CN100368363C - 蒽化合物以及包括此蒽化合物的有机电致发光装置 - Google Patents
蒽化合物以及包括此蒽化合物的有机电致发光装置 Download PDFInfo
- Publication number
- CN100368363C CN100368363C CNB2004100452414A CN200410045241A CN100368363C CN 100368363 C CN100368363 C CN 100368363C CN B2004100452414 A CNB2004100452414 A CN B2004100452414A CN 200410045241 A CN200410045241 A CN 200410045241A CN 100368363 C CN100368363 C CN 100368363C
- Authority
- CN
- China
- Prior art keywords
- unsubstituted
- anthracene compound
- compound
- electroluminescent device
- carbons
- Prior art date
- Legal status (The legal status is an assumption and is not a legal conclusion. Google has not performed a legal analysis and makes no representation as to the accuracy of the status listed.)
- Expired - Lifetime
Links
Images
Landscapes
- Organic Low-Molecular-Weight Compounds And Preparation Thereof (AREA)
Abstract
本发明提供一种蒽化合物,具有化学式(Ⅰ)或(Ⅱ)其中每个R1,R2,R3,R4,R5和R6独立地为碳数6至20的无取代或有取代的芳香基,碳数2至20的无取代或有取代的杂芳香基,或碳数1至12的无取代或有取代的烷基,其中取代基为C1-10烷基,C1-10烷氧基,或卤素。
Description
技术领域
本发明涉及一种用于有机电致发光装置的蒽(anthracene)化合物,特别有关于一种蒽化合物,其可作为有机电致发光装置的发光层或空穴传输层。
背景技术
有机电致发光装置(organic electroluminescent device),亦称作有机发光二极管(organic light-emitting diode;OLED),是以有机层作为主动层的一种发光二极管(LED)。由于有机电致发光装置具有低电压操作、高亮度、重量轻、广视角、以及高对比值等优点,近年来已渐渐使用于平面面板显示器(flatpanel display)上。
一般而言,OLED包括对电极,以及在电极之间的发光层。发光是导因于以下的现象,当电场施加于两电极时,阴极射出电子到发光层,阳极射出空穴到发光层。当电子与空穴在发光层中结合时,能阶转移到价键能带(valence bond band),使它们释发出能量,而发出荧光(fluorescent light)。
蒽化合物(anthracene)已被用作空穴传输层和发光层的材料。例如,美国专利第6,465,115号中揭露一种作为空穴传输层的有机蒽物质,具有以下化学式:
其中Ar独立地为碳数5至20的有取代或无取代的芳香基。
在美国专利第5,759,444中揭露一种发光的蒽化合物,具有以下化学式:
其中A1至A4为碳数6至16的有取代或无取代的芳香基。在此蒽化合物中,在蒽环上的9和10位置上引进了双芳香氨基(diarylamino group)。可发现到双芳香氨基的加入,可以使此蒽发光材料具有空穴传输的特性。而且,加入双芳香氨基的取代基,一般认为可增加发光层与空穴传输层接口的稳定性,可以增加组件寿命。
发明内容
有鉴于此,本发明的目的即为提供一种新颖的蒽化合物(anthracene),其含有双芳香氨基(diarylamino group),双杂芳香氨基(diheteroarylaminogroup),或双烷氨基(dialkylamino group)。
本发明的另一目的为提供一种有机电致发光装置,其包括本发明的蒽化合物。本发明的蒽化合物可作为有机电致发光装置中的发光层或空穴传输层。
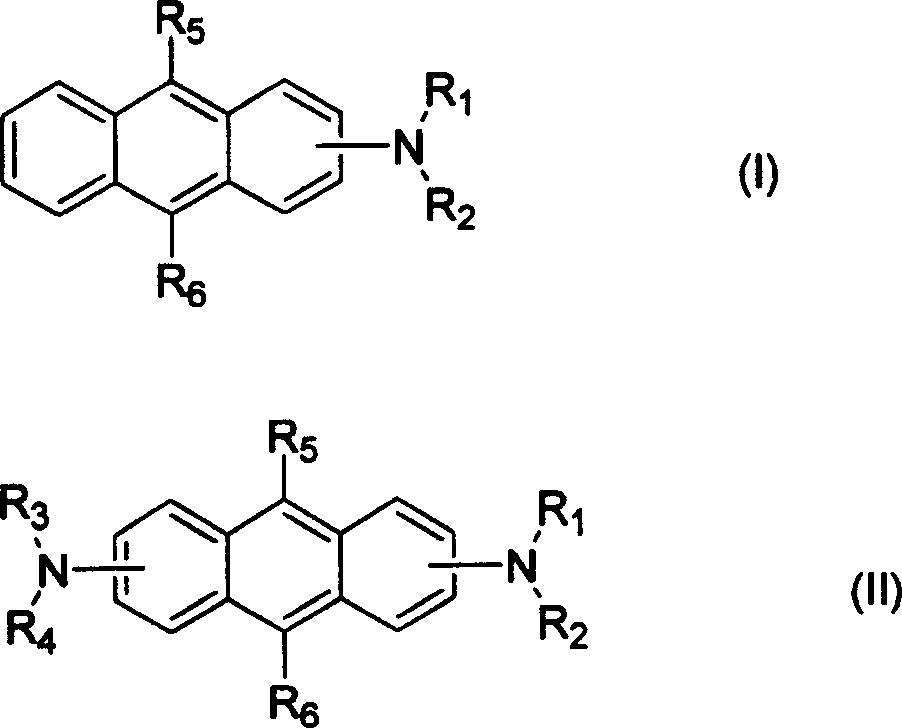
为达成本发明的目的,本发明的蒽化合物具有化学式(I)或(II)
其中每个R1,R2,R3,R4,R5和R6独立地为碳数6至20的无取代或有取代的芳香基,碳数2至20的无取代或有取代的杂芳香基,或碳数1至12的无取代或有取代的烷基,其中取代基为C1-10烷基,C1-10烷氧基,或卤素。
本发明的有机电致发光装置包括一对电极,以及在此对电极之间的有机发光介质层。此有机发光介质层包括上述具有化学式(I)或(II)的蒽化合物。
图式的简单说明
图1显示化合物(2)和(3)在不同波长下的光致发光(PL)强度的图形。
具体实施方式
本发明的特征为,在本发明的蒽化合物中,在蒽环的1至4位置中的一个位置上,或者5至8位置中的一个位置上引进至少一个双芳香氨基(diarylamino group),双杂芳香氨基(diheteroarylamino group),或双烷氨基(dialkylamino group),作为取代基。
详而言之,在蒽环的1至4位置中的一个位置上引进一个双芳香氨基(diarylamino group),双杂芳香氨基(diheteroarylamino group),或双烷氨基(dialkylamino group)作为取代基。于是,本发明的蒽化合物具有化学式(I)
其中每个R1,R2,R5和R6独立地为碳数6至20的无取代或有取代的芳香基,碳数2至20的无取代或有取代的杂芳香基,或碳数1至12的无取代或有取代的烷基,其中取代基为C1-10烷基,C1-10烷氧基,或卤素。
可将双芳香氨基,双杂芳香氨基,和双烷氨基的任意两者,引进于蒽环上。例如,1至4位置中的一个位置上引进一个上述氨基,5至8位置中的一个位置上引进一个上述氨基。于是,本发明的蒽环具有化学式(II)
其中每个R1,R2,R3,R4,R5和R6独立地为碳数6至20的无取代或有取代的芳香基,碳数2至20的无取代或有取代的杂芳香基,或碳数1至12的无取代或有取代的烷基,其中取代基为C1-10烷基,C1-10烷氧基,或卤素。
对于化学式(I)和(II)化合物中的每个R1至R6,无取代或有取代的芳香基的具体例子包括苯基,2-甲基苯基,3-甲基苯基,4-甲基苯基,4-乙基苯基,联苯基(biphenyl),4-甲基联苯基,4-乙基联苯基,4-环己基联苯基,联三苯基(terphenyl),3,5-二氯苯基,萘基(naphthyl),5-甲基萘基,蒽基(anthryl),和蒎基(pyrenyl)。
无取代或有取代的杂芳香基的具体例子包括呋喃基(furanyl),噻吩基(thiophenyl),吡咯基(pyrrolyl),吡喃基(pyranyl),噻喃基(thiopyranyl),吡啶基(pyridinyl),噻唑基(thiazolyl),咪唑基(imidazolyl),嘧啶基(pyrimidinyl),三嗪基(triazinyl),吲哚基(indolyl),喹啉基(quinolyl),嘌呤基(purinyl),和咔唑基(carbazolyl)。
无取代或有取代的烷基的具体例子包括甲基,乙基,丙基,丁基,sec-丁基,tert-丁基,戊基,己基,庚基,辛基,硬脂酰(stearyl),2-苯基异丙基(2-phenylisopropyl),三氯甲基,和三氟甲基。
当只有一个双芳香氨基(或双杂芳香氨基或双烷氨基)引进于蒽环的2位置上时,本发明的蒽化合物具有化学式(III)
其中R1,R2,R5,R6的定义同上。
当R1和R2为无取代或有取代的芳香基时,化学式(III)的具体例子包括
当一个双芳香氨基(或双杂芳香氨基或双烷氨基)引进于蒽环的2位置上,而另一个双芳香氨基(或双杂芳香氨基或双烷氨基)引进于蒽环的6位置上,则本发明的蒽化合物具有化学式(IV)
其中R1,R2,R3,R4,R5,R6的定义同上。
当R1至R4为无取代或有取代的芳香基时,化学式(IV)的具体例子包括
以下通过数个实施例以更进一步说明本发明的方法、特征及优点,但并非用来限制本发明的范围,本发明的范围应以所附的权利要求为准。
【实施例1】:
合成途径如下:
合成化合物(1)的方法
将蒽醌(anthraquinone)(1g,4.8mmol),溴苯(bromobenzene)(1.66g,10.6mmol),NaOtBu(1.1g,11.52mmol)和Pd(OAc)2(71mg,0.32mmol)的悬浮液,溶于50mL的无水甲苯中,经由注射器加入三-tert-丁基膦(tri-tert-butylphosphine)(257mg,1.28mmol)。加热反应混合物,回流(reflux)36小时。冷却后,加入50mL水,然后以乙酸乙酯萃取。以MgSO-4干燥后,以管柱层析法(column chromatography)纯化,得到化合物(1)(1.04g)。
合成化合物(2)的方法
将2-溴萘(2-bromonaphthalene)(2.3g,11mmol)溶于100mL THF中,将4.8mL的n-BuLi(11mmol,2.5M)于-78℃下慢慢加入溶液中。30分钟后,将溶于30mL THF内的化合物(1)(1.7g,4.7mmol)逐滴加入上述混合物中。使混合物回到室温。加入冷水(100mL),分离有机相。将水相以乙酸乙酯萃取。有机相以MgSO4干燥,然后以旋转式汽化器(rotary evaporator)除去溶剂。将KI(2.8g,17mmol),次磷酸钠单水合物(sodium hypophosphitemonohydrate)(3.8g,32mmol),和30mL乙酸加入粗产物中。加热混合物以回流2小时。冷却后,收集白色沈淀,然后以管柱层析法纯化,得到化合物(2)(2.5g)。
图1显示在不同波长下,化合物(2)和(3)的光致发光(photoluminescent)(PL)强度的图形。其显示化合物(2)的最大强度的波长为504nm,表示化合物(2)发绿光。
此外,测得化合物(2)的HOMO能阶为5.40eV,与NPB(一种作为空穴传输层的常用材料)的HOMO能阶(5.5eV)非常接近。因此,本发明的化合物(2)适合于作为空穴传输层。
【实施例2】:合成化合物(3)的方法
合成途径如下:
将2,4-二氟溴苯(2.5 g,13mmol)溶于100mL的THF中,然后将5.2mL的nBuLi(13mmol,2.5M)于-78℃下慢慢加入混合物中。30分钟后,将上述混合物于-78℃下逐滴加入溶于30mL THF内的化合物(1)(2.1g,5.8mmol)中。使混合物达到室温。加入冷水(100mL),分离有机相。将水相以乙酸乙酯萃取。有机相以MgSO4干燥,然后以旋转式汽化器除去溶剂。将KI(3.4g,20.5mmol),次磷酸钠单水合物(4.9g,41.2mmol),和30mL乙酸加入粗产物中。加热混合物以回流2小时。冷却后,收集白色沈淀,然后以管柱层析法纯化,得到化合物(3)(1.6g)。
图1显示在不同波长下,化合物(2)和(3)的光致发光(photoluminescent)(PL)强度的图形。其显示化合物(3)的最大强度的波长为513nm,表示化合物(3)发绿光。
此外,测得化合物(3)的HOMO能阶为5.85eV,与NPB(一种作为空穴传输层的常用材料)的HOMO能阶(5.5eV)非常接近。因此,本发明的化合物(3)适合于作为空穴传输层。
【实施例3】
合成途径如下:
合成化合物(4)的方法
将2,6-二胺基蒽醌(2,6-diaminoanthraquinone)(1.2g,5mmol),溴苯(bromobenzene)(3.5g,22mmol),NaOtBu(1.2g,12mmol)和Pd(OAc)2(149mg,0.66mmol)的悬浮液,溶于50mL的无水甲苯中,经由注射器加入三-tert-丁基膦(533mg,2.64mmol)。加热反应混合物,回流36小时。冷却后,加入50mL水,然后以乙酸乙酯萃取。以MgSO-4干燥后,以管柱层析法纯化,得到化合物(4)(1.1g)。
合成化合物(5)的方法
将2-溴萘(2-bromonphthalene)(2.3 g,11mmol)溶于100mL的THF中,然后将4.8mL的nBuLi(11mmol,2.5M)于-78℃下慢慢加入混合物中。30分钟后,将溶于30mL THF内的化合物(4)(2.7g,5mmol)逐滴加入上述混合物中。使混合物回到室温。加入冷水(100mL),分离有机相。将水相以乙酸乙酯萃取。有机相以MgSO4干燥,然后以旋转式汽化器除去溶剂。将KI(3.0g,18mmol),次磷酸钠单水合物(4.1g,34mmol),和30mL乙酸加入粗产物中。加热混合物以回流2小时。冷却后,收集白色沈淀,然后以管柱层析法纯化,得到化合物(5)(3.1g)。
虽然本发明已以优选实施例揭露如上,然其并非用以限制本发明,对于本领域普通技术人员来说,在不脱离本发明的构思和范围内,当可做更动与润饰,因此本发明的保护范围当以所附的权利要求书所界定者为准。
Claims (7)
7.如权利要求4所述的有机电致发光装置,其中,该有机发光介质层包括发光层和空穴传输层,该空穴传输层包括蒽化合物,其具有化学式(I)。
Priority Applications (1)
| Application Number | Priority Date | Filing Date | Title |
|---|---|---|---|
| CNB2004100452414A CN100368363C (zh) | 2004-06-04 | 2004-06-04 | 蒽化合物以及包括此蒽化合物的有机电致发光装置 |
Applications Claiming Priority (1)
| Application Number | Priority Date | Filing Date | Title |
|---|---|---|---|
| CNB2004100452414A CN100368363C (zh) | 2004-06-04 | 2004-06-04 | 蒽化合物以及包括此蒽化合物的有机电致发光装置 |
Publications (2)
| Publication Number | Publication Date |
|---|---|
| CN1583691A CN1583691A (zh) | 2005-02-23 |
| CN100368363C true CN100368363C (zh) | 2008-02-13 |
Family
ID=34601875
Family Applications (1)
| Application Number | Title | Priority Date | Filing Date |
|---|---|---|---|
| CNB2004100452414A Expired - Lifetime CN100368363C (zh) | 2004-06-04 | 2004-06-04 | 蒽化合物以及包括此蒽化合物的有机电致发光装置 |
Country Status (1)
| Country | Link |
|---|---|
| CN (1) | CN100368363C (zh) |
Families Citing this family (93)
| Publication number | Priority date | Publication date | Assignee | Title |
|---|---|---|---|---|
| US8766023B2 (en) | 2005-07-20 | 2014-07-01 | Lg Display Co., Ltd. | Synthesis process |
| CN101263616B (zh) * | 2005-07-25 | 2011-05-11 | 株式会社半导体能源研究所 | 发光元件,发光器件,和电子设备 |
| KR100788254B1 (ko) * | 2005-08-16 | 2007-12-27 | (주)그라쎌 | 녹색 발광 화합물 및 이를 발광재료로서 채용하고 있는발광소자 |
| US8298683B2 (en) * | 2005-09-15 | 2012-10-30 | Lg Chem, Ltd. | Organic compound and organic light emitting device using the same |
| US8647753B2 (en) | 2005-10-12 | 2014-02-11 | Lg Display Co., Ltd. | Organic electroluminescence device |
| KR20090105495A (ko) * | 2008-04-02 | 2009-10-07 | (주)그라쎌 | 신규한 유기 발광 화합물 및 이를 발광재료로서 채용하고있는 유기 전기 발광 소자 |
| US8877356B2 (en) * | 2009-07-22 | 2014-11-04 | Global Oled Technology Llc | OLED device with stabilized yellow light-emitting layer |
| EP2462203B1 (en) | 2009-08-04 | 2016-03-02 | Merck Patent GmbH | Electronic devices comprising multi cyclic hydrocarbons |
| JP5897472B2 (ja) | 2009-12-22 | 2016-03-30 | メルク パテント ゲーエムベーハー | エレクトロルミネセンス機能性界面活性剤 |
| EP2517278B1 (en) | 2009-12-22 | 2019-07-17 | Merck Patent GmbH | Electroluminescent formulations |
| WO2011076323A1 (en) | 2009-12-22 | 2011-06-30 | Merck Patent Gmbh | Formulations comprising phase-separated functional materials |
| DE102010006280A1 (de) | 2010-01-30 | 2011-08-04 | Merck Patent GmbH, 64293 | Farbkonvertierung |
| US9373807B2 (en) | 2010-03-11 | 2016-06-21 | Merck Patent Gmbh | Radiative fibers |
| WO2011110277A1 (en) | 2010-03-11 | 2011-09-15 | Merck Patent Gmbh | Fibers in therapy and cosmetics |
| EP2576723B1 (en) | 2010-05-27 | 2017-09-20 | Merck Patent GmbH | Compositions comprising quantum dots |
| WO2011147521A1 (en) | 2010-05-27 | 2011-12-01 | Merck Patent Gmbh | Down conversion |
| JP2013539584A (ja) | 2010-07-26 | 2013-10-24 | メルク パテント ゲーエムベーハー | 量子ドットおよびホスト |
| US20130226268A1 (en) | 2010-07-26 | 2013-08-29 | Merck Patent Gmbh | Nanocrystals in devices |
| DE102010054525A1 (de) | 2010-12-15 | 2012-04-26 | Merck Patent Gmbh | Organische Elektrolumineszenzvorrichtung |
| DE102010055901A1 (de) | 2010-12-23 | 2012-06-28 | Merck Patent Gmbh | Organische Elektrolumineszenzvorrichtung |
| JP6351974B2 (ja) | 2011-02-14 | 2018-07-04 | メルク パテント ゲーエムベーハー | 細胞および細胞組織の処置のためのデバイスおよび方法 |
| WO2012126566A1 (en) | 2011-03-24 | 2012-09-27 | Merck Patent Gmbh | Organic ionic functional materials |
| JP6223961B2 (ja) | 2011-05-12 | 2017-11-01 | メルク パテント ゲーエムベーハー | 有機イオン性機能材料、組成物および電子素子 |
| WO2013013754A1 (en) | 2011-07-25 | 2013-01-31 | Merck Patent Gmbh | Copolymers with functionalized side chains |
| KR20140123555A (ko) | 2012-01-30 | 2014-10-22 | 메르크 파텐트 게엠베하 | 파이버 상의 나노결정 |
| JP6567519B2 (ja) | 2013-07-29 | 2019-08-28 | メルク、パテント、ゲゼルシャフト、ミット、ベシュレンクテル、ハフツングMerck Patent GmbH | エレクトロルミネッセンス素子 |
| EP3028318A1 (de) | 2013-07-29 | 2016-06-08 | Merck Patent GmbH | Elektrooptische vorrichtung und deren verwendung |
| WO2015091716A1 (en) | 2013-12-20 | 2015-06-25 | Basf Se | Highly efficient oled devices with very short decay times |
| EP3189551B1 (de) | 2014-09-05 | 2021-01-27 | Merck Patent GmbH | Formulierungen und verfahren zur herstellung einer organischen elektrolumineszenzvorrichtung |
| WO2016086885A1 (zh) | 2014-12-04 | 2016-06-09 | 广州华睿光电材料有限公司 | 氘化的有机化合物、包含该化合物的混合物、组合物及有机电子器件 |
| EP3229288B1 (en) | 2014-12-04 | 2019-05-01 | Guangzhou Chinaray Optoelectronic Materials Ltd. | Polymer, and mixture, formulation and organic electronic device containing the same, and monomer thereof |
| US10510967B2 (en) | 2014-12-11 | 2019-12-17 | Guangzhou Chinaray Optoelectronic Materials Ltd. | Organic compound, and mixture, formulation and organic device comprising the same |
| CN107001336A (zh) | 2014-12-11 | 2017-08-01 | 广州华睿光电材料有限公司 | 一种有机金属配合物、包含其的聚合物、混合物、组合物、有机电子器件及应用 |
| WO2016107663A1 (de) | 2014-12-30 | 2016-07-07 | Merck Patent Gmbh | Formulierungen und elektronische vorrichtungen |
| CN107108862B (zh) | 2015-01-13 | 2019-08-02 | 广州华睿光电材料有限公司 | 含乙炔基交联基团的共轭聚合物、包含其的混合物、组合物、有机电子器件及其应用 |
| WO2016155866A1 (en) | 2015-03-30 | 2016-10-06 | Merck Patent Gmbh | Formulation of an organic functional material comprising a siloxane solvent |
| EP4060757A1 (en) | 2015-06-03 | 2022-09-21 | UDC Ireland Limited | Highly efficient oled devices with very short decay times |
| KR102654992B1 (ko) | 2015-06-12 | 2024-04-04 | 메르크 파텐트 게엠베하 | Oled 제제에 대한 용매로서 비-방향족 사이클을 함유하는 에스테르 |
| EP3341981B1 (en) | 2015-08-28 | 2020-08-19 | Merck Patent GmbH | Formulation of an organic functional material comprising an epoxy group containing solvent |
| CN108291103B (zh) | 2015-11-12 | 2021-12-07 | 广州华睿光电材料有限公司 | 印刷组合物、包含其的电子器件及功能材料薄膜的制备方法 |
| CN108368361A (zh) | 2015-12-10 | 2018-08-03 | 默克专利有限公司 | 含有包含非芳族环的酮的制剂 |
| JP7051684B2 (ja) | 2015-12-15 | 2022-04-11 | メルク パテント ゲーエムベーハー | 有機電子調合物のための溶媒として芳香族基を含むエステル |
| KR20180095028A (ko) | 2015-12-16 | 2018-08-24 | 메르크 파텐트 게엠베하 | 둘 이상의 상이한 용매의 혼합물을 함유하는 제형 |
| EP3390549B1 (en) | 2015-12-16 | 2022-06-29 | Merck Patent GmbH | Formulations containing a solid solvent |
| CN106892824B (zh) * | 2015-12-19 | 2020-07-14 | 西安瑞联新材料股份有限公司 | 一种基于芳胺取代的蒽类衍生物oled材料制备方法 |
| US10840448B2 (en) | 2016-02-17 | 2020-11-17 | Merck Patent Gmbh | Formulation of an organic functional material |
| DE102016003104A1 (de) | 2016-03-15 | 2017-09-21 | Merck Patent Gmbh | Behälter umfassend eine Formulierung enthaltend mindestens einen organischen Halbleiter |
| CN109153871A (zh) | 2016-06-16 | 2019-01-04 | 默克专利有限公司 | 有机功能材料的制剂 |
| JP2019523998A (ja) | 2016-06-17 | 2019-08-29 | メルク パテント ゲーエムベーハー | 有機機能材料の調合物 |
| TW201815998A (zh) | 2016-06-28 | 2018-05-01 | 德商麥克專利有限公司 | 有機功能材料之調配物 |
| WO2018024719A1 (en) | 2016-08-04 | 2018-02-08 | Merck Patent Gmbh | Formulation of an organic functional material |
| CN109863223B (zh) | 2016-10-31 | 2023-06-20 | 默克专利有限公司 | 有机功能材料的制剂 |
| JP7013459B2 (ja) | 2016-10-31 | 2022-01-31 | メルク パテント ゲーエムベーハー | 有機機能材料の調合物 |
| US20190378991A1 (en) | 2016-11-23 | 2019-12-12 | Guangzhou Chinaray Optoelectronic Materials Ltd. | Organic mixture, composition, and organic electronic component |
| US11518723B2 (en) | 2016-11-23 | 2022-12-06 | Guangzhou Chinaray Optoelectronic Materials Ltd. | Fused ring compound, high polymer, mixture, composition and organic electronic component |
| WO2018095389A1 (zh) | 2016-11-23 | 2018-05-31 | 广州华睿光电材料有限公司 | 含氮稠杂环的化合物及其应用 |
| CN109790194B (zh) | 2016-11-23 | 2021-07-23 | 广州华睿光电材料有限公司 | 金属有机配合物、高聚物、组合物及有机电子器件 |
| US11512039B2 (en) | 2016-11-23 | 2022-11-29 | Guangzhou Chinaray Optoelectronic Materials Ltd. | Aromatic amine derivatives, preparation methods therefor, and uses thereof |
| CN109790407B (zh) | 2016-11-23 | 2021-12-07 | 广州华睿光电材料有限公司 | 印刷油墨组合物及其制备方法和用途 |
| WO2018095395A1 (zh) | 2016-11-23 | 2018-05-31 | 广州华睿光电材料有限公司 | 高聚物、包含其的混合物、组合物和有机电子器件以及用于聚合的单体 |
| KR102472751B1 (ko) | 2016-12-06 | 2022-11-30 | 메르크 파텐트 게엠베하 | 전자 디바이스의 제조 방법 |
| EP3553152B1 (en) | 2016-12-08 | 2021-02-17 | Guangzhou Chinaray Optoelectronic Materials Ltd. | Mixture, composition and organic electronic device |
| US11672174B2 (en) | 2016-12-08 | 2023-06-06 | Guangzhou Chinaray Optoelectronic Materials Ltd. | Pyrene-triazine derivative and applications thereof in organic electronic component |
| CN110168047B (zh) | 2016-12-13 | 2023-08-08 | 默克专利有限公司 | 有机功能材料的制剂 |
| CN109790118A (zh) | 2016-12-13 | 2019-05-21 | 广州华睿光电材料有限公司 | 共轭聚合物及其在有机电子器件的应用 |
| KR102504432B1 (ko) | 2016-12-22 | 2023-02-27 | 메르크 파텐트 게엠베하 | 적어도 2종의 유기-기능성 화합물을 포함하는 혼합물 |
| US11289654B2 (en) | 2016-12-22 | 2022-03-29 | Guangzhou Chinaray Optoelectronic Materials Ltd. | Polymers containing furanyl crosslinkable groups and uses thereof |
| CN109792003B (zh) | 2016-12-22 | 2020-10-16 | 广州华睿光电材料有限公司 | 基于狄尔斯-阿尔德反应的可交联聚合物及其在有机电子器件中的应用 |
| TWI763772B (zh) | 2017-01-30 | 2022-05-11 | 德商麥克專利有限公司 | 電子裝置之有機元件的形成方法 |
| TWI791481B (zh) | 2017-01-30 | 2023-02-11 | 德商麥克專利有限公司 | 形成有機電致發光(el)元件之方法 |
| JP7123967B2 (ja) | 2017-03-31 | 2022-08-23 | メルク パテント ゲーエムベーハー | 有機発光ダイオード(oled)のための印刷方法 |
| CN110494514A (zh) | 2017-04-10 | 2019-11-22 | 默克专利有限公司 | 有机功能材料的制剂 |
| JP7330898B2 (ja) | 2017-05-03 | 2023-08-22 | メルク パテント ゲーエムベーハー | 有機機能材料の調合物 |
| WO2019016184A1 (en) | 2017-07-18 | 2019-01-24 | Merck Patent Gmbh | FORMULATION OF AN ORGANIC FUNCTIONAL MATERIAL |
| CN111418081B (zh) | 2017-12-15 | 2024-09-13 | 默克专利有限公司 | 有机功能材料的制剂 |
| JP7247231B2 (ja) | 2018-02-26 | 2023-03-28 | メルク パテント ゲーエムベーハー | 有機機能材料の調合物 |
| EP3807367B1 (en) | 2018-06-15 | 2023-07-19 | Merck Patent GmbH | Formulation of an organic functional material |
| KR20210056432A (ko) | 2018-09-24 | 2021-05-18 | 메르크 파텐트 게엠베하 | 과립형 재료의 제조 방법 |
| WO2020094538A1 (en) | 2018-11-06 | 2020-05-14 | Merck Patent Gmbh | Method for forming an organic element of an electronic device |
| EP4139971A1 (en) | 2020-04-21 | 2023-03-01 | Merck Patent GmbH | Emulsions comprising organic functional materials |
| WO2021213918A1 (en) | 2020-04-21 | 2021-10-28 | Merck Patent Gmbh | Formulation of an organic functional material |
| WO2021259824A1 (de) | 2020-06-23 | 2021-12-30 | Merck Patent Gmbh | Verfahren zur herstellung einer mischung |
| EP4231064A4 (en) | 2020-10-14 | 2024-10-30 | Zhejiang Brilliant Optoelectronic Technology Co., Ltd. | COMPOSITIONS AND USE THEREOF IN A PHOTOELECTRIC FIELD |
| CN116391007A (zh) | 2020-10-14 | 2023-07-04 | 浙江光昊光电科技有限公司 | 有机化合物及其在光电领域的应用 |
| WO2022122607A1 (en) | 2020-12-08 | 2022-06-16 | Merck Patent Gmbh | An ink system and a method for inkjet printing |
| CN112552142B (zh) * | 2020-12-16 | 2024-05-31 | 广东聚华印刷显示技术有限公司 | 一种有机物及其制备方法和应用 |
| WO2022223675A1 (en) | 2021-04-23 | 2022-10-27 | Merck Patent Gmbh | Formulation of an organic functional material |
| CN117355364A (zh) | 2021-05-21 | 2024-01-05 | 默克专利有限公司 | 用于连续纯化至少一种功能材料的方法和用于连续纯化至少一种功能材料的装置 |
| CN117730638A (zh) | 2021-08-02 | 2024-03-19 | 默克专利有限公司 | 通过组合油墨进行的印刷方法 |
| TW202349760A (zh) | 2021-10-05 | 2023-12-16 | 德商麥克專利有限公司 | 電子裝置之有機元件的形成方法 |
| TW202411366A (zh) | 2022-06-07 | 2024-03-16 | 德商麥克專利有限公司 | 藉由組合油墨來印刷電子裝置功能層之方法 |
| TW202440819A (zh) | 2022-12-16 | 2024-10-16 | 德商麥克專利有限公司 | 有機功能性材料之調配物 |
| WO2025032039A1 (en) | 2023-08-07 | 2025-02-13 | Merck Patent Gmbh | Process for the preparation of an electronic device |
Citations (2)
| Publication number | Priority date | Publication date | Assignee | Title |
|---|---|---|---|---|
| JP2004095850A (ja) * | 2002-08-30 | 2004-03-25 | Mitsubishi Chemicals Corp | 有機トランジスタ |
| JP2004091334A (ja) * | 2002-08-29 | 2004-03-25 | Mitsubishi Chemicals Corp | 2,6−アリールアミノアントラセン系化合物、電荷輸送材料及び有機電界発光素子 |
-
2004
- 2004-06-04 CN CNB2004100452414A patent/CN100368363C/zh not_active Expired - Lifetime
Patent Citations (2)
| Publication number | Priority date | Publication date | Assignee | Title |
|---|---|---|---|---|
| JP2004091334A (ja) * | 2002-08-29 | 2004-03-25 | Mitsubishi Chemicals Corp | 2,6−アリールアミノアントラセン系化合物、電荷輸送材料及び有機電界発光素子 |
| JP2004095850A (ja) * | 2002-08-30 | 2004-03-25 | Mitsubishi Chemicals Corp | 有機トランジスタ |
Also Published As
| Publication number | Publication date |
|---|---|
| CN1583691A (zh) | 2005-02-23 |
Similar Documents
| Publication | Publication Date | Title |
|---|---|---|
| CN100368363C (zh) | 蒽化合物以及包括此蒽化合物的有机电致发光装置 | |
| US7252894B2 (en) | Anthracene compound for organic electroluminescent device | |
| JP5414190B2 (ja) | 有機発光素子 | |
| KR101143789B1 (ko) | 신규한 축합환 방향족 화합물 및 이것을 구비한 유기 발광 소자 | |
| JP5366505B2 (ja) | インデノピレン化合物及びこれを用いた有機発光素子 | |
| CN101541714B (zh) | 稠环芳族化合物和使用该化合物的有机发光器件 | |
| TWI290582B (en) | Anthracene compound and organic electroluminescent device including the anthracene compound | |
| KR101861263B1 (ko) | 안트라센 유도체 및 이를 포함하는 유기전계발광소자. | |
| KR101285457B1 (ko) | 융합 다환 화합물 및 상기 화합물을 갖는 유기 발광 소자 | |
| JP2007308477A (ja) | 化合物および有機発光素子 | |
| JP2007314511A (ja) | 化合物および有機発光素子 | |
| CN101126020A (zh) | 一类基于1,3,6,8-四芳基-9-烷基取代咔唑衍生物及在发光二极管中的应用 | |
| JP2007297302A (ja) | 有機化合物および有機発光素子 | |
| KR20160040826A (ko) | 새로운 유기전계발광소자용 화합물 및 그를 포함하는 유기전계발광소자 | |
| JP5700952B2 (ja) | 新規有機化合物およびそれを有する有機発光素子 | |
| KR101554693B1 (ko) | 트리플 또는 멀티플 코어 구조를 포함하는 유기발광 소자용 화합물 및 이를 채용한 유기발광 소자 | |
| CN102574871A (zh) | 新颖的有机电致发光化合物和使用该化合物的有机电致发光器件 | |
| JP5116347B2 (ja) | ビフェニル誘導体及びそれを使用した有機発光素子 | |
| CN105473685A (zh) | 用于有机电致发光器件的化合物及含有该化合物的有机电致发光器件 | |
| CN105601557B (zh) | 含蒽类化合物、其制备方法及其应用、有机发光器件 | |
| JP5110922B2 (ja) | 非対称型フルオレン化合物及びそれを用いた有機発光素子 | |
| CN101558030B (zh) | 有机发光器件用稠环芳族化合物和具有其的有机发光器件 | |
| CN1587268A (zh) | 蒽化合物以及包含此蒽化合物的有机电致发光装置 |
Legal Events
| Date | Code | Title | Description |
|---|---|---|---|
| C06 | Publication | ||
| PB01 | Publication | ||
| C10 | Entry into substantive examination | ||
| SE01 | Entry into force of request for substantive examination | ||
| C14 | Grant of patent or utility model | ||
| GR01 | Patent grant | ||
| TR01 | Transfer of patent right |
Effective date of registration: 20240131 Address after: 825 Watercreek Avenue, Allen, Texas, USA, Unit 250 Patentee after: Optoelectronic Science Co.,Ltd. Country or region after: U.S.A. Address before: Hsinchu City, Taiwan, China Patentee before: AU OPTRONICS Corp. Country or region before: China |
|
| TR01 | Transfer of patent right | ||
| CX01 | Expiry of patent term |
Granted publication date: 20080213 |
|
| CX01 | Expiry of patent term |















