CN101184732B - 蒽衍生物、发光元件用材料、发光元件、发光装置和电子器件 - Google Patents
蒽衍生物、发光元件用材料、发光元件、发光装置和电子器件 Download PDFInfo
- Publication number
- CN101184732B CN101184732B CN2006800188014A CN200680018801A CN101184732B CN 101184732 B CN101184732 B CN 101184732B CN 2006800188014 A CN2006800188014 A CN 2006800188014A CN 200680018801 A CN200680018801 A CN 200680018801A CN 101184732 B CN101184732 B CN 101184732B
- Authority
- CN
- China
- Prior art keywords
- light
- light emitting
- layer
- emitting device
- electrode
- Prior art date
- Legal status (The legal status is an assumption and is not a legal conclusion. Google has not performed a legal analysis and makes no representation as to the accuracy of the status listed.)
- Active
Links
- KVUKHUMVNMYPQR-UHFFFAOYSA-N CC(C)(C)c(cc1)cc2c1c(-c(cc1)ccc1-[n]1c(C=CCC3)c3c3ccccc13)c(cccc1)c1c2-c(cc1)ccc1-[n]1c2ccccc2c2ccccc12 Chemical compound CC(C)(C)c(cc1)cc2c1c(-c(cc1)ccc1-[n]1c(C=CCC3)c3c3ccccc13)c(cccc1)c1c2-c(cc1)ccc1-[n]1c2ccccc2c2ccccc12 KVUKHUMVNMYPQR-UHFFFAOYSA-N 0.000 description 1
- KTEQMRPFMPRLPJ-UHFFFAOYSA-N CCCCCCc(cc1)cc2c1c(-c1ccc(C)cc1)c(cccc1)c1c2-c(cc1)ccc1Br Chemical compound CCCCCCc(cc1)cc2c1c(-c1ccc(C)cc1)c(cccc1)c1c2-c(cc1)ccc1Br KTEQMRPFMPRLPJ-UHFFFAOYSA-N 0.000 description 1
Images
Classifications
-
- C—CHEMISTRY; METALLURGY
- C07—ORGANIC CHEMISTRY
- C07D—HETEROCYCLIC COMPOUNDS
- C07D209/00—Heterocyclic compounds containing five-membered rings, condensed with other rings, with one nitrogen atom as the only ring hetero atom
- C07D209/56—Ring systems containing three or more rings
- C07D209/80—[b, c]- or [b, d]-condensed
- C07D209/82—Carbazoles; Hydrogenated carbazoles
- C07D209/86—Carbazoles; Hydrogenated carbazoles with only hydrogen atoms, hydrocarbon or substituted hydrocarbon radicals, directly attached to carbon atoms of the ring system
-
- C—CHEMISTRY; METALLURGY
- C07—ORGANIC CHEMISTRY
- C07D—HETEROCYCLIC COMPOUNDS
- C07D209/00—Heterocyclic compounds containing five-membered rings, condensed with other rings, with one nitrogen atom as the only ring hetero atom
- C07D209/56—Ring systems containing three or more rings
- C07D209/80—[b, c]- or [b, d]-condensed
- C07D209/82—Carbazoles; Hydrogenated carbazoles
- C07D209/88—Carbazoles; Hydrogenated carbazoles with hetero atoms or with carbon atoms having three bonds to hetero atoms with at the most one bond to halogen, e.g. ester or nitrile radicals, directly attached to carbon atoms of the ring system
-
- C—CHEMISTRY; METALLURGY
- C09—DYES; PAINTS; POLISHES; NATURAL RESINS; ADHESIVES; COMPOSITIONS NOT OTHERWISE PROVIDED FOR; APPLICATIONS OF MATERIALS NOT OTHERWISE PROVIDED FOR
- C09K—MATERIALS FOR MISCELLANEOUS APPLICATIONS, NOT PROVIDED FOR ELSEWHERE
- C09K11/00—Luminescent, e.g. electroluminescent, chemiluminescent materials
- C09K11/06—Luminescent, e.g. electroluminescent, chemiluminescent materials containing organic luminescent materials
-
- H—ELECTRICITY
- H05—ELECTRIC TECHNIQUES NOT OTHERWISE PROVIDED FOR
- H05B—ELECTRIC HEATING; ELECTRIC LIGHT SOURCES NOT OTHERWISE PROVIDED FOR; CIRCUIT ARRANGEMENTS FOR ELECTRIC LIGHT SOURCES, IN GENERAL
- H05B33/00—Electroluminescent light sources
- H05B33/12—Light sources with substantially two-dimensional radiating surfaces
- H05B33/14—Light sources with substantially two-dimensional radiating surfaces characterised by the chemical or physical composition or the arrangement of the electroluminescent material, or by the simultaneous addition of the electroluminescent material in or onto the light source
-
- H—ELECTRICITY
- H10—SEMICONDUCTOR DEVICES; ELECTRIC SOLID-STATE DEVICES NOT OTHERWISE PROVIDED FOR
- H10K—ORGANIC ELECTRIC SOLID-STATE DEVICES
- H10K85/00—Organic materials used in the body or electrodes of devices covered by this subclass
- H10K85/60—Organic compounds having low molecular weight
- H10K85/615—Polycyclic condensed aromatic hydrocarbons, e.g. anthracene
- H10K85/626—Polycyclic condensed aromatic hydrocarbons, e.g. anthracene containing more than one polycyclic condensed aromatic rings, e.g. bis-anthracene
-
- H—ELECTRICITY
- H10—SEMICONDUCTOR DEVICES; ELECTRIC SOLID-STATE DEVICES NOT OTHERWISE PROVIDED FOR
- H10K—ORGANIC ELECTRIC SOLID-STATE DEVICES
- H10K85/00—Organic materials used in the body or electrodes of devices covered by this subclass
- H10K85/60—Organic compounds having low molecular weight
- H10K85/631—Amine compounds having at least two aryl rest on at least one amine-nitrogen atom, e.g. triphenylamine
- H10K85/636—Amine compounds having at least two aryl rest on at least one amine-nitrogen atom, e.g. triphenylamine comprising heteroaromatic hydrocarbons as substituents on the nitrogen atom
-
- H—ELECTRICITY
- H10—SEMICONDUCTOR DEVICES; ELECTRIC SOLID-STATE DEVICES NOT OTHERWISE PROVIDED FOR
- H10K—ORGANIC ELECTRIC SOLID-STATE DEVICES
- H10K85/00—Organic materials used in the body or electrodes of devices covered by this subclass
- H10K85/60—Organic compounds having low molecular weight
- H10K85/649—Aromatic compounds comprising a hetero atom
- H10K85/657—Polycyclic condensed heteroaromatic hydrocarbons
- H10K85/6572—Polycyclic condensed heteroaromatic hydrocarbons comprising only nitrogen in the heteroaromatic polycondensed ring system, e.g. phenanthroline or carbazole
-
- C—CHEMISTRY; METALLURGY
- C09—DYES; PAINTS; POLISHES; NATURAL RESINS; ADHESIVES; COMPOSITIONS NOT OTHERWISE PROVIDED FOR; APPLICATIONS OF MATERIALS NOT OTHERWISE PROVIDED FOR
- C09K—MATERIALS FOR MISCELLANEOUS APPLICATIONS, NOT PROVIDED FOR ELSEWHERE
- C09K2211/00—Chemical nature of organic luminescent or tenebrescent compounds
- C09K2211/10—Non-macromolecular compounds
- C09K2211/1003—Carbocyclic compounds
- C09K2211/1011—Condensed systems
-
- H—ELECTRICITY
- H10—SEMICONDUCTOR DEVICES; ELECTRIC SOLID-STATE DEVICES NOT OTHERWISE PROVIDED FOR
- H10K—ORGANIC ELECTRIC SOLID-STATE DEVICES
- H10K50/00—Organic light-emitting devices
- H10K50/10—OLEDs or polymer light-emitting diodes [PLED]
- H10K50/11—OLEDs or polymer light-emitting diodes [PLED] characterised by the electroluminescent [EL] layers
-
- H—ELECTRICITY
- H10—SEMICONDUCTOR DEVICES; ELECTRIC SOLID-STATE DEVICES NOT OTHERWISE PROVIDED FOR
- H10K—ORGANIC ELECTRIC SOLID-STATE DEVICES
- H10K59/00—Integrated devices, or assemblies of multiple devices, comprising at least one organic light-emitting element covered by group H10K50/00
- H10K59/10—OLED displays
- H10K59/12—Active-matrix OLED [AMOLED] displays
-
- Y—GENERAL TAGGING OF NEW TECHNOLOGICAL DEVELOPMENTS; GENERAL TAGGING OF CROSS-SECTIONAL TECHNOLOGIES SPANNING OVER SEVERAL SECTIONS OF THE IPC; TECHNICAL SUBJECTS COVERED BY FORMER USPC CROSS-REFERENCE ART COLLECTIONS [XRACs] AND DIGESTS
- Y10—TECHNICAL SUBJECTS COVERED BY FORMER USPC
- Y10S—TECHNICAL SUBJECTS COVERED BY FORMER USPC CROSS-REFERENCE ART COLLECTIONS [XRACs] AND DIGESTS
- Y10S428/00—Stock material or miscellaneous articles
- Y10S428/917—Electroluminescent
Landscapes
- Chemical & Material Sciences (AREA)
- Organic Chemistry (AREA)
- Engineering & Computer Science (AREA)
- Materials Engineering (AREA)
- Physics & Mathematics (AREA)
- Spectroscopy & Molecular Physics (AREA)
- Electroluminescent Light Sources (AREA)
- Indole Compounds (AREA)
Abstract
Description
技术领域
本发明涉及发光材料。本发明还涉及具有一对电极和包含发光材料的一层的发光元件,当施加电场时所述发光材料可发光。此外,本发明涉及具有这种发光元件的发光装置。
背景技术
采用发光材料的发光元件具有薄、重量轻、快速响应、直流低压驱动等优势并有望用于下一代平板显示器。此外,发光元件排列成矩阵的发光装置在广视角和高可视性方面胜过常规液晶显示器。
发光元件具有以下发光机理:将电压施加到夹在一对电极之间的发光层上,从而自阴极注入的电子和自阳极注入的空穴在发光层的发光中心复合形成分子激子;因此当分子激子回到基态时释放能量而发光。激发态已知有例如单重激发态和三重激发态,在任一激发态都可能发光。
发光元件的发射波长取决于发光元件中发光分子基态和激发态之间的能量差(即带隙)。因此,可通过设计发光分子结构获得各种色彩的光。通过采用能发射红光、蓝光和绿光(它们是光的三原色)的发光元件制备发光装置,可制备全色光发光装置。
然而,全色光发光装置中的一个问题是:并非总能容易地制备具有优异色纯度的发光装置。这是因为难以实现具有高可靠性和优异色纯度的发光装置,尽管制备具有优异色彩重现性的发光装置需要具有优异色纯度的红光、蓝光和绿光发射元件。由于材料的最新发展,就红光和绿光发射元件而言,获得了具有高可靠性和优异色纯度的红光和绿光发射元件。然而,由于具有高可靠性和优异色纯度的蓝光发射元件还未实现,因此进行了许多研究(如专利文献1:日本专利公开No.2003-31371)。
发明概述
本发明针对上述问题。本发明的一个目的是提供能实现优异蓝色色纯度的新型材料,和采用所述新型材料的发光元件和发光装置。
此外,本发明的另一目的是提供具有高可靠性的新型材料,和采用所述材料的发光元件和发光装置。
结构式(1)所表示的、可用于解决上述问题的蒽衍生物分子中同时包含二苯基蒽结构和咔唑骨架。
可用于解决上述问题的蒽衍生物具有结构式(1)表示的结构。此外,任一苯基被咔唑基取代,且所述咔唑基9位置上的氮原子与所述苯基直接偶联。
可用于解决上述问题的蒽衍生物具有结构式(1)表示的结构。此外,任一苯基被咔唑基取代,所述咔唑基可具有取代基,且所述咔唑基9位置上的氮原子与所述苯基直接偶联。
可用于解决上述问题的蒽衍生物用结构式(2)表示。
其中R1-R13独立为氢、具有1-6个碳原子的烷基或具有6-14个碳原子的芳基,所述芳基可具有取代基,且R1-R13可相同或不同。此外,式中A1和A2独立为氢、具有1-6个碳原子的烷基、可具有取代基的6-14个碳原子的芳基、或可具有取代基的二芳基氨基,且A1和A2可相同或不同。
可用于解决上述问题的蒽衍生物用结构式(3)表示。
其中R1-R13独立为氢、具有1-6个碳原子的烷基或具有6-14个碳原子的芳基,所述芳基可具有取代基,且R1-R13可相同或不同。此外,式中A1和A2独立为氢、具有1-6个碳原子的烷基、可具有取代基的6-14个碳原子的芳基、或可具有取代基的二芳基氨基,且A1和A2可相同或不同。
可用于解决上述问题的蒽衍生物用通式(2)表示。
其中R1-R13独立为氢、具有1-6个碳原子的烷基或具有6-14个碳原子的芳基,所述芳基可具有取代基,且R1-R13可相同或不同。此外,式中A1和A2独立为氢、具有1-6个碳原子的烷基或具有6-14个碳原子的芳基,所述芳基可具有取代基,且A1和A2可相同或不同。
可用于解决上述问题的蒽衍生物用通式(3)表示。
其中R1-R13独立为氢、具有1-6个碳原子的烷基或具有6-14个碳原子的芳基,所述芳基可具有取代基,且R1-R13可相同或不同。此外,式中A1和A2独立为氢、具有1-6个碳原子的烷基或具有6-14个碳原子的芳基,所述芳基可具有取代基,且A1和A2可相同或不同。
可用于解决上述问题的蒽衍生物用通式(2)表示。
其中R1-R13独立为氢、具有1-6个碳原子的烷基或具有6-14个碳原子的芳基,所述芳基可具有取代基,且R1-R13可相同或不同。此外,式中A1为二芳基氨基,所述二芳基氨基可具有取代基而A2为氢或二芳基氨基,所述二芳基氨基可具有取代基。
可用于解决上述问题的蒽衍生物用通式(3)表示。
其中R1-R13独立为氢、具有1-6个碳原子的烷基或具有6-14个碳原子的芳基,所述芳基可具有取代基,且R1-R13可相同或不同。此外,式中A1为二芳基氨基,所述二芳基氨基可具有取代基而A2为氢或二芳基氨基,所述二芳基氨基可具有取代基。
可用于解决上述问题的蒽衍生物用通式(3)表示。
其中A1和A2独立为氢、具有1-6个碳原子的烷基或可具有取代基的6-14个碳原子的芳基或可具有取代基的二芳基氨基,,且A1和A2可相同或不同。
可用于解决上述问题的蒽衍生物用通式(4)表示。
其中A1和A2独立为氢、具有1-6个碳原子的烷基或具有6-14个碳原子的芳基,所述芳基可具有取代基,且A1和A2可相同或不同。
可用于解决上述问题的蒽衍生物用通式(4)表示。
其中A1为二芳基氨基,所述二芳基氨基可具有取代基而A2为氢或二芳基氨基,所述二芳基氨基可具有取代基。
可用于解决上述问题的蒽衍生物的带隙为2.7eV-3.0eV。
可用于解决上述问题的蒽衍生物的最大发射波长为400nm-500nm。
可用于解决上述问题的蒽衍生物用结构式(5)表示。
可用于解决上述问题的蒽衍生物用结构式(6)表示。
可用于解决上述问题的蒽衍生物用结构式(7)表示。
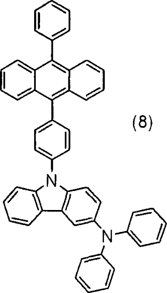
可用于解决上述问题的蒽衍生物用结构式(8)表示。
可用于解决上述问题的蒽衍生物用结构式(9)表示。
本发明解决上述问题的结构是包含任一上述蒽衍生物的发光元件用材料。
本发明解决上述问题的结构是包含任一上述蒽衍生物的有机装置。
本发明解决上述问题的结构是包含任一上述蒽衍生物的有机发光装置。
本发明解决上述问题的结构是发光元件,所述发光元件包括第一电极、第二电极和在所述第一电极和第二电极之间包含有机化合物层的层。所述有机化合物层包含任一上述蒽衍生物。
本发明解决上述问题的结构是发光装置,所述发光装置包括上述发光元件和控制所述发光元件发光的装置。
本发明解决上述问题的结构是电子器件,所述电子器件包括显示区域。所述显示区域包括上述发光元件和控制所述发光元件发光的装置。
本发明蒽衍生物具有极大带隙,可发射具有极短波长的光并可发射具有良好色纯度的蓝光。此外,本发明蒽衍生物电化学稳定性高。
可将带隙比本发明蒽衍生物小的发光材料(下文中称为掺杂剂)加入包含本发明蒽衍生物的层以获得从所述掺杂剂发射的光。这时,由于本发明蒽衍生物具有极大带隙,即使采用发射较短波长光的掺杂剂,可有效地获得来自所述掺杂剂的光而不是来自本发明蒽衍生物的光。具体地讲,最大发射波长约450 nm的发光材料可用作掺杂剂来提供优异的蓝光色纯度和这种材料。
此外,将本发明蒽衍生物加入包含带隙比本发明蒽衍生物(下文中称为主体)大的材料的层以制备发光元件;由此可获得从本发明蒽衍生物发射的光。从而,本发明蒽衍生物同样可作为掺杂剂。因此,本发明蒽衍生物具有极大带隙并发射短波长的光。由此可制备能提供高色纯度蓝光发射的发光元件。
此外,对于其中以本发明的具有二芳基胺结构的蒽衍生物用作掺杂剂而本发明所提出的蒽衍生物,特别是不具有二芳基胺结构的蒽衍生物用作主体的发光元件而言,本发明的高电化学稳定的蒽衍生物用作主体和掺杂剂。由此可获得高可靠发光元件。
此外,采用包含本发明上述蒽衍生物的发光材料,可获得提供优异蓝色色纯度的发光元件。此外,采用包含本发明上述蒽衍生物的发光材料;由此可获得具有极高可靠性的发光材料。
包含蒽衍生物的本发明发光元件可提供优异蓝色色纯度。此外,包含蒽衍生物的本发明发光元件具有高可靠性。
本发明具有发光元件的发光装置是具有高色彩重现性的发光装置。此外,其为具有高显示质量的发光元件。此外,本发明具有发光元件的发光装置是具有高可靠性的发光装置。
本发明包含以上发光元件的电子器件是具有高色彩重现性的电子器件。此外,其为具有高显示质量的电子器件。此外,本发明包含发光元件的电子器件是具有高可靠性的电子器件。
附图简述
图1是显示本发明发光元件的图;
图2A-2E是解释制备本发明有源矩阵发光装置的方法的横截面视图;
图3A-3C是解释制备本发明有源矩阵发光装置的方法的横截面视图;
图4A和4B是各自显示本发明发光装置的横截面视图;
图5A和5B是本发明发光装置的俯视图和横截面视图;
图6A-6F是显示本发明发光装置像素电路实例的图;
图7是显示本发明发光装置保护电路实例的图;
图8A-8E是显示电子器件实例的视图,可将本发明用于所述电子器件。
图9显示CzPA的1H NMR谱;
图10显示CzPA和甲苯薄膜中的发光谱;
图11显示DPCzPA的1H NMR谱;
图12显示DPCzPA的13C NMR谱;
图13显示DPCzPA和甲苯薄膜中的发光谱;
图14显示BPCzPA的1H NMR谱;
图15显示BPCzPA的13C NMR谱;
图16显示BPCzPA在甲苯中的发光谱;
图17显示3-(N,N-二苯基)氨基咔唑的1H NMR谱;
图18显示CzAlPA的1H NMR谱;
图19显示CzAlPA和甲苯薄膜中的发光谱;
图20显示CzBPA的1H NMR谱;
图21A和21B显示DPAnth的CV图;
图22A和23B显示t-BuDNA的CV图;
图23显示光照射下DPAnth薄膜的吸收光谱随着时间的变化;
图24显示光照射下薄膜的吸收光谱随着时间的变化;
图25显示光照射下t-BuDNA和DPAnth的400nm薄膜的吸收光谱随着时间的变化;
图26A和26B显示CzPA还原侧(A)和氧化侧(B)的CV图;
图27A和27B显示DPCzPA还原侧(A)和氧化侧(B)的CV图;
图28A和28B显示CzAlPA还原侧(A)和氧化侧(B)的CV图;
图29A和29B显示CzBPA还原侧(A)和氧化侧(B)的CV图;
图30显示元件A和元件B的可靠性测试结果;
图31显示元件C、元件D和元件E的可靠性测试结果;
图32显示元件F和元件G的可靠性测试结果;和
图33显示元件H和元件I的可靠性测试结果。
实施本发明的最佳方式
下面将参考附图对本发明实施方案和实施例进行描述。本发明并不局限于以下说明书。可以多种不同方式实施本发明,本领域技术人员容易理解:可以各种方式对本文中公开的方式和细节进行改进而不违背本发明精神和范围。应该注意的是:本发明不局限于以下实施方案和实施例的描述。
实施方案1
本实施方案中将对本发明蒽衍生物进行描述。
本发明蒽衍生物的一个特征是:如以下通式(2)-(4)中所示,所述蒽衍生物每个分子中具有二苯基蒽结构和咔唑基。这是由于以下原因。
其中R1-R10各自独立表示氢、具有1-6个碳原子的烷基或具有6-14个碳原子的芳基,所述芳基可为取代或未被取代的,且所述R1-R13各自可相同或不同。此外,A1表示二芳基氨基,所述二芳基氨基可为取代或未被取代的。A2表示氢或二芳基氨基,所述二芳基氨基可为取代或未被取代的。
其中R1-R10各自独立表示氢、具有1-6个碳原子的烷基或具有6-14个碳原子的芳基,所述芳基可为取代或未被取代的,且所述R1-R13各自可相同或不同。此外,A1表示二芳基氨基,所述二芳基氨基可为取代或未被取代的。A2表示氢或二芳基氨基,所述二芳基氨基可为取代或未被取代的。
其中A1和A2各自独立表示氢、具有1-6个碳原子的烷基、可为取代或未被取代的6-14个碳原子的芳基、或可为取代或未被取代的二芳基胺基,且所述A1和A2各自可相同或不同。
蓝光发射材料通常具有低可靠性,而已知相对可靠的蓝光发射材料色纯度差,从而不能获得高纯度的蓝色发射。可以认为这是因为蓝色材料的电化学稳定性和激发态稳定性低所致。换句话说,就高可靠蓝色发光材料而言,高电化学稳定性和激发态稳定性是必须的。此外,考虑发光元件和具有发光元件的发光装置是在各种外部环境条件下使用,同样特别要求高温下稳定。
蒽衍生物已知为能发蓝光的化合物;然而,蒽本身会在固态形成激发体;从而,即使蒽本身用于发光元件时也不能获得有效发光,而且还降低了色度。因此,需要引入体积大的取代基以防形成激发体。具体地讲,有利的方法是将取代基引入最活性的9和10位置。此外,为了保持蒽骨架的高载流子传输性能,引入芳基特别有效。
本发明人发现苯基作为取代基引入蒽的9和10位置特别有效,且与稠合芳基如萘基相比,可极大提高激发态的稳定性。从而,本发明蒽衍生物包括蒽骨架,将苯基作为以上通式(2)-(4)中所示的取代基引入蒽骨架的9和10位置,即以下结构式(1)所示的二苯基蒽骨架。
同时,结构式(10)表示的咔唑基具有其中二苯基胺的苯基桥连的结构,从而其热稳定性高。因此,通过引入咔唑基,可改善化合物的热稳定性(玻璃化转变温度或熔点)。此外,本发明人发现采用其中引入咔唑基的化合物,例如其中将咔唑基引入二苯基蒽的仅一个苯基的化合物比采用其中将两个咔唑基引入二苯基蒽的两个苯基的化合物电化学稳定性提高更大。
另一方面,本发明发明人发现通过将咔唑基引入仅一个苯基极大提高了电化学稳定性。因此本发明一个特征是本发明蒽衍生物具有一个二苯基蒽骨架和一个咔唑基,如通式(2)-(4)所示。此外,所述咔唑基优选具有其中9位置的氮原子与所述苯基直接偶联的结构。
具有上述结构的本发明蒽衍生物具有极大的带隙;因此可获得高色纯度的蓝光发射。此外,本发明蒽衍生物具有高的电化学稳定性。此外,本发明蒽衍生物具有高的热稳定性。此外,本发明蒽衍生物具有极大的带隙;从而当其用作发光元件发光层中的主体时,可获得色纯度高的蓝光发射。此外,本发明蒽衍生物具有极大的带隙;从而当其用作发光元件发光层中的掺杂剂时,可获得色纯度高的蓝光发射。采用本发明蒽衍生物的发光元件为高可靠的。尤其当本发明蒽衍生物用作发光元件发光层中的主体和掺杂剂时,可获得稳定性极高的发光元件。
本发明蒽衍生物中,芳基或烷基可包含于蒽骨架中或苯基与所述蒽骨架直接偶联。这是由于以下原因。
有机发光元件中,材料的结晶对元件产生重大损害。具体地讲,它可能是电极之间短路(其抑制发光)的直接原因。因此,要求降低材料的结晶度。从而有效的是将适当的取代基引入蒽骨架或使苯基与所述蒽骨架直接偶联。烷基或芳基可用作这种取代基。
引入的烷基或芳基是不受限定的,然而优选苯基、邻二苯基等作为芳基并优选甲基、叔丁基等作为烷基。
烷基具有极大的抑制结晶作用,且它可抑制不能通过引入芳基抑制结晶的结构的结晶。注意:引入烷基可能降低载流子传输性能,因此在将引入取代基的材料的结晶度不是非常高的情况下,就保持载流子传输性能而言,芳基作为引入的取代基更有效。
此外,本发明蒽衍生物中,可将二芳基氨基进入咔唑基。这在所述蒽衍生物用作掺杂剂发光材料时特别有效。这是因为下面的原因。
总地来说,在高效有机发光元件中,在空穴传输材料和电子传输材料之间提供发光层。发光区域位于发光区域的电子传输材料侧或空穴传输材料侧。因此,当电子传输材料或空穴传输材料的带隙小且发光波长比发光层发光波长短时,发光层中形成的发光材料激发能的一部分或全部移到传输层。从而不能获得来自发光层的光发射或传输材料的光发射混入来自发光层的光发射,这导致色纯度和发光效率降低。
就空穴传输材料而言,带隙大且发光波长短的化合物是已知的,且有许多材料即使用于发光元件也具有高可靠性。另一方面,就电子传输材料而言,尽管一些可靠材料是已知的,它们通常带隙小。因此在制备发光元件(所述发光元件特别发出短波长光)的情况下,当发光区域在电子传输区域侧时,容易发出长波长的光。为了获得短波长发光,优选将发光区域安置接近空穴传输材料。
因此优选发光层具有电子传输性能,这样具有合适电子传输性能的蒽骨架是合适的。然而,由于所述蒽骨架还具有空穴传输性能,较难限定发光区域。因此,优选发光层掺杂有少量空穴传输性能高的发光材料,所述发光材料能捕获空穴。从而,其中以蒽骨架为基础的电子传输材料用作主体化合物并加入能捕获空穴并具有高发光量子产率的掺杂剂的元件结构最为合适。
考虑上述,要求掺杂剂具有空穴传输性能且与发光层主体相比具有正高HOMO水平。满足这种要求的结构是芳基胺结构。此外,作为具有极高发光效率的骨架,二苯基蒽骨架是合适的。
注意:与没有引入芳基胺结构的本发明蒽衍生物相比,引入芳基胺结构的本发明蒽衍生物会具有更小带隙。因此,可采用引入芳基胺结构的本发明蒽衍生物作为掺杂剂而没有引入芳基胺结构的本发明蒽衍生物作为主体来制备发光元件的优选发光层。
由于上述原因,本发明蒽衍生物优选具有引入芳基氨基的咔唑基。采用该化合物,由于可获得来自蒽骨架的光发射,可获得色纯度良好的蓝光发射。
此外,这种带隙为2.7eV以上和3.0eV以下的蒽衍生物或最大发射波长(发射光谱峰)为400nm-500nm的蒽衍生物显示良好蓝色色度从而适合用作掺杂剂。
根据上述设计指南,以上通式(2)-(4)表示的本发明蒽衍生物的典型实例显示于结构式(11)-(120)中。本发明并不局限于那些。
实施方案2
实施方案2将对采用实施方案1中所述的蒽衍生物的发光元件进行描述。
本发明发光元件结构中,在一对电极之间形成包含发光材料的层。对所述元件结构没有特别限定,可根据目的适当地选择已知结构。
图1示意性显示了本发明发光元件的元件结构的一个实例。图1中显示的发光元件包括位于第一电极101和第二电极103之间、包含发光材料的层102。包含发光材料的层102包含实施方案1的蒽衍生物。本发明的阳极是将空穴注入所述包含发光材料的层的电极。本发明的阴极是将电子注入所述包含发光材料的层的电极。第一和第二电极之一为阳极而另一为阴极。注意:图1中编号100表示绝缘体。
可采用已知材料作为阳极,例如优选采用各自具有高功函数(具体地讲,4.0eV以上)的金属、合金、导电化合物或其混合物。具体地讲,可采用氧化铟锡(也称为ITO)、含硅的氧化铟锡、含2-20%重量氧化锌(ZnO)的氧化铟(IZO)等。通常通过喷镀形成这种导电金属氧化物膜,然而,它们也可采用溶胶-凝胶法等形成。此外,还可使用金(Au)、铂(Pt)、镍(Ni)、钨(W)、铬(Cr)、钼(Mo)、铁(Fe)、钴(Co)、铜(Cu)、钯(Pd)、金属材料的氮化物(如氮化钛(TiN))等。
可采用已知材料作为阴极,且优选采用各自具有低功函(具体地讲,3.8eV以下)的金属、合金、导电化合物或其混合物。具体地讲,可采用属于元素周期表第1或2族的金属,即碱金属如锂(Li)和铯(Cs);碱土金属如镁(Mg)、钙(Ca)和锶(Sr);包含碱金属或碱土金属的合金(如MgAg、AlLi);稀土金属如铕(Eu)和镱(Yb);包含稀土金属的合金等。注意:可通过采用电子注入性能高的电子注入层将具有高功函数的材料(即通常用作阳极的材料)用于形成阴极。例如,还可采用金属或导电无机化合物如Al、Ag或ITO形成阴极。
可采用已知材料作为包含发光材料的层102,且可采用低分子量材料或高分子量材料。应该注意的是,形成包含发光材料的层102的材料结构不仅包括仅含有机化合物的结构还包括部分包含无机化合物的结构。此外,通过将具有不同功能的空穴注入层、空穴传输层、空穴阻挡层、发光层、电子传输层、电子注入层等适当地结合形成包含发光材料的层。此外,包含发光材料的层可具有单层结构或其中多层上述层层叠的结构。此外,可包含具有所述层各功能的两种或多种功能的层。
可通过湿式或干式方法如气相沉积、喷墨法、旋涂或浸涂形成包含发光材料的层。
实施方案1中描述的蒽衍生物具有大带隙且可发射短波长的光。因此,由于所述蒽衍生物可发射色纯度良好的蓝光,其可用作发光层的发光材料。这种情况下,可能仅采用一种实施方案1中描述的蒽衍生物从而可将发光层制备成所谓的单层膜。
此外,将带隙比实施方案1的蒽衍生物小的发光材料(下文中称为掺杂剂)加入包含实施方案1的蒽衍生物的层以获得一种结构,其中可获得从所述掺杂剂发出的光。同时,实施方案1中描述的蒽衍生物作为主体。由于实施方案1的蒽衍生物带隙大,即使采用发出较短波长的光的掺杂剂,可有效地获得从掺杂剂发出的光而不是从蒽衍生物发出的光。具体地讲,最大发射波长约450nm的发光材料显示优异蓝色色纯度,且这种材料可用作掺杂剂。此外,最大发射波长约500nm的发光材料显示优异绿色色纯度,且这种材料可用作掺杂剂。同样,最大发射波长约650nm的发光材料显示优异红色色纯度,且这种材料可用作掺杂剂。然而,具有长波长的掺杂剂通常存在于长波长区域。实施方案1中描述的蒽衍生物用作主体的情况下,希望所述蒽衍生物的发射光谱和掺杂剂的吸收光谱之间存在重叠。这是因为主体的发射光谱和掺杂剂的吸收光谱之间不存在重叠的情况下能量传递变得困难。
将掺杂剂加入发光层中含实施方案1的蒽衍生物的主体以从掺杂剂获得光的情况下,无论荧光材料或磷光材料均可用作待加入的发光材料。注意:采用磷光材料的情况下,磷光材料的三重能级必须低于实施方案中描述的蒽的三重能级。注意:具体地讲,香豆素衍生物、低聚苯衍生物、唑衍生物、1,2-二苯乙烯类衍生物、喹诺酮衍生物、吖啶酮衍生物、蒽衍生物、芘衍生物、菲衍生物等适合作为发光材料实例。加入少量掺杂剂,具体地讲0.001-50%重量,优选0.03-20%重量。
同时,用作主体的材料可采用实施方案1中描述的蒽衍生物进行掺杂从而其作为掺杂剂使用。这种情况下,主体的一个条件是化合物的带隙大于用作掺杂剂的实施方案1的蒽衍生物的带隙。因此,这种情况下,带隙大于用作掺杂剂的实施方案1的蒽衍生物带隙的实施方案1的蒽衍生物可用作主体。具体地讲,优选结构式(11)-(72)中所示的、不具有二芳基氨基的实施方案1中描述的蒽衍生物适合用作主体,而结构式(73)-(120)中所示的、具有二芳基氨基的实施方案1中描述的蒽衍生物适合用作掺杂剂。自然,考虑带隙尺寸,具有二芳基氨基的本发明蒽衍生物或具有二芳基氨基的本发明蒽衍生物可用作发光层中的主体和客体。因此本发明蒽衍生物可用于任一发光层;从而可获得具有更高可靠性的发光元件。
自然,不同于实施方案1中描述的蒽衍生物的材料可用作主体。具体地讲,四芳基硅烷衍生物、联萘衍生物、芘衍生物、低聚噻吩衍生物、二苯甲酮衍生物、苯甲腈衍生物等可用作主体。由这种材料组成的主体掺杂带隙比主体小的实施方案1中描述的蒽衍生物作为掺杂剂,由此可从实施方案1中描述的蒽衍生物发出色纯度良好的蓝光。此外,可采用实施方案1中描述的蒽衍生物获得高可靠发光元件。
不仅阴极和阳极之间的发光层而且采用不同材料形成的层可层叠在发光层的阴极和阳极侧。具体地讲,当促进从电极注入载流子的电子注入层和空穴注入层分别排列在发光层和阴极之间或发光层和阳极之间时;由此可减小驱动电压。
已知材料可用作形成空穴注入层的空穴注入材料。具体地讲,优选氧化钒、氧化钼、氧化钌或氧化铝等金属氧化物。合适的有机化合物可与这种氧化物混合。或者,有机化合物中卟啉化合物是有效,且还可使用酞菁(H2-Pc)、铜酞菁(Cu-Pc)等。此外,可使用通过化学掺杂到导电高分子量化合物获得的材料,例如掺杂聚苯乙烯磺酸盐(PSS)、聚苯胺(PAni)的聚亚乙二氧基噻吩(PEDOT)等。
可采用已知材料作为形成电子注入层的电子注入材料。具体地讲,优选氟化钙、氟化锂、氧化锂或氯化锂等碱金属盐或碱土金属盐。还可使用其中具有给予性能的化合物如锂加入具有电子传输性能的材料如三(8-羟基喹啉)合铝(Alq3)或浴铜灵(bathocuproine,BCP)的层。
通过采用这种电子和空穴注入层减少载流子注入阻挡层并有效地将载流子注入发光元件。结果可减小驱动电压。
优选在载流子注入层和发光层之间形成载流子传输层。这是因为,当所述载流子注入层与所述发光层接触时,从发光层发出的光的一部分被猝灭;因此,发射效率可能降低。采用空穴传输层的情况下,所述空穴传输层排列在空穴注入层和发光层之间。可采用芳族胺基化合物(即具有苯环-氮键的那种)作为优选材料。可使用星形芳族胺化合物如4,4′-二[N-(3-甲基苯基)-N-苯基-氨基]-联苯;或其衍生物如4,4-二[N-(1-萘基)-N-苯基-氨基]-联苯(下文中称为NPB);4,4′,4″-三(N,N-二苯基-氨基)-三苯胺或4,4′,4″-三[N-(3-甲基苯基)-N-苯基-氨基]-三苯胺作为广泛使用的材料。
采用电子传输层的情况下,电子传输层排列在发光层和电子注入层之间。可优选三(8-羟基喹啉)合铝(Alq3)、三(4-甲基-8-羟基喹啉)合铝(Almq3)、二(10-羟基苯并[h]-羟基喹啉)合铍(BeBq2)或二(2-甲基-8-羟基喹啉)-(4-羟基-联苯基)合铝(BAlq)、二[2-(2-羟基苯基)-苯并羟基唑]合锌(Zn(BOX)2)或二[2-(2-羟基苯基)-苯并羟基噻唑]合锌(Zn(BTZ)2)作为合适材料。此外,优选9,10-二苯基蒽或4,4′-二(2,2-二苯基乙烯基)联苯等烃基化合物。此外,可使用三唑衍生物如3-(4-叔丁基苯基)-4-(4-乙基苯基)-5-(4-联苯基)-1,2,4-三唑或菲咯啉衍生物如向红菲咯啉或浴铜灵。
实施方案1中描述的蒽衍生物具有极大带隙。因此,通过采用实施方案1中描述的蒽衍生物作为发光层中的发光材料或掺杂剂,本发明发光元件可发出极短波长的光,且可发出色纯度良好的蓝光,此外,可获得高可靠发光元件。此外,采用实施方案1中描述的蒽衍生物作为发光层中的主体,本发明发光元件可提供色纯度良好的蓝光;还可获得高可靠发光元件。
实施方案1中描述的蒽衍生物具有高电化学和热稳定性。此外,由于不是稠合芳基而是苯基作为取代基与实施方案1中描述的蒽的9和10位置偶联,激发态是高稳定的。因此,采用实施方案1中描述的蒽衍生物的发光元件是高稳定的且可提供优异色纯度的蓝光。
注意:本实施方案中对仅从发光层获得光的发光元件结构进行了描述。然而,可设计来提供不仅从发光层还从其它层(例如电子传输层或空穴传输层)发出的光。例如,如果电子传输层或空穴传输层掺杂掺杂剂(所述掺杂剂发光),不仅可从发光层还可从传输层发光。当用于发光层和传输层的发光材料具有不同发光颜色时,可获得光相互重叠的光谱。当发光颜色相互补充时,可发出白光。
注意:由于第一电极101和第二电极103的种类是变化的,本实施方案的发光元件具有不同变量。当第一电极101透光时,光朝着第一电极101侧发出。同时,当第一电极101阻挡光(特别是反射光)而第二电极103透光时,光朝着第二电极103侧发出。此外,当第一电极101和第二电极103都透光时,光可同时朝着第一电极侧和第二电极侧发出。
实施方案3
本实施方案将对本发明发光装置进行描述,参考显示制备方法的图2A-4B显示。尽管本实施方案显示制备有源矩阵发光装置的实例,本发明还可用于无源矩阵发光装置。
首先,在基材50上形成第一基础绝缘层51a和第二基础绝缘层51b,然后在第二基础绝缘层51b上形成半导层(图2A)。
玻璃、石英、塑料(如聚酰亚胺、丙烯酸类、聚对苯二甲酸乙二醇酯、聚碳酸酯、聚丙烯酸酯或聚醚砜)等可用作基材50的材料。必要时,这些基材可在通过CMP等抛光后使用。本实施方案中采用玻璃基材。
提供第一基础绝缘层51a和第二基础绝缘层51b来防止基材50中会负面影响半导体膜特性的元素(如碱金属或碱土金属)扩散进入半导体层。氧化硅、氮化硅、含氮的氧化硅、含氧的氮化硅等可用作基材绝缘层的材料。在本实施方案中,第一基础绝缘层51a由氮化硅组成,第二基础绝缘层51b由氧化硅组成。尽管在本实施方案中将基础绝缘层制备成包括第一基础绝缘层51a和第二基础绝缘层51b的两层结构,但可将基础绝缘层制备成单层结构或包括三层或多层的多层结构。当基材杂质的扩散不会导致严重问题时,不必提供基础绝缘层。
在本实施方案中,随后通过用激光使非晶硅膜结晶获得成形的半导体层。通过已知方法如喷镀、低压CVD或等离子CVD在第二基础绝缘层51b上形成厚度为25-100nm(优选30-60nm)的非晶硅膜。之后,500℃下进行1小时热处理以脱氢。
随后,采用激光照射仪使非晶硅膜结晶形成结晶硅膜。在本实施方案中,激光结晶化过程中采用准分子激光器。采用光学系统将发出的激光束调整成直线束斑后,采用所述直线束斑照射非晶硅膜。由此形成结晶硅膜来用作半导体层。
或者,可通过另一方法如仅通过热处理进行结晶的方法或采用催化剂元素促进结晶来进行热处理的方法使非晶硅膜结晶。镍、铁、钯、锡、铅、钴、铂、铜、金等用作促进结晶的元素。与仅通过热处理进行结晶化相比,通过采用这种元素,可在更低温度、更短时间内进行结晶;因此,对玻璃基材的损害得到抑制。仅通过热处理进行结晶化的情况下,优选耐热的石英基材等用作基材50。
随后,必要时将微量杂质加入半导体层以控制阈值,这是所谓的沟道掺杂(channel doping)。为了获得所需的阈值,通过离子掺杂法等加入N-型或P-型杂质(如磷或硼)。
之后,如图2A中所示,将半导体层加工成预定形状从而获得岛状半导体层52。通过采用掩模将半导体层蚀刻来进行该工序。以一定的方式形成掩模使半导体层涂布有光致抗蚀剂,并将光致抗蚀剂暴露并烘烤从而在半导体层上形成具有所需掩模图案的抗蚀剂掩模。
接下来,形成栅绝缘层53来覆盖半导体层52。通过等离子CVD或喷镀,采用含硅的绝缘层形成厚度为40-150nm的栅绝缘层53。本实施方案中采用氧化硅。
然后在栅绝缘层53上形成栅电极54。栅电极54可由选自如下的元素形成:钽、钨、钛、钼、铝、铜、铬或铌,或者可由包含上述元素作为主组分的合金材料或化合物材料形成。此外,可使用掺杂磷等杂质元素的多晶硅膜为代表的半导体膜。还可使用Ag-Pd-Cu合金。
尽管本实施方案中栅电极54由单层组成,但栅电极54可具有包括两层或多层(例如钨作为下层而钼作为上层)的多层结构。即使形成具有多层结构的栅电极的情况下,优选使用上述材料。还可适当地选择上述材料的组合。通过采用由光致抗蚀剂形成的掩模进行刻蚀来加工栅电极54。
随后,采用栅电极54作为掩膜将杂质加入半导体层52来形成高浓度区。从而形成包含半导体层52、栅绝缘层53和栅电极54的薄膜晶体管70。
薄膜晶体管的制备方法不受特别限制,并可适当改进以制备具有所需结构的晶体管。
尽管本实施方案采用顶栅薄膜晶体管(采用通过激光结晶化获得的结晶硅膜),但底栅薄膜晶体管(采用非晶半导体膜)也可用于像素部分。硅和硅锗都可用于非晶半导体。采用硅锗的情况下,锗的浓度优选约0.01-4.5%原子。
此外,还可使用微晶半导体(半非晶半导体)膜,所述微晶半导体(半非晶半导体)膜的非晶半导体中包含各直径为0.5-20nm的晶粒。晶粒直径为0.5-20nm的晶体还称为微晶(μc)。
可通过辉光放电分解SiH4、Si2H6、SiH2Cl2、SiHCl3、SiCl4、SiF4等获得半非晶硅(还称为SAS),其为半非晶半导体。在用氢或氢和一种或多种选自氦、氩、氪或氖的惰性气体稀释硅化物气体后,通过采用这种气体可容易地制备SAS。优选以稀释比为1∶10-1∶1000将硅化物气体稀释。通过辉光放电分解形成涂层的反应可在0.1-133Pa压力下进行。可在1-120MHz,优选13-60MHz高频下供应用于形成辉光放电的电能。基材加热温度优选为300℃以下,优选100-250℃。
如此形成的SAS的拉曼光谱移动到波数低于520cm-1的一侧。根据X-射线衍射,在(111)和(220)观察到硅晶格的衍射峰。加入至少1%原子以上的氢或卤素作为悬空键的终止剂。作为膜中的杂质元素,希望空气中的杂质如氧、氮和碳为1×1020cm-1以下,具体地讲,氧的浓度为5×1019/cm3以下,优选1×1019/cm3以下。用这种膜制备的TFT的迁移率μ=1-10cm2/Vsec。
这种SAS可在用激光束进一步结晶化后使用。
随后,采用氮化硅形成绝缘膜(氢化物膜)59以覆盖栅电极54和栅绝缘层53。形成绝缘膜(氢化物膜)59后,在480℃下进行热处理约1小时以激活杂质元素并氢化半导体层52。
随后,形成第一夹层绝缘层60以覆盖绝缘膜(氢化物膜)59。优选氧化硅、丙烯酸类、聚酰亚胺、硅氧烷、低k材料等用作形成第一夹层绝缘层60的材料。在本实施方案中,采用氧化硅膜形成第一夹层绝缘层(图2B)。
接下来,形成延伸到半导体层52的接触孔。可通过采用抗蚀剂掩膜蚀刻直到半导体层52暴露出来而形成接触孔。可进行湿蚀刻或干蚀刻。根据条件可进行一次或多次蚀刻。当进行多次蚀刻时,湿蚀刻和干蚀刻都可进行(图2C)。
然后,形成导电层来覆盖接触孔和第一夹层绝缘层60。通过将导电层加工成所需形状来形成连接部分61a、布线61b等。所述布线可为单层铝;铜;铝、碳和镍的合金;铝、碳和钼的合金等。从基材按照钼-铝-钼顺序将布线制成多层结构。或者,钛-铝-钛或钛-氮化钛-铝-钛的结构也是适用的(图2D)。
形成第二夹层绝缘层63以覆盖连接部分61a、布线61b和第一夹层绝缘层60。优选采用由丙烯酸类、聚酰亚胺、硅氧烷等制备的自流平涂层作为第二夹层绝缘层63的材料。在本实施方案中,第二夹层绝缘层63由硅氧烷组成(图2E)。
接下来,在第二夹层绝缘层63上采用氮化硅形成绝缘层。这是防止第二夹层绝缘层63在后道像素电极蚀刻步骤中过多蚀刻。因此,绝缘层是不必要的,特别当像素电极和第二绝缘层之间的蚀刻速率差大时更是如此。接下来,形成穿过第二夹层绝缘层63、到达连接部分61a的接触孔。
在形成透光导电层来覆盖接触孔和第二夹层绝缘层63(或绝缘层)后,将所述透光导电层加工,形成薄膜发光元件的第一电极64。这里,第一电极64与连接部分61a电接触。
可采用如下材料按照实施方案1中所示由导电膜制备第一电极64:导电金属如铝(Al)、银(Ag)、金(Au)、铂(Pt)、镍(Ni)、钨(W)、铬(Cr)、钼(Mo)、铁(Fe)、钴(Co)、铜(Cu)、钯(Pd)、锂(Li)、铯(Cs)、镁(Mg)、钙(Ca)、锶(Sr)或钛(Ti);及其合金如铝-Si(Al-Si)、铝-钛(Al-Ti)或铝-硅-铜(Al-Si-Cu);金属氮化物如氮化钛(TiN)、金属化合物如氧化铟锡(ITO)、含硅ITO、IZO(氧化铟锌,其中2-20%重量氧化锌(ZnO)与氧化铟混合)等。
可优选采用透光导电膜形成电极,光通过所述电极发出。例如可采用金属化合物如ITO(氧化铟锡)、含硅ITO(ITSO)或IZO(氧化铟锌,其中2-20%重量氧化锌(ZnO)与氧化铟混合)。此外,采用金属如Al或Ag的极薄膜。当光通过第二电极发出时,具有高反射率的金属(如Al、Ag等)可用作第一电极。在本实施方案中,ITSO用作第一电极64(图3A)。
接下来,形成由有机材料或无机材料组成的绝缘层来覆盖第二夹层绝缘层63(或绝缘层)和第一电极64。随后,将所述绝缘层加工以部分暴露第一电极64,从而形成间壁65。优选光敏有机材料(如丙烯酸类或聚酰亚胺)作为间壁65的材料。或者,还可采用非光敏有机或无机材料。此外,可采用分散剂等,通过以一定的方式使黑色颜料或染料如钛黑或氮化碳扩散到间壁65材料中,使间壁65变黑用作黑色基体。希望间壁65朝着第一电极的端面具有锥形形状,其曲率连续变化(图3B)。
接下来,形成包含发光材料的层66且随后形成覆盖所述包含发光物质的层66的第二电极67。因此,发光元件93,其中包含发光物质的层66夹在第一电极64和第二电极67之间,且可通过在第一电极上施加比第二电极更高的电压来发光。对于用于形成第二电极67的电极材料,可采用与第一电极材料相同的材料。在本实施方案中采用铝作为第二电极。
此外,通过蒸汽沉积、喷墨法、旋转涂布、浸渍涂布等形成包含发光物质的层66。包含发光物质的层66包含实施方案1中描述的蒽衍生物。包含发光材料的层66可为具有实施方案2中解释的各功能的各层的层压材料或可为单层发光层。此外,实施方案1中描述的蒽衍生物作为发光层包含于包含发光材料的层66中。可包含实施方案1中描述的蒽衍生物作为发光层的主体或掺杂剂或其两者。此外,实施方案1中描述的蒽衍生物可包含于不同发光层的层中,或作为其一部分包含于包含发光材料的层中。具体地讲,由于包含二芳基氨基的本发明蒽衍生物的空穴传输性能优异,其可用作空穴传输层。此外,与实施方案1中描述的蒽衍生物结合的材料可为低分子量材料、中等分子量材料(包括低聚物和树型大分子)或高分子量材料。此外,通常采用单层有机化合物或有机化合物的层压材料作为用于包含发光材料的层的材料;然而,在本实施方案中,可包括其中有机化合物包含于一部分有机化合物膜中的结构。
之后,通过等离子CVD形成含氮的氧化硅膜作为钝化膜。采用含氮的氧化硅膜的情况下,优选形成:通过等离子CVD,采用SiH4、N2O和NH3形成的氮氧化硅膜;通过等离子CVD,采用SiH4和N2O形成的氮氧化硅膜;或通过等离子CVD,采用SiH4和N2O被Ar稀释的气体形成的氮氧化硅膜。
采用SiH4、N2O和H2形成的氧氮化硅氢化物膜也可用作钝化膜。自然,第一钝化膜的结构不局限于单层结构,且第一钝化膜可具有单层结构或包括另一含硅绝缘层的多层结构。可形成氮化碳膜和氮化硅膜的多层膜、包含苯乙烯聚合物的多层膜、氮化硅膜或金刚石碳膜代替含氮的氧化硅膜。
随后,为了保护发光元件免受促劣化材料如湿气的危害,将显示区域密封。采用相对基材(counter substrate)进行密封的情况下,用绝缘密封材料将所述相对基材和元件基材附着在一起来以将外部连接部分暴露在外。可用惰性气体如干氮气填充相对基材和元件基材之间的空间,或像素部分的整个表面可用密封材料涂布来附着相对基材。优选采用紫外固化树脂等作为密封材料。保持基材之间间隙均匀的干燥试剂或颗粒可混合到密封材料中。随后,将柔性布线基材粘在外部连接部分上,完成发光装置。
将参考图4A和4B对如此制备的发光装置的结构实例进行描述。尽管形状不同,具有同样功能的部分用相同编号表示且可省略其描述。在本实施方案中,具有LDD结构的薄膜晶体管70通过连接部分61a连接到发光元件93上。
图4A中,第一电极64由透光导电膜形成并具有一种结构,其中从发光堆栈66发出的光是从基材50侧提取(extract)出来。编号94表示相对基材,在形成发光元件93后用密封材料等将其固定到基材50上。通过用透光树脂88等填充相对基材94和元件之间的空间并密封空间,可防止发光元件93由于湿气而劣化。此外,希望树脂88具有吸湿性。此外,更希望透光性能高的干燥剂89分散到树脂88,从而可进一步抑制湿气影响。
图4B中,第一电极64和第二电极106各由透光导电膜形成并具有一种结构,其中光可从基材50和相对基材94二者提取出来。采用这种结构,通过在基材50和相对基材94外面分别提供偏振板90可防止屏幕透明,从而改进可视性。优选在偏振板90外面提供防护膜91。
模拟视频信号或数字视频信号可用于本发明具有显示功能的发光装置。数字视频信号包括采用电压的视频信号和采用电流的视频信号。当发光元件发射光时,输入像素的视频信号采用恒定电压或恒定电流。当视频信号采用恒定电压时,施加到发光元件的电压或发光元件中流动的电流是恒定的。同时,当视频信号采用恒定电流时,施加到发光元件的电压或发光元件中流动的电流是恒定的。施加恒定压力的发光元件通过恒定电压驱动来驱动,而恒定电流在其中流动的发光元件通过恒定电流驱动来驱动。恒定电流在由恒定电流驱动的发光元件中流动而不受发光元件电阻变化的影响。任一上述驱动机理可用于本发明发光装置及其驱动方法。
本发明具有这种结构的发光装置具有高可靠性。本发明具有这种结构的发光装置可提供色纯度良好的蓝光发射。此外,本发明具有这种结构的发光装置可提供良好色彩重现性。
本实施方案可与实施方案1或实施方案2的合适结构结合。
实施方案4
在本实施方案中,将参考图5A和5B对本发明面板(其为发光装置)外观进行描述。图5A是面板俯视图,其中用基材和相对基材4006之间形成的密封材料将在基材上形成的晶体管和发光元件密封。图5B是对应图5A的横截面视图。安装在该面板上的发光元件具有实施方案2中所述的结构。
提供密封材料4005来包围在基材4001上形成的像素部分4002、信号线驱动电路4003和扫描线驱动电路4004。此外,在像素部分4002、信号线驱动电路4003和扫描线驱动电路4004上形成相对基材4006。这样,用基材4001、密封材料4005和相对基材4006将像素部分4002、信号线驱动电路4003和扫描线驱动电路4004与填充剂4007密封。
在基材4001上形成的像素部分4002、信号线驱动电路4003和扫描线驱动电路4004具有多个薄膜晶体管。图5B显示了信号线驱动电路4003中所含的薄膜晶体管4008和像素部分4002中所含的薄膜晶体管4010。
发光元件4011与薄膜晶体管4010电连接。
此外,引线4014对应向像素部分4002、信号线驱动电路4003和扫描线驱动电路4004提供信号或电源电压的布线。引线4014通过引线4015连接到连接端子4016。连接端子4016通过各向异性导电膜4019与柔性印刷电路板(FPC)4018的端子电连接。
除了氮气或氩气等惰性气体外,可采用紫外固化树脂或热固性树脂作为填充剂4007。例如可使用聚氯乙烯、丙烯酸类、聚酰亚胺、环氧树脂、硅树脂、聚乙烯醇缩丁醛或乙烯-醋酸乙烯酯。
应注意的是本发明发光装置包括面板(其中形成了具有发光元件的像素部分)和模块(其中面板上安装了IC)。
如上所述的本发明发光装置有实施方案2中描述的发光元件作为发光元件包含于像素部分,从而所述发光装置的像素部分具有高可靠性。此外,如上所述的本发明发光装置有实施方案2中描述的发光元件作为发光元件包含于像素部分,从而发光装置可提供色纯度良好的蓝光发射。此外,如上所述的本发明发光装置有实施方案2中描述的发光元件作为发光元件包含于像素部分,从而发光装置可提供良好色彩重现性和高显示质量。
本实施方案可用于与实施方案1-实施方案3中任一项的结构适当结合。
实施方案5
本实施方案将对实施方案4中显示面板和模块中的像素电路和保护电路及其运行进行描述。图2A-5B为图6A-6F中的驱动TFT 1403和发光元件1405的横截面视图。
图6A中显示的像素包括纵向布置的信号线1410、电源线1411和1412以及横向布置的扫描线1414。像素还包括开关TFT 1401、驱动TFT 1403、电流控制TFT 1404、电容器1402和发光元件1405。
图6C中显示的像素与图6A中所示像素具有相同结构,所不同的是驱动TFT 1403的栅电极连接到横向布置的电源线1412上。换句话说,图6A和6C中显示的像素具有相同的等效电路图。然而,电源线1412排列在纵向(图6A)和电源线1412排列在横向(图6C)的情况下,各电源线由位于不同层的导电膜形成。这里,注意:连接到驱动TFT 1403栅电极的布线和结构分别显示于图6A和6C中来显示用不同层形成这些布线。
作为图6A和6C中显示的像素的一个特征,所述像素中驱动TFT1403和电流控制TFT 1404串联连接,且优选设定驱动TFT 1403的沟道长度L(1403)与沟道宽度W(1403)和电流控制TFT 1404的沟道长度L(1404)与沟道宽度W(1404)以满足:
L(1403)/W(1403)∶L(1404)/W(1404)=5-6000∶1。
驱动TFT 1403在饱和区运行并用来控制流入发光元件1405的电流值。电流控制TFT 1404在线性区运行并用来控制供应到发光元件1405的电流源。制备步骤中优选两个TFT具有相同的导电类型,且本实施方案中TFT为n沟道型TFT。驱动TFT 1403可为增强型和耗尽型。由于电流控制TFT 1404在本发明具有上述结构的发光装置的线性区中运行,电流控制TFT 1404的Vg细微波动不会影响发光元件1405的电流值。就是说,发光元件1405的电流值可由在饱和区运行的驱动TFT 1403确定。通过以上结构,TFT特性变化引起的发光元件亮度不均可得到改善,从而提供图像质量提高的发光装置。
图6A-6D中显示的像素中,开关TFT 1401控制像素的视频信号输入,当打开开关TFT 1401时将视频信号输入像素。然后,将视频信号的电压存储在电容器1402中。尽管图6A和6C显示了其中提供电容器1402的结构,本发明不局限于此。当栅电容等可用作存储视频信号的电容器时,不必提供电容器1402。
图6B中显示的像素与图6A的像素具有相同的像素结构,所不同的是增加了TFT 1406和扫描线1414。这样,图6D中显示的像素与图6C的像素具有相同的像素结构,所不同的是增加了TFT 1406和扫描线1414。
可通过另外提供的扫描线1414控制TFT 1406的开和关。当将TFT1406打开时,存储在电容器1402中的电荷被释放,从而关闭了电流控制TFT 1404。换句话说,通过提供TFT 1406,强制产生一种状态,其中电流不流入发光元件1405。因此,TFT 1406可称为擦除TFT。从而,图6B和6D显示的结构中,可在信号写入所有像素之前的写入周期开始的同时或就在之后开始发射周期;因此可提高占空率。
图6E中显示的像素中,信号线1410和电源线1411排列在纵向,扫描线1414排列在横向。此外,像素包括开关TFT 1401、驱动TFT1403、电容器1402和发光元件1405。图6F中显示的像素与图6E的像素具有相同的像素结构,所不同的是增加了TFT 1406和扫描线1415。图6F中显示的结构中,可通过提供TFT 1406也可改善占空率。
如上所述,可采用各种像素电路。具体地讲,采用非晶半导体膜形成薄膜晶体管的情况下,优选用于驱动TFT 1403的半导体膜是大的。以上像素电路中半导体大的情况下,优选顶部发射型,其中来自发光堆栈的光从密封基材侧发出。
当像素密度提高时,这种有源矩阵发光装置可在低压下驱动,因为在各像素中提供TFT。因此,认为有源矩阵发光装置是有利的。
尽管本实施方案对有源矩阵发光装置进行了描述,其中各像素中具有各TFT,也可形成无源矩阵发光装置,其中各列中具有TFT。由于无源发光装置中各像素中没有TFT,故可得到高孔径比。如果是光从发光堆栈的两侧发出的发光装置,无源矩阵发光装置的透射率得到提高。
随后将对提供二极管作为扫描线和信号线上的保护电路的情况进行描述,所述二极管采用图6E中显示的等效电路。
图7中,像素部分1500中具有开关TFT 1401、驱动TFT 1403和电容器1402和发光元件1405。向信号线1410提供二极管1561和1562。与开关TFT 1401和驱动TFT 1403相同,按照以上实施方案制备二极管1561和1562并具有栅电极、半导体层、源极、漏极等。通过将栅极和漏极或源极连接使得二极管1561和1562作为二极管运行。
采用与栅极相同的层形成连接到二极管的线1554和1555。因此,为了将线1554和1555与二极管的源极或漏极连接,必须在栅绝缘层中形成接触孔。
在扫描线1414上提供的二极管具有类似结构。
如上所述,本发明中,可同时制备将提供到输入台的保护二极管。保护二极管形成的位置不局限于此,所述二极管也可在驱动器电路和像素之间。
本实施方案可与实施方案1-4的合适结构适当结合。
本发明具有这种保护电路的发光元件是高可靠的,能提供更好色纯度的蓝光发射并提供更好的色彩重现性。此外,通过以上结构,可进一步改善发光元件的可靠性。
实施方案6
作为安装本发明发光装置(模块)的本发明电子器件,给出以下实例:照相机如视频照相机或数字照相机、风镜式显示器(头戴式显示器)、导航系统、声音重放设备(汽车音响部件等)、计算机、游戏机、移动信息终端(移动计算机、移动电话、移动游戏机、电子书等)、装配有记录介质的图像重现设备(具体地讲,装配有记录介质如数字多功能光盘(DVD)并装有显示图像的显示器的设备)等。图8A-8E显示那些电子器件的具体实例。
图8A显示了发光装置,其对应例如电视接收设备或个人电脑监视器。本发明发光装置包括外壳2001、显示区域2003、扬声器部分2004等。本发明发光装置中,显示区域2003的色彩重现性良好且显示质量高。像素部分中,优选像素部分中存在偏振板或圆形偏振板以提高对比度。例如,在密封基材上按照四分之一波片、二分之一波片和偏振板的顺序提供膜。此外,可在偏振板上提供抗反射膜。
图8B显示移动电话,所述移动电话包括主体2101、外壳2102、显示区域2103和音频输入部分2104、音频输出部分2105、操作键2106、天线2108等。本发明移动电话中,显示区域2103的色彩重现性良好且显示质量高。
图8C显示了电脑,所述电脑包括主体2201、外壳2202、显示区域2203、键盘2204、外部连接部分2205、鼠标2206等。本发明电脑中,显示区域2203的色彩重现性良好且显示质量高。尽管图9C显示了笔记本电脑,本发明还可用于台式电脑,其中显示区域装有硬盘。
图8D显示移动电脑,所述电脑包括主体2301、显示区域2302、开关2303、操作键2304、红外端口2305等。本发明移动电脑中,显示区域2302的显示质量高。
图8E显示移动游戏机,所述游戏机包括外壳2401、显示区域2402、扬声器部分2403、操作键2404、记录介质插入部分2405等。本发明移动游戏机中,显示区域2402的色彩重现性良好且显示质量高。
根据描述,本发明可广泛应用且可用于各个领域中的电子器件中。
本实施方案可与实施方案1-5的合适结构适当地结合。
实施例1
作为本发明材料的实例,下面将对式(11)表示的化合物9-[4-(N-咔唑基)]苯基-10-苯基蒽(下文中称为CzPA)的合成方法进行描述:
首先,对9-苯基蒽的合成方法进行描述。80℃下将5.4g(21.1mmol)9-溴蒽、2.6g(21.1mmol)苯硼酸、260mg(0.21mmol)醋酸钯、10mL2M碳酸钾溶液、263mg(0.84mmol)三(邻甲苯基)膦和二甲氧基乙烷(20mL)搅拌9小时。反应后,沉淀固体通过减压过滤收集,之后,溶解于甲苯中,然后通过Florisil、Celite硅藻土和氧化铝过滤。滤液经水和饱和盐溶液清洗,用硫酸镁干燥。自然过滤后,当滤液浓缩后,获得4.0g浅棕色固体9-苯基蒽,产率为75%。下面对从9-溴蒽制备9-苯基蒽的合成方案进行描述。
其中K2CO3 aq.指碳酸钾水溶液,P(o-tolyl)3指三(邻甲苯基)膦。
接下来,将对从9-苯基蒽合成9-溴-10苯基蒽的方法进行描述。将6.0g(23.7mmol)以上方法制备的9-苯基蒽溶解于80mL四氯化碳中,将包含3.80g(21.1mmol)硼的四氯化碳溶液(10mL)从滴液漏斗中滴入反应溶液中。滴入后,在室温下搅拌。加入硫代硫酸钠溶液来终止反应。有机层用氢氧化钠溶液和饱和盐溶液清洗,并用硫酸镁干燥。自然过滤后,将其浓缩并溶解于甲苯中,通过Florisil、Celite硅藻土过滤。当滤液经过浓缩并通过二氯甲烷和己烷重结晶时,得到7.0g浅黄色固体9-溴-10苯基蒽,产率为89%。从9-苯基蒽合成9-溴-10苯基蒽的方案显示如下。
接下来,显示采用通过以上方法制备的9-溴-10苯基蒽作为原料合成9-碘-10苯基蒽的方法。将3.33g(10mmol)9-溴-10苯基蒽溶解于80mL THF中并冷却到-78℃,之后滴入n-BuLi(正丁基锂,1.6M,7.5mL,12.0mmol)并搅拌1小时。随后,在-78℃滴入包含5g(20.0mmol)碘的THF溶液(20mL)并搅拌2小时。反应后,加入硫代硫酸钠溶液来终止反应。有机层用硫代硫酸钠溶液和饱和盐溶液清洗,并用硫酸镁干燥。自然过滤后,当滤液经过浓缩并通过乙醇重结晶时,得到3.1g浅黄色固体9-碘-10苯基蒽,产率为83%。从9-溴-10-苯基蒽合成9-碘-10苯基蒽的方案显示如下。
接下来,显示采用通过以上方法制备的9-碘-10-苯基蒽作为原料合成9-苯基-10-(4-溴苯基)蒽的方法。80℃下将1.0g(2.63mmol)9-碘-10-苯基蒽、542mg(2.70mmol)对溴苯硼酸、46mg(0.03mmol)四(三苯基膦)合钯、2M碳酸钾溶液(3mL)和10mL甲苯的混合物搅拌9小时。反应后,加入甲苯并采用Florisil、Celite硅藻土和氧化铝过滤。滤液用水和饱和盐溶液清洗后,用硫酸镁干燥。自然过滤后,将滤液浓缩,当用氯仿和己烷重结晶时,得到562mg浅褐色固体9-苯基-10-(4-溴苯基)蒽,产率为45%。从9-碘-10-苯基蒽合成9-苯基-10-(4-溴苯基)蒽的方案显示如下。
其中toluene指甲苯
接下来,显示采用通过以上方法制备的9-苯基-10-(4-溴苯基)蒽作为原料合成CzPA的方法。将1.3g(3.2mmol)9-苯基-10-(4-溴苯基)蒽、578mg(3.5mmol)咔唑、50mg(0.017mmol)二亚苄基合钯(II)、1.0mg(0.010mmol)叔丁氧基钠、0.1mL三叔丁基膦和30mL甲苯的混合物在110℃下加热回流10小时。反应后,溶液用水清洗,水层用甲苯萃取,将其和有机层一起用饱和盐溶液清洗,之后用硫酸镁干燥。通过自然过滤和浓缩得到的油状产物经过硅凝胶柱色谱法(己烷∶甲苯=7∶3)纯化,并用二氯甲烷和己烷重结晶以得到1.5g所需产物CzPA,产率为93%。通过270℃、氩流(流速:3.0ml/min)、6.7Pa压力条件下升华20小时来纯化获得的5.50g CzPA;这样,回收3.98g产物且回收率为72%。下面显示从9-苯基-10-(4-溴苯基)蒽合成CzPA的方案。
其中carbazole指咔唑。
所得CzPA的NMR数据显示如下。1H NMR(300MHz,CDCl3);δ=8.22(d,J=7.8Hz,2H),7.86-7.82(m,3H),7.61-7.36(m,20H)。此外,1H NMR图显示于图9中。
CzPA是浅棕色粉状固体。对所得CzPA进行热重-差热分析(TG-DTA)。注意:采用热重-差热分析仪(产自Seiko Instruments Inc的TG/DTA SCC 5200)测量CzPA。在氮气气氛下以升温速率10℃/min对热物理性能进行评估。从而,根据重力-温度关系(热重测量),常压下的分解温度为348℃,这是重力为测量起始点重力的95%以下时的温度。采用差示扫描量热仪(产自Perkin Elmer Co.,Ltd的Pyris 1DSC)测量所得化合物CzPA的玻璃化转变温度和熔点。结果分别为125℃和305℃;这样,证明CzPA是热稳定的。
测量CzPA甲苯溶液和CzPA薄膜的吸收光谱。分别在390nm和400nm观察到CzPA甲苯溶液和CzPA膜的蒽吸收。此外,图10显示了CzPA甲苯溶液和CzPA薄膜的发射光谱。图10中,水平轴表示波长(nm)而垂直轴表示发射强度(任意单位)。可发现:CzPA的甲苯溶液和薄膜的最大发射波长分别为448nm(激发波长370nm)和451nm(激发波长370nm),因此,可获得蓝光发射。
测量CzPA薄膜中的HOMO水平和LUMO水平。将采用光电子能谱仪(产自Riken Keiki Co.,Ltd的AC-2)测量的电离势能值转化成负值得到HOMO水平值。将薄膜吸收边缘之间的能隙加到HOMO水平值得到LUMO水平值。结果,HOMO水平和LUMO水平分别为-5.64Ev和-2.71eV,从而获得2.93eV的极大带隙。
实施例2
作为本发明材料的实例,下面将对式(59)表示的化合物9-[4-(3,6-二苯基-N-咔唑基)]苯基-10-苯基蒽(下文中称为DPCzPA)的合成方法进行描述:
按照下面显示的合成方法制备此化合物。注意以实施例1中显示的方式制备9-苯基-10-(4-溴苯基)蒽。
首先,下面显示3,6-二溴咔唑的合成方法。将6.5g(20.0mmol)3,6-二溴咔唑、5.0g(41.0mmol)苯硼酸、93mg(0.40mmol)醋酸钯、6.9g(5.2mmol)碳酸钾、水(25mL)、610mg三(邻甲苯基)膦和二甲氧基乙烷(50mL)的混合物在80℃加热回流3.5three小时。反应后,溶液用水清洗,水层用甲苯萃取,其和有机层一起用饱和盐溶液清洗,之后用硫酸镁干燥。自然过滤后,将滤液浓缩得到4.1g白色固体3,6-二(2-苯基-苯基)-咔唑,产率为63%。3,6-二(2-苯基-苯基)-咔唑的合成方法显示如下。
其中P(o-tolyl)3指三(邻甲苯基)膦
接下来,显示通过3,6-二苯基咔唑和9-苯基-10-(4-溴苯基)蒽的偶联反应合成DPCzPA的方法。819mg(2.0mmol)9-苯基-10-(4-溴苯基)蒽、666mg(2.1mmol)3,6-二苯基咔唑、14mg(0.02mmol)二亚苄基合钯(II)、1.0g(10mmol)叔丁氧基钠、0.1mL三叔丁基膦、20mL甲苯的混合物在110℃下回流10小时。反应后,溶液用水清洗,水层用甲苯萃取,其和有机层一起用饱和盐溶液清洗,之后用硫酸镁干燥。将通过自然过滤和浓缩得到的油状产物溶解于甲苯中,通过Celite硅藻土、Florisil和氧化铝过滤。滤液经过浓缩,通过硅凝胶柱色谱法(甲苯)纯化。采用二氯甲烷和己烷进行重结晶得到937mgDPCzPA,产率为71%。下面显示通过3,6-二苯基咔唑和9-苯基-10-(4-溴苯基)蒽的偶联反应合成DPCzPA的方案。
其中toluene指甲苯
DPCzPA的NMR数据显示如下。1H NMR(300MHz,CDCl3);δ=8.47(s,2H),7.91-7.86(m,3H),7.80-7.75(m,12H),7.64-7.38(m,16H)。13C NMR(75MHz,CDCl3);δ=141.9,140.7,138.9,138.4,137.6,137.0,135.9,133.8,132.9,131.3,129.9,128.8,128.5,127.6,127.3,127.2,126.7,125.8,125.4,125.3,125.2,125.1,124.2,119.0,118.9,110.3。此外,所得DPCzPA的1H NMR图和13C NMR图分别显示于图11和图12中。
DPCzPA是浅黄色粉状固体。对DPCzPA进行热重-差热分析(TG-DTA)。采用热重-差热分析仪(产自Seiko Instruments Inc的TG/DTASCC 5200)测量DPCzPA。在氮气气氛下以升温速率10℃/min对热物理性能进行评估。从而,根据重力-温度关系(热重测量),常压下的分解温度为431℃。
测量DPCzPA甲苯溶液和DPCzPA薄膜的吸收光谱。分别在390nm和380nm观察到DPCzPA甲苯溶液和DPCzPA薄膜的蒽吸收。此外,图13显示了DPCzPA甲苯溶液和DPCzPA薄膜的发射光谱。图13中,水平轴表示波长(nm)而垂直轴表示发射强度(任意单位)。可发现:DPCzPA的甲苯溶液和薄膜的最大发射波长分别为440nm(激发波长370nm)和446nm(激发波长380nm),因此,可获得蓝光发射。
测量DPCzPA薄膜中的HOMO水平和LUMO水平。将采用光电子能谱仪(产自Riken Keiki Co.,Ltd的AC-2)测量的电离势能值转化成负值得到HOMO水平值。将薄膜吸收边缘之间的能隙加到HOMO水平值得到LUMO水平值。结果,HOMO水平和LUMO水平分别为-5.75Ev和-2.77eV,从而获得2.98eV的极大带隙。
实施例3
作为本发明材料的实例,下面将对式(67)表示的化合物9-{4-[3,6-二(2-苯基)苯基-N-咔唑基]苯基}-10-苯基蒽(下文中称为BPCzPA)的合成方法进行描述。注意以实施例1中显示的方式制备9-苯基-10-(4-溴苯基)蒽。
首先,下面显示3,6-二(2-苯基-苯基)-咔唑的合成方法。将3.25g(10.0mmol)3,6-二溴咔唑、4.2g(21.0mmol)邻联苯硼酸、50mg(0.21mmol)醋酸钯、6.9g(5.2mmol)碳酸钾、水(25mL)、308mg(1.0mmol)三(邻甲苯基)膦和30mL二甲氧基乙烷的混合物在80℃加热回流3.5three小时。反应后,溶液用水清洗,之后水层用甲苯萃取,其与有机层一起采用饱和盐溶液清洗,之后用硫酸镁干燥。自然过滤后,将滤液浓缩得到2.2 g白色固体3,6-二(2-苯基-苯基)-咔唑,产率为46%。下面显示3,6-二(2-苯基-苯基)-咔唑的合成方案。
其中P(o-tolyl)3指三(邻甲苯基)膦
接下来,显示通过3,6-二(2-苯基-苯基)咔唑和9-苯基-10-(4-溴苯基)蒽的偶联反应合成BPCzPA的方法。550mg(1.34mmol)9-苯基-10-(4-溴苯基)蒽、644mg(1.35mmol)3,6-二(2-苯基-苯基)-咔唑、58mg(0.09mmol)二亚苄基合钯(II)、534mg(2.47mmol)叔丁氧基钠、0.1mL三叔丁基膦、10mL甲苯的混合物在110℃下回流5.5小时。反应后,溶液用水清洗,水层用甲苯萃取,其和有机层一起用饱和盐溶液清洗,之后用硫酸镁干燥。将通过自然过滤和浓缩得到的油状产物溶解于甲苯中,通过Celite硅藻土、Florisil和氧化铝过滤。滤液经过浓缩,通过硅凝胶柱色谱法(己烷∶甲苯=7∶3)纯化。采用二氯甲烷和己烷进行重结晶得到703mg BPCzPA,产率为65%。下面显示通过3,6-二(2-苯基-苯基)咔唑和9-苯基-10-(4-溴苯基)蒽的偶联反应合成BPCzPA的方案。
其中toluene指甲苯。
BPCzPA的NMR数据显示如下。1H NMR(300MHz,CDCl3);δ=8.09(s,2H),7.80-7.34(m,28H),7.23-7.12(m,11H。13C NMR(75MHz,CDCl3);δ=141.9,141.1,140.7,139.8,138.9,138.1,137.5,136.9,135.9,133.8,132.7,131.3,131.2,130.8,130.0,129.91,129.90,129.8,128.6,128.4,128.0,127.5,127.2,127.1,126.7,126.6,126.3,125.3,125.1,123.5,121.3,109.2。此外,所得BPCzPA的1H NMR图和13C NMR图分别显示于图14和15中。
BPCzPA是浅黄色粉状固体。对BPCzPA进行热重-差热分析(TG-DTA)。采用热重-差热分析仪(产自Seiko Instruments Inc的TG/DTASCC 5200)测量BPCzPA。在氮气气氛下以升温速率10℃/min对热物理性能进行评估。从而,根据重力-温度关系(热重测量),常压下重量开始减少的温度为445℃。此外,采用差示扫描量热仪(产自PerkinElmer Co.,Ltd的Pyris 1 DSC)测量所得化合物BPCzPA的玻璃化转变温度和熔点。结果分别为167℃和330℃;这样,证明BPCzPA是热稳定的。
测量BPCzPA甲苯溶液的吸收光谱。在约370nm观察到BPCzPA甲苯溶液的蒽吸收。此外,图16显示了BPCzPA甲苯溶液的发射光谱。图16中,水平轴表示波长(nm)而垂直轴表示发射强度(任意单位)。可发现:最大发射波长分别为437nm(激发波长370nm),因此,可获得蓝光发射。
测量BPCzPA薄膜中的HOMO水平和LUMO水平。将采用光电子能谱仪(产自Riken Keiki Co.,Ltd的AC-2)测量的电离势能值转化成负值得到HOMO水平值。将薄膜吸收边缘之间的能隙加到HOMO水平值得到LUMO水平值。结果,HOMO水平和LUMO水平分别为-5.68Ev和-2.75eV,从而获得2.93eV的极大带隙。
实施例4
作为本发明材料的实例,下面将对式(73)表示的化合物9-{4-[3-(N,N-二苯基氨基)-N-咔唑基]苯基}-10-苯基蒽(下文中称为CzAlPA)的合成方法进行描述。注意以实施例1中显示的方式制备9-苯基-10-(4-溴苯基)蒽。
首先,下面将显示3-碘咔唑的合成方法。将4.5g(20mmol)N-碘琥珀酸酰亚胺(NIS)逐渐加入含3.5g(21mmol)咔唑的冰醋酸溶液(450mL)中。室温将其搅拌整夜后,将反应混合物滴入约750mL水中。收集沉淀物。沉淀物用水清洗后,将其溶解于约150mL醋酸乙酯中。溶液用碳酸氢钠溶液、水和饱和盐溶液清洗,通过加入硫酸镁干燥。将溶液过滤并浓缩得到6.0g白色粉末3-碘咔唑,产率为97%。下面显示3-碘咔唑的合成方案。
接下来,下面显示9-乙酰基-3-碘咔唑的合成方法。在氮气气氛下,将包含通过以上方式制备的4.7g(16mmol)3-碘咔唑的THF溶液(50mL)的悬浮液缓慢滴入冰冷氢化钠1.0g(60%/油,25mmol)/无水THF(35mL)中,然后搅拌30分钟。将2.0g(25mmol)乙酰氯滴入所得混合物。所得混合物搅拌1小时后,在室温下进一步搅拌整夜。将约30mL水加入混合物。用水和饱和盐溶液清洗有机层,加入约50mL醋酸乙酯来萃取水层中的有机物,之后将醋酸乙酯加入有机层。将硫酸镁加到要干燥的有机层。过滤和浓缩后,用约20mL己烷清洗所得固体得到5.1g灰白色粉末9-乙酰基-3-碘咔唑,产率为94%。下面显示9-乙酰基-3-碘咔唑的合成方案。
接下来,下面将显示9-乙酰基-3-(N,N-二苯基)氨基咔唑的合成方法。在氮气气氛下,将3.4g(10mmol)9-乙酰基-3-碘咔唑、2.0g(12mmol)二苯胺、2.1g(15mmol)氧化铜(I)和70mL N,N-二甲基乙酰胺的悬浮液在160℃加热并搅拌20小时。冷却到室温后,加入约50mL甲醇并通过Celite硅藻土过滤。将所得滤液浓缩。残余物通过硅凝胶柱色谱法(展开溶液,甲苯∶己烷=1∶1)纯化得到1.8g奶油色粉末9-乙酰基-3-(N,N-二苯基)氨基咔唑,产率为48%。下面显示9-乙酰基-3-(N,N-二苯基)氨基咔唑的合成方案。
下面将显示3-(N,N-二苯基)氨基咔唑的合成方法。将含有2.8g氢氧化钾的溶液(3mL)和50mL二甲基硫加入含1.8g(5mmol)9-乙酰基-3-(N,N-二苯基)氨基咔唑的THF(50mL)溶液中,并在100℃加热并搅拌5小时。加入约100mL水,用约150mL醋酸乙酯萃取。有机层经硫酸镁干燥。过滤和浓缩。残余物通过硅凝胶柱色谱法(展开溶液,甲苯∶己烷=1∶1)纯化得到400mg米色粉末3-(N,N-二苯基)氨基咔唑,产率为27%。下面显示3-(N,N-二苯基)氨基咔唑的合成方案。
下面显示所得3-(N,N-二苯基)氨基咔唑的NMR数据。1H NMR(300MHz,CDCl3)δ=6.93(t,J=7.5Hz,2H),7.08(d,J=7.8Hz,4H),7.13-7.22(m,7H),7.03-7.37(m,3H),7.85(s,1H),7.90(d,J=7.8Hz,1H)。此外,3-(N,N-二苯基)氨基咔唑的NMR图显示于图17中。
下面将显示通过3-(N,N-二苯基)氨基咔唑和9-苯基-10-(4-溴苯基)蒽的偶联反应合成CzAlPA的方法。将包含340mg(1.0mmol)3-(N,N-二苯基)氨基咔唑、490mg(1.2mmol)9-苯基-10-(4-溴苯基)蒽、58mg(0.1mmol)二亚苄基合钯(II)、叔丁氧基钠(300mg,3.0mmol)的二甲苯悬浮液(3.5mL)脱气3分钟。之后,加入三叔丁基膦(10%己烷溶液1.0mL,0.5mL),然后在90℃下加热并搅拌4.5小时。约加入300mL甲苯,通过Florisil、氧化铝和Celite硅藻土过滤。所得滤液用水和饱和盐溶液清洗并加入硫酸来干燥。经过过滤和浓缩,残余物通过硅凝胶柱色谱法(展开溶液,甲苯∶己烷=3∶7)纯化。结果,得到300mg奶油色粉末CzAlPA,产率为45%。下面显示通过3-(N,N-二苯基)氨基咔唑和9-苯基-10-(4-溴苯基)蒽的偶联反应合成CzAlPA的方案。
其中xylene指二甲苯
下面显示所得CzAlPA的NMR数据。1H NMR(300MHz,CDCl3)δ=6.98(t,J=7.2Hz,2H),7.16(d,J=7.8Hz,4H),7.20-7.86(m,26H),7.99(s,1H),8.06(d,J=7.8Hz,1H)。此外,CzAlPA的NMR图显示于图18中。
对CzAlPA进行热重-差热分析(TG-DTA)。采用热重-差热分析仪(产自Seiko Instruments Inc的TG/DTA SCC 5200)测量CzAlPA。在氮气气氛下以升温速率10℃/min对热物理性能进行评估。从而,根据重力-温度关系(热重测量),常压下重量开始减少的温度为420℃。此外,采用差示扫描量热仪(产自Perkin Elmer Co.,Ltd的Pyris 1 DSC)测量所得化合物CzAlPA的玻璃化转变温度和熔点。结果分别为153℃和313℃;这样,证明CzAlPA是热稳定的。
测量CzAlPA甲苯溶液和CzAlPA薄膜的吸收光谱。分别在370nm和400 nm观察到CzAlPA甲苯溶液和CzAlPA薄膜的蒽吸收。此外,图19显示了CzAlPA甲苯溶液和CzAlPA薄膜的发射光谱。图19中,水平轴表示波长(nm)而垂直轴表示发射强度(任意单位)。可发现:CzAlPA的甲苯溶液和薄膜的最大发射波长分别为453nm(激发波长370nm)和491nm(激发波长380nm),因此,可获得蓝光发射。
测量CzAlPA薄膜中的HOMO水平和LUMO水平。将采用光电子能谱仪(产自Riken Keiki Co.,Ltd的AC-2)测量的电离势能值转化成负值得到HOMO水平值。将薄膜吸收边缘之间的能隙加到HOMO水平值得到LUMO水平值。结果,HOMO水平和LUMO水平分别为-5.30Ev和-2.38eV,从而获得2.82eV的极大带隙。
对比实施例1
与本发明材料的实例对比,式(121)表示的化合物2-叔丁基-9,10-machine二(4-(N-咔唑基)苯基)蒽(下文中称为CzBPA)的合成方法。
在氮气流下,将0.3mL三叔丁基膦(10%己烷溶液)加入包含3.00g(5.53mmol)9,10-二(4-溴苯基)-2-叔丁基蒽、1.93g(11.2mmol)咔唑、318mg(0.55mmol)二亚苄基丙酮根合钯和3.00g(31.2mmol)叔丁氧基钠的甲苯溶液(30mL),并在110℃下回流3小时。反应溶液用水清洗后,水层用甲苯萃取,并与有机层一起用饱和盐溶液清洗。有机层用硫酸镁干燥,自然过滤并浓缩得到的油状产物通过氧化铝柱色谱法(洗提液:氯仿)纯化。此外,所得固体用二氯甲烷/己烷重结晶获得1.80g浅黄色固体CzBPA(产率为45%)。下面显示CzBPA的合成方案。
其中Carbazole指咔唑,xylene指二甲苯。
下面显示所得CzBPA的NMR数据。1H NMR(300MHz,CDCl3)δ=8.23(d,J=7.2Hz,4H),7.94-7.63(m,16H),7.59(d,J=1.8Hz,1H),7.55-7.47(m,6H),7.39-7.34(m,4H),1.36(s,9H)。此外,CzBPA的NMR图显示于图20中。
对CzBPA进行热重-差热分析(TG-DTA)。采用热重-差热分析仪(产自Seiko Instruments Inc的TG/DTA SCC 5200)测量CzBPA。在氮气气氛下以升温速率10℃/min对热物理性能进行评估。从而,根据重力-温度关系(热重测量),常压下重量开始减少的温度为460℃。
对比实施例
在此对比实施例中,对将作为大体积取代基引入结构式(1)表示的蒽骨架的9或10位置的稠合芳基和苯基进行对比。采用9,10-二苯基蒽(下文中称为DPAnth)作为将苯基引入9或10位置的蒽衍生物,并采用2-叔丁基-9,10-二(2-萘基)蒽(下文中称为t-BuDNA)作为将稠合芳基引入9或10位置的对比化合物。
首先,通过循环伏安法(CV)测试,对DPAnth和t-BuDNA的电化学稳定性进行评估。此外,采用电化学分析仪(#ALS model 600A,BASInc.)作为测试设备。对于用于CV测试中的溶液,采用脱水二甲基甲酰胺(DMF)作为溶剂。将高氯酸四正丁基铵(n-Bu4NClO4,其为支撑电解质)溶解于所述溶剂中,使高氯酸四正丁基铵的浓度为100mM。同样,将DPAnth(其为测试目标)溶解使其浓度设定为1mM。此外,采用一个铂电极(PTE铂电极,BAS Inc.)作为工作电极。一个铂电极(VC-3 Pt对电极(5cm),BAS Inc.)作为辅助电极。Ag/Ag+电极(用于无水溶剂的RE 5参比电极,BAS Inc.)作为参考电极。扫描速度设定为0.1V/sec,在氧化侧和还原侧上各进行200次扫描。
图21和图22分别显示DPAnth和t-BuDNA的CV测试结果。图中,(A)表示还原侧的测量结果,而(B)表示氧化侧的测试结果。发现化合物的还原侧或氧化侧产生可逆峰。此外,发现即使氧化到还原或还原到氧化重复200次时,氧化峰或还原峰的高度,具体地还原电流值几乎不变。这意味着DPAnth和t-BuDNA对氧化和还原稳定。从而,可以说即使将苯基或萘基引入9或10位置时,电化学稳定性几乎不变。
接下来,对激发态的稳定性进行评价。下面对评价方式进行描述。首先,采用真空蒸发仪使DPAnth和t-BuDNA沉积在石英基材(1.0cm×5cm)上。膜厚度为250nm。在氮气气氛下采用高压汞灯光通过玻璃滤光器照射该膜。由于通过玻璃滤光器进行照射,这对应约350nm以下光的照射。这意味着DPAnth和t-BuDNA的蒽部分已明确地被激发。因此,本实施例中,DPAnth和t-BuDNA反复激发-钝化。通过进行光照并控制蒽的吸收(300-400nm)发光强度,可测定蒽骨架的光化学稳定性。
具体地讲,如果蒽骨架被光照激发,之后返回基态,蒽骨架的吸收强度不会变化。然而,当激发态以某一方式反应时,蒽不会返回初始分子,吸收减小。
图23和图24显示用光分别照射DPAnth和t-BuDNA过程中吸收随时间的变化。图23显示用光分别照射DPAnth 0分钟、5分钟、10分钟、20分钟、40分钟、70分钟和100分钟的吸收测试结果。根据该图,发现DPAnth的蒽吸收几乎不由于光照而改变。图24显示用光分别照射t-BuNA 0分钟、5分钟、15分钟、45分钟、75分钟和105分钟的吸收测试结果。对于t-BuDNA,发现蒽吸收迅速减小。将对于400nm的吸收强度变化绘于图25中。如图24中所示,发现通过约120分钟光照DPAnth的吸收强度几乎不变而t-BuDNA的吸收强度明显减小。因此,将萘基作为取代基引入9或10位置的情况下,发现光化学稳定性明显减小。相反,苯基的情况下,电化学稳定性高。
实施例5
本实施例将对通式(2)和(3)表示的其中将一个蒽骨架和一个咔唑骨架引入一个分子中的本发明蒽衍生物和其中将一个蒽骨架两个咔唑基引入一个分子的蒽衍生物的电化学稳定性进行描述。
如对比实施例中进行CV测试,对电化学稳定性进行评价。测试条件与对比实施例中显示的条件相同。采用引入一个蒽骨架和一个咔唑基的CzPA、DPCzPA和CzAlPA和引入一个蒽骨架和两个咔唑骨架的CzBPA作为CV测试样品。图26显示CzPA的CV图,图27显示DPCzPA的CV图,图28显示CzAlPA的CV图而图29显示CzBPA的CV图。注意:图中,(A)表示还原侧的测试结果而(B)表示氧化侧的测试结果。
CzPA的情况下,氧化侧和还原侧都各自显示可逆峰,且即使氧化-还原或还原-氧化重复循环达到200次峰强度几乎不变。同样,DPCzPA和CzAlPA的情况下,氧化侧和还原侧表现可逆,且即使氧化-还原或还原-氧化重复循环达到200次峰强度几乎不变。因此,具有一个蒽骨架和一个咔唑基骨架的蒽衍生物是电化学稳定的。
另一方面,CzBPA的情况下,还原侧行为可逆,且循环达到200次后产生几乎相同的峰;因此,CzBPA对还原-氧化循环稳定。然而,在氧化侧,尽管观察到可逆行为,重复200循环后氧化峰强度逐渐减小。这意味着CzBPA特别为氧化态,从而CzBPA的空穴是化学不稳定的。
根据上述,引入一个咔唑基和一个蒽基的化合物是电化学稳定的,相反,一个蒽基引入两个咔唑基的化合物是电化学不稳定的。有机发光元件中,有机化合物在发光过程中反复氧化-还原或还原-氧化。因此,通式(2)和(3)所示的一个分子引入一个蒽骨架和一个咔唑基骨架的本发明蒽衍生物适合于获得高可靠性。
实施例6
本实施例将描述:一个分子引入一个蒽骨架和一个咔唑基骨架且苯基引入所述蒽的9和10位置的本发明蒽衍生物是高稳定的,且通过采用这种蒽衍生物可改善元件的可靠性。
首先,制备采用CzBPA(一个蒽骨架具有两个咔唑基骨架)的元件和采用t-BuDNA(其中将稠合芳环引入蒽骨架的9和10位置)的元件作为对比物。
在玻璃基材上形成元件,在玻璃基材侧有序地形成膜厚度为1100nm的ITSO作为第一电极。通过喷镀使ITSO沉积。注意:本发明中,第一电极的形状为2mm×2mm。接下来,用多孔树脂(通常,PVA(聚乙烯醇)或尼龙)洗涤基材表面,200℃下进行1小时热处理并进行370秒UV臭氧处理来作为在第一电极上制备发光元件的预处理。
接下来,形成20nm的4,4’-二[N-(4-(N,N-二间甲苯氨基)苯基)-N-苯基氨基]联苯(此后称为DNTPD)作为空穴注入层。随后,形成40nm的NPB作为空穴传输材料。在膜堆栈上形成膜厚度为40nm的t-BuDNA或CzBPA作为发光层。此外,形成20nm的Alq作为电子传输层,形成1nm的氟化钙(CaF2)作为电子注入层。最后,形成膜厚度为200nm的Al作为第二电极来完成元件。注意:空穴注入层到第二电极的各膜是通过电阻加热气相沉积制备的。这里,采用t-BuDNA作为发光层的元件是元件A,采用CzBPA作为发光层的元件是元件B。
元件A和元件B的初始性能显示于表1中。
表1:元件A和元件B的初始性能
| 元件 | 发光启动电压(V) | 500Cd/m2时的电压(V) | 色度(x,y) | 500Cd/m2时的效率(Cd/A) |
| A | 3.4 | 6.4 | (0.15,0.09) | 1.63 |
| B | 4.2 | 7.2 | (0.15,0.10) | 2.28 |
无论元件A或B都作为蓝光发射元件提供优异色度,然而,发现电流效率低。这些元件的可靠性测试结果显示于图30中。测试条件设定如下:初始亮度设定为500cd/A,元件通过恒定电流驱动,测量亮度随着时间的变化。
任一元件的半衰期不到100小时,因此,发现:采用t-BuDNA(其中将稠合芳环引入蒽骨架的9和10位置)和CzBPA(一个蒽骨架具有两个咔唑基)作为发光层的元件不能达到足够可靠性。
相反,当采用具有一个蒽骨架和一个咔唑基骨架的本发明蒽衍生物CzPA时,可靠性得到改善。具体数据显示如下。
同样采用上述方法,在ITSO上形成20nm的CuPc作为空穴注入层。形成40nm的4,4′-二[N,N′-(2-螺环芴)-N,N′-二苯基]氨基-1,1-联苯(下文中称为BSPB)作为空穴传输层,形成40nm的CzPA作为发光层,形成20nm的Alq作为电子传输层,形成1nm的氟化钙(CaF2)作为电子注入层和形成200nm的Al作为第二电极。该元件是元件C。为了进行对比,制备其中形成40nm的t-BuDNA代替CzPA作为发光层的元件(下文中称为元件D)和其中形成膜厚度为40nm的9,10-二(2-萘基)蒽代替CzPA的元件(下文中称为元件E)。
元件C、元件D和元件E的初始性能显示于表2中。
表2:元件C、D和E的初始性能
| 元件 | 发光启动电压(V) | 500Cd/m2时的电压(V) | 色度(x,y) | 500Cd/m2时的效率(Cd/A) |
| C | 5.4 | 9.6 | (0.15,0.13) | 3.42 |
| D | 5.2 | 10.2 | (0.15,0.10) | 1.81 |
| E | 5.6 | 10.2 | (0.16,0.17) | 2.94 |
元件A或B中任一个作为蓝光发射元件具有优异色度;然而,元件C的电流效率极大提高。从而,与BuDNA或DNA相比,元件CzPA的电流效率更高。
这些元件的可靠性测试结果显示于图31中。测试条件设定如下:初始亮度设定为500cd/A,元件通过恒定电流驱动,测量亮度随着时间的变化。元件D和E的半衰期不到20小时;同时,元件C的半衰期超过100小时。因此,发现:采用具有一个蒽骨架和一个咔唑基骨架的本发明蒽衍生物CzPA的发光元件具有高可靠性。
实施例7
在本实施例中,同样采用本发明蒽衍生物、其中引入蒽骨架和咔唑基骨架而将苯基引入所述蒽骨架的9和10位置的蒽衍生物作为掺杂型元件(其具有包括主体和客体的发光层)的主体;因此,可改善元件的可靠性。
以与实施例6相同的方式制备元件。在ITSO(其为第一电极)上形成50nm的DNTPD作为空穴注入层并在其上形成10nm的NPB作为空穴传输材料。接下来,形成40nm的发光层。发光层的结构可具有采用本发明蒽衍生物CzPA和2,5,8,11-四叔丁基二萘嵌苯(下文中称为TBP)的共沉积膜的元件F的结构或采用t-BuDNA和TBP的共沉积膜的元件G的结构。TBP与主体CzPA或t-BuDNA的重量比都为1∶0.01。在这些元件的发光层上形成20nm的Alq作为电子传输层,形成1nm的氟化钙(CaF2)作为电子注入层和形成200nm的Al作为第二电极。
所述元件的性能显示于表3中。
表3:元件F和G的初始性能
| 元件 | 发光启动电压(V) | 500Cd/m2时的电压(V) | 色度(x,y) | 500Cd/m2时的效率Cd/A) |
| F | 4.0 | 6.8 | (0.16,0.27) | 5.01 |
| G | 3.4 | 6.0 | (0.15,0.24) | 4.33 |
发现这些元件中任一个都达到较高效率。
这些元件的可靠性测试结果显示于图32中。测试条件设定如下:初始亮度设定为500cd/A,元件通过恒定电流驱动,测量亮度随着时间的变化。元件G中,10%亮度衰减接近约8小时。预期半衰期在约几百小时内。同时,对于元件F,尽管在驱动早期亮度稍微提高,这表明100小时后基本无亮度衰减。预期半衰期为约5200小时。因此,采用包括一个蒽基和一个咔唑基骨架且一个蒽骨架包含一个咔唑基的本发明蒽衍生物CzPA作为发光层中的主体,可改善可靠性。
实施例8
在本实施例中,实施例7,采用其中引入蒽骨架和咔唑基骨架而将苯基引入所述蒽骨架的9和10位置的本发明蒽衍生物作为掺杂型元件的主体;因此,可改善所述元件的可靠性。
以与实施例7相同的方式制备元件。在ITSO(其为第一电极)上形成50nm的DNTPD作为空穴注入层并在其上形成10nm的NPB作为空穴传输材料。接下来,在其上形成40nm的发光层。发光层的结构可具有采用本法明蒽衍生物CzPA和9,10-二{4-[N-(4-二苯基氨基)苯基-N-苯基]氨基苯基}-2-叔丁基蒽(下文中称为DPABPA)的共沉积膜的元件H的结构或采用t-BuDNA和DPABPA的共沉积膜的元件I的结构。DPABPA与主体CzPA或t-BuDNA的重量比都为1∶0.05。在这些元件的发光层上形成20nm的Alq作为电子传输层,形成1nm的氟化钙(CaF2)作为电子注入层和形成200nm的Al作为第二电极。
所述元件的性能显示于表4中。
表4:元件H和I的初始性能
| 元件 | 发光启动电压(V) | 500Cd/m2时的电压(V) | 色度(x,y) | 500Cd/m2时的效率(Cd/A) |
| H | 3.6 | 7.0 | (0.22,0.43) | 9.06 |
| I | 3.2 | 6.8 | (0.19,0.38) | 9.40 |
这些元件中任一个都可达到较高效率。
这些元件的可靠性测试结果显示于图33中。测试条件设定如下:初始亮度设定为500cd/A,元件通过恒定电流驱动,测量亮度随着时间的变化。元件I中,10%亮度衰减接近约40小时。预期半衰期在约1000小时内。同时,对于元件H,显示即使100小时后基本无亮度衰减。预期半衰期为约5200小时。因此,采用其中一个苯基直接引入蒽骨架且一个蒽骨架包含一个咔唑基的本发明蒽衍生物CzPA作为发光层中的主体,可达到足够可靠性。
实施例9
在本实施例中,将对本发明蒽衍生物DPCzPA元件的制备方法及其性能进行描述。
以与实施例7相同的方式制备元件。在ITSO(其为第一电极)上形成20nm的CuPc作为空穴注入层并在其上形成40nm的BSPB作为空穴传输材料。接下来,在其上形成40nm的DPCzPA作为发光层。在这些元件的发光层上形成20nm的Alq作为电子传输层,形成1nm的氟化钙(CaF2)作为电子注入层和形成200nm的Al作为第二电极。
所述元件的性能显示于表5中,可提供优异的蓝色色度。
表5:采用DPCzPA的元件的初始性能
| 发光启动电压(V) | 500Cd/m2时的电压(V) | 色度(x,y) | 500Cd/m2时的效率(Cd/A) |
| 6.8 | 11.2 | (0.15,0.10) | 3.05 |
实施例10
在本实施例中,将对采用本发明蒽衍生物CzPA的掺杂型元件、采用氧化钼和NPB的共沉积膜作为空穴注入层的元件的制备方法及其特性进行描述。
以与实施例7相同的方式制备元件。在ITSO(其为第一电极)上形成NPB和氧化钼的共沉积膜作为空穴注入层。膜厚度为50nm且NPB与氧化钼的重量比为4∶1。在该层上形成10nm的NPB作为空穴传输材料。接下来,形成CzPA和TBP或CzPA和DPABPA的共沉积膜作为发光层。CzPA与TBP的重量比为1∶0.01而CzPA与DPABPA的重量比为1∶0.05。采用CzPA和TBP的元件为元件J,采用CzPA和DPABPA的共沉积膜的元件为元件K。在这些元件的发光层上形成20nm的Alq作为电子传输层,形成1nm的氟化钙(CaF2)作为电子注入层和形成200nm的Al作为第二电极。
所述元件的性能显示于表6中。
表6:元件J和K的初始性能
| 元件 | 发光启动电压(V) | 500Cd/m2时的电压(V) | 色度(x,y) | 500Cd/m2时的效率(Cd/A) |
| J | 3.8 | 6.4 | (0.16,0.25) | 3.53 |
| K | 3.4 | 6.6 | (0.22,0.40) | 6.78 |
这些元件任一个中都可获得有效发光,因此,发现CzPA适合作为发光层的主体。
实施例11
本实施例关于采用本发明蒽衍生物CzPA的掺杂型元件、采用9,10-二{4-[N-(N-苯基-3-咔唑基)-N-苯基]氨基苯基}-2-叔丁基蒽(下文中称为PCABPA)和9,10-二{4-[N-(4-咔唑基)苯基-N-苯基]氨基苯基}-2-叔丁基蒽(下文中称为YGABPA)作为掺杂剂的元件的制备方法及其性能。
以与实施例7相同的方式制备元件。在ITSO(其为第一电极)上形成50nm的DNTPD作为空穴注入层并形成10nm的NBP来形成堆栈。接下来,形成膜厚度为40nm的CzPA和PCABPA或CzPA和YGABPA的共沉积膜作为发光层。CzPA与PCABPA的重量比为1∶0.05而CzPA与YGABPA的重量比为1∶0.1。采用CzPA和PCABPA的元件为元件L,采用CzPA和YGABPA的共沉积膜的元件为元件M。在这些元件的发光层上形成20nm的Alq作为电子传输层,形成1nm的氟化钙(CaF2)作为电子注入层和形成200nm的Al作为第二电极。
所述元件的性能显示于表7中。
表7:元件L和M的初始性能
| 元件 | 发光启动电压(V) | 500Cd/m2时的电压(V) | 色度(x,y) | 500Cd/m2时的效率(Cd/A) |
| L | 3.0 | 4.6 | (0.17,0.35) | 10.5 |
| M | 3.6 | 5.2 | (0.15,0.24) | 6.81 |
这些元件任一个中都可获得有效发光,因此,发现CzPA适合作为发光层的主体。
实施例12
本实施例关于采用本发明蒽衍生物CzPA的掺杂型元件、采用9,10-二{4-[N-(N-苯基-3-咔唑基)-N-苯基]氨基苯基}-2-叔丁基蒽(下文中称为PCABPA)和9,10-二{4-[N-(4-咔唑基)苯基-N-苯基]氨基苯基}-2-叔丁基蒽(下文中称为YGABPA)作为掺杂剂并采用氧化钼和NPB的共沉积膜作为空穴注入层的元件的制备方法及其性能。
以与实施例7相同的方式制备元件。在ITSO(其为第一电极)上形成NBP和氧化钼的共沉积膜作为空穴注入层。膜厚度为50nm而NPB与氧化钼的重量比为4∶1。在该层上形成10nm的NPB作为空穴传输材料。接下来,形成膜厚度为40nm的CzPA和PCABPA或CzPA和YGABPA的共沉积膜作为发光层。CzPA与PCABPA的重量比为1∶0.05而CzPA与YGABPA的重量比为1∶0.1。采用CzPA和PCABPA的元件为元件N,采用CzPA和YGABPA的共沉积膜的元件为元件O。在这些元件的发光层上形成20nm的Alq作为电子传输层,形成1nm的氟化钙(CaF2)作为电子注入层和形成200nm的Al作为第二电极。
所述元件的性能显示于表8中。
表8:元件N和O的初始性能
| 元件 | 发光启动电压(V) | 500Cd/m2时的电压(V) | 色度(x,y) | 500Cd/m2时的效率(Cd/A) |
| N | 3.0 | 4.4 | (0.17,0.31) | 7.99 |
| O | 3.4 | 5.2 | (0.16,0.21) | 4.25 |
这些元件任一个中都可获得有效发光,因此,发现CzPA适合作为发光层的主体。此外,与采用DNTPD作为空穴注入层的实施例11相比,蓝色的色度得到改善。
实施例13
在本实施例中,将对采用本发明蒽衍生物CzPA和CzAlPA的掺杂型元件、采用CzPA作为主体并采用CzAlPA作为掺杂剂的发光元件的制备方法及其性能进行描述。
以与实施例7相同的方式制备元件。在ITSO(其为第一电极)上形成膜厚度为50nm的DNTPD作为空穴注入层。在其上形成10nm的NPB作为空穴传输材料。接下来,形成膜厚度为40nm的CzPA和CzAlPA的共沉积膜作为发光层。CzPA与CzAlPA的重量比为1∶0.10。在这些元件的发光层上形成10nm或20nm的Alq作为电子传输层,形成厚度为10nm的Alq与锂的共沉积膜(Alq∶Li=1∶0.01)、1nm的氟化钙(CaF2)作为电子注入层和制备200nm的Al作为第二电极,形成10nm的Alq作为电子传输层和Alq与锂的共沉积膜作为电子注入层的元件命名为元件P1,采用20nm的Alq作为电子注入层和采用氟化钙作为电子传输层的元件命名为元件P2。
所述元件的性能显示于表9中。
表9:元件P1和P2的初始性能
| 元件 | 发光启动电压(V) | 500Cd/m2时的电压(V) | 色度(x,y) | 500Cd/m2时的效率(Cd/A) |
| P1 | 3.6 | 6.4 | (0.16,0.19) | 3.71 |
| P2 | 4.0 | 7.6 | (0.16,0.19) | 3.18 |
这些元件任一个中都可获得有效发光,因此,发现CzPA适合作为发光层的主体。此外,发现CzAlPA适合作为发光层的掺杂剂。
实施例14
本实施例中,将对采用本发明蒽衍生物CzAlPA的发光元件的制备方法及其性能进行描述。
以与实施例7相同的方式制备元件。形成膜厚度为50nm的DNTPD作为空穴注入层。在其上形成10nm的NPB作为空穴传输材料。接下来,形成膜厚度为40nm的CzAlPA作为发光层。在这些元件的发光层上形成10nm的Alq作为电子传输层,形成厚度为10nm的Alq与锂的共沉积膜(Alq∶Li=1∶0.01)和200nm的Al作为第二电极。元件命名为元件Q。
所述元件的性能显示于表10中。
表10:元件Q的初始性能
| 元件 | 发光启动电压(V) | 500Cd/m2时的电压(V) | 色度(x,y) | 500Cd/m2时的效率(Cd/A) |
| Q | 3.6 | 5.4 | (0.22,0.32) | 3.31 |
这些元件任一个都可获得有效发光,因此,发现CzPA适合作为发光层的主体。
实施例15
本实施例中,将对采用本发明蒽衍生物DPCzPA的掺杂型元件、采用DPCzPA作为主体、采用TBP作为掺杂剂的发光元件的制备方法及其性能进行描述。
以与实施例7相同的方式制备元件。形成膜厚度为20nm的CuPc作为空穴注入层。在其上形成40nm的NBP或BSPB作为空穴传输材料。接下来,形成膜厚度为40nm的DPCzPA与TBP的共沉积膜作为发光层。DPCzPA与TBP的重量比为1∶0.01。在这些元件的发光层上形成10nm或20nm的Alq作为电子传输层,形成Alq和锂的共沉积膜(Alq∶Li=1∶0.01)、1nm的氟化钙(CaF2)作为电子注入层和形成200nm的Al作为第二电极。NPB作为空穴传输层的元件用R1表示而采用BSPB的元件用R2表示。
所述元件的性能显示于表11中。
表11:元件R1和R2的初始性能
| 元件 | 发光启动电压(V) | 500Cd/m2时的电压(V) | 色度(x,y) | 500Cd/m2时的效率(Cd/A) |
| R1 | 5.4 | 9.8 | (0.15,0.25) | 4.88 |
| R2 | 5.5 | 10.2 | (0.15,0.26) | 4.63 |
这些元件任一个中都可获得有效发光,因此,发现CzPA适合作为发光层的主体。
实施例16
本实施方案中,将对采用本发明蒽衍生物DPCzPA的掺杂型元件、采用DPCzPA作为主体、采用PCABPA作为掺杂剂的发光元件的制备方法及其性能进行描述。
以与实施例7相同的方式制备元件。膜厚度为50nm的DNTPD或膜厚度为20nm的CuPc作为在ITSO(其为第一电极)上的空穴注入层。在其上形成10nm的NBP作为空穴传输材料。接下来,制备膜厚度为40nm的DPCzPA与PCABPA的共沉积膜作为发光层。DPCzPA与PCABPA的重量比为1∶0.04。在这些元件的发光层上形成10nm的Alq作为电子传输层,形成10nm的Alq和锂的共沉积膜(Alq∶Li=1∶0.01)、1nm的氟化钙(CaF2)作为电子注入层和形成200nm的Al作为第二电极。采用DNTPD作为空穴传输层的元件用S1表示而采用CuPc的元件用S2表示。
所述元件的性能显示于表12中。
表12:元件S1和S2的初始性能
| 元件 | 发光启动电压(V) | 500Cd/m2时的电压(V) | 色度(x,y) | 500Cd/m2时的效率(Cd/A) |
| S1 | 3.7 | 5.5 | (0.17,0.32) | 9.87 |
| S2 | 4.0 | 6.4 | (0.17,0.31) | 10.11 |
这些元件任一个中都可获得有效发光,因此,发现DPCzPA适合作为发光层的主体。
Claims (27)
2.权利要求1的发光装置,其中
A1和A2独立为氢、具有1-6碳原子的烷基或具有6-14碳原子的取代或未取代芳基。
3.权利要求1的发光装置,其中
A1为取代或未取代的二芳基氨基,以及
A2为氢或取代或未取代的二芳基氨基。
4.权利要求1的发光装置,其中
R1-R13为氢。
5.权利要求1的发光装置,其中
A1为氢,以及
A2为具有6-14碳原子的取代或未取代芳基。
6.权利要求1的发光装置,其中
所述蒽衍生物是由结构式(5)、(6)、(7)、(8)、(9)或(57)表示的:
7.权利要求1的发光装置,其中
所述层还包括掺杂剂,所述掺杂剂的带隙比所述蒽衍生物的带隙小。
8.权利要求1的发光装置,其中
所述发光装置还包括在所述层和所述第二电极之间形成的电子传输层。
9.权利要求8的发光装置,其中
所述层还包括第一掺杂剂,所述第一掺杂剂的带隙比所述蒽衍生物的带隙小,以及
所述电子传输层包括第二掺杂剂。
10.权利要求1的发光装置,其中
所述发光装置还包括在所述第一电极和所述层之间形成的空穴注入层。
11.权利要求10的发光装置,其中
所述空穴注入层包括金属氧化物和有机化合物。
12.权利要求1的发光装置,其中
所述基础绝缘层包括选自氧化硅、氮化硅、含氮的氧化硅和含氧的氮化硅的任一种材料。
13.一种电子器件,包括权利要求1-12中任一项的发光装置。
14.权利要求13的电子器件,其中,
所述发光装置发出白光。
16.权利要求15的发光装置,其中
A1和A2独立为氢、具有1-6碳原子的烷基或具有6-14碳原子的取代或未取代芳基。
17.权利要求15的发光装置,其中
A1为取代或未取代的二芳基氨基,以及
A2为氢或取代或未取代的二芳基氨基。
18.权利要求15的发光装置,其中
R1-R13为氢。
19.权利要求15的发光装置,其中
A1为氢,以及
A2为具有6-14碳原子的取代或未取代芳基。
20.权利要求15的发光装置,其中
所述层还包括掺杂剂,所述掺杂剂的带隙比所述蒽衍生物的带隙小。
21.权利要求15的发光装置,其中
所述发光装置还包括在所述层和所述第二电极之间形成的电子传输层。
22.权利要求21的发光装置,其中
所述层还包括第一掺杂剂,所述第一掺杂剂的带隙比所述蒽衍生物的带隙小,以及
所述电子传输层包括第二掺杂剂。
23.权利要求15的发光装置,其中
所述发光装置还包括在所述第一电极和所述层之间形成的空穴注入层。
24.权利要求23的发光装置,其中
所述空穴注入层包括金属氧化物和有机化合物。
25.权利要求15的发光装置,其中
所述基础绝缘层包括选自氧化硅、氮化硅、含氮的氧化硅和含氧的氮化硅的任一种材料。
26.一种电子器件,包括权利要求15-25中任一项的发光装置。
27.权利要求26的电子器件,其中,
所述发光装置发出白光。
Priority Applications (1)
| Application Number | Priority Date | Filing Date | Title |
|---|---|---|---|
| CN201210059430.1A CN102629666B (zh) | 2005-03-28 | 2006-03-24 | 蒽衍生物、发光元件用材料、发光元件、发光装置和电子器件 |
Applications Claiming Priority (7)
| Application Number | Priority Date | Filing Date | Title |
|---|---|---|---|
| JP093269/2005 | 2005-03-28 | ||
| JP2005093269 | 2005-03-28 | ||
| JP2005155788 | 2005-05-27 | ||
| JP155788/2005 | 2005-05-27 | ||
| JP2005186966 | 2005-06-27 | ||
| JP186966/2005 | 2005-06-27 | ||
| PCT/JP2006/306775 WO2006104221A1 (en) | 2005-03-28 | 2006-03-24 | Anthracene derivative, material for light emitting element, light emitting element, light emitting device, and electronic device |
Related Child Applications (1)
| Application Number | Title | Priority Date | Filing Date |
|---|---|---|---|
| CN201210059430.1A Division CN102629666B (zh) | 2005-03-28 | 2006-03-24 | 蒽衍生物、发光元件用材料、发光元件、发光装置和电子器件 |
Publications (2)
| Publication Number | Publication Date |
|---|---|
| CN101184732A CN101184732A (zh) | 2008-05-21 |
| CN101184732B true CN101184732B (zh) | 2012-05-16 |
Family
ID=37053476
Family Applications (2)
| Application Number | Title | Priority Date | Filing Date |
|---|---|---|---|
| CN2006800188014A Active CN101184732B (zh) | 2005-03-28 | 2006-03-24 | 蒽衍生物、发光元件用材料、发光元件、发光装置和电子器件 |
| CN201210059430.1A Active CN102629666B (zh) | 2005-03-28 | 2006-03-24 | 蒽衍生物、发光元件用材料、发光元件、发光装置和电子器件 |
Family Applications After (1)
| Application Number | Title | Priority Date | Filing Date |
|---|---|---|---|
| CN201210059430.1A Active CN102629666B (zh) | 2005-03-28 | 2006-03-24 | 蒽衍生物、发光元件用材料、发光元件、发光装置和电子器件 |
Country Status (6)
| Country | Link |
|---|---|
| US (3) | US8039122B2 (zh) |
| EP (2) | EP1896413B1 (zh) |
| JP (5) | JP5453486B2 (zh) |
| KR (1) | KR101356093B1 (zh) |
| CN (2) | CN101184732B (zh) |
| WO (1) | WO2006104221A1 (zh) |
Families Citing this family (58)
| Publication number | Priority date | Publication date | Assignee | Title |
|---|---|---|---|---|
| TWI373506B (en) * | 2004-05-21 | 2012-10-01 | Toray Industries | Light-emitting element material and light-emitting material |
| CN101090887B (zh) | 2004-12-28 | 2010-09-29 | 株式会社半导体能源研究所 | 蒽衍生物、使用它的发光元件和使用它的发光器件 |
| CN101184732B (zh) * | 2005-03-28 | 2012-05-16 | 株式会社半导体能源研究所 | 蒽衍生物、发光元件用材料、发光元件、发光装置和电子器件 |
| EP1910289A4 (en) * | 2005-08-04 | 2010-06-09 | Semiconductor Energy Lab | CARBAZOLE DERIVATIVE, MATERIAL FOR LIGHT EMITTING ELEMENT OBTAINED USING THE CARBAZOLE DERIVATIVE, LIGHT EMITTING ELEMENT, AND ELECTRONIC DEVICE |
| WO2007026626A1 (en) * | 2005-08-31 | 2007-03-08 | Semiconductor Energy Laboratory Co., Ltd. | Carbazole derivative, material for light emitting element, light emitting element, light emitting device, and electronic device |
| EP1928828B1 (en) | 2005-09-02 | 2012-03-14 | Semiconductor Energy Laboratory Co., Ltd. | Anthracene derivative |
| WO2008026614A1 (en) * | 2006-08-30 | 2008-03-06 | Semiconductor Energy Laboratory Co., Ltd. | Method for synthesizing anthracene derivative and anthracene derivative, light emitting element, light emitting device, electronic device |
| WO2008038607A1 (en) * | 2006-09-28 | 2008-04-03 | Semiconductor Energy Laboratory Co., Ltd. | Anthracene derivative, and light emitting element, light emitting device, and electronic device using the anthracene derivative |
| US9397308B2 (en) * | 2006-12-04 | 2016-07-19 | Semiconductor Energy Laboratory Co., Ltd. | Light emitting element, light emitting device, and electronic device |
| JP2008195841A (ja) * | 2007-02-14 | 2008-08-28 | Toray Ind Inc | 発光素子材料および発光素子 |
| US7723722B2 (en) | 2007-03-23 | 2010-05-25 | Semiconductor Energy Laboratory Co., Ltd. | Organic compound, anthracene derivative, and light-emitting element, light-emitting device, and electronic device using anthracene derivative |
| WO2008117691A1 (ja) | 2007-03-26 | 2008-10-02 | Ulvac, Inc. | 有機el素子、有機el素子製造方法 |
| US8835018B2 (en) | 2007-04-25 | 2014-09-16 | Semiconductor Energy Laboratory Co., Ltd. | Organic compound, anthracene derivative, and light-emitting element, light-emitting device, and electronic device in which the anthracene derivative is used |
| US20080286445A1 (en) * | 2007-05-17 | 2008-11-20 | Semiconductor Energy Laboratory Co., Ltd. | Composition, and method of fabricating light-emitting element |
| TWI524567B (zh) | 2007-09-27 | 2016-03-01 | 半導體能源研究所股份有限公司 | 發光元件,照明裝置,發光裝置,與電子裝置 |
| TWI481308B (zh) | 2007-09-27 | 2015-04-11 | Semiconductor Energy Lab | 發光元件,發光裝置,與電子設備 |
| CN101200634B (zh) * | 2007-11-06 | 2011-07-06 | 华南理工大学 | 可溶性树枝取代的蒽分子蓝光材料及其制备方法与应用 |
| KR101728317B1 (ko) | 2007-12-21 | 2017-04-19 | 가부시키가이샤 한도오따이 에네루기 켄큐쇼 | 안트라센 유도체와, 안트라센 유도체를 사용한 발광 재료, 발광소자, 발광장치 및 전자기기 |
| WO2009116547A1 (en) | 2008-03-18 | 2009-09-24 | Semiconductor Energy Laboratory Co., Ltd. | Light-emitting element, light-emitting device and electronic device |
| KR101587867B1 (ko) | 2008-03-18 | 2016-01-22 | 가부시키가이샤 한도오따이 에네루기 켄큐쇼 | 발광소자, 발광장치 및 전자기기 |
| EP2110369A1 (en) * | 2008-03-25 | 2009-10-21 | Semiconductor Energy Laboratory Co., Ltd. | Method of synthesizing 9-aryl-10-iodoanthracene derivative and light-emitting material |
| JP5352304B2 (ja) * | 2008-04-02 | 2013-11-27 | 株式会社半導体エネルギー研究所 | アントラセン誘導体、発光材料、発光素子用材料、塗布用組成物、発光素子、及び発光装置 |
| JP5501656B2 (ja) | 2008-05-16 | 2014-05-28 | 株式会社半導体エネルギー研究所 | 組成物、薄膜の作製方法、及び発光素子の作製方法 |
| WO2010005066A1 (en) * | 2008-07-08 | 2010-01-14 | Semiconductor Energy Laboratory Co., Ltd. | Carbazole derivative, light-emitting element material, light-emitting element, and light-emitting device |
| EP2166001B1 (en) * | 2008-09-19 | 2011-07-20 | Semiconductor Energy Laboratory Co., Ltd. | Carbazole Derivative and Method for Producing the Same |
| US7960566B2 (en) | 2008-10-17 | 2011-06-14 | Semiconductor Energy Laboratory Co., Ltd. | Anthracene derivative and light-emitting devices, electronic devices, and lighting device using the anthracene derivative |
| US8283055B2 (en) | 2008-10-17 | 2012-10-09 | Semiconductor Energy Laboratory Co., Ltd. | Material for light-emitting element, light-emitting element, light-emitting device, electronic device, and lighting device |
| JP5567889B2 (ja) | 2009-10-19 | 2014-08-06 | 旭有機材工業株式会社 | アントラセン誘導体、これを用いた化合物、組成物、硬化物及びその製造方法 |
| JP2011139044A (ja) * | 2009-12-01 | 2011-07-14 | Semiconductor Energy Lab Co Ltd | 発光素子、発光装置、電子機器、および照明装置 |
| US8283855B2 (en) * | 2010-01-11 | 2012-10-09 | Semiconductor Energy Laboratory Co., Ltd. | Method for synthesis of anthracene derivative |
| KR102132588B1 (ko) | 2010-09-10 | 2020-07-10 | 가부시키가이샤 한도오따이 에네루기 켄큐쇼 | 발광 소자 및 전자기기 |
| JP5623996B2 (ja) | 2010-09-21 | 2014-11-12 | 株式会社半導体エネルギー研究所 | カルバゾール誘導体 |
| EP2433929B1 (en) | 2010-09-27 | 2013-10-23 | Semiconductor Energy Laboratory Co, Ltd. | Organic Compound, Light-Emitting Element, Light-Emitting Device, Electronic Device, and Lighting Device |
| US9133173B2 (en) | 2010-10-15 | 2015-09-15 | Semiconductor Energy Laboratory Co., Ltd. | Carbazole compound, material for light-emitting element, organic semiconductor material, light-emitting element |
| JP6117465B2 (ja) | 2010-10-29 | 2017-04-19 | 株式会社半導体エネルギー研究所 | カルバゾール化合物、有機半導体材料および発光素子用材料 |
| JP5872861B2 (ja) | 2010-11-30 | 2016-03-01 | 株式会社半導体エネルギー研究所 | カルバゾール化合物 |
| JP5946692B2 (ja) | 2011-05-13 | 2016-07-06 | 株式会社半導体エネルギー研究所 | カルバゾール化合物、有機半導体素子、発光素子、発光装置、照明装置、表示装置、電子機器 |
| KR102021273B1 (ko) | 2011-05-27 | 2019-09-16 | 가부시키가이샤 한도오따이 에네루기 켄큐쇼 | 카바졸 화합물, 발광 소자, 발광 장치, 전자 기기, 및 조명 장치 |
| US9051274B2 (en) | 2011-06-24 | 2015-06-09 | Semiconductor Energy Laboratory Co., Ltd. | Triarylamine compound, light-emitting element, light-emitting device, electronic device, and lighting device |
| TWI515936B (zh) * | 2011-12-15 | 2016-01-01 | 友達光電股份有限公司 | 發光裝置及其製作方法 |
| KR101402526B1 (ko) | 2011-12-26 | 2014-06-09 | 삼성디스플레이 주식회사 | 수명이 향상된 유기발광소자 및 그 제조방법 |
| CN102898271A (zh) * | 2012-05-25 | 2013-01-30 | 杭州师范大学 | 一种稠环芳烃及其衍生物的合成方法与应用 |
| KR20140071897A (ko) | 2012-11-26 | 2014-06-12 | 가부시키가이샤 한도오따이 에네루기 켄큐쇼 | 발광 소자, 발광 장치, 전자 기기, 및 조명 장치 |
| US10439156B2 (en) | 2013-05-17 | 2019-10-08 | Semiconductor Energy Laboratory Co., Ltd. | Light-emitting element, light-emitting device, display device, lighting device, and electronic device |
| CN105899631A (zh) * | 2014-01-08 | 2016-08-24 | 琳得科株式会社 | 保护膜形成用复合片 |
| JP6425395B2 (ja) * | 2014-03-14 | 2018-11-21 | 出光興産株式会社 | インク組成物、インク組成物を用いた有機エレクトロルミネッセンス素子、及び電子機器 |
| WO2016031679A1 (ja) * | 2014-08-26 | 2016-03-03 | シャープ株式会社 | 有機エレクトロルミネッセンス装置、有機エレクトロルミネッセンス装置の製造方法、照明装置、および表示装置 |
| EP3070494B1 (de) * | 2015-03-18 | 2021-04-28 | Leica Geosystems AG | Elektrooptisches distanzmessverfahren und ebensolcher distanzmesser |
| KR102844041B1 (ko) * | 2016-02-26 | 2025-08-11 | 가부시키가이샤 한도오따이 에네루기 켄큐쇼 | 유기 화합물, 발광 소자, 발광 장치, 전자 기기, 및 조명 장치 |
| CN107068881B (zh) * | 2016-04-25 | 2019-12-03 | 中节能万润股份有限公司 | 一种含有吖啶酮类化合物的有机电致发光器件及其应用 |
| KR20180010136A (ko) | 2016-07-20 | 2018-01-30 | 가부시키가이샤 한도오따이 에네루기 켄큐쇼 | 유기 화합물, 발광 소자, 발광 장치, 전자 기기, 및 조명 장치 |
| CN110267941A (zh) | 2017-02-09 | 2019-09-20 | 株式会社半导体能源研究所 | 有机化合物、发光元件、发光装置、电子设备及照明装置 |
| WO2020240333A1 (ja) * | 2019-05-31 | 2020-12-03 | 株式会社半導体エネルギー研究所 | 発光デバイス、発光装置、発光モジュール、電子機器、及び照明装置 |
| US12471492B2 (en) | 2020-10-16 | 2025-11-11 | Semiconductor Energy Laboratory Co., Ltd. | Organic compound, light-emitting device, light-emitting apparatus, electronic device, display device, and lighting device |
| KR20220095398A (ko) * | 2020-12-29 | 2022-07-07 | 삼성디스플레이 주식회사 | 발광 소자 및 이를 포함한 전자 장치 |
| CN113105382B (zh) * | 2021-03-26 | 2023-03-21 | 华南理工大学 | 一种联苯修饰咔唑基团的蒽基深蓝光材料及其制备与应用 |
| KR20240089680A (ko) | 2021-11-12 | 2024-06-20 | 스미또모 가가꾸 가부시끼가이샤 | 접속부 구조, 부식 방지 시스템, 장치 및 부식 방지 방법 |
| CN113999215A (zh) * | 2021-11-26 | 2022-02-01 | 武汉天马微电子有限公司 | 一种有机化合物及其应用 |
Citations (5)
| Publication number | Priority date | Publication date | Assignee | Title |
|---|---|---|---|---|
| WO2003087023A1 (en) * | 2002-04-17 | 2003-10-23 | Idemitsu Kosan Co., Ltd. | Novel aromatic compound and organic electroluminescnet element containing the same |
| US20040161633A1 (en) * | 2003-02-19 | 2004-08-19 | Lg Electronics Inc. | Organic electroluminescent device |
| US20040161632A1 (en) * | 2003-02-19 | 2004-08-19 | Lg Electronics Inc. | Organic electroluminescent device and method for fabricating the same |
| CN1526689A (zh) * | 2003-01-02 | 2004-09-08 | ����Sdi��ʽ���� | 二苯基蒽衍生物及使用二苯基蒽衍生物的有机电致发光装置 |
| CN1984897A (zh) * | 2004-05-21 | 2007-06-20 | 东丽株式会社 | 发光元件材料和发光元件 |
Family Cites Families (61)
| Publication number | Priority date | Publication date | Assignee | Title |
|---|---|---|---|---|
| US4111850A (en) * | 1977-02-16 | 1978-09-05 | Amp Incorporated | Organic photoconductors and methods |
| JP3511825B2 (ja) * | 1996-01-29 | 2004-03-29 | 東洋インキ製造株式会社 | 有機エレクトロルミネッセンス素子用発光材料およびそれを使用した有機エレクトロルミネッセンス素子 |
| US5811834A (en) | 1996-01-29 | 1998-09-22 | Toyo Ink Manufacturing Co., Ltd. | Light-emitting material for organo-electroluminescence device and organo-electroluminescence device for which the light-emitting material is adapted |
| JPH11144876A (ja) | 1997-11-12 | 1999-05-28 | Toray Ind Inc | 発光素子 |
| AUPP649498A0 (en) | 1998-10-14 | 1998-11-05 | Commonwealth Scientific And Industrial Research Organisation | Organoboron derivatives and coupling thereof |
| CN1966607A (zh) * | 1998-12-28 | 2007-05-23 | 出光兴产株式会社 | 用于有机场致发光装置的材料 |
| FR2794742B1 (fr) | 1999-06-11 | 2005-06-03 | Sanofi Synthelabo | Nouveaux derives du benzene, un procede pour leur preparation et les compositions pharmaceutiques les contenant |
| WO2001023353A2 (de) | 1999-09-30 | 2001-04-05 | Merck Patent Gmbh | Verfahren zur herstellung von indolderivaten an fester phase |
| JP4068279B2 (ja) * | 2000-02-23 | 2008-03-26 | パイオニア株式会社 | 有機エレクトロルミネッセンス素子 |
| JP4061840B2 (ja) * | 2000-12-28 | 2008-03-19 | 凸版印刷株式会社 | 有機薄膜発光素子用の正孔輸送性化合物および有機薄膜発光素子 |
| JP4224252B2 (ja) * | 2001-04-19 | 2009-02-12 | Tdk株式会社 | 有機el素子用化合物、有機el素子 |
| US6998487B2 (en) * | 2001-04-27 | 2006-02-14 | Lg Chem, Ltd. | Double-spiro organic compounds and organic electroluminescent devices using the same |
| WO2002091470A1 (en) * | 2001-05-03 | 2002-11-14 | Koninklijke Philips Electronics N.V. | Electroluminescent device |
| US6565996B2 (en) * | 2001-06-06 | 2003-05-20 | Eastman Kodak Company | Organic light-emitting device having a color-neutral dopant in a hole-transport layer and/or in an electron-transport layer |
| JP2003031371A (ja) | 2001-07-17 | 2003-01-31 | Mitsubishi Chemicals Corp | 有機電界発光素子及び青色発光素子 |
| US6627333B2 (en) * | 2001-08-15 | 2003-09-30 | Eastman Kodak Company | White organic light-emitting devices with improved efficiency |
| JP3883854B2 (ja) | 2001-11-29 | 2007-02-21 | 株式会社半導体エネルギー研究所 | 表示装置、コンピュータ、ナビゲーションシステム、ゲーム機器、及び携帯情報端末 |
| JP4080213B2 (ja) | 2002-02-01 | 2008-04-23 | 三井化学株式会社 | 有機電界発光素子 |
| JP4381645B2 (ja) | 2002-02-22 | 2009-12-09 | 出光興産株式会社 | 新規アントラセン化合物およびそれを用いた有機エレクトロルミネッセンス素子 |
| US6661023B2 (en) * | 2002-02-28 | 2003-12-09 | Eastman Kodak Company | Organic element for electroluminescent devices |
| EP1489155A4 (en) * | 2002-03-22 | 2006-02-01 | Idemitsu Kosan Co | MATERIAL FOR ORGANIC ELECTROLUMINESCENT DEVICES AND THE EQUIVALENT DEVICES |
| US20030205696A1 (en) * | 2002-04-25 | 2003-11-06 | Canon Kabushiki Kaisha | Carbazole-based materials for guest-host electroluminescent systems |
| JP4311707B2 (ja) | 2002-08-28 | 2009-08-12 | キヤノン株式会社 | 有機発光素子 |
| JP4078922B2 (ja) * | 2002-08-28 | 2008-04-23 | 富士ゼロックス株式会社 | 有機電界発光素子 |
| JP4164317B2 (ja) | 2002-08-28 | 2008-10-15 | キヤノン株式会社 | 有機発光素子 |
| JP2004091334A (ja) | 2002-08-29 | 2004-03-25 | Mitsubishi Chemicals Corp | 2,6−アリールアミノアントラセン系化合物、電荷輸送材料及び有機電界発光素子 |
| DE10247633A1 (de) | 2002-10-11 | 2004-04-29 | Studiengesellschaft Kohle Mbh | Mischungen von chiralen Monophosphor-Verbindungen als Ligandensysteme für die asymmetrische Übergangsmetallkatalyse |
| JP4152173B2 (ja) * | 2002-11-18 | 2008-09-17 | 出光興産株式会社 | 有機エレクトロルミネッセンス素子 |
| EP2248870B1 (en) | 2002-11-26 | 2018-12-26 | Konica Minolta Holdings, Inc. | Organic electroluminscent element and display and illuminator |
| JP4707082B2 (ja) | 2002-11-26 | 2011-06-22 | コニカミノルタホールディングス株式会社 | 有機エレクトロルミネッセンス素子および表示装置 |
| BR0316948A (pt) | 2002-12-11 | 2005-10-18 | Lilly Co Eli | Composto, formulação farmacêutica, e, uso de um composto |
| JP4517673B2 (ja) | 2003-03-24 | 2010-08-04 | コニカミノルタホールディングス株式会社 | 有機エレクトロルミネッセンス素子、表示装置及び照明装置 |
| JP2005019374A (ja) | 2003-05-30 | 2005-01-20 | Tokyo Denki Univ | 携帯用電磁誘導加熱装置 |
| US7161185B2 (en) * | 2003-06-27 | 2007-01-09 | Semiconductor Energy Laboratory Co., Ltd. | Display device and electronic device |
| JP4396163B2 (ja) * | 2003-07-08 | 2010-01-13 | 株式会社デンソー | 有機el素子 |
| US6852429B1 (en) * | 2003-08-06 | 2005-02-08 | Canon Kabushiki Kaisha | Organic electroluminescent device based on pyrene derivatives |
| US7906224B2 (en) | 2003-08-21 | 2011-03-15 | Konica Minolta Holdings, Inc. | Organic electroluminescent device, display, and illuminating device |
| JP4020060B2 (ja) | 2003-08-29 | 2007-12-12 | 株式会社豊田自動織機 | 有機電界発光素子 |
| US7745988B2 (en) * | 2003-09-05 | 2010-06-29 | Ricoh Company, Limited | 3, 6-diphenylcarbazole compound and organic electroluminescent device |
| US6905788B2 (en) * | 2003-09-12 | 2005-06-14 | Eastman Kodak Company | Stabilized OLED device |
| JP4016144B2 (ja) | 2003-09-19 | 2007-12-05 | ソニー株式会社 | 有機発光素子およびその製造方法ならびに表示装置 |
| JP2005170911A (ja) | 2003-12-15 | 2005-06-30 | Idemitsu Kosan Co Ltd | 芳香族化合物およびそれを用いた有機エレクトロルミネッセンス素子 |
| KR100787425B1 (ko) | 2004-11-29 | 2007-12-26 | 삼성에스디아이 주식회사 | 페닐카바졸계 화합물 및 이를 이용한 유기 전계 발광 소자 |
| TWI327563B (en) | 2004-05-24 | 2010-07-21 | Au Optronics Corp | Anthracene compound and organic electroluminescent device including the anthracene compound |
| US7348116B2 (en) * | 2004-09-03 | 2008-03-25 | Samsung Electronics, Ltd | Aromatic heterocyclic-based charge transport materials having two amino groups |
| KR20120082938A (ko) | 2004-12-24 | 2012-07-24 | 미쓰비시 가가꾸 가부시키가이샤 | 유기 화합물, 전하 수송 물질 및 유기 전계발광 소자 |
| WO2006090772A1 (ja) * | 2005-02-25 | 2006-08-31 | Toray Industries, Inc. | 発光素子材料および発光素子 |
| US7649197B2 (en) | 2005-03-23 | 2010-01-19 | Semiconductor Energy Laboratory Co., Ltd. | Composite material, and light emitting element and light emitting device using the composite material |
| EP1866984B1 (en) * | 2005-03-23 | 2017-08-30 | Semiconductor Energy Laboratory Co., Ltd. | Composite material, light emitting element and light emitting device |
| CN101184732B (zh) * | 2005-03-28 | 2012-05-16 | 株式会社半导体能源研究所 | 蒽衍生物、发光元件用材料、发光元件、发光装置和电子器件 |
| US7879464B2 (en) | 2005-07-27 | 2011-02-01 | Semiconductor Energy Laboratory Co., Ltd. | Anthracene derivative, material for light emitting element, light emitting element, light emitting device, and electronic appliance |
| WO2007026626A1 (en) | 2005-08-31 | 2007-03-08 | Semiconductor Energy Laboratory Co., Ltd. | Carbazole derivative, material for light emitting element, light emitting element, light emitting device, and electronic device |
| JP5041767B2 (ja) * | 2005-08-31 | 2012-10-03 | 株式会社半導体エネルギー研究所 | カルバゾール誘導体、発光素子用材料、発光素子、発光装置及び電子機器 |
| EP1928828B1 (en) | 2005-09-02 | 2012-03-14 | Semiconductor Energy Laboratory Co., Ltd. | Anthracene derivative |
| JP2007131722A (ja) | 2005-11-10 | 2007-05-31 | Toray Ind Inc | 発光素子材料および発光素子 |
| US20070215889A1 (en) | 2006-03-20 | 2007-09-20 | Semiconductor Energy Laboratory Co., Ltd. | Aromatic amine compound, and light-emitting element, light-emitting device, and electronic appliance using the aromatic amine compound |
| WO2008026614A1 (en) | 2006-08-30 | 2008-03-06 | Semiconductor Energy Laboratory Co., Ltd. | Method for synthesizing anthracene derivative and anthracene derivative, light emitting element, light emitting device, electronic device |
| US7723722B2 (en) | 2007-03-23 | 2010-05-25 | Semiconductor Energy Laboratory Co., Ltd. | Organic compound, anthracene derivative, and light-emitting element, light-emitting device, and electronic device using anthracene derivative |
| CN101200634B (zh) | 2007-11-06 | 2011-07-06 | 华南理工大学 | 可溶性树枝取代的蒽分子蓝光材料及其制备方法与应用 |
| WO2010005066A1 (en) | 2008-07-08 | 2010-01-14 | Semiconductor Energy Laboratory Co., Ltd. | Carbazole derivative, light-emitting element material, light-emitting element, and light-emitting device |
| EP2166001B1 (en) | 2008-09-19 | 2011-07-20 | Semiconductor Energy Laboratory Co., Ltd. | Carbazole Derivative and Method for Producing the Same |
-
2006
- 2006-03-24 CN CN2006800188014A patent/CN101184732B/zh active Active
- 2006-03-24 US US11/576,934 patent/US8039122B2/en not_active Expired - Fee Related
- 2006-03-24 EP EP20060730723 patent/EP1896413B1/en not_active Not-in-force
- 2006-03-24 CN CN201210059430.1A patent/CN102629666B/zh active Active
- 2006-03-24 KR KR1020077024400A patent/KR101356093B1/ko not_active Expired - Fee Related
- 2006-03-24 EP EP12001732.2A patent/EP2479814B1/en not_active Not-in-force
- 2006-03-24 WO PCT/JP2006/306775 patent/WO2006104221A1/en not_active Ceased
-
2011
- 2011-09-21 US US13/238,057 patent/US8298687B2/en not_active Expired - Fee Related
-
2012
- 2012-05-15 JP JP2012111554A patent/JP5453486B2/ja not_active Expired - Fee Related
- 2012-09-11 US US13/609,956 patent/US8603647B2/en not_active Expired - Fee Related
-
2013
- 2013-08-28 JP JP2013176434A patent/JP2014012707A/ja not_active Withdrawn
-
2015
- 2015-05-21 JP JP2015103815A patent/JP6144720B2/ja active Active
- 2015-05-21 JP JP2015103816A patent/JP6067780B2/ja not_active Expired - Fee Related
-
2017
- 2017-02-22 JP JP2017030722A patent/JP6378378B2/ja not_active Expired - Fee Related
Patent Citations (5)
| Publication number | Priority date | Publication date | Assignee | Title |
|---|---|---|---|---|
| WO2003087023A1 (en) * | 2002-04-17 | 2003-10-23 | Idemitsu Kosan Co., Ltd. | Novel aromatic compound and organic electroluminescnet element containing the same |
| CN1526689A (zh) * | 2003-01-02 | 2004-09-08 | ����Sdi��ʽ���� | 二苯基蒽衍生物及使用二苯基蒽衍生物的有机电致发光装置 |
| US20040161633A1 (en) * | 2003-02-19 | 2004-08-19 | Lg Electronics Inc. | Organic electroluminescent device |
| US20040161632A1 (en) * | 2003-02-19 | 2004-08-19 | Lg Electronics Inc. | Organic electroluminescent device and method for fabricating the same |
| CN1984897A (zh) * | 2004-05-21 | 2007-06-20 | 东丽株式会社 | 发光元件材料和发光元件 |
Non-Patent Citations (3)
| Title |
|---|
| JP特开2004-83513A 2004.03.18 |
| JP特开2004-87363A 2004.03.18 |
| JP特开2004-87396A 2004.03.18 |
Also Published As
| Publication number | Publication date |
|---|---|
| EP2479814A1 (en) | 2012-07-25 |
| JP6378378B2 (ja) | 2018-08-22 |
| JP2015178518A (ja) | 2015-10-08 |
| JP6067780B2 (ja) | 2017-01-25 |
| EP1896413A1 (en) | 2008-03-12 |
| WO2006104221A1 (en) | 2006-10-05 |
| KR101356093B1 (ko) | 2014-01-27 |
| US8603647B2 (en) | 2013-12-10 |
| JP2017101062A (ja) | 2017-06-08 |
| JP5453486B2 (ja) | 2014-03-26 |
| EP1896413A4 (en) | 2010-02-24 |
| CN102629666A (zh) | 2012-08-08 |
| CN101184732A (zh) | 2008-05-21 |
| US20120007066A1 (en) | 2012-01-12 |
| US8298687B2 (en) | 2012-10-30 |
| EP1896413B1 (en) | 2015-04-22 |
| US20090015140A1 (en) | 2009-01-15 |
| US8039122B2 (en) | 2011-10-18 |
| EP2479814B1 (en) | 2015-07-22 |
| US20130005067A1 (en) | 2013-01-03 |
| JP2014012707A (ja) | 2014-01-23 |
| JP2015188097A (ja) | 2015-10-29 |
| CN102629666B (zh) | 2015-08-19 |
| JP6144720B2 (ja) | 2017-06-07 |
| KR20080004508A (ko) | 2008-01-09 |
| JP2012199564A (ja) | 2012-10-18 |
Similar Documents
| Publication | Publication Date | Title |
|---|---|---|
| CN101184732B (zh) | 蒽衍生物、发光元件用材料、发光元件、发光装置和电子器件 | |
| CN103641726B (zh) | 螺芴衍生物,发光元件用材料,发光元件,发光设备和电子设备 | |
| US7879464B2 (en) | Anthracene derivative, material for light emitting element, light emitting element, light emitting device, and electronic appliance | |
| JP2007039431A (ja) | アントラセン誘導体、発光素子用材料、発光素子、発光装置及び電子機器 | |
| JP2020026406A (ja) | 有機化合物、有機発光素子、表示装置、撮像装置、電子機器、照明装置及び移動体 | |
| KR101359412B1 (ko) | 카르바졸 유도체, 발광소자용 재료, 발광소자, 발광 장치 및 전자기기 | |
| JP5041752B2 (ja) | アントラセン誘導体、発光素子用材料、発光素子、発光装置及び電子機器 | |
| JP5041767B2 (ja) | カルバゾール誘導体、発光素子用材料、発光素子、発光装置及び電子機器 | |
| JP2020055780A (ja) | 有機化合物及び有機発光素子 |
Legal Events
| Date | Code | Title | Description |
|---|---|---|---|
| C06 | Publication | ||
| PB01 | Publication | ||
| C10 | Entry into substantive examination | ||
| SE01 | Entry into force of request for substantive examination | ||
| C14 | Grant of patent or utility model | ||
| GR01 | Patent grant |













































