药物。本发明可以另外应用于一种或多种所述药物从缀合物的(非特异性)控制释放,以便例如增强物理化学性能、生物药学性能、药效学性能和/或药物动力学性能。
式(I)和(II)的化合物代表倍癌霉素衍生物,其优选在DNA结合性部分中或DNA-结合或DNA-烷基化部分上的取代基中的选定位置具有杂原子或极性基团。出乎意料地发现,作为式(I)和(II)的化合物的缀合物的式(III)的化合物在体内更有效且具有与现有技术已知的类似化合物相比得以改善的性能,例如增加的极性和优化的药物释放。
在一个实施方案中,本发明涉及根据上述实施方案之一的式(I)或(II)的化合物的缀合物和涉及其衍生物。这种缀合物包含一个或多个前体部分。在更具体的实施方案中,这种缀合物在循环系统中具有足够的稳定性,但是在靶位置被有效地和选择性地活化以释放式(I)或(II)的化合物,产生适合的治疗窗。功能性部分和式(I)或(II)的化合物之间的接头的长度和性质被证明有重要贡献。在本发明的一个方面中,接头具有相对于现有技术中类似缀合物的接头长度被缩短的接头长度,其产生改善的效力。在另一个方面中,接头包含具有改善的性能的自消除性间隔基系统,这导致例如优化的自消除、优化的药物释放和/或增加的极性。在又一个方面中,功能性部分和式(I)或(II)的化合物之间的接头包含一个或多个被设计用于改善缀合物的药物动力学性能的基团。这些基团可以存在于L和/或Y中和/或存在于构成式(III)的化合物的任一其它部分中。受其影响的药物动力学性能可以例如包括水溶性、多药耐药性、血浆稳定性、蛋白水解不稳定性、吸收、分布、代谢、排泄和内化。这些性能中的一些不仅可以影响体内行为,而且可以影响体外行为和在制备式(III)的化合物期间的行为。例如,式(IV)的化合物的水溶性增加可以有利地影响这种药物在含水介质中的对功能性部分的缀合。
母体药物(即,式(I)或(II)的化合物)在循环系统中的提前释放可能是不合乎需要,但是在这种情况中,所释放化合物的相对快速失活可能降低毒性副作用。失活可以通过选择适当的DNA-烷基化部分和DNA结合性部分来调节。失活可以通过若干机理发生,包括DNA-烷基化单元从DNA-结合单元的酶促裂解或水解裂解。
式(I)和(II)的化合物适合于使用式(III)和(IV)的化合物进行药物递送目的的应用,包括药物靶向和控制释放应用。
在另一个方面中,本发明涉及包含裂解位点、自消除性间隔基系统和两个反应性部分的新型双功能接头,所述两个反应性部分之一可以与治疗用或诊断用部分反应而另一个可以与功能性部分例如靶向部分反应。这些双功能接头包含本发明的新型接头单元并可用于制备本发明的式(III)和(IV)的缀合物或具有不同治疗用或诊断用部分的类似化合物。
药物
在一个方面中,本发明提供式(I)或(II)的化合物:
或其药学上可接受的盐、水合物或者溶剂合物,其中
DB是一个DNA结合性部分,且选自由如下部分组成的组
R1是离去基团;
R2、R2'、R3、R3'、R4、R4'、R12和R19独立地选自H、OH、SH、NH2、N3、NO2、NO、CF3、CN、C(O)NH2、C(O)H、C(O)OH、卤素、Ra、SRa、S(O)Ra、S(O)2Ra、S(O)ORa、S(O)2ORa、OS(O)Ra、OS(O)2Ra、OS(O)ORa、OS(O)2ORa、ORa、NHRa、N(Ra)Rb、+N(Ra)(Rb)Rc、P(O)(ORa)(ORb)、OP(O)(ORa)(ORb)、SiRaRbRc、C(O)Ra、C(O)ORa、C(O)N(Ra)Rb、OC(O)Ra、OC(O)ORa、OC(O)N(Ra)Rb、N(Ra)C(O)Rb、N(Ra)C(O)ORb和N(Ra)C(O)N(Rb)Rc,其中
Ra、Rb和Rc独立地选自H和任选被取代的C1-3烷基或C1-3杂烷基,
或者R3+R3'和/或R4+R4'独立地选自=O、=S、=NOR18、=C(R18)R18'和=NR18,R18和R18'独立地选自H和任选被取代的C1-3烷基,R2、R2'、R3、R3'、R4、R4'和R12中的两个或更多个任选地通过一个或多个键结合以形成一个或多个任选被取代的碳环和/或杂环;
X2选自O、C(R14)(R14')和NR14',其中R14和R14'具有与对于R7所定义的相同的含义,且被独立地选择,或者R14'和R7'不存在,使得在指定带有R7'和R14'的原子之间形成双键;
R5、R5'、R6、R6'、R7和R7'独立地选自H、OH、SH、NH2、N3、NO2、NO、CF3、CN、C(O)NH2、C(O)H、C(O)OH、卤素、Re、SRe、S(O)Re、S(O)2Re、S(O)ORe、S(O)2ORe、OS(O)Re、OS(O)2Re、OS(O)ORe、OS(O)2ORe、ORe、NHRe、N(Re)Rf、+N(Re)(Rf)Rg、P(O)(ORe)(ORf)、OP(O)(ORe)(ORf)、SiReRfRg、C(O)Re、C(O)ORe、C(O)N(Re)Rf、OC(O)Re、OC(O)ORe、OC(O)N(Re)Rf、N(Re)C(O)Rf、N(Re)C(O)ORf、N(Re)C(O)N(Rf)Rg和水溶性基团,其中
Re、Rf和Rg独立地选自H和任选被取代的(CH2CH2O)eeCH2CH2X13Re1、C1-15烷基、C1-15杂烷基、C3-15环烷基、C1-15杂环烷基、C5-15芳基或C1-15杂芳基,其中ee选自1到1000,X13选自O、S和NRf1,且Rf1和Re1独立地选自H和C1-3烷基,Re、Rf和/或Rg中的任选的取代基中的一个或多个任选地是水溶性基团,Re、Rf和Rg中的两个或更多个任选地通过一个或多个键结合以形成一个或多个任选被取代的碳环和/或杂环,
或者R5+R5'和/或R6+R6'和/或R7+R7'独立地选自=O、=S、=NORe3、=C(Re3)Re4和=NRe3,Re3和Re4独立地选自H和任选被取代的C1-3烷基,或者R5'+R6'和/或R6'+R7'和/或R7'+R14'不存在,使得在指定分别带有R5'和R6'和/或R6'和R7'和/或R7'和R14'的原子之间形成双键,R5、R5'、R6、R6'、R7、R7'、R14和R14'中的两个或更多个任选地通过一个或多个键结合以形成一个或多个任选被取代的碳环和/或杂环;
X1选自O、S和NR13,其中R13选自H和任选被取代的C1-8烷基或C1-8杂烷基且不与任何其它取代基结合;
X3选自O、S、C(R15)R15'、-C(R15)(R15')-C(R15″)(R15″′)-、-N(R15)-N(R15')-、-C(R15)(R15')-N(R15″)-、-N(R15″)-C(R15)(R15')-、-C(R15)(R15')-O-、-O-C(R15)(R15')-、-C(R15)(R15')-S-、-S-C(R15)(R15')-、-C(R15)=C(R15')-、=C(R15)-C(R15')=、-N=C(R15')-、=N-C(R15')=、-C(R15)=N-、=C(R15)-N=、-N=N-、=N-N=、CR15、N和NR15,或者在DB1和DB2中,-X3-表示-X3a和X3b-,其中X3a连接至X34,在X34和X4之间存在有双键,且X3b连接至X11,其中X3a独立地选自H和任选被取代的(CH2CH2O)eeCH2CH2X13Re1、C1-8烷基或C1-8杂烷基且不与任何其它取代基结合;
X4选自O、S、C(R16)R16'、NR16、N和CR16;
X5选自O、S、C(R17)R17'、NOR17和NR17,其中R17和R17'独立地选自H和任选被取代的C1-8烷基或C1-8杂烷基且不与任何其它取代基结合;
X6选自CR11、CR11(R11')、N、NR11、O和S;
X7选自CR8、CR8(R8')、N、NR8、O和S;
X8选自CR9、CR9(R9')、N、NR9、O和S;
X9选自CR10、CR10(R10')、N、NR10、O和S;
X10选自CR20、CR20(R20')、N、NR20、O和S;
X11选自C、CR21和N或X11-X3b选自CR21、CR21(R21')、N、NR21、O和S;
X12选自C、CR22和N;
X6*、X7*、X8*、X9*、X10*和X11*分别具有对于X6、X7、X8、X9、X10和X11所定义的相同的含义,且被独立地选择;
X34选自C、CR23和N;
DB6和DB7中的X11*的环B原子连接至环A的环原子,使得DB6和DB7中的环A和环B直接通过单键连接;
R8、R8'、R9、R9'、R10、R10'、R11、R11'、R15、R15'、R15″、R15″′、R16、R16'、R20、R20'、R21、R21'、R22和R23各自独立地选自H、OH、SH、NH2、N3、NO2、NO、CF3、CN、C(O)NH2、C(O)H、C(O)OH、卤素、Rh、SRh、S(O)Rh、S(O)2Rh、S(O)ORh、S(O)2ORh、OS(O)Rh、OS(O)2Rh、OS(O)ORh、OS(O)2ORh、ORh、NHRh、N(Rh)Ri、+N(Rh)(Ri)Rj、P(O)(ORh)(ORi)、OP(O)(ORh)(ORi)、SiRhRiRj、C(O)Rh、C(O)ORh、C(O)N(Rh)Ri、OC(O)Rh、OC(O)ORh、OC(O)N(Rh)Ri、N(Rh)C(O)Ri、N(Rh)C(O)ORi、N(Rh)C(O)N(Ri)Rj和水溶性基团,其中
Rh、Ri和Rj独立地选自H和任选被取代的(CH2CH2O)eeCH2CH2X13Re1、C1-15烷基、C1-15杂烷基、C3-15环烷基、C1-15杂环烷基、C5-15芳基或C1-15杂芳基,Rh、Ri和/或Rj中的任选的取代基中的一个或多个任选地是水溶性基团,Rh、Ri和Rj中的两个或更多个任选地通过一个或多个键结合以形成一个或多个任选被取代的碳环和/或杂环,
或者R8+R8'和/或R9+R9'和/或R10+R10'和/或R11+R11'和/或R15+R15'和/或R15″+R15″′和/或R16+R16'和/或R20+R20'和/或R21+R21'独立地选自=O、=S、=NORh1、=C(Rh1)Rh2和=NRh1,Rh1和Rh2独立地选自H和任选被取代的C1-3烷基,R8、R8'、R9、R9'、R10、R10'、R11、R11'、R15、R15'、R15″、R15″′、R16、R16'、R20、R20'、R21、R21'、R22和R23中的两个或更多个任选地通过一个或多个键结合以形成一个或多个任选被取代的碳环和/或杂环;
R8b和R9b被独立地选择且具有如R8相同的含义,不同之处在于它们不能与任何其它取代基连接;
R4和R4'之一与R16和R16'之一可以任选地通过一个或多个键连接以形成一个或多个任选被取代的碳环和/或杂环;
R2、R2'、R3和R3'之一与R5和R5'之一可以任选地通过一个或多个键连接以形成一个或多个任选被取代的碳环和/或杂环;以及
a和b独立地选自0和1。
在另一个方面中,本发明涉及式(I')或(II')的化合物:
或其药学上可接受的盐、水合物或者溶剂合物,其中所有的取代基具有对于式(I)和(II)的化合物所述相同的含义。式(I)和(II)的化合物被证实在体内分别通过消除H-R1而被转化为(I')和(II')。
因此,本发明涉及式(I')或(II')的化合物,所述化合物包括环丙基基团,其可以通过式(I)或(II)的化合物的重排和从式(I)或(II)的化合物伴随消除H-R1而形成。式(I)或(II)的化合物或其部分的所有实施方案也都适用于式(I')或(II')的化合物或其部分,除非上下文有其它显示。
在更具体的实施方案中,本发明涉及如上所述的式(I)或(II)的化合物,其中
a)DB部分不包括DA1、DA2、DA1'或DA2'部分;以及
b)DB1中的环B是杂环;以及
c)如果DB1中的X3表示-X3a和X3b-且环B是芳香族的,则所述环B上的两个邻近的取代基相连接以形成与所述环B稠合的任选被取代的碳环或杂环;以及
d)如果DB2中的X3表示-X3a和X3b-且环B是芳香族的,则所述环B上的两个邻近的取代基结合起来以形成与所述环B稠合的任选被取代的杂环、与所述环B稠合的任选被取代的非芳香族碳环或与所述环B稠合的且连接有至少一个取代基的被取代的芳香族碳环,其中所述的至少一个取代基包含羟基、伯胺基或仲胺基基团,所述伯胺和仲胺既不是芳环系统中的环原子,也不是酰胺的一部分;以及
e)如果DB2中的环A是6元芳香族环,则环B上的取代基不连接在一起形成与环B稠合的环;以及
f)DB8中环A上的两个邻近的取代基连接在一起形成与所述环A稠合的任选被取代的碳环或杂环,以形成没有另外的环与之稠合的双环部分;以及
g)DB9中的环A连同与所述环A稠合的任何环包含至少两个环杂原子。
在另一个更具体的实施方案中,本发明涉及如上所述的式(I)或(II)的化合物,其中取代基R1、R5、R5'、R6、R6'、R7、R7'、R14、R14'、R8、R8'、R9、R9'、R10、R10'、R11、R11'、R15、R15'、R15″、R15″′、R16、R16'、R20、R20'、R21、R21'、R22和R23中的至少一个包含X14(CH2CH2O)ffCH2CH2X14部分,其中ff选自1到1000且每个X14独立地选自
其通过直接的键或通过一个部分(部分是所述同一取代基一部分且不包括二硫化物、腙、酰肼、酯、天然氨基酸或包含至少一个天然氨基酸的肽)连接至所述取代基的连接位点,且其中如果DB1中的环B是全碳环,X3是O或NR15,X4是CH,X34是C,在所述式(I)或(II)的化合物中只存在一个X14(CH2CH2O)ffCH2CH2X14部分,且所述部分是R6、R7、R8、R10或R15的一部分,则b=1和ff≥5。
其中ff大于1000的式(I)或(II)的化合物或其缀合物也被包括在本发明范围内。
在另一个更具体的实施方案中,本发明涉及如上所述的式(I)或(II)的化合物,其中取代基R1、R5、R5'、R6、R6'、R7、R7'、R14、R14'、R8、R8'、R9、R9'、R10、R10'、R11、R11'、R15、R15'、R15″、R15″′、R16、R16'、R20、R20'、R21、R21'、R22和R23中的至少一个包含一个三唑部分。
应该理解,在本文整个文件中,在提及式(I)或(II)的化合物时,其分别包括提及式(I’)或(II’)的化合物,除非考虑到(I)和(II)的结构部分不存在于(I')和(II')中或上下文有其它描述。类似地,在提及衍生自式(I)或(II)的化合物的结构部分(片段)、接头-药物缀合物或缀合物时,其分别包括类似的衍生自式(I)或(II)的化合物的结构部分(片段)、接头-药物缀合物或缀合物,除非考虑到(I)和(II)的结构部分不存在于(I')和(II')中或上下文有其它描述。
还应该理解,在提及式(I)或(II)的化合物或其片段、衍生物或缀合物且规定了R2'和R12的范围时,这种限定只影响式(I)的化合物,因为在式(II)的化合物中没有R2'和R12。因此,在本文中提及”R2'”或”R12”时,可以分别理解为“R2'(如果存在)”或“R12(如果存在)”。这也适用于可能在式(I)和(II)的化合物和它们的片段、接头-药物缀合物和缀合物中存在和不存在的(其它)取代基。
还应该理解,本发明涉及对映体纯的和/或非对映体纯的式(I)和(II)的化合物以及涉及式(I)和(II)的化合物的对映体和/或非对映体混合物。
在本文中考虑了所给出的式(I)和(II)的化合物、它们的包含环丙基的类似物和它们的缀合物和接头-药物缀合物中的取代基效果和接头、DNA-烷基化单元和DNA-结合单元的效果,但是不认为式(I)和(II)的化合物、它们的包含环丙基的类似物和它们的接头-药物缀合物和缀合物有特定的作用机理。
式(I)和(II)的化合物可被看作是由DNA-结合单元(DB1-DB9)和DNA-烷基化单元(DA1、DA2、DA1'或DA2')构成的,如上述所示的。
式(I)和(II)的化合物的DNA-烷基化单元被认为是包含了烷基化位点。DNA的烷基化可以通过DNA对式(I)或(II)的化合物中的带有R1的碳或对所述化合物的包含环丙基的类似物中的相同碳的攻击而发生。
式(I)和(II)的化合物的DNA-结合单元被认为有助于这些化合物对DNA的有效结合。其可以通过例如酰胺键偶联于DNA-烷基化部分。因此,在一个实施方案中,X5是O。
在一个实施方案中,本发明涉及式(I)的化合物。在另一个实施方案中,本发明涉及式(II)的化合物。
式(I)或(II)的化合物中的R1是离去基团。
在一个实施方案中,离去基团R1选自卤素、叠氮化物(N3)、羧酸酯基[OC(O)Rn]、碳酸酯基[OC(O)ORn]、氨基甲酸酯基[OC(O)N(Rn)Rn1]、+N(Rn)(Rn1)Rn2、S(O)2Ro和OS(O)2Ro,其中Rn、Rn1、Rn2和Ro独立地选自H和任选被取代的C1-10烷基、C1-10杂烷基、C5-10芳基或C1-10杂芳基。任选的取代基可以是低聚乙二醇或聚乙二醇部分。在R1基团包括低聚乙二醇或聚乙二醇部分,即,X14(CH2CH2O)ffCH2CH2X14部分时,式(I)或(II)的化合物或其缀合物可以表现出改善的物理化学性能、生物药学性能、药效学性能和/或药物动力学性能,如上所述其还可以适用于在式(I)或(II)的化合物中的其它位置存在低聚乙二醇或聚乙二醇部分的情况。另外,然而,R1取代基的相对大的尺寸可以减少式(I)或(II)的化合物或其缀合物的非特异性烷基化。另外,R1基团在式(I)或(II)的化合物重排为式(I')或(II')的化合物时会被消除掉。这意味着该低聚乙二醇或聚乙二醇部分不能对式(I)或(II)的化合物的细胞毒潜力产生负面影响。
在一个实施方案中,R1选自卤素和OS(O)2Ro。在另一个实施方案中,式(I)或(II)的化合物中的离去基团R1是一个卤素。在另一个实施方案中,R1选自氯(Cl)、溴(Br)和碘(I)。在又一个实施方案中,R1是氯(Cl)。在又一个实施方案中,R1是溴(Br)。在又一个实施方案中,R1是OS(O)2Ro。在又一个实施方案中,R1是OS(O)2Ro且Ro包含一个X14(CH2CH2O)ffCH2CH2X14部分。在又一个实施方案中,R1选自OS(O)2CF3、OS(O)2C6H4CH3和OS(O)2CH3。
通过改变离去基团R1,可以对开环药物的烷基化活性进行调节并影响开环药物到式(I')或(II')的包含环丙基的药物的转化速率。如果R1的离去能力太好,可以引起开环药物变成非特异性烷化剂,这样可能降低式(I)和(II)的化合物的细胞毒性商和治疗指数,因为该药物在被结合在缀合物中的情况下仍具有例如烷基化能力。另一方面,如果R1是太差的离去基团,该开环药物可能不能闭环以形成被认为是活性中心的包含环丙基的药物,这样可能降低其细胞毒性和细胞毒性商。因此,在一个实施方案中,烷基化位点的Swain-Scott参数大于0.3。在其它实施方案中,该Swain-Scott参数大于0.5或0.7或1.0。
R1的大小可以影响式(I)或(II)的化合物或其缀合物的非DNA烷基化速率。如果R1是体积相对较大的基团,则由于带有R1的碳在一定程度上被保护起来而减少了非特异性的烷基化。
调节开环药物和它们的包含环丙基的衍生物的烷基化活性的另一个方法可以是通过选择R2、R2'、R3、R3'、R4、R4'、R5、R5'、R6、R6'、R12、R16和R16'中的至少一个不同于氢而在一定程度上保护连接有离去基团R1或可能发生亲核攻击的碳。将所述碳保护起来可以减少式(I)和(II)的化合物、它们的包含环丙基的类似物和它们的缀合物的非特异性烷基化。尽管引入位阻也可以影响DNA烷基化速率,但是是非特异性烷基化受到的影响相对超过DNA烷基化可能是合理的,因为推测DNA烷基化可能在药物结合于DNA小沟的情况下处于亲核攻击的理想位置之后发生。式(II)的化合物中的带有R1的碳(在R2是H时,该碳原子是一个仲碳原子)与R2和R2'都是H的式(I)的化合物中的带有R1的碳相比已经在一定程度上被保护起来了。在这个方面中,式(II)的化合物可以与其中R2'不是氢的式(I)的化合物相比较。然而,进一步的保护可以通过选择R2、R3、R3'、R4、R4'、R5、R5'、R6、R6'、R16和R16'中的一个或多个不是氢来实现。
在一个实施方案中,R2和R2'都是氢。在另一个实施方案中,R2'是氢而R2不是氢。在另一个实施方案中,R2选自N3、NO2、NO、CF3、CN、C(O)NH2、C(O)H、C(O)OH、卤素、Ra、SRa、S(O)Ra、S(O)2Ra、S(O)ORa、S(O)2ORa、OS(O)Ra、OS(O)2Ra、OS(O)ORa、OS(O)2ORa、ORa、N(Ra)Rb、+N(Ra)(Rb)Rc、P(O)(ORa)(ORb)、OP(O)(ORa)(ORb)、SiRaRbRc、C(O)Ra、C(O)ORa、C(O)N(Ra)Rb、OC(O)Ra、OC(O)ORa、OC(O)N(Ra)Rb、N(Ra)C(O)Rb、N(Ra)C(O)ORb和N(Ra)C(O)N(Rb)Rc,其中Ra、Rb和Rc独立地选自H和任选被取代的C1-3烷基或C1-3杂烷基。
在一个实施方案中,R2选自任选被取代的C1-3烷基和C1-3杂烷基。在另一个实施方案中,R2是任选被取代的C1-3烷基。在另一个实施方案中,R2选自甲基、乙基、丙基和异丙基。在另一个实施方案中,R2是甲基。
在又一个实施方案中,R2和R2'都不是氢。在一个实施方案中,R2和R2'都是甲基。
选择性地,或者同时地,可以通过选择R3、R3'、R4、R4'、R12、R16和R16'中的一个或多个不是氢而引入带有R1的碳的空间保护。在一个实施方案中,R3、R3'、R4和R4'都是H。在另一个实施方案中,R3和R3'都是H。在另一个实施方案中,R4和R4'都是H。在另一个实施方案中,R3和R3'之一是C1-3烷基而另一个是H。在另一个实施方案中,R4和R4'之一是C1-3烷基而另一个是H。在另一个实施方案中,R3和R3'之一是C1-3烷基且R4和R4'之一是C1-3烷基而其余的是H。在另一个实施方案中,R3和R3'都独立地是C1-3烷基。在另一个实施方案中,R4和R4'都独立地是C1-3烷基。在另一个实施方案中,R3、R3'、R4和R4'之一是甲基。在另一个实施方案中,R4和R4'之一是甲基。在又一个实施方案中,R4和R4'都是甲基。在仍其它的实施方案中,R4和R4'中的一个和其二者都是氟。
在一个实施方案中,R12为H。在另一个实施方案中,R12为C1-3烷基。在仍其它的实施方案中,R12为甲基或乙基。在又一个实施方案中,R12等于C(R2')(R2)R1,这意味着带有R12的碳带有两个相同的基团。
在另一个实施方案中,R16和R16'都是H。在另一个实施方案中,R16是H。在其它实施方案中,R16是氟(F)或甲基或乙基。
式(I)或(II)的化合物或其包含环丙基的类似物的烷基化活性还可以受到X1的性质的影响。X1的性质可以影响开环药物闭环形成环丙基类似物的速率和条件和/或环丙基环被亲核攻击(被DNA)打开的速率,并由此影响烷基化行为。在一个实施方案中,X1是O。在另一个实施方案中,X1是NR13。
取代基R5、R5'、R6、R6'、R7、R7'和X2以及连接至带有X1的环的左手侧的环的大小可以例如各自独立地或其两个或更多个合起来影响药物的药理学性能,例如,影响水溶性、影响聚集行为、影响DNA烷基化过程和/或影响DNA结合强度。另外,特别是R5和R5',并且R6和R6'在一定程度上也,可以影响将会发生亲核攻击的碳的保护程度。
R5和R5'可以都是H,或者R5可以是H而R5'为不存在。在另一个实施方案中,R5和R5'中的至少一个既不是氢也不能不存在。在另一个实施方案中,R5不是氢。
在一个实施方案中,R5选自OH、SH、NH2、N3、NO2、NO、CF3、CN、C(O)NH2、C(O)H、C(O)OH、卤素、Re2、SRe2、S(O)Re2、S(O)2Re2、S(O)ORe2、S(O)2ORe2、OS(O)Re2、OS(O)2Re2、OS(O)ORe2、OS(O)2ORe2、ORe2、NHRe2、N(Re2)Rf2、+N(Re2)(Rf2)Rg2、P(O)(ORe2)(ORf2)、OP(O)(ORe2)(ORf2)、SiRe2Rf2Rg2、C(O)Re2、C(O)ORe2、C(O)N(Re2)Rf2、OC(O)Re2、OC(O)ORe2、OC(O)N(Re2)Rf2、N(Re2)C(O)Rf2、N(Re2)C(O)ORf2和N(Re2)C(O)N(Rf2)Rg2,其中Re2、Rf2和Rg2独立地选自H和任选被取代的C1-3烷基、C1-3杂烷基、C3环烷基或C1-3杂环烷基,Re2、Rf2和Rg2中的两个或更多个任选地通过一个或多个键结合以形成一个或多个任选被取代的碳环和/或杂环。
在另一个实施方案中,R5选自OH、SH、NH2、N3、NO2、NO、CF3、CN、C(O)NH2、C(O)H、C(O)OH、卤素、Re2、SRe2、S(O)Re2、S(O)2Re2、S(O)ORe2、S(O)2ORe2、OS(O)Re2、OS(O)2Re2、OS(O)ORe2、OS(O)2ORe2、ORe2、NHRe2、N(Re2)Rf2、+N(Re2)(Rf2)Rg2、P(O)(ORe2)(ORf2)、OP(O)(ORe2)(ORf2)、SiRe2Rf2Rg2、C(O)Re2、C(O)ORe2、C(O)N(Re2)Rf2、OC(O)Re2、OC(O)ORe2、OC(O)N(Re2)Rf2、N(Re2)C(O)Rf2、N(Re2)C(O)ORf2和N(Re2)C(O)N(Rf2)Rg2,其中Re2、Rf2和Rg2独立地选自H和任选被取代的C1-3烷基、C1-3杂烷基、C3环烷基或C1-3杂环烷基,Re2、Rf2和Rg2中的两个或更多个任选地通过一个或多个键结合以形成一个或多个任选被取代的碳环和/或杂环,条件是在R5是Re2时,Re2不是H。
在另一个实施方案中,R5选自硝基、卤素、氨基、氰基、羟基和任选被取代的C1-3烷基氨基、二(C1-3烷基)氨基、C1-3烷基羰基氨基、C1-3烷氧基羰基氨基、C1-3烷基氨基羰基氨基、C1-3烷基氧基、C1-3烷基羰基氧基、C1-3烷氧基羰基氧基、C1-3烷基氨基羰基氧基或C1-3烷基。在又一个实施方案中,R5是任选被取代的直链C1-3烷基。在另一个实施方案中,R5是未被取代的直链C1-3烷基。在另一个实施方案中,R5选自甲基、乙基、丙基、异丙基、硝基、CF3、F、Cl、Br、氰基、甲氧基、乙氧基、丙氧基、异丙氧基、氨基(NH2)、甲基氨基、甲酰基、羟基甲基和二甲基氨基。在另一个实施方案中,R5是甲基、乙基、甲氧基或乙氧基。在另一个实施方案中,R5是甲基。在其它实施方案中,R5是乙基或甲氧基或乙氧基。
R6和R6'可以都是氢,或者R6可以是氢而R6'为不存在。在另一个实施方案中,R6和R6'中的至少一个既不是氢也不能不存在。在另一个实施方案中,R6不是氢。
R5和R6可以结合起来与它们所连接的两个碳原子一起形成任选被取代的5-或6-元环。这种环可以是例如二氢吡咯、二氢呋喃、环戊烯、1,3-二氧杂环戊烯、吡咯烷、四氢呋喃、环戊烷或1,3-二氧环戊烷部分。
取代基R16和R16'也可以影响可以发生亲核攻击的碳的保护程度。在一个实施方案中,X4是CR16。在另一个实施方案中,R16是氢。在又一个实施方案中,R16是C1-3烷基或C1-3杂烷基。在另一个实施方案中,R16是甲基或乙基。在又一个实施方案中,R16是甲基。在又一个实施方案中,R16是氟。
R14和R14'可以影响X1的保护程度,或者在式(I)或(II)的化合物是其中式(I)或(II)的化合物通过X1连接的缀合物或接头-药物缀合物的一部分时,它们可以影响式(I)或(II)的化合物和该前体部分之间的键的保护程度。为了增加这个键的稳定性,可以选择R14不是氢。在一个实施方案中,R14是氢。在另一个实施方案中,R14是甲基。在仍其它的实施方案中,R14是氯或乙基或异丙基。在又一个实施方案中,R5和R14是相同的且不是氢。例如R5和R14可以都是甲基。
在一个实施方案中,R2、R2'、R3、R3'、R4、R4'、R5、R5'、R6、R6'、R12、R16和R16'都是氢。在另一个实施方案中,R2、R2'、R3、R3'、R4、R4'、R5'、R6、R6'、R12、R16和R16'都是氢。在又一个实施方案中,R2、R2'、R3、R3'、R4、R4'、R5、R5'、R6、R6'、R7、R7'、R12、R14、R14'、R16、R16'和R19都是氢。在又一个实施方案中,R2、R2'、R3、R3'、R4、R4'、R5'、R6、R6'、R7、R7'、R12、R14、R14'、R16、R16'和R19都是氢。
尽管可以任选地通过多种方法调节式(I)和(II)的化合物的烷基化速率和效率,在本发明的一个方面中,这可以通过选择式(I)的化合物的R2、R2'、R3、R3'、R4、R4'、R5、R5'、R6、R6'、R12、R16和R16'中的一个或多个不是氢以及式(II)的化合物的R2、R3、R3'、R4、R4'、R5、R5'、R6、R6'、R16和R16中的一个或多个不是氢而引入空间保护来实现。取代基不应引起太多的位阻,然而尤其是在这些取代基中的不止一个不是氢时,其可能不利地影响DNA烷基化。另外,它可以使得在DNA小沟中的结合不那么有效并且可以产生合成难度。
在本发明的一个方面中,R1、R5、R5'、R6、R6'、R7、R7'、R14、R14'、R8、R8'、R9、R9'、R10、R10'、R11、R11'、R15、R15'、R15″、R15″′、R16、R16'、R20、R20'、R21、R21'、R22和R23中的至少一个不含X14(CH2CH2O)ffCH2CH2X14部分,其中ff选自1到1000且每个X14独立地选自
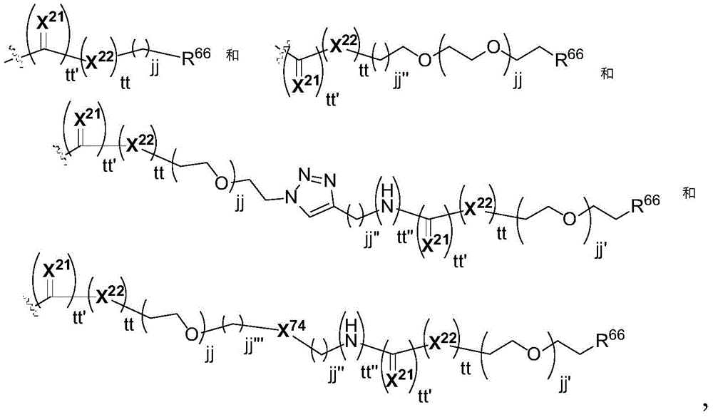
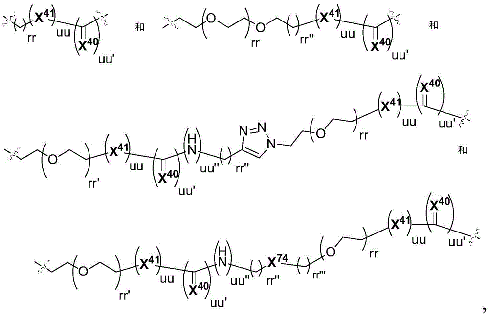
这个部分必须通过直接的键或通过连接单元连接至DNA-烷基化部分或DNA结合性部分的核心。所述连接单元是同一R基团的一部分且不包括二硫化物、腙、酰肼、酯类、天然氨基酸或包含至少一个天然氨基酸的肽。所述连接基团优选在将式(I)或(II)的化合物体内给药的24小时过程中有低于20%、更优选低于10%、且最优选低于5%裂解。
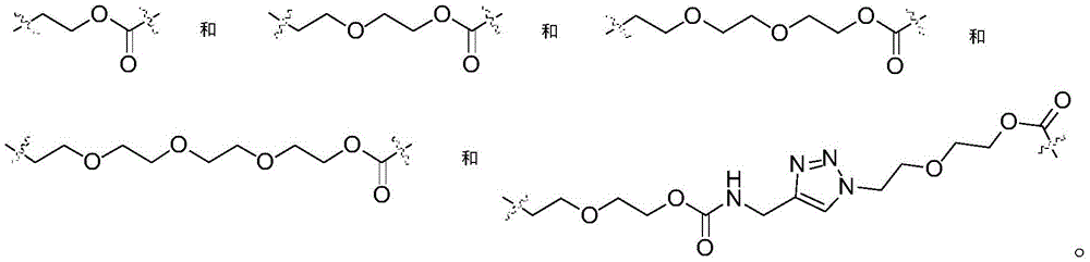
所述X14(CH2CH2O)ffCH2CH2X14部分可以例如选择为
其中ff选自1到1000。在更具体的实施方案中,ff选自1到100或1到10。在其它实施方案中,ff被选择为1或2或3或4。在另一个实施方案中,ff为3或4。
所述低聚乙二醇或聚乙二醇部分或其衍生物通过连接单元连接至式(I)或(II)的化合物的核心结构。这种连接单元可以是单键,在这种情况中,所述低聚乙二醇或聚乙二醇或其衍生物通过例如胺键、醚键或硫化物键连接至核心结构。或者,所述低聚乙二醇或聚乙二醇部分或其衍生物可以通过例如氨基甲酸酯部分、碳酸酯部分、酰胺部分、烷基部分、杂烷基部分、芳基部分或杂芳基部分或这些的任何组合连接至和行结构。在一个实施方案中,R1、R5、R5'、R6、R6'、R7、R7'、R14、R14'、R8、R8'、R9、R9'、R10、R10'、R11、R11'、R15、R15'、R15″、R15″′、R16、R16'、R20、R20'、R21、R21'、R22和R23中的至少一个选自
其中hh选自1到1000,X15选自S和NR32,每个X16独立地选自O、S和NR34,R30独立地选自H和任选被取代的C1-10烷基、C1-10杂烷基、C3-10环烷基、C1-10杂环烷基、C5-10芳基或C1-10杂芳基,R32、R33和R34独立地选自H和C1-3烷基,且R31具有与对于R7所定义的相同的含义。R30可以例如选自H、甲基、乙基、甲氧基甲基、p-氨基苯甲酰基和p-氨基苯氨基羰基。
在另一个实施方案中,R1、R5、R5'、R6、R6'、R7、R7'、R14、R14'、R8、R8'、R9、R9'、R10、R10'、R11、R11'、R15、R15'、R15″、R15″′、R16、R16'、R20、R20'、R21、R21'、R22和R23中的至少一个选自
在另一个实施方案中,R1选自
在一个实施方案中,R1、R5、R5'、R6、R6'、R7、R7'、R14、R14'、R8、R8'、R9、R9'、R10、R10'、R11、R11'、R15、R15'、R15″、R15″′、R16、R16'、R20、R20'、R21、R21'、R22和R23中的至少一个包含一个X14(CH2CH2O)ffCH2CH2X14部分。在另一个实施方案中,R5、R6、R7和R14中的至少一个包含一个X14(CH2CH2O)ffCH2CH2X14部分。在又一个实施方案中,R6和R7中的至少一个包含一个X14(CH2CH2O)ffCH2CH2X14部分。在又一个实施方案中,R8、R8'、R9、R9'、R10、R10'、R11、R11'、R15、R15'、R15″、R15″′、R16、R16'、R20、R20'、R21、R21'、R22和R23中的至少一个包含一个X14(CH2CH2O)ffCH2CH2X14部分。在又一个实施方案中,R8、R9、R10、R11、R20、R21和R22中的至少一个包含一个X14(CH2CH2O)ffCH2CH2X14部分。在又一个实施方案中,R8和R9中的至少一个包含一个X14(CH2CH2O)ffCH2CH2X14部分。在又一个实施方案中,至少R1包含一个X14(CH2CH2O)ffCH2CH2X14部分。
式(I)或(II)的化合物也可以包含2个或更多个X14(CH2CH2O)ffCH2CH2X14部分。在一个实施方案中,式(I)或(II)的化合物包含2个X14(CH2CH2O)ffCH2CH2X14部分。在另一个实施方案中,式(I)或(II)的化合物包含2个X14(CH2CH2O)ffCH2CH2X14部分所述两个X14(CH2CH2O)ffCH2CH2X14部分分别是2个单独的R基团的一部分。还可能有利的是使两个或更多个X14(CH2CH2O)ffCH2CH2X14部分在式(I)或(II)的化合物中有一定距离,因为这样可以更有效地保护相对疏水性的核心。
式(I)和(II)的化合物可以包含一个或多个低聚乙二醇或聚乙二醇部分或其衍生物。这种部分可以改善式(I)或(II)的化合物的水溶性和聚集行为且可以由于增加的极性引起对抗多药抗药性靶的得以增加的活性。如果具有这种部分的式(I)或(II)的化合物被结合到缀合物中,可能的情况是,低聚乙二醇或聚乙二醇部分位于前体部分和式(I)或(II)的化合物的其余部分之间,或者位于与该前体部分的连接位置略微相对的位置,由此使得式(I)或(II)的化合物的其余部分位于前体部分和该低聚乙二醇或聚乙二醇部分之间。后一种情况对于缀合物的水溶性而言更有利。式(I)和(II)的化合物和它们的缀合物的得以改善的水溶性可以在合成过程中例如由于减少的团集体形成而使缀合物的收率和纯度得到改善。另外,聚集趋势的减少和较高的缀合物纯度可以例如在将缀合物给药后引起更少的副作用。另外,缀合物中的一个或多个低聚乙二醇和或聚乙二醇部分的存在可以减少缀合物通过肾或肝脏的排泄,这样增加的在身体内的循环时间。
在本发明的另一个方面中,式(I)和(II)的化合物可以包含一个或多个三唑环。结合有1,2,3-三唑环可以提供合成方面的优点,因为可以使用炔烃和叠氮化物部分之间的温和的和有效的环化加成反应使最终可以连接至1,2,3-三唑环的两个部分通过所述三唑环彼此连接。因为这种环化加成反应的条件是非常温和的且几乎适合于所有的官能团,该反应可以在得到式(I)或(II)的化合物、其接头-药物缀合物或缀合物的合成路线的最后步骤之一进行,因此允许容易地得到系列的式(I)和(II)的化合物和它们的缀合物用于SAR(构效关系)研究。
优选地,该三唑部分以一定的方式位于DNA-烷基化单元或DNA-结合单元内,该方式使得它可以对所述化合物与DNA的结合作出贡献。连接至DNA-结合单元或DNA-烷基化单元的另外的DNA结合性部分如吲哚或苯并呋喃部分可以增加化合物的效力,这被认为是通过增强的DNA结合实现的。然而,这些另外的芳香族的部分可以对药理学性能例如水溶性具有不利的影响。作为芳香族基团的三唑还可以增强对DNA的结合并由此提高化合物的细胞毒效力,但是由于其比其它芳香族的部分例如苯基环具有更大的极性,其对药理学性能的负面影响可能更不显著。
在一个实施方案中,本发明涉及式(I)或(II)的化合物,其中R1、R5、R5'、R6、R6'、R7、R7'、R14、R14'、R8、R8'、R9、R9'、R10、R10'、R11、R11'、R15、R15'、R15″、R15″′、R16、R16'、R20、R20'、R21、R21'、R22和R23中的至少一个包含一个三唑部分。
在另一个实施方案中,R8、R8'、R9、R9'、R10、R10'、R11、R11'、R15、R15'、R15″、R15″′、R16、R16'、R20、R20'、R21、R21'、R22和R23中的至少一个包含一个三唑部分。在另一个实施方案中,R8、R9和R10中的至少一个包含一个三唑部分。在另一个实施方案中,R8和R9中的至少一个包含一个三唑部分。在又一个实施方案中,至少R8包含一个三唑部分。
在另一个实施方案中,R5、R5'、R6、R6'、R7、R7'、R14和R14'中的至少一个包含一个三唑部分。在另一个实施方案中,R6、R6'、R7和R7'中的至少一个包含一个三唑部分。在又一个实施方案中,R1包含一个三唑部分。
为了实现最佳的DNA-结合效果,该三唑部分可以通过接头连接,所述接头保持该三唑部分与DNA-结合单元或DNA-烷基化单元的核心缀合或缀合在与之极其邻近的位置。所述接头可以是例如单键、-N(R35)C(O)-、-C(O)N(R35)-、-C(O)-、-C(R35)(R36)-、-C(R35)=C(R36)-、-O-、-S-或-N(R35)-,其中R35和R36选自H和任选被取代的C1-4烷基或C1-4杂烷基,或者是DNA-结合单元或DNA-烷基化单元的核心与三唑环之间的任何其它任选被取代的具有不超过4个连接原子的小的接头(例如,-N(R20)C(O)-部分具有两个连接原子:N和C)。
所述三唑环可以是1,2,3-三唑或1,2,4-三唑。在一个实施方案中,所述三唑环是1,2,3-三唑。在另一个实施方案中,所述三唑环是1,2,4-三唑。1,2,3-三唑环可以被4,5-、1,5-或1,4-二取代。如果所述1,2,3-三唑环被1,4-取代,这意味着包含该1,2,3-三唑环的取代基为伸展形式。如果所述1,2,3-三唑环是4,5-或1,5-取代的,则所述1,2,3-三唑环实际上形成了一种转向并使三唑上的两个取代基彼此极其邻近。三唑环还可以位于取代基的末端,在这种情况中,三唑环是只被单取代的。在这种情况中,取代作用可以发生在N-1或C-4。1,2,4-三唑可以是1,3-、1,5-或3,5-二取代的。包含一个1,3-或3,5-二取代的1,2,4-三唑的取代基具有伸展的形式,而在1,5-二取代的1,2,4-三唑的情况中,三唑上的两个取代基彼此紧密邻近。三唑环还可以是三取代的。
在一个方面中,式(I)或(II)的化合物中的R1、R5、R5'、R6、R6'、R7、R7'、R14、R14'、R8、R8'、R9、R9'、R10、R10'、R11、R11'、R15、R15'、R15″、R15″′、R16、R16'、R20、R20'、R21、R21'、R22和R23中的至少一个为
其中X18和X19选自O、S、NR25、H2和C(R25)R26,其中R25和R26选自H和任选被取代的C1-3烷基或C1-3杂烷基,且R24具有与R8相同的含义,且被独立地选择。
R24可以例如选自H和
其中jj、jj'、jj″和jj″′独立地选自0到8,X74选自
每个tt、tt'和tt″独立地选自0和1,每个X21和X22独立地选自O、S、NR67、H2和C(R67)R68,其中R67和R68独立地选自H和任选被取代的C1-3烷基或C1-3杂烷基,且R66选自H、COOH、CO2Me、OH、OMe、NR69R70、NR69C(O)CH3、SH、SMe,
其中X23选自卤素、羟基、OC(O)Rbb和OC(O)ORbb,或C(O)-X23是活性酯,X24选自卤素、甲磺酰氧基、三氟甲磺酰氧基(三氟甲磺酰氧基)和对甲苯磺酰氧基,Rbb选自任选被取代的C1-10烷基、C1-10杂烷基、C3-10环烷基、C1-10杂环烷基、C5-10芳基和C1-10杂芳基和R69、R70,且R71独立地选自甲基和H。
在其它实施方案中,式(I)或(II)的化合物中的R5、R6、R7和R14中的至少一个;或R8、R9、R10和R11中的至少一个;或R6和R7中的至少一个;或R8和R9中的至少一个;或至少R8或至少R6或至少R7为
其中R24、X18和X19如上述定义的。
在一些实施方案中,式(I)或(II)的化合物中的R1、R5、R5'、R6、R6'、R7、R7'、R14、R14'、R8、R8'、R9、R9'、R10、R10'、R11、R11'、R15、R15'、R15″、R15″′、R16、R16'、R20、R20'、R21、R21'、R22和R23中的至少一个;或R8、R9、R10和R11中的至少一个;或R8和R9中的至少一个;或至少R8;或R5、R6、R7和R14中的至少一个;或R6和R7中的至少一个选自
其中R37、R38、R39和R40独立地选自H和甲基。
在其它实施方案中,式(I)或(II)的化合物中的R1、R5、R5'、R6、R6'、R7、R7'、R14、R14'、R8、R8'、R9、R9'、R10、R10'、R11、R11'、R15、R15'、R15″、R15″′、R16、R16'、R20、R20'、R21、R21'、R22和R23中的至少一个;或R8、R9、R10和R11中的至少一个;或R8和R9中的至少一个;或至少R8;或R5、R6、R7和R14中的至少一个;或R6和R7中的至少一个选自
其中R38、R39和R40独立地选自H和甲基。
在其它实施方案中,中的至少一个R1、R5、R5'、R6、R6'、R7、R7'、R14、R14'、R8、R8'、R9、R9'、R10、R10'、R11、R11'、R15、R15'、R15″、R15″′、R16、R16'、R20、R20'、R21、R21'、R22和R23或中的至少一个R8、R9、R10和R11或中的至少一个R8和R9或至少R8或中的至少一个R5、R6、R7和R14或中的至少一个R6和R7式(I)或(II)的化合物选自
其中R38、R39和R40独立地选自H和甲基。
在其它实施方案中,式(I)或(II)的化合物中的R1、R5、R5'、R6、R6'、R7、R7'、R14、R14'、R8、R8'、R9、R9'、R10、R10'、R11、R11'、R15、R15'、R15″、R15″′、R16、R16'、R20、R20'、R21、R21'、R22和R23中的至少一个;或R8、R9、R10和R11中的至少一个;或R8和R9中的至少一个;或至少R8;或R5、R6、R7和R14中的至少一个;或R6和R7中的至少一个选自
其中R38、R39和R40独立地选自H和甲基。
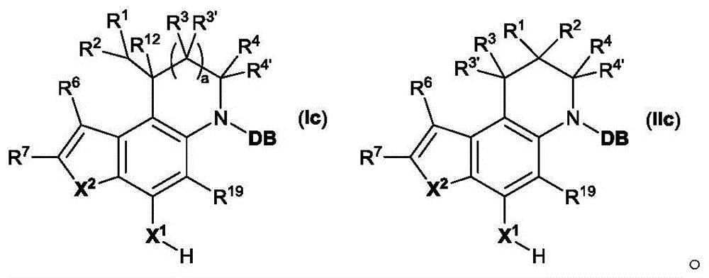
在一个方面中,式(I)和(II)的化合物分别由式(Ib)和(IIb)的化合物表示:
在一个实施方案中,(Ib)或(IIb)中的X2是N。
在另一个实施方案中,(Ib)或(IIb)中的X2是CR14。
在另一个实施方案中,(Ib)中的X2是CR14且a是0。
在另一个实施方案中,(Ib)或(IIb)中的X2是CH。
在又一个实施方案中,(Ib)或(IIb)中的R5选自硝基、卤素、氨基、氰基、羟基和任选被取代的C1-3烷基氨基、二(C1-3烷基)氨基、C1-3烷基羰基氨基、C1-3烷氧基羰基氨基、C1-3烷基氨基羰基氨基、C1-3烷基氧基、C1-3烷基羰基氧基、C1-3烷基氨基羰基氧基或C1-3烷基。在又一个实施方案中,(Ib)或(IIb)中的R5是任选被取代的直链C1-3烷基。在另一个实施方案中,(Ib)或(IIb)中的R5是未被取代的直链C1-3烷基。在另一个实施方案中,(Ib)或(IIb)中的R5是甲基。在其它实施方案中,(Ib)或(IIb)中的R5是乙基或甲氧基或乙氧基。
在又一个方面中,式(I)和(II)的化合物分别由式(Ic)和(IIc)的化合物表示:
在一个实施方案中,(Ic)或(IIc)中的X2是NH。
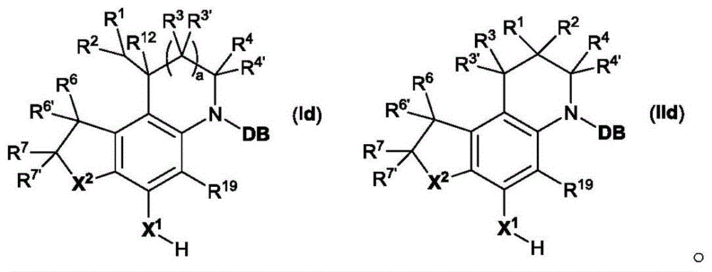
在又一个方面中,式(I)和(II)的化合物分别由式(Id)和(IId)的化合物表示:
在一个实施方案中,(Id)或(IId)中的X2是NH。
在另一个实施方案中,式(I)和(II)的化合物分别由(Ia)和(IIa)表示:
DA1-DB (Ia) DA2-DB (IIa)
其中DA1是
或其异构体或其异构体的混合物。
在其它实施方案中,式(I)和(II)的化合物分别由(Ia)和(IIa)表示:
DA1-DB (Ia) DA2-DB (IIa)
其中DA1为
或其中之一的异构体或异构体的混合物。
在其它实施方案中,式(I)和(II)的化合物分别由(Ia)和(IIa)表示:
DA1-DB (Ia) DA2-DB (IIa)
其中DA1是
或其中之一的异构体或异构体的混合物。
在仍其它的实施方案中,式(I)和(II)的化合物分别由(Ia)和(IIa)表示:
DA1-DB (Ia) DA2-DB (IIa)
其中DA1是
其中R54选自H和任选被取代的C1-3烷基(例如,甲基或三氟甲基),R55选自H、甲基、乙基和甲氧基,X25和X26独立地选自O、S、CH2和NR51,和R51、R52和R53独立地选自H、C1-3烷基和
其中ii、ii'、ii″和ii″′独立地选自0到8,X74选自
每个ss、ss'和ss″独立地选自0和1,每个X25和X26独立地选自O、S、NR56、H2和C(R56)R57,其中R56和R57独立地选自H和任选被取代的C1-3烷基或C1-3杂烷基,和R58选自H、COOH、CO2Me、OH、OMe、NR59R60、NR59C(O)CH3、SH、SMe,
其中X27选自卤素、羟基、OC(O)Raa和OC(O)ORaa,或者C(O)-X23是活性酯,X24选自卤素、甲磺酰氧基、三氟甲磺酰氧基和对甲苯磺酰氧基,Raa选自任选被取代的C1-10烷基、C1-10杂烷基、C3-10环烷基、C1-10杂环烷基、C5-10芳基和C1-10杂芳基,且R59、R60和R61独立地选自甲基和H,或其中之一的异构体或异构体的混合物。
在另一个实施方案中,式(I)或(II)的化合物是
或其异构体或其异构体的混合物。
在另一个实施方案中,式(I)或(II)的化合物是
或其异构体或其异构体的混合物。
在其它实施方案中,式(I)或(II)的化合物是
或其异构体或其异构体的混合物。
在一个实施方案中,在式(I)或(II)的化合物中,b=1。在另一个实施方案中,b=0。在另一个实施方案中,a=0。在又一个实施方案中,a=1。在又一个实施方案中,a=0和b=1。
式(I)或(II)的化合物的得以提高的水溶性不仅可以通过引入水溶性或极性基团例如三唑基团或低聚乙二醇或聚乙二醇部分或其组合来实现,而且还可以通过由杂原子取代碳环原子(例如DNA-结合单元中的碳环原子)来实现。式(I)和(II)的化合物和它们的缀合物的得以改善的水溶性可以在合成过程中例如由于减少的团集体形成而使缀合物的收率和纯度得到改善。另外,聚集趋势的减少和较高的缀合物纯度可以例如在将缀合物给药后引起更少的副作用。
在例如肝脏中的得以提高的代谢降解可以例如通过在DNA-结合单位中引入可以相对容易地被氧化的基团例如炔和烯部分来实现。毒性化合物的氧化是哺乳动物可以将这种化合物解毒的机理之一。如果本发明的化合物被吸收到肝脏中,有效的解毒可以例如规避作为副作用的肝脏毒性。
DNA-结合单元和DNA-烷基化单元之间的键的在例如循环系统中的稳定性可以通过对DNA-结合单元的修饰来调节。DNA-烷基化单元和DNA-结合单元通过基本上不可裂解的键连接可能是有利的。尤其是在式(I)或(II)的化合物作为活性成分给药时,可能对在循环系统中的稳定性有要求。然而,在将式(I)或(II)的化合物作为缀合物的一部分给药时,DNA-烷基化单元和DNA-结合单元之间的键在式(I)或(II)的化合物一旦被过早地从缀合物释放就变得在循环系统中不那么稳定可能是有利的。这可以通过药物的提前释放而减少毒性副作用。本发明的DNA-结合单位可以使式(I)或(II)的化合物或其缀合物或接头-药物缀合物的在DNA-结合和DNA-烷基化单元之间的键比在X1没有被保护时可由式(I)或(II)的化合物形成的式(I')或(II')的化合物更稳定。
DNA结合性部分这的π-共轭系统的延长可以提高DNA结合部分对DNA的结合亲合力。π系统可以通过引入另外的芳环和/或共轭的双键和/或三键得以延长。
如果存在有适合的官能团,可以使前体部分连接至DNA-结合单位。这可以是例如羟基基团或伯氨基或仲氨基基团。除了偶联于烷基化单元之外,或者代替偶联于烷基化单元,前体部分偶联于DNA-结合单元,例如偶联于X1,可以提供优点。例如,存在有两个前体部分可以提高靶-选择性的递送和/或活化和/或减少在非目标区域的游离药物的量,由此减少副作用和提高治疗指数。
式(I)或(II)的化合物中的DNA-结合单元DB选自结构DB1–DB9:
在一个实施方案中,DNA-结合单元包括至少两个芳香族环,其中的至少一个包含至少一个是杂原子的环原子,或者DNA-结合单元包括其中至少一个环原子是杂原子的至少一个双环的芳香族系统。在另一个实施方案中,DNA-结合单元包括至少两个芳香族环,且二者都包含至少一个是杂原子的环原子,或者DNA-结合单元包括其中至少两个环原子是杂原子的至少一个双环的芳香族系统。
在本发明的一个方面中,式(I)或(II)的化合物具有式DB1的DNA-结合单元。这个部分包括至少包含一个6元环B的结构,所述6元环B通过稠合的5-或6-元环A和乙烯基基团连接至DNA-烷基化单元。所述环B中的任选的杂原子可以提供相对于全碳环的DNA结合部分类似物得以改善的水溶性。在一个实施方案中,DB1中的环B单元包含一个杂原子。
优选地,环B是芳香族的。它可以例如是苯基、吡啶、嘧啶、哒嗪、吡嗪、1,3,5-三嗪、1,2,3,5-四嗪、1,2,3,4-四嗪、五嗪、磷杂苯(phosphinine)、1,3-二磷杂苯(1,3-diphosphinine)或1,3-氮杂磷杂苯(1,3-azaphosphinine)部分。或者,这个环可以是非芳香族的且可以是不饱和的或完全饱和的。
其中环B通过乙烯基基团连接至DNA-烷基化单元的式(I)或(II)的化合物可以包含允许借助例如双键的氧化或水合解毒的柄部(handle)。
所述部分DB1可以例如是
DB1部分还可以例如是
在另一个实施方案中,所述DB1部分可以是
在另一个实施方案中,DB1部分可以是
在另一个实施方案中,所述DB1部分可以例如是
其中R9a具有与R9的定义相同的含义,且被独立地选择。在另一个实施方案中,所述DB1部分可以选自
在一个实施方案中,所述DB1部分是
在另一个实施方案中,所述DB1部分是
在又一个实施方案中,所述DB1部分是
所述DB1部分还可以例如是
在DB1的示例性结构中,R8、R8'、R9、R9'、R9a、R10、R10'、R11、R11'、R15、R16和R21可以例如各自独立地被选择为H、为选自结构DB1-DB9或其衍生物的另一个部分或包含所述选自结构DB1-DB9或其衍生物的另一个部分,或者是
其中R62、R63、R64和R65独立地选自H、C1-3烷基和
其中jj、jj'、jj″和jj″′独立地选自0到8,X74选自
每个tt、tt'和tt″独立地选自0和1,每个X21和X22独立地选自O、S、NR67、H2和C(R67)R68,其中R67和R68独立地选自H和任选被取代的C1-3烷基或C1-3杂烷基,和R66选自H、COOH、CO2Me、OH、OMe、NR69R70、NR69C(O)CH3、SH、SMe,
其中X23选自卤素、羟基、OC(O)Rbb和OC(O)ORbb,或者C(O)-X23是活性酯,X24选自卤素、甲磺酰氧基、三氟甲磺酰氧基和对甲苯磺酰氧基,Rbb选自任选被取代的C1-10烷基、C1-10杂烷基、C3-10环烷基、C1-10杂环烷基、C5-10芳基和C1-10杂芳基,和R69、R70和R71独立地选自甲基和H。
在另一个实施方案中,所述DB1部分可以例如是
在另一个实施方案中,所述DB1部分可以选自
在另一个实施方案中,所述DB1部分可以选自
在另一个实施方案中,所述DB1部分可以选自
在另一个实施方案中,所述DB1部分可以例如是
在本发明的另一个方面中,式(I)或(II)的化合物具有式DB2的DNA-结合单元。这个部分包括至少包含一个5元环B的结构,所述5元环B通过稠合的5-或6-元环A和乙烯基基团连接至DNA-烷基化单元。特别是在后一种情况中,环B可以稠合于另一个杂环或碳环芳香族或非芳香族环,以便具有改善的DNA-结合亲合力。出于对提高的水溶性的考虑,所述稠合的环可以是杂环或被相对极性的并同时可以提供用于偶联于前体部分的柄部的基团取代的碳环。其中有三个或更多个环稠合在一起形成芳香族多环系统的DNA结合部分可能是不那么有利的,因为这可以提高DNA结合性部分的疏水性和/或聚集趋势并由此提高式(I)或(II)的化合物及其缀合物的疏水性和/或聚集趋势。对于其中环原子都不是或只有一个是杂原子的多环芳香族系统来说情况尤其是这样。
DNA结合部分DB2可以包括芳香族核心结构。或者,一个或多个环可以是非芳香族的且可以是不饱和的或完全饱和的。
其中环B通过乙烯基基团连接至DNA-烷基化单元的式(I)或(II)的化合物可以包含允许借助例如双键的氧化或水合解毒的柄部(handle)。
所述DB2部分可以例如是
其中R8a、R9a、R10a和R11a分别具有与对于R8、R9、R10和R11所定义的相同的含义,且被独立地选择。
在更具体的实施方案中,所述DB2部分可以例如是
其中R72和R73独立地选自H和甲基。
在DB2的示例性结构中,R8、R8a、R9a、R10、R10a、R11、R11a、R15、R16和R21可以例如各自独立地被选择为H、为选自结构DB1-DB9或其衍生物的另一个部分或包含所述选自结构DB1-DB9或其衍生物的另一个部分,或者是
其中R62、R63、R64和R65独立地选自H、C1-3烷基和
其中jj、jj'、jj″和jj″′独立地选自0到8,X74选自
每个tt、tt'和tt″独立地选自0和1,每个X21和X22独立地选自O、S、NR67、H2和C(R67)R68,其中R67和R68独立地选自H和任选被取代的C1-3烷基或C1-3杂烷基,和R66选自H、COOH、CO2Me、OH、OMe、NR69R70、NR69C(O)CH3、SH、SMe,
其中X23选自卤素、羟基、OC(O)Rbb和OC(O)ORbb,或C(O)-X23是活性酯,X24选自卤素、甲磺酰氧基、三氟甲磺酰氧基和对甲苯磺酰氧基,Rbb选自任选被取代的C1-10烷基、C1-10杂烷基、C3-10环烷基、C1-10杂环烷基、C5-10芳基和C1-10杂芳基,和R69、R70和R71独立地选自甲基和H。
在另一个实施方案中,所述DB2部分可以例如是
在本发明的另一个方面中,式(I)或(II)的化合物具有式DB3或DB4的DNA-结合单元。这两个部分包括由偶联于5-或6–元环的乙炔部分组成的结构。这个环可以是芳香族的或非芳香族的。在后一种情况中,它可以是不饱和的或完全饱和的。另外,所述5-或6-元环可以稠合于一个或多个其它环以形成芳香族的或非芳香族的环系统。优选这种环系统是扁平的,因为这可以提高DNA结合亲合力。环中的极性取代基或杂原子可以提供提高的水溶性且可以有利地影响式(I)或(II)的化合物的药理学性能。乙炔部分在DNA-结合单元DB3和DB4中的存在可以提供允许借助例如氧化或水合解毒的柄部。
所述DB3部分可以例如是
所述DB4部分可以例如是
在更具体的实施方案中,所述DB3部分可以例如是
在另一个更具体的实施方案中,所述DB4部分可以例如是
其中R72选自H和甲基。
在DB3和DB4的示例性结构中,R8、R9、R10、R11和R20可以例如各自独立地被选择为H、为选自结构DB1-DB9或其衍生物的另一个部分或包含所述选自结构DB1-DB9或其衍生物的另一个部分,或者是
其中R62、R63、R64和R65独立地选自H、C1-3烷基和
其中jj、jj'、jj″和jj″′独立地选自0到8,X74选自
每个tt、tt'和tt″独立地选自0和1,每个X21和X22独立地选自O、S、NR67、H2和C(R67)R68,其中R67和R68独立地选自H和任选被取代的C1-3烷基或C1-3杂烷基,和R66选自H、COOH、CO2Me、OH、OMe、NR69R70、NR69C(O)CH3、SH、SMe,
其中X23选自卤素、羟基、OC(O)Rbb和OC(O)ORbb,或C(O)-X23是活性酯,X24选自卤素、甲磺酰氧基、三氟甲磺酰氧基和对甲苯磺酰氧基,Rbb选自任选被取代的C1-10烷基、C1-10杂烷基、C3-10环烷基、C1-10杂环烷基、C5-10芳基和C1-10杂芳基,和R69、R70和R71独立地选自甲基和H。
在另一个实施方案中,所述DB3部分可以例如是
在又一个实施方案中,所述DB4部分可以例如是
在本发明的另一个方面中,式(I)或(II)的化合物具有式DB5的DNA-结合单元。这个部分包括由偶联于任选被取代的乙烯基部分的5-或6-元环组成的结构。所述5元环或6元环可以是芳香族的或非芳香族的。在后一种情况中,它可以是不饱和的或完全饱和的。乙烯基团上的环和/或极性取代基中的极性取代基或杂原子可以提供提高的水溶性且可以有利地影响式(I)或(II)的化合物的药理学性能。环或乙烯基部分上的芳香族取代基可以提高结合亲合力。乙烯基部分部分在DNA-结合单元DB5中的存在可以提供允许借助例如氧化或水合解毒的柄部。
所述DB5部分可以例如是
在DB5的示例性结构中,R8b、R9b和R15可以例如各自独立地被选择为H、为选自结构DB1-DB9或其衍生物的另一个部分或包含所述选自结构DB1-DB9或其衍生物的另一个部分,或者是
其中R62、R63、R64和R65独立地选自H、C1-3烷基和
其中jj、jj'、jj″和jj″′独立地选自0到8,X74选自
每个tt、tt'和tt″独立地选自0和1,每个X21和X22独立地选自O、S、NR67、H2和C(R67)R68,其中R67和R68独立地选自H和任选被取代的C1-3烷基或C1-3杂烷基,和R66选自H、COOH、CO2Me、OH、OMe、NR69R70、NR69C(O)CH3、SH、SMe,
其中X23选自卤素、羟基、OC(O)Rbb和OC(O)ORbb,或C(O)-X23是活性酯,X24选自卤素、甲磺酰氧基、三氟甲磺酰氧基和对甲苯磺酰氧基,Rbb选自任选被取代的C1-10烷基、C1-10杂烷基、C3-10环烷基、C1-10杂环烷基、C5-10芳基和C1-10杂芳基,和R69、R70和R71独立地选自甲基和H。
在另一个实施方案中,所述DB5部分可以例如是
在本发明的另一个方面中,式(I)或(II)的化合物具有式DB6或DB7的DNA-结合单元。这两个部分包括由通过直接的单键连接在一起的两个5-或6-元环组成的结构。这些环可以各自独立地是芳香族的或非芳香族的。在后一种情况中,它们可以是不饱和的或完全饱和的。另外,环B可以稠合于一个或多个其它环以形成芳香族的或非芳香族的环系统,优选所述环系统是扁平的。这可以提高DNA结合亲合力。一个或多个所述环中的极性取代基或杂原子可以提供提高的水溶性且可以有利地影响式(I)或(II)的化合物的药理学性能。
所述DB6部分可以例如是
所述DB7部分可以例如是
其中R8a、R9a、R10a和R11a分别具有与对于R8、R9、R10和R11所定义的相同的含义,且被独立地选择。
在更具体的实施方案中,DB6部分可以例如是
在另一个更具体的实施方案中,DB7部分可以例如是
在DB6和DB7的示例性结构中,R8、R8a、R9、R9a、R10、R10a、R11、R11a、R15和R20可以例如各自独立地被选择为H、为选自结构DB1-DB9或其衍生物的另一个部分或包含所述选自结构DB1-DB9或其衍生物的另一个部分,或者是
其中R62、R63、R64和R65独立地选自H、C1-3烷基和
其中jj、jj'、jj″和jj″′独立地选自0到8,X74选自
每个tt、tt'和tt″独立地选自0和1,每个X21和X22独立地选自O、S、NR67、H2和C(R67)R68,其中R67和R68独立地选自H和任选被取代的C1-3烷基或C1-3杂烷基,和R66选自H、COOH、CO2Me、OH、OMe、NR69R70、NR69C(O)CH3、SH、SMe,
其中X23选自卤素、羟基、OC(O)Rbb和OC(O)ORbb,或C(O)-X23是活性酯,X24选自卤素、甲磺酰氧基、三氟甲磺酰氧基和对甲苯磺酰氧基,Rbb选自任选被取代的C1-10烷基、C1-10杂烷基、C3-10环烷基、C1-10杂环烷基、C5-10芳基和C1-10杂芳基,和R69、R70和R71独立地选自甲基和H。
在另一个实施方案中,DB6部分可以例如是
在另一个实施方案中,DB7部分可以例如是
在本发明的另一个方面中,式(I)或(II)的化合物具有式DB8的DNA-结合单元。这个部分包括由通过亚甲基单元偶联于DNA-烷基化单元的单环或多环环系统组成的结构。优选地,DB8部分包括一个双环系统。所述环系统可以是芳香族的或非芳香族的。在后一种情况中,它可以是不饱和的或完全饱和的。一个或多个所述环中的极性取代基或杂原子可以提供提高的水溶性且可以有利地影响式(I)或(II)的化合物的药理学性能。
所述DB8部分可以例如是
其中R8a、R9a、R10a和R11a分别具有与对于R8、R9、R10和R11所定义的相同的含义,且被独立地选择。
在DB8的示例性结构中,R8a、R9a、R10a、R11a、R15、R15'和R16可以例如各自独立地被选择为H、为选自结构DB1-DB9或其衍生物的另一个部分或包含所述选自结构DB1-DB9或其衍生物的另一个部分,或者是
其中R62、R63、R64和R65独立地选自H、C1-3烷基和
其中jj、jj'、jj″和jj″′独立地选自0到8,X74选自
每个tt、tt'和tt″独立地选自0和1,每个X21和X22独立地选自O、S、NR67、H2和C(R67)R68,其中R67和R68独立地选自H和任选被取代的C1-3烷基或C1-3杂烷基,和R66选自H、COOH、CO2Me、OH、OMe、NR69R70、NR69C(O)CH3、SH、SMe,
其中X23选自卤素、羟基、OC(O)Rbb和OC(O)ORbb,或C(O)-X23是活性酯,X24选自卤素、甲磺酰氧基、三氟甲磺酰氧基和对甲苯磺酰氧基,Rbb选自任选被取代的C1-10烷基、C1-10杂烷基、C3-10环烷基、C1-10杂环烷基、C5-10芳基和C1-10杂芳基,和R69、R70和R71独立地选自甲基和H。
在另一个实施方案中,DB8部分可以例如是
在本发明的另一个方面中,式(I)或(II)的化合物具有式DB9的DNA-结合单元。这个部分包括由通过单键直接连接至DNA-烷基化单元的氮原子的5-元环组成的结构。所述5-元环可以连接至或稠合于一个或多个其它环以形成多环环系统,优选所述多环环系统是扁平的。这可以提高DNA结合亲合力。所述环系统可以是芳香族的或非芳香族的。在后一种情况中,它可以是不饱和的或完全饱和的。一个或多个所述环中的极性取代基或杂原子可以提供提高的水溶性且可以有利地影响式(I)或(II)的化合物的药理学性能。在一个实施方案中,所述DB9部分包含至少两个环杂原子。
所述DB9部分可以例如是
其中R8a、R9a、R10a和R11a分别具有与对于R8、R9、R10和R11所定义的相同的含义,且被独立地选择。
在DB9的示例性结构中,R8a、R9a、R10a、R11a和R9可以例如各自独立地被选择为H、为选自结构DB1-DB9或其衍生物的另一个部分或包含所述选自结构DB1-DB9或其衍生物的另一个部分,或者是
其中R62、R63、R64和R65独立地选自H、C1-3烷基和
其中jj、jj'、jj″和jj″′独立地选自0到8,X74选自
每个tt、tt'和tt″独立地选自0和1,每个X21和X22独立地选自O、S、NR67、H2和C(R67)R68,其中R67和R68独立地选自H和任选被取代的C1-3烷基或C1-3杂烷基,和R66选自H、COOH、CO2Me、OH、OMe、NR69R70、NR69C(O)CH3、SH、SMe,
其中X23选自卤素、羟基、OC(O)Rbb和OC(O)ORbb,或C(O)-X23是活性酯,X24选自卤素、甲磺酰氧基、三氟甲磺酰氧基和对甲苯磺酰氧基,Rbb选自任选被取代的C1-10烷基、C1-10杂烷基、C3-10环烷基、C1-10杂环烷基、C5-10芳基和C1-10杂芳基,和R69、R70和R71独立地选自甲基和H。
在另一个实施方案中,DB9部分可以例如是
在本发明的一个实施方案中,所述DB单元是DB1。在另一个实施方案中,所述DB单元是DB2。在又一个实施方案中,所述DB单元是DB3。在又一个实施方案中,所述DB单元是DB4。在又一个实施方案中,所述DB单元是DB5。在又一个实施方案中,所述DB单元是DB6。在又一个实施方案中,所述DB单元是DB7。在又一个实施方案中,所述DB单元是DB8。在又一个实施方案中,所述DB单元是DB9。在另一个实施方案中,所述DB单元选自DB1、DB2、DB3、DB4、DB5、DB6和DB7。在另一个实施方案中,所述DB单元选自DB1、DB2、DB5、DB6和DB7。在另一个实施方案中,DB选自DB1、DB2、DB6和DB7。在又一个实施方案中,DB选自DB1和DB2。在又一个实施方案中,DB选自DB6和DB7。
在一个实施方案中,R5、R5'、R6、R6'、R7和R7'独立地选自H、OH、SH、NH2、N3、NO2、NO、CF3、CN、C(O)NH2、C(O)H、C(O)OH、卤素、Re、SRe、S(O)Re、S(O)2Re、S(O)ORe、S(O)2ORe、OS(O)Re、OS(O)2Re、OS(O)ORe、OS(O)2ORe、ORe、NHRe、N(Re)Rf、+N(Re)(Rf)Rg、P(O)(ORe)(ORf)、OP(O)(ORe)(ORf)、SiReRfRg、C(O)Re、C(O)ORe、C(O)N(Re)Rf、OC(O)Re、OC(O)ORe、OC(O)N(Re)Rf、N(Re)C(O)Rf、N(Re)C(O)ORf和N(Re)C(O)N(Rf)Rg,其中Re、Rf和Rg独立地选自H和任选被取代的(CH2CH2O)eeCH2CH2X13Re1、C1-15烷基、C1-15杂烷基、C3-15环烷基、C1-15杂环烷基、C5-15芳基或C1-15杂芳基,其中ee选自1到1000,X13选自O、S和NRf1,和Rf1和Re1独立地选自H和C1-3烷基,Re、Rf和Rg中的两个或更多个任选地通过一个或多个键结合以形成一个或多个任选被取代的碳环和/或杂环,或者R5+R5'和/或R6+R6'和/或R7+R7'独立地选自=O、=S、=NORe3、=C(Re3)Re4和=NRe3,Re3和Re4独立地选自H和任选被取代的C1-3烷基,或者R5'+R6'和/或R6'+R7'和/或R7'+R14'不存在,使得在指定带有R5'和R6'和/或R6'和R7'和/或R7'和R14'的原子之间分别形成双键,R5、R5'、R6、R6'、R7、R7'、R14和R14'中的两个或更多个任选地通过一个或多个键结合以形成一个或多个任选被取代的碳环和/或杂环。
在另一个实施方案中,R8、R8'、R9、R9'、R10、R10'、R11、R11'、R15、R15'、R15″、R15″′、R16、R16'、R20、R20'、R21、R21'、R22和R23各自独立地选自H、OH、SH、NH2、N3、NO2、NO、CF3、CN、C(O)NH2、C(O)H、C(O)OH、卤素、Rh、SRh、S(O)Rh、S(O)2Rh、S(O)ORh、S(O)2ORh、OS(O)Rh、OS(O)2Rh、OS(O)ORh、OS(O)2ORh、ORh、NHRh、N(Rh)Ri、+N(Rh)(Ri)Rj、P(O)(ORh)(ORi)、OP(O)(ORh)(ORi)、SiRhRiRj、C(O)Rh、C(O)ORh、C(O)N(Rh)Ri、OC(O)Rh、OC(O)ORh、OC(O)N(Rh)Ri、N(Rh)C(O)Ri、N(Rh)C(O)ORi和N(Rh)C(O)N(Ri)Rj,其中Rh、Ri和Rj独立地选自H和任选被取代的(CH2CH2O)eeCH2CH2X13Re1、C1-15烷基、C1-15杂烷基、C3-15环烷基、C1-15杂环烷基、C5-15芳基或C1-15杂芳基,Rh、Ri和Rj中的两个或更多个任选地通过一个或多个键结合以形成一个或多个任选被取代的碳环和/或杂环,或者R8+R8'和/或R9+R9'和/或R10+R10'和/或R11+R11'和/或R15+R15'和/或R15″+R15″′和/或R16+R16'和/或R20+R20'和/或R21+R21'独立地选自=O、=S、=NORh1、=C(Rh1)Rh2和=NRh1,Rh1和Rh2独立地选自H和任选被取代的C1-3烷基,R8、R8'、R9、R9'、R10、R10'、R11、R11'、R15、R15'、R15″、R15″′、R16、R16'、R20、R20'、R21、R21'、R22和R23中的两个或更多个任选地通过一个或多个键结合以形成一个或多个任选被取代的碳环和/或杂环。
在另一个实施方案中,X3不是由-X3a和X3b-表示。
在另一个实施方案中,如果DB式(I)或(II)的化合物中的DB2,则X1是O。
在另一个实施方案中,如果DB式(I)或(II)的化合物中的DB2且X3由-X3a和X3b-表示,则X1是O。
DB1、DB2、DB3、DB4、DB5、DB6、DB7、DB8和DB9中的任一环上的任一取代基可以是或包括另一个DB1、DB2、DB3、DB4、DB5、DB6、DB7、DB8或DB9部分或任一其它DNA结合性部分。这种另一个DB部分或DNA结合性部分可以通过例如酰胺键或酮键连接至第一个DB部分。
在一个实施方案中,DNA结合性部分中的至少一个环是芳香族的。在另一个实施方案中,至少一个环系统是芳香族的。在又一个实施方案中,DNA结合性部分中的所有环都是芳香族的或形成芳香族的环系统。在又一个实施方案中,DNA结合性部分包含至少一个双环芳香族部分。
取代基R1到R23可以有助于改善式(I)或(II)的化合物或其缀合物的药理学性能,例如其水溶性。这可以通过将一个或多个取代基R1、R5、R5'、R6、R6'、R7、R7'、R14、R14'、R8、R8'、R9、R9'、R10、R10'、R11、R11'、R15、R15'、R15″、R15″′、R16、R20、R20'、R21、R21'、R22和R23选择为包括或者是一个低聚乙二醇或聚乙二醇部分或三唑部分来实现。选择性地或者同时地,取代基中的一个或多个可以包括或者是水溶性基团。水溶性基团的存在不仅可以产生增强的水溶性,而且还可以防止式(I)或(II)的化合物跨过生物屏障,尤其是非极性的屏障,例如细胞膜。中可能是有利的,特别是在式(I)或(II)的化合物在其被从缀合物释放之前被通过缀合于靶向部分递送到靶细胞时,因为式(I)或(II)的化合物不能离开该细胞。甚至是通过例如P-糖蛋白泵的主动转运都可能被(部分地)减弱。在式(I)或(II)的化合物例如在循环系统中被过早地从缀合物释放时,它可能不能够或只能适当地能够非特异性地进入(非目标)细胞作为其跨膜易位能力可能被水溶性基团削弱。这可以导致提高的选择性并由此导致更少的副作用。另外,至少在有些情况下,例如在水溶性基团在生理条件下带阳电荷时,所述水溶性基团还可能借助有利的与带负电荷的磷酸基的静电相互作用而改善对DNA的结合亲合力。
水溶性基团是赋予式(I)或(II)的化合物和/或其缀合物以提高的溶解度的基团。在一个实施方案中,带有水溶性基团的本发明化合物的水溶性比没有所述水溶性基团的化合物相比增加超过100%。在其它实施方案中,带有水溶性基团的本发明化合物的水溶性比没有所述水溶性基团的化合物相比增加超过75%或50%或25%或10%。所述水溶性基团还可以有助于防止或减少本发明化合物的聚集或减少副作用。水溶性基团的实例包括但不限于-NH2、-NH-、-NHRs、-NRs-、-N(Rs)(Rt)、-+N(Rs)(Rt)-、-+N(Rs)(Rt)(Ru)、-COOH、-OP(O)(OH)2、-OP(O)(OH)O-、-OP(O)(ORs)O-、-OP(O)(OH)ORs、-OP(O)(ORs)ORt、-P(O)(OH)2、-P(O)(OH)O-、-P(O)(ORs)OH、-P(O)(ORs)O-、-P(O)(ORs)(ORt)、-OS(O)2OH、-OS(O)2O-、-OS(O)2ORs、-S(O)2OH、-S(O)2O-、-S(O)2ORs、-OS(O)OH、-OS(O)O-、-OS(O)ORs、-S(O)OH、-S(O)O-、-OS(O)-、-S(O)ORs、-OS(O)2-、-OS(O)2Rs、-S(O)2-、-S(O)2Rs、-OS(O)Rs、-S(O)-、-S(O)Rs、-(OCH2CH2)v'OH、-(OCH2CH2)v'O-、-(OCH2CH2)v'ORs、糖部分、单糖、二糖或低聚糖部分和寡肽部分或其质子化的或去质子化的形式、及其另外的任何组合,其中Rs、Rt和Ru独立地选自H和任选被取代的C1-3烷基,Rs、Rt和Ru中的两个或更多个任选地通过一个或多个键结合以形成一个或多个碳环和/或杂环,和v'是选自2到1000的整数。所述水溶性基团可以位于取代基内的任何位置或者可以构成整个取代基。所述水溶性基团可以例如位于药物的任何内部位置、作为主链的一部分、作为环结构的一部分、作为连接至主链或环的官能团或者位于该取代基连接至药物的其余部分的位置。
在一个实施方案中,R1、R5、R5'、R6、R6'、R7、R7'、R14、R14'、R8、R8'、R9、R9'、R10、R10'、R11、R11'、R15、R15'、R15″、R15″′、R16、R16'、R20、R20'、R21、R21'、R22和R23中的至少一个包含水溶性基团。
在另一个实施方案中,R6、R7、R14、R8、R9和R10中的至少一个包含水溶性基团。
在仍其它的实施方案中,R8或R9或R10或R6或R7或R14包含水溶性基团。
在一个实施方案中,所述水溶性基团是羧酸基团。
在另一个实施方案中,所述水溶性基团是氨基基团。
在另外的实施方案中,所述水溶性基团是伯氨基或仲氨基或叔氨基或季氨基(铵)基团。在其它实施方案中,所述水溶性基团是脂肪族的伯氨基或仲氨基或叔氨基或季氨基(铵)基团。
在其它实施方案中,所述水溶性基团是膦酸基团或磷酸基团或磺酸基团或硫酸基团或二醇基团或低聚乙二醇基团或聚乙二醇基团。
式(I)或(II)的化合物可以在其结构没有反应性部分。另一方面且从上述显而易见,可以在其结构仲存在有允许式(I)或(II)的化合物与另一个部分反应的反应性部分。例如,式(I)或(II)的化合物可与靶向部分或接头-靶向部分构造(例如,抗体或抗体片段)或抗体-接头构造或抗体片段-接头构造反应、以便在一个或多个步骤中制备靶向部分-药物缀合物,所述靶向部分-药物缀合物可以是或者不是式(III)的缀合物。这种靶向部分-药物缀合物可以是可裂解的或不可裂解的。靶向部分-药物缀合物的形成不仅可以通过化学合成进行,而且还可以原位发生,即在将式(I)或(II)的化合物体内给药时发生。式(I)或(II)的化合物可以在给药时例如连接至内源性蛋白质如白蛋白。
在一个实施方案中,式(I)或(II)的化合物是
或其异构体或其异构体的混合物。
在另一个实施方案中,式(I)或(II)的化合物是
或其异构体或其异构体的混合物。
在另一个实施方案中,式(I)或(II)的化合物是
或其异构体或其异构体的混合物。
在又一个实施方案中,式(I)或(II)的化合物是
或其异构体或其异构体的混合物。
在又一个实施方案中,式(I)或(II)的化合物是
或其异构体或其异构体的混合物。
在又一个实施方案中,式(I)或(II)的化合物是
或其异构体或其异构体的混合物。
在又一个实施方案中,式(I)或(II)的化合物是
或其异构体或其异构体的混合物。
在又一个实施方案中,式(I)或(II)的化合物是
或其异构体或其异构体的混合物。
在又一个实施方案中,式(I)或(II)的化合物是
或其异构体或其异构体的混合物。
在又一个实施方案中,式(I)或(II)的化合物是
或这些化合物之一的异构体或异构体的混合物。
缀合物、接头-药物缀合物和双功能接头
在另一个方面中,本发明涉及式(I)或(II)的化合物的缀合物,其分别可以在体内在一个或多个步骤中被转化为式(I)或(II)的化合物。所述缀合物还可以被转化为式(I)或(II)的化合物的衍生物,其中与缀合物中的式(I)或(II)的化合物连接的前体部分的一部分在体内转化之后保持连接至式(I)或(II)的化合物。对此的另一种说法是接头的剩余部分是式(I)或(II)的化合物的一部分。
这些缀合物可以有利地影响式(I)或(II)的化合物的药理学性能和其它特性。在一个实施方案中,本发明涉及缀合物,所述缀合物包括与至少一个前体部分缀合的式(I)或(II)的化合物。在另一个实施方案中,本发明涉及缀合物,所述缀合物包括与前体部分缀合的式(I)或(II)的化合物。
在另一个实施方案中,本发明涉及式(III)的化合物:
或其药学上可接受的盐、水合物或者溶剂合物,其中
V2不存在或者是功能性部分;
每个L2独立地不存在或者是将V2连接至L连接基团;
每个L独立地不存在或者是将L2连接至一个或多个V1和/或Y的连接基团;
每个V1独立地为不存在或可条件性裂解的或可条件性转化的部分,其可以通过化学、光化学、物理、生物或酶促过程而被裂解或转化;
每个Y独立地不存在或者是自消除性间隔基系统,所述自消除性间隔基系统由一个或多个自消除性间隔基组成并连接至V1、任选地连接至L和连接至一个或多个Z;
每个p和q是表示支化度的数字且各自独立地是正整数;
z是一个正整数,其等于或小于用于Z的连接位点的总数;
每个Z独立地是上述定义的式(I)、(II)、(I')或(II')的化合物,其中X1、R5、R5'、R6、R6'、R7、R7'、R14、R14'、R8、R8'、R9、R9'、R10、R10'、R11、R11'、R15、R15'、R15″、R15″′、R16、R16'、R20、R20'、R21、R21'、R22和R23中的一个或多个可以任选地另外被式(V)的取代基取代或是式(V)的取代基:
其中每个V2'、L2'、L'、V1'、Y'、Z'、p'、q'和z'分别具有与对于V2、L2、L、V1、Y、Z、p、q和z所定义的相同的含义,且被独立地选择,式(V)所述一个或多个取代基独立地通过Y'连接至X1、R5、R5'、R6、R6'、R7、R7'、R14、R14'、R8、R8'、R9、R9'、R10、R10'、R11、R11'、R15、R15'、R15″、R15″′、R16、R16'、R20、R20'、R21、R21'、R22、R23中的一个或多个,和/或连接至一个或多个带有这些R取代基的原子;
每个Z独立地通过X1或通过R5、R5'、R6、R6'、R7、R7'、R14、R14'、R8、R8'、R9、R9'、R10、R10'、R11、R11'、R15、R15'、R15″、R15″′、R16、R16'、R20、R20'、R21、R21'、R22、R23中的原子或带有这些R取代基中任意取代基的原子连接至Y;以及
至少V2或V1是存在的。
在另一个方面中,本发明涉及式(III)的化合物,其中
V2是存在的且被选择为一靶向部分,且至少一个式(V)的基团包含一个V1'部分且包括包含一个X14(CH2CH2O)ggCH2CH2X14部分的V2'、L2'或L'部分,其中gg选自3到1000且每个X14独立地选自
或者所述同一式(V)的基团包括至少两个X14CH2CH2OCH2CH2X14部分,其中每个X14被独立地选择。
在另一个方面中,本发明涉及包含至少一个X14(CH2CH2O)ffCH2CH2X14部分的式(III)的化合物,其中ff选自1到1000且每个X14独立地选自
应该理解,在式(III)中,L可以连接至V1和/或连接至Y。如果L连接至Y,这意味着V1和L二者,以及一个或多个Z都连接至Y。如果L连接至V1,这意味着V1和一个或多个Z连接至Y。L还可以同时连接至V1和Y二者。如果Y不存在,则L连接至V1,或者,如果V1不存在,则L直接连接至Z。
V2(-L2-L(-(V1-Y))p)q(Z)z-1和一个或多个V2'(-L2'-L'(-(V1'-Y'))p')q'(Z')z'-1部分,其中L(-(V1-Y))p表示L可以连接至与Z连接的V1和/或连接至与Z连接的Y,在本文中称为前体部分。
本发明还涉及式(IV)的化合物:
或其药学上可接受的盐、水合物或者溶剂合物,其中
RM是反应性部分,且L、V1、Y、Z、p和z如上述定义,不同之处在于L现在将RM连接至一个或多个V1和/或Y,且V1、Y和Z可以包含保护基,且任选地存在于上文所定义的Z中的所述一个或多个V2'-L2'部分可以任选地且独立地为作为反应性部分的RM',且其中,如果在(IV)中有多于一个反应性部分,一些和全部的反应性部分相同或不同。式(IV)的这些接头-药物缀合物可以被或者可以不被看作是式(III)的化合物的中间体。在式(IV)的化合物中,RM必须存在,而V1可以存在或不存在。
在另一个方面中,本发明涉及式(IV)的化合物,其中RM是一个反应性部分,选自氨基甲酰基卤化物[-N(R)C(O)X]、酰基卤化物[-C(O)X]、活性酯[-C(O)OR]、酸酐[-C(O)OC(O)OR]、α-卤代乙酰基[-C(O)CH2X]、α-卤代乙酰胺[-N(R)C(O)CH2X]、马来酰亚胺、异氰酸酯[-N=C=O]、异硫氰酸酯[-N=C=S]、二硫化物[-S-SR]、硫醇[-SH]、肼[-NH2NH2]、酰肼[-C(O)NH2NH2]、磺酰氯[-S(O)2Cl]、醛[-C(O)H]、甲基酮[-C(O)CH3]、乙烯基砜[-S(O)2-CH=CH2]、卤代甲基[-CH2Cl]和甲基磺酸酯[-CH2OS(O)2R],且其中作为Z的一部分的至少一个式(V)的基团包含一个V1'部分,且包括包含一个X14(CH2CH2O)ggCH2CH2X14部分的V2'、L2'或L'部分,其中gg选自3到1000且每个X14独立地选自
或者所述同一式(V)的基团包括至少两个X14CH2CH2OCH2CH2X14部分,其中每个X14被独立地选择。这些式(IV)的接头-药物缀合物可以被或者可以不被看作是式(III)的化合物的中间体。在这种式(IV)的化合物中,RM必须存在。
在另一个实施方案中,式(IV)的化合物包含一个RM部分,选自氨基甲酰基卤化物[-N(R)C(O)X]、酰基卤化物[-C(O)X]、活性酯[-C(O)OR]、酸酐[-C(O)OC(O)OR]、α-卤代乙酰基[-C(O)CH2X]、α-卤代乙酰胺[-N(R)C(O)CH2X]、马来酰亚胺、异氰酸酯[-N=C=O]、异硫氰酸酯[-N=C=S]、二硫化物[-S-SR]、硫醇[-SH]、肼[-NH2NH2]、酰肼[-C(O)NH2NH2]、磺酰氯[-S(O)2Cl]、醛[-C(O)H]、甲基酮[-C(O)CH3]、乙烯基砜[-S(O)2-CH=CH2]、卤代甲基[-CH2Cl]和甲基磺酸酯[-CH2OS(O)2R]。
RM-L(-(V1-Y))p(Z)z-1和一个或多个RM'-L'(-(V1'-Y'))p'(Z')z'-1部分,其中L(-(V1-Y))p表示L可以连接至与Z连接的V1和/或连接至与Z连接的Y,在本文中称为前体部分。
在另一个方面中,本发明涉及包含裂解位点、自消除性间隔基系统和两个反应性部分的新型双功能接头,所述两个反应性部分之一可以与治疗用或诊断用部分例如式(I)或(II)的化合物反应,而另一个可以与功能性部分例如靶向部分反应。这些双功能接头可用于制备本发明的式(III)和(IV)的缀合物或具有不同的治疗用或诊断用部分的类似化合物。
更具体地,本发明涉及式(VIII)的化合物:
或其药学上可接受的盐、水合物或者溶剂合物,其中
L、V1、Y、RM、p和z如对于式(IV)的化合物所定义,且RM2是一个反应性部分或离去基团。RM和每个RM2被独立地选择。这些式(VIII)的双功能接头可以被或者可以不被看作是用于式(III)和(IV)的化合物的中间体。另外,这些化合物可以被看作是用于与式(III)和(IV)的化合物相似的缀合物和接头-药物缀合物的中间体,其中Z部分是与式(I)、(II)、(I')或(II')的化合物不同的治疗用或诊断用部分,或者是其包含前体部分的衍生物。因此,在另一个方面中,本发明涉及式(III)的缀合物,其中一个或多个Z部分独立地是治疗用或诊断用部分。在又一个方面中,本发明涉及式(IV)的接头-药物缀合物,其中一个或多个Z部分独立地是治疗用或诊断用部分。
应指出的是,可以存在于式(III)、(IV)或(VIII)的化合物中的-CH2CH2X14部分中的单独的X14部分被独立地选择。
还需要指出的是,z不表示聚合度;因此z不表示彼此连接的部分Z或RM2的数目。
应进一步指出的是,如果Y或Y'连接至Z或带有特定R取代基的RM2的原子,而不是连接至这个R取代基本身,则这实际上意味着这个R取代基为不存在,如果满足价键规则需要的话。
应指出的是,如果本发明的化合物包含一个低聚乙二醇或聚乙二醇部分,则不同分子之间的乙二醇单元的实际数目可能不同且可变的指定的单元数实际上表示单元的平均数。尽管乙二醇单元的平均数在本发明化合物的定义中通常被限制为1000个,但是具有更大乙二醇单元平均数的化合物也被包括在本发明范围内。
应该理解,本发明涉及对映体纯的和/或非对映体纯的式(III)、(IV)和(VIII)的化合物以及涉及式(III)、(IV)和(VIII)的化合物的对映体混合物和/或非对映体混合物。
在式(III)或(IV)的化合物在Y中包含未与Z偶联的用于Z的连接位点时,例如在合成期间由于与Z的不完全偶联反应所致,这些连接位点被认为是连接至H、OH、反应性部分(例如,RM2)或离去基团(例如,RM2)。如果所有所述连接位点都连接至Z,则z等于所述连接位点的数目;否则z小于所述连接位点的数目。本发明的化合物可以作为混合物存在,其中混合物的每个组分具有不同的z值。例如该化合物可以作为两种单独的化合物的混合物存在,一种化合物中的z是4而另一个化合物中的z为3。另外,对于给定的z,化合物可以作为(组分)异构体的混合物存在,因为Z可能连接至不同的连接位点(组)。
为了清楚,在描述式(III)、(IV)或(VIII)内的一个第一部分对其它部分的连接时,通常只提及式(III)、(IV)或(VIII)中直接连接至所述第一部分的所述其它部分。应该理解,如果所述其它部分之一为不存在,则所述第一部分实际上连接于顺序存在的第一个部分,除非明确表明情况不是这样。例如,如果描述“将V1从Y裂解掉”,这句话的意思是“V1是从Y被裂解掉的,或者如果Y为不存在则V1是从Z被裂解掉的”且在化合物不含Y时应该描述为“将V1从Z裂解掉”。
在式(III)或(IV)的化合物中,Z可以通过其水溶性基团例如低聚乙二醇或聚乙二醇部分缀合于前体部分。这样,所述水溶性基团对式(III)或(IV)的化合物的水溶性的贡献可以较少,但是可以在除去所述前体部分时再对Z的水溶性有所贡献。
在本文中,在提及V2、L2、L、V1、Y、Z、RM、p、q或z时,应该理解,可分别将其适用于每个V2'、L2'、L'、V1'、Y'、Z'、RM'、p'、q'或z',除非具体情况表明不是这样。
V1部分
在式(III)、(IV)或(VIII)的化合物中,V1部分是可条件性裂解或可转化的基团。换句话说,它被设计为在被带入某些条件下或处于某些条件下时通过化学过程、光化学过程、物理过程、生物过程或酶促过程被转化和/或被从Y裂解掉。这种条件可以例如是使本发明化合物进入导致V1水解的水相环境中,或者使本发明化合物进入包含识别并裂解V1的酶的环境中,或者使本发明化合物处于导致V1还原和/或除去的还原条件下,或者使本发明化合物处于导致V1氧化和/或除去的氧化条件下,或者使本发明化合物接触导致转化和/或裂解的辐射如紫外光,或者使本发明化合物接触导致转化和/或裂解的热,或者使本发明化合物处于导致转化(如反环加成(retrocycloaddition))和/或裂解的减压条件下,或者使本发明化合物处于导致转化和/或裂解的加压或高压条件下。这种条件可以在将本发明化合物对动物,例如哺乳动物,例如人给药之后得到满足:所述条件可能在所述化合物例如通过内在因素(例如,靶-特异性酶或缺氧)的存在或施加外部因素(例如,辐射、磁场)而局域化到例如特定的器官、组织、细胞、亚细胞靶或细菌、病毒或微生物靶时得到满足,或者所述条件可以在给药时直接得到满足(例如,借助循环系统中的普遍存在的酶)。
V1的裂解意味着V1和Y之间的键断裂。V1的转化意味着V1被转化为不同的部分,且这一事件可直接地或间接地导致V1从Y的自裂解。或者,V1的转化可以导致形成V1-Y部分,其是一种自牺牲式接头。在这种情况中,Y只在V1的转化之后才变为自牺牲式。经过转化的V1部分实际上(部分地)变成Y的一部分。例如,作为氢原子的V1到羟基基团的氧化可以导致形成自消除的对-或邻-羟基苄基氧基羰基V1-Y部分。作为另一个实例,作为硝基基团的V1的还原可以导致形成自消除的对-或邻-氨基苄基氧基羰基V1-Y部分。
再或者,V1可能是不存在的。在这种情况中,意在所述前体部分不可从Z除去,且整个前体部分或其一部分(在式(III)或(IV)的化合物在分子的一个或多个其它位置降解的情况中)保持连接至一个或多个部分Z。对此的另一种看法是,保持连接至所述部分Z的前体部分的一部分实际上是部分Z的一部分。
本发明化合物可以在每个前体部分中包含不止一个V1部分(p和/或q>1)。这些V1部分可以相同或不同,且可以需要或不需要相同的转化和/或裂解条件。
V1转化和/或裂解的速率可依赖于式(III)的化合物的其它部分。例如,使用较短的L和/或Y部分可以产生距离裂解位点更近的功能性部分和/或Z,这可以导致转化和/或裂解速率降低。L和/或Y部分上的(体积大的)取代基也可以导致V1的转化和/或裂解速率降低,尤其是在它们位于转化和/或裂解位点较近时。例如氢键、相邻基团和电子效应的其它效应也起到一定作用。
在本发明的一个方面中,缀合物用于将一个或多个部分Z靶向到靶细胞。在这种情况中,V1部分可以例如包含通过存在于靶细胞例如肿瘤细胞附近或内部的酶裂解的底物分子。V1可以例如包含与身体的其它部分相比在靶细胞附近或内部以升高的水平存在的酶或通过只在靶细胞附近或内部存在的酶裂解的底物。
重要的是要认识到,如果仅基于所述V1在靶位置的选择性转化和/或裂解实现靶位置特异性,则引起裂解的条件应该,优选至少在一定程度上,是靶位置特异性的,而另一个靶特异性部分在本发明化合物中的存在,例如存在于V2部分中,削弱或消除了这种要求。例如,在V2引起到靶细胞中的选择性内化时,还存在于其它细胞中的酶可能转化和/或裂解V1。然而优选裂解不在远离靶位置的位置发生。因此,缀合物不应在不同于靶位置的位置暴露于可以引起V1裂解的酶或条件。在一个实施方案中,V1的转化和/或裂解在细胞内发生。在另一个实施方案中,V1的转化和/或裂解在细胞外发生。在另一个实施方案中,V1的转化和/或裂解通过普遍存在的胞内酶发生。在另一个实施方案中,V1的转化和/或裂解通过普遍存在的细胞外酶发生。
在一个实施方案中,V1包含一个单独的氨基酸、二肽、三肽、四肽或寡肽或肽模拟物,所述肽模拟物由氨基酸或氨基酸序列或其可由存在于靶细胞例如肿瘤细胞附近或内部的蛋白水解酶识别并可裂解的模拟物组成,所述蛋白水解酶例如是纤溶酶、组织蛋白酶、组织蛋白酶B、前列腺特异性抗原(PSA)、尿激酶型纤溶酶原激活物(u-PA)或基质金属蛋白酶家族的成员。在一个实施方案中,V1是一个肽。在另一个实施方案中,V1是一个单个的氨基酸。在另一个实施方案中,V1是一个二肽。在另一个实施方案中,V1是一个三肽。在另一个实施方案中,V1是一个四肽。在又一个实施方案中,V1是一个肽模拟物。肽模拟物可以是模拟物或肽模拟物。氨基酸模拟物可以例如是天然氨基酸的衍生物,其中氨基基团已经被羟基基团或三唑基团代替、其中氨基酸的α-氨基基团被烷基化或者其中侧链连接至-氨基基团而不是连接至α-碳。肽模拟物可以是包含一个或多个这种氨基酸模拟物的肽。
在另一个实施方案中,V1包含一个由存在于肿瘤细胞附近或内部的β-葡糖醛酸糖苷酶识别的β-葡糖苷酸。
在一个实施方案中,V1包含酶的一个底物。
在另一个实施方案中,V1是酶的一个底物。
在一个实施方案中,V1包含细胞外酶的一个底物。
在另一个实施方案中,V1包含胞内酶的一个底物。
在又一个实施方案中,V1包含溶酶体酶的一个底物。
在又一个实施方案中,V1包含丝氨酸蛋白酶纤溶酶的一个底物。
在又一个实施方案中,V1包含一种或多种组织蛋白酶如组织蛋白酶B的一个底物。
在又一个实施方案中,V1包含半乳糖苷酶的一个底物。
在又一个实施方案中,V1包含醌还原酶NQO1的一个底物。
在又一个实施方案中,V1包含要在胞内被水解的一个酰肼、腙或亚胺部分。
在又一个实施方案中,V1包含要在胞内被裂解的一个二硫化物部分。
在V1被胞外裂解时,可以在细胞外释放一个或多个Z部分。这样的优点在于这些Z部分不仅能够影响直接包围该活化位置的细胞(例如,靶-阳性细胞),而且由于扩散(旁观者效应)能够影响稍微远离活化位置的细胞(例如,靶-阴性细胞),条件是该Z部分能够穿过细胞膜。
裂解V1的酶也可以通过例如抗体导向的酶-前药疗法(ADEPT)、聚合物导向的酶-前药疗法(PDEPT)、大分子导向的酶-前药疗法(MDEPT)、病毒导向的酶-前药疗法(VDEPT)或基因导向的酶-前药疗法(GDEPT)而被转运到靶细胞或靶组织的附近或内部。在这些途径中,在将前药例如,式(III)或(IV)的化合物给药之前将裂解V1所需要的酶转运到靶位置或在靶位置诱导所述酶的产生。在一个实施方案中,V1的转化和/或裂解通过使用ADEPT途径与抗体连接的酶发生。
在另一个实施方案中,V1包含一个部分,例如,硝基苄基部分,其可以通过在缺氧条件下还原或通过硝基还原酶的还原而被转化和/或裂解。在硝基基团的还原和得到的部分通过自消除裂解之后,间隔基系统Y(如果存在)的自消除引起一个或多个部分Z的释放。
在一个实施方案中,本发明涉及缀合物,其中V1是单独的氨基酸、由天然的L氨基酸、非天然的D氨基酸或合成的氨基酸组成的二肽、三肽、四肽或寡肽部分,或肽模拟物或其任何组合。
在另一个实施方案中,本发明涉及其中V1包括三肽的化合物。所述三肽可以通过其C-末端连接至Y。在一个实施方案中,所述三肽的所述C-末端氨基酸残基选自丙氨酸、精氨酸、瓜氨酸和赖氨酸,所述三肽的所述中间的氨基酸残基选自丙氨酸、缬氨酸、亮氨酸、异亮氨酸、蛋氨酸、苯丙氨酸、环己基甘氨酸、色氨酸和脯氨酸,且所述三肽的N-末端氨基酸残基选自任何天然的或非天然氨基酸。
在另一个实施方案中,本发明涉及其中V1包括一个二肽的化合物。所述二肽可以通过其C-末端连接至Y。在一个实施方案中,所述二肽的所述C-末端氨基酸残基选自丙氨酸、精氨酸、瓜氨酸和赖氨酸,且所述二肽的N-末端氨基酸残基选自任何天然的或非天然氨基酸。
在又一个实施方案中,本发明涉及其中V1包括单个氨基酸的化合物。所述氨基酸可以通过其羧基基团连接至Y。在一个实施方案中,所述氨基酸选自丙氨酸、精氨酸、瓜氨酸和赖氨酸。
在一个实施方案中,在V1的N-末端氨基酸的α-氨基基团没有偶联于L时,这个氨基酸可以用偶联于该α-氨基基团的适当的封闭基团官能化或者可以是非天然氨基酸,以便防止不希望的V1被例如普遍存在的酶例如肽链端解酶过早降解。这种封闭基团可以是防止或显著地延迟V1的过早降解的任何基团。这种封闭基团的实例包括D-氨基酸、乙酰基基团、叔丁基氧基羰基基团和低聚乙二醇或聚乙二醇。
在另一个实施方案中,V1选自D-丙氨酰基苯丙氨酰基赖氨酸、D-缬氨酰基亮氨酰基赖氨酸、D-丙氨酰基亮氨酰基赖氨酸、D-缬氨酰基苯丙氨酰基赖氨酸、D-缬氨酰基色氨酰基赖氨酸、D-丙氨酰基色氨酰基赖氨酸、丙氨酰基苯丙氨酰基赖氨酸、缬氨酰基亮氨酰基赖氨酸、丙氨酰基亮氨酰基赖氨酸、缬氨酰基苯丙氨酰基赖氨酸、缬氨酰基色氨酰基赖氨酸、丙氨酰基色氨酰基赖氨酸、D-丙氨酰基苯丙氨酰基瓜氨酸、D-缬氨酰基亮氨酰基瓜氨酸、D-丙氨酰基亮氨酰基瓜氨酸、D-缬氨酰基苯丙氨酰基瓜氨酸、D-缬氨酰基色氨酰基瓜氨酸、D-丙氨酰基色氨酰基瓜氨酸、丙氨酰基苯丙氨酰基瓜氨酸、缬氨酰基亮氨酰基瓜氨酸、丙氨酰基亮氨酰基瓜氨酸、缬氨酰基苯丙氨酰基瓜氨酸、缬氨酰基色氨酰基瓜氨酸和丙氨酰基色氨酰基瓜氨酸。
在又一个实施方案中,V1选自苯丙氨酰基赖氨酸、缬氨酰基赖氨酸、缬氨酰基丙氨酸、D-苯丙氨酰基苯丙氨酰基赖氨酸、苯丙氨酰基苯丙氨酰基赖氨酸、甘氨酰基苯丙氨酰基赖氨酸、丙氨酰基赖氨酸、缬氨酰基瓜氨酸、N-甲基缬氨酰基瓜氨酸、苯丙氨酰基瓜氨酸、异亮氨酰基瓜氨酸、色氨酰基赖氨酸、色氨酰基瓜氨酸、苯丙氨酰基精氨酸、苯丙氨酰基丙氨酸、甘氨酰基苯丙氨酰基亮氨酰基甘氨酸、丙氨酰基亮氨酰基丙氨酰基亮氨酸、丙氨酰基精氨酰基精氨酸、苯丙氨酰基-N9-甲苯磺酰基精氨酸、苯丙氨酰基-N9-硝基精氨酸、亮氨酰基赖氨酸、亮氨酰基瓜氨酸和苯丙氨酰基-O-苯甲酰基苏氨酸。
在另一个实施方案中,V1选自苯丙氨酰基赖氨酸、缬氨酰基赖氨酸和缬氨酰基瓜氨酸。
在另外的实施方案中,V1是苯丙氨酰基赖氨酸或缬氨酰基赖氨酸或缬氨酰基瓜氨酸。
因此,在一个实施方案中,本发明涉及如下的化合物,其中V1包含一个可以由蛋白水解酶、纤溶酶、组织蛋白酶、组织蛋白酶B、β-葡糖醛酸糖苷酶、半乳糖苷酶、前列腺特异性抗原(PSA)、尿激酶型纤溶酶原激活物(u-PA)、基质金属蛋白酶家族的成员或借助定向的酶-前药疗法(例如ADEPT、VDEPT、MDEPT、GDEPT或PDEPT)局域化的酶裂解的底物,或者其中V1包含一个可以通过缺氧条件下的还原、通过被硝基还原酶还原或通过氧化而被裂解或转化的部分。
在本发明的另一个方面中,本发明的缀合物主要用于改善Z的药理学性能。当不需要在靶位置选择性地除去前体部分时,所述前体部分的V1可以例如是,或者包含,通过pH-控制的分子内环化或通过酸催化的或碱催化的或非催化的水解被普遍存在的酶裂解的基团,所述普遍存在的酶例如是存在于循环系统中的酯酶或胞内酶,例如,蛋白酶和磷酸酶;或者V1可以例如是或包含二硫化物或与相邻部分形成二硫化物。因此,V1可以,任选地与L和/或Y的连接原子一起,例如形成可以在体内裂解的碳酸酯、氨基甲酸酯、尿素、酯、酰胺、亚胺、腙、酰肼、肟、二硫化物、缩醛或缩酮基团。这意味着V1,任选地与L和/或Y的连接原子一起,可以例如还表示-OC(O)-、-C(O)O-、-OC(O)O-、-N(Rv)C(O)-、-C(O)N(Rv)-、-N(Rv)C(O)O-、-OC(O)N(Rv)-、-N(Rv)C(O)N(Rw)-、-C(O)-、-OC(Rv)(Rw)-、-C(Rv)(Rw)O-、-OC(Rv)(Rw)O-、-C(Rv)(Rw)-、-S-、-S-S-、-C=、=C-、-N=、=N-、-C=N-、-N=C-、-O-N=、=N-O-、-C=N-O-、-O-N=C-、-N(Rv)-N=、=N-N(Rv)-、-N(Rv)-N=C-或-C=N-N(Rv)-,其中Rv和Rw独立地选自H和任选被取代的C1-10烷基、C1-10杂烷基、C1-10杂芳基、C3-10环烷基、C1-10杂环烷基或C5-10芳基,Rv和Rw任选地通过一个或多个键结合以形成一个或多个任选被取代的碳环和/或杂环。
V1因此可以例如是或包含,任选地与L和/或Y的连接原子一起,肽、氨基酸、肽模拟物、二硫化物、单糖或二糖或其衍生物、硝基芳香族部分、亚胺、酰肼或腙部分。
如果V1或V1-Y表示整个前体部分或L连接至Y而不连接至V1,V1还可以例如选自单糖、二糖或低聚糖、Rp-[O(Rp'O)P(O)]pp-、Rp-C(O)-、Rp-OC(O)-和Rp-N(Rp')C(O)-,其中pp选自1到3且每个Rp和Rp'独立地选自H和任选被取代的C1-15烷基、C1-15杂烷基、C3-15环烷基、C1-15杂环烷基、C5-15芳基或C1-15杂芳基,Rp和Rp'任选地通过一个或多个键结合以形成一个或多个任选被取代的碳环和/或杂环。
在一个实施方案中,V1选自膦酰基、苯基氨基羰基、4-(哌啶-1-基)哌啶-1-基羰基、哌嗪-1-基羰基、哌啶-1-基羰基、吡咯烷-1-基羰基和4-甲基哌嗪-1-基羰基。
V1本身可以有助于缀合物的有利的药理学性能,例如通过V1中的极性官能团的存在。
如果本发明的缀合物包含不止一个前体部分,则这些前体部分中的一个可用于将缀合物靶向到靶位置(靶向前体部分),而另一个前体部分用于改善药理学性能。在这种情况中,优选靶向前体部分中的V1部分在靶位置被裂解,例如通过靶位置-特异性的过程,例如被主要存在于靶位置的酶或通过只能在缀合物的靶细胞-选择性内化之后发生的更普通的胞内过程而酶促裂解,而有助于改善药理学性能的前体部分可以在靶位置裂解或系统地裂解,例如通过普遍存在的酶裂解。
应该指出的是,作为氨基酸、二肽、三肽、四肽或寡肽形式的或作为任何其它形式的V1可以包含保护基。包括这种被保护的V1的本发明化合物在被置于转化和/或裂解相应的未被保护的V1的条件下时可能不释放任何Z部分。然而,在所述化合物被脱保护时,这种化合物在处于适当的条件时会释放一个或多个Z部分。包括这种被保护的V1的化合物也在本发明范围内。在一个方面中,可以预见上述内容适用于式(IV)的化合物。用于官能团的适当的保护基,特别是用于氨基酸的适当的保护基,是有机化学工作者公知的且可以在例如中T.W.Greene,Protective Groups in Organic Synthesis,John Wiley&Sons,New York,1981找到。在另一个方面中,可以有保护基或保护性部分存在于式(III)的的化合物中,且这种化合物可以按原样给药。这意味着在任何Z可以通过V1的转化和/或裂解被释放之前在体内发生脱保护。式(III)的化合物中的被保护的V1部分的体内脱保护可以通过例如水解或酶促转化发生。这种脱保护可以在靶位置发生或非特异性地发生。
式(III)和(IV)的化合物可以被设计为在一个或多个V1和V1'部分的转化和/或裂解之后最终释放式(I)或(II)的化合物或式(I’)或(II’)的化合物。然而本发明并不排除通过另一机理从本发明缀合物的释放式(I)或(II)的化合物、式(I’)或(II’)的化合物或其衍生物(例如由于前体部分的仅部分降解)。
在本发明的另一个方面中,式(III)的化合物表示用于制备式(I)或(II)的化合物或另一个式(III)的化合物的中间体。在这种情况中,例如,V2、L2、L和Y为不存在,p、q和z都是1,且V1部分可以是一个保护基。可以存在有或不存在有一个或多个V2'(-L2'-L'(-(V1'-Y'))p')q'(Z')z'-1部分,其中V2'、L2'、L'和Y'可以不存在或者存在,和p'、q'和z'可以都是或者可以不都是1。在一个实施方案中,式(III)的化合物是连接有V1部分的式(I)或(II)的化合物。在另一个实施方案中,式(III)的化合物是连接有V1部分和一个V2'(-L2'-L'(-(V1'-Y'))p')q'(Z')z'-1部分的式(I)或(II)的化合物。在又一个实施方案中,式(III)的化合物是连接有一个V1部分和一个V1'部分的式(I)或(II)的化合物。
在一个实施方案中,V1不是一个保护基。
在另一个实施方案中,V2、L2、L和Y不存在且p、q和z都是1。
在另一个实施方案中,V1是一个可用化学方法除去的基团。
在又一个实施方案中,V1是一个通过X1连接至Z的可用化学方法除去的基团。
在又一个实施方案中,V1是一个通过X1连接至Z的苄基基团。
在另一个实施方案中,V1是叔丁氧基羰基(甲基氨基)乙基(甲基氨基)羰基。
在另一个实施方案中,V1是4-(叔丁氧基羰基)哌嗪-1-羰基。
在一个实施方案中,V1通过V1上的不止一个官能团连接至L。
在另一个实施方案中,V1通过V1上的一个官能团连接至L。
在另一个实施方案中,V1通过V1的天然的或非天然氨基酸之一的侧链中的官能团连接至L。
在另一个实施方案中,V1的N-末端氨基酸通过其α氨基基团连接至L。
在另一个实施方案中,V1为不存在。
自消除性间隔基系统Y
所述自消除性间隔基系统Y,如果存在,将V1和任选的L连接至一个或多个部分Z,或者在式(VIII)的化合物的情况中连接至RM2。
可以将自消除性间隔基系统Y并入到本发明的缀合物,用于例如改善Z或整个缀合物的性能,用于提供适当的偶联化学,和/或用于在V1和Z之间产生间隔。
本发明的化合物可以在每个前体部分中包含不止一个间隔基系统Y。这些部分Y可以相同或可以不相同。
在V1的裂解或转化之后,Y的左手侧可以变成未被封闭的,或者可以形成V1-Y自消除部分,其导致一种或多种部分Z的最终释放。所述自消除性间隔基系统可以例如是在WO02/083180和WO 2004/043493中描述的那些(所述文献被全文并入本文作为参考)、可以是在本节中描述的那些、以及本领域的技术人员已知的其它自消除性间隔基。
除了提供适当的偶联化学和在裂解位置和Z之间形成间隔之外,部分Y可以帮助改善缀合物的药理学性能。例如,水溶性部分或取代基例如聚乙二醇部分或在生理学pH(至少部分地)带电的取代基的存在可以有助于缀合物的水溶性和/或提高缀合物的储存稳定性和/或血浆稳定性。
在一个方面中,本发明涉及如下的化合物,其中Y是
(W-)w(X-)x(A-)s,
其中
W和X各自是相同或不同的单次释放(single–release)1,2+2n电子级联间隔基(n≥1);
A是一个在环化时形成环状尿素衍生物的ω-氨基氨基羰基环化间隔基;
s是0或1;
w和x是表示聚合度的数字且独立地是0(含端值)到5(含端值)的整数。
在一个实施方案中,w+x是0、1或2。在另一个实施方案中,s是0。在又一个实施方案中,s是1。在又一个实施方案中,w+x是1或2和s是1。在又一个实施方案中,w+x是1和s是1。在又一个实施方案中,w是1、x是0和s是1。
根据本发明的另一个实施方案,1,2+2n电子级联间隔基W和X独立地是下式的部分:
其中
Q'选自-R110C=CR111-、S、O、NR111、-R111C=N-和-N=CR111-;
B选自NR112、O和S;
P是C(R108)(R109)Q;
R106、R107、B和(T-)t(T'-)t'(T″-)t″P连接至Ca、Cb、Cc和Cd,使得B和(T-)t(T'-)t'(T″-)t″P分别连接至两个相邻碳原子或连接至Ca和Cd;
Q为不存在或-O-C(O)-;
t、t'和t″是表示聚合度的数字且独立地是0(含端值)到5(含端值)的整数;
T、T'和T″独立地选自下式的部分
R106、R107、R108、R109、R110、R111、R112、R113和R114独立地选自H、OH、SH、NH2、N3、NO2、NO、CF3、CN、C(O)NH2、C(O)H、C(O)OH、卤素、Ry、SRy、S(O)Ry、S(O)2Ry、S(O)ORy、S(O)2ORy、OS(O)Ry、OS(O)2Ry、OS(O)ORy、OS(O)2ORy、ORy、NHRy、N(Ry)Ry1、+N(Ry)(Ry1)Ry2、P(O)(ORy)(ORy1)、OP(O)(ORy)(ORy1)、C(O)Ry、C(O)ORy、C(O)N(Ry1)Ry、OC(O)Ry、OC(O)ORy、OC(O)N(Ry)Ry1、N(Ry1)C(O)Ry、N(Ry1)C(O)ORy和N(Ry1)C(O)N(Ry2)Ry,其中Ry、Ry1和Ry2独立地选自H和任选被取代的(CH2CH2O)eeCH2CH2X13Re1、C1-20烷基、C1-20杂烷基、C3-20环烷基、C1-20杂环烷基、C5-20芳基或C1-20杂芳基,其中ee选自1到1000,X13选自O、S和NRf1,和Rf1和Re1独立地选自H和C1-3烷基,Ry、Ry1和Ry2中的两个或更多个任选地通过一个或多个键结合以形成一个或多个任选被取代的碳环和/或杂环,取代基R106、R107、R108、R109、R110、R111、R112、R113和R114中的两个或更多个任选地通过一个或多个键结合以形成一个或多个任选被取代的碳环和/或杂环。
在上述式中,Q可以是O-C(O),但是它也可以是不存在的。例如,已经报导了在自消除性间隔基和离去的基团之间具有苄基醚键(因此氧基羰基部分是不存在的(Q是不存在的))的化合物经历自消除9。
在一个实施方案中,t、t'和t″是0。
取代基R108和R109可用于调节与连接至Q的所述部分(例如,A或Z)的键的屏蔽程度。它们还可以用于调节1,2+2n电子级联间隔基W和X的自消除速率。在一个实施方案中,R108和R109二者都是H。在另一个实施方案中,R108不是H。在又一个实施方案中,R108和R109二者都不是H。
取代基R106、R107、R110和R111可用于调节V1和Y之间的键的屏蔽程度并因此可用于调节式(III)或(IV)的化合物的裂解速率。另外,这些取代基可用于为本发明化合物引入另外的水溶性。在一些实施方案中,所述1,2+2n电子级联间隔基W或X是
其中bb和cc独立地是0到10的整数且R123和R124独立地选自H和甲基。
在另一个实施方案中,所述1,2+2n电子级联间隔基W或X是
根据本发明的另一个实施方案,所述ω-氨基氨基羰基环化消除间隔基A是下式的部分
其中
u是0或1的整数;
R115、R116、R117、R118、R119、R120、R121和R122独立地选自H、OH、SH、NH2、N3、NO2、NO、CF3、CN、C(O)NH2、C(O)H、C(O)OH、卤素、Rz、SRz、S(O)Rz、S(O)2Rz、S(O)ORz、S(O)2ORz、OS(O)Rz、OS(O)2Rz、OS(O)ORz、OS(O)2ORz、ORz、NHRz、N(Rz)Rz1、+N(Rz)(Rz1)Rz2、P(O)(ORz)(ORz1)、OP(O)(ORz)(ORz1)、C(O)Rz、C(O)ORz、C(O)N(Rz1)Rz、OC(O)Rz、OC(O)ORz、OC(O)N(Rz)Rz1、N(Rz1)C(O)Rz、N(Rz1)C(O)ORz和N(Rz1)C(O)N(Rz2)Rz,其中Rz、Rz1和Rz2独立地选自H和任选被取代的(CH2CH2O)eeCH2CH2X13Re1、C1-20烷基、C1-20杂烷基、C3-20环烷基、C1-20杂环烷基、C5-20芳基或C1-20杂芳基,其中ee选自1到1000,X13选自O、S和NRf1,和Rf1和Re1独立地选自H和C1-3烷基,Rz、Rz1和Rz2中的两个或更多个任选地通过一个或多个键结合以形成一个或多个任选被取代的碳环和/或杂环,取代基R115、R116、R117、R118、R119、R120、R121和R122中的两个或更多个任选地通过一个或多个键结合以形成一个或多个任选被取代的碳环和/或杂环。
R115和R116是位于作为连接键的一部分的氮原子上的取代基基团,所述连接键连接至与式(III)、(IV)或(VIII)的化合物中的ω-氨基氨基羰基环化消除间隔基相邻的所述部分。带有R116的氮通过羰基部分连接至Z或RM2。带有R115的氮原子连接至W、X、V1或L。除了影响整个式(III)、(IV)或(VIII)的化合物的药理学性能,取代基R115和R116的尺寸和性质尤其影响所述连接键的稳定性。例如,选择R116为小的取代基通常可以引起连接至Z的键与R116是体积更大的取代基(例如,在氮原子的α或β碳分支的取代基)相比对水解或酶促降解不那么稳定。取代基R116的性质,例如是否为极性的或者在生理学pH下是否为带电的,也可影响连接于Z的键的稳定性,因为取代基可以影响连接键对于特定酶的底物性能或延迟或提高水解速率。如果该连接键易受普遍存在的酶,例如存在于循环系统中的酶的影响,则这可以引起缀合物的过早降解。同样的关系在连接至W、X、V1或L的连接键方面适用于取代基R115。类似地,直接连接至氮原子的碳上的取代基(R117、R118、R119、R121和R122)可以有助于该连接键的稳定性。
取代基R115和R116还可以影响ω-氨基氨基羰基环化消除间隔基A的环化速率。体积大的取代基可以阻碍环化并由此通常降低环化速率。因此通常小的取代基可以对于快的环化速率是有利的。然而,取代基的其它性能,例如电负性、极性和氢键供体和/或受体基团的有效性,也可能影响环化速率。另外,如果R115和R116中仅一个是体积大的取代基,则环化速率可能相对于包含两个都不是体积大的取代基的环化间隔基有所增强,这可能是由于B张力。环化速率还受到ω-氨基氨基羰基环化消除间隔基上的其它取代基的影响。这些取代基的性能,例如极性、电负性和氢键合能力,可以对环化速率有影响。另外,在两个氮原子之间的一个碳上的成对取代基的存在也可以增强环化速率(Thorpe-Ingold效应)。形成一个或多个环的取代基的连接也可能对环化速率有影响。在这个方面中,可以使两个氮原子更临近或降低熵的每个修饰都对环化速率有加速作用。
对环化速率的影响可以是pH依赖性的且两个ω-氨基氨基羰基环化消除间隔基的环化速率的顺序可以从例如pH 7到pH 5而被反转。
尽管在一些情况中具有快环化速率的ω-氨基氨基羰基环化消除间隔基并由此在V1的裂解之后不久释放活性药物对于本发明的缀合物而言可能是有利的,但是在其它情况中,具有慢的环化速率或环化速率介于两个预定的界限之间或优选只在某些pH界限内以快的速率环化的ω-氨基氨基羰基环化消除间隔基可能是更有利的。这可以引起环化间隔基-药物中间体作为前药存留一定的时间,所述前药会缓慢地释放药物或在某一条件已经得到满足之后释放药物。
在一个实施方案中,R115和R116独立地选自Rz,其中Rz选自H和任选被取代的(CH2CH2O)eeCH2CH2X13Re1、C1-20烷基、C1-20杂烷基、C3-20环烷基、C1-20杂环烷基、C5-20芳基和C1-20杂芳基,其中ee选自1到1000,X13选自O、S和NRf1,和Rf1和Re1独立地选自H和C1-3烷基。
在另一个实施方案中,R115和R116二者都不是H。在另一个实施方案中,R115和R116都不是甲基。在又一个实施方案中,R115和R116都不是H且R115和R116中的至少一个不是甲基。在又一个实施方案中,R115和R116都不是H且R116不是甲基。在又一个实施方案中,R115和R116中的至少一个不是H或甲基。已经表明并入到式(III)或(IV)的化合物中的这种环化间隔基具有相对于其中R115和R116都是选自仅H和甲基的环化间隔基得以改善的性能。例如,自消除的速率、药物释放的速率、缀合物稳定性和/或缀合物极性可能得到改善。
在一个实施方案中,R115和R116独立地选自任选被取代的(CH2CH2O)eeCH2CH2X13Re1、C1-6烷基、C1-6杂烷基、C3-6环烷基、C1-6杂环烷基、C5-6芳基和C1-6杂芳基,其中ee选自1到9、X13选自O、S和NRf1,和Rf1和Re1独立地选自H和C1-3烷基。
在另一个实施方案中,R115和R116独立地选自H、甲基、乙基、异丙基、叔丁基、苯基、(CH2CH2O)eeCH2CH2X13Re1,
其中dd选自0到10,dd'选自0和1,每个R123独立地选自H和甲基,ee选自1到1000,X13选自O、S和NRf1,和Rf1和Re1独立地选自H和C1-3烷基。
在另外的实施方案中,R115和R116独立地选自H、甲基、乙基、异丙基、叔丁基、苯基、(CH2CH2O)eeCH2CH2X13Re1,
其中dd'选自0和1,每个R123独立地选自H和甲基,X13选自O、S和NRf1,Rf1和Re1独立地选自H和C1-3烷基,dd为1或2或3或4或5,且ee是1或2或3或4或5或6或7或8。
在另一个实施方案中,R115是甲基且R116选自H、甲基、乙基、异丙基、叔丁基、苯基、(CH2CH2O)eeCH2CH2X13Re1,
其中dd选自0到10,dd'选自0和1,每个R123独立地选自H和甲基,X13选自O、S和NRf1,和Rf1和Re1独立地选自H和C1-3烷基,且ee选自1到1000。
在另一个实施方案中,R115是甲基且R116选自乙基、异丙基、叔丁基、苯基、(CH2CH2O)eeCH2CH2X13Re1,
其中dd选自0到10,dd'选自0和1,每个R123独立地选自H和甲基,X13选自O、S和NRf1,和Rf1和Re1独立地选自H和C1-3烷基,且ee选自1到1000。
在又一个实施方案中,R116是甲基且R115选自H、甲基、乙基、异丙基、叔丁基、苯基、(CH2CH2O)eeCH2CH2X13Re1,
其中dd选自0到10,dd'选自0和1,每个R123独立地选自H和甲基,X13选自O、S和NRf1,和Rf1和Re1独立地选自H和C1-3烷基,且ee选自1到1000。
在又一个实施方案中,R115和R116独立地选自H、甲基、乙基、异丙基、叔丁基、苯基,
在又一个实施方案中,R115和R116独立地选自H、甲基、乙基、异丙基、叔丁基、苯基,
在又一个实施方案中,R115是甲基且R116选自H、甲基、乙基、异丙基、叔丁基、苯基,
在又一个实施方案中,R116是甲基且R115选自H、甲基、乙基、异丙基、叔丁基、苯基,
在又一个实施方案中,R115或R116与R117、R118、R119、R120、R121和R122之一结合以形成饱和的或不饱和的环。在另一个实施方案中,R115或R116与R117、R118、R119、R120、R121和R122之一结合以形成饱和的或不饱和的5-或6-元环。在又一个实施方案中,R115与R117、R118、R119、R120、R121和R122之一结合以形成饱和的或不饱和的5-或6-元环。在又一个实施方案中,R116与R117、R118、R119、R120、R121和R122之一结合以形成饱和的或不饱和的5-或6-元环。
在另一个实施方案中,R117、R118、R119、R120、R121和R122中的两个连接在一起形成饱和的或不饱和的环。在又一个实施方案中,不连接至同一碳原子的R117、R118、R119、R120、R121和R122中的两个连接在一起形成饱和的或不饱和的5-或6-元环。
在一个实施方案中,所述环化间隔基A选自
在另一个实施方案中,所述环化间隔基A选自
在另一个实施方案中,所述环化间隔基A选自
在另一个实施方案中,所述环化间隔基A是
在另一个实施方案中,所述环化间隔基A选自
其中R115、R116、R117、R118、R119、R120、R121和R122独立地选自H、OH、SH、NH2、N3、NO2、NO、CF3、CN、C(O)NH2、C(O)H、C(O)OH、卤素、Rz、SRz、S(O)Rz、S(O)2Rz、S(O)ORz、S(O)2ORz、OS(O)Rz、OS(O)2Rz、OS(O)ORz、OS(O)2ORz、ORz、NHRz、N(Rz)Rz1、+N(Rz)(Rz1)Rz2、P(O)(ORz)(ORz1)、OP(O)(ORz)(ORz1)、C(O)Rz、C(O)ORz、C(O)N(Rz1)Rz、OC(O)Rz、OC(O)ORz、OC(O)N(Rz)Rz1、N(Rz1)C(O)Rz、N(Rz1)C(O)ORz和N(Rz1)C(O)N(Rz2)Rz,其中Rz、Rz1和Rz2独立地选自H和任选被取代的(CH2CH2O)eeCH2CH2X13Re1、C1-20烷基、C1-20杂烷基、C3-20环烷基、C1-20杂环烷基、C5-20芳基或C1-20杂芳基,其中ee选自1到1000,X13选自O、S和NRf1,和Rf1和Re1独立地选自H和C1-3烷基,Rz、Rz1和Rz2中的两个或更多个任选地通过一个或多个键结合以形成一个或多个任选被取代的碳环和/或杂环,所述取代基R115、R116、R117、R118、R119、R120、R121和R122中的两个或更多个任选地通过一个或多个键结合以形成一个或多个任选被取代的碳环和/或杂环。
在又一个实施方案中,所述环化间隔基A选自
其中R115和R116独立地选自H、甲基、乙基、异丙基、叔丁基、苯基、(CH2CH2O)eeCH2CH2X13Re1,
其中dd选自0到10,dd'选自0和1,每个R123独立地选自H和甲基,ee选自1到1000,X13选自O、S和NRf1,和Rf1和Re1独立地选自H和C1-3烷基,
且其中R117、R118、R119、R120、R121和R122独立地选自H、OH、SH、NH2、N3、NO2、NO、CF3、CN、C(O)NH2、C(O)H、C(O)OH、卤素、Rz、SRz、S(O)Rz、S(O)2Rz、S(O)ORz、S(O)2ORz、OS(O)Rz、OS(O)2Rz、OS(O)ORz、OS(O)2ORz、ORz、NHRz、N(Rz)Rz1、+N(Rz)(Rz1)Rz2、P(O)(ORz)(ORz1)、OP(O)(ORz)(ORz1)、C(O)Rz、C(O)ORz、C(O)N(Rz1)Rz、OC(O)Rz、OC(O)ORz、OC(O)N(Rz)Rz1、N(Rz1)C(O)Rz、N(Rz1)C(O)ORz和N(Rz1)C(O)N(Rz2)Rz,其中Rz、Rz1和Rz2独立地选自H和任选被取代的(CH2CH2O)eeCH2CH2X13Re1、C1-20烷基、C1-20杂烷基、C3-20环烷基、C1-20杂环烷基、C5-20芳基或C1-20杂芳基,其中ee选自1到1000,X13选自O、S和NRf1,和Rf1和Re1独立地选自H和C1-3烷基。
在又一个实施方案中,所述环化间隔基A选自
其中R115和R116独立地选自H、甲基、乙基、异丙基、叔丁基、苯基,
并且其中R117、R118、R119、R120、R121和R122独立地选自H、OH、SH、NH2、N3、NO2、NO、CF3、CN、C(O)NH2、C(O)H、C(O)OH、卤素、Rz、SRz、S(O)Rz、S(O)2Rz、S(O)ORz、S(O)2ORz、OS(O)Rz、OS(O)2Rz、OS(O)ORz、OS(O)2ORz、ORz、NHRz、N(Rz)Rz1、+N(Rz)(Rz1)Rz2、P(O)(ORz)(ORz1)、OP(O)(ORz)(ORz1)、C(O)Rz、C(O)ORz、C(O)N(Rz1)Rz、OC(O)Rz、OC(O)ORz、OC(O)N(Rz)Rz1、N(Rz1)C(O)Rz、N(Rz1)C(O)ORz和N(Rz1)C(O)N(Rz2)Rz,其中Rz、Rz1和Rz2独立地选自H和任选被取代的(CH2CH2O)eeCH2CH2X13Re1、C1-20烷基、C1-20杂烷基、C3-20环烷基、C1-20杂环烷基、C5-20芳基或C1-20杂芳基,其中ee选自1到1000,X13选自O、S和NRf1,和Rf1和Re1独立地选自H和C1-3烷基。
在另一个实施方案中,所述环化间隔基A是
其中R115和R116独立地选自H、甲基、乙基、异丙基、叔丁基、苯基、(CH2CH2O)eeCH2CH2X13Re1,
其中dd选自0到10,dd'选自0和1,每个R123独立地选自H和甲基,ee选自1到1000,X13选自O、S和NRf1,和Rf1和Re1独立地选自H和C1-3烷基。
在另一个实施方案中,所述环化间隔基A是
其中R115和R116独立地选自H、甲基、乙基、异丙基、叔丁基、苯基,
在另一个实施方案中,所述环化间隔基A是
其中R116选自甲基、乙基、异丙基、叔丁基、苯基,
在另一个实施方案中,所述环化间隔基A是
其中R116选自乙基、异丙基、叔丁基、苯基,
在另一个实施方案中,所述环化间隔基A选自
在另一个实施方案中,环化接头A选自
在其它实施方案中,所述环化接头A是
在其它实施方案中,所述环化接头A是
在一个实施方案中,Y为不存在。
在另一个实施方案中,本发明涉及式(III)或(IV)的化合物,其中X1是O且Y通过作为Y的一部分的ω-氨基氨基羰基环化间隔基连接至X1。
在一个实施方案中,所述间隔基系统Y选自
在另一个实施方案中,所述间隔基系统Y是
在另一个实施方案中,所述间隔基系统Y是
在另一个实施方案中,所述间隔基系统Y是
其中A选自
其中R115和R116独立地选自H、甲基、乙基、异丙基、叔丁基、苯基、(CH2CH2O)eeCH2CH2X13Re1,
其中dd选自0到10,dd'选自0和1,每个R123独立地选自H和甲基,ee选自1到1000,X13选自O、S和NRf1,和Rf1和Re1独立地选自H和C1-3烷基,
且其中R117、R118、R119、R120、R121和R122独立地选自H、OH、SH、NH2、N3、NO2、NO、CF3、CN、C(O)NH2、C(O)H、C(O)OH、卤素、Rz、SRz、S(O)Rz、S(O)2Rz、S(O)ORz、S(O)2ORz、OS(O)Rz、OS(O)2Rz、OS(O)ORz、OS(O)2ORz、ORz、NHRz、N(Rz)Rz1、+N(Rz)(Rz1)Rz2、P(O)(ORz)(ORz1)、OP(O)(ORz)(ORz1)、C(O)Rz、C(O)ORz、C(O)N(Rz1)Rz、OC(O)Rz、OC(O)ORz、OC(O)N(Rz)Rz1、N(Rz1)C(O)Rz、N(Rz1)C(O)ORz和N(Rz1)C(O)N(Rz2)Rz,其中Rz、Rz1和Rz2独立地选自H和任选被取代的(CH2CH2O)eeCH2CH2X13Re1、C1-20烷基、C1-20杂烷基、C3-20环烷基、C1-20杂环烷基、C5-20芳基或C1-20杂芳基,其中ee选自1到1000,X13选自O、S和NRf1,和Rf1和Re1独立地选自H和C1-3烷基。
在另一个实施方案中,所述间隔基系统Y是
其中R116选自甲基、乙基、异丙基、叔丁基、苯基,
在另一个实施方案中,所述间隔基系统Y是
在另一个实施方案中,在ω-氨基氨基羰基环化间隔基的两个氮原子通过未被取代的亚乙基桥连接时,R115和R116中的至少一个不是H或甲基。
自消除性间隔基的其它实例包括但不限于可以经历环化的其它间隔基10,例如任选被取代的4-氨基丁酰胺、适当地被取代的双环[2.2.1]和双环[2.2.2]环系统、2-氨基苯基丙酰胺和“三甲基-封端”环化间隔基11。其中包含胺的离去基团连接至α-位的甘氨酸间隔基是用于本发明化合物的另一个有用的间隔基12。
在本发明的缀合物中,间隔基系统Y可以连接至不止一个V1部分。在这种情况中,这些V1部分之一的转化和/或裂解可以引发一个或多个Z部分的释放。在有于不同条件下转化或裂解的V1部分连接至同一Y时,如果Y可以以多种方式经历自消除可以在本发明的缀合物处于几种不同条件之一时发生一个或多个Z部分的释放。或者,可以使用需要引发两次或更多次以便发生自消除的间隔基系统Y。这种自消除性间隔基的实例是二甘氨酸间隔基13。在将这种间隔基用于与连接至所述间隔基的不同的可选择性裂解的V1部分组合时,可以提高Z的释放选择性,因为在Z被释放之前必须满足两个不同的条件。
连接基团L
连接基团L将一个或多个V1和/或Y部分连接至L2或RM。在L连接至V1而不是连接至Y时合成可能更简单,且由于V1可以被更好地屏蔽而使化合物可以较少地倾向于过早降解。L对Y的连接可以具有使V1可以更容易地被转化和/或裂解的优点。使L连接至Y的其它原因可以例如是在V1的裂解时,(一部分的)Y保持结合于L以防止反应性小分子的释放,以及该化合物可以表现出改善的药理学性能、溶解度或聚集行为。L可以不存在,这意味着V1或Y直接连接至L2或RM。然而,在另一个方面中,L是功能性地连接或间隔一个或多个V1和/或Y部分与L2或RM部分的连接基团。在式(IV)的化合物中,间隔可以使该反应性部分RM更接近反应配偶体,例如在偶联有功能性部分V2时。在式(III)的化合物中,间隔可以为V1提供更好的可接近性,因为V2是更远离的,这可以改善V1转化和/或裂解的速率,尤其是在V1的酶促裂解或转化的情况中。然而,已经发现,与具有相对长的L部分的类似化合物相比,相对短的L部分可以改善式(III)的化合物的体内效力,条件是V1仍可以在靶位置被转化和/或裂解。
连接基团L必须在其两个末端都包含适当的官能团以提供与一个或多个V1和/或Y部分和L2或RM的选择性偶联。
连接基团L可以是水溶性部分或包含一个或多个水溶性部分或水溶性官能团,使得L对式(III)或(IV)的化合物的水溶性有贡献。L也可以是减少式(III)或(IV)的化合物聚集的部分或包含一个或多个减少式(III)或(IV)的化合物聚集部分,其可以是或者可以不是还提高式(III)或(IV)的化合物的水溶性的一个或多个部分。另外,L还可以包含或者是使式(III)或(IV)的化合物对免疫应答不那么敏感或通过多药抗药性相关的转运蛋白从细胞的流出增加的部分。所述L部分可以包含低聚乙二醇或聚乙二醇部分或其衍生物。这个部分可以例如改善式(III)或(IV)的化合物的水溶性、减少其聚集、降低其免疫应答和/或减少其从细胞流出。L可以例如包含-(CH2CH2O)ffCH2CH2X13-或-(CH2CH2O)eeCH2CH2X13Re1部分,其中ff选自1到1000,X13选自O、S和NRf1,和Rf1和Re1独立地选自H和C1-3烷基。在一个实施方案中,这种部分是连接至将RM或L2连接至V1的L的主链的取代基的一部分且不存在于L的主链本身中,以便保持该主链的长度相对较短。所述L部分还可以包含极性基团和或在生理学pH(至少部分地)带电的基团,以便改善式(III)或(IV)的化合物的药理学性能。
在一个方面中,所述L部分是一个直链、支链的或树枝状的部分,使得其可以连接至一个或多个V1和/或Y部分。支化可以通过一个或多个环状结构发生或可以在支化原子处发生,所述支化原子可以例如是碳、氮、硅或磷。
连接至V1和/或Y的L中的支链的数目不一定等于支链的总数,因为在与V1和/或Y的偶联反应中,由于不完全的化学转化,并不是所有的支链都可以偶联于V1和/或Y部分。这意味着L可以包含并没有偶联于V1或Y而是以例如官能团、H、OH或离去基团为末端的支链。
因此,在L是分支的时,本发明的化合物可以作为混合物存在,其中混合物的每个组分具有不同的p值。例如,所述化合物可以作为两种单独的化合物的混合物存在,一种化合物中的p是2而另一个化合物中的p为3。另外,对于给定的p,化合物可以作为(组分)异构体的混合物存在,因为V1和/或Y可能连接至L上的不同(组)的支链。
在一个实施方案中,L为不存在。
在另一个实施方案中,L是一个直链接头。
在另一个实施方案中,将L2或RM连接至V1的原子的链由少于19个原子组成。
在另一个实施方案中,将L2或RM连接至V1的原子的链由少于15个原子组成。
在另一个实施方案中,将L2或RM连接至V1的原子的链由少于10个原子组成。
在另一个实施方案中,将L2或RM连接至V1的原子的链由少于5个原子组成。
在另一个实施方案中,L是一个包含1,2,3-三唑部分的直链接头。这种接头可以通过包含叠氮化物基团的分子与包含炔基基团的分子之间的环化加成反应形成。
在另一个实施方案中,L是一个包含水溶性基团的直链接头。在另一个实施方案中,L是一个包含低聚乙二醇或聚乙二醇或其衍生物的直链接头。在另一个实施方案中,L是包含一个在生理学pH(至少部分地)带电的官能团的直链接头。
在另一个实施方案中,L是一个支链的接头。
在另一个实施方案中,L是一个树枝状的接头。所述树枝状结构可以例如是通过包含一种或多种叠氮化物基团的分子与包含一个或多个炔基基团的分子之间的环化加成反应形成的。
在一个实施方案中,p是1。
在其它实施方案中,p是2或3或4或6或8或9。
在另一个实施方案中,L由下式表示:
其中
X101和X102各自独立地是O、NR131或S;
每个X103和X104独立地是O、NR132或S;
每个xa、xb、xc和xd独立地是0或1;
kk是表示支化度的数字且是选自1(含端值)到128的整数(含端值);
ll是表示支化度的数字且是选自0(含端值)到127的整数(含端值);
kk+ll≤128;
每个DD独立地是H、OH或离去基团;
R130是树枝状的、支链的或非支化的多价部分,且选自任选被取代的亚烷基、低聚亚烷基或聚亚烷基和任选被取代的亚杂烷基、低聚亚杂烷基或聚亚杂烷基和任选被取代的亚芳基、低聚亚芳基或聚亚芳基和任选被取代的亚杂芳基、低聚亚杂芳基或聚亚杂芳基和任选被取代的亚环烷基、低聚亚环烷基或聚亚环烷基和任选被取代的亚杂环烷基、低聚亚杂环烷基或聚亚杂环烷基和-(CH2CH2O)v-、-亚烷基-(CH2CH2O)v-、-(CH2CH2O)v-亚烷基-、-亚烷基-(CH2CH2O)v-亚烷基-、-亚杂烷基-(CH2CH2O)v-、-(CH2CH2O)v-亚杂烷基-、-亚杂烷基-(CH2CH2O)v-亚烷基-、-亚杂烷基-(CH2CH2O)v-亚杂烷基-、-亚烷基-(CH2CH2O)v-亚杂烷基-、X14(CH2CH2O)ffCH2CH2X14、树枝状结构、糖残基和寡肽,或上述中的两个或更多个的任何组合,其中任选的取代基可以例如选自C1-8烷基、C1-8杂烷基、C5-8芳基、C1-8杂芳基、X14(CH2CH2O)eeCH2CH2X13Re1、-(CHOR133')vv-R133、糖残基和选自以下的带电取代基:SO3 -、OPO3 2-、PO3 2-、CO2 -和NR133R133'R133″,或者选自其任何组合;
R131、R132、R133、R133'和R133″独立地选自H、C1-8烷基和C1-8杂烷基;
X13选自O、S和NRf1;
Rf1和Re1独立地选自H和C1-3烷基;
ee和ff独立地选自1到1000;
每个X14独立地选自
v选自1(包含端值)到1000(包含端值);
vv选自1到10。
在另一个实施方案中,L选自
在又一个实施方案中,L选自
在又一个实施方案中,L选自
在又一个实施方案中,L包含一个可以例如是如下的部分
其中ff选自1到1000。在其它实施方案中,ff选自3到1000或500或100或50或10。在其它实施方案中,ff被选择为1或2或3或4或5。
在又一个实施方案中,L选自
其中rr、rr'、rr″和rr″′各自独立地为0到8,X74选自
每个X40和X41独立地选自O、S和NR135,其中R135选自H和C1-3烷基,且每个uu、uu'和uu″独立地选自0和1。
在另一个实施方案中,L选自
其中X70、X71、X72和X73独立地选自O、S和NR82、X74选自
d选自0到8,e是0或1,gg'、gg″、gg″′、gg″″和gg*独立地选自0到1000,和R81和R82独立地选自H和任选被取代的C1-3烷基。在其它实施方案中,gg'、gg″、gg″′、gg″″和gg*独立地选自3到1000或500或100或50或10。
在又一个实施方案中,L不是
L和V1或Y之间的键可以例如是酰胺键、尿素键、碳酸酯键或氨基甲酸酯键。在一个实施方案中,L和V1之间的键是尿素键、碳酸酯键或氨基甲酸酯键。或者,在V1是其中N-末端氨基酸是带有α-叠氮基而不是α-氨基基团的氨基酸模拟物的肽时,L和V1之间的键可以是通过作为L的一部分的炔基基团与V1的α-叠氮基基团的反应形成的三唑基团。
反应性部分RM和连接基团L2
式(IV)的化合物中的反应性部分RM连接至连接基团L且能够与反应配偶体上的适当官能团反应。
在本发明的一个实施方案中,反应性部分RM被设计用于与所述部分V2上的官能团反应,所述反应形成式(III)的化合物。在这个反应中,所述部分RM被转化为所述部分L2。在另一个实施方案中,所述反应性部分RM设计用于在原位与互补性部分反应,例如,在体内与例如血清白蛋白反应,以得到一个化合物,所述化合物可以是或者可以不是式(III)的化合物。
在本发明的一个方面中,所述反应性部分RM包含与反应配偶体例如V2上的亲核基团例如硫醇基团、氨基基团或羟基基团反应的亲电子基团。
在本发明的另一个方面中,所述反应性部分RM包含一个与反应配偶体例如V2上的亲电子基团例如醛基团反应的亲核基团。
在本发明的另一个方面中,反应性部分RM包含一个与反应配偶体例如V2上的适当的互补性环加成配偶体例如,二烯、烯、1,3-亲偶极子或1,3-偶极子反应的环加成配偶体部分,例如,烯、二烯、1,3-偶极子或1,3-亲偶极子。
在本发明的另一个方面中,所述反应性部分RM包含一个可以在金属催化、生物催化或酶催化,例如钯催化的条件下与反应配偶体例如V2上的适当的互补性基团偶联的基团。
在本发明的一个方面中,所述反应性部分RM非限制性地为
其中
X35选自卤素、羟基、OC(O)Rdd和OC(O)ORdd,或C(O)-X35是活性酯,X36选自卤素、甲磺酰氧基、三氟甲磺酰氧基和对甲苯磺酰氧基,和Rdd选自任选被取代的C1-10烷基、C1-10杂烷基、C3-10环烷基、C1-10杂环烷基、C5-10芳基和C1-10杂芳基。
在一个实施方案中,所述部分RM选自
其使得能够与反应配偶体例如部分V2上的硫醇基团反应。
在另一个实施方案中,所述部分RM是
其使得能够与反应配偶体例如部分V2上的硫醇基团反应。
在另一个实施方案中,所述部分RM是
其中X36是Br,其使得能够与反应配偶体例如部分V2上的硫醇基团反应。
在另一个实施方案中,所述部分RM选自
其使得能够与反应配偶体例如部分V2上的氨基基团例如伯氨基或仲氨基基团反应。
在另一个实施方案中,所述部分RM选自
其使得能够与反应配偶体例如部分V2上的醛基团反应。
在反应性部分RM与V2反应时,式(III)的化合物中的连接基团L2表示RM的其余部分。这个基团然后将所述部分V2与L连接。剩余的基团可以是一个键,意味着L2是不存在的。然而,L2典型地是一个连接基团。在式(III)的化合物并非通过式(IV)的化合物形成时,L2不表示RM的剩余部分,而是可表示一个类似或相同的部分且另外选自例如任选被取代的C1-10亚烷基、C1-10亚杂烷基、C3-10环亚烷基、C1-10杂环亚烷基、C5-10亚芳基和C1-10亚杂芳基。所述L2部分可以任选地包括一个X14(CH2CH2O)ggCH2CH2X14部分。
在一个实施方案中,所述部分L2为不存在。
在另一个实施方案中,所述部分L2非限制性地为
在另一个实施方案中,所述部分L2是
在又一个实施方案中,所述部分L2是
RM2部分
RM2可以是一个反应性部分或离去基团。
如果RM2是一个反应性部分,优选其不同于所述RM反应性部分。这样,与双功能接头的反应可以随每个反应性部分而有选择地且分别地进行。在RM2是一个反应性部分时,这意味着在与治疗用或诊断用部分或其包含前体部分的衍生物反应之后,所述RM2部分(或其反应之后剩余的部分)可以任选地与由于与治疗用或诊断用部分缀合的RM2的有限的或缺少的离去能力而不能自消除的Y的任何部分一起变成所述治疗用或诊断用部分或其包含前体部分的衍生物的一部分。
在一个实施方案中,所述RM2可以连接至Y且是
其中
X35选自卤素、羟基、OC(O)Rdd和OC(O)ORdd,或C(O)-X35是活性酯,X36选自卤素、甲磺酰氧基、三氟甲磺酰氧基和对甲苯磺酰氧基,X95为不存在或选自O、S、NR95、C1-3烷基和C1-3杂烷基、Rdd选自任选被取代的C1-10烷基、C1-10杂烷基、C3-10环烷基、C1-10杂环烷基、C5-10芳基和C1-10杂芳基,和R95选自H和C1-3烷基。
RM2还可以是一个离去基团。在这种情况中,在式(VIII)的化合物与治疗用或诊断用部分或其包含前体部分的衍生物的反应中RM2被这种治疗用或诊断用部分或其衍生物所代替,且这种治疗用或诊断用部分或其衍生物变为直接连接至Y。
在一个实施方案中,RM2选自卤化物(氟化物、氯化物、溴化物和碘化物)、叠氮化物、磺酸酯(例如,任选被取代的C1-6烷烃磺酸酯,例如甲烷磺酸酯、三氟甲烷磺酸酯和三氟乙烷磺酸酯或任选被取代的苯磺酸酯,例如对甲苯磺酸酯和对硝基苯磺酸酯)、咪唑、环状亚胺硫酮、琥珀酰亚胺-N-氧化物、邻苯二甲酰亚胺-N-氧化物、对硝基苯氧化物、邻硝基苯氧化物、五氟苯氧化物、四氟苯氧化物、1,3,5-三氯苯氧化物、1,3,5-三氟苯氧化物、羧酸根、氨基羧酸根(氨基甲酸酯基)、烷氧基羧酸根(碳酸酯基)和烷氧基基团(其与Y的羰基基团合起来可以被称为活性酯基团)。这种烷氧基基团包括但不限于琥珀酰亚胺-N-氧化物、对硝基苯氧化物、五氟苯氧化物、四氟苯氧化物、1-羟基苯并三唑和1-羟基-7-氮杂苯并三唑和具有类似离去能力的基团。
V2部分
所述部分V2是一个功能性部分,这意味着它为本发明的化合物添加另外的官能度。
在一个实施方案中,V2是一个靶向部分。在另一个实施方案中,V2部分是一个改善本发明化合物的药理学性能的部分。在又一个实施方案中,V2部分是一个引起本发明化合物在靶位置累积的部分。在又一个实施方案中,V2部分是一个改善本发明化合物的水溶性的部分。在又一个实施方案中,V2部分是一个增加本发明化合物的疏水性的部分。在又一个实施方案中,V2部分是一个减少本发明化合物外渗的部分。在又一个实施方案中,V2部分是一个减少本发明化合物排泄的部分。在又一个实施方案中,V2部分是一个减少本发明化合物的免疫原性的部分。在又一个实施方案中,V2部分是一个增加本发明化合物的循环时间的部分。在又一个实施方案中,V2部分是一个增加本发明化合物跨过生物屏障的能力的部分,所述生物屏障例如是膜、细胞壁或血脑屏障。在又一个实施方案中,所述V2部分是一个增加本发明化合物的内化能力的部分。在又一个实施方案中,所述V2部分是一个使得本发明化合物能够内化的部分。在又一个实施方案中,所述V2部分是一个引起本发明化合物聚集的部分。在又一个实施方案中,所述V2部分是一个减少本发明化合物聚集的部分。在又一个实施方案中,所述V2部分是一个引起本发明化合物形成胶束或脂质体的部分。在又一个实施方案中,所述V2部分是一个引起本发明化合物与另一个分子如生物分子络合的部分。在又一个实施方案中,V2部分是与互补性核苷酸序列例如RNA或DNA络合的多核苷酸部分。在又一个实施方案中,所述V2部分是一个引起本发明化合物与另一个部分例如(功能化的)表面或固相载体结合、缔合、相互作用或络合的部分。
在另一个实施方案中,V2表现出两种或更多种不同的功能。所述V2部分可以例如是一个靶向部分且同时改善药理学性能,包括水溶性。
在本发明的一个方面中,所述部分V2在其范围内包括与受体、受体复合物、抗原或与给定的靶细胞种群有关的其它部分结合或反应性缔合或络合的任何单元。V2可以是与意图要治疗上或以其它方式生物学改变的细胞群体的一个部分结合、络合或反应的任何分子。所述V2部分用于将一个或多个部分Z递送到V2与之反应或结合的特定的靶细胞种群。这种V2部分包括但不限于适配体、全长抗体和其抗体片段和衍生物、凝集素、生物反应调节剂、酶、维生素类、生长因子、甾体、营养素、糖残基、低聚糖残基、激素、及其任何衍生物或这些的任何组合。在结合、反应性缔合或络合时,本发明的化合物可以被或者可以不被内化。如果发生了内化,则优选V1的转化和/或裂解在靶细胞内部发生。
有用的非免疫活性蛋白质、多肽或肽V2部分包括但不限于转铁蛋白、表皮生长因子(“EGF)、铃蟾素、促胃液素及其衍生物、促胃液素释放肽、血小板衍生生长因子、IL-2、IL-6、转化生长因于(“TGF”)如TGF-a和TGF-P、肿瘤生长因子、牛痘生长因子(“VGF”)、胰岛素和胰岛素样生长因子I和II、凝集素和来自低密度脂蛋白的载脂蛋白。
有用的多克隆的抗体V2部分是抗体分子的异质种群。可以使用本领域中公知的各种方法来生产针对目标抗原的多克隆抗体。
有用的单克隆抗体V2部分是特定抗原(例如,癌细胞抗原)的抗体的均质种群。可以使用本领域中已知用于生产单克隆抗体分子的任何技术来制备针对目标抗原的单克隆抗体(mAb)。
有用的单克隆抗体抗体V2部分包括但不限于人单克隆抗体、人源化的单克隆抗体或嵌合的人-小鼠(或其它物种)单克隆抗体。单克隆抗体可以通过本领域已知的多种技术中任一种来制备。
所述V2部分还可以是双特异性抗体。制造双特异性抗体的方法是本领域中已知的。
所述V2部分可以是免疫特异性地结合于靶细胞上的抗原如癌细胞抗原的抗体的一个功能活性片段、衍生物或类似物。在这方面,“功能活性的”是指该片段、衍生物或类似物能够引出与从中得到所述片段、衍生物或类似物的抗体识别相同抗原的抗抗独特型抗体。
其它有用的V2部分包括抗体的片段,包括但不限于F(ab')2片段(其包含可变区、轻链恒定区和可以通过抗体分子的胃蛋白酶消化产生的重链的CH1结构域和Fab片段(其可以通过还原F(ab')2片段的二硫化物桥而形成)。其它有用的V2部分是抗体的重链和轻链二聚体,或其任何最小的片段例如Fvs或单链抗体(SCAs)、结构域抗体、Anticalins、Affibodies、纳米抗体和具有与母体抗体相同、类似或相当的特异性的任何其它分子。
另外,重组体抗体也是有用的V2部分,例如嵌合的单克隆抗体和人源化的单克隆抗体,包括来自人的部分和非来自人的部分,其可以使用标准的重组DNA技术生产。嵌合抗体是其中不同的部分源自于不同的动物物种的分子,例如具有源于鼠科动物单克隆的可变区和人免疫球蛋白恒定区的那些。人源化抗体是得自于非人物种的抗体分子,其具有一个或多个来自非人物种的互补性决定区(CDR)和来自于人免疫球蛋白分子的构架区。
完全来自人的抗体作为V2部分是特别合乎需要的。这种抗体可以例如使用不能够表达内源性免疫球蛋重链和轻链基因但是可以表达人重链和轻链基因的转基因小鼠生产。
在其它实施方案中,所述V2部分是抗体或其功能活性的片段或衍生物的融合蛋白,例如其中抗体通过其N-末端或C-末端的共价键(例如,肽键)融合于不是抗体的另一个蛋白质(或其部分,优选该蛋白质的至少10、20或50个氨基酸的部分)的氨基酸序列的融合蛋白。优选地,所述抗体或其片段在恒定结构域的N-末端共价连接至另一个蛋白质。
V2部分抗体包括经过修饰的类似物和衍生物,即,通过共价连接任何类型的分子进行的修饰,只要这种共价连接允许抗体保持其抗原结合免疫特异性即可。例如,但非限制性地,抗体的衍生物和类似物包括例如已经通过糖基化、乙酰基化、聚乙二醇化、二硫化物还原、磷酸化(phosphylation)、酰胺化、通过已知的保护基和封闭基团的衍生化、蛋白水解裂解、与另一个蛋白质成键等进行进一步修饰的那些。另外,所述类似物或衍生物可以包含一个或多个非天然氨基酸。
所述V2部分抗体包括带有修饰的抗体,所述修饰例如是置换(例如半胱氨酸到丝氨酸或丝氨酸到半胱氨酸)、删除或添加。特别地,它们包括在确定为与Fc结构域与FcRn受体之间的相互作用有关的氨基酸残基中有修饰的抗体。还可以引入修饰以便能够在抗体上特定位置上将抗体偶联于接头-药物缀合物。
在特定的实施方案中,将对于癌症或肿瘤抗原为免疫特异性的抗体用作本发明的化合物、组合物和方法中的V2部分。
对癌细胞抗原为免疫特异性的抗体可以商购获得或通过本领域技术人员已知的任何方法来生产,例如通过化学合成或重组体表达技术。编码对于癌细胞抗原为免疫特异性的抗体的核苷酸序列可以得自例如GenBank数据库或与之相似的数据库、商业来源或其它来源、文献出版物或通过常规的克隆和测序。
可作为V2部分并入到本发明的缀合物中的可用于治疗癌症的抗体的实例包括但不限于HERCEPTIN(曲妥珠单抗),其是用于治疗患有转移性乳腺癌的患者的人源化抗HER2单克隆抗体;RITUXAN(利妥西单抗),其是用于治疗患有何杰金氏淋巴瘤的患者的嵌合抗CD20单克隆抗体;OvaRex(奥戈伏单抗(oregovomab)),其是用于治疗卵巢癌症的鼠科抗体;Panorex(依决洛单抗),其是用于治疗结直肠癌的鼠科IgG2a抗体;IMC-BEC2(米妥莫单抗),其是用于治疗肺癌的鼠科IgG抗体;IMC-C225(西妥昔单抗),其是用于治疗头颈癌的嵌合的IgG抗体;Vitaxin,其是用于治疗肉瘤的人源化抗体;Campath I/H(阿仑珠单抗),其是用于治疗慢性淋巴细胞性白血病(CLL)的人源化IgG1抗体;SGN-70,其是一种用于治疗血液学恶性肿瘤的人源化的抗CD70抗体;Smart MI95,其是一种用于治疗急性骨髓性白血病(AML)的人源化的IgG抗体;J591,其是一种针对前列腺特定性膜抗原的人源化抗体;LymphoCide(epratuzumab),其是一种用于治疗非何杰金氏淋巴瘤的人源化的IgG抗体;SGN-33,其是一种人源化的抗CD33抗体用于治疗急性骨髓性白血病;Smart ID 10,其是一种用于治疗非何杰金氏淋巴瘤的人源化的抗体;Oncolym,其是一种用于治疗非何杰金氏淋巴瘤的鼠科抗体;Allomune,其是一种用于治疗何杰金氏病或非何杰金氏淋巴瘤的人源化的抗CD2 mAb;Avastin(bevacizumab),其是一种用于治疗肺癌和结直肠癌的人源化的抗VEGF抗体;SGN-40,其是一种用于治疗多发性骨髓瘤的人源化的抗CD40抗体;SGN-30,其是一种用于治疗何杰金氏病的嵌合抗CD30抗体;CEAcide,其是一种用于治疗结直肠癌的人源化的抗CEA抗体;IMC-1C11,其是用于治疗结直肠癌、肺癌和黑色素瘤的抗KDR嵌合抗体;以及Cetuximab,其是用于治疗表皮生长因子阳性癌症的抗EGFR嵌合抗体。
可作为V2部分并入到本发明的缀合物中的其它抗体包括但不限于以下抗原的抗体:CA125、CA9、CA6、CA15-3、CA19-9、L6、Lewis Y、Lewis X、Lewis A、甲种胎儿球蛋白、CA242、胎盘碱性磷酸酶、前列腺特异性抗原(PSA)、前列腺特异性膜抗原(PSMA)、前列腺酸性磷酸酶、表皮生长因子受体、白细胞介素受体、整联蛋白、胰岛素样生长因子受体、CanAg、DAF、PEM、IRTA-2、IRTA-4、AFP、HER2、EGFR、VEGFR1、VEGFR2、MAGE-1、LUCA1、LUCA2、MAGE-2、MAGE-3、MAGE-4、ED-B、MADCAM、CEACAM5、MCP-1、Cripto、TAT226、VLA-4、C3B、抗转铁蛋白受体、内皮唾液酸蛋白、E-选择蛋白、GCC、GP-75、Syndecan-1、GPNMB、ROBO4、STEAP-1、CMET、EGP-1、Kim-1、Tim-1、Eph受体酪氨酸激酶、HMW-MAA、TMEFF2、PSCA、CLL-1、TNF-α、FAP-α、IFN-α、EphA2、EphB2、EphB3、EphB4、EGFL-7、DLL-4、RS7、4-1BB、TENB2、FLT3、p97、FGF19、FGFR2、磷脂酰肌醇聚糖-3、P53、L53、RON、MN、GFR-α3、FDF03、TSLPR、MUC1-KLH、Tag 72、MUC18、B7H4、PTK7、RG-1、MUC16、CSAP、PDGF、PSMA、5T4、EpCAM、SGA-1M、SGA-56M、SGA-72M、IGF1R、CCR2、CCR5、CTLA4、CLCA-1、ELAM1、DR5、CEA、CXCR-4、GD2、gp100、GD3神经节苷脂、L243、HMGB1、GPC-3、MART1、IL-2受体、CD2、CD3、CD303、CD4、CD20、CD43、CD44、CD30、CD55、CD151、CD154、CD19、CD21、CD23、CD79、CD52、CD25、CD45、CD46、CD56、CD59、CD7、CD137、CD138、CD74、CD133、CD80、CD63、CD64、CD66、CD140b、CD32、CD33、CD37、CD22、CD27、Apo-2、ERBB4、HLA-DR、HLA-DR10、人绒毛膜促性腺激素、CD38、CD40、CD70、粘蛋白、P21、癌症干细胞特异性受体、MPG和Neu致癌基因产物。结合于肿瘤相关抗原的许多其它内化或非内化抗体也可以作为V2部分用于本发明中,其中有一些已经评论过14。
在一个实施方案中,选择抗Her2抗体曲妥珠单抗作为V2部分。在另一个实施方案中,选择曲妥珠单抗的抗原决定基结合功能性片段或衍生物作为V2部分。在又一个实施方案中,选择抗Her2抗体或其功能性片段或衍生物作为V2部分。在又一个实施方案中,将具有相对于曲妥珠单抗性能得到改善的抗Her2抗体或其功能性片段或衍生物选择作为V2部分;所述改善的性能可以例如是增强的结合、更长的循环半衰期、提高的内化速率、与非肿瘤组织相比对肿瘤组织的更高的结合特异性和/或减少的免疫原性。
在又一个实施方案中,将抗PSMA抗体J591选择作为V2部分。在另一个实施方案中,将J591的与抗原决定基结合的功能性片段或衍生物选择作为V2部分。在又一个实施方案中,将抗PSMA抗体或其功能性片段或衍生物选择作为V2部分。在又一个实施方案中,将相对于J591性能得到改善的抗PSMA抗体或其功能性片段或衍生物选择作为V2部分;所述改善的性能可以例如是增强的结合、更长的循环半衰期、提高的内化速率、与非肿瘤组织相比对肿瘤组织的更高的结合特异性和/或减少的免疫原性。
在其它的实施方案中,将抗CD19抗体或抗CD22抗体或抗CD30抗体或抗CD33抗体或抗CD56抗体或抗CD70抗体或抗CD74抗体或抗CD138抗体或抗CLL-1抗体或抗5T4抗体或抗CD303抗体或抗Tag 72抗体或抗Lewis A样碳水化合物抗体或抗EphB3抗体或抗HMW-MAA抗体或抗CD38抗体或抗Cripto抗体或抗EphA2抗体或抗GPNMB抗体或抗整联蛋白抗体或抗MN抗体选择作为V2部分。在其它的实施方案中,抗CD19抗体或抗CD22抗体或抗CD30抗体或抗CD33抗体或抗CD56抗体或抗CD70抗体或抗CD74抗体或抗CD138抗体或抗CLL-1抗体或抗5T4抗体或抗CD303抗体或抗Tag72抗体或抗Lewis A样碳水化合物抗体或抗EphB3抗体或抗HMW-MAA抗体或抗CD38抗体或抗Cripto抗体或抗EphA2抗体或抗GPNMB抗体或抗整联蛋白抗体或抗MN抗体的结合抗原决定基的功能性片段或衍生物选择作为V2部分。因此,在一个实施方案中,所述V2部分可以选自抗CD19抗体、抗CD22抗体、抗CD30抗体、抗CD33抗体、抗CD56抗体、抗CD70抗体、抗CD74抗体、抗CD138抗体、抗CLL-1抗体、抗5T4抗体、抗CD303抗体、抗Tag72抗体、抗Lewis A样碳水化合物抗体、抗EphB3抗体、抗HMW-MAA抗体、抗CD38抗体、抗Cripto抗体、抗EphA2抗体、抗GPNMB抗体、抗整联蛋白抗体、抗MN抗体、抗Her2抗体和抗PSMA抗体或者选自这些中任一种的结合抗原决定基的功能性片段或衍生物。
在一些实施方案中,所述抗体是抗核抗体或可以结合于在靶细胞上表达的受体或受体复合物的抗体。所述受体或受体复合物可以包括免疫球蛋白基因总科成员、整联蛋白、趋化因子受体、TNF受体总科成员、细胞因子受体、主要组织相容性蛋白、补体调节蛋白或凝集素。
在另一个特定的实施方案中,将对于与自身免疫性疾病有关的抗原为免疫特异性的抗体用作本发明的化合物、组合物和方法中的V2部分。在另一个特定的实施方案中,将对于病毒抗原或微生物抗原为免疫特异性的抗体用作本发明的化合物、组合物和方法中的V2部分。如本文中使用的,术语“病毒抗原”包括但不限于能够引起免疫应答的任何病毒的的肽、多肽、蛋白质、糖、多糖或脂肪。如本文中使用的,术语“微生物抗原”包括但不限于能够引起免疫应答的任何微生物的肽、多肽、蛋白质、糖、多糖或脂肪。
由于不断地有新的抗体被发现和开发出来,本发明规定这些新的抗体也可以并入到本发明的化合物中。
V2可以通过例如V2上的杂原子与反应性部分RM反应。可以存在于V2上的杂原子包括但不限于硫(在一个实施方案中,来自巯基)、氧(在一个实施方案中,来自羧基或羟基)和氮(在一个实施方案中,来自伯氨基或仲氨基)。V2还可以通过例如碳原子(在一个实施方案中,来自羰基)反应。这些原子可以以V2’天然状态存在于V2如天然存在的抗体上,或者可以通过(化学)修饰而被引入到V2中。
可以通过用还原剂例如二硫苏糖醇(DTT)或三(2-羧基乙基)膦(TCEP)还原抗体(片段)而在抗体或抗体片段中形成游离的巯基。这样,可以获得经过修饰的抗体,其可以具有1到约20个巯基,但是典型地具有约1到约9个巯基。
或者,V2可以具有一个或多个碳水化合物基团,所述碳水化合物基团可以经过化学修饰以包含一个或多个巯基。作为另一个选择,可以通过V2上的氨基基团(例如来自赖氨酸部分)与2-亚胺基硫杂环戊烷(Traut试剂)、N-琥珀酰亚胺基S-乙酰基硫代乙酸酯(SATA)或另一个生成巯基的试剂的反应来形成巯基。这种试剂还可以用于引入另外的官能度。例如,可以使用生成巯基的试剂不仅在V2上引入巯基,而且同时引入水溶性部分,例如低聚乙二醇或聚乙二醇。这种基团可以作为试剂中的取代基(而不是作为主链的一部分)存在,以便保持巯基邻近V2部分。这种水溶性部分的存在可以最终改善式(III)的化合物的药理学性能。
在一个实施方案中,所述V2部分是一个受体-结合部分。
在另一个实施方案中,所述V2部分是抗体或抗体片段或其衍生物。
在另一个实施方案中,所述V2部分是单克隆抗体或其片段或衍生物。
在一个实施方案中,V2具有一个或多个巯基且V2通过这些巯基中一个或多个的硫原子与一个或多个式(IV)的化合物的一个或多个RM部分反应,以形成其中由此结合有一个或多个式(IV)的化合物的式(III)的化合物。
在又一个实施方案中,V2包含一个或多个二硫化物键,其可以被化学还原为巯基(每个二硫化物键得到两个巯基),然后得到的巯基可以与一个或多个反应性部分RM反应以形成式(III)的化合物。
在另一个实施方案中,V2包含约1到约3个巯基,其可以与一个或多个反应性部分RM反应以形成式(III)的化合物。
在另一个实施方案中,V2包含约2个巯基,其可以与一个或多个反应性部分RM反应以形成式(III)的化合物。
在另一个实施方案中,V2包含约3到约5个巯基,其可以与一个或多个反应性部分RM反应以形成式(III)的化合物。
在另一个实施方案中,V2包含约4个巯基,其可以与一个或多个反应性部分RM反应以形成式(III)的化合物。
在另一个实施方案中,V2包含约7到约9个巯基,其可以与一个或多个反应性部分RM反应以形成式(III)的化合物。
在另一个实施方案中,V2包含约8个巯基,其可以与一个或多个反应性部分RM反应以形成式(III)的化合物。
在另一个实施方案中,V2可以具有一个或多个碳水化合物基团,所述碳水化合物基团可以经过化学修饰以具有一个或多个巯基。V2通过这些一个或多个巯基的硫原子与RM部分反应,以形成式(III)的化合物。
在另一个实施方案中,V2可以具有一个或多个赖氨酸基团,所述赖氨酸基团可以经过化学修饰以具有一个或多个巯基,所述巯基可以与一个或多个反应性部分RM反应以形成式(III)的化合物。
可以与巯基反应的反应性部分包括但不限于氨基甲酰基卤化物、酰基卤化物、α-卤代乙酰胺、卤代甲基酮、乙烯基砜、马来酰亚胺和2-二硫基吡啶。
在又一个实施方案中,V2可以具有一个或多个碳水化合物基团,所述碳水化合物基团可以经过氧化以提供一个或多个醛基团。然后相应的醛可以与一个或多个反应性部分RM反应以形成式(III)的化合物。可以与V2上的醛基团反应的反应性部分包括但不限于肼、酰肼、胺和羟胺。
在又一个实施方案中,V2可以具有一个或多个氨基基团,所述氨基基团例如来自赖氨酸残基,其可以与一个或多个反应性部分RM反应以形成式(III)的化合物。可以与氨基反应的反应性部分包括但不限于氨基甲酰基卤化物、α-卤代乙酰胺、酰基卤化物、醛、磺酰氯、烷基卤化物、烷基磺酸酯、异氰酸酯和异硫氰酸酯。
式(III)的缀合物可以作为混合物存在,其中混合物的每个组分具有不同的q值。例如,所述化合物可以作为两种单独的化合物的混合物存在,一种化合物中的q是2而另一个化合物中的q为3。作为另一个实例,化合物可以作为5种单独的化合物的混合物存在,其中的q分别是1、2、3、4和5。作为又一个实例,化合物可以作为超过5种单独的化合物的混合物存在。这种混合物可以另外被未被缀合的V2所“污染”。在分析式(III)的化合物时,应该理解,q可以是每个V2部分的L2-L(-(V1-Y))p(Z)z/q单元的(经过舍入)的平均数。另外,对于给定的q,所述化合物可以作为(组分)异构体的混合物存在,因为可以有q个L2-L(-(V1-Y))p(Z)z/q部分连接至V2上的不同(组)的官能团。需要指出的是,如果所有的单位都是相同的和/或包含相同数目的Z部分,则每个单元种的Z部分的数目只等于z/q。
在一个实施方案中,V2部分通过V2的硫原子连接至L2。
在另一个实施方案中,V2部分通过硫原子连接至L2且q为约1到约20。
在另一个实施方案中,V2部分通过硫原子连接至L2且q为约1到约9。
在另一个实施方案中,V2部分通过硫原子连接至L2且q为约1到约3。
在另一个实施方案中,V2部分通过一个硫原子连接至L2且q为约1。
在另一个实施方案中,V2部分通过一个硫原子连接至L2且q为约2。
在另一个实施方案中,V2部分通过硫原子连接至L2且q为约3到约5。
在另一个实施方案中,V2部分通过一个硫原子连接至L2且q为约4。
在另一个实施方案中,V2部分通过一个硫原子连接至L2且q为约7到约9。
在另一个实施方案中,V2部分通过一个硫原子连接至L2且q为约8。
在一个实施方案中,式(III)的化合物作为单独化合物的混合物存在。
在一个实施方案中,式(III)的化合物作为单独化合物的混合物存在,其中三种化合物的q分别是1、2和3。
在一个实施方案中,式(III)的化合物作为单独化合物的混合物存在,其中三种化合物的q分别是3、4和5。
在一个实施方案中,式(III)的化合物作为单独化合物的混合物存在,其中三种化合物的q分别是5、6和7。
在一个实施方案中,式(III)的化合物作为单独化合物的混合物存在,其中三种化合物的q分别是7、8和9。
在另一个实施方案中,V2部分通过V2的氮原子连接至L2。
在又一个实施方案中,V2部分通过V2的碳原子连接至L2。
在本发明的另一个方面中,所述V2部分包括引起本发明化合物通过不同于与给定靶位置如靶细胞种群有关的受体、抗原或其它接受性部分的结合或反应性缔合或络合的机理在靶位置处或其附近累积的任何单元。实现这一目标的一个方法时例如使用大的高分子作为V2部分,所述大的高分子通过渗透和滞留增强(EPR)效应靶向实体瘤组织。Ringsdorf报告了使用聚合物将抗肿瘤剂靶向到肿瘤15。通过这种EPR效应,由于血管生成性肿瘤脉管系统的内皮不连续而致的组织被破坏的病理学(其产生对大的高分子的高渗透性)以及缺乏有效的肿瘤淋巴管引流,高分子被动地在实体瘤中累积。
所述V2部分可以例如是支链的或非支化的聚合物,例如聚[N-(2-羟基丙基)甲基丙烯酰胺](HPMA)、羟基乙基淀粉(HES)、聚(2-羟基乙基甲基丙烯酸酯)(HEMA)、聚谷氨酸或聚-L-谷氨酸(PG)、羧基甲基葡聚糖(CMDex)、聚缩醛、壳聚糖、多肽、低聚乙二醇或聚乙二醇(PEG)或共聚物如HPMA共聚物、HPMA-甲基丙烯酸共聚物、HEMA-甲基丙烯酸共聚物、CMDex共聚物、β-环糊精共聚物、PEG共聚物或聚(乳酸-共-乙醇酸共聚物16。在本文中,聚合物和共聚物都被称为聚合物。
所述聚合物可以通过任何适当的官能团连接至L2,所述官能团可以位于该聚合物的一个末端或所有的两个末端,这意味着在缀合物中,q为1到2;或者,选择性地,该官能团还可以位于聚合物的侧基上,使得L2(也)通过这些侧基连接至该聚合物,q典型地为1到约1000。任选地,所述聚合物还可以包含一个另外的靶向基团,其可以与通过侧基或端基结合于聚合物的接受性部分如抗体或抗体衍生物结合或反应性缔合或络合,使得实现改善地靶向到靶位置。
或者,所述V2部分可以是一个树枝型聚合物或蛋白质或蛋白质片段,如血清白蛋白,其除了由于其尺寸或分子量而具有在靶位置累积的能力之外没有靶向性能。
在一个实施方案中,所述V2部分包含一个聚合物。
在另一个实施方案中,所述V2部分是一个聚合物。
在另一个实施方案中,所述V2部分是一个聚合物且q为从1到约1000。
在其它实施方案中,所述V2部分是一个聚合物且q为从1到约500或400或300或200或100或小于100。
在另一个实施方案中,所述V2部分是一个聚合物且q为1到2。
在另一个实施方案中,所述V2部分是一个聚合物且q为1。
在特定的实施方案中,所述V2部分是低聚乙二醇或聚乙二醇或其衍生物。
在另一个实施方案中,所述V2部分是树枝型聚合物、蛋白质或蛋白质片段。
在另一个实施方案中,V2为不存在。
在另一个实施方案中,所述V2部分是一个能够在有或者没有事先与受体或受体络合物结合、缔合或络合的情况下将缀合物转运跨过生物屏障如细胞膜的部分。在一个实施方案中,所述V2部分是Tat肽或其衍生物、片段或类似物,或者是具有类似跨膜递送性能的部分。在另一个实施方案中,所述V2部分是蛋白质或蛋白质片段、抗体或抗体片段、受体结合部分或肽载体部分或聚合物部分或树枝状部分或其任何组合,其连接有Tat肽或其衍生物、片段或类似物;或者是一个具有类似跨膜递送性能的部分。
因此,在本发明的一个方面中,所述部分V2是靶向部分且选自以下组:蛋白质或蛋白质片段、抗体或抗体片段、受体结合部分或肽载体部分和聚合物部分或树枝状部分、及其任何组合或衍生物。
在本发明的另一个方面中,所述V2部分是一个改善本发明的缀合物的药理学性能的部分。例如,所述部分V2可以经过选择,使得缀合物的水溶性(进一步)得到改善。这可以通过选择V2为亲水性部分来实现。或者,可以使用V2部分例如来增加化合物在循环系统中的滞留时间、减少该化合物的外渗和/或排泄、减少该化合物的聚集和/或降低该化合物的免疫原性。这可以例如通过选择V2为或包含聚乙二醇或低聚乙二醇或其衍生物来实现。在所述部分V2是改善本发明化合物的药理学性能的部分且V1是可以被非特异性地裂解或转化的部分且不存在有V1’和V2’部分时,所述化合物仅用于改善一个或多个Z部分的(药理学)性能。
在一个实施方案中,V2是一个改善药理学性能的部分且V1是可以被特异性地裂解或转化的部分。
在另一个实施方案中,V2是一个低聚乙二醇或聚乙二醇或其衍生物且V1是可以被特异性地裂解或转化的部分。
在另一个实施方案中,V2是一个改善药理学性能的部分且V1是可以被非特异性地裂解或转化的部分。
在另一个实施方案中,V2是一个低聚乙二醇或聚乙二醇或其衍生物且V1是可以被非特异性地裂解或转化的部分。
在另一个实施方案中,V2是一个低聚乙二醇或聚乙二醇或其衍生物且V1是可以被普遍存在的酶裂解的部分。
在另一个实施方案中,V2是一个低聚乙二醇或聚乙二醇或其衍生物且V1是一个可水解的部分。
在另一个实施方案中,V2包含一个X14(CH2CH2O)ggCH2CH2X14部分。
在本发明的一个方面中,所述V2部分由式(VI)表示:
其中V2*、L2*、L*、V1*、Y*、p*、q*和z*分别具有与如本文中定义的V2、L2、L、V1、Y、p、q和z相同的含义,且被独立地选择,不同之处在于Y*连接至L2。需要指出的是,z*实际上等于q,假定所有的Y*都真正地连接至L2。在式(III)的化合物包含一个由式(VI)表示的V2部分时,所述一个或多个L2部分由此连接至Y*。
在式(III)的缀合物中使用式(VI)的V2部分暗示着可以在功能性部分V2*和Z之间存在有两个可条件性裂解的或可条件性转化的部分且因此需要两个单独的裂解/转化来释放Z。对于需要在释放一个或多个Z之前“按顺序”满足的两个不同条件的需要可能有利地影响所述缀合物的性能。例如,它可以提高缀合物的靶向效率和治疗指数。所述两个转化/裂解可以在不同的胞外/胞内位置发生。需要通过第二次裂解除去或由于第二次转化而被除去的所述部分可以例如用于帮助将Z从(发生第一次裂解的)第一胞外或胞内位置转运到第二胞外或胞内位置,或者用于在Z接近其靶之前将Z稳定化,或者用于(暂时地)提高Z的水溶性。为了使用这个原理来提高靶向效率和/或治疗指数,第二次转化和/或裂解应该只在第一次转化和/或裂解已经发生之后才发生。如果也可以在第一次转化和/或裂解发生之前发生所述第二次转化和/或裂解,则由于这一原理所致的改善的靶向效率和/或改善的治疗指数似乎不太可能实现。
显然的是,式(VI)的V2部分或包含这种V2的前体部分不仅能够用于式(I)或(II)的化合物的缀合物中,而且可以用于其它治疗剂、诊断用部分等的类似缀合物中。
包含式(VI)的V2部分的式(III)的化合物可以从包含式(VII)的V2部分的式(III)的化合物来制备:
其中RM*具有与RM相同的含义,且被独立地选择。
应该理解,在本文中,在提及V2、L2、L、V1、Y、RM、p、q或z时,其同样分别适合于各自的V2*、L2*、L*、V1*、Y*、RM*、p*、q*或z*,除非具体情况表明不是这样。
应该理解,功能性部分V2可以具有若干功能性的组合。例如,V2可以是改善本发明化合物的药理学性能的部分且同时是或包含靶向部分。
本发明的缀合物可以包含一个或多个前体部分。这些前体部分可以相同或不同。两个或更多个前体部分的存在可以有利地影响缀合物的性能。例如,它可以改善缀合物的水溶性和/或提高其靶向效率。另外,如果在靶向的缀合物中有两个前体部分且靶向所需要的前体部分例如在循环系统中被过早地从Z裂解掉,则所述第二前体部分减弱Z的细胞毒性。
在一个实施方案中,在存在有两个或更多个前体部分时,所述前体部分彼此不同。所述两个或更多个不同的前体部分可以具有不同的功能且可以在不同的条件下和在不同的胞外/胞内位置被除去。
在一个实施方案中,有一个连接至Z的前体部分。在另一个实施方案中,有一个通过X1连接至Z的前体部分。在另一个实施方案中,有两个连接至Z的前体部分。在另一个实施方案中,有两个前体部分连接至Z,其中一个是通过X1连接的。在另一个实施方案中,有两个前体部分连接至Z,其中一个通过X1连接,另一个连接至DNA-烷基化单元。在另一个实施方案中,有两个前体部分连接至Z,其中一个通过X1连接,另一个连接至DNA-结合单元。在另一个实施方案中,有两个前体部分连接至Z,其中一个连接至DNA-结合单元,另一个连接至DNA-烷基化单元。在又一个实施方案中,有三个前体部分连接至Z。在又一个实施方案中,有三个前体部分连接至Z,其中一个通过X1连接。
在另一个方面中,本发明涉及与式(III)和(IV)的化合物相似的、其中Z部分是一个不同于式(I)、(II)、(I')或(II')的化合物或其包含前体部分的衍生物的治疗用或诊断用部分的缀合物和接头-药物缀合物。治疗用部分可以例如选自蒽环类抗生素(例如,柔红霉素、多柔比星)、抗代谢物(例如,甲氨喋呤、阿糖胞苷、6-巯基嘌呤)、刺孢霉素、海兔毒肽、auristatins、tubulysins、埃皮霉素、紫杉类(例如,紫杉醇、多西他赛)、maytansinoids、丝裂霉素、其它烷基化剂(例如,美法仑、卡莫司汀、苯丁酸氮芥、环磷酰胺)和其它微管蛋白粘合剂(例如,长春新碱、长春碱)。对于式(III)和(IV)的化合物所述的所有实施方案都还适用于与式(III)和(IV)的化合物类似的、其中Z部分是一个不同于式(I)、(II)、(I')或(II')的化合物或其包含前体部分的衍生物的的治疗用或诊断用部分的缀合物和接头-药物缀合物,除非具体情况表明不是这样。
在本发明的一个方面中,式(III)的化合物包括至少两个前体部分。第一个前体部分包含至少一个靶向部分而第二个包括至少一个X14(CH2CH2O)ggCH2CH2X14部分或两个X14CH2CH2OCH2CH2X14部分,且所述相同的第二个前体部分的V1'是存在的。类似地,式(IV)的化合物可以包括至少两个前体部分。第一个前体部分包含至少一个反应性部分RM而第二个前体部分包括至少一个X14(CH2CH2O)ggCH2CH2X14部分或两个X14CH2CH2OCH2CH2X14部分,且所述相同的第二个前体部分的V1'是存在的。式(III)和(IV)的化合物的所述第二个前体部分可以例如是由以下各式表示
在一个实施方案中,所述第二个前体部分选自
其中X70、X71、X72和X73独立地选自O、S和NR82,X74选自
d选自0到8,e是0或1,gg'、gg″、gg″′、gg″″和gg*独立地选自0到1000,和R81和R82独立地选自H和任选被取代的C1-3烷基。在其它实施方案中,gg'、gg″、gg″′、gg″″和gg*独立地选自3到1000或500或100或50或10。
在另一个实施方案中,所述第二个前体部分选自
其中gg'选自0到1000。在其它实施方案中,gg'选自3到1000或500或100或50或10。
在另一个实施方案中,所述第二个前体部分选自
其中gg'选自0到1000,AS是
其中A是
R116选自甲基、乙基、异丙基、叔丁基、苯基,
f是0、1或2,g是0或1,和PM是一个氨基酸或以其N-末端偶联于L'的肽。
在其它实施方案中,gg'选自3到1000或500或100或50或10或5。
在一个实施方案中,(III)由式(III-1)或(III-2)的化合物表示:
在更具体的实施方案中,式(III-1)或(III-2)的化合物中的DB单元是DB1或DB2或DB3或DB4或DB5或DB6或DB7或DB8或DB9。
在另一个实施方案中,式(III)的化合物由式(III-3a)或(III-4a)的化合物表示,其中所述DNA结合性部分是DB1:
其中Y'连接至作为X3、X34、X4、X6、X7、X8、X9、X11或X12的一部分的原子。
在另一个实施方案中,式(III)的化合物由式(III-3b)或(III-4b)的化合物表示,其中所述DNA结合性部分是DB2:
其中Y'连接至作为X3、X34、X4、X6、X7、X9、X11或X12的一部分的原子。
在另一个实施方案中,式(III)的化合物由式(III-3c)或(III-4c)的化合物表示,其中所述DNA结合性部分是DB3:
其中Y'连接至作为X6、X7、X8、X9、X10或X11的一部分的原子。
在另一个实施方案中,式(III)的化合物由式(III-3d)或(III-4d)的化合物表示,其中所述DNA结合性部分是DB4:
其中Y'连接至作为X6、X7、X8、X9或X11的一部分的原子。
在另一个实施方案中,式(III)的化合物由式(III-3e)或(III-4e)的化合物表示,其中所述DNA结合性部分是DB5:
其中Y'连接至作为R8b、R9b、X3、X34、X4、X7或X11的一部分的原子。
在另一个实施方案中,式(III)的化合物是式(III-3f)或(III-4f)的化合物,其中所述DNA结合性部分是DB6:
其中Y'连接至X3、X34、X4、X6*、X7*、X7、X8、X8*、X9*、X10*或X11*的一个原子。
在另一个实施方案中,式(III)的化合物是式(III-3g)或(III-4g)的化合物,其中所述DNA结合性部分是DB7:
其中Y'连接至作为X3、X34、X4、X6*、X7、X7*、X8、X8*、X9*或X11*的一部分的原子。
在另一个实施方案中,式(III)的化合物是式(III-3h)或(III-4h)的化合物,其中所述DNA结合性部分是DB8:
其中Y'连接至作为X3、X34、X4、X7或X8的一部分的原子。
在另一个实施方案中,式(III)的化合物由式(III-3i)或(III-4i)的化合物表示,其中所述DNA结合性部分是DB9:
其中Y'连接至作为X6、X7、X8、X9或X11的一部分的原子。
本发明另外涉及式(III-3j)–(III-3r)和(III-4j)–(III-4r)的化合物,其分别与式(III-3a)–(III-3i)和(III-4a)–(III-4i)的化合物相同,不同之处在于两个前体部分的位置发生转换,使得Y现在连接至DNA-结合单元中的原子而Y'连接至X1。
指出的是,在式(III-3a)–(III-3i)和(III-4a)–(III-4i)的化合物中的任一个中,如果Y'连接至作为环A或环B的一部分的环原子而不是连接至与所述环原子连接的R取代基的一个原子,则这实际上意味着这种R取代基为不存在,如果满足价键规则需要的话。同样适用于式(III-3j)–(III-3r)和(III-4j)–(III-4r)的化合物中的Y。
在另一个实施方案中,式(III)的化合物由式(III-5)或(III-6)的化合物表示:
其中Y'连接至作为R5、R5'、R6、R6'、R7、R7'、R14、R14'、X2的一部分的原子或连接至带有这些R取代基的原子中的任一个。
在更具体的实施方案中,式(III-5)或(III-6)的化合物中的DB单元是DB1或DB2或DB3或DB4或DB5或DB6或DB7或DB8或DB9。
在另一个实施方案中,式(III)的化合物由式(III-7)和(III-8)的化合物表示,其分别与化合物(III-5)和(III-6)相同,不同之处在于所述两个前体部分的位置发生转换,使得Y现在连接至DNA-结合单元中的原子而Y'连接至X1。
在更具体的实施方案中,式(III-7)或(III-8)的化合物中的DB单元是DB1或DB2或DB3或DB4或DB5或DB6或DB7或DB8或DB9。
在式(III-5)和(III-6)的化合物中的Y'连接至一个环原子而不是与所述环原子连接的R取代基中的原子时,这实际上意味着这一R取代基为不存在,如果满足价键规则需要的话。同样适用于式(III-7)和(III-8)的化合物中的Y。
通过分别用RM和/或RM'代替V2-L2和/或V2'-L2'并除去带有下标q和/或q'的括号,可以预想式(IV)的化合物的类似实施方案。因此,式(IV-1)、(IV-2)、(IV-3a)–(IV-3r)、(IV-4a)–(IV-4r)、(IV-5)、(IV-6)、(IV-7)和(IV-8)的化合物分别由式(III-1)、(III-2)、(III-3a)–(III-3r)、(III-4a)–(III-4r)、(III-5)、(III-6)、(III-7)和(III-8)的化合物的结构表示,其中V2-L2和V2'-L2'中的至少一个分别被RM和RM'代替。
在一个实施方案中,在式(III-3a)–(III-3r)、(III-4a)–(III-4r)、(III-5)、(III-6)、(III-7)和(III-8)的化合物或其基于式(IV)的化合物的类似化合物中的任一个中,V2'(-L2'-L'(-(V1'-Y'))p')q'(Z')z'-1部分由下式表示
在另一个实施方案中,式(III-3a)–(III-3r)、(III-4a)–(III-4r)、(III-5)、(III-6)、(III-7)和(III-8)的化合物或其基于式(IV)的化合物的类似化合物中的任一个中的V2'(-L2'-L'(-(V1'-Y'))p')q'(Z')z'-1部分由下式表示
在一个实施方案中,p为1(包含端值)到128(包含端值)的整数。在另一个实施方案中,q是1(包含端值)到1000(包含端值)的整数。在其它实施方案中,p是1(包含端值)到64(包含端值)或32(包含端值)或16(包含端值)或8(包含端值)或4(包含端值)或2(包含端值)的整数或者p是1。在其它实施方案中,q是1(包含端值)到500(包含端值)或400(包含端值)或300(包含端值)或200(包含端值)或100(包含端值)或16(包含端值)或8(包含端值)或6(包含端值)或4(包含端值)或2(包含端值)的整数,或者p是1。在另一个实施方案中,q选自1到4。
在一个实施方案中,如果有不止一个前体部分连接至第一个Z且在一个前体部分中存在有不止一个用于Z部分的连接位点,则连接至所述第一个Z的其它那些所述前体部分各自包含单个的用于Z部分的连接位点。
在一个实施方案中,式(III)的化合物由下式表示
在一个实施方案中,式(IIIa)的化合物中的p是1。
在另一个实施方案中,在式(IIIa)的化合物中的p是1且z等于q,这样式(IIIa)简化为:
在另一个实施方案中,式(IIIa)的化合物由下式或其异构体或异构体的混合物表示
其中R5、R6、R7、R14和DB如前述定义的,V1选自缬氨酰基瓜氨酸、缬氨酰基赖氨酸、苯丙氨酰基赖氨酸、丙氨酰基苯丙氨酰基赖氨酸和D-丙氨酰基苯丙氨酰基赖氨酸,f是1或2,CL选自
L选自
q为1到20,rr、rr'、rr″和rr″′各自独立地为0到8,X74选自
每个X40和X41独立地选自O、S和NR135,其中R135选自H和C1-3烷基,每个uu、uu'和uu″独立地选自0和1,且Ab是抗体或其片段或衍生物。
在又一个实施方案中,式(IIIa)的化合物由下式或其异构体或异构体的混合物表示
其中R5、R6、R7、R14和DB如前述定义的,V1选自缬氨酰基瓜氨酸、缬氨酰基赖氨酸、苯丙氨酰基赖氨酸、丙氨酰基苯丙氨酰基赖氨酸和D-丙氨酰基苯丙氨酰基赖氨酸,f是1或2,CL是
R116选自甲基、乙基、异丙基、叔丁基、苯基,
L选自
q为1到20,rr、rr'、rr″和rr″′各自独立地为0到8,X74选自
每个X40和X41独立地选自O、S和NR135,其中R135选自H和C1-3烷基,每个uu、uu'和uu″独立地选自0和1,且Ab是抗体或其片段或衍生物。
在又一个实施方案中,式(IIIa)的化合物由下式或其异构体或异构体的混合物表示
其中R5、R6、R7、R14和DB如前述定义的,V1选自缬氨酰基瓜氨酸、缬氨酰基赖氨酸、苯丙氨酰基赖氨酸、丙氨酰基苯丙氨酰基赖氨酸和D-丙氨酰基苯丙氨酰基赖氨酸,f是1或2,CL选自
L选自
q为1到20,和Ab是抗体或其片段或衍生物。
在又一个实施方案中,式(IIIa)的化合物由下式或其异构体或异构体的混合物表示
其中R5选自H、甲基和甲氧基、R6、R7和R14都是H,DB是DB1、V1选自缬氨酰基瓜氨酸、缬氨酰基赖氨酸、苯丙氨酰基赖氨酸、丙氨酰基苯丙氨酰基赖氨酸和D-丙氨酰基苯丙氨酰基赖氨酸,f是1或2,CL选自
L选自
q为1到4,且Ab是抗体或其片段或衍生物。
在另一个实施方案中,式(IIIa)的化合物由下式或其异构体或异构体的混合物表示
其中R5、R6、R7、R14和DB如前述定义的,CL和CL'独立地选自
V1和V1'独立地选自缬氨酰基瓜氨酸、缬氨酰基赖氨酸、苯丙氨酰基赖氨酸、丙氨酰基苯丙氨酰基赖氨酸和D-丙氨酰基苯丙氨酰基赖氨酸,f是1或2,f'是0、1或2,g'是0或1,所述CL'基团连接至DB中的一个原子,或者如果g'是0,则由p-氨基苄基氧基羰基基团连接至DB中的一个原子,或者如果f'也是0,则由V1'基团连接至DB中的一个原子,L选自
q为1到20,rr、rr'、rr″和rr″′各自独立地为0到8,X74选自
每个X40和X41独立地选自O、S和NR135,其中R135选自H和C1-3烷基,每个uu、uu'和uu″独立地选自0和1,Ab是抗体或其片段或衍生物,和L'选自
其中gg'选自0到1000。
在另一个实施方案中,式(IIIa)的化合物由下式或其异构体或异构体的混合物表示
其中R5、R6、R7、R14和DB如前述定义的,CL和CL'独立地选自
V1和V1'独立地选自缬氨酰基瓜氨酸、缬氨酰基赖氨酸、苯丙氨酰基赖氨酸、丙氨酰基苯丙氨酰基赖氨酸和D-丙氨酰基苯丙氨酰基赖氨酸,f是0、1或2,f'是1或2,g是0或1,所述CL基团连接至DB中的一个原子,或者如果g是0,则由p-氨基苄基氧基羰基基团连接至DB中的一个原子,或者如果f也是0则由V1基团连接至DB中的一个原子,L选自
q为1到20,rr、rr'、rr″和rr″′各自独立地为0到8,X74选自
每个X40和X41独立地选自O、S和NR135,其中R135选自H和C1-3烷基,每个uu、uu'和uu″独立地选自0和1,Ab是抗体或其片段或衍生物,且L’选自
其中gg'选自0到1000。
在另一个实施方案中,式(III)的化合物由下式表示
在一个实施方案中,式(IIIa*)的化合物中的p*是1。
在另一个实施方案中,在式(IIIa*)的化合物中的p*是1且z*等于q*。
在另一个实施方案中,在式(IIIa*)的化合物中的p*是1且z*以及z等于q*,这样,式(IIIa*)简化为:
在另一个实施方案中,式(III)的化合物由下式表示
在一个实施方案中,式(IIIb)的化合物中的p是1。
在另一个实施方案中,式(IIIb)的化合物中的p是1且z等于q,这样,式(IIIb)简化为:
在另一个实施方案中,式(III)的化合物由下式表示
在一个实施方案中,式(IIIc)的化合物中的p*是1。
在另一个实施方案中,式(IIIc)的化合物中的p*是1且z*等于q*。
在又一个实施方案中,式(IIIc)的化合物中的p*是1且z*以及z等于q*,这样,式(IIIc)简化为:
在另一个实施方案中,式(IIIc)的化合物中的V1是一个酶-可裂解的底物。在另一个实施方案中,V1可以通过胞内酶裂解。在另一个实施方案中,V1是一个任选被取代的N,N-二烷基氨基羰基基团,其中所述两个烷基基团可以相同或不同且任选地彼此连接以形成任选被取代的杂环。在又一个实施方案中,V1是哌嗪羰基。这种V1基团可以被酶促裂解,例如被羧酸酯酶裂解。
在另一个实施方案中,式(IIIc)的化合物由下式或其异构体或异构体的混合物表示
其中R5、R6、R7、R14和DB如前述定义的,V1*选自缬氨酰基瓜氨酸、缬氨酰基赖氨酸、苯丙氨酰基赖氨酸、丙氨酰基苯丙氨酰基赖氨酸和D-丙氨酰基苯丙氨酰基赖氨酸,f*是1或2,L*选自
q*为1到20,rr、rr'、rr″和rr″′各自独立地为0到8,X74选自
每个X40和X41独立地选自O、S和NR135,其中R135选自H和C1-3烷基,每个uu、uu'和uu″独立地选自0和1,且Ab是抗体或其片段或衍生物。
在又一个实施方案中,式(IIIc)的化合物由下式或其异构体或异构体的混合物表示
其中R5、R6、R7、R14和DB如前述定义的,V1*选自缬氨酰基瓜氨酸、缬氨酰基赖氨酸、苯丙氨酰基赖氨酸、丙氨酰基苯丙氨酰基赖氨酸和D-丙氨酰基苯丙氨酰基赖氨酸,f*是1或2,L*选自
q*为1到20,且Ab是抗体或其片段或衍生物。
在又一个实施方案中,式(III)的化合物由下式表示
v1-z (IIId)。
在一个实施方案中,式(IIId)的化合物由下式或其异构体或异构体的混合物表示
其中R5、R6、R7、R14和DB如前述定义的,CL'选自
f'是0、1或2,g'是0或1,V1'选自缬氨酰基瓜氨酸、缬氨酰基赖氨酸、苯丙氨酰基赖氨酸、丙氨酰基苯丙氨酰基赖氨酸和D-丙氨酰基苯丙氨酰基赖氨酸,或者不存在,所述CL’基团连接至DB中的一个原子,或者如果g’是0,则由p-氨基苄基氧基羰基基团连接至DB中的一个原子,或者如果f’也是0则由V1’基团连接至DB中的一个原子,或者如果V1’也不存在则由L’基团连接至DB中的一个原子,L'选自
q'为1到20,rr、rr'、rr″和rr″′各自独立地为0到8,X74选自
每个X40和X41独立地选自O、S和NR135,其中R135选自H和C1-3烷基,每个uu、uu'和uu″独立地选自0和1,Ab是抗体或其片段或衍生物和V1选自单糖、二糖或低聚糖或其经过还原的、经过氧化的或经过保护的衍生物,以及
其中R141、R142和R143独立地选自H和任选被取代的C1-8烷基、C1-8杂烷基、C3-8环烷基、C1-8杂环烷基、C5-8芳基或C1-8杂芳基。
在另一个实施方案中,式(IIId)的化合物由下式或其异构体或异构体的混合物表示
其中R5、R6、R7、R14和DB如前述定义的,CL'是
R116选自甲基、乙基、异丙基、叔丁基、苯基,
f'是0、1或2,g'是0或1,V1'选自缬氨酰基瓜氨酸、缬氨酰基赖氨酸、苯丙氨酰基赖氨酸、丙氨酰基苯丙氨酰基赖氨酸和D-丙氨酰基苯丙氨酰基赖氨酸,或者不存在,所述CL基团连接至DB中的一个原子,或者如果g’是0,则由p-氨基苄基氧基羰基基团连接至DB中的一个原子,或者如果f’也是0则由V1’基团连接至DB中的一个原子,或者如果V1’也不存在则由L’基团连接至DB中的一个原子,L'选自
q'为1到20,rr、rr'、rr″和rr″′各自独立地为0到8,X74选自
每个X40和X41独立地选自O、S和NR135,其中R135选自H和C1-3烷基,每个uu、uu'和uu″独立地选自0和1,Ab是抗体或其片段或衍生物和V1选自单糖、二糖或低聚糖或其经过还原的、经过氧化的或经过保护的衍生物,以及
其中R141、R142和R143独立地选自H和任选被取代的C1-8烷基、C1-8杂烷基、C3-8环烷基、C1-8杂环烷基、C5-8芳基或C1-8杂芳基。
在另一个实施方案中,式(IIId)的化合物由下式或其异构体或异构体的混合物表示
其中R5、R6、R7、R14和DB如前述定义的,CL'选自
f'是1或2,V1'选自缬氨酰基瓜氨酸、缬氨酰基赖氨酸、苯丙氨酰基赖氨酸、丙氨酰基苯丙氨酰基赖氨酸和D-丙氨酰基苯丙氨酰基赖氨酸,L'选自
q'为1到20,rr、rr'、rr″和rr″′各自独立地为0到8,每个X40和X41独立地选自O、S和NR135,其中R135选自H和C1-3烷基,每个uu、uu'和uu″独立地选自0和1,Ab是抗体或其片段或衍生物,V1偶联于DB中的一个原子且选自单糖、二糖或低聚糖或其经过还原的、经过氧化的或经过保护的衍生物,以及
其中R141、R142和R143独立地选自H和任选被取代的C1-8烷基、C1-8杂烷基、C3-8环烷基、C1-8杂环烷基、C5-8芳基或C1-8杂芳基。
在另一个实施方案中,式(IIId)的化合物由下式或其异构体或异构体的混合物表示
其中R5、R6、R7、R14和DB如前述定义的,CL'是
R116选自甲基、乙基、异丙基、叔丁基、苯基,
f'是1或2,V1'选自缬氨酰基瓜氨酸、缬氨酰基赖氨酸、苯丙氨酰基赖氨酸、丙氨酰基苯丙氨酰基赖氨酸和D-丙氨酰基苯丙氨酰基赖氨酸,L’选自
q'为1到20,rr、rr'、rr″和rr″′各自独立地为0到8,每个X40和X41独立地选自O、S和NR135,其中R135选自H和C1-3烷基,每个uu、uu'和uu″独立地选自0和1,Ab是抗体或其片段或衍生物,V1偶联于DB中的一个原子且选自单糖、二糖或低聚糖或其经过还原的、经过氧化的或经过保护的衍生物,以及
其中R141、R142和R143独立地选自H和任选被取代的C1-8烷基、C1-8杂烷基、C3-8环烷基、C1-8杂环烷基、C5-8芳基或C1-8杂芳基。
在又一个实施方案中,式(III)的化合物由下式表示
V2-L2-L-Z (IIIe)。
通过分别用RM和/或RM'代替V2-L2和/或V2'-L2'并除去带有下标q和/或q'的括号或从各结构中去掉Ab-SH,可以预想式(IV)的化合物的类似实施方案。因此,式(IVa)–(IVe)的化合物分别由式(IIIa)–(IIIe)的化合物的结构表示,其中V2-L2或V2'-L2'分别被RM或RM'代替且带有下标q或q'的括号被去掉。
在一个实施方案中,式(III)的化合物中的Z的DB部分是DB1。
在其它实施方案中,式(III)的化合物中的Z的DB部分是DB2或DB3或DB4或DB5或DB6或DB7或DB8或DB9。
在另一个实施方案中,式(IV)的化合物中的Z的DB部分是DB1。
在其它实施方案中,中的Z的DB部分式(IV)的化合物是DB2或DB3或DB4或DB5或DB6或DB7或DB8或DB9。
在又一个实施方案中,式(III)的化合物中的Z的DB部分是
在又一个实施方案中,式(IV)的化合物中的Z的DB部分是
在一个实施方案中,式(IV)的化合物由下式或其异构体或异构体的混合物表示
其中R5a选自H、甲基和甲氧基,AZ是
V1选自缬氨酰基瓜氨酸、缬氨酰基赖氨酸、苯丙氨酰基赖氨酸、丙氨酰基苯丙氨酰基赖氨酸和D-丙氨酰基苯丙氨酰基赖氨酸,CL是
R116选自甲基、乙基、异丙基、叔丁基、苯基、
且L选自
在另一个实施方案中,式(IV)的化合物由下式或其异构体或异构体的混合物表示
其中R5a选自H、甲基和甲氧基,AZ是
V1选自缬氨酰基瓜氨酸、缬氨酰基赖氨酸、苯丙氨酰基赖氨酸、丙氨酰基苯丙氨酰基赖氨酸和D-丙氨酰基苯丙氨酰基赖氨酸,CL是
且L选自
在另一个实施方案中,式(III)的化合物由下式或其异构体或异构体的混合物表示
其中R5a选自H、甲基和甲氧基,AZ是
V1选自缬氨酰基瓜氨酸、缬氨酰基赖氨酸、苯丙氨酰基赖氨酸、丙氨酰基苯丙氨酰基赖氨酸和D-丙氨酰基苯丙氨酰基赖氨酸,CL是
R116选自甲基、乙基、异丙基、叔丁基、苯基、
q为1到8,Ab是抗体或其片段或衍生物,且L选自
在又一个实施方案中,式(III)的化合物由下式或其异构体或异构体的混合物表示
其中R5a选自H、甲基和甲氧基,AZ是
V1选自缬氨酰基瓜氨酸、缬氨酰基赖氨酸、苯丙氨酰基赖氨酸、丙氨酰基苯丙氨酰基赖氨酸和D-丙氨酰基苯丙氨酰基赖氨酸,CL是
L选自
q为1到4,且Ab是抗体或其片段或衍生物。
根据实施例15中所述的方法制备了其中R5a是甲基,AZ是
L是
Ab是曲妥珠单抗,V1是缬氨酰基瓜氨酸,且CL是
在一个实施方案中,式(IV)的化合物选自
在另一个实施方案中,式(IV)的化合物选自
在另一个实施方案中,式(IV)的化合物选自
在另一个实施方案中,式(IV)的化合物选自
在另一个实施方案中,式(IV)的化合物选自
在另一个实施方案中,式(IV)的化合物选自
在另一个实施方案中,式(IV)的化合物选自
在另一个实施方案中,式(IV)的化合物选自
在另一个实施方案中,式(IV)的化合物选自
在另一个实施方案中,式(IV)的化合物选自
在另一个实施方案中,式(IV)的化合物选自
在另一个实施方案中,式(IV)的化合物选自
在另一个实施方案中,式(IV)的化合物选自
在另一个实施方案中,式(IV)的化合物选自
在另一个实施方案中,式(IV)的化合物选自
在另一个实施方案中,式(IV)的化合物选自
在另一个实施方案中,式(IV)的化合物选自
在另一个实施方案中,式(IV)的化合物选自
在另一个实施方案中,式(IV)的化合物选自
在另一个实施方案中,式(IV)的化合物选自
在另一个实施方案中,式(IV)的化合物选自
在另一个实施方案中,式(IV)的化合物选自
在另一个实施方案中,式(IV)的化合物选自
在另一个实施方案中,式(IV)的化合物选自
在另一个实施方案中,式(IV)的化合物选自
在另一个实施方案中,式(IV)的化合物选自
在另一个实施方案中,式(IV)的化合物选自
在另一个实施方案中,式(IV)的化合物选自
在另一个实施方案中,式(IV)的化合物选自
在另一个实施方案中,式(IV)的化合物选自
在另一个实施方案中,式(IV)的化合物选自
本发明化合物的合成
式(I)–(IV)和(VIII)的化合物可以以部分类似于在WO 01/83448、WO 02/083180、WO 2004/043493、WO 2007/018431、WO 2007/089149、WO 2009/017394和WO2010/062171中报导的化合物的方法方便地制备。另外的代表性合成规程可以在实施例中找到。
在一个实施方案中,式(I)或(II)的化合物用于制备式(III)的化合物。在另一个实施方案中,式(I)或(II)的化合物用于制备式(IV)的化合物。在另一个实施方案中,式(IV)的化合物用于制备式(III)的化合物。在另一个实施方案中,其中V1是一个保护基的式(III)的化合物用于制备其中V1是一个在体内可裂解的/可转化的部分的另一个式(III)的化合物。在又一个实施方案中,式(VIII)的化合物用于制备式(IV)的化合物。在又一个实施方案中,式(VIII)的化合物用于制备式(III)的化合物,任选地经由式(IV)的化合物。
用途、方法和组合物
在一个方面中,本发明涉及式(I)或(II)的化合物用于制备式(III)的化合物的用途。
在另一个方面中,本发明涉及式(IV)的化合物用于制备式(III)的化合物的用途。
在又一个方面中,本发明涉及式(I)或(II)的化合物用于制备的用途式(IV)的化合物。
在又一个方面中,本发明涉及式(VIII)的化合物用于制备的用途式(IV)的化合物。
在又一个方面中,本发明涉及式(VIII)的化合物用于制备式(III)的化合物的用途,任选地经由式(III)的化合物。
在又一个方面中,本发明涉及式(VIII)的化合物用于制备与式(III)和(IV)的化合物类似的缀合物和接头-药物缀合物的用途,其中Z部分是一个不同于式(I)、(II)、(I')或(II')的化合物或其包含前体部分的衍生物的治疗用或诊断用部分。
在又一个方面中,本发明涉及其中V1是一个保护基的式(III)的化合物用于制备其中V1是一个在体内可裂解的/可转化的部分的式(III)的化合物的用途。
在又一个方面中,本发明涉及本文中前述定义的任一化合物用于制造药物组合物的用途,所述药物组合物用于治疗有此需要的哺乳动物。在一个实施方案中,本发明涉及本文中前述定义的任一化合物用于制造用于治疗哺乳动物的肿瘤的药物组合物的用途。在另一个实施方案中,本发明涉及本文中前述定义的任一化合物用于制造用于预防哺乳动物的肿瘤的药物组合物的用途。本发明还可以描述为用于治疗有需要的哺乳动物或用于治疗哺乳动物的肿瘤或用于预防哺乳动物的肿瘤的任何本文中定义的化合物。
本发明还涉及作为药物或作为药物中的活性成分或活性物质的本文中前述定义的任一化合物。
在另一个方面中,本发明涉及制备包含上述定义的化合物的药物组合物的方法,用于提供经口给药、局部给药或通过注射给药的固体或液体制剂。这种方法至少包括将该化合物与药学上可接受的载体混合的步骤。
在一个实施方案中,本发明的化合物用于治疗或预防以不希望的增殖为特征的疾病。在另一个实施方案中,本发明的化合物用于治疗或预防以不希望的细胞增殖为特征的疾病。在另一个实施方案中,本发明的化合物用于治疗肿瘤。在另一个实施方案中,本发明的化合物用于预防肿瘤。在又一个实施方案中,本发明的化合物用于治疗或预防炎性疾病。在又一个实施方案中,本发明的化合物用于治疗或预防自身免疫性疾病。在又一个实施方案中,本发明的化合物用于治疗或预防细菌感染、病毒感染或微生物感染。
在另一个实施方案中,本发明涉及用本发明的化合物治疗患有以不希望的(细胞)增殖为特征的疾病的哺乳动物的方法。在另一个实施方案中,本发明涉及用本发明的化合物治疗带有肿瘤的哺乳动物的方法。在又一个实施方案中,本发明涉及用本发明的化合物治疗患有炎性疾病的哺乳动物的方法。在又一个实施方案中,本发明涉及用本发明的化合物治疗患有自身免疫性疾病的哺乳动物的方法。在又一个实施方案中,本发明涉及用本发明的化合物治疗患有细菌感染、病毒感染或微生物感染的哺乳动物的方法。
在另一个实施方案中,本发明涉及治疗有需要的哺乳动物的方法,所述方法包括以治疗有效剂量对该哺乳动物给予包括本发明化合物的药物组合物。
在一个实施方案中,本发明涉及治疗或预防哺乳动物的肿瘤的方法,所述方法包括以治疗有效剂量对该哺乳动物给予包括本发明化合物的药物组合物。在另一个实施方案中,本发明涉及治疗或预防哺乳动物的肿瘤的方法,所述方法包括以治疗有效剂量对该哺乳动物给予包括本发明化合物的药物组合物。在又一个实施方案中,本发明涉及治疗或预防人的肿瘤的方法,所述方法包括以治疗有效剂量对人给予包括本发明化合物的药物组合物。
在另一个实施方案中,本发明涉及治疗或预防哺乳动物的炎性疾病的方法,所述方法包括以治疗有效剂量对该哺乳动物给予包括本发明化合物的药物组合物。
在另一个实施方案中,本发明涉及治疗或预防哺乳动物的自身免疫性疾病的方法,所述方法包括以治疗有效剂量对该哺乳动物给予包括本发明化合物的药物组合物。
在另一个实施方案中,本发明涉及治疗或预防哺乳动物的细菌感染、病毒感染或微生物感染的方法,所述方法包括以治疗有效剂量对该细菌的给予包括本发明化合物的药物组合物。
本发明还涉及包括上述定义的本发明化合物的药物组合物。本发明的化合物可以以经过纯化的形式与药物载体一起作为药物组合物给药。优选的形式取决于预定的给药方式和治疗应用。药物载体可以是适合于将本发明化合物递送给患者的任何相容性的无毒物质。药学上可接受的载体是本领域公知的且包括例如水溶液,例如(无菌的)水或生理学缓冲的盐水或其它溶剂或媒介物例如二醇类、甘油、油类,如橄榄油或可注射的有机酯、醇、脂肪、蜡和惰性固体物质。药学上可接受的载体可以另外包含用于例如使本发明化合物稳定化或增加其吸收的生理学可接受的化合物。这种生理学可接受的化合物包括例如,碳水化合物,如葡萄糖、蔗糖或葡聚糖,抗氧化剂如抗坏血酸或谷胱甘肽、螯合剂、低分子量蛋白质或其它稳定剂或赋形剂。本领域技术人员知道,药学上可接受的载体(包括生理学可接受的化合物)的选择取决于例如组合物的给药途径。还可以在药物组合物中并入药学上可接受的助剂、缓冲剂、分散剂等。
对于经口给药来说,活性成分可以作为固体剂型,例如胶囊、片剂和粉末,或者作为液体剂型,例如酏剂、糖浆和悬浮液来给药。可以将活性成分与非活性成分和粉末载体一起装入明胶胶囊,所述非活性成分和粉末载体例如是葡萄糖、乳糖、蔗糖、甘露醇、淀粉、纤维素或纤维素衍生物、硬脂酸镁、硬脂酸、糖精钠、滑石、碳酸镁等。可以加入的用于提供期望的颜色、味道、稳定性、缓冲容量、分散性或其它已知的合乎需要的特征的另外的非活性成分的实例是红色氧化铁、硅胶、月桂硫酸钠、二氧化钛、食用白色墨水等。可以使用类似的稀释剂用于制备压制片。片剂和胶囊二者都可以制造为持续释放产品,以提供在数小时时间内的药物连续释放。压制片可以经过糖包衣或薄膜包衣,以掩蔽任何使人不愉快的味道和保护片剂免受空气影响,或者经过肠溶包衣以实现在胃肠道中的选择性崩解。用于经口给药的液体剂型可以包含着色剂或调味剂以提高患者的接受性。
然而,优选将本发明的化合物肠胃外给药。用于肠胃外给药的本发明化合物的制剂必须是无菌的。可以通过经无菌过滤膜过滤容易地实现灭菌,任选在冷冻干燥和重构之前或之后。用于本发明的化合物给药的肠胃外途径依照已知的方法,例如通过静脉内的、腹膜内的、肌内的、动脉内的或病灶内的注射或输注的途径。本发明的化合物可以通过输注或推注注射连续给药。典型的用于静脉内输注的组合物可以包括100到500ml的无菌0.9%NaCl或5%葡萄糖,任选地补充有20%白蛋白溶液和1mg到10g的本发明化合物,取决于本发明的化合物的具体类型和需要的剂量给药方案。制备可肠胃外给药的组合物的方法是本领域公知的且在各种来源中有更详细的描述,包括例如,Remington’s PhaRMaceuticalScience 17。
本发明的化合物还可以用于联合治疗,其中将本发明的化合物与一种或多种其它治疗剂联合应用。两种或更多种治疗剂的联合可以有利地影响治疗结果。所述药物可以连续或伴随地给药。因此,在一个实施方案中,本发明涉及本发明的化合物或包括本发明化合物的药物组合物用于联合治疗的用途。
通过以下实施例进一步举例说明本发明。这些实施例仅用于说明性的目的而非意欲限制本发明的范围。
实施例
实施例1:Boc-保护的环化间隔基的合成
路线A
化合物1的合成:将7.5ml(85mmol)草酰氯溶解于200ml DCM中并冷却到T<-60℃,滴加(T<-60℃)含12.1ml(171mmol)DMSO的10ml DCM并搅拌另外的10min。滴加(T<-60℃)含10.0g(57mmol)N-Boc-N-甲基氨基乙醇的40ml DCM并搅拌另外的10min。滴加40ml(285mmol)Et3N,随后滴加50ml DCM(T<-60℃)并搅拌30min。将反应混合物温热到0℃并用3×100ml水、100ml 0.5MKHSO4、75ml盐水洗涤,用MgSO4干燥并真空浓缩。产物通过柱色谱法纯化(SiO2,DCM/乙酸乙酯,1:0到9:1),得到7.36g(74%)的化合物1。1H-NMR(300MHz,CDCl3):δ=1.42/1.46(s,9H,Boc),2.93/2.96(s,3H,Me),3.90/4.01(s,2H,CH2),9.60(s,1H,CHO)。Z/E异构体。
还原胺化的一般程序:将1mmol R-胺和1mmol化合物1在10ml MeOH中搅拌4小时。将反应混合物在冰中冷却并分批加入2mmol硼氢化钠,将混合物室温搅拌过夜。将混合物浓缩并通过柱色谱法纯化(SiO2,DCM/MeOH,1:0到1:1),得到N-Boc-N-甲基-N'-R-二氨基乙烷。
化合物4a,R=(CH2CH2O)2H:40%收率,1H NMR(300MHz,CDCl3):δ=1.46(9H,s,Boc),2.75–2.87(4H,m,2x CH2),2.88(3H,s,NMe),3.35(2H,t,J=6.6Hz,CH2),3.56–3.63(4H,m,2x CH2,CH),3.70–3.75(2H,m,CH2,CH);MS(ESI)m/z=263.5(M+H+)。
化合物4b,R=(CH2)3COOMe:61%收率,1H NMR(300MHz,CDCl3):δ=1.46(9H,s,Boc),1.83(2H,m,CH2),2.39(2H,t,J=7.4Hz,CH2)2.64–2.86(3H,m,CH/CH2),2.88(3H,s,NMe),2.99(1H,m,CH),3.30–3.49(2H,m,CH2),3.67(3H,s,CH3);MS(ESI)m/z=275.5(M+H+)。
化合物4c:1H-NMR(300MHz,DMSO-d6):δ=1.15(3H,d,J=6.9Hz,CH3 Ala),1.38(9H,s,Boc),2.57–2.67(1H,m,α-H),2.76(3H,s,NCH3),3.08–3.36(4H,m,CH2-CH2),3.63(3H,s,CH3);MS(ESI):m/z=261.3(M+H+)。
化合物4d:1H-NMR(300MHz,DMSO-d6):δ=1.12(3H,d,J=6.9Hz,CH3 Ala),1.39(9H,s,Boc),2.54–2.61(1H,m,α-H),2.77(3H,s,NCH3),3.10–3.51(13H,m,6x CH2+OH),7.90(1H,s,NH酰胺);MS(ESI):m/z=334.4(M+H+)。
化合物4e:27%收率,1H-NMR(300MHz,CDCl3):δ=1.44(9H,s,Boc),2.72–2.85(4H,m,2xCH2),2.81(3H,s,MeN),3.31(2H,m,NCH2),3.5–3.7(32H,m,15x CH2+OH+NH);MS(ESI):m/z=527.4(M+H+)。
化合物4f:30%收率,1H-NMR(300MHz,CDCl3):δ=1.44(9H,s,Boc),2.65–2.79(4H,m,2xCH2),2.80(3H,s,MeN),3.26(2H,m,NCH2),3.5–3.7(48H,m,23x CH2+OH+NH);MS(ESI):m/z 703.5(M+H+)。
化合物4g:1H-NMR(300MHz,DMSO-d6):δ=1.14(5H,m,2CH和CH3),1.35(9H,s,Boc),1.47(4H,m,4CH),1.74–2.38(4H,m,4CH),2.59(2H,m,CH2),2.75(3H,s,NCH3),3.16(2H,m,CH2),3.99(2H,m,CH2);MS(ESI):m/z=329.4(M+H+)。
化合物4h:63%收率,1H-NMR(300MHz,CDCl3):δ=1.46(9H,s,Boc),1.69(2H,m,CH2),2.24(6H,s,Me2),2.36(2H,t,CH2),2.52(1H,m,NH),2.72(2H,t,CH2),2.80(2H,t,CH2),2.88(3H,s,MeN),3.37(2H,m,CH2);MS(ESI)m/z=260.2(M+H+)。
化合物4i:1H-NMR(300MHz,DMSO-d6):δ=1.30–1.36(4H,m,2CH2 Lys),1.35(18H,2s,2Boc),1.53(2H,m,CH2 Lys),2.46(2H,m,CH2 Lys),2.56(2H,m,CH2),2.75(3H,s,NCH3),3.13(3H,m,CH2和α-H Lys),3.58(3H,s,OCH3);MS(ESI):m/z=481.4(M+H+)。
化合物4j:1H-NMR(300MHz,DMSO-d6):δ=1.36(31H,m,1tBu,2Boc和2CH2 Lys),1.53(2H,m,CH2 Lys),2.46(2H,m,CH2 Lys),2.56(2H,t,CH2),2.75(3H,s,NCH3),3.14(2H,t,CH2)3.64(1H,m,α-HLys),7.01(d,1H,NH);MS(ESI):m/z=460.3(M+H+)。
化合物4k:1H NMR(300MHz,CDCl3):δ=1.15(2H,m),1.30(2H,m),1.94(4H,m),2.46(1H,m),2.76(2H,t,J=6.8Hz),2.87(3H,s),3.30(2H,t,J=6.8Hz),3.60(1H,m);MS(ESI):m/z=273.3(M+H+)。
路线B
烷基化反应的一般程序:向1mmol R-胺和1mmol甲磺酸酯在无水THF(1.5mL)中的溶液中加入K2CO3(1.5mmol)并将混合物在60℃搅拌过夜。将混合物冷却到室温,浓缩并通过柱色谱法纯化(SiO2,DCM/MeOH,1:0到1:1),得到N-Boc-N-甲基-N'-R-二氨基乙烷。
化合物5a,R=异丙基:1H NMR(300MHz,CDCl3),δ(ppm):1.05(6H,d,2x CH3),1.46(9H,s,Boc),2.75(2H,t,J=6.6Hz,CH2),2.82(1H,t,J=6.6Hz,CH),2.87(3H,s,NMe),3.31(2H,t,J=6.6Hz,CH2);MS(ESI)m/z=217.2(M+H+)。
化合物5b:从N-Boc-吡咯烷甲醇(prolinol)18化合物开始,根据路线B制备5b。MS(ESI)m/z=215.2(M+H+)。
化合物5c:1H-NMR(300MHz,DMSO-d6):=1.39(9H,s,Boc),2.73–2.85(7H,m,NCH3+2x CH2),3.24–3.30(2H,m,CH2),3.39–3.55(11H,m,5x CH2+OH)。
实施例2:化合物2的合成
将2.28g(10mmol)苄基苯基碳酸酯溶解于20ml乙醇,并滴加1.03ml(10mmol)1,2-二氨基-1-甲基丙烷并室温搅拌过夜。将混合物用25ml水稀释并用1M HCl酸化直到pH<3,用DCM萃取。水相用4M NaOH碱化并用DCM萃取。萃取液用MgSO4干燥并真空浓缩。得到1.93g(87%)单保护的二胺。就这个物质溶解于25ml二氧杂环己烷中,加入2.028g(10.5mmol)Boc2O和0.12g(1mmol)DMAP并将反应室温搅拌过夜。将混合物真空浓缩并通过柱色谱法纯化(SiO2,醚/庚烷,1:0到7:3),得到1.13g(40%)的二保护的二胺。将二保护的二胺溶解于10ml无水DMF中,加入1.1ml(17.5mmol)碘甲烷并将反应混合物在冰中冷却。分批加入0.50g(10.5mmol)氢化钠(60%,在油中)并在冰中搅拌2小时。将混合物温热到室温,用10ml饱和NH4Cl和50ml水淬灭,用乙酸乙酯萃取,用MgSO4干燥并真空浓缩。产物通过柱色谱法纯化(SiO2,DCM/乙酸乙酯,1:0到50:1),得到0.358g(29%)的Cbz-保护的化合物2。1H-NMR(300MHz,CDCl3):δ=1.29(s,3H,Me),1.35(s,3H,Me),1.46(s,9H,Boc),2.82/2.86(s,3H,Me,Z/E),2.93(s,3H,Me),3.72(s,2H,CH2N),5.12(s,2H,苄基),7.35(m,5H,Phe)。将该物质溶解于20ml甲醇中,加入0.04g Pd/C,将混合物在氢气下搅拌3小时,过滤并将滤液浓缩。得到0.21g(100%)of化合物2。MS(ESI):m/z=217.2(M+H+)。
实施例3:化合物3的合成
将2.15g(18.8mmol)顺式-1,2-二氨基环己烷溶解于20ml甲酸乙酯并回流过夜。将悬浮液冷却,过滤并真空干燥,得到2.59g(80%)产物。将该固体分批加入到冷却的2.1g(53mmol)氢化铝锂在50mlTHF的混合物中并将混合物在室温搅拌1小时,然后回流过夜。将透明溶液在冰中冷却并通过滴加2.1ml水随后滴加15ml 20%NaOH将其淬灭。将悬浮液略加热,直到盐是白色的。将混合物冷却到室温并过滤。残余物用2份50ml THF洗涤。将滤液浓缩,溶解于50mlDCM并用20ml 4M NaOH洗涤。水相用25ml DCM萃取,用MgSO4干燥并真空浓缩,得到1.94g(89%)产物。将粗产物溶解于50ml DCM并将混合物冷却到-40℃,滴加含2.95g(13.5mmol)Boc2O的10mlDCM。使混合物缓慢温热到室温并用20ml 2M NaOH洗涤,用MgSO4干燥,真空干燥并将粗产物通过柱色谱法纯化(SiO2,DCM/MeOH,1:0到9:1),得到2.09g(63%)的化合物3。1H-NMR(300MHz,CDCl3):δ=1.38(m,6H,cyclohex),1.46(s,9H,Boc),1.83(m,3H,cyclohex+NH),2.35(s,3H,NMe),2.89(s,3H,NMe),2.95(m,1H,CHN),3.86(m,1H,CHN);MS(ESI):m/z=243.2(M+H+)。
实施例4:化合物6的合成
在氩气气氛下向2.55mmol N-Boc-吡咯烷甲醛在无水THF(5mL)的溶液中加入0.7mL冰醋酸和272mg 2-(2-氨基乙氧基)乙醇(2.58mmol)。将混合物室温搅拌过夜。分批加入2.59mmol硼氢化钠并将混合物搅拌另外的4小时,之后加入水。混合物用乙酸乙酯洗涤,水层用Na2CO3碱化到pH 10并用乙酸乙酯萃取(9x)。合并的有机层用盐水洗涤,用MgSO4干燥并真空浓缩,得到335mg(46%)粗品6,其不经进一步纯化使用。MS(ESI):m/z=289(M+H+)。
实施例5:化合物7和8的合成
使0.17g(1.5mmol)N-甲基哌啶-4-酮和0.178g(1.0mmol)N-Boc-N-甲基-1,2-二氨基乙烷与0.42g(2.0mmol)三乙酰氧基硼氢化钠在5ml DCE中室温反应过夜。反应用MeOH淬灭并将混合物用DCM和盐水(碱化到pH>12)萃取,用MgSO4干燥并真空浓缩,得到0.31g(100%)油状的7。1H-NMR(300MHz,CDCl3):δ=1H-NMR(300MHz,CDCl3):δ=1.38(2,m,CH2),1.45(9H,s,Boc),1.76(1H,br s,NH),1.85(2H,m,CH2),2.00(2H,m,CH2),2.27(3H,s,MeN),2.46(1H,m,CH),2.76(4H,m,2xCH2),2.86(3H,s,MeN),3.30(2H,t,CH2);MS(ESI)m/z=272.2(M+H+)。
使用0.75g(4.0mmol)N-羟基乙氧基乙基-4-哌啶以与化合物7类似地制备化合物8。粗产物通过柱色谱法纯化(SiO2,DCM/MeOH,1:0到95:5),得到0.83g(66%)油状的8。1H-NMR(300MHz,CDCl3):δ=1.46(9H,s,Boc),1.89(2H,m,CH2),1.91(2H,m,CH2),2.50(3H,m,CH+OH+NH),2.57(2H,t,CH2),2.77(2H,t,CH2),2.87(3H,s,MeN),2.94(2H,m,CH2),3.30(2H,t,CH2),3.64(6H,m,3xCH2O);MS(ESI)m/z=346.3(M+H+)。
实施例6:化合物9的合成
使0.18g(1.0mmol)N-Boc-N-甲基-1,2-二氨基乙烷和0.15g(1.0mmol)4-甲酰基苯甲酸根据实施例1的一般程序A进行反应,得到0.34g(90%)9(HCl盐)。1H-NMR(300MHz,DMSO-d6):δ=2.89(3H,s,MeN),3.11(2H,m,CH2N),3.57(2H,t,CH2N),4.25(2H,m,CH2N),7.33(2H,d,ArH),8.02(2H,d,ArH),9.03(2H,br s,NH2+),13.03(1H,s,CO2H);MS(ESI)m/z=309.2(M+H+)。
实施例7:化合物11的合成
将1.84g(7.5mmol)N-Cbz-1,3-二胺盐酸盐和3ml Et3N溶解于50ml DCM,在冰中冷却并滴加溶解有0.94ml氯甲酸苯酯的5mlDCM。将混合物在0℃搅拌2小时并真空浓缩。将残余物溶解于50ml DCM,用25ml 0.5M KHSO4洗涤,用MgSO4干燥并真空浓缩。将残余物溶解于25ml EtOH,加入4ml浓氨水并将混合物搅拌3小时。将混合物真空浓缩并将残余物溶解于25ml CHCl3,用10ml 4MNaOH和盐水洗涤,用MgSO4干燥并真空浓缩,得到1.9g的中间体。将该物质溶解于50ml MeOH,加入0.1g Pd/C并将反应混合物在氢气下搅拌5小时。将混合物过滤并将滤液真空浓缩,得到0.87g(95%)的化合物10。将0.26g(1.7mmol)的这种胺根据一般程序A进行反应,得到0.17g(36%)油状的11。1H-NMR(300MHz,DMSO-d6):δ=1.39(9H,s,Boc),1.45(2H,m,CH2),2.48(2H,t,CH2),2.58(2H,t,CH2),2.78(3H,s,MeN),2.97(2H,m,CH2),3.18(2H,t,CH2),5.35(2H,s,NH2),5.87(1H,t,NH);MS(ESI)m/z=275.2(M+H+)。
实施例8:化合物12的合成
将0.98g(4.0mmol)N-Cbz-1,3-二胺盐酸盐和3ml Et3N溶解于15ml DCM并滴加到含1.65ml(12mmol)草酸二乙酯的15ml乙醇中。将混合物室温搅拌过夜,真空干燥并将残余物通过柱色谱法纯化(SiO2,DCM/MeOH,1:0到95:5),得到单-草酰胺。将这个物质溶解于15ml乙醇并加入5ml浓氨水,将混合物室温搅拌过夜。混合物用50ml MeOH稀释并加入100mgPd/C。将混合物在氢气气氛下搅拌3小时。加入10ml水,将混合物通过Celite过滤,并将滤液真空浓缩,得到0.57g(94%)的白色固体。使其根据实施例1的一般程序A进行反应,得到0.45g(38%)白色固体12。1H-NMR(300MHz,CDCl3):δ=1.45(9H,s,Boc),1.80(2H,m,CH2),2.80(4H,m,2xCH2),2.89(3H,s,MeN),3.39(4H,m,2xCH2),6.85(1H,s,NH),7.40(1H,s,NH),8.39(1H,t,NH);MS(ESI)m/z=303.2(M+H+)。
实施例9:化合物14a-b和15a-b的合成
化合物14c:将化合物13c(0.51mmol)溶解于THF(12ml),加入LiOH(1.02mmol)和水(1mL)并将反应混合物搅拌4小时。然后,用盐酸(1M,1.5ml)酸化混合物,浓缩并将残余物通过柱色谱法纯化(SiO2,DCM/MeOH,1:0到9:1),得到化合物14c(0.41mmol)
化合物15a:将化合物14a(0.11mmol)溶解于二氧杂环己烷(2ml),加入吡啶(0.07mmol)和Boc2O(0.14mmol),随后加入NH4HCO3(0.14mmol)。将得到的混合物搅拌8小时。然后将混合物浓缩并通过柱色谱法纯化(SiO2,DCM/MeOH,1:0到9:1),得到化合物15a(0.06mmol)。
实施例10:接头-药物缀合物的合成
将所述环化间隔基偶联于活化的被保护药物的一般程序(步骤2):将0.2mmol活化的被保护药物、0.6mmol的单-保护的间隔基和0.02mmol HOBt溶解于2ml DMF中,加入1mmolEt3N并将混合物在50℃加热2小时。将混合物真空浓缩并将粗产物通过柱色谱法纯化(SiO2,DCM/MeOH),得到环化间隔基-药物。
将所述接头偶联于环化间隔基-药物中间体的一般程序(步骤3和4):将0.1mmol环化间隔基-药物悬浮在6ml CHCl3中,将反应混合物在冰中冷却并加入2ml of TFA,将混合物搅拌3小时。然后将混合物真空浓缩。将残余物溶解于4ml DMF,将溶液在冰中冷却并加入0.13mmol活化的接头(16或17)和1mmol Et3N。将混合物搅拌2小时,真空干燥并将残余物通过柱色谱法纯化(SiO2,DCM/MeOH,1:0到8:2),得到油状物,将其进一步通过制备性反相HPLC(乙腈/水+0.1%TFA)纯化并冷冻干燥,得到浅黄色固体状构造18。
化合物18b,R=Me:1H-NMR(400MHz,DMSO-d6):δ=0.84(6H,dd,J=6.4Hz,2x CH3Val),1.32–1.47(2H,m,CH2 Cit),1.52–1.71(2H,m,CH2 Cit),1.91–1.99(1H,m,β-H Val),2.81–3.03(11H,m,3x CH3+NCH2),4.36–4.43(1H,m,H-2),4.45–4.51(1H,m,α-H),4.63–4.41(1H,m,H-2),4.97–5.08(3H,m,CH2 PABA+H-1),5.97(1H,br s,NH),6.90(2H,d,J=8.8Hz,H-3”),7.01(2H,s,CH=CH),7.14–7.59(7H,m,ArH+2x NH),7.67–7.80(3H,m,ArH),7.91(2H,d,J=8.8Hz,H-2”),8.06(1H,br s,H-6),8.33(H,br s,H-4),8.81(1H,s,H-3'),9.55(1H,s,H-4'),9.99(1H,s,NH),10.20(1H,s,NH),10.28(1H,s,OH);MS(ESI):m/z=1257.3(M+H+)。
化合物18c,R=Me:1H NMR(400MHz,DMSO-d6):δ=0.84(6H,dd,Val),1.28–1.73(4H,m,CH2CH2Cit),1.95(1H,m,βHVal),2.85(3H,s,MeAr),2.94(3H,s,MeN),2.87–3.05(4H,m,2x CH2NMe),4.05(2H,t,CH2O),4.40(1H,m,H-1),4.48(1H,s,CH),4.67(1H,m,H-2),5.05(3H,m,CH2O,H-2),5.40(2H,br s,NH2),5.96(1H,br s,NH),6.90(2H,d,H-3”),7.01(2H,s,CH=CH),7.2–7.7(10H,m,ArH+NH),7.91(2H,d,H-2”),8.05(1H,s,H-6),8.33(1H,br s,H-4),8.77(1H,s,H-3'),9.52(1H,s,H-4'),10.0(1H,s,NH),10.19(1H,s,NH),10.25(1H,s,OH);MS(ESI):m/z=1345.7(M+H+)。
化合物18b,R=(CH2CH2O)2H:1H NMR(400MHz,DMSO-d6),δ(ppm):δ=0.84(6H,dd,Val),1.28–1.73(4H,m,CH2CH2Cit),1.96(1H,m,βHVal),2.85(3H,s,MeAr),2.95(3H,s,MeN),2.87–3.05(4H,m,2xCH2NMe),4.00(2H,t,CH2O),4.35(1H,m,H-1),4.48(1H,m,CH),4.67(1H,m,H-2),4.93–5.11(4H,m,CH2O,H-2,CH),5.40(2H,br s,NH2),5.97(1H,br s,NH),6.91(2H,d,H-3”),7.01(2H,s,CH=CH),7.2–7.7(10H,m,ArH+NH),7.91(2H,d,H-2”),8.06(1H,d,H-6),8.33(1H,br s,H-4),8.80(1H,s,H-3'),9.54(1H,s,H-4'),10.01(1H,s,NH),10.20(1H,s,NH),10.27(1H,s,OH);MS(ESI):m/z=1331.7(M+H+)。
化合物18c,R=(CH2)4C(NH2)COOH:1H-NMR(400MHz,DMSO-d6):δ=0.84(6H,dd,J=6.4Hz,2x CH3 Val),1.29–1.98(11H,m,3x CH2Lys+2x CH2 Cit+β-H Val),2.82–3.04(8H,m,2x CH3+NCH2),4.35–4.42(1H,m,H-1),4.45–4.51(1H,m,α-H),4.63–4.70(1H,m,H-2),4.95–5.07(2H,m,CH2 PABA),5.09–5.16(1H,m,H-2),5.99(1H,br s,NH),6.90(2H,d,J=8.4Hz,H-3”),7.01(2H,s,CH=CH),7.16–7.77(11H,m,ArH+3x NH),7.90(2H,d,J=8.4Hz,H-2”),8.05–8.09(1H,m,H-6),8.19(3H,br s,NH2 Lys+OH),8.31–8.37(1H,m,H-4),8.75(1H,br s,H-3'),9.53(1H,br s,H-4'),10.00(1H,br s,NH),10.16–10.26(2H,m,NH+OH);MS(ESI):m/z=1460.7(M+H+)。
化合物18d,R=(CH2CH2O)2H:1H-NMR(400MHz,DMSO-d6):δ=0.84(6H,dd,Val,J=6.8),1.30–1.46(2H,m,CH2 Cit),1.52–1.70(2H,m,CH2 Cit),1.91–1.99(1H,m,β-H Val),2.80–3.05(10H,m,ArCH3+NCH3+2x NCH2),3.97–4.06(5H,m,2x CH2O+H-2),4.20(2H,d,J=5.6Hz,NCH2-三唑),4.36–4.43(1H,m,H-1),4.44–4.52(3H,m,CH2-三唑+α-H),4.63–4.71(1H,m,H-2),4.94–5.09(3H,m,CH2PABA+H-2),5.98(1H,br s,NH),6.90(2H,d,J=8.8Hz,H-3”),6.99(2H,s,CH=CH),7.16–7.81(11H,m,ArH+NH),7.87(1H,s,三唑-H),7.91(2H,d,J=8.8Hz,H-2”),8.05–8.09(1H,m,H-6),8.33(H,m,H-4),8.83(1H,s,H-3'),9.55(1H,s,H-4'),10–00(1H,s,NH),10.20(1H,s,NH),10.28(1H,s,OH);MS(ESI):m/z=1543.7(M+H+)。
化合物18c,R=(CH2CH2O)2H:1H NMR(400MHz,DMSO-d6),δ=0.84(6H,dd,Val),1.28–1.73(4H,m,CH2CH2Cit),1.96(1H,m,βHVal),2.85(3H,s,MeAr),2.94(3H,s,MeN),2.87–3.05(4H,m,2x CH2NMe),4.05(2H,t,CH2O),4.40(1H,m,H-1),4.48(1H,m,CH),4.67(1H,m,H-2),4.93–5.16(4H,m,CH2O,CH,H-2),5.40(2H,br s,NH2),5.96(1H,brs,NH),6.90(2H,d,H-3”),7.01(2H,s,CH=CH),7.2–7.8(11H,m,ArH+3xNH),7.90(2H,d,H-2”),8.05(1H,d,H-6),8.32(1H,br s,H-4),8.76(1H,s,H-3'),9.51(1H,s,H-4'),10.01(1H,s,NH),10.19(1H,s,NH),10.24(1H,s,OH);MS(ESI):m/z=1419.7(M+H+)。
化合物18a,R=(CH2CH2O)2H:1H NMR(400MHz,DMSO-d6):δ=0.81(6H,dd,J=6.4Hz,2x CH3),1.30–1.47(2H,m,CH2 Cit),1.53–1.71(2H,m,CH2 Cit),1.89–1.99(1H,m,β-HVal),2.82–3.05(8H,m,2xCH3+NCH2),3.96–4.02(1H,m),4.15–4.23(1H,m),4.33–4.40(1H,m,H-1),4.44–4.52(1H,m,α-H),4.63–4.71(1H,m,H-2),4.94–5.12(3H,m,CH2+H-2),5.96(1H,br s,NH),6.90(2H,d,J=8.4Hz,H-3″),7.01(2H,s,CH=CH),7.10–7.54(7H,m,5ArH+2x NH),7.66–7.81(3H,m,ArH),7.91(2H,d,J=8.8Hz,H-2″),8.00–8.05(1H,m,H-6),8.29–8.37(1H,m,H-4),8.79(1H,br s,H-3'),9.54(1H,br s,H-4'),9.91–10.00(1H,m,NH),10.20(1H,br s,OH),10.27(1H,s,NH);MS(ESI):m/z=1287.7(M+H+)。
化合物18b,R=(CH2)3C(O)NH2:1H-NMR(400MHz,DMSO-d6):δ=0.83(6H,dd,J=6.4Hz,2x CH3 Val),1.25–2.15(9H,m,2x CH2丁酰胺+2x CH2 Cit+β-H Val),2.82–3.04(8H,m,2x CH3+NCH2),3.18–3.98(15H,m,2x H-10+6x CH2+α-H),4.34–4.42(1H,m,H-1),4.46–4.54(1H,m,α-H),4.63–4.71(1H,m,H-2),4.93–5.07(3H,m,CH2PABA+H-2),5.98(1H,br s,NH),6.76(1H,br s,NH),6.91(2H,d,J=8.8Hz,H-3”),7.00(2H,s,CH=CH),7.13–7.58(8H,m,ArH+2x NH),7.65–7.83(3H,m,ArH),7.91(2H,d,,J=8.4Hz,H-2”),8.04–8.09(1H,m,H-6),8.28–8.37(1H,m,H-4),8.89(1H,br s,H-3'),9.60(1H,br s,H-4'),9.93–10.02(1H,m,NH),10.34(1H,br s,NH);MS(ESI):m/z=1328.3(M+H+)。
化合物18b,R=(CH2)4C(NH2)COOH:1H-NMR(400MHz,DMSO-d6):δ=0.83(6H,dd,J=6.4Hz,2x CH3 Val),1.30–1.98(11H,m,3x CH2Lys+2x CH2 Cit+β-H Val),2.82–3.04(8H,m,2x CH3+NCH2),4.33–4.42(1H,m,H-1),4.45–4.51(1H,m,α-H),4.62–4.70(1H,m,H-2),4.95–5.07(2H,m,CH2 PABA),5.10–5.16(1H,m,H-2),5.98(1H,br s,NH),6.90(2H,d,J=8.8Hz,H-3”),7.01(2H,s,CH=CH),7.13–7.77(11H,m,ArH+3x NH),7.90(2H,d,J=8.8Hz,H-2”),8.05–8.09(1H,m,H-6),8.19(3H,br s,NH2 Lys+OH),8.31–8.37(1H,m,H-4),8.73(1H,br s,H-3'),9.51(1H,br s,H-4'),10.00(1H,br s,NH),10.17–10.25(2H,m,NH+OH);MS(ESI):m/z=1372.6(M+H+)。
化合物18b,R=(CH2)3COOH:1H NMR(400MHz,DMSO-d6),δ=0.83(6H,dd,Val),1.28–1.73(4H,m,CH2CH2Cit),1.74–2.02(2H,m,CH2),1.95(1H,m,βHVal),2.19–2.39(2H,m,CH2),2.85(3H,s,MeAr),2.94(3H,s,MeN),2.87–3.05(4H,m,2x CH2NMe),4.00(2H,m,CH2O),4.40(1H,m,H-1),4.48(1H,m,CH),4.67(1H,m,H-2),4.93–5.18(4H,m,CH2O,CH,H-2),5.40(2H,br s,NH2),5.96(1H,br s,NH),6.90(2H,d,H-3”),7.01(2H,s,CH=CH),7.2–7.8(10H,m,ArH+NH),7.91(2H,d,H-2”),8.06(1H,d,H-6),8.33(1H,br s,H-4),8.76(1H,s,H-3'),9.51(1H,s,H-4'),10.01(1H,s,NH),10.19(1H,s,NH),10.24(1H,s,OH);MS(ESI):m/z=1329.8(M+H+)。
化合物18c,R=(CH2)3COOH:1H NMR(400MHz,DMSO-d6),δ=0.84(6H,dd,Val),1.30–1.73(4H,m,CH2CH2Cit),1.74–2.02(2H,m,CH2),1.95(1H,m,βHVal),2.19–2.39(2H,m,CH2),2.85(3H,s,MeAr),2.94(3H,s,MeN),2.87–3.05(4H,m,2x CH2NMe),4.05(2H,m,CH2O),4.40(1H,m,H-1),4.48(1H,m,CH),4.67(1H,m,H-2),4.95–5.16(4H,m,CH2O,CH,H-2),5.40(2H,br s,NH2),5.96(1H,br s,NH),6.90(2H,d,H-3”),7.01(2H,s,CH=CH),7.2–7.8(9H,m,ArH+NH),7.91(2H,d,H-2”),8.05(1H,d,H-6),8.34(1H,br s,H-4),8.77(1H,s,H-3'),9.52(1H,s,H-4'),10.01(1H,s,NH),10.19(1H,s,NH),10.24(1H,s,OH);MS(ESI):m/z=1417.9(M+H+)。
化合物18b,R=(CH2)3NHC(O)NH2:1H-NMR(400MHz,DMSO-d6):δ=0.79(6H,dd,Val),1.25–1.8(6H,m,3xCH2),1.91(1H,m,βHVal),2.80(3H,s,MeAr),2.90(3H,s,MeN),2.95(4H,m,2xCH2N),4.34(1H,m,H-1),4.61(1H,m,H-2),4.94(1H,m,H-2),4.99(2H,s,CH2O),5.32(4H,br s,2xNH2),5.91(1H,br s,NH),5.98(1H,br s,NH),6.86(2H,d,H-3”),6.95(2H,s,CH=CH),7.2–7.7(10H,m,ArH+2xNH),7.86(2H,d,H-2”),8.02(1H,d,H-6),8.28(1H,br s,H-4),8.82(1H,s,H-3'),9.54(1H,s,H-4'),9.95(1H,s,NH),10.15(1H,s,NH),10.27(1H,s,OH);MS(ESI):m/z=1343.7(M+H+)。
化合物18c,R=(CH2)3NHC(O)NH2:1H-NMR(400MHz,DMSO-d6):δ=0.79(6H,dd,Val),1.25–1.8(6H,m,3*CH2),1.91(1H,m,βHVal),2.80(3H,s,MeAr),2.90(3H,s,MeN),2.95(4H,m,2xCH2N),4.34(1H,m,CH),4.45(1H,m,CH),4.61(1H,m,H-2),4.94(1H,m,H-2),4.99(2H,s,CH2O),5.32(4H,br s,2xNH2),5.91(1H,br s,NH),5.98(1H,br s,NH),6.86(2H,d,H-3”),6.95(2H,s,CH=CH),7.2–7.7(10H,m,ArH+2xNH),7.86(2H,d,H-2”),8.02(1H,d,H-6),8.28(H,br s,H-4),8.82(1H,s,H-3'),9.54(1H,s,H-4'),9.95(1H,s,NH),10.15(1H,s,NH),10.27(1H,s,OH);MS(ESI):m/z=1431.5(M+H+)。
化合物18d,R=(CH2)3NHC(O)NH2:1H-NMR(400MHz,DMSO-d6):δ=0.83(6H,dd,Val),1.25–1.8(6H,m,3xCH2),1.95(1H,m,βHVal),2.85(3H,s,MeAr),2.94(3H,s,MeN),2.95(4H,m,2xCH2N),4.20(2H,d,NCH2),4.39(1H,m,CH),4.48(3H,m,CH+CH2),4.67(1H,m,H-2),5.02(3H,m,H-2,CH2O),5.41(4H,br s,2xNH2),5.97(2H,br s,2xNH),6.91(2H,d,H-3”),6.99(2H,s,CH=CH),7.2–7.7(11H,m,ArH+3xNH),7.76(1H,s,三唑-H),7.88(2H,d,H-2”),8.08(1H,d,H-6),8.33(H,br s,H-4),8.84(1H,s,H-3'),9.57(1H,s,H-4'),10.00(1H,s,NH),10.20(1H,s,NH),10.30(1H,s,OH);MS(ESI):m/z=1556.2(M+H+)。
化合物18b,R=(CH2CH2O)3H:1H-NMR(400MHz,DMSO):δ=0.83(6H,dd,J=6.5Hz,J=15.8Hz,Val),1.3–1.7(4H,m),1.96(1H,m),2.90(8H,m),3.00–4.00(6H,m),4.44(2H,m),4.67(1H,m),6.69(1H,s),5.04(2H,d,J=9.8Hz),5.40(1H,br s),5.97(1H,s,NH),6.9(2H,d,J=8.3Hz),7.00(2H,s,CH=CH),7.13–7.61(7H,m),7.75(3H,m)7.91(2H,d,J=8.3Hz),8.06(1H,m),8.33(1H,s),8.83(1H,s),9.56(1H,s),9.97(1H,s),10.20(1H,s),10.30(1H,s);MS(ESI):m/z=1376(M+H+)。
化合物22:从相应的经过活化的药物开始类似地制备化合物22。1H-NMR(400MHz,DMSO-d6):δ=0.84(6H,dd,J=6.4Hz,2x CH3 Val),1.30–1.47(2H,m,CH2 Cit),1.52–1.71(2H,m,CH2 Cit),1.91–1.99(1H,m,β-H Val),2.82–3.03(8H,m,2x CH3+NCH2),4.18–4.22(2H,m,CH2O),4.35–4.43(1H,m,H-1),4.46–4.52(1H,m,α-H),4.63–4.71(1H,m,H-2),4.94–5.08(3H,m,CH2 PABA+H-2),5.97(1H,br s,NH),7.01(2H,s,CH=CH),7.09–7.20(4H,m,H-3”+2ArH),7.22–7.58(5H,m,3ArH+2xNH),7.69–7.82(3H,m,ArH),8.00(2H,d,J=8.8Hz,H-2”),8.03–8.08(1H,br s,H-6),8.28–8.37(1H,m,H-4),8.83(1H,br s,H-3'),9.57(1H,brs,H-4'),9.93–10.02(1H,m,NH),10.39(1H,s,NH);MS(ESI):m/z=1509.6(M+H+)。
化合物23:从相应的经过活化的药物开始类似地制备化合物23。1H-NMR(400MHz,DMSO):=0.80(6H,dd,J=6.5Hz,J=15.9Hz,2x CH3),1.3–1.7(4H,m),1.93(1H,m),2.9(11H,m),3.00–4.50(10H,m),5.03(3H,m),5.40(1H,br s),5.94(1H,s,NH),6.98(2H,s,CH=CH),7.10–7.85(11H,m),8.03(3H,m),8.32(1H,m)8.76(1H,s),9.50(1H,s),9.78(1H,s),9.98(1H,br s),10.51(1H,br s);MS(ESI):m/z=1457(M+H+)。
化合物26:1H-NMR(400MHz,DMSO-d6):δ=0.83(6H,dd,J=6.8Hz,2xCH3),1.30–1.47(2H,m,CH2 Cit),1.54–1.71(2H,m,CH2 Cit),1.90–2.00(1H,m,β-H Val),2.82–3.03(10H,m,ArCH3+NCH3+2xNCH2),3.19(3H,s,CH3),3.97–4.03(2H,m,NCH2-三唑),4.37–4.52(2H,m,H-1+α-H),4.64–4.69(3H,m,H-2+CH2),4.94–5.13(3H,m,CH2PABA+H-2),5.96(1H,brs,NH),7.01(2H,s,CH=CH),7.14–7.58(7H,m,5ArH+3x NH),7.72–7.84(3H,m,ArH),8.04–8.07(1H,m,H-6),8.29–8.38(H,m,H-4),8.74–8.80(2H,s,H-3'+三唑-H),9.53(1H,s,H-4'),10-00(1H,s,NH),10.85(1H,s,NH);MS(ESI):m/z=1496.9(M+H+)。
实施例11:化合物19的合成
将0.21g(0.85mmol)N-Boc-N-甲基-N'-甲基-1,2-二氨基-1-甲基丙烷、0.45g(0.64mmol)20和8mg HOBt溶解于5ml DMF。加入0.75ml DiPEA并将反应混合物室温搅拌过夜。将混合物真空浓缩并通过柱色谱法纯化(SiO2,DCM/MeOH,1:0到20:1),得到0.50g(100%)的中间体。将这个物质悬浮在4ml CHCl3中并在冰中冷却。加入2mlTFA并将反应混合物在0℃搅拌2小时,然后真空浓缩。向含这个物质的6ml DMF,加入0.11g(0.15mmol)活化的MOM-保护的药物、2mg HOBt和0.2ml(1.2mmol)Et3N并将混合物在50℃加热3小时。将混合物真空浓缩并通过柱色谱法纯化(SiO2,DCM/MeOH,1:0到75:15),得到0.14g(72%)物质。将其悬浮在在冰中冷却的6ml CHCl3中。加入0.5ml TFA并将混合物搅拌2小时,然后真空浓缩。将这个物质和0.045g(0.17mmol)马来酰亚胺-炔接头溶解于2ml DMF中。向反应混合物加入0.6mL的0.025g(0.1mmol)CuSO4、0.022g(0.11mmol)1,10-菲咯啉和在1ml乙腈/水(1:2)中的0.022g(0.11mmol)抗坏血酸钠的溶液并将混合物搅拌2.5小时。混合物用乙酸酸化并真空浓缩。粗产物通过柱色谱法纯化(SiO2,DCM/MeOH,1:0到8:2),得到0.026g(16%)物质,将其进一步通过制备性反相HPLC纯化并冷冻干燥,得到0.015g的19。1H-NMR(400MHz,DMSO-d6):δ=0.79(6H,dd,Val),1.34(3H,br s,gem-Me2),1.38(3H,br s,gem-Me2),1.3–1.7(4H,m,CH2CH2Cit),1.90(1H,m,βHVal),2.80(3H,s,MeAr),2.91(3H,s,MeN)。3.11(3H,brs,MeN),3.95(2H,t,CH2O),3.98(2H,t,CH2O),4.15(2H,d,NCH2-三唑),4.30(1H,m,H-1),4.43(2H,t,CH2-三唑),4.61(1H,m,H-2),5.00(2H,s,CH2O),5.04(1H,m,H-2),5.37(2H,brs,NH2),5.92(1H,br s,NH),6.85(2H,d,H-3”),6.94(2H,s,CH=CH),7.2–7.7(11H,m,ArH+3xNH),7.81(1H,s,三唑-H),7.84(2H,d,H-2”),8.03(1H,d,H-6),8.27(H,br s,H-4),8.73(1H,s,H-3'),9.48(1H,s,H-4'),9.98(1H,s,NH),10.15(1H,s,NH),10.21(1H,s,OH);MS(ESI):m/z=1497.6(M+H+)。
化合物21:采用与化合物19相同的方法制备。1H-NMR(400MHz,DMSO-d6):δ=0.83(6H,dd,Val),1.3–2.1(3Hm,环己基+CH2CH2Cit+βHVal),2.84(3H,s,MeAr),3.01(8H,m,2xMeNCH),3.98(4H,m,2xCH2O),4.20(2H,d,NCH2-三唑),4.36(1H,m,H-1),4.48(2H,t,CH2-三唑),4.65(1H,m,H-2),5.04(1H,m,H-2),5.06(2H,s,CH2O),5.39(2H,br s,NH2),5.96(1H,br s,NH),6.90(2H,d,H-3”),6.99(2H,s,CH=CH),7.2–7.7(11H,m,ArH+3xNH),7.87(1H,s,三唑-H),7.91(2H,d,H-2”),8.06(1H,d,H-6),8.36(H,br s,H-4),8.80(1H,s,H-3'),9.55(1H,s,H-4'),9.97(1H,s,NH),10.20(1H,s,NH),10.27(1H,s,OH);MS(ESI):m/z=1523.6(M+H+)。
实施例12:马来酰亚胺-肽接头的合成
化合物25a:1H-NMR(300MHz,DMSO-d6):δ=0.83(6H,dd,J=6.9Hz,2x CH3 Val),1.30–1.51(2H,m,CH2 Cit),1.53–1.76(2H,m,CH2 Cit),1.90–2.01(1H,m,β-H Val),2.89–3.08(2H,m,CH2 Cit),3.62(2H,t,J=5.4Hz,CH2),3.83–3.88(1H,m,α-H),3.97–4.05(1H,m),4.16–4.24(1H,m),4.35–4.43(1H,m,α-H),5.25(2H,s,CH2),5.41(2H,s,NH2),5.95–5.99(1H,m,NH),7.02(2H,s,HC=CH),7.11–7.14(1H,m,NH),7.40(2H,d,J=8.7Hz,Ar-H),7.54–7.59(2H,m,Ar-H),7.64(2H,d,J=8.4Hz,Ar-H),8.03–8.06(1H,m,NH),8.29–8.33(2H,m,Ar-H),10.08(1H,s,NH);MS(ESI):m/z=712.5(M+H+)。
化合物25b:1H-NMR(300MHz,DMSO-d6):δ=0.85(6H,dd,J=6.9Hz,2x CH3 Val),1.32–1.50(2H,m,CH2 Cit),1.54–1.76(2H,m,CH2 Cit),1.91–2.02(1H,m,β-H Val),2.90–3.09(2H,m,CH2),3.49–3.60(6H,m,CH2),3.87–3.92(1H,m,α-H),3.97–4.06(2H,m,CH2),4.37–4.46(1H,m,α-H),5.24(2H,s,CH2),5.41(2H,s,NH2),5.95–6.00(1H,m,NH),7.01(2H,s,HC=CH),7.15–7.18(1H,m,NH),7.41(2H,d,J=8.7Hz,Ar-H),7.54–7.59(2H,m,Ar-H),7.64(2H,d,J=8.4Hz,Ar-H),8.07–8.10(1H,m,NH),8.29–8.33(2H,m,Ar-H),10.11(1H,s,NH);MS(ESI):m/z=756.5(M+H+)。
化合物25c:1H-NMR(300MHz,CDCl3/CD3OD)δ=0.98(6H,dd,J=6.9Hz,J=14.4Hz,CH3),1.59(2H,m),1.76(1H,m),1.94(1H,m),2.13(1H,m),3.08–3.28(2H,m)3.54–3.76(10H,m,CH2O),4.00(1H,d,J=6.3Hz),4.20(2H,m),4.57(1H,m),5.27(2H,s,CH2Ar),6.78(2H,s,CH=CH),7.42(4H,m,ArH),7.65(2H,d,J=8.5Hz),8.30(2H,d,J=9.2Hz)。
化合物25d:1H-NMR(400MHz,CDCl3/CD3OD)δ=0.98(6H,dd,J=6.9Hz,J=14.4Hz,CH3),1.59(2H,m),1.76(1H,m),1.94(1H,m),2.13(1H,m),3.08–3.28(2H,m)3.57–3.76(14H,m,CH2O),4.00(1H,m),4.22(2H,m),4.57(1H,m),5.26(2H,s,OCH2Ar),6.78(2H,s,CH=CH),7.42(4H,m,ArH),7.66(2H,d,J=8.3Hz),8.29(2H,d,J=9.3Hz)。
实施例13:环化间隔基-倍癌霉素化合物的环化速率的确定
从相应的Boc保护的衍生物例如化合物14a和与之类似的化合物开始通过用含TFA的DCM处理10分钟随后浓缩制备环化间隔基-倍癌霉素化合物,其中所述环化间隔基偶联于DNA烷化剂的羟基基团。为了测量在pH 7.4的环化速率,在25℃将环化间隔基-倍癌霉素化合物溶解于100mM磷酸盐缓冲液pH 7.4和乙腈的混合物(60/40)中并通过LC/MS(反应混合物的直接进样)来跟踪随时间发生的起始材料的消失/游离药物的出现。为了测量在pH 5的环化速率,在37℃将环化间隔基-倍癌霉素化合物溶解于100mM乙酸钠缓冲液pH 5和乙腈的混合物(60/40)中并通过LC/MS(反应混合物的直接进样)来跟踪随时间发生的起始材料的消失/游离药物的出现。从LC/MS数据计算环化速率。图2示出了一些代表性数据。图2中的所有环化间隔基-倍癌霉素化合物都包含相同的倍癌霉素化合物。CM-Drug1包含一个用于现有技术的环化间隔基。所有其它环化间隔基-倍癌霉素化合物包含选自实施例1–9中所述那些之一的环化间隔基。图2中所示的结果表明,本发明的环化间隔基可用于调节环化速率。
实施例14:HSA-缀合的接头-药物缀合物的人血浆稳定性
将包含马来酰亚胺基团的接头-药物缀合物溶解于DMSO并在37℃加入到肝素钠稳定化的人血浆中,使得接头-药物缀合物的浓度是7.5μM且DMSO的百分率是2.5%。如LC/MS所指示的,接头-药物缀合物在5分钟内在原位与人血清白蛋白反应。通过LC/MS跟踪随时间发生的游离药物的形成。将血浆样品用乙腈处理并离心,然后进行分析。图3提供了本发明的接头-药物缀合物的代表性选择的人血浆稳定性数据。所有的接头-药物缀合物包含相同的倍癌霉素类似物且接头都是偶联于DNA烷化剂部分,只有LD13中的接头结合于DNA结合部分。LD5、LD12和LD13包含已经用于现有技术的接头且包含如化合物18d那样相对长的接头。LD10、LD25、LD26、LD28和LD29包含如化合物18b那样类似的相对短的接头且具有不同的环化间隔基。LD10和LD12的不同之处只在于L部分。图3中的结果证明,具有相对短的接头的缀合物具有高的人血浆稳定性,其通常超过具有相对长的接头的相应缀合物。此外证明了血浆稳定性受到所述环化间隔基的影响。
实施例15:在带有N87异种移植的雌性nu/nu小鼠中进行的单剂量效力研究
ADC的制备:通过在20℃保温90分钟用1.1摩尔当量的TCEP将曲妥珠单抗(50mg,10mg/mL)还原,以每mAb生成2个游离硫醇。通过Ellman分析证实掺入比例。将溶解于DMSO的接头-药物缀合物以每个游离的硫醇为1.3摩尔当量的比例滴加到还原的抗体溶液中,使得DMSO的最终浓度是10%。在20℃进一步混合50分钟之后,通过每接头-药物缀合物加入1摩尔当量的N-乙酰基半胱氨酸将反应淬灭。在淬灭之后,将缀合物脱盐到PBS pH 7.4缓冲液中,然后使用5ml r-Protein A柱纯化,随着使产物被柱子收集,脱盐到呈递缓冲液中(相同的缓冲液可以以Herceptin购得)。将产物过滤到0.2μm并表征聚集(SEC),药物-抗体比例(UV,280nm vs 335nm),和游离的接头-药物缀合物(LC/MS)。用于如下所述的效力研究的ADC包含本发明的接头-药物缀合物的代表性选择且具有大约为2的平均药物-抗体比例。
效力研究为7-8周龄的雌性nu/nu小鼠皮下植入N87肿瘤片段。在植入之后19天开始治疗,这时所有组的平均估算肿瘤质量为130mg。ADC组每组包含6只动物;对照组每组包含4只动物。动物在第0天接受单剂量的12mg ADC/kg(媒介物为0.2mL/20g;曲妥珠单抗为12mg mAb/kg)。在肿瘤达到1,000mg的质量时将动物无痛处死。图4A示出了每个组的平均肿瘤重量。数据线在相应组的第一只动物由于肿瘤达标而被无痛处死之后而被终止。图B示出了每个组的平均体重变化。图C示出了每组的存活百分率。ADC5基于包含一个如18d的相对长的接头的接头-药物,而基于其它接头-药物的ADC包含如18b那样的相对短的接头。ADC30包含一个不同于其它ADC的不同药物,但是其具有与ADC28相同的接头。ADC5和ADC28只在L部分中有所不同。图4的结果证明了包含相对短的接头的缀合物具有比具有相对长的接头的相应缀合物更好的效力。接头的性质和药物的限制二者都被证实也对效力有影响。
实施例16:通过组织蛋白酶B裂解淬灭的接头-药物缀合物
将接头-药物缀合物溶解于乙腈/水中并加入5当量的N-乙酰基半胱氨酸。将反应混合物室温保温1小时并随后冷冻干燥,得到淬灭的接头-药物缀合物。在37℃,将溶解于DMSO的被淬灭的接头-药物缀合物加入到5μg/mL组织蛋白酶B(>200U/mg)在乙酸钠缓冲液pH 5中的溶液中。被淬灭的接头-药物缀合物的最终浓度是130μM。通过LC/MS监控随时间发生的起始材料的消失。图5提供了本发明的被淬灭的接头-药物缀合物的代表性选择的组织蛋白酶B裂解数据。LD5、LD12和LD13基于得自现有技术的接头-药物并包含如18d的相对长的接头,而其它的经过淬灭的接头-药物缀合物中的接头如18b。所述其它经过淬灭的接头-药物缀合物之间的主要差别在于环化间隔基。图5的结果证明了所有的经过淬灭的接头-药物缀合物被组织蛋白酶B有效地裂解。
参考文献
1 Boger,D.L.;Johnson,D.S.;Wrasidlo,W.Bioorg.Med.Chem.Lett.1994,4,631-636.
2 McGovren,J.P.,Clarke,G.L.,Pratt,E.A.,DeKoning,T.F.J.Antibiot.1984,37,63-70.
3 Carter,P.;Smith,L.;Ryan,M.Endocr.-Relat.Cancer 2004,11,659-687.
4 Bagshawe,K.D.Drug Dev Res.1995,34,220-230.
5 Melton,R.;Connors,T.;Knox,R.J.S.T.P.Pharma Sciences,1999,13-33.
6 Huber,B.E.;Richards,C.A.;Krenitsky,T.A.Proc.Natl.Acad.Sci.USA,1991,88,8039-8043.
7 Bagshawe,K.D.;Springer,C.J.;Searle,F.;Antoniw,P.;Sharma S.K.;Melton,R.G.;Sherwood,R.F.Br.J.Cancer,1988,58,700-703.
8 Duncan,R.Nat.Rev.Drug Discov.2003,2,347-360.
9 Toki,B.E.;Cerveny,C.G.;Wahl,A.F.;Senter,P.D.J.Org.Chem.,2002,67,1866-1872.
10 参见某些最近公开的环化间隔基,例如WO 2005/079398、WO 2005/105154和WO2006/012527。
11 Greenwald,R.B.,Choe,Y.H.,McGuire,J.,Conover,C.D.Adv.Drug DeliveryRev.2003,55,217-250.
12 Kingsbury,W.D.;Boehm;J.C.;Mehta,R.J.;Grappel,S.F.;Gilvarg,C.J.Med.Chem.1984,27,1447-1451.
13 Greenwald,R.B.;Zhao,H.;Yang,K.;Reddy,P.;Martinez,A.J.Med.Chem.2004,47,726-734.
14 (a)Franke,A.E.;Sievers,E.L.;and Scheinberg,D.A.CancerBiother.Radiopharm.2000,15,459-476.
(b)Murray,J.L.Semin.Oncol.2000,27,2564-2570.(c)Breitling,F.,andDubel,S.,Recombinant Antibodies,John Wiley and Sons,New York,1998.
15 Ringsdorf,H.J.Polym.Sci.,Polym.Symp.1975,51,135-153.
16 Elvira,C.;Gallardo,A.;San Roman,J.;Cifuentes,A.Molecules 2005,10,114-125.
17 Remington's Pharmaceutical Science(15th ed.,Mack Publishing,Easton,PA,1980)(通过引用将其全部内容并入本文)
18 Pettit,G.R.;Burkett,D.D.;Barkóczy,J.;Breneman,G.L.;Pettit,W.E.Synthesis 1996,719-725.
Claims (14)
2.根据权利要求1的化合物,其中Ab是抗体,选自抗CD19抗体、抗CD22抗体、抗CD30抗体、抗CD33抗体、抗CD56抗体、抗CD70抗体、抗CD74抗体、抗CD138抗体、抗CLL-1抗体、抗5T4抗体、抗CD303抗体、抗Tag 72抗体、抗Lewis A样碳水化合物抗体、抗EphB3抗体、抗HMW-MAA抗体、抗CD38抗体、抗Cripto抗体、抗EphA2抗体、抗GPNMB抗体、抗整联蛋白抗体、抗MN抗体、抗Her2抗体和抗PSMA抗体,或者选自这些抗体的表位结合性功能片段或衍生物。
3.根据权利要求1或2的化合物,其中Ab是抗Her2抗体或抗PSMA抗体,或者它们的表位结合性功能片段或衍生物。
4.根据权利要求1或2的化合物,其中Ab是抗Her2抗体曲妥珠单抗。
6.根据权利要求5的化合物,其中R是(CH2CH2O)2H。
7.根据权利要求5或6的化合物,其中q的平均值是2。
8.制备根据权利要求5至7中任意一项的化合物的方法,其包括如下步骤:
a)通过在20℃保温90分钟用1.1摩尔当量的TCEP将曲妥珠单抗还原;
b)以每个游离硫醇1.3摩尔当量的比例滴加溶解于DMSO中的接头-药物缀合物,使得DMSO的最终浓度是10%;
c)在20℃进一步混合50分钟;
d)通过每接头-药物缀合物加入1摩尔当量的N-乙酰基半胱氨酸将反应淬灭;
e)将所述缀合物脱盐到PBS pH 7.4缓冲液中;
f)使用r-Protein A柱纯化;
g)将从所述r-Protein A柱收集的产物脱盐到呈递缓冲液中,该缓冲液含有4.2mM组氨酸和19.1mg/ml海藻糖二水合物,pH为6;以及
h)通过0.2μm过滤器过滤。
9.药物组合物,其包含根据权利要求1至7中任意一项的化合物和药学上可接受的载体。
10.根据权利要求9的药物组合物,其用于肠胃外给药。
11.根据权利要求9的药物组合物,其包含根据权利要求5至7中任意一项的化合物和药学上可接受的载体。
12.根据权利要求1至7中任意一项的化合物在制备用于治疗或预防哺乳动物中的肿瘤的药物组合物中的用途。
13.根据权利要求5至7中任意一项的化合物在制备用于治疗或预防哺乳动物中Her2阳性的肿瘤的药物组合物中的用途。
14.根据权利要求13的用途,其中所制备的药物组合物用于治疗或预防哺乳动物中的转移性乳腺癌或胃癌。
Applications Claiming Priority (5)
| Application Number | Priority Date | Filing Date | Title |
|---|---|---|---|
| US32643710P | 2010-04-21 | 2010-04-21 | |
| US61/326,437 | 2010-04-21 | ||
| US42182410P | 2010-12-10 | 2010-12-10 | |
| US61/421,824 | 2010-12-10 | ||
| CN201180027560.0A CN103118679B (zh) | 2010-04-21 | 2011-04-21 | Cc‑1065类似物和双功能接头的缀合物 |
Related Parent Applications (1)
| Application Number | Title | Priority Date | Filing Date |
|---|---|---|---|
| CN201180027560.0A Division CN103118679B (zh) | 2010-04-21 | 2011-04-21 | Cc‑1065类似物和双功能接头的缀合物 |
Publications (2)
| Publication Number | Publication Date |
|---|---|
| CN106749665A CN106749665A (zh) | 2017-05-31 |
| CN106749665B true CN106749665B (zh) | 2021-03-26 |
Family
ID=44343209
Family Applications (1)
| Application Number | Title | Priority Date | Filing Date |
|---|---|---|---|
| CN201611090112.6A Active CN106749665B (zh) | 2010-04-21 | 2011-04-21 | Cc-1065类似物和双功能接头的缀合物 |
Country Status (23)
| Country | Link |
|---|---|
| US (3) | US9629924B2 (zh) |
| EP (3) | EP3108886B1 (zh) |
| JP (2) | JP6009434B2 (zh) |
| KR (3) | KR101747478B1 (zh) |
| CN (1) | CN106749665B (zh) |
| AU (2) | AU2011243294C1 (zh) |
| BR (1) | BR112012026953A8 (zh) |
| CA (2) | CA2796712C (zh) |
| CY (3) | CY1118072T1 (zh) |
| DK (3) | DK2560645T3 (zh) |
| ES (3) | ES2815678T3 (zh) |
| HR (3) | HRP20161339T1 (zh) |
| HU (3) | HUE050508T2 (zh) |
| LT (3) | LT3056203T (zh) |
| MX (2) | MX336853B (zh) |
| NO (1) | NO3056203T3 (zh) |
| PL (3) | PL3108886T3 (zh) |
| PT (3) | PT2560645T (zh) |
| RU (2) | RU2578719C9 (zh) |
| TR (1) | TR201802539T4 (zh) |
| UA (1) | UA112291C2 (zh) |
| WO (1) | WO2011133039A2 (zh) |
| ZA (1) | ZA201208282B (zh) |
Families Citing this family (63)
| Publication number | Priority date | Publication date | Assignee | Title |
|---|---|---|---|---|
| TWI421257B (zh) | 2006-03-10 | 2014-01-01 | Wyeth Corp | 抗5t4抗體及其用途 |
| US9901567B2 (en) | 2007-08-01 | 2018-02-27 | Syntarga B.V. | Substituted CC-1065 analogs and their conjugates |
| US8889868B2 (en) | 2008-11-03 | 2014-11-18 | Syntarga Bv | CC-1065 analogs and their conjugates |
| CN106749665B (zh) | 2010-04-21 | 2021-03-26 | 辛塔佳有限公司 | Cc-1065类似物和双功能接头的缀合物 |
| JP5993093B2 (ja) | 2012-10-12 | 2016-09-14 | メドイミューン・リミテッドMedImmune Limited | ピロロベンゾジアゼピン類およびその複合体 |
| US9353150B2 (en) | 2012-12-04 | 2016-05-31 | Massachusetts Institute Of Technology | Substituted pyrazino[1′,2′:1 ,5]pyrrolo[2,3-b]-indole-1,4-diones for cancer treatment |
| TWI716339B (zh) | 2012-12-21 | 2021-01-21 | 荷蘭商台醫(有限合夥)公司 | 親水性自消耗連接子及彼等之共軛物 |
| AU2014229529B2 (en) | 2013-03-13 | 2018-02-15 | Medimmune Limited | Pyrrolobenzodiazepines and conjugates thereof |
| WO2014159981A2 (en) * | 2013-03-13 | 2014-10-02 | Spirogen Sarl | Pyrrolobenzodiazepines and conjugates thereof |
| US10442836B2 (en) | 2013-08-12 | 2019-10-15 | Genentech, Inc. | 1-(chloromethyl)-2,3-dihydro-1H-benzo[E]indole dimer antibody-drug conjugate compounds, and methods of use and treatment |
| BR112016013258A2 (pt) | 2013-12-16 | 2018-01-16 | Genentech Inc | composto conjugado anticorpo-droga, composição farmacêutica, método para tratar câncer e kit |
| LT3092010T (lt) * | 2014-01-10 | 2018-10-25 | Synthon Biopharmaceuticals B.V. | Metodas, skirtas gryninimui cys-sujungtų antikūno-vaisto konjugatų |
| JP6224268B2 (ja) * | 2014-01-10 | 2017-11-01 | シントン・バイオファーマシューティカルズ・ビー.ブイ.Synthon Biopharmaceuticals B.V. | 子宮内膜癌の治療において使用するためのデュオカルマイシンadc |
| PT2948184T (pt) * | 2014-01-10 | 2016-07-08 | Synthon Biopharmaceuticals Bv | Conjugados de anticorpo-fármaco de duocarmicina apresentando uma melhor atividade antitumoral in vivo. |
| CA2947238A1 (en) * | 2014-05-22 | 2015-11-26 | Synthon Biopharmaceuticals B.V. | Site-specific conjugation of linker drugs to antibodies and resulting adcs |
| US9890159B2 (en) | 2014-06-05 | 2018-02-13 | Synthon Biopharmaceuticals B.V. | Process for making duocarmycin prodrugs |
| RU2017101331A (ru) * | 2014-06-20 | 2018-07-23 | Абгеномикс Интернэшнл Инк. | Конъюгаты антитело к her2 - лекарственное средство |
| US9950077B2 (en) | 2014-06-20 | 2018-04-24 | Bioalliance C.V. | Anti-folate receptor alpha (FRA) antibody-drug conjugates and methods of using thereof |
| AU2015282627B2 (en) | 2014-06-30 | 2020-04-02 | Glykos Finland Oy | Saccharide derivative of a toxic payload and antibody conjugates thereof |
| GB201416112D0 (en) | 2014-09-12 | 2014-10-29 | Medimmune Ltd | Pyrrolobenzodiazepines and conjugates thereof |
| US11077204B2 (en) | 2015-07-10 | 2021-08-03 | Byondis B.V. | Compositions comprising antibody-duocarmycin drug conjugates |
| AU2016328461B2 (en) * | 2015-09-22 | 2021-04-08 | Byondis B.V. | SYD985 treatment of T-DM1 refractory cancer patients |
| TWI618697B (zh) | 2015-11-03 | 2018-03-21 | 財團法人工業技術研究院 | 化合物、連接子-藥物、及配體-藥物耦合體 |
| TWI744261B (zh) | 2015-11-24 | 2021-11-01 | 荷蘭商拜恩迪斯公司 | 抗5t4抗體和抗體-藥物共軛體 |
| IL260289B (en) | 2016-01-08 | 2022-08-01 | Bioalliance Cv | Tetravalent anti-psgl-1 antibodies and uses thereof |
| GB201601431D0 (en) | 2016-01-26 | 2016-03-09 | Medimmune Ltd | Pyrrolobenzodiazepines |
| GB201602359D0 (en) | 2016-02-10 | 2016-03-23 | Medimmune Ltd | Pyrrolobenzodiazepine Conjugates |
| GB201602356D0 (en) | 2016-02-10 | 2016-03-23 | Medimmune Ltd | Pyrrolobenzodiazepine Conjugates |
| CA3026139C (en) | 2016-02-12 | 2023-09-12 | Synthon Biopharmaceuticals B.V. | Selective reduction of cysteine-engineered antibodies |
| CR20180484A (es) | 2016-04-15 | 2019-03-05 | Macrogenics Inc | Moléculas de unón b7-h3 novedosas, conjugados anticuerpos-fármaco de los mismos y métodos de uso de los mismos |
| GB201607478D0 (en) | 2016-04-29 | 2016-06-15 | Medimmune Ltd | Pyrrolobenzodiazepine Conjugates |
| US10918627B2 (en) | 2016-05-11 | 2021-02-16 | Massachusetts Institute Of Technology | Convergent and enantioselective total synthesis of Communesin analogs |
| CN109641911B (zh) * | 2016-08-19 | 2023-02-21 | 百时美施贵宝公司 | seco-环丙吡咯并吲哚化合物和其抗体-药物缀合物以及制备和使用方法 |
| RU2755899C2 (ru) | 2016-10-11 | 2021-09-22 | Байондис Б.В. | Нелинейные саморасщепляющиеся линкеры и их конъюгаты |
| GB201617466D0 (en) | 2016-10-14 | 2016-11-30 | Medimmune Ltd | Pyrrolobenzodiazepine conjugates |
| US10815194B2 (en) | 2016-11-14 | 2020-10-27 | Byondis B.V. | Process for the preparation of mono-protected α,ω-diamino alkanes |
| HUE054689T2 (hu) | 2017-02-08 | 2021-09-28 | Adc Therapeutics Sa | Pirrolobenzodiazepin-antitest konjugátumok |
| GB201702031D0 (en) | 2017-02-08 | 2017-03-22 | Medlmmune Ltd | Pyrrolobenzodiazepine-antibody conjugates |
| SI3612537T1 (sl) | 2017-04-18 | 2022-10-28 | Medimmune Limited | Konjugati pirolobenzodiazepina |
| US11932650B2 (en) | 2017-05-11 | 2024-03-19 | Massachusetts Institute Of Technology | Potent agelastatin derivatives as modulators for cancer invasion and metastasis |
| US11696958B2 (en) | 2017-05-23 | 2023-07-11 | Byondis B.V. | Dual conjugation process for preparing antibody-drug conjugates |
| SG11202000358YA (en) | 2017-08-18 | 2020-02-27 | Medimmune Ltd | Pyrrolobenzodiazepine conjugates |
| US10640508B2 (en) | 2017-10-13 | 2020-05-05 | Massachusetts Institute Of Technology | Diazene directed modular synthesis of compounds with quaternary carbon centers |
| CN120789287A (zh) | 2017-10-23 | 2025-10-17 | 马布林克生物科学公司 | 包含单分子量聚肌氨酸的配体-药物-缀合物 |
| PT3713939T (pt) * | 2017-11-24 | 2021-09-16 | Byondis Bv | Processo melhorado para a síntese de fármaco ligante vcseco- duba |
| EP3717069A1 (en) | 2017-11-27 | 2020-10-07 | Purdue Pharma L.P. | Humanized antibodies targeting human tissue factor |
| GB201803342D0 (en) | 2018-03-01 | 2018-04-18 | Medimmune Ltd | Methods |
| GB201806022D0 (en) | 2018-04-12 | 2018-05-30 | Medimmune Ltd | Pyrrolobenzodiazepines and conjugates thereof |
| US20210369705A1 (en) | 2018-10-15 | 2021-12-02 | Merck Patent Gmbh | Combination therapy utilizing dna alkylating agents and atr inhibitors |
| WO2020094561A1 (en) | 2018-11-09 | 2020-05-14 | Synthon Biopharmaceuticals B.V. | Filterable duocarmycin-containing antibody-drug conjugate compositions and related methods |
| MX2021010477A (es) | 2019-03-15 | 2021-10-01 | Medimmune Ltd | Dimeros de azetidobenzodiazepina y conjugados que los comprenden para uso en el tratamiento de cancer. |
| US11535634B2 (en) | 2019-06-05 | 2022-12-27 | Massachusetts Institute Of Technology | Compounds, conjugates, and compositions of epipolythiodiketopiperazines and polythiodiketopiperazines and uses thereof |
| JP2023517477A (ja) | 2020-02-06 | 2023-04-26 | ビョンディス・ビー.ブイ. | デュオカルマイシン誘導体含有抗体薬物複合体及びチオ硫酸類を含む組合せ |
| EP4175672A1 (en) | 2020-07-06 | 2023-05-10 | Byondis B.V. | Antifolate linker-drugs and antibody-drug conjugates |
| US20220008511A1 (en) * | 2020-07-12 | 2022-01-13 | Henry J. Smith | Tumor treatment using cytokines and cancer drugs |
| CN114867481A (zh) * | 2020-07-27 | 2022-08-05 | 艾斯法姆生物技术股份有限公司 | 与cd151相关的兽医学疾患的治疗 |
| WO2022182415A1 (en) | 2021-02-24 | 2022-09-01 | Massachusetts Institute Of Technology | Himastatin derivatives, and processes of preparation thereof, and uses thereof |
| CA3214718A1 (en) | 2021-04-08 | 2022-10-13 | Marion Blomenrohr | Anti-c-met antibodies and antibody-drug conjugates |
| EP4362982A1 (en) | 2021-06-28 | 2024-05-08 | Byondis B.V. | Conjugates comprising phosphoantigens and their use in therapy |
| CN116018160A (zh) * | 2021-11-02 | 2023-04-25 | 烟台迈百瑞国际生物医药股份有限公司 | 一种包含sn38的抗体药物偶联物中间体及其制备方法 |
| CN118613484A (zh) | 2021-12-30 | 2024-09-06 | 拜奥迪斯私人有限公司 | 抗叶酸剂接头-药物和抗体-药物缀合物 |
| EP4526343A1 (en) | 2022-05-16 | 2025-03-26 | Byondis B.V. | Novel masked antibodies |
| EP4626481A1 (en) | 2022-12-22 | 2025-10-08 | Byondis B.V. | Novel linker drugs comprising phosphoantigens, novel conjugates and their use in therapy |
Citations (2)
| Publication number | Priority date | Publication date | Assignee | Title |
|---|---|---|---|---|
| WO2005112919A2 (en) * | 2004-05-19 | 2005-12-01 | Medarex, Inc. | Self-immolative linkers and drug conjugates |
| CN101415679A (zh) * | 2006-02-02 | 2009-04-22 | 辛塔佳有限公司 | 水溶性cc-1065类似物及其缀合物 |
Family Cites Families (88)
| Publication number | Priority date | Publication date | Assignee | Title |
|---|---|---|---|---|
| GB2098331A (en) | 1981-05-12 | 1982-11-17 | Sangamo Weston Controls | Parallel motion displacement transducers |
| CA1238907A (en) | 1984-02-21 | 1988-07-05 | Robert C. Kelly | 1,2,8,8a-tetrahydrocyclopropa¬c|pyrrolo(3,2-e)- indol-4(5h)-ones and related compounds |
| US4771128A (en) | 1986-10-10 | 1988-09-13 | Cetus Corporation | Method of purifying toxin conjugates using hydrophobic interaction chromatography |
| DE3750612T2 (de) | 1986-12-19 | 1995-03-02 | Upjohn Co | Cc-1065 analoge. |
| JP3380237B2 (ja) | 1988-09-12 | 2003-02-24 | ファルマシア・アンド・アップジョン・カンパニー | 2のcpiサブユニットを有する新規cc―1065アナログ類 |
| JPH05508394A (ja) | 1990-04-25 | 1993-11-25 | ファルマシア・アンド・アップジョン・カンパニー | 新規なcc―1065アナログ |
| ES2149768T3 (es) | 1992-03-25 | 2000-11-16 | Immunogen Inc | Conjugados de agentes enlazantes de celulas derivados de cc-1065. |
| JP3514490B2 (ja) * | 1992-08-21 | 2004-03-31 | 杏林製薬株式会社 | トリフルオロメチルピロロインドールカルボン酸エステル誘導体及びその製造方法 |
| GB9307491D0 (en) | 1993-04-08 | 1993-06-02 | Sandoz Ltd | Organic compounds |
| WO1995026964A1 (en) * | 1994-04-01 | 1995-10-12 | Kyowa Hakko Kogyo Co., Ltd. | Dc-89 derivative |
| JPH07309761A (ja) | 1994-05-20 | 1995-11-28 | Kyowa Hakko Kogyo Co Ltd | デュオカルマイシン誘導体の安定化法 |
| US5502068A (en) * | 1995-01-31 | 1996-03-26 | Synphar Laboratories, Inc. | Cyclopropylpyrroloindole-oligopeptide anticancer agents |
| DE19503320A1 (de) | 1995-02-02 | 1996-08-08 | Boehringer Mannheim Gmbh | Neue Benzodiazepinkonjugate |
| US5646298A (en) | 1995-06-07 | 1997-07-08 | Procoron, Inc. | Cyclopropylindole prodrugs |
| GB9516943D0 (en) | 1995-08-18 | 1995-10-18 | Cancer Soc Auckland Div Nz Inc | Novel cyclopropylindoles and their secoprecursors,and their use as prodrugs |
| NZ321172A (en) | 1995-10-03 | 2000-02-28 | Scripps Research Inst | CBI analogs of CC-1065 and the duocarmycins |
| ES2244991T3 (es) | 1996-03-08 | 2005-12-16 | The Scripps Research Institute | Analogosmcbi de cc-1065 y las duocarmicinas. |
| US5843937A (en) | 1996-05-23 | 1998-12-01 | Panorama Research, Inc. | DNA-binding indole derivatives, their prodrugs and immunoconjugates as anticancer agents |
| AU3217897A (en) | 1996-05-31 | 1998-01-05 | Scripps Research Institute, The | Analogs of cc-1065 and the duocarmycins |
| ATE310725T1 (de) * | 1996-09-12 | 2005-12-15 | Auckland Uniservices Ltd | Kondensierte n-acylindole als antitumormittel |
| GB9625913D0 (en) | 1996-12-13 | 1997-01-29 | Cancer Soc Auckland Div Nz Inc | Novel cyclopropylindoles and their seco precursors,and their use as prodrugs |
| WO1998025900A1 (en) | 1996-12-13 | 1998-06-18 | Shionogi & Co., Ltd. | Compounds having antitumor activity |
| EP0983248B1 (en) | 1997-05-22 | 2004-07-14 | The Scripps Research Institute | Analogs of duocarmycin and cc-1065 |
| EP1042285A4 (en) | 1997-10-14 | 2002-11-20 | Scripps Research Inst | Iso-CBI OR iso-CI ANALOGS OF CC-1065 AND DUOCARMYCINS |
| US20030036629A1 (en) | 1997-12-12 | 2003-02-20 | Barry Foster | Novel tgf-beta protein purification methods |
| ATE279390T1 (de) | 2000-05-02 | 2004-10-15 | Tietze Lutz F Prof Dr | Neue prodrugs von 6-hydroxy-2,3-dihydro-1h- indolen, 5-hydroxy-1,2-dihydro-3h-pyrrolo 3,2- e)indolen und 5-hydroxy-1,2-dihydro-3h-benzo e)indolen sowie von 6-hydroxy-1,2,3,4-tetrahydro- benzo f)chinolin-derivaten für eine selektive krebstherapie |
| WO2001083482A1 (en) | 2000-05-03 | 2001-11-08 | The Scripps Research Institute | Dna alkylating agent and activation thereof |
| JP5010089B2 (ja) * | 2000-09-19 | 2012-08-29 | スピロジェン リミテッド | Cc−1065およびデュオカルマイシンのアキラルアナログの組成物およびその使用方法 |
| EP1363908A4 (en) * | 2001-01-24 | 2004-05-06 | Auckland Uniservices Ltd | ANTI-CANCER COMPLEXES 2,3-DIHYDRO-1H-PYRROLO 3,2-F] COBALT AND CHROME QUINOLINE |
| EP1409480B1 (en) | 2001-02-22 | 2007-11-14 | The School Of Pharmacy, University Of London | Pyrrolo-indole and pyrrolo-quinoline derivatives as prodrugs for tumour treatment |
| US7179921B2 (en) | 2001-02-22 | 2007-02-20 | School Of Pharmacy, University Of London | Indoline and tetrahydro-quinolines as prodrugs for tumour treatment |
| EP1408960B1 (en) | 2001-02-22 | 2006-05-31 | School Of Pharmacy, University Of London | Benz-indole and benzo-quinoline derivatives as prodrugs for tumour treatment |
| EP1243276A1 (en) | 2001-03-23 | 2002-09-25 | Franciscus Marinus Hendrikus De Groot | Elongated and multiple spacers containing activatible prodrugs |
| US7129261B2 (en) | 2001-05-31 | 2006-10-31 | Medarex, Inc. | Cytotoxic agents |
| US7514078B2 (en) | 2001-06-01 | 2009-04-07 | Cornell Research Foundation, Inc. | Methods of treating prostate cancer with anti-prostate specific membrane antigen antibodies |
| JP2005502703A (ja) * | 2001-09-07 | 2005-01-27 | ザ スクリプス リサーチ インスティテュート | Cc−1065およびデュオカルマイシンのcbi類似体 |
| US6756397B2 (en) * | 2002-04-05 | 2004-06-29 | Immunogen, Inc. | Prodrugs of CC-1065 analogs |
| AU2003228173A1 (en) | 2002-05-17 | 2003-12-02 | Auckland Uniservices Limited | Processes for preparing 3-substituted 1-(chloromethyl)-1,2-dihydro-3h-(ring fused indol-5-yl(amine-derived)) compounds and analogues thereof, and to products obtained therefrom |
| AU2003282624A1 (en) | 2002-11-14 | 2004-06-03 | Syntarga B.V. | Prodrugs built as multiple self-elimination-release spacers |
| CA2512867C (en) | 2003-01-27 | 2014-08-26 | Endocyte, Inc. | Vitamin receptor binding drug delivery conjugates |
| US20070037739A1 (en) | 2003-02-03 | 2007-02-15 | Medlogics Device Corporation | Compounds useful in coating stents to prevent and treat stenosis and restenosis |
| CA2516455C (en) | 2003-02-20 | 2012-05-01 | Seattle Genetics, Inc. | Anti-cd70 antibody-drug conjugates and their use for the treatment of cancer and immune disorders |
| WO2004101767A2 (en) * | 2003-05-13 | 2004-11-25 | The Scripps Research Institute | Cbi analogues of the duocarmycins and cc-1065 |
| WO2005032594A2 (en) * | 2003-10-03 | 2005-04-14 | The Government Of The United States Of America, As Represented By The Secretary, Department Of Health And Human Services | Alkylators linked to polyamides as dna binding agents |
| US7282590B2 (en) | 2004-02-12 | 2007-10-16 | The Research Foundation Of State University Of New York | Drug conjugates |
| ES2533695T3 (es) | 2004-03-02 | 2015-04-14 | Seattle Genetics, Inc. | Anticuerpos cargados parcialmente y métodos para su conjugación |
| CN1997399A (zh) | 2004-04-21 | 2007-07-11 | 阿尔扎公司 | 可在温和硫解条件下释放的聚合物共轭物 |
| US20050239864A1 (en) | 2004-04-23 | 2005-10-27 | Yuqiang Wang | Novel tumor-selective chemotherapeutic agents |
| RU2007103298A (ru) | 2004-06-30 | 2008-08-10 | Новартис АГ (CH) | Композиции и способы доставки противоопухолевых агентов |
| US8288557B2 (en) | 2004-07-23 | 2012-10-16 | Endocyte, Inc. | Bivalent linkers and conjugates thereof |
| NZ553500A (en) | 2004-09-23 | 2009-11-27 | Genentech Inc Genentech Inc | Cysteine engineered antibodies and conjugates withCysteine engineered antibodies and conjugates with a free cysteine amino acid in the heavy chain a free cysteine amino acid in the heavy chain |
| WO2006037052A2 (en) | 2004-09-27 | 2006-04-06 | Government Of The United States Of America As Represented By The Secretary Of The Department Of Health And Human Services National Institutes Of Health | Modulating mxa expression |
| NZ536107A (en) | 2004-10-22 | 2007-06-29 | Auckland Uniservices Ltd | Nitrobenzindoles and their use in cancer therapy |
| US20090111805A1 (en) | 2005-02-24 | 2009-04-30 | Pfizer Inc. | Bicyclic heteroaromatic derivatives useful as anticancer agents |
| FR2884252B1 (fr) * | 2005-04-08 | 2007-05-18 | Aventis Pharma Sa | Nouveaux derives d'isoindoles, compositions les contenant, leur preparation et leurs utilisations pharmaceutiques notamment en tant qu'inhibiteurs d'activites de la proteine chaperone hsp90 |
| US7714016B2 (en) | 2005-04-08 | 2010-05-11 | Medarex, Inc. | Cytotoxic compounds and conjugates with cleavable substrates |
| US8158590B2 (en) | 2005-08-05 | 2012-04-17 | Syntarga B.V. | Triazole-containing releasable linkers, conjugates thereof, and methods of preparation |
| EA016577B1 (ru) * | 2005-09-26 | 2012-06-29 | Медарекс, Инк. | Конъюгаты антитело-лекарство и их применение |
| SI1940789T1 (sl) * | 2005-10-26 | 2012-03-30 | Medarex Inc | Postopki in spojine za pripravo cc analogov |
| WO2007059404A2 (en) | 2005-11-10 | 2007-05-24 | Medarex, Inc. | Duocarmycin derivatives as novel cytotoxic compounds and conjugates |
| EP1832577A1 (en) | 2006-03-07 | 2007-09-12 | Sanofi-Aventis | Improved prodrugs of CC-1065 analogs |
| CA2858359C (en) | 2006-11-01 | 2018-04-03 | Ventana Medical Systems, Inc. | Haptens, hapten conjugates, compositions thereof and method for their preparation and use |
| NZ578354A (en) | 2006-12-14 | 2012-01-12 | Medarex Inc | Antibody-partner molecule conjugates that bind cd70 and uses thereof |
| TWI412367B (zh) | 2006-12-28 | 2013-10-21 | Medarex Llc | 化學鏈接劑與可裂解基質以及其之綴合物 |
| WO2008103693A2 (en) | 2007-02-21 | 2008-08-28 | Medarex, Inc. | Chemical linkers with single amino acids and conjugates thereof |
| US9901567B2 (en) | 2007-08-01 | 2018-02-27 | Syntarga B.V. | Substituted CC-1065 analogs and their conjugates |
| ES2433379T3 (es) | 2007-08-01 | 2013-12-10 | Syntarga B.V. | Análogos de CC-1065 sustituidos y sus conjugados |
| US8865875B2 (en) | 2007-08-22 | 2014-10-21 | Medarex, L.L.C. | Site-specific attachment of drugs or other agents to engineered antibodies with C-terminal extensions |
| ES2441115T3 (es) | 2007-11-13 | 2014-01-31 | The Scripps Research Institute | Derivados de CBI sujetos a activación reductora |
| MX2010005966A (es) | 2007-11-30 | 2010-06-15 | Bristol Myers Squibb Co | Conjugados de anticuerpo monoclonal-molecula asociada dirigidos a la proteina tirosina-cinasa 7 (ptk7). |
| AU2008334063A1 (en) | 2007-11-30 | 2009-06-11 | Bristol-Myers Squibb Company | Anti-B7H4 monoclonal antibody-drug conjugate and methods of use |
| US20090162372A1 (en) | 2007-11-30 | 2009-06-25 | Medarex, Inc. | Fibronectin ed-b antibodies, conjugates thereof, and methods of use |
| CA2707443A1 (en) | 2007-11-30 | 2009-06-11 | Bristol-Myers Squibb Company | Conjugates of anti-rg-1 antibodies |
| CN104524590B (zh) | 2008-04-30 | 2019-06-21 | 伊缪诺金公司 | 交联剂和它们的用途 |
| NZ571028A (en) | 2008-09-03 | 2011-01-28 | Auckland Uniservices Ltd | Nitrobenzindole compounds and their use in cancer treatment |
| EP2349274B1 (en) * | 2008-09-17 | 2025-04-09 | Endocyte, Inc. | Folate receptor binding conjugates of antifolates |
| US8889868B2 (en) | 2008-11-03 | 2014-11-18 | Syntarga Bv | CC-1065 analogs and their conjugates |
| WO2011022316A1 (en) | 2009-08-20 | 2011-02-24 | The Regents Of The University Of Colorado, A Body Corporate | Mirnas dysregulated in triple-negative breast cancer |
| CN106749665B (zh) | 2010-04-21 | 2021-03-26 | 辛塔佳有限公司 | Cc-1065类似物和双功能接头的缀合物 |
| CA2848520C (en) | 2011-09-29 | 2019-11-26 | Seattle Genetics, Inc. | Intact mass determination of protein conjugated agent compounds |
| ES3023516T3 (en) | 2011-10-14 | 2025-06-02 | Hoffmann La Roche | Uses for and article of manufacture including her2 dimerization inhibitor pertuzumab |
| CA2859755C (en) | 2011-12-23 | 2021-04-20 | Pfizer Inc. | Engineered antibody constant regions for site-specific conjugation and methods and uses therefor |
| PT2948184T (pt) | 2014-01-10 | 2016-07-08 | Synthon Biopharmaceuticals Bv | Conjugados de anticorpo-fármaco de duocarmicina apresentando uma melhor atividade antitumoral in vivo. |
| JP6224268B2 (ja) | 2014-01-10 | 2017-11-01 | シントン・バイオファーマシューティカルズ・ビー.ブイ.Synthon Biopharmaceuticals B.V. | 子宮内膜癌の治療において使用するためのデュオカルマイシンadc |
| LT3092010T (lt) | 2014-01-10 | 2018-10-25 | Synthon Biopharmaceuticals B.V. | Metodas, skirtas gryninimui cys-sujungtų antikūno-vaisto konjugatų |
| CA2947238A1 (en) | 2014-05-22 | 2015-11-26 | Synthon Biopharmaceuticals B.V. | Site-specific conjugation of linker drugs to antibodies and resulting adcs |
| US9890159B2 (en) | 2014-06-05 | 2018-02-13 | Synthon Biopharmaceuticals B.V. | Process for making duocarmycin prodrugs |
| US20170320965A1 (en) | 2014-09-22 | 2017-11-09 | Synthon Biopharmaceuticals B.V. | Pan-reactive antibodies to duocarmycins |
-
2011
- 2011-04-21 CN CN201611090112.6A patent/CN106749665B/zh active Active
- 2011-04-21 LT LTEP16154533.0T patent/LT3056203T/lt unknown
- 2011-04-21 PT PT117203406T patent/PT2560645T/pt unknown
- 2011-04-21 LT LTEP16176625.8T patent/LT3108886T/lt unknown
- 2011-04-21 KR KR1020127030506A patent/KR101747478B1/ko active Active
- 2011-04-21 BR BR112012026953A patent/BR112012026953A8/pt not_active Application Discontinuation
- 2011-04-21 PL PL16176625T patent/PL3108886T3/pl unknown
- 2011-04-21 HU HUE16176625A patent/HUE050508T2/hu unknown
- 2011-04-21 PT PT161545330T patent/PT3056203T/pt unknown
- 2011-04-21 RU RU2012149448/04A patent/RU2578719C9/ru active
- 2011-04-21 RU RU2016101244A patent/RU2730502C2/ru active
- 2011-04-21 ES ES16176625T patent/ES2815678T3/es active Active
- 2011-04-21 EP EP16176625.8A patent/EP3108886B1/en active Active
- 2011-04-21 MX MX2012012176A patent/MX336853B/es active IP Right Grant
- 2011-04-21 ES ES11720340.6T patent/ES2594952T3/es active Active
- 2011-04-21 ES ES16154533.0T patent/ES2660428T3/es active Active
- 2011-04-21 TR TR2018/02539T patent/TR201802539T4/tr unknown
- 2011-04-21 CA CA2796712A patent/CA2796712C/en active Active
- 2011-04-21 EP EP11720340.6A patent/EP2560645B1/en active Active
- 2011-04-21 AU AU2011243294A patent/AU2011243294C1/en active Active
- 2011-04-21 CA CA2956934A patent/CA2956934C/en active Active
- 2011-04-21 HR HRP20161339TT patent/HRP20161339T1/hr unknown
- 2011-04-21 PL PL11720340T patent/PL2560645T3/pl unknown
- 2011-04-21 PL PL16154533T patent/PL3056203T3/pl unknown
- 2011-04-21 MX MX2015017777A patent/MX374267B/es unknown
- 2011-04-21 NO NO16154533A patent/NO3056203T3/no unknown
- 2011-04-21 PT PT161766258T patent/PT3108886T/pt unknown
- 2011-04-21 WO PCT/NL2011/050278 patent/WO2011133039A2/en not_active Ceased
- 2011-04-21 KR KR1020187006266A patent/KR101901555B1/ko active Active
- 2011-04-21 DK DK11720340.6T patent/DK2560645T3/en active
- 2011-04-21 JP JP2013506105A patent/JP6009434B2/ja active Active
- 2011-04-21 UA UAA201213259A patent/UA112291C2/uk unknown
- 2011-04-21 EP EP16154533.0A patent/EP3056203B1/en active Active
- 2011-04-21 US US13/642,847 patent/US9629924B2/en not_active Expired - Fee Related
- 2011-04-21 HU HUE16154533A patent/HUE036912T2/hu unknown
- 2011-04-21 DK DK16154533.0T patent/DK3056203T3/da active
- 2011-04-21 DK DK16176625.8T patent/DK3108886T3/da active
- 2011-04-21 KR KR1020177005864A patent/KR20170027880A/ko not_active Ceased
- 2011-04-21 HU HUE11720340A patent/HUE030846T2/en unknown
- 2011-04-21 LT LTEP11720340.6T patent/LT2560645T/lt unknown
-
2012
- 2012-11-05 ZA ZA2012/08282A patent/ZA201208282B/en unknown
-
2015
- 2015-08-13 AU AU2015213336A patent/AU2015213336B2/en active Active
-
2016
- 2016-04-07 JP JP2016077272A patent/JP6193433B2/ja active Active
- 2016-10-06 CY CY20161100997T patent/CY1118072T1/el unknown
-
2017
- 2017-03-17 US US15/461,569 patent/US20180147289A9/en not_active Abandoned
- 2017-03-17 US US15/461,560 patent/US11052155B2/en active Active
-
2018
- 2018-02-05 HR HRP20180209TT patent/HRP20180209T1/hr unknown
- 2018-02-06 CY CY20181100146T patent/CY1119893T1/el unknown
-
2020
- 2020-08-20 CY CY20201100778T patent/CY1124632T1/el unknown
- 2020-09-10 HR HRP20201446TT patent/HRP20201446T8/hr unknown
Patent Citations (2)
| Publication number | Priority date | Publication date | Assignee | Title |
|---|---|---|---|---|
| WO2005112919A2 (en) * | 2004-05-19 | 2005-12-01 | Medarex, Inc. | Self-immolative linkers and drug conjugates |
| CN101415679A (zh) * | 2006-02-02 | 2009-04-22 | 辛塔佳有限公司 | 水溶性cc-1065类似物及其缀合物 |
Also Published As
Similar Documents
| Publication | Publication Date | Title |
|---|---|---|
| CN106749665B (zh) | Cc-1065类似物和双功能接头的缀合物 | |
| US8889868B2 (en) | CC-1065 analogs and their conjugates | |
| US8680293B2 (en) | Substituted CC-1065 analogs and their conjugates | |
| US9901567B2 (en) | Substituted CC-1065 analogs and their conjugates | |
| CN103118679B (zh) | Cc‑1065类似物和双功能接头的缀合物 |
Legal Events
| Date | Code | Title | Description |
|---|---|---|---|
| PB01 | Publication | ||
| PB01 | Publication | ||
| SE01 | Entry into force of request for substantive examination | ||
| SE01 | Entry into force of request for substantive examination | ||
| GR01 | Patent grant | ||
| GR01 | Patent grant |





















































































































































































































































































































































































































