WO2025124711A1 - Glycolipid compositions - Google Patents
Glycolipid compositions Download PDFInfo
- Publication number
- WO2025124711A1 WO2025124711A1 PCT/EP2023/085641 EP2023085641W WO2025124711A1 WO 2025124711 A1 WO2025124711 A1 WO 2025124711A1 EP 2023085641 W EP2023085641 W EP 2023085641W WO 2025124711 A1 WO2025124711 A1 WO 2025124711A1
- Authority
- WO
- WIPO (PCT)
- Prior art keywords
- compound
- formula
- optionally substituted
- moiety
- independently
- Prior art date
- Legal status (The legal status is an assumption and is not a legal conclusion. Google has not performed a legal analysis and makes no representation as to the accuracy of the status listed.)
- Pending
Links
Classifications
-
- A—HUMAN NECESSITIES
- A61—MEDICAL OR VETERINARY SCIENCE; HYGIENE
- A61K—PREPARATIONS FOR MEDICAL, DENTAL OR TOILETRY PURPOSES
- A61K47/00—Medicinal preparations characterised by the non-active ingredients used, e.g. carriers or inert additives; Targeting or modifying agents chemically bound to the active ingredient
- A61K47/50—Medicinal preparations characterised by the non-active ingredients used, e.g. carriers or inert additives; Targeting or modifying agents chemically bound to the active ingredient the non-active ingredient being chemically bound to the active ingredient, e.g. polymer-drug conjugates
- A61K47/51—Medicinal preparations characterised by the non-active ingredients used, e.g. carriers or inert additives; Targeting or modifying agents chemically bound to the active ingredient the non-active ingredient being chemically bound to the active ingredient, e.g. polymer-drug conjugates the non-active ingredient being a modifying agent
- A61K47/54—Medicinal preparations characterised by the non-active ingredients used, e.g. carriers or inert additives; Targeting or modifying agents chemically bound to the active ingredient the non-active ingredient being chemically bound to the active ingredient, e.g. polymer-drug conjugates the non-active ingredient being a modifying agent the modifying agent being an organic compound
- A61K47/549—Sugars, nucleosides, nucleotides or nucleic acids
-
- A—HUMAN NECESSITIES
- A61—MEDICAL OR VETERINARY SCIENCE; HYGIENE
- A61K—PREPARATIONS FOR MEDICAL, DENTAL OR TOILETRY PURPOSES
- A61K47/00—Medicinal preparations characterised by the non-active ingredients used, e.g. carriers or inert additives; Targeting or modifying agents chemically bound to the active ingredient
- A61K47/50—Medicinal preparations characterised by the non-active ingredients used, e.g. carriers or inert additives; Targeting or modifying agents chemically bound to the active ingredient the non-active ingredient being chemically bound to the active ingredient, e.g. polymer-drug conjugates
- A61K47/51—Medicinal preparations characterised by the non-active ingredients used, e.g. carriers or inert additives; Targeting or modifying agents chemically bound to the active ingredient the non-active ingredient being chemically bound to the active ingredient, e.g. polymer-drug conjugates the non-active ingredient being a modifying agent
- A61K47/54—Medicinal preparations characterised by the non-active ingredients used, e.g. carriers or inert additives; Targeting or modifying agents chemically bound to the active ingredient the non-active ingredient being chemically bound to the active ingredient, e.g. polymer-drug conjugates the non-active ingredient being a modifying agent the modifying agent being an organic compound
- A61K47/543—Lipids, e.g. triglycerides; Polyamines, e.g. spermine or spermidine
-
- A—HUMAN NECESSITIES
- A61—MEDICAL OR VETERINARY SCIENCE; HYGIENE
- A61K—PREPARATIONS FOR MEDICAL, DENTAL OR TOILETRY PURPOSES
- A61K47/00—Medicinal preparations characterised by the non-active ingredients used, e.g. carriers or inert additives; Targeting or modifying agents chemically bound to the active ingredient
- A61K47/50—Medicinal preparations characterised by the non-active ingredients used, e.g. carriers or inert additives; Targeting or modifying agents chemically bound to the active ingredient the non-active ingredient being chemically bound to the active ingredient, e.g. polymer-drug conjugates
- A61K47/51—Medicinal preparations characterised by the non-active ingredients used, e.g. carriers or inert additives; Targeting or modifying agents chemically bound to the active ingredient the non-active ingredient being chemically bound to the active ingredient, e.g. polymer-drug conjugates the non-active ingredient being a modifying agent
- A61K47/54—Medicinal preparations characterised by the non-active ingredients used, e.g. carriers or inert additives; Targeting or modifying agents chemically bound to the active ingredient the non-active ingredient being chemically bound to the active ingredient, e.g. polymer-drug conjugates the non-active ingredient being a modifying agent the modifying agent being an organic compound
- A61K47/543—Lipids, e.g. triglycerides; Polyamines, e.g. spermine or spermidine
- A61K47/544—Phospholipids
-
- A—HUMAN NECESSITIES
- A61—MEDICAL OR VETERINARY SCIENCE; HYGIENE
- A61K—PREPARATIONS FOR MEDICAL, DENTAL OR TOILETRY PURPOSES
- A61K47/00—Medicinal preparations characterised by the non-active ingredients used, e.g. carriers or inert additives; Targeting or modifying agents chemically bound to the active ingredient
- A61K47/50—Medicinal preparations characterised by the non-active ingredients used, e.g. carriers or inert additives; Targeting or modifying agents chemically bound to the active ingredient the non-active ingredient being chemically bound to the active ingredient, e.g. polymer-drug conjugates
- A61K47/69—Medicinal preparations characterised by the non-active ingredients used, e.g. carriers or inert additives; Targeting or modifying agents chemically bound to the active ingredient the non-active ingredient being chemically bound to the active ingredient, e.g. polymer-drug conjugates the conjugate being characterised by physical or galenical forms, e.g. emulsion, particle, inclusion complex, stent or kit
- A61K47/6921—Medicinal preparations characterised by the non-active ingredients used, e.g. carriers or inert additives; Targeting or modifying agents chemically bound to the active ingredient the non-active ingredient being chemically bound to the active ingredient, e.g. polymer-drug conjugates the conjugate being characterised by physical or galenical forms, e.g. emulsion, particle, inclusion complex, stent or kit the form being a particulate, a powder, an adsorbate, a bead or a sphere
- A61K47/6927—Medicinal preparations characterised by the non-active ingredients used, e.g. carriers or inert additives; Targeting or modifying agents chemically bound to the active ingredient the non-active ingredient being chemically bound to the active ingredient, e.g. polymer-drug conjugates the conjugate being characterised by physical or galenical forms, e.g. emulsion, particle, inclusion complex, stent or kit the form being a particulate, a powder, an adsorbate, a bead or a sphere the form being a solid microparticle having no hollow or gas-filled cores
- A61K47/6929—Medicinal preparations characterised by the non-active ingredients used, e.g. carriers or inert additives; Targeting or modifying agents chemically bound to the active ingredient the non-active ingredient being chemically bound to the active ingredient, e.g. polymer-drug conjugates the conjugate being characterised by physical or galenical forms, e.g. emulsion, particle, inclusion complex, stent or kit the form being a particulate, a powder, an adsorbate, a bead or a sphere the form being a solid microparticle having no hollow or gas-filled cores the form being a nanoparticle, e.g. an immuno-nanoparticle
-
- C—CHEMISTRY; METALLURGY
- C07—ORGANIC CHEMISTRY
- C07H—SUGARS; DERIVATIVES THEREOF; NUCLEOSIDES; NUCLEOTIDES; NUCLEIC ACIDS
- C07H15/00—Compounds containing hydrocarbon or substituted hydrocarbon radicals directly attached to hetero atoms of saccharide radicals
- C07H15/02—Acyclic radicals, not substituted by cyclic structures
- C07H15/04—Acyclic radicals, not substituted by cyclic structures attached to an oxygen atom of the saccharide radical
-
- C—CHEMISTRY; METALLURGY
- C07—ORGANIC CHEMISTRY
- C07H—SUGARS; DERIVATIVES THEREOF; NUCLEOSIDES; NUCLEOTIDES; NUCLEIC ACIDS
- C07H15/00—Compounds containing hydrocarbon or substituted hydrocarbon radicals directly attached to hetero atoms of saccharide radicals
- C07H15/18—Acyclic radicals, substituted by carbocyclic rings
-
- C—CHEMISTRY; METALLURGY
- C07—ORGANIC CHEMISTRY
- C07H—SUGARS; DERIVATIVES THEREOF; NUCLEOSIDES; NUCLEOTIDES; NUCLEIC ACIDS
- C07H15/00—Compounds containing hydrocarbon or substituted hydrocarbon radicals directly attached to hetero atoms of saccharide radicals
- C07H15/20—Carbocyclic rings
- C07H15/203—Monocyclic carbocyclic rings other than cyclohexane rings; Bicyclic carbocyclic ring systems
-
- C—CHEMISTRY; METALLURGY
- C12—BIOCHEMISTRY; BEER; SPIRITS; WINE; VINEGAR; MICROBIOLOGY; ENZYMOLOGY; MUTATION OR GENETIC ENGINEERING
- C12N—MICROORGANISMS OR ENZYMES; COMPOSITIONS THEREOF; PROPAGATING, PRESERVING, OR MAINTAINING MICROORGANISMS; MUTATION OR GENETIC ENGINEERING; CULTURE MEDIA
- C12N15/00—Mutation or genetic engineering; DNA or RNA concerning genetic engineering, vectors, e.g. plasmids, or their isolation, preparation or purification; Use of hosts therefor
- C12N15/09—Recombinant DNA-technology
- C12N15/87—Introduction of foreign genetic material using processes not otherwise provided for, e.g. co-transformation
- C12N15/88—Introduction of foreign genetic material using processes not otherwise provided for, e.g. co-transformation using microencapsulation, e.g. using amphiphile liposome vesicle
Definitions
- GLYCOLIPID COMPOSITIONS DESCRIPTION BACKGROUND Targeted delivery and expression of therapeutic and/or prophylactic agents such as nucleic acids 5 present certain challenges due to the instability of nucleic acids and their inability to permeate the cell membrane. Certain approaches, including use of lipid or polymer-based systems, exhibit promise but suffer from drawbacks related to manufacturing difficulties, poor structural definition, and high polydispersity. Still further, many such compositions lack satisfactory safety and efficacy for use in delivery of therapeutic agents. 10 SUMMARY The present disclosure provides, among other things, compositions comprising particles that are useful for the delivery of therapeutics agents, such as nucleic acids, that overcome certain deficiencies associated with previous compositions.
- the present disclosure provides a particle comprising one or more glycolipids and a nucleic acid, wherein the one or more glycolipids are represented by formula I: G 1 -G 2 -G 3 I or a pharmaceutically acceptable salt thereof, wherein 20 G 1 is a glycodendron or a carbohydrate moiety; G 2 is a polymer-linker moiety comprising units selected from ethylene glycol, 2-(2-(2- aminoethoxy)ethoxy)acetic acid, and sarcosine, or is an optionally substituted C2-C100 aliphatic group wherein one or more carbons are optionally and independently replaced by -Cy-, -NR Z -, - N(R Z )C(O)-, -C(O)N(R Z )-, -N(R Z )C(O)O-, -OC(O)N(R Z )-, -N(R Z )C(O)N(R Z ) -, -, -,
- the present disclosure provides a compound that is a glycolipid, or a particle comprising one or more glycolipids and a nucleic acid, wherein the one or more glycolipids are represented by formula II: 5 II or a pharmaceutically acceptable salt thereof, wherein: R 1 is -A, -M 1 -M 2 -A, or -M 3 -N(-M 1 -M 2 -A)2; R 2 is -H, -A, -M 1 -M 2 -A, or -M 3 -N(-M 1 -M 2 -A) 2 ; each M 1 is independently an optionally substituted C2-C12 aliphatic or 2- to 12-membered 10 heteroaliphatic; each M 2 is independently –NHC(S)NH-, -NHS(O)2-, -NHC(O)-, -C(O)NH-, -C(O)O-, or -OC(O)- ; each M 3 is independently an optionally
- the present disclosure provides a composition comprising a particle comprising glycolipids described herein. 5 In some embodiments, the present disclosure provides a method of treating a disease, disorder, or condition comprising administering to a subject a composition described herein. In some embodiments, the present disclosure provides a method of increasing or causing increased expression of RNA in a target in a subject comprising administering to the subject a composition described herein. 10 BRIEF DESCRIPTION OF THE DRAWINGS
- FIG.1A is a bar graph illustrating the size and PDI of particles comprising example glycolipids.
- FIG.1B illustrates RNA encapsulation of particles comprising example glycoplipids.
- FIG. 2 is a plot illustrating the dose-inhibition profile for HRP-ConA binding to mannan with 15 example glycolipids.
- FIG.3 is a plot illustrating the effect of formulation glycolipid concentration on ligand potency.
- FIG.4 illustrates detection of micelles formed by example glycolipids for various concentrations of glycolipid.
- FIG. 5A is a bar graph illustrating transfection efficiency of example glycolipids compared to 20 benchmark.
- FIG.5B is a bar graph illustrating luciferase expression for LNPs containing 3 mol% of example glycolipids.
- FIG. 6 is a bar graph illustrating transfection efficacy of LNPs functionalized with example glycolipids relative to benchmark. 25 FIG.
- FIG. 7 is a bar graph illustrating CD14+-specific transfection efficacy of LNPs functionalized with example glycolipids relative to benchmark.
- FIG.8A illustrates transfection efficacy of LNPs functionalized with example glycolipids in cell line expressing huCD209 relative to control.
- FIG.8B illustrates transfection efficacy of LNPs functionalized with example glycolipids in cell 30 line expressing huCD301 relative to control.
- FIG.9A is a bar graph illustrating the impact of LNPs functionalized with example glycolipids on IL-1 ⁇ secretion.
- FIG.9B is a bar graph illustrating the impact of LNPs functionalized with example glycolipids on IL-6 secretion.
- FIG.9C is a bar graph illustrating the impact of LNPs functionalized with example glycolipids on TNF- ⁇ secretion.
- compositions comprising particles that are 10 useful for the delivery of therapeutics agents, such as nucleic acids, that overcome certain deficiencies associated with previous compositions.
- therapeutics agents such as nucleic acids
- the term “approximately” or “about” may encompass a range of values that are within (i.e., ⁇ ) 25%, 20%, 19%, 18%, 17%, 16%, 15%, 14%, 13%, 12%, 11%, 10%, 9%, 8%, 7%, 6%, 5%, 4%, 3%, 2%, 1%, or less of the referred value.
- Administering typically refers to the administration of a composition to a subject to achieve delivery of an agent that is, or is included in, a composition to a target site or a site to be treated.
- 15 administration may be ocular, oral, parenteral, topical, etc.
- administration may be bronchial (e.g., by bronchial instillation), buccal, dermal (which may be or comprise, for example, one or more of topical to the dermis, intradermal, interdermal, transdermal, etc.), enteral, intra-arterial, intradermal, intragastric, intramedullary, intramuscular, intranasal, intraperitoneal, intrathecal, intravenous, intraventricular, within a specific organ (e.g., 20 intrahepatic), mucosal, nasal, oral, rectal, subcutaneous, sublingual, topical, tracheal (e.g., by intratracheal instillation), vaginal, vitreal, etc.
- bronchial e.g., by bronchial instillation
- buccal which may be or comprise, for example, one or more of topical to the dermis, intradermal, interdermal, transdermal, etc.
- enteral intra-arterial, intradermal, intra
- administration may be parenteral. In some embodiments, administration may be oral. In some particular embodiments, administration may be intravenous. In some particular embodiments, administration may be subcutaneous. In some embodiments, administration may involve only a single dose. In some 25 embodiments, administration may involve application of a fixed number of doses. In some embodiments, administration may involve dosing that is intermittent (e.g., a plurality of doses separated in time) and/or periodic (e.g., individual doses separated by a common period of time) dosing. In some embodiments, administration may involve continuous dosing (e.g., perfusion) for at least a selected period of time. In some embodiments, administration may comprise a prime- 30 and-boost protocol.
- a prime-and-boost protocol can include administration of a first dose of a pharmaceutical composition (e.g., an immunogenic composition, e.g., a vaccine) followed by, after an interval of time, administration of a second or subsequent dose of a pharmaceutical composition (e.g., an immunogenic composition, e.g., a vaccine).
- a prime-and-boost protocol can result in an increased immune response in a patient.
- Aliphatic refers to a straight-chain (i.e., unbranched) or branched, substituted or unsubstituted hydrocarbon chain that is completely saturated or that contains one or more units of unsaturation, or a monocyclic hydrocarbon or bicyclic hydrocarbon that is completely saturated or that contains one or more units of unsaturation, but which is not aromatic 5 (also referred to herein as “cycloaliphatic”), that has a single point or more than one points of attachment to the rest of the molecule. Unless otherwise specified, aliphatic groups contain 1-12 aliphatic carbon atoms.
- an aliphatic group can also be bivalent (e.g., encompass a bivalent hydrocarbon chain that is saturated or contains one or more units of unsaturation, such as, for example, -CH 2 -, -CH 2 -CH 2 -, -CH 2 -CH 2 -CH 2 -, and so on).
- aliphatic groups contain 1-6 aliphatic carbon atoms (e.g., C 1-6 ).
- aliphatic groups contain 1-5 aliphatic carbon atoms (e.g., C 1-5 ).
- aliphatic groups contain 1-4 aliphatic carbon atoms (e.g., C 1-4 ).
- aliphatic groups contain 1-3 aliphatic carbon atoms (e.g., C 1-3 ), and in yet other embodiments, aliphatic groups contain 1-2 aliphatic carbon atoms (e.g., C 1-2 ).
- cycloaliphatic refers to a monocyclic C 3-8 hydrocarbon or a bicyclic C 7-10 hydrocarbon that is completely saturated or that contains one or more units of unsaturation, but which is not aromatic, that has a single point or more than one points of attachment to the rest of the molecule.
- Suitable aliphatic groups include, but are not limited to, linear or branched, substituted or unsubstituted alkyl, alkenyl, or alkynyl groups and hybrids thereof.
- a preferred 20 aliphatic group is C1-6 alkyl.
- Alkyl The term “alkyl”, used alone or as part of a larger moiety, refers to a saturated, optionally substituted straight or branched chain hydrocarbon group having (unless otherwise specified) 1- 12, 1-10, 1-8, 1-6, 1-4, 1-3, or 1-2 carbon atoms (e.g., C1-12, C1-10, C1-8, C1-6, C1-4, C1-3, or C 1-2 ).
- alkyl groups include methyl, ethyl, propyl, butyl, pentyl, hexyl, and heptyl.
- alkenyl used alone or as part of a larger moiety, refers to an optionally substituted straight or branched chain or cyclic hydrocarbon group having at least one double bond and having (unless otherwise specified) 2-12, 2-10, 2-8, 2-6, 2-4, or 2-3 carbon atoms(e.g., C2-12, C2-10, C2-8, C2-6, C2-4, or C2-3).
- alkenyl groups include ethenyl, propenyl, butenyl, pentenyl, hexenyl, and heptenyl.
- cycloalkenyl refers to an optionally substituted non- 30 aromatic monocyclic or multicyclic ring system containing at least one carbon-carbon double bond and having about 3 to about 10 carbon atoms.
- Exemplary monocyclic cycloalkenyl rings include cyclopentenyl, cyclohexenyl, and cycloheptenyl.
- Alkynyl refers to an optionally substituted straight or branched chain hydrocarbon group having at least one triple bond and having (unless otherwise specified) 2-12, 2-10, 2-8, 2-6, 2-4, or 2-3 carbon atoms (e.g., C2-12, C2- 10, C2-8, C2-6, C2-4, or C2-3).
- exemplary alkynyl groups include ethynyl, propynyl, butynyl, pentynyl, hexynyl, and heptynyl.
- an analog refers to a substance that shares one or more particular 5 structural features, elements, components, or moieties with a reference substance. Typically, an “analog” shows significant structural similarity with the reference substance, for example sharing a core or consensus structure, but also differs in certain discrete ways.
- an analog is a substance that can be generated from the reference substance, e.g., by chemical manipulation of the reference substance. In some embodiments, an analog is a substance that can 10 be generated through performance of a synthetic process substantially similar to (e.g., sharing a plurality of steps with) one that generates the reference substance.
- an analog is or can be generated through performance of a synthetic process different from that used to generate the reference substance.
- Aryl refers to monocyclic and bicyclic ring systems having a total of five to 15 fourteen ring members (e.g., C5-C14), wherein at least one ring in the system is aromatic and wherein each ring in the system contains three to seven ring members. In some embodiments, an “aryl” group contains between six and twelve total ring members (e.g., C 6 -C 12 ). The term “aryl” may be used interchangeably with the term “aryl ring”.
- aryl refers to an aromatic ring system which includes, but not limited to, phenyl, 20 biphenyl, naphthyl, anthracyl and the like, which may bear one or more substituents.
- aryl groups are hydrocarbons.
- an “aryl” ring system is an aromatic ring (e.g., phenyl) that is fused to a non-aromatic ring (e.g., cycloalkyl). Examples of aryl rings include that are fused INCLUDE Associated: Two events or entities are “a , 25 if the presence, level and/or form of one is correlated with that of the other.
- a particular entity e.g., polypeptide, genetic signature, metabolite, microbe, etc
- a particular disease, disorder, or condition if its presence, level and/or form correlates with incidence of and/or susceptibility to the disease, disorder, or condition (e.g., across a relevant population).
- two or more entities are physically “associated” 30 with one another if they interact, directly or indirectly, so that they are and/or remain in physical proximity with one another.
- Biological sample typically refers to a sample obtained or derived from a biological source (e.g., a tissue or organism or cell culture) of interest, 5 as described herein.
- a source of interest comprises an organism, such as an animal or human.
- a biological sample is or comprises biological tissue or fluid.
- a biological sample may be or comprise bone marrow; blood; blood cells; ascites; tissue or fine needle biopsy samples; cell-containing body fluids; free floating nucleic acids; sputum; saliva; urine; cerebrospinal fluid, peritoneal fluid; pleural fluid; feces; 10 lymph; gynecological fluids; skin swabs; vaginal swabs; oral swabs; nasal swabs; washings or lavages such as a ductal lavages or broncheoalveolar lavages; aspirates; scrapings; bone marrow specimens; tissue biopsy specimens; surgical specimens; feces, other body fluids (e.g., sperm, sweat, tears), secretions, and/or excretions; and/or cells therefrom, etc.
- body fluids e.g., sperm, sweat, tears
- a biological sample is or comprises cells obtained from an individual. In some embodiments, 15 obtained cells are or include cells from an individual from whom the sample is obtained.
- a sample is a “primary sample” obtained directly from a source of interest by any appropriate means. For example, in some embodiments, a primary biological sample is obtained by methods selected from the group consisting of biopsy (e.g., fine needle aspiration or tissue biopsy), surgery, collection of body fluid (e.g., blood, lymph, feces etc.), etc.
- biopsy e.g., fine needle aspiration or tissue biopsy
- body fluid e.g., blood, lymph, feces etc.
- sample refers to a preparation that is obtained by processing (e.g., by removing one or more components of and/or by adding one or more agents to) a primary sample. For example, filtering using a semi-permeable membrane.
- a “processed sample” may comprise, for example, nucleic acids or proteins extracted from a sample or obtained by subjecting a primary sample to techniques such as amplification or 25 reverse transcription of mRNA, isolation and/or purification of certain components, etc.
- Carrier refers to a diluent, adjuvant, excipient, or vehicle with which a composition is administered.
- carriers can include sterile liquids, such as, for example, water and oils, including oils of petroleum, animal, vegetable or synthetic origin, such as, for example, peanut oil, soybean oil, mineral oil, sesame oil and the 30 like. In some embodiments, carriers are or include one or more solid components.
- Combination therapy refers to those situations in which a subject is simultaneously exposed to two or more therapeutic regimens (e.g., two or more therapeutic agents or modality(ies)).
- the two or more regimens may be administered simultaneously; in some embodiments, such regimens may be administered sequentially (e.g., all “doses” of a first regimen are administered prior to administration of any doses of a second regimen); in some embodiments, such agents are administered in overlapping dosing regimens.
- “administration” of combination therapy may involve administration of one or more agent(s) or modality(ies) to a subject receiving the other agent(s) 5 or modality(ies) in the combination.
- combination therapy does not require that individual agents be administered together in a single composition (or even necessarily at the same time), although in some embodiments, two or more agents, or active moieties thereof, may be administered together in a combination composition, or even in a combination compound (e.g., as part of a single chemical complex or covalent entity).
- the term “comparable” refers to two or more agents, entities, situations, sets of conditions, etc., that may not be identical to one another but that are sufficiently similar to permit comparison therebetween so that one skilled in the art will appreciate that conclusions may reasonably be drawn based on differences or similarities observed.
- comparable sets of conditions, circumstances, individuals, or populations are 15 characterized by a plurality of substantially identical features and one or a small number of varied features.
- Those of ordinary skill in the art will understand, in context, what degree of identity is required in any given circumstance for two or more such agents, entities, situations, sets of conditions, etc. to be considered comparable.
- sets of circumstances, individuals, or populations are comparable to one another 20 when characterized by a sufficient number and type of substantially identical features to warrant a reasonable conclusion that differences in results obtained or phenomena observed under or with different sets of circumstances, individuals, or populations are caused by or indicative of the variation in those features that are varied.
- composition may be used to 25 refer to a discrete physical entity that comprises one or more specified components.
- a composition may be of any form – e.g., gas, gel, liquid, solid, etc.
- Cycloaliphatic As used herein, the term “cycloaliphatic” refers to a monocyclic C 3-8 hydrocarbon or a bicyclic C 7-10 hydrocarbon that is completely saturated or that contains one or more units of unsaturation, but which is not aromatic, that has a single point or more than one points of 30 attachment to the rest of the molecule.
- Cycloalkyl refers to an optionally substituted saturated ring monocyclic or polycyclic system of about 3 to about 10 ring carbon atoms.
- Exemplary monocyclic cycloalkyl rings include cyclopropyl, cyclobutyl, cyclopentyl, cyclohexyl, and cycloheptyl.
- DNA refers to a polymeric molecule of nucleotides that are typically double-stranded and comprise adenine, cytosine, guanine and thymine, and a deoxyribose sugar backbone structure as specified in the definition “Nucleic Acid/Polynucleotide.” In some embodiments, DNA is linear DNA, plasmid DNA, minicircle 5 DNA, nanoplasmid DNA, doggybone DNA, or a transposon.
- Deoxyribonucleotide As used herein, the term “deoxyribonucleotide” refers to unmodified and modified deoxyribonucleotides.
- unmodified deoxyribonucleotides include the purine bases adenine (A) and guanine (G), and the pyrimidine bases cytosine (C) and thymine (T).
- Modified deoxyribonucleotides may include one or more modifications including, but not 10 limited to, for example, (a) end modifications, e.g., 5' end modifications (e.g., phosphorylation, dephosphorylation, conjugation, inverted linkages, etc.), 3' end modifications (e.g., conjugation, inverted linkages, etc.), (b) base modifications, e.g.
- Dosage form or unit dosage form may be used to refer to a physically discrete unit of an active agent (e.g., a therapeutic or diagnostic agent) for administration to a subject. Typically, each such unit contains a 20 predetermined quantity of active agent.
- an active agent e.g., a therapeutic or diagnostic agent
- such quantity is a unit dosage amount (or a whole fraction thereof) appropriate for administration in accordance with a dosing regimen that has been determined to correlate with a desired or beneficial outcome when administered to a relevant population (i.e., with a therapeutic dosing regimen).
- a dosing regimen or a whole fraction thereof
- the total amount of a therapeutic composition or agent administered 25 to a particular subject is determined by one or more attending physicians and may involve administration of multiple dosage forms.
- Dosing regimen or therapeutic regimen Those skilled in the art will appreciate that the terms “dosing regimen” and “therapeutic regimen” may be used to refer to a set of unit doses (typically more than one) that are administered individually to a subject, typically separated by periods of 30 time.
- a given therapeutic agent has a recommended dosing regimen, which may involve one or more doses.
- a dosing regimen comprises a plurality of doses each of which is separated in time from other doses.
- individual doses are separated from one another by a time period of the same length; in some embodiments, a dosing regimen comprises a plurality of doses and at least two different time periods separating individual doses.
- all doses within a dosing regimen are of the same unit dose amount. In some embodiments, different doses within a dosing regimen are of different amounts.
- a dosing regimen comprises a first dose in a first dose amount, followed by one or more additional doses in a second dose amount different from the first dose 5 amount. In some embodiments, a dosing regimen comprises a first dose in a first dose amount, followed by one or more additional doses in a second dose amount same as the first dose amount. In some embodiments, a dosing regimen is correlated with a desired or beneficial outcome when administered across a relevant population (i.e., is a therapeutic dosing regimen).
- Excipient refers to a non-therapeutic agent that may be 10 included in a pharmaceutical composition, for example, to provide or contribute to a desired consistency or stabilizing effect.
- Suitable pharmaceutical excipients include, for example, starch, glucose, lactose, sucrose, gelatin, malt, rice, flour, chalk, silica gel, sodium stearate, glycerol monostearate, talc, sodium chloride, dried skim milk, glycerol, propylene, glycol, water, ethanol and the like.
- Heteroaliphatic or “heteroaliphatic group”, as used herein, denotes an optionally substituted hydrocarbon moiety having, in addition to carbon atoms, from one to five heteroatoms, that may be straight–chain (i.e., unbranched), branched, or cyclic (“heterocyclic”) and may be completely saturated or may contain one or more units of unsaturation, but which is not aromatic.
- heteroatom refers to nitrogen, oxygen, or 20 sulfur, and includes any oxidized form of nitrogen or sulfur, and any quaternized form of a basic nitrogen.
- nitrogen also includes a substituted nitrogen.
- heteroaliphatic groups contain 1–10 carbon atoms wherein 1–3 carbon atoms are optionally and independently replaced with heteroatoms selected from oxygen, nitrogen, and sulfur. In some embodiments, heteroaliphatic groups contain 1–4 carbon atoms, wherein 1–2 carbon atoms are 25 optionally and independently replaced with heteroatoms selected from oxygen, nitrogen, and sulfur. In yet other embodiments, heteroaliphatic groups contain 1–3 carbon atoms, wherein 1 carbon atom is optionally and independently replaced with a heteroatom selected from oxygen, nitrogen, and sulfur. Suitable heteroaliphatic groups include, but are not limited to, linear or branched, heteroalkyl, heteroalkenyl, and heteroalkynyl groups.
- a 2- to 12-atom30 heteroaliphatic group includes the following exemplary groups: -O-CH 3 , -CH 2 -O-CH 3 , -O-CH 2 - CH2-O-CH2-CH2-O-CH3, and the like.
- Heteroaryl and “heteroar—”, used alone or as part of a larger moiety, e.g., “heteroaralkyl”, or “heteroaralkoxy”, refer to monocyclic or bicyclic ring groups having 5 to 12 ring atoms (e.g., 5- to 6- membered monocyclic heteroaryl or 9- to 12-membered bicyclic heteroaryl); having 6, 10, or 14 ⁇ -electrons shared in a cyclic array; and having, in addition to carbon atoms, from one to five heteroatoms.
- heteroaryl and “heteroar—”, as used herein, also 10 include groups in which a heteroaromatic ring is fused to one or more aryl, cycloaliphatic, or heterocyclyl rings, where the radical or point of attachment is on the heteroaromatic ring (i.e., a bicyclic heteroaryl ring having 1 to 3 heteroatoms).
- Nonlimiting examples include indolyl, isoindolyl, benzothienyl, benzofuranyl, dibenzofuranyl, indazolyl, benzimidazolyl, benzotriazolyl, benzothiazolyl, benzothiadiazolyl, benzoxazolyl, quinolyl, isoquinolyl, 15 cinnolinyl, phthalazinyl, quinazolinyl, quinoxalinyl, 4H–quinolizinyl, carbazolyl, acridinyl, phenazinyl, phenothiazinyl, phenoxazinyl, tetrahydroquinolinyl, tetrahydroisoquinolinyl, pyrido[2,3–b]–1,4–oxazin–3(4H)–one, 4H-thieno[3,2-b]pyrrole, and benzoisoxazolyl.
- the nitrogen may be N (as in 3,4-dihydro-2H-pyrrolyl), NH (as in pyrrolidinyl), or NR + (as in N- substituted pyrrolidinyl).
- a heterocyclic ring can be attached to its pendant group at any heteroatom or carbon atom that results in a stable structure and any of the ring atoms can be optionally substituted.
- a heterocyclyl group 5 may be mono-, bi-, tri-, or polycyclic, preferably mono-, bi-, or tricyclic, more preferably mono- or bicyclic.
- heterocyclylalkyl refers to an alkyl group substituted by a heterocyclyl, wherein the alkyl and heterocyclyl portions independently are optionally substituted.
- a bicyclic heterocyclic ring also includes groups in which the heterocyclic ring is fused to one or more aryl rings.
- bicyclic heterocyclic groups include indolinyl, isoindolinyl, benzodioxolyl, spirocyclic fused heterocyclic ring having, in addition to carbon atoms, one or more heteroatoms 15 as defined above (e.g., one, two, three or four heteroatoms)).
- a bicyclic heterocyclic ring can also be a bridged ring system (e.g., 7- to 11-membered bridged heterocyclic ring having one, two, or three bridging atoms.
- a population of microparticles is characterized by an average size (e.g., longest dimension) that is below about 1000 nm, about 500 nm, about 100 nm, about 50 nm, about 40 nm, about 30 nm, 25 about 20 nm, or about 10 nm and often above about 1 nm.
- a microparticle may be substantially spherical (e.g., so that its longest dimension may be its diameter).
- a nanoparticle has a diameter of less than 100 nm as defined by the National Institutes of Health.
- a nucleic acid may be prepared by isolation from a natural source, 30 enzymatic synthesis (e.g., by polymerization based on a complementary template, e.g., in vivo or in vitro, reproduction in a recombinant cell or system, or chemical synthesis.
- enzymatic synthesis e.g., by polymerization based on a complementary template, e.g., in vivo or in vitro, reproduction in a recombinant cell or system, or chemical synthesis.
- a nucleic acid is at least 3, 4, 5, 6, 7, 8, 9, 10, 15, 20, 25, 30, 35, 40, 45, 50, 55, 60, 65, 70, 75, 80, 85, 90, 95, 100, 110, 120, 130, 140, 150, 160, 170, 180, 190, 20, 225, 250, 275, 300, 325, 350, 375, 400, 425, 450, 475, 500, 600, 700, 800, 900, 1000, 1500, 2000, 2500, 3000, 35 3500, 4000, 4500, 5000, 5500, 6000, 6500, 7000, 7500, 8000, 8500, 9000, 9500, 10,000, 10,500, 11,000, 11,500, 12,000, 12,500, 13,000, 13,500, 14,000, 14,500, 15,000, 15,500, 16,000, 16,500, 17,000, 17,500, 18,000, 18,500, 19,000, 19,500, or 20,000 or more residues or nucleotides long.
- a certain number 10 of nucleotides refers to the number of nucleotides on a single strand, e.g., of a polynucleotide.
- parenteral administration and “administered parenterally” as used herein have their art-understood meaning referring to modes of administration other than enteral and topical administration, usually by injection, and include, without limitation, intravenous, intramuscular, intra-arterial, intrathecal, intracapsular, intraorbital, intracardiac, intradermal, 15 intraperitoneal, transtracheal, subcutaneous, subcuticular, intraarticulare, subcapsular, subarachnoid, intraspinal, and intrasternal injection and infusion.
- Partially unsaturated As used herein, the term “partially unsaturated” refers to a ring moiety that includes at least one double or triple bond between ring atoms.
- a patient or subject displays one or more symptoms of a disorder or condition.
- a patient or subject has been diagnosed with one or more disorders or conditions.
- a patient or a subject is receiving or has received certain therapy to diagnose and/or to treat a 30 disease, disorder, or condition.
- Pharmaceutical composition refers to an active agent, formulated together with one or more pharmaceutically acceptable carriers.
- the active agent is present in unit dose amount appropriate for administration in a therapeutic or dosing regimen that shows a statistically significant probability of achieving a predetermined therapeutic effect when administered to a relevant population.
- compositions may be specially formulated for administration in solid or liquid form, including those adapted for the following: oral administration, for example, 5 drenches (aqueous or non-aqueous solutions or suspensions), tablets, e.g., those targeted for buccal, sublingual, and systemic absorption, boluses, powders, granules, pastes for application to the tongue; parenteral administration, for example, by subcutaneous, intramuscular, intravenous or epidural injection as, for example, a sterile solution or suspension, or sustained-release formulation; topical application, for example, as a cream, ointment, or a controlled-release patch 10 or spray applied to the skin, lungs, or oral cavity; intravaginally or intrarectally, for example, as a pessary, cream, or foam; sublingually; ocularly; transdermally; or nasally, pulmonary, and to other mucosal surfaces.
- oral administration for example, 5 drenches (aqueous or non-aqueous
- pharmaceutically acceptable refers to those compounds, materials, compositions, and/or dosage forms which are, within the scope of 15 sound medical judgment, suitable for use in contact with the tissues of human beings and animals without excessive toxicity, irritation, allergic response, or other problem or complication, commensurate with a reasonable benefit/risk ratio.
- pharmaceutically acceptable carrier means a pharmaceutically-acceptable material, composition or vehicle, such as a liquid 20 or solid filler, diluent, excipient, or solvent encapsulating material, involved in carrying or transporting the subject compound from one organ, or portion of the body, to another organ, or portion of the body.
- Each carrier must be “acceptable” in the sense of being compatible with the other ingredients of the formulation and not injurious to the patient.
- materials which can serve as pharmaceutically-acceptable carriers include: sugars, such as lactose, glucose 25 and sucrose; starches, such as corn starch and potato starch; cellulose, and its derivatives, such as sodium carboxymethyl cellulose, ethyl cellulose and cellulose acetate; powdered tragacanth; malt; gelatin; talc; excipients, such as cocoa butter and suppository waxes; oils, such as peanut oil, cottonseed oil, safflower oil, sesame oil, olive oil, corn oil and soybean oil; glycols, such as propylene glycol; polyols, such as glycerin, sorbitol, mannitol and polyethylene glycol; esters, 30 such as ethyl oleate and ethyl laurate; agar; buffering agents, such as magnesium
- compositions that are appropriate for use in pharmaceutical contexts, i.e., salts which are, within the scope of sound medical judgment, suitable for use in contact with the tissues of humans and lower animals without undue toxicity, irritation, allergic response and the like, and 5 are commensurate with a reasonable benefit/risk ratio.
- Pharmaceutically acceptable salts are well known in the art. For example, S. M. Berge, et al. describes pharmaceutically acceptable salts in detail in J. Pharmaceutical Sciences, 66: 1-19 (1977).
- pharmaceutically acceptable salts include, but are not limited to, adipate, alginate, ascorbate, aspartate, benzenesulfonate, benzoate, bisulfate, borate, butyrate, camphorate, camphorsulfonate, citrate, cyclopentanepropionate, digluconate, 15 dodecylsulfate, ethanesulfonate, formate, fumarate, glucoheptonate, glycerophosphate, gluconate, hemisulfate, heptanoate, hexanoate, hydroiodide, 2-hydroxy-ethanesulfonate, lactobionate, lactate, laurate, lauryl sulfate, malate, maleate, malonate, methanesulfonate, 2- naphthalenesulfonate, nicotinate, nitrate, oleate, oxalate,
- Representative alkali or alkaline earth metal salts include sodium, lithium, potassium, calcium, magnesium, and the like.
- pharmaceutically acceptable salts include, when appropriate, nontoxic ammonium, quaternary ammonium, and amine cations formed using counterions such as halide, hydroxide, carboxylate, sulfate, phosphate, nitrate, alkyl having from 25 1 to 6 carbon atoms, sulfonate and aryl sulfonate.
- Physiological conditions as used herein, has its art-understood meaning referencing conditions under which cells or organisms live and/or reproduce. In some embodiments, the term refers to conditions of the external or internal mileu that may occur in nature for an organism or cell system.
- physiological conditions are those conditions present within the body of a 30 human or non-human animal, especially those conditions present at and/or within a surgical site.
- Physiological conditions typically include, e.g., a temperature range of 20 - 40°C, atmospheric pressure of 1, pH of 6-8, glucose concentration of 1-20 mM, oxygen concentration at atmospheric levels, and gravity as it is encountered on earth.
- conditions in a laboratory are manipulated and/or maintained at physiologic conditions.
- 35 physiological conditions are encountered in an organism.
- polycyclic refers to a saturated or unsaturated ring system having two or more rings (for example, heterocyclyl rings, heteroaryl rings, cycloalkyl rings, or aryl rings), having between 7 and 20 atoms, in which one or more carbon atoms are common to two adjacent rings.
- a polycyclic ring system refers to a 5 saturated or unsaturated ring system having three or more rings (for example, heterocyclyl rings, heteroaryl rings, cycloalkyl rings, or aryl rings), having between 14 and 20 atoms, in which one or more carbon atoms are common to two adjacent rings.
- polypeptide typically has its art-recognized meaning of a polymer of at least three amino acids or more.
- polypeptide is intended to be sufficiently general as to encompass not only polypeptides having a complete sequence recited herein, but also to encompass polypeptides that represent functional, biologically active, or characteristic fragments, portions or domains (e.g., 15 fragments, portions, or domains retaining at least one activity) of such complete polypeptides.
- polypeptides may contain L-amino acids, D-amino acids, or both and/or may contain any of a variety of amino acid modifications or analogs known in the art. Useful modifications include, e.g., terminal acetylation, amidation, methylation, etc.
- polypeptides may comprise natural amino acids, non-natural amino acids, synthetic 20 amino acids, and combinations thereof (e.g., may be or comprise peptidomimetics).
- Prevent or prevention when used in connection with the occurrence of a disease, disorder, and/or condition, refer to reducing the risk of developing the disease, disorder and/or condition and/or to delaying onset of one or more characteristics or symptoms of the disease, disorder or condition. Prevention may be considered 25 complete when onset of a disease, disorder or condition has been delayed for a predefined period of time.
- Reference As used herein describes a standard or control relative to which a comparison is performed.
- an agent, animal, individual, population, sample, sequence or value of interest is compared with a reference or control agent, animal, individual, 30 population, sample, sequence or value.
- a reference or control is tested and/or determined substantially simultaneously with the testing or determination of interest.
- a reference or control is a historical reference or control, optionally embodied in a tangible medium.
- a reference or control is determined or characterized under comparable conditions or circumstances to those under assessment. Those skilled in the art will appreciate when sufficient similarities are present to justify reliance on and/or comparison to a particular possible reference or control.
- Ribonucleotide encompasses unmodified ribonucleotides and modified ribonucleotides.
- unmodified ribonucleotides include 5 the purine bases adenine (A) and guanine (G), and the pyrimidine bases cytosine (C) and uracil (U).
- Modified ribonucleotides may include one or more modifications including, but not limited to, for example, (a) end modifications, e.g., 5' end modifications (e.g., phosphorylation, dephosphorylation, conjugation, inverted linkages, etc.), 3' end modifications (e.g., conjugation, inverted linkages, etc.), (b) base modifications, e.g. , replacement with modified bases, stabilizing 10 bases, destabilizing bases, or bases that base pair with an expanded repertoire of partners, or conjugated bases, (c) sugar modifications (e.g., at the 2' position or 4' position) or replacement of the sugar, and (d) internucleoside linkage modifications, including modification or replacement of the phosphodiester linkages.
- end modifications e.g., 5' end modifications (e.g., phosphorylation, dephosphorylation, conjugation, inverted linkages, etc.), 3' end modifications (e.g., conjugation, inverted linkages, etc.)
- base modifications
- RNA Ribonucleic acid
- an RNA refers to a polymer of ribonucleotides.
- an RNA is single stranded.
- an RNA is double stranded.
- an RNA comprises both single and double stranded portions.
- an RNA can comprise a backbone structure as described in the definition of “Nucleic acid / Polynucleotide” above.
- RNA can be a regulatory RNA (e.g., siRNA, 20 microRNA, etc.), or a messenger RNA (mRNA).
- a RNA typically comprises at its 3’ end a poly(A) region.
- an RNA typically comprises at its 5’ end an art-recognized cap structure, e.g., for recognizing and attachment of a mRNA to a ribosome to initiate translation.
- a RNA is a synthetic RNA.
- RNAs include RNAs that are synthesized in vitro (e.g., by enzymatic synthesis methods and/or by chemical synthesis methods).
- Sample typically refers to an aliquot of material obtained or derived from a source of interest.
- a source of interest is a biological or environmental source.
- a source of interest may be or comprise a cell, 30 tissue, or organism, such as a microbe, a plant, or an animal (e.g., a human).
- a source of interest is or comprises biological tissue or fluid.
- a source of interest may be or comprise a preparation generated in a production run.
- a sample is a “primary sample” obtained directly from a source of interest by any appropriate means.
- the term “sample” refers to a preparation that is obtained by processing (e.g., by removing one or more components of and/or by adding one or more agents to) a primary sample.
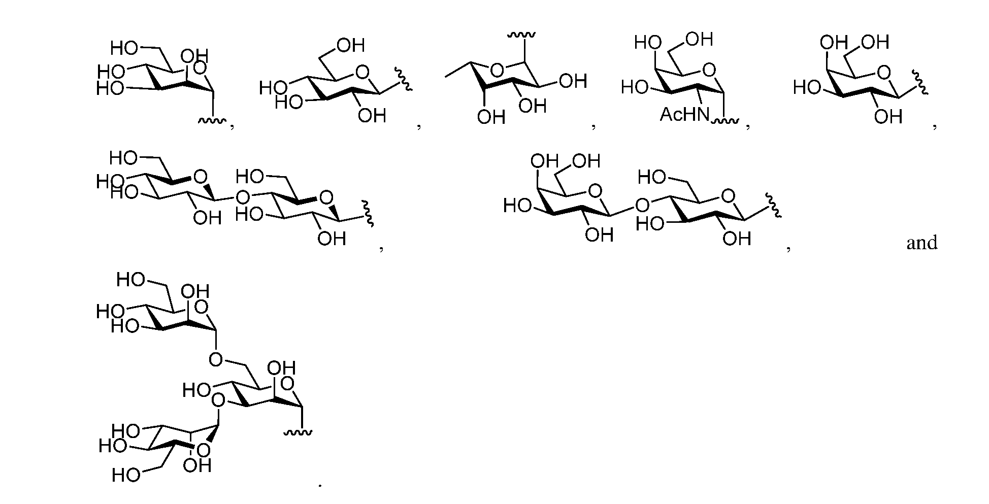
- Saccharide In some embodiments, a glycolipid compound comprises one or more saccharide units. As described herein, a saccharide refers to a carbohydrate having one or more sugar 5 residues.
- a “monosaccharide” (one saccharide ring, example monosaccharides ring include glucose, fructose, and galactose), a “disaccharide” (two saccharide rings connected to each other either directly or a linking atom, examples of disaccharides include lactose, maltose, and sucrose), a “trisaccharide” (three saccharide rings connected to each other either directly or via a linking atom, an example of a trisaccharide is mannose), an “oligosaccharide” (a 10 carbohydrate chain containing between 3 and 10 single sugar residues; example oligosaccharides include raffinose, stachyose, and verbascose) or a “polysaccharide” (a chain of 10 or more carhobydrate molecules).
- a glycolipid compound can comprise a derivative of a saccharide.
- the derivative of saccharides include oxides such as saccharic acid; reduced products such as sugar alcohol; and modified products such as amino 15 sugar, etherified sugar, halogenated sugar, and phosphorylated sugar.
- saccharides or derivatives thereof are referred to as “sugar(s)”.
- “monosaccharide” refers to a monomeric carbohydrate structural unit having a formula (CH 2 O) x , where conventionally x ⁇ 3.
- a monosaccharide can be linear or cyclic. Unless otherwise specified, as used herein, a monosaccharide unit is cyclic.
- Monosaccharides are 20 the building blocks of larger sugar complexes, such as oligosaccharides or polysaccharides.
- a monosaccharide is glucose (Glc), galactose (Gal), mannose (Man), fucose, ribose, arabinose, xylose, lixose, erythrose, furactose, psicose, N-acetyl glucosamine (GalNAc), N-acetylneuraminic acid (NeuAc), or derivatives thereof.
- a “disaccharide” refers to a sugar complex which comprises two 25 monosaccharide units bonded together by glycosidic linkage.
- disaccharides examples include sucrose, lactose, maltose, trehalose, lactulose, cellobiose, chitobiose, ⁇ , ⁇ ’-trehalose, ⁇ -(1 ⁇ 6)- mannobiose, and ⁇ -(1 ⁇ 2)-mannobiose, lactose, and derivatives thereof.
- a “trisaccharide” is a sugar complex which comprises three monosaccharide units bonded together by glycosidic linkage.
- a trisaccharide includes D- 30 mannopyranosyl- ⁇ -(1 ⁇ 3)-[(D-mannopyranosyl- ⁇ -(1 ⁇ 6)]-D-mannopyranose (“Man3” or “TriMan”), cellotriose, maltotriose, ⁇ -(1 ⁇ 6)-mannotriose, ⁇ -(1 ⁇ 2)-mannotriose, and derivatives thereof.
- oligosaccharide refers to a saccharide in which 3 to 10 monosaccharides are linked together.
- an oligosaccharide comprises a trisaccharide (i.e., three monosaccharide units linked together by glycosidic linkage).
- oligosaccharides include sucrose, trehalose, maltose, cellobiose, gentiobiose, isomaltose, nigerose, sophorose, 5 kojibiose, turanose, lactose, xylobiose, maltooligosaccharide, isomaltooligosaccharide, xylooligosaccharide, cyclodextrin, or a derivative thereof.
- Substituted or optionally substituted As described herein, compounds of the invention may contain “optionally substituted” moieties.
- substituted means that one or more hydrogens of the designated moiety are 10 replaced with a suitable substituent. “Substituted” applies to one or more hydrogens that are either each substitutable position of the group, and when more than one position in any given structure 15 may be substituted with more than one substituent selected from a specified group, the substituent may be either the same or different at every position. Combinations of substituents envisioned by this invention are preferably those that result in the formation of stable or chemically feasible compounds.
- stable refers to compounds that are not substantially altered when subjected to conditions to allow for their production, detection, and, in certain 20 embodiments, their recovery, purification, and use for one or more of the purposes provided herein.
- Groups described as being “substituted” preferably have between 1 and 4 substituents, more preferably 1 or 2 substituents.
- Groups described as being “optionally substituted” may be unsubstituted or be “substituted” as described above.
- Suitable monovalent substituents on R° are independently halogen, –(CH2)0– 2R ⁇ , –(haloR ⁇ ), –(CH 2 ) 0–2 OH, –(CH 2 ) 0–2 OR ⁇ , –(CH 2 ) 0–2 CH(OR ⁇ ) 2 , O(haloR ⁇ ), –CN, –N 3 , – (CH 2 ) 0–2 C(O)R ⁇ , –(CH 2 ) 0–2 C(O)OH, –(CH 2 ) 0–2 C(O)OR ⁇ , –(CH 2 ) 0–2 SR ⁇ , –(CH 2 ) 0–2 SH, –(CH 2 ) 0– 20 2 NH 2 , –(CH 2 ) 0–2 NHR ⁇ ,
- Suitable divalent substituents that are bound to vicinal substitutable carbons of an “optionally substituted” group include: –O(CR * 2)2–3O–, wherein each independent occurrence of R * is selected from hydrogen, C1–6 aliphatic which may be substituted as defined below, or an unsubstituted 5–6–membered saturated, partially unsaturated, or aryl ring having 0-4 heteroatoms independently selected from nitrogen, oxygen, or sulfur.
- Suitable substituents on the aliphatic group of R * include halogen, –R ⁇ , (haloR ⁇ ), OH, –OR ⁇ , – O(haloR ⁇ ), –CN, –C(O)OH, –C(O)OR ⁇ , –NH2, –NHR ⁇ , –NR ⁇ 2, or –NO2, wherein each R ⁇ is 5 unsubstituted or where preceded by “halo” is substituted only with one or more halogens, and is independently C1–4 aliphatic, –CH2Ph, –O(CH2)0–1Ph, or a 5- to 6-membered saturated, partially unsaturated, or aryl ring having 0-4 heteroatoms independently selected from nitrogen, oxygen, or sulfur.
- Suitable substituents on a substitutable nitrogen of an “optionally substituted” group include –R ⁇ , 10 –NR ⁇ 2, –C(O)R ⁇ , –C(O)OR ⁇ , –C(O)C(O)R ⁇ , –C(O)CH2C(O)R ⁇ , S(O)2R ⁇ , S(O)2NR ⁇ 2, –C(S)NR ⁇ 2, –C(NH)NR ⁇ 2 , or –N(R ⁇ )S(O) 2 R ⁇ ; wherein each R ⁇ is independently hydrogen, C 1–6 aliphatic which may be substituted as defined below, unsubstituted –OPh, or an unsubstituted 3- to 6- membered saturated, partially unsaturated, or aryl ring having 0-4 heteroatoms independently selected from nitrogen, oxygen, or sulfur, or, notwithstanding the definition above, two 15 independent occurrences of R ⁇ , taken
- Suitable substituents on the aliphatic group of R ⁇ are independently halogen, –R ⁇ , (haloR ⁇ ), –OH, –OR ⁇ , –O(haloR ⁇ ), –CN, –C(O)OH, –C(O)OR ⁇ , –NH2, –NHR ⁇ , –NR ⁇ 2, or NO2, wherein each 20 R ⁇ is unsubstituted or where preceded by “halo” is substituted only with one or more halogens, and is independently C 1–4 aliphatic, –CH 2 Ph, –O(CH 2 ) 0–1 Ph, or a 3- to 6-membered saturated, partially unsaturated, or aryl ring having 0-4 heteroatoms independently selected from nitrogen, oxygen, or sulfur.
- Small molecule means a low molecular weight 25 organic and/or inorganic compound.
- a “small molecule” is a molecule that is less than about 5 kilodaltons (kD) in size.
- a small molecule is less than about 4 kD, 3 kD, about 2 kD, or about 1 kD.
- the small molecule is less than about 800 daltons (D), about 600 D, about 500 D, about 400 D, about 300 D, about 200 D, or about 100 D.
- a small molecule is less than about 2000 g/mol, less than about 1500 30 g/mol, less than about 1000 g/mol, less than about 800 g/mol, or less than about 500 g/mol. In some embodiments, a small molecule is not a polymer.
- certain small molecule compounds described herein including, for example, glycolipid compounds described herein, may be provided and/or utilized in any of a variety of forms such as, for example, crystal forms (e.g., polymorphs, solvates, etc), salt forms, protected forms, pro-drug forms, ester forms, isomeric forms (e.g., optical and/or structural isomers), isotopic forms, etc.
- crystal forms e.g., polymorphs, solvates, etc
- salt forms protected forms
- pro-drug forms e.g., ester forms
- isomeric forms e.g., optical and/or structural isomers
- isotopic forms etc.
- certain small molecule compounds e.g., 5 glycolipid compounds described herein
- certain small molecule compounds e.g., 5 glycolipid compounds described herein
- such a small molecule may be utilized in accordance with the present disclosure in the form of an individual enantiomer, diastereomer or geometric isomer, or may be in the form of a mixture of stereoisomers; in some embodiments, such a small molecule may be utilized in accordance with the present disclosure in a racemic mixture form. 10
- certain small molecule compounds e.g., glycolipid compounds described herein
- such a small molecule may be utilized in accordance with the present disclosure in the form of an individual tautomer, or in a form that interconverts between tautomeric forms.
- small molecule compounds e.g., glycolipid compounds described herein
- structures that permit isotopic substitution e.g., 2 H or 3 H for H; 11 C, 13 C or 14 C for 12 C; 13 N or 15 N for 14 N; 17 O or 18 O for 16 O; 36 Cl for 35 Cl or 37 Cl; 18 F for 19 F; 1 31 I for 127 I; etc.
- such a small molecule may be utilized in accordance with the present disclosure in one or more isotopically modified forms, or mixtures thereof.
- reference to a particular small molecule compound e.g., glycolipid compounds described herein
- a particular small molecule compound may be provided and/or utilized in a salt form (e.g., in an acid-addition or base-addition salt form, depending on the compound); in some such embodiments, the salt form may be a pharmaceutically acceptable salt form. 25 In some embodiments, where a small molecule compound is one that exists or is found in nature, that compound may be provided and/or utilized in accordance in the present disclosure in a form different from that in which it exists or is found in nature.
- a preparation of a particular small molecule compound e.g., an glycolipid compound described herein
- a particular small molecule compound that contains an absolute or relative amount of 30 the compound, or of a particular form thereof, that is different from the absolute or relative (with respect to another component of the preparation including, for example, another form of the compound) amount of the compound or form that is present in a reference preparation of interest (e.g., in a primary sample from a source of interest such as a biological or environmental source) is distinct from the compound as it exists in the reference preparation or source.
- a preparation of a single stereoisomer of a small molecule compound may be considered to be a different form of the compound than a racemic mixture of the compound; a particular salt of a small molecule compound may be considered to be a different 5 form from another salt form of the compound; a preparation that contains only a form of the compound that contains one conformational isomer ((Z) or (E)) of a double bond may be considered to be a different form of the compound from one that contains the other conformational isomer ((E) or (Z)) of the double bond; a preparation in which one or more atoms is a different isotope than is present in a reference preparation may be considered to be a different form; etc.
- the symbol refers to a point of attachment between two atoms.
- Subject refers an organism, typically a mammal (e.g., a human, in some embodiments including prenatal human forms). In some embodiments, a subject is suffering from a relevant disease, disorder or condition. In some embodiments, a subject is 15 susceptible to a disease, disorder, or condition. In some embodiments, a subject displays one or more symptoms or characteristics of a disease, disorder or condition. In some embodiments, a subject does not display any symptom or characteristic of a disease, disorder, or condition.
- a subject is someone with one or more features characteristic of susceptibility to or risk of a disease, disorder, or condition.
- a subject is a patient.
- a subject is an individual to whom diagnosis and/or therapy is and/or has been administered.
- Tag refers to a molecule capable of detecting a target analyte.
- the tag can comprise, but is not limited to, a fluorescent molecule, chemiluminescent molecule, chromophore, enzyme, enzyme substrate, enzyme cofactor, enzyme inhibitor, dye, metal ion, 25 metal sol, ligand (e.g., biotin, avidin, streptavidin or haptens), radioactive isotope, and the like.
- the tag is fluorescent lab.
- a fluorescent label is also called a “fluorescent tag” or a “fluorophore”.
- a fluorophore is a molecule that absorbs light (i.e., excites) at a characteristic wavelength and emits light (i.e. fluoresces and emits a signal) at a second lower-energy wavelength.
- the 30 detectable agent may include, but is not limited to, one or more of the following fluorescent groups: coumarin, dansyl chloride, fluorescein, fluorescein isothiocyanate (FITC), tetrachlorofluorescein, hexachlorofluorescein, rhodamine, tetramethylrhodamine, tetramethylrhodamine isothiocyanate (TRITC), cyanine-derivative dyes, Texas Red, nitrobenz-2- oxa-1,3-diazol-4-yl (NBD), Bodipy, and Alexa dyes.
- fluorescent groups coumarin, dansyl chloride, fluorescein, fluorescein isothiocyanate (FITC), tetrachlorofluorescein, hexachlorofluorescein, rhodamine, tetramethylrhodamine, tetramethylrhodamine isothiocyanate (TRITC
- therapeutic agent in general refers to any agent that elicits a desired pharmacological effect when administered to an organism.
- an agent is considered to be a therapeutic agent if it demonstrates a statistically significant effect across an appropriate population.
- the appropriate population may be a population of model organisms.
- an appropriate population may be defined by various criteria, such as a certain age group, gender, genetic background, preexisting clinical conditions, etc.
- a therapeutic agent is a 10 substance that can be used to alleviate, ameliorate, relieve, inhibit, prevent, delay onset of, reduce severity of, and/or reduce incidence of one or more symptoms or features of a disease, disorder, and/or condition.
- a “therapeutic agent” is an agent that has been or is required to be approved by a government agency before it can be marketed for administration to humans.
- a “therapeutic agent” is an agent for which a medical prescription 15 is required for administration to humans.
- Therapeutically effective amount As used herein, is meant an amount that produces the desired effect for which it is administered.
- the term refers to an amount that is sufficient, when administered to a population suffering from or susceptible to a disease, disorder, and/or condition in accordance with a therapeutic dosing regimen, to treat the disease, disorder, 20 and/or condition.
- a therapeutically effective amount is one that reduces the incidence and/or severity of, and/or delays onset of, one or more symptoms of the disease, disorder, and/or condition.
- therapeutically effective amount does not in fact require successful treatment be achieved in a particular individual. Rather, a therapeutically effective amount may be that amount that provides 25 a particular desired pharmacological response in a significant number of subjects when administered to patients in need of such treatment.
- reference to a therapeutically effective amount may be a reference to an amount as measured in one or more specific tissues (e.g., a tissue affected by the disease, disorder or condition) or fluids (e.g., blood, saliva, serum, sweat, tears, urine, etc.).
- tissue e.g., a tissue affected by the disease, disorder or condition
- fluids e.g., blood, saliva, serum, sweat, tears, urine, etc.
- a therapeutically effective amount of a particular agent or therapy may be formulated and/or administered in a single dose.
- a therapeutically effective agent may be formulated and/or administered in a plurality of doses, for example, as part of a dosing regimen.
- Treat As used herein, the terms “treat,” “treatment,” or “treating” refer to any method used to partially or completely alleviate, ameliorate, relieve, inhibit, prevent, delay onset of, reduce severity of, and/or reduce incidence of one or more symptoms or features of a disease, disorder, and/or condition. Treatment may be administered to a subject who does not exhibit signs of a 5 disease, disorder, and/or condition. In some embodiments, treatment may be administered to a subject who exhibits only early signs of the disease, disorder, and/or condition, for example, for the purpose of decreasing the risk of developing pathology associated with the disease, disorder, and/or condition. Glycolipid Compounds 10 The present disclosure provides, among other things, particles comprising particular glycolipid compounds.
- Said glycolipid compounds comprise carbohydrate moieties, an optional stealth moiety (e.g., a polymer-linked moiety), and a hydrophobic region, referred to as a lipid tail.
- the glycolipid compounds of the present disclosure can be incorporated into particle such as lipid nanoparticles (LNPs) or lipoplexes (LPXs) and used for the delivery of, among other things, 15 nucleic acids such as RNA and DNA.
- LNPs lipid nanoparticles
- LPXs lipoplexes
- compositions comprising a compound that is glycolipid represented by formula I: G 1 -G 2 -G 3 I or a pharmaceutically acceptable salt thereof, wherein 25 G 1 is a glycodendron or a carbohydrate moiety; G 2 is a polymer-linker moiety comprising units selected from ethylene glycol, 2-(2-(2- aminoethoxy)ethoxy)acetic acid, and sarcoosine, or is an optionally substituted C2-C100 aliphatic group wherein one or more carbons are optionally and independently replaced by -Cy-, -NR Z -, - N(R Z )C(O)-, -C(O)N(R Z )-, -N(R Z )C(O)O-, -OC(O)N(R Z )-, -N(R Z )C(O)N(R Z ) -, -OC(O)O-, -O-, 30 -C
- G 1 is a glycodendron or a carbohydrate moiety.
- a glycodendron moiety refers to a branched moiety that comprises one or more carbohydrate rings.
- a glycodendron moiety is represented by formula I’: each G 5 is independently selected from optionally substituted C 1 -C 6 aliphatic and optionally substituted 2- to 12-membered heteroaliphatic; each G 6 is a monosaccharide, a disaccharide, a trisaccharide, or an oligosaccharide; and 15 x 3 is 1 or 2.
- G 4 is C.
- G 5 is optionally substituted C1-C6 aliphatic. In some embodiments, G 5 is optionally substituted C1-C6 alkylene. In some embodiments, G 5 is optionally substituted 2- to 12-membered heteroaliphatic. 25 In some embodiments, G 5 is optionally substituted 2- to 6- membered heteroaliphatic. In some embodiments, G 5 is: where * represents a point of attachment to G 4 . As described herein, G 6 is, at each instance, a monosaccharide, a disaccharide, a trisaccharide, or an oligosaccharide. In some embodiments, G 6 is a monosaccharide.
- G 6 is a trisaccharide wherein the trisaccharide comprises monosaccharide units selected from: N- 10 acetylgalactosamine (GalNAc), mannose (Man), fucose (Fuc), glucose (Glc), and galactose (Gal).
- G 6 is D-mannopyranosyl- ⁇ -(1 ⁇ 3)-[(D-mannopyranosyl- ⁇ -(1 ⁇ 6)]-D- mannopyranose (Man3 or TriMan).
- G 1 is a carbohydrate moiety.
- G 1 is a disaccharide wherein the disaccharide comprises monosaccharide units selected from: N-acetylgalactosamine (GalNAc), mannose (Man), fucose (Fuc), glucose (Glc), and galactose (Gal).
- G 1 is a trisaccharide.
- G 1 is a20 trisaccharide wherein the trisaccharide comprises monosaccharide units selected from: N- acetylgalactosamine (GalNAc), mannose (Man), fucose (Fuc), glucose (Glc), and galactose (Gal).
- G 1 is D-mannopyranosyl- ⁇ -(1 ⁇ 3)-[(D-mannopyranosyl- ⁇ -(1 ⁇ 6)]-D- mannopyranose (Man3 or TriMan).
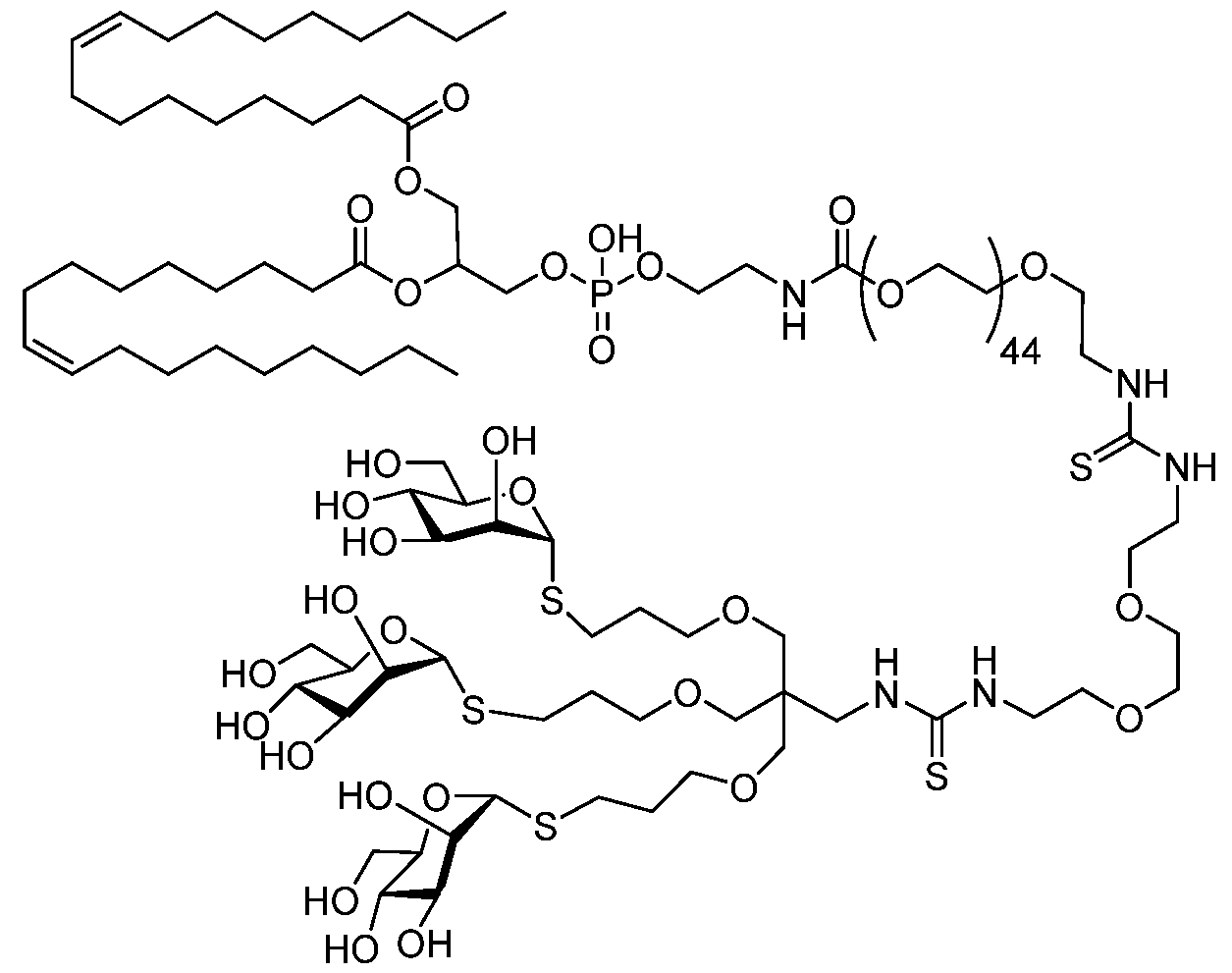
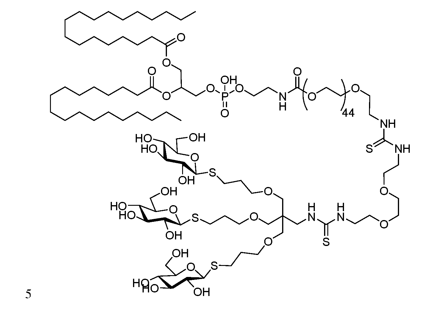
- G 3 is a lipid or phospholipid. In some embodiments, G 3 is a lipid. In some 25 embodiments, G 3 is an aliphatic lipid.
- An aliphatic lipid refers to a moiety that is hydrophobic and comprises a long-chain (e.g., 12 or more carbon atoms), saturated or unsaturated, linear or branched, acyclic, cyclic, or polycyclic hydrocarbons, alcohols, aldehydes, or carboxylic acids.
- G 3 is an aliphatic lipid comprising optionally substituted C12-C50 aliphatic.
- G 3 is optionally substituted C 12 -C 50 straight chain aliphatic.
- G 3 is optionally substituted C 12 -C 50 branched aliphatic.
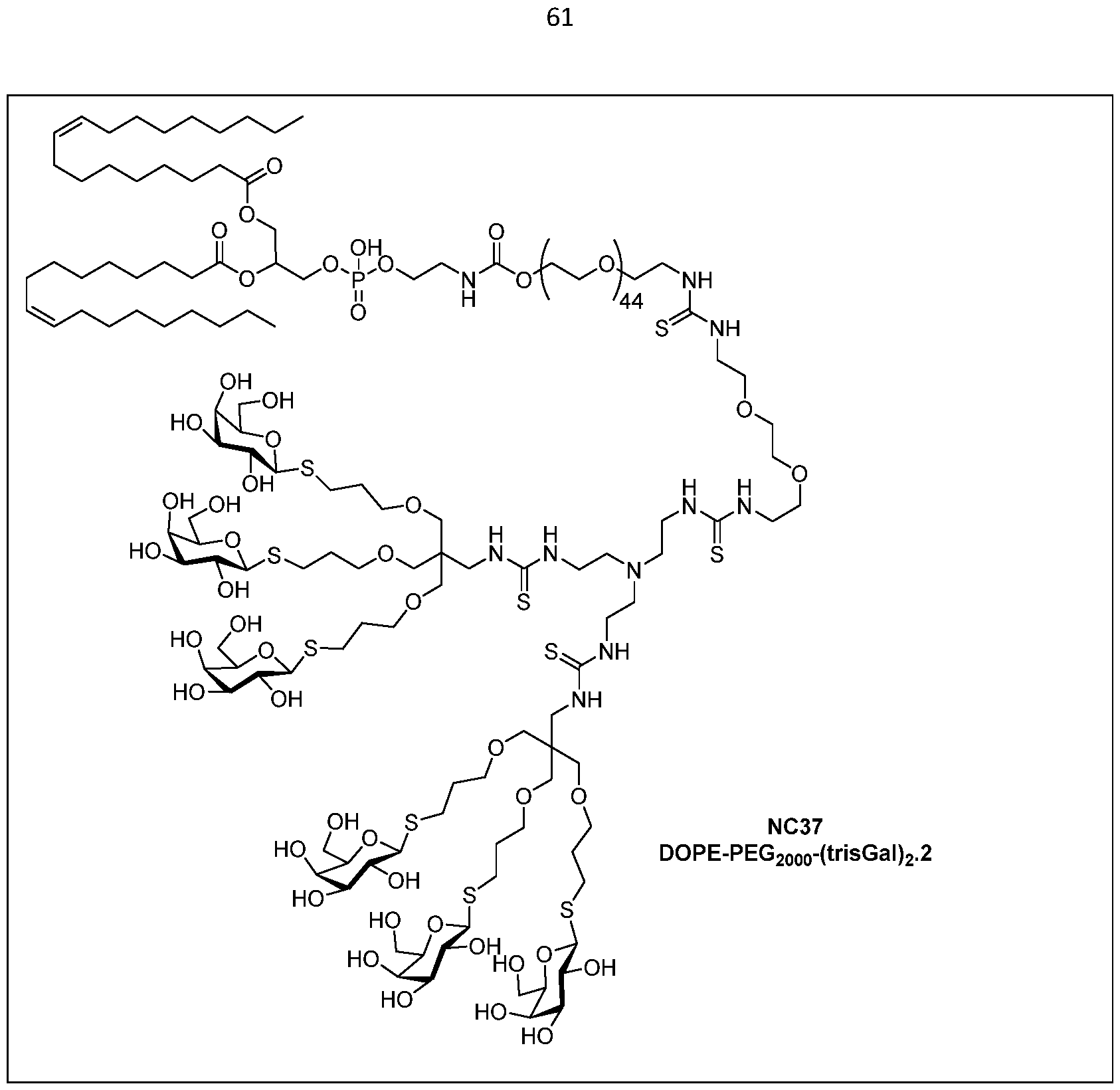
- G 3 is optionally substituted C12-C20 alkyl. In some embodiments, G 3 is: In some embodiments, G ments, G 3 is a phospholipid comprising an aliphatic lipid moiety and a phosphate (PO 3 OH) group. In some embodiments, a G 3 is a phospholipid selected from 1,2-DiOleyl-sn-glycero-3-PhosphoEthanolamine (DOPE) and 1,2-DiStearoyl-sn-glycero-3-PhosphoEthanolamine (DSPE).
- DOPE 1,2-DiOleyl-sn-glycero-3-PhosphoEthanolamine
- DSPE 1,2-DiStearoyl-sn-glycero-3-PhosphoEthanolamine
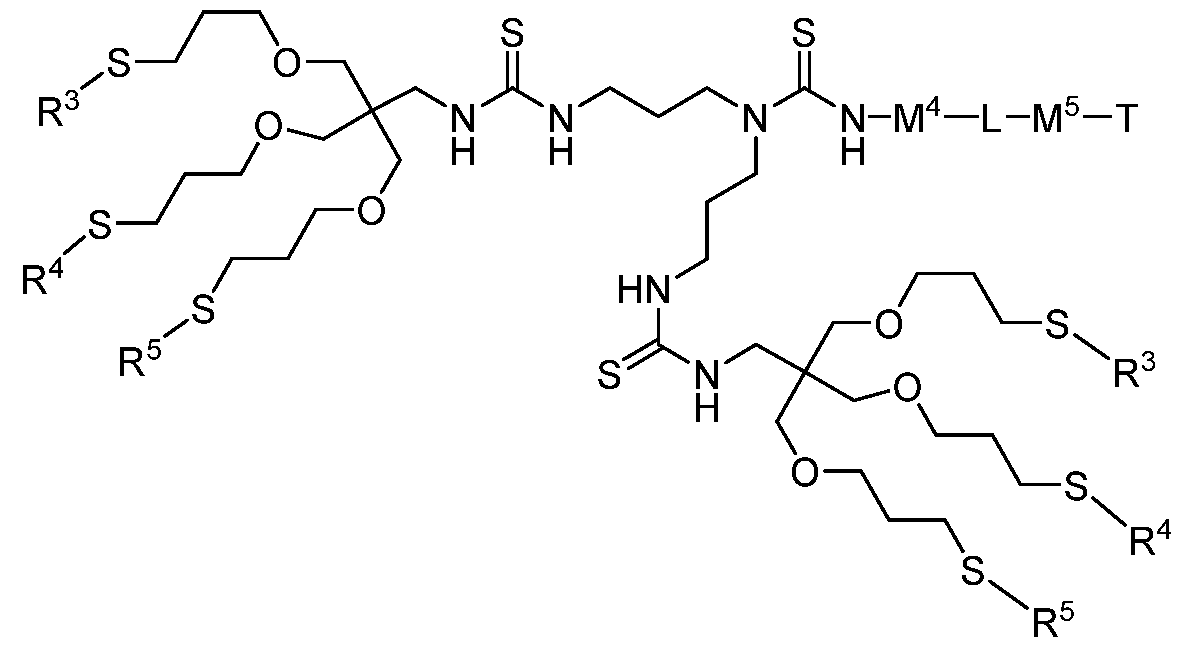
- the present disclosure provides A particle comprising one or more glycolipids and a nucleic acid, wherein the one or more glycolipids are represented by formula II: 5 II
- R 1 is -A, -M 1 -M 2 -A, or -M 3 -N(-M 1 -M 2 -A)2
- R 2 is -H, -A, -M 1 -M 2 -A, or -M 3 -N(-M 1 -M 2 -A) 2
- each M 1 is independently an optionally substituted C2-C12 aliphatic or 2- to 12-membered 10 heteroaliphatic
- each M 2 is independently –NHC(S)NH-, -NHS(O)2-, -NHC(O)-, -C(O)NH-, -C(O)O-, or -OC(O)-
- each M 3 is independently an optionally substituted C 2 -C 12 aliphatic or 2- to 12-membered heteroaliphatic;
- a compound represented by formula I is a compound represented by formula II.
- G 1 in formula I corresponds to a moiety: 5 as it is described with respect to formula II.
- G 2 in formula I corresponds to a moiety L as it is described with respect to formula II.
- G 3 in formula I corresponds to a moiety T as it is described with respect to formula II.
- Said compounds of formula II represent new glycolipid compounds useful for, among other things, forming complexes for targeted delivery of therapeutic agents, such as nucleic acids, including various forms of ribonucleic acid.
- the presently provided compounds represent 15 improvements over previous lipids for similar use, in that the presently claimed compound exhibit reduced inflammatory response, and further can be used to target of particular features on cells, such as antigen presenting cells, while also promoting substantially complete RNA encapsulating (i.e., almost no free RNA, that is, greater than 90% of RNA is encapsulated within a particle) with minimal to no RNA degradation.
- Said particles comprising lipid compounds of formula II exhibit 20 good particle characteristics (e.g., ⁇ 150 nm in size, ⁇ 0.3 PDI), and further particles comprising lipid compounds described herein, such as lipid compounds of formula II are found to improve transfection efficiency into cells.
- R 1 is -A, -M 1 -M 2 -A, -M 3 -N(-M 1 -M 2 -A) 2 .
- R 1 is –A.
- R 1 is –M 1 -M 2 -A.
- R 1 is -M 3 -N(-M 1 -M 2 -A) 2 .
- R 2 is -H, -A, -M 1 -M 2 -A, -M 3 -N(-M 1 -M 2 -A)2. In some embodiments, R 2 is -A, -M 1 -M 2 -A, -M 3 -N(-M 1 -M 2 -A)2. In some embodiments, R 2 is –A. In some embodiments, R 2 is –M 1 -M 2 -A. In some embodiments, R 2 is -M 3 -N(-M 1 -M 2 -A) 2 .
- R 1 is -A, -M 1 -M 2 -A, -M 3 -N(-M 1 -M 2 -A)2, and R 2 is -A, -M 1 -M 2 -A, -M 3 -N(- 5 M 1 -M 2 -A)2.
- R 1 is -A, -M 1 -M 2 -A, -M 3 -N(-M 1 -M 2 -A)2, and R 2 is H.
- R 1 is –A, and R 2 is H.
- R 1 is -M 1 -M 2 -A and R 2 is H.
- R 1 is -M 3 -N(-M 1 -M 2 -A) 2 and R 2 is H. In some embodiments, R 1 is –A and R 2 is –A. In some embodiments, R 1 is -M 1 -M 2 -A and R 2 is -M 1 -M 2 -A. In some embodiments, R 1 is -M 3 -N(-M 1 -M 2 -A) 2 and R 2 is -M 3 -N(-M 1 -M 2 -A) 2 . 10 As described herein, each A is –A 1 -X-A 2 .
- each A 1 is, independently, at each instance, a bond, optionally substituted C2-C12 aliphatic, optionally substituted 2- to 12-membered heteroaliphatic, optionally substituted C6-C12 aryl, optionally substituted C3-C12 cycloaliphatic, optionally substituted 4- to 12- membered heterocycle, or optionally substituted 5- to 12-membered heteroaryl.
- a 1 is a bond.
- a 1 is optionally substituted C2-C12 aliphatic.
- a 1 is optionally substituted C 2 -C 6 aliphatic.
- a 1 is C 1 -C 6 alkylene.
- a 1 is methylene, ethylene, propylene, butylene, pentylene, or hexylene. In some embodiments, A 1 is optionally substituted 2- to 12-membered heteroaliphatic. In some 20 embodiments, A 1 is optionally substituted 2- to 6-membered heteroaliphatic. In some embodiments, A 1 is optionally substituted C6-C12 aryl. In some embodiments, A 1 is optionally substituted phenyl. In some embodiments, A 1 is: In some embodiments, A 1 is optionally substituted C 3 -C 12 cycloaliphatic. In some embodiments, 25 A 1 is optionally substituted C 3 -C 6 cycloaliphatic.
- a 1 is optionally substituted C 3 -C 6 cycloalkylene. In some embodiments, A 1 is optionally substituted cycopropylene, cyclobutylene, cyclopentylene, cyclohexylene. In some embodiments, A 1 is 4- to 12-membered heterocycle. In some embodiments, A 1 is 4- to 6-membered heterocycle. In some embodiments, A 1 is azetidine, pyrrolidine, or piperidine. In some embodiments, A 1 is 5- to 12-membered heteroaryl. In some embodiments, A 1 is 5- to 6- membered heteroaryl.
- a 1 is imidazole, pyrrole, pyrazole, pyridine, pyrazine, or pyrimidine.
- each X is independently a bond, -(CH2)1-6- -NH-, -S-, or –O-.
- X is –(CH2)1-6-.
- X is -CH2-.
- X is - CH2-CH2-.
- X is -CH2-CH2-CH2-.
- X is -CH2-CH2-CH2-.
- X is -CH2-CH2- CH 2 -CH 2 -.
- X is -CH 2 -CH 2 -.
- X is -CH 2 -CH 2 -CH 2 -CH 2 -CH 2 -.
- X is -CH 2 -CH 2 -CH 2 -CH 2 -CH 2 -CH 2 -CH 2 -. In some embodiments, X is a bond. In some embodiments, X is –NH-. In some embodiments, X is –S-. In some embodiments, X is –O-. 10 In some embodiments, A 1 is C6-C12 aryl and X is –O-. In some embodiments, A 1 is phenyl and X is –O-. In some embodiments, A 1 is C 2 -C 6 aliphatic and X is a bond.
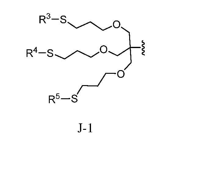
- each A 2 is independently a monosaccharide, disaccharide, an oligosaccharide, a fluorescent tag, or a moiety of formula J: wherein at least one instance of A 2 is a monosaccharide, disaccharide, an oligosaccharide, or a moiety of formula J.
- a 2 is a monosaccharide.
- a 2 is a monosaccharide 20 selected from N-acetylgalactosamine (GalNAc), mannose (Man), fucose (Fuc), glucose (Glc) and galactose (Gal).
- a 2 is a disaccharide.
- a 2 is a disaccharide wherein the disaccharide comprises monosaccharide units selected from: N- acetylgalactosamine (GalNAc), mannose (Man), fucose (Fuc), glucose (Glc), and galactose (Gal).
- a 2 is a trisaccharide.
- a 2 is a trisaccharide wherein 25 the trisaccharide comprises monosaccharide units selected from: N-acetylgalactosamine (GalNAc), mannose (Man), fucose (Fuc), glucose (Glc), and galactose (Gal).
- a 2 is D-mannopyranosyl- ⁇ -(1 ⁇ 3)-[(D-mannopyranosyl- ⁇ -(1 ⁇ 6)]-D- mannopyranose (Man 3 or TriMan).
- each A 2 is independently selected from:
- a 2 is: In some embodiments, A 1 -X-A 2 In some embodiments, A 10 In some embodiments, A 1 is a b ety of formula J: J As described herein, each X’ is independently, at each occurrence, a bond, –NH-, -S-, -S(O)2-, or –O-. In some embodiments, X’ is a bond. In some embodiments, X’ is -NH-. In some 5 emeobidments, X’ is -S-. In some embodiments, X’ is -S(O)2-. In some embodiments, X’ is -O- .
- each A 3 is independently, at each occurrence, a bond, optionally substituted C2-C12 aliphatic or 2- to 12-membered heteroaliphatic, optionally substituted C6-C12 aryl, optionally substituted C3-C12 cycloaliphatic, optionally substituted 4- to 12-membered 10 heterocycle, or optionally substituted 5- to 12-membered heteroaryl.
- a 3 is optionally substituted C2-C12 aliphatic.
- a 3 is optionally substituted C2-C6 aliphatic.
- a 3 is optionally substituted C2-C6 alkyl.
- a 3 is optionally substituted 2- to 10 membered heteroaliphatic.
- a 3 is 2- to 5-membered heteroaliphatic comprising one or more sulfur atoms. 15 In some embodiments, A 3 is , where * represents a point of attachment to R 3 , R 4 , or R 5 . In some embodiments, A 3 is optionally substituted C 6 -C 12 aryl. In some embodiments, A 3 is optionally substituted C 3 -C 12 cycloaliphatic. In some embodiments, A 3 is optionally substituted 4- to 12-membered heterocycle. In some embodiments, A 3 is optionally substituted 5- to 12- 20 membered heteroaryl. In some embodiments, A 3 is optionally substituted C 2 -C 6 aliphatic or optionally substituted 2- to 6-membed heteroaliphatic.
- a 3 is optionally substituted C2-C6 aliphatic and X’ is -S-.
- each of R 3 , R 4 , and R 5 is each independently at each occurrence a 25 monosaccharide, a disaccharide, or an oligosaccharide.
- R 3 is a monosaccharide, disaccharide, or an oligosaccharide.
- R 4 is a monosaccharide, disaccharide, or an oligosaccharide.
- R 5 is a monosaccharide, disaccharide, or an oligosaccharide.
- each of R 3 , R 4 , and R 5 is a monosaccharide, disaccharide, or an oligosaccharide, wherein the oligosaccharide is a trisaccharide.
- R 3 , R 4 , and R 5 are each a monosaccharide.
- R 3 , R 4 , and R 5 are each a disaccharide.
- R 3 , R 4 , and R 5 are each an oligosaccharide, 5 wherein the oligosaccharide is a trisaccharide.
- R 3 , R 4 , and R 5 are each an oligosaccharide.
- R 3 is a monosaccharide, and R 4 and R 5 are each independently a disaccharide, or an oligosaccharide.
- R 4 is a monosaccharide, and R 3 and R 5 are each independently a disaccharide, or an oligosaccharide.
- R 5 is a monosaccharide, and R 3 and R 4 are each independently a disaccharide, 10 or an oligosaccharide.
- R 3 is a disaccharide, and R 4 and R 5 are each independently a monosaccharide, or an oligosaccharide.
- R 4 is a disaccharide, and R 3 and R 5 are each independently a monosaccharide, or an oligosaccharide.
- R 5 is a disaccharide, and R 3 and R 4 are each independently a monosaccharide, or an oligosaccharide.
- R 3 is an oligosaccharide, and R 4 and R 5 are each 15 independently a monosaccharide or a disaccharide.
- R 4 is an oligosaccharide, and R 3 and R 5 are each independently a monosaccharide or a disaccharide.
- R 5 is an oligosaccharide
- R 3 and R 4 are each independently a monosaccharide or a disaccharide.
- one or more of R 3 , R 4 , and R 5 is a monosaccharide selected from the group 20 consisting of mannose, galactose, fucose, glucose, N-acetylglucosamine, N-acetylneuraminic acid, and derivatives thereof.
- one or more of R 3 , R 4 , and R 5 is a disaccharide selected from the group consisting of ⁇ , ⁇ ’-trehalose, sucrose, cellobiose, maltose, ⁇ -(1 ⁇ 6)-mannobiose, ⁇ -(1 ⁇ 2)- mannobiose, lactose and derivatives thereof.
- one or more of R 3 , R 4 , and R 5 is an oligosaccharide, wherein the oligosaccharide is a trisaccharide selected from D-mannopyranosyl- ⁇ -(1 ⁇ 3)-[(D- mannopyranosyl- ⁇ -(1 ⁇ 6)]-D-mannopyranose (Man3 or TriMan), cellotriose, maltotriose, ⁇ - (1 ⁇ 6)-mannotriose, ⁇ -(1 ⁇ 2)-mannotriose, and derivatives thereof.
- one or more of R 3 , R 4 , and R 5 is a branched oligosaccharide comprising 30 from 4 to 9 mannopyranosyl units selected from the family of the High Mannose Oligosaccharide (HMOs)-type oligosaccharides, or a linear oligosaccharide comprising from 4 to 7 monosaccharide units selected form the families of the cello(n)ose-, malto(n)ose-, ⁇ -(1 ⁇ 6)- manno(n)ose- and ⁇ -(1 ⁇ 2)-manno(n)ose-type olgosaccharides, and derivatives thereof.
- HMOs High Mannose Oligosaccharide
- R 3 , R 4 , and R 5 are each independently selected from: In some embodiments R 3 , R 4 , and R 5 are each independently selected from: , wherein R 3 , R 4 , and R 5 are as described in classes and subclasses herein. In some embodiments, a moiety of formula J is a moiety selected from: , ,
- M 1 is an optionally substituted C 2 -C 12 5 aliphatic. In some embodiments, M 1 is an optionally substituted C 2 -C 6 aliphatic. In some embodiments, M 1 is optionally substituted C 2 -C 6 alkyl. In some embodiments, M 1 is ethylene, propylene, butylene, pentylene, or hexylene.
- each M 2 is independently –NHC(S)NH-, -NHS(O) 2 -, -NHC(O)-, -C(O)NH- , -C(O)O-, or -OC(O)-
- M 2 is –NHC(S)NH-.
- M 2 is 10 –NHS(O)2-.
- M 2 is -NHC(O)-.
- M 2 is -C(O)NH-.
- M 2 is -C(O)O-.
- M 2 is or -OC(O)-.
- each M 3 is independently an optionally substituted C 2 -C 12 aliphatic or optionally substituted 2- to 12-membered heteroaliphatic. In some embodiments, M 3 is optionally substituted C2-C6 alkyl. In some embodiments, M 3 is ethylene, propylene, butylene, pentylene, 15 or hexylene. In some embodiments, R 1 is -M 3 -N(-M 1 -M 2 -A) 2 , R 2 is H, each A is –A 1 -X-A 2 , one instance of A 2 is a fluorescent tag, and one instance of A 2 is a moiety of formula J.
- R 1 is -M 3 -N(-M 1 -M 2 -A)2, R 2 is H, M 3 is C1-C6 aliphatic, each M 1 is C1-C6 aliphatic, one of M 2 is – NHC(S)NH-, the other M 2 is –NHS(O)2-, each A is –A 1 -X-A 2 , each A 1 is a bond, each X is a bond, one instance of A 2 is a fluorescent tag, and one instance of A 2 is a moiety of formula J.
- R 1 is -M 1 -M 2 -A
- R 2 is -M 1 -M 2 -A
- each A is –A 1 -X-A 2
- each A 2 is a 5 moiety of formula J.
- R 1 is -M 1 -M 2 -A
- R 2 is -M 1 -M 2 -A
- each M 1 is C1-C6 aliphatic
- each M 2 is –NHC(S)NH-
- each A is –A 1 -X-A 2
- each A 1 is a bond
- each X is a bond
- each A 2 is a moiety of formula J.
- R 1 is -A
- R 2 is H, where A is A 1 -X-A 2 , A 1 is a bond, X is a bond, and A 2 is a formula of moiety J. 10
- R 1 is -A
- R 2 is H, where A is A 1 -X-A 2 , A 1 is a phenyl, X is a –O-, and A 2 is a trisaccharide.
- R 1 is -A
- R 2 is H, where A is A 1 -X-A 2 , A 1 is a phenyl, X is a –O-, and A 2 is TriMan.
- M 4 is optionally substituted C 2 -C 6 aliphatic-NHC(S)NH-, or optionally substituted 2- to 10-membered heteroaliphatic-NHC(S)NH-.
- a – 15 NHC(S)NH- moiety of M 4 is attached to moiety L in formula II.
- M 4 is optionally substituted C2-C6 aliphatic-NHC(S)NH-*, where * indicates a point of attachment to moiety L of formula II.
- M 4 is –C1-C6 alkylene-NHC(S)NH-.
- M 4 is optionally substituted 2- to 10-membered heteroaliphatic- NHC(S)NH-*, where * indicates a point of attachment to moiety L of formula II.
- M 4 is: where * indicates a p
- L is a polymeric moiety that comprises monomers of ethylene glycol, sarcosine, 2-(2-(2-aminoethoxy)ethoxy)acetic acid, or a combination thereof, or is an optionally 25 substituted C20-C100 aliphatic group wherein one or more carbons are optionally and independently replaced by -Cy-, -NR Z -, -N(R Z )C(O)-, -C(O)N(R Z )-, -N(R Z )C(O)O-, -OC(O)N(R Z )-, - N(R Z )C(O)N(R Z ) -, -OC(O)O-, -, - N(R Z )C(
- L is a polymeric moiety that comprises monomers of ethylene glycol, sarcosine, 2-(2-(2-aminoethoxy)ethoxy)acetic acid.
- L is a polymeric 5 moiety that comprises monomers of ethylene glycol, i.e., a monomer having a repeating unit represented by:
- L is a polymeric moiety that comprises between about 20 and about 100 ethylene glycol monomer units.
- L is a polymeric moiety that comprises 10 between about 30 and about 80 ethylene glycol monomer units.
- L is a polymeric moiety that comprises between about 40 and about 60 ethylene glycol monomer units.
- L is a polymeric moiety that comprises between about 40 and about 50 ethylene glycol monomer units. In some embodiments, L is a polymeric moiety that comprises about 44 ethylene glycol monomer units. 15 In some embodiments, L is a polymeric moiety that comprises monomers of sarcosine, i.e., a monomer having a repeating unit represented by formula: In some embodiments, L is a polymeric moiety that comprises between about 10 and about 50 sarcosine monomer units. In some embodiments, L is a polymeric moiety that comprises between 20 about 10 and about 40 sarcosine monomer units.
- L is a polymeric moiety that comprises between about 15 and about 30 sarcosine monomer units. In some embodiments, L is a polymeric moiety that comprises between about 20 and about 25 sarcosine monomer units. In some embodiments, L is a polymeric moiety that comprises about 22 or 23 sarcosine monomer units. 25 In some embodiments, L is a polymeric moiety that comprises monomers of 2-(2-(2- aminoethoxy)ethoxy)acetic acid (“AEEA”), i.e., a monomer having a repeating unit represented by formula: In some embodiments, L is a polymeric moiety that comprises between about 5 and about 50 AEEA monomer units.
- AEEA 2-(2-(2- aminoethoxy)ethoxy)acetic acid
- L is a polymeric moiety that comprises between about 5 and about 40 AEEA monomer units. In some embodiments, L is a polymeric moiety that 5 comprises between about 5 and about 30 AEEA monomer units. In some embodiments, L is a polymeric moiety that comprises between about 5 and about 20 AEEA monomer units. In some embodiments, L is a polymeric moiety that comprises between about 5 and about 10 AEEA monomer units. In some embodiments, L is a polymer comprising a combination of monomers of ethylene glycol, 10 sarcosine, and/or AEEA (i.e., is a heteropolymer).
- L is C2-C10 aliphatic. In some embodiments, L is C2-C6 alkylene. In some embodiments, L is methylene, ethylene, propylene, butylene, pentylene, or hexylene.
- M 5 is –OC(O)NH-. In some embodiments, 5 M 5 is -NHC(O)O-. In some embodiments, M 5 is -NHC(O)-. In some embodiments, M 5 is -C(O)- NH-. In some embodiments, M 5 is -C1-C aliphatic-C(O)NH-. In some embodiments, M 5 is - NHC(O)-C1-C6 aliphatic. In some embodiments, M 5 is –NHC(O)-CH2-CH2-*, where * indicates a point of attachment to T.
- x1 is 6.
- each R 7 is –(CH2)x2-M 6 -R 8 .
- each M 6 is independently –OC(O)-, -C(O)O-, -C(O)-, -C(S)-, -NHC(O)-, - C(O)NH-, -S-, -S-S-, and -S(O) 2 -.
- M 6 is –OC(O)-.
- M 6 is -C(O)O-.
- M 6 is -C(O)-.
- M 6 is -C(S)-.
- M 6 is -NHC(O)-. In some embodiments, M 6 is -C(O)NH-. In some embodiments, M 6 is -S-. In some embodiments, M 6 is -S-S-. In some embodiments, M 6 is -S(O)2- .
- each x2 is independently selected from 0, 1, and 2. In some embodiments, x2 is 0. In some embodiments, x2 is 1. In some embodiments, x2 is 2.
- each R 8 is independently optionally substituted C 10 -C 20 aliphatic or 10- to 20-membered heteroaliphatic. In some embodiments, R 8 is optionally substituted C10-C20 5 aliphatic.
- R 8 is C10-C20 straight chain alkyl. In some embodiments, R 8 is C10-C20 straight chain alkenyl. In some embodiments, each R 8 is independently selected from: or In some embodiments, R 8 is optionally substituted 10- to 20-membered heteroaliphatic. In some embodiments, R 7 is –CH2-M 6 -R 8 . In some embodiments, R 7 is –M 6 -R 8 . In some 10 embodiments, R 7 is –CH2-OC(O)-R 8 . In some embodiments, R 7 is –OC(O)-R 8 .
- a compound of formula II is represented by formula II-3: II-3 or a pharmaceutically acceptable salt thereof, wherein R 3 , R 4 , R 5 , M 4 , L, M 5 , and T are as described in classes and subclasses herein. 15 In some embodiments, a compound of formula II is represented by formula II-4:
- a compound of formula II is represented by formula II-7: 5 II-7 or a pharmaceutically acceptable salt thereof, wherein A 2 , L, M 5 , and T are as described in classes and subclasses herein.
- a compound of formula II is represented by formula III-1: S R 1 O 4 H N N (M ) L O N 7 H n P R R 2 O O O OH R 7 10 III-1 or a pharmaceutically acceptable salt thereof, wherein R 1 , R 2 , M 4 , n, L, and R 7 are as described in classes and subclasses herein.
- a compound of formula II is represented by formula III-2: 15 III-2 or a pharmaceutically acceptable salt thereof, wherein R 1 , R 2 , M 4 , n, L, and R 8 are as described in classes and subclasses herein.
- a compound of formula I is represented by formula IV: IV or a pharmaceutically acceptable salt thereof, wherein: R 90 is –A ’ or -M 7 -M 8 -A ’ ; 5 R 100 is H, -A’ or -M 7 -M 8 -A ’ ; each R 110 is independently H or optionally substituted C1-C6 aliphatic; each A ’ is independently A 4 -X 2 -A 5 ; each A 4 is independently a optionally substituted C1-C6 aliphatic, optionally substituted C6-C12 aryl, optionally substituted C 3 -C 12 cycloaliphatic, 4- to 12-membered heterocycle, or 5- to 12- 10 membered heteroaryl; each X 2 is independently a bond, –NH-, -S-, or –O-; each A 5 is independently a monosaccharide, disaccharide, a trisaccharide; T’ is optionally substituted
- R 90 is –A ’ or -M 7 -M 8 -A ’ . In some embodiments, 25 R 90 is –A’. In some embodiments, R 90 is -M 7 -M 8 -A ’ . As described herein with respect to formula IV, R 100 is H, -A’ or -M 7 -M 8 -A ’ . In some embodiments, R 100 is -A’ or -M 7 -M 8 -A ’ . In some embodiments, R 100 is H. In some embodiments, R 100 is –A’. In some embodiments R 100 -M 7 -M 8 -A ’ .
- R 90 is –A ’ or -M 7 -M 8 -A ’ and R 100 is H.
- R 90 is –A’ 5 and R 100 is H.
- R 90 is -M 7 -M 8 -A ’ and R 100 is H.
- R 90 is –A’ and R 100 is –A’.
- R 90 is -M 7 -M 8 -A ’ and R 100 is –A’.
- R 90 is -M 7 -M 8 -A ’ and R 100 is -M 7 -M 8 -A ’ .
- each R 110 is independently H or optionally substituted C1-C6 aliphatic.
- R 110 is H.
- R 110 is C1- 10 C6 aliphatic.
- R 110 is C1-C6 alkyl.
- R 110 is methyl, ethyl, propyl, butyl, pentyl or hexyl.
- R 110 is –CH 3 .
- each A ’ is independently A 4 -X 2 -A 5 .
- each A 4 is independently optionally substituted C 1 -C 6 aliphatic, optionally substituted C 6 -C 12 aryl, optionally substituted C 3 -C 12 cycloaliphatic, 4- 15 to 12-membered heterocycle, or 5- to 12-membered heteroaryl.
- a 4 is optionally substituted C1-C6 aliphatic.
- a 4 is optionally substituted C1-C6 alkylene.
- a 4 is optionally substituted C 6 -C 12 aryl.
- a 4 is optionally substituted phenyl.
- a 4 is 20 In some embodiments, A 4 is optionally 3-C12 cycloaliphatic. In some embodiments, A 4 is optionally substituted 4- to 12-membered heterocycle. In some embodiments, A 4 is optionally substituted 5- to 12-membered heteroaryl. In some embodiments, each A 4 is independently optionally substituted C1-C6 aliphatic or 25 optionally substituted C6-C12 aryl.
- each X 2 is independently a bond, –NH-, -S-, or – O-. In some embodiments, X 2 is a bond. In some embodiments, X 2 is –NH-. In some embodiments, X 2 is –S-.
- each A 5 is independently a monosaccharide, disaccharide, a trisaccharide. In some embodiments, A 5 is a monosaccharide. In some embodiments, A 5 is a monosaccharide 5 selected from N-acetylgalactosamine (GalNAc), mannose (Man), fucose (Fuc), glucose (Glc) and galactose (Gal). In some embodiments, A 5 is a disaccharide.
- a 2 is a disaccharide wherein the disaccharide comprises monosaccharide units selected from: N- acetylgalactosamine (GalNAc), mannose (Man), fucose (Fuc), glucose (Glc), and galactose (Gal).
- a 5 is a trisaccharide.
- a 5 is a trisaccharide wherein 10 the trisaccharide comprises monosaccharide units selected from: N-acetylgalactosamine (GalNAc), mannose (Man), fucose (Fuc), glucose (Glc), and galactose (Gal).
- a 5 is D-mannopyranosyl- ⁇ -(1 ⁇ 3)-[(D-mannopyranosyl- ⁇ -(1 ⁇ 6)]-D- mannopyranose (Man3 or TriMan). In some embodiments, A 5 is selected from: 15 , , , , , , and . As described herein with respect to formula IV, T’ is optionally substituted C10-C20 aliphatic, or a moiety of formula B’: 20 B’ In some embodiments, T’ is optionally substituted C 10 -C 20 aliphatic. In some embodiments, T’ is optionally substituted C10-C20 straight chained alkyl.
- T’ is: 5
- T’ is a moiety of formula B’: B’ 10
- x3 is an integer selected from 1 to 6 (i.e., is 1, 2, 3, 4, 5, or 6).
- x3 is 1.
- x3 is 2.
- x3 is 3.
- x3 is 4.
- x3 is 5.
- x3 is 6.
- each R 120 is independently –(CH 2 ) x4 -M 9 -R 130 .15
- each M 9 is independently –OC(O)-, -C(O)O-, - C(O)-, -C(S)-, -NHC(O)-, -C(O)NH-, -S-, -S-S-, and -S(O)2-.
- M 9 is – OC(O)-.
- M 9 is -C(O)O-.
- M 9 is -C(O)-.
- M 9 is -C(S)-.
- M 9 is -NHC(O)-. In some embodiments, M 9 is -C(O)NH-. In some embodiments, M 9 is -S-. In some embodiments, M 9 is -S-S-. In some 20 embodiments, M 9 is -S(O)2-.
- each x4 is independently selected from 0, 1, and 2. In some embodiments, x4 is 0. In some embodiments, x4 is 1. In some embodiments, x4 is 2.
- each R 130 is independently optionally substituted C10-C20 aliphatic or 10- to 20-membered heteroaliphatic.
- R 130 is optionally 25 substituted C 10 -C 20 aliphatic. In some embodiments, R 130 is C 10 -C 20 straight chain alkyl. In some embodiments, R 8 is C 10 -C 20 straight chain alkenyl. In some embodiments, R 130 is: or In some embodiments, R 130 is optionally substituted 10- to 20-membered heteroaliphatic. In some embodiments, R 120 is –CH2-M 9 -R 130 . In some embodiments, R 120 is –M 9 -R 120 . In some embodiments, R 120 is –CH 2 -OC(O)-R 130 . In some embodiments, R 120 is –OC(O)-R 130 .
- one instance of R 120 is –CH 2 -OC(O)-R 130 and the other R 120 is -OC(O)-R 130 .
- R 120 is –CH2-OC(O)-C10-C20 aliphatic.
- R 120 is - OC(O)-C10-C20 aliphatic.
- one instance of R 120 is–CH2-OC(O)-C10-C20 aliphatic, and the other R 120 is -OC(O)-C10-C20 aliphatic.
- a moiety of formula B’ is: 10 or As described herein with respect to formula IV, n’ is an integer selected from 5 to 50.
- n’ is an integer selected from 10 to 35. In some embodiments, n’ is an integer selected from 15 to 30. In some embodiments, n’ is an integer selected from 10, 11, 12, 13, 14, 15 15, 16, 17, 18, 19, 20, 21, 22, 23, 24, 25, 26, 27, 28, 29, 30, 31, 32, 33, 34, or 35.
- a compound of formula I is described in Table 1. In some embodiments, a compound of formula II is described in Table 2. In some embodiments, a compound of formula IV is described in Table 3. Table 1
- particles of the present disclosure comprise a compound of one or more 5 of formulae I-IV, a nucleic acid, and one or more of an cationic lipid, a helper lipid, and a steroid.
- a particle described herein comprises a cationic lipid. Electrostatic interactions between positively charged molecules such as cationic lipids and negatively charged nucleic acid are involved in particle formation. This results in complexation and spontaneous formation of nucleic acid particles.
- particles described herein comprise more than one type of nucleic acid molecules, where the molecular 5 parameters of the nucleic acid molecules may be similar or different from each other, like with respect to molar mass or fundamental structural elements such as molecular architecture, capping, coding regions or other features.
- a nucleic acid particle described herein is a nanoparticle.
- nanoparticle refers to a particle having an average diameter suitable for 10 parenteral administration and is less than 1000 nm in diameter.
- a composition comprising nanoparticles can have an average nanoparticle size (e.g., mean diameter) of about 10 nm to about 500 nm, 30 nm to about 150 nm, about 40 nm to about 150 nm, about 50 nm to about 150 nm, about 60 nm to about 130 nm, about 70 nm to about 110 nm, about 70 nm to about 100 nm, about 70 to about 90 nm, or about 70 nm to about 80 nm.
- a composition comprising nanoparticles can have an average nanoparticle size (e.g., mean diameter) of about 50 nm to about 100 nm.
- a composition comprising nanoparticles can have an average nanoparticle size (e.g., mean diameter) of about 30 nm, 35 nm, 40 nm, 45 nm, 50 nm, 55 nm, 60 nm, 65 nm, 70 nm, 75 nm, 80 nm, 85 nm, 90 nm, 95 nm, 100 nm, 105 nm, 110 nm, 115 nm, 120 nm, 125 nm, 130 nm, 135 nm, 140 nm, 145 nm, or 150 nm.
- average nanoparticle size e.g., mean diameter
- a composition comprising nucleic acid particles (e.g., ribonucleic acid particles) described herein 25 may exhibit a polydispersity index less than about 0.5, less than about 0.4, less than about 0.3, or about 0.2 or less of said nanoparticles.
- a composition comprising nucleic acid particles (e.g., ribonucleic acid particles) described herein can exhibit a polydispersity index in a range of about 0.1 to about 0.3 or about 0.2 to about 0.3.
- a composition comprising nucleic acid particles has a PDI that is from about 0.5 to about 1.
- nucleic acid particle e.g., a ribonucleic acid particle
- an N/P ratio for a nucleic acid particle (e.g., a ribonucleic acid particle) described herein is from about 6.
- Nucleic acid particles (e.g., ribonucleic acid particles) described herein can be prepared using a wide range of methods that may involve obtaining a colloid from at least one cationic or 10 cationically ionizable lipid or lipid-like material and/or at least one cationic polymer and mixing the colloid with nucleic acid to obtain nucleic acid particles.
- an “ionizable” lipid e.g., a “cationically ionizable” lipid or “ionizable” polymer, e.g., a “cationically ionizable” polyer is a lipid or polymer that may be, in some embodiments, neutral at pH of about 7, but is capable of becoming cationic (i.e., becoming positively charged) at pH of less than about 7.
- average diameter refers to the mean hydrodynamic diameter of particles as measured by dynamic laser light scattering (DLS) with data analysis using the so- called cumulant algorithm, which provides as results the so-called Z-average with the dimension of a length, and the polydispersity index (PDI), which is dimensionless (Koppel, D., J. Chem. Phys. 57, 1972, pp 4814-4820, ISO 13321).
- PDI polydispersity index
- the “polydispersity index” is preferably calculated based on dynamic light scattering measurements by the so-called cumulant analysis as mentioned in the definition of the “average diameter.” Under certain prerequisites, it can be taken as a measure of the size distribution of an ensemble of ribonucleic acid nanoparticles (e.g., ribonucleic acid nanoparticles). 25 Different types of nucleic acid particles have been described previously to be suitable for delivery of nucleic acid in particulate form (e.g. Kaczmarek, J. C. et al., 2017, Genome Medicine 9, 60).
- nanoparticle encapsulation of nucleic acid physically protects nucleic acid from degradation and, depending on the specific chemistry, can aid in cellular uptake and endosomal escape.
- the present disclosure describes particles comprising nucleic acid, at least one cationic or cationically ionizable lipid or lipid-like material, and/or at least one cationic polymer which associate with the nucleic acid to form nucleic acid particles (e.g., ribonucleic acid particles, e.g., ribonucleic acid nanoparticles) and compositions comprising such particles.
- the nucleic acid particles may comprise nucleic acid which is complexed in different forms by non-covalent interactions to the particle.
- the particles described herein are not viral particles, in particular, they are not infectious viral particles, i.e., they are not able to virally infect cells. 5
- Some embodiments described herein relate to compositions, methods and uses involving more than one, e.g., 2, 3, 4, 5, 6 or even more nucleic acid species.
- nucleic acid particle e.g., ribonucleic acid particle, e.g., ribonucleic acid nanoparticle
- each nucleic acid species is separately formulated as an individual nucleic acid particle (e.g., ribonucleic acid particle, e.g., ribonucleic acid nanoparticle) 10 formulation.
- each individual nucleic acid particle e.g., ribonucleic acid particle, e.g., ribonucleic acid nanoparticle
- each individual nucleic acid particle e.g., ribonucleic acid particle, e.g., ribonucleic acid nanoparticle
- each individual nucleic acid particle e.g., ribonucleic acid particle, e.g., ribonucleic acid nanoparticle
- the individual nucleic acid particle (e.g., ribonucleic acid particle, e.g., ribonucleic acid nanoparticle) formulations may be present as separate entities, e.g., in separate containers.
- Such formulations are obtainable by providing each nucleic acid species separately (typically each in the form of a 15 nucleic acid-containing solution) together with a particle-forming agent, thereby allowing the formation of particles.
- Respective particles will contain exclusively the specific nucleic acid species that is being provided when the particles are formed (individual particulate formulations).
- a composition such as a pharmaceutical composition comprises more than one individual nucleic acid particle (e.g., ribonucleic acid particle, e.g., ribonucleic acid 20 nanoparticle) formulation.
- Respective pharmaceutical compositions are referred to as “mixed particulate formulations.”
- Mixed particulate formulations according to the invention are obtainable by forming, separately, individual nucleic acid particle (e.g., ribonucleic acid particle, e.g., ribonucleic acid nanoparticle) formulations, as described above, followed by a step of mixing of the individual nucleic acid particle (e.g., ribonucleic acid particle, e.g., ribonucleic acid 25 nanoparticle) formulations.
- a formulation comprising a mixed population of nucleic acid-containing particles is obtainable.
- Individual nucleic acid particle e.g., ribonucleic acid particle, e.g., ribonucleic acid nanoparticle
- populations may be together in one container, comprising a mixed population of individual nucleic acid particle (e.g., ribonucleic acid particle, e.g., ribonucleic acid nanoparticle) formulations.
- nucleic acid species are formulated together as a “combined particulate formulation.”
- Such formulations are obtainable by providing a combined formulation (typically combined solution) of different nucleic acid species together with a particle-forming agent, thereby allowing the formation of particles.
- a “combined particulate formulation” will typically comprise particles that comprise more than one nucleic acid species.
- different nucleic acid species are typically present together in a single particle.
- nucleic acids when present in provided nucleic acid particles (e.g., ribonucleic acid particles, e.g., lipid nanoparticles, liposomes, lipoplexes, polyplexes) are 5 resistant in aqueous solution to degradation with a nuclease.
- nucleic acid particles e.g., ribonucleic acid particles, e.g., lipid nanoparticles, liposomes, lipoplexes, polyplexes
- nucleic acid particles e.g., ribonucleic acid particles, e.g., lipid nanoparticles, liposomes, lipoplexes, polyplexes
- lipid nanoparticles e.g., liposomes, lipoplexes, polyplexes
- polyplexes e.g., polyplexes
- nucleic acid particles are lipid nanoparticles.
- lipid nanoparticles are cationic lipid nanoparticles comprising one or more cationic lipids (e.g., ones described herein), a nucleic acid (e.g., RNA) and a steroid.
- cationic lipid nanoparticles may comprise at least one 15 cationic lipid, a steroid, and at least one helper lipid.
- LNPs comprising a nucleic acid (e.g., an RNA) described herein are useful for delivery 25 of said nucleic acid into the cell of a subject.
- LNPs comprising a nucleic acid (e.g., an RNA) described herein are useful for causing increased expression of a protein in a subject.
- LNPs comprising a nucleic acid (e.g., an RNA) described herein are useful for causing a pharmacological effect induced by expression of a protein in a subject.
- Lipid nanoparticles described herein are characterized by molar percentage (mol%) of 30 components in the lipid nanoparticle.
- a cationic lipid is 5 a lipid comprising one or more amine groups which bear or are capable of bearing (i.e., are ionizable) a positive charge.
- a cationic lipid is selected from 1,2-dimyristoyl-sn-glycero-3- ethylphosphocholine (DMEPC); 2-dimyristoyl-3-trimethylammonium propane (DMTAP); dioleyl ether phosphatidylcholine (DOEPC); N,N-dioleyl-N,N-dimethylammonium chloride10 (DODAC); N-(2,3-dioleyloxy)propyl)-N,N,N-trimethylammonium chloride (DOTMA); N,N- distearyl-N,N-dimethylammonium bromide (DDAB); N-(2,3-dioleoyloxy)propyl)-N,N,N- trimethylammonium
- a cationic lipid is one provided in WO2012/016184, which is incorporated herein by reference in its entirety.
- a cationic lipid is selected20 from 1,2-dilinoleyoxy-3-(dimethylamino)acetoxypropane (DLin-DAC), 1,2-dilinoleyoxy- 3morpholinopropane (DLin-MA), 1,2-dilinoleoyl-3-dimethylaminopropane (DLinDAP), 1,2- dilinoleylthio-3-dimethylaminopropane (DLin-S-DMA), 1-linoleoyl-2-linoleyloxy- 3dimethylaminopropane (DLin-2-DMAP), 1,2-dilinoleyloxy-3-trimethylaminopropane chloride salt (DLin-TMA.Cl), 1,2-dilinoleoyl-3-trimethylaminopropane chloride salt
- a cationic lipid is selected from N,N-dimethyl-2,3-dioleyloxypropylamine30 (DODMA), 1,2-di-O-octadecenyl-3-trimethylammonium propane (DOTMA), 3-(N-(N′,N′- dimethylaminoethane)carbamoyl)cholesterol (DC-Chol), dimethyldioctadecylammonium (DDAB); 1,2-dioleoyl-3-trimethylammonium propane (DOTAP); 1,2-dioleoyl-3- dimethylammonium-propane (DODAP); 1,2-diacyloxy-3-dimethylammonium propanes; 1,2- dialkyloxy-3-dimethylammonium propane; dioctadecyldimethyl ammonium chloride (DODAC), 1,2-distearyloxy-N,N-dimethyl-3-aminopropane (DSDMA),
- a cationic lipid is one provided in WO 2022/081750, which is incorporated herein by reference in its entirety.
- a cationic lipid is a compound of Formula I*: or a pharmaceutically acceptable salt thereof, wherein: one of L 1* or L 2* is –OC(O)-, -C(O)O-, -C(O)-, -O-, -S(O) x* -, -S-S-, -C(O)S-, SC(O)-, -NR a* C(O)- , -C(O)NR a* -, -NR a* C(O)NR a* -, -OC(O)NR a* - or -NR a* C(O)O-, and the other of L 1* or L 2* is – 5 OC(O)-, -C(O)O-, -C(O)O-, -C(O)-,
- one of L 1* or L 2* is –OC(O)- or –C(O)O-. In some embodiments, each of L 1* and L 2* is –OC(O)- or –C(O)O-. In some embodiments, G 1* is C 1 -C 12 alkylene. In some embodiments, G 2* is C 1 -C 12 alkylene. In some embodiments G 1* and G 2* are each independently C 1 -C 12 alkylene. In some embodiments G 1* and G 2* are each independently C5-C12 alkylene. 20 In some embodiments, G 3* is C1-C24 alkylene. In some embodiments, G 3* is C1-C6 alkylene.
- R 1* and R 2* are each independently selected from: ; In In some embodiments, each of L 1* and L 2* is –OC(O)-, G 1* and G 2* are each independently C 5 - C12 alkylene, G 3* is C1-C6 alkylene, R 3* is OH, and R 1* and R 2* are each independently selected 5 from: or a pharmaceutically acceptable salt thereof, where n is an integer from 1 to 15, Ring A* is C3- C8 cycloaliphatic, each R 6* is independently selected from H, OH, and C1-C24 aliphatic, and wherein R 1* , R 2* , R 3* , L 1* , L 2* , G 1* , and G 2* are as described in classes and subclasses herein with respect to formula I*, both singly and in combination.
- a cationic lipid that may be useful in accordance with the present disclosure is an amino lipid comprising a titratable tertiary amino head group linked via ester bonds to at least two saturated alkyl chains, which ester bonds can be hydrolyzed easily to facilitate fast degradation and/or excretion via renal pathways.
- an amino lipid has an apparent pK a of about 6.0-6.5 (e.g., in one embodiment with an apparent pK a 10 of approximately 6.25), resulting in an essentially fully positively charged molecule at an acidic pH (e.g., pH 5).
- such an amino lipid when incorporated in LNP, can confer distinct physicochemical properties that regulate particle formation, cellular uptake, fusogenicity and/or endosomal release of RNA(s).
- introduction of an aqueous RNA solution to a lipid mixture comprising such an amino lipid at pH 4.0 can lead to an electrostatic 15 interaction between the negatively charged RNA backbone and the positively charged cationic lipid. Without wishing to be bound by any particular theory, such electrostatic interaction leads to particle formation coincident with efficient encapsulation of RNA drug substance.
- a LNP comprises at least one cationic lipid.
- a cationic lipid is selected from Table 4: Table 4
- a cationic lipid is selected from Table 5: Table 5 Name Structure
- a cationic lipid is selected from Tables 4 and/or 5.
- a cationic lipid is selected from DODMA, HY-501, ALC-0315, ALC366, and SM-102.
- a cationic lipid is selected from ALC-0315 and ALC366.
- a cationic lipid is ALC-0315.
- a cationic lipid is ALC366.
- a cationic lipid is SM-102.
- a cationic 10 lipid is DODMA. In some embodiments, a cationic lipid is HY-501. In some embodiments, LNPs of the present disclosure comprise about 30 to about 70 mol% of a cationic lipid relative to the total lipids in the LNP. In some embodiments, an LNP comprises about 35 to about 65 mol% of a cationic lipid. In some embodiments, an LNP comprises about 40 to about 60 mol% of a cationic lipid. In some embodiments, an LNP comprises about 41 to 15 about 49 mol% of a cationic lipid. In some embodiments, an LNP comprises about 48 mol% of a cationic lipid.
- an LNP comprises about 50 mol% of a cationic lipid.
- the lipid has one of the following structures (XA) or (XB): or (XA) (XB) 20 wherein R 35, L 10 , G 1’ , G 2’ , L 20 , R 36 , R 37 , and R 60 are as described in classes and subclasses herein, both singly and in combination;
- A is a 3 to 8-membered cycloalkyl or cycloalkylene group;
- R 60 is, at each occurrence, independently H, OH or C1-C24 alkyl; and
- n 1’ is an integer ranging from 1 to 15.
- the lipid has structure (XA), and in other embodiments, the lipid has structure (XB).
- the lipid has one of the following structures (XC) or (XD): 5 or (XC) (XD) wherein R 35, L 10 , G 1’ , G 2’ , L 20 , R 36 , R 37 , and R 60 are as described in classes and subclasses herein, both singly and in combination; and y’ and z’ are each independently integers ranging from 1 to 12. 10
- the lipid has one of the following structures (XE) or (XF): 15 or (XE) (XF) wherein R 35 , R 36 , R 37 , G 1’ , G 2’ , and G 3’ are as defined in classes and subclasses herein, both singly and in combination.
- the lipid has one of the following 20 structures (XG), (XH), (XJ), or (XK): ; ; (XG) (XH) h singly and in combination. 5
- n 1’ is an integer ranging from 2 to 12, for example from 2 to 8 or from 2 to 4.
- n 1’ is 3, 4, 5 or 6.
- n 1’ is 3.
- n 1’ is 4.
- n 1’ is 5.
- n 1’ is 6.
- y’ and z’ are each independently an 10 integer ranging from 2 to 10.
- y’ and z’ are each independently an integer ranging from 4 to 9 or from 4 to 6.
- R 60 is H.
- R 60 is C 1 -C 24 alkyl.
- R 60 is OH.
- G 3’ is unsubstituted.
- G 3’ is 15 substituted.
- G 3’ is linear C1-C24 alkylene or linear C2-C24 alkenylene.
- R 35 or R 36 is C6-C24 alkenyl.
- R 35 and R 36 each, independently have the following structure: 1-C12 alkyl; and a is an integer from 2 to 12, wherein R 7a , R 7b and a are each selected such that R 35 and R 36 each independently comprise from 6 to 20 carbon atoms.
- a is an integer ranging from 5 to 9 or 25 from 8 to 12.
- at least one occurrence of R 7a is H.
- R 7a is H at each occurrence.
- R 7b is C 1 -C 8 alkyl.
- C 1 -C 8 alkyl is methyl, ethyl, n-propyl, iso-propyl, n-butyl, iso-butyl, tert-butyl, n-hexyl or n-octyl.
- R 40 is methyl or ethyl.
- a cationic lipid of Formula (X) has one of the structures set forth below.
- the cationically ionizable lipid has one of the structures set forth in the table below. wherein each of R 1” and R 2”” is independently R 5” or -G 1” -L 1” -R 6” , wherein at least one of R 1” and R 2” is - 5 G 1” -L 1” -R 6” ; each of R 3” and R 4” is independently selected from the group consisting of C1-6 alkyl, C2-6 alkenyl, aryl, and C3-10 cycloalkyl; each of R 5” and R 6” is independently a non-cyclic hydrocarbyl group having at least 10 carbon atoms; 10 each of G 1” and G 2” is independently unsubstituted C 1-12 alkylene or C 2-12 alkenylene; each of L 1” and L 2” is independently selected from the
- G 1 is independently unsubstituted C 1 - C 12 alkylene or unsubstituted C 2-12 alkenylene, e.g., unsubstituted, straight C 1-12 alkylene or unsubstituted, straight C2-12 alkenylene.
- each G 1” is independently 20 unsubstituted C6-12 alkylene or unsubstituted C6-12 alkenylene, e.g., unsubstituted, straight C6-12 alkylene or unsubstituted, straight C6-12 alkenylene.
- each G 1 is independently unsubstituted C 8-12 alkylene or unsubstituted C 8-12 alkenylene, e.g., unsubstituted, straight C 8-12 alkylene or unsubstituted, straight C 8-12 alkenylene.
- each G 1 is independently unsubstituted C 6-10 alkylene or unsubstituted C 6-10 alkenylene, e.g., unsubstituted, 25 straight C6-10 alkylene or unsubstituted, straight C6-10 alkenylene.
- G 1” for R 1 is unsubstituted, straight C 1-12 alkylene and G 1” for R 2” is 30 unsubstituted, straight C 2-12 alkenylene; or G 1” for R 1” is an unsubstituted, straight C 1-12 alkylene group and G 1” for R 2” is a different unsubstituted, straight C1-12 alkylene group.
- G 1” for R 1 may be identical to G 1” for R 2” .
- each G 1 is the same unsubstituted, straight C 8-12 alkylene, such as unsubstituted, straight C 8-10 alkylene, or each G 1” is the same 5 unsubstituted, straight C 6-12 alkenylene.
- R a” of L 1” is H or C 1-12 alkyl.
- L 1” for R 1 may be different from L 1” for R 2” .
- L 1” for R 1 may be identical to L 1” for R 2” .
- each R 6 is independently a non-cyclic hydrocarbyl group having at least 10 carbon atoms, e.g., a straight hydrocarbyl group having at least 10 carbon atoms. In some embodiments, each R 6” has independently at most 30 carbon 25 atoms, such as at most 28, at most 26, at most 24, at most 22, or at most 20 carbon atoms.
- each R 6 is independently a non-cyclic hydrocarbyl group having 10 to 30 carbon atoms (such as 10 to 28, 10 to 26, 10 to 24, 10 to 22, or 10 to 20 carbon atoms), e.g., a straight hydrocarbyl group having 10 to 30 carbon atoms (such as 10 to 28, 10 to 26, 10 to 24, 10 to 22, or 10 to 20 carbon atoms).
- each R 6” is attached to L 1” via an internal carbon 30 atom of R 6” .
- R 6 is a straight alkyl group having p’’ carbon atoms (wherein p’’ is an uneven number) and being attached to L 1” via an internal carbon atom of R 6”
- R 6 is attached to L 1” via a carbon atom at any one of positions (p’’ - 1)/2 and (p’’ + 1)/2 of R 6” (e.g., if p’’ is 11, R 6” is attached to L 1” via a carbon at any one of positions 5 and 20 6 of R 6” ).
- R 1 and R 2 are -G 1” -L 1” -R 6” and each R 6” is attached to L 1” via an internal carbon atom of R 6”
- R 6” of R 1 is attached to L 1” of R 1” (and not to L 1” of R 2” ) via an internal carbon atom of R 6” of R 1”
- R 6” of R 2 is attached to L 1” of R 2” (and not to L 1” of R 1” ) via an internal carbon atom of R 6” of R 2” .
- each R 6” is independently selected from the group consisting of: , 1 ” and R 2” are both independently -G 1” -L 1” -R 6” , R 6” for R 1” is different from R 6” for R 2” .
- R 6” for R 1” may be a non-cyclic, preferably straight, hydrocarbyl g roup having at least 10 carbon atoms (e.g., R6” for R1” i ) and R6” for R 2” may be a different non-cyclic, preferably straight, hyd east 10 carbon a toms (e.g., R6” for R ).
- each R 6 is the same non-cyclic, preferably straight, hydrocarbyl group having at l east 10 carbon atoms (e.g., each R In some of the foregoing embodim non-cyclic hydrocarbyl group having at least 10 carbon atoms, e.g., a straight hydrocarbyl group having at least 10 carbon atoms.
- R 5 is a non-cyclic hydrocarbyl group having at least 12 carbon atoms, 15 such as at least 14, at least 16, or at least 18 carbon atoms, e.g., a straight hydrocarbyl group having at least 12, at least 14, at least 16, or at least 18 carbon atoms. In some embodiments, R 5” has at most 30 carbon atoms, such as at most 28, at most 26, at most 24, at most 22, or at most 20 carbon atoms.
- R 5 is a non-cyclic hydrocarbyl group, e.g., a straight hydrocarbyl group, wherein each hydrocarbyl group has 10 to 30 carbon atoms (such as 10 to 28, 20 10 to 26, 10 to 24, 10 to 22, 10 to 20 carbon atoms, or 12 to 30, 12 to 28, 12 to 26, 12 to 24, 12 to 22, 12 to 20 carbon atoms, or 14 to 30, 14 to 28, 14 to 26, 14 to 24, 14 to 22, 14 to 20 carbon atoms, or 16 to 30, 16 to 28, 16 to 26, 16 to 24, 16 to 22, 16 to 20 carbon atoms, or 18 to 30, 18 to 28, 18 to 26, 18 to 24, 18 to 22, or 18 to 20 carbon atoms).
- each hydrocarbyl group has 10 to 30 carbon atoms (such as 10 to 28, 20 10 to 26, 10 to 24, 10 to 22, 10 to 20 carbon atoms, or 12 to 30, 12 to 28, 12 to 26, 12 to 24, 12 to 22, 12 to 20 carbon atoms, or 14 to 30, 14 to 28, 14 to 26, 14 to 24, 14 to 22, 14 to 20 carbon atoms
- the hydrocarbyl group of R 5 is an alkyl or alkenyl group, e.g., a C10-30 alkyl or alkenyl group.
- R 5 is a non-cyclic alkyl group having at least 10 carbon atoms (such as at least 12, at least 14, at least 16, or at least 18 carbon atoms) or a non-cyclic alkenyl group having at least 10 carbon atoms (such as at least 12, at least 14, at least 16, or at least 18 carbon atoms), e.g., a straight alkyl group having at least 10 carbon atoms (such as at least 12, at least 14, at least 16, or at least 18 carbon atoms) or a straight alkenyl group having at least 10 carbon atoms (such as at least 12, at least 14, at least 16, or at least 18 carbon atoms).
- R 5 is a non-cyclic alkyl group or a non-cyclic alkenyl group, e.g., a straight alkyl group or a straight alkenyl group, wherein each of the alkyl and alkenyl groups has independently 10 to 30 carbon 5 atoms (such as 10 to 28, 10 to 26, 10 to 24, 10 to 22, 10 to 20 carbon atoms, or 12 to 30, 12 to 28, 12 to 26, 12 to 24, 12 to 22, 12 to 20 carbon atoms, or 14 to 30, 14 to 28, 14 to 26, 14 to 24, 14 to 22, 14 to 20 carbon atoms, or 16 to 30, 16 to 28, 16 to 26, 16 to 24, 16 to 22, 16 to 20 carbon atoms, or 18 to 30, 18 to 28, 18 to 26, 18 to 24, 18 to 22, or 18 to 20 carbon atoms).
- the alkenyl group has at least 2 carbon-carbon double bonds, e.g., 2 or 3 carbon- 10 carbon double bonds, such as 2 carbon-carbon double bonds. In some embodiments, the alkenyl group has at least 1 carbon-carbon double bond in cis configuration, e.g., 1, 2 or 3, such as 2, carbon-carbon double bonds in cis configuration.
- R 5 is a non-cyclic alkyl group or a non-cyclic alkenyl group, e.g., a straight alkyl group or a straight alkenyl group, wherein each of the alkyl and alkenyl groups has independently 10 to 30 carbon atoms (such as 15 10 to 28, 10 to 26, 10 to 24, 10 to 22, 10 to 20 carbon atoms, or 12 to 30, 12 to 28, 12 to 26, 12 to 24, 12 to 22, 12 to 20 carbon atoms, or 14 to 30, 14 to 28, 14 to 26, 14 to 24, 14 to 22, 14 to 20 carbon atoms, or 16 to 30, 16 to 28, 16 to 26, 16 to 24, 16 to 22, 16 to 20 carbon atoms, or 18 to 30, 18 to 28, 18 to 26, 18 to 24, 18 to 22, or 18 to 20 carbon atoms) and the alkenyl group has at least 2 carbon-carbon double bonds, e.g., 2 or 3 carbon-carbon double bonds.
- R 5 is a non-cyclic alkyl group or a non-cyclic alkenyl group, e.g., a straight alkyl group or a straight alkenyl group, wherein each of the alkyl and alkenyl groups has independently 10 to 30 carbon atoms (such as 10 to 28, 10 to 26, 10 to 24, 10 to 22, 10 to 20 carbon atoms, or 12 to 30, 12 to 28, 12 to 26, 12 to 24, 12 to 22, 12 to 20 carbon atoms, or 14 to 30, 14 to 28, 14 to 26, 14 to 24, 14 to 22, 14 to 20 carbon atoms, or 16 to 30, 16 to 28, 16 to 26, 16 to 24, 16 to 22, 25 16 to 20 carbon atoms, or 18 to 30, 18 to 28, 18 to 26, 18 to 24, 18 to 22, or 18 to 20 carbon atoms) and the alkenyl group has at least 1 carbon-carbon double bond, such as 1, 2, or 3 carbon-carbon double bonds, in cis configuration.
- the alkenyl group has at least 1 carbon-carbon double bond, such as 1, 2, or 3 carbon-
- R 5 has the following structure: , wherein represents the bond by which R 5” is bound to the remainder of the compound.
- R a” of L 2 is H or C1-12 alkyl.
- R a” of 35 L 2” is H or C1-6 alkyl, e.g., H or C1-3 alkyl.
- R a” of L 2” is H, methyl, or ethyl.
- G 2 is unsubstituted C2-10 alkylene or unsubstituted C2-10 alkenylene, e.g., unsubstituted, straight C2-10 alkylene or unsubstituted, straight C2-10 alkenylene.
- G 2 is unsubstituted C 2-6 alkylene or unsubstituted C 2-6 alkenylene, e.g., unsubstituted, straight C 2-6 alkylene or unsubstituted, straight C 2-6 alkenylene.
- G 2 is unsubstituted C 2-4 alkylene or unsubstituted C 2-4 alkenylene, e.g., 10 unsubstituted, straight C2-4 alkylene or unsubstituted, straight C2-4 alkenylene.
- G 2 is ethylene or trimethylene.
- each of R 3” and R 4” is independently C 1- 6 alkyl or C2-6 alkenyl.
- each of R 3” and R 4” is independently C1-4 alkyl or C2-4 alkenyl.
- each of R 3” and R 4” is independently C1-3 alkyl.
- the cationically ionizable lipid has the 20 structure of Formula (XIIa) or (XIIb): each of R 3” and R 4” is independently C1-C6 alkyl or C2-6 alkenyl; 25 R 5” is a straight hydrocarbyl group having at least 14 carbon atoms (such as at least 16 carbon atoms), wherein the hydrocarbyl group preferably has at least 2 carbon-carbon double bonds; each R 6” is independently a straight hydrocarbyl group (e.g., a straight alkyl group) having at least 10 carbon atoms and/or each R 6” is attached to L 1” via an internal carbon atom of R 6” , preferably each R 6” is independently a straight hydrocarbyl group (e.g., a straight alkyl group) having at least 10 carbon atoms and each R 6” is attached to L 1” via an internal carbon atom of R 6” ; 5 each G 1” is
- each G 1 is independently unsubstituted, straight C 6-12 alkylene or C 6-12 alkenylene. In some embodiments of formula (XIIb), each G 1” is independently unsubstituted, straight C8-12 alkylene or C8-12 alkenylene.
- each R 6 is independently a straight hydrocarbyl group (e.g., a straight alkyl group) having at least 10 carbon atoms (such as 10 to 28, 15 10 to 26, 10 to 24, 10 to 22, or 10 to 20 carbon atoms, or 11 to 19 carbon atoms, such as 11, 13, 15, 17, or 17 carbon atoms) and is attached to L 1” via an internal carbon atom of R 6” ; and each G 1” is independently unsubstituted, straight C8-12 alkylene or C8-12 alkenylene.
- a straight hydrocarbyl group e.g., a straight alkyl group having at least 10 carbon atoms (such as 10 to 28, 15 10 to 26, 10 to 24, 10 to 22, or 10 to 20 carbon atoms, or 11 to 19 carbon atoms, such as 11, 13, 15, 17, or 17 carbon atoms) and is attached to L 1” via an internal carbon atom of R 6” ; and each G 1” is independently unsubstituted, straight C8-12 alkylene or C8-12 al
- the cationically ionizable lipid has the structure of Formula (XIIIa) or (XIIIb): 20 (XIIIa) (XIIIb), wherein each of R 3” and R 4” is independently C1-4 alkyl or C2-4 alkenyl, more preferably C1-3 alkyl, such as methyl or ethyl; R 5” is a straight alkyl or alkenyl group having at least 16 carbon atoms, wherein the alkenyl group preferably has at least 2 carbon-carbon double bonds; each R 6” is independently a straight hydrocarbyl group having at least 10 carbon atoms, wherein R 6” is attached to L 1” via an internal carbon atom of R 6” ; 5 each G 1” is independently unsubstituted, straight C 6-12 alkylene or unsubstituted, straight C 6-12 alkenylene, e.g., unsubstituted, straight C 8-12 alkylene or unsubstit
- R 5 has at most 30 carbon atoms, such as at most 28, at most 26, at most 24, at most 22, or at most 20 carbon atoms.
- R 5 is a straight alkyl or alkenyl group having 16 to 30 carbon atoms (such as 16 to 28, 16 to 26, 16 to 24, 16 to 22, 16 to 20 carbon atoms, or 18 to 30, 18 to 28, 18 to 26, 18 to 24, 18 to 22, or 18 to 20 carbon atoms).
- the alkenyl group has at least 2 carbon-carbon double bonds, e.g., 2 or 3 carbon-carbon double bonds, such as 2 carbon-carbon double bonds.
- the alkenyl group has at least 1 carbon- 20 carbon double bond in cis configuration, e.g., 1, 2 or 3, such as 2, carbon-carbon double bonds in cis configuration.
- R 5 is a straight alkyl group or a straight alkenyl group, wherein each of the alkyl and alkenyl groups has independently 16 to 30 carbon atoms (such as 16 to 28, 16 to 26, 16 to 24, 16 to 22, 16 to 20 carbon atoms, or 18 to 30, 18 to 28, 18 to 26, 18 to 24, 18 to 22, or 18 to 20 carbon atoms) and the alkenyl group has at least 25 2 carbon-carbon double bonds, e.g., 2 or 3 carbon-carbon double bonds.
- R 5 is a straight alkyl group or a straight alkenyl group, wherein each of the alkyl and alkenyl groups has independently 16 to 30 carbon atoms (such as 16 to 28, 16 to 26, 16 to 24, 16 to 22, 16 to 20 carbon atoms, or 18 to 30, 18 to 28, 18 to 26, 18 to 24, 18 to 22, or 18 to 20 carbon atoms) and the alkenyl group has at least 1 carbon-carbon double bond, such as 1, 2, or 3 30 carbon-carbon double bonds, in cis configuration.
- R 5 is a straight alkyl group or a straight alkenyl group, wherein each of the alkyl and alkenyl groups has independently 16 to 30 carbon atoms (such as 16 to 28, 16 to 26, 16 to 24, 16 to 22, 16 to 20 carbon atoms, or 18 to 30, 18 to 28, 18 to 26, 18 to 24, 18 to 22, or 18 to 20 carbon atoms) and the alkenyl group has 2 or 3 carbon-carbon double bonds, wherein at least 1 carbon-carbon double bond, such as 1, 2, or 3 carbon-carbon double bonds, is in cis configuration.
- R 5 has the following structure: , wherein represents the bond by 5 which R 5” is bound to the remainder of the compound.
- R 6 has at most 30 carbon atoms, such as at most 28, at most 26, at most 24, at most 22, or at most 20 carbon atoms.
- R 6 is a straight hydrocarbyl group (e.g., a straight alkyl group) having 10 to 30 carbon atoms (such as 10 to 28, 10 to 26, 10 to 24, 10 to 22, or 10 to 20 carbon atoms) and R 6” is attached to L 1” via an internal carbon atom of R 6” .
- R 6 is a straight alkyl group having 10 to 30 carbon atoms (such as 10 to 28, 10 to 26, 10 to 24, 10 to 22, or 10 to 20 carbon atoms) and R 6” is attached to L 1” via an internal carbon atom of R 6” .
- G 1 is independently unsubstituted, straight C4-12 alkylene or C4-12 alkenylene, e.g., unsubstituted, straight C 6-12 alkylene or C 6-12 alkenylene.
- R 5 is a 15 straight hydrocarbyl group, e.g., a straight alkenyl group, having at least 16 carbon atoms (such as 16 to 30 carbon atoms) and 2 or 3 carbon-carbon double bonds;
- R 6 is a straight hydrocarbyl group (e.g., a straight alkyl group) having at least 10 carbon atoms (e.g., having 10 to 30 carbon atoms) and R 6” is attached to L 1” via an internal carbon atom of R 6” ; and
- G 1 is independently unsubstituted, straight C4-12 alkylene or C4-12 alkenylene, e.g., unsubstituted, straight C6-12 alkylene 20 or C6-12 alkenylene.
- each R 6 has independently at most 30 carbon atoms, such as at most 28, at most 26, at most 24, at most 22, or at most 20 carbon atoms.
- each R 6 is independently a straight hydrocarbyl group (e.g., a straight alkyl group) having 10 to 30 carbon atoms (such as 10 to 28, 10 to 26, 10 25 to 24, 10 to 22, or 10 to 20 carbon atoms, or 11 to 19 carbon atoms, such as 11, 13, 15, 17, or 17 carbon atoms) and each R 6” is attached to L 1” via an internal carbon atom of R 6” .
- each R 6” is attached to L 1” via an internal carbon atom of R 6” and is independently selected from the group consisting of: , , , , 30 , and , wherein represents the bond by which R 6” is bound to L 1” .
- each G 1” is independently unsubstituted, straight C8-12 alkylene or C8-12 alkenylene, e.g., unsubstituted, straight C 8-10 alkylene or C 8-10 alkenylene.
- the cationically ionizable lipid is (6Z,16Z)-12-((Z)-dec-4-en-1-yl)docosa- 5 6,16-dien-11-yl 5-(dimethylamino)pentanoate (3D-P-DMA).
- 3D-P-DMA may be represented as follows: In vario rom the group 10 consisting of N,N-dimethyl-2,3-dioleyloxypropylamine (DODMA), 1,2-dioleoyl-3- dimethylammonium-propane (DODAP), heptatriaconta-6,9,28,31-tetraen-19-yl-4- (dimethylamino)butanoate (DLin-MC3-DMA), and 4-((di((9Z,12Z)-octadeca-9,12-dien-1- yl)amino)oxy)-N,N-dimethyl-4-oxobutan-1-amine (DPL-14).
- DODMA N,N-dimethyl-2,3-dioleyloxypropylamine
- DODAP 1,2-dioleoyl-3- dimethylammonium-propane
- DLin-MC3-DMA heptatria
- cationically ionizable lipids include, but are not limited to, 3-(N-(N′,N′- 15 dimethylaminoethane)-carbamoyl)cholesterol (DC-Chol), 1,2-dioleoyl-3-dimethylammonium- propane (DODAP); 1,2-diacyloxy-3-dimethylammonium propanes; 1,2-dialkyloxy-3- dimethylammonium propanes, 1,2-distearyloxy-N,N-dimethyl-3-aminopropane (DSDMA), 1,2- dilinoleyloxy-N,N-dimethylaminopropane (DLinDMA), 1,2-dilinolenyloxy-N,N- dimethylaminopropane (DLenDMA), dioctadecylamidoglycyl spermine (DOGS), 3- 20 dimethylamino-2-(cholest-5-en-3-beta-oxybutan-4
- the cationically ionizable lipid is or comprises X-3. In certain embodiments, the cationically ionizable lipid is or comprises X-45. In some embodiments, the cationic lipid for use herein is or comprises DPL-14.
- DPL-14 is a lipid comprising the following general formula: sed herein
- EA-2 is a lipid comprising the following general formula: O N N
- It osed 25 herein also includes the salts (in particular pharmaceutically acceptable salts), tautomers, stereoisomers, solvates (e.g., hydrates), and isotopically labeled forms thereof.
- the nucleic acid compositions in particular the DNA or RNA compositions described herein comprise a cationic or cationically ionizable lipid and one or more additional lipids
- the cationic or cationically ionizable lipid comprises from about 10 mol % to about 80 mol %, from about 20 mol % to about 75 mol %, from about 20 mol % to about 70 mol %, from about 20 mol % to about 60 mol %, from about 25 mol % to about 55 mol %, from about 30 mol % to about 50 mol %, from about 35 mol % to about 45 mol %, or from about 40 mol % to about 55 mol % of the total lipid present in the composition.
- the cationic or cationically ionizable lipid may comprise from about 10 mol % to about 80 mol %, from about 20 mol % to about 75 mol %, from about 20 mol % to about 70 mol %, from about 20 mol % to about 60 mol 10 %, from about 25 mol % to about 55 mol %, from about 30 mol % to about 50 mol %, from about 35 mol % to about 45 mol %, or from about 40 mol % to about 55 mol % of the total lipid present in the particles.
- helper lipids of the present disclosure comprise a helper lipid.
- a helper lipid is a phospholipid.
- a helper lipid is or comprises 1,2-distearoyl-sn-glycero-3-phosphocholine (DSPC), 1,2-dipalmitoyl-sn-glycero-3- phosphocholine (DPPC), 1,2-dimyristoyl-sn-glycero-3- phosphocholine (DMPC), 1-palmitoyl-2- oleoyl-sn-glycero-3-phosphocholine (POPC), 1,2-dioleoyl-sn-glycero-3-phosphocholine (DOPC), phophatidyl ethanol amines such as 1,2-dioleoyl-sn-glycero-3-phosphoethanolamine 20 (DOPE), sphingomyelins (SM), 1,2 ⁇ di
- DOPE 1,2-dioleoyl-sn-g
- a helper lipid is or comprises phosphatidylcholines, phosphatidylethanolamines, phosphatidylglycerols, phosphatidic acids, phosphatidylserines or sphingomyelin.
- a helper lipid is or comprises diacylphosphatidylcholines, 25 such as distearoylphosphatidylcholine (DSPC), dioleoylphosphatidylcholine (DOPC), dimyristoylphosphatidylcholine (DMPC), dipentadecanoylphosphatidylcholine, dilauroylphosphatidylcholine, dipalmitoylphosphatidylcholine (DPPC), diarachidoylphosphatidylcholine (DAPC), dibehenoylphosphatidylcholine (DBPC), ditricosanoylphosphatidylcholine (DTPC), dilignoceroylphatidylcholine (DLPC),30 palmitoyloleoyl-phosphatidylcholine (POPC), 1,2-di-O-octadecenyl-sn-glycero-3- phosphocholine (18:0 Diether PC
- a helper lipid is selected from the group consisting of DSPC, DOPC, DMPC, DPPC, POPC, DOPE, DOPG, DPPG, POPE, DPPE, DMPE, DSPE, and SM.
- the neutral lipid is selected from the group consisting of DSPC, DPPC, DMPC, DOPC, POPC, DOPE and SM.
- the neutral lipid is DSPC. 10 Helper lipids may be synthetic or naturally derived.
- a lipid nanoparticle comprises about 5 to about 15 mol% of a phospholipid. In some embodiments, a lipid nanoparticle comprises about 8 to about 12 mol% of a phospholipid. 15 In some embodiments, a lipid nanoparticle comprises about 10 mol% of a phospholipid. In some embodiments, a lipid nanoparticle comprises about 5 to about 15 mol% of DSPC.
- a lipid nanoparticle comprises about 8 to about 12 mol% of DSPC. In some embodiments, a lipid nanoparticle comprises about 10 mol% of DSPC.
- a PEG lipid is selected from pegylated diacylglycerol (PEG-DAG) such as l-(monomethoxy-polyethyleneglycol)- 2,3-dimyristoylglycerol (PEG-DMG) (e.g., 1,2- dimyristoyl-rac-glycero-3-methoxypolyethylene glycol-2000 (PEG2000-DMG)), a pegylated25 phosphatidylethanoloamine (PEG-PE), a PEG succinate diacylglycerol (PEG-S-DAG) such as 4- O-(2',3'-di(tetradecanoyloxy)propyl-1-O-( ⁇ -methoxy(polyethoxy)ethyl)butanedioate (PEG-S- DMG), 1,2-distearoyl-sn-glycero-3-phosphoethanolamine-N-[amino(polyethylene), 1,2-d
- a PEG-lipid is PEG2000-DMG: In some embodim In some embodiments, a PEG-lipid is provided in WO2021/026358, WO 2017/075531, or WO 2018/081480, each of which is incorporated by reference in its entirety. 5 In some embodiments, a PEG-lipid is 2-[(polyethylene glycol)-2000]-N,N-ditetradecylacetamide (ALC-0159). In some embodiments, a compound of Formula II is: or a pharmac 5 to about 50. In some embodiments, the PEG- lipid has the following structure: 10 wherein n in the formula above is from 30 to 60, such as about 50.
- the PEG- conjugated lipid is PEG 2000 -C-DMA which preferably refers to 3-N-[( ⁇ -methoxy poly(ethylene glycol)2000)carbamoyl]-1,2-dimyristyloxy-propylamine (MPEG-(2 kDa)-C- DMA) or methoxy-polyethylene glycol-2,3-bis(tetradecyloxy)propylcarbamate (2000).
- a PEG-lipid is selected from PEG-DAG, PEG-PE, PEG-S-DAG, PEG2000-DMG, PEG-S-DMG, PEG-cer, a PEG dialkyoxypropylcarbamate (e.g., ⁇ - methoxy(polyethoxy)ethyl-N-(2,3-di(tetradecanoxy)propyl)carbamate or 2,3- di(tetradecanoxy)propyl-N-( ⁇ -methoxy(polyethoxy)ethyl)carbamate), ALC-0159, and combinations thereof.
- a PEG-lipid is ALC-0159 or PEG2000-DMG.
- a PEG-lipid is ALC-0159. In some embodiments, a PEG-lipid is PEG2000- DMG. In some embodiments, a PEG-lipid is PEG-DAG. In some embodiments, a PEG-lipid is PEG-PE. In some embodiments, a PEG-lipid is PEG-S-DAG. In some embodiments, a PEG- lipid is PEG-cer. In some embodiments, a PEG-lipid is a PEG dialkyoxypropylcarbamate.
- a PEG group that is part of a PEG-lipid has, on average in a composition comprising one or more PEG-lipid molecules, a number average molecular weight (Mn) of about 2000 g/mol.
- a polymer-conjugated lipid is a polysarcosine-conjugated lipid, also 5 referred to herein as sarcosinylated lipid or pSar-lipid.
- the term "sarcosinylated lipid” refers to a molecule comprising both a lipid portion and a polysarcosine (poly(N-methylglycine) portion.
- a polymer-conjugated lipid is a polyoxazoline (POX)-conjugated and/or polyoxazine (POZ)-conjugated lipid, also referred to herein as a conjugate of a POX and/or POZ polymer and one or more hydrophobic chains or as oxazolinylated and/or oxazinylated lipid or 10 POX- and/or POZ-lipid.
- POX polyoxazoline
- POZ polyoxazine
- oxazinylated lipid or “POZ-lipid” refers to a molecule comprising both a lipid portion and a polyoxazine portion.
- oxazolinylated/oxazinylated lipid or “POX/POZ-lipid” or “POXZ-lipid” refers to a molecule comprising both a lipid portion and a portion of a copolymer of polyoxazoline and 15 polyoxazine.
- an LNP described herein may comprise a sarcosinylated lipid.
- the nucleic acid compositions (such as DNA or RNA compositions, especially mRNA compositions) described herein comprise a sarcosinylated lipid and are substantially free of a pegylated lipid (or do not contain a pegylated lipid).
- the nucleic acid compositions (such as DNA or RNA compositions, especially mRNA compositions) described herein comprise a cationic/cationically ionizable lipid as described herein and a sarcosinylated lipid (pSAR-conjugated lipid).
- the nucleic acid compositions may further comprise a neutral lipid (e.g., a phospholipid, 25 cholesterol or a derivative thereof) or a combination of neutral lipids (e.g., a phospholipid, and cholesterol or a derivative thereof).
- the nucleic acid compositions (such as DNA or RNA compositions, especially mRNA compositions) described herein comprise a cationic/cationically ionizable lipid as described herein, a sarcosinylated lipid, a neutral lipid (e.g., a phospholipid), and cholesterol or a derivative thereof.
- the phospholipid 30 is DSPC.
- the cationic/cationically ionizable lipid is a cationically ionizable lipid of formula (X) (such as a cationically ionizable lipid of formula (X-3) or (X-45)).
- the cationic/cationically ionizable lipid is a cationically ionizable lipid of formula (XI) (such as a cationically ionizable lipid of formula (XIV-1), (XIV-2), or (XIV-3)).
- the cationic/cationically ionizable lipid is DPL14, EA-2, or 3D-P-DMA.
- the nucleic acid compositions such as DNA or RNA compositions, especially mRNA compositions described herein which comprise a sarcosinylated lipid, said compositions are substantially free of a pegylated lipid (or do not contain a pegylated lipid).
- the sarcosinylated lipid comprises between 2 and 200 sarcosine units, such 5 as between 5 and 100 sarcosine units, between 10 and 50 sarcosine units, between 15 and 40 sarcosine units, e.g., about 23 sarcosine units.
- the sarcosinylated lipid comprises the structure of the following general formula (XVII): O he following general formula (XVIII): O 15 wherein one of R 21 and R 22 c he other is H, a hydrophilic group or a functional group optionally comprising a targeting moiety useful for binding or associating with a target of interest; and x is the number of sarcosine units.
- R 21 is H, a hydrophilic group or a functional group 20 optionally comprising a targeting moiety
- R22 comprises one or two straight alkyl or alkenyl groups each having at least 12 carbon atoms, such as at least 14 carbon atoms.
- each of the straight alkyl and alkenyl groups has at most 30 carbon atoms, such as at most 28, at most 26, at most 24, at most 22, at most 20, or at most 18 carbon atoms.
- R 22 comprises one or two straight alkyl or alkenyl groups each having 12 to 30 25 carbon atoms (such as 12 to 28 carbon atoms, 12 to 26 carbon atoms, 12 to 24 carbon atoms, 12 to 22 carbon atoms, 12 to 20 carbon atoms, or 12 to 18 carbon atoms).
- the sarcosinylated lipid has the structure of the following general formula (IXX): wherein R is H, nally comprising a targeting moiety; and s is t he number of sarcosine units. 5
- the sarcosinylated lipid has the structure of the following formula (IXX- 1): O whe in as 10 "C14pSar23".
- an LNP herein may comprise an oxazolinylated and/or/oxazinylated lipid.
- the nucleic acid compositions (such as DNA or RNA compositions, especially mRNA compositions) described herein comprise an oxazolinylated and/or/oxazinylated lipid and are substantially free of a pegylated lipid (or do not contain a 15 pegylated lipid).
- the nucleic acid compositions (such as DNA or RNA compositions, especially mRNA compositions) described herein comprise a cationic/cationically ionizable lipid as described herein and an oxazolinylated and/or oxazinylated lipid (POX and/or POZ-conjugated lipid).
- the nucleic acid compositions may further comprise a neutral lipid (e.g., a phospholipid, cholesterol or a derivative thereof) or a combination of neutral lipids (e.g., a phospholipid, and cholesterol or a derivative thereof).
- a neutral lipid e.g., a phospholipid, cholesterol or a derivative thereof
- a combination of neutral lipids e.g., a phospholipid, and cholesterol or a derivative thereof.
- the nucleic acid compositions (such as DNA or RNA compositions, especially mRNA compositions) described herein comprise a cationic/cationically ionizable lipid as described herein, an oxazolinylated 25 and/or oxazinylated lipid, a neutral lipid (e.g., a phospholipid), and cholesterol or a derivative thereof.
- the phospholipid is DSPC.
- the cationic/cationically ionizable lipid is a cationically ionizable lipid of formula (X) (such as a cationically ionizable lipid of formula (X-3) or (X-45)).
- the cationic/cationically ionizable lipid is a cationically ionizable lipid of formula (XI) (such as a cationically ionizable lipid of formula (XIV-1), (XIV-2), or (XIV-3)).
- the cationic/cationically ionizable lipid is DPL14, EA-2, or 3D-P-DMA.
- nucleic acid compositions such as DNA or RNA compositions, especially mRNA compositions
- said compositions are substantially free of a pegylated lipid (or do not contain a pegylated lipid).
- the conjugate comprising (i) a POX and/or POZ polymer and (ii) one or more hydrophobic chains)
- components 10 (i) and (ii) are linked to each other via a linker which comprises at least one functional moiety.
- said linker comprises an alkylene moiety substituted with at least one monovalent functional moiety.
- said linker comprises an alkylene group and a divalent functional moiety, wherein the divalent functional moiety links the alkylene group to the one or more hydrophobic chains, and the alkylene group is attached to the POX and/or POZ 15 polymer.
- said linker comprises an alkylene group and a divalent functional moiety, wherein the divalent functional moiety links the alkylene group to the one or more hydrophobic chains, the alkylene group is substituted with at least one monovalent functional moiety, and the alkylene group is attached to the POX and/or POZ polymer.
- each monovalent 20 functional moiety is independently selected from hydroxy, ether, halogen, cyano, azido, nitro, amino, ammonium, ester, carboxyl, thiol (sulfanyl), disulfanyl, sulfide, disulfide, sulfoxide, sulfone, sulfite, sulfate, phosphate, sulfinamide, sulfonamide, sulfamate, diselenide, sulfurous diamide, sulfuric diamide, urea, thiourea, carbonyl, thiocarbonyl, orthoester, thioate, dithioate, imidate, imino, imidothioate, thionylamido, carbonate, carbonothioate, carbonodithioate, 25 carbonotrithioate, guanidino (imi
- each divalent functional 30 moiety is independently selected from ether, amino, ester, sulfide, disulfide, sulfoxide, sulfone, sulfite, sulfate, phosphate, sulfinamide, sulfonamide, sulfamate, diselenide, sulfurous diamide, sulfuric diamide, urea, thiourea, carbonyl, thiocarbonyl, orthoester, thioate, dithioate, imidate, imino, imidothioate, thionylamido, carbonate, carbonothioate, carbonodithioate, carbonotrithioate, guanidino (imidamido), carbamimidate, carbonimidate, carbamate, carbamodithioate, carbonodithioimidate, carbamimidothioate, carb
- the oxazolinylated and/or oxazinylated lipid comprises one of the 5 following structures (in particular, if the one or more hydrophobic chains are attached to the N- end (i.e., the terminal N atom) of the POX and/or POZ polymer, as shown, for example in formula (XXI) herein): (hydrophobic chain)1-2-(alkylene moiety substituted with at least one monovalent functional moiety)-(POX and/or POZ polymer) 10 [(hydrophobic chain)-(divalent functional moiety)] 1-2 -(alkylene moiety)-(POX and/or POZ polymer).
- the oxazolinylated and/or oxazinylated lipid has one of the following formulas (in particular, if the one or more hydrophobic chains are attached to the N-end (i.e., the terminal N atom) of the POX and/or POZ polymer, as shown, for example in formula (XXI) herein 15 below): (hydrophobic chain)1-2-(alkylene moiety substituted with at least one monovalent functional moiety)-(POX and/or POZ polymer)-(end group) [(hydrophobic chain)-(divalent functional moiety)]1-2-(alkylene moiety)-(POX and/or POZ polymer)-(end group).
- the alkylene moiety substituted with at least one monovalent functional moiety is substituted with one or more (such as 1 to the maximum number of hydrogen atoms bound to the alkylene moiety, e.g., 1, 2, 3, 4, 5, or 6, such as between 1 to 5, 1 to 4, or 1 to 3, or 1 or 2) independently selected monovalent functional moieties.
- the alkylene moiety is C1- 6-alkylene, such as C1-3-alkylene, e.g., methylene, ethylene, or trimethylene.
- the linker comprises at least one difunctional moiety via which the one 30 or more hydrophobic chains are attached to the POX and/or POZ polymer.
- the linker may additionally comprise an alkylene moiety (such as a C1-6 alkylene moiety, e.g., a C 1-3 alkylene moiety), a cycloalkylene moiety (preferably a C 3-8 -cycloalkylene, such as C 3-6 - cycloalkylene moiety), or a cycloalkenylene moiety (preferably a C3-8-cycloalkenylene, such as C3-6-cycloalkenylene moiety) each of which connects the difunctional moiety to the POX and/or POZ polymer (either directly to the end of the POX and/or POZ polymer or, preferably, via a further difunctional moiety).
- an alkylene moiety such as a C1-6 alkylene moiety, e.g., a C 1-3 alkylene moiety
- a cycloalkylene moiety preferably a C 3-8 -cycloalkylene, such as C 3-6 - cycloalkylene mo
- one hydrophobic chain may be attached to the end of 5 the POX and/or POZ polymer via one difunctional moiety (either directly or via an alkylene, cycloalkylene, or cycloalkenylene moiety or via an alkylene, cycloalkylene, or cycloalkenylene moiety which bears another difunctional moiety); two hydrophobic chains may be attached to the end of the POX and/or POZ polymer via two difunctional moieties (which in turn are preferably attached to an alkylene, cycloalkylene, or cycloalkenylene moiety or to an alkylene, 10 cycloalkylene, or cycloalkenylene moiety bearing another difunctional moiety); or two hydrophobic chains may be attached to the end of the POX and/or POZ polymer via the same difunctional moiety (which is then a trifunctional moiety and which may be attached to the end of the POX and/or POZ polymer either directly or via an alkylene, cycloal
- each divalent functional moiety is independently selected from ether, amino, ester, sulfide, disulfide, sulfoxide, sulfone, sulfite, sulfate, phosphate, sulfinamide, sulfonamide, sulfamate, diselenide, sulfurous diamide, sulfuric diamide, urea, thiourea, carbonyl, thiocarbonyl, orthoester, thioate, dithioate, imidate, imino, imidothioate, thionylamido, carbonate, carbonothioate, carbonodithioate, carbonotrithioate, 20 guanidino (imidamido), carbamimidate, carbonimidate, carbamate, carbamodithioate, carbonodithioimidate, carbamimidothioate, carbamothioate, carbonimidothioate, acylhydrazone, hydra
- the alkylene moiety is C1- 6-alkylene, such as C 1-3 -alkylene, e.g., methylene, ethylene, or trimethylene, or C 2-3 alkylene.
- the oxazolinylated and/or oxazinylated lipid comprises one of the following structures (and may have the general formula (XXI’)): 5 (hydrophobic chain)-(divalent functional moiety)-(POX and/or POZ polymer) [(hydrophobic chain)-(divalent functional moiety)] 1-2 -(alkylene moiety)-(divalent functional moiety)-(POX and/or POZ polymer) (hydrophobic chain)-(divalent functional moiety)-(cycloalkylene moiety)-(divalent functional moiety)-(POX and/or POZ polymer) 10 (hydrophobic chain)-(divalent functional moiety)-(
- the POX and/or POZ polymer is conjugated to, preferably covalently bound to one or more hydrophobic chains.
- the end groups of the POX and/or POZ polymer may be functionalized with one or more molecular moieties conferring 5 certain properties, such as positive or negative charge, or a targeting agent that will direct the particle to a particular cell type, collection of cells, or tissue.
- suitable targeting agents are known in the art.
- Non-limiting examples of targeting agents include a peptide, a protein, an enzyme, a nucleic acid, a fatty acid, a hormone, an antibody, a carbohydrate, mono-, oligo- or polysaccharides, a peptidoglycan, a glycopeptide, or the like.
- targeting agents include targeting pairs, such as the following pairs: antigen – antibody specific for said antigen; avidin – streptavidin; folate – folate receptor; transferrin – transferrin receptor; aptamer – molecule for which the aptamer is specific (e.g., pegaptanib – VEGF receptor); arginine-glycine-aspartic acid (RGD) peptide – ⁇ v ⁇ 3 integrin; asparagine- glycine-arginine (NGR) peptide – aminopeptidase N; galactose – asialoglyco-protein receptor.
- targeting pairs such as the following pairs: antigen – antibody specific for said antigen; avidin – streptavidin; folate – folate receptor; transferrin – transferrin receptor; aptamer – molecule for which the aptamer is specific (e.g., pegaptanib – VEGF receptor); arginine-glycine-
- any of a number of different materials that bind to antigens on the surfaces of target cells can be employed.
- Antibodies to target cell surface antigens will generally exhibit the necessary specificity for the target.
- suitable immunoreactive fragments can also be employed, such as the Fab, Fab′, F(ab′)2 or scFv fragments or single-domain antibodies (e.g. camelids V H H fragments).
- Many antibody fragments suitable for use in forming 20 the targeting mechanism are already available in the art.
- ligands for any receptors on the surface of the target cells can suitably be employed as targeting agent.
- the POX and/or POZ 25 polymer comprises between 2 and 200, between 2 and 190, between 2 and 180, between 2 and 170, between 2 and 160, between 2 and 150, between 2 and 140, between 2 and 130, between 2 and 120, between 2 and 110, between 2 and 100, between 2 and 90, between 2 and 80, between 2 and 70, between 5 and 200, between 5 and 190, between 5 and 180, between 5 and 170, between 5 and 160, between 5 and 150, between 5 and 140, between 5 and 130, between 5 and 120, 30 between 5 and 110, between 5 and 100, between 5 and 90, between 5 and 80, between 5 and 70, between 10 and 200, between 10 and 190, between 10 and 180, between 10 and 170, between 10 and 160, between 10
- the POX and/or POZ polymer in the oxazolinylated and/or oxazinylated lipid comprises the following general formula (XX): O R11 wherein a is an integer betw ular C1-3 alkyl, such as methyl, 5 ethyl, iso-propyl, or n-propyl, and is independently selected for each repeating unit; and m refers to the number of POX and/or POZ repeating units.
- the POX and/or POZ polymer is a polymer of POX and comprises repeating units of the following general formula (XXa): O R11 10
- the POX and/or POZ polymer is a polyme r of POZ and comprises repeating units of the following general formula (XXb): O R11 15
- m i.e., the number of repeating units of formula (XXa) or formula (XXb) in the polymer
- m i.e., the number of repeating units of formula (XXa) or formula (XXb) in the polymer
- m is 2 to 180, such as 4 to 160, 6 to 140, 8 to 120 or 10 to 100, e.g., 20 to 80, 30 to 70, or 40 to 50.
- the POX and/or POZ 5 polymer is a copolymer comprising repeating units of the following general formulas (XXa) and (XXb): O R11 O R11 10 of repeating units of formula (XXb) in the copolymer is 1 to 199; and the sum of the number of repeating units of formula (XXa) and the number of repeating units of formula (XXb) in the copolymer is 2 to 200.
- the number of repeating units of formula (XXa) in the copolymer is 1 to 179, such as 1 to 159, 1 to 139, 1 to 119 or 1 to 15 99; the number of repeating units of formula (XXb) in the copolymer is 1 to 179, such as 1 to 159, 1 to 139, 1 to 119 or 1 to 99; and the sum of the number of repeating units of formula (XXa) and the number of repeating units of formula (XXb) in the copolymer is 2 to 180, such as 4 to 160, 6 to 140, 8 to 120 or 10 to 100, e.g., 20 to 80, 30 to 70, or 40 to 50.
- R11 at each occurrence 20 may be the same alkyl group (e.g., R11 may be methyl in each repeating unit).
- R11 in at least one repeating unit differs from R 11 in another repeating unit (e.g., for at least one repeating unit R 11 is one specific alkyl (such as ethyl), and for at least one different repeating unit R 11 is a different specific alkyl (such as methyl)).
- each R 11 may be selected from two 25 different alkyl groups (such as methyl and ethyl) and not all R11 are the same alkyl.
- R 11 preferably is methyl or ethyl, more preferably methyl.
- each R11 is methyl or each R11 is ethyl.
- R11 is independently selected from methyl and ethyl for each repeating unit, wherein in at least one repeating unit R11 is methyl, and in at least one repeating unit R11 is ethyl.
- the oxazolinylated and/or oxazinylated lipid has the following general formula (XXI) or (XXI’):
- O R11 O R11 a is an integer between 1 and 2;
- R 11 is alkyl, in particular C 1-3 alkyl, such as methyl, ethyl, iso-propyl, or n-propyl, and is 10 independently selected for each repeating unit;
- m is 2 to 200;
- R 12 is R 14 or -L 11 (R 14 ) p , wherein each R 14 is independently a hydrocarbyl group; L 11 is a linker; and p is 1 or 2;
- R 13 is selected from the group consisting of H, C 1-6 alkyl, C 2-6 alkynyl, -OR 20 , -SR 20 , halogen, 15 -CN, -N 3 , -OC(O)R 21 , -C(O)R 21 , -
- R 12 is attached to the N-end (i.e., the terminal N atom) of the POX and/or POZ polymer and R13 is attached to the C-end (i.e., the terminal C atom) of the POX and/or POZ polymer, whereas in formula (XXI’) R12 is attached to the C-end (i.e., the terminal C atom) of the POX and/or POZ polymer and R13 is attached to the N-end (i.e., the terminal N atom) of the POX and/or POZ polymer.
- the targeting pair is selected from the following pairs: antigen – antibody specific for said antigen; avidin – streptavidin; folate – folate receptor; transferrin – transferrin receptor; aptamer – molecule for which the aptamer is specific; arginine-glycine-aspartic acid (RGD) peptide – ⁇ v ⁇ 3 integrin; asparagine-glycine-arginine (NGR) peptide – aminopeptidase N; 15 galactose – asialoglyco-protein receptor.
- a member of a targeting pair includes one of the following: an antigen, an antibody, avidin, streptavidin, folate, transferrin, an aptamer; an RGD peptide; an NGR peptide; and galactose.
- a is 1, i.e., the oxazolinylated and/or oxazinylated lipid has the following general formula (XXIa) or (XXIa’): O R11 O R11 nylated lipid has the following general formula (XXIb) or (XXIb’): O R11 O R11 R11, R12, R13, and m are as defined for formula (XXI)/(XXI’).
- R11 at each occurrence may be the same alkyl group (e.g., R 11 may be methyl in each repeating unit).
- R 11 in at least one repeating unit differs from R 11 5 in another repeating unit (e.g., for at least one repeating unit R 11 is one specific alkyl (such as ethyl), and for at least one different repeating unit R11 is a different specific alkyl (such as methyl)).
- each R11 may be selected from two different alkyl groups (such as methyl and ethyl) and not all R11 are the same alkyl.
- R11 preferably is methyl or ethyl, more preferably methyl.
- each R11 is methyl or each R11 is ethyl.
- R 11 is independently selected from methyl and ethyl for each repeating unit, wherein in at least one repeating unit R 11 is methyl, and in at least one repeating unit R 11 is ethyl.
- m preferably is between 2 and 190, such as between 2 and 180, between 2 and 170, between 2 and 160, between 2 and 150, between 2 and 140, between 2 and 130, between 2 and 120, between 2 and 110, between 2 and 100, between 2 and 90, between 2 and 80, between 2 and 70, between 5 and 200, between 5 and 190, between 5 and 180, between 5 and 170, between 5 20 and 160, between 5 and 150, between 5 and 140, between 5 and 130, between 5 and 120, between 5 and 110, between 5 and 100, between 5 and 90, between 5 and 80, between 5 and 70, between 10 and 200, between 10 and 190, between 10 and 180, between 10 and 170, between 10 and 160, between 10 and 150, between 10 and 140, between 10 and 130, between 10 and 120, between 10 and 110, between 10 and 100, between 10 and 10 and 100, between 10 and 10 and 190, between 10 and 180, between 10 and 170, between 10 and 160, between 10 and 150, between 10 and 140, between 10 and 130, between 10 and 120
- m is 2 to 180, such as 4 to 160, 6 to 140, 8 to 120 or 10 to 100, e.g., 20 to 80, 30 to 70, or 40 to 50.
- L 11 comprises at least one functional moiety, such as an alkylene moiety substituted with at least one monovalent functional moiety and/or linked, at the end by which the alkylene group is attached 30 to R14, to a divalent functional moiety, wherein preferably each monovalent functional moiety is independently selected from hydroxy, ether, halogen, cyano, azido, nitro, amino, ammonium, ester, carboxyl, thiol (sulfanyl), disulfanyl, sulfide, disulfide, sulfoxide, sulfone, sulfite, sulfate, phosphate, sulfinamide, sulfonamide, sulfamate, diselenide, sulfurous diamide, sulfuric diamide, urea, thiourea
- a functional moiety such as an alkylene moiety substituted with at least one monovalent functional moiety and/or linked, at the end by which the alkylene group is attached 30 to
- L 11 comprises an alkylene moiety substituted with at least one monovalent functional moiety as 15 specified above.
- the oxazolinylated and/or oxazinylated lipid may comprise the following structure (in particular, if the one or more hydrophobic chains are attached to the N-end (i.e., the terminal N atom) of the POX and/or POZ polymer, as shown, for example in formula (XXI)): (hydrophobic chain) 1-2 -(alkylene moiety substituted with at least one monovalent functional 20 moiety)-(POX and/or POZ polymer), wherein "hydrophobic chain” represents R 14 ; "alkylene moiety substituted with at least one monovalent functional moiety” represents L 11 ; and "POX and/or POZ polymer” represents the polymer specified in formula (XX).
- the oxazolinylated and/or oxazinylated lipid has the following formula 25 (XXIc) (in particular, if the one or more hydrophobic chains are attached to the N-end (i.e., the terminal N atom) of the POX and/or POZ polymer, as shown, for example in formula (XXI)): (hydrophobic chain)1-2-(alkylene moiety substituted with at least one monovalent functional moiety)-(POX and/or POZ polymer)-R13
- the at least one monovalent functional moiety may be any one of the monovalent functional moieties specified herein, e.g., selected from the groups consisting of hydroxy, ether, halogen, cyano, azido, nitro, amino, ammonium, ester, carboxyl, thi
- the alkylene moiety substituted with at least one monovalent functional moiety is C 1-6 - alkylene, such as C 1-3 -alkylene, e.g., methylene, ethylene, or trimethylene.
- the alkylene moiety substituted with at least one monovalent functional moiety is substituted with one or more (such as 1 to the maximum number of hydrogen atoms bound to the alkylene moiety, e.g., 1, 2, 3, 4, 5, or 6, such as between 1 to 5, 1 to 4, or 1 to 3, or 1 or 2) independently selected monovalent functional moieties.
- the alkylene moiety substituted with at least one monovalent functional moiety is C 1-6 - alkylene, such as C 1-3 -alkylene, e.g., methylene, ethylene, or trimethylene, and is substituted with one or more (such as 1 to the maximum number of hydrogen atoms bound to the alkylene moiety, e.g., 1, 2, 3, 4, 5, or 6, such as between 1 to 5, 1 to 4, or 1 to 3, or 1 or 2) independently selected 20 monovalent functional moieties.
- L11 comprises an alkylene moiety linked, at the end by which the alkylene group is attached to R14, to a divalent functional moiety as specified above.
- the oxazolinylated and/or oxazinylated lipid may comprise the following structure (in particular, if 25 the one or more hydrophobic chains are attached to the N-end (i.e., the terminal N atom) of the POX and/or POZ polymer, as shown, for example in formula (XXI)): [(hydrophobic chain)-(divalent functional moiety)]1-2-(alkylene moiety)-(POX and/or POZ polymer), wherein "hydrophobic chain” represents R14; "-(divalent functional moiety)]1-2-(alkylene moiety)" 30 represents L11; and "POX and/or POZ polymer” represents the polymer specified in formula (XX).
- the oxazolinylated and/or oxazinylated lipid has the following formula (XXId) (in particular, if the one or more hydrophobic chains are attached to the N-end (i.e., the terminal N atom) of the POX and/or POZ polymer, as shown, for example in formula (XXI)): [(hydrophobic chain)-(divalent functional moiety)]1-2-(alkylene moiety)-(POX and/or POZ polymer)-R13
- the divalent functional moiety may be any one of the divalent functional moieties 5 specified herein, e.g., selected from the groups consisting of ether, amino, ester, sulfide, disulfide, sulfoxide, sulfone, sulfite, sul
- the linker comprises at least one divalent functional moiety selected from the group consisting of ester, sulfide, disulfide, sulfone, orthoester, acylhydrazone, hydrazine, oxime, acetal, ketal, amino, and amide moieties. In some preferred 15 embodiments, the linker comprises at least one divalent functional moiety selected from the group consisting of ester, sulfide, sulfone, amino, and amide moieties.
- the alkylene moiety is C 1-6 -alkylene, such as C 1-3 -alkylene, e.g., methylene, ethylene, or trimethylene.
- L 11 comprises at least one ester, sulfide, disulfide, sulfone, orthoester, acylhydrazone, hydrazine, oxime, acetal, ketal, or amide moiety.
- R25 is selected from the group consisting of C1-3 alkyl, phenyl, and phenyl(C1-3 alkyl), such as from the group consisting of methyl, ethyl, phenyl, benzyl, and phenylethyl.
- R26 is selected from the group consisting of H, C1-3 alkyl, phenyl, and phenyl(C13 alkyl), such as from the group consisting of H, methyl, ethyl, phenyl, benzyl, and 15 phenylethyl.
- L11 is selected from the group consisting of [*-NHC(O)]p(C1-6-alkylene)-, [*-20 C(O)NH]p(C1-6-alkylene)-, [*-C(O)O]p(C1-6-alkylene)-, [*-OC(O)]p(C1-6-alkylene)-, [*-S]p(C1-6- alkylene)-, and [*-S(O) 2 ] p (C 1-6 -alkylene)-, preferably from the group consisting of [*-NHC(O)]p(C1-6-alkylene)-, [*-20 C(O)NH]p(C1-6-alkylene)-, [*-C(O)O]p(C1-6-alkylene)-, [*-OC(O)]p(C1-6-alkylene)-, [*-S]p(C1-6- alkylene)-, and [*-S(O) 2 ] p (C 1-6 -alky
- L11 is selected from the group consisting of *-NHC(O)-(CH2)-, *-NHC(O)-(CH2)2-, *- C(O)NH-(CH 2 )-, *-C(O)NH-(CH 2 ) 2 -, -(CH 2 )-CH(OC(O)-*)-(CH 2 OC(O)-*), -(CH 2 )-CH(S-*) 2 , - (CH 2 )-CH(S-*)-CH 2 (S-*), *-S
- R 12 may be selected from the group consisting of10 R14, -L11R14, -(CH2)-CH(OC(O)R14)(CH2OC(O)R14), -(CH2)-CH(SR14)2, and -(CH2)-CH(SR14)- CH2(SR14); and L11 is selected from the group consisting of *-NHC(O)-(CH2)-, *-NHC(O)- (CH2)2-, *-C(O)NH-(CH2)-, *-C(O)NH-(CH2)2-, *-S-(CH2)3-, *-S(O)2-(CH2)3-, and *-OC(O)- (CH 2 )-, preferably L 11 is *-NHC(O)-(CH 2 )- or *-NHC(O)-(CH 2 ) 2 -, wherein * represents the attachment point to R 14 .
- R12 is -L11(R14)p, i.e., the POX and/or POZ polymer is conjugated to the one or more hydrophobic chains (i.e., R14) via the linker L 11 .
- the linker comprises at least one difunctional moiety via which the one or more hydrophobic chains (R14) are attached to the 20 C-end of the POX and/or POZ polymer.
- the linker may additionally comprise an alkylene moiety (such as a C 1-6 alkylene moiety, e.g., a C 1-3 alkylene moiety), a cycloalkylene moiety (preferably a C 3-8 -cycloalkylene, such as C 3-6 -cycloalkylene moiety), or a cycloalkenylene moiety (preferably a C 3-8 -cycloalkenylene, such as C 3-6 -cycloalkenylene moiety) each of which connects the difunctional moiety to the C-end POX and/or POZ polymer (either 25 directly to the C-end or, preferably, via a further difunctional moiety).
- an alkylene moiety such as a C 1-6 alkylene moiety, e.g., a C 1-3 alkylene moiety
- a cycloalkylene moiety preferably a C 3-8 -cycloalkylene, such as C 3-6 -cycloalkylene moiety
- one hydrophobic chain (R14) may be attached to the C-end of the POX and/or POZ polymer via one difunctional moiety (either directly or via an alkylene, cycloalkylene, or cycloalkenylene moiety or via an alkylene, cycloalkylene, or cycloalkenylene moiety which bears another difunctional moiety); two hydrophobic chains (R14) may be attached to the C-end of the POX and/or POZ 30 polymer via two difunctional moieties (which in turn are preferably attached to an alkylene, cycloalkylene, or cycloalkenylene moiety or to an alkylene, cycloalkylene, or cycloalkenylene moiety bearing another difunctional moiety); or two hydrophobic chains (R14) may be attached to the C-end of the POX and/or POZ polymer via the same difunctional moiety (which is then a trifunctional moiety and which may be attached to the C-end of the PO
- each divalent functional moiety is independently selected from ether, amino, ester, sulfide, disulfide, sulfoxide, sulfone, sulfite, sulfate, phosphate, sulfinamide, sulfonamide, 5 sulfamate, diselenide, sulfurous diamide, sulfuric diamide, urea, thiourea, carbonyl, thiocarbonyl, orthoester, thioate, dithioate, imidate, imino, imidothioate, thionylamido, carbonate, carbonothioate, carbonodithioate, carbonotrithioate, guanidino (imidamido), carbamimidate, carbonimidate, carbamate, carbamodithioate, carbonodithioimidate, carbamimidothioate, carbamothioate, carbonimidothioate, acylhydrazone, hydra
- the linker comprises at least one divalent functional moiety selected from the group consisting of amide, sulfide, sulfone, and amino moieties.
- the alkylene moiety is C1-6- 25 alkylene, such as C1-3-alkylene, e.g., methylene, ethylene, or trimethylene, or C2-3 alkylene.
- the oxazolinylated and/or oxazinylated lipid comprises one of the following structures: (hydrophobic chain)-(divalent functional moiety)-(POX and/or POZ polymer) [(hydrophobic chain)-(divalent functional moiety)]1-2-(alkylene moiety)-(divalent functional 30 moiety)-(POX and/or POZ polymer) (hydrophobic chain)-(divalent functional moiety)-(cycloalkylene moiety)-(divalent functional moiety)-(POX and/or POZ polymer) (hydrophobic chain)-(divalent functional moiety)-(cycloalkenylene moiety)-(divalent functional moiety)-(POX and/or POZ polymer) (hydrophobic chain)-(divalent functional moiety)-(alkylene moiety)-
- R 12 is -L 11 (R 14 ) p , i.e., the POX and/or POZ polymer is conjugated to the one or more hydrophobic chains (i.e., R 14 ) via the linker L 11 .
- each R 14 preferably is independently a non-cyclic, more preferably straight hydrocarbyl group.
- each R 14 is independently a hydrocarbyl group having at least 8 carbon atoms, such as at least 10 carbon atoms, preferably up to 30 carbon atoms, such as up to 28, 26, 24, 22, or 20 carbon atoms, or up 15 to 16 carbon atoms, such as up to 15, 14, 13, 12, 11, or 10 carbon atoms.
- each R14 is a hydrocarbyl group having 10 to 16 carbon atoms, such as 10 to 15 or 10 to 14 carbon atoms.
- each R 14 is a straight hydrocarbyl group having 10 to 16 carbon atoms, such as 10 to 15 or 10 to 14 carbon atoms.
- each R14 may preferably be a hydrocarbyl group having 10 to 18 carbon atoms, such as a straight alkyl group having10 to 18 carbon atoms or a straight alkenyl group having 10 to 18 carbon atoms.
- a straight alkyl group may have 10, 11, 12, 13, 14, 15, 16, 17, or 18 carbon atoms; and/or a straight alkenyl group may have 10, 11, 12, 13, 14, 15, 16, 17, or 18 carbon atoms and 1, 2, or 3 carbon-carbon double bonds.
- R 13 is preferably selected from the group consisting of H, C1-3 alkyl, -OR20, -N3, C2-6 alkynyl, -OC(O)R21, -C(O)R21, -NR22R23, -COOH, -C(O)NR22R23, -NR22C(O)R21, and a member of a targeting pair, wherein the C1-3 alkyl group is optionally substituted with one or more substituents independently selected30 from the group consisting of -OH, SH, halogen, -CN, -N3, C2-6 alky
- R13 is preferably selected from the group consisting of H, C 1-3 alkyl, -OR 20 , -N 3 , C 2-6 alkynyl, -OC(O)R 21 , -C(O)R 21 , -NR 22 R 23 , -COOH, -C(O)NR 22 R 23 , -NR 22 C(O)R 21 , and a member of a targeting pair, wherein the 15 C 1-3 alkyl group is optionally substituted with one or more substituents independently selected from the group consisting of -OH, -N3, C2-6 alkyn
- R13 is preferably selected from the group consisting of H, C 1-3 alkyl, -OH, -N 3 , C 2-6 alkynyl, -COOH, -NH 2 , -30 NHCH 3 , -N(CH 3 ) 2 , -NH(CH 2 CH 3 ), -NHC(O)(CH 2 ) 2 COOH, -N(CH 2 CH 3 )C(O)(CH 2 ) 2 COOH, - N(CH2CH3)C(O)CH3, -C(O)NH2, -C(O)NHCH3, -OC(
- R 13 is selected from the group consisting of H, -OH, -N3, C2-6 alkynyl, -COOH, -NH2, -NHCH3, -N(CH3)2, - 5 NHC(O)(CH2)2COOH, -N(CH2CH3)C(O)(CH2)2COOH, -N(CH2CH3)C(O)CH3, -NH(CH2CH3), - C(O)NH2, -C(O)NHCH3, -OC(O)(CH2)2COOH, and a member of a targeting pair.
- R 13 is selected from the group consisting of -OH, -N 3 , C 2-6 alkynyl, -COOH, -NH 2 , -NHCH 3 , -N(CH 3 ) 2 , - NHC(O)(CH 2 ) 2 COOH, -N(CH 2 CH 3 )C(O)(CH 2 ) 2 COOH, -N(CH 2 CH 3 )C(O)CH 3 , -NH(CH 2 CH 3 ), - 10 C(O)NH2, -C(O)NHCH3, -OC(O)(CH2)2COOH, and a member of a targeting pair.
- R13 is selected from the group consisting of -OH, -N3, C2-6 alkynyl, -COOH, -NH2, -NHCH3, -N(CH3)2, - NHC(O)(CH 2 ) 2 COOH, -N(CH 2 CH 3 )C(O)(CH 2 ) 2 COOH, -N(CH 2 CH 3 )C(O)CH 3 , -NH(CH 2 CH 3 ), - OC(O)(CH 2 ) 2 COOH, and a member of a targeting pair.
- the oxazolinylated and/or oxazinylated lipid has the following general formula (XXII) or (XXII’): O R11 O R11 a is an integer between 1 and 2; R 11 is methyl or ethyl, and is independently selected for each repeating unit; m is 10 to 100 (preferably 20 to 80, 30 to 70, or 40 to 50); R 12 , for formula (XXII), is selected from the group consisting of -L 11 R 14 , -(CH 2 )- 5 CH(OC(O)R 14 )(CH 2 OC(O)R 14 ), -(CH 2 )-CH(SR 14 ) 2 , and -(CH 2 )-CH(SR 14 )-CH 2 (SR 14 ), wherein each R14 is independently a straight hydrocarbyl group having at least 10 carbon atoms (preferably having 10 to 16 carbon atoms); and L11 is selected from the group consisting of *-NH
- the oxazolinylated and/or oxazinylated lipid has the following general formula (XXIII): 30 R 15 -POXZ-R 16 wherein: R 15 is R 17 or -L 12 (R 17 ) q , wherein each R 17 is independently a hydrocarbyl group; L 12 is a linker; and q is 1 or 2; POXZ is a copolymer containing repeating units of the following general formulas (XXa) and 5 (XXb): O R11 O R11 o- propyl, or n-propyl, and is independently selected for each repeating unit; the number of repeating 10 units of formula (XXa) in the copolymer is 1 to 199; the number of repeating units of formula (XXb) in the copolymer is 1 to 199; the sum of the number of repeating units of formula (XXa) and the number of repeating units of formula (XXb) in the copolymer
- a member of a targeting pair includes one of the following: an antigen, an antibody, avidin, streptavidin, folate, transferrin, an aptamer; an RGD peptide; an NGR peptide; and galactose.
- R11 at each occurrence i.e., in each 15 repeating unit
- R 11 is independently selected from methyl and ethyl for each repeating unit, wherein in at least one repeating unit R11 is methyl, and in at 25 least one repeating unit R11 is ethyl.
- the sum of the number of repeating units of formula (XXa) and the number of repeating units of formula (XXb) in the copolymer preferably is between 2 and 190, such as between 2 and 180, between 2 and 170, between 2 and 160, between 2 and 150, between 2 and 140, between 2 and 130, between 2 and 120, between 2 and 110, between 2 30 and 100, between 2 and 90, between 2 and 80, between 2 and 70, between 4 and 200, between 4 and 190, between 4 and 180, between 4 and 170, between 4 and 160, between 4 and 150, between 4 and 140, between 4 and 130, between 4 and 120, between 4 and 110, between 4 and 100, between 4 and 90, between 4 and 80, between 4 and 70, between 10 and 200, between 10 and 190, between 10 and 180, between 10 and 170, between 10 and 160, between 10 and 150, between 10 and 140, between 10 and 130, between 10 and 120, between 10 and 110, between 10 and 100, between 10 and 90, between between 10 and 90, between
- the sum of the number of repeating units of formula (XXa) and the number of repeating units of formula (XXb) in the copolymer is 2 to 180, such as 4 to 160, 6 to 140, 8 to 120 or 10 to 5 100, e.g., 20 to 80, 30 to 70, or 40 to 50.
- the number of repeating units of formula (XXa) in the copolymer is 1 to 179, such as 1 to 159, 1 to 139, 1 to 119 or 1 to 99; the number of repeating units of formula (XXb) in the copolymer is 1 to 179, such as 1 to 159, 1 to 139, 1 to 119 or 1 to 99; and the sum of the number of repeating units of formula (XXa) and the number of 10 repeating units of formula (XXb) in the copolymer is 2 to 180, such as 4 to 160, 6 to 140, 8 to 120 or 10 to 100.
- L 12 comprises at least one functional moiety, such as an alkylene moiety substituted with at least one monovalent functional moiety and/or linked, at the end by which the alkylene group is attached to R17, to a divalent functional moiety, wherein 15 preferably each monovalent functional moiety is independently selected from hydroxy, ether, halogen, cyano, azido, nitro, amino, ammonium, ester, carboxyl, thiol (sulfanyl), disulfanyl, sulfide, disulfide, sulfoxide, sulfone, sulfite, sulfate, phosphate, sulfinamide, sulfonamide, sulfamate, diselenide, sulfurous diamide, sulfuric diamide, urea, thiourea, carbonyl, thiocarbonyl, orthoester, thioate, dithioate, imidate, imino, imid
- R15 is attached to the N-end (i.e., the terminal N atom) of the POXZ copolymer and R16 is attached to the C-end (i.e., the terminal C atom) of the POXZ copolymer.
- R15 is attached to the C-end (i.e., the terminal C atom) of the POXZ copolymer and R 16 is attached to the N-end (i.e., the terminal N atom) of the POXZ copolymer.
- L12 comprises an alkylene moiety substituted with at least one monovalent functional moiety as specified above.
- the oxazolinylated and/or oxazinylated lipid may comprise the following structure (optionally R 16 is attached to the terminal C atom of the POXZ copolymer): (hydrophobic chain)1-2-(alkylene moiety substituted with at least one monovalent functional 10 moiety)-(POXZ copolymer), wherein “hydrophobic chain” represents R17; "alkylene moiety substituted with at least one monovalent functional moiety” represents L12; and "POXZ copolymer” represents the copolymer specified in formula (XXIII).
- the oxazolinylated and/or oxazinylated lipid has the following formula 15 (XXIIIa) (optionally R 16 is attached to the terminal C atom of the POXZ copolymer): (hydrophobic chain)1-2-(alkylene moiety substituted with at least one monovalent functional moiety)-(POXZ copolymer)-R 16
- the at least one monovalent functional moiety may be any one of the monovalent functional moieties specified herein, e.g., selected from 20 the groups consisting of hydroxy, ether, halogen, cyano, azido, nitro, amino, ammonium, ester, carboxyl, thiol (sulfanyl), disulfanyl, sulfide, disulfide, sulfoxide, sulfone, sulfite, sulfate, phosphate, sulf
- the alkylene moiety substituted with at least one monovalent functional moiety is C1-6-alkylene, such as C1-3-alkylene, e.g., methylene, 30 ethylene, or trimethylene.
- the alkylene moiety substituted with at least one monovalent functional moiety is substituted with one or more (such as 1 to the maximum number of hydrogen atoms bound to the alkylene moiety, e.g., 1, 2, 3, 4, 5, or 6, such as between 1 to 5, 1 to 4, or 1 to 3, or 1 or 2) independently selected monovalent functional moieties.
- the alkylene moiety substituted with at least one monovalent functional moiety is C1-6-alkylene, such as C1-3-alkylene, e.g., methylene, ethylene, or trimethylene, and is 5 substituted with one or more (such as 1 to the maximum number of hydrogen atoms bound to the alkylene moiety, e.g., 1, 2, 3, 4, 5, or 6, such as between 1 to 5, 1 to 4, or 1 to 3, or 1 or 2) independently selected monovalent functional moieties.
- L12 comprises an alkylene moiety linked, at the end by which 10 the alkylene group is attached to R17, to a divalent functional moiety as specified above.
- the oxazolinylated and/or oxazinylated lipid may comprise the following structure: [(hydrophobic chain)-(divalent functional moiety)]1-2-(alkylene moiety)-(POXZ copolymer), wherein “hydrophobic chain” represents R 17 ; "-(divalent functional moiety)] 1-2 -(alkylene moiety)” 15 represents L 12 ; and "POXZ copolymer” represents the copolymer specified in formula (XXIII).
- the oxazolinylated and/or oxazinylated lipid has the following formula (XXIIIb): [(hydrophobic chain)-(divalent functional moiety)]1-2-(alkylene moiety)-(POXZ copolymer)-R16 20
- the divalent functional moiety may be any one of the divalent functional moieties specified herein, e.g., selected from the groups consisting of ether, amino, ester, sulfide, disulfide, sulfoxide, sulfone, sulfite, sulfate, phosphate, sulfinamide, sulfonamide, sulfamate, diselenide, sulfurous diamide, sulfuric diamide, urea, thiourea, carbonyl
- the alkylene moiety is C 1-6 -alkylene, 30 such as C 1-3 -alkylene, e.g., methylene, ethylene, or trimethylene.
- L 12 comprises at least one difunctional moiety via which the one or more hydrophobic chains (R17) are attached to the POXZ copolymer.
- L12 may additionally comprise an alkylene moiety (such as a C 1-6 alkylene moiety, e.g., a C 1-3 alkylene moiety), a cycloalkylene moiety (preferably a C 3-8 - cycloalkylene, such as C 3-6 -cycloalkylene moiety), or a cycloalkenylene moiety (preferably a C 3- 5 8 -cycloalkenylene, such as C 3-6 -cycloalkenylene moiety) each of which connects the difunctional moiety to the POXZ copolymer (either directly to the end of the POXZ copolymer or, preferably, via a further difunctional moiety).
- an alkylene moiety such as a C 1-6 alkylene moiety, e.g., a C 1-3 alkylene moiety
- a cycloalkylene moiety preferably a C 3-8 - cycloalkylene, such as C 3-6 -cycloalkylene
- one hydrophobic chain may be attached to the end of the POXZ copolymer via one difunctional moiety (either directly or via an alkylene, cycloalkylene, or cycloalkenylene moiety or via an alkylene, cycloalkylene, or cycloalkenylene 10 moiety which bears another difunctional moiety); two hydrophobic chains may be attached to the end of the POXZ copolymer via two difunctional moieties (which in turn are preferably attached to an alkylene, cycloalkylene, or cycloalkenylene moiety or to an alkylene, cycloalkylene, or cycloalkenylene moiety bearing another difunctional moiety); or two hydrophobic chains may be attached to the end of the POXZ copolymer via the same difunctional moiety (which is then a 15 trifunctional moiety and which may be attached to the end of the POXZ copolymer either directly or via an alkylene, cycloalkylene, or cycl
- each divalent functional moiety is independently selected from ether, amino, ester, sulfide, disulfide, sulfoxide, sulfone, sulfite, sulfate, phosphate, sulfinamide, sulfonamide, sulfamate, diselenide, 20 sulfurous diamide, sulfuric diamide, urea, thiourea, carbonyl, thiocarbonyl, orthoester, thioate, dithioate, imidate, imino, imidothioate, thionylamido, carbonate, carbonothioate, carbonodithioate, carbonotrithioate, guanidino (imidamido), carbamimidate, carbonimidate, carbamate, carbamodithioate, carbonodithioimidate, carbamimidothioate, carbamothioate, carbonimidothioate, acylhydrazone, hydra
- the alkylene moiety is C 1-6 -alkylene, such as C 1-3 - alkylene, e.g., methylene, ethylene, or trimethylene, or C2-3 alkylene.
- R25 is selected from the group consisting of C1-3 alkyl, phenyl, and phenyl(C1-3 alkyl), such as from the group consisting of 25 methyl, ethyl, phenyl, benzyl, and phenylethyl.
- L12 is selected from the group30 consisting of [*-NHC(O)]q(C1-6-alkylene)-, [*-C(O)NH]q(C1-6-alkylene)-, [*-C(O)O]q(C1-6- alkylene)-, [*-OC(O)]q(C1-6-alkylene)-, [*-S]q(C1-6-alkylene)-, and [*-S(O)2]p(C1-6-alkylene)-, preferably from the group consisting of [*-NHC(O)]qC1-6-alkylene)-, [*-C(O)O]q(C1-6-alkylene)- , [*-OC(O)]q(C1-6-alkylene)-, [*-S]q(C1-6-alkylene)-, and [*-S(O)2]p(C1-6-alkylene)-,
- L 12 is selected from the group consisting of [*-NHC(O)]q(C1-3-alkylene)-, [*-C(O)NH]q(C1-3-alkylene)-, [*-C(O)O]q(C1-3- 5 alkylene)-, [*-OC(O)]q(C1-3-alkylene)-, [*-S]q(C1-3-alkylene)-, and [*-S(O)2]p(C1-3-alkylene)-, preferably from the group consisting of [*-NHC(O)]q(C1-3-alkylene)-, [*-C(O)O]qC1-3-alkylene)- , [*-OC(O)] q (C 1-3 -alkylene)-, [*-S] q (C 1-3 -alkylene)-, and [*-S(O) 2 ]
- L 12 is selected from the group consisting of *-NHC(O)-(CH 2 )-, *-NHC(O)-(CH 2 ) 2 -, *-C(O)NH-(CH 2 )-, *-C(O)NH-(CH 2 ) 2 -, - (CH2)-CH(OC(O)-*), (CH2OC(O)-*), -(CH2)-CH(S-*)2, -(CH2)-CH(S-*)-CH2(S-*), *-S-(CH2)3-, *-S(O)2-(CH2)3-, and *-OC(O)-(CH2)-, wherein * represents the attachment point to R17.
- R 15 is -L 12 (R 15 ) q , i.e., the POXZ copolymer is conjugated to the one or more hydrophobic chains (i.e., R 17 ) via the linker L12.
- R 15 can be selected from the group consisting of (R17C(O)O)(CH(OC(O)R17))(CH2)-Z1-, (R17)2N(C1-3-alkylene)-NHC(O)-, R17NH(C1-3-alkylene)NHC(O)-, R17Z1-(C3-6-cycloalkenylene)-Z1-, R17S-, R17S(O)2-, and30 R17C(O)NH-, wherein Z1 is selected from the group consisting of -OP(O)2O(CH2)2NH-, - NH(CH 2 ) 2 OP(O) 2 O-, -C(O)NH-, -NHC(O)-, -OC(O)NH-, -NHC(O)O-, -O-, -C(O)O-, -OC(O)-, -S-, -S(O) 2 -, and -NH-.
- R15 is -L12(R15)q, i.e., the POXZ copolymer is conjugated to the one or more hydrophobic chains (i.e., R 17 ) via the linker L 12 .
- R17 preferably is independently a non- cyclic, preferably straight hydrocarbyl group.
- each R17 preferably is independently a hydrocarbyl group having at least 8 carbon atoms, such as at least 10 carbon atoms, preferably up to 30 carbon atoms, such as up to 28, 26, 24, 22, or 20 carbon atoms, or up to 16 carbon atoms, such as up to 15, 14, 13, 12, 11, or 10 carbon atoms.
- each R 17 is a 10 hydrocarbyl group having 10 to 16 carbon atoms, such as 10 to 15 or 10 to 14 carbon atoms. In some embodiments, each R17 is a straight hydrocarbyl group having 10 to 16 carbon atoms, such as 10 to 15 or 10 to 14 carbon atoms.
- each R17 may preferably be a hydrocarbyl group having 10 15 to 18 carbon atoms, such as a straight alkyl group having10 to 18 carbon atoms or a straight alkenyl group having 10 to 18 carbon atoms.
- straight alkenyl group may have 10, 11, 12, 13, 14, 15, 16, 17, or 18 carbon atoms and 1, 2, or 3 carbon-carbon double bonds.
- R16 is preferably selected from the20 group consisting of H, C1-3 alkyl, -OR20, -N3, C2-6 alkynyl, -OC(O)R21, -C(O)R21, -NR22R23, - COOH, -C(O)NR 22 R 23 , -NR 22 C(O)R 21 , and a member of a targeting pair, wherein the C 1-3 alkyl group is optionally substituted with one or more substituents independently selected from the group consisting of -OH, SH, halogen, -CN, -N 3 , C 2-6 alkynyl, -COOH, -NR 22 R 23 , -C(
- R16 is preferably selected from the group consisting of H, C1-3 alkyl, -OR20, -N3, C2-6 alkynyl, -OC(O)R21, -C(O)R21, -NR22R23, - COOH, -C(O)NR 22 R 23 , -NR 22 C(O)R 21 , and a member of a targeting pair, wherein the C 1-3 alkyl group is optionally substituted with one or more substituents independently selected from the group consisting of -OH, -N 3 , C 2-6 alkynyl, -COOH, -NH 2 , -NHCH 3 , -N(CH 3 ) 2
- R16 is preferably selected from the group consisting of H, C1-3 alkyl, -OH, -N3, C2-6 alkynyl, -COOH, -NH2, -NHCH3, -N(CH3)2, - NH(CH2CH3), -NHC(O)(CH2)2COOH, -N(CH2CH3)C(O)(CH2)2COOH, -N(CH2CH3)C(O)CH3, - C(O)NH 2 , -C(O)NHCH 3 , and a member of a targeting pair, wherein the C 1-3 alkyl group is 25 optionally substituted with one or more (such as one or two) substituents independently selected
- R 16 is selected from the group consisting of H, -OH, -N3, C2-6 alkynyl, -COOH, -NH2, -NHCH3, -N(CH3)2, -30 NHC(O)(CH2)2COOH, -N(CH2CH3)C(O)(CH2)2COOH, -N(CH2CH3)C(O)CH3, -NH(CH2CH3), - C(O)NH2, -C(O)NHCH3, -OC(O)(CH2)2COOH, and a member of a targeting pair.
- R16 is selected from the group consisting of -OH, -N3, C2-6 alkynyl, -COOH, -NH2, -NHCH3, -N(CH3)2, -NHC(O)(CH2)2COOH, -N(CH 2 CH 3 )C(O)(CH 2 ) 2 COOH, -N(CH 2 CH 3 )C(O)CH 3 , -NH(CH 2 CH 3 ), -C(O)NH 2 , - C(O)NHCH3, -OC(O)(CH2)2COOH, and a member of a targeting pair.
- R16 is selected from the group consisting of -OH, -N3, C 2-6 alkynyl, -COOH, -NH 2 , -NHCH 3 , -N(CH 3 ) 2 , -NHC(O)(CH 2 ) 2 COOH, - N(CH 2 CH 3 )C(O)(CH 2 ) 2 COOH, -N(CH 2 CH 3 )C(O)CH 3 , -NH(CH 2 CH 3 ), -OC(O)(CH 2 ) 2 COOH, 5 and a member of a targeting pair.
- R16 is selected from the group consisting of -OH, -N3, -NH2, -NHC(O)(CH2)2COOH, - N(CH2CH3)C(O)(CH2)2COOH, -N(CH2CH3)C(O)CH3, -NH(CH2CH3), and - OC(O)(CH2)2COOH.
- the oxazolinylated and/or oxazinylated lipid has the following general formula (XXIV): R15-POXZ-R16 wherein: 20 R15, when attached to the N-end of the POXZ copolymer, is selected from the group consisting of -L12R17, -(CH2)-CH(OC(O)R17)(CH2OC(O)R17), -(CH2)-CH(SR17)2, and -(CH2)-CH(SR17)- CH 2 (SR 17 ), wherein each R 17 is independently a straight hydrocarbyl group having at least 10 carbon atoms (preferably having 10 to 15 carbon atoms); and L 12 is selected from the group consisting of *-NHC(O)-(CH 2 )-, *-NHC(O)-(CH 2 ) 2 -, *-C(O)NH-(CH 2 )-, *-C(O)NH-(CH 2 ) 2 -, *-C(O)
- R11 is independently selected from methyl and ethyl for each repeating unit, wherein in at least one repeating unit R 11 is methyl, and in at least one repeating unit R 11 is ethyl.
- R 15 is selected from the group consisting of R 17 -NHC(O)-(CH 2 )-, R 17 -NHC(O)- 30 (CH 2 ) 2 -, -(CH 2 )-CH(OC(O)R 17 )(CH 2 OC(O)R 17 ), -(CH 2 )-CH(SR 17 )-CH 2 (SR 17 ), R 17 S-(CH 2 ) 3 -, R17S(O)2-(CH2)3-, and R17-OC(O)-(CH2)-; and/or R16 is selected from the group consisting of - OH, -N3, C2-6 alkynyl, -COOH, -NH2, -NHCH3, -N(CH3)2, -NHC(O)(CH2)2COOH, - N(CH 2 CH 3 )C(O)(CH 2 )
- the oxazolinylated and/or oxazinylated lipid has one of the following formulas (XXVa), (XXVa’), (XXVIa), or (XXVIa’): O O ith respect to any of the formulas (XXI), (XXI’), (XXIa), (XXIa’), (XXIc), (XXId), (XXIe’), (XXIf’), (XXIg’), (XXIh’), (XXIi’), (XXIj’), (XXII), (XXII’), (XXIIa), and (XXIIa’).
- an RNA includes one or more modified uridine residues; in some embodiments, such an RNA (e.g., an RNA including entirely modified uridine residues) is referred to as a “modRNA”.
- an RNA may be a self-amplifying RNA (saRNA).
- an RNA may be a trans-amplifying RNA (taRNA) (see, for example, WO2017/162461).
- a relevant RNA includes a polypeptide-encoding portion or a plurality of polypeptide-encoding portions.
- an encoded polypeptide or polypeptides may be or include one or more antigens (or epitopes thereof) of an infectious agent (e.g., a bacterium, fungus, virus, etc.).
- an encoded polypeptide may be a variant of a wild type polypeptide.
- a single-stranded RNA e.g., mRNA
- a secretion signal- encoding region may be or comprise a non-human secretion signal.
- a secretion signal-encoding region may be or comprise a human secretion signal.
- a single-stranded RNA e.g., mRNA
- may comprise at least one non- coding element e.g., to enhance RNA stability and/or translation efficiency.
- non- coding elements include but are not limited to a 3’ untranslated region (UTR), a 5’ UTR, a cap structure (e.g., in some embodiments, an enzymatically-added cap; in some embodiments, a co- transcriptional cap), a poly adenine (polyA) tail (e.g., that, in some embodiments, may be or comprise 100 A residues or more, and/or in some embodiments may include one or more “interrupting” [i.e., non-A] sequence elements), and any combinations thereof.
- UTR untranslated region
- 5 UTR
- a cap structure e.g., in some embodiments, an enzymatically-added cap; in some embodiments, a co- transcriptional cap
- polyA tail e.g., that, in some embodiments, may be or comprise 100 A residues or more, and/or in some embodiments may include one or more “interrupting” [i.e., non-A] sequence elements
- Exemplary 5 embodiments of such non-coding elements may be found, for example, in WO2011015347, WO2017053297, US 10519189, US 10494399, WO2007024708, WO2007036366, WO2017060314, WO2016005324, WO2005038030, WO2017036889, WO2017162266, and WO2017162461, each of which is incorporated herein by referenced in its entirety.
- RNA pharmaceutical compositions e.g., immunogenic compositions or vaccines
- uRNA mRNA
- modRNA nucleosidemodified mRNA
- saRNA self-amplifying mRNA
- trans- amplifying RNAs RNAs.
- a non-modified uridine platform may include, for example, one or more of intrinsic 15 adjuvant effect, good tolerability and safety, and strong antibody and T cell responses.
- modified uridine (e.g., pseudouridine) platform may include reduced adjuvant effect, blunted immune innate immune sensor activating capacity and thus augmented antigen expression, good tolerability and safety, and strong antibody and CD4-T cell responses.
- RNA comprises two nucleic acid 25 molecules, wherein one nucleic acid molecule encodes a replicase (e.g., a viral replicase) and the other nucleic acid molecule is capable of being replicated (e.g., a replicon) by said replicase in trans (trans-replication system).
- a replicase e.g., a viral replicase
- a self-amplifying platform (e.g., RNA) comprises a plurality of nucleic acid molecules, wherein said nucleic acids encode a plurality of replicases and/or replicons.
- a trans-replication system comprises the presence of both nucleic acid molecules in a single host cell.
- a nucleic acid encoding a replicase (e.g., a viral replicase) is not capable of self-replication in a target cell and/or target organism.
- a nucleic acid encoding a replicase (e.g., a viral replicase) lacks at least one conserved sequence element important for (-) strand synthesis based on a (+) strand template and/or for (+) strand 5 synthesis based on a (-) strand template.
- a self-amplifying RNA comprises a 5’-cap; in some trans-replication systems, at least an RNA encoding a replicase is capped. Without wishing to be bound by any one theory, it has been found that a 5’-cap can be important for high level expression of a gene of interest in trans.
- a disease, disorder, or condition is a rare disease.
- a 5 rare disease refers to a life-threatening or chronically debilitating diseases which are of such low prevalence (e.g., fewer than 1/2000 people) that special combined efforts are needed to address them.
- the present disclosure provides complexes that can selectively target particular systems within a body.
- targeting a particular system 10 refers to causing increased expression of RNA derived from cargo in the complex in the desired system.
- complexes described herein can selectively target the lungs, liver, spleen, heart, brain, lymph nodes, bladder, kidneys, and pancreas.
- a complex “selectively targets” an organ when a single target expresses mRNA in an amount that is 65% or greater than expression in other organs post administration (e.g., 65% or 15 more of mRNA throughout the body is expressed from a single organ, with the remaining 35% distributed between one or more different organs).
- a complex described herein selectively targets the lungs.
- a complex described herein selectively targets the liver.
- a complex described herein selectively targets the spleen.
- a complex described herein selectively targets the heart.
- an excipient is approved for use in humans and for veterinary use. In some embodiments, an excipient is approved by the United States Food and Drug Administration. In 10 some embodiments, an excipient is pharmaceutical grade. In some embodiments, an excipient meets the standards of the United States Pharmacopoeia (USP), the European Pharmacopoeia (EP), the British Pharmacopoeia, and/or the International Pharmacopoeia.
- USP United States Pharmacopoeia
- EP European Pharmacopoeia
- British Pharmacopoeia the British Pharmacopoeia
- International Pharmacopoeia International Pharmacopoeia
- the route and/or mode of 30 administration may depend on a number of factors, including, e.g., but not limited to stability and/or pharmacokinetics and/or pharmacodynamics of pharmaceutical compositions described herein.
- compositions described herein are formulated for parenteral administration, which includes modes of administration other than enteral and topical administration, usually by injection, and includes, without limitation, intravenous, intramuscular, intraarterial, intrathecal, intracapsular, intraorbital, intracardiac, intradermal, intraperitoneal, 5 transtracheal, subcutaneous, subcuticular, intraarticular, subcapsular, subarachnoid, intraspinal, epidural and intrasternal injection and infusion.
- parenteral administration which includes modes of administration other than enteral and topical administration, usually by injection, and includes, without limitation, intravenous, intramuscular, intraarterial, intrathecal, intracapsular, intraorbital, intracardiac, intradermal, intraperitoneal, 5 transtracheal, subcutaneous, subcuticular, intraarticular, subcapsular, subarachnoid, intraspinal, epidural and intrasternal injection and infusion.
- pharmaceutical compositions described herein are formulated for intravenous administration
- pharmaceutically acceptable carriers that may be useful for intravenous administration include sterile aqueous solutions or dispersions and 10 sterile powders for preparation of sterile injectable solutions or dispersions.
- pharmaceutical compositions described herein are formulated for subcutaneous (s.c) administration.
- pharmaceutical compositions described herein are formulated for intramuscular (i.m) administration.
- Therapeutic compositions typically must be sterile and stable under the conditions of manufacture 15 and storage.
- the composition can be formulated as a solution, dispersion, powder (e.g., lyophilized powder), microemulsion, lipid nanoparticles, or other ordered structure suitable to high drug concentration.
- the carrier can be a solvent or dispersion medium containing, for example, water, ethanol, polyol (for example, glycerol, propylene glycol, and liquid polyethylene glycol, and the like), and suitable mixtures thereof.
- the proper fluidity can be maintained, for 20 example, by the use of a coating such as lecithin, by the maintenance of the required particle size in the case of dispersion and by the use of surfactants.
- isotonic agents for example, sugars, polyalcohols such as mannitol, sorbitol, or sodium chloride in the composition.
- prolonged absorption of the injectable compositions can be brought about by including in the composition an agent that delays 25 absorption, for example, monostearate salts and gelatin.
- Sterile injectable solutions can be prepared by incorporating the active compound in the required amount in an appropriate solvent with one or a combination of ingredients enumerated above, as required, followed by sterilization microfiltration.
- dispersions are prepared by incorporating the active compound into a 30 sterile vehicle that contains a basic dispersion medium and the required other ingredients from those enumerated above.
- aqueous and nonaqueous carriers which may be employed in the pharmaceutical compositions described herein include water, ethanol, polyols (such as glycerol, 5 propylene glycol, polyethylene glycol, and the like), and suitable mixtures thereof, vegetable oils, such as olive oil, and injectable organic esters, such as ethyl oleate.
- Proper fluidity can be maintained, for example, by the use of coating materials, such as lecithin, by the maintenance of the required particle size in the case of dispersions, and by the use of surfactants.
- These compositions may also contain adjuvants such as preservatives, wetting agents, 10 emulsifying agents and dispersing agents. Prevention of the presence of microorganisms may be ensured both by sterilization procedures, and by the inclusion of various antibacterial and antifungal agents, for example, paraben, chlorobutanol, phenol sorbic acid, and the like. It may also be desirable to include isotonic agents, such as sugars, sodium chloride, and the like into pharmaceutical compositions described herein.
- compositions described herein may be prepared by any method known or hereafter developed in the art of pharmacology. In general, such preparatory methods include the step of bringing active ingredient(s) into association with a diluent or another excipient 20 and/or one or more other accessory ingredients, and then, if necessary and/or desirable, shaping and/or packaging the product into a desired single- or multi-dose unit.
- a pharmaceutical composition in accordance with the present disclosure may be prepared, packaged, and/or sold in bulk, as a single unit dose, and/or as a plurality of single unit doses.
- a "unit dose" is discrete amount of the pharmaceutical composition comprising a 25 predetermined amount of at least one RNA product produced using a system and/or method described herein.
- an active agent that may be included in a pharmaceutical composition described herein is or comprises a therapeutic agent administered in a combination therapy described herein.
- Pharmaceutical compositions described herein can be administered in 30 combination therapy, i.e., combined with other agents.
- such therapeutic agents may include agents leading to depletion or functional inactivation of regulatory T cells.
- a combination therapy can include a provided pharmaceutical composition with at least one immune checkpoint inhibitor.
- pharmaceutical composition described herein may be administered in conjunction with radiotherapy and/or autologous peripheral stem cell or bone marrow transplantation.
- a pharmaceutical composition described herein can be frozen to allow 5 long-term storage.
- Embodiment 2 The compound of Embodiment 1, wherein R 1 is -M 1 -M 2 -A and R 2 is -M 1 -M 2 -A. 15 Embodiment 3.
- Embodiment 4. The compound of any one of Embodiments 1-3, wherein A 1 is optionally substituted phenyl.
- the compound of Embodiment 1, wherein A 1 is: 20 Embodiment 6.
- Embodiment 7. The compound of any one of Embodiments 1-6, wherein A 2 is a monosaccharide.
- Embodiment 8 The compound of Embodiment 7, wherein the monosaccharide is selected from N-acetylgalactosamine (GalNAc), mannose (Man), fucose (Fuc), glucose (Glc) and galactose (Gal). 25 Embodiment 9. The compound of any one of Embodiments 01-6, wherein A 2 is an oligosaccharide, wherein the oligosaccharide is a trisaccharide of formula: 5 Embodiment 10. T ch A 2 is independently selected from Embodiment 12. a moiety of formula J: Embodiment 13.
- the c n A 2 is a moiety of formula J- 1: Embodiment 13 3 4 5 , wherein each of R, R, and R is each independently a monosaccharide.
- Embodiment 15 The compound of Embodiment 14 wherein each of R 3 , R 4 , and R 5 is each 10 independently selected from a moiety selected from:
- Embodiment 17 The compound of Embodiment 1, wherein R 1 is -M 3 -N(-M 1 -M 2 -A)2, R 2 is H, M 3 is C1-C6 aliphatic, each M 1 is C1-C6 aliphatic, one of M 2 is –NHC(S)NH-, the other M 2 is –NHS(O) 2 -, each A is –A 1 -X-A 2 , each A 1 is a bond, one instance of X is a bond and one instance of X is -CH 2 -, one instance of A 2 is a fluorescent tag, and one instance of A 2 is a moiety of formula 5 J.
- Embodiment 20 The compound of Embodiment 1, R 1 is -A, R 2 is H, where A is A 1 -X-A 2 , A 1 is a bond, X is a -CH2-, and A 2 is a formula of moiety J.
- Embodiment 21 The compound of Embodiment 1, wherein R 1 is -A, R 2 is H, where A is A 1 -X-A 2 , A 1 is a phenyl, X is a –O-, and A 2 is a trisaccharide. 15 Embodiment 22.
- Embodiment 1 wherein R 1 is -A, R 2 is H, where A is A 1 -X-A 2 , A 1 is a phenyl, X is a –O-, and A 2 is TriMan.
- Embodiment 23 The compound of any one of Embodiments 1-22, wherein M 4 is optionally substituted 2- to 10-membered heteroaliphatic-NHC(S)NH-*, where * indicates a point of attachment to moiety L of formula II. 20
- Embodiment 24 The compound of any one of Embodiments 1-23, wherein L is a polymeric moiety that comprises monomers of ethylene glycol, sarcosine, 2-(2-(2- aminoethoxy)ethoxy)acetic acid.
- Embodiment 25 The compound of any one of Embodiments 1-23, wherein L is C 2 -C 10 aliphatic. 25
- Embodiment 26 The compound of any one of Embodiments 1-25, wherein M 5 is – OC(O)NH-, -NHC(O)O-, -NHC(O)-, -C(O)-NH-, -C 1 -C aliphatic-C(O)NH-, or -NHC(O)-C 1 -C 6 aliphatic.
- Embodiment 27 The compound of any one of Embodiments 1-26, wherein T is optionally substituted C10-C20 aliphatic. 30 Embodiment 28.
- Embodiment 27 The compound of Embodiment 27, wherein T is: Embodiment 29.
- Embodiment 31 The compound of any one of Embodiments 1-30, wherein each R 8 is independently selected from: Embodiment 32 –CH 2 - 10 OC(O)-R 8 and the other R 7 is -OC(O)-R 8 .
- Embodiment 33 The compound of Embodiment 1, wherein a moiety of formula B is represented by: 15 Embodiment 34.
- ompound of formula II is represented by formula II-1:
- Example 1ap Compound NC213 Synthesized from lipid polymer DOPE-pSar23 and amine 6( ⁇ Man3) according to Scheme 6, 10 Route 6b in 70% yield.
- Example 1ar Compound MPM262 Synthesized from lipid polymer C14-pSar23 and amine tri ⁇ Man3Et- NH2 according to Scheme 6, 10 Route 6b in 96% yield.
- Example 1a Compound MPM263 Synthesized from lipid polymer C 14 -pSar 23 and amine tri ⁇ Man 3 Ph-NH 2 according to Scheme 6, Route 6b in 94% yield. Purification by dialysis (Pur-A-Lyzer® MWCO 1 kDa against H2O) 5 Average Chemical Formula: C111H185N25O41. Av.
- Example 1av Compound NC204 Synthesized from lipid polymer DOPE-pSar40 and amine tri ⁇ Man3Ph-NH2 according to Scheme 6, Route 6b in 80% yield.
- Example 1ba Compound NC208 Synthesized from lipid polymer DOPE-pSar 40 and amine acetic anhydride according to Scheme 6, Route 6c in 99% yield. Purification by dialysis (Pur-A-Lyzer® MWCO 1 kDa against H2O) 10 Average Chemical Formula: C 138 H 236 N 30 O 45 S 5 . Av.
- 1A and 1B illustrate the particle size, PDI and RNA encapsulation of particles comprising C16-PEG2k-Ceramide (sample #1), DOPE-PEG2k (sample 10 #2), DOPE-PEG2k-TrisDendroGal (sample #3), DOPE-PEG2k-TriMan (sample #4), DOPE-PEG2k-TrisDendroMan (sample #5), DOPE-PEG2k-TrisDendroMan1Gal2 (sample #6), DOPE-PEG2k-TrisDendroMan2Gal1 (sample #7) or DOPE-PEG2k-TrisDendroGlc (sample #8) in the following formulation: DODMA/Cholesterol/DSPC/stealth or glycolipid 40/48/10/2.
- Nunc-Inmuno plates (MaxiSorpTM) were coated overnight with yeast mannan at 100 ⁇ L per well diluted from a stock solution of 10 ⁇ g ⁇ mL -1 in 0.01 M phosphate buffered saline (PBS, pH 7.3 containing 0.1 mM Ca 2+ and 0.1 mM Mn 2+ ) at room temperature. The wells were then washed three times with 300 ⁇ L of washing buffer (containing 0.05% (v/v) Tween 20; PBST). The washing procedure was repeated after each of the incubations throughout the assay. The wells were then blocked by incubation with 150 ⁇ L per well of 1% BSA/PBS for 1 h at 37 °C and 5 washed again.
- PBS phosphate buffered saline
- HRP-ConA horseradish peroxidase labeled Concanavalin A (Concanavalia einsiformis) lectin
- HRP-labelled lectin 10 -1 to 10 -5 mg ⁇ mL -1 in PBS and incubated at 37 °C for 1 h.
- the plates were washed and 50 ⁇ L per well of 2,2’-azinobis-(3-ethylbenzothiazoline-6-sulfonic acid) diammonium salt (ABTS; 0.25 mg ⁇ mL -1 ) in citrate buffer (0.2 M, pH 4.0 with 0.015% H 2 O 2 ) 10 was added.
- ABTS 2,2’-azinobis-(3-ethylbenzothiazoline-6-sulfonic acid) diammonium salt
- each ligand was added in a serial of two-fold dilutions 15 (50 ⁇ L per well) in PBS to the lectin-peroxidase conjugate at the desired concentration (60 ⁇ L) on Nunclon (Delta) microtiter plates and incubated for 1 h at 37 °C.
- FIG.2 demonstrates dose-inhibition curves for the interaction of HRP-ConA binding to mannan with increasing concentrations of the glycolipids incorporated into LNPs at 2 mol%.
- FIG 3. illustrates the increase of mol% of the glycolipid in a formulation led to the enhanced ligand potency, presumably, due to the multivalency effect.
- IC50 74.47 ⁇ M for DOPE-PEG2k- TriMan.
- Example 4 Evaluation of glycolipid incorporation into RNA lipid nanoparticle formulations
- the present example describes a method for evaluation of glycolipid incorporation into RNA lipid nanoparticle formulations (LNPs).
- a stain-free Native PAGE assay was used to evaluate glycolipids incorporation efficacy at different mol% using fluorescently labelled glycolipid 10 DOPE-PEG2k-TrisDendroMan-Dansyl.
- the following samples were tested: Glycolipid Tot.
- Example 5 In Vitro murine DC-targeting using Functionalized LNPs with Glycolipids The present example describes transfection efficiency of certain complexes comprising RNA and 10 glycolipids described herein.
- LNPs were formulated with the following components and molar ratios: Cargo: modLuc mRNA; N/P ratio 4; Lipid mix: DODMA/Cholesterol/DOPE/DOPE- PEG2k or DOPE-pSar10-Ac or glycolipid 40/47/10/3, where glycolipid was DOPE-PEG2k- TriMan, DOPE-PEG2k-TrisDendro-Fuc, DOPE-PEG2k-TrisDendroMan, DOPE-PEG2k- TrisDendroGal or DOPE-pSar10-TriMan; RNA concentration: 0.1 ⁇ g/ ⁇ L. Diameter and PDI 15 were determined via DLS measurement, resulting in sub 120 nm particles with PDI below 0.4.
- RNA incorporation was verified via agarose gel electrophoresis.
- muBMDC bone marrow derived murine dendritic cells
- RPMI 10% FBS, 20 1% sodium pyruvate, 1% NEEA, 0.5% Penicilin/Streptomycin
- 1000 ng, 500 ng and 250 ng of the respective formulations were applied.
- the nanoparticles were incubated with 5% of pooled human serum for 30 min at room temperature prior adding to the cells. Incubation of the plates followed for 20 h (37 °C, 5% CO2). As shown in FIG.5A, LNPs functionalized with glycolipids provided higher transfection efficacy compared to benchmark with 3 mol% DOPE-PEG2k. The highest luciferase expression was detected for LNPs containing 3 mol% DOPE-PEG2k-TrisDendroGal or DOPE- PEG2k-TrisDendroFuc.
- FIG.5B illustrates enhancement in luciferase expression for LNPs with 3 mol% DOPE-pSar10- TriMan over untargeted LNPs with 3 mol% of DOPE-pSar10-Ac.
- Example 6 In Vitro murine macrophage-targeting using Functionalized LNPs with Glycolipids 10 complexes comprising RNA and glycolipids described herein.
- RNA incorporation was verified via agarose gel electrophoresis.
- 10, 5 and 2,5 ⁇ L (1000 ng, 500 ng and 250 ng dose) of respective formulations were pre-diluted in 50 ⁇ L RPMI medium in an ultra-low adhesion 96 well plate.1e6 thawed human PBMCs were diluted in 50 ⁇ L clotted pooled human serum (cPHS) and added to the particle dilution. The cells were incubated for 20-24 h (37 °C, 5% 5 CO 2 ). Afterwards, cell-type specific transfection (Thy1.1) was analyzed via Flowcytometry.
- LNPs functionalized with DOPE-PEG2k-TrisDendroGal and DOPE-PEG2k- TrisDendroFuc provided higher transfection efficacy only in CD14+ cells compared to 10 benchmark LNPs with DOPE-PEG2k. This finding demonstrates an increase in interaction between glycofunctionalized LNPs and monocytes due to the number of carbohydrate-specific receptors expressed on their surface or the LNP immunostimulatory activity.
- Example 8 In Vitro transgenic CHO cell lines-targeting using Functionalized LNPs with 15 Glycolipids omplexes comprising RNA and glycolipids described herein.
- LNPs were formulated with the following components and molar ratios: Cargo: modLuc mRNA; N/P ratio 4; Lipid mix: DODMA/Cholesterol/DSPC/DOPE- PEG2k, DOPE-PEG2k-TrisDendroGal, DOPE-PEG2k-TriMan, DOPE-PEG2k-TrisDendroMan 20 or DOPE-PEG2k-TrisDendroGlc 40/47/10/3; RNA concentration: 0.1 ⁇ g/ ⁇ L.
- LNPs functionalized with DOPE-PEG2k-TriMan or with DOPE-PEG2k- 30 TrisDendroMan provided the highest transfection efficacy in cell line expressing huCD209 compared to the control.
- no off-target effect was observed for LNPs with DOPE- PEG2k-TrisDendroGal or DOPE-PEG2k-TrisDendroGlc demonstrating that the increase in the transfection efficacy is directly associated with the presence of the receptor possessing high binding affinity to mannose-based ligands.
- LNPs functionalized with DOPE-PEG2k-TrisDendroGal provided the highest transfection efficacy in cell line expressing huCD301 compared to the control.
- LNPs 5 containing DOPE-PEG2k- ⁇ GalNAc or DOPE-PEG2k-(TrisDendroGal)2 demonstrated inferior transfection efficacy and only minor increase in it compared to the control, which can be explained by lower binding affinity of these galactose- or GalNAc-containing ligands.
- LNPs with DOPE-PEG2k-TrisDendroGlc showed no improvement in transfection compared to control LNPs containing DOPE-PEG2k emphasizing the significant role of CD301 in transfection increase.
- Example 9 In vitro cytokine profiling in human PBMC for Functionalized LNPs with Glycolipids
- LNPs were formulated with the following components and molar15 ratios: Cargo: modLuc mRNA; N/P ratio 4; Lipid mix: DODMA/Cholesterol/DSPC/DOPE- PEG2k, DOPE-PEG2k-TrisDendroGal, DOPE-PEG2k-(TrisDendroGal)2 or DOPE-PEG2k- GalNAc 40/47/10/3; RNA concentration: 0.15 ⁇ g/ ⁇ L.
- Diameter and PDI were determined via DLS measurement, resulting in sub 110 nm particles with PDI below 0.4. Successful RNA incorporation was verified via agarose gel electrophoresis.
- 20 5e5 hPBMC were seeded onto 96-well low attachment plates after thawing in 170 uL Xvivo15 medium and 3 ⁇ g, 1 ⁇ g, 0.3 ⁇ g, 0.1 ⁇ g and 0.04 ⁇ g of the respective formulations were applied.
- Mock transfected cells or cells pulsed with lipopolysaccharide (5 mg/mL) served as controls. Twenty hours after the transfection media were removed.
- the human IL-1 ⁇ , IL-6 and TNF- ⁇ absolute concentrations were quantified in the recovered media by an electrochemiluminescence- 25 based immunoassay. Transfection was performed in triplicates. As shown in FIG. 9A-C, LNPs functionalized with DOPE-PEG2k-(TrisDendroGal)2 led to the highest secretion of all three cytokines.
Landscapes
- Health & Medical Sciences (AREA)
- Chemical & Material Sciences (AREA)
- Life Sciences & Earth Sciences (AREA)
- Engineering & Computer Science (AREA)
- Organic Chemistry (AREA)
- General Health & Medical Sciences (AREA)
- Molecular Biology (AREA)
- Genetics & Genomics (AREA)
- Bioinformatics & Cheminformatics (AREA)
- Biotechnology (AREA)
- Biochemistry (AREA)
- Veterinary Medicine (AREA)
- Medicinal Chemistry (AREA)
- Public Health (AREA)
- Animal Behavior & Ethology (AREA)
- Epidemiology (AREA)
- Pharmacology & Pharmacy (AREA)
- Biophysics (AREA)
- Biomedical Technology (AREA)
- General Engineering & Computer Science (AREA)
- Wood Science & Technology (AREA)
- Zoology (AREA)
- Plant Pathology (AREA)
- Nanotechnology (AREA)
- Immunology (AREA)
- Crystallography & Structural Chemistry (AREA)
- Microbiology (AREA)
- Physics & Mathematics (AREA)
- Pharmaceuticals Containing Other Organic And Inorganic Compounds (AREA)
Abstract
Provided herein are particles and compositions comprising one or more glycolipids and a nucleic acid, wherein the one or more glycolipids are represented by, for example, formula I: G1-G2-G3 or a pharmaceutically acceptable salt thereof.
Description
GLYCOLIPID COMPOSITIONS DESCRIPTION BACKGROUND Targeted delivery and expression of therapeutic and/or prophylactic agents such as nucleic acids 5 present certain challenges due to the instability of nucleic acids and their inability to permeate the cell membrane. Certain approaches, including use of lipid or polymer-based systems, exhibit promise but suffer from drawbacks related to manufacturing difficulties, poor structural definition, and high polydispersity. Still further, many such compositions lack satisfactory safety and efficacy for use in delivery of therapeutic agents. 10 SUMMARY The present disclosure provides, among other things, compositions comprising particles that are useful for the delivery of therapeutics agents, such as nucleic acids, that overcome certain deficiencies associated with previous compositions. 15 In some embodiments, the present disclosure provides a particle comprising one or more glycolipids and a nucleic acid, wherein the one or more glycolipids are represented by formula I: G1-G2-G3 I or a pharmaceutically acceptable salt thereof, wherein 20 G1 is a glycodendron or a carbohydrate moiety; G2 is a polymer-linker moiety comprising units selected from ethylene glycol, 2-(2-(2- aminoethoxy)ethoxy)acetic acid, and sarcosine, or is an optionally substituted C2-C100 aliphatic group wherein one or more carbons are optionally and independently replaced by -Cy-, -NRZ-, - N(RZ)C(O)-, -C(O)N(RZ)-, -N(RZ)C(O)O-, -OC(O)N(RZ)-, -N(RZ)C(O)N(RZ) -, -OC(O)O-, -O-, 25 -C(O)-, -OC(O)-, -C(O)O-, -SO-, -SO2-, wherein each -Cy- is independently an optionally substituted 3-12 membered bivalent heterocyclyl ring having 1-3 heteroatoms selected from N, O, and S, an optionally substituted 3-8 membered bivalent heteroaryl ring having 1-4 heteroatoms selected from N, O, and S, an optionally substituted C3-C6 cycloalkyl, or an optionally substituted C6-C12 aryl, and each RZ is independently H or an optionally substituted group selected from C1- 30 C20 aliphatic, or C3-C12 cycloaliphatic; and G3 is a lipid or phospholipid tail.
In some embodiments, the present disclosure provides a compound that is a glycolipid, or a particle comprising one or more glycolipids and a nucleic acid, wherein the one or more glycolipids are represented by formula II: 5 II or a pharmaceutically acceptable salt thereof, wherein: R1 is -A, -M1-M2-A, or -M3-N(-M1-M2-A)2; R2 is -H, -A, -M1-M2-A, or -M3-N(-M1-M2-A)2; each M1 is independently an optionally substituted C2-C12 aliphatic or 2- to 12-membered 10 heteroaliphatic; each M2 is independently –NHC(S)NH-, -NHS(O)2-, -NHC(O)-, -C(O)NH-, -C(O)O-, or -OC(O)- ; each M3 is independently an optionally substituted C2-C12 aliphatic or 2- to 12-membered heteroaliphatic; 15 A is -A1-X-A2; each A1 is independently a bond, optionally substituted C2-C12 aliphatic, 2- to 12-membered heteroaliphatic, optionally substituted C6-C12 aryl, optionally substituted C3-C12 cycloaliphatic, optionally substituted 4- to 12-membered heterocycle, or optionally substituted 5- to 12- membered heteroaryl; 20 each X is independently a bond, -(CH2)1-6-, –NH-, -S-, -S(O)2-, or –O-; each A2 is independently a monosaccharide, a disaccharide, an oligosaccharide, a fluorescent tag, or a moiety of formula J:
25 wherein at least one instance of A2 is a monosaccharide, a disaccharide, an oligosaccharide, or a moiety of formula J;
each of R3, R4, and R5 is each independently at each occurrence a monosaccharide, a disaccharide, or an oligosaccharide; each of X’ is independently a bond, –NH-, -S-, -S(O)2-, or –O-; each A3 is independently, at each occurrence, a bond, optionally substituted C2-C12 aliphatic or 2- 5 to 12-membered heteroaliphatic, optionally substituted C6-C12 aryl, optionally substituted C3-C12 cycloaliphatic, optionally substituted 4- to 12-membered heterocycle, or optionally substituted 5- to 12-membered heteroaryl; M4 is optionally substituted C2-C6 aliphatic-NHC(S)NH-, or optionally substituted 2- to 12- membered heteroaliphatic-NHC(S)NH-; 10 L is a polymeric moiety that comprises monomers of ethylene glycol, sarcosine, 2-(2-(2- aminoethoxy)ethoxy)acetic acid, or a combination thereof, or L is an optionally substituted C20-C100 aliphatic group wherein one or more carbons are optionally and independently replaced by -Cy-, -NRZ-, -N(RZ)C(O)-, -C(O)N(RZ)-, -N(RZ)C(O)O-, -OC(O)N(RZ)-, -N(RZ)C(O)N(RZ) - , -OC(O)O-, -O-, -C(O)-, -OC(O)-, -C(O)O-, -SO-, -SO2-, wherein each -Cy- is independently an 15 optionally substituted 3-12 membered bivalent heterocyclyl ring having 1-3 heteroatoms selected from N, O, and S, an optionally substituted 3-8 membered bivalent heteroaryl ring having 1-4 heteroatoms selected from N, O, and S, an optionally substituted C3-C6 cycloalkyl, or an optionally substituted C6-C12 aryl, and each RZ is independently H or an optionally substituted group selected from C1-C20 aliphatic, or C3-C12 cycloaliphatic; 20 M5 is –OC(O)NH-, -NHC(O)O-, -NHC(O)-, -C(O)-NH-, -C1-C aliphatic-C(O)NH-, or -NHC(O)- C1-C6 aliphatic; T is optionally substituted C10-C20 aliphatic, or a moiety of formula B: 25 each R7 is independently
each M6 is independently –OC(O)-, -C(O)O-, -C(O)-, -C(S)-, -NHC(O)-, -C(O)NH-, -S-, -S-S-, and -S(O)2-; each R8 is optionally substituted C10-C20 aliphatic or 10- to 20-membered heteroaliphatic; n is 0 or 1;
x1 is an integer selected from 1 to 6; and each x2 is independently selected from 0, 1, and 2. In some embodiments, the present disclosure provides a composition comprising a particle comprising glycolipids described herein. 5 In some embodiments, the present disclosure provides a method of treating a disease, disorder, or condition comprising administering to a subject a composition described herein. In some embodiments, the present disclosure provides a method of increasing or causing increased expression of RNA in a target in a subject comprising administering to the subject a composition described herein. 10 BRIEF DESCRIPTION OF THE DRAWINGS FIG.1A is a bar graph illustrating the size and PDI of particles comprising example glycolipids. FIG.1B illustrates RNA encapsulation of particles comprising example glycoplipids. FIG. 2 is a plot illustrating the dose-inhibition profile for HRP-ConA binding to mannan with 15 example glycolipids. FIG.3 is a plot illustrating the effect of formulation glycolipid concentration on ligand potency. FIG.4 illustrates detection of micelles formed by example glycolipids for various concentrations of glycolipid. FIG. 5A is a bar graph illustrating transfection efficiency of example glycolipids compared to 20 benchmark. FIG.5B is a bar graph illustrating luciferase expression for LNPs containing 3 mol% of example glycolipids. FIG. 6 is a bar graph illustrating transfection efficacy of LNPs functionalized with example glycolipids relative to benchmark. 25 FIG. 7 is a bar graph illustrating CD14+-specific transfection efficacy of LNPs functionalized with example glycolipids relative to benchmark. FIG.8A illustrates transfection efficacy of LNPs functionalized with example glycolipids in cell line expressing huCD209 relative to control. FIG.8B illustrates transfection efficacy of LNPs functionalized with example glycolipids in cell 30 line expressing huCD301 relative to control.
FIG.9A is a bar graph illustrating the impact of LNPs functionalized with example glycolipids on IL-1β secretion. FIG.9B is a bar graph illustrating the impact of LNPs functionalized with example glycolipids on IL-6 secretion. 5 FIG.9C is a bar graph illustrating the impact of LNPs functionalized with example glycolipids on TNF-α secretion. Detailed Description of Certain Embodiments The present disclosure provides, among other things, compositions comprising particles that are 10 useful for the delivery of therapeutics agents, such as nucleic acids, that overcome certain deficiencies associated with previous compositions. Definitions Compounds of this disclosure include those described generally above and are further illustrated by the classes, subclasses, and species disclosed herein. As used herein, the following definitions 15 shall apply unless otherwise indicated. For purposes of this disclosure, the chemical elements are identified in accordance with the Periodic Table of Elements, CAS version, Handbook of Chemistry and Physics, 75th Ed. Additionally, general principles of organic chemistry are described in “Organic Chemistry”, Thomas Sorrell, University Science Books, Sausalito: 1999, and “March’s Advanced Organic Chemistry”, 5th Ed., Ed.: Smith, M.B. and March, J., John Wiley 20 & Sons, New York: 2001, the entire contents of which are hereby incorporated by reference. Unless otherwise stated, structures depicted herein are meant to include all stereoisomeric (e.g., enantiomeric or diastereomeric) forms of the structure, as well as all geometric or conformational isomeric forms of the structure. For example, the R and S configurations of each stereocenter are contemplated as part of the disclosure. Therefore, single stereochemical isomers, as well as 25 enantiomeric, diastereomeric, and geometric (or conformational) mixtures of provided compounds are within the scope of the disclosure. For example, in some cases, Tables 1-5 (i.e., Tables 1, 2, 3, 4, 5, as well as tables in the various Examples within) show one or more stereoisomers of a compound, and unless otherwise indicated, represents each stereoisomer alone and/or as a mixture. Unless otherwise stated, all tautomeric forms of provided compounds are 30 within the scope of the disclosure. Unless otherwise indicated, structures depicted herein are meant to include compounds that differ only in the presence of one or more isotopically enriched atoms. For example, compounds having
the present structures including replacement of hydrogen by deuterium or tritium, or replacement of a carbon by 13C- or 14C-enriched carbon are within the scope of this disclosure. About or approximately: As used herein, the term "approximately" or "about," as applied to one or more values of interest, refers to a value that is similar to a stated reference value. In general, 5 those skilled in the art, familiar within the context, will appreciate the relevant degree of variance encompassed by "about" or "approximately" in that context. For example, in some embodiments, the term "approximately" or "about" may encompass a range of values that are within (i.e., ±) 25%, 20%, 19%, 18%, 17%, 16%, 15%, 14%, 13%, 12%, 11%, 10%, 9%, 8%, 7%, 6%, 5%, 4%, 3%, 2%, 1%, or less of the referred value. 10 Administering: As used herein, the term "administering" or "administration" typically refers to the administration of a composition to a subject to achieve delivery of an agent that is, or is included in, a composition to a target site or a site to be treated. Those of ordinary skill in the art will be aware of a variety of routes that may, in appropriate circumstances, be utilized for administration to a subject, for example a human. For example, in some embodiments, 15 administration may be ocular, oral, parenteral, topical, etc. In some particular embodiments, administration may be bronchial (e.g., by bronchial instillation), buccal, dermal (which may be or comprise, for example, one or more of topical to the dermis, intradermal, interdermal, transdermal, etc.), enteral, intra-arterial, intradermal, intragastric, intramedullary, intramuscular, intranasal, intraperitoneal, intrathecal, intravenous, intraventricular, within a specific organ (e.g., 20 intrahepatic), mucosal, nasal, oral, rectal, subcutaneous, sublingual, topical, tracheal (e.g., by intratracheal instillation), vaginal, vitreal, etc. In some embodiments, administration may be parenteral. In some embodiments, administration may be oral. In some particular embodiments, administration may be intravenous. In some particular embodiments, administration may be subcutaneous. In some embodiments, administration may involve only a single dose. In some 25 embodiments, administration may involve application of a fixed number of doses. In some embodiments, administration may involve dosing that is intermittent (e.g., a plurality of doses separated in time) and/or periodic (e.g., individual doses separated by a common period of time) dosing. In some embodiments, administration may involve continuous dosing (e.g., perfusion) for at least a selected period of time. In some embodiments, administration may comprise a prime- 30 and-boost protocol. A prime-and-boost protocol can include administration of a first dose of a pharmaceutical composition (e.g., an immunogenic composition, e.g., a vaccine) followed by, after an interval of time, administration of a second or subsequent dose of a pharmaceutical composition (e.g., an immunogenic composition, e.g., a vaccine). In the case of an immunogenic composition, a prime-and-boost protocol can result in an increased immune response in a patient.
Aliphatic: The term “aliphatic” refers to a straight-chain (i.e., unbranched) or branched, substituted or unsubstituted hydrocarbon chain that is completely saturated or that contains one or more units of unsaturation, or a monocyclic hydrocarbon or bicyclic hydrocarbon that is completely saturated or that contains one or more units of unsaturation, but which is not aromatic 5 (also referred to herein as “cycloaliphatic”), that has a single point or more than one points of attachment to the rest of the molecule. Unless otherwise specified, aliphatic groups contain 1-12 aliphatic carbon atoms. As used herein, it is understood that an aliphatic group can also be bivalent (e.g., encompass a bivalent hydrocarbon chain that is saturated or contains one or more units of unsaturation, such as, for example, -CH2-, -CH2-CH2-, -CH2-CH2-CH2-, and so on). In 10 some embodiments, aliphatic groups contain 1-6 aliphatic carbon atoms (e.g., C1-6). In some embodiments, aliphatic groups contain 1-5 aliphatic carbon atoms (e.g., C1-5). In other embodiments, aliphatic groups contain 1-4 aliphatic carbon atoms (e.g., C1-4). In still other embodiments, aliphatic groups contain 1-3 aliphatic carbon atoms (e.g., C1-3), and in yet other embodiments, aliphatic groups contain 1-2 aliphatic carbon atoms (e.g., C1-2). In some 15 embodiments, “cycloaliphatic” refers to a monocyclic C3-8 hydrocarbon or a bicyclic C7-10 hydrocarbon that is completely saturated or that contains one or more units of unsaturation, but which is not aromatic, that has a single point or more than one points of attachment to the rest of the molecule. Suitable aliphatic groups include, but are not limited to, linear or branched, substituted or unsubstituted alkyl, alkenyl, or alkynyl groups and hybrids thereof. A preferred 20 aliphatic group is C1-6 alkyl. Alkyl: The term “alkyl”, used alone or as part of a larger moiety, refers to a saturated, optionally substituted straight or branched chain hydrocarbon group having (unless otherwise specified) 1- 12, 1-10, 1-8, 1-6, 1-4, 1-3, or 1-2 carbon atoms (e.g., C1-12, C1-10, C1-8, C1-6, C1-4, C1-3, or C1-2). Exemplary alkyl groups include methyl, ethyl, propyl, butyl, pentyl, hexyl, and heptyl. 25 Alkenyl: The term “alkenyl”, used alone or as part of a larger moiety, refers to an optionally substituted straight or branched chain or cyclic hydrocarbon group having at least one double bond and having (unless otherwise specified) 2-12, 2-10, 2-8, 2-6, 2-4, or 2-3 carbon atoms(e.g., C2-12, C2-10, C2-8, C2-6, C2-4, or C2-3). Exemplary alkenyl groups include ethenyl, propenyl, butenyl, pentenyl, hexenyl, and heptenyl. The term “cycloalkenyl” refers to an optionally substituted non- 30 aromatic monocyclic or multicyclic ring system containing at least one carbon-carbon double bond and having about 3 to about 10 carbon atoms. Exemplary monocyclic cycloalkenyl rings include cyclopentenyl, cyclohexenyl, and cycloheptenyl. Alkynyl: The term “alkynyl”, used alone or as part of a larger moiety, refers to an optionally substituted straight or branched chain hydrocarbon group having at least one triple bond and
having (unless otherwise specified) 2-12, 2-10, 2-8, 2-6, 2-4, or 2-3 carbon atoms (e.g., C2-12, C2- 10, C2-8, C2-6, C2-4, or C2-3). Exemplary alkynyl groups include ethynyl, propynyl, butynyl, pentynyl, hexynyl, and heptynyl. Analog: As used herein, the term “analog” refers to a substance that shares one or more particular 5 structural features, elements, components, or moieties with a reference substance. Typically, an “analog” shows significant structural similarity with the reference substance, for example sharing a core or consensus structure, but also differs in certain discrete ways. In some embodiments, an analog is a substance that can be generated from the reference substance, e.g., by chemical manipulation of the reference substance. In some embodiments, an analog is a substance that can 10 be generated through performance of a synthetic process substantially similar to (e.g., sharing a plurality of steps with) one that generates the reference substance. In some embodiments, an analog is or can be generated through performance of a synthetic process different from that used to generate the reference substance. Aryl: The term “aryl” refers to monocyclic and bicyclic ring systems having a total of five to 15 fourteen ring members (e.g., C5-C14), wherein at least one ring in the system is aromatic and wherein each ring in the system contains three to seven ring members. In some embodiments, an “aryl” group contains between six and twelve total ring members (e.g., C6-C12). The term “aryl” may be used interchangeably with the term “aryl ring”. In certain embodiments of the present invention, “aryl” refers to an aromatic ring system which includes, but not limited to, phenyl, 20 biphenyl, naphthyl, anthracyl and the like, which may bear one or more substituents. Unless otherwise specified, “aryl” groups are hydrocarbons. In some embodiments, an “aryl” ring system is an aromatic ring (e.g., phenyl) that is fused to a non-aromatic ring (e.g., cycloalkyl). Examples of aryl rings include that are fused INCLUDE Associated: Two events or entities are “a ,
25 if the presence, level and/or form of one is correlated with that of the other. For example, a particular entity (e.g., polypeptide, genetic signature, metabolite, microbe, etc) is considered to be associated with a particular disease, disorder, or condition, if its presence, level and/or form correlates with incidence of and/or susceptibility to the disease, disorder, or condition (e.g., across a relevant population). In some embodiments, two or more entities are physically “associated” 30 with one another if they interact, directly or indirectly, so that they are and/or remain in physical proximity with one another. In some embodiments, two or more entities that are physically associated with one another are covalently linked to one another; in some embodiments, two or more entities that are physically associated with one another are not covalently linked to one
another but are non-covalently associated, for example by means of hydrogen bonds, van der Waals interaction, hydrophobic interactions, magnetism, and combinations thereof. Biological sample: As used herein, the term “biological sample” typically refers to a sample obtained or derived from a biological source (e.g., a tissue or organism or cell culture) of interest, 5 as described herein. In some embodiments, a source of interest comprises an organism, such as an animal or human. In some embodiments, a biological sample is or comprises biological tissue or fluid. In some embodiments, a biological sample may be or comprise bone marrow; blood; blood cells; ascites; tissue or fine needle biopsy samples; cell-containing body fluids; free floating nucleic acids; sputum; saliva; urine; cerebrospinal fluid, peritoneal fluid; pleural fluid; feces; 10 lymph; gynecological fluids; skin swabs; vaginal swabs; oral swabs; nasal swabs; washings or lavages such as a ductal lavages or broncheoalveolar lavages; aspirates; scrapings; bone marrow specimens; tissue biopsy specimens; surgical specimens; feces, other body fluids (e.g., sperm, sweat, tears), secretions, and/or excretions; and/or cells therefrom, etc. In some embodiments, a biological sample is or comprises cells obtained from an individual. In some embodiments, 15 obtained cells are or include cells from an individual from whom the sample is obtained. In some embodiments, a sample is a “primary sample” obtained directly from a source of interest by any appropriate means. For example, in some embodiments, a primary biological sample is obtained by methods selected from the group consisting of biopsy (e.g., fine needle aspiration or tissue biopsy), surgery, collection of body fluid (e.g., blood, lymph, feces etc.), etc. In some 20 embodiments, as will be clear from context, the term “sample” refers to a preparation that is obtained by processing (e.g., by removing one or more components of and/or by adding one or more agents to) a primary sample. For example, filtering using a semi-permeable membrane. Such a “processed sample” may comprise, for example, nucleic acids or proteins extracted from a sample or obtained by subjecting a primary sample to techniques such as amplification or 25 reverse transcription of mRNA, isolation and/or purification of certain components, etc. Carrier: As used herein, the term “carrier” refers to a diluent, adjuvant, excipient, or vehicle with which a composition is administered. In some exemplary embodiments, carriers can include sterile liquids, such as, for example, water and oils, including oils of petroleum, animal, vegetable or synthetic origin, such as, for example, peanut oil, soybean oil, mineral oil, sesame oil and the 30 like. In some embodiments, carriers are or include one or more solid components. Combination therapy: As used herein, the term “combination therapy” refers to those situations in which a subject is simultaneously exposed to two or more therapeutic regimens (e.g., two or more therapeutic agents or modality(ies)). In some embodiments, the two or more regimens may be administered simultaneously; in some embodiments, such regimens may be administered
sequentially (e.g., all “doses” of a first regimen are administered prior to administration of any doses of a second regimen); in some embodiments, such agents are administered in overlapping dosing regimens. In some embodiments, “administration” of combination therapy may involve administration of one or more agent(s) or modality(ies) to a subject receiving the other agent(s) 5 or modality(ies) in the combination. For clarity, combination therapy does not require that individual agents be administered together in a single composition (or even necessarily at the same time), although in some embodiments, two or more agents, or active moieties thereof, may be administered together in a combination composition, or even in a combination compound (e.g., as part of a single chemical complex or covalent entity). 10 Comparable: As used herein, the term “comparable” refers to two or more agents, entities, situations, sets of conditions, etc., that may not be identical to one another but that are sufficiently similar to permit comparison therebetween so that one skilled in the art will appreciate that conclusions may reasonably be drawn based on differences or similarities observed. In some embodiments, comparable sets of conditions, circumstances, individuals, or populations are 15 characterized by a plurality of substantially identical features and one or a small number of varied features. Those of ordinary skill in the art will understand, in context, what degree of identity is required in any given circumstance for two or more such agents, entities, situations, sets of conditions, etc. to be considered comparable. For example, those of ordinary skill in the art will appreciate that sets of circumstances, individuals, or populations are comparable to one another 20 when characterized by a sufficient number and type of substantially identical features to warrant a reasonable conclusion that differences in results obtained or phenomena observed under or with different sets of circumstances, individuals, or populations are caused by or indicative of the variation in those features that are varied. Composition: Those skilled in the art will appreciate that the term “composition” may be used to 25 refer to a discrete physical entity that comprises one or more specified components. In general, unless otherwise specified, a composition may be of any form – e.g., gas, gel, liquid, solid, etc. Cycloaliphatic: As used herein, the term “cycloaliphatic” refers to a monocyclic C3-8 hydrocarbon or a bicyclic C7-10 hydrocarbon that is completely saturated or that contains one or more units of unsaturation, but which is not aromatic, that has a single point or more than one points of 30 attachment to the rest of the molecule. Cycloalkyl: As used herein, the term “cycloalkyl” refers to an optionally substituted saturated ring monocyclic or polycyclic system of about 3 to about 10 ring carbon atoms. Exemplary monocyclic cycloalkyl rings include cyclopropyl, cyclobutyl, cyclopentyl, cyclohexyl, and cycloheptyl.
Deoxyribonucleic Acid (DNA): As used herein, the term “DNA” refers to a polymeric molecule of nucleotides that are typically double-stranded and comprise adenine, cytosine, guanine and thymine, and a deoxyribose sugar backbone structure as specified in the definition “Nucleic Acid/Polynucleotide.” In some embodiments, DNA is linear DNA, plasmid DNA, minicircle 5 DNA, nanoplasmid DNA, doggybone DNA, or a transposon. Deoxyribonucleotide: As used herein, the term “deoxyribonucleotide” refers to unmodified and modified deoxyribonucleotides. For example, unmodified deoxyribonucleotides include the purine bases adenine (A) and guanine (G), and the pyrimidine bases cytosine (C) and thymine (T). Modified deoxyribonucleotides may include one or more modifications including, but not 10 limited to, for example, (a) end modifications, e.g., 5' end modifications (e.g., phosphorylation, dephosphorylation, conjugation, inverted linkages, etc.), 3' end modifications (e.g., conjugation, inverted linkages, etc.), (b) base modifications, e.g. , replacement with modified bases, stabilizing bases, destabilizing bases, or bases that base pair with an expanded repertoire of partners, or conjugated bases, (c) sugar modifications (e.g., at the 2' position or 4' position) or replacement of 15 the sugar, and (d) internucleoside linkage modifications, including modification or replacement of the phosphodiester linkages. Dosage form or unit dosage form: Those skilled in the art will appreciate that the term “dosage form” may be used to refer to a physically discrete unit of an active agent (e.g., a therapeutic or diagnostic agent) for administration to a subject. Typically, each such unit contains a 20 predetermined quantity of active agent. In some embodiments, such quantity is a unit dosage amount (or a whole fraction thereof) appropriate for administration in accordance with a dosing regimen that has been determined to correlate with a desired or beneficial outcome when administered to a relevant population (i.e., with a therapeutic dosing regimen). Those of ordinary skill in the art appreciate that the total amount of a therapeutic composition or agent administered 25 to a particular subject is determined by one or more attending physicians and may involve administration of multiple dosage forms. Dosing regimen or therapeutic regimen: Those skilled in the art will appreciate that the terms “dosing regimen” and “therapeutic regimen” may be used to refer to a set of unit doses (typically more than one) that are administered individually to a subject, typically separated by periods of 30 time. In some embodiments, a given therapeutic agent has a recommended dosing regimen, which may involve one or more doses. In some embodiments, a dosing regimen comprises a plurality of doses each of which is separated in time from other doses. In some embodiments, individual doses are separated from one another by a time period of the same length; in some embodiments, a dosing regimen comprises a plurality of doses and at least two different time periods separating
individual doses. In some embodiments, all doses within a dosing regimen are of the same unit dose amount. In some embodiments, different doses within a dosing regimen are of different amounts. In some embodiments, a dosing regimen comprises a first dose in a first dose amount, followed by one or more additional doses in a second dose amount different from the first dose 5 amount. In some embodiments, a dosing regimen comprises a first dose in a first dose amount, followed by one or more additional doses in a second dose amount same as the first dose amount. In some embodiments, a dosing regimen is correlated with a desired or beneficial outcome when administered across a relevant population (i.e., is a therapeutic dosing regimen). Excipient: As used herein, the term “excipient” refers to a non-therapeutic agent that may be 10 included in a pharmaceutical composition, for example, to provide or contribute to a desired consistency or stabilizing effect. Suitable pharmaceutical excipients include, for example, starch, glucose, lactose, sucrose, gelatin, malt, rice, flour, chalk, silica gel, sodium stearate, glycerol monostearate, talc, sodium chloride, dried skim milk, glycerol, propylene, glycol, water, ethanol and the like. 15 Heteroaliphatic: The term “heteroaliphatic” or “heteroaliphatic group”, as used herein, denotes an optionally substituted hydrocarbon moiety having, in addition to carbon atoms, from one to five heteroatoms, that may be straight–chain (i.e., unbranched), branched, or cyclic (“heterocyclic”) and may be completely saturated or may contain one or more units of unsaturation, but which is not aromatic. The term “heteroatom” refers to nitrogen, oxygen, or 20 sulfur, and includes any oxidized form of nitrogen or sulfur, and any quaternized form of a basic nitrogen. The term “nitrogen” also includes a substituted nitrogen. Unless otherwise specified, heteroaliphatic groups contain 1–10 carbon atoms wherein 1–3 carbon atoms are optionally and independently replaced with heteroatoms selected from oxygen, nitrogen, and sulfur. In some embodiments, heteroaliphatic groups contain 1–4 carbon atoms, wherein 1–2 carbon atoms are 25 optionally and independently replaced with heteroatoms selected from oxygen, nitrogen, and sulfur. In yet other embodiments, heteroaliphatic groups contain 1–3 carbon atoms, wherein 1 carbon atom is optionally and independently replaced with a heteroatom selected from oxygen, nitrogen, and sulfur. Suitable heteroaliphatic groups include, but are not limited to, linear or branched, heteroalkyl, heteroalkenyl, and heteroalkynyl groups. For example, a 2- to 12-atom30 heteroaliphatic group includes the following exemplary groups: -O-CH3, -CH2-O-CH3, -O-CH2- CH2-O-CH2-CH2-O-CH3, and the like. Heteroaryl: The terms “heteroaryl” and “heteroar–”, used alone or as part of a larger moiety, e.g., “heteroaralkyl”, or “heteroaralkoxy”, refer to monocyclic or bicyclic ring groups having 5 to 12 ring atoms (e.g., 5- to 6- membered monocyclic heteroaryl or 9- to 12-membered bicyclic
heteroaryl); having 6, 10, or 14 π-electrons shared in a cyclic array; and having, in addition to carbon atoms, from one to five heteroatoms. The term “heteroatom” refers to nitrogen, oxygen, or sulfur, and includes any oxidized form of nitrogen or sulfur, and any quaternized form of a basic nitrogen. Heteroaryl groups include, without limitation, thienyl, furanyl, pyrrolyl, 5 imidazolyl, pyrazolyl, triazolyl, tetrazolyl, oxazolyl, isoxazolyl, oxadiazolyl, thiazolyl, isothiazolyl, thiadiazolyl, pyridyl, pyridazinyl, pyrimidinyl, pyrazinyl, indolizinyl, purinyl, naphthyridinyl, pteridinyl, imidazo[1,2-a]pyrimidinyl, imidazo[1,2-a]pyridyl, imidazo[4,5- b]pyridyl, imidazo[4,5-c]pyridyl, pyrrolopyridyl, pyrrolopyrazinyl, thienopyrimidinyl, triazolopyridyl, and benzoisoxazolyl. The terms “heteroaryl” and “heteroar–”, as used herein, also 10 include groups in which a heteroaromatic ring is fused to one or more aryl, cycloaliphatic, or heterocyclyl rings, where the radical or point of attachment is on the heteroaromatic ring (i.e., a bicyclic heteroaryl ring having 1 to 3 heteroatoms). Nonlimiting examples include indolyl, isoindolyl, benzothienyl, benzofuranyl, dibenzofuranyl, indazolyl, benzimidazolyl, benzotriazolyl, benzothiazolyl, benzothiadiazolyl, benzoxazolyl, quinolyl, isoquinolyl, 15 cinnolinyl, phthalazinyl, quinazolinyl, quinoxalinyl, 4H–quinolizinyl, carbazolyl, acridinyl, phenazinyl, phenothiazinyl, phenoxazinyl, tetrahydroquinolinyl, tetrahydroisoquinolinyl, pyrido[2,3–b]–1,4–oxazin–3(4H)–one, 4H-thieno[3,2-b]pyrrole, and benzoisoxazolyl. A heteroaryl group may be mono– or bicyclic. The term “heteroaryl” may be used interchangeably with the terms “heteroaryl ring”, “heteroaryl group”, or “heteroaromatic”, any of which terms 20 include rings that are optionally substituted. The term “heteroaralkyl” refers to an alkyl group substituted by a heteroaryl, wherein the alkyl and heteroaryl portions independently are optionally substituted. Heteroatom: The term “heteroatom” as used herein refers to nitrogen, oxygen, or sulfur, and includes any oxidized form of nitrogen or sulfur, and any quaternized form of a basic nitrogen. 25 Heterocycle: As used herein, the terms “heterocycle”, “heterocyclyl”, “heterocyclic radical”, and “heterocyclic ring” are used interchangeably and refer to a stable 3- to 8-membered monocyclic, a 7- to 12-membered bicyclic, or a 10- to 16-membered polycyclic heterocyclic moiety that is either saturated or partially unsaturated, and having, in addition to carbon atoms, one or more, such as one to four, heteroatoms, as defined above. When used in reference to a ring atom of a 30 heterocycle, the term "nitrogen" includes a substituted nitrogen. As an example, in a saturated or partially unsaturated ring having 0–3 heteroatoms selected from oxygen, sulfur or nitrogen, the nitrogen may be N (as in 3,4-dihydro-2H-pyrrolyl), NH (as in pyrrolidinyl), or NR+ (as in N- substituted pyrrolidinyl). A heterocyclic ring can be attached to its pendant group at any heteroatom or carbon atom that results in a stable structure and any of the ring atoms can be
optionally substituted. Examples of such saturated or partially unsaturated heterocyclic radicals include, without limitation, azetidinyl, oxetanyl, tetrahydrofuranyl, tetrahydrothienyl, pyrrolidinyl, piperidinyl, decahydroquinolinyl, oxazolidinyl, piperazinyl, dioxanyl, dioxolanyl, diazepinyl, oxazepinyl, thiazepinyl, morpholinyl, and thiamorpholinyl. A heterocyclyl group 5 may be mono-, bi-, tri-, or polycyclic, preferably mono-, bi-, or tricyclic, more preferably mono- or bicyclic. The term “heterocyclylalkyl” refers to an alkyl group substituted by a heterocyclyl, wherein the alkyl and heterocyclyl portions independently are optionally substituted. A bicyclic heterocyclic ring also includes groups in which the heterocyclic ring is fused to one or more aryl rings. Exemplary bicyclic heterocyclic groups include indolinyl, isoindolinyl, benzodioxolyl,
spirocyclic fused heterocyclic ring having, in addition to carbon atoms, one or more heteroatoms 15 as defined above (e.g., one, two, three or four heteroatoms)). A bicyclic heterocyclic ring can also be a bridged ring system (e.g., 7- to 11-membered bridged heterocyclic ring having one, two, or three bridging atoms. Nanoparticle: As used herein, the term “nanoparticle” refers to a discrete entity of small size, e.g., typically having a longest dimension that is shorter than about 1000 nanometers (nm) and 20 often is shorter than 500 nm, or even 100 nm or less. In many embodiments, a nanoparticle may be characterized by a longest dimension between about 1 nm and about 100 nm, or between about 1 µm and about 500 nm, or between about 1 nm and 1000 nm. In many embodiments, a population of microparticles is characterized by an average size (e.g., longest dimension) that is below about 1000 nm, about 500 nm, about 100 nm, about 50 nm, about 40 nm, about 30 nm, 25 about 20 nm, or about 10 nm and often above about 1 nm. In many embodiments, a microparticle may be substantially spherical (e.g., so that its longest dimension may be its diameter). In some embodiments, a nanoparticle has a diameter of less than 100 nm as defined by the National Institutes of Health. In some embodiments, nanoparticles are micelles in that they comprise an enclosed compartment, separated from the bulk solution by a micellar membrane, typically
comprised of amphiphilic entities which surround and enclose a space or compartment (e.g., to define a lumen). In some embodiments, a micellar membrane is comprised of at least one polymer, such as for example a biocompatible and/or biodegradable polymer. Nucleic acid/ Polynucleotide: As used herein, the term “nucleic acid” refers to a polymer of at 5 least 10 nucleotides or more. In some embodiments, a nucleic acid is or comprises DNA. In some embodiments, a nucleic acid is or comprises RNA. In some embodiments, a nucleic acid is or comprises peptide nucleic acid (PNA). In some embodiments, a nucleic acid is or comprises a single stranded nucleic acid. In some embodiments, a nucleic acid is or comprises a double- stranded nucleic acid. In some embodiments, a nucleic acid comprises both single and double- 10 stranded portions. In some embodiments, a nucleic acid comprises a backbone that comprises one or more phosphodiester linkages. In some embodiments, a nucleic acid comprises a backbone that comprises both phosphodiester and non-phosphodiester linkages. For example, in some embodiments, a nucleic acid may comprise a backbone that comprises one or more phosphorothioate or 5'-N-phosphoramidite linkages and/or one or more peptide bonds, e.g., as in 15 a “peptide nucleic acid”. In some embodiments, a nucleic acid comprises one or more, or all, natural residues (e.g., adenine, cytosine, deoxyadenosine, deoxycytidine, deoxyguanosine, deoxythymidine, guanine, thymine, uracil). In some embodiments, a nucleic acid comprises on or more, or all, non-natural residues. In some embodiments, a non-natural residue comprises a nucleoside analog (e.g., 2-aminoadenosine, 2-thiothymidine, inosine, pyrrolo-pyrimidine, 3 -20 methyl adenosine, 5-methylcytidine, C-5 propynyl-cytidine, C-5 propynyl-uridine, 2- aminoadenosine, C5-bromouridine, C5-fluorouridine, C5-iodouridine, C5-propynyl-uridine, C5 - propynyl-cytidine, C5-methylcytidine, 2-aminoadenosine, 7-deazaadenosine, 7-deazaguanosine, 8-oxoadenosine, 8-oxoguanosine, 6-O-methylguanine, 2-thiocytidine, methylated bases, intercalated bases, and combinations thereof). In some embodiments, a non-natural residue 25 comprises one or more modified sugars (e.g., 2'-fluororibose, ribose, 2'-deoxyribose, arabinose, and hexose) as compared to those in natural residues. In some embodiments, a nucleic acid has a nucleotide sequence that encodes a functional gene product such as an RNA or polypeptide. In some embodiments, a nucleic acid has a nucleotide sequence that comprises one or more introns. In some embodiments, a nucleic acid may be prepared by isolation from a natural source, 30 enzymatic synthesis (e.g., by polymerization based on a complementary template, e.g., in vivo or in vitro, reproduction in a recombinant cell or system, or chemical synthesis. In some embodiments, a nucleic acid is at least 3, 4, 5, 6, 7, 8, 9, 10, 15, 20, 25, 30, 35, 40, 45, 50, 55, 60, 65, 70, 75, 80, 85, 90, 95, 100, 110, 120, 130, 140, 150, 160, 170, 180, 190, 20, 225, 250, 275, 300, 325, 350, 375, 400, 425, 450, 475, 500, 600, 700, 800, 900, 1000, 1500, 2000, 2500, 3000, 35 3500, 4000, 4500, 5000, 5500, 6000, 6500, 7000, 7500, 8000, 8500, 9000, 9500, 10,000, 10,500,
11,000, 11,500, 12,000, 12,500, 13,000, 13,500, 14,000, 14,500, 15,000, 15,500, 16,000, 16,500, 17,000, 17,500, 18,000, 18,500, 19,000, 19,500, or 20,000 or more residues or nucleotides long. Nucleic acid particle: A “nucleic acid particle” can be used to deliver nucleic acid to a target site of interest (e.g., cell, tissue, organ, and the like). A nucleic acid particle may be formed from at 5 least one cationic or cationically ionizable lipid or lipid-like material, at least one cationic polymer such as protamine, or a mixture thereof and nucleic acid. Nucleic acid particles include lipid nanoparticle (LNP)-based and lipoplex (LPX)-based formulations. Nucleotide: As used herein, the term “nucleotide” refers to its art-recognized meaning. When a number of nucleotides is used as an indication of size, e.g., of a polynucleotide, a certain number 10 of nucleotides refers to the number of nucleotides on a single strand, e.g., of a polynucleotide. Parenteral: The phrases “parenteral administration” and “administered parenterally” as used herein have their art-understood meaning referring to modes of administration other than enteral and topical administration, usually by injection, and include, without limitation, intravenous, intramuscular, intra-arterial, intrathecal, intracapsular, intraorbital, intracardiac, intradermal, 15 intraperitoneal, transtracheal, subcutaneous, subcuticular, intraarticulare, subcapsular, subarachnoid, intraspinal, and intrasternal injection and infusion. Partially unsaturated: As used herein, the term “partially unsaturated” refers to a ring moiety that includes at least one double or triple bond between ring atoms. The term “partially unsaturated” is intended to encompass rings having multiple sites of unsaturation, but is not 20 intended to include aromatic (e.g., aryl or heteroaryl) moieties, as herein defined. Patient or subject: As used herein, the term “patient” or “subject” refers to any organism to which a provided composition is or may be administered, e.g., for experimental, diagnostic, prophylactic, cosmetic, and/or therapeutic purposes. Typical patients or subjects include animals (e.g., mammals such as mice, rats, rabbits, non-human primates, and/or humans). In some 25 embodiments, a patient is a human. In some embodiments, a patient or a subject is suffering from or susceptible to one or more disorders or conditions. In some embodiments, a patient or subject displays one or more symptoms of a disorder or condition. In some embodiments, a patient or subject has been diagnosed with one or more disorders or conditions. In some embodiments, a patient or a subject is receiving or has received certain therapy to diagnose and/or to treat a 30 disease, disorder, or condition. Pharmaceutical composition: As used herein, the term “pharmaceutical composition” refers to an active agent, formulated together with one or more pharmaceutically acceptable carriers. In some embodiments, the active agent is present in unit dose amount appropriate for administration
in a therapeutic or dosing regimen that shows a statistically significant probability of achieving a predetermined therapeutic effect when administered to a relevant population. In some embodiments, pharmaceutical compositions may be specially formulated for administration in solid or liquid form, including those adapted for the following: oral administration, for example, 5 drenches (aqueous or non-aqueous solutions or suspensions), tablets, e.g., those targeted for buccal, sublingual, and systemic absorption, boluses, powders, granules, pastes for application to the tongue; parenteral administration, for example, by subcutaneous, intramuscular, intravenous or epidural injection as, for example, a sterile solution or suspension, or sustained-release formulation; topical application, for example, as a cream, ointment, or a controlled-release patch 10 or spray applied to the skin, lungs, or oral cavity; intravaginally or intrarectally, for example, as a pessary, cream, or foam; sublingually; ocularly; transdermally; or nasally, pulmonary, and to other mucosal surfaces. Pharmaceutically acceptable: As used herein, the phrase “pharmaceutically acceptable” refers to those compounds, materials, compositions, and/or dosage forms which are, within the scope of 15 sound medical judgment, suitable for use in contact with the tissues of human beings and animals without excessive toxicity, irritation, allergic response, or other problem or complication, commensurate with a reasonable benefit/risk ratio. Pharmaceutically acceptable carrier: As used herein, the term “pharmaceutically acceptable carrier” means a pharmaceutically-acceptable material, composition or vehicle, such as a liquid 20 or solid filler, diluent, excipient, or solvent encapsulating material, involved in carrying or transporting the subject compound from one organ, or portion of the body, to another organ, or portion of the body. Each carrier must be “acceptable” in the sense of being compatible with the other ingredients of the formulation and not injurious to the patient. Some examples of materials which can serve as pharmaceutically-acceptable carriers include: sugars, such as lactose, glucose 25 and sucrose; starches, such as corn starch and potato starch; cellulose, and its derivatives, such as sodium carboxymethyl cellulose, ethyl cellulose and cellulose acetate; powdered tragacanth; malt; gelatin; talc; excipients, such as cocoa butter and suppository waxes; oils, such as peanut oil, cottonseed oil, safflower oil, sesame oil, olive oil, corn oil and soybean oil; glycols, such as propylene glycol; polyols, such as glycerin, sorbitol, mannitol and polyethylene glycol; esters, 30 such as ethyl oleate and ethyl laurate; agar; buffering agents, such as magnesium hydroxide and aluminum hydroxide; alginic acid; pyrogen-free water; isotonic saline; Ringer’s solution; ethyl alcohol; pH buffered solutions; polyesters, polycarbonates and/or polyanhydrides; and other non- toxic compatible substances employed in pharmaceutical formulations.
Pharmaceutically acceptable salt: The term “pharmaceutically acceptable salt”, as used herein, refers to salts of such compounds that are appropriate for use in pharmaceutical contexts, i.e., salts which are, within the scope of sound medical judgment, suitable for use in contact with the tissues of humans and lower animals without undue toxicity, irritation, allergic response and the like, and 5 are commensurate with a reasonable benefit/risk ratio. Pharmaceutically acceptable salts are well known in the art. For example, S. M. Berge, et al. describes pharmaceutically acceptable salts in detail in J. Pharmaceutical Sciences, 66: 1-19 (1977). In some embodiments, pharmaceutically acceptable salts include, but are not limited to, nontoxic acid addition salts, which are salts of an amino group formed with inorganic acids such as hydrochloric acid, hydrobromic acid, 10 phosphoric acid, sulfuric acid and perchloric acid or with organic acids such as acetic acid, maleic acid, tartaric acid, citric acid, succinic acid or malonic acid or by using other methods used in the art such as ion exchange. In some embodiments, pharmaceutically acceptable salts include, but are not limited to, adipate, alginate, ascorbate, aspartate, benzenesulfonate, benzoate, bisulfate, borate, butyrate, camphorate, camphorsulfonate, citrate, cyclopentanepropionate, digluconate, 15 dodecylsulfate, ethanesulfonate, formate, fumarate, glucoheptonate, glycerophosphate, gluconate, hemisulfate, heptanoate, hexanoate, hydroiodide, 2-hydroxy-ethanesulfonate, lactobionate, lactate, laurate, lauryl sulfate, malate, maleate, malonate, methanesulfonate, 2- naphthalenesulfonate, nicotinate, nitrate, oleate, oxalate, palmitate, pamoate, pectinate, persulfate, 3-phenylpropionate, phosphate, picrate, pivalate, propionate, stearate, succinate, 20 sulfate, tartrate, thiocyanate, p-toluenesulfonate, undecanoate, valerate salts, and the like. Representative alkali or alkaline earth metal salts include sodium, lithium, potassium, calcium, magnesium, and the like. In some embodiments, pharmaceutically acceptable salts include, when appropriate, nontoxic ammonium, quaternary ammonium, and amine cations formed using counterions such as halide, hydroxide, carboxylate, sulfate, phosphate, nitrate, alkyl having from 25 1 to 6 carbon atoms, sulfonate and aryl sulfonate. Physiological conditions: as used herein, has its art-understood meaning referencing conditions under which cells or organisms live and/or reproduce. In some embodiments, the term refers to conditions of the external or internal mileu that may occur in nature for an organism or cell system. In some embodiments, physiological conditions are those conditions present within the body of a 30 human or non-human animal, especially those conditions present at and/or within a surgical site. Physiological conditions typically include, e.g., a temperature range of 20 - 40°C, atmospheric pressure of 1, pH of 6-8, glucose concentration of 1-20 mM, oxygen concentration at atmospheric levels, and gravity as it is encountered on earth. In some embodiments, conditions in a laboratory are manipulated and/or maintained at physiologic conditions. In some embodiments, 35 physiological conditions are encountered in an organism.
Polycyclic: As used herein, the term “polycyclic” refers to a saturated or unsaturated ring system having two or more rings (for example, heterocyclyl rings, heteroaryl rings, cycloalkyl rings, or aryl rings), having between 7 and 20 atoms, in which one or more carbon atoms are common to two adjacent rings. For example, in some embodiments, a polycyclic ring system refers to a 5 saturated or unsaturated ring system having three or more rings (for example, heterocyclyl rings, heteroaryl rings, cycloalkyl rings, or aryl rings), having between 14 and 20 atoms, in which one or more carbon atoms are common to two adjacent rings. The rings in a polycyclic ring system may be fused (i.e., bicyclic or tricyclic), spirocyclic, or a combination thereof. An example polycyclic ring is a steroid. 10 Polypeptide: The term “polypeptide”, as used herein, typically has its art-recognized meaning of a polymer of at least three amino acids or more. Those of ordinary skill in the art will appreciate that the term “polypeptide” is intended to be sufficiently general as to encompass not only polypeptides having a complete sequence recited herein, but also to encompass polypeptides that represent functional, biologically active, or characteristic fragments, portions or domains (e.g., 15 fragments, portions, or domains retaining at least one activity) of such complete polypeptides. In some embodiments, polypeptides may contain L-amino acids, D-amino acids, or both and/or may contain any of a variety of amino acid modifications or analogs known in the art. Useful modifications include, e.g., terminal acetylation, amidation, methylation, etc. In some embodiments, polypeptides may comprise natural amino acids, non-natural amino acids, synthetic 20 amino acids, and combinations thereof (e.g., may be or comprise peptidomimetics). Prevent or prevention: As used herein, the terms “prevent” or “prevention”, when used in connection with the occurrence of a disease, disorder, and/or condition, refer to reducing the risk of developing the disease, disorder and/or condition and/or to delaying onset of one or more characteristics or symptoms of the disease, disorder or condition. Prevention may be considered 25 complete when onset of a disease, disorder or condition has been delayed for a predefined period of time. Reference: As used herein describes a standard or control relative to which a comparison is performed. For example, in some embodiments, an agent, animal, individual, population, sample, sequence or value of interest is compared with a reference or control agent, animal, individual, 30 population, sample, sequence or value. In some embodiments, a reference or control is tested and/or determined substantially simultaneously with the testing or determination of interest. In some embodiments, a reference or control is a historical reference or control, optionally embodied in a tangible medium. Typically, as would be understood by those skilled in the art, a reference or control is determined or characterized under comparable conditions or circumstances to those
under assessment. Those skilled in the art will appreciate when sufficient similarities are present to justify reliance on and/or comparison to a particular possible reference or control. Ribonucleotide: As used herein, the term “ribonucleotide” encompasses unmodified ribonucleotides and modified ribonucleotides. For example, unmodified ribonucleotides include 5 the purine bases adenine (A) and guanine (G), and the pyrimidine bases cytosine (C) and uracil (U). Modified ribonucleotides may include one or more modifications including, but not limited to, for example, (a) end modifications, e.g., 5' end modifications (e.g., phosphorylation, dephosphorylation, conjugation, inverted linkages, etc.), 3' end modifications (e.g., conjugation, inverted linkages, etc.), (b) base modifications, e.g. , replacement with modified bases, stabilizing 10 bases, destabilizing bases, or bases that base pair with an expanded repertoire of partners, or conjugated bases, (c) sugar modifications (e.g., at the 2' position or 4' position) or replacement of the sugar, and (d) internucleoside linkage modifications, including modification or replacement of the phosphodiester linkages. The term “ribonucleotide” also encompasses ribonucleotide triphosphates including modified and non-modified ribonucleotide triphosphates. 15 Ribonucleic acid (RNA): As used herein, the term “RNA” refers to a polymer of ribonucleotides. In some embodiments, an RNA is single stranded. In some embodiments, an RNA is double stranded. In some embodiments, an RNA comprises both single and double stranded portions. In some embodiments, an RNA can comprise a backbone structure as described in the definition of “Nucleic acid / Polynucleotide” above. An RNA can be a regulatory RNA (e.g., siRNA, 20 microRNA, etc.), or a messenger RNA (mRNA). In some embodiments where an RNA is a mRNA. In some embodiments where an RNA is a mRNA, a RNA typically comprises at its 3’ end a poly(A) region. In some embodiments where an RNA is a mRNA, an RNA typically comprises at its 5’ end an art-recognized cap structure, e.g., for recognizing and attachment of a mRNA to a ribosome to initiate translation. In some embodiments, a RNA is a synthetic RNA. 25 Synthetic RNAs include RNAs that are synthesized in vitro (e.g., by enzymatic synthesis methods and/or by chemical synthesis methods). Sample: As used herein, the term “sample” typically refers to an aliquot of material obtained or derived from a source of interest. In some embodiments, a source of interest is a biological or environmental source. In some embodiments, a source of interest may be or comprise a cell, 30 tissue, or organism, such as a microbe, a plant, or an animal (e.g., a human). In some embodiments, a source of interest is or comprises biological tissue or fluid. In some embodiments, a source of interest may be or comprise a preparation generated in a production run. In some embodiments, a sample is a “primary sample” obtained directly from a source of interest by any appropriate means. In some embodiments, as will be clear from context, the term
“sample” refers to a preparation that is obtained by processing (e.g., by removing one or more components of and/or by adding one or more agents to) a primary sample. Saccharide: In some embodiments, a glycolipid compound comprises one or more saccharide units. As described herein, a saccharide refers to a carbohydrate having one or more sugar 5 residues. For example, a “monosaccharide” (one saccharide ring, example monosaccharides ring include glucose, fructose, and galactose), a “disaccharide” (two saccharide rings connected to each other either directly or a linking atom, examples of disaccharides include lactose, maltose, and sucrose), a “trisaccharide” (three saccharide rings connected to each other either directly or via a linking atom, an example of a trisaccharide is mannose), an “oligosaccharide” (a 10 carbohydrate chain containing between 3 and 10 single sugar residues; example oligosaccharides include raffinose, stachyose, and verbascose) or a “polysaccharide” (a chain of 10 or more carhobydrate molecules). In some embodiments, a glycolipid compound can comprise a derivative of a saccharide. Examples of the derivative of saccharides include oxides such as saccharic acid; reduced products such as sugar alcohol; and modified products such as amino 15 sugar, etherified sugar, halogenated sugar, and phosphorylated sugar. In some embodiments, saccharides or derivatives thereof, are referred to as “sugar(s)”. As described herein, “monosaccharide” refers to a monomeric carbohydrate structural unit having a formula (CH2O)x, where conventionally x ≥ 3. A monosaccharide can be linear or cyclic. Unless otherwise specified, as used herein, a monosaccharide unit is cyclic. Monosaccharides are 20 the building blocks of larger sugar complexes, such as oligosaccharides or polysaccharides. In some embodiments, a monosaccharide is glucose (Glc), galactose (Gal), mannose (Man), fucose, ribose, arabinose, xylose, lixose, erythrose, furactose, psicose, N-acetyl glucosamine (GalNAc), N-acetylneuraminic acid (NeuAc), or derivatives thereof. As described herein, a “disaccharide” refers to a sugar complex which comprises two 25 monosaccharide units bonded together by glycosidic linkage. Examples of disaccharides include sucrose, lactose, maltose, trehalose, lactulose, cellobiose, chitobiose, α,α’-trehalose, α-(1→6)- mannobiose, and α-(1→2)-mannobiose, lactose, and derivatives thereof. As used herein, a “trisaccharide” is a sugar complex which comprises three monosaccharide units bonded together by glycosidic linkage. An example of a trisaccharide includes D- 30 mannopyranosyl-α-(1→3)-[(D-mannopyranosyl-α-(1→6)]-D-mannopyranose (“Man3” or “TriMan”), cellotriose, maltotriose, α-(1→6)-mannotriose, α-(1→2)-mannotriose, and derivatives thereof.
As described herein, “oligosaccharide” refers to a saccharide in which 3 to 10 monosaccharides are linked together. In some embodiment, an oligosaccharide comprises a trisaccharide (i.e., three monosaccharide units linked together by glycosidic linkage). Examples of oligosaccharides include sucrose, trehalose, maltose, cellobiose, gentiobiose, isomaltose, nigerose, sophorose, 5 kojibiose, turanose, lactose, xylobiose, maltooligosaccharide, isomaltooligosaccharide, xylooligosaccharide, cyclodextrin, or a derivative thereof. Substituted or optionally substituted: As described herein, compounds of the invention may contain “optionally substituted” moieties. In general, the term “substituted,” whether preceded by the term “optionally” or not, means that one or more hydrogens of the designated moiety are 10 replaced with a suitable substituent. “Substituted” applies to one or more hydrogens that are either
each substitutable position of the group, and when more than one position in any given structure 15 may be substituted with more than one substituent selected from a specified group, the substituent may be either the same or different at every position. Combinations of substituents envisioned by this invention are preferably those that result in the formation of stable or chemically feasible compounds. The term “stable,” as used herein, refers to compounds that are not substantially altered when subjected to conditions to allow for their production, detection, and, in certain 20 embodiments, their recovery, purification, and use for one or more of the purposes provided herein. Groups described as being “substituted” preferably have between 1 and 4 substituents, more preferably 1 or 2 substituents. Groups described as being “optionally substituted” may be unsubstituted or be “substituted” as described above. Suitable monovalent substituents on a substitutable carbon atom of an “optionally substituted”25 group are independently halogen; –(CH2)0–4R°; –(CH2)0–4OR°; -O(CH2)0-4Ro, –O–(CH2)0– 4C(O)OR°; –(CH2)0–4CH(OR°)2; –(CH2)0–4SR°; –(CH2)0–4Ph, which may be substituted with R°; –(CH2)0–4O(CH2)0–1Ph which may be substituted with R°; –CH=CHPh, which may be substituted with R°; –(CH2)0–4O(CH2)0–1-pyridyl which may be substituted with R°; –NO2; –CN; –N3; (CH2)0– 4N(R°)2; –(CH2)0–4N(R°)C(O)R°; –N(R°)C(S)R°; –(CH2)0–4N(R°)C(O)NR°2; N(R°)C(S)NR°2; –
(CH2)0–4N(R°)C(O)OR°; -N(R°)N(R°)C(O)R°; N(R°)N(R°)C(O)NR°2; N(R°)N(R°)C(O)OR°; – (CH2)0–4C(O)R°; C(S)R°; –(CH2)0–4C(O)OR°; –(CH2)0–4C(O)SR°; (CH2)0–4C(O)OSiR°3; – (CH2)0–4OC(O)R°; –OC(O)(CH2)0–4SR°; –(CH2)0–4SC(O)R°; –(CH2)0–4C(O)NR°2; –C(S)NR°2; – C(S)SR°; –SC(S)SR°, (CH2)0–4OC(O)NR°2; C(O)N(OR°)R°; –C(O)C(O)R°; –C(O)CH2C(O)R°; 5 –C(NOR°)R°; (CH2)0–4SSR°; –(CH2)0–4S(O)2R°; –(CH2)0–4S(O)2OR°; –(CH2)0–4OS(O)2R°; – S(O)2NR°2; (CH2)0–4S(O)R°; N(R°)S(O)2NR°2; –N(R°)S(O)2R°; –N(OR°)R°; –C(NH)NR°2; – P(O)2R°; P(O)R°2; OP(O)R°2; –OP(O)(OR°)2; SiR°3; –(C1–4 straight or branched alkylene)O– N(R°)2; or –(C1–4 straight or branched alkylene)C(O)O–N(R°)2, wherein each R° may be substituted as defined below and is independently hydrogen, C1–6 aliphatic, –CH2Ph, –O(CH2)0– 10 1Ph, -CH2-(5- to 6-membered heteroaryl ring), or a 3- to 6-membered saturated, partially unsaturated, or aryl ring having 0-4 heteroatoms independently selected from nitrogen, oxygen, or sulfur, or, notwithstanding the definition above, two independent occurrences of R°, taken together with their intervening atom(s), form a 3- to 12-membered saturated, partially unsaturated, or aryl mono– or bicyclic ring having 0-4 heteroatoms independently selected from nitrogen, 15 oxygen, or sulfur, which may be substituted as defined below. Suitable monovalent substituents on R° (or the ring formed by taking two independent occurrences of R° together with their intervening atoms), are independently halogen, –(CH2)0– 2R^, –(haloR^), –(CH2)0–2OH, –(CH2)0–2OR^, –(CH2)0–2CH(OR^)2, O(haloR^), –CN, –N3, – (CH2)0–2C(O)R^, –(CH2)0–2C(O)OH, –(CH2)0–2C(O)OR^, –(CH2)0–2SR^, –(CH2)0–2SH, –(CH2)0– 20 2NH2, –(CH2)0–2NHR^, –(CH2)0–2NR^ 2, –NO2, –SiR^ 3, –OSiR^ 3, C(O)SR^ , –(C1–4 straight or branched alkylene)C(O)OR^, or –SSR^ wherein each R^ is unsubstituted or where preceded by “halo” is substituted only with one or more halogens, and is independently selected from C1– 4 aliphatic, –CH2Ph, –O(CH2)0–1Ph, or a 3- to 6-membered saturated, partially unsaturated, or aryl ring having 0-4 heteroatoms independently selected from nitrogen, oxygen, or sulfur. Suitable 25 divalent substituents on a saturated carbon atom of R° include =O and =S. Suitable divalent substituents on a saturated carbon atom of an “optionally substituted” group include the following: =O (“oxo”), =S, =NNR*2, =NNHC(O)R*, =NNHC(O)OR*, =NNHS(O)2R*, =NR*, =NOR*, –O(C(R*2))2–3O–, or –S(C(R*2))2–3S–, wherein each independent occurrence of R* is selected from hydrogen, C1–6 aliphatic which may be substituted as defined below, or an 30 unsubstituted 5- to 6-membered saturated, partially unsaturated, or aryl ring having 0–4 heteroatoms independently selected from nitrogen, oxygen, or sulfur. Suitable divalent substituents that are bound to vicinal substitutable carbons of an “optionally substituted” group include: –O(CR*2)2–3O–, wherein each independent occurrence of R* is selected from hydrogen, C1–6 aliphatic which may be substituted as defined below, or an unsubstituted 5–6–membered
saturated, partially unsaturated, or aryl ring having 0-4 heteroatoms independently selected from nitrogen, oxygen, or sulfur. Suitable substituents on the aliphatic group of R* include halogen, –R^, (haloR^), OH, –OR^, – O(haloR^), –CN, –C(O)OH, –C(O)OR^, –NH2, –NHR^, –NR^2, or –NO2, wherein each R^ is 5 unsubstituted or where preceded by “halo” is substituted only with one or more halogens, and is independently C1–4 aliphatic, –CH2Ph, –O(CH2)0–1Ph, or a 5- to 6-membered saturated, partially unsaturated, or aryl ring having 0-4 heteroatoms independently selected from nitrogen, oxygen, or sulfur. Suitable substituents on a substitutable nitrogen of an “optionally substituted” group include –R†, 10 –NR†2, –C(O)R†, –C(O)OR†, –C(O)C(O)R†, –C(O)CH2C(O)R†, S(O)2R†, S(O)2NR†2, –C(S)NR†2, –C(NH)NR† 2, or –N(R†)S(O)2R†; wherein each R† is independently hydrogen, C1–6 aliphatic which may be substituted as defined below, unsubstituted –OPh, or an unsubstituted 3- to 6- membered saturated, partially unsaturated, or aryl ring having 0-4 heteroatoms independently selected from nitrogen, oxygen, or sulfur, or, notwithstanding the definition above, two 15 independent occurrences of R†, taken together with their intervening atom(s) form an unsubstituted 3- to 12-membered saturated, partially unsaturated, or aryl mono- or bicyclic ring having 0-4 heteroatoms independently selected from nitrogen, oxygen, or sulfur. Suitable substituents on the aliphatic group of R† are independently halogen, –R^, (haloR^), –OH, –OR^, –O(haloR^), –CN, –C(O)OH, –C(O)OR^, –NH2, –NHR^, –NR^2, or NO2, wherein each 20 R^ is unsubstituted or where preceded by “halo” is substituted only with one or more halogens, and is independently C1–4 aliphatic, –CH2Ph, –O(CH2)0–1Ph, or a 3- to 6-membered saturated, partially unsaturated, or aryl ring having 0-4 heteroatoms independently selected from nitrogen, oxygen, or sulfur. Small molecule: As used herein, the term “small molecule” means a low molecular weight 25 organic and/or inorganic compound. In general, a “small molecule” is a molecule that is less than about 5 kilodaltons (kD) in size. In some embodiments, a small molecule is less than about 4 kD, 3 kD, about 2 kD, or about 1 kD. In some embodiments, the small molecule is less than about 800 daltons (D), about 600 D, about 500 D, about 400 D, about 300 D, about 200 D, or about 100 D. In some embodiments, a small molecule is less than about 2000 g/mol, less than about 1500 30 g/mol, less than about 1000 g/mol, less than about 800 g/mol, or less than about 500 g/mol. In some embodiments, a small molecule is not a polymer. Those of ordinary skill in the art, reading the present disclosure, will appreciate that certain small molecule compounds described herein, including, for example, glycolipid compounds described
herein, may be provided and/or utilized in any of a variety of forms such as, for example, crystal forms (e.g., polymorphs, solvates, etc), salt forms, protected forms, pro-drug forms, ester forms, isomeric forms (e.g., optical and/or structural isomers), isotopic forms, etc. Those of ordinary skill in the art will appreciate that certain small molecule compounds (e.g., 5 glycolipid compounds described herein) have structures that can exist in one or more steroisomeric forms. In some embodiments, such a small molecule may be utilized in accordance with the present disclosure in the form of an individual enantiomer, diastereomer or geometric isomer, or may be in the form of a mixture of stereoisomers; in some embodiments, such a small molecule may be utilized in accordance with the present disclosure in a racemic mixture form. 10 Those of skill in the art will appreciate that certain small molecule compounds (e.g., glycolipid compounds described herein) have structures that can exist in one or more tautomeric forms. In some embodiments, such a small molecule may be utilized in accordance with the present disclosure in the form of an individual tautomer, or in a form that interconverts between tautomeric forms. 15 Those of skill in the art will appreciate that certain small molecule compounds (e.g., glycolipid compounds described herein) have structures that permit isotopic substitution (e.g., 2H or 3H for H; 11C, 13C or 14C for 12C; 13N or 15N for 14N; 17O or 18O for 16O; 36Cl for 35Cl or 37Cl; 18F for 19F; 131I for 127I; etc.). In some embodiments, such a small molecule may be utilized in accordance with the present disclosure in one or more isotopically modified forms, or mixtures thereof. 20 In some embodiments, reference to a particular small molecule compound (e.g., glycolipid compounds described herein) may relate to a specific form of that compound. In some embodiments, a particular small molecule compound may be provided and/or utilized in a salt form (e.g., in an acid-addition or base-addition salt form, depending on the compound); in some such embodiments, the salt form may be a pharmaceutically acceptable salt form. 25 In some embodiments, where a small molecule compound is one that exists or is found in nature, that compound may be provided and/or utilized in accordance in the present disclosure in a form different from that in which it exists or is found in nature. Those of ordinary skill in the art will appreciate that, in some embodiments, a preparation of a particular small molecule compound (e.g., an glycolipid compound described herein) that contains an absolute or relative amount of 30 the compound, or of a particular form thereof, that is different from the absolute or relative (with respect to another component of the preparation including, for example, another form of the compound) amount of the compound or form that is present in a reference preparation of interest (e.g., in a primary sample from a source of interest such as a biological or environmental source)
is distinct from the compound as it exists in the reference preparation or source. Thus, in some embodiments, for example, a preparation of a single stereoisomer of a small molecule compound may be considered to be a different form of the compound than a racemic mixture of the compound; a particular salt of a small molecule compound may be considered to be a different 5 form from another salt form of the compound; a preparation that contains only a form of the compound that contains one conformational isomer ((Z) or (E)) of a double bond may be considered to be a different form of the compound from one that contains the other conformational isomer ((E) or (Z)) of the double bond; a preparation in which one or more atoms is a different isotope than is present in a reference preparation may be considered to be a different form; etc. 10 Those skilled in the art will further appreciate that, in small molecule structures, the symbol , as used herein, refers to a point of attachment between two atoms. Subject: As used herein, the term “subject” refers an organism, typically a mammal (e.g., a human, in some embodiments including prenatal human forms). In some embodiments, a subject is suffering from a relevant disease, disorder or condition. In some embodiments, a subject is 15 susceptible to a disease, disorder, or condition. In some embodiments, a subject displays one or more symptoms or characteristics of a disease, disorder or condition. In some embodiments, a subject does not display any symptom or characteristic of a disease, disorder, or condition. In some embodiments, a subject is someone with one or more features characteristic of susceptibility to or risk of a disease, disorder, or condition. In some embodiments, a subject is a patient. In 20 some embodiments, a subject is an individual to whom diagnosis and/or therapy is and/or has been administered. Tag: As used herein, the term “tag” refers to a molecule capable of detecting a target analyte. The tag can comprise, but is not limited to, a fluorescent molecule, chemiluminescent molecule, chromophore, enzyme, enzyme substrate, enzyme cofactor, enzyme inhibitor, dye, metal ion, 25 metal sol, ligand (e.g., biotin, avidin, streptavidin or haptens), radioactive isotope, and the like. In some embodiments, the tag is fluorescent lab. A fluorescent label is also called a “fluorescent tag” or a “fluorophore”. A fluorophore is a molecule that absorbs light (i.e., excites) at a characteristic wavelength and emits light (i.e. fluoresces and emits a signal) at a second lower-energy wavelength. The 30 detectable agent may include, but is not limited to, one or more of the following fluorescent groups: coumarin, dansyl chloride, fluorescein, fluorescein isothiocyanate (FITC), tetrachlorofluorescein, hexachlorofluorescein, rhodamine, tetramethylrhodamine, tetramethylrhodamine isothiocyanate (TRITC), cyanine-derivative dyes, Texas Red, nitrobenz-2- oxa-1,3-diazol-4-yl (NBD), Bodipy, and Alexa dyes. Examples of certain fluorophores are listed
at https://www.thermofisher.com/us/en/home/life-science/cell-analysis/fluorophores.html , which is incorporated by reference herein. Therapeutic agent: As used herein, the phrase “therapeutic agent” in general refers to any agent that elicits a desired pharmacological effect when administered to an organism. In some 5 embodiments, an agent is considered to be a therapeutic agent if it demonstrates a statistically significant effect across an appropriate population. In some embodiments, the appropriate population may be a population of model organisms. In some embodiments, an appropriate population may be defined by various criteria, such as a certain age group, gender, genetic background, preexisting clinical conditions, etc. In some embodiments, a therapeutic agent is a 10 substance that can be used to alleviate, ameliorate, relieve, inhibit, prevent, delay onset of, reduce severity of, and/or reduce incidence of one or more symptoms or features of a disease, disorder, and/or condition. In some embodiments, a “therapeutic agent” is an agent that has been or is required to be approved by a government agency before it can be marketed for administration to humans. In some embodiments, a “therapeutic agent” is an agent for which a medical prescription 15 is required for administration to humans. Therapeutically effective amount: As used herein, is meant an amount that produces the desired effect for which it is administered. In some embodiments, the term refers to an amount that is sufficient, when administered to a population suffering from or susceptible to a disease, disorder, and/or condition in accordance with a therapeutic dosing regimen, to treat the disease, disorder, 20 and/or condition. In some embodiments, a therapeutically effective amount is one that reduces the incidence and/or severity of, and/or delays onset of, one or more symptoms of the disease, disorder, and/or condition. Those of ordinary skill in the art will appreciate that the term "therapeutically effective amount" does not in fact require successful treatment be achieved in a particular individual. Rather, a therapeutically effective amount may be that amount that provides 25 a particular desired pharmacological response in a significant number of subjects when administered to patients in need of such treatment. In some embodiments, reference to a therapeutically effective amount may be a reference to an amount as measured in one or more specific tissues (e.g., a tissue affected by the disease, disorder or condition) or fluids (e.g., blood, saliva, serum, sweat, tears, urine, etc.). Those of ordinary skill in the art will appreciate that, in 30 some embodiments, a therapeutically effective amount of a particular agent or therapy may be formulated and/or administered in a single dose. In some embodiments, a therapeutically effective agent may be formulated and/or administered in a plurality of doses, for example, as part of a dosing regimen.
Treat: As used herein, the terms “treat,” “treatment,” or “treating” refer to any method used to partially or completely alleviate, ameliorate, relieve, inhibit, prevent, delay onset of, reduce severity of, and/or reduce incidence of one or more symptoms or features of a disease, disorder, and/or condition. Treatment may be administered to a subject who does not exhibit signs of a 5 disease, disorder, and/or condition. In some embodiments, treatment may be administered to a subject who exhibits only early signs of the disease, disorder, and/or condition, for example, for the purpose of decreasing the risk of developing pathology associated with the disease, disorder, and/or condition. Glycolipid Compounds 10 The present disclosure provides, among other things, particles comprising particular glycolipid compounds. Said glycolipid compounds comprise carbohydrate moieties, an optional stealth moiety (e.g., a polymer-linked moiety), and a hydrophobic region, referred to as a lipid tail. The glycolipid compounds of the present disclosure can be incorporated into particle such as lipid nanoparticles (LNPs) or lipoplexes (LPXs) and used for the delivery of, among other things, 15 nucleic acids such as RNA and DNA. In some embodiments, glycolipids of the present disclosure are useful in targeting certain C-type lectins, such as CD206 (Macrophage Mannose Receptor; MMR), CD209 (Dendritic Cell-Specific Intercellular adhesion molecule-3-Grabbing Non- integrin; DC-SIGN), CD301 (Macrophage Galactose-type C-type Lectin; MGL), and the like, which are expressed on the surface of antigen-presenting cells. 20 The present disclosure, provides, among other things, compositions comprising a compound that is glycolipid represented by formula I: G1-G2-G3 I or a pharmaceutically acceptable salt thereof, wherein 25 G1 is a glycodendron or a carbohydrate moiety; G2 is a polymer-linker moiety comprising units selected from ethylene glycol, 2-(2-(2- aminoethoxy)ethoxy)acetic acid, and sarcoosine, or is an optionally substituted C2-C100 aliphatic group wherein one or more carbons are optionally and independently replaced by -Cy-, -NRZ-, - N(RZ)C(O)-, -C(O)N(RZ)-, -N(RZ)C(O)O-, -OC(O)N(RZ)-, -N(RZ)C(O)N(RZ) -, -OC(O)O-, -O-, 30 -C(O)-, -OC(O)-, -C(O)O-, -SO-, -SO2-, wherein each -Cy- is independently an optionally substituted 3-12 membered bivalent heterocyclyl ring having 1-3 heteroatoms selected from N, O, and S, an optionally substituted 3-8 membered bivalent heteroaryl ring having 1-4 heteroatoms
selected from N, O, and S, an optionally substituted C3-C6 cycloalkyl, or an optionally substituted C6-C12 aryl, and each RZ is independently H or an optionally substituted group selected from C1- C20 aliphatic, or C3-C12 cycloaliphatic; and G3 is a lipid or phospholipid tail. 5 As described herein, G1 is a glycodendron or a carbohydrate moiety. A glycodendron moiety, as used herein, refers to a branched moiety that comprises one or more carbohydrate rings. For example, in some embodiments, a glycodendron moiety is represented by formula I’:
each G5 is independently selected from optionally substituted C1-C6 aliphatic and optionally substituted 2- to 12-membered heteroaliphatic; each G6 is a monosaccharide, a disaccharide, a trisaccharide, or an oligosaccharide; and 15 x3 is 1 or 2. In some embodiments, G4 is C. It is understood that when G4 is C, and x3 is 1, then G4 further comprises a hydrogen atom (i.e., G4 is CH), such that G4 provides a chemically stable moiety. In some embodiments, G4 is N. It is understood that when G4 is N, x3 is 1 (i.e., is not 2), and G5 is selected from C2-C6 aliphatic and optionally substituted 2- to 12-membered heteroaliphatic to 20 thereby provide a chemically stable moiety. As described herein, G5 is, at each instance, selected from optionally substituted C1-C6 aliphatic and optionally substituted 2- to 12-membered heteroaliphatic. In some embodiments, G5 is optionally substituted C1-C6 aliphatic. In some embodiments, G5 is optionally substituted C1-C6 alkylene. In some embodiments, G5 is optionally substituted 2- to 12-membered heteroaliphatic. 25 In some embodiments, G5 is optionally substituted 2- to 6- membered heteroaliphatic. In some embodiments, G5 is:
where * represents a point of attachment to G4. As described herein, G6 is, at each instance, a monosaccharide, a disaccharide, a trisaccharide, or an oligosaccharide. In some embodiments, G6 is a monosaccharide. In some embodiments, G6 is a monosaccharide selected from N-acetylgalactosamine (GalNAc), mannose (Man), fucose (Fuc), 5 glucose (Glc) and galactose (Gal). In some embodiments, G6 is a disaccharide. In some embodiments, G6 is a disaccharide wherein the disaccharide comprises monosaccharide units selected from: N-acetylgalactosamine (GalNAc), mannose (Man), fucose (Fuc), glucose (Glc), and galactose (Gal). In some embodiments, G6 is a trisaccharide. In some embodiments, G6 is a trisaccharide wherein the trisaccharide comprises monosaccharide units selected from: N- 10 acetylgalactosamine (GalNAc), mannose (Man), fucose (Fuc), glucose (Glc), and galactose (Gal). In some embodiments, G6 is D-mannopyranosyl-α-(1→3)-[(D-mannopyranosyl-α-(1→6)]-D- mannopyranose (Man3 or TriMan). In some embodiments, G1 is a carbohydrate moiety. In some embodiments, a carbohydrate moiety is a monosaccharide, a disaccharide, a trisaccharide, or an oligosaccharide. In some embodiments, G1 is a monosaccharide. In some embodiments, G1 is a 15 monosaccharide selected from N-acetylgalactosamine (GalNAc), mannose (Man), fucose (Fuc), glucose (Glc) and galactose (Gal). In some embodiments, G1 is a disaccharide. In some embodiments, G1 is a disaccharide wherein the disaccharide comprises monosaccharide units selected from: N-acetylgalactosamine (GalNAc), mannose (Man), fucose (Fuc), glucose (Glc), and galactose (Gal). In some embodiments, G1 is a trisaccharide. In some embodiments, G1 is a20 trisaccharide wherein the trisaccharide comprises monosaccharide units selected from: N- acetylgalactosamine (GalNAc), mannose (Man), fucose (Fuc), glucose (Glc), and galactose (Gal). In some embodiments, G1 is D-mannopyranosyl-α-(1→3)-[(D-mannopyranosyl-α-(1→6)]-D- mannopyranose (Man3 or TriMan). As described herein, G3 is a lipid or phospholipid. In some embodiments, G3 is a lipid. In some 25 embodiments, G3 is an aliphatic lipid. An aliphatic lipid, as used herein, refers to a moiety that is hydrophobic and comprises a long-chain (e.g., 12 or more carbon atoms), saturated or unsaturated, linear or branched, acyclic, cyclic, or polycyclic hydrocarbons, alcohols, aldehydes, or carboxylic acids. In some embodiments, G3 is an aliphatic lipid comprising optionally substituted C12-C50 aliphatic. In some embodiments, G3 is optionally substituted C12-C50 straight chain aliphatic. In 30 some embodiments, G3 is optionally substituted C12-C50 branched aliphatic. In some embodiments, G3 is optionally substituted C12-C20 alkyl. In some embodiments, G3 is: In some embodiments, G
ments, G3 is a phospholipid comprising an aliphatic lipid moiety and a phosphate (PO3OH) group. In some embodiments, a
G3 is a phospholipid selected from 1,2-DiOleyl-sn-glycero-3-PhosphoEthanolamine (DOPE) and 1,2-DiStearoyl-sn-glycero-3-PhosphoEthanolamine (DSPE). In some embodiments, the present disclosure provides A particle comprising one or more glycolipids and a nucleic acid, wherein the one or more glycolipids are represented by formula II: 5 II R1 is -A, -M1-M2-A, or -M3-N(-M1-M2-A)2; R2 is -H, -A, -M1-M2-A, or -M3-N(-M1-M2-A)2; each M1 is independently an optionally substituted C2-C12 aliphatic or 2- to 12-membered 10 heteroaliphatic; each M2 is independently –NHC(S)NH-, -NHS(O)2-, -NHC(O)-, -C(O)NH-, -C(O)O-, or -OC(O)- ; each M3 is independently an optionally substituted C2-C12 aliphatic or 2- to 12-membered heteroaliphatic; 15 A is -A1-X-A2; each A1 is, independently, at each instance, a bond, optionally substituted C2-C12 aliphatic, optionally substituted 2- to 12-membered heteroaliphatic, optionally substituted C6-C12 aryl, optionally substituted C3-C12 cycloaliphatic, optionally substituted 4- to 12-membered heterocycle, or optionally substituted 5- to 12-membered heteroaryl; 20 each X is independently a bond, -(CH2)1-6-, –NH-, -S-, -S(O)2-, or –O-; each A2 is independently a monosaccharide, a disaccharide, an oligosaccharide, a fluorescent tag, or a moiety of formula J:
25 wherein at least one instance of A2 is a monosaccharide, a disaccharide, an oligosaccharide, or a moiety of formula J;
each of R3, R4, and R5 is each independently at each occurrence a monosaccharide, a disaccharide, or an oligosaccharide; each of X’ is independently, at each occurrence, a bond, –NH-, -S-, -S(O)2-, or –O-; each A3 is independently, at each occurrence, a bond, optionally substituted C2-C12 aliphatic or 2- 5 to 12-membered heteroaliphatic, optionally substituted C6-C12 aryl, optionally substituted C3-C12 cycloaliphatic, optionally substituted 4- to 12-membered heterocycle, or optionally substituted 5- to 12-membered heteroaryl; M4 is optionally substituted C2-C6 aliphatic-NHC(S)NH-, or optionally substituted 2- to 12- membered heteroaliphatic-NHC(S)NH-; 10 L is a polymeric moiety that comprises monomers of ethylene glycol, sarcosine, 2-(2-(2- aminoethoxy)ethoxy)acetic acid, or a combination thereof, or L is an optionally substituted C20-C100 aliphatic group wherein one or more carbons are optionally and independently replaced by -Cy-, -NRZ-, -N(RZ)C(O)-, -C(O)N(RZ)-, -N(RZ)C(O)O-, -OC(O)N(RZ)-, -N(RZ)C(O)N(RZ) - , -OC(O)O-, -O-, -C(O)-, -OC(O)-, -C(O)O-, -SO-, -SO2-, wherein each -Cy- is independently an 15 optionally substituted 3-12 membered bivalent heterocyclyl ring having 1-3 heteroatoms selected from N, O, and S, an optionally substituted 3-8 membered bivalent heteroaryl ring having 1-4 heteroatoms selected from N, O, and S, an optionally substituted C3-C6 cycloalkyl, or an optionally substituted C6-C12 aryl, and each RZ is independently H or an optionally substituted group selected from C1-C20 aliphatic, or C3-C12 cycloaliphatic; 20 M5 is –OC(O)NH-, -NHC(O)O-, -NHC(O)-, -C(O)-NH-, -C1-C aliphatic-C(O)NH-, or -NHC(O)- C1-C6 aliphatic; T is optionally substituted C10-C20 aliphatic, or a moiety of formula B: -, -C(O)NH-, -S-, -S-S-,
and -S(O)2-; each R8 is optionally substituted C10-C20 aliphatic or 10- to 20-membered heteroaliphatic; n is 0 or 1;
x1 is an integer selected from 1 to 6; and each x2 is independently selected from 0, 1, and 2. As described herein, in some embodiments, a compound represented by formula I is a compound represented by formula II. In some embodiments, G1 in formula I corresponds to a moiety: 5 as it is described with respect to formula II. In some embodiments, G2 in formula I corresponds to a moiety L as it is described with respect to formula II. In some embodiments, G3 in formula I corresponds to a moiety T as it is described with respect to formula II. As described herein the, present application provides a compound of formula II: 10 II Said compounds of formula II represent new glycolipid compounds useful for, among other things, forming complexes for targeted delivery of therapeutic agents, such as nucleic acids, including various forms of ribonucleic acid. The presently provided compounds represent 15 improvements over previous lipids for similar use, in that the presently claimed compound exhibit reduced inflammatory response, and further can be used to target of particular features on cells, such as antigen presenting cells, while also promoting substantially complete RNA encapsulating (i.e., almost no free RNA, that is, greater than 90% of RNA is encapsulated within a particle) with minimal to no RNA degradation. Said particles comprising lipid compounds of formula II exhibit 20 good particle characteristics (e.g., <150 nm in size, <0.3 PDI), and further particles comprising lipid compounds described herein, such as lipid compounds of formula II are found to improve transfection efficiency into cells. Evaluation of particles comprising a lipid compound of formula II is provided in the various Examples reported herein. The following embodiments are described with respect to compounds of formula II, and are 25 intended to apply to subgenera of formula II that are also described herein. As described herein, R1 is -A, -M1-M2-A, -M3-N(-M1-M2-A)2. In some embodiments, R1 is –A. In some embodiments, R1 is –M1-M2-A. In some embodiments, R1 is -M3-N(-M1-M2-A)2.
As described herein, R2 is -H, -A, -M1-M2-A, -M3-N(-M1-M2-A)2. In some embodiments, R2 is -A, -M1-M2-A, -M3-N(-M1-M2-A)2. In some embodiments, R2 is –A. In some embodiments, R2 is –M1-M2-A. In some embodiments, R2 is -M3-N(-M1-M2-A)2. In some embodiments R1 is -A, -M1-M2-A, -M3-N(-M1-M2-A)2, and R2 is -A, -M1-M2-A, -M3-N(- 5 M1-M2-A)2. In some embodiments, R1 is -A, -M1-M2-A, -M3-N(-M1-M2-A)2, and R2 is H. In some embodiments, R1 is –A, and R2 is H. In some embodiments, R1 is -M1-M2-A and R2 is H. In some embodiments, R1 is -M3-N(-M1-M2-A)2 and R2 is H. In some embodiments, R1 is –A and R2 is –A. In some embodiments, R1 is -M1-M2-A and R2 is -M1-M2-A. In some embodiments, R1 is -M3-N(-M1-M2-A)2 and R2 is -M3-N(-M1-M2-A)2. 10 As described herein, each A is –A1-X-A2. As described herein, each A1 is, independently, at each instance, a bond, optionally substituted C2-C12 aliphatic, optionally substituted 2- to 12-membered heteroaliphatic, optionally substituted C6-C12 aryl, optionally substituted C3-C12 cycloaliphatic, optionally substituted 4- to 12- membered heterocycle, or optionally substituted 5- to 12-membered heteroaryl. 15 In some embodiments, A1 is a bond. In some embodiments, A1 is optionally substituted C2-C12 aliphatic. In some embodiments, A1 is optionally substituted C2-C6aliphatic. In some embodiments, A1 is C1-C6 alkylene. In some embodiments, A1 is methylene, ethylene, propylene, butylene, pentylene, or hexylene. In some embodiments, A1 is optionally substituted 2- to 12-membered heteroaliphatic. In some 20 embodiments, A1 is optionally substituted 2- to 6-membered heteroaliphatic. In some embodiments, A1 is optionally substituted C6-C12 aryl. In some embodiments, A1 is optionally substituted phenyl. In some embodiments, A1 is: In some embodiments, A1 is optionally substituted C3-C12 cycloaliphatic. In some embodiments, 25 A1 is optionally substituted C3-C6 cycloaliphatic. In some embodiments, A1 is optionally substituted C3-C6 cycloalkylene. In some embodiments, A1 is optionally substituted cycopropylene, cyclobutylene, cyclopentylene, cyclohexylene. In some embodiments, A1 is 4- to 12-membered heterocycle. In some embodiments, A1 is 4- to 6-membered heterocycle. In some embodiments, A1 is azetidine, pyrrolidine, or piperidine.
In some embodiments, A1 is 5- to 12-membered heteroaryl. In some embodiments, A1 is 5- to 6- membered heteroaryl. In some embodiments, A1 is imidazole, pyrrole, pyrazole, pyridine, pyrazine, or pyrimidine. As described herein, each X is independently a bond, -(CH2)1-6- -NH-, -S-, or –O-. In some 5 embodiments, X is –(CH2)1-6-. In some embodiments, X is -CH2-. In some embodiments, X is - CH2-CH2-. In some embodiments, X is -CH2-CH2-CH2-. In some embodiments, X is -CH2-CH2- CH2-CH2-. In some embodiments, X is -CH2-CH2-CH2-CH2-CH2-. In some embodiments, X is -CH2-CH2-CH2-CH2-CH2-CH2-. In some embodiments, X is a bond. In some embodiments, X is –NH-. In some embodiments, X is –S-. In some embodiments, X is –O-. 10 In some embodiments, A1 is C6-C12 aryl and X is –O-. In some embodiments, A1 is phenyl and X is –O-. In some embodiments, A1 is C2-C6 aliphatic and X is a bond. As described herein, each A2 is independently a monosaccharide, disaccharide, an oligosaccharide, a fluorescent tag, or a moiety of formula J:
wherein at least one instance of A2 is a monosaccharide, disaccharide, an oligosaccharide, or a moiety of formula J. In some embodiments, A2 is a monosaccharide. In some embodiments, A2 is a monosaccharide 20 selected from N-acetylgalactosamine (GalNAc), mannose (Man), fucose (Fuc), glucose (Glc) and galactose (Gal). In some embodiments, A2 is a disaccharide. In some embodiments, A2 is a disaccharide wherein the disaccharide comprises monosaccharide units selected from: N- acetylgalactosamine (GalNAc), mannose (Man), fucose (Fuc), glucose (Glc), and galactose (Gal). In some embodiments, A2 is a trisaccharide. In some embodiments, A2 is a trisaccharide wherein 25 the trisaccharide comprises monosaccharide units selected from: N-acetylgalactosamine (GalNAc), mannose (Man), fucose (Fuc), glucose (Glc), and galactose (Gal). In some embodiments, A2 is D-mannopyranosyl-α-(1→3)-[(D-mannopyranosyl-α-(1→6)]-D- mannopyranose (Man3 or TriMan). In some embodiments, each A2 is independently selected from:
5 some embodiments, A2 is: In some embodiments, A1-X-A2
In some embodiments, A
10 In some embodiments, A1 is a b
ety of formula J:
J As described herein, each X’ is independently, at each occurrence, a bond, –NH-, -S-, -S(O)2-, or –O-. In some embodiments, X’ is a bond. In some embodiments, X’ is -NH-. In some 5 emeobidments, X’ is -S-. In some embodiments, X’ is -S(O)2-. In some embodiments, X’ is -O- . As described herein, each A3 is independently, at each occurrence, a bond, optionally substituted C2-C12 aliphatic or 2- to 12-membered heteroaliphatic, optionally substituted C6-C12 aryl, optionally substituted C3-C12 cycloaliphatic, optionally substituted 4- to 12-membered 10 heterocycle, or optionally substituted 5- to 12-membered heteroaryl. In some embodiments, A3 is optionally substituted C2-C12 aliphatic. In some embodiments, A3 is optionally substituted C2-C6 aliphatic. In some embodiments, A3 is optionally substituted C2-C6 alkyl. In some embodiments, A3 is optionally substituted 2- to 10 membered heteroaliphatic. In some embodiments, A3 is 2- to 5-membered heteroaliphatic comprising one or more sulfur atoms. 15 In some embodiments, A3 is , where * represents a point of attachment to R3, R4, or R5. In some embodiments, A3
is optionally substituted C6-C12 aryl. In some embodiments, A3 is optionally substituted C3-C12 cycloaliphatic. In some embodiments, A3 is optionally substituted 4- to 12-membered heterocycle. In some embodiments, A3 is optionally substituted 5- to 12- 20 membered heteroaryl. In some embodiments, A3 is optionally substituted C2-C6 aliphatic or optionally substituted 2- to 6-membed heteroaliphatic. In some embodiments, A3 is optionally substituted C2-C6 aliphatic and X’ is -S-. As described herein, each of R3, R4, and R5 is each independently at each occurrence a 25 monosaccharide, a disaccharide, or an oligosaccharide. In some embodiments, R3 is a monosaccharide, disaccharide, or an oligosaccharide. In some embodiments, R4 is a monosaccharide, disaccharide, or an oligosaccharide. In some embodiments, R5 is a monosaccharide, disaccharide, or an oligosaccharide.
In some embodiments, each of R3, R4, and R5 is a monosaccharide, disaccharide, or an oligosaccharide, wherein the oligosaccharide is a trisaccharide. In some embodiments, R3, R4, and R5 are each a monosaccharide. In some embodiments, R3, R4, and R5 are each a disaccharide. In some embodiments, R3, R4, and R5 are each an oligosaccharide, 5 wherein the oligosaccharide is a trisaccharide. In some embodiments, R3, R4, and R5 are each an oligosaccharide. In some embodiments, R3 is a monosaccharide, and R4 and R5 are each independently a disaccharide, or an oligosaccharide. In some embodiments, R4 is a monosaccharide, and R3 and R5 are each independently a disaccharide, or an oligosaccharide. In some embodiments, R5 is a monosaccharide, and R3 and R4 are each independently a disaccharide, 10 or an oligosaccharide. In some embodiments, R3 is a disaccharide, and R4 and R5 are each independently a monosaccharide, or an oligosaccharide. In some embodiments, R4 is a disaccharide, and R3 and R5 are each independently a monosaccharide, or an oligosaccharide. In some embodiments, R5 is a disaccharide, and R3 and R4 are each independently a monosaccharide, or an oligosaccharide. In some embodiments, R3 is an oligosaccharide, and R4 and R5 are each 15 independently a monosaccharide or a disaccharide. In some embodiments, R4 is an oligosaccharide, and R3 and R5 are each independently a monosaccharide or a disaccharide. In some embodiments, R5 is an oligosaccharide, and R3 and R4 are each independently a monosaccharide or a disaccharide. In some embodiments, one or more of R3, R4, and R5 is a monosaccharide selected from the group 20 consisting of mannose, galactose, fucose, glucose, N-acetylglucosamine, N-acetylneuraminic acid, and derivatives thereof. In some embodiments, one or more of R3, R4, and R5 is a disaccharide selected from the group consisting of α,α’-trehalose, sucrose, cellobiose, maltose, α-(1→6)-mannobiose, α-(1→2)- mannobiose, lactose and derivatives thereof. 25 In some embodiments, one or more of R3, R4, and R5 is an oligosaccharide, wherein the oligosaccharide is a trisaccharide selected from D-mannopyranosyl-α-(1→3)-[(D- mannopyranosyl-α-(1→6)]-D-mannopyranose (Man3 or TriMan), cellotriose, maltotriose, α- (1→6)-mannotriose, α-(1→2)-mannotriose, and derivatives thereof. In some embodiments, one or more of R3, R4, and R5 is a branched oligosaccharide comprising 30 from 4 to 9 mannopyranosyl units selected from the family of the High Mannose Oligosaccharide (HMOs)-type oligosaccharides, or a linear oligosaccharide comprising from 4 to 7 monosaccharide units selected form the families of the cello(n)ose-, malto(n)ose-, α-(1→6)- manno(n)ose- and α-(1→2)-manno(n)ose-type olgosaccharides, and derivatives thereof.
In some embodiments, R3, R4, and R5 are each independently selected from:
In some embodiments R3, R4, and R5 are each independently selected from: ,
wherein R3, R4, and R5 are as described in classes and subclasses herein. In some embodiments, a moiety of formula J is a moiety selected from: , ,
12-membered heteroaliphatic. In some embodiments, M1 is an optionally substituted C2-C12 5 aliphatic. In some embodiments, M1 is an optionally substituted C2-C6 aliphatic. In some embodiments, M1 is optionally substituted C2-C6 alkyl. In some embodiments, M1 is ethylene, propylene, butylene, pentylene, or hexylene. As described herein, each M2 is independently –NHC(S)NH-, -NHS(O)2-, -NHC(O)-, -C(O)NH- , -C(O)O-, or -OC(O)- In some embodiments, M2 is –NHC(S)NH-. In some embodiments, M2 is 10 –NHS(O)2-. In some embodiments, M2 is -NHC(O)-. In some embodiments, M2 is -C(O)NH-. In some embodiments, M2 is -C(O)O-. In some embodiments, M2 is or -OC(O)-. As described herein, each M3 is independently an optionally substituted C2-C12 aliphatic or optionally substituted 2- to 12-membered heteroaliphatic. In some embodiments, M3 is optionally substituted C2-C6 alkyl. In some embodiments, M3 is ethylene, propylene, butylene, pentylene, 15 or hexylene. In some embodiments, R1 is -M3-N(-M1-M2-A)2, R2 is H, each A is –A1-X-A2, one instance of A2 is a fluorescent tag, and one instance of A2 is a moiety of formula J. In some embodiments, R1 is
-M3-N(-M1-M2-A)2, R2 is H, M3 is C1-C6 aliphatic, each M1 is C1-C6 aliphatic, one of M2 is – NHC(S)NH-, the other M2 is –NHS(O)2-, each A is –A1-X-A2, each A1 is a bond, each X is a bond, one instance of A2 is a fluorescent tag, and one instance of A2 is a moiety of formula J. In some embodiments, R1 is -M1-M2-A, R2 is -M1-M2-A, each A is –A1-X-A2, and each A2 is a 5 moiety of formula J. In some embodiments, R1 is -M1-M2-A, R2 is -M1-M2-A, each M1 is C1-C6 aliphatic, each M2 is –NHC(S)NH-, each A is –A1-X-A2, each A1 is a bond, each X is a bond, and each A2 is a moiety of formula J. In some embodiments, R1 is -A, R2 is H, where A is A1-X-A2, A1 is a bond, X is a bond, and A2 is a formula of moiety J. 10 In some embodiments, R1 is -A, R2 is H, where A is A1-X-A2, A1 is a phenyl, X is a –O-, and A2 is a trisaccharide. In some embodiments, R1 is -A, R2 is H, where A is A1-X-A2, A1 is a phenyl, X is a –O-, and A2 is TriMan. As described herein, M4 is optionally substituted C2-C6 aliphatic-NHC(S)NH-, or optionally substituted 2- to 10-membered heteroaliphatic-NHC(S)NH-. In some embodiments, a – 15 NHC(S)NH- moiety of M4 is attached to moiety L in formula II. In some embodiments, M4 is optionally substituted C2-C6 aliphatic-NHC(S)NH-*, where * indicates a point of attachment to moiety L of formula II. In some embodiments, M4 is –C1-C6 alkylene-NHC(S)NH-. In some embodiments, M4 is optionally substituted 2- to 10-membered heteroaliphatic- NHC(S)NH-*, where * indicates a point of attachment to moiety L of formula II. In some 20 embodiments, M4 is: where * indicates a p
As described herein, L is a polymeric moiety that comprises monomers of ethylene glycol, sarcosine, 2-(2-(2-aminoethoxy)ethoxy)acetic acid, or a combination thereof, or is an optionally 25 substituted C20-C100 aliphatic group wherein one or more carbons are optionally and independently replaced by -Cy-, -NRZ-, -N(RZ)C(O)-, -C(O)N(RZ)-, -N(RZ)C(O)O-, -OC(O)N(RZ)-, - N(RZ)C(O)N(RZ) -, -OC(O)O-, -O-, -C(O)-, -OC(O)-, -C(O)O-, -SO-, -SO2-, wherein each -Cy- is independently an optionally substituted 3-12 membered bivalent heterocyclyl ring having 1-3 heteroatoms selected from N, O, and S, an optionally substituted 3-8 membered bivalent30 heteroaryl ring having 1-4 heteroatoms selected from N, O, and S, an optionally substituted C3-
C6 cycloalkyl, or an optionally substituted C6-C12 aryl, and each RZ is independently H or an optionally substituted group selected from C1-C20 aliphatic, or C3-C12 cycloaliphatic. In some embodiments, L is a polymeric moiety that comprises monomers of ethylene glycol, sarcosine, 2-(2-(2-aminoethoxy)ethoxy)acetic acid. In some embodiments, L is a polymeric 5 moiety that comprises monomers of ethylene glycol, i.e., a monomer having a repeating unit represented by: In some embodiments, L is a polymeric moiety that comprises between about 20 and about 100 ethylene glycol monomer units. In some embodiments, L is a polymeric moiety that comprises 10 between about 30 and about 80 ethylene glycol monomer units. In some embodiments, L is a polymeric moiety that comprises between about 40 and about 60 ethylene glycol monomer units. In some embodiments, L is a polymeric moiety that comprises between about 40 and about 50 ethylene glycol monomer units. In some embodiments, L is a polymeric moiety that comprises about 44 ethylene glycol monomer units. 15 In some embodiments, L is a polymeric moiety that comprises monomers of sarcosine, i.e., a monomer having a repeating unit represented by formula: In some embodiments, L is a polymeric moiety that comprises between about 10 and about 50 sarcosine monomer units. In some embodiments, L is a polymeric moiety that comprises between 20 about 10 and about 40 sarcosine monomer units. In some embodiments, L is a polymeric moiety that comprises between about 15 and about 30 sarcosine monomer units. In some embodiments, L is a polymeric moiety that comprises between about 20 and about 25 sarcosine monomer units. In some embodiments, L is a polymeric moiety that comprises about 22 or 23 sarcosine monomer units. 25 In some embodiments, L is a polymeric moiety that comprises monomers of 2-(2-(2- aminoethoxy)ethoxy)acetic acid (“AEEA”), i.e., a monomer having a repeating unit represented by formula:
In some embodiments, L is a polymeric moiety that comprises between about 5 and about 50 AEEA monomer units. In some embodiments, L is a polymeric moiety that comprises between about 5 and about 40 AEEA monomer units. In some embodiments, L is a polymeric moiety that 5 comprises between about 5 and about 30 AEEA monomer units. In some embodiments, L is a polymeric moiety that comprises between about 5 and about 20 AEEA monomer units. In some embodiments, L is a polymeric moiety that comprises between about 5 and about 10 AEEA monomer units. In some embodiments, L is a polymer comprising a combination of monomers of ethylene glycol, 10 sarcosine, and/or AEEA (i.e., is a heteropolymer). In some embodiments, L is an optionally substituted C2-C100 aliphatic group wherein one or more carbons are optionally and independently replaced by -Cy-, -NRZ-, -N(RZ)C(O)-, -C(O)N(RZ)-, - N(RZ)C(O)O-, -OC(O)N(RZ)-, -N(RZ)C(O)N(RZ) -, -OC(O)O-, -O-, -C(O)-, -OC(O)-, - C(O)O-, -SO-, -SO2-, wherein each -Cy- is independently an optionally substituted 3-12 15 membered bivalent heterocyclyl ring having 1-3 heteroatoms selected from N, O, and S, an optionally substituted 3-8 membered bivalent heteroaryl ring having 1-4 heteroatoms selected from N, O, and S, an optionally substituted C3-C6 cycloalkyl, or an optionally substituted C6-C12 aryl, and each RZ is independently H or an optionally substituted group selected from C1-C20 aliphatic, or C3-C12 cycloaliphatic. 20 In some embodiments, L is C2-C10 aliphatic. In some embodiments, L is C2-C6 alkylene. In some embodiments, L is methylene, ethylene, propylene, butylene, pentylene, or hexylene. In some embodiments, L is an optionally substituted C20-C100 aliphatic group wherein one or more carbons are optionally and independently replaced by -Cy-, -NRZ-, -N(RZ)C(O)-, -C(O)N(RZ)-, - N(RZ)C(O)O-, -OC(O)N(RZ)-, -N(RZ)C(O)N(RZ) -, -OC(O)O-, -O-, -C(O)-, -OC(O)-, - 25 C(O)O-, -SO-, -SO2-, wherein each -Cy- is independently an optionally substituted 3-12 membered bivalent heterocyclyl ring having 1-3 heteroatoms selected from N, O, and S, an optionally substituted 3-8 membered bivalent heteroaryl ring having 1-4 heteroatoms selected from N, O, and S, an optionally substituted C3-C6 cycloalkyl, or an optionally substituted C6-C12 aryl, and each RZ is independently H or an optionally substituted group selected from C1-C20 30 aliphatic, or C3-C12 cycloaliphatic.
As described herein, M5 is a bond, –OC(O)NH-, -NHC(O)O-, -NHC(O)-, -C(O)-NH-, -C1-C aliphatic-C(O)NH-, or -NHC(O)-C1-C6 aliphatic. In some embodiments, M5 is a bond. In some embodiments, M5 is –OC(O)NH-, -NHC(O)O-, -NHC(O)-, -C(O)-NH-, -C1-C aliphatic-C(O)NH- , or -NHC(O)-C1-C6 aliphatic. In some embodiments, M5 is –OC(O)NH-. In some embodiments, 5 M5 is -NHC(O)O-. In some embodiments, M5 is -NHC(O)-. In some embodiments, M5 is -C(O)- NH-. In some embodiments, M5 is -C1-C aliphatic-C(O)NH-. In some embodiments, M5 is - NHC(O)-C1-C6 aliphatic. In some embodiments, M5 is –NHC(O)-CH2-CH2-*, where * indicates a point of attachment to T. As described herein, T is optionally substituted C10-C20 aliphatic, or a moiety of formula B: 10 B In some embodiments, T is optionally substituted C10-C20 aliphatic. In some embodiments, T is optionally substituted C10-C20 straight chained alkyl. In some embodiments, T is: 15 In some embodiments, T is a moiety of formula B: B As described herein, x1 is an integer selected from 1 to 6 (i.e., is 1, 2, 3, 4, 5, or 6). In some embodiments, x1 is 1. In some embodiments, x1 is 2. In some embodiments, x1 is 3. In some 20 embodiments, x1 is 4. In some embodiments, x1 is 5. In some embodiments, x1 is 6. As described herein, each R7 is –(CH2)x2-M6-R8. As described herein, each M6 is independently –OC(O)-, -C(O)O-, -C(O)-, -C(S)-, -NHC(O)-, - C(O)NH-, -S-, -S-S-, and -S(O)2-. In some embodiments, M6 is –OC(O)-. In some embodiments, M6 is -C(O)O-. In some embodiments, M6 is -C(O)-. In some embodiments, M6 is -C(S)-. In 25 some embodiments, M6 is -NHC(O)-. In some embodiments, M6 is -C(O)NH-. In some embodiments, M6 is -S-. In some embodiments, M6 is -S-S-. In some embodiments, M6 is -S(O)2- .
As described herein, each x2 is independently selected from 0, 1, and 2. In some embodiments, x2 is 0. In some embodiments, x2 is 1. In some embodiments, x2 is 2. As described herein, each R8 is independently optionally substituted C10-C20 aliphatic or 10- to 20-membered heteroaliphatic. In some embodiments, R8 is optionally substituted C10-C20 5 aliphatic. In some embodiments, R8 is C10-C20 straight chain alkyl. In some embodiments, R8 is C10-C20 straight chain alkenyl. In some embodiments, each R8 is independently selected from: or In some embodiments, R8 is optionally substituted 10- to 20-membered heteroaliphatic. In some embodiments, R7 is –CH2-M6-R8. In some embodiments, R7 is –M6-R8. In some 10 embodiments, R7 is –CH2-OC(O)-R8. In some embodiments, R7 is –OC(O)-R8. In some embodiments, one instance of R7 is –CH2-OC(O)-R8 and the other R7 is -OC(O)-R8. In some embodiments, R7 is –CH2-OC(O)-C10-C20 aliphatic. In some embodiments, R7 is -OC(O)-C10-C20 aliphatic. In some embodiments, one instance of R7 is–CH2-OC(O)-C10-C20 aliphatic, and the other R7 is -OC(O)-C10-C20 aliphatic. 15 In some embodiments, a moiety of formula B is: or In some embodiments, a compound of formula II is represented by formula II-1:
II-1 or a pharmaceutically acceptable salt thereof, wherein R3, R4, R5, M4, L, M5, and T are as described in classes and subclasses herein. 5 In some embodiments, a compound of formula II is represented by formula II-2: II-2 or a pharmaceutically acceptable salt thereof, wherein R3, R4, R5, L, M5, and T are as described in classes and subclasses herein. 10 In some embodiments, a compound of formula II is represented by formula II-3: II-3 or a pharmaceutically acceptable salt thereof, wherein R3, R4, R5, M4, L, M5, and T are as described in classes and subclasses herein. 15 In some embodiments, a compound of formula II is represented by formula II-4:
II-4 or a pharmaceutically acceptable salt thereof, wherein R3, R4, R5, M4, L, M5, and T are as described in classes and subclasses herein. 5 In some embodiments, a compound of formula II is represented by formula II-5: II-5 or a pharmaceutically acceptable salt thereof, wherein R3, R4, R5, M4, L, M5, and T are as described in classes and subclasses herein. 10 In some embodiments, a compound of formula II is represented by formula II-6: II-6
or a pharmaceutically acceptable salt thereof, wherein R3, R4, R5, M4, L, M5, and T are as described in classes and subclasses herein. In some embodiments, a compound of formula II is represented by formula II-7: 5 II-7 or a pharmaceutically acceptable salt thereof, wherein A2, L, M5, and T are as described in classes and subclasses herein. In some embodiments, a compound of formula II is represented by formula III-1: S R1 O 4 H N N (M ) L O N 7 H n P R R2 O O O OH R7 10 III-1 or a pharmaceutically acceptable salt thereof, wherein R1, R2, M4, n, L, and R7 are as described in classes and subclasses herein. In some embodiments, a compound of formula II is represented by formula III-2: 15 III-2 or a pharmaceutically acceptable salt thereof, wherein R1, R2, M4, n, L, and R8 are as described in classes and subclasses herein. As described herein, in some embodiments, a compound of formula I is represented by formula IV:
IV or a pharmaceutically acceptable salt thereof, wherein: R90 is –A’ or -M7-M8-A’; 5 R100 is H, -A’ or -M7-M8-A’; each R110 is independently H or optionally substituted C1-C6 aliphatic; each A’ is independently A4-X2-A5; each A4 is independently a optionally substituted C1-C6 aliphatic, optionally substituted C6-C12 aryl, optionally substituted C3-C12 cycloaliphatic, 4- to 12-membered heterocycle, or 5- to 12- 10 membered heteroaryl; each X2 is independently a bond, –NH-, -S-, or –O-; each A5 is independently a monosaccharide, disaccharide, a trisaccharide; T’ is optionally substituted C10-C20 aliphatic, or a moiety of formula B’: 15 B’ each R120 is independently –(CH2)x4-M9-R130; each M9 is independently –OC(O)-, -C(O)O-, -C(O)-, -C(S)-, -NHC(O)-, -C(O)NH-, -S-, -S-S-, and -S(O)2-; each R130 is independently optionally substituted C10-C20 aliphatic or optionally substituted 10- to 20 20-membered heteroaliphatic; x3 is an integer selected from 1 to 6; each x4 is independently selected from 0, 1, and 2; and n’ is an integer selected from 5 to 50. As described herein with respect to formula IV, R90 is –A’ or -M7-M8-A’. In some embodiments, 25 R90 is –A’. In some embodiments, R90 is -M7-M8-A’.
As described herein with respect to formula IV, R100 is H, -A’ or -M7-M8-A’. In some embodiments, R100 is -A’ or -M7-M8-A’. In some embodiments, R100 is H. In some embodiments, R100 is –A’. In some embodiments R100 -M7-M8-A’.
ents, R90 is –A’ or -M7-M8-A’ and R100 is H. In some embodiments, R90 is –A’ 5 and R100 is H. In some embodiments, R90 is -M7-M8-A’ and R100 is H. In some embodiments, R90 is –A’ and R100 is –A’. In some embodiments, R90 is -M7-M8-A’ and R100 is –A’. In some embodiments, R90 is -M7-M8-A’ and R100 is -M7-M8-A’. As described herein with respect to formula IV, each R110 is independently H or optionally substituted C1-C6 aliphatic. In some embodiments, R110 is H. In some embodiments, R110 is C1- 10 C6 aliphatic. In some embodiments, R110 is C1-C6 alkyl. In some embodiments, R110 is methyl, ethyl, propyl, butyl, pentyl or hexyl. In some embodiments, R110 is –CH3. As described herein with respect to formula IV, each A’ is independently A4-X2-A5. As described herein with respect to formula IV, each A4 is independently optionally substituted C1-C6 aliphatic, optionally substituted C6-C12 aryl, optionally substituted C3-C12 cycloaliphatic, 4- 15 to 12-membered heterocycle, or 5- to 12-membered heteroaryl. In some embodiments, A4 is optionally substituted C1-C6 aliphatic. In some embodiments, A4 is optionally substituted C1-C6 alkylene. In some embodiments, A4 is optionally substituted C6-C12 aryl. In some embodiments, A4 is optionally substituted phenyl. In some embodiments, A4 is 20 In some embodiments, A4 is optionally
3-C12 cycloaliphatic. In some embodiments, A4 is optionally substituted 4- to 12-membered heterocycle. In some embodiments, A4 is optionally substituted 5- to 12-membered heteroaryl. In some embodiments, each A4 is independently optionally substituted C1-C6 aliphatic or 25 optionally substituted C6-C12 aryl. As described herein with respect to formula IV, each X2 is independently a bond, –NH-, -S-, or – O-. In some embodiments, X2 is a bond. In some embodiments, X2 is –NH-. In some embodiments, X2 is –S-. In some embodiments, X2 is –O-. In some embodiments, each X2 is independently a bond or –O-. 30 In some embodiments, A4-X2 is:
or . As described herein with respect to formula IV, each A5 is independently a monosaccharide, disaccharide, a trisaccharide. In some embodiments, A5 is a monosaccharide. In some embodiments, A5 is a monosaccharide 5 selected from N-acetylgalactosamine (GalNAc), mannose (Man), fucose (Fuc), glucose (Glc) and galactose (Gal). In some embodiments, A5 is a disaccharide. In some embodiments, A2 is a disaccharide wherein the disaccharide comprises monosaccharide units selected from: N- acetylgalactosamine (GalNAc), mannose (Man), fucose (Fuc), glucose (Glc), and galactose (Gal). In some embodiments, A5 is a trisaccharide. In some embodiments, A5 is a trisaccharide wherein 10 the trisaccharide comprises monosaccharide units selected from: N-acetylgalactosamine (GalNAc), mannose (Man), fucose (Fuc), glucose (Glc), and galactose (Gal). In some embodiments, A5 is D-mannopyranosyl-α-(1→3)-[(D-mannopyranosyl-α-(1→6)]-D- mannopyranose (Man3 or TriMan). In some embodiments, A5 is selected from: 15 , , , , , , , and . As described herein with respect to formula IV, T’ is optionally substituted C10-C20 aliphatic, or a moiety of formula B’: 20
B’ In some embodiments, T’ is optionally substituted C10-C20 aliphatic. In some embodiments, T’ is optionally substituted C10-C20 straight chained alkyl. In some embodiments, T’ is: 5 In some embodiments, T’ is a moiety of formula B’: B’ 10 As described herein with respect to formula IV, x3 is an integer selected from 1 to 6 (i.e., is 1, 2, 3, 4, 5, or 6). In some embodiments, x3 is 1. In some embodiments, x3 is 2. In some embodiments, x3 is 3. In some embodiments, x3 is 4. In some embodiments, x3 is 5. In some embodiments, x3 is 6. As described herein with respect to formula IV, each R120 is independently –(CH2)x4-M9-R130.15 As described herein with respect to formula IV, each M9 is independently –OC(O)-, -C(O)O-, - C(O)-, -C(S)-, -NHC(O)-, -C(O)NH-, -S-, -S-S-, and -S(O)2-. In some embodiments, M9 is – OC(O)-. In some embodiments, M9 is -C(O)O-. In some embodiments, M9 is -C(O)-. In some embodiments, M9 is -C(S)-. In some embodiments, M9 is -NHC(O)-. In some embodiments, M9 is -C(O)NH-. In some embodiments, M9 is -S-. In some embodiments, M9 is -S-S-. In some 20 embodiments, M9 is -S(O)2-. As described herein with respect to formula IV, each x4 is independently selected from 0, 1, and 2. In some embodiments, x4 is 0. In some embodiments, x4 is 1. In some embodiments, x4 is 2. As described herein with respect to formula IV, each R130 is independently optionally substituted C10-C20 aliphatic or 10- to 20-membered heteroaliphatic. In some embodiments, R130 is optionally 25 substituted C10-C20 aliphatic. In some embodiments, R130 is C10-C20 straight chain alkyl. In some embodiments, R8 is C10-C20 straight chain alkenyl. In some embodiments, R130 is:
or In some embodiments, R130 is optionally substituted 10- to 20-membered heteroaliphatic. In some embodiments, R120 is –CH2-M9-R130. In some embodiments, R120 is –M9-R120. In some embodiments, R120 is –CH2-OC(O)-R130. In some embodiments, R120 is –OC(O)-R130. In some 5 embodiments, one instance of R120 is –CH2-OC(O)-R130 and the other R120 is -OC(O)-R130. In some embodiments, R120 is –CH2-OC(O)-C10-C20 aliphatic. In some embodiments, R120 is - OC(O)-C10-C20 aliphatic. In some embodiments, one instance of R120 is–CH2-OC(O)-C10-C20 aliphatic, and the other R120 is -OC(O)-C10-C20 aliphatic. In some embodiments, a moiety of formula B’ is: 10 or As described herein with respect to formula IV, n’ is an integer selected from 5 to 50. In some embodiments n’ is an integer selected from 10 to 35. In some embodiments, n’ is an integer selected from 15 to 30. In some embodiments, n’ is an integer selected from 10, 11, 12, 13, 14, 15 15, 16, 17, 18, 19, 20, 21, 22, 23, 24, 25, 26, 27, 28, 29, 30, 31, 32, 33, 34, or 35. In some embodiments, a compound of formula I is described in Table 1. In some embodiments, a compound of formula II is described in Table 2. In some embodiments, a compound of formula IV is described in Table 3. Table 1
Table 3
Particles for Nucleic Acid Delivery In some embodiments, particles of the present disclosure comprise a compound of one or more 5 of formulae I-IV, a nucleic acid, and one or more of an cationic lipid, a helper lipid, and a steroid. In some embodiments, a particle described herein comprises a cationic lipid. Electrostatic interactions between positively charged molecules such as cationic lipids and negatively charged
nucleic acid are involved in particle formation. This results in complexation and spontaneous formation of nucleic acid particles. In some embodiments, particles described herein (e.g., nucleic acid particles, e.g., ribonucleic acid particles) comprise more than one type of nucleic acid molecules, where the molecular 5 parameters of the nucleic acid molecules may be similar or different from each other, like with respect to molar mass or fundamental structural elements such as molecular architecture, capping, coding regions or other features. In some embodiments, a nucleic acid particle described herein is a nanoparticle. As used in the present disclosure, “nanoparticle” refers to a particle having an average diameter suitable for 10 parenteral administration and is less than 1000 nm in diameter. In some embodiments, a composition comprising nanoparticles can have an average nanoparticle size (e.g., mean diameter) of about 10 nm to about 500 nm, 30 nm to about 150 nm, about 40 nm to about 150 nm, about 50 nm to about 150 nm, about 60 nm to about 130 nm, about 70 nm to about 110 nm, about 70 nm to about 100 nm, about 70 to about 90 nm, or about 70 nm to about 80 nm. In some 15 embodiments, a composition comprising nanoparticles can have an average nanoparticle size (e.g., mean diameter) of about 50 nm to about 100 nm. In some embodiments, a composition comprising nanoparticles can have an average nanoparticle size (e.g., mean diameter) of about 50 nm to about 150 nm. In some embodiments, a composition comprising nanoparticles can have an average nanoparticle size (e.g., mean diameter) of about 60 nm to about 120 nm. In some 20 embodiments, a composition comprising nanoparticles can have an average nanoparticle size (e.g., mean diameter) of about 30 nm, 35 nm, 40 nm, 45 nm, 50 nm, 55 nm, 60 nm, 65 nm, 70 nm, 75 nm, 80 nm, 85 nm, 90 nm, 95 nm, 100 nm, 105 nm, 110 nm, 115 nm, 120 nm, 125 nm, 130 nm, 135 nm, 140 nm, 145 nm, or 150 nm. A composition comprising nucleic acid particles (e.g., ribonucleic acid particles) described herein 25 may exhibit a polydispersity index less than about 0.5, less than about 0.4, less than about 0.3, or about 0.2 or less of said nanoparticles. By way of example, a composition comprising nucleic acid particles (e.g., ribonucleic acid particles) described herein can exhibit a polydispersity index in a range of about 0.1 to about 0.3 or about 0.2 to about 0.3. In some embodiments, a composition comprising nucleic acid particles has a PDI that is from about 0.5 to about 1. 30 Nucleic acid particles (e.g., ribonucleic acid particles) described herein can be characterized by an “N/P ratio,” which is the molar ratio of cationic (nitrogen) groups (the “N” in N/P) in the cationic polymer to the anionic (phosphate) groups (the “P” in N/P) in RNA. It is understood that a cationic group is one that is either in cationic form (e.g., N+), or one that is ionizable to become cationic. Use of a single number in an N/P ratio (e.g., an N/P ratio of about 5) is intended to refer
to that number over 1, e.g., an N/P ratio of about 4 is intended to mean about 4:1. In some embodiments, a nucleic acid particle (e.g., a ribonucleic acid particle) described herein has an N/P ratio greater than or equal to 4. In some embodiments, a nucleic acid particle (e.g., a ribonucleic acid particle) described herein has an N/P ratio that is about 4 to about 12. In some embodiments, 5 a nucleic acid particle (e.g., a ribonucleic acid particle) described herein has an N/P ratio that is about 4, 5, 6, 7, 8, 9, 10, 11, or 12. In some embodiments, an N/P ratio for a nucleic acid particle (e.g., a ribonucleic acid particle) described herein is from about 6. Nucleic acid particles (e.g., ribonucleic acid particles) described herein can be prepared using a wide range of methods that may involve obtaining a colloid from at least one cationic or 10 cationically ionizable lipid or lipid-like material and/or at least one cationic polymer and mixing the colloid with nucleic acid to obtain nucleic acid particles. As used herein, an “ionizable” lipid, e.g., a “cationically ionizable” lipid or “ionizable” polymer, e.g., a “cationically ionizable” polyer is a lipid or polymer that may be, in some embodiments, neutral at pH of about 7, but is capable of becoming cationic (i.e., becoming positively charged) at pH of less than about 7. 15 The term “average diameter” or “mean diameter” refers to the mean hydrodynamic diameter of particles as measured by dynamic laser light scattering (DLS) with data analysis using the so- called cumulant algorithm, which provides as results the so-called Z-average with the dimension of a length, and the polydispersity index (PDI), which is dimensionless (Koppel, D., J. Chem. Phys. 57, 1972, pp 4814-4820, ISO 13321). Here “average diameter,” “mean diameter,” 20 “diameter,” or “size” for particles is used synonymously with this value of the Z-average. The “polydispersity index” is preferably calculated based on dynamic light scattering measurements by the so-called cumulant analysis as mentioned in the definition of the “average diameter.” Under certain prerequisites, it can be taken as a measure of the size distribution of an ensemble of ribonucleic acid nanoparticles (e.g., ribonucleic acid nanoparticles). 25 Different types of nucleic acid particles have been described previously to be suitable for delivery of nucleic acid in particulate form (e.g. Kaczmarek, J. C. et al., 2017, Genome Medicine 9, 60). For non-viral nucleic acid delivery vehicles, nanoparticle encapsulation of nucleic acid physically protects nucleic acid from degradation and, depending on the specific chemistry, can aid in cellular uptake and endosomal escape. 30 The present disclosure describes particles comprising nucleic acid, at least one cationic or cationically ionizable lipid or lipid-like material, and/or at least one cationic polymer which associate with the nucleic acid to form nucleic acid particles (e.g., ribonucleic acid particles, e.g., ribonucleic acid nanoparticles) and compositions comprising such particles. The nucleic acid
particles (e.g., ribonucleic acid particles, e.g., ribonucleic acid nanoparticles) may comprise nucleic acid which is complexed in different forms by non-covalent interactions to the particle. In some embodiments, the particles described herein are not viral particles, in particular, they are not infectious viral particles, i.e., they are not able to virally infect cells. 5 Some embodiments described herein relate to compositions, methods and uses involving more than one, e.g., 2, 3, 4, 5, 6 or even more nucleic acid species. In a nucleic acid particle (e.g., ribonucleic acid particle, e.g., ribonucleic acid nanoparticle) composition, it is possible that each nucleic acid species is separately formulated as an individual nucleic acid particle (e.g., ribonucleic acid particle, e.g., ribonucleic acid nanoparticle) 10 formulation. In that case, each individual nucleic acid particle (e.g., ribonucleic acid particle, e.g., ribonucleic acid nanoparticle) formulation will comprise one nucleic acid species. The individual nucleic acid particle (e.g., ribonucleic acid particle, e.g., ribonucleic acid nanoparticle) formulations may be present as separate entities, e.g., in separate containers. Such formulations are obtainable by providing each nucleic acid species separately (typically each in the form of a 15 nucleic acid-containing solution) together with a particle-forming agent, thereby allowing the formation of particles. Respective particles will contain exclusively the specific nucleic acid species that is being provided when the particles are formed (individual particulate formulations). In some embodiments, a composition such as a pharmaceutical composition comprises more than one individual nucleic acid particle (e.g., ribonucleic acid particle, e.g., ribonucleic acid 20 nanoparticle) formulation. Respective pharmaceutical compositions are referred to as “mixed particulate formulations.” Mixed particulate formulations according to the invention are obtainable by forming, separately, individual nucleic acid particle (e.g., ribonucleic acid particle, e.g., ribonucleic acid nanoparticle) formulations, as described above, followed by a step of mixing of the individual nucleic acid particle (e.g., ribonucleic acid particle, e.g., ribonucleic acid 25 nanoparticle) formulations. By the step of mixing, a formulation comprising a mixed population of nucleic acid-containing particles is obtainable. Individual nucleic acid particle (e.g., ribonucleic acid particle, e.g., ribonucleic acid nanoparticle) populations may be together in one container, comprising a mixed population of individual nucleic acid particle (e.g., ribonucleic acid particle, e.g., ribonucleic acid nanoparticle) formulations. 30 Alternatively, it is possible that different nucleic acid species are formulated together as a “combined particulate formulation.” Such formulations are obtainable by providing a combined formulation (typically combined solution) of different nucleic acid species together with a particle-forming agent, thereby allowing the formation of particles. As opposed to a “mixed particulate formulation,” a “combined particulate formulation” will typically comprise particles
that comprise more than one nucleic acid species. In a combined particulate composition different nucleic acid species are typically present together in a single particle. In certain embodiments, nucleic acids, when present in provided nucleic acid particles (e.g., ribonucleic acid particles, e.g., lipid nanoparticles, liposomes, lipoplexes, polyplexes) are 5 resistant in aqueous solution to degradation with a nuclease. Lipid Nanoparticles As described herein, glycolipid compounds described herein can be incorporated into nanoparticles comprising, for example, a cationic lipid, a helper lipid, a steroid, and optionally a polymer-conjugated lipid. Incorporation of a nucleic acid agent into said nanoparticles is referred 10 to herein as a “nucleic acid particle.” In some embodiments, nucleic acid particles (e.g., ribonucleic acid particles) are lipid nanoparticles. In some embodiments, lipid nanoparticles are cationic lipid nanoparticles comprising one or more cationic lipids (e.g., ones described herein), a nucleic acid (e.g., RNA) and a steroid. In some embodiments, cationic lipid nanoparticles may comprise at least one 15 cationic lipid, a steroid, and at least one helper lipid. Lipid nanoparticles (LNPs) have proven useful for the delivery of nucleic acid cargo to tissue of interest. LNPs are used, for example, in certain commercial vaccines for treatment of COVID-19. Some LNP formulations, however, cause an inflammatory response in the body, such as an increase of cytokines and interleukins. This inflammatory response is associated with pain, swelling, fever, and the like. LNPs of the 20 present disclosure, however, do not suffer from the same deficiencies associated with previous formulations. In some embodiments, LNPs described herein can further comprise additional additives, as described herein. LNPs of the present disclosure can be useful in a variety of contexts. For example, LNPs comprising a nucleic acid (e.g., an RNA) described herein are useful for delivery 25 of said nucleic acid into the cell of a subject. In some embodiments, LNPs comprising a nucleic acid (e.g., an RNA) described herein are useful for causing increased expression of a protein in a subject. In some embodiments, LNPs comprising a nucleic acid (e.g., an RNA) described herein are useful for causing a pharmacological effect induced by expression of a protein in a subject. Lipid nanoparticles described herein are characterized by molar percentage (mol%) of 30 components in the lipid nanoparticle. A mol% used in reference to a lipid component of a lipid nanoparticle is relative to the total other lipid components in the lipid nanoparticle. (i) Cationic Lipids
As described herein, LNPs of the present disclosure comprise a cationic lipid. A cationic lipid, as described herein, is a lipid that is positively charged or is ionizable, such that the cationic lipid will become positively charged when subjected to particular physiological conditions, e.g., a pH of about 7.4 or less, and can promote lipid aggregation. In some embodiments, a cationic lipid is 5 a lipid comprising one or more amine groups which bear or are capable of bearing (i.e., are ionizable) a positive charge. In some embodiments, a cationic lipid is selected from 1,2-dimyristoyl-sn-glycero-3- ethylphosphocholine (DMEPC); 2-dimyristoyl-3-trimethylammonium propane (DMTAP); dioleyl ether phosphatidylcholine (DOEPC); N,N-dioleyl-N,N-dimethylammonium chloride10 (DODAC); N-(2,3-dioleyloxy)propyl)-N,N,N-trimethylammonium chloride (DOTMA); N,N- distearyl-N,N-dimethylammonium bromide (DDAB); N-(2,3-dioleoyloxy)propyl)-N,N,N- trimethylammonium chloride (DOTAP); 3-(N-(N′,N′-dimethylaminoethane)- carbamoyl)cholesterol (DC-Chol), N-(1-(2,3-dioleoyloxy)propyl)-N-2- (sperminecarboxamido)ethyl)-N,N-dimethylammonium trifluoracetate (DOSPA), 15 dioctadecylamidoglycyl carboxyspermine (DOGS), 1,2-dioleoyl-3-dimethylammonium propane (DODAP), N,N-dimethyl-2,3-dioleoyloxy)propylamine (DODMA), and N-(1,2- dimyristyloxyprop-3-yl)-N,N-dimethyl-N-hydroxyethyl ammonium bromide (DMRIE). In some embodiments, a cationic lipid is one provided in WO2012/016184, which is incorporated herein by reference in its entirety. For example, in some embodiments, a cationic lipid is selected20 from 1,2-dilinoleyoxy-3-(dimethylamino)acetoxypropane (DLin-DAC), 1,2-dilinoleyoxy- 3morpholinopropane (DLin-MA), 1,2-dilinoleoyl-3-dimethylaminopropane (DLinDAP), 1,2- dilinoleylthio-3-dimethylaminopropane (DLin-S-DMA), 1-linoleoyl-2-linoleyloxy- 3dimethylaminopropane (DLin-2-DMAP), 1,2-dilinoleyloxy-3-trimethylaminopropane chloride salt (DLin-TMA.Cl), 1,2-dilinoleoyl-3-trimethylaminopropane chloride salt (DLin-TAP.Cl), 1,2-25 dilinoleyloxy-3-(N-methylpiperazino)propane (DLin-MPZ), 3-(N,Ndilinoleylamino)-1,2- propanediol (DLinAP), 3-(N,N-dioleylamino)-1,2-propanediol (DOAP), 1,2-dilinoleyloxo-3-(2- N,N-dimethylamino)ethoxypropane (DLin-EG-DMA), and 2,2-dilinoleyl-4- dimethylaminomethyl-[1,3]-dioxolane (DLin-K-DMA). In some embodiments, a cationic lipid is selected from N,N-dimethyl-2,3-dioleyloxypropylamine30 (DODMA), 1,2-di-O-octadecenyl-3-trimethylammonium propane (DOTMA), 3-(N-(N′,N′- dimethylaminoethane)carbamoyl)cholesterol (DC-Chol), dimethyldioctadecylammonium (DDAB); 1,2-dioleoyl-3-trimethylammonium propane (DOTAP); 1,2-dioleoyl-3- dimethylammonium-propane (DODAP); 1,2-diacyloxy-3-dimethylammonium propanes; 1,2- dialkyloxy-3-dimethylammonium propane; dioctadecyldimethyl ammonium chloride (DODAC),
1,2-distearyloxy-N,N-dimethyl-3-aminopropane (DSDMA), 2,3-di(tetradecoxy)propyl-(2- hydroxyethyl)-dimethylazanium (DMRIE), 1,2-dimyristoyl-sn-glycero-3-ethylphosphocholine (DMEPC), l,2-dimyristoyl-3-trimethylammonium propane (DMTAP), 1,2-dioleyloxypropyl-3- dimethyl-hydroxyethylammonium bromide (DORIE), and 2,3-dioleoyloxy-N-[2(spermine 5 carboxamide)ethyl]-N,N-dimethyl-l-propanaminium trifluoroacetate (DOSPA), 1,2- dilinoleyloxy-N,N-dimethylaminopropane (DLinDMA), 1,2-dilinolenyloxy-N,N- dimethylaminopropane (DLenDMA), dioctadecylamidoglycyl spermine (DOGS), 3- dimethylamino-2-(cholest-5-en-3-beta-oxybutan-4-oxy)-1-(cis,cis-9,12-oc- tadecadienoxy)propane (CLinDMA), 2-[5′-(cholest-5-en-3-beta-oxy)-3′-oxapentoxy)-3-10 dimethyl-1-(cis,cis-9′,12′-octadecadienoxy)propane (CpLinDMA), N,N-dimethyl-3,4- dioleyloxybenzylamine (DMOBA), 1,2-N,N′-dioleylcarbamyl-3-dimethylaminopropane (DOcarbDAP), 2,3-dilinoleoyloxy-N,N-dimethylpropylamine (DLinDAP), 1,2-N,N′- Dilinoleylcarbamyl-3-dimethylaminopropane (DLincarbDAP), 1,2-dilinoleoylcarbamyl-3- dimethylaminopropane (DLinCDAP), 2,2-dilinoleyl-4-dimethylaminomethyl-[1,3]-dioxolane 15 (DLin-K-DMA), 2,2-dilinoleyl-4-dimethylaminoethyl-[1,3]-dioxolane (DLin-K-XTC2-DMA), 2,2-dilinoleyl-4-(2-dimethylaminoethyl)-[1,3]-dioxolane (DLin-KC2-DMA), heptatriaconta- 6,9,28,31-tetraen-19-yl-4-(dimethylamino)butanoate (DLin-MC3-DMA), N-(2-Hydroxyethyl)- N,N-dimethyl-2,3-bis(tetradecyloxy)-1-propanaminium bromide (DMRIE), (±)-N-(3- aminopropyl)-N,N-dimethyl-2,3-bis(cis-9-tetradecenyloxy)-1-propanaminium bromide (GAP- 20 DMORIE), (±)-N-(3-aminopropyl)-N,N-dimethyl-2,3-bis(dodecyloxy)-1-propanaminium bromide (GAP-DLRIE), (±)-N-(3-aminopropyl)-N,N-dimethyl-2,3-bis(tetradecyloxy)-1- propanaminium bromide (GAP-DMRIE), N-(2-aminoethyl)-N,N-dimethyl-2,3- bis(tetradecyloxy)-1-propanaminium bromide (βAE-DMRIE), N-(4-carboxybenzyl)-N,N- dimethyl-2,3-bis(oleoyloxy)propan-1-aminium (DOBAQ), 2-({8-[(3β)-cholest-5-en-3- 25 yloxy]octyl}oxy)-N,N-dimethyl-3-[(9Z,12Z)-octadeca-9,12-dien-1-yloxy]propan-1-amine (octyl-CLinDMA), 1,2-dimyristoyl-3-dimethylammonium-propane (DMDAP), 1,2-dipalmitoyl- 3-dimethylammonium-propane (DPDAP), N1-[2-((1S)-1-[(3-aminopropyl)amino]-4-[di(3- amino-propyl)amino]butylcarboxamido)ethyl]-3,4-di[oleyloxy]-benzamide (MVL5), 1,2- dioleoyl-sn-glycero-3-ethylphosphocholine (DOEPC), 2,3-bis(dodecyloxy)-N-(2-hydroxyethyl)-30 N,N-dimethylpropan-1-amonium bromide (DLRIE), N-(2-aminoethyl)-N,N-dimethyl-2,3- bis(tetradecyloxy)propan-1-aminium bromide (DMORIE), di((Z)-non-2-en-1-yl) 8,8'- ((((2(dimethylamino)ethyl)thio)carbonyl)azanediyl)-dioctanoate (ATX), N,N-dimethyl-2,3- bis(dodecyloxy)propan-1-amine (DLDMA), N,N-dimethyl-2,3-bis(tetradecyloxy)propan-1- amine (DMDMA), Di((Z)-non-2-en-1-yl)-9-((4-(dimethylaminobutanoyl)-35 oxy)heptadecanedioate (L319), N-dodecyl-3-((2-dodecylcarbamoyl-ethyl)-{2-[(2-
dodecylcarbamoyl-ethyl)-2-{(2-dodecylcarbamoyl-ethyl)-[2-(2-dodecylcarbamoyl-ethylamino)- ethyl]-amino}-ethyl-amino)propionamide (lipidoid 98N12-5), 1-[2-[bis(2- hydroxydodecyl)amino]ethyl-[2-[4-[2-[bis(2 hydroxydodecyl)amino]ethyl]piperazin-1- yl]ethyl]amino]dodecan-2-ol (lipidoid C12-200), and the following structures (XV-1) to (XV-6): N
WO2017/075531, WO2016/118725, WO2016/118724, WO2016/176330, WO2017/049245, 10 U.S. Pat. No.9,670,152, each of which is incorporated herein by reference in its entirety. In some embodiments, a cationic lipid is one provided in WO 2022/081750, which is incorporated herein by reference in its entirety. In some embodiments, a cationic lipid is a compound of Formula I*:
or a pharmaceutically acceptable salt thereof, wherein: one of L1* or L2* is –OC(O)-, -C(O)O-, -C(O)-, -O-, -S(O)x*-, -S-S-, -C(O)S-, SC(O)-, -NRa*C(O)- , -C(O)NRa*-, -NRa*C(O)NRa*-, -OC(O)NRa*- or -NRa*C(O)O-, and the other of L1* or L2* is – 5 OC(O)-, -C(O)O-, -C(O)-, -O-, -S(O)x*-, -S-S-, -C(O)S-, SC(O)-, -NRa*C(O)-, -C(O)NRa*-, - NRa*C(O)NRa*-, -OC(O)NRa*-, -NRa*C(O)O-, or a direct bond; G1* and G2* are each independently unsubstituted C1-C12 alkylene or C1- C12 alkenylene; G3* is C1-C24 alkylene, C1-C24 alkenylene, C3-C8 cycloalkylene, C3-C8 cycloalkenylene; Ra* is H or C1-C12 alkyl; 10 R1* and R2* are each independently C6-C24 alkyl or C6-C24 alkenyl; R3* is H, OR5*, CN, -C(O)OR4*, -OC(O)R4* or - R5*C(O)R4*; R4* is C1-C12 alkyl; R5* is H or C1-C6 alkyl; and x* is 0, 1 or 2. 15 In some embodiments, one of L1* or L2* is –OC(O)- or –C(O)O-. In some embodiments, each of L1* and L2* is –OC(O)- or –C(O)O-. In some embodiments, G1* is C1-C12 alkylene. In some embodiments, G2* is C1-C12 alkylene. In some embodiments G1* and G2* are each independently C1-C12 alkylene. In some embodiments G1* and G2* are each independently C5-C12 alkylene. 20 In some embodiments, G3* is C1-C24 alkylene. In some embodiments, G3* is C1-C6 alkylene. In some embodiments, R1* and R2* are each independently selected from: ;
In
In some embodiments, each of L1* and L2* is –OC(O)-, G1* and G2* are each independently C5- C12 alkylene, G3* is C1-C6 alkylene, R3* is OH, and R1* and R2* are each independently selected 5 from:
or a pharmaceutically acceptable salt thereof, where n is an integer from 1 to 15, Ring A* is C3- C8 cycloaliphatic, each R6* is independently selected from H, OH, and C1-C24 aliphatic, and wherein R1*, R2*, R3*, L1*, L2*, G1*, and G2* are as described in classes and subclasses herein with respect to formula I*, both singly and in combination. 5 In some embodiments, a cationic lipid that may be useful in accordance with the present disclosure is an amino lipid comprising a titratable tertiary amino head group linked via ester bonds to at least two saturated alkyl chains, which ester bonds can be hydrolyzed easily to facilitate fast degradation and/or excretion via renal pathways. In some embodiments, such an amino lipid has an apparent pKa of about 6.0-6.5 (e.g., in one embodiment with an apparent pKa 10 of approximately 6.25), resulting in an essentially fully positively charged molecule at an acidic pH (e.g., pH 5). In some embodiments, such an amino lipid, when incorporated in LNP, can confer distinct physicochemical properties that regulate particle formation, cellular uptake, fusogenicity and/or endosomal release of RNA(s). In some embodiments, introduction of an aqueous RNA solution to a lipid mixture comprising such an amino lipid at pH 4.0 can lead to an electrostatic 15 interaction between the negatively charged RNA backbone and the positively charged cationic lipid. Without wishing to be bound by any particular theory, such electrostatic interaction leads to particle formation coincident with efficient encapsulation of RNA drug substance. After RNA encapsulation, adjustment of the pH of the medium surrounding the resulting LNP to a more neutral pH (e.g., pH 7.4) results in neutralization of the surface charge of the LNP. When all other 20 variables are held constant, such charge-neutral particles display longer in vivo circulation lifetimes and better delivery to hepatocytes compared to charged particles, which are rapidly cleared by the reticuloendothelial system. Upon endosomal uptake, the low pH of the endosome renders LNP comprising such an amino lipid fusogenic and allows the release of the RNA into the cytosol of the target cell. 25 As described herein, a LNP comprises at least one cationic lipid. In some embodiments, a cationic lipid is selected from Table 4: Table 4
or a pharmaceutically acceptable salt thereof. In some embodiments, provided compounds are provided and/or utilized in a salt form (e.g., a pharmaceutically acceptable salt form). Reference to a compound provided herein is understood to include reference to salts thereof, unless otherwise indicated. 5 In some embodiments, a cationic lipid is selected from Table 5: Table 5 Name Structure
provided and/or utilized in a salt form (e.g., a pharmaceutically acceptable salt form). Reference to a compound provided herein is understood to include reference to salts thereof, unless otherwise indicated. 5 In some embodiments, a cationic lipid is selected from Tables 4 and/or 5. In some embodiments, a cationic lipid is selected from DODMA, HY-501, ALC-0315, ALC366, and SM-102. In some embodiments, a cationic lipid is selected from ALC-0315 and ALC366. In some embodiments, a cationic lipid is ALC-0315. In some embodiments, a cationic lipid is ALC366. In some embodiments, a cationic lipid is SM-102. In some embodiments, a cationic 10 lipid is DODMA. In some embodiments, a cationic lipid is HY-501. In some embodiments, LNPs of the present disclosure comprise about 30 to about 70 mol% of a cationic lipid relative to the total lipids in the LNP. In some embodiments, an LNP comprises about 35 to about 65 mol% of a cationic lipid. In some embodiments, an LNP comprises about 40 to about 60 mol% of a cationic lipid. In some embodiments, an LNP comprises about 41 to 15 about 49 mol% of a cationic lipid. In some embodiments, an LNP comprises about 48 mol% of a cationic lipid. In some embodiments, an LNP comprises about 50 mol% of a cationic lipid. In some embodiments, the cationically ionizable lipid has the structure of Formula (X)
(X) or a pharmaceutically acceptable salt, tautomer, prodrug or stereoisomer thereof, wherein: one of L10 and L20 is –O(C=O)-, -(C=O)O-, -C(=O)-, -O-, -S(O)x’’-, -S-S-, -C(=O)S-, SC(=O)-, 5 -NRa’C(=O)-, -C(=O)NRa’-, NRa’C(=O)NRa’-, -OC(=O)NRa’- or -NRa’C(=O)O-, and the other of L10 and L20 is –O(C=O)-, -(C=O)O-, -C(=O)-, -O-, -S(O)x’’-, -S-S-, -C(=O)S-, SC(=O)-, - NRa’C(=O)-, -C(=O)NRa’-, NRa’C(=O)NRa’-, -OC(=O)NRa’- or -NRa’C(=O)O- or a direct bond; G1’ and G2’ are each independently unsubstituted C1-C12 alkylene or C2-12 alkenylene; G3’ is C1-24 alkylene, C2-24 alkenylene, C3-8 cycloalkylene, or C3-8 cycloalkenylene; 10 Ra’ is H or C1-12 alkyl; R35 and R36 are each independently C6-24 alkyl or C6-24 alkenyl; R37 is H, OR50, CN, -C(=O)OR40, -OC(=O)R40 or –NR50C(=O)R40; R40 is C1-12 alkyl; R50 is H or C1-6 alkyl; and 15 x’’ is 0, 1 or 2. In some of the foregoing embodiments of Formula (X), the lipid has one of the following structures (XA) or (XB): or (XA) (XB) 20 wherein R35, L10, G1’, G2’, L20, R36, R37, and R60 are as described in classes and subclasses herein, both singly and in combination; A is a 3 to 8-membered cycloalkyl or cycloalkylene group; R60 is, at each occurrence, independently H, OH or C1-C24 alkyl; and
n1’ is an integer ranging from 1 to 15. In some of the foregoing embodiments of Formula (X), the lipid has structure (XA), and in other embodiments, the lipid has structure (XB). In other embodiments of Formula (X), the lipid has one of the following structures (XC) or (XD): 5 or (XC) (XD) wherein R35, L10, G1’, G2’, L20, R36, R37, and R60 are as described in classes and subclasses herein, both singly and in combination; and y’ and z’ are each independently integers ranging from 1 to 12. 10 In any of the foregoing embodiments of Formula (X), one of L10 and L20 is -O(C=O)-. For example, in some embodiments each of L10 and L20 are -O(C=O)-. In some different embodiments of any of the foregoing, L10 and L20 are each independently -(C=O)O- or -O(C=O)-. For example, in some embodiments each of L10 and L20 is -(C=O)O-. In some embodiments of Formula (X), the lipid has one of the following structures (XE) or (XF): 15 or (XE) (XF) wherein R35, R36, R37, G1’, G2’, and G3’ are as defined in classes and subclasses herein, both singly and in combination. In some of the foregoing embodiments of Formula (X), the lipid has one of the following 20 structures (XG), (XH), (XJ), or (XK): ; ; (XG) (XH)
h
singly and in combination. 5 In some of the foregoing embodiments of Formula (X), n1’ is an integer ranging from 2 to 12, for example from 2 to 8 or from 2 to 4. For example, in some embodiments, n1’ is 3, 4, 5 or 6. In some embodiments, n1’ is 3. In some embodiments, n1’ is 4. In some embodiments, n1’ is 5. In some embodiments, n1’ is 6. In some other of the foregoing embodiments of Formula (X), y’ and z’ are each independently an 10 integer ranging from 2 to 10. For example, in some embodiments, y’ and z’ are each independently an integer ranging from 4 to 9 or from 4 to 6. In some of the foregoing embodiments of Formula (X), R60 is H. In other of the foregoing embodiments, R60 is C1-C24 alkyl. In other embodiments, R60 is OH. In some embodiments of Formula (X), G3’ is unsubstituted. In other embodiments, G3’ is 15 substituted. In various different embodiments, G3’ is linear C1-C24 alkylene or linear C2-C24 alkenylene. In some other foregoing embodiments of Formula (X), R35 or R36, or both, is C6-C24 alkenyl. For example, in some embodiments, R35 and R36 each, independently have the following structure: 1-C12 alkyl; and
a is an integer from 2 to 12, wherein R7a, R7b and a are each selected such that R35 and R36 each independently comprise from 6 to 20 carbon atoms. For example, in some embodiments a is an integer ranging from 5 to 9 or 25 from 8 to 12.
In some of the foregoing embodiments of Formula (X), at least one occurrence of R7a is H. For example, in some embodiments, R7a is H at each occurrence. In other different embodiments of the foregoing, at least one occurrence of R7b is C1-C8 alkyl. For example, in some embodiments, C1-C8 alkyl is methyl, ethyl, n-propyl, iso-propyl, n-butyl, iso-butyl, tert-butyl, n-hexyl or n-octyl. 5 In different embodiments of Formula (X), R35 or R36, or both, has one of the following structures:
or -NHC(=O)R40. In some embodiments, R40 is methyl or ethyl. In various different embodiments, a cationic lipid of Formula (X) has one of the structures set forth below. X-1 X-2
In various different embodiments, the cationically ionizable lipid has one of the structures set forth in the table below.
wherein
each of R1” and R2”” is independently R5” or -G1”-L1”-R6”, wherein at least one of R1” and R2” is - 5 G1”-L1”-R6”; each of R3” and R4” is independently selected from the group consisting of C1-6 alkyl, C2-6 alkenyl, aryl, and C3-10 cycloalkyl; each of R5” and R6” is independently a non-cyclic hydrocarbyl group having at least 10 carbon atoms; 10 each of G1” and G2” is independently unsubstituted C1-12 alkylene or C2-12 alkenylene; each of L1” and L2” is independently selected from the group consisting of -O(C=O)-, -(C=O)O-, -C(=O)-, -O-, -S(O)x”-, -S-S-, -C(=O)S-, -SC(=O)-, -NRa”C(=O)-, -C(=O)NRa”-, - NRa”C(=O)NRa”-, -OC(=O)NRa”- and -NRa”C(=O)O-; Ra” is H or C1-12 alkyl; 15 m” is 0, 1, 2, 3, or 4; and x” is 0, 1 or 2. In some of the foregoing embodiments of Formula (XI), G1” is independently unsubstituted C1- C12 alkylene or unsubstituted C2-12 alkenylene, e.g., unsubstituted, straight C1-12 alkylene or unsubstituted, straight C2-12 alkenylene. In some embodiments, each G1” is independently 20 unsubstituted C6-12 alkylene or unsubstituted C6-12 alkenylene, e.g., unsubstituted, straight C6-12 alkylene or unsubstituted, straight C6-12 alkenylene. In some embodiments, each G1” is independently unsubstituted C8-12 alkylene or unsubstituted C8-12 alkenylene, e.g., unsubstituted, straight C8-12 alkylene or unsubstituted, straight C8-12 alkenylene. In some embodiments, each G1” is independently unsubstituted C6-10 alkylene or unsubstituted C6-10 alkenylene, e.g., unsubstituted, 25 straight C6-10 alkylene or unsubstituted, straight C6-10 alkenylene. In some embodiments, each G1” is independently unsubstituted alkylene having 8, 9 or 10 carbon atoms, e.g., unsubstituted, straight alkylene having 8, 9 or 10 carbon atoms. In some embodiments, where R1” and R2” are both independently -G1”-L1”-R6”, G1” for R1” may be different from G1” for R2”. In some of these embodiments, for example, G1” for R1” is unsubstituted, straight C1-12 alkylene and G1” for R2” is 30 unsubstituted, straight C2-12 alkenylene; or G1” for R1” is an unsubstituted, straight C1-12 alkylene
group and G1” for R2” is a different unsubstituted, straight C1-12 alkylene group. In some embodiments, where R1” and R2” are both independently -G1”-L1”-R6”, G1” for R1” may be identical to G1” for R2”. In some of these embodiments, for example, each G1” is the same unsubstituted, straight C8-12 alkylene, such as unsubstituted, straight C8-10 alkylene, or each G1” is the same 5 unsubstituted, straight C6-12 alkenylene. In some of the foregoing embodiments of Formula (XI), each L1” is independently selected from the group consisting of -O(C=O)-, -(C=O)O-, -C(=O)S-, -SC(=O)-, -NRa”C(=O)-, and - C(=O)NRa”-. In some embodiments, Ra” of L1” is H or C1-12 alkyl. In some embodiments, Ra” of L1” is H or C1-6 alkyl, e.g., H or C1-3 alkyl. In some embodiments, Ra” of L1” is H, methyl, or ethyl. 10 In some embodiments, each L1” is independently selected from the group consisting of -O(C=O)- , -(C=O)O-, -C(=O)S-, and -SC(=O)-. In some embodiments, each L1” is independently -O(C=O)- or -(C=O)O-. In some embodiments, where R1” and R2” are both independently -G1”-L1”-R6”, L1” for R1” may be different from L1” for R2”. In some of these embodiments, for example, L1” for R1” is one moiety selected from the group consisting of -O(C=O)-, 15 -(C=O)O-, -C(=O)S-, -SC(=O)-, -NRa”C(=O)-, and -C(=O)NRa”- (e.g., L1” for R1” is -O(C=O)-), and L1” for R2” is a different moiety selected from the group consisting of -O(C=O)-, -(C=O)O-, -C(=O)S-, -SC(=O)-, -NRa”C(=O)-, and -C(=O)NRa”- (e.g., L1” for R2” is -(C=O)O-). In some embodiments, where R1” and R2” are both independently -G1”-L1”-R6”, L1” for R1” may be identical to L1” for R2”. In some of these embodiments, for example, each L1” is the same moiety selected20 from the group consisting of -O(C=O), -(C=O)O-, -C(=O)S-, -SC(=O)-, -NRa”C(=O)-, and - C(=O)NRa”-, e.g., each L1” is -O(C=O)- or each L1” is -(C=O)O-. In some of the foregoing embodiments of Formula (XI), each R6” is independently a non-cyclic hydrocarbyl group having at least 10 carbon atoms, e.g., a straight hydrocarbyl group having at least 10 carbon atoms. In some embodiments, each R6” has independently at most 30 carbon 25 atoms, such as at most 28, at most 26, at most 24, at most 22, or at most 20 carbon atoms. In some embodiments, each R6” is independently a non-cyclic hydrocarbyl group having 10 to 30 carbon atoms (such as 10 to 28, 10 to 26, 10 to 24, 10 to 22, or 10 to 20 carbon atoms), e.g., a straight hydrocarbyl group having 10 to 30 carbon atoms (such as 10 to 28, 10 to 26, 10 to 24, 10 to 22, or 10 to 20 carbon atoms). In some embodiments, each R6” is attached to L1” via an internal carbon 30 atom of R6”. In some embodiments, each R6” has independently at most 30 carbon atoms (such as at most 28, at most 26, at most 24, at most 22, or at most 20 carbon atoms), and each R6” is attached to L1” via an internal carbon atom of R6”. In some embodiments, each R6” is independently a non-cyclic hydrocarbyl group having at least 10 carbon atoms, e.g., a straight hydrocarbyl group having at least 10 carbon atoms, and each R6” is attached to L1” via an internal carbon atom of R6”.
In some embodiments, each R6” is independently a non-cyclic hydrocarbyl group having 10 to 30 carbon atoms (such as 10 to 28, 10 to 26, 10 to 24, 10 to 22, or 10 to 20 carbon atoms), e.g., a straight hydrocarbyl group having 10 to 30 carbon atoms (such as 10 to 28, 10 to 26, 10 to 24, 10 to 22, or 10 to 20 carbon atoms), and each R6” is attached to L1” via an internal carbon atom of 5 R6”. In some embodiments, the hydrocarbyl group of R6” is an alkyl or alkenyl group, e.g., a C10- 30 alkyl or alkenyl group. Thus, in some embodiments, each R6” is independently a non-cyclic alkyl group having at least 10 carbon atoms or a non-cyclic alkenyl group having at least 10 carbon atoms, e.g., a straight alkyl group having at least 10 carbon atoms or a straight alkenyl group having at least 10 carbon atoms. In some embodiments, each R6” is independently a non- 10 cyclic alkyl group having 10 to 30 carbon atoms (such as 10 to 28, 10 to 26, 10 to 24, 10 to 22, or 10 to 20 carbon atoms) or a non-cyclic alkenyl group having 10 to 30 carbon atoms (such as 10 to 28, 10 to 26, 10 to 24, 10 to 22, or 10 to 20 carbon atoms), e.g., a straight alkyl group having 10 to 30 carbon atoms (such as 10 to 28, 10 to 26, 10 to 24, 10 to 22, or 10 to 20 carbon atoms) or a straight alkenyl group having 10 to 30 carbon atoms (such as 10 to 28, 10 to 26, 10 to 24, 10 15 to 22, or 10 to 20 carbon atoms). In some embodiments, each R6” is independently a non-cyclic alkyl group having 11 to 19 carbon atoms (such as 11, 13, 15, 17, or 17 carbon atoms), e.g., a straight alkyl group having 11 to 19 carbon atoms (such as 11, 13, 15, 17, or 17 carbon atoms). In some embodiments, each R6” is independently a non-cyclic alkyl group having 10 to 30 carbon atoms (such as 10 to 28, 10 to 26, 10 to 24, 10 to 22, or 10 to 20 carbon atoms) or a non-cyclic 20 alkenyl group having 10 to 30 carbon atoms (such as 10 to 28, 10 to 26, 10 to 24, 10 to 22, or 10 to 20 carbon atoms), e.g., a straight alkyl group having 10 to 30 carbon atoms (such as 10 to 28, 10 to 26, 10 to 24, 10 to 22, or 10 to 20 carbon atoms) or a straight alkenyl group having 10 to 30 carbon atoms (such as 10 to 28, 10 to 26, 10 to 24, 10 to 22, or 10 to 20 carbon atoms), and each R6” is attached to L1” via an internal carbon atom of R6”. In some embodiments, each R6” is 25 independently a non-cyclic alkyl group having 11 to 19 carbon atoms (such as 11, 13, 15, 17, or 17 carbon atoms), e.g., a straight alkyl group having 11 to 19 carbon atoms (such as 11, 13, 15, 17, or 17 carbon atoms), and each R6” is attached to L1” via an internal carbon atom of R6”. The expression "internal carbon atom" means that the carbon atom of R6” by which R6” is attached to L1” is directly bonded to at least 2 other carbon atoms of R6”. For example, for the following C11 30 alkyl group, each carbon atom at any one of positions 2, 3, 4, 5, and 7 qualifies as "internal carbon atom" according to the present disclosure, whereas the carbon atoms at positions 1, 6, 8, 9, 10, and 11 do not.
Consequently, R6” bein ternal carbon of R6” includes
the following groups:
group, e.g., a straight C11 alkyl group, each carbon atom except for the first and last carbon atoms of the straight alkyl group (i.e., except the carbon atoms at positions 1 and 11 of the straight C11 alkyl group) qualifies as "internal carbon atom". Thus, in some embodiments, R6” being a straight 10 alkyl group having p carbon atoms and being attached to L1” via an internal carbon atom of R6” means that R6” is attached to L1” via a carbon atom of R6” at any one of positions 2 to (p-1) (thereby excluding the terminal C atoms at positions 1 and p). In some embodiments, where R6” is a straight alkyl group having p’ carbon atoms (wherein p’ is an even number) and being attached to L1” via an internal carbon atom of R6”, R6” is attached to L1” via a carbon at any one of positions (p’/2 - 15 1), (p’/2), and (p’/2 + 1) of R6” (e.g., if p’ is 10, R6” is attached to L1” via a carbon atom at any one of positions 4, 5, and 6 of R6”). In some embodiments, where R6” is a straight alkyl group having p’’ carbon atoms (wherein p’’ is an uneven number) and being attached to L1” via an internal carbon atom of R6”, R6” is attached to L1” via a carbon atom at any one of positions (p’’ - 1)/2 and (p’’ + 1)/2 of R6” (e.g., if p’’ is 11, R6” is attached to L1” via a carbon at any one of positions 5 and 20 6 of R6”). Generally, it is to be understood that if both R1” and R2” are -G1”-L1”-R6” and each R6” is attached to L1” via an internal carbon atom of R6”, R6” of R1” is attached to L1” of R1” (and not to L1” of R2”) via an internal carbon atom of R6” of R1” and R6” of R2” is attached to L1” of R2” (and not to L1” of R1”) via an internal carbon atom of R6” of R2”. In some embodiments, each R6” is independently selected from the group consisting of:
, 1”
and R2” are both independently -G1”-L1”-R6”, R6” for R1” is different from R6” for R2”. In some of 5 these embodiments, for example, R6” for R1” may be a non-cyclic, preferably straight, hydrocarbyl group having at least 10 carbon atoms (e.g., R6” for R1” i ) and R6” for R2” may be a different non-cyclic, preferably straight, hyd east 10 carbon
atoms (e.g., R6” for R ). In some embodiments, where R1” and R2” are both independently -G1”-L entical to R6” for R2”. In some of these embodiments, 10 for example, each R6
” is the same non-cyclic, preferably straight, hydrocarbyl group having at least 10 carbon atoms (e.g., each R In some of the foregoing embodim
non-cyclic hydrocarbyl group having at least 10 carbon atoms, e.g., a straight hydrocarbyl group having at least 10 carbon atoms. In some embodiments, R5” is a non-cyclic hydrocarbyl group having at least 12 carbon atoms, 15 such as at least 14, at least 16, or at least 18 carbon atoms, e.g., a straight hydrocarbyl group having at least 12, at least 14, at least 16, or at least 18 carbon atoms. In some embodiments, R5” has at most 30 carbon atoms, such as at most 28, at most 26, at most 24, at most 22, or at most 20 carbon atoms. In some embodiments, R5” is a non-cyclic hydrocarbyl group, e.g., a straight hydrocarbyl group, wherein each hydrocarbyl group has 10 to 30 carbon atoms (such as 10 to 28, 20 10 to 26, 10 to 24, 10 to 22, 10 to 20 carbon atoms, or 12 to 30, 12 to 28, 12 to 26, 12 to 24, 12 to 22, 12 to 20 carbon atoms, or 14 to 30, 14 to 28, 14 to 26, 14 to 24, 14 to 22, 14 to 20 carbon atoms, or 16 to 30, 16 to 28, 16 to 26, 16 to 24, 16 to 22, 16 to 20 carbon atoms, or 18 to 30, 18 to 28, 18 to 26, 18 to 24, 18 to 22, or 18 to 20 carbon atoms). In some embodiments, the hydrocarbyl group of R5” is an alkyl or alkenyl group, e.g., a C10-30 alkyl or alkenyl group. Thus, 25 in some embodiments, R5” is a non-cyclic alkyl group having at least 10 carbon atoms (such as at least 12, at least 14, at least 16, or at least 18 carbon atoms) or a non-cyclic alkenyl group having at least 10 carbon atoms (such as at least 12, at least 14, at least 16, or at least 18 carbon atoms), e.g., a straight alkyl group having at least 10 carbon atoms (such as at least 12, at least 14, at least
16, or at least 18 carbon atoms) or a straight alkenyl group having at least 10 carbon atoms (such as at least 12, at least 14, at least 16, or at least 18 carbon atoms). In some embodiments, R5” is a non-cyclic alkyl group or a non-cyclic alkenyl group, e.g., a straight alkyl group or a straight alkenyl group, wherein each of the alkyl and alkenyl groups has independently 10 to 30 carbon 5 atoms (such as 10 to 28, 10 to 26, 10 to 24, 10 to 22, 10 to 20 carbon atoms, or 12 to 30, 12 to 28, 12 to 26, 12 to 24, 12 to 22, 12 to 20 carbon atoms, or 14 to 30, 14 to 28, 14 to 26, 14 to 24, 14 to 22, 14 to 20 carbon atoms, or 16 to 30, 16 to 28, 16 to 26, 16 to 24, 16 to 22, 16 to 20 carbon atoms, or 18 to 30, 18 to 28, 18 to 26, 18 to 24, 18 to 22, or 18 to 20 carbon atoms). In some embodiments, the alkenyl group has at least 2 carbon-carbon double bonds, e.g., 2 or 3 carbon- 10 carbon double bonds, such as 2 carbon-carbon double bonds. In some embodiments, the alkenyl group has at least 1 carbon-carbon double bond in cis configuration, e.g., 1, 2 or 3, such as 2, carbon-carbon double bonds in cis configuration. Thus, in some embodiments, R5” is a non-cyclic alkyl group or a non-cyclic alkenyl group, e.g., a straight alkyl group or a straight alkenyl group, wherein each of the alkyl and alkenyl groups has independently 10 to 30 carbon atoms (such as 15 10 to 28, 10 to 26, 10 to 24, 10 to 22, 10 to 20 carbon atoms, or 12 to 30, 12 to 28, 12 to 26, 12 to 24, 12 to 22, 12 to 20 carbon atoms, or 14 to 30, 14 to 28, 14 to 26, 14 to 24, 14 to 22, 14 to 20 carbon atoms, or 16 to 30, 16 to 28, 16 to 26, 16 to 24, 16 to 22, 16 to 20 carbon atoms, or 18 to 30, 18 to 28, 18 to 26, 18 to 24, 18 to 22, or 18 to 20 carbon atoms) and the alkenyl group has at least 2 carbon-carbon double bonds, e.g., 2 or 3 carbon-carbon double bonds. In some 20 embodiments, R5” is a non-cyclic alkyl group or a non-cyclic alkenyl group, e.g., a straight alkyl group or a straight alkenyl group, wherein each of the alkyl and alkenyl groups has independently 10 to 30 carbon atoms (such as 10 to 28, 10 to 26, 10 to 24, 10 to 22, 10 to 20 carbon atoms, or 12 to 30, 12 to 28, 12 to 26, 12 to 24, 12 to 22, 12 to 20 carbon atoms, or 14 to 30, 14 to 28, 14 to 26, 14 to 24, 14 to 22, 14 to 20 carbon atoms, or 16 to 30, 16 to 28, 16 to 26, 16 to 24, 16 to 22, 25 16 to 20 carbon atoms, or 18 to 30, 18 to 28, 18 to 26, 18 to 24, 18 to 22, or 18 to 20 carbon atoms) and the alkenyl group has at least 1 carbon-carbon double bond, such as 1, 2, or 3 carbon-carbon double bonds, in cis configuration. In some embodiments, R5” has the following structure: , wherein represents the bond by which R5” is bound to the remainder of the compound. 30 In some of the foregoing embodiments of Formula (XI), L2” is selected from the group consisting of -O(C=O)-, -(C=O)O-, -C(=O)-, -S-S-, -C(=O)S-, -SC(=O)-, -NRa”C(=O)-, -C(=O)NRa”-, - NRa”C(=O)NRa”, -OC(=O)NRa”- and -NRa”C(=O)O-. In some embodiments, L2” is selected from the group consisting of -O(C=O)-, -(C=O)O-, -C(=O)-, -C(=O)S-, -SC(=O)-, -NRa”C(=O)-, and - C(=O)NRa”-. In some embodiments, Ra” of L2” is H or C1-12 alkyl. In some embodiments, Ra” of 35 L2” is H or C1-6 alkyl, e.g., H or C1-3 alkyl. In some embodiments, Ra” of L2” is H, methyl, or ethyl.
In some embodiments, L2” is selected from the group consisting of -O(C=O)-, -(C=O)O-, - C(=O)S-, and -SC(=O). In some embodiments, L2” is -O(C=O)- or -(C=O)O-. In some of the foregoing embodiments of Formula (XI), G2” is unsubstituted C1-12 alkylene or unsubstituted C2-12 alkenylene, e.g., unsubstituted, straight C1-12 alkylene or unsubstituted, straight 5 C2-12 alkenylene. In some embodiments, G2” is unsubstituted C2-10 alkylene or unsubstituted C2-10 alkenylene, e.g., unsubstituted, straight C2-10 alkylene or unsubstituted, straight C2-10 alkenylene. In some embodiments, G2” is unsubstituted C2-6 alkylene or unsubstituted C2-6 alkenylene, e.g., unsubstituted, straight C2-6 alkylene or unsubstituted, straight C2-6 alkenylene. In some embodiments, G2” is unsubstituted C2-4 alkylene or unsubstituted C2-4 alkenylene, e.g., 10 unsubstituted, straight C2-4 alkylene or unsubstituted, straight C2-4 alkenylene. In some embodiments, G2” is ethylene or trimethylene. In some of the foregoing embodiments of Formula (XI), each of R3” and R4” is independently C1- 6 alkyl or C2-6 alkenyl. In some embodiments, each of R3” and R4” is independently C1-4 alkyl or C2-4 alkenyl. In some embodiments, each of R3” and R4” is independently C1-3 alkyl. In some 15 embodiments, each of R3” and R4” is independently methyl or ethyl. In some embodiments, each of R3” and R4” is methyl. In some of the foregoing embodiments of Formula (XI), m” is 0, 1, 2 or 3. In some embodiments, m” is 0 or 2. In some embodiments, m” is 0. In some embodiments, m” is 2. In some of the foregoing embodiments of Formula (XI), the cationically ionizable lipid has the 20 structure of Formula (XIIa) or (XIIb):
each of R3” and R4” is independently C1-C6 alkyl or C2-6 alkenyl; 25 R5” is a straight hydrocarbyl group having at least 14 carbon atoms (such as at least 16 carbon atoms), wherein the hydrocarbyl group preferably has at least 2 carbon-carbon double bonds;
each R6” is independently a straight hydrocarbyl group (e.g., a straight alkyl group) having at least 10 carbon atoms and/or each R6” is attached to L1” via an internal carbon atom of R6”, preferably each R6” is independently a straight hydrocarbyl group (e.g., a straight alkyl group) having at least 10 carbon atoms and each R6” is attached to L1” via an internal carbon atom of R6”; 5 each G1” is independently unsubstituted, straight C4-12 alkylene or C4-12 alkenylene, e.g., unsubstituted, straight C6-12 alkylene or C6-12 alkenylene, such as unsubstituted, straight C8-12 alkylene or unsubstituted, straight C8-12 alkenylene; G2” is unsubstituted C2-C10 alkylene or C2-10 alkenylene, preferably unsubstituted C2-C6 alkylene or C2-6 alkenylene; 10 each of L1” and L2” is independently -O(C=O)- or -(C=O)O-; and m” is 0, 1, 2 or 3, preferably 0 or 2. In some of the foregoing embodiments of Formula (XIIa), R5” has at most 30 carbon atoms, such as at most 28, at most 26, at most 24, at most 22, or at most 20 carbon atoms. In some embodiments of formulas (XIIa), R5” is a straight hydrocarbyl group having 14 to 30 carbon atoms (such as 14 15 to 28, 14 to 26, 14 to 24, 14 to 22, 14 to 20 carbon atoms, or 16 to 30, 16 to 28, 16 to 26, 16 to 24, 16 to 22, 16 to 20 carbon atoms, or 18 to 30, 18 to 28, 18 to 26, 18 to 24, 18 to 22, or 18 to 20 carbon atoms). In some embodiments of formula (XIIa), R5” is a straight alkyl or alkenyl group having 14 to 30 carbon atoms (such as 14 to 28, 14 to 26, 14 to 24, 14 to 22, 14 to 20 carbon atoms, or 16 to 30, 16 to 28, 16 to 26, 16 to 24, 16 to 22, 16 to 20 carbon atoms, or 18 to 30, 18 20 to 28, 18 to 26, 18 to 24, 18 to 22, or 18 to 20 carbon atoms). In some embodiments of formula (XIIa), the alkenyl group has at least 2 carbon-carbon double bonds, e.g., 2 or 3 carbon-carbon double bonds, such as 2 carbon-carbon double bonds. In some embodiments, the alkenyl group has at least 1 carbon-carbon double bond in cis configuration, e.g., 1, 2 or 3, such as 2, carbon- carbon double bonds in cis configuration. Thus, in some embodiments of formula (XIIa), R5” is a 25 straight alkyl group or a straight alkenyl group, wherein each of the alkyl and alkenyl groups has independently 14 to 30 carbon atoms (such as 14 to 28, 14 to 26, 14 to 24, 14 to 22, 14 to 20 carbon atoms, or 16 to 30, 16 to 28, 16 to 26, 16 to 24, 16 to 22, 16 to 20 carbon atoms, or 18 to 30, 18 to 28, 18 to 26, 18 to 24, 18 to 22, or 18 to 20 carbon atoms) and the alkenyl group has at least 2 carbon-carbon double bonds, e.g., 2 or 3 carbon-carbon double bonds. In some 30 embodiments of formula (XIIa), R5” is a straight alkyl group or a straight alkenyl group, wherein each of the alkyl and alkenyl groups has independently 14 to 30 carbon atoms (such as 14 to 28, 14 to 26, 14 to 24, 14 to 22, 14 to 20 carbon atoms, or 16 to 30, 16 to 28, 16 to 26, 16 to 24, 16 to 22, 16 to 20 carbon atoms, or 18 to 30, 18 to 28, 18 to 26, 18 to 24, 18 to 22, or 18 to 20 carbon
atoms) and the alkenyl group has at least 1 carbon-carbon double bond, such as 1, 2, or 3 carbon- carbon double bonds, in cis configuration. In some embodiments of formula (XIIa), R5” is a straight alkyl group or a straight alkenyl group, wherein each of the alkyl and alkenyl groups has independently 14 to 30 carbon atoms (such as 14 to 28, 14 to 26, 14 to 24, 14 to 22, 14 to 20 5 carbon atoms, or 16 to 30, 16 to 28, 16 to 26, 16 to 24, 16 to 22, 16 to 20 carbon atoms, or 18 to 30, 18 to 28, 18 to 26, 18 to 24, 18 to 22, or 18 to 20 carbon atoms) and the alkenyl group has 2 or 3 carbon-carbon double bonds, wherein at least 1 carbon-carbon double bond, such as 1, 2, or 3 carbon-carbon double bonds, is in cis configuration. In some embodiments of formula (XIIa), R5” has the following structure: 10 , wherein represents the bond by which R5” is bound to the remainder of the compound. In some embodiments of formula (XIIa), R6” has at most 30 carbon atoms, such as at most 28, at most 26, at most 24, at most 22, or at most 20 carbon atoms. In some embodiments of formula (XIIa), R6” is a non-cyclic hydrocarbyl group (e.g., a non-cyclic alkyl group) having 10 to 30 carbon atoms (such as 10 to 28, 10 to 26, 10 to 15 24, 10 to 22, or 10 to 20 carbon atoms), e.g., a straight hydrocarbyl group (e.g., a straight alkyl group) having 10 to 30 carbon atoms (such as 10 to 28, 10 to 26, 10 to 24, 10 to 22, or 10 to 20 carbon atoms). In some embodiments of formula (XIIa), R6” is a straight hydrocarbyl group (e.g., a straight alkyl group) having at least 10 carbon atoms and R6” is attached to L1” via an internal carbon atom of R6”. In some embodiments of formula (XIIa), R6” is a non-cyclic hydrocarbyl 20 group (e.g., a non-cyclic alkyl group) having 10 to 30 carbon atoms (such as 10 to 28, 10 to 26, 10 to 24, 10 to 22, or 10 to 20 carbon atoms), e.g., a straight hydrocarbyl group (e.g., a straight alkyl group) having 10 to 30 carbon atoms (such as 10 to 28, 10 to 26, 10 to 24, 10 to 22, or 10 to 20 carbon atoms), and R6” is attached to L1” via an internal carbon atom of R6”. In some embodiments of formula (XIIa), G1” is independently unsubstituted, straight C4-12 alkylene or C4- 25 12 alkenylene, e.g., unsubstituted, straight C6-12 alkylene or C6-12 alkenylene. In some embodiments of formula (XIIa), R5” is a straight hydrocarbyl group, e.g., a straight alkenyl group, having at least 14 carbon atoms (such as 14 to 30 carbon atoms) and 2 or 3 carbon-carbon double bonds; R6” is a straight hydrocarbyl group (e.g., a straight alkyl group) having at least 10 carbon atoms (e.g., having 10 to 30 carbon atoms) and R6” is attached to L1” via an internal carbon atom of R6”; 30 and G1” is independently unsubstituted, straight C4-12 alkylene or C4-12 alkenylene, e.g., unsubstituted, straight C6-12 alkylene or C6-12 alkenylene. In some of the foregoing embodiments of Formula (XIIb), each R6” has independently at most 30 carbon atoms, such as at most 28, at most 26, at most 24, at most 22, or at most 20 carbon atoms. In some embodiments of formula (XIIb), each R6” is independently a straight hydrocarbyl group
(e.g., a straight alkyl group) having 10 to 30 carbon atoms (such as 10 to 28, 10 to 26, 10 to 24, 10 to 22, or 10 to 20 carbon atoms, or 11 to 19 carbon atoms, such as 11, 13, 15, 17, or 17 carbon atoms). In some embodiments of formula (XIIb), each R6” is independently a straight hydrocarbyl group (e.g., a straight alkyl group) having 10 to 30 carbon atoms (such as 10 to 28, 10 to 26, 10 5 to 24, 10 to 22, or 10 to 20 carbon atoms, or 11 to 19 carbon atoms, such as 11, 13, 15, 17, or 17 carbon atoms) and each R6” is attached to L1” via an internal carbon atom of R6”. In some embodiments of formula (XIIb), each R6” is independently selected from the group consisting of: , , , , , and , wherein represents the 10 bond by which R6” is bound to L1”. In some embodiments of formula (XIIb), each G1” is independently unsubstituted, straight C6-12 alkylene or C6-12 alkenylene. In some embodiments of formula (XIIb), each G1” is independently unsubstituted, straight C8-12 alkylene or C8-12 alkenylene. In some embodiments of formula (XIIb), each R6” is independently a straight hydrocarbyl group (e.g., a straight alkyl group) having at least 10 carbon atoms (such as 10 to 28, 15 10 to 26, 10 to 24, 10 to 22, or 10 to 20 carbon atoms, or 11 to 19 carbon atoms, such as 11, 13, 15, 17, or 17 carbon atoms) and is attached to L1” via an internal carbon atom of R6”; and each G1” is independently unsubstituted, straight C8-12 alkylene or C8-12 alkenylene. In some of the foregoing embodiments of Formula (XI), the cationically ionizable lipid has the structure of Formula (XIIIa) or (XIIIb): 20 (XIIIa) (XIIIb), wherein each of R3” and R4” is independently C1-4 alkyl or C2-4 alkenyl, more preferably C1-3 alkyl, such as methyl or ethyl;
R5” is a straight alkyl or alkenyl group having at least 16 carbon atoms, wherein the alkenyl group preferably has at least 2 carbon-carbon double bonds; each R6” is independently a straight hydrocarbyl group having at least 10 carbon atoms, wherein R6” is attached to L1” via an internal carbon atom of R6”; 5 each G1” is independently unsubstituted, straight C6-12 alkylene or unsubstituted, straight C6-12 alkenylene, e.g., unsubstituted, straight C8-12 alkylene or unsubstituted, straight C8-12 alkenylene, such as unsubstituted, straight C8-10 alkylene or unsubstituted, straight C8-10 alkenylene, such as unsubstituted, straight C8 alkylene; G2” is unsubstituted C2-6 alkylene or C2-6 alkenylene, preferably unsubstituted C2-4 alkylene or C2- 10 4 alkenylene, such as ethylene or trimethylene; each of L1” and L2” is independently -O(C=O)- or -(C=O)O-; and M” is 0, 1, 2 or 3, preferably 0 or 2. In some of the foregoing embodiments of Formula (XIIIa), R5” has at most 30 carbon atoms, such as at most 28, at most 26, at most 24, at most 22, or at most 20 carbon atoms. In some embodiments 15 of formulas (XIIIa), R5” is a straight alkyl or alkenyl group having 16 to 30 carbon atoms (such as 16 to 28, 16 to 26, 16 to 24, 16 to 22, 16 to 20 carbon atoms, or 18 to 30, 18 to 28, 18 to 26, 18 to 24, 18 to 22, or 18 to 20 carbon atoms). In some embodiments of formula (XIIIa), the alkenyl group has at least 2 carbon-carbon double bonds, e.g., 2 or 3 carbon-carbon double bonds, such as 2 carbon-carbon double bonds. In some embodiments, the alkenyl group has at least 1 carbon- 20 carbon double bond in cis configuration, e.g., 1, 2 or 3, such as 2, carbon-carbon double bonds in cis configuration. Thus, in some embodiments of formula (XIIIa), R5” is a straight alkyl group or a straight alkenyl group, wherein each of the alkyl and alkenyl groups has independently 16 to 30 carbon atoms (such as 16 to 28, 16 to 26, 16 to 24, 16 to 22, 16 to 20 carbon atoms, or 18 to 30, 18 to 28, 18 to 26, 18 to 24, 18 to 22, or 18 to 20 carbon atoms) and the alkenyl group has at least 25 2 carbon-carbon double bonds, e.g., 2 or 3 carbon-carbon double bonds. In some embodiments of formula (XIIIa), R5” is a straight alkyl group or a straight alkenyl group, wherein each of the alkyl and alkenyl groups has independently 16 to 30 carbon atoms (such as 16 to 28, 16 to 26, 16 to 24, 16 to 22, 16 to 20 carbon atoms, or 18 to 30, 18 to 28, 18 to 26, 18 to 24, 18 to 22, or 18 to 20 carbon atoms) and the alkenyl group has at least 1 carbon-carbon double bond, such as 1, 2, or 3 30 carbon-carbon double bonds, in cis configuration. In some embodiments of formula (XIIIa), R5” is a straight alkyl group or a straight alkenyl group, wherein each of the alkyl and alkenyl groups has independently 16 to 30 carbon atoms (such as 16 to 28, 16 to 26, 16 to 24, 16 to 22, 16 to 20 carbon atoms, or 18 to 30, 18 to 28, 18 to 26, 18 to 24, 18 to 22, or 18 to 20 carbon atoms) and
the alkenyl group has 2 or 3 carbon-carbon double bonds, wherein at least 1 carbon-carbon double bond, such as 1, 2, or 3 carbon-carbon double bonds, is in cis configuration. In some embodiments of formula (XIIIa), R5” has the following structure: , wherein represents the bond by 5 which R5” is bound to the remainder of the compound. In some embodiments of formula (XIIIa), R6” has at most 30 carbon atoms, such as at most 28, at most 26, at most 24, at most 22, or at most 20 carbon atoms. In some embodiments of formula (XIIIa), R6” is a straight hydrocarbyl group (e.g., a straight alkyl group) having 10 to 30 carbon atoms (such as 10 to 28, 10 to 26, 10 to 24, 10 to 22, or 10 to 20 carbon atoms) and R6” is attached to L1” via an internal carbon atom of R6”. 10 In some embodiments of formula (XIIIa), R6” is a straight alkyl group having 10 to 30 carbon atoms (such as 10 to 28, 10 to 26, 10 to 24, 10 to 22, or 10 to 20 carbon atoms) and R6” is attached to L1” via an internal carbon atom of R6”. In some embodiments of formula (XIIIa), G1” is independently unsubstituted, straight C4-12 alkylene or C4-12 alkenylene, e.g., unsubstituted, straight C6-12 alkylene or C6-12 alkenylene. In some embodiments of formula (XIIIa), R5” is a 15 straight hydrocarbyl group, e.g., a straight alkenyl group, having at least 16 carbon atoms (such as 16 to 30 carbon atoms) and 2 or 3 carbon-carbon double bonds; R6” is a straight hydrocarbyl group (e.g., a straight alkyl group) having at least 10 carbon atoms (e.g., having 10 to 30 carbon atoms) and R6” is attached to L1” via an internal carbon atom of R6”; and G1” is independently unsubstituted, straight C4-12 alkylene or C4-12 alkenylene, e.g., unsubstituted, straight C6-12 alkylene 20 or C6-12 alkenylene. In some of the foregoing embodiments of Formula (XIIIb), each R6” has independently at most 30 carbon atoms, such as at most 28, at most 26, at most 24, at most 22, or at most 20 carbon atoms. In some embodiments of formula (XIIIb), each R6” is independently a straight hydrocarbyl group (e.g., a straight alkyl group) having 10 to 30 carbon atoms (such as 10 to 28, 10 to 26, 10 25 to 24, 10 to 22, or 10 to 20 carbon atoms, or 11 to 19 carbon atoms, such as 11, 13, 15, 17, or 17 carbon atoms) and each R6” is attached to L1” via an internal carbon atom of R6”. In some embodiments of formula (XIIIb), each R6” is attached to L1” via an internal carbon atom of R6” and is independently selected from the group consisting of: , , , , 30 , and ,
wherein represents the bond by which R6” is bound to L1”. In some embodiments of formula (XIIIb), each G1” is independently unsubstituted, straight C8-12 alkylene or C8-12 alkenylene, e.g., unsubstituted, straight C8-10 alkylene or C8-10 alkenylene. In some embodiments of formula (XIIIb), each R6” is independently a straight hydrocarbyl group (e.g., a straight alkyl group) 5 having at least 10 carbon atoms (such as 10 to 28, 10 to 26, 10 to 24, 10 to 22, or 10 to 20 carbon atoms, or 11 to 19 carbon atoms, such as 11, 13, 15, 17, or 17 carbon atoms) and is attached to L1” via an internal carbon atom of R6”; and each G1” is independently unsubstituted, straight C8-12 alkylene or C8-12 alkenylene, e.g., unsubstituted, straight C8-10 alkylene or C8-10 alkenylene. In some of the foregoing embodiments of Formula (XI), the cationically ionizable lipid has one 10 of the following formulas (XIV-1), (XIV-2), and (XIV-3):
In some embodiments, the cationically ionizable lipid is (6Z,16Z)-12-((Z)-dec-4-en-1-yl)docosa- 5 6,16-dien-11-yl 5-(dimethylamino)pentanoate (3D-P-DMA). The structure of 3D-P-DMA may be represented as follows: In vario
rom the group 10 consisting of N,N-dimethyl-2,3-dioleyloxypropylamine (DODMA), 1,2-dioleoyl-3- dimethylammonium-propane (DODAP), heptatriaconta-6,9,28,31-tetraen-19-yl-4- (dimethylamino)butanoate (DLin-MC3-DMA), and 4-((di((9Z,12Z)-octadeca-9,12-dien-1- yl)amino)oxy)-N,N-dimethyl-4-oxobutan-1-amine (DPL-14). Further examples of cationically ionizable lipids include, but are not limited to, 3-(N-(N′,N′- 15 dimethylaminoethane)-carbamoyl)cholesterol (DC-Chol), 1,2-dioleoyl-3-dimethylammonium- propane (DODAP); 1,2-diacyloxy-3-dimethylammonium propanes; 1,2-dialkyloxy-3- dimethylammonium propanes, 1,2-distearyloxy-N,N-dimethyl-3-aminopropane (DSDMA), 1,2- dilinoleyloxy-N,N-dimethylaminopropane (DLinDMA), 1,2-dilinolenyloxy-N,N- dimethylaminopropane (DLenDMA), dioctadecylamidoglycyl spermine (DOGS), 3- 20 dimethylamino-2-(cholest-5-en-3-beta-oxybutan-4-oxy)-1-(cis,cis-9,12-oc- tadecadienoxy)propane (CLinDMA), 2-[5′-(cholest-5-en-3-beta-oxy)-3′-oxapentoxy)-3- dimethyl-1-(cis,cis-9′,12′-octadecadienoxy)propane (CpLinDMA), N,N-dimethyl-3,4- dioleyloxybenzylamine (DMOBA), 1,2-N,N′-dioleylcarbamyl-3-dimethylaminopropane (DOcarbDAP), 2,3-Dilinoleoyloxy-N,N-dimethylpropylamine (DLinDAP), 1,2-N,N′- 25 Dilinoleylcarbamyl-3-dimethylaminopropane (DLincarbDAP), 1,2-Dilinoleoylcarbamyl-3- dimethylaminopropane (DLinCDAP), 2,2-dilinoleyl-4-dimethylaminomethyl-[1,3]-dioxolane
(DLin-K-DMA), 2,2-dilinoleyl-4-dimethylaminoethyl-[1,3]-dioxolane (DLin-K-XTC2-DMA), 2,2-dilinoleyl-4-(2-dimethylaminoethyl)-[1,3]-dioxolane (DLin-KC2-DMA), heptatriaconta- 6,9,28,31-tetraen-19-yl-4-(dimethylamino)butanoate (DLin-MC3-DMA), 2-({8-[(3β)-cholest-5- en-3-yloxy]octyl}oxy)-N,N-dimethyl-3-[(9Z,12Z)-octadeca-9,12-dien-1-yloxy]propan-1-amine 5 (Octyl-CLinDMA), 1,2-dimyristoyl-3-dimethylammonium-propane (DMDAP), 1,2-dipalmitoyl- 3-dimethylammonium-propane (DPDAP), N1-[2-((1S)-1-[(3-aminopropyl)amino]-4-[di(3- amino-propyl)amino]butylcarboxamido)ethyl]-3,4-di[oleyloxy]-benzamide (MVL5), di((Z)-non- 2-en-1-yl) 8,8'-((((2(dimethylamino)ethyl)thio)carbonyl)azanediyl)dioctanoate (ATX), N,N- dimethyl-2,3-bis(dodecyloxy)propan-1-amine (DLDMA), N,N-dimethyl-2,3- 10 bis(tetradecyloxy)propan-1-amine (DMDMA), di((Z)-non-2-en-1-yl)-9-((4- (dimethylaminobutanoyl)oxy)heptadecanedioate (L319), N-dodecyl-3-((2-dodecylcarbamoyl- ethyl)-{2-[(2-dodecylcarbamoyl-ethyl)-2-{(2-dodecylcarbamoyl-ethyl)-[2-(2- dodecylcarbamoyl-ethylamino)-ethyl]-amino}-ethylamino)propionamide (lipidoid 98N12-5), 1- [2-[bis(2-hydroxydodecyl)amino]ethyl-[2-[4-[2-[bis(2 hydroxydodecyl)amino]ethyl]piperazin- 15 1-yl]ethyl]amino]dodecan-2-ol (lipidoid C12-200). In certain embodiments, the cationically ionizable lipid is or comprises X-3. In certain embodiments, the cationically ionizable lipid is or comprises X-45. In some embodiments, the cationic lipid for use herein is or comprises DPL-14. As used herein, "DPL-14" is a lipid comprising the following general formula: sed herein,
"EA-2" is a lipid comprising the following general formula: O N N It osed
25 herein also includes the salts (in particular pharmaceutically acceptable salts), tautomers, stereoisomers, solvates (e.g., hydrates), and isotopically labeled forms thereof. In some embodiments, wherein the nucleic acid compositions (in particular the DNA or RNA compositions) described herein comprise a cationic or cationically ionizable lipid and one or more additional lipids, the cationic or cationically ionizable lipid comprises from about 10 mol % to
about 80 mol %, from about 20 mol % to about 75 mol %, from about 20 mol % to about 70 mol %, from about 20 mol % to about 60 mol %, from about 25 mol % to about 55 mol %, from about 30 mol % to about 50 mol %, from about 35 mol % to about 45 mol %, or from about 40 mol % to about 55 mol % of the total lipid present in the composition. 5 In some embodiments of the nucleic acid (such as DNA or RNA) compositions (especially the mRNA compositions) described herein, where at least a portion of (i) the nucleic acid and (ii) the cationic or cationically ionizable lipid form particles (e.g., LNPs), the cationic or cationically ionizable lipid may comprise from about 10 mol % to about 80 mol %, from about 20 mol % to about 75 mol %, from about 20 mol % to about 70 mol %, from about 20 mol % to about 60 mol 10 %, from about 25 mol % to about 55 mol %, from about 30 mol % to about 50 mol %, from about 35 mol % to about 45 mol %, or from about 40 mol % to about 55 mol % of the total lipid present in the particles. (ii) Helper lipids As described herein, LNPs of the present disclosure comprise a helper lipid. In some 15 embodiments, a helper lipid is a phospholipid. In some embodiments, a helper lipid is or comprises 1,2-distearoyl-sn-glycero-3-phosphocholine (DSPC), 1,2-dipalmitoyl-sn-glycero-3- phosphocholine (DPPC), 1,2-dimyristoyl-sn-glycero-3- phosphocholine (DMPC), 1-palmitoyl-2- oleoyl-sn-glycero-3-phosphocholine (POPC), 1,2-dioleoyl-sn-glycero-3-phosphocholine (DOPC), phophatidyl ethanol amines such as 1,2-dioleoyl-sn-glycero-3-phosphoethanolamine 20 (DOPE), sphingomyelins (SM), 1,2‑diacylglyceryl-3-O-4'-(N,N,N-trimethyl)-homoserine (DGTS), ceramides, cholesterol, steroids, such as sterols and their derivatives. In some embodiments, a helper lipid is or comprises phosphatidylcholines, phosphatidylethanolamines, phosphatidylglycerols, phosphatidic acids, phosphatidylserines or sphingomyelin. In some embodiments, a helper lipid is or comprises diacylphosphatidylcholines, 25 such as distearoylphosphatidylcholine (DSPC), dioleoylphosphatidylcholine (DOPC), dimyristoylphosphatidylcholine (DMPC), dipentadecanoylphosphatidylcholine, dilauroylphosphatidylcholine, dipalmitoylphosphatidylcholine (DPPC), diarachidoylphosphatidylcholine (DAPC), dibehenoylphosphatidylcholine (DBPC), ditricosanoylphosphatidylcholine (DTPC), dilignoceroylphatidylcholine (DLPC),30 palmitoyloleoyl-phosphatidylcholine (POPC), 1,2-di-O-octadecenyl-sn-glycero-3- phosphocholine (18:0 Diether PC), 1-oleoyl-2-cholesterylhemisuccinoyl-sn-glycero-3- phosphocholine (OChemsPC), 1-hexadecyl-sn-glycero-3-phosphocholine (C16 Lyso PC) and phosphatidylethanolamines, including, for example diacylphosphatidylethanolamines, such as dioleoylphosphatidylethanolamine (DOPE), distearoyl-phosphatidylethanolamine (DSPE),
dipalmitoyl-phosphatidylethanolamine (DPPE), dimyristoyl-phosphatidylethanolamine (DMPE), dilauroyl-phosphatidylethanolamine (DLPE), diphytanoyl-phosphatidylethanolamine (DPyPE), 1,2-di-(9Z-octadecenoyl)-sn-glycero-3-phosphocholine (DOPG), 1,2-dipalmitoyl-sn-glycero-3- phospho-(1′-rac-glycerol) (DPPG), 1-palmitoyl-2-oleoyl-sn-glycero-3-phosphoethanolamine 5 (POPE), N-palmitoyl-D-erythro-sphingosylphosphorylcholine (SM). In some embodiments, a helper lipid is selected from the group consisting of DSPC, DOPC, DMPC, DPPC, POPC, DOPE, DOPG, DPPG, POPE, DPPE, DMPE, DSPE, and SM. In some embodiments, the neutral lipid is selected from the group consisting of DSPC, DPPC, DMPC, DOPC, POPC, DOPE and SM. In some embodiments, the neutral lipid is DSPC. 10 Helper lipids may be synthetic or naturally derived. Other helper lipids suitable for use in a lipid nanoparticle are described in WO2021/026358, WO 2017/075531, and WO 2018/081480, the entire contents of each of which are incorporated herein by reference in their entirety. In some embodiments, a lipid nanoparticle comprises about 5 to about 15 mol% of a phospholipid. In some embodiments, a lipid nanoparticle comprises about 8 to about 12 mol% of a phospholipid. 15 In some embodiments, a lipid nanoparticle comprises about 10 mol% of a phospholipid. In some embodiments, a lipid nanoparticle comprises about 5 to about 15 mol% of DSPC. In some embodiments, a lipid nanoparticle comprises about 8 to about 12 mol% of DSPC. In some embodiments, a lipid nanoparticle comprises about 10 mol% of DSPC. (iii) Polymer-conjugated lipids 20 As described herein, LNPs of the present disclosure comprise a polymer-conjugated lipid. In some embodiments, a polymer conjugated lipid is a lipid conjugated to polyethylene glycol (PEG- lipid). In some embodiments, a PEG lipid is selected from pegylated diacylglycerol (PEG-DAG) such as l-(monomethoxy-polyethyleneglycol)- 2,3-dimyristoylglycerol (PEG-DMG) (e.g., 1,2- dimyristoyl-rac-glycero-3-methoxypolyethylene glycol-2000 (PEG2000-DMG)), a pegylated25 phosphatidylethanoloamine (PEG-PE), a PEG succinate diacylglycerol (PEG-S-DAG) such as 4- O-(2',3'-di(tetradecanoyloxy)propyl-1-O-(ω-methoxy(polyethoxy)ethyl)butanedioate (PEG-S- DMG), 1,2-distearoyl-sn-glycero-3-phosphoethanolamine-N-[amino(polyethylene glycol)-2000] (DSPE-PEG2000 amine), a pegylated ceramide (PEG-cer), or a PEG dialkoxypropylcarbamate such as ω-m ethoxy (polyethoxy)ethyl-N-(2,3-di(tetradecanoxy)propyl)carbamate, and 2,3- 30 di(tetradecanoxy)propy 1-Ν-(ω methoxy(polyethoxy)ethyl)carbamate. In some embodiments, a PEG-lipid is PEG2000-DMG:
In some embodim In some embodiments, a PEG-lipid is provided in WO2021/026358, WO 2017/075531, or WO 2018/081480, each of which is incorporated by reference in its entirety. 5 In some embodiments, a PEG-lipid is 2-[(polyethylene glycol)-2000]-N,N-ditetradecylacetamide (ALC-0159). In some embodiments, a compound of Formula II is: or a pharmac 5 to about 50. In some embodiments, the PEG- lipid has the following structure: 10 wherein n in the formula above is from 30 to 60, such as about 50. In one embodiment, the PEG- conjugated lipid (pegylated lipid) is PEG2000-C-DMA which preferably refers to 3-N-[(ω-methoxy poly(ethylene glycol)2000)carbamoyl]-1,2-dimyristyloxy-propylamine (MPEG-(2 kDa)-C- DMA) or methoxy-polyethylene glycol-2,3-bis(tetradecyloxy)propylcarbamate (2000). 15 In some embodiments, a PEG-lipid is selected from PEG-DAG, PEG-PE, PEG-S-DAG, PEG2000-DMG, PEG-S-DMG, PEG-cer, a PEG dialkyoxypropylcarbamate (e.g., ω- methoxy(polyethoxy)ethyl-N-(2,3-di(tetradecanoxy)propyl)carbamate or 2,3- di(tetradecanoxy)propyl-N-(ω-methoxy(polyethoxy)ethyl)carbamate), ALC-0159, and combinations thereof. In some embodiments, a PEG-lipid is ALC-0159 or PEG2000-DMG. In20 some embodiments, a PEG-lipid is ALC-0159. In some embodiments, a PEG-lipid is PEG2000- DMG. In some embodiments, a PEG-lipid is PEG-DAG. In some embodiments, a PEG-lipid is PEG-PE. In some embodiments, a PEG-lipid is PEG-S-DAG. In some embodiments, a PEG- lipid is PEG-cer. In some embodiments, a PEG-lipid is a PEG dialkyoxypropylcarbamate.
In some embodiments, a PEG group that is part of a PEG-lipid has, on average in a composition comprising one or more PEG-lipid molecules, a number average molecular weight (Mn) of about 2000 g/mol. In some embodiments, a polymer-conjugated lipid is a polysarcosine-conjugated lipid, also 5 referred to herein as sarcosinylated lipid or pSar-lipid. The term "sarcosinylated lipid" refers to a molecule comprising both a lipid portion and a polysarcosine (poly(N-methylglycine) portion. In some embodiments, a polymer-conjugated lipid is a polyoxazoline (POX)-conjugated and/or polyoxazine (POZ)-conjugated lipid, also referred to herein as a conjugate of a POX and/or POZ polymer and one or more hydrophobic chains or as oxazolinylated and/or oxazinylated lipid or 10 POX- and/or POZ-lipid. The term "oxazolinylated lipid" or "POX-lipid" refers to a molecule comprising both a lipid portion and a polyoxazoline portion. The term "oxazinylated lipid" or "POZ-lipid" refers to a molecule comprising both a lipid portion and a polyoxazine portion. The term "oxazolinylated/oxazinylated lipid" or "POX/POZ-lipid" or "POXZ-lipid" refers to a molecule comprising both a lipid portion and a portion of a copolymer of polyoxazoline and 15 polyoxazine. In some embodiments, an LNP described herein may comprise a sarcosinylated lipid. In some embodiments, the nucleic acid compositions (such as DNA or RNA compositions, especially mRNA compositions) described herein comprise a sarcosinylated lipid and are substantially free of a pegylated lipid (or do not contain a pegylated lipid). 20 In some embodiments, the nucleic acid compositions (such as DNA or RNA compositions, especially mRNA compositions) described herein comprise a cationic/cationically ionizable lipid as described herein and a sarcosinylated lipid (pSAR-conjugated lipid). In some embodiments, the nucleic acid compositions (such as DNA or RNA compositions, especially mRNA compositions) described herein may further comprise a neutral lipid (e.g., a phospholipid, 25 cholesterol or a derivative thereof) or a combination of neutral lipids (e.g., a phospholipid, and cholesterol or a derivative thereof). In some embodiments, the nucleic acid compositions (such as DNA or RNA compositions, especially mRNA compositions) described herein comprise a cationic/cationically ionizable lipid as described herein, a sarcosinylated lipid, a neutral lipid (e.g., a phospholipid), and cholesterol or a derivative thereof. In some embodiments, the phospholipid 30 is DSPC. In some embodiments, the cationic/cationically ionizable lipid is a cationically ionizable lipid of formula (X) (such as a cationically ionizable lipid of formula (X-3) or (X-45)). In some embodiments, the cationic/cationically ionizable lipid is a cationically ionizable lipid of formula (XI) (such as a cationically ionizable lipid of formula (XIV-1), (XIV-2), or (XIV-3)). In some embodiments, the cationic/cationically ionizable lipid is DPL14, EA-2, or 3D-P-DMA.
In some embodiments of the nucleic acid compositions (such as DNA or RNA compositions, especially mRNA compositions) described herein which comprise a sarcosinylated lipid, said compositions are substantially free of a pegylated lipid (or do not contain a pegylated lipid). In some embodiments, the sarcosinylated lipid comprises between 2 and 200 sarcosine units, such 5 as between 5 and 100 sarcosine units, between 10 and 50 sarcosine units, between 15 and 40 sarcosine units, e.g., about 23 sarcosine units. In some embodiments, the sarcosinylated lipid comprises the structure of the following general formula (XVII): O
he following general formula (XVIII): O 15 wherein one of R21 and R22 c he other is H, a hydrophilic group
or a functional group optionally comprising a targeting moiety useful for binding or associating with a target of interest; and x is the number of sarcosine units. In some embodiments of formula (XVIII), R21 is H, a hydrophilic group or a functional group 20 optionally comprising a targeting moiety; and R22 comprises one or two straight alkyl or alkenyl groups each having at least 12 carbon atoms, such as at least 14 carbon atoms. In some embodiments, each of the straight alkyl and alkenyl groups has at most 30 carbon atoms, such as at most 28, at most 26, at most 24, at most 22, at most 20, or at most 18 carbon atoms. In some embodiments, R22 comprises one or two straight alkyl or alkenyl groups each having 12 to 30 25 carbon atoms (such as 12 to 28 carbon atoms, 12 to 26 carbon atoms, 12 to 24 carbon atoms, 12 to 22 carbon atoms, 12 to 20 carbon atoms, or 12 to 18 carbon atoms). In some embodiments, the sarcosinylated lipid has the structure of the following general formula (IXX):
wherein R is H, nally comprising a targeting moiety; and s is t
he number of sarcosine units. 5 In some embodiments, the sarcosinylated lipid has the structure of the following formula (IXX- 1): O whe in as
10 "C14pSar23". In some embodiments, an LNP herein may comprise an oxazolinylated and/or/oxazinylated lipid. In some embodiments, the nucleic acid compositions (such as DNA or RNA compositions, especially mRNA compositions) described herein comprise an oxazolinylated and/or/oxazinylated lipid and are substantially free of a pegylated lipid (or do not contain a 15 pegylated lipid). In some embodiments, the nucleic acid compositions (such as DNA or RNA compositions, especially mRNA compositions) described herein comprise a cationic/cationically ionizable lipid as described herein and an oxazolinylated and/or oxazinylated lipid (POX and/or POZ-conjugated lipid). In some embodiments, the nucleic acid compositions (such as DNA or RNA compositions, 20 especially mRNA compositions) described herein may further comprise a neutral lipid (e.g., a phospholipid, cholesterol or a derivative thereof) or a combination of neutral lipids (e.g., a phospholipid, and cholesterol or a derivative thereof). In some embodiments, the nucleic acid compositions (such as DNA or RNA compositions, especially mRNA compositions) described herein comprise a cationic/cationically ionizable lipid as described herein, an oxazolinylated 25 and/or oxazinylated lipid, a neutral lipid (e.g., a phospholipid), and cholesterol or a derivative thereof. In some embodiments, the phospholipid is DSPC. In some embodiments, the cationic/cationically ionizable lipid is a cationically ionizable lipid of formula (X) (such as a
cationically ionizable lipid of formula (X-3) or (X-45)). In some embodiments, the cationic/cationically ionizable lipid is a cationically ionizable lipid of formula (XI) (such as a cationically ionizable lipid of formula (XIV-1), (XIV-2), or (XIV-3)). In some embodiments, the cationic/cationically ionizable lipid is DPL14, EA-2, or 3D-P-DMA. In some embodiments of 5 the nucleic acid compositions (such as DNA or RNA compositions, especially mRNA compositions) described herein which comprise an oxazolinylated and/or oxazinylated lipid, said compositions are substantially free of a pegylated lipid (or do not contain a pegylated lipid). In some embodiments, in the oxazolinylated and/or oxazinylated lipid (i.e., the conjugate comprising (i) a POX and/or POZ polymer and (ii) one or more hydrophobic chains), components 10 (i) and (ii) are linked to each other via a linker which comprises at least one functional moiety. In some embodiments, said linker comprises an alkylene moiety substituted with at least one monovalent functional moiety. In some embodiments, said linker comprises an alkylene group and a divalent functional moiety, wherein the divalent functional moiety links the alkylene group to the one or more hydrophobic chains, and the alkylene group is attached to the POX and/or POZ 15 polymer. In some embodiments, said linker comprises an alkylene group and a divalent functional moiety, wherein the divalent functional moiety links the alkylene group to the one or more hydrophobic chains, the alkylene group is substituted with at least one monovalent functional moiety, and the alkylene group is attached to the POX and/or POZ polymer. In some embodiments of the oxazolinylated and/or oxazinylated lipid, each monovalent 20 functional moiety is independently selected from hydroxy, ether, halogen, cyano, azido, nitro, amino, ammonium, ester, carboxyl, thiol (sulfanyl), disulfanyl, sulfide, disulfide, sulfoxide, sulfone, sulfite, sulfate, phosphate, sulfinamide, sulfonamide, sulfamate, diselenide, sulfurous diamide, sulfuric diamide, urea, thiourea, carbonyl, thiocarbonyl, orthoester, thioate, dithioate, imidate, imino, imidothioate, thionylamido, carbonate, carbonothioate, carbonodithioate, 25 carbonotrithioate, guanidino (imidamido), carbamimidate, carbonimidate, carbamate, carbamodithioate, carbonodithioimidate, carbamimidothioate, carbamothioate, carbonimidothioate, acylhydrazone, hydrazine, oxime, acetal, hemiacetal, ketal, hemiketal, imide, and amide moieties. In some embodiments of the oxazolinylated and/or oxazinylated lipid, each divalent functional 30 moiety is independently selected from ether, amino, ester, sulfide, disulfide, sulfoxide, sulfone, sulfite, sulfate, phosphate, sulfinamide, sulfonamide, sulfamate, diselenide, sulfurous diamide, sulfuric diamide, urea, thiourea, carbonyl, thiocarbonyl, orthoester, thioate, dithioate, imidate, imino, imidothioate, thionylamido, carbonate, carbonothioate, carbonodithioate, carbonotrithioate, guanidino (imidamido), carbamimidate, carbonimidate, carbamate,
carbamodithioate, carbonodithioimidate, carbamimidothioate, carbamothioate, carbonimidothioate, acylhydrazone, hydrazine, oxime, acetal, hemiacetal, ketal, hemiketal, imine, imide, and amide moieties. In some embodiments, the oxazolinylated and/or oxazinylated lipid comprises one of the 5 following structures (in particular, if the one or more hydrophobic chains are attached to the N- end (i.e., the terminal N atom) of the POX and/or POZ polymer, as shown, for example in formula (XXI) herein): (hydrophobic chain)1-2-(alkylene moiety substituted with at least one monovalent functional moiety)-(POX and/or POZ polymer) 10 [(hydrophobic chain)-(divalent functional moiety)]1-2-(alkylene moiety)-(POX and/or POZ polymer). In some embodiments, the oxazolinylated and/or oxazinylated lipid has one of the following formulas (in particular, if the one or more hydrophobic chains are attached to the N-end (i.e., the terminal N atom) of the POX and/or POZ polymer, as shown, for example in formula (XXI) herein 15 below): (hydrophobic chain)1-2-(alkylene moiety substituted with at least one monovalent functional moiety)-(POX and/or POZ polymer)-(end group) [(hydrophobic chain)-(divalent functional moiety)]1-2-(alkylene moiety)-(POX and/or POZ polymer)-(end group). 20 In some embodiments of the oxazolinylated and/or oxazinylated lipid, the alkylene moiety substituted with at least one monovalent functional moiety is substituted with one or more (such as 1 to the maximum number of hydrogen atoms bound to the alkylene moiety, e.g., 1, 2, 3, 4, 5, or 6, such as between 1 to 5, 1 to 4, or 1 to 3, or 1 or 2) independently selected monovalent functional moieties. 25 In some embodiments of the oxazolinylated and/or oxazinylated lipid, the alkylene moiety is C1- 6-alkylene, such as C1-3-alkylene, e.g., methylene, ethylene, or trimethylene. In some embodiments (in particular those, where the one or more hydrophobic chains are attached to the C-end (i.e., the terminal C atom) of the POX and/or POZ polymer, as shown, for example in formula (XXI’) herein), the linker comprises at least one difunctional moiety via which the one 30 or more hydrophobic chains are attached to the POX and/or POZ polymer. In some embodiments, the linker may additionally comprise an alkylene moiety (such as a C1-6 alkylene moiety, e.g., a C1-3 alkylene moiety), a cycloalkylene moiety (preferably a C3-8-cycloalkylene, such as C3-6-
cycloalkylene moiety), or a cycloalkenylene moiety (preferably a C3-8-cycloalkenylene, such as C3-6-cycloalkenylene moiety) each of which connects the difunctional moiety to the POX and/or POZ polymer (either directly to the end of the POX and/or POZ polymer or, preferably, via a further difunctional moiety). For example, one hydrophobic chain may be attached to the end of 5 the POX and/or POZ polymer via one difunctional moiety (either directly or via an alkylene, cycloalkylene, or cycloalkenylene moiety or via an alkylene, cycloalkylene, or cycloalkenylene moiety which bears another difunctional moiety); two hydrophobic chains may be attached to the end of the POX and/or POZ polymer via two difunctional moieties (which in turn are preferably attached to an alkylene, cycloalkylene, or cycloalkenylene moiety or to an alkylene, 10 cycloalkylene, or cycloalkenylene moiety bearing another difunctional moiety); or two hydrophobic chains may be attached to the end of the POX and/or POZ polymer via the same difunctional moiety (which is then a trifunctional moiety and which may be attached to the end of the POX and/or POZ polymer either directly or via an alkylene, cycloalkylene, or cycloalkenylene moiety or to an alkylene, cycloalkylene, or cycloalkenylene moiety bearing 15 another difunctional moiety). In some embodiments, each divalent functional moiety is independently selected from ether, amino, ester, sulfide, disulfide, sulfoxide, sulfone, sulfite, sulfate, phosphate, sulfinamide, sulfonamide, sulfamate, diselenide, sulfurous diamide, sulfuric diamide, urea, thiourea, carbonyl, thiocarbonyl, orthoester, thioate, dithioate, imidate, imino, imidothioate, thionylamido, carbonate, carbonothioate, carbonodithioate, carbonotrithioate, 20 guanidino (imidamido), carbamimidate, carbonimidate, carbamate, carbamodithioate, carbonodithioimidate, carbamimidothioate, carbamothioate, carbonimidothioate, acylhydrazone, hydrazine, oxime, acetal, hemiacetal, ketal, hemiketal, imine, imide, and amide moieties. In some embodiments of the oxazolinylated and/or oxazinylated lipid, the cycloalkylene moiety is C3-8-cycloalkylene, such as C3-6-cycloalkylene, e.g., cyclopropylene, cyclobutylene, 25 cyclopentylene, cyclohexylene, wherein the cycloalkylene moiety is optionally substituted with one or more (e.g., 1, 2, 3, or 4) substituents (e.g., independently selected from the group consisting of -OH, =O, -SH, halogen, -CN, -N3, and C1-3-alkyl). In some embodiments of the oxazolinylated and/or oxazinylated lipid, the cycloalkenylene moiety is C3-8-cycloalkenylene, such as C3-6-cycloalkenylene, e.g., cyclopropenylene, cyclobutenylene, 30 cyclopentenylene, cyclohexenylene, wherein the cycloalkenylene moiety is optionally substituted with one or more (e.g., 1, 2, 3, or 4) substituents (e.g., independently selected from the group consisting of -OH, =O, -SH, halogen, -CN, -N3, and C1-3-alkyl). In some embodiments of the oxazolinylated and/or oxazinylated lipid, the alkylene moiety is C1- 6-alkylene, such as C1-3-alkylene, e.g., methylene, ethylene, or trimethylene, or C2-3 alkylene.
In some embodiments (in particular those, where the one or more hydrophobic chains are attached to the C-end (i.e., the terminal C atom) of the POX and/or POZ polymer, as shown, for example in formula (XXI’) herein below), the oxazolinylated and/or oxazinylated lipid comprises one of the following structures (and may have the general formula (XXI’)): 5 (hydrophobic chain)-(divalent functional moiety)-(POX and/or POZ polymer) [(hydrophobic chain)-(divalent functional moiety)]1-2-(alkylene moiety)-(divalent functional moiety)-(POX and/or POZ polymer) (hydrophobic chain)-(divalent functional moiety)-(cycloalkylene moiety)-(divalent functional moiety)-(POX and/or POZ polymer) 10 (hydrophobic chain)-(divalent functional moiety)-(cycloalkenylene moiety)-(divalent functional moiety)-(POX and/or POZ polymer) (hydrophobic chain)-(divalent functional moiety)-(alkylene moiety)-(POX and/or POZ polymer) [(hydrophobic chain)2-(trivalent functional moiety)]-(alkylene moiety)-(divalent functional moiety)-(POX and/or POZ polymer) 15 In some embodiments (in particular those, where the one or more hydrophobic chains are attached to the C-end (i.e., the terminal C atom) of the POX and/or POZ polymer, as shown, for example in formula (XXI’) herein below), the oxazolinylated and/or oxazinylated lipid has one of the following formulas (and may fall within general formula (XXI’)): (hydrophobic chain)-(divalent functional moiety)-(POX and/or POZ polymer)-(end group) 20 [(hydrophobic chain)-(divalent functional moiety)]1-2-(alkylene moiety)-(divalent functional moiety)-(POX and/or POZ polymer)-(end group) (hydrophobic chain)-(divalent functional moiety)-(cycloalkylene moiety)-(divalent functional moiety)-(POX and/or POZ polymer)-(end group) (hydrophobic chain)-(divalent functional moiety)-(cycloalkenylene moiety)-(divalent functional 25 moiety)-(POX and/or POZ polymer)-(end group) (hydrophobic chain)-(divalent functional moiety)-(alkylene moiety)-(POX and/or POZ polymer)- (end group) [(hydrophobic chain)2-(trivalent functional moiety)]-(alkylene moiety)-(divalent functional moiety)-(POX and/or POZ polymer)-(end group) 30 The POX and/or POZ polymer may comprise a neutral end group (such as H, alkyl, alkoxy, ester, or amide end group) or a functionalized end group (e.g., hydroxy, thiol, cyano, azido, or amino
end group). In the case of nucleic acid-lipid particles, the POX and/or POZ polymer is conjugated to, preferably covalently bound to one or more hydrophobic chains. In certain embodiments of the oxazolinylated and/or oxazinylated lipid, the end groups of the POX and/or POZ polymer may be functionalized with one or more molecular moieties conferring 5 certain properties, such as positive or negative charge, or a targeting agent that will direct the particle to a particular cell type, collection of cells, or tissue. A variety of suitable targeting agents are known in the art. Non-limiting examples of targeting agents include a peptide, a protein, an enzyme, a nucleic acid, a fatty acid, a hormone, an antibody, a carbohydrate, mono-, oligo- or polysaccharides, a peptidoglycan, a glycopeptide, or the like. In 10 some embodiments, targeting agents include targeting pairs, such as the following pairs: antigen – antibody specific for said antigen; avidin – streptavidin; folate – folate receptor; transferrin – transferrin receptor; aptamer – molecule for which the aptamer is specific (e.g., pegaptanib – VEGF receptor); arginine-glycine-aspartic acid (RGD) peptide – αvβ3 integrin; asparagine- glycine-arginine (NGR) peptide – aminopeptidase N; galactose – asialoglyco-protein receptor. 15 For example, any of a number of different materials that bind to antigens on the surfaces of target cells can be employed. Antibodies to target cell surface antigens will generally exhibit the necessary specificity for the target. In addition to antibodies, suitable immunoreactive fragments can also be employed, such as the Fab, Fab′, F(ab′)2 or scFv fragments or single-domain antibodies (e.g. camelids VHH fragments). Many antibody fragments suitable for use in forming 20 the targeting mechanism are already available in the art. Similarly, ligands for any receptors on the surface of the target cells can suitably be employed as targeting agent. These include any small molecule or biomolecule, natural or synthetic, which binds specifically to a cell surface receptor, protein or glycoprotein found at the surface of the desired target cell. In certain embodiments of the oxazolinylated and/or oxazinylated lipid, the POX and/or POZ 25 polymer comprises between 2 and 200, between 2 and 190, between 2 and 180, between 2 and 170, between 2 and 160, between 2 and 150, between 2 and 140, between 2 and 130, between 2 and 120, between 2 and 110, between 2 and 100, between 2 and 90, between 2 and 80, between 2 and 70, between 5 and 200, between 5 and 190, between 5 and 180, between 5 and 170, between 5 and 160, between 5 and 150, between 5 and 140, between 5 and 130, between 5 and 120, 30 between 5 and 110, between 5 and 100, between 5 and 90, between 5 and 80, between 5 and 70, between 10 and 200, between 10 and 190, between 10 and 180, between 10 and 170, between 10 and 160, between 10 and 150, between 10 and 140, between 10 and 130, between 10 and 120, between 10 and 110, between 10 and 100, between 10 and 90, between 10 and 80, or between 10 and 70 POX and/or POZ repeating units.
In some embodiments, the POX and/or POZ polymer in the oxazolinylated and/or oxazinylated lipid comprises the following general formula (XX): O R11 wherein a is an integer betw
ular C1-3 alkyl, such as methyl, 5 ethyl, iso-propyl, or n-propyl, and is independently selected for each repeating unit; and m refers to the number of POX and/or POZ repeating units. In some embodiments of the oxazolinylated and/or oxazinylated lipid, the POX and/or POZ polymer is a polymer of POX and comprises repeating units of the following general formula (XXa): O R11 10 In some embodimen d, the POX and/or POZ polymer is a polyme
r of POZ and comprises repeating units of the following general formula (XXb): O R11 15 In any of the above m (i.e., the number of
repeating units of formula (XXa) or formula (XXb) in the polymer) preferably is between 2 and 190, such as between 2 and 180, between 2 and 170, between 2 and 160, between 2 and 150, between 2 and 140, between 2 and 130, between 2 and 120, between 2 and 110, between 2 and 100, between 2 and 90, between 2 and 80, between 2 and 70, between 5 and 200, between 5 and 20 190, between 5 and 180, between 5 and 170, between 5 and 160, between 5 and 150, between 5 and 140, between 5 and 130, between 5 and 120, between 5 and 110, between 5 and 100, between 5 and 90, between 5 and 80, between 5 and 70, between 10 and 200, between 10 and 190, between 10 and 180, between 10 and 170, between 10 and 160, between 10 and 150, between 10 and 140, between 10 and 130, between 10 and 120, between 10 and 110, between 10 and 100, between 10
and 90, between 10 and 80, or between 10 and 70. In certain embodiments of any of the above embodiments of formulas (XX), (XXa), and (XXb), m is 2 to 180, such as 4 to 160, 6 to 140, 8 to 120 or 10 to 100, e.g., 20 to 80, 30 to 70, or 40 to 50. In some embodiments of the oxazolinylated and/or oxazinylated lipid, the POX and/or POZ 5 polymer is a copolymer comprising repeating units of the following general formulas (XXa) and (XXb): O R11 O R11
10 of repeating units of formula (XXb) in the copolymer is 1 to 199; and the sum of the number of repeating units of formula (XXa) and the number of repeating units of formula (XXb) in the copolymer is 2 to 200. In some embodiments of the oxazolinylated and/or oxazinylated lipid, the number of repeating units of formula (XXa) in the copolymer is 1 to 179, such as 1 to 159, 1 to 139, 1 to 119 or 1 to 15 99; the number of repeating units of formula (XXb) in the copolymer is 1 to 179, such as 1 to 159, 1 to 139, 1 to 119 or 1 to 99; and the sum of the number of repeating units of formula (XXa) and the number of repeating units of formula (XXb) in the copolymer is 2 to 180, such as 4 to 160, 6 to 140, 8 to 120 or 10 to 100, e.g., 20 to 80, 30 to 70, or 40 to 50. In some of the above embodiments of formulas (XX), (XXa), and (XXb), R11 at each occurrence 20 (i.e., in each repeating unit) may be the same alkyl group (e.g., R11 may be methyl in each repeating unit). In some alternative embodiments of formulas (XX), (XXa), and (XXb), R11 in at least one repeating unit differs from R11 in another repeating unit (e.g., for at least one repeating unit R11 is one specific alkyl (such as ethyl), and for at least one different repeating unit R11 is a different specific alkyl (such as methyl)). For example, each R11 may be selected from two 25 different alkyl groups (such as methyl and ethyl) and not all R11 are the same alkyl. In any of the above embodiments of formulas (XX), (XXa), and (XXb), R11 preferably is methyl or ethyl, more preferably methyl. Thus, in some embodiments of formulas (XX), (XXa), and (XXb), each R11 is methyl or each R11 is ethyl. In some alternative embodiments of formulas (XX), (XXa), and (XXb), R11 is independently selected from methyl and ethyl for each repeating
unit, wherein in at least one repeating unit R11 is methyl, and in at least one repeating unit R11 is ethyl. In some embodiments, the oxazolinylated and/or oxazinylated lipid has the following general formula (XXI) or (XXI’): O R11 O R11
a is an integer between 1 and 2; R11 is alkyl, in particular C1-3 alkyl, such as methyl, ethyl, iso-propyl, or n-propyl, and is 10 independently selected for each repeating unit; m is 2 to 200; R12 is R14 or -L11(R14)p, wherein each R14 is independently a hydrocarbyl group; L11 is a linker; and p is 1 or 2; and R13 is selected from the group consisting of H, C1-6 alkyl, C2-6 alkynyl, -OR20, -SR20, halogen, 15 -CN, -N3, -OC(O)R21, -C(O)R21, -NR22R23, -COOH, -C(O)NR22R23, -NR22C(O)R21, a sugar, an amino acid, a peptide, and a member of a targeting pair, wherein the C1-6 alkyl group is optionally substituted with one or more substituents independently selected from the group consisting of - OH, SH, halogen, -CN, -N3, C2-6 alkynyl, -COOH, -NR22R23, -C(O)NR22R23, -NR22C(O)R21, a sugar, an amino acid, a peptide, and a member of a targeting pair; R20 is selected from the group 20 consisting of H, C1-3 alkyl and 3- to 6-membered heterocyclyl, wherein each of the C1-3 alkyl and 3- to 6-membered heterocyclyl groups is optionally substituted with one or more substituents independently selected from the group consisting of -OH, SH, halogen, -CN, -N3, C2-6 alkynyl, - COOH, -NR22R23, a sugar, an amino acid, a peptide, and a member of a targeting pair; R21 is selected from the group consisting of C1-6 alkyl and 3- to 6-membered heterocyclyl, wherein each 25 of the C1-6 alkyl and 3- to 6-membered heterocyclyl groups is optionally substituted with one or more substituents independently selected from the group consisting of -OH, SH, halogen, -CN, - N3, C2-6 alkynyl, -COOH, -NR22R23, a sugar, an amino acid, a peptide, and a member of a targeting pair; and each of R22 and R23 is independently selected from the group consisting of H, alkyl, alkenyl, alkynyl, cycloalkyl, aryl, heteroaryl, and heterocyclyl, or R22 and R23 may join together
with the nitrogen atom to which they are attached to form a heterocyclyl group, wherein each of the alkyl, alkenyl, alkynyl, cycloalkyl, aryl, heteroaryl, and heterocyclyl groups is optionally substituted with one or more substituents independently selected from the group consisting of - OH, SH, halogen, -CN, -N3, C2-6 alkynyl, -COOH, -NH2, -NH(C1-3 alkyl), -N(C1-3 alkyl)2, a sugar, 5 an amino acid, a peptide, and a member of a targeting pair. In formula (XXI) R12 is attached to the N-end (i.e., the terminal N atom) of the POX and/or POZ polymer and R13 is attached to the C-end (i.e., the terminal C atom) of the POX and/or POZ polymer, whereas in formula (XXI’) R12 is attached to the C-end (i.e., the terminal C atom) of the POX and/or POZ polymer and R13 is attached to the N-end (i.e., the terminal N atom) of the POX and/or POZ polymer. 10 In some embodiments (in particular of the oxazolinylated and/or oxazinylated lipid of formulas (XXI) and (XXI’)), the targeting pair is selected from the following pairs: antigen – antibody specific for said antigen; avidin – streptavidin; folate – folate receptor; transferrin – transferrin receptor; aptamer – molecule for which the aptamer is specific; arginine-glycine-aspartic acid (RGD) peptide – αvβ3 integrin; asparagine-glycine-arginine (NGR) peptide – aminopeptidase N; 15 galactose – asialoglyco-protein receptor. Thus, in some embodiments, a member of a targeting pair includes one of the following: an antigen, an antibody, avidin, streptavidin, folate, transferrin, an aptamer; an RGD peptide; an NGR peptide; and galactose. In some embodiments of formula (XXI), a is 1, i.e., the oxazolinylated and/or oxazinylated lipid has the following general formula (XXIa) or (XXIa’): O R11 O R11
nylated lipid has the following general formula (XXIb) or (XXIb’): O R11 O R11
R11, R12, R13, and m are as defined for formula (XXI)/(XXI’).
In some of the above embodiments of formulas (XXI), (XXI’), (XXIa), (XXIa’), (XXIb), and (XXIb’), R11 at each occurrence (i.e., in each repeating unit) may be the same alkyl group (e.g., R11 may be methyl in each repeating unit). In some alternative embodiments of formulas (XXI), (XXI’), (XXIa), (XXIa’), (XXIb), and (XXIb’), R11 in at least one repeating unit differs from R11 5 in another repeating unit (e.g., for at least one repeating unit R11 is one specific alkyl (such as ethyl), and for at least one different repeating unit R11 is a different specific alkyl (such as methyl)). For example, each R11 may be selected from two different alkyl groups (such as methyl and ethyl) and not all R11 are the same alkyl. In any of the above embodiments of formulas (XXI), (XXI’), (XXIa), (XXIa’), (XXIb), and 10 (XXIb’), R11 preferably is methyl or ethyl, more preferably methyl. Thus, in some embodiments of formulas (XXI), (XXI’), (XXIa), (XXIa’), (XXIb), and (XXIb’), each R11 is methyl or each R11 is ethyl. In some alternative embodiments of formulas (XXI), (XXI’), (XXIa), (XXIa’), (XXIb), and (XXIb’), R11 is independently selected from methyl and ethyl for each repeating unit, wherein in at least one repeating unit R11 is methyl, and in at least one repeating unit R11 is ethyl. 15 In any of the above embodiments of formulas (XXI), (XXI’), (XXIa), (XXIa’), (XXIb), and (XXIb’), m preferably is between 2 and 190, such as between 2 and 180, between 2 and 170, between 2 and 160, between 2 and 150, between 2 and 140, between 2 and 130, between 2 and 120, between 2 and 110, between 2 and 100, between 2 and 90, between 2 and 80, between 2 and 70, between 5 and 200, between 5 and 190, between 5 and 180, between 5 and 170, between 5 20 and 160, between 5 and 150, between 5 and 140, between 5 and 130, between 5 and 120, between 5 and 110, between 5 and 100, between 5 and 90, between 5 and 80, between 5 and 70, between 10 and 200, between 10 and 190, between 10 and 180, between 10 and 170, between 10 and 160, between 10 and 150, between 10 and 140, between 10 and 130, between 10 and 120, between 10 and 110, between 10 and 100, between 10 and 90, between 10 and 80, or between 10 and 70. In 25 certain embodiments of formulas (XXI), (XXI’), (XXIa), (XXIa’), (XXIb), and (XXIb’), m is 2 to 180, such as 4 to 160, 6 to 140, 8 to 120 or 10 to 100, e.g., 20 to 80, 30 to 70, or 40 to 50. In some embodiments of formulas (XXI), (XXI’), (XXIIa), (XXIa’), (XXIb), and (XXIb’), L11 comprises at least one functional moiety, such as an alkylene moiety substituted with at least one monovalent functional moiety and/or linked, at the end by which the alkylene group is attached 30 to R14, to a divalent functional moiety, wherein preferably each monovalent functional moiety is independently selected from hydroxy, ether, halogen, cyano, azido, nitro, amino, ammonium, ester, carboxyl, thiol (sulfanyl), disulfanyl, sulfide, disulfide, sulfoxide, sulfone, sulfite, sulfate, phosphate, sulfinamide, sulfonamide, sulfamate, diselenide, sulfurous diamide, sulfuric diamide, urea, thiourea, carbonyl, thiocarbonyl, orthoester, thioate, dithioate, imidate, imino, imidothioate,
thionylamido, carbonate, carbonothioate, carbonodithioate, carbonotrithioate, guanidino (imidamido), carbamimidate, carbonimidate, carbamate, carbamodithioate, carbonodithioimidate, carbamimidothioate, carbamothioate, carbonimidothioate, acylhydrazone, hydrazine, oxime, acetal, hemiacetal, ketal, hemiketal, imide, and amide; and/or each divalent 5 functional moiety is independently selected from ether, amino, ester, sulfide, disulfide, sulfoxide, sulfone, sulfite, sulfate, phosphate, sulfinamide, sulfonamide, sulfamate, diselenide, sulfurous diamide, sulfuric diamide, urea, thiourea, carbonyl, thiocarbonyl, orthoester, thioate, dithioate, imidate, imino, imidothioate, thionylamido, carbonate, carbonothioate, carbonodithioate, carbonotrithioate, guanidino (imidamido), carbamimidate, carbonimidate, carbamate, 10 carbamodithioate, carbonodithioimidate, carbamimidothioate, carbamothioate, carbonimidothioate, acylhydrazone, hydrazine, oxime, acetal, hemiacetal, ketal, hemiketal, imine, imide, and amide. In some embodiments of formulas (XXI), (XXI’), (XXIa), (XXIa’), (XXIb), and (XXIb’), L11 comprises an alkylene moiety substituted with at least one monovalent functional moiety as 15 specified above. Thus, in some embodiments, the oxazolinylated and/or oxazinylated lipid may comprise the following structure (in particular, if the one or more hydrophobic chains are attached to the N-end (i.e., the terminal N atom) of the POX and/or POZ polymer, as shown, for example in formula (XXI)): (hydrophobic chain)1-2-(alkylene moiety substituted with at least one monovalent functional 20 moiety)-(POX and/or POZ polymer), wherein "hydrophobic chain" represents R14; "alkylene moiety substituted with at least one monovalent functional moiety" represents L11; and "POX and/or POZ polymer" represents the polymer specified in formula (XX). In some embodiments, the oxazolinylated and/or oxazinylated lipid has the following formula 25 (XXIc) (in particular, if the one or more hydrophobic chains are attached to the N-end (i.e., the terminal N atom) of the POX and/or POZ polymer, as shown, for example in formula (XXI)): (hydrophobic chain)1-2-(alkylene moiety substituted with at least one monovalent functional moiety)-(POX and/or POZ polymer)-R13 In some embodiments (in particular of the oxazolinylated and/or oxazinylated lipid of formula 30 (XXIc)), the at least one monovalent functional moiety may be any one of the monovalent functional moieties specified herein, e.g., selected from the groups consisting of hydroxy, ether, halogen, cyano, azido, nitro, amino, ammonium, ester, carboxyl, thiol (sulfanyl), disulfanyl, sulfide, disulfide, sulfoxide, sulfone, sulfite, sulfate, phosphate, sulfinamide, sulfonamide,
sulfamate, diselenide, sulfurous diamide, sulfuric diamide, urea, thiourea, carbonyl, thiocarbonyl, orthoester, thioate, dithioate, imidate, imino, imidothioate, thionylamido, carbonate, carbonothioate, carbonodithioate, carbonotrithioate, guanidino (imidamido), carbamimidate, carbonimidate, carbamate, carbamodithioate, carbonodithioimidate, carbamimidothioate, 5 carbamothioate, carbonimidothioate, acylhydrazone, hydrazine, oxime, acetal, hemiacetal, ketal, hemiketal, imide, and amide. In some embodiments (in particular of the oxazolinylated and/or oxazinylated lipid of formula (XXIc)), the alkylene moiety substituted with at least one monovalent functional moiety is C1-6- alkylene, such as C1-3-alkylene, e.g., methylene, ethylene, or trimethylene. 10 In some embodiments (in particular of the oxazolinylated and/or oxazinylated lipid of formula (XXIc)), the alkylene moiety substituted with at least one monovalent functional moiety is substituted with one or more (such as 1 to the maximum number of hydrogen atoms bound to the alkylene moiety, e.g., 1, 2, 3, 4, 5, or 6, such as between 1 to 5, 1 to 4, or 1 to 3, or 1 or 2) independently selected monovalent functional moieties. 15 In some embodiments (in particular of the oxazolinylated and/or oxazinylated lipid of formula (XXIc)), the alkylene moiety substituted with at least one monovalent functional moiety is C1-6- alkylene, such as C1-3-alkylene, e.g., methylene, ethylene, or trimethylene, and is substituted with one or more (such as 1 to the maximum number of hydrogen atoms bound to the alkylene moiety, e.g., 1, 2, 3, 4, 5, or 6, such as between 1 to 5, 1 to 4, or 1 to 3, or 1 or 2) independently selected 20 monovalent functional moieties. In some embodiments of formulas (XXI), (XXI’), (XXIa), (XXIa’), (XXIb), and (XXIb’), L11 comprises an alkylene moiety linked, at the end by which the alkylene group is attached to R14, to a divalent functional moiety as specified above. Thus, in some embodiments, the oxazolinylated and/or oxazinylated lipid may comprise the following structure (in particular, if 25 the one or more hydrophobic chains are attached to the N-end (i.e., the terminal N atom) of the POX and/or POZ polymer, as shown, for example in formula (XXI)): [(hydrophobic chain)-(divalent functional moiety)]1-2-(alkylene moiety)-(POX and/or POZ polymer), wherein "hydrophobic chain" represents R14; "-(divalent functional moiety)]1-2-(alkylene moiety)" 30 represents L11; and "POX and/or POZ polymer" represents the polymer specified in formula (XX). In some embodiments, the oxazolinylated and/or oxazinylated lipid has the following formula (XXId) (in particular, if the one or more hydrophobic chains are attached to the N-end (i.e., the terminal N atom) of the POX and/or POZ polymer, as shown, for example in formula (XXI)):
[(hydrophobic chain)-(divalent functional moiety)]1-2-(alkylene moiety)-(POX and/or POZ polymer)-R13 In some embodiments (in particular of the oxazolinylated and/or oxazinylated lipid of formula (XXId)), the divalent functional moiety may be any one of the divalent functional moieties 5 specified herein, e.g., selected from the groups consisting of ether, amino, ester, sulfide, disulfide, sulfoxide, sulfone, sulfite, sulfate, phosphate, sulfinamide, sulfonamide, sulfamate, diselenide, sulfurous diamide, sulfuric diamide, urea, thiourea, carbonyl, thiocarbonyl, orthoester, thioate, dithioate, imidate, imino, imidothioate, thionylamido, carbonate, carbonothioate, carbonodithioate, carbonotrithioate, guanidino (imidamido), carbamimidate, carbonimidate, 10 carbamate, carbamodithioate, carbonodithioimidate, carbamimidothioate, carbamothioate, carbonimidothioate, acylhydrazone, hydrazine, oxime, acetal, hemiacetal, ketal, hemiketal, imine, imide, and amide. In some embodiments, the linker comprises at least one divalent functional moiety selected from the group consisting of ester, sulfide, disulfide, sulfone, orthoester, acylhydrazone, hydrazine, oxime, acetal, ketal, amino, and amide moieties. In some preferred 15 embodiments, the linker comprises at least one divalent functional moiety selected from the group consisting of ester, sulfide, sulfone, amino, and amide moieties. In some embodiments (in particular of the oxazolinylated and/or oxazinylated lipid of formula (XXId)), the alkylene moiety is C1-6-alkylene, such as C1-3-alkylene, e.g., methylene, ethylene, or trimethylene. 20 In some embodiments of formulas (XXI), (XXI’), (XXIa), (XXIa’), (XXIb), (XXIb’), (XXIc), and (XXId) (in particular those, where the one or more hydrophobic chains are attached to the N- end (i.e., the terminal N atom) of the POX and/or POZ polymer, as shown, for example in formula (XXI)), L11 comprises at least one ester, sulfide, disulfide, sulfone, orthoester, acylhydrazone, hydrazine, oxime, acetal, ketal, or amide moiety. In certain embodiments, L11 is selected from the25 group consisting of [*-NHC(O)]p(C1-6-alkylene), [*-C(O)NH]p(C1-6-alkylene)-, [*-C(O)O]p(C1-6- alkylene)-, [*-OC(O)]p-(C1-6-alkylene)-, [*-S]p(C1-6-alkylene)-, [*-SS]p(C1-6-alkylene)-, [*- S(O)2]p(C1-6-alkylene)-, [(*-O)rC(OR25)3-r](C1-6-alkylene)-, [*-C(OR25)2O]p(C1-6-alkylene)-, [*- C(R25)(=N-N(R26)C(O)-)]p(C1-6-alkylene)-, [*-C(O)(N(R26)-N=)C(R25)-]p(C1-6-alkylene)-, [*=C(=N-N(R26)C(O)(R25))]p(C1-6-alkylene)-, [*N(R26)N(R26)]p(C1-6-alkylene)-, 30 [*=C(=N(OH))]p(C1-6-alkylene)-, and [*-OC(R25)(R26)O]p(C1-6-alkylene)-, wherein * represents the attachment point to R14; p is 1 or 2; C1-6-alkylene is either bivalent (if p is 1) or trivalent (if p is 2); R25 is selected from the group consisting of C1-6 alkyl, aryl, and aryl-(C1-6 alkyl); R26 is selected from the group consisting of H, C1-6 alkyl, aryl, and aryl(C1-6 alkyl); and r is an integer between 1 and 2. For example, L11 may be selected from the group consisting of [*-NHC(O)]p(C1-
3-alkylene)-, [*-C(O)NH]p(C1-3-alkylene)-, [*-C(O)O]p(C1-3-alkylene)-, [*-OC(O)]p(C1-3- alkylene)-, [*-S]p(C1-3-alkylene)-, [*-SS]p(C1-3-alkylene)-, [*-S(O)2]p(C1-3-alkylene)-, [(*-O)rC(OR25)3-r](C1-3-alkylene)-, [*-C(OR25)2O]p(C1-3-alkylene)-, [*-C(R25)(=N-N(R26)C(O)- )]p(C1-3-alkylene)-, [*-C(O)(N(R26)-N=)C(R25)-]p(C1-3-alkylene)-, [*=C(=N- 5 N(R26)C(O)(R25))]p(C1-3-alkylene)-, [*N(R26)N(R26)]p(C1-3-alkylene)-, [*=C(=N(OH))]p(C1-3- alkylene)-, and [*-OC(R25)(R26)O]p(C1-3-alkylene)-, wherein * represents the attachment point to R14; p is 1 or 2; C1-3-alkylene is either bivalent (if p is 1) or trivalent (if p is 2); R25 is selected from the group consisting of C1-6 alkyl, aryl, and aryl(C1-6 alkyl); R26 is selected from the group consisting of H, C1-6 alkyl, aryl, and aryl(C1-6 alkyl); and r is an integer between 1 and 2. 10 In some embodiments, R25 is selected from the group consisting of C1-3 alkyl, phenyl, and phenyl(C1-3 alkyl), such as from the group consisting of methyl, ethyl, phenyl, benzyl, and phenylethyl. In some embodiments, R26 is selected from the group consisting of H, C1-3 alkyl, phenyl, and phenyl(C13 alkyl), such as from the group consisting of H, methyl, ethyl, phenyl, benzyl, and 15 phenylethyl. In some embodiments of formulas (XXI), (XXI’), (XXIa), (XXIa’), (XXIb), (XXIb’), (XXIc), and (XXId) (in particular those, where the one or more hydrophobic chains are attached to the N- end (i.e., the terminal N atom) of the POX and/or POZ polymer, as shown, for example in formula (XXI)), L11 is selected from the group consisting of [*-NHC(O)]p(C1-6-alkylene)-, [*-20 C(O)NH]p(C1-6-alkylene)-, [*-C(O)O]p(C1-6-alkylene)-, [*-OC(O)]p(C1-6-alkylene)-, [*-S]p(C1-6- alkylene)-, and [*-S(O)2]p(C1-6-alkylene)-, preferably from the group consisting of [*- NHC(O)]p(C1-6-alkylene)-, [*-C(O)O]p(C1-6-alkylene)-, [*-OC(O)]p(C1-6-alkylene)-, [*-S]p(C1-6- alkylene)-, and [*-S(O)2]p(C1-6-alkylene)-, more preferably from the group consisting of [*- NHC(O)]p(C1-6-alkylene)- and [*-C(O)O]p(C1-6-alkylene)-, wherein * represents the attachment 25 point to R14; p is 1 or 2; and C1-6-alkylene is either bivalent (if p is 1) or trivalent (if p is 2). In some embodiments of formulas (XXI), (XXI’), (XXIa), (XXIa’), (XXIb), (XXIb’), (XXIc), and (XXId) (in particular those, where the one or more hydrophobic chains are attached to the N- end (i.e., the terminal N atom) of the POX and/or POZ polymer, as shown, for example in formula (XXI)), L11 is selected from the group consisting of [*-NHC(O)]p(C1-3-alkylene)-, [*-30 C(O)NH]p(C1-3-alkylene)-, [*-C(O)O]p(C1-3-alkylene)-, [*-OC(O)]p-(C1-3-alkylene)-, [*-S]p(C1-3- alkylene)-, and [*-S(O)2]p(C1-3-alkylene)-, preferably from the group consisting of [*- NHC(O)]p(C1-3-alkylene)-, [*-C(O)O]p(C1-3-alkylene)-, [*-OC(O)]p(C1-3-alkylene)-, [*-S]p(C1-3- alkylene)-, and [*-S(O)2]p(C1-3-alkylene)-, more preferably from the group consisting of [*-
NHC(O)]p(C1-3-alkylene)- and [*-C(O)O]p(C1-3-alkylene)-, wherein * represents the attachment point to R14; p is 1 or 2; and C1-3-alkylene is either bivalent (if p is 1) or trivalent (if p is 2). In some embodiments of formulas (XXI), (XXI’), (XXIa), (XXIa’), (XXIb), (XXIb’), (XXIc), and (XXId) (in particular those, where the one or more hydrophobic chains are attached to the N- 5 end (i.e., the terminal N atom) of the POX and/or POZ polymer, as shown, for example in formula (XXI)), L11 is selected from the group consisting of *-NHC(O)-(CH2)-, *-NHC(O)-(CH2)2-, *- C(O)NH-(CH2)-, *-C(O)NH-(CH2)2-, -(CH2)-CH(OC(O)-*)-(CH2OC(O)-*), -(CH2)-CH(S-*)2, - (CH2)-CH(S-*)-CH2(S-*), *-S-(CH2)3-, *-S(O)2-(CH2)3-, and *-OC(O)-(CH2)-, wherein * represents the attachment point to R14. Thus, R12 may be selected from the group consisting of10 R14, -L11R14, -(CH2)-CH(OC(O)R14)(CH2OC(O)R14), -(CH2)-CH(SR14)2, and -(CH2)-CH(SR14)- CH2(SR14); and L11 is selected from the group consisting of *-NHC(O)-(CH2)-, *-NHC(O)- (CH2)2-, *-C(O)NH-(CH2)-, *-C(O)NH-(CH2)2-, *-S-(CH2)3-, *-S(O)2-(CH2)3-, and *-OC(O)- (CH2)-, preferably L11 is *-NHC(O)-(CH2)- or *-NHC(O)-(CH2)2-, wherein * represents the attachment point to R14. 15 In some embodiments of formulas (XXI), (XXIa), and (XXIb), R12 is -L11(R14)p, i.e., the POX and/or POZ polymer is conjugated to the one or more hydrophobic chains (i.e., R14) via the linker L11. In some embodiments of formulas (XXI’), (XXIa’), and (XXIb’), the linker comprises at least one difunctional moiety via which the one or more hydrophobic chains (R14) are attached to the 20 C-end of the POX and/or POZ polymer. In some embodiments, the linker may additionally comprise an alkylene moiety (such as a C1-6 alkylene moiety, e.g., a C1-3 alkylene moiety), a cycloalkylene moiety (preferably a C3-8-cycloalkylene, such as C3-6-cycloalkylene moiety), or a cycloalkenylene moiety (preferably a C3-8-cycloalkenylene, such as C3-6-cycloalkenylene moiety) each of which connects the difunctional moiety to the C-end POX and/or POZ polymer (either 25 directly to the C-end or, preferably, via a further difunctional moiety). For example, one hydrophobic chain (R14) may be attached to the C-end of the POX and/or POZ polymer via one difunctional moiety (either directly or via an alkylene, cycloalkylene, or cycloalkenylene moiety or via an alkylene, cycloalkylene, or cycloalkenylene moiety which bears another difunctional moiety); two hydrophobic chains (R14) may be attached to the C-end of the POX and/or POZ 30 polymer via two difunctional moieties (which in turn are preferably attached to an alkylene, cycloalkylene, or cycloalkenylene moiety or to an alkylene, cycloalkylene, or cycloalkenylene moiety bearing another difunctional moiety); or two hydrophobic chains (R14) may be attached to the C-end of the POX and/or POZ polymer via the same difunctional moiety (which is then a trifunctional moiety and which may be attached to the C-end of the POX and/or POZ polymer
either directly or via an alkylene, cycloalkylene, or cycloalkenylene moiety or to an alkylene, cycloalkylene, or cycloalkenylene moiety bearing another difunctional moiety). In some embodiments, each divalent functional moiety is independently selected from ether, amino, ester, sulfide, disulfide, sulfoxide, sulfone, sulfite, sulfate, phosphate, sulfinamide, sulfonamide, 5 sulfamate, diselenide, sulfurous diamide, sulfuric diamide, urea, thiourea, carbonyl, thiocarbonyl, orthoester, thioate, dithioate, imidate, imino, imidothioate, thionylamido, carbonate, carbonothioate, carbonodithioate, carbonotrithioate, guanidino (imidamido), carbamimidate, carbonimidate, carbamate, carbamodithioate, carbonodithioimidate, carbamimidothioate, carbamothioate, carbonimidothioate, acylhydrazone, hydrazine, oxime, acetal, hemiacetal, ketal, 10 hemiketal, imine, imide, and amide moieties. In some preferred embodiments of formulas (XXI’), (XXIa’), and (XXIb’), the linker comprises at least one divalent functional moiety selected from the group consisting of amide, sulfide, sulfone, and amino moieties. In some embodiments of formulas (XXI’), (XXIa’), and (XXIb’), the cycloalkylene moiety is C3- 8-cycloalkylene, such as C3-6-cycloalkylene, e.g., cyclopropylene, cyclobutylene, cyclopentylene, 15 cyclohexylene, wherein the cycloalkylene moiety is optionally substituted, such as optionally substituted with one or more (e.g., 1, 2, 3, or 4) substituents selected from the group consisting of -OH, =O, -SH, halogen, -CN, -N3, and C1-3-alkyl. In some embodiments of formulas (XXI’), (XXIa’), and (XXIb’), the cycloalkenylene moiety is C3-8-cycloalkenylene, such as C3-6-cycloalkenylene, e.g., cyclopropenylene, cyclobutenylene, 20 cyclopentenylene, cyclohexenylene, wherein the cycloalkenylene moiety is optionally substituted, such as optionally substituted with one or more (e.g., 1, 2, 3, or 4) substituents (e.g., independently selected from the group consisting of -OH, =O, -SH, halogen, -CN, -N3, and C1-3- alkyl). In some embodiments of formulas (XXI’), (XXIa’), and (XXIb’), the alkylene moiety is C1-6- 25 alkylene, such as C1-3-alkylene, e.g., methylene, ethylene, or trimethylene, or C2-3 alkylene. In some embodiments of formulas (XXI’), (XXIa’), and (XXIb’), the oxazolinylated and/or oxazinylated lipid comprises one of the following structures: (hydrophobic chain)-(divalent functional moiety)-(POX and/or POZ polymer) [(hydrophobic chain)-(divalent functional moiety)]1-2-(alkylene moiety)-(divalent functional 30 moiety)-(POX and/or POZ polymer) (hydrophobic chain)-(divalent functional moiety)-(cycloalkylene moiety)-(divalent functional moiety)-(POX and/or POZ polymer)
(hydrophobic chain)-(divalent functional moiety)-(cycloalkenylene moiety)-(divalent functional moiety)-(POX and/or POZ polymer) (hydrophobic chain)-(divalent functional moiety)-(alkylene moiety)-(POX and/or POZ polymer) [(hydrophobic chain)2-(trivalent functional moiety)]-(alkylene moiety)-(divalent functional 5 moiety)-(POX and/or POZ polymer) In some embodiments of formulas (XXI’), (XXIa’), and (XXIb’), the oxazolinylated and/or oxazinylated lipid has one of the following formulas (XXIe’) to (XXIj’): (hydrophobic chain)-(divalent functional moiety)-(POX and/or POZ polymer)-R13 (XXIe’) [(hydrophobic chain)-(divalent functional moiety)]1-2-(alkylene moiety)-(divalent functional 10 moiety)-(POX and/or POZ polymer)-R13 (XXIf’) (hydrophobic chain)-(divalent functional moiety)-(cycloalkylene moiety)-(divalent functional moiety)-(POX and/or POZ polymer)-R13 (XXIg’) (hydrophobic chain)-(divalent functional moiety)-(cycloalkenylene moiety)-(divalent functional moiety)-(POX and/or POZ polymer)-R13 (XXIh’) 15 (hydrophobic chain)-(divalent functional moiety)-(alkylene moiety)-(POX and/or POZ polymer)- R13 (XXIi’) [(hydrophobic chain)2-(trivalent functional moiety)]-(alkylene moiety)-(divalent functional moiety)-(POX and/or POZ polymer)-R13 (XXIj’) In some embodiments of formulas (XXI’), (XXIa’), (XXIb’), (XXIe’), (XXIf’), (XXIg’),20 (XXIh’), (XXIi’), and (XXIj’), L11 is selected from the group consisting of [*-Z]p(C1-6-alkylene)- Z-, *-Z-(C3-8-cycloalkylene)-Z-, *-Z-(C3-8-cycloalkenylene)-Z-, (*=N)(C1-6-alkylene)-Z-, *-Z- (C1-6-alkylene)-, and *-Z-, wherein * represents the attachment point to R14; p is 1 or 2; C1-3- alkylene is either bivalent (if p is 1) or trivalent (if p is 2); each of the C3-8-cycloalkylene and C3- 8-cycloalkenylene groups is optionally substituted with one or more (e.g., 1, 2, 3, or 4) substituents25 independently selected from the group consisting of -OH, =O, -SH, halogen, -CN, -N3, and C1-3- alkyl; and each Z is independently selected from the group consisting of -OP(O)2O(C1-3- alkylene)NH-, -NH(C1-3-alkylene)OP(O)2O-, -C(O)NH-, -NHC(O)-, -OC(O)NH-, -NHC(O)O-, - O-, -C(O)O-, -OC(O)-, -S-, -S(O)2-, and -NR22-, wherein R22 is selected from the group consisting of H, alkyl, alkenyl, alkynyl, cycloalkyl, aryl, heteroaryl, and heterocyclyl. For example, the30 linker can be selected from the group consisting of [*-C(O)O]p(C1-6-alkylene)-Z-, (*-NH)(C1-6- alkylene)-Z-, (*=N)(C1-6-alkylene)-Z-, (*-NH)C(O)(C1-6-alkylene)-Z-, (*-C(O)NH(C1-6- alkylene)-Z-, (*-NH)C(O)(C1-6-alkylene)-, (*-C(O)NH(C1-6-alkylene)-, (*-NH)C(O)-, *-
C(O)NH-, *-Z-(C3-8-cycloalkenylene)-Z-, -S-, and -S(O)2-, wherein * represents the attachment point to R14; p is 1 or 2; C1-6-alkylene is either bivalent (if p is 1) or trivalent (if p is 2); the C3-8- cycloalkenylene group is optionally substituted with one or more (e.g., 1, 2, 3, or 4) substituents independently selected from the group consisting of -OH, =O, -SH, halogen, -CN, -N3, and C1-3- 5 alkyl; and Z is selected from the group consisting of -OP(O)2O(C1-3-alkylene)NH-, -NH(C1-3- alkylene)OP(O)2O-, -OC(O)NH-, -NHC(O)O-, -O-, -S-, and -NH-. In some embodiments of formulas (XXI’), (XXIa’), (XXIb’), (XXIe’), (XXIf’), (XXIg’), (XXIh’), (XXIi’), and (XXIj’), L11 is selected from the group consisting of [*-Z]p(C1-3-alkylene)- Z-, *-Z-(C3-6-cycloalkylene)-Z-, *-Z-(C3-6-cycloalkenylene)-Z-, (*=N)(C1-3-alkylene)-Z-, *-Z(C1- 10 3-alkylene)-, and *-Z-, wherein * represents the attachment point to R14; p is 1 or 2; C1-3-alkylene is either bivalent (if p is 1) or trivalent (if p is 2); each of the C3-6-cycloalkylene and C3-6- cycloalkenylene groups is optionally substituted with one or more (e.g., 1, 2, 3, or 4) substituents independently selected from the group consisting of -OH, =O, -SH, halogen, -CN, -N3, and C1-3- alkyl; and each Z is independently selected from the group consisting of -OP(O)2O(CH2)2NH-, - 15 NH(CH2)2OP(O)2O-, -C(O)NH-, -NHC(O)-, -OC(O)NH-, -NHC(O)O-, -O-, -C(O)O-, -OC(O)-, -S-, -S(O)2-, -N(C1-3-alkyl)-, and -NH-. For example, the linker can be selected from the group consisting of [*-C(O)O]p(C1-3-alkylene)-Z-, (*-NH)(C1-3-alkylene)-Z-, (*=N)(C1-3-alkylene)-Z-, (*-NH)C(O)(C1-3-alkylene)-Z-, (*-C(O)NH(C1-3-alkylene)-Z-, (*-NH)C(O)(C1-3-alkylene)-, (*- C(O)NH(C1-3-alkylene)-, (*-NH)C(O)-, *-C(O)NH-, *-Z-(C3-6-cycloalkenylene)-Z-, -S-, and - 20 S(O)2-, wherein * represents the attachment point to R14; p is 1 or 2; C1-3-alkylene is either bivalent (if p is 1) or trivalent (if p is 2); the C3-6-cycloalkenylene group is optionally substituted with one or more (e.g., 1, 2, 3, or 4) substituents independently selected from the group consisting of -OH, =O, -SH, halogen, -CN, -N3, and C1-3-alkyl; and Z is selected from the group consisting of - OP(O)2O(C1-2-alkylene)NH-, -NH(C1-2-alkylene)OP(O)2O-, -OC(O)NH-, -NHC(O)O-, 25 -O-, -S-, and -NH-. In some embodiments of formulas (XXI’), (XXIa’), (XXIb’), (XXIe’), (XXIf’), (XXIg’), (XXIh’), (XXIi’), and (XXIj’), L11 is selected from the group consisting of [*-Z]p(C1-3-alkylene)- Z-, *-Z-(C3-6-cycloalkylene)-Z-, *-Z-(C3-6-cycloalkenylene)-Z-, (*=N)(C1-3-alkylene)-Z-, *-Z(C1- 3-alkylene)-, and *-Z-, wherein * represents the attachment to R14; p is 1 or 2; C1-3-alkylene is30 either bivalent (if p is 1) or trivalent (if p is 2); each of the C3-6-cycloalkylene and C3-6- cycloalkenylene groups is optionally substituted with one or more (e.g., 1, 2, 3, or 4) substituents independently selected from the group consisting of -OH, =O, -SH, halogen, -CN, -N3, and C1-3- alkyl; and each Z is independently selected from the group consisting of -OP(O)2O(CH2)2NH-, - NH(CH2)2OP(O)2O-, -C(O)NH-, -NHC(O)-, -OC(O)NH-, -NHC(O)O-, -O-, -C(O)O-, -OC(O)-,
-S-, -S(O)2-, -N(C1-3-alkyl)-, and -NH-. For example, the linker can be selected from the group consisting of [*-C(O)O]p(C1-3-alkylene)-Z-, (*-NH)(C1-3-alkylene)-Z-, (*=N)(C1-3-alkylene)-Z-, (*-NH)C(O)(C1-3-alkylene)-Z-, (*-C(O)NH(C1-3-alkylene)-Z-, (*-NH)C(O)(C1-3-alkylene)-, (*- C(O)NH(C1-3-alkylene)-, (*-NH)C(O)-, *-C(O)NH-, *-Z-(C3-6-cycloalkenylene)-Z-, -S-, and - 5 S(O)2-, wherein * represents the attachment point to R14; p is 1 or 2; C1-3-alkylene is either bivalent (if p is 1) or trivalent (if p is 2); the C3-6-cycloalkenylene group is optionally substituted with one or more (e.g., 1, 2, 3, or 4) substituents independently selected from the group consisting of -OH, =O, -SH, halogen, -CN, -N3, and C1-3-alkyl; and Z is selected from the group consisting of -OP(O)2O(CH2)2NH-, -NH(CH2)2OP(O)2O-, -OC(O)NH-, - 10 NHC(O)O-, -O-, -S-, and -NH-. In some embodiments of formulas (XXI’), (XXIa’), (XXIb’), (XXIe’), (XXIf’), (XXIg’), (XXIh’), (XXIi’), and (XXIj’), L11 is selected from the group consisting of (*- C(O)O)(CH(OC(O)-*))(CH2)-Z-, (*=N)(C1-3-alkylene)-NHC(O)-, (*-Z)(C1-3-alkylene)-Z-, *-Z- (C3-6-cycloalkenylene)-Z-, and *-Z-, wherein * represents the attachment point to R14; the C3-6- 15 cycloalkenylene group is optionally substituted with one or more (e.g., 1, 2, 3, or 4) substituents independently selected from the group consisting of -OH, =O, -SH, halogen, -CN, -N3, and C1-3- alkyl; and each Z is independently selected from the group consisting of -OP(O)2O(CH2)2NH-, - NH(CH2)2OP(O)2O-, -C(O)NH-, -NHC(O)-, -OC(O)NH-, -NHC(O)O-, -O-, -C(O)O-, -OC(O)-, -S-, -S(O)2-, and -NH-. For example, the linker can be selected from the group consisting of (*-20 C(O)O)(CH(OC(O)-*))(CH2)-Z-, (*=N)(C1-3-alkylene)-NHC(O)-, (*-NH)(C1-3-alkylene)- NHC(O)-, *-C(O)NH-, (*-NH)C(O)-, *-Z-(C3-6-cycloalkenylene)-Z-, -S-, and -S(O)2-, wherein * represents the attachment point to R14; the C3-6-cycloalkenylene group is optionally substituted with one or more (e.g., 1, 2, 3, or 4) substituents independently selected from the group consisting of -OH, =O, -SH, halogen, -CN, -N3, and C1-3-alkyl; and Z is selected from the group consisting 25 of -OP(O)2O(CH2)2NH-, -NH(CH2)2OP(O)2O-, -OC(O)NH-, -NHC(O)O-, -O-, -S-, and -NH. In some embodiments of formulas (XXI’), (XXIa’), (XXIb’), (XXIe’), (XXIf’), (XXIg’), (XXIh’), (XXIi’), and (XXIj’), R12 is selected from the group consisting of (R14C(O)O)(CH(OC(O)R14))(CH2)-Z-, (R14)2N(C1-3-alkylene)-NHC(O)-, R14Z(C1-3-alkylene)-Z-, R14Z-(C3-6-cycloalkenylene)-Z-, and R14Z-, wherein the C3-6-cycloalkenylene group is optionally 30 substituted with one or more (e.g., 1, 2, 3, or 4) substituents independently selected from the group consisting of -OH, =O, -SH, halogen, -CN, -N3, and C1-3-alkyl; and each Z is independently selected from the group consisting of -OP(O)2O(CH2)2NH-, -NH(CH2)2OP(O)2O-, -C(O)NH-, - NHC(O)-, -OC(O)NH-, -NHC(O)O-, -O-, -C(O)O-, -OC(O)-, -S-, -S(O)2-, and -NH-. For example, the linker can be selected from the group consisting of
(R14C(O)O)(CH(OC(O)R14))(CH2)-Z-, (R14)2N(C1-3-alkylene)-NHC(O)-, R14NH(C1-3-alkylene)- NHC(O)-, R14C(O)NH-, (R14NH)C(O)-, R14Z-(C3-6-cycloalkenylene)-Z-, R14S-, and R14S(O)2-, wherein the C3-6-cycloalkenylene group is optionally substituted with one or more (e.g., 1, 2, 3, or 4) substituents independently selected from the group consisting of -OH, =O, -SH, halogen, - 5 CN, -N3, and C1-3-alkyl; and Z is selected from the group consisting of -OP(O)2O(CH2)2NH-, - NH(CH2)2OP(O)2O-, -OC(O)NH, -NHC(O)O-, -O-, -S-, -S(O)2-, and -NH-. In some embodiments of formulas (XXI’), (XXIa’), (XXIb’), (XXIe’), (XXIf’), (XXIg’), (XXIh’), (XXIi’), and (XXIj’), R12 is -L11(R14)p, i.e., the POX and/or POZ polymer is conjugated to the one or more hydrophobic chains (i.e., R14) via the linker L11. 10 In any of the above embodiments of formulas (XXI), (XXI’), (XXIa), (XXIa’), (XXIb), (XXIb’), (XXIc), (XXId), (XXIe’), (XXIf’), (XXIg’), (XXIh’), (XXIi’), and (XXIj’), each R14 preferably is independently a non-cyclic, more preferably straight hydrocarbyl group. For example, each R14 is independently a hydrocarbyl group having at least 8 carbon atoms, such as at least 10 carbon atoms, preferably up to 30 carbon atoms, such as up to 28, 26, 24, 22, or 20 carbon atoms, or up 15 to 16 carbon atoms, such as up to 15, 14, 13, 12, 11, or 10 carbon atoms. In some embodiments, each R14 is a hydrocarbyl group having 10 to 16 carbon atoms, such as 10 to 15 or 10 to 14 carbon atoms. In some embodiments, each R14 is a straight hydrocarbyl group having 10 to 16 carbon atoms, such as 10 to 15 or 10 to 14 carbon atoms. In any of the above embodiments of formulas (XXI’), (XXIa’), (XXIb’), (XXIe’), (XXIf’), 20 (XXIg’), (XXIh’), (XXIi’), and (XXIj’), each R14 may preferably be a hydrocarbyl group having 10 to 18 carbon atoms, such as a straight alkyl group having10 to 18 carbon atoms or a straight alkenyl group having 10 to 18 carbon atoms. For example, a straight alkyl group may have 10, 11, 12, 13, 14, 15, 16, 17, or 18 carbon atoms; and/or a straight alkenyl group may have 10, 11, 12, 13, 14, 15, 16, 17, or 18 carbon atoms and 1, 2, or 3 carbon-carbon double bonds. 25 In any of the above embodiments of formulas (XXI), (XXI’), (XXIa), (XXIa’), (XXIb), (XXIb’), (XXIc), (XXId), (XXIe’), (XXIf’), (XXIg’), (XXIh’), (XXIi’), and (XXIj’), R13 is preferably selected from the group consisting of H, C1-3 alkyl, -OR20, -N3, C2-6 alkynyl, -OC(O)R21, -C(O)R21, -NR22R23, -COOH, -C(O)NR22R23, -NR22C(O)R21, and a member of a targeting pair, wherein the C1-3 alkyl group is optionally substituted with one or more substituents independently selected30 from the group consisting of -OH, SH, halogen, -CN, -N3, C2-6 alkynyl, -COOH, -NR22R23, - C(O)NR22R23, -NR22C(O)R21, and a member of a targeting pair; R20 is selected from the group consisting of H, C1-3 alkyl and 3- to 6-membered heterocyclyl, wherein each of the C1-3 alkyl and 3- to 6-membered heterocyclyl groups is optionally substituted with one or more substituents independently selected from the group consisting of -OH, SH, halogen, -CN, -N3, C2-6 alkynyl, -
COOH, -NR22R23, and a member of a targeting pair; R21 is selected from the group consisting of C1-3 alkyl and 3- to 6-membered heterocyclyl, wherein each of the C1-6 alkyl and 3- to 6-membered heterocyclyl groups is optionally substituted with one or more substituents independently selected from the group consisting of -OH, SH, halogen, -CN, -N3, C2-6 alkynyl, -COOH, -NR22R23, and a 5 member of a targeting pair; and each of R22 and R23 is independently selected from the group consisting of H, C1-6 alkyl, C2-6 alkenyl, and C2-6 alkynyl, or R22 and R23 may join together with the nitrogen atom to which they are attached to form a heterocyclyl group, wherein each of the C1-6 alkyl, C2-6 alkenyl, and C2-6 alkynyl groups is optionally substituted with one or more substituents independently selected from the group consisting of -OH, SH, halogen, -CN, -N3, C2- 10 6 alkynyl, -COOH, -NH2, -NH(C1-3 alkyl), -N(C1-3 alkyl)2, and a member of a targeting pair. In any of the above embodiments of formulas (XXI), (XXI’), (XXIa), (XXIa’), (XXIb), (XXIb’), (XXIc), (XXId), (XXIe’), (XXIf’), (XXIg’), (XXIh’), (XXIi’), and (XXIj’), R13 is preferably selected from the group consisting of H, C1-3 alkyl, -OR20, -N3, C2-6 alkynyl, -OC(O)R21, -C(O)R21, -NR22R23, -COOH, -C(O)NR22R23, -NR22C(O)R21, and a member of a targeting pair, wherein the 15 C1-3 alkyl group is optionally substituted with one or more substituents independently selected from the group consisting of -OH, -N3, C2-6 alkynyl, -COOH, -NH2, -NHCH3, -N(CH3)2, - C(O)NR22R23, -NR22C(O)R21, and a member of a targeting pair; R20 is selected from the group consisting of H and C1-3 alkyl; R21 is C1-3 alkyl optionally substituted with one or more substituents independently selected from the group consisting of -OH, SH, halogen, -CN, -N3, C2-6 alkynyl, - 20 COOH, -NR22R23, and a member of a targeting pair; and each of R22 and R23 is independently selected from the group consisting of H, C1-3 alkyl, C2-3 alkenyl, and C2-3 alkynyl, wherein each of the C1-3 alkyl, C2-3 alkenyl, and C2-3 alkynyl groups is optionally substituted with one or more (such as 1, 2, 3, or 4) substituents independently selected from the group consisting of -OH, SH, halogen, -CN, -N3, C2-6 alkynyl, -COOH, -NH2, -NH(C1-3 alkyl), -N(C1-3 alkyl)2, and a member 25 of a targeting pair, or R22 and R23 may join together with the nitrogen atom to which they are attached to form a 5- or 6-membered heterocyclyl group. In any of the above embodiments of formulas (XXI), (XXI’), (XXIa), (XXIa’), (XXIb), (XXIb’), (XXIc), (XXId), (XXIe’), (XXIf’), (XXIg’), (XXIh’), (XXIi’), and (XXIj’), R13 is preferably selected from the group consisting of H, C1-3 alkyl, -OH, -N3, C2-6 alkynyl, -COOH, -NH2, -30 NHCH3, -N(CH3)2, -NH(CH2CH3), -NHC(O)(CH2)2COOH, -N(CH2CH3)C(O)(CH2)2COOH, - N(CH2CH3)C(O)CH3, -C(O)NH2, -C(O)NHCH3, -OC(O)(CH2)2COOH, and a member of a targeting pair, wherein the C1-3 alkyl group is optionally substituted with one or more (such as 1 or 2) substituents independently selected from the group consisting of -OH, -N3, C2-6 alkynyl, -
COOH, -NH2, -NHCH3, -N(CH3)2, -C(O)NH2, -C(O)NHCH3, -C(O)NH(CH2)2NH2, and a member of a targeting pair. In some embodiments of formulas (XXI), (XXIa), (XXIb), (XXIc), and (XXId), R13 is selected from the group consisting of H, -OH, -N3, C2-6 alkynyl, -COOH, -NH2, -NHCH3, -N(CH3)2, - 5 NHC(O)(CH2)2COOH, -N(CH2CH3)C(O)(CH2)2COOH, -N(CH2CH3)C(O)CH3, -NH(CH2CH3), - C(O)NH2, -C(O)NHCH3, -OC(O)(CH2)2COOH, and a member of a targeting pair. In some embodiments of formulas (XXI), (XXIa), (XXIb), (XXIc), and (XXId), R13 is selected from the group consisting of -OH, -N3, C2-6 alkynyl, -COOH, -NH2, -NHCH3, -N(CH3)2, - NHC(O)(CH2)2COOH, -N(CH2CH3)C(O)(CH2)2COOH, -N(CH2CH3)C(O)CH3, -NH(CH2CH3), - 10 C(O)NH2, -C(O)NHCH3, -OC(O)(CH2)2COOH, and a member of a targeting pair. In some embodiments of formulas (XXI), (XXIa), (XXIb), (XXIc), and (XXId), R13 is selected from the group consisting of -OH, -N3, C2-6 alkynyl, -COOH, -NH2, -NHCH3, -N(CH3)2, - NHC(O)(CH2)2COOH, -N(CH2CH3)C(O)(CH2)2COOH, -N(CH2CH3)C(O)CH3, -NH(CH2CH3), - OC(O)(CH2)2COOH, and a member of a targeting pair. In some embodiments of formulas (XXI), 15 (XXIa), (XXIb), (XXIc), and (XXId), R13 is selected from the group consisting of -OH, -N3, - NH2, -NHC(O)(CH2)2COOH, -N(CH2CH3)C(O)(CH2)2COOH, -N(CH2CH3)C(O)CH3, - NH(CH2CH3), and -OC(O)(CH2)2COOH. In some embodiments of formulas (XXI’), (XXIa’), (XXIb’), (XXIe’), (XXIf’), (XXIg’), (XXIh’), (XXIi’), and (XXIj’), R13 is C1-3 alkyl optionally substituted with one or two substituents 20 independently selected from the group consisting of -OH, -N3, C2-6 alkynyl, -COOH, -NH2, - NHCH3, -N(CH3)2, -C(O)NH2, -C(O)NHCH3, -C(O)NH(CH2)2NH2, and a member of a targeting pair. In some embodiments of formulas (XXI’), (XXIa’), (XXIb’), (XXIe’), (XXIf’), (XXIg’), (XXIh’), (XXIi’), and (XXIj’), R13 is C1-3 alkyl optionally substituted with one substituent selected from the group consisting of -COOH and -C(O)NH(CH2)2NH2. 25 In certain embodiments, the oxazolinylated and/or oxazinylated lipid has the following general formula (XXII) or (XXII’): O R11 O R11
a is an integer between 1 and 2; R11 is methyl or ethyl, and is independently selected for each repeating unit; m is 10 to 100 (preferably 20 to 80, 30 to 70, or 40 to 50); R12, for formula (XXII), is selected from the group consisting of -L11R14, -(CH2)- 5 CH(OC(O)R14)(CH2OC(O)R14), -(CH2)-CH(SR14)2, and -(CH2)-CH(SR14)-CH2(SR14), wherein each R14 is independently a straight hydrocarbyl group having at least 10 carbon atoms (preferably having 10 to 16 carbon atoms); and L11 is selected from the group consisting of *-NHC(O)-(CH2)- , *-NHC(O)-(CH2)2-, *-C(O)NH-(CH2)-, *-C(O)NH-(CH2)2-, *-S-(CH2)3-, *-S(O)2-(CH2)3-, and *-OC(O)-(CH2)- (preferably L11 is selected from the group consisting of *-NHC(O)-(CH2)-, *- 10 NHC(O)-(CH2)2-, *-C(O)NH-(CH2)-, and *-C(O)NH-(CH2)2-, such as *-NHC(O)-(CH2)- or *- NHC(O)-(CH2)2-), wherein * represents the attachment point to R14; or R12, for formula (XXII’), is selected from the group consisting of (R14C(O)O)(CH(OC(O)R14))(CH2)-Z-, (R14)2N(C1-3- alkylene)-Z-, R14Z(C1-3-alkylene)-Z-, R14Z-(C3-6-cycloalkenylene)-Z-, and R14Z-, wherein the C3- 6-cycloalkenylene group is optionally substituted with one or more (e.g., 1, 2, 3, or 4) substituents 15 independently selected from the group consisting of -OH, =O, -SH, halogen, -CN, -N3, and C1-3- alkyl; and each Z is independently selected from the group consisting of -OP(O)2O(CH2)2NH-, - NH(CH2)2OP(O)2O-, -C(O)NH-, -NHC(O)-, -OC(O)NH-, -NHC(O)O-, -O-, -C(O)O-, -OC(O)-, -S-, -S(O)2-, and -NH-; and R13 is selected from the group consisting of H, C1-3 alkyl, -OH, -N3, C2-6 alkynyl, -COOH, -NH2, 20 -NHCH3, -N(CH3)2, -NH(CH2CH3), -NHC(O)(CH2)2COOH, -N(CH2CH3)C(O)(CH2)2COOH, -N(CH2CH3)C(O)CH3, -C(O)NH2, -C(O)NHCH3, -OC(O)(CH2)2COOH, and a member of a targeting pair, wherein the C1-3 alkyl group is optionally substituted with one or more (such as one or two) substituents independently selected from the group consisting of -OH, -N3, C2-6 alkynyl, -COOH, -NH2, -NHCH3, -N(CH3)2, -C(O)NH2, -C(O)NHCH3, -C(O)NH(CH2)2NH2, and 25 a member of a targeting pair. In some embodiments of formula (XXII) or (XXII’), a is 1, i.e., the oxazolinylated and/or oxazinylated lipid has the following general formula (XXIIa) or (XXIIa’): O R11 O R11
In some embodiments of formula (XXII) or (XXII’), a is 2, i.e., the oxazolinylated and/or oxazinylated lipid has the following general formula (XXIIb) or (XXIIb’): O R11 O R11 1, R12,
R13, and m are as defined for formula (XXII)/(XXII’). In some embodiments of formulas (XXII), (XXII’), (XXIIa), (XXIIa’), (XXIIb), and (XXIIb’), each R11 is methyl or each R11 is ethyl. In some alternative embodiments of formulas (XXII), (XXII’), (XXIIa), (XXIIa’), (XXIIb), and (XXIIb’), R11 is independently selected from methyl 10 and ethyl for each repeating unit, wherein in at least one repeating unit R11 is methyl, and in at least one repeating unit R11 is ethyl. In some embodiments of formulas (XXII), (XXIIa), and (XXIIb), R12 is selected from the group consisting of R14-NHC(O)-(CH2)-, R14-NHC(O)-(CH2)2-, -(CH2)- CH(OC(O)R14)(CH2OC(O)R14), -(CH2)-CH(SR14)-CH2(SR14), R14S-(CH2)3-, R14S(O)2-(CH2)3-, 15 and R14-OC(O)-(CH2)-; and/or R13 is selected from the group consisting of -OH, -N3, C2-6 alkynyl, -COOH, -NH2, -NHCH3, -N(CH3)2, -NHC(O)(CH2)2COOH, -N(CH2CH3)C(O)(CH2)2COOH, - N(CH2CH3)C(O)CH3, -NH(CH2CH3), -OC(O)(CH2)2COOH, and a member of a targeting pair (e.g., R13 is selected from the group consisting of -OH, -N3, -NH2, -NHC(O)(CH2)2COOH, - N(CH2CH3)C(O)(CH2)2COOH, -N(CH2CH3)C(O)CH3, -NH(CH2CH3), and - 20 OC(O)(CH2)2COOH). In some embodiments of formulas (XXII’), (XXIIa’), and (XXIIb’), R12 is selected from the group consisting of R14C(O)NH-, R14S-, R14S(O)2-, and R14NH-(3,4-dioxocyclobut-1-en-1,2-diyl)-NH- ; and/or R13 is C1-3 alkyl optionally substituted with one or two substituents independently selected from the group consisting of -OH, -N3, C2-6 alkynyl, -COOH, -NH2, -NHCH3, -N(CH3)2, - 25 C(O)NH2, -C(O)NHCH3, -C(O)NH(CH2)2NH2, and a member of a targeting pair (e.g., R13 is C1-3 alkyl optionally substituted with one substituent selected from the group consisting of -COOH and -C(O)NH(CH2)2NH2). In some embodiments, the oxazolinylated and/or oxazinylated lipid has the following general formula (XXIII): 30 R15-POXZ-R16
wherein: R15 is R17 or -L12(R17)q, wherein each R17 is independently a hydrocarbyl group; L12 is a linker; and q is 1 or 2; POXZ is a copolymer containing repeating units of the following general formulas (XXa) and 5 (XXb): O R11 O R11 o-
propyl, or n-propyl, and is independently selected for each repeating unit; the number of repeating 10 units of formula (XXa) in the copolymer is 1 to 199; the number of repeating units of formula (XXb) in the copolymer is 1 to 199; the sum of the number of repeating units of formula (XXa) and the number of repeating units of formula (XXb) in the copolymer is 2 to 200; and the repeating units of formulas (XXa) and (XXb) are arranged in a random, periodic, alternating or block wise manner; and 15 R16 is selected from the group consisting of H, C1-6 alkyl, C2-6 alkynyl, -OR20, -SR20, halogen, - CN, -N3, -OC(O)R21, -C(O)R21, -NR22R23, -COOH, -C(O)NR22R23, -NR22C(O)R21, a sugar, an amino acid, a peptide, and a member of a targeting pair, wherein the C1-6 alkyl group is optionally substituted with one or more substituents independently selected from the group consisting of - OH, SH, halogen, -CN, -N3, C2-6 alkynyl, -COOH, -NR22R23, -C(O)NR22R23, -NR22C(O)R21, a 20 sugar, an amino acid, a peptide, and a member of a targeting pair; R20 is selected from the group consisting of H, C1-3 alkyl and 3- to 6-membered heterocyclyl, wherein each of the C1-3 alkyl and 3- to 6-membered heterocyclyl groups is optionally substituted with one or more substituents independently selected from the group consisting of -OH, SH, halogen, -CN, -N3, C2-6 alkynyl, - COOH, -NR22R23, a sugar, an amino acid, a peptide, and a member of a targeting pair; R21 is 25 selected from the group consisting of C1-6 alkyl and 3- to 6-membered heterocyclyl, wherein each of the C1-6 alkyl and 3- to 6-membered heterocyclyl groups is optionally substituted with one or more substituents independently selected from the group consisting of -OH, SH, halogen, -CN, - N3, C2-6 alkynyl, -COOH, -NR22R23, a sugar, an amino acid, a peptide, and a member of a targeting pair; and each of R22 and R23 is independently selected from the group consisting of H, alkyl, 30 alkenyl, alkynyl, cycloalkyl, aryl, heteroaryl, and heterocyclyl, or R22 and R23 may join together
with the nitrogen atom to which they are attached to form a heterocyclyl group, wherein each of the alkyl, alkenyl, alkynyl, cycloalkyl, aryl, heteroaryl, and heterocyclyl groups is optionally substituted with one or more substituents independently selected from the group consisting of - OH, SH, halogen, -CN, -N3, C2-6 alkynyl, -COOH, -NH2, -NH(C1-3 alkyl), -N(C1-3 alkyl)2’, a sugar, 5 an amino acid, a peptide, and a member of a targeting pair. In some embodiments of formula (XXIII), the targeting pair is selected from the following pairs: antigen – antibody specific for said antigen; avidin – streptavidin; folate – folate receptor; transferrin – transferrin receptor; aptamer – molecule for which the aptamer is specific; arginine- glycine-aspartic acid (RGD) peptide – αvβ3 integrin; asparagine-glycine-arginine (NGR) peptide 10 – aminopeptidase N; galactose – asialoglyco-protein receptor. Thus, in some embodiments of formula (XXIII), a member of a targeting pair includes one of the following: an antigen, an antibody, avidin, streptavidin, folate, transferrin, an aptamer; an RGD peptide; an NGR peptide; and galactose. In some of the above embodiments of formula (XXIII), R11 at each occurrence (i.e., in each 15 repeating unit) may be the same alkyl group (e.g., R11 may be methyl in each repeating unit). In some alternative embodiments of formula (XXIII), R11 in at least one repeating unit differs from R11 in another repeating unit (e.g., for at least one repeating unit R11 is one specific alkyl (such as ethyl), and for at least one different repeating unit R11 is a different specific alkyl (such as methyl)). For example, each R11 may be selected from two different alkyl groups (such as methyl 20 and ethyl) and not all R1 are the same alkyl. In some embodiments of formula (XXIII), each of R11 is independently methyl or ethyl, preferably methyl. Thus, in some embodiments of formula (XXIII), each R11 is methyl or each R11 is ethyl. In some alternative embodiments of formula (XXIII), R11 is independently selected from methyl and ethyl for each repeating unit, wherein in at least one repeating unit R11 is methyl, and in at 25 least one repeating unit R11 is ethyl. In some embodiments of formula (XXIII), the sum of the number of repeating units of formula (XXa) and the number of repeating units of formula (XXb) in the copolymer preferably is between 2 and 190, such as between 2 and 180, between 2 and 170, between 2 and 160, between 2 and 150, between 2 and 140, between 2 and 130, between 2 and 120, between 2 and 110, between 2 30 and 100, between 2 and 90, between 2 and 80, between 2 and 70, between 4 and 200, between 4 and 190, between 4 and 180, between 4 and 170, between 4 and 160, between 4 and 150, between 4 and 140, between 4 and 130, between 4 and 120, between 4 and 110, between 4 and 100, between 4 and 90, between 4 and 80, between 4 and 70, between 10 and 200, between 10 and 190, between 10 and 180, between 10 and 170, between 10 and 160, between 10 and 150, between
10 and 140, between 10 and 130, between 10 and 120, between 10 and 110, between 10 and 100, between 10 and 90, between 10 and 80, or between 10 and 70. In certain embodiments of formula (XXIII), the sum of the number of repeating units of formula (XXa) and the number of repeating units of formula (XXb) in the copolymer is 2 to 180, such as 4 to 160, 6 to 140, 8 to 120 or 10 to 5 100, e.g., 20 to 80, 30 to 70, or 40 to 50. Accordingly, in some embodiments of formula (XXIII), the number of repeating units of formula (XXa) in the copolymer is 1 to 179, such as 1 to 159, 1 to 139, 1 to 119 or 1 to 99; the number of repeating units of formula (XXb) in the copolymer is 1 to 179, such as 1 to 159, 1 to 139, 1 to 119 or 1 to 99; and the sum of the number of repeating units of formula (XXa) and the number of 10 repeating units of formula (XXb) in the copolymer is 2 to 180, such as 4 to 160, 6 to 140, 8 to 120 or 10 to 100. In some embodiments of formula (XXIII), L12 comprises at least one functional moiety, such as an alkylene moiety substituted with at least one monovalent functional moiety and/or linked, at the end by which the alkylene group is attached to R17, to a divalent functional moiety, wherein 15 preferably each monovalent functional moiety is independently selected from hydroxy, ether, halogen, cyano, azido, nitro, amino, ammonium, ester, carboxyl, thiol (sulfanyl), disulfanyl, sulfide, disulfide, sulfoxide, sulfone, sulfite, sulfate, phosphate, sulfinamide, sulfonamide, sulfamate, diselenide, sulfurous diamide, sulfuric diamide, urea, thiourea, carbonyl, thiocarbonyl, orthoester, thioate, dithioate, imidate, imino, imidothioate, thionylamido, carbonate, 20 carbonothioate, carbonodithioate, carbonotrithioate, guanidino (imidamido), carbamimidate, carbonimidate, carbamate, carbamodithioate, carbonodithioimidate, carbamimidothioate, carbamothioate, carbonimidothioate, acylhydrazone, hydrazine, oxime, acetal, hemiacetal, ketal, hemiketal, imide, and amide; and/or each divalent functional moiety is independently selected from ether, amino, ester, sulfide, disulfide, sulfoxide, sulfone, sulfite, sulfate, phosphate, 25 sulfinamide, sulfonamide, sulfamate, diselenide, sulfurous diamide, sulfuric diamide, urea, thiourea, carbonyl, thiocarbonyl, orthoester, thioate, dithioate, imidate, imino, imidothioate, thionylamido, carbonate, carbonothioate, carbonodithioate, carbonotrithioate, guanidino (imidamido), carbamimidate, carbonimidate, carbamate, carbamodithioate, carbonodithioimidate, carbamimidothioate, carbamothioate, carbonimidothioate, acylhydrazone, 30 hydrazine, oxime, acetal, hemiacetal, ketal, hemiketal, imide, and amide. In some embodiments of formula (XXIII), R15 is attached to the N-end (i.e., the terminal N atom) of the POXZ copolymer and R16 is attached to the C-end (i.e., the terminal C atom) of the POXZ copolymer. In some alternative embodiments of formula (XXIII), R15 is attached to the C-end (i.e., the terminal C atom) of the POXZ copolymer and R16 is attached to the N-end (i.e., the
terminal N atom) of the POXZ copolymer. The latter alternative embodiments of formula (XXIII) (i.e., where R15 is attached to the C-end (i.e., the terminal C atom) of the POXZ copolymer and R16 is attached to the N-end (i.e., the terminal N atom) of the POXZ copolymer) are designated as formula (XXIII’) herein. 5 In some embodiments of formula (XXIII), L12 comprises an alkylene moiety substituted with at least one monovalent functional moiety as specified above. Thus, in some embodiments, the oxazolinylated and/or oxazinylated lipid may comprise the following structure (optionally R16 is attached to the terminal C atom of the POXZ copolymer): (hydrophobic chain)1-2-(alkylene moiety substituted with at least one monovalent functional 10 moiety)-(POXZ copolymer), wherein "hydrophobic chain" represents R17; "alkylene moiety substituted with at least one monovalent functional moiety" represents L12; and "POXZ copolymer" represents the copolymer specified in formula (XXIII). In some embodiments, the oxazolinylated and/or oxazinylated lipid has the following formula 15 (XXIIIa) (optionally R16 is attached to the terminal C atom of the POXZ copolymer): (hydrophobic chain)1-2-(alkylene moiety substituted with at least one monovalent functional moiety)-(POXZ copolymer)-R16 In some embodiments of formulas (XXIII) and (XXIIIa), the at least one monovalent functional moiety may be any one of the monovalent functional moieties specified herein, e.g., selected from 20 the groups consisting of hydroxy, ether, halogen, cyano, azido, nitro, amino, ammonium, ester, carboxyl, thiol (sulfanyl), disulfanyl, sulfide, disulfide, sulfoxide, sulfone, sulfite, sulfate, phosphate, sulfinamide, sulfonamide, sulfamate, diselenide, sulfurous diamide, sulfuric diamide, urea, thiourea, carbonyl, thiocarbonyl, orthoester, thioate, dithioate, imidate, imino, imidothioate, thionylamido, carbonate, carbonothioate, carbonodithioate, carbonotrithioate, guanidino 25 (imidamido), carbamimidate, carbonimidate, carbamate, carbamodithioate, carbonodithioimidate, carbamimidothioate, carbamothioate, carbonimidothioate, acylhydrazone, hydrazine, oxime, acetal, hemiacetal, ketal, hemiketal, imide, and amide. In some embodiments of formulas (XXIII) and (XXIIIa), the alkylene moiety substituted with at least one monovalent functional moiety is C1-6-alkylene, such as C1-3-alkylene, e.g., methylene, 30 ethylene, or trimethylene. In some embodiments of formulas (XXIII) and (XXIIIa), the alkylene moiety substituted with at least one monovalent functional moiety is substituted with one or more (such as 1 to the maximum
number of hydrogen atoms bound to the alkylene moiety, e.g., 1, 2, 3, 4, 5, or 6, such as between 1 to 5, 1 to 4, or 1 to 3, or 1 or 2) independently selected monovalent functional moieties. In some embodiments, the alkylene moiety substituted with at least one monovalent functional moiety is C1-6-alkylene, such as C1-3-alkylene, e.g., methylene, ethylene, or trimethylene, and is 5 substituted with one or more (such as 1 to the maximum number of hydrogen atoms bound to the alkylene moiety, e.g., 1, 2, 3, 4, 5, or 6, such as between 1 to 5, 1 to 4, or 1 to 3, or 1 or 2) independently selected monovalent functional moieties. In some embodiments of formula (XXIII) (in particular those, where R16 is attached to the terminal C atom of the POXZ copolymer), L12 comprises an alkylene moiety linked, at the end by which 10 the alkylene group is attached to R17, to a divalent functional moiety as specified above. Thus, in some embodiments (in particular those, where R16 is attached to the terminal C atom of the POXZ copolymer), the oxazolinylated and/or oxazinylated lipid may comprise the following structure: [(hydrophobic chain)-(divalent functional moiety)]1-2-(alkylene moiety)-(POXZ copolymer), wherein "hydrophobic chain" represents R17; "-(divalent functional moiety)]1-2-(alkylene moiety)" 15 represents L12; and "POXZ copolymer" represents the copolymer specified in formula (XXIII). In some embodiments (in particular those, where R16 is attached to the terminal C atom of the POXZ copolymer), the oxazolinylated and/or oxazinylated lipid has the following formula (XXIIIb): [(hydrophobic chain)-(divalent functional moiety)]1-2-(alkylene moiety)-(POXZ copolymer)-R16 20 In some embodiments of formulas (XXIII) and (XXIIIb), the divalent functional moiety may be any one of the divalent functional moieties specified herein, e.g., selected from the groups consisting of ether, amino, ester, sulfide, disulfide, sulfoxide, sulfone, sulfite, sulfate, phosphate, sulfinamide, sulfonamide, sulfamate, diselenide, sulfurous diamide, sulfuric diamide, urea, thiourea, carbonyl, thiocarbonyl, orthoester, thioate, dithioate, imidate, imino, imidothioate, 25 thionylamido, carbonate, carbonothioate, carbonodithioate, carbonotrithioate, guanidino (imidamido), carbamimidate, carbonimidate, carbamate, carbamodithioate, carbonodithioimidate, carbamimidothioate, carbamothioate, carbonimidothioate, acylhydrazone, hydrazine, oxime, acetal, hemiacetal, ketal, hemiketal, imine, imide, and amide. In some embodiments of formulas (XXIII) and (XXIIIb), the alkylene moiety is C1-6-alkylene, 30 such as C1-3-alkylene, e.g., methylene, ethylene, or trimethylene. In some embodiments of formula (XXIII), where R16 is attached to the terminal N atom of the POXZ copolymer (i.e., in the embodiments of formula (XXIII’)), L12 comprises at least one
difunctional moiety via which the one or more hydrophobic chains (R17) are attached to the POXZ copolymer. In some embodiments, L12 may additionally comprise an alkylene moiety (such as a C1-6 alkylene moiety, e.g., a C1-3 alkylene moiety), a cycloalkylene moiety (preferably a C3-8- cycloalkylene, such as C3-6-cycloalkylene moiety), or a cycloalkenylene moiety (preferably a C3- 5 8-cycloalkenylene, such as C3-6-cycloalkenylene moiety) each of which connects the difunctional moiety to the POXZ copolymer (either directly to the end of the POXZ copolymer or, preferably, via a further difunctional moiety). For example, one hydrophobic chain may be attached to the end of the POXZ copolymer via one difunctional moiety (either directly or via an alkylene, cycloalkylene, or cycloalkenylene moiety or via an alkylene, cycloalkylene, or cycloalkenylene 10 moiety which bears another difunctional moiety); two hydrophobic chains may be attached to the end of the POXZ copolymer via two difunctional moieties (which in turn are preferably attached to an alkylene, cycloalkylene, or cycloalkenylene moiety or to an alkylene, cycloalkylene, or cycloalkenylene moiety bearing another difunctional moiety); or two hydrophobic chains may be attached to the end of the POXZ copolymer via the same difunctional moiety (which is then a 15 trifunctional moiety and which may be attached to the end of the POXZ copolymer either directly or via an alkylene, cycloalkylene, or cycloalkenylene moiety or to an alkylene, cycloalkylene, or cycloalkenylene moiety bearing another difunctional moiety). In some embodiments, each divalent functional moiety is independently selected from ether, amino, ester, sulfide, disulfide, sulfoxide, sulfone, sulfite, sulfate, phosphate, sulfinamide, sulfonamide, sulfamate, diselenide, 20 sulfurous diamide, sulfuric diamide, urea, thiourea, carbonyl, thiocarbonyl, orthoester, thioate, dithioate, imidate, imino, imidothioate, thionylamido, carbonate, carbonothioate, carbonodithioate, carbonotrithioate, guanidino (imidamido), carbamimidate, carbonimidate, carbamate, carbamodithioate, carbonodithioimidate, carbamimidothioate, carbamothioate, carbonimidothioate, acylhydrazone, hydrazine, oxime, acetal, hemiacetal, ketal, hemiketal, imine, 25 imide, and amide moieties. In some embodiments of formula (XXIII’), the cycloalkylene moiety is C3-8-cycloalkylene, such as C3-6-cycloalkylene, e.g., cyclopropylene, cyclobutylene, cyclopentylene, cyclohexylene, wherein the cycloalkylene moiety is optionally substituted with one or more (e.g., 1, 2, 3, or 4) substituents (e.g., independently selected from the group consisting of -OH, =O, -SH, halogen, - 30 CN, -N3, and C1-3-alkyl). In some embodiments of formula (XXIII’), the cycloalkenylene moiety is C3-8-cycloalkenylene, such as C3-6-cycloalkenylene, e.g., cyclopropenylene, cyclobutenylene, cyclopentenylene, cyclohexenylene, wherein the cycloalkenylene moiety is optionally substituted with one or more
(e.g., 1, 2, 3, or 4) substituents (e.g., independently selected from the group consisting of -OH, =O, -SH, halogen, -CN, -N3, and C1-3-alkyl). In some embodiments of formula (XXIII’), the alkylene moiety is C1-6-alkylene, such as C1-3- alkylene, e.g., methylene, ethylene, or trimethylene, or C2-3 alkylene. 5 In some embodiments of formula (XXIII’), the oxazolinylated and/or oxazinylated lipid comprises one of the following structures: (hydrophobic chain)-(divalent functional moiety)-(POX and/or POZ polymer) [(hydrophobic chain)-(divalent functional moiety)]1-2-(alkylene moiety)-(divalent functional moiety)-(POX and/or POZ polymer) 10 (hydrophobic chain)-(divalent functional moiety)-(cycloalkylene moiety)-(divalent functional moiety)-(POX and/or POZ polymer) (hydrophobic chain)-(divalent functional moiety)-(cycloalkenylene moiety)-(divalent functional moiety)-(POX and/or POZ polymer) (hydrophobic chain)-(divalent functional moiety)-(alkylene moiety)-(POX and/or POZ polymer) 15 [(hydrophobic chain)2-(trivalent functional moiety)]-(alkylene moiety)-(divalent functional moiety)-(POX and/or POZ polymer) In some embodiments formula (XXIII’), the oxazolinylated and/or oxazinylated lipid has one of the following formulas (XXIIIc’) to (XXIIIh’): (hydrophobic chain)-(divalent functional moiety)-(POXZ copolymer)-R16 (XXIIIc’) 20 [(hydrophobic chain)-(divalent functional moiety)]1-2-(alkylene moiety)-(divalent functional moiety)-(POXZ copolymer)-R16 (XXIIId’) (hydrophobic chain)-(divalent functional moiety)-(cycloalkylene moiety)-(divalent functional moiety)-(POXZ copolymer)-R16 (XXIIIe’) (hydrophobic chain)-(divalent functional moiety)-(cycloalkenylene moiety)-(divalent functional 25 moiety)-(POXZ copolymer)-R16 (XXIIIf’) (hydrophobic chain)-(divalent functional moiety)-(alkylene moiety)-(POXZ copolymer)-R16 (XXIIIg’) [(hydrophobic chain)2-(trivalent functional moiety)]-(alkylene moiety)-(divalent functional moiety)-(POXZ copolymer)-R16 (XXIIIh’)
In some embodiments of formulas (XXIII), (XXIIIa), and (XXIIIb), L12 comprises at least one ester, sulfide, disulfide, sulfone, orthoester, acylhydrazone, hydrazine, oxime, acetal, ketal, or amide moiety. In some embodiments, L12 is selected from the group consisting of [*- NHC(O)]q(C1-6-alkylene)-, [*-C(O)NH]q(C1-6-alkylene)-, [*-C(O)O]q(C1-6-alkylene)-, [*- 5 OC(O)]q(C1-6-alkylene)-, [*-S]q(C1-6-alkylene)-, [*-SS]q(C1-6-alkylene)-, [*-S(O)2]p(C1-6- alkylene)-, [(*-O)sC(OR25)3-s](C1-6-alkylene)-, [*-C(OR25)2O]q(C1-6-alkylene)-, [*-C(R25)(=N- N(R26)C(O)-)]q(C1-3-alkylene)-, [*-C(O)(N(R26)-N=)C(R25)-]q(C1-3-alkylene)-, [*=C(=N- N(R26)C(O)(R25))]q(C1-3-alkylene)-, [*N(R26)N(R26)]q-(C1-6-alkylene)-, [*=C(=N(OH))]q(C1-6- alkylene)-, and [*-OC(R25)(R26)O]q(C1-6-alkylene)-, wherein * represents the attachment point to 10 R17; q is 1 or 2; C1-6-alkylene is either bivalent (if q is 1) or trivalent (if q is 2); R25 is selected from the group consisting of C1-6 alkyl, aryl, and aryl(C1-6 alkyl); R26 is selected from the group consisting of H, C1-6 alkyl, aryl, and aryl(C1-6 alkyl); and s is an integer between 1 and 2. For example, L12 may be selected from the group consisting of [*-NHC(O)]q(C1-3-alkylene)-, [*- C(O)NH]q(C1-3-alkylene)-, [*-C(O)O]q(C1-3-alkylene)-, [*-OC(O)]q(C1-3-alkylene)-, [*-S]q(C1-3-15 alkylene)-, [*-SS]q(C1-3-alkylene)-, [*-S(O)2]p(C1-3-alkylene)-, [(*-O)sC(OR25)3-s](C1-3-alkylene)- , [*-C(OR25)2O]q(C1-3-alkylene)-, [*-C(R25)(=N-N(R26)C(O)-)]q(C1-3-alkylene)-, [*-C(O)(N(R26)- N=)C(R25)-]q(C1-3-alkylene)-, [*=C(=N-N(R26)C(O)(R25))]q(C1-3-alkylene)-, [*N(R26)N(R26)]q(C1-3-alkylene)-, [*=C(=N(OH))]q(C1-3-alkylene)-, and [*-OC(R25)(R26)O]q(C1- 3-alkylene)-, wherein * represents the attachment point to R17; q is 1 or 2; C1-3-alkylene is either 20 bivalent (if q is 1) or trivalent (if q is 2); R25 is selected from the group consisting of C1-6 alkyl, aryl, and aryl(C1-6 alkyl); R26 is selected from the group consisting of H, C1-6 alkyl, aryl, and aryl(C1-6 alkyl); and s is an integer between 1 and 2. In some embodiments of formulas (XXIII), (XXIIIa), and (XXIIIb), R25 is selected from the group consisting of C1-3 alkyl, phenyl, and phenyl(C1-3 alkyl), such as from the group consisting of 25 methyl, ethyl, phenyl, benzyl, and phenylethyl. In some embodiments of formulas (XXIII), (XXIIIa), and (XXIIIb), R26 is selected from the group consisting of H, C1-3 alkyl, phenyl, and phenyl(C13 alkyl), such as from the group consisting of H, methyl, ethyl, phenyl, benzyl, and phenylethyl. In some embodiments of formulas (XXIII), (XXIIIa), and (XXIIIb), L12 is selected from the group30 consisting of [*-NHC(O)]q(C1-6-alkylene)-, [*-C(O)NH]q(C1-6-alkylene)-, [*-C(O)O]q(C1-6- alkylene)-, [*-OC(O)]q(C1-6-alkylene)-, [*-S]q(C1-6-alkylene)-, and [*-S(O)2]p(C1-6-alkylene)-, preferably from the group consisting of [*-NHC(O)]qC1-6-alkylene)-, [*-C(O)O]q(C1-6-alkylene)- , [*-OC(O)]q(C1-6-alkylene)-, [*-S]q(C1-6-alkylene)-, and [*-S(O)2]p(C1-6-alkylene)-, more preferably from the group consisting of [*-NHC(O)]q(C1-6-alkylene)- and [*-C(O)O]q(C1-6-
alkylene)-, wherein * represents the attachment point to R17; q is 1 or 2; and C1-6-alkylene is either bivalent (if q is 1) or trivalent (if q is 2). In some embodiments of formulas (XXIII), (XXIII a), and (XXIII b), L12 is selected from the group consisting of [*-NHC(O)]q(C1-3-alkylene)-, [*-C(O)NH]q(C1-3-alkylene)-, [*-C(O)O]q(C1-3- 5 alkylene)-, [*-OC(O)]q(C1-3-alkylene)-, [*-S]q(C1-3-alkylene)-, and [*-S(O)2]p(C1-3-alkylene)-, preferably from the group consisting of [*-NHC(O)]q(C1-3-alkylene)-, [*-C(O)O]qC1-3-alkylene)- , [*-OC(O)]q(C1-3-alkylene)-, [*-S]q(C1-3-alkylene)-, and [*-S(O)2]p(C1-3-alkylene)-, more preferably from the group consisting of [*-NHC(O)]q(C1-3-alkylene)- and [*-C(O)O]q(C1-3- alkylene)-, wherein * represents the attachment point to R17; q is 1 or 2; and C1-3-alkylene is either 10 bivalent (if q is 1) or trivalent (if q is 2). In some embodiments of formulas (XXIII), (XXIIIa), and (XXIIIb), L12 is selected from the group consisting of *-NHC(O)-(CH2)-, *-NHC(O)-(CH2)2-, *-C(O)NH-(CH2)-, *-C(O)NH-(CH2)2-, - (CH2)-CH(OC(O)-*), (CH2OC(O)-*), -(CH2)-CH(S-*)2, -(CH2)-CH(S-*)-CH2(S-*), *-S-(CH2)3-, *-S(O)2-(CH2)3-, and *-OC(O)-(CH2)-, wherein * represents the attachment point to R17. Thus,15 R15 may be selected from the group consisting of R17, -L12R17, -(CH2)- CH(OC(O)R17)(CH2OC(O)R17), -(CH2)-CH(SR17)2, and -(CH2)-CH(SR17)-CH2(SR17); and L12 is selected from the group consisting of *-NHC(O)-(CH2)-, *-NHC(O)-(CH2)2-, *-C(O)NH-(CH2)- , *-C(O)NH-(CH2)2-, *-S-(CH2)3-, *-S(O)2-(CH2)3-, and *-OC(O)-(CH2)-, preferably L12 is selected from the group consisting of *-NHC(O)-(CH2)-, *-NHC(O)-(CH2)2-, *-C(O)NH-(CH2)- 20 , and *-C(O)NH-(CH2)2-, such as *-NHC(O)-(CH2)- or *-NHC(O)-(CH2)2-, wherein * represents the attachment point to R17. In some embodiments of formulas (XXIII), (XXIIIa), and (XXIIIb), R15 is -L12(R15)q, i.e., the POXZ copolymer is conjugated to the one or more hydrophobic chains (i.e., R17) via the linker L12. 25 In some embodiments of formulas (XXIII’), (XXIIIc’), (XXIIId’), (XXIIIe’), (XXIIIf’), (XXIIIg’) and (XXIIIh’), L12 is selected from the group consisting of [*-Z1]q(C1-6-alkylene)-Z1-, *-Z1-(C3-8-cycloalkylene)-Z1-, *-Z1-(C3-8-cycloalkenylene)-Z1-, (*=N)(C1-6-alkylene)-Z1-, *- Z1(C1-6-alkylene)-, and *-Z1-, wherein * represents the attachment point to R17; q is 1 or 2; C1-6- alkylene is either bivalent (if q is 1) or trivalent (if q is 2); each of the C3-8-cycloalkylene and C3- 30 8-cycloalkenylene groups is optionally substituted with one or more (e.g., 1, 2, 3, or 4) substituents independently selected from the group consisting of -OH, =O, -SH, halogen, -CN, -N3, and C1-3- alkyl; and each Z1 is independently selected from the group consisting of -OP(O)2O(C1-3- alkylene)NH-, -NH(C1-3-alkylene)OP(O)2O-, -C(O)NH-, -NHC(O)-, -OC(O)NH-, -NHC(O)O-, - O-, -C(O)O-, -OC(O)-, -S-, -S(O)2-, and -NR22. For example, L12 can be selected from the group
consisting of [*-C(O)O]q(C1-6-alkylene)-Z1-, (*-NH)(C1-6-alkylene)-Z1-, (*=N)(C1-6-alkylene)-Z1- , (*-NH)C(O)(C1-6-alkylene)-Z1-, (*-C(O)NH(C1-6-alkylene)-Z1-, (*-NH)C(O)(C1-6-alkylene)-, (*-C(O)NH(C1-6-alkylene)-, *-Z1-(C3-8-cycloalkenylene)-Z1-, *-S-, *-S(O)2-, (*-NH)C(O)-, and *-C(O)NH-, wherein * represents the attachment point to R17; q is 1 or 2; C1-6-alkylene is either 5 bivalent (if q is 1) or trivalent (if q is 2); and Z1 is selected from the group consisting of - OP(O)2O(C1-3-alkylene)NH-, -NH(C1-3-alkylene)OP(O)2O-, -OC(O)NH-, -NHC(O)O-, -O-, -S-, and -NH-. In some embodiments of formulas (XXIII’), (XXIIIc’), (XXIIId’), (XXIIIe’), (XXIIIf’), (XXIIIg’) and (XXIIIh’), L12 is selected from the group consisting of [*-Z1]q(C1-3-alkylene)-Z1-,10 *-Z1-(C3-6-cycloalkylene)-Z1-, *-Z1-(C3-6-cycloalkenylene)-Z1-, (*=N)(C1-3-alkylene)-Z1-, *- Z1(C1-3-alkylene)-, and *-Z1-, wherein * represents the attachment point to R17; q is 1 or 2; C1-3- alkylene is either bivalent (if q is 1) or trivalent (if q is 2); each of the C3-6-cycloalkylene and C3- 6-cycloalkenylene groups is optionally substituted with one or more (e.g., 1, 2, 3, or 4) substituents independently selected from the group consisting of -OH, =O, -SH, halogen, -CN, -N3, and C1-3-15 alkyl; and each Z1 is independently selected from the group consisting of -OP(O)2O(C1-2- alkylene)NH-, -NH(C1-2-alkylene)OP(O)2O-, -C(O)NH-, -NHC(O)-, -OC(O)NH-, -NHC(O)O-, - O-, -C(O)O-, -OC(O)-, -S-, -S(O)2-, and -NR22. For example, L12 can be selected from the group consisting of [*-C(O)O]q(C1-3-alkylene)-Z1-, (*-NH)(C1-3-alkylene)-Z1-, (*=N)(C1-3-alkylene)-Z1- , (*-NH)C(O)(C1-3-alkylene)-Z1-, (*-C(O)NH(C1-3-alkylene)-Z1-, (*-NH)C(O)(C1-3-alkylene)-, 20 (*-C(O)NH(C1-3-alkylene)-, *-Z1-(C3-6-cycloalkenylene)-Z1-, *-S-, *-S(O)2-, (*-NH)C(O)-, and *-C(O)NH-, wherein * represents the attachment point to R17; q is 1 or 2; C1-3-alkylene is either bivalent (if q is 1) or trivalent (if q is 2); and Z1 is selected from the group consisting of - OP(O)2O(C1-2-alkylene)NH-, -NH(C1-2-alkylene)OP(O)2O-, -OC(O)NH-, -NHC(O)O-, -O-, -S-, and -NH-. 25 In some embodiments of formulas (XXIII’), (XXIIIc’), (XXIIId’), (XXIIIe’), (XXIIIf’), (XXIIIg’) and (XXIIIh’), L12 is selected from the group consisting of [*-Z1]q(C1-3-alkylene)-Z1-, *-Z1-(C3-6-cycloalkylene)-Z1-, *-Z1-(C3-6-cycloalkenylene)-Z1-, (*=N)(C1-3-alkylene)-Z1-, *- Z1(C1-3-alkylene)-, and *-Z1-, wherein * represents the attachment point to R17; p is 1 or 2; C1-3- alkylene is either bivalent (if q is 1) or trivalent (if q is 2); each of the C3-6-cycloalkylene and C3- 30 6-cycloalkenylene groups is optionally substituted with one or more (e.g., 1, 2, 3, or 4) substituents independently selected from the group consisting of -OH, =O, -SH, halogen, -CN, -N3, and C1-3- alkyl; and each Z1 is independently selected from the group consisting of -OP(O)2O(CH2)2NH-, - NH(CH2)2OP(O)2O-, -C(O)NH-, -NHC(O)-, -OC(O)NH-, -NHC(O)O-, -O-, -C(O)O-, -OC(O)-, -S-, -S(O)2-, -N(C1-3-alkyl)-, and -NH-. For example, L12 can be selected from the group consisting
of [*-C(O)O]q(C1-3-alkylene)-Z1-, (*-NH)(C1-3-alkylene)-Z1-, (*=N)(C1-3-alkylene)-Z1-, (*- NH)C(O)(C1-3-alkylene)-Z1-, (*-C(O)NH(C1-3-alkylene)-Z1-, (*-NH)C(O)(C1-3-alkylene)-, (*- C(O)NH(C1-3-alkylene)-, *-Z1-(C3-6-cycloalkenylene)-Z1-, *-S-, *-S(O)2-, (*-NH)C(O)-, and *- C(O)NH-, wherein * represents the attachment point to R17; p is 1 or 2; C1-3-alkylene is either 5 bivalent (if q is 1) or trivalent (if q is 2); and Z1 is selected from the group consisting of - OP(O)2O(CH2)2NH-, -NH(CH2)2OP(O)2O-, -OC(O)NH-, -NHC(O)O-, -O-, -S-, and -NH-. In some embodiments of formulas (XXIII’), (XXIIIc’), (XXIIId’), (XXIIIe’), (XXIIIf’), (XXIIIg’) and (XXIIIh’), L12 is selected from the group consisting of (*-C(O)O)(CH(OC(O)- *))(CH2)-Z1-, (*=N)(C1-3-alkylene)-NHC(O)-, (*-Z1(C1-3-alkylene)-Z1-, *-Z1-(C3-6-10 cycloalkenylene)-Z1-, and *-Z1-, wherein * represents the attachment point to R17; the C3-6- cycloalkenylene groups is optionally substituted with one or more (e.g., 1, 2, 3, or 4) substituents independently selected from the group consisting of -OH, =O, -SH, halogen, -CN, -N3, and C1-3- alkyl; and each Z1 is independently selected from the group consisting of -OP(O)2O(CH2)2-NH-, -NH(CH2)2OP(O)2O-, -C(O)NH-, -NHC(O)-, -OC(O)NH-, -NHC(O)O-, -O-, -C(O)O-, -OC(O)-,15 -S-, -S(O)2-, and -NH-. For example, L12 can be selected from the group consisting of (*- C(O)O)(CH(OC(O)-*))(CH2)-Z1-, (*=N)(C1-3-alkylene)-NHC(O)-, (*-NH)(C1-3-alkylene)- NHC(O)-, *-Z1-(C3-6-cycloalkenylene)-Z1-, *-S-, *-S(O)2-, and *-C(O)NH-, wherein * represents the attachment point to R17; and Z1 is selected from the group consisting of -OP(O)2O(CH2)2NH- , -NH(CH2)2OP(O)2-O-, -OC(O)NH-, -NHC(O)O-, -O-, -S-, and -NH-. Thus, in some 20 embodiments of formulas (XXIII’), (XXIIIc’), (XXIIId’), (XXIIIe’), (XXIIIf’), (XXIIIg’) and (XXIIIh’), R15 is selected from the group consisting of (R17C(O)O)(CH(OC(O)R17))(CH2)-Z1-, (R17)2N(C1-3-alkylene)-Z1-, R17Z1(C1-3-alkylene)-Z1-, R17Z1-(C3-6-cycloalkenylene)-Z1-, and R17Z1-, wherein the C3-6-cycloalkenylene group is optionally substituted with one or more (e.g., 1, 2, 3, or 4) substituents independently selected from the group consisting of -OH, =O, -SH, 25 halogen, -CN, -N3, and C1-3-alkyl; and each Z1 is independently selected from the group consisting of -OP(O)2O(CH2)2NH-, -NH(CH2)2OP(O)2O-, -C(O)NH-, -NHC(O)-, -OC(O)NH-, -NHC(O)O- , -O-, -C(O)O-, -OC(O)-, -S-, -S(O)2-, and -NH-. For example, R15 can be selected from the group consisting of (R17C(O)O)(CH(OC(O)R17))(CH2)-Z1-, (R17)2N(C1-3-alkylene)-NHC(O)-, R17NH(C1-3-alkylene)NHC(O)-, R17Z1-(C3-6-cycloalkenylene)-Z1-, R17S-, R17S(O)2-, and30 R17C(O)NH-, wherein Z1 is selected from the group consisting of -OP(O)2O(CH2)2NH-, - NH(CH2)2OP(O)2O-, -C(O)NH-, -NHC(O)-, -OC(O)NH-, -NHC(O)O-, -O-, -C(O)O-, -OC(O)-, -S-, -S(O)2-, and -NH-.
In some embodiments of formulas (XXIII’), (XXIIIc’), (XXIIId’), (XXIIIe’), (XXIIIf’), (XXIIIg’) and (XXIIIh’), R15 is -L12(R15)q, i.e., the POXZ copolymer is conjugated to the one or more hydrophobic chains (i.e., R17) via the linker L12. In any of the above embodiments of formulas (XXIII), (XXIIIa), (XXIIIb), (XXIII’), (XXIIIc’), 5 (XXIIId’), (XXIIIe’), (XXIIIf’), (XXIIIg’) and (XXIIIh’), R17 preferably is independently a non- cyclic, preferably straight hydrocarbyl group. For example, each R17 preferably is independently a hydrocarbyl group having at least 8 carbon atoms, such as at least 10 carbon atoms, preferably up to 30 carbon atoms, such as up to 28, 26, 24, 22, or 20 carbon atoms, or up to 16 carbon atoms, such as up to 15, 14, 13, 12, 11, or 10 carbon atoms. In some embodiments, each R17 is a 10 hydrocarbyl group having 10 to 16 carbon atoms, such as 10 to 15 or 10 to 14 carbon atoms. In some embodiments, each R17 is a straight hydrocarbyl group having 10 to 16 carbon atoms, such as 10 to 15 or 10 to 14 carbon atoms. In any of the above embodiments of formulas (XXIII’), (XXIIIc’), (XXIIId’), (XXIIIe’), (XXIIIf’), (XXIIIg’) and (XXIIIh’), each R17 may preferably be a hydrocarbyl group having 10 15 to 18 carbon atoms, such as a straight alkyl group having10 to 18 carbon atoms or a straight alkenyl group having 10 to 18 carbon atoms. For example, straight alkenyl group may have 10, 11, 12, 13, 14, 15, 16, 17, or 18 carbon atoms and 1, 2, or 3 carbon-carbon double bonds. In any of the above embodiments of formulas (XXIII), (XXIIIa), (XXIIIb), (XXIII’), (XXIIIc’), (XXIIId’), (XXIIIe’), (XXIIIf’), (XXIIIg’) and (XXIIIh’), R16 is preferably selected from the20 group consisting of H, C1-3 alkyl, -OR20, -N3, C2-6 alkynyl, -OC(O)R21, -C(O)R21, -NR22R23, - COOH, -C(O)NR22R23, -NR22C(O)R21, and a member of a targeting pair, wherein the C1-3 alkyl group is optionally substituted with one or more substituents independently selected from the group consisting of -OH, SH, halogen, -CN, -N3, C2-6 alkynyl, -COOH, -NR22R23, -C(O)NR22R23, -NR22C(O)R21, and a member of a targeting pair; R20 is selected from the group consisting of H, 25 C1-3 alkyl and 3- to 6-membered heterocyclyl, wherein each of the C1-3 alkyl and 3- to 6-membered heterocyclyl groups is optionally substituted with one or more substituents independently selected from the group consisting of -OH, SH, halogen, -CN, -N3, -COOH, -NR22R23, and a member of a targeting pair; R21 is selected from the group consisting of C1-3 alkyl and 3- to 6-membered heterocyclyl, wherein each of the C1-6 alkyl and 3- to 6-membered heterocyclyl groups is 30 optionally substituted with one or more substituents independently selected from the group consisting of -OH, SH, halogen, -CN, -N3, C2-6 alkynyl, -COOH, -NR22R23, and a member of a targeting pair; and each of R22 and R23 is independently selected from the group consisting of H, C1-6 alkyl, C2-6 alkenyl, and C2-6 alkynyl, or R22 and R23 may join together with the nitrogen atom to which they are attached to form a heterocyclyl group, wherein each of the C1-6 alkyl, C2-6
alkenyl, and C2-6 alkynyl groups is optionally substituted with one or more substituents independently selected from the group consisting of -OH, SH, halogen, -CN, -N3, C2-6 alkynyl, - COOH, -NH2, -NH(C1-3 alkyl), -N(C1-3 alkyl)2, and a member of a targeting pair. In any of the above embodiments of formulas (XXIII), (XXIIIa), (XXIIIb), (XXIII’), (XXIIIc’), 5 (XXIIId’), (XXIIIe’), (XXIIIf’), (XXIIIg’) and (XXIIIh’), R16 is preferably selected from the group consisting of H, C1-3 alkyl, -OR20, -N3, C2-6 alkynyl, -OC(O)R21, -C(O)R21, -NR22R23, - COOH, -C(O)NR22R23, -NR22C(O)R21, and a member of a targeting pair, wherein the C1-3 alkyl group is optionally substituted with one or more substituents independently selected from the group consisting of -OH, -N3, C2-6 alkynyl, -COOH, -NH2, -NHCH3, -N(CH3)2, -C(O)NR22R23, - 10 NR22C(O)R21, and a member of a targeting pair; R20 is selected from the group consisting of H and C1-3 alkyl; R21 is C1-3 alkyl optionally substituted with one or more substituents independently selected from the group consisting of -OH, SH, halogen, -CN, -N3, C2-6 alkynyl, -COOH, - NR22R23, and a member of a targeting pair; and each of R22 and R23 is independently selected from the group consisting of H, C1-3 alkyl, C2-3 alkenyl, and C2-3 alkynyl, wherein each of the C1-3 alkyl, 15 C2-3 alkenyl, and C2-3 alkynyl groups is optionally substituted with one or more substituents independently selected from the group consisting of -OH, SH, halogen, -CN, -N3, C2-6 alkynyl, - COOH, -NH2, -NH(C13 alkyl), -N(C1-3 alkyl)2, and a member of a targeting pair, or R22 and R23 may join together with the nitrogen atom to which they are attached to form a 5- or 6-membered heterocyclyl group. 20 In any of the above embodiments of formulas (XXIII), (XXIIIa), (XXIIIb), (XXIII’), (XXIIIc’), (XXIIId’), (XXIIIe’), (XXIIIf’), (XXIIIg’) and (XXIIIh’), R16 is preferably selected from the group consisting of H, C1-3 alkyl, -OH, -N3, C2-6 alkynyl, -COOH, -NH2, -NHCH3, -N(CH3)2, - NH(CH2CH3), -NHC(O)(CH2)2COOH, -N(CH2CH3)C(O)(CH2)2COOH, -N(CH2CH3)C(O)CH3, - C(O)NH2, -C(O)NHCH3, and a member of a targeting pair, wherein the C1-3 alkyl group is 25 optionally substituted with one or more (such as one or two) substituents independently selected from the group consisting of -OH, -N3, C2-6 alkynyl, -COOH, -NH2, -NHCH3, -N(CH3)2, - C(O)NH2, -C(O)NHCH3, -C(O)NH(CH2)2NH2, and a member of a targeting pair. In some embodiments of formulas (XXIII), (XXIIIa), and (XXIIIb), R16 is selected from the group consisting of H, -OH, -N3, C2-6 alkynyl, -COOH, -NH2, -NHCH3, -N(CH3)2, -30 NHC(O)(CH2)2COOH, -N(CH2CH3)C(O)(CH2)2COOH, -N(CH2CH3)C(O)CH3, -NH(CH2CH3), - C(O)NH2, -C(O)NHCH3, -OC(O)(CH2)2COOH, and a member of a targeting pair. In some embodiments of formulas (XXIII), (XXIIIa), and (XXIIIb), R16 is selected from the group consisting of -OH, -N3, C2-6 alkynyl, -COOH, -NH2, -NHCH3, -N(CH3)2, -NHC(O)(CH2)2COOH, -N(CH2CH3)C(O)(CH2)2COOH, -N(CH2CH3)C(O)CH3, -NH(CH2CH3), -C(O)NH2, -
C(O)NHCH3, -OC(O)(CH2)2COOH, and a member of a targeting pair. In some embodiments of formulas (XXIII), (XXIIIa), and (XXIIIb), R16 is selected from the group consisting of -OH, -N3, C2-6 alkynyl, -COOH, -NH2, -NHCH3, -N(CH3)2, -NHC(O)(CH2)2COOH, - N(CH2CH3)C(O)(CH2)2COOH, -N(CH2CH3)C(O)CH3, -NH(CH2CH3), -OC(O)(CH2)2COOH, 5 and a member of a targeting pair. In some embodiments of formulas (XXIII), (XXIIIa), and (XXIIIb), R16 is selected from the group consisting of -OH, -N3, -NH2, -NHC(O)(CH2)2COOH, - N(CH2CH3)C(O)(CH2)2COOH, -N(CH2CH3)C(O)CH3, -NH(CH2CH3), and - OC(O)(CH2)2COOH. In some embodiments of formulas (XXIII’), (XXIIIc’), (XXIIId’), (XXIIIe’), (XXIIIf’), 10 (XXIIIg’) and (XXIIIh’), R16 is C1-3 alkyl optionally substituted with one or two substituents independently selected from the group consisting of -OH, -N3, C2-6 alkynyl, -COOH, -NH2, - NHCH3, -N(CH3)2, -C(O)NH2, -C(O)NHCH3, -C(O)NH(CH2)2NH2, and a member of a targeting pair. In some embodiments of formulas (XXIII’), (XXIIIc’), (XXIIId’), (XXIIIe’), (XXIIIf’), (XXIIIg’) and (XXIIIh’), R16 is C1-3 alkyl optionally substituted with one substituent selected from 15 the group consisting of -COOH and -C(O)NH(CH2)2NH2. In certain embodiments, the oxazolinylated and/or oxazinylated lipid has the following general formula (XXIV): R15-POXZ-R16 wherein: 20 R15, when attached to the N-end of the POXZ copolymer, is selected from the group consisting of -L12R17, -(CH2)-CH(OC(O)R17)(CH2OC(O)R17), -(CH2)-CH(SR17)2, and -(CH2)-CH(SR17)- CH2(SR17), wherein each R17 is independently a straight hydrocarbyl group having at least 10 carbon atoms (preferably having 10 to 15 carbon atoms); and L12 is selected from the group consisting of *-NHC(O)-(CH2)-, *-NHC(O)-(CH2)2-, *-C(O)NH-(CH2)-, *-C(O)NH-(CH2)2-, *- 25 S-(CH2)3-, *-S(O)2-(CH2)3-, and *-OC(O)-(CH2)- (preferably L12 is selected from the group consisting of *-NHC(O)-(CH2)-, *-NHC(O)-(CH2)2-, *-C(O)NH-(CH2)-, and *-C(O)NH-(CH2)2- , such as *-NHC(O)-(CH2)- or *-NHC(O)-(CH2)2-), wherein * represents the attachment point to R17, or R15, when attached to the C-end of the POXZ copolymer, is selected from the group consisting of (R17C(O)O)(CH(OC(O)R17))(CH2)-Z1-, (R17)2N(C1-3-alkylene)-Z1-, R17Z1(C1-3- 30 alkylene)-Z1-, R17Z1-(C3-6-cycloalkenylene)-Z1-, and R17Z1-, wherein the C3-6-cycloalkenylene group is optionally substituted with one or more (e.g., 1, 2, 3, or 4) substituents independently selected from the group consisting of -OH, =O, -SH, halogen, -CN, -N3, and C1-3-alkyl; and each Z1 is independently selected from the group consisting of -OP(O)2O(CH2)2NH-, -
NH(CH2)2OP(O)2O-, -C(O)NH-, -NHC(O)-, -OC(O)NH-, -NHC(O)O-, -O-, -C(O)O-, -OC(O)-, -S-, -S(O)2-, and -NH-; POXZ is a copolymer containing the repeating units of the following general formulas (XXa) and (XXb): O R11 O R11 ch
repeating unit; the number of repeating units of formula (XXa) in the copolymer is 1 to 99 (preferably 1 to 79, 1 to 69, or 1 to 49); the number of repeating units of formula (XXb) in the 10 copolymer is 1 to 99 (preferably 1 to 79, 1 to 69, or 1 to 49); the sum of the number of repeating units of formula (XXa) and the number of repeating units of formula (XXb) in the copolymer is 10 to 100 (preferably 20 to 80, 30 to 70, or 40 to 50); and the repeating units of formulas (XXa) and (XXb) are arranged in a random, periodic, alternating or block wise manner; and R16 is selected from the group consisting of H, C1-3 alkyl, -OH, -N3, C2-6 alkynyl, -COOH, -NH2, 15 -NHCH3, -N(CH3)2, -NH(CH2CH3), -NHC(O)(CH2)2COOH, -N(CH2CH3)C(O)(CH2)2COOH, - N(CH2CH3)C(O)CH3, -C(O)NH2, -C(O)NHCH3, -OC(O)(CH2)2COOH, and a member of a targeting pair, wherein the C1-3 alkyl group is optionally substituted with one or more (such as one or two) substituents independently selected from the group consisting of -OH, -N3, C2-6 alkynyl, -COOH, -NH2, -NHCH3, -N(CH3)2, -C(O)NH2, -C(O)NHCH3, -C(O)NH(CH2)2NH2, and 20 a member of a targeting pair. Those embodiments of formula (XXIV), where R15 is attached to the C-end (i.e., the terminal C atom) of the POXZ copolymer and R16 is attached to the N-end (i.e., the terminal N atom) of the POXZ copolymer), are designated as formula (XXIV’) herein. In some embodiments of formula (XXIV) or (XXIV’), each R11 is methyl or each R11 is ethyl. In 25 some alternative embodiments of formula (XXIV) or (XXIV’), R11 is independently selected from methyl and ethyl for each repeating unit, wherein in at least one repeating unit R11 is methyl, and in at least one repeating unit R11 is ethyl. In some embodiments of formula (XXIV), where R15 is attached to the N-end of the POXZ copolymer, R15 is selected from the group consisting of R17-NHC(O)-(CH2)-, R17-NHC(O)- 30 (CH2)2-, -(CH2)-CH(OC(O)R17)(CH2OC(O)R17), -(CH2)-CH(SR17)-CH2(SR17), R17S-(CH2)3-,
R17S(O)2-(CH2)3-, and R17-OC(O)-(CH2)-; and/or R16 is selected from the group consisting of - OH, -N3, C2-6 alkynyl, -COOH, -NH2, -NHCH3, -N(CH3)2, -NHC(O)(CH2)2COOH, - N(CH2CH3)C(O)(CH2)2COOH, -N(CH2CH3)C(O)CH3, -NH(CH2CH3), -OC(O)(CH2)2COOH, and a member of a targeting pair 5 (e.g., R16 is selected from the group consisting of -OH, -N3, -NH2, -NHC(O)(CH2)2COOH, - N(CH2CH3)C(O)(CH2)2COOH, -N(CH2CH3)C(O)CH3, -NH(CH2CH3), and - OC(O)(CH2)2COOH). In some embodiments of formula (XXIV’) (i.e., R15 is attached to the C-end of the POXZ copolymer), R15 is selected from the group consisting of R17C(O)NH-, R17S-, R17S(O)2-, and 10 R17NH-(3,4-dioxocyclobut-1-en-1,2-diyl)-NH-; and/or R16 is C1-3 alkyl optionally substituted with one or two substituents independently selected from the group consisting of -OH, -N3, C2-6 alkynyl, -COOH, -NH2, -NHCH3, -N(CH3)2, -C(O)NH2, -C(O)NHCH3, -C(O)NH(CH2)2NH2, and a member of a targeting pair (e.g., R16 is C1-3 alkyl optionally substituted with one substituent selected from the group consisting of -COOH and -C(O)NH(CH2)2NH2). 15 In some embodiments, the oxazolinylated and/or oxazinylated lipid has one of the following formulas (XXV), (XXV’), (XXVI), or (XXVI’): O O he formulas
(XXI), (XXI’), (XXIa), (XXIa’), (XXIc), (XXId), (XXIe’), (XXIf’), (XXIg’), (XXIh’), (XXIi’), (XXIj’), (XXII), (XXII’), (XXIIa), and (XXIIa’). In any of the above embodiments of formulas (XXV), (XXV’), (XXVI), and (XXVI’), m 25 preferably is 10 to 100, such as 20 to 80, 30 to 70, or 40 to 50, e.g., 20 to 25 or 45 to 50.
In some embodiments, the oxazolinylated and/or oxazinylated lipid has one of the following formulas (XXVa), (XXVa’), (XXVIa), or (XXVIa’): O O ith
respect to any of the formulas (XXI), (XXI’), (XXIa), (XXIa’), (XXIc), (XXId), (XXIe’), (XXIf’), (XXIg’), (XXIh’), (XXIi’), (XXIj’), (XXII), (XXII’), (XXIIa), and (XXIIa’). 10 In any of the above embodiments of formulas (XXV), (XXVa), (XXVI), and (XXVIa), R12 is preferably selected from the group consisting of -L11R14, -(CH2)-CH(OC(O)R14)(CH2OC(O)R14), -(CH2)-CH(SR14)2, and -(CH2)-CH(SR14)-CH2(SR14), wherein each R14 is independently a straight hydrocarbyl group having at least 10 carbon atoms (and preferably up to 30 carbon atoms, such as up to 24 carbon atoms, e.g., having 10 to 16 carbon atoms such as 10 to 14 carbon atoms); and 15 L11 is selected from the group consisting of *-NHC(O)-(CH2)-, *-NHC(O)-(CH2)2-, *-C(O)NH- (CH2)-, *-C(O)NH-(CH2)2-, *-S-(CH2)3-, *-S(O)2-(CH2)3-, and *-OC(O)-(CH2)- (preferably L11 is selected from the group consisting of *-NHC(O)-(CH2)-, *-NHC(O)-(CH2)2-, *-C(O)NH- (CH2)-, and *-C(O)NH-(CH2)2-, such as *-NHC(O)-(CH2)- or *-NHC(O)-(CH2)2-), wherein * represents the attachment point to R14. Thus, in any of the above embodiments of formulas (XXV), 20 (XXVa), (XXVI), and (XXVIa), R12 may be selected from the group consisting of R14-NHC(O)- (CH2)-, R14-NHC(O)-(CH2)2-, -(CH2)-CH(OC(O)R14)(CH2OC(O)R14), -(CH2)-CH(SR14)- CH2(SR14), R14S-(CH2)3-, R14S(O)2-(CH2)3-, and R14-OC(O)-(CH2)-. In any of the above embodiments of formulas (XXV’), (XXVa’), (XXVI’), and (XXVIa’), R12 is preferably selected from the group consisting of (R14C(O)O)(CH(OC(O)R14))(CH2)-Z-, 25 (R14)2N(C1-3-alkylene)-Z-, R14Z(C1-3-alkylene)-Z-, R14Z-(C3-6-cycloalkenylene)-Z-, and R14Z-, wherein each R14 is independently a straight hydrocarbyl group having at least 10 carbon atoms (and preferably up to 30 carbon atoms, such as up to 24 carbon atoms, e.g., having 10 to 16 carbon
atoms such as 10 to 14 carbon atoms); the C3-6-cycloalkenylene group is optionally substituted with one or more (e.g., 1, 2, 3, or 4) substituents independently selected from the group consisting of -OH, =O, -SH, halogen, -CN, -N3, and C1-3-alkyl; and each Z is independently selected from the group consisting of -OP(O)2O(CH2)2NH-, -NH(CH2)2OP(O)2O-, -C(O)NH-, -NHC(O)-, - 5 OC(O)NH-, -NHC(O)O-, -O-, -C(O)O-, -OC(O)-, -S-, -S(O)2-, and -NH-. Thus, in any of the above embodiments of formulas (XXV’), (XXVa’), (XXVI’), and (XXVIa’), R12 may be selected from the group consisting of R14C(O)NH-, R14S-, R14S(O)2-, and R14NH-(3,4-dioxocyclobut-1- en-1,2-diyl)-NH-. In any of the above embodiments of formulas (XXV), (XXV’), (XXVa), (XXVa’), (XXVI),10 (XXVI’), (XXVIa), and (XXVIa’), R13 is preferably selected from the group consisting of H, C1- 3 alkyl, -OH, -N3, C2-6 alkynyl, -COOH, -NH2, -NHCH3, -N(CH3)2, -NH(CH2CH3), - NHC(O)(CH2)2COOH, -N(CH2CH3)C(O)(CH2)2COOH, -N(CH2CH3)C(O)CH3, -C(O)NH2, - C(O)NHCH3, -OC(O)(CH2)2COOH, and a member of a targeting pair, wherein the C1-3 alkyl group is optionally substituted with one or more (such as one or two) substituents independently 15 selected from the group consisting of -OH, -N3, C2-6 alkynyl, -COOH, -NH2, -NHCH3, -N(CH3)2, -C(O)NH2, -C(O)NHCH3, -C(O)NH(CH2)2NH2, and a member of a targeting pair. In any of the above embodiments of formulas (XXV), (XXVa), (XXVI), and (XXVIa), R13 is preferably selected from the group consisting of -OH, -N3, C2-6 alkynyl, -COOH, -NH2, -NHCH3, -N(CH3)2, -NHC(O)(CH2)2COOH, -N(CH2CH3)C(O)(CH2)2COOH, -N(CH2CH3)C(O)CH3, - 20 NH(CH2CH3), -OC(O)(CH2)2COOH, and a member of a targeting pair, such as from the group consisting of -OH, -N3, -NH2, -NHC(O)(CH2)2COOH, -N(CH2CH3)C(O)(CH2)2COOH, - N(CH2CH3)C(O)CH3, -NH(CH2CH3), and -OC(O)(CH2)2COOH. In any of the above embodiments of formulas (XXV’), (XXVa’), (XXVI’), and (XXVIa’), R13 is preferably C1-3 alkyl optionally substituted with one or two substituents independently selected25 from the group consisting of -OH, -N3, C2-6 alkynyl, -COOH, -NH2, -NHCH3, -N(CH3)2, - C(O)NH2, -C(O)NHCH3, -C(O)NH(CH2)2NH2, and a member of a targeting pair, more preferably R13 is C1-3 alkyl optionally substituted with one substituent selected from the group consisting of -COOH and -C(O)NH(CH2)2NH2. In any of the above embodiments of formulas (XXV), (XXVa), (XXVI), and (XXVIa), it is 30 preferred that: R12 is selected from the group consisting of -L11R14, -(CH2)-CH(OC(O)R14)(CH2OC(O)R14), - (CH2)-CH(SR14)2, and -(CH2)-CH(SR14)-CH2(SR14), wherein each R14 is independently a straight hydrocarbyl group having at least 10 carbon atoms (and preferably up to 30 carbon atoms, such
as up to 24 carbon atoms, or up to 16 carbon atoms, such as up to 15, 14, 13, 12, 11, or 10 carbon atoms, e.g., having 10 to 16 carbon atoms, such as 10 to 15 or 10 to 14 carbon atoms); and L11 is selected from the group consisting of *-NHC(O)-(CH2)-, *-NHC(O)-(CH2)2-, *-C(O)NH-(CH2)- , *-C(O)NH-(CH2)2-, *-S-(CH2)3-, *-S(O)2-(CH2)3-, and *-OC(O)-(CH2)- (preferably L11 is 5 selected from the group consisting of *-NHC(O)-(CH2)-, *-NHC(O)-(CH2)2-, *-C(O)NH-(CH2)- , and *-C(O)NH-(CH2)2-, such as *-NHC(O)-(CH2)- or *-NHC(O)-(CH2)2-), wherein * represents the attachment point to R14; and R13 is selected from the group consisting of -OH, -N3, C2-6 alkynyl, -COOH, -NH2, -NHCH3, - N(CH3)2, -NHC(O)(CH2)2COOH, -N(CH2CH3)C(O)(CH2)2COOH, -N(CH2CH3)C(O)CH3, - 10 NH(CH2CH3), -OC(O)(CH2)2COOH, and a member of a targeting pair, such as from the group consisting of -OH, -N3, -NH2, -NHC(O)(CH2)2COOH, -N(CH2CH3)C(O)(CH2)2COOH, - N(CH2CH3)C(O)CH3, -NH(CH2CH3), and -OC(O)(CH2)2COOH. In any of the above embodiments of formulas (XXV’), (XXVa’), (XXVI’), and (XXVIa’), it is preferred that: 15 R12 is selected from the group consisting of (R14C(O)O)(CH(OC(O)R14))(CH2)-Z-, (R14)2N(C1-3- alkylene)-Z-, R14Z(C1-3-alkylene)-Z-, R14Z-(C3-6-cycloalkenylene)-Z-, and R14Z-, wherein each R14 is independently a straight hydrocarbyl group having at least 10 carbon atoms (and preferably up to 30 carbon atoms, such as up to 24 carbon atoms, e.g., having 10 to 16 carbon atoms such as 10 to 14 carbon atoms); the C3-6-cycloalkenylene group is optionally substituted with one or more20 (e.g., 1, 2, 3, or 4) substituents independently selected from the group consisting of -OH, =O, - SH, halogen, -CN, -N3, and C1-3-alkyl; and each Z is independently selected from the group consisting of -OP(O)2O(CH2)2NH-, -NH(CH2)2OP(O)2O-, -C(O)NH-, -NHC(O)-, -OC(O)NH-, - NHC(O)O-, -O-, -C(O)O-, -OC(O)-, -S-, -S(O)2-, and -NH-; and R13 is C1-3 alkyl optionally substituted with one or two substituents independently selected from25 the group consisting of -OH, -N3, C2-6 alkynyl, -COOH, -NH2, -NHCH3, -N(CH3)2, -C(O)NH2, - C(O)NHCH3, -C(O)NH(CH2)2NH2, and a member of a targeting pair, preferably R13 is C1-3 alkyl optionally substituted with one substituent selected from the group consisting of -COOH and - C(O)NH(CH2)2NH2. In some embodiments, the oxazolinylated and/or oxazinylated lipid has one of the following 30 formulas (XXVII), (XXVII’), (XXVIII), or (XXVIII’):
(XXI), (XXI ), (XXIa), (XXIa ), (XXII), (XXII ), (XXIIa), and (XXIIa ). In some embodiments of formula (XXVII) or (XXVII’), R14 is a straight hydrocarbyl group having at least 10 carbon and up to 16 carbon atoms, such as up to 15, 14, 13, 12, 11, or 10 carbon atoms, e.g., having 10 to 16 carbon atoms, such as 10 to 15 or 10 to 14 carbon atoms. In some embodiments of formula 10 (XXVIII) or (XXVIII’), R14 is independently a straight hydrocarbyl group having at least 10 carbon and up to 30 carbon atoms, such as up to 24, 22, or 20 carbon atoms, e.g., having 10 to 16 carbon atoms, such as 10 to 15 or 10 to 14 carbon atoms. In any of the above embodiments of formulas (XXVII), (XXVII’), (XXVIII), or (XXVIII’), m preferably is 10 to 100, such as 20 to 80, 30 to 70, or 40 to 50, e.g., 20 to 25 or 45 to 50. 15 In some embodiments, the oxazolinylated and/or oxazinylated lipid has one of the following formulas (XXVIIa) or (XXVIIIa):
(XXI), (XXI’), (XXIa), (XXIa’), (XXII), (XXII’), (XXIIa), and (XXIIa’). 5 In any of the above embodiments of formulas (XXVII), (XXVII’), (XXVIIa), (XXVIII), (XXVIII’), and (XXVIIIa), each R14 is preferably independently a straight hydrocarbyl group having at least 10 carbon atoms (and preferably up to 30 carbon atoms, such as up to 24 carbon atoms, e.g., having 10 to 16 carbon atoms). In some embodiments of formulas (XXVII), (XXVII’), and (XXVIIa), R14 is a straight hydrocarbyl group having at least 10 carbon and up to 10 16 carbon atoms, such as up to 15, 14, 13, 12, 11, or 10 carbon atoms, e.g., having 10 to 16 carbon atoms, such as 10 to 15 or 10 to 14 carbon atoms. In some embodiments of formulas (XXVIII), (XXVIII’), and (XXVIIIa), R14 is independently a straight hydrocarbyl group having at least 10 carbon and up to 30 carbon atoms, such as up to 24, 22, or 20 carbon atoms, e.g., having 10 to 16 carbon atoms, such as 10 to 15 or 10 to 14 carbon atoms. 15 In any of the above embodiments of formulas (XXVII), (XXVII’), (XXVIIa), (XXVIII), (XXVIII’), and (XXVIIIa), R13 is preferably selected from the group consisting of H, C1-3 alkyl, -OH, -N3, C2-6 alkynyl, -COOH, -NH2, -NHCH3, -N(CH3)2, -NH(CH2CH3), - NHC(O)(CH2)2COOH, -N(CH2CH3)C(O)(CH2)2COOH, -N(CH2CH3)C(O)CH3, -C(O)NH2, - C(O)NHCH3, -OC(O)(CH2)2COOH, and a member of a targeting pair, wherein the C1-3 alkyl 20 group is optionally substituted with one or more (such as one or two) substituents independently selected from the group consisting of -OH, -N3, C2-6 alkynyl, -COOH, -NH2, -NHCH3, -N(CH3)2, -C(O)NH2, -C(O)NHCH3, -C(O)NH(CH2)2NH2, and a member of a targeting pair. In any of the above embodiments of formulas (XXVII), (XXVII’), (XXVIIa), (XXVIII), (XXVIII’), and (XXVIIIa), it is preferred that: 25 each R14 is independently a straight hydrocarbyl group having at least 10 carbon atoms (and preferably up to 30 carbon atoms, such as up to 24 carbon atoms, e.g., having 10 to 16 carbon atoms, such as 10 to 14 carbon atoms); and
R13 is selected from the group consisting of H, C1-3 alkyl, -OH, -N3, C2-6 alkynyl, -COOH, -NH2, -NHCH3, -N(CH3)2, -NH(CH2CH3), -NHC(O)(CH2)2COOH, -N(CH2CH3)C(O)(CH2)2COOH, - N(CH2CH3)C(O)CH3, -C(O)NH2, -C(O)NHCH3, -OC(O)(CH2)2COOH, and a member of a targeting pair, wherein the C1-3 alkyl group is optionally substituted with one or more (such as 5 one or two) substituents independently selected from the group consisting of -OH, -N3, C2-6 alkynyl, -COOH, -NH2, -NHCH3, -N(CH3)2, -C(O)NH2, -C(O)NHCH3, -C(O)NH(CH2)2NH2, and a member of a targeting pair. In this respect, for formulas (XXVII’) and (XXVIII’), it is preferred that R13 is C1-3 alkyl optionally substituted with one or two substituents independently selected from the group10 consisting of -OH, -N3, C2-6 alkynyl, -COOH, -NH2, -NHCH3, -N(CH3)2, -C(O)NH2, - C(O)NHCH3, -C(O)NH(CH2)2NH2, and a member of a targeting pair, more preferably R13 is C1-3 alkyl optionally substituted with one substituent selected from the group consisting of -COOH and -C(O)NH(CH2)2NH2. In any of the above embodiments of formulas (XXVII), (XXVII’), and (XXVIIa), it is preferred 15 that: each R14 is independently a straight hydrocarbyl group having at least 10 carbon atoms (and preferably up to 16 carbon atoms, such as up to 15, 14, 13, 12, 11, or 10 carbon atoms, e.g., having 10 to 16 carbon atoms, such as 10 to 15 or 10 to 14 carbon atoms); and R13 is selected from the group consisting of H, C1-3 alkyl, -OH, -N3, C2-6 alkynyl, -COOH, -NH2,20 -NHCH3, -N(CH3)2, -NH(CH2CH3), -NHC(O)(CH2)2COOH, -N(CH2CH3)C(O)(CH2)2COOH, - N(CH2CH3)C(O)CH3, -C(O)NH2, -C(O)NHCH3, -OC(O)(CH2)2COOH, and a member of a targeting pair, wherein the C1-3 alkyl group is optionally substituted with one or more (such as one or two) substituents independently selected from the group consisting of -OH, -N3, C2-6 alkynyl, -COOH, -NH2, -NHCH3, -N(CH3)2, -C(O)NH2, -C(O)NHCH3, -C(O)NH(CH2)2NH2, and 25 a member of a targeting pair. In this respect, for formula (XXVII’), it is preferred that R13 is C1-3 alkyl optionally substituted with one or two substituents independently selected from the group consisting of -OH, -N3, C2-6 alkynyl, -COOH, -NH2, -NHCH3, -N(CH3)2, -C(O)NH2, -C(O)NHCH3, -C(O)NH(CH2)2NH2, and a member of a targeting pair, more preferably R13 is C1-3 alkyl optionally substituted with one 30 substituent selected from the group consisting of -COOH and -C(O)NH(CH2)2NH2. In any of the above embodiments of formulas (XXVIII), (XXVIII’), and (XXVIIIa), it is preferred that:
each R14 is independently a straight hydrocarbyl group having at least 10 carbon atoms (and preferably up to 30 carbon atoms, such as up to 24 carbon atoms, e.g., having 10 to 15 carbon atoms); and R13 is selected from the group consisting of H, C1-3 alkyl, -OH, -N3, C2-6 alkynyl, -COOH, -NH2, 5 -NHCH3, -N(CH3)2, -NH(CH2CH3), -NHC(O)(CH2)2COOH, -N(CH2CH3)C(O)(CH2)2COOH, - N(CH2CH3)C(O)CH3, -C(O)NH2, -C(O)NHCH3, -OC(O)(CH2)2COOH, and a member of a targeting pair, wherein the C1-3 alkyl group is optionally substituted with one or more (such as one or two) substituents independently selected from the group consisting of -OH, -N3, C2-6 alkynyl, -COOH, -NH2, -NHCH3, -N(CH3)2, -C(O)NH2, -C(O)NHCH3, -C(O)NH(CH2)2NH2, and 10 a member of a targeting pair. In this respect, for formula (XXVIII’), it is preferred that R13 is C1-3 alkyl optionally substituted with one or two substituents independently selected from the group consisting of -OH, -N3, C2-6 alkynyl, -COOH, -NH2, -NHCH3, -N(CH3)2, -C(O)NH2, -C(O)NHCH3, -C(O)NH(CH2)2NH2, and a member of a targeting pair, more preferably R13 is C1-3 alkyl optionally substituted with one 15 substituent selected from the group consisting of -COOH and -C(O)NH(CH2)2NH2. Particular examples of the oxazolinylated and/or oxazinylated lipid are the following compounds (XXI-1) to (XXI-34) and (XXI’-35) to (XXI’-48): O O
wherein in each case C14H29 refers to the moiety -(CH2)13CH3, and in each case C13H27 refers to the moiety -(CH2)12CH3. In some embodiments, the oxazolinylated and/or oxazinylated lipid is selected from any one of the formulas (XXIa), (XXIa’), (XXIb), (XXIb’), (XXIc), (XXId), (XXIe’), (XXIf’), (XXIg’), 5 (XXIh’), (XXIi’), (XXIj’), (XXII), (XXII’), (XXIIa), (XXIIa’), (XXIIb), (XXIIb’), (XXIII), (XXIII’), (XXIIIa), (XXIIIb), (XXIIIc’), (XXIIId’), (XXIIIe’), (XXIIIf’), (XXIIIg’), (XXIIIh’), (XXIV), (XXIV’), (XXV), (XXV’), (XXVa), (XXVa’), (XXVI), (XXVI’), (XXVIa), (XXVIa’), (XXVII), (XXVII’), (XXVIIa), (XXVIII), (XXVIII’), (XXVIIIa), (XXI-1), (XXI-2), (XXI-3), (XXI-4), (XXI-5), (XXI-6), (XXI-7), (XXI-8), (XXI-9), (XXI-10), (XXI-11), (XXI-12), (XXI-10 13), (XXI-14), (XXI-15), (XXI-16), (XXI-17), (XXI-18), (XXI-19), (XXI-20), (XXI-21), (XXI- 22), (XXI-23), (XXI-24), (XXI-25), (XXI-26), (XXI-27), (XXI-28), (XXI-29), (XXI-30), (XXI- 31), (XXI-32), (XXI-33), (XXI-34), (XXI’-35), (XXI’-36), (XXI’-37), (XXI’-38), (XXI’-39), (XXI’-40), (XXI’-41), (XXI’-42), (XXI’-43), (XXI’-44), (XXI’-45), (XXI’-46), (XXI’-47), and (XXI’-48). 15 In some embodiments, the nucleic acid compositions (such as DNA or RNA compositions, especially mRNA compositions) described herein may comprise a cationic/cationically ionizable lipid as described herein (e.g., a cationically ionizable lipid of formula (I), (X), or (XI)), an oxazolinylated and/or oxazinylated lipid as described herein, a phospholipid as described herein, and cholesterol, wherein the oxazolinylated and/or oxazinylated lipid preferably is or comprises 20 any one of the formulas (XXIa), (XXIa’), (XXIb), (XXIb’), (XXIc), (XXId), (XXIe’), (XXIf’), (XXIg’), (XXIh’), (XXIi’), (XXIj’), (XXII), (XXII’), (XXIIa), (XXIIa’), (XXIIb), (XXIIb’), (XXIII), (XXIII’), (XXIIIa), (XXIIIb), (XXIIIc’), (XXIIId’), (XXIIIe’), (XXIIIf’), (XXIIIg’), (XXIIIh’), (XXIV), (XXIV’), (XXV), (XXV’), (XXVa), (XXVa’), (XXVI), (XXVI’), (XXVIa), (XXVIa’), (XXVII), (XXVII’), (XXVIIa), (XXVIII), (XXVIII’), (XXVIIIa), (XXI-1), (XXI-2), 25 (XXI-3), (XXI-4), (XXI-5), (XXI-6), (XXI-7), (XXI-8), (XXI-9), (XXI-10), (XXI-11), (XXI-12), (XXI-13), (XXI-14), (XXI-15), (XXI-16), (XXI-17), (XXI-18), (XXI-19), (XXI-20), (XXI-21), (XXI-22), (XXI-23), (XXI-24), (XXI-25), (XXI-26), (XXI-27), (XXI-28), (XXI-29), (XXI-30), (XXI-31), (XXI-32), (XXI-33), (XXI-34), (XXI’-35), (XXI’-36), (XXI’-37), (XXI’-38), (XXI’- 39), (XXI’-40), (XXI’-41), (XXI’-42), (XXI’-43), (XXI’-44), (XXI’-45), (XXI’-46), (XXI’-47), 30 and (XXI’-48). In some embodiments, the oxazolinylated and/or oxazinylated lipid comprises from about 0.1 mol % to about 10 mol %, such as from about 0.2 mol % to about 9 mol %, from about 0.5 mol % to about 8 mol %, from about 1 mol % to about 7.5 mol %, from about 1.5 mol % to about 7 mol%, from about 2 mol % to about 6.5 mol%, from about 2.5 mol % to about 6 mol%, or from about 3
mol % to about 5 mol%, of the total lipid present in the nucleic acid compositions (such as DNA or RNA compositions, especially mRNA compositions) described herein. In some embodiments, where at least a portion of (i) the nucleic acid (such as DNA or RNA, especially mRNA), (ii), the cationic/cationically ionizable lipid, and (iii) the oxazolinylated 5 and/or oxazinylated lipid form particles (e.g., nanoparticles, such as LNPs), the oxazolinylated and/or oxazinylated lipid may comprise from about 0.1 mol % to about 10 mol %, such as from about 0.2 mol % to about 9 mol %, from about 0.5 mol % to about 8 mol %, from about 1 mol % to about 7.5 mol %, from about 1.5 mol % to about 7 mol%, from about 2 mol % to about 6.5 mol%, from about 2.5 mol % to about 6 mol%, or from about 3 mol % to about 5 mol%, of the 10 total lipid present in the particles. In some embodiments, the nucleic acid compositions (such as DNA or RNA compositions, especially mRNA compositions) described herein may comprise a cationic/cationically ionizable lipid as described herein (e.g., a cationically ionizable lipid of formula (X) or (XI)), an oxazolinylated and/or oxazinylated lipid as described herein, a phospholipid, and cholesterol, 15 wherein the cationic/cationically ionizable lipid comprises from about 40 mol % to about 50 mol % of the total lipid present in the composition, the oxazolinylated and/or oxazinylated lipid comprises from about 0.5 mol % to about 10 mol % (such as from about 2 mol to about 5 mol %) of the total lipid present in the composition, the phospholipid comprises from about 5 mol % to about 15 mol % of the total lipid present in the composition, and the cholesterol comprises from 20 about 30 mol % to about 50 mol % of the total lipid present in the composition. In some embodiments, the oxazolinylated and/or oxazinylated lipid has any one of the formulas (XXIa), (XXIa’), (XXIb), (XXIb’), (XXIc), (XXId), (XXIe’), (XXIf’), (XXIg’), (XXIh’), (XXIi’), (XXIj’), (XXII), (XXII’), (XXIIa), (XXIIa’), (XXIIb), (XXIIb’), (XXIII), (XXIII’), (XXIIIa), (XXIIIb), (XXIIIc’), (XXIIId’), (XXIIIe’), (XXIIIf’), (XXIIIg’), (XXIIIh’), (XXIV), (XXIV’), 25 (XXV), (XXV’), (XXVa), (XXVa’), (XXVI), (XXVI’), (XXVIa), (XXVIa’), (XXVII), (XXVII’), (XXVIIa), (XXVIII), (XXVIII’), (XXVIIIa), (XXI-1), (XXI-2), (XXI-3), (XXI-4), (XXI-5), (XXI-6), (XXI-7), (XXI-8), (XXI-9), (XXI-10), (XXI-11), (XXI-12), (XXI-13), (XXI-14), (XXI- 15), (XXI-16), (XXI-17), (XXI-18), (XXI-19), (XXI-20), (XXI-21), (XXI-22), (XXI-23), (XXI- 24), (XXI-25), (XXI-26), (XXI-27), (XXI-28), (XXI-29), (XXI-30), (XXI-31), (XXI-32), (XXI- 30 33), (XXI-34), (XXI’-35), (XXI’-36), (XXI’-37), (XXI’-38), (XXI’-39), (XXI’-40), (XXI’-41), (XXI’-42), (XXI’-43), (XXI’-44), (XXI’-45), (XXI’-46), (XXI’-47), and (XXI’-48). In some embodiments, a polymer-conjugated lipid is about 0.5 to about 5 mol% relative to total lipids in the LNP. In some embodiments, an LNP comprises about 1.0 to about 2.5 mol% of a polymer-conjugated lipid. In some embodiments, an LNP comprises about 1.5 to about 2.0 mol%
of a polymer-conjugated lipid. In some embodiments, an LNP comprises about 1.5 to about 1.8 mol% of a polymer-conjugated lipid. In some embodiments, a molar ratio of total cationic lipid to total polymer-conjugated lipid (e.g., PEG-conjugated lipid) is from about 100:1 to about 20:1. In some embodiments, a molar ratio of 5 total cationic lipid to total polymer-conjugated lipid (e.g., PEG-conjugated lipid) is from about 50:1 to about 20:1. In some embodiments, a molar ratio of total cationic lipid to total polymer- conjugated lipid (e.g., PEG-conjugated lipid) is from about 40:1 to about 20:1. In some embodiments, a molar ratio of total cationic lipid to total polymer-conjugated lipid (e.g., PEG- conjugated lipid) is from about 35:1 to about 25:1. 10 (iv) Steroid As described herein, in some embodiments, a nucleic acid particle further comprises a steroid. In some embodiments, a steroid is a sterol. In some embodiments, a sterol is β-sitosterol, stigmasterol, cholesterol, cholecalciferol, ergocalciferol, calcipotriol, botulin, lupeol, ursolic acid, oleanolic acid, cycloartenol, lanosterol, or α-tocopherol. In some embodiments, a sterol is β- 15 sitosterol. In some embodiments, a sterol is stigmasterol. In some embodiments, a sterol is cholesterol. In some embodiments, a sterol is cholecalciferol. In some embodiments, a sterol is ergocalciferol. In some embodiments, a sterol is calcipotriol. In some embodiments, a sterol is botulin. In some embodiments, a sterol is lupeol. In some embodiments, a sterol is ursolic acid. In some embodiments, a sterol is oleanolic acid. In some embodiments, a sterol is cycloartenol. 20 In some embodiments, a sterol is lanosterol. In some embodiments, a sterol is α-tocopherol. In some embodiments, a lipid nanoparticle comprises about 30 to about 50 mol% of a steroid. In some embodiments, a lipid nanoparticle comprises about 35 to about 45 mol% of a steroid. In some embodiments, a lipid nanoparticle comprises about 38 to about 40 mol% of a steroid. In some embodiments, a lipid nanoparticle comprises about 38.5 mol% of a steroid. In some 25 embodiments, a lipid nanoparticle comprises about 40 mol% of a steroid. In some embodiments, a lipid nanoparticle comprises about 30 to about 50 mol% of cholesterol. In some embodiments, a lipid nanoparticle comprises about 35 to about 45 mol% of cholesterol. In some embodiments, a lipid nanoparticle comprises about 38 to about 41 mol% of cholesterol. In some embodiments, a lipid nanoparticle comprises about 38.5 mol% of cholesterol. In some 30 embodiments, a lipid nanoparticle comprises about 40.7 mol% of cholesterol. (v) Methods of Making Lipid Nanoparticles Lipids and lipid nanoparticles comprising nucleic acids and their method of preparation are known in the art, including, e.g., as described in U.S. Patent Nos.8,569,256, 5,965,542 and U.S. Patent
Publication Nos. 2016/0199485, 2016/0009637, 2015/0273068, 2015/0265708, 2015/0203446, 2015/0005363, 2014/0308304, 2014/0200257, 2013/086373, 2013/0338210, 2013/0323269, 2013/0245107, 2013/0195920, 2013/0123338, 2013/0022649, 2013/0017223, 2012/0295832, 2012/0183581, 2012/0172411, 2012/0027803, 2012/0058188, 2011/0311583, 2011/0311582, 5 2011/0262527, 2011/0216622, 2011/0117125, 2011/0091525, 2011/0076335, 2011/0060032, 2010/0130588, 2007/0042031, 2006/0240093, 2006/0083780, 2006/0008910, 2005/0175682, 2005/017054, 2005/0118253, 2005/0064595, 2004/0142025, 2007/0042031, 1999/009076 and PCT Pub. Nos. WO 99/39741, WO 2018/081480, WO 2017/004143, WO 2017/075531, WO 2015/199952, WO 2014/008334, WO 2013/086373, WO 2013/086322, WO 2013/016058, WO 10 2013/086373, W02011/141705, and WO 2001/07548, the full disclosures of which are herein incorporated by reference in their entirety for the purposes described herein. For example, in some embodiments, cationic lipids, helper lipids, and steroids are solubilized in ethanol at a pre- determined weight or molar ratios/percentages (e.g., ones described herein). In some embodiments, lipid nanoparticles (LNP) are prepared at a total lipid to RNA molar ratio of 15 approximately 10:1 to 30:1. In some embodiments, such RNA can be diluted to 0.2 mg/mL in acetate buffer. In some embodiments, using an ethanol injection technique, a colloidal lipid dispersion comprising RNAs can be formed as follows: an ethanol solution comprising lipids, such as cationic lipids, helper lipids, steroids, and polymer-conjugated lipids, is injected into an aqueous 20 solution comprising RNAs (e.g., ones described herein). In some embodiments, lipid and RNA solutions can be mixed at room temperature by pumping each solution (e.g., a lipid solution comprising a cationic lipid, a helper lipid, steroids, and any other additives) at controlled flow rates into a mixing unit, for example, using piston pumps. In some embodiments, the flow rates of a lipid solution and a RNA solution into a mixing unit are 25 maintained at a ratio of 1:3. Upon mixing, nucleic acid-lipid particles are formed as the ethanolic lipid solution is diluted with aqueous RNAs. The lipid solubility is decreased, while cationic lipids bearing a positive charge interact with the negatively charged RNA. In some embodiments, a solution comprising RNA-encapsulated lipid nanoparticles can be processed by one or more of concentration adjustment, buffer exchange, formulation, and/or 30 filtration. In some embodiments, a composition or complex described herein further comprises a pharmaceutically acceptable surfactant. In some embodiments, a pharmaceutically acceptable surfactant is selected from a polysorbate (e.g., polysorbate 20 (Tween20), polysorbate 40
(Tween40), polysorbate 60 (Tween60), and polysorbate 80 (Tween80)), poloxamers, and an amphiphilic group comprising a moiety selected from polyalkylene glycols (e.g., polyethylene glycol), poly(2-oxazoline), poly(2-methyl-2-oxazoline), polysarcosine, polyvinylpyrrolidone, and poly[N-(2-hydroxypropyl)methacrylamide, wherein the moiety is bound to one or more C12- 5 C20 aliphatic groups. RNA In some embodiments, a particle described herein comprises one or more oligosaccharide compositions and a nucleic acid. In some embodiments, a nucleic acid is RNA. In some embodiments, an RNA amenable to technologies described herein is a single-stranded 10 RNA. In some embodiments, an RNA as disclosed herein is a linear RNA. In some embodiments, a single-stranded RNA is a non-coding RNA in that its nucleotide sequence does not include an open reading frame (or complement thereof). In some embodiments, a single-stranded RNA has a nucleotide sequence that encodes (or is the complement of a sequence that encodes) a polypeptide or a plurality of polypeptides (e.g., epitopes) of the present disclosure. 15 In some embodiments, an RNA is or comprises an siRNA, an miRNA, or other non-coding RNA. In many embodiments, a relevant RNA includes at least one open reading frame (ORF) (e.g., is an mRNA); in some embodiments, a relevant RNA includes a single ORF; in some embodiments, a relevant RNA includes more than one ORF. In some embodiments, an RNA comprises an ORF, e.g., encoding a polypeptide of interest or 20 encoding a plurality of polypeptides of interest. In some embodiments, an RNA produced in accordance with technologies provided herein comprises a plurality of ORFs (e.g., encoding a plurality of polypeptides). In some embodiments, an RNA produced in accordance with technologies herein comprises a single ORF that encodes a plurality of polypeptides. In some such embodiments, polypeptides are or comprise antigens or epitopes thereof (e.g., relevant 25 antigens). In some embodiments, an ORF for use in accordance with the present disclosure encodes a polypeptide that includes a signal sequence, e.g., that is functional in mammalian cells, such as an intrinsic signal sequence or a heterologous signal sequence. In some embodiments, a signal sequence directs secretion of an encoded polypeptide, in some embodiments, a signal sequence 30 directs transport of an encoded polypeptide into a defined cellular compartment, preferably the cell surface, the endoplasmic reticulum (ER) or the endosomal-lysosomal compartment.
In some embodiments, an ORF encodes a polypeptide that includes a multimerization element (e.g., an intrinsic or heterologous multimerization element). In some embodiments, an ORF that encodes a surface polypeptide (e.g., that includes a signal sequence directing surface localization) includes a multimerization element. 5 In some embodiments, an ORF encodes a polypeptide that includes a transmembrane element or domain. In some embodiments, an ORF is codon-optimized for expression in a cells of a particular host, e.g., a mammalian host, e.g., a human. In some embodiments, an RNA includes unmodified uridine residues; an RNA that includes only 10 unmodified uridine residues may be referred to as a “uRNA”. In some embodiments, an RNA includes one or more modified uridine residues; in some embodiments, such an RNA (e.g., an RNA including entirely modified uridine residues) is referred to as a “modRNA”. In some embodiments, an RNA may be a self-amplifying RNA (saRNA). In some embodiments, an RNA may be a trans-amplifying RNA (taRNA) (see, for example, WO2017/162461). 15 In some embodiments, a relevant RNA includes a polypeptide-encoding portion or a plurality of polypeptide-encoding portions. In some particular embodiments, such a portion or portions may encode a polypeptide or polypeptides that is or comprises a biologically active polypeptide or portion thereof (e.g., an enzyme or cytokine or therapeutic protein such as a replacement protein or antibody or portion thereof). In some particular embodiments, such a portion or portions may 20 encode a polypeptide or polypeptides that is or comprises an antigen (or an epitope thereof), a cytokine, an enzyme, etc. In some embodiments, an encoded polypeptide or polypeptides may be or include one or more neoantigens or neoepitopes associated with a tumor. In some embodiments, an encoded polypeptide or polypeptides may be or include one or more antigens (or epitopes thereof) of an infectious agent (e.g., a bacterium, fungus, virus, etc.). In certain 25 embodiments, an encoded polypeptide may be a variant of a wild type polypeptide. In some embodiments, a single-stranded RNA (e.g., mRNA) may comprise a secretion signal- encoding region (e.g., a secretion signal-encoding region that allows an encoded target entity or entities to be secreted upon translation by cells). In some embodiments, such a secretion signal- encoding region may be or comprise a non-human secretion signal. In some embodiments, such 30 a secretion signal-encoding region may be or comprise a human secretion signal. In some embodiments, a single-stranded RNA (e.g., mRNA) may comprise at least one non- coding element (e.g., to enhance RNA stability and/or translation efficiency). Examples of non- coding elements include but are not limited to a 3’ untranslated region (UTR), a 5’ UTR, a cap
structure (e.g., in some embodiments, an enzymatically-added cap; in some embodiments, a co- transcriptional cap), a poly adenine (polyA) tail (e.g., that, in some embodiments, may be or comprise 100 A residues or more, and/or in some embodiments may include one or more “interrupting” [i.e., non-A] sequence elements), and any combinations thereof. Exemplary 5 embodiments of such non-coding elements may be found, for example, in WO2011015347, WO2017053297, US 10519189, US 10494399, WO2007024708, WO2007036366, WO2017060314, WO2016005324, WO2005038030, WO2017036889, WO2017162266, and WO2017162461, each of which is incorporated herein by referenced in its entirety. Formats 10 At least four formats useful for RNA pharmaceutical compositions (e.g., immunogenic compositions or vaccines) have been developed, namely non-modified uridine containing mRNA (uRNA), nucleosidemodified mRNA (modRNA), self-amplifying mRNA (saRNA), and trans- amplifying RNAs. Features of a non-modified uridine platform may include, for example, one or more of intrinsic 15 adjuvant effect, good tolerability and safety, and strong antibody and T cell responses. Features of modified uridine (e.g., pseudouridine) platform may include reduced adjuvant effect, blunted immune innate immune sensor activating capacity and thus augmented antigen expression, good tolerability and safety, and strong antibody and CD4-T cell responses. As noted herein, the present disclosure provides an insight that such strong antibody and CD4 T cell 20 responses may be particularly useful for vaccination. Features of self-amplifying platform may include, for example, long duration of polypeptide (e.g., protein) expression, good tolerability and safety, higher likelihood for efficacy with very low vaccine dose. In some embodiments, a self-amplifying platform (e.g., RNA) comprises two nucleic acid 25 molecules, wherein one nucleic acid molecule encodes a replicase (e.g., a viral replicase) and the other nucleic acid molecule is capable of being replicated (e.g., a replicon) by said replicase in trans (trans-replication system). In some embodiments, a self-amplifying platform (e.g., RNA) comprises a plurality of nucleic acid molecules, wherein said nucleic acids encode a plurality of replicases and/or replicons. 30 In some embodiments, a trans-replication system comprises the presence of both nucleic acid molecules in a single host cell.
In some such embodiments, a nucleic acid encoding a replicase (e.g., a viral replicase) is not capable of self-replication in a target cell and/or target organism. In some such embodiments, a nucleic acid encoding a replicase (e.g., a viral replicase) lacks at least one conserved sequence element important for (-) strand synthesis based on a (+) strand template and/or for (+) strand 5 synthesis based on a (-) strand template. In some embodiments, a self-amplifying RNA comprises a 5’-cap; in some trans-replication systems, at least an RNA encoding a replicase is capped. Without wishing to be bound by any one theory, it has been found that a 5’-cap can be important for high level expression of a gene of interest in trans. 10 In some embodiments, a self-amplifying platform does not require propagation of virus particles (e.g., is not associated with undesired virus-particle formation). In some embodiments, a self- amplifying platform is not capable of forming virus particles. In some embodiments, an RNA may comprise an Internal Ribosomal Entry Site (IRES) element. In some embodiments, an RNA does not comprise an IRES site; in particular, in some 15 embodiments, an saRNA does not comprise an IRES site. In some such embodiments, translation of a gene of interest and/or replicase is not driven by an IRES element. In some embodiments, an IRES element is substituted by a 5’-cap. In some such embodiments, substitution by a 5’-cap does not affect the sequence of a polypeptide encoded by an RNA. In some embodiments, a complex described herein comprises modRNA, saRNA, taRNA, or 20 uRNA. In some embodiments, a complex comprises modRNA. In some embodiments, a complex comprises saRNA. In some embodiments, a complex comprises taRNA. In some embodiments, a complex comprises uRNA. Methods of Use Complexes described herein are useful in the treatment and prophylaxis in a subject of diseases, 25 disorders, and conditions described herein. In some embodiments, the present disclosure provides a method of treating a disease, disorder or condition comprising administering to a patient a complex described herein. In some embodiments, the present disclosure provides use of a complex described herein for the treatment of a disease, disorder, or condition. In some embodiments, a disease, disorder, or condition is an infectious disease, cancer, an autoimmune 30 disease, or a rare disease. In some embodiments, an infectious disease is caused by or associated with a viral pathogen. In some embodiments, a viral pathogen is of a family selected from poxviridae, rhabdoviridae, filoviridae, paramyxoviridae, hepadnaviridae, coronaviridae, caliciviridae, picornaviridae,
reoviridae, retroviridae, and orthomyxoviridae. In some embodiments, an infectious disease is caused by or associated with a virus selected from SARS-CoV-2, influenza, Crimean-Congo Hemorhhagic Fever (CCHF), Ebola virus, Lassa virus, Marburg virus, HIV, Nipah virus, and MERS-CoV. 5 In some embodiments, an infectious disease is caused by or associated with a bacterial pathogen. In some embodiments, a bacterial pathogen is of a species selected from Actinomyces israelii, bacillus antracis, Bacteroides fragilis, Bordetella pertussis, Borrelia burgdorferi, Borrelia garinii, Borrelia afzelii, Borrelia recurrentis, Brucella abortus, Brucella canis, Brucella melitensis, Brucella suis, Campolobacter jejuni, Chlamydia pneumoniae, Chlamydia trachomatis, 10 Chlamydophila psittaci, Clostridium botulinum, Clostridium difficile, Clostridium perfringens, Clostridium tetani, Corynebacterium idphteriae, Ehrlichia canis, Ehrlichia chaffeensis, Enterococcus faecalis, Enterococcus faecium, Escherichia coli, Francisella tularensis, Haemophilus influenzae, Helicobacter pylori, Klebsiella pneumoniae, Legionella pneumophila, Leptospira, Listeria monocytogenes, Mycobacterium leprae, Mycobacterium tuberculosis, 15 Mycoplasma pneumoniae, Neisseria gonorrhoeae, Neisseria meningitidis, Pseudomonas aeruginosa, Nocardia asteroids, Rickettsia ricektssii, Salmonella typhi, Salmonella typhimurium, Shigella sonnei, Shigella dysenteriae, Staphylococcus aureus, Staphylococcus epidermidis, Staphylococcus saprophyticus, Streptococcus agalactiae, Streptococcus pneumoniae, Streptococcus pyogenes, Streptococcus viridans, Treponema pallidum, Vibrio cholerae, and 20 Yersinia pestis. In some embodiments, an infectious disease is caused by or associated with a parasite. In some embodiments, a parasite is of a family selected from Plasmodium, Leishmania, Cryptosporidium, Entamoeba, Trypanosomas, Schistosomes, Ascaris, Echinococcus and Taeniidae. In some embodiments, a disease, disorder, or condition is a cancer. In some embodiments, a 25 cancer is selected from bladder cancer, breast cancer, colorectal cancer, kidney cancer, lung cancer, lymphoma, melanoma, oral/oropharyngeal cancer, pancreatic cancer, prostate cancer, thyroid cancer, and uterine cancer. In some embodiments, a disease, disorder, or condition is a genetic disorder. In some embodiments, a genetic disorder is associated with a gain-of-function mutation or a loss-of- 30 function mutation. In some embodiments, a disease, disorder, or condition is an autoimmune disease. In some embodiments, an autoimmune disease is selected from addison disease, celiac disease, rheumatoid arthritis, lupus, inflammatory bowel disease, dermatomyositis, multiple sclerosis, diabetes,
guillain-barre syndrome, chronic inflammatory demyelinating polyneuropathy, psoriasis, pernicious anemia, graves’ disease, hashimoto’s thyroiditis, myasthenia gravis, and vasculitis sjörgen syndrome. In some embodiments, a disease, disorder, or condition is a rare disease. As described herein, a 5 rare disease refers to a life-threatening or chronically debilitating diseases which are of such low prevalence (e.g., fewer than 1/2000 people) that special combined efforts are needed to address them. In some embodiments, the present disclosure provides complexes that can selectively target particular systems within a body. As used herein, reference to “targeting” a particular system 10 refers to causing increased expression of RNA derived from cargo in the complex in the desired system. For example, in some embodiments, complexes described herein can selectively target the lungs, liver, spleen, heart, brain, lymph nodes, bladder, kidneys, and pancreas. As described herein, a complex “selectively targets” an organ when a single target expresses mRNA in an amount that is 65% or greater than expression in other organs post administration (e.g., 65% or 15 more of mRNA throughout the body is expressed from a single organ, with the remaining 35% distributed between one or more different organs). In some embodiments, a complex described herein selectively targets the lungs. In some embodiments, a complex described herein selectively targets the liver. In some embodiments, a complex described herein selectively targets the spleen. In some embodiments, a complex described herein selectively targets the heart. 20 Methods of Delivery The pre
sure provides, among other things, a particle that is incorporated into a composition (e.g., a pharmaceutical composition or a pharmaceutical formulation, as referred to herein) to be administered to a subject. For example, in some embodiments, a composition comprising particles described herein is administered as a monotherapy. In some embodiments, 25 a a composition comprising particles described herein is administered as part of a combination therapy. In some embodiments, a concentration of total RNA (e.g., a total concentration of all of the one or more RNA molecules) in a composition described herein is of about 0.01 mg/mL to about 0.5 mg/mL, or about 0.05 mg/mL to about 0.1 mg/mL. Compositions (also referred to as pharmaceutical compositions) may additionally comprise a 30 pharmaceutically acceptable excipient, which, as used herein, includes any and all solvents, dispersion media, diluents, or other liquid vehicles, dispersion or suspension aids, surface active agents, isotonic agents, thickening or emulsifying agents, preservatives, solid binders, lubricants and the like, as suited to the particular dosage form desired. Remington's The Science and
Practice of Pharmacy, 21st Edition, A. R. Gennaro (Lippincott, Williams & Wilkins, Baltimore, MD, 2006; incorporated herein by reference in its entirety) discloses various excipients used in formulating pharmaceutical compositions and known techniques for the preparation thereof. Except insofar as any conventional excipient medium is incompatible with a substance or its 5 derivatives, such as by producing any undesirable biological effect or otherwise interacting in a deleterious manner with any other component(s) of the pharmaceutical composition, its use is contemplated to be within the scope of this disclosure. In some embodiments, an excipient is approved for use in humans and for veterinary use. In some embodiments, an excipient is approved by the United States Food and Drug Administration. In 10 some embodiments, an excipient is pharmaceutical grade. In some embodiments, an excipient meets the standards of the United States Pharmacopoeia (USP), the European Pharmacopoeia (EP), the British Pharmacopoeia, and/or the International Pharmacopoeia. Pharmaceutically acceptable excipients used in the manufacture of pharmaceutical compositions include, but are not limited to, inert diluents, dispersing and/or granulating agents, surface active 15 agents and/or emulsifiers, disintegrating agents, binding agents, preservatives, buffering agents, lubricating agents, and/or oils. Such excipients may optionally be included in pharmaceutical formulations. Excipients such as cocoa butter and suppository waxes, coloring agents, coating agents, sweetening, flavoring, and/or perfuming agents can be present in the composition, according to the judgment of the formulator. 20 General considerations in the formulation and/or manufacture of pharmaceutical agents may be found, for example, in Remington: The Science and Practice of Pharmacy 21st ed., Lippincott Williams & Wilkins, 2005 (incorporated herein by reference in its entirety). In some embodiments, pharmaceutical compositions provided herein may be formulated with one or more pharmaceutically acceptable carriers or diluents as well as any other known adjuvants 25 and excipients in accordance with conventional techniques such as those disclosed in Remington: The Science and Practice of Pharmacy 21st ed., Lippincott Williams & Wilkins, 2005 (incorporated herein by reference in its entirety). Pharmaceutical complexes and compositions described herein can be administered by appropriate methods known in the art. As will be appreciated by a skilled artisan, the route and/or mode of 30 administration may depend on a number of factors, including, e.g., but not limited to stability and/or pharmacokinetics and/or pharmacodynamics of pharmaceutical compositions described herein.
In some embodiments, pharmaceutical compositions described herein are formulated for parenteral administration, which includes modes of administration other than enteral and topical administration, usually by injection, and includes, without limitation, intravenous, intramuscular, intraarterial, intrathecal, intracapsular, intraorbital, intracardiac, intradermal, intraperitoneal, 5 transtracheal, subcutaneous, subcuticular, intraarticular, subcapsular, subarachnoid, intraspinal, epidural and intrasternal injection and infusion. In some embodiments, pharmaceutical compositions described herein are formulated for intravenous administration. In some embodiments, pharmaceutically acceptable carriers that may be useful for intravenous administration include sterile aqueous solutions or dispersions and 10 sterile powders for preparation of sterile injectable solutions or dispersions. In some particular embodiments, pharmaceutical compositions described herein are formulated for subcutaneous (s.c) administration. In some particular embodiments, pharmaceutical compositions described herein are formulated for intramuscular (i.m) administration. Therapeutic compositions typically must be sterile and stable under the conditions of manufacture 15 and storage. The composition can be formulated as a solution, dispersion, powder (e.g., lyophilized powder), microemulsion, lipid nanoparticles, or other ordered structure suitable to high drug concentration. The carrier can be a solvent or dispersion medium containing, for example, water, ethanol, polyol (for example, glycerol, propylene glycol, and liquid polyethylene glycol, and the like), and suitable mixtures thereof. The proper fluidity can be maintained, for 20 example, by the use of a coating such as lecithin, by the maintenance of the required particle size in the case of dispersion and by the use of surfactants. In many cases, it will be preferable to include isotonic agents, for example, sugars, polyalcohols such as mannitol, sorbitol, or sodium chloride in the composition. In some embodiments, prolonged absorption of the injectable compositions can be brought about by including in the composition an agent that delays 25 absorption, for example, monostearate salts and gelatin. Sterile injectable solutions can be prepared by incorporating the active compound in the required amount in an appropriate solvent with one or a combination of ingredients enumerated above, as required, followed by sterilization microfiltration. In some embodiments, dispersions are prepared by incorporating the active compound into a 30 sterile vehicle that contains a basic dispersion medium and the required other ingredients from those enumerated above. In the case of sterile powders for the preparation of sterile injectable solutions, the preferred methods of preparation are vacuum drying and freeze-drying
(lyophilization) that yield a powder of the active ingredient plus any additional desired ingredient from a previously sterile-filtered solution thereof. Examples of suitable aqueous and nonaqueous carriers which may be employed in the pharmaceutical compositions described herein include water, ethanol, polyols (such as glycerol, 5 propylene glycol, polyethylene glycol, and the like), and suitable mixtures thereof, vegetable oils, such as olive oil, and injectable organic esters, such as ethyl oleate. Proper fluidity can be maintained, for example, by the use of coating materials, such as lecithin, by the maintenance of the required particle size in the case of dispersions, and by the use of surfactants. These compositions may also contain adjuvants such as preservatives, wetting agents, 10 emulsifying agents and dispersing agents. Prevention of the presence of microorganisms may be ensured both by sterilization procedures, and by the inclusion of various antibacterial and antifungal agents, for example, paraben, chlorobutanol, phenol sorbic acid, and the like. It may also be desirable to include isotonic agents, such as sugars, sodium chloride, and the like into pharmaceutical compositions described herein. In addition, prolonged absorption of the injectable 15 pharmaceutical form may be brought about by the inclusion of agents which delay absorption such as aluminum monostearate and gelatin. Formulations of pharmaceutical compositions described herein may be prepared by any method known or hereafter developed in the art of pharmacology. In general, such preparatory methods include the step of bringing active ingredient(s) into association with a diluent or another excipient 20 and/or one or more other accessory ingredients, and then, if necessary and/or desirable, shaping and/or packaging the product into a desired single- or multi-dose unit. A pharmaceutical composition in accordance with the present disclosure may be prepared, packaged, and/or sold in bulk, as a single unit dose, and/or as a plurality of single unit doses. As used herein, a "unit dose" is discrete amount of the pharmaceutical composition comprising a 25 predetermined amount of at least one RNA product produced using a system and/or method described herein. In some embodiments, an active agent that may be included in a pharmaceutical composition described herein is or comprises a therapeutic agent administered in a combination therapy described herein. Pharmaceutical compositions described herein can be administered in 30 combination therapy, i.e., combined with other agents. In some embodiments, such therapeutic agents may include agents leading to depletion or functional inactivation of regulatory T cells. For example, in some embodiments, a combination therapy can include a provided pharmaceutical composition with at least one immune checkpoint inhibitor.
In some embodiments, pharmaceutical composition described herein may be administered in conjunction with radiotherapy and/or autologous peripheral stem cell or bone marrow transplantation. In some embodiments, a pharmaceutical composition described herein can be frozen to allow 5 long-term storage. Although the descriptions of pharmaceutical compositions provided herein are principally directed to pharmaceutical compositions that are suitable for administration to humans, it will be understood by the skilled artisan that such compositions are generally suitable for administration to animals of all sorts. Modification of pharmaceutical compositions suitable for administration 10 to humans in order to render the compositions suitable for administration to various animals is well understood, and the ordinarily skilled veterinary pharmacologist can design and/or perform such modification with merely ordinary, if any, experimentation. Exemplary Embodiments The following numbered embodiments, while non-limiting, are exemplary of certain aspects of 15 the present disclosure: Embodiment 1. A glycolipid compound represented by formula II: R1 is -A, -M1-M2-A
20 R2 is -H, -A, -M1-M2-A, or -M3-N(-M1-M2-A)2; each M1 is independently an optionally substituted C2-C12 aliphatic or 2- to 12-membered heteroaliphatic; each M2 is independently –NHC(S)NH-, -NHS(O)2-, -NHC(O)-, -C(O)NH-, -C(O)O-, or -OC(O)- ; 25 each M3 is independently an optionally substituted C2-C12 aliphatic or optionally substituted 2- to 12-membered heteroaliphatic; A is -A1-X-A2; each A1 is independently, at each instance, a bond, optionally substituted C2-C12 aliphatic, optionally substituted 2- to 12-membered heteroaliphatic, optionally substituted C6-C12 aryl,
optionally substituted C3-C12 cycloaliphatic, optionally substituted 4- to 12-membered heterocycle, or optionally substituted 5- to 12-membered heteroaryl; each X is independently a bond, -(CH)1-6-, –NH-, -S-, -S(O)2-, or –O-; each A2 is independently a monosaccharide, a disaccharide, an oligosaccharide, a fluorescent tag, 5 or a moiety of formula J: J wherein at least one instance of
A is a monosaccharide, a disaccharide, an oligosaccharide, or a moiety of formula J; 10 each of R3, R4, and R5 is each independently at each occurrence a monosaccharide, a disaccharide, or an oligosaccharide; each of X’ is independently, at each occurrence, a bond, –NH-, -S-, -S(O)2-, or –O-; each A3 is independently at each occurrence, a bond, optionally substituted C2-C12 aliphatic or 2- to 12-membered heteroaliphatic, optionally substituted C6-C12 aryl, optionally substituted C3-C12 15 cycloaliphatic, optionally substituted 4- to 12-membered heterocycle, or optionally substituted 5- to 12-membered heteroaryl; M4 is optionally substituted C2-C6 aliphatic-NHC(S)NH-, or optionally substituted 2- to 12- membered heteroaliphatic-NHC(S)NH-; L is a polymeric moiety that comprises monomers of ethylene glycol, sarcosine, 2-(2-(2- 20 aminoethoxy)ethoxy)acetic acid, or a combination thereof, or L is an optionally substituted C20-C100 aliphatic group wherein one or more carbons are optionally and independently replaced by -Cy-, -NRZ-, -N(RZ)C(O)-, -C(O)N(RZ)-, -N(RZ)C(O)O-, -OC(O)N(RZ)-, -N(RZ)C(O)N(RZ) - , -OC(O)O-, -O-, -C(O)-, -OC(O)-, -C(O)O-, -SO-, -SO2-, wherein each -Cy- is independently an optionally substituted 3-12 membered bivalent heterocyclyl ring having 1-3 heteroatoms selected 25 from N, O, and S, an optionally substituted 3-8 membered bivalent heteroaryl ring having 1-4 heteroatoms selected from N, O, and S, an optionally substituted C3-C6 cycloalkyl, or an optionally substituted C6-C12 aryl, and each RZ is independently H or an optionally substituted group selected from C1-C20 aliphatic, or C3-C12 cycloaliphatic;
M5 is –OC(O)NH-, -NHC(O)O-, -NHC(O)-, -C(O)-NH-, -C1-C aliphatic-C(O)NH-, or -NHC(O)- C1-C6 aliphatic; T is optionally substituted C10-C20 aliphatic, or a moiety of formula B: 5 each R7 is independently –
each M6 is independently –OC(O)-, -C(O)O-, -C(O)-, -C(S)-, -NHC(O)-, -C(O)NH-, -S-, -S-S-, and -S(O)2-; each R8 is optionally substituted C10-C20 aliphatic or 10- to 20-membered heteroaliphatic; 10 n is 0 or 1; x1 is an integer selected from 1 to 6; and each x2 is independently selected from 0, 1, and 2. Embodiment 2. The compound of Embodiment 1, wherein R1 is -M1-M2-A and R2 is -M1-M2-A. 15 Embodiment 3. The compound of Embodiment 1, wherein R1 is –A, and R2 is H. Embodiment 4. The compound of any one of Embodiments 1-3, wherein A1 is optionally substituted phenyl. Embodiment 5. The compound of Embodiment 1, wherein A1 is: 20 Embodiment 6. The compound of a nts 1-5, wherein X is -CH2- or –O-.
Embodiment 7. The compound of any one of Embodiments 1-6, wherein A2 is a monosaccharide. Embodiment 8. The compound of Embodiment 7, wherein the monosaccharide is selected from N-acetylgalactosamine (GalNAc), mannose (Man), fucose (Fuc), glucose (Glc) and galactose (Gal). 25
Embodiment 9. The compound of any one of Embodiments 01-6, wherein A2 is an oligosaccharide, wherein the oligosaccharide is a trisaccharide of formula: 5 Embodiment 10. T
ch A2 is independently selected from
Embodiment 12. a moiety of formula J:
Embodiment 13. The c
n A2 is a moiety of formula J- 1: Embodiment 13 3 4 5
, wherein each of R, R, and R is each independently a monosaccharide. Embodiment 15. The compound of Embodiment 14 wherein each of R3, R4, and R5 is each 10 independently selected from a
moiety selected from:
Embodiment 17. The compound of Embodiment 1, wherein R1 is -M3-N(-M1-M2-A)2, R2 is H, M3 is C1-C6 aliphatic, each M1 is C1-C6 aliphatic, one of M2 is –NHC(S)NH-, the other M2 is –NHS(O)2-, each A is –A1-X-A2, each A1 is a bond, one instance of X is a bond and one instance of X is -CH2-, one instance of A2 is a fluorescent tag, and one instance of A2 is a moiety of formula 5 J. Embodiment 18. The compound of Embodiment 1, wherein R1 is -M1-M2-A, R2 is -M1- M2-A, each A is –A1-X-A2, and each A2 is a moiety of formula J. Embodiment 19. The compound of Embodiment 1, wherein R1 is -M1-M2-A, R2 is -M1- M2-A, each M1 is C1-C6 aliphatic, each M2 is –NHC(S)NH-, each A is –A1-X-A2, each A1 is a 10 bond, each X is -CH2-, and each A2 is a moiety of formula J. Embodiment 20. The compound of Embodiment 1, R1 is -A, R2 is H, where A is A1-X-A2, A1 is a bond, X is a -CH2-, and A2 is a formula of moiety J. Embodiment 21. The compound of Embodiment 1, wherein R1 is -A, R2 is H, where A is A1-X-A2, A1 is a phenyl, X is a –O-, and A2 is a trisaccharide. 15 Embodiment 22. The compound of Embodiment 1, wherein R1 is -A, R2 is H, where A is A1-X-A2, A1 is a phenyl, X is a –O-, and A2 is TriMan. Embodiment 23. The compound of any one of Embodiments 1-22, wherein M4 is optionally substituted 2- to 10-membered heteroaliphatic-NHC(S)NH-*, where * indicates a point of attachment to moiety L of formula II. 20 Embodiment 24. The compound of any one of Embodiments 1-23, wherein L is a polymeric moiety that comprises monomers of ethylene glycol, sarcosine, 2-(2-(2- aminoethoxy)ethoxy)acetic acid. Embodiment 25. The compound of any one of Embodiments 1-23, wherein L is C2-C10 aliphatic. 25 Embodiment 26. The compound of any one of Embodiments 1-25, wherein M5 is – OC(O)NH-, -NHC(O)O-, -NHC(O)-, -C(O)-NH-, -C1-C aliphatic-C(O)NH-, or -NHC(O)-C1-C6 aliphatic. Embodiment 27. The compound of any one of Embodiments 1-26, wherein T is optionally substituted C10-C20 aliphatic. 30 Embodiment 28. The compound of Embodiment 27, wherein T is:
Embodiment 29. The compound of any one of Embodiments 1-26, wherein T is a moiety of formula B: 5 Embodiment 30. The c
2. Embodiment 31. The compound of any one of Embodiments 1-30, wherein each R8 is independently selected from: Embodiment 32 –CH2-
10 OC(O)-R8 and the other R7 is -OC(O)-R8. Embodiment 33. The compound of Embodiment 1, wherein a moiety of formula B is represented by: 15 Embodiment 34.
ompound of formula II is represented by formula II-1:
or a pharmaceutically
Embodiment 35. The compound of Embodiment 1, wherein the compound of formula II 5 is represented by formula II-2:
or a pharmaceutically acceptable salt thereof. Embodiment 36. The compound of Embodiment 1, wherein the compound of formula II 10 is represented by formula II-3:
or a pharmaceutically acceptable salt thereof.
Embodiment 37. The compound of Embodiment 1, wherein the compound of formula II is represented by formula II-4:
5 or a pharmaceutically acceptable salt thereof. Embodiment 38. The compound of Embodiment 1, wherein the compound of formula II is represented by formula II-5:
10 or a pharmaceutically acceptable salt thereof. Embodiment 39. The compound of Embodiment 1, wherein the compound of formula II is represented by formula II-6:
or a pharmaceutically acceptable salt thereof. Embodiment 40. The compound of Embodiment 1, wherein the compound of formula II 5 is represented by formula II-7:
or a pharmaceutically acceptable salt thereof. Embodiment 41. The compound of Embodiment 1, wherein the compound of formula II 10 is represented by formula III-1:
or a pharmaceutically acceptable salt thereof. Embodiment 42. The compound of Embodiment 1, wherein the compound of formula II 15 is represented by formula III-2:
or a pharmace
Embodiment 43. A glycolipid compound of any one of Tables 1-3. 5 Embodiment 44. A particle comprising one or more glycolipid compounds of any one of Embodiments 1-43 and a nucleic acid. Embodiment 45. The particle of Embodiment 44, wherein the particle comprises about 0.5 mol% to about 20 mol% of the one or more glycolipids. Embodiment 46. The particle of Embodiments 44 or 45, wherein the particle comprises 10 two or more glycolipids. Embodiment 47. The particle of any one of Embodiments 44-46, wherein the particle further comprises one or more of a cationic lipid, a helper lipid, and a steroid. Embodiment 48. The particle of Embodiment 47, wherein the cationic lipid is selected from SM-102, ALC-0315, ALC0366, or HY-501. 15 Embodiment 49. The particle of Embodiments 47 or 48, wherein the steroid is cholesterol. Embodiment 50. The particle of any one of Embodiments 47-49, wherein the particle further comprises a polymer-conjugated lipid. Embodiment 51. The particle of any one of Embodiments 44-50, wherein the nucleic acid is RNA. 20 Embodiment 52. The particle of Embodiment 51, wherein the RNA is mRNA. Embodiment 53. The particle of Embodiment 52, wherein the RNA is modRNA, saRNA, taRNA, or uRNA. Embodiment 54. The particle of any one of Embodiments 1-50, wherein the nucleic acid is DNA. 25 Embodiment 55. A composition comprising one or more particles of Embodiments 44-54. Embodiment 56. The composition of Embodiment 55, wherein an average diameter of the one or more particles is from about 10 nm to about 500 nm.
Embodiment 57. The composition of Embodiments 55 or 56, wherein a PDI of the particles in the composition is from about 0.5 to about 1. Embodiment 58. A method of treating a disease, disorder, or condition comprising administering to a subject a particle of any one of Embodiments 1-54, or a composition of any 5 one of Embodiments 55-57. Embodiment 59. The method of Embodiment 58, wherein the disease, disorder, or condition is an infectious disease, cancer, a genetic disorder, an autoimmune disease, or a rare disease. Embodiment 60. A method of increasing or causing increased expression of RNA in a 10 target in a subject comprising administering to the subject a particle of any one of Embodiments 1-54, or a composition of any one of Embodiments 55-57. Embodiment 61. The method of Embodiment 60, wherein the target is selected from the lungs, liver, spleen, heart, brain, lymph nodes, bladder, kidneys, and pancreas. Embodiment 62. The method of any one of Embodiments 58-61, wherein the composition 15 is administered intramuscularly, intranasally, intravenously, subcutaneously, or intratumoraly. EXAMPLES The Examples provided herein document and support certain aspects of the present disclosure but are not intended to limit the scope of any claim. The following non-limiting examples are provided to further illustrate certain teachings provided by the present disclosure. Those of skill 20 in the art, in light of the present application, will appreciate that various changes can be made in the specific embodiments that are illustrated in the present Examples without departing from the spirit and scope of the present teachings. The following abbreviations may be used in the Examples below: aq. (aqueous); ACN (acetonitrile); CSA (camphorsulfonic acid); d (day or days); Da/kDa (Daltons/kiloDaltons); DC 25 (dendritic cells); DCM (dichloromethane); d# (days, e.g., d0 = day 0, d20 = day 20); ddH2O (double distilled H2O); DEA (diethylamine); DHP (dihydropyran); DMF (N,N- dimethylformamide); DIPEA (N,N-diisopropylethylamine); DMAP (4-dimethylaminopyridine); DOTMA (1,2-di-O-octadecenyl-3-trimethylammonium propane); DODMA (1,2-dioleyloxy-3- dimethylaminopropane), DOPE (1,2-dioleoyl-sn-glycero-3-phosphoethanolamine); DMSO 30 (dimethyl sulfoxide); EA (ethyl acetate); ee (enantiomeric excess); equiv. (equivalent); ethanol (EtOH); h or hr (hour or hours); Hex (hexanes); HPLC (high-performance liquid chromatography); IPA (isopropyl alcohol); i.m (intramuscular); i.v (intravenous); KHMDS
(potassium bis(trimethylsilyl)amide); LAH (lithium aluminum hydride); LCMS (liquid chromatography-mass spectrometry); LDA (lithium diisopropylamide); LiHMDS (lithium bis(trimethylsilyl)amide); MeOH (methanol); min (minute or minutes); NMR (nuclear magnetic resonance); PBS (phosphate buffered saline); Pd/C (palladium on carbon); PEI 5 (polyethyleneimine); PPh3O (triphenylphosphine oxide); Pt/C (platinum on carbon); rb (round- bottomed); Rf (retention factor); rt or RT (room temperature); s.c (subcutaneous); SM (starting material); TEA (triethylamine); THF (tetrahydrofuran); THP (tetrahydropyran); TLC (thin layer chromatography); TsOH (p-toluenesulfonic acid or tosylic acid); and UV (ultraviolet). Example 1 – Synthetic Examples 10
in the preparations disclosed in the following examples were purchased from commercial sources and used without further purification, unless otherwise specified. Thin-layer chromatography (TLC) was carried out on aluminum sheets coated with Sílica gel 60 F254 Merck with visualization by UV light (λ 254 nm) and by charring with 10% ethanolic H2SO4, 0.1% ethanolic ninhydrin and heating at 100 ⁰C. Column chromatography was 15 carried out on Silice 60 A.C.C. Chromagel (SDS 70-200 and 35-70 μm). The structure of all compounds described herein, including synthetic intermediates and precursors, was confirmed by 1H and 13C nuclear magnetic resonance (NMR) and mass spectrometry (MS). NMR experiments were performed at 300 (75.5), and 500 (125.7, 202) MHz with Bruker 300 ADVANCE and 500 DRX. 1D TOCSY, 2D COSY, HMQC and HSQC experiments were used to assist on NMR 20 assignments. Mass spectra (High-resolution mass spectra) were carried out on a Bruker Daltonics Esquire6000TM (LTQ-Orbitrap XL ETD). The samples were introduced via solid probe heated from 30 to 280 ⁰C. ESI as ionization source (Electrospray Ionization) was used to which methanol was used as solvent. The samples were introduced via direct injection using a Cole-Parmer syringe at a flow rate of 2 µl/min. Ions were scanned between 300 and 3000 Da with a scan speed of 25 13000 Da/s at unit resolution using resonance ejection at the multipole resonance of one-third of the radio frequency (Ω = 781.25 kHz). General Procedures for Synthesis of Provided Compounds Scheme 1 depicts synthesis of homovalent and heterovalent glycodendrons by thiol-ene click 30 coupling, wherein A and B refer to saccharide configurations as indicated in Table 1-1.
Scheme 1 Scheme 2 depicts the synthesis of monovalent glycoligands by thiol-ene click coupling, wherein 5 A refers to monosaccharide configurations as indicated in Table 1-2. Scheme 2 Scheme 3 depicts synthesis of high-mannose trisaccharide ligands.
Scheme 3 Scheme 4 depicts the synthesis of homo- (route HOMO), hetero-hexavalent (route HETERO) and fluorescently-labelled (route LABEL) glycodendrons by thiol-ene click coupling wherein A and 5 B refer to the saccharide configuration as indicated in Table 1-3.
Scheme 5 depicts the synthesis of a compound of formula I wherein G1 is a glycodendron or carbohydrate moiety or fluorescent probe selected from Table 1-4, G2 is an oligomer/polymer moiety comprising units of ethyleneglycol, and G3 is a phospholipid tail selected among DOPE or DSPE. Scheme 5 also shows the general routes (routes A and B) implemented for the syntheses 5 of a compound of formula I wherein G1 is a glycodendron or carbohydrate moiety selected from Table 1-1, G2 is an oligomer/polymer moiety comprising units of ethyleneglycol, and G3 is a phospholipid tail selected among DOPE or DSPE, in exemplary embodiments:
10 Scheme 6 depicts the synthesis of a compound of formula I wherein G1 is a glycodendron or carbohydrate moiety or fluorescent probe selected from Table 1-5, G2 is an oligomer/polymer moiety comprising units of sarcosine, and G3 is a lipid or phospholipid tail selected among tetradecyl or DOPE. Scheme 6 also shows the general routes (routes A, B, and C) implemented for the syntheses of a compound of formula I wherein G1 is a glycodendron or carbohydrate 15 moiety selected from Table 1-5, G2 is an oligomer/polymer moiety comprising units of sarcosine, and G3 is a lipid or phospholipid tail selected among tetradecyl or DOPE, in exemplary embodiments
In exemplary embodiments, homovalent and heterovalent glycodendrons synthesized according to Scheme 1 are characterized by the following saccharide configurations: 5 In exemplary embodiments, homovalent and heterovalent glycodendrons synthesized according to Scheme 1 are characterized by the saccharide configurations shown in Table 1-1: Table 1-1. Homo- and hetero-trivalent saccharide configuration combinations. Conjugate A and/or B R X
Conjugate A and/or B R X
Conjugate A and/or B R X
In exemplary monovalent glycoligands synthesized according to Scheme 2, A is chosen from those shown in Table 1-2: Table 1-2. Monovalent saccharide configuration combinations. code
8(αGalNAc) In exemplary embodiments, ing to Scheme 4 characterized by
saccharide configurations as shown in Table 1-3 below: Table 1-3. Homo-, hetero- and fluorescently-labelled multivalent saccharide combinations. A and/or B label branch R X route
A and/or B label branch R X route
In exemplary embodiments, the synthesis of a compound of formula 1 according to Scheme 5 is characterized by the lipid and monosaccharide/fluorescent label configurations shown in Table 1- 4: 5
Table 1-4. Combinations of lipid, PEG, spacer and glycan antennae in PEG-based glicolipid conjugates code Lipid m n R route
code Lipid m n R route
code Lipid m n R route
code Lipid m n R route
code Lipid m n R route
code Lipid m n R route
code Lipid m n R route
In exemplary embodiments, a compound of formula 1 synthesized according to Scheme 6 is characterized by lipid and saccharide configurations as shown in Table 1-5 below: 5 Table 1-5. Combinations of lipid, pSar, spacer and glycan antennae in pSar-based glycolipid conjugates. code Lipid n X route
1 22
In some exemplary embodiments, the following precursors used in the synthesis of specific compounds described herein were prepared through known methods: Tri-O-allyl pentaeritritol (1) was prepared following the procedure described in the literature from 5 commercially available reagents. See Lubineau, A. Malleron, C. Le Narvor, Tetrahedron Lett. 2000, 41, 8887-8891. 1,8-Diisothiocyanato-3,6-dioxa-octane was prepared following the procedure described in the literature from commercially available reagents. See N. G. Lukyanenko, T. I. Kirichenko, S. V. Scherbakov, J. Chem. Soc., Perkin Trans.12002, 2347-2351. 10 2,3,4,6-Tetra-O-acetyl-1-thio-α-D-mannopyranose (αManSH), 2,3,4-tri-O-benzoyl-1-thio-α-L- fucopyranose (αFucSH), 2,3,6,2’,3’,4’,6’-Hepta-O-acetyl-1-thio-β-lactose (βLactSH), N-acetyl- tri-O-acetyl-1-thio-α-D-galactosamine (αGalNAcSH) were prepared following the procedure described in the literature from commercially available reagents. See K. L. Matta, R. N. Girotra, J. J. Barlow, Carbohydr. Res. 1975, 43, 101-109.; D. A. Fulton, J. F. Stoddart, J. Org. 15 Chem.2001, 66, 8309-8319; and S. Knapp, D. S. Myers, J. Org. Chem.2002, 67, 2995-2999). p-Nitrophenyl 3,6-di-O-(α-D-mannopyranosyl)-α-D-mannopyranoside (triαManPhNO2) and 2- azidoethyl 3,6-di-O-(α-D-mannopyranosyl)-α-D-mannopyranoside (triαManEtN3) were prepared following the procedure described in the literature from commercially available reagents. See R. Jiang, G. Zong, X. Liang, S. Jin, J. Zhang, D. Wang, Molecules 2014, 19, 6683- 20 6693 and T. K. Lindhorst, K. Bruegge, A. Fuchs, O. Sperling, Beilstein J. Org. Chem. 2010, 6, 801-809.
p-Isothiocyanatophenyl-β-D-glucopyranoside (βGlcPh-NCS), 2-aminoethyl-α-D- mannopyranoside (αManEt-NH2), and 2-isothiocyanatoethyl-α-D-mannopyranoside (αManEt- NCS) were prepared following the procedure described in the literature from commercially available reagents. See D. H. Buss, J. Goldstein, J. Chem. Soc. C 1968, 1457-1461; J. E. 5 Gestwicki, C. W. Cairo, L. E. Strong, K. A. Oetjen, L. L. Kiessling, J. Am. Chem. Soc.2002, 124, 14922-14933; and J. Ni, S. Singh, L.-X. Wang, Bioconjugate Chem.2003, 14, 232-238. Lipid-pSarn polymers were purchased from Curapath (Valencia, Spain). 2-Aminoethyl 3,6-di-O-(α-D-mannopyranosyl)-α-D-mannopyranoside (triαManEt-NH2). To a solution of 2-azidoethyl 3,6-di-O-(α-D-mannopyranosyl)-α-D-mannopyranoside 10 (triαManEt-N3, 0.57 g, 1 mmol) in a 1:1 MeOH-H2O mixture TPP (0.39 g, 1.5 mmol, 1.5 eq) was added. The reaction mixture was stirred at RT for 48 h and then the solvents were evaporated under reduced pressure. The residue was taken into H2O (20 mL) and washed with toluene (2 × 20 mL). The aqueous layer was decanted and freeze-dried to furnish the target amine triManEtNH2 in virtually quantitative yield (0.54 g). Chemical Formula: C20H37NO16. MW: 15 547.51. ESI-MS (m/z) 548.34 ([M + H]+). 2-Isothiocyanatoethyl 3,6-di-O-(α-D-mannopyranosyl)-α-D-mannopyranoside (triαManEt- NCS). To a solution of 2-aminoethyl 3,6-di-O-(α-D-mannopyranosyl)-α-D-mannopyranoside (triαManEt-NH2, 23 mg, 0.05 mmol) in 5:1 acetone-H2O (1 mL), TEA (0.1 mmol, 2 eq) and CS2 (0.5 mmol, 10 eq) were added. The reaction mixture was stirred at RT for 1 h to allow the 20 formation of the dithiocarbamate intermediate, and then a solution of TsCl (0.065 mmol, 1.3 eq) in acetone (0.5 mL) was added. The reaction was further stirred for 16 h, then concentrated under reduced pressure. The residue was taken into H2O (1 mL), filtrated (0.45 µm) and freeze-dried to furnish the target isothiocyanate triManEtNCS (21 mg, 71%). Chemical Formula: C21H35NO16S. MW: 589.56. ESI-MS (m/z) 588.29 ([M - H]-). 25 p-Aminophenyl 3,6-di-O-(α-D-mannopyranosyl)-α-D-mannopyranoside (triManPhNH2). p- Nitrophenyl 3,6-di-O-(α-D-mannopyranosyl)-α-D-mannopyranoside (triαManPhNO2, 0.62 g, 1 mmol) was hydrogenated at atmospheric pressure in the presence of 10% Pd/C (mg) in MeOH (25 mL) at RT for 24 h. The catalyst was filtrated off and the clear solution was concentrated to furnish the target amine in virtually quantitative yield (0.59 g). Chemical Formula: C24H37NO16. 30 MW: 595.55. ESI-MS (m/z) 596.33 ([M + H]+). p-Isothiocyanatophenyl 3,6-di-O-(α-D-mannopyranosyl)-α-D-mannopyranoside (triαManPh-NH2). To a solution of p-aminophenyl 3,6-di-O-(α-D-mannopyranosyl)-α-D- mannopyranoside (triαManPh-NH2, 60 mg, 0.1 mmol) in 2:1 EtOH-H2O (3 mL) at RT, Cl2CS
(11 µL, 0.12 mmol, 1.2 eq) was added. The reaction mixture was stirred at RT for 1 h and concentrated under reduced pressure. Traces of Cl2CS were removed by repeated coevaporation with toluene (3 × 3 mL) to furnish the target amine in virtually quantitative yield (65 mg). Chemical Formula: C25H35NO16S. MW: 637.61. ESI-MS (m/z) 660.29 ([M + Na]+). 5 General procedure for the synthesis of homotrivalent dendronized glycoligands (Scheme 1- homovalent). The synthesis is performed according to the following scheme using the saccharide thiol donors indicated below:
-SH t o donor structure
10 To a solution of tri-O-allylpentaeritritol acceptor (1, 1.0 g, 3.9 mmol) and the corresponding thiol donor A-SH (see table above, 14.1 mmol, 3.6 eq) in dry toluene (40 mL) under N2 atmosphere at -50 ºC, a solution of dimethoxyphenyl acetophenone (DMPA, 144 mg, 0.56 mmol, 4 mol%) in
dry toluene (1 mL) was added. The mixture was irradiated at 254 nm at -50 ºC for 30 min. The solvents were then evaporated, and the resulting residue was purified by column chromatography using the indicated eluent to produce the target homotrivalent glycodendrons 2(A3) in the following yields: 5 Compound 2(αMan3)1 was obtained by thiol-ene click coupling from 1 and thiol (αMan)-SH.
etroleum ether yield 70 % Chemical Formula: C56H84O31S3. MW: 1349.44 ESI-MS (m/z) 1394.38 ([M + HCO2]-). Compound 2(βGlc3)11 was obtained from thiol-ene click coupling 1 and thiol (βGlc)-SH. 10 eluent 1:2 EtOAc-petroleum ether yield 86 % Chemical Formula: C56H84O31S3. MW: 1349.44 ESI-MS (m/z) 1394.18 ([M + HCO2]-). Compound 2(βGal3) was obtained from thiol-ene click coupling 1 and (βGal)-SH. eluent 1:2 EtOAc-petroleum ether yield 91 % 15 Chemical Formula: C56H84O31S3. MW: 1349.44 ESI-MS (m/z) 1394.29 ([M + HCO2]-). Compound 2(βLac3)11 was obtained from thiol-ene click coupling 1 and thiol (βLac)-SH. eluent 1:3 EtOAc-petroleum ether yield 71 % Chemical Formula: C92H132O55S3. MW: 2214.19 20 ESI-MS (m/z) 2259.92 ([M + HCO2]-). Compound 2(αFuc3) was obtained from thiol-ene click coupling 1 and thiol (αFuc)-SH. eluent 1:6 → 1:2 EtOAc-petroleum ether yield 95% Chemical Formula: C95H96O25S3. MW: 1733.97 ESI-MS (m/z) 1756.73 ([M + Na]+).
General procedure for azidation of homotrivalent dendronized glycoligands 2(A3) to render azides 3(A3) (Scheme 1-homovalent). The azidation of 2(A3) is performed according to the following scheme using the conditions indicated below: 5
mL) under N2 atmosphere at -20 ºC, pyridine (1.2 mL, 15 mmol, 15 eq) and Tf2O (0.25 mL, 1.5 mmol, 1.5 eq) were sequentially added. The reaction mixture was stirred for 1 h at -20 ºC and then transferred to a decantation funnel and successively washed with 5% NaHCO3 (1 × 30 mL) and 1N HCl (2 × 30 mL). The organic layer was decanted, dried over MgSO4, filtrated and concentrated under 10 reduced pressure. The resulting residue was immediately dissolved in dry DMF (30 mL) and the solution was treated with NaN3 (0.20 g, 3 mmol, 3 eq) and stirred for 16 h at RT. The solvent was then concentrated under reduced pressure and the residue taken in DCM (50 mL) and washed with H2O (2 × 25 mL). The organic layer was decanted, dried over MgSO4, filtrated and concentrated under reduced pressure. The resulting residue was purified by column 15 chromatography using the indicated eluent to furnish the target azides 3(A3) in the indicated yields: Compound 3(αMan3)11 was obtained from 2(αMan3). Eluent 1:2 EtOAc-petroleum ether yield 60 % Chemical Formula: C56H83N3O30S3. MW: 1374.45 20 ESI-MS (m/z) 1419.22 ([M + HCO2]-). Compound 3(βGlu3)11 was obtained from 2(βGlc3). Eluent 1:2 EtOAc-petroleum ether yield 72 % Chemical Formula: C56H83N3O30S3. MW: 1374.45 ESI-MS (m/z) 1419.37 ([M + HCO2]-). 25 Compound 3(βGal3) was obtained from 2(βGal3). Eluent 1:1 EtOAc-petroleum ether yield 73 % Chemical Formula: C56H83N3O30S3. MW: 1374.45
ESI-MS (m/z) 1419.18 ([M + HCO2]-). Compound 3(βLac3)11 was obtained from 2(βLac3). Eluent 1:3 EtOAc-petroleum ether yield 71 % Chemical Formula: C92H131N3O54S3. MW: 2239.45 5 ESI-MS (m/z) 2212.94 ([M – N2 + H]+). Compound 3(αFuc3) was obtained from 2(αFuc3). Eluent 1:2 EtOAc-petroleum ether yield 63% Chemical Formula: C95H95N3O24S3. MW: 1758.98 ESI-MS (m/z) 1781.74 ([M + Na]+). 10 General procedure for isothiocyanation of homotrivalent dendronized glycoligands 3(A3) to render isothiocyanates 4(A3) (Scheme 1-homovalent). The isothiocyanation of 3(A3) is performed according to the following scheme using the conditions indicated below:
0 mL) under N2 15 atmosphere, TPP (0.31 g, 1.2 mmol, 1.2 eq.) and CS2 (0.6 mL, 10 mmol, 10 eq.) were sequentially added. The reaction mixture was stirred at RT for 24 h, and then the solvent was evaporated under vacuum. The resulting residue was purified by column chromatography using the indicated eluent to yield the target isothiocyanates 4(A3). Compound 4(αMan3)11 was obtained from 3(αMan3). 20 eluent 1:1 EtOAc-petroleum ether yield 85 % Chemical Formula: C57H83NO30S4. MW: 1390.51 ESI-MS (m/z) 1412.1 ([M + Na]+). Compound 4(βGal3) was obtained from 3(βGal3). eluent 1:1 EtOAc-petroleum ether yield 79 % 25 Chemical Formula: C57H83NO30S4. MW: 1390.51 ESI-MS (m/z) 1435.31 ([M + HCO2]-).
General procedure for deacylation of homotrivalent dendronized glycoligands 3(A3) to render 5(A3) (Scheme 1-homovalent). The deacylation of 3(A3) is performed according to the following scheme using the conditions indicated below: 5
L), NaOMe (0.1 eq per acetate) was added. The mixture was stirred at RT for 1 h and the reaction was quenched by neutralization with Amberlite IR-120(H+) ion exchange resin. The solution was filtrated out and the solvers were evaporated under reduced pressure to furnish the target deacylated products in virtually quantitative yields: 10 Compound 5(αMan3) was obtained from 3(αMan3). yield 99 % Chemical Formula: C32H59N3O18S3. MW: 870.01 ESI-MS (m/z) 868.68 ([M - H]-). Compound 5(βGlc3) was obtained from 3(βGlc3). 15 yield 99 % Chemical Formula: C32H59N3O18S3. MW: 870.01 ESI-MS (m/z) 868.58 ([M - H]-). Compound 5(βGal3) was obtained from 3(βGal3). yield 99 %
20 Chemical Formula: C32H59N3O18S3. MW: 870.01 ESI-MS (m/z) 868.74 ([M - H]-). Compound 5(βLac3) was obtained from 3(βLac3). yield 99 % Chemical Formula: C50H89N3O33S3. MW: 1356.43 25 ESI-MS (m/z) 1355.13 ([M - H]-). Compound 5(αFuc3) was obtained from 3(αFuc3).
yield 99 % Chemical Formula: C32H59N3O15S3. MW: 822.01 ESI-MS (m/z) 821.25 ([M - H]-). General procedure for reduction of homotrivalent dendronized azides 5(A3) to render 5 amines 6(A3) (Scheme 1-homovalent). The reduction of 5(A3) is performed according to the following scheme using the below indicated conditions:
H-H2O mixture (12 mL), TPP (0.39 g, 1.5 mmol, 1.5 eq.) was added. The reaction mixture was stirred at RT for 24 h. 10 The solvents were then evaporated under reduced pressure, and the residue was taken in water (15 mL) and washed with toluene (2 × 15 mL). The aqueous layer was decanted and freeze-dried to furnish the target amines 6(A3) in the indicated yields: Compound 6(αMan3) was obtained from 5(αMan3). yield 95%
15 Chemical Formula: C32H59N3O18S3. MW: 844.01 ESI-MS (m/z) 844.42 ([M + H]+). Compound 6(βGlc3) was obtained from 5(βGlc3). Yield 96% Chemical Formula: C32H59N3O18S3. MW: 844.01 20 ESI-MS (m/z) 844.39 ([M + H]+). Compound 6(βGal3) was obtained from 5(βGal3). yield 99 % Chemical Formula: C32H59N3O18S3. MW: 844.01 ESI-MS (m/z) 844.56 ([M + H]+). 25 Compound 6(βLac3) was obtained from 5(βLac3). yield 87 % Chemical Formula: C50H91NO33S3. MW: 1330.43
ESI-MS (m/z) 1329.14 ([M - H]-). Compound 6(αFuc3) was obtained from 5(αFuc3). yield 92% Chemical Formula: C32H61NO15S3. MW: 796.01 5 ESI-MS (m/z) 796.48 ([M + H]+). General procedure for the synthesis of isothiocyanate-armed homotrivalent dendronized glycoligands 7(A3) (Scheme 1-homovalent). The synthesis of 7(A3) is performed according to the following scheme using the below indicated conditions: 10
xture (10 mL), 1,8-diisothiocyanato-3,6-dioxa-octane (1.16 g, 5 mmol) was added. Reaction pH was adjusted (if necessary) to ca.8 by addition of aliquots of TEA, and then further stirred at RT for 24 h. Next, the solvents were evaporated under reduced pressure and the residue was taken in water (20 mL) and washed with DCM (2 × 20 mL). The aqueous layer was decanted and freeze-dried to furnish 15 the target isothiocyanates 7(A3) in the indicated yields: Compound 7(αMan3) was obtained from 1,8-diisothiocyanato-3,6-dioxa-octane and 6(αMan3). yield 89 % Chemical Formula: C40H73N3O20S5. MW: 1076.32 ESI-MS (m/z) 1074.54 ([M - H]-). 20 Compound 7(βGal3) was obtained from 1,8-diisothiocyanato-3,6-dioxa-octane and 6(βGal3). yie
% Chemical Formula: C40H73N3O20S5. MW: 1076.32 ESI-MS (m/z) 1075.18 ([M - H]-). General procedure for the synthesis of heterotrivalent dendronized glycoligands (Scheme 25 1-heterovalent). The synthesis is performed according to the following scheme combining the below indicated saccharide thiol donors:
A-SH or B- thiol donor structure
To a solution of tri-O-allylpentaeritritol acceptor (1, 1 g, 3.9 mmol) and the corresponding thiol 5 donor A-SH (see table above, 5.9 mmol, 1.5 eq.) in dry toluene (40 mL) under N2 atmosphere at -50 ºC, a solution of dimethoxyphenyl acetophenone (DMPA, 60 mg, 0.24 mmol, 4 mol%) in dry toluene (1 mL) was added. The mixture was irradiated at 254 nm for 30 min at -50 ºC. Then the solvents were evaporated and the monoglycosylated and diglycosylated adducts were isolated by column chromatography (eluent 20:1 → 1:1 toluene-acetone), and then further reacted with the 10 second thiol donor B-SH (2.6 and 1.3 eq, respectively) under similar conditions. The target heterotrivalent glycodendrons 2(A2B) were obtained after column chromatography purification in the following yields: Compound 2(αMan2βGal) was obtained by thiol-ene click coupling from 1 and thiols (βGal)-SH and (αMan)-SH. 15 eluent 8:1 → 1:1 Tol-acetone overall yield (2 steps) 58 % Chemical Formula: C56H84O31S3. MW: 1349.41 ESI-MS (m/z) 1394.23 ([M + HCO2]-).
Compound 2(βGal2αMan) was obtained by thiol-ene click coupling from 1 and thiols (αMan)-SH and (βGal)-SH. eluent 8:1 → 1:1 Tol-acetone overall yield (2 steps) 50 % Chemical Formula: C56H84O31S3. MW: 1349.41 5 ESI-MS (m/z) 1394.32 ([M + HCO2]-). General procedure for azidation of heterotrivalent dendronized glycoligands to render azides 3(A2B) (Scheme 1-heterovalent). The azidation of 2(A2B) is performed according to the following scheme using the conditions indicated below: HO A2B) (1 mmol) in dry DCM (mL) under N2
atmosphere at -20 ºC, pyridine (1.2 mL, 15 mmol, 15 eq.) and Tf2O (0.25 mL, 1.5 mmol, 1.5 eq.) were sequentially added. The reaction mixture was stirred for 1 h at -20 ºC and then transferred to a decantation funnel and successively washed with 5% NaHCO31 × 30 mL) and 1N HCl (2 × 30 mL). The organic layer was decanted, dried over MgSO4, filtrated and concentrated under 15 reduced pressure. The resulting residue was immediately dissolved in dry DMF (30 mL) and the solution was treated with NaN3 (0.20 g, 3 mmol, 3 eq) and stirred for 16 h at RT. The solvent was then concentrated under reduced pressure and the residue taken in DCM (50 mL) and washed with H2O (2 × 25 mL). The organic layer was decanted, dried over MgSO4, filtrated and concentrated under reduced pressure and the resulting residue was purified by column 20 chromatography using the indicated eluent to furnish the target azides 3(A2B) in the indicated yields: Compound 3(αMan2βGal) was obtained from 2(αMan2βGal). eluent 1:4 EtOAc-toluene yield 60 % Chemical Formula: C56H83N3O30S3. MW: 1374.45
ESI-MS (m/z) 1419.34 ([M + HCO2]-). Compound 3(βGal2αMan) was obtained from 2(βGal2αMan). eluent 1:4 EtOAc-toluene yield 75 % Chemical Formula: C56H83N3O30S3. MW: 1374.45 5 ESI-MS (m/z) 1419.33 ([M + HCO2]-). General procedure for deacylation of heterotrivalent dendronized glycoligands 3(A2B) to render 5(A2B) (Scheme 1-heterovalent). The deacylation of 3(A2B) is performed according to the following scheme using the conditions indicated below: 10
cetate 3(A2B) (1 mmol) in MeOH (10 mL), NaOMe (0.1 eq. per acetate) was added. The mixture was stirred at RT for 1 h and the reaction was quenched by neutralization with Amberlite IR-120(H+) ion exchange resin. The solution was filtrated out and the solvent evaporated under reduced pressure to furnish the target deacylated products in virtually quantitative yields: 15 Compound 5(αMan2βGal) was obtained from 3(αMan2βGal). yield 99 % Chemical Formula: C32H59N3O18S3. MW: 870.01 ESI-MS (m/z) 868.58 ([M - H]-). Compound 5(βGal2αMan) was obtained from 3(βGal2αMan). 20 yield 99 % Chemical Formula: C32H59N3O18S3. MW: 870.01 ESI-MS (m/z) 868.59 ([M - H]-).
General procedure for reduction of heterotrivalent dendronized azides 5(A2B) to render amines 6(A2B) (Scheme 1-heterovalent). The reduction of 5(A2B) was performed according to the following scheme using the conditions indicated below: 5 To a solution of the corresponding azide 5(A2B) (1 mmol) in dry a 5:1 MeOH-H2O mixture (12 mL), TPP (0.31 g, 1.2 mmol) was added. The reaction mixture was stirred at RT for 24 h. Then the solvents were evaporated under reduced pressure and the residue was taken in water (15 mL) and washed with toluene (2 × 15 mL). The aqueous layer was decanted and freeze-dried to furnish the target amines 6(A2B) in the indicated yields: 10 Compound 6(αMan2βGal) was obtained from 5(αMan2βGal). yield 78 % Chemical Formula: C32H61NO18S3. MW: 844.01 ESI-MS (m/z) 844.44 ([M + H]+). Compound 6(βGal2αMan) was obtained from 5(βGal2αMan). 15 yield 89 % Chemical Formula: C32H61NO18S3. MW: 844.01 ESI-MS (m/z) 844.45 ([M + H]+). General procedure for the synthesis of monovalent glycoligands 8(A) (Scheme 2). The synthesis is performed according to the following scheme using the below indicated saccharide 20 thiol donors.
A-SH thiol donor structure
To a solution of allyl alcohol acceptor (1 mmol) and the corresponding thiol donor A-SH (see table above, 1.2 mmol, 1.2 eq) in dry toluene (10 mL) under N2 atmosphere at -50 ºC, a solution of dimethoxyphenyl acetophenone (DMPA, 12 mg, 0.05 mmol, 4 mol%) in dry toluene (1 mL) 5 was added. The mixture was irradiated at 254 nm at -50 ºC for 30 min. The solvent was then evaporated, and the resulting residue was purified by column chromatography using the indicated eluent to produce the target monovalent glycoligands 8(A) in the following yields: Compound 8(αFuc) was obtained by thiol-ene click coupling from 1 and thiol (αFuc)-SH. eluent 1:5 EtOAc-petroleum ether yield 89 % 10 Chemical Formula: C30H30O8S. MW: 550.62 ESI-MS (m/z) 595.47 ([M + HCO2]-). Compound 8(αGalNAc) was obtained by thiol-ene click coupling from 1 and thiol (αGalNAc)- SH. eluent 1:3 EtOAc-petroleum ether yield 76 % 15 Chemical Formula: C17H27NO9S. MW: 421.46 ESI-MS (m/z) 466.23 ([M + HCO2]-). General procedure for azidation of monovalent glycoligands to render azides 9(A) (Scheme 2). The azidation of 8(A) is performed according to the following scheme using the conditions indicated below: 20
To a solution of the corresponding alcohol 2(A3) (1 mmol) in dry DCM (10 mL) under N2 atmosphere at -20 ºC, pyridine (1.2 mL, 15 mmol, 15 eq) and Tf2O (0.25 mL, 1.5 mmol, 1.5 eq) were sequentially added. The reaction mixture was stirred for 1 h at -20 ºC and then transferred 5 to a decantation funnel and successively washed with 5% NaHCO3 (10 mL) and 1N HCl (2 × 10 mL). The organic layer was decanted, dried over MgSO4, filtrated and concentrated under reduced pressure. The resulting residue was immediately dissolved in dry DMF (10 mL) and the solution was treated with NaN3 (0.20 g, 3 mmol, 3 eq) and stirred for 16 h at RT. The solvent was then concentrated under reduced pressure and the residue taken in DCM (20 mL) and washed with 10 H2O (2 × 20 mL). The organic layer was decanted, dried over MgSO4, filtrated and concentrated under reduced pressure and the resulting residue was purified by column chromatography using the indicated eluent to furnish the target azides 9(A) in the indicated yields: Compound 9(αFuc) was obtained from 8(αFuc). eluent 1:6 EtOAc-petroleum ether yield 88 % 15 Chemical Formula: C30H29N3O7S. MW: 575.64 ESI-MS (m/z) 575.04 ([M - H]-). Compound 9(αGalNAc) was obtained from 8(αGalNAc). eluent 1:3 EtOAc-petroleum ether yield 92 % Chemical Formula: C17H26N4O8S. MW: 446.48 20 ESI-MS (m/z) 447.21 ([M + H]+). General procedure for deacylation of monovalent glycoligands 9(A) to render 10(A) (Scheme 2). The deacylation of 9(A) is performed according to the following scheme using the conditions indicated below:
To a solution of the corresponding peracetate 9(A) (1 mmol) in MeOH (10 mL), NaOMe (0.1 eq per acetate) was added. The mixture was stirred at RT for 1 h and the reaction was quenched by neutralization with Amberlite IR-120(H+) ion exchange resin. The solution was filtrated out and the solvent evaporated under reduced pressure to furnish the target deacylated products in 5 virtually quantitative yields: Compound 10(αFuc) was obtained from 9(αFuc). yield 99 % Chemical Formula: C9H17N3O4S. MW: 263.31 ESI-MS (m/z) 286.1 ([M + H]+). 10 Compound 10(αGalNAc) was obtained from 9(αGalNAc). yield 99 % Chemical Formula: C11H20N4O5S. MW: 320.36 ESI-MS (m/z) 321.15 ([M + H]+). General procedure for reduction of monovalent azides 10(A) to render amines 11(A) 15 (Scheme 2). The reduction of 10(A) was performed according to the following scheme using the below indicated conditions: To a solution of the corresponding azide 10(A) (1 mmol) in dry a 5:1 MeOH-H2O mixture (12 mL), TPP (0.31 g, 1.2 mmol) was added. The reaction mixture was stirred at RT for 24 h. Next, 20 the solvents were evaporated under reduced pressure and the residue was taken in water (10 mL) and washed with toluene (2 × 10 mL). The aqueous layer was decanted and freeze-dried to furnish the target amines 11(A) in the indicated yields: Compound 11(αFuc) was obtained from 10(αFuc). Yield 92 % 25 Chemical Formula: C9H19NO4S. MW: 237.31 ESI-MS (m/z) 238.1 ([M + H]+). Compound 11(αGalNAc) was obtained from 10(αGalNAc). Yield 96 %
Chemical Formula: C11H22N2O5S. MW: 294.37 ESI-MS (m/z) 295.15 ([M + H]+). General procedure for isothiocyanation of monovalent amines 11(A) to render isothiocyanates 12(A) (Scheme 2). The isothiocyanation of 11(A) was performed according to 5 the following scheme using the below indicated conditions: To a solution of the corresponding amine 11(A) (1 mmol) in EtOH (10 mL), Cl2CS (90 µL, 1.2 mmol, 1.2 eq) was added. The reaction mixture was stirred at RT for 1 h, then the solvents were evaporated under reduced pressure to furnish the target isothiocyanates 12(A) in the indicated 10 yields: Compound 12(αFuc) was obtained from 11(αFuc). yield 95 % Chemical Formula: C10H17NO4S2. MW: 279.37 ESI-MS (m/z) 324.06 ([M + HCO2]-). 15 Compound 12(αGalNAc) was obtained from 11(αGalNAc). yield 91 % Chemical Formula: C11H22N2O5S. MW: 294.37 ESI-MS (m/z) 381.06 ([M + HCO2]-). General procedure for the synthesis of homohexavalent glycoligands 13(A6) and 14(A6) 20 (Scheme 4-homo). The synthesis is performed according to the following scheme using the saccharide thiol donors indicated below:
To a solution of the appropriate branching diamine (branch-1 or branch-2, 1 mmol) in DCM (30 mL), the corresponding isothiocyanate donor 4(A3) (2.2 mmol, 2.2 eq) was added. The reaction mixture was stirred at RT for 16 h, and then the solvent was evaporated and the resulting residue 5 was purified by column chromatography using the indicated eluent to produce the target homohexavalent glycodendrons 13(A6) and 14(A6) in the following yields: Compound 13(βGal6) was synthesized from building blocks branch-1 and 4(βGal3) according to Scheme 4-homo. Eluent 2:1 EtOAc-petroleum ether → EtOAc yield 80 % 10 Chemical Formula C125H191N5O62S8. MW 3012.36. ESI-MS (m/z) 1528.64 ([M + 2Na]2+) Compound 14(αMan6) was synthesized from building blocks branch-2 and 4(αMan3) according to Scheme 4-homo. Eluent 2:1 EtOAc-petroleum ether → EtOAc yield 76 % 15 Chemical Formula C125H192N6O62S8. MW 3024.37. ESI-MS (m/z) 1514.31 ([M + 2H]2+) Compound 14(βGal6) was synthesized from building blocks branch-2 and 4(βGal3) according to Scheme 4-homo. Eluent 2:1 EtOAc-petroleum ether → EtOAc yield 70 % 20 Chemical Formula C125H192N6O62S8. MW 3027.37. ESI-MS (m/z) 1513.94 ([M + 2H]2+), 1486.40 ([M - tBu + 2H]2+).
General procedure for the synthesis of heterohexavalent and fluorescently labelled glycoligands (Scheme 4-hetero and 4-label). The synthesis is performed according to the following scheme using the saccharide thiol donors and fluorescent probe indicated below: 5 To a solution of the appropriate branching diamine (branch-1 or branch-2, 1.1 mmol) in DCM (10 mL), the first isothiocyanate (4(A3), 0.11 mmol, 0.1 eq) was added. The mixture was stirred until complete consumption of the isothiocyanate and then the reaction was diluted with DCM (10 mL) and washed with H2O (7 × 5 mL). The organic layer was decanted, dried over MgSO4 and concentrated. The residue was either taken in DCM (10 mL) and treated with either the second 10 isothiocyanate (4(B3), 0.11 mmol), or taken into DMF (5 mL) and treated with dansyl chloride (DS-Cl, 0.11 mmol). In both cases, the reaction was stirred at RT for 16 h, then concentrated and the residue purified by column chromatography in the indicated eluent: Compound 21(αMan3βGal3) was synthesized from building blocks branch-1, 4(αMan3) and 4(βGal3) according to Scheme 4-hetero. 15 Eluent 2:1 EtOAc-petroleum ether → EtOAc overall yield (2 steps) 70 %
Chemical Formula C125H191N5O62S8. MW 3012.36. ESI-MS (m/z) 1506.84 ([M + 2H]2+). Compound 25(βGal3)Ds was synthesized from building blocks branch-1, DS-Cl and 4(βGal3) according to Scheme 4-hetero. 5 Eluent 2:1 EtOAc-petroleum ether → EtOAc overall yield (2 steps) 92 % Chemical Formula C80H119N5O34S5. MW 1855.13. ESI-MS (m/z) 1854.57 ([M + H]+), 928.34 ([M + 2H]2+). Compound 26(αMan3)Ds was synthesized from building blocks branch-2, DS-Cl and 4(αMan3) according to Scheme 4-hetero. 10 Eluent 2:1 EtOAc-petroleum ether → EtOAc yield 50 % Chemical Formula C80H120N6O34S5. MW 1870.15. ESI-MS (m/z) 1870.59 ([M + H]+), 935.45 ([M + 2H]2+). Compound 26(βGal3)Ds was synthesized from building blocks branch-2, DS-Cl and 4(βGal3) according to Scheme 4-hetero. 15 Eluent 2:1 EtOAc-petroleum ether → EtOAc yield 45 % Chemical Formula C80H120N6O34S5. MW 1870.15. ESI-MS (m/z) 1869.61 ([M + H]+), 935.84 ([M + 2H]2+). General procedure for deacylation of heterohexavalent and fluorescently labelled glycoligands (Scheme 4-homo -, 4-hetero and 4-label). The deacylation reaction was performed 20 according to the following scheme using the below indicated conditions:
To a solution of the corresponding peracetate 13-14(A6), 21(A3B3), or 25-26(A3)Ds (0.1 mmol) in MeOH (5 mL), NaOMe (0.1 eq per acetate) was added. The mixture was stirred at RT for 1 h and the reaction was quenched by neutralization with Amberlite IR-120(H+) ion exchange resin. The 5 solution was filtrated out and the solvent was evaporated under reduced pressure to furnish the target deacylated products 15-16(A6), 22(A3B3), or 27-28(A3)Ds, respectively, in virtually quantitative yields: Compound 15(βGal6) was obtained from 13(βGal6) in 99% yield Chemical Formula C77H143N5O38S8. MW 2003.47. 10 ESI-MS (m/z) 2026.90 ([M + Na]+). Compound 16(αMan6) was obtained from 14(αMan6) in 99% yield Chemical Formula C77H144N6O38S8. MW 2018.48. ESI-MS (m/z) 2017.70 ([M + H]+). Compound 16(βGal6) was obtained from 14(βGal6) in 99% yield 15 Chemical Formula C77H144N6O38S8. MW 2018.48. ESI-MS (m/z) 2017.70 ([M + H]+), 1009.86 ([M + 2H]2+). Compound 22(αMan3βGal3) was obtained from 21(αMan3βGal3) in 99% yield
Chemical Formula C77H143N5O38S8. MW 2003.47. ESI-MS (m/z) 2026.90 ([M + Na]+). Compound 27(βGal3)Ds was obtained from in 25(βGal3)Ds in 99% yield Chemical Formula C56H95N5O22S5. MW 1350.69. 5 ESI-MS (m/z) 1350.58 ([M + H]+), 675.80 ([M + 2H]2+). Compound 28(αMan3)Ds was obtained from 26(αMan3)Ds in 99% yield Chemical Formula C56H96N6O22S5. MW 1365.70. ESI-MS (m/z) 1365.81 ([M + H]+). Compound 28(βGal3)Ds was obtained from 26(βGal3)Ds in 99% yield 10 Chemical Formula C56H96N6O22S5. MW 1365.70. ESI-MS (m/z) 1365.50 ([M + H]+). General procedure for Boc hydrolysis in heterohexavalent and fluorescently labelled glycoligands (Scheme 6-HOMO-, 6-HETERO and 6-LABEL). The tert-butyl carbamate hydrolysis reaction was performed according to the following scheme using the below indicated 15 conditions:
A solution of the corresponding Boc-protected conjugate 15-16(A6), 22(A3B3), or 27-28(A3)Ds (0.1 mmol) in 1:1 TFA-DCM (6 mL) was stirred at RT for 1 h. The solvent was then evaporated under reduced pressure, the acid traces coevaporated with toluene (3 × 5 mL), and the resulting residue freeze-dried from H2O to furnish the target products 17-18(A6), 23(A3B3), or 29-30(A3)Ds, 5 respectively, in virtually quantitative yields. Compound 17(βGal6) was obtained from 15(βGal6) in 99% yield Chemical Formula C72H135N5O36S8. MW 1903.35. ESI-MS (m/z) 1925.76 ([M + Na]+). Compound 18(αMan6) was obtained from 16(αMan6) in 99% yield 10 Chemical Formula C72H136N6O36S8. MW 1918.37. ESI-MS (m/z) 1918.54 ([M + H]+), 959.81 ([M + 2H]2+). Compound 18(βGal6) was obtained from 16(βGal6) in 99% yield Chemical Formula C72H136N6O36S8. MW 1918.37. ESI-MS (m/z) 1918.65 ([M + H]+), 959.44 ([M + 2H]2+). 15 Compound 23(αMan3βGal3) was obtained from 22(αMan3βGal3) in 99% yield Chemical Formula C72H135N5O36S8. MW 1903.35. ESI-MS (m/z) 1903.54 ([M + H]+), 952.35 ([M + 2H]2+). Compound 29(βGal3)Ds was obtained from in 27(βGal3)Ds 99% yield Chemical Formula C51H87N5O20S5. MW 1250.57. 20 ESI-MS (m/z) 1250.53 ([M + H]+), 625.79 ([M + 2H]2+). Compound 30(αMan3)Ds was obtained from 28(αMan3)Ds in 99% yield Chemical Formula C51H88N6O20S5. MW 1265.59. ESI-MS (m/z) 1265.59 ([M + H]+), 633.27 ([M + 2H]2+). Compound 30(βGal3)Ds was obtained from 28(βGal3)Ds in 99% yield 25 Chemical Formula C51H88N6O20S5. MW 1265.59. ESI-MS (m/z) 1265.51 ([M + H]+), 633.27 ([M + 2H]2+). General procedure for the synthesis of isothiocyanate-armed heterohexavalent and fluorescently labelled glycoligands (Scheme 4-homo-, 4-hetero and 4-label). The synthesis of
isothiocyanate-armed conjugates was performed according to the following scheme using the conditions indicated below. 5 To a solution of the corresponding amine 17-18(A6) or 29(A3)Ds (0.1 mmol) in a 1:1 acetone-H2O mixture (10 mL), 1,8-diisothiocyanato-3,6-dioxa-octane (0.116 g, 0.5 mmol) was added. Reaction pH was adjusted (if necessary) to ca.8 by addition of aliquots of TEA and further stirred at RT for 24 h. The solvents were then evaporated under reduced pressure and the residue was taken in water (10 mL) and washed with DCM (2 × 10 mL). The aqueous layer was decanted and freeze- 10 dried to furnish the target isothiocyanates 19-20(A6) or 31(A3)Ds in the indicated yields: Compound 19(βGal6) was obtained from 17(βGal6) in 93% yield Chemical Formula C80H147N7O38S10. MW 2135.67. ESI-MS (m/z) 2158.99 ([M + Na]+), 1089.97 ([M + 2Na]2+). Compound 20(βGal6) was obtained from 18(βGal6) in 90% yield 15 Chemical Formula C80H148N8O38S10. MW 2150.68. ESI-MS (m/z) 2151.76 ([M + H]+), 1076.51 ([M + 2H]2+). Compound 31(βGal3)Ds was obtained from in 29(βGal3)Ds in 99% yield
Chemical Formula C59H99N7O22S7. MW 1482.89. ESI-MS (m/z) 1482.89 ([M + H]+), 741.82 ([M + 2H]2+). Scheme 5, Route 5A: To a solution of the corresponding commercial lipid-PEG-amine (DOPE- PEG2k-NH2, DOPE-PEG5k-NH2, or DSPE-PEG2k-NH2) or lipid-amine (DOPE-NH3Cl) 5 hydrochlorides (0.1 mmol) in DCM (10 mL) either DMF, 1:1 acetone-H2O or EtOH (5 mL) TEA or DIPEA (1 eq) and the appropriate isothiocyanate-armed glycoligand (0.1 mmol) was added. The reaction mixture was stirred at RT until complete disappearance of the isothiocyanate reagent (ca.16 h) while monitoring pH to ensure it remains basic. In case pH is found below neutrality, it should be readjusted to slightly basic (pH ca.8) by addition of aliquots of tertiary amine. Then, 10 the solvents were evaporated under reduced pressure and the resulting residue was purified by either permeation chromatography (Sephadex LH20 in MeOH) or dialysis (Pur-A-Lyzer® 1 or 3.5 kDa MWCO) to produce the target glycolipid in the indicated yields. In some embodiments, the following compounds of formula I were synthesized according to Scheme 5, route 5A: MPM190, MPM191, MPM222, MPM267, MPM255, MPM256, NC181, 15 NC184, JLF79, PER25, NC200, NC201, PER84, PER103, PER105, NC129, PER101, PER104, PER112, PER113, NC37, and NC40. Scheme 5, Route 5B: To a solution of the corresponding commercial lipid-PEG-amine (DOPE- PEG2k-NH2 or DSPE-PEG2k-NH2, 0.1 mmol) in 5:1 acetone-H2O (mL) an excess of 1,8- diisothiocyanato-3,6-dioxa-octane (0.23 g, 1.0 mmol, 10 eq) was added. Reaction pH was 20 adjusted to ca. 8 by addition of aliquots of TEA and further stirred at RT until complete disappearance of the starting lipid amine (ca.24 h). Then, the solvents were evaporated and the resulting residue was purified permeation chromatography (Sephadex LH20 in MeOH) to produce the isothiocyanate-armed lipid-PEG intermediates. The latter isothiocyanates ere thus reacted with the appropriate amine-armed glycoligands using a similar reaction setup and 25 purification protocol as described above for Scheme 5, Route 5A to produce the target glycolipid in the indicated yields. In some embodiments, the following compounds of formula I were synthesized according to Scheme 5, route 5B: MPM114, MPM115, MPM129, MPM145, MPM123, MPM124, MPM130, MPM146, NC199, NC29, NC30, NC36, NC38, NC43, NC44, NC42, and NC41. 30 Scheme 6, Route 6A: To a solution of N-(tert-butoxylcarbonyl)-8-amino-3,6-dioxa-octanoic acid (17 mg, 0.15 mmol) in DMF (2 mL) DIPEA (39 µL, 0.22 mmol, 1.5 eq) and TBTU (53 mg, 0.16 mmol, 1.1 eq) were sequentially added. The reaction mixture was stirred at RT for 5 min and then a solution of the lipid-pSarn polymer (0.1 mmol), in DMF (5 mL) was added. The mixture was
stirred at RT for 24 h. Then, the solvent was evaporated and the resulting residue was purified permeation chromatography (Sephadex LH20 in MeOH) to produce the Boc-protected lipid-pSarn intermediate. The resulting Boc-protected polymer was treated with a 1:1 TFA-DCM (5 mL) mixture at RT for 5 1 h. The solvents were then evaporated under reduced pressure, the TFA traces coevaporated with toluene (3 × 5 mL) and the resulting residue freeze-dried from H2O to furnish the spacer-armed lipid-pSarn intermediate. In the following step, the lipid-pSarn intermediate was dissolved in DCM (10 mL) and sequentially treated with DIPEA (1.5 eq) and the corresponding isothiocyanate 4(A3) (1.2 eq). 10 The mixture was stirred at RT until complete disappearance of the isothiocyanate reagent (ca 24 h) and the solvent was evaporated and the resulting residue was purified permeation chromatography (Sephadex LH20 in MeOH). The final product was obtained after conventional deacetylation using NaOMe (0.1 eq per acetate) in MeOH. In some embodiments, the following compounds of formula I were synthesized according to 15 Scheme 6, route 6A: NC138. Scheme 6, Route 6B: Lipid-pSarn polymer was succinylated following the procedure described in literature (1 B. Weber, C. Seidl, D. Schwiertz, M. Scherer, S. Bleher, R. Süss, M. Barz, Polymers 2016, 8, 427). In brief, a solution the appropriate lipid-pSarn polymer (0.2 mmol) in DMF (10 mL) was treated with DIPEA (2 mmol, 10 eq) and succinic anhydride (1 mmol, 5 eq) 20 and the reaction mixture was stirred at RT for 48 h. Then the solvents were evaporated under reduced pressure, the traces of volatile reagents were coevaporated with toluene (5 × 10 mL) and the resulting residue was freeze-dried from H2O. In a second step, the carboxylate-armed lipid-pSarn polymer was dissolved in dry DMF (5 mL) and sequentially treated with DIPEA (5 eq) and TBTU (1.5 eq) were sequentially added. The 25 reaction mixture was stirred at RT for 15 min and then a solution of the appropriate amine 6(A3) or 11(A) (1.2 eq) in DMF (5 mL) was added. The mixture was stirred at RT for 48 h and the solvent was evaporated and the resulting residue was purified permeation chromatography (Sephadex LH20 in MeOH). 30 In some embodiments, the following compounds of formula I were synthesized according to Scheme 6, route 6B: NC127, NC213, NC148, MPM262, MPM263, NC202, NC203, NC204, NC205, NC178re, NC182, and NC206.
Scheme 6, Route 6C: A solution the lipid-pSarn polymer (0.2 mmol) in DMF (10 mL) was treated with DIPEA (2 mmol, 10 eq) and acetic anhydride (1 mmol, 5 eq) and the reaction mixture was stirred at RT for 48 h. Then the solvents were evaporated under reduced pressure, the traces of volatile reagents were coevaporated with toluene (5 × 10 mL) and the resulting residue was freeze- 5 dried from H2O. In some embodiments, the following compounds of formula I were synthesized according to Scheme 6, route 6C: NC208. Example 1a — Compound MPM190 Synthesized from amine DOPE-NH2 and isothiocyanate αManPh-NCS according to Scheme 5, 10 Route 5a in 78% yield. Purification by permeation chromatography (Sephadex LH20 in MeOH) Chemical Formula: C54H93N2O14PS. Molecular Weight: 1057.37 ESI-MS (m/z) 1057.70 ([M + H]+). Example 1b — Compound MPM191 15 Synthesized from amine DOPE-NH2 and isothiocyanate αManEt-NCS according to Scheme 5, Route 5a in 59% yield. Purification by permeation chromatography (Sephadex LH20 in MeOH) Chemical Formula: C50H93N2O14PS. Molecular Weight: 1009.33 ESI-MS (m/z) 1009.73 ([M + H]+). 20 Example 1c — Compound MPM222 Synthesized from amine DOPE-NH2 and isothiocyanate βGlcPh-NCS according to Scheme 5, Route 5a in 57% yield. Purification by permeation chromatography (Sephadex LH20 in MeOH)
Chemical Formula: C54H93N2O14PS. Molecular Weight: 1057.37 ESI-MS (m/z) 1057.69 ([M + H]+). Example 1d — Compound MPM267 5 Synthesized from amine DOPE-NH2 and isothiocyanate triαManPh-NCS according to Scheme 5, Route 5a in 76% yield. Purification by permeation chromatography (Sephadex LH20 in MeOH) Chemical Formula: C66H113N2O24PS. Molecular Weight: 1381.65 ESI-MS (m/z) 1380.10 ([M - H]-). 10 Example 1e — Compound MPM255 Synthesized from amine DOPE-PEG2k-NH2 and isothiocyanate αManPh-NCS according to Scheme 5, Route 5a in 98% yield. Purification by permeation chromatography (Sephadex LH20 in MeOH) Average Chemical Formula: C145H274N3O60PS. Av. Molecular Weight: 3082.78 15 ESI-MS (m/z) 2508.51 ([M + H]+, n = 31), 1495.09 ([M + 2H]2+, n = 42).
Example 1f — Compound MPM256 Synthesized from amine DOPE-PEG2k-NH2 and isothiocyanate αManEt-NCS according to 5 Scheme 5, Route 5a in 86% yield. Purification by permeation chromatography (Sephadex LH20 in MeOH) Average Chemical Formula: C141H274N3O60PS. Av. Molecular Weight: 3034.77 ESI-MS (m/z) 1439.89 ([M + NH4 + H]2+, n = 40). 10
Synthesized from amine DOPE-PEG2k-NH2 and isothiocyanate 12(αFuc) according to Scheme 5, Route 5a in 93% yield. Purification by permeation chromatography (Sephadex LH20 in MeOH) Average Chemical Formula: C142H276N3O58PS2. Av. Molecular Weight: 3048.83. ESI-MS (m/z) 1416.74 ([M + 2HCO2]2-, n = 37). 15
Example 1h — Compound NC184 Synthesized from amine DOPE-PEG2k-NH2 and isothiocyanate 12(αGalNAc) according to Scheme 5, Route 5a in 75% yield. Purification by permeation chromatography (Sephadex LH20 in MeOH) 5 Average Chemical Formula: C144H279N4O59PS2. Av. Molecular Weight: 3105.88 ESI-MS (m/z) 1350.44 ([M - 2H]2-, n = 35). Example 1i— Compound PER25 Synthesized from amine DOPE-PEG2k-NH2 and isothiocyanate triαManPh-NCS according to 10 Scheme 5, Route 5a in 77% yield. Purification by permeation chromatography (Sephadex LH20 in MeOH) Average Chemical Formula: C157H294N3O70PS. Av. Molecular Weight: 3407.06 ESI-MS (m/z) 1724.84 ([M - 2H]2-, n = 45). 15 Example 1j — Compound JLF79 Synthesized from amine DOPE-PEG2k-NH2 and isothiocyanate 7(αMan3) according to Scheme 5, Route 5a in 50% yield. Purification by dialysis (Pur-A-Lyzer® MWCO 1 kDa against H2O)
Average Chemical Formula: C172H332N5O74PS5. Av. Molecular Weight: 3845.78 ESI-MS (m/z) 1921.82 ([M - 2H]2-, n = 44). Example 1k — Compound PER84 5 Synthesized from amine DOPE-PEG2k-NH2 and isothiocyanate 7(βGal3) according to Scheme 5, Route 5a in 76% yield. Purification by dialysis (Pur-A-Lyzer® MWCO 1 kDa against H2O) Average Chemical Formula: C172H332N5O74PS5. Av. Molecular Weight: 3845.78 ESI-MS (m/z) 1877.91 ([M - 2H]2-, n = 42).
Example 1l — Compound PER103 Synthesized from amine DSPE-PEG2k-NH2 and isothiocyanate 7(βGal3) according to Scheme 5, 5 Route 5a in 76% yield. Purification by dialysis (Pur-A-Lyzer® MWCO 1 kDa against H2O) Average Chemical Formula: C172H336N5O74PS5. Av. Molecular Weight: 3849.81 ESI-MS (m/z) 1835.90 ([M - 2H]2-, n = 38).
Example 1m— Compound PER105 Synthesized from amine DSPE-PEG2k-NH2 and isothiocyanate 7(αMan3) according to Scheme 5, Route 5a in 88% yield. Purification by dialysis (Pur-A-Lyzer® MWCO 1 kDa against H2O) Average Chemical Formula: C172H336N5O74PS5. Av. Molecular Weight: 3849.81 5 ESI-MS (m/z) 1813.90 ([M - 2H]2-, n = 37).
Example 1n — Compound MPM114 Synthesized from isothiocyanate-armed DOPE-PEG2k and amine 6(αMan2βGal) according to 10 Scheme 5, Route 5b in 93% yield. Purification by permeation chromatography (Sephadex LH20 in MeOH)) Average Chemical Formula: C172H332N5O74PS5. Av. Molecular Weight: 3845.78 ESI-MS (m/z) 1921.54 ([M - 2H]2-, n = 44).
Example 1o — Compound MPM115 Synthesized from isothiocyanate-armed DOPE-PEG2k and amine 6(βGal2αMan) according to Scheme 5, Route 5b in 75% yield. Purification by permeation chromatography (Sephadex LH20 5 in MeOH) Average Chemical Formula: C172H332N5O74PS5. Av. Molecular Weight: 3845.78 ESI-MS (m/z) 1921.61 ([M - 2H]2-, n = 44). Example 1p— Compound MPM129
Synthesized from isothiocyanate-armed DOPE-PEG2k and amine 6(βGlc3) according to Scheme 5, Route 5b in 89% yield. Purification by permeation chromatography (Sephadex LH20 in MeOH) Average Chemical Formula: C172H332N5O74PS5. Av. Molecular Weight: 3845.78 ESI-MS (m/z) 1789.64 ([M - 2H]2-, n = 38). 5 Example 1q— Compound MPM145 Synthesized from isothiocyanate-armed DOPE-PEG2k and amine 6(βLac3) according to Scheme 5, Route 5b in 70% yield. Purification by permeation chromatography (Sephadex LH20 in MeOH) Average Chemical Formula: C190H362N5O89PS5. Av. Molecular Weight: 4332.21 10 ESI-MS (m/z) 1922.61 ([M - 2H]2-, n = 33).
Example 1r — Compound MPM123 Synthesized from isothiocyanate-armed DSPE-PEG2k and amine 6(βGal3αMan) according to Scheme 5, Route 5b in 79% yield. Purification by permeation chromatography (Sephadex LH20 5 in MeOH) Average Chemical Formula: C172H336N5O74PS5. Av. Molecular Weight: 3849.81 ESI-MS (m/z) 1901.74 ([M - 2H]2-, n = 43).
Example1s — Compound MPM124 Synthesized from isothiocyanate-armed DSPE-PEG2k and amine 6(αMan2βGal) according to Scheme 5, Route 5b in 85% yield. Purification by permeation chromatography (Sephadex LH20 5 in MeOH) Average Chemical Formula: C172H336N5O74PS5. Av. Molecular Weight: 3849.81 ESI-MS (m/z) 1901.74 ([M - 2H]2-, n = 44). Example 1t — Compound MPM130
Synthesized from isothiocyanate-armed DSPE-PEG2k and amine 6(βGlc3) according to Scheme 5, Route 5b in 71% yield. Purification by permeation chromatography (Sephadex LH20 in MeOH) Average Chemical Formula: C172H336N5O74PS5. Av. Molecular Weight: 3849.81 ESI-MS (m/z) 1901.90 ([M - 2H]2-, n = 43). O
Synthesized from isothiocyanate-armed DSPE-PEG2k and amine 6(βLac3) according to Scheme 5, Route 5b in 90% yield. Purification by permeation chromatography (Sephadex LH20 in MeOH) Average Chemical Formula: C190H366N5O89PS5. Av. Molecular Weight: 4336.24 10 ESI-MS (m/z) 2056.78 ([M - 2H]2-, n = 39).
Example 1v — Compound PER101 Synthesized from amine DOPE-PEG2k-NH2 and isothiocyanate 19(βGal6) according to Scheme 5, Route 5a in 99% yield. Purification by dialysis (Pur-A-Lyzer® MWCO 1 kDa against H2O). 5 Average Chemical Formula: C212H406N9O92PS10. Av. Molecular Weight: 4905.12 ESI-MS (m/z) 1901.55 ([M - 2H]2-, n = 43). Example 1w — Compound PER104
Synthesized from amine DSPE-PEG2k-NH2 and isothiocyanate 19(βGal6) according to Scheme 5, Route 5a in 91% yield. Purification by dialysis (Pur-A-Lyzer® MWCO 1 kDa against H2O). Average Chemical Formula: C212H410N9O92PS10. Av. Molecular Weight: 4909.16 ESI-MS (m/z) 2233.1 ([M - 2H]2-, n = 34). 5 Example 1x — Compound NC30 Synthesized from isothiocyanate-armed DOPE-PEG2k and amine 30(βGal3)Ds according to Scheme 5, Route 5b in 69% yield. Purification by permeation chromatography (Sephadex LH20 in MeOH). 10 Average Chemical Formula: C191H359N10O76PS7. Av. Molecular Weight: 4267.36 ESI-MS (m/z) 1956.10 ([M - 2H]2-, n = 36).
Synthesized from isothiocyanate-armed DOPE-PEG2k and amine 30(αMan3)Ds according to Scheme 5, Route 5b in 89% yield. Purification by permeation chromatography (Sephadex LH20 5 in MeOH). Average Chemical Formula: C191H359N10O76PS7. Av. Molecular Weight: 4267.36 ESI-MS (m/z) 1306.02 ([M + 3H]3+, n = 36), 1001.67 ([M + 4H]4+, n = 38).
Example 1z — Compound PER112 Synthesized from amine DOPE-PEG2k-NH2 and isothiocyanate 31(βGal3)Ds according to Scheme 5, Route 5a in 51% yield. Purification by dialysis (Pur-A-Lyzer® MWCO 1 kDa against 5 H2O). Average Chemical Formula: C191H358N9O76PS7. Av. Molecular Weight: 4252.35 ESI-MS (m/z) 2149.45 ([M + 2H]2+, n = 45).
Example 1aa — Compound PER113 Synthesized from amine DSPE-PEG2k-NH2 and isothiocyanate 31(βGal3)Ds according to Scheme 5, Route 5a in 45% yield. Purification by dialysis (Pur-A-Lyzer® MWCO 1 kDa against 5 H2O). Average Chemical Formula: C191H362N9O76PS7. Av. Molecular Weight: 4256.38 ESI-MS (m/z) 2017.05 ([M + 2H]2+, n = 40).
Example 1ab — Compound NC37 Synthesized from amine DOPE-PEG2k-NH2 and isothiocyanate 20(βGal6) according to Scheme 5, Route 5a in 73% yield. Purification by permeation chromatography (Sephadex LH20 in 5 MeOH). Average Chemical Formula: C212H407N10O92PS10. Av. Molecular Weight: 4920.14 ESI-MS (m/z) 1263.87 ([M + 4H]4+, n = 47).
Synthesized from isothiocyanate-armed DOPE-PEG2k and amine 18(αMan6) according to Scheme 5, Route 5b in 80% yield. Purification by permeation chromatography (Sephadex LH20 in MeOH). Average Chemical Formula: C212H407N10O92PS10. Av. Molecular Weight: 4920.14 5 ESI-MS (m/z) 1252.88 ([M + 4H]4+, n = 46). Example 1ad — Compound NC38 Synthesized from isothiocyanate-armed DOPE-PEG2k and amine 23(αMan3βGal3) according to 10 Scheme 5, Route 5b in 95% yield. Purification by permeation chromatography (Sephadex LH20 in MeOH). Average Chemical Formula: C212H406N9O92PS10. Av. Molecular Weight: 4905.12
ESI-MS (m/z) 1138.75 ([M + 4H]4+, n = 36). Example 1ae — Compound NC43 Synthesized from isothiocyanate-armed DSPE-PEG2k and amine 30(βGal3)Ds according to 5 Scheme 5, Route 5b in 72% yield. Purification by permeation chromatography (Sephadex LH20 in MeOH). Average Chemical Formula: C191H363N10O76PS7. Av. Molecular Weight: 4271.39 ESI-MS (m/z) 1439.32 ([M + 3H]3+, n = 45).
g to
Scheme 5, Route 5b in 77% yield. Purification by permeation chromatography (Sephadex LH20 5 in MeOH). Average Chemical Formula: C191H363N10O76PS7. Av. Molecular Weight: 4271.39 ESI-MS (m/z) 1366.06 ([M + 3H]3+, n = 40), 1057.54 ([M + 4H]4+, n = 43).
Example 1ag — Compound NC40 Synthesized from amine DSPE-PEG2k and isothiocyanate 20(βGal6) according to Scheme 5, Route 5a in 67% yield. Purification by permeation chromatography (Sephadex LH20 in MeOH). 5 Average Chemical Formula: C212H411N10O92PS10. Av. Molecular Weight: 4924.17 ESI-MS (m/z) 2197.20 ([M - 2H]2-, n = 30).
Scheme 5, Route 5b in 58% yield. Purification by permeation chromatography (Sephadex LH20 5 in MeOH). Average Chemical Formula: C212H411N10O92PS10. Av. Molecular Weight: 4924.17 ESI-MS (m/z) 2241.60 ([M - 2H]2-, n = 32).
Example 1ai — Compound NC41 Synthesized from isothiocyanate-armed DSPE-PEG2k and amine 23(αMan3βGal3) according to Scheme 5, Route 5b in 69% yield. Purification by permeation chromatography (Sephadex LH20 5 in MeOH). Average Chemical Formula: C212H410N19O92PS10. Av. Molecular Weight: 4909.16 ESI-MS (m/z) 2255.06 ([M + 3H]3+, n = 36).
Example 1aj — Compound NC129 Synthesized from amine DOPE-NH2 and isothiocyanate 7(αMan3) according to Scheme 5, Route 5a in 68% yield. Purification by permeation chromatography (Sephadex LH20 in MeOH). 5 Chemical Formula: C81H151N4O28PS5. Molecular Weight: 1820.37 ESI-MS (m/z) 1819.19 ([M - H]-).
Example 1ak — Compound NC200 Synthesized from amine DOPE-PEG2k-NH2 and isothiocyanate triαManEt-NCS according to Scheme 5, Route 5a in 79% yield. Purification by dialysis (Pur-A-Lyzer® MWCO 1 kDa against 5 H2O). Average Chemical Formula: C153H294N3O70PS5. Av. Molecular Weight: 3359.02 ESI-MS (m/z) 1504.57 ([M - 2H]2- n = 36). 10 Example 1al — Compound NC201 Synthesized from amine DOPE-PEG5k-NH2 and isothiocyanate triαManPh-NCS according to Scheme 5, Route 5a in 87% yield. Purification by dialysis (Pur-A-Lyzer® MWCO 3.5 kDa against H2O). Average Chemical Formula: C295H570N3O139PS. Av. Molecular Weight: 6446.72
MALDI-MS (m/z) 5300.6 ([M + H]+ n = 87). Example 1am — Compound NC199 Synthesized from isothiocyanate-armed DOPE-PEG2k and amine 6(αFuc3) according to Scheme 5 5, Route 5b in 82% yield. Purification by dialysis (Pur-A-Lyzer® MWCO 1 kDa against H2O). Average Chemical Formula: C172H332N5O71PS5. Av. Molecular Weight: 3797.79 MALDI-MS (m/z) 1897.60 ([M - 2H]2- n = 44). Example 1an — Compound NC138 10 Synthesized from lipid polymer C14-pSar23, N-(tert-butoxylcarbonyl)-8-amino-3,6-dioxa-octanoic acid and isothiocyanate 4(αMan3) according to Scheme 6, Route 6a in 88% yield. Purification by permeation chromatography (Sephadex LH20 in MeOH). Average Chemical Formula: C122H216N26O44S4. Av. Molecular Weight: 2879.45 ESI-MS (m/z) 1319.52 ([M + HCO2 - H]2- n = 18). 15
Example 1ao — Compound NC127 Synthesized from lipid polymer C14-pSar23 and amine 6(αMan3) according to Scheme 6, Route 6b in 77% yield. Purification by permeation chromatography (Sephadex LH20 in MeOH) 5 Average Chemical Formula: C119H209N25O43S3. Av. Molecular Weight: 2774.29 ESI-MS (m/z) 2562.24 ([M + H]+ n = 20). Example 1ap — Compound NC213 Synthesized from lipid polymer DOPE-pSar23 and amine 6(αMan3) according to Scheme 6, 10 Route 6b in 70% yield. Purification by permeation chromatography (Sephadex LH20 in MeOH) Average Chemical Formula: C146H256N25O51PS3. Av. Molecular Weight: 3304.93 MALDI-MS (m/z) 2874.70, 3230.23, 3586.92 ([M - H]- n = 16, 21 and 26, respectively).
Example 1aq — Compound NC148 Synthesized from lipid polymer DOPE-pSar23 and amine 30(αMan3)DS according to Scheme 6, Route 6b in 65% yield. Purification by permeation chromatography (Sephadex LH20 in MeOH) 5 Average Chemical Formula: C138H236N30O45S5. Av. Molecular Weight: 3195.87 ESI-MS (m/z) 2913.45 ([M + H]+ n = 19). Example 1ar — Compound MPM262 Synthesized from lipid polymer C14-pSar23 and amine triαMan3Et- NH2 according to Scheme 6, 10 Route 6b in 96% yield. Purification by dialysis (Pur-A-Lyzer® MWCO 1 kDa against H2O) Average Chemical Formula: C107H185N25O41. Av. Molecular Weight: 2477.79 ESI-MS (m/z) 1248.19 ([M - 2HCO2]2- n = 22).
Example 1as — Compound MPM263 Synthesized from lipid polymer C14-pSar23 and amine triαMan3Ph-NH2 according to Scheme 6, Route 6b in 94% yield. Purification by dialysis (Pur-A-Lyzer® MWCO 1 kDa against H2O) 5 Average Chemical Formula: C111H185N25O41. Av. Molecular Weight: 2525.84 ESI-MS (m/z) 1236.75 ([M +2 HCO2]2- n = 21). Example 1at — Compound NC202 Synthesized from lipid polymer DOPE-pSar10 and amine triαMan3Ph-NH2 according to Scheme 10 6, Route 6b in 92% yield. Purification by dialysis (Pur-A-Lyzer® MWCO 1 kDa against H2O) Average Chemical Formula: C99H167N12O36P. Av. Molecular Weight: 2132.45 MALDI-MS (m/z) 1988.05, 2343.24, 2769.49 ([M - H]- n = 7, 12, and 19, respectively).
Example 1au — Compound NC203 Synthesized from lipid polymer DOPE-pSar23 and amine triαMan3Ph-NH2 according to Scheme 6, Route 6b in 99% yield. Purification by dialysis (Pur-A-Lyzer® MWCO 1 kDa against H2O) Average Chemical Formula: C138H232N25O49P. Av. Molecular Weight: 3195.87 5 MALDI-MS (m/z) 2556.22, 2982.50, 3480.88 ([M - H]- n = 15, 21, and 28, respectively). Example 1av — Compound NC204 Synthesized from lipid polymer DOPE-pSar40 and amine triαMan3Ph-NH2 according to Scheme 6, Route 6b in 80% yield. Purification by dialysis (Pur-A-Lyzer® MWCO 1 kDa against H2O) 10 Average Chemical Formula: C189H317N42O66P. Av. Molecular Weight: 4264.82 MALDI-MS (m/z) 2982.50, 4121.30 ([M - H]- n = 21 and 37, respectively). Example 1aw — Compound NC205 Synthesized from lipid polymer DOPE-pSar114 and amine triαMan3Ph-NH2 according to 15 Scheme 6, Route 6b in 84% yield. Purification by dialysis (Pur-A-Lyzer® MWCO 1 kDa against H2O)
Average Chemical Formula: C411H687N116O140P. Av. Molecular Weight: 4264.82 MALDI-MS (m/z) 9525.71 ([M - H]- n = 113). Example 1ax — Compound NC178re 5 Synthesized from lipid polymer C14-pSar23 and amine 11(αFuc) according to Scheme 6, Route 6b in 61% yield. Purification by permeation chromatography (Sephadex LH20 in MeOH) Average Chemical Formula: C96H167N25O29S. Av. Molecular Weight: 2167.60 ESI-MS (m/z) 2097.41 ([M + H]+ n = 22). 10 Example 1ay — Compound NC182 Synthesized from lipid polymer C14-pSar23 and amine 11(αGalNAc) according to Scheme 6, Route 6b in 59% yield. Purification by permeation chromatography (Sephadex LH20 in MeOH) Average Chemical Formula: C98H170N26O30S. Av. Molecular Weight: 2224.65 MALDI-MS (m/z) 2913.45 ([M + H]+ n = 19). 15
Example 1az — Compound NC206 Synthesized from lipid polymer C14-pSar23 and amine βGlcPh-NH2 according to Scheme 6, Route 6b in 68% yield. Purification by dialysis (Pur-A-Lyzer® MWCO 1 kDa against H2O) Average Chemical Formula: C99H165N25O31. Av. Molecular Weight: 2201.55 5 MALDI-MS (m/z) 1209.04, 1706.48 ([M + H]+ n = 9 and 16, respectively). Example 1ba — Compound NC208 Synthesized from lipid polymer DOPE-pSar40 and amine acetic anhydride according to Scheme 6, Route 6c in 99% yield. Purification by dialysis (Pur-A-Lyzer® MWCO 1 kDa against H2O) 10 Average Chemical Formula: C138H236N30O45S5. Av. Molecular Weight: 3195.87 MALDI-MS (m/z) 2276.29, 3412.91 ([M - H]- n = 20 and 36, respectively). Example 2 – Methods of Preparing and Characterizing Particles 15 The following particles were prepared using compounds described in the present disclosure:
Component Identity Molar ratio [%]
Physical Characterization Glycolipids were incorporated into LNPs having the following components and molar ratios: Lipid mix: DODMA/Cholesterol/DOPE or DSPC/C16-PEG2k-Ceramide or DOPE-PEG2k or 5 glycolipid 40/50-x/10/x, where x = 0.5, 1, 2, 3, 4, 5, 7, 10; N/P ratio: 4; cargo: modLuc RNA; RNA concentration: 0.1 µg/µL). Successful RNA incorporation was demonstrated utilizing agarose gel electrophoresis. Size and PDI were measured using dynamic light scattering at 0.005 µg/µL RNA concentration. FIGs. 1A and 1B illustrate the particle size, PDI and RNA encapsulation of particles comprising C16-PEG2k-Ceramide (sample #1), DOPE-PEG2k (sample 10 #2), DOPE-PEG2k-TrisDendroGal (sample #3), DOPE-PEG2k-TriMan (sample #4), DOPE-PEG2k-TrisDendroMan (sample #5), DOPE-PEG2k-TrisDendroMan1Gal2 (sample #6), DOPE-PEG2k-TrisDendroMan2Gal1 (sample #7) or DOPE-PEG2k-TrisDendroGlc (sample #8) in the following formulation: DODMA/Cholesterol/DSPC/stealth or glycolipid 40/48/10/2. Data demonstrates the formation of colloidally stable particles regardless of the ligand attached to the 15 stealth lipid. Example 3 - Enzyme-Linked Lectin Assay (ELLA) The present example describes a method for evaluation of relative binding potency of certain compositions. An ELLA assay was developed and used to evaluate interaction of certain 20 formulations comprising LNPs with mannose-binding Concanavalin A (ConA). Nunc-Inmuno plates (MaxiSorpTM) were coated overnight with yeast mannan at 100 µL per well diluted from a stock solution of 10 µg·mL-1 in 0.01 M phosphate buffered saline (PBS, pH 7.3
containing 0.1 mM Ca2+ and 0.1 mM Mn2+) at room temperature. The wells were then washed three times with 300 µL of washing buffer (containing 0.05% (v/v) Tween 20; PBST). The washing procedure was repeated after each of the incubations throughout the assay. The wells were then blocked by incubation with 150 µL per well of 1% BSA/PBS for 1 h at 37 °C and 5 washed again. For determination of horseradish peroxidase labeled Concanavalin A (Concanavalia einsiformis) lectin (HRP-ConA), the wells were filled with 100 µL of serial dilutions of HRP-labelled lectin from 10-1 to 10-5 mg·mL-1 in PBS and incubated at 37 °C for 1 h. The plates were washed and 50 µL per well of 2,2’-azinobis-(3-ethylbenzothiazoline-6-sulfonic acid) diammonium salt (ABTS; 0.25 mg·mL-1) in citrate buffer (0.2 M, pH 4.0 with 0.015% H2O2) 10 was added. The reaction was stopped after 20 min by adding 50 µL per well of 1 M H2SO4 and the absorbance was measured at 405 nm. Blank wells contained citrate-phosphate buffer. The concentration of HRP-ConA conjugate that displayed an absorbance between 0.8 and 1.0 was used for inhibition experiments. To carry out the inhibition experiments, each ligand was added in a serial of two-fold dilutions 15 (50 µL per well) in PBS to the lectin-peroxidase conjugate at the desired concentration (60 µL) on Nunclon (Delta) microtiter plates and incubated for 1 h at 37 °C. The above solutions (100 µL) were then transferred to the mannan-coated or lactose polymer-coated microplates, which were incubated for 1 h at 37 °C. The plates were washed and the ABTS substrate was added (50 µL per well). Color development was stopped after 20 min by adding 50 µL per well of 1 M H2SO4 20 and the absorbance was measured. The percent of inhibition was calculated as follows: Inhibition (%) = (A(no inhibitor) – A(with inhibitor)) / A(no inhibitor) x 100 Results in triplicate were used for the plotting the inhibition curves for each individual ELLA experiment. Typically, the IC50 values (concentration required for 50% inhibition of the ConA- coating mannan binding) obtained from several independently performed tests were in the range 25 of ±12%. Nevertheless, the relative inhibition values calculated from independent series of data were highly reproducible. FIG.2 demonstrates dose-inhibition curves for the interaction of HRP-ConA binding to mannan with increasing concentrations of the glycolipids incorporated into LNPs at 2 mol%. Among three evaluated glycolipids, DOPE-PEG2k-TriMan demonstrated the highest potency in this 30 competitive inhibition assay resulting in the lowest IC50 = 0.19 µM. ConA inhibition with LNPs containing 2 mol% of DOPE-PEG2k-TrisDendroMan led to IC50 = 0.46 µM. LNPs with 2 mol% DOPE-PEG2k-TrisDendroGal, as well as benchmark formulation with DOPE-PEG2k did not demonstrate any ability to inhibit ConA. FIG 3. illustrates the increase of mol% of the glycolipid in a formulation led to the enhanced ligand potency, presumably, due to the multivalency effect.
As a result, the lowest IC50 values were obtained for LNPs with highest concentration (2 mol%) of the glycolipids compared with the free glycolipids (IC50 = 74.47 µM for DOPE-PEG2k- TriMan). 5 Example 4 - Evaluation of glycolipid incorporation into RNA lipid nanoparticle formulations The present example describes a method for evaluation of glycolipid incorporation into RNA lipid nanoparticle formulations (LNPs). A stain-free Native PAGE assay was used to evaluate glycolipids incorporation efficacy at different mol% using fluorescently labelled glycolipid 10 DOPE-PEG2k-TrisDendroMan-Dansyl. The following samples were tested: Glycolipid Tot. Final glycolipid
11 LNP with 5% DOPE-PEG2k-TrisDendroMan-Dansyl 5.00% 19.351 0.484
FIG. 4 shows an ability to detect micelles formed by DOPE-PEG2k-TrisDendroMan-Dansyl down to 0.25 µg of the glycolipid per well. LNPs with 1, 2, 3, 4, 5, 7, 9 or 10 mol% of the fluorescently labelled glycolipid were evaluated in Native PAGE assay to conclude that even 5 LNPs with 7 or more mol% of fluorescent glycolipid demonstrate very high efficacy of glycolipid incorporation and contain less than 1% of the free glycolipids. Example 5 – In Vitro murine DC-targeting using Functionalized LNPs with Glycolipids The present example describes transfection efficiency of certain complexes comprising RNA and 10 glycolipids described herein. LNPs were formulated with the following components and molar ratios: Cargo: modLuc mRNA; N/P ratio 4; Lipid mix: DODMA/Cholesterol/DOPE/DOPE- PEG2k or DOPE-pSar10-Ac or glycolipid 40/47/10/3, where glycolipid was DOPE-PEG2k- TriMan, DOPE-PEG2k-TrisDendro-Fuc, DOPE-PEG2k-TrisDendroMan, DOPE-PEG2k- TrisDendroGal or DOPE-pSar10-TriMan; RNA concentration: 0.1 µg/µL. Diameter and PDI 15 were determined via DLS measurement, resulting in sub 120 nm particles with PDI below 0.4. Successful RNA incorporation was verified via agarose gel electrophoresis. For transfection studies based on luciferase expression, 3.5e4 bone marrow derived murine dendritic cells (muBMDC) were seeded per well (white Corning™ 96-well, cell culture-treated, flat-bottom microplate) in a total volume of 100 µL of respective medium. For muDCs RPMI (with 10% FBS, 20 1% sodium pyruvate, 1% NEEA, 0.5% Penicilin/Streptomycin) medium was used. After seeding the cells, 1000 ng, 500 ng and 250 ng of the respective formulations were applied. The nanoparticles were incubated with 5% of pooled human serum for 30 min at room temperature prior adding to the cells. Incubation of the plates followed for 20 h (37 °C, 5% CO2).
As shown in FIG.5A, LNPs functionalized with glycolipids provided higher transfection efficacy compared to benchmark with 3 mol% DOPE-PEG2k. The highest luciferase expression was detected for LNPs containing 3 mol% DOPE-PEG2k-TrisDendroGal or DOPE- PEG2k-TrisDendroFuc. 5 FIG.5B illustrates enhancement in luciferase expression for LNPs with 3 mol% DOPE-pSar10- TriMan over untargeted LNPs with 3 mol% of DOPE-pSar10-Ac. Example 6 – In Vitro murine macrophage-targeting using Functionalized LNPs with Glycolipids 10
complexes comprising RNA and glycolipids described herein. LNPs were formulated with the following components and molar ratios: Cargo: modLuc mRNA; N/P ratio 4; Lipid mix: DODMA/Cholesterol/DSPC/DOPE- PEG2k or glycolipid 40/47/10/3, where glycolipid was DOPE-PEG2k-TriMan, DOPE-PEG2k- TrisDendroFuc or DOPE-PEG2k-TrisDendroGal; RNA concentration: 0.1 µg/µL. Diameter and 15 PDI were determined via DLS measurement, resulting in sub 120 nm particles with PDI below 0.3. Successful RNA incorporation was verified via agarose gel electrophoresis. For transfection studies based on luciferase expression, 2.5e4 cells of RAW 264.7 cells were seeded per well (white Corning™ 96-well, cell culture-treated, flat-bottom microplate) in a total volume of 100 µL of respective medium. For RAW 264.7 DMEM (with 10% FBS) medium was used. After 20 seeding the cells, 1000 ng, 500 ng and 250 ng of the respective formulations were applied. An incubation of the plates followed for 20-24 h (37 °C, 5% CO2). As shown in FIG.6, LNPs functionalized with glycolipids provided higher transfection efficacy compared to the benchmark. The highest luciferase expression was detected for LNPs containing 3 mol% DOPE-PEG2k-TrisDendroFuc. 25 ng
LNPs were formulated with
ing components and molar ratios: Cargo: Thy 1.1 mRNA; N/P ratio 4; Lipid mix: DODMA/Cholesterol/DSPC/DOPE-PEG2k or DOPE-PEG2k- 30 TrisDendroGal or DOPE-PEG2k-TrisDendroFuc 40/47/10/3; RNA concentration: 0.1 µg/µL. Diameter and PDI were determined via DLS measurement, resulting in sub 150 nm particles with PDI below 0.4. Successful RNA incorporation was verified via agarose gel electrophoresis. For
transfection studies based on Thy1.1 expression, 10, 5 and 2,5 µL (1000 ng, 500 ng and 250 ng dose) of respective formulations were pre-diluted in 50 µL RPMI medium in an ultra-low adhesion 96 well plate.1e6 thawed human PBMCs were diluted in 50 µL clotted pooled human serum (cPHS) and added to the particle dilution. The cells were incubated for 20-24 h (37 °C, 5% 5 CO2). Afterwards, cell-type specific transfection (Thy1.1) was analyzed via Flowcytometry. Depicted are the percentages of transfected cells (CD14+ Monocytes, CD3+ T-Cells and CD3- /CD14- cell population) out of frequency of Live/Dead cells. As shown at FIG.7 LNPs functionalized with DOPE-PEG2k-TrisDendroGal and DOPE-PEG2k- TrisDendroFuc provided higher transfection efficacy only in CD14+ cells compared to 10 benchmark LNPs with DOPE-PEG2k. This finding demonstrates an increase in interaction between glycofunctionalized LNPs and monocytes due to the number of carbohydrate-specific receptors expressed on their surface or the LNP immunostimulatory activity. Example 8 – In Vitro transgenic CHO cell lines-targeting using Functionalized LNPs with 15 Glycolipids
omplexes comprising RNA and glycolipids described herein. LNPs were formulated with the following components and molar ratios: Cargo: modLuc mRNA; N/P ratio 4; Lipid mix: DODMA/Cholesterol/DSPC/DOPE- PEG2k, DOPE-PEG2k-TrisDendroGal, DOPE-PEG2k-TriMan, DOPE-PEG2k-TrisDendroMan 20 or DOPE-PEG2k-TrisDendroGlc 40/47/10/3; RNA concentration: 0.1 µg/µL. Diameter and PDI were determined via DLS measurement, resulting in sub 110 nm particles with PDI below 0.4. Successful RNA incorporation was verified via agarose gel electrophoresis. For transfection studies based on luciferase expression, 2.5e4 cells of Flp-In-CHO-huCD209 or Flp-In-CHO- huCD301 cell line were seeded per well (white Corning™ 96-well, cell culture-treated, flat- 25 bottom microplate) in a total volume of 100 µL of respective medium. For Flp-In-CHO cell line Ham’s F-12K (10% FBS, 600 µL/mL HygromycinB) was used. After seeding the cells, 1000 ng, 500 ng and 250 ng of the respective formulations were applied. Incubation of the plates followed for 20 h (37 °C, 5% CO2). As shown in FIG.8A, LNPs functionalized with DOPE-PEG2k-TriMan or with DOPE-PEG2k- 30 TrisDendroMan provided the highest transfection efficacy in cell line expressing huCD209 compared to the control. Furthermore, no off-target effect was observed for LNPs with DOPE- PEG2k-TrisDendroGal or DOPE-PEG2k-TrisDendroGlc demonstrating that the increase in the
transfection efficacy is directly associated with the presence of the receptor possessing high binding affinity to mannose-based ligands. As shown in FIG. 8B, LNPs functionalized with DOPE-PEG2k-TrisDendroGal provided the highest transfection efficacy in cell line expressing huCD301 compared to the control. LNPs 5 containing DOPE-PEG2k-αGalNAc or DOPE-PEG2k-(TrisDendroGal)2 demonstrated inferior transfection efficacy and only minor increase in it compared to the control, which can be explained by lower binding affinity of these galactose- or GalNAc-containing ligands. LNPs with DOPE-PEG2k-TrisDendroGlc showed no improvement in transfection compared to control LNPs containing DOPE-PEG2k emphasizing the significant role of CD301 in transfection increase. 10 Example 9 – In vitro cytokine profiling in human PBMC for Functionalized LNPs with Glycolipids The present example describes transfection efficiency of certain complexes comprising RNA and glycolipids described herein. LNPs were formulated with the following components and molar15 ratios: Cargo: modLuc mRNA; N/P ratio 4; Lipid mix: DODMA/Cholesterol/DSPC/DOPE- PEG2k, DOPE-PEG2k-TrisDendroGal, DOPE-PEG2k-(TrisDendroGal)2 or DOPE-PEG2k- GalNAc 40/47/10/3; RNA concentration: 0.15 µg/µL. Diameter and PDI were determined via DLS measurement, resulting in sub 110 nm particles with PDI below 0.4. Successful RNA incorporation was verified via agarose gel electrophoresis. For cytokine release determination, 20 5e5 hPBMC were seeded onto 96-well low attachment plates after thawing in 170 uL Xvivo15 medium and 3 µg, 1 µg, 0.3 µg, 0.1 µg and 0.04 µg of the respective formulations were applied. Mock transfected cells or cells pulsed with lipopolysaccharide (5 mg/mL) served as controls. Twenty hours after the transfection media were removed. The human IL-1β, IL-6 and TNF-α absolute concentrations were quantified in the recovered media by an electrochemiluminescence- 25 based immunoassay. Transfection was performed in triplicates. As shown in FIG. 9A-C, LNPs functionalized with DOPE-PEG2k-(TrisDendroGal)2 led to the highest secretion of all three cytokines. LNPs with DOPE-PEG2k-TrisDendroGal resulted in the second high cytokine concentration, while samples containing DOPE-PEG2k or DOPE-PEG2k- GalNAc either did not affect cytokine secretion at all (FIG.9A and 9B) or led to only low amount 30 of cytokine secreted (FIG.9C).
Claims
CLAIMS 1. A glycolipid compound represented by formula II: 5 R1 is -A, -M1-M2-A, or -M
R2 is -H, -A, -M1-M2-A, or -M3-N(-M1-M2-A)2; each M1 is independently an optionally substituted C2-C12 aliphatic or 2- to 12-membered heteroaliphatic; 10 each M2 is independently –NHC(S)NH-, -NHS(O)2-, -NHC(O)-, -C(O)NH-, -C(O)O-, or -OC(O)- ; each M3 is independently an optionally substituted C2-C12 aliphatic or optionally substituted 2- to 12-membered heteroaliphatic; A is -A1-X-A2; 15 each A1 is independently, at each instance, a bond, optionally substituted C2-C12 aliphatic, optionally substituted 2- to 12-membered heteroaliphatic, optionally substituted C6-C12 aryl, optionally substituted C3-C12 cycloaliphatic, optionally substituted 4- to 12-membered heterocycle, or optionally substituted 5- to 12-membered heteroaryl; each X is independently a bond, -(CH2)1-6-, –NH-, -S-, -S(O)2-, or –O-; 20 each A2 is independently a monosaccharide, a disaccharide, an oligosaccharide, a fluorescent tag, or a moiety of formula J: R3 X' A3 O wherein at least one instance ide, an oligosaccharide, or a 25 moiety of formula J;
each of R3, R4, and R5 is each independently at each occurrence a monosaccharide, a disaccharide, or an oligosaccharide; each X’ is independently a bond, –NH-, -S-, -S(O)2-, or –O-; each A3 is independently, at each occurrence, a bond, optionally substituted C2-C12 aliphatic or 2- 5 to 12-membered heteroaliphatic, optionally substituted C6-C12 aryl, optionally substituted C3-C12 cycloaliphatic, optionally substituted 4- to 12-membered heterocycle, or optionally substituted 5- to 12-membered heteroaryl; M4 is optionally substituted C2-C6 aliphatic-NHC(S)NH-, or optionally substituted 2- to 12- membered heteroaliphatic-NHC(S)NH-; 10 L is a polymeric moiety that comprises monomers of ethylene glycol, sarcosine, 2-(2-(2- aminoethoxy)ethoxy)acetic acid, or a combination thereof, or L is an optionally substituted C20-C100 aliphatic group wherein one or more carbons are optionally and independently replaced by -Cy-, -NRZ-, -N(RZ)C(O)-, -C(O)N(RZ)-, -N(RZ)C(O)O-, -OC(O)N(RZ)-, -N(RZ)C(O)N(RZ) - , -OC(O)O-, -O-, -C(O)-, -OC(O)-, -C(O)O-, -SO-, -SO2-, wherein each -Cy- is independently an 15 optionally substituted 3-12 membered bivalent heterocyclyl ring having 1-3 heteroatoms selected from N, O, and S, an optionally substituted 3-8 membered bivalent heteroaryl ring having 1-4 heteroatoms selected from N, O, and S, an optionally substituted C3-C6 cycloalkyl, or an optionally substituted C6-C12 aryl, and each RZ is independently H or an optionally substituted group selected from C1-C20 aliphatic, or C3-C12 cycloaliphatic; 20 M5 is –OC(O)NH-, -NHC(O)O-, -NHC(O)-, -C(O)-NH-, -C1-C aliphatic-C(O)NH-, or -NHC(O)- C1-C6 aliphatic; T is optionally substituted C10-C20 aliphatic, or a moiety of formula B: B 25 each R7 is independently –(CH2)x2-M6-R8; each M6 is independently –OC(O)-, -C(O)O-, -C(O)-, -C(S)-, -NHC(O)-, -C(O)NH-, -S-, -S-S-, and -S(O)2-; each R8 is optionally substituted C10-C20 aliphatic or 10- to 20-membered heteroaliphatic; n is 0 or 1;
x1 is an integer selected from 1 to 6; and each x2 is independently selected from 0, 1, and 2. 2. The compound of claim 1, wherein R1 is -M1-M2-A and R2 is -M1-M2-A. 5 3. The compound of claim 1, wherein R1 is –A, and R2 is H. 4. The compound of any one of claims 1-3, wherein A1 is optionally substituted phenyl. 5. The compound of claim 1, wherein A1 is: 6. The compound of any one of claims 1-5, wherein X is -CH2- or –O-. 10 7. The compound of any one of claims 1-6, wherein A2 is a monosaccharide. 8. The compound of claim 7, wherein the monosaccharide is selected from N- acetylgalactosamine (GalNAc), mannose (Man), fucose (Fuc), glucose (Glc) and galactose (Gal). 9. The compound of any one of claims 01-6, wherein A2 is an oligosaccharide, wherein the oligosaccharide is a trisaccharide of formula: 15 10. The compound of claim 1, wherein each A2 is independently selected from
14. The compound of claim 13, wherein each of R3, R4, and R5 is each independently a monosaccharide. 15. The compound of claim 14 wherein each of R3, R4, and R5 is each independently selected from 5 , , , , and . 16. The compound of claim 1, wherein the moiety of formula J is a moiety selected from: , , , ,
, , and 17. The compound of claim 1, wherein R1 is -M3-N(-M1-M2-A)2, R2 is H, M3 is C1-C6 aliphatic, each M1 is C1-C6 aliphatic, one of M2 is –NHC(S)NH-, the other M2 is –NHS(O)2-, each 5 A is –A1-X-A2, each A1 is a bond, one instance of X is a bond and one instance of X is -CH2-, one instance of A2 is a fluorescent tag, and one instance of A2 is a moiety of formula J. 18. The compound of claim 1, wherein R1 is -M1-M2-A, R2 is -M1-M2-A, each A is –A1-X- A2, and each A2 is a moiety of formula J. 19. The compound of claim 1, wherein R1 is -M1-M2-A, R2 is -M1-M2-A, each M1 is C1-C6 10 aliphatic, each M2 is –NHC(S)NH-, each A is –A1-X-A2, each A1 is a bond, each X is -CH2-, and each A2 is a moiety of formula J. 20. The compound of claim 1, R1 is -A, R2 is H, where A is A1-X-A2, A1 is a bond, X is a - CH2-, and A2 is a formula of moiety J. 21. The compound of claim 1, wherein R1 is -A, R2 is H, where A is A1-X-A2, A1 is a phenyl, 15 X is a –O-, and A2 is a trisaccharide.
22. The compound of claim 1, wherein R1 is -A, R2 is H, where A is A1-X-A2, A1 is a phenyl, X is a –O-, and A2 is TriMan. 23. The compound of any one of claims 1-22, wherein M4 is optionally substituted 2- to 10- membered heteroaliphatic-NHC(S)NH-*, where * indicates a point of attachment to moiety L of 5 formula II. 24. The compound of any one of claims 1-23, wherein L is a polymeric moiety that comprises monomers of ethylene glycol, sarcosine, 2-(2-(2-aminoethoxy)ethoxy)acetic acid. 25. The compound of any one of claims 1-23, wherein L is C2-C10 aliphatic. 26. The compound of any one of claims 1-25, wherein M5 is –OC(O)NH-, -NHC(O)O-, - 10 NHC(O)-, -C(O)-NH-, -C1-C aliphatic-C(O)NH-, or -NHC(O)-C1-C6 aliphatic. 27. The compound of any one of claims 1-26, wherein T is optionally substituted C10-C20 aliphatic. 28. The compound of claim 27, wherein T is: 15 29. The compound of any one of claims 1-26, wherein T is a moiety of formula B: B 30. The compound of claim 29, wherein x1 is 2. 20 31. The compound of any one of claims 1-30, wherein each R8 is independently selected from: or 32. The compound of claim 1, wherein one instance of R7 is –CH2-OC(O)-R8 and the other 25 R7 is -OC(O)-R8. 33. The compound of claim 1, wherein a moiety of formula B is represented by:
or . 34. The compound of claim 1, wherein the compound of formula II is represented by formula II-1: 5 II-1 or a pharmaceutically acceptable salt thereof. 35. The compound of claim 1, wherein the compound of formula II is represented by formula II-2: 10 II-2 or a pharmaceutically acceptable salt thereof.
36. The compound of claim 1, wherein the compound of formula II is represented by formula II-3: II-3 5 or a pharmaceutically acceptable salt thereof. 37. The compound of claim 1, wherein the compound of formula II is represented by formula II-4: II-4 10 or a pharmaceutically acceptable salt thereof. 38. The compound of claim 1, wherein the compound of formula II is represented by formula II-5:
II-5 or a pharmaceutically acceptable salt thereof. 39. The compound of claim 1, wherein the compound of formula II is represented by formula 5 II-6: II-6 or a pharmaceutically acceptable salt thereof. 40. The compound of claim 1, wherein the compound of formula II is represented by formula 10 II-7: II-7 or a pharmaceutically acceptable salt thereof.
41. The compound of claim 1, wherein the compound of formula II is represented by formula III-1: 5 or a pha
42. The compound of claim 1, wherein the compound of formula II is represented by formula III-2: 10 or a ph
43. A glycolipid compound of any one of Tables 1-3. 44. A particle comprising one or more glycolipid compounds of any one of claims 1-43 and a nucleic acid. 45. The particle of claim 44, wherein the particle comprises about 0.5 mol% to about 20 15 mol% of the one or more glycolipids. 46. The particle of claims 44 or 45, wherein the particle comprises two or more glycolipids. 47. The particle of any one of claims 44-46, wherein the particle further comprises one or more of a cationic lipid, a helper lipid, and a steroid. 48. The particle of claim 47, wherein the cationic lipid is selected from SM-102, ALC-0315, 20 ALC0366, or HY-501. 49. The particle of claims 47 or 48, wherein the steroid is cholesterol. 50. The particle of any one of claims 47-49, wherein the particle further comprises a polymer- conjugated lipid. 51. The particle of any one of claims 44-50, wherein the nucleic acid is RNA.
52. The particle of claim 51, wherein the RNA is mRNA. 53. The particle of claim 52, wherein the RNA is modRNA, saRNA, taRNA, or uRNA. 54. The particle of any one of claims 1-50, wherein the nucleic acid is DNA. 55. A composition comprising one or more particles of claims 44-54. 5 56. The composition of claim 55, wherein an average diameter of the one or more particles is from about 10 nm to about 500 nm. 57. The composition of claims 55 or 56, wherein a PDI of the particles in the composition is from about 0.5 to about 1. 58. A method of treating a disease, disorder, or condition comprising administering to a 10 subject a particle of any one of claims 1-54, or a composition of any one of claims 55-57. 59. The method of claim 58, wherein the disease, disorder, or condition is an infectious disease, cancer, a genetic disorder, an autoimmune disease, or a rare disease. 60. A method of increasing or causing increased expression of RNA in a target in a subject comprising administering to the subject a particle of any one of claims 1-54, or a composition of 15 any one ofclaims 55-57. 61. The method of claim 60, wherein the target is selected from the lungs, liver, spleen, heart, brain, lymph nodes, bladder, kidneys, and pancreas. 62. The method of any one of claims 58-61, wherein the composition is administered intramuscularly, intranasally, intravenously, subcutaneously, or intratumoraly. 20
Priority Applications (2)
| Application Number | Priority Date | Filing Date | Title |
|---|---|---|---|
| PCT/EP2023/085641 WO2025124711A1 (en) | 2023-12-13 | 2023-12-13 | Glycolipid compositions |
| PCT/EP2024/085808 WO2025125385A1 (en) | 2023-12-13 | 2024-12-11 | Glycolipid compositions |
Applications Claiming Priority (1)
| Application Number | Priority Date | Filing Date | Title |
|---|---|---|---|
| PCT/EP2023/085641 WO2025124711A1 (en) | 2023-12-13 | 2023-12-13 | Glycolipid compositions |
Publications (1)
| Publication Number | Publication Date |
|---|---|
| WO2025124711A1 true WO2025124711A1 (en) | 2025-06-19 |
Family
ID=89378668
Family Applications (2)
| Application Number | Title | Priority Date | Filing Date |
|---|---|---|---|
| PCT/EP2023/085641 Pending WO2025124711A1 (en) | 2023-12-13 | 2023-12-13 | Glycolipid compositions |
| PCT/EP2024/085808 Pending WO2025125385A1 (en) | 2023-12-13 | 2024-12-11 | Glycolipid compositions |
Family Applications After (1)
| Application Number | Title | Priority Date | Filing Date |
|---|---|---|---|
| PCT/EP2024/085808 Pending WO2025125385A1 (en) | 2023-12-13 | 2024-12-11 | Glycolipid compositions |
Country Status (1)
| Country | Link |
|---|---|
| WO (2) | WO2025124711A1 (en) |
Citations (57)
| Publication number | Priority date | Publication date | Assignee | Title |
|---|---|---|---|---|
| WO1999039741A2 (en) | 1998-02-03 | 1999-08-12 | Inex Pharmaceuticals Corporation | Systemic delivery of serum stable plasmid lipid particles for cancer therapy |
| US5965542A (en) | 1997-03-18 | 1999-10-12 | Inex Pharmaceuticals Corp. | Use of temperature to control the size of cationic liposome/plasmid DNA complexes |
| WO2001007548A1 (en) | 1999-07-26 | 2001-02-01 | The Procter & Gamble Company | Cationic charge boosting systems |
| US20040142025A1 (en) | 2002-06-28 | 2004-07-22 | Protiva Biotherapeutics Ltd. | Liposomal apparatus and manufacturing methods |
| US20050017054A1 (en) | 2003-07-23 | 2005-01-27 | Tom Iverson | Flyback transformer wire attach method to printed circuit board |
| US20050064595A1 (en) | 2003-07-16 | 2005-03-24 | Protiva Biotherapeutics, Inc. | Lipid encapsulated interfering RNA |
| WO2005038030A1 (en) | 2003-10-14 | 2005-04-28 | Johannes Gutenberg-Universität Mainz, Vertreten Durch Den Präsidenten | Recombinant vaccines and use thereof |
| US20050118253A1 (en) | 1998-02-03 | 2005-06-02 | Protiva Biotherapeutics, Inc. | Systemic delivery of serum stable plasmid lipid particles for cancer therapy |
| US20050175682A1 (en) | 2003-09-15 | 2005-08-11 | Protiva Biotherapeutics, Inc. | Polyethyleneglycol-modified lipid compounds and uses thereof |
| US20060008910A1 (en) | 2004-06-07 | 2006-01-12 | Protiva Biotherapeuties, Inc. | Lipid encapsulated interfering RNA |
| US20060083780A1 (en) | 2004-06-07 | 2006-04-20 | Protiva Biotherapeutics, Inc. | Cationic lipids and methods of use |
| US20070042031A1 (en) | 2005-07-27 | 2007-02-22 | Protiva Biotherapeutics, Inc. | Systems and methods for manufacturing liposomes |
| WO2007024708A2 (en) | 2005-08-23 | 2007-03-01 | The Trustees Of The University Of Pennsylvania | Rna containing modified nucleosides and methods of use thereof |
| WO2007036366A2 (en) | 2005-09-28 | 2007-04-05 | Johannes Gutenberg-Universität Mainz, Vertreten Durch Den Präsidenten | Modification of rna, producing an increased transcript stability and translation efficiency |
| US20100130588A1 (en) | 2008-04-15 | 2010-05-27 | Protiva Biotherapeutics, Inc. | Novel lipid formulations for nucleic acid delivery |
| WO2011015347A1 (en) | 2009-08-05 | 2011-02-10 | Biontech Ag | Vaccine composition comprising 5'-cap modified rna |
| US20110076335A1 (en) | 2009-07-01 | 2011-03-31 | Protiva Biotherapeutics, Inc. | Novel lipid formulations for delivery of therapeutic agents to solid tumors |
| US20110117125A1 (en) | 2008-01-02 | 2011-05-19 | Tekmira Pharmaceuticals Corporation | Compositions and methods for the delivery of nucleic acids |
| WO2011141705A1 (en) | 2010-05-12 | 2011-11-17 | Protiva Biotherapeutics, Inc. | Novel cationic lipids and methods of use thereof |
| US20110311582A1 (en) | 2008-11-10 | 2011-12-22 | Muthiah Manoharan | Novel lipids and compositions for the delivery of therapeutics |
| US20120027803A1 (en) | 2010-06-03 | 2012-02-02 | Alnylam Pharmaceuticals, Inc. | Biodegradable lipids for the delivery of active agents |
| WO2012016184A2 (en) | 2010-07-30 | 2012-02-02 | Alnylam Pharmaceuticals, Inc. | Methods and compositions for delivery of active agents |
| US20120172411A1 (en) | 2010-09-17 | 2012-07-05 | Protiva Biotherapeutics, Inc. | Novel trialkyl cationic lipids and methods of use thereof |
| US20120295832A1 (en) | 2011-05-17 | 2012-11-22 | Arrowhead Research Corporation | Novel Lipids and Compositions for Intracellular Delivery of Biologically Active Compounds |
| US20130017223A1 (en) | 2009-12-18 | 2013-01-17 | The University Of British Columbia | Methods and compositions for delivery of nucleic acids |
| US20130022649A1 (en) | 2009-12-01 | 2013-01-24 | Protiva Biotherapeutics, Inc. | Snalp formulations containing antioxidants |
| WO2013016058A1 (en) | 2011-07-22 | 2013-01-31 | Merck Sharp & Dohme Corp. | Novel bis-nitrogen containing cationic lipids for oligonucleotide delivery |
| US20130086373A1 (en) | 2011-09-29 | 2013-04-04 | Apple Inc. | Customized content for electronic devices |
| WO2013086322A1 (en) | 2011-12-07 | 2013-06-13 | Alnylam Pharmaceuticals, Inc. | Branched alkyl and cycloalkyl terminated biodegradable lipids for the delivery of active agents |
| WO2013086373A1 (en) | 2011-12-07 | 2013-06-13 | Alnylam Pharmaceuticals, Inc. | Lipids for the delivery of active agents |
| US20130195920A1 (en) | 2011-12-07 | 2013-08-01 | Alnylam Pharmaceuticals, Inc. | Biodegradable lipids for the delivery of active agents |
| US20130245107A1 (en) | 2011-12-16 | 2013-09-19 | modeRNA Therapeutics | Dlin-mc3-dma lipid nanoparticle delivery of modified polynucleotides |
| US8569256B2 (en) | 2009-07-01 | 2013-10-29 | Protiva Biotherapeutics, Inc. | Cationic lipids and methods for the delivery of therapeutic agents |
| US20130338210A1 (en) | 2009-12-07 | 2013-12-19 | Alnylam Pharmaceuticals, Inc. | Compositions for nucleic acid delivery |
| WO2014008334A1 (en) | 2012-07-06 | 2014-01-09 | Alnylam Pharmaceuticals, Inc. | Stable non-aggregating nucleic acid lipid particle formulations |
| US20140200257A1 (en) | 2011-01-11 | 2014-07-17 | Alnylam Pharmaceuticals, Inc. | Pegylated lipids and their use for drug delivery |
| US20150203446A1 (en) | 2011-09-27 | 2015-07-23 | Takeda Pharmaceutical Company Limited | Di-aliphatic substituted pegylated lipids |
| WO2015199952A1 (en) | 2014-06-25 | 2015-12-30 | Acuitas Therapeutics Inc. | Novel lipids and lipid nanoparticle formulations for delivery of nucleic acids |
| WO2016005324A1 (en) | 2014-07-11 | 2016-01-14 | Biontech Rna Pharmaceuticals Gmbh | Stabilization of poly(a) sequence encoding dna sequences |
| WO2016118724A1 (en) | 2015-01-21 | 2016-07-28 | Moderna Therapeutics, Inc. | Lipid nanoparticle compositions |
| WO2016118725A1 (en) | 2015-01-23 | 2016-07-28 | Moderna Therapeutics, Inc. | Lipid nanoparticle compositions |
| WO2016176330A1 (en) | 2015-04-27 | 2016-11-03 | The Trustees Of The University Of Pennsylvania | Nucleoside-modified rna for inducing an adaptive immune response |
| WO2017004143A1 (en) | 2015-06-29 | 2017-01-05 | Acuitas Therapeutics Inc. | Lipids and lipid nanoparticle formulations for delivery of nucleic acids |
| WO2017036889A1 (en) | 2015-08-28 | 2017-03-09 | Biontech Rna Pharmaceuticals Gmbh | Method for reducing immunogenicity of rna |
| WO2017049245A2 (en) | 2015-09-17 | 2017-03-23 | Modernatx, Inc. | Compounds and compositions for intracellular delivery of therapeutic agents |
| WO2017053297A1 (en) | 2015-09-21 | 2017-03-30 | Trilink Biotechnologies, Inc. | Compositions and methods for synthesizing 5'-capped rnas |
| WO2017060314A2 (en) | 2015-10-07 | 2017-04-13 | Biontech Rna Pharmaceuticals Gmbh | 3' utr sequences for stabilization of rna |
| WO2017075531A1 (en) | 2015-10-28 | 2017-05-04 | Acuitas Therapeutics, Inc. | Novel lipids and lipid nanoparticle formulations for delivery of nucleic acids |
| US9670152B2 (en) | 2013-11-18 | 2017-06-06 | Arcturus Therapeutics, Inc. | Ionizable cationic lipid for RNA delivery |
| WO2017162461A1 (en) | 2016-03-21 | 2017-09-28 | Biontech Rna Pharmaceuticals Gmbh | Trans-replicating rna |
| WO2017162266A1 (en) | 2016-03-21 | 2017-09-28 | Biontech Rna Pharmaceuticals Gmbh | Rna replicon for versatile and efficient gene expression |
| WO2018081480A1 (en) | 2016-10-26 | 2018-05-03 | Acuitas Therapeutics, Inc. | Lipid nanoparticle formulations |
| WO2020219941A1 (en) | 2019-04-26 | 2020-10-29 | Genevant Sciences Gmbh | Lipid nanoparticles |
| WO2021026358A1 (en) | 2019-08-07 | 2021-02-11 | Moderna TX, Inc. | Compositions and methods for enhanced delivery of agents |
| WO2022081750A1 (en) | 2020-10-14 | 2022-04-21 | George Mason Research Foundation, Inc. | Ionizable lipids and methods of manufacture and use thereof |
| WO2023015223A2 (en) * | 2021-08-03 | 2023-02-09 | Verve Therapeutics, Inc. | Compositions and methods for targeted rna delivery |
| EP4268808A1 (en) * | 2020-12-24 | 2023-11-01 | EnhancedBio Inc. | Lipid nanoparticles comprising mannose or uses thereof |
Family Cites Families (1)
| Publication number | Priority date | Publication date | Assignee | Title |
|---|---|---|---|---|
| US907699A (en) | 1906-04-24 | 1908-12-22 | William D Moore | Building-block. |
-
2023
- 2023-12-13 WO PCT/EP2023/085641 patent/WO2025124711A1/en active Pending
-
2024
- 2024-12-11 WO PCT/EP2024/085808 patent/WO2025125385A1/en active Pending
Patent Citations (75)
| Publication number | Priority date | Publication date | Assignee | Title |
|---|---|---|---|---|
| US5965542A (en) | 1997-03-18 | 1999-10-12 | Inex Pharmaceuticals Corp. | Use of temperature to control the size of cationic liposome/plasmid DNA complexes |
| US20050118253A1 (en) | 1998-02-03 | 2005-06-02 | Protiva Biotherapeutics, Inc. | Systemic delivery of serum stable plasmid lipid particles for cancer therapy |
| WO1999039741A2 (en) | 1998-02-03 | 1999-08-12 | Inex Pharmaceuticals Corporation | Systemic delivery of serum stable plasmid lipid particles for cancer therapy |
| WO2001007548A1 (en) | 1999-07-26 | 2001-02-01 | The Procter & Gamble Company | Cationic charge boosting systems |
| US20040142025A1 (en) | 2002-06-28 | 2004-07-22 | Protiva Biotherapeutics Ltd. | Liposomal apparatus and manufacturing methods |
| US20110216622A1 (en) | 2002-06-28 | 2011-09-08 | Protiva Biotherapeutics, Inc. | Liposomal apparatus and manufacturing method |
| US20050064595A1 (en) | 2003-07-16 | 2005-03-24 | Protiva Biotherapeutics, Inc. | Lipid encapsulated interfering RNA |
| US20120058188A1 (en) | 2003-07-16 | 2012-03-08 | Protiva Biotherapeutics, Inc. | Lipid encapsulated interfering rna |
| US20060240093A1 (en) | 2003-07-16 | 2006-10-26 | Protiva Biotherapeutics, Inc. | Lipid encapsulated interfering rna |
| US20050017054A1 (en) | 2003-07-23 | 2005-01-27 | Tom Iverson | Flyback transformer wire attach method to printed circuit board |
| US20050175682A1 (en) | 2003-09-15 | 2005-08-11 | Protiva Biotherapeutics, Inc. | Polyethyleneglycol-modified lipid compounds and uses thereof |
| US20110091525A1 (en) | 2003-09-15 | 2011-04-21 | Protiva Biotherapeutics, Inc. | Polyethyleneglycol-modified lipid compounds and uses thereof |
| WO2005038030A1 (en) | 2003-10-14 | 2005-04-28 | Johannes Gutenberg-Universität Mainz, Vertreten Durch Den Präsidenten | Recombinant vaccines and use thereof |
| US20110262527A1 (en) | 2004-06-07 | 2011-10-27 | Protiva Biotherapeutics, Inc. | Cationic lipids and methods of use |
| US20060008910A1 (en) | 2004-06-07 | 2006-01-12 | Protiva Biotherapeuties, Inc. | Lipid encapsulated interfering RNA |
| US20060083780A1 (en) | 2004-06-07 | 2006-04-20 | Protiva Biotherapeutics, Inc. | Cationic lipids and methods of use |
| US20110060032A1 (en) | 2004-06-07 | 2011-03-10 | Protiva Biotherapeutics, Inc. | Lipid encapsulating interfering rna |
| US20070042031A1 (en) | 2005-07-27 | 2007-02-22 | Protiva Biotherapeutics, Inc. | Systems and methods for manufacturing liposomes |
| WO2007024708A2 (en) | 2005-08-23 | 2007-03-01 | The Trustees Of The University Of Pennsylvania | Rna containing modified nucleosides and methods of use thereof |
| WO2007036366A2 (en) | 2005-09-28 | 2007-04-05 | Johannes Gutenberg-Universität Mainz, Vertreten Durch Den Präsidenten | Modification of rna, producing an increased transcript stability and translation efficiency |
| US20110117125A1 (en) | 2008-01-02 | 2011-05-19 | Tekmira Pharmaceuticals Corporation | Compositions and methods for the delivery of nucleic acids |
| US20100130588A1 (en) | 2008-04-15 | 2010-05-27 | Protiva Biotherapeutics, Inc. | Novel lipid formulations for nucleic acid delivery |
| US20120183581A1 (en) | 2008-04-15 | 2012-07-19 | Protiva Biotherapeutics, Inc | Novel lipid formulations for nucleic acid delivery |
| US20110311583A1 (en) | 2008-11-10 | 2011-12-22 | Alnylam Pharmaceuticals, Inc. | Novel lipids and compositions for the delivery of therapeutics |
| US20110311582A1 (en) | 2008-11-10 | 2011-12-22 | Muthiah Manoharan | Novel lipids and compositions for the delivery of therapeutics |
| US20150265708A1 (en) | 2008-11-10 | 2015-09-24 | Tekmira Pharmaceuticals Corporation | Novel lipids and compositions for the delivery of therapeutics |
| US20160199485A1 (en) | 2008-11-10 | 2016-07-14 | Tekmira Pharmaceuticals Corporation | Novel lipids and compositions for the delivery of therapeutics |
| US8569256B2 (en) | 2009-07-01 | 2013-10-29 | Protiva Biotherapeutics, Inc. | Cationic lipids and methods for the delivery of therapeutic agents |
| US20110076335A1 (en) | 2009-07-01 | 2011-03-31 | Protiva Biotherapeutics, Inc. | Novel lipid formulations for delivery of therapeutic agents to solid tumors |
| WO2011015347A1 (en) | 2009-08-05 | 2011-02-10 | Biontech Ag | Vaccine composition comprising 5'-cap modified rna |
| US20130022649A1 (en) | 2009-12-01 | 2013-01-24 | Protiva Biotherapeutics, Inc. | Snalp formulations containing antioxidants |
| US20130338210A1 (en) | 2009-12-07 | 2013-12-19 | Alnylam Pharmaceuticals, Inc. | Compositions for nucleic acid delivery |
| US20130017223A1 (en) | 2009-12-18 | 2013-01-17 | The University Of British Columbia | Methods and compositions for delivery of nucleic acids |
| WO2011141705A1 (en) | 2010-05-12 | 2011-11-17 | Protiva Biotherapeutics, Inc. | Novel cationic lipids and methods of use thereof |
| US20130123338A1 (en) | 2010-05-12 | 2013-05-16 | Protiva Biotherapeutics, Inc. | Novel cationic lipids and methods of use thereof |
| US20160009637A1 (en) | 2010-06-03 | 2016-01-14 | Alnylam Pharmaceuticals, Inc. | Biodegradable lipids for the delivery of active agents |
| US20120027803A1 (en) | 2010-06-03 | 2012-02-02 | Alnylam Pharmaceuticals, Inc. | Biodegradable lipids for the delivery of active agents |
| WO2012016184A2 (en) | 2010-07-30 | 2012-02-02 | Alnylam Pharmaceuticals, Inc. | Methods and compositions for delivery of active agents |
| US20130323269A1 (en) | 2010-07-30 | 2013-12-05 | Muthiah Manoharan | Methods and compositions for delivery of active agents |
| US20120172411A1 (en) | 2010-09-17 | 2012-07-05 | Protiva Biotherapeutics, Inc. | Novel trialkyl cationic lipids and methods of use thereof |
| US20140200257A1 (en) | 2011-01-11 | 2014-07-17 | Alnylam Pharmaceuticals, Inc. | Pegylated lipids and their use for drug delivery |
| US20120295832A1 (en) | 2011-05-17 | 2012-11-22 | Arrowhead Research Corporation | Novel Lipids and Compositions for Intracellular Delivery of Biologically Active Compounds |
| WO2013016058A1 (en) | 2011-07-22 | 2013-01-31 | Merck Sharp & Dohme Corp. | Novel bis-nitrogen containing cationic lipids for oligonucleotide delivery |
| US20150203446A1 (en) | 2011-09-27 | 2015-07-23 | Takeda Pharmaceutical Company Limited | Di-aliphatic substituted pegylated lipids |
| US20130086373A1 (en) | 2011-09-29 | 2013-04-04 | Apple Inc. | Customized content for electronic devices |
| WO2013086373A1 (en) | 2011-12-07 | 2013-06-13 | Alnylam Pharmaceuticals, Inc. | Lipids for the delivery of active agents |
| US20140308304A1 (en) | 2011-12-07 | 2014-10-16 | Alnylam Pharmaceuticals, Inc. | Lipids for the delivery of active agents |
| US20150005363A1 (en) | 2011-12-07 | 2015-01-01 | Alnylam Pharmaceuticals, Inc. | Branched Alkyl And Cycloalkyl Terminated Biodegradable Lipids For The Delivery Of Active Agents |
| WO2013086322A1 (en) | 2011-12-07 | 2013-06-13 | Alnylam Pharmaceuticals, Inc. | Branched alkyl and cycloalkyl terminated biodegradable lipids for the delivery of active agents |
| US20130195920A1 (en) | 2011-12-07 | 2013-08-01 | Alnylam Pharmaceuticals, Inc. | Biodegradable lipids for the delivery of active agents |
| US20150273068A1 (en) | 2011-12-07 | 2015-10-01 | Alnylam Pharmaceuticals, Inc. | Biodegradable lipids for the delivery of active agents |
| US20130245107A1 (en) | 2011-12-16 | 2013-09-19 | modeRNA Therapeutics | Dlin-mc3-dma lipid nanoparticle delivery of modified polynucleotides |
| WO2014008334A1 (en) | 2012-07-06 | 2014-01-09 | Alnylam Pharmaceuticals, Inc. | Stable non-aggregating nucleic acid lipid particle formulations |
| US9670152B2 (en) | 2013-11-18 | 2017-06-06 | Arcturus Therapeutics, Inc. | Ionizable cationic lipid for RNA delivery |
| WO2015199952A1 (en) | 2014-06-25 | 2015-12-30 | Acuitas Therapeutics Inc. | Novel lipids and lipid nanoparticle formulations for delivery of nucleic acids |
| WO2016005324A1 (en) | 2014-07-11 | 2016-01-14 | Biontech Rna Pharmaceuticals Gmbh | Stabilization of poly(a) sequence encoding dna sequences |
| WO2016118724A1 (en) | 2015-01-21 | 2016-07-28 | Moderna Therapeutics, Inc. | Lipid nanoparticle compositions |
| WO2016118725A1 (en) | 2015-01-23 | 2016-07-28 | Moderna Therapeutics, Inc. | Lipid nanoparticle compositions |
| WO2016176330A1 (en) | 2015-04-27 | 2016-11-03 | The Trustees Of The University Of Pennsylvania | Nucleoside-modified rna for inducing an adaptive immune response |
| WO2017004143A1 (en) | 2015-06-29 | 2017-01-05 | Acuitas Therapeutics Inc. | Lipids and lipid nanoparticle formulations for delivery of nucleic acids |
| WO2017036889A1 (en) | 2015-08-28 | 2017-03-09 | Biontech Rna Pharmaceuticals Gmbh | Method for reducing immunogenicity of rna |
| WO2017049245A2 (en) | 2015-09-17 | 2017-03-23 | Modernatx, Inc. | Compounds and compositions for intracellular delivery of therapeutic agents |
| US10519189B2 (en) | 2015-09-21 | 2019-12-31 | Trilink Biotechnologies, Inc. | Compositions and methods for synthesizing 5′-Capped RNAs |
| WO2017053297A1 (en) | 2015-09-21 | 2017-03-30 | Trilink Biotechnologies, Inc. | Compositions and methods for synthesizing 5'-capped rnas |
| US10494399B2 (en) | 2015-09-21 | 2019-12-03 | Trilink Biotechnologies, Inc. | Compositions and methods for synthesizing 5′-Capped RNAS |
| WO2017060314A2 (en) | 2015-10-07 | 2017-04-13 | Biontech Rna Pharmaceuticals Gmbh | 3' utr sequences for stabilization of rna |
| WO2017075531A1 (en) | 2015-10-28 | 2017-05-04 | Acuitas Therapeutics, Inc. | Novel lipids and lipid nanoparticle formulations for delivery of nucleic acids |
| WO2017162461A1 (en) | 2016-03-21 | 2017-09-28 | Biontech Rna Pharmaceuticals Gmbh | Trans-replicating rna |
| WO2017162266A1 (en) | 2016-03-21 | 2017-09-28 | Biontech Rna Pharmaceuticals Gmbh | Rna replicon for versatile and efficient gene expression |
| WO2018081480A1 (en) | 2016-10-26 | 2018-05-03 | Acuitas Therapeutics, Inc. | Lipid nanoparticle formulations |
| WO2020219941A1 (en) | 2019-04-26 | 2020-10-29 | Genevant Sciences Gmbh | Lipid nanoparticles |
| WO2021026358A1 (en) | 2019-08-07 | 2021-02-11 | Moderna TX, Inc. | Compositions and methods for enhanced delivery of agents |
| WO2022081750A1 (en) | 2020-10-14 | 2022-04-21 | George Mason Research Foundation, Inc. | Ionizable lipids and methods of manufacture and use thereof |
| EP4268808A1 (en) * | 2020-12-24 | 2023-11-01 | EnhancedBio Inc. | Lipid nanoparticles comprising mannose or uses thereof |
| WO2023015223A2 (en) * | 2021-08-03 | 2023-02-09 | Verve Therapeutics, Inc. | Compositions and methods for targeted rna delivery |
Non-Patent Citations (29)
| Title |
|---|
| "Handbook of Chemistry and Physics", article "Periodic Table of Elements, CAS version" |
| "Remington: The Science and Practice of Pharmacy", 2005, LIPPINCOTT WILLIAMS & WILKINS |
| A. R. GENNARO: "Practice of Pharmacy", 2006, LIPPINCOTT, WILLIAMS & WILKINS |
| B. WEBERC. SEIDLD. SCHWIERTZM. SCHERERS. BLEHERR. SUSSM. BARZ, POLYMERS, vol. 8, 2016, pages 427 |
| CHANG LILI ET AL: "Regulating T-cell metabolic reprogramming and blocking PD-1 co-promote personalized postoperative autologous nanovaccines", BIOMATERIALS, vol. 297, 1 June 2023 (2023-06-01), AMSTERDAM, NL, pages 122104, XP093153042, ISSN: 0142-9612, DOI: 10.1016/j.biomaterials.2023.122104 * |
| CHANG LILI ET AL: "Supporting Information - Regulating T-cell metabolic reprogramming and blocking PD-1 co-promote personalized postoperative autologous nanovaccines", BIOMATERIALS, vol. 297, 1 June 2023 (2023-06-01), AMSTERDAM, NL, pages 122104, XP093173243, ISSN: 0142-9612, DOI: 10.1016/j.biomaterials.2023.122104 * |
| D. A. FULTONJ. F. STODDART, J. ORG. CHEM., vol. 66, 2001, pages 8309 - 8319 |
| D. H. BUSSJ. GOLDSTEIN, J. CHEM. SOC. C, 1968, pages 1457 - 1461 |
| DATABASE CAPLUS [online] 1 January 2012 (2012-01-01), QIAN SHAN: "Synthesis of tri-sulfhydryl glucose-cholesterol as a kidney targeting ligand for liposomes", XP093174045, Database accession no. 2012:1496226 * |
| GAO HAIFEI ET AL: "Comparative binding and uptake of liposomes decorated with mannose oligosaccharides by cells expressing the mannose receptor or DC-SIGN", CARBOHYDRATE RESEARCH, PERGAMON, GB, vol. 487, 16 November 2019 (2019-11-16), XP086008898, ISSN: 0008-6215, [retrieved on 20191116], DOI: 10.1016/J.CARRES.2019.107877 * |
| GOSWAMI ROSHAN ET AL: "Conjugation of Mannans to Enhance the Potency of Liposome Nanoparticles for the Delivery of RNA Vaccines", PHARMACEUTICS, vol. 13, no. 2, 9 February 2021 (2021-02-09), Switzerland, pages 240, XP093173640, ISSN: 1999-4923, Retrieved from the Internet <URL:https://www.mdpi.com/1999-4923/13/2/240/pdf> DOI: 10.3390/pharmaceutics13020240 * |
| GOSWAMI ROSHAN ET AL: "Mannosylation of LNP Results in Improved Potency for Self-Amplifying RNA (SAM) Vaccines", ACS INFECTIOUS DISEASES, vol. 5, no. 9, 10 July 2019 (2019-07-10), US, pages 1546 - 1558, XP093172953, ISSN: 2373-8227, Retrieved from the Internet <URL:http://pubs.acs.org/doi/pdf/10.1021/acsinfecdis.9b00084> DOI: 10.1021/acsinfecdis.9b00084 * |
| J. E. GESTWICKIC. W. CAIROL. E. STRONGK. A. OETJENL. L. KIESSLING, J. AM. CHEM. SOC., vol. 124, 2002, pages 14922 - 14933 |
| J. NIS. SINGHL.-X. WANG, BIOCONJUGATE CHEM., vol. 14, 2003, pages 232 - 238 |
| K. L. MATTAR. N. GIROTRAJ. J. BARLOW, CARBOHYDR. RES., vol. 43, 1975, pages 101 - 109 |
| KACZMAREK, J. C. ET AL., GENOME MEDICINE, vol. 9, 2017, pages 60 |
| KIM M ET AL: "Engineered ionizable lipid nanoparticles for targeted delivery of RNA therapeutics into different types of cells in the liver", SCIENCES ADVANCES, 26 January 2021 (2021-01-26), XP093172873, Retrieved from the Internet <URL:https://www.science.org/doi/10.1126/sciadv.abf4398> * |
| KOPPEL, D., J. CHEM. PHYS., vol. 57, 1972, pages 4814 - 4820 |
| LUBINEAU, A.MALLERON, C.LE NARVOR, TETRAHEDRON LETT., vol. 41, 2000, pages 8887 - 8891 |
| N. G. LUKYANENKOT. I. KIRICHENKOS. V. SCHERBAKOV, J. CHEM. SOC., PERKIN TRANS., vol. 1, 2002, pages 2347 - 2351 |
| R. JIANGG. ZONGX. LIANGS. JINJ. ZHANGD. WANG, MOLECULES, vol. 19, 2014, pages 6683 - 6693 |
| RODRÍGUEZ-LAVADO JULIO ET AL: "Targeted delivery of pharmacological chaperones for Gaucher disease to macrophages by a mannosylated cyclodextrin carrier", ORGANIC & BIOMOLECULAR CHEMISTRY, vol. 12, no. 14, 1 January 2014 (2014-01-01), pages 2289 - 2301, XP093173712, ISSN: 1477-0520, Retrieved from the Internet <URL:https://pubs.rsc.org/en/content/articlepdf/2014/ob/c3ob42530d> DOI: 10.1039/C3OB42530D * |
| S. KNAPPD. S. MYERS, J. ORG. CHEM., vol. 67, 2002, pages 2995 - 2999 |
| S. M. BERGE ET AL., J. PHARMACEUTICAL SCIENCES, vol. 66, 1977, pages 1 - 19 |
| SOCORRO ESPUELAS ET AL: "Influence of Ligand Valency on the Targeting of Immature Human Dendritic Cells by Mannosylated Liposomes", BIOCONJUGATE CHEMISTRY, vol. 19, no. 12, 17 December 2008 (2008-12-17), pages 2385 - 2393, XP055189924, ISSN: 1043-1802, DOI: 10.1021/bc8002524 * |
| SYMENS NATHALIE ET AL: "Efficient Transfection of Hepatocytes Mediated by mRNA Complexed to Galactosylated Cyclodextrins", BIOCONJUGATE CHEMISTRY, vol. 23, no. 6, 5 June 2012 (2012-06-05), US, pages 1276 - 1289, XP093173176, ISSN: 1043-1802, DOI: 10.1021/bc3001003 * |
| T. K. LINDHORSTK. BRUEGGEA. FUCHSO. SPERLING, BEILSTEIN J. ORG. CHEM., vol. 6, 2010, pages 801 - 809 |
| THOMAS SORRELL: "Organic Chemistry", 1999, UNIVERSITY SCIENCE BOOKS |
| ZHI DEFU ET AL: "Conjugates of small targeting molecules to non-viral vectors for the mediation of siRNA", ACTA BIOMATERIALIA, ELSEVIER, AMSTERDAM, NL, vol. 36, 1 April 2016 (2016-04-01), pages 21 - 41, XP029519783, ISSN: 1742-7061, DOI: 10.1016/J.ACTBIO.2016.03.048 * |
Also Published As
| Publication number | Publication date |
|---|---|
| WO2025125385A1 (en) | 2025-06-19 |
Similar Documents
| Publication | Publication Date | Title |
|---|---|---|
| EP3638678B1 (en) | Compounds and compositions for intracellular delivery of agents | |
| US20230357133A1 (en) | Nanomaterials comprising carbonates | |
| JP2022501360A (en) | Compounds and compositions for intracellular delivery of therapeutic agents | |
| EP4036079A2 (en) | Compounds and compositions for intracellular delivery of agents | |
| CN116472275B (en) | Lipid compounds and lipid nanoparticle compositions | |
| IL290766B1 (en) | Administration of therapeutically active conjugates mediated by asialoglycoprotein receptor | |
| EP4424670A1 (en) | Lipid compound and lipid nanoparticle composition | |
| WO2023198082A1 (en) | Non-linear pegylated lipid and application thereof | |
| WO2023067125A1 (en) | Oligosaccharide complexes and uses | |
| WO2025114520A1 (en) | Ionizable lipid nanoparticles | |
| WO2025124711A1 (en) | Glycolipid compositions | |
| JP2025518221A (en) | Complexes for delivery of nucleic acids | |
| WO2024199282A1 (en) | Lipid compound and lipid nanoparticle composition | |
| EP4372027A1 (en) | Use of polyethylenoxide polymers for the preparation of lipids conjugated with poly(ethylene oxide) having c1 to c3-alkyloxymethyl side chains | |
| US20260008887A1 (en) | Lipids conjugated with poly(ethylene oxide) having c1 to c3-alkyloxymethyl side chains | |
| WO2024083171A1 (en) | Lipid compound and lipid nanoparticle composition | |
| JP2025539100A (en) | Polyoxyalkylene-N,N-ditetradecylacetamide compounds, wherein the polyoxyalkylene is poly(ethylene oxide) having C1-C3-alkyloxymethyl side chains. | |
| JP2025539101A (en) | Polyoxyalkylene-1,2-dimyristoyl-glycerol compounds, wherein the polyoxyalkylene is poly(ethylene oxide) having C1-C3-alkyloxymethyl side chains. | |
| KR20260003750A (en) | Lipid nanoparticle (LNP) delivery systems and formulations | |
| HK40096911A (en) | Lipid compounds and lipid nanoparticle compositions | |
| WO2024109798A1 (en) | Lipid compound and lipid nanoparticle composition | |
| WO2025237830A1 (en) | Polyoxyalkylene-1,2-di(alkyloxy)propanoxy-carbonylaminopropyl compounds, wherein the polyoxyalkylene is a poly(ethylene oxide) having c1 to c3-alkyloxymethyl side chains | |
| WO2025262460A1 (en) | Lipid compositions for nucleic acid delivery | |
| CN118369122A (en) | Oligosaccharide complex and use thereof | |
| HK40078722A (en) | Compounds and compositions for intracellular delivery of agents |
Legal Events
| Date | Code | Title | Description |
|---|---|---|---|
| 121 | Ep: the epo has been informed by wipo that ep was designated in this application |
Ref document number: 23828733 Country of ref document: EP Kind code of ref document: A1 |

















































































































































































































