WO2025128415A1 - A laundry detergent composition - Google Patents
A laundry detergent composition Download PDFInfo
- Publication number
- WO2025128415A1 WO2025128415A1 PCT/US2024/058811 US2024058811W WO2025128415A1 WO 2025128415 A1 WO2025128415 A1 WO 2025128415A1 US 2024058811 W US2024058811 W US 2024058811W WO 2025128415 A1 WO2025128415 A1 WO 2025128415A1
- Authority
- WO
- WIPO (PCT)
- Prior art keywords
- alkyl
- acid
- composition
- polymers
- ethylenediamine
- Prior art date
- Legal status (The legal status is an assumption and is not a legal conclusion. Google has not performed a legal analysis and makes no representation as to the accuracy of the status listed.)
- Pending
Links
Classifications
-
- C—CHEMISTRY; METALLURGY
- C11—ANIMAL OR VEGETABLE OILS, FATS, FATTY SUBSTANCES OR WAXES; FATTY ACIDS THEREFROM; DETERGENTS; CANDLES
- C11D—DETERGENT COMPOSITIONS; USE OF SINGLE SUBSTANCES AS DETERGENTS; SOAP OR SOAP-MAKING; RESIN SOAPS; RECOVERY OF GLYCEROL
- C11D3/00—Other compounding ingredients of detergent compositions covered in group C11D1/00
- C11D3/16—Organic compounds
- C11D3/37—Polymers
- C11D3/3703—Macromolecular compounds obtained otherwise than by reactions only involving carbon-to-carbon unsaturated bonds
- C11D3/3707—Polyethers, e.g. polyalkyleneoxides
-
- C—CHEMISTRY; METALLURGY
- C11—ANIMAL OR VEGETABLE OILS, FATS, FATTY SUBSTANCES OR WAXES; FATTY ACIDS THEREFROM; DETERGENTS; CANDLES
- C11D—DETERGENT COMPOSITIONS; USE OF SINGLE SUBSTANCES AS DETERGENTS; SOAP OR SOAP-MAKING; RESIN SOAPS; RECOVERY OF GLYCEROL
- C11D3/00—Other compounding ingredients of detergent compositions covered in group C11D1/00
- C11D3/16—Organic compounds
- C11D3/37—Polymers
- C11D3/3703—Macromolecular compounds obtained otherwise than by reactions only involving carbon-to-carbon unsaturated bonds
- C11D3/3723—Polyamines or polyalkyleneimines
-
- C—CHEMISTRY; METALLURGY
- C11—ANIMAL OR VEGETABLE OILS, FATS, FATTY SUBSTANCES OR WAXES; FATTY ACIDS THEREFROM; DETERGENTS; CANDLES
- C11D—DETERGENT COMPOSITIONS; USE OF SINGLE SUBSTANCES AS DETERGENTS; SOAP OR SOAP-MAKING; RESIN SOAPS; RECOVERY OF GLYCEROL
- C11D3/00—Other compounding ingredients of detergent compositions covered in group C11D1/00
- C11D3/0005—Other compounding ingredients characterised by their effect
- C11D3/0036—Soil deposition preventing compositions; Antiredeposition agents
Definitions
- This invention relates to a laundry detergent composition
- a laundry detergent composition comprising a specific propoxylated ethylenediamine and a detersive surfactant.
- the specific propoxylated ethylenediamines show good biodegradability and deliver good whiteness maintenance benefit in a laundry detergent composition.
- Laundry detergent formulators are continuously faced with the task of developing more sustainable products to remove a broad spectrum of soils and stains from fabrics surfaces, and to maintain whiteness of white garments (whiteness maintenance).
- Alkoxylated linear oligoamines are known to provide grease and sebum cleaning performane when incorporated into laundry detergents.
- the inventors have found that very specific propoxylated ethylenediamines show good biodegradability and good whiteness maintenance benefit when incorporated into a laundry detergent composition that additionally comprises a detersive surfactant. These specific propoxylated ethylenediamines exhibit an optimum balance between biodegradability and whiteness maintenance performance.
- the present invention provides a laundry detergent composition
- a laundry detergent composition comprising: (a) a propoxylated ethylenediamine, wherein at least one of the NH-functionalities of ethylenediamine (EDA) is propoxylated, and wherein the propoxylated ethylenediamine comprises on average from 28 to 52 propylene oxide (PO) units per mol EDA; and (b) a detersive surfactant.
- EDA ethylenediamine
- PO propylene oxide
- Laundry detergent composition of this invention can be in any form useful for washing clothes or other things made of cloth.
- Suitable laundry detergent compositions include laundry detergent powder compositions, laundry beads, laundry detergent liquid compositions, laundry detergent gel compositions, laundry sheets, and water-soluble unit dose laundry detergent compositions.
- the laundry detergent can be introduced into laundering process at different stages, including pretreat stage, main wash stage, and/or rinse stage. More details on representative laundry detergent compositions can be found later in this description.
- compound of the invention refers to propoxylated ethylenediamines / ethylenediamine propoxylates (which may be used interchangeably herein) prepared as described below and/or in the appended claims.
- any alkylene oxide is generically referred to as “AO”, ethylene oxide is sometimes referred to as “EO”, propylene oxide as “PO”; butylene oxide as “BuO”.
- EO ethylene oxide
- PO propylene oxide
- BuO butylene oxide
- PEO is used sometimes herein to describe polyethylene oxide homopolymers or PEO-blocks within a larger polymer structure; likewise, “PPO” describes the polypropylene oxide homopolymers or polymer-blocks within a larger polymer structure.
- Laundry detergent composition of this invention comprises a propoxylated ethylenediamine, wherein at least one of the NH-functionalities of ethylenediamine (EDA) is propoxylated, and wherein the propoxylated ethylenediamine comprises on average from 28 to 52 propylene oxide (PO) units per mol EDA.
- EDA ethylenediamine
- Ethylenediamine or EDA refers to a compound of formula below:
- EDA Ethane- 1,2-diamine
- Edamine Edamine
- 1,2-Diaminoethane IUPAC name
- NH-functionality is defined as follows: A primary amino group (-NH2) has two NH-functionalities, a secondary amino group (-NH-) only one NH-functionality, and a tertiary amino group, by consequence, has no reactive NH-functionality. Thus, before being modified the ethylenediamine has four NH- functionalities.
- the compounds of the invention have at least one, preferably from two to four, more preferably three to four, most preferably four NH-functionalities of the EDA being propoxylated.
- the propoxylation reaction of EDA form from one to four polypropylene oxide (PPO) chains (solely made up from propylene oxides) directly attached to nitrogen atom of the NH-functionality of the EDA.
- PPO polypropylene oxide
- Each PPO chain can be considered as a side chain or branch, therefore, the propoxylated ethylenediamine of the invention comprise at least one side chain, preferably two to four, more preferably three to four, most preferably four side chains.
- the propoxylated ethylenediamine comprises on average from 28 to 52 propylene oxide (PO) units per mol EDA, this means each side chain possesses on average 7 to 13 PO units.
- the reactions leading to the inventive compounds are statistical reactions, meaning there is never just one chemically exactly defined compound present, but an inventive propoxylated ethylenediamine always is a mixture of slightly deviating structures, all stemming from the same reaction within one reaction space; the difference of those structures clearly stemming from the facts that no reaction proceeds in exactly the same way and the same speed on all functional units, especially as the chemical reactivities of the functional units - here mainly those of the -NH groups, differs according to their environment, meaning that a primary amine group reacts differently than a secondary amine, and also the chemical environment of the groups may be different; this leads in an overall view to slightly deviating structures being present, and thus any compound of this invention being defined as in the various embodiments and exemplified in the examples never is just one chemical compound, but always a mixture of slightly deviating compounds, having a statistical distribution.
- defining a propoxylated ethylenediamine of the invention by a prototypical member is a viable way of defining the structure.
- defining the composition of the side chains by average numbers is a useful way of defining the overall composition of any mixture herein defined as “a propoxylated ethylenediamine of the invention”.
- the values, ranges and ratios given in the specification for the number of NH-functionalities and the molecular weight (Mn) relate to the number average values in heterogenic mixture of the synthesized propoxylated ethylenediamines containing individual, slightly from each other deviating chemical structures that result from the preparation method of the present invention.
- the weight-average molecular weight (Mw) is then a measure for the (in)homogeneity within the mixture of different species in “the propoxylated ethylenediamines”.
- average number of POs per propylene oxide branch refers to the calculated number of PO units that should be present in one propoxylene oxide branch.
- the skilled person is well-aware of the fact that the synthesis of the inventive compounds will result in a mixture of slightly deviating compounds underlying a statistical distribution.
- the “average number of POs per propylene oxide branch” is calculated by dividing the total amount of employed mol PO per mol of ethylenediamine by the number of NH-functionalities of ethylenediamine.
- EDA ethylenediamine
- EDA may comprise impurities or other types of compounds in an amount up to not more than 10% w/w, not more than 7% w/w, not more than 5% w/w, not more than 3% w/w, not more than 2% w/w, not more than 1% w/w, not more than 0.5% w/w or not more than 0.1% w/w.
- the propoxylated ethylenediamine comprises on average at least 32, preferably at least 36 and more preferably at least 38 PO units per mol EDA.
- the average PO units per mol EDA for preferred propoxylated ethylenediamines can be any number between 32 and 48, such as 33, 35, 36, 38, 40, 42, 44, 45, 46.
- one propylene oxide branch has an average weight ranging from 400 to 800 g/mol, preferably from 500 to 700 g/mol and more preferably from 550 to 650 g/mol.
- the weight average molecular weight (Mw) of the propoxylated ethylenediamine is in the range of from 1500 to 3200 g/mol, preferably in the range of from 1800 to 2800 g/mol and more preferably in the range of from 2000 to 2500 g/mol.
- Mw values are determined by the method as follows: OECD TG 118 (1996), which means in detail OECD (1996), Test No. 118: Determination of the Number-Average Molecular Weight and the Molecular Weight Distribution of Polymers using Gel Permeation Chromatography, OECD Guidelines for the Testing of Chemicals, Section 1, OECD Publishing, Paris, also available on the internet, for example, under https://doi.org/10.1787/9789264069848-en.
- the Agilent system contains a Differential Refractive Index (DRI) and a variable Ultra Violet (UVW) Detector for detection.
- DRI Differential Refractive Index
- UVW variable Ultra Violet
- PSS Polymer Standard Services now part of Agilent
- a combination of a SDV guard (7,5 x 50 mm) column and 3 SDV columns (1000A, 100000A and 1000000A, all 7,5 x 300 mm) of PSS were put in series at 60°C.
- THF + 0.035 mol/L Diethanolamine was used as eluent at a flow rate of 1 mL/min. lOOpL of each sample solution was injected.
- Mw is the weight average molecular weight and “Mn” is number average molecular weight. The respective values of Mw and/or Mn can be determined as described within the experimental section below.
- the molar mass distribution Mw/Mn obtained by GPC is equal to the poly dispersity index (PDI), the PDI being without unit [g/mol / g/mol]).
- PDI poly dispersity index
- the propoxylated ethylenediamine demonstrates at least 45%, preferably at least 50, more preferably at least 55, or most preferably at least 60% biodegradability according to standard OECD 3 OIF at 28 days.
- aerobic biodegradation in wastewater according to OECD 301F is expressed as a percentage of the theoretical oxygen demand (ThOD, which is measured by the elemental analysis of the compound of interest), which is needed to completely biodegrade the compound sample.
- ThOD theoretical oxygen demand
- the amount of oxygen taken up by the microbial population during biodegradation of the test substance is expressed as a percentage of ThOD.
- the obtained values are preferably measured in triplicate using the OECD 301F manometric respirometry method.
- the consumption of oxygen is determined by measuring the change in pressure in the apparatus using an OxiTop® C (Xylem 35 Analytics Germany Sales GmbH & Co KG). Details for the tests performed are given in the experimental section below.
- the present invention provides modified ethylenediamines, which are propoxylated.
- the combined core-shell-product i.e., the propoxylated ethylenediamine
- the “core” is the ethylenediamine core
- the “shell” is the polypropylene oxide branches
- these inventive compounds demonstrate also wash performance comparable to currently used products.
- At least three NH-functionalities, preferably all four NH-functionalities are modified with propylene oxide (PO) units.
- PO propylene oxide
- the inventive compounds may comprise secondary amines that originate i) from primary amino groups of the ethylenediamine which are modified with only a single propoxylene oxide branch.
- secondary amino group as used herein, an amine is meant in which the nitrogen atom is attached to two carbon atoms and one hydrogen atom.
- the inventive compounds comprise tertiary amines that originate from reacted secondary amino groups of ethylenediamine and which are reacted with two propoxylene oxide branches.
- all four NH-functionalities are modified with propylene oxide (PO) units meaning that these compounds only comprise tertiary amino groups.
- the amount of secondary amino groups in the propoxylated ethylenediamine can be measured according to methods known to the skilled person, such as NMR-spectroscopy, such as 13C-NMR-spectroscopy and/or 'H NMR-spectroscopy.
- all propoxylene oxide branches attached to the NH-functionality of the ethylenediamine have the same structure, in that sense that the number of PO units per propoxylene oxide branch is identical or, alternatively, the propoxylene oxide branch structures vary slightly.
- the propoxylated ethylenediamine can be synthesized by reacting ethylenediamine with 28 to 52 propylene oxide units per mol EDA in order to obtain the respective propoxylated ethylenediamine.
- the conversion rate of the reaction step may be monitored and in preferred embodiments the conversion rate is at least 90%, preferably at least 95%, more preferably at least 99%, and even more preferably at least 99,5 % or even more. All other structural orders of the side chains as defined above but also the undefined structures resulting from non- controllable parameters are performed in this defined manner, leading - on statistical average - to a defined structural order directly derived from the way such reaction is performed.
- the conversion rate of the reaction can be determined according to methods known to the skilled person, such as NMR-spectroscopy, such as 13 C-NMR-spectroscopy and/or J H NMR- spectroscopy.
- the propoxylation may be a two-step reaction, wherein the second step is carried out in the presence of at least one catalyst.
- the catalyst is preferably a basic catalyst.
- suitable catalysts are alkali metal and alkaline earth metal hydroxides such as sodium hydroxide, potassium hydroxide and calcium hydroxide, alkali metal alkoxides, in particular sodium and potassium Ci-C4-alkoxides, such as sodium methoxide, sodium ethoxide and potassium tert-butoxide, alkali metal and alkaline earth metal hydrides such as sodium hydride and calcium hydride, and alkali metal carbonates such as sodium carbonate and potassium carbonate.
- Typical use amounts for the base are from 0.05 to 10% by weight of final product, in particular from 0.05 to 2% by weight, based on the total amount of ethylenediamine and propylene oxide.
- 1 to 4 PO/NH can be reacted with the EDA without any catalyst or optionally with water.
- drying using standard drying means such as spray-, drum, paddle-, vacuumdrying means including agglomeration methods such as fluidized-bed-drying, to obtain a purified solution, a purified liquid, a solid compound, or a purified solid compound, respectively.
- standard drying means such as spray-, drum, paddle-, vacuumdrying means including agglomeration methods such as fluidized-bed-drying, to obtain a purified solution, a purified liquid, a solid compound, or a purified solid compound, respectively.
- the resulting product mixture containing the propoxylated ethylenediamine may be further purified by standard means to reduce the content of residual educts, but also to reduce the amount of possible by-products, reduce the amount(s) of the solvent(s) employed (i.e., to concentrate) or replace solvent(s) with other solvents.
- solvent(s) employed i.e., to concentrate
- solvent(s) with other solvents Such processes are known to a person of skill in this field.
- undesirable amounts of residual non-reacted educts are removed, preferably by means of distillative processes, more preferably by thermal distillative processes, which may additionally comprise the application of reduced pressure to increase the speed and/or the effectiveness of the removal.
- the catalyst can be removed by an absorbent, such as acid magnesium silicates (e.g. Ambosol or Magnesol) or the catalyst may be neutralized with inorganic or organic acids, such as HO Ac, H3PO4, etc.
- the composition comprises from 1.0wt% to 70.0% of the detersive surfactant, and from 0.1 wt% to 10wt% of the propoxylated ethylenediamine.
- the laundry detergent composition of this invention comprises a detersive surfactant.
- the composition comprises, by weight of the composition, from about 1% to about 70% of a detersive surfactant system, preferably from about 2% to about 60%, more preferably from about 5% to about 30%.
- the detersive surfactant is selected from anionic surfactants, nonionic surfactant, cationic surfactants, zwitterionic surfactants and amphoteric surfactants and mixtures thereof.
- a detersive surfactant encompasses any surfactant or mixture of surfactants that provide cleaning, stain removing, or laundering benefit to soiled material.
- Suitable surfactants may be linear or branched, substituted or un-substituted, and may be derived from petrochemical material or biomaterial.
- Anionic surfactants include, but are not limited to, those surface-active compounds that contain an organic hydrophobic group containing generally 8 to 22 carbon atoms or generally 8 to 18 carbon atoms in their molecular structure and at least one water-solubilizing group preferably selected from sulfonate, sulfate, and carboxylate so as to form a water-soluble compound.
- the hydrophobic group will comprise a C8-C22 alkyl, or acyl group.
- Such surfactants are employed in the form of water-soluble salts and the salt-forming cation usually is selected from sodium, potassium, ammonium, magnesium and alkanolamines, with the sodium cation being the usual one chosen.
- Suitable LAB includes low 2-phenyl LAB, such as those supplied by Sasol under the tradename Isochem® or those supplied by Petresa under the tradename Petrelab®, other suitable LAB include high 2-phenyl LAB, such as those supplied by Sasol under the tradename Hyblene®.
- a suitable anionic surfactant is alkyl benzene sulphonate obtained by DETAL catalyzed process, although other synthesis routes, such as HF, may also be suitable.
- a magnesium salt of LAS is used.
- the composition may contain from about 0.5% to about 30%, by weight of the laundry composition, of an HLAS surfactant selected from alkyl benzene sulfonic acids, alkali metal or amine salts of Cio-Cie alkyl benzene sulfonic acids, wherein the HLAS surfactant comprises greater than 50% C12, preferably greater than 60%, preferably greater than 70% C12, more preferably greater than 75%.
- HLAS surfactant selected from alkyl benzene sulfonic acids, alkali metal or amine salts of Cio-Cie alkyl benzene sulfonic acids, wherein the HLAS surfactant comprises greater than 50% C12, preferably greater than 60%, preferably greater than 70% C12, more preferably greater than 75%.
- Suitable sulphate surfactants include alkyl sulphate, preferably Cs-is alkyl sulphate, or predominantly C12 alkyl sulphate.
- a preferred sulphate surfactant is alkyl alkoxylated sulphate, preferably alkyl ethoxylated sulphate, preferably a Cs-Ci 8 alkyl alkoxylated sulphate, preferably a Cs-Cis alkyl ethoxylated sulphate, preferably the alkyl alkoxylated sulphate has an average degree of alkoxylation of from 0.5 to 20, preferably from 0.5 to 10, preferably the alkyl alkoxylated sulphate is a Cs-Cis alkyl ethoxylated sulphate having an average degree of ethoxylation of from 0.5 to 10, preferably from 0.5 to 5, more preferably from 0.5 to 3 or from about 1.5 to 3 or from about 1.8 to 2.5.
- the alkyl alkoxylated sulfate may have a broad alkoxy distribution or a peaked alkoxy distribution.
- the alkyl portion of the AES may include, on average, from 13.7 to about 16 or from 13.9 to 14.6 carbons atoms.
- At least about 50% or at least about 60% of the AES molecule may include having an alkyl portion having 14 or more carbon atoms, preferable from 14 to 18, or from 14 to 17, or from 14 to 16, or from 14 to 15 carbon atoms.
- the alkyl sulphate, alkyl alkoxylated sulphate and alkyl benzene sulphonates may be linear or branched, including 2 alkyl substituted or mid chain branched type, substituted or unsubstituted, and may be derived from petrochemical material or biomaterial.
- the branching group is an alkyl.
- the alkyl is selected from methyl, ethyl, propyl, butyl, pentyl, cyclic alkyl groups and mixtures thereof.
- Single or multiple alkyl branches could be present on the main hydrocarbyl chain of the starting alcohol(s) used to produce the sulfated anionic surfactant used in the detergent of the invention.
- the branched sulfated anionic surfactant is selected from alkyl sulfates, alkyl ethoxy sulfates, and mixtures thereof.
- Alkyl sulfates and alkyl alkoxy sulfates are commercially available with a variety of chain lengths, ethoxylation and branching degrees.
- Commercially available sulfates include those based on Neodol alcohols ex the Shell company, Lial - Isalchem and Safol ex the Sasol company, natural alcohols ex The Procter & Gamble Chemicals company.
- alkyl ether carboxylates comprising a Cio- C26 linear or branched, preferably C10-C20 linear, most preferably C16-C18 linear alkyl alcohol and from 2 to 20, preferably 7 to 13, more preferably 8 to 12, most preferably 9.5 to 10.5 ethoxylates.
- the acid form or salt form such as sodium or ammonium salt, may be used, and the alkyl chain may contain one cis or trans double bond.
- Alkyl ether carboxylic acids are available from Kao (Akypo®), Huntsman (Empicol®) and Clariant (Emulsogen®).
- rhamnolipids may have a single rhamnose sugar ring or two rhamnose sugar rings.
- Non-ionic surfactant is N-ionic surfactant.
- Suitable non-ionic surfactants are selected from the group consisting of: Cs-Cis alkyl ethoxylates, such as, NEODOL® non-ionic surfactants from Shell; C6-C12 alkyl phenol alkoxylates wherein preferably the alkoxylate units are ethyleneoxy units, propyleneoxy units or a mixture thereof; C12-C18 alcohol and C6-C12 alkyl phenol condensates with ethylene oxide/propylene oxide block polymers such as Pluronic® from BASF; alkylpolysaccharides, preferably alkylpolyglycosides; methyl ester ethoxylates; polyhydroxy fatty acid amides; ether capped poly(oxyalkylated) alcohol surfactants; and mixtures thereof.
- Cs-Cis alkyl ethoxylates such as, NEODOL® non-ionic surfactants from Shell
- C6-C12 alkyl phenol alkoxylates wherein
- Preferred non-ionic surfactants are alkylpolyglucoside and/or an alkyl alkoxylated alcohol.
- Suitable alkyl alkoxylated alcohols include Cs-Ci8 alkyl alkoxylated alcohol, preferably a C10-C14 alkyl ethoxylated alcohol, preferably the alkyl alkoxylated alcohol has an average degree of alkoxylation of from 1 to 50, preferably from 1 to 30, or from 1 to 20, or from 1 to 10, preferably the alkyl alkoxylated alcohol is a Cs-Ci8 alkyl ethoxylated alcohol having an average degree of ethoxylation of from 1 to 10, preferably from 1 to 7, more preferably from 1 to 5 and most preferably from 3 to 7.
- the alkyl alkoxylated alcohol is a C12-C15 alkyl ethoxylated alcohol having an average degree of ethoxylation of from 7 to 10.
- the alkyl alkoxylated alcohol can be linear or branched, and substituted or un- substituted.
- Suitable nonionic surfactants include those with the trade name Lutensol® from BASF.
- the alkyl alkoxylated alcohol may have a broad alkoxy distribution for example Alfonic 1214-9 Ethoxylate or a peaked alkoxy distribution for example Novel 1214-9 both commercially available from Sasol.
- Suitable cationic surfactants include alkyl pyridinium compounds, alkyl quaternary ammonium compounds, alkyl quaternary phosphonium compounds, alkyl ternary sulphonium compounds, and mixtures thereof.
- Preferred cationic surfactants are quaternary ammonium compounds having the general formula:
- R is a linear or branched, substituted or unsubstituted Ce-is alkyl or alkenyl moiety
- Ri and R2 are independently selected from methyl or ethyl moieties
- R3 is a hydroxyl, hydroxymethyl or a hydroxyethyl moiety
- X is an anion which provides charge neutrality
- preferred anions include: halides, preferably chloride; sulphate; and sulphonate.
- the laundry detergent compositions of the present invention may contain up to about 30%, preferably from 0.01% to 20%, more preferalby from 0.1% to 10%, more preferably from 0.2% to 5%, most preferably from 0.3 to 2.5%, by weight of the composition, of a cationic surfactant.
- cationic surfactants include those which can deliver fabric care benefits.
- useful cationic surfactants include: fatty amines, imidazoline quat materials and quaternary ammonium surfactants, preferably N, N- bis(stearoyl -oxy-ethyl) N,N-dimethyl ammonium chloride, N,N-bis(tallowoyl-oxy-ethyl) N,N- dimethyl ammonium chloride, N,N-bis(stearoyl -oxy-ethyl) N-(2 hydroxyethyl) N-methyl ammonium methyl sulfate; 1, 2 di (stearoyl -oxy) 3 trimethyl ammoniumpropane chloride; dialkylenedimethylammonium salts such as dicanoladimethylammonium chloride, di(hard)tallowdimethylammonium chloride dicanoladimethylammonium methyl sulfate;
- Suitable amphoteric or zwitterionic surfactants include amine oxides, and/or betaines.
- Preferred amine oxides are alkyl dimethyl amine oxide or alkyl amido propyl dimethyl amine oxide, more preferably alkyl dimethyl amine oxide and especially coco dimethyl amino oxide.
- Amine oxide may have a linear or mid-branched alkyl moiety.
- Typical linear amine oxides include water-soluble amine oxides containing one R 1 Cs-Cis alkyl moiety and 2 R 2 and R 3 moieties selected from the group consisting of C1-C3 alkyl groups and C1-C3 hydroxyalkyl groups.
- amine oxide is characterized by the formula R 1 - N(R 2 )(R 3 ) O wherein R 1 is a Cs-Cis alkyl and R 2 and R 3 are selected from the group consisting of methyl, ethyl, propyl, isopropyl, 2-hydroxethyl, 2-hydroxypropyl and 3-hydroxypropyl.
- the linear amine oxide surfactants in particular may include linear C10-C18 alkyl dimethyl amine oxides and linear Cs- C12 alkoxy ethyl dihydroxy ethyl amine oxides.
- surfactants include betaines, such as alkyl betaines, alkylamidobetaine, amidazoliniumbetaine, sulfobetaine (INCI Sultaines) as well as Phosphobetaines.
- the composition comprises one or more enzymes.
- Preferred enzymes provide cleaning performance and/or fabric care benefits.
- suitable enzymes include, but are not limited to, hemicellulases, peroxidases, proteases, cellulases, xylanases, lipases, phospholipases, esterases, cutinases, pectinases, mannanases, galactanases, pectate lyases, keratinases, reductases, oxidases, phenoloxidases, lipoxygenases, ligninases, pullulanases, tannases, pentosanases, malanases, B-glucanases, arabinosidases, hyaluronidase, chondroitinase, laccase, and amylases, or mixtures thereof.
- a typical combination is an enzyme cocktail that may comprise, for example, a protease and lipase in conjunction with amylase.
- the aforementioned additional enzymes may be present at levels from about 0.00001% to about 2%, from about 0.0001% to about 1% or even from about 0.001% to about 0.5% enzyme protein by weight of the composition.
- metalloproteases especially those derived from Bacillus amyloliquefaciens decribed in WO07/044993A2; from Bacillus, Brevibacillus, Thermoactinomyces, Geobacillus, Paenibacillus, Lysinibacillus or Streptomyces spp. Described in WO2014194032, WO2014194054 and WO2014194117; from Kribella alluminosa described in WO2015193488; and from Streptomyces and Lysobacter described in W02016075078.
- Suitable commercially available protease enzymes include those sold under the trade names Alcalase®, Savinase®, Primase®, Durazym®, Polarzyme®, Kannase®, Liquanase®, Liquanase Ultra®, Savinase Ultra®, Liquanase® Evity®, Savinase® Evity®, Ovozyme®, Neutrase®, Everlase®, Coronase®, Blaze®, Blaze Ultra®, Blaze® Evity®, Blaze® Exceed, Blaze® Pro, Esperase®, Progress® Uno, Progress® Excel, Progress® Key, Ronozyme®, Vinzon® and Het Ultra® by Novozymes A/S (Denmark); those sold under the tradename Maxatase®, Maxacai®, Maxapem®, Properase®, Purafect®, Purafect Prime®, Purafect Ox®, FN3®, FN4®, Excellase®,
- Amylases Preferably the composition may comprise an amylase.
- Suitable alphaamylases include those of bacterial or fungal origin. Chemically or genetically modified mutants (variants) are included.
- a preferred alkaline alpha-amylase is derived from a strain of Bacillus, such as Bacillus licheniformis, Bacillus amyloliquefaciens, Bacillus stearothermophilus, Bacillus subtilis, or other Bacillus sp., such as Bacillus sp. NCIB 12289, NCIB 12512, NCIB 12513, DSM 9375 (USP 7,153,818) DSM 12368, DSMZ no. 12649, KSM AP1378 (WO 97/00324), KSM K36 or KSM K38 (EP 1,022,334).
- Preferred amylases include:
- variants described in WO 94/02597, WO 94/18314, WO96/23874 and WO 97/43424 especially the variants with substitutions in one or more of the following positions versus the enzyme listed as SEQ ID No. 2 in WO 96/23874: 15, 23, 105, 106, 124, 128, 133, 154, 156, 181 , 188, 190, 197, 202, 208, 209, 243, 264, 304, 305, 391, 408, and 444.
- variants exhibiting at least 90% identity with SEQ ID No. 4 in W006/002643, the wild-type enzyme from Bacillus SP722, especially variants with deletions in the 183 and 184 positions and variants described in WO 00/60060, which is incorporated herein by reference.
- variants exhibiting at least 95% identity with the wild-type enzyme from Bacillus sp.lGl (SEQ ID NO:7 in US 6,093, 562), especially those comprising one or more of the following mutations M202, M208, S255, R172, and/or M261.
- said amylase comprises one or more of M202L, M202V, M202S, M202T, M202I, M202Q, M202W, S255N and/or R172Q. Particularly preferred are those comprising the M202L or M202T mutations.
- variants described in WO 09/149130 preferably those exhibiting at least 90% identity with SEQ ID NO: 1 or SEQ ID NO:2 in WO 09/149130, the wild-type enzyme from Geobacillus Stearopher mophilus or a truncated version thereof.
- variants exhibiting at least 89% identity with SEQ ID NO: 1 in WO2016091688, especially those comprising deletions at positions H183+G184 and additionally one or more mutations at positions 405, 421, 422 and/or 428.
- Suitable commercially available alpha-amylases include DURAMYL®, LIQUEZYME®, TERMAMYL®, TERM AMYL ULTRA®, NATALASE®, SUPRAMYL®, STAINZYME®, STAINZYME PLUS®, FUNGAMYL® and BAN® (Novozymes A/S, Bagsvaerd, Denmark), KEMZYM® AT 9000 Biozym Biotech Trading GmbH Wehlistrasse 27b A- 1200 Wien Austria, RAPID ASE® , PURASTAR®, ENZYSIZE®, OPTISIZE HT PLUS®, POWERASE® and PURASTAR OXAM® (Genencor International Inc., Palo Alto, California) and KAM® (Kao, 14-10 Nihonbashi Kayabacho, 1-chome, Chuo-ku Tokyo 103- 8210, Japan).
- suitable amylases include NATALASE®, STAINZYME® and STAINZYME PLUS
- composition comprises one or more lipases, including “first cycle lipases” such as those described in U.S. Patent 6,939,702 Bl and US PA 2009/0217464.
- first cycle lipases such as those described in U.S. Patent 6,939,702 Bl and US PA 2009/0217464.
- Preferred lipases are first-wash lipases.
- the composition comprises a first wash lipase.
- First wash lipases includes a lipase which is a polypeptide having an amino acid sequence which: (a) has at least 90% identity with the wild-type lipase derived from Humicola lanuginosa strain DSM 4109; (b) compared to said wild-type lipase, comprises a substitution of an electrically neutral or negatively charged amino acid at the surface of the three- dimensional structure within 15A of El or Q249 with a positively charged amino acid; and (c) comprises a peptide addition at the C-terminal; and/or (d) comprises a peptide addition at the N-terminal and/or (e) meets the following limitations: i) comprises a negative amino acid in position E210 of said wild-type lipase; ii) comprises a negatively charged amino acid in the region corresponding to positions 90-101 of said wild-type lipase; and iii) comprises a neutral or negative amino acid at a position corresponding to N94 or said wild-type lipase and/or has
- variants of the wild-type lipase from Thermomyces lanuginosus comprising one or more of the T231R and N233R mutations.
- the wild-type sequence is the 269 amino acids (amino acids 23 - 291) of the Swissprot accession number Swiss-Prot 059952 (derived from Thermomyces lanuginosus (Humicola lanuginosa)).
- Other suitable lipases include: Liprl 139, e.g. as described in WO2013/171241; TfuLip2, e.g. as described in WO201 1/084412 and WO2013/033318; Pseudomonas stutzeri lipase, e.g.
- Suitable enzymes include cellulases of bacterial or fungal origin. Chemically modified or protein engineered mutants are included. Suitable cellulases include cellulases from the genera Bacillus, Pseudomonas, Humicola, Fusarium, Thielavia, Acremonium, e.g., the fungal cellulases produced from Humicola insolens, Myceliophthora thermophila and Fusarium oxysporum disclosed in US 4,435,307 , US 5,648,263 , US 5, 691, 178 , US 5,776,757 and US 5,691,178 . Suitable cellulases include the alkaline or neutral cellulases having colour care benefits.
- cellulases include CELLUZYME®, CAREZYME® and CAREZYME PREMIUM (Novozymes A/S), CLAZINASE®, and PURADAX HA® (Genencor International Inc.), and KAC-500(B)® (Kao Corporation).
- the bacterial cleaning cellulase may be a glycosyl hydrolase having enzymatic activity towards amorphous cellulose substrates, wherein the glycosyl hydrolase is selected from GH families 5, 7, 12, 16, 44 or 74. Suitable glycosyl hydrolases may also be selected from the group consisting of: GH family 44 glycosyl hydrolases from Paenibacillus polyxyma (wild-type) such as XYG1006 described in US 7,361,736 or are variants thereof.
- GH family 12 glycosyl hydrolases from Bacillus licheniformis (wild-type) such as SEQ ID NO: 1 described in US 6,268,197 or are variants thereof; GH family 5 glycosyl hydrolases from Bacillus agaradhaerens (wild type) or variants thereof; GH family 5 glycosyl hydrolases from Paenibacillus (wild type) such as XYG1034 and XYG 1022 described in US 6,630,340 or variants thereof; GH family 74 glycosyl hydrolases from Jonesia sp.
- wild type such as XYG1020 described in WO 2002/077242 or variants thereof
- GH family 74 glycosyl hydrolases from Trichoderma Reesei wild type
- Suitable bacterial cleaning cellulases are sold under the tradenames Celluclean® and Whitezyme® (Novozymes A/S, Bagsvaerd, Denmark).
- the composition may comprise a fungal cleaning cellulase belonging to glycosyl hydrolase family 45 having a molecular weight of from 17kDa to 30 kDa, for example the endoglucanases sold under the tradename Biotouch® NCD, DCC and DCL (AB Enzymes, Darmstadt, Germany).
- a fungal cleaning cellulase belonging to glycosyl hydrolase family 45 having a molecular weight of from 17kDa to 30 kDa, for example the endoglucanases sold under the tradename Biotouch® NCD, DCC and DCL (AB Enzymes, Darmstadt, Germany).
- Pectate Lyases Other preferred enzymes include pectate lyases sold under the tradenames Pectawash®, Pectaway®, Xpect® and mannanases sold under the tradenames Mannaway® (all from Novozymes A/S, Bagsvaerd, Denmark), and Purabrite® (Genencor International Inc., Palo Alto, California).
- the composition may comprise a nuclease enzyme.
- the nuclease enzyme is an enzyme capable of cleaving the phosphodiester bonds between the nucleotide sub-units of nucleic acids.
- the nuclease enzyme herein is preferably a deoxyribonuclease or ribonuclease enzyme or a functional fragment thereof.
- functional fragment or part is meant the portion of the nuclease enzyme that catalyzes the cleavage of phosphodiester linkages in the DNA backbone and so is a region of said nuclease protein that retains catalytic activity.
- Suitable DNases include wild-types and variants described in detail by WO2017162836 and WO2018108865, and variants of the Bacillus cibi DNase including those described in W02018011277.
- RNase suitable RNases include wild-types and variants of DNases described in W02018178061 and W02020074499.
- Hexosaminidases The composition may comprise one or more hexosaminidases.
- hexosaminidase includes "dispersin' 1 and the abbreviation "Dsp", which means a polypeptide having hexosaminidase activity, EC 3.2.1 .- that catalyzes the hydrolysis of P-1, 6- glycosidic linkages of N-acetyl-glucosamine polymers found in soils of microbial origin.
- the term hexosaminidase includes polypeptides having N-acetylglucosaminidase activity and P-N- acetylglucosaminidase activity.
- Hexosaminidase activity may be determined according to Assay II described in WO2018184873. Suitable hexosaminidases include those disclosed in WO2017186936, WO2017186937, WO2017186943, W02017207770, WO2018184873,
- W02020008024, W02020070063, W02020070249, W02020088957, W02020088958 and W02020207944 Variants of the Terribacillus saccharophilus hexosaminidase defined by SEQ ID NO: 1 of W02020207944 may be preferred, especially the variants with improved thermostability disclosed in that publication.
- the composition may comprise an extracellular-polymer-degrading enzyme that includes a mannanase enzyme.
- mannanase means a polypeptide having mannan endo-l,4-beta-mannosidase activity (EC 3.2.1.78) from the glycoside hydrolase family 26 that catalyzes the hydrolysis of 1,4-3-D-mannosidic linkages in mannans, galactomannans and glucomannans.
- mannan endo-l,4-beta-mannosidase are 1,4-3-D- mannan mannanohydrolase; endo- 1,4-3 -mannanase; endo- P-l,4-mannase; P-mannanase B; 3- 1,4-mannan 4-mannanohydrolase; endo-3 -mannanase; and P-D-mannanase.
- mannanase activity may be determined using the Reducing End Assay as described in the experimental section of W02015040159. Suitable examples from class EC 3.2.1.78 are described in W02015040159, such as the mature polypeptide SEQ ID NO: 1 described therein.
- the composition may comprise an extracellular polymer-degrading enzyme that includes an endo-beta-l,6-galactanase enzyme.
- endo-beta-1,6- galactanase or "a polypeptide having endo-beta-l,6-galactanase activity” means a endo-beta- 1,6-galactanase activity (EC 3.2.1.164) from the glycoside hydrolase family 30 that catalyzes the hydrolytic cleavage of 1,6-3-D-galactooligosaccharides with a degree of polymerization (DP) higher than 3, and their acidic derivatives with 4-O-methylglucosyluronate or glucosyluronate groups at the non-reducing terminals.
- DP degree of polymerization
- endo-beta-1, 6-galactanase activity is determined according to the procedure described in WO 2015185689 in Assay I. Suitable examples from class EC 3.2.1.164 are described in WO 2015185689, such as the mature polypeptide SEQ ID NO: 2.
- Suitable polymers including, but not limited to the following:
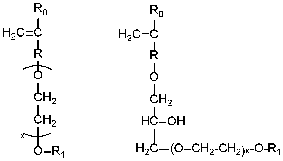
- the composition further comprises graft polymers which comprising polyalkylene oxide backbone (A) as a graft base and polymeric sidechains (B) grafted thereon.
- the polymeric sidechains (B) are obtainable by polymerization of at least one vinyl ester monomer.
- the polyalkylene oxide backbone (A) is obtainable by polymerization of at least one monomers selected from the group of ethylene oxide, 1 ,2-propylene oxide, 1 ,2-butylene oxide, 2,3-butylene oxide, 1 ,2-pentene oxide or 2,3- pentene oxide.
- Suitable graft polymer also include graft polymer comprising a block copolymer backbone (A) as a graft base, wherein said block copolymer backbone (A) is obtainable by polymerization of at least two monomers selected from the group of ethylene oxide, 1 ,2- propylene oxide, 1 ,2-butylene oxide, 2,3-butylene oxide, 1 ,2-pentene oxide or 2,3-pentene oxide, wherein the number (x) of individual blocks within the block copolymer backbone (A) is an integer, wherein x is from 2 to 10 and preferably 3 to 5, and (B) polymeric sidechains grafted onto the block copolymer backbone, wherein said polymeric sidechains (B) are obtainable by polymerization of at least one vinyl ester monomer.
- Suitable graft polymers of this type are described in WO2021/160795 and W02021/160851, these polymers have improved biodegradation profiles.
- the polyamine core structure and the alkoxylate groups attached to the core structure can be further derivatized.
- the polyamine core structure can be further partly or completely quatemized with C1-C30 linear or branched alkyl, more preferably C1-C10 or even C1-C5 linear or branched alkyl, most preferably methyl.
- the alkoxylate group can be further sulphated, sulphonated and/or substituted with an amino functional group.
- Suitable modified polyamine dispersing agent includes ethoxylated polyethyleneimine (EPEI).
- EPEI are effective dispersing agent for hydrophilic stains, especially hydrophilic particulate stain such as clay.
- the EPEI has a polyethyleneimine backbone of weight average molecular weight of between lOOg/mol and 2000g/mol, preferably between 200g/mol and 1500g/mol, more preferably between 300g/mol and lOOOg/mol, even more preferably between 400g/mol and 800g/mol, most preferably between 500g/mol and 700g/mol, preferably about 600.
- R is in each case independently selected from hydrogen and Ci-C4-alkyl, preferably hydrogen; m has an average value in the range of from 0 to 2, preferably 0; n has an average value in the range of 5 to 50; and p has an average value in the range of 3-50;
- the polymer comprising a degree of quaterization ranging from 0 to 50, preferably from 0 to 20, and more preferably from 0 to 10.
- Suitable alkoxylated polyalkyleneimine polymer of this type includes Sokalan HP30 Booster available from BASF.
- Suitable modified polyamine dispersing agent also includes zwitterionic polyamines.
- Said zwitterionic polyamine is selected from zwitterionic polyamines according to the following formula:
- R 3 is hydrogen, an anionic unit, and mixtures thereof, in which not all R 3 groups are hydrogen, preferably wherein R 3 anionic units are selected from - (CH 2 ) P CO 2 M; -(CH 2 )qSO 3 M; - (CH 2 )qOSO 3 M; -(CH2)qCH(SO 3 M)-CH 2 SO 3 M; - (CH2) q CH(OSO 3 M)CH 2 OSO3M; - (CH2)qCH(SO 3 M)CH 2 SO 3 M; -(CH 2 ) P PO 3 M; -PO 3 M ;-SO 3 M and mixtures thereof; wherein M is hydrogen or a water soluble cation, preferably selected from sodium, potassium, ammonium, and mixtures thereof and in sufficient amount to satisfy charge balance; x is from 5 to 50, preferably from 10 to 40, even more preferably from 15 to 30, most preferably from 20 to 25;
- Q is a quaternizing unit selected from the group consisting of Ci-C 3 o linear or branched alkyl, Ce-C 3 o cycloalkyl, C?-C 3 o substituted or unsubstituted alkylenearyl, and mixtures thereof, preferably Ci-C 3 o linear or branched alkyl, even more preferably C1-C10 or even C1-C5 linear or branched alkyl, most preferably methyl; the degree of quaternization preferably is more than 50%, more preferably more than 70%, even more preferably more than 90%, most preferably about 100;.
- X' is an anion present in sufficient amount to provide electronic neutrality, preferably a water-soluble anion selected from the group consisting of chlorine, bromine, iodine, methyl sulfate, and mixtures thereof, more preferably chloride; n is from 0 to 8, preferably 0 to 4, preferably 0 to 2, most preferably 0.
- a particular preferred zwitterionic polyamine is available from BASF as Lutensit Z96 polymer (zwitterionic hexamethylene diamine according to below formula: 100% quatemized and about 40% of the polyethoxy (EO24) groups are sulfonated).
- Another suitable zwitterionic polyamine is amphoterically-modified oligopropyleneimine ethoxylates as described in WO2021239547.
- the composition may comprise one or more polyester soil release polymer (SRP).
- SRP polyester soil release polymer
- the benefits of polyester SRP are well -documented, including soil release, whiteness, malodour, and improve wicking properties, and improve in wear comfort.
- Polyester SRP typically have hydrophilic segments to hydrophilize the surface of hydrophobic fibers (such as polyester and nylon), and hydrophobic segments to enable deposition of SRP onto hydrophobic fibers and remain adhered thereto through washing and rinsing cycles, thereby serving as an anchor for the hydrophilic segments.
- Preferred polyester SRP comprises structural unit (I), or combination of structural unit (I) and (II):
- Ar is each independently selected from 1,4-substituted phenylene, and 1,3- substituted phenylene, preferably 1,4-substituted phenylene.
- sAr is 1,3 -substituted phenylene substituted in position 5 with -SO3M; wherein M is a counterion selected from Na + , Li + , K + , ’A Mg 2+ , A Ca 2+ , 1/3 Al 3+ , ammonium, mono-, di-, tri-, or tetraalkylammonium wherein the alkyl groups are Ci-Cis alkyl or C2-C10 hydroxyalkyl, or mixtures thereof.
- R 1 , R 2 , R 3 , R 4 are each independently selected from H or Ci-Cis n-alkyl or iso-alkyl; preferably selected from H or Ci-Ce-alkyl, more preferably selected from H, CH 3 .
- structure (Ill-a) connected to structural units -OC-Ar-CO- or -OC-sAr-CO- via an ester bond to form an end cap, as illistrated below:
- the polymer comprises one or more anionic terminal unit (IV) and/or (V) as described in EP3222647.
- the polyester SRP may comprise crosslinking structural unit derived from monomers which comprise at least three functional groups capable of forming esters.
- monomers which comprise at least three functional groups capable of forming esters include, but not limit to, trimellitic acid, citric acid, glycerine, sorbitol.
- di-carboxylic acids or their salts or their (di)alkylesters can be used in the polyesters of the invention.
- Suitable examples include furandi carboxylic acids, such as 2,5- furandicarboxylic acid; pyridine dicarboxylic acids, such as pyridine-2,5-dicarboxylic acid; cyclohexanedicarboxylic acids, such as 1,4-cyclohexanedicarboxylic acid, adipic acid, sebacic acid, fumaric acid, succinic acid, glutaric acid, azelaic acid.
- polyester SRPs are nonionic polyester SRP, which does not comprise above structural unit (II).
- a particular preferred nonionic polyester SRP has a structure according to formula below: wherein:
- f is from 0 to 50, e is from 1 to 200,
- f is 1 to 10
- e is 5 to 150
- R 7 is C1-C4 alkyl and more preferably methyl, n is, based on molar average, from 1 to 50.
- One example of most preferred above suitable terephthalate-derived nonionic SRP has one of the R 5 and R 6 is H, and another is CH3; f is 0; e is from 5-100 and R 7 is methyl, and n is from 3-10.
- terephthalate-derived polyester SRP are described in patent W02014019903, WO2014019658 and WO2014019659.
- the end capping group of these SRPs are selected from
- X is C1-C4 alkyl and preferably methyl
- the [C2H4O] groups and the [C3H6O] groups are arranged blockwise and the block consisting of the [CsHeO] groups is bound to a - CO-Ar-CO- structural unit via an ester bond
- n is based on a molar average a number of from 40 to 50
- m is based on a molar average a number from 1 to 10 and preferably from 1 to 7.
- anionic polyester SRP which comprise above structural unit (I) and structural unit (II).
- the anionic SRP comprise further at least one terminal group selected from (Ill-a), (IV) and (V). More preferably, the anionic SRP comprises structural (I) and (II), and one or two terminal group (Ill-a), wherein R 7 is Ci alkyl, e is from 2 to 100, preferably from 3 to 50 such as 5, 10, 15, 20, and both f and g are 0.
- Suitable anionic polyester SRP examples are described in EP1966273B1 and EP3222647B1.
- Polyester SRP may be available or convert into different forms, include powder, particle, liquid, waxy or premix.
- other materials for example, water, alcohol, other solvents, salt, surfactant, etc.
- the wt% of active soil release polymer in the powder, particle, liquid, waxy or premix is in the range from 10% to 100%, for example 15%, 20%, 40%, 60%, 70%, 80%, 90%, 95%, 100%.
- Useful soil release polymer premix examples are described in EP351759 and W02022100876.
- the premix maybe transparent or opaque, white or slightly yellowish. Premix in opaque maybe use to provide an opaque appearance for the finish product or part of the finish product.
- the polyester SRP may or may not be biodegradable, preferred soil release polymers are readily biodegradable.
- Example of suitable soil release polymers also include REPEL-O-TEX® line of polymers supplied by Rhodia/Solvay, including nonionic soil release polymer REPEL-O- TEX® Crystal, Crystal PLUS, Crystal NAT, SRP6; and anionic soil release polymer REPEL- O-TEX® SF-2.
- CroylClean® series of soil release polymers supplied by WeylChem including noniconic soil release polymers WeylClean® PLN1, PLN2; and anionic soil release polymers WeylClean® PS AL
- Other examples of commercial soil release polymers are Marloquest® polymers, such as Marloquest® SL, HSCB, L235M, U, B, and G82, supplied by Sasol.
- the raw materials for the preparation of the polyesters of the invention can be based on fossil carbon or renewable carbon.
- Renewable carbon includes carbon originating from biomass, carbon capture, or chemical recycling.
- the raw materials for the preparation of the polyesters of the invention are at least partly based on renewable carbon.
- the Renewable Carbon Index (RCI, a measure of sustainability by dividing the number of carbons derived from renewable sources by the total number of carbons in an active ingredient) of the polyesters of the invention preferably is above 40%, more preferably above 50%, even more preferably above 60%, particularly preferably from 70 to 100% (including 100%), and most preferably 100%.
- Polymers based on polysaccharide Various polysaccharides have proven to be useful starting material to make polymers for fabric and home care products, including cellulose, starch, guar, dextran, polyglucan, chitin, curdlan, xylose, Inulin, pullulan, locust bean gum, cassia gum, tamarind gum (xyloglucan), xanthan gum, amylose, amylopectin, scleroglucan and mixtures thereof.
- the starting materials are typically chemically modified to achieve specific properties, the modification can be anionic (negative charged), cationic (positive charged) or nonionic (not charged).
- modified polysaccharide The most common type of modified polysaccharide is modified cellulose.
- Suitable modified cellulose polymers include anionic modified cellulose polymers which been modified with functional groups that contain negative charge.
- Suitable anionic modified cellulose polymers include carboxyalkyl cellulose, such as carboxymethyl cellulose.
- the carboxymethyl cellulose has a degree of carboxymethyl substitution of from about 0.5 to about 0.9 and a molecular weight from about 80,000 Da to about 300,000 Da.
- Suitable carboxymethylcellulose is described in WO2011/031599 and W02009/154933.
- Suitable carboxymethylcellulose include Finnfix® series sold by CP Kelco or Nouryon, which include Finnfix® GDA, a hydrophobically modified carboxymethylcellulose, e.g., the alkyl ketene dimer derivative of carboxymethylcellulose sold under the tradename Finnfix® SHI, or the blocky carboxymethylcellulose sold under the tradename Finnfix®V.
- Other suitable anionic modified cellulose polymers include sulphoalkyl group which described in W02006117056, sulfoethyl cellulose which described in WO2014124872.
- Suitable modified cellulose polymers also include nonionic modified cellulose polymers which been modified by functional group that does not contain any charge.
- Suitable nonionic modified cellulose polymers include alkyl cellulose, hydroxyalkyl cellulose, hydroxyalkyl alkylcellulose, alkylalkoxyalkyl cellulose.
- Suitable nonionic modified cellulose polymers also include nonionic cellulose carbamates which described in WO2015/044061; nonionic 6- desoxy-6-amino-celluloses derivative which described in US20180346846.
- Example of alkyl cellulose include methyl cellulose (MC), ethyl cellulose (EC), etc. Suitable ethyl cellulose are sold under tradename EthocelTM by Dow Chemicals, DuPont, or IFF.
- hydroxy alkyl cellulose examples include hydroxyethyl cellulose (HEC) and hydroxypropyl cellulose (HPC).
- HEC hydroxyethyl cellulose
- HPC hydroxypropyl cellulose
- Suitable HEC are sold under tradename NatrosolTM hydroxyethylcellulose by Ashland, such as NatrosolTM 250 with different grade available which has a total molar substitution (MS) of 2.5.
- Suitable HEC are also sold under tradename CELLOSIZETM Hydroxyethyl Cellulose by Dow Chemicals.
- Suitable HPC are sold under tradename KlucelTM by Ashland.
- hydroxyalkyl alkylcellulose examples include hydroxypropyl methylcellulose (HPMC), suitable HPMC are sold under tradename MethocelTM with different grade available by Dow Chemicals, DuPont or IFF, and under tradename BenecelTM by Ashland.
- HPMC hydroxypropyl methylcellulose
- suitable HPMC are sold under tradename MethocelTM with different grade available by Dow Chemicals, DuPont or IFF, and under tradename BenecelTM by Ashland.
- Suitable modified cellulose polymers also include cationic modified cellulose polymers which been modified by functional group that contain cationic charge.
- Suitable cationic modified celluloses include quatemized hydroxy ethyl cellulose (Polyquatemium-10), which available under the tradename of Ucare by Dow Chemical, such as Ucare LR400, Ucare LR30M, Ucare JR125, Ucare JR400, etc.
- Suitable cationic modified cellulose polymers also include quaternized hydroxyethyl cellulose (HEC) polymers with cationic substitution of trimethyl ammonium and dimethyldodecyl ammonium (Polyquaternium-67), which available under trade the tradename of SoftCAT by Dow Chemical, such as SoftCAT SK, SoftCAT SK- MH, SoftCAT SX, SoftCAT SL.
- HEC quaternized hydroxyethyl cellulose
- SoftCAT SK SoftCAT SK- MH
- SoftCAT SX SoftCAT SX
- SoftCAT SL SoftCAT SL
- Other suitable cationic modified celluloses include those sold under tradename SupraCareTM by Dow Chemical, such as SupraCareTM 150, SupraCareTM 133, SupraCareTM 212.
- Suitable cationic modified cellulose polymers also include those modified with cationic group and/or a hydrophobic group and described as soil release polymers in WO2019111948, WO2019111949, WO2019111946 and WO2019111947; suitable polymers is also disclosed in W02022060754, WO2021242942 and W02020/091988.
- modified polysaccharide is modified guar. Similar to modified cellulose, modified guar can be nonionic modified, anionic modified, and cationic modified. Suitable nonionic modified guar includes hydroxypropyl guar, such as N-HanceTM HP40 and HP40S guar available from Ashland. Suitable example of modified guar also include carboxymethyl hydroxypropyl guar (CMHPG) which is anionic and nonionic modified, such as GalactasolTM available from Ashland.
- CSHPG carboxymethyl hydroxypropyl guar
- Suitable modified guar also includes cationic modified guar, such as guar hydroxypropyltrimonium chloride, which available from by Ashland as AquaCatTM CG518 cationic solution, AquaCatTM PF618 cationic solution, N-HanceTM 3000, 3196, 3215, BF-13, BF-17, C261, C261N, CG13, CCG45.
- Other cationic modified guar polymers are available from Solvay as Jaguar® C 162, Excel, Excel SGI, Optima, C 13 S, C 13 SH, C14 S, C-17, LS SGI, C-500 STD.
- Other nonionic and/or anionic modified guar include for example Jaguar® HP 105 (Hydroxypropyl Guar gum), Jaguar® SOFT and HP-120 COS (Carboxymethyl Hydroxypropyl Guar Gum).
- modified polysaccharide polymers also include modified starch.
- modified starch include carboxylate ester of starch as described in WO2015144438, esterification product of starch with e.g. C6-C24 alk(en)yl succinic anhydride as described in EP0703243; starch maleates (starch react with maleic acid anhydride) as described US 6063914.
- modified starch also include, but not limit to, acetylated starch, acetylated distarch adipate, distarch phosphate, hydroxypropyl starch, hydroxy propyl distarch phosphate, phosphated distarch ohosphate, acetylated distarch phosphate, starch sodium octenyl succinate.
- Suitable modified polysaccharide polymers also include polymers based on other polysaccharide, such as cationic dextran polymers described in WO2021194808, the cationic dextran polymers are commercially available under brand name CDC, CDC-L, CDC-H by Meito Sangyo.
- Suitable modified polysaccharide polymers also include polymers based on polyglucans. Suitable modified polyglucans are based on alpha 1,3-polyglucans and/or 1,6- polyglucans. In one embodiment, the modified polyglucans can be cationic modified, such as cationic modified alpha 1,3-polyglucan which described in WO2021225837; such as cationic modified alpha 1,6-poly glucans which described in WO2021257793, WO2021257932, and WO202 1/257786.
- the modified polyglucans can be hydrophobic and/or hydrophilic modified, such as those described in WO2018112187, WO2019246228, WO2019246171, WO2021252558, WO2021252560, WO2021252561, EP3922704, WO2021252569, WO2021252562, WO2021252559, WO2021252575, WO2021252563.
- the polyglucan esters which described in WO2021252562, WO2021252559, WO2021252575, WO2021252563 are especially preferred due to their performance and biodegradability profiles.
- suitable polysaccharide polymers also include those based on inulin.
- modified inulin include carboxymethyl group modified inulin (CMI), suitable CMI are Carboxyline series sold by Cosun Beet Company, including Carboxyline 25-40D, Carboxyline 25 D Powder, Carboxyline 20 LS D Powder, Carboxyline 25, Carboxyline 25-30 UP.
- CMI carboxymethyl group modified inulin
- suitable CMI are Carboxyline series sold by Cosun Beet Company, including Carboxyline 25-40D, Carboxyline 25 D Powder, Carboxyline 20 LS D Powder, Carboxyline 25, Carboxyline 25-30 UP.
- modified inulin also include cationic modified inulin, suitable cationic modified inulin are as described in US20190274943, US20180119055; suitable cationic modified inulin are Quatin series sold by Cosun Beet Company, including Quatin 350, Quatin 380 and Quatin 1280 which are characterized by different degree of substitution (DS), cationic density (meq/g) and molecular weight (g/mol).
- suitable cationic modified inulin are Quatin series sold by Cosun Beet Company, including Quatin 350, Quatin 380 and Quatin 1280 which are characterized by different degree of substitution (DS), cationic density (meq/g) and molecular weight (g/mol).
- Suitable modified polysaccharide polymers also include polymers based on other polysaccharide, such as xylose carbamates as described in US20210115358; carboxy or sulfoalkylated pullulan as described in WO2019243072; carboxy- or sulfo-alkylated chitosan as described in WO2019/243108 and WO2021156093.
- the composition may also include one or more polycarboxylate polymers which comprise at least one carboxy group-containing monomer.
- the carboxy group-containing monomers are selected from acrylic acid, methacrylic acid, fumaric acid, maleic acid, itaconic acid, aconitic acid, mesaconic acid, citraconic acid, methylenemalonic acid, and salts thereof, and anhydride thereof.
- Suitable polycarboxylate polymers include polyacrylate homopolymer having a molecular weight of from 4,000 Da to 9,000 Da, or from 6,000 Da to 9,000 Da.
- Other suitable carboxylate polymers include copolymer of acrylic acid (and/or methacrylic acid) and maleic acid having a molecular weight of from 50,000 Da to 120,000 Da, or from 60,000 Da to 80,000 Da.
- the polyacrylate homopolymer and copolymer of acrylic acid (and/or methacrylic acid) and maleic acid are commercially available as Acusol 445 and 445N, Acusol 531, Acusol 463, Acusol 448, Acusol 460, Acusol 465, Acusol 497, Acusol 490 from Dow Chemicals, and as Sokalan CP 5, Sokalan CP 7, Sokalan CP 45, and Sokalan CP 12S from BASF.
- Suitable polycarboxylate polymers also include polyitaconate homopolymers, such as Itaconix® DSP 2KTM sold by Itaconix, and Amaze SP available from Nouryon.
- Suitable polycarboxylate polymers also include co-polymers comprising carboxy group-containing monomers and one or more sulfonate or sulfonic group-containing monomers.
- the sulfonate or sulfonic group containing monomers are selected rom 2- acrylamido-2-methyl-l-propanesulfonic acid (AMPS), 2-methacrylamido-2-methyl-l- propanesulfonic acid, 3-methacrylamido-2-hydroxy-propanesulfonic acid, allysulfonic acid, methallysulfonic acid, 3 -allyloxy-2-hydroxy-l -propanesulfonic acid, 2-methyl-2-propenen-l- sulfonic acid, styrenesulfonic acid, vinylsulfonic acid, 3-sulfopropyl acrylate, 3- sulfopropylmethacrylate, sulfomethylacrylamide, sulfomethylmethacrylamide and water
- suitable polymers comprise maleic acid, acrylic acid, and 3 -allyloxy-2-hydroxy-l -propanesulfonic acid, such polymers are as described in US8450261 and US8389458.
- suitable polymers comprise acrylic acid and 2-acrylamido-2-methyl-propane sulfonate, such as those sold under tradename Acusol 588 by Dow Chemicals, Sokalan CP50 by BASF, Aquatreat AR-545, Versaflex 310 and Versaflex 310-37 by Noury on.
- suitable polymers also include Poly(itaconic acid- co-AMPS) sodium salt, such as Itaconix® TSITM 322 and Itaconix® CHTTM 122 available from Itaconix.
- Suitable polymer also includes those contain other structure units in addition to the sulfonate or sulfonic group group-containing monomers and carboxy group-containing monomers. Suitable polymer examples are described in W02010024468 and WO2014/032267, the additional monomers herein are ether bond-containing monomers represented by formula (1) and (2) below:
- Ro represents a hydrogen atom or CH3 group
- R represents a CH2 group, CH2CH2 group or single bond
- x represents a number 0-50, preferable 0-20, more preferable 0-5 (provided x represents a number 1-5 when R is a single bond)
- Ri is a hydrogen atom or Ci to C20 organic group
- Ro represents a hydrogen atom or CH3 group
- R represents a CH2 group, CH2CH2 group or single bond
- x represents a number 0-5
- a specific preferred polymer of this type comprises structure units derived from 1 to 49 wt% of l-(allyloxy)-3-butoxypropan-2-ol, from 50 to 98 wt% acrylic acid or methacrylic acid, and from 1 to 49 wt% of 3-allyloxy-2-hydroxy-l-propanesulfonic acid, and the has a weight average molecular weight of from about 20,000 to about 60,000.
- a specific preferred polymer of this type comprises structure units derived from 1 to 10 wt% of l-(allyloxy)-3-butoxypropan- 2-ol, from 70 to 89 wt% acrylic acid or methacrylic acid, and from 10 to 20 wt% of 3-allyloxy- 2-hydroxy-l -propanesulfonic acid, and the has a weight average molecular weight of from about 30,000 to about 60,000.
- l-(allyloxy)-3-butoxypropan-2-ol is a preferred monomer as represented by formula (2) when Ro is H, R is CH2, x is 0, and Ri is n-butyl (C4- alkyl).
- Gantrez alternating co-polymer of methyl vinyl ether and maleic anhydride
- Gantrez S alternating co-polymer of methyl vinyl ether and maleic acid
- Gantrez ES alternating co-polymer of methyl vinyl ether and maleic acid ester
- Gantrez MS alternating co-polymer of methyl vinyl ether and maleic acid salt
- Suitable polycarboxylate polymers also include polymer comprising a monomer having at least one aspartic acid group or a salt thereof, this polymer comprises at least 25 mol%, 40 mol%, or 50 mol%, of said monomer.
- a preferabed example is sodium salt of poly(aspartic acid) having a molecular weight of from 2000 to 3000 g/mol which is avilable as Baypure® DS 100 from Lanxess.
- composition may comprise block polymers of ethylene oxide, propylene oxide and butylene oxide.
- block polymers include ethylene oxidepropylene oxide-ethylene oxide (EO/PO/EO) triblock copolymer, wherein the copolymer comprises a first EO block, a second EO block and PO block wherein the first EO block and the second EO block are linked to the PO block.
- Blocks of ethylene oxide, propylene oxide, butylene oxide can also be arranged in other ways, such as (EO/PO) diblock copolymer, (POZEO/PO) triblock copolymer.
- the block polymers may also contain additional butylene oxide (BO) block.
- Suitable builders may be selected from the group consisting of phosphates, such as polyphosphates (e.g., sodium tri-polyphosphate), especially sodium salts thereof; carbonates, bicarbonates, sesquicarbonates, and carbonate minerals other than sodium carbonate or sesquicarbonate; organic mono-, di-, tri-, and tetracarboxylates, especially water-soluble nonsurfactant carboxylates in acid, sodium, potassium or alkanolammonium salt form, as well as oligomeric or water-soluble low molecular weight polymer carboxylates including aliphatic and aromatic types; and phytic acid.
- phosphates such as polyphosphates (e.g., sodium tri-polyphosphate), especially sodium salts thereof
- carbonates, bicarbonates, sesquicarbonates, and carbonate minerals other than sodium carbonate or sesquicarbonate e.g., sodium tri-polyphosphate
- organic mono-, di-, tri-, and tetracarboxylates especially water-
- Suitable builders may include polycarboxylate and salt thereof, for example, homopolymers of acrylic acid, copolymers of acrylic acid and maleic acid, and copolymers of acrylic acid and/or maleic acid, and other suitable ethylenic monomers with various types of additional functionalities. More suitable polycarboxylate are described in polycarboxylate polymers section of this patent.
- compositions are synthesized crystalline ion exchange materials or hydrates thereof having chain structure and a composition represented by the following general anhydride form: x(M2O) ySiO2'zM'O wherein M is Na and/or K, M' is Ca and/or Mg; y/x is 0.5 to 2.0; and z/x is 0.005 to 1.0.
- the composition may be substantially free of builder.
- Suitable structurant / thickeners include:
- Additional amines may be used in the compositions described herein for added removal of grease and particulates from soiled materials.
- the compositions described herein may comprise from about 0.1% to about 10%, in some examples, from about 0.1% to about 4%, and in other examples, from about 0.1% to about 2%, by weight of the composition, of additional amines.
- additional amines may include, but are not limited to, polyamines, oligoamines, triamines, diamines, pentamines, tetraamines, or combinations thereof.
- suitable additional amines include tetraethylenepentamine, triethylenetetraamine, diethylenetriamine, or a mixture thereof.
- compositions of the present invention may comprise from about 0.1% to about 50% or even from about 0.1% to about 25% bleaching agent or mixtures of bleaching agents by weight of the subject composition.
- suitable bleaching agents include:
- photobleaches for example sulfonated zinc phthalocyanine sulfonated aluminium phthalocyanines, xanthene dyes, thioxanthones, and mixtures thereof;
- Suitable preformed peracids include, but are not limited to compounds selected from the group consisting of pre-formed peroxyacids or salts thereof typically a percarboxylic acids and salts, percarbonic acids and salts, perimidic acids and salts, peroxymonosulfuric acids and salts, for example, Oxone ®, and mixtures thereof.
- Particularly preferred peroxyacids are phthalimido-peroxy-alkanoic acids, in particular s-phthalimido peroxy hexanoic acid (PAP).
- PAP s-phthalimido peroxy hexanoic acid
- the peroxyacid or salt thereof has a melting point in the range of from 30°C to 60°C.
- inorganic perhydrate salts including alkali metal salts such as sodium salts of perborate (usually mono- or tetra-hydrate), percarbonate, persulphate, perphosphate, persilicate salts and mixtures thereof.
- inorganic perhydrate salts are typically present in amounts of from 0.05 to 40 wt%, or 1 to 30 wt% of the overall product and are typically incorporated into the products as a crystalline solid that may be coated.
- Suitable coatings include, inorganic salts such as alkali metal silicate, carbonate or borate salts or mixtures thereof, or organic materials such as water-soluble or dispersible polymers, waxes, oils or fatty soaps; and
- suitable leaving groups are benzoic acid and derivatives thereof - especially benzene sulphonate.
- Suitable bleach activators include dodecanoyl oxybenzene sulphonate, decanoyl oxybenzene sulphonate, decanoyl oxybenzoic acid or salts thereof, 3, 5, 5 -trimethyl hexanoyloxybenzene sulphonate, tetraacetyl ethylene diamine (TAED) and nonanoyloxybenzene sulphonate (NOBS).
- dodecanoyl oxybenzene sulphonate decanoyl oxybenzene sulphonate
- decanoyl oxybenzoic acid or salts thereof 3, 5, 5 -trimethyl hexanoyloxybenzene sulphonate
- TAED tetraacetyl ethylene diamine
- NOBS nonanoyloxybenzene sulphonate
- the compositions of the present invention may also include one or more bleach catalysts capable of accepting an oxygen atom from a peroxyacid and/or salt thereof, and transferring the oxygen atom to an oxidizeable substrate.
- Suitable bleach catalysts include, but are not limited to: iminium cations and polyions; iminium zwitterions; modified amines; modified amine oxides; N-sulphonyl imines; N-phosphonyl imines; N-acyl imines; thiadiazole dioxides; perfluoroimines; cyclic sugar ketones and alpha amino-ketones and mixtures thereof.
- One particularly preferred catalyst is acyl hydrazone type such as 4-(2-(2-(2- hydroxyphenylmethyl)methylene)-hydrazinyl)-2-oxoethyl)-4-methylchloride.
- the composition may preferably comprise catalytic metal complexes.
- metal-containing bleach catalyst is a catalyst system comprising a transition metal cation of defined bleach catalytic activity, such as copper, iron, titanium, ruthenium, tungsten, molybdenum, or manganese cations.
- compositions herein can be catalyzed by means of a manganese compound.
- a manganese compound such compounds and levels of use are well known in the art and include, for example, the manganese-based catalysts disclosed in U.S. 5,576,282.
- an additional source of oxidant in the composition is not present, molecular oxygen from air providing the oxidative source.
- Cobalt bleach catalysts useful herein are known, and are described, for example, in U.S. 5,597,936; U.S. 5,595,967.
- fluorescent brighteners suitable for the present disclosure can be classified into subgroups, including but not limited to: derivatives of stilbene, pyrazoline, coumarin, benzoxazoles, carboxylic acid, methinecyanines, dibenzothiophene- 5, 5 -di oxi de, azoles, 5- and 6-membered-ring heterocycles, and other miscellaneous agents.
- the fluorescent brightener may be selected from the group consisting of disodium 4,4'- bis ⁇ [4-anilino-6-morpholino-s-triazin-2-yl]-amino ⁇ -2,2'-stilbenedisulfonate (brightener 15, commercially available under the tradename Tinopal AMS-GX by BASF), disodium4,4’- bis ⁇ [4-anilino-6-(N-2-bis-hydroxyethyl)-s-triazine-2-yl]-amino ⁇ -2,2’-stilbenedisulonate (commercially available under the tradename Tinopal UNPA-GX by BASF), disodium 4,4’- bis ⁇ [4-anilino-6-(N-2-hydroxyethyl-N-methylamino)-s-triazine-2-yl]-amino ⁇ -2,2'- stilbenedisulfonate (commercially available under the tradename Tinopal 5BM-GX by BASF).
- the fluorescent brightener is disodium 4,4'-bis ⁇ [4-anilino-6-morpholino-s- triazin-2-yl]-amino ⁇ -2,2'-stilbenedisulfonate or 2,2'-([l , 1 '-Biphenyl]-4,4'-diyldi-2, 1 - ethenediyl)bis-benzenesulfonic acid disodium salt.
- the brighteners may be added in particulate form or as a premix with a suitable solvent, for example nonionic surfactant, propanediol.
- compositions may comprise a fabric hueing agent (sometimes referred to as shading, bluing or whitening agents).
- hueing agent provides a blue or violet shade to fabric.
- Hueing agents can be used either alone or in combination to create a specific shade of hueing and/or to shade different fabric types. This may be provided for example by mixing a red and green-blue dye to yield a blue or violet shade.
- Hueing agents may be selected from any known chemical class of dye, including but not limited to acridine, anthraquinone (including polycyclic quinones), azine, azo (e.g., monoazo, disazo, trisazo, tetrakisazo, polyazo), including premetallized azo, benzodifurane and benzodifuranone, carotenoid, coumarin, cyanine, diazahemicyanine, diphenylmethane, formazan, hemicyanine, indigoids, methane, naphthalimides, naphthoquinone, nitro and nitroso, oxazine, phthalocyanine, pyrazoles, stilbene, styryl, triarylmethane, triphenylmethane, xanthenes and mixtures thereof.
- acridine e.g., monoazo, disazo, trisazo, tetrakisazo, polyazo
- the composition comprises chelating agents and/or crystal growth inhibitor.
- Suitable molecules include copper, iron and/or manganese chelating agents and mixtures thereof.
- Suitable molecules include hydroxamic acids, aminocarboxylates, aminophosphonates, succinates, salts thereof, and mixtures thereof.
- Non-limiting examples of suitable chelants for use herein include ethylenediaminetetracetates, N- (hydroxyethyl)ethylenediaminetriacetates, nitrilotriacetates, ethylenediamine tetraproprionates, triethylenetetraaminehexacetates, diethylenetriamine-pentaacetates, ethanoldiglycines, ethylenediaminetetrakis (methylenephosphonates), diethylenetriamine penta(methylene phosphonic acid) (DTPMP), ethylenediamine disuccinate (EDDS), hydroxyethanedimethylenephosphonic acid (HEDP), methylglycinediacetic acid (MGDA), diethylenetriaminepentaacetic acid (DTPA), N,N- Dicarboxymethyl glutamic acid (GLDA) and salts thereof, and mixtures thereof.
- ethylenediaminetetracetates N- (hydroxyethyl)ethylenediaminetriacetates, nitrilotri
- chelants of use in the present invention are found in U.S. Patent Nos. 7445644, 7585376 and 2009/0176684A1.
- suitable chelating agents for use herein are the commercial DEQUEST series, and chelants from Monsanto, DuPont, and Nalco, Inc.
- suitable chelants include the pyridinyl N Oxide type.
- compositions may comprise an encapsulate.
- the encapsulate comprises a core, a shell having an inner and outer surface, where the shell encapsulates the core.
- the encapsulate comprises a core and a shell, where the core comprises a material selected from perfumes; brighteners; dyes; insect repellants; silicones; waxes; flavors; vitamins; fabric softening agents; skin care agents, e.g., paraffins; enzymes; anti-bacterial agents; bleaches; sensates; or mixtures thereof; and where the shell comprises a material selected from polyethylenes; polyamides; polyvinylalcohols, optionally containing other co-monomers; polystyrenes; polyisoprenes; polycarbonates; polyesters; polyacrylates; polyolefins; polysaccharides, e.g., alginate and/or chitosan; gelatin; shellac; epoxy resins; vinyl polymers; water insoluble inorganics; silicone; aminoplasts, or mixtures thereof.
- the shell comprises an aminoplast
- the aminoplast comprises polyurea, polyurethane, and/or polyureaurethane.
- compositions of the invention comprise perfume.
- the composition comprises a perfume that comprises one or more perfume raw materials, selected from the group as described in WO08/87497.
- any perfume useful in a laundry care composition may be used.
- a preferred method of incorporating perfume into the compositions of the invention is via an encapsulated perfume particle comprising either a water-soluble hydroxylic compound or melamine-formaldehyde or modified polyvinyl alcohol.
- the cleaning compositions of the present disclosure may comprise malodour reduction materials. Such materials are capable of decreasing or even eliminating the perception of one or more malodors. These materials can be characterized by a calculated malodor reduction value (“MORV”), which is calculated according to the test method shown in WO2016/049389.
- MORV calculated malodor reduction value
- the cleaning compositions of the present disclosure may comprise a sum total of from about 0.00025% to about 0.5%, preferably from about 0.0025% to about 0.1%, more preferably from about 0.005% to about 0.075%, most preferably from about 0.01% to about 0.05%, by weight of the composition, of 1 or more malodor reduction materials.
- the cleaning composition may comprise from about 1 to about 20 malodor reduction materials, more preferably 1 to about 15 malodor reduction materials, most preferably 1 to about 10 malodor reduction materials.
- One, some, or each of the malodor reduction materials may have a MORV of at least 0.5, preferably from 0.5 to 10, more preferably from 1 to 10, most preferably from 1 to 5.
- One, some, or each of the malodor reduction materials may have a Universal MORV, defined as all of the MORV values of >0.5 for the malodors tested as described herein.
- the sum total of malodor reduction materials may have a Blocker Index of less than 3, more preferable less than about 2.5, even more preferably less than about 2, and still more preferably less than about 1, and most preferably about 0.
- the sum total of malodor reduction materials may have a Blocker Index average of from about 3 to about 0.001.
- the malodor reduction materials may have a Fragrance Fidelity Index of less than 3, preferably less than 2, more preferably less than 1 and most preferably about 0 and/or a Fragrance Fidelity Index average of 3 to about 0.001 Fragrance Fidelity Index. As the Fragrance Fidelity Index decreases, the malodor reduction material(s) provide less and less of a scent impact, while continuing to counteract malodors.
- the cleaning compositions of the present disclosure may comprise a perfume.
- the weight ratio of parts of malodor reduction composition to parts of perfume may be from about 1 :20,000 to about 3000: 1, preferably from about 1 : 10,000 to about 1,000: 1, more preferably from about 5,000: 1 to about 500: 1, and most preferably from about 1 : 15 to about 1 : 1.
- the malodor reduction material(s) provide less and less of a scent impact, while continuing to counteract malodors.
- Suitable conditioning agents include those conditioning agents characterized generally as silicones (e.g., silicone oils, polyoils, cationic silicones, silicone gums, high refractive silicones, and silicone resins), organic conditioning oils (e.g., hydrocarbon oils, polyolefins, and fatty esters) or combinations thereof, or those conditioning agents which otherwise form liquid, dispersed particles in the aqueous surfactant matrix herein.
- the compositions of the present invention may also comprise from about 0.05% to about 3% of at least one organic conditioning oil as the conditioning agent, either alone or in combination with other conditioning agents, such as the silicones (described herein).
- Suitable conditioning oils include hydrocarbon oils, polyolefins, and fatty esters.
- composition may comprise probiotics, such as those described in W02009/043709.
- Organic acid such as those described in W02009/043709.
- the detergent comprises one or more organic acids selected from the group consisting of acetic acid, adipic acid, aspartic acid, carboxymethyloxymalonic acid, carboxymethyloxysuccinic acid, citric acid, formic acid, glutaric acid, hydroxyethyliminodiacetic acid, iminodiacetic acid, lactic acid, maleic acid, malic acid, malonic acid, oxydiacetic acid, oxydisuccinic acid, succinic acid, sulfamic acid, tartaric acid, tartaric-disuccinic acid, tartaric-monosuccinic acid, or mixtures thereof.
- the detergent composition may comprise an organic acid selected from the group consisting of acetic acid, lactic acid, and citric acid.
- the composition may optionally contain an anti-oxidant present in the composition from about 0.001 to about 2% by weight.
- an anti-oxidant present in the composition from about 0.001 to about 2% by weight.
- the antioxidant is present at a concentration in the range 0.01 to 0.08% by weight. Mixtures of anti-oxidants may be used.
- compositions of the present invention may also comprise components to deliver hygiene and/or malodour benefits such as one or more of zinc ricinoleate, thymol, quaternary ammonium salts such as Bardac®, polyethylenimines (such as Lupasol® from BASF) and zinc complexes thereof, silver and silver compounds, especially those designed to slowly release Ag+ or nano-silver dispersions.
- hygiene and/or malodour benefits such as one or more of zinc ricinoleate, thymol, quaternary ammonium salts such as Bardac®, polyethylenimines (such as Lupasol® from BASF) and zinc complexes thereof, silver and silver compounds, especially those designed to slowly release Ag+ or nano-silver dispersions.
- the cleaning compositions of the present invention may also contain antimicrobial agents.
- the anti-microbial agent is selected from the group consisting of 4-4'- dichloro-2-hydroxy diphenyl ether (“Diclosan”), 2,4,4'-trichloro-2'-hydroxy diphenyl ether (“Triclosan”), and a combination thereof.
- the anti-microbial agent is 4-4'- dichloro-2-hydroxy diphenyl ether, commercially available from BASF, under the trademark name Tinosan®HP100.
- Non-limiting examples of pearlescent agents include: mica; titanium dioxide coated mica; bismuth oxychloride; fish scales; mono and diesters of alkylene glycol.
- the pearlescent agent may be ethyleneglycoldistearate (EGDS).
- the composition might also comprise an opacifier.
- an “opacifier” is a substance added to a material in order to make the ensuing system opaque.
- the opacifier is Acusol, which is available from Dow Chemicals. Acusol opacifiers are provided in liquid form at a certain % solids level. As supplied, the pH of Acusol opacifiers ranges from 2.0 to 5.0 and particle sizes range from 0.17 to 0.45 um. In one preferred embodiment, Acusol OP303B and 301 can be used.
- the opacifier may be an inorganic opacifier.
- the inorganic opacifier can be TiCh, ZnO, talc, CaCCh, and combination thereof.
- the composite opacifier-microsphere material is readily formed with a preselected specific gravity, so that there is little tendency for the material to separate.
- the solvent system in the present compositions can be a solvent system containing water alone or mixtures of organic solvents either without or preferably with water.
- the compositions may optionally comprise an organic solvent.
- Suitable organic solvents include C4-C14 ethers and diethers, glycols, alkoxylated glycols, Ce-Ci6 glycol ethers, alkoxylated aromatic alcohols, aromatic alcohols, aliphatic branched alcohols, alkoxylated aliphatic branched alcohols, alkoxylated linear C1-C5 alcohols, linear C1-C5 alcohols, amines, Cs-Cu alkyl and cycloalkyl hydrocarbons and halohydrocarbons, and mixtures thereof.
- Preferred organic solvents include 1,2-propanediol, 2,3 butane diol, ethanol, glycerol, ethoxylated glycerol, dipropylene glycol, methyl propane diol and mixtures thereof 2 ethyl hexanol, 3,5,5,trimethyl-l hexanol, and 2 propyl heptanol.
- Solvents may be a polyethylene or polypropylene glycol ether of glycerin.
- Other lower alcohols, C1-C4 alkanolamines such as monoethanolamine and triethanolamine, can also be used.
- Solvent systems can be absent, for example from anhydrous solid embodiments of the invention, but more typically are present at levels in the range of from about 0.1% to about 98%, preferably at least about 1% to about 50%, more usually from about 5% to about 25%, alternatively from about 1% to about 10% by weight of the liquid detergent composition of said organic solvent. These organic solvents may be used in conjunction with water, or they may be used without water.
- compositions may optionally comprise a hydrotrope in an effective amount, i.e. from about 0% to 15%, or about 1% to 10% , or about 3% to about 6%, so that compositions are compatible in water.
- Suitable hydrotropes for use herein include anionic-type hydrotropes, particularly sodium, potassium, and ammonium xylene sulfonate, sodium, potassium and ammonium toluene sulfonate, sodium potassium and ammonium cumene sulfonate, and mixtures thereof, as disclosed in U.S. Patent 3,915,903.
- suds supressors include monocarboxylic fatty acid and soluble salts therein, high molecular weight hydrocarbons such as paraffin, fatty acid esters (e.g., fatty acid triglycerides), fatty acid esters of monovalent alcohols, aliphatic C18-C40 ketones (e.g., stearone), N-alkylated amino triazines, waxy hydrocarbons preferably having a melting point below about 100 °C, silicone suds suppressors, and secondary alcohols.
- Preferred fatty acid blends may be mixtures enriched or Fatty acid mixtures enriched with 2-alkyl fatty acid, preferably 2-methyl octanoic acid.
- antifoams are those derived from phenylpropylmethyl substituted polysiloxanes.
- the detergent composition may comprise a suds suppressor selected from organomodified silicone polymers with aryl or alkylaryl substituents combined with silicone resin and a primary filler, which is modified silica.
- the detergent compositions may comprise from about 0.001% to about 4.0%, by weight of the composition, of such a suds suppressor.
- the detergent composition comprises a suds suppressor selected from: a) mixtures of from about 80 to about 92% ethylmethyl, methyl(2-phenylpropyl) siloxane; from about 5 to about 14% MQ resin in octyl stearate; and from about 3 to about 7% modified silica; b) mixtures of from about 78 to about 92% ethylmethyl, methyl(2-phenylpropyl) siloxane; from about 3 to about 10% MQ resin in octyl stearate; from about 4 to about 12% modified silica; or c) mixtures thereof, where the percentages are by weight of the anti-foam.
- a suds suppressor selected from: a) mixtures of from about 80 to about 92% ethylmethyl, methyl(2-phenylpropyl) siloxane; from about 5 to about 14% MQ resin in octyl stearate; and from about 3 to about 7%
- the laundry detergent composition can be a liquid laundry detergent composition.
- Suitable liquid laundry detergent compositions can comprise a non-soap surfactant, wherein the non-soap surfactant comprises an anionic non-soap surfactant and a non-ionic surfactant.
- the laundry detergent composition can comprise from 10% to 60%, or from 20% to 55% by weight of the laundry detergent composition of the non-soap surfactant.
- the non-soap anionic surfactant to nonionic surfactant are from l : l to 20: 1, from 1.5: l to 17.5: 1, from 2: 1 to 15: 1, or from 2.5: 1 to 13: 1.
- Suitable alkyl sulphate anionic surfactants include alkoxylated alkyl sulphates, non-alkoxylated alkyl sulphates, and mixture thereof.
- the HLAS surfactant comprises greater than 50% C12, preferably greater than 60%, preferably greater than 70% C12, more preferably greater than 75% C12.
- Suitable alkoxylated alkyl sulphate anionic surfactants include ethoxylated alkyl sulphate anionic surfactants.
- Suitable alkyl sulphate anionic surfactants include ethoxylated alkyl sulphate anionic surfactant with a mol average degree of ethoxylation of from 1 to 5, from 1 to 3, or from 2 to 3.
- the alkyl alkoxylated sulfate may have a broad alkoxy distribution or a peaked alkoxy distribution.
- the alkyl portion of the AES may include, on average, from 13.7 to about 16 or from 13.9 to 14.6 carbons atoms.
- At least about 50% or at least about 60% of the AES molecule may include having an alkyl portion having 14 or more carbon atoms, preferable from 14 to 18, or from 14 to 17, or from 14 to 16, or from 14 to 15 carbon atoms.
- the alkyl sulphate anionic surfactant may comprise a non- ethoxylated alkyl sulphate and an ethoxylated alkyl sulphate wherein the mol average degree of ethoxylation of the alkyl sulphate anionic surfactant is from 1 to 5, from 1 to 3, or from 2 to 3.
- the alkyl fraction of the alkyl sulphate anionic surfactant can be derived from fatty alcohols, oxo-synthesized alcohols, Guerbet alcohols, or mixtures thereof.
- Preferred alkyl sulfates include optionally ethoxylated alcohol sulfates including 2-alkyl branched primary alcohol sulfates especially 2-branched C12-15 primary alcohol sulfates, linear primary alcohol sulfates especially linear C12-14 primary alcohol sulfates, and mixtures thereof.
- the laundry detergent composition can comprise from 10% to 50%, or from 15% to 45%, or from 20% to 40%, or from 30% to 40% by weight of the laundry detergent composition of the non-soap anionic surfactant.
- Suitable non-ionic surfactants can be selected from alcohol broad or narrow range alkoxylates, an oxo-synthesised alcohol alkoxylate, Guerbet alcohol alkoxylates, alkyl phenol alcohol alkoxylates, or a mixture thereof.
- the laundry detergent composition can comprise from 0.01% to 10%, from 0.01% to 8%, from 0.1% to 6%, or from 0.15% to 5% by weight of the liquid laundry detergent composition of a non-ionic surfactant.
- the liquid laundry detergent composition comprises from 1.5% to 20%, or from 2% to 15%, or from 3% to 10%, or from 4% to 8% by weight of the laundry detergent composition of soap, such as a fatty acid salt.
- soap such as a fatty acid salt.
- Such soaps can be amine neutralized, for instance using an alkanolamine such as monoethanolamine.
- the liquid laundry detergent composition can comprises an adjunct ingredient selected from the group comprising builders including citrate, enzymes, bleach, bleach catalyst, dye, hueing dye, Leuco dyes, brightener, cleaning polymers including alkoxylated polyamines and polyethyleneimines, amphiphilic copolymers, soil release polymer, surfactant, solvent, dye transfer inhibitors, chelant, diamines, perfume, encapsulated perfume, polycarboxylates, structurant, pH trimming agents, antioxidants, antibacterial, antimicrobial agents, preservatives and mixtures thereof.
- builders including citrate, enzymes, bleach, bleach catalyst, dye, hueing dye, Leuco dyes, brightener
- cleaning polymers including alkoxylated polyamines and polyethyleneimines, amphiphilic copolymers, soil release polymer, surfactant, solvent, dye transfer inhibitors, chelant, diamines, perfume, encapsulated perfume, polycarboxylates, structurant, pH trimming agents, antioxidants, antibacterial, antimicrobial
- the liquid laundry detergent composition can have a pH of from 2 to 11, or from 6.5 to 8.9, or from 7 to 8, wherein the pH of the laundry detergent composition is measured at a 10% product concentration in demineralized water at 20°C.
- the liquid laundry detergent composition can be Newtonian or non-Newtonian, preferably non-Newtonian.
- Antioxidant 1 is 3,5-bis(l,l-dimethylethyl)-4-hydroxybenzenepropanoic acid, methyl ester [6386-38-5]
- Hygiene Agent is agent is Tinosan HP 100 commercially available from BASF
- the weight ratio of linear alkylbenzene sulphonate to alkyl sulphate preferably is from 1 :2 to 9: 1, from 1 : 1 to 7: 1, from 1 : 1 to 5: 1, or from 1 : 1 to 4: 1.
- Example linear alkylbenzene sulphonates are Cio-Cie alkyl benzene sulfonic acids, or C11-C14 alkyl benzene sulfonic acids.
- linear we herein mean the alkyl group is linear.
- Example alkyl sulphate anionic surfactant may comprise alkoxylated alkyl sulphate or non-alkoxylated alkyl sulphate or a mixture thereof.
- poly ethylene glycol graft polymer comprising a polyethylene glycol backbone (Pluriol E6000) and hydrophobic vinyl acetate side chains, comprising 40% by weight of the polymer system of a polyethylene glycol backbone polymer and 60% by weight of the polymer system of the grafted vinyl acetate side chains
- the laundry detergent composition can be a solid free-flowing particulate laundry detergent composition.
- the following is an exemplary solid free-flowing particulate laundry detergent composition (Table 3). Table 3.
- such method comprises the steps of optionally washing and/or rinsing said surface or fabric, contacting said surface or fabric with any composition disclosed in this specification then optionally washing and/or rinsing said surface or fabric is disclosed, with an optional drying step.
- the propoxylated ethylenediamine can also provide the following benefits when incorporated into a laundry detergent composition which additionally comprises a detersive surfactant:
- the raw materials for preparation of the surfactant, polymers and other ingredients can be based on fossil carbon or renewable carbon.
- Renewable carbon is a carbon source that avoid the use of fossil carbon such as natural gas, coal, petroleum.
- renewable carbon is derived from the biomass, carbon capture, or chemical recycling.
- renewable carbon from biomass examples include plants (e.g., sugar cane, beets, com, potatoes, citrus fruit, woody plants, lignocellulosics, hemicellulosics, cellulosic waste), animals, animal fats, fish, bacteria, fungi, plant-based oils, and forestry products. These resources can be naturally occurring, hybrids, or genetically engineered organisms.
- Carbon capture is another renewable carbon source which use various process to capture CO2 or methane from industrial or natural processes, or directly from air (direct capture).
- Captured methane and CO2 maybe converted into syngas, and/or further convert to basic chemicals, including but not limit to methanol, ethanol, fatty alcohols such as C12/C14 or even Cie/Cis alcohols, other alcohols, olefins, alkanes, saturated and unsaturated organic acids, etc.
- basic chemicals can used as or further convert to monomers for making transformed to usable chemicals by e.g. catalytic processes, such as the Fischer-Tropsch process or by fermentation by Ci -fixing microorganisms.
- Chemical recycling is another renewable carbon source which allow plastics from waste management industry to be recycled and converted into base chemicals and chemical feedstocks.
- waste plastics which cannot be re-used or mechanical recycled are convert to hydrocarbons or basic petrochemicals through gasification, pyrolysis or hydrothermal treatment processes, the hydrocarbons and basic petrochemicals can be further convert into monomers for polymers.
- waste plastics are depolymerized into monomers to make new polymers. It is also possible that waste plastics are depolymerized into oligomers, the oligomers can be used as building blocks to make new polymers.
- waste plastic converted by various processes to a waste plastic feedstock for the above materials may either be used alone or in combination with traditional surfactant feedstocks, such as kerosene, polyolefins derived from natural gas, coal, crude oil or even biomass, or waste fat/oil-derived paraffin and olefin, to produce biodegradable surfactants for use in detergents and other industries (thereby providing a benefit to society).
- traditional surfactant feedstocks such as kerosene, polyolefins derived from natural gas, coal, crude oil or even biomass, or waste fat/oil-derived paraffin and olefin
- the surfactant, polymers and other ingredients contains renewable carbon
- the Renewable Carbon Index (RCI, a measure of sustainability by dividing the number of carbons derived from renewable sources by the total number of carbons in an active ingredient) of the polymer is above 10%, more preferably above 30%, more preferably above 50%, more preferably above 60%, more preferably between 70% to 100% (including 100%), and most preferably 100%.
- OECD 301F Biodegradation of polymers in in wastewater was tested in triplicate using the OECD 301F manometric respirometry method.
- OECD 301F is an aerobic test that measures biodegradation of a sample by measuring the consumption of oxygen.
- 100 mg/L test substance which is the nominal sole source of carbon is added along with the inoculum (30 mg/L, aerated sludge taken from Mannheim wastewater treatment plant). This is stirred in a closed flask at a constant temperature (20°C or 25°C) for 28 or 56 days, respectively.
- the consumption of oxygen is determined by measuring the change in pressure in the apparatus using an OxiTop® C (Xylem 35 Analytics Germany Sales GmbH & Co KG).
- Evolved carbon dioxide is absorbed in a solution of sodium hydroxide.
- Nitrification inhibitors are added to the flask to prevent usage of oxygen due to nitrification.
- the amount of oxygen taken up by the microbial population during biodegradation of the test substance is expressed as a percentage of ThOD (Theoretical oxygen demand, which is measured by the elemental analysis of the compound).
- ThOD Theoretical oxygen demand, which is measured by the elemental analysis of the compound.
- a positive control Glucose/Glucosamine is run along with the test samples for each cabinet.
- liquid laundry detergent composition (Table 5) was used as base detergent to test polymer whiteness maintenance performance.
- Polymer whiteness maintenance performance were tested using the following conditions: 3000 ppm clay, 688 ppm base detergent / 25°C / ImM hardness / 19.6 ppm polymer.
- a Fluorescent Brightener is disodium 4,4'-bis ⁇ [4-anilino-6-morpholino-s-triazin-2-yl]- amino ⁇ -2,2'-stilbenedisulfonate or 2,2'-([l,l'-Biphenyl]-4,4'-diyldi-2,l-ethenediyl)bis- benzenesulfonic acid disodium salt.
- Knitted Cotton Test fabrics, Inc 403 cotton interlock knit tubular
- the fabric was prepared according to the following method: 400g fabrics are washed in a WE Miniwasher Electrolux EWC1350 (3.5 litre water) twice using the short program (45- minute wash cycle followed by three rinse cycles; total program is 90 minutes) at 60°C with 18.6g ArielTM Compact powder detergent, twice using the short program, at 60°C nil detergent. Fabrics are then dried in a tumble dryer on cupboard dry .
- Each sample is run in a 96 well plate simulated washing system that uses magnetized bearings to simulate the agitation of a typical full scale washing machine according to the following conditions: 750 ppm detergent concentration, 150 pL water per well, 25°C, water hardness of 1.0 mM (3 : 1 Ca 2+ : Mg 2+ molar ratio), wash pH of 8.3, 3000 ppm Arizona test dust (supplied by PTI, Powder Technology Inc).
- the fabric is washed for 60 minutes and dried in the dark under ambient conditions.
- F Six 96 well plates, and eight internal replicates per 96 well plate, for a total of 48 replicates have been tested.
- L*, a*, b* and CIE WI are measured on each 96 well plate spot using a Spectrolino imaging system (Gretag Macbeth, Spectro Scan 3.273). For each treatment, the average CIE WI is determined. Delta CIE WI, as reported in Table 6 below, is the difference of the average CIE WI of the sample vs. the average CIE WI of a control sample without the tested polymer (nil polymer).
Landscapes
- Chemical & Material Sciences (AREA)
- Life Sciences & Earth Sciences (AREA)
- Engineering & Computer Science (AREA)
- Chemical Kinetics & Catalysis (AREA)
- Oil, Petroleum & Natural Gas (AREA)
- Wood Science & Technology (AREA)
- Organic Chemistry (AREA)
- Detergent Compositions (AREA)
Abstract
This invention related to a laundry detergent composition containing a specific propoxylated ethylenediamine together with a detersive surfactant.
Description
A LAUNDRY DETERGENT COMPOSITION
FIELD OF THE INVENTION
This invention relates to a laundry detergent composition comprising a specific propoxylated ethylenediamine and a detersive surfactant. The specific propoxylated ethylenediamines show good biodegradability and deliver good whiteness maintenance benefit in a laundry detergent composition.
BACKGROUND OF THE INVENTION
Laundry detergent formulators are continuously faced with the task of developing more sustainable products to remove a broad spectrum of soils and stains from fabrics surfaces, and to maintain whiteness of white garments (whiteness maintenance).
Alkoxylated linear oligoamines are known to provide grease and sebum cleaning performane when incorporated into laundry detergents. However, the inventors have found that very specific propoxylated ethylenediamines show good biodegradability and good whiteness maintenance benefit when incorporated into a laundry detergent composition that additionally comprises a detersive surfactant. These specific propoxylated ethylenediamines exhibit an optimum balance between biodegradability and whiteness maintenance performance.
SUMMARY OF THE INVENTION
The present invention provides a laundry detergent composition comprising: (a) a propoxylated ethylenediamine, wherein at least one of the NH-functionalities of ethylenediamine (EDA) is propoxylated, and wherein the propoxylated ethylenediamine comprises on average from 28 to 52 propylene oxide (PO) units per mol EDA; and (b) a detersive surfactant.
DETAILED DESCRIPTION OF THE INVENTION
Laundry detergent composition
Laundry detergent composition of this invention can be in any form useful for washing clothes or other things made of cloth. Suitable laundry detergent compositions include laundry detergent powder compositions, laundry beads, laundry detergent liquid compositions, laundry detergent gel compositions, laundry sheets, and water-soluble unit dose laundry detergent compositions. The laundry detergent can be introduced into laundering process at different
stages, including pretreat stage, main wash stage, and/or rinse stage. More details on representative laundry detergent compositions can be found later in this description.
Propoxylated ethylenediamine
The term “compound of the invention”, or “inventive compound”, or “inventive polymer”, as used herein, refers to propoxylated ethylenediamines / ethylenediamine propoxylates (which may be used interchangeably herein) prepared as described below and/or in the appended claims.
In the following, any alkylene oxide is generically referred to as “AO”, ethylene oxide is sometimes referred to as “EO”, propylene oxide as “PO”; butylene oxide as “BuO”. “PEO” is used sometimes herein to describe polyethylene oxide homopolymers or PEO-blocks within a larger polymer structure; likewise, “PPO” describes the polypropylene oxide homopolymers or polymer-blocks within a larger polymer structure.
Laundry detergent composition of this invention comprises a propoxylated ethylenediamine, wherein at least one of the NH-functionalities of ethylenediamine (EDA) is propoxylated, and wherein the propoxylated ethylenediamine comprises on average from 28 to 52 propylene oxide (PO) units per mol EDA.
Other names for EDA used in the art are Ethane- 1,2-diamine (IUPAC name), Edamine and 1,2-Diaminoethane.
Within the context of the present invention, the term “NH-functionality” is defined as follows: A primary amino group (-NH2) has two NH-functionalities, a secondary amino group (-NH-) only one NH-functionality, and a tertiary amino group, by consequence, has no reactive NH-functionality. Thus, before being modified the ethylenediamine has four NH- functionalities.
The compounds of the invention have at least one, preferably from two to four, more preferably three to four, most preferably four NH-functionalities of the EDA being propoxylated. The propoxylation reaction of EDA form from one to four polypropylene oxide (PPO) chains (solely made up from propylene oxides) directly attached to nitrogen atom of the NH-functionality of the EDA. Each PPO chain can be considered as a side chain or branch,
therefore, the propoxylated ethylenediamine of the invention comprise at least one side chain, preferably two to four, more preferably three to four, most preferably four side chains.
Usually, the used PO units are equally distributed among the different side chains including a modest statistical variation. The propoxylated ethylenediamine comprises on average from 28 to 52 propylene oxide (PO) units per mol EDA, this means each side chain possesses on average 7 to 13 PO units.
It is noted that all such numbers are numbers “on average” meaning that such numbers refer to the average number for such unit per NH-functionality calculated based on all NH- functionalities of the propoxylated ethylenediamines.
It is to be emphasized that the reactions leading to the inventive compounds are statistical reactions, meaning there is never just one chemically exactly defined compound present, but an inventive propoxylated ethylenediamine always is a mixture of slightly deviating structures, all stemming from the same reaction within one reaction space; the difference of those structures clearly stemming from the facts that no reaction proceeds in exactly the same way and the same speed on all functional units, especially as the chemical reactivities of the functional units - here mainly those of the -NH groups, differs according to their environment, meaning that a primary amine group reacts differently than a secondary amine, and also the chemical environment of the groups may be different; this leads in an overall view to slightly deviating structures being present, and thus any compound of this invention being defined as in the various embodiments and exemplified in the examples never is just one chemical compound, but always a mixture of slightly deviating compounds, having a statistical distribution. As the reactivities of those groups are not differing by a large extent, the deviation is relatively small. Hence, defining a propoxylated ethylenediamine of the invention by a prototypical member is a viable way of defining the structure. Also, defining the composition of the side chains by average numbers (including those variables defined in the present and following embodiments based on the numbers of NH-functionalities being present in the propoxylated ethylenediamines is a useful way of defining the overall composition of any mixture herein defined as “a propoxylated ethylenediamine of the invention”.
Therefore, unless otherwise indicated, the values, ranges and ratios given in the specification for the number of NH-functionalities and the molecular weight (Mn) relate to the number average values in heterogenic mixture of the synthesized propoxylated ethylenediamines containing individual, slightly from each other deviating chemical structures that result from the preparation method of the present invention. As known in polymer science,
the weight-average molecular weight (Mw) is then a measure for the (in)homogeneity within the mixture of different species in “the propoxylated ethylenediamines”.
The term “average number of POs per propylene oxide branch”, as used herein, refers to the calculated number of PO units that should be present in one propoxylene oxide branch. As explained in more detail above, the skilled person is well-aware of the fact that the synthesis of the inventive compounds will result in a mixture of slightly deviating compounds underlying a statistical distribution. Thus, the “average number of POs per propylene oxide branch” is calculated by dividing the total amount of employed mol PO per mol of ethylenediamine by the number of NH-functionalities of ethylenediamine.
The terms “essentially consisting of’ or “consisting essentially of’, as used interchangeably herein, with respect to ethylenediamine means that EDA may comprise impurities or other types of compounds in an amount up to not more than 10% w/w, not more than 7% w/w, not more than 5% w/w, not more than 3% w/w, not more than 2% w/w, not more than 1% w/w, not more than 0.5% w/w or not more than 0.1% w/w.
It is noted that the alkylene oxide used to prepare the inventive compounds may be derived from a fossil or non-fossil carbon source or even a mixture of the before mentioned. Preferably, the amount of non-fossil carbon atoms in the alkoxy side chains is at least 10%, at least 20%, at least 40%, at least 70%, at least 95% or it solely comprises non-fossil derived carbon atoms. The skilled person is well-aware of commercial alkylene oxide products made of non-fossil carbon sources (these products are often sold as being sustainable, renewable or bio-based). For example, methods to prepare bio-based propylene oxide are known (see Abraham, D. S., "Production of propylene oxide from propylene glycol" Master's Thesis University of Missouri-Columbia (2007) (75 pages)).
Preferably, the propoxylated ethylenediamine comprises on average not more than 48, preferably not more than 44, and more preferably not more than 42 PO units per mol EDA. This means that the average number of POs per propylene oxide branch is not more than 12, preferably not more than 11 and more preferably not more than 10.
Preferably, the propoxylated ethylenediamine comprises on average at least 32, preferably at least 36 and more preferably at least 38 PO units per mol EDA. This means that the average number of POs per propylene oxide branch is at least 8, preferably at least 9 and more preferably at least 9.5.
The average PO units per mol EDA for preferred propoxylated ethylenediamines can be any number between 32 and 48, such as 33, 35, 36, 38, 40, 42, 44, 45, 46.
Preferably, one propylene oxide branch has an average weight ranging from 400 to 800 g/mol, preferably from 500 to 700 g/mol and more preferably from 550 to 650 g/mol.
Preferably, the weight average molecular weight (Mw) of the propoxylated ethylenediamine is in the range of from 1500 to 3200 g/mol, preferably in the range of from 1800 to 2800 g/mol and more preferably in the range of from 2000 to 2500 g/mol.
The person skilled in the art knows how to determine/measure the respective weight average molecular weight (Mw). This can be done, for example, by size exclusion chromatography (such as GPC, e.g., in combination with light scattering). Preferably, Mw values are determined by the method as follows: OECD TG 118 (1996), which means in detail OECD (1996), Test No. 118: Determination of the Number-Average Molecular Weight and the Molecular Weight Distribution of Polymers using Gel Permeation Chromatography, OECD Guidelines for the Testing of Chemicals, Section 1, OECD Publishing, Paris, also available on the internet, for example, under https://doi.org/10.1787/9789264069848-en.
Molecular weights of the propoxylated ethylenediamine may be determined by gel permeation chromatography (GPC). The samples were prepared as follows: approx. 15 mg sample was dissolved in 10 ml eluent (THF + 0.035 mol/L Diethanolamine) for 1 hour at a temperature of 50°C. All sample solutions were filtered by a Chromafil Xtra PTFE (0,20 pm filtered prior to injection). Sealed sample vials were placed into the auto sampler. An Agilent 1200 HPLC system, consisting of an isocratic pump, vacuum degasser, auto sampler and a column oven was used. Furthermore, the Agilent system contains a Differential Refractive Index (DRI) and a variable Ultra Violet (UVW) Detector for detection. Data acquisition and data processing of conventionally SEC data was done by WinGPC Unichrom, build 6999, of PSS (Polymer Standard Services now part of Agilent). A combination of a SDV guard (7,5 x 50 mm) column and 3 SDV columns (1000A, 100000A and 1000000A, all 7,5 x 300 mm) of PSS were put in series at 60°C. THF + 0.035 mol/L Diethanolamine was used as eluent at a flow rate of 1 mL/min. lOOpL of each sample solution was injected. The calibration was obtained by narrow molar mass distributed Polyethyleneoxide standards (Agilent) having a molar mass range of M= 160 till M = 1.378.000 g/mol. Molar masses outside this range were extrapolated.
“Mw” is the weight average molecular weight and “Mn” is number average molecular weight. The respective values of Mw and/or Mn can be determined as described within the experimental section below.
The molar mass distribution Mw/Mn obtained by GPC is equal to the poly dispersity index (PDI), the PDI being without unit [g/mol / g/mol]).
Preferably, the propoxylated ethylenediamine demonstrates at least 45%, preferably at least 50, more preferably at least 55, or most preferably at least 60% biodegradability according to standard OECD 3 OIF at 28 days.
For the purposes of this invention, aerobic biodegradation in wastewater according to OECD 301F is expressed as a percentage of the theoretical oxygen demand (ThOD, which is measured by the elemental analysis of the compound of interest), which is needed to completely biodegrade the compound sample. Thus, the amount of oxygen taken up by the microbial population during biodegradation of the test substance (corrected for uptake by blank inoculum, run in parallel) is expressed as a percentage of ThOD. The obtained values are preferably measured in triplicate using the OECD 301F manometric respirometry method. The consumption of oxygen is determined by measuring the change in pressure in the apparatus using an OxiTop® C (Xylem 35 Analytics Germany Sales GmbH & Co KG). Details for the tests performed are given in the experimental section below.
The present invention provides modified ethylenediamines, which are propoxylated. The combined core-shell-product (i.e., the propoxylated ethylenediamine), in which the “core” is the ethylenediamine core, and the “shell” is the polypropylene oxide branches, exhibits a significant biodegradation value. Moreover, these inventive compounds demonstrate also wash performance comparable to currently used products.
Preferably, at least three NH-functionalities, preferably all four NH-functionalities are modified with propylene oxide (PO) units.
The inventive compounds may comprise secondary amines that originate i) from primary amino groups of the ethylenediamine which are modified with only a single propoxylene oxide branch. By secondary amino group, as used herein, an amine is meant in which the nitrogen atom is attached to two carbon atoms and one hydrogen atom. Another hand, the inventive compounds comprise tertiary amines that originate from reacted secondary amino groups of ethylenediamine and which are reacted with two propoxylene oxide branches. As mentioned above, in preferred embodiments all four NH-functionalities are modified with propylene oxide (PO) units meaning that these compounds only comprise tertiary amino groups.
The amount of secondary amino groups in the propoxylated ethylenediamine can be measured according to methods known to the skilled person, such as NMR-spectroscopy, such as 13C-NMR-spectroscopy and/or 'H NMR-spectroscopy.
Preferably, all propoxylene oxide branches attached to the NH-functionality of the ethylenediamine have the same structure, in that sense that the number of PO units per
propoxylene oxide branch is identical or, alternatively, the propoxylene oxide branch structures vary slightly.
Without wishing being bound by the following explanation, a rationale exists to explain the resulting structures of the propoxylated ethylenediamines: Due to the fact that the reactions in questions necessarily employed to prepare those structural orders of the side chains, and thus to prepare the specific inventive compounds, are reactions of quite reactive species which can lead under suitable conditions to almost complete and even “essentially complete” conversions of almost 100 % if not even 100%, the statistical deviation of the composition of the mixture of “propoxylated ethylenediamine” in question is not that high, which in turn means that the structural order of the side chains do not show much deviation. Thus, it is a reliable assumption which can in principle be proven by sophisticated and thus time-consuming and expensive analytical means - such as multi-dimensional NMR-analyses - that it is generally accepted that such deviation exists; hence, no “specific propoxylated ethylenediamine” will be “just one chemical compound of a clearly defined chemical structure”, but clearly will consist of a a) mixture of slightly differing compounds, such differences lying in b) slight deviations may already in the structure of compound making up “the (unmodified) ethylenediamine” being employed for the further modification steps, and c) the slight deviations in the structural orders of the side chains may be attached by way of d) multi-step reactions due to e) variations in the chemical reactivities of the -OH groups, and f) due to slight inhomogeneities occurring in a commercial scale process. All of those factors a) to f) - to just mention a few important ones - lead to a “specific propoxylated ethylenediamine” which is not one specific chemical compound but in fact a mixture of slightly differing compounds having an overall very similar chemical structure; thus, such structure is best described by average numbers for the variables and percentages for the amounts of the dominating structural order.
The propoxylated ethylenediamine can be synthesized by reacting ethylenediamine with 28 to 52 propylene oxide units per mol EDA in order to obtain the respective propoxylated ethylenediamine. The conversion rate of the reaction step may be monitored and in preferred embodiments the conversion rate is at least 90%, preferably at least 95%, more preferably at least 99%, and even more preferably at least 99,5 % or even more. All other structural orders of the side chains as defined above but also the undefined structures resulting from non- controllable parameters are performed in this defined manner, leading - on statistical average - to a defined structural order directly derived from the way such reaction is performed. The conversion rate of the reaction can be determined according to methods known to the skilled
person, such as NMR-spectroscopy, such as 13C-NMR-spectroscopy and/or JH NMR- spectroscopy.
For the reaction conditions such as catalysts, temperatures, duration, purification etc. of the reactions to produce the units of the side chains of the inventive propoxylated ethylenediamine, the respective information within the disclosures such as WO2021154569 A is fully encompassed into this recent disclosure by way of reference.
The propoxylation may be a two-step reaction, wherein the second step is carried out in the presence of at least one catalyst. Within this alkoxylation step, the catalyst is preferably a basic catalyst. Examples of suitable catalysts are alkali metal and alkaline earth metal hydroxides such as sodium hydroxide, potassium hydroxide and calcium hydroxide, alkali metal alkoxides, in particular sodium and potassium Ci-C4-alkoxides, such as sodium methoxide, sodium ethoxide and potassium tert-butoxide, alkali metal and alkaline earth metal hydrides such as sodium hydride and calcium hydride, and alkali metal carbonates such as sodium carbonate and potassium carbonate. Preference is given to the alkali metal hydroxides and the alkali metal alkoxides, a particular preference being given to potassium hydroxide and sodium hydroxide. Typical use amounts for the base are from 0.05 to 10% by weight of final product, in particular from 0.05 to 2% by weight, based on the total amount of ethylenediamine and propylene oxide. During the first step of the propoxylation, 1 to 4 PO/NH can be reacted with the EDA without any catalyst or optionally with water.
The propoxylated ethylenediamine is further submitted to the following process steps of
(a) purification using standard means such as steam distillation, thermal distillation, vacuum evaporation, including removal of all solvent, dialysis; and/or
(b) drying using standard drying means such as spray-, drum, paddle-, vacuumdrying means including agglomeration methods such as fluidized-bed-drying, to obtain a purified solution, a purified liquid, a solid compound, or a purified solid compound, respectively.
In case that after the reaction leading to the inventive compound residual educts (ethylenediamine and/or propylene oxide) are present to a non-desirable extent, the resulting product mixture containing the propoxylated ethylenediamine may be further purified by standard means to reduce the content of residual educts, but also to reduce the amount of possible by-products, reduce the amount(s) of the solvent(s) employed (i.e., to concentrate) or replace solvent(s) with other solvents. Such processes are known to a person of skill in this field.
Preferably, undesirable amounts of residual non-reacted educts are removed, preferably by means of distillative processes, more preferably by thermal distillative processes, which may additionally comprise the application of reduced pressure to increase the speed and/or the effectiveness of the removal. Optionally, when used, the catalyst can be removed by an absorbent, such as acid magnesium silicates (e.g. Ambosol or Magnesol) or the catalyst may be neutralized with inorganic or organic acids, such as HO Ac, H3PO4, etc.
Preferably, only the additional process step a) is employed.
Preferably, the composition comprises from 1.0wt% to 70.0% of the detersive surfactant, and from 0.1 wt% to 10wt% of the propoxylated ethylenediamine.
Detersive surfactant
The laundry detergent composition of this invention comprises a detersive surfactant. Typically, the composition comprises, by weight of the composition, from about 1% to about 70% of a detersive surfactant system, preferably from about 2% to about 60%, more preferably from about 5% to about 30%. The detersive surfactant is selected from anionic surfactants, nonionic surfactant, cationic surfactants, zwitterionic surfactants and amphoteric surfactants and mixtures thereof. Those of ordinary skill in the art will understand that a detersive surfactant encompasses any surfactant or mixture of surfactants that provide cleaning, stain removing, or laundering benefit to soiled material. Suitable surfactants may be linear or branched, substituted or un-substituted, and may be derived from petrochemical material or biomaterial.
Anionic surfactant:
Anionic surfactants include, but are not limited to, those surface-active compounds that contain an organic hydrophobic group containing generally 8 to 22 carbon atoms or generally 8 to 18 carbon atoms in their molecular structure and at least one water-solubilizing group preferably selected from sulfonate, sulfate, and carboxylate so as to form a water-soluble compound. Usually, the hydrophobic group will comprise a C8-C22 alkyl, or acyl group. Such surfactants are employed in the form of water-soluble salts and the salt-forming cation usually is selected from sodium, potassium, ammonium, magnesium and alkanolamines, with the sodium cation being the usual one chosen.
Anionic surfactants of the present invention and adjunct anionic cosurfactants, may exist in an acid form, and said acid form may be neutralized to form a surfactant salt which is desirable for use in the present detergent compositions. Typical agents for neutralization include the metal counterion base such as hydroxides, e.g., NaOH or KOH. Further preferred agents for neutralizing anionic surfactants of the present invention and adjunct anionic surfactants or cosurfactants in their acid forms include ammonia, amines, oligamines, or alkanolamines.
Alkanolamines are preferred. Suitable non-limiting examples including monoethanolamine, diethanolamine, triethanolamine, and other linear or branched alkanolamines known in the art; for example, highly preferred alkanolamines include 2-amino-l -propanol, 1 -aminopropanol, monoisopropanolamine, or l-amino-3 -propanol. Amine neutralization may be done to a full or partial extent, e.g. part of the anionic surfactant mix may be neutralized with sodium or potassium and part of the anionic surfactant mix may be neutralized with amines or alkanolamines.
Suitable sulphonate surfactants include methyl ester sulphonates, alpha olefin sulphonates, alkyl benzene sulphonates, especially alkyl benzene sulphonates, preferably Cio- C13 alkyl benzene sulphonate. Suitable alkyl benzene sulphonate (LAS) is obtainable, preferably obtained, by sulphonating commercially available linear alkyl benzene (LAB). Suitable LAB includes low 2-phenyl LAB, such as those supplied by Sasol under the tradename Isochem® or those supplied by Petresa under the tradename Petrelab®, other suitable LAB include high 2-phenyl LAB, such as those supplied by Sasol under the tradename Hyblene®. A suitable anionic surfactant is alkyl benzene sulphonate obtained by DETAL catalyzed process, although other synthesis routes, such as HF, may also be suitable. In one aspect a magnesium salt of LAS is used. Preferably, the composition may contain from about 0.5% to about 30%, by weight of the laundry composition, of an HLAS surfactant selected from alkyl benzene sulfonic acids, alkali metal or amine salts of Cio-Cie alkyl benzene sulfonic acids, wherein the HLAS surfactant comprises greater than 50% C12, preferably greater than 60%, preferably greater than 70% C12, more preferably greater than 75%.
Suitable sulphate surfactants include alkyl sulphate, preferably Cs-is alkyl sulphate, or predominantly C12 alkyl sulphate. A preferred sulphate surfactant is alkyl alkoxylated sulphate, preferably alkyl ethoxylated sulphate, preferably a Cs-Ci 8 alkyl alkoxylated sulphate, preferably a Cs-Cis alkyl ethoxylated sulphate, preferably the alkyl alkoxylated sulphate has an average degree of alkoxylation of from 0.5 to 20, preferably from 0.5 to 10, preferably the alkyl alkoxylated sulphate is a Cs-Cis alkyl ethoxylated sulphate having an average degree of ethoxylation of from 0.5 to 10, preferably from 0.5 to 5, more preferably from 0.5 to 3 or from about 1.5 to 3 or from about 1.8 to 2.5. The alkyl alkoxylated sulfate may have a broad alkoxy distribution or a peaked alkoxy distribution. The alkyl portion of the AES may include, on average, from 13.7 to about 16 or from 13.9 to 14.6 carbons atoms. At least about 50% or at least about 60% of the AES molecule may include having an alkyl portion having 14 or more carbon atoms, preferable from 14 to 18, or from 14 to 17, or from 14 to 16, or from 14 to 15 carbon atoms.
The alkyl sulphate, alkyl alkoxylated sulphate and alkyl benzene sulphonates may be linear or branched, including 2 alkyl substituted or mid chain branched type, substituted or unsubstituted, and may be derived from petrochemical material or biomaterial. Preferably, the branching group is an alkyl. Typically, the alkyl is selected from methyl, ethyl, propyl, butyl, pentyl, cyclic alkyl groups and mixtures thereof. Single or multiple alkyl branches could be present on the main hydrocarbyl chain of the starting alcohol(s) used to produce the sulfated anionic surfactant used in the detergent of the invention. Most preferably the branched sulfated anionic surfactant is selected from alkyl sulfates, alkyl ethoxy sulfates, and mixtures thereof. Alkyl sulfates and alkyl alkoxy sulfates are commercially available with a variety of chain lengths, ethoxylation and branching degrees. Commercially available sulfates include those based on Neodol alcohols ex the Shell company, Lial - Isalchem and Safol ex the Sasol company, natural alcohols ex The Procter & Gamble Chemicals company.
Other suitable anionic surfactants include alkyl ether carboxylates, comprising a Cio- C26 linear or branched, preferably C10-C20 linear, most preferably C16-C18 linear alkyl alcohol and from 2 to 20, preferably 7 to 13, more preferably 8 to 12, most preferably 9.5 to 10.5 ethoxylates. The acid form or salt form, such as sodium or ammonium salt, may be used, and the alkyl chain may contain one cis or trans double bond. Alkyl ether carboxylic acids are available from Kao (Akypo®), Huntsman (Empicol®) and Clariant (Emulsogen®).
Other suitable anionic surfactants are rhamnolipids. The rhamnolipids may have a single rhamnose sugar ring or two rhamnose sugar rings.
Non-ionic surfactant.
Suitable non-ionic surfactants are selected from the group consisting of: Cs-Cis alkyl ethoxylates, such as, NEODOL® non-ionic surfactants from Shell; C6-C12 alkyl phenol alkoxylates wherein preferably the alkoxylate units are ethyleneoxy units, propyleneoxy units or a mixture thereof; C12-C18 alcohol and C6-C12 alkyl phenol condensates with ethylene oxide/propylene oxide block polymers such as Pluronic® from BASF; alkylpolysaccharides, preferably alkylpolyglycosides; methyl ester ethoxylates; polyhydroxy fatty acid amides; ether capped poly(oxyalkylated) alcohol surfactants; and mixtures thereof.
Preferred non-ionic surfactants are alkylpolyglucoside and/or an alkyl alkoxylated alcohol.
Suitable alkyl alkoxylated alcohols include Cs-Ci8 alkyl alkoxylated alcohol, preferably a C10-C14 alkyl ethoxylated alcohol, preferably the alkyl alkoxylated alcohol has an average degree of alkoxylation of from 1 to 50, preferably from 1 to 30, or from 1 to 20, or from 1 to 10, preferably the alkyl alkoxylated alcohol is a Cs-Ci8 alkyl ethoxylated alcohol having an
average degree of ethoxylation of from 1 to 10, preferably from 1 to 7, more preferably from 1 to 5 and most preferably from 3 to 7. In one aspect, the alkyl alkoxylated alcohol is a C12-C15 alkyl ethoxylated alcohol having an average degree of ethoxylation of from 7 to 10. The alkyl alkoxylated alcohol can be linear or branched, and substituted or un- substituted. Suitable nonionic surfactants include those with the trade name Lutensol® from BASF. The alkyl alkoxylated alcohol may have a broad alkoxy distribution for example Alfonic 1214-9 Ethoxylate or a peaked alkoxy distribution for example Novel 1214-9 both commercially available from Sasol.
Cationic surfactant.
Suitable cationic surfactants include alkyl pyridinium compounds, alkyl quaternary ammonium compounds, alkyl quaternary phosphonium compounds, alkyl ternary sulphonium compounds, and mixtures thereof.
Preferred cationic surfactants are quaternary ammonium compounds having the general formula:
(R)(RI)(R2)(R3)N+ X wherein, R is a linear or branched, substituted or unsubstituted Ce-is alkyl or alkenyl moiety, Ri and R2 are independently selected from methyl or ethyl moieties, R3 is a hydroxyl, hydroxymethyl or a hydroxyethyl moiety, X is an anion which provides charge neutrality, preferred anions include: halides, preferably chloride; sulphate; and sulphonate.
The laundry detergent compositions of the present invention may contain up to about 30%, preferably from 0.01% to 20%, more preferalby from 0.1% to 10%, more preferably from 0.2% to 5%, most preferably from 0.3 to 2.5%, by weight of the composition, of a cationic surfactant.
For the purposes of the present invention, cationic surfactants include those which can deliver fabric care benefits. Non-limiting examples of useful cationic surfactants include: fatty amines, imidazoline quat materials and quaternary ammonium surfactants, preferably N, N- bis(stearoyl -oxy-ethyl) N,N-dimethyl ammonium chloride, N,N-bis(tallowoyl-oxy-ethyl) N,N- dimethyl ammonium chloride, N,N-bis(stearoyl -oxy-ethyl) N-(2 hydroxyethyl) N-methyl ammonium methyl sulfate; 1, 2 di (stearoyl -oxy) 3 trimethyl ammoniumpropane chloride; dialkylenedimethylammonium salts such as dicanoladimethylammonium chloride, di(hard)tallowdimethylammonium chloride dicanoladimethylammonium methyl sulfate; 1- methyl-l-stearoylamidoethyl-2-stearoylimidazolinium methyl sulfate; l-tallowylamidoethyl-2-
tallowylimidazoline; N,N"-dialkyldiethylenetriamine ;the reaction product of N-(2- hydroxy ethyl)- 1,2-ethylenediamine or N-(2-hydroxyisopropyl)-l,2-ethylenediamine with glycolic acid, esterified with fatty acid, where the fatty acid is (hydrogenated) tallow fatty acid, palm fatty acid, hydrogenated palm fatty acid, oleic acid, rapeseed fatty acid, hydrogenated rapeseed fatty acid; polyglycerol esters (PGEs), oily sugar derivatives, and wax emulsions and a mixture of the above.
Amphoteric and Zwitterionic surfactant.
Suitable amphoteric or zwitterionic surfactants include amine oxides, and/or betaines. Preferred amine oxides are alkyl dimethyl amine oxide or alkyl amido propyl dimethyl amine oxide, more preferably alkyl dimethyl amine oxide and especially coco dimethyl amino oxide. Amine oxide may have a linear or mid-branched alkyl moiety. Typical linear amine oxides include water-soluble amine oxides containing one R1 Cs-Cis alkyl moiety and 2 R2 and R3 moieties selected from the group consisting of C1-C3 alkyl groups and C1-C3 hydroxyalkyl groups. Preferably amine oxide is characterized by the formula R1 - N(R2)(R3) O wherein R1 is a Cs-Cis alkyl and R2 and R3 are selected from the group consisting of methyl, ethyl, propyl, isopropyl, 2-hydroxethyl, 2-hydroxypropyl and 3-hydroxypropyl. The linear amine oxide surfactants in particular may include linear C10-C18 alkyl dimethyl amine oxides and linear Cs- C12 alkoxy ethyl dihydroxy ethyl amine oxides.
Other suitable surfactants include betaines, such as alkyl betaines, alkylamidobetaine, amidazoliniumbetaine, sulfobetaine (INCI Sultaines) as well as Phosphobetaines.
Other Cleaning Additives
The compositions of the invention may also contain other cleaning additives. Suitable cleaning additives include the following: Enzymes.
Preferably the composition comprises one or more enzymes. Preferred enzymes provide cleaning performance and/or fabric care benefits. Examples of suitable enzymes include, but are not limited to, hemicellulases, peroxidases, proteases, cellulases, xylanases, lipases, phospholipases, esterases, cutinases, pectinases, mannanases, galactanases, pectate lyases, keratinases, reductases, oxidases, phenoloxidases, lipoxygenases, ligninases, pullulanases, tannases, pentosanases, malanases, B-glucanases, arabinosidases, hyaluronidase, chondroitinase, laccase, and amylases, or mixtures thereof. A typical combination is an enzyme cocktail that may comprise, for example, a protease and lipase in conjunction with amylase. When present in the composition, the aforementioned additional enzymes may be present at
levels from about 0.00001% to about 2%, from about 0.0001% to about 1% or even from about 0.001% to about 0.5% enzyme protein by weight of the composition.
Proteases. Preferably the composition comprises one or more proteases. Suitable proteases include metalloproteases and serine proteases, including neutral or alkaline microbial serine proteases, such as subtilisins (EC 3.4.21.62). Suitable proteases include those of animal, vegetable or microbial origin. In one aspect, such suitable protease may be of microbial origin. The suitable proteases include chemically or genetically modified mutants of the aforementioned suitable proteases. In one aspect, the suitable protease may be a serine protease, such as an alkaline microbial protease or/and a trypsin-type protease. Examples of suitable neutral or alkaline proteases include:
(a) subtilisins (EC 3.4.21.62), especially those derived from Bacillus, such as Bacillus sp., Bacillus sp., B. lentus, B. alkalophilus, B. subtilis, B. amyloliquefaciens, B. gibsonii, B. akibaii, B. clausii and B. clarkii described in W02004067737, WO2015091989, W02015091990, WO2015024739, WO2015143360, US6,312,936B1, US5,679,630, US4,760,025, DE 102006022216 Al, DEI 02006022224 Al, WO2015089447, WO2015089441, WO2016066756, WO2016066757, WO2016069557, WO2016069563, WO2016069569, WO20 17/089093, WO2020/156419.
(b) trypsin-type or chymotrypsin-type proteases, such as trypsin (e.g., of porcine or bovine origin), including the Fusarium protease described in WO 89/06270 and the chymotrypsin proteases derived from Cellumonas described in WO 05/052161 and WO 05/052146.
(c) metalloproteases, especially those derived from Bacillus amyloliquefaciens decribed in WO07/044993A2; from Bacillus, Brevibacillus, Thermoactinomyces, Geobacillus, Paenibacillus, Lysinibacillus or Streptomyces spp. Described in WO2014194032, WO2014194054 and WO2014194117; from Kribella alluminosa described in WO2015193488; and from Streptomyces and Lysobacter described in W02016075078.
(d) Protease having at least 90% identity to the subtilase from Bacillus sp. TY145, NCIMB 40339, described in WO92/17577 (Novozymes A/S), including the variants of this Bacillus sp TY145 subtilase described in WO2015024739, and WO2016066757.
Suitable commercially available protease enzymes include those sold under the trade names Alcalase®, Savinase®, Primase®, Durazym®, Polarzyme®, Kannase®, Liquanase®, Liquanase Ultra®, Savinase Ultra®, Liquanase® Evity®, Savinase® Evity®, Ovozyme®, Neutrase®, Everlase®, Coronase®, Blaze®, Blaze Ultra®, Blaze® Evity®, Blaze® Exceed, Blaze® Pro, Esperase®, Progress® Uno, Progress® Excel, Progress® Key, Ronozyme®,
Vinzon® and Het Ultra® by Novozymes A/S (Denmark); those sold under the tradename Maxatase®, Maxacai®, Maxapem®, Properase®, Purafect®, Purafect Prime®, Purafect Ox®, FN3®, FN4®, Excellase®, Ultimase® and Purafect OXP® by Dupont; those sold under the tradename Opticlean® and Optimase® by Solvay Enzymes; and those available from Henkel/Kemira, namely BLAP (sequence shown in Figure29 of US 5,352,604 with the following mutations S99D + S101 R + SI 03 A + VI 041 + G159S, hereinafter referred to as BLAP), BLAP R (BLAP with S3T + V4I + V199M + V205I + L217D), BLAP X (BLAP with S3T + V4I + V205I) and BLAP F49 (BLAP with S3T + V4I + A194P + V199M + V205I + L217D); and KAP (Bacillus alkalophilus subtilisin with mutations A230V + S256G + S259N) from Kao and Lavergy®, Lavergy® Pro, Lavergy® C Bright from BASF.
Amylases. Preferably the composition may comprise an amylase. Suitable alphaamylases include those of bacterial or fungal origin. Chemically or genetically modified mutants (variants) are included. A preferred alkaline alpha-amylase is derived from a strain of Bacillus, such as Bacillus licheniformis, Bacillus amyloliquefaciens, Bacillus stearothermophilus, Bacillus subtilis, or other Bacillus sp., such as Bacillus sp. NCIB 12289, NCIB 12512, NCIB 12513, DSM 9375 (USP 7,153,818) DSM 12368, DSMZ no. 12649, KSM AP1378 (WO 97/00324), KSM K36 or KSM K38 (EP 1,022,334). Preferred amylases include:
(a) variants described in WO 94/02597, WO 94/18314, WO96/23874 and WO 97/43424, especially the variants with substitutions in one or more of the following positions versus the enzyme listed as SEQ ID No. 2 in WO 96/23874: 15, 23, 105, 106, 124, 128, 133, 154, 156, 181 , 188, 190, 197, 202, 208, 209, 243, 264, 304, 305, 391, 408, and 444.
(b) variants described in USP 5,856,164 and WO99/23211, WO 96/23873, WOOO/6OO6O and WO 06/002643, especially the variants with one or more substitutions in the following positions versus the AA560 enzyme listed as SEQ ID No. 12 in WO 06/002643:
26, 30, 33, 82, 37, 106, 118, 128, 133, 149, 150, 160, 178, 182, 186, 193, 203, 214, 231, 256, 257, 258, 269, 270, 272, 283, 295, 296, 298, 299, 303, 304, 305, 311, 314, 315, 318, 319, 339, 345, 361, 378, 383, 419, 421, 437, 441, 444, 445, 446, 447, 450, 461, 471, 482, 484, preferably that also contain the deletions of DI 83* and G184*.
(c) variants exhibiting at least 90% identity with SEQ ID No. 4 in W006/002643, the wild-type enzyme from Bacillus SP722, especially variants with deletions in the 183 and 184 positions and variants described in WO 00/60060, which is incorporated herein by reference.
(d) variants exhibiting at least 95% identity with the wild-type enzyme from Bacillus sp.lGl (SEQ ID NO:7 in US 6,093, 562), especially those comprising one or more of the following mutations M202, M208, S255, R172, and/or M261. Preferably said amylase
comprises one or more of M202L, M202V, M202S, M202T, M202I, M202Q, M202W, S255N and/or R172Q. Particularly preferred are those comprising the M202L or M202T mutations.
(e) variants described in WO 09/149130, preferably those exhibiting at least 90% identity with SEQ ID NO: 1 or SEQ ID NO:2 in WO 09/149130, the wild-type enzyme from Geobacillus Stearopher mophilus or a truncated version thereof.
(f) variants exhibiting at least 89% identity with SEQ ID NO: 1 in WO2016091688, especially those comprising deletions at positions H183+G184 and additionally one or more mutations at positions 405, 421, 422 and/or 428.
(g) variants exhibiting at least 60% amino acid sequence identity with the "PcuAmyl a- amylase" from Paenibacillus curdlanolyticus YK9 (SEQ ID NO:3 in WO2014099523).
(h) variants exhibiting at least 60% amino acid sequence identity with the “CspAmy2 amylase” from Cytophaga sp. (SEQ ID NO: 1 in WO2014164777).
(i) variants exhibiting at least 85% identity with AmyE from Bacillus subtilis (SEQ ID NO: 1 in WO2009149271).
(j) Variants exhibiting at least 90% identity variant with the wild-type amylase from Bacillus sp. KSM-K38 with accession number AB051102.
Suitable commercially available alpha-amylases include DURAMYL®, LIQUEZYME®, TERMAMYL®, TERM AMYL ULTRA®, NATALASE®, SUPRAMYL®, STAINZYME®, STAINZYME PLUS®, FUNGAMYL® and BAN® (Novozymes A/S, Bagsvaerd, Denmark), KEMZYM® AT 9000 Biozym Biotech Trading GmbH Wehlistrasse 27b A- 1200 Wien Austria, RAPID ASE® , PURASTAR®, ENZYSIZE®, OPTISIZE HT PLUS®, POWERASE® and PURASTAR OXAM® (Genencor International Inc., Palo Alto, California) and KAM® (Kao, 14-10 Nihonbashi Kayabacho, 1-chome, Chuo-ku Tokyo 103- 8210, Japan). In one aspect, suitable amylases include NATALASE®, STAINZYME® and STAINZYME PLUS® and mixtures thereof.
Lipases. Preferably the composition comprises one or more lipases, including “first cycle lipases” such as those described in U.S. Patent 6,939,702 Bl and US PA 2009/0217464. Preferred lipases are first-wash lipases. In one embodiment of the invention the composition comprises a first wash lipase.
First wash lipases includes a lipase which is a polypeptide having an amino acid sequence which: (a) has at least 90% identity with the wild-type lipase derived from Humicola lanuginosa strain DSM 4109; (b) compared to said wild-type lipase, comprises a substitution of an electrically neutral or negatively charged amino acid at the surface of the three- dimensional structure within 15A of El or Q249 with a positively charged amino acid; and (c)
comprises a peptide addition at the C-terminal; and/or (d) comprises a peptide addition at the N-terminal and/or (e) meets the following limitations: i) comprises a negative amino acid in position E210 of said wild-type lipase; ii) comprises a negatively charged amino acid in the region corresponding to positions 90-101 of said wild-type lipase; and iii) comprises a neutral or negative amino acid at a position corresponding to N94 or said wild-type lipase and/or has a negative or neutral net electric charge in the region corresponding to positions 90-101 of said wild-type lipase.
Preferred are variants of the wild-type lipase from Thermomyces lanuginosus comprising one or more of the T231R and N233R mutations. The wild-type sequence is the 269 amino acids (amino acids 23 - 291) of the Swissprot accession number Swiss-Prot 059952 (derived from Thermomyces lanuginosus (Humicola lanuginosa)). Other suitable lipases include: Liprl 139, e.g. as described in WO2013/171241; TfuLip2, e.g. as described in WO201 1/084412 and WO2013/033318; Pseudomonas stutzeri lipase, e.g. as described in WO20 18228880; Microbulbifer thermotolerans lipase, e.g. as described in WO2018228881; Sulfobacillus acidocaldarius lipase, e.g. as described in EP3299457; LIP062 lipase e.g. as described in W02018209026; PinLip lipase e.g. as described in W02017036901 and Absidia sp. lipase e.g. as described in W02017005798.
Preferred lipases would include those sold under the tradenames Lipex® and Lipolex® and Lipoclean®.
Cellulases. Suitable enzymes include cellulases of bacterial or fungal origin. Chemically modified or protein engineered mutants are included. Suitable cellulases include cellulases from the genera Bacillus, Pseudomonas, Humicola, Fusarium, Thielavia, Acremonium, e.g., the fungal cellulases produced from Humicola insolens, Myceliophthora thermophila and Fusarium oxysporum disclosed in US 4,435,307 , US 5,648,263 , US 5, 691, 178 , US 5,776,757 and US 5,691,178 . Suitable cellulases include the alkaline or neutral cellulases having colour care benefits. Commercially available cellulases include CELLUZYME®, CAREZYME® and CAREZYME PREMIUM (Novozymes A/S), CLAZINASE®, and PURADAX HA® (Genencor International Inc.), and KAC-500(B)® (Kao Corporation).
The bacterial cleaning cellulase may be a glycosyl hydrolase having enzymatic activity towards amorphous cellulose substrates, wherein the glycosyl hydrolase is selected from GH families 5, 7, 12, 16, 44 or 74. Suitable glycosyl hydrolases may also be selected from the group consisting of: GH family 44 glycosyl hydrolases from Paenibacillus polyxyma (wild-type) such as XYG1006 described in US 7,361,736 or are variants thereof. GH family 12 glycosyl hydrolases from Bacillus licheniformis (wild-type) such as SEQ ID NO: 1 described in US
6,268,197 or are variants thereof; GH family 5 glycosyl hydrolases from Bacillus agaradhaerens (wild type) or variants thereof; GH family 5 glycosyl hydrolases from Paenibacillus (wild type) such as XYG1034 and XYG 1022 described in US 6,630,340 or variants thereof; GH family 74 glycosyl hydrolases from Jonesia sp. (wild type) such as XYG1020 described in WO 2002/077242 or variants thereof; and GH family 74 glycosyl hydrolases from Trichoderma Reesei (wild type), such as the enzyme described in more detail in Sequence ID NO. 2 of US 7,172,891 , or variants thereof. Suitable bacterial cleaning cellulases are sold under the tradenames Celluclean® and Whitezyme® (Novozymes A/S, Bagsvaerd, Denmark).
The composition may comprise a fungal cleaning cellulase belonging to glycosyl hydrolase family 45 having a molecular weight of from 17kDa to 30 kDa, for example the endoglucanases sold under the tradename Biotouch® NCD, DCC and DCL (AB Enzymes, Darmstadt, Germany).
Pectate Lyases. Other preferred enzymes include pectate lyases sold under the tradenames Pectawash®, Pectaway®, Xpect® and mannanases sold under the tradenames Mannaway® (all from Novozymes A/S, Bagsvaerd, Denmark), and Purabrite® (Genencor International Inc., Palo Alto, California).
Nucleases. The composition may comprise a nuclease enzyme. The nuclease enzyme is an enzyme capable of cleaving the phosphodiester bonds between the nucleotide sub-units of nucleic acids. The nuclease enzyme herein is preferably a deoxyribonuclease or ribonuclease enzyme or a functional fragment thereof. By functional fragment or part is meant the portion of the nuclease enzyme that catalyzes the cleavage of phosphodiester linkages in the DNA backbone and so is a region of said nuclease protein that retains catalytic activity. Thus, it includes truncated, but functional versions, of the enzyme and/or variants and/or derivatives and/or homologues whose functionality is maintained. Suitable DNases include wild-types and variants described in detail by WO2017162836 and WO2018108865, and variants of the Bacillus cibi DNase including those described in W02018011277.
RNase: suitable RNases include wild-types and variants of DNases described in W02018178061 and W02020074499.
Preferably the nuclease enzyme is a deoxyribonuclease, preferably selected from any of the classes E.C. 3.1.21.x, where x=l, 2, 3, 4, 5, 6, 7, 8 or 9, E.C. 3.1.22.y where y=l, 2, 4 or 5, E.C. 3.1.30. z where z= 1 or 2, E.C. 3.1.31.1 and mixtures thereof.
Hexosaminidases. The composition may comprise one or more hexosaminidases. The term hexosaminidase includes "dispersin'1 and the abbreviation "Dsp", which means a
polypeptide having hexosaminidase activity, EC 3.2.1 .- that catalyzes the hydrolysis of P-1, 6- glycosidic linkages of N-acetyl-glucosamine polymers found in soils of microbial origin. The term hexosaminidase includes polypeptides having N-acetylglucosaminidase activity and P-N- acetylglucosaminidase activity. Hexosaminidase activity may be determined according to Assay II described in WO2018184873. Suitable hexosaminidases include those disclosed in WO2017186936, WO2017186937, WO2017186943, W02017207770, WO2018184873,
W02019086520, WO2019086528, W02019086530, WO2019086532, WO2019086521,
WO2019086526, W02020002604, W02020002608, W02020007863, W02020007875,
W02020008024, W02020070063, W02020070249, W02020088957, W02020088958 and W02020207944. Variants of the Terribacillus saccharophilus hexosaminidase defined by SEQ ID NO: 1 of W02020207944 may be preferred, especially the variants with improved thermostability disclosed in that publication.
Mannanases. The composition may comprise an extracellular-polymer-degrading enzyme that includes a mannanase enzyme. The term "mannanase" means a polypeptide having mannan endo-l,4-beta-mannosidase activity (EC 3.2.1.78) from the glycoside hydrolase family 26 that catalyzes the hydrolysis of 1,4-3-D-mannosidic linkages in mannans, galactomannans and glucomannans. Alternative names of mannan endo-l,4-beta-mannosidase are 1,4-3-D- mannan mannanohydrolase; endo- 1,4-3 -mannanase; endo- P-l,4-mannase; P-mannanase B; 3- 1,4-mannan 4-mannanohydrolase; endo-3 -mannanase; and P-D-mannanase. For purposes of the present disclosure, mannanase activity may be determined using the Reducing End Assay as described in the experimental section of W02015040159. Suitable examples from class EC 3.2.1.78 are described in W02015040159, such as the mature polypeptide SEQ ID NO: 1 described therein.
Galactanases. The composition may comprise an extracellular polymer-degrading enzyme that includes an endo-beta-l,6-galactanase enzyme. The term "endo-beta-1,6- galactanase" or "a polypeptide having endo-beta-l,6-galactanase activity" means a endo-beta- 1,6-galactanase activity (EC 3.2.1.164) from the glycoside hydrolase family 30 that catalyzes the hydrolytic cleavage of 1,6-3-D-galactooligosaccharides with a degree of polymerization (DP) higher than 3, and their acidic derivatives with 4-O-methylglucosyluronate or glucosyluronate groups at the non-reducing terminals. For purposes of the present disclosure, endo-beta-1, 6-galactanase activity is determined according to the procedure described in WO 2015185689 in Assay I. Suitable examples from class EC 3.2.1.164 are described in WO 2015185689, such as the mature polypeptide SEQ ID NO: 2.
Enzyme Stabilizing System:
The composition may optionally comprise from about 0.001% to about 10%, in some examples from about 0.005% to about 8%, and in other examples, from about 0.01% to about 6%, by weight of the composition, of an enzyme stabilizing system. The enzyme stabilizing system can be any stabilizing system which is compatible with the detersive enzyme. In the case of aqueous detergent compositions comprising protease, a reversible protease inhibitor, such as a boron compound, including borate, 4-formyl phenylboronic acid, phenylboronic acid and derivatives thereof, or compounds such as calcium formate, sodium formate and 1,2- propane diol may be added to further improve stability.
Polymers:
The compositions may include one or more polymers. Typically, the level of polymers is from about 0.01% to about 10.0 % by weight of the composition, preferably from about 0.1% to about 5%, and more preferably from about 0.2% to about 3.0% by weight of the composition. In some situations where the composition is in concentrated form, such as concentrated products in any forms which designed for consumer to dilute at home and then use following their regular dosing habits, the level of the polymers maybe higher than 10.0%, or higher than 5.0%, by weight of the composition.
Depending on the structure of the polymer, polymers can provide various benefits for the composition, including but not limit to, hydrophobic and hydrophilic stain removal, surfactant boosting, soil suspension, whiteness maintenance, soil release, malodor control, dye transfer inhibition, enhanced softness, enhanced freshness, etc. Polymers are normally multifunctional, which means one specific given type of polymer may provide more than one types of benefit as mentioned above. For example, a specific soil release polymer may provide soil release benefit as primary benefit, while also providing other benefits such as whiteness maintenance, malodor control, soil suspension, dye transfer inhibition.
Suitable polymers including, but not limited to the following:
Graft polymers based on polyalkylene oxide. Preferably, the composition further comprises graft polymers which comprising polyalkylene oxide backbone (A) as a graft base and polymeric sidechains (B) grafted thereon. The polymeric sidechains (B) are obtainable by polymerization of at least one vinyl ester monomer. The polyalkylene oxide backbone (A) is obtainable by polymerization of at least one monomers selected from the group of ethylene oxide, 1 ,2-propylene oxide, 1 ,2-butylene oxide, 2,3-butylene oxide, 1 ,2-pentene oxide or 2,3- pentene oxide. Such graft polymers are known as effective soil suspension polymers for hydrophobic and hydrophilic stains, surfactant boosters, and sometimes as dye transfer inhibitors.
Suitable graft polymers include amphilic graft co-polymer comprises polyethylene glycol backbone (A) as a graft base, and at least one pendant sidechains (B) selected from polyvinyl acetate, polyvinyl alcohol and mixtures thereof. A preferred graft polymer of this type is Sokalan HP22 available from BASF.
Suitable graft polymers are also described in W02007/138053 as amphiphilic graft polymers based on water-soluble polyalkylene oxides (A) as a graft base and side chains formed by polymerization of a vinyl ester component (B), said polymers having an average of < one graft site per 50 alkylene oxide units and mean molar masses M of from 3 000 to 100 000. One specific preferred graft polymer of this type is polyvinyl acetate grafted polyethylene oxide copolymer having a polyethylene oxide as graft base and multiple polyvinyl acetate side chains. The molecular weight of the polyethylene oxide backbone is about 6000 and the weight ratio of the polyethylene oxide to polyvinyl acetate is about 40 to 60 and no more than 1 grafting point per 50 ethylene oxide units. The most preferred polymer of this type is available from BASF as Sokalan PG101.
Suitable graft polymer also include graft polymer comprising a block copolymer backbone (A) as a graft base, wherein said block copolymer backbone (A) is obtainable by polymerization of at least two monomers selected from the group of ethylene oxide, 1 ,2- propylene oxide, 1 ,2-butylene oxide, 2,3-butylene oxide, 1 ,2-pentene oxide or 2,3-pentene oxide, wherein the number (x) of individual blocks within the block copolymer backbone (A) is an integer, wherein x is from 2 to 10 and preferably 3 to 5, and (B) polymeric sidechains grafted onto the block copolymer backbone, wherein said polymeric sidechains (B) are obtainable by polymerization of at least one vinyl ester monomer. Suitable graft polymers of this type are described in WO2021/160795 and W02021/160851, these polymers have improved biodegradation profiles.
Suitable graft polymer also include graft polymer comprising a polyalkylene oxide backbone (A) which has a number average molecular weight of from about 1000 to about 20,000 Daltons and is based on ethylene oxide, propylene oxide, or butylene oxide; and side chains derived from N-vinylpyrrolidone (B), and side chains derived from vinyl ester (C) derived from a saturated monocarboxylic acid containing from 1 to 6 carbon atoms and/or a methyl or ethyl ester of acrylic or methacrylic acid. Such graft polymers are described in W02020005476 and can be used as dye transfer inhibitors.
Modified polyamine dispersing agent. Preferably, the composition further comprises one or more modified polyamine dispersing agent. The modified polyamine dispersant comprises a polyamine core structure and a plurality of alkoxylate groups attached to the core
structure. The polyamine core structure includes polyalkyleneimine, and linear or branched oligoamine.
The polyamine core structure and the alkoxylate groups attached to the core structure can be further derivatized. For example, the polyamine core structure can be further partly or completely quatemized with C1-C30 linear or branched alkyl, more preferably C1-C10 or even C1-C5 linear or branched alkyl, most preferably methyl. The alkoxylate group can be further sulphated, sulphonated and/or substituted with an amino functional group.
Suitable modified polyamine dispersing agent includes ethoxylated polyethyleneimine (EPEI). EPEI are effective dispersing agent for hydrophilic stains, especially hydrophilic particulate stain such as clay.
In one embodiment, the EPEI has a polyethyleneimine backbone of weight average molecular weight of between lOOg/mol and 2000g/mol, preferably between 200g/mol and 1500g/mol, more preferably between 300g/mol and lOOOg/mol, even more preferably between 400g/mol and 800g/mol, most preferably between 500g/mol and 700g/mol, preferably about 600. The ethoxylation chains within the EPEI may be from 200g/mol to 2000g/mol weight average molecular weight, preferably from 400g/mol to 1500g/mol weight average molecular weight, more preferably from 600g/mol to lOOOg/mol weight average molecular weight, most preferably about 880g/mol weight average molecular weight per ethoxylated chain. The ethoxylation chains within the EPEI have on average 5 to 40, preferably 10 to 30, more preferably 15 to 25, even more preferably 18 to 22, most preferably about 20 ethoxy units per ethoxylation chain. The EPEI may have a total weight average molecular weight of from 5000g/mol to 20000g/mol, preferably from 7500g/mol to 17500g/mol, more preferably from lOOOOg/mol to 15000g/mol, even more preferably from 12000g/mol to 13000g/mol, most preferably about 12700g/mol. A preferred example is polyethyleneimine core (with average molecular weight about 600g/mol) ethoxylated to 20 EO groups per NH. Suitable EPEI this type includes Sokalan HP20 available from BASF, Lutensol FP620 from BASF. Examples of available polyethyleneimine ethoxylates also include those prepared by reacting ethylene oxide with Epomine SP-006 manufactured by Nippon Shokubai.
In another embodiment, the EPEI comprises polyethyleneimine has an average molecular weight (Mw) ranging from 1800 to 5000 g/mol (prior to ethoxylation), and the polyoxyethylene side chains have an average of from 25 to 40 ethoxy units per side chain bonded to the polyethyleneimine backbone. Such EPEI is described in W02020/030760 and W02020/030469.
Suitable modified polyamine dispersing agent includes amphiphilic alkoxylated polyalkyleneimine polymer. These polymers have balanced hydrophilic and hydrophobic properties such that they remove grease and body soil particles from fabrics and surfaces, and keep the particles suspended in washing liquor. Suitable amphiphilic water-soluble alkoxylated polyalkyleneimine polymer is described in W02009/061990 and W02006/108857, which comprising in polyalkyleneimine, preferable polyethyleneimine core, and alkoxylate group of below connected to the core
*- [A2-O]m-[CH2-CH2-O]n-[A3-O]p-R
(V) wherein in each case denotes one-half of bond to the nitrogen atom of the core.
A2 is in each case independently selected from 1,2-propylene, 1,2-butylene, and 1,2- isobutylene;
A3 is 1,2-propylene;
R is in each case independently selected from hydrogen and Ci-C4-alkyl, preferably hydrogen; m has an average value in the range of from 0 to 2, preferably 0; n has an average value in the range of 5 to 50; and p has an average value in the range of 3-50;
The polymer comprising a degree of quaterization ranging from 0 to 50, preferably from 0 to 20, and more preferably from 0 to 10.
A preferred alkoxylated polyalkyleneimine polymer is polyethyleneimine (MW = 600) modified with 24 ethoxylate groups per -NH and 16 propoxylate groups per -NH. Another preferred alkoxylated polyalkyleneimine polymer is polyethyleneimine (MW = 600) modified with 10 ethoxylate groups per -NH and 7 propoxylate groups per -NH.
Suitable alkoxylated polyalkyleneimine polymer of this type includes Sokalan HP30 Booster available from BASF.
Another Suitable modified polyamine dispersing agent is described in WO2021061774.
Suitable modified polyamine dispersing agent also includes zwitterionic polyamines. Said zwitterionic polyamine is selected from zwitterionic polyamines according to the following formula:
R is each independently C3-C20 linear or branched alkylene radical;
R1 is an anionic unit-capped polyalkyleneoxy unit having the formula: -(R2O)XR3, wherein
R2 is C2-C4 linear or branched alkylene radical, preferably C2 (ethylene radical, - CH2-CH2-);
R3 is hydrogen, an anionic unit, and mixtures thereof, in which not all R3 groups are hydrogen, preferably wherein R3 anionic units are selected from - (CH2)PCO2M; -(CH2)qSO3M; - (CH2)qOSO3M; -(CH2)qCH(SO3M)-CH2SO3M; - (CH2)qCH(OSO3M)CH2OSO3M; - (CH2)qCH(SO3M)CH2SO3M; -(CH2)PPO3M; -PO3M ;-SO3M and mixtures thereof; wherein M is hydrogen or a water soluble cation, preferably selected from sodium, potassium, ammonium, and mixtures thereof and in sufficient amount to satisfy charge balance; x is from 5 to 50, preferably from 10 to 40, even more preferably from 15 to 30, most preferably from 20 to 25;
Q is a quaternizing unit selected from the group consisting of Ci-C3o linear or branched alkyl, Ce-C3o cycloalkyl, C?-C3o substituted or unsubstituted alkylenearyl, and mixtures thereof, preferably Ci-C3o linear or branched alkyl, even more preferably C1-C10 or even C1-C5 linear or branched alkyl, most preferably methyl; the degree of quaternization preferably is more than 50%, more preferably more than 70%, even more preferably more than 90%, most preferably about 100;.
X' is an anion present in sufficient amount to provide electronic neutrality, preferably a water-soluble anion selected from the group consisting of chlorine, bromine, iodine, methyl sulfate, and mixtures thereof, more preferably chloride; n is from 0 to 8, preferably 0 to 4, preferably 0 to 2, most preferably 0.
A suitable zwitterionic polyamine having the following general structure: bis((C2H5O)(C2H4O)n)(CH3)-N+-CxH2x-N+-(CH3)-bis((C2H5O)(C2H4O)n), wherein n = from 20 to 30, and x = from 3 to 8, or sulphated or sulphonated variants thereof.
A particular preferred zwitterionic polyamine is available from BASF as Lutensit Z96 polymer (zwitterionic hexamethylene diamine according to below formula: 100% quatemized and about 40% of the polyethoxy (EO24) groups are sulfonated).
Another suitable zwitterionic polyamine is amphoterically-modified oligopropyleneimine ethoxylates as described in WO2021239547.
Polyester soil release polymers. The composition may comprise one or more polyester soil release polymer (SRP). The benefits of polyester SRP are well -documented, including soil release, whiteness, malodour, and improve wicking properties, and improve in wear comfort.
Polyester SRP typically have hydrophilic segments to hydrophilize the surface of hydrophobic fibers (such as polyester and nylon), and hydrophobic segments to enable deposition of SRP onto hydrophobic fibers and remain adhered thereto through washing and rinsing cycles, thereby serving as an anchor for the hydrophilic segments.
Polyester SRP may be linear, branched, or star-shaped. Polyester SRP may comprises end capping moiety, which is especially effective in controlling the molecular weight of the polyester or altering the physical or surface-adsorption properties of the polymer. Soil release polymers may also include charged units (negative or positive). Typically, nonionic SRP or anionic SRP may be preferred when used in composition which containing anionic surfactants, in order to avoid potentially negative interactions between the SRP and anionic surfactants.
Preferred polyester SRP comprises structural unit (I), or combination of structural unit (I) and (II):
-[(O-CHR1-CHR2)a-O-OC-Ar-CO-]c (I)
-[(O-CHR3-CHR4)b-O-OC-sAr-CO-]d (II) wherein: a, b are, based on molar average, a number independently selected from 1 to 200. c, d are, based on molar average, a number independently selected from 1 to 30.
Ar is each independently selected from 1,4-substituted phenylene, and 1,3- substituted phenylene, preferably 1,4-substituted phenylene. sAr is 1,3 -substituted phenylene substituted in position 5 with -SO3M; wherein M is a counterion selected from Na+, Li+, K+, ’A Mg2+, A Ca2+, 1/3 Al3+, ammonium,
mono-, di-, tri-, or tetraalkylammonium wherein the alkyl groups are Ci-Cis alkyl or C2-C10 hydroxyalkyl, or mixtures thereof.
R1, R2, R3, R4 are each independently selected from H or Ci-Cis n-alkyl or iso-alkyl; preferably selected from H or Ci-Ce-alkyl, more preferably selected from H, CH3.
Preferably, the polyester SRP further comprises one or more terminal group (III) derived from polyalkylene glycolmonoalkylethers. Preferably, the terminal group (III) has a structure of (III-a).
R7-O-[C2H4-O]e-[C3H6-O]f-[C4H8-O]g- (Ill-a) wherein:
R7 is a linear or branched C1-30 alkyl, C2-C30 alkenyl, or a cycloalkyl group with 5 to 9 carbon atoms, or a C8-C30 aryl group, or a C6-C30 arylalkyl group; preferably C1-4 alkyl, more preferably methyl; and e, f and g are, based on molar average, a number independently selected from 0 to 200, where the sum of c+d+e is from 2 to 500, wherein the [C2H4-O], [C3H6-O] and [C4H8-O] groups of the terminal group (IV-a) may be arranged blockwise, alternating, periodically and/or statistically, preferably blockwise and/or statistically, either of the [C2H4-O], [C3H6-O] and [C4H8-O] groups of the terminal group (Ill-a) can be linked to -R7 and/or -O. Preferably, [C3H6-O] group is linked to -O, and the -O is further connected to -OC-Ar-CO- or -OC-sAr-CO-.
Typically, structure (Ill-a) connected to structural units -OC-Ar-CO- or -OC-sAr-CO- via an ester bond to form an end cap, as illistrated below:
R7-O-[C2H4-O]e-[C3H6-O]f-[C4H8-O]g-OC-Ar-CO-, or
R7-O-[C2H4-O]e-[C3H6-O]f-[C4H8-O]g-OC-sAr-CO-
Optionally, the polymer comprises one or more anionic terminal unit (IV) and/or (V) as described in EP3222647.
Wherein, M is a counterion selected from Na+, Li+, K+, i Mg2+, i Ca2+, 1/3 Al3+, ammonium, mono-, di-, tri-, or tetraalkylammonium wherein the alkyl groups are Ci-Cis alkyl or C2-C10 hydroxyalkyl, or mixtures thereof.
Optionally, the polyester SRP may comprise crosslinking structural unit derived from monomers which comprise at least three functional groups capable of forming esters. Examples of monomers which comprise at least three functional groups capable of forming esters include, but not limit to, trimellitic acid, citric acid, glycerine, sorbitol.
Optionally, other di-carboxylic acids or their salts or their (di)alkylesters can be used in the polyesters of the invention. Suitable examples include furandi carboxylic acids, such as 2,5- furandicarboxylic acid; pyridine dicarboxylic acids, such as pyridine-2,5-dicarboxylic acid; cyclohexanedicarboxylic acids, such as 1,4-cyclohexanedicarboxylic acid, adipic acid, sebacic acid, fumaric acid, succinic acid, glutaric acid, azelaic acid.
One type of preferred polyester SRPs are nonionic polyester SRP, which does not comprise above structural unit (II). A particular preferred nonionic polyester SRP has a structure according to formula below:
wherein:
R5 and R6 are independently selected from H or CH3. Preferably, one of the R5 and R6 is H, and another one of the of the R5 and R6 is CH3. e, f are, based on molar average, a number independently selected from 0 to 200, where the sum of e+f is from 2 to 400,
More preferably, f is from 0 to 50, e is from 1 to 200,
More preferably, f is 1 to 10, e is 5 to 150,
R7 is C1-C4 alkyl and more preferably methyl, n is, based on molar average, from 1 to 50.
One example of most preferred above suitable terephthalate-derived nonionic SRP has one of the R5 and R6 is H, and another is CH3; f is 0; e is from 5-100 and R7 is methyl, and n is from 3-10.
Other suitable terephthalate-derived polyester SRP are described in patent W02014019903, WO2014019658 and WO2014019659. The end capping group of these SRPs are selected from
X-O-[C2H4O]n-[C3H6O]m- wherein X is C1-C4 alkyl and preferably methyl, the [C2H4O] groups and the [C3H6O] groups are arranged blockwise and the block consisting of the [CsHeO] groups is bound to a - CO-Ar-CO- structural unit via an ester bond , n is based on a molar average a number of from 40 to 50, m is based on a molar average a number from 1 to 10 and preferably from 1 to 7.
Another type of preferred polyester SRPs are anionic polyester SRP, which comprise above structural unit (I) and structural unit (II). Preferably, the anionic SRP comprise further at least one terminal group selected from (Ill-a), (IV) and (V). More preferably, the anionic SRP comprises structural (I) and (II), and one or two terminal group (Ill-a), wherein R7 is Ci alkyl, e is from 2 to 100, preferably from 3 to 50 such as 5, 10, 15, 20, and both f and g are 0. Suitable anionic polyester SRP examples are described in EP1966273B1 and EP3222647B1.
Polyester SRP may be available or convert into different forms, include powder, particle, liquid, waxy or premix. In some embodiment, other materials (for example, water, alcohol, other solvents, salt, surfactant, etc.) are needed to convert the polyester soil release polymer into different forms mentioned above, the wt% of active soil release polymer in the powder, particle, liquid, waxy or premix is in the range from 10% to 100%, for example 15%, 20%, 40%, 60%, 70%, 80%, 90%, 95%, 100%. Useful soil release polymer premix examples are described in EP351759 and W02022100876. When the soil release polymers exist in liquid or premix from, the premix maybe transparent or opaque, white or slightly yellowish. Premix in opaque maybe use to provide an opaque appearance for the finish product or part of the finish product.
The polyester SRP may or may not be biodegradable, preferred soil release polymers are readily biodegradable.
Commercial available example of suitable polyester SRP include TexCare® series supplied by Clariant, including noniconic soil release polymers Texcare® SRN 100, SRN 170, SRN 170 C, SRN 170 Terra, SRN 172, SRN 240, SRN 260, SRN 260 life, SRN 260 SG Terra,
SRN UL50, SRN 300, SRN 325; and anionic soil release polymers TexCare® SRA 100, SRA 300, SRA300 F. Example of suitable soil release polymers also include REPEL-O-TEX® line of polymers supplied by Rhodia/Solvay, including nonionic soil release polymer REPEL-O- TEX® Crystal, Crystal PLUS, Crystal NAT, SRP6; and anionic soil release polymer REPEL- O-TEX® SF-2. Other example of commercial soil release polymers also includes WeylClean® series of soil release polymers supplied by WeylChem, including noniconic soil release polymers WeylClean® PLN1, PLN2; and anionic soil release polymers WeylClean® PS AL Other examples of commercial soil release polymers are Marloquest® polymers, such as Marloquest® SL, HSCB, L235M, U, B, and G82, supplied by Sasol.
The raw materials for the preparation of the polyesters of the invention can be based on fossil carbon or renewable carbon. Renewable carbon includes carbon originating from biomass, carbon capture, or chemical recycling. Preferably, the raw materials for the preparation of the polyesters of the invention are at least partly based on renewable carbon. The Renewable Carbon Index (RCI, a measure of sustainability by dividing the number of carbons derived from renewable sources by the total number of carbons in an active ingredient) of the polyesters of the invention preferably is above 40%, more preferably above 50%, even more preferably above 60%, particularly preferably from 70 to 100% (including 100%), and most preferably 100%.
Polymers based on polysaccharide. Various polysaccharides have proven to be useful starting material to make polymers for fabric and home care products, including cellulose, starch, guar, dextran, polyglucan, chitin, curdlan, xylose, Inulin, pullulan, locust bean gum, cassia gum, tamarind gum (xyloglucan), xanthan gum, amylose, amylopectin, scleroglucan and mixtures thereof. The starting materials are typically chemically modified to achieve specific properties, the modification can be anionic (negative charged), cationic (positive charged) or nonionic (not charged).
The most common type of modified polysaccharide is modified cellulose.
Suitable modified cellulose polymers include anionic modified cellulose polymers which been modified with functional groups that contain negative charge. Suitable anionic modified cellulose polymers include carboxyalkyl cellulose, such as carboxymethyl cellulose. In one preferred embodiment, the carboxymethyl cellulose has a degree of carboxymethyl substitution of from about 0.5 to about 0.9 and a molecular weight from about 80,000 Da to about 300,000 Da. Suitable carboxymethylcellulose is described in WO2011/031599 and W02009/154933. Suitable carboxymethylcellulose include Finnfix® series sold by CP Kelco or Nouryon, which include Finnfix® GDA, a hydrophobically modified
carboxymethylcellulose, e.g., the alkyl ketene dimer derivative of carboxymethylcellulose sold under the tradename Finnfix® SHI, or the blocky carboxymethylcellulose sold under the tradename Finnfix®V. Other suitable anionic modified cellulose polymers include sulphoalkyl group which described in W02006117056, sulfoethyl cellulose which described in WO2014124872.
Suitable modified cellulose polymers also include nonionic modified cellulose polymers which been modified by functional group that does not contain any charge. Suitable nonionic modified cellulose polymers include alkyl cellulose, hydroxyalkyl cellulose, hydroxyalkyl alkylcellulose, alkylalkoxyalkyl cellulose. Suitable nonionic modified cellulose polymers also include nonionic cellulose carbamates which described in WO2015/044061; nonionic 6- desoxy-6-amino-celluloses derivative which described in US20180346846. Example of alkyl cellulose include methyl cellulose (MC), ethyl cellulose (EC), etc. Suitable ethyl cellulose are sold under tradename Ethocel™ by Dow Chemicals, DuPont, or IFF. Example of hydroxy alkyl cellulose include hydroxyethyl cellulose (HEC) and hydroxypropyl cellulose (HPC). Suitable HEC are sold under tradename Natrosol™ hydroxyethylcellulose by Ashland, such as Natrosol™ 250 with different grade available which has a total molar substitution (MS) of 2.5. Suitable HEC are also sold under tradename CELLOSIZE™ Hydroxyethyl Cellulose by Dow Chemicals. Suitable HPC are sold under tradename Klucel™ by Ashland. Example of hydroxyalkyl alkylcellulose include hydroxypropyl methylcellulose (HPMC), suitable HPMC are sold under tradename Methocel™ with different grade available by Dow Chemicals, DuPont or IFF, and under tradename Benecel™ by Ashland.
Suitable modified cellulose polymers also include cationic modified cellulose polymers which been modified by functional group that contain cationic charge. Suitable cationic modified celluloses include quatemized hydroxy ethyl cellulose (Polyquatemium-10), which available under the tradename of Ucare by Dow Chemical, such as Ucare LR400, Ucare LR30M, Ucare JR125, Ucare JR400, etc. Suitable cationic modified cellulose polymers also include quaternized hydroxyethyl cellulose (HEC) polymers with cationic substitution of trimethyl ammonium and dimethyldodecyl ammonium (Polyquaternium-67), which available under trade the tradename of SoftCAT by Dow Chemical, such as SoftCAT SK, SoftCAT SK- MH, SoftCAT SX, SoftCAT SL. Other suitable cationic modified celluloses include those sold under tradename SupraCare™ by Dow Chemical, such as SupraCare™ 150, SupraCare™ 133, SupraCare™ 212.
Suitable cationic modified cellulose polymers also include those modified with cationic group and/or a hydrophobic group and described as soil release polymers in WO2019111948,
WO2019111949, WO2019111946 and WO2019111947; suitable polymers is also disclosed in W02022060754, WO2021242942 and W02020/091988.
Another common type of modified polysaccharide is modified guar. Similar to modified cellulose, modified guar can be nonionic modified, anionic modified, and cationic modified. Suitable nonionic modified guar includes hydroxypropyl guar, such as N-Hance™ HP40 and HP40S guar available from Ashland. Suitable example of modified guar also include carboxymethyl hydroxypropyl guar (CMHPG) which is anionic and nonionic modified, such as Galactasol™ available from Ashland. Suitable modified guar also includes cationic modified guar, such as guar hydroxypropyltrimonium chloride, which available from by Ashland as AquaCat™ CG518 cationic solution, AquaCat™ PF618 cationic solution, N-Hance™ 3000, 3196, 3215, BF-13, BF-17, C261, C261N, CG13, CCG45. Other cationic modified guar polymers are available from Solvay as Jaguar® C 162, Excel, Excel SGI, Optima, C 13 S, C 13 SH, C14 S, C-17, LS SGI, C-500 STD. Other nonionic and/or anionic modified guar include for example Jaguar® HP 105 (Hydroxypropyl Guar gum), Jaguar® SOFT and HP-120 COS (Carboxymethyl Hydroxypropyl Guar Gum).
Suitable modified polysaccharide polymers also include modified starch. Examples of modified starch include carboxylate ester of starch as described in WO2015144438, esterification product of starch with e.g. C6-C24 alk(en)yl succinic anhydride as described in EP0703243; starch maleates (starch react with maleic acid anhydride) as described US 6063914. Examples of modified starch also include, but not limit to, acetylated starch, acetylated distarch adipate, distarch phosphate, hydroxypropyl starch, hydroxy propyl distarch phosphate, phosphated distarch ohosphate, acetylated distarch phosphate, starch sodium octenyl succinate.
Suitable modified polysaccharide polymers also include polymers based on other polysaccharide, such as cationic dextran polymers described in WO2021194808, the cationic dextran polymers are commercially available under brand name CDC, CDC-L, CDC-H by Meito Sangyo.
Suitable modified polysaccharide polymers also include polymers based on polyglucans. Suitable modified polyglucans are based on alpha 1,3-polyglucans and/or 1,6- polyglucans. In one embodiment, the modified polyglucans can be cationic modified, such as cationic modified alpha 1,3-polyglucan which described in WO2021225837; such as cationic modified alpha 1,6-poly glucans which described in WO2021257793, WO2021257932, and WO202 1/257786. In another embodiment, the modified polyglucans can be hydrophobic and/or hydrophilic modified, such as those described in WO2018112187, WO2019246228,
WO2019246171, WO2021252558, WO2021252560, WO2021252561, EP3922704, WO2021252569, WO2021252562, WO2021252559, WO2021252575, WO2021252563. Along the hydrophobic and/or hydrophilic modified polyglucans, the polyglucan esters which described in WO2021252562, WO2021252559, WO2021252575, WO2021252563 are especially preferred due to their performance and biodegradability profiles.
Other suitable polysaccharide polymers also include those based on inulin. Example of modified inulin include carboxymethyl group modified inulin (CMI), suitable CMI are Carboxyline series sold by Cosun Beet Company, including Carboxyline 25-40D, Carboxyline 25 D Powder, Carboxyline 20 LS D Powder, Carboxyline 25, Carboxyline 25-30 UP. Example of modified inulin also include cationic modified inulin, suitable cationic modified inulin are as described in US20190274943, US20180119055; suitable cationic modified inulin are Quatin series sold by Cosun Beet Company, including Quatin 350, Quatin 380 and Quatin 1280 which are characterized by different degree of substitution (DS), cationic density (meq/g) and molecular weight (g/mol).
Suitable modified polysaccharide polymers also include polymers based on other polysaccharide, such as xylose carbamates as described in US20210115358; carboxy or sulfoalkylated pullulan as described in WO2019243072; carboxy- or sulfo-alkylated chitosan as described in WO2019/243108 and WO2021156093.
Polycarboxylate polymers. The composition may also include one or more polycarboxylate polymers which comprise at least one carboxy group-containing monomer. The carboxy group-containing monomers are selected from acrylic acid, methacrylic acid, fumaric acid, maleic acid, itaconic acid, aconitic acid, mesaconic acid, citraconic acid, methylenemalonic acid, and salts thereof, and anhydride thereof.
Suitable polycarboxylate polymers include polyacrylate homopolymer having a molecular weight of from 4,000 Da to 9,000 Da, or from 6,000 Da to 9,000 Da. Other suitable carboxylate polymers include copolymer of acrylic acid (and/or methacrylic acid) and maleic acid having a molecular weight of from 50,000 Da to 120,000 Da, or from 60,000 Da to 80,000 Da. The polyacrylate homopolymer and copolymer of acrylic acid (and/or methacrylic acid) and maleic acid are commercially available as Acusol 445 and 445N, Acusol 531, Acusol 463, Acusol 448, Acusol 460, Acusol 465, Acusol 497, Acusol 490 from Dow Chemicals, and as Sokalan CP 5, Sokalan CP 7, Sokalan CP 45, and Sokalan CP 12S from BASF. Suitable polycarboxylate polymers also include polyitaconate homopolymers, such as Itaconix® DSP 2K™ sold by Itaconix, and Amaze SP available from Nouryon.
Suitable polycarboxylate polymers also include co-polymers comprising carboxy group-containing monomers and one or more sulfonate or sulfonic group-containing monomers. The sulfonate or sulfonic group containing monomers are selected rom 2- acrylamido-2-methyl-l-propanesulfonic acid (AMPS), 2-methacrylamido-2-methyl-l- propanesulfonic acid, 3-methacrylamido-2-hydroxy-propanesulfonic acid, allysulfonic acid, methallysulfonic acid, 3 -allyloxy-2-hydroxy-l -propanesulfonic acid, 2-methyl-2-propenen-l- sulfonic acid, styrenesulfonic acid, vinylsulfonic acid, 3-sulfopropyl acrylate, 3- sulfopropylmethacrylate, sulfomethylacrylamide, sulfomethylmethacrylamide and water soluble salts thereof. In one embodiment, suitable polymers comprise maleic acid, acrylic acid, and 3 -allyloxy-2-hydroxy-l -propanesulfonic acid, such polymers are as described in US8450261 and US8389458. In another embodiment, suitable polymers comprise acrylic acid and 2-acrylamido-2-methyl-propane sulfonate, such as those sold under tradename Acusol 588 by Dow Chemicals, Sokalan CP50 by BASF, Aquatreat AR-545, Versaflex 310 and Versaflex 310-37 by Noury on. In another embodiment, suitable polymers also include Poly(itaconic acid- co-AMPS) sodium salt, such as Itaconix® TSI™ 322 and Itaconix® CHT™ 122 available from Itaconix.
Suitable polymer also includes those contain other structure units in addition to the sulfonate or sulfonic group group-containing monomers and carboxy group-containing monomers. Suitable polymer examples are described in W02010024468 and WO2014/032267, the additional monomers herein are ether bond-containing monomers represented by formula (1) and (2) below:
(1) (2) wherein in Formula (1)
Ro represents a hydrogen atom or CH3 group,
R represents a CH2 group, CH2CH2 group or single bond,
x represents a number 0-50, preferable 0-20, more preferable 0-5 (provided x represents a number 1-5 when R is a single bond), and
Ri is a hydrogen atom or Ci to C20 organic group
Wherein in Formula (2),
Ro represents a hydrogen atom or CH3 group,
R represents a CH2 group, CH2CH2 group or single bond, x represents a number 0-5, and
Ri is a hydrogen atom or Ci to C20 organic group.
A specific preferred polymer of this type comprises structure units derived from 1 to 49 wt% of l-(allyloxy)-3-butoxypropan-2-ol, from 50 to 98 wt% acrylic acid or methacrylic acid, and from 1 to 49 wt% of 3-allyloxy-2-hydroxy-l-propanesulfonic acid, and the has a weight average molecular weight of from about 20,000 to about 60,000. a specific preferred polymer of this type comprises structure units derived from 1 to 10 wt% of l-(allyloxy)-3-butoxypropan- 2-ol, from 70 to 89 wt% acrylic acid or methacrylic acid, and from 10 to 20 wt% of 3-allyloxy- 2-hydroxy-l -propanesulfonic acid, and the has a weight average molecular weight of from about 30,000 to about 60,000. Herein, l-(allyloxy)-3-butoxypropan-2-ol is a preferred monomer as represented by formula (2) when Ro is H, R is CH2, x is 0, and Ri is n-butyl (C4- alkyl).
Suitable polycarboxylate polymers also include co-polymers comprising carboxy group-containing monomers and other suitable monomers. Other suitable monomers here are selected from esters and/or amide of the carboxy group-containing monomers, such as C1-C20 alkyl ester of acrylic acid; alkylene; vinyl ethers, such as methyl vinyl ether, styrene and any mixtures thereof. One specific preferred polymer family of this type is sold under tradename Gantrez by Ashland, which includes Gantrez An (alternating co-polymer of methyl vinyl ether and maleic anhydride), Gantrez S (alternating co-polymer of methyl vinyl ether and maleic acid), Gantrez ES (alternating co-polymer of methyl vinyl ether and maleic acid ester), Gantrez MS (alternating co-polymer of methyl vinyl ether and maleic acid salt).
Suitable polycarboxylate polymers also include polyepoxy succinic acid polymers (PESA). A most preferred polyepoxy succinic acid polymer can be identified using CAS number: 51274-37-4, or 109578-44-1. Suitable polyepoxy succinic acid polymers are commercially available from various suppliers, such as Aquapharm Chemicals Pvt. Ltd (commercial name: Maxinol 600); Shandong Taihe Water Treatment Technologies Co., Ltd (commercial name: PESA), and Sirius International (commercial name: Briteframe PESA).
Suitable polycarboxylate polymers also include polymer comprising a monomer having at least one aspartic acid group or a salt thereof, this polymer comprises at least 25 mol%, 40 mol%, or 50 mol%, of said monomer. A preferabed example is sodium salt of poly(aspartic acid) having a molecular weight of from 2000 to 3000 g/mol which is avilable as Baypure® DS 100 from Lanxess.
Other polymers._The composition may comprise block polymers of ethylene oxide, propylene oxide and butylene oxide. Examples of such block polymers include ethylene oxidepropylene oxide-ethylene oxide (EO/PO/EO) triblock copolymer, wherein the copolymer comprises a first EO block, a second EO block and PO block wherein the first EO block and the second EO block are linked to the PO block. Blocks of ethylene oxide, propylene oxide, butylene oxide can also be arranged in other ways, such as (EO/PO) diblock copolymer, (POZEO/PO) triblock copolymer. The block polymers may also contain additional butylene oxide (BO) block. Suitable block polymers are for example Pluronic PE series from BASF, including Pluronic PE3100, PE4300, PE6100, PE6200, PE6400, PE6800, PE8100, PE9200, PE9400, PE10100, PE10500, PE10400. Suitable block polymers also available as Tergitol L series from Dow Chemicals, such as Tergitol L-61, L-62, L-64, L-81, L-101. Due to the hydrophobic and hydrophilic nature, such block polymer sometime is also considered as nonionic surfactant in literature.
The composition may comprise dye transfer inhibiting agents (also called dye transfer inhibitor, or dye fixatives), which include, but are not limited to, polyvinylpyrrolidone polymers (PVP), poly(vinylpyridine-N-oxide) polymer (PVNO), poly(vinylimidazole), polyamine N- oxide polymers, copolymers of N-vinylpyrrolidone and N-vinylimidazole, polyvinyloxazolidones and polyvinylimidazoles or mixtures thereof, dye transfer inhibiting agents may be selected from the group consisting of reaction products of: i) polyamines with cyanamides and organic and/or inorganic acids, ii) cyanamides with aldehydes and ammonium salts, iii) cyanamides with aldehydes and amines, or iv) amines with epichlorohydrin. Preferably, the dye fixative may be selected from the group consisting of reaction products of amines with epichlorohydrin in which the amines are primary, secondary or tertiary amines. More preferably, the dye fixative may be selected from the group consisting of reaction products of dimethylamine with epichlorohydrin. Most preferably, the dye fixative may be poly (2-hydroxypropyldimethylammonium chloride), also called poly (dimethylamine-co- epichlorohydrin), for example the polymer commercially available under the tradename of Texcare DFC 6 pre from Clariant.
The composition may comprise one or more other polymeric dispersing agents. Examples are poly (ethylene glycol), poly(vinyl alcohol).
Suitable polymers can also comprise monomers obtainable from renewable raw materials. Such monomers include monomer below, as described in US20200277548, US20200277549, W02019096590.
Builders:
The composition may optionally comprise a builder. Built compositions typically comprise at least about 1% builder, based on the total weight of the composition. Liquid compositions may comprise up to about 10% builder, and in some examples up to about 8% builder, of the total weight of the composition. Granular compositions may comprise up to about 30% builder, and in some examples up to about 5% builder, by weight of the composition.
Builders selected from aluminosilicates (e.g., zeolite builders, such as zeolite A, zeolite P, and zeolite MAP) and silicates assist in controlling mineral hardness in wash water, especially calcium and/or magnesium, or to assist in the removal of particulate soils from surfaces. Suitable builders may be selected from the group consisting of phosphates, such as polyphosphates (e.g., sodium tri-polyphosphate), especially sodium salts thereof; carbonates, bicarbonates, sesquicarbonates, and carbonate minerals other than sodium carbonate or sesquicarbonate; organic mono-, di-, tri-, and tetracarboxylates, especially water-soluble nonsurfactant carboxylates in acid, sodium, potassium or alkanolammonium salt form, as well as oligomeric or water-soluble low molecular weight polymer carboxylates including aliphatic and aromatic types; and phytic acid. These may be complemented by borates, e.g., for pH- buffering purposes, or by sulfates, especially sodium sulfate and any other fillers or carriers which may be important to the engineering of stable surfactant and/or builder-containing compositions. Additional suitable builders may be selected from citric acid, lactic acid, fatty acid and salt thereof.
Suitable builders may include polycarboxylate and salt thereof, for example, homopolymers of acrylic acid, copolymers of acrylic acid and maleic acid, and copolymers of acrylic acid and/or maleic acid, and other suitable ethylenic monomers with various types of additional functionalities. More suitable polycarboxylate are described in polycarboxylate polymers section of this patent.
Also suitable for use as builders herein are synthesized crystalline ion exchange materials or hydrates thereof having chain structure and a composition represented by the following general anhydride form: x(M2O) ySiO2'zM'O wherein M is Na and/or K, M' is Ca and/or Mg; y/x is 0.5 to 2.0; and z/x is 0.005 to 1.0.
Alternatively, the composition may be substantially free of builder. Structurant / Thickeners:
Suitable structurant / thickeners include:
(i) Di -benzylidene Polyol Acetal Derivative
(ii) Bacterial Cellulose
(iii) Coated Bacterial Cellulose
(iv) Cellulose fibers non-bacterial cellulose derived
(v) Non-Polymeric Crystalline Hydroxyl-Functional Materials
(vi) Polymeric Structuring Agents
(vi) Di-amido-gellants
(viii) Any combination of above.
Additional Amines:
Additional amines may be used in the compositions described herein for added removal of grease and particulates from soiled materials. The compositions described herein may comprise from about 0.1% to about 10%, in some examples, from about 0.1% to about 4%, and in other examples, from about 0.1% to about 2%, by weight of the composition, of additional amines. Non-limiting examples of additional amines may include, but are not limited to, polyamines, oligoamines, triamines, diamines, pentamines, tetraamines, or combinations thereof. Specific examples of suitable additional amines include tetraethylenepentamine, triethylenetetraamine, diethylenetriamine, or a mixture thereof.
Bleaching Agents:
It may be preferred for the composition to comprise one or more bleaching agents. Suitable bleaching agents other than bleaching catalysts include photobleaches, bleach activators, hydrogen peroxide, sources of hydrogen peroxide, pre-formed peracids and mixtures thereof. In general, when a bleaching agent is used, the compositions of the present invention may comprise from about 0.1% to about 50% or even from about 0.1% to about 25% bleaching agent or mixtures of bleaching agents by weight of the subject composition. Examples of suitable bleaching agents include:
(1) photobleaches for example sulfonated zinc phthalocyanine sulfonated aluminium phthalocyanines, xanthene dyes, thioxanthones, and mixtures thereof;
(2) pre-formed peracids: Suitable preformed peracids include, but are not limited to compounds selected from the group consisting of pre-formed peroxyacids or salts thereof typically a percarboxylic acids and salts, percarbonic acids and salts, perimidic acids and salts, peroxymonosulfuric acids and salts, for example, Oxone ®, and mixtures thereof.
Particularly preferred peroxyacids are phthalimido-peroxy-alkanoic acids, in particular s-phthalimido peroxy hexanoic acid (PAP). Preferably, the peroxyacid or salt thereof has a melting point in the range of from 30°C to 60°C.
(3) sources of hydrogen peroxide, for example, inorganic perhydrate salts, including alkali metal salts such as sodium salts of perborate (usually mono- or tetra-hydrate), percarbonate, persulphate, perphosphate, persilicate salts and mixtures thereof. When employed, inorganic perhydrate salts are typically present in amounts of from 0.05 to 40 wt%, or 1 to 30 wt% of the overall product and are typically incorporated into the products as a crystalline solid that may be coated. Suitable coatings include, inorganic salts such as alkali metal silicate, carbonate or borate salts or mixtures thereof, or organic materials such as water-soluble or dispersible polymers, waxes, oils or fatty soaps; and
(4) bleach activators having R-(C=O)-L wherein R is an alkyl group, optionally branched, having, when the bleach activator is hydrophobic, from 6 to 14 carbon atoms, or from 8 to 12 carbon atoms and, when the bleach activator is hydrophilic, less than 6 carbon atoms or even less than 4 carbon atoms; and L is leaving group. Examples of suitable leaving groups are benzoic acid and derivatives thereof - especially benzene sulphonate. Suitable bleach activators include dodecanoyl oxybenzene sulphonate, decanoyl oxybenzene sulphonate, decanoyl oxybenzoic acid or salts thereof, 3, 5, 5 -trimethyl hexanoyloxybenzene sulphonate, tetraacetyl ethylene diamine (TAED) and nonanoyloxybenzene sulphonate (NOBS).
(5) Bleach Catalysts. The compositions of the present invention may also include one or more bleach catalysts capable of accepting an oxygen atom from a peroxyacid and/or salt thereof, and transferring the oxygen atom to an oxidizeable substrate. Suitable bleach catalysts include, but are not limited to: iminium cations and polyions; iminium zwitterions; modified amines; modified amine oxides; N-sulphonyl imines; N-phosphonyl imines; N-acyl imines; thiadiazole dioxides; perfluoroimines; cyclic sugar ketones and alpha amino-ketones and mixtures thereof. One particularly preferred catalyst is acyl hydrazone type such as 4-(2-(2-((2- hydroxyphenylmethyl)methylene)-hydrazinyl)-2-oxoethyl)-4-methylchloride.
(6) The composition may preferably comprise catalytic metal complexes. One preferred type of metal-containing bleach catalyst is a catalyst system comprising a transition metal cation of defined bleach catalytic activity, such as copper, iron, titanium, ruthenium, tungsten, molybdenum, or manganese cations.
If desired, the compositions herein can be catalyzed by means of a manganese compound. Such compounds and levels of use are well known in the art and include, for example, the manganese-based catalysts disclosed in U.S. 5,576,282. In some embodiments, an
additional source of oxidant in the composition is not present, molecular oxygen from air providing the oxidative source.
Cobalt bleach catalysts useful herein are known, and are described, for example, in U.S. 5,597,936; U.S. 5,595,967.
Fluorescent Brightener:
Commercial fluorescent brighteners suitable for the present disclosure can be classified into subgroups, including but not limited to: derivatives of stilbene, pyrazoline, coumarin, benzoxazoles, carboxylic acid, methinecyanines, dibenzothiophene- 5, 5 -di oxi de, azoles, 5- and 6-membered-ring heterocycles, and other miscellaneous agents.
The fluorescent brightener may be selected from the group consisting of disodium 4,4'- bis{[4-anilino-6-morpholino-s-triazin-2-yl]-amino}-2,2'-stilbenedisulfonate (brightener 15, commercially available under the tradename Tinopal AMS-GX by BASF), disodium4,4’- bis{[4-anilino-6-(N-2-bis-hydroxyethyl)-s-triazine-2-yl]-amino}-2,2’-stilbenedisulonate (commercially available under the tradename Tinopal UNPA-GX by BASF), disodium 4,4’- bis{[4-anilino-6-(N-2-hydroxyethyl-N-methylamino)-s-triazine-2-yl]-amino}-2,2'- stilbenedisulfonate (commercially available under the tradename Tinopal 5BM-GX by BASF). More preferably, the fluorescent brightener is disodium 4,4'-bis{[4-anilino-6-morpholino-s- triazin-2-yl]-amino}-2,2'-stilbenedisulfonate or 2,2'-([l , 1 '-Biphenyl]-4,4'-diyldi-2, 1 - ethenediyl)bis-benzenesulfonic acid disodium salt. The brighteners may be added in particulate form or as a premix with a suitable solvent, for example nonionic surfactant, propanediol. Fabric Hueing Agents:
The compositions may comprise a fabric hueing agent (sometimes referred to as shading, bluing or whitening agents). Typically, the hueing agent provides a blue or violet shade to fabric. Hueing agents can be used either alone or in combination to create a specific shade of hueing and/or to shade different fabric types. This may be provided for example by mixing a red and green-blue dye to yield a blue or violet shade. Hueing agents may be selected from any known chemical class of dye, including but not limited to acridine, anthraquinone (including polycyclic quinones), azine, azo (e.g., monoazo, disazo, trisazo, tetrakisazo, polyazo), including premetallized azo, benzodifurane and benzodifuranone, carotenoid, coumarin, cyanine, diazahemicyanine, diphenylmethane, formazan, hemicyanine, indigoids, methane, naphthalimides, naphthoquinone, nitro and nitroso, oxazine, phthalocyanine, pyrazoles, stilbene, styryl, triarylmethane, triphenylmethane, xanthenes and mixtures thereof.
Chelating Agent:
Preferably the composition comprises chelating agents and/or crystal growth inhibitor. Suitable molecules include copper, iron and/or manganese chelating agents and mixtures thereof. Suitable molecules include hydroxamic acids, aminocarboxylates, aminophosphonates, succinates, salts thereof, and mixtures thereof. Non-limiting examples of suitable chelants for use herein include ethylenediaminetetracetates, N- (hydroxyethyl)ethylenediaminetriacetates, nitrilotriacetates, ethylenediamine tetraproprionates, triethylenetetraaminehexacetates, diethylenetriamine-pentaacetates, ethanoldiglycines, ethylenediaminetetrakis (methylenephosphonates), diethylenetriamine penta(methylene phosphonic acid) (DTPMP), ethylenediamine disuccinate (EDDS), hydroxyethanedimethylenephosphonic acid (HEDP), methylglycinediacetic acid (MGDA), diethylenetriaminepentaacetic acid (DTPA), N,N- Dicarboxymethyl glutamic acid (GLDA) and salts thereof, and mixtures thereof. Other nonlimiting examples of chelants of use in the present invention are found in U.S. Patent Nos. 7445644, 7585376 and 2009/0176684A1. Other suitable chelating agents for use herein are the commercial DEQUEST series, and chelants from Monsanto, DuPont, and Nalco, Inc. Yet other suitable chelants include the pyridinyl N Oxide type.
Encapsulates:
The compositions may comprise an encapsulate. In some aspects, the encapsulate comprises a core, a shell having an inner and outer surface, where the shell encapsulates the core.
In certain aspects, the encapsulate comprises a core and a shell, where the core comprises a material selected from perfumes; brighteners; dyes; insect repellants; silicones; waxes; flavors; vitamins; fabric softening agents; skin care agents, e.g., paraffins; enzymes; anti-bacterial agents; bleaches; sensates; or mixtures thereof; and where the shell comprises a material selected from polyethylenes; polyamides; polyvinylalcohols, optionally containing other co-monomers; polystyrenes; polyisoprenes; polycarbonates; polyesters; polyacrylates; polyolefins; polysaccharides, e.g., alginate and/or chitosan; gelatin; shellac; epoxy resins; vinyl polymers; water insoluble inorganics; silicone; aminoplasts, or mixtures thereof. In some aspects, where the shell comprises an aminoplast, the aminoplast comprises polyurea, polyurethane, and/or polyureaurethane. The polyurea may comprise polyoxymethyleneurea and/or melamine formaldehyde.
Perfume:
Preferred compositions of the invention comprise perfume. Typically the composition comprises a perfume that comprises one or more perfume raw materials, selected from the group as described in WO08/87497. However, any perfume useful in a laundry care
composition may be used. A preferred method of incorporating perfume into the compositions of the invention is via an encapsulated perfume particle comprising either a water-soluble hydroxylic compound or melamine-formaldehyde or modified polyvinyl alcohol.
Mai odor Reduction Materials:
The cleaning compositions of the present disclosure may comprise malodour reduction materials. Such materials are capable of decreasing or even eliminating the perception of one or more malodors. These materials can be characterized by a calculated malodor reduction value (“MORV”), which is calculated according to the test method shown in WO2016/049389.
As used herein “MORV” is the calculated malodor reduction value for a subject material. A material’s MORV indicates such material’s ability to decrease or even eliminate the perception of one or more malodors.
The cleaning compositions of the present disclosure may comprise a sum total of from about 0.00025% to about 0.5%, preferably from about 0.0025% to about 0.1%, more preferably from about 0.005% to about 0.075%, most preferably from about 0.01% to about 0.05%, by weight of the composition, of 1 or more malodor reduction materials. The cleaning composition may comprise from about 1 to about 20 malodor reduction materials, more preferably 1 to about 15 malodor reduction materials, most preferably 1 to about 10 malodor reduction materials.
One, some, or each of the malodor reduction materials may have a MORV of at least 0.5, preferably from 0.5 to 10, more preferably from 1 to 10, most preferably from 1 to 5. One, some, or each of the malodor reduction materials may have a Universal MORV, defined as all of the MORV values of >0.5 for the malodors tested as described herein. The sum total of malodor reduction materials may have a Blocker Index of less than 3, more preferable less than about 2.5, even more preferably less than about 2, and still more preferably less than about 1, and most preferably about 0. The sum total of malodor reduction materials may have a Blocker Index average of from about 3 to about 0.001.
In the cleaning compositions of the present disclosure, the malodor reduction materials may have a Fragrance Fidelity Index of less than 3, preferably less than 2, more preferably less than 1 and most preferably about 0 and/or a Fragrance Fidelity Index average of 3 to about 0.001 Fragrance Fidelity Index. As the Fragrance Fidelity Index decreases, the malodor reduction material(s) provide less and less of a scent impact, while continuing to counteract malodors.
The cleaning compositions of the present disclosure may comprise a perfume. The weight ratio of parts of malodor reduction composition to parts of perfume may be from about 1 :20,000 to about 3000: 1, preferably from about 1 : 10,000 to about 1,000: 1, more preferably
from about 5,000: 1 to about 500: 1, and most preferably from about 1 : 15 to about 1 : 1. As the ratio of malodor reduction composition to parts of perfume is tightened, the malodor reduction material(s) provide less and less of a scent impact, while continuing to counteract malodors.
Conditioning Agents:
Suitable conditioning agents include high melting point fatty compounds. The high melting point fatty compound useful herein has a melting point of 25°C or higher and is selected from the group consisting of fatty alcohols, fatty acids, fatty alcohol derivatives, fatty acid derivatives, and mixtures thereof. Suitable conditioning agents also include nonionic polymers and conditioning oils, such as hydrocarbon oils, polyolefins, and fatty esters.
Suitable conditioning agents include those conditioning agents characterized generally as silicones (e.g., silicone oils, polyoils, cationic silicones, silicone gums, high refractive silicones, and silicone resins), organic conditioning oils (e.g., hydrocarbon oils, polyolefins, and fatty esters) or combinations thereof, or those conditioning agents which otherwise form liquid, dispersed particles in the aqueous surfactant matrix herein. The compositions of the present invention may also comprise from about 0.05% to about 3% of at least one organic conditioning oil as the conditioning agent, either alone or in combination with other conditioning agents, such as the silicones (described herein). Suitable conditioning oils include hydrocarbon oils, polyolefins, and fatty esters.
Probiotics:
The composition may comprise probiotics, such as those described in W02009/043709. Organic acid:
The detergent comprises one or more organic acids selected from the group consisting of acetic acid, adipic acid, aspartic acid, carboxymethyloxymalonic acid, carboxymethyloxysuccinic acid, citric acid, formic acid, glutaric acid, hydroxyethyliminodiacetic acid, iminodiacetic acid, lactic acid, maleic acid, malic acid, malonic acid, oxydiacetic acid, oxydisuccinic acid, succinic acid, sulfamic acid, tartaric acid, tartaric-disuccinic acid, tartaric-monosuccinic acid, or mixtures thereof. Preferably, the detergent composition may comprise an organic acid selected from the group consisting of acetic acid, lactic acid, and citric acid.
Anti-oxidant:
The composition may optionally contain an anti-oxidant present in the composition from about 0.001 to about 2% by weight. Preferably the antioxidant is present at a concentration in the range 0.01 to 0.08% by weight. Mixtures of anti-oxidants may be used.
Hygiene Agent:
The compositions of the present invention may also comprise components to deliver hygiene and/or malodour benefits such as one or more of zinc ricinoleate, thymol, quaternary ammonium salts such as Bardac®, polyethylenimines (such as Lupasol® from BASF) and zinc complexes thereof, silver and silver compounds, especially those designed to slowly release Ag+ or nano-silver dispersions.
The cleaning compositions of the present invention may also contain antimicrobial agents. Preferably, the anti-microbial agent is selected from the group consisting of 4-4'- dichloro-2-hydroxy diphenyl ether (“Diclosan”), 2,4,4'-trichloro-2'-hydroxy diphenyl ether (“Triclosan”), and a combination thereof. Most preferably, the anti-microbial agent is 4-4'- dichloro-2-hydroxy diphenyl ether, commercially available from BASF, under the trademark name Tinosan®HP100.
Pearlescent Agent:
Non-limiting examples of pearlescent agents include: mica; titanium dioxide coated mica; bismuth oxychloride; fish scales; mono and diesters of alkylene glycol. The pearlescent agent may be ethyleneglycoldistearate (EGDS).
Opacifier:
In one embodiment, the composition might also comprise an opacifier. As the term is used herein, an “opacifier” is a substance added to a material in order to make the ensuing system opaque. In one preferred embodiment, the opacifier is Acusol, which is available from Dow Chemicals. Acusol opacifiers are provided in liquid form at a certain % solids level. As supplied, the pH of Acusol opacifiers ranges from 2.0 to 5.0 and particle sizes range from 0.17 to 0.45 um. In one preferred embodiment, Acusol OP303B and 301 can be used.
In yet another embodiment, the opacifier may be an inorganic opacifier. Preferably, the inorganic opacifier can be TiCh, ZnO, talc, CaCCh, and combination thereof. The composite opacifier-microsphere material is readily formed with a preselected specific gravity, so that there is little tendency for the material to separate.
Solvents:
The solvent system in the present compositions can be a solvent system containing water alone or mixtures of organic solvents either without or preferably with water. The compositions may optionally comprise an organic solvent. Suitable organic solvents include C4-C14 ethers and diethers, glycols, alkoxylated glycols, Ce-Ci6 glycol ethers, alkoxylated aromatic alcohols, aromatic alcohols, aliphatic branched alcohols, alkoxylated aliphatic branched alcohols, alkoxylated linear C1-C5 alcohols, linear C1-C5 alcohols, amines, Cs-Cu alkyl and cycloalkyl hydrocarbons and halohydrocarbons, and mixtures thereof. Preferred organic solvents include
1,2-propanediol, 2,3 butane diol, ethanol, glycerol, ethoxylated glycerol, dipropylene glycol, methyl propane diol and mixtures thereof 2 ethyl hexanol, 3,5,5,trimethyl-l hexanol, and 2 propyl heptanol. Solvents may be a polyethylene or polypropylene glycol ether of glycerin. Other lower alcohols, C1-C4 alkanolamines such as monoethanolamine and triethanolamine, can also be used. Solvent systems can be absent, for example from anhydrous solid embodiments of the invention, but more typically are present at levels in the range of from about 0.1% to about 98%, preferably at least about 1% to about 50%, more usually from about 5% to about 25%, alternatively from about 1% to about 10% by weight of the liquid detergent composition of said organic solvent. These organic solvents may be used in conjunction with water, or they may be used without water.
Hydrotrope:
The composition may optionally comprise a hydrotrope in an effective amount, i.e. from about 0% to 15%, or about 1% to 10% , or about 3% to about 6%, so that compositions are compatible in water. Suitable hydrotropes for use herein include anionic-type hydrotropes, particularly sodium, potassium, and ammonium xylene sulfonate, sodium, potassium and ammonium toluene sulfonate, sodium potassium and ammonium cumene sulfonate, and mixtures thereof, as disclosed in U.S. Patent 3,915,903.
Suds Suppressor:
Compounds for reducing or suppressing the formation of suds can be incorporated into the water-soluble unit dose articles. Suds suppression can be of particular importance in the so-called “high concentration cleaning process” and in front-loading style washing machines. Examples of suds supressors include monocarboxylic fatty acid and soluble salts therein, high molecular weight hydrocarbons such as paraffin, fatty acid esters (e.g., fatty acid triglycerides), fatty acid esters of monovalent alcohols, aliphatic C18-C40 ketones (e.g., stearone), N-alkylated amino triazines, waxy hydrocarbons preferably having a melting point below about 100 °C, silicone suds suppressors, and secondary alcohols. Preferred fatty acid blends may be mixtures enriched or Fatty acid mixtures enriched with 2-alkyl fatty acid, preferably 2-methyl octanoic acid.
Additional suitable antifoams are those derived from phenylpropylmethyl substituted polysiloxanes.
The detergent composition may comprise a suds suppressor selected from organomodified silicone polymers with aryl or alkylaryl substituents combined with silicone resin and a primary filler, which is modified silica. The detergent compositions may comprise from about 0.001% to about 4.0%, by weight of the composition, of such a suds suppressor.
The detergent composition comprises a suds suppressor selected from: a) mixtures of from about 80 to about 92% ethylmethyl, methyl(2-phenylpropyl) siloxane; from about 5 to about 14% MQ resin in octyl stearate; and from about 3 to about 7% modified silica; b) mixtures of from about 78 to about 92% ethylmethyl, methyl(2-phenylpropyl) siloxane; from about 3 to about 10% MQ resin in octyl stearate; from about 4 to about 12% modified silica; or c) mixtures thereof, where the percentages are by weight of the anti-foam.
Below are more details on representative laundry detergent: Liquid laundry detergent composition.
The laundry detergent composition can be a liquid laundry detergent composition. Suitable liquid laundry detergent compositions can comprise a non-soap surfactant, wherein the non-soap surfactant comprises an anionic non-soap surfactant and a non-ionic surfactant. The laundry detergent composition can comprise from 10% to 60%, or from 20% to 55% by weight of the laundry detergent composition of the non-soap surfactant. The non-soap anionic surfactant to nonionic surfactant are from l : l to 20: 1, from 1.5: l to 17.5: 1, from 2: 1 to 15: 1, or from 2.5: 1 to 13: 1. Suitable non-soap anionic surfactants include linear alkylbenzene sulphonate, alkyl sulphate or a mixture thereof. The weight ratio of linear alkylbenzene sulphonate to alkyl sulphate can be from 1 :2 to 9: 1, from 1 : 1 to 7: 1, from 1 : 1 to 5: 1, or from 1 : 1 to 4: 1. Suitable linear alkylbenzene sulphonates are Cio-Cie alkyl benzene sulfonic acids, or C11-C14 alkyl benzene sulfonic acids. Suitable alkyl sulphate anionic surfactants include alkoxylated alkyl sulphates, non-alkoxylated alkyl sulphates, and mixture thereof. Preferably, the HLAS surfactant comprises greater than 50% C12, preferably greater than 60%, preferably greater than 70% C12, more preferably greater than 75% C12. Suitable alkoxylated alkyl sulphate anionic surfactants include ethoxylated alkyl sulphate anionic surfactants. Suitable alkyl sulphate anionic surfactants include ethoxylated alkyl sulphate anionic surfactant with a mol average degree of ethoxylation of from 1 to 5, from 1 to 3, or from 2 to 3. The alkyl alkoxylated sulfate may have a broad alkoxy distribution or a peaked alkoxy distribution. The alkyl portion of the AES may include, on average, from 13.7 to about 16 or from 13.9 to 14.6 carbons atoms.
At least about 50% or at least about 60% of the AES molecule may include having an alkyl portion having 14 or more carbon atoms, preferable from 14 to 18, or from 14 to 17, or from 14 to 16, or from 14 to 15 carbon atoms. The alkyl sulphate anionic surfactant may comprise a non- ethoxylated alkyl sulphate and an ethoxylated alkyl sulphate wherein the mol average degree of ethoxylation of the alkyl sulphate anionic surfactant is from 1 to 5, from 1 to 3, or from 2 to 3. The alkyl fraction of the alkyl sulphate anionic surfactant can be derived from fatty alcohols, oxo-synthesized alcohols, Guerbet alcohols, or mixtures thereof. Preferred alkyl
sulfates include optionally ethoxylated alcohol sulfates including 2-alkyl branched primary alcohol sulfates especially 2-branched C12-15 primary alcohol sulfates, linear primary alcohol sulfates especially linear C12-14 primary alcohol sulfates, and mixtures thereof. The laundry detergent composition can comprise from 10% to 50%, or from 15% to 45%, or from 20% to 40%, or from 30% to 40% by weight of the laundry detergent composition of the non-soap anionic surfactant.
Suitable non-ionic surfactants can be selected from alcohol broad or narrow range alkoxylates, an oxo-synthesised alcohol alkoxylate, Guerbet alcohol alkoxylates, alkyl phenol alcohol alkoxylates, or a mixture thereof. The laundry detergent composition can comprise from 0.01% to 10%, from 0.01% to 8%, from 0.1% to 6%, or from 0.15% to 5% by weight of the liquid laundry detergent composition of a non-ionic surfactant.
The liquid laundry detergent composition comprises from 1.5% to 20%, or from 2% to 15%, or from 3% to 10%, or from 4% to 8% by weight of the laundry detergent composition of soap, such as a fatty acid salt. Such soaps can be amine neutralized, for instance using an alkanolamine such as monoethanolamine.
The liquid laundry detergent composition can comprises an adjunct ingredient selected from the group comprising builders including citrate, enzymes, bleach, bleach catalyst, dye, hueing dye, Leuco dyes, brightener, cleaning polymers including alkoxylated polyamines and polyethyleneimines, amphiphilic copolymers, soil release polymer, surfactant, solvent, dye transfer inhibitors, chelant, diamines, perfume, encapsulated perfume, polycarboxylates, structurant, pH trimming agents, antioxidants, antibacterial, antimicrobial agents, preservatives and mixtures thereof.
The liquid laundry detergent composition can have a pH of from 2 to 11, or from 6.5 to 8.9, or from 7 to 8, wherein the pH of the laundry detergent composition is measured at a 10% product concentration in demineralized water at 20°C.
The liquid laundry detergent composition can be Newtonian or non-Newtonian, preferably non-Newtonian.
For liquid laundry detergent compositions, the composition can comprise from 5% to 99%, or from 15% to 90%, or from 25% to 80% by weight of the liquid detergent composition of water.
The following are exemplary liquid laundry detergent formulations (Table 1). Preferably the liquid laundry detergent composition comprises from between 0.1 to 20.0%, preferably 0.2% to 10%, preferably between 0.3% and 5.0%, preferably between 0.5% and 3%, more
preferably between 1% to 2.5% by weight of the detergent composition of the polymer according to the invention.
Description of super-script numbers:
1 C12-15EO2.5S Alkylethoxy Sulfate where the alkyl portion of AES includes from about 13.9 to 14.6 carbon atoms
2 PE-20 commercially available from BASF
3 Nuclease enzyme is as claimed in co-pending European application 19219568.3
4 Antioxidant 1 is 3,5-bis(l,l-dimethylethyl)-4-hydroxybenzenepropanoic acid, methyl ester [6386-38-5]
5 Antioxidant 2 is Tinogard TS commercially available from BASF
6 Hygiene Agent is agent is Tinosan HP 100 commercially available from BASF
7 Dow Coming supplied antifoam blend 80-92% ethylmethyl, methyl(2-phenyl propyl)siloxane; 5-14% MQ Resin in octyl stearate a 3-7% modified silica.
8 Fluorescent Brightener is disodium 4,4'-bis{[4-anilino-6-morpholino-s-triazin-2-yl]- amino}-2,2'-stilbenedisulfonate or 2,2'-([l,l'-Biphenyl]-4,4'-diyldi-2,l-ethenediyl)bis- benzenesulfonic acid disodium salt.
Water Soluble Unit Dose Article.
The laundry detergent composition can be a water-soluble unit dose article. The water- soluble unit dose article comprises at least one water-soluble film orientated to create at least one unit dose internal compartment, wherein the at least one unit dose internal compartment comprises a detergent composition. The water-soluble film preferably comprises polyvinyl alcohol homopolymer or polyvinyl alcohol copolymer, for example a blend of polyvinylalcohol homopolymers and/or polyvinylalcohol copolymers, for example copolymers selected from sulphonated and carboxylated anionic polyvinylalcohol copolymers especially carboxylated anionic polyvinylalcohol copolymers, for example a blend of a polyvinylalcohol homopolymer and a carboxylated anionic polyvinylalcohol copolymer. In some examples water soluble films are those supplied by Monosol under the trade references M8630, M8900, M8779, M8310. The detergent product comprises a detergent composition, more preferably a laundry detergent composition. Preferably the laundry detergent composition enclosed in the water-soluble unit dose article comprises from between 0.1% and 8%, preferably between 0.5% and 7%, more preferably 1.0% to 6.0% by weight of the detergent composition of the polymer of the present invention. Preferably the soluble unit dose laundry detergent composition comprises a non-soap surfactant, wherein the non-soap surfactant comprises an anionic non-soap surfactant and a nonionic surfactant. More preferably, the laundry detergent composition comprises between 10% and 60%, or between 20% and 55% by weight of the laundry detergent composition of the non-
soap surfactant. The weight ratio of non-soap anionic surfactant to nonionic surfactant preferably is from 1 : 1 to 20: 1, from 1.5: 1 to 17.5: 1, from 2: 1 to 15: 1, or from 2.5: 1 to 13: 1. The non-soap anionic surfactants preferably comprise linear alkylbenzene sulphonate, alkyl sulphate or a mixture thereof. The weight ratio of linear alkylbenzene sulphonate to alkyl sulphate preferably is from 1 :2 to 9: 1, from 1 : 1 to 7: 1, from 1 : 1 to 5: 1, or from 1 : 1 to 4: 1. Example linear alkylbenzene sulphonates are Cio-Cie alkyl benzene sulfonic acids, or C11-C14 alkyl benzene sulfonic acids. By ‘linear’, we herein mean the alkyl group is linear. Example alkyl sulphate anionic surfactant may comprise alkoxylated alkyl sulphate or non-alkoxylated alkyl sulphate or a mixture thereof. Example alkoxylated alkyl sulphate anionic surfactants comprise an ethoxylated alkyl sulphate anionic surfactant. Example alkyl sulphate anionic surfactant may comprise an ethoxylated alkyl sulphate anionic surfactant with a mol average degree of ethoxylation from 1 to 5, from 1 to 3, or from 2 to 3. Example alkyl sulphate anionic surfactant may comprise a non-ethoxylated alkyl sulphate and an ethoxylated alkyl sulphate wherein the mol average degree of ethoxylation of the alkyl sulphate anionic surfactant is from 1 to 5, from 1 to 3, or from 2 to 3. Example alkyl fraction of the alkyl sulphate anionic surfactant are derived from fatty alcohols, oxo-synthesized alcohols, Guerbet alcohols, or mixtures thereof. Preferably the laundry detergent composition comprises between 10% and 50%, between 15% and 45%, between 20% and 40%, or between 30% and 40% by weight of the laundry detergent composition of the non-soap anionic surfactant. In some examples, the nonionic surfactant is selected from alcohol alkoxylate, an oxo-synthesised alcohol alkoxylate, Guerbet alcohol alkoxylates, alkyl phenol alcohol alkoxylates, or a mixture thereof. Preferably, the laundry detergent composition comprises between 0.01% and 10%, or between 0.01% and 8%, or between 0.1% and 6%, or between 0.15% and 5% by weight of the liquid laundry detergent composition of a non-ionic surfactant. Preferably, the laundry detergent composition comprises between 1.5% and 20%, between 2% and 15%, between 3% and 10%, or between 4% and 8% by weight of the laundry detergent composition of soap, in some examples a fatty acid salt, in some examples an amine neutralized fatty acid salt, wherein in some examples the amine is an alkanolamine preferably monoethanolamine. Preferably the liquid laundry detergent composition comprises less than 15%, or less than 12% by weight of the liquid laundry detergent composition of water. Preferably, the laundry detergent composition comprises between 10% and 40%, or between 15% and 30% by weight of the liquid laundry detergent composition of a non-aqueous solvent selected from 1,2-propanediol, dipropylene glycol, tripropyleneglycol, glycerol, sorbitol, polyethylene glycol or a mixture thereof. Preferably the liquid laundry detergent composition comprises from 0.1% to 10%, preferably
from 0.5% to 8% by weight of the detergent composition of further soil release polymers, preferably selected from the group of nonionic and/or anionically modified polyester terephthalate soil release polymers such as commercially available under the Texcare brand name from Clariant, amphiphilic graft polymers such as those based on polyalkylene oxides and vinyl esters, polyalkoxylated polyethyleneimines, and mixtures thereof. Preferably the liquid detergent composition further comprises from 0.1% to 10% preferably from 1% to 5% of a chelant. In some examples, the laundry detergent composition comprises an adjunct ingredient selected from the group comprising builders including citrate, enzymes, bleach, bleach catalyst, dye, hueing dye, brightener, cleaning polymers including (zwitterionic) alkoxylated polyamines, surfactant, solvent, dye transfer inhibitors, perfume, encapsulated perfume, polycarboxylates, structurant, pH trimming agents, and mixtures thereof. Preferably, the laundry detergent composition has a pH between 6 and 10, between 6.5 and 8.9, or between 7 and 8, wherein the pH of the laundry detergent composition is measured as a 10% product concentration in demineralized water at 20°C. When liquid, the laundry detergent composition may be Newtonian or non-Newtonian, preferably non-Newtonian.
The following is an exemplary water-soluble unit dose formulations (Table 2). The composition can be part of a single chamber water soluble unit dose article or can be split over multiple compartments resulting in below “averaged across compartments” full article composition. The composition is enclosed within a polyvinyl alcohol-based water soluble, the polyvinyl alcohol comprising a blend of a polyvinyl alcohol homopolymer and an anionic e.g. carboxylated polyvinyl alcohol copolymer.
Description of super-scripts:
*Nuclease enzyme is as claimed in co-pending European application 19219568.3
**poly ethylene glycol graft polymer comprising a polyethylene glycol backbone (Pluriol E6000) and hydrophobic vinyl acetate side chains, comprising 40% by weight of the polymer system of a polyethylene glycol backbone polymer and 60% by weight of the polymer system of the grafted vinyl acetate side chains
Solid Free-flowing Particulate Laundry Detergent Composition.
The laundry detergent composition can be a solid free-flowing particulate laundry detergent composition. The following is an exemplary solid free-flowing particulate laundry detergent composition (Table 3).
Table 3.
Fibrous Water-soluble Unit Dose Article.
The laundry detergent can be a fibrous water-soluble unit dose articles. As used herein, the phrases “water-soluble unit dose article,” “water-soluble fibrous structure”, and “water-
soluble fibrous element” mean that the unit dose article, fibrous structure, and fibrous element are miscible in water. In other words, the unit dose article, fibrous structure, or fibrous element is capable of forming a homogeneous solution with water at ambient conditions. “Ambient conditions” as used herein means 23°C ± 1.0°C and a relative humidity of 50% ± 2%. The water-soluble unit dose article may contain insoluble materials, which are dispersible in aqueous wash conditions to a suspension mean particle size that is less than about 20 microns, or less than about 50 microns.
The fibrous water-soluble unit dose article may include any of the disclosures found in U.S. Patent Application No. 15/880,594 filed on January 26, 2018; U.S. Patent Application No. 15/880,599 filed January 26, 2018; and U.S. Patent Application No. 15/880,604 filed January 26, 2018; incorporated by reference in their entirety. Preferred water-soluble fibrous structure comprises particles having a ratio of Linear Alkylbenzene Sulfonate to Alkylethoxylated Sulfate or Alkyl Sulfate of greater than 1.
These fibrous water-soluble unit dose articles can be dissolved under various wash conditions, e.g., low temperature, low water and/or short wash cycles or cycles where consumers have been overloading the machine, especially with items having high water absorption capacities, while providing sufficient delivery of active agents for the intended effect on the target consumer substrates (with similar performance as today’s liquid products). Furthermore, the water-soluble unit dose articles described herein can be produced in an economical manner by spinning fibers comprising active agents. The water-soluble unit dose articles described herein also have improved cleaning performance.
Method of Use. The compositions of this invention, prepared as hereinbefore described, can be used to form aqueous washing/treatment solutions for use in the laundering/treatment of fabrics. Generally, an effective amount of such compositions is added to water, for example in a conventional fabric automatic washing machine, to form such aqueous laundering solutions. The aqueous washing solution so formed is then contacted, typically under agitation, with the fabrics to be laundered/treated therewith. An effective amount of the liquid detergent compositions herein added to water to form aqueous laundering solutions can comprise amounts sufficient to form from about 500 to 7,000 ppm of composition in aqueous washing solution, or from about 1,000 to 3,000 ppm of the laundry care compositions herein will be provided in aqueous washing solution.
Typically, the wash liquor is formed by contacting the composition with wash water in such an amount so that the concentration of the laundry care composition in the wash liquor is from above 0g/l to 5g/l, or from lg/1, and to 4.5g/l, or to 4.0g/l, or to 3.5g/l, or to 3.0g/l, or to
2.5g/l, or even to 2.0g/l, or even to 1 ,5g/l. The method of laundering fabric or textile may be carried out in a top-loading or front-loading automatic washing machine or can be used in a hand-wash laundry application. In these applications, the wash liquor formed and concentration of laundry detergent composition in the wash liquor is that of the main wash cycle. Any input of water during any optional rinsing step(s) is not included when determining the volume of the wash liquor.
The wash liquor may comprise 40 liters or less of water, or 30 liters or less, or 20 liters or less, or 10 liters or less, or 8 liters or less, or even 6 liters or less of water. The wash liquor may comprise from above 0 to 15 liters, or from 2 liters, and to 12 liters, or even to 8 liters of water. Typically, from 0.01kg to 2kg of fabric per liter of wash liquor is dosed into said wash liquor. Typically, from 0.01kg, or from 0.05kg, or from 0.07kg, or from 0.10kg, or from 0.15kg, or from 0.20kg, or from 0.25kg fabric per liter of wash liquor is dosed into said wash liquor. Optionally, 50g or less, or 45g or less, or 40g or less, or 35g or less, or 30g or less, or 25g or less, or 20g or less, or even 15g or less, or even 10g or less of the composition is contacted to water to form the wash liquor. Such compositions are typically employed at concentrations of from about 500 ppm to about 15,000 ppm in solution. When the wash solvent is water, the water temperature typically ranges from about 5 °C to about 90 °C and, when the situs comprises a fabric, the water to fabric ratio is typically from about 1 : 1 to about 30: 1. Typically the wash liquor comprising the laundry care composition of the invention has a pH of from 3 to 11.5.
In one aspect, such method comprises the steps of optionally washing and/or rinsing said surface or fabric, contacting said surface or fabric with any composition disclosed in this specification then optionally washing and/or rinsing said surface or fabric is disclosed, with an optional drying step.
Drying of such surfaces or fabrics may be accomplished by any one of the common means employed either in domestic or industrial settings. The fabric may comprise any fabric capable of being laundered in normal consumer or institutional use conditions, and the invention is suitable for cellulosic substrates and in some aspects also suitable for synthetic textiles such as polyester and nylon and for treatment of mixed fabrics and/or fibers comprising synthetic and cellulosic fabrics and/or fibers. As examples of synthetic fabrics are polyester, nylon, these may be present in mixtures with cellulosic fibers, for example, polycotton fabrics. The solution typically has a pH of from 7 to 11, more usually 8 to 10.5. The compositions are typically employed at concentrations from 500 ppm to 5,000 ppm in solution. The water temperatures typically range from about 5°C to about 90°C. The water to fabric ratio is typically from about 1 : 1 to about 30: 1.
Another method includes contacting a nonwoven substrate, which is impregnated with the detergent composition, with a soiled material. As used herein, “nonwoven substrate” can comprise any conventionally fashioned nonwoven sheet or web having suitable basis weight, caliper (thickness), absorbency, and strength characteristics. Non-limiting examples of suitable commercially available nonwoven substrates include those marketed under the trade names SONTARA® by DuPont and POLY WEB® by James River Corp.
In addition to good biodegradability, and good whiteness maintenance performance, the propoxylated ethylenediamine can also provide the following benefits when incorporated into a laundry detergent composition which additionally comprises a detersive surfactant:
(i) sebum removal; and/or
(ii) improved removal of oily/fatty stains; and/or
(iii) soil removal of particulate stains; and/or
(iv) dispersion and/or emulsification of soils; and/or
(v) modification of treated surface to improve removal upon later re-soiling.
Carbon source of raw materials:
The raw materials for preparation of the surfactant, polymers and other ingredients can be based on fossil carbon or renewable carbon. Renewable carbon is a carbon source that avoid the use of fossil carbon such as natural gas, coal, petroleum. Typically, renewable carbon is derived from the biomass, carbon capture, or chemical recycling.
Biomass is a renewable carbon source formed through photosynthesis in the presence of sunlight, or chemosynthesis process in the absence of sunlight. In some cases, polymers isolated from biomass can be used directly, or further derivatized to make performance polymers. For example, the use of polysaccharide (such as starch) and derivatized polysaccharide (such as cellulose derivatives, guar derivatives, dextran derivatives) in fabric home care composition are known. In some cases, biomass can be converted into basic chemicals under certain thermal, chemical, or biological conditions. For example, bioethanol can be derived from biomass such as straw, and further convert to biobased polyethylene glycol. Other nonlimiting examples of renewable carbon from biomass include plants (e.g., sugar cane, beets, com, potatoes, citrus fruit, woody plants, lignocellulosics, hemicellulosics, cellulosic waste), animals, animal fats, fish, bacteria, fungi, plant-based oils, and forestry products. These resources can be naturally occurring, hybrids, or genetically engineered organisms.
Carbon capture is another renewable carbon source which use various process to capture CO2 or methane from industrial or natural processes, or directly from air (direct capture).
Captured methane and CO2 maybe converted into syngas, and/or further convert to basic chemicals, including but not limit to methanol, ethanol, fatty alcohols such as C12/C14 or even Cie/Cis alcohols, other alcohols, olefins, alkanes, saturated and unsaturated organic acids, etc. These basic chemicals can used as or further convert to monomers for making transformed to usable chemicals by e.g. catalytic processes, such as the Fischer-Tropsch process or by fermentation by Ci -fixing microorganisms.
Chemical recycling is another renewable carbon source which allow plastics from waste management industry to be recycled and converted into base chemicals and chemical feedstocks. In some cases, waste plastics which cannot be re-used or mechanical recycled are convert to hydrocarbons or basic petrochemicals through gasification, pyrolysis or hydrothermal treatment processes, the hydrocarbons and basic petrochemicals can be further convert into monomers for polymers. In some cases, waste plastics are depolymerized into monomers to make new polymers. It is also possible that waste plastics are depolymerized into oligomers, the oligomers can be used as building blocks to make new polymers. The waste plastic converted by various processes to a waste plastic feedstock for the above materials may either be used alone or in combination with traditional surfactant feedstocks, such as kerosene, polyolefins derived from natural gas, coal, crude oil or even biomass, or waste fat/oil-derived paraffin and olefin, to produce biodegradable surfactants for use in detergents and other industries (thereby providing a benefit to society).
Preferably, the surfactant, polymers and other ingredients contains renewable carbon, the Renewable Carbon Index (RCI, a measure of sustainability by dividing the number of carbons derived from renewable sources by the total number of carbons in an active ingredient) of the polymer is above 10%, more preferably above 30%, more preferably above 50%, more preferably above 60%, more preferably between 70% to 100% (including 100%), and most preferably 100%.
EXAMPLES
Method of testing polymer biodegradation
Biodegradation of polymers in in wastewater was tested in triplicate using the OECD 301F manometric respirometry method. OECD 301F is an aerobic test that measures biodegradation of a sample by measuring the consumption of oxygen. To a measured volume of medium, 100 mg/L test substance, which is the nominal sole source of carbon is added along with the inoculum (30 mg/L, aerated sludge taken from Mannheim wastewater treatment plant). This is stirred in a closed flask at a constant temperature (20°C or 25°C) for 28 or 56 days,
respectively. The consumption of oxygen is determined by measuring the change in pressure in the apparatus using an OxiTop® C (Xylem 35 Analytics Germany Sales GmbH & Co KG). Evolved carbon dioxide is absorbed in a solution of sodium hydroxide. Nitrification inhibitors are added to the flask to prevent usage of oxygen due to nitrification. The amount of oxygen taken up by the microbial population during biodegradation of the test substance (corrected for uptake by blank inoculum, run in parallel) is expressed as a percentage of ThOD (Theoretical oxygen demand, which is measured by the elemental analysis of the compound). A positive control Glucose/Glucosamine is run along with the test samples for each cabinet.
Polymer synthesis
Inventive Example 3 (IE3)
(7 ,2-ethylene diamine, propoxylated with 40 mole propylene oxide)
[(EDA)I/(PO)4O, or 1,2-ethylene diamine + 10 PO/NH]
In a 2 1 autoclave 102.3 g 1,2-ethylene diamine, propoxylated with 4 mole propylene oxide (Quadrol® L, BASF SE) and 1.7 g potassium tert, butoxide were placed and the mixture was heated to 140°C. The vessel was purged three times with nitrogen. 731.8 g propylene oxide was added continuously within 10 hours. To complete the reaction, the mixture was allowed to post-react for additional 10 hours at 140°C. The reaction mixture was stripped with nitrogen and volatile compounds were removed in vacuo (10 mbar) at 90°C for 2 hours. 825.0 g of a light orange oil was obtained (hydroxyl number 103.3 mg KOH/g; amine number 52.3 mg KOH/g).
Other inventive examples (IE1, IE2, IE4, IE5) and comparative examples (CE1, CE2) were prepared in a similar way.
Polymer biodegradation
The biodegradation of the following inventive and comparative polymers is tested using method of testing polymer biodegradation, the % of biodegradation at 28 days is summerized in Table 4 below. Inventive polymers show signicant better biodegrdation than comparative polymers.
Polymer whiteness maintenance performance in laundry detergents
The following liquid laundry detergent composition (Table 5) was used as base detergent to test polymer whiteness maintenance performance. Polymer whiteness maintenance performance were tested using the following conditions: 3000 ppm clay, 688 ppm base detergent / 25°C / ImM hardness / 19.6 ppm polymer.
Table 5.
a Fluorescent Brightener is disodium 4,4'-bis{[4-anilino-6-morpholino-s-triazin-2-yl]- amino}-2,2'-stilbenedisulfonate or 2,2'-([l,l'-Biphenyl]-4,4'-diyldi-2,l-ethenediyl)bis- benzenesulfonic acid disodium salt. b 3,5-bis(l,l-dimethylethyl)-4-hydroxybenzenepropanoic acid, methyl ester [6386-38-5] c Dow Coming supplied antifoam blend 80-92% ethylmethyl, methyl(2- phenyl propyl)siloxane; 5-14% MQ Resin in octyl stearate a 3-7% modified silica.
Test preparation:
The following fabric is provided for the whiteness benefit test:
Knitted Cotton: Test fabrics, Inc 403 cotton interlock knit tubular
CW120, available from Empirical Manufacturing Company (Cincinnati, OH, USA).
The fabric was prepared according to the following method: 400g fabrics are washed in a WE Miniwasher Electrolux EWC1350 (3.5 litre water) twice using the short program (45- minute wash cycle followed by three rinse cycles; total program is 90 minutes) at 60°C with 18.6g Ariel™ Compact powder detergent, twice using the short program, at 60°C nil detergent. Fabrics are then dried in a tumble dryer on cupboard dry .
Test Method:
Each sample is run in a 96 well plate simulated washing system that uses magnetized bearings to simulate the agitation of a typical full scale washing machine according to the following conditions: 750 ppm detergent concentration, 150 pL water per well, 25°C, water hardness of 1.0 mM (3 : 1 Ca2+ : Mg2+ molar ratio), wash pH of 8.3, 3000 ppm Arizona test dust (supplied by PTI, Powder Technology Inc).
The fabric is washed for 60 minutes and dried in the dark under ambient conditions. F Six 96 well plates, and eight internal replicates per 96 well plate, for a total of 48 replicates have been tested.
When the samples are dry, L*, a*, b* and CIE WI are measured on each 96 well plate spot using a Spectrolino imaging system (Gretag Macbeth, Spectro Scan 3.273). For each treatment, the average CIE WI is determined. Delta CIE WI, as reported in Table 6 below, is the difference of the average CIE WI of the sample vs. the average CIE WI of a control sample without the tested polymer (nil polymer).
For the whiteness index, the CIE whiteness index formula was used and delta WI was calculated as follows: delta WI on a substrate = WI technology - WI nil.
The results are shown in Table 6, inventive polymers can deliver clear anti-redeposition performance.
The dimensions and values disclosed herein are not to be understood as being strictly limited to the exact numerical values recited. Instead, unless otherwise specified, each such dimension is intended to mean both the recited value and a functionally equivalent range surrounding that value. For example, a dimension disclosed as “40 mm” is intended to mean “about 40 mm”.
Claims
1. A laundry detergent composition comprising:
(a) a propoxylated ethylenediamine, wherein at least one of the NH-functionalities of ethylenediamine (EDA) is propoxylated, and wherein the propoxylated ethylenediamine comprises on average from 28 to 52 propylene oxide (PO) units per mol EDA; and
(b) a detersive surfactant.
2. The composition according to claim 1, wherein the propoxylated ethylenediamine comprises on average from 28 to 44 propylene oxide (PO) units per mol EDA.
3. The composition according to any preceding claim, wherein the propoxylated ethylenediamine comprises on average from 32 to 44 propylene oxide (PO) units per mol EDA.
4. The composition according to any preceding claim, wherein the weight average molecular weight (Mw) of the propoxylated ethylenediamine is in the range of from 1500 to 3200 g/mol.
5. The composition according to any preceding claim, wherein the propoxylated ethylenediamine demonstrates at least 45% biodegradability according to standard OECD 301F test at 28 days.
6. The composition according to any preceding claim, wherein all four NH-functionalities of the ethylenediamine (EDA) moiety of the propoxylated ethylenediamine are propoxylated.
7. The composition according to any preceding claim, wherein the composition comprises from 1.0wt% to 70.0% of the detersive surfactant, and from 0.1 wt% to 10wt% of the propoxylated ethylenediamine.
8. The composition according to any preceding claim, wherein the detersive surfactant comprises anionic surfactant.
9. The composition according to any preceding claim, wherein the composition further comprises a graft polymer based on polyalkylene oxide.
10. The composition according to any preceding claim, wherein the composition further comprises a polyester soil release polymer.
11. The composition according to any preceding claim, wherein the composition is a laundry detergent liquid composition.
12. Use of a propoxylated ethylenediamine wherein at least one of the NH-functionalities of ethylenediamine (EDA) is propoxylated, and wherein the propoxylated ethylenediamine comprises on average 28 to 52 propylene oxide (PO) units per mol EDA, in a laundry detergent comprising a detersive surfactant for improving whiteness maintenance.
Applications Claiming Priority (2)
| Application Number | Priority Date | Filing Date | Title |
|---|---|---|---|
| EP23217152.0A EP4570892A1 (en) | 2023-12-15 | 2023-12-15 | A laundry detergent composition |
| EP23217152.0 | 2023-12-15 |
Publications (1)
| Publication Number | Publication Date |
|---|---|
| WO2025128415A1 true WO2025128415A1 (en) | 2025-06-19 |
Family
ID=89223835
Family Applications (1)
| Application Number | Title | Priority Date | Filing Date |
|---|---|---|---|
| PCT/US2024/058811 Pending WO2025128415A1 (en) | 2023-12-15 | 2024-12-06 | A laundry detergent composition |
Country Status (2)
| Country | Link |
|---|---|
| EP (1) | EP4570892A1 (en) |
| WO (1) | WO2025128415A1 (en) |
Citations (171)
| Publication number | Priority date | Publication date | Assignee | Title |
|---|---|---|---|---|
| US3915903A (en) | 1972-07-03 | 1975-10-28 | Procter & Gamble | Sulfated alkyl ethoxylate-containing detergent composition |
| US4435307A (en) | 1980-04-30 | 1984-03-06 | Novo Industri A/S | Detergent cellulase |
| US4760025A (en) | 1984-05-29 | 1988-07-26 | Genencor, Inc. | Modified enzymes and methods for making same |
| WO1989006270A1 (en) | 1988-01-07 | 1989-07-13 | Novo-Nordisk A/S | Enzymatic detergent |
| EP0351759A2 (en) | 1988-07-18 | 1990-01-24 | Fraunhofer-Gesellschaft Zur Förderung Der Angewandten Forschung E.V. | Process for fixing an inorganic species in an organic matrix |
| US5091101A (en) * | 1990-02-28 | 1992-02-25 | Hildreth Eslie D | Detergent composition containing C5-C14 free fatty acids and one or more surfactant |
| WO1992017577A1 (en) | 1991-04-03 | 1992-10-15 | Novo Nordisk A/S | Novel proteases |
| WO1994002597A1 (en) | 1992-07-23 | 1994-02-03 | Novo Nordisk A/S | MUTANT α-AMYLASE, DETERGENT, DISH WASHING AGENT, AND LIQUEFACTION AGENT |
| WO1994018314A1 (en) | 1993-02-11 | 1994-08-18 | Genencor International, Inc. | Oxidatively stable alpha-amylase |
| US5352604A (en) | 1989-08-25 | 1994-10-04 | Henkel Research Corporation | Alkaline proteolytic enzyme and method of production |
| EP0703243A1 (en) | 1994-09-26 | 1996-03-27 | Unilever N.V. | Process for preparing polysacharides containing hydrophobic side chains |
| WO1996023874A1 (en) | 1995-02-03 | 1996-08-08 | Novo Nordisk A/S | A method of designing alpha-amylase mutants with predetermined properties |
| WO1996023873A1 (en) | 1995-02-03 | 1996-08-08 | Novo Nordisk A/S | Amylase variants |
| US5576282A (en) | 1995-09-11 | 1996-11-19 | The Procter & Gamble Company | Color-safe bleach boosters, compositions and laundry methods employing same |
| WO1997000324A1 (en) | 1995-06-14 | 1997-01-03 | Kao Corporation | Gene encoding alkaline liquefying alpha-amylase |
| US5595967A (en) | 1995-02-03 | 1997-01-21 | The Procter & Gamble Company | Detergent compositions comprising multiperacid-forming bleach activators |
| US5597936A (en) | 1995-06-16 | 1997-01-28 | The Procter & Gamble Company | Method for manufacturing cobalt catalysts |
| US5648263A (en) | 1988-03-24 | 1997-07-15 | Novo Nordisk A/S | Methods for reducing the harshness of a cotton-containing fabric |
| US5679630A (en) | 1993-10-14 | 1997-10-21 | The Procter & Gamble Company | Protease-containing cleaning compositions |
| WO1997043424A1 (en) | 1996-05-14 | 1997-11-20 | Genencor International, Inc. | MODIFIED α-AMYLASES HAVING ALTERED CALCIUM BINDING PROPERTIES |
| US5691178A (en) | 1988-03-22 | 1997-11-25 | Novo Nordisk A/S | Fungal cellulase composition containing alkaline CMC-endoglucanase and essentially no cellobiohydrolase |
| US5856164A (en) | 1994-03-29 | 1999-01-05 | Novo Nordisk A/S | Alkaline bacillus amylase |
| WO1999023211A1 (en) | 1997-10-30 | 1999-05-14 | Novo Nordisk A/S | α-AMYLASE MUTANTS |
| US6063914A (en) | 1997-01-25 | 2000-05-16 | Stockhausen Gmbh & Co. Kg | Method of producing swellable, non-aging starch maleates, biologically degradable starch maleates as well as use |
| US6093562A (en) | 1996-02-05 | 2000-07-25 | Novo Nordisk A/S | Amylase variants |
| EP1022334A2 (en) | 1998-12-21 | 2000-07-26 | Kao Corporation | Novel amylases |
| WO2000060060A2 (en) | 1999-03-31 | 2000-10-12 | Novozymes A/S | Polypeptides having alkaline alpha-amylase activity and nucleic acids encoding same |
| US6136769A (en) * | 1996-05-17 | 2000-10-24 | The Procter & Gamble Company | Alkoxylated cationic detergency ingredients |
| US6268197B1 (en) | 1997-07-07 | 2001-07-31 | Novozymes A/S | Xyloglucan-specific alkaline xyloglucanase from bacillus |
| US6312936B1 (en) | 1997-10-23 | 2001-11-06 | Genencor International, Inc. | Multiply-substituted protease variants |
| WO2002077242A2 (en) | 2001-03-27 | 2002-10-03 | Novozymes A/S | Family 74 xyloglucanases |
| US6630340B2 (en) | 2000-03-01 | 2003-10-07 | Novozymes A/S | Family 5 xyloglucanases |
| WO2004067737A2 (en) | 2003-01-30 | 2004-08-12 | Novozymes A/S | Subtilases |
| WO2005052146A2 (en) | 2003-11-19 | 2005-06-09 | Genencor International, Inc. | Serine proteases, nucleic acids encoding serine enzymes and vectors and host cells incorporating same |
| US6939702B1 (en) | 1999-03-31 | 2005-09-06 | Novozymes A/S | Lipase variant |
| WO2006002643A2 (en) | 2004-07-05 | 2006-01-12 | Novozymes A/S | Alpha-amylase variants with altered properties |
| WO2006108857A1 (en) | 2005-04-15 | 2006-10-19 | The Procter & Gamble Company | Cleaning compositions with alkoxylated polyalkylenimines |
| WO2006117056A1 (en) | 2005-04-29 | 2006-11-09 | Unilever Plc | Polymers for laundry applications |
| US7153818B2 (en) | 2000-07-28 | 2006-12-26 | Henkel Kgaa | Amylolytic enzyme extracted from bacillus sp. A 7-7 (DSM 12368) and washing and cleaning agents containing this novel amylolytic enzyme |
| US7172891B2 (en) | 2002-04-19 | 2007-02-06 | Novozymes, Inc. | Polypeptides having xyloglucanase activity and nucleic acids encoding same |
| WO2007044993A2 (en) | 2005-10-12 | 2007-04-19 | Genencor International, Inc. | Use and production of storage-stable neutral metalloprotease |
| DE102006022216A1 (en) | 2006-05-11 | 2007-11-15 | Henkel Kgaa | New alkaline protease from Bacillus gibsonii and detergents and cleaners containing this novel alkaline protease |
| DE102006022224A1 (en) | 2006-05-11 | 2007-11-15 | Henkel Kgaa | Subtilisin from Bacillus pumilus and detergents and cleaners containing this new subtilisin |
| WO2007138053A1 (en) | 2006-05-31 | 2007-12-06 | Basf Se | Amphiphilic graft polymers based on polyalkylene oxides and vinyl esters |
| US7361736B2 (en) | 2000-02-24 | 2008-04-22 | Novozymes A/S | Family 44 xyloglucanases |
| WO2008087497A1 (en) | 2007-01-19 | 2008-07-24 | The Procter & Gamble Company | Laundry care composition comprising a whitening agent for cellulosic substrates |
| US7445644B2 (en) | 2005-10-28 | 2008-11-04 | The Procter & Gamble Company | Compositions containing anionically modified catechol and soil suspending polymers |
| EP1966273B1 (en) | 2005-12-21 | 2009-03-25 | Clariant Produkte (Deutschland) GmbH | Anionic soil release polymers |
| WO2009043709A1 (en) | 2007-10-01 | 2009-04-09 | Unilever Plc | Improvements relating to fabric treatment compositions |
| WO2009061990A1 (en) | 2007-11-09 | 2009-05-14 | The Procter & Gamble Company | Cleaning compositions with amphiphilic water-soluble polyalkylenimines having an inner polyethylene oxide block and an outer polypropylene oxide block |
| US20090176684A1 (en) | 2008-01-07 | 2009-07-09 | Robb Richard Gardner | Detergents having acceptable color |
| US20090217464A1 (en) | 2008-02-29 | 2009-09-03 | Philip Frank Souter | Detergent composition comprising lipase |
| US7585376B2 (en) | 2005-10-28 | 2009-09-08 | The Procter & Gamble Company | Composition containing an esterified substituted benzene sulfonate |
| WO2009149271A2 (en) | 2008-06-06 | 2009-12-10 | Danisco Us Inc. | Production of glucose from starch using alpha-amylases from bacillus subtilis |
| WO2009149130A2 (en) | 2008-06-06 | 2009-12-10 | Danisco Us Inc. | Geobacillus stearothermophilus alpha-amylase (amys) variants with improved properties |
| WO2009154933A2 (en) | 2008-06-20 | 2009-12-23 | The Procter & Gamble Company | Laundry composition |
| WO2010024468A1 (en) | 2008-09-01 | 2010-03-04 | The Procter & Gamble Company | Sulfonate group-containing copolymers and manufacturing method thereof |
| WO2011031599A1 (en) | 2009-09-08 | 2011-03-17 | The Procter & Gamble Company | A laundry detergent composition comprising a highly water-soluble carboxymethyl cellulose particle |
| WO2011084412A1 (en) | 2009-12-21 | 2011-07-14 | Danisco Us Inc. | Detergent compositions containing thermobifida fusca lipase and methods of use thereof |
| US8389458B2 (en) | 2008-03-31 | 2013-03-05 | The Procter & Gamble Company | Automatic dishwashing composition containing a sulfonated copolymer |
| WO2013033318A1 (en) | 2011-08-31 | 2013-03-07 | Danisco Us Inc. | Compositions and methods comprising a lipolytic enzyme variant |
| US8450261B2 (en) | 2007-11-09 | 2013-05-28 | The Procter & Gamble Company | Cleaning compositions with monocarboxylic acid monomers dicarboxylic monomers, and monomers comprising sulfonic acid groups |
| WO2013171241A1 (en) | 2012-05-16 | 2013-11-21 | Novozymes A/S | Compositions comprising lipase and methods of use thereof |
| WO2014019658A1 (en) | 2012-07-31 | 2014-02-06 | Clariant International Ltd | Polyesters |
| WO2014019659A1 (en) | 2012-07-31 | 2014-02-06 | Clariant International Ltd | Polyesters |
| WO2014019903A1 (en) | 2012-07-31 | 2014-02-06 | Unilever Plc | Alkaline liquid laundry detergent compositions comprising polyesters |
| WO2014032267A1 (en) | 2012-08-31 | 2014-03-06 | The Procter & Gamble Company | Laundry detergents and cleaning compositions comprising carboxyl group-containing polymers |
| WO2014099523A1 (en) | 2012-12-21 | 2014-06-26 | Danisco Us Inc. | Alpha-amylase variants |
| WO2014124872A1 (en) | 2013-02-12 | 2014-08-21 | Henkel Ag & Co. Kgaa | Anti-greying detergent |
| WO2014164777A1 (en) | 2013-03-11 | 2014-10-09 | Danisco Us Inc. | Alpha-amylase combinatorial variants |
| WO2014194117A2 (en) | 2013-05-29 | 2014-12-04 | Danisco Us Inc. | Novel metalloproteases |
| WO2014194054A1 (en) | 2013-05-29 | 2014-12-04 | Danisco Us Inc. | Novel metalloproteases |
| WO2014194032A1 (en) | 2013-05-29 | 2014-12-04 | Danisco Us Inc. | Novel metalloproteases |
| WO2015024739A2 (en) | 2013-07-29 | 2015-02-26 | Henkel Ag & Co. Kgaa | Detergent composition comprising protease variants |
| WO2015040159A2 (en) | 2013-09-19 | 2015-03-26 | Novozymes A/S | Polypeptides having mannanase activity and polynucleotides encoding same |
| WO2015044061A1 (en) | 2013-09-24 | 2015-04-02 | Henkel Ag & Co. Kgaa | Cellulose carbamates as active ingredients with dirt removing properties |
| WO2015089441A1 (en) | 2013-12-13 | 2015-06-18 | Danisco Us Inc. | Serine proteases of bacillus species |
| WO2015089447A1 (en) | 2013-12-13 | 2015-06-18 | Danisco Us Inc. | Serine proteases of the bacillus gibsonii-clade |
| WO2015091989A1 (en) | 2013-12-20 | 2015-06-25 | Novozymes A/S | Polypeptides having protease activity and polynucleotides encoding same |
| WO2015091990A1 (en) | 2013-12-20 | 2015-06-25 | Novozymes A/S | Polypeptides having protease activity and polynucleotides encoding same |
| WO2015143360A2 (en) | 2014-03-21 | 2015-09-24 | Danisco Us Inc. | Serine proteases of bacillus species |
| WO2015144438A1 (en) | 2014-03-25 | 2015-10-01 | Basf Se | Carboxylate ester of polysaccharide |
| WO2015185689A1 (en) | 2014-06-04 | 2015-12-10 | Novozymes A/S | Detergent composition |
| WO2015193488A1 (en) | 2014-06-20 | 2015-12-23 | Novozymes A/S | Metalloprotease from kribbella aluminosa and detergent compositions comprising the metalloprotease |
| WO2016049389A1 (en) | 2014-09-26 | 2016-03-31 | The Procter & Gamble Company | Malodor reduction compositions |
| WO2016069563A1 (en) | 2014-10-27 | 2016-05-06 | Danisco Us Inc. | Serine proteases |
| WO2016069557A1 (en) | 2014-10-27 | 2016-05-06 | Danisco Us Inc. | Serine proteases of bacillus species |
| WO2016066757A2 (en) | 2014-10-30 | 2016-05-06 | Novozymes A/S | Protease variants and polynucleotides encoding same |
| WO2016069569A2 (en) | 2014-10-27 | 2016-05-06 | Danisco Us Inc. | Serine proteases |
| WO2016066756A2 (en) | 2014-10-30 | 2016-05-06 | Novozymes A/S | Protease variants and polynucleotides encoding same |
| WO2016075078A2 (en) | 2014-11-10 | 2016-05-19 | Novozymes A/S | Metalloproteases and uses thereof |
| WO2016091688A1 (en) | 2014-12-10 | 2016-06-16 | Henkel Ag & Co. Kgaa | Hand dishwashing detergent having an improved effect against starch |
| WO2017005798A1 (en) | 2015-07-06 | 2017-01-12 | Novozymes A/S | Methods of reducing odor |
| WO2017036901A1 (en) | 2015-08-28 | 2017-03-09 | Unilever Plc | Improved wash compositions |
| WO2017089093A1 (en) | 2015-11-25 | 2017-06-01 | Unilever N.V. | A liquid detergent composition |
| EP3222647A1 (en) | 2016-03-22 | 2017-09-27 | WeylChem Wiesbaden GmbH | Polyester, method for their preparation and their use |
| WO2017162836A1 (en) | 2016-03-23 | 2017-09-28 | Novozymes A/S | Use of polypeptide having dnase activity for treating fabrics |
| WO2017186937A1 (en) | 2016-04-29 | 2017-11-02 | Novozymes A/S | Detergent compositions and uses thereof |
| WO2017186936A1 (en) | 2016-04-29 | 2017-11-02 | Novozymes A/S | Detergent compositions and uses thereof |
| WO2017186943A1 (en) | 2016-04-29 | 2017-11-02 | Novozymes A/S | Detergent compositions and uses thereof |
| WO2017207770A1 (en) | 2016-06-03 | 2017-12-07 | Novozymes A/S | Cleaning compositions comprising enzymes |
| WO2018011277A1 (en) | 2016-07-13 | 2018-01-18 | Novozymes A/S | Bacillus cibi dnase variants |
| EP3299457A1 (en) | 2016-09-26 | 2018-03-28 | Henkel AG & Co. KGaA | New lipase |
| US20180119055A1 (en) | 2016-10-31 | 2018-05-03 | Koninklijke Coöperatie Cosun UA | Detergent composition comprising a cationic derivative of a polysaccharide |
| WO2018108865A1 (en) | 2016-12-12 | 2018-06-21 | Novozymes A/S | Use of polypeptides |
| WO2018112187A1 (en) | 2016-12-16 | 2018-06-21 | E. I. Du Pont De Nemours And Company | Amphiphilic polysaccharide derivatives and compositions comprising same |
| WO2018178061A1 (en) | 2017-03-31 | 2018-10-04 | Novozymes A/S | Polypeptides having rnase activity |
| WO2018184873A1 (en) | 2017-04-06 | 2018-10-11 | Novozymes A/S | Detergent compositions and uses thereof |
| WO2018209026A1 (en) | 2017-05-12 | 2018-11-15 | Basf Se | Method for using lipase enzymes for cleaning |
| US20180346846A1 (en) | 2016-02-02 | 2018-12-06 | Henkel Ag & Co. Kgaa | 6-desoxy-6-amino-celluloses as soil release agents |
| WO2018228881A1 (en) | 2017-06-12 | 2018-12-20 | Henkel Ag & Co. Kgaa | Microbulbifer thermotolerans lipase and use thereof |
| WO2018228880A1 (en) | 2017-06-12 | 2018-12-20 | Henkel Ag & Co. Kgaa | Pseudomonas stutzeri lipase and use thereof |
| WO2019086530A1 (en) | 2017-11-01 | 2019-05-09 | Novozymes A/S | Polypeptides and compositions comprising such polypeptides |
| WO2019086528A1 (en) | 2017-11-01 | 2019-05-09 | Novozymes A/S | Polypeptides and compositions comprising such polypeptides |
| WO2019086520A1 (en) | 2017-11-01 | 2019-05-09 | Henkel Ag & Co. Kgaa | Cleaning compositions containing dispersins i |
| WO2019086526A1 (en) | 2017-11-01 | 2019-05-09 | Henkel Ag & Co. Kgaa | Cleaning compositions containing dispersins iii |
| WO2019086521A1 (en) | 2017-11-01 | 2019-05-09 | Henkel Ag & Co. Kgaa | Cleaning compositions containing dispersins ii |
| WO2019086532A1 (en) | 2017-11-01 | 2019-05-09 | Novozymes A/S | Methods for cleaning medical devices |
| WO2019096590A1 (en) | 2017-11-17 | 2019-05-23 | Henkel Ag & Co. Kgaa | Detergent and cleaning agent with polymer active agent |
| WO2019111946A1 (en) | 2017-12-06 | 2019-06-13 | 花王株式会社 | Polysaccharide derivative |
| WO2019111948A1 (en) | 2017-12-06 | 2019-06-13 | 花王株式会社 | Soil release agent |
| WO2019111947A1 (en) | 2017-12-06 | 2019-06-13 | 花王株式会社 | Composition |
| WO2019111949A1 (en) | 2017-12-06 | 2019-06-13 | 花王株式会社 | Fabric treatment composition |
| US20190274943A1 (en) | 2018-03-06 | 2019-09-12 | Cosun Food Technology Center | Cosmetic composition comprising a cationic derivate of fructan and an anionic or non-ionic surfactant |
| WO2019246228A1 (en) | 2018-06-20 | 2019-12-26 | Dupont Industrial Biosciences Usa, Llc | Polysaccharide derivatives and compositions comprising same |
| WO2019243108A1 (en) | 2018-06-20 | 2019-12-26 | Henkel Ag & Co. Kgaa | Chitonsan derivatives as soil release agents |
| WO2019243072A1 (en) | 2018-06-20 | 2019-12-26 | Henkel Ag & Co. Kgaa | Pullulan derivatives as soil release agents |
| WO2019246171A1 (en) | 2018-06-20 | 2019-12-26 | The Procter & Gamble Company | A product comprising polysaccharide derivatives |
| WO2020002608A1 (en) | 2018-06-29 | 2020-01-02 | Novozymes A/S | Detergent compositions and uses thereof |
| WO2020002604A1 (en) | 2018-06-28 | 2020-01-02 | Novozymes A/S | Detergent compositions and uses thereof |
| WO2020005476A1 (en) | 2018-06-26 | 2020-01-02 | The Procter & Gamble Company | Fabric care compositions that include a graft copolymer and related methods |
| WO2020007875A1 (en) | 2018-07-03 | 2020-01-09 | Novozymes A/S | Cleaning compositions and uses thereof |
| WO2020007863A1 (en) | 2018-07-02 | 2020-01-09 | Novozymes A/S | Cleaning compositions and uses thereof |
| WO2020008024A1 (en) | 2018-07-06 | 2020-01-09 | Novozymes A/S | Cleaning compositions and uses thereof |
| WO2020030760A1 (en) | 2018-08-10 | 2020-02-13 | Unilever Plc | Detergent |
| WO2020030469A1 (en) | 2018-08-10 | 2020-02-13 | Basf Se | Process for manufacturing alkoxylated polyethyleneimines |
| WO2020070063A2 (en) | 2018-10-01 | 2020-04-09 | Novozymes A/S | Detergent compositions and uses thereof |
| WO2020070249A1 (en) | 2018-10-03 | 2020-04-09 | Novozymes A/S | Cleaning compositions |
| WO2020074499A1 (en) | 2018-10-09 | 2020-04-16 | Novozymes A/S | Cleaning compositions and uses thereof |
| WO2020088958A1 (en) | 2018-10-31 | 2020-05-07 | Henkel Ag & Co. Kgaa | Cleaning compositions containing dispersins v |
| WO2020088957A1 (en) | 2018-10-31 | 2020-05-07 | Henkel Ag & Co. Kgaa | Cleaning compositions containing dispersins iv |
| WO2020091988A1 (en) | 2018-10-29 | 2020-05-07 | Dow Global Technologies Llc | Fabric care composition with silicone |
| WO2020156419A1 (en) | 2019-01-28 | 2020-08-06 | Novozymes A/S | Subtilase variants and compositions comprising same |
| US20200277549A1 (en) | 2017-11-17 | 2020-09-03 | Henkel Ag & Co. Kgaa | Detergents And Cleaning Products Containing A Polymer Active Ingredient |
| US20200277548A1 (en) | 2017-11-17 | 2020-09-03 | Henkel Ag & Co. Kgaa | Detergents And Cleaning Products Containing A Polymer Active Ingredient |
| WO2020207944A1 (en) | 2019-04-10 | 2020-10-15 | Novozymes A/S | Polypeptide variants |
| CN111117124B (en) * | 2018-10-30 | 2021-02-12 | 华南理工大学 | Hot water soluble polyvinyl alcohol film and preparation method and application thereof |
| WO2021061774A1 (en) | 2019-09-27 | 2021-04-01 | Dow Global Technologies Llc | Liquid laundry detergent with cleaning booster |
| US20210115358A1 (en) | 2018-06-20 | 2021-04-22 | Henkel Ag & Co. Kgaa | Xylose Carbamates As Soil Release Agents |
| WO2021154569A1 (en) | 2020-01-29 | 2021-08-05 | The Procter & Gamble Company | A cleaning composition |
| WO2021156093A1 (en) | 2020-02-04 | 2021-08-12 | Henkel Ag & Co. Kgaa | Chitosan derivatives as soil release agents |
| WO2021160851A1 (en) | 2020-02-14 | 2021-08-19 | Basf Se | Biodegradable graft polymers |
| WO2021194808A1 (en) | 2020-03-24 | 2021-09-30 | Rohm And Haas Company | Fabric care composition |
| WO2021225837A1 (en) | 2020-05-05 | 2021-11-11 | The Procter & Gamble Company | Compositions comprising cationic poly alpha-1,3-glucan ethers |
| WO2021239547A1 (en) | 2020-05-29 | 2021-12-02 | Basf Se | Amphoterically-modified oligopropyleneimine ethoxylates for improved stain removal of laundry detergents |
| WO2021242942A1 (en) | 2020-05-29 | 2021-12-02 | Dow Global Technologies Llc | Process for reducing hair damage upon exposure to heat |
| EP3922704A1 (en) | 2020-06-10 | 2021-12-15 | The Procter & Gamble Company | A laundry care or dish care composition comprising a poly alpha-1,6-glucan derivative |
| WO2021252563A1 (en) | 2020-06-10 | 2021-12-16 | The Procter & Gamble Company | A product comprising poly alpha 1,3-glucan esters |
| WO2021252560A1 (en) | 2020-06-10 | 2021-12-16 | The Procter & Gamble Company | A laundry care or dish care composition comprising a poly alpha-1,6-glucan derivative |
| WO2021252558A1 (en) | 2020-06-10 | 2021-12-16 | The Procter & Gamble Company | A laundry care or dish care composition comprising a poly alpha-1,6-glucan derivative |
| WO2021252562A1 (en) | 2020-06-10 | 2021-12-16 | The Procter & Gamble Company | A laundry care or dish care composition comprising a poly alpha glucan derivative |
| WO2021252569A1 (en) | 2020-06-10 | 2021-12-16 | Nutrition & Biosciences USA 4, Inc. | Poly alpha-1,6-glucan derivatives and compositions comprising same |
| WO2021252561A1 (en) | 2020-06-10 | 2021-12-16 | The Procter & Gamble Company | A laundry care or dish care composition comprising a poly alpha-1,6-glucan derivative |
| WO2021252575A1 (en) | 2020-06-10 | 2021-12-16 | Nutrition & Biosciences USA 4, Inc. | Poly alpha-1,6-glucan esters and compositions comprising same |
| WO2021252559A1 (en) | 2020-06-10 | 2021-12-16 | The Procter & Gamble Company | A laundry care or dish care composition comprising a poly alpha-1,6-glucan ester |
| WO2021257786A1 (en) | 2020-06-18 | 2021-12-23 | Nutrition & Biosciences USA 4, Inc. | Cationic poly alpha-1,6-glucan ethers and compositions comprising same |
| WO2021257932A1 (en) | 2020-06-18 | 2021-12-23 | The Procter & Gamble Company | Water-soluble unit dose article comprising a polyvinylalcohol film and a cationic poly alpha-1,6-glucan ether compound |
| WO2021257793A1 (en) | 2020-06-18 | 2021-12-23 | The Procter & Gamble Company | Treatment compositions comprising cationic poly alpha-1,6-glucan ethers |
| WO2022060754A1 (en) | 2020-09-18 | 2022-03-24 | Dow Silicones Corporation | A laundry treatment formulation |
| WO2022100876A1 (en) | 2020-11-13 | 2022-05-19 | WeylChem Performance Products GmbH | Aqueous polyester compositions, detergents and cleaning agents containing them and their use |
| WO2022136389A1 (en) * | 2020-12-23 | 2022-06-30 | Basf Se | Amphiphilic alkoxylated polyamines and their uses |
Family Cites Families (2)
| Publication number | Priority date | Publication date | Assignee | Title |
|---|---|---|---|---|
| US562A (en) | 1838-01-09 | Scale beam and weight | ||
| US6093A (en) | 1849-02-06 | Horatio allen |
-
2023
- 2023-12-15 EP EP23217152.0A patent/EP4570892A1/en active Pending
-
2024
- 2024-12-06 WO PCT/US2024/058811 patent/WO2025128415A1/en active Pending
Patent Citations (175)
| Publication number | Priority date | Publication date | Assignee | Title |
|---|---|---|---|---|
| US3915903A (en) | 1972-07-03 | 1975-10-28 | Procter & Gamble | Sulfated alkyl ethoxylate-containing detergent composition |
| US4435307A (en) | 1980-04-30 | 1984-03-06 | Novo Industri A/S | Detergent cellulase |
| US4760025A (en) | 1984-05-29 | 1988-07-26 | Genencor, Inc. | Modified enzymes and methods for making same |
| WO1989006270A1 (en) | 1988-01-07 | 1989-07-13 | Novo-Nordisk A/S | Enzymatic detergent |
| US5691178A (en) | 1988-03-22 | 1997-11-25 | Novo Nordisk A/S | Fungal cellulase composition containing alkaline CMC-endoglucanase and essentially no cellobiohydrolase |
| US5648263A (en) | 1988-03-24 | 1997-07-15 | Novo Nordisk A/S | Methods for reducing the harshness of a cotton-containing fabric |
| US5776757A (en) | 1988-03-24 | 1998-07-07 | Novo Nordisk A/S | Fungal cellulase composition containing alkaline CMC-endoglucanase and essentially no cellobiohydrolase and method of making thereof |
| EP0351759A2 (en) | 1988-07-18 | 1990-01-24 | Fraunhofer-Gesellschaft Zur Förderung Der Angewandten Forschung E.V. | Process for fixing an inorganic species in an organic matrix |
| US5352604A (en) | 1989-08-25 | 1994-10-04 | Henkel Research Corporation | Alkaline proteolytic enzyme and method of production |
| US5091101A (en) * | 1990-02-28 | 1992-02-25 | Hildreth Eslie D | Detergent composition containing C5-C14 free fatty acids and one or more surfactant |
| WO1992017577A1 (en) | 1991-04-03 | 1992-10-15 | Novo Nordisk A/S | Novel proteases |
| WO1994002597A1 (en) | 1992-07-23 | 1994-02-03 | Novo Nordisk A/S | MUTANT α-AMYLASE, DETERGENT, DISH WASHING AGENT, AND LIQUEFACTION AGENT |
| WO1994018314A1 (en) | 1993-02-11 | 1994-08-18 | Genencor International, Inc. | Oxidatively stable alpha-amylase |
| US5679630A (en) | 1993-10-14 | 1997-10-21 | The Procter & Gamble Company | Protease-containing cleaning compositions |
| US5856164A (en) | 1994-03-29 | 1999-01-05 | Novo Nordisk A/S | Alkaline bacillus amylase |
| EP0703243A1 (en) | 1994-09-26 | 1996-03-27 | Unilever N.V. | Process for preparing polysacharides containing hydrophobic side chains |
| WO1996023873A1 (en) | 1995-02-03 | 1996-08-08 | Novo Nordisk A/S | Amylase variants |
| US5595967A (en) | 1995-02-03 | 1997-01-21 | The Procter & Gamble Company | Detergent compositions comprising multiperacid-forming bleach activators |
| WO1996023874A1 (en) | 1995-02-03 | 1996-08-08 | Novo Nordisk A/S | A method of designing alpha-amylase mutants with predetermined properties |
| WO1997000324A1 (en) | 1995-06-14 | 1997-01-03 | Kao Corporation | Gene encoding alkaline liquefying alpha-amylase |
| US5597936A (en) | 1995-06-16 | 1997-01-28 | The Procter & Gamble Company | Method for manufacturing cobalt catalysts |
| US5576282A (en) | 1995-09-11 | 1996-11-19 | The Procter & Gamble Company | Color-safe bleach boosters, compositions and laundry methods employing same |
| US6093562A (en) | 1996-02-05 | 2000-07-25 | Novo Nordisk A/S | Amylase variants |
| WO1997043424A1 (en) | 1996-05-14 | 1997-11-20 | Genencor International, Inc. | MODIFIED α-AMYLASES HAVING ALTERED CALCIUM BINDING PROPERTIES |
| US6136769A (en) * | 1996-05-17 | 2000-10-24 | The Procter & Gamble Company | Alkoxylated cationic detergency ingredients |
| US6063914A (en) | 1997-01-25 | 2000-05-16 | Stockhausen Gmbh & Co. Kg | Method of producing swellable, non-aging starch maleates, biologically degradable starch maleates as well as use |
| US6268197B1 (en) | 1997-07-07 | 2001-07-31 | Novozymes A/S | Xyloglucan-specific alkaline xyloglucanase from bacillus |
| US6312936B1 (en) | 1997-10-23 | 2001-11-06 | Genencor International, Inc. | Multiply-substituted protease variants |
| WO1999023211A1 (en) | 1997-10-30 | 1999-05-14 | Novo Nordisk A/S | α-AMYLASE MUTANTS |
| EP1022334A2 (en) | 1998-12-21 | 2000-07-26 | Kao Corporation | Novel amylases |
| WO2000060060A2 (en) | 1999-03-31 | 2000-10-12 | Novozymes A/S | Polypeptides having alkaline alpha-amylase activity and nucleic acids encoding same |
| US6939702B1 (en) | 1999-03-31 | 2005-09-06 | Novozymes A/S | Lipase variant |
| US7361736B2 (en) | 2000-02-24 | 2008-04-22 | Novozymes A/S | Family 44 xyloglucanases |
| US6630340B2 (en) | 2000-03-01 | 2003-10-07 | Novozymes A/S | Family 5 xyloglucanases |
| US7153818B2 (en) | 2000-07-28 | 2006-12-26 | Henkel Kgaa | Amylolytic enzyme extracted from bacillus sp. A 7-7 (DSM 12368) and washing and cleaning agents containing this novel amylolytic enzyme |
| WO2002077242A2 (en) | 2001-03-27 | 2002-10-03 | Novozymes A/S | Family 74 xyloglucanases |
| US7172891B2 (en) | 2002-04-19 | 2007-02-06 | Novozymes, Inc. | Polypeptides having xyloglucanase activity and nucleic acids encoding same |
| WO2004067737A2 (en) | 2003-01-30 | 2004-08-12 | Novozymes A/S | Subtilases |
| WO2005052146A2 (en) | 2003-11-19 | 2005-06-09 | Genencor International, Inc. | Serine proteases, nucleic acids encoding serine enzymes and vectors and host cells incorporating same |
| WO2005052161A2 (en) | 2003-11-19 | 2005-06-09 | Genencor International, Inc. | Serine proteases, nucleic acids encoding serine enzymes and vectors and host cells incorporating same |
| WO2006002643A2 (en) | 2004-07-05 | 2006-01-12 | Novozymes A/S | Alpha-amylase variants with altered properties |
| WO2006108857A1 (en) | 2005-04-15 | 2006-10-19 | The Procter & Gamble Company | Cleaning compositions with alkoxylated polyalkylenimines |
| WO2006117056A1 (en) | 2005-04-29 | 2006-11-09 | Unilever Plc | Polymers for laundry applications |
| WO2007044993A2 (en) | 2005-10-12 | 2007-04-19 | Genencor International, Inc. | Use and production of storage-stable neutral metalloprotease |
| US7445644B2 (en) | 2005-10-28 | 2008-11-04 | The Procter & Gamble Company | Compositions containing anionically modified catechol and soil suspending polymers |
| US7585376B2 (en) | 2005-10-28 | 2009-09-08 | The Procter & Gamble Company | Composition containing an esterified substituted benzene sulfonate |
| EP1966273B1 (en) | 2005-12-21 | 2009-03-25 | Clariant Produkte (Deutschland) GmbH | Anionic soil release polymers |
| DE102006022216A1 (en) | 2006-05-11 | 2007-11-15 | Henkel Kgaa | New alkaline protease from Bacillus gibsonii and detergents and cleaners containing this novel alkaline protease |
| DE102006022224A1 (en) | 2006-05-11 | 2007-11-15 | Henkel Kgaa | Subtilisin from Bacillus pumilus and detergents and cleaners containing this new subtilisin |
| WO2007138053A1 (en) | 2006-05-31 | 2007-12-06 | Basf Se | Amphiphilic graft polymers based on polyalkylene oxides and vinyl esters |
| WO2008087497A1 (en) | 2007-01-19 | 2008-07-24 | The Procter & Gamble Company | Laundry care composition comprising a whitening agent for cellulosic substrates |
| WO2009043709A1 (en) | 2007-10-01 | 2009-04-09 | Unilever Plc | Improvements relating to fabric treatment compositions |
| WO2009061990A1 (en) | 2007-11-09 | 2009-05-14 | The Procter & Gamble Company | Cleaning compositions with amphiphilic water-soluble polyalkylenimines having an inner polyethylene oxide block and an outer polypropylene oxide block |
| US8450261B2 (en) | 2007-11-09 | 2013-05-28 | The Procter & Gamble Company | Cleaning compositions with monocarboxylic acid monomers dicarboxylic monomers, and monomers comprising sulfonic acid groups |
| US20090176684A1 (en) | 2008-01-07 | 2009-07-09 | Robb Richard Gardner | Detergents having acceptable color |
| US20090217464A1 (en) | 2008-02-29 | 2009-09-03 | Philip Frank Souter | Detergent composition comprising lipase |
| US8389458B2 (en) | 2008-03-31 | 2013-03-05 | The Procter & Gamble Company | Automatic dishwashing composition containing a sulfonated copolymer |
| WO2009149271A2 (en) | 2008-06-06 | 2009-12-10 | Danisco Us Inc. | Production of glucose from starch using alpha-amylases from bacillus subtilis |
| WO2009149130A2 (en) | 2008-06-06 | 2009-12-10 | Danisco Us Inc. | Geobacillus stearothermophilus alpha-amylase (amys) variants with improved properties |
| WO2009154933A2 (en) | 2008-06-20 | 2009-12-23 | The Procter & Gamble Company | Laundry composition |
| WO2010024468A1 (en) | 2008-09-01 | 2010-03-04 | The Procter & Gamble Company | Sulfonate group-containing copolymers and manufacturing method thereof |
| WO2011031599A1 (en) | 2009-09-08 | 2011-03-17 | The Procter & Gamble Company | A laundry detergent composition comprising a highly water-soluble carboxymethyl cellulose particle |
| WO2011084412A1 (en) | 2009-12-21 | 2011-07-14 | Danisco Us Inc. | Detergent compositions containing thermobifida fusca lipase and methods of use thereof |
| WO2013033318A1 (en) | 2011-08-31 | 2013-03-07 | Danisco Us Inc. | Compositions and methods comprising a lipolytic enzyme variant |
| WO2013171241A1 (en) | 2012-05-16 | 2013-11-21 | Novozymes A/S | Compositions comprising lipase and methods of use thereof |
| WO2014019658A1 (en) | 2012-07-31 | 2014-02-06 | Clariant International Ltd | Polyesters |
| WO2014019659A1 (en) | 2012-07-31 | 2014-02-06 | Clariant International Ltd | Polyesters |
| WO2014019903A1 (en) | 2012-07-31 | 2014-02-06 | Unilever Plc | Alkaline liquid laundry detergent compositions comprising polyesters |
| WO2014032267A1 (en) | 2012-08-31 | 2014-03-06 | The Procter & Gamble Company | Laundry detergents and cleaning compositions comprising carboxyl group-containing polymers |
| WO2014099523A1 (en) | 2012-12-21 | 2014-06-26 | Danisco Us Inc. | Alpha-amylase variants |
| WO2014124872A1 (en) | 2013-02-12 | 2014-08-21 | Henkel Ag & Co. Kgaa | Anti-greying detergent |
| WO2014164777A1 (en) | 2013-03-11 | 2014-10-09 | Danisco Us Inc. | Alpha-amylase combinatorial variants |
| WO2014194117A2 (en) | 2013-05-29 | 2014-12-04 | Danisco Us Inc. | Novel metalloproteases |
| WO2014194054A1 (en) | 2013-05-29 | 2014-12-04 | Danisco Us Inc. | Novel metalloproteases |
| WO2014194032A1 (en) | 2013-05-29 | 2014-12-04 | Danisco Us Inc. | Novel metalloproteases |
| WO2015024739A2 (en) | 2013-07-29 | 2015-02-26 | Henkel Ag & Co. Kgaa | Detergent composition comprising protease variants |
| WO2015040159A2 (en) | 2013-09-19 | 2015-03-26 | Novozymes A/S | Polypeptides having mannanase activity and polynucleotides encoding same |
| WO2015044061A1 (en) | 2013-09-24 | 2015-04-02 | Henkel Ag & Co. Kgaa | Cellulose carbamates as active ingredients with dirt removing properties |
| WO2015089441A1 (en) | 2013-12-13 | 2015-06-18 | Danisco Us Inc. | Serine proteases of bacillus species |
| WO2015089447A1 (en) | 2013-12-13 | 2015-06-18 | Danisco Us Inc. | Serine proteases of the bacillus gibsonii-clade |
| WO2015091989A1 (en) | 2013-12-20 | 2015-06-25 | Novozymes A/S | Polypeptides having protease activity and polynucleotides encoding same |
| WO2015091990A1 (en) | 2013-12-20 | 2015-06-25 | Novozymes A/S | Polypeptides having protease activity and polynucleotides encoding same |
| WO2015143360A2 (en) | 2014-03-21 | 2015-09-24 | Danisco Us Inc. | Serine proteases of bacillus species |
| WO2015144438A1 (en) | 2014-03-25 | 2015-10-01 | Basf Se | Carboxylate ester of polysaccharide |
| WO2015185689A1 (en) | 2014-06-04 | 2015-12-10 | Novozymes A/S | Detergent composition |
| WO2015193488A1 (en) | 2014-06-20 | 2015-12-23 | Novozymes A/S | Metalloprotease from kribbella aluminosa and detergent compositions comprising the metalloprotease |
| WO2016049389A1 (en) | 2014-09-26 | 2016-03-31 | The Procter & Gamble Company | Malodor reduction compositions |
| WO2016069563A1 (en) | 2014-10-27 | 2016-05-06 | Danisco Us Inc. | Serine proteases |
| WO2016069557A1 (en) | 2014-10-27 | 2016-05-06 | Danisco Us Inc. | Serine proteases of bacillus species |
| WO2016069569A2 (en) | 2014-10-27 | 2016-05-06 | Danisco Us Inc. | Serine proteases |
| WO2016066757A2 (en) | 2014-10-30 | 2016-05-06 | Novozymes A/S | Protease variants and polynucleotides encoding same |
| WO2016066756A2 (en) | 2014-10-30 | 2016-05-06 | Novozymes A/S | Protease variants and polynucleotides encoding same |
| WO2016075078A2 (en) | 2014-11-10 | 2016-05-19 | Novozymes A/S | Metalloproteases and uses thereof |
| WO2016091688A1 (en) | 2014-12-10 | 2016-06-16 | Henkel Ag & Co. Kgaa | Hand dishwashing detergent having an improved effect against starch |
| WO2017005798A1 (en) | 2015-07-06 | 2017-01-12 | Novozymes A/S | Methods of reducing odor |
| WO2017036901A1 (en) | 2015-08-28 | 2017-03-09 | Unilever Plc | Improved wash compositions |
| WO2017089093A1 (en) | 2015-11-25 | 2017-06-01 | Unilever N.V. | A liquid detergent composition |
| US20180346846A1 (en) | 2016-02-02 | 2018-12-06 | Henkel Ag & Co. Kgaa | 6-desoxy-6-amino-celluloses as soil release agents |
| EP3222647A1 (en) | 2016-03-22 | 2017-09-27 | WeylChem Wiesbaden GmbH | Polyester, method for their preparation and their use |
| EP3222647B1 (en) | 2016-03-22 | 2018-10-17 | WeylChem Wiesbaden GmbH | Polyester, method for their preparation and their use |
| WO2017162836A1 (en) | 2016-03-23 | 2017-09-28 | Novozymes A/S | Use of polypeptide having dnase activity for treating fabrics |
| WO2017186937A1 (en) | 2016-04-29 | 2017-11-02 | Novozymes A/S | Detergent compositions and uses thereof |
| WO2017186943A1 (en) | 2016-04-29 | 2017-11-02 | Novozymes A/S | Detergent compositions and uses thereof |
| WO2017186936A1 (en) | 2016-04-29 | 2017-11-02 | Novozymes A/S | Detergent compositions and uses thereof |
| WO2017207770A1 (en) | 2016-06-03 | 2017-12-07 | Novozymes A/S | Cleaning compositions comprising enzymes |
| WO2018011277A1 (en) | 2016-07-13 | 2018-01-18 | Novozymes A/S | Bacillus cibi dnase variants |
| EP3299457A1 (en) | 2016-09-26 | 2018-03-28 | Henkel AG & Co. KGaA | New lipase |
| US20180119055A1 (en) | 2016-10-31 | 2018-05-03 | Koninklijke Coöperatie Cosun UA | Detergent composition comprising a cationic derivative of a polysaccharide |
| WO2018108865A1 (en) | 2016-12-12 | 2018-06-21 | Novozymes A/S | Use of polypeptides |
| WO2018112187A1 (en) | 2016-12-16 | 2018-06-21 | E. I. Du Pont De Nemours And Company | Amphiphilic polysaccharide derivatives and compositions comprising same |
| WO2018178061A1 (en) | 2017-03-31 | 2018-10-04 | Novozymes A/S | Polypeptides having rnase activity |
| WO2018184873A1 (en) | 2017-04-06 | 2018-10-11 | Novozymes A/S | Detergent compositions and uses thereof |
| WO2018209026A1 (en) | 2017-05-12 | 2018-11-15 | Basf Se | Method for using lipase enzymes for cleaning |
| WO2018228880A1 (en) | 2017-06-12 | 2018-12-20 | Henkel Ag & Co. Kgaa | Pseudomonas stutzeri lipase and use thereof |
| WO2018228881A1 (en) | 2017-06-12 | 2018-12-20 | Henkel Ag & Co. Kgaa | Microbulbifer thermotolerans lipase and use thereof |
| WO2019086530A1 (en) | 2017-11-01 | 2019-05-09 | Novozymes A/S | Polypeptides and compositions comprising such polypeptides |
| WO2019086528A1 (en) | 2017-11-01 | 2019-05-09 | Novozymes A/S | Polypeptides and compositions comprising such polypeptides |
| WO2019086520A1 (en) | 2017-11-01 | 2019-05-09 | Henkel Ag & Co. Kgaa | Cleaning compositions containing dispersins i |
| WO2019086526A1 (en) | 2017-11-01 | 2019-05-09 | Henkel Ag & Co. Kgaa | Cleaning compositions containing dispersins iii |
| WO2019086521A1 (en) | 2017-11-01 | 2019-05-09 | Henkel Ag & Co. Kgaa | Cleaning compositions containing dispersins ii |
| WO2019086532A1 (en) | 2017-11-01 | 2019-05-09 | Novozymes A/S | Methods for cleaning medical devices |
| US20200277549A1 (en) | 2017-11-17 | 2020-09-03 | Henkel Ag & Co. Kgaa | Detergents And Cleaning Products Containing A Polymer Active Ingredient |
| WO2019096590A1 (en) | 2017-11-17 | 2019-05-23 | Henkel Ag & Co. Kgaa | Detergent and cleaning agent with polymer active agent |
| US20200277548A1 (en) | 2017-11-17 | 2020-09-03 | Henkel Ag & Co. Kgaa | Detergents And Cleaning Products Containing A Polymer Active Ingredient |
| WO2019111948A1 (en) | 2017-12-06 | 2019-06-13 | 花王株式会社 | Soil release agent |
| WO2019111949A1 (en) | 2017-12-06 | 2019-06-13 | 花王株式会社 | Fabric treatment composition |
| WO2019111947A1 (en) | 2017-12-06 | 2019-06-13 | 花王株式会社 | Composition |
| WO2019111946A1 (en) | 2017-12-06 | 2019-06-13 | 花王株式会社 | Polysaccharide derivative |
| US20190274943A1 (en) | 2018-03-06 | 2019-09-12 | Cosun Food Technology Center | Cosmetic composition comprising a cationic derivate of fructan and an anionic or non-ionic surfactant |
| WO2019246228A1 (en) | 2018-06-20 | 2019-12-26 | Dupont Industrial Biosciences Usa, Llc | Polysaccharide derivatives and compositions comprising same |
| WO2019243108A1 (en) | 2018-06-20 | 2019-12-26 | Henkel Ag & Co. Kgaa | Chitonsan derivatives as soil release agents |
| WO2019243072A1 (en) | 2018-06-20 | 2019-12-26 | Henkel Ag & Co. Kgaa | Pullulan derivatives as soil release agents |
| WO2019246171A1 (en) | 2018-06-20 | 2019-12-26 | The Procter & Gamble Company | A product comprising polysaccharide derivatives |
| US20210115358A1 (en) | 2018-06-20 | 2021-04-22 | Henkel Ag & Co. Kgaa | Xylose Carbamates As Soil Release Agents |
| WO2020005476A1 (en) | 2018-06-26 | 2020-01-02 | The Procter & Gamble Company | Fabric care compositions that include a graft copolymer and related methods |
| WO2020002604A1 (en) | 2018-06-28 | 2020-01-02 | Novozymes A/S | Detergent compositions and uses thereof |
| WO2020002608A1 (en) | 2018-06-29 | 2020-01-02 | Novozymes A/S | Detergent compositions and uses thereof |
| WO2020007863A1 (en) | 2018-07-02 | 2020-01-09 | Novozymes A/S | Cleaning compositions and uses thereof |
| WO2020007875A1 (en) | 2018-07-03 | 2020-01-09 | Novozymes A/S | Cleaning compositions and uses thereof |
| WO2020008024A1 (en) | 2018-07-06 | 2020-01-09 | Novozymes A/S | Cleaning compositions and uses thereof |
| WO2020030760A1 (en) | 2018-08-10 | 2020-02-13 | Unilever Plc | Detergent |
| WO2020030469A1 (en) | 2018-08-10 | 2020-02-13 | Basf Se | Process for manufacturing alkoxylated polyethyleneimines |
| WO2020070063A2 (en) | 2018-10-01 | 2020-04-09 | Novozymes A/S | Detergent compositions and uses thereof |
| WO2020070249A1 (en) | 2018-10-03 | 2020-04-09 | Novozymes A/S | Cleaning compositions |
| WO2020074499A1 (en) | 2018-10-09 | 2020-04-16 | Novozymes A/S | Cleaning compositions and uses thereof |
| WO2020091988A1 (en) | 2018-10-29 | 2020-05-07 | Dow Global Technologies Llc | Fabric care composition with silicone |
| CN111117124B (en) * | 2018-10-30 | 2021-02-12 | 华南理工大学 | Hot water soluble polyvinyl alcohol film and preparation method and application thereof |
| WO2020088957A1 (en) | 2018-10-31 | 2020-05-07 | Henkel Ag & Co. Kgaa | Cleaning compositions containing dispersins iv |
| WO2020088958A1 (en) | 2018-10-31 | 2020-05-07 | Henkel Ag & Co. Kgaa | Cleaning compositions containing dispersins v |
| WO2020156419A1 (en) | 2019-01-28 | 2020-08-06 | Novozymes A/S | Subtilase variants and compositions comprising same |
| WO2020207944A1 (en) | 2019-04-10 | 2020-10-15 | Novozymes A/S | Polypeptide variants |
| WO2021061774A1 (en) | 2019-09-27 | 2021-04-01 | Dow Global Technologies Llc | Liquid laundry detergent with cleaning booster |
| WO2021154569A1 (en) | 2020-01-29 | 2021-08-05 | The Procter & Gamble Company | A cleaning composition |
| WO2021156093A1 (en) | 2020-02-04 | 2021-08-12 | Henkel Ag & Co. Kgaa | Chitosan derivatives as soil release agents |
| WO2021160851A1 (en) | 2020-02-14 | 2021-08-19 | Basf Se | Biodegradable graft polymers |
| WO2021160795A1 (en) | 2020-02-14 | 2021-08-19 | Basf Se | Biodegradable graft polymers |
| WO2021194808A1 (en) | 2020-03-24 | 2021-09-30 | Rohm And Haas Company | Fabric care composition |
| WO2021225837A1 (en) | 2020-05-05 | 2021-11-11 | The Procter & Gamble Company | Compositions comprising cationic poly alpha-1,3-glucan ethers |
| WO2021239547A1 (en) | 2020-05-29 | 2021-12-02 | Basf Se | Amphoterically-modified oligopropyleneimine ethoxylates for improved stain removal of laundry detergents |
| WO2021242942A1 (en) | 2020-05-29 | 2021-12-02 | Dow Global Technologies Llc | Process for reducing hair damage upon exposure to heat |
| EP3922704A1 (en) | 2020-06-10 | 2021-12-15 | The Procter & Gamble Company | A laundry care or dish care composition comprising a poly alpha-1,6-glucan derivative |
| WO2021252563A1 (en) | 2020-06-10 | 2021-12-16 | The Procter & Gamble Company | A product comprising poly alpha 1,3-glucan esters |
| WO2021252560A1 (en) | 2020-06-10 | 2021-12-16 | The Procter & Gamble Company | A laundry care or dish care composition comprising a poly alpha-1,6-glucan derivative |
| WO2021252558A1 (en) | 2020-06-10 | 2021-12-16 | The Procter & Gamble Company | A laundry care or dish care composition comprising a poly alpha-1,6-glucan derivative |
| WO2021252562A1 (en) | 2020-06-10 | 2021-12-16 | The Procter & Gamble Company | A laundry care or dish care composition comprising a poly alpha glucan derivative |
| WO2021252569A1 (en) | 2020-06-10 | 2021-12-16 | Nutrition & Biosciences USA 4, Inc. | Poly alpha-1,6-glucan derivatives and compositions comprising same |
| WO2021252561A1 (en) | 2020-06-10 | 2021-12-16 | The Procter & Gamble Company | A laundry care or dish care composition comprising a poly alpha-1,6-glucan derivative |
| WO2021252575A1 (en) | 2020-06-10 | 2021-12-16 | Nutrition & Biosciences USA 4, Inc. | Poly alpha-1,6-glucan esters and compositions comprising same |
| WO2021252559A1 (en) | 2020-06-10 | 2021-12-16 | The Procter & Gamble Company | A laundry care or dish care composition comprising a poly alpha-1,6-glucan ester |
| WO2021257786A1 (en) | 2020-06-18 | 2021-12-23 | Nutrition & Biosciences USA 4, Inc. | Cationic poly alpha-1,6-glucan ethers and compositions comprising same |
| WO2021257932A1 (en) | 2020-06-18 | 2021-12-23 | The Procter & Gamble Company | Water-soluble unit dose article comprising a polyvinylalcohol film and a cationic poly alpha-1,6-glucan ether compound |
| WO2021257793A1 (en) | 2020-06-18 | 2021-12-23 | The Procter & Gamble Company | Treatment compositions comprising cationic poly alpha-1,6-glucan ethers |
| WO2022060754A1 (en) | 2020-09-18 | 2022-03-24 | Dow Silicones Corporation | A laundry treatment formulation |
| WO2022100876A1 (en) | 2020-11-13 | 2022-05-19 | WeylChem Performance Products GmbH | Aqueous polyester compositions, detergents and cleaning agents containing them and their use |
| WO2022136389A1 (en) * | 2020-12-23 | 2022-06-30 | Basf Se | Amphiphilic alkoxylated polyamines and their uses |
Non-Patent Citations (3)
| Title |
|---|
| "OECD Guidelines for the Testing of Chemicals", OECD PUBLISHING, article "Gel Permeation Chromatography" |
| ABRAHAM, D. S.: "Production of propylene oxide from propylene glycol", 2007, MASTER'S THESIS UNIVERSITY OF MISSOURI-COLUMBIA, pages: 75 |
| no. 51274-37-4 |
Also Published As
| Publication number | Publication date |
|---|---|
| EP4570892A1 (en) | 2025-06-18 |
Similar Documents
| Publication | Publication Date | Title |
|---|---|---|
| US20250263635A1 (en) | Fabric and home care composition | |
| US20250263634A1 (en) | Fabric and home care composition | |
| US20250388836A1 (en) | Fabric and home care composition | |
| EP4386074B1 (en) | Fabric and home care composition | |
| WO2025128415A1 (en) | A laundry detergent composition | |
| WO2025207550A1 (en) | Fabric care compositions | |
| EP4636063A1 (en) | A unit dose laundry detergent product | |
| WO2025207301A1 (en) | Fabric and home care compositions | |
| WO2024233240A1 (en) | A fabric and home care composition comprising a propoxylated polyol | |
| WO2025128416A1 (en) | Fabric and home care composition | |
| EP4663733A1 (en) | Use of a graft polymer in a laundering process | |
| WO2024119298A1 (en) | Fabric and home care composition comprising a polyalkylenecarbonate compound | |
| WO2025096272A1 (en) | Fabric and home care composition | |
| EP4663732A1 (en) | Use of graft polymer in a laundry detergent composition | |
| WO2025255062A1 (en) | Use of a polysaccharide ester in a laundry detergent composition | |
| EP4549540A1 (en) | Fabric and home care composition | |
| WO2025006207A1 (en) | Fabric and home care composition | |
| EP4458932A1 (en) | A fabric and home care composition | |
| WO2025101680A1 (en) | A fabric and home care composition comprising a polyester | |
| WO2024036126A1 (en) | A fabric and home care composition comprising surfactant and a polyester | |
| EP4610340A1 (en) | A laundry detergent composition comprising a polyester | |
| EP4634352A1 (en) | Fabric and home care composition |
Legal Events
| Date | Code | Title | Description |
|---|---|---|---|
| 121 | Ep: the epo has been informed by wipo that ep was designated in this application |
Ref document number: 24828263 Country of ref document: EP Kind code of ref document: A1 |














