WO2025103927A1 - Substituted oxyiminomethylphenyl uracils and salts thereof, and use thereof as herbicidal active substances - Google Patents
Substituted oxyiminomethylphenyl uracils and salts thereof, and use thereof as herbicidal active substances Download PDFInfo
- Publication number
- WO2025103927A1 WO2025103927A1 PCT/EP2024/081820 EP2024081820W WO2025103927A1 WO 2025103927 A1 WO2025103927 A1 WO 2025103927A1 EP 2024081820 W EP2024081820 W EP 2024081820W WO 2025103927 A1 WO2025103927 A1 WO 2025103927A1
- Authority
- WO
- WIPO (PCT)
- Prior art keywords
- alkyl
- aryl
- alkoxy
- cycloalkyl
- heteroaryl
- Prior art date
- Legal status (The legal status is an assumption and is not a legal conclusion. Google has not performed a legal analysis and makes no representation as to the accuracy of the status listed.)
- Pending
Links
Classifications
-
- C—CHEMISTRY; METALLURGY
- C07—ORGANIC CHEMISTRY
- C07D—HETEROCYCLIC COMPOUNDS
- C07D239/00—Heterocyclic compounds containing 1,3-diazine or hydrogenated 1,3-diazine rings
- C07D239/02—Heterocyclic compounds containing 1,3-diazine or hydrogenated 1,3-diazine rings not condensed with other rings
- C07D239/24—Heterocyclic compounds containing 1,3-diazine or hydrogenated 1,3-diazine rings not condensed with other rings having three or more double bonds between ring members or between ring members and non-ring members
- C07D239/28—Heterocyclic compounds containing 1,3-diazine or hydrogenated 1,3-diazine rings not condensed with other rings having three or more double bonds between ring members or between ring members and non-ring members with hetero atoms or with carbon atoms having three bonds to hetero atoms with at the most one bond to halogen, directly attached to ring carbon atoms
- C07D239/46—Two or more oxygen, sulphur or nitrogen atoms
- C07D239/52—Two oxygen atoms
- C07D239/54—Two oxygen atoms as doubly bound oxygen atoms or as unsubstituted hydroxy radicals
-
- A—HUMAN NECESSITIES
- A01—AGRICULTURE; FORESTRY; ANIMAL HUSBANDRY; HUNTING; TRAPPING; FISHING
- A01N—PRESERVATION OF BODIES OF HUMANS OR ANIMALS OR PLANTS OR PARTS THEREOF; BIOCIDES, e.g. AS DISINFECTANTS, AS PESTICIDES OR AS HERBICIDES; PEST REPELLANTS OR ATTRACTANTS; PLANT GROWTH REGULATORS
- A01N43/00—Biocides, pest repellants or attractants, or plant growth regulators containing heterocyclic compounds
- A01N43/48—Biocides, pest repellants or attractants, or plant growth regulators containing heterocyclic compounds having rings with two nitrogen atoms as the only ring hetero atoms
- A01N43/50—1,3-Diazoles; Hydrogenated 1,3-diazoles
-
- A—HUMAN NECESSITIES
- A01—AGRICULTURE; FORESTRY; ANIMAL HUSBANDRY; HUNTING; TRAPPING; FISHING
- A01P—BIOCIDAL, PEST REPELLANT, PEST ATTRACTANT OR PLANT GROWTH REGULATORY ACTIVITY OF CHEMICAL COMPOUNDS OR PREPARATIONS
- A01P13/00—Herbicides; Algicides
-
- C—CHEMISTRY; METALLURGY
- C07—ORGANIC CHEMISTRY
- C07D—HETEROCYCLIC COMPOUNDS
- C07D401/00—Heterocyclic compounds containing two or more hetero rings, having nitrogen atoms as the only ring hetero atoms, at least one ring being a six-membered ring with only one nitrogen atom
- C07D401/02—Heterocyclic compounds containing two or more hetero rings, having nitrogen atoms as the only ring hetero atoms, at least one ring being a six-membered ring with only one nitrogen atom containing two hetero rings
- C07D401/12—Heterocyclic compounds containing two or more hetero rings, having nitrogen atoms as the only ring hetero atoms, at least one ring being a six-membered ring with only one nitrogen atom containing two hetero rings linked by a chain containing hetero atoms as chain links
-
- C—CHEMISTRY; METALLURGY
- C07—ORGANIC CHEMISTRY
- C07D—HETEROCYCLIC COMPOUNDS
- C07D403/00—Heterocyclic compounds containing two or more hetero rings, having nitrogen atoms as the only ring hetero atoms, not provided for by group C07D401/00
- C07D403/02—Heterocyclic compounds containing two or more hetero rings, having nitrogen atoms as the only ring hetero atoms, not provided for by group C07D401/00 containing two hetero rings
- C07D403/12—Heterocyclic compounds containing two or more hetero rings, having nitrogen atoms as the only ring hetero atoms, not provided for by group C07D401/00 containing two hetero rings linked by a chain containing hetero atoms as chain links
-
- C—CHEMISTRY; METALLURGY
- C07—ORGANIC CHEMISTRY
- C07D—HETEROCYCLIC COMPOUNDS
- C07D405/00—Heterocyclic compounds containing both one or more hetero rings having oxygen atoms as the only ring hetero atoms, and one or more rings having nitrogen as the only ring hetero atom
- C07D405/02—Heterocyclic compounds containing both one or more hetero rings having oxygen atoms as the only ring hetero atoms, and one or more rings having nitrogen as the only ring hetero atom containing two hetero rings
- C07D405/12—Heterocyclic compounds containing both one or more hetero rings having oxygen atoms as the only ring hetero atoms, and one or more rings having nitrogen as the only ring hetero atom containing two hetero rings linked by a chain containing hetero atoms as chain links
-
- C—CHEMISTRY; METALLURGY
- C07—ORGANIC CHEMISTRY
- C07D—HETEROCYCLIC COMPOUNDS
- C07D409/00—Heterocyclic compounds containing two or more hetero rings, at least one ring having sulfur atoms as the only ring hetero atoms
- C07D409/02—Heterocyclic compounds containing two or more hetero rings, at least one ring having sulfur atoms as the only ring hetero atoms containing two hetero rings
- C07D409/12—Heterocyclic compounds containing two or more hetero rings, at least one ring having sulfur atoms as the only ring hetero atoms containing two hetero rings linked by a chain containing hetero atoms as chain links
-
- C—CHEMISTRY; METALLURGY
- C07—ORGANIC CHEMISTRY
- C07D—HETEROCYCLIC COMPOUNDS
- C07D413/00—Heterocyclic compounds containing two or more hetero rings, at least one ring having nitrogen and oxygen atoms as the only ring hetero atoms
- C07D413/02—Heterocyclic compounds containing two or more hetero rings, at least one ring having nitrogen and oxygen atoms as the only ring hetero atoms containing two hetero rings
- C07D413/12—Heterocyclic compounds containing two or more hetero rings, at least one ring having nitrogen and oxygen atoms as the only ring hetero atoms containing two hetero rings linked by a chain containing hetero atoms as chain links
-
- C—CHEMISTRY; METALLURGY
- C07—ORGANIC CHEMISTRY
- C07D—HETEROCYCLIC COMPOUNDS
- C07D417/00—Heterocyclic compounds containing two or more hetero rings, at least one ring having nitrogen and sulfur atoms as the only ring hetero atoms, not provided for by group C07D415/00
- C07D417/02—Heterocyclic compounds containing two or more hetero rings, at least one ring having nitrogen and sulfur atoms as the only ring hetero atoms, not provided for by group C07D415/00 containing two hetero rings
- C07D417/12—Heterocyclic compounds containing two or more hetero rings, at least one ring having nitrogen and sulfur atoms as the only ring hetero atoms, not provided for by group C07D415/00 containing two hetero rings linked by a chain containing hetero atoms as chain links
-
- C—CHEMISTRY; METALLURGY
- C07—ORGANIC CHEMISTRY
- C07D—HETEROCYCLIC COMPOUNDS
- C07D493/00—Heterocyclic compounds containing oxygen atoms as the only ring hetero atoms in the condensed system
- C07D493/02—Heterocyclic compounds containing oxygen atoms as the only ring hetero atoms in the condensed system in which the condensed system contains two hetero rings
- C07D493/04—Ortho-condensed systems
-
- C—CHEMISTRY; METALLURGY
- C07—ORGANIC CHEMISTRY
- C07D—HETEROCYCLIC COMPOUNDS
- C07D493/00—Heterocyclic compounds containing oxygen atoms as the only ring hetero atoms in the condensed system
- C07D493/02—Heterocyclic compounds containing oxygen atoms as the only ring hetero atoms in the condensed system in which the condensed system contains two hetero rings
- C07D493/08—Bridged systems
Definitions
- the invention relates to the technical field of crop protection agents, in particular to herbicides for the selective control of weeds and grass weeds in crops of useful plants.
- this invention relates to substituted oxyiminomethylphenyluracils with 4-difluoroalkyl substitution on the uracil and their salts, processes for their preparation and their use as herbicides, in particular for controlling weeds and/or grass weeds in crops of useful plants and/or as plant growth regulators for influencing the growth of crops of useful plants.
- Previously known plant protection products for the selective control of weeds in crops or active ingredients for controlling undesirable plant growth sometimes have disadvantages in their use, be it (a) they have no or insufficient herbicidal activity against certain weeds, (b) an insufficient spectrum of weeds that can be controlled with an active ingredient, (c) insufficient selectivity in crops and/or (d) a toxicologically unfavorable profile.
- active ingredients that can be used as plant growth regulators in some crops lead to undesirably reduced crop yields in others or are not compatible with the crop or are only compatible within a narrow application rate range.
- Some of the known active ingredients cannot be produced economically on an industrial scale due to difficult-to-access precursors and reagents or have insufficient chemical stability.
- N-linked aryluracils A number of herbicidal active ingredient combinations based on N-linked aryluracils have also been disclosed. (cf. DE4437197, EP714602, WO96/07323, WO96/08151, JP11189506). However, the properties of these active ingredient combinations are not entirely satisfactory. It is also known that certain N-aryluracils with optionally further substituted lactic acid groups can also be used as herbicidal active ingredients (cf. JP2000/302764, JP2001/172265, US6403534, EP408382A1). Furthermore, it is known that N-aryluracils with specific, optionally further substituted, thiolactic acid groups also exhibit herbicidal effects (cf.
- N-benzoic acid uracils with an aminosulfonylaminocarbonylalkoxy side chain are also known (cf. WO2004/009561). It is also known that certain substituted N-benzoic acid thiobarbiturates can be used as herbicidal active ingredients (cf. WO2021/259224). Certain oxyiminomethylphenyluracils have been described as herbicidal active ingredients (cf. EP 4089078). Difluoroalkyl-substituted uracils have also been described as herbicidal active ingredients (cf. WO1988010254; WO2023285222).
- R 1 represents hydrogen, halogen, or (C 1 -C 4 )-alkoxy
- R 2 represents halogen, cyano, nitro, C(O)NH 2 , C(S)NH 2 , (C 1 -C 8 )-haloalkyl, or (C 2 -C 8 )-alkynyl
- R 3 and R 4 independently of one another represent hydrogen, (C 1 -C 8 )-alkyl
- R 13 represents O-(C 1 -C 8 )-alkyl, (C 3 -C 8 )-cycloalkyl, (C 2 -C 8 )-alkenyl, aryl-(C 1 -C 8 )-alkyl, heteroaryl-(C 1 -C 8 )-alkyl, or heterocyclyl-(C 1 -C 8 )-alkyl, or R 3 and R 4 together with the carbon atom to which they are attached form a fully saturated or partially saturated, 3 to 10-membere
- the compounds of the general formula (I) according to the invention firstly achieve a good herbicidal effect, but secondly also have good, environmentally friendly degradation properties and are therefore less harmful to the environment.
- the compounds of the general formula (I) can form salts by addition of a suitable inorganic or organic acid, for example mineral acids such as HCl, HBr, H 2 SO 4 , H 3 PO 4 or HNO 3 , or organic acids, e.g.
- carboxylic acids such as formic acid, acetic acid, propionic acid, oxalic acid, lactic acid or salicylic acid or sulfonic acids such as p-toluenesulfonic acid, to a basic group such as amino, alkylamino, dialkylamino, piperidino, morpholino or pyridino.
- These salts then contain the conjugate base of the acid as an anion.
- Suitable substituents that are present in deprotonated form, such as sulfonic acids, certain sulfonamides, or carboxylic acids, can form internal salts with protonatable groups, such as amino groups. Salt formation can also occur through the action of a base on compounds of general formula (I).
- Suitable bases include, for example, organic amines, such as trialkylamines, morpholine, piperidine, and pyridine, as well as ammonium, alkali, or alkaline earth metal hydroxides, carbonates, and bicarbonates, in particular sodium and potassium hydroxide, sodium and potassium carbonate, and sodium and potassium bicarbonate.
- organic amines such as trialkylamines, morpholine, piperidine, and pyridine
- salts are compounds in which the acidic hydrogen is replaced by a cation suitable for agriculture, for example metal salts, in particular alkali metal salts or alkaline earth metal salts, in particular sodium and potassium salts, or also ammonium salts, salts with organic amines or quaternary ammonium salts, for example with cations of the formula [NR a R b R c R d ] + , in which Ra to R d each independently of one another represent an organic radical, in particular alkyl, aryl, aralkyl or alkylaryl.
- a cation suitable for agriculture for example metal salts, in particular alkali metal salts or alkaline earth metal salts, in particular sodium and potassium salts, or also ammonium salts, salts with organic amines or quaternary ammonium salts, for example with cations of the formula [NR a R b R c R d ] + , in which Ra to R d each independently of one another represent an organic radical
- alkylsulfonium and alkylsulfoxonium salts such as (C1-C4)-trialkylsulfonium and (C1-C4)-trialkylsulfoxonium salts.
- alkylsulfonium and alkylsulfoxonium salts such as (C1-C4)-trialkylsulfonium and (C1-C4)-trialkylsulfoxonium salts.
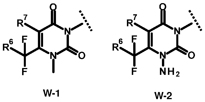
- W represents the group W -1 W-2
- R 1 represents hydrogen, fluorine, chlorine, or bromine
- R 2 represents fluorine, chlorine, bromine, cyano, nitro, C(O)NH2, C(S)NH2, trifluoromethyl, ethynyl, or propyn-1-yl
- R 3 and R 4 independently of one another represent hydrogen, (C 1 -C 6 )-alkyl
- R 13 represents O-(C 1 -C 6 )-alkyl, (C 3 -C 6 )-cycloalkyl, (C 2 -C 6 )-alkenyl, aryl-(C 1 -C 6 )-alkyl, heteroaryl-(C 1 -C 6 )-alkyl, or heterocyclyl-(C 1 -C 6 )-alkyl, or R 3 and R 4 together with the carbon atom to which they are attached form a fully saturated or partially saturated, 3
- R 1 represents hydrogen, fluorine, or chlorine
- R 2 represents fluorine, chlorine, bromine, cyano, nitro, C(O)NH 2 , C(S)NH 2 , or trifluoromethyl
- R 3 and R 4 independently of one another represent hydrogen, (C1-C4)-alkyl, or (C1-C4)-haloalkyl, or R 3 and R 4 together with the carbon atom to which they are attached form a fully saturated or partially saturated, 3 to 7-membered carbocyclic ring
- R 5 represents hydrogen, (C1-C4)-alkyl, or (C1-C4)-haloalkyl
- R 6 represents methyl, ethyl, or prop-1-yl
- R 7 represents hydrogen
- Q represents hydroxy or a radical of the following formulas O
- R 8 represents hydrogen, (C 1 -C 5 )-alkyl, (C 1 -C 5 )-haloalkyl, aryl, aryl-(
- Very particularly preferred subject matter of the invention are compounds of the general formula (I), wherein 35 W represents the group W -1 W-2 R 1 represents hydrogen, or fluorine, R 2 represents fluorine, chlorine, bromine, cyano, nitro, C(O)NH 2 , or C(S)NH 2 , R 3 and R 4 independently of one another represent hydrogen, methyl, ethyl, prop-1-yl, prop-2-yl, but-1-yl, but-2-yl, 2-methyl-prop-1-yl, 1,1-dimethyleth-1-yl, or trifluoromethyl, or R 3 and R 4 together with the carbon atom to which they are attached form a fully saturated or partially saturated, 3 to 7-membered carbocyclic ring, R 5 represents hydrogen, methyl, ethyl, prop-1-yl, prop-2-yl, but-1-yl, but-2-yl, 2-methyl-prop-1-yl, 1,1-dimethyleth-1-yl, or trifluoro
- W represents the group W -1 W-2
- R 1 is hydrogen, or fluorine
- R 2 is fluorine, chlorine, bromine, cyano, or nitro
- R 3 and R 4 independently of one another are hydrogen, methyl, ethyl, or prop-1-yl, or R 3 and R 4 together with the carbon atom to which they are attached form a fully saturated or partially saturated, 3 to 6-membered carbocyclic ring
- R 5 is hydrogen, methyl, ethyl, prop-1-yl, prop-2-yl, but-1-yl, but-2-yl, 2-methyl-prop-1-yl, 1,1-dimethyleth-1-yl, or trifluoromethyl
- R 6 is methyl or ethyl
- R 7 is hydrogen
- Q is one of the above-mentioned groups Q-1 to Q-500.
- the invention is preferably carried out by compounds of the general formula (I) in which W represents the group W -1 W-2 R 1 represents hydrogen or fluorine, R 2 represents fluorine, chlorine, bromine, cyano or nitro, R 3 and R 4 independently represent hydrogen, methyl or ethyl, R 5 represents hydrogen, methyl, ethyl, prop-1-yl or trifluoromethyl, R 6 represents methyl or ethyl, R 7 represents hydrogen, and Q represents one of the groups Q-1 to Q-500 specifically mentioned above.
- W represents the group W -1 W-2
- R 1 represents hydrogen or fluorine
- R 2 represents fluorine, chlorine, bromine, cyano or nitro
- R 3 and R 4 independently represent hydrogen, methyl or ethyl
- R 5 represents hydrogen, methyl, ethyl, prop-1-yl or trifluoromethyl
- R 6 represents methyl or ethyl
- R 7 represents hydrogen
- Q represents one of the groups Q-1 to Q-500 specifically
- Particularly preferred subject matter of the invention are compounds of the general formula (I), wherein W represents the group R 1 is fluorine, R 2 is chlorine, R 3 and R 4 are each independently hydrogen or methyl, R 5 is hydrogen, R 6 is methyl, R 7 is hydrogen, and Q is one of the groups Q-1, Q-286, Q-371, Q-441, Q-442, or Q-481 specifically mentioned above.
- the radical definitions given above apply both to the end products of the formula (I) and correspondingly to the starting materials or intermediates required in each case for their preparation. These radical definitions can be combined with one another as desired, i.e. also between the given preferred ranges.
- the designations used above and below are explained with regard to the compounds according to the invention.
- the general rule for the designation of chemical groups is that the connection to the skeleton or the rest of the molecule is via the last-mentioned structural element of the chemical group in question, ie for example in the case of (C 2 -C 8 )-alkenyloxy via the Oxygen atom, and in the case of heterocyclyl-(C1-C8)-alkyl or R 13 O(O)C-(C1-C8)-alkyl, each via the C atom of the alkyl group.
- alkyl In a complex chemical group such as heterocyclyl-(C1-C8)-alkyl or R 13 O(O)C-(C1-C8)-alkyl, the term “alkyl” therefore also stands for an alkylene group.
- the bond to the skeleton or the rest of the molecule is made via the first-mentioned structural element of the chemical group in question.
- alkylsulfonyl alone or as part of a chemical group - stands for straight-chain or branched alkylsulfonyl, preferably having 1 to 8, or having 1 to 6 carbon atoms, e.g.
- (but not limited to) (C 1 -C 6 )-alkylsulfonyl such as methylsulfonyl, ethylsulfonyl, propylsulfonyl, 1-methylethylsulfonyl, butylsulfonyl, 1-methylpropylsulfonyl, 2-methylpropylsulfonyl, 1,1-dimethylethylsulfonyl, pentylsulfonyl, 1-methylbutylsulfonyl, 2-methylbutylsulfonyl, 3-methylbutylsulfonyl, 1,1-dimethylpropylsulfonyl, 1,2-dimethylpropylsulfonyl, 2,2-dimethylpropylsulfonyl, 1-ethylpropylsulfonyl, hexylsulfonyl, 1-methylpentylsulfonyl
- heteroarylsulfonyl stands for optionally substituted pyridylsulfonyl, pyrimidinylsulfonyl, pyrazinylsulfonyl or optionally substituted polycyclic heteroarylsulfonyl, here in particular optionally substituted quinolinylsulfonyl, for example substituted by fluorine, chlorine, bromine, iodine, cyano, nitro, alkyl, haloalkyl, haloalkoxy, amino, alkylamino, alkylcarbonylamino, dialkylamino or alkoxy groups.
- alkylthio alone or as part of a chemical group - stands for straight-chain or branched S-alkyl, preferably having 1 to 8, or having 1 to 6 carbon atoms, such as (C1-C10)-, (C1-C6)- or (C1-C4)-alkylthio, e.g.
- (but not limited to) (C1-C6)-alkylthio such as methylthio, ethylthio, propylthio, 1-methylethylthio, butylthio, 1-methylpropylthio, 2-methylpropylthio, 1,1-dimethylethylthio, pentylthio, 1-methylbutylthio, 2-methylbutylthio, 3-methylbutylthio, 1,1-dimethylpropylthio, 1,2-dimethylpropylthio, 2,2-dimethylpropylthio, 1-ethylpropylthio, hexylthio, 1-methylpentylthio, 2-methylpentylthio, 3-methylpentylthio, 4-methylpentylthio, 1,1-dimethylbutylthio, 1,2-dimethylbutylthio, 1,3-dimethylbutylthio, 2,2-dimethylbutylthio, 2,3-di
- alkenylthio means an alkenyl radical bonded via a sulfur atom
- alkynylthio means an alkynyl radical bonded via a sulfur atom
- cycloalkylthio means a cycloalkyl radical bonded via a sulfur atom
- cycloalkenylthio means a cycloalkenyl radical bonded via a sulfur atom
- (but not limited to) (C 1 -C 6 )-alkylsulfinyl such as methylsulfinyl, ethylsulfinyl, propylsulfinyl, 1-methylethylsulfinyl, butylsulfinyl, 1-methylpropylsulfinyl, 2-methylpropylsulfinyl, 1,1-dimethylethylsulfinyl, pentylsulfinyl, 1-Methylbutylsulfinyl, 2-Methylbutylsulfinyl, 3-Methylbutylsulfinyl, 1,1-Dimethylpropylsulfinyl, 1,2-Dimethylpropylsulfinyl, 2,2-Di-methylpropylsulfinyl, 1-Ethylpropylsulfinyl, Hexylsulfinyl, 1-Meth
- Alkoxy means an alkyl radical bonded via an oxygen atom, e.g. B.
- (but not limited to) (C1-C6) alkoxy such as methoxy, ethoxy, propoxy, 1-methylethoxy, butoxy, 1-methylpropoxy, 2-methylpropoxy, 1,1-dimethylethoxy, pentoxy, 1-methylbutoxy, 2-methylbutoxy, 3-methylbutoxy, 1,1-dimethylpropoxy, 1,2-dimethylpropoxy, 2,2-dimethylpropoxy, 1-ethylpropoxy, hexoxy, 1-methylpentoxy, 2-methylpentoxy, 3-methylpentoxy, 4-methylpentoxy, 1,1-dimethylbutoxy, 1,2-dimethylbutoxy, 1,3-dimethylbutoxy, 2,2-dimethylbutoxy, 2,3-dimethylbutoxy, 3,3-dimethylbutoxy, 1-ethylbutoxy, 2-ethylbutoxy, 1,1,2-Trimethylpropoxy, 1,2,2-Trimethylpropoxy, 1-ethyl-1-methylpropoxy, and 1-ethyl-2-methylpropoxy.
- Alkenyloxy means an alkenyl radical bonded via an oxygen atom.
- Alkynyloxy means an alkynyl radical bonded via an oxygen atom, such as (C2-C10)-, (C2-C6)-, or (C2-C4)-alkenoxy or (C3-C10)-, (C3-C6)-, or (C3-C4)-alkynoxy.
- Cycloalkyloxy means a cycloalkyl radical bonded via an oxygen atom
- cycloalkenyloxy means a cycloalkenyl radical bonded via an oxygen atom.
- the number of carbon atoms refers to the alkyl radical in the alkylcarbonyl group.
- the number of C atoms refers to the alkenyl or alkynyl radical in the alkenyl or alkynylcarbonyl group.
- the number of C atoms refers to the alkyl radical in the alkoxycarbonyl group.
- the number of C atoms refers to the alkenyl or alkynyl radical in the alkene or alkynyloxycarbonyl group.
- the number of C atoms refers to the alkyl radical in the alkylcarbonyloxy group.
- the number of C atoms refers to the alkenyl or alkynyl radical in the alkenyl or alkynylcarbonyloxy group.
- abbreviations such as C(O)R 13 , C(O)OR 13 , OC(O)NR 11 R 12 , or C(O)NR 11 R 12 the abbreviation O in parentheses stands for an oxygen atom bonded to the adjacent carbon atom via a double bond.
- abbreviations such as OC(S)OR 13 , OC(S)SR 14 , OC(S)NR 11 R 12 the abbreviation S in parentheses stands for a sulfur atom bonded to the adjacent carbon atom via a double bond.
- aryl means an optionally substituted mono-, bi- or polycyclic aromatic system having preferably 6 to 14, in particular 6 to 10 ring C atoms, for example phenyl, naphthyl, anthryl, phenanthrenyl, and the like, preferably phenyl.
- optionally substituted aryl also includes polycyclic systems such as tetrahydronaphthyl, indenyl, indanyl, fluorenyl, biphenylyl, where the bonding site is on the aromatic system.
- aryl is generally also included in the term “optionally substituted phenyl”.
- Preferred aryl substituents here are, for example, hydrogen, halogen, alkyl, cycloalkyl, cycloalkylalkyl, cycloalkenyl, halocycloalkyl, alkenyl, alkynyl, aryl, arylalkyl, arylalkenyl, heteroaryl, heteroarylalkyl, heterocyclyl, heterocyclylalkyl, alkoxyalkyl, alkylthio, haloalkylthio, haloalkyl, Alkoxy, haloalkoxy, cycloalkoxy, cycloalkylalkoxy, aryloxy, heteroraryloxy, alkoxyalkoxy, alkynylalkoxy, alkenyloxy, bis-alkylaminoalkoxy, tris-[alkyl]silyl, bis-[alkyl]arylsilyl, bis-[alkyl]alkylsilyl, tris
- heterocyclyl radical or the heterocyclic ring is optionally substituted, it can be fused with other carbocyclic or heterocyclic rings.
- polycyclic systems are also encompassed, such as, for example, 8-azabicyclo[3.2.1]octanyl, 8-azabicyclo[2.2.2]octanyl or 1-azabicyclo[2.2.1]heptyl.
- spirocyclic systems are also encompassed, such as, for example, 1-oxa-5-aza-spiro[2.3]hexyl.
- the heterocyclic ring preferably contains 3 to 9 ring atoms, in particular 3 to 6 ring atoms, and one or more, preferably 1 to 4, in particular 1, 2 or 3 heteroatoms in the heterocyclic ring, preferably from the group N, O, and S, but where two oxygen atoms should not be directly adjacent, such as, for example, with a heteroatom from the group N, O and S 1- or 2- or 3-pyrrolidinyl, 3,4-dihydro-2H-pyrrol-2- or 3-yl, 2,3-dihydro-1H-pyrrol- 1- or 2- or 3- or 4- or 5-yl; 2,5-dihydro-1H-pyrrol-1- or 2- or 3-yl, 1- or 2- or 3- or 4-piperidinyl; 2,3,4,5-tetrahydropyridin-2- or 3- or 4- or 5-yl or 6-yl; 1,2,3,6-Tetrahydropyridin-1- or 2- or 3- or 4- or 5- or 6-yl; 1,2,3,4-
- Preferred 3-membered and 4-membered ring heterocycles are, for example, 1- or 2-aziridinyl, oxiranyl, thiiranyl, 1- or 2- or 3-azetidinyl, 2- or 3-oxetanyl, 2- or 3-thietanyl, and 1,3-dioxetan-2-yl.
- heterocyclyl are a partially or fully hydrogenated heterocyclic radical having two heteroatoms from the group consisting of N, O, and S, such as, for example, 1- or 2- or 3- or 4-pyrazolidinyl; 4,5-dihydro-3H-pyrazol-3- or 4- or 5-yl; 4,5-Dihydro-1H-pyrazol-1- or 3- or 4- or 5-yl; 2,3-Dihydro-1H-pyrazol-1- or 2- or 3- or 4- or 5-yl; 1- or 2- or 3- or 4-Imidazolidinyl; 2,3-Dihydro-1H-imidazol-1- or 2- or 3- or 4-yl; 2,5-dihydro-1H-imidazol-1- or 2- or 4- or 5-yl; 4,5-dihydro-1H-imidazol-1- or 2- or 4- or 5-yl; hexahydropyridazin-1- or 2- or 3- or 4-yl; 1,2,3,4-tetrahydro
- heterocyclyl are a partially or fully hydrogenated heterocyclic radical with 3 heteroatoms from the group N, O and S, such as, for example, 1,4,2-dioxazolidin-2- or 3- or 5-yl; 1,4,2-dioxazol-3- or 5-yl; 1,4,2-dioxazinan-2- or -3- or 5- or 6-yl; 5,6-Dihydro-1,4,2-dioxazin-3- or 5- or 6-yl; 1,4,2-Dioxazin-3- or 5- or 6-yl; 1,4,2-Dioxazepan-2- or 3- or 5- or 6- or 7-yl; 6,7-Dihydro-5H-1,4,2-Dioxazepin-3- or 5- or 6- or 7-yl; 2,3-Dihydro-7H-1,4,2-Dioxazepin-2- or 3- or 5- or 6- or 7-yl; 2,3-Dihydro-5H-1,4,2-Dioxazepin-2- or 3- or 5-
- heterocycles listed above are preferably, for example, hydrogen, halogen, alkyl, haloalkyl, hydroxy, alkoxy, cycloalkoxy, aryloxy, alkoxyalkyl, alkoxyalkoxy, cycloalkyl, halocycloalkyl, aryl, arylalkyl, heteroaryl, heterocyclyl, alkenyl, alkylcarbonyl, cycloalkylcarbonyl, arylcarbonyl, heteroarylcarbonyl, Alkoxycarbonyl, hydroxycarbonyl, cycloalkoxycarbonyl, cycloalkylalkoxycarbonyl, alkoxycarbonylalkyl, arylalkoxycarbonyl, arylalkoxycarbonylalkyl, alkynyl, alkynylalkyl, alkylalkynyl, tris-alkylsilylalkynyl, nitro, amino, cyano, halo
- the nitrogen heterocycle is partially or fully saturated, it can be linked to the rest of the molecule via either the carbon or the nitrogen atom.
- Possible substituents for a substituted heterocyclic residue are the substituents listed below, as well as oxo and thioxo.
- the oxo group as a substituent on a ring C atom then means, for example, a carbonyl group in the heterocyclic ring. This preferably also includes lactones and lactams.
- the oxo group can also occur on the hetero ring atoms, which can exist in different oxidation states, e.g., N and S, and then form, for example, the divalent groups N(O), S(O) (also abbreviated to SO) and S(O)2 (also abbreviated to SO2) in the heterocyclic ring.
- N(O), S(O) (also abbreviated to SO) and S(O)2 also abbreviated to SO2
- both enantiomers are included.
- heteroaryl stands for heteroaromatic compounds, ie fully unsaturated aromatic heterocyclic compounds, preferably for 5- to 7-membered rings with 1 to 4, preferably 1 or 2 identical or different heteroatoms, preferably O, S or N.
- Heteroaryls according to the invention are, for example, 1H-pyrrol-1-yl; 1H-pyrrol-2-yl; 1H-pyrrol-3-yl; furan-2-yl; furan-3-yl; thien-2-yl; thien-3-yl, 1H-imidazol-1-yl; 1H-imidazol-2-yl; 1H-imidazol-4-yl; 1H-imidazol-5-yl; 1H-pyrazol-1-yl; 1H-pyrazol-3-yl; 1H-pyrazol-4-yl; 1H-pyrazol-5-yl, 1H-1,2,3-triazol-1-yl, 1H-1,2,3-triazol-4-yl, 1H-1,2,3-triazol-5-yl, 2H-1,2,3-triazol-2-yl, 2H-1,2,3-triazol-4-yl, 1H-1,2,4-triazol-1-
- heteroaryl groups according to the invention can further be substituted by one or more identical or different radicals. If two adjacent carbon atoms are part of another aromatic ring, these are fused heteroaromatic systems, such as benzofused or multiply fused heteroaromatics.
- quinolines e.g., quinolin-2-yl, quinolin-3-yl, quinolin-4-yl, quinolin-5-yl, quinolin-6-yl, quinolin-7-yl, quinolin-8-yl
- isoquinolines e.g., isoquinolin-1-yl, isoquinolin-3-yl, isoquinolin-4-yl, isoquinolin-5-yl, isoquinolin-6-yl, isoquinolin-7-yl, isoquinolin-8-yl
- quinoxaline quinazoline
- cinnoline 1,5-naphthyridine; 1,6-naphthyridine; 1,7-naphthyridine; 1,8-naphthyridine; 2,6-naphthyridine; 2,7-naphthyridine; phthalazine; pyridopyrazines; pyr
- heteroaryl are also 5- or 6-membered benzo-fused rings from the group 1H-indol-1-yl, 1H-indol-2-yl, 1H-indol-3-yl, 1H-indol-4-yl, 1H-indol-5-yl, 1H-indol-6-yl, 1H-indol-7-yl, 1-benzofuran-2-yl, 1-benzofuran-3-yl, 1-benzofuran-4-yl, 1-benzofuran-5-yl, 1-benzofuran-6-yl, 1-benzothiophen-7-yl, 1-benzothiophen-2-yl, 1-benzothiophen-3-yl, 1-benzothiophen-4-yl, 1-benzothiophen-5-yl, 1-benzothiophen-6-yl, 1-Benzothiophen-7-yl, 1H-Indazol-1-yl, 1H-Indazol-3-yl
- halogen means, for example, fluorine, chlorine, bromine, or iodine. If the term is used for a radical, then "halogen" means, for example, a fluorine, chlorine, bromine, or iodine atom.
- alkyl means a straight-chain or branched, open-chain, saturated hydrocarbon radical which is optionally mono- or polysubstituted and, in the latter case, is referred to as "substituted alkyl.”
- Preferred substituents are halogen atoms, alkoxy, haloalkoxy, cyano, alkylthio, haloalkylthio, amino, or nitro groups; particular preference is given to methoxy, methyl, fluoroalkyl, cyano, nitro, fluorine, chlorine, bromine, or iodine.
- the prefix “bis” also includes the combination of different alkyl radicals, e.g.
- Haloalkyl mean alkyl, alkenyl or alkynyl that is partially or fully substituted by identical or different halogen atoms, e.g.
- monohaloalkyl such as CH 2 CH 2 Cl, CH 2 CH 2 Br, CHClCH 3 , CH 2 Cl, CH 2 F; perhaloalkyl such as CCl 3, CClF 2, CFCl 2 , CF 2 CClF 2, CF 2 CClFCF 3 ; polyhaloalkyl such as CH 2 CHFCl, CF 2 CClFH, CF 2 CBrFH, CH 2 CF 3 ; the term perhaloalkyl also includes the term perfluoroalkyl.
- Partially fluorinated alkyl means a straight-chain or branched, saturated hydrocarbon which is mono- or polysubstituted by fluorine, where the corresponding fluorine atoms can be located as substituents on one or more different carbon atoms of the straight-chain or branched hydrocarbon chain, such as, for example, CHFCH3, CH2CH2F, CH2CH2CF3, CHF2, CH2F, CHFCF2CF3.
- Partially fluorinated haloalkyl means a straight-chain or branched, saturated hydrocarbon which is substituted by various halogen atoms with at least one fluorine atom, where all other optionally present halogen atoms are selected from the group consisting of fluorine, chlorine, bromine, iodine.
- the corresponding halogen atoms can be located as substituents on one or more different carbon atoms of the straight-chain or branched hydrocarbon chain.
- Partially fluorinated haloalkyl also includes the complete substitution of the straight-chain or branched chain by halogen with the participation of at least one Fluorine atom.
- Haloalkoxy is, for example, OCF3, OCHF2, OCH2F, OCF2CF3, OCH2CF3 and OCH2CH2Cl; the same applies to haloalkenyl and other halogen-substituted radicals.
- the term “( C1 - C4 )-alkyl” used here as an example is a shorthand notation for straight-chain or branched alkyl having one to four carbon atoms corresponding to the range specified for C atoms, ie includes the radicals methyl, ethyl, 1-propyl, 2-propyl, 1-butyl, 2-butyl, 2-methylpropyl or tert-butyl.
- (C 1 -C 6 )-Alkyl also includes straight-chain or branched alkyl radicals with a larger number of C atoms, ie, according to the example, also the alkyl radicals with 5 and 6 C atoms.
- lower carbon skeletons e.g., with 1 to 6 C atoms or, in the case of unsaturated groups, with 2 to 6 C atoms, are preferred for hydrocarbon radicals such as alkyl, alkenyl, and alkynyl radicals, even in compound radicals.
- Alkyl radicals including compound radicals such as alkoxy, haloalkyl, etc., are, for example, methyl, ethyl, n- or i-propyl, n-, i-, t-, or 2-butyl, pentyls, hexyls, such as n-hexyl, i-hexyl, and 1,3-dimethylbutyl, and heptyls, such as n-heptyl, 1-methylhexyl, and 1,4-dimethylpentyl.
- Alkenyl and alkynyl radicals have the meaning of the possible unsaturated radicals corresponding to the alkyl radicals, wherein at least one double bond or triple bond is contained. Preferred radicals are those containing one double bond or triple bond.
- alkenyl includes in particular straight-chain or branched open-chain hydrocarbon radicals with more than one double bond, such as 1,3-butadienyl and 1,4-pentadienyl, but also allenyl or cumulenyl radicals with one or more cumulated double bonds, such as allenyl (1,2-propadienyl), 1,2-butadienyl and 1,2,3-pentatrienyl.
- Alkenyl means, for example, vinyl, which may optionally be substituted by further alkyl radicals, e.g. (but not limited to) (C2-C6)-alkenyl such as ethenyl, 1-propenyl, 2-propenyl, 1-methylethenyl, 1-butenyl, 2-butenyl, 3-butenyl, 1-methyl-1-propenyl, 2-methyl-1-propenyl, 1-methyl-2-propenyl, 2-methyl-2-propenyl, 1-pentenyl, 2-pentenyl, 3-pentenyl, 4-pentenyl, 1-methyl-1-butenyl, 2-methyl-1-butenyl, 3-methyl-1-butenyl, 1-methyl-2-butenyl, 2-methyl-2-butenyl, 3-Methyl-2-butenyl, 1-Methyl-3-butenyl, 2-Methyl-3-butenyl, 3-Methyl-3-butenyl, 1,1-Dimethyl-2
- alkynyl also includes, in particular, straight-chain or branched open-chain hydrocarbon radicals with more than one triple bond or with one or more triple bonds and one or more double bonds, such as 1,3-butatrienyl or 3-penten-1-yn-1-yl.
- (C 2 -C 6 )-alkynyl means, for example, ethynyl, 1-propynyl, 2-propynyl, 1-butynyl, 2-butynyl, 3-butynyl, 1-methyl-2-propynyl, 1-pentynyl, 2-pentynyl, 3-pentynyl, 4-pentynyl, 1-methyl-2-butynyl, 1-methyl-3-butynyl, 2-methyl-3-butynyl, 3-methyl-1-butynyl, 1,1-dimethyl-2-propynyl, 1-ethyl-2-propynyl, 1-hexynyl, 2-hexynyl, 3-hexynyl, 4-hexynyl, 5-hexynyl, 1-methyl-2-pentynyl, 1-Methyl-3-pentynyl, 1-Methyl-4-pentynyl, 2-Meth
- cycloalkyl means a carbocyclic, saturated ring system with preferably 3-8 ring carbon atoms, e.g., cyclopropyl, cyclobutyl, cyclopentyl, or cyclohexyl, which is optionally further substituted, preferably by hydrogen, alkyl, alkoxy, oxo, cyano, nitro, alkylthio, haloalkylthio, halogen, alkenyl, alkynyl, haloalkyl, amino, alkylamino, bisalkylamino, alkoxycarbonyl, hydroxycarbonyl, arylalkoxycarbonyl, aminocarbonyl, alkylaminocarbonyl, or cycloalkylaminocarbonyl.
- Optionally substituted cycloalkyl encompasses cyclic systems with substituents, including substituents with a double bond on the cycloalkyl radical, e.g., an alkylidene group such as methylidene.
- polycyclic aliphatic systems are also included, such as bicyclo[1.1.0]butan-1-yl, bicyclo[1.1.0]butan-2-yl, bicyclo[2.1.0]pentan-1-yl, bicyclo[1.1.1]pentan-1-yl, bicyclo[2.1.0]pentan-2-yl, bicyclo[2.1.0]pentan-5-yl, bicyclo[2.1.1]hexyl, bicyclo[2.2.1]hept-2-yl, bicyclo[2.2.2]octan-2-yl, bicyclo[3.2.1]octan-2-yl, bicyclo[3.2.2]nonan-2-yl, adam
- (C3-C7)-cycloalkyl is a shorthand notation for cycloalkyl with three to seven carbon atoms, corresponding to the range for C atoms.
- spirocyclic aliphatic systems are also included, such as spiro[2.2]pent-1-yl, spiro[2.3]hex-1-yl, spiro[2.3]hex-4-yl, 3-spiro[2.3]hex-5-yl, spiro[3.3]hept-1-yl, spiro[3.3]hept-2-yl.
- Cycloalkenyl means a carbocyclic, non-aromatic, partially unsaturated ring system with preferably 4-8 C atoms, e.g.
- alkylidene e.g. B.
- C 1 -C 10 )-alkylidene means the residue of a straight-chain or branched open-chain hydrocarbon residue which is bonded via a double bond.
- Cycloalkylidene means a carbocyclic residue which is bonded via a double bond.
- Cycloalkylalkyloxy means a cycloalkylalkyl residue bonded via an oxygen atom and “arylalkyloxy” means an arylalkyl residue bonded via an oxygen atom.
- Alkoxyalkyl means an alkoxy radical attached via an alkyl group, and “alkoxyalkoxy” means an alkoxyalkyl radical attached via an oxygen atom, e.g., (but not limited to) methoxymethoxy, methoxyethoxy, ethoxyethoxy, methoxy-n-propyloxy.
- Alkylthioalkyl means an alkylthio radical attached via an alkyl group
- alkylthioalkylthio means an alkylthioalkyl radical attached via an oxygen atom.
- Arylalkoxyalkyl means an aryloxy radical attached via an alkyl group
- heteroaryloxyalkyl means a heteroaryloxy radical attached via an alkyl group.
- Haloalkoxyalkyl means a haloalkoxy radical attached via an alkyl group
- haloalkylthioalkyl means a haloalkylthio radical attached via an alkyl group.
- Arylalkyl means an aryl radical bonded via an alkyl group
- heteroarylalkyl means a heteroaryl radical bonded via an alkyl group
- heterocyclylalkyl means a heterocyclyl radical bonded via an alkyl group
- Cycloalkylalkyl means a cycloalkyl radical attached via an alkyl group, e.g., but not limited to, cyclopropylmethyl, cyclobutylmethyl, cyclopentylmethyl, cyclohexylmethyl, 1-cyclopropyleth-1-yl, 2-cyclopropyleth-1-yl, 1-cyclopropylprop-1-yl, and 3-cyclopropylprop-1-yl.
- Arylalkenyl means an aryl radical attached via an alkenyl group
- heteroarylalkenyl means a heteroaryl radical attached via an alkenyl group
- heterocyclylalkenyl means a heterocyclyl radical attached via an alkenyl group.
- Arylalkynyl stands for an aryl radical bonded via an alkynyl group
- heteroarylalkynyl means a heteroaryl radical bonded via an alkynyl group
- heterocyclylalkynyl means a heterocyclyl radical bonded via an alkynyl group.
- haloalkylthio alone or as part of a chemical group - stands for straight-chain or branched S-haloalkyl, preferably having 1 to 8, or having 1 to 6 carbon atoms, such as (C 1 -C 8 )-, (C 1 -C 6 )-, or (C 1 -C 4 )-haloalkylthio, e.g. (but not limited to) trifluoromethylthio, pentafluoroethylthio, difluoromethyl, 2,2-difluoroeth-1-ylthio, 2,2,2-difluoroeth-1-ylthio, 3,3,3-prop-1-ylthio.
- Halocycloalkyl and halocycloalkenyl mean halogen atoms substituted by the same or different halogen atoms, such as F, Cl and Br, or by haloalkyl, such as B. Trifluoromethyl or difluoromethyl partially or fully substituted cycloalkyl or cycloalkenyl, e.g.
- "trialkylsilyl" - alone or as part of a chemical group - represents straight-chain or branched Si-alkyl, preferably having 1 to 8, or having 1 to 6 carbon atoms, such as tri-[(C1-C8)-, (C1-C6)- or (C1-C4)-alkyl]silyl, e.g.
- Trialkylsilylalkynyl stands for a trialkylsilyl radical bonded via an alkynyl group.
- stereoisomers can be obtained from the mixtures obtained during production using conventional separation methods. Chromatographic separation can be carried out both on an analytical scale to determine the enantiomeric excess or diastereomeric excess, and on a preparative scale to produce test samples for biological testing. Stereoisomers can also be selectively produced by using stereoselective reactions using optically active starting materials and/or auxiliaries.
- the invention thus also relates to all stereoisomers encompassed by the general formula (I) but not indicated with their specific stereoform, as well as mixtures thereof. If the compounds are obtained as solids, purification can also be carried out by recrystallization or digestion. If individual compounds (I) cannot be satisfactorily obtained by the methods described below, they can be prepared by derivatization of other compounds (I). Suitable methods for the isolation, purification, and stereoisomer separation of compounds of formula (I) are methods generally known to the skilled person from analogous cases, e.g., by physical processes such as crystallization, chromatography, especially column chromatography and HPLC (high-pressure liquid chromatography), distillation, optionally under reduced pressure, extraction, and other processes.
- physical processes such as crystallization, chromatography, especially column chromatography and HPLC (high-pressure liquid chromatography), distillation, optionally under reduced pressure, extraction, and other processes.
- any remaining mixtures can generally be separated by chromatographic separation, e.g., on chiral solid phases.
- suitable processes include crystallization, e.g., of diastereomeric salts, which can be obtained from the diastereomer mixtures with optically active acids and, if acidic groups are present, with optically active bases. 35 Synthesis of substituted oxyiminomethylphenyluracils with 4-difluoroalkyl substitution on the uracil of the general formula (I):
- the substituted oxyiminomethylphenyluracils according to the invention with 4-difluoroalkyl substitution on the uracil of general formula (I) can be prepared using known processes.
- the synthetic routes used and investigated are based on commercially available or easily prepared synthetic building blocks.
- the groups W, Q, R 1 , R 2 , R 3 , R 4 , R 5 , R 6 , R 7 , R 8 , R 9 , R 10 , R 11 , R 12 , R 13 , R 14 , R 15 and R 16 of general formula (I) have the meanings defined above in the following schemes, unless exemplary but non-limiting definitions are given.
- Ethyl (2Z)-3-amino-4,4-difluoropent-2-enoate by reaction with dimethylcarbamoyl chloride in N,N-dimethylformamide (DMF) using a suitable base (e.g., sodium hydride or potassium tert-butoxide) and subsequent cyclization to oxazin-6-one (VII) using phosphorus pentachloride and phosphorus oxychloride.
- a suitable base e.g., sodium hydride or potassium tert-butoxide
- the required underlying ⁇ -haloacetic acid esters are commercially available or known from the literature.
- the O-alkylation is carried out using a suitable base (e.g. sodium hydride, potassium tert-butoxide or potassium carbonate) in a suitable polar aprotic solvent (e.g. dichloromethane, chloroform, N,N-dimethylacetamide or N,N-dimethylformamide).
- a suitable amination reagent e.g.
- a suitable base e.g. sodium hydride, potassium tert-butoxide or potassium carbonate
- a suitable polar aprotic solvent e.g. dichloromethane, chloroform, N,N-dimethylacetamide or N,N-dimethylformamide.
- ester cleavage of the terminal ester group of N-amino-N'-uracil (Ia) according to ester cleavage processes known to those skilled in the art, the carboxylic acid (Ib) corresponding to N-amino-N'-uracil (Ia) is obtained.
- This acid can then be converted into various ester variants of N-amino-N'-uracil (Ic) by esterification with a suitable alcohol R-OH.
- the esterification can be carried out, as shown by way of example but not limitation in Scheme 2, using suitable coupling reagents (e.g.
- HOBt 1-hydroxybenzotriazole
- EDC 1-ethyl-3-(3-dimethylaminopropyl)carbodiimide
- HATU O-(7-azabenzotriazol-1-yl)-N,N,N′,N′-tetramethyluronium hexafluorophosphate
- T3P 2,4,6-tripropyl-1,3,5,2,4,6-trioxatriphosphorinane-2,4,6-trioxide) and suitable bases (e.g. diisopropylethylamine, triethylamine) in a suitable polar aprotic solvent (e.g. dichloromethane, chloroform).
- suitable bases e.g. diisopropylethylamine, triethylamine
- a suitable polar aprotic solvent e.g. dichloromethane, chloroform
- esterification can be carried out via transformation into the acid chloride using thionyl chloride and subsequent reaction with the alcohol R-OH, using a suitable polar aprotic solvent (e.g. dichloromethane (DCM), chloroform, N,N-dimethylacetamide (DMA) or N,N-dimethylformamide (DMF)).
- a suitable polar aprotic solvent e.g. dichloromethane (DCM), chloroform, N,N-dimethylacetamide (DMA) or N,N-dimethylformamide (DMF)
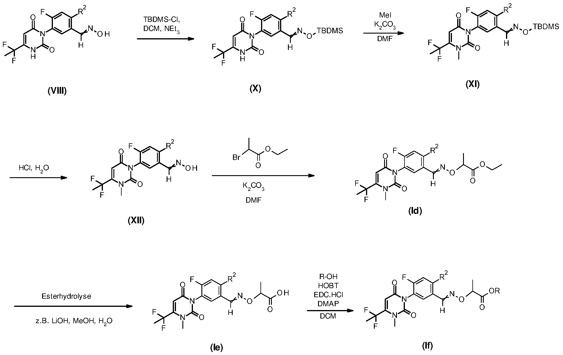
- suitable trialkylsilyl chlorides represented here by way of example but not limitation as tert-butyldimethylsilyl chloride.
- the silylation is carried out using a suitable base (e.g. triethylamine or Hünig's base) in a suitable polar aprotic solvent (e.g. dichloromethane, chloroform, N,N-dimethylacetamide or N,N-dimethylformamide).
- a suitable polar aprotic solvent e.g. dichloromethane, chloroform, N,N-dimethylacetamide or N,N-dimethylformamide.
- the silyl-protected uracil (X) is converted into N-methyl-N'-phenyluracil (XI) by subsequent N-methylation.
- the methylation is carried out using a suitable base (e.g. B.
- a suitable polar aprotic solvent e.g. dichloromethane, chloroform, N,N-dimethylacetamide or N,N-dimethylformamide.
- the O-alkylation is carried out using a suitable base (e.g., sodium hydride, potassium tert-butoxide, or potassium carbonate) in a suitable polar aprotic solvent (e.g., dichloromethane, chloroform, N,N-dimethylacetamide, or N,N-dimethylformamide).
- a suitable base e.g., sodium hydride, potassium tert-butoxide, or potassium carbonate
- a suitable polar aprotic solvent e.g., dichloromethane, chloroform, N,N-dimethylacetamide, or N,N-dimethylformamide.
- the corresponding carboxylic acid (Ie) is obtained by ester cleavage of the terminal ester group of N-methyl-N'-uracil (Id) according to ester cleavage processes known to those skilled in the art. This can then be converted by esterification with a suitable alcohol R-OH to various ester variants of N-
- reaction solution was then stirred for 3 h at 30 °C.
- the mixture was left to stand overnight and, after TLC monitoring, water was added the following day.
- the aqueous phase was then thoroughly extracted several times with ethyl acetate.
- the combined organic phases were dried over sodium sulfate, filtered, and carefully concentrated under reduced pressure.
- Table I.1 Preferred compounds of formula (I.1) are compounds I.1-1 to I.1-500, wherein Q has the meanings given in the respective row of Table 1.
- the compounds I.1-1 to I.1-500 of Table I.1 are thus defined by the meaning of the respective entries Nos. 1 to 500 for Q in Table 1.
- Table 1 ) Table I.2: Preferred compounds of formula (I.2) are compounds I.2-1 to I.2-500, wherein Q has the meanings given in the respective row of Table 1.
- the compounds I.2-1 to I.2-500 of Table I.2 are thus defined by the meaning of the respective entries No. 1 to 500 for Q in Table 1.
- Table I.3: Preferred compounds of formula (I.3) are compounds I.3-1 to I.3-500, wherein Q has the meanings given in the respective row of Table 1.
- the compounds I.3-1 to I.3-500 of Table I.3 are thus defined by the meaning of the respective entries No. 1 to 500 for Q of Table 1.
- Table I.4 Preferred compounds of formula (I.4) are the compounds I.4-1 to I.4-500, wherein Q has the meanings given in the respective row of Table 1.
- the compounds I.4-1 to I.4-500 of Table I.4 are thus defined by the meaning of the respective entries No. 1 to 500 for Q of Table 1.
- Table I.5 Preferred compounds of formula (I.5) are compounds I.5-1 to I.5-500, wherein Q has the meanings given in the respective row of Table 1.
- the compounds I.5-1 to I.5-500 of Table I.5 are thus defined by the meaning of the respective entries No. 1 to 500 for Q of Table 1.
- Table I.6 Preferred compounds of formula (I.6) are compounds I.6-1 to I.6-500, wherein Q has the meanings given in the respective row of Table 1.
- the compounds I.6-1 to I.6-500 of Table I.6 are thus defined by the meaning of the respective entries No. 1 to 500 for Q of Table 1.
- Table I.7: Preferred compounds of formula (I.7) are compounds I.7-1 to I.7-500, wherein Q has the meanings given in the respective row of Table 1.
- the compounds I.7-1 to I.7-500 of Table I.7 are thus defined by the meaning of the respective entries No. 1 to 500 for Q of Table 1.
- Table I.8 Preferred compounds of formula (I.8) are compounds I.8-1 to I.8-500, wherein Q has the meanings given in the respective row of Table 1.
- the compounds I.8-1 to I.8-500 of Table I.8 are thus defined by the meaning of the respective entries No. 1 to 500 for Q of Table 1.
- Table I.9: Preferred compounds of formula (I.9) are compounds I.9-1 to I.9-500, wherein Q has the meanings given in the respective row of Table 1.
- the compounds I.9-1 to I.9-500 of Table I.9 are thus defined by the meaning of the respective entries No. 1 to 500 for Q of Table 1.
- Table I.10 Preferred compounds of formula (I.10) are compounds I.10-1 to I.10-500, wherein Q has the meanings given in the respective row of Table 1.
- the compounds I.10-1 to I.19-500 of Table I.10 are thus defined by the meaning of the respective entries No. 1 to 500 for Q of Table 1.
- Table I.11 Preferred compounds of formula (I.11) are compounds I.11-1 to I.11-500, wherein Q has the meanings given in the respective row of Table 1.
- the compounds I.11-1 to I.11-500 of Table I.11 are thus defined by the meaning of the respective entries No. 1 to 500 for Q of Table 1.
- Table I.12 Preferred compounds of formula (I.12) are compounds I.12-1 to I.12-500, wherein Q has the meanings given in the respective row of Table 1.
- the compounds I.12-1 to I.12-500 of Table I.12 are thus defined by the meaning of the respective entries No. 1 to 500 for Q of Table 1.
- Table I.13: Preferred compounds of formula (I.13) are compounds I.13-1 to I.13-500, wherein Q has the meanings given in the respective row of Table 1.
- the compounds I.13-1 to I.13-500 of Table I.13 are thus defined by the meaning of the respective entries No. 1 to 500 for Q of Table 1.
- Table I.14 Preferred compounds of the formula (I.14) are the compounds I.14-1 to I.14-500, wherein Q has the meanings given in the respective row of Table 1.
- the compounds I.14-1 to I.14-500 of Table I.14 are thus defined by the meaning of the respective entries No. 1 to 500 for Q in Table 1.
- NMR data of selected examples The 1 H NMR data of selected examples of compounds of the general formula (I) are given in two different ways, namely (a) classical NMR evaluation and interpretation or (b) in the form of 1 H NMR peak lists according to the method described below. a) classical NMR interpretation b) NMR peak list method The 1 H NMR data of selected examples are noted in the form of 1 H NMR peak lists.
- the ⁇ value in ppm is listed first, followed by the signal intensity in parentheses.
- the ⁇ value - signal intensity number pairs of different signal peaks are listed separated by semicolons.
- the peak list of an example therefore has the form: ⁇ 1 (intensity1 ) ; ⁇ 2 (intensity2);........; ⁇ i (intensityi ) ; hence; ⁇ n (intensityn)
- the intensity of sharp signals correlates with the height of the signals in a printed example of an NMR spectrum in cm and shows the true ratios of the signal intensities. For broad signals, multiple peaks or the center of the signal and their relative intensity compared to the most intense signal in the spectrum can be shown.
- tetramethylsilane and/or the chemical shift of the solvent is used, especially in the case of spectra measured in DMSO. Therefore, the tetramethylsilane peak may or may not appear in NMR peak lists.
- the lists of 1 H NMR peaks are similar to classical 1 H NMR printouts and thus usually contain all peaks listed in a classical NMR interpretation. Furthermore, like classical 1 H NMR printouts, they may show solvent signals, signals from stereoisomers of the target compounds that are also subject of the invention, and/or impurity peaks.
- the present invention furthermore relates to the use of one or more compounds of the formula (I) according to the invention and/or salts thereof, as defined above, preferably in one of the embodiments characterized as preferred or particularly preferred, in particular one or more compounds of the formulas (I.1-1) to (I.14-500) and/or salts thereof, each as defined above, as herbicide and/or plant growth regulator, preferably in crops of useful and/or ornamental plants.
- the present invention further provides a method for controlling harmful plants and/or for regulating the growth of plants, characterized in that an effective amount of - one or more compounds of the formula (I) according to the invention and/or salts thereof, as defined above, preferably in one of the embodiments characterized as preferred or particularly preferred, in particular one or more compounds of the formulae (I.1-1) to (I.14-500) and/or salts thereof, in each case as defined above, or - an agent according to the invention, as defined below, is applied to the (harmful) plants, (harmful) plant seeds, the soil in or on which the (harmful) plants grow, or the area under cultivation.
- the present invention also relates to a method for controlling undesirable plants, preferably in crops of useful plants, characterized in that an effective amount of - one or more compounds of the formula (I) and/or salts thereof, as defined above, preferably in one of the embodiments characterized as preferred or particularly preferred, in particular one or more compounds of the formulae (I.1-1) to (I.14-500) and/or salts thereof, each as defined above, or - a composition according to the invention, as defined below, is applied to undesirable plants (e.g. harmful plants such as monocotyledonous or dicotyledonous weeds or undesirable cultivated plants), the seeds of the undesirable plants (i.e. plant seeds, e.g.
- undesirable plants e.g. harmful plants such as monocotyledonous or dicotyledonous weeds or undesirable cultivated plants
- the seeds of the undesirable plants i.e. plant seeds, e.g.
- the undesirable plants grow e.g. the soil of cultivated land or non-cultivated land
- the area under cultivation i.e. area on which the undesirable plants will grow.
- the present invention furthermore also relates to methods for controlling the growth of plants, preferably of useful plants, characterized in that an effective amount of - one or more compounds of the formula (I) and/or salts thereof, as defined above, preferably in one of the embodiments identified as preferred or particularly preferred, in particular one or more compounds of the formulae (I.1-1) to (I.14-500) and/or salts thereof, in each case as defined above, or - an agent according to the invention, as defined below, is applied to the plant, the seed of the plant (ie plant seeds, e.g. grains, seeds or vegetative propagation organs such as tubers or shoot parts with buds), the soil in or on which the plants grow (e.g.
- plant seeds e.g. grains, seeds or vegetative propagation organs such as tubers or shoot parts with buds
- the soil in or on which the plants grow e.g.
- the compounds according to the invention or the compositions according to the invention can be applied, for example, by pre-sowing (optionally also by incorporation into the soil), pre-emergence and/or post-emergence methods.
- Some representatives of the monocotyledonous and dicotyledonous weed flora which can be controlled by the compounds according to the invention may be mentioned specifically by way of example, without the mention being intended to imply a restriction to specific species.
- one or more compounds of the formula (I) and/or salts thereof are used for controlling weeds or for regulating the growth of crops of useful plants or ornamental plants, where the useful plants or ornamental plants, in a preferred embodiment, are transgenic plants.
- the compounds of formula (I) according to the invention and/or salts thereof are suitable for controlling the following genera of monocotyledonous and dicotyledonous weeds: Monocotyledonous weeds of the genera: Aegilops, Agropyron, Agrostis, Alopecurus, Apera, Avena, Brachiaria, Bromus, Cenchrus, Commelina, Cynodon, Cyperus, Dactyloctenium, Digitaria, Echinochloa, Eleocharis, Eleusine, Eragrostis, Eriochloa, Festuca, Fimbristylis, Heteranthera, Imperata, Ischaemum, Leptochloa, Lolium, Monochoria, Panicum, Paspalum, Phalaris, Phleum, Poa, Rottboellia, Sagittaria, Scirpus, Setaria, Sorghum.
- the compounds according to the invention are applied to the soil surface before the germination of the weeds (grass and/or broadleaf weeds) (pre-emergence method), the emergence of the weed or broadleaf seedlings is either completely prevented, or they grow to the cotyledon stage, but then cease growth and finally die completely after three to four weeks.
- the active ingredients are applied to the green parts of the plant using the post-emergence method, growth stops after treatment, and the weeds remain in the growth stage present at the time of application or die completely after a certain period of time, thus eliminating weed competition that is harmful to the crop plants very early and sustainably.
- the compounds according to the invention have excellent herbicidal activity against monocotyledonous and dicotyledonous weeds, economically important crops, e.g., dicotyledonous crops of the genera Arachis, Beta, Brassica, Cucumis, Cucurbita, Helianthus, Daucus, Glycine, Gossypium, Ipomoea, Lactuca, Linum, Lycopersicon, Miscanthus, Nicotiana, Phaseolus, Pisum, Solanum, Vicia, or monocotyledonous crops of the genera Allium, Ananas, Asparagus, Avena, Hordeum, Oryza, Panicum, Saccharum, Secale, Sorghum, Triticale, Triticum, Zea, are only slightly damaged or not damaged at all, depending on the structure of the respective compound according to the invention and the application rate.
- the present compounds are very suitable for the selective control of undesirable plant growth in crops such as agricultural crops or ornamental plants.
- the compounds according to the invention (depending on their respective structure and the applied rate) exhibit outstanding growth-regulating properties in crop plants. They exert a regulatory influence on the plant's own metabolism and can thus be used to specifically influence plant constituents and to facilitate harvesting, for example by inducing desiccation and stunting.
- they are also suitable for the general control and inhibition of undesirable vegetative growth without killing the plants. Inhibition of vegetative growth plays a major role in many monocotyledonous and dicotyledonous crops, as it can, for example, reduce or completely prevent lodging.
- the active ingredients can also be used to control weeds in crops of plants modified genetically or by conventional mutagenesis.
- the transgenic plants are generally characterized by particularly advantageous properties, for example resistance to certain pesticides, especially certain herbicides, resistance to plant diseases or pathogens of plant diseases such as certain insects or microorganisms such as fungi, bacteria or viruses.
- Other special properties relate, for example, to the harvested product in terms of quantity, quality, storability, composition and special ingredients. For example, transgenic plants with increased starch content or altered starch quality or those with a different fatty acid composition of the harvested product are known.
- transgenic crops With regard to transgenic crops, the use of the compounds according to the invention and/or their salts is preferred in economically important transgenic crops of useful and ornamental plants, e.g. cereals such as wheat, barley, rye, oats, millet, rice and maize or also crops of sugar beet, cotton, soybeans, rapeseed, potatoes, tomatoes, peas and other vegetables.
- the compounds according to the invention can preferably also be used as herbicides in crops of useful plants which are resistant to the phytotoxic effects of the herbicides or which have been genetically engineered to be resistant. Due to their herbicidal and plant growth-regulating properties, the active ingredients can also be used to control weeds in crops of known or yet-to-be-developed genetically modified plants.
- the transgenic plants are generally characterized by particularly advantageous properties, for example resistance to certain pesticides, especially certain herbicides, resistance to plant diseases or pathogens of plant diseases such as certain insects or microorganisms such as fungi, bacteria or viruses.
- Other special properties relate, for example, to the harvested product in terms of quantity, Quality, storability, composition and special ingredients.
- transgenic plants with increased starch content or altered starch quality or those with a different fatty acid composition of the harvested product are known.
- Further special properties can lie in tolerance or resistance to abiotic stressors, e.g. heat, cold, drought, salt and ultraviolet radiation.
- the compounds of the formula (I) can preferably be used as herbicides in useful plant crops which are resistant to the phytotoxic effects of the herbicides or which have been genetically engineered to be resistant. Conventional methods for producing new plants with modified characteristics compared to previously existing plants include, for example, classic breeding methods and the creation of mutants.
- new plants with modified characteristics can be created using genetic engineering.
- Numerous molecular biological techniques with which new transgenic plants with modified characteristics can be created are known to those skilled in the art.
- nucleic acid molecules can be introduced into plasmids that allow mutagenesis or sequence modification through recombination of DNA sequences.
- base exchanges can be made, partial sequences can be removed, or natural or synthetic sequences can be added.
- Adapters or linkers can be attached to the fragments to connect the DNA fragments to one another.
- the production of plant cells with reduced activity of a gene product can be achieved, for example, by expressing at least one corresponding antisense RNA, a sense RNA to achieve a cosuppression effect, or the expression of at least one appropriately constructed ribozyme that specifically cleaves transcripts of the above-mentioned gene product.
- DNA molecules can be used that comprise the entire coding sequence of a gene product, including any flanking sequences present, as well as DNA molecules that comprise only parts of the coding sequence, whereby these parts must be long enough to produce an antisense effect in the cells. It is also possible to use DNA sequences that display a high degree of homology to the coding sequences of a gene product, but are not completely identical.
- the synthesized protein can be localized in any compartment of the plant cell.
- the coding region can, for example, be linked to DNA sequences that ensure localization in a specific compartment.
- Such sequences are known to the person skilled in the art (see, for example, Braun et al., EMBO J. 11 (1992), 3219-3227).
- Expression of the nucleic acid molecules can also take place in the organelles of the plant cells.
- the transgenic plant cells can be regenerated into whole plants using known techniques. In principle, the transgenic plants can be plants of any plant species, i.e., both monocotyledonous and dicotyledonous plants.
- the compounds (I) according to the invention can preferably be used in transgenic crops which are resistant to growth promoters, such as dicamba, or to herbicides that inhibit essential plant enzymes, e.g., acetolactate synthases (ALS), EPSP synthases, glutamine synthases (GS), or hydroxyphenylpyruvate dioxygenases (HPPD), or to herbicides from the group of sulfonylureas, glyphosates, glufosinates, or benzoyl isoxazoles and analogous active ingredients.
- ALS acetolactate synthases
- EPSP synthases glutamine synthases
- HPPD hydroxyphenylpyruvate dioxygenases
- the active compounds according to the invention are used in transgenic crops, in addition to the effects on weeds observed in other crops, effects often occur which are specific to the application in the respective transgenic crop, for example a modified or specifically expanded weed spectrum which can be controlled, modified application rates which can be used for the application, preferably good combinability with the herbicides to which the transgenic crop is resistant, and influence on the growth and yield of the transgenic crops.
- the invention therefore also relates to the use of the compounds of formula (I) according to the invention and/or salts thereof as herbicides for controlling weeds in crops of useful or ornamental plants, optionally in transgenic crops.
- the use according to the invention for controlling weeds or for regulating plant growth also includes the case in which the active ingredient of formula (I) or its salt is formed from a precursor substance ("prodrug") only after application to the plant, in the plant, or in the soil.
- the invention also relates to the use of one or more compounds of the formula (I) or salts thereof or of an agent according to the invention (as defined below) (in a method) for controlling harmful plants or for regulating the growth of plants, characterized in that an effective amount of one or more compounds of the formula (I) or salts thereof is applied to the plants (harmful plants, optionally together with the useful plants), plant seeds, the soil in or on which the plants grow, or the area under cultivation.
- the invention also relates to a herbicidal and/or plant growth regulating agent, characterized in that the agent contains (a) one or more compounds of the formula (I) and/or salts thereof as defined above, preferably in one of the embodiments identified as preferred or particularly preferred, in particular one or more compounds of the formulae (I.1-1) to (I.14-500) and/or salts thereof, in each case as defined above, and (b) one or more further substances selected from groups (i) and/or (ii): (i) one or more further agrochemically active substances, preferably selected from the group consisting of insecticides, acaricides, nematicides, further herbicides (ie those which do not correspond to the formula (I) defined above), fungicides, safeners, fertilizers 35 and/or further growth regulators, (ii) one or more formulation auxiliaries customary in plant protection.
- the agent contains (a) one or more compounds of the formula (I) and/or salts thereof as defined above,
- a herbicidal or plant growth-regulating composition according to the invention preferably comprises one, two, three or more formulation auxiliaries (ii) customary in crop protection, selected from the group consisting of surfactants, emulsifiers, dispersants, film formers, thickeners, inorganic salts, dusting agents, carriers that are solid at 25°C and 1013 mbar, preferably adsorptive, granulated inert materials, wetting agents, antioxidants, stabilizers, buffer substances, antifoam agents, water, organic solvents, preferably organic solvents that are miscible with water in any ratio at 25°C and 1013 mbar.
- formulation auxiliaries customary in crop protection, selected from the group consisting of surfactants, emulsifiers, dispersants, film formers, thickeners, inorganic salts, dusting agents, carriers that are solid at 25°C and 1013 mbar, preferably adsorptive, granulated inert materials, wetting agents, antioxidants, stabilizer
- the compounds (I) according to the invention can be used in the form of wettable powders, emulsifiable concentrates, sprayable solutions, dusts, or granules in the usual preparations.
- the invention therefore also relates to herbicidal and plant growth regulating compositions containing compounds of formula (I) and/or salts thereof.
- the compounds of formula (I) and/or salts thereof can be formulated in various ways, depending on the biological and/or chemical-physical parameters required.
- Possible formulation options include: wettable powders (WP), water-soluble powders (SP), water-soluble concentrates, emulsifiable concentrates (EC), emulsions (EW), such as oil-in-water and water-in-oil emulsions, sprayable solutions, suspension concentrates (SC), oil- or water-based dispersions, oil-miscible solutions, capsule suspensions (CS), dusts (DP), seed dressings, granules for broadcast and soil application, granules (GR) in the form of micro-, spray-, lift- and adsorption granules, water-dispersible granules (WG), water-soluble granules (SG), ULV formulations, microcapsules and waxes.
- WP wettable powders
- SP water-soluble powders
- EC emulsifiable concentrates
- EW emulsions
- SC suspension concentrates
- CS oil- or water-based dispersions
- DP
- Wettable powders are preparations that are evenly dispersible in water and contain, in addition to the active ingredient and a diluent or inert substance, ionic and/or non-ionic surfactants (wetting agents, dispersants), e.g., polyoxyethylated alkylphenols, polyoxyethylated fatty alcohols, polyoxyethylated fatty amines, fatty alcohol polyglycol ether sulfates, alkanesulfonates, alkylbenzenesulfonates, sodium ligninsulfonate, sodium 2,2'-dinaphthylmethane-6,6'-disulfonate, sodium dibutylnaphthalenesulfonate, or sodium oleoylmethyltaurine.
- ionic and/or non-ionic surfactants e.g., polyoxyethylated alkylphenols, polyoxyethylated fatty alcohols, polyoxye
- the herbicidal active ingredients are, for example, mixed in conventional equipment such as hammer mills, blower mills, and Air jet mills finely ground and simultaneously or subsequently mixed with the formulation auxiliaries.
- Emulsifiable concentrates are produced by dissolving the active ingredient in an organic solvent, e.g. butanol, cyclohexanone, dimethylformamide, xylene or higher-boiling aromatics or hydrocarbons or mixtures of organic solvents with the addition of one or more ionic and/or non-ionic surfactants (emulsifiers).
- alkylarylsulfonic acid calcium salts such as Ca-dodecylbenzenesulfonate or non-ionic emulsifiers
- fatty acid polyglycol esters alkylaryl polyglycol ethers, fatty alcohol polyglycol ethers, propylene oxide-ethylene oxide condensation products, alkyl polyethers, sorbitan esters such as sorbitan fatty acid esters or polyoxyethylene sorbitan esters such as polyoxyethylene sorbitan fatty acid esters.
- Dusts are obtained by grinding the active ingredient with finely divided solid substances, e.g.
- Suspension concentrates can be water- or oil-based. They can be produced, for example, by wet grinding using commercially available bead mills and, if necessary, with the addition of surfactants, as already listed above for the other formulation types.
- Emulsions e.g. oil-in-water emulsions (EW)
- EW oil-in-water emulsions
- Granules can be produced either by spraying the active ingredient onto adsorptive, granulated inert material or by applying active ingredient concentrates to the surface of Carrier materials such as sand, kaolinite, or granulated inert material. Suitable active ingredients can also be granulated in the manner customary for the production of fertilizer granules—if desired, mixed with fertilizers. Water-dispersible granules are generally produced using conventional processes such as spray drying, fluidized-bed granulation, disc granulation, mixing with high-speed mixers, and extrusion without solid inert material.
- the agrochemical preparations, preferably herbicidal or plant growth regulating agents, of the present invention preferably contain a total amount of 0.1 to 99% by weight, preferably 0.5 to 95% by weight, more preferably 1 to 90% by weight, particularly preferably 2 to 80% by weight, of active ingredients of the formula (I) and salts thereof.
- the active ingredient concentration is, for example, about 10 to 90% by weight, the remainder to 100% by weight consisting of conventional formulation components.
- the active ingredient concentration can be approximately 1 to 90, preferably 5 to 80 wt.%.
- Dust-like formulations contain 1 to 30 wt.% active ingredient, preferably mostly 5 to 20 wt.% active ingredient; sprayable solutions contain approximately 0.05 to 80, preferably 2 to 50 wt.% active ingredient.
- the active ingredient content depends partly on whether the active compound is liquid or solid and which granulation aids, fillers, etc. are used.
- the active ingredient content is, for example, between 1 and 95 wt.%, preferably between 10 and 80 wt.%.
- the active ingredient formulations mentioned may contain the usual adhesives, wetting agents, dispersing agents, emulsifying agents, penetrating agents, preservatives, antifreeze agents, solvents, fillers, carriers, dyes, defoamers, evaporation inhibitors, and agents that influence pH and viscosity. Examples of formulation aids are listed, among others, in “Chemistry and Technology of Agrochemical Formulations", ed. DA Knowles, Kluwer Academic Publishers (1998).
- the compounds of formula (I) or their salts can be used as such or in the form of their preparations (formulations) in combination with other pesticidally active substances, such as insecticides, acaricides, nematicides, herbicides, fungicides, safeners, fertilizers and/or growth regulators, e.g. as a ready-to-use formulation or as tank mixes.
- pesticidally active substances such as insecticides, acaricides, nematicides, herbicides, fungicides, safeners, fertilizers and/or growth regulators, e.g. as a ready-to-use formulation or as tank mixes.
- the combination formulations can be prepared on the basis of the abovementioned formulations, taking into account the physical properties and stabilities of the active ingredients to be combined.
- Suitable combination partners for the compounds of formula (I) according to the invention in mixture formulations or in the tank mix are, for example, known active ingredients which are based on the inhibition of, for example, acetolactate synthase, acetyl-CoA carboxylase, cellulose synthase, Enolpyruvylshikimate 3-phosphate synthase, glutamine synthetase, p-hydroxyphenylpyruvate dioxygenase, phytoene desaturase, photosystem I, photosystem II, protoporphyrinogen oxidase, as described, for example, in Weed Research 26 (1986) 441-445 or "The Pesticide Manual", 19th edition, The British Crop Protection Council and the Royal Soc.
- the weight ratios of herbicide (mixture) to safener generally depend on the application rate of herbicide and the effectiveness of the respective safener and can vary within wide limits, for example in the range from 200:1 to 1:200, preferably 100:1 to 1:100, in particular 20:1 to 1:20.
- the safeners can be formulated analogously to the compounds (I) or mixtures thereof with other herbicides/pesticides and can be supplied and applied as a ready-to-use formulation or tank mix with the herbicides.
- the herbicide or herbicide safener formulations available in commercial form are diluted, if appropriate, in the usual way, e.g. in the case of wettable powders, emulsifiable concentrates, dispersions and water-dispersible granules, with water. Dust-like preparations, soil or broadcast granules and sprayable solutions are not normally diluted with other inert substances before use. External conditions such as temperature, humidity etc. influence to a certain extent the application rate of the compounds of the formula (I) and/or their salts. The application rate can vary within wide limits.
- the total amount of compounds of the formula (I) and their salts is preferably in the range from 0.001 to 10.0 kg/ha, more preferably in the range from 0.005 to 5 kg/ha, more preferably in the range from 0.01 to 1.5 kg/ha, particularly preferably in the range from 0.05 to 1 kg/ha. This applies to both pre-emergence and post-emergence applications.
- the total application rate is preferably in the range from 0.001 to 2 kg/ha, preferably in the range from 0.005 to 1 kg/ha, in particular in the range from 10 to 500 g/ha, very particularly preferably in the range from 20 to 250 g/ha.
- Application as a stem shortener can take place at various stages of plant growth. For example, application after tillering at the beginning of longitudinal growth is preferred.
- seed treatment when used as a plant growth regulator, seed treatment is also possible, which includes various seed dressing and coating techniques.
- the application rate depends on the individual techniques and can be determined in preliminary tests.
- suitable combination partners for the compounds of formula (I) according to the invention in compositions according to the invention include known active ingredients based on the inhibition of, for example, acetolactate synthase, acetyl-CoA-35 carboxylase, cellulose synthase, enolpyruvylshikimate 3-phosphate synthase, glutamine synthetase, p-hydroxyphenylpyruvate dioxygenase, phytoene desaturase, photosystem I, photosystem II, or protoporphyrinogen oxidase, as described, for example, in Weed Research 26 (1986) 441-445.
- herbicidal mixture partners The following active ingredients are known herbicides or plant growth regulators that can be combined with compounds of the general formula (I) (the compounds are designated either by the "common name” according to the International Organization for Standardization (ISO) or by the chemical name or by the code number) and always include all application forms such as acids, salts, esters and isomers such as stereoisomers and optical isomers.
- ISO International Organization for Standardization
- Icaeine examples include Acetochlor, Acifluorfen, Acifluorfen-methyl, Acifluorfen-sodium, Aclonifen, Alachlor, Allidochlor, Alloxydim, Alloxydim-sodium, Ametryn, Amicarbazon, Amidochlor, Amidosulfuron, 4-Amino-3-chloro-6-(4-chloro-2-fluoro-3-methylphenyl)-5-fluoropyridine-2-carboxylic acid, Aminocyclopyrachlor, Aminocyclopyrachlor-potassium, Aminocyclopyrachlor-methyl, Aminopyralid, Aminopyralid-dimethylammonium, Aminopyralid-tripromine, Amitrol, Ammonium sulfamate, Anilofos, Asulam, Asulam-potassium, Asulam-sodium, Atrazine, Azaf
- Dicamba-biproamine Dicamba-N,N-Bis(3-aminopropyl)methylamine, Dicamba-butotyl, Dicamba-choline, Dicamba diglycolamine, dicamba dimethyl ammonium, dicamba diethanolaminemmonium, dicamba diethylammonium, dicamba isopropyl ammonium, dicamba methyl, dicamba monoethanolamine, dicamba olamine, dicamba potassium, dicamba sodium, dicamba triethanolamine), dichlobenil, 2-(2,4-Dichlorobenzyl)-4,4-dimethyl-1,2-oxazolidin-3-one, 2-(2,5-Dichlorobenzyl)-4,4-dimethyl-1,2-oxazolidin-3-one, dichlorprop, dichloroprop-butotyl, dichlorprop-dimethylammonium, dichlorprop-etexyl, dichloroprop-ethylammonium, Dich
- Abscisic acid and related analogues [e.g. (2Z,4E)-5-[6-ethynyl-1-hydroxy-2,6-dimethyl-4-oxocyclohex-2-en-1-yl]-3-methylpenta-2,4-dienoic acid, methyl-(2Z,4E)-5-[6-ethynyl-1-hydroxy-2,6-dimethyl-4-oxocyclohex-2-en-1-yl]-3-methylpenta-2,4-dienoate, (2Z,4E)-3-ethyl-5-(1-hydroxy-2,6,6-trimethyl-4-oxocyclohex-2-en-1-yl)penta-2,4-dienoic acid, (2E,4E)-5-(1-hydroxy-2,6,6-trimethyl-4- oxocyclohex-2-en-1-yl)-3-(trifluoromethyl)penta
- COs differ from LCOs in that they lack the fatty acid side chain characteristic of LCOs.
- COs sometimes referred to as N-acetylchitooligosaccharides 35, are also composed of GlcNAc units, but have side chains that distinguish them from chitin molecules [(C8H13NO5)n, CAS No. 1398-61-4] and chitosan molecules [(C5H11NO4)n, CAS No.
- LCO lipochitooligosaccharides
- Nod or Nod factors lipochitooligosaccharides
- Myc factors consist of an oligosaccharide backbone of ⁇ -l,4-linked N-acetyl-D-glucosamine residues (“GlcNAc”) with an N-linked fatty acid side chain fused to the non-reducing end.
- LCOs differ in the number of GlcNAc units in the backbone structure, in the length and degree of saturation of the fatty acid chain, as well as in the substitution of the reducing and non-reducing sugar units), linoleic acid or its derivatives, linolenic acid or its derivatives, Maleic hydrazide, mepiquat chloride, mepiquat pentaborate, 1-methylcyclopropene, 3-methylcyclopropene, methoxyvinylglycine (MVG), 3'-methylabscisic acid, 1-(4-methylphenyl)-N-(2-oxo-1-propyl-1,2,3,4-tetrahydroquinolin-6-yl)methanesulfonamide and related substituted (tetrahydroquinolin-6-yl)methanesulfonamides, (3E,3 ⁇ R,8 ⁇ S)-3-( ⁇ [(2R)-4-methyl-5-oxo-2,
- n A is a natural number from 0 to 5, preferably 0 to 3;
- RA 1 is halogen, (C1-C4)-alkyl, (C1-C4)-alkoxy, nitro or (C1-C4)-haloalkyl;
- WA is an unsubstituted or substituted divalent heterocyclic radical from the group of the partially saturated or aromatic five-membered ring heterocycles with 1 to 3 hetero ring atoms from the group N and O, wherein at least one N atom and at most one O atom is contained in the ring, preferably a radical from the group (WA 1 ) to (WA 5 ), mA is 0 or 1;
- R A 2 is OR A 3 , SR A 3 or NR A 3 R A 4 or a saturated or unsaturated 3- to
- RB 1 is halogen, (C1-C4)-alkyl, (C1-C4)-alkoxy, nitro or (C1-C4)-haloalkyl
- nB is a natural number from 0 to 5, preferably 0 to 3
- R B 2 is OR B 3 , SR B 3 or NR B 3 R B 4 or a saturated or unsaturated 3- to 7-membered heterocycle having at least one N atom and up to 3 heteroatoms, preferably from the group O and S, which is linked to the carbonyl group in (S2) via the N atom and is unsubstituted or substituted by radicals from the group (C 1 -C 4 )-alkyl, (C 1 -C 4 )-alkoxy or optionally substituted phenyl, preferably a radical of the formula OR B 3 , NHR B 4 or N(CH 3 ) 2
- RC 1 is (C1-C4)-alkyl, (C1-C4)-haloalkyl, (C2-C4)-alkenyl, (C2-C4)-haloalkenyl, (C3-C7)-cycloalkyl, preferably dichloromethyl;
- RC 2 , RC 3 are the same or different hydrogen, (C1-C4)-alkyl, (C2-C4)-alkenyl, (C2-C4)-alkynyl, (C1-C4), haloalkyl, (C2-C4)-haloalkenyl, (C1-C4)-alkylcarbamoyl-(C1-C4)-alkyl, (C2-C4)- Alkenylcarbamoyl-(C1-C4)-alkyl, (C1-C4)-alkoxy-(C1-C4)-alkyl, diox
- XD is CH or N;
- R D 1 is CO-NR D 5 R D 6 or NHCO-R D 7 ;
- R D 2 is halogen, (C 1 -C 4 )-haloalkyl, (C 1 -C 4 )-haloalkoxy, nitro, (C 1 -C 4 )-alkyl, (C 1 -C 4 )-alkoxy, (C 1 -C 4 )-alkylsulfonyl, (C 1 -C 4 )-alkoxycarbonyl or (C 1 -C 4 )-alkylcarbonyl;
- R D 3 is hydrogen, (C 1 -C 4 )-alkyl, (C 2 -C 4 )-alkenyl or (C 2 -C 4 )-alkynyl;
- S5 Active ingredients from the class of hydroxyaromatics and aromatic-aliphatic carboxylic acid derivatives (S5), e.g. 3,4,5-triacetoxybenzoic acid ethyl ester, 3,5-dimethoxy-4-hydroxybenzoic acid, 3,5-dihydroxybenzoic acid, 4-hydroxysalicylic acid, 4-fluorosalicyclic acid, 2-hydroxycinnamic acid, 2,4-dichlorocinnamic acid, as described in WO-A-2004/084631, WO-A-2005/015994, WO-A-2005/016001.
- S6 Active ingredients from the class of 1,2-dihydroquinoxalin-2-ones (S6), e.g.
- R E 1 , R E 2 are independently of one another halogen, (C 1 -C 4 )-alkyl, (C 1 -C 4 )-alkoxy, (C 1 -C 4 )-haloalkyl, (C 1 -C 4 )-alkylamino, di-(C 1 -C 4 )-alkylamino, nitro; 25 A E is COOR E 3 or COSR E 4 RE 3 , RE 4 are independently hydrogen, (C1-C4)-alkyl, (C2-C6)-alkenyl, (C2-C4)-alkynyl, cyanoalkyl, (C1-C4)-haloalkyl, phenyl, nitrophenyl, benzyl, halobenzyl, pyridinylalkyl and alkylammonium, nE 1 is
- Active ingredients from the class of 3-(5-tetrazolylcarbonyl)-2-quinolones e.g. 1,2-dihydro-4-hydroxy-1-ethyl-3-(5-tetrazolylcarbonyl)-2-quinolone (CAS Reg. No. 219479-18-2), 1,2-dihydro-4-hydroxy-1-methyl-3-(5-tetrazolylcarbonyl)-2-quinolone (CAS Reg. No. 95855-00-8), as described in WO-A-1999/000020.
- S11 Active substances of the oxyimino compound type (S11), which are known as seed dressings, such as: B. "Oxabetrinil” ((Z)-1,3-dioxolan-2-ylmethoxyimino(phenyl)acetonitrile) (S11-1), which is known as a seed dressing safener for millet against metolachlor damage, "Fluxofenim” (1-(4-chlorophenyl)-2,2,2-trifluoro-1-ethanone-O-(1,3-dioxolan-2-ylmethyl)-oxime) (S11-2), which is known as a seed dressing safener for millet against metolachlor damage, and "Cyometrinil” or “CGA-43089” ((Z)-cyanomethoxyimino(phenyl)acetonitrile) (S11-3), which is known as a seed dressing safener for millet against metolachlor damage.
- S12 Active ingredients from the class of isothiochromanones (S12), such as methyl [(3-oxo-1H-2-benzothiopyran-4(3H)-ylidene)methoxy]acetate (CAS Reg. No. 205121-04-6) (S12-1) and related compounds from WO-A-1998/13361.
- S12 isothiochromanones
- S13 One or more compounds from group (S13): "Naphthalic anhydride” (1,8-naphthalenedicarboxylic anhydride) (S13-1), known as a seed dressing safener for maize against damage from thiocarbamate herbicides, "Fenclorim” (4,6-dichloro-2-phenylpyrimidine) (S13-2), known as a safener for pretilachlor in sown rice, "Flurazole” (benzyl 2-chloro-4-trifluoromethyl-1,3-thiazole-5-carboxylate) (S13-3), known as a seed dressing safener for millet against damage from alachlor and metolachlor, "CL 304415” (CAS Reg. No.
- Preferred safeners in combination with the compounds of the formula (I) according to the invention and/or their salts, in particular with the compounds of the formulas (I.1-1) to (I.14-500) and/or their salts are: cloquintocet-mexyl, cyprosulfamide, fenchlorazole ethyl ester, isoxadifen ethyl, mefenpyr diethyl, fenclorim, cumyluron, S1-14, S1-15, S1-16, S1-17, S1-18, S1-19, S4-1 and S4-5, and particularly preferred safeners are: cloquintocet-mexyl, cyprosulfamide, isoxadifen ethyl and mefenpyr diethyl.
- ABUTH Abutilon theophrasti
- ALOMY Alopecurus myosuroides
- AMARE Amaranthus retroflexus
- AVEFA Avena fatua
- BRSNW Brassica napus
- DIGSA Digitaria sanguinalis
- ECHCG Echinochloa crus-galli
- GLXMA Glycine max
- KCHSC Kochia scoparia
- LOLRI Lolium rigidum
- MATIN Matricaria inodora
- ORYZA Oryza sativa
- PHPBU Pharbitis purpurea
- POLCO Polygonum convolvulus SETVI: Setaria viridis VERPE: Veronica persica VIOTR: Viola tricolor
- TRZAS Triticum aestivum
- ZEAMX Zea mays A.
- Tables A1 to A13 below show the effects of selected compounds of general formula (I) according to Table 1 on various weeds and at an application rate corresponding to 20 g/ha and lower, which were obtained according to the aforementioned test procedure.
- Table A1a Post-emergence effect at 1.25g/ha against ABUTH in %
- Table A1b Post-emergence effect at 5g/ha against ABUTH in %
- Table A1c Post-emergence effect at 20g/ha against ABUTH in %
- Table A2a Post-emergence effect at 1.25g/ha against ALOMY in %
- Table A2b Post-emergence effect at 5g/ha against ALOMY in %
- Table A2c Post-emergence effect at 20g/ha against ALOMY in %
- Table A3 Post-emergence effect at 20g/ha against AVEFA in %
- Table A4a Post-emergence effect at 5g/ha against DIGSA in %
- Table A4b Post-emergence effect at 20g/ha against DIGSA in %
- Table A5a Post-emergence efficacy at 1.25g/ha against ECHCG in % 10
- Table A5b Post-emergence effect at 5g/ha against ECHCG in %
- Table A5c Post-emergence effect at 20g/ha against ECHCG in %
- Table A6a Post-emergence effect at 5g/ha against LRI in %
- Table A6b Post-emergence effect at 20g/ha against LOLRI in %
- Table A7a Post-emergence effect at 1.25g/ha against MATIN in %
- Table A7b Post-emergence effect at 5g/ha against MATIN in %
- Table A7c Post-emergence effect at 20g/ha against MATIN in %
- Table A8a Post-emergence effect at 1.25g/ha against PHBPU in %
- Table A8b Post-emergence effect at 5g/ha against PHBPU in %
- Table A8c Post-emergence effect at 20g/ha against PHBPU in %
- Table A9a Post-emergence effect at 1.25g/ha against POLCO in %
- Table A9b Post-emergence effect at 5g/ha against POLCO in %
- Table A9c Post-emergence effect at 20g/ha against POLCO in %
- Table A10a Post-emergence effect at 1.25g/ha against SETVI in %
- Table A10b Post-emergence effect at 5g/ha against SETVI in %
- Table A10c Post-emergence effect at 20g
- Table A12c Post-emergence effect at 20g/ha against VIOTR in %
- Table A13a Post-emergence effect at 1.25g/ha against KCHSC in %
- Table A13b Post-emergence effect at 5g/ha against KCHSC in %
- Table A13c Post-emergence effect at 20g/ha against KCHSC in %
- Table A14a Post-emergence effect at 1.25g/ha against AMARE in %
- Table A14b Post-emergence effect at 5g/ha against AMARE in %
- Table A14c Post-emergence effect at 20g/ha against AMARE in % B. Effect on crop plants in post-emergence Seeds of monocotyledonous and dicotyledonous crop plants were sown in plastic or wood fiber pots in sandy loam soil, covered with soil and grown in the greenhouse under controlled growth conditions.
- test plants were The compounds of the invention, formulated as wettable powders (WP) or emulsion concentrates (EC), were then sprayed onto the green plant parts as an aqueous suspension or emulsion with the addition of 0.5% additive at a water application rate equivalent to 600 l/ha.
- WP wettable powders
- EC emulsion concentrates
- the effect of the preparations was visually assessed in comparison to untreated controls. For example, 100% effect means plants have died, 0% effect means the same as the control plants.
- Tables B1 to B4 below show the effects of selected compounds of general formula (I) according to Table 1 on various crops and at an application rate corresponding to 20 g/ha and lower, obtained according to the aforementioned test procedure.
Landscapes
- Chemical & Material Sciences (AREA)
- Organic Chemistry (AREA)
- Life Sciences & Earth Sciences (AREA)
- Environmental Sciences (AREA)
- Engineering & Computer Science (AREA)
- Pest Control & Pesticides (AREA)
- Plant Pathology (AREA)
- Wood Science & Technology (AREA)
- Zoology (AREA)
- General Chemical & Material Sciences (AREA)
- Chemical Kinetics & Catalysis (AREA)
- Agronomy & Crop Science (AREA)
- Health & Medical Sciences (AREA)
- Dentistry (AREA)
- General Health & Medical Sciences (AREA)
- Plural Heterocyclic Compounds (AREA)
- Agricultural Chemicals And Associated Chemicals (AREA)
- Pharmaceuticals Containing Other Organic And Inorganic Compounds (AREA)
Abstract
Description
Bayer AG Substituierte Oxyiminomethylphenyluracile sowie deren Salze und ihre Verwendung als herbizide Wirkstoffe Beschreibung Die Erfindung betrifft das technische Gebiet der Pflanzenschutzmittel, insbesondere das der Herbizide zur selektiven Bekämpfung von Unkräutern und Ungräsern in Nutzpflanzenkulturen. Speziell betrifft diese Erfindung substituierte Oxyiminomethylphenyluracile mit 4- Difluoralkylsubstitution am Uracil sowie deren Salze, Verfahren zu ihrer Herstellung und ihre Verwendung als Herbizide, insbesondere zur Bekämpfung von Unkräutern und/oder Ungräsern in Nutzpflanzenkulturen und/oder als Pflanzenwachstumsregulatoren zur Beeinflussung des Wachstums von Nutzpflanzenkulturen. Bisher bekannte Pflanzenschutzmittel zur selektiven Bekämpfung von Schadpflanzen in Nutzpflanzenkulturen oder Wirkstoffe zur Bekämpfung von unerwünschtem Pflanzenwuchs weisen bei ihrer Anwendung teilweise Nachteile auf, sei es, dass sie (a) keine oder aber eine unzureichende herbizide Wirkung gegen bestimmte Schadpflanzen, (b) ein zu geringes Spektrum der Schadpflanzen, das mit einem Wirkstoff bekämpft werden kann, (c) eine zu geringe Selektivität in Nutzpflanzenkulturen und/oder (d) ein toxikologisch ungünstiges Profil besitzen. Weiterhin führen manche Wirkstoffe, die als Pflanzenwachstumsregulatoren bei einigen Nutzpflanzen eingesetzt werden können, bei anderen Nutzpflanzen zu unerwünscht verminderten Ernteerträgen oder sind mit der Kulturpflanze nicht oder nur in einem engen Aufwandmengenbereich verträglich. Einige der bekannten Wirkstoffe lassen sich wegen schwer zugänglicher Vorprodukte und Reagenzien im industriellen Maßstab nicht wirtschaftlich herstellen oder besitzen nur unzureichende chemische Stabilitäten. Bei anderen Wirkstoffen hängt die Wirkung zu stark von Umweltbedingungen, wie Wetter- und Bodenverhältnissen ab. Die herbizide Wirkung dieser bekannten Verbindungen, insbesondere bei niedrigen Aufwandmengen, bzw. deren Verträglichkeit gegenüber Kulturpflanzen bleiben verbesserungswürdig. Es ist aus verschiedenen Schriften bekannt, dass bestimmte substituierte N-verknüpfte Aryluracile als herbizide Wirkstoffe verwendet werden können (vgl. EP408382, EP473551, EP648749, US4943309, US5084084, US5127935, WO91/00278, WO95/29168, WO95/30661, WO96/35679, WO97/01541, WO98/25909, WO2001/39597). Die bekannten Aryluracile weisen jedoch eine Reihe von Wirkungslücken, insbesondere gegenüber monokotylen Unkräutern auf. Eine Reihe von herbiziden Wirkstoffkombinationen auf Basis von N-verknüpften Aryluracilen sind ebenfalls bekannt geworden (vgl. DE4437197, EP714602, WO96/07323, WO96/08151, JP11189506). Die Eigenschaften dieser Wirkstoffkombinationen sind jedoch auch nicht in allen Belangen zufriedenstellend. Es ist weiterhin bekannt, dass bestimmte N-Aryluracile mit gegebenenfalls weiter substituierten Milchsäuregruppen auch als herbizide Wirkstoffe eingesetzt werden können (vgl. JP2000/302764, JP2001/172265, US6403534, EP408382A1). Es ist darüber hinaus bekannt, dass N-Aryluracile mit speziellen, gegebenenfalls weiter substituierten, Thiomilchsäuregruppen ebenfalls herbizide Wirkungen zeigen (vgl. WO2010/038953, KR20110110420, WO2020/013500). Ausgewählte substituierte Tetrahydrofurylester von N-Aryluracilen mit gegebenenfalls weiter substituierten Thiomilchsäuregruppen sind in JP09188676 beschrieben. Ebenfalls bekannt sind substituierte N-Benzoesäureuracile, die Chlorsubstituenten in der Benzoesäureeinheit tragen (vgl. WO91/000278, DE19741411, WO95/32952, US6207830, WO88/10254, EP0831091). Weiterhin sind hochsubstituierte 3-amino-1-(3-carboxy-4- cyanophenyl)uracile mit verschiedenen Carboxylatseitenketten beschrieben (vgl. WO98/25909). Hochsubstituierte N-Benzoesäureuracile mit Aminosulfonylaminocarbonylalkoxyseitenkette sind ebenfalls bekannt (vgl. WO2004/009561). Es ist weiterhin bekannt, dass bestimmte substituierte N- Benzoesäurethiobarbiturate als herbizide Wirkstoffe eingesetzt werden können (vgl. WO2021/259224). Bestimmte Oxyiminomethylphenyluracile sind als herbizide Wirkstoffe beschrieben (vgl. EP 4089078). Ebenfalls beschrieben sind difluoralkylsubstituierte Uracile als herbizide Wirkstoffe (vgl. WO1988010254; WO2023285222). Überraschenderweise wurde nun gefunden, dass bestimmte substituierte Oxyiminomethylphenyluracile mit 4-Difluoralkylsubstitution am Uracil oder deren Salze als Herbizide gut geeignet sind und besonders vorteilhaft als Wirkstoffe zur Bekämpfung von monokotylen und dikotylen Unkräutern in Nutzpflanzenkulturen eingesetzt werden können. Ein Gegenstand der vorliegenden Erfindung sind damit substituierte Oxyiminomethyl-phenyluracile der allgemeinen Formel (I) oder deren Salze I) worin W für die Gruppe Bayer AG Substituted oxyiminomethylphenyluracils and their salts and their use as herbicidal active ingredients Description The invention relates to the technical field of crop protection agents, in particular to herbicides for the selective control of weeds and grass weeds in crops of useful plants. Specifically, this invention relates to substituted oxyiminomethylphenyluracils with 4-difluoroalkyl substitution on the uracil and their salts, processes for their preparation and their use as herbicides, in particular for controlling weeds and/or grass weeds in crops of useful plants and/or as plant growth regulators for influencing the growth of crops of useful plants. Previously known plant protection products for the selective control of weeds in crops or active ingredients for controlling undesirable plant growth sometimes have disadvantages in their use, be it (a) they have no or insufficient herbicidal activity against certain weeds, (b) an insufficient spectrum of weeds that can be controlled with an active ingredient, (c) insufficient selectivity in crops and/or (d) a toxicologically unfavorable profile. Furthermore, some active ingredients that can be used as plant growth regulators in some crops lead to undesirably reduced crop yields in others or are not compatible with the crop or are only compatible within a narrow application rate range. Some of the known active ingredients cannot be produced economically on an industrial scale due to difficult-to-access precursors and reagents or have insufficient chemical stability. For other active ingredients, the effect depends too strongly on environmental conditions, such as weather and soil conditions. The herbicidal activity of these known compounds, particularly at low application rates, and their tolerance to crop plants remain in need of improvement. It is known from various publications that certain substituted N-linked aryluracils can be used as herbicidal active ingredients (cf. EP408382, EP473551, EP648749, US4943309, US5084084, US5127935, WO91/00278, WO95/29168, WO95/30661, WO96/35679, WO97/01541, WO98/25909, WO2001/39597). However, the known aryluracils have several gaps in their effectiveness, particularly against monocotyledonous weeds. A number of herbicidal active ingredient combinations based on N-linked aryluracils have also been disclosed. (cf. DE4437197, EP714602, WO96/07323, WO96/08151, JP11189506). However, the properties of these active ingredient combinations are not entirely satisfactory. It is also known that certain N-aryluracils with optionally further substituted lactic acid groups can also be used as herbicidal active ingredients (cf. JP2000/302764, JP2001/172265, US6403534, EP408382A1). Furthermore, it is known that N-aryluracils with specific, optionally further substituted, thiolactic acid groups also exhibit herbicidal effects (cf. WO2010/038953, KR20110110420, WO2020/013500). Selected substituted tetrahydrofuryl esters of N-aryluracils with optionally further substituted thiolactic acid groups are described in JP09188676. Also known are substituted N-benzoic acid uracils bearing chlorine substituents in the benzoic acid moiety (cf. WO91/000278, DE19741411, WO95/32952, US6207830, WO88/10254, EP0831091). Furthermore, highly substituted 3-amino-1-(3-carboxy-4-cyanophenyl)uracils with various carboxylate side chains have been described (cf. WO98/25909). Highly substituted N-benzoic acid uracils with an aminosulfonylaminocarbonylalkoxy side chain are also known (cf. WO2004/009561). It is also known that certain substituted N-benzoic acid thiobarbiturates can be used as herbicidal active ingredients (cf. WO2021/259224). Certain oxyiminomethylphenyluracils have been described as herbicidal active ingredients (cf. EP 4089078). Difluoroalkyl-substituted uracils have also been described as herbicidal active ingredients (cf. WO1988010254; WO2023285222). Surprisingly, it has now been found that certain substituted oxyiminomethylphenyluracils with 4-difluoroalkyl substitution on the uracil or salts thereof are highly suitable as herbicides and can be used particularly advantageously as active ingredients for controlling monocotyledonous and dicotyledonous weeds in crops. The present invention thus provides substituted oxyiminomethylphenyluracils of the general formula (I) or salts I) thereof. where W stands for the group
W-1 W-2 steht R1 für Wasserstoff, Halogen, oder (C1-C4)-Alkoxy steht, R2 für Halogen, Cyano, Nitro, C(O)NH2, C(S)NH2, (C1-C8)-Haloalkyl, oder (C2-C8)-Alkinyl steht, R3 und R4 unabhängig voneinander für Wasserstoff, (C1-C8)-Alkyl, R13O-(C1-C8)-alkyl, (C3-C8)- Cycloalkyl, (C2-C8)-Alkenyl, Aryl-(C1-C8)-alkyl, Heteroaryl-(C1-C8)-alkyl, oder Heterocyclyl- (C1-C8)-alkyl stehen, oder R3 und R4 zusammen mit dem Kohlenstoffatom, an das sie gebunden sind, einen vollständig gesättigten oder teilgesättigten, 3 bis 10-gliedrigen carbocyclischen Ring bilden, der optional weitere Substituenten trägt, R5 für Wasserstoff, (C1-C8)-Alkyl, (C1-C8)-Haloalkyl, R13O-(C1-C8)-alkyl, (C2-C8)-Alkenyl, Aryl- (C1-C8)-alkyl, Heteroaryl-(C1-C8)-alkyl, Heterocyclyl-(C1-C8)-alkyl, (C3-C8)-Cycloalkyl, Aryl, Heteroaryl, oder Heterocyclyl steht, R6 für (C1-C8)-Alkyl, (C3-C8)-Cycloalkyl, (C2-C8)-Alkenyl, Aryl-(C1-C8)-alkyl, oder (C3-C8)- Cycloalkyl-(C1- C8)-alkyl steht, R7 für Wasserstoff, Fluor, Chlor, oder Methyl steht, Q für Hydroxy oder einen Rest der nachfolgenden Formeln 0 R 5 steht, R8 für Wasserstoff, (C1-C8)-Alkyl, (C1-C8)-Haloalkyl, Aryl, Aryl-(C1-C8)-alkyl, Heteroaryl, 30 (C2-C8)-Alkinyl, (C2-C8)-Alkenyl, C(O)R13, C(O)OR13, oder (C1-C8)-Alkoxy-(C1-C8)-alkyl steht, R9 für Wasserstoff oder (C1-C8)-Alkyl steht, R10 für Wasserstoff, Halogen, Cyano, NO2, (C1-C8)-Alkyl, (C1-C8)-Haloalkyl, (C3-C8)-Cycloalkyl, (C3-C8)-Cycloalkyl-(C1-C8)-alkyl, (C3-C8)-Halocycloalkyl, (C3-C8)-Halocycloalkyl-(C1-C8)- alkyl, (C2-C8)-Alkenyl, (C2-C8)-Alkinyl, Aryl, Aryl-(C1-C8)-alkyl, Heteroaryl, Heteroaryl- (C1-C8)-alkyl, Heterocyclyl, Heterocyclyl-(C1-C8)-alkyl, R11R12N-(C1-C8)-alkyl, R13O-(C1-C8)- alkyl, Cyano-(C1-C8)-alkyl, (C1-C8)-Alkylcarbonyloxy-(C1-C8)-alkyl, (C3-C8)-Cycloalkyl- carbonyloxy-(C1-C8)-alkyl, Arylcarbonyloxy-(C1-C8)-alkyl, Heteroarylcarbonyloxy-(C1-C8)- alkyl, Heterocyclylcarbonyloxy-(C1-C8)-alkyl, OR13, NR11R12, SR14, S(O)R14, SO2R14, R14S- (C1-C8)-alkyl, R14(O)S-(C1-C8)-alkyl, R14O2S-(C1-C8)-alkyl, Tris-[(C1-C8)-Alkyl]silyl-(C1-C8)- alkyl, Bis-[(C1-C8)-Alkyl](aryl)silyl(C1-C8)-alkyl, [(C1-C8)-Alkyl]-bis-(aryl)silyl-(C1-C8)-alkyl, Tris-[(C1-C8)-Alkyl]silyl, Bis-hydroxyboryl-(C1-C8)-alkyl, Bis-[(C1-C8)-alkoxy]boryl-(C1-C8)- alkyl, Tetramethyl-1,3,2-Dioxaborolan-2-yl, Tetramethyl-1,3,2-Dioxaborolan-2-yl-(C1-C8)- alkyl, Nitro-(C1-C8)-alkyl, C(O)OR13, C(O)R13, C(O)NR11R12, R13O(O)C-(C1-C8)-alkyl, R11R12N(O)C-(C1-C8)-alkyl, oder Bis-(C1-C8)-alkoxy-(C1-C8)-alkyl steht, oder R8 und R10 mit dem Kohlenstoffatom, an das sie gebunden sind, einen vollständig gesättigten oder teilgesättigten, gegebenenfalls durch Heteroatome unterbrochenen und gegebenenfalls weiter substituierten 3 bis 10-gliedrigen monocyclischen oder bicyclischen Ring bilden, R11 und R12 gleich oder verschieden sind und unabhängig voneinander für Wasserstoff, (C1-C8)-Alkyl, (C2-C8)-Alkenyl, (C2-C8)-Alkinyl, (C1-C8)-Cyanoalkyl, (C1-C10)-Haloalkyl, (C2-C8)-Haloalkenyl, (C3-C8)-Haloalkinyl, (C3-C10)-Cycloalkyl, (C3-C10)-Halocycloalkyl, (C4-C10)-Cycloalkenyl, (C4-C10)-Halocycloalkenyl, (C1-C8)-Alkoxy-(C1-C8)-alkyl, (C1-C8)-Haloalkoxy-(C1-C8)-alkyl, (C1-C8)-Alkylthio-(C1-C8)-alkyl, (C1-C8)-Haloalkylthio-(C1-C8)-alkyl, (C1-C8)-Alkoxy-(C1-C8)- haloalkyl, Aryl, Aryl-(C1-C8)-alkyl, Heteroaryl, Heteroaryl-(C1-C8)-alkyl, (C3-C8)-Cycloalkyl- (C1-C8)-alkyl, (C4-C10)-Cycloalkenyl-(C1-C8)-alkyl, COR13, SO2R14, Heterocyclyl, (C1-C8)- Alkoxycarbonyl, Bis-[(C1-C8)-alkyl]aminocarbonyl-(C1-C8)-alkyl, (C1-C8)-Alkyl-amino- carbonyl-(C1-C8)-alkyl, Aryl-(C1-C8)-alkyl-aminocarbonyl-(C1-C8)-alkyl, Aryl-(C1-C8)- alkoxycarbonyl, Heteroaryl-(C1-C8)-alkoxycarbonyl, (C2-C8)-Alkenyloxycarbonyl, (C2-C8)- Alkinyloxycarbonyl, oder Heterocyclyl-(C1-C8)-alkyl stehen, oder R11 und R12 mit dem Stickstoffatom, an das sie gebunden sind, einen vollständig gesättigten oder 35 teilgesättigten, gegebenenfalls durch Heteroatome unterbrochenen und gegebenenfalls weiter substituierten 3 bis 10-gliedrigen monocyclischen oder bicyclischen Ring bilden, R13 für Wasserstoff, (C1-C8)-Alkyl, (C2-C8)-Alkenyl, (C2-C8)-Alkinyl, (C1-C8)-Cyanoalkyl, (C1-C10)- Haloalkyl, (C2-C8)-Haloalkenyl, (C3-C8)-Haloalkinyl, (C3-C10)-Cycloalkyl, (C3-C10)- Halocycloalkyl, (C4-C10)-Cycloalkenyl, (C4-C10)-Halocycloalkenyl, (C1-C8)-Alkoxy-(C1-C8)- alkyl, (C1-C8)-Haloalkoxy-(C1-C8)-alkyl, (C1-C8)-Alkoxy-(C1-C8)-haloalkyl, (C1-C8)-Alkoxy- (C1-C8)-alkoxy-(C1-C8)-alkyl, (C1-C8)-Alkoxy-(C1-C8)-alkoxy-(C1-C8)-alkoxy-(C1-C8)-alkyl, (C1-C8)-Alkoxy-(C1-C8)-alkoxy-(C1-C8)-alkoxy-(C1-C8)-alkoxy-(C1-C8)-alkyl, Aryl, Aryl- (C1-C8)-alkyl, Aryl-(C1-C8)-alkoxy-(C1-C8)-alkyl, Heteroaryl, Heteroaryl-(C1-C8)-alkyl, (C3-C8)- Cycloalkyl-(C1-C8)-alkyl, (C4-C10)-Cycloalkenyl-(C1-C8)-alkyl, Bis-[(C1-C8)- alkyl]aminocarbonyl-(C1-C8)-alkyl, (C1-C8)-Alkyl-aminocarbonyl-(C1-C8)-alkyl, Aryl-(C1-C8)- alkyl-aminocarbonyl-(C1-C8)-alkyl, Bis-[(C1-C8)-alkyl]amino-(C2-C6)-alkyl, (C1-C8)-Alkyl- amino-(C2-C6)-alkyl, Aryl-(C1-C8)-alkyl-amino-(C2-C6)-alkyl, R14S-(C1-C8)-alkyl, R14(O)S- (C1-C8)-alkyl, R14O2S-(C1-C8)-alkyl, Hydroxycarbonyl-(C1-C8)-alkyl, Heterocyclyl, Heterocyclyl-(C1-C8)-alkyl, Tris-[(C1-C8)-Alkyl]silyl-(C1-C8)-alkyl, Bis-[(C1-C8)- Alkyl](aryl)silyl(C1-C8)-alkyl, [(C1-C8)-Alkyl]-bis-(aryl)silyl-(C1-C8)-alkyl, (C1-C8)- Alkylcarbonyloxy-(C1-C8)-alkyl, (C3-C8)-Cycloalkylcarbonyloxy-(C1-C8)-alkyl, Arylcarbonyloxy-(C1-C8)-alkyl, Heteroarylcarbonyloxy-(C1-C8)-alkyl, Heterocyclylcarbonyloxy-(C1-C8)-alkyl, Aryloxy-(C1-C8)-alkyl, Heteroaryloxy-(C1-C8)-alkyl, oder (C1-C8)-Alkoxycarbonyl steht, R14 für Wasserstoff, (C1-C8)-Alkyl, (C2-C8)-Alkenyl, (C2-C8)-Alkinyl, (C1-C8)-Cyanoalkyl, (C1-C10)- Haloalkyl, (C2-C8)-Haloalkenyl, (C3-C8)-Haloalkinyl, (C3-C10)-Cycloalkyl, (C3-C10)- Halocycloalkyl, (C4-C10)-Cycloalkenyl, (C4-C10)-Halocycloalkenyl, (C1-C8)-Alkoxy-(C1-C8)- alkyl, (C1-C8)-Alkoxy-(C1-C8)-haloalkyl, Aryl, Aryl-(C1-C8)-alkyl, Heteroaryl, Heteroaryl- (C1-C8)-alkyl, Heterocyclyl-(C1-C8)-alkyl, (C3-C8)-Cycloalkyl-(C1-C8)-alkyl, (C4-C10)- Cycloalkenyl-(C1-C8)-alkyl, Bis-[(C1-C8)-alkyl]amino, (C1-C8)-Alkyl-amino, Aryl-(C1-C8)- amino, Aryl-(C1-C6)-alkyl-amino, Aryl-[(C1-C8)-alkyl]amino; (C3-C8)-Cycloalkyl-amino, (C3- C8)-Cycloalkyl-[(C1-C8)-alkyl]amino; N-Azetidinyl, N-Pyrrolidinyl, N-Piperidinyl, oder N- Morpholinyl steht und R15 und R16 unabhängig voneinander für (C1-C8)-Alkyl, (C3-C8)-Cycloalkyl, Aryl, Heteroaryl, oder Heterocyclyl stehen, oder 35 R15 und R16 mit dem Kohlenstoffatom, an das sie gebunden sind, einen vollständig gesättigten monocyclischen 3- bis 7-gliedrigen Carbocyclus bilden. Es hat sich überraschenderweise gezeigt, dass die erfindungsgemäßen Verbindungen der allgemeinen Formel (I) zum einen eine gute herbizide Wirkung erzielen, zum anderen aber auch gute, umweltschonende Abbau-Eigenschaften aufweisen, und somit weniger umweltbelastend wirken. Die Verbindungen der allgemeinen Formel (I) können durch Anlagerung einer geeigneten anorganischen oder organischen Säure, wie beispielsweise Mineralsäuren, wie beispielsweise HCl, HBr, H2SO4, H3PO4 oder HNO3, oder organische Säuren, z. B. Carbonsäuren, wie Ameisensäure, Essigsäure, Propionsäure, Oxalsäure, Milchsäure oder Salicylsäure oder Sulfonsäuren, wie zum Beispiel p- Toluolsulfonsäure, an eine basische Gruppe, wie z.B. Amino, Alkylamino, Dialkylamino, Piperidino, Morpholino oder Pyridino, Salze bilden. Diese Salze enthalten dann die konjugierte Base der Säure als Anion. Geeignete Substituenten, die in deprotonierter Form, wie z.B. Sulfonsäuren, bestimmte Sulfonsäureamide oder Carbonsäuren, vorliegen, können innere Salze mit ihrerseits protonierbaren Gruppen, wie Aminogruppen bilden. Salzbildung kann auch durch Einwirkung einer Base auf Verbindungen der allgemeinen Formel (I) erfolgen. Geeignete Basen sind beispielsweise organische Amine, wie Trialkylamine, Morpholin, Piperidin und Pyridin sowie Ammonium-, Alkali- oder Erdalkalimetallhydroxide, -carbonate und -hydrogencarbonate, insbesondere Natrium- und Kaliumhydroxid, Natrium- und Kaliumcarbonat und Natrium- und Kaliumhydrogencarbonat. Diese Salze sind Verbindungen, in denen der acide Wasserstoff durch ein für die Landwirtschaft geeignetes Kation ersetzt wird, beispielsweise Metallsalze, insbesondere Alkalimetall-salze oder Erdalkalimetallsalze, insbesondere Natrium- und Kaliumsalze, oder auch Ammoniumsalze, Salze mit organischen Aminen oder quartäre Ammoniumsalze, zum Beispiel mit Kationen der Formel [NRaRbRcRd]+, worin Ra bis Rd jeweils unabhängig voneinander einen organischen Rest, insbesondere Alkyl, Aryl, Aralkyl oder Alkylaryl darstellen. Infrage kommen auch Alkylsulfonium- und Alkylsulfoxoniumsalze, wie (C1-C4)-Trialkylsulfonium- und (C1-C4)-Trialkylsulfoxoniumsalze. Im Folgenden werden die erfindungsgemäß verwendeten Verbindungen der Formel (I) und ihre Salze „Verbindungen der allgemeinen Formel (I)“ bezeichnet. Bevorzugter Erfindungsgegenstand sind Verbindungen der allgemeinen Formel (I), worin W für die Gruppe W-1 W-2 steht R1 für Wasserstoff, Fluor, Chlor, oder Brom steht, R2 für Fluor, Chlor, Brom, Cyano, Nitro, C(O)NH2, C(S)NH2, Trifluormethyl, Ethinyl, oder Propyn-1-yl steht, R3 und R4 unabhängig voneinander für Wasserstoff, (C1-C6)-Alkyl, R13O-(C1-C6)-alkyl, (C3-C6)- Cycloalkyl, (C2-C6)-Alkenyl, Aryl-(C1-C6)-alkyl, Heteroaryl-(C1-C6)-alkyl, oder Heterocyclyl- (C1-C6)-alkyl, oder R3 und R4 zusammen mit dem Kohlenstoffatom, an das sie gebunden sind, einen vollständig gesättigten oder teilgesättigten, 3 bis 10-gliedrigen carbocyclischen Ring bilden, R5 für Wasserstoff, (C1-C6)-Alkyl, (C1-C6)-Haloalkyl, R13O-(C1-C6)-alkyl, Aryl-(C1-C6)-alkyl, Heteroaryl-(C1-C6)-alkyl, Heterocyclyl-(C1-C6)-alkyl, (C3-C6)-Cycloalkyl, Aryl, Heteroaryl, oder Heterocyclyl steht, R6 für (C1-C6)-Alkyl, (C3-C6)-Cycloalkyl, (C2-C6)-Alkenyl, Aryl-(C1-C6)-alkyl, oder (C3-C6)- Cycloalkyl-(C1- C6)-alkyl steht, R7 für Wasserstoff oder Methyl steht, Q für Hydroxy oder einen Rest der nachfolgenden Formeln steht, R8 für Wasserstoff, (C1-C6)-Alkyl, (C1-C6)-Haloalkyl, Aryl, Aryl-(C1-C6)-alkyl, Heteroaryl, (C2-C6)-Alkinyl, (C2-C6)-Alkenyl, C(O)R13, C(O)OR13, oder (C1-C6)-Alkoxy-(C1-C6)-alkyl steht, R9 für Wasserstoff oder (C1-C6)-Alkyl steht, R10 für Wasserstoff, Halogen, Cyano, NO2, (C1-C7)-Alkyl, (C1-C7)-Haloalkyl, (C3-C7)-Cycloalkyl, (C3-C7)-Cycloalkyl-(C1-C7)-alkyl, (C3-C7)-Halocycloalkyl, (C3-C7)-Halocycloalkyl-(C1-C7)- alkyl, (C2-C7)-Alkenyl, (C2-C7)-Alkinyl, Aryl, Aryl-(C1-C7)-alkyl, Heteroaryl, Heteroaryl- (C1-C7)-alkyl, Heterocyclyl, Heterocyclyl-(C1-C7)-alkyl, R11R12N-(C1-C7)-alkyl, R13O-(C1-C7)- alkyl, Cyano-(C1-C7)-alkyl, (C1-C7)-Alkylcarbonyloxy-(C1-C7)-alkyl, (C3-C7)- Cycloalkylcarbonyloxy-(C1-C7)-alkyl, Arylcarbonyloxy-(C1-C7)-alkyl, Heteroarylcarbonyloxy- (C1-C7)-alkyl, Heterocyclylcarbonyloxy-(C1-C7)-alkyl, OR13, NR11R12, SR14, S(O)R14, SO2R14, R14S-(C1-C7)-alkyl, R14(O)S-(C1-C7)-alkyl, R14O2S-(C1-C7)-alkyl, Tris-[(C1-C7)-Alkyl]silyl- (C1-C7)-alkyl, Bis-[(C1-C7)-Alkyl](aryl)silyl(C1-C7)-alkyl, [(C1-C7)-Alkyl]-bis-(aryl)silyl- (C1-C7)-alkyl, Tris-[(C1-C7)-Alkyl]silyl, Bis-hydroxyboryl-(C1-C7)-alkyl, Bis-[(C1-C7)- alkoxy]boryl-(C1-C7)-alkyl, Tetramethyl-1,3,2-Dioxaborolan-2-yl, Tetramethyl-1,3,2- Dioxaborolan-2-yl-(C1-C7)-alkyl, Nitro-(C1-C7)-alkyl, C(O)OR13, C(O)R13, C(O)NR11R12, R13O(O)C-(C1-C7)-alkyl, R11R12N(O)C-(C1-C7)-alkyl, oder Bis-(C1-C7)-alkoxy-(C1-C7)-alkyl steht, oder R8 und R10 mit dem Kohlenstoffatom, an das sie gebunden sind, einen vollständig gesättigten oder teilgesättigten, gegebenenfalls durch Heteroatome unterbrochenen und gegebenenfalls weiter substituierten 3 bis 10-gliedrigen monocyclischen oder bicyclischen Ring bilden, R11 und R12 gleich oder verschieden sind und unabhängig voneinander für Wasserstoff, (C1-C6)-Alkyl, (C2-C6)-Alkenyl, (C2-C6)-Alkinyl, (C1-C6)-Cyanoalkyl, (C1-C6)-Haloalkyl, (C2-C6)-Haloalkenyl, (C3-C6)-Haloalkinyl, (C3-C6)-Cycloalkyl, (C3-C6)-Halocycloalkyl, (C4-C6)-Cycloalkenyl, (C4-C6)-Halocycloalkenyl, (C1-C6)-Alkoxy-(C1-C6)-alkyl, (C1-C6)-Haloalkoxy-(C1-C6)-alkyl, (C1-C6)-Alkylthio-(C1-C6)-alkyl, (C1-C6)-Haloalkylthio-(C1-C6)-alkyl, (C1-C6)-Alkoxy-(C1-C6)- haloalkyl, Aryl, Aryl-(C1-C6)-alkyl, Heteroaryl, Heteroaryl-(C1-C6)-alkyl, (C3-C6)-Cycloalkyl- (C1-C6)-alkyl, (C4-C6)-Cycloalkenyl-(C1-C6)-alkyl, C(O)R13, SO2R14, Heterocyclyl, (C1-C6)- Alkoxycarbonyl, Bis-[(C1-C6)-alkyl]aminocarbonyl-(C1-C6)-alkyl, (C1-C6)-Alkyl- aminocarbonyl-(C1-C6)-alkyl, Aryl-(C1-C6)-alkyl-aminocarbonyl-(C1-C6)-alkyl, Aryl-(C1-C6)- alkoxycarbonyl, Heteroaryl-(C1-C6)-alkoxycarbonyl, (C2-C6)-Alkenyloxycarbonyl, (C2-C6)- Alkinyloxycarbonyl, oder Heterocyclyl-(C1-C6)-alkyl stehen, oder R11 und R12 mit dem Stickstoffatom, an das sie gebunden sind, einen vollständig gesättigten oder teilgesättigten, gegebenenfalls durch Heteroatome unterbrochenen und gegebenenfalls weiter substituierten 3 bis 10-gliedrigen monocyclischen oder bicyclischen Ring bilden, R13 für Wasserstoff, (C1-C6)-Alkyl, (C2-C6)-Alkenyl, (C2-C6)-Alkinyl, (C1-C6)-Cyanoalkyl, (C1-C6)-35 Haloalkyl, (C2-C6)-Haloalkenyl, (C3-C6)-Haloalkinyl, (C3-C6)-Cycloalkyl, (C3-C6)- Halocycloalkyl, (C4-C6)-Cycloalkenyl, (C4-C6)-Halocycloalkenyl, (C1-C6)-Alkoxy-(C1-C6)-alkyl, (C1-C6)-Haloalkoxy-(C1-C6)-alkyl, (C1-C6)-Alkoxy-(C1-C6)-haloalkyl, (C1-C6)-Alkoxy-(C1-C6)- alkoxy-(C1-C6)-alkyl, (C1-C6)-Alkoxy-(C1-C6)-alkoxy-(C1-C6)-alkoxy-(C1-C6)-alkyl, (C1-C6)- Alkoxy-(C1-C6)-alkoxy-(C1-C6)-alkoxy-(C1-C6)-alkoxy-(C1-C6)-alkyl, Aryl, Aryl-(C1-C6)-alkyl, Aryl-(C1-C6)-alkoxy-(C1-C6)-alkyl, Heteroaryl, Heteroaryl-(C1-C6)-alkyl, (C3-C6)-Cycloalkyl- (C1-C6)-alkyl, (C4-C6)-Cycloalkenyl-(C1-C6)-alkyl, Bis-[(C1-C6)-alkyl]aminocarbonyl-(C1-C6)- alkyl, (C1-C6)-Alkyl-aminocarbonyl-(C1-C6)-alkyl, Aryl-(C1-C7)-alkyl-aminocarbonyl-(C1-C6)- alkyl, Bis-[(C1-C6)-alkyl]amino-(C2-C6)-alkyl, (C1-C6)-Alkyl-amino-(C2-C6)-alkyl, Aryl-(C1-C6)- alkyl-amino-(C2-C6)-alkyl, R14S-(C1-C6)-alkyl, R14(O)S-(C1-C6)-alkyl, R14O2S-(C1-C6)-alkyl, Hydroxycarbonyl-(C1-C6)-alkyl, Heterocyclyl, Heterocyclyl-(C1-C6)-alkyl, Tris-[(C1-C6)- Alkyl]silyl-(C1-C6)-alkyl, Bis-[(C1-C6)-Alkyl](aryl)silyl(C1-C6)-alkyl, [(C1-C6)-Alkyl]-bis- (aryl)silyl-(C1-C6)-alkyl, (C1-C6)-Alkylcarbonyloxy-(C1-C6)-alkyl, (C3-C6)- Cycloalkylcarbonyloxy-(C1-C6)-alkyl, Arylcarbonyloxy-(C1-C6)-alkyl, Heteroarylcarbonyloxy- (C1-C6)-alkyl, Heterocyclylcarbonyloxy-(C1-C6)-alkyl, Aryloxy-(C1-C6)-alkyl, Heteroaryloxy- (C1-C6)-alkyl, oder (C1-C6)-Alkoxycarbonyl steht, R14 für Wasserstoff, (C1-C6)-Alkyl, (C2-C6)-Alkenyl, (C2-C6)-Alkinyl, (C1-C6)-Cyanoalkyl, (C1-C6)- Haloalkyl, (C2-C6)-Haloalkenyl, (C3-C6)-Haloalkinyl, (C3-C6)-Cycloalkyl, (C3-C6)- Halocycloalkyl, (C4-C6)-Cycloalkenyl, (C4-C6)-Halocycloalkenyl, (C1-C6)-Alkoxy-(C1-C6)-alkyl, (C1-C6)-Alkoxy-(C1-C6)-haloalkyl, Aryl, Aryl-(C1-C6)-alkyl, Heteroaryl, Heteroaryl-(C1-C6)- alkyl, Heterocyclyl-(C1-C6)-alkyl, (C3-C6)-Cycloalkyl-(C1-C6)-alkyl, (C4-C6)-Cycloalkenyl- (C1-C6)-alkyl, Bis-[(C1-C6)-alkyl]amino, (C1-C6)-Alkyl-amino, Aryl-(C1-C6)-amino, Aryl-(C1- C6)-alkyl-amino, Aryl-[(C1-C6)-alkyl]amino; (C3-C6)-Cycloalkyl-amino, (C3-C6)-Cycloalkyl- [(C1-C6)-alkyl]amino; N-Azetidinyl, N-Pyrrolidinyl, N-Piperidinyl, oder N-Morpholinyl steht, und R15 und R16 unabhängig voneinander für (C1-C6)-Alkyl, (C3-C6)-Cycloalkyl, Aryl, Heteroaryl, oder Heterocyclyl stehen, oder R15 und R16 mit dem Kohlenstoffatom, an das sie gebunden sind, einen vollständig gesättigten monocyclischen 3- bis 7-gliedrigen Carbocyclus bilden. Besonders bevorzugter Erfindungsgegenstand sind Verbindungen der allgemeinen Formel (I), worin 35 W für die Gruppe W -1 W-2 R 1 represents hydrogen, halogen, or (C 1 -C 4 )-alkoxy, R 2 represents halogen, cyano, nitro, C(O)NH 2 , C(S)NH 2 , (C 1 -C 8 )-haloalkyl, or (C 2 -C 8 )-alkynyl, R 3 and R 4 independently of one another represent hydrogen, (C 1 -C 8 )-alkyl, R 13 represents O-(C 1 -C 8 )-alkyl, (C 3 -C 8 )-cycloalkyl, (C 2 -C 8 )-alkenyl, aryl-(C 1 -C 8 )-alkyl, heteroaryl-(C 1 -C 8 )-alkyl, or heterocyclyl-(C 1 -C 8 )-alkyl, or R 3 and R 4 together with the carbon atom to which they are attached form a fully saturated or partially saturated, 3 to 10-membered carbocyclic ring, which optionally carries further substituents, R 5 is hydrogen, (C1-C8)-alkyl, (C1-C8)-haloalkyl, R 13 is O-(C1-C8)-alkyl, (C2-C8)-alkenyl, aryl-(C1-C8)-alkyl, heteroaryl-(C1-C8)-alkyl, heterocyclyl-(C1-C8)-alkyl, (C3-C8)-cycloalkyl, aryl, heteroaryl, or heterocyclyl, R 6 is (C1-C8)-alkyl, (C3-C8)-cycloalkyl, (C2-C8)-alkenyl, aryl-(C1-C8)-alkyl, or (C3-C8)-cycloalkyl-(C1-C8)-alkyl, R 7 is hydrogen, fluorine, chlorine, or methyl, Q is hydroxy or a radical of the following formulas 0 R 5 R 8 represents hydrogen, (C 1 -C 8 )-alkyl, (C 1 -C 8 )-haloalkyl, aryl, aryl-(C 1 -C 8 )-alkyl, heteroaryl, (C 2 -C 8 )-alkynyl, (C 2 -C 8 )-alkenyl, C(O)R 13 , C(O)OR 13 , or (C 1 -C 8 )-alkoxy-(C 1 -C 8 )-alkyl, R 9 is hydrogen or (C1-C8)-alkyl, R 10 is hydrogen, halogen, cyano, NO2, (C1-C8)-alkyl, (C1-C8)-haloalkyl, (C3-C8)-cycloalkyl, (C3-C8)-cycloalkyl-(C1-C8)-alkyl, (C3-C8)-halocycloalkyl, (C3-C8)-Halocycloalkyl-(C1-C8)-alkyl, (C 2 -C 8 )-alkenyl, (C 2 -C 8 )-alkynyl, aryl, aryl-(C 1 -C 8 )-alkyl, heteroaryl, heteroaryl- (C 1 -C 8 )-alkyl, heterocyclyl, heterocyclyl-(C 1 -C 8 )-alkyl, R 11 R 12 N-(C 1 -C 8 )-alkyl, R 13 O-(C 1 -C 8 )-alkyl, cyano-(C 1 -C 8 )-alkyl, (C 1 -C 8 )-alkylcarbonyloxy-(C 1 -C 8 )-alkyl, (C 3 -C 8 )-cycloalkyl-carbonyloxy-(C 1 -C 8 )-alkyl, arylcarbonyloxy-(C 1 -C 8 )-alkyl, heteroarylcarbonyloxy-(C 1 -C 8 )-alkyl, heterocyclylcarbonyloxy-(C 1 -C 8 )-alkyl, OR 13 , NR 11 R 12 , SR 14 , S(O)R 14 , SO 2 R 14 , R 14 S- (C 1 -C 8 )-alkyl, R 14 (O)S-(C 1 -C 8 )-alkyl, R 14 O 2 S-(C 1 -C 8 )-alkyl, tris-[(C 1 -C 8 )-alkyl]silyl-(C 1 -C 8 )-alkyl, bis-[(C 1 -C 8 )-alkyl](aryl)silyl(C 1 -C 8 )-alkyl, [(C 1 -C 8 )-Alkyl]-bis-(aryl)silyl-(C 1 -C 8 )-alkyl, tris-[(C 1 -C 8 )-alkyl]silyl, bis-hydroxyboryl-(C 1 -C 8 )-alkyl, bis-[(C 1 -C 8 )-alkoxy]boryl-(C 1 -C 8 )-alkyl, Tetramethyl-1,3,2-Dioxaborolan-2-yl, Tetramethyl-1,3,2-Dioxaborolan-2-yl-(C 1 -C 8 )- alkyl, nitro-(C 1 -C 8 )-alkyl, C(O)OR 13 , C(O)R 13 , C(O)NR 11 R 12 , R 13 O(O)C-(C 1 -C 8 )-alkyl, R 11 R 12 N(O)C-(C 1 -C 8 )-alkyl, or bis-(C 1 -C 8 )-alkoxy-(C 1 -C 8 )-alkyl, or R 8 and R 10 form with the carbon atom to which they are attached a fully saturated or partially saturated, optionally interrupted by heteroatoms and optionally further substituted 3 to 10-membered monocyclic or bicyclic ring, R 11 and R 12 are identical or different and independently of one another represent hydrogen, (C 1 -C 8 )-alkyl, (C2-C8)-alkenyl, (C2-C8)-alkynyl, (C1-C8)-cyanoalkyl, (C1-C10)-haloalkyl, (C2-C8)-haloalkenyl, (C3-C8)-haloalkynyl, (C3-C10)-cycloalkyl, (C3-C10)-halocycloalkyl, (C4-C10)-cycloalkenyl, (C4-C10)-halocycloalkenyl, (C1-C8)-alkoxy-(C1-C8)-alkyl, (C1-C8)-haloalkoxy-(C1-C8)-alkyl, (C1-C8)-alkylthio-(C1-C8)-alkyl, (C1-C8)-haloalkylthio-(C1-C8)-alkyl, (C1-C8)-alkoxy-(C1-C8)-haloalkyl, aryl, Aryl-(C1-C8)-alkyl, heteroaryl, heteroaryl-(C1-C8)-alkyl, (C3-C8)-cycloalkyl-(C1-C8)-alkyl, (C4-C10)-cycloalkenyl-(C1-C8)-alkyl, COR 13 , SO2R 14 , heterocyclyl, (C1-C8)- Alkoxycarbonyl, bis-[(C1-C8)-alkyl]aminocarbonyl-(C1-C8)-alkyl, (C1-C8)-alkyl-amino-carbonyl-(C1-C8)-alkyl, aryl-(C1-C8)-alkyl-aminocarbonyl-(C1-C8)-alkyl, aryl-(C1-C8)-alkoxycarbonyl, Heteroaryl-(C1-C8)-alkoxycarbonyl, (C2-C8)-alkenyloxycarbonyl, (C2-C8)-alkynyloxycarbonyl, or heterocyclyl-(C1-C8)-alkyl, or R 11 and R 12 form with the nitrogen atom to which they are attached a fully saturated or partially saturated, optionally interrupted by heteroatoms and optionally further substituted 3 to 10-membered monocyclic or bicyclic ring, R 13 for hydrogen, (C1-C8)-alkyl, (C2-C8)-alkenyl, (C2-C8)-alkynyl, (C1-C8)-cyanoalkyl, (C1-C10)-haloalkyl, (C2-C8)-haloalkenyl, (C3-C8)-haloalkynyl, (C3-C10)-cycloalkyl, (C3-C10)-halocycloalkyl, (C4-C10)-cycloalkenyl, (C4-C10)-halocycloalkenyl, (C1-C8)-alkoxy-(C1-C8)-alkyl, (C1-C8)-haloalkoxy-(C1-C8)-alkyl, (C1-C8)-alkoxy-(C1-C8)-haloalkyl, (C1-C8)-alkoxy- (C1-C8)-alkoxy-(C1-C8)-alkyl, (C1-C8)-alkoxy-(C1-C8)-alkoxy-(C1-C8)-alkoxy-(C1-C8)-alkyl, (C 1 -C 8 )-alkoxy-(C 1 -C 8 )-alkoxy-(C 1 -C 8 )-alkoxy-(C 1 -C 8 )-alkoxy-(C 1 -C 8 )-alkyl, aryl, aryl-(C 1 -C 8 )-alkyl, aryl-(C 1 -C 8 )-alkoxy-(C 1 -C 8 )-alkyl, heteroaryl, heteroaryl-(C 1 -C 8 )-alkyl, (C 3 -C 8 )- Cycloalkyl-(C 1 -C 8 )-alkyl, (C 4 -C 10 )-Cycloalkenyl-(C 1 -C 8 )-alkyl, bis-[(C 1 -C 8 )-alkyl]aminocarbonyl-(C 1 -C 8 )-alkyl, (C 1 -C 8 )-alkyl-aminocarbonyl-(C 1 -C 8 )-alkyl, aryl-(C 1 -C 8 )- alkyl-aminocarbonyl-(C 1 -C 8 )-alkyl, bis-[(C 1 -C 8 )-alkyl]amino-(C 2 -C 6 )-alkyl, (C 1 -C 8 )-alkyl-amino-(C 2 -C 6 )-alkyl, aryl-(C 1 -C 8 )-alkyl-amino-(C 2 -C 6 )-alkyl, R 14 S-(C 1 -C 8 )-alkyl, R 14 (O)S- (C 1 -C 8 )-alkyl, R 14 O 2 S-(C 1 -C 8 )-alkyl, hydroxycarbonyl-(C 1 -C 8 )-alkyl, heterocyclyl, heterocyclyl-(C 1 -C 8 )-alkyl, tris-[(C 1 -C 8 )-alkyl]silyl-(C 1 -C 8 )-alkyl, bis-[(C 1 -C 8 )-alkyl](aryl)silyl(C 1 -C 8 )-alkyl, [(C 1 -C 8 )-alkyl]-bis-(aryl)silyl-(C 1 -C 8 )-alkyl, (C 1 -C 8 )-alkylcarbonyloxy-(C 1 -C 8 )-alkyl, (C 3 -C 8 )-cycloalkylcarbonyloxy-(C 1 -C 8 )-alkyl, Arylcarbonyloxy-(C 1 -C 8 )-alkyl, heteroarylcarbonyloxy-(C 1 -C 8 )-alkyl, heterocyclylcarbonyloxy-(C 1 -C 8 )-alkyl, aryloxy-(C 1 -C 8 )-alkyl, heteroaryloxy-(C 1 -C 8 )-alkyl, or (C 1 -C 8 )-alkoxycarbonyl, R 14 is hydrogen, (C 1 -C 8 )-alkyl, (C 2 -C 8 )-alkenyl, (C 2 -C 8 )-alkynyl, (C 1 -C 8 )-cyanoalkyl, (C 1 -C 10 )-haloalkyl, (C 2 -C 8 )-haloalkenyl, (C 3 -C 8 )-haloalkynyl, (C 3 -C 10 )-cycloalkyl, (C 3 -C 10 )-halocycloalkyl, (C 4 -C 10 )-cycloalkenyl, (C 4 -C 10 )-halocycloalkenyl, (C 1 -C 8 )-alkoxy-(C 1 -C 8 )-alkyl, (C1-C8)-alkoxy-(C1-C8)-haloalkyl, aryl, Aryl-(C1-C8)-alkyl, heteroaryl, heteroaryl-(C1-C8)-alkyl, heterocyclyl-(C1-C8)-alkyl, (C3-C8)-cycloalkyl-(C1-C8)-alkyl, (C4-C10)-cycloalkenyl-(C1-C8)-alkyl, Bis-[(C1-C8)-alkyl]amino, (C1-C8)-alkyl-amino, aryl-(C1-C8)-amino, Aryl-(C1-C6)-alkyl-amino, aryl-[(C1-C8)-alkyl]amino; (C3-C8)-cycloalkyl-amino, (C3-C8)-cycloalkyl-[(C1-C8)-alkyl]amino; N-azetidinyl, N-pyrrolidinyl, N-piperidinyl, or N-morpholinyl and R 15 and R 16 independently of one another represent (C1-C8)-alkyl, (C3-C8)-cycloalkyl, aryl, heteroaryl, or heterocyclyl, or 35 R 15 and R 16 form a fully saturated monocyclic 3- to 7-membered carbocycle with the carbon atom to which they are attached. It has surprisingly been found that the compounds of the general formula (I) according to the invention firstly achieve a good herbicidal effect, but secondly also have good, environmentally friendly degradation properties and are therefore less harmful to the environment. The compounds of the general formula (I) can form salts by addition of a suitable inorganic or organic acid, for example mineral acids such as HCl, HBr, H 2 SO 4 , H 3 PO 4 or HNO 3 , or organic acids, e.g. carboxylic acids such as formic acid, acetic acid, propionic acid, oxalic acid, lactic acid or salicylic acid or sulfonic acids such as p-toluenesulfonic acid, to a basic group such as amino, alkylamino, dialkylamino, piperidino, morpholino or pyridino. These salts then contain the conjugate base of the acid as an anion. Suitable substituents that are present in deprotonated form, such as sulfonic acids, certain sulfonamides, or carboxylic acids, can form internal salts with protonatable groups, such as amino groups. Salt formation can also occur through the action of a base on compounds of general formula (I). Suitable bases include, for example, organic amines, such as trialkylamines, morpholine, piperidine, and pyridine, as well as ammonium, alkali, or alkaline earth metal hydroxides, carbonates, and bicarbonates, in particular sodium and potassium hydroxide, sodium and potassium carbonate, and sodium and potassium bicarbonate. These salts are compounds in which the acidic hydrogen is replaced by a cation suitable for agriculture, for example metal salts, in particular alkali metal salts or alkaline earth metal salts, in particular sodium and potassium salts, or also ammonium salts, salts with organic amines or quaternary ammonium salts, for example with cations of the formula [NR a R b R c R d ] + , in which Ra to R d each independently of one another represent an organic radical, in particular alkyl, aryl, aralkyl or alkylaryl. Also suitable are alkylsulfonium and alkylsulfoxonium salts, such as (C1-C4)-trialkylsulfonium and (C1-C4)-trialkylsulfoxonium salts. In the following, the compounds of the formula (I) and their salts used according to the invention are referred to as “compounds of the general formula (I)”. Preferred subject matter of the invention are compounds of the general formula (I), in which W represents the group W -1 W-2 R 1 represents hydrogen, fluorine, chlorine, or bromine, R 2 represents fluorine, chlorine, bromine, cyano, nitro, C(O)NH2, C(S)NH2, trifluoromethyl, ethynyl, or propyn-1-yl, R 3 and R 4 independently of one another represent hydrogen, (C 1 -C 6 )-alkyl, R 13 represents O-(C 1 -C 6 )-alkyl, (C 3 -C 6 )-cycloalkyl, (C 2 -C 6 )-alkenyl, aryl-(C 1 -C 6 )-alkyl, heteroaryl-(C 1 -C 6 )-alkyl, or heterocyclyl-(C 1 -C 6 )-alkyl, or R 3 and R 4 together with the carbon atom to which they are attached form a fully saturated or partially saturated, 3 to 10-membered carbocyclic ring, R 5 represents hydrogen, (C 1 -C 6 )-alkyl, (C 1 -C 6 )-haloalkyl, R 13 O-(C 1 -C 6 )-alkyl, aryl-(C 1 -C 6 )-alkyl, heteroaryl-(C 1 -C 6 )-alkyl, heterocyclyl-(C 1 -C 6 )-alkyl, (C 3 -C 6 )-cycloalkyl, aryl, heteroaryl, or heterocyclyl, R 6 is (C 1 -C 6 )-alkyl, (C 3 -C 6 )-cycloalkyl, (C 2 -C 6 )-alkenyl, aryl-(C 1 -C 6 )-alkyl, or (C 3 -C 6 )-cycloalkyl-(C 1 -C 6 )-alkyl, R 7 is hydrogen or methyl, Q is hydroxy or a radical of the following formulas R 8 is hydrogen, (C1-C6)alkyl, (C1-C6)haloalkyl, aryl, aryl-(C1-C6)alkyl, heteroaryl, (C2-C6)alkynyl, (C2-C6)alkenyl, C(O)R 13 , C(O)OR 13 , or (C1-C6)-alkoxy-(C1-C6)-alkyl, R 9 is hydrogen or (C1-C6)-alkyl, R 10 is hydrogen, halogen, cyano, NO2, (C1-C7)-alkyl, (C1-C7)-haloalkyl, (C3-C7)-cycloalkyl, (C3-C7)-cycloalkyl-(C1-C7)-alkyl, (C3-C7)-halocycloalkyl, (C3-C7)-halocycloalkyl-(C1-C7)- alkyl, (C2-C7)-alkenyl, (C2-C7)-alkynyl, aryl, aryl-(C1-C7)-alkyl, heteroaryl, heteroaryl-(C1-C7)-alkyl, heterocyclyl, heterocyclyl-(C1-C7)-alkyl, R 11 R 12 N-(C1-C7)-alkyl, R 13 O-(C1-C7)-alkyl, cyano-(C1-C7)-alkyl, (C1-C7)-alkylcarbonyloxy-(C1-C7)-alkyl, (C3-C7)-cycloalkylcarbonyloxy-(C1-C7)-alkyl, arylcarbonyloxy-(C1-C7)-alkyl, heteroarylcarbonyloxy- (C1-C7) alkyl, heterocyclylcarbonyloxy-(C1-C7) alkyl, OR 13 , NR 11 R 12 , SR 14 , S(O)R 14 , SO2R 14 , R 14 S-(C 1 -C 7 )-alkyl, R 14 (O)S-(C 1 -C 7 )-alkyl, R 14 O 2 S-(C 1 -C 7 )-alkyl, Tris-[(C 1 -C 7 )-Alkyl]silyl- (C 1 -C 7 )-alkyl, bis-[(C 1 -C 7 )-alkyl](aryl)silyl(C 1 -C 7 )-alkyl, [(C 1 -C 7 )-alkyl]-bis-(aryl)silyl- (C 1 -C 7 )-alkyl, tris-[(C 1 -C 7 )-Alkyl]silyl, bis-hydroxyboryl-(C 1 -C 7 )-alkyl, bis-[(C 1 -C 7 )-alkoxy]boryl-(C 1 -C 7 )-alkyl, tetramethyl-1,3,2-dioxaborolan-2-yl, tetramethyl-1,3,2-dioxaborolan-2-yl-(C 1 -C 7 )-alkyl, nitro-(C 1 -C 7 )-alkyl, C(O)OR 13 , C(O)R 13 , C(O)NR 11 R 12 , R 13 O(O)C-(C 1 -C 7 )-alkyl, R 11 R 12 N(O)C-(C 1 -C 7 )-alkyl, or bis-(C 1 -C 7 )-alkoxy-(C 1 -C 7 )-alkyl, or R 8 and R 10 with the carbon atom to which they are attached form a fully saturated or partially saturated, optionally interrupted by heteroatoms and optionally further substituted 3 to 10-membered monocyclic or bicyclic ring, R 11 and R 12 are the same or different and independently of one another represent hydrogen, (C 1 -C 6 )-alkyl, (C 2 -C 6 )-alkenyl, (C 2 -C 6 )-alkynyl, (C 1 -C 6 )-cyanoalkyl, (C 1 -C 6 )-haloalkyl, (C 2 -C 6 )-haloalkenyl, (C 3 -C 6 )-haloalkynyl, (C 3 -C 6 )-cycloalkyl, (C 3 -C 6 )-halocycloalkyl, (C 4 -C 6 )-cycloalkenyl, (C 4 -C 6 )-halocycloalkenyl, (C 1 -C 6 )-alkoxy-(C 1 -C 6 )-alkyl, (C 1 -C 6 )-haloalkoxy-(C 1 -C 6 )-alkyl, (C 1 -C 6 )-alkylthio-(C 1 -C 6 )-alkyl, (C 1 -C 6 )-haloalkylthio-(C 1 -C 6 )-alkyl, (C 1 -C 6 )-Alkoxy-(C 1 -C 6 )-haloalkyl, aryl, aryl-(C1-C6)-alkyl, heteroaryl, heteroaryl-(C1-C6)-alkyl, (C3-C6)-cycloalkyl-(C1-C6)-alkyl, (C4-C6)-cycloalkenyl-(C1-C6)-alkyl, C(O)R 13 , SO2R 14 , heterocyclyl, (C1-C6)-alkoxycarbonyl, Bis-[(C1-C6)-alkyl]aminocarbonyl-(C1-C6)-alkyl, (C1-C6)-alkyl-aminocarbonyl-(C1-C6)-alkyl, aryl-(C1-C6)-alkyl-aminocarbonyl-(C1-C6)-alkyl, aryl-(C1-C6)-alkoxycarbonyl, heteroaryl-(C1-C6)-alkoxycarbonyl, (C2-C6)-alkenyloxycarbonyl, (C2-C6)-alkynyloxycarbonyl, or heterocyclyl-(C1-C6)-alkyl, or R 11 and R 12 form with the nitrogen atom to which they are attached a fully saturated or partially saturated, optionally interrupted by heteroatoms and optionally further substituted 3 to 10-membered monocyclic or bicyclic ring, R 13 is hydrogen, (C1-C6)-alkyl, (C2-C6)-alkenyl, (C2-C6)-alkynyl, (C1-C6)-cyanoalkyl, (C1-C6)-35 haloalkyl, (C2-C6)-haloalkenyl, (C3-C6)-haloalkynyl, (C3-C6)-cycloalkyl, (C3-C6)-halocycloalkyl, (C4-C6)-cycloalkenyl, (C4-C6)-halocycloalkenyl, (C1-C6)-alkoxy-(C1-C6)-alkyl, (C1-C6)-haloalkoxy-(C1-C6)-alkyl, (C1-C6)-alkoxy-(C1-C6)-haloalkyl, (C1-C6)-Alkoxy-(C1-C6)- alkoxy-(C1-C6)-alkyl, (C1-C6)-alkoxy-(C1-C6)-alkoxy-(C1-C6)-alkoxy-(C1-C6)-alkyl, (C1-C6)- alkoxy-(C1-C6)-alkoxy-(C1-C6)-alkoxy-(C1-C6)-alkoxy-(C1-C6)-alkyl, aryl, aryl-(C1-C6)-alkyl, aryl-(C1-C6)-alkoxy-(C1-C6)-alkyl, heteroaryl, heteroaryl-(C1-C6)-alkyl, (C3-C6)-cycloalkyl-(C1-C6)-alkyl, (C4-C6)-cycloalkenyl-(C1-C6)-alkyl, Bis-[(C1-C6)-alkyl]aminocarbonyl-(C1-C6)-alkyl, (C1-C6)-alkyl-aminocarbonyl-(C1-C6)-alkyl, aryl-(C1-C7)-alkyl-aminocarbonyl-(C1-C6)-alkyl, bis-[(C 1 -C 6 )-alkyl]amino-(C 2 -C 6 )-alkyl, (C 1 -C 6 )-alkyl-amino-(C 2 -C 6 )-alkyl, aryl-(C 1 -C 6 )-alkyl-amino-(C 2 -C 6 )-alkyl, R 14 S-(C 1 -C 6 )-alkyl, R 14 (O)S-(C 1 -C 6 )-alkyl, R 14 O 2 S-(C 1 -C 6 )-alkyl, hydroxycarbonyl-(C 1 -C 6 )-alkyl, heterocyclyl, heterocyclyl-(C 1 -C 6 )-alkyl, tris-[(C 1 -C 6 )-alkyl]silyl-(C 1 -C 6 )-alkyl, bis-[(C 1 -C 6 )-alkyl](aryl)silyl(C 1 -C 6 )-alkyl, [(C 1 -C 6 )-Alkyl]-bis-(aryl)silyl-(C 1 -C 6 )-alkyl, (C 1 -C 6 )-alkylcarbonyloxy-( C 1 -C 6 )-alkyl, (C 3 -C 6 )-cycloalkylcarbonyloxy-(C 1 -C 6 )-alkyl, arylcarbonyloxy-(C 1 -C 6 )-alkyl, heteroarylcarbonyloxy-(C 1 -C 6 )-alkyl, heterocyclylcarbonyloxy-(C 1 -C 6 )-alkyl, aryloxy-(C 1 -C 6 )-alkyl, heteroaryloxy-(C 1 -C 6 )-alkyl, or (C 1 -C 6 )-alkoxycarbonyl, R 14 is hydrogen, (C 1 -C 6 )-alkyl, (C 2 -C 6 )-alkenyl, (C 2 -C 6 )-alkynyl, (C 1 -C 6 )-cyanoalkyl, (C 1 -C 6 )-haloalkyl, (C 2 -C 6 )-haloalkenyl, (C 3 -C 6 )-haloalkynyl, (C 3 -C 6 )-cycloalkyl, (C 3 -C 6 )-halocycloalkyl, (C 4 -C 6 )-Cycloalkenyl, (C 4 -C 6 )-Halocycloalkenyl, (C 1 -C 6 )-alkoxy-(C 1 -C 6 )-alkyl, (C 1 -C 6 )-alkoxy-(C 1 -C 6 )-haloalkyl, aryl, aryl-(C 1 -C 6 )-alkyl, heteroaryl, heteroaryl-(C 1 -C 6 )-alkyl, heterocyclyl-(C 1 -C 6 )-alkyl, (C 3 -C 6 )-cycloalkyl-(C 1 -C 6 )-alkyl, (C 4 -C 6 )-cycloalkenyl-(C 1 -C 6 )-alkyl, bis-[(C 1 -C 6 ) -alkyl]amino, (C 1 -C 6 )-alkyl-amino, aryl-(C 1 -C 6 )-amino, aryl-(C 1 - C 6 )-alkyl-amino, Aryl-[(C 1 -C 6 )-alkyl]amino; (C 3 -C 6 )-cycloalkyl-amino, (C 3 -C 6 )-cycloalkyl-[(C 1 -C 6 )-alkyl]amino; N-azetidinyl, N-pyrrolidinyl, N-piperidinyl, or N-morpholinyl, and R 15 and R 16 independently of one another represent (C 1 -C 6)-alkyl, (C 3 -C 6)-cycloalkyl, aryl, heteroaryl, or heterocyclyl, or R 15 and R 16 form a fully saturated monocyclic 3- to 7-membered carbocycle with the carbon atom to which they are attached. Particularly preferred subject matter of the invention are compounds of the general formula (I), wherein 35 W represents the group
steht R1 für Wasserstoff, Fluor, oder Chlor steht, R2 für Fluor, Chlor, Brom, Cyano, Nitro, C(O)NH2, C(S)NH2, oder Trifluormethyl steht, R3 und R4 unabhängig voneinander für Wasserstoff, (C1-C4)-Alkyl, oder (C1-C4)-Haloalkyl stehen, oder R3 und R4 zusammen mit dem Kohlenstoffatom, an das sie gebunden sind, einen vollständig gesättigten oder teilgesättigten, 3 bis 7-gliedrigen carbocyclischen Ring bilden, R5 für Wasserstoff, (C1-C4)-Alkyl, oder (C1-C4)-Haloalkyl steht, R6 für Methyl, Ethyl, oder Prop-1-yl steht, R7 für Wasserstoff steht, Q für Hydroxy oder einen Rest der nachfolgenden Formeln 0 R 5 steht, R8 für Wasserstoff, (C1-C5)-Alkyl, (C1-C5)-Haloalkyl, Aryl, Aryl-(C1-C5)-alkyl, Heteroaryl, (C2-C5)-Alkinyl, (C2-C5)-Alkenyl, C(O)R13, C(O)OR13, oder (C1-C5)-Alkoxy-(C1-C5)-alkyl steht, R9 für Wasserstoff oder (C1-C5)-Alkyl steht, R10 für Wasserstoff, Halogen, Cyano, NO2, (C1-C6)-Alkyl, (C1-C6)-Haloalkyl, (C3-C6)-Cycloalkyl, (C3-C6)-Cycloalkyl-(C1-C6)-alkyl, (C3-C6)-Halocycloalkyl, (C3-C6)-Halocycloalkyl-(C1-C6)-30 alkyl, (C2-C6)-Alkenyl, (C2-C6)-Alkinyl, Aryl, Aryl-(C1-C6)-alkyl, Heteroaryl, Heteroaryl- (C1-C6)-alkyl, Heterocyclyl, Heterocyclyl-(C1-C6)-alkyl, R11R12N-(C1-C6)-alkyl, R13O-(C1-C6)- alkyl, Cyano-(C1-C6)-alkyl, (C1-C6)-Alkylcarbonyloxy-(C1-C6)-alkyl, (C3-C6)- Cycloalkylcarbonyloxy-(C1-C6)-alkyl, Arylcarbonyloxy-(C1-C6)-alkyl, Heteroarylcarbonyloxy- (C1-C6)-alkyl, Heterocyclylcarbonyloxy-(C1-C6)-alkyl, OR13, NR11R12, SR14, S(O)R14, SO2R14, R14S-(C1-C6)-alkyl, R14(O)S-(C1-C6)-alkyl, R14O2S-(C1-C6)-alkyl, Tris-[(C1-C6)-Alkyl]silyl- (C1-C6)-alkyl, Bis-[(C1-C6)-Alkyl](aryl)silyl(C1-C6)-alkyl, [(C1-C6)-Alkyl]-bis-(aryl)silyl- (C1-C6)-alkyl, Tris-[(C1-C6)-Alkyl]silyl, Bis-hydroxyboryl-(C1-C6)-alkyl, Bis-[(C1-C6)- alkoxy]boryl-(C1-C6)-alkyl, Tetramethyl-1,3,2-Dioxaborolan-2-yl, Tetramethyl-1,3,2- Dioxaborolan-2-yl-(C1-C6)-alkyl, Nitro-(C1-C6)-alkyl, C(O)OR13, C(O)R13, C(O)NR11R12, R13O(O)C-(C1-C6)-alkyl, R11R12N(O)C-(C1-C6)-alkyl, oder Bis-(C1-C6)-alkoxy-(C1-C6)-alkyl steht, oder R8 und R10 mit dem Kohlenstoffatom, an das sie gebunden sind, einen vollständig gesättigten oder teilgesättigten, gegebenenfalls durch Heteroatome unterbrochenen und gegebenenfalls weiter substituierten 3 bis 10-gliedrigen monocyclischen oder bicyclischen Ring bilden, R11 und R12 gleich oder verschieden sind und unabhängig voneinander für Wasserstoff, (C1-C6)-Alkyl, (C2-C6)-Alkenyl, (C2-C6)-Alkinyl, (C1-C6)-Cyanoalkyl, (C1-C6)-Haloalkyl, (C2-C6)-Haloalkenyl, (C3-C6)-Haloalkinyl, (C3-C10)-Cycloalkyl, (C3-C6)-Halocycloalkyl, (C4-C6)-Cycloalkenyl, (C4-C6)-Halocycloalkenyl, (C1-C6)-Alkoxy-(C1-C6)-alkyl, (C1-C6)-Haloalkoxy-(C1-C6)-alkyl, (C1-C6)-Alkylthio-(C1-C6)-alkyl, (C1-C6)-Haloalkylthio-(C1-C6)-alkyl, (C1-C6)-Alkoxy-(C1-C6)- haloalkyl, Aryl, Aryl-(C1-C6)-alkyl, Heteroaryl, Heteroaryl-(C1-C6)-alkyl, (C3-C6)-Cycloalkyl- (C1-C6)-alkyl, (C4-C10)-Cycloalkenyl-(C1-C6)-alkyl, C(O)R13, SO2R14, Heterocyclyl, (C1-C6)- Alkoxycarbonyl, Bis-[(C1-C6)-alkyl]aminocarbonyl-(C1-C6)-alkyl, (C1-C6)-Alkyl- aminocarbonyl-(C1-C6)-alkyl, Aryl-(C1-C6)-alkyl-aminocarbonyl-(C1-C6)-alkyl, Aryl-(C1-C6)- alkoxycarbonyl, Heteroaryl-(C1-C6)-alkoxycarbonyl, (C2-C6)-Alkenyloxycarbonyl, (C2-C6)- Alkinyloxycarbonyl, oder Heterocyclyl-(C1-C6)-alkyl stehen, oder R11 und R12 mit dem Stickstoffatom, an das sie gebunden sind, einen vollständig gesättigten oder teilgesättigten, gegebenenfalls durch Heteroatome unterbrochenen und gegebenenfalls weiter substituierten 3 bis 10-gliedrigen monocyclischen oder bicyclischen Ring bilden, R13 für Wasserstoff, (C1-C6)-Alkyl, (C2-C6)-Alkenyl, (C2-C6)-Alkinyl, (C1-C6)-Cyanoalkyl, (C1-C10)- Haloalkyl, (C2-C6)-Haloalkenyl, (C3-C6)-Haloalkinyl, (C3-C6)-Cycloalkyl, (C3-C6)- 35 Halocycloalkyl, (C4-C6)-Cycloalkenyl, (C4-C6)-Halocycloalkenyl, (C1-C6)-Alkoxy-(C1-C6)-alkyl, (C1-C6)-Haloalkoxy-(C1-C6)-alkyl, (C1-C6)-Alkoxy-(C1-C6)-haloalkyl, (C1-C6)-Alkoxy-(C1-C6)- alkoxy-(C1-C6)-alkyl, (C1-C6)-Alkoxy-(C1-C6)-alkoxy-(C1-C6)-alkoxy-(C1-C6)-alkyl, (C1-C6)- Alkoxy-(C1-C6)-alkoxy-(C1-C6)-alkoxy-(C1-C6)-alkoxy-(C1-C6)-alkyl, Aryl, Aryl-(C1-C6)-alkyl, Aryl-(C1-C6)-alkoxy-(C1-C6)-alkyl, Heteroaryl, Heteroaryl-(C1-C6)-alkyl, (C3-C6)-Cycloalkyl- (C1-C6)-alkyl, (C4-C6)-Cycloalkenyl-(C1-C6)-alkyl, Bis-[(C1-C6)-alkyl]aminocarbonyl-(C1-C6)- alkyl, (C1-C6)-Alkyl-aminocarbonyl-(C1-C6)-alkyl, Aryl-(C1-C6)-alkyl-aminocarbonyl-(C1-C6)- alkyl, Bis-[(C1-C6)-alkyl]amino-(C2-C6)-alkyl, (C1-C6)-Alkyl-amino-(C2-C6)-alkyl, Aryl-(C1-C6)- alkyl-amino-(C2-C6)-alkyl, R14S-(C1-C6)-alkyl, R14(O)S-(C1-C6)-alkyl, R14O2S-(C1-C6)-alkyl, Hydroxycarbonyl-(C1-C6)-alkyl, Heterocyclyl, Heterocyclyl-(C1-C6)-alkyl, Tris-[(C1-C6)- Alkyl]silyl-(C1-C6)-alkyl, Bis-[(C1-C6)-Alkyl](aryl)silyl(C1-C6)-alkyl, [(C1-C6)-Alkyl]-bis- (aryl)silyl-(C1-C6)-alkyl, (C1-C6)-Alkylcarbonyloxy-(C1-C6)-alkyl, (C3-C6)- Cycloalkylcarbonyloxy-(C1-C6)-alkyl, Arylcarbonyloxy-(C1-C6)-alkyl, Heteroarylcarbonyloxy- (C1-C6)-alkyl, Heterocyclylcarbonyloxy-(C1-C6)-alkyl, Aryloxy-(C1-C6)-alkyl, Heteroaryloxy- (C1-C6)-alkyl, oder (C1-C6)-Alkoxycarbonyl steht, R14 für Wasserstoff, (C1-C6)-Alkyl, (C2-C6)-Alkenyl, (C2-C6)-Alkinyl, (C1-C6)-Cyanoalkyl, (C1-C6)- Haloalkyl, (C2-C6)-Haloalkenyl, (C3-C6)-Haloalkinyl, (C3-C10)-Cycloalkyl, (C3-C6)- Halocycloalkyl, (C4-C6)-Cycloalkenyl, (C4-C6)-Halocycloalkenyl, (C1-C6)-Alkoxy-(C1-C6)-alkyl, (C1-C6)-Alkoxy-(C1-C6)-haloalkyl, Aryl, Aryl-(C1-C6)-alkyl, Heteroaryl, Heteroaryl-(C1-C6)- alkyl, Heterocyclyl-(C1-C6)-alkyl, (C3-C6)-Cycloalkyl-(C1-C6)-alkyl, (C4-C6)-Cycloalkenyl- (C1-C6)-alkyl, Bis-[(C1-C6)-alkyl]amino, (C1-C6)-Alkyl-amino, Aryl-(C1-C6)-amino, Aryl-(C1- C6)-alkyl-amino, Aryl-[(C1-C6)-alkyl]amino; (C3-C6)-Cycloalkyl-amino, (C3-C6)-Cycloalkyl- [(C1-C6)-alkyl]amino; N-Azetidinyl, N-Pyrrolidinyl, N-Piperidinyl, oder N-Morpholinyl steht und R15 und R16 unabhängig voneinander für (C1-C6)-Alkyl, (C3-C6)-Cycloalkyl, Aryl, Heteroaryl, oder Heterocyclyl stehen, oder R15 und R16 mit dem Kohlenstoffatom, an das sie gebunden sind, einen vollständig gesättigten monocyclischen 3- bis 6-gliedrigen Carbocyclus bilden. Ganz besonders bevorzugter Erfindungsgegenstand sind Verbindungen der allgemeinen Formel (I), worin 35 W für die Gruppe W-1 W-2 steht R1 für Wasserstoff, oder Fluor steht, R2 für Fluor, Chlor, Brom, Cyano, Nitro, C(O)NH2, oder C(S)NH2 steht, R3 und R4 unabhängig voneinander für Wasserstoff, Methyl, Ethyl, Prop-1-yl, Prop-2-yl, But-1-yl, But- 2-yl, 2-Methyl-prop-1-yl, 1,1-Dimethyleth-1-yl, oder Trifluormethyl stehen, oder R3 und R4 zusammen mit dem Kohlenstoffatom, an das sie gebunden sind, einen vollständig gesättigten oder teilgesättigten, 3 bis 7-gliedrigen carbocyclischen Ring bilden, R5 für Wasserstoff, Methyl, Ethyl, Prop-1-yl, Prop-2-yl, But-1-yl, But-2-yl, 2-Methyl-prop-1-yl, 1,1-Dimethyleth-1-yl, oder Trifluormethyl steht, R6 für Methyl, oder Ethyl steht, R7 für Wasserstoff steht, und Q für eine der nachfolgend spezifisch genannten Gruppierungen Q-1 bis Q-500 steht: R 1 represents hydrogen, fluorine, or chlorine, R 2 represents fluorine, chlorine, bromine, cyano, nitro, C(O)NH 2 , C(S)NH 2 , or trifluoromethyl, R 3 and R 4 independently of one another represent hydrogen, (C1-C4)-alkyl, or (C1-C4)-haloalkyl, or R 3 and R 4 together with the carbon atom to which they are attached form a fully saturated or partially saturated, 3 to 7-membered carbocyclic ring, R 5 represents hydrogen, (C1-C4)-alkyl, or (C1-C4)-haloalkyl, R 6 represents methyl, ethyl, or prop-1-yl, R 7 represents hydrogen, Q represents hydroxy or a radical of the following formulas O R 5 R 8 represents hydrogen, (C 1 -C 5 )-alkyl, (C 1 -C 5 )-haloalkyl, aryl, aryl-(C 1 -C 5 )-alkyl, heteroaryl, (C 2 -C 5 )-alkynyl, (C 2 -C 5 )-alkenyl, C(O)R 13 , C(O)OR 13 , or (C 1 -C 5 )-alkoxy-(C 1 -C 5 )-alkyl, R 9 represents hydrogen or (C 1 -C 5 )-alkyl, R 10 represents hydrogen, halogen, cyano, NO 2 , (C 1 -C 6 )-alkyl, (C 1 -C 6 )-haloalkyl, (C 3 -C 6 )-cycloalkyl, (C 3 -C 6 )-cycloalkyl-(C 1 -C 6 )-alkyl, (C 3 -C 6 )-halocycloalkyl, (C 3 -C 6 )-halocycloalkyl-(C 1 -C 6 ) -30 alkyl, (C 2 -C 6 )-alkenyl, (C 2 -C 6 )-alkynyl, aryl, aryl-(C 1 -C 6 )-alkyl, heteroaryl, heteroaryl (C1-C6)-alkyl, heterocyclyl, heterocyclyl-(C1-C6)-alkyl, R 11 R 12 N-(C1-C6)-alkyl, R 13 O-(C1-C6)-alkyl, cyano-(C1-C6)-alkyl, (C1-C6)-alkylcarbonyloxy-(C1-C6)-alkyl, (C3-C6)-cycloalkylcarbonyloxy-(C1-C6)-alkyl, arylcarbonyloxy-(C1-C6)-alkyl, heteroarylcarbonyloxy-(C1-C6)-alkyl, heterocyclylcarbonyloxy-(C1-C6)-alkyl, OR 13 , NR 11 R 12 , SR 14 , S(O)R 14 , SO2R 14 , R 14 S-(C1-C6)-alkyl, R 14 (O)S-(C1-C6)-alkyl, R 14 O2S-(C1-C6)-alkyl, tris-[(C1-C6)-alkyl]silyl-(C 1 -C 6 )-alkyl, bis-[(C 1 -C 6 )-alkyl](aryl)silyl(C 1 -C 6 )-alkyl, [(C 1 -C 6 )-Alkyl]-bis-(aryl)silyl- (C 1 -C 6 )-alkyl, tris-[(C 1 -C 6 )-alkyl]silyl, bis-hydroxyboryl-(C 1 -C 6 )-alkyl, bis-[(C 1 -C 6 )-alkoxy]boryl-(C 1 -C 6 )-alkyl, Tetramethyl-1,3,2-Dioxaborolan-2-yl, Tetramethyl-1,3,2- Dioxaborolan-2-yl-(C 1 -C 6 )-alkyl, nitro-(C 1 -C 6 )-alkyl, C(O)OR 13 , C(O)R 13 , C(O)NR 11 R 12 , R 13 O(O)C-(C 1 -C 6 )-alkyl, R 11 R 12 N(O)C-(C 1 -C 6 )-alkyl, or bis-(C 1 -C 6 )-alkoxy-(C 1 -C 6 )-alkyl, or R 8 and R 10 form with the carbon atom to which they are attached a fully saturated or partially saturated, optionally interrupted by heteroatoms and optionally further substituted 3 to 10-membered monocyclic or bicyclic ring, R 11 and R 12 are identical or different and independently of one another represent hydrogen, (C 1 -C 6 )-alkyl, (C 2 -C 6 )-alkenyl, (C 2 -C 6 )-alkynyl, (C 1 -C 6 )-cyanoalkyl, (C 1 -C 6 ) -haloalkyl, (C 2 -C 6 )-haloalkenyl, (C 3 -C 6 )-haloalkynyl, (C 3 -C 10 )-cycloalkyl, (C 3 -C 6 )-halocycloalkyl, (C 4 -C 6 )-cycloalkenyl, (C 4 -C 6 )-halocycloalkenyl, (C 1 -C 6 )-alkoxy-(C 1 -C 6 )-alkyl, (C 1 -C 6 )-haloalkoxy-(C 1 -C 6 )-alkyl, (C 1 -C 6 )-alkylthio-(C 1 -C 6 )-alkyl, (C 1 -C 6 )-haloalkylthio-(C 1 -C 6 )-alkyl, (C 1 -C 6 )-alkoxy-(C 1 -C 6 ) -haloalkyl, aryl, aryl-(C 1 -C 6 )-alkyl, heteroaryl, heteroaryl-(C 1 -C 6 )-alkyl, (C 3 -C 6 )-cycloalkyl-(C1-C6)-alkyl, (C4-C10)-cycloalkenyl-(C1-C6)-alkyl, C(O)R 13 , SO2R 14 , heterocyclyl, (C1-C6)-alkoxycarbonyl, Bis-[(C1-C6)-alkyl]aminocarbonyl-(C1-C6)-alkyl, (C1-C6)-alkyl- aminocarbonyl-(C1-C6)-alkyl, aryl-(C1-C6)-alkyl-aminocarbonyl-(C1-C6)-alkyl, aryl-(C1-C6)-alkoxycarbonyl, heteroaryl-(C1-C6)-alkoxycarbonyl, (C2-C6)-alkenyloxycarbonyl, (C2-C6)-alkynyloxycarbonyl, or heterocyclyl-(C1-C6)-alkyl, or R 11 and R 12 form with the nitrogen atom to which they are attached a fully saturated or partially saturated, optionally interrupted by heteroatoms and optionally further substituted 3 to 10-membered monocyclic or bicyclic ring, R 13 represents hydrogen, (C1-C6)-alkyl, (C2-C6)-alkenyl, (C2-C6)-alkynyl, (C1-C6)-cyanoalkyl, (C1-C10)-haloalkyl, (C2-C6)-haloalkenyl, (C3-C6)-haloalkynyl, (C3-C6)-cycloalkyl, (C3-C6)-35 halocycloalkyl, (C4-C6)-cycloalkenyl, (C4-C6)-halocycloalkenyl, (C1-C6)-alkoxy-(C1-C6)-alkyl, (C1-C6)-haloalkoxy-(C1-C6)-alkyl, (C1-C6)-alkoxy-(C1-C6)-haloalkyl, (C1-C6)-alkoxy-(C1-C6)-alkoxy-(C1-C6)-alkyl, (C1-C6)-alkoxy-(C1-C6)-alkoxy-(C1-C6)-alkoxy-(C1-C6)-alkyl, (C1-C6)- alkoxy-(C1-C6)-alkoxy-(C1-C6)-alkoxy-(C1-C6)-alkoxy-(C1-C6)-alkyl, aryl, aryl-(C1-C6)-alkyl, aryl-(C1-C6)-alkoxy-(C1-C6)-alkyl, heteroaryl, heteroaryl-(C1-C6)-alkyl, (C3-C6)-cycloalkyl-(C1-C6)-alkyl, (C4-C6)-cycloalkenyl-(C1-C6)-alkyl, bis-[(C1-C6)-alkyl]aminocarbonyl-(C1-C6)-alkyl, (C1-C6)-alkyl-aminocarbonyl-(C1-C6)-alkyl, Aryl-(C1-C6)-alkyl-aminocarbonyl-(C1-C6)-alkyl, Bis-[(C1-C6)-alkyl]amino-(C2-C6)-alkyl, (C1-C6)-alkyl-amino-(C2-C6)-alkyl, aryl-(C1-C6)-alkyl-amino-(C 2 -C 6 )-alkyl, R 14 S-(C 1 -C 6 )-alkyl, R 14 (O)S-(C 1 -C 6 )-alkyl, R 14 O 2 S-(C 1 -C 6 )-alkyl, hydroxycarbonyl-(C 1 -C 6 )-alkyl, heterocyclyl, heterocyclyl-(C 1 -C 6 )-alkyl, tris-[(C 1 -C 6 )-alkyl]silyl-(C 1 -C 6 )-alkyl, bis-[(C 1 -C 6 )-alkyl](aryl)silyl(C 1 -C 6 )-alkyl, [(C 1 -C 6 )-alkyl]-bis-(aryl)silyl-(C 1 -C 6 )-alkyl, (C 1 -C 6 )-alkylcarbonyloxy-(C 1 -C 6 )-alkyl, (C 3 -C 6 )-cycloalkylcarbonyloxy-(C 1 -C 6 )-alkyl, Arylcarbonyloxy-(C 1 -C 6 )alkyl, heteroarylcarbonyloxy-(C 1 -C 6 )alkyl, heterocyclylcarbonyloxy-(C 1 -C 6 )alkyl, aryloxy-(C 1 -C 6 )alkyl, heteroaryloxy-(C 1 -C 6 )alkyl, or (C 1 -C 6 )-alkoxycarbonyl, R 14 is hydrogen, (C 1 -C 6 )-alkyl, (C 2 -C 6 )-alkenyl, (C 2 -C 6 )-alkynyl, (C 1 -C 6 )-cyanoalkyl, (C 1 -C 6 )-haloalkyl, (C 2 -C 6 ) -haloalkenyl, (C 3 -C 6 )-haloalkynyl, (C 3 -C 10 )-cycloalkyl, (C 3 -C 6 ) . 6 )-alkyl, heteroaryl, heteroaryl-(C 1 -C 6 )-alkyl, heterocyclyl-(C 1 -C 6 )-alkyl, (C 3 -C 6 )-cycloalkyl-(C 1 -C 6 )-alkyl, (C 4 -C 6 )-cycloalkenyl-(C 1 -C 6 )-alkyl, bis-[(C 1 -C 6 )-alkyl]amino, (C 1 -C 6 )-alkyl-amino, aryl-(C 1 -C 6 )-amino, aryl-(C 1 -C 6 )-alkyl-amino, aryl-[(C 1 -C 6 )-alkyl]amino; (C 3 -C 6 )-cycloalkyl-amino, (C 3 -C 6 )-cycloalkyl-[(C 1 -C 6 )-alkyl]amino; N-azetidinyl, N-pyrrolidinyl, N-piperidinyl, or N-morpholinyl and R 15 and R 16 independently of one another represent (C1-C6)-alkyl, (C3-C6)-cycloalkyl, aryl, heteroaryl, or heterocyclyl, or R 15 and R 16 form, with the carbon atom to which they are attached, a fully saturated monocyclic 3- to 6-membered carbocycle. Very particularly preferred subject matter of the invention are compounds of the general formula (I), wherein 35 W represents the group W -1 W-2 R 1 represents hydrogen, or fluorine, R 2 represents fluorine, chlorine, bromine, cyano, nitro, C(O)NH 2 , or C(S)NH 2 , R 3 and R 4 independently of one another represent hydrogen, methyl, ethyl, prop-1-yl, prop-2-yl, but-1-yl, but-2-yl, 2-methyl-prop-1-yl, 1,1-dimethyleth-1-yl, or trifluoromethyl, or R 3 and R 4 together with the carbon atom to which they are attached form a fully saturated or partially saturated, 3 to 7-membered carbocyclic ring, R 5 represents hydrogen, methyl, ethyl, prop-1-yl, prop-2-yl, but-1-yl, but-2-yl, 2-methyl-prop-1-yl, 1,1-dimethyleth-1-yl, or trifluoromethyl, R 6 represents methyl, or ethyl, R 7 is hydrogen, and Q is one of the following specifically mentioned groups Q-1 to Q-500:
O O O O O C) OOO O OC)
0 jc 0 jc
) ) Im Speziellen bevorzugter Erfindungsgegenstand sind Verbindungen der allgemeinen Formel (I), worin W für die Gruppe W-1 W-2 steht R1 für Wasserstoff, oder Fluor steht, R2 für Fluor, Chlor, Brom, Cyano, oder Nitro steht, R3 und R4 unabhängig voneinander für Wasserstoff, Methyl, Ethyl, oder Prop-1-yl, stehen, oder R3 und R4 zusammen mit dem Kohlenstoffatom, an das sie gebunden sind, einen vollständig gesättigten oder teilgesättigten, 3 bis 6-gliedrigen carbocyclischen Ring bilden, R5 für Wasserstoff, Methyl, Ethyl, Prop-1-yl, Prop-2-yl, But-1-yl, But-2-yl, 2-Methyl-prop-1-yl, 1,1-Dimethyleth-1-yl, oder Trifluormethyl steht, R6 für Methyl, oder Ethyl steht, R7 für Wasserstoff steht, und Q für eine der oben stehenden spezifisch genannten Gruppierungen Q-1 bis Q-500 steht. Im ganz Speziellen bevorzugter Erfindungsgegenstand sind Verbindungen der allgemeinen Formel (I), worin W für die Gruppe W-1 W-2 steht R1 für Wasserstoff, oder Fluor steht, R2 für Fluor, Chlor, Brom, Cyano, oder Nitro steht, R3 und R4 unabhängig voneinander für Wasserstoff, Methyl, oder Ethyl stehen R5 für Wasserstoff, Methyl, Ethyl, Prop-1-yl, oder Trifluormethyl steht, R6 für Methyl, oder Ethyl steht, R7 für Wasserstoff steht, und Q für eine der oben stehenden spezifisch genannten Gruppierungen Q-1 bis Q-500 steht. Im besonders Speziellen bevorzugter Erfindungsgegenstand sind Verbindungen der allgemeinen Formel (I), worin W für die Gruppe steht R1 für Fluor steht, R2 für Chlor steht, R3 und R4 unabhängig voneinander für Wasserstoff, oder Methyl, stehen, R5 für Wasserstoff steht, R6 für Methyl steht, R7 für Wasserstoff steht, und Q für eine der oben spezifisch genannten Gruppierungen Q-1, Q-286, Q-371, Q-441, Q-442, oder Q-481 steht. Die oben aufgeführten allgemeinen oder in Vorzugsbereichen aufgeführten Restedefinitionen gelten sowohl für die Endprodukte der Formel (I) als auch entsprechend für die jeweils zur Herstellung benötigten Ausgangs- oder Zwischenprodukte. Diese Restedefinitionen können untereinander, also auch zwischen den angegebenen bevorzugten Bereichen, beliebig kombiniert werden. Im Hinblick auf die erfindungsgemäßen Verbindungen werden die vorstehend und weiter unten verwendeten Bezeichnungen erläutert. Diese sind dem Fachmann geläufig und haben insbesondere die im Folgenden erläuterten Bedeutungen: Sofern nicht anders definiert, gilt generell für die Bezeichnung von chemischen Gruppen, dass die Anbindung an das Gerüst bzw. den Rest des Moleküls über das zuletzt genannte Strukturelement der betreffenden chemischen Gruppe erfolgt, d.h. beispielsweise im Falle von (C2-C8)-Alkenyloxy über das Sauerstoffatom, und im Falle von Heterocyclyl-(C1-C8)-alkyl oder R13O(O)C-(C1-C8)-Alkyl jeweils über das C-Atom der Alkylgruppe. In einer zusammengesetzten chemischen Gruppe wie z. B. Heterocyclyl- (C1-C8)-alkyl oder R13O(O)C-(C1-C8)-Alkyl steht die Bezeichnung “Alkyl” daher auch für eine Alkylengruppe. Bei den funktionellen Gruppen C(=O)R13, C(=O)OR13, C(=O)NR11R12, NR11R12, OR13, S(O)mR14 erfolgt die Anbindung an das Gerüst bzw. den Rest des Moleküls über das zuerst genannte Strukturelement der betreffenden chemischen Gruppe. Erfindungsgemäß steht „Alkylsulfonyl“ - in Alleinstellung oder als Bestandteil einer chemischen Gruppe - für geradkettiges oder verzweigtes Alkylsulfonyl, vorzugsweise mit 1 bis 8, oder mit 1 bis 6 Kohlenstoffatomen, z.B. (aber nicht beschränkt auf) (C1-C6)-Alkylsulfonyl wie Methylsulfonyl, Ethyl- sulfonyl, Propylsulfonyl, 1-Methylethylsulfonyl, Butylsulfonyl, 1-Methylpropylsulfonyl, 2-Methyl- propylsulfonyl, 1,1-Dimethylethylsulfonyl, Pentylsulfonyl, 1-Methylbutylsulfonyl, 2-Methylbutyl- sulfonyl, 3-Methylbutylsulfonyl, 1,1-Dimethylpropylsulfonyl, 1,2-Dimethylpropylsulfonyl, 2,2-Di- methylpropylsulfonyl, 1-Ethylpropylsulfonyl, Hexylsulfonyl, 1-Methylpentylsulfonyl, 2-Methyl- pentylsulfonyl, 3-Methylpentylsulfonyl, 4-Methylpentylsulfonyl, 1,1-Dimethylbutylsulfonyl, 1,2-Di- methylbutylsulfonyl, 1,3-Dimethylbutylsulfonyl, 2,2-Dimethylbutylsulfonyl, 2,3-Dimethylbutylsulfonyl, 3,3-Dimethylbutylsulfonyl, 1-Ethylbutylsulfonyl, 2-Ethylbutylsulfonyl, 1,1,2-Trimethylpropylsulfonyl, 1,2,2-Trimethylpropylsulfonyl, 1-Ethyl-1-methylpropylsulfonyl und 1-Ethyl-2-methylpropylsulfonyl. Erfindungsgemäß steht „Heteroarylsulfonyl“ für gegebenenfalls substituiertes Pyridylsulfonyl, Pyrimidinylsulfonyl, Pyrazinylsulfonyl oder gegebenenfalls substituiertes polycyclisches Heteroarylsulfonyl, hier insbesondere gegebenenfalls substituiertes Chinolinylsulfonyl, beispielsweise substituiert durch Fluor, Chlor, Brom, Iod, Cyano, Nitro, Alkyl-, Haloalkyl-, Haloalkoxy-, Amino-, Alkylamino-, Alkylcarbonylamino-, Dialkylamino- oder Alkoxygruppen. Erfindungsgemäß steht „Alkylthio“ - in Alleinstellung oder als Bestandteil einer chemischen Gruppe - für geradkettiges oder verzweigtes S-Alkyl, vorzugsweise mit 1 bis 8, oder mit 1 bis 6 Kohlenstoffatomen, wie (C1-C10)-, (C1-C6)- oder (C1-C4)-Alkylthio, z.B. (aber nicht beschränkt auf) (C1- C6)-Alkylthio wie Methylthio, Ethylthio, Propylthio, 1-Methylethylthio, Butylthio, 1-Methylpropylthio, 2-Methylpropylthio, 1,1-Dimethylethylthio, Pentylthio, 1-Methylbutylthio, 2-Methylbutylthio, 3- Methylbutylthio, 1,1-Dimethylpropylthio, 1,2-Dimethylpropylthio, 2,2-Dimethylpropylthio, 1- Ethylpropylthio, Hexylthio, 1-Methylpentylthio, 2-Methylpentylthio, 3-Methylpentylthio, 4-Methyl- pentylthio, 1,1-Dimethylbutylthio, 1,2-Dimethylbutylthio, 1,3-Dimethylbutylthio, 2,2-Dimethylbutyl- thio, 2,3-Dimethylbutylthio, 3,3-Dimethylbutylthio, 1-Ethylbutylthio, 2-Ethylbutylthio, 1,1,2-Tri-35 methylpropylthio, 1,2,2-Trimethylpropylthio, 1-Ethyl-1-methylpropylthio und 1-Ethyl-2-methyl- propylthio. „Alkenylthio“ bedeutet erfindungsgemäß ein über ein Schwefelatom gebundenen Alkenylrest, Alkinylthio bedeutet ein über ein Schwefelatom gebundenen Alkinylrest, Cycloalkylthio bedeutet ein über ein Schwefelatom gebundenen Cycloalkylrest und Cycloalkenylthio bedeutet ein über ein Schwefelatom gebundenen Cycloalkenylrest. „Alkylsulfinyl (Alkyl-S(=O)-)“, soweit nicht an anderer Stelle anders definiert steht erfindungsgemäß für Alkylreste, die über -S(=O)- an das Gerüst gebunden sind, wie (C1-C10)-, (C1-C6)- oder (C1-C4)- Alkylsulfinyl, z. B. (aber nicht beschränkt auf) (C1-C6)-Alkylsulfinyl wie Methylsulfinyl, Ethylsulfinyl, Propylsulfinyl, 1-Methylethylsulfinyl, Butylsulfinyl, 1-Methylpropylsulfinyl, 2-Methylpropylsulfinyl, 1,1-Dimethylethylsulfinyl, Pentylsulfinyl, 1-Methylbutylsulfinyl, 2-Methylbutylsulfinyl, 3- Methylbutylsulfinyl, 1,1-Dimethylpropylsulfinyl, 1,2-Dimethylpropylsulfinyl, 2,2-Di- methylpropylsulfinyl, 1-Ethylpropylsulfinyl, Hexylsulfinyl, 1-Methylpentylsulfinyl, 2-Methylpentyl- sulfinyl, 3-Methylpentylsulfinyl, 4-Methylpentylsulfinyl, 1,1-Dimethylbutylsulfinyl, 1,2-Dimethyl- butylsulfinyl, 1,3-Dimethylbutylsulfinyl, 2,2-Dimethylbutylsulfinyl, 2,3-Dimethylbutylsulfinyl, 3,3- Dimethylbutylsulfinyl, 1-Ethylbutylsulfinyl, 2-Ethylbutylsulfinyl, 1,1,2-Trimethylpropylsulfinyl, 1,2,2- Trimethylpropylsulfinyl, 1-Ethyl-1-methylpropylsulfinyl und 1-Ethyl-2-methylpropylsulfinyl. Analog sind „Alkenylsulfinyl“ und „Alkinylsulfinyl“, erfindungsgemäß definiert als Alkenyl- bzw. Alkinylreste, die über -S(=O)- an das Gerüst gebunden sind, wie (C2-C10)-, (C2-C6)- oder (C2-C4)- Alkenylsulfinyl bzw. (C3-C10)-, (C3-C6)- oder (C3-C4)-Alkinylsulfinyl. Analog sind „Alkenylsulfonyl“ und „Alkinylsulfonyl“ erfindungsgemäß definiert als Alkenyl- bzw. Alkinylreste, die über -S(=O)2- an das Gerüst gebunden sind, wie (C2-C10)-, (C2-C6)- oder (C2-C4)- Alkenylsulfonyl bzw. (C3-C10)-, (C3-C6)- oder (C3-C4)-Alkinylsulfonyl. „Alkoxy“ bedeutet ein über ein Sauerstoffatom gebundenen Alkylrest, z. B. (aber nicht beschränkt auf) (C1-C6)-Alkoxy wie Methoxy, Ethoxy, Propoxy, 1-Methylethoxy, Butoxy, 1-Methylpropoxy, 2- Methylpropoxy, 1,1-Dimethylethoxy, Pentoxy, 1-Methylbutoxy, 2-Methylbutoxy, 3-Methylbutoxy, 1,1- Dimethylpropoxy, 1,2-Dimethylpropoxy, 2,2-Dimethylpropoxy, 1-Ethylpropoxy, Hexoxy, 1- Methylpentoxy, 2-Methylpentoxy, 3-Methylpentoxy, 4-Methylpentoxy, 1,1-Dimethylbutoxy, 1,2-Di- methylbutoxy, 1,3-Dimethylbutoxy, 2,2-Dimethylbutoxy, 2,3-Dimethylbutoxy, 3,3-Dimethylbutoxy, 1- Ethylbutoxy, 2-Ethylbutoxy, 1,1,2-Trimethylpropoxy, 1,2,2-Trimethylpropoxy, 1-Ethyl-1-methyl- propoxy und 1-Ethyl-2-methylpropoxy. Alkenyloxy bedeutet ein über ein Sauerstoffatom gebundenen Alkenylrest, Alkinyloxy bedeutet ein über ein Sauerstoffatom gebundenen Alkinylrest wie (C2-C10)-, 35 (C2-C6)- oder (C2-C4)-Alkenoxy bzw. (C3-C10)-, (C3-C6)- oder (C3-C4)-Alkinoxy. „Cycloalkyloxy“ bedeutet ein über ein Sauerstoffatom gebundenen Cycloalkylrest und Cycloalkenyloxy bedeutet ein über ein Sauerstoffatom gebundenen Cycloalkenylrest. „Alkylcarbonyl“ (Alkyl-C(=O)-), soweit nicht an anderer Stelle anders definiert, steht erfindungsgemäß für Alkylreste, die über -C(=O)- an das Gerüst gebunden sind, wie (C1-C10)-, (C1-C6)- oder (C1-C4)- Alkylcarbonyl. Die Anzahl der C-Atome bezieht sich dabei auf den Alkylrest in der Alkylcarbonylgruppe. Analog stehen „Alkenylcarbonyl“ und „Alkinylcarbonyl“, soweit nicht an anderer Stelle anders definiert, erfindungsgemäß für Alkenyl- bzw. Alkinylreste, die über -C(=O)- an das Gerüst gebunden sind, wie (C2-C10)-, (C2-C6)- oder (C2-C4)-Alkenylcarbonyl bzw. (C2-C10)-, (C2-C6)- oder (C2-C4)- Alkinylcarbonyl. Die Anzahl der C-Atome bezieht sich dabei auf den Alkenyl- bzw. Alkinylrest in der Alkenyl- bzw. Alkinylcarbonylgruppe. „Alkoxycarbonyl (Alkyl-O-C(=O)-)“, soweit nicht an anderer Stelle anders definiert: Alkylreste, die über -O-C(=O)- an das Gerüst gebunden sind, wie (C1-C10)-, (C1-C6)- oder (C1-C4)-Alkoxycarbonyl. Die Anzahl der C-Atome bezieht sich dabei auf den Alkylrest in der Alkoxycarbonylgruppe. Analog stehen „Alkenyloxycarbonyl“ und „Alkinyloxycarbonyl“, soweit nicht an anderer Stelle anders definiert, erfindungsgemäß für Alkenyl- bzw. Alkinylreste, die über -O-C(=O)- an das Gerüst gebunden sind, wie (C2-C10)-, (C2-C6)- oder (C2-C4)-Alkenyloxycarbonyl bzw. (C3-C10)-, (C3-C6)- oder (C3-C4)- Alkinyloxycarbonyl. Die Anzahl der C-Atome bezieht sich dabei auf den Alkenyl- bzw. Alkinylrest in der Alken- bzw. Alkinyloxycarbonylgruppe. Der Begriff „Alkylcarbonyloxy“ (Alkyl-C(=O)-O-) steht erfindungsgemäß, soweit nicht an anderer Stelle anders definiert, für Alkylreste, die über eine Carbonyloxygruppe (-C(=O)-O-) mit dem Sauerstoff an das Gerüst gebunden sind, wie (C1-C10)-, (C1-C6)- oder (C1-C4)-Alkylcarbonyloxy. Die Anzahl der C- Atome bezieht sich dabei auf den Alkylrest in der Alkylcarbonyloxygruppe. Analog sind „Alkenylcarbonyloxy“ und „Alkinylcarbonyloxy“ erfindungsgemäß definiert als Alkenyl- bzw. Alkinylreste, die über (-C(=O)-O-) mit dem Sauerstoff an das Gerüst gebunden sind, wie (C2-C10)-, (C2-C6)- oder (C2-C4)-Alkenylcarbonyloxy bzw. (C2-C10)-, (C2-C6)- oder (C2-C4)-Alkinylcarbonyloxy. Die Anzahl der C-Atome bezieht sich dabei auf den Alkenyl- bzw. Alkinylrest in der Alkenyl- bzw. Alkinylcarbonyloxygruppe. 35 In Kurzformen wie z.B. C(O)R13, C(O)OR13, OC(O)NR11R12, oder C(O)NR11R12 steht die in Klammern aufgeführte Kurzform O für ein über eine Doppelbindung an das benachbarte Kohlenstoffatom gebundenes Sauerstoffatom. In Kurzformen wie z.B. OC(S)OR13, OC(S)SR14, OC(S)NR11R12, steht die in Klammern aufgeführte Kurzform S für ein über eine Doppelbindung an das benachbarte Kohlenstoffatom gebundenes Schwefelatom. Der Begriff „Aryl“ bedeutet ein gegebenenfalls substituiertes mono-, bi- oder polycyclisches aromatisches System mit vorzugsweise 6 bis 14, insbesondere 6 bis 10 Ring-C-Atomen, beispielsweise Phenyl, Naphthyl, Anthryl, Phenanthrenyl, und ähnliches, vorzugsweise Phenyl. Vom Begriff „gegebenenfalls substituiertes Aryl“ sind auch mehrcyclische Systeme, wie Tetrahydronaphtyl, Indenyl, Indanyl, Fluorenyl, Biphenylyl, umfasst, wobei die Bindungsstelle am aromatischen System ist. Von der Systematik her ist „Aryl“ in der Regel auch von dem Begriff „gegebenenfalls substituiertes Phenyl“ umfasst. Bevorzugte Aryl-Substituenten sind hier zum Beispiel Wasserstoff, Halogen, Alkyl, Cycloalkyl, Cycloalkylalkyl, Cycloalkenyl, Halocycloalkyl, Alkenyl, Alkinyl, Aryl, Arylalkyl, Arylalkenyl, Heteroaryl, Heteroarylalkyl, Heterocyclyl, Heterocyclylalkyl, Alkoxyalkyl, Alkylthio, Haloalkylthio, Haloalkyl, Alkoxy, Haloalkoxy, Cycloalkoxy, Cycloalkylalkoxy, Aryloxy, Heteroraryloxy, Alkoxyalkoxy, Alkinylalkoxy, Alkenyloxy, Bis-alkylaminoalkoxy, Tris- [alkyl]silyl, Bis-[alkyl]arylsilyl, Bis-[alkyl]alkylsilyl, Tris-[alkyl]silylalkinyl, Arylalkinyl, Heteroarylalkinyl, Alkylalkinyl, Cycloalkylalkinyl, Haloalkylalkinyl, Heterocyclyl-N-alkoxy, Nitro, Cyano, Amino, Alkylamino, Bis-alkylamino, Alkylcarbonylamino, Cycloalkylcarbonylamino, Arylcarbonylamino, Alkoxycarbonylamino, Alkoxycarbonylalkylamino, Arylalkoxycarbonylalkylamino, Hydroxycarbonyl, Alkoxycarbonyl, Aminocarbonyl, Alkylaminocarbonyl, Cycloalkylaminocarbonyl, Bis-Alkylaminocarbonyl, Heteroarylalkoxy, Arylalkoxy Ein heterocyclischer Rest (Heterocyclyl) enthält mindestens einen heterocyclischen Ring (=carbocyclischer Ring, in dem mindestens ein C-Atom durch ein Heteroatom ersetzt ist, vorzugsweise durch ein Heteroatom aus der Gruppe N, O, S, P) der gesättigt, ungesättigt, teilgesättigt oder heteroaromatisch ist und dabei unsubstituiert oder substituiert sein kann, wobei die Bindungsstelle an einem Ringatom lokalisiert ist. Ist der Heterocyclylrest oder der heterocyclische Ring gegebenenfalls substituiert, kann er mit anderen carbocyclischen oder heterocyclischen Ringen annelliert sein. Im Falle von gegebenenfalls substituiertem Heterocyclyl werden auch mehrcyclische Systeme umfasst, wie beispielsweise 8-Aza-bicyclo[3.2.1]octanyl, 8-Aza-bicyclo[2.2.2]octanyl oder 1-Aza- bicyclo[2.2.1]heptyl. Im Falle von gegebenenfalls substituiertem Heterocyclyl werden auch 35 spirocyclische Systeme umfasst, wie beispielsweise 1-Oxa-5-aza-spiro[2.3]hexyl. Wenn nicht anders definiert, enthält der heterocyclische Ring vorzugsweise 3 bis 9 Ringatome, insbesondere 3 bis 6 Ringatome, und ein oder mehrere, vorzugsweise 1 bis 4, insbesondere 1, 2 oder 3 Heteroatome im heterocyclischen Ring, vorzugsweise aus der Gruppe N, O, und S, wobei jedoch nicht zwei Sauerstoffatome direkt benachbart sein sollen, wie beispielsweise mit einem Heteroatom aus der Gruppe N, O und S 1- oder 2- oder 3-Pyrrolidinyl, 3,4-Dihydro-2H-pyrrol-2- oder 3-yl, 2,3-Dihydro-1H-pyrrol- 1- oder 2- oder 3- oder 4- oder 5-yl; 2,5-Dihydro-1H-pyrrol-1- oder 2- oder 3-yl, 1- oder 2- oder 3- oder 4-Piperidinyl; 2,3,4,5-Tetrahydropyridin-2- oder 3- oder 4- oder 5-yl oder 6-yl; 1,2,3,6- Tetrahydropyridin-1- oder 2- oder 3- oder 4- oder 5- oder 6-yl; 1,2,3,4-Tetrahydropyridin-1- oder 2- oder 3- oder 4- oder 5- oder 6-yl; 1,4-Dihydropyridin-1- oder 2- oder 3- oder 4-yl; 2,3-Dihydropyridin- 2- oder 3- oder 4- oder 5- oder 6-yl; 2,5-Dihydropyridin-2- oder 3- oder 4- oder 5- oder 6-yl, 1- oder 2- oder 3- oder 4-Azepanyl; 2,3,4,5-Tetrahydro-1H-azepin-1- oder 2- oder 3- oder 4- oder 5- oder 6- oder 7-yl; 2,3,4,7-Tetrahydro-1H-azepin-1- oder 2- oder 3- oder 4- oder 5- oder 6- oder 7-yl; 2,3,6,7- Tetrahydro-1H-azepin-1- oder 2- oder 3- oder 4-yl; 3,4,5,6-Tetrahydro-2H-azepin-2- oder 3- oder 4- oder 5- oder 6- oder 7-yl; 4,5-Dihydro-1H-azepin-1- oder 2- oder 3- oder 4-yl; 2,5-Dihydro-1H-azepin- 1- oder -2- oder 3- oder 4- oder 5- oder 6- oder 7-yl; 2,7-Dihydro-1H-azepin-1- oder -2- oder 3- oder 4- yl; 2,3-Dihydro-1H-azepin-1- oder -2- oder 3- oder 4- oder 5- oder 6- oder 7-yl; 3,4-Dihydro-2H-azepin- 2- oder 3- oder 4- oder 5- oder 6- oder 7-yl; 3,6-Dihydro-2H-azepin-2- oder 3- oder 4- oder 5- oder 6- oder 7-yl; 5,6-Dihydro-2H-azepin-2- oder 3- oder 4- oder 5- oder 6- oder 7-yl; 4,5-Dihydro-3H-azepin- 2- oder 3- oder 4- oder 5- oder 6- oder 7-yl; 1H-Azepin-1- oder -2- oder 3- oder 4- oder 5- oder 6- oder 7-yl; 2H-Azepin-2- oder 3- oder 4- oder 5- oder 6- oder 7-yl; 3H-Azepin-2- oder 3- oder 4- oder 5- oder 6- oder 7-yl; 4H-Azepin-2- oder 3- oder 4- oder 5- oder 6- oder 7-yl, 2- oder 3-Oxolanyl (= 2- oder 3- Tetrahydrofuranyl); 2,3-Dihydrofuran-2- oder 3- oder 4- oder 5-yl; 2,5-Dihydrofuran-2- oder 3-yl, 2- oder 3- oder 4-Oxanyl (= 2- oder 3- oder 4-Tetrahydropyranyl); 3,4-Dihydro-2H-pyran-2- oder 3- oder 4- oder 5- oder 6-yl; 3,6-Dihydro-2H-pyran-2- oder 3-oder 4- oder 5- oder 6-yl; 2H-Pyran-2- oder 3- oder 4- oder 5- oder 6-yl; 4H-Pyran-2- oder 3- oder 4-yl, 2- oder 3- oder 4-Oxepanyl; 2,3,4,5- Tetrahydrooxepin-2- oder 3- oder 4- oder 5- oder 6- oder 7-yl; 2,3,4,7-Tetrahydrooxepin-2- oder 3- oder 4- oder 5- oder 6- oder 7-yl; 2,3,6,7-Tetrahydrooxepin-2- oder 3- oder 4-yl; 2,3-Dihydrooxepin-2- oder 3- oder 4- oder 5- oder 6- oder 7-yl; 4,5-Dihydrooxepin-2- oder 3- oder 4-yl; 2,5-Dihydrooxepin-2- oder 3- oder 4- oder 5- oder 6- oder 7-yl; Oxepin-2- oder 3- oder 4- oder 5- oder 6- oder 7-yl; 2- oder 3- Tetrahydrothiophenyl; 2,3-Dihydrothiophen-2- oder 3- oder 4- oder 5-yl; 2,5-Dihydrothiophen-2- oder 3-yl; Tetrahydro-2H-thiopyran-2- oder 3- oder 4-yl; 3,4-Dihydro-2H-thiopyran-2- oder 3- oder 4- oder 5- oder 6-yl; 3,6-Dihydro-2H-thiopyran-2- oder 3- oder 4- oder 5- oder 6-yl; 2H-Thiopyran-2- oder 3- oder 4- oder 5- oder 6-yl; 4H-Thiopyran-2- oder 3- oder 4-yl. Bevorzugte 3-Ring und 4-Ring- Heterocyclen sind beispielsweise 1- oder 2-Aziridinyl, Oxiranyl, Thiiranyl, 1- oder 2- oder 3-Azetidinyl, 2- oder 3-Oxetanyl, 2- oder 3-Thietanyl, 1,3-Dioxetan-2-yl. Weitere Beispiele für “Heterocyclyl“ sind ein partiell oder vollständig hydrierter heterocyclischer Rest mit zwei Heteroatomen aus der Gruppe N, 35 O und S, wie beispielsweise 1- oder 2- oder 3- oder 4-Pyrazolidinyl; 4,5-Dihydro-3H-pyrazol- 3- oder 4- oder 5-yl; 4,5-Dihydro-1H-pyrazol-1- oder 3- oder 4- oder 5-yl; 2,3-Dihydro-1H-pyrazol-1- oder 2- oder 3- oder 4- oder 5-yl; 1- oder 2- oder 3- oder 4- Imidazolidinyl; 2,3-Dihydro-1H-imidazol-1- oder 2- oder 3- oder 4-yl; 2,5-Dihydro-1H-imidazol-1- oder 2- oder 4- oder 5-yl; 4,5-Dihydro-1H-imidazol-1- oder 2- oder 4- oder 5-yl; Hexahydropyridazin-1- oder 2- oder 3- oder 4-yl; 1,2,3,4-Tetrahydropyridazin-1- oder 2- oder 3- oder 4- oder 5- oder 6-yl; 1,2,3,6-Tetrahydropyridazin-1- oder 2- oder 3- oder 4- oder 5- oder 6-yl; 1,4,5,6-Tetrahydropyridazin-1- oder 3- oder 4- oder 5- oder 6-yl; 3,4,5,6-Tetrahydropyridazin-3- oder 4- oder 5-yl; 4,5-Dihydropyridazin-3- oder 4-yl; 3,4-Dihydropyridazin-3- oder 4- oder 5- oder 6-yl; 3,6-Dihydropyridazin-3- oder 4-yl; 1,6-Dihydropyriazin-1- oder 3- oder 4- oder 5- oder 6-yl; Hexahydropyrimidin-1- oder 2- oder 3- oder 4-yl; 1,4,5,6-Tetrahydropyrimidin-1- oder 2- oder 4- oder 5- oder 6-yl; 1,2,5,6-Tetrahydropyrimidin-1- oder 2- oder 4- oder 5- oder 6-yl; 1,2,3,4- Tetrahydropyrimidin-1- oder 2- oder 3- oder 4- oder 5- oder 6-yl; 1,6-Dihydropyrimidin-1- oder 2- oder 4- oder 5- oder 6-yl; 1,2-Dihydropyrimidin-1- oder 2- oder 4- oder 5- oder 6-yl; 2,5-Dihydropyrimidin- 2- oder 4- oder 5-yl; 4,5-Dihydropyrimidin- 4- oder 5- oder 6-yl; 1,4-Dihydropyrimidin-1- oder 2- oder 4- oder 5- oder 6-yl; 1- oder 2- oder 3-Piperazinyl; 1,2,3,6-Tetrahydropyrazin-1- oder 2- oder 3- oder 5- oder 6-yl; 1,2,3,4-Tetrahydropyrazin-1- oder 2- oder 3- oder 4- oder 5- oder 6-yl; 1,2-Dihydropyrazin-1- oder 2- oder 3- oder 5- oder 6-yl; 1,4-Dihydropyrazin-1- oder 2- oder 3-yl; 2,3-Dihydropyrazin-2- oder 3- oder 5- oder 6-yl; 2,5-Dihydropyrazin-2- oder 3-yl; 1,3-Dioxolan-2- oder 4- oder 5-yl; 1,3-Dioxol-2- oder 4-yl; 1,3-Dioxan-2- oder 4- oder 5-yl; 4H-1,3-Dioxin-2- oder 4- oder 5- oder 6-yl; 1,4-Dioxan-2- oder 3- oder 5- oder 6-yl; 2,3-Dihydro-1,4-dioxin-2- oder 3- oder 5- oder 6-yl; 1,4-Dioxin-2- oder 3-yl; 1,2-Dithiolan-3- oder 4-yl; 3H-1,2-Dithiol-3- oder 4- oder 5-yl; 1,3-Dithiolan-2- oder 4-yl; 1,3-Dithiol- 2- oder 4-yl; 1,2-Dithian-3- oder 4-yl; 3,4-Dihydro-1,2-dithiin-3- oder 4- oder 5- oder 6-yl; 3,6-Dihydro- 1,2-dithiin-3- oder 4-yl; 1,2-Dithiin-3- oder 4-yl; 1,3-Dithian-2- oder 4- oder 5-yl; 4H-1,3-Dithiin-2- oder 4- oder 5- oder 6-yl; Isoxazolidin-2- oder 3- oder 4- oder 5-yl; 2,3-Dihydroisoxazol-2- oder 3- oder 4- oder 5-yl; 2,5-Dihydroisoxazol-2- oder 3- oder 4- oder 5-yl; 4,5-Dihydroisoxazol-3- oder 4- oder 5-yl; 1,3-Oxazolidin-2- oder 3- oder 4- oder 5-yl; 2,3-Dihydro-1,3-oxazol-2- oder 3- oder 4- oder 5-yl; 2,5- Dihydro-1,3-oxazol-2- oder 4- oder 5-yl; 4,5-Dihydro-1,3-oxazol-2- oder 4- oder 5-yl; 1,2-Oxazinan-2- oder 3- oder 4- oder 5- oder 6-yl; 3,4-Dihydro-2H-1,2-oxazin-2- oder 3- oder 4- oder 5- oder 6-yl; 3,6- Dihydro-2H-1,2-oxazin-2- oder 3- oder 4- oder 5- oder 6-yl; 5,6-Dihydro-2H-1,2-oxazin-2- oder 3- oder 4- oder 5- oder 6-yl; 5,6-Dihydro-4H-1,2-oxazin-3- oder 4- oder 5- oder 6-yl; 2H-1,2-Oxazin-2- oder 3- oder 4- oder 5- oder 6-yl; 6H-1,2-Oxazin-3- oder 4- oder 5- oder 6-yl; 4H-1,2-Oxazin-3- oder 4- oder 5- oder 6-yl; 1,3-Oxazinan-2- oder 3- oder 4- oder 5- oder 6-yl; 3,4-Dihydro-2H-1,3-oxazin-2- oder 3- oder 4- oder 5- oder 6-yl; 3,6-Dihydro-2H-1,3-oxazin-2- oder 3- oder 4- oder 5- oder 6-yl; 5,6-Dihydro-2H- 1,3-oxazin-2- oder 4- oder 5- oder 6-yl; 5,6-Dihydro-4H-1,3-oxazin-2- oder 4- oder 5- oder 6-yl; 2H- 1,3-Oxazin-2- oder 4- oder 5- oder 6-yl; 6H-1,3-Oxazin-2- oder 4- oder 5- oder 6-yl; 4H-1,3-Oxazin-2- oder 4- oder 5- oder 6-yl; Morpholin-2- oder 3- oder 4-yl; 3,4-Dihydro-2H-1,4-oxazin-2- oder 3- oder 4- oder 5- oder 6-yl; 3,6-Dihydro-2H-1,4-oxazin-2- oder 3- oder 5- oder 6-yl; 2H-1,4-oxazin-2- oder 3-35 oder 5- oder 6-yl; 4H-1,4-oxazin-2- oder 3-yl; 1,2-Oxazepan-2- oder 3- oder 4- oder 5- oder 6- oder 7- yl; 2,3,4,5-Tetrahydro-1,2-oxazepin-2- oder 3- oder 4- oder 5- oder 6- oder 7-yl; 2,3,4,7-Tetrahydro-1,2- oxazepin-2- oder 3- oder 4- oder 5- oder 6- oder 7-yl; 2,3,6,7-Tetrahydro-1,2-oxazepin-2- oder 3- oder 4- oder 5- oder 6- oder 7-yl; 2,5,6,7-Tetrahydro-1,2-oxazepin-2- oder 3- oder 4- oder 5- oder 6- oder 7- yl; 4,5,6,7-Tetrahydro-1,2-oxazepin-3- oder 4- oder 5- oder 6- oder 7-yl; 2,3-Dihydro-1,2-oxazepin-2- oder 3- oder 4- oder 5- oder 6- oder 7-yl; 2,5-Dihydro-1,2-oxazepin-2- oder 3- oder 4- oder 5- oder 6- oder 7-yl; 2,7-Dihydro-1,2-oxazepin-2- oder 3- oder 4- oder 5- oder 6- oder 7-yl; 4,5-Dihydro-1,2- oxazepin-3- oder 4- oder 5- oder 6- oder 7-yl; 4,7-Dihydro-1,2-oxazepin-3- oder 4- oder 5- oder 6- oder 7-yl; 6,7-Dihydro-1,2-oxazepin-3- oder 4- oder 5- oder 6- oder 7-yl; 1,2-Oxazepin-3- oder 4- oder 5- oder 6- oder 7-yl; 1,3-Oxazepan-2- oder 3- oder 4- oder 5- oder 6- oder 7-yl; 2,3,4,5-Tetrahydro-1,3- oxazepin-2- oder 3- oder 4- oder 5- oder 6- oder 7-yl; 2,3,4,7-Tetrahydro-1,3-oxazepin-2- oder 3- oder 4- oder 5- oder 6- oder 7-yl; 2,3,6,7-Tetrahydro-1,3-oxazepin-2- oder 3- oder 4- oder 5- oder 6- oder 7- yl; 2,5,6,7-Tetrahydro-1,3-oxazepin-2- oder 4- oder 5- oder 6- oder 7-yl; 4,5,6,7-Tetrahydro-1,3- oxazepin-2- oder 4- oder 5- oder 6- oder 7-yl; 2,3-Dihydro-1,3-oxazepin-2- oder 3- oder 4- oder 5- oder 6- oder 7-yl; 2,5-Dihydro-1,3-oxazepin-2- oder 4- oder 5- oder 6- oder 7-yl; 2,7-Dihydro-1,3-oxazepin- 2- oder 4- oder 5- oder 6- oder 7-yl; 4,5-Dihydro-1,3-oxazepin-2- oder 4- oder 5- oder 6- oder 7-yl; 4,7- Dihydro-1,3-oxazepin-2- oder 4- oder 5- oder 6- oder 7-yl; 6,7-Dihydro-1,3-oxazepin-2- oder 4- oder 5- oder 6- oder 7-yl; 1,3-Oxazepin-2- oder 4- oder 5- oder 6- oder 7-yl; 1,4-Oxazepan-2- oder 3- oder 5- oder 6- oder 7-yl; 2,3,4,5-Tetrahydro-1,4-oxazepin-2- oder 3- oder 4- oder 5- oder 6- oder 7-yl; 2,3,4,7- Tetrahydro-1,4-oxazepin-2- oder 3- oder 4- oder 5- oder 6- oder 7-yl; 2,3,6,7-Tetrahydro-1,4-oxazepin- 2- oder 3- oder 5- oder 6- oder 7-yl; 2,5,6,7-Tetrahydro-1,4-oxazepin-2- oder 3- oder 5- oder 6- oder 7- yl; 4,5,6,7-Tetrahydro-1,4-oxazepin-2- oder 3- oder 4- oder 5- oder 6- oder 7-yl; 2,3-Dihydro-1,4- oxazepin-2- oder 3- oder 5- oder 6- oder 7-yl; 2,5-Dihydro-1,4-oxazepin-2- oder 3- oder 5- oder 6- oder 7-yl; 2,7-Dihydro-1,4-oxazepin-2- oder 3- oder 5- oder 6- oder 7-yl; 4,5-Dihydro-1,4-oxazepin-2- oder 3- oder 4- oder 5- oder 6- oder 7-yl; 4,7-Dihydro-1,4-oxazepin-2- oder 3- oder 4- oder 5- oder 6- oder 7- yl; 6,7-Dihydro-1,4-oxazepin-2- oder 3- oder 5- oder 6- oder 7-yl; 1,4-Oxazepin-2- oder 3- oder 5- oder 6- oder 7-yl; Isothiazolidin-2- oder 3- oder 4- oder 5-yl; 2,3-Dihydroisothiazol-2- oder 3- oder 4- oder 5- yl; 2,5-Dihydroisothiazol-2- oder 3- oder 4- oder 5-yl; 4,5-Dihydroisothiazol-3- oder 4- oder 5-yl; 1,3- Thiazolidin-2- oder 3- oder 4- oder 5-yl; 2,3-Dihydro-1,3-thiazol-2- oder 3- oder 4- oder 5-yl; 2,5- Dihydro-1,3-thiazol-2- oder 4- oder 5-yl; 4,5-Dihydro-1,3-thiazol-2- oder 4- oder 5-yl; 1,3-Thiazinan-2- oder 3- oder 4- oder 5- oder 6-yl; 3,4-Dihydro-2H-1,3-thiazin-2- oder 3- oder 4- oder 5- oder 6-yl; 3,6- Dihydro-2H-1,3-thiazin-2- oder 3- oder 4- oder 5- oder 6-yl; 5,6-Dihydro-2H-1,3-thiazin-2- oder 4- oder 5- oder 6-yl; 5,6-Dihydro-4H-1,3-thiazin-2- oder 4- oder 5- oder 6-yl; 2H-1,3-Thiazin-2- oder 4- oder 5- oder 6-yl; 6H-1,3-Thiazin-2- oder 4- oder 5- oder 6-yl; 4H-1,3-Thiazin-2- oder 4- oder 5- oder 6-yl. Weitere Beispiele für “Heterocyclyl“ sind ein partiell oder vollständig hydrierter heterocyclischer Rest mit 3 Heteroatomen aus der Gruppe N, O und S, wie beispielsweise 1,4,2-Dioxazolidin-2- oder 3- oder 5-yl; 1,4,2-Dioxazol-3- oder 5-yl; 1,4,2-Dioxazinan-2- oder -3- oder 5- oder 6-yl; 5,6-Dihydro-1,4,2- 35 dioxazin-3- oder 5- oder 6-yl; 1,4,2-Dioxazin-3- oder 5- oder 6-yl; 1,4,2-Dioxazepan-2- oder 3- oder 5- oder 6- oder 7-yl; 6,7-Dihydro-5H-1,4,2-Dioxazepin-3- oder 5- oder 6- oder 7-yl; 2,3-Dihydro-7H-1,4,2- Dioxazepin-2- oder 3- oder 5- oder 6- oder 7-yl; 2,3-Dihydro-5H-1,4,2-Dioxazepin-2- oder 3- oder 5- oder 6- oder 7-yl; 5H-1,4,2-Dioxazepin-3- oder 5- oder 6- oder 7-yl; 7H-1,4,2-Dioxazepin-3- oder 5- oder 6- oder 7-yl. Strukturbeispiele für gegebenenfalls weiter substituierte Heterocyclen sind auch im Folgenden aufgeführt: \ 1 ) ) ) ) j ) ) Particularly preferred subject matter of the invention are compounds of the general formula (I), wherein W represents the group W -1 W-2 R 1 is hydrogen, or fluorine, R 2 is fluorine, chlorine, bromine, cyano, or nitro, R 3 and R 4 independently of one another are hydrogen, methyl, ethyl, or prop-1-yl, or R 3 and R 4 together with the carbon atom to which they are attached form a fully saturated or partially saturated, 3 to 6-membered carbocyclic ring, R 5 is hydrogen, methyl, ethyl, prop-1-yl, prop-2-yl, but-1-yl, but-2-yl, 2-methyl-prop-1-yl, 1,1-dimethyleth-1-yl, or trifluoromethyl, R 6 is methyl or ethyl, R 7 is hydrogen, and Q is one of the above-mentioned groups Q-1 to Q-500. In particular, the invention is preferably carried out by compounds of the general formula (I) in which W represents the group W -1 W-2 R 1 represents hydrogen or fluorine, R 2 represents fluorine, chlorine, bromine, cyano or nitro, R 3 and R 4 independently represent hydrogen, methyl or ethyl, R 5 represents hydrogen, methyl, ethyl, prop-1-yl or trifluoromethyl, R 6 represents methyl or ethyl, R 7 represents hydrogen, and Q represents one of the groups Q-1 to Q-500 specifically mentioned above. Particularly preferred subject matter of the invention are compounds of the general formula (I), wherein W represents the group R 1 is fluorine, R 2 is chlorine, R 3 and R 4 are each independently hydrogen or methyl, R 5 is hydrogen, R 6 is methyl, R 7 is hydrogen, and Q is one of the groups Q-1, Q-286, Q-371, Q-441, Q-442, or Q-481 specifically mentioned above. The radical definitions given above, either general or in preferred ranges, apply both to the end products of the formula (I) and correspondingly to the starting materials or intermediates required in each case for their preparation. These radical definitions can be combined with one another as desired, i.e. also between the given preferred ranges. The designations used above and below are explained with regard to the compounds according to the invention. These are familiar to the person skilled in the art and have in particular the meanings explained below: Unless otherwise defined, the general rule for the designation of chemical groups is that the connection to the skeleton or the rest of the molecule is via the last-mentioned structural element of the chemical group in question, ie for example in the case of (C 2 -C 8 )-alkenyloxy via the Oxygen atom, and in the case of heterocyclyl-(C1-C8)-alkyl or R 13 O(O)C-(C1-C8)-alkyl, each via the C atom of the alkyl group. In a complex chemical group such as heterocyclyl-(C1-C8)-alkyl or R 13 O(O)C-(C1-C8)-alkyl, the term “alkyl” therefore also stands for an alkylene group. In the case of the functional groups C(=O)R 13 , C(=O)OR 13 , C(=O)NR 11 R 12 , NR 11 R 12 , OR 13 , S(O)mR 14 , the bond to the skeleton or the rest of the molecule is made via the first-mentioned structural element of the chemical group in question. According to the invention, "alkylsulfonyl" - alone or as part of a chemical group - stands for straight-chain or branched alkylsulfonyl, preferably having 1 to 8, or having 1 to 6 carbon atoms, e.g. (but not limited to) (C 1 -C 6 )-alkylsulfonyl such as methylsulfonyl, ethylsulfonyl, propylsulfonyl, 1-methylethylsulfonyl, butylsulfonyl, 1-methylpropylsulfonyl, 2-methylpropylsulfonyl, 1,1-dimethylethylsulfonyl, pentylsulfonyl, 1-methylbutylsulfonyl, 2-methylbutylsulfonyl, 3-methylbutylsulfonyl, 1,1-dimethylpropylsulfonyl, 1,2-dimethylpropylsulfonyl, 2,2-dimethylpropylsulfonyl, 1-ethylpropylsulfonyl, hexylsulfonyl, 1-methylpentylsulfonyl, 2-methylpentylsulfonyl, 3-Methylpentylsulfonyl, 4-Methylpentylsulfonyl, 1,1-Dimethylbutylsulfonyl, 1,2-Dimethylbutylsulfonyl, 1,3-Dimethylbutylsulfonyl, 2,2-Dimethylbutylsulfonyl, 2,3-Dimethylbutylsulfonyl, 3,3-Dimethylbutylsulfonyl, 1-Ethylbutylsulfonyl, 2-Ethylbutylsulfonyl, 1,1,2-Trimethylpropylsulfonyl, 1,2,2-Trimethylpropylsulfonyl, 1-Ethyl-1-methylpropylsulfonyl and 1-Ethyl-2-methylpropylsulfonyl. According to the invention, “heteroarylsulfonyl” stands for optionally substituted pyridylsulfonyl, pyrimidinylsulfonyl, pyrazinylsulfonyl or optionally substituted polycyclic heteroarylsulfonyl, here in particular optionally substituted quinolinylsulfonyl, for example substituted by fluorine, chlorine, bromine, iodine, cyano, nitro, alkyl, haloalkyl, haloalkoxy, amino, alkylamino, alkylcarbonylamino, dialkylamino or alkoxy groups. According to the invention, "alkylthio" - alone or as part of a chemical group - stands for straight-chain or branched S-alkyl, preferably having 1 to 8, or having 1 to 6 carbon atoms, such as (C1-C10)-, (C1-C6)- or (C1-C4)-alkylthio, e.g. (but not limited to) (C1-C6)-alkylthio such as methylthio, ethylthio, propylthio, 1-methylethylthio, butylthio, 1-methylpropylthio, 2-methylpropylthio, 1,1-dimethylethylthio, pentylthio, 1-methylbutylthio, 2-methylbutylthio, 3-methylbutylthio, 1,1-dimethylpropylthio, 1,2-dimethylpropylthio, 2,2-dimethylpropylthio, 1-ethylpropylthio, hexylthio, 1-methylpentylthio, 2-methylpentylthio, 3-methylpentylthio, 4-methylpentylthio, 1,1-dimethylbutylthio, 1,2-dimethylbutylthio, 1,3-dimethylbutylthio, 2,2-dimethylbutylthio, 2,3-dimethylbutylthio, 3,3-dimethylbutylthio, 1-ethylbutylthio, 2-ethylbutylthio, 1,1,2-Tri-35methylpropylthio, 1,2,2-trimethylpropylthio, 1-ethyl-1-methylpropylthio and 1-ethyl-2-methylpropylthio. According to the invention, “alkenylthio” means an alkenyl radical bonded via a sulfur atom, alkynylthio means an alkynyl radical bonded via a sulfur atom, cycloalkylthio means a cycloalkyl radical bonded via a sulfur atom, and cycloalkenylthio means a cycloalkenyl radical bonded via a sulfur atom. “Alkylsulfinyl (alkyl-S(=O)-)”, unless defined otherwise elsewhere, means alkyl radicals bonded to the skeleton via -S(=O)-, such as (C 1 -C 10 ), (C 1 -C 6 ) or (C 1 -C 4 ) alkylsulfinyl, e.g. B. (but not limited to) (C 1 -C 6 )-alkylsulfinyl such as methylsulfinyl, ethylsulfinyl, propylsulfinyl, 1-methylethylsulfinyl, butylsulfinyl, 1-methylpropylsulfinyl, 2-methylpropylsulfinyl, 1,1-dimethylethylsulfinyl, pentylsulfinyl, 1-Methylbutylsulfinyl, 2-Methylbutylsulfinyl, 3-Methylbutylsulfinyl, 1,1-Dimethylpropylsulfinyl, 1,2-Dimethylpropylsulfinyl, 2,2-Di-methylpropylsulfinyl, 1-Ethylpropylsulfinyl, Hexylsulfinyl, 1-Methylpentylsulfinyl, 2-Methylpentyl- sulfinyl, 3-methylpentylsulfinyl, 4-Methylpentylsulfinyl, 1,1-Dimethylbutylsulfinyl, 1,2-Dimethylbutylsulfinyl, 1,3-Dimethylbutylsulfinyl, 2,2-Dimethylbutylsulfinyl, 2,3-Dimethylbutylsulfinyl, 3,3-Dimethylbutylsulfinyl, 1-Ethylbutylsulfinyl, 2-Ethylbutylsulfinyl, 1,1,2-trimethylpropylsulfinyl, 1,2,2-trimethylpropylsulfinyl, 1-ethyl-1-methylpropylsulfinyl and 1-ethyl-2-methylpropylsulfinyl. Analogously, “alkenylsulfinyl” and “alkynylsulfinyl” are defined according to the invention as alkenyl or alkynyl radicals which are bonded to the skeleton via -S(=O)-, such as (C 2 -C 10 )-, (C 2 -C 6 )- or (C 2 -C 4 )-alkenylsulfinyl or (C 3 -C 10 )-, (C 3 -C 6 )- or (C 3 -C 4 )-alkynylsulfinyl. Analogously, "alkenylsulfonyl" and "alkynylsulfonyl" are defined according to the invention as alkenyl or alkynyl radicals bonded to the skeleton via -S(=O)2-, such as (C2-C10)-, (C2-C6)- or (C2-C4)-alkenylsulfonyl or (C3-C10)-, (C3-C6)- or (C3-C4)-alkynylsulfonyl. "Alkoxy" means an alkyl radical bonded via an oxygen atom, e.g. B. (but not limited to) (C1-C6) alkoxy such as methoxy, ethoxy, propoxy, 1-methylethoxy, butoxy, 1-methylpropoxy, 2-methylpropoxy, 1,1-dimethylethoxy, pentoxy, 1-methylbutoxy, 2-methylbutoxy, 3-methylbutoxy, 1,1-dimethylpropoxy, 1,2-dimethylpropoxy, 2,2-dimethylpropoxy, 1-ethylpropoxy, hexoxy, 1-methylpentoxy, 2-methylpentoxy, 3-methylpentoxy, 4-methylpentoxy, 1,1-dimethylbutoxy, 1,2-dimethylbutoxy, 1,3-dimethylbutoxy, 2,2-dimethylbutoxy, 2,3-dimethylbutoxy, 3,3-dimethylbutoxy, 1-ethylbutoxy, 2-ethylbutoxy, 1,1,2-Trimethylpropoxy, 1,2,2-Trimethylpropoxy, 1-ethyl-1-methylpropoxy, and 1-ethyl-2-methylpropoxy. Alkenyloxy means an alkenyl radical bonded via an oxygen atom. Alkynyloxy means an alkynyl radical bonded via an oxygen atom, such as (C2-C10)-, (C2-C6)-, or (C2-C4)-alkenoxy or (C3-C10)-, (C3-C6)-, or (C3-C4)-alkynoxy. "Cycloalkyloxy" means a cycloalkyl radical bonded via an oxygen atom, and cycloalkenyloxy means a cycloalkenyl radical bonded via an oxygen atom. "Alkylcarbonyl" (alkyl-C(=O)-), unless defined otherwise elsewhere, refers to alkyl radicals bonded to the skeleton via -C(=O)-, such as (C1-C10)-, (C1-C6)-, or (C1-C4)-alkylcarbonyl. The number of carbon atoms refers to the alkyl radical in the alkylcarbonyl group. Analogously, "alkenylcarbonyl" and "alkynylcarbonyl", unless defined otherwise elsewhere, represent alkenyl or alkynyl radicals bonded to the skeleton via -C(=O)-, such as (C 2 -C 10 ), (C 2 -C 6 ) or (C 2 -C 4 ) alkenylcarbonyl or (C 2 -C 10 ), (C 2 -C 6 ) or (C 2 -C 4 ) alkynylcarbonyl. The number of C atoms refers to the alkenyl or alkynyl radical in the alkenyl or alkynylcarbonyl group. "Alkoxycarbonyl (alkyl-OC(=O)-)", unless defined otherwise elsewhere: Alkyl radicals that are bonded to the skeleton via -OC(=O)-, such as (C 1 -C 10 )-, (C 1 -C 6 )-, or (C 1 -C 4 )-alkoxycarbonyl. The number of C atoms refers to the alkyl radical in the alkoxycarbonyl group. Analogously, "alkenyloxycarbonyl" and "alkynyloxycarbonyl", unless defined otherwise elsewhere, represent alkenyl or alkynyl radicals bonded to the skeleton via -OC(=O)-, such as (C 2 -C 10 ), (C 2 -C 6 ) or (C 2 -C 4 ) alkenyloxycarbonyl or (C 3 -C 10 ), (C 3 -C 6 ) or (C 3 -C 4 ) alkynyloxycarbonyl. The number of C atoms refers to the alkenyl or alkynyl radical in the alkene or alkynyloxycarbonyl group. According to the invention, the term "alkylcarbonyloxy" (alkyl-C(=O)-O-) stands, unless defined otherwise elsewhere, for alkyl radicals that are bonded to the skeleton via a carbonyloxy group (-C(=O)-O-) with the oxygen, such as (C1-C10)-, (C1-C6)-, or (C1-C4)-alkylcarbonyloxy. The number of C atoms refers to the alkyl radical in the alkylcarbonyloxy group. Analogously, "alkenylcarbonyloxy" and "alkynylcarbonyloxy" are defined according to the invention as alkenyl or alkynyl radicals that are bonded to the skeleton via (-C(=O)-O-) with the oxygen, such as (C2-C10)-, (C2-C6)-, or (C2-C4)-alkenylcarbonyloxy or (C2-C10)-, (C2-C6)-, or (C2-C4)-alkynylcarbonyloxy. The number of C atoms refers to the alkenyl or alkynyl radical in the alkenyl or alkynylcarbonyloxy group. 35 In abbreviations such as C(O)R 13 , C(O)OR 13 , OC(O)NR 11 R 12 , or C(O)NR 11 R 12 the abbreviation O in parentheses stands for an oxygen atom bonded to the adjacent carbon atom via a double bond. In abbreviations such as OC(S)OR 13 , OC(S)SR 14 , OC(S)NR 11 R 12 , the abbreviation S in parentheses stands for a sulfur atom bonded to the adjacent carbon atom via a double bond. The term “aryl” means an optionally substituted mono-, bi- or polycyclic aromatic system having preferably 6 to 14, in particular 6 to 10 ring C atoms, for example phenyl, naphthyl, anthryl, phenanthrenyl, and the like, preferably phenyl. The term “optionally substituted aryl” also includes polycyclic systems such as tetrahydronaphthyl, indenyl, indanyl, fluorenyl, biphenylyl, where the bonding site is on the aromatic system. In systematic terms, “aryl” is generally also included in the term “optionally substituted phenyl”. Preferred aryl substituents here are, for example, hydrogen, halogen, alkyl, cycloalkyl, cycloalkylalkyl, cycloalkenyl, halocycloalkyl, alkenyl, alkynyl, aryl, arylalkyl, arylalkenyl, heteroaryl, heteroarylalkyl, heterocyclyl, heterocyclylalkyl, alkoxyalkyl, alkylthio, haloalkylthio, haloalkyl, Alkoxy, haloalkoxy, cycloalkoxy, cycloalkylalkoxy, aryloxy, heteroraryloxy, alkoxyalkoxy, alkynylalkoxy, alkenyloxy, bis-alkylaminoalkoxy, tris-[alkyl]silyl, bis-[alkyl]arylsilyl, bis-[alkyl]alkylsilyl, tris-[alkyl]silylalkynyl, arylalkynyl, Heteroarylalkynyl, Alkylalkynyl, Cycloalkylalkynyl, Haloalkylalkynyl, Heterocyclyl-N-alkoxy, Nitro, Cyano, Amino, alkylamino, bis-alkylamino, alkylcarbonylamino, cycloalkylcarbonylamino, arylcarbonylamino, alkoxycarbonylamino, alkoxycarbonylalkylamino, arylalkoxycarbonylalkylamino, hydroxycarbonyl, alkoxycarbonyl, aminocarbonyl, alkylaminocarbonyl, cycloalkylaminocarbonyl, bis-alkylaminocarbonyl, heteroarylalkoxy, arylalkoxy A heterocyclic radical (heterocyclyl) contains at least one heterocyclic ring (=carbocyclic ring in which at least one C atom is replaced by a heteroatom, preferably by a heteroatom from the group N, O, S, P) which is saturated, unsaturated, partially saturated or heteroaromatic and can be unsubstituted or substituted, where the bonding site is located on a ring atom. If the heterocyclyl radical or the heterocyclic ring is optionally substituted, it can be fused with other carbocyclic or heterocyclic rings. In the case of optionally substituted heterocyclyl, polycyclic systems are also encompassed, such as, for example, 8-azabicyclo[3.2.1]octanyl, 8-azabicyclo[2.2.2]octanyl or 1-azabicyclo[2.2.1]heptyl. In the case of optionally substituted heterocyclyl, spirocyclic systems are also encompassed, such as, for example, 1-oxa-5-aza-spiro[2.3]hexyl. Unless otherwise defined, the heterocyclic ring preferably contains 3 to 9 ring atoms, in particular 3 to 6 ring atoms, and one or more, preferably 1 to 4, in particular 1, 2 or 3 heteroatoms in the heterocyclic ring, preferably from the group N, O, and S, but where two oxygen atoms should not be directly adjacent, such as, for example, with a heteroatom from the group N, O and S 1- or 2- or 3-pyrrolidinyl, 3,4-dihydro-2H-pyrrol-2- or 3-yl, 2,3-dihydro-1H-pyrrol- 1- or 2- or 3- or 4- or 5-yl; 2,5-dihydro-1H-pyrrol-1- or 2- or 3-yl, 1- or 2- or 3- or 4-piperidinyl; 2,3,4,5-tetrahydropyridin-2- or 3- or 4- or 5-yl or 6-yl; 1,2,3,6-Tetrahydropyridin-1- or 2- or 3- or 4- or 5- or 6-yl; 1,2,3,4-Tetrahydropyridin-1- or 2- or 3- or 4- or 5- or 6-yl; 1,4-Dihydropyridin-1- or 2- or 3- or 4-yl; 2,3-Dihydropyridin- 2- or 3- or 4- or 5- or 6-yl; 2,5-Dihydropyridin-2- or 3- or 4- or 5- or 6-yl, 1- or 2- or 3- or 4-azepanyl; 2,3,4,5-Tetrahydro-1H-azepin-1- or 2- or 3- or 4- or 5- or 6- or 7-yl; 2,3,4,7-Tetrahydro-1H-azepin-1- or 2- or 3- or 4- or 5- or 6- or 7-yl; 2,3,6,7-Tetrahydro-1H-azepin-1- or 2- or 3- or 4-yl; 3,4,5,6-Tetrahydro-2H-azepin-2- or 3- or 4- or 5- or 6- or 7-yl; 4,5-Dihydro-1H-azepin-1- or 2- or 3- or 4-yl; 2,5-Dihydro-1H-azepin- 1- or -2- or 3- or 4- or 5- or 6- or 7-yl; 2,7-Dihydro-1H-azepin-1- or -2- or 3- or 4- yl; 2,3-Dihydro-1H-azepin-1- or -2- or 3- or 4- or 5- or 6- or 7-yl; 3,4-Dihydro-2H-azepin- 2- or 3- or 4- or 5- or 6- or 7-yl; 3,6-Dihydro-2H-azepin-2- or 3- or 4- or 5- or 6- or 7-yl; 5,6-Dihydro-2H-azepin-2- or 3- or 4- or 5- or 6- or 7-yl; 4,5-Dihydro-3H-azepin- 2- or 3- or 4- or 5- or 6- or 7-yl; 1H-azepin-1- or -2- or 3- or 4- or 5- or 6- or 7-yl; 2H-azepine-2- or 3- or 4- or 5- or 6- or 7-yl; 3H-azepine-2- or 3- or 4- or 5- or 6- or 7-yl; 4H-azepine-2- or 3- or 4- or 5- or 6- or 7-yl, 2- or 3-oxolanyl (= 2- or 3-tetrahydrofuranyl); 2,3-dihydrofuran-2- or 3- or 4- or 5-yl; 2,5-dihydrofuran-2- or 3-yl, 2- or 3- or 4-oxanyl (= 2- or 3- or 4-tetrahydropyranyl); 3,4-dihydro-2H-pyran-2- or 3- or 4- or 5- or 6-yl; 3,6-Dihydro-2H-pyran-2- or 3- or 4- or 5- or 6-yl; 2H-pyran-2- or 3- or 4- or 5- or 6-yl; 4H-pyran-2- or 3- or 4-yl, 2- or 3- or 4-oxepanyl; 2,3,4,5-Tetrahydrooxepin-2- or 3- or 4- or 5- or 6- or 7-yl; 2,3,4,7-Tetrahydrooxepin-2- or 3- or 4- or 5- or 6- or 7-yl; 2,3,6,7-Tetrahydrooxepin-2- or 3- or 4-yl; 2,3-Dihydrooxepin-2- or 3- or 4- or 5- or 6- or 7-yl; 4,5-Dihydrooxepin-2- or 3- or 4-yl; 2,5-Dihydrooxepin-2- or 3- or 4- or 5- or 6- or 7-yl; Oxepin-2- or 3- or 4- or 5- or 6- or 7-yl; 2- or 3- Tetrahydrothiophenyl; 2,3-Dihydrothiophen-2- or 3- or 4- or 5-yl; 2,5-Dihydrothiophen-2- or 3-yl; Tetrahydro-2H-thiopyran-2- or 3- or 4-yl; 3,4-Dihydro-2H-thiopyran-2- or 3- or 4- or 5- or 6-yl; 3,6-Dihydro-2H-thiopyran-2- or 3- or 4- or 5- or 6-yl; 2H-Thiopyran-2- or 3- or 4- or 5- or 6-yl; 4H-Thiopyran-2- or 3- or 4-yl. Preferred 3-membered and 4-membered ring heterocycles are, for example, 1- or 2-aziridinyl, oxiranyl, thiiranyl, 1- or 2- or 3-azetidinyl, 2- or 3-oxetanyl, 2- or 3-thietanyl, and 1,3-dioxetan-2-yl. Further examples of “heterocyclyl” are a partially or fully hydrogenated heterocyclic radical having two heteroatoms from the group consisting of N, O, and S, such as, for example, 1- or 2- or 3- or 4-pyrazolidinyl; 4,5-dihydro-3H-pyrazol-3- or 4- or 5-yl; 4,5-Dihydro-1H-pyrazol-1- or 3- or 4- or 5-yl; 2,3-Dihydro-1H-pyrazol-1- or 2- or 3- or 4- or 5-yl; 1- or 2- or 3- or 4-Imidazolidinyl; 2,3-Dihydro-1H-imidazol-1- or 2- or 3- or 4-yl; 2,5-dihydro-1H-imidazol-1- or 2- or 4- or 5-yl; 4,5-dihydro-1H-imidazol-1- or 2- or 4- or 5-yl; hexahydropyridazin-1- or 2- or 3- or 4-yl; 1,2,3,4-tetrahydropyridazin-1- or 2- or 3- or 4- or 5- or 6-yl; 1,2,3,6-tetrahydropyridazin-1- or 2- or 3- or 4- or 5- or 6-yl; 1,4,5,6-tetrahydropyridazin-1- or 3- or 4- or 5- or 6-yl; 3,4,5,6-Tetrahydropyridazin-3- or 4- or 5-yl; 4,5-Dihydropyridazin-3- or 4-yl; 3,4-Dihydropyridazin-3- or 4- or 5- or 6-yl; 3,6-Dihydropyridazin-3- or 4-yl; 1,6-Dihydropyriazin-1- or 3- or 4- or 5- or 6-yl; Hexahydropyrimidin-1- or 2- or 3- or 4-yl; 1,4,5,6-Tetrahydropyrimidin-1- or 2- or 4- or 5- or 6-yl; 1,2,5,6-Tetrahydropyrimidin-1- or 2- or 4- or 5- or 6-yl; 1,2,3,4-Tetrahydropyrimidin-1- or 2- or 3- or 4- or 5- or 6-yl; 1,6-Dihydropyrimidin-1- or 2- or 4- or 5- or 6-yl; 1,2-Dihydropyrimidin-1- or 2- or 4- or 5- or 6-yl; 2,5-Dihydropyrimidin- 2- or 4- or 5-yl; 4,5-Dihydropyrimidin- 4- or 5- or 6-yl; 1,4-Dihydropyrimidin-1- or 2- or 4- or 5- or 6-yl; 1- or 2- or 3-Piperazinyl; 1,2,3,6-Tetrahydropyrazin-1- or 2- or 3- or 5- or 6-yl; 1,2,3,4-Tetrahydropyrazin-1- or 2- or 3- or 4- or 5- or 6-yl; 1,2-Dihydropyrazin-1- or 2- or 3- or 5- or 6-yl; 1,4-Dihydropyrazin-1- or 2- or 3-yl; 2,3-Dihydropyrazin-2- or 3- or 5- or 6-yl; 2,5-Dihydropyrazin-2- or 3-yl; 1,3-Dioxolan-2- or 4- or 5-yl; 1,3-Dioxol-2- or 4-yl; 1,3-Dioxan-2- or 4- or 5-yl; 4H-1,3-Dioxin-2- or 4- or 5- or 6-yl; 1,4-Dioxan-2- or 3- or 5- or 6-yl; 2,3-Dihydro-1,4-dioxin-2- or 3- or 5- or 6-yl; 1,4-dioxin-2- or 3-yl; 1,2-Dithiolan-3- or 4-yl; 3H-1,2-Dithiol-3- or 4- or 5-yl; 1,3-Dithiolan-2- or 4-yl; 1,3-Dithiol- 2- or 4-yl; 1,2-Dithian-3- or 4-yl; 3,4-Dihydro-1,2-dithiin-3- or 4- or 5- or 6-yl; 3,6-Dihydro- 1,2-dithiin-3- or 4-yl; 1,2-Dithiin-3- or 4-yl; 1,3-Dithian-2- or 4- or 5-yl; 4H-1,3-Dithiyn-2- or 4- or 5- or 6-yl; Isoxazolidin-2- or 3- or 4- or 5-yl; 2,3-Dihydroisoxazol-2- or 3- or 4- or 5-yl; 2,5-Dihydroisoxazol-2- or 3- or 4- or 5-yl; 4,5-Dihydroisoxazol-3- or 4- or 5-yl; 1,3-Oxazolidin-2- or 3- or 4- or 5-yl; 2,3-Dihydro-1,3-oxazol-2- or 3- or 4- or 5-yl; 2,5-Dihydro-1,3-oxazol-2- or 4- or 5-yl; 4,5-Dihydro-1,3-oxazol-2- or 4- or 5-yl; 1,2-Oxazinan-2- or 3- or 4- or 5- or 6-yl; 3,4-Dihydro-2H-1,2-oxazin-2- or 3- or 4- or 5- or 6-yl; 3,6-Dihydro-2H-1,2-oxazin-2- or 3- or 4- or 5- or 6-yl; 5,6-Dihydro-2H-1,2-oxazin-2- or 3- or 4- or 5- or 6-yl; 5,6-Dihydro-4H-1,2-oxazin-3- or 4- or 5- or 6-yl; 2H-1,2-Oxazin-2- or 3- or 4- or 5- or 6-yl; 6H-1,2-oxazin-3- or 4- or 5- or 6-yl; 4H-1,2-oxazin-3- or 4- or 5- or 6-yl; 1,3-oxazinan-2- or 3- or 4- or 5- or 6-yl; 3,4-dihydro-2H-1,3-oxazin-2- or 3- or 4- or 5- or 6-yl; 3,6-dihydro-2H-1,3-oxazin-2- or 3- or 4- or 5- or 6-yl; 5,6-dihydro-2H-1,3-oxazin-2- or 4- or 5- or 6-yl; 5,6-dihydro-4H-1,3-oxazin-2- or 4- or 5- or 6-yl; 2H-1,3-oxazin-2- or 4- or 5- or 6-yl; 6H-1,3-oxazin-2- or 4- or 5- or 6-yl; 4H-1,3-oxazin-2- or 4- or 5- or 6-yl; morpholin-2- or 3- or 4-yl; 3,4-dihydro-2H-1,4-oxazin-2- or 3- or 4- or 5- or 6-yl; 3,6-dihydro-2H-1,4-oxazin-2- or 3- or 5- or 6-yl; 2H-1,4-oxazin-2- or 3- or 5- or 6-yl; 4H-1,4-oxazin-2- or 3-yl; 1,2-Oxazepan-2- or 3- or 4- or 5- or 6- or 7-yl; 2,3,4,5-Tetrahydro-1,2-oxazepin-2- or 3- or 4- or 5- or 6- or 7-yl; 2,3,4,7-Tetrahydro-1,2-oxazepin-2- or 3- or 4- or 5- or 6- or 7-yl; 2,3,6,7-Tetrahydro-1,2-oxazepin-2- or 3- or 4- or 5- or 6- or 7-yl; 2,5,6,7-tetrahydro-1,2-oxazepin-2- or 3- or 4- or 5- or 6- or 7-yl; 4,5,6,7-tetrahydro-1,2-oxazepin-3- or 4- or 5- or 6- or 7-yl; 2,3-dihydro-1,2-oxazepin-2- or 3- or 4- or 5- or 6- or 7-yl; 2,5-dihydro-1,2-oxazepin-2- or 3- or 4- or 5- or 6- or 7-yl; 2,7-dihydro-1,2-oxazepin-2- or 3- or 4- or 5- or 6- or 7-yl; 4,5-Dihydro-1,2-oxazepin-3- or 4- or 5- or 6- or 7-yl; 4,7-Dihydro-1,2-oxazepin-3- or 4- or 5- or 6- or 7-yl; 6,7-Dihydro-1,2-oxazepin-3- or 4- or 5- or 6- or 7-yl; 1,2-oxazepin-3- or 4- or 5- or 6- or 7-yl; 1,3-Oxazepan-2- or 3- or 4- or 5- or 6- or 7-yl; 2,3,4,5-Tetrahydro-1,3-oxazepin-2- or 3- or 4- or 5- or 6- or 7-yl; 2,3,4,7-Tetrahydro-1,3-oxazepin-2- or 3- or 4- or 5- or 6- or 7-yl; 2,3,6,7-Tetrahydro-1,3-oxazepin-2- or 3- or 4- or 5- or 6- or 7-yl; 2,5,6,7-Tetrahydro-1,3-oxazepin-2- or 4- or 5- or 6- or 7-yl; 4,5,6,7-Tetrahydro-1,3-oxazepin-2- or 4- or 5- or 6- or 7-yl; 2,3-Dihydro-1,3-oxazepin-2- or 3- or 4- or 5- or 6- or 7-yl; 2,5-Dihydro-1,3-oxazepin-2- or 4- or 5- or 6- or 7-yl; 2,7-Dihydro-1,3-oxazepin- 2- or 4- or 5- or 6- or 7-yl; 4,5-Dihydro-1,3-oxazepin-2- or 4- or 5- or 6- or 7-yl; 4,7-Dihydro-1,3-oxazepin-2- or 4- or 5- or 6- or 7-yl; 6,7-Dihydro-1,3-oxazepin-2- or 4- or 5- or 6- or 7-yl; 1,3-Oxazepin-2- or 4- or 5- or 6- or 7-yl; 1,4-Oxazepan-2- or 3- or 5- or 6- or 7-yl; 2,3,4,5-Tetrahydro-1,4-oxazepin-2- or 3- or 4- or 5- or 6- or 7-yl; 2,3,4,7-Tetrahydro-1,4-oxazepin-2- or 3- or 4- or 5- or 6- or 7-yl; 2,3,6,7-Tetrahydro-1,4-oxazepin- 2- or 3- or 5- or 6- or 7-yl; 2,5,6,7-Tetrahydro-1,4-oxazepin-2- or 3- or 5- or 6- or 7-yl; 4,5,6,7-Tetrahydro-1,4-oxazepin-2- or 3- or 4- or 5- or 6- or 7-yl; 2,3-Dihydro-1,4-oxazepin-2- or 3- or 5- or 6- or 7-yl; 2,5-Dihydro-1,4-oxazepin-2- or 3- or 5- or 6- or 7-yl; 2,7-Dihydro-1,4-oxazepin-2- or 3- or 5- or 6- or 7-yl; 4,5-Dihydro-1,4-oxazepin-2- or 3- or 4- or 5- or 6- or 7-yl; 4,7-Dihydro-1,4-oxazepin-2- or 3- or 4- or 5- or 6- or 7-yl; 6,7-Dihydro-1,4-oxazepin-2- or 3- or 5- or 6- or 7-yl; 1,4-oxazepin-2- or 3- or 5- or 6- or 7-yl; isothiazolidin-2- or 3- or 4- or 5-yl; 2,3-Dihydroisothiazol-2- or 3- or 4- or 5-yl; 2,5-Dihydroisothiazol-2- or 3- or 4- or 5-yl; 4,5-Dihydroisothiazol-3- or 4- or 5-yl; 1,3-Thiazolidin-2- or 3- or 4- or 5-yl; 2,3-Dihydro-1,3-thiazol-2- or 3- or 4- or 5-yl; 2,5-Dihydro-1,3-thiazol-2- or 4- or 5-yl; 4,5-Dihydro-1,3-thiazol-2- or 4- or 5-yl; 1,3-Thiazinan-2- or 3- or 4- or 5- or 6-yl; 3,4-Dihydro-2H-1,3-thiazin-2- or 3- or 4- or 5- or 6-yl; 3,6-Dihydro-2H-1,3-thiazin-2- or 3- or 4- or 5- or 6-yl; 5,6-Dihydro-2H-1,3-thiazin-2- or 4- or 5- or 6-yl; 5,6-Dihydro-4H-1,3-thiazin-2- or 4- or 5- or 6-yl; 2H-1,3-Thiazin-2- or 4- or 5- or 6-yl; 6H-1,3-Thiazin-2- or 4- or 5- or 6-yl; 4H-1,3-Thiazin-2- or 4- or 5- or 6-yl. Further examples of “heterocyclyl” are a partially or fully hydrogenated heterocyclic radical with 3 heteroatoms from the group N, O and S, such as, for example, 1,4,2-dioxazolidin-2- or 3- or 5-yl; 1,4,2-dioxazol-3- or 5-yl; 1,4,2-dioxazinan-2- or -3- or 5- or 6-yl; 5,6-Dihydro-1,4,2-dioxazin-3- or 5- or 6-yl; 1,4,2-Dioxazin-3- or 5- or 6-yl; 1,4,2-Dioxazepan-2- or 3- or 5- or 6- or 7-yl; 6,7-Dihydro-5H-1,4,2-Dioxazepin-3- or 5- or 6- or 7-yl; 2,3-Dihydro-7H-1,4,2-Dioxazepin-2- or 3- or 5- or 6- or 7-yl; 2,3-Dihydro-5H-1,4,2-Dioxazepin-2- or 3- or 5- or 6- or 7-yl; 5H-1,4,2-dioxazepin-3- or 5- or 6- or 7-yl; 7H-1,4,2-dioxazepin-3- or 5- or 6- or 7-yl. Structural examples of optionally further substituted heterocycles are also listed below: \ 1 ) ) ) ) j
A . . K1 _ _ A . . K1 _ _
Die oben aufgeführten Heterocyclen sind bevorzugt beispielsweise durch Wasserstoff, Halogen, Alkyl, Haloalkyl, Hydroxy, Alkoxy, Cycloalkoxy, Aryloxy, Alkoxyalkyl, Alkoxyalkoxy, Cycloalkyl, Halocycloalkyl, Aryl, Arylalkyl, Heteroaryl, Heterocyclyl, Alkenyl, Alkylcarbonyl, Cycloalkylcarbonyl, Arylcarbonyl, Heteroarylcarbonyl, Alkoxycarbonyl, Hydroxycarbonyl, Cycloalkoxycarbonyl, Cycloalkylalkoxycarbonyl, Alkoxycarbonylalkyl, Arylalkoxycarbonyl, Arylalkoxycarbonylalkyl, Alkinyl, Alkinylalkyl, Alkylalkinyl, Tris-alkylsilylalkinyl, Nitro, Amino, Cyano, Haloalkoxy, Haloalkylthio, Alkylthio, Hydrothio, Hydroxyalkyl, Oxo, Heteroarylalkoxy, Arylalkoxy, Heterocyclylalkoxy, Heterocyclylalkylthio, Heterocyclyloxy, Heterocyclylthio, Heteroaryloxy, Bis- alkylamino, Alkylamino, Cycloalkylamino, Hydroxycarbonylalkylamino, Alkoxycarbonylalkylamino, Arylalkoxycarbonylalkylamino, Alkoxycarbonylalkyl(alkyl)amino, Aminocarbonyl, Alkylaminocarbonyl, Bis-alkylaminocarbonyl, Cycloalkylaminocarbonyl, Hydroxycarbonylalkylaminocarbonyl, Alkoxycarbonylalkylaminocarbonyl, Arylalkoxycarbonylalkylaminocarbonyl substituiert. Wenn ein Grundkörper „durch einen oder mehrere Reste“ aus einer Aufzählung von Resten (= Gruppe) oder einer generisch definierten Gruppe von Resten substituiert ist, so schließt dies jeweils die gleichzeitige Substitution durch mehrere gleiche und/oder strukturell unterschiedliche Reste ein. Handelt es sich es sich um einen teilweise oder vollständig gesättigten Stickstoff-Heterocyclus, so kann dieser sowohl über Kohlenstoff als auch über den Stickstoff mit dem Rest des Moleküls verknüpft sein. Als Substituenten für einen substituierten heterocyclischen Rest kommen die weiter unten genannten Substituenten in Frage, zusätzlich auch Oxo und Thioxo. Die Oxogruppe als Substituent an einem Ring- C-Atom bedeutet dann beispielsweise eine Carbonylgruppe im heterocyclischen Ring. Dadurch sind vorzugsweise auch Lactone und Lactame umfasst. Die Oxogruppe kann auch an den Heteroringatomen, die in verschiedenen Oxidationsstufen existieren können, z.B. bei N und S, auftreten und bilden dann beispielsweise die divalenten Gruppen N(O), S(O) (auch kurz SO) und S(O)2 (auch kurz SO2) im heterocyclischen Ring. Im Fall von –N(O)- und –S(O)-Gruppen sind jeweils beide Enantiomere umfasst. Erfindungsgemäß steht der Ausdruck „Heteroaryl“ für heteroaromatische Verbindungen, d. h. vollständig ungesättigte aromatische heterocyclische Verbindungen, vorzugsweise für 5- bis 7-gliedrige Ringe mit 1 bis 4, vorzugsweise 1 oder 2 gleichen oder verschiedenen Heteroatomen, vorzugsweise O, S oder N. Erfindungsgemäße Heteroaryle sind beispielsweise 1H-Pyrrol-1-yl; 1H-Pyrrol-2-yl; 1H-Pyrrol- 3-yl; Furan-2-yl; Furan-3-yl; Thien-2-yl; Thien-3-yl, 1H-Imidazol-1-yl; 1H-Imidazol-2-yl; 1H-Imidazol- 4-yl; 1H-Imidazol-5-yl; 1H-Pyrazol-1-yl; 1H-Pyrazol-3-yl; 1H-Pyrazol-4-yl; 1H-Pyrazol-5-yl, 1H-1,2,3- Triazol-1-yl, 1H-1,2,3-Triazol-4-yl, 1H-1,2,3-Triazol-5-yl, 2H-1,2,3-Triazol-2-yl, 2H-1,2,3-Triazol-4-yl, 1H-1,2,4-Triazol-1-yl, 1H-1,2,4-Triazol-3-yl, 4H-1,2,4-Triazol-4-yl, 1,2,4-Oxadiazol-3-yl, 1,2,4- Oxadiazol-5-yl, 1,3,4-Oxadiazol-2-yl, 1,2,3-Oxadiazol-4-yl, 1,2,3-Oxadiazol-5-yl, 1,2,5-Oxadiazol-3-yl, Azepinyl, Pyridin-2-yl, Pyridin-3-yl, Pyridin-4-yl, Pyrazin-2-yl, Pyrazin-3-yl, Pyrimidin-2-yl, Pyrimidin-4-yl, Pyrimidin-5-yl, Pyridazin-3-yl, Pyridazin-4-yl, 1,3,5-Triazin-2-yl, 1,2,4-Triazin-3-yl, 1,2,4-Triazin-5-yl, 1,2,4-Triazin-6-yl, 1,2,3-Triazin-4-yl, 1,2,3-Triazin-5-yl, 1,2,4-, 1,3,2-, 1,3,6- und 1,2,6-Oxazinyl, Isoxazol-3-yl, Isoxazol-4-yl, Isoxazol-5-yl, 1,3-Oxazol-2-yl, 1,3-Oxazol-4-yl, 1,3- Oxazol-5-yl, Isothiazol-3-yl, Isothiazol-4-yl, Isothiazol-5-yl, 1,3-Thiazol-2-yl, 1,3-Thiazol-4-yl, 1,3- Thiazol-5-yl, Oxepinyl, Thiepinyl, 1,2,4-Triazolonyl und 1,2,4-Diazepinyl, 2H-1,2,3,4-Tetrazol-5-yl, 1H-1,2,3,4-Tetrazol-5-yl, 1,2,3,4-Oxatriazol-5-yl, 1,2,3,4-Thiatriazol-5-yl, 1,2,3,5-Oxatriazol-4-yl, 1,2,3,5-Thiatriazol-4-yl. Die erfindungsgemäßen Heteroarylgruppen können ferner mit einem oder mehreren, gleichen oder verschiedenen Resten substituiert sein. Sind zwei benachbarte Kohlenstoffatome Bestandteil eines weiteren aromatischen Rings, so handelt es sich um annellierte heteroaromatische Systeme, wie benzokondensierte oder mehrfach annellierte Heteroaromaten. Bevorzugt sind beispielsweise Chinoline (z. B. Chinolin-2-yl, Chinolin-3-yl, Chinolin-4-yl, Chinolin-5- yl, Chinolin-6-yl, Chinolin-7-yl, Chinolin-8-yl); Isochinoline (z. B. Isochinolin-1-yl, Isochinolin-3-yl, Isochinolin-4-yl, Isochinolin-5-yl, Isochinolin-6-yl, Isochinolin-7-yl, Isochinolin-8-yl); Chinoxalin; Chinazolin; Cinnolin; 1,5-Naphthyridin; 1,6-Naphthyridin; 1,7-Naphthyridin; 1,8-Naphthyridin; 2,6- Naphthyridin; 2,7-Naphthyridin; Phthalazin; Pyridopyrazine; Pyridopyrimidine; Pyridopyridazine; Pteridine; Pyrimidopyrimidine. Beispiele für Heteroaryl sind auch 5- oder 6-gliedrige benzokondensierte Ringe aus der Gruppe 1H-Indol-1-yl, 1H-Indol-2-yl, 1H-Indol-3-yl, 1H-Indol-4-yl, 1H-Indol-5-yl, 1H- Indol-6-yl, 1H-Indol-7-yl, 1-Benzofuran-2-yl, 1-Benzofuran-3-yl, 1-Benzofuran-4-yl, 1-Benzofuran-5- yl, 1-Benzofuran-6-yl, 1-Benzofuran-7-yl, 1-Benzothiophen-2-yl, 1-Benzothiophen-3-yl, 1- Benzothiophen-4-yl, 1-Benzothiophen-5-yl, 1-Benzothiophen-6-yl, 1-Benzothiophen-7-yl, 1H-Indazol- 1-yl, 1H-Indazol-3-yl, 1H-Indazol-4-yl, 1H-Indazol-5-yl, 1H-Indazol-6-yl, 1H-Indazol-7-yl, 2H-Indazol-35 2-yl, 2H-Indazol-3-yl, 2H-Indazol-4-yl, 2H-Indazol-5-yl, 2H-Indazol-6-yl, 2H-Indazol-7-yl, 2H-Iso- indol-2-yl, 2H-Isoindol-1-yl, 2H-Isoindol-3-yl, 2H-Isoindol-4-yl, 2H-Isoindol-5-yl, 2H-Isoindol-6-yl; 2H-Isoindol-7-yl, 1H-Benzimidazol-1-yl, 1H-Benzimidazol-2-yl, 1H-Benzimidazol-4-yl, 1H-Benz- imidazol-5-yl, 1H-Benzimidazol-6-yl, 1H-Benzimidazol-7-yl, 1,3-Benzoxazol-2-yl, 1,3-Benzoxazol-4- yl, 1,3-Benzoxazol-5-yl, 1,3-Benzoxazol-6-yl, 1,3-Benzoxazol-7-yl, 1,3-Benzthiazol-2-yl, 1,3-Benz- thiazol-4-yl, 1,3-Benzthiazol-5-yl, 1,3-Benzthiazol-6-yl, 1,3-Benzthiazol-7-yl, 1,2-Benzisoxazol-3-yl, 1,2-Benzisoxazol-4-yl, 1,2-Benzisoxazol-5-yl, 1,2-Benzisoxazol-6-yl, 1,2-Benzisoxazol-7-yl, 1,2- Benzisothiazol-3-yl, 1,2-Benzisothiazol-4-yl, 1,2-Benzisothiazol-5-yl, 1,2-Benzisothiazol-6-yl, 1,2- Benzisothiazol-7-yl. Die Bezeichnung "Halogen" bedeutet beispielsweise Fluor, Chlor, Brom oder Iod. Wird die Bezeichnung für einen Rest verwendet, dann bedeutet "Halogen" beispielsweise ein Fluor-, Chlor-, Brom- oder Iodatom. Erfindungsgemäß bedeutet „Alkyl“ einen geradkettigen oder verzweigten offenkettigen, gesättigten Kohlenwasserstoffrest, der gegebenenfalls ein- oder mehrfach substituiert ist und im letzteren Falle als „substituiertes Alkyl“ bezeichnet wird. Bevorzugte Substituenten sind Halogenatome, Alkoxy-, Haloalkoxy-, Cyano-, Alkylthio, Haloalkylthio-, Amino- oder Nitrogruppen, besonders bevorzugt sind Methoxy, Methyl, Fluoralkyl, Cyano, Nitro, Fluor, Chlor, Brom oder Iod. Die Vorsilbe „Bis“ schließt auch die Kombination unterschiedlicher Alkylreste ein, z. B. Methyl(Ethyl) oder Ethyl(Methyl). „Haloalkyl“, „-alkenyl“ und „-alkinyl“ bedeuten durch gleiche oder verschiedene Halogenatome, teilweise oder vollständig substituiertes Alkyl, Alkenyl bzw. Alkinyl, z.B. Monohaloalkyl (= Monohalogenalkyl) wie z. B. CH2CH2Cl, CH2CH2Br, CHClCH3, CH2Cl, CH2F; Perhaloalkyl wie z. B. CCl3, CClF2, CFCl2, CF2CClF2, CF2CClFCF3; Polyhaloalkyl wie z. B. CH2CHFCl, CF2CClFH, CF2CBrFH, CH2CF3; Der Begriff Perhaloalkyl umfasst dabei auch den Begriff Perfluoralkyl. „Teilfluoriertes Alkyl“ bedeutet einen geradkettigen oder verzweigten, gesättigten Kohlenwasserstoff, der einfach oder mehrfach durch Fluor substituiert ist, wobei sich die entsprechenden Fluoratome als Substituenten an einem oder mehreren verschiedenen Kohlenstoffatomen der geradkettigen oder verzweigten Kohlenwasserstoffkette befinden können, wie z. B. CHFCH3, CH2CH2F, CH2CH2CF3, CHF2, CH2F, CHFCF2CF3 „Teilfluoriertes Haloalkyl“ bedeutet einen geradkettigen oder verzweigten, gesättigten Kohlenwasserstoff, der durch verschiedene Halogenatomen mit mindestens einem Fluoratom substituiert ist, wobei alle anderen gegebenenfalls vorhandenen Halogenatome ausgewählt sind aus der Gruppe Fluor, Chlor oder Brom, Iod. Die entsprechenden Halogenatome können sich dabei als Substituenten an 35 einem oder mehreren verschiedenen Kohlenstoffatomen der geradkettigen oder verzweigten Kohlenwasserstoffkette befinden. Teilfluoriertes Haloalkyl schließt auch die vollständige Substitution der geradkettigen oder verzweigten Kette durch Halogen unter Beteiligung von mindestens einem Fluoratom ein. „Haloalkoxy“ ist z.B. OCF3, OCHF2, OCH2F, OCF2CF3, OCH2CF3 und OCH2CH2Cl; Entsprechendes gilt für Haloalkenyl und andere durch Halogen substituierten Reste. Der hier beispielhaft genannte Ausdruck "(C1-C4)-Alkyl" bedeutet eine Kurzschreibweise für geradkettiges oder verzweigtes Alkyl mit einem bis 4 Kohlenstoffatomen entsprechend der Bereichsangabe für C-Atome, d. h. umfasst die Reste Methyl, Ethyl, 1-Propyl, 2-Propyl, 1-Butyl, 2-Butyl, 2-Methylpropyl oder tert-Butyl. Allgemeine Alkylreste mit einem größeren angegebenen Bereich von C-Atomen, z. B. "(C1-C6)-Alkyl", umfassen entsprechend auch geradkettige oder verzweigte Alkylreste mit einer größeren Zahl von C-Atomen, d. h. gemäß Beispiel auch die Alkylreste mit 5 und 6 C-Atomen. Wenn nicht speziell angegeben, sind bei den Kohlenwasserstoffresten wie Alkyl-, Alkenyl- und Alkinylresten, auch in zusammengesetzten Resten, die niederen Kohlenstoffgerüste, z.B. mit 1 bis 6 C-Atomen bzw. bei ungesättigten Gruppen mit 2 bis 6 C-Atomen, bevorzugt. Alkylreste, auch in den zusammengesetzten Resten wie Alkoxy, Haloalkyl usw., bedeuten z.B. Methyl, Ethyl, n- oder i-Propyl, n-, i-, t- oder 2-Butyl, Pentyle, Hexyle, wie n-Hexyl, i-Hexyl und 1,3-Dimethylbutyl, Heptyle, wie n-Heptyl, 1-Methylhexyl und 1,4-Dimethylpentyl; Alkenyl- und Alkinylreste haben die Bedeutung der den Alkylresten entsprechenden möglichen ungesättigten Reste, wobei mindestens eine Doppelbindung bzw. Dreifachbindung enthalten ist. Bevorzugt sind Reste mit einer Doppelbindung bzw. Dreifachbindung. Der Begriff „Alkenyl“ schließt insbesondere auch geradkettige oder verzweigte offenkettige Kohlenwasserstoffreste mit mehr als einer Doppelbindung ein, wie 1,3-Butadienyl und 1,4-Pentadienyl, aber auch Allenyl- oder Kumulenyl-reste mit einer bzw. mehreren kumulierten Doppelbindungen, wie beispielsweise Allenyl (1,2-Propadienyl), 1,2-Butadienyl und 1,2,3-Pentatrienyl. Alkenyl bedeutet z.B. Vinyl, welches ggf. durch weitere Alkylreste substituiert sein kann, z B. (aber nicht beschränkt auf) (C2-C6)-Alkenyl wie Ethenyl, 1-Propenyl, 2-Propenyl, 1-Methylethenyl, 1-Butenyl, 2-Butenyl, 3- Butenyl, 1-Methyl-1-propenyl, 2-Methyl-1-propenyl, 1-Methyl-2-propenyl, 2-Methyl-2-propenyl, 1- Pentenyl, 2-Pentenyl, 3-Pentenyl, 4-Pentenyl, 1-Methyl-1-butenyl, 2-Methyl-1-butenyl, 3-Methyl-1- butenyl, 1-Methyl-2-butenyl, 2-Methyl-2-butenyl, 3-Methyl-2-butenyl, 1-Methyl-3-butenyl, 2-Methyl-3- butenyl, 3-Methyl-3-butenyl, 1,1-Dimethyl-2-propenyl, 1,2-Dimethyl-1-propenyl, 1,2-Dimethyl-2- propenyl, 1-Ethyl-1-propenyl, 1-Ethyl-2-propenyl, 1-Hexenyl, 2-Hexenyl, 3-Hexenyl, 4-Hexenyl, 5-35 Hexenyl, 1-Methyl-1-pentenyl, 2-Methyl-1-pentenyl, 3-Methyl-1-pentenyl, 4-Methyl-1-pentenyl, 1- Methyl-2-pentenyl, 2-Methyl-2-pentenyl, 3-Methyl-2-pentenyl, 4-Methyl-2-pentenyl, 1-Methyl-3- pentenyl, 2-Methyl-3-pentenyl, 3-Methyl-3-pentenyl, 4-Methyl-3-pentenyl, 1-Methyl-4-pentenyl, 2- Methyl-4-pentenyl, 3-Methyl-4-pentenyl, 4-Methyl-4-pentenyl, 1,1-Dimethyl-2-butenyl, 1,1-Dimethyl- 3-butenyl, 1,2-Dimethyl-1-butenyl, 1,2-Dimethyl-2-butenyl, 1,2-Dimethyl-3-butenyl, 1,3-Dimethyl-1- butenyl, 1,3-Dimethyl-2-butenyl, 1,3-Dimethyl-3-butenyl, 2,2-Dimethyl-3-butenyl, 2,3-Dimethyl-1- butenyl, 2,3-Dimethyl-2-butenyl, 2,3-Dimethyl-3-butenyl, 3,3-Dimethyl-1-butenyl, 3,3-Dimethyl-2- butenyl, 1-Ethyl-1-butenyl, 1-Ethyl-2-butenyl, 1-Ethyl-3-butenyl, 2-Ethyl-1-butenyl, 2-Ethyl-2-butenyl, 2-Ethyl-3-butenyl, 1,1,2-Trimethyl-2-propenyl, 1-Ethyl-1-methyl-2-propenyl, 1-Ethyl-2-methyl-1- propenyl und 1-Ethyl-2-methyl-2-propenyl. Der Begriff „Alkinyl“ schließt insbesondere auch geradkettige oder verzweigte offenkettige Kohlenwasserstoffreste mit mehr als einer Dreifachbindung oder auch mit einer oder mehreren Dreifachbindungen und einer oder mehreren Doppelbindungen ein, wie beispielsweise 1,3-Butatrienyl bzw.3-Penten-1-in-1-yl. (C2-C6)-Alkinyl bedeutet z.B. Ethinyl, 1-Propinyl, 2-Propinyl, 1-Butinyl, 2- Butinyl, 3-Butinyl, 1-Methyl-2-propinyl, 1-Pentinyl, 2-Pentinyl, 3-Pentinyl, 4-Pentinyl, 1-Methyl-2- butinyl, 1-Methyl-3-butinyl, 2-Methyl-3-butinyl, 3-Methyl-1-butinyl, 1,1-Dimethyl-2-propinyl, 1-Ethyl- 2-propinyl, 1-Hexinyl, 2-Hexinyl, 3-Hexinyl, 4-Hexinyl, 5-Hexinyl, 1-Methyl-2-pentinyl, 1-Methyl-3- pentinyl, 1-Methyl-4-pentinyl, 2-Methyl-3-pentinyl, 2-Methyl-4-pentinyl, 3-Methyl-1-pentinyl, 3- Methyl-4-pentinyl, 4-Methyl-1-pentinyl, 4-Methyl-2-pentinyl, 1,1-Di-methyl-2-butinyl, 1,1-Dimethyl-3- butinyl, 1,2-Dimethyl-3-butinyl, 2,2-Dimethyl-3-butinyl, 3,3-Dimethyl-1-butinyl, 1-Ethyl-2-butinyl, 1- Ethyl-3-butinyl, 2-Ethyl-3-butinyl und 1-Ethyl-1-methyl-2-propinyl. Der Begriff „Cycloalkyl“ bedeutet ein carbocyclisches, gesättigtes Ringsystem mit vorzugsweise 3-8 Ring-C-Atomen, z.B. Cyclopropyl, Cyclobutyl, Cyclopentyl oder Cyclohexyl, das gegebenenfalls weiter substituiert ist, bevorzugt durch Wasserstoff, Alkyl, Alkoxy, Oxo, Cyano, Nitro, Alkylthio, Haloalkylthio, Halogen, Alkenyl, Alkinyl, Haloalkyl, AMino, Alkylamino, Bisalkylamino, Alkocycarbonyl, Hydroxycarbonyl, Arylalkoxycarbonyl, Aminocarbonyl, Alkylaminocarbonyl, Cycloalkylaminocarbonyl. Im Falle von gegebenenfalls substituiertem Cycloalkyl werden cyclische Systeme mit Substituenten umfasst, wobei auch Substituenten mit einer Doppelbindung am Cycloalkylrest, z. B. eine Alkylidengruppe wie Methyliden, umfasst sind. Im Falle von gegebenenfalls substituiertem Cycloalkyl werden auch mehrcyclische aliphatische Systeme umfasst, wie beispielsweise Bicyclo[1.1.0]butan-1-yl, Bicyclo[1.1.0]butan-2-yl, Bicyclo[2.1.0]pentan-1-yl, Bicyclo[1.1.1]pentan-1- yl, Bicyclo[2.1.0]pentan-2-yl, Bicyclo[2.1.0]pentan-5-yl, Bicyclo[2.1.1]hexyl, Bicyclo[2.2.1]hept-2-yl, Bicyclo[2.2.2]octan-2-yl, Bicyclo[3.2.1]octan-2-yl, Bicyclo[3.2.2]nonan-2-yl, Adamantan-1-yl und Adamantan-2-yl, aber auch Systeme wie z. B.1,1'-Bi(cyclopropyl)-1-yl, 1,1'-Bi(cyclopropyl)-2-yl. Der Ausdruck "(C3-C7)-Cycloalkyl" bedeutet eine Kurzschreibweise für Cycloalkyl mit drei bis 7 35 Kohlenstoffatomen entsprechend der Bereichsangabe für C-Atome. Im Falle von substituiertem Cycloalkyl werden auch spirocyclische aliphatische Systeme umfasst, wie beispielsweise Spiro[2.2]pent-1-yl, Spiro[2.3]hex-1-yl, Spiro[2.3]hex-4-yl, 3-Spiro[2.3]hex-5-yl, Spiro[3.3]hept-1-yl, Spiro[3.3]hept-2-yl. „Cycloalkenyl“ bedeutet ein carbocyclisches, nicht aromatisches, partiell ungesättigtes Ringsystem mit vorzugsweise 4-8 C-Atomen, z.B.1-Cyclobutenyl, 2-Cyclobutenyl, 1-Cyclopentenyl, 2-Cyclopentenyl, 3-Cyclopentenyl, oder 1-Cyclohexenyl, 2-Cyclohexenyl, 3-Cyclohexenyl, 1,3-Cyclohexadienyl oder 1,4-Cyclohexadienyl, wobei auch Substituenten mit einer Doppelbindung am Cycloalkenylrest, z. B. eine Alkylidengruppe wie Methyliden, umfasst sind. Im Falle von gegebenenfalls substituiertem Cycloalkenyl gelten die Erläuterungen für substituiertes Cycloalkyl entsprechend. Der Begriff „Alkyliden“, z. B. auch in der Form (C1-C10)-Alkyliden, bedeutet den Rest eines geradkettigen oder verzweigten offenkettigen Kohlenwasserstoffrests, der über eine Zweifachbindung gebunden ist. Als Bindungsstelle für Alkyliden kommen naturgemäß nur Positionen am Grundkörper in Frage, an denen zwei H-Atome durch die Doppelbindung ersetzt werden können; Reste sind z. B. =CH2, =CH-CH3, =C(CH3)-CH3, =C(CH3)-C2H5 oder =C(C2H5)-C2H5. Cycloalkyliden bedeutet ein carbocyclischer Rest, der über eine Zweifachbindung gebunden ist. „Cycloalkylalkyloxy“ bedeutet ein über ein Sauerstoffatom gebundenen Cycloalkylalkylrest und „Arylalkyloxy“ bedeutet ein über ein Sauerstoffatom gebundenen Arylalkylrest. „Alkoxyalkyl“ steht für einen über eine Alkylgruppe gebundenen Alkoxyrest und „Alkoxyalkoxy“ bedeutet einen über ein Sauerstoffatom gebundenen Alkoxyalkylrest, z.B. (aber nicht beschränkt auf) Methoxymethoxy, Methoxyethoxy, Ethoxyethoxy, Methoxy-n-propyloxy. „Alkylthioalkyl“ steht für einen über eine Alkylgruppe gebundenen Alkylthiorest und „Alkylthioalkylthio“ bedeutet einen über ein Sauerstoffatom gebundenen Alkylthioalkylrest. „Arylalkoxyalkyl“ steht für einen über eine Alkylgruppe gebundenen Aryloxyrest und „Heteroaryloxyalkyl“ bedeutet einen über eine Alkylgruppe gebundenen Heteroaryloxyrest. „Haloalkoxyalkyl“ steht für einen gebundenen Haloalkoxyrest und „Haloalkylthioalkyl“ bedeutet einen über eine Alkylgruppe gebundenen Haloalkylthiorest. 35 „Arylalkyl“ steht für einen über eine Alkylgruppe gebundenen Arylrest, „Heteroarylalkyl“ bedeutet einen über eine Alkylgruppe gebundenen Heteroarylrest, und „Heterocyclylalkyl“ bedeutet einen über eine Alkylgruppe gebundenen Heterocyclylrest. „Cycloalkylalkyl“ steht für einen über eine Alkylgruppe gebundenen Cycloalkylrest, z. B. (aber nicht beschränkt auf) Cyclopropylmethyl, Cyclobutylmethyl, Cyclopentylmethyl, Cyclohexylmethyl, 1- Cyclopropyleth-1-yl, 2-Cyclopropyleth-1-yl, 1-Cyclopropylprop-1-yl, 3-Cyclopropylprop-1-yl. „Arylalkenyl“ steht für einen über eine Alkenylgruppe gebundenen Arylrest, „Heteroarylalkenyl“ bedeutet einen über eine Alkenylgruppe gebundenen Heteroarylrest, und „Heterocyclylalkenyl“ bedeutet einen über eine Alkenylgruppe gebundenen Heterocyclylrest. „Arylalkinyl“ steht für einen über eine Alkinylgruppe gebundenen Arylrest, „Heteroarylalkinyl“ bedeutet einen über eine Alkinylgruppe gebundenen Heteroarylrest, und „Heterocyclylalkinyl“ bedeutet einen über eine Alkinylgruppe gebundenen Heterocyclylrest. Erfindungsgemäß steht "Haloalkylthio" - in Alleinstellung oder als Bestandteil einer chemischen Gruppe - für geradkettiges oder verzweigtes S-Halogenalkyl, vorzugsweise mit 1 bis 8, oder mit 1 bis 6 Kohlenstoffatomen, wie (C1-C8)-, (C1-C6)- oder (C1-C4)-Haloalkylthio, z.B. (aber nicht beschränkt auf) Trifluormethylthio, Pentafluorethylthio, Difluormethyl, 2,2-Difluoreth-1-ylthio, 2,2,2-Difluoreth-1- ylthio, 3,3,3-prop-1-ylthio. „Halocycloalkyl“ und „Halocycloalkenyl“ bedeuten durch gleiche oder verschiedene Halogenatome, wie z. B. F, Cl und Br, oder durch Haloalkyl, wie z. B. Trifluormethyl oder Difluormethyl teilweise oder vollständig substituiertes Cycloalkyl oder Cycloalkenyl , z.B.1-Fluorcycloprop-1-yl, 2-Fluorcycloprop- 1-yl, 2,2-Difluorcycloprop-1-yl, 1-Fluorcyclobut-1-yl, 1-Trifluormethylcycloprop-1-yl, 2-Trifluor- methylcycloprop-1-yl, 1-Chlor-cycloprop-1-yl, 2-Chlorcycloprop-1-yl, 2,2-Dichlorcycloprop-1-yl, 3,3- Difluorcyclobutyl, Erfindungsgemäß steht "Trialkylsilyl" - in Alleinstellung oder als Bestandteil einer chemischen Gruppe - für geradkettiges oder verzweigtes Si-Alkyl, vorzugsweise mit 1 bis 8, oder mit 1 bis 6 Kohlenstoff- atomen, wie Tri-[(C1-C8)-, (C1-C6)- oder (C1-C4)-alkyl]silyl, z.B. (aber nicht beschränkt auf) Trimethylsilyl, Triethylsilyl, Tri-(n-propyl)silyl, Tri-(iso-propyl)silyl, Tri-(n-butyl)silyl, Tri-(1- methylprop-1-yl)silyl, Tri-(2-methylprop-1-yl)silyl, Tri(1,1-Dimethyleth-1-yl)silyl, Tri(2,2- Dimethyleth-1-yl)silyl. „Trialkylsilylalkinyl“ steht für einen über eine Alkinylgruppe gebundenen Trialkylsilylrest. 35 Wenn die Verbindungen durch Wasserstoffverschiebung Tautomere bilden können, welche strukturell formal nicht durch die Formel (I) erfasst würden, so sind diese Tautomere gleichwohl von der Definition der erfindungsgemäßen Verbindungen der Formel (I) umfasst, sofern nicht ein bestimmtes Tautomer Gegenstand der Betrachtung ist. So können beispielsweise viele Carbonylverbindungen sowohl in der Ketoform wie auch in der Enolform vorliegen, wobei beide Formen durch die Definition der Verbindung der Formel (I) umfasst werden. Die Verbindungen der allgemeinen Formel (I) können je nach Art und Verknüpfung der Substituenten als Stereoisomere vorliegen. Die durch ihre spezifische Raumform definierten möglichen Stereoisomere, wie Enantiomere, Diastereomere, Z- und E-Isomere sind alle von der Formel (I) umfasst. Sind beispielsweise eine oder mehrere Alkenylgruppen vorhanden, so können Diastereomere (Z- und E- Isomere) auftreten. Sind beispielsweise ein oder mehrere asymmetrische Kohlenstoffatome vorhanden, so können Enantiomere und Diastereomere auftreten. Stereoisomere lassen sich aus den bei der Herstellung anfallenden Gemischen nach üblichen Trennmethoden erhalten. Die chromatographische Trennung kann sowohl im analytischen Maßstab zur Feststellung des Enantiomerenüberschusses bzw. des Diastereomerenüberschusses, wie auch im präparativen Maßstab zur Herstellung von Prüfmustern für die biologische Ausprüfung erfolgen. Ebenso können Stereoisomere durch Einsatz stereoselektiver Reaktionen unter Verwendung optisch aktiver Ausgangs- und/oder Hilfsstoffe selektiv hergestellt werden. Die Erfindung betrifft somit auch alle Stereoisomeren, die von der allgemeinen Formel (I) umfasst, jedoch nicht mit ihrer spezifischen Stereoform angegeben sind, sowie deren Gemische. Sofern die Verbindungen als Feststoffe erhalten werden, kann die Reinigung auch durch Umkristallisieren oder Digerieren erfolgen. Sofern einzelne Verbindungen (I) nicht auf den nachstehend beschriebenen Wegen zufriedenstellend zugänglich sind, können sie durch Derivatisierung anderer Verbindungen (I) hergestellt werden. Als Isolierungs-, Reinigungs- und Stereoisomerenauftrennungsverfahren von Verbindungen der Formel (I) kommen Methoden in Frage, die dem Fachmann aus analogen Fällen allgemein bekannt sind, z.B. durch physikalische Verfahren wie Kristallisation, Chromatographieverfahren, vor allem Säulenchromatographie und HPLC (Hochdruckflüssigchromatographie), Destillation, gegebenenfalls unter reduziertem Druck, Extraktion und andere Verfahren, können gegebenenfalls verbleibende Gemische in der Regel durch chromatographische Trennung, z.B. an chiralen Festphasen, getrennt werden. Für präparative Mengen oder im industriellen Maßstab kommen Verfahren in Frage wie Kristallisation, z.B. diastereomerer Salze, die aus den Diastereomerengemischen mit optisch aktiven Säuren und gegebenenfalls bei vorhandenen sauren Gruppen mit optisch aktiven Basen erhalten werden können. 35 Synthese von substituierten Oxyiminomethylphenyluracilen mit 4-Difluoralkylsubstitution am Uracil der allgemeinen Formel (I): The heterocycles listed above are preferably, for example, hydrogen, halogen, alkyl, haloalkyl, hydroxy, alkoxy, cycloalkoxy, aryloxy, alkoxyalkyl, alkoxyalkoxy, cycloalkyl, halocycloalkyl, aryl, arylalkyl, heteroaryl, heterocyclyl, alkenyl, alkylcarbonyl, cycloalkylcarbonyl, arylcarbonyl, heteroarylcarbonyl, Alkoxycarbonyl, hydroxycarbonyl, cycloalkoxycarbonyl, cycloalkylalkoxycarbonyl, alkoxycarbonylalkyl, arylalkoxycarbonyl, arylalkoxycarbonylalkyl, alkynyl, alkynylalkyl, alkylalkynyl, tris-alkylsilylalkynyl, nitro, amino, cyano, haloalkoxy, haloalkylthio, alkylthio, hydrothio, Hydroxyalkyl, Oxo, Heteroarylalkoxy, Arylalkoxy, Heterocyclylalkoxy, Heterocyclylalkylthio, Heterocyclyloxy, Heterocyclylthio, heteroaryloxy, bis-alkylamino, alkylamino, cycloalkylamino, hydroxycarbonylalkylamino, alkoxycarbonylalkylamino, arylalkoxycarbonylalkylamino, alkoxycarbonylalkyl(alkyl)amino, aminocarbonyl, alkylaminocarbonyl, bis-alkylaminocarbonyl, cycloalkylaminocarbonyl, hydroxycarbonylalkylaminocarbonyl, alkoxycarbonylalkylaminocarbonyl, arylalkoxycarbonylalkylaminocarbonyl. If a basic structure is substituted "by one or more residues" from a list of residues (= group) or a generically defined group of residues, this includes simultaneous substitution by several identical and/or structurally different residues. If the nitrogen heterocycle is partially or fully saturated, it can be linked to the rest of the molecule via either the carbon or the nitrogen atom. Possible substituents for a substituted heterocyclic residue are the substituents listed below, as well as oxo and thioxo. The oxo group as a substituent on a ring C atom then means, for example, a carbonyl group in the heterocyclic ring. This preferably also includes lactones and lactams. The oxo group can also occur on the hetero ring atoms, which can exist in different oxidation states, e.g., N and S, and then form, for example, the divalent groups N(O), S(O) (also abbreviated to SO) and S(O)2 (also abbreviated to SO2) in the heterocyclic ring. In the case of -N(O)- and -S(O)- groups, both enantiomers are included. According to the invention, the term "heteroaryl" stands for heteroaromatic compounds, ie fully unsaturated aromatic heterocyclic compounds, preferably for 5- to 7-membered rings with 1 to 4, preferably 1 or 2 identical or different heteroatoms, preferably O, S or N. Heteroaryls according to the invention are, for example, 1H-pyrrol-1-yl; 1H-pyrrol-2-yl; 1H-pyrrol-3-yl; furan-2-yl; furan-3-yl; thien-2-yl; thien-3-yl, 1H-imidazol-1-yl; 1H-imidazol-2-yl; 1H-imidazol-4-yl; 1H-imidazol-5-yl; 1H-pyrazol-1-yl; 1H-pyrazol-3-yl; 1H-pyrazol-4-yl; 1H-pyrazol-5-yl, 1H-1,2,3-triazol-1-yl, 1H-1,2,3-triazol-4-yl, 1H-1,2,3-triazol-5-yl, 2H-1,2,3-triazol-2-yl, 2H-1,2,3-triazol-4-yl, 1H-1,2,4-triazol-1-yl, 1H-1,2,4-triazol-3-yl, 4H-1,2,4-triazol-4-yl, 1,2,4-oxadiazol-3-yl, 1,2,4-oxadiazol-5-yl, 1,3,4-oxadiazol-2-yl, 1,2,3-oxadiazol-4-yl, 1,2,3-oxadiazol-5-yl, 1,2,5-oxadiazol-3-yl, Azepinyl, pyridin-2-yl, pyridin-3-yl, pyridin-4-yl, pyrazin-2-yl, pyrazin-3-yl, pyrimidin-2-yl, pyrimidin-4-yl, pyrimidin-5-yl, pyridazin-3-yl, pyridazin-4-yl, 1,3,5-triazin-2-yl, 1,2,4-triazin-3-yl, 1,2,4-triazin-5-yl, 1,2,4-triazin-6-yl, 1,2,3-triazin-4-yl, 1,2,3-triazin-5-yl, 1,2,4-, 1,3,2-, 1,3,6- and 1,2,6-oxazinyl, isoxazol-3-yl, isoxazol-4-yl, isoxazol-5-yl, 1,3-oxazol-2-yl, 1,3-oxazol-4-yl, 1,3-oxazol-5-yl, isothiazol-3-yl, isothiazol-4-yl, isothiazol-5-yl, 1,3-thiazol-2-yl, 1,3-thiazol-4-yl, 1,3-thiazol-5-yl, oxepinyl, thiepinyl, 1,2,4-triazolonyl and 1,2,4-diazepinyl, 2H-1,2,3,4-tetrazol-5-yl, 1H-1,2,3,4-tetrazol-5-yl, 1,2,3,4-oxatriazol-5-yl, 1,2,3,4-thiatriazol-5-yl, 1,2,3,5-oxatriazol-4-yl, 1,2,3,5-Thiatriazol-4-yl. The heteroaryl groups according to the invention can further be substituted by one or more identical or different radicals. If two adjacent carbon atoms are part of another aromatic ring, these are fused heteroaromatic systems, such as benzofused or multiply fused heteroaromatics. Preferred examples are quinolines (e.g., quinolin-2-yl, quinolin-3-yl, quinolin-4-yl, quinolin-5-yl, quinolin-6-yl, quinolin-7-yl, quinolin-8-yl); isoquinolines (e.g., isoquinolin-1-yl, isoquinolin-3-yl, isoquinolin-4-yl, isoquinolin-5-yl, isoquinolin-6-yl, isoquinolin-7-yl, isoquinolin-8-yl); quinoxaline; quinazoline; cinnoline; 1,5-naphthyridine; 1,6-naphthyridine; 1,7-naphthyridine; 1,8-naphthyridine; 2,6-naphthyridine; 2,7-naphthyridine; phthalazine; pyridopyrazines; pyridopyrimidines; pyridopyridazines; pteridines; Pyrimidopyrimidines. Examples of heteroaryl are also 5- or 6-membered benzo-fused rings from the group 1H-indol-1-yl, 1H-indol-2-yl, 1H-indol-3-yl, 1H-indol-4-yl, 1H-indol-5-yl, 1H-indol-6-yl, 1H-indol-7-yl, 1-benzofuran-2-yl, 1-benzofuran-3-yl, 1-benzofuran-4-yl, 1-benzofuran-5-yl, 1-benzofuran-6-yl, 1-benzothiophen-7-yl, 1-benzothiophen-2-yl, 1-benzothiophen-3-yl, 1-benzothiophen-4-yl, 1-benzothiophen-5-yl, 1-benzothiophen-6-yl, 1-Benzothiophen-7-yl, 1H-Indazol-1-yl, 1H-Indazol-3-yl, 1H-Indazol-4-yl, 1H-Indazol-5-yl, 1H-Indazol-6-yl, 1H-Indazol-7-yl, 2H-Indazol-35 2-yl, 2H-Indazol-3-yl, 2H-Indazol-4-yl, 2H-Indazol-5-yl, 2H-Indazol-6-yl, 2H-Indazol-7-yl, 2H-Iso-indol-2-yl, 2H-Isoindol-1-yl, 2H-Isoindol-3-yl, 2H-Isoindol-4-yl, 2H-Isoindol-5-yl, 2H-Isoindol-6-yl; 2H-Isoindol-7-yl, 1H-Benzimidazol-1-yl, 1H-Benzimidazol-2-yl, 1H-Benzimidazol-4-yl, 1H-Benzimidazol-4-yl imidazol-5-yl, 1H-Benzimidazol-6-yl, 1H-Benzimidazol-7-yl, 1,3-Benzoxazol-2-yl, 1,3-Benzoxazol-4-yl, 1,3-Benzoxazol-5-yl, 1,3-Benzoxazol-6-yl, 1,3-Benzoxazol-7-yl, 1,3-Benzthiazol-2-yl, 1,3-Benz-thiazol-4-yl, 1,3-Benzthiazol-5-yl, 1,3-Benzthiazol-6-yl, 1,3-Benzthiazol-7-yl, 1,2-Benzisoxazol-3-yl, 1,2-Benzisoxazol-4-yl, 1,2-Benzisoxazol-5-yl, 1,2-Benzisoxazol-6-yl, 1,2-Benzisoxazol-7-yl, 1,2- Benzisothiazol-3-yl, 1,2-benzisothiazol-4-yl, 1,2-benzisothiazol-5-yl, 1,2-benzisothiazol-6-yl, 1,2-benzisothiazol-7-yl. The term "halogen" means, for example, fluorine, chlorine, bromine, or iodine. If the term is used for a radical, then "halogen" means, for example, a fluorine, chlorine, bromine, or iodine atom. According to the invention, "alkyl" means a straight-chain or branched, open-chain, saturated hydrocarbon radical which is optionally mono- or polysubstituted and, in the latter case, is referred to as "substituted alkyl." Preferred substituents are halogen atoms, alkoxy, haloalkoxy, cyano, alkylthio, haloalkylthio, amino, or nitro groups; particular preference is given to methoxy, methyl, fluoroalkyl, cyano, nitro, fluorine, chlorine, bromine, or iodine. The prefix “bis” also includes the combination of different alkyl radicals, e.g. methyl(ethyl) or ethyl(methyl). “Haloalkyl”, “-alkenyl” and “-alkynyl” mean alkyl, alkenyl or alkynyl that is partially or fully substituted by identical or different halogen atoms, e.g. monohaloalkyl (= monohaloalkyl) such as CH 2 CH 2 Cl, CH 2 CH 2 Br, CHClCH 3 , CH 2 Cl, CH 2 F; perhaloalkyl such as CCl 3, CClF 2, CFCl 2 , CF 2 CClF 2, CF 2 CClFCF 3 ; polyhaloalkyl such as CH 2 CHFCl, CF 2 CClFH, CF 2 CBrFH, CH 2 CF 3 ; the term perhaloalkyl also includes the term perfluoroalkyl. “Partially fluorinated alkyl” means a straight-chain or branched, saturated hydrocarbon which is mono- or polysubstituted by fluorine, where the corresponding fluorine atoms can be located as substituents on one or more different carbon atoms of the straight-chain or branched hydrocarbon chain, such as, for example, CHFCH3, CH2CH2F, CH2CH2CF3, CHF2, CH2F, CHFCF2CF3. “Partially fluorinated haloalkyl” means a straight-chain or branched, saturated hydrocarbon which is substituted by various halogen atoms with at least one fluorine atom, where all other optionally present halogen atoms are selected from the group consisting of fluorine, chlorine, bromine, iodine. The corresponding halogen atoms can be located as substituents on one or more different carbon atoms of the straight-chain or branched hydrocarbon chain. Partially fluorinated haloalkyl also includes the complete substitution of the straight-chain or branched chain by halogen with the participation of at least one Fluorine atom. “Haloalkoxy” is, for example, OCF3, OCHF2, OCH2F, OCF2CF3, OCH2CF3 and OCH2CH2Cl; the same applies to haloalkenyl and other halogen-substituted radicals. The term “( C1 - C4 )-alkyl” used here as an example is a shorthand notation for straight-chain or branched alkyl having one to four carbon atoms corresponding to the range specified for C atoms, ie includes the radicals methyl, ethyl, 1-propyl, 2-propyl, 1-butyl, 2-butyl, 2-methylpropyl or tert-butyl. General alkyl radicals with a larger specified range of C atoms, e.g. B. "(C 1 -C 6 )-Alkyl" also includes straight-chain or branched alkyl radicals with a larger number of C atoms, ie, according to the example, also the alkyl radicals with 5 and 6 C atoms. Unless specifically stated, lower carbon skeletons, e.g., with 1 to 6 C atoms or, in the case of unsaturated groups, with 2 to 6 C atoms, are preferred for hydrocarbon radicals such as alkyl, alkenyl, and alkynyl radicals, even in compound radicals. Alkyl radicals, including compound radicals such as alkoxy, haloalkyl, etc., are, for example, methyl, ethyl, n- or i-propyl, n-, i-, t-, or 2-butyl, pentyls, hexyls, such as n-hexyl, i-hexyl, and 1,3-dimethylbutyl, and heptyls, such as n-heptyl, 1-methylhexyl, and 1,4-dimethylpentyl. Alkenyl and alkynyl radicals have the meaning of the possible unsaturated radicals corresponding to the alkyl radicals, wherein at least one double bond or triple bond is contained. Preferred radicals are those containing one double bond or triple bond. The term “alkenyl” includes in particular straight-chain or branched open-chain hydrocarbon radicals with more than one double bond, such as 1,3-butadienyl and 1,4-pentadienyl, but also allenyl or cumulenyl radicals with one or more cumulated double bonds, such as allenyl (1,2-propadienyl), 1,2-butadienyl and 1,2,3-pentatrienyl. Alkenyl means, for example, vinyl, which may optionally be substituted by further alkyl radicals, e.g. (but not limited to) (C2-C6)-alkenyl such as ethenyl, 1-propenyl, 2-propenyl, 1-methylethenyl, 1-butenyl, 2-butenyl, 3-butenyl, 1-methyl-1-propenyl, 2-methyl-1-propenyl, 1-methyl-2-propenyl, 2-methyl-2-propenyl, 1-pentenyl, 2-pentenyl, 3-pentenyl, 4-pentenyl, 1-methyl-1-butenyl, 2-methyl-1-butenyl, 3-methyl-1-butenyl, 1-methyl-2-butenyl, 2-methyl-2-butenyl, 3-Methyl-2-butenyl, 1-Methyl-3-butenyl, 2-Methyl-3-butenyl, 3-Methyl-3-butenyl, 1,1-Dimethyl-2-propenyl, 1,2-Dimethyl-1-propenyl, 1,2-Dimethyl-2-propenyl, 1-Ethyl-1-propenyl, 1-Ethyl-2-propenyl, 1-hexenyl, 2-hexenyl, 3-hexenyl, 4-hexenyl, 5-35 hexenyl, 1-methyl-1-pentenyl, 2-methyl-1-pentenyl, 3-methyl-1-pentenyl, 4-methyl-1-pentenyl, 1-methyl-2-pentenyl, 2-methyl-2-pentenyl, 3-methyl-2-pentenyl, 4-Methyl-2-pentenyl, 1-Methyl-3-pentenyl, 2-Methyl-3-pentenyl, 3-Methyl-3-pentenyl, 4-Methyl-3-pentenyl, 1-Methyl-4-pentenyl, 2- Methyl-4-pentenyl, 3-methyl-4-pentenyl, 4-methyl-4-pentenyl, 1,1-dimethyl-2-butenyl, 1,1-dimethyl-3-butenyl, 1,2-dimethyl-1-butenyl, 1,2-dimethyl-2-butenyl, 1,2-dimethyl-3-butenyl, 1,3-dimethyl-1- butenyl, 1,3-dimethyl-2-butenyl, 1,3-dimethyl-3-butenyl, 2,2-dimethyl-3-butenyl, 2,3-dimethyl-1-butenyl, 2,3-dimethyl-2-butenyl, 2,3-dimethyl-3-butenyl, 3,3-dimethyl-1-butenyl, 3,3-dimethyl-2-butenyl, 1-Ethyl-1-butenyl, 1-Ethyl-2-butenyl, 1-ethyl-3-butenyl, 2-ethyl-1-butenyl, 2-ethyl-2-butenyl, 2-ethyl-3-butenyl, 1,1,2-trimethyl-2-propenyl, 1-ethyl-1-methyl-2-propenyl, 1-ethyl-2-methyl-1-propenyl, and 1-ethyl-2-methyl-2-propenyl. The term "alkynyl" also includes, in particular, straight-chain or branched open-chain hydrocarbon radicals with more than one triple bond or with one or more triple bonds and one or more double bonds, such as 1,3-butatrienyl or 3-penten-1-yn-1-yl. (C 2 -C 6 )-alkynyl means, for example, ethynyl, 1-propynyl, 2-propynyl, 1-butynyl, 2-butynyl, 3-butynyl, 1-methyl-2-propynyl, 1-pentynyl, 2-pentynyl, 3-pentynyl, 4-pentynyl, 1-methyl-2-butynyl, 1-methyl-3-butynyl, 2-methyl-3-butynyl, 3-methyl-1-butynyl, 1,1-dimethyl-2-propynyl, 1-ethyl-2-propynyl, 1-hexynyl, 2-hexynyl, 3-hexynyl, 4-hexynyl, 5-hexynyl, 1-methyl-2-pentynyl, 1-Methyl-3-pentynyl, 1-Methyl-4-pentynyl, 2-Methyl-3-pentynyl, 2-Methyl-4-pentynyl, 3-Methyl-1-pentynyl, 3-Methyl-4-pentynyl, 4-Methyl-1-pentynyl, 4-Methyl-2-pentynyl, 1,1-Di-methyl-2-butynyl, 1,1-Dimethyl-3-butynyl, 1,2-Dimethyl-3-butynyl, 2,2-Dimethyl-3-butynyl, 3,3-Dimethyl-1-butynyl, 1-Ethyl-2-butynyl, 1-Ethyl-3-butynyl, 2-Ethyl-3-butynyl and 1-Ethyl-1-methyl-2-propynyl. The term "cycloalkyl" means a carbocyclic, saturated ring system with preferably 3-8 ring carbon atoms, e.g., cyclopropyl, cyclobutyl, cyclopentyl, or cyclohexyl, which is optionally further substituted, preferably by hydrogen, alkyl, alkoxy, oxo, cyano, nitro, alkylthio, haloalkylthio, halogen, alkenyl, alkynyl, haloalkyl, amino, alkylamino, bisalkylamino, alkoxycarbonyl, hydroxycarbonyl, arylalkoxycarbonyl, aminocarbonyl, alkylaminocarbonyl, or cycloalkylaminocarbonyl. Optionally substituted cycloalkyl encompasses cyclic systems with substituents, including substituents with a double bond on the cycloalkyl radical, e.g., an alkylidene group such as methylidene. In the case of optionally substituted cycloalkyl, polycyclic aliphatic systems are also included, such as bicyclo[1.1.0]butan-1-yl, bicyclo[1.1.0]butan-2-yl, bicyclo[2.1.0]pentan-1-yl, bicyclo[1.1.1]pentan-1-yl, bicyclo[2.1.0]pentan-2-yl, bicyclo[2.1.0]pentan-5-yl, bicyclo[2.1.1]hexyl, bicyclo[2.2.1]hept-2-yl, bicyclo[2.2.2]octan-2-yl, bicyclo[3.2.1]octan-2-yl, bicyclo[3.2.2]nonan-2-yl, adamantan-1-yl and adamantan-2-yl, but also systems such as. B. 1,1'-Bi(cyclopropyl)-1-yl, 1,1'-Bi(cyclopropyl)-2-yl. The term "(C3-C7)-cycloalkyl" is a shorthand notation for cycloalkyl with three to seven carbon atoms, corresponding to the range for C atoms. In the case of substituted cycloalkyl, spirocyclic aliphatic systems are also included, such as spiro[2.2]pent-1-yl, spiro[2.3]hex-1-yl, spiro[2.3]hex-4-yl, 3-spiro[2.3]hex-5-yl, spiro[3.3]hept-1-yl, spiro[3.3]hept-2-yl. “Cycloalkenyl” means a carbocyclic, non-aromatic, partially unsaturated ring system with preferably 4-8 C atoms, e.g. 1-cyclobutenyl, 2-cyclobutenyl, 1-cyclopentenyl, 2-cyclopentenyl, 3-cyclopentenyl, or 1-cyclohexenyl, 2-cyclohexenyl, 3-cyclohexenyl, 1,3-cyclohexadienyl or 1,4-cyclohexadienyl, which also includes substituents with a double bond on the cycloalkenyl radical, e.g. an alkylidene group such as methylidene. In the case of optionally substituted cycloalkenyl, the explanations for substituted cycloalkyl apply accordingly. The term “alkylidene”, e.g. B. also in the form (C 1 -C 10 )-alkylidene, means the residue of a straight-chain or branched open-chain hydrocarbon residue which is bonded via a double bond. As a bonding site for alkylidene, naturally only positions on the parent structure are possible where two H atoms can be replaced by the double bond; residues are, for example, =CH 2 , =CH-CH 3 , =C(CH 3 )-CH 3 , =C(CH 3 )-C 2 H 5 or =C(C 2 H 5 )-C 2 H 5. Cycloalkylidene means a carbocyclic residue which is bonded via a double bond. “Cycloalkylalkyloxy” means a cycloalkylalkyl residue bonded via an oxygen atom and “arylalkyloxy” means an arylalkyl residue bonded via an oxygen atom. "Alkoxyalkyl" means an alkoxy radical attached via an alkyl group, and "alkoxyalkoxy" means an alkoxyalkyl radical attached via an oxygen atom, e.g., (but not limited to) methoxymethoxy, methoxyethoxy, ethoxyethoxy, methoxy-n-propyloxy. "Alkylthioalkyl" means an alkylthio radical attached via an alkyl group, and "alkylthioalkylthio" means an alkylthioalkyl radical attached via an oxygen atom. "Arylalkoxyalkyl" means an aryloxy radical attached via an alkyl group, and "heteroaryloxyalkyl" means a heteroaryloxy radical attached via an alkyl group. "Haloalkoxyalkyl" means a haloalkoxy radical attached via an alkyl group, and "haloalkylthioalkyl" means a haloalkylthio radical attached via an alkyl group. 35 “Arylalkyl” means an aryl radical bonded via an alkyl group, “heteroarylalkyl” means a heteroaryl radical bonded via an alkyl group, and “heterocyclylalkyl” means a heterocyclyl radical bonded via an alkyl group. "Cycloalkylalkyl" means a cycloalkyl radical attached via an alkyl group, e.g., but not limited to, cyclopropylmethyl, cyclobutylmethyl, cyclopentylmethyl, cyclohexylmethyl, 1-cyclopropyleth-1-yl, 2-cyclopropyleth-1-yl, 1-cyclopropylprop-1-yl, and 3-cyclopropylprop-1-yl. "Arylalkenyl" means an aryl radical attached via an alkenyl group, "heteroarylalkenyl" means a heteroaryl radical attached via an alkenyl group, and "heterocyclylalkenyl" means a heterocyclyl radical attached via an alkenyl group. "Arylalkynyl" stands for an aryl radical bonded via an alkynyl group, "heteroarylalkynyl" means a heteroaryl radical bonded via an alkynyl group, and "heterocyclylalkynyl" means a heterocyclyl radical bonded via an alkynyl group. According to the invention, "haloalkylthio" - alone or as part of a chemical group - stands for straight-chain or branched S-haloalkyl, preferably having 1 to 8, or having 1 to 6 carbon atoms, such as (C 1 -C 8 )-, (C 1 -C 6 )-, or (C 1 -C 4 )-haloalkylthio, e.g. (but not limited to) trifluoromethylthio, pentafluoroethylthio, difluoromethyl, 2,2-difluoroeth-1-ylthio, 2,2,2-difluoroeth-1-ylthio, 3,3,3-prop-1-ylthio. “Halocycloalkyl” and “halocycloalkenyl” mean halogen atoms substituted by the same or different halogen atoms, such as F, Cl and Br, or by haloalkyl, such as B. Trifluoromethyl or difluoromethyl partially or fully substituted cycloalkyl or cycloalkenyl, e.g. 1-fluorocycloprop-1-yl, 2-fluorocycloprop-1-yl, 2,2-difluorocycloprop-1-yl, 1-fluorocyclobut-1-yl, 1-trifluoromethylcycloprop-1-yl, 2-trifluoromethylcycloprop-1-yl, 1-chlorocycloprop-1-yl, 2-chlorocycloprop-1-yl, 2,2-dichlorocycloprop-1-yl, 3,3-difluorocyclobutyl, According to the invention, "trialkylsilyl" - alone or as part of a chemical group - represents straight-chain or branched Si-alkyl, preferably having 1 to 8, or having 1 to 6 carbon atoms, such as tri-[(C1-C8)-, (C1-C6)- or (C1-C4)-alkyl]silyl, e.g. (but not limited to) trimethylsilyl, triethylsilyl, tri-(n-propyl)silyl, tri-(iso-propyl)silyl, tri-(n-butyl)silyl, tri-(1-methylprop-1-yl)silyl, tri-(2-methylprop-1-yl)silyl, tri(1,1-dimethyleth-1-yl)silyl, tri(2,2-dimethyleth-1-yl)silyl. “Trialkylsilylalkynyl” stands for a trialkylsilyl radical bonded via an alkynyl group. 35 If the compounds can form tautomers by hydrogen shift, which structurally would not be covered by formula (I), these tautomers are nevertheless covered by the definition of the compounds of formula (I) according to the invention, unless a specific tautomer is considered. For example, many carbonyl compounds can exist in both the keto form and the enol form, both forms being encompassed by the definition of the compound of formula (I). The compounds of general formula (I) can exist as stereoisomers depending on the type and linkage of the substituents. The possible stereoisomers defined by their specific spatial form, such as enantiomers, diastereomers, Z and E isomers, are all encompassed by formula (I). If, for example, one or more alkenyl groups are present, diastereomers (Z and E isomers) can occur. If, for example, one or more asymmetric carbon atoms are present, enantiomers and diastereomers can occur. Stereoisomers can be obtained from the mixtures obtained during production using conventional separation methods. Chromatographic separation can be carried out both on an analytical scale to determine the enantiomeric excess or diastereomeric excess, and on a preparative scale to produce test samples for biological testing. Stereoisomers can also be selectively produced by using stereoselective reactions using optically active starting materials and/or auxiliaries. The invention thus also relates to all stereoisomers encompassed by the general formula (I) but not indicated with their specific stereoform, as well as mixtures thereof. If the compounds are obtained as solids, purification can also be carried out by recrystallization or digestion. If individual compounds (I) cannot be satisfactorily obtained by the methods described below, they can be prepared by derivatization of other compounds (I). Suitable methods for the isolation, purification, and stereoisomer separation of compounds of formula (I) are methods generally known to the skilled person from analogous cases, e.g., by physical processes such as crystallization, chromatography, especially column chromatography and HPLC (high-pressure liquid chromatography), distillation, optionally under reduced pressure, extraction, and other processes. Any remaining mixtures can generally be separated by chromatographic separation, e.g., on chiral solid phases. For preparative quantities or on an industrial scale, suitable processes include crystallization, e.g., of diastereomeric salts, which can be obtained from the diastereomer mixtures with optically active acids and, if acidic groups are present, with optically active bases. 35 Synthesis of substituted oxyiminomethylphenyluracils with 4-difluoroalkyl substitution on the uracil of the general formula (I):
Die erfindungsgemäßen substituierten Oxyiminomethylphenyluracilen mit 4-Difluoralkylsubstitution am Uracil der allgemeinen Formel (I) können ausgehend von bekannten Verfahren hergestellt werden. Die eingesetzten und untersuchten Syntheserouten gehen dabei von kommerziell erhältlichen oder leicht herstellbaren Synthesebausteinen aus. Die Gruppierungen W, Q, R1, R2, R3, R4, R5, R6, R7, R8, R9, R10, R11, R12, R13, R14, R15 und R16 der allgemeinen Formel (I) haben in den nachfolgenden Schemata die zuvor definierten Bedeutungen, sofern nicht beispielhafte, aber nicht einschränkende, Definitionen erfolgen. Die Synthese der Verbindungen der allgemeinen Formel Ia, Ib oder Ic verläuft wie nachfolgend beispiel- haft in Schema 1 beschrieben, wobei R1 hier beispielhaft, aber nicht einschränkend, gleich Fluor ist, R6 beispielhaft, aber nicht einschränkend, gleich Methyl ist, R7 beispielhaft, aber nicht einschränkend, gleich Wasserstoff ist und R3, R4 und R5 beispielhaft, aber nicht einschränkend, gleich Wasserstoff sind. S (Ib) (Ic) Schema 1 Ausgehend vom literaturbekannten Benzaldehyden erhält man die nitrierten Benzaldehyde (II) unter Verwendung von Kaliumnitrat in Gegenwart von Schwefelsäure oder alternativ unter Verwendung von Nitriersäure (vgl. Medicinal Chemistry Letters (2016), 7(12), 1077-1081 bzw. J. Agric. Food Chem. 2019, 67, 45, 12382–12392). Die nachfolgende Umsetzung des nitrierten Benzaldehyds (II) mit Hydroxylaminhydrochlorid in Gegenwart von Natriumacetat in wässrigem Ethanol ergibt das korrespondierende Hydoxylimin (III), welches durch Umsetzung mit geeigneten Trialkylsilylchloriden, hier beispielhaft aber nicht einschränkend als tert-Butyldimethyl-silylchlorid dargestellt, in das Silyl- geschützte Hydroxylimin (IV) überführt wird. Die Silylierung erfolgt dabei unter Verwendung einer geeigneten Base (z. B. Triethylamin oder Hünig-Base) in einem geeigneten polar-aprotischen Lösemittel (z. B. Dichlormethan, Chloroform, N,N-Dimethylacetamid oder N,N-Dimethylformamid). Die nachfolgende Reduktion der Nitrogruppe liefert das entsprechende Silyl-geschützte (3- Aminophenyl)methylen]hydroxylamin (V). Die Reduktion erfolgt dabei mit einem geeigneten Reduktionsmittel (z. B. Wasserstoff, Palladium auf Kohle in einem geeigneten polar-protischen Lösemittel) oder, wie in Schema 1 beispielhaft dargestellt, unter Verwendung von Zinn(II)chlorid in Ethylacetat oder alternativ mit Eisenpulver in Essigsäure. Die Synthese der 2-(Dimethylamino)-4-(haloalkyl)-6H-1,3-oxazin-6-one vom Typ (VII) erfolgt in einer zweistufigen Synthesesequenz (wie in WO2000/049002 A1 beschrieben) ausgehend von den entsprechenden Aminoacrylsäureestern, z. B. Ethyl-(2Z)-3-amino-4,4-difluorpent-2-enoat mittels Umsetzung mit Dimethylcarbamoylchlorid in N,N-Dimethylformamid (DMF) unter Verwendung einer geeigneten Base (z. B. Natriumhydrid oder Kalium-tert-butylat) und nachfolgender Cyclisierung zum Oxazin-6-on (VII) unter Verwendung von Phosphorpentachlorid sowie Phosphoroxychlorid. Die Synthese des hier beispielhaft aber nicht einschränkend dargestellten Ethyl-(2Z)-3-amino-4,4- difluorpent-2-enoats als Startmaterial erfolgt dabei in einer zweistufigen Synthesesequenz durch Überführung des kommerziell erhältlichen Ethyl-2,2-difluorpropionats in den entsprechenden beta- Ketoester mittels Claisen-Kondensation und nachfolgender Überführung in das (2Z)-3-Amino-4,4- difluorpent-2-enoat in Gegenwart von Ammoniumacetat in Ethanol. Die nachfolgende Kondensationsreaktion des geschützten (3-Aminophenyl)methylen]hydroxylamins (V) mit dem Oxazin-6-on (VII) unter Verwendung von Essigsäure als Lösungsmittel bei geeigneter Temperatur liefert das Uracil (VIII), wobei unter den essigsauren Reaktionsbedingungen bei fortschreitender Reaktionsdauer die Silyl-Schutzgruppe gleich abgespalten wird. Die nachfolgende O- Alkylierung der Hydroxylamingruppe erfolgt durch die Umsetzung mit einem entsprechenden α- Haloessigsäureester, im Schema I beispielhaft aber nicht einschränkend als α-Chloressigsäureethylester 35 dargestellt, und erlaubt so die Synthese der substituierten Oxyiminomethylphenyluracile (IX). Die hierfür benötigten zugrundeliegenden α-Haloessigsäureester sind kommerziell verfügbar oder literaturbekannt. Die O-Alkylierung erfolgt dabei unter Verwendung einer geeigneten Base (z. B. Natriumhydrid, Kalium-tert-butylat oder Kaliumcarbonat) in einem geeigneten polar-aprotischen Lösemittel (z. B. Dichlormethan, Chloroform, N,N-Dimethylacetamid oder N,N-Dimethylformamid). Die abschließende Überführung in das N-Amino-N´-Uracil (Ia) erfolgt ausgehend vom zuvor beschriebenen Uracil (IX) durch N-Aminierung, wie in Schema 1 dargestellt. Dabei erfolgt die N- Aminierung mit Hilfe eines geeigneten Aminierungsreagenzes (z.B. O-(Mesitylsulfonyl)-hydroxylamin, O-(Tolylsulfonyl)hydroxylamin, O-(Diphenylphosphoryl)hydroxylamin) unter Verwendung einer geeigneten Base (z. B. Natriumhydrid, Kalium-tert-butylat oder Kaliumcarbonat) in einem geeigneten polar-aprotischen Lösemittel (z. B. Dichlormethan, Chloroform, N,N-Dimethyl-acetamid oder N,N- Dimethylformamid). Durch Esterspaltung der endständigen Estergruppe des N-Amino-N´-Uracils (Ia) nach dem Fachmann bekannten Verfahren zur Esterspaltung erhält man die zum N-Amino-N´-Uracils (Ia) korrespondierende Carbonsäure (Ib). Diese kann dann durch Veresterung mit einem geeigneten Alkohol R-OH zu verschiedensten Estervarianten des N-Amino-N´-Uracils (Ic) überführt werden. Die Veresterung kann, wie beispielhaft aber nicht einschränkend in Schema 2 dargestellt, unter Vermittlung geeigneter Kupplungsreagenzien (z. B. HOBt = 1-Hydroxybenzotriazol, EDC = 1-Ethyl-3-(3- dimethylaminopropyl)carbodiimid, HATU = O-(7-Azabenzotriazol-1-yl)-N,N,N′,N′- tetramethyluronium-hexafluorphosphat, T3P = 2,4,6-Tripropyl-1,3,5,2,4,6-trioxatriphosphorinane-2,4,6- trioxid) und geeigneter Basen (z. B. Diisopropylethylamin, Triethylamin) in einem geeigneten polar- aprotischen Lösemittel (z. B. Dichlormethan, Chloroform) durchgeführt werden. Alternativ kann die Veresterung via Transformation ins Säurechlorid mittels Thionylchlorid und nachfolgender Umsetzung mit dem Alkohol R-OH erfolgen, wobei ein geeignetes polar-aprotischen Lösemittel (z. B. Dichlormethan (DCM), Chloroform, N,N-Dimethylacetamid (DMA) oder N,N-Dimethylformamid (DMF)) Verwendung findet. Die Synthese der N-Methyluracile der allgemeinen Formel Id, Ie oder If verläuft wie nachfolgend beispielhaft in Schema 2 beschrieben, wobei R1 hier beispielhaft, aber nicht einschränkend, gleich Fluor ist, R6 beispielhaft, aber nicht einschränkend, gleich Methyl ist, R7 beispielhaft, aber nicht einschränkend, gleich Wasserstoff ist, R3 beispielhaft, aber nicht einschränkend, gleich Wasserstoff ist und R4 beispielhaft, aber nicht einschränkend, gleich Methyl ist und R5 beispielhaft, aber nicht einschränkend, gleich Methyl ist. Ausgehend vom im Schema 1 beschriebenen Uracil (VIII) erfolgt die Umsetzung zum Silyl-geschützten Uracil (X). mit geeigneten Trialkylsilylchloriden, hier beispielhaft aber nicht einschränkend als tert- Butyldimethyl-silylchlorid dargestellt. Die Silylierung erfolgt dabei unter Verwendung einer geeigneten Base (z. B. Triethylamin oder Hünig-Base) in einem geeigneten polar-aprotischen Lösemittel (z. B. 35 Dichlormethan, Chloroform, N,N-Dimethylacetamid oder N,N-Dimethylformamid). Das Silyl-geschützte Uracil (X). wird durch nachfolgende N-Methylierung in das N-Methyl-N´- phenyluracil (XI) überführt. Die Methylierung erfolgt dabei unter Verwendung einer geeigneten Base (z. B. Natriumhydrid, Kalium-tert-butylat oder Kaliumcarbonat) in einem geeigneten polar-aprotischen Lösemittel (z. B. Dichlormethan, Chloroform, N,N-Dimethylacetamid oder N,N-Dimethylformamid). Die nachfolgende Entschützung zur Hydroxylamingruppe erfolgt durch Verrühren mit 2N Salzsäure und erlaubt so die Synthese der freien Hydroximinomethylphenyluracile (XII). S Schema 2 Die nachfolgende O-Alkylierung der Hydroxylamingruppe erfolgt durch die Umsetzung mit einem entsprechenden α-Haloessigsäureester, im Schema II beispielhaft aber nicht einschränkend als 2- Brompropionsäureethylester dargestellt, und erlaubt so die Synthese der substituierten Oxyiminomethylphenyluracile (Id). Die hierfür benötigten zugrundeliegenden α-Haloessigsäureester sind kommerziell verfügbar oder literaturbekannt. Die O-Alkylierung erfolgt dabei unter Verwendung einer geeigneten Base (z. B. Natriumhydrid, Kalium-tert-butylat oder Kaliumcarbonat) in einem geeigneten polar-aprotischen Lösemittel (z. B. Dichlormethan, Chloroform, N,N-Dimethylacetamid oder N,N-Dimethylformamid). Durch Esterspaltung der endständigen Estergruppe des N-Methyl-N´-Uracils (Id) nach dem Fachmann bekannten Verfahren zur Esterspaltung erhält man die korrespondierende Carbonsäure (Ie). Diese kann dann durch Veresterung mit einem geeigneten Alkohol R-OH zu verschiedensten Estervarianten des N- Methyl-N´-Uracils (If) überführt werden. Die Veresterung kann, wie beispielhaft aber nicht einschränkend in Schema 2 dargestellt, unter Vermittlung geeigneter Kupplungsreagenzien (z. B. HOBt = 1-Hydroxybenzotriazol, EDC = 1-Ethyl-3-(3-dimethylaminopropyl)carbodiimid, HATU = O-(7- The substituted oxyiminomethylphenyluracils according to the invention with 4-difluoroalkyl substitution on the uracil of general formula (I) can be prepared using known processes. The synthetic routes used and investigated are based on commercially available or easily prepared synthetic building blocks. The groups W, Q, R 1 , R 2 , R 3 , R 4 , R 5 , R 6 , R 7 , R 8 , R 9 , R 10 , R 11 , R 12 , R 13 , R 14 , R 15 and R 16 of general formula (I) have the meanings defined above in the following schemes, unless exemplary but non-limiting definitions are given. The synthesis of the compounds of general formula Ia, Ib or Ic proceeds as described below by way of example in Scheme 1, where R 1 is, by way of example but not limitation, fluorine, R 6 is, by way of example but not limitation, methyl, R 7 is, by way of example but not limitation, hydrogen, and R 3 , R 4 and R 5 are, by way of example but not limitation, hydrogen. S (Ib) (Ic) Scheme 1 Starting from the literature-known benzaldehydes, the nitrated benzaldehydes (II) are obtained using potassium nitrate in the presence of sulfuric acid or, alternatively, using nitrating acid (cf. Medicinal Chemistry Letters (2016), 7(12), 1077-1081 or J. Agric. Food Chem. 2019, 67, 45, 12382-12392). Subsequent reaction of the nitrated benzaldehyde (II) with hydroxylamine hydrochloride in the presence of sodium acetate in aqueous ethanol yields the corresponding hydroxylimine (III), which is converted into the silyl-protected hydroxylimine (IV) by reaction with suitable trialkylsilyl chlorides, represented here by way of example but not limitation as tert-butyldimethylsilyl chloride. The silylation is carried out using a suitable base (e.g. triethylamine or Hünig's base) in a suitable polar aprotic solvent (e.g. dichloromethane, chloroform, N,N-dimethylacetamide or N,N-dimethylformamide). The subsequent reduction of the nitro group provides the corresponding silyl-protected (3-aminophenyl)methylene]hydroxylamine (V). The reduction is carried out using a suitable reducing agent (e.g. hydrogen, palladium on carbon in a suitable polar protic solvent) or, as exemplified in Scheme 1, using tin(II) chloride in ethyl acetate or alternatively with iron powder in acetic acid. The synthesis of the 2-(dimethylamino)-4-(haloalkyl)-6H-1,3-oxazin-6-ones of type (VII) is carried out in a two-step synthesis sequence (as described in WO2000/049002 A1) starting from the corresponding aminoacrylic acid esters, e.g. B. Ethyl (2Z)-3-amino-4,4-difluoropent-2-enoate by reaction with dimethylcarbamoyl chloride in N,N-dimethylformamide (DMF) using a suitable base (e.g., sodium hydride or potassium tert-butoxide) and subsequent cyclization to oxazin-6-one (VII) using phosphorus pentachloride and phosphorus oxychloride. The synthesis of ethyl (2Z)-3-amino-4,4-difluoropent-2-enoate, presented here as an example but not by way of limitation, as starting material, takes place in a two-step synthesis sequence by converting the commercially available ethyl 2,2-difluoropropionate into the corresponding beta-keto ester by means of Claisen condensation and subsequent conversion to (2Z)-3-amino-4,4-difluoropent-2-enoate in the presence of ammonium acetate in ethanol. The subsequent condensation reaction of the protected (3-aminophenyl)methylene]hydroxylamine (V) with the oxazin-6-one (VII) using acetic acid as the solvent at a suitable temperature yields the uracil (VIII), whereby under the acetic acid reaction conditions the silyl protecting group is immediately cleaved as the reaction time progresses. The subsequent O-alkylation of the hydroxylamine group occurs by reaction with a corresponding α-haloacetic acid ester, shown in Scheme I as an example but not by way of limitation as ethyl α-chloroacetate 35, and thus allows the synthesis of the substituted oxyiminomethylphenyluracils (IX). The required underlying α-haloacetic acid esters are commercially available or known from the literature. The O-alkylation is carried out using a suitable base (e.g. sodium hydride, potassium tert-butoxide or potassium carbonate) in a suitable polar aprotic solvent (e.g. dichloromethane, chloroform, N,N-dimethylacetamide or N,N-dimethylformamide). The final conversion into N-amino-N'-uracil (Ia) is carried out starting from the previously described uracil (IX) by N-amination, as shown in Scheme 1. The N-amination is carried out with the aid of a suitable amination reagent (e.g. O-(mesitylsulfonyl)hydroxylamine, O-(tolylsulfonyl)hydroxylamine, O-(diphenylphosphoryl)hydroxylamine) using a suitable base (e.g. sodium hydride, potassium tert-butoxide or potassium carbonate) in a suitable polar aprotic solvent (e.g. dichloromethane, chloroform, N,N-dimethylacetamide or N,N-dimethylformamide). By ester cleavage of the terminal ester group of N-amino-N'-uracil (Ia) according to ester cleavage processes known to those skilled in the art, the carboxylic acid (Ib) corresponding to N-amino-N'-uracil (Ia) is obtained. This acid can then be converted into various ester variants of N-amino-N'-uracil (Ic) by esterification with a suitable alcohol R-OH. The esterification can be carried out, as shown by way of example but not limitation in Scheme 2, using suitable coupling reagents (e.g. HOBt = 1-hydroxybenzotriazole, EDC = 1-ethyl-3-(3-dimethylaminopropyl)carbodiimide, HATU = O-(7-azabenzotriazol-1-yl)-N,N,N′,N′-tetramethyluronium hexafluorophosphate, T3P = 2,4,6-tripropyl-1,3,5,2,4,6-trioxatriphosphorinane-2,4,6-trioxide) and suitable bases (e.g. diisopropylethylamine, triethylamine) in a suitable polar aprotic solvent (e.g. dichloromethane, chloroform). Alternatively, the esterification can be carried out via transformation into the acid chloride using thionyl chloride and subsequent reaction with the alcohol R-OH, using a suitable polar aprotic solvent (e.g. dichloromethane (DCM), chloroform, N,N-dimethylacetamide (DMA) or N,N-dimethylformamide (DMF)). The synthesis of the N-methyluracils of the general formula Id, Ie or If proceeds as described below by way of example in Scheme 2, where R 1 is, by way of example but not limitation, fluorine, R 6 is, by way of example but not limitation, methyl, R 7 is, by way of example but not limitation, hydrogen, R 3 is, by way of example but not limitation, hydrogen, R 4 is, by way of example but not limitation, methyl, and R 5 is, by way of example but not limitation, methyl. Starting from the uracil (VIII) described in Scheme 1, the conversion to the silyl-protected uracil (X) takes place. with suitable trialkylsilyl chlorides, represented here by way of example but not limitation as tert-butyldimethylsilyl chloride. The silylation is carried out using a suitable base (e.g. triethylamine or Hünig's base) in a suitable polar aprotic solvent (e.g. dichloromethane, chloroform, N,N-dimethylacetamide or N,N-dimethylformamide). The silyl-protected uracil (X) is converted into N-methyl-N'-phenyluracil (XI) by subsequent N-methylation. The methylation is carried out using a suitable base (e.g. B. sodium hydride, potassium tert-butoxide or potassium carbonate) in a suitable polar aprotic solvent (e.g. dichloromethane, chloroform, N,N-dimethylacetamide or N,N-dimethylformamide). The subsequent deprotection to the hydroxylamine group is carried out by stirring with 2N hydrochloric acid and thus allows the synthesis of the free hydroximinomethylphenyluracils (XII). S Scheme 2 The subsequent O-alkylation of the hydroxylamine group is carried out by reaction with a corresponding α-haloacetic ester, shown in Scheme II as ethyl 2-bromopropionate by way of example but not limitation, and thus allows the synthesis of the substituted oxyiminomethylphenyluracils (Id). The required underlying α-haloacetic esters are commercially available or known from the literature. The O-alkylation is carried out using a suitable base (e.g., sodium hydride, potassium tert-butoxide, or potassium carbonate) in a suitable polar aprotic solvent (e.g., dichloromethane, chloroform, N,N-dimethylacetamide, or N,N-dimethylformamide). The corresponding carboxylic acid (Ie) is obtained by ester cleavage of the terminal ester group of N-methyl-N'-uracil (Id) according to ester cleavage processes known to those skilled in the art. This can then be converted by esterification with a suitable alcohol R-OH to various ester variants of N-methyl-N'-uracil (If). The esterification can be carried out, as shown in Scheme 2 by way of example but not limitation, using suitable coupling reagents (e.g. HOBt = 1-hydroxybenzotriazole, EDC = 1-ethyl-3-(3-dimethylaminopropyl)carbodiimide, HATU = O-(7-
Azabenzotriazol-1-yl)-N,N,N′,N′-tetramethyluronium-hexafluorphosphat, T3P = 2,4,6-Tripropyl- 1,3,5,2,4,6-trioxatriphosphorinane-2,4,6-trioxid) und geeigneter Basen (z. B. Diisopropylethylamin, Triethylamin) in einem geeigneten polar-aprotischen Lösemittel (z. B. Dichlormethan, Chloroform) durchgeführt werden. Alternativ kann die Veresterung via Transformation ins Säurechlorid mittels Thionylchlorid und nachfolgender Umsetzung mit dem Alkohol R-OH erfolgen, wobei ein geeignetes polar-aprotischen Lösemittel (z. B. Dichlormethan (DCM), Chloroform, N,N-Dimethylacetamid (DMA) oder N,N-Dimethylformamid (DMF)) Verwendung findet. Ausgewählte detaillierte Synthesebeispiele für die erfindungsgemäßen Verbindungen der allgemeinen Formeln (I) sind im Folgenden aufgeführt. Die angegebenen Beispielnummern entsprechen den in den nachstehenden Tabellen I.1 bis I.14 genannten Nummerierungen. Die 1H-NMR-, 13C-NMR- und 19F- NMR-spektroskopischen Daten, die für die in den nachfolgenden Abschnitten beschriebenen chemischen Beispiele angegeben sind, (400 MHz bei 1H-NMR und 150 MHz bei 13C-NMR und 375 MHz bei 19F-NMR, Lösungsmittel CDCl3, CD3OD oder d6-DMSO, interner Standard: Tetramethylsilan δ = 0.00 ppm), wurden mit einem Gerät der Firma Bruker erhalten, und die bezeichneten Signale haben die nachfolgend aufgeführten Bedeutungen: br = breit(es); s = Singulett, d = Dublett, t = Triplett, dd = Doppeldublett, ddd = Dublett eines Doppeldubletts, m = Multiplett, q = Quartett, quint = Quintett, sext = Sextett, sept = Septett, dq = Doppelquartett, dt = Doppeltriplett. Bei Diastereomerengemischen werden entweder die jeweils signifikanten Signale beider Diastereomere oder das charakteristische Signal des Hauptdiastereomers angegeben. Die verwendeten Abkürzungen für chemische Gruppen haben beispielsweise die nachfolgenden Bedeutungen: Me = CH3, Et = CH2CH3, t-Hex = C(CH3)2CH(CH3)2, t- Bu = C(CH3)3, n-Bu = unverzweigtes Butyl, n-Pr = unverzweigtes Propyl, i-Pr = verzweigtes Propyl, c- Pr = Cyclopropyl, c-Hex = Cyclohexyl. Synthesebeispiele: Nr. I.3-442: (Ethyl-{[(E)-{5-[3-amino-4-(1,1-difluorethyl)-2,6-dioxo-3,6-dihydropyrimidin-1(2H)-yl]-2- chlor-4-fluorbenzyliden}amino]oxy}acetat .... N-[(E)-(5-Nitro-2-chlor-4-fluorphenyl)methylen]hydroxylamin (4390 mg, 20.09 mmol; Herstellung siehe J. Agric. Food Chem.2019, 67, 45, 12382–12392) wurde in 66 mL Dichlormethan gelöst und nachfolgend bei Raumtemperatur mit Triethylamin (5081 mg, 50.21 mmol) und tert-Butylsilylchlorid (6055 mg, 40.17 mmol) versetzt. Die Reaktionslösung rührte nachfolgend 1h bei Raumtemperatur. Nach DC-Kontrolle wurde mit Wasser gequencht und die wäßrige Phase mehrfach gründlich mit Dichlormethan extrahiert. Die vereinigten organischen Phasen wurden über Natriumsulfat getrocknet, abfiltriert und unter vermindertem Druck vorsichtig eingeengt. Durch abschließende säulenchromatographische Reinigung wurde N-[(E)-(5-Nitro-2-chlor-4-fluorphenyl)methylen]-O-[tert- butyl(dimethyl)silyl]hydroxylamin (6070 mg, Reinheit: 95%, 86% der Theorie) erhalten, welches nachfolgend weiter umgesetzt wurde. Das so erhaltene N-[(E)-(5-Nitro-2-chlor-4-fluorphenyl)methylen]-O-[tert-butyl(dimethyl)silyl]- hydroxylamin (1227 mg, 3.69 mmol) wurde in 10 mL Ethylacetat vorgelegt und bei 70 Grad Celsius portionsweise mit Zinn(II)chlorid (2796 mg, 14.75 mmol) versetzt. Die Reaktionsmischung wurde nachfolgend bei 60 Grad Celsius 2 Stunden gerührt. Nachfolgend wurde die Reaktionsmischung auf Wasser geschüttet und über Celite filtriert. Nach Trennung der Phasen wurde die wäßrige Phase mehrfach mit Ethylacetat extrahiert und die vereinigten organischen Phasen nachfolgend über Natriumsulfat getrocknet, abfiltriert und unter vermindertem Druck eingeengt. Durch säulen- chromatographische Reinigung des erhaltenen Rohproduktes wurde N-[(E)-(5-Amino-2-chlor-4- fluorphenyl)methylen]-O-[tert-butyl(dimethyl)silyl]hydroxylamin (750 mg, Reinheit: 95%, 64% der Theorie) erhalten, welches so nachfolgend weiter umgesetzt wurde. N-[(E)-(5-Amino-2-chlor-4-fluorphenyl)methylen]-O-[tert-butyl(dimethyl)silyl]hydroxylamin (2861 mg, 9.44 mmol) wurde zusammen mit 4-(1,1-Difluorethyl)-2-(dimethylamino)-6H-1,3-oxazin-6-on (2800 mg, 12.7 mmol; Herstellung in Analogie zu WO2000/049002) in 50 mL Essigsäure aufgenommen und 2h bei 110 Grad Celsius gerührt. Nach vollständigem Umsatz wurde das Reaktionsgemisch mit Wasser versetzt und anschließend gründlich mit Ethylacetat extrahiert. Die vereinigten organischen Phasen wurden über Natriumsulfat getrocknet, abfiltriert und unter vermindertem Druck eingeengt. Durch säulenchromatographische Reinigung des erhaltenen Rohproduktes wurde 3-{4-Chlor-2-fluor-5- [(E)-(hydroxyimino)methyl]phenyl}-6-(1,1-difluorethyl)pyrimidin-2,4(1H,3H)-dion (1540 mg, Reinheit: 95%, 44% der Theorie) in Form eines farblosen Feststoffes erhalten, der so weiter ungesetzt wurde. Das so erhaltene 3-{4-Chlor-2-fluor-5-[(E)-(hydroxyimino)methyl]phenyl}-6-(1,1- difluorethyl)pyrimidin-2,4(1H,3H)-dion (308 mg, 0.88 mmol) wurde in 5 mL N,N-Dimethylformamid gelöst, mit Kaliumcarbonat (159 mg, 1.15 mmol) versetzt und nachfolgend wurde Chloressigsäureethylester (141 mg, 1.15 mmol) zugesetzt. Die Reaktionslösung rührte nachfolgend 2h bei Raumtemperatur. Nach DC-Kontrolle wurde über Nacht stehen gelassen und am Folgetag mit Wasser gequencht. Nach Zugabe von einigen Tropfen 6N Salzsäure wurde die wäßrige Phase mehrfach gründlich mit Methylenchlorid extrahiert. Die vereinigten organischen Phasen wurden über Natriumsulfat getrocknet, abfiltriert und unter vermindertem Druck vorsichtig eingeengt. Durch abschließende säulenchromatographische Reinigung wurde Ethyl-{[(E)-{2-chlor-5-[4-(1,1-difluorethyl)- 2,6-dioxo-3,6-dihydropyrimidin-1(2H)-yl]-4-fluorbenzyliden}amino]oxy}acetat (261 mg, Reinheit: 35 99%, 61% der Theorie) in Form eines farblosen Öles erhalten, welches so weiter umgesetzt wurde. Das so erhaltene Ethyl-{[(E)-{2-chlor-5-[4-(1,1-difluorethyl)-2,6-dioxo-3,6-dihydropyrimidin-1(2H)- yl]-4-fluorbenzyliden}amino]oxy}acetat (210 mg, 0.48 mmol) wurde in 5 mL abs. Tetrahydrofuran gelöst, mit Natriumhydrid (21 mg, 0.53 mmol), 60%ige Dispersion in Mineralöl) versetzt und 30 min bei Raumtemperatur gerührt. Danach erfolgte die Zugabe von O-(Diphenylphosphinoyl)hydroxylamin (147 mg, 0.62 mmol). Das resultierende Reaktionsgemisch wurde danach 2 h lang unter Stickstoff gerührt. Nach vollständigem Umsatz wurde Wasser zugegeben, man versetzte mit Dichlormethan und trennte mittels Phasensepartor um hernach unter vermindertem Druck einzuengen. Durch säulenchromatographische Reinigung des erhaltenen Rohproduktes wurde Ethyl-{[(E)-{5-[3-amino-4- (1,1-difluorethyl)-2,6-dioxo-3,6-dihydropyrimidin-1(2H)-yl]-2-chlor-4- fluorbenzyliden}amino]oxy}acetat (120 mg, Reinheit: 85%, 47% der Theorie) in Form eines farblosen Feststoffs erhalten. 1H NMR (CDCl3, ppm): 8.55 (s, 1H), 7.83 (d, 1H), 7.32 (d, 1H), 6.14 (s, 1H), 4.69 (s, 2H), 4.64 (s, 2H), 4.25 (q, 2H), 2.18 (t, 3H), 1.28 (t, 3H). Nr. I.2-442 (Racemat): Ethyl-(2RS)-2-{[(E)-{2-chlor-5-[4-(1,1-difluorethyl)-3-methyl-2,6-dioxo-3,6- dihydropyrimidin-1(2H)-yl]-4-fluorbenzyliden}amino]oxy}propanoat 3-{4-Chlor-2-fluor-5-[(E)-(hydroxyimino)methyl]phenyl}-6-(1,1-difluorethyl)pyrimidin-2,4(1H,3H)- dion (500 mg, 1.43 mmol) wurde in 7.5 mL Dichlormethan gelöst und nachfolgend mit Triethylamin (364 mg, 3.59 mmol) und tert-Butylsilylchlorid (434 mg, 2.87 mmol) versetzt. Die Reaktionslösung rührte nachfolgend 1h bei Raumtemperatur. Nach DC-Kontrolle wurde mit Wasser gequencht und die wäßrige Phase mehrfach gründlich mit Dichlormethan extrahiert. Die vereinigten organischen Phasen wurden über Natriumsulfat getrocknet, abfiltriert und unter vermindertem Druck vorsichtig eingeengt. Durch abschließende säulenchromatographische Reinigung wurde 3-{5-[(E)-({[tert- Butyl(dimethyl)silyl]oxy}imino)methyl]-4-chlor-2-fluorphenyl}-6-(1,1-difluorethyl)pyrimidin- 2,4(1H,3H)-dion (555 mg, Reinheit: 95%, 79% der Theorie) erhalten, welches nachfolgend weiter umgesetzt wurde.. Das so erhaltene 3-{5-[(E)-({[tert-Butyl(dimethyl)silyl]oxy}imino)methyl]-4-chlor-2-fluorphenyl}-6- (1,1-difluorethyl)pyrimidin-2,4(1H,3H)-dion (550 mg, 1.19 mmol) wurde in 8 mL N,N- Dimethylformamid gelöst, mit Kaliumcarbonat (494 mg, 3.57 mmol) versetzt und nachfolgend wurde Iodmethan (363 mg, 2.38 mmol) zugesetzt. Die Reaktionslösung rührte nachfolgend 2h bei 110 Grad Celsius gerührt. Nach DC-Kontrolle wurde mit Wasser gequencht und die wäßrige Phase mehrfach gründlich mit Ethylacetat extrahiert. Die vereinigten organischen Phasen wurden über Natriumsulfat getrocknet, abfiltriert und unter vermindertem Druck vorsichtig eingeengt. Durch abschließende säulenchromatographische Reinigung wurde 3-{5-[(E)-({[tert-Butyl(dimethyl)silyl]oxy}imino)methyl]- 4-chlor-2-fluorphenyl}-6-(1,1-difluorethyl)-1-methylpyrimidin-2,4(1H,3H)-dion (521 mg, Reinheit: 97%, 89% der Theorie) in Form eines farblosen semikristallinen Öls erhalten. Das in der Vorstufe generierte 3-{5-[(E)-({[tert-Butyl(dimethyl)silyl]oxy}imino)methyl]-4-chlor-2- fluorphenyl}-6-(1,1-difluorethyl)-1-methylpyrimidin-2,4(1H,3H)-dion (520 mg, 1.09 mmol) wurde in ca.1.5 mL 4N wäßriger Salzsäure für 2h bei Raumtemperatur gerührt. Nachfolgend wurde mit 200 mLWasser versetzt und die wäßrige Phase mehrfach gründlich mit Ethylacetat extrahiert. Die vereinigten organischen Phasen wurden über Natriumsulfat getrocknet, abfiltriert und unter vermindertem Druck vorsichtig eingeengt. Durch abschließende säulenchromatographische Reinigung wurde 3-{4-Chlor-2-fluor-5-[(E)-(hydroxyimino)methyl]phenyl}-6-(1,1-difluorethyl)-1- methylpyrimidin-2,4(1H,3H)-dion (320 mg, Reinheit: 97%, 78% der Theorie) in Form eines farblosen Öls erhalten, welches so weiter umgesetzt wurde. Das so erhaltene 3-{4-Chlor-2-fluor-5-[(E)-(hydroxyimino)methyl]phenyl}-6-(1,1-difluorethyl)-1- methylpyrimidin-2,4(1H,3H)-dion (1150 mg, 3.17 mmol) wurde in 20 mL N,N-Dimethylformamid gelöst, mit Kaliumcarbonat (571 mg, 4.13 mmol) versetzt und nachfolgend wurde (2RS)- Bromproionsäureethylester (764 mg, 4.13 mmol) zugesetzt. Die Reaktionslösung rührte nachfolgend 2h bei Raumtemperatur. Nach DC-Kontrolle wurde mit Wasser gequencht und die wäßrige Phase mehrfach gründlich mit Ethylacetat extrahiert. Die vereinigten organischen Phasen wurden über Natriumsulfat getrocknet, abfiltriert und unter vermindertem Druck vorsichtig eingeengt. Durch abschließende säulenchromatographische Reinigung wurde Ethyl-(2RS)-2-{[(E)-{2-chlor-5-[4-(1,1-difluorethyl)-3- methyl-2,6-dioxo-3,6-dihydropyrimidin-1(2H)-yl]-4-fluorbenzyliden}amino]oxy}propanoat (1517 mg, Reinheit: 95%, 98% der Theorie) in Form eines farblosen Feststoffs erhalten. 1H NMR (CDCl3, ppm): 8.51 (s, 1H), 7.81 (d, 1H), 7.30 (d, 1H), 6.17 (s, 1H), 4.78 (q, 1H), 4.23 (q, 2H), 3.58 (s, 3H), 2.05 (t, 3H), 1.53 (d, 3H), 1.28 (t, 3H). Nr. I.2-442 (Enantiomer 1) [(-)-drehend] und Nr. I.2-442 (Enantiomer 2) [(+)-drehend]: Ethyl-(+)-2-{[(E)-{2-chlor-5-[4-(1,1-difluorethyl)-3-methyl-2,6-dioxo-3,6-dihydropyrimidin-1(2H)-yl]- 4-fluorbenzyliden}amino]oxy}propanoat und Ethyl-(-)-2-{[(E)-{2-chlor-5-[4-(1,1-difluorethyl)-3- methyl-2,6-dioxo-3,6-dihydropyrimidin-1(2H)-yl]-4-fluorbenzyliden}amino]oxy}propanoat (Enantiomer 1 und 2 nachstehend dargestellt mit einem * am chiralen Zentrum) Azabenzotriazol-1-yl)-N,N,N′,N′-tetramethyluronium hexafluorophosphate, T3P = 2,4,6-tripropyl-1,3,5,2,4,6-trioxatriphosphorinane-2,4,6-trioxide) and suitable bases (e.g. diisopropylethylamine, triethylamine) in a suitable polar aprotic solvent (e.g. dichloromethane, chloroform). Alternatively, the esterification can be carried out via transformation into the acid chloride using thionyl chloride and subsequent reaction with the alcohol R-OH, using a suitable polar aprotic solvent (e.g. dichloromethane (DCM), chloroform, N,N-dimethylacetamide (DMA) or N,N-dimethylformamide (DMF)). Selected detailed synthesis examples for the compounds of the general formula (I) according to the invention are listed below. The example numbers given correspond to the numbering in Tables I.1 to I.14 below. The 1 H-NMR, 13 C-NMR and 19 F-NMR spectroscopic data given for the chemical examples described in the following sections (400 MHz for 1 H-NMR and 150 MHz for 13 C-NMR and 375 MHz for 19 F-NMR, solvent CDCl 3 , CD 3 OD or d 6 -DMSO, internal standard: tetramethylsilane δ = 0.00 ppm) were obtained using a Bruker instrument, and the designated signals have the meanings listed below: br = broad(es); s = singlet, d = doublet, t = triplet, dd = double doublet, ddd = doublet of a double doublet, m = multiplet, q = quartet, quint = quintet, sext = sextet, sept = septet, dq = double quartet, dt = double triplet. For mixtures of diastereomers, either the significant signals of both diastereomers or the characteristic signal of the major diastereomer are given. The abbreviations used for chemical groups have the following meanings: Me = CH 3 , Et = CH 2 CH 3 , t-Hex = C(CH 3 ) 2 CH(CH 3 ) 2 , t-Bu = C(CH 3 ) 3 , n-Bu = unbranched butyl, n-Pr = unbranched propyl, i-Pr = branched propyl, c-Pr = cyclopropyl, c-Hex = cyclohexyl. Synthesis examples: No. I.3-442: (Ethyl {[(E)-{5-[3-amino-4-(1,1-difluoroethyl)-2,6-dioxo-3,6-dihydropyrimidin-1(2H)-yl]-2-chloro-4-fluorobenzylidene}amino]oxy}acetate . ... N-[(E)-(5-Nitro-2-chloro-4-fluorophenyl)methylene]hydroxylamine (4390 mg, 20.09 mmol; for preparation see J. Agric. Food Chem. 2019, 67, 45, 12382–12392) was dissolved in 66 mL of dichloromethane and subsequently treated at room temperature with triethylamine (5081 mg, 50.21 mmol) and tert-butylsilyl chloride (6055 mg, 40.17 mmol). The reaction solution was stirred for 1 h at room temperature. After TLC monitoring, the mixture was quenched with water, and the aqueous phase was washed thoroughly several times with Extracted with dichloromethane. The combined organic phases were dried over sodium sulfate, filtered, and carefully concentrated under reduced pressure. Subsequent purification by column chromatography afforded N-[(E)-(5-nitro-2-chloro-4-fluorophenyl)methylene]-O-[tert-butyl(dimethyl)silyl]hydroxylamine (6070 mg, purity: 95%, 86% of theory), which was subsequently reacted further. The resulting N-[(E)-(5-nitro-2-chloro-4-fluorophenyl)methylene]-O-[tert-butyl(dimethyl)silyl]hydroxylamine (1227 mg, 3.69 mmol) was initially dissolved in 10 mL of ethyl acetate, and tin(II) chloride (2796 mg, 14.75 mmol) was added portionwise at 70 °C. The reaction mixture was then stirred at 60 °C for 2 hours. The reaction mixture was then poured into water and filtered through Celite. After separation of the phases, the aqueous phase was extracted several times with ethyl acetate, and the combined organic phases were subsequently dried over sodium sulfate, filtered, and concentrated under reduced pressure. Purification of the crude product by column chromatography yielded N-[(E)-(5-amino-2-chloro-4-fluorophenyl)methylene]-O-[tert-butyl(dimethyl)silyl]hydroxylamine (750 mg, purity: 95%, 64% of theory), which was subsequently reacted further. N-[(E)-(5-Amino-2-chloro-4-fluorophenyl)methylene]-O-[tert-butyl(dimethyl)silyl]hydroxylamine (2861 mg, 9.44 mmol) was dissolved in 50 mL of acetic acid together with 4-(1,1-difluoroethyl)-2-(dimethylamino)-6H-1,3-oxazin-6-one (2800 mg, 12.7 mmol; prepared analogously to WO2000/049002) and stirred for 2 h at 110 °C. After complete conversion, the reaction mixture was treated with water and then thoroughly extracted with ethyl acetate. The combined organic phases were dried over sodium sulfate, filtered, and concentrated under reduced pressure. Purification of the crude product by column chromatography gave 3-{4-chloro-2-fluoro-5-[(E)-(hydroxyimino)methyl]phenyl}-6-(1,1-difluoroethyl)pyrimidine-2,4(1H,3H)-dione (1540 mg, purity: 95%, 44% of theory) in the form of a colorless solid, which was further reacted. The resulting 3-{4-chloro-2-fluoro-5-[(E)-(hydroxyimino)methyl]phenyl}-6-(1,1-difluoroethyl)pyrimidine-2,4(1H,3H)-dione (308 mg, 0.88 mmol) was dissolved in 5 mL of N,N-dimethylformamide, potassium carbonate (159 mg, 1.15 mmol) was added, and ethyl chloroacetate (141 mg, 1.15 mmol) was added. The reaction solution was stirred for 2 h at room temperature. After TLC monitoring, the mixture was left to stand overnight and quenched with water the following day. After adding a few drops of 6N hydrochloric acid, the aqueous phase was thoroughly extracted several times with methylene chloride. The combined organic phases were dried over sodium sulfate, filtered, and carefully concentrated under reduced pressure. Subsequent purification by column chromatography yielded ethyl {[(E)-{2-chloro-5-[4-(1,1-difluoroethyl)-2,6-dioxo-3,6-dihydropyrimidin-1(2H)-yl]-4-fluorobenzylidene}amino]oxy}acetate (261 mg, purity: 99%, 61% of theory) as a colorless oil, which was further reacted. The resulting ethyl {[(E)-{2-chloro-5-[4-(1,1-difluoroethyl)-2,6-dioxo-3,6-dihydropyrimidin-1(2H)-yl]-4-fluorobenzylidene}amino]oxy}acetate (210 mg, 0.48 mmol) was dissolved in 5 mL of absolute tetrahydrofuran. dissolved, treated with sodium hydride (21 mg, 0.53 mmol), 60% dispersion in mineral oil), and stirred for 30 min at room temperature. O-(diphenylphosphinoyl)hydroxylamine (147 mg, 0.62 mmol) was then added. The resulting reaction mixture was stirred under nitrogen for 2 h. After complete conversion, water was added, dichloromethane was added, and the mixture was separated using a phase separator, followed by evaporation under reduced pressure. Purification of the crude product by column chromatography gave ethyl {[(E)-{5-[3-amino-4-(1,1-difluoroethyl)-2,6-dioxo-3,6-dihydropyrimidin-1(2H)-yl]-2-chloro-4-fluorobenzylidene}amino]oxy}acetate (120 mg, purity: 85%, 47% of theory) as a colorless solid. 1 H NMR (CDCl 3 , ppm): 8.55 (s, 1H), 7.83 (d, 1H), 7.32 (d, 1H), 6.14 (s, 1H), 4.69 (s, 2H), 4.64 (s, 2H), 4.25 (q, 2H), 2.18 (t, 3H), 1.28 (t, 3H). No. I.2-442 (Racemate): Ethyl-(2RS)-2-{[(E)-{2-chloro-5-[4-(1,1-difluoroethyl)-3-methyl-2,6-dioxo-3,6-dihydropyrimidin-1(2H)-yl]-4-fluorobenzylidene}amino]oxy}propanoate 3-{4-Chloro-2-fluoro-5-[(E)-(hydroxyimino)methyl]phenyl}-6-(1,1-difluoroethyl)pyrimidine-2,4(1H,3H)-dione (500 mg, 1.43 mmol) was dissolved in 7.5 mL of dichloromethane, and triethylamine (364 mg, 3.59 mmol) and tert-butylsilyl chloride (434 mg, 2.87 mmol) were added. The reaction solution was stirred for 1 h at room temperature. After TLC monitoring, the mixture was quenched with water, and the aqueous phase was thoroughly extracted several times with dichloromethane. The combined organic phases were dried over sodium sulfate, filtered, and carefully concentrated under reduced pressure. Final purification by column chromatography gave 3-{5-[(E)-({[tert-Butyl(dimethyl)silyl]oxy}imino)methyl]-4-chloro-2-fluorophenyl}-6-(1,1-difluoroethyl)pyrimidine-2,4(1H,3H)-dione (555 mg, purity: 95%, 79% of theory), which was subsequently further reacted. The resulting 3-{5-[(E)-({[tert-Butyl(dimethyl)silyl]oxy}imino)methyl]-4-chloro-2-fluorophenyl}-6-(1,1-difluoroethyl)pyrimidine-2,4(1H,3H)-dione (550 mg, 1.19 mmol) was dissolved in 8 mL of N,N-dimethylformamide, treated with potassium carbonate (494 mg, 3.57 mmol) and subsequently Iodomethane (363 mg, 2.38 mmol) was added. The reaction solution was stirred for 2 h at 110 °C. After TLC monitoring, the mixture was quenched with water and the aqueous phase was extracted thoroughly several times with ethyl acetate. The combined organic phases were dried over sodium sulfate. dried, filtered, and carefully concentrated under reduced pressure. Subsequent purification by column chromatography afforded 3-{5-[(E)-({[tert-Butyl(dimethyl)silyl]oxy}imino)methyl]-4-chloro-2-fluorophenyl}-6-(1,1-difluoroethyl)-1-methylpyrimidine-2,4(1H,3H)-dione (521 mg, purity: 97%, 89% of theory) as a colorless semicrystalline oil. The 3-{5-[(E)-({[tert-Butyl(dimethyl)silyl]oxy}imino)methyl]-4-chloro-2-fluorophenyl}-6-(1,1-difluoroethyl)-1-methylpyrimidine-2,4(1H,3H)-dione (520 mg, 1.09 mmol) generated in the precursor was stirred in approximately 1.5 mL of 4N aqueous hydrochloric acid for 2 h at room temperature. Subsequently, 200 mL of water was added, and the aqueous phase was thoroughly extracted several times with ethyl acetate. The combined organic phases were dried over sodium sulfate, filtered, and carefully concentrated under reduced pressure. By final column chromatographic purification, 3-{4-chloro-2-fluoro-5-[(E)-(hydroxyimino)methyl]phenyl}-6-(1,1-difluoroethyl)-1-methylpyrimidine-2,4(1H,3H)-dione (320 mg, purity: 97%, 78% of theory) was obtained in the form of a colorless oil, which was further reacted. The resulting 3-{4-chloro-2-fluoro-5-[(E)-(hydroxyimino)methyl]phenyl}-6-(1,1-difluoroethyl)-1-methylpyrimidine-2,4(1H,3H)-dione (1150 mg, 3.17 mmol) was dissolved in 20 mL of N,N-dimethylformamide, potassium carbonate (571 mg, 4.13 mmol) was added, and then ethyl (2RS)-bromopropionate (764 mg, 4.13 mmol) was added. The reaction solution was stirred for 2 h at room temperature. After TLC monitoring, the mixture was quenched with water, and the aqueous phase was thoroughly extracted several times with ethyl acetate. The combined organic phases were dried over sodium sulfate, filtered, and carefully concentrated under reduced pressure. By final column chromatographic purification, ethyl (2RS)-2-{[(E)-{2-chloro-5-[4-(1,1-difluoroethyl)-3-methyl-2,6-dioxo-3,6-dihydropyrimidin-1(2H)-yl]-4-fluorobenzylidene}amino]oxy}propanoate (1517 mg, purity: 95%, 98% of theory) was obtained in the form of a colorless solid. 1H NMR (CDCl3, ppm): 8.51 (s, 1H), 7.81 (d, 1H), 7.30 (d, 1H), 6.17 (s, 1H), 4.78 (q, 1H), 4.23 (q, 2H), 3.58 (s, 3H), 2.05 (t, 3H), 1.53 (d, 3H), 1.28 (t, 3H). No. I.2-442 (Enantiomer 1) [(-)-rotating] and No. I.2-442 (Enantiomer 2) [(+)-rotating]: Ethyl (+)-2-{[(E)-{2-chloro-5-[4-(1,1-difluoroethyl)-3-methyl-2,6-dioxo-3,6-dihydropyrimidin-1(2H)-yl]-4-fluorobenzylidene}amino]oxy}propanoate and Ethyl (-)-2-{[(E)-{2-chloro-5-[4-(1,1-difluoroethyl)-3-methyl-2,6-dioxo-3,6-dihydropyrimidin-1(2H)-yl]-4-fluorobenzylidene}amino]oxy}propanoate (Enantiomers 1 and 2 shown below with an * at the chiral center)
Das so erhaltene racemische Ethyl-(2RS)-2-{[(E)-{2-chlor-5-[4-(1,1-difluorethyl)-3-methyl-2,6-dioxo- 3,6-dihydropyrimidin-1(2H)-yl]-4-fluorbenzyliden}amino]oxy}propanoat (875 mg) wird dann mittels chiraler Supercritical Fluid Chromatography (SFC) über eine CHIRALCEL OZ-Säule in die Enantiomeren getrennt. Man erhält nach 1.90 - 2.50 min 414 mg (44% Ausbeute) eines farblosen Feststoffes (Enantiomer 1, I. I.2-442 (Enantiomer 1), (-)-drehend) 1H NMR (CDCl3, ppm): 8.51 (s, 1H), 7.81 (d, 1H), 7.30 (d, 1H), 6.17 (s, 1H), 4.78 (q, 1H), 4.23 (q, 2H), 3.58 (s, 3H), 2.05 (t, 3H), 1.53 (d, 3H), 1.28 (t, 3H). Drehwert - 38.52 (MeOH, 2 mg/mL), und nach 2.65 – 3.25 min 409 mg (43% Ausbeute) eines farblosen Feststoffes (Enantiomer 2, I. I.2-442 (Enantiomer 2), (+)-drehend) 1H NMR (CDCl3, ppm): 8.51 (s, 1H), 7.81 (d, 1H), 7.30 (d, 1H), 6.15 (s, 1H), 4.78 (q, 1H), 4.23 (q, 2H), 3.58 (s, 3H), 2.05 (t, 3H), 1.53 (d, 3H), 1.28 (t, 3H). Drehwert + 41.70 (MeOH, 2 mg/mL), wobei keine Zuordnung der einzelnen Enantiomere hinsichtlich der Absolutkonfiguration erfolgte, so daß eine Unterscheidung lediglich anhand der Drehwerte ohne Kenntnis der Absolutkonfiguration erfolgte. Nr. I.1-481: {[(E)-{2-Chlor-5-[4-(1,1-difluorethyl)-3-methyl-2,6-dioxo-3,6-dihydropyrimidin-1(2H)-yl]- 4-fluorbenzyliden}amino]oxy}essigsäure H Ethyl-{[(E)-{2-chlor-5-[4-(1,1-difluorethyl)-3-methyl-2,6-dioxo-3,6-dihydropyrimidin-1(2H)-yl]-4- fluorbenzyliden}amino]oxy}acetat (135 mg, 0.30 mmol) wurde in 3 mL Eisessig vorgelegt und mit 0.5 ml 6N wäßriger Salzsäure versetzt. Die Reaktionslösung rührte nachfolgend 3h bei 30 Grad Celsius gerührt. Es wurde über Nacht stehen gelassen und nach DC-Kontrolle am Folgetag mit Wasser versetzt. Nachfolgend wurde die wäßrige Phase mehrfach gründlich mit Ethylacetat extrahiert. Die vereinigten organischen Phasen wurden über Natriumsulfat getrocknet, abfiltriert und unter vermindertem Druck vorsichtig eingeengt. Durch abschließende säulenchromatographische Reinigung wurde {[(E)-{2-Chlor- 5-[4-(1,1-difluorethyl)-3-methyl-2,6-dioxo-3,6-dihydropyrimidin-1(2H)-yl]-4- fluorbenzyliden}amino]oxy}essigsäure (14.5 mg, Reinheit: 95%, 11% der Theorie) in Form eines farblosen Feststoffs erhalten. 1H NMR (CDCl3, ppm): 8.55 (s, 1H), 7.83 (d, 1H), 7.31 (d, 1H), 6.17 (s, 1H), 4.74 (s, 2H), 3.58 (s, 3H), 2.05 (t, 3H). Nr. I.1-1: 2-Methoxyethyl-{[(E)-{2-chlor-5-[4-(1,1-difluorethyl)-3-methyl-2,6-dioxo-3,6- dihydropyrimidin-1(2H)-yl]-4-fluorbenzyliden}amino]oxy}acetat Zu einer Lösung aus 3-Methoxy-1-propanol (44 mg, 0.57 mmol) in 5 ml Dichlormethan wurde {[(E)-{2- Chlor-5-[4-(1,1-difluorethyl)-3-methyl-2,6-dioxo-3,6-dihydropyrimidin-1(2H)-yl]-4- fluorbenzyliden}amino]oxy}essigsäure (150 mg, 0.44 mmol) zugegeben und anschließend 1-Hydroxy- 1H-benzotriazol Hydrat (89 mg, 0.57 mmol), 1-(3-Dimethylaminopropyl)-3- ethylcarbodiimidhydrochlorid (111 mg, 0.57 mmol) und 4-Dimethylaminopyridin (10 mol%) zugesetzt. Der Ansatz wurde 5 h bei RT gerührt. Nach Stehen über Nacht bei RT wurde Wasser zugegeben, man versetzte mit Dichlormethan und trennte mittels Phasenseparator, um hernach unter vermindertem Druck einzuengen. Durch säulenchromatographische Reinigung des erhaltenen Rohproduktes wurde 2- Methoxyethyl-{[(E)-{2-chlor-5-[4-(1,1-difluorethyl)-3-methyl-2,6-dioxo-3,6-dihydropyrimidin-1(2H)- yl]-4-fluorbenzyliden}amino]oxy}acetat (132 mg, Reinheit: 97 %, 71% der Theorie) als farbloses Öl erhalten , welches später kristallisierte. 1H NMR (CDCl3, ppm): 8.54 (s, 1H), 7.82 (d, 1H), 7.31 (d, 1H), 6.15 (s, 1H), 4.74 (s, 2H), 4.33 (m, 2H), 3.62 (m, 2H), 3.58 (s, 2H), 3.38 (s, 3H), 2.05 (t, 3H). In Analogie zu den oben angeführten und an entsprechender Stelle rezitierten Herstellungsbeispielen und unter Berücksichtigung der allgemeinen Angaben zur Herstellung von substituierten Oxyiminomethylphenyluracilen mit 4-Difluoralkylsubstitution am Uracil erhält man die nachfolgend genannten Verbindungen. Wenn in Tabelle 1 ein Strukturelement durch eine Strukturformel definiert ist, welches eine gestrichelte Linie enthält, so bedeutet diese gestrichelte Linie, dass an dieser Position die betreffende Gruppe mit dem Rest des Moleküls verbunden ist. Wenn in Tabelle 1 ein Strukturelement durch eine Strukturformel definiert ist, welches einen Pfeil enthält, so steht der Pfeil für eine Bindung der jeweiligen Gruppe Q zur Carbonylgruppe in der allgemeinen Formel (I). ) Tabelle I.1: Bevorzugte Verbindungen der Formel (I.1) sind die Verbindungen I.1-1 bis I.1-500, worin Q die in der jeweiligen Zeile angegebenen Bedeutungen der Tabelle 1 hat. Die Verbindungen I.1-1 bis I.1-500 der Tabelle I.1 sind somit durch die Bedeutung der jeweiligen Einträge Nr.1 bis 500 für Q der Tabelle 1 definiert. Tabelle 1: ) Tabelle I.2: Bevorzugte Verbindungen der Formel (I.2) sind die Verbindungen I.2-1 bis I.2-500, worin Q die in der jeweiligen Zeile angegebenen Bedeutungen der Tabelle 1 hat. Die Verbindungen I.2-1 bis I.2-500 der Tabelle I.2 sind somit durch die Bedeutung der jeweiligen Einträge No.1 bis 500 für Q der Tabelle 1 definiert. ) Tabelle I.3: Bevorzugte Verbindungen der Formel (I.3) sind die Verbindungen I.3-1 bis I.3-500, worin Q die in der jeweiligen Zeile angegebenen Bedeutungen der Tabelle 1 hat. Die Verbindungen I.3-1 bis I.3-500 der Tabelle I.3 sind somit durch die Bedeutung der jeweiligen Einträge No.1 bis 500 für Q der Tabelle 1 definiert. ) Tabelle I.4: Bevorzugte Verbindungen der Formel (I.4) sind die Verbindungen I.4-1 bis I.4-500, worin Q die in der jeweiligen Zeile angegebenen Bedeutungen der Tabelle 1 hat. Die Verbindungen I.4-1 bis 20 I.4-500 der Tabelle I.4 sind somit durch die Bedeutung der jeweiligen Einträge No.1 bis 500 für Q der Tabelle 1 definiert. ) Tabelle I.5: Bevorzugte Verbindungen der Formel (I.5) sind die Verbindungen I.5-1 bis I.5-500, worin Q die in der jeweiligen Zeile angegebenen Bedeutungen der Tabelle 1 hat. Die Verbindungen I.5-1 bis I.5-500 der Tabelle I.5 sind somit durch die Bedeutung der jeweiligen Einträge No.1 bis 500 für Q der Tabelle 1 definiert. ) Tabelle I.6: Bevorzugte Verbindungen der Formel (I.6) sind die Verbindungen I.6-1 bis I.6-500, worin Q die in der jeweiligen Zeile angegebenen Bedeutungen der Tabelle 1 hat. Die Verbindungen I.6-1 bis I.6-500 der Tabelle I.6 sind somit durch die Bedeutung der jeweiligen Einträge No.1 bis 500 für Q der Tabelle 1 definiert. ) Tabelle I.7: Bevorzugte Verbindungen der Formel (I.7) sind die Verbindungen I.7-1 bis I.7-500, worin Q die in der jeweiligen Zeile angegebenen Bedeutungen der Tabelle 1 hat. Die Verbindungen I.7-1 bis I.7-500 der Tabelle I.7 sind somit durch die Bedeutung der jeweiligen Einträge No.1 bis 500 für Q der Tabelle 1 definiert. ) Tabelle I.8: Bevorzugte Verbindungen der Formel (I.8) sind die Verbindungen I.8-1 bis I.8-500, worin Q die in der jeweiligen Zeile angegebenen Bedeutungen der Tabelle 1 hat. Die Verbindungen I.8-1 bis I.8-500 der Tabelle I.8 sind somit durch die Bedeutung der jeweiligen Einträge No.1 bis 500 für Q der Tabelle 1 definiert. ) Tabelle I.9: Bevorzugte Verbindungen der Formel (I.9) sind die Verbindungen I.9-1 bis I.9-500, worin Q die in der jeweiligen Zeile angegebenen Bedeutungen der Tabelle 1 hat. Die Verbindungen I.9-1 bis I.9-500 der Tabelle I.9 sind somit durch die Bedeutung der jeweiligen Einträge No.1 bis 500 für Q der Tabelle 1 definiert. ) Tabelle I.10: Bevorzugte Verbindungen der Formel (I.10) sind die Verbindungen I.10-1 bis I.10-500, worin Q die in der jeweiligen Zeile angegebenen Bedeutungen der Tabelle 1 hat. Die Verbindungen I.10-1 bis I.19-500 der Tabelle I.10 sind somit durch die Bedeutung der jeweiligen Einträge No.1 bis 500 für Q der Tabelle 1 definiert. ) Tabelle I.11: Bevorzugte Verbindungen der Formel (I.11) sind die Verbindungen I.11-1 bis I.11-500, worin Q die in der jeweiligen Zeile angegebenen Bedeutungen der Tabelle 1 hat. Die Verbindungen I.11-1 bis I.11-500 der Tabelle I.11 sind somit durch die Bedeutung der jeweiligen Einträge No.1 bis 500 für Q der Tabelle 1 definiert. ) Tabelle I.12: Bevorzugte Verbindungen der Formel (I.12) sind die Verbindungen I.12-1 bis I.12-500, worin Q die in der jeweiligen Zeile angegebenen Bedeutungen der Tabelle 1 hat. Die Verbindungen I.12-1 bis I.12-500 der Tabelle I.12 sind somit durch die Bedeutung der jeweiligen Einträge No.1 bis 500 für Q der Tabelle 1 definiert. ) Tabelle I.13: Bevorzugte Verbindungen der Formel (I.13) sind die Verbindungen I.13-1 bis I.13-500, worin Q die in der jeweiligen Zeile angegebenen Bedeutungen der Tabelle 1 hat. Die Verbindungen I.13-1 bis I.13-500 der Tabelle I.13 sind somit durch die Bedeutung der jeweiligen Einträge No.1 bis 500 für Q der Tabelle 1 definiert. ) Tabelle I.14: Bevorzugte Verbindungen der Formel (I.14) sind die Verbindungen I.14-1 bis I.14-500, worin Q die in der jeweiligen Zeile angegebenen Bedeutungen der Tabelle 1 hat. Die Verbindungen I.14-1 bis I.14-500 der Tabelle I.14 sind somit durch die Bedeutung der jeweiligen Einträge No.1 bis 500 für Q der Tabelle 1 definiert. NMR-Daten ausgewählter Beispiele: Die 1H-NMR-Daten ausgewählter Beispiele von Verbindungen der allgemeinen Formel (I) werden auf zwei verschiedene Weisen angegeben, und zwar (a) klassische NMR-Auswertung und Interpretation oder (b) in Form von 1H-NMR-Peaklisten nach der weiter unten beschriebenen Methode. a) klassische NMR-Interpretation b) NMR-Peak-Listenverfahren Die 1H-NMR-Daten ausgewählter Beispiele werden in Form von 1H-NMR-Peaklisten notiert. Zu jedem Signalpeak wird erst der δ-Wert in ppm und dann die Signalintensität in runden Klammern aufgeführt. Die δ-Wert – Signalintensitäts- Zahlenpaare von verschiedenen Signalpeaks werden durch Semikolons voneinander getrennt aufgelistet. Die Peakliste eines Beispieles hat daher die Form: δ1 (Intensität1); δ2 (Intensität2);……..; δi (Intensitäti);……; δn (Intensitätn) Die Intensität scharfer Signale korreliert mit der Höhe der Signale in einem gedruckten Beispiel eines NMR-Spektrums in cm und zeigt die wirklichen Verhältnisse der Signalintensitäten. Bei breiten Signalen können mehrere Peaks oder die Mitte des Signals und ihre relative Intensität im Vergleich zum intensivsten Signal im Spektrum gezeigt werden. Zur Kalibrierung der chemischen Verschiebung von 1H-NMR-Spektren wird Tetramethylsilan und/oder die chemische Verschiebung des Lösungsmittels benutzt, besonders im Fall von Spektren, die in DMSO gemessen werden. Daher kann in NMR-Peaklisten der Tetramethylsilan-Peak vorkommen, muss es aber nicht. Die Listen der 1H-NMR-Peaks sind ähnlich den klassischen 1H-NMR-Ausdrucken und enthalten somit gewöhnlich alle Peaks, die bei einer klassischen NMR-Interpretation aufgeführt werden. Darüber hinaus können sie wie klassische 1H-NMR-Ausdrucke Lösungsmittelsignale, Signale von Stereoisomeren der Zielverbindungen, die ebenfalls Gegenstand der Erfindung sind, und/oder Peaks von Verunreinigungen zeigen. Bei der Angabe von Verbindungssignalen im Delta-Bereich von Lösungsmitteln und/oder Wasser sind in unseren Listen von 1H-NMR-Peaks die gewöhnlichen Lösungsmittelpeaks, zum Beispiel Peaks von DMSO in DMSO-D6 und der Peak von Wasser, gezeigt, die gewöhnlich im Durchschnitt eine hohe Intensität aufweisen. Die Peaks von Stereoisomeren der Targetverbindungen und/oder Peaks von Verunreinigungen haben gewöhnlich im Durchschnitt eine geringere Intensität als die Peaks der Zielverbindungen (zum Beispiel mit einer Reinheit von >90%). Solche Stereoisomere und/oder Verunreinigungen können typisch für das jeweilige Herstellungsverfahren sein. Ihre Peaks können somit dabei helfen, die Reproduktion unseres Herstellungsverfahrens anhand von “Nebenprodukt-Fingerabdrücken” zu erkennen. Einem Experten, der die Peaks der Zielverbindungen mit bekannten Verfahren (MestreC, ACD- Simulation, aber auch mit empirisch ausgewerteten Erwartungswerten) berechnet, kann je nach Bedarf die Peaks der Zielverbindungen isolieren, wobei gegebenenfalls zusätzliche Intensitätsfilter eingesetzt werden. Diese Isolierung wäre ähnlich dem betreffenden Peak-Picking bei der klassischen 1H-NMR- Interpretation. Weitere Details zu 1H-NMR-Peaklisten können der Research Disclosure Database Number 564025 entnommen werden. The resulting racemic ethyl (2RS)-2-{[(E)-{2-chloro-5-[4-(1,1-difluoroethyl)-3-methyl-2,6-dioxo-3,6-dihydropyrimidin-1(2H)-yl]-4-fluorobenzylidene}amino]oxy}propanoate (875 mg) is then separated into the enantiomers by chiral supercritical fluid chromatography (SFC) on a CHIRALCEL OZ column. After 1.90 - 2.50 min, 414 mg (44% yield) of a colorless solid (enantiomer 1, II2-442 (enantiomer 1), (-)-rotating) is obtained. 1 H NMR (CDCl 3 , ppm): 8.51 (s, 1H), 7.81 (d, 1H), 7.30 (d, 1H), 6.17 (s, 1H), 4.78 (q, 1H), 4.23 (q, 2H), 3.58 (s, 3H), 2.05 (t, 3H), 1.53 (d, 3H), 1.28 (t, 3H). Optical rotation - 38.52 (MeOH, 2 mg/mL), and after 2.65 – 3.25 min 409 mg (43% yield) of a colorless solid (enantiomer 2, II2-442 (enantiomer 2), (+)-rotating) 1 H NMR (CDCl 3 , ppm): 8.51 (s, 1H), 7.81 (d, 1H), 7.30 (d, 1H), 6.15 (s, 1H), 4.78 (q, 1H), 4.23 (q, 2H), 3.58 (s, 3H), 2.05 (t, 3H), 1.53 (d, 3H), 1.28 (t, 3H). Optical rotation + 41.70 (MeOH, 2 mg/mL). The absolute configuration of the individual enantiomers was not assigned, so that differentiation was made solely on the basis of the optical rotations without knowledge of the absolute configuration. No. I.1-481: {[(E)-{2-chloro-5-[4-(1,1-difluoroethyl)-3-methyl-2,6-dioxo-3,6-dihydropyrimidin-1(2H)-yl]-4-fluorobenzylidene}amino]oxy}acetic acid H Ethyl {[(E)-{2-chloro-5-[4-(1,1-difluoroethyl)-3-methyl-2,6-dioxo-3,6-dihydropyrimidin-1(2H)-yl]-4-fluorobenzylidene}amino]oxy}acetate (135 mg, 0.30 mmol) was initially dissolved in 3 mL of glacial acetic acid, and 0.5 mL of 6N aqueous hydrochloric acid was added. The reaction solution was then stirred for 3 h at 30 °C. The mixture was left to stand overnight and, after TLC monitoring, water was added the following day. The aqueous phase was then thoroughly extracted several times with ethyl acetate. The combined organic phases were dried over sodium sulfate, filtered, and carefully concentrated under reduced pressure. By final column chromatographic purification, {[(E)-{2-chloro-5-[4-(1,1-difluoroethyl)-3-methyl-2,6-dioxo-3,6-dihydropyrimidin-1(2H)-yl]-4-fluorobenzylidene}amino]oxy}acetic acid (14.5 mg, purity: 95%, 11% of theory) was obtained in the form of a colorless solid. 1H NMR (CDCl3, ppm): 8.55 (s, 1H), 7.83 (d, 1H), 7.31 (d, 1H), 6.17 (s, 1H), 4.74 (s, 2H), 3.58 (s, 3H), 2.05 (t, 3H). No. I.1-1: 2-Methoxyethyl-{[(E)-{2-chloro-5-[4-(1,1-difluoroethyl)-3-methyl-2,6-dioxo-3,6-dihydropyrimidin-1(2H)-yl]-4-fluorobenzylidene}amino]oxy}acetate To a solution of 3-methoxy-1-propanol (44 mg, 0.57 mmol) in 5 mL of dichloromethane was added {[(E)-{2-chloro-5-[4-(1,1-difluoroethyl)-3-methyl-2,6-dioxo-3,6-dihydropyrimidin-1(2H)-yl]-4-fluorobenzylidene}amino]oxy}acetic acid (150 mg, 0.44 mmol), followed by 1-hydroxy-1H-benzotriazole hydrate (89 mg, 0.57 mmol), 1-(3-dimethylaminopropyl)-3-ethylcarbodiimide hydrochloride (111 mg, 0.57 mmol), and 4-dimethylaminopyridine (10 mol%). The mixture was stirred at RT for 5 h. After standing overnight at RT, water was added, dichloromethane was added, and the mixture was separated using a phase separator, followed by evaporation under reduced pressure. Purification of the crude product by column chromatography yielded 2-methoxyethyl {[(E)-{2-chloro-5-[4-(1,1-difluoroethyl)-3-methyl-2,6-dioxo-3,6-dihydropyrimidin-1(2H)-yl]-4-fluorobenzylidene}amino]oxy}acetate (132 mg, purity: 97%, 71% of theory) as a colorless oil, which later crystallized. 1 H NMR (CDCl 3 , ppm): 8.54 (s, 1H), 7.82 (d, 1H), 7.31 (d, 1H), 6.15 (s, 1H), 4.74 (s, 2H), 4.33 (m, 2H), 3.62 (m, 2H), 3.58 (s, 2H), 3.38 (s, 3H), 2.05 (t, 3H). Analogously to the preparation examples given above and recited at the appropriate point, and taking into account the general information for the preparation of substituted oxyiminomethylphenyluracils with 4-difluoroalkyl substitution on the uracil, the following compounds are obtained. If a structural element in Table 1 is defined by a structural formula containing a dashed line, this dashed line indicates that the group in question is bonded to the rest of the molecule at this position. If a structural element in Table 1 is defined by a structural formula containing an arrow, the arrow represents a bond between the respective group Q and the carbonyl group in the general formula (I). ) Table I.1: Preferred compounds of formula (I.1) are compounds I.1-1 to I.1-500, wherein Q has the meanings given in the respective row of Table 1. The compounds I.1-1 to I.1-500 of Table I.1 are thus defined by the meaning of the respective entries Nos. 1 to 500 for Q in Table 1. Table 1: ) Table I.2: Preferred compounds of formula (I.2) are compounds I.2-1 to I.2-500, wherein Q has the meanings given in the respective row of Table 1. The compounds I.2-1 to I.2-500 of Table I.2 are thus defined by the meaning of the respective entries No. 1 to 500 for Q in Table 1. Table I.3: Preferred compounds of formula (I.3) are compounds I.3-1 to I.3-500, wherein Q has the meanings given in the respective row of Table 1. The compounds I.3-1 to I.3-500 of Table I.3 are thus defined by the meaning of the respective entries No. 1 to 500 for Q of Table 1. Table I.4: Preferred compounds of formula (I.4) are the compounds I.4-1 to I.4-500, wherein Q has the meanings given in the respective row of Table 1. The compounds I.4-1 to I.4-500 of Table I.4 are thus defined by the meaning of the respective entries No. 1 to 500 for Q of Table 1. ) Table I.5: Preferred compounds of formula (I.5) are compounds I.5-1 to I.5-500, wherein Q has the meanings given in the respective row of Table 1. The compounds I.5-1 to I.5-500 of Table I.5 are thus defined by the meaning of the respective entries No. 1 to 500 for Q of Table 1. Table I.6: Preferred compounds of formula (I.6) are compounds I.6-1 to I.6-500, wherein Q has the meanings given in the respective row of Table 1. The compounds I.6-1 to I.6-500 of Table I.6 are thus defined by the meaning of the respective entries No. 1 to 500 for Q of Table 1. Table I.7: Preferred compounds of formula (I.7) are compounds I.7-1 to I.7-500, wherein Q has the meanings given in the respective row of Table 1. The compounds I.7-1 to I.7-500 of Table I.7 are thus defined by the meaning of the respective entries No. 1 to 500 for Q of Table 1. ) Table I.8: Preferred compounds of formula (I.8) are compounds I.8-1 to I.8-500, wherein Q has the meanings given in the respective row of Table 1. The compounds I.8-1 to I.8-500 of Table I.8 are thus defined by the meaning of the respective entries No. 1 to 500 for Q of Table 1. Table I.9: Preferred compounds of formula (I.9) are compounds I.9-1 to I.9-500, wherein Q has the meanings given in the respective row of Table 1. The compounds I.9-1 to I.9-500 of Table I.9 are thus defined by the meaning of the respective entries No. 1 to 500 for Q of Table 1. Table I.10: Preferred compounds of formula (I.10) are compounds I.10-1 to I.10-500, wherein Q has the meanings given in the respective row of Table 1. The compounds I.10-1 to I.19-500 of Table I.10 are thus defined by the meaning of the respective entries No. 1 to 500 for Q of Table 1. ) Table I.11: Preferred compounds of formula (I.11) are compounds I.11-1 to I.11-500, wherein Q has the meanings given in the respective row of Table 1. The compounds I.11-1 to I.11-500 of Table I.11 are thus defined by the meaning of the respective entries No. 1 to 500 for Q of Table 1. Table I.12: Preferred compounds of formula (I.12) are compounds I.12-1 to I.12-500, wherein Q has the meanings given in the respective row of Table 1. The compounds I.12-1 to I.12-500 of Table I.12 are thus defined by the meaning of the respective entries No. 1 to 500 for Q of Table 1. Table I.13: Preferred compounds of formula (I.13) are compounds I.13-1 to I.13-500, wherein Q has the meanings given in the respective row of Table 1. The compounds I.13-1 to I.13-500 of Table I.13 are thus defined by the meaning of the respective entries No. 1 to 500 for Q of Table 1. ) Table I.14: Preferred compounds of the formula (I.14) are the compounds I.14-1 to I.14-500, wherein Q has the meanings given in the respective row of Table 1. The compounds I.14-1 to I.14-500 of Table I.14 are thus defined by the meaning of the respective entries No. 1 to 500 for Q in Table 1. NMR data of selected examples: The 1 H NMR data of selected examples of compounds of the general formula (I) are given in two different ways, namely (a) classical NMR evaluation and interpretation or (b) in the form of 1 H NMR peak lists according to the method described below. a) classical NMR interpretation b) NMR peak list method The 1 H NMR data of selected examples are noted in the form of 1 H NMR peak lists. For each signal peak, the δ value in ppm is listed first, followed by the signal intensity in parentheses. The δ value - signal intensity number pairs of different signal peaks are listed separated by semicolons. The peak list of an example therefore has the form: δ1 (intensity1 ) ; δ2 (intensity2);……..; δi (intensityi ) ;……; δn (intensityn) The intensity of sharp signals correlates with the height of the signals in a printed example of an NMR spectrum in cm and shows the true ratios of the signal intensities. For broad signals, multiple peaks or the center of the signal and their relative intensity compared to the most intense signal in the spectrum can be shown. To calibrate the chemical shift of 1 H NMR spectra, tetramethylsilane and/or the chemical shift of the solvent is used, especially in the case of spectra measured in DMSO. Therefore, the tetramethylsilane peak may or may not appear in NMR peak lists. The lists of 1 H NMR peaks are similar to classical 1 H NMR printouts and thus usually contain all peaks listed in a classical NMR interpretation. Furthermore, like classical 1 H NMR printouts, they may show solvent signals, signals from stereoisomers of the target compounds that are also subject of the invention, and/or impurity peaks. When indicating compound signals in the delta range of solvents and/or water, our lists of 1 H NMR peaks show the usual solvent peaks, for example, peaks of DMSO in DMSO-D 6 and the water peak, which usually have a high average intensity. The peaks of stereoisomers of the target compounds and/or impurity peaks usually have a lower average intensity than the peaks of the target compounds (for example, with a purity of >90%). Such stereoisomers and/or impurities may be typical of the respective preparation process. Their peaks can thus help identify the reproduction of our manufacturing process based on "by-product fingerprints." An expert who calculates the peaks of the target compounds using known methods (MestreC, ACD simulation, but also empirically evaluated expected values) can isolate the peaks of the target compounds as needed, applying additional intensity filters if necessary. This isolation would be similar to the peak picking used in classical 1 H NMR interpretation. Further details on 1 H NMR peak lists can be found in Research Disclosure Database Number 564025.
Gegenstand der vorliegenden Erfindung ist weiterhin die Verwendung einer oder mehrerer erfindungsgemäßer Verbindungen der Formel (I) und/oder deren Salze, wie oben definiert, vorzugsweise in einer der als bevorzugt bzw. besonders bevorzugt gekennzeichneten Ausgestaltung, insbesondere einer oder mehrerer Verbindungen der Formeln (I.1-1) bis (I.14-500) und/oder deren Salze, jeweils wie oben definiert, als Herbizid und/oder Pflanzenwachstumsregulator, vorzugsweise in Kulturen von Nutz- und/oder Zierpflanzen. Gegenstand der vorliegenden Erfindung ist ferner ein Verfahren zur Bekämpfung von Schadpflanzen und/oder zur Wachstumsregulierung von Pflanzen, dadurch gekennzeichnet, dass eine wirksame Menge - einer oder mehrerer erfindungsgemäßer Verbindungen der Formel (I) und/oder deren Salze, wie oben definiert, vorzugsweise in einer der als bevorzugt bzw. besonders bevorzugt gekennzeichneten Ausgestaltung, insbesondere einer oder mehrerer Verbindungen der Formeln (I.1-1) bis (I.14-500) und/oder deren Salze, jeweils wie oben definiert, oder - eines erfindungsgemäßen Mittels, wie nachstehend definiert, auf die (Schad)Pflanzen, (Schad)Pflanzensamen, den Boden, in dem oder auf dem die (Schad)Pflanzen wachsen, oder die Anbaufläche appliziert wird. Gegenstand der vorliegenden Erfindung ist auch ein Verfahren zur Bekämpfung von unerwünschten Pflanzen, vorzugsweise in Nutzpflanzenkulturen, dadurch gekennzeichnet, dass eine wirksame Menge - einer oder mehrerer Verbindungen der Formel (I) und/oder deren Salze, wie oben definiert, vorzugsweise in einer der als bevorzugt bzw. besonders bevorzugt gekennzeichneten Ausgestaltung, insbesondere einer oder mehrerer Verbindungen der Formeln (I.1-1) bis (I.14-500) und/oder deren 25 Salze, jeweils wie oben definiert, oder - eines erfindungsgemäßen Mittels, wie nachstehend definiert, auf unerwünschte Pflanzen (z.B. Schadpflanzen wie mono- oder dikotyle Unkräuter oder unerwünschte Kulturpflanzen), das Saatgut der unerwünschten Pflanzen (d.h. Pflanzensamen, z.B. Körner, Samen oder vegetative Vermehrungsorgane wie Knollen oder Sprossteile mit Knospen), den Boden, in dem oder auf dem die unerwünschte Pflanzen wachsen, (z.B. den Boden von Kulturland oder Nicht-Kulturland) oder die Anbaufläche (d.h. Fläche, auf der die unerwünschten Pflanzen wachsen werden) appliziert wird. Gegenstand der vorliegenden Erfindung ist ferner auch Verfahren zur Bekämpfung zur Wachstumsregulierung von Pflanzen, vorzugsweise von Nutzpflanzen, dadurch gekennzeichnet, dass eine wirksame Menge - einer oder mehrerer Verbindungen der Formel (I) und/oder deren Salzen, wie oben definiert, vorzugsweise in einer der als bevorzugt bzw. besonders bevorzugt gekennzeichneten Ausgestaltung, insbesondere einer oder mehrerer Verbindungen der Formeln (I.1-1) bis (I.14-500) und/oder deren Salze, jeweils wie oben definiert, oder - eines erfindungsgemäßen Mittels, wie nachstehend definiert, die Pflanze, das Saatgut der Pflanze (d.h. Pflanzensamen, z.B. Körner, Samen oder vegetative Vermehrungsorgane wie Knollen oder Sprossteile mit Knospen), den Boden, in dem oder auf dem die Pflanzen wachsen, (z.B. den Boden von Kulturland oder Nicht-Kulturland) oder die Anbaufläche (d.h. Fläche, auf der die Pflanzen wachsen werden) appliziert wird. Dabei können die erfindungsgemäßen Verbindungen bzw. die erfindungsgemäßen Mittel z.B. im Vorsaat- (ggf. auch durch Einarbeitung in den Boden), Vorauflauf- und/oder Nachauflaufverfahren ausgebracht werden. Im Einzelnen seien beispielhaft einige Vertreter der mono- und dikotylen Unkrautflora genannt, die durch die die erfindungsgemäßen Verbindungen kontrolliert werden können, ohne dass durch die Nennung eine Beschränkung auf bestimmte Arten erfolgen soll. Vorzugsweise werden in einem erfindungsgemäßen Verfahren zur Bekämpfung von Schadpflanzen oder zur Wachstumsregulierung von Pflanzen eine oder mehrere Verbindungen der Formel (I) und/oder deren Salze zur Bekämpfung von Schadpflanzen oder zur Wachstumsregulierung in Kulturen von Nutzpflanzen oder Zierpflanzen eingesetzt, wobei die Nutzpflanzen oder Zierpflanzen in einer 35 bevorzugten Ausgestaltung transgene Pflanzen sind. Die erfindungsgemäßen Verbindungen Formel (I) und/oder deren Salze eignen sich zur Bekämpfung der folgenden Gattungen von monokotylen und dikotylen Schadpflanzen: Monokotyle Schadpflanzen der Gattungen: Aegilops, Agropyron, Agrostis, Alopecurus, Apera, Avena, Brachiaria, Bromus, Cenchrus, Commelina, Cynodon, Cyperus, Dactyloctenium, Digitaria, Echinochloa, Eleocharis, Eleusine, Eragrostis, Eriochloa, Festuca, Fimbristylis, Heteranthera, Imperata, Ischaemum, Leptochloa, Lolium, Monochoria, Panicum, Paspalum, Phalaris, Phleum, Poa, Rottboellia, Sagittaria, Scirpus, Setaria, Sorghum. Dikotyle Schadpflanzen der Gattungen: Abutilon, Amaranthus, Ambrosia, Anoda, Anthemis, Aphanes, Artemisia, Atriplex, Bellis, Bidens, Capsella, Carduus, Cassia, Centaurea, Chenopodium, Cirsium, Convolvulus, Datura, Desmodium, Emex, Erysimum, Euphorbia, Galeopsis, Galinsoga, Galium, Hibiscus, Ipomoea, Kochia, Lamium, Lepidium, Lindernia, Matricaria, Mentha, Mercurialis, Mullugo, Myosotis, Papaver, Pharbitis, Plantago, Polygonum, Portulaca, Ranunculus, Raphanus, Rorippa, Rotala, Rumex, Salsola, Senecio, Sesbania, Sida, Sinapis, Solanum, Sonchus, Sphenoclea, Stellaria, Taraxacum, Thlaspi, Trifolium, Urtica, Veronica, Viola, Xanthium. Werden die erfindungsgemäßen Verbindungen vor dem Keimen der Schadpflanzen (Ungräser und/oder Unkräuter) auf die Erdoberfläche appliziert (Vorauflaufverfahren), so wird entweder das Auflaufen der Ungras- bzw. Unkrautkeimlinge vollständig verhindert oder diese wachsen bis zum Keimblattstadium heran, stellen jedoch dann ihr Wachstum ein und sterben schließlich nach Ablauf von drei bis vier Wochen vollkommen ab. Bei Applikation der Wirkstoffe auf die grünen Pflanzenteile im Nachauflaufverfahren tritt nach der Behandlung Wachstumsstop ein und die Schadpflanzen bleiben in dem zum Applikationszeitpunkt vorhandenen Wachstumsstadium stehen oder sterben nach einer gewissen Zeit ganz ab, so dass auf diese Weise eine für die Kulturpflanzen schädliche Unkrautkonkurrenz sehr früh und nachhaltig beseitigt wird. Obgleich die erfindungsgemäßen Verbindungen eine ausgezeichnete herbizide Aktivität gegenüber mono- und dikotylen Unkräutern aufweisen, werden Kulturpflanzen wirtschaftlich bedeutender Kulturen z.B. dikotyler Kulturen der Gattungen Arachis, Beta, Brassica, Cucumis, Cucurbita, Helianthus, Daucus, Glycine, Gossypium, Ipomoea, Lactuca, Linum, Lycopersicon, Miscanthus, Nicotiana, Phaseolus, Pisum, Solanum, Vicia, oder monokotyler Kulturen der Gattungen Allium, Ananas, Asparagus, Avena, Hordeum, Oryza, Panicum, Saccharum, Secale, Sorghum, Triticale, Triticum, Zea, abhängig von der Struktur der jeweiligen erfindungsgemäßen Verbindung und deren Aufwandmenge nur unwesentlich 35 oder gar nicht geschädigt. Die vorliegenden Verbindungen eignen sich aus diesen Gründen sehr gut zur selektiven Bekämpfung von unerwünschtem Pflanzenwuchs in Pflanzenkulturen wie landwirtschaftlichen Nutzpflanzungen oder Zierpflanzungen. Darüberhinaus weisen die erfindungsgemäßen Verbindungen (abhängig von ihrer jeweiligen Struktur und der ausgebrachten Aufwandmenge) hervorragende wachstumsregulatorische Eigenschaften bei Kulturpflanzen auf. Sie greifen regulierend in den pflanzeneigenen Stoffwechsel ein und können damit zur gezielten Beeinflussung von Pflanzeninhaltsstoffen und zur Ernteerleichterung wie z.B. durch Auslösen von Desikkation und Wuchsstauchung eingesetzt werden. Desweiteren eignen sie sich auch zur generellen Steuerung und Hemmung von unerwünschtem vegetativem Wachstum, ohne dabei die Pflanzen abzutöten. Eine Hemmung des vegetativen Wachstums spielt bei vielen mono- und dikotylen Kulturen eine große Rolle, da beispielsweise die Lagerbildung hierdurch verringert oder völlig verhindert werden kann. Aufgrund ihrer herbiziden und pflanzenwachstumsregulatorischen Eigenschaften können die Wirkstoffe auch zur Bekämpfung von Schadpflanzen in Kulturen von gentechnisch oder durch konventionelle Mutagenese veränderten Pflanzen eingesetzt werden. Die transgenen Pflanzen zeichnen sich in der Regel durch besondere vorteilhafte Eigenschaften aus, beispielsweise durch Resistenzen gegenüber bestimmten Pestiziden, vor allem bestimmten Herbiziden, Resistenzen gegenüber Pflanzenkrankheiten oder Erregern von Pflanzenkrankheiten wie bestimmten Insekten oder Mikroorganismen wie Pilzen, Bakterien oder Viren. Andere besondere Eigenschaften betreffen z.B. das Erntegut hinsichtlich Menge, Qualität, Lagerfähigkeit, Zusammensetzung und spezieller Inhaltsstoffe. So sind transgene Pflanzen mit erhöhtem Stärkegehalt oder veränderter Qualität der Stärke oder solche mit anderer Fettsäurezusammensetzung des Ernteguts bekannt. Bevorzugt bezüglich transgener Kulturen ist die Anwendung der erfindungsgemäßen Verbindungen und/oder deren Salze in wirtschaftlich bedeutenden transgenen Kulturen von Nutz und Zierpflanzen, z.B. von Getreide wie Weizen, Gerste, Roggen, Hafer, Hirse, Reis und Mais oder auch Kulturen von Zuckerrübe, Baumwolle, Soja, Raps, Kartoffel, Tomate, Erbse und anderen Gemüsesorten. Vorzugsweise können die erfindungsgemäßen Verbindungen auch als Herbizide in Nutzpflanzenkulturen eingesetzt werden, welche gegenüber den phytotoxischen Wirkungen der Herbizide resistent sind bzw. gentechnisch resistent gemacht worden sind. Aufgrund ihrer herbiziden und pflanzenwachstumsregulatorischen Eigenschaften können die Wirkstoffe auch zur Bekämpfung von Schadpflanzen in Kulturen von bekannten oder noch zu entwickelnden gentechnisch veränderten Pflanzen eingesetzt werden. Die transgenen Pflanzen zeichnen sich in der Regel durch besondere vorteilhafte Eigenschaften aus, beispielsweise durch Resistenzen gegenüber 35 bestimmten Pestiziden, vor allem bestimmten Herbiziden, Resistenzen gegenüber Pflanzenkrankheiten oder Erregern von Pflanzenkrankheiten wie bestimmten Insekten oder Mikroorganismen wie Pilzen, Bakterien oder Viren. Andere besondere Eigenschaften betreffen z.B. das Erntegut hinsichtlich Menge, Qualität, Lagerfähigkeit, Zusammensetzung und spezieller Inhaltsstoffe. So sind transgene Pflanzen mit erhöhtem Stärkegehalt oder veränderter Qualität der Stärke oder solche mit anderer Fettsäurezusammensetzung des Ernteguts bekannt. Weitere besondere Eigenschaften können in einer Toleranz oder Resistenz gegen abiotische Stressoren z.B. Hitze, Kälte, Trockenheit, Salz und ultraviolette Strahlung liegen. Bevorzugt ist die Anwendung der erfindungsgemäßen Verbindungen der Formel (I) oder deren Salze in wirtschaftlich bedeutenden transgenen Kulturen von Nutz- und Zierpflanzen, z.B. von Getreide wie Weizen, Gerste, Roggen, Hafer, Triticale, Hirse, Reis, Maniok und Mais oder auch Kulturen von Zuckerrübe, Baumwolle, Soja, Raps, Kartoffel, Tomate, Erbse und anderen Gemüsesorten. Vorzugsweise können die Verbindungen der Formel (I) als Herbizide in Nutzpflanzenkulturen eingesetzt werden, welche gegenüber den phytotoxischen Wirkungen der Herbizide resistent sind bzw. gentechnisch resistent gemacht worden sind. Herkömmliche Wege zur Herstellung neuer Pflanzen, die im Vergleich zu bisher vorkommenden Pflanzen modifizierte Eigenschaften aufweisen, bestehen beispielsweise in klassischen Züchtungsverfahren und der Erzeugung von Mutanten. Alternativ können neue Pflanzen mit veränderten Eigenschaften mit Hilfe gentechnischer Verfahren erzeugt werden. Zahlreiche molekularbiologische Techniken, mit denen neue transgene Pflanzen mit veränderten Eigenschaften hergestellt werden können, sind dem Fachmann bekannt. Für derartige gentechnische Manipulationen können Nukleinsäuremoleküle in Plasmide eingebracht werden, die eine Mutagenese oder eine Sequenzveränderung durch Rekombination von DNA-Sequenzen erlauben. Mit Hilfe von Standardverfahren können z.B. Basenaustausche vorgenommen, Teilsequenzen entfernt oder natürliche oder synthetische Sequenzen hinzugefügt werden. Für die Verbindung der DNA-Fragmente untereinander können an die Fragmente Adaptoren oder Linker angesetzt werden. Die Herstellung von Pflanzenzellen mit einer verringerten Aktivität eines Genprodukts kann beispielsweise erzielt werden durch die Expression mindestens einer entsprechenden antisense-RNA, einer sense-RNA zur Erzielung eines Cosuppressionseffektes oder die Expression mindestens eines entsprechend konstruierten Ribozyms, das spezifisch Transkripte des obengenannten Genprodukts spaltet. 35 Hierzu können zum einen DNA-Moleküle verwendet werden, die die gesamte codierende Sequenz eines Genprodukts einschließlich eventuell vorhandener flankierender Sequenzen umfassen, als auch DNA- Moleküle, die nur Teile der codierenden Sequenz umfassen, wobei diese Teile lang genug sein müssen, um in den Zellen einen antisense-Effekt zu bewirken. Möglich ist auch die Verwendung von DNA- Sequenzen, die einen hohen Grad an Homologie zu den codiereden Sequenzen eines Genprodukts aufweisen, aber nicht vollkommen identisch sind. Bei der Expression von Nukleinsäuremolekülen in Pflanzen kann das synthetisierte Protein in jedem beliebigen Kompartiment der pflanzlichen Zelle lokalisiert sein. Um aber die Lokalisation in einem bestimmten Kompartiment zu erreichen, kann z.B. die codierende Region mit DNA-Sequenzen verknüpft werden, die die Lokalisierung in einem bestimmten Kompartiment gewährleisten. Derartige Sequenzen sind dem Fachmann bekannt (siehe beispielsweise Braun et al., EMBO J.11 (1992), 3219- 3227). Die Expression der Nukleinsäuremoleküle kann auch in den Organellen der Pflanzenzellen stattfinden. Die transgenen Pflanzenzellen können nach bekannten Techniken zu ganzen Pflanzen regeneriert werden. Bei den transgenen Pflanzen kann es sich prinzipiell um Pflanzen jeder beliebigen Pflanzenspezies handeln, d.h. sowohl monokotyle als auch dikotyle Pflanzen. So sind transgene Pflanzen erhältlich, die veränderte Eigenschaften durch Überexpression, Suppression oder Inhibierung homologer (= natürlicher) Gene oder Gensequenzen oder Expression heterologer (= fremder) Gene oder Gensequenzen aufweisen. Vorzugsweise können die erfindungsgemäßen Verbindungen (I) in transgenen Kulturen eingesetzt werden, welche gegen Wuchsstoffe, wie z.B. Dicamba oder gegen Herbizide, die essentielle Pflanzenenzyme, z.B. Acetolactatsynthasen (ALS), EPSP Synthasen, Glutaminsynthasen (GS) oder Hydoxyphenylpyruvat Dioxygenasen (HPPD) hemmen, respektive gegen Herbizide aus der Gruppe der Sulfonylharnstoffe, der Glyphosate, Glufosinate oder Benzoylisoxazole und analogen Wirkstoffe, resistent sind. Bei der Anwendung der erfindungsgemäßen Wirkstoffe in transgenen Kulturen treten neben den in anderen Kulturen zu beobachtenden Wirkungen gegenüber Schadpflanzen oftmals Wirkungen auf, die für die Applikation in der jeweiligen transgenen Kultur spezifisch sind, beispielsweise ein verändertes oder speziell erweitertes Unkrautspektrum, das bekämpft werden kann, veränderte Aufwandmengen, die für die Applikation eingesetzt werden können, vorzugsweise gute Kombinierbarkeit mit den Herbiziden, gegenüber denen die transgene Kultur resistent ist, sowie Beeinflussung von Wuchs und Ertrag der transgenen Kulturpflanzen. 35 Gegenstand der Erfindung ist deshalb auch die Verwendung der erfindungsgemäßen Verbindungen der Formel (I) und/oder deren Salze als Herbizide zur Bekämpfung von Schadpflanzen in Kulturen von Nutz- oder Zierpflanzen, gegebenenfalls in transgenen Kulturpflanzen. Bevorzugt ist die Verwendung in Getreide, dabei vorzugsweise Mais, Weizen, Gerste, Roggen, Hafer, Hirse, oder Reis, im Vor- oder Nachauflauf. Bevorzugt ist auch die Verwendung in Soja im Vor- oder Nachauflauf. Die erfindungsgemäße Verwendung zur Bekämpfung von Schadpflanzen oder zur Wachstumsregulierung von Pflanzen schließt auch den Fall ein, bei dem der Wirkstoff der Formel (I) oder dessen Salz erst nach der Ausbringung auf der Pflanze, in der Pflanze oder im Boden aus einer Vorläufersubstanz ("Prodrug") gebildet wird. Gegenstand der Erfindung ist auch die Verwendung einer oder mehrerer Verbindungen der Formel (I) oder deren Salzen bzw. eines erfindungsgemäßen Mittels (wie nachstehend definiert) (in einem Verfahren) zur Bekämpfung von Schadpflanzen oder zur Wachstumsregulierung von Pflanzen, dadurch gekennzeichnet, dass man eine wirksame Menge einer oder mehreren Verbindungen der Formel (I) oder deren Salzen auf die Pflanzen (Schadpflanzen, ggf. zusammen mit den Nutzpflanzen) Pflanzensamen, den Boden, in dem oder auf dem die Pflanzen wachsen, oder die Anbaufläche appliziert. Gegenstand der Erfindung ist auch ein herbizides und/oder pflanzenwachstumsregulierendes Mittel, dadurch gekennzeichnet, dass das Mittel (a) eine oder mehrere Verbindungen der Formel (I) und/oder deren Salze enthält wie oben definiert, vorzugsweise in einer der als bevorzugt bzw. besonders bevorzugt gekennzeichneten Ausgestaltung, insbesondere eine oder mehrere Verbindungen der Formeln (I.1-1) bis (I.14-500) und/oder deren Salze, jeweils wie oben definiert, und (b) ein oder mehrere weitere Stoffe ausgewählt aus den Gruppen (i) und/oder (ii): (i) ein oder mehrere weitere agrochemisch wirksame Stoffe, vorzugsweise ausgewählt aus der Gruppe bestehend aus Insektiziden, Akariziden, Nematiziden, weiteren Herbiziden (d.h. solche, die nicht der oben definierten Formel (I) entsprechen), Fungiziden, Safenern, Düngemitteln 35 und/oder weiteren Wachstumsregulatoren, (ii) ein oder mehrere im Pflanzenschutz übliche Formulierungshilfsmittel. Die weiteren agrochemischen wirksamen Stoffe des Bestandteils (i) eines erfindungsgemäßen Mittels sind dabei vorzugsweise ausgewählt aus der Gruppe der Stoffe, die in "The Pesticide Manual", 19th edition, The British Crop Protection Council und the Royal Soc. of Chemistry, 2021 genannt sind. Ein erfindungsgemäßes herbizides oder pflanzenwachstumsregulierendes Mittel, umfasst vorzugsweise ein, zwei, drei oder mehr im Pflanzenschutz übliche Formulierungshilfsmittel (ii) ausgewählt aus der Gruppe bestehend aus Tensiden, Emulgatoren, Dispergiermitteln, Filmbildnern, Verdickungsmitteln, anorganischen Salzen, Stäubemitteln, bei 25 °C und 1013 mbar festen Trägerstoffen, vorzugsweise adsorptionsfähigen, granulierten Inertmaterialien, Netzmitteln, Antioxidationsmitteln, Stabilisatoren, Puffersubstanzen, Antischaummitteln, Wasser, organischen Lösungsmitteln, vorzugsweise bei 25 °C und 1013 mbar mit Wasser in jedem beliebigen Verhältnis mischbare organische Lösungsmittel. Die erfindungsgemäßen Verbindungen (I) können in Form von Spritzpulvern, emulgierbaren Konzentraten, versprühbaren Lösungen, Stäubemitteln oder Granulaten in den üblichen Zubereitungen angewendet werden. Gegenstand der Erfindung sind deshalb auch herbizide und pflanzenwachstumsregulierende Mittel, die Verbindungen der Formel (I) und/oder deren Salze enthalten. Die Verbindungen der Formel (I) und/oder deren Salze können auf verschiedene Art formuliert werden, je nachdem welche biologischen und/oder chemisch-physikalischen Parameter vorgegeben sind. Als Formulierungsmöglichkeiten kommen beispielsweise in Frage: Spritzpulver (WP), wasserlösliche Pulver (SP), wasserlösliche Konzentrate, emulgierbare Konzentrate (EC), Emulsionen (EW), wie Öl-in- Wasser- und Wasser-in-Öl-Emulsionen, versprühbare Lösungen, Suspensionskonzentrate (SC), Dispersionen auf Öl- oder Wasserbasis, ölmischbare Lösungen, Kapselsuspensionen (CS), Stäubemittel (DP), Beizmittel, Granulate für die Streu- und Bodenapplikation, Granulate (GR) in Form von Mikro-, Sprüh-, Aufzugs- und Adsorptionsgranulaten, wasserdispergierbare Granulate (WG), wasserlösliche Granulate (SG), ULV-Formulierungen, Mikrokapseln und Wachse. Diese einzelnen Formulierungstypen und die Formulierungshilfsmittel wie Inertmaterialien, Tenside, Lösungsmittel und weitere Zusatzstoffe sind dem Fachmann bekannt, und werden beispielsweise beschrieben in: Watkins, "Handbook of Insecticide Dust Diluents and Carriers", 2nd Ed., Darland Books, Caldwell N.J., H.v. Olphen, "Introduction to Clay Colloid Chemistry"; 2nd Ed., J. Wiley & Sons, N.Y.; C. Marsden, "Solvents Guide"; 2nd Ed., Interscience, N.Y.1963; McCutcheon's "Detergents and 35 Emulsifiers Annual", MC Publ. Corp., Ridgewood N.J.; Sisley and Wood, "Encyclopedia of Surface Active Agents", Chem. Publ. Co. Inc., N.Y.1964; Schönfeldt, "Grenzflächenaktive Äthylenoxidaddukte", Wiss. Verlagsgesellschaft, Stuttgart 1976; Winnacker-Küchler, "Chemische Technologie", Band 7, C. Hanser Verlag München, 4. Aufl.1986. Spritzpulver sind in Wasser gleichmäßig dispergierbare Präparate, die neben dem Wirkstoff außer einem Verdünnungs- oder Inertstoff noch Tenside ionischer und/oder nichtionischer Art (Netzmittel, Dispergiermittel), z.B. polyoxyethylierte Alkylphenole, polyoxethylierte Fettalkohole, polyoxethylierte Fettamine, Fettalkoholpolyglykolethersulfate, Alkansulfonate, Alkylbenzolsulfonate, ligninsulfonsaures Natrium, 2,2'-dinaphthylmethan-6,6'-disulfonsaures Natrium, dibutylnaphthalin-sulfonsaures Natrium oder auch oleoylmethyltaurinsaures Natrium enthalten. Zur Herstellung der Spritzpulver werden die herbiziden Wirkstoffe beispielsweise in üblichen Apparaturen wie Hammermühlen, Gebläsemühlen und Luftstrahlmühlen feingemahlen und gleichzeitig oder anschließend mit den Formulierungshilfsmitteln vermischt. Emulgierbare Konzentrate werden durch Auflösen des Wirkstoffes in einem organischen Lösungsmittel z.B. Butanol, Cyclohexanon, Dimethylformamid, Xylol oder auch höhersiedenden Aromaten oder Kohlenwasserstoffen oder Mischungen der organischen Lösungsmittel unter Zusatz von einem oder mehreren Tensiden ionischer und/oder nichtionischer Art (Emulgatoren) hergestellt. Als Emulgatoren können beispielsweise verwendet werden: Alkylarylsulfonsaure Calcium-Salze wie Ca-dodecylbenzolsulfonat oder nichtionische Emulgatoren wie Fettsäurepolyglykolester, Alkylarylpolyglykolether, Fettalkoholpolyglykolether, Propylenoxid-Ethylenoxid- Kondensationsprodukte, Alkylpolyether, Sorbitanester wie z.B. Sorbitanfettsäureester oder Polyoxethylensorbitanester wie z.B. Polyoxyethylensorbitanfettsäureester. Stäubemittel erhält man durch Vermahlen des Wirkstoffes mit fein verteilten festen Stoffen, z.B. Talkum, natürlichen Tonen, wie Kaolin, Bentonit und Pyrophyllit, oder Diatomeenerde. Suspensionskonzentrate können auf Wasser- oder Ölbasis sein. Sie können beispielsweise durch Nass-Vermahlung mittels handelsüblicher Perlmühlen und gegebenenfalls Zusatz von Tensiden, wie sie z.B. oben bei den anderen Formulierungstypen bereits aufgeführt sind, hergestellt werden. Emulsionen, z.B. Öl-in-Wasser-Emulsionen (EW), lassen sich beispielsweise mittels Rührern, Kolloidmühlen und/oder statischen Mischern unter Verwendung von wässrigen organischen Lösungsmitteln und gegebenenfalls Tensiden, wie sie z.B. oben bei den anderen Formulierungstypen bereits aufgeführt sind, herstellen. 35 Granulate können entweder durch Verdüsen des Wirkstoffes auf adsorptionsfähiges, granuliertes Inertmaterial hergestellt werden oder durch Aufbringen von Wirkstoffkonzentraten mittels Klebemitteln, z.B. Polyvinylalkohol, polyacrylsaurem Natrium oder auch Mineralölen, auf die Oberfläche von Trägerstoffen wie Sand, Kaolinite oder von granuliertem Inertmaterial. Auch können geeignete Wirkstoffe in der für die Herstellung von Düngemittelgranulaten üblichen Weise - gewünschtenfalls in Mischung mit Düngemitteln - granuliert werden. Wasserdispergierbare Granulate werden in der Regel nach den üblichen Verfahren wie Sprühtrocknung, Wirbelbett-Granulierung, Teller-Granulierung, Mischung mit Hochgeschwindigkeitsmischern und Extrusion ohne festes Inertmaterial hergestellt. Zur Herstellung von Teller-, Fließbett-, Extruder- und Sprühgranulaten siehe z.B. Verfahren in "Spray- Drying Handbook" 3rd ed.1979, G. Goodwin Ltd., London; J.E. Browning, "Agglomeration", Chemical and Engineering 1967, Seiten 147 ff; "Perry's Chemical Engineer's Handbook", 5th Ed., McGraw-Hill, New York 1973, S.8-57. Für weitere Einzelheiten zur Formulierung von Pflanzenschutzmitteln siehe z.B. G.C. Klingman, "Weed Control as a Science", John Wiley and Sons, Inc., New York, 1961, Seiten 81-96 und J.D. Freyer, S.A. Evans, "Weed Control Handbook", 5th Ed., Blackwell Scientific Publications, Oxford, 1968, Seiten 101-103. Die agrochemischen Zubereitungen, vorzugsweise herbizide oder pflanzenwachstumsregulierende Mittel der vorliegenden Erfindung enthalten vorzugsweise eine Gesamtmenge von 0,1 bis 99 Gew.-%, bevorzugt 0,5 bis 95 Gew.-%, weiter bevorzugt 1 bis 90 Gew.-%, insbesondere bevorzugt 2 bis 80 Gew.-%, an Wirkstoffen der Formel (I) und deren Salzen. In Spritzpulvern beträgt die Wirkstoffkonzentration z.B. etwa 10 bis 90 Gew.-%, der Rest zu 100 Gew.-% besteht aus üblichen Formulierungsbestandteilen. Bei emulgierbaren Konzentraten kann die Wirkstoffkonzentration etwa 1 bis 90, vorzugsweise 5 bis 80 Gew.-% betragen. Staubförmige Formulierungen enthalten 1 bis 30 Gew.-% Wirkstoff, vorzugsweise meistens 5 bis 20 Gew.-% an Wirkstoff, versprühbare Lösungen enthalten etwa 0,05 bis 80, vorzugsweise 2 bis 50 Gew.-% Wirkstoff. Bei wasserdispergierbaren Granulaten hängt der Wirkstoffgehalt zum Teil davon ab, ob die wirksame Verbindung flüssig oder fest vorliegt und welche Granulierhilfsmittel, Füllstoffe usw. verwendet werden. Bei den in Wasser dispergierbaren Granulaten liegt der Gehalt an Wirkstoff beispielsweise zwischen 1 und 95 Gew.-%, vorzugsweise zwischen 10 und 80 Gew.-%. Daneben enthalten die genannten Wirkstofformulierungen gegebenenfalls die jeweils üblichen Haft-, Netz-, Dispergier-, Emulgier-, Penetrations-, Konservierungs-, Frostschutz- und Lösungsmittel, Füll-, 35 Träger- und Farbstoffe, Entschäumer, Verdunstungshemmer und den pH-Wert und die Viskosität beeinflussende Mittel. Beispiele für Formulierungshilfsmittel sind unter anderem in "Chemistry and Technology of Agrochemical Formulations", ed. D. A. Knowles, Kluwer Academic Publishers (1998) beschrieben. Die Verbindungen der Formel (I) oder deren Salze können als solche oder in Form ihrer Zubereitungen (Formulierungen) mit anderen pestizid wirksamen Stoffen, wie z.B. Insektiziden, Akariziden, Nematiziden, Herbiziden, Fungiziden, Safenern, Düngemitteln und/oder Wachstumsregulatoren kombiniert eingesetzt werden, z.B. als Fertigformulierung oder als Tankmischungen. Die Kombinationsformulierungen können dabei auf Basis der obengenannten Formulierungen hergestellt werden, wobei die physikalischen Eigenschaften und Stabilitäten der zu kombinierenden Wirkstoffe zu berücksichtigen sind. Als Kombinationspartner für die erfindungsgemäßen Verbindungen der Formel (I) in Mischungsformulierungen oder im Tank-Mix sind beispielsweise bekannte Wirkstoffe, die auf einer Inhibition von beispielsweise Acetolactat-Synthase, Acetyl-CoA-Carboxylase, Cellulose-Synthase, Enolpyruvylshikimat-3-phosphat-Synthase, Glutamin-Synthetase, p-Hydroxyphenylpyruvat- Dioxygenase, Phytoendesaturase, Photosystem I, Photosystem II, Protoporphyrinogen-Oxidase beruhen, einsetzbar, wie sie z.B. in Weed Research 26 (1986) 441-445 oder "The Pesticide Manual", 19th edition, The British Crop Protection Council and the Royal Soc. of Chemistry, 2021 und der dort zitierten Literatur beschrieben sind. Von besonderem Interesse ist die selektive Bekämpfung von Schadpflanzen in Kulturen von Nutz- und Zierpflanzen. Obgleich die erfindungsgemäßen Verbindungen (I) bereits in vielen Kulturen sehr gute bis ausreichende Selektivität aufweisen, können prinzipiell in einigen Kulturen und vor allem auch im Falle von Mischungen mit anderen Herbiziden, die weniger selektiv sind, Phytotoxizitäten an den Kulturpflanzen auftreten. Diesbezüglich sind Kombinationen erfindungsgemäßer Verbindungen (I) von besonderem Interesse, welche die Verbindungen (I) bzw. deren Kombinationen mit anderen Herbiziden oder Pestiziden und Safenern enthalten. Die Safener, welche in einem antidotisch wirksamen Gehalt eingesetzt werden, reduzieren die phytotoxischen Nebenwirkungen der eingesetzten Herbizide/Pestizide, z.B. in wirtschaftlich bedeutenden Kulturen wie Getreide (Weizen, Gerste, Roggen, Mais, Reis, Hirse), Zuckerrübe, Zuckerrohr, Raps, Baumwolle und Soja, vorzugsweise Getreide. Die Gewichtsverhältnisse von Herbizid(mischung) zu Safener hängt im Allgemeinen von der Aufwandmenge an Herbizid und der Wirksamkeit des jeweiligen Safeners ab und kann innerhalb weiter Grenzen variieren, beispielsweise im Bereich von 200:1 bis 1:200, vorzugsweise 100:1 bis 1:100, insbesondere 20:1 bis 1:20. Die Safener können analog den Verbindungen (I) oder deren Mischungen 35 mit weiteren Herbiziden/Pestiziden formuliert werden und als Fertigformulierung oder Tankmischung mit den Herbiziden bereitgestellt und angewendet werden. Zur Anwendung werden die in handelsüblicher Form vorliegenden Herbizid- oder Herbizid-Safener- Formulierungen gegebenenfalls in üblicher Weise verdünnt z.B. bei Spritzpulvern, emulgierbaren Konzentraten, Dispersionen und wasserdispergierbaren Granulaten mittels Wasser. Staubförmige Zubereitungen, Boden- bzw. Streugranulate sowie versprühbare Lösungen werden vor der Anwendung üblicherweise nicht mehr mit weiteren inerten Stoffen verdünnt. Äußere Bedingungen wie Temperatur, Feuchtigkeit etc. beeinflussen zu einem gewissen Teil die Aufwandmenge der Verbindungen der Formel (I) und/oder deren Salze. Die Aufwandmenge kann dabei innerhalb weiter Grenzen variieren. Für die Anwendung als Herbizid zur Bekämpfung von Schadpflanzen liegt die Gesamtmenge an Verbindungen der Formel (I) und deren Salze vorzugsweise im Bereich von 0,001 bis 10,0 kg/ha, bevorzugt im Bereich von 0,005 bis 5 kg/ha, weiter bevorzugt im Bereich von 0,01 bis 1,5 kg/ha, insbesondere bevorzugt im Bereich von 0,05 bis 1 kg/ha. Dies gilt sowohl für die Anwendung im Vorauflauf oder im Nachauflauf. Bei der Anwendung von Verbindungen der Formel (I) und/oder deren Salzen als Pflanzenwachstumsregulator, beispielsweise als Halmverkürzer bei Kulturpflanzen, wie sie oben genannt worden sind, vorzugsweise bei Getreidepflanzen wie Weizen, Gerste, Roggen, Triticale, Hirse, Reis oder Mais, liegt die Gesamt-Aufwandmenge vorzugsweise im Bereich von 0,001 bis 2 kg/ha, vorzugsweise im Bereich von 0,005 bis 1 kg/ha, insbesondere im Bereich von 10 bis 500 g/ha, ganz besonders bevorzugt im Bereich von 20 bis 250 g/ha. Dies gilt sowohl für die Anwendung im Vorauflauf oder im Nachauflauf. Die Applikation als Halmverkürzer kann in verschiedenen Stadien des Wachstums der Pflanzen erfolgen. Bevorzugt ist beispielsweise die Anwendung nach der Bestockung am Beginn des Längenwachstums. Alternativ kommt bei der Anwendung als Pflanzenwachstumsregulator auch die Behandlung des Saatguts in Frage, welche die unterschiedlichen Saatgutbeiz- und Beschichtungstechniken einschließt. Die Aufwandmenge hängt dabei von den einzelnen Techniken ab und kann in Vorversuchen ermittelt werden. Als Kombinationspartner für die erfindungsgemäßen Verbindungen der Formel (I) in erfindungsgemäßen Mitteln (z.B. Mischungsformulierungen oder im Tank-Mix) sind beispielsweise bekannte Wirkstoffe, die auf einer Inhibition von beispielsweise Acetolactat-Synthase, Acetyl-CoA-35 Carboxylase, Cellulose-Synthase, Enolpyruvylshikimat-3-phosphat-Synthase, Glutamin-Synthetase, p- Hydroxyphenylpyruvat-Dioxygenase, Phytoendesaturase, Photosystem I, Photosystem II oder Protoporphyrinogen-Oxidase beruhen, einsetzbar, wie sie z.B. aus Weed Research 26 (1986) 441-445 oder "The Pesticide Manual", 19th edition, The British Crop Protection Council und the Royal Soc. of Chemistry, 2021 und dort zitierter Literatur beschrieben sind. Nachfolgend werden beispielhaft bekannte Herbizide oder Pflanzenwachstumsregulatoren genannt, die mit den erfindungsgemäßen Verbindungen kombiniert werden können, wobei diese Wirkstoffe entweder mit ihrem "common name" in der englischsprachigen Variante gemäß International Organization for Standardization (ISO) oder mit dem chemischen Namen bzw. mit der Codenummer bezeichnet sind. Dabei sind stets sämtliche Anwendungsformen wie beispielsweise Säuren, Salze, Ester sowie auch alle isomeren Formen wie Stereoisomere und optische Isomere umfasst, auch wenn diese nicht explizit erwähnt sind. Beispiele für solche herbiziden Mischungspartner: Als bekannte Herbizide oder Pflanzenwachstumsregulatoren, die mit Verbindungen der allgemeinen Formel (I) kombiniert werden können, sind z.B. folgende Wirkstoffe zu nennen (die Verbindungen sind entweder mit dem "common name" nach der International Organization for Standardization (ISO) oder mit dem chemischen Namen oder mit der Codenummer bezeichnet) und umfassen stets sämtliche Anwendungsformen wie Säuren, Salze, Ester und Isomere wie Stereoisomere und optische Isomere. Dabei sind beispielhaft Icaeine und zum Teil auch mehrere Anwendungsformen genannt: Acetochlor, Acifluorfen, Acifluorfen-methyl, Acifluorfen-Natrium, Aclonifen, Alachlor, Allidochlor, Alloxydim, Alloxydim-Natrium, Ametryn, Amicarbazon, Amidochlor, Amidosulfuron, 4-Amino-3- chlor-6-(4-chlor-2-fluor-3-methylphenyl)-5-fluorpyridin-2-carbonsäure, Aminocyclopyrachlor, Aminocyclopyrachlor-Kalium, Aminocyclopyrachlor-methyl, Aminopyralid, Aminopyralid- dimethylammonium, Aminopyralid-tripromine, Amitrol, Ammoniumsulfamate, Anilofos, Asulam, Asulam-Kalium, Asulam-Natrium, Atrazin, Azafenidin, Azimsulfuron, Beflubutamid, (S)-(-)- Beflubutamid, Beflubutamid-M, Benazolin, Benazolin-ethyl, Benazolin-dimethylammonium, Benazolin-Klaium, Benfluralin, Benfuresate, Bensulfuron, Bensulfuron-methyl, Bensulid, Bentazon, Bentazon-Natrium, Benzobicyclon, Benzofenap, Bicyclopyrone, Bifenox, Bilanafos, Bilanafos-Natium, Bipyrazone, Bispyribac, Bispyribac-Natium, Bixlozon, Bromacil, Bromacil-lithium, Bromacil-Natrium, Bromobutid, Bromofenoxim, Bromoxynil, Bromoxynilbutyrat, Bromoxynil-Kalium, Bromoxynil- heptanoat und Bromoxynil-octanoat, Busoxinon, Butachlor, Butafenacil, Butamifos, Butenachlor, Butralin, Butroxydim, Butylat, Cafenstrol, Cambendichlor, Carbetamide, Carfentrazon, Carfentrazon- Ethyl, Chloramben, Chloramben-ammonium, Chloramben-diolamin, Chlroamben-methyl, Chloramben- methylammonium, Chloramben-Natium, Chlorbromuron, Chlorfenac, Chlorfenac-ammonium, Chlorfenac-Natium, Chlorfenprop, Chlorfenprop-methyl, Chlorflurenol, Chlorflurenol-methyl, Chloridazon, Chlorimuron, Chlorimuron-ethyl, Chlorophthalim, Chlorotoluron, Chlorsulfuron, 35 Chlorthal, Chlorthal-dimethyl, Chlorthal-monomethyl, Cinidon, Cinidon-ethyl, Cinmethylin, exo-(+)- Cinmethylin, d.h. (1R,2S,4S)-4-isopropyl-1-methyl-2-[(2-methylbenzyl)oxy]-7-oxabicyclo[2.2.1]heptan, exo-(-)-Cinmethylin, d.h. (1R,2S,4S)-4-isopropyl-1-methyl-2-[(2-methylbenzyl)oxy]-7- oxabicyclo[2.2.1]heptan, Cinosulfuron, Clacyfos, Clethodim, Clodinafop, Clodinafop-ethyl, Clodinafop- propargyl, Clomazon, Clomeprop, Clopyralid, Clopyralid-methyl, Clopyralid-olamin, Clopyralid- Kalium, Clopyralid-tripomin, Cloransulam, Cloransulam-methyl, Cumyluron, Cyanamide, Cyanazine, Cycloat, Cyclopyranil, Cyclopyrimorat, Cyclosulfamuron, Cycloxydim, Cyhalofop, Cyhalofop-butyl, Cyprazin, 2,4-D (sowie die Ammonium, Butotyl, Butyl, Cholin, Diethylammonium, Dimethylammonium, Diolamin, Doboxyl, Dodecylammonium, Etexyl, Ethyl, 2-Ethylhexyl, Heptylammonium, Isobutyl, Isooctyl, Isopropyl, Isopropylammonium, Lithium, Meptyl, Methyl, Kalium, Tetradecylammonium, Triethylammonium, Triisopropanolammonium, Tripromin and Trolamin Salze davon), 2,4-DB, 2,4-DB-butyl, 2,4-DB-Dimethylammonium, 2,4-DB-isooctyl, 2,4-DB-Kalium und 2,4-DB-Natrium, Daimuron (Dymron), Dalapon, Dalapon-Calcium, Dalapon-Magnesium, Dalapon- Natium, Dazomet, Dazomet-Natrium, n-Decanol, 7-Deoxy-D-sedoheptulose, Desmedipham, Detosyl- pyrazolat (DTP), Dicamba und seine Salze (z.B. Dicamba-biproamin, Dicamba-N,N-Bis(3- aminopropyl)methylamin, Dicamba-butotyl, Dicamba-cholin, Dicamba-Diglycolamin, Dicamba- Dimethylammonium, Dicamba-Diethanolaminemmonium, Dicamba-Diethylammonium, Dicamba- isopropylammonium, Dicamba-methyl, Dicamba-monoethanolamin, Dicamba-olamin, Dicamba- Kalium, Dicamba-Natium, Dicamba-Triethanolamin), Dichlobenil, 2-(2,4-Dichlorbenzyl)-4,4-dimethyl- 1,2-oxazolidin-3-on, 2-(2,5-Dichlorbenzyl)-4,4-dimethyl-1,2-oxazolidin-3-one, Dichlorprop, Dichlorprop-butotyl, Dichlorprop-Dimethylammonium, Dichhlorprop-etexyl, Dichlorprop- ethylammonium, Dichlorprop-isoctyl, Dichlorprop-methyl, Dichlorprop-Kalium, Dichlorprop-Natrium, Dichlorprop-P, Dichlorprop-P-Dimethylammonium, Dichlorprop-P-etexyl, Dichlorprop-P-Kalium, Dichlorprop-Natrium, Diclofop, Diclofop-methyl, Diclofop-P, Diclofop-P-methyl, Diclosulam, Difenzoquat, Difenzoquat-metilsulfate, Diflufenican, Diflufenzopyr, Diflufenzopyr-Natrium, Dimefuron, Dimepiperate, Dimesulfazet, Dimethachlor, Dimethametryn, Dimethenamid, Dimethenamid-P, Dimetrasulfuron, Dinitramine, Dinoterb, Dinoterb-Acetate, Diphenamid, Diquat, Diquat-Dibromid, Diquat-Dichloride, Dithiopyr, Diuron, DNOC, DNOC-Ammonium, DNOC-Kalium, DNOC-Natrium, Endothal, Endothal-Diammonium, Endothal-Dikalium, Endothal-Dinatrium, Epyrifenacil (S-3100), EPTC, Esprocarb, Ethalfluralin, Ethametsulfuron, Ethametsulfuron-Methyl, Ethiozin, Ethofumesate, Ethoxyfen, Ethoxyfen-Ethyl, Ethoxysulfuron, Etobenzanid, F-5231, d.h. N-[2- Chlor-4-fluor-5-[4-(3-fluorpropyl)-4,5-dihydro-5-oxo-1H-tetrazol-1-yl]-phenyl]-ethansulfonamid, F- 7967, i.e.3-[7-Chlor-5-fluor-2-(trifluormethyl)-1H-benzimidazol-4-yl]-1-methyl-6- (trifluormethyl)pyrimidin-2,4(1H,3H)-dion, Fenoxaprop, Fenoxaprop-P, Fenoxaprop-Ethyl, Fenoxaprop-P-Ethyl, Fenoxasulfone, Fenpyrazone, Fenquinotrione, Fentrazamid, Flamprop, Flamprop- Isoproyl, Flamprop-Methyl, Flamprop-M-Isopropyl, Flamprop-M-Methyl, Flazasulfuron, Florasulam, Florpyrauxifen, Florpyrauxifen-benzyl, Fluazifop, Fluazifop-Butyl, Fluazifop-Methyl, Fluazifop-P, 35 Fluazifop-P-Butyl, Flucarbazone, Flucarbazone-Natrium, Flucetosulfuron, Fluchloralin, Flufenacet, Flufenpyr, Flufenpyr-Ethyl, Flumetsulam, Flumiclorac, Flumiclorac-Pentyl, Flumioxazin, Fluometuron, Flurenol, Flurenol-Butyl, -Dimethylammonium und -Methyl, Fluoroglycofen, Fluoroglycofen-Ethyl, Flupropanat, Flupropanat-Natrium, Flupyrsulfuron, Flupyrsulfuron-Methyl, Flupyrsulfuron-Methyl- Natrium, Fluridon, Flurochloridon, Fluroxypyr, Fluroxypyr-Butometyl, Fluroxypyr-Meptyl, Flurtamon, Fluthiacet, Fluthiacet-Methyl, Fomesafen, Fomesafen-Natrium, Foramsulfuron, Foramsulfuron-Natrium, Fosamine, Fosamine-Ammonium, Glufosinat, Glufosinat-Ammonium, Glufosinat-Natrium, L- Glufosinat-Ammonium, L-Glufosinat-Natrium, Glufosinat-P-Natrium, Glufosinat-P-Ammonium, Glyphosat, Glyphosat-Ammonium, Glyphosat-Isopropylammonium, Glyphosat-Diammonium, Glyphosat-Dimethylammonium, Glyphosat-Kalium, Glyphosat-Natrium, Glyphosat-Sesquinatrium und Glyphosat-Trimesium, H-9201, d.h. O-(2,4-Dimethyl-6-nitrophenyl)-O-ethyl- isopropylphosphoramidothioat, Halauxifen, Halauxifen-methyl, Halosafen, Halosulfuron, Halosulfuron- Methyl, Haloxyfop, Haloxyfop-P, Haloxyfop-Ethoxyethyl, Haloxyfop-P-Ethoxyethyl, Haloxyfop- Methyl, Haloxyfop-P-Methyl, Haloxifop-Natrium, Hexazinon, HNPC-A8169, i.e. Prop-2-yn-1-yl (2S)- 2-{3-[(5-tert-butylpyridin-2-yl)oxy]phenoxy}propanoat, HW-02, d.h.1-(Dimethoxyphosphoryl)-ethyl- (2,4-dichlorphenoxy)acetat, Hydantocidin, Icafolin, Icafolin-Methyl, Imazamethabenz, Imazamethabenz-Methyl, Imazamox, Imazamox-Ammonium, Imazapic, Imazapic-Ammonium, Imazapyr, Imazapyr-Isopropylammonium, Imazaquin, Imazaquin-Ammonium, Imazaquin-Methyl, Imazethapyr, Imazethapyr-Ammonium, Imazosulfuron, Indanofan, Indaziflam, Indolauxipyr, Iodosulfuron, Iodosulfuron-Methyl, Iodosulfuron-Methyl-Natrium, Ioxynil, Ioxynil-Lithium, -Octanoat, -Kalium und Natrium, Ipfencarbazon, Iptriazopyrid, i.e. 3-[(Isopropylsulfonyl)methyl]-N-(5-methyl- 1,3,4-oxadiazol-2-yl)-5-(trifluormethyl)[1,2,4]triazolo-[4,3-a]pyridin-8-carboxamid, Isoproturon, Isouron, Isoxaben, Isoxaflutole, Karbutilat, KUH-043, d.h.3-({[5-(Difluormethyl)-1-methyl-3- (trifluormethyl)-1H-pyrazol-4-yl]methyl}sulfonyl)-5,5-dimethyl-4,5-dihydro-1,2-oxazol, Ketospiradox, Ketospiradox-Kalium, Lactofen, Lenacil, Linuron, MCPA, MCPA-Butotyl, -Butyl, -Dimethyl- ammonium, -Diolamin, -2-Ethylhexyl, -Ethyl, -Isobutyl, Isoctyl, -Isopropyl, -Isopropylammonium, - Methyl, Olamin, -Kalium, –Natrium und -Trolamin, MCPB, MCPB-Methyl, -Ethyl und -Natrium, Mecoprop, Mecoprop-Butotyl, Mecoprop- dimethylammonium, Mecoprop-Diolamin, Mecoprop-Etexyl, Mecoprop-Ethadyl, Mecoprop-Isoctyl, Mecoprop-Methyl, Mecoprop-Kalium, Mecoprop-Natrium, und Mecoprop-Trolamin, Mecoprop-P, Mecoprop-P-Butotyl, -Dimethylammonium, -2-Ethylhexyl und - Kalium, Mefenacet, Mefluidid, Mefluidid-Diolamin, Mefluidid-Kalium, Mesosulfuron, Mesosulfuron- Methyl, Mesosulfuron-Natrium, Mesotrion, Methabenzthiazuron, Metam, Metamifop, Metamitron, Metazachlor, Metazosulfuron, Methabenzthiazuron, Methiopyrsulfuron, Methiozolin, Methyl isothiocyanat, Metobromuron, Metolachlor, S-Metolachlor, Metosulam, Metoxuron, Metproxybicyclon, Metribuzin, Metsulfuron, Metsulfuron-Methyl, Molinat, Monolinuron, Monosulfuron, Monosulfuron- Methyl, MT-5950, d.h. N-[3-Chlor-4-(1-methylethyl)-phenyl]-2-methylpentanamid, NGGC-011, Napropamid, NC-310, i.e.4-(2,4-Dichlorbenzoyl)-1-methyl-5-benzyloxypyrazol, Neburon, 35 Nicosulfuron, Nonansäure (Pelargonsäure), Norflurazon, Ölsäure (Fettsäuren), Orbencarb, Orthosulfamuron, Oryzalin, Oxadiargyl, Oxadiazon, Oxasulfuron, Oxaziclomefone, Oxyfluorfen, Paraquat, Paraquat-dichlorid, Paraquat-Dimethylsulfat, Pebulat, Pendimethalin, Penoxsulam, Pentachlorphenol, Pentoxazon, Pethoxamid, Petroleumöl, Phenmedipham, Phenmedipham-Ethyl, Picloram, Picloram-dimethylammonium, Picloram-Etexyl, Picloram-Isoctyl, Picloram-Methyl, Picloram-Olamin, Picloram-Kalium, Picloram-Triethylammonium, Picloram-Tripromin, Picloram- Trolamin, Picolinafen, Pinoxaden, Piperophos, Pretilachlor, Primisulfuron, Primisulfuron-Methyl, Prodiamine, Profoxydim, Prometon, Prometryn, Propachlor, Propanil, Propaquizafop, Propazine, Propham, Propisochlor, Propoxycarbazone, Propoxycarbazone-Natrium, Propyrisulfuron, Propyzamid, Prosulfocarb, Prosulfuron, Pyraclonil, Pyraflufen, Pyraflufen-Ethyl, Pyraquinat, Pyrasulfotol, Pyrazolynat (Pyrazolat), Pyrazosulfuron, Pyrazosulfuron-Ethyl, Pyrazoxyfen, Pyribambenz, Pyribambenz-Isopropyl, Pyribambenz-Propyl, Pyribenzoxim, Pyributicarb, Pyridafol, Pyridat, Pyriftalid, Pyriminobac, Pyriminobac-Methyl, Pyrimisulfan, Pyrithiobac, Pyrithiobac-Natrium, Pyroxasulfon, Pyroxsulam, Quinclorac, Quinclorac-Dimethylammonium, Quinclorac-Methyl, Quinmerac, Quinoclamin, Quizalofop, Quizalofop-Ethyl, Quizalofop-P, Quizalofop-P-Ethyl, Quizalofop-P-Tefuryl, QYM201, i.e.1-{2-Chlor-3-[(3-cyclopropyl-5-hydroxy-1-methyl-1H-pyrazol-4-yl)carbonyl]-6- (trifluormethyl)phe-nyl}piperidin-2-on, Rimisoxafen, Rimsulfuron, Saflufenacil, Sethoxydim, Siduron, Simazine, Simetryn, SL-261, Sulcotrione, Sulfentrazone, Sulfometuron, Sulfometuron-Methyl, Sulfosulfuron, , SYP-249, d.h.1-Ethoxy-3-methyl-1-oxobut-3-en-2-yl-5-[2-chlor-4- (trifluormethyl)phenoxy]-2-nitrobenzoat, SYP-300, i.e.1-[7-Fluor-3-oxo-4-(prop-2-in-1-yl)-3,4- dihydro-2H-1,4-benzoxazin-6-yl]-3-propyl-2-thioxoimidazolidin-4,5-dion, 2,3,6-TBA, TCA (Trichloressigsäure) und seine Salze, z.B. TCA-ammonium, TCA-Calcium, TCA-Ethyl, TCA- Magnesium, TCA-Natrium, Tebuthiuron, Tefuryltrione, Tembotrion, Tepraloxydim, Terbacil, Terbucarb, Terbumeton, Terbuthylazine, Terbutryn, Tetflupyrolimet, Thaxtomin, Thenylchlor, Thiazopyr, Thiencarbazone, Thiencarbazon-Methyl, Thifensulfuron, Thifensulfuron-Methyl, Thiobencarb, Tiafenacil, Tolpyralat, Topramezon, Tralkoxydim, Triafamon, Tri-allat, Triasulfuron, Triaziflam, Tribenuron, Tribenuron-Methyl, Triclopyr, Triclopyr-Butotyl, Triclopyr-Cholin, Triclopyr- Ethyl, Triclopyr-Triethylammonium, Trietazine, Trifloxysulfuron, Trifloxysulfuron-Natrium, Trifludimoxazin, Trifluralin, Triflusulfuron, Triflusulfuron-Methyl, Tritosulfuron, Harnstoffsulfat, Vernolat, XDE-848, ZJ-0862, d.h.3,4-Dichlor-N-{2-[(4,6-dimethoxypyrimidin-2-yl)oxy]benzyl}anilin, 3-(2-Chlor-4-fluor-5-(3-methyl-2,6-dioxo-4-trifluormethyl-3,6-dihydropyrimidin-1(2H)-yl)phenyl)-5- methyl-4,5-dihydroisoxazol-5-carbonsäuremethylester, 3-(2-Chlor-4-fluor-5-(3-methyl-2,6-dioxo-4- trifluormethyl-3,6-dihydropyrimidin-1(2H)-yl)phenyl)-5-methyl-4,5-dihydroisoxazol-5- carbonsäureethylester, 3-(2-Chlor-4-fluor-5-(3-methyl-2,6-dioxo-4-trifluormethyl-3,6-dihydropyrimidin- 1(2H)-yl)phenyl)-5-methyl-4,5-dihydroisoxazol-5-carbonsäure, Ethyl-[(3-{2-chlor-4-fluor-5-[3-methyl- 2,6-dioxo-4-(trifluormethyl)-3,6-dihydropyrimidin-1(2H)-yl]phenoxy}pyridin-2-yl)oxy]acetat, 3-Chlor- 2-[3-(difluormethyl)isoxazolyl-5-yl]phenyl-5-chlorpyrimidin-2-ylether, 2-(3,4-Dimethoxyphenyl)-4-[(2-35 hydroxy-6-oxocyclohex-1-en-1-yl)carbonyl]-6-methylpyridazin-3(2H)-on, 2-({2-[(2- Methoxyethoxy)methyl]-6-methylpyridin-3-yl}carbonyl)cyclohexane-1,3-dion, (5-Hydroxy-1-methyl- 1H-pyrazol-4-yl)(3,3,4-trimethyl-1,1-dioxido-2,3-dihydro-1-benzothiophen-5-yl)methanon, 1-Methyl-4- [(3,3,4-trimethyl-1,1-dioxido-2,3-dihydro-1-benzothiophen-5-yl)carbonyl]-1H-pyrazol-5-yl propan-1- sulfonat, 4-{2-Chlor-3-[(3,5-dimethyl-1H-pyrazol-1-yl)methyl]-4-(methylsulfonyl)benzoyl}-1-methyl- 1H-pyrazol-5-yl-1,3-dimethyl-1H-pyrazol-4-carboxylat; Cyanomethyl-4-amino-3-chlor-5-fluor-6-(7- fluor-1H-indol-6-yl)pyridin-2-carboxylat, Prop-2-yn-1-yl 4-amino-3-chlor-5-fluor-6-(7-fluor-1H-indol- 6-yl)pyridin-2-carboxylat, Methyl-4-amino-3-chlor-5-fluor-6-(7-fluor-1H-indol-6-yl)pyridin-2- carboxylat, Benzyl-4-amino-3-chlor-5-fluor-6-(7-fluor-1H-indol-6-yl)pyridin-2-carboxylat, Ethyl-4- amino-3-chlor-5-fluor-6-(7-fluor-1H-indol-6-yl)pyridin-2-carboxylat, Methyl-4-amino-3-chlor-5-fluor- 6-(7-fluor-1-isobutyryl-1H-indol-6-yl)pyridin-2-carboxylat, Methyl 6-(1-acetyl-7-fluor-1H-indol-6-yl)- 4-amino-3-chlor-5-fluorpyridin-2-carboxylat, Methyl-4-amino-3-chlor-6-[1-(2,2-dimethylpropanoyl)-7- fluor-1H-indol-6-yl]-5-fluorpyridin-2-carboxylat, Methyl-4-amino-3-chlor-5-fluor-6-[7-fluor-1- (methoxyacetyl)-1H-indol-6-yl]pyridin-2-carboxylat, Kalium 4-amino-3-chlor-5-fluor-6-(7-fluor-1H- indol-6-yl)pyridin-2-carboxylat, Natrium-4-amino-3-chlor-5-fluor-6-(7-fluor-1H-indol-6-yl)pyridin-2- carboxylat, Butyl-4-amino-3-chlor-5-fluoro-6-(7-fluoro-1H-indol-6-yl)pyridin-2-carboxylat, 4-Hydroxy- 1-methyl-3-[4-(trifluoromethyl)pyridin-2-yl]imidazolidin-2-on, 3-(5-tert-butyl-1,2-oxazol-3-yl)-4- hydroxy-1-methylimidazolidin-2-on, 3-[5-Chlor-4-(trifluormethyl)pyridin-2-yl]-4-hydroxy-1- methylimidazolidin-2-on, 4-Hydroxy-1-methoxy-5-methyl-3-[4-(trifluormethyl)pyridin-2- yl]imidazolidin-2-on, 6-[(2-Hydroxy-6-oxocyclohex-1-en-1-yl)carbonyl]-1,5-dimethyl-3-(2- methylphenyl)chinazolin-2,4(1H,3H)-dion, 3-(2,6-Dimethylphenyl)-6-[(2-hydroxy-6-oxocyclohex-1-en- 1-yl)carbonyl]-1-methylchinazolin-2,4(1H,3H)-dion, 2-[2-chlor-4-(methylsulfonyl)-3-(morpholin-4- ylmethyl)benzoyl]-3-hydroxycyclohex-2-en-1-on, 1-(2-carboxyethyl)-4-(pyrimidin-2-yl)pyridazin-1- iumsalz (mit passenden Anionen wie z.B Chlorid, Acetat oder Trifluoracetat), 1-(2-Carboxyethyl)-4- (pyridazin-3-yl)pyridazin-1-iumsalz (mit passenden Anionen wie z.B. Chlorid, Acetat oder Trifluoracetat), 4-(Pyrimidin-2-yl)-1-(2-sulfoethyl)pyridazin-1-ium salz (mit passenden Anionen wie z.B Chlorid, Acetat oder Trifluoracetat), 4-(Pyridazin-3-yl)-1-(2-sulfoethyl)pyridazin-1-iumsalz (mit passenden Anionen wie z.B Chlorid, Acetat oder Trifluoracetat), 1-(2-Carboxyethyl)-4-(1,3-thiazol-2- yl)pyridazin-1-iumsalz (mit passenden Anionen wie z.B Chlorid, Acetat oder Trifluoracetat), 1-(2- Carboxyethyl)-4-(1,3,4-thiadiazol-2-yl)pyridazin-1-iumsalz (mit passenden Anionen wie z.B Chlorid, Acetat oder Trifluoracetat), Methyl (2R)-2-{[(E)-({2-chlor-4-fluor-5-[3-methyl-2,6-dioxo-4- (trifluormethyl)-3,6-dihydropyrimidin-1(2H)-yl]phenyl}methyliden)amino]oxy}propanoat, Methyl (2S)- 2-{[(E)-({2-chlor-4-fluor-5-[3-methyl-2,6-dioxo-4-(trifluormethyl)-3,6-dihydropyrimidin-1(2H)- yl]phenyl}methyliden)amino]oxy}propanoat, Methyl (2R/S)-2-{[(E)-({2-chlor-4-fluor-5-[3-methyl-2,6- dioxo-4-(trifluormethyl)-3,6-dihydropyrimidin-1(2H)-yl]phenyl}methyliden)amino]oxy}propanoat, (E)- 2-(Trifluormethyl)benzaldehyd-O-{2,6-bis[(4,6-dimethoxypyrimidin-2-yl)oxy]benzoyl}oxim, 2-Fluor- N-(5-methyl-1,3,4-oxadiazol-2-yl)-3-[(R)-propylsulfinyl]-4-(trifluormethyl)benzamid, (2R)-2-[(4-35 Amino-3,5-dichlor-6-fluor-2-pyridyl)oxy]propancarbonsäure, 2-Ethoxy-2-oxoethyl-1-{2-chlor-4-fluor- 5-[3-methyl-2,6-dioxo-4-(trifluormethyl)-3,6-dihydropyrimidin-1(2H)- yl]phenoxy}cyclopropancarboxylat, 2-Methoxy-2-oxoethyl-1-{2-chlor-4-fluor-5-[3-methyl-2,6-dioxo-4- (trifluormethyl)-3,6-dihydropyrimidin-1(2H)-yl]phenoxy}cyclopropancarboxylat, {[(1-{2-Chlor-4- fluor-5-[3-methyl-2,6-dioxo-4-(trifluormethyl)-3,6-dihydropyrimidin-1(2H)- yl]phenoxy}cyclopropyl)carbonyl]oxy}essigsäure, 2-(2-Brom-4-chlorbenzyl)-4,4-dimethyl-1,2- oxazolidin-3-on, Methyl 3-{2-chlor-4-fluor-5-[3-methyl-2,6-dioxo-4-(trifluoromethyl)-3,6- dihydropyrimidin-1(2H)-yl]phenyl}-3a,4,5,6-tetrahydro-6aH-cyclopenta[d][1,2]oxazol-6a-carboxylat, Ethyl 3-{2-chlor-4-fluor-5-[3-methyl-2,6-dioxo-4-(trifluoromethyl)-3,6-dihydropyrimidin-1(2H)- yl]phenyl}-3a,4,5,6-tetrahydro-6aH-cyclopenta[d][1,2]oxazol-6a-carboxylat, Methyl-3-{2-chlor-4-fluor- 5-[3-methyl-2,6-dioxo-4-(trifluormethyl)-3,6-dihydropyrimidin-1(2H)-yl]phenyl}-6-methyl-3a,4,5,6- tetrahydro-6aH-cyclopenta[d][1,2]oxazol-6a-carboxylat, 3-{2-Chlor-4-fluor-5-[3-methyl-2,6-dioxo-4- (trifluormethyl)-3,6-dihydropyrimidin-1(2H)-yl]phenyl}-6-methyl-3a,4,5,6-tetrahydro-6aH- cyclopenta[d][1,2]oxazol-6a-carbonsäure, 3-{2-Chlor-4-fluor-5-[3-methyl-2,6-dioxo-4-(trifluormethyl)- 3,6-dihydropyrimidin-1(2H)-yl]phenyl}-3a,4,5,6-tetrahydro-6aH-cyclopenta[d][1,2]oxazol-6a- carbonsäure. Beispiele für Wuchsregulatoren und Pflanzenstimulantien als Mischungspartner sind: Abscisinsäure und verwandte Analoga [z.B. (2Z,4E)-5-[6-Ethynyl-1-hydroxy-2,6-dimethyl-4- oxocyclohex-2-en-1-yl]-3-methylpenta-2,4-diensäure, methyl-(2Z,4E)-5-[6-ethynyl-1-hydroxy-2,6- dimethyl-4-oxocyclohex-2-en-1-yl]-3-methylpenta-2,4-dienoat, (2Z,4E)-3-ethyl-5-(1-hydroxy-2,6,6- trimethyl-4-oxocyclohex-2-en-1-yl)penta-2,4-diensäure, (2E,4E)-5-(1-hydroxy-2,6,6-trimethyl-4- oxocyclohex-2-en-1-yl)-3-(trifluoromethyl)penta-2,4-diensäure, methyl (2E,4E)-5-(1-hydroxy-2,6,6- trimethyl-4-oxocyclohex-2-en-1-yl)-3-(trifluoromethyl)penta-2,4-dienoat, (2Z,4E)-5-(2-hydroxy-1,3- dimethyl-5-oxobicyclo[4.1.0]hept-3-en-2-yl)-3-methylpenta-2,4-diensäure], Acibenzolar, Acibenzolar- S-methyl, S-Adenosylhomocystein, Allantoin, 2-Aminoethoxyvinylglycin (AVG), Aminooxyessigsäure and verwandte Ester [z.B. (Isopropyliden)-aminooxyessigsäure-2-(methoxy)-2-oxoethylester, (Isopropyliden)-aminooxyessigsäure-2-(hexyloxy)-2-oxoethylester, (Cyclohexyliden)- aminooxyessigsäure-2-(isopropyloxy)-2-oxoethylester], 1-Aminocycloprop-1-ylcarbonsäure N-Methyl- 1-aminocyclopropyl-1-carbonsäure, 1-Aminocyclopropyl-1-carbonsäureamid, substituierte 1- Aminocyclopropyl-1-carbonsäurederivate wie sie in DE3335514, EP30287, DE2906507 oder US5123951 beschrieben werden, 1-Aminocyclopropyl-1-hydroxamsäure, 5-Aminolevulinsäure, Ancymidol, 6-Benzylaminopurin, Bikinin, Brassinolid, Brassinolide-ethyl, L-Canalin, Catechin und catechine (z.B. (2S,3R)-2-(3,4-Dihydroxyphenyl)-3,4-dihydro-2H-chromen-3,5,7-triol), Chitooligosaccharides (CO; COs unterscheiden sich von LCOs dadurch, dass ihnen die für LCOs charakteristische Fettsäureseitenkette fehlt. COs, in manchen Fällen als N-Acetylchitooligosaccharide 35 bezeichnet, sind auch aus GlcNAc-Einheiten aufgebaut, aber haben Seitenketten, durch die sies ich von Chitinmolekülen unterscheiden [(C8H13NO5)n, CAS No.1398-61-4] und chitosan Moleküle [(C5H11NO4)n, CAS No.9012-76-4]), Chitin-artige Verbindungen, Chlormequat chloride, Cloprop, Cyclanilide, 3-(Cycloprop-1-enyl)propionsäure, 1-[2-(4-Cyano-3,5-dicyclopropylphenyl)acet- amido]cyclohexancarbonsäure, 1-[2-(4-Cyano-3-cyclopropylphenyl)acetamido]cyclohexancarbonsäure, 1-Cyclopropenylmethanol, Daminozid, Dazomet, Dazomet-Natrium, n-Decanol, Dikegulac, Dikegulac- Natrium, Endothal, Endothal-di-Kalium, -di-Natrium, und mono(N,N-dimethylalkylammonium), Ethephon, 1-Ethylcyclopropen,Flumetralin, Flurenol, Flurenol-butyl, Flurenol-methyl, Flurprimidol, Forchlorfenuron, Gibberellinsäure, Inabenfid, Indol-3-essigsäure (IAA), 4-Indol-3-ylbuttersäure, Isoprothiolan, Probenazole, Jasmonsäure, Jasmonsäureester oder andere Derivate (z.B. Jasmon- säuremethylester, Jasmonsäureethylester), Lipochitooligosaccharide (LCO, in manchen Fällen auch als Symbiotische Nodulationssignale (Nod oder Nod Faktoren) oder als Myc Faktoren bezeichnet, bestehen aus einem Oligosacchariderückgrat aus β-l,4-verknüpften N-Acetyl-D-Glucosaminresten (“GlcNAc”) mit einer N-verknüpften Fettsäureseitenkette, die am nicht reduzierenden Ende ankondensiert ist. Wie aus der Literatur zu entnehmen ist, unterscheiden sich LCOs in der Zahl an GlcNAc-EInheiten in der Rückgratstruktur, in der Länge und dem Sättigungsgrad der Fettsäurekette sowie in der Substitution der reduzierenden und nicht-reduzierenden Zuckereinheiten), Linoleinsäure oder ihre Derivate, Linolensäure oder ihre Derivate, Maleinsäurehydrazid, Mepiquatchlorid, Mepiquatpentaborat, 1-Methylcyclopropen, 3-Methylcyclopropen, Methoxyvinylglycin (MVG), 3’-Methylabscisinsäure, 1-(4-Methylphenyl)-N-(2- oxo-1-propyl-1,2,3,4-tetrahydrochinolin-6-yl)methansulfonamid und verwandte substituierte (Tetrahydrochinolin-6-yl)methansulfonamide, (3E,3αR,8βS)-3-({[(2R)-4-Methyl-5-oxo-2,5- dihydrofuran-2-yl]oxy}methylen)-3,3a,4,8b-tetrahydro-2H-indeno[1,2-b]furan-2-on und verwandte Laktone wie sie in EP2248421 beschrieben sind, 2-(1-Naphthyl)acetamid, 1-Naphthylessigsäure, 2- Naphthyloxyessigsäure, Nitrophenolatmischung, 4-Oxo-4[(2-phenylethyl)amino]buttersäure, Paclobutrazol, 4-Phenylbuttersäure and ihre Salze (z.B. Natrium-4-phenylbutanoat, Kalium-4- phenylbutanoat), Phenylalanine, N-Phenylphthalamsäure, Prohexadion, Prohexadion-Calcium, 1-n- Propylcyclopropen, Putrescin, Prohydrojasmon, Rhizobitoxin, Salicylsäure und Salicyclsäure- methylester, Sarcosin, Natriumcycloprop-1-en-1-ylacetat, Natriumcycloprop-2-en-1-ylacetat, Natrium- 3-(cycloprop-2-en-1-yl)propanoat, Natrium-3-(cycloprop-1-en-1-yl)propanoat, Sidefungin, Spermidin, Spermine, Strigolactone, Tecnazene, Thidiazuron, Triacontanol, Trinexapac, Trinexapac-ethyl, Tryptophan, Tsitodef, Uniconazol, Uniconazol-P, 2-Fluor-N-(3-methoxyphenyl)-9H-purin-6-amin, 2- Chlor-N-(3-methoxyphenyl)-9H-purin-6-amin. Ebenfalls als Kombinationspartner für die erfindungsgemäßen Verbindungen der Formel (I) kommen beispielsweise die folgenden Safener in Frage: S1) Verbindungen der Formel (S1), ) wobei die Symbole und Indizes folgende Bedeutungen haben: nA ist eine natürliche Zahl von 0 bis 5, vorzugsweise 0 bis 3; RA1 ist Halogen, (C1-C4)-Alkyl, (C1-C4)-Alkoxy, Nitro oder (C1-C4)-Haloalkyl; WA ist ein unsubstituierter oder substituierter divalenter heterocyclischer Rest aus der Gruppe der teilungesättigten oder aromatischen Fünfring-Heterocyclen mit 1 bis 3 Heteroringatomen aus der Gruppe N und O, wobei mindestens ein N-Atom und höchstens ein O-Atom im Ring enthalten ist, vorzugsweise ein Rest aus der Gruppe (WA1) bis (WA5), mA ist 0 oder 1; RA 2 ist ORA 3, SRA 3 oder NRA 3RA 4 oder ein gesättigter oder ungesättigter 3- bis 7-gliedriger Heterocyclus mit mindestens einem N-Atom und bis zu 3 Heteroatomen, vorzugsweise aus der Gruppe O und S, der über das N-Atom mit der Carbonylgruppe in (S1) verbunden ist und unsubstituiert oder durch Reste aus der Gruppe (C1-C4)-Alkyl, (C1-C4)-Alkoxy oder gegebenenfalls substituiertes Phenyl substituiert ist, vorzugsweise ein Rest der Formel ORA 3, NHRA 4 oder N(CH3)2, insbesondere der Formel ORA 3; RA 3 ist Wasserstoff oder ein unsubstituierter oder substituierter aliphatischer Kohlenwasserstoffrest, vorzugsweise mit insgesamt 1 bis 18 C-Atomen; RA 4 ist Wasserstoff, (C1-C6)-Alkyl, (C1-C6)-Alkoxy oder substituiertes oder unsubstituiertes Phenyl; RA5 ist H, (C1-C8)-Alkyl, (C1-C8)-Haloalkyl, (C1-C4)-Alkoxy(C1-C8)-Alkyl, Cyano oder COORA9, worin RA9 Wasserstoff, (C1-C8)-Alkyl, (C1-C8)-Haloalkyl, (C1-C4)-Alkoxy-(C1-C4)-alkyl, (C1-C6)-Hydroxyalkyl, (C3-C12)-Cycloalkyl oder Tri-(C1-C4)-alkyl-silyl ist; RA6, RA7, RA8 sind gleich oder verschieden Wasserstoff, (C1-C8)-Alkyl, (C1-C8)-Haloalkyl, (C3-C12)- Cycloalkyl oder substituiertes oder unsubstituiertes Phenyl; RA 10 ist Wasserstoff, (C3-C12)-Cycloalkyl, substituiertes oder unsubstituiertes Phenyl oder substituiertes oder unsubstituiertes Heteroaryl; vorzugsweise: a) Verbindungen vom Typ der Dichlorphenylpyrazolin-3-carbonsäure (S1a), vorzugsweise Verbindungen wie 1-(2,4-Dichlorphenyl)-5-(ethoxycarbonyl)-5-methyl- 2-pyrazolin-3-carbonsäure, 1-(2,4-Dichlorphenyl)-5-(ethoxycarbonyl)-5-methyl-2-pyrazolin-3-carbonsäureethylester (S1-1) ("Mefenpyr-diethyl"), und verwandte Verbindungen, wie sie in der WO-A-91/07874 beschrieben sind; b) Derivate der Dichlorphenylpyrazolcarbonsäure (S1b), vorzugsweise Verbindungen wie 1-(2,4-Dichlorphenyl)-5-methyl-pyrazol-3-carbonsäureethylester (S1-2), 1-(2,4-Di- chlorphenyl)-5-isopropyl-pyrazol-3-carbonsäureethylester (S1-3), 1-(2,4-Dichlor- phenyl)-5-(1,1-dimethyl-ethyl)pyrazol-3-carbonsäureethyl-ester (S1-4) und verwandte Verbindungen, wie sie in EP-A-333131 und EP-A-269806 beschrieben sind; c) Derivate der 1,5-Diphenylpyrazol-3-carbonsäure (S1c), vorzugsweise Verbindungen wie 1-(2,4-Dichlorphenyl)-5-phenylpyrazol-3-carbonsäureethylester (S1-5), 1-(2-Chlorphenyl)-5-phenylpyrazol-3-carbonsäuremethylester (S1-6) und verwandte Verbindungen wie sie beispielsweise in der EP-A-268554 beschrieben sind; d) Verbindungen vom Typ der Triazolcarbonsäuren (S1d), vorzugsweise Verbindungen wie Fenchlorazol(-ethylester), d.h.1-(2,4-Dichlorphenyl)-5-trichlormethyl-(1H)-1,2,4-triazol-3-carbonsäure- ethylester (S1-7), und verwandte Verbindungen wie sie in EP-A-174562 und EP-A-346620 beschrieben sind; e) Verbindungen vom Typ der 5-Benzyl- oder 5-Phenyl-2-isoxazolin-3- carbonsäure oder der 5,5- Diphenyl-2-isoxazolin-3-carbonsäure (S1e), vorzugsweise Verbindungen wie 5-(2,4-Dichlorbenzyl)-2-isoxazolin-3-carbonsäureethylester (S1-8) oder 5-Phenyl-2-isoxazolin-3- carbonsäureethylester (S1-9) und verwandte Verbindungen, wie sie in WO-A-91/08202 beschrieben30 sind, bzw.5,5-Diphenyl-2-isoxazolin-3-carbonsäure (S1-10) oder 5,5-Diphenyl-2-isoxazolin-3- carbonsäureethylester (S1-11) ("Isoxadifen-ethyl") oder -n-propylester (S1-12) oder der 5-(4-Fluorphenyl)-5-phenyl-2-isoxazolin-3-carbonsäureethylester (S1-13), wie sie in der Patentanmeldung WO-A-95/07897 beschrieben sind. f) Verbindungen vom Typ der Triazolyloxyessigsäurederivate (S1f), vorzugsweise Verbindungen wie Methyl-{[1,5-bis(4-chlor-2-fluorphenyl)-1H-1,2,4-triazol-3-yl]oxy}acetat (S1-14) oder {[1,5-Bis(4- chlor-2-fluorphenyl)-1H-1,2,4-triazol-3-yl]oxy}essigsäure (S1-15) oder Methyl-{[5-(4-chlor-2- fluorphenyl)-1-(2,4-difluorphenyl)-1H-1,2,4-triazol-3-yl]oxy}acetat (S1-16) oder {[5-(4-Chlor-2- fluorphenyl)-1-(2,4-difluorphenyl)-1H-1,2,4-triazol-3-yl]oxy}essigsäure (S1-17) oder Methyl-{[1-(4- chlor-2-fluorphenyl)-5-(2,4-difluorphenyl)-1H-1,2,4-triazol-3-yl]oxy}acetat (S1-18) oder {[1-(4-Chlor- 2-fluorphenyl)-5-(2,4-difluorphenyl)-1H-1,2,4-triazol-3-yl]oxy}essigsäure (S1-19), wie sie in der Patentanmeldung WO2021105101 beschrieben sind. S2) Chinolinderivate der Formel (S2), ) wobei die Symbole und Indizes folgende Bedeutungen haben: RB1 ist Halogen, (C1-C4)-Alkyl, (C1-C4)-Alkoxy, Nitro oder (C1-C4)-Haloalkyl; nB ist eine natürliche Zahl von 0 bis 5, vorzugsweise 0 bis 3; RB 2 ist ORB 3, SRB 3 oder NRB 3RB 4 oder ein gesättigter oder ungesättigter 3- bis 7-gliedriger Heterocyclus mit mindestens einem N-Atom und bis zu 3 Heteroatomen, vorzugsweise aus der Gruppe O und S, der über das N-Atom mit der Carbonylgruppe in (S2) verbunden ist und unsubstituiert oder durch Reste aus der Gruppe (C1-C4)-Alkyl, (C1-C4)-Alkoxy oder gegebenenfalls substituiertes Phenyl substituiert ist, vorzugsweise ein Rest der Formel ORB 3, NHRB 4 oder N(CH3)2, insbesondere der Formel ORB 3; RB 3 ist Wasserstoff oder ein unsubstituierter oder substituierter aliphatischer Kohlenwasserstoffrest, vorzugsweise mit insgesamt 1 bis 18 C-Atomen; 25 RB 4 ist Wasserstoff, (C1-C6)-Alkyl, (C1-C6)-Alkoxy oder substituiertes oder unsubstituiertes Phenyl; TB ist eine (C1 oder C2)-Alkandiylkette, die unsubstituiert oder mit einem oder zwei (C1-C4)- Alkylresten oder mit [(C1-C3)-Alkoxy]-carbonyl substituiert ist; vorzugsweise: a) Verbindungen vom Typ der 8-Chinolinoxyessigsäure (S2a), vorzugsweise (5-Chlor-8-chinolinoxy)essigsäure-(1-methylhexyl)ester ("Cloquintocet-mexyl") (S2-1), (5-Chlor-8- chinolinoxy)essigsäure-(1,3-dimethyl-but-1-yl)ester (S2-2), (5-Chlor-8-chinolinoxy)essigsäure-4- allyloxy-butylester (S2-3), (5-Chlor-8-chinolin-oxy)essigsäure-1-allyloxy-prop-2-ylester (S2-4), (5- Chlor-8-chinolinoxy)essigsäure-ethylester (S2-5), (5-Chlor-8-chinolinoxy)essigsäuremethylester (S2-6), (5-Chlor-8-chinolinoxy)essigsäureallylester (S2-7), (5-Chlor-8-chinolinoxy)essigsäure-2-(2-propyliden- iminoxy)-1-ethylester (S2-8), (5-Chlor-8-chinolinoxy)essigsäure-2-oxo-prop-1-ylester (S2-9) und verwandte Verbindungen, wie sie in EP-A-86750, EP-A-94349 und EP-A-191736 oder EP-A-0492 366 beschrieben sind, sowie (5-Chlor-8-chinolinoxy)essigsäure (S2-10), deren Hydrate und Salze, beispielsweise deren Lithium-, Natrium- Kalium-, Kalzium-, Magnesium-, Aluminium-, Eisen-, Ammonium-, quartäre Ammonium-, Sulfonium-, oder Phosphoniumsalze wie sie in der WO-A- 2002/34048 beschrieben sind; b) Verbindungen vom Typ der (5-Chlor-8-chinolinoxy)malonsäure (S2b), vorzugsweise Verbindungen wie (5-Chlor-8-chinolinoxy)malonsäurediethylester, (5-Chlor- 8-chinolinoxy)malonsäurediallylester, (5-Chlor-8-chinolinoxy)malonsäure-methyl-ethylester und verwandte Verbindungen, wie sie in EP-A-0582198 beschrieben sind. S3) Verbindungen der Formel (S3) ) wobei die Symbole und Indizes folgende Bedeutungen haben: RC1 ist (C1-C4)-Alkyl, (C1-C4)-Haloalkyl, (C2-C4)-Alkenyl, (C2-C4)-Haloalkenyl, (C3-C7)-Cycloalkyl, vorzugsweise Dichlormethyl; RC2, RC3 sind gleich oder verschieden Wasserstoff, (C1-C4)-Alkyl, (C2-C4)-Alkenyl, (C2-C4)-Alkinyl, (C1-C4), Haloalkyl, (C2-C4)-Haloalkenyl, (C1-C4)-Alkylcarbamoyl-(C1-C4)-Alkyl, (C2-C4)- Alkenylcarbamoyl-(C1-C4)-alkyl, (C1-C4)-Alkoxy-(C1-C4)-alkyl, Dioxolanyl-(C1-C4)-alkyl, Thiazolyl, Furyl, Furylalkyl, Thienyl, Piperidyl, substituiertes oder unsubstituiertes Phenyl, oder RC2 und RC3 bilden zusammen einen substituierten oder unsubstituierten heterocyclischen Ring, vorzugsweise einen Oxazolidin-, Thiazolidin-, Piperidin-, Morpholin-, Hexahydropyrimidin- oder Benzoxazinring; vorzugsweise: Wirkstoffe vom Typ der Dichloracetamide, die häufig als Vorauflaufsafener (bodenwirksame Safener) angewendet werden, wie z. B. "Dichlormid" (N,N- Diallyl-2,2-dichloracetamid) (S3-1), "R-29148" (3-Dichloracetyl-2,2,5-trimethyl-1,3-oxazolidin) der Firma Stauffer (S3-2), "R-28725" (3-Dichloracetyl-2,2,-dimethyl-1,3-oxazolidin) der Firma Stauffer (S3-3), "Benoxacor" (4-Dichloracetyl-3,4-dihydro-3-methyl-2H-1,4-benzoxazin) (S3-4), "PPG-1292" (N-Allyl-N-[(1,3-dioxolan-2-yl)-methyl]-dichloracetamid) der Firma PPG Industries (S3-5), "DKA-24" (N-Allyl-N-[(allylaminocarbonyl)methyl]-dichloracetamid) der Firma Sagro-Chem (S3-6), "AD-67" oder "MON 4660" (3-Dichloracetyl-1-oxa-3-aza- spiro[4,5]decan) der Firma Nitrokemia bzw. Monsanto (S3-7), "TI-35" (1-Dichloracetyl-azepan) der Firma TRI-Chemical RT (S3-8), "Diclonon" (Dicyclonon) oder "BAS145138" oder "LAB145138" (S3-9) ((RS)-1-Dichloracetyl-3,3,8a-trimethylperhydropyrrolo[1,2-a]pyrimidin- 6-on) der Firma BASF, "Furilazol" oder "MON 13900" ((RS)-3-Dichloracetyl-5-(2-furyl)-2,2- dimethyloxazolidin) (S3-10); sowie dessen (R)-Isomer (S3-11). S4) N-Acylsulfonamide der Formel (S4) und ihre Salze, ) worin die Symbole und Indizes folgende Bedeutungen haben: XD ist CH oder N; RD 1 ist CO-NRD 5RD 6 oder NHCO-RD 7; RD 2 ist Halogen, (C1-C4)-Haloalkyl, (C1-C4)-Haloalkoxy, Nitro, (C1-C4)-Alkyl, (C1-C4)-Alkoxy, (C1-C4)-Alkylsulfonyl, (C1-C4)-Alkoxycarbonyl oder (C1-C4)-Alkylcarbonyl; RD 3 ist Wasserstoff, (C1-C4)-Alkyl, (C2-C4)-Alkenyl oder (C2-C4)-Alkinyl; RD4 ist Halogen, Nitro, (C1-C4)-Alkyl, (C1-C4)-Haloalkyl, (C1-C4)-Haloalkoxy, (C3-C6)-Cycloalkyl, Phenyl, (C1-C4)-Alkoxy, Cyano, (C1-C4)-Alkylthio, (C1-C4)-Alkylsulfinyl, (C1-C4)- Alkylsulfonyl, (C1-C4)-Alkoxycarbonyl oder (C1-C4)-Alkylcarbonyl; RD5 ist Wasserstoff, (C1-C6)-Alkyl, (C3-C6)-Cycloalkyl, (C2-C6)-Alkenyl, (C2-C6)-Alkinyl, (C5-C6)- Cycloalkenyl, Phenyl oder 3- bis 6-gliedriges Heterocyclyl enthaltend vD Heteroatome aus der Gruppe Stickstoff, Sauerstoff und Schwefel, wobei die sieben letztgenannten Reste durch vD Substituenten aus der Gruppe Halogen, (C1-C6)-Alkoxy, (C1-C6)-Haloalkoxy, (C1-C2)- Alkylsulfinyl, (C1-C2)-Alkylsulfonyl, (C3-C6)-Cycloalkyl, (C1-C4)-Alkoxycarbonyl, (C1-C4)- Alkylcarbonyl und Phenyl und im Falle cyclischer Reste auch (C1-C4) Alkyl und (C1-C4)- Haloalkyl substituiert sind; RD 6 ist Wasserstoff, (C1-C6)-Alkyl, (C2-C6)-Alkenyl oder (C2-C6)-Alkinyl, wobei die drei letztgenannten Reste durch vD Reste aus der Gruppe Halogen, Hydroxy, (C1-C4)-Alkyl, (C1-C4)- Alkoxy und (C1-C4)-Alkylthio substituiert sind, oder RD 5 und RD 6 gemeinsam mit dem sie tragenden Stickstoffatom einen Pyrrolidinyl- oder Piperidinyl-Rest bilden; RD 7 ist Wasserstoff, (C1-C4)-Alkylamino, Di-(C1-C4)-alkylamino, (C1-C6)-Alkyl, (C3-C6)-Cycloalkyl, wobei die 2 letztgenannten Reste durch vD Substituenten aus der Gruppe Halogen, (C1-C4)- Alkoxy, (C1-C6)-Haloalkoxy und (C1-C4)-Alkylthio und im Falle cyclischer Reste auch (C1-C4)- Alkyl und (C1-C4)-Haloalkyl substituiert sind; nD ist 0, 1 oder 2; mD ist 1 oder 2; vD ist 0, 1, 2 oder 3; davon bevorzugt sind Verbindungen vom Typ der N-Acylsulfonamide, z.B. der nachfolgenden Formel (S4a), die z. B. bekannt sind aus WO-A-97/45016 ) worin RD7 (C1-C6)-Alkyl, (C3-C6)-Cycloalkyl, wobei die 2 letztgenannten Reste durch vD Substituenten aus der Gruppe Halogen, (C1-C4)-Alkoxy, (C1-C6)-Haloalkoxy und (C1-C4)-Alkylthio und im Falle cyclischer Reste auch (C1-C4)-Alkyl und (C1-C4)-Haloalkyl substituiert sind; RD4 Halogen, (C1-C4)-Alkyl, (C1-C4)-Alkoxy, CF3; mD 1 oder 2; vD ist 0, 1, 2 oder 3 bedeutet; sowie Acylsulfamoylbenzoesäureamide, z.B. der nachfolgenden Formel (S4b), die z.B. bekannt sind aus WO-A-99/16744, ) z.B. solche worin RD5 = Cyclopropyl und (RD4) = 2-OMe ist ("Cyprosulfamide", S4-1), RD5 = Cyclopropyl und (RD4) = 5-Cl-2-OMe ist (S4-2), RD5 = Ethyl und (RD4) = 2-OMe ist (S4-3), RD5 = Isopropyl und (RD4) = 5-Cl-2-OMe ist (S4-4) und RD5 = Isopropyl und (RD4) = 2-OMe ist (S4-5). sowie Verbindungen vom Typ der N-Acylsulfamoylphenylharnstoffe der Formel (S4c), die z.B. bekannt sind aus der EP-A-365484, ) worin RD8 und RD9 unabhängig voneinander Wasserstoff, (C1-C8)-Alkyl, (C3-C8)-Cycloalkyl, (C3-C6)- Alkenyl, (C3-C6)-Alkinyl, RD 4 Halogen, (C1-C4)-Alkyl, (C1-C4)-Alkoxy, CF3 mD 1 oder 2 bedeutet; beispielsweise 1-[4-(N-2-Methoxybenzoylsulfamoyl)phenyl]-3-methylharnstoff, 1-[4-(N-2-Methoxybenzoylsulfamoyl)phenyl]-3,3-dimethylharnstoff, 1-[4-(N-4,5-Dimethylbenzoylsulfamoyl)phenyl]-3-methylharnstoff. S5) Wirkstoffe aus der Klasse der Hydroxyaromaten und der aromatisch-aliphatischen Carbonsäurederivate (S5), z.B.3,4,5-Triacetoxybenzoesäureethylester, 3,5-Di-methoxy-4- hydroxybenzoesäure, 3,5-Dihydroxybenzoesäure, 4-Hydroxysalicylsäure, 4-Fluorsalicyclsäure, 2- Hydroxyzimtsäure, 2,4-Dichlorzimtsäure, wie sie in der WO-A-2004/084631, WO-A-2005/015994, WO-A-2005/016001 beschrieben sind. S6) Wirkstoffe aus der Klasse der 1,2-Dihydrochinoxalin-2-one (S6), z.B. 1-Methyl-3-(2-thienyl)-1,2-dihydrochinoxalin-2-on, 1-Methyl-3-(2-thienyl)-1,2-dihydrochinoxalin-2- thion, 1-(2-Aminoethyl)-3-(2-thienyl)-1,2-dihydro-chinoxalin-2-on-hydrochlorid, 1-(2- Methylsulfonylaminoethyl)-3-(2-thienyl)-1,2-dihydrochinoxa-lin-2-on, wie sie in der WO-A- 2005/112630 beschrieben sind. S7) Verbindungen der Formel (S7), wie sie in der WO-A-1998/38856 beschrieben sind ) worin die Symbole und Indizes folgende Bedeutungen haben: RE 1, RE 2 sind unabhängig voneinander Halogen, (C1-C4)-Alkyl, (C1-C4)-Alkoxy, (C1-C4)-Haloalkyl, (C1- C4)-Alkylamino, Di-(C1-C4)-Alkylamino, Nitro; 25 AE ist COORE 3 oder COSRE 4 RE3, RE4 sind unabhängig voneinander Wasserstoff, (C1-C4)-Alkyl, (C2-C6)-Alkenyl, (C2-C4)-Alkinyl, Cyanoalkyl, (C1-C4)-Haloalkyl, Phenyl, Nitrophenyl, Benzyl, Halobenzyl, Pyridinylalkyl und Alkylammonium, nE1 ist 0 oder 1 nE2, nE3 sind unabhängig voneinander 0, 1 oder 2, vorzugsweise Diphenylmethoxyessigsäure, Diphenylmethoxyessigsäureethylester, Diphenyl- methoxyessigsäuremethylester (CAS-Reg.Nr.41858-19-9) (S7-1). S8) Verbindungen der Formel (S8),wie sie in der WO-A-98/27049 beschrieben sind ) worin XF CH oder N, nF für den Fall, dass XF=N ist, eine ganze Zahl von 0 bis 4 und für den Fall, dass XF=CH ist, eine ganze Zahl von 0 bis 5, RF 1 Halogen, (C1-C4)-Alkyl, (C1-C4)-Haloalkyl, (C1-C4)-Alkoxy, (C1-C4)-Haloalkoxy, Nitro, (C1- C4)-Alkylthio, (C1-C4)-Alkylsulfonyl, (C1-C4)-Alkoxycarbonyl, ggf. substituiertes. Phenyl, ggf. substituiertes Phenoxy, RF 2 Wasserstoff oder (C1-C4)-Alkyl RF3 Wasserstoff, (C1-C8)-Alkyl, (C2-C4)-Alkenyl, (C2-C4)-Alkinyl, oder Aryl, wobei jeder der vorgenannten C-haltigen Reste unsubstituiert oder durch einen oder mehrere, vorzugsweise bis zu drei gleiche oder verschiedene Reste aus der Gruppe, bestehend aus Halogen und Alkoxy substituiert ist; bedeuten, oder deren Salze, vorzugsweise Verbindungen worin XF CH, nF eine ganze Zahl von 0 bis 2, RF1 Halogen, (C1-C4)-Alkyl, (C1-C4)-Haloalkyl, (C1-C4)-Alkoxy, (C1-C4)-Haloalkoxy, RF2 Wasserstoff oder (C1-C4)-Alkyl, RF3 Wasserstoff, (C1-C8)-Alkyl, (C2-C4)-Alkenyl, (C2-C4)-Alkinyl, oder Aryl, wobei jeder der vorgenannten C-haltigen Reste unsubstituiert oder durch einen oder mehrere, vorzugsweise bis zu drei gleiche oder verschiedene Reste aus der Gruppe, bestehend aus Halogen und Alkoxy substituiert ist, bedeuten, oder deren Salze. S9) Wirkstoffe aus der Klasse der 3-(5-Tetrazolylcarbonyl)-2-chinolone (S9), z.B. 1,2-Dihydro-4-hydroxy-1-ethyl-3-(5-tetrazolylcarbonyl)-2-chinolon (CAS-Reg.Nr.219479-18-2), 1,2- Dihydro-4-hydroxy-1-methyl-3-(5-tetrazolyl-carbonyl)-2-chinolon (CAS-Reg.Nr.95855-00-8), wie sie in der WO-A-1999/000020 beschrieben sind. S10) Verbindungen der Formeln (S10a) oder (S10b) wie sie in der WO-A-2007/023719 und WO-A-2007/023764 beschrieben sind 2 worin RG 1 Halogen, (C1-C4)-Alkyl, Methoxy, Nitro, Cyano, CF3, OCF3 YG, ZG unabhängig voneinander O oder S, nG eine ganze Zahl von 0 bis 4, RG2 (C1-C16)-Alkyl, (C2-C6)-Alkenyl, (C3-C6)-Cycloalkyl, Aryl; Benzyl, Halogenbenzyl, RG3 Wasserstoff oder (C1-C6)-Alkyl bedeutet. S11) Wirkstoffe vom Typ der Oxyimino-Verbindungen (S11), die als Saatbeizmittel bekannt sind, wie z. B. "Oxabetrinil" ((Z)-1,3-Dioxolan-2-ylmethoxyimino(phenyl)acetonitril) (S11-1), das als Saatbeiz-Safener für Hirse gegen Schäden von Metolachlor bekannt ist, "Fluxofenim" (1-(4- Chlorphenyl)-2,2,2-trifluor-1-ethanon-O-(1,3-dioxolan-2-ylmethyl)-oxim) (S11-2), das als Saatbeiz- Safener für Hirse gegen Schäden von Metolachlor bekannt ist, und "Cyometrinil" oder "CGA-43089" ((Z)-Cyanomethoxyimino(phenyl)acetonitril) (S11-3), das als Saatbeiz-Safener für Hirse gegen Schäden von Metolachlor bekannt ist. S12) Wirkstoffe aus der Klasse der Isothiochromanone (S12), wie z.B. Methyl-[(3-oxo-1H-2- benzothiopyran-4(3H)-yliden)methoxy]acetat (CAS-Reg.Nr.205121-04-6) (S12-1) und verwandte Verbindungen aus WO-A-1998/13361. S13) Eine oder mehrere Verbindungen aus Gruppe (S13): "Naphthalic anhydrid" (1,8-Naphthalindicarbonsäureanhydrid) (S13-1), das als Saatbeiz-Safener für Mais gegen Schäden von Thiocarbamatherbiziden bekannt ist, "Fenclorim" (4,6-Dichlor-2-phenylpyrimidin) (S13-2), das als Safener für Pretilachlor in gesätem Reis bekannt ist, "Flurazole" (Benzyl-2-chlor-4-trifluormethyl-1,3- thiazol-5-carboxylat) (S13-3), das als Saatbeiz-Safener für Hirse gegen Schäden von Alachlor und Metolachlor bekannt ist, "CL 304415" (CAS-Reg.Nr.31541-57-8) (4-Carboxy-3,4-dihydro-2H-1- benzopyran-4-essigsäure) (S13-4) der Firma American Cyanamid, das als Safener für Mais gegen Schäden von Imidazolinonen bekannt ist, "MG 191" (CAS-Reg.Nr.96420-72-3) (2-Dichlormethyl-2- methyl-1,3-dioxolan) (S13-5) der Firma Nitrokemia, das als Safener für Mais bekannt ist, "MG-838" (CAS-Reg.Nr.133993-74-5) (2-propenyl 1-oxa-4-azaspiro[4.5]decan-4-carbodithioat) (S13-6) der Firma Nitrokemia, "Disulfoton" (O,O-Diethyl S-2-ethylthioethyl phosphordithioat) (S13-7), "Dietholate" (O,O-Diethyl-O-phenylphosphorothioat) (S13-8), "Mephenate" (4-Chlorphenyl- methylcarbamat) (S13-9). S14) Wirkstoffe, die neben einer herbiziden Wirkung gegen Schadpflanzen auch Safenerwirkung an Kulturpflanzen wie Reis aufweisen, wie z. B. "Dimepiperate" oder "MY-93" (S-1-Methyl-1-phenylethyl-piperidin-1-carbothioat), das als Safener für Reis gegen Schäden des Herbizids Molinate bekannt ist, "Daimuron" oder "SK 23" (1-(1-Methyl-1- phenylethyl)-3-p-tolyl-harnstoff), das als Safener für Reis gegen Schäden des Herbizids Imazosulfuron bekannt ist, "Cumyluron" = "JC-940" (3-(2-Chlorphenylmethyl)-1-(1-methyl-1-phenyl-ethyl)harnstoff, siehe JP-A-60087254), das als Safener für Reis gegen Schäden einiger Herbizide bekannt ist, "Methoxyphenon" oder "NK 049" (3,3'-Dimethyl-4-methoxy-benzophenon), das als Safener für Reis gegen Schäden einiger Herbizide bekannt ist, "CSB" (1-Brom-4-(chlormethylsulfonyl)benzol) von Kumiai, (CAS-Reg.Nr.54091-06-4), das als Safener gegen Schäden einiger Herbizide in Reis bekannt ist. S15) Verbindungen der Formel (S15) oder deren Tautomere wie sie in der WO-A-2008/131861 und WO-A-2008/131860 beschrieben sind ) worin RH 1 einen (C1-C6)-Haloalkylrest bedeutet und RH 2 Wasserstoff oder Halogen bedeutet und RH 3, RH 4 unabhängig voneinander Wasserstoff, (C1-C16)-Alkyl, (C2-C16)-Alkenyl oder (C2-C16)-Alkinyl, wobei jeder der letztgenannten 3 Reste unsubstituiert oder durch einen oder mehrere Reste aus der Gruppe Halogen, Hydroxy, Cyano, (C1-C4)-Alkoxy, (C1-C4)-Haloalkoxy, (C1-C4)-Alkylthio, (C1-C4)-Alkylamino, Di[(C1-C4)-alkyl]-amino, [(C1-C4)-Alkoxy]-carbonyl, [(C1-C4)- Haloalkoxy]-carbonyl, (C3-C6)-Cycloalkyl, das unsubstituiert oder substituiert ist, Phenyl, das unsubstituiert oder substituiert ist, und Heterocyclyl, das unsubstituiert oder substituiert ist, substituiert ist, oder (C3-C6)-Cycloalkyl, (C4-C6)-Cycloalkenyl, (C3-C6)-Cycloalkyl, das an einer Seite des Rings mit einem 4 bis 6-gliedrigen gesättigten oder ungesättigten carbocyclischen Ring kondensiert ist, oder (C4-C6)-Cycloalkenyl, das an einer Seite des Rings mit einem 4 bis 6- gliedrigen gesättigten oder ungesättigten carbocyclischen Ring kondensiert ist, wobei jeder der letztgenannten 4 Reste unsubstituiert oder durch einen oder mehrere Reste aus der Gruppe Halogen, Hydroxy, Cyano, (C1-C4)-Alkyl, (C1-C4)-Haloalkyl, (C1-C4)-Alkoxy, (C1-C4)- Haloalkoxy, (C1-C4)-Alkylthio, (C1-C4)-Alkylamino, Di[(C1-C4)-alkyl]-amino, [(C1-C4)- Alkoxy]-carbonyl, [(C1-C4)-Haloalkoxy]-carbonyl, (C3-C6)-Cycloalkyl, das unsubstituiert oder substituiert ist, Phenyl, das unsubstituiert oder substituiert ist, und Heterocyclyl, das unsubstituiert oder substituiert ist, substituiert ist, bedeutet, oder RH3 (C1-C4)-Alkoxy, (C2-C4)-Alkenyloxy, (C2-C6)-Alkinyloxy oder (C2-C4)-Haloalkoxy bedeutet und RH4 Wasserstoff oder (C1-C4)-Alkyl bedeutet, oder RH3 und RH4 zusammen mit dem direkt gebundenen N-Atom einen vier- bis achtgliedrigen heterocyclischen Ring, der neben dem N-Atom auch weitere Heteroringatome, vorzugsweise bis zu zwei weitere Heteroringatome aus der Gruppe N, O und S enthalten kann und der unsubstituiert oder durch einen oder mehrere Reste aus der Gruppe Halogen, Cyano, Nitro, (C1- C4)-Alkyl, (C1-C4)-Haloalkyl, (C1-C4)-Alkoxy, (C1-C4)-Haloalkoxy und (C1-C4)-Alkylthio substituiert ist, bedeutet. S16) Wirkstoffe, die vorrangig als Herbizide eingesetzt werden, jedoch auch Safenerwirkung auf Kulturpflanzen aufweisen, z.B. (2,4-Dichlorphenoxy)essigsäure (2,4-D), (4-Chlorphenoxy)essigsäure, (R,S)-2-(4-Chlor-o-tolyloxy)propionsäure (Mecoprop), 4-(2,4-Dichlorphenoxy)buttersäure (2,4-DB), (4- Chlor-o-tolyloxy)-essigsäure (MCPA), 4-(4-Chlor-o-tolyloxy)buttersäure, 4-(4-Chlorphenoxy)- buttersäure, 3,6-Dichlor-2-methoxybenzoesäure (Dicamba), 1-(Ethoxycarbonyl)ethyl-3,6-dichlor-2- methoxybenzoat (Lactidichlor-ethyl). Bevorzugte Safener in Kombination mit den erfindungsgemäßen Verbindungend der Formel (I) und/oder deren Salze, insbesondere mit den Verbindungen der Formeln (I.1-1) bis (I.14-500) und/oder deren Salze sind: Cloquintocet-mexyl, Cyprosulfamid, Fenchlorazol-ethylester, Isoxadifen-ethyl, Mefenpyr-diethyl, Fenclorim, Cumyluron, S1-14, S1-15, S1-16, S1-17, S1-18, S1-19, S4-1 und S4-5, und besonders bevorzugte Safener sind: Cloquintocet-mexyl, Cyprosulfamid, Isoxadifen-ethyl und Mefenpyr-diethyl. Biologische Beispiele: Die folgenden Abkürzungen werden für die in den folgenden Tabellen aufgeführten Kultur- und Schadpflanzen verwendet: ABUTH: Abutilon theophrasti ALOMY: Alopecurus myosuroides AMARE: Amaranthus retroflexus AVEFA: Avena fatua BRSNW: Brassica napus DIGSA: Digitaria sanguinalis ECHCG: Echinochloa crus-galli GLXMA: Glycine max KCHSC: Kochia scoparia LOLRI: Lolium rigidum MATIN: Matricaria inodora ORYZA: Oryza sativa PHPBU : Pharbitis purpurea POLCO: Polygonum convolvulus SETVI: Setaria viridis VERPE: Veronica persica VIOTR: Viola tricolor TRZAS : Triticum aestivum ZEAMX: Zea mays A. Herbizide Wirkung im Nachauflauf Samen von mono- bzw. dikotylen Unkrautpflanzen wurden in Kunststoff- oder Holzfasertöpfen in sandigem Lehmboden ausgelegt, mit Erde abgedeckt und im Gewächshaus unter kontrollierten Wachstumsbedingungen angezogen.2 bis 3 Wochen nach der Aussaat wurden die Versuchspflanzen im Einblattstadium behandelt. Die in Form von benetzbaren Pulvern (WP) oder als Emulsionskonzentrate (EC) formulierten erfindungsgemäßen Verbindungen wurden dann als wässrige Suspension bzw. Emulsion unter Zusatz von 0,5% Additiv mit einer Wasseraufwandmenge von umgerechnet 600 l/ha auf die grünen Pflanzenteile gesprüht. Nach ca.3 Wochen Standzeit der Versuchspflanzen im Gewächshaus, unter optimalen Wachstumsbedingungen, wurde die Wirkung der Präparate visuell im Vergleich zu unbehandelten Kontrollen bonitiert. Beispielsweise bedeutet 100% Wirkung = Pflanzen sind abgestorben, 0% Wirkung = wie Kontrollpflanzen. In den nachstehenden Tabellen A1 bis A13 sind die Wirkungen ausgewählter Verbindungen der allgemeinen Formel (I) gemäß der Tabelle 1 auf verschiedene Schadpflanzen und einer Aufwandmenge entsprechend 20 g/ha und niedriger, die gemäß zuvor genannter Versuchsvorschrift erhalten wurden, dargestellt. Tabelle A1a: Nachauflaufwirkung bei 1.25g/ha gegen ABUTH in % Tabelle A1b: Nachauflaufwirkung bei 5g/ha gegen ABUTH in % Tabelle A1c: Nachauflaufwirkung bei 20g/ha gegen ABUTH in % Tabelle A2a: Nachauflaufwirkung bei 1.25g/ha gegen ALOMY in % Tabelle A2b: Nachauflaufwirkung bei 5g/ha gegen ALOMY in % The present invention furthermore relates to the use of one or more compounds of the formula (I) according to the invention and/or salts thereof, as defined above, preferably in one of the embodiments characterized as preferred or particularly preferred, in particular one or more compounds of the formulas (I.1-1) to (I.14-500) and/or salts thereof, each as defined above, as herbicide and/or plant growth regulator, preferably in crops of useful and/or ornamental plants. The present invention further provides a method for controlling harmful plants and/or for regulating the growth of plants, characterized in that an effective amount of - one or more compounds of the formula (I) according to the invention and/or salts thereof, as defined above, preferably in one of the embodiments characterized as preferred or particularly preferred, in particular one or more compounds of the formulae (I.1-1) to (I.14-500) and/or salts thereof, in each case as defined above, or - an agent according to the invention, as defined below, is applied to the (harmful) plants, (harmful) plant seeds, the soil in or on which the (harmful) plants grow, or the area under cultivation. The present invention also relates to a method for controlling undesirable plants, preferably in crops of useful plants, characterized in that an effective amount of - one or more compounds of the formula (I) and/or salts thereof, as defined above, preferably in one of the embodiments characterized as preferred or particularly preferred, in particular one or more compounds of the formulae (I.1-1) to (I.14-500) and/or salts thereof, each as defined above, or - a composition according to the invention, as defined below, is applied to undesirable plants (e.g. harmful plants such as monocotyledonous or dicotyledonous weeds or undesirable cultivated plants), the seeds of the undesirable plants (i.e. plant seeds, e.g. grains, seeds or vegetative propagating organs such as tubers or shoot parts with buds), the soil in or on which the undesirable plants grow (e.g. the soil of cultivated land or non-cultivated land) or the area under cultivation (i.e. area on which the undesirable plants will grow). The present invention furthermore also relates to methods for controlling the growth of plants, preferably of useful plants, characterized in that an effective amount of - one or more compounds of the formula (I) and/or salts thereof, as defined above, preferably in one of the embodiments identified as preferred or particularly preferred, in particular one or more compounds of the formulae (I.1-1) to (I.14-500) and/or salts thereof, in each case as defined above, or - an agent according to the invention, as defined below, is applied to the plant, the seed of the plant (ie plant seeds, e.g. grains, seeds or vegetative propagation organs such as tubers or shoot parts with buds), the soil in or on which the plants grow (e.g. the soil of cultivated land or non-cultivated land) or the area under cultivation (ie area on which the plants will grow). The compounds according to the invention or the compositions according to the invention can be applied, for example, by pre-sowing (optionally also by incorporation into the soil), pre-emergence and/or post-emergence methods. Some representatives of the monocotyledonous and dicotyledonous weed flora which can be controlled by the compounds according to the invention may be mentioned specifically by way of example, without the mention being intended to imply a restriction to specific species. Preferably, in a method according to the invention for controlling weeds or for regulating the growth of plants, one or more compounds of the formula (I) and/or salts thereof are used for controlling weeds or for regulating the growth of crops of useful plants or ornamental plants, where the useful plants or ornamental plants, in a preferred embodiment, are transgenic plants. The compounds of formula (I) according to the invention and/or salts thereof are suitable for controlling the following genera of monocotyledonous and dicotyledonous weeds: Monocotyledonous weeds of the genera: Aegilops, Agropyron, Agrostis, Alopecurus, Apera, Avena, Brachiaria, Bromus, Cenchrus, Commelina, Cynodon, Cyperus, Dactyloctenium, Digitaria, Echinochloa, Eleocharis, Eleusine, Eragrostis, Eriochloa, Festuca, Fimbristylis, Heteranthera, Imperata, Ischaemum, Leptochloa, Lolium, Monochoria, Panicum, Paspalum, Phalaris, Phleum, Poa, Rottboellia, Sagittaria, Scirpus, Setaria, Sorghum. Dicotyledonous harmful plants of the genera: Abutilon, Amaranthus, Ambrosia, Anoda, Anthemis, Aphanes, Artemisia, Atriplex, Bellis, Bidens, Capsella, Carduus, Cassia, Centaurea, Chenopodium, Cirsium, Convolvulus, Datura, Desmodium, Emex, Erysimum, Euphorbia, Galeopsis, Galinsoga, Galium, Hibiscus, Ipomoea, Kochia, Lamium, Lepidium, Lindernia, Matricaria, Mentha, Mercurialis, Mullugo, Myosotis, Papaver, Pharbitis, Plantago, Polygonum, Portulaca, Ranunculus, Raphanus, Rorippa, Rotala, Rumex, Salsola, Senecio, Sesbania, Sida, Sinapis, Solanum, Sonchus, Sphenoclea, Stellaria, Taraxacum, Thlaspi, Trifolium, Urtica, Veronica, Viola, Xanthium. If the compounds according to the invention are applied to the soil surface before the germination of the weeds (grass and/or broadleaf weeds) (pre-emergence method), the emergence of the weed or broadleaf seedlings is either completely prevented, or they grow to the cotyledon stage, but then cease growth and finally die completely after three to four weeks. When the active ingredients are applied to the green parts of the plant using the post-emergence method, growth stops after treatment, and the weeds remain in the growth stage present at the time of application or die completely after a certain period of time, thus eliminating weed competition that is harmful to the crop plants very early and sustainably. Although the compounds according to the invention have excellent herbicidal activity against monocotyledonous and dicotyledonous weeds, economically important crops, e.g., dicotyledonous crops of the genera Arachis, Beta, Brassica, Cucumis, Cucurbita, Helianthus, Daucus, Glycine, Gossypium, Ipomoea, Lactuca, Linum, Lycopersicon, Miscanthus, Nicotiana, Phaseolus, Pisum, Solanum, Vicia, or monocotyledonous crops of the genera Allium, Ananas, Asparagus, Avena, Hordeum, Oryza, Panicum, Saccharum, Secale, Sorghum, Triticale, Triticum, Zea, are only slightly damaged or not damaged at all, depending on the structure of the respective compound according to the invention and the application rate. For these reasons, the present compounds are very suitable for the selective control of undesirable plant growth in crops such as agricultural crops or ornamental plants. Furthermore, the compounds according to the invention (depending on their respective structure and the applied rate) exhibit outstanding growth-regulating properties in crop plants. They exert a regulatory influence on the plant's own metabolism and can thus be used to specifically influence plant constituents and to facilitate harvesting, for example by inducing desiccation and stunting. Furthermore, they are also suitable for the general control and inhibition of undesirable vegetative growth without killing the plants. Inhibition of vegetative growth plays a major role in many monocotyledonous and dicotyledonous crops, as it can, for example, reduce or completely prevent lodging. Due to their herbicidal and plant growth-regulating properties, the active ingredients can also be used to control weeds in crops of plants modified genetically or by conventional mutagenesis. The transgenic plants are generally characterized by particularly advantageous properties, for example resistance to certain pesticides, especially certain herbicides, resistance to plant diseases or pathogens of plant diseases such as certain insects or microorganisms such as fungi, bacteria or viruses. Other special properties relate, for example, to the harvested product in terms of quantity, quality, storability, composition and special ingredients. For example, transgenic plants with increased starch content or altered starch quality or those with a different fatty acid composition of the harvested product are known. With regard to transgenic crops, the use of the compounds according to the invention and/or their salts is preferred in economically important transgenic crops of useful and ornamental plants, e.g. cereals such as wheat, barley, rye, oats, millet, rice and maize or also crops of sugar beet, cotton, soybeans, rapeseed, potatoes, tomatoes, peas and other vegetables. The compounds according to the invention can preferably also be used as herbicides in crops of useful plants which are resistant to the phytotoxic effects of the herbicides or which have been genetically engineered to be resistant. Due to their herbicidal and plant growth-regulating properties, the active ingredients can also be used to control weeds in crops of known or yet-to-be-developed genetically modified plants. The transgenic plants are generally characterized by particularly advantageous properties, for example resistance to certain pesticides, especially certain herbicides, resistance to plant diseases or pathogens of plant diseases such as certain insects or microorganisms such as fungi, bacteria or viruses. Other special properties relate, for example, to the harvested product in terms of quantity, Quality, storability, composition and special ingredients. For example, transgenic plants with increased starch content or altered starch quality or those with a different fatty acid composition of the harvested product are known. Further special properties can lie in tolerance or resistance to abiotic stressors, e.g. heat, cold, drought, salt and ultraviolet radiation. Preference is given to using the compounds of the formula (I) according to the invention or their salts in economically important transgenic crops of useful and ornamental plants, e.g. cereals such as wheat, barley, rye, oats, triticale, millet, rice, cassava and maize or also crops of sugar beet, cotton, soybeans, rapeseed, potatoes, tomatoes, peas and other vegetables. The compounds of the formula (I) can preferably be used as herbicides in useful plant crops which are resistant to the phytotoxic effects of the herbicides or which have been genetically engineered to be resistant. Conventional methods for producing new plants with modified characteristics compared to previously existing plants include, for example, classic breeding methods and the creation of mutants. Alternatively, new plants with modified characteristics can be created using genetic engineering. Numerous molecular biological techniques with which new transgenic plants with modified characteristics can be created are known to those skilled in the art. For such genetic manipulations, nucleic acid molecules can be introduced into plasmids that allow mutagenesis or sequence modification through recombination of DNA sequences. Using standard methods, base exchanges can be made, partial sequences can be removed, or natural or synthetic sequences can be added. Adapters or linkers can be attached to the fragments to connect the DNA fragments to one another. The production of plant cells with reduced activity of a gene product can be achieved, for example, by expressing at least one corresponding antisense RNA, a sense RNA to achieve a cosuppression effect, or the expression of at least one appropriately constructed ribozyme that specifically cleaves transcripts of the above-mentioned gene product. 35 For this purpose, DNA molecules can be used that comprise the entire coding sequence of a gene product, including any flanking sequences present, as well as DNA molecules that comprise only parts of the coding sequence, whereby these parts must be long enough to produce an antisense effect in the cells. It is also possible to use DNA sequences that display a high degree of homology to the coding sequences of a gene product, but are not completely identical. When nucleic acid molecules are expressed in plants, the synthesized protein can be localized in any compartment of the plant cell. However, to achieve localization in a specific compartment, the coding region can, for example, be linked to DNA sequences that ensure localization in a specific compartment. Such sequences are known to the person skilled in the art (see, for example, Braun et al., EMBO J. 11 (1992), 3219-3227). Expression of the nucleic acid molecules can also take place in the organelles of the plant cells. The transgenic plant cells can be regenerated into whole plants using known techniques. In principle, the transgenic plants can be plants of any plant species, i.e., both monocotyledonous and dicotyledonous plants. Thus, transgenic plants are obtainable which exhibit altered properties through overexpression, suppression, or inhibition of homologous (= natural) genes or gene sequences or expression of heterologous (= foreign) genes or gene sequences. The compounds (I) according to the invention can preferably be used in transgenic crops which are resistant to growth promoters, such as dicamba, or to herbicides that inhibit essential plant enzymes, e.g., acetolactate synthases (ALS), EPSP synthases, glutamine synthases (GS), or hydroxyphenylpyruvate dioxygenases (HPPD), or to herbicides from the group of sulfonylureas, glyphosates, glufosinates, or benzoyl isoxazoles and analogous active ingredients. When the active compounds according to the invention are used in transgenic crops, in addition to the effects on weeds observed in other crops, effects often occur which are specific to the application in the respective transgenic crop, for example a modified or specifically expanded weed spectrum which can be controlled, modified application rates which can be used for the application, preferably good combinability with the herbicides to which the transgenic crop is resistant, and influence on the growth and yield of the transgenic crops. 35 The invention therefore also relates to the use of the compounds of formula (I) according to the invention and/or salts thereof as herbicides for controlling weeds in crops of useful or ornamental plants, optionally in transgenic crops. Preference is given to use in cereals, preferably maize, wheat, barley, rye, oats, millet, or rice, pre- or post-emergence. Preference is also given to use in soybeans pre- or post-emergence. The use according to the invention for controlling weeds or for regulating plant growth also includes the case in which the active ingredient of formula (I) or its salt is formed from a precursor substance ("prodrug") only after application to the plant, in the plant, or in the soil. The invention also relates to the use of one or more compounds of the formula (I) or salts thereof or of an agent according to the invention (as defined below) (in a method) for controlling harmful plants or for regulating the growth of plants, characterized in that an effective amount of one or more compounds of the formula (I) or salts thereof is applied to the plants (harmful plants, optionally together with the useful plants), plant seeds, the soil in or on which the plants grow, or the area under cultivation. The invention also relates to a herbicidal and/or plant growth regulating agent, characterized in that the agent contains (a) one or more compounds of the formula (I) and/or salts thereof as defined above, preferably in one of the embodiments identified as preferred or particularly preferred, in particular one or more compounds of the formulae (I.1-1) to (I.14-500) and/or salts thereof, in each case as defined above, and (b) one or more further substances selected from groups (i) and/or (ii): (i) one or more further agrochemically active substances, preferably selected from the group consisting of insecticides, acaricides, nematicides, further herbicides (ie those which do not correspond to the formula (I) defined above), fungicides, safeners, fertilizers 35 and/or further growth regulators, (ii) one or more formulation auxiliaries customary in plant protection. The further agrochemically active substances of component (i) of a composition according to the invention are preferably selected from the group of substances listed in "The Pesticide Manual", 19th edition, The British Crop Protection Council and the Royal Soc. of Chemistry, 2021. A herbicidal or plant growth-regulating composition according to the invention preferably comprises one, two, three or more formulation auxiliaries (ii) customary in crop protection, selected from the group consisting of surfactants, emulsifiers, dispersants, film formers, thickeners, inorganic salts, dusting agents, carriers that are solid at 25°C and 1013 mbar, preferably adsorptive, granulated inert materials, wetting agents, antioxidants, stabilizers, buffer substances, antifoam agents, water, organic solvents, preferably organic solvents that are miscible with water in any ratio at 25°C and 1013 mbar. The compounds (I) according to the invention can be used in the form of wettable powders, emulsifiable concentrates, sprayable solutions, dusts, or granules in the usual preparations. The invention therefore also relates to herbicidal and plant growth regulating compositions containing compounds of formula (I) and/or salts thereof. The compounds of formula (I) and/or salts thereof can be formulated in various ways, depending on the biological and/or chemical-physical parameters required. Possible formulation options include: wettable powders (WP), water-soluble powders (SP), water-soluble concentrates, emulsifiable concentrates (EC), emulsions (EW), such as oil-in-water and water-in-oil emulsions, sprayable solutions, suspension concentrates (SC), oil- or water-based dispersions, oil-miscible solutions, capsule suspensions (CS), dusts (DP), seed dressings, granules for broadcast and soil application, granules (GR) in the form of micro-, spray-, lift- and adsorption granules, water-dispersible granules (WG), water-soluble granules (SG), ULV formulations, microcapsules and waxes. These individual formulation types and the formulation aids such as inert materials, surfactants, solvents and other additives are known to the person skilled in the art and are described, for example, in: Watkins, "Handbook of Insecticide Dust Diluents and Carriers", 2nd Ed., Darland Books, Caldwell NJ; Hv Olphen, "Introduction to Clay Colloid Chemistry"; 2nd Ed., J. Wiley & Sons, NY; C. Marsden, "Solvents Guide"; 2nd Ed., Interscience, NY1963; McCutcheon's "Detergents and 35 Emulsifiers Annual", MC Publ. Corp., Ridgewood NJ; Sisley and Wood, "Encyclopedia of Surface Active Agents", Chem. Publ. Co. Inc., NY1964; Schönfeldt, "Surface Active Ethylene oxide adducts", Wiss. Verlagsgesellschaft, Stuttgart 1976; Winnacker-Küchler, "Chemical Technology", Volume 7, C. Hanser Verlag Munich, 4th edition 1986. Wettable powders are preparations that are evenly dispersible in water and contain, in addition to the active ingredient and a diluent or inert substance, ionic and/or non-ionic surfactants (wetting agents, dispersants), e.g., polyoxyethylated alkylphenols, polyoxyethylated fatty alcohols, polyoxyethylated fatty amines, fatty alcohol polyglycol ether sulfates, alkanesulfonates, alkylbenzenesulfonates, sodium ligninsulfonate, sodium 2,2'-dinaphthylmethane-6,6'-disulfonate, sodium dibutylnaphthalenesulfonate, or sodium oleoylmethyltaurine. To produce the wettable powders, the herbicidal active ingredients are, for example, mixed in conventional equipment such as hammer mills, blower mills, and Air jet mills finely ground and simultaneously or subsequently mixed with the formulation auxiliaries. Emulsifiable concentrates are produced by dissolving the active ingredient in an organic solvent, e.g. butanol, cyclohexanone, dimethylformamide, xylene or higher-boiling aromatics or hydrocarbons or mixtures of organic solvents with the addition of one or more ionic and/or non-ionic surfactants (emulsifiers). Examples of emulsifiers that can be used are: alkylarylsulfonic acid calcium salts such as Ca-dodecylbenzenesulfonate or non-ionic emulsifiers such as fatty acid polyglycol esters, alkylaryl polyglycol ethers, fatty alcohol polyglycol ethers, propylene oxide-ethylene oxide condensation products, alkyl polyethers, sorbitan esters such as sorbitan fatty acid esters or polyoxyethylene sorbitan esters such as polyoxyethylene sorbitan fatty acid esters. Dusts are obtained by grinding the active ingredient with finely divided solid substances, e.g. talc, natural clays, such as Kaolin, bentonite and pyrophyllite, or diatomaceous earth. Suspension concentrates can be water- or oil-based. They can be produced, for example, by wet grinding using commercially available bead mills and, if necessary, with the addition of surfactants, as already listed above for the other formulation types. Emulsions, e.g. oil-in-water emulsions (EW), can be produced, for example, using stirrers, colloid mills and/or static mixers using aqueous organic solvents and, if necessary, surfactants, as already listed above for the other formulation types. 35 Granules can be produced either by spraying the active ingredient onto adsorptive, granulated inert material or by applying active ingredient concentrates to the surface of Carrier materials such as sand, kaolinite, or granulated inert material. Suitable active ingredients can also be granulated in the manner customary for the production of fertilizer granules—if desired, mixed with fertilizers. Water-dispersible granules are generally produced using conventional processes such as spray drying, fluidized-bed granulation, disc granulation, mixing with high-speed mixers, and extrusion without solid inert material. For the production of disc, fluidized-bed, extruder, and spray granules, see, for example, the processes in "Spray-Drying Handbook," 3rd ed. 1979, G. Goodwin Ltd., London; J.E. Browning, "Agglomeration," Chemical and Engineering 1967, pp. 147 ff.; "Perry's Chemical Engineer's Handbook," 5th ed., McGraw-Hill, New York 1973, pp. 8-57. For further details on the formulation of crop protection products, see, for example, GC Klingman, "Weed Control as a Science", John Wiley and Sons, Inc., New York, 1961, pages 81-96 and JD Freyer, SA Evans, "Weed Control Handbook", 5th Ed., Blackwell Scientific Publications, Oxford, 1968, pages 101-103. The agrochemical preparations, preferably herbicidal or plant growth regulating agents, of the present invention preferably contain a total amount of 0.1 to 99% by weight, preferably 0.5 to 95% by weight, more preferably 1 to 90% by weight, particularly preferably 2 to 80% by weight, of active ingredients of the formula (I) and salts thereof. In wettable powders, the active ingredient concentration is, for example, about 10 to 90% by weight, the remainder to 100% by weight consisting of conventional formulation components. In emulsifiable concentrates, the active ingredient concentration can be approximately 1 to 90, preferably 5 to 80 wt.%. Dust-like formulations contain 1 to 30 wt.% active ingredient, preferably mostly 5 to 20 wt.% active ingredient; sprayable solutions contain approximately 0.05 to 80, preferably 2 to 50 wt.% active ingredient. In water-dispersible granules, the active ingredient content depends partly on whether the active compound is liquid or solid and which granulation aids, fillers, etc. are used. In water-dispersible granules, the active ingredient content is, for example, between 1 and 95 wt.%, preferably between 10 and 80 wt.%. In addition, the active ingredient formulations mentioned may contain the usual adhesives, wetting agents, dispersing agents, emulsifying agents, penetrating agents, preservatives, antifreeze agents, solvents, fillers, carriers, dyes, defoamers, evaporation inhibitors, and agents that influence pH and viscosity. Examples of formulation aids are listed, among others, in "Chemistry and Technology of Agrochemical Formulations", ed. DA Knowles, Kluwer Academic Publishers (1998). The compounds of formula (I) or their salts can be used as such or in the form of their preparations (formulations) in combination with other pesticidally active substances, such as insecticides, acaricides, nematicides, herbicides, fungicides, safeners, fertilizers and/or growth regulators, e.g. as a ready-to-use formulation or as tank mixes. The combination formulations can be prepared on the basis of the abovementioned formulations, taking into account the physical properties and stabilities of the active ingredients to be combined. Suitable combination partners for the compounds of formula (I) according to the invention in mixture formulations or in the tank mix are, for example, known active ingredients which are based on the inhibition of, for example, acetolactate synthase, acetyl-CoA carboxylase, cellulose synthase, Enolpyruvylshikimate 3-phosphate synthase, glutamine synthetase, p-hydroxyphenylpyruvate dioxygenase, phytoene desaturase, photosystem I, photosystem II, protoporphyrinogen oxidase, as described, for example, in Weed Research 26 (1986) 441-445 or "The Pesticide Manual", 19th edition, The British Crop Protection Council and the Royal Soc. of Chemistry, 2021 and the literature cited therein. Of particular interest is the selective control of weeds in crops of useful and ornamental plants. Although the compounds (I) according to the invention already exhibit very good to sufficient selectivity in many crops, phytotoxicity can in principle occur in some crops and especially in the case of mixtures with other herbicides that are less selective. In this regard, combinations of compounds (I) according to the invention of Of particular interest are those containing the compounds (I) or their combinations with other herbicides or pesticides and safeners. The safeners, which are used in an antidotally effective concentration, reduce the phytotoxic side effects of the herbicides/pesticides used, e.g. in economically important crops such as cereals (wheat, barley, rye, maize, rice, millet), sugar beet, sugar cane, rapeseed, cotton and soybeans, preferably cereals. The weight ratios of herbicide (mixture) to safener generally depend on the application rate of herbicide and the effectiveness of the respective safener and can vary within wide limits, for example in the range from 200:1 to 1:200, preferably 100:1 to 1:100, in particular 20:1 to 1:20. The safeners can be formulated analogously to the compounds (I) or mixtures thereof with other herbicides/pesticides and can be supplied and applied as a ready-to-use formulation or tank mix with the herbicides. For use, the herbicide or herbicide safener formulations available in commercial form are diluted, if appropriate, in the usual way, e.g. in the case of wettable powders, emulsifiable concentrates, dispersions and water-dispersible granules, with water. Dust-like preparations, soil or broadcast granules and sprayable solutions are not normally diluted with other inert substances before use. External conditions such as temperature, humidity etc. influence to a certain extent the application rate of the compounds of the formula (I) and/or their salts. The application rate can vary within wide limits. For use as a herbicide for controlling weeds, the total amount of compounds of the formula (I) and their salts is preferably in the range from 0.001 to 10.0 kg/ha, more preferably in the range from 0.005 to 5 kg/ha, more preferably in the range from 0.01 to 1.5 kg/ha, particularly preferably in the range from 0.05 to 1 kg/ha. This applies to both pre-emergence and post-emergence applications. When compounds of formula (I) and/or salts thereof are used as plant growth regulators, for example as stem shorteners in crops such as those mentioned above, preferably in cereal plants such as wheat, barley, rye, triticale, millet, rice or maize, the total application rate is preferably in the range from 0.001 to 2 kg/ha, preferably in the range from 0.005 to 1 kg/ha, in particular in the range from 10 to 500 g/ha, very particularly preferably in the range from 20 to 250 g/ha. This applies to both pre-emergence and post-emergence applications. Application as a stem shortener can take place at various stages of plant growth. For example, application after tillering at the beginning of longitudinal growth is preferred. Alternatively, when used as a plant growth regulator, seed treatment is also possible, which includes various seed dressing and coating techniques. The application rate depends on the individual techniques and can be determined in preliminary tests. Examples of suitable combination partners for the compounds of formula (I) according to the invention in compositions according to the invention (e.g., mixture formulations or tank mixes) include known active ingredients based on the inhibition of, for example, acetolactate synthase, acetyl-CoA-35 carboxylase, cellulose synthase, enolpyruvylshikimate 3-phosphate synthase, glutamine synthetase, p-hydroxyphenylpyruvate dioxygenase, phytoene desaturase, photosystem I, photosystem II, or protoporphyrinogen oxidase, as described, for example, in Weed Research 26 (1986) 441-445. or "The Pesticide Manual", 19th edition, The British Crop Protection Council and the Royal Soc. of Chemistry, 2021, and the literature cited therein. Examples of known herbicides or plant growth regulators that can be combined with the compounds according to the invention are listed below. These active ingredients are designated either by their common name in the English version according to the International Organization for Standardization (ISO) or by their chemical name or code number. This always includes all application forms, such as acids, salts, esters, as well as all isomeric forms such as stereoisomers and optical isomers, even if these are not explicitly mentioned. Examples of such herbicidal mixture partners: The following active ingredients are known herbicides or plant growth regulators that can be combined with compounds of the general formula (I) (the compounds are designated either by the "common name" according to the International Organization for Standardization (ISO) or by the chemical name or by the code number) and always include all application forms such as acids, salts, esters and isomers such as stereoisomers and optical isomers. Examples of Icaeine and, in some cases, several application forms are mentioned: Acetochlor, Acifluorfen, Acifluorfen-methyl, Acifluorfen-sodium, Aclonifen, Alachlor, Allidochlor, Alloxydim, Alloxydim-sodium, Ametryn, Amicarbazon, Amidochlor, Amidosulfuron, 4-Amino-3-chloro-6-(4-chloro-2-fluoro-3-methylphenyl)-5-fluoropyridine-2-carboxylic acid, Aminocyclopyrachlor, Aminocyclopyrachlor-potassium, Aminocyclopyrachlor-methyl, Aminopyralid, Aminopyralid-dimethylammonium, Aminopyralid-tripromine, Amitrol, Ammonium sulfamate, Anilofos, Asulam, Asulam-potassium, Asulam-sodium, Atrazine, Azafenidine, Azimsulfuron, Beflubutamid, (S)-(-)- Beflubutamid, Beflubutamid-M, Benazoline, Benazoline-ethyl, Benazoline-dimethylammonium, Benazolin-Klaium, Benfluralin, Benfuresate, Bensulfuron, Bensulfuron-methyl, Bensulide, Bentazone, Bentazone sodium, Benzobicyclon, Benzofenap, Bicyclopyrone, Bifenox, Bilanafos, Bilanafos sodium, bipyrazone, bispyribac, bispyribac sodium, bixlozone, bromacil, bromacil lithium, bromacil sodium, bromobutide, bromofenoxime, bromoxynil, bromoxynil butyrate, bromoxynil potassium, bromoxynil heptanoate and bromoxynil octanoate, busoxinone, Butachlor, Butafenacil, Butamifos, Butenachlor, Butralin, Butroxydim, Butylate, Cafenstrol, Cambendichlor, Carbetamide, Carfentrazone, Carfentrazone-Ethyl, Chloramben, Chloramben-ammonium, Chloramben-diolamine, Chroamben-methyl, Chloramben-methylammonium, Chloramben-sodium, Chlorbromuron, Chlorfenac, Chlorfenac-ammonium, Chlorfenac-sodium, Chlorfenprop, Chlorfenprop-methyl, Chlorflurenol, Chlorflurenol-methyl, Chloridazon, Chlorimuron, Chlorimuron-ethyl, Chlorophthalim, Chlorotoluron, Chlorsulfuron, 35 Chlorthal, Chlorthal-dimethyl, Chlorthal-monomethyl, Cinidon, Cinidon-ethyl, Cinmethylin, exo-(+)-Cinmethylin, ie (1R,2S,4S)-4-isopropyl-1-methyl-2-[(2-methylbenzyl)oxy]-7-oxabicyclo[2.2.1]heptane, exo-(-)-cinmethyline, i.e. (1R,2S,4S)-4-isopropyl-1-methyl-2-[(2-methylbenzyl)oxy]-7- oxabicyclo[2.2.1]heptane, Cinosulfuron, Clacyfos, Clethodim, Clodinafop, Clodinafop-ethyl, Clodinafop-propargyl, Clomazone, Clomeprop, Clopyralid, Clopyralid-methyl, Clopyralid-olamine, Clopyralid-potassium, Clopyralid-tripomin, Cloransulam, Cloransulam-methyl, Cumyluron, Cyanamides, cyanazines, cycloate, cyclopyranil, cyclopyrimorate, cyclosulfamuron, cycloxydim, cyhalofop, cyhalofop-butyl, cyprazine, 2,4-D (as well as the ammonium, butotyl, butyl, choline, diethylammonium, dimethylammonium, diolamine, doboxyl, dodecylammonium, etexyl, ethyl, 2-Ethylhexyl, Heptylammonium, Isobutyl, Isooctyl, Isopropyl, Isopropylammonium, Lithium, Meptyl, Methyl, Potassium, Tetradecylammonium, Triethylammonium, Triisopropanolammonium, Tripromin and Trolamine (salts thereof), 2,4-DB, 2,4-DB-butyl, 2,4-DB-dimethylammonium, 2,4-DB-isooctyl, 2,4-DB-potassium and 2,4-DB-sodium, Daimuron (Dymron), Dalapon, Dalapon-Calcium, Dalapon-Magnesium, Dalapon-Sodium, Dazomet, Dazomet-Sodium, n-Decanol, 7-Deoxy-D-sedoheptulose, Desmedipham, Detosylpyrazolate (DTP), Dicamba and its salts (e.g. Dicamba-biproamine, Dicamba-N,N-Bis(3-aminopropyl)methylamine, Dicamba-butotyl, Dicamba-choline, Dicamba diglycolamine, dicamba dimethyl ammonium, dicamba diethanolaminemmonium, dicamba diethylammonium, dicamba isopropyl ammonium, dicamba methyl, dicamba monoethanolamine, dicamba olamine, dicamba potassium, dicamba sodium, dicamba triethanolamine), dichlobenil, 2-(2,4-Dichlorobenzyl)-4,4-dimethyl-1,2-oxazolidin-3-one, 2-(2,5-Dichlorobenzyl)-4,4-dimethyl-1,2-oxazolidin-3-one, dichlorprop, dichloroprop-butotyl, dichlorprop-dimethylammonium, dichlorprop-etexyl, dichloroprop-ethylammonium, Dichlorprop-isoctyl, dichlorprop-methyl, dichlorprop-potassium, dichlorprop-sodium, dichlorprop-P, dichlorprop-P-dimethylammonium, Dichlorprop-P-etexyl, Dichlorprop-P-potassium, Dichlorprop-sodium, Diclofop, Diclofop-methyl, Diclofop-P, Diclofop-P-methyl, Diclosulam, Difenzoquat, Difenzoquat-metilsulfate, Diflufenican, Diflufenzopyr, Diflufenzopyr-sodium, Dimefuron, Dimepiperate, Dimesulfazet, Dimethachlor, Dimethametryn, Dimethenamid, Dimethenamid-P, Dimetrasulfuron, Dinitramine, Dinoterb, Dinoterb-Acetate, Diphenamide, Diquat, Diquat-Dibromide, Diquat-Dichloride, Dithiopyr, Diuron, DNOC, DNOC-ammonium, DNOC-potassium, DNOC-sodium, Endothal, Endothal diammonium, endothal dipotassium, Endothal Disodium, Epyrifenacil (S-3100), EPTC, Esprocarb, Ethalfluralin, Ethametsulfuron, Ethametsulfuron-Methyl, Ethiozin, Ethofumesate, Ethoxyfen, Ethoxyfen-Ethyl, Ethoxysulfuron, Etobenzanide, F-5231, i.e. N-[2- Chloro-4-fluoro-5-[4-(3-fluoropropyl)-4,5-dihydro-5-oxo-1H-tetrazol-1-yl]-phenyl]-ethanesulfonamide, F-7967, ie3-[7-Chloro-5-fluoro-2-(trifluoromethyl)-1H-benzimidazol-4-yl]-1-methyl-6- (trifluoromethyl)pyrimidine-2,4(1H,3H)-dione, Fenoxaprop, Fenoxaprop-P, Fenoxaprop-Ethyl, Fenoxaprop-P-Ethyl, Fenoxasulfone, Fenpyrazone, Fenquinotrione, Fentrazamide, Flamprop, Flamprop-Isoproyl, Flamprop-Methyl, Flamprop-M-Isopropyl, Flamprop-M-Methyl, Flazasulfuron, Florasulam, Florpyrauxifen, Florpyrauxifen-benzyl, Fluazifop, Fluazifop-Butyl, Fluazifop-Methyl, Fluazifop-P, 35 Fluazifop-P-Butyl, Flucarbazone, Flucarbazone Sodium, Flucetosulfuron, Fluchloralin, Flufenacet, Flufenpyr, Flufenpyr-Ethyl, Flumetsulam, Flumiclorac, Flumiclorac-Pentyl, flumioxazin, fluometuron, flurenol, Flurenol-butyl, -dimethylammonium and -methyl, Fluoroglycofen, Fluoroglycofen-ethyl, Flupropanate, flupropanate sodium, flupyrsulfuron, flupyrsulfuron-methyl, flupyrsulfuron-methyl-sodium, fluridone, flurochloridone, fluroxypyr, fluroxypyr-butometyl, fluroxypyr-meptyl, flurtamon, fluthiacet, fluthiacet-methyl, fomesafen, fomesafen sodium, foramsulfuron, Foramsulfuron sodium, fosamine, fosamine ammonium, glufosinate, glufosinate ammonium, glufosinate sodium, L-glufosinate ammonium, L-glufosinate sodium, glufosinate P-sodium, glufosinate P-ammonium, glyphosate, glyphosate ammonium, glyphosate isopropylammonium, Glyphosate diammonium, glyphosate dimethyl ammonium, glyphosate potassium, glyphosate sodium, glyphosate sesquinodium and glyphosate trimesium, H-9201, i.e. O-(2,4-dimethyl-6-nitrophenyl)-O-ethyl-isopropylphosphoramidothioate, Halauxifen, Halauxifen-methyl, Halosafen, Halosulfuron, Halosulfuron-Methyl, Haloxyfop, Haloxyfop-P, Haloxyfop-Ethoxyethyl, Haloxyfop-P-Ethoxyethyl, Haloxyfop-Methyl, Haloxyfop-P-Methyl, Haloxifop-Sodium, Hexazinone, HNPC-A8169, ie Prop-2-yn-1-yl (2S)- 2-{3-[(5-tert-butylpyridin-2-yl)oxy]phenoxy}propanoate, HW-02, dh1-(Dimethoxyphosphoryl)-ethyl-(2,4-dichlorophenoxy)acetate, Hydantocidin, Icafolin, Icafolin-Methyl, Imazamethabenz, Imazamethabenz-Methyl, Imazamox, Imazamox-Ammonium, Imazapic, Imazapic ammonium, Imazapyr, Imazapyr isopropyl ammonium, Imazaquin, Imazaquin ammonium, Imazaquin methyl, Imazethapyr, Imazethapyr ammonium, Imazosulfuron, Indanofan, Indaziflam, Indolauxipyr, Iodosulfuron, Iodosulfuron-Methyl, Iodosulfuron Methyl Sodium, Ioxynil, Ioxynil Lithium, -octanoate, -potassium and sodium, ipfencarbazone, iptriazopyride, ie 3-[(isopropylsulfonyl)methyl]-N-(5-methyl-1,3,4-oxadiazol-2-yl)-5-(trifluoromethyl)[1,2,4]triazolo-[4,3-a]pyridine-8-carboxamide, isoproturon, isouron, Isoxaben, Isoxaflutole, Carbutilate, KUH-043, dh3-({[5-(Difluoromethyl)-1-methyl-3-(trifluoromethyl)-1H-pyrazol-4-yl]methyl}sulfonyl)-5,5-dimethyl-4,5-dihydro-1,2-oxazole, Ketospiradox, Ketospiradox potassium, Lactofen, Lenacil, Linuron, MCPA, MCPA-Butotyl, -Butyl, -Dimethyl-ammonium, -diolamine, -2-ethylhexyl, -ethyl, -isobutyl, isoctyl, -isopropyl, -isopropylammonium, -methyl, olamine, -potassium, -sodium and -trolamine, MCPB, MCPB-methyl, -ethyl and -sodium, mecoprop, mecoprop-butotyl, mecoprop-dimethylammonium, mecoprop-diolamine, Mecoprop-Etexyl, Mecoprop-Ethadyl, Mecoprop-Isoctyl, Mecoprop-Methyl, Mecoprop-Potassium, Mecoprop-Sodium, and Mecoprop-Trolamine, Mecoprop-P, Mecoprop-P-Butotyl, -Dimethylammonium, -2-Ethylhexyl and -Potassium, Mefenacet, Mefluidide, Mefluidide-diolamine, Mefluidide potassium, mesosulfuron, mesosulfuron-methyl, Mesosulfuron sodium, Mesotrione, Methabenzthiazuron, Metam, Metamifop, Metamitron, Metazachlor, Metazosulfuron, Methabenzthiazuron, Methiopyrsulfuron, Methiozoline, Methyl isothiocyanate, Metobromuron, Metolachlor, S-Metolachlor, Metosulam, Metoxuron, Metproxybicyclon, Metribuzin, Metsulfuron, Metsulfuron-Methyl, Molinate, Monolinuron, Monosulfuron, Monosulfuron-Methyl, MT-5950, i.e. N-[3-Chloro-4-(1-methylethyl)-phenyl]-2-methylpentanamide, NGGC-011, Napropamide, NC-310, ie4-(2,4-Dichlorobenzoyl)-1-methyl-5-benzyloxypyrazole, Neburon, 35 Nicosulfuron, Nonanoic acid (Pelargonic acid), Norflurazon, Oleic acid (fatty acids), Orbencarb, Orthosulfamuron, Oryzalin, Oxadiargyl, Oxadiazon, Oxasulfuron, Oxaziclomefone, Oxyfluorfen, Paraquat, Paraquat dichloride, Paraquat dimethyl sulfate, Pebulate, Pendimethalin, Penoxsulam, Pentachlorophenol, pentoxazone, pethoxamide, petroleum oil, phenmedipham, phenmedipham ethyl, picloram, picloram dimethylammonium, picloram etexyl, picloram isoctyl, picloram methyl, picloram olamine, picloram potassium, picloram triethylammonium, picloram tripromine, picloram trolamin, Picolinafen, Pinoxaden, Piperophos, Pretilachlor, Primisulfuron, Primisulfuron-Methyl, Prodiamine, Profoxydim, Prometon, Prometryn, Propachlor, Propanil, Propaquizafop, Propazine, Propham, Propisochlor, Propoxycarbazone, Propoxycarbazone-Sodium, Propyrisulfuron, Propyzamide, Prosulfocarb, Prosulfuron, Pyraclonil, Pyraflufen, Pyraflufen Ethyl, Pyraquinate, Pyrasulfotol, Pyrazolynate (Pyrazolate), Pyrazosulfuron, Pyrazosulfuron-Ethyl, Pyrazoxyfen, Pyribambenz, Pyribambenz-Isopropyl, Pyribambenz-Propyl, Pyribenzoxime, Pyributicarb, Pyridafol, Pyridate, Pyriftalid, Pyriminobac, Pyriminobac-Methyl, Pyrimisulfan, Pyrithiobac, Pyrithiobac sodium, Pyroxasulfone, Pyroxsulam, Quinclorac, Quinclorac-dimethylammonium, Quinclorac-methyl, Quinmerac, Quinoclamine, Quizalofop, Quizalofop-Ethyl, Quizalofop-P, Quizalofop-P-Ethyl, Quizalofop-P-Tefuryl, QYM201, ie1-{2-Chloro-3-[(3-cyclopropyl-5-hydroxy-1-methyl-1H-pyrazol-4-yl)carbonyl]-6-(trifluoromethyl)phe-nyl}piperidin-2-one, Rimisoxafen, Rimsulfuron, Saflufenacil, Sethoxydim, Siduron, Simazine, Simetryn, SL-261, Sulcotrione, Sulfentrazone, Sulfometuron, Sulfometuron-Methyl, Sulfosulfuron, , SYP-249, dh1-Ethoxy-3-methyl-1-oxobut-3-en-2-yl-5-[2-chloro-4-(trifluoromethyl)phenoxy]-2-nitrobenzoate, SYP-300, ie1-[7-Fluoro-3-oxo-4-(prop-2-yn-1-yl)-3,4- dihydro-2H-1,4-benzoxazin-6-yl]-3-propyl-2-thioxoimidazolidine-4,5-dione, 2,3,6-TBA, TCA (trichloroacetic acid) and its salts, e.g. TCA-ammonium, TCA-calcium, TCA-ethyl, TCA-magnesium, TCA-sodium, tebuthiuron, tefuryltrione, Tembotrion, Tepraloxydim, Terbacil, Terbucarb, Terbumetone, Terbuthylazine, Terbutryn, Tetflupyrolimet, Thaxtomin, Thenylchlor, Thiazopyr, Thiencarbazone, Thiencarbazone-Methyl, Thifensulfuron, Thifensulfuron-Methyl, Thiobencarb, Tiafenacil, Tolpyralate, Topramezone, Tralkoxydim, Triafamon, Tri-allate, Triasulfuron, Triaziflam, tribenuron, tribenuron-methyl, triclopyr, triclopyr-butotyl, triclopyr-choline, triclopyr-ethyl, triclopyr-triethylammonium, trietazine, trifloxysulfuron, trifloxysulfuron sodium, trifludimoxazine, trifluralin, triflusulfuron, triflusulfuron-methyl, Tritosulfuron, urea sulfate, vernolate, 3-(2-Chloro-4-fluoro-5-(3-methyl-2,6-dioxo-4-trifluoromethyl-3,6-dihydropyrimidin-1(2H)-yl)phenyl)-5- methyl-4,5-dihydroisoxazole-5-carboxylic acid methyl ester, 3-(2-chloro-4-fluoro-5-(3-methyl-2,6-dioxo-4-trifluoromethyl-3,6-dihydropyrimidin-1(2H)-yl)phenyl)-5-methyl-4,5-dihydroisoxazole-5-carboxylic acid ethyl ester, 3-(2-Chloro-4-fluoro-5-(3-methyl-2,6-dioxo-4-trifluoromethyl-3,6-dihydropyrimidin- 1(2H)-yl)phenyl)-5-methyl-4,5-dihydroisoxazole-5-carboxylic acid, ethyl-[(3-{2-chloro-4-fluoro-5-[3-methyl- 2,6-dioxo-4-(trifluoromethyl)-3,6-dihydropyrimidin-1(2H)-yl]phenoxy}pyridin-2-yl)oxy]acetate, 3-chloro-2-[3-(difluoromethyl)isoxazolyl-5-yl]phenyl-5-chloropyrimidin-2-yl ether, 2-(3,4-dimethoxyphenyl)-4-[(2-35 hydroxy-6-oxocyclohex-1-en-1-yl)carbonyl]-6-methylpyridazin-3(2H)-one, 2-({2-[(2-methoxyethoxy)methyl]-6-methylpyridin-3-yl}carbonyl)cyclohexane-1,3-dione, (5-hydroxy-1-methyl- 1H-pyrazol-4-yl)(3,3,4-trimethyl-1,1-dioxido-2,3-dihydro-1-benzothiophen-5-yl)methanone, 1-Methyl-4- [(3,3,4-trimethyl-1,1-dioxido-2,3-dihydro-1-benzothiophen-5-yl)carbonyl]-1H-pyrazol-5-yl propan-1-sulfonate, 4-{2-chloro-3-[(3,5-dimethyl-1H-pyrazol-1-yl)methyl]-4-(methylsulfonyl)benzoyl}-1-methyl- 1H-pyrazole-5-yl-1,3-dimethyl-1H-pyrazole-4-carboxylate; Cyanomethyl-4-amino-3-chloro-5-fluoro-6-(7-fluoro-1H-indol-6-yl)pyridin-2-carboxylate, Prop-2-yn-1-yl 4-amino-3-chloro-5-fluoro-6-(7-fluoro-1H-indol-6-yl)pyridin-2-carboxylate, Methyl 4-amino-3-chloro-5-fluoro-6-(7-fluoro-1H-indol-6-yl)pyridin-2-carboxylate, Benzyl 4-amino-3-chloro-5-fluoro-6-(7-fluoro-1H-indol-6-yl)pyridin-2-carboxylate, Ethyl-4- amino-3-chloro-5-fluoro-6-(7-fluoro-1H-indol-6-yl)pyridine-2-carboxylate, methyl 4-amino-3-chloro-5-fluoro- 6-(7-fluoro-1-isobutyryl-1H-indol-6-yl)pyridine-2-carboxylate, methyl 6-(1-acetyl-7-fluoro-1H-indol-6-yl)- 4-amino-3-chloro-5-fluoropyridine-2-carboxylate, methyl 4-amino-3-chloro-6-[1-(2,2-dimethylpropanoyl)-7- fluoro-1H-indol-6-yl]-5-fluoropyridine-2-carboxylate, methyl 4-amino-3-chloro-5-fluoro-6-[7-fluoro-1-(methoxyacetyl)-1H-indol-6-yl]pyridine-2-carboxylate, potassium 4-amino-3-chloro-5-fluoro-6-(7-fluoro-1H- indol-6-yl)pyridine-2-carboxylate, Sodium 4-amino-3-chloro-5-fluoro-6-(7-fluoro-1H-indol-6-yl)pyridin-2-carboxylate, butyl 4-amino-3-chloro-5-fluoro-6-(7-fluoro-1H-indol-6-yl)pyridin-2-carboxylate, 4-hydroxy- 1-methyl-3-[4-(trifluoromethyl)pyridin-2-yl]imidazolidin-2-one, 3-(5-tert-butyl-1,2-oxazol-3-yl)-4-hydroxy-1-methylimidazolidin-2-one, 3-[5-chloro-4-(trifluoromethyl)pyridin-2-yl]-4-hydroxy-1- methylimidazolidin-2-one, 4-hydroxy-1-methoxy-5-methyl-3-[4-(trifluoromethyl)pyridin-2-yl]imidazolidin-2-one, 6-[(2-Hydroxy-6-oxocyclohex-1-en-1-yl)carbonyl]-1,5-dimethyl-3-(2-methylphenyl)quinazoline-2,4(1H,3H)-dione, 3-(2,6-Dimethylphenyl)-6-[(2-hydroxy-6-oxocyclohex-1-en- 1-yl)carbonyl]-1-methylquinazolin-2,4(1H,3H)-dione, 2-[2-chloro-4-(methylsulfonyl)-3-(morpholin-4-ylmethyl)benzoyl]-3-hydroxycyclohex-2-en-1-one, 1-(2-carboxyethyl)-4-(pyrimidin-2-yl)pyridazin-1-ium salt (with appropriate Anions such as chloride, acetate or trifluoroacetate), 1-(2-carboxyethyl)-4- (pyridazin-3-yl)pyridazin-1-ium salt (with suitable anions such as chloride, acetate or trifluoroacetate), 4-(pyrimidin-2-yl)-1-(2-sulfoethyl)pyridazin-1-ium salt (with suitable anions such as chloride, acetate or trifluoroacetate), 4-(pyridazin-3-yl)-1-(2-sulfoethyl)pyridazin-1-ium salt (with suitable anions such as chloride, acetate or trifluoroacetate), 1-(2-carboxyethyl)-4-(1,3-thiazol-2-yl)pyridazin-1-ium salt (with suitable anions such as chloride, acetate or trifluoroacetate), 1-(2-carboxyethyl)-4-(1,3,4-thiadiazol-2-yl)pyridazin-1-ium salt (with suitable anions such as chloride, acetate or trifluoroacetate), methyl (2R)-2-{[(E)-({2-chloro-4-fluoro-5-[3-methyl-2,6-dioxo-4-(trifluoromethyl)-3,6-dihydropyrimidin-1(2H)-yl]phenyl}methylidene)amino]oxy}propanoate, methyl (2S)- 2-{[(E)({2-chloro-4-fluoro-5-[3-methyl-2,6-dioxo-4-(trifluoromethyl)-3,6-dihydropyrimidin-1(2H)-yl]phenyl}methylidene)amino]oxy}propanoate, methyl (2R/S)-2-{[(E)({2-chloro-4-fluoro-5-[3-methyl-2,6- dioxo-4-(trifluoromethyl)-3,6-dihydropyrimidin-1(2H)-yl]phenyl}methylidene)amino]oxy}propanoate, (E)- 2-(Trifluoromethyl)benzaldehyde-O-{2,6-bis[(4,6-dimethoxypyrimidin-2-yl)oxy]benzoyl}oxime, 2-fluoro- N-(5-methyl-1,3,4-oxadiazol-2-yl)-3-[(R)-propylsulfinyl]-4-(trifluoromethyl)benzamide, (2R)-2-[(4-35 Amino-3,5-dichloro-6-fluoro-2-pyridyl)oxy]propanecarboxylic acid, 2-ethoxy-2-oxoethyl-1-{2-chloro-4-fluoro- 5-[3-methyl-2,6-dioxo-4-(trifluoromethyl)-3,6-dihydropyrimidin-1(2H)-yl]phenoxy}cyclopropanecarboxylate, 2-Methoxy-2-oxoethyl-1-{2-chloro-4-fluoro-5-[3-methyl-2,6-dioxo-4- (trifluoromethyl)-3,6-dihydropyrimidin-1(2H)-yl]phenoxy}cyclopropane carboxylate, {[(1-{2-chloro-4-fluoro-5-[3-methyl-2,6-dioxo-4-(trifluoromethyl)-3,6-dihydropyrimidin-1(2H)-yl]phenoxy}cyclopropyl)carbonyl]oxy}acetic acid, 2-(2-Bromo-4-chlorobenzyl)-4,4-dimethyl-1,2-oxazolidin-3-one, Methyl 3-{2-chloro-4-fluoro-5-[3-methyl-2,6-dioxo-4-(trifluoromethyl)-3,6- dihydropyrimidin-1(2H)-yl]phenyl}-3a,4,5,6-tetrahydro-6aH-cyclopenta[d][1,2]oxazole-6a-carboxylate, ethyl 3-{2-chloro-4-fluoro-5-[3-methyl-2,6-dioxo-4-(trifluoromethyl)-3,6-dihydropyrimidin-1(2H)-yl]phenyl}-3a,4,5,6-tetrahydro-6aH-cyclopenta[d][1,2]oxazole-6a-carboxylate, methyl 3-{2-chloro-4-fluor- 5-[3-methyl-2,6-dioxo-4-(trifluoromethyl)-3,6-dihydropyrimidin-1(2H)-yl]phenyl}-6-methyl-3a,4,5,6-tetrahydro-6aH-cyclopenta[d][1,2]oxazole-6a-carboxylate, 3-{2-Chloro-4-fluoro-5-[3-methyl-2,6-dioxo-4- (trifluoromethyl)-3,6-dihydropyrimidin-1(2H)-yl]phenyl}-6-methyl-3a,4,5,6-tetrahydro-6aH-cyclopenta[d][1,2]oxazole-6a-carboxylic acid, 3-{2-chloro-4-fluoro-5-[3-methyl-2,6-dioxo-4-(trifluoromethyl)- 3,6-dihydropyrimidin-1(2H)-yl]phenyl}-3a,4,5,6-tetrahydro-6aH-cyclopenta[d][1,2]oxazole-6a-carboxylic acid. Examples of growth regulators and plant stimulants as mixing partners are: Abscisic acid and related analogues [e.g. (2Z,4E)-5-[6-ethynyl-1-hydroxy-2,6-dimethyl-4-oxocyclohex-2-en-1-yl]-3-methylpenta-2,4-dienoic acid, methyl-(2Z,4E)-5-[6-ethynyl-1-hydroxy-2,6-dimethyl-4-oxocyclohex-2-en-1-yl]-3-methylpenta-2,4-dienoate, (2Z,4E)-3-ethyl-5-(1-hydroxy-2,6,6-trimethyl-4-oxocyclohex-2-en-1-yl)penta-2,4-dienoic acid, (2E,4E)-5-(1-hydroxy-2,6,6-trimethyl-4- oxocyclohex-2-en-1-yl)-3-(trifluoromethyl)penta-2,4-dienoic acid, methyl (2E,4E)-5-(1-hydroxy-2,6,6-trimethyl-4-oxocyclohex-2-en-1-yl)-3-(trifluoromethyl)penta-2,4-dienoate, (2Z,4E)-5-(2-hydroxy-1,3- dimethyl-5-oxobicyclo[4.1.0]hept-3-en-2-yl)-3-methylpenta-2,4-dienoic acid], acibenzolar, acibenzolar-S-methyl, S-adenosylhomocysteine, allantoin, 2-aminoethoxyvinylglycine (AVG), aminooxyacetic acid and related esters [e.g (Isopropylidene)-aminooxyacetic acid 2-(methoxy)-2-oxoethyl ester, (Isopropylidene)-aminooxyacetic acid 2-(hexyloxy)-2-oxoethyl ester, (Cyclohexylidene)-aminooxyacetic acid 2-(isopropyloxy)-2-oxoethyl ester], 1-Aminocycloprop-1-ylcarboxylic acid N-Methyl-1-aminocyclopropyl-1-carboxylic acid, 1-Aminocyclopropyl-1-carboxamide, substituted 1-Aminocyclopropyl-1-carboxylic acid derivatives as described in DE3335514, EP30287, DE2906507 or US5123951, 1-Aminocyclopropyl-1-hydroxamic acid, 5-Aminolevulinic acid, Ancymidol, 6-Benzylaminopurine, Bikinin, Brassinolide, Brassinolide-ethyl, L-Canalin, Catechin and catechins (e.g. (2S,3R)-2-(3,4-Dihydroxyphenyl)-3,4-dihydro-2H-chromene-3,5,7-triol), Chitooligosaccharides (CO; COs differ from LCOs in that they lack the fatty acid side chain characteristic of LCOs. COs, sometimes referred to as N-acetylchitooligosaccharides 35, are also composed of GlcNAc units, but have side chains that distinguish them from chitin molecules [(C8H13NO5)n, CAS No. 1398-61-4] and chitosan molecules [(C5H11NO4)n, CAS No. 9012-76-4]), Chitin-like compounds, Chlormequat chloride, Cloprop, Cyclanilide, 3-(cycloprop-1-enyl)propionic acid, 1-[2-(4-cyano-3,5-dicyclopropylphenyl)acetamido]cyclohexanecarboxylic acid, 1-[2-(4-cyano-3-cyclopropylphenyl)acetamido]cyclohexanecarboxylic acid, 1-cyclopropenylmethanol, daminozide, dazomet, dazomet sodium, n-decanol, dikegulac, dikegulac sodium, endothal, endothal di-potassium, di-sodium, and mono(N,N-dimethylalkylammonium), ethephon, 1-ethylcyclopropene, flumetralin, flurenol, flurenol butyl, flurenol methyl, flurprimidol, forchlorfenuron, gibberellic acid, inabenfid, indole-3-acetic acid (IAA), 4-Indol-3-ylbutyric acid, isoprothiolane, probenazole, jasmonic acid, jasmonic acid esters or other derivatives (e.g. jasmonic acid methyl ester, jasmonic acid ethyl ester), lipochitooligosaccharides (LCO, sometimes also referred to as symbiotic nodulation signals (Nod or Nod factors) or Myc factors, consist of an oligosaccharide backbone of β-l,4-linked N-acetyl-D-glucosamine residues (“GlcNAc”) with an N-linked fatty acid side chain fused to the non-reducing end. As can be seen from the literature, LCOs differ in the number of GlcNAc units in the backbone structure, in the length and degree of saturation of the fatty acid chain, as well as in the substitution of the reducing and non-reducing sugar units), linoleic acid or its derivatives, linolenic acid or its derivatives, Maleic hydrazide, mepiquat chloride, mepiquat pentaborate, 1-methylcyclopropene, 3-methylcyclopropene, methoxyvinylglycine (MVG), 3'-methylabscisic acid, 1-(4-methylphenyl)-N-(2-oxo-1-propyl-1,2,3,4-tetrahydroquinolin-6-yl)methanesulfonamide and related substituted (tetrahydroquinolin-6-yl)methanesulfonamides, (3E,3αR,8βS)-3-({[(2R)-4-methyl-5-oxo-2,5-dihydrofuran-2-yl]oxy}methylene)-3,3a,4,8b-tetrahydro-2H-indeno[1,2-b]furan-2-one and related lactones as described in EP2248421, 2-(1-naphthyl)acetamide, 1-Naphthylacetic acid, 2-Naphthyloxyacetic acid, nitrophenolate mixture, 4-oxo-4[(2-phenylethyl)amino]butyric acid, paclobutrazol, 4-phenylbutyric acid and its salts (e.g. sodium 4-phenylbutanoate, potassium 4-phenylbutanoate), phenylalanine, N-phenylphthalamic acid, prohexadione, prohexadione calcium, 1-n-propylcyclopropene, putrescine, prohydrojasmone, rhizobitoxin, salicylic acid and salicyclic acid methyl ester, sarcosine, sodium cycloprop-1-en-1-yl acetate, sodium cycloprop-2-en-1-yl acetate, sodium 3-(cycloprop-2-en-1-yl)propanoate, sodium 3-(cycloprop-1-en-1-yl)propanoate, sidefungin, spermidine, spermine, Strigolactone, Tecnazene, Thidiazuron, Triacontanol, Trinexapac, Trinexapac-ethyl, Tryptophan, Tsitodef, Uniconazole, Uniconazole-P, 2-Fluoro-N-(3-methoxyphenyl)-9H-purin-6-amine, 2-Chloro-N-(3-methoxyphenyl)-9H-purin-6-amine. The following safeners, for example, are also suitable as combination partners for the compounds of formula (I) according to the invention: S1) Compounds of formula (S1), ) where the symbols and indices have the following meanings: n A is a natural number from 0 to 5, preferably 0 to 3; RA 1 is halogen, (C1-C4)-alkyl, (C1-C4)-alkoxy, nitro or (C1-C4)-haloalkyl; WA is an unsubstituted or substituted divalent heterocyclic radical from the group of the partially saturated or aromatic five-membered ring heterocycles with 1 to 3 hetero ring atoms from the group N and O, wherein at least one N atom and at most one O atom is contained in the ring, preferably a radical from the group (WA 1 ) to (WA 5 ), mA is 0 or 1; R A 2 is OR A 3 , SR A 3 or NR A 3 R A 4 or a saturated or unsaturated 3- to 7-membered heterocycle having at least one N atom and up to 3 heteroatoms, preferably from the group O and S, which is linked to the carbonyl group in (S1) via the N atom and is unsubstituted or substituted by radicals from the group (C 1 -C 4 )-alkyl, (C 1 -C 4 )-alkoxy or optionally substituted phenyl, preferably a radical of the formula OR A 3 , NHR A 4 or N(CH 3 ) 2 , in particular of the formula OR A 3 ; R A 3 is hydrogen or an unsubstituted or substituted aliphatic hydrocarbon radical, preferably having a total of 1 to 18 C atoms; R A 4 is hydrogen, (C 1 -C 6 )alkyl, (C 1 -C 6 )alkoxy or substituted or unsubstituted phenyl; RA 5 is H, (C1-C8)-alkyl, (C1-C8)-haloalkyl, (C1-C4)-alkoxy(C1-C8)-alkyl, cyano or COORA 9 , where RA 9 is hydrogen, (C1-C8)-alkyl, (C1-C8)-haloalkyl, (C1-C4)-alkoxy-(C1-C4)-alkyl, (C1-C6)-hydroxyalkyl, (C3-C12)-cycloalkyl or tri-(C1-C4)-alkylsilyl; RA 6 , RA 7 , RA 8 are the same or different and are hydrogen, (C1-C8)-alkyl, (C1-C8)-haloalkyl, (C3-C12)-cycloalkyl or substituted or unsubstituted phenyl; R A 10 is hydrogen, (C 3 -C 12 )-cycloalkyl, substituted or unsubstituted phenyl or substituted or unsubstituted heteroaryl; preferably: a) compounds of the dichlorophenylpyrazolin-3-carboxylic acid type (S1 a ), preferably compounds such as 1-(2,4-dichlorophenyl)-5-(ethoxycarbonyl)-5-methyl-2-pyrazolin-3-carboxylic acid, 1-(2,4-dichlorophenyl)-5-(ethoxycarbonyl)-5-methyl-2-pyrazolin-3-carboxylic acid ethyl ester (S1-1) ("Mefenpyr-diethyl"), and related compounds as described in WO-A-91/07874; b) derivatives of dichlorophenylpyrazolecarboxylic acid (S1 b ), preferably compounds such as ethyl 1-(2,4-dichlorophenyl)-5-methylpyrazole-3-carboxylate (S1-2), ethyl 1-(2,4-dichlorophenyl)-5-isopropylpyrazole-3-carboxylate (S1-3), ethyl 1-(2,4-dichlorophenyl)-5-(1,1-dimethylethyl)pyrazole-3-carboxylate (S1-4) and related compounds as described in EP-A-333131 and EP-A-269806; c) derivatives of 1,5-diphenylpyrazole-3-carboxylic acid (S1 c ), preferably compounds such as ethyl 1-(2,4-dichlorophenyl)-5-phenylpyrazole-3-carboxylate (S1-5), methyl 1-(2-chlorophenyl)-5-phenylpyrazole-3-carboxylate (S1-6) and related compounds as described, for example, in EP-A-268554; d) compounds of the triazolecarboxylic acid type (S1 d ), preferably compounds such as ethyl fenchlorazole (ethyl ester), i.e., ethyl 1-(2,4-dichlorophenyl)-5-trichloromethyl-(1H)-1,2,4-triazole-3-carboxylate (S1-7), and related compounds as described in EP-A-174562 and EP-A-346620; e) Compounds of the type 5-benzyl- or 5-phenyl-2-isoxazoline-3-carboxylic acid or 5,5-diphenyl-2-isoxazoline-3-carboxylic acid (S1 e ), preferably compounds such as 5-(2,4-dichlorobenzyl)-2-isoxazoline-3-carboxylic acid ethyl ester (S1-8) or 5-phenyl-2-isoxazoline-3-carboxylic acid ethyl ester (S1-9) and related compounds as described in WO-A-91/0820230, or 5,5-diphenyl-2-isoxazoline-3-carboxylic acid (S1-10) or 5,5-diphenyl-2-isoxazoline-3-carboxylic acid ethyl ester (S1-11) ("Isoxadifen-ethyl") or -n-propyl ester (S1-12) or the 5-(4-Fluorophenyl)-5-phenyl-2-isoxazoline-3-carboxylic acid ethyl ester (S1-13), as described in patent application WO-A-95/07897. f) Compounds of the triazolyloxyacetic acid derivative type (S1f), preferably compounds such as methyl {[1,5-bis(4-chloro-2-fluorophenyl)-1H-1,2,4-triazol-3-yl]oxy}acetate (S1-14) or {[1,5-bis(4-chloro-2-fluorophenyl)-1H-1,2,4-triazol-3-yl]oxy}acetic acid (S1-15) or methyl {[5-(4-chloro-2-fluorophenyl)-1-(2,4-difluorophenyl)-1H-1,2,4-triazol-3-yl]oxy}acetate (S1-16) or {[5-(4-chloro-2-fluorophenyl)-1-(2,4-difluorophenyl)-1H-1,2,4-triazol-3-yl]oxy}acetic acid (S1-17) or Methyl {[1-(4-chloro-2-fluorophenyl)-5-(2,4-difluorophenyl)-1H-1,2,4-triazol-3-yl]oxy}acetate (S1-18) or {[1-(4-chloro-2-fluorophenyl)-5-(2,4-difluorophenyl)-1H-1,2,4-triazol-3-yl]oxy}acetic acid (S1-19), as described in patent application WO2021105101. S2) Quinoline derivatives of the formula (S2), ) where the symbols and indices have the following meanings: RB 1 is halogen, (C1-C4)-alkyl, (C1-C4)-alkoxy, nitro or (C1-C4)-haloalkyl; nB is a natural number from 0 to 5, preferably 0 to 3; R B 2 is OR B 3 , SR B 3 or NR B 3 R B 4 or a saturated or unsaturated 3- to 7-membered heterocycle having at least one N atom and up to 3 heteroatoms, preferably from the group O and S, which is linked to the carbonyl group in (S2) via the N atom and is unsubstituted or substituted by radicals from the group (C 1 -C 4 )-alkyl, (C 1 -C 4 )-alkoxy or optionally substituted phenyl, preferably a radical of the formula OR B 3 , NHR B 4 or N(CH 3 ) 2 , in particular of the formula OR B 3 ; R B 3 is hydrogen or an unsubstituted or substituted aliphatic hydrocarbon radical, preferably having a total of 1 to 18 C atoms; 25 R B 4 is hydrogen, (C 1 -C 6 )alkyl, (C 1 -C 6 )alkoxy or substituted or unsubstituted phenyl; TB is a (C1 or C2)-alkanediyl chain which is unsubstituted or substituted by one or two (C1-C4)-alkyl radicals or by [(C1-C3)-alkoxy]-carbonyl; preferably: a) compounds of the 8-quinolinoxyacetic acid type (S2 a ), preferably (5-chloro-8-quinolinoxy)acetic acid (1-methylhexyl) ester ("Cloquintocet-mexyl") (S2-1), (5-chloro-8-quinolinoxy)acetic acid (1,3-dimethyl-but-1-yl) ester (S2-2), (5-chloro-8-quinolinoxy)acetic acid 4-allyloxy-butyl ester (S2-3), (5-chloro-8-quinolinoxy)acetic acid 1-allyloxy-prop-2-yl ester (S2-4), (5-chloro-8-quinolinoxy)acetic acid ethyl ester (S2-5), (5-chloro-8-quinolinoxy)acetate methyl ester (S2-6), (5-chloro-8-quinolinoxy)acetate allyl ester (S2-7), (5-chloro-8-quinolinoxy)acetic acid 2-(2-propylideneiminoxy)-1-ethyl ester (S2-8), (5-chloro-8-quinolinoxy)acetic acid 2-oxo-prop-1-yl ester (S2-9) and related compounds as described in EP-A-86750, EP-A-94349 and EP-A-191736 or EP-A-0492 366, and (5-chloro-8-quinolinoxy)acetic acid (S2-10), their hydrates and salts, for example their lithium, sodium, potassium, calcium, magnesium, aluminum, iron, ammonium, quaternary ammonium, sulfonium or phosphonium salts as described in WO-A-2002/34048; b) Compounds of the (5-chloro-8-quinolinoxy)malonic acid type (S2 b ), preferably compounds such as (5-chloro-8-quinolinoxy)malonic acid diethyl ester, (5-chloro-8-quinolinoxy)malonic acid diallyl ester, (5-chloro-8-quinolinoxy)malonic acid methyl ethyl ester and related compounds as described in EP-A-0582198. S3) Compounds of the formula (S3) ) where the symbols and indices have the following meanings: RC 1 is (C1-C4)-alkyl, (C1-C4)-haloalkyl, (C2-C4)-alkenyl, (C2-C4)-haloalkenyl, (C3-C7)-cycloalkyl, preferably dichloromethyl; RC 2 , RC 3 are the same or different hydrogen, (C1-C4)-alkyl, (C2-C4)-alkenyl, (C2-C4)-alkynyl, (C1-C4), haloalkyl, (C2-C4)-haloalkenyl, (C1-C4)-alkylcarbamoyl-(C1-C4)-alkyl, (C2-C4)- Alkenylcarbamoyl-(C1-C4)-alkyl, (C1-C4)-alkoxy-(C1-C4)-alkyl, dioxolanyl-(C1-C4)-alkyl, Thiazolyl, furyl, furylalkyl, thienyl, piperidyl, substituted or unsubstituted phenyl, or RC 2 and RC 3 together form a substituted or unsubstituted heterocyclic ring, preferably an oxazolidine, thiazolidine, piperidine, morpholine, hexahydropyrimidine or benzoxazine ring; preferably: active ingredients of the dichloroacetamide type, which are frequently used as pre-emergence safeners (soil-active safeners), such as. B. "Dichlormid" (N,N-diallyl-2,2-dichloroacetamide) (S3-1), "R-29148" (3-dichloroacetyl-2,2,5-trimethyl-1,3-oxazolidine) from Stauffer (S3-2), "R-28725" (3-dichloroacetyl-2,2,-dimethyl-1,3-oxazolidine) from Stauffer (S3-3), "Benoxacor" (4-dichloroacetyl-3,4-dihydro-3-methyl-2H-1,4-benzoxazine) (S3-4), "PPG-1292" (N-allyl-N-[(1,3-dioxolan-2-yl)-methyl]-dichloroacetamide) from PPG Industries (S3-5), "DKA-24" (N-allyl-N-[(allylaminocarbonyl)methyl]-dichloroacetamide) from Sagro-Chem (S3-6), "AD-67" or "MON 4660" (3-dichloroacetyl-1-oxa-3-azaspiro[4,5]decane) from Nitrokemia or Monsanto (S3-7), "TI-35" (1-dichloroacetyl-azepane) from TRI-Chemical RT (S3-8), "Diclonon" (dicyclonone) or "BAS145138" or "LAB145138" (S3-9) ((RS)-1-dichloroacetyl-3,3,8a-trimethylperhydropyrrolo[1,2-a]pyrimidin-6-one) from BASF, "Furilazol" or "MON 13900" ((RS)-3-Dichloroacetyl-5-(2-furyl)-2,2-dimethyloxazolidine) (S3-10); and its (R)-isomer (S3-11). S4) N-Acylsulfonamides of the formula (S4) and their salts, ) wherein the symbols and indices have the following meanings: XD is CH or N; R D 1 is CO-NR D 5 R D 6 or NHCO-R D 7 ; R D 2 is halogen, (C 1 -C 4 )-haloalkyl, (C 1 -C 4 )-haloalkoxy, nitro, (C 1 -C 4 )-alkyl, (C 1 -C 4 )-alkoxy, (C 1 -C 4 )-alkylsulfonyl, (C 1 -C 4 )-alkoxycarbonyl or (C 1 -C 4 )-alkylcarbonyl; R D 3 is hydrogen, (C 1 -C 4 )-alkyl, (C 2 -C 4 )-alkenyl or (C 2 -C 4 )-alkynyl; RD 4 is halogen, nitro, (C1-C4)-alkyl, (C1-C4)-haloalkyl, (C1-C4)-haloalkoxy, (C3-C6)-cycloalkyl, phenyl, (C1-C4)-alkoxy, cyano, (C1-C4)-alkylthio, (C1-C4)-alkylsulfinyl, (C1-C4)-alkylsulfonyl, (C1-C4)-alkoxycarbonyl or (C1-C4)-alkylcarbonyl; RD 5 is hydrogen, (C1-C6)-alkyl, (C3-C6)-cycloalkyl, (C2-C6)-alkenyl, (C2-C6)-alkynyl, (C5-C6)-cycloalkenyl, phenyl or 3- to 6-membered heterocyclyl containing vD heteroatoms from the group nitrogen, oxygen and sulfur, where the last seven radicals are substituted by vD substituents from the group halogen, ( C1 - C6 )-alkoxy, ( C1 - C6 )-haloalkoxy, ( C1 - C2 )-alkylsulfinyl, ( C1 - C2 )-alkylsulfonyl, ( C3 - C6 )-cycloalkyl, ( C1 - C4 )-alkoxycarbonyl, ( C1 - C4 )-alkylcarbonyl and phenyl and in the case cyclic radicals are also substituted by (C 1 -C 4 ) alkyl and (C 1 -C 4 ) haloalkyl; R D 6 is hydrogen, (C 1 -C 6 ) alkyl, (C 2 -C 6 ) alkenyl or (C 2 -C 6 ) alkynyl, where the last three radicals are substituted by v D radicals from the group halogen, hydroxy, (C 1 -C 4 ) alkyl, (C 1 -C 4 ) alkoxy and (C 1 -C 4 ) alkylthio, or R D 5 and R D 6 together with the nitrogen atom carrying them form a pyrrolidinyl or piperidinyl radical; R D 7 is hydrogen, (C 1 -C 4 )-alkylamino, di-(C 1 -C 4 )-alkylamino, (C 1 -C 6 )-alkyl, (C 3 -C 6 )-cycloalkyl, where the last two radicals are substituted by v D substituents from the group halogen, (C 1 -C 4 )-alkoxy, (C 1 -C 6 )-haloalkoxy and (C 1 -C 4 )-alkylthio and in the case of cyclic radicals also (C 1 -C 4 )-alkyl and (C 1 -C 4 )-haloalkyl; n D is 0, 1 or 2; m D is 1 or 2; v D is 0, 1, 2 or 3; of these, preference is given to compounds of the N-acylsulfonamide type, e.g. of the following formula (S4 a ), which e.g. B. are known from WO-A-97/45016 ) wherein RD 7 (C1-C6)-alkyl, (C3-C6)-cycloalkyl, where the last two radicals are substituted by vD substituents from the group halogen, (C1-C4)-alkoxy, (C1-C6)-haloalkoxy and (C1-C4)-alkylthio and, in the case of cyclic radicals, also (C1-C4)-alkyl and (C1-C4)-haloalkyl; RD 4 halogen, (C1-C4)-alkyl, (C1-C4)-alkoxy, CF3; mD is 1 or 2; v D is 0, 1, 2 or 3; and acylsulfamoylbenzoic acid amides, e.g. of the following formula (S4 b ), which are known, for example, from WO-A-99/16744, ) e.g. those in which RD 5 = cyclopropyl and (RD 4 ) = 2-OMe ("Cyprosulfamide", S4-1), RD 5 = cyclopropyl and (RD 4 ) = 5-Cl-2-OMe (S4-2), RD 5 = ethyl and (RD 4 ) = 2-OMe (S4-3), RD 5 = isopropyl and (RD 4 ) = 5-Cl-2-OMe (S4-4) and RD 5 = isopropyl and (RD 4 ) = 2-OMe (S4-5). as well as compounds of the N-acylsulfamoylphenylurea type of formula (S4 c ), which are known, for example, from EP-A-365484, ) wherein RD 8 and RD 9 independently of one another are hydrogen, (C1-C8)-alkyl, (C3-C8)-cycloalkyl, (C3-C6)-alkenyl, (C3-C6)-alkynyl, RD 4 is halogen, ( C1 - C4 )-alkyl, ( C1 - C4 )-alkoxy, CF 3 mD means 1 or 2; for example 1-[4-(N-2-methoxybenzoylsulfamoyl)phenyl]-3-methylurea, 1-[4-(N-2-methoxybenzoylsulfamoyl)phenyl]-3,3-dimethylurea, 1-[4-(N-4,5-dimethylbenzoylsulfamoyl)phenyl]-3-methylurea. S5) Active ingredients from the class of hydroxyaromatics and aromatic-aliphatic carboxylic acid derivatives (S5), e.g. 3,4,5-triacetoxybenzoic acid ethyl ester, 3,5-dimethoxy-4-hydroxybenzoic acid, 3,5-dihydroxybenzoic acid, 4-hydroxysalicylic acid, 4-fluorosalicyclic acid, 2-hydroxycinnamic acid, 2,4-dichlorocinnamic acid, as described in WO-A-2004/084631, WO-A-2005/015994, WO-A-2005/016001. S6) Active ingredients from the class of 1,2-dihydroquinoxalin-2-ones (S6), e.g. 1-methyl-3-(2-thienyl)-1,2-dihydroquinoxalin-2-one, 1-methyl-3-(2-thienyl)-1,2-dihydroquinoxalin-2-thione, 1-(2-aminoethyl)-3-(2-thienyl)-1,2-dihydroquinoxalin-2-one hydrochloride, 1-(2-methylsulfonylaminoethyl)-3-(2-thienyl)-1,2-dihydroquinoxalin-2-one, as described in WO-A-2005/112630. S7) Compounds of formula (S7) as described in WO-A-1998/38856 where the symbols and indices have the following meanings: R E 1 , R E 2 are independently of one another halogen, (C 1 -C 4 )-alkyl, (C 1 -C 4 )-alkoxy, (C 1 -C 4 )-haloalkyl, (C 1 -C 4 )-alkylamino, di-(C 1 -C 4 )-alkylamino, nitro; 25 A E is COOR E 3 or COSR E 4 RE 3 , RE 4 are independently hydrogen, (C1-C4)-alkyl, (C2-C6)-alkenyl, (C2-C4)-alkynyl, cyanoalkyl, (C1-C4)-haloalkyl, phenyl, nitrophenyl, benzyl, halobenzyl, pyridinylalkyl and alkylammonium, nE 1 is 0 or 1, nE 2 , nE 3 are independently 0, 1 or 2, preferably diphenylmethoxyacetic acid, ethyl diphenylmethoxyacetate, methyl diphenylmethoxyacetate (CAS Reg. No. 41858-19-9) (S7-1). S8) Compounds of the formula (S8), as described in WO-A-98/27049) wherein X F is CH or N, n F is, in the case that X F =N, an integer from 0 to 4 and in the case that X F =CH, an integer from 0 to 5, R F 1 is halogen, (C 1 -C 4 )-alkyl, (C 1 -C 4 )-haloalkyl, (C 1 -C 4 )-alkoxy, (C 1 -C 4 )-haloalkoxy, nitro, (C 1 - C4)-alkylthio, (C1-C4)-alkylsulfonyl, (C1-C4)-alkoxycarbonyl, optionally substituted. Phenyl, optionally substituted phenoxy, R F 2 hydrogen or (C 1 -C 4 )-alkyl RF 3 hydrogen, (C1-C8)-alkyl, (C2-C4)-alkenyl, (C2-C4)-alkynyl, or aryl, where each of the aforementioned C-containing radicals is unsubstituted or substituted by one or more, preferably up to three identical or different radicals from the group consisting of halogen and alkoxy; or salts thereof, preferably compounds wherein XF is CH, nF is an integer from 0 to 2, RF 1 is halogen, (C1-C4)-alkyl, (C1-C4)-haloalkyl, (C1-C4)-alkoxy, (C1-C4)-haloalkoxy, RF 2 is hydrogen or (C1-C4)-alkyl, RF 3 is hydrogen, (C1-C8)-alkyl, (C2-C4)-alkenyl, (C2-C4)-alkynyl, or aryl, where each of the aforementioned C-containing radicals is unsubstituted or substituted by one or more, preferably up to three identical or different radicals from the group consisting of halogen and alkoxy, or salts thereof. S9) Active ingredients from the class of 3-(5-tetrazolylcarbonyl)-2-quinolones (S9), e.g. 1,2-dihydro-4-hydroxy-1-ethyl-3-(5-tetrazolylcarbonyl)-2-quinolone (CAS Reg. No. 219479-18-2), 1,2-dihydro-4-hydroxy-1-methyl-3-(5-tetrazolylcarbonyl)-2-quinolone (CAS Reg. No. 95855-00-8), as described in WO-A-1999/000020. S10) Compounds of the formulas (S10 a ) or (S10 b ) as described in WO-A-2007/023719 and WO-A-2007/023764 2 wherein R G 1 is halogen, (C 1 -C 4 )-alkyl, methoxy, nitro, cyano, CF 3 , OCF 3 Y G , Z G independently of one another is O or S, nG is an integer from 0 to 4, RG 2 is (C1-C16)-alkyl, (C2-C6)-alkenyl, (C3-C6)-cycloalkyl, aryl; benzyl, halobenzyl, RG 3 is hydrogen or (C1-C6)-alkyl. S11) Active substances of the oxyimino compound type (S11), which are known as seed dressings, such as: B. "Oxabetrinil" ((Z)-1,3-dioxolan-2-ylmethoxyimino(phenyl)acetonitrile) (S11-1), which is known as a seed dressing safener for millet against metolachlor damage, "Fluxofenim" (1-(4-chlorophenyl)-2,2,2-trifluoro-1-ethanone-O-(1,3-dioxolan-2-ylmethyl)-oxime) (S11-2), which is known as a seed dressing safener for millet against metolachlor damage, and "Cyometrinil" or "CGA-43089" ((Z)-cyanomethoxyimino(phenyl)acetonitrile) (S11-3), which is known as a seed dressing safener for millet against metolachlor damage. S12) Active ingredients from the class of isothiochromanones (S12), such as methyl [(3-oxo-1H-2-benzothiopyran-4(3H)-ylidene)methoxy]acetate (CAS Reg. No. 205121-04-6) (S12-1) and related compounds from WO-A-1998/13361. S13) One or more compounds from group (S13): "Naphthalic anhydride" (1,8-naphthalenedicarboxylic anhydride) (S13-1), known as a seed dressing safener for maize against damage from thiocarbamate herbicides, "Fenclorim" (4,6-dichloro-2-phenylpyrimidine) (S13-2), known as a safener for pretilachlor in sown rice, "Flurazole" (benzyl 2-chloro-4-trifluoromethyl-1,3-thiazole-5-carboxylate) (S13-3), known as a seed dressing safener for millet against damage from alachlor and metolachlor, "CL 304415" (CAS Reg. No. 31541-57-8) (4-carboxy-3,4-dihydro-2H-1-benzopyran-4-acetic acid) (S13-4) from American Cyanamid, which is known as a corn safener against damage from imidazolinones, "MG 191" (CAS Reg. No. 96420-72-3) (2-Dichloromethyl-2-methyl-1,3-dioxolane) (S13-5) from Nitrokemia, which is known as a corn safener, "MG-838" (CAS Reg. No. 133993-74-5) (2-propenyl 1-oxa-4-azaspiro[4.5]decane-4-carbodithioate) (S13-6) from Nitrokemia, "Disulfoton" (O,O-Diethyl S-2-ethylthioethyl phosphodithioate) (S13-7), "Dietholate" (O,O-Diethyl O-phenylphosphorothioate) (S13-8), "Mephenate" (4-Chlorophenyl methylcarbamate) (S13-9). S14) Active ingredients which, in addition to herbicidal activity against harmful plants, also have a safener effect on crops such as rice, such as: B. "Dimepiperate" or "MY-93" (S-1-methyl-1-phenylethyl-piperidine-1-carbothioate), which is known as a safener for rice against damage from the herbicide Molinate, "Daimuron" or "SK 23" (1-(1-methyl-1-phenylethyl)-3-p-tolylurea), which is known as a safener for rice against damage from the herbicide Imazosulfuron, "Cumyluron" = "JC-940" (3-(2-chlorophenylmethyl)-1-(1-methyl-1-phenylethyl)urea, see JP-A-60087254), which is known as a safener for rice against damage from some herbicides, "Methoxyphenone" or "NK 049"(3,3'-dimethyl-4-methoxybenzophenone), known as a safener for rice against damage caused by some herbicides, "CSB" (1-bromo-4-(chloromethylsulfonyl)benzene) from Kumiai (CAS Reg. No. 54091-06-4), known as a safener against damage caused by some herbicides in rice. S15) Compounds of formula (S15) or their tautomers as described in WO-A-2008/131861 and WO-A-2008/131860) wherein R H 1 is a (C 1 -C 6 )-haloalkyl radical and R H 2 is hydrogen or halogen and R H 3 , R H 4 independently of one another are hydrogen, (C 1 -C 16 )-alkyl, (C 2 -C 16 )-alkenyl or (C 2 -C 16 )-alkynyl, where each of the last-mentioned 3 radicals is unsubstituted or substituted by one or more radicals from the group halogen, hydroxy, cyano, (C 1 -C 4 )-alkoxy, (C 1 -C 4 )-haloalkoxy, (C 1 -C 4 )-alkylthio, (C 1 -C 4 )-alkylamino, di[(C 1 -C 4 )-alkyl]-amino, [(C 1 -C 4 )-alkoxy]-carbonyl, [(C 1 -C 4 )- Haloalkoxy]carbonyl, (C 3 -C 6 )cycloalkyl, which is unsubstituted or substituted, phenyl, which is unsubstituted or substituted, and heterocyclyl, which is unsubstituted or substituted, or (C 3 -C 6 )cycloalkyl, (C 4 -C 6 )cycloalkenyl, (C 3 -C 6 )cycloalkyl, which is condensed on one side of the ring with a 4 to 6-membered saturated or unsaturated carbocyclic ring, or (C 4 -C 6 )cycloalkenyl, which is condensed on one side of the ring with a 4 to 6-membered saturated or unsaturated carbocyclic ring, wherein each of the last-mentioned 4 radicals is unsubstituted or substituted by one or more radicals from the group halogen, hydroxy, cyano, (C1-C4)-alkyl, (C1-C4)-haloalkyl, (C1-C4)-alkoxy, (C1-C4)-haloalkoxy, (C1-C4)-alkylthio, (C1-C4)-alkylamino, di[(C1-C4)-alkyl]-amino, [(C1-C4)-alkoxy]-carbonyl, [(C1-C4)-haloalkoxy]-carbonyl, (C3-C6)-cycloalkyl, which is unsubstituted or substituted, phenyl, which is unsubstituted or substituted, and heterocyclyl, which is unsubstituted or substituted, or RH 3 is (C1-C4)-alkoxy, (C2-C4)-alkenyloxy, (C2-C6)-alkynyloxy or (C2-C4)-haloalkoxy means and RH 4 denotes hydrogen or (C1-C4)-alkyl, or RH 3 and RH 4 together with the directly bonded N atom form a four- to eight-membered heterocyclic ring which, in addition to the N atom, may also contain further hetero ring atoms, preferably up to two further hetero ring atoms from the group N, O and S and which is unsubstituted or substituted by one or more radicals from the group halogen, cyano, nitro, (C1- C4 )-alkyl, ( C1 - C4 )-haloalkyl, ( C1 - C4 )-alkoxy, ( C1 - C4 )-haloalkoxy and ( C1 - C4 )-alkylthio. S16) Active ingredients which are primarily used as herbicides but also have a safener effect on crops, e.g. (2,4-dichlorophenoxy)acetic acid (2,4-D), (4-chlorophenoxy)acetic acid, (R,S)-2-(4-chloro-o-tolyloxy)propionic acid (mecoprop), 4-(2,4-dichlorophenoxy)butyric acid (2,4-DB), (4-chloro-o-tolyloxy)acetic acid (MCPA), 4-(4-chloro-o-tolyloxy)butyric acid, 4-(4-chlorophenoxy)butyric acid, 3,6-dichloro-2-methoxybenzoic acid (dicamba), 1-(ethoxycarbonyl)ethyl 3,6-dichloro-2-methoxybenzoate (lactidichloroethyl). Preferred safeners in combination with the compounds of the formula (I) according to the invention and/or their salts, in particular with the compounds of the formulas (I.1-1) to (I.14-500) and/or their salts are: cloquintocet-mexyl, cyprosulfamide, fenchlorazole ethyl ester, isoxadifen ethyl, mefenpyr diethyl, fenclorim, cumyluron, S1-14, S1-15, S1-16, S1-17, S1-18, S1-19, S4-1 and S4-5, and particularly preferred safeners are: cloquintocet-mexyl, cyprosulfamide, isoxadifen ethyl and mefenpyr diethyl. Biological examples: The following abbreviations are used for the cultivated and harmful plants listed in the following tables: ABUTH: Abutilon theophrasti ALOMY: Alopecurus myosuroides AMARE: Amaranthus retroflexus AVEFA: Avena fatua BRSNW: Brassica napus DIGSA: Digitaria sanguinalis ECHCG: Echinochloa crus-galli GLXMA: Glycine max KCHSC: Kochia scoparia LOLRI: Lolium rigidum MATIN: Matricaria inodora ORYZA: Oryza sativa PHPBU : Pharbitis purpurea POLCO: Polygonum convolvulus SETVI: Setaria viridis VERPE: Veronica persica VIOTR: Viola tricolor TRZAS : Triticum aestivum ZEAMX: Zea mays A. Post-emergence herbicidal activity Seeds of monocotyledonous or dicotyledonous weeds were sown in plastic or wood fiber pots in sandy loam soil, covered with soil and grown in the greenhouse under controlled growth conditions. 2 to 3 weeks after sowing, the test plants were treated at the one-leaf stage. The compounds of the invention, formulated in the form of wettable powders (WP) or emulsion concentrates (EC), were then sprayed onto the green plant parts as an aqueous suspension or emulsion with the addition of 0.5% additive at a water application rate equivalent to 600 l/ha. After the test plants had been in the greenhouse for approximately three weeks under optimal growth conditions, the effect of the preparations was visually assessed in comparison to untreated controls. For example, 100% effect means plants have died, 0% effect means the same as the control plants. Tables A1 to A13 below show the effects of selected compounds of general formula (I) according to Table 1 on various weeds and at an application rate corresponding to 20 g/ha and lower, which were obtained according to the aforementioned test procedure. Table A1a: Post-emergence effect at 1.25g/ha against ABUTH in % Table A1b: Post-emergence effect at 5g/ha against ABUTH in % Table A1c: Post-emergence effect at 20g/ha against ABUTH in % Table A2a: Post-emergence effect at 1.25g/ha against ALOMY in % Table A2b: Post-emergence effect at 5g/ha against ALOMY in %
Tabelle A2c: Nachauflaufwirkung bei 20g/ha gegen ALOMY in % Tabelle A3: Nachauflaufwirkung bei 20g/ha gegen AVEFA in % Tabelle A4a: Nachauflaufwirkung bei 5g/ha gegen DIGSA in % Tabelle A4b: Nachauflaufwirkung bei 20g/ha gegen DIGSA in % Tabelle A5a: Nachauflaufwirkung bei 1.25g/ha gegen ECHCG in % 10 Tabelle A5b: Nachauflaufwirkung bei 5g/ha gegen ECHCG in % Tabelle A5c: Nachauflaufwirkung bei 20g/ha gegen ECHCG in % Tabelle A6a: Nachauflaufwirkung bei 5g/ha gegen LOLRI in % Tabelle A6b: Nachauflaufwirkung bei 20g/ha gegen LOLRI in % Table A2c: Post-emergence effect at 20g/ha against ALOMY in % Table A3: Post-emergence effect at 20g/ha against AVEFA in % Table A4a: Post-emergence effect at 5g/ha against DIGSA in % Table A4b: Post-emergence effect at 20g/ha against DIGSA in % Table A5a: Post-emergence efficacy at 1.25g/ha against ECHCG in % 10 Table A5b: Post-emergence effect at 5g/ha against ECHCG in % Table A5c: Post-emergence effect at 20g/ha against ECHCG in % Table A6a: Post-emergence effect at 5g/ha against LOLRI in % Table A6b: Post-emergence effect at 20g/ha against LOLRI in %
Tabelle A7a: Nachauflaufwirkung bei 1.25g/ha gegen MATIN in % Tabelle A7b: Nachauflaufwirkung bei 5g/ha gegen MATIN in % Tabelle A7c: Nachauflaufwirkung bei 20g/ha gegen MATIN in % Tabelle A8a: Nachauflaufwirkung bei 1.25g/ha gegen PHBPU in % Tabelle A8b: Nachauflaufwirkung bei 5g/ha gegen PHBPU in % Tabelle A8c: Nachauflaufwirkung bei 20g/ha gegen PHBPU in % Tabelle A9a: Nachauflaufwirkung bei 1.25g/ha gegen POLCO in % Tabelle A9b: Nachauflaufwirkung bei 5g/ha gegen POLCO in % Tabelle A9c: Nachauflaufwirkung bei 20g/ha gegen POLCO in % Tabelle A10a: Nachauflaufwirkung bei 1.25g/ha gegen SETVI in % Tabelle A10b: Nachauflaufwirkung bei 5g/ha gegen SETVI in % Tabelle A10c: Nachauflaufwirkung bei 20g/ha gegen SETVI in % Tabelle A11a: Nachauflaufwirkung bei 1.25g/ha gegen VERPE in % Tabelle A11b: Nachauflaufwirkung bei 5g/ha gegen VERPE in % Tabelle A11c: Nachauflaufwirkung bei 20g/ha gegen VERPE in % Tabelle A12a: Nachauflaufwirkung bei 1.25g/ha gegen VIOTR in % Tabelle A12b: Nachauflaufwirkung bei 5g/ha gegen VIOTR in % Table A7a: Post-emergence effect at 1.25g/ha against MATIN in % Table A7b: Post-emergence effect at 5g/ha against MATIN in % Table A7c: Post-emergence effect at 20g/ha against MATIN in % Table A8a: Post-emergence effect at 1.25g/ha against PHBPU in % Table A8b: Post-emergence effect at 5g/ha against PHBPU in % Table A8c: Post-emergence effect at 20g/ha against PHBPU in % Table A9a: Post-emergence effect at 1.25g/ha against POLCO in % Table A9b: Post-emergence effect at 5g/ha against POLCO in % Table A9c: Post-emergence effect at 20g/ha against POLCO in % Table A10a: Post-emergence effect at 1.25g/ha against SETVI in % Table A10b: Post-emergence effect at 5g/ha against SETVI in % Table A10c: Post-emergence effect at 20g/ha against SETVI in % Table A11a: Post-emergence effect at 1.25g/ha against VERPE in % Table A11b: Post-emergence effect at 5g/ha against VERPE in % Table A11c: Post-emergence effect at 20g/ha against VERPE in % Table A12a: Post-emergence effect at 1.25g/ha against VIOTR in % Table A12b: Post-emergence effect at 5g/ha against VIOTR in %
Tabelle A12c: Nachauflaufwirkung bei 20g/ha gegen VIOTR in % Tabelle A13a: Nachauflaufwirkung bei 1.25g/ha gegen KCHSC in % Tabelle A13b: Nachauflaufwirkung bei 5g/ha gegen KCHSC in % Tabelle A13c: Nachauflaufwirkung bei 20g/ha gegen KCHSC in % Table A12c: Post-emergence effect at 20g/ha against VIOTR in % Table A13a: Post-emergence effect at 1.25g/ha against KCHSC in % Table A13b: Post-emergence effect at 5g/ha against KCHSC in % Table A13c: Post-emergence effect at 20g/ha against KCHSC in %
Tabelle A14a: Nachauflaufwirkung bei 1.25g/ha gegen AMARE in % Tabelle A14b: Nachauflaufwirkung bei 5g/ha gegen AMARE in % Tabelle A14c: Nachauflaufwirkung bei 20g/ha gegen AMARE in % B. Wirkung auf Kulturpflanzen im Nachauflauf Samen von mono- bzw. dikotylen Kulturpflanzen wurden in Kunststoff- oder Holzfasertöpfen in sandigem Lehmboden ausgelegt, mit Erde abgedeckt und im Gewächshaus unter kontrollierten 15 Wachstumsbedingungen angezogen.2 bis 3 Wochen nach der Aussaat wurden die Versuchspflanzen im Einblattstadium behandelt. Die in Form von benetzbaren Pulvern (WP) oder als Emulsionskonzentrate (EC) formulierten erfindungsgemäßen Verbindungen wurden dann als wäßrige Suspension bzw. Emulsion unter Zusatz von 0,5% Additiv mit einer Wasseraufwandmenge von umgerechnet 600 l/ha auf die grünen Pflanzenteile gesprüht. Nach ca.3 Wochen Standzeit der Versuchspflanzen im Gewächshaus, unter optimalen Wachstumsbedingungen, wurde die Wirkung der Präparate visuell im Vergleich zu unbehandelten Kontrollen bonitiert. Beispielsweise bedeutet 100% Wirkung = Pflanzen sind abgestorben, 0% Wirkung = wie Kontrollpflanzen In den nachstehenden Tabellen B1 bis B4 sind die Wirkungen ausgewählter Verbindungen der allgemeinen Formel (I) gemäß der Tabelle 1 auf verschiedene Kulturpflanzen und einer Aufwandmenge entsprechend 20 g/ha und niedriger, die gemäß zuvor genannter Versuchsvorschrift erhalten wurden, dargestellt. Tabelle B1: Nachauflaufwirkung bei 1.25g/ha gegen ZEAMX in % Tabelle B2a: Nachauflaufwirkung bei 1.25g/ha gegen TRZAS in % Tabelle B2b: Nachauflaufwirkung bei 5g/ha gegen TRZAS in % Tabelle B2c: Nachauflaufwirkung bei 20g/ha gegen TRZAS in % Tabelle B4: Nachauflaufwirkung bei 1.25g/ha gegen BRSNW in % Wie die zuvor genannten Ergebnisse zeigen, weisen erfindungsgemäße Verbindungen der allgemeinen Formel (I) bei Behandlung im Nachauflauf eine gute herbizide Wirksamkeit gegen Schadpflanzen auf wie z. B. Abutilon theophrasti, Alopecurus myosuroides, Amaranthus retroflexus, Avena fatua, Digitaria sanguinalis, Echinochloa crus-galli, Lolium rigidum, Matricaria inodora, Pharbitis purpurea, Polygonum convolvulus, Setaria viridis, Veronica persica, Viola tricolor und Kochia scoparia bei einer Aufwandmenge von 0,02 kg Aktivsubstanz oder weniger pro Hektar, sowie eine gute Kulturpflanzenverträglichkeit bei Organismen auf , wie z.B. Zea mays, Triticum aestivum, Glycine max und Brassica napus bei einer Aufwandmenge von 20 g pro Hektar oder weniger. Table A14a: Post-emergence effect at 1.25g/ha against AMARE in % Table A14b: Post-emergence effect at 5g/ha against AMARE in % Table A14c: Post-emergence effect at 20g/ha against AMARE in % B. Effect on crop plants in post-emergence Seeds of monocotyledonous and dicotyledonous crop plants were sown in plastic or wood fiber pots in sandy loam soil, covered with soil and grown in the greenhouse under controlled growth conditions. 2 to 3 weeks after sowing, the test plants were The compounds of the invention, formulated as wettable powders (WP) or emulsion concentrates (EC), were then sprayed onto the green plant parts as an aqueous suspension or emulsion with the addition of 0.5% additive at a water application rate equivalent to 600 l/ha. After approximately three weeks of the test plants standing in the greenhouse under optimal growth conditions, the effect of the preparations was visually assessed in comparison to untreated controls. For example, 100% effect means plants have died, 0% effect means the same as the control plants. Tables B1 to B4 below show the effects of selected compounds of general formula (I) according to Table 1 on various crops and at an application rate corresponding to 20 g/ha and lower, obtained according to the aforementioned test procedure. Table B1: Post-emergence effect at 1.25 g/ha against ZEAMX in % Table B2a: Post-emergence effect at 1.25g/ha against TRZAS in % Table B2b: Post-emergence effect at 5g/ha against TRZAS in % Table B2c: Post-emergence effect at 20g/ha against TRZAS in % Table B4: Post-emergence effect at 1.25g/ha against BRSNW in % As the above-mentioned results show, compounds of the general formula (I) according to the invention, when applied post-emergence, have good herbicidal activity against harmful plants such as, for example, Abutilon theophrasti, Alopecurus myosuroides, Amaranthus retroflexus, Avena fatua, Digitaria sanguinalis, Echinochloa crus-galli, Lolium rigidum, Matricaria inodora, Pharbitis purpurea, Polygonum convolvulus, Setaria viridis, Veronica persica, Viola tricolor and Kochia scoparia at an application rate of 0.02 kg of active ingredient or less per hectare, and good crop plant tolerance by organisms such as, for example, Zea mays, Triticum aestivum, Glycine max and Brassica napus at an application rate of 20 g per hectare or less.
Claims
Applications Claiming Priority (2)
| Application Number | Priority Date | Filing Date | Title |
|---|---|---|---|
| EP23210061.0 | 2023-11-15 | ||
| EP23210061 | 2023-11-15 |
Publications (1)
| Publication Number | Publication Date |
|---|---|
| WO2025103927A1 true WO2025103927A1 (en) | 2025-05-22 |
Family
ID=88837417
Family Applications (1)
| Application Number | Title | Priority Date | Filing Date |
|---|---|---|---|
| PCT/EP2024/081820 Pending WO2025103927A1 (en) | 2023-11-15 | 2024-11-11 | Substituted oxyiminomethylphenyl uracils and salts thereof, and use thereof as herbicidal active substances |
Country Status (2)
| Country | Link |
|---|---|
| AR (1) | AR134261A1 (en) |
| WO (1) | WO2025103927A1 (en) |
Citations (70)
| Publication number | Priority date | Publication date | Assignee | Title |
|---|---|---|---|---|
| DE2906507A1 (en) | 1979-02-20 | 1980-08-28 | Bayer Ag | Plant growth regulating compsn. - contg. alpha amino cyclo:alkanoic acid derivs., e.g. for dwarfing cereals |
| EP0030287A1 (en) | 1979-11-29 | 1981-06-17 | Bayer Ag | 1-Aminocyclopropanecarboxylic acid derivatives, methods for their production, their use as plant-growth regulators and compositions containing such derivatives |
| EP0086750A2 (en) | 1982-02-17 | 1983-08-24 | Ciba-Geigy Ag | Use of quinoline derivatives in the protection of crop plants |
| EP0094349A2 (en) | 1982-05-07 | 1983-11-16 | Ciba-Geigy Ag | Use of quinoline derivatives for the protection of cultivated plants |
| DE3335514A1 (en) | 1983-09-30 | 1985-04-18 | Bayer Ag, 5090 Leverkusen | 1-METHYLAMINO-CYCLOPROPAN-1-CARBONIC ACID DERIVATIVES |
| JPS6087254A (en) | 1983-10-19 | 1985-05-16 | Japan Carlit Co Ltd:The | Novel urea compound and herbicide containing the same |
| EP0174562A2 (en) | 1984-09-11 | 1986-03-19 | Hoechst Aktiengesellschaft | Plant protecting agents based on 1,2,4 - triazole derivatives as well as 1,2,4-triazole derivatives |
| EP0191736A2 (en) | 1985-02-14 | 1986-08-20 | Ciba-Geigy Ag | Use of quinoline derivatives for the protection of crop plants |
| EP0268554A2 (en) | 1986-10-22 | 1988-05-25 | Ciba-Geigy Ag | 1,5-Diphenyl pyrazole-3-carbonic-acid derivatives for the protection of cultured plants |
| EP0269806A1 (en) | 1986-10-04 | 1988-06-08 | Hoechst Aktiengesellschaft | Phenylpyrazole carbonic acid derivatives, their preparation and use as plant growth regulators and antidotes |
| WO1988010254A1 (en) | 1987-06-19 | 1988-12-29 | F. Hoffmann-La Roche & Co. Aktiengesellschaft | Heterocyclic compounds |
| EP0333131A1 (en) | 1988-03-17 | 1989-09-20 | Hoechst Aktiengesellschaft | Plant protective agent based on pyrazolecarboxylic acid derivatives |
| EP0346620A1 (en) | 1988-05-20 | 1989-12-20 | Hoechst Aktiengesellschaft | Plant protection agents containing 1,2,4-triazole derivatives, and the 1,2,4-triazole derivatives |
| EP0365484A1 (en) | 1988-10-20 | 1990-04-25 | Ciba-Geigy Ag | Sulfamoyl phenyl ureas |
| US4943309A (en) | 1988-09-06 | 1990-07-24 | Uniroyal Chemical Company, Inc. | Method of defoleating cotton plants employing 3-carbonylphenyl uracil derivatives |
| WO1991000278A1 (en) | 1989-06-29 | 1991-01-10 | Ciba-Geigy Ag | Heterocyclic compounds |
| EP0408382A2 (en) | 1989-07-14 | 1991-01-16 | Nissan Chemical Industries, Limited | Uracil derivatives and herbicides containing the same as active ingredient |
| WO1991007874A1 (en) | 1989-11-30 | 1991-06-13 | Hoechst Aktiengesellschaft | Pyrazolines for the protection of crops against herbicides |
| WO1991008202A1 (en) | 1989-11-25 | 1991-06-13 | Hoechst Aktiengesellschaft | Isoxazolines, method of preparation thereof, and their use as plant-protection agents |
| US5084084A (en) | 1989-07-14 | 1992-01-28 | Nissan Chemical Industries Ltd. | Uracil derivatives and herbicides containing the same as active ingredient |
| EP0473551A1 (en) | 1990-08-31 | 1992-03-04 | Ciba-Geigy Ag | 3-Aryluracil derivatives, process for their preparation and herbicides containing them |
| US5123951A (en) | 1986-03-31 | 1992-06-23 | Rhone-Poulenc Nederland B.V. | Synergistic plant growth regulator compositions |
| EP0492366A2 (en) | 1990-12-21 | 1992-07-01 | Hoechst Schering AgrEvo GmbH | New 5-chloroquinolin-8-oxyalkanecarbonic acid derivatives, process for their preparation and their use as antidotes for herbicides |
| EP0582198A2 (en) | 1992-08-01 | 1994-02-09 | Hoechst Schering AgrEvo GmbH | Substituted (hetero-)aryle compounds, process for their preparation, those containing compositions and their use as safeners |
| WO1995007897A1 (en) | 1993-09-16 | 1995-03-23 | Hoechst Schering Agrevo Gmbh | Substituted isoxazolines, process for producing them, agents containing them and their use as safeners |
| EP0648749A2 (en) | 1993-08-18 | 1995-04-19 | Bayer Ag | N-cynanoaryl nitrogencontaining heterocycles |
| WO1995029168A1 (en) | 1994-04-25 | 1995-11-02 | Bayer Aktiengesellschaft | N-cyanoaryl nitrogen heterocycles |
| WO1995030661A1 (en) | 1994-05-04 | 1995-11-16 | Bayer Aktiengesellschaft | Substituted aromatic thiocarboxylic acid amides and their use as herbicides |
| WO1995032952A1 (en) | 1994-05-27 | 1995-12-07 | Ciba-Geigy Ag | Process for the preparation of 3-aryluracils |
| WO1996007323A1 (en) | 1994-09-02 | 1996-03-14 | Bayer Aktiengesellschaft | Selective herbicides based on aryl uracils |
| WO1996008151A1 (en) | 1994-09-15 | 1996-03-21 | Bayer Aktiengesellschaft | Use of aryluracils in semi-selective and non-selective weed control |
| DE4437197A1 (en) | 1994-10-18 | 1996-04-25 | Bayer Ag | Synergistic herbicidal compsns |
| EP0714602A1 (en) | 1994-12-02 | 1996-06-05 | Nihon Bayer Agrochem K.K. | Sulphonylaminophenyluracil herbicides for paddy field |
| WO1996035679A1 (en) | 1995-05-08 | 1996-11-14 | Bayer Aktiengesellschaft | Substituted aminophenyluracils as herbicides and insecticides |
| WO1997001541A1 (en) | 1995-06-29 | 1997-01-16 | Bayer Aktiengesellschaft | Substituted cyanophenyl uracils |
| JPH09188676A (en) | 1996-01-08 | 1997-07-22 | Mitsubishi Chem Corp | Novel uracil derivative and herbicide containing the same as an active ingredient |
| WO1997045016A1 (en) | 1996-05-29 | 1997-12-04 | Hoechst Schering Agrevo Gmbh | Novel n-acyl sulphonamides, novel mixtures of herbicides and antidotes and their use |
| EP0831091A2 (en) | 1996-09-23 | 1998-03-25 | Novartis AG | Process for the production of 3-aryl-uracils |
| DE19741411A1 (en) | 1996-09-23 | 1998-03-26 | Ciba Geigy Ag | Preparation of 3-aryl-uracil derivative useful as herbicide |
| WO1998013361A1 (en) | 1996-09-26 | 1998-04-02 | Novartis Ag | Herbicidal composition |
| WO1998025909A1 (en) | 1996-12-09 | 1998-06-18 | Bayer Aktiengesellschaft | 3-amino-1-cyanophenyl-uracils |
| WO1998027049A1 (en) | 1996-12-19 | 1998-06-25 | Hoechst Schering Agrevo Gmbh | Novel 2-fluoroacrylic acid derivatives, novel mixtures of herbicides and antidotes and the use thereof |
| WO1998038856A1 (en) | 1997-03-04 | 1998-09-11 | Zeneca Limited | Compositions for safening rice against acetochlor |
| WO1999000020A1 (en) | 1997-06-27 | 1999-01-07 | Hoechst Schering Agrevo Gmbh | 3-(5-tetrazolyl carbonyl)-2-quinolones and products for protecting useful plants containing the same |
| WO1999016744A1 (en) | 1997-09-29 | 1999-04-08 | Aventis Cropscience Gmbh | Acylsulfamoyl benzoic acid amides, plant protection agents containing said acylsulfamoyl benzoic acid amides, and method for producing the same |
| JPH11189506A (en) | 1997-12-26 | 1999-07-13 | Nissan Chem Ind Ltd | Herbicide composition |
| WO2000049002A1 (en) | 1999-02-16 | 2000-08-24 | American Cyanamid Company | Processes and intermediates for the preparation of 1,3-oxazin-6-ones and uracils |
| JP2000302764A (en) | 1999-04-26 | 2000-10-31 | Sumitomo Chem Co Ltd | Phenyluracil compounds and uses thereof |
| US6207830B1 (en) | 1987-09-23 | 2001-03-27 | Syngenta Crop Protection, Inc. | Process for the production of 3-aryl-uracils |
| WO2001039597A2 (en) | 1999-12-03 | 2001-06-07 | Bayer Aktiengesellschaft | N-aryl-uracile-based herbicides |
| JP2001172265A (en) | 1999-12-15 | 2001-06-26 | Sumitomo Chem Co Ltd | Hydroxamic acid derivatives and uses thereof |
| WO2002034048A1 (en) | 2000-10-23 | 2002-05-02 | Syngenta Participations Ag | Agrochemical compositions with quinoline safeners |
| US6403534B1 (en) | 2000-06-28 | 2002-06-11 | Sumitomo Chemical Company, Limited | Uracil compounds and use thereof |
| WO2004009561A1 (en) | 2002-07-23 | 2004-01-29 | Basf Aktiengesellschaft | 3-heterocyclyl substituted benzoic acid derivatives |
| WO2004084631A1 (en) | 2003-03-26 | 2004-10-07 | Bayer Cropscience Gmbh | Use of aromatic hydroxy compounds as safeners |
| WO2005015994A1 (en) | 2003-08-05 | 2005-02-24 | Bayer Cropscience Gmbh | Use of aromatic compounds as safeners |
| WO2005016001A1 (en) | 2003-08-05 | 2005-02-24 | Bayer Cropscience Gmbh | Safener based on aromatic-aliphatic carboxylic acid derivatives |
| WO2005112630A1 (en) | 2004-05-12 | 2005-12-01 | Bayer Cropscience Gmbh | Quinoxalin-2-one derivatives crop protection agents comprising the same and method for production and use therof |
| WO2007023764A1 (en) | 2005-08-26 | 2007-03-01 | Kumiai Chemical Industry Co., Ltd. | Agent for reduction of harmful effect of herbicide and herbicide composition having reduced harmful effect |
| WO2007023719A1 (en) | 2005-08-22 | 2007-03-01 | Kumiai Chemical Industry Co., Ltd. | Agent for reducing chemical injury and herbicide composition with reduced chemical injury |
| WO2008131860A2 (en) | 2007-04-30 | 2008-11-06 | Bayer Cropscience Ag | Pyridonecarboxamides crop protection agents containing the same method for production and use thereof |
| WO2008131861A1 (en) | 2007-04-30 | 2008-11-06 | Bayer Cropscience Ag | Use of pyridine-2-oxy-3-carbonamides as safeners |
| WO2010038953A2 (en) | 2008-10-02 | 2010-04-08 | 한국화학연구원 | Uracil-based compounds, and herbicides comprising same |
| EP2248421A1 (en) | 2009-05-07 | 2010-11-10 | GMI - Gregor-Mendel-Institut für Molekulare Pflanzenbiologie GmbH | Accumulation of biomass in plants |
| KR20110110420A (en) | 2010-04-01 | 2011-10-07 | 한국화학연구원 | Herbicidal uracil compounds and herbicides comprising the same |
| WO2020013500A1 (en) | 2018-07-10 | 2020-01-16 | 주식회사 경농 | Uracil-based compound and herbicidal composition comprising same |
| WO2021105101A1 (en) | 2019-11-26 | 2021-06-03 | Bayer Aktiengesellschaft | [(1,5-diphenyl-1h-1,2,4-triazol-3-yl)oxy]acetic acid derivatives and salts thereof, crop protection compositions comprising them, methods for producing them and use thereof as safeners |
| WO2021259224A1 (en) | 2020-06-23 | 2021-12-30 | 沈阳中化农药化工研发有限公司 | Triazine benzoate compound and application thereof |
| EP4089078A1 (en) | 2020-01-11 | 2022-11-16 | Qingdao KingAgroot Chemical Compound Co., Ltd. | Carboxylic acid derivative-substituted imino aryl compound, preparation method therefor, herbicidal composition and use thereof |
| WO2023285222A1 (en) | 2021-07-16 | 2023-01-19 | Basf Se | Herbicidal phenyluracils |
-
2024
- 2024-11-07 AR ARP240103044A patent/AR134261A1/en unknown
- 2024-11-11 WO PCT/EP2024/081820 patent/WO2025103927A1/en active Pending
Patent Citations (72)
| Publication number | Priority date | Publication date | Assignee | Title |
|---|---|---|---|---|
| DE2906507A1 (en) | 1979-02-20 | 1980-08-28 | Bayer Ag | Plant growth regulating compsn. - contg. alpha amino cyclo:alkanoic acid derivs., e.g. for dwarfing cereals |
| EP0030287A1 (en) | 1979-11-29 | 1981-06-17 | Bayer Ag | 1-Aminocyclopropanecarboxylic acid derivatives, methods for their production, their use as plant-growth regulators and compositions containing such derivatives |
| EP0086750A2 (en) | 1982-02-17 | 1983-08-24 | Ciba-Geigy Ag | Use of quinoline derivatives in the protection of crop plants |
| EP0094349A2 (en) | 1982-05-07 | 1983-11-16 | Ciba-Geigy Ag | Use of quinoline derivatives for the protection of cultivated plants |
| DE3335514A1 (en) | 1983-09-30 | 1985-04-18 | Bayer Ag, 5090 Leverkusen | 1-METHYLAMINO-CYCLOPROPAN-1-CARBONIC ACID DERIVATIVES |
| JPS6087254A (en) | 1983-10-19 | 1985-05-16 | Japan Carlit Co Ltd:The | Novel urea compound and herbicide containing the same |
| EP0174562A2 (en) | 1984-09-11 | 1986-03-19 | Hoechst Aktiengesellschaft | Plant protecting agents based on 1,2,4 - triazole derivatives as well as 1,2,4-triazole derivatives |
| EP0191736A2 (en) | 1985-02-14 | 1986-08-20 | Ciba-Geigy Ag | Use of quinoline derivatives for the protection of crop plants |
| US5123951A (en) | 1986-03-31 | 1992-06-23 | Rhone-Poulenc Nederland B.V. | Synergistic plant growth regulator compositions |
| EP0269806A1 (en) | 1986-10-04 | 1988-06-08 | Hoechst Aktiengesellschaft | Phenylpyrazole carbonic acid derivatives, their preparation and use as plant growth regulators and antidotes |
| EP0268554A2 (en) | 1986-10-22 | 1988-05-25 | Ciba-Geigy Ag | 1,5-Diphenyl pyrazole-3-carbonic-acid derivatives for the protection of cultured plants |
| WO1988010254A1 (en) | 1987-06-19 | 1988-12-29 | F. Hoffmann-La Roche & Co. Aktiengesellschaft | Heterocyclic compounds |
| US6207830B1 (en) | 1987-09-23 | 2001-03-27 | Syngenta Crop Protection, Inc. | Process for the production of 3-aryl-uracils |
| EP0333131A1 (en) | 1988-03-17 | 1989-09-20 | Hoechst Aktiengesellschaft | Plant protective agent based on pyrazolecarboxylic acid derivatives |
| EP0346620A1 (en) | 1988-05-20 | 1989-12-20 | Hoechst Aktiengesellschaft | Plant protection agents containing 1,2,4-triazole derivatives, and the 1,2,4-triazole derivatives |
| US4943309A (en) | 1988-09-06 | 1990-07-24 | Uniroyal Chemical Company, Inc. | Method of defoleating cotton plants employing 3-carbonylphenyl uracil derivatives |
| EP0365484A1 (en) | 1988-10-20 | 1990-04-25 | Ciba-Geigy Ag | Sulfamoyl phenyl ureas |
| WO1991000278A1 (en) | 1989-06-29 | 1991-01-10 | Ciba-Geigy Ag | Heterocyclic compounds |
| EP0408382A2 (en) | 1989-07-14 | 1991-01-16 | Nissan Chemical Industries, Limited | Uracil derivatives and herbicides containing the same as active ingredient |
| US5084084A (en) | 1989-07-14 | 1992-01-28 | Nissan Chemical Industries Ltd. | Uracil derivatives and herbicides containing the same as active ingredient |
| EP0408382B1 (en) | 1989-07-14 | 1996-09-18 | Nissan Chemical Industries, Limited | Uracil derivatives and herbicides containing the same as active ingredient |
| US5127935A (en) | 1989-07-14 | 1992-07-07 | Nissan Chemical Industries Ltd. | Uracil derivatives and herbicides containing the same as active ingredient |
| WO1991008202A1 (en) | 1989-11-25 | 1991-06-13 | Hoechst Aktiengesellschaft | Isoxazolines, method of preparation thereof, and their use as plant-protection agents |
| WO1991007874A1 (en) | 1989-11-30 | 1991-06-13 | Hoechst Aktiengesellschaft | Pyrazolines for the protection of crops against herbicides |
| EP0473551A1 (en) | 1990-08-31 | 1992-03-04 | Ciba-Geigy Ag | 3-Aryluracil derivatives, process for their preparation and herbicides containing them |
| EP0492366A2 (en) | 1990-12-21 | 1992-07-01 | Hoechst Schering AgrEvo GmbH | New 5-chloroquinolin-8-oxyalkanecarbonic acid derivatives, process for their preparation and their use as antidotes for herbicides |
| EP0582198A2 (en) | 1992-08-01 | 1994-02-09 | Hoechst Schering AgrEvo GmbH | Substituted (hetero-)aryle compounds, process for their preparation, those containing compositions and their use as safeners |
| EP0648749A2 (en) | 1993-08-18 | 1995-04-19 | Bayer Ag | N-cynanoaryl nitrogencontaining heterocycles |
| WO1995007897A1 (en) | 1993-09-16 | 1995-03-23 | Hoechst Schering Agrevo Gmbh | Substituted isoxazolines, process for producing them, agents containing them and their use as safeners |
| WO1995029168A1 (en) | 1994-04-25 | 1995-11-02 | Bayer Aktiengesellschaft | N-cyanoaryl nitrogen heterocycles |
| WO1995030661A1 (en) | 1994-05-04 | 1995-11-16 | Bayer Aktiengesellschaft | Substituted aromatic thiocarboxylic acid amides and their use as herbicides |
| WO1995032952A1 (en) | 1994-05-27 | 1995-12-07 | Ciba-Geigy Ag | Process for the preparation of 3-aryluracils |
| WO1996007323A1 (en) | 1994-09-02 | 1996-03-14 | Bayer Aktiengesellschaft | Selective herbicides based on aryl uracils |
| WO1996008151A1 (en) | 1994-09-15 | 1996-03-21 | Bayer Aktiengesellschaft | Use of aryluracils in semi-selective and non-selective weed control |
| DE4437197A1 (en) | 1994-10-18 | 1996-04-25 | Bayer Ag | Synergistic herbicidal compsns |
| EP0714602A1 (en) | 1994-12-02 | 1996-06-05 | Nihon Bayer Agrochem K.K. | Sulphonylaminophenyluracil herbicides for paddy field |
| WO1996035679A1 (en) | 1995-05-08 | 1996-11-14 | Bayer Aktiengesellschaft | Substituted aminophenyluracils as herbicides and insecticides |
| WO1997001541A1 (en) | 1995-06-29 | 1997-01-16 | Bayer Aktiengesellschaft | Substituted cyanophenyl uracils |
| JPH09188676A (en) | 1996-01-08 | 1997-07-22 | Mitsubishi Chem Corp | Novel uracil derivative and herbicide containing the same as an active ingredient |
| WO1997045016A1 (en) | 1996-05-29 | 1997-12-04 | Hoechst Schering Agrevo Gmbh | Novel n-acyl sulphonamides, novel mixtures of herbicides and antidotes and their use |
| EP0831091A2 (en) | 1996-09-23 | 1998-03-25 | Novartis AG | Process for the production of 3-aryl-uracils |
| DE19741411A1 (en) | 1996-09-23 | 1998-03-26 | Ciba Geigy Ag | Preparation of 3-aryl-uracil derivative useful as herbicide |
| WO1998013361A1 (en) | 1996-09-26 | 1998-04-02 | Novartis Ag | Herbicidal composition |
| WO1998025909A1 (en) | 1996-12-09 | 1998-06-18 | Bayer Aktiengesellschaft | 3-amino-1-cyanophenyl-uracils |
| WO1998027049A1 (en) | 1996-12-19 | 1998-06-25 | Hoechst Schering Agrevo Gmbh | Novel 2-fluoroacrylic acid derivatives, novel mixtures of herbicides and antidotes and the use thereof |
| WO1998038856A1 (en) | 1997-03-04 | 1998-09-11 | Zeneca Limited | Compositions for safening rice against acetochlor |
| WO1999000020A1 (en) | 1997-06-27 | 1999-01-07 | Hoechst Schering Agrevo Gmbh | 3-(5-tetrazolyl carbonyl)-2-quinolones and products for protecting useful plants containing the same |
| WO1999016744A1 (en) | 1997-09-29 | 1999-04-08 | Aventis Cropscience Gmbh | Acylsulfamoyl benzoic acid amides, plant protection agents containing said acylsulfamoyl benzoic acid amides, and method for producing the same |
| JPH11189506A (en) | 1997-12-26 | 1999-07-13 | Nissan Chem Ind Ltd | Herbicide composition |
| WO2000049002A1 (en) | 1999-02-16 | 2000-08-24 | American Cyanamid Company | Processes and intermediates for the preparation of 1,3-oxazin-6-ones and uracils |
| JP2000302764A (en) | 1999-04-26 | 2000-10-31 | Sumitomo Chem Co Ltd | Phenyluracil compounds and uses thereof |
| WO2001039597A2 (en) | 1999-12-03 | 2001-06-07 | Bayer Aktiengesellschaft | N-aryl-uracile-based herbicides |
| JP2001172265A (en) | 1999-12-15 | 2001-06-26 | Sumitomo Chem Co Ltd | Hydroxamic acid derivatives and uses thereof |
| US6403534B1 (en) | 2000-06-28 | 2002-06-11 | Sumitomo Chemical Company, Limited | Uracil compounds and use thereof |
| WO2002034048A1 (en) | 2000-10-23 | 2002-05-02 | Syngenta Participations Ag | Agrochemical compositions with quinoline safeners |
| WO2004009561A1 (en) | 2002-07-23 | 2004-01-29 | Basf Aktiengesellschaft | 3-heterocyclyl substituted benzoic acid derivatives |
| WO2004084631A1 (en) | 2003-03-26 | 2004-10-07 | Bayer Cropscience Gmbh | Use of aromatic hydroxy compounds as safeners |
| WO2005015994A1 (en) | 2003-08-05 | 2005-02-24 | Bayer Cropscience Gmbh | Use of aromatic compounds as safeners |
| WO2005016001A1 (en) | 2003-08-05 | 2005-02-24 | Bayer Cropscience Gmbh | Safener based on aromatic-aliphatic carboxylic acid derivatives |
| WO2005112630A1 (en) | 2004-05-12 | 2005-12-01 | Bayer Cropscience Gmbh | Quinoxalin-2-one derivatives crop protection agents comprising the same and method for production and use therof |
| WO2007023719A1 (en) | 2005-08-22 | 2007-03-01 | Kumiai Chemical Industry Co., Ltd. | Agent for reducing chemical injury and herbicide composition with reduced chemical injury |
| WO2007023764A1 (en) | 2005-08-26 | 2007-03-01 | Kumiai Chemical Industry Co., Ltd. | Agent for reduction of harmful effect of herbicide and herbicide composition having reduced harmful effect |
| WO2008131860A2 (en) | 2007-04-30 | 2008-11-06 | Bayer Cropscience Ag | Pyridonecarboxamides crop protection agents containing the same method for production and use thereof |
| WO2008131861A1 (en) | 2007-04-30 | 2008-11-06 | Bayer Cropscience Ag | Use of pyridine-2-oxy-3-carbonamides as safeners |
| WO2010038953A2 (en) | 2008-10-02 | 2010-04-08 | 한국화학연구원 | Uracil-based compounds, and herbicides comprising same |
| EP2248421A1 (en) | 2009-05-07 | 2010-11-10 | GMI - Gregor-Mendel-Institut für Molekulare Pflanzenbiologie GmbH | Accumulation of biomass in plants |
| KR20110110420A (en) | 2010-04-01 | 2011-10-07 | 한국화학연구원 | Herbicidal uracil compounds and herbicides comprising the same |
| WO2020013500A1 (en) | 2018-07-10 | 2020-01-16 | 주식회사 경농 | Uracil-based compound and herbicidal composition comprising same |
| WO2021105101A1 (en) | 2019-11-26 | 2021-06-03 | Bayer Aktiengesellschaft | [(1,5-diphenyl-1h-1,2,4-triazol-3-yl)oxy]acetic acid derivatives and salts thereof, crop protection compositions comprising them, methods for producing them and use thereof as safeners |
| EP4089078A1 (en) | 2020-01-11 | 2022-11-16 | Qingdao KingAgroot Chemical Compound Co., Ltd. | Carboxylic acid derivative-substituted imino aryl compound, preparation method therefor, herbicidal composition and use thereof |
| WO2021259224A1 (en) | 2020-06-23 | 2021-12-30 | 沈阳中化农药化工研发有限公司 | Triazine benzoate compound and application thereof |
| WO2023285222A1 (en) | 2021-07-16 | 2023-01-19 | Basf Se | Herbicidal phenyluracils |
Non-Patent Citations (15)
| Title |
|---|
| "Chemistry and Technology of Agrochemical Formulations", 1998, KLUWER ACADEMIC PUBLISHERS |
| "Perry's Chemical Engineer's Handbook", 1973, MCGRAW-HILL, pages: 8 - 57 |
| "The Pesticide Manual", 2021, THE BRITISH CROP PROTECTION COUNCIL AND THE ROYAL SOC. OF CHEMISTRY |
| BRAUN ET AL., EMBO J., vol. 11, 1992, pages 3219 - 3227 |
| C. MARSDEN: "Handbook of Insecticide Dust Diluents and Carriers", 1963, J. WILEY & SONS |
| G.C. KLINGMAN: "Weed Control as a Science", 1961, JOHN WILEY AND SONS, INC., pages: 81 - 96 |
| J. AGRIC. FOOD CHEM., vol. 67, no. 45, 2019, pages 12382 - 12392 |
| J.D. FREYERS.A. EVANS: "Weed Control Handbook", 1968, BLACKWELL SCIENTIFIC PUBLICATIONS, pages: 101 - 103 |
| J.E. BROWNING: "Agglomeration", vol. 147, 1967, CHEMICAL AND ENGINEERING |
| no. 133993-74-5 |
| SCHÖNFELDT: "Grenzflächenaktive Äthylenoxidaddukte", 1976, WISS. VERLAGSGESELLSCHAFT |
| SISLEYWOOD: "McCutcheon's ''Detergents and Emulsifiers Annual", 1964, CHEM. PUBL. CO. INC. |
| VERFAHREN: "Spray-Drying Handbook", 1979, G. GOODWIN LTD. |
| VERWENDUNG VON NITRIERSÄURE, MEDICINAL CHEMISTRY LETTERS, vol. 7, no. 12, 2016, pages 1077 - 1081 |
| WEED RESEARCH, vol. 26, 1986, pages 441 - 445 |
Also Published As
| Publication number | Publication date |
|---|---|
| AR134261A1 (en) | 2025-12-17 |
Similar Documents
| Publication | Publication Date | Title |
|---|---|---|
| WO2021013799A1 (en) | Substituted n-phenyl uracils, salts thereof and their use as herbicidal agents | |
| EP4003975A1 (en) | Substituted n-phenyl-n-aminouarcils and salts thereof and use thereof as herbicidal agents | |
| WO2020002089A1 (en) | Substituted 2-heteroaryloxypyridines and salts thereof and their use as herbicidal agents | |
| EP3728235A1 (en) | Substituted thiophenyl uracils, salts thereof and the use thereof as herbicidal agents | |
| EP4200282A1 (en) | Substituted n-phenyluracils and salts thereof, and use thereof as herbicidal active substances | |
| WO2023161172A1 (en) | Substituted n-benzoic acid uracils and salts thereof, and use thereof as herbicidal active substances | |
| WO2020193474A1 (en) | Substituted 2-heteroarylaminobenzenes and the salts thereof and their use as herbicidal agents | |
| EP3728237A1 (en) | Substituted thiophenyl uracils, salts thereof and the use thereof as herbicidal agents | |
| WO2019025156A1 (en) | SUBSTITUTED PYRROLIDINONE AND THEIR SALTS AND THEIR USE AS HERBICIDAL ACTIVE SUBSTANCES | |
| EP3655393A1 (en) | Substituted 5-(het-)arylpyrazolamides and salts thereof and their use as herbicidal active substances | |
| WO2018177836A1 (en) | N-cyclopropyl-2-oxopyrrolidine-3-carboxamide derivatives and related compounds as herbicidal plant protection agents | |
| WO2018184890A1 (en) | 4-substituted n-amino and n-hydroxy 2-oxo-pyrrolidie-3-carboxamide derivatives, salts thereof and use thereof as herbicidal agents | |
| WO2024078906A1 (en) | Substituted n-phenyluracils and salts thereof, and use thereof as herbicidal active substances | |
| EP4097087B1 (en) | [(1,4,5-trisubstituted-1h-pyrazol-3-yl)sulfanyl]acetic acid derivatives, their salts and use of said compounds as herbicidal agents | |
| WO2019121547A1 (en) | Substituted thiophenyl uracils, salts thereof and the use thereof as herbicidal agents | |
| WO2019081477A1 (en) | SUBSTITUTED PYRAZOLE AND THEIR SALTS AND THEIR USE AS HERBICIDAL ACTIVE SUBSTANCES | |
| WO2018177837A1 (en) | 4-cyclopentyl- and 4-cyclopropyl-2-oxopyrrolidine-3-carboxamide derivatives and related compounds as herbicidal plant protection agents | |
| WO2018178008A1 (en) | Substituted isoxazoline-5-ones and salts thereof and use thereof as herbicidal agents | |
| WO2018178010A1 (en) | N-cyclopropyl-2-oxo-4-phenyl-piperidine-3-carboxamide derivatives and related compounds as herbicidal plant protection agents | |
| EP4230621A1 (en) | Substituted n-benzoic acid uracils, their salts and use of said compounds as herbicidal agents | |
| EP4230620A1 (en) | Substituted n-amino-n-benzoic acid uracils, their salts and use of said compounds as herbicidal agents | |
| WO2020064260A1 (en) | Substituted 5-(sulfanyl)-3,4-dihydro-2h-pyrrol-4-carboxamides and salts thereof and their use as herbicidal active substances | |
| WO2020002087A1 (en) | Substituted 3-heteroaryloxypyridines and salts thereof and their use as herbicidal agents | |
| WO2020002085A1 (en) | Substituted 4-heteroaryloxypyridines and salts thereof and their use as herbicidal agents | |
| WO2025103927A1 (en) | Substituted oxyiminomethylphenyl uracils and salts thereof, and use thereof as herbicidal active substances |
Legal Events
| Date | Code | Title | Description |
|---|---|---|---|
| 121 | Ep: the epo has been informed by wipo that ep was designated in this application |
Ref document number: 24801598 Country of ref document: EP Kind code of ref document: A1 |







































































































































































































































































































































