WO2018177836A1 - N-cyclopropyl-2-oxopyrrolidine-3-carboxamide derivatives and related compounds as herbicidal plant protection agents - Google Patents
N-cyclopropyl-2-oxopyrrolidine-3-carboxamide derivatives and related compounds as herbicidal plant protection agents Download PDFInfo
- Publication number
- WO2018177836A1 WO2018177836A1 PCT/EP2018/057154 EP2018057154W WO2018177836A1 WO 2018177836 A1 WO2018177836 A1 WO 2018177836A1 EP 2018057154 W EP2018057154 W EP 2018057154W WO 2018177836 A1 WO2018177836 A1 WO 2018177836A1
- Authority
- WO
- WIPO (PCT)
- Prior art keywords
- alkyl
- cycloalkyl
- alkoxy
- compounds
- aryl
- Prior art date
- Legal status (The legal status is an assumption and is not a legal conclusion. Google has not performed a legal analysis and makes no representation as to the accuracy of the status listed.)
- Ceased
Links
- 0 *C(*N1)C(C(O*)=O)C1=O Chemical compound *C(*N1)C(C(O*)=O)C1=O 0.000 description 9
- UVKZJURCLVCXQM-UHFFFAOYSA-N CCOC(C(C(C[N+]([O-])=O)c1cc(C(F)(F)F)ccc1)C(OCC)=O)=O Chemical compound CCOC(C(C(C[N+]([O-])=O)c1cc(C(F)(F)F)ccc1)C(OCC)=O)=O UVKZJURCLVCXQM-UHFFFAOYSA-N 0.000 description 1
Classifications
-
- C—CHEMISTRY; METALLURGY
- C07—ORGANIC CHEMISTRY
- C07D—HETEROCYCLIC COMPOUNDS
- C07D207/00—Heterocyclic compounds containing five-membered rings not condensed with other rings, with one nitrogen atom as the only ring hetero atom
- C07D207/02—Heterocyclic compounds containing five-membered rings not condensed with other rings, with one nitrogen atom as the only ring hetero atom with only hydrogen or carbon atoms directly attached to the ring nitrogen atom
- C07D207/18—Heterocyclic compounds containing five-membered rings not condensed with other rings, with one nitrogen atom as the only ring hetero atom with only hydrogen or carbon atoms directly attached to the ring nitrogen atom having one double bond between ring members or between a ring member and a non-ring member
- C07D207/22—Heterocyclic compounds containing five-membered rings not condensed with other rings, with one nitrogen atom as the only ring hetero atom with only hydrogen or carbon atoms directly attached to the ring nitrogen atom having one double bond between ring members or between a ring member and a non-ring member with hetero atoms or with carbon atoms having three bonds to hetero atoms with at the most one bond to halogen, e.g. ester or nitrile radicals, directly attached to ring carbon atoms
- C07D207/24—Oxygen or sulfur atoms
- C07D207/26—2-Pyrrolidones
Definitions
- the invention relates to the technical field of crop protection agents, in particular that of herbicides for the selective control of weeds and grass weeds in crops. Specifically, this invention relates to substituted pyrrolidinones and their salts, processes for their preparation and their use as herbicides.
- WO2016 / 182780 describes substituted bicyclic compounds having herbicidal properties which carry aryls or substituted heteroaryls substituted on the amide bond. It is further known that certain substituted pyrrolidinones can be prepared enantioselectively (see Chemmical Communications, 2012, 48 (61), 7571-7573; Advanced Synthesis & Catalysis 2012, 354 (11-12), 2151-2156, S2151 / 1-S2151 / 99). The use of substituted pyrrolidinones or their salts as herbicidal active ingredients which carry a substituted cycloalkyl radical on the amide bond, however, has not yet been described.
- substituted pyrrolidinones or their salts as herbicidal active compounds which carry a substituted cycloalkylalkyl radical on the amide bond are particularly suitable as herbicides.
- the present invention thus provides substituted pyrrolidinones of the general formula (I) or salts thereof
- Q is (C 2 -C 10) -alkenyl, (C 2 -C 10) -alkynyl, (C 2 -C 10) -haloalkenyl, (C 2 -C 10) -haloalkynyl, (C 3 -C 10) -halocycloalkenyl, (Ci-Cio ) -Alkylcarbonyl or (C 1 -C 10) -alkoxy- (C 1 -C 10) -alkyl, (C 1 -C 10) -haloalkoxy- (C 1 -C 10) -alkyl, Z for the group stands,
- Y is -C (R 7 ) (R 8 ) -, oxygen, or NR 1 ,
- W 1 and W 2 are independently oxygen or sulfur;
- R 1 represents hydrogen, amino, hydroxy, cyano, formyl, (Ci-C 8) -alkyl, (Ci-C 8) haloalkyl, (Ci-C 8) - cyanoalkyl, (Ci-C8) hydroxyalkyl, ( C 1 -C 8 ) -alkoxy- (C 1 -C 8 ) -alkyl, aryl- (C 1 -C 8 ) -alkyl, heteroaryl- (C 1 -C 8 ) -alkyl, heterocyclyl- (C 1 -C 8 ) -alkyl, (C 3 -Cio) cycloalkyl, (C 3 -Cio) cycloalkyl- (Ci-C 8) alkyl, (C 3 -C 8) halocycloalkyl, (C 3 -C 8) -Halocycloalkyl- (
- R 2 is hydrogen, halogen, hydroxy, (Ci-C 8) -alkyl, (Ci-C 8) haloalkyl, (Ci-C8) hydroxyalkyl, (Ci-C 8) alkoxy (Ci-C 8 ) -alkyl
- R 3 is hydrogen, halogen, hydroxy, (C 1 -C 8 ) -alkyl, (C 1 -C 8 ) -haloalkyl, (C 1 -C 8 ) -hydroxyalkyl, (C 1 -C 8 ) -alkoxy, (C 1 -C 8 ) -alkoxy- (C 1 -C 8 ) -alkyl,
- R 4 represents optionally substituted (C 3 -C 10) -cycloalkyl, (C 3 -C 10) -halocycloalkyl, (C 3 -Cio) -
- Cyanocycloalkyl (C 1 -C 10) -alkyl- (C 3 -C 10) -cycloalkyl, (C 1 -C 10) -alkoxy- (C 3 -C 10) -cycloalkyl, (C 1 -C 10) -haloalkoxy- (C 3 -C 10) cycloalkyl, (C 1 -C 10) -alkylthio (C 3 -C 10) -cycloalkyl, aryl-
- R 6 represents hydrogen, nitro, amino, cyano, thiocyanato, isothiocyanato, halogen, (C 1 -C 8 ) -alkyl,
- R 7 and R 8 are independently hydrogen, hydroxy, halogen, (Ci-C 8) -alkyl, (Ci-Cs) - haloalkyl, (C 2 -C 8) alkenyl, (C 2 -C 8) alkynyl , (C 1 -C 8 ) -alkoxy- (C 1 -C 8 ) -alkyl, (C 1 -C 8 ) -haloalkoxy- (C 1 -C 8 ) -alkyl, (C 1 -C 8 ) -alkylthio (C 1 -C 8 ) -alkyl 8 ) -alkyl, (C 1 -C 8 ) -alkylsulfmyl (C 1 -C 8 ) -alkyl, (C 1 -C 8 ) -alkylsulfonyl- (C 1 -C 8 ) -alkyl, (C 1 -C 8 )
- the compounds of general formula (I) can be prepared by addition of a suitable organic compound.
- inorganic or organic acid such as mineral acids, such as HCl, HBr, H2SO4, HsPO i or HNO 3, or organic acids, e.g. Carboxylic acids, such as formic acid, acetic acid, propionic acid, oxalic acid, lactic acid or salicylic acid, or sulfonic acids, such as p-toluenesulfonic acid, to a basic group, e.g. Amino, alkylamino, dialkylamino, piperidino, morpholino or pyridino, salts. These salts then contain the conjugate base of the acid as an anion. Suitable substituents which are in deprotonated form, e.g. Sulfonic acids, certain
- Sulfonklareamide or carboxylic acids may form internal salts with their turn protonatable groups, such as amino groups. Salt formation can also be due to the action of a base
- Suitable bases are, for example, organic amines, such as trialkylamines, morpholine, piperidine and pyridine and ammonium, alkali or
- Potassium hydroxide, sodium and potassium carbonate and sodium and potassium bicarbonate are compounds in which the azide hydrogen is replaced by a cation suitable for agriculture, for example metal salts, in particular alkali metal salts or
- Alkaline earth metal salts in particular sodium and potassium salts, or else ammonium salts, salts with organic amines or quaternary ammonium salts, for example with cations of the formula
- R a to R d are each independently an organic radical, in particular alkyl, aryl, arylalkyl or alkylaryl. Also suitable are alkylsulfonium and
- Alkylsulfoxoniumsalze such as (Ci-C4) -trialkylsulfonium and (Ci-C4) -Trialkylsulfoxoniumsalze.
- the substituted pyrrolidinones of the general formula (I) according to the invention may be present in various tautomeric structures, all of which are intended to be encompassed by the general formula (I).
- Preferred subject of the invention are compounds of the general formula (I) wherein
- Q is an optionally substituted aryl or heteroaryl, (C3-Cio) cycloalkyl or (C3-C10) - cycloalkenyl, wherein each ring or ring system may be optionally substituted with up to 5 substituents from the group R 6; or an optionally substituted 5-7 membered one heterocyclic ring; or an optionally substituted 8-10 membered bicyclic ring system in which each ring or ring system is selected from carbon atoms and 1-5
- Q is (C 2 -C 8 ) -alkenyl, (C 2 -C 10) -alkynyl, (C 2 -C 10) -haloalkenyl, (C 2 -C 10) -haloalkynyl, double, see above, (C 3 -C 10) -Halocycloalkenyl, (C 1 -C 10) -alkylcarbonyl or (C 1 -C 10) -alkoxy- (C 1 -C 10) -alkyl, (C 1 -C 10) -haloalkoxy- (C 1 -C 10) -alkyl,
- Y is -C (R 7 ) (R 8 ) -, oxygen, or NR 1 ,
- W 1 and W 2 are independently oxygen or sulfur
- R 1 is hydrogen, amino, (C 1 -C 6 ) -alkyl, (C 1 -C 6 ) -haloalkyl, (C 1 -C 6 ) -hydroxyalkyl, (C 1 -C 6 ) -
- R 2 is hydrogen, (C 1 -C 6 ) -alkyl, (C 1 -C 6 ) -haloalkyl, (C 1 -C 6 ) -hydroxyalkyl, (C 1 -C 6 ) -alkoxy- (C 1 -C 6 ) -alkyl .
- R 3 represents hydrogen, fluorine, chlorine, bromine, iodine, (Ci-C 6) -alkyl, (Ci-C 6) -haloalkyl, (Ci-C6) - hydroxyalkyl, (Ci-C 6) alkoxy ( Ci-C 6 ) -alkyl, optionally substituted (C 3 -C 8) cycloalkyl, (C 3 -C 8) halocycloalkyl, (C 3 -C 8) - Cyanocycloalkyl, (Ci-C8) alkyl - (C 3 -C 8) - cycloalkyl, (Ci-C8) alkoxy- (C3-C8) cycloalkyl, (Ci-C8) haloalkoxy (C 3 -C 8) cycloalkyl, (Ci-C8) alkylthio (C 3 -C 8) cycloalkyl, aryl (C 3 -C
- R 7 and R 8 independently of one another represent hydrogen, hydroxyl, halogen, (C 1 -C 6) -alkyl, (C 1 -C 6) -
- Haloalkyl (C 2 -C 6) alkenyl, (C 2 -C 6) alkynyl, (Ci-C 6) alkoxyalkyl, (Ci-C 6) -Haloalkoxyalkyl, (Ci-C 6) alkylthio ( Ci-C 6 ) alkyl.
- Particularly preferred subject of the invention are compounds of general formula (I) wherein represents an optionally substituted aryl or heteroaryl, (C3-C8) -cycloalkyl or (C3-C8) - cycloalkenyl, wherein each ring or ring system optionally substituted with up to 5 substituents from the group R 6 may be substituted; or represents an optionally substituted 5-7 membered heterocyclic ring; or an optionally substituted 8-10 membered bicyclic ring system in which each ring or ring system is selected from carbon atoms and 1-5
- Ring system is optionally substituted with up to 5 substituents from the group R 6 , or
- Q is (C 2 -C 8 ) -alkenyl, (C 2 -C 8 ) -alkynyl, (C 2 -C 8 ) -haloalkenyl, (C 2 -C 8 ) -haloalkynyl, double, (C 3 -C 8 ) -Halocycloalkenyl, (Ci-C8) -alkylcarbonyl or (Ci-C 8) alkoxy (Ci-C 8) alkyl, (Ci-C 8) - haloalkoxy (Ci-Cio) alkyl,
- Y is -C (R 7 ) (R 8 ) -
- W 1 and W 2 are independently oxygen or sulfur
- R 1 is hydrogen, amino, (C 1 -C 6 ) -alkyl, (C 1 -C 6 ) -haloalkyl, (C 1 -C 6 ) -hydroxyalkyl, (C 1 -C 6 ) -
- R 7 and R 8 independently of one another represent hydrogen, hydroxyl, halogen, (C 1 -C 6) -alkyl, (C 1 -C 6) -
- Haloalkyl (C 2 -C 6) -alkenyl, (C 3 -C 6) alkynyl, (Ci-C 6) alkoxyalkyl, (Ci-C 6) -Haloalkoxyalkyl, (Ci-C 6) alkylthio ( Ci-C 6 ) alkyl.
- Q is an optionally substituted aryl or heteroaryl, (C3-C 7) -cycloalkyl or (C3-C7) -
- Cycloalkenyl each ring or ring system optionally being substituted with up to 5 substituents from the group R 6 ; or represents an optionally substituted 5-7 membered heterocyclic ring; or an optionally substituted 8-10-membered bicyclic
- Ring system is optionally substituted with up to 5 substituents from the group R 6 , or for (C 2 -C 7 ) alkenyl, (C 2 -C 7 ) alkynyl, (C 2 -C 7 ) haloalkenyl, (C 2 -C 7) -Haloalkynyl, (C3-C7) - Halocycloalkenyl, (Ci-C 7) alkylcarbonyl or (Ci-C7) alkoxy (Ci-C7) alkyl, (C1-C7) - Haloalkoxy- (Ci-C 7 ) -alkyl,
- W 1 and W 2 are independently oxygen or sulfur; preferably oxygen are;
- R 1 is hydrogen, amino, (C 1 -C 4 ) -alkyl, (C 1 -C 4 ) -alkoxy- (C 1 -C 4 ) -alkyl, aryl- (C 1 -C 4 ) -alkyl,
- R 2 is hydrogen, (Ci-C 4) alkyl, (Ci-C 4) -haloalkyl, (Ci-C 4) hydroxyalkyl, (Ci-C 4) alkoxy (Ci-C 4) -alkyl .
- R 3 is hydrogen, fluorine, chlorine, (C 1 -C 4 ) -alkyl
- R 4 is (C 3 -C 7 ) -cycloalkyl, (C 3 -C 7 ) -halocycloalkyl, (C 3 -C 7 ) -cyanocycloalkyl, (C 1 -C 6 ) -alkyl - (C 3 -C 7 ) - cycloalkyl, (Ci-C 6) alkoxy (C 3 -C 7) cycloalkyl, (Ci-C 6) haloalkoxy (C 3 -C 7) - cycloalkyl, (Ci-C6) alkylthio (C 3 -C 7 ) -cycloalkyl, aryl- (C 3 -C 7 ) -cycloalkyl, heteroaryl- (C 3 -C 7 ) -cycloalkyl, (C 1 -C 6 ) -alkoxycarbonyl- (C 3 -C 7 ) -cycloalkyl, Hydroxy
- R 6 represents hydrogen, nitro, amino, cyano, thiocyanato, isothiocyanato, halogen, (C 1 -C 4 ) -alkyl,
- R 7 is hydrogen, hydroxy, halogen, (Ci-C 3) alkyl, (Ci-C 3) -haloalkyl, (C 2 -C 3) alkenyl, (C3-C3) -
- Cycloalkenyl each ring or ring system optionally being substituted with up to 5 substituents from the group R 6 ; or represents an optionally substituted 5-7 membered heterocyclic ring; or an optionally substituted 8-10 membered bicyclic ring system in which each ring or ring system is selected from carbon atoms and 1-5
- Y is -CH 2 -
- W 1 and W 2 are independently oxygen or sulfur; preferably oxygen are;
- R 1 represents hydrogen, amino, (Ci-C 3) alkyl, aryl (Ci-C 3) alkyl, heteroaryl (Ci-C 3) alkyl, (C 3 -C 6) - cycloalkyl, (C 3 -C 5) cycloalkyl (Ci-C 3) alkyl, (Ci-C 6) alkylcarbonyl, (Ci-C 6) -alkoxycarbonyl, (C 2 -C 6) alkenyl, (C 2 -C 6 ) -alkynyl,
- R 2 is hydrogen
- R 3 is hydrogen, fluorine or chlorine.
- R 4 is (C 3 -C 7 ) -cycloalkyl, (C 3 -C 7 ) -halocycloalkyl, (C 3 -C 7 ) -cyanocycloalkyl, (C 1 -C 6 ) -alkyl - (C 3 -C 7 ) - cycloalkyl, (Ci-C 6) alkoxy (C 3 -C 7) cycloalkyl, (Ci-C 6) haloalkoxy (C 3 -C 7) - cycloalkyl, (Ci-C6) alkylthio (C 3 -C 7) cycloalkyl, aryl (Ci-C 7) cycloalkyl, heteroaryl (Ci-C7) - cycloalkyl, (Ci-C6) alkoxycarbonyl (C 3 -C 7) cycloalkyl, Hydroxcarbonyl - (C 3 -C 7 ) -cycl
- R 5 represents hydrogen, (Ci-C 6) -alkyl, (Ci-C 6) -haloalkyl, (C 2 -C 6) -alkenyl, (C 3 -C 6) alkynyl, (Ci-C 6) - Alkoxy- (C 1 -C 6 ) -alkyl, (C 1 -C 6 ) -haloalkoxy- (C 1 -C 6 ) -alkyl.
- Y is -CH 2 -
- W 1 and W 2 are oxygen
- R 1 is hydrogen, amino, methyl, cyclopropyl, benzyl, p-methoxy-benzyl, allyl, propargyl,
- R 2 is hydrogen, and R 3 is hydrogen, fluorine or chlorine.
- Z represents the groups Zl .1 to Z-5.1.
- Y is -CH 2 -,
- W 1 and W 2 are oxygen;
- R 1 is hydrogen, methyl, cyclopropyl, benzyl, p-methoxy-benzyl, allyl, propargyl,
- R 2 is hydrogen, and
- R 3 is hydrogen
- alkylsulfonyl alone or as part of a chemical group - is straight-chain or branched alkylsulfonyl, preferably with 1 to 8, or with 1 to 6
- Carbon atoms eg (but not limited to) (C 1 -C 6) alkylsulfonyl such as methylsulfonyl, ethyl sulfonyl, propylsulfonyl, 1-methylethylsulfonyl, butylsulfonyl, 1-methylpropylsulfonyl, 2-methyl-propylsulfonyl, 1, 1-dimethylethylsulfonyl, pentylsulfonyl, 1-methylbutylsulfonyl, 2-methylbutylsulfonyl, 3-methylbutylsulfonyl, 1, 1-dimethylpropylsulfonyl, 1, 2-dimethylpropylsulfonyl, 2,2-dimethylpropylsulfonyl, 1-ethylpropylsulfonyl, hexylsulfonyl, 1-methylpentyls
- Heteroarylsulfonyl here in particular optionally substituted quinolinylsulfonyl, for example substituted by fluorine, chlorine, bromine, iodine, cyano, nitro, alkyl, haloalkyl, haloalkoxy, amino, alkylamino, alkylcarbonylamino, dialkylamino or alkoxy groups.
- alkylthio alone or as part of a chemical group - is straight-chain or branched S-alkyl, preferably with 1 to 8, or with 1 to 6
- Carbon atoms such as (Ci-Cio) -, (CI-C ⁇ ) - or (Ci-C4) -alkylthio, e.g. (but not limited to) (ci-Ce) alkylthio such as methylthio, ethylthio, propylthio, 1-methylethylthio, butylthio, 1-methylpropylthio, 2-methylpropylthio, 1,1-dimethylethylthio, pentylthio, 1-methylbutylthio, 2-methylbutylthio, 3-methylbutylthio, 1, 1-dimethylpropylthio, 1, 2-dimethylpropylthio, 2,2-dimethylpropylthio, 1-ethylpropylthio, hexylthio, 1-methylpentylthio, 2-methylpentylthio, 3-methylpentylthio, 4-methylpentylthio, 1, 1 Dimethylbutyl
- Cycloalkylthio means according to the invention a bonded via a sulfur atom
- Alkoxy means an alkyl radical bonded through an oxygen atom, for example (but not limited to) (C 1 -C 6) alkoxy, such as methoxy, ethoxy, propoxy, 1-methylethoxy, butoxy, 1-methylpropoxy, 2-methylpropoxy, 1 , 1-dimethylethoxy, pentoxy, 1-methylbutoxy, 2-methylbutoxy, 3-methylbutoxy, 1,1-dimethylpropoxy, 1, 2-dimethylpropoxy, 2,2-dimethylpropoxy, 1-ethylpropoxy, hexoxy, 1-methylpentoxy, 2-methylpentoxy , 3-methylpentoxy, 4-methylpentoxy, 1,1-dimethylbutoxy, 1,2-dimethylbutoxy, 1,3-dimethylbutoxy, 2,2-dimethylbutoxy, 2,3-dimethylbutoxy, 3,3-dimethylbutoxy, 1-ethylbutoxy , 2-ethylbutoxy, 1,1,2-trimethylpropoxy, 1,2,2-trimethylpropoxy, 1-ethylbut
- Alkenyloxy means an alkenyl radical bonded through an oxygen atom
- alkynyloxy means an above an oxygen atom bonded alkynyl group such as (C 2 -C 1 0) -, (C 2 -C 6) - or (C 2 -C 4) alkenoxy, and (C3-C10) -, (C 3 -C 6) - or (C 3 -C 4 ) -alkoxy.
- Cycloalkyloxy means a cycloalkyl group bonded via an oxygen atom.
- the number of C atoms here refers to the alkyl radical in the
- the number of C atoms here refers to the alkyl radical in the alkoxycarbonyl group, analogously “alkenyloxycarbonyl” and “alkynyloxycarbonyl”, unless otherwise defined elsewhere, according to the invention for alkenyl or alkynyl radicals which are bonded to the skeleton via -O-C ( O), such as (C 2 -C 10) -, (C 2 -C 6 ) - or (C 2 -C 4 ) - alkenyloxycarbonyl or (C3-C10) -, (C 3 -C 6) - or (C3-C4) -
- the number of carbon atoms refers to the alkyl radical in the alkylcarbonyloxy group.
- aryl means an optionally substituted mono-, bi- or polycyclic aromatic system having preferably 6 to 14, in particular 6 to 10 ring C atoms, for example phenyl, naphthyl, anthryl, phenanthrenyl and the like, preferably phenyl
- optionally substituted aryl are also Vectorcyclische systems, such as
- Preferred aryl substituents here are, for example, hydrogen, halogen, alkyl, cycloalkyl, cycloalkylalkyl, cycloalkenyl, halocycloalkyl, alkenyl, alkynyl, aryl, arylalkyl, heteroaryl, heteroarylalkyl, heterocyclyl, heterocyclylalkyl, alkoxyalkyl, alkylthio, haloalkylthio, haloalkyl, alkoxy, haloalkoxy, Cycloalkoxy, cycloalkylalkoxy, aryloxy, heteroaryloxy, alkoxyalkoxy, alkynylalkoxy, alkenyloxy, bis-alkylaminoalkoxy, tris [alkyl] silyl, bis [alkyl] arylsilyl, bis [alkyl] alkylsilyl, tris [alkyl] silylalkyny
- heteroarylalkoxy contains at least one heterocyclic ring
- heterocyclic ring in which at least one C atom is replaced by a heteroatom, preferably by a heteroatom from the group N, O, S, P
- N, O, S, P saturated, unsaturated, partially saturated or heteroaromatic and may be unsubstituted or substituted, wherein the binding site is located on a ring atom.
- heterocyclyl or heterocyclic ring is optionally substituted, it may be fused with other carbocyclic or heterocyclic rings.
- polycyclic systems are also included, for example 8-azabicyclo [3.2.1] octanyl, 8-azabicyclo [2.2.2] octanyl or 1-azabicyclo [2.2.1] heptyl.
- optionally substituted heterocyclyl also become
- the heterocyclic ring preferably contains 3 to 9 ring atoms, in particular 3 to 6 ring atoms, and one or more, preferably 1 to 4, in particular 1, 2 or 3 heteroatoms in the heterocyclic ring, preferably from the group N, O, and S, but not two
- Oxygen atoms are to be directly adjacent, such as with a heteroatom from the group N, O and S 1- or 2- or 3-pyrrolidinyl, 3,4-dihydro-2H-pyrrol-2 or 3-yl, 2,3- Dihydro-1H-pyrrole 1- or 2- or 3- or 4- or 5-yl; 2,5-dihydro-1H-pyrrol-1 - or 2- or 3-yl, 1- or 2- or 3- or 4-piperidinyl; 2,3,4,5-tetrahydropyridine-2- or 3- or 4- or 5-yl or 6-yl; 1,2,3,6-tetrahydropyridine-1 or 2 or 3 or 4 or 5 or 6-yl; 1,2,3,4-tetrahydropyridine-1 or 2 or 3- or 4- or 5- or 6-yl; 1,4-dihydropyridine-I - or 2- or 3- or 4-yl; 2,3-dihydropyridine-2 or 3 or 4 or 5 or 6-yl; 2,5-dihydropyridine-2- or 3- or 4- or 5-
- Heterocycles are, for example, 1- or 2-aziridinyl, oxiranyl, thiiranyl, 1- or 2- or 3-azetidinyl,
- heterocyclyl are a partially or fully hydrogenated heterocyclic radical having two heteroatoms from the group N, O and S, such as 1- or 2- or 3- or 4-pyrazolidinyl; 4,5-dihydro-3H-pyrazole-3 or 4 or 5-yl; 4,5-dihydro-1H-pyrazole-1 - or 3 or 4 or 5-yl; 2,3-dihydro-1H-pyrazole-1 - or 2 - or
- 1,2-dithiin-3 or 4-yl 1,2-dithiin-3 or 4-yl; l, 2-dithiin-3 or 4-yl; l, 3-dithian-2 or 4 or 5-yl; 4H-l, 3-dithiin-2 or 4 or 5 or 6-yl; Isoxazolidine-2 or 3 or 4 or 5-yl; 2,3-dihydroisoxazole-2- or 3- or
- heterocyclyl are a partially or fully hydrogenated heterocyclic radical having 3 heteroatoms from the group N, O and S, such as, for example, l, 4,2-dioxazolidin-2 or 3 or 5-yl; l, 4,2-dioxazol-3 or 5-yl; 1,2,2-dioxazinane-2- or -3- or 5- or 6-yl; 5,6-dihydro-l, 4,2-dioxazine-3 or 5 or 6-yl; l, 4,2-dioxazine-3- or 5- or 6-yl; l, 4,2-dioxazepan-2 or 3 or 5 or 6 or 7-yl; 6,7-dihydro-5H-l, 4,2-dioxazepine-3 or 5 or 6 or 7-yl; 2,3-dihydro-7H-l, 4,2-dioxazepin-2 or 3 or 5 or 6 or 7-yl; 2,3-dihydro-5H-1,
- heterocycles listed above are preferably, for example, hydrogen, halogen, alkyl, haloalkyl, hydroxy, alkoxy, cycloalkoxy, aryloxy, alkoxyalkyl, alkoxyalkoxy, cycloalkyl,
- Alkylaminocarbonyl bis-alkylaminocarbonyl, cycloalkylaminocarbonyl,
- Suitable substituents for a substituted heterocyclic radical are the substituents mentioned below, in addition to oxo and thioxo.
- the oxo group as a substituent on a ring C atom then means, for example, a carbonyl group in the hetero-cyclic ring.
- lactones and lactams are preferably also included.
- the oxo group can also occur at the hetero ring atoms, which can exist in different oxidation states, for example at N and S, and then form, for example, the divalent groups N (O), S (O) (also SO for short) and S (O) 2 (also short SO2) in the hetero-cyclic ring.
- N (O) S (O) (also SO for short)
- S (O) 2 also short SO2
- Heteroaryls according to the invention are, for example, 1H-pyrrol-1-yl; lH-pyrrol-2-yl; 1H-pyrrol-3-yl; Furan-2-yl; Furan-3-yl; Thien-2-yl; Thien-3-yl, 1H-imidazol-1-yl; lH-imidazol-2-yl; 1H-imidazol-4-yl; lH-imidazol-5-yl; lH-pyrazol-l-yl; lH-pyrazol-3-yl; lH-pyrazol-4-yl; lH-pyrazol-5-yl, 1H-1,2,3-triazol-1-yl, 1H-l, 2,3-triazol-4-yl, 1H-l, 2,
- Carbon atoms part of another aromatic ring they are fused heteroaromatic systems, such as benzo-fused or multiply fused heteroaromatic.
- quinolines e.g., quinolin-2-yl, quinolin-3-yl, quinolin-4-yl, quinolin-5-yl, quinolin-6-yl, quinolin-7-yl, quinolin-8-yl
- Isoquinolines e.g., isoquinolin-1-yl, isoquinolin-3-yl, isoquinolin-4-yl, isoquinolin-5-yl, isoquinolin-6-yl, isoquinolin-7-yl, isoquinolin-8-yl
- quinoxaline quinazoline
- cinnoline 1,5-naphthyridine; 1,6-naphthyridine; 1,7-naphthyridine; 1,8-naphthyridine; 2,6-naphthyridine; 2,7-naphthyridine; phthalazine; Pyridopyrazine
- heteroaryl are also 5- or 6-membered benzo-fused rings from the group 1H-indol-1-yl, 1H-indol-2-yl, 1H-indol-3-yl, 1H-indol-4-yl, 1H- Indol-5-yl, 1H-indol-6-yl, 1H-indol-7-yl, 1-benzofuran-2-yl, 1-benzofuran-3-yl, 1-benzofuran-4-yl, 1-benzofuran 5-yl, 1-benzofuran-6-yl, 1-benzofuran-7-yl, 1-benzothiophene-2-yl, 1-benzothiophen-3-yl, 1-benzothiophene-4-yl, 1-benzothiophene-5 yl, 1-benzothiophene-6-yl, 1-benzothiophene-7-yl, 1H-indazo
- halogen means, for example, a fluorine, chlorine, bromine or iodine atom.
- alkyl means a straight-chain or branched, open-chain, saturated hydrocarbon radical which is optionally monosubstituted or polysubstituted and is referred to in the latter case as “substituted alkyl".
- Preferred substituents are halogen atoms, alkoxy, haloalkoxy, cyano, alkylthio, haloalkylthio, amino or nitro groups, particularly preferred are methoxy, methyl, fluoroalkyl, cyano, nitro, fluorine, chlorine, bromine or iodine.
- the prefix "bis” also includes the combination of different alkyl radicals, for example, methyl (ethyl) or ethyl (methyl).
- Haloalkyl means by the same or different halogen atoms, partially or fully substituted alkyl, alkenyl and alkynyl, for example monohaloalkyl
- ( Monohaloalkyl) such. CH 2 CH 2 Cl, CH 2 CH 2 Br, CHClCH 3 , CH 2 Cl, CH 2 F; Perhaloalkyl such. B. CCl 3, CC1F 2, CFC1 2 CF 2 CC1F 2, CF 2 CC1FCF 3; Polyhaloalkyl such. CH 2 CHFC1, CF 2 CC1FH, CF 2 CBrFH, CH 2 CF 3; The term perhaloalkyl also encompasses the term perfluoroalkyl.
- Partially fluorinated alkyl means a straight-chain or branched, saturated hydrocarbon which is monosubstituted or polysubstituted by fluorine, it being possible for the corresponding fluorine atoms to be present as substituents on one or more different carbon atoms of the straight-chain or branched hydrocarbon chain, for example CHFCH3, CH 2 CH 2 F, CH 2 CH 2 CF 3, CHF 2, CH 2 F, CF 3 CHFCF 2
- Partially fluorinated haloalkyl means a straight-chain or branched, saturated one
- Hydrocarbon which is substituted by various halogen atoms having at least one fluorine atom, wherein all other optional halogen atoms are selected from the group fluorine, chlorine or bromine, iodine.
- the corresponding halogen atoms may be present as substituents on one or more different carbon atoms of the straight-chain or branched hydrocarbon chain.
- Partially fluorinated haloalkyl also includes the complete substitution of halogen with the participation of at least one fluorine atom of the straight-chain or branched chain.
- Haloalkoxy is, for example, OCF 3 , OCHF 2 , OCH 2 F, OCF 2 CF 3 , OCH 2 CF 3 and OCH 2 CH 2 Cl, and the same applies to haloalkenyl and other halogen-substituted radicals.
- (C 1 -C 4) -alkyl denotes a short notation for straight-chain or branched alkyl having one to four carbon atoms corresponding to the formula
- Range indication for C atoms, d. H. includes the radicals methyl, ethyl, 1-propyl, 2-propyl, 1-butyl, 2-butyl, 2-methylpropyl or tert-butyl.
- General alkyl radicals having a larger specified range of carbon atoms eg. As "(Ci-C6) alkyl", accordingly also include straight-chain or branched alkyl radicals having a larger number of C atoms, d. H. according to example, the alkyl radicals with 5 and 6 carbon atoms.
- hydrocarbon radicals such as alkyl, alkenyl and alkynyl radicals, even in assembled radicals, are the lower carbon skeletons, e.g. with 1 to 6 C atoms or with unsaturated groups having 2 to 6 C atoms, preferred.
- Alkenyl and alkynyl radicals have the meaning of the possible unsaturated radicals corresponding to the alkyl radicals, wherein at least one double bond or triple bond is contained. Preference is given to radicals having a double bond or
- alkenyl in particular also includes straight-chain or branched open-chain
- Hydrocarbon radicals having more than one double bond such as 1,3-butadienyl and 1,4-pentadienyl, but also allenyl or cumulenyl radicals having one or more cumulated double bonds, such as allenyl (1,2-propadienyl), 1, 2-butadienyl and 1,2,3-pentatrienyl.
- Alkenyl is, for example, vinyl, which may optionally be substituted by further alkyl radicals, for example (but not limited to) (C 2 -C 6) -alkenyl, such as ethenyl, 1-propenyl, 2-propenyl, 1-methylethenyl, 1-butenyl, 2-butenyl, 3-butenyl, 1-methyl-1-propenyl, 2-methyl-1-propenyl, 1-methyl-2-propenyl, 2-methyl-2-propenyl, 1-pentenyl, 2-pentenyl, 3 Pentenyl, 4-pentenyl, 1-methyl-1-butenyl, 2-methyl-1-butenyl, 3-methyl-1-butenyl, 1-methyl-2-butenyl, 2-methyl-2-butenyl, 3-methyl 2-butenyl, 1-methyl-3-butenyl, 2-methyl-3-butenyl, 3-methyl-3-butenyl, 1,1-dimethyl-2-propenyl, 1,2-dimethyl
- alkynyl in particular also includes straight-chain or branched open-chain
- -alkynyl means e.g. Ethynyl, 1-propynyl, 2-propynyl, 1-butynyl, 2-butynyl, 3-butynyl, 1-methyl-2-propynyl, 1-pentynyl, 2-pentynyl, 3-pentynyl, 4-pentynyl, 1-methyl 2-butynyl, 1-methyl-3-butynyl, 2-methyl-3-butynyl, 3-methyl-1-butynyl, 1, 1-dimethyl-2-propynyl, 1-ethyl-2-propynyl, 1-hexynyl, 2-hexynyl, 3-hexynyl, 4-hexynyl, 5-hexynyl, 1-methyl-2-pentynyl,
- cycloalkyl means a carbocyclic, saturated ring system preferably having 3-8 ring C atoms, eg cyclopropyl, cyclobutyl, cyclopentyl or cyclohexyl, which is optionally further substituted, preferably by hydrogen, alkyl, alkoxy, cyano, nitro, alkylthio , Haloalkylthio, halogen, alkenyl, alkynyl, haloalkyl, amino, alkylamino, bisalkylamino, alkocycarbonyl,
- Cycloalkylaminocarbonyl In the case of optionally substituted cycloalkyl cyclic systems are included with substituents, wherein substituents having a double bond on
- polycyclic aliphatic systems are also included, such as, for example, bicyclo [1,1.0] butan-1-yl, bicyclo [1,1-0] butan-2-yl, bicyclo [2.1.0] pentan-1-yl , Bicyclo [1,11] pentan-1-yl, bicyclo [2.1.0] pentan-2-yl, bicyclo [2.1.0] pentan-5-yl, bicyclo [2.1.1] hexyl, bicyclo [2.2.1 ] hept-2-yl, bicyclo [2.2.2] octan-2-yl, bicyclo [3.2.1] octan-2-yl, bicyclo [3.2.2] nonan-2-yl, adamantan-1-yl and
- spirocyclic aliphatic systems are also included, such as spiro [2.2] pent-1-yl, spiro [2.3] hex-1-yl, spiro [2.3] hex-4-yl, 3-spiro [2.3] hex-5-yl, spiro [3.3] hept-1-yl, spiro [3.3] hept-2-yl.
- Cycloalkenyl means a carbocyclic, non-aromatic, partially unsaturated ring system preferably having 4-8 C atoms, eg 1-cyclobutenyl, 2-cyclobutenyl, 1-cyclopentenyl, 2-cyclopentenyl, 3-cyclopentenyl, or 1-cyclohexenyl, 2- Cyclohexenyl, 3-cyclohexenyl, 1, 3-cyclohexadienyl or 1, 4-cyclohexadienyl, wherein substituents having a double bond on the cycloalkenyl radical, for example an alkylidene group such as methylidene, are also included in the case of optionally substituted cycloalkenyl the explanations for substituted Corresponding to cycloalkyl.
- substituents having a double bond on the cycloalkenyl radical for example an alkylidene group such as methylidene
- Alkoxyalkyl means an alkoxy group attached via an alkyl group
- alkoxyalkoxy means an alkoxyalkyl group bonded via an oxygen atom, e.g. (but not limited to) methoxymethoxy, methoxyethoxy, ethoxyethoxy, methoxy-n-propyloxy.
- Alkylthioalkyl means an alkylthio radical bonded via an alkyl group and
- Alkylthioalkylthio means an alkylthioalkyl radical bonded via an oxygen atom.
- Arylalkoxyalkyl stands for an aryloxy radical bound via an alkyl group
- Heteroaryloxyalkyl means a heteroaryloxy group bonded via an alkyl group.
- Haloalkoxyalkyl means a haloalkoxy radical attached and "haloalkylthioalkyl” means a haloalkylthio radical attached via an alkyl group.
- Arylalkyl means an aryl group attached via an alkyl group
- heteroarylalkyl means a heteroaryl group bonded via an alkyl group
- heterocyclylalkyl means a heterocyclyl group bonded through an alkyl group.
- Cycloalkylalkyl means a cycloalkyl radical attached via an alkyl group, for example (but not limited to) cyclopropylmethyl, cyclobutylmethyl, cyclopentylmethyl, cyclohexylmethyl, 1-cyclopropyleth-1-yl, 2-cyclopropyleth-1-yl, 1-cyclopropylpropyl l -yl, 3-cyclopropylprop-1-yl.
- haloalkylthio alone or as part of a chemical group - represents straight-chain or branched S-haloalkyl, preferably having 1 to 8, or having 1 to 6 carbon atoms, such as (C 1 -C 5) -, (C 1 -C 5) - or (C 1 -C 4) haloalkylthio, for example (but not limited to) trifluoromethylthio, pentafluoroethylthio, difluoromethyl, 2,2-difluoroeth-1-ylthio, 2,2,2-difluoroeth-1-ylthio, 3,3,3- prop-1-ylthio.
- Halocycloalkyl and “Halocycloalkenyl” mean by the same or different halogen atoms, such as. B. F, Cl and Br, or by haloalkyl, such as. Trifluoromethyl or difluoromethyl, partially or fully substituted cycloalkyl or cycloalkenyl, e.g. 1-fluorocycloprop-1-yl, 2-fluorocycloprop-1-yl, 2,2-difluorocycloprop-1-yl, 1-fluorocyclobutyl, 1-trifluoromethylcycloprop-1-yl, 2
- Trifluoromethylcycloprop-1-yl 1-chlorocycloprop-1-yl, 2-chlorocycloprop-1-yl, 2,2-dichlorocycloprop-1-yl, 3,3-difluorocyclobutyl,
- trialkylsilyl alone or as part of a chemical group - is straight-chain or branched Si-alkyl, preferably with 1 to 8, or with 1 to 6
- Carbon atoms such as tri - [(Ci-Cg) -, (Ci-Ce) - or (Ci-C4) -alkyl] silyl, e.g. (but not limited to) trimethylsilyl, triethylsilyl, tri (n-propyl) silyl, tri (iso-propyl) silyl, tri (n-butyl) silyl, tri (1-methylprop-1-yl) silyl, Tri- (2-methylprop-1-yl) silyl, tri (1,1-dimethyleth-1-yl) silyl, tri (2,2-dimethyl-1-yl) silyl.
- the compounds of the general formula (I) can exist as stereoisomers.
- the possible stereoisomers defined by their specific spatial form, such as enantiomers, diastereomers, Z and E isomers, are all encompassed by the general formula (I). If, for example, one or more alkenyl groups are present, diastereomers (Z and E isomers) can occur. For example, if one or more asymmetric carbon atoms are present, enantiomers and diastereomers may occur.
- Stereoisomers can be distinguished from those in the
- stereoisomers can be prepared by using stereoselective Reactions can be selectively prepared using optically active starting materials and / or auxiliaries.
- the invention thus also relates to all stereoisomers which comprises the general formula (I) but are not specified with their specific stereoform, and mixtures thereof. If the compounds are obtained as solids, the purification can also by
- the substituted pyrrolidinones of the general formula (I) according to the invention can be prepared starting from known processes.
- the synthetic routes used and investigated are based on commercially available or easily prepared amines, on appropriately substituted aldehydes and on commercially available chemicals such as malonic acid derivatives and nitromethane.
- the groupings Q, Y, W 1 , W 2 , R 1 , R 2 , R 3 , R 4 , R 5 , R 6 , R 7 and R 8 of the general formula (I) have the meanings defined above in the following schemes unless definitions are given by way of example but not by way of limitation.
- the synthesis of the compounds of the general formula (Ia) according to the invention is carried out via an amide coupling of an acid of the general formula (II) with an amine of the general formula (III) in the presence of an amide coupling reagent such as T3P, dicyclohexylcarbodiimide, N- (3-dimethylaminopropyl ) -N '-ethylcarbodiimid, N, N' -Cabonyldiimidazol, 2-chloro-l, 3-dimethyl-imidazolium chloride or 2-chloro-l-methylpyridinium iodide (see Chemistry of peptide Synthsis, Ed. ⁇ .
- Polymer bound reagents such as polymer-bound dicyclohexylcarbodiimide are also suitable for this coupling reaction.
- the reaction preferably takes place in the temperature range between 0 ° C and 80 ° C, in an adequate solvent such as dichloromethane, acetonitrile, N, N-dimethylformamide or ethyl acetate and in the presence of a base such as triethylamine, N, N-diisopropylethylamine or l, 8-diazabicyclo [5.4.0] undec-7-cene (see Scheme 1).
- an adequate solvent such as dichloromethane, acetonitrile, N, N-dimethylformamide or ethyl acetate
- a base such as triethylamine, N, N-diisopropylethylamine or l, 8-diazabicyclo [5.4.0] undec-7-cene (see Scheme 1).
- the synthesis of the acid of the general formula (II) can be prepared by saponification of the compound of the general formula (IV) according to or analogously to methods known to those skilled in the art.
- the saponification can be carried out in the presence of a base or a Lewis acid.
- the base may be a hydroxide salt of an alkali metal (such as lithium, sodium or potassium), and the saponification reaction preferably takes place in the temperature range between room temperature and 100 ° C.
- the Lewis acid may be boron tribromide, and the reaction may be carried out in a temperature range between -20 ° C and 100 ° C, preferably -5 ° C and 50 ° C.
- R ' (C 1 -C 4 ) -alkyl.
- R ' (C 1 -C 4 ) -alkyl.
- Scheme 4 describes the synthesis of the compound of the general formula (V) by reacting a diester of the general formula (VI) with a nitroalkane of the general formula (VII) in the presence of a base.
- the base may be an alkoxide salt of an alkali metal (such as sodium methylate or sodium ethylate) in an adequate solvent such as methanol or ethanol.
- the reaction may be carried out with bases such as lithium hexa-methyldisilazane, sodium hexamethyldisilazane or lithium diisopropylamide in an adequate solvent such as tetrahydrofuran.
- R ' (C 1 -C 4 ) -alkyl.
- the compounds of general formula (VI) can be prepared by Knoevenagel condensation of an aldehyde of general formula (VIII) and malonic esters of general formula (IX) (see Scheme 5, G. Jones, Organic Reactions Volume 15, John Wiley and Sons, 1967 ).
- the base may be an alkanolate salt or hydroxide of an alkali metal (such as sodium methylate or sodium ethylate), in an adequate solvent such as methanol or ethanol, or bases such as lithium hexamethyldisilazane,
- the compounds of the general formula (X) can be prepared by condensation of an aldehyde of the general formula (VIII) and compounds of the general formula (XI) in the presence of a base such as sodium hydride, in an adequate solvent such as tetrahydrofuran (see Scheme 7).
- the compounds of the general formula (Ia) can be prepared by reduction of the compound of the general formula (XII) and subsequent in situ cyclization of the resulting amine intermediate according to methods known to those skilled in the art (see Scheme 8).
- Scheme 8 the reduction of aliphatic nitro groups by catalytic hydrogenolysis in
- Nickel (II) chloride
- Scheme 9 describes the synthesis of the compound of general formula (XII) by reaction of a malonic ester of general formula (XIII) with a nitro olefin of general formula (X) in the presence of a base.
- the base may be an alkanolate salt or hydroxide of an alkali metal (such as sodium methylate or sodium ethylate) in an adequate solvent such as methanol or ethanol.
- an alkanolate salt or hydroxide of an alkali metal such as sodium methylate or sodium ethylate
- an adequate solvent such as methanol or ethanol.
- Lithiumhexamethyldisilazan, Natriumhexamethyldisilazan or lithium diisopropylamide perform in an adequate solvent such as tetrahydrofuran.
- Monomalonic acid chlorides of the general formula (XIV) with an amine of the general formula (XV) in the presence of a base see Scheme 10).
- the base can be triethylamine or
- Diisopropylethylamine and the reaction can be carried out in an adequate solvent such as dichloromethane or tetrahydrofuran.
- the reaction mixture was stirred overnight at room temperature and then sat.
- the resulting crude product was dissolved in ethanol (40 ml) and treated with a solution of sodium hydroxide (1.12 g, 27.8 mmol, 3.0 equiv) in water (40 ml).
- the resulting reaction mixture was stirred overnight at room temperature and then water (50 ml) and diethyl ether (50 ml) were added.
- the organic phase was discarded and the aqueous phase with conc. HCl to pH 2.
- the aqueous phase was extracted several times with dichloromethane, and the combined organic phases were then dried over magnesium sulfate, filtered and concentrated.
- Triethylamine (230 ⁇ , 1.65 mmol, 3.0 equiv) was dissolved in dichloromethane (6 ml) and treated with T3P (2,4,6-tripropyl-l, 3,5,2,4,6-trioxatriphosphorinane-2,4, 6-trioxide, 50% in acetonitrile, 820 ⁇ , 0.66 mmol, 1.2 equiv). The resulting reaction mixture was stirred at room temperature overnight and then concentrated.
- Synthesis Example No. 1.1-12 produce as follows:
- Ethyl 3- (cyclopropylamino) -3-oxo-propanoate Ethyl 3-chloro-3-oxo-propanoate (4.00 g, 26.6 mmol, 1.0 equiv) was dissolved in dichloromethane (50 ml), cooled to 0 ° C and slowly added with cyclopropylamine (2.76 ml, 40.0 mmol, 1.5 equiv ) and triethylamine (5.56 ml, 40.0 mmol, 1.5 equiv). The resulting reaction mixture was stirred for 2 hours at room temperature and then with 2M aqueous HCl and then with sat.
- Preferred compounds of the formula (L I) are the compounds 1.1-1 to 1.1-270, in which Q has the meanings of Table 1 indicated in the respective line.
- the compounds 1.1-1 to 1.1-270 of Table LI are thus characterized by the meaning of the respective entries no. 1 to 270 defined for Q of Table 1.
- Table 1.2 Preferred compounds of the formula (1.2) are the compounds 1.2-1 to 1.2-270, wherein Q has the meanings indicated in the respective line of Table 1.
- the compounds 1.2-1 to 1.2-270 of Table 1.2 are thus characterized by the meaning of the respective entries no. 1 to 270 for Q of Table 1 above.
- Table 1.3 Preferred compounds of the formula (1.3) are the compounds 1.3-1 to 1.3-270, in which Q has the meanings of Table 1 indicated in the respective line.
- the compounds 1.3-1 to 1.3-270 of Table 1.3 are thus determined by the meaning of the respective entries no. 1 to 270 defined for Q of Table 1.
- Table 1.4 Preferred compounds of the formula (1.4) are the compounds 1.4-1 to 1.4-270, wherein Q has the meanings given in Table 1 of each Table.
- the compounds 1.4-1 to 1.4-270 of Table 1.4 are thus characterized by the meaning of the respective entries no. 1 to 270 for Q of Table 1 above.
- Table 1.5 Preferred compounds of the formula (1.5) are the compounds 1.5-1 to 1.5-270, wherein Q has the meanings indicated in the respective line of Table 1.
- the compounds 1.5-1 to 1.5-346 of Table 1.5 are thus by the meaning of the respective entries no. 1 to 270 defined for Q of Table 1.
- Table 1.6 Preferred compounds of the formula (1.6) are the compounds 1.6-1 to 1.6-270, in which Q has the meanings given in Table 1 of each Table.
- the compounds 1.6-1 to 1.6-270 of Table 1.6 are thus characterized by the meaning of the respective entries no. 1 to 270 for Q of Table 1 above.
- Table 1.7 Preferred compounds of the formula (1.7) are the compounds 1.7-1 to 1.7-270, wherein Q has the meanings indicated in the respective line of Table 1.
- the compounds 1.7-1 to 1.7-270 of Table 1.7 are thus characterized by the meaning of the respective entries no. 1 to 270 defined for Q of Table 1.
- Table 1.8 Preferred compounds of the formula (1.8) are the compounds 1.8-1 to 1.8-270, in which Q has the meanings indicated in the respective line of Table 1.
- the compounds 1.8-1 to 1.8-270 of Table 1.8 are thus characterized by the meaning of the respective entries no. 1 to 270 for Q of Table 1 above.
- Table 1.9 Preferred compounds of the formula (1.9) are the compounds 1.9-1 to 1.9-270, wherein Q has the meanings indicated in the respective line of Table 1.
- the compounds 1.9-1 to 1.9-270 of Table 1.9 are thus characterized by the meaning of the respective entries no. 1 to 270 defined for Q of Table 1.
- Table 1.10 Preferred compounds of the formula (1.10) are the compounds 1.10-1 to 1.10-270, in which Q has the meanings of Table 1 indicated in the respective line.
- the compounds 1.10-1 to 1.10-270 of Table 1.10 are therefore distinguished by the meaning of the respective entries no. 1 to 270 for Q of Table 1 above.
- Table 1.11 Preferred compounds of the formula (1.11) are the compounds 1.11 - 1 to 1.11 -270, in which Q has the meanings of Table 1 indicated in the respective line.
- the compounds L I 1-1 to L I 1-270 of Table LI 1 are thus characterized by the meaning of the respective entries no. 1 to 270 defined for Q of Table 1.
- Table 1.12 Preferred compounds of the formula (1.12) are the compounds 1.12-1 to 1.12-270, in which Q has the meanings of Table 1 indicated in the respective line.
- the compounds 1.12-1 to 1.12-270 of Table 1.12 are thus distinguished by the meaning of the respective entries no. 1 to 270 for Q of Table 1 above.
- Table 1.13 Preferred compounds of the formula (1.13) are the compounds 1.13-1 to 1.13-270, in which Q has the meanings of Table 1 indicated in the respective line.
- the compounds 1.13-1 to 1.13-270 of Table 1.13 are thus distinguished by the meaning of the respective entries no. 1 to 270 defined for Q of Table 1.
- Table 1.14 Preferred compounds of the formula (1.14) are the compounds 1.14-1 to 1.14-270, in which Q has the meanings of Table 1 indicated in the respective line.
- the compounds 1.14-1 to 1.14-270 of Table 1.14 are thus distinguished by the meaning of the respective entries no. 1 to 270 for Q of Table 1 above.
- Table 1.15 Preferred compounds of the formula (1.15) are the compounds 1.15-1 to 1.15-270, in which Q has the meanings of Table 1 indicated in the respective line.
- the compounds 1.15-1 to 1.15-270 of Table 1.15 are thus characterized by the meaning of the respective entries no. 1 to 270 defined for Q of Table 1.
- Table 1.16 Preferred compounds of the formula (1.16) are the compounds 1.16-1 to 1.16-270, in which Q has the meanings of Table 1 indicated in the respective line.
- the connections 1.16-1 to 1.16-270 of Table 1.16 are therefore distinguished by the meaning of the respective entries no. 1 to 270 for Q of Table 1 above.
- Table 1.17 Preferred compounds of the formula (1.17) are the compounds 1.17-1 to 1.17-270, wherein Q has the meanings of Table 1 given in the respective line.
- the compounds 1.17-1 to 1.17-270 of Table 1.17 are thus distinguished by the meaning of the respective entries no. 1 to 270 defined for Q of Table 1.
- Table 1.18 Preferred compounds of the formula (1.18) are the compounds 1.18-1 to 1.18-270, in which Q has the meanings of Table 1 indicated in the respective line.
- the compounds 1.18-1 to 1.18-270 of Table 1.18 are thus distinguished by the meaning of the respective entries no. 1 to 270 for Q of Table 1 above.
- Table 1.19 Preferred compounds of the formula (1.19) are the compounds 1.19-1 to 1.19-270, in which Q has the meanings of Table 1 indicated in the respective line.
- the compounds 1.19-1 to 1.19-270 of Table 1.19 are therefore distinguished by the meaning of the respective entries no. 1 to 270 defined for Q of Table 1.
- Table 1.20 Preferred compounds of the formula (1.20) are the compounds 1.20-1 to 1.20-270, in which Q has the meanings of Table 1 indicated in the respective line.
- the compounds 1.20-1 to 1.20-270 of Table 1.20 are thus distinguished by the meaning of the respective entries no. 1 to 270 for Q of Table 1 above.
- Table 1.21 Preferred compounds of the formula (1.21) are the compounds 1.21-1 to 1.21-270, in which Q has the meanings of Table 1 indicated in the respective line.
- the compounds 1.21-1 to 1.21-270 of Table 1.21 are thus distinguished by the meaning of the respective entries no. 1 to 270 defined for Q of Table 1.
- Table 1.22 Preferred compounds of the formula (1.22) are the compounds 1.22-1 to 1.22-270, in which Q has the meanings of Table 1 indicated in the respective line.
- the compounds 1.22-1 to 1.22-270 of Table 1.22 are thus distinguished by the meaning of the respective entries no. 1 to 270 for Q of Table 1 above.
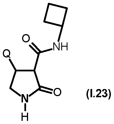
- Table 1.23 Preferred compounds of the formula (1.23) are the compounds 1.23-1 to 1.23-270, in which Q has the meanings of Table 1 indicated in the respective line.
- the compounds 1.23-1 to 1.23-270 of Table 1.23 are thus distinguished by the meaning of the respective entries no. 1 to 270 defined for Q of Table 1.
- Table 1.24 Preferred compounds of the formula (1.24) are the compounds 1.24-1 to 1.24-270, in which Q has the meanings of Table 1 indicated in the respective line.
- the compounds 1.24-1 to 1.24-270 of Table 1.24 are thus distinguished by the meaning of the respective entries no. 1 to 270 for Q of Table 1 above.
- Table 1.25 Preferred compounds of the formula (1.25) are the compounds 1.25-1 to 1.25-270, in which Q has the meanings of Table 1 indicated in the respective line.
- the compounds 1.25-1 to 1.25-270 of Table 1.25 are thus distinguished by the meaning of the respective entries no. 1 to 270 defined for Q of Table 1.
- Table 1.26 Preferred compounds of the formula (1.26) are the compounds 1.26-1 to 1.26-270, in which Q has the meanings of Table 1 indicated in the respective line.
- the compounds 1.26-1 to 1.26-270 of Table 1.26 are thus distinguished by the meaning of the respective entries no. 1 to 270 for Q of Table 1 above.
- Table 1.27 Preferred compounds of the formula (1.27) are the compounds 1.27-1 to 1.27-270, in which Q has the meanings of Table 1 indicated in the respective line.
- the compounds 1.27-1 to 1.27-270 of Table 1.27 are thus distinguished by the meaning of the respective entries no. 1 to 270 defined for Q of Table 1.
- Table 1.28 Preferred compounds of the formula (1.28) are the compounds 1.28-1 to 1.28-270, in which Q has the meanings of Table 1 indicated in the respective line.
- the compounds 1.28-1 to 1.28-270 of Table 1.28 are thus characterized by the meaning of the respective entries no. 1 to 270 for Q of Table 1 above.
- Table 1.29 Preferred compounds of the formula (1.29) are the compounds 1.29-1 to 1.29-270, in which Q has the meanings of Table 1 indicated in the respective line.
- the compounds 1.29-1 to 1.29-270 of Table 1.29 are thus characterized by the meaning of the respective entries no. 1 to 270 defined for Q of Table 1.
- Table 1.30 Preferred compounds of the formula (1.30) are the compounds 1.30-1 to 1.30-270, in which Q has the meanings of Table 1 indicated in the respective line.
- the compounds 1.30-1 to 1.30-270 of Table 1.30 are thus distinguished by the meaning of the respective entries no. 1 to 270 for Q of Table 1 above.
- Table 1.31 Preferred compounds of the formula (1.31) are the compounds 1.31-1 to 1.31-270, in which Q has the meanings of Table 1 indicated in the respective line.
- the compounds 1.31-1 to 1.31-270 of Table 1.31 are thus characterized by the meaning of the respective entries no. 1 to 270 defined for Q of Table 1.
- Table 1.32 Preferred compounds of the formula (1.32) are the compounds 1.32-1 to 1.32-270, in which Q has the meanings of Table 1 indicated in the respective line.
- the compounds 1.32-1 to 1.32-270 of Table 1.32 are therefore distinguished by the meaning of the respective entries no. 1 to 270 for Q of Table 1 above.
- Table 1.33 Preferred compounds of the formula (1.33) are the compounds 1.33-1 to 1.33-270, in which Q has the meanings of Table 1 indicated in the respective line.
- the compounds 1.33-1 to 1.33-270 of Table 1.33 are thus distinguished by the meaning of the respective entries no. 1 to 270 defined for Q of Table 1.
- Table 1.34 Preferred compounds of the formula (1.34) are the compounds 1.34-1 to 1.34-270, wherein Q has the meanings given in Table 1 of each Table.
- the compounds 1.34-1 to 1.34-270 of Table 1.34 are therefore distinguished by the meaning of the respective entries no. 1 to 270 for Q of Table 1 above.
- Table 1.35 Preferred compounds of the formula (1.35) are the compounds 1.35-1 to 1.35-270, in which Q has the meanings of Table 1 indicated in the respective line.
- the compounds 1.35-1 to 1.35-270 of Table 1.35 are thus distinguished by the meaning of the respective entries no. 1 to 270 defined for Q of Table 1.
- Table 1.36 Preferred compounds of the formula (1.36) are the compounds 1.36-1 to 1.36-270, in which Q has the meanings of Table 1 indicated in the respective line.
- the compounds 1.36-1 to 1.36-270 of Table 1.36 are thus distinguished by the meaning of the respective entries no. 1 to 270 for Q of Table 1 above.
- Table 1.37 Preferred compounds of the formula (1.37) are the compounds 1.37-1 to 1.37-270, in which Q has the meanings of Table 1 indicated in the respective line.
- the compounds 1.37-1 to 1.37-270 of Table 1.37 are thus characterized by the meaning of the respective entries no. 1 to 270 defined for Q of Table 1.
- Table 1.38 Preferred compounds of the formula (1.38) are the compounds 1.38-1 to 1.38-270, in which Q has the meanings of Table 1 indicated in the respective line.
- the compounds 1.38-1 to 1.38-270 of Table 1.38 are thus distinguished by the meaning of the respective entries no. 1 to 270 for Q of Table 1 above.
- Table 1.39 Preferred compounds of the formula (1.39) are the compounds 1.39-1 to 1.39-270, in which Q has the meanings of Table 1 indicated in the respective line.
- the compounds 1.39-1 to 1.39-270 of Table 1.39 are thus characterized by the meaning of the respective entries no. 1 to 270 defined for Q of Table 1.
- Table 1.40 Preferred compounds of the formula (1.40) are the compounds 1.40-1 to 1.40-270, in which Q has the meanings of Table 1 indicated in the respective line.
- the compounds 1.40-1 to 1.40-270 of Table 1.40 are therefore distinguished by the meaning of the respective entries no. 1 to 270 for Q of Table 1 above.
- Table 1.41 Preferred compounds of the formula (1.41) are the compounds 1.41-1 to 1.41-270, in which Q has the meanings given in Table 1 in each line.
- the compounds 1.41-1 to 1.41-270 of Table 1.41 are thus distinguished by the meaning of the respective entries no. 1 to 270 defined for Q of Table 1.
- Table 1.42 Preferred compounds of the formula (1.42) are the compounds 1.42-1 to 1.42-270, in which Q has the meanings of Table 1 indicated in the respective line.
- the compounds 1.42-1 to 1.42-270 of Table 1.42 are thus distinguished by the meaning of the respective entries no. 1 to 270 for Q of Table 1 above.
- Table 1.43 Preferred compounds of the formula (1.43) are the compounds 1.43-1 to 1.43-270, in which Q has the meanings of Table 1 indicated in the respective line.
- the compounds 1.43-1 to 1.43-270 of Table 1.43 are thus characterized by the meaning of the respective entries no. 1 to 270 defined for Q of Table 1.
- Table 1.44 Preferred compounds of the formula (1.44) are the compounds 1.44-1 to 1.44-270, in which Q has the meanings of Table 1 indicated in the respective line.
- the compounds 1.44-1 to 1.44-270 of Table 1.44 are thus distinguished by the meaning of the respective entries no. 1 to 270 for Q of Table 1 above.
- Table 1.45 Preferred compounds of the formula (1.45) are the compounds 1.45-1 to 1.45-270, in which Q has the meanings of Table 1 indicated in the respective line.
- the compounds 1.45-1 to 1.45-270 of Table 1.45 are therefore distinguished by the meaning of the respective entries no. 1 to 270 defined for Q of Table 1.
- Table 1.46 Preferred compounds of the formula (1.46) are the compounds 1.46-1 to 1.46-270, in which Q has the meanings of Table 1 indicated in the respective line.
- the compounds 1.46-1 to 1.46-270 of Table 1.46 are thus characterized by the meaning of the respective entries no. 1 to 270 for Q of Table 1 above.
- Table 1.47 Preferred compounds of the formula (1.47) are the compounds 1.47-1 to 1.47-270, in which Q has the meanings of Table 1 indicated in the respective line.
- the compounds 1.47-1 to 1.47-270 of Table 1.47 are therefore distinguished by the meaning of the respective entries no. 1 to 270 defined for Q of Table 1.
- Table 1.48 Preferred compounds of the formula (1.48) are the compounds 1.48-1 to 1.48-270, in which Q has the meanings of Table 1 indicated in the respective line.
- the compounds 1.48-1 to 1.48-270 of Table 1.48 are thus characterized by the meaning of the respective entries no. 1 to 270 for Q of Table 1 above.
- Table 1.49 Preferred compounds of the formula (1.49) are the compounds 1.49-1 to 1.49-270, in which Q has the meanings of Table 1 indicated in the respective line.
- the compounds 1.49-1 to 1.49-270 of Table 1.49 are thus distinguished by the meaning of the respective entries no. 1 to 270 defined for Q of Table 1.
- NMR Peak List Method The 1H NMR data of selected examples are noted in terms of 1H NMR peak lists. For each signal peak, first the ⁇ value in ppm and then the signal intensity in round brackets are listed. The ⁇ -value signal intensity number pairs of different signal peaks are listed separated by semicolons.
- the peak list of an example therefore has the form: ⁇ (intensity ⁇ ; 82 (intensity 2);; ⁇ ; (intensity ⁇ ;; ⁇ ⁇ (intensity n )
- the intensity of sharp signals correlates with the height of the signals in a printed example of an NMR spectrum in cm and shows the true ratios of the signal intensities. For broad signals, multiple peaks or the center of the signal and their relative intensity can be shown compared to the most intense signal in the spectrum.
- To calibrate the chemical shift of 1H NMR spectra we use tetramethylsilane and / or the chemical shift of the solvent, especially in the case of spectra measured in DMSO. Therefore, the tetramethylsilane peak can occur in NMR peaks, but it does not have to.
- the peaks of stereoisomers of the target compounds and / or peaks of impurities usually have on average a lower intensity than the peaks of the target compounds (for example with a purity of> 90%).
- stereoisomers and / or impurities may be typical of each
- An expert calculating the peaks of the target compounds by known methods can isolate the peaks of the target compounds as needed, using additional intensity filters if necessary. This isolation would be similar to peak picking in classical 1H NMR interpretation.
- ⁇ 7.5207 (1.2); 7.3786 (4.4); 7.3626 (4.5); 7.2618 (195.1); 7.1705 (5.8); 7.1650 (6.6); 7.1570 (6.3); 7.1519 (6.7); 7.1462 (7.8); 7.1424 (7.6); 7.1363 (17.6); 7.1323 (7.8); 7.1236 (6.5); 7.1160 (12.0); 7.1110 (11.7); 7.0909 (9.0); 7.0685 (7.1); 7.0617 (8.0); 7.0588 (7.6); 7.0418 (4.1); 7.0375 (3.8); 6.9978 (1.2); 6.0567 (4.6); 4.4065 (1.0); 4.3864 (3.9); 4.3658 (7.4); 4.3454 (7.4); 4.3253
- ⁇ 7.8921 (0.6); 7.5404 (1.2); 7.5241 (1.0); 7.5204 (0.8); 7.5112 (0.5); 7.2614 (18.9); 7.1750 (0.8); 4.1975 (0.6); 4.1769 (0.7); 3.8331 (0.5); 3.8091 (1.0); 3.7861 (0.5); 3.7453 (16.0); 3.5926 (0.8); 3.4167 (0.7); 3.3968 (0.7); 3.3920 (0.7); 3.3721 (0.6); 3.3518 (1.3); 3.3291 (1.2); 2.6688 (0.6); 2.6615 (0.6); 2.6543 (0.6); 2.6470 (0.8); 2.3496 (0.6); 2.3251 (0.7); 2.0765 (0.6); 2.0612
- ⁇ 7.5207 (1.2); 7.3121 (0.8); 7.2740 (1.1); 7.2617 (203.4); 7.2362 (0.5); 7.2316 (0.5); 7.2127 (1.8); 7.1953 (3.9); 7.1799 (9.1); 7.1745 (9.2); 7.1602 (9.7); 7.1558 (7.6); 7.1518 (6.8); 7.1462 (7.0); 7.1387 (11.4); 7.1342 (8.7); 7.1277 (6.6); 7.1185 (9.4); 7.1135 (10.2); 7.0938 (8.8); 7.0818 (5.5); 7.0.787 (6.2); 7.0711 (6.9); 7.0691 (6.4); 7.0657 (5.8); 7.0633 (5.5); 7.0576 (4.0); 7.0523 (3.5); 7.0475 (3.1); 7.0422 (2.4); 6.9977 (1.3); 5.9732 (5.2); 4.2236 (1.2); 4.2060 (4.2); 4.1897 (8.7); 4.1717 (15.9); 4.1522 (11.1); 4.1373 (1.6); 4.1300 (4.0); 3.8009 (7.3);
- ⁇ 7.6801 (0.7); 7.5367 (1.3); 7.5202 (1.3); 7.5148 (0.9); 7.5080 (0.5); 7.2614 (25.1); 7.1965 (0.5); 7.1720 (0.9); 4.2026 (0.7); 4.1821 (0.7); 3.8282 (0.6); 3.8045 (1.0); 3.7812 (0.5); 3.6951 (16.0); 3,500 (1.0); 3.4892 (1.2); 3.4069 (0.7); 3.3872 (0.7); 3.3823 (0.7); 3.3626 (0.6); 3.3146 (1.3); 3.2921 (1.2); 2.2597 (0.8); 2.2252 (1.0); 1.9869 (0.6); 1.9803 (0.6); 1.7966 (1.5); 1.7882
- ⁇ 7.5211 (0.8); 7.2622 (144.2); 7.1813 (5.5); 7.1757 (6.3); 7.1624 (8.0); 7.1578 (12.7); 7.1532 (9.7); 7.1476 (9.2); 7.1371 (14.6); 7.1337 (12.9); 7.1291 (8.8); 7.1171 (9.5); 7.1121 (10.0); 7.0925 (8.8); 7.0828 (5.7); 7.0799 (5.9); 7.0778 (6.0); 7.0721 (7.3); 7.0667 (5.9); 7.0645 (5.7); 7.0588 (3.8); 7.0528 (3.5); 7.0482 (3.5); 7.0273 (0.6); 6.9981 (1.2); 5.9986 (4.8); 4.1846 (3.1); 4.1630
- ⁇ 7.5500 (1.9); 7.5280 (1.5); 7.5199 (1.2); 7.5181 (1.2); 7.5158 (1.2); 7.4840 (1.2); 7.4658 (1.0); 7.4646 (1.0); 7.2615 (16.0); 7.0560 (0.7); 6.0310 (0.5); 4,2703 (0.8); 4.2520 (0.8); 3.8447 (0.7); 3.8213 (1.4); 3,7983 (0.8); 3.4882 (2.1); 3.4130 (0.9); 3.3949 (0.9); 3.3884 (0.8); 3.3702 (0.8); 3.3129 (1.9); 3.2921 (1.8); 1.5319 (0.7); 1.5214 (0.8); 1.5086 (0.9); 1.4980 (1.1); 1.4864 (1.1); 1.4775 (0.8); 1.4523 (0.6); 1.4437 (0.5); 1.4273 (0.6); 1.4010 (0.9); 1.3940 (0.6); 1.3888 (0.5); 1.3676 (1.4); 1.3518 (16.0);
- ⁇ 8.0197 (1.0); 7.2599 (71.0); 7.1771 (0.7); 7.1717 (0.8); 7.1651 (0.7); 7.1586 (0.8); 7.1528 (1.0); 7.1494 (1.0); 7.1440 (1.9); 7.1304 (0.8); 7.1242 (1.5); 7.1192 (1.2); 7.0991 (0.9); 7.0728 (1.0); 6.0757 (0.8); 4.1997 (1.0); 4.1789 (1.1); 3.8268 (0.9); 3.8032 (1.7); 3.7790 (0.9); 3.4316 (1.0); 3.4119 (1.1); 3.4068 (1.0); 3.3870 (0.9); 3.3168 (16.0); 3.2613 (2.0); 3.2390 (1.9); 3.0618 (1.0); 1.1506 (0.8); 1.1414 (0.9); 1.1365 (0.9); 1.1263 (0.9); 1.1086 (0.9); 1.0985 (1.0); 1.0949 (1.0); 1.0852 (0.8); 1.0679 (0.5); 1.0563 (0.6); 0.9868 (0.6); 0.9746 (0.6); 0.9618 (0.8); 0.9559 (0.6);
- ⁇ 8.1131 (0.9); 7.5662 (0.8); 7.5599 (1.2); 7.5545 (1.5); 7.5380 (1.7); 7.2609 (36.7); 7.2059 (0.7); 7.1819 (1.2); 7.1578 (0.6); 4.2581 (0.9); 4.2370 (1.0); 3.8350 (0.7); 3.8112 (1.3); 3.7877 (0.7); 3.4406 (0.9); 3.4203 (1.0); 3.4159 (0.9); 3.3956 (0.8); 3.3168 (16.0); 3.2796 (1.8); 3.2565 (1.8); 3.0364 (1.3); 1.1471 (0.6); 1.1387 (0.8); 1.1338 (0.8); 1.1242 (0.8); 1.1090 (0.8); 1.0996 (0.8); 1.0958 (0.9); 1.0874 (0.5); 1.0574 (0.5); 0.9812 (0.5); 0.9568 (0.7); 0.9433 (0.9); 0.9400 (0.9); 0.9303 (0.7); 0.9127 (0.8); 0.9034 (0.8); 0.8982 (0.8); 0.8856 (0.6); -0.0002 (15.
- the present invention furthermore relates to the use of one or more
- herbicide and / or plant growth regulator preferably in crops of useful and / or ornamental plants.
- the present invention furthermore relates to a method for controlling harmful plants and / or for regulating the growth of plants, characterized in that an effective amount of one or more compounds of the general formula (I) and / or their salts, as defined above, preferably in one the embodiment characterized as being preferred or particularly preferred, in particular one or more compounds of the formulas (LI) to (1.49) and / or salts thereof, each as defined above, or an agent according to the invention, as defined below, on the (harmful) plants , (Harmful) plant seeds, the soil in which or on the
- the present invention also provides a method for controlling undesirable plants, preferably in crops, characterized in that an effective amount of one or more compounds of general formula (I) and / or their salts, as defined above, preferably in one of characterized as preferred or particularly preferred embodiment, in particular one or more compounds of formulas (LI) to (1.49) and / or their salts, each as defined above, or - an agent according to the invention, as defined below, on undesirable plants (eg harmful plants such as monocotyledonous or dicotyledonous weeds or undesired crops), the seed of the undesired plants (ie plant seeds, eg grains, seeds or vegetative propagules such as tubers or sprouts with buds), the soil in or on which the undesired plants grow (eg the harmful plants such as monocotyledonous or dicotyledonous weeds or undesired crops), the seed of the undesired plants (ie plant seeds, eg grains, seeds or vegetative propagules such as tubers or sprout
- Soil of cultivated land or non-cultivated land) or the cultivated area i.e., area on which the undesirable plants will grow.
- the present invention is also a method for controlling
- Plants preferably of useful plants, characterized in that an effective amount of one or more compounds of the general formula (I) and / or their salts, as defined above, preferably in one of the preferred embodiment or particularly preferred embodiment, in particular one or more compounds of the general formulas (LI) to (1.49) and / or salts thereof, each as defined above, or an agent according to the invention, as defined below, the plant, the seed of the plant (ie plant seeds, eg grains, seeds or vegetative
- Propagating organs such as tubers or sprouts with buds
- the soil in which or on which the plants grow e.g., the soil of cultivated land or non-cultivated land
- the cultivated area i.e., area on which the plants will grow
- the compounds according to the invention or the agents according to the invention may e.g. in Vorsaat- (possibly also by incorporation into the soil), pre-emergence and / or
- one or more compounds of the general formula (I) and / or their salts are employed for controlling harmful plants or regulating growth in crops of crops or ornamental plants, the crops or ornamentals in a preferred embodiment are transgenic plants.
- the compounds of the general formula (I) according to the invention and / or salts thereof are suitable for controlling the following genera of monocotyledonous and dicotyledonous harmful plants:
- the compounds according to the invention are applied to the surface of the earth (weeds and / or weeds) prior to germination (pre-emergence method), either the emergence of the weed seedlings or weed seedlings is completely prevented or they grow up to the cotyledon stage, but then grow and eventually die off after three to four weeks.
- the compounds according to the invention have excellent herbicidal activity against monocotyledonous and dicotyledonous weeds, crops of economically important crops, eg dicotyledonous crops of the genera Arachis, Beta, Brassica, Cucumis, Cucurbita, Helianthus, Daucus, Glycine, Gossypium, Ipomoea, Lactuca, Linum, Lycopersicon, Miscanthus, Nicotiana, Phaseolus, Pisum, Solanum, Vicia, or monocotylic cultures of the genera Allium, Pineapple, Asparagus, Avena, Hordeum, Oryza, Panicum, Saccharum, Seeale, Sorghum, Triticale, Triticum, Zea, depending on the structure of the respective compound of the invention and its application rate only insignificantly damaged or not at all.
- the present compounds are very well suited for the selective control of undesired plant growth in crops such as
- the compounds according to the invention (depending on their respective structure and the applied application rate) have excellent growth-regulatory properties in crop plants. They regulate the plant's metabolism and can thus be used to specifically influence plant constituents and facilitate harvesting, such as by
- Triggering of desiccation and stunting are used. Furthermore, they are also suitable for the general control and inhibition of unwanted vegetative growth, without killing the plants. Inhibition of vegetative growth plays an important role in many monocotyledonous and dicotyledonous crops, since, for example, storage formation can thereby be reduced or completely prevented.
- the active compounds can also be used to control harmful plants in crops of genetically engineered or conventional mutagenized plants.
- the transgenic plants are usually characterized by particular advantageous properties, for example by resistance to certain pesticides, especially certain herbicides, resistance to plant diseases or pathogens of plant diseases such as certain insects or microorganisms such as fungi, bacteria or viruses.
- Other special properties concern e.g. the crop in terms of quantity, quality, shelf life, composition and special ingredients. So are transgenic plants with increased starch content or altered quality of starch or those with others
- transgenic cultures Preferred in relation to transgenic cultures is the use of the compounds according to the invention and / or their salts in economically important transgenic crops of useful and ornamental plants, for example cereals such as wheat, barley, rye, oats, millet, rice and maize or also crops of sugar beet, cotton, Soy, rapeseed, potato, tomato, pea and other vegetables.
- the compounds of the invention may also be used as herbicides in
- Crop plants are used, which are resistant to the phytotoxic effects of herbicides or have been made genetically resistant. Due to their herbicidal and plant growth regulatory properties, the active compounds can also be used for controlling harmful plants in crops of known or yet to be developed genetically modified plants.
- the transgenic plants are usually characterized by particular advantageous properties, for example by resistance to certain pesticides, especially certain herbicides, resistance to plant diseases or pathogens of plant diseases such as certain insects or microorganisms such as fungi, bacteria or viruses.
- Other special properties concern e.g. the crop in terms of quantity, quality, shelf life, composition and special ingredients. So are transgenic plants with increased starch content or altered quality of starch or those with others
- Other particular properties may include tolerance or resistance to abiotic stressors, e.g. Heat, cold, drought, salt and ultraviolet radiation are present.
- Crop plants are used, which are resistant to the phytotoxic effects of herbicides or have been made genetically resistant.
- nucleic acid molecules can be introduced into plasmids that allow mutagenesis or sequence alteration by recombination of DNA sequences.
- the production of plant cells having a reduced activity of a gene product can be achieved, for example, by the expression of at least one corresponding antisense RNA, a sense RNA to obtain a cosuppression effect, or the expression of at least one appropriately engineered ribozyme which specifically cleaves transcripts of the above gene product.
- DNA molecules can be used which comprise the entire coding sequence of a gene product including any flanking sequences, as well as DNA molecules which comprise only parts of the coding sequence, which parts have to be long enough to be present in the cells to cause an antisense effect. It is also possible to use DNA sequences which have a high degree of homology to the coding sequences of a gene product, but are not completely identical.
- the synthesized protein may be located in any compartment of the plant cell.
- the coding region is linked to DNA sequences which ensure localization in a particular compartment.
- sequences are known to the person skilled in the art (see, for example, Braun et al., EMBO J. 11 (1992), 3219-3227).
- the expression of the nucleic acid molecules can also take place in the organelles of the plant cells.
- the transgenic plant cells can be regenerated to whole plants by known techniques.
- the transgenic plants can in principle be plants of any one
- Plant species i. both monocotyledonous and dicotyledonous plants.
- the compounds (I) according to the invention can be used in transgenic cultures which are resistant to growth factors, such as e.g. Dicamba or against herbicides, the essential
- Plant enzymes e.g. Acetolactate synthases (ALS), EPSP synthases, glutamine synthases (GS) or
- Hydoxyphenylpyruvate dioxygenases inhibit, respectively against herbicides from the group of Sulfonylureas, the glyphosate, glufosinate or benzoylisoxazole and analogues, are resistant.
- the invention therefore also relates to the use of the compounds of the general formula (I) according to the invention and / or salts thereof as herbicides for controlling harmful plants in crops of useful or ornamental plants, optionally in transgenic crop plants.
- cereals preferably corn, wheat, barley, rye, oats, millet, or rice, in the pre- or post-emergence.
- Preference is also the use in soy in the pre or postemergence.
- Growth regulation of plants also includes the case where the active ingredient of general formula (I) or its salt is formed from a precursor substance ("prodrug”) only after plant, plant or soil application.
- the invention also provides the use of one or more compounds of the general formula (I) or salts thereof or an agent according to the invention (as defined below) (in a process) for controlling harmful plants or regulating the growth of plants, characterized in that an effective amount of one or more compounds of general formula (I) or their salts on the plants (weeds, optionally together with the crops) plant seeds, the soil in which or on which the plants grow, or applied to the acreage.
- the invention also provides a herbicidal and / or plant growth-regulating agent, characterized in that the agent
- one or more further agrochemically active substances preferably selected from the group consisting of insecticides, acaricides, nematicides, further herbicides (ie those which do not correspond to the general formula (I) defined above), fungicides, safeners, fertilizers and / or or other growth regulators,
- the other agrochemically active substances of constituent (i) of an agent according to the invention are preferably selected from the group of substances described in "The Pesticide Manual", 16th edition, The British Crop Protection Council and the Royal Soc. of Chemistry, 2012 are mentioned.
- a herbicidal or plant growth-regulating agent according to the invention preferably comprises one, two, three or more plant protection formulation auxiliaries (ii) selected from the group consisting of surfactants, emulsifiers, dispersants, film formers, thickeners, inorganic salts, dusts, at 25 ° C and 1013 mbar solid carriers, preferably adsorptive, granulated inert materials, wetting agents, antioxidants, stabilizers, buffer substances, anti-foaming agents, water, organic solvents, preferably at 25 ° C and 1013 mbar with water in any ratio miscible organic solvents.
- auxiliaries selected from the group consisting of surfactants, emulsifiers, dispersants, film formers, thickeners, inorganic salts, dusts, at 25 ° C and 1013 mbar solid carriers, preferably adsorptive, granulated inert materials, wetting agents, antioxidants, stabilizers, buffer substances, anti-foaming agents, water
- the compounds of the general formula (I) according to the invention can be used in the form of wettable powders, emulsifiable concentrates, sprayable solutions, dusts or granules in the customary formulations.
- the invention therefore also relates to herbicidal and plant growth-regulating agents which contain compounds of the general formula (I) and / or salts thereof.
- the compounds of the general formula (I) and / or their salts can be formulated in various ways, depending on which biological and / or chemical-physical parameters are predetermined. Possible formulation options are, for example: wettable powder (WP), water-soluble powders (SP), water-soluble concentrates, emulsifiable concentrates (EC), emulsions (EW), such as oil-in-water and water-in-oil emulsions, sprayable solutions .
- WP wettable powder
- SP water-soluble powders
- EC emulsifiable concentrates
- EW emulsions
- sprayable solutions such as oil-in-water and water-in-oil emulsions, sprayable solutions .
- SC Suspension concentrates
- CS Capsule suspensions
- DP dusts
- mordants granules for spreading and soil application
- granules GR in the form of micro, spray, elevator and adsorption granules
- WG water-dispersible granules
- SG water-soluble granules
- Microcapsules and waxes are Microcapsules and waxes.
- Injectable powders are preparations which are uniformly dispersible in water and, in addition to the active substance, also contain surfactants of an ionic and / or nonionic type (wetting agent,
- Dispersant e.g. polyoxyethylated alkylphenols, polyoxethylated fatty alcohols, polyoxethylated fatty amines, fatty alcohol polyglycol ether sulfates, alkanesulfonates, alkylbenzenesulfonates, sodium lignosulfonate, sodium 2,2'-dinaphthylmethane-6,6'-disulfonate, dibutylnaphthalene-sodium sulfonate or sodium oleoylmethyltaurine.
- the herbicidal active compounds are finely ground, for example, in customary apparatus such as hammer mills, blower mills and air-jet mills and mixed simultaneously or subsequently with the formulation auxiliaries.
- Emulsifiable concentrates are prepared by dissolving the active ingredient in an organic solvent, e.g. Butanol, cyclohexanone, dimethylformamide, xylene or higher-boiling aromatics or hydrocarbons or mixtures of organic solvents with the addition of one or more surfactants of ionic and / or nonionic type (emulsifiers).
- organic solvent e.g. Butanol, cyclohexanone, dimethylformamide, xylene or higher-boiling aromatics or hydrocarbons or mixtures of organic solvents
- surfactants of ionic and / or nonionic type emulsifiers
- emulsifiers can be used for example: Alkylarylsulfonsaure calcium salts such as
- Ca-dodecylbenzenesulfonate or nonionic emulsifiers such as fatty acid polyglycol ester
- Alkylaryl polyglycol ethers fatty alcohol polyglycol ethers, propylene oxide-ethylene oxide condensation products, alkyl polyethers, sorbitan esters such as e.g. Sorbitan fatty acid esters or
- Polyoxethylenesorbitanester such. Polyoxyethylene.
- Dusts are obtained by milling the active ingredient with finely divided solids, e.g.
- Suspension concentrates may be water or oil based. They can be prepared, for example, by wet grinding by means of commercially available bead mills and, if appropriate, addition of surfactants, as already listed above, for example, in the other formulation types.
- Emulsions e.g. Oil-in-water emulsions (EW), for example, by means of stirrers,
- Solvents and optionally surfactants such as e.g. listed above for the other formulation types.
Landscapes
- Chemical & Material Sciences (AREA)
- Organic Chemistry (AREA)
- Agricultural Chemicals And Associated Chemicals (AREA)
- Pyrrole Compounds (AREA)
- Plural Heterocyclic Compounds (AREA)
- Nitrogen Condensed Heterocyclic Rings (AREA)
Abstract
Description
VERBINDUNGEN ALS HERBIZIDE PFLANZENSCHUTZMITTEL COMPOUNDS AS A HERBICIDE PLANT PROTECTION AGENT
Substituierte Pyrrolidinone sowie deren Salze und ihre Verwendung als herbizide Wirkstoffe Beschreibung Substituted pyrrolidinones and their salts and their use as herbicidal active ingredients Description
Die Erfindung betrifft das technische Gebiet der Pflanzenschutzmittel, insbesondere das der Herbizide zur selektiven Bekämpfung von Unkräutern und Ungräsern in Nutzpflanzenkulturen. Speziell betrifft diese Erfindung substituierte Pyrrolidinone sowie deren Salze, Verfahren zu ihrer Herstellung und ihre Verwendung als Herbizide. The invention relates to the technical field of crop protection agents, in particular that of herbicides for the selective control of weeds and grass weeds in crops. Specifically, this invention relates to substituted pyrrolidinones and their salts, processes for their preparation and their use as herbicides.
Bisher bekannte Pflanzenschutzmittel zur selektiven Bekämpfung von Schadpflanzen in Previously known crop protection agents for the selective control of harmful plants in
Nutzpflanzenkulturen oder Wirkstoffe zur Bekämpfung von unerwünschtem Pflanzenwuchs weisen bei ihrer Anwendung teilweise Nachteile auf, sei es, dass sie (a) keine oder aber eine unzureichende herbizide Wirkung gegen bestimmte Schadpflanzen, (b) ein zu geringes Spektrum der Schadpflanzen, das mit einem Wirkstoff bekämpft werden kann, (c) zu geringe Selektivität in Nutzpflanzenkulturen und/oder (d) ein toxikologisch ungünstiges Profil besitzen. Weiterhin führen manche Wirkstoffe, die als Pflanzenwachstumsregulatoren bei einigen Nutzpflanzen eingesetzt werden können, bei anderen Nutzpflanzen zu unerwünscht verminderten Ernteerträgen oder sind mit der Kulturpflanze nicht oder nur in einem engen Aufwandmengenbereich verträglich. Einige der bekannten Wirkstoffe lassen sich wegen schwer zugänglicher Vorprodukte und Reagenzien im industriellen Maßstab nicht wirtschaftlich herstellen oder besitzen nur unzureichende chemische Stabilitäten. Bei anderen Wirkstoffen hängt die Wirkung zu stark von Umweltbedingungen, wie Wetter- und Bodenverhältnissen ab. Commercial crops or active substances for combating undesirable plant growth have some drawbacks in their application, be it that they (a) no or insufficient herbicidal activity against certain harmful plants, (b) a too low a range of harmful plants, which fights with an active ingredient (c) have too low selectivity in crops and / or (d) have a toxicologically unfavorable profile. Furthermore, some active ingredients that can be used as plant growth regulators in some crops, in other crops to undesirably reduced crop yields or are not compatible with the crop or only in a narrow application rate range. Some of the known active compounds can not be produced economically on the industrial scale because of difficultly accessible precursors and reagents or have only insufficient chemical stabilities. For other active ingredients the effect depends too much on environmental conditions, such as weather and soil conditions.
Die herbizide Wirkung dieser bekannten Verbindungen, insbesondere bei niedrigen Aufwandmengen, bzw. deren Verträglichkeit gegenüber Kulturpflanzen bleiben verbesserungswürdig. The herbicidal action of these known compounds, in particular at low application rates, or their compatibility with crop plants, should be improved.
Verschiedene Schriften beschreiben substituierte Pyrrolidinone mit herbiziden Eigenschaften. Aus WO2015/084796, WO2016/164201, WO2016/196019, WO2016/196593, US4,874,422, EP2336104, WO2004/037787 und IP.com Journal (2015), 15(6B), 1-293 sind substituierte Pyrrolidinone bekannt, die an der Amid-Bindung substituierte Aryle bzw. substituierte Heteroaryle tragen. Der Prozess zur Synthese von substituierten Pyrrolidinonen ist in WO2016/094117 beschrieben. Außerdem werden in WO2016/182780 substituierte Bicyclen mit herbiziden Eigenschaften beschrieben, die an der Amid- Bindung substituierte Aryle bzw. substituierte Heteroaryle tragen. Es ist weiterhin bekannt, dass sich bestimmte substituierte Pyrrolidinone enantioselektiv herstellen lassen können (vgl. Chemmical Communications, 2012, 48(61), 7571-7573; Advanced Synthesis & Catalysis 2012, 354(11-12),2151-2156, S2151/1-S2151/99). Die Verwendung von substituierten Pyrrolidinonen oder deren Salze als herbizide Wirkstoffe, die an der Amid-Bindung einen substituierten Cycloalkylrest tragen ist dagegen noch nicht beschrieben. Various documents describe substituted Pyrrolidinone with herbicidal properties. WO2015 / 084796, WO2016 / 164201, WO2016 / 196019, WO2016 / 196593, US4,874,422, EP2336104, WO2004 / 037787 and IP.com Journal (2015), 15 (6B), 1-293 disclose substituted pyrrolidinones which are described in US Pat the amide bond substituted aryls or substituted heteroaryls carry. The process for the synthesis of substituted pyrrolidinones is described in WO2016 / 094117. In addition, WO2016 / 182780 describes substituted bicyclic compounds having herbicidal properties which carry aryls or substituted heteroaryls substituted on the amide bond. It is further known that certain substituted pyrrolidinones can be prepared enantioselectively (see Chemmical Communications, 2012, 48 (61), 7571-7573; Advanced Synthesis & Catalysis 2012, 354 (11-12), 2151-2156, S2151 / 1-S2151 / 99). The use of substituted pyrrolidinones or their salts as herbicidal active ingredients which carry a substituted cycloalkyl radical on the amide bond, however, has not yet been described.
Überraschenderweise wurde nun gefunden, daß substituierte Pyrrolidinone oder deren Salze als herbizide Wirkstoffe, die an der Amid-Bindung einen substituierten Cycloalkylalkylrest tragen, als Herbizide besonders gut geeignet sind. Surprisingly, it has now been found that substituted pyrrolidinones or their salts as herbicidal active compounds which carry a substituted cycloalkylalkyl radical on the amide bond are particularly suitable as herbicides.
Gegenstand der vorliegenden Erfindung sind damit substituierte Pyrrolidinone der allgemeinen Formel (I) oder deren Salze The present invention thus provides substituted pyrrolidinones of the general formula (I) or salts thereof
für ein gegebenenfalls substituiertes Aryl, Heteroaryl, (C3-Cio)-Cycloalkyl oder (C3-C10)- Cycloalkenyl steht, wobei jeder Ring oder jedes Ringsystem optional mit bis zu 5 Substituenten aus der Gruppe R6 substituiert sein kann; oder für einen gegebenenfalls substituierten 5-7-gliedrigen heterocyclischen Ring steht; oder für ein gegebenenfalls substituiertes 8-10-gliedriges bicyclisches Ringsystem, in dem jeder Ring oder jedes Ringsystem aus Kohlenstoffatomen und 1-5 Heteroatomen besteht, die unabhängig voneinander bis zu 2 O-, bis zu 2 S- und bis zu 5 N-Atome enthalten, wobei bis zu drei Kohlenstoffringatome unabhängig voneinander aus den Gruppen C(=0) und C(=S) gewählt werden können und die Schwefelringatome zusätzlich aus den Gruppen S, S(=0), S(=0)2, S(=NR1) und S(=NR1)(=0) gewählt werden können; wobei jeder Ring oder jedes Ringsystem optional mit bis zu 5 Substituenten aus der Gruppe R6 substituiert ist, oder an optionally substituted aryl, heteroaryl, (C3-Cio) cycloalkyl or (C3-C10) - cycloalkenyl, wherein each ring or ring system may be optionally substituted with up to 5 substituents from the group R 6; or represents an optionally substituted 5-7 membered heterocyclic ring; or an optionally substituted 8-10 membered bicyclic ring system in which each ring or ring system consists of carbon atoms and 1-5 heteroatoms independently of one another up to 2 O, up to 2 S and up to 5 N atoms where up to three carbon ring atoms can be selected independently from the groups C (= 0) and C (= S) and the sulfur ring atoms additionally from the groups S, S (= 0), S (= 0) 2 , S ( = NR 1 ) and S (= NR 1 ) (= 0) can be selected; wherein each ring or ring system is optionally substituted with up to 5 substituents from the group R 6 , or
Q für (C2-Cio)-Alkenyl, (C2-Cio)-Alkynyl, (C2-Cio)-Haloalkenyl, (C2-Cio)-Haloalkynyl, (C3-C10)- Halocycloalkenyl, (Ci-Cio)-Alkylcarbonyl oder (Ci-Cio)-Alkoxy-(Ci-Cio)-alkyl, (Ci-Cio)-Haloalkoxy- (Ci-Cio)-alkyl, steht, Z für die Gruppe steht, Q is (C 2 -C 10) -alkenyl, (C 2 -C 10) -alkynyl, (C 2 -C 10) -haloalkenyl, (C 2 -C 10) -haloalkynyl, (C 3 -C 10) -halocycloalkenyl, (Ci-Cio ) -Alkylcarbonyl or (C 1 -C 10) -alkoxy- (C 1 -C 10) -alkyl, (C 1 -C 10) -haloalkoxy- (C 1 -C 10) -alkyl, Z for the group stands,
Y für -C(R7)(R8)-, Sauerstoff, oder NR1 steht, Y is -C (R 7 ) (R 8 ) -, oxygen, or NR 1 ,
W1 und W2 unabhängig voneinander für Sauerstoff oder Schwefel stehen; R1 für Wasserstoff, Amino, Hydroxy, Cyano, Formyl, (Ci-C8)-Alkyl, (Ci-C8)-Haloalkyl, (Ci-C8)- Cyanoalkyl, (Ci-C8)-Hydroxyalkyl, (Ci-C8)-Alkoxy-(Ci-C8)-alkyl, Aryl-(Ci-C8)-alkyl, Heteroaryl-(Ci-C8)-alkyl, Heterocyclyl-(Ci-C8)-alkyl, (C3-Cio)-Cycloalkyl, (C3-Cio)-Cycloalkyl- (Ci-C8)-alkyl, (C3-C8)-Halocycloalkyl, (C3-C8)-Halocycloalkyl-(Ci-C8)-alkyl, (Ci-C8)- Alkylcarbonyl, (Ci-C8)-Alkoxycarbonyl, (C2-C8)-Alkenyl, (C2-C8)-Alkynyl, Tris-[(Ci-C8)- alkyl]silyl-(C2-C8)-alkynyl, Tris-[(Ci-C8)-alkyl]silyl steht, W 1 and W 2 are independently oxygen or sulfur; R 1 represents hydrogen, amino, hydroxy, cyano, formyl, (Ci-C 8) -alkyl, (Ci-C 8) haloalkyl, (Ci-C 8) - cyanoalkyl, (Ci-C8) hydroxyalkyl, ( C 1 -C 8 ) -alkoxy- (C 1 -C 8 ) -alkyl, aryl- (C 1 -C 8 ) -alkyl, heteroaryl- (C 1 -C 8 ) -alkyl, heterocyclyl- (C 1 -C 8 ) -alkyl, (C 3 -Cio) cycloalkyl, (C 3 -Cio) cycloalkyl- (Ci-C 8) alkyl, (C 3 -C 8) halocycloalkyl, (C 3 -C 8) -Halocycloalkyl- (Ci- C 8) alkyl, (Ci-C 8) - alkylcarbonyl, (Ci-C8) alkoxycarbonyl, (C 2 -C 8) alkenyl, (C 2 -C 8) alkynyl, tris - [(Ci- C 8 ) - alkyl] silyl- (C 2 -C 8 ) -alkynyl, tris - [(C 1 -C 8 ) -alkyl] silyl,
R2 für Wasserstoff, Halogen, Hydroxy, (Ci-C8)-Alkyl, (Ci-C8)-Haloalkyl, (Ci-C8)-Hydroxyalkyl, (Ci-C8)-Alkoxy-(Ci-C8)-alkyl steht, R3 für Wasserstoff, Halogen, Hydroxy, (Ci-C8)-Alkyl, (Ci-C8)-Haloalkyl, (Ci-C8)-Hydroxyalkyl, (Ci-C8)-Alkoxy, (Ci-C8)-Alkoxy-(Ci-C8)-alkyl steht, R 2 is hydrogen, halogen, hydroxy, (Ci-C 8) -alkyl, (Ci-C 8) haloalkyl, (Ci-C8) hydroxyalkyl, (Ci-C 8) alkoxy (Ci-C 8 ) -alkyl, R 3 is hydrogen, halogen, hydroxy, (C 1 -C 8 ) -alkyl, (C 1 -C 8 ) -haloalkyl, (C 1 -C 8 ) -hydroxyalkyl, (C 1 -C 8 ) -alkoxy, (C 1 -C 8 ) -alkoxy- (C 1 -C 8 ) -alkyl,
R4 für gegebenenfalls substituiertes (C3-Cio)-Cycloalkyl, (C3-Cio)-Halocycloalkyl, (C3-Cio)-R 4 represents optionally substituted (C 3 -C 10) -cycloalkyl, (C 3 -C 10) -halocycloalkyl, (C 3 -Cio) -
Cyanocycloalkyl, (Ci-Cio)-Alkyl -(C3-Cio)-cycloalkyl, (Ci-Cio)-Alkoxy-(C3-Cio)-cycloalkyl, (Ci-Cio)-Haloalkoxy-(C3-Cio)-cycloalkyl, (Ci-Cio)-Alkylthio-(C3-Cio)-cycloalkyl, Aryl-Cyanocycloalkyl, (C 1 -C 10) -alkyl- (C 3 -C 10) -cycloalkyl, (C 1 -C 10) -alkoxy- (C 3 -C 10) -cycloalkyl, (C 1 -C 10) -haloalkoxy- (C 3 -C 10) cycloalkyl, (C 1 -C 10) -alkylthio (C 3 -C 10) -cycloalkyl, aryl-
(C3-Cio)-cycloalkyl, Heteroaryl-(C3-Cio)-cycloalkyl, (Ci-Cio)-Alkoxycarbonyl -(C3-Cio)- cycloalkyl, Hydroxcarbonyl- (C3-Cio)-cycloalkyl, (C3-Cio)-Cycloalkyl-(C3-Cio)-cycloalkyl, (C3-Cio)-Cycloalkanonyl steht, und wobei für den Fall, wenn Q =Phenyl ist, der Rest R4 ungleich Cyclopentanyl ist, R5 für Wasserstoff, Hydroxy, Amino, (Ci-C8)-Alkyl, (Ci-C8)-Haloalkyl, (C2-C8)-Alkenyl, (C3-C8)- Alkynyl, (Ci-C8)-Alkoxy-(Ci-C8)-alkyl, (Ci-C8)-Haloalkoxy-(Ci-C8)-alkyl, (Ci-C8)-Alkylthio- (Ci-C8)-alkyl, (Ci-C8)-Alkylsulfmyl-(Ci-C8)-alkyl, (Ci-C8)-Alkylsulfonyl-(Ci-C8)-alkyl, (Ci-C8)-Alkylcarbonyl, (Ci-C8)-Haloalkylcarbonyl, (C3-C8)-Cycloalkylcarbonyl, (Ci-Cg)- Alkoxycarbonyl, (C2-C8)- Haloalkoxycarbonyl, (C4-C8)-Cycloalkoxycarbonyl, (C2-C8)- Alkylaminocarbonyl, (C3-Cio)-Dialkylaminocarbonyl, (C3-Cio)-Cycloalkylaminocarbonyl, (Ci-C8)-Alkoxy, (Ci-C8)-Alkylthio, (Ci-C8)-Haloalkylthio, (C3-C8)-Cycloalkylthio, (Ci-C8)- Alkylsulfmyl, (Ci-C8)-Haloalkylsulfmyl, (C3-C8)-Cycloalkylsulfmyl, (Ci-C8)-Alkylsulfonyl, (Ci-C8)-Haloalkylsulfonyl, (C3-C8)-cycloalkylsulfonyl, (Ci-C8)-Alkylaminosulfonyl, (C2-C8)- Dialkylaminosulfonyl oder (C3-C8)-Trialkylsilyl steht, (C 3 -C 10) -cycloalkyl, heteroaryl- (C 3 -C 10) -cycloalkyl, (C 1 -C 10) -alkoxycarbonyl- (C 3 -C 10) -cycloalkyl, hydroxcarbonyl- (C 3 -C 10) -cycloalkyl, (C 3- Cio) -cycloalkyl- (C 3 -Cio) -cycloalkyl, (C 3 -Cio) -cycloalkanonyl, and in which, when Q = phenyl, the radical R 4 is other than cyclopentanyl, R 5 is hydrogen , hydroxy, amino, (Ci-C 8) -alkyl, (Ci-C8) -haloalkyl, (C 2 -C 8) -alkenyl, (C 3 -C 8) - alkynyl, (Ci-C 8) - Alkoxy- (C 1 -C 8 ) -alkyl, (C 1 -C 8 ) -haloalkoxy- (C 1 -C 8 ) -alkyl, (C 1 -C 8 ) -alkylthio (C 1 -C 8 ) -alkyl, C 8 ) -alkylsulfmyl- (C 1 -C 8 ) -alkyl, (C 1 -C 8 ) -alkylsulfonyl- (C 1 -C 8 ) -alkyl, (C 1 -C 8 ) -alkylcarbonyl, (C 1 -C 8 ) -haloalkylcarbonyl , (C 3 -C 8) cycloalkylcarbonyl, (Ci-Cg) - alkoxycarbonyl, (C 2 -C 8) - haloalkoxycarbonyl, (C4-C8) -cycloalkoxycarbonyl, (C 2 -C 8) - alkylaminocarbonyl, (C 3- Cio) -dialkylaminocarbonyl, (C 3 -Cio) -cycloalkylaminocarbonyl, (Ci-C 8) alkoxy, (Ci-C8) alkylthio, (Ci-C8) haloalkylthio, (C3-C8) cycloalkylthio, (Ci-C 8) - Alkylsulfmyl, (Ci-C 8 ) -Haloalkylsulfmyl, (C 3 -C 8) -Cycloalkylsulfmyl, (Ci-C8) alkylsulfonyl, (Ci-C 8) haloalkylsulfonyl, (C3-C8) cycloalkylsulfonyl, (Ci-C 8) alkylaminosulfonyl, (C 2 -C 8 ) -dialkylaminosulfonyl or (C 3 -C 8 ) -trialkylsilyl,
R6 für Wasserstoff, Nitro, Amino, Cyano, Thiocyanato, Isothiocyanato, Halogen, (Ci-C8)-Alkyl,R 6 represents hydrogen, nitro, amino, cyano, thiocyanato, isothiocyanato, halogen, (C 1 -C 8 ) -alkyl,
(C3-C8)-Cycloalkyl, (C2-C8)-Alkenyl, (C2-C8)-Alkynyl, Aryl, Aryl-(Ci-C8)-alkyl, Aryl-(C2-C8)- alkenyl, Aryl-(C2-C8)-alkinyl, Aryl-(Ci-C8)-alkoxy, Heteroaryl, (Ci-C8)-Alkoxy-(Ci-C8)-alkyl, (Ci-C8)-Hydroxyalkyl, (Ci-C8)-Haloalkyl, (C3-C8)-Halocycloalkyl, (Ci-C8)-Alkoxy, (Ci-C8)- Haloalkoxy, Aryloxy, Heteroaryloxy, (C3-C8)-Cycloalkyloxy, Hydroxy, (C3-C8)-Cycloalkyl- (Ci-C8)-alkoxy, (Ci-C8)-Alkoxycarbonyl, Hydroxycarbonyl, Aminocarbonyl, (Ci-Cs)- Alkylaminocarbonyl, (C3-C8)-Cycloalkylaminocarbonyl, (Ci-C8)-Cyanoalkylaminocarbonyl, (C2-C8)-Alkenylaminocarbonyl, (C2-C8)-Alkynylaminocarbonyl, (Ci-C8)-Alkylamino, (Ci-Cs)- Alkylthio, (Ci-C8)-Haloalkylthio, Hydrothio, (Ci-C8)-Bisalkylamino, (C3-C8)-Cycloalkylamino, (Ci-C8)-Alkylcarbonylamino, (C3-C8)-Cycloalkylcarbonylamino, Formylamino, (Ci-Cs)- Haloalkylcarbonylamino, (Ci-C8)-Alkoxycarbonylamino, (Ci-C8)-Alkylaminocarbonylamino, (Ci-C8)-Dialkyl-aminocarbonylamino, (Ci-C8)-Alkylsulfonylamino, (C3-C8)- Cycloalkylsulfonylamino, Arylsulfonylamino, Heteroarylsulfonylamino, Aminosulfonyl, (Ci-C8)-Aminohaloalkylsulfonyl, (Ci-C8)-Alkylaminosulfonyl, (Ci-C8)-Bisalkylaminosulfonyl, (C3-C8)-Cycloalkylaminosulfonyl, (Ci-C8)-Haloalkylaminosulfonyl, Arylaminosulfonyl, Aryl- (Ci-C8)-alkylaminosulfonyl, (Ci-C8)-Alkylsulfonyl, (C3-C8)-Cycloalkylsulfonyl, Arylsulfonyl, (Ci-C8)-Alkylsulfmyl, (C3-C8)-Cycloalkylsulfmyl, Arylsulfmyl, N,S-(Ci-C8)- Dialkylsulfonimidoyl, S-(Ci-C8)-Alkylsulfonimidoyl, (Ci-C8)-Alkylsulfonylaminocarbonyl, (C3-C8)-Cycloalkylsulfonylaminocarbonyl, (C3-C8)-Cycloalkylaminosulfonyl, Aryl-(Ci-C8)- alkylcarbonylamino, (C3-C8)-Cycloalkyl-(Ci-C8)-alkylcarbonylamino, (C 3 -C 8) cycloalkyl, (C 2 -C 8) alkenyl, (C 2 -C 8) alkynyl, aryl, aryl (Ci-C 8) alkyl, aryl (C 2 -C 8) - alkenyl, aryl- (C 2 -C 8) alkynyl, aryl (Ci-C 8) alkoxy, heteroaryl, (Ci-C 8) alkoxy (Ci-C 8) alkyl, (C -C 8) hydroxyalkyl, (Ci-C8) -haloalkyl, (C 3 -C 8) halocycloalkyl, (Ci-C 8) alkoxy, (Ci-C 8) - haloalkoxy, aryloxy, heteroaryloxy, (C3 -C 8) cycloalkyloxy, hydroxy, (C3-C8) -cycloalkyl- (Ci-C8) alkoxy, (Ci-C8) alkoxycarbonyl, hydroxycarbonyl, aminocarbonyl, (Ci-Cs) - alkylaminocarbonyl, (C3 -C 8) cycloalkylaminocarbonyl, (Ci-C 8) -Cyanoalkylaminocarbonyl, (C 2 -C 8) -Alkenylaminocarbonyl, (C 2 -C 8) -Alkynylaminocarbonyl, (Ci-C 8) alkylamino, (Ci-Cs) Alkylthio, (C 1 -C 8 ) -haloalkylthio, hydrothio, (C 1 -C 8 ) -bisalkylamino, (C 3 -C 8 ) -cycloalkylamino, (C 1 -C 8 ) -alkylcarbonylamino, (C 3 -C 8 ) -cycloalkylcarbonylamino, Formylamino, (Ci-Cs) - Haloalkylcarbonylamino, (Ci-C 8 ) -Alkoxycarbonylamino, (Ci-C 8 ) -Alkylaminocarbonylamino, (Ci-C 8 ) -dialkylaminocarbonylamino, (C i-C8) alkylsulfonylamino, (C3-C8) - cycloalkylsulfonylamino, arylsulfonylamino, Heteroarylsulfonylamino, aminosulfonyl, (Ci-C 8) -Aminohaloalkylsulfonyl, (Ci-C 8) alkylaminosulfonyl, (Ci-C 8) -Bisalkylaminosulfonyl, (C3 -C 8) -Cycloalkylaminosulfonyl, (Ci-C 8) -Haloalkylaminosulfonyl, arylaminosulfonyl, aryl (Ci-C8) -alkylaminosulfonyl, (Ci-C8) alkylsulfonyl, (C3-C8) cycloalkylsulfonyl, arylsulfonyl, ( Ci-C 8) -Alkylsulfmyl, (C 3 -C 8) -Cycloalkylsulfmyl, Arylsulfmyl, N, S- (Ci-C8) - Dialkylsulfonimidoyl, S- (Ci-C8) -Alkylsulfonimidoyl, (Ci-C 8) Alkylsulfonylaminocarbonyl, (C 3 -C 8 ) -cycloalkylsulfonylaminocarbonyl, (C 3 -C 8 ) -cycloalkylaminosulfonyl, aryl- (C 1 -C 8 ) -alkylcarbonylamino, (C 3 -C 8 ) -cycloalkyl- (C 1 -C 8 ) -alkylcarbonylamino,
Heteroarylcarbonylamino, (Ci-C8)-Alkoxy-(Ci-C8)-alkylcarbonylamino, (Ci-Cs)- Hydroxyalkylcarbonylamino, (Ci-C8)-Trialkylsilyl steht; und Heteroarylcarbonylamino, (C 1 -C 8 ) -alkoxy- (C 1 -C 8 ) -alkylcarbonylamino, (C 1 -C 8 ) -hydroxyalkylcarbonylamino, (C 1 -C 8 ) -trialkylsilyl; and
R7 und R8 unabhängig voneinander für Wasserstoff, Hydroxy, Halogen, (Ci-C8)-Alkyl, (Ci-Cs)- Haloalkyl, (C2-C8)-Alkenyl, (C2-C8)-Alkynyl, (Ci-C8)-Alkoxy-(Ci-C8)-alkyl, (Ci-C8)- Haloalkoxy-(Ci-C8)-alkyl, (Ci-C8)-Alkylthio-(Ci-C8)-alkyl, (Ci-C8)-Alkylsulfmyl-(Ci-C8)-alkyl, (Ci-C8)-Alkylsulfonyl-(Ci-C8)-alkyl, (Ci-C8)-Alkylcarbonyl, (Ci-C8)-Haloalkylcarbonyl, (C3-C8)-Cycloalkylcarbonyl, (Ci-C8)-Alkoxycarbonyl, (C2-C8)- Haloalkoxycarbonyl, (C3-C8)- Cycloalkoxycarbonyl, (Ci-C8)-Alkylaminocarbonyl, (Ci-Cio)-Dialkylaminocarbonyl, (C3-C10)- Cycloalkylaminocarbonyl, (Ci-Cg)-Alkoxy, (Ci-Cg)-Alkylthio, (Ci-Cg)-Haloalkylthio, (C3-Cg)- Cycloalkylthio stehen. R 7 and R 8 are independently hydrogen, hydroxy, halogen, (Ci-C 8) -alkyl, (Ci-Cs) - haloalkyl, (C 2 -C 8) alkenyl, (C 2 -C 8) alkynyl , (C 1 -C 8 ) -alkoxy- (C 1 -C 8 ) -alkyl, (C 1 -C 8 ) -haloalkoxy- (C 1 -C 8 ) -alkyl, (C 1 -C 8 ) -alkylthio (C 1 -C 8 ) -alkyl 8 ) -alkyl, (C 1 -C 8 ) -alkylsulfmyl (C 1 -C 8 ) -alkyl, (C 1 -C 8 ) -alkylsulfonyl- (C 1 -C 8 ) -alkyl, (C 1 -C 8 ) -alkylcarbonyl, (Ci-C 8) haloalkylcarbonyl, (C3-C8) cycloalkylcarbonyl, (Ci-C8) alkoxycarbonyl, (C 2 -C 8) - haloalkoxycarbonyl, (C3-C8) - cycloalkoxycarbonyl, (Ci-C 8 ) -alkylaminocarbonyl, (C 1 -C 10) -dialkylaminocarbonyl, (C 3 -C 10) - Cycloalkylaminocarbonyl, (Ci-Cg) -alkoxy, (Ci-Cg) -alkylthio, (Ci-Cg) -haloalkylthio, (C 3 -Cg) -cycloalkylthio.
Die Verbindungen der allgemeinen Formel (I) können durch Anlagerung einer geeigneten The compounds of general formula (I) can be prepared by addition of a suitable
anorganischen oder organischen Säure, wie beispielsweise Mineralsäuren, wie beispielsweise HCl, HBr, H2SO4, HsPO i oder HNO3, oder organische Säuren, z. B. Carbonsäuren, wie Ameisensäure, Essigsäure, Propionsäure, Oxalsäure, Milchsäure oder Salicylsäure oder Sulfonsäuren, wie zum Beispiel p- Toluolsulfonsäure, an eine basische Gruppe, wie z.B. Amino, Alkylamino, Dialkylamino, Piperidino, Morpholino oder Pyridino, Salze bilden. Diese Salze enthalten dann die konjugierte Base der Säure als Anion. Geeignete Substituenten, die in deprotonierter Form, wie z.B. Sulfonsäuren, bestimmte inorganic or organic acid, such as mineral acids, such as HCl, HBr, H2SO4, HsPO i or HNO 3, or organic acids, e.g. Carboxylic acids, such as formic acid, acetic acid, propionic acid, oxalic acid, lactic acid or salicylic acid, or sulfonic acids, such as p-toluenesulfonic acid, to a basic group, e.g. Amino, alkylamino, dialkylamino, piperidino, morpholino or pyridino, salts. These salts then contain the conjugate base of the acid as an anion. Suitable substituents which are in deprotonated form, e.g. Sulfonic acids, certain
Sulfonsäureamide oder Carbonsäuren, vorliegen, können innere Salze mit ihrerseits protonierbaren Gruppen, wie Aminogruppen bilden. Salzbildung kann auch durch Einwirkung einer Base auf Sulfonsäureamide or carboxylic acids, may form internal salts with their turn protonatable groups, such as amino groups. Salt formation can also be due to the action of a base
Verbindungen der allgemeinen Formel (I) erfolgen. Geeignete Basen sind beispielsweise organische Amine, wie Trialkylamine, Morpholin, Piperidin und Pyridin sowie Ammonium-, Alkali- oder Compounds of the general formula (I) take place. Suitable bases are, for example, organic amines, such as trialkylamines, morpholine, piperidine and pyridine and ammonium, alkali or
Erdalkalimetallhydroxide, -carbonate und -hydrogencarbonate, insbesondere Natrium- und Alkaline earth metal hydroxides, carbonates and bicarbonates, in particular sodium and
Kaliumhydroxid, Natrium- und Kaliumcarbonat und Natrium- und Kaliumhydrogencarbonat. Diese Salze sind Verbindungen, in denen der azide Wasserstoff durch ein für die Landwirtschaft geeignetes Kation ersetzt wird, beispielsweise Metallsalze, insbesondere Alkalimetallsalze oder Potassium hydroxide, sodium and potassium carbonate and sodium and potassium bicarbonate. These salts are compounds in which the azide hydrogen is replaced by a cation suitable for agriculture, for example metal salts, in particular alkali metal salts or
Erdalkalimetallsalze, insbesondere Natrium- und Kaliumsalze, oder auch Ammoniumsalze, Salze mit organischen Aminen oder quartäre Ammoniumsalze, zum Beispiel mit Kationen der Formel Alkaline earth metal salts, in particular sodium and potassium salts, or else ammonium salts, salts with organic amines or quaternary ammonium salts, for example with cations of the formula
[NRaRbRcRd]+ worin Ra bis Rd jeweils unabhängig voneinander einen organischen Rest, insbesondere Alkyl, Aryl, Arylalkyl oder Alkylaryl darstellen. Infrage kommen auch Alkylsulfonium- und [NR a R b R c R d ] + wherein R a to R d are each independently an organic radical, in particular alkyl, aryl, arylalkyl or alkylaryl. Also suitable are alkylsulfonium and
Alkylsulfoxoniumsalze, wie (Ci-C4)-Trialkylsulfonium- und (Ci-C4)-Trialkylsulfoxoniumsalze. Die erfindungsgemäßen substituierten Pyrrolidinone der allgemeinen Formel (I) können in Abhängigkeit von äußeren Bedingungen, wie pH- Wert, Lösungsmittel und Temperatur in verschiedenen tautomeren Strukturen vorliegen, die alle von der allgemeinen Formel (I) umfasst sein sollen. Alkylsulfoxoniumsalze, such as (Ci-C4) -trialkylsulfonium and (Ci-C4) -Trialkylsulfoxoniumsalze. Depending on external conditions such as pH, solvent and temperature, the substituted pyrrolidinones of the general formula (I) according to the invention may be present in various tautomeric structures, all of which are intended to be encompassed by the general formula (I).
Im Folgenden werden die erfindungsgemäß verwendeten Verbindungen der Formel (I) und ihre Salze "Verbindungen der allgemeinen Formel (I)" bezeichnet. The compounds of the formula (I) used according to the invention and their salts are referred to below as "compounds of the general formula (I)".
Bevorzugter Erfindungsgegenstand sind Verbindungen der allgemeinen Formel (I), worin Preferred subject of the invention are compounds of the general formula (I) wherein
Q für ein gegebenenfalls substituiertes Aryl oder Heteroaryl, (C3-Cio)-Cycloalkyl oder (C3-C10)- Cycloalkenyl steht, wobei jeder Ring oder jedes Ringsystem optional mit bis zu 5 Substituenten aus der Gruppe R6 substituiert sein kann; oder für einen gegebenenfalls substituierten 5-7-gliedrigen heterocyclischen Ring steht; oder für ein gegebenenfalls substituiertes 8-10-gliedriges bicyclisches Ringsystem, in dem jeder Ring oder jedes Ringsystem aus Kohlenstoffatomen und 1 -5 Q is an optionally substituted aryl or heteroaryl, (C3-Cio) cycloalkyl or (C3-C10) - cycloalkenyl, wherein each ring or ring system may be optionally substituted with up to 5 substituents from the group R 6; or an optionally substituted 5-7 membered one heterocyclic ring; or an optionally substituted 8-10 membered bicyclic ring system in which each ring or ring system is selected from carbon atoms and 1-5
Heteroatomen besteht, die unabhängig voneinander bis zu 2 O-, bis zu 2 S- und bis zu 5 N-Atome enthalten, wobei bis zu drei Kohlenstoffringatome unabhängig voneinander aus den Gruppen C(=0) und C(=S) gewählt werden können und die Schwefelringatome zusätzlich aus den Gruppen S, S(=0), S(=0)2, S(=NR1) und S(=NR1)(=0) gewählt werden können; wobei jeder Ring oder jedes Ringsystem optional mit bis zu 5 Substituenten aus der Gruppe R6 substituiert ist, oder Heteroatoms are independently containing up to 2 O, up to 2 S and up to 5 N atoms, wherein up to three carbon ring atoms can be independently selected from the groups C (= 0) and C (= S) and the sulfur ring atoms may additionally be selected from the groups S, S (= O), S (= O) 2 , S (= NR 1 ), and S (= NR 1 ) (= O); wherein each ring or ring system is optionally substituted with up to 5 substituents from the group R 6 , or
Q für (C2-C8)-Alkenyl, (C2-Cio)-Alkynyl, (C2-Cio)-Haloalkenyl, (C2-Cio)-Haloalkynyl, ist doppelt, siehe oben, (C3-Cio)-Halocycloalkenyl, (Ci-Cio)-Alkylcarbonyl oder (Ci-Cio)-Alkoxy-(Ci-Cio)- alkyl, (Ci-Cio)-Haloalkoxy-(Ci-Cio)-alkyl, steht, Q is (C 2 -C 8 ) -alkenyl, (C 2 -C 10) -alkynyl, (C 2 -C 10) -haloalkenyl, (C 2 -C 10) -haloalkynyl, double, see above, (C 3 -C 10) -Halocycloalkenyl, (C 1 -C 10) -alkylcarbonyl or (C 1 -C 10) -alkoxy- (C 1 -C 10) -alkyl, (C 1 -C 10) -haloalkoxy- (C 1 -C 10) -alkyl,
Z für die Gruppe steht, Z for the group stands,
Y für -C(R7)(R8)-, Sauerstoff, oder NR1 steht, Y is -C (R 7 ) (R 8 ) -, oxygen, or NR 1 ,
W1 und W2 unabhängig voneinander für Sauerstoff oder Schwefel stehen; W 1 and W 2 are independently oxygen or sulfur;
R1 für Wasserstoff, Amino, (Ci-C6)-Alkyl, (Ci-C6)-Haloalkyl, (Ci-C6)-Hydroxyalkyl, (Ci-C6)-R 1 is hydrogen, amino, (C 1 -C 6 ) -alkyl, (C 1 -C 6 ) -haloalkyl, (C 1 -C 6 ) -hydroxyalkyl, (C 1 -C 6 ) -
Alkoxy-(Ci-C6)-alkyl, Aryl-(Ci-C6)-alkyl, Heteroaryl-(Ci-C6)-alkyl, Heterocyclyl-(Ci-C6)-alkyl, (C3-C6)-Cycloalkyl, (C3-C6)-Cycloalkyl-(Ci-C6)-alkyl, (C3-C6)-Halocycloalkyl, (C3-C6)- Halocycloalkyl-(Ci-C6)-alkyl, (Ci-C6)-Alkylcarbonyl, (Ci-C6)-Alkoxycarbonyl, (C2-Ce)- Alkenyl, (C2-C6)-Alkinyl, Tris-[(Ci-C6)-alkyl]silyl-(C2-C6)-alkinyl, Tris-[(Ci-C6)-alkyl]silyl steht, Alkoxy (Ci-C 6) alkyl, aryl (Ci-C 6) alkyl, heteroaryl (Ci-C 6) alkyl, heterocyclyl (Ci-C 6) alkyl, (C 3 -C 6 ) -cycloalkyl, (C3-C6) cycloalkyl (Ci-C 6) alkyl, (C 3 -C 6) halocycloalkyl, (C 3 -C 6) - Halocycloalkyl- (Ci-C6) alkyl, (Ci-C6) alkylcarbonyl, (Ci-C6) -alkoxycarbonyl, (C2 -Ce) - alkenyl, (C 2 -C 6) alkynyl, tris - ([(Ci-C6) alkyl] silyl C 2 -C 6) -alkynyl, tris - [(Ci-C6) alkyl] silyl,
R2 für Wasserstoff, (Ci-C6)-Alkyl, (Ci-C6)-Haloalkyl, (Ci-C6)-Hydroxyalkyl, (Ci-C6)-Alkoxy- (Ci-C6)-alkyl steht, R 2 is hydrogen, (C 1 -C 6 ) -alkyl, (C 1 -C 6 ) -haloalkyl, (C 1 -C 6 ) -hydroxyalkyl, (C 1 -C 6 ) -alkoxy- (C 1 -C 6 ) -alkyl .
R3 für Wasserstoff, Fluor, Chlor, Brom, Iod, (Ci-C6)-Alkyl, (Ci-C6)-Haloalkyl, (Ci-C6)- Hydroxyalkyl, (Ci-C6)-Alkoxy-(Ci-C6)-alkyl steht, für gegebenenfalls substituiertes (C3-C8)-Cycloalkyl, (C3-C8)-Halocycloalkyl, (C3-C8)- Cyanocycloalkyl, (Ci-C8)-Alkyl -(C3-C8)-cycloalkyl, (Ci-C8)-Alkoxy-(C3-C8)-cycloalkyl, (Ci-C8)-Haloalkoxy-(C3-C8)-cycloalkyl, (Ci-C8)-Alkylthio-(C3-C8)-cycloalkyl, Aryl-(C3-C8)- cycloalkyl, Heteroaryl-(C3-C8)-cycloalkyl, (Ci-C8)-Alkoxycarbonyl- (C3-C8)-cycloalkyl, Hydroxcarbonyl -(C3-C8)-cycloalkyl, (C3-C8)-Cycloalkyl-(C3-C8)-cycloalkyl, (C3-C8)- Cycloalkanonyl steht, und wobei für den Fall, wenn Q =Phenyl ist, der Rest R4 ungleich Cyclopentanyl ist, für Wasserstoff, (Ci-C6)-Alkyl, (Ci-C6)-Haloalkyl, (C2-C6)-Alkenyl, (C3-C6)-Alkynyl, (Ci-C6)- Alkoxy-(Ci-C6)-alkyl, (Ci-C6)-Haloalkoxy-(Ci-C6)-alkyl, (Ci-C6)-Alkylthio-(Ci-C6)-alkyl, (Ci-C6)-Alkylsulfmyl-(Ci-C6)-alkyl, (Ci-C6)-Alkylsulfonyl-(Ci-C6)-alkyl, (C2-C6)- Dialkylaminosulfonyl oder (C3-C8)-Trialkylsilyl steht, für Wasserstoff, Nitro, Amino, Cyano, Thiocyanato, Isothiocyanato, Halogen, (Ci-C7)-Alkyl, (C3-C7)-Cycloalkyl, (C2-C7)-Alkenyl, (C2-C7)-Alkynyl, Aryl, Aryl-(Ci-C7)-alkyl, Aryl-(C2-C7)- alkenyl, Aryl-(C2-C7)-alkinyl, Aryl-(Ci-C7)-alkoxy, Heteroaryl, (Ci-C7)-Alkoxy-(Ci-C7)-alkyl, (Ci-C7)-Hydroxyalkyl, (Ci-C7)-Haloalkyl, (C3-C7)-Halocycloalkyl, (Ci-C7)-Alkoxy, (C1-C7)- Haloalkoxy, Aryloxy, Heteroaryloxy, (C3-C7)-Cycloalkyloxy, Hydroxy, (C3-C7)-Cycloalkyl- (Ci-C7)-alkoxy, (Ci-C7)-Alkoxycarbonyl, Hydroxycarbonyl, Aminocarbonyl, (C1-C7)- Alkylaminocarbonyl, (C3-C7)-Cycloalkylaminocarbonyl, (Ci-C7)-Cyanoalkylaminocarbonyl, (C2-C7)-Alkenylaminocarbonyl, (C2-C7)-Alkynylaminocarbonyl, (Ci-C7)-Alkylamino, (C1-C7)- Alkylthio, (Ci-C7)-Haloalkylthio, Hydrothio, (Ci-C7)-Bisalkylamino, (C3-C7)-Cycloalkylamino, (Ci-C7)-Alkylcarbonylamino, (C3-C7)-Cycloalkylcarbonylamino, Formylamino, (C1-C7)- Haloalkylcarbonylamino, (Ci-C7)-Alkoxycarbonylamino, (Ci-C7)-Alkylaminocarbonylamino, (Ci-C7)-Dialkyl-aminocarbonylamino, (Ci-C7)-Alkylsulfonylamino, (C3-C7)- Cycloalkylsulfonylamino, Arylsulfonylamino, Heteroarylsulfonylamino, Aminosulfonyl, (Ci-C7)-Aminoalkylsulfonyl, (Ci-C7)-Alkylaminosulfonyl, (Ci-C7)-Bisalkylaminosulfonyl, (C3-C7)-Cycloalkylaminosulfonyl, (Ci-C7)-Haloalkylaminosulfonyl, Arylaminosulfonyl, Aryl- (Ci-C7)-alkylaminosulfonyl, (Ci-C7)-Alkylsulfonyl, (C3-C7)-Cycloalkylsulfonyl, Arylsulfonyl, (Ci-C7)-Alkylsulfmyl, (C3-C7)-Cycloalkylsulfmyl, Arylsulfmyl, N,S-(Ci-C7)- Dialkylsulfonimidoyl, S-(Ci-C7)-Alkylsulfonimidoyl, (Ci-C7)-Alkylsulfonylaminocarbonyl, (C3-C7)-Cycloalkylsulfonylaminocarbonyl, (C3-C7)-Cycloalkylaminosulfonyl, Aryl-(Ci-C7)- alkylcarbonylamino, (C3-C7)-Cycloalkyl-(Ci-C7)-alkylcarbonylamino, R 3 represents hydrogen, fluorine, chlorine, bromine, iodine, (Ci-C 6) -alkyl, (Ci-C 6) -haloalkyl, (Ci-C6) - hydroxyalkyl, (Ci-C 6) alkoxy ( Ci-C 6 ) -alkyl, optionally substituted (C 3 -C 8) cycloalkyl, (C 3 -C 8) halocycloalkyl, (C 3 -C 8) - Cyanocycloalkyl, (Ci-C8) alkyl - (C 3 -C 8) - cycloalkyl, (Ci-C8) alkoxy- (C3-C8) cycloalkyl, (Ci-C8) haloalkoxy (C 3 -C 8) cycloalkyl, (Ci-C8) alkylthio (C 3 -C 8) cycloalkyl, aryl (C 3 -C 8) - cycloalkyl, heteroaryl (C 3 -C 8) cycloalkyl, (Ci-C8) alkoxycarbonyl (C 3 -C 8) cycloalkyl , Hydroxycarbonyl - (C 3 -C 8 ) -cycloalkyl, (C 3 -C 8 ) -cycloalkyl- (C 3 -C 8 ) -cycloalkyl, (C 3 -C 8 ) -cycloalkanonyl, and in which case if Q = phenyl, the radical R 4 is not equal to cyclopentanyl, represents hydrogen, (Ci-C 6) -alkyl, (Ci-C 6) -haloalkyl, (C 2 -C 6) -alkenyl, (C 3 -C 6) alkynyl, (Ci-C6) - alkoxy- (Ci-C 6) alkyl, (Ci-C 6) haloalkoxy (Ci-C 6) alkyl, (Ci-C 6) alkylthio (Ci-C 6) alkyl, (Ci-C6) -Alkylsulfmyl- (Ci-C 6) alkyl, (Ci-C 6) alkylsulfonyl (Ci-C 6) alkyl, (C 2 -C 6 ) - dialkylaminosulfonyl or (C 3 -C 8 ) -trialkylsilyl, is hydrogen, nitro, amino, Cyano, thiocyanato, isothiocyanato, halogen, (C 1 -C 7 ) -alkyl, (C 3 -C 7 ) -cycloalkyl, (C 2 -C 7 ) -alkenyl, (C 2 -C 7 ) -alkynyl, aryl, aryl - (Ci-C7) alkyl, aryl (C 2 -C 7) - alkenyl, aryl- (C 2 -C 7) alkynyl, aryl (Ci-C7) alkoxy, heteroaryl, (Ci- C 7) alkoxy (Ci-C7) alkyl, (Ci-C7) hydroxyalkyl, (Ci-C7) haloalkyl, (C 3 -C 7) halocycloalkyl, (C 7) - alkoxy, (C1-C7) - haloalkoxy, aryloxy, heteroaryloxy, (C 3 -C 7) cycloalkyloxy, hydroxy, (C 3 -C 7) cycloalkyl (Ci-C7) alkoxy, (Ci-C 7 ) Alkoxycarbonyl, hydroxycarbonyl, aminocarbonyl, (C 1 -C 7 ) -alkylaminocarbonyl, (C 3 -C 7 ) -cycloalkylaminocarbonyl, (C 1 -C 7 ) -cyanoalkylaminocarbonyl, (C 2 -C 7 ) -alkenylaminocarbonyl, (C 2 -C 7) -Alkynylaminocarbonyl, (Ci-C7) alkylamino, (C1-C7) - alkylthio, (Ci-C 7) haloalkylthio, Hydrothio, (Ci-C 7) -Bisalkylamino, (C 3 -C 7) - Cycloalkylamino, (C 1 -C 7 ) -alkylcarbonylamino, (C 3 -C 7 ) -cycloalkylcarbonylamino, formylamino, (C 1 -C 7 ) -haloalkylcarbonylamino, (C 1 -C 7 ) -alkoxycarbonylamino, (Ci-C 7) alkylaminocarbonylamino, (Ci-C7) dialkyl aminocarbonylamino, (Ci-C 7) alkylsulfonylamino, (C3-C7) - cycloalkylsulfonylamino, arylsulfonylamino, Heteroarylsulfonylamino, aminosulfonyl, (Ci-C 7) -Aminoalkylsulfonyl, (C -C 7) alkylaminosulfonyl, (C 7) -Bisalkylaminosulfonyl, (C 3 -C 7) -Cycloalkylaminosulfonyl, (Ci-C 7) -Haloalkylaminosulfonyl, arylaminosulfonyl, aryl- (Ci-C7) alkylaminosulfonyl, (C -C 7) alkylsulfonyl, (C 3 -C 7) cycloalkylsulfonyl, arylsulfonyl, (Ci-C 7) -Alkylsulfmyl, (C 3 -C 7) -Cycloalkylsulfmyl, Arylsulfmyl, N, S- (Ci-C 7) - Dialkylsulfonimidoyl, S- (Ci-C7) -Alkylsulfonimidoyl, (Ci-C 7) -Alkylsulfonylaminocarbonyl, (C 3 -C 7) -Cycloalkylsulfonylaminocarbonyl, (C 3 -C 7) -Cycloalkylaminosulfonyl, aryl (Ci-C 7 ) - alkylcarbonylamino, (C 3 -C 7 ) -cycloalkyl- (C 1 -C 7 ) -alkylcarbonylamino,
Heteroarylcarbonylamino, (Ci-C7)-Alkoxy-(Ci-C7)-alkylcarbonylamino, (C1-C7)- Hydroxyalkylcarbonylamino, (Ci-C7)-Trialkylsilyl steht; R7 und R8 unabhängig voneinander für Wasserstoff, Hydroxy, Halogen, (Ci-C6)-Alkyl, (CI-CÖ)-Heteroarylcarbonylamino, (C 1 -C 7 ) alkoxy- (C 1 -C 7 ) -alkylcarbonylamino, (C 1 -C 7 ) -hydroxyalkylcarbonylamino, (C 1 -C 7 ) -trialkylsilyl; R 7 and R 8 independently of one another represent hydrogen, hydroxyl, halogen, (C 1 -C 6) -alkyl, (C 1 -C 6) -
Haloalkyl, (C2-C6)-Alkenyl, (C2-C6)-Alkynyl, (Ci-C6)-Alkoxyalkyl, (Ci-C6)-Haloalkoxyalkyl, (Ci-C6)-Alkylthio-(Ci-C6)-alkyl stehen. Besonders bevorzugter Erfindungsgegenstand sind Verbindungen der allgemeinen Formel (I), worin für ein gegebenenfalls substituiertes Aryl oder Heteroaryl, (C3-C8)-Cycloalkyl oder (C3-C8)- Cycloalkenyl steht, wobei jeder Ring oder jedes Ringsystem optional mit bis zu 5 Substituenten aus der Gruppe R6 substituiert sein kann; oder für einen gegebenenfalls substituierten 5-7-gliedrigen heterocyclischen Ring steht; oder für ein gegebenenfalls substituiertes 8-10-gliedriges bicyclisches Ringsystem, in dem jeder Ring oder jedes Ringsystem aus Kohlenstoffatomen und 1 -5 Haloalkyl, (C 2 -C 6) alkenyl, (C 2 -C 6) alkynyl, (Ci-C 6) alkoxyalkyl, (Ci-C 6) -Haloalkoxyalkyl, (Ci-C 6) alkylthio ( Ci-C 6 ) alkyl. Particularly preferred subject of the invention are compounds of general formula (I) wherein represents an optionally substituted aryl or heteroaryl, (C3-C8) -cycloalkyl or (C3-C8) - cycloalkenyl, wherein each ring or ring system optionally substituted with up to 5 substituents from the group R 6 may be substituted; or represents an optionally substituted 5-7 membered heterocyclic ring; or an optionally substituted 8-10 membered bicyclic ring system in which each ring or ring system is selected from carbon atoms and 1-5
Heteroatomen besteht, die unabhängig voneinander bis zu 2 O-, bis zu 2 S- und bis zu 5 N-Atome enthalten, wobei bis zu drei Kohlenstoffringatome unabhängig voneinander aus den Gruppen C(=0) und C(=S) gewählt werden können und die Schwefelringatome zusätzlich aus den Gruppen S, S(=0), S(=0)2, S(=NR1) und S(=NR1)(=0) gewählt werden können; wobei jeder Ring oder jedesHeteroatoms are independently containing up to 2 O, up to 2 S and up to 5 N atoms, wherein up to three carbon ring atoms can be independently selected from the groups C (= 0) and C (= S) and the sulfur ring atoms may additionally be selected from the groups S, S (= O), S (= O) 2 , S (= NR 1 ), and S (= NR 1 ) (= O); with every ring or each
Ringsystem ist optional mit bis zu 5 Substituenten aus der Gruppe R6 substituiert ist, oder Ring system is optionally substituted with up to 5 substituents from the group R 6 , or
Q für (C2-C8)-Alkenyl, (C2-C8)-Alkynyl, (C2-C8)-Haloalkenyl, (C2-C8)-Haloalkynyl, doppelt, (C3- C8)-Halocycloalkenyl, (Ci-C8)-Alkylcarbonyl oder (Ci-C8)-Alkoxy-(Ci-C8)-alkyl, (Ci-C8)- Haloalkoxy-(Ci-Cio)-alkyl steht, Q is (C 2 -C 8 ) -alkenyl, (C 2 -C 8 ) -alkynyl, (C 2 -C 8 ) -haloalkenyl, (C 2 -C 8 ) -haloalkynyl, double, (C 3 -C 8 ) -Halocycloalkenyl, (Ci-C8) -alkylcarbonyl or (Ci-C 8) alkoxy (Ci-C 8) alkyl, (Ci-C 8) - haloalkoxy (Ci-Cio) alkyl,
Z für die Gruppe steht, Z for the group stands,
Y für -C(R7)(R8)-, steht, Y is -C (R 7 ) (R 8 ) -,
W1 und W2 unabhängig voneinander für Sauerstoff oder Schwefel stehen; W 1 and W 2 are independently oxygen or sulfur;
R1 für Wasserstoff, Amino, (Ci-C6)-Alkyl, (Ci-C6)-Haloalkyl, (Ci-C6)-Hydroxyalkyl, (Ci-C6)-R 1 is hydrogen, amino, (C 1 -C 6 ) -alkyl, (C 1 -C 6 ) -haloalkyl, (C 1 -C 6 ) -hydroxyalkyl, (C 1 -C 6 ) -
Alkoxy-(Ci-C6)-alkyl, Aryl-(Ci-C6)-alkyl, Heteroaryl-(Ci-C6)-alkyl, Heterocyclyl-(Ci-C6)-alkyl, (C3-C6)-Cycloalkyl, (C3-C6)-Cycloalkyl-(Ci-C6)-alkyl, (C3-C6)-Halocycloalkyl, (C3-C6)- Halocycloalkyl-(Ci-C6)-alkyl, (Ci-C6)-Alkylcarbonyl, (Ci-C6)-Alkoxycarbonyl, (C2-Ce)- Alkenyl, (C2-C6)-Alkynyl, Tris-[(Ci-C6)-alkyl]silyl-(C2-C6)-alkynyl, Tris-[(Ci-C6)-alkyl]silyl steht, für Wasserstoff, (Ci-C6)-Alkyl, (Ci-C6)-Haloalkyl, (Ci-C6)-Hydroxyalkyl, (Ci-C6)-Alkoxy- (Ci-C6)-alkyl steht, für Wasserstoff, Fluor, Chlor, Brom, Iod, (Ci-C6)-Alkyl, (Ci-C6)-Haloalkyl, (Ci-C6)- Hydroxyalkyl, (Ci-C6)-Alkoxy-(Ci-C6)-alkyl steht, für (C3-C7)-Cycloalkyl, (C3-C7)-Halocycloalkyl, (C3-C7)-Cyanocycloalkyl, (Ci-C6)-Alkyl - (C3-C7)-cycloalkyl, (Ci-C6)-Alkoxy-(C3-C7)-cycloalkyl, (Ci-C6)-Haloalkoxy-(C3-C7)- cycloalkyl, (Ci-C6)-Alkylthio-(C3-C7)-cycloalkyl, Aryl-(C3-C7)-cycloalkyl, Heteroaryl-(C3-C7)- cycloalkyl, (Ci-C6)-Alkoxycarbonyl- (C3-C7)-cycloalkyl, Hydroxcarbonyl -(C3-C7)-cycloalkyl, (C3-C7)-Cycloalkyl-(C3-C7)-cycloalkyl, (C3-C7)-Cycloalkanonyl steht, und wobei für den Fall, wenn Q =Phenyl ist, der Rest R4 ungleich Cyclopentanyl ist, für Wasserstoff, (Ci-C6)-Alkyl, (Ci-C6)-Haloalkyl, (C2-C6)-Alkenyl, (C3-C6)-Alkynyl, (Ci-C6)- Alkoxy-(Ci-C6)-alkyl, (Ci-C6)-Haloalkoxy-(Ci-C6)-alkyl, (Ci-C6)-Alkylthio-(Ci-C6)-alkyl, (Ci-C6)-Alkylsulfmyl-(Ci-C6)-alkyl, (Ci-C6)-Alkylsulfonyl-(Ci-C6)-alkyl, (C2-C6)- Dialkylaminosulfonyl oder (C3-C8)-Trialkylsilyl steht, für Wasserstoff, Nitro, Amino, Cyano, Thiocyanato, Isothiocyanato, Halogen, (Ci-C6)-Alkyl, (C3-C6)-Cycloalkyl, (C2-C6)-Alkenyl, (C2-C6)-Alkynyl, Aryl, Aryl-(Ci-C6)-alkyl, Aryl-(C2-C6)- alkenyl, Aryl-(C2-C6)-alkinyl, Aryl-(Ci-C6)-alkoxy, Heteroaryl, (Ci-C6)-Alkoxy-(Ci-C6)-alkyl, (Ci-C6)-Hydroxyalkyl, (Ci-C6)-Haloalkyl, (C3-C6)-Halocycloalkyl, (Ci-C6)-Alkoxy, (Ci-C6)- Haloalkoxy, Aryloxy, Heteroaryloxy, (C3-C6)-Cycloalkyloxy, Hydroxy, (C3-C6)-Cycloalkyl- (Ci-C6)-alkoxy, (Ci-C6)-Alkoxycarbonyl, Hydroxycarbonyl, Aminocarbonyl, (CI-CÖ)- Alkylaminocarbonyl, (C3-C6)-Cycloalkylaminocarbonyl, (Ci-C6)-Cyanoalkylaminocarbonyl, (C2-C6)-Alkenylaminocarbonyl, (C2-C6)-Alkynylaminocarbonyl, (Ci-C6)-Alkylamino, (CI-CÖ)- Alkylthio, (Ci-C6)-Haloalkylthio, Hydrothio, (Ci-C6)-Bisalkylamino, (C3-C6)-Cycloalkylamino, (Ci-C6)-Alkylcarbonylamino, (C3-C6)-Cycloalkylcarbonylamino, Formylamino, (CI-CÖ)- Haloalkylcarbonylamino, (Ci-C6)-Alkoxycarbonylamino, (Ci-C6)-Alkylaminocarbonylamino, (Ci-C6)-Dialkyl-aminocarbonylamino, (Ci-C6)-Alkylsulfonylamino, (C3-C6)- Cycloalkylsulfonylamino, Arylsulfonylamino, Heteroarylsulfonylamino, Aminosulfonyl, (Ci-C6)-Aminoalkylsulfonyl, (Ci-C6)-Alkylaminosulfonyl, (Ci-C6)-Bisalkylaminosulfonyl, (C3-C6)-Cycloalkylaminosulfonyl, (Ci-C6)-Haloalkylaminosulfonyl, Arylaminosulfonyl, Aryl- (Ci-C6)-alkylaminosulfonyl, (Ci-C6)-Alkylsulfonyl, (C3-C6)-Cycloalkylsulfonyl, Arylsulfonyl, (Ci-C6)-Alkylsulfmyl, (C3-C6)-Cycloalkylsulfmyl, Arylsulfmyl, N,S-(Ci-C6)- Dialkylsulfonimidoyl, S-(Ci-C6)-Alkylsulfonimidoyl, (Ci-C6)-Alkylsulfonylaminocarbonyl, (C3-C6)-Cycloalkylsulfonylaminocarbonyl, (C3-C6)-Cycloalkylaminosulfonyl, Aryl-(Ci-C6)- alkylcarbonylamino, (C3-C6)-Cycloalkyl-(Ci-C6)-alkylcarbonylamino, Alkoxy (Ci-C 6) alkyl, aryl (Ci-C 6) alkyl, heteroaryl (Ci-C 6) alkyl, heterocyclyl (Ci-C 6) alkyl, (C 3 -C 6 ) -cycloalkyl, (C3-C6) cycloalkyl (Ci-C 6) alkyl, (C 3 -C 6) halocycloalkyl, (C 3 -C 6) - Halocycloalkyl- (Ci-C6) alkyl, (C 1 -C 6) -alkylcarbonyl, (C 1 -C 6) -alkoxycarbonyl, (C 2 -Ce) - Alkenyl, (C 2 -C 6 ) -alkynyl, tris - [(C 1 -C 6 ) -alkyl] silyl- (C 2 -C 6 ) -alkynyl, tris - [(C 1 -C 6 ) -alkyl] silyl, is hydrogen, (C 1 -C 6 ) -alkyl, (C 1 -C 6 ) -haloalkyl, (C 1 -C 6 ) -hydroxyalkyl, (C 1 -C 6 ) -alkoxy- (C 1 -C 6 ) -alkyl, Hydrogen, fluorine, chlorine, bromine, iodine, (Ci-C 6 ) -alkyl, (Ci-C 6 ) -haloalkyl, (Ci-C 6 ) - hydroxyalkyl, (Ci-C 6 ) -alkoxy- (Ci-C 6) -alkyl, (C 3 -C 7) cycloalkyl, (C 3 -C 7) halocycloalkyl, (C 3 -C 7) -Cyanocycloalkyl, (Ci-C 6) alkyl - (C 3 - C 7) cycloalkyl, (Ci-C 6) alkoxy (C 3 -C 7) cycloalkyl, (Ci-C 6) haloalkoxy (C 3 -C 7) - cycloalkyl, (Ci-C6) - Alkylthio (C 3 -C 7 ) -cycloalkyl, aryl- (C 3 -C 7 ) -cycloalkyl, heteroaryl- (C 3 -C 7 ) -cycloalkyl, (C 1 -C 6 ) -alkoxycarbonyl- (C 3 -C 7 ) -cycloalkyl, hydroxcarbonyl - (C 3 -C 7 ) -cycloalkyl, (C 3 -C 7 ) -cycloalkyl- (C 3 -C 7 ) -cycloalkyl, (C 3 -C 7 ) -cycloalkanonyl, and wherein the case when Q = phenyl, the radical R 4 is other than cyclopentanyl, for hydrogen, (Ci-C 6 ) -alkyl, (Ci-C 6 ) Haloalkyl, (C 2 -C 6) -alkenyl, (C 3 -C 6) alkynyl, (Ci-C6) - alkoxy- (Ci-C 6) alkyl, (Ci-C 6) haloalkoxy (C 1 -C 6 ) -alkyl, (C 1 -C 6 ) -alkylthio (C 1 -C 6 ) -alkyl, (C 1 -C 6 ) -alkylsulfmyl (C 1 -C 6 ) -alkyl, (C 1 -C 6 ) Alkylsulfonyl- (C 1 -C 6 ) -alkyl, (C 2 -C 6 ) -dialkylaminosulfonyl or (C 3 -C 8) -trialkylsilyl, represents hydrogen, nitro, amino, cyano, thiocyanato, isothiocyanato, halogen, C6) alkyl, (C 3 -C 6) -cycloalkyl, (C 2 -C 6) alkenyl, (C 2 -C 6) alkynyl, aryl, aryl (Ci-C 6) alkyl, aryl (C 2 -C 6) - alkenyl, aryl- (C 2 -C 6) alkynyl, aryl (Ci-C6) alkoxy, heteroaryl, (Ci-C6) alkoxy (Ci-C6) alkyl, ( Ci-C 6) hydroxyalkyl, (Ci-C 6) -haloalkyl, (C 3 -C 6) halocycloalkyl, (Ci-C 6) alkoxy, (Ci-C6) - haloalkoxy, aryloxy, heteroaryloxy, ( C 3 -C 6) -cycloalkyloxy, hydroxy, (C 3 -C 6) -cycloalkyl- (C 1 -C 6) -alkoxy, (C 1 -C 6) -alkoxycarbonyl, hydroxycarbonyl, aminocarbonyl, (C 1 -C 6) -alkylaminocarbonyl, (C 3 -C6) -cycloalkylaminocarbonyl, (Ci-C6) -cyanoalkylaminocarbonyl, (C 2 -C 6) -alkenylaminoc arbonyl, (C 2 -C 6) -alkynylaminocarbonyl, (C 1 -C 6) -alkylamino, (C 1 -C 6) -alkylthio, (C 1 -C 6) -haloalkylthio, hydrothio, (C 1 -C 6) -alkylamino, (C 3 -C 6) ) Cycloalkylamino, (C 1 -C 6) -alkylcarbonylamino, (C 3 -C 6) -cycloalkylcarbonylamino, formylamino, (C 1 -C 6) -haloalkylcarbonylamino, (C 1 -C 6) -alkoxycarbonylamino, (C 1 -C 6) -alkylaminocarbonylamino, C6) dialkylaminocarbonylamino, (C 1 -C 6) -alkylsulfonylamino, (C 3 -C 6) -cycloalkylsulfonylamino, arylsulfonylamino, heteroarylsulfonylamino, aminosulfonyl, (C 1 -C 6) -aminoalkylsulfonyl, (C 1 -C 6) -alkylaminosulfonyl, (C 1 -C 6) Bis-alkylaminosulfonyl, (C 3 -C 6) -cycloalkylaminosulfonyl, (C 1 -C 6) -haloalkylaminosulfonyl, arylaminosulfonyl, aryl- (C 1 -C 6) -alkylaminosulfonyl, (C 1 -C 6) -alkylsulfonyl, (C 3 -C 6) -cycloalkylsulfonyl, arylsulfonyl . (C 1 -C 6 ) -alkylsulfmyl, (C 3 -C 6 ) -cycloalkylsulfmyl, arylsulfmyl, N, S- (C 1 -C 6 ) -dialkylsulfonimidoyl, S- (C 1 -C 6 ) -alkylsulfonimidoyl, (C 1 -C 6 ) -alkylsulfonylaminocarbonyl , (C 3 -C 6) -cycloalkylsulfonylaminocarbonyl, (C 3 -C 6) -cycloalkylaminosulfonyl, aryl- (C 1 -C 6) -alkylcarbonylamino, (C 3 -C 6) -cycloalkyl- (C 1 -C 6) -alkylcarbonylamino,
Heteroarylcarbonylamino, (Ci-C6)-Alkoxy-(Ci-C6)-alkylcarbonylamino, (CI-CÖ)- Hydroxyalkylcarbonylamino, (Ci-C6)-Trialkylsilyl steht; und Heteroarylcarbonylamino, (Ci-C6) -alkoxy- (Ci-C6) -alkylcarbonylamino, (CI-CÖ) - hydroxyalkylcarbonylamino, (Ci-C6) -trialkylsilyl; and
R7 und R8 unabhängig voneinander für Wasserstoff, Hydroxy, Halogen, (Ci-C6)-Alkyl, (CI-CÖ)-R 7 and R 8 independently of one another represent hydrogen, hydroxyl, halogen, (C 1 -C 6) -alkyl, (C 1 -C 6) -
Haloalkyl, (C2-C6)-Alkenyl, (C3-C6)-Alkynyl, (Ci-C6)-Alkoxyalkyl, (Ci-C6)-Haloalkoxyalkyl, (Ci-C6)-Alkylthio-(Ci-C6)-alkyl stehen. Haloalkyl, (C 2 -C 6) -alkenyl, (C 3 -C 6) alkynyl, (Ci-C 6) alkoxyalkyl, (Ci-C 6) -Haloalkoxyalkyl, (Ci-C 6) alkylthio ( Ci-C 6 ) alkyl.
Ganz besonders bevorzugter Erfindungsgegenstand sind Verbindungen der allgemeinen Formel (I), worin Very particularly preferred subject of the invention are compounds of the general formula (I) wherein
Q für ein gegebenenfalls substituiertes Aryl oder Heteroaryl, (C3-C7)-Cycloalkyl oder (C3-C7)-Q is an optionally substituted aryl or heteroaryl, (C3-C 7) -cycloalkyl or (C3-C7) -
Cycloalkenyl steht, wobei jeder Ring oder jedes Ringsystem optional mit bis zu 5 Substituenten aus der Gruppe R6 substituiert sein kann; oder für einen gegebenenfalls substituierten 5-7-gliedrigen heterocyclischen Ring steht; oder für ein gegebenenfalls substituiertes 8-10-gliedriges bicyclischesCycloalkenyl, each ring or ring system optionally being substituted with up to 5 substituents from the group R 6 ; or represents an optionally substituted 5-7 membered heterocyclic ring; or an optionally substituted 8-10-membered bicyclic
Ringsystem, in dem jeder Ring oder jedes Ringsystem aus Kohlenstoffatomen und 1 -5 Ring system in which each ring or ring system consists of carbon atoms and 1-5
Heteroatomen besteht, die unabhängig voneinander bis zu 2 O-, bis zu 2 S- und bis zu 5 N-Atome enthalten, wobei bis zu drei Kohlenstoffringatome unabhängig voneinander aus den Gruppen C(=0) und C(=S) gewählt werden können und die Schwefelringatome zusätzlich aus den Gruppen S, S(=0), S(=0)2, S(=NR1) und S(=NR1)(=0) gewählt werden können; wobei jeder Ring oder jedesHeteroatoms are independently containing up to 2 O, up to 2 S and up to 5 N atoms, wherein up to three carbon ring atoms can be independently selected from the groups C (= 0) and C (= S) and the sulfur ring atoms may additionally be selected from the groups S, S (= O), S (= O) 2 , S (= NR 1 ), and S (= NR 1 ) (= O); with every ring or each
Ringsystem ist optional mit bis zu 5 Substituenten aus der Gruppe R6 substituiert ist, oder für (C2-C7)-Alkenyl, (C2-C7)-Alkynyl, (C2-C7)-Haloalkenyl, (C2-C7)-Haloalkynyl, , (C3-C7)- Halocycloalkenyl, (Ci-C7)-Alkylcarbonyl oder (Ci-C7)-Alkoxy-(Ci-C7)-alkyl, (C1-C7)- Haloalkoxy-(Ci-C7)-alkyl steht, Ring system is optionally substituted with up to 5 substituents from the group R 6 , or for (C 2 -C 7 ) alkenyl, (C 2 -C 7 ) alkynyl, (C 2 -C 7 ) haloalkenyl, (C 2 -C 7) -Haloalkynyl, (C3-C7) - Halocycloalkenyl, (Ci-C 7) alkylcarbonyl or (Ci-C7) alkoxy (Ci-C7) alkyl, (C1-C7) - Haloalkoxy- (Ci-C 7 ) -alkyl,
Z für die Gruppe Z for the group
Rt-N-- steht, Rt -N-- stands,
Y für -CH(R7)-, steht, Y stands for -CH (R 7 ) -,
W1 und W2 unabhängig voneinander für Sauerstoff oder Schwefel; bevorzugt Sauerstoff stehen; W 1 and W 2 are independently oxygen or sulfur; preferably oxygen are;
R1 für Wasserstoff, Amino, (Ci-C4)-Alkyl, (Ci-C4)-Alkoxy-(Ci-C4)-alkyl, Aryl-(Ci-C4)-alkyl,R 1 is hydrogen, amino, (C 1 -C 4 ) -alkyl, (C 1 -C 4 ) -alkoxy- (C 1 -C 4 ) -alkyl, aryl- (C 1 -C 4 ) -alkyl,
Heteroaryl-(Ci-C4)-alkyl, Heterocyclyl-(Ci-C4)-alkyl, (C3-C6)-Cycloalkyl, (C3-C6)-Cycloalkyl- (Ci-C6)-alkyl, (C3-C6)-Halocyclo-(Ci-C4)-alkyl, (Ci-C6)-Alkylcarbonyl, (Ci-C6)-Heteroaryl- (C 1 -C 4 ) -alkyl, heterocyclyl- (C 1 -C 4 ) -alkyl, (C 3 -C 6 ) -cycloalkyl, (C 3 -C 6 ) -cycloalkyl- (C 1 -C 6 ) -alkyl , (C 3 -C 6) -Halocyclo- (Ci-C 4) alkyl, (Ci-C 6) alkylcarbonyl, (Ci-C 6) -
Alkoxycarbonyl, (C2-C6)-Alkenyl, (C2-C6)-Alkynyl, Tris-[(Ci-C6)-alkyl]silyl-(C2-C6)-alkynyl, Tris-[(Ci-C6)-alkyl]silyl steht, Alkoxycarbonyl, (C 2 -C 6 ) alkenyl, (C 2 -C 6 ) alkynyl, tris - [(C 1 -C 6 ) alkyl] silyl (C 2 -C 6 ) alkynyl, tris - [(Ci -C 6 ) -alkyl] silyl,
R2 für Wasserstoff, (Ci-C4)-Alkyl, (Ci-C4)-Haloalkyl, (Ci-C4)-Hydroxyalkyl, (Ci-C4)-Alkoxy- (Ci-C4)-alkyl steht, R 2 is hydrogen, (Ci-C 4) alkyl, (Ci-C 4) -haloalkyl, (Ci-C 4) hydroxyalkyl, (Ci-C 4) alkoxy (Ci-C 4) -alkyl .
R3 für Wasserstoff, Fluor, Chlor, (Ci-C4)-Alkyl steht, R 3 is hydrogen, fluorine, chlorine, (C 1 -C 4 ) -alkyl,
R4 für (C3-C7)-Cycloalkyl, (C3-C7)-Halocycloalkyl, (C3-C7)-Cyanocycloalkyl, (Ci-C6)-Alkyl - (C3-C7)-cycloalkyl, (Ci-C6)-Alkoxy-(C3-C7)-cycloalkyl, (Ci-C6)-Haloalkoxy-(C3-C7)- cycloalkyl, (Ci-C6)-Alkylthio-(C3-C7)-cycloalkyl, Aryl-(C3-C7)-cycloalkyl, Heteroaryl-(C3-C7)- cycloalkyl, (Ci-C6)-Alkoxycarbonyl- (C3-C7)-cycloalkyl, Hydroxcarbonyl -(C3-C7)-cycloalkyl, (C3-C7)-Cycloalkyl-(C3-C7)-cycloalkyl, (C3-C7)-Cycloalkanonyl steht, und wobei für den Fall, wenn Q =Phenyl ist, der Rest R4 ungleich Cyclopentanyl ist, R5 für Wasserstoff, (Ci-C6)-Alkyl, (Ci-C6)-Haloalkyl, (C2-C6)-Alkenyl, (C3-C6)-Alkynyl, (Ci-C6)- Alkoxy-(Ci-C6)-alkyl, (Ci-C6)-Haloalkoxy-(Ci-C6)-alkyl, steht, R 4 is (C 3 -C 7 ) -cycloalkyl, (C 3 -C 7 ) -halocycloalkyl, (C 3 -C 7 ) -cyanocycloalkyl, (C 1 -C 6 ) -alkyl - (C 3 -C 7 ) - cycloalkyl, (Ci-C 6) alkoxy (C 3 -C 7) cycloalkyl, (Ci-C 6) haloalkoxy (C 3 -C 7) - cycloalkyl, (Ci-C6) alkylthio (C 3 -C 7 ) -cycloalkyl, aryl- (C 3 -C 7 ) -cycloalkyl, heteroaryl- (C 3 -C 7 ) -cycloalkyl, (C 1 -C 6 ) -alkoxycarbonyl- (C 3 -C 7 ) -cycloalkyl, Hydroxycarbonyl - (C 3 -C 7 ) -cycloalkyl, (C 3 -C 7 ) -cycloalkyl- (C 3 -C 7 ) -cycloalkyl, (C 3 -C 7 ) -cycloalkanonyl, and in which case, when Q = phenyl, the radical R not equal cyclopentanyl is 4, R 5 is hydrogen, (Ci-C 6) -alkyl, (Ci-C 6) -haloalkyl, (C 2 -C 6) -alkenyl, (C 3 - C 6) alkynyl, (Ci-C6) - alkoxy- (Ci-C 6) alkyl, (Ci-C 6) haloalkoxy (Ci-C 6) alkyl, is,
R6 für Wasserstoff, Nitro, Amino, Cyano, Thiocyanato, Isothiocyanato, Halogen, (Ci-C4)-Alkyl,R 6 represents hydrogen, nitro, amino, cyano, thiocyanato, isothiocyanato, halogen, (C 1 -C 4 ) -alkyl,
(C3-C5)-Cycloalkyl, (C2-C4)-Alkenyl, (C2-C4)-Alkynyl, Aryl, Aryl-(Ci-C4)-alkyl, Aryl-(C2-C3)- alkenyl, Aryl-(C2-C3)-alkinyl, Aryl-(Ci-C4)-alkoxy, Heteroaryl, (Ci-C4)-Alkoxy-(Ci-C4)-alkyl, (Ci-C4)-Hydroxyalkyl, (Ci-C4)-Haloalkyl, (C3-C5)-Halocycloalkyl, (Ci-C4)-Alkoxy, (Ci-C4)-(C 3 -C 5) cycloalkyl, (C 2 -C 4) alkenyl, (C 2 -C 4) alkynyl, aryl, aryl (Ci-C 4) alkyl, aryl (C 2 -C 3) - alkenyl, aryl- (C 2 -C 3) alkynyl, aryl (Ci-C 4) alkoxy, heteroaryl, (Ci-C 4) alkoxy (Ci-C 4) alkyl, (C -C 4) hydroxyalkyl, (Ci-C 4) -haloalkyl, (C 3 -C 5) halocycloalkyl, (Ci-C 4) alkoxy, (Ci-C 4) -
Haloalkoxy, Aryloxy, Heteroaryloxy, (C3-Cs)-Cycloalkyloxy, Hydroxy, (C3-Cs)-Cycloalkyl- (Ci-C4)-alkoxy, (Ci-C4)-Alkoxycarbonyl, Hydroxycarbonyl, Aminocarbonyl, (Ci-C4)- Alkylaminocarbonyl, (C3-C5)-Cycloalkylaminocarbonyl, (Ci-C4)-Cyanoalkylaminocarbonyl, (C2-C4)-Alkenylaminocarbonyl, (C2-C4)-Alkynylaminocarbonyl, (Ci-C4)-Alkylamino, (Ci-C4)- Alkylthio, (Ci-C4)-Haloalkylthio, Hydrothio, (Ci-C4)-Bisalkylamino, (C3-C5)-Cycloalkylamino, (Ci-C4)-Alkylcarbonylamino, (C3-C5)-Cycloalkylcarbonylamino, Formylamino, (C1-C4)- Haloalkylcarbonylamino, (Ci-C4)-Alkoxycarbonylamino, (Ci-C4)-Alkylaminocarbonylamino, (Ci-C4)-Dialkylaminocabonylamino, (Ci-C4)-Alkylsulfonylamino, (C3-C5)- Cycloalkylsulfonylamino, Arylsulfonylamino, Heteroarylsulfonylamino, Aminosulfonyl, (Ci-C4)-Aminoalkylsulfonyl, (Ci-C4)-Alkylaminosulfonyl, (Ci-C4)-Bisalkylaminosulfonyl,Haloalkoxy, aryloxy, heteroaryloxy, (C 3 -Cs) -cycloalkyloxy, hydroxy, (C 3 -Cs) -cycloalkyl- (C 1 -C 4 ) -alkoxy, (C 1 -C 4 ) -alkoxycarbonyl, hydroxycarbonyl, aminocarbonyl, (Ci -C 4) - alkylaminocarbonyl, (C 3 -C 5) cycloalkylaminocarbonyl, (Ci-C 4) -Cyanoalkylaminocarbonyl, (C 2 -C 4) -Alkenylaminocarbonyl, (C 2 -C 4) -Alkynylaminocarbonyl, (Ci-C 4 ) alkylamino, (Ci-C4) - alkylthio, (Ci-C4) haloalkylthio, Hydrothio, (Ci-C 4) -Bisalkylamino, (C 3 -C 5) cycloalkylamino, (C 1 -C 4) -alkylcarbonylamino, (C 3 -C 5) -cycloalkylcarbonylamino, formylamino, (C 1 -C 4) -haloalkylcarbonylamino, (C 1 -C 4) -alkoxycarbonylamino, (C 1 -C 4) -alkylaminocarbonylamino, (C 1 -C 4) -dialkylaminocabonylamino, (C 1 -C 4) -alkylsulfonylamino, (C 3 -C 5) -cycloalkylsulfonylamino, arylsulfonylamino, heteroarylsulfonylamino, aminosulfonyl, (C 1 -C 4) -aminoalkylsulfonyl, (C 1 -C 4) -alkylaminosulfonyl, (C 1 -C 4) -alkylaminosulfonyl,
(C3-C5)-Cycloalkylaminosulfonyl, (Ci-C4)-Haloalkylaminosulfonyl, Arylaminosulfonyl, Aryl- (Ci-C4)-alkylaminosulfonyl, (Ci-C4)-Alkylsulfonyl, (C3-C5)-Cycloalkylsulfonyl, Arylsulfonyl, (Ci-C4)-Alkylsulfmyl, (C3-C5)-Cycloalkylsulfinyl, Arylsulfmyl, N,S-(Ci-C4)- Dialkylsulfonimidoyl, S-(Ci-C4)-Alkylsulfonimidoyl, (Ci-C4)-Alkylsulfonylaminocarbonyl, (C3-C5)-Cycloalkylsulfonylaminocarbonyl, (C3-C5)-Cycloalkylaminosulfonyl, Aryl-(Ci-C4)- alkylcarbonylamino, (C3-C5)-Cycloalkyl-(Ci-C4)-alkylcarbonylamino, (C 3 -C 5) -cycloalkylaminosulfonyl, (C 1 -C 4) -haloalkylaminosulfonyl, arylaminosulfonyl, aryl- (C 1 -C 4) -alkylaminosulfonyl, (C 1 -C 4) -alkylsulfonyl, (C 3 -C 5) -cycloalkylsulfonyl, arylsulfonyl, (Ci-C 4 ) -alkylsulfmyl, (C 3 -C 5 ) -cycloalkylsulfinyl, arylsulfmyl, N, S- (C 1 -C 4 ) -dialkylsulfonimidoyl, S- (C 1 -C 4 ) -alkylsulfonimidoyl, (C 1 -C 4 ) -alkylsulfonylaminocarbonyl, (C3 -C 5) -cycloalkylsulfonylaminocarbonyl, (C 3 -C 5) -cycloalkylaminosulfonyl, aryl- (C 1 -C 4) -alkylcarbonylamino, (C 3 -C 5) -cycloalkyl- (C 1 -C 4) -alkylcarbonylamino,
Heteroarylcarbonylamino, (Ci-C4)-Alkoxy-(Ci-C4)-alkylcarbonylamino, (C1-C4)- Hydroxyalkylcarbonylamino, (Ci-C4)-Trialkylsilyl steht; R7 für Wasserstoff, Hydroxy, Halogen, (Ci-C3)-Alkyl, (Ci-C3)-Haloalkyl, (C2-C3)-Alkenyl, (C3-C3)-Heteroarylcarbonylamino, (C 1 -C 4) -alkoxy- (C 1 -C 4) -alkylcarbonylamino, (C 1 -C 4) -hydroxyalkylcarbonylamino, (C 1 -C 4) -trialkylsilyl; R 7 is hydrogen, hydroxy, halogen, (Ci-C 3) alkyl, (Ci-C 3) -haloalkyl, (C 2 -C 3) alkenyl, (C3-C3) -
Alkynyl, (Ci-C3)-Alkoxy-(Ci-C3)-alkyl, (Ci-C3)-Haloalkoxy-(Ci-C3)-alkyl, (Ci-C3)-Alkylthio- (Ci-C3)-alkyl, steht. Alkynyl, (C 1 -C 3 ) -alkoxy- (C 1 -C 3 ) -alkyl, (C 1 -C 3 ) -haloalkoxy- (C 1 -C 3 ) -alkyl, (C 1 -C 3 ) -alkylthio (ci) C 3 ) alkyl.
Im Speziellen bevorzugter Erfindungsgegenstand sind Verbindungen der allgemeinen Formel (I), worin Q für ein gegebenenfalls substituiertes Aryl oder Heteroaryl, (C3-C7)-Cycloalkyl oder (C3-C7)-In particular preferred subject of the invention are compounds of general formula (I) wherein Q is an optionally substituted aryl or heteroaryl, (C3-C 7) -cycloalkyl or (C3-C7) -
Cycloalkenyl steht, wobei jeder Ring oder jedes Ringsystem optional mit bis zu 5 Substituenten aus der Gruppe R6 substituiert sein kann; oder für einen gegebenenfalls substituierten 5-7-gliedrigen heterocyclischen Ring steht; oder für ein gegebenenfalls substituiertes 8-10-gliedriges bicyclisches Ringsystem, in dem jeder Ring oder jedes Ringsystem aus Kohlenstoffatomen und 1-5 Cycloalkenyl, each ring or ring system optionally being substituted with up to 5 substituents from the group R 6 ; or represents an optionally substituted 5-7 membered heterocyclic ring; or an optionally substituted 8-10 membered bicyclic ring system in which each ring or ring system is selected from carbon atoms and 1-5
Heteroatomen besteht, die unabhängig voneinander bis zu 2 O-, bis zu 2 S- und bis zu 5 N-Atome enthalten, wobei bis zu drei Kohlenstoffringatome unabhängig voneinander aus den Gruppen C(=0) und C(=S) gewählt werden können und die Schwefelringatome zusätzlich aus den Gruppen S, S(=0), S(=0)2, S(=NR1) und S(=NR1)(=0) gewählt werden können; wobei jeder Ring oder jedes Ringsystem ist optional mit bis zu 5 Substituenten aus der Gruppe R6 substituiert ist, oder Q für (C2-C7)-Alkenyl, (C2-C7)-Alkynyl, (C2-C7)-Haloalkenyl, (C2-C7)-Haloalkynyl, , (C3-C7)-Heteroatoms are independently containing up to 2 O, up to 2 S and up to 5 N atoms, wherein up to three carbon ring atoms can be independently selected from the groups C (= 0) and C (= S) and the sulfur ring atoms may additionally be selected from the groups S, S (= O), S (= O) 2 , S (= NR 1 ), and S (= NR 1 ) (= O); wherein each ring or ring system is optionally substituted with up to 5 substituents from the group R 6 , or Q is (C 2 -C 7 ) alkenyl, (C 2 -C 7 ) alkynyl, (C 2 -C 7 ) Haloalkenyl, (C 2 -C 7 ) -haloalkynyl,, (C 3 -C 7 ) -
Halocycloalkenyl, (Ci-C6)-Alkylcarbonyl oder (Ci-C6)-Alkoxy-(Ci-C7)-alkyl, (Ci-C6)-Haloalkoxy- (Ci-C6)-alkyl steht, Halocycloalkenyl, (C 1 -C 6 ) -alkylcarbonyl or (C 1 -C 6 ) -alkoxy- (C 1 -C 7 ) -alkyl, (C 1 -C 6 ) -haloalkoxy- (C 1 -C 6 ) -alkyl,
Z für die Gruppe Z for the group
J.5 steht, J.5 stands,
Y für -CH2- steht, Y is -CH 2 -,
W1 und W2 unabhängig voneinander für Sauerstoff oder Schwefel; bevorzugt Sauerstoff stehen; W 1 and W 2 are independently oxygen or sulfur; preferably oxygen are;
R1 für Wasserstoff, Amino, (Ci-C3)-Alkyl, Aryl-(Ci-C3)-alkyl, Heteroaryl-(Ci-C3)-alkyl, (C3-C6)- Cycloalkyl, (C3-C5)-Cycloalkyl-(Ci-C3)-alkyl, (Ci-C6)-Alkylcarbonyl, (Ci-C6)-Alkoxycarbonyl, (C2-C6)-Alkenyl, (C2-C6)-Alkynyl steht, R 1 represents hydrogen, amino, (Ci-C 3) alkyl, aryl (Ci-C 3) alkyl, heteroaryl (Ci-C 3) alkyl, (C 3 -C 6) - cycloalkyl, (C 3 -C 5) cycloalkyl (Ci-C 3) alkyl, (Ci-C 6) alkylcarbonyl, (Ci-C 6) -alkoxycarbonyl, (C 2 -C 6) alkenyl, (C 2 -C 6 ) -alkynyl,
R2 für Wasserstoff steht, R 2 is hydrogen,
R3 für Wasserstoff, Fluor oder Chlor steht. R 3 is hydrogen, fluorine or chlorine.
R4 für (C3-C7)-Cycloalkyl, (C3-C7)-Halocycloalkyl, (C3-C7)-Cyanocycloalkyl, (Ci-C6)-Alkyl - (C3-C7)-cycloalkyl, (Ci-C6)-Alkoxy-(C3-C7)-cycloalkyl, (Ci-C6)-Haloalkoxy-(C3-C7)- cycloalkyl, (Ci-C6)-Alkylthio-(C3-C7)-cycloalkyl, Aryl-(Ci-C7)-cycloalkyl, Heteroaryl-(Ci-C7)- cycloalkyl, (Ci-C6)-Alkoxycarbonyl- (C3-C7)-cycloalkyl, Hydroxcarbonyl -(C3-C7)-cycloalkyl, (C3-C7)-Cycloalkyl-(C3-C7)-cycloalkyl, (C3-C7)-Cycloalkanonyl steht, R 4 is (C 3 -C 7 ) -cycloalkyl, (C 3 -C 7 ) -halocycloalkyl, (C 3 -C 7 ) -cyanocycloalkyl, (C 1 -C 6 ) -alkyl - (C 3 -C 7 ) - cycloalkyl, (Ci-C 6) alkoxy (C 3 -C 7) cycloalkyl, (Ci-C 6) haloalkoxy (C 3 -C 7) - cycloalkyl, (Ci-C6) alkylthio (C 3 -C 7) cycloalkyl, aryl (Ci-C 7) cycloalkyl, heteroaryl (Ci-C7) - cycloalkyl, (Ci-C6) alkoxycarbonyl (C 3 -C 7) cycloalkyl, Hydroxcarbonyl - (C 3 -C 7 ) -cycloalkyl, (C 3 -C 7 ) -cycloalkyl- (C 3 -C 7 ) -cycloalkyl, (C 3 -C 7 ) -cycloalkanonyl,
und wobei für den Fall, wenn Q =Phenyl ist, Rest R4 ungleich Cyclopentanyl ist, and where, when Q = phenyl, R 4 is other than cyclopentanyl,
R5 für Wasserstoff, (Ci-C6)-Alkyl, (Ci-C6)-Haloalkyl, (C2-C6)-Alkenyl, (C3-C6)-Alkynyl, (Ci-C6)- Alkoxy-(Ci-C6)-alkyl, (Ci-C6)-Haloalkoxy-(Ci-C6)-alkyl, steht. R 5 represents hydrogen, (Ci-C 6) -alkyl, (Ci-C 6) -haloalkyl, (C 2 -C 6) -alkenyl, (C 3 -C 6) alkynyl, (Ci-C 6) - Alkoxy- (C 1 -C 6 ) -alkyl, (C 1 -C 6 ) -haloalkoxy- (C 1 -C 6 ) -alkyl.
Im ganz Speziellen bevorzugter Erfindungsgegenstand sind Verbindungen der allgemeinen Formel (I), worin In a very particularly preferred subject of the invention are compounds of general formula (I) wherein
steht, stands,
in Tabelle B, Z für die Gruppen Z-1.1 bis Z-5.1 in Table B, Z for groups Z-1.1 to Z-5.1
steht, stands,
Y für -CH2- steht, Y is -CH 2 -,
W1 und W2 für Sauerstoff stehen; W 1 and W 2 are oxygen;
R1 für Wasserstoff, Amino, Methyl, Cyclopropyl, Benzyl, p-Methoxy-Benzyl, Allyl, Propargyl steht, R 1 is hydrogen, amino, methyl, cyclopropyl, benzyl, p-methoxy-benzyl, allyl, propargyl,
R2 für Wasserstoff, steht, und R3 für Wasserstoff, Fluor oder Chlor steht. R 2 is hydrogen, and R 3 is hydrogen, fluorine or chlorine.
Im äußerst besonders Speziellen bevorzugter Erfindungsgegenstand sind Verbindungen der allgemeinen Formel (I), worin Q für eine der in der oben stehenden Tabelle spezifisch genannten Gruppierungen Q-l .1 bis Q- 13.16 steht. In the particularly particularly preferred subject matter of the invention are compounds of the general formula (I) in which Q is one of the groupings Q-1 .1 to Q-13.16 specifically mentioned in the table above.
Z für die Gruppen Z-l .1 bis Z-5.1 steht. Y für -CH2- steht, Z represents the groups Zl .1 to Z-5.1. Y is -CH 2 -,
W1 und W2 für Sauerstoff stehen; R1 für Wasserstoff, Methyl, Cyclopropyl, Benzyl, p-Methoxy-Benzyl, Allyl, Propargyl steht, R2 für Wasserstoff steht, und W 1 and W 2 are oxygen; R 1 is hydrogen, methyl, cyclopropyl, benzyl, p-methoxy-benzyl, allyl, propargyl, R 2 is hydrogen, and
R3 für Wasserstoff steht. R 3 is hydrogen.
Die oben aufgeführten allgemeinen oder in Vorzugsbereichen aufgeführten Restedefinitionen gelten sowohl für die Endprodukte der allgemeinen Formel (I) als auch entsprechend für die jeweils zur Herstellung benötigten Ausgangs- oder Zwischenprodukte. Diese Restedefinitionen können The general or preferred radical definitions given above apply both to the end products of the general formula (I) and correspondingly to the starting materials or intermediates required in each case for the preparation. These remainder definitions can
untereinander, also auch zwischen den angegebenen bevorzugten Bereichen beliebig kombiniert werden. among each other, so also between the specified preferred ranges are arbitrarily combined.
Vor allem aus den Gründen der höheren herbiziden Wirkung, besseren Selektivität und/oder besseren Herstellbarkeit sind erfindungsgemäße Verbindungen der genannten allgemeinen Formel (I) oder deren Salze bzw. deren erfindungsgemäße Verwendung von besonderem Interesse, worin einzelne Reste eine der bereits genannten oder im folgenden genannten bevorzugten Bedeutungen haben, oder insbesondere solche, worin eine oder mehrere der bereits genannten oder im Folgenden genannten bevorzugten Bedeutungen kombiniert auftreten. Im Hinblick auf die erfindungsgemäßen Verbindungen werden die vorstehend und weiter unten verwendeten Bezeichnungen erläutert. Diese sind dem Fachmann geläufig und haben insbesondere die im Folgenden erläuterten Bedeutungen: Above all, for reasons of higher herbicidal activity, better selectivity and / or better manufacturability, compounds of the general formula (I) according to the invention or their salts or their use according to the invention are of particular interest, in which individual radicals are one of those already mentioned or mentioned below have preferred meanings, or in particular those in which one or more of the already mentioned or mentioned below preferred meanings occur in combination. With regard to the compounds according to the invention, the terms used above and below are explained. These are familiar to the person skilled in the art and in particular have the meanings explained below:
Sofern nicht anders definiert, gilt generell für die Bezeichnung von chemischen Gruppen, dass die Anbindung an das Gerüst bzw. den Rest des Moleküls über das zuletzt genannte Strukturelement der betreffenden chemischen Gruppe erfolgt, d.h. beispielsweise im Falle von (C2-Cg)-Alkenyloxy über das Sauerstoffatom, und im Falle von Heterocyclyl-(Ci-Cg)-alkyl oder R120(0)C-(Ci-Cg)-Alkyl jeweils über das C-Atom der Alkylgruppe. Erfindungsgemäß steht "Alkylsulfonyl" - in Alleinstellung oder als Bestandteil einer chemischen Gruppe - für geradkettiges oder verzweigtes Alkylsulfonyl, vorzugsweise mit 1 bis 8, oder mit 1 bis 6 Unless otherwise defined, generally applies to the designation of chemical groups that the attachment to the skeleton or the rest of the molecule via the last-mentioned structural element of the chemical group in question, ie, for example, in the case of (C2-Cg) alkenyloxy over the oxygen atom, and in the case of heterocyclyl (Ci-Cg) alkyl or R 12 0 (0) C (Ci-Cg) alkyl in each case via the C atom of the alkyl group. According to the invention "alkylsulfonyl" - alone or as part of a chemical group - is straight-chain or branched alkylsulfonyl, preferably with 1 to 8, or with 1 to 6
Kohlenstoffatomen, z.B. (aber nicht beschränkt auf) (Ci-C6)-Alkylsulfonyl wie Methylsulfonyl, Ethyl- sulfonyl, Propylsulfonyl, 1 -Methylethylsulfonyl, Butylsulfonyl, 1 -Methylpropylsulfonyl, 2-Methyl- propylsulfonyl, 1 ,1 -Dimethylethylsulfonyl, Pentylsulfonyl, 1 -Methylbutylsulfonyl, 2-Methylbutyl- sulfonyl, 3 -Methylbutylsulfonyl, 1 ,1 -Dimethylpropylsulfonyl, 1 ,2-Dimethylpropylsulfonyl, 2,2-Di- methylpropylsulfonyl, 1 -Ethylpropylsulfonyl, Hexylsulfonyl, 1 -Methylpentylsulfonyl, 2-Methyl- pentylsulfonyl, 3 -Methylpentylsulfonyl, 4-Methylpentylsulfonyl, 1 ,1 -Dimethylbutylsulfonyl, 1 ,2-Di- methylbutylsulfonyl, 1 ,3 -Dimethylbutylsulfonyl, 2,2-Dimethylbutylsulfonyl, 2,3-Dimethylbutylsulfonyl, 3 ,3 -Dimethylbutylsulfonyl, 1 -Ethylbutylsulfonyl, 2-Ethylbutylsulfonyl, 1 , 1 ,2-Trimethylpropylsulfonyl, 1 ,2,2-Trimethylpropylsulfonyl, 1 -Ethyl- 1 -methylpropylsulfonyl und 1 -Ethyl-2-methylpropylsulfonyl. Erfindungsgemäß steht "Heteroarylsulfonyl" für gegebenenfalls substituiertes Pyridylsulfonyl, Carbon atoms, eg (but not limited to) (C 1 -C 6) alkylsulfonyl such as methylsulfonyl, ethyl sulfonyl, propylsulfonyl, 1-methylethylsulfonyl, butylsulfonyl, 1-methylpropylsulfonyl, 2-methyl-propylsulfonyl, 1, 1-dimethylethylsulfonyl, pentylsulfonyl, 1-methylbutylsulfonyl, 2-methylbutylsulfonyl, 3-methylbutylsulfonyl, 1, 1-dimethylpropylsulfonyl, 1, 2-dimethylpropylsulfonyl, 2,2-dimethylpropylsulfonyl, 1-ethylpropylsulfonyl, hexylsulfonyl, 1-methylpentylsulfonyl, 2-methylpentylsulfonyl, 3-methylpentylsulfonyl, 4-methylpentylsulfonyl, 1,1-dimethylbutylsulfonyl, 1, 2-dimethylbutylsulfonyl, 1, 3-dimethylbutylsulfonyl, 2,2-dimethylbutylsulfonyl, 2,3-dimethylbutylsulfonyl, 3,3-dimethylbutylsulfonyl, 1-ethylbutylsulfonyl, 2-ethylbutylsulfonyl, 1,1,2-trimethylpropylsulfonyl, 1,2,2-trimethylpropylsulfonyl, 1 - Ethyl 1-methylpropylsulfonyl and 1-ethyl-2-methylpropylsulfonyl. According to the invention "heteroarylsulfonyl" is optionally substituted pyridylsulfonyl,
Pyrimidinylsulfonyl, Pyrazinylsulfonyl oder gegebenenfalls substituiertes polycyclisches Pyrimidinylsulfonyl, pyrazinylsulfonyl or optionally substituted polycyclic
Heteroarylsulfonyl, hier insbesondere gegebenenfalls substituiertes Chinolinylsulfonyl, beispielsweise substituiert durch Fluor, Chlor, Brom, Iod, Cyano, Nitro, Alkyl-, Haloalkyl-, Haloalkoxy-, Amino-, Alkylamino-, Alkylcarbonylamino-, Dialkylamino- oder Alkoxygruppen. Heteroarylsulfonyl, here in particular optionally substituted quinolinylsulfonyl, for example substituted by fluorine, chlorine, bromine, iodine, cyano, nitro, alkyl, haloalkyl, haloalkoxy, amino, alkylamino, alkylcarbonylamino, dialkylamino or alkoxy groups.
Erfindungsgemäß steht "Alkylthio" - in Alleinstellung oder als Bestandteil einer chemischen Gruppe - für geradkettiges oder verzweigtes S-Alkyl, vorzugsweise mit 1 bis 8, oder mit 1 bis 6 According to the invention "alkylthio" - alone or as part of a chemical group - is straight-chain or branched S-alkyl, preferably with 1 to 8, or with 1 to 6
Kohlenstoffatomen, wie (Ci-Cio)-, (CI-CÖ)- oder (Ci-C4)-Alkylthio, z.B. (aber nicht beschränkt auf) (Ci- Ce)-Alkylthio wie Methylthio, Ethylthio, Propylthio, 1 -Methylethylthio, Butylthio, 1 -Methylpropylthio, 2-Methylpropylthio, 1 ,1 -Dimethylethylthio, Pentylthio, 1 -Methylbutylthio, 2-Methylbutylthio, 3- Methylbutylthio, 1 ,1 -Dimethylpropylthio, 1 ,2-Dimethylpropylthio, 2,2-Dimethylpropylthio, 1 - Ethylpropylthio, Hexylthio, 1 -Methylpentylthio, 2-Methylpentylthio, 3-Methylpentylthio, 4-Methyl- pentylthio, 1 ,1 -Dimethylbutylthio, 1 ,2-Dimethylbutylthio, 1 ,3-Dimethylbutylthio, 2,2-Dimethylbutyl- thio, 2,3-Dimethylbutylthio, 3,3-Dimethylbutylthio, 1 -Ethylbutylthio, 2-Ethylbutylthio, 1 , 1 ,2-Tri- methylpropylthio, 1 ,2,2-Trimethylpropylthio, 1 -Ethyl- 1 -methylpropylthio und 1 -Ethyl-2-methyl- propylthio. Carbon atoms, such as (Ci-Cio) -, (CI-CÖ) - or (Ci-C4) -alkylthio, e.g. (but not limited to) (ci-Ce) alkylthio such as methylthio, ethylthio, propylthio, 1-methylethylthio, butylthio, 1-methylpropylthio, 2-methylpropylthio, 1,1-dimethylethylthio, pentylthio, 1-methylbutylthio, 2-methylbutylthio, 3-methylbutylthio, 1, 1-dimethylpropylthio, 1, 2-dimethylpropylthio, 2,2-dimethylpropylthio, 1-ethylpropylthio, hexylthio, 1-methylpentylthio, 2-methylpentylthio, 3-methylpentylthio, 4-methylpentylthio, 1, 1 Dimethylbutylthio, 1, 2-dimethylbutylthio, 1, 3-dimethylbutylthio, 2,2-dimethylbutylthio, 2,3-dimethylbutylthio, 3,3-dimethylbutylthio, 1-ethylbutylthio, 2-ethylbutylthio, 1, 1, 2-tri methylpropylthio, 1, 2,2-trimethylpropylthio, 1-ethyl-1-methylpropylthio and 1-ethyl-2-methylpropylthio.
„Cycloalkylthio" bedeutet bedeutet erfindungsgemäßt ein über ein Schwefelatom gebundenen "Cycloalkylthio" means according to the invention a bonded via a sulfur atom
Cycloalkylrest. Cycloalkyl.
„Alkylsulfinyl (Alkyl-S(=0)-)", soweit nicht an anderer Stelle anders definiert steht erfindungsgemäß für Alkylreste, die über -S(=0)- an das Gerüst gebunden sind, wie (Ci-Cio)-, (CI-CÖ)- oder (C1-C4)- Alkylsulfinyl, z. B. (aber nicht beschränkt auf) (Ci-C6)-Alkylsulfinyl wie Methylsulfinyl, Ethylsulfinyl, Propylsulfinyl, 1 -Methylethylsulfinyl, Butylsulfinyl, 1 -Methylpropylsulfinyl, 2-Methylpropylsulfinyl, 1 , 1 -Dimethylethylsulfmyl, Pentylsulfmyl, 1 -Methylbutylsulfmyl, 2-Methylbutylsulfmyl, 3 - Methylbutylsulfinyl, 1 ,1 -Dimethylpropylsulfinyl, 1 ,2-Dimethylpropylsulfinyl, 2,2-Di- methylpropylsulfinyl, 1 -Ethylpropylsulfinyl, Hexylsulfinyl, 1 -Methylpentylsulfinyl, 2-Methylpentyl- sulfinyl, 3-Methylpentylsulfinyl, 4-Methylpentylsulfinyl, 1,1-Dimethylbutylsulfinyl, 1 ,2-Dimethyl- butylsulfinyl, 1,3-Dimethylbutylsulfinyl, 2,2-Dimethylbutylsulfinyl, 2,3-Dimethylbutylsulfinyl, 3,3- Dimethylbutylsulfinyl, 1 -Ethylbutylsulfinyl, 2-Ethylbutylsulfinyl, 1,1,2-Trimethylpropylsulfinyl, 1,2,2- Trimethylpropylsulfinyl, l-Ethyl-l-methylpropylsulfinyl und l-Ethyl-2-methylpropylsulfinyl. "Alkylsulfinyl (alkyl-S (= 0) -)", unless otherwise defined elsewhere, according to the invention for alkyl radicals which are bonded to the skeleton via -S (= O) -, such as (C 1 -C 10) -, ( CI-CÖ) - or (C 1 -C 4) -alkylsulfinyl, for example (but not limited to) (C 1 -C 6) -alkylsulfinyl, such as methylsulfinyl, ethylsulfinyl, propylsulfinyl, 1-methylethylsulfinyl, butylsulfinyl, 1-methylpropylsulfinyl, 2- Methylpropylsulfinyl, 1, 1-dimethylethylsulfmyl, pentylsulfmyl, 1-methylbutylsulfmyl, 2-methylbutylsulfmyl, 3-methylbutylsulfinyl, 1, 1-dimethylpropylsulfinyl, 1, 2-dimethylpropylsulfinyl, 2,2-dimethylpropylsulfinyl, 1-ethylpropylsulfinyl, hexylsulfinyl, 1 - Methylpentylsulfinyl, 2-methylpentyl sulfinyl, 3-methylpentylsulfinyl, 4-methylpentylsulfinyl, 1,1-dimethylbutylsulfinyl, 1, 2-dimethylbutylsulfinyl, 1,3-dimethylbutylsulfinyl, 2,2-dimethylbutylsulfinyl, 2,3-dimethylbutylsulfinyl, 3,3-dimethylbutylsulfinyl, 1 - Ethylbutylsulfinyl, 2-ethylbutylsulfinyl, 1,1,2-trimethylpropylsulfinyl, 1,2,2-trimethylpropylsulfinyl, 1-ethyl-1-methylpropylsulfinyl and 1-ethyl-2-methylpropylsulfinyl.
„Alkoxy" bedeutet ein über ein Sauerstoffatom gebundenen Alkylrest, z. B. (aber nicht beschränkt auf) (Ci-Ce)-Alkoxy wie Methoxy, Ethoxy, Propoxy, 1 -Methylethoxy, Butoxy, 1 -Methylpropoxy, 2- Methylpropoxy, 1,1-Dimethylethoxy, Pentoxy, 1 -Methylbutoxy, 2-Methylbutoxy, 3-Methylbutoxy, 1,1- Dimethylpropoxy, 1 ,2-Dimethylpropoxy, 2,2-Dimethylpropoxy, 1 -Ethylpropoxy, Hexoxy, 1 - Methylpentoxy, 2-Methylpentoxy, 3-Methylpentoxy, 4-Methylpentoxy, 1,1-Dimethylbutoxy, 1,2-Di- methylbutoxy, 1,3-Dimethylbutoxy, 2,2-Dimethylbutoxy, 2,3-Dimethylbutoxy, 3,3-Dimethylbutoxy, 1- Ethylbutoxy, 2-Ethylbutoxy, 1,1,2-Trimethylpropoxy, 1 ,2,2-Trimethylpropoxy, 1-Ethyl-l -methylpropoxy und 1 -Ethyl-2-methylpropoxy. Alkenyloxy bedeutet ein über ein Sauerstoffatom gebundenen Alkenylrest, Alkinyloxy bedeutet ein über ein Sauerstoffatom gebundenen Alkinylrest wie (C2-C10)-, (C2-C6)- oder (C2-C4)-Alkenoxy bzw. (C3-C10)-, (C3-C6)- oder (C3-C4)-Alkmoxy. "Alkoxy" means an alkyl radical bonded through an oxygen atom, for example (but not limited to) (C 1 -C 6) alkoxy, such as methoxy, ethoxy, propoxy, 1-methylethoxy, butoxy, 1-methylpropoxy, 2-methylpropoxy, 1 , 1-dimethylethoxy, pentoxy, 1-methylbutoxy, 2-methylbutoxy, 3-methylbutoxy, 1,1-dimethylpropoxy, 1, 2-dimethylpropoxy, 2,2-dimethylpropoxy, 1-ethylpropoxy, hexoxy, 1-methylpentoxy, 2-methylpentoxy , 3-methylpentoxy, 4-methylpentoxy, 1,1-dimethylbutoxy, 1,2-dimethylbutoxy, 1,3-dimethylbutoxy, 2,2-dimethylbutoxy, 2,3-dimethylbutoxy, 3,3-dimethylbutoxy, 1-ethylbutoxy , 2-ethylbutoxy, 1,1,2-trimethylpropoxy, 1,2,2-trimethylpropoxy, 1-ethyl-1-methylpropoxy and 1-ethyl-2-methylpropoxy. Alkenyloxy means an alkenyl radical bonded through an oxygen atom, alkynyloxy means an above an oxygen atom bonded alkynyl group such as (C 2 -C 1 0) -, (C 2 -C 6) - or (C 2 -C 4) alkenoxy, and (C3-C10) -, (C 3 -C 6) - or (C 3 -C 4 ) -alkoxy.
„Cycloalkyloxy" bedeutet ein über ein Sauerstoffatom gebundenen Cycloalkylrest. "Cycloalkyloxy" means a cycloalkyl group bonded via an oxygen atom.
„Alkylcarbonyl" (Alkyl-C(=0)-), soweit nicht an anderer Stelle anders definiert, steht erfindungsgemäß für Alkylreste, die über -C(=0)- an das Gerüst gebunden sind, wie (C1-C10)-, (CI-CÖ)- oder (C1-C4)- Alkylcarbonyl. Die Anzahl der C-Atome bezieht sich dabei auf den Alkylrest in der "Alkylcarbonyl" (alkyl-C (= O) -), unless otherwise defined elsewhere, is according to the invention alkyl radicals which are bonded to the skeleton via -C (= O) -, such as (C 1 -C 10) -, (CI-CÖ) - or (C 1 -C 4) -alkylcarbonyl The number of C atoms here refers to the alkyl radical in the
Alkylcarbonylgruppe. Alkylcarbonyl.
„Alkoxycarbonyl (Alkyl-0-C(=0)-)", soweit nicht an anderer Stelle anders definiert: Alkylreste, die über -0-C(=0)- an das Gerüst gebunden sind, wie (C1-C10)-, (CI-CÖ)- oder (Ci-C4)-Alkoxycarbonyl. Die Anzahl der C-Atome bezieht sich dabei auf den Alkylrest in der Alkoxycarbonylgruppe. Analog stehen „Alkenyloxycarbonyl" und„Alkinyloxycarbonyl", soweit nicht an anderer Stelle anders definiert, erfindungsgemäß für Alkenyl- bzw. Alkinylreste, die über -0-C(=0)- an das Gerüst gebunden sind, wie (C2-C10)-, (C2-C6)- oder (C2-C4)-Alkenyloxycarbonyl bzw. (C3-C10)-, (C3-C6)- oder (C3-C4)- Alkinyloxycarbonyl. Die Anzahl der C-Atome bezieht sich dabei auf den Alkenyl- bzw. Alkinylrest in der Alken- bzw. Alkinyloxycarbonylgruppe. "Alkoxycarbonyl (alkyl-0-C (= 0) -)", Unless otherwise defined elsewhere: alkyl radicals attached to the skeleton via -0-C (= 0) - such as (C1-C10) - , (CI-CÖ) - or (C 1 -C 4) -alkoxycarbonyl The number of C atoms here refers to the alkyl radical in the alkoxycarbonyl group, analogously "alkenyloxycarbonyl" and "alkynyloxycarbonyl", unless otherwise defined elsewhere, according to the invention for alkenyl or alkynyl radicals which are bonded to the skeleton via -O-C (= O), such as (C 2 -C 10) -, (C 2 -C 6 ) - or (C 2 -C 4 ) - alkenyloxycarbonyl or (C3-C10) -, (C 3 -C 6) - or (C3-C4) - alkynyloxycarbonyl the number of carbon atoms refers to the alkenyl and alkynyl group in the alkynyloxycarbonyl group or alkene. ,
Der Begriff„Alkylcarbonyloxy" (Alkyl-C(=0)-0-) steht erfindungsgemäß, soweit nicht an anderer Stelle anders definiert, für Alkylreste, die über eine Carbonyloxygruppe (-C(=0)-0-) mit dem Sauerstoff an das Gerüst gebunden sind, wie (C1-C10)-, (CI-CÖ)- oder (Ci-C i)-Alkylcarbonyloxy. Die Anzahl der C- Atome bezieht sich dabei auf den Alkylrest in der Alkylcarbonyloxygruppe. Der Begriff„Aryl" bedeutet ein gegebenenfalls substituiertes mono-, bi- oder polycyclisches aromatisches System mit vorzugsweise 6 bis 14, insbesondere 6 bis 10 Ring-C- Atomen, beispielsweise Phenyl, Naphthyl, Anthryl, Phenanthrenyl, und ähnliches, vorzugsweise Phenyl. Vom Begriff„gegebenenfalls substituiertes Aryl" sind auch mehrcyclische Systeme, wie The term "alkylcarbonyloxy" (alkyl-C (= 0) -O-) is according to the invention, unless otherwise defined elsewhere, for alkyl radicals which have a carbonyloxy group (-C (= O) -O-) with the oxygen the skeleton are bonded, such as (C1-C10) -, (CI-CÖ) - or (Ci-C i) -Alkylcarbonyloxy.The number of carbon atoms refers to the alkyl radical in the alkylcarbonyloxy group. The term "aryl" means an optionally substituted mono-, bi- or polycyclic aromatic system having preferably 6 to 14, in particular 6 to 10 ring C atoms, for example phenyl, naphthyl, anthryl, phenanthrenyl and the like, preferably phenyl The term "optionally substituted aryl" are also mehrcyclische systems, such as
Tetrahydronaphtyl, Indenyl, Indanyl, Fluorenyl, Biphenylyl, umfasst, wobei die Bindungsstelle am aromatischen System ist. Von der Systematik her ist„Aryl" in der Regel auch von dem Begriff „gegebenenfalls substituiertes Phenyl" umfasst. Bevorzugte Aryl-Substituenten sind hier zum Beispiel Wasserstoff, Halogen, Alkyl, Cycloalkyl, Cycloalkylalkyl, Cycloalkenyl, Halocycloalkyl, Alkenyl, Alkinyl, Aryl, Arylalkyl, Heteroaryl, Heteroarylalkyl, Heterocyclyl, Heterocyclylalkyl, Alkoxyalkyl, Alkylthio, Haloalkylthio, Haloalkyl, Alkoxy, Haloalkoxy, Cycloalkoxy, Cycloalkylalkoxy, Aryloxy, Heteroraryloxy, Alkoxyalkoxy, Alkinylalkoxy, Alkenyloxy, Bis-alkylaminoalkoxy, Tris- [alkyl] silyl, Bis- [alkyl] arylsilyl, Bis- [alkyl] alkylsilyl, Tris- [alkyl] silylalkinyl, Alkylalkinyl, Cycloalkylalkinyl, Haloalkylalkinyl, Heterocyclyl-N-alkoxy, Nitro, Cyano, Amino, Alkylamino, Bis-alkylamino, Tetrahydronaphthyl, indenyl, indanyl, fluorenyl, biphenylyl, wherein the binding site is on the aromatic system. As a rule, "aryl" is also encompassed by the term "optionally substituted phenyl". Preferred aryl substituents here are, for example, hydrogen, halogen, alkyl, cycloalkyl, cycloalkylalkyl, cycloalkenyl, halocycloalkyl, alkenyl, alkynyl, aryl, arylalkyl, heteroaryl, heteroarylalkyl, heterocyclyl, heterocyclylalkyl, alkoxyalkyl, alkylthio, haloalkylthio, haloalkyl, alkoxy, haloalkoxy, Cycloalkoxy, cycloalkylalkoxy, aryloxy, heteroaryloxy, alkoxyalkoxy, alkynylalkoxy, alkenyloxy, bis-alkylaminoalkoxy, tris [alkyl] silyl, bis [alkyl] arylsilyl, bis [alkyl] alkylsilyl, tris [alkyl] silylalkynyl, alkylalkynyl, cycloalkylalkynyl, Haloalkylalkynyl, heterocyclyl-N-alkoxy, nitro, cyano, amino, alkylamino, bis-alkylamino,
Alkylcarbonylamino, Cycloalkylcarbonylamino, Arylcarbonylamino, Alkoxycarbonylamino, Alkylcarbonylamino, cycloalkylcarbonylamino, arylcarbonylamino, alkoxycarbonylamino,
Alkoxycarbonylalkylamino, Arylalkoxycarbonylalkylamino, Hydroxycarbonyl, Alkoxycarbonyl, Aminocarbonyl, Alkylaminocarbonyl, Cycloalkylaminocarbonyl, Bis-Alkylaminocarbonyl, Alkoxycarbonylalkylamino, arylalkoxycarbonylalkylamino, hydroxycarbonyl, alkoxycarbonyl, aminocarbonyl, alkylaminocarbonyl, cycloalkylaminocarbonyl, bis-alkylaminocarbonyl,
Heteroarylalkoxy, Arylalkoxy Ein heterocyclischer Rest (Heterocyclyl) enthält mindestens einen heterocyclischen Ring Heteroarylalkoxy, arylalkoxy A heterocyclic radical (heterocyclyl) contains at least one heterocyclic ring
(=carbocyclischer Ring, in dem mindestens ein C-Atom durch ein Heteroatom ersetzt ist, vorzugsweise durch ein Heteroatom aus der Gruppe N, O, S, P) der gesättigt, ungesättigt, teilgesättigt oder heteroaromatisch ist und dabei unsubstituiert oder substituiert sein kann, wobei die Bindungsstelle an einem Ringatom lokalisiert ist. Ist der Heterocyclylrest oder der heterocyclische Ring gegebenenfalls substituiert, kann er mit anderen carbocyclischen oder heterocyclischen Ringen annelliert sein. Im Falle von gegebenenfalls substituiertem Heterocyclyl werden auch mehrcyclische Systeme umfasst, wie beispielsweise 8-Aza-bicyclo[3.2.1]octanyl, 8-Aza-bicyclo[2.2.2]octanyl oder 1-Aza- bicyclo[2.2.1]heptyl. Im Falle von gegebenenfalls substituiertem Heterocyclyl werden auch (= carbocyclic ring in which at least one C atom is replaced by a heteroatom, preferably by a heteroatom from the group N, O, S, P) which is saturated, unsaturated, partially saturated or heteroaromatic and may be unsubstituted or substituted, wherein the binding site is located on a ring atom. When the heterocyclyl or heterocyclic ring is optionally substituted, it may be fused with other carbocyclic or heterocyclic rings. In the case of optionally substituted heterocyclyl, polycyclic systems are also included, for example 8-azabicyclo [3.2.1] octanyl, 8-azabicyclo [2.2.2] octanyl or 1-azabicyclo [2.2.1] heptyl. In the case of optionally substituted heterocyclyl also become
spirocyclische Systeme umfasst, wie beispielsweise l-Oxa-5-aza-spiro[2.3]hexyl. Wenn nicht anders definiert, enthält der heterocyclische Ring vorzugsweise 3 bis 9 Ringatome, insbesondere 3 bis 6 Ringatome, und ein oder mehrere, vorzugsweise 1 bis 4, insbesondere 1 , 2 oder 3 Heteroatome im heterocyclischen Ring, vorzugsweise aus der Gruppe N, O, und S, wobei jedoch nicht zwei spiro-cyclic systems such as 1-oxa-5-aza-spiro [2.3] hexyl. Unless defined otherwise, the heterocyclic ring preferably contains 3 to 9 ring atoms, in particular 3 to 6 ring atoms, and one or more, preferably 1 to 4, in particular 1, 2 or 3 heteroatoms in the heterocyclic ring, preferably from the group N, O, and S, but not two
Sauerstoffatome direkt benachbart sein sollen, wie beispielsweise mit einem Heteroatom aus der Gruppe N, O und S 1- oder 2- oder 3-Pyrrolidinyl, 3,4-Dihydro-2H-pyrrol-2- oder 3-yl, 2,3-Dihydro-lH-pyrrol- 1- oder 2- oder 3- oder 4- oder 5-yl; 2,5-Dihydro-lH-pyrrol-l - oder 2- oder 3-yl, 1- oder 2- oder 3- oder 4-Piperidinyl; 2,3,4,5-Tetrahydropyridin-2- oder 3- oder 4- oder 5-yl oder 6-yl; 1,2,3,6- Tetrahydropyridin-1- oder 2- oder 3- oder 4- oder 5- oder 6-yl; 1,2,3,4-Tetrahydropyridin-l- oder 2- oder 3- oder 4- oder 5- oder 6-yl; 1,4-Dihydropyridin-l - oder 2- oder 3- oder 4-yl; 2,3-Dihydropyridin- 2- oder 3- oder 4- oder 5- oder 6-yl; 2,5-Dihydropyridin-2- oder 3- oder 4- oder 5- oder 6-yl, 1- oder 2- oder 3- oder 4-Azepanyl; 2,3,4,5-Tetrahydro-lH-azepin-l- oder 2- oder 3- oder 4- oder 5- oder 6- oder 7-yl; 2,3,4,7-Tetrahydro-lH-azepin-l- oder 2- oder 3- oder 4- oder 5- oder 6- oder 7-yl; 2,3,6,7- Tetrahydro-lH-azepin-1- oder 2- oder 3- oder 4-yl; 3,4,5,6-Tetrahydro-2H-azepin-2- oder 3- oder 4- oder 5- oder 6- oder 7-yl; 4,5-Dihydro-lH-azepin-l- oder 2- oder 3- oder 4-yl; 2,5-Dihydro-lH-azepin-Oxygen atoms are to be directly adjacent, such as with a heteroatom from the group N, O and S 1- or 2- or 3-pyrrolidinyl, 3,4-dihydro-2H-pyrrol-2 or 3-yl, 2,3- Dihydro-1H-pyrrole 1- or 2- or 3- or 4- or 5-yl; 2,5-dihydro-1H-pyrrol-1 - or 2- or 3-yl, 1- or 2- or 3- or 4-piperidinyl; 2,3,4,5-tetrahydropyridine-2- or 3- or 4- or 5-yl or 6-yl; 1,2,3,6-tetrahydropyridine-1 or 2 or 3 or 4 or 5 or 6-yl; 1,2,3,4-tetrahydropyridine-1 or 2 or 3- or 4- or 5- or 6-yl; 1,4-dihydropyridine-I - or 2- or 3- or 4-yl; 2,3-dihydropyridine-2 or 3 or 4 or 5 or 6-yl; 2,5-dihydropyridine-2- or 3- or 4- or 5- or 6-yl, 1- or 2- or 3- or 4-azepanyl; 2,3,4,5-tetrahydro-1H-azepine-1 or 2 or 3 or 4 or 5 or 6 or 7-yl; 2,3,4,7-tetrahydro-1H-azepine-1 or 2 or 3 or 4 or 5 or 6 or 7-yl; 2,3,6,7-tetrahydro-1H-azepine-1 or 2 or 3 or 4-yl; 3,4,5,6-tetrahydro-2H-azepine-2 or 3 or 4 or 5 or 6 or 7-yl; 4,5-dihydro-1H-azepine-1 or 2 or 3 or 4-yl; 2,5-dihydro-lH-azepin-
1- oder -2- oder 3- oder 4- oder 5- oder 6- oder 7-yl; 2,7-Dihydro-lH-azepin-l- oder -2- oder 3- oder 4- yl; 2,3-Dihydro-lH-azepin-l - oder -2- oder 3- oder 4- oder 5- oder 6- oder 7-yl; 3,4-Dihydro-2H-azepin-1- or 2- or 3- or 4- or 5- or 6- or 7-yl; 2,7-dihydro-1H-azepine-1 or -2 or 3 or 4 yl; 2,3-dihydro-1H-azepine-1 or -2 or 3 or 4 or 5 or 6 or 7-yl; 3,4-dihydro-2H-azepine
2- oder 3- oder 4- oder 5- oder 6- oder 7-yl; 3,6-Dihydro-2H-azepin-2- oder 3- oder 4- oder 5- oder 6- oder 7-yl; 5,6-Dihydro-2H-azepin-2- oder 3- oder 4- oder 5- oder 6- oder 7-yl; 4,5-Dihydro-3H-azepin-2- or 3- or 4- or 5- or 6- or 7-yl; 3,6-dihydro-2H-azepine-2 or 3 or 4 or 5 or 6 or 7-yl; 5,6-dihydro-2H-azepine-2 or 3 or 4 or 5 or 6 or 7-yl; 4,5-dihydro-3H-azepine
2- oder 3- oder 4- oder 5- oder 6- oder 7-yl; 1H-Azepin-1- oder -2- oder 3- oder 4- oder 5- oder 6- oder 7-yl; 2H-Azepin-2- oder 3- oder 4- oder 5- oder 6- oder 7-yl; 3H-Azepin-2- oder 3- oder 4- oder 5- oder 6- oder 7-yl; 4H-Azepin-2- oder 3- oder 4- oder 5- oder 6- oder 7-yl, 2- oder 3-Oxolanyl (= 2- oder 3- Tetrahydrofuranyl); 2,3-Dihydrofüran-2- oder 3- oder 4- oder 5-yl; 2,5-Dihydrofüran-2- oder 3-yl, 2- oder 3- oder 4-Oxanyl (= 2- oder 3- oder 4-Tetrahydropyranyl); 3,4-Dihydro-2H-pyran-2- oder 3- oder 4- oder 5- oder 6-yl; 3,6-Dihydro-2H-pyran-2- oder 3-oder 4- oder 5- oder 6-yl; 2H-Pyran-2- oder 3- oder 4- oder 5- oder 6-yl; 4H-Pyran-2- oder 3- oder 4-yl, 2- oder 3- oder 4-Oxepanyl; 2,3,4,5- Tetrahydrooxepin-2- oder 3- oder 4- oder 5- oder 6- oder 7-yl; 2,3,4,7-Tetrahydrooxepin-2- oder 3- oder2- or 3- or 4- or 5- or 6- or 7-yl; 1H-azepine-1 or -2 or 3 or 4 or 5 or 6 or 7-yl; 2H-azepine-2- or 3- or 4- or 5- or 6- or 7-yl; 3H-azepine-2- or 3- or 4- or 5- or 6- or 7-yl; 4H-azepine-2- or 3- or 4- or 5- or 6- or 7-yl, 2- or 3-oxolanyl (= 2- or 3-tetrahydrofuranyl); 2,3-dihydrofuran-2- or 3- or 4- or 5-yl; 2,5-dihydrofuran-2- or 3-yl, 2- or 3- or 4-oxanyl (= 2- or 3- or 4-tetrahydropyranyl); 3,4-dihydro-2H-pyran-2 or 3 or 4 or 5 or 6-yl; 3,6-dihydro-2H-pyran-2 or 3 or 4 or 5 or 6-yl; 2H-pyran-2- or 3- or 4- or 5- or 6-yl; 4H-pyran-2- or 3- or 4-yl, 2- or 3- or 4-oxepanyl; 2,3,4,5-tetrahydrooxepin-2 or 3 or 4 or 5 or 6 or 7-yl; 2,3,4,7-tetrahydrooxepin-2 or 3 or
4- oder 5- oder 6- oder 7-yl; 2,3,6,7-Tetrahydrooxepin-2- oder 3- oder 4-yl; 2,3-Dihydrooxepin-2- oder 3- oder 4- oder 5- oder 6- oder 7-yl; 4,5-Dihydrooxepin-2- oder 3- oder 4-yl; 2,5-Dihydrooxepin-2- oder4- or 5- or 6- or 7-yl; 2,3,6,7-tetrahydrooxepin-2 or 3 or 4-yl; 2,3-dihydrooxepin-2 or 3 or 4 or 5 or 6 or 7-yl; 4,5-dihydrooxepin-2 or 3 or 4-yl; 2,5-dihydrooxepin-2 or
3- oder 4- oder 5- oder 6- oder 7-yl; Oxepin-2- oder 3- oder 4- oder 5- oder 6- oder 7-yl; 2- oder 3- Tetrahydrothiophenyl; 2,3-Dihydrothiophen-2- oder 3- oder 4- oder 5-yl; 2,5-Dihydrothiophen-2- oder 3-yl; Tetrahydro-2H-thiopyran-2- oder 3- oder 4-yl; 3,4-Dihydro-2H-thiopyran-2- oder 3- oder 4- oder3- or 4- or 5- or 6- or 7-yl; Oxepin-2 or 3 or 4 or 5 or 6 or 7-yl; 2- or 3-tetrahydrothiophenyl; 2,3-dihydrothiophene-2 or 3 or 4 or 5-yl; 2,5-dihydrothiophene-2 or 3-yl; Tetrahydro-2H-thiopyran-2- or 3- or 4-yl; 3,4-dihydro-2H-thiopyran-2 or 3 or 4 or
5- oder 6-yl; 3,6-Dihydro-2H-thiopyran-2- oder 3- oder 4- oder 5- oder 6-yl; 2H-Thiopyran-2- oder 3- oder 4- oder 5- oder 6-yl; 4H-Thiopyran-2- oder 3- oder 4-yl. Bevorzugte 3-Ring und 4-Ring-5- or 6-yl; 3,6-dihydro-2H-thiopyran-2 or 3 or 4 or 5 or 6-yl; 2H-thiopyran-2 or 3 or 4 or 5 or 6-yl; 4H-thiopyran-2- or 3- or 4-yl. Preferred 3-ring and 4-ring
Heterocyclen sind beispielsweise 1- oder 2-Aziridinyl, Oxiranyl, Thiiranyl, 1- oder 2- oder 3-Azetidinyl,Heterocycles are, for example, 1- or 2-aziridinyl, oxiranyl, thiiranyl, 1- or 2- or 3-azetidinyl,
2- oder 3-Oxetanyl, 2- oder 3-Thietanyl, l,3-Dioxetan-2-yl. Weitere Beispiele für "Heterocyclyl" sind ein partiell oder vollständig hydrierter heterocyclischer Rest mit zwei Heteroatomen aus der Gruppe N, O und S, wie beispielsweise 1- oder 2- oder 3- oder 4-Pyrazolidinyl; 4,5-Dihydro-3H-pyrazol- 3- oder 4- oder 5-yl; 4,5-Dihydro-lH-pyrazol-l - oder 3- oder 4- oder 5-yl; 2,3-Dihydro-lH-pyrazol-l - oder 2- oder2- or 3-oxetanyl, 2- or 3-thietanyl, 1,3-dioxetan-2-yl. Further examples of "heterocyclyl" are a partially or fully hydrogenated heterocyclic radical having two heteroatoms from the group N, O and S, such as 1- or 2- or 3- or 4-pyrazolidinyl; 4,5-dihydro-3H-pyrazole-3 or 4 or 5-yl; 4,5-dihydro-1H-pyrazole-1 - or 3 or 4 or 5-yl; 2,3-dihydro-1H-pyrazole-1 - or 2 - or
3- oder 4- oder 5-yl; 1- oder 2- oder 3- oder 4- Imidazolidinyl; 2,3-Dihydro-lH-imidazol-l- oder 2- oder 3- oder 4-yl; 2,5-Dihydro-lH-imidazol-l- oder 2- oder 4- oder 5-yl; 4,5-Dihydro-lH-imidazol-l- oder 2- oder 4- oder 5-yl; Hexahydropyridazin-1- oder 2- oder 3- oder 4-yl; 1,2,3,4-Tetrahydropyridazin-l- oder 2- oder 3- oder 4- oder 5- oder 6-yl; 1,2,3, 6-Tetrahydropyridazin-l- oder 2- oder 3- oder 4- oder 5- oder 6-yl; 1,4,5, 6-Tetrahydropyridazin-l- oder 3- oder 4- oder 5- oder 6-yl; 3,4,5, 6-Tetrahydropyridazin-3- oder 4- oder 5-yl; 4,5-Dihydropyridazin-3- oder 4-yl; 3,4-Dihydropyridazin-3- oder 4- oder 5- oder 6-yl; 3,6-Dihydropyridazin-3- oder 4-yl; 1,6-Dihydropyriazin-l- oder 3- oder 4- oder 5- oder 6-yl; Hexahydropyrimidin-1- oder 2- oder 3- oder 4-yl; 1,4,5,6-Tetrahydropyrimidin-l- oder 2- oder 4- oder 5- oder 6-yl; 1,2,5,6-Tetrahydropyrimidin-l - oder 2- oder 4- oder 5- oder 6-yl; 1,2,3,4- Tetrahydropyrimidin-1- oder 2- oder 3- oder 4- oder 5- oder 6-yl; 1,6-Dihydropyrimidin-l- oder 2- oder 4- oder 5- oder 6-yl; 1,2-Dihydropyrimidin-l - oder 2- oder 4- oder 5- oder 6-yl; 2,5-Dihydropyrimidin- 2- oder 4- oder 5-yl; 4,5-Dihydropyrimidin- 4- oder 5- oder 6-yl; 1,4-Dihydropyrimidin-l- oder 2- oder 4- oder 5- oder 6-yl; 1- oder 2- oder 3-Piperazinyl; 1,2,3,6-Tetrahydropyrazin-l- oder 2- oder 3- oder 5- oder 6-yl; 1,2,3,4-Tetrahydropyrazin-l - oder 2- oder 3- oder 4- oder 5- oder 6-yl; 1,2-Dihydropyrazin-l- oder 2- oder 3- oder 5- oder 6-yl; 1,4-Dihydropyrazin-l - oder 2- oder 3-yl; 2,3-Dihydropyrazin-2- oder3- or 4- or 5-yl; 1- or 2- or 3- or 4-imidazolidinyl; 2,3-dihydro-1H-imidazol-1- or 2- or 3- or 4-yl; 2,5-dihydro-1H-imidazole-1- or 2- or 4- or 5-yl; 4,5-dihydro-1H-imidazole-1- or 2- or 4- or 5-yl; Hexahydropyridazine-1 or 2- or 3- or 4-yl; 1,2,3,4-tetrahydropyridazine-1- or 2- or 3- or 4- or 5- or 6-yl; 1,2,3,6-tetrahydropyridazine-1- or 2- or 3- or 4- or 5- or 6-yl; 1,4,5,6-tetrahydropyridazine-1- or 3- or 4- or 5- or 6-yl; 3,4,5,6-tetrahydropyridazine-3- or 4- or 5-yl; 4,5-dihydropyridazine-3 or 4-yl; 3,4-dihydropyridazine-3- or 4- or 5- or 6-yl; 3,6-dihydropyridazine-3 or 4-yl; 1,6-dihydropyriazine-1- or 3- or 4- or 5- or 6-yl; Hexahydropyrimidine-1 or 2 or 3 or 4-yl; 1,4,5,6-tetrahydropyrimidine-1- or 2- or 4- or 5- or 6-yl; 1,2,5,6-tetrahydropyrimidine-1 - or 2- or 4- or 5- or 6-yl; 1,2,3,4-tetrahydropyrimidine-1 or 2 or 3 or 4 or 5 or 6-yl; 1,6-dihydropyrimidine-1- or 2- or 4- or 5- or 6-yl; 1,2-dihydropyrimidine-1 - or 2- or 4- or 5- or 6-yl; 2,5-dihydropyrimidine-2- or 4- or 5-yl; 4,5-dihydropyrimidine-4- or 5- or 6-yl; 1,4-dihydropyrimidine-1- or 2- or 4- or 5- or 6-yl; 1- or 2- or 3-piperazinyl; 1,2,3,6-tetrahydropyrazine-1- or 2- or 3- or 5- or 6-yl; 1,2,3,4-tetrahydropyrazine-1 - or 2- or 3- or 4- or 5- or 6-yl; 1,2-dihydropyrazine 1- or 2- or 3- or 5- or 6-yl; 1,4-dihydropyrazine-1 - or 2- or 3-yl; 2,3-dihydropyrazine-2-or
3- oder 5- oder 6-yl; 2,5-Dihydropyrazin-2- oder 3-yl; l,3-Dioxolan-2- oder 4- oder 5-yl; l,3-Dioxol-2- oder 4-yl; l,3-Dioxan-2- oder 4- oder 5-yl; 4H-l,3-Dioxin-2- oder 4- oder 5- oder 6-yl; l,4-Dioxan-2- oder 3- oder 5- oder 6-yl; 2,3-Dihydro-l,4-dioxin-2- oder 3- oder 5- oder 6-yl; l,4-Dioxin-2- oder 3-yl; l,2-Dithiolan-3- oder 4-yl; 3H-l,2-Dithiol-3- oder 4- oder 5-yl; l,3-Dithiolan-2- oder 4-yl; 1,3-Dithiol- 2- oder 4-yl; l,2-Dithian-3- oder 4-yl; 3,4-Dihydro-l,2-dithiin-3- oder 4- oder 5- oder 6-yl; 3,6-Dihydro-3- or 5- or 6-yl; 2,5-dihydropyrazine-2 or 3-yl; l, 3-dioxolane-2- or 4- or 5-yl; l, 3-dioxol-2 or 4-yl; 1, 3-dioxan-2 or 4 or 5-yl; 4H-l, 3-dioxin-2 or 4 or 5 or 6-yl; 1, 4-dioxane-2 or 3 or 5 or 6-yl; 2,3-dihydro-1,4-dioxin-2- or 3- or 5- or 6-yl; l, 4-dioxin-2 or 3-yl; l, 2-dithiolan-3 or 4-yl; 3H-1,2-dithiol-3- or 4- or 5-yl; l, 3-dithiolan-2 or 4-yl; 1,3-dithiol-2- or 4-yl; 1, 2-dithian-3 or 4-yl; 3,4-dihydro-1,2-dithiin-3 or 4 or 5 or 6-yl; 3,6-dihydro-
1.2- dithiin-3- oder 4-yl; l,2-Dithiin-3- oder 4-yl; l,3-Dithian-2- oder 4- oder 5-yl; 4H-l,3-Dithiin-2- oder 4- oder 5- oder 6-yl; Isoxazolidin-2- oder 3- oder 4- oder 5-yl; 2,3-Dihydroisoxazol-2- oder 3- oder1,2-dithiin-3 or 4-yl; l, 2-dithiin-3 or 4-yl; l, 3-dithian-2 or 4 or 5-yl; 4H-l, 3-dithiin-2 or 4 or 5 or 6-yl; Isoxazolidine-2 or 3 or 4 or 5-yl; 2,3-dihydroisoxazole-2- or 3- or
4- oder 5-yl; 2,5-Dihydroisoxazol-2- oder 3- oder 4- oder 5-yl; 4,5-Dihydroisoxazol-3- oder 4- oder 5-yl;4- or 5-yl; 2,5-dihydroisoxazole-2 or 3 or 4 or 5-yl; 4,5-dihydroisoxazole-3 or 4 or 5-yl;
1.3- Oxazolidin-2- oder 3- oder 4- oder 5-yl; 2,3-Dihydro-l,3-oxazol-2- oder 3- oder 4- oder 5-yl; 2,5- Dihydro-l,3-oxazol-2- oder 4- oder 5-yl; 4,5-Dihydro-l,3-oxazol-2- oder 4- oder 5-yl; l,2-Oxazinan-2- oder 3- oder 4- oder 5- oder 6-yl; 3,4-Dihydro-2H-l,2-oxazin-2- oder 3- oder 4- oder 5- oder 6-yl; 3,6- Dihydro-2H-l,2-oxazin-2- oder 3- oder 4- oder 5- oder 6-yl; 5,6-Dihydro-2H-l,2-oxazin-2- oder 3- oder 4- oder 5- oder 6-yl; 5,6-Dihydro-4H-l,2-oxazin-3- oder 4- oder 5- oder 6-yl; 2H-l,2-Oxazin-2- oder 3- oder 4- oder 5- oder 6-yl; 6H-l,2-Oxazin-3- oder 4- oder 5- oder 6-yl; 4H-l,2-Oxazin-3- oder 4- oder 5- oder 6-yl; l,3-Oxazinan-2- oder 3- oder 4- oder 5- oder 6-yl; 3,4-Dihydro-2H-l,3-oxazin-2- oder 3- oder 4- oder 5- oder 6-yl; 3,6-Dihydro-2H-l,3-oxazin-2- oder 3- oder 4- oder 5- oder 6-yl; 5,6-Dihydro-2H- l,3-oxazin-2- oder 4- oder 5- oder 6-yl; 5,6-Dihydro-4H-l,3-oxazin-2- oder 4- oder 5- oder 6-yl; 2H- l,3-Oxazin-2- oder 4- oder 5- oder 6-yl; 6H-l,3-Oxazin-2- oder 4- oder 5- oder 6-yl; 4H-l,3-Oxazin-2- oder 4- oder 5- oder 6-yl; Morpholin-2- oder 3- oder 4-yl; 3,4-Dihydro-2H-l,4-oxazin-2- oder 3- oder 4- oder 5- oder 6-yl; 3,6-Dihydro-2H-l,4-oxazin-2- oder 3- oder 5- oder 6-yl; 2H-l,4-oxazin-2- oder 3- oder 5- oder 6-yl; 4H-l,4-oxazin-2- oder 3-yl; 1 ,2-Oxazepan-2- oder 3- oder 4- oder 5- oder 6- oder 7- yl; 2,3,4,5-Tetrahydro-l,2-oxazepin-2- oder 3- oder 4- oder 5- oder 6- oder 7-yl; 2,3,4,7-Tetrahydro-l,2- oxazepin-2- oder 3- oder 4- oder 5- oder 6- oder 7-yl; 2,3,6,7-Tetrahydro-l,2-oxazepin-2- oder 3- oder 4- oder 5- oder 6- oder 7-yl; 2,5,6,7-Tetrahydro-l,2-oxazepin-2- oder 3- oder 4- oder 5- oder 6- oder 7- yl; 4,5,6,7-Tetrahydro-l,2-oxazepin-3- oder 4- oder 5- oder 6- oder 7-yl; 2,3-Dihydro-l,2-oxazepin-2- oder 3- oder 4- oder 5- oder 6- oder 7-yl; 2,5-Dihydro-l,2-oxazepin-2- oder 3- oder 4- oder 5- oder 6- oder 7-yl; 2,7-Dihydro-l,2-oxazepin-2- oder 3- oder 4- oder 5- oder 6- oder 7-yl; 4,5-Dihydro-l,2- oxazepin-3- oder 4- oder 5- oder 6- oder 7-yl; 4,7-Dihydro-l,2-oxazepin-3- oder 4- oder 5- oder 6- oder 7-yl; 6,7-Dihydro-l,2-oxazepin-3- oder 4- oder 5- oder 6- oder 7-yl; l,2-Oxazepin-3- oder 4- oder 5- oder 6- oder 7-yl; l,3-Oxazepan-2- oder 3- oder 4- oder 5- oder 6- oder 7-yl; 2,3,4,5-Tetrahydro-l,3- oxazepin-2- oder 3- oder 4- oder 5- oder 6- oder 7-yl; 2,3,4,7-Tetrahydro-l,3-oxazepin-2- oder 3- oder1.3 oxazolidine-2- or 3- or 4- or 5-yl; 2,3-dihydro-1,3-oxazol-2 or 3 or 4 or 5-yl; 2,5-dihydro-1,3-oxazol-2 or 4 or 5-yl; 4,5-dihydro-1,3-oxazol-2 or 4 or 5-yl; 1, 2-oxazinan-2 or 3 or 4 or 5 or 6-yl; 3,4-dihydro-2H-1,2-oxazine-2 or 3 or 4 or 5 or 6-yl; 3,6-dihydro-2H-1,2-oxazine-2 or 3 or 4 or 5 or 6-yl; 5,6-dihydro-2H-1,2-oxazine-2 or 3 or 4 or 5 or 6-yl; 5,6-dihydro-4H-1,2-oxazine-3 or 4 or 5 or 6-yl; 2H-l, 2-oxazine-2 or 3 or 4 or 5 or 6-yl; 6H-l, 2-oxazine-3 or 4 or 5 or 6-yl; 4H-1, 2-oxazine-3 or 4 or 5 or 6-yl; l, 3-oxazinan-2 or 3 or 4 or 5 or 6-yl; 3,4-dihydro-2H-1,3-oxazine-2- or 3- or 4- or 5- or 6-yl; 3,6-dihydro-2H-1,3-oxazine-2 or 3 or 4 or 5 or 6-yl; 5,6-dihydro-2H-1,3-oxazine-2- or 4- or 5- or 6-yl; 5,6-dihydro-4H-1,3-oxazine-2- or 4- or 5- or 6-yl; 2H-, 3-oxazine-2- or 4- or 5- or 6-yl; 6H-1, 3-oxazine-2 or 4 or 5 or 6-yl; 4H-1, 3-oxazine-2 or 4 or 5 or 6-yl; Morpholine-2- or 3- or 4-yl; 3,4-dihydro-2H-1,4-oxazine-2- or 3- or 4- or 5- or 6-yl; 3,6-dihydro-2H-1,4-oxazine-2- or 3- or 5- or 6-yl; 2H-1,4-oxazine-2- or 3- or 5- or 6-yl; 4H-1,4-oxazine-2 or 3-yl; 1, 2-oxazepan-2 or 3 or 4 or 5 or 6 or 7 yl; 2,3,4,5-tetrahydro-1,2-oxazepine-2- or 3- or 4- or 5- or 6- or 7-yl; 2,3,4,7-tetrahydro-1, 2-oxazepine-2 or 3 or 4 or 5 or 6 or 7-yl; 2,3,6,7-tetrahydro-1,2-oxazepine-2- or 3- or 4- or 5- or 6- or 7-yl; 2,5,6,7-tetrahydro-1,2-oxazepine-2- or 3- or 4- or 5- or 6- or 7-yl; 4,5,6,7-tetrahydro-1,2-oxazepine-3- or 4- or 5- or 6- or 7-yl; 2,3-dihydro-1,2-oxazepine-2- or 3- or 4- or 5- or 6- or 7-yl; 2,5-dihydro-1,2-oxazepine-2- or 3- or 4- or 5- or 6- or 7-yl; 2,7-dihydro-1,2-oxazepine-2 or 3 or 4 or 5 or 6 or 7-yl; 4,5-dihydro-1, 2-oxazepine-3 or 4 or 5 or 6 or 7-yl; 4,7-dihydro-1,2-oxazepine-3 or 4 or 5 or 6 or 7-yl; 6,7-dihydro-1,2-oxazepine-3- or 4- or 5- or 6- or 7-yl; l, 2-oxazepine-3 or 4 or 5 or 6- or 7-yl; l, 3-oxazepan-2 or 3 or 4 or 5 or 6 or 7-yl; 2,3,4,5-tetrahydro-1, 3-oxazepine-2 or 3 or 4 or 5 or 6 or 7-yl; 2,3,4,7-tetrahydro-l, 3-oxazepine-2 or 3-or
4- oder 5- oder 6- oder 7-yl; 2,3,6,7-Tetrahydro-l,3-oxazepin-2- oder 3- oder 4- oder 5- oder 6- oder 7- yl; 2,5,6,7-Tetrahydro-l,3-oxazepin-2- oder 4- oder 5- oder 6- oder 7-yl; 4,5,6,7-Tetrahydro-l,3- oxazepin-2- oder 4- oder 5- oder 6- oder 7-yl; 2,3-Dihydro-l,3-oxazepin-2- oder 3- oder 4- oder 5- oder 6- oder 7-yl; 2,5-Dihydro-l,3-oxazepin-2- oder 4- oder 5- oder 6- oder 7-yl; 2,7-Dihydro-l,3-oxazepin- 2- oder 4- oder 5- oder 6- oder 7-yl; 4,5-Dihydro-l,3-oxazepin-2- oder 4- oder 5- oder 6- oder 7-yl; 4,7- Dihydro-l,3-oxazepin-2- oder 4- oder 5- oder 6- oder 7-yl; 6,7-Dihydro-l,3-oxazepin-2- oder 4- oder 5- oder 6- oder 7-yl; l,3-Oxazepin-2- oder 4- oder 5- oder 6- oder 7-yl; 1 ,4-Oxazepan-2- oder 3- oder 5- oder 6- oder 7-yl; 2,3,4,5-Tetrahydro-l,4-oxazepin-2- oder 3- oder 4- oder 5- oder 6- oder 7-yl; 2,3,4,7- Tetrahydro-l,4-oxazepin-2- oder 3- oder 4- oder 5- oder 6- oder 7-yl; 2,3,6,7-Tetrahydro-l,4-oxazepin-4- or 5- or 6- or 7-yl; 2,3,6,7-tetrahydro-1,3-oxazepine-2- or 3- or 4- or 5- or 6- or 7-yl; 2,5,6,7-tetrahydro-1,3-oxazepine-2- or 4- or 5- or 6- or 7-yl; 4,5,6,7-tetrahydro-1, 3-oxazepine-2 or 4 or 5 or 6 or 7-yl; 2,3-dihydro-1,3-oxazepine-2- or 3- or 4- or 5- or 6- or 7-yl; 2,5-dihydro-1,3-oxazepine-2- or 4- or 5- or 6- or 7-yl; 2,7-dihydro-1,3-oxazepine 2- or 4- or 5- or 6- or 7-yl; 4,5-dihydro-1,3-oxazepine-2- or 4- or 5- or 6- or 7-yl; 4,7-dihydro-1,3-oxazepine-2- or 4- or 5- or 6- or 7-yl; 6,7-dihydro-1,3-oxazepine-2- or 4- or 5- or 6- or 7-yl; l, 3-oxazepine-2- or 4- or 5- or 6- or 7-yl; 1,4-oxazepan-2- or 3- or 5- or 6- or 7-yl; 2,3,4,5-tetrahydro-1,4-oxazepine-2- or 3- or 4- or 5- or 6- or 7-yl; 2,3,4,7-tetrahydro-l, 4-oxazepine-2 or 3 or 4 or 5 or 6 or 7-yl; 2,3,6,7-tetrahydro-l, 4-oxazepin
2- oder 3- oder 5- oder 6- oder 7-yl; 2,5,6,7-Tetrahydro-l,4-oxazepin-2- oder 3- oder 5- oder 6- oder 7- yl; 4,5,6,7-Tetrahydro-l,4-oxazepin-2- oder 3- oder 4- oder 5- oder 6- oder 7-yl; 2,3-Dihydro-l,4- oxazepin-2- oder 3- oder 5- oder 6- oder 7-yl; 2,5-Dihydro-l,4-oxazepin-2- oder 3- oder 5- oder 6- oder 7-yl; 2,7-Dihydro-l,4-oxazepin-2- oder 3- oder 5- oder 6- oder 7-yl; 4,5-Dihydro-l,4-oxazepin-2- oder2- or 3- or 5- or 6- or 7-yl; 2,5,6,7-tetrahydro-1,4-oxazepine-2- or 3- or 5- or 6- or 7-yl; 4,5,6,7-tetrahydro-l, 4-oxazepine-2 or 3 or 4 or 5 or 6 or 7-yl; 2,3-dihydro-1,4-oxazepine-2- or 3- or 5- or 6- or 7-yl; 2,5-dihydro-1,4-oxazepine-2- or 3- or 5- or 6- or 7-yl; 2,7-dihydro-1,4-oxazepine-2- or 3- or 5- or 6- or 7-yl; 4,5-dihydro-1,4-oxazepine-2- or
3- oder 4- oder 5- oder 6- oder 7-yl; 4,7-Dihydro-l,4-oxazepin-2- oder 3- oder 4- oder 5- oder 6- oder 7- yl; 6,7-Dihydro-l,4-oxazepin-2- oder 3- oder 5- oder 6- oder 7-yl; 1 ,4-Oxazepin-2- oder 3- oder 5- oder 6- oder 7-yl; Isothiazolidin-2- oder 3- oder 4- oder 5-yl; 2,3-Dihydroisothiazol-2- oder 3- oder 4- oder 5- yl; 2,5-Dihydroisothiazol-2- oder 3- oder 4- oder 5-yl; 4,5-Dihydroisothiazol-3- oder 4- oder 5-yl; 1,3- Thiazolidin-2- oder 3- oder 4- oder 5-yl; 2,3-Dihydro-l ,3-thiazol-2- oder 3- oder 4- oder 5-yl; 2,5-3- or 4- or 5- or 6- or 7-yl; 4,7-dihydro-l, 4-oxazepine-2 or 3 or 4 or 5 or 6 or 7 yl; 6,7-dihydro-1,4-oxazepine-2- or 3- or 5- or 6- or 7-yl; 1,4-oxazepine-2- or 3- or 5- or 6- or 7-yl; Isothiazolidine-2- or 3- or 4- or 5-yl; 2,3-dihydroisothiazole-2 or 3 or 4 or 5 yl; 2,5-dihydroisothiazole-2 or 3 or 4 or 5-yl; 4,5-dihydroisothiazole-3 or 4 or 5-yl; 1,3-thiazolidine-2- or 3- or 4- or 5-yl; 2,3-dihydro-1,3-thiazole-2 or 3 or 4 or 5-yl; 2,5-
Dihydro-l,3-thiazol-2- oder 4- oder 5-yl; 4,5-Dihydro-l,3-thiazol-2- oder 4- oder 5-yl; l,3-Thiazinan-2- oder 3- oder 4- oder 5- oder 6-yl; 3,4-Dihydro-2H-l,3-thiazin-2- oder 3- oder 4- oder 5- oder 6-yl; 3,6- Dihydro-2H-l,3-thiazin-2- oder 3- oder 4- oder 5- oder 6-yl; 5,6-Dihydro-2H-l,3-thiazin-2- oder 4- oderDihydro-1, 3-thiazole-2 or 4 or 5-yl; 4,5-dihydro-1,3-thiazol-2 or 4 or 5-yl; l, 3-thiazinan-2 or 3 or 4 or 5 or 6-yl; 3,4-dihydro-2H-1, 3-thiazine-2 or 3 or 4 or 5 or 6-yl; 3,6-dihydro-2H-l, 3-thiazine-2 or 3 or 4 or 5 or 6-yl; 5,6-dihydro-2H-l, 3-thiazine-2 or 4 or
5- oder 6-yl; 5,6-Dihydro-4H-l,3-thiazin-2- oder 4- oder 5- oder 6-yl; 2H-l,3-Thiazin-2- oder 4- oder 5- oder 6-yl; 6H-l,3-Thiazin-2- oder 4- oder 5- oder 6-yl; 4H-l,3-Thiazin-2- oder 4- oder 5- oder 6-yl.5- or 6-yl; 5,6-dihydro-4H-1, 3-thiazine-2 or 4 or 5 or 6-yl; 2H-1, 3-thiazine-2 or 4 or 5 or 6-yl; 6H-l, 3-thiazine-2 or 4 or 5 or 6-yl; 4H-l, 3-thiazine-2 or 4 or 5 or 6-yl.
Weitere Beispiele für "Heterocyclyl" sind ein partiell oder vollständig hydrierter heterocyclischer Rest mit 3 Heteroatomen aus der Gruppe N, O und S, wie beispielsweise l,4,2-Dioxazolidin-2- oder 3- oder 5-yl; l,4,2-Dioxazol-3- oder 5-yl; 1 ,4,2-Dioxazinan-2- oder -3- oder 5- oder 6-yl; 5,6-Dihydro-l,4,2- dioxazin-3- oder 5- oder 6-yl; l,4,2-Dioxazin-3- oder 5- oder 6-yl; l,4,2-Dioxazepan-2- oder 3- oder 5- oder 6- oder 7-yl; 6,7-Dihydro-5H-l,4,2-Dioxazepin-3- oder 5- oder 6- oder 7-yl; 2,3-Dihydro-7H-l,4,2- Dioxazepin-2- oder 3- oder 5- oder 6- oder 7-yl; 2,3-Dihydro-5H-l,4,2-Dioxazepin-2- oder 3- oder 5- oder 6- oder 7-yl; 5H-l,4,2-Dioxazepin-3- oder 5- oder 6- oder 7-yl; 7H-l,4,2-Dioxazepin-3- oder 5- oder 6- oder 7-yl. Strukturbeispiele für gegebenenfalls weiter substituierte Heterocyclen sind auch im Folgenden aufgeführt: 31 Further examples of "heterocyclyl" are a partially or fully hydrogenated heterocyclic radical having 3 heteroatoms from the group N, O and S, such as, for example, l, 4,2-dioxazolidin-2 or 3 or 5-yl; l, 4,2-dioxazol-3 or 5-yl; 1,2,2-dioxazinane-2- or -3- or 5- or 6-yl; 5,6-dihydro-l, 4,2-dioxazine-3 or 5 or 6-yl; l, 4,2-dioxazine-3- or 5- or 6-yl; l, 4,2-dioxazepan-2 or 3 or 5 or 6 or 7-yl; 6,7-dihydro-5H-l, 4,2-dioxazepine-3 or 5 or 6 or 7-yl; 2,3-dihydro-7H-l, 4,2-dioxazepin-2 or 3 or 5 or 6 or 7-yl; 2,3-dihydro-5H-1, 4,2-dioxazepine-2 or 3 or 5 or 6 or 7-yl; 5H-l, 4,2-dioxazepine-3 or 5 or 6 or 7-yl; 7H-l, 4,2-dioxazepine-3 or 5 or 6 or 7-yl. Structural examples of optionally further substituted heterocycles are also listed below: 31
Die oben aufgeführten Heterocyclen sind bevorzugt beispielsweise durch Wasserstoff, Halogen, Alkyl, Haloalkyl, Hydroxy, Alkoxy, Cycloalkoxy, Aryloxy, Alkoxyalkyl, Alkoxyalkoxy, Cycloalkyl, The heterocycles listed above are preferably, for example, hydrogen, halogen, alkyl, haloalkyl, hydroxy, alkoxy, cycloalkoxy, aryloxy, alkoxyalkyl, alkoxyalkoxy, cycloalkyl,
Halocycloalkyl, Aryl, Arylalkyl, Heteroaryl, Heterocyclyl, Alkenyl, Alkylcarbonyl, Cycloalkylcarbonyl, Arylcarbonyl, Heteroarylcarbonyl, Alkoxycarbonyl, Hydroxycarbonyl, Cycloalkoxycarbonyl, Halocycloalkyl, aryl, arylalkyl, heteroaryl, heterocyclyl, alkenyl, alkylcarbonyl, cycloalkylcarbonyl, arylcarbonyl, heteroarylcarbonyl, alkoxycarbonyl, hydroxycarbonyl, cycloalkoxycarbonyl,
Cycloalkylalkoxycarbonyl, Alkoxycarbonylalkyl, Arylalkoxycarbonyl, Arylalkoxycarbonylalkyl, Alkinyl, Alkinylalkyl, Alkylalkinyl, Tris-alkylsilylalkinyl, Nitro, Amino, Cyano, Haloalkoxy, Cycloalkylalkoxycarbonyl, alkoxycarbonylalkyl, arylalkoxycarbonyl, arylalkoxycarbonylalkyl, alkynyl, alkynylalkyl, alkylalkynyl, trisalkylsilylalkynyl, nitro, amino, cyano, haloalkoxy,
Haloalkylthio, Alkylthio, Hydrothio, Hydroxyalkyl, Oxo, Heteroarylalkoxy, Arylalkoxy, Haloalkylthio, alkylthio, hydrothio, hydroxyalkyl, oxo, heteroarylalkoxy, arylalkoxy,
Heterocyclylalkoxy, Heterocyclylalkylthio, Heterocyclyloxy, Heterocyclylthio, Heteroaryloxy, Bis- alkylamino, Alkylamino, Cycloalkylamino, Hydroxycarbonylalkylamino, Alkoxycarbonylalkylamino, Arylalkoxycarbonylalkylamino, Alkoxycarbonylalkyl(alkyl)amino, Aminocarbonyl, Heterocyclylalkoxy, heterocyclylalkylthio, heterocyclyloxy, heterocyclylthio, heteroaryloxy, bisalkylamino, alkylamino, cycloalkylamino, hydroxycarbonylalkylamino, alkoxycarbonylalkylamino, arylalkoxycarbonylalkylamino, alkoxycarbonylalkyl (alkyl) amino, aminocarbonyl,
Alkylaminocarbonyl, Bis-alkylaminocarbonyl, Cycloalkylaminocarbonyl, Alkylaminocarbonyl, bis-alkylaminocarbonyl, cycloalkylaminocarbonyl,
Hydroxycarbonylalkylaminocarbonyl, Alkoxycarbonylalkylaminocarbonyl, Hydroxycarbonylalkylaminocarbonyl, alkoxycarbonylalkylaminocarbonyl,
Arylalkoxycarbonylalkylaminocarbonyl substituiert. Arylalkoxycarbonylalkylaminocarbonyl substituted.
Wenn ein Grundkörper "durch einen oder mehrere Reste" aus einer Aufzählung von Resten (= Gruppe) oder einer generisch definierten Gruppe von Resten substituiert ist, so schließt dies jeweils die gleichzeitige Substitution durch mehrere gleiche und/oder strukturell unterschiedliche Reste ein. Handelt es sich es sich um einen teilweise oder vollständig gesättigten Stickstoff-Heterocyclus, so kann dieser sowohl über Kohlenstoff als auch über den Stickstoff mit dem Rest des Moleküls verknüpft sein. If a main body is "substituted by one or more radicals" from an enumeration of radicals (= group) or a generically defined group of radicals, this includes the simultaneous substitution by a plurality of identical and / or structurally different radicals. If it is a partially or fully saturated nitrogen heterocycle, it may be linked to the rest of the molecule via both carbon and nitrogen.
Als Substituenten für einen substituierten heteroeyclischen Rest kommen die weiter unten genannten Substituenten in Frage, zusätzlich auch Oxo und Thioxo. Die Oxogruppe als Substituent an einem Ring- C-Atom bedeutet dann beispielsweise eine Carbonylgruppe im heteroeyclischen Ring. Dadurch sind vorzugsweise auch Lactone und Lactame umfasst. Die Oxogruppe kann auch an den Heteroringatomen, die in verschiedenen Oxidationsstufen existieren können, z.B. bei N und S, auftreten und bilden dann beispielsweise die divalenten Gruppen N(O) , S(O) (auch kurz SO) und S(0)2 (auch kurz SO2) im heteroeyclischen Ring. Im Fall von -N(O)- und -S(0)-Gruppen sind jeweils beide Enantiomere umfasst. Erfindungsgemäß steht der Ausdruck„Heteroaryl" für heteroaromatische Verbindungen, d. h. Suitable substituents for a substituted heterocyclic radical are the substituents mentioned below, in addition to oxo and thioxo. The oxo group as a substituent on a ring C atom then means, for example, a carbonyl group in the hetero-cyclic ring. As a result, lactones and lactams are preferably also included. The oxo group can also occur at the hetero ring atoms, which can exist in different oxidation states, for example at N and S, and then form, for example, the divalent groups N (O), S (O) (also SO for short) and S (O) 2 ( also short SO2) in the hetero-cyclic ring. In the case of -N (O) and -S (0) groups, both enantiomers are included. According to the invention, the term "heteroaryl" for heteroaromatic compounds, ie
vollständig ungesättigte aromatische heterocyclische Verbindungen, vorzugsweise für 5- bis 7-gliedrige Ringe mit 1 bis 4, vorzugsweise 1 oder 2 gleichen oder verschiedenen Heteroatomen, vorzugsweise O, S oder N. Erfindungsgemäße Heteroaryle sind beispielsweise lH-Pyrrol-l-yl; lH-Pyrrol-2-yl; lH-Pyrrol- 3-yl; Furan-2-yl; Furan-3-yl; Thien-2-yl; Thien-3-yl, lH-Imidazol-l-yl; lH-Imidazol-2-yl; lH-Imidazol- 4-yl; lH-Imidazol-5-yl; lH-Pyrazol-l-yl; lH-Pyrazol-3-yl; lH-Pyrazol-4-yl; lH-Pyrazol-5-yl, 1H-1,2,3- Triazol-l-yl, lH-l,2,3-Triazol-4-yl, lH-l,2,3-Triazol-5-yl, 2H-l,2,3-Triazol-2-yl, 2H-l,2,3-Triazol-4-yl, lH-l,2,4-Triazol-l-yl, lH-l,2,4-Triazol-3-yl, 4H-l,2,4-Triazol-4-yl, l,2,4-Oxadiazol-3-yl, 1,2,4- Oxadiazol-5-yl, l,3,4-Oxadiazol-2-yl, l,2,3-Oxadiazol-4-yl, l,2,3-Oxadiazol-5-yl, l,2,5-Oxadiazol-3-yl, Azepinyl, Pyridin-2-yl, Pyridin-3-yl, Pyridin-4-yl, Pyrazin-2-yl, Pyrazin-3-yl, Pyrimidin-2-yl, completely unsaturated aromatic heterocyclic compounds, preferably for 5- to 7-membered rings having 1 to 4, preferably 1 or 2 identical or different heteroatoms, preferably O, S or N. Heteroaryls according to the invention are, for example, 1H-pyrrol-1-yl; lH-pyrrol-2-yl; 1H-pyrrol-3-yl; Furan-2-yl; Furan-3-yl; Thien-2-yl; Thien-3-yl, 1H-imidazol-1-yl; lH-imidazol-2-yl; 1H-imidazol-4-yl; lH-imidazol-5-yl; lH-pyrazol-l-yl; lH-pyrazol-3-yl; lH-pyrazol-4-yl; lH-pyrazol-5-yl, 1H-1,2,3-triazol-1-yl, 1H-l, 2,3-triazol-4-yl, 1H-l, 2,3-triazol-5-yl, 2H-l, 2,3-triazol-2-yl, 2H-l, 2,3-triazol-4-yl, 1H-l, 2,4-triazol-1-yl, 1H-l, 2,4- Triazol-3-yl, 4H-l, 2,4-triazol-4-yl, l, 2,4-oxadiazol-3-yl, 1,2,4-oxadiazol-5-yl, l, 3,4- Oxadiazol-2-yl, l, 2,3-oxadiazol-4-yl, l, 2,3-oxadiazol-5-yl, l, 2,5-oxadiazol-3-yl, azepinyl, pyridin-2-yl, Pyridin-3-yl, pyridin-4-yl, pyrazine-2-yl, pyrazine-3-yl, pyrimidin-2-yl,
Pyrimidin-4-yl, Pyrimidin-5-yl, Pyridazin-3-yl, Pyridazin-4-yl, l,3,5-Triazin-2-yl, l,2,4-Triazin-3-yl, l,2,4-Triazin-5-yl, 1 ,2,4-Triazin-6-yl, l,2,3-Triazin-4-yl, l,2,3-Triazin-5-yl, 1,2,4-, 1,3,2-, 1,3,6- und 1,2,6-Oxazinyl, Isoxazol-3-yl, Isoxazol-4-yl, Isoxazol-5-yl, l,3-Oxazol-2-yl, l,3-Oxazol-4-yl, 1,3- Oxazol-5-yl, Isothiazol-3-yl, Isothiazol-4-yl, Isothiazol-5-yl, l,3-Thiazol-2-yl, l,3-Thiazol-4-yl, 1,3- Thiazol-5-yl, Oxepinyl, Thiepinyl, 1 ,2,4-Triazolonyl und 1 ,2,4-Diazepinyl, 2H-l,2,3,4-Tetrazol-5-yl, lH-l,2,3,4-Tetrazol-5-yl, l,2,3,4-Oxatriazol-5-yl, l,2,3,4-Thiatriazol-5-yl, l,2,3,5-Oxatriazol-4-yl, l,2,3,5-Thiatriazol-4-yl. Die erfindungsgemäßen Heteroarylgruppen können ferner mit einem oder mehreren, gleichen oder verschiedenen Resten substituiert sein. Sind zwei benachbarte Pyrimidin-4-yl, pyrimidin-5-yl, pyridazin-3-yl, pyridazin-4-yl, l, 3,5-triazin-2-yl, l, 2,4-triazin-3-yl, 2,4-triazin-5-yl, 1, 2,4-triazin-6-yl, l, 2,3-triazin-4-yl, l, 2,3-triazin-5-yl, 1,2, 4-, 1,3,2-, 1,3,6- and 1,2,6-oxazinyl, isoxazol-3-yl, isoxazol-4-yl, isoxazol-5-yl, 1,3-oxazole-2 -yl, 1,3-oxazol-4-yl, 1,3-oxazol-5-yl, isothiazol-3-yl, isothiazol-4-yl, isothiazol-5-yl, l, 3-thiazol-2-yl , 1, 3-Thiazol-4-yl, 1,3-thiazol-5-yl, oxepinyl, thiepinyl, 1, 2,4-triazolonyl and 1, 2,4-diazepinyl, 2H-l, 2,3,4 -Tetrazol-5-yl, 1H-l, 2,3,4-tetrazol-5-yl, l, 2,3,4-oxatriazol-5-yl, l, 2,3,4-thiatriazol-5-yl 1,2,3,5-Oxatriazol-4-yl, 1,2,3,5-thiatriazol-4-yl. The heteroaryl groups according to the invention may furthermore be substituted by one or more identical or different radicals. Are two neighbors
Kohlenstoffatome Bestandteil eines weiteren aromatischen Rings, so handelt es sich um annellierte heteroaromatische Systeme, wie benzokondensierte oder mehrfach annellierte Heteroaromaten. Carbon atoms part of another aromatic ring, they are fused heteroaromatic systems, such as benzo-fused or multiply fused heteroaromatic.
Bevorzugt sind beispielsweise Chinoline (z. B. Chinolin-2-yl, Chinolin-3-yl, Chinolin-4-yl, Chinolin-5- yl, Chinolin-6-yl, Chinolin-7-yl, Chinolin-8-yl); Isochinoline (z. B. Isochinolin-l-yl, Isochinolin-3-yl, Isochinolin-4-yl, Isochinolin-5-yl, Isochinolin-6-yl, Isochinolin-7-yl, Isochinolin-8-yl); Chinoxalin; Chinazolin; Cinnolin; 1,5-Naphthyridin; 1 ,6-Naphthyridin; 1 ,7-Naphthyridin; 1,8-Naphthyridin; 2,6- Naphthyridin; 2,7-Naphthyridin; Phthalazin; Pyridopyrazine; Pyridopyrimidine; Pyridopyridazine; Preferred are, for example, quinolines (e.g., quinolin-2-yl, quinolin-3-yl, quinolin-4-yl, quinolin-5-yl, quinolin-6-yl, quinolin-7-yl, quinolin-8-yl ); Isoquinolines (e.g., isoquinolin-1-yl, isoquinolin-3-yl, isoquinolin-4-yl, isoquinolin-5-yl, isoquinolin-6-yl, isoquinolin-7-yl, isoquinolin-8-yl); quinoxaline; quinazoline; cinnoline; 1,5-naphthyridine; 1,6-naphthyridine; 1,7-naphthyridine; 1,8-naphthyridine; 2,6-naphthyridine; 2,7-naphthyridine; phthalazine; Pyridopyrazine; pyridopyrimidines; Pyridopyridazine;
Pteridine; Pyrimidopyrimidine. Beispiele für Heteroaryl sind auch 5- oder 6-gliedrige benzokondensierte Ringe aus der Gruppe lH-Indol-l-yl, lH-Indol-2-yl, lH-Indol-3-yl, lH-Indol-4-yl, lH-Indol-5-yl, 1H- Indol-6-yl, lH-Indol-7-yl, l-Benzofuran-2-yl, l-Benzofuran-3-yl, l-Benzofuran-4-yl, l-Benzofuran-5- yl, l-Benzofuran-6-yl, l-Benzofuran-7-yl, l-Benzothiophen-2-yl, l-Benzothiophen-3-yl, 1- Benzothiophen-4-yl, l-Benzothiophen-5-yl, l-Benzothiophen-6-yl, l-Benzothiophen-7-yl, lH-Indazol-pteridines; Pyrimidopyrimidine. Examples of heteroaryl are also 5- or 6-membered benzo-fused rings from the group 1H-indol-1-yl, 1H-indol-2-yl, 1H-indol-3-yl, 1H-indol-4-yl, 1H- Indol-5-yl, 1H-indol-6-yl, 1H-indol-7-yl, 1-benzofuran-2-yl, 1-benzofuran-3-yl, 1-benzofuran-4-yl, 1-benzofuran 5-yl, 1-benzofuran-6-yl, 1-benzofuran-7-yl, 1-benzothiophene-2-yl, 1-benzothiophen-3-yl, 1-benzothiophene-4-yl, 1-benzothiophene-5 yl, 1-benzothiophene-6-yl, 1-benzothiophene-7-yl, 1H-indazole
1- yl, lH-Indazol-3-yl, lH-Indazol-4-yl, lH-Indazol-5-yl, lH-Indazol-6-yl, lH-Indazol-7-yl, 2H-Indazol-1-yl, 1H-indazol-3-yl, 1H-indazol-4-yl, 1H-indazol-5-yl, 1H-indazol-6-yl, 1H-indazol-7-yl, 2H-indazole
2- yl, 2H-Indazol-3-yl, 2H-Indazol-4-yl, 2H-Indazol-5-yl, 2H-Indazol-6-yl, 2H-Indazol-7-yl, 2H- Isoindol-2-yl, 2H-Isoindol-l-yl, 2H-Isoindol-3-yl, 2H-Isoindol-4-yl, 2H-Isoindol-5-yl, 2H-Isoindol-6-yl; 2H-Isoindol-7-yl, lH-Benzimidazol-l-yl, lH-Benzimidazol-2-yl, lH-Benzimidazol-4-yl, 1H- Benzimidazol-5-yl, lH-Benzimidazol-6-yl, lH-Benzimidazol-7-yl, l,3-Benzoxazol-2-yl, 1,3-2-yl, 2H-indazol-3-yl, 2H-indazol-4-yl, 2H-indazol-5-yl, 2H-indazol-6-yl, 2H-indazol-7-yl, 2H-isoindole-2 yl, 2H-isoindol-1-yl, 2H-isoindol-3-yl, 2H-isoindol-4-yl, 2H-isoindol-5-yl, 2H-isoindol-6-yl; 2H-isoindol-7-yl, 1H-benzimidazol-1-yl, 1H-benzimidazol-2-yl, 1H-benzimidazol-4-yl, 1H-benzimidazol-5-yl, 1H-benzimidazol-6-yl, 1H- Benzimidazol-7-yl, 1,3-benzoxazol-2-yl, 1,3-
Benzoxazol-4-yl, l,3-Benzoxazol-5-yl, l,3-Benzoxazol-6-yl, l,3-Benzoxazol-7-yl, l,3-Benzthiazol-2-yl, l,3-Benzthiazol-4-yl, l,3-Benzthiazol-5-yl, l,3-Benzthiazol-6-yl, l,3-Benzthiazol-7-yl, 1,2- Benzisoxazol-3-yl, l,2-Benzisoxazol-4-yl, l,2-Benzisoxazol-5-yl, l,2-Benzisoxazol-6-yl, 1,2- Benzisoxazol-7-yl, l,2-Benzisothiazol-3-yl, l,2-Benzisothiazol-4-yl, l,2-Benzisothiazol-5-yl, 1,2- Benzisothiazol-6-yl, 1 ,2-Benzisothiazol-7-yl. Die Bezeichnung "Halogen" bedeutet beispielsweise Fluor, Chlor, Brom oder Iod. Wird die Benzoxazol-4-yl, l, 3-benzoxazol-5-yl, l, 3-benzoxazol-6-yl, l, 3-benzoxazol-7-yl, l, 3-benzthiazol-2-yl, l, 3 Benzothiazol-4-yl, 1,3-benzthiazol-5-yl, 1,3-benzthiazol-6-yl, 1,3-benzthiazol-7-yl, 1,2- Benzisoxazol-3-yl, 1,2-benzisoxazol-4-yl, 1,2-benzisoxazol-5-yl, 1,2-benzisoxazol-6-yl, 1,2-benzisoxazol-7-yl, l, 2 Benzisothiazol-3-yl, 1,2-benzisothiazol-4-yl, 1,2-benzisothiazol-5-yl, 1,2-benzisothiazol-6-yl, 1,2-benzisothiazol-7-yl. The term "halogen" means, for example, fluorine, chlorine, bromine or iodine. Will the
Bezeichnung für einen Rest verwendet, dann bedeutet "Halogen" beispielsweise ein Fluor-, Chlor-, Brom- oder Iodatom. When used to denote a radical, then "halogen" means, for example, a fluorine, chlorine, bromine or iodine atom.
Erfindungsgemäß bedeutet„Alkyl" einen geradkettigen oder verzweigten offenkettigen, gesättigten Kohlenwasserstoffrest, der gegebenenfalls ein- oder mehrfach substituiert ist und im letzteren Falle als „substituiertes Alkyl" bezeichnet wird. Bevorzugte Substituenten sind Halogenatome, Alkoxy-, Haloalkoxy-, Cyano-, Alkylthio, Haloalkylthio-, Amino- oder Nitrogruppen, besonders bevorzugt sind Methoxy, Methyl, Fluoralkyl, Cyano, Nitro, Fluor, Chlor, Brom oder Iod. Die Vorsilbe„Bis" schließt auch die Kombination unterschiedlicher Alkylreste ein, z. B. Methyl(Ethyl) oder Ethyl(Methyl). According to the invention, "alkyl" means a straight-chain or branched, open-chain, saturated hydrocarbon radical which is optionally monosubstituted or polysubstituted and is referred to in the latter case as "substituted alkyl". Preferred substituents are halogen atoms, alkoxy, haloalkoxy, cyano, alkylthio, haloalkylthio, amino or nitro groups, particularly preferred are methoxy, methyl, fluoroalkyl, cyano, nitro, fluorine, chlorine, bromine or iodine. The prefix "bis" also includes the combination of different alkyl radicals, for example, methyl (ethyl) or ethyl (methyl).
„Haloalkyl", ,,-alkenyl" und„-alkinyl" bedeuten durch gleiche oder verschiedene Halogenatome, teilweise oder vollständig substituiertes Alkyl, Alkenyl bzw. Alkinyl, z.B. Monohaloalkyl "Haloalkyl", "- alkenyl" and "alkynyl" mean by the same or different halogen atoms, partially or fully substituted alkyl, alkenyl and alkynyl, for example monohaloalkyl
(= Monohalogenalkyl) wie z. B. CH2CH2C1, CH2CH2Br, CHC1CH3, CH2C1, CH2F; Perhaloalkyl wie z. B. CCI3, CC1F2, CFC12,CF2CC1F2, CF2CC1FCF3; Polyhaloalkyl wie z. B. CH2CHFC1, CF2CC1FH, CF2CBrFH, CH2CF3; Der Begriff Perhaloalkyl umfasst dabei auch den Begriff Perfluoralkyl. (= Monohaloalkyl) such. CH 2 CH 2 Cl, CH 2 CH 2 Br, CHClCH 3 , CH 2 Cl, CH 2 F; Perhaloalkyl such. B. CCl 3, CC1F 2, CFC1 2 CF 2 CC1F 2, CF 2 CC1FCF 3; Polyhaloalkyl such. CH 2 CHFC1, CF 2 CC1FH, CF 2 CBrFH, CH 2 CF 3; The term perhaloalkyl also encompasses the term perfluoroalkyl.
„Teilfluoriertes Alkyl" bedeutet einen geradkettigen oder verzweigten, gesättigten Kohlenwasserstoff, der einfach oder mehrfach durch Fluor substituiert ist, wobei sich die entsprechenden Fluoratome als Substituenten an einem oder mehreren verschiedenen Kohlenstoffatomen der geradkettigen oder verzweigten Kohlenwasserstoffkette befinden können, wie z. B. CHFCH3, CH2CH2F, CH2CH2CF3, CHF2, CH2F, CHFCF2CF3 "Partially fluorinated alkyl" means a straight-chain or branched, saturated hydrocarbon which is monosubstituted or polysubstituted by fluorine, it being possible for the corresponding fluorine atoms to be present as substituents on one or more different carbon atoms of the straight-chain or branched hydrocarbon chain, for example CHFCH3, CH 2 CH 2 F, CH 2 CH 2 CF 3, CHF 2, CH 2 F, CF 3 CHFCF 2
„Teilfluoriertes Haloalkyl" bedeutet einen geradkettigen oder verzweigten, gesättigten "Partially fluorinated haloalkyl" means a straight-chain or branched, saturated one
Kohlenwasserstoff, der durch verschiedenene Halogenatomen mit mindestens einem Fluoratom substituiert ist, wobei alle anderen gegebenenfalls vorhandenen Halogenatome ausgewählt sind aus der Gruppe Fluor, Chlor oder Brom, Iod. Die entsprechenden Halogenatome können sich dabei als Substituenten an einem oder mehreren verschiedenen Kohlenstoffatomen der geradkettigen oder verzweigten Kohlenwasserstoffkette befinden. Teilfluoriertes Haloalkyl schließt auch die vollständige Substitution der geradkettigen oder verzweigten Kette durch Halogen unter Beteiligung von mindestens einem Fluoratom ein. „Haloalkoxy" ist z.B. OCF3, OCHF2, OCH2F, OCF2CF3, OCH2CF3 und OCH2CH2CI; Entsprechendes gilt für Haloalkenyl und andere durch Halogen substituierten Reste. Hydrocarbon which is substituted by various halogen atoms having at least one fluorine atom, wherein all other optional halogen atoms are selected from the group fluorine, chlorine or bromine, iodine. The corresponding halogen atoms may be present as substituents on one or more different carbon atoms of the straight-chain or branched hydrocarbon chain. Partially fluorinated haloalkyl also includes the complete substitution of halogen with the participation of at least one fluorine atom of the straight-chain or branched chain. "Haloalkoxy" is, for example, OCF 3 , OCHF 2 , OCH 2 F, OCF 2 CF 3 , OCH 2 CF 3 and OCH 2 CH 2 Cl, and the same applies to haloalkenyl and other halogen-substituted radicals.
Der hier beispielhaft genannte Ausdruck "(Ci-C4)-Alkyl" bedeutet eine Kurzschreibweise für geradkettiges oder verzweigtes Alkyl mit einem bis 4 Kohlenstoffatomen entsprechend der The term "(C 1 -C 4) -alkyl" given here by way of example denotes a short notation for straight-chain or branched alkyl having one to four carbon atoms corresponding to the formula
Bereichsangabe für C-Atome, d. h. umfasst die Reste Methyl, Ethyl, 1 -Propyl, 2-Propyl, 1 -Butyl, 2-Butyl, 2-Methylpropyl oder tert-Butyl. Allgemeine Alkylreste mit einem größeren angegebenen Bereich von C-Atomen, z. B. "(Ci-C6)-Alkyl", umfassen entsprechend auch geradkettige oder verzweigte Alkylreste mit einer größeren Zahl von C-Atomen, d. h. gemäß Beispiel auch die Alkylreste mit 5 und 6 C-Atomen. Range indication for C atoms, d. H. includes the radicals methyl, ethyl, 1-propyl, 2-propyl, 1-butyl, 2-butyl, 2-methylpropyl or tert-butyl. General alkyl radicals having a larger specified range of carbon atoms, eg. As "(Ci-C6) alkyl", accordingly also include straight-chain or branched alkyl radicals having a larger number of C atoms, d. H. according to example, the alkyl radicals with 5 and 6 carbon atoms.
Wenn nicht speziell angegeben, sind bei den Kohlenwasserstoffresten wie Alkyl-, Alkenyl- und Alkinylresten, auch in zusammengesetzten Resten, die niederen Kohlenstoffgerüste, z.B. mit 1 bis 6 C-Atomen bzw. bei ungesättigten Gruppen mit 2 bis 6 C-Atomen, bevorzugt. Alkylreste, auch in den zusammengesetzten Resten wie Alkoxy, Haloalkyl usw., bedeuten z.B. Methyl, Ethyl, n- oder i-Propyl, n-, i-, t- oder 2-Butyl, Pentyle, Hexyle, wie n-Hexyl, i-Hexyl und 1,3-Dimethylbutyl, Heptyle, wie n-Heptyl, 1 -Methylhexyl und 1 ,4-Dimethylpentyl; Alkenyl- und Alkinylreste haben die Bedeutung der den Alkylresten entsprechenden möglichen ungesättigten Reste, wobei mindestens eine Doppelbindung bzw. Dreifachbindung enthalten ist. Bevorzugt sind Reste mit einer Doppelbindung bzw. Unless specifically stated, the hydrocarbon radicals such as alkyl, alkenyl and alkynyl radicals, even in assembled radicals, are the lower carbon skeletons, e.g. with 1 to 6 C atoms or with unsaturated groups having 2 to 6 C atoms, preferred. Alkyl radicals, also in the assembled radicals such as alkoxy, haloalkyl, etc., mean e.g. Methyl, ethyl, n- or i-propyl, n-, i-, t- or 2-butyl, pentyls, hexyls, such as n-hexyl, i-hexyl and 1,3-dimethylbutyl, heptyls, such as n-heptyl, 1-methylhexyl and 1, 4-dimethylpentyl; Alkenyl and alkynyl radicals have the meaning of the possible unsaturated radicals corresponding to the alkyl radicals, wherein at least one double bond or triple bond is contained. Preference is given to radicals having a double bond or
Dreifachbindung. Triple bond.
Der Begriff„Alkenyl" schließt insbesondere auch geradkettige oder verzweigte offenkettige The term "alkenyl" in particular also includes straight-chain or branched open-chain
Kohlenwasserstoffreste mit mehr als einer Doppelbindung ein, wie 1,3-Butadienyl und 1 ,4-Pentadienyl, aber auch Allenyl- oder Kumulenyl-reste mit einer bzw. mehreren kumulierten Doppelbindungen, wie beispielsweise Allenyl (1,2-Propadienyl), 1 ,2-Butadienyl und 1,2,3-Pentatrienyl. Alkenyl bedeutet z.B. Vinyl, welches gegebenenfalls durch weitere Alkylreste substituiert sein kann, z B. (aber nicht beschränkt auf) (C2-Ce)-Alkenyl wie Ethenyl, 1 -Propenyl, 2-Propenyl, 1 -Methylethenyl, 1 -Butenyl, 2- Butenyl, 3-Butenyl, 1 -Methyl- 1 -propenyl, 2-Methyl-l -propenyl, 1 -Methyl-2-propenyl, 2-Methyl-2- propenyl, 1-Pentenyl, 2-Pentenyl, 3-Pentenyl, 4-Pentenyl, 1 -Methyl- 1 -butenyl, 2-Methyl-l -butenyl, 3- Methyl- 1-butenyl, 1 -Methyl-2-butenyl, 2-Methyl-2-butenyl, 3-Methyl-2-butenyl, l-Methyl-3 -butenyl, 2- Methyl-3 -butenyl, 3 -Methyl-3 -butenyl, l,l-Dimethyl-2-propenyl, 1,2-Dimethyl-l -propenyl, 1,2- Dimethyl-2-propenyl, 1 -Ethyl- 1 -propenyl, 1 -Ethyl-2-propenyl, 1-Hexenyl, 2-Hexenyl, 3-Hexenyl, 4- Hexenyl, 5-Hexenyl, 1 -Methyl- 1-pentenyl, 2-Methyl-l -pentenyl, 3 -Methyl- 1-pentenyl, 4-Methyl-l- pentenyl, 1 -Methyl-2-pentenyl, 2-Methyl-2-pentenyl, 3-Methyl-2-pentenyl, 4-Methyl-2-pentenyl, 1- Methyl-3 -pentenyl, 2-Methyl-3 -pentenyl, 3 -Methyl-3 -pentenyl, 4-Methyl-3 -pentenyl, 1 -Methyl-4- pentenyl, 2-Methyl-4-pentenyl, 3-Methyl-4-pentenyl, 4-Methyl-4-pentenyl, 1 , 1 -Dimethyl-2-butenyl, 1 , 1 -Dimethyl-3 -butenyl, 1,2-Dimethyl-l -butenyl, l,2-Dimethyl-2-butenyl, 1 ,2-Dimethyl-3 -butenyl, 1,3- Dimethyl-l -butenyl, l,3-Dimethyl-2-butenyl, l,3-Dimethyl-3-butenyl, 2,2-Dimethyl-3-butenyl, 2,3- Dimethyl-l -butenyl, 2,3-Dimethyl-2-butenyl, 2,3-Dimethyl-3-butenyl, 3, 3 -Dimethyl-l-butenyl, 3,3- Dimethyl-2-butenyl, 1-Ethyl- 1-butenyl, 1 -Ethyl-2-butenyl, l-Ethyl-3-butenyl, 2-Ethyl-l -butenyl, 2- Ethyl-2-butenyl, 2-Ethyl-3-butenyl, l,l,2-Trimethyl-2-propenyl, 1-Ethyl- 1 -methyl-2-propenyl, 1-Ethyl- 2-methyl-l-propenyl und 1 -Ethyl-2-methyl-2-propenyl. Hydrocarbon radicals having more than one double bond, such as 1,3-butadienyl and 1,4-pentadienyl, but also allenyl or cumulenyl radicals having one or more cumulated double bonds, such as allenyl (1,2-propadienyl), 1, 2-butadienyl and 1,2,3-pentatrienyl. Alkenyl is, for example, vinyl, which may optionally be substituted by further alkyl radicals, for example (but not limited to) (C 2 -C 6) -alkenyl, such as ethenyl, 1-propenyl, 2-propenyl, 1-methylethenyl, 1-butenyl, 2-butenyl, 3-butenyl, 1-methyl-1-propenyl, 2-methyl-1-propenyl, 1-methyl-2-propenyl, 2-methyl-2-propenyl, 1-pentenyl, 2-pentenyl, 3 Pentenyl, 4-pentenyl, 1-methyl-1-butenyl, 2-methyl-1-butenyl, 3-methyl-1-butenyl, 1-methyl-2-butenyl, 2-methyl-2-butenyl, 3-methyl 2-butenyl, 1-methyl-3-butenyl, 2-methyl-3-butenyl, 3-methyl-3-butenyl, 1,1-dimethyl-2-propenyl, 1,2-dimethyl-1-propenyl, 1, 2-dimethyl-2-propenyl, 1-ethyl-1-propenyl, 1-ethyl-2-propenyl, 1-hexenyl, 2-hexenyl, 3-hexenyl, 4-hexenyl, 5-hexenyl, 1-methyl-1- pentenyl, 2-methyl-1-pentenyl, 3-methyl-1-pentenyl, 4-methyl-1-pentenyl, 1-methyl-2-pentenyl, 2-methyl-2-pentenyl, 3-methyl-2-pentenyl, 4-methyl-2-pentenyl, 1-methyl-3-pentenyl, 2-methyl-3-pentenyl, 3-methyl-3-pentenyl, 4-methyl 3-pentenyl, 1-methyl-4-pentenyl, 2-methyl-4-pentenyl, 3-methyl-4-pentenyl, 4-methyl-4-pentenyl, 1, 1-dimethyl-2-butenyl, 1, 1 Dimethyl 3-butenyl, 1,2-dimethyl-1-butenyl, 1,2-dimethyl-2-butenyl, 1,2-dimethyl-3-butenyl, 1,3- Dimethyl-1-butenyl, 1,3-dimethyl-2-butenyl, 1,3-dimethyl-3-butenyl, 2,2-dimethyl-3-butenyl, 2,3-dimethyl-1-butenyl, 2,3- Dimethyl-2-butenyl, 2,3-dimethyl-3-butenyl, 3,3-dimethyl-1-butenyl, 3,3-dimethyl-2-butenyl, 1-ethyl-1-butenyl, 1-ethyl-2- butenyl, 1-ethyl-3-butenyl, 2-ethyl-1-butenyl, 2-ethyl-2-butenyl, 2-ethyl-3-butenyl, 1, 1, 2-trimethyl-2-propenyl, 1-ethyl 1-methyl-2-propenyl, 1-ethyl-2-methyl-1-propenyl and 1-ethyl-2-methyl-2-propenyl.
Der Begriff„Alkinyl" schließt insbesondere auch geradkettige oder verzweigte offenkettige The term "alkynyl" in particular also includes straight-chain or branched open-chain
Kohlenwasserstoffreste mit mehr als einer Dreifachbindung oder auch mit einer oder mehreren Hydrocarbon radicals with more than one triple bond or with one or more
Dreifachbindungen und einer oder mehreren Doppelbindungen ein, wie beispielsweise 1,3-Butatrienyl bzw. 3-Penten-l -in-l -yl. (C2-C6)-Alkinyl bedeutet z.B. Ethinyl, 1-Propinyl, 2-Propinyl, 1-Butinyl, 2- Butinyl, 3-Butinyl, 1 -Methyl-2-propinyl, 1-Pentinyl, 2-Pentinyl, 3-Pentinyl, 4-Pentinyl, 1 -Methyl-2- butinyl, l-Methyl-3-butinyl, 2-Methyl-3-butinyl, 3 -Methyl- 1-butinyl, 1 , 1 -Dimethyl-2-propinyl, 1-Ethyl- 2-propinyl, 1-Hexinyl, 2-Hexinyl, 3-Hexinyl, 4-Hexinyl, 5-Hexinyl, 1 -Methyl-2-pentinyl, l-Methyl-3- pentinyl, 1 -Methyl-4-pentinyl, 2-Methyl-3-pentinyl, 2-Methyl-4-pentinyl, 3 -Methyl- 1-pentinyl, 3- Methyl-4-pentinyl, 4-Methyl- 1 -pentinyl, 4-Methyl-2-pentinyl, 1 , 1 -Di-methyl-2-butinyl, 1 , 1 -Dimethyl-3 - butinyl, l,2-Dimethyl-3-butinyl, 2,2-Dimethyl-3-butinyl, 3, 3 -Dimethyl- 1-butinyl, 1 -Ethyl-2-butinyl, 1- Ethyl-3-butinyl, 2-Ethyl-3 -butinyl und 1-Ethyl- 1 -methyl-2-propinyl. Triple bonds and one or more double bonds, such as 1,3-butatrienyl and 3-penten-1-yn-1-yl, respectively. (C 2 -C 6) -alkynyl means e.g. Ethynyl, 1-propynyl, 2-propynyl, 1-butynyl, 2-butynyl, 3-butynyl, 1-methyl-2-propynyl, 1-pentynyl, 2-pentynyl, 3-pentynyl, 4-pentynyl, 1-methyl 2-butynyl, 1-methyl-3-butynyl, 2-methyl-3-butynyl, 3-methyl-1-butynyl, 1, 1-dimethyl-2-propynyl, 1-ethyl-2-propynyl, 1-hexynyl, 2-hexynyl, 3-hexynyl, 4-hexynyl, 5-hexynyl, 1-methyl-2-pentynyl, 1-methyl-3-pentynyl, 1-methyl-4-pentynyl, 2-methyl-3-pentynyl, 2 Methyl 4-pentynyl, 3-methyl-1-pentynyl, 3-methyl-4-pentynyl, 4-methyl-1-pentynyl, 4-methyl-2-pentynyl, 1,1-di-methyl-2-butynyl, 1, 1-dimethyl-3-butynyl, 1, 2-dimethyl-3-butynyl, 2,2-dimethyl-3-butynyl, 3, 3-dimethyl-1-butynyl, 1-ethyl-2-butynyl, 1 Ethyl 3-butynyl, 2-ethyl-3-butynyl and 1-ethyl-1-methyl-2-propynyl.
Der Begriff„Cycloalkyl" bedeutet ein carbocyclisches, gesättigtes Ringsystem mit vorzugsweise 3-8 Ring-C-Atomen, z.B. Cyclopropyl, Cyclobutyl, Cyclopentyl oder Cyclohexyl, das gegebenenfalls weiter substituiert ist, bevorzugt durch Wasserstoff, Alkyl, Alkoxy, Cyano, Nitro, Alkylthio, Haloalkylthio, Halogen, Alkenyl, Alkinyl, Haloalkyl, AMino, Alkylamino, Bisalkylamino, Alkocycarbonyl, The term "cycloalkyl" means a carbocyclic, saturated ring system preferably having 3-8 ring C atoms, eg cyclopropyl, cyclobutyl, cyclopentyl or cyclohexyl, which is optionally further substituted, preferably by hydrogen, alkyl, alkoxy, cyano, nitro, alkylthio , Haloalkylthio, halogen, alkenyl, alkynyl, haloalkyl, amino, alkylamino, bisalkylamino, alkocycarbonyl,
Hydroxycarbonyl, Arylalkoxycarbonyl, Aminocarbonyl, Alkylaminocarbonyl, Hydroxycarbonyl, arylalkoxycarbonyl, aminocarbonyl, alkylaminocarbonyl,
Cycloalkylaminocarbonyl. Im Falle von gegebenenfalls substituiertem Cycloalkyl werden cyclische Systeme mit Substituenten umfasst, wobei auch Substituenten mit einer Doppelbindung am Cycloalkylaminocarbonyl, In the case of optionally substituted cycloalkyl cyclic systems are included with substituents, wherein substituents having a double bond on
Cycloalkylrest, z. B. eine Alkylidengruppe wie Methyliden, umfasst sind. Im Falle von gegebenenfalls substituiertem Cycloalkyl werden auch mehrcyclische aliphatische Systeme umfasst, wie beispielsweise Bicyclo[l .1.0]butan-l -yl, Bicyclo[l .1.0]butan-2-yl, Bicyclo[2.1.0]pentan-l -yl, Bicyclo[l .1.1 ]pentan-l - yl, Bicyclo[2.1.0]pentan-2-yl, Bicyclo[2.1.0]pentan-5-yl, Bicyclo[2.1.1]hexyl, Bicyclo[2.2.1]hept-2-yl, Bicyclo[2.2.2]octan-2-yl, Bicyclo[3.2.1]octan-2-yl, Bicyclo[3.2.2]nonan-2-yl, Adamantan-l-yl und Cycloalkyl, z. As an alkylidene group such as methylidene, are included. In the case of optionally substituted cycloalkyl, polycyclic aliphatic systems are also included, such as, for example, bicyclo [1,1.0] butan-1-yl, bicyclo [1,1-0] butan-2-yl, bicyclo [2.1.0] pentan-1-yl , Bicyclo [1,11] pentan-1-yl, bicyclo [2.1.0] pentan-2-yl, bicyclo [2.1.0] pentan-5-yl, bicyclo [2.1.1] hexyl, bicyclo [2.2.1 ] hept-2-yl, bicyclo [2.2.2] octan-2-yl, bicyclo [3.2.1] octan-2-yl, bicyclo [3.2.2] nonan-2-yl, adamantan-1-yl and
Adamantan-2-yl, aber auch Systeme wie z. B. l,l'-Bi(cyclopropyl)-l-yl, l,l'-Bi(cyclopropyl)-2-yl. Der Ausdruck "(C3-C7)-Cycloalkyl" bedeutet eine Kurzschreibweise für Cycloalkyl mit drei bis 7 Adamantan-2-yl, but also systems such. B. l, l-Bi (cyclopropyl) -l-yl, l, l'-Bi (cyclopropyl) -2-yl. The term "(C 3 -C 7) cycloalkyl" means a short notation for cycloalkyl of three to seven
Kohlenstoffatomen entsprechend der Bereichsangabe für C-Atome. Im Falle von substituiertem Cycloalkyl werden auch spirocyclische aliphatische Systeme umfasst, wie beispielsweise Spiro[2.2]pent-l -yl, Spiro[2.3]hex-l-yl, Spiro[2.3]hex-4-yl, 3-Spiro[2.3]hex-5-yl, Spiro[3.3]hept-l-yl, Spiro[3.3]hept-2-yl. „Cycloalkenyl" bedeutet ein carbocyclisches, nicht aromatisches, partiell ungesättigtes Ringsystem mit vorzugsweise 4-8 C-Atomen, z.B. 1 -Cyclobutenyl, 2-Cyclobutenyl, 1 -Cyclopentenyl, 2-Cyclopentenyl, 3 -Cyclopentenyl, oder 1 -Cyclohexenyl, 2-Cyclohexenyl, 3-Cyclohexenyl, 1 ,3-Cyclohexadienyl oder 1 ,4-Cyclohexadienyl, wobei auch Substituenten mit einer Doppelbindung am Cycloalkenylrest, z. B. eine Alkylidengruppe wie Methyliden, umfasst sind. Im Falle von gegebenenfalls substituiertem Cycloalkenyl gelten die Erläuterungen für substituiertes Cycloalkyl entsprechend. Carbon atoms corresponding to the range for C atoms. In the case of substituted cycloalkyl, spirocyclic aliphatic systems are also included, such as spiro [2.2] pent-1-yl, spiro [2.3] hex-1-yl, spiro [2.3] hex-4-yl, 3-spiro [2.3] hex-5-yl, spiro [3.3] hept-1-yl, spiro [3.3] hept-2-yl. "Cycloalkenyl" means a carbocyclic, non-aromatic, partially unsaturated ring system preferably having 4-8 C atoms, eg 1-cyclobutenyl, 2-cyclobutenyl, 1-cyclopentenyl, 2-cyclopentenyl, 3-cyclopentenyl, or 1-cyclohexenyl, 2- Cyclohexenyl, 3-cyclohexenyl, 1, 3-cyclohexadienyl or 1, 4-cyclohexadienyl, wherein substituents having a double bond on the cycloalkenyl radical, for example an alkylidene group such as methylidene, are also included in the case of optionally substituted cycloalkenyl the explanations for substituted Corresponding to cycloalkyl.
Der Begriff„Alkyliden", z. B. auch in der Form (Ci-Cio)-Alkyliden, bedeutet den Rest eines geradkettigen oder verzweigten offenkettigen Kohlenwasserstoffrests, der über eine Zweifachbindung gebunden ist. Als Bindungsstelle für Alkyliden kommen naturgemäß nur Positionen am Grundkörper in Frage, an denen zwei H- Atome durch die Doppelbindung ersetzt werden können; Reste sind z. B. =CH2, =CH-CH3, =C(CH3)-CH3, =C(CH3)-C2H5 oder =C(C2H5)-C2H5. Cycloalkyliden bedeutet ein The term "alkylidene", for example also in the form of (C 1 -C 10) -alkylidene, means the radical of a straight-chain or branched open-chain hydrocarbon radical which is bonded via a double bond.As a binding site for alkylidene, only positions on the main body naturally occur Question in which two hydrogen atoms can be replaced by the double bond: radicals are eg = CH 2 , = CH-CH 3 , = C (CH 3 ) -CH 3 , = C (CH 3 ) -C 2 H 5 or = C (C 2 H 5 ) -C 2 H 5. Cycloalkylidene means
carbocyclischer Rest, der über eine Zweifachbindung gebunden ist. carbocyclic radical bonded via a double bond.
„Alkoxyalkyl" steht für einen über eine Alkylgruppe gebundenen Alkoxyrest und„Alkoxyalkoxy" bedeutet einen über ein Sauerstoffatom gebundenen Alkoxyalkylrest, z.B. (aber nicht beschränkt auf) Methoxymethoxy, Methoxyethoxy, Ethoxyethoxy, Methoxy-n-propyloxy. „Alkylthioalkyl" steht für einen über eine Alkylgruppe gebundenen Alkylthiorest und "Alkoxyalkyl" means an alkoxy group attached via an alkyl group, and "alkoxyalkoxy" means an alkoxyalkyl group bonded via an oxygen atom, e.g. (but not limited to) methoxymethoxy, methoxyethoxy, ethoxyethoxy, methoxy-n-propyloxy. "Alkylthioalkyl" means an alkylthio radical bonded via an alkyl group and
„Alkylthioalkylthio" bedeutet einen über ein Sauerstoffatom gebundenen Alkylthioalkylrest. "Alkylthioalkylthio" means an alkylthioalkyl radical bonded via an oxygen atom.
„Arylalkoxyalkyl" steht für einen über eine Alkylgruppe gebundenen Aryloxyrest und "Arylalkoxyalkyl" stands for an aryloxy radical bound via an alkyl group and
„Heteroaryloxyalkyl" bedeutet einen über eine Alkylgruppe gebundenen Heteroaryloxyrest. "Heteroaryloxyalkyl" means a heteroaryloxy group bonded via an alkyl group.
„Haloalkoxyalkyl" steht für einen gebundenen Haloalkoxyrest und„Haloalkylthioalkyl" bedeutet einen über eine Alkylgruppe gebundenen Haloalkylthiorest. "Haloalkoxyalkyl" means a haloalkoxy radical attached and "haloalkylthioalkyl" means a haloalkylthio radical attached via an alkyl group.
„Arylalkyl" steht für einen über eine Alkylgruppe gebundenen Arylrest,„Heteroarylalkyl" bedeutet einen über eine Alkylgruppe gebundenen Heteroarylrest, und„Heterocyclylalkyl" bedeutet einen über eine Alkylgruppe gebundenen Heterocyclylrest. "Arylalkyl" means an aryl group attached via an alkyl group, "heteroarylalkyl" means a heteroaryl group bonded via an alkyl group, and "heterocyclylalkyl" means a heterocyclyl group bonded through an alkyl group.
„Cycloalkylalkyl" steht für einen über eine Alkylgruppe gebundenen Cycloalkylrest, z. B. (aber nicht beschränkt auf) Cyclopropylmethyl, Cyclobutylmethyl, Cyclopentylmethyl, Cyclohexylmethyl, 1 - Cyclopropyleth-l -yl, 2-Cyclopropyleth-l -yl, 1 -Cyclopropylprop-l -yl, 3-Cyclopropylprop-l -yl. Erfindungsgemäß steht "Haloalkylthio" - in Alleinstellung oder als Bestandteil einer chemischen Gruppe - für geradkettiges oder verzweigtes S-Halogenalkyl, vorzugsweise mit 1 bis 8, oder mit 1 bis 6 Kohlenstoffatomen, wie (Ci-Cs)-, (CI-CÖ)- oder (Ci-C4)-Haloalkylthio, z.B. (aber nicht beschränkt auf) Trifluormethylthio, Pentafluorethylthio, Difluormethyl, 2,2-Difluoreth-l -ylthio, 2,2,2-Difluoreth-l - ylthio, 3,3,3-prop-l -ylthio. "Cycloalkylalkyl" means a cycloalkyl radical attached via an alkyl group, for example (but not limited to) cyclopropylmethyl, cyclobutylmethyl, cyclopentylmethyl, cyclohexylmethyl, 1-cyclopropyleth-1-yl, 2-cyclopropyleth-1-yl, 1-cyclopropylpropyl l -yl, 3-cyclopropylprop-1-yl. According to the invention, "haloalkylthio" - alone or as part of a chemical group - represents straight-chain or branched S-haloalkyl, preferably having 1 to 8, or having 1 to 6 carbon atoms, such as (C 1 -C 5) -, (C 1 -C 5) - or (C 1 -C 4) haloalkylthio, for example (but not limited to) trifluoromethylthio, pentafluoroethylthio, difluoromethyl, 2,2-difluoroeth-1-ylthio, 2,2,2-difluoroeth-1-ylthio, 3,3,3- prop-1-ylthio.
„Halocycloalkyl" und„Halocycloalkenyl" bedeuten durch gleiche oder verschiedene Halogenatome, wie z. B. F, Cl und Br, oder durch Haloalkyl, wie z. B. Trifluormethyl oder Difluormethyl teilweise oder vollständig substituiertes Cycloalkyl oder Cycloalkenyl , z.B. 1 -Fluorcycloprop-l -yl, 2-Fluorcycloprop- 1 -yl, 2,2-Difluorcycloprop-l -yl, 1 -Fluorcyclobut-l -yl, 1 -Trifluormethylcycloprop-l -yl, 2-"Halocycloalkyl" and "Halocycloalkenyl" mean by the same or different halogen atoms, such as. B. F, Cl and Br, or by haloalkyl, such as. Trifluoromethyl or difluoromethyl, partially or fully substituted cycloalkyl or cycloalkenyl, e.g. 1-fluorocycloprop-1-yl, 2-fluorocycloprop-1-yl, 2,2-difluorocycloprop-1-yl, 1-fluorocyclobutyl, 1-trifluoromethylcycloprop-1-yl, 2
Trifluormethylcycloprop- 1 -yl, 1 -Chlor-cycloprop- 1 -yl, 2-Chlorcycloprop- 1 -yl, 2,2-Dichlorcycloprop- 1 - yl, 3,3-Difluorcyclobutyl, Trifluoromethylcycloprop-1-yl, 1-chlorocycloprop-1-yl, 2-chlorocycloprop-1-yl, 2,2-dichlorocycloprop-1-yl, 3,3-difluorocyclobutyl,
Erfindungsgemäß steht "Trialkylsilyl" - in Alleinstellung oder als Bestandteil einer chemischen Gruppe - für geradkettiges oder verzweigtes Si-Alkyl, vorzugsweise mit 1 bis 8, oder mit 1 bis 6 According to the invention "trialkylsilyl" - alone or as part of a chemical group - is straight-chain or branched Si-alkyl, preferably with 1 to 8, or with 1 to 6
Kohlenstoffatomen, wie Tri-[(Ci-Cg)-, (Ci-Ce)- oder (Ci-C4)-alkyl]silyl, z.B. (aber nicht beschränkt auf) Trimethylsilyl, Triethylsilyl, Tri-(n-propyl)silyl, Tri-(iso-propyl)silyl, Tri-(n-butyl)silyl, Tri-(1 - methylprop-l -yl)silyl, Tri-(2-methylprop-l -yl)silyl, Tri(l ,l -Dimethyleth-l -yl)silyl, Tri(2,2- Dimethyleth- 1 -yl)silyl. Carbon atoms such as tri - [(Ci-Cg) -, (Ci-Ce) - or (Ci-C4) -alkyl] silyl, e.g. (but not limited to) trimethylsilyl, triethylsilyl, tri (n-propyl) silyl, tri (iso-propyl) silyl, tri (n-butyl) silyl, tri (1-methylprop-1-yl) silyl, Tri- (2-methylprop-1-yl) silyl, tri (1,1-dimethyleth-1-yl) silyl, tri (2,2-dimethyl-1-yl) silyl.
Wenn die Verbindungen durch Wasserstoffverschiebung Tautomere bilden können, welche strukturell formal nicht durch die allgemeine Formel (I) erfasst würden, so sind diese Tautomere gleichwohl von der Definition der erfindungsgemäßen Verbindungen der allgemeinen Formel (I) umfasst, sofern nicht ein bestimmtes Tautomer Gegenstand der Betrachtung ist. So können beispielsweise viele If the compounds can form tautomers by hydrogen shift which would not be structurally formally recognized by the general formula (I), these tautomers are nevertheless encompassed by the definition of the compounds of the general formula (I) according to the invention, unless a particular tautomer is the subject of consideration is. For example, many
Carbonylverbindungen sowohl in der Ketoform wie auch in der Enolform vorliegen, wobei beide Formen durch die Definition der Verbindung der allgemeinen Formel (I) umfasst werden. Carbonyl compounds in both the keto form as well as in the enol form, both forms by the definition of the compound of general formula (I) are included.
Die Verbindungen der allgemeinen Formel (I) können je nach Art und Verknüpfung der Substituenten als Stereoisomere vorliegen. Die durch ihre spezifische Raumform definierten möglichen Stereoisomere, wie Enantiomere, Diastereomere, Z- und E-Isomere sind alle von der allgemeinen Formel (I) umfasst. Sind beispielsweise eine oder mehrere Alkenylgruppen vorhanden, so können Diastereomere (Z- und E- Isomere) auftreten. Sind beispielsweise ein oder mehrere asymmetrische Kohlenstoffatome vorhanden, so können Enantiomere und Diastereomere auftreten. Stereoisomere lassen sich aus den bei der Depending on the nature and linkage of the substituents, the compounds of the general formula (I) can exist as stereoisomers. The possible stereoisomers defined by their specific spatial form, such as enantiomers, diastereomers, Z and E isomers, are all encompassed by the general formula (I). If, for example, one or more alkenyl groups are present, diastereomers (Z and E isomers) can occur. For example, if one or more asymmetric carbon atoms are present, enantiomers and diastereomers may occur. Stereoisomers can be distinguished from those in the
Herstellung anfallenden Gemischen nach üblichen Trennmethoden erhalten. Die chromatographische Trennung kann sowohl im analytischen Maßstab zur Feststellung des Enantiomerenüberschusses bzw. des Diastereomerenüberschusses, wie auch im präparativen Maßstab zur Herstellung von Prüfmustern für die biologische Ausprüfung erfolgen. Ebenso können Stereoisomere durch Einsatz stereoselektiver Reaktionen unter Verwendung optisch aktiver Ausgangs- und/oder Hilfsstoffe selektiv hergestellt werden. Die Erfindung betrifft somit auch alle Stereoisomeren, die von der allgemeinen Formel (I) umfasst, jedoch nicht mit ihrer spezifischen Stereoform angegeben sind, sowie deren Gemische. Sofern die Verbindungen als Feststoffe erhalten werden, kann die Reinigung auch durch Preparation of resulting mixtures obtained by conventional separation methods. The chromatographic separation can be carried out both on an analytical scale to determine the enantiomeric excess or the diastereomeric excess, as well as on a preparative scale for the preparation of test samples for the biological assay. Likewise, stereoisomers can be prepared by using stereoselective Reactions can be selectively prepared using optically active starting materials and / or auxiliaries. The invention thus also relates to all stereoisomers which comprises the general formula (I) but are not specified with their specific stereoform, and mixtures thereof. If the compounds are obtained as solids, the purification can also by
Umkristallisieren oder Digerieren erfolgen. Sofern einzelne Verbindungen (I) nicht auf den nachstehend beschriebenen Wegen zufriedenstellend zugänglich sind, können sie durch Derivatisierung anderer Verbindungen (I) hergestellt werden. Als Isolierungs-, Reinigungs- und Stereoisomerenauftrennungsverfahren von Verbindungen der allgemeinen Formel (I) kommen Methoden in Frage, die dem Fachmann aus analogen Fällen allgemein bekannt sind, z.B. durch physikalische Verfahren wie Kristallisation, Chromatographieverfahren, vor allem Säulenchromatographie und HPLC (Hochdruckflüssigchromatographie), Destillation, gegebenenfalls unter reduziertem Druck, Extraktion und andere Verfahren, können gegebenfalls verbleibende Gemische in der Regel durch chromatographische Trennung, z.B. an chiralen Festphasen, getrennt werden. Für präparative Mengen oder im industriellen Maßstab kommen Verfahren in Frage wie Kristallisation, z.B. diastereomerer Salze, die aus den Diastereomerengemischen mit optisch aktiven Säuren und gegebenenfalls bei vorhandenen sauren Gruppen mit optisch aktiven Basen erhalten werden können. Recrystallize or digest. Unless individual compounds (I) are satisfactorily accessible by the routes described below, they can be prepared by derivatization of other compounds (I). Suitable isolation, purification and stereoisomer separation methods of compounds of general formula (I) are those which are well known to those skilled in the art from analogous cases, e.g. by physical methods such as crystallization, chromatographic methods, especially column chromatography and HPLC (high performance liquid chromatography), distillation, optionally under reduced pressure, extraction and other methods, residual mixtures may optionally be removed by chromatographic separation, e.g. at chiral solid phases, to be separated. For preparative amounts or on an industrial scale, such processes as crystallization, e.g. diastereomeric salts which can be obtained from the diastereomeric mixtures with optically active acids and optionally in the presence of acidic groups with optically active bases.
Synthese von substituierten Pyrrolidinonen der allgemeinen Formel (I). Synthesis of substituted pyrrolidinones of the general formula (I).
Die erfindungsgemäßen substituierten Pyrrolidinone der allgemeinen Formel (I) können ausgehend von bekannten Verfahren hergestellt werden. Die eingesetzten und untersuchten Syntheserouten gehen dabei von kommerziell erhältlichen oder leicht herstellbaren Aminen, von entsprechend substituierten Aldehyden und von kommerziell erhältlichen Chemikalien wie Malonsäurederivaten und Nitromethan aus. Die Gruppierungen Q, Y, W1, W2, R1, R2, R3, R4, R5, R6, R7 und R8 der allgemeinen Formel (I) haben in den nachfolgenden Schemata die zuvor definierten Bedeutungen, sofern nicht beispielhafte, aber nicht einschränkende, Definitionen erfolgen. The substituted pyrrolidinones of the general formula (I) according to the invention can be prepared starting from known processes. The synthetic routes used and investigated are based on commercially available or easily prepared amines, on appropriately substituted aldehydes and on commercially available chemicals such as malonic acid derivatives and nitromethane. The groupings Q, Y, W 1 , W 2 , R 1 , R 2 , R 3 , R 4 , R 5 , R 6 , R 7 and R 8 of the general formula (I) have the meanings defined above in the following schemes unless definitions are given by way of example but not by way of limitation.
Die Synthese der erfindungsgemäßen Verbindungen der allgemeinen Formel (Ia) erfolgt über eine Amidkupplung von einer Säure der allgemeinen Formel (II) mit einem Amin der allgemeinen Formel (III) in Gegenwart eines Amidkupplungsreagenzes wie zum Beispiel T3P, Dicyclohexylcarbodiimid, N- (3-Dimethylaminopropyl)-N'-ethylcarbodiimid, N,N'-Cabonyldiimidazol, 2-Chlor-l,3-dimethyl- imidazolium chlorid oder 2-Chlor-l-methylpyridinium iodid (siehe Chemistry of Peptide Synthsis, Ed. Ν. Leo Benoiton, Taylor & Francis, 2006, ISBN- 10: 1-57444-454-9). Polymergebundene Reagenzien wie zum Beispiel polymergebundenes Dicyclohexylcarbodiimid sind auch für diese Kupplungs-reaktion geeignet. Die Reaktion findet bevorzugt in dem Temperaturbereich zwischen 0 °C und 80 °C, in einem adäquaten Lösungsmittel wie zum Beispiel Dichlormethan, Acetonitril, NN-Dimethyl-formamid oder Ethylacetat und in Gegenwart eine Base wie zum Beispiel Triethylamin, N,N-Diisopropylethylamin oder l,8-Diazabicyclo[5.4.0]undec-7-cen statt (siehe Schema 1). Für die T3P Peptidkupplungsbedmgungen siehe Organic Process Research & Development 2009, 13, 900-906. Die Amidgruppe und der Rest Q nehmen überwiegend die trans-Konfiguration ein. Das cis-Isomer läßt sich in einigen Fällen in geringen Mengen per NMR detektieren. The synthesis of the compounds of the general formula (Ia) according to the invention is carried out via an amide coupling of an acid of the general formula (II) with an amine of the general formula (III) in the presence of an amide coupling reagent such as T3P, dicyclohexylcarbodiimide, N- (3-dimethylaminopropyl ) -N '-ethylcarbodiimid, N, N' -Cabonyldiimidazol, 2-chloro-l, 3-dimethyl-imidazolium chloride or 2-chloro-l-methylpyridinium iodide (see Chemistry of peptide Synthsis, Ed. Ν. Leo Benoiton, Taylor & Francis, 2006, ISBN 10: 1-57444-454-9). Polymer bound reagents such as polymer-bound dicyclohexylcarbodiimide are also suitable for this coupling reaction. The reaction preferably takes place in the temperature range between 0 ° C and 80 ° C, in an adequate solvent such as dichloromethane, acetonitrile, N, N-dimethylformamide or ethyl acetate and in the presence of a base such as triethylamine, N, N-diisopropylethylamine or l, 8-diazabicyclo [5.4.0] undec-7-cene (see Scheme 1). For the T3P peptide coupling requirements, see Organic Process Research & Development 2009, 13, 900-906. The amide group and the remainder Q predominantly occupy the trans configuration. The cis isomer can be detected in small amounts by NMR in some cases.
(Ii) (Iii) (la) (Ii) (iii) (la)
Mit Y = -CH2-. With Y = -CH 2 -.
Schema 1 Scheme 1
Die Synthese der Säure der allgemeinen Formel (II) lässt sich durch Verseifung der Verbindung der allgemeinen Formel (IV) nach oder analog dem Fachmann bekannten Methoden herstellen. The synthesis of the acid of the general formula (II) can be prepared by saponification of the compound of the general formula (IV) according to or analogously to methods known to those skilled in the art.
Die Verseifung lässt sich in Gegenwart einer Base oder einer Lewis-Säure durchführen. Die Base kann ein Hydroxid-Salz von einem Alkali-Metall (wie zum Beispiel Lithium, Natrium oder Kalium) sein, und die Verseifungsreaktion findet bevorzugt in dem Temperaturbereich zwischen Raumtemperatur und 100 °C statt. Die Lewis-Säure kann Bortribromid sein, und die Reaktion in einem Temperaturbereich zwischen -20 °C und 100 °C vorzugsweise -5 °C und 50 °C durchgeführt werden. The saponification can be carried out in the presence of a base or a Lewis acid. The base may be a hydroxide salt of an alkali metal (such as lithium, sodium or potassium), and the saponification reaction preferably takes place in the temperature range between room temperature and 100 ° C. The Lewis acid may be boron tribromide, and the reaction may be carried out in a temperature range between -20 ° C and 100 ° C, preferably -5 ° C and 50 ° C.
Mit R' = (Ci-C4)-Alkyl.With R '= (C 1 -C 4 ) -alkyl.
Schema 2 Die Synthese der Verbindung der allgemeinen Formel (IV) läßt sich durch Reduktion der Verbindung der allgemeinen Formel (V) und anschließender in situ Cyclisierung des enstehenden Amin- Intermediates nach oder analog dem Fachmann bekannten Methoden herstellen (siehe Schema 3). In der Literatur ist die Reduktion von aliphatischen Nitro-Gruppen durch katalytische Hydrogenolyse in Gegenwart von Palladium auf Kohle oder RaneyNickel, Eisen oder Zink im sauren Medium (siehe zum Beispiel Berichte der Deutschen Chemischen Gesellschaft 1904, 37, 3520-3525), und Lithiumalanat beschrieben. Die Reduktion läßt sich auch mit Samarium(II)iodid in Gegenwart einer Protonen-Quelle wie zum Beispiel Methanol (siehe zum Beispiel Tetrahedron Letters 1991, 32 (14), 1699-1702) durchführen. Alternativ läßt sich die Reduktion der aliphatischen Nitro-Gruppe mit Natriumborhydrid in Gegenwart von Nickel(II)acetat oder Nickel(II)chlorid (siehe zum Beispiel Tetrahedron Letters 1985, 26 (52), 6413-6416) durchführen. Scheme 2 The synthesis of the compound of general formula (IV) can be prepared by reduction of the compound of general formula (V) and subsequent in situ cyclization of the resulting amine intermediate according to or analogous to those skilled in the known methods (see Scheme 3). The literature describes the reduction of aliphatic nitro groups by catalytic hydrogenolysis in the presence of palladium on carbon or Raney nickel, iron or zinc in an acidic medium (see, for example, reports of the Deutsche Chemischen Gesellschaft 1904, 37, 3520-3525), and lithium alanate , The reduction can also be carried out with samarium (II) iodide in the presence of a proton source such as methanol (see, for example, Tetrahedron Letters 1991, 32 (14), 1699-1702). Alternatively, the reduction of the aliphatic nitro group with sodium borohydride in the presence of nickel (II) acetate or nickel (II) chloride (see, for example, Tetrahedron Letters 1985, 26 (52), 6413-6416) perform.
Mit R' = (Ci-C4)-Alkyl.With R '= (C 1 -C 4 ) -alkyl.
Schema 3 Scheme 3
In Schema 4 wird die Synthese der Verbindung der allgemeinen Formel (V) durch Reaktion eines Diesters der allgemeinen Formel (VI) mit einem Nitroalkan der allgemeinen Formel (VII) in Gegenwart einer Base beschrieben. Die Base kann ein Alkanolat-Salz von einem Alkali-Metall (wie zum Beispiel Natriummethylat oder Natriumethylat) sein, in einem adäquaten Lösungsmittel wie zum Beispiel Methanol oder Ethanol. Alternativ kann man die Reaktion mit Basen wie Lithiumhexa-methyldisilazan, Natriumhexamethyldisilazan oder Lithiumdiisopropylamid, in einem adäquaten Lösungsmittel wie zum Beis iel Tetrahydrofuran durchführen. Scheme 4 describes the synthesis of the compound of the general formula (V) by reacting a diester of the general formula (VI) with a nitroalkane of the general formula (VII) in the presence of a base. The base may be an alkoxide salt of an alkali metal (such as sodium methylate or sodium ethylate) in an adequate solvent such as methanol or ethanol. Alternatively, the reaction may be carried out with bases such as lithium hexa-methyldisilazane, sodium hexamethyldisilazane or lithium diisopropylamide in an adequate solvent such as tetrahydrofuran.
Mit R' = (Ci-C4)-Alkyl. With R '= (C 1 -C 4 ) -alkyl.
Mit Y = -CH2-. Schema 4 With Y = -CH2-. Scheme 4
Die Verbindungen der allgemeinen Formel (VI) lassen sich durch Knoevenagel Kondensation eines Aldehydes der allgemeinen Formel (VIII) und Malonestem der allgemeinen Formel (IX) herstellen (siehe Schema 5; G. Jones, Organic Reactions Volume 15, John Wiley and Sons, 1967). The compounds of general formula (VI) can be prepared by Knoevenagel condensation of an aldehyde of general formula (VIII) and malonic esters of general formula (IX) (see Scheme 5, G. Jones, Organic Reactions Volume 15, John Wiley and Sons, 1967 ).
Schema 5. Scheme 5.
In Schema 6 wird die Synthese der Verbindung der allgemeinen Formel (V) durch Reaktion eines Malonesters der allgemeinen Formel (IX) mit einem Nitroolefin der allgemeinen Formel (X) in In Scheme 6, the synthesis of the compound of general formula (V) by reaction of a malonic ester of general formula (IX) with a nitroolefin of general formula (X) in
Gegenwart einer Base beschrieben. Die Base kann ein Alkanolat-Salz bzw. Hydroxid von einem Alkali- Metall (wie zum Beispiel Natriummethylat oder Natriumethylat) sein, in einem adäquaten Lösungsmittel wie zum Beispiel Methanol oder Ethanol, oder Basen wie Lithiumhexamethyldisilazan, Presence of a base described. The base may be an alkanolate salt or hydroxide of an alkali metal (such as sodium methylate or sodium ethylate), in an adequate solvent such as methanol or ethanol, or bases such as lithium hexamethyldisilazane,
Natriumhexamethyldisilazan oder Lithiumdiisopropylamid, in einem adäquaten Lösungsmittel wie zum Beispiel Tetrahydrofuran durchführen. Sodium hexamethyldisilazane or lithium diisopropylamide, in an adequate solvent such as tetrahydrofuran perform.
Schema 6. Scheme 6.
Die Verbindungen der allgemeinen Formel (X) lassen sich durch Kondensation eines Aldehydes der allgemeinen Formel (VIII) und Verbindungen der allgemeinen Formel (XI) in Gegenwart einer Base wie zum Beispiel Natriumhydrid, in einem adäquaten Lösungsmittel wie zum Beispiel Tetrahydrofuran herstellen (siehe Schema 7). The compounds of the general formula (X) can be prepared by condensation of an aldehyde of the general formula (VIII) and compounds of the general formula (XI) in the presence of a base such as sodium hydride, in an adequate solvent such as tetrahydrofuran (see Scheme 7).
(VIII) (XI) (XI) (VIII) (XI) (XI)
Schema 7. Scheme 7.
Alternativ lassen sich die Verbindungen der allgemeinen Formel (Ia) durch Reduktion der Verbindung der allgemeinen Formel (XII) und anschließender in situ Cyclisierung des enstehenden Amin- Intermediates nach oder analog dem Fachmann bekannten Methoden herstellen (siehe Schema 8). In der Literatur ist die Reduktion von aliphatischen Nitro-Gruppen durch katalytische Hydrogenolyse inAlternatively, the compounds of the general formula (Ia) can be prepared by reduction of the compound of the general formula (XII) and subsequent in situ cyclization of the resulting amine intermediate according to methods known to those skilled in the art (see Scheme 8). In the literature, the reduction of aliphatic nitro groups by catalytic hydrogenolysis in
Gegenwart von Palladium auf Kohle oder RaneyNickel beschrieben. Alternativ läßt sich die Reduktion der aliphatischen Nitro-Gruppe mit Natriumborhydrid in Gegenwart von Nickel(II)acetat oder Presence of palladium on carbon or RaneyNickel described. Alternatively, the reduction of the aliphatic nitro group with sodium borohydride in the presence of nickel (II) acetate or
Nickel(II)chlorid durchführen. Nickel (II) chloride.
Mit R' = (Ci-C4)-AlkylWith R '= (C 1 -C 4 ) -alkyl
Schema 8. Scheme 8.
In Schema 9 wird die Synthese der Verbindung der allgemeinen Formel (XII) durch Reaktion eines Malonesters der allgemeinen Formel (XIII) mit einem Nitroolefin der allgemeinen Formel (X) in Gegenwart einer Base beschrieben. Die Base kann ein Alkanolat-Salz bzw. Hydroxid von einem Alkali- Metall (wie zum Beispiel Natriummethylat oder Natriumethylat) sein, in einem adäquaten Lösungsmittel wie zum Beispiel Methanol oder Ethanol. Alternativ kann man die Reaktion mit Basen wie Scheme 9 describes the synthesis of the compound of general formula (XII) by reaction of a malonic ester of general formula (XIII) with a nitro olefin of general formula (X) in the presence of a base. The base may be an alkanolate salt or hydroxide of an alkali metal (such as sodium methylate or sodium ethylate) in an adequate solvent such as methanol or ethanol. Alternatively, one can use the reaction with bases like
Lithiumhexamethyldisilazan, Natriumhexamethyldisilazan oder Lithiumdiisopropylamid, in einem adäquaten Lösungsmittel wie zum Beispiel Tetrahydrofuran durchführen. Lithiumhexamethyldisilazan, Natriumhexamethyldisilazan or lithium diisopropylamide, perform in an adequate solvent such as tetrahydrofuran.
Schema 9. Scheme 9.
Die Synthese der Verbindung der allgemeinen Formel (XIII) erfolgt durch Reaktion eines The synthesis of the compound of general formula (XIII) is carried out by reaction of a
Monomalonestersäurechlorides der allgemeinen Formel (XIV) mit einem Amin der allgemeinen Formel (XV) in Gegenwart einer Base (siehe Schema 10). Die Base kann Triethylamin oder Monomalonic acid chlorides of the general formula (XIV) with an amine of the general formula (XV) in the presence of a base (see Scheme 10). The base can be triethylamine or
Diisopropylethylamin sein und die Reaktion kann man in einem adäquaten Lösungsmittel wie zum Beispiel Dichlormethan oder Tetrahydrofuran durchführen. Diisopropylethylamine and the reaction can be carried out in an adequate solvent such as dichloromethane or tetrahydrofuran.
Alternativ lassen sich die Verbindungen der der allgemeinen Formel (I) nach oder analog dem Alternatively, the compounds of the general formula (I) according to or analogous to
Fachmann bekannten Methoden herstellen (siehe WO2015/084796, WO2016/164201, WO2016/196019, WO2016/196593, WO2016/094117, WO2016/164201, WO2016/196593, WO2016/003997, WO2016 / 164201, WO2016 / 196019, WO2016 / 196593, WO2016 / 094117, WO2016 / 164201, WO2016 / 196593, WO2016 / 003997,
WO2016/176082, WO2016/182780 und IP.com Journal (2015), 15(6B), 1-293)). WO2016 / 176082, WO2016 / 182780 and IP.com Journal (2015), 15 (6B), 1-293)).
Ausgewählte detaillierte Synthesebeispiele für die erfindungsgemäßen Verbindungen der allgemeinen Formel (I) sind im Folgenden aufgeführt. Die angegebenen Beispielnummern entsprechen den in den nachstehenden Tabellen L I bis 1.49 genannten Nummerierungen. Die 'H-NMR-, 13C-NMR- und 19F- NMR-spektroskopischen Daten, die für die in den nachfolgenden Abschnitten beschriebenen chemischen Beispiele angegeben sind, (400 MHz bei 'H-NMR und 150 MHz bei 13C-NMR und 375 MHz bei F-NMR, Lösungsmittel CDC13, CD3OD oder de-DMSO, interner Standard: Tetramethylsilan δ = 0.00 ppm), wurden mit einem Gerät der Firma Broker erhalten, und die bezeichneten Signale haben die nachfolgend aufgeführten Bedeutungen: br = breit(es); s = Singulett, d = Dublett, t = Triplett, dd = Doppeldublett, ddd = Dublett eines Doppeldubletts, m = Multiplett, q = Quartett, quint = Quintett, sext = Sextett, sept = Septett, dq = Doppelquartett, dt = Doppeltriplett. Bei Diastereomerengemischen werden entweder die jeweils signifikanten Signale beider Diastereomere oder das charakteristische Signal des Hauptdiastereomers angegeben. Die verwendeten Abkürzungen für chemische Gruppen haben beispielsweise die nachfolgenden Bedeutungen: Me = CH3, Et = CH2CH3, t-Hex = C(CH3)2CH(CH3)2, t- Bu = C(CH3)3, n-Bu = unverzweigtes Butyl, n-Pr = unverzweigtes Propyl, i-Pr = verzweigtes Propyl, c- Pr = Cyclopropyl, c-Hex = Cyclohexyl. Selected detailed synthesis examples of the compounds of the general formula (I) according to the invention are listed below. The given example numbers correspond to the numbers listed in tables LI to 1.49 below. The 'H-NMR, 13 C-NMR and 19 F-NMR spectroscopic data given for the chemical examples described in the following sections (400 MHz for' H-NMR and 150 MHz for 13 C-NMR and 375 MHz by F-NMR, solvent CDC1 3 , CD 3 OD or de-DMSO, internal standard: tetramethylsilane δ = 0.00 ppm) were obtained with a device from Broker, and the indicated signals have the meanings given below: br = broad (it); s = singlet, d = doublet, t = triplet, dd = double doublet, ddd = doublet of double doublet, m = multiplet, q = quartet, quint = quintet, sext = sextet, sept = septet, dq = double quartet, dt = double triplet. For diastereomeric mixtures, either the respective significant signals of both diastereomers or the characteristic signal of the main diastereomer are given. The abbreviations used for chemical groups have for example the following meanings: Me = CH3, Et = CH2CH3, t-Hex = C (CH 3) 2 CH (CH 3) 2, t-Bu = C (CH3) 3, n-Bu = unbranched butyl, n-Pr = unbranched propyl, i-Pr = branched propyl, c-Pr = cyclopropyl, c-hex = cyclohexyl.
Synthesebeispiele: Synthesis Examples:
Synthesebeispiel No. I.6-12:Synthesestufel : Diethyl 2-[[3- (trifluoromethyl)phenyl]methylen]pro anedioat Synthesis Example No. I.6-12: Synthesis test: diethyl 2 - [[3- (trifluoromethyl) phenyl] methylene] per anedioate
3-Trifluoromethylbenzaldehyd (25.0 g, 144 mmol, 1.0 equiv) und Diethylmalonat (21.8 ml, 144 mmol, 1.0 equiv) wurde in Toluol (250 ml) gelöst, und mit Piperidin (1.42 ml, 14.4 mmol, 0.1 equiv) versetzt. Das resultierende Reaktionsgemisch wurde am Wasserabscheider über Nacht unter Rückfluss gerührt. Danach wurde nochmals Piperidin (1.42 ml, 14.4 mmol, 0.1 equiv) zur Reacktionslösung hinzugegeben. Das resultierende Reaktionsgemisch wurde nochmals am Wasserabscheider über Nacht unter Rückfluss gerührt und anschließend auf Raumtemperatur abgekühlt und mit 2M wäßriger HCl und ges. 3-Trifluoromethylbenzaldehyde (25.0 g, 144 mmol, 1.0 equiv) and diethyl malonate (21.8 mL, 144 mmol, 1.0 equiv) was dissolved in toluene (250 mL) and piperidine (1.42 mL, 14.4 mmol, 0.1 equiv) added. The resulting reaction mixture was stirred at reflux overnight in a water separator. Thereafter, piperidine (1.42 ml, 14.4 mmol, 0.1 equiv) was added again to the reaction solution. The resulting reaction mixture was again stirred under reflux on a water separator overnight and then cooled to room temperature and washed with 2M aqueous HCl and sat.
Natriumchloridlösung gewaschen, über Magnesiumsulfat getrocknet, filtriert und eingeengt. Durch abschließende säulenchromatographische Reinigung (Gradient Essigester/Heptan) des resultierenden Rohproduktes konnte Diethyl 2-[[3-(trifluoromethyl)phenyl]methylen]propanedioat in Form eines gelben Feststoffs isoliert werden (24.5 g, 54% der Theorie). 'H-NMR (400 MHz, CDCI3 δ, ppm) 7.74 (s, 1H), 7.71 (s, 1H), 7.66-7.62 (m, 2H), 7.52 (t, 1H), 4.36-4.30 (m, 4H), 1.35 (t, 3H), 1.29 (t, 3H). Washed sodium chloride solution, dried over magnesium sulfate, filtered and concentrated. Final purification by column chromatography (gradient ethyl acetate / heptane) of the resulting crude product allowed diethyl 2 - [[3- (trifluoromethyl) phenyl] methylene] propane dioxate to be isolated as a yellow solid (24.5 g, 54% of theory). 'H NMR (400 MHz, CDCl3 δ, ppm) 7.74 (s, 1H), 7.71 (s, 1H), 7.66-7.62 (m, 2H), 7.52 (t, 1H), 4.36-4.30 (m, 4H ), 1.35 (t, 3H), 1.29 (t, 3H).
Synthesestufe 2 : Diethyl 2- [2-nitro- 1 - [3 -(trifluoromethyl)phenyl] ethyljpropanedioat Synthesis Step 2: Diethyl 2- [2-nitro-1 - [3 - (trifluoromethyl) phenyl] ethyl jpropane dioctate
Diethyl 2-[[3-(trifluoromethyl)phenyl]methylene]propanedioate (19.6 g, 61.9 mmol, 1.0 equiv) und Nitromethan (33.4 ml, 620 mmol, 10 equiv) wurde in Ethanol (160 ml) gelöst, und mit Natriummethylat (30% Lösung in Methanol, 1.15 ml) versetzt. Das resultierende Reaktionsgemisch wurde über Nacht bei Raumtemperatur gerührt und anschließend eingeengt. Durch abschließende säulenchromatographische Reinigung (Gradient Essigester/Heptan) des resultierenden Rohproduktes konnte Diethyl 2-[2-nitro-l- [3-(trifluoromethyl)phenyl]ethyl]propanedioat in Form eines gelben Öls isoliert werden (17.3 g, 74%> der Theorie). 'H-NMR (400 MHz, CDC13 δ, ppm) 7.58-7.46 (m, 4H), 4.99-4.86 (m, 2H), 4.34-4.18 (m, 3H), 4.03 (q, 2H), 3.82 (d, 1H), 1.28 (t, 3H), 1.07 (t, 3H). Diethyl 2 - [[3- (trifluoromethyl) phenyl] methylene] propanedioate (19.6 g, 61.9 mmol, 1.0 equiv) and nitromethane (33.4 mL, 620 mmol, 10 equiv.) Was dissolved in ethanol (160 mL) and treated with sodium methylate ( 30% solution in methanol, 1.15 ml). The resulting reaction mixture was stirred at room temperature overnight and then concentrated. Final purification by column chromatography (gradient ethyl acetate / heptane) of the resulting crude product allowed diethyl 2- [2-nitro-1- [3- (trifluoromethyl) phenyl] ethyl] propane dioctate to be isolated as a yellow oil (17.3 g, 74%) Theory). 'H NMR (400 MHz, CDCl3 3 δ, ppm) 7.58-7.46 (m, 4H), 4.99-4.86 (m, 2H), 4.34-4.18 (m, 3H), 4.03 (q, 2H), 3.82 ( d, 1H), 1.28 (t, 3H), 1.07 (t, 3H).
Synthesestufe 3: (3R*,4S*)-2-Oxo-4-[3-(trifluoromethyl)phenyl]pyrrolidin-3-carbonsäure Synthesis step 3: (3R *, 4S *) - 2-Oxo-4- [3- (trifluoromethyl) phenyl] pyrrolidine-3-carboxylic acid
AND Enantiomer AND enantiomer
Diethyl 2-[2-nitro-l -[3-(trifluoromethyl)phenyl]ethyl]propanedioate (3.00 g, 7.95 mmol, 1.0 equiv) wurde in Ethanol (200 ml) gelöst, und mit Nickel(II)-acetat Tetrahydrat (9.88 g, 39.7 mmol, 5.0 equiv) versetzt. Das resultierende Reaktionsgemisch wurde auf eine Temperatur von 0 °C abgekühlt und mit Natriumborhydrid (1.50 g, 39.7 mmol, 5.0 equiv) portionweise versetzt. Das resultierende Diethyl 2- [2-nitro-1- [3- (trifluoromethyl) phenyl] ethyl] propanedioate (3.00 g, 7.95 mmol, 1.0 equiv.) Was dissolved in ethanol (200 ml) and treated with nickel (II) acetate tetrahydrate ( 9.88 g, 39.7 mmol, 5.0 equiv). The resulting reaction mixture was cooled to a temperature of 0 ° C and treated with sodium borohydride (1.50 g, 39.7 mmol, 5.0 equiv) in portions. The resulting
Reaktionsgemisch wurde über Nacht bei Raumtemperatur gerührt und anschließend wurde ges. The reaction mixture was stirred overnight at room temperature and then sat.
Ammoniumchloridlösung (20ml) und Essigester (20ml) zugegeben und eine weitere Stunde beiAmmonium chloride solution (20ml) and ethyl acetate (20ml) added and left for an additional hour
Raumtemperatur gerührt. Die unlösbare Bestandteile wurden über Celite abfiltriert und nachfolgend die Phasen getrennt. Die wäßrige Phase wurde mehrfach mit Essigester extrahiert, und die vereinigten organischen Phasen wurden danach mit ges. Ammoniumchloridlösung und ges. Natriumchloridlösung gewaschen, über Magnesiumsulfat getrocknet, filtriert und eingeengt. Room temperature stirred. The insoluble constituents were filtered off through Celite and the phases were subsequently separated. The aqueous phase was extracted several times with ethyl acetate, and the combined organic phases were then washed with sat. Ammonium chloride solution and sat. Washed sodium chloride solution, dried over magnesium sulfate, filtered and concentrated.
Das resultierende Rohprodukt wurde in Ethanol (40 ml) gelöst, und mit einer Lösung von Natrium hydroxid (1.12 g, 27.8 mmol, 3.0 equiv) in Wasser (40 ml) versetzt. Das resultierende Reaktionsgemisch wurde Übernacht bei Raumtemperatur gerührt und anschließend wurde Wasser (50 ml) und Diethylether (50 ml) zugegeben. Die organische Phase wurde verworfen und die wäßrige Phase mit konz. HCl auf pH 2 gestellt. Die wäßrige Phase wurde mehrfach mit Dichlormethan extrahiert, und die vereinigten organischen Phasen wurden danach über Magnesiumsulfat getrocknet, filtriert und eingeengt. Man erhält (3R*,4S*)-2-Oxo-4-[3-(trifluoromethyl)phenyl]pyrrolidine-3-carbonsäure in Form eines farblosen Feststoffs (1.57 g, 72% der Theorie nach zwei Stufen). 'H-NMR (400 MHz, DMSO δ, ppm) 8.12 (s, 1H) 7.73-7.57 (m, 4H), 3.81 (dd, 1H), 3.66 (dd, 1H), 3.51-3.47 (m, 1H), 3.28-3.23 (dd, 1H). Synthesestufe 4: (3R*,4S*)-N-(l-cyanocyclopropyl)-2-oxo-4-[3-(trifluoromethyl)phenyl]pyrrolidin-3- carboxamid (Synthesebeispiel No. 1.6-12) ntiomer The resulting crude product was dissolved in ethanol (40 ml) and treated with a solution of sodium hydroxide (1.12 g, 27.8 mmol, 3.0 equiv) in water (40 ml). The resulting reaction mixture was stirred overnight at room temperature and then water (50 ml) and diethyl ether (50 ml) were added. The organic phase was discarded and the aqueous phase with conc. HCl to pH 2. The aqueous phase was extracted several times with dichloromethane, and the combined organic phases were then dried over magnesium sulfate, filtered and concentrated. (3R *, 4S *) - 2-Oxo-4- [3- (trifluoromethyl) phenyl] pyrrolidine-3-carboxylic acid is obtained as a colorless solid (1.57 g, 72% of theory after two steps). 'H-NMR (400 MHz, DMSO δ, ppm) 8.12 (s, 1H) 7.73-7.57 (m, 4H), 3.81 (dd, 1H), 3.66 (dd, 1H), 3.51-3.47 (m, 1H) , 3.28-3.23 (dd, 1H). Synthesis step 4: (3R *, 4S *) - N- (1-cyanocyclopropyl) -2-oxo-4- [3- (trifluoromethyl) phenyl] pyrrolidine-3-carboxamide (Synthesis Example No. 1.6-12) ntiomer
(3R*,4S*)-2-Oxo-4-[3-(trifluoromethyl)phenyl]pyrrolidin-3-carbonsäure (150 mg, 0.55 mmol, 1.0 equiv), 1 -Aminocyclopropylcarbonitrile hydrochloride (97.6 mg, 0.82 mmol, 1.5 equiv) und (3R *, 4S *) - 2-Oxo-4- [3- (trifluoromethyl) phenyl] pyrrolidine-3-carboxylic acid (150 mg, 0.55 mmol, 1.0 equiv), 1-aminocyclopropylcarbonitrile hydrochloride (97.6 mg, 0.82 mmol, 1.5 equiv) and
Triethylamin (230 μΐ, 1.65 mmol, 3.0 equiv) wurde in Dichlormethan (6 ml) gelöst, und mit T3P (2,4,6- Tripropyl-l,3,5,2,4,6-trioxatriphosphorinane-2,4,6-trioxide, 50% in Acetonitril, 820 μΐ, 0.66 mmol, 1.2 equiv) versetzt. Das resultierende Reaktionsgemisch wurde über Nacht bei Raumtemperatur gerührt und anschließend eingeengt. Durch abschließende säulenchromatographische Reinigung (Gradient Essigester/H eptan) des resultierenden Rohproduktes konnte (3R*,4S*)-N-(l-Cyanocyclopropyl)-2-oxo- 4-[3-(trifluoromethyl)phenyl]pyrrolidin-3-carboxamid in Form eines farblosen Öls isoliert werden (153 mg, 67% der Theorie). 'H-NMR (400 MHz, CDC13 δ, ppm) 8.07 (s, 1H), 7.57-7.47 (m, 4H), 5.93 (s, 1H), 4.25 (dd, 1H), 3.83 (dd, 1H), 3.46 (dd, 1H), 3.32 (d, 1H), 1.58-1.50 (m, 2H), 1.31-1.19 (m, 2H). Triethylamine (230 μΐ, 1.65 mmol, 3.0 equiv) was dissolved in dichloromethane (6 ml) and treated with T3P (2,4,6-tripropyl-l, 3,5,2,4,6-trioxatriphosphorinane-2,4, 6-trioxide, 50% in acetonitrile, 820 μΐ, 0.66 mmol, 1.2 equiv). The resulting reaction mixture was stirred at room temperature overnight and then concentrated. Final purification by column chromatography (gradient ethyl acetate / hexane) of the resulting crude product gave (3R *, 4S *) - N- (1-cyanocyclopropyl) -2-oxo-4- [3- (trifluoromethyl) phenyl] pyrrolidine-3-carboxamide in the form of a colorless oil (153 mg, 67% of theory). 'H-NMR (400 MHz, CDC1 3 δ, ppm) 8.07 (s, 1H), 7.57-7.47 (m, 4H), 5.93 (s, 1H), 4.25 (dd, 1H), 3.83 (dd, 1H) , 3.46 (dd, 1H), 3.32 (d, 1H), 1.58-1.50 (m, 2H), 1.31-1.19 (m, 2H).
Synthesebeispiel No. 1.1-12: 2.1 :(3R*,4S*)-N-cyclopropyl-2-oxo-4-[3-(trifluoromethyl)phenyl]pyrrolidin-3-carboxamide tiomer Synthesis Example No. 1.1-12: 2.1: (3R *, 4S *) - N-cyclopropyl-2-oxo-4- [3- (trifluoromethyl) phenyl] pyrrolidine-3-carboxamide tiomer
(3R*,4S*)-2-Oxo-4-[3-(trifluoromethyl)phenyl]pyrrolidin-3-carbonsäure (150 mg, 0.55 mmol, 1.0 equiv), Cyclopropylamine (47.0 mg, 0.82 mmol, 1.5 equiv) und Triethylamin (230 μΐ, 1.65 mmol, 3.0 equiv) wurde in Dichlormethan (6 ml) gelöst, und mit T3P (2,4,6-Tripropyl-l,3,5,2,4,6- trioxatriphosphorinane-2,4,6-trioxide, 50% in Acetonitril, 820 μΐ, 0.66 mmol, 1.2 equiv) versetzt. Das resultierende Reaktionsgemisch wurde über Nacht bei Raumtemperatur gerührt und anschließend eingeengt. Durch abschließende säulenchromatographische Reinigung (Gradient Essigester/Heptan) des resultierenden Rohproduktes konnte (3R*,4S*)-N-Cyclopropyl-2-oxo-4-[3-(3R *, 4S *) - 2-Oxo-4- [3- (trifluoromethyl) phenyl] pyrrolidine-3-carboxylic acid (150 mg, 0.55 mmol, 1.0 equiv.), Cyclopropylamines (47.0 mg, 0.82 mmol, 1.5 equiv) and Triethylamine (230 μΐ, 1.65 mmol, 3.0 equiv) was dissolved in dichloromethane (6 ml) and treated with T3P (2,4,6-tripropyl-l, 3,5,2,4,6-trioxatriphosphorinane-2,4,6-trioxide, 50% in acetonitrile, 820 μΐ, 0.66 mmol, 1.2 equiv). The resulting reaction mixture was stirred at room temperature overnight and then concentrated. Final purification by column chromatography (gradient ethyl acetate / heptane) of the resulting crude product gave (3R *, 4S *) - N-cyclopropyl-2-oxo-4- [3-
(trifluoromethyl)phenyl]pyrrolidin-3-carboxamid in Form eines farblosen Öls isoliert werden (106 mg, 62% der Theorie). 'H-NMR (400 MHz, CDC13 δ, ppm) 7.57-7.42 (m, 4H), 7.31 (s, 1H), 5.75 (s, 1H), 4.28 (dd, 1H), 3.81 (dd, 1H), 3.44 (dd, 1H), 3.26 (d, 1H), 2.75-2.69 (m, 1H), 0.78-0.73 (m, 2H), 0.55- 0.51 (m, 2H). (trifluoromethyl) phenyl] pyrrolidine-3-carboxamide in the form of a colorless oil (106 mg, 62% of theory). 'H-NMR (400 MHz, CDC1 3 δ, ppm) 7.57-7.42 (m, 4H), 7.31 (s, 1H), 5.75 (s, 1H), 4.28 (dd, 1H), 3.81 (dd, 1H) , 3.44 (dd, 1H), 3.26 (d, 1H), 2.75-2.69 (m, 1H), 0.78-0.73 (m, 2H), 0.55-0.51 (m, 2H).
Alternativ lässt sich Synthesebeispiel No. 1.1-12 wie folgt herstellen: Alternatively, Synthesis Example No. 1.1-12 produce as follows:
Ethyl 3-(Cyclopropylamino)-3-oxo-propanoat Ethyl 3-chlor-3-oxo-propanoat (4.00 g, 26.6 mmol, 1.0 equiv) wurde in Dichlormethan (50 ml) gelöst, auf eine Temperatur von 0 °C abgekühlt und langsam mit Cyclopropylamin (2.76 ml, 40.0 mmol, 1.5 equiv) und Triethylamin (5.56 ml, 40.0 mmol, 1.5 equiv) versetzt. Das resultierende Reaktionsgemisch wurde für 2 Stunden bei Raumtemperatur gerührt und anschließend mit 2M wäßriger HCl und nachfolgend mit ges. Natriumchloridlösung gewaschen, über Magnesiumsulfat getrocknet, filtriert und eingeengt. Man erhält auf dieser Weise 3.85 g (85%> der Theorie) Ethyl 3-(Cyclopropylamino)-3-oxo- propanoat in Form eines braunen Festoffs. Ethyl 3- (cyclopropylamino) -3-oxo-propanoate Ethyl 3-chloro-3-oxo-propanoate (4.00 g, 26.6 mmol, 1.0 equiv) was dissolved in dichloromethane (50 ml), cooled to 0 ° C and slowly added with cyclopropylamine (2.76 ml, 40.0 mmol, 1.5 equiv ) and triethylamine (5.56 ml, 40.0 mmol, 1.5 equiv). The resulting reaction mixture was stirred for 2 hours at room temperature and then with 2M aqueous HCl and then with sat. Washed sodium chloride solution, dried over magnesium sulfate, filtered and concentrated. This gives 3.85 g (85% of theory) of ethyl 3- (cyclopropylamino) -3-oxo-propanoate in the form of a brown solid.
'H-NMR (400 MHz, CDCI3 δ, ppm): 4.20 (q, 2H), 3.29 (s, 2H) 2.77-2.73 (m, 1H), 1.27 (t, 3H), 0.81- 0.76 (m, 2H), 0.56-0.53 (m, 2H). 'H-NMR (400 MHz, CDCl3 δ, ppm): 4.20 (q, 2H), 3.29 (s, 2H) 2.77-2.73 (m, 1H), 1.27 (t, 3H), 0.81-0.76 (m, 2H ), 0.56-0.53 (m, 2H).
Ethyl (Z)-2-(Cyclopropylcarbamoyl)-3-[3-(trifluoromethyl)phenyl]prop-2-enoat und Ethyl (Z) -2- (cyclopropylcarbamoyl) -3- [3- (trifluoromethyl) phenyl] prop-2-enoate and
Ethyl (£')-2-(Cyclopropylcarbamoyl)-3-[3-(trifluoromethyl)phenyl]prop-2-enoat Ethyl (£ ') - 2- (cyclopropylcarbamoyl) -3- [3- (trifluoromethyl) phenyl] prop-2-enoate
3-Trifluoromethylbenzaldehyd (3.80 g, 21.8 mmol, 1.1 equiv) und Ethyl 3-(Cyclopropylamino)-3-oxo- propanoat (3.40 g, 19.8 mmol, 1.0 equiv) wurden in Toluol (50 ml) gelöst und mit Piperidin (0.195 ml, 1.98 mmol, 0.1 equiv) versetzt. Das resultierende Reaktionsgemisch wurde am Wasserabscheider über Nacht unter Rückfluss gerührt und anschließend auf Raumtemperatur abgekühlt, Dann wurde mit 2M wäßriger HCl und nachfolgend mit ges. Natriumchloridlösung gewaschen, über Magnesiumsulfat getrocknet, filtriert und eingeengt. Durch abschließende säulenchromatographische Reinigung (Gradient Essigester/Heptan) des resultierenden Rohproduktes wurde ein Gemisch von n Ethyl (Z)-2- (Cyclopropylcarbamoyl)-3-[3-(trifluoromethyl)phenyl]prop-2-enoat und Ethyl (E)-2- (Cyclopropylcarbamoyl)-3-[3-(trifluoromethyl)phenyl]prop-2-enoat (insgesamt 3.46 g, 49% der Theorie) isoliert. 3-Trifluoromethylbenzaldehyde (3.80 g, 21.8 mmol, 1.1 equiv) and ethyl 3- (cyclopropylamino) -3-oxo-propanoate (3.40 g, 19.8 mmol, 1.0 equiv) were dissolved in toluene (50 ml) and treated with piperidine (0.195 ml , 1.98 mmol, 0.1 equiv). The resulting reaction mixture was refluxed overnight on the water and then cooled to room temperature. 2M aqueous HCl was added followed by sat. Washed sodium chloride solution, dried over magnesium sulfate, filtered and concentrated. Final purification by column chromatography (gradient ethyl acetate / heptane) of the resulting crude product gave a mixture of n ethyl (Z) -2- (cyclopropylcarbamoyl) -3- [3- (trifluoromethyl) phenyl] prop-2-enoate and ethyl (E) - 2- (Cyclopropylcarbamoyl) -3- [3- (trifluoromethyl) phenyl] prop-2-enoate (total 3.46 g, 49% of theory).
Isomer 1 : 'H-NMR (400 MHz, CDC13 δ, ppm): 8.19 (s, 1H), 7.63-7.49 (m, 5H), 4.1 1 (q, 2H), 2.90-2.85 (m, 1H), 1.00 (t, 3H), 0.90-0.82 (m, 2H), 0.61 -0.57 (m, 2H). Isomer 1: 'H-NMR (400 MHz, CDCl3 3 δ, ppm): 8.19 (s, 1H), 7.63-7.49 (m, 5H), 4.1 1 (q, 2H), 2.90-2.85 (m, 1H) , 1.00 (t, 3H), 0.90-0.82 (m, 2H), 0.61-0.57 (m, 2H).
Isomer 2: 'H-NMR (400 MHz, CDCI3 δ, ppm): 7.77-7.75 (m, 2H), 7.70 (s, 1H), 7.65-7.63 (m, 1H), 7.53- 7.49 (m, 1H), 5.95 (s, 1H), 4.31 (q, 2H), 2.84-2.79 (m, 1H), 1.35 (t, 3H), 0.85-0.80 (m, 2H), 0.52-0.48 (m, 2H). Isomer 2: 'H-NMR (400 MHz, CDCl3 δ, ppm): 7.77-7.75 (m, 2H), 7.70 (s, 1H), 7.65-7.63 (m, 1H), 7.53-7.49 (m, 1H) , 5.95 (s, 1H), 4.31 (q, 2H), 2.84-2.79 (m, 1H), 1.35 (t, 3H), 0.85-0.80 (m, 2H), 0.52-0.48 (m, 2H).
Synthesebeispiel No. 1.1 -12: (3R*,4S*)-N-cyclopropyl-2-oxo-4-[3-(trifluoromethyl)phenyl]pyrrolidin-3- carboxamidSynthesis Example No. 1.1 -12: (3R *, 4S *) - N-cyclopropyl-2-oxo-4- [3- (trifluoromethyl) phenyl] pyrrolidine-3-carboxamide
tiomer tiomer
Ein Gemisch von Ethyl ( )-2-(Cyclopropylcarbamoyl)-3-[3-(trifluoromethyl)phenyl]prop-2-enoat und Ethyl (£')-2-(Cyclopropylcarbamoyl)-3-[3-(trifluoromethyl)phenyl]prop-2-enoat (3.46 g insgesamt, 10.6 mmol, 1.0 equiv) und Nitromethan (14.3 ml, 264 mmol, 25 equiv) wurde auf eine Temperatur von 0 °C abgekühlt und mit 1 , 1 ,3,3-Tetramethylguanidin (0.24 ml, 1.90 mmol, 0.18 equiv) versetzt. Das resultierende Reaktionsgemisch wurde über Nacht bei Raumtemperatur gerührt, nachfolgend wurde Dichlormethan (50 ml) zugegeben, dreimal mit Wasser gewaschen, über Magnesiumsulfat getrocknet, filtriert und eingeengt. Man erhält auf dieser Weise 1.76 g Ethyl 2-(cyclopropylcarbamoyl)-4-nitro-3-[3- (trifluoromethyl)phenyl]butanoat in Forme eines gelben Feststoffs. A mixture of ethyl () -2- (cyclopropylcarbamoyl) -3- [3- (trifluoromethyl) phenyl] prop-2-enoate and ethyl ( '' ) -2- (cyclopropylcarbamoyl) -3- [3- (trifluoromethyl) phenyl ] prop-2-enoate (3.46 g in total, 10.6 mmol, 1.0 equiv) and nitromethane (14.3 ml, 264 mmol, 25 equiv) was cooled to a temperature of 0 ° C and treated with 1,1,3,3-tetramethylguanidine ( 0.24 ml, 1.90 mmol, 0.18 equiv). The resulting reaction mixture was stirred at room temperature overnight, then dichloromethane (50 ml) was added, washed three times with water, dried over magnesium sulfate, filtered and concentrated. This gives 1.76 g of ethyl 2- (cyclopropylcarbamoyl) -4-nitro-3- [3- (trifluoromethyl) phenyl] butanoate in the form of a yellow solid.
Ein Teil des resultierenden Rohprodukts (1.00 g) wurde in Ethanol (30 ml) gelöst und mit Nickel(II)- acetat-Tetrahydrat (3.20 g, 12.9 mmol, 5.0 equiv) versetzt. Das resultierende Reaktionsgemisch wurde auf eine Temperatur von 0 °C abgekühlt und portionweise mit Natriumborhydrid (485 mg, 12.9 mmol, 5.0 equiv) versetzt. Das resultierende Reaktionsgemisch wurde über Nacht bei Raumtemperatur gerührt, anschließend wurden ges. Ammoniumchloridlösung (20ml) und Essigester (20ml) zugegeben und eine weitere Stunde bei Raumtemperatur gerührt. Die unlösbaren Bestandteile wurden über Celite abfiltriert und nachfolgend die Phasen getrennt. Die wäßrige Phase wurde mehrfach mit Essigester extrahiert. Die vereinigten organischen Phasen wurden mit ges. Ammoniumchloridlösung und ges. A portion of the resulting crude product (1.00 g) was dissolved in ethanol (30 ml) and treated with nickel (II) acetate tetrahydrate (3.20 g, 12.9 mmol, 5.0 equiv). The resulting reaction mixture was cooled to a temperature of 0 ° C and added portionwise with sodium borohydride (485 mg, 12.9 mmol, 5.0 equiv). The resulting reaction mixture was stirred at room temperature overnight, then sat. Ammonium chloride solution (20 ml) and ethyl acetate (20 ml) were added and stirred for a further hour at room temperature. The insoluble constituents were filtered through Celite and the phases were subsequently separated. The aqueous phase was extracted several times with ethyl acetate. The combined organic phases were washed with sat. Ammonium chloride solution and sat.
Natriumchloridlösung gewaschen, über Magnesiumsulfat getrocknet, filtriert und eingeengt. Durch abschließende säulenchromatographische Reinigung (Gradient Essigester/Heptan) des resultierenden Rohproduktes konnte (3R*,4S*)-N-cyclopropyl-2-oxo-4-[3-(trifluoromethyl)phenyl]pyrrolidin-3- carboxamid in Form eines gelben Feststoffs isoliert werden (390 mg, 21% der Theorie über zwei Stufen). Washed sodium chloride solution, dried over magnesium sulfate, filtered and concentrated. Final purification by column chromatography (gradient ethyl acetate / heptane) of the resulting crude product gave (3R *, 4S *) - N-cyclopropyl-2-oxo-4- [3- (trifluoromethyl) phenyl] pyrrolidine-3-carboxamide as a yellow solid be isolated (390 mg, 21% of theory over two stages).
'H-NMR (400 MHz, CDC13 δ, ppm): 7.57-7.42 (m, 4H), 7.31 (s, 1H), 5.84 (s, 1H), 4.28 (dd, 1H), 3.81 (dd, 1H), 3.45 (dd, 1H), 3.26 (d, 1H), 2.75-2.69 (m, 1H), 0.80-0.69 (m, 2H), 0.56-0.51 (m, 2H). 'H NMR (400 MHz, CDCl3 3 δ, ppm): 7.57-7.42 (m, 4H), 7.31 (s, 1H), 5.84 (s, 1H), 4.28 (dd, 1H), 3.81 (dd, 1H ), 3.45 (dd, 1H), 3.26 (d, 1H), 2.75-2.69 (m, 1H), 0.80-0.69 (m, 2H), 0.56-0.51 (m, 2H).
In Analogie zu den oben angeführten und an entsprechender Stelle rezitierten Herstellungsbeispielen und unter Berücksichtigung der allgemeinen Angaben zur Herstellung von substituierten Pyrrolidinonen erhält man die nachfolgend genannten Verbindungen: By analogy with the production examples recited above and recited at the appropriate place and taking into account the general information on the preparation of substituted pyrrolidinones, the following compounds are obtained:
Tabelle L I : Bevorzugte Verbindungen der Formel (L I) sind die Verbindungen 1.1-1 bis 1.1-270, worin Q die in der jeweiligen Zeile angegebenen Bedeutungen der Tabelle 1 hat. Die Verbindungen 1.1-1 bis 1.1-270 der Tabelle LI sind somit durch die Bedeutung der jeweiligen Einträge No. 1 bis 270 für Q der Tabelle 1 definiert. Preferred compounds of the formula (L I) are the compounds 1.1-1 to 1.1-270, in which Q has the meanings of Table 1 indicated in the respective line. The compounds 1.1-1 to 1.1-270 of Table LI are thus characterized by the meaning of the respective entries no. 1 to 270 defined for Q of Table 1.
Tabelle 1 : Table 1 :
No. Q No. Q
1 Q-1.1 1 Q-1.1
2 Q-1.2 2 Q-1.2
3 Q-1.3 No. Q3 Q-1.3 No. Q
4 Q-1.44 Q-1.4
5 Q-1.55 Q-1.5
6 Q-1.66 Q-1.6
7 Q-1.77 Q-1.7
8 Q-1.88 Q-1.8
9 Q-1.99 Q-1.9
10 Q-1.1010 Q-1.10
11 Q-l . l l11 Q-l. l l
12 Q-1.1212 Q-1.12
13 Q-1.1313 Q-1.13
14 Q-1.1414 Q-1.14
15 Q-1.1515 Q-1.15
16 Q-1.1616 Q-1.16
17 Q-1.1717 Q-1.17
18 Q-1.1818 Q-1.18
19 Q-1.1919 Q-1.19
20 Q-1.2020 Q-1.20
21 Q-1.2121 Q-1.21
22 Q-1.2222 Q-1.22
23 Q-1.2323 Q-1.23
24 Q-1.2424 Q-1.24
25 Q-1.2525Q-1.25
26 Q-1.2626 Q-1.26
27 Q-1.2727 Q-1.27
28 Q-1.2828 Q-1.28
29 Q-1.2929 Q-1.29
30 Q-1.3030 Q-1.30
31 Q-1.3131 Q-1.31
32 Q-1.3232 Q-1.32
33 Q-1.3333 Q-1.33
34 Q-1.3434 Q-1.34
35 Q-1.3535 Q-1.35
36 Q-1.3636 Q-1.36
37 Q-1.37 No. Q37 Q-1.37 No. Q
38 Q-1.3838 Q-1.38
39 Q-1.3939 Q-1.39
40 Q-1.4040 Q-1.40
41 Q-1.4141 Q-1.41
42 Q-1.4242 Q-1.42
43 Q-1.4343 Q-1.43
44 Q-1.4444 Q-1.44
45 Q-1.4545 Q-1.45
46 Q-1.4646 Q-1.46
47 Q-1.4747 Q-1.47
48 Q-1.4848 Q-1.48
49 Q-1.4949 Q-1.49
50 Q-1.5050 Q-1.50
51 Q-1.5151 Q-1.51
52 Q-1.5252 Q-1.52
53 Q-1.5353 Q-1.53
54 Q-1.5454 Q-1.54
55 Q-1.5555 Q-1.55
56 Q-1.5656 Q-1.56
57 Q-1.5757 Q-1.57
58 Q-1.5858 Q-1.58
59 Q-1.5959 Q-1.59
60 Q-1.6060 Q-1.60
61 Q-1.6161 Q-1.61
62 Q-1.6262 Q-1.62
63 Q-1.6363 Q-1.63
64 Q-1.6464 Q-1.64
65 Q-1.6565 Q-1.65
66 Q-1.6666 Q-1.66
67 Q-1.6767 Q-1.67
68 Q-1.6868 Q-1.68
69 Q-1.6969 Q-1.69
70 Q-1.7070 Q-1.70
71 Q-1.71 No. Q71 Q-1.71 No. Q
72 Q-1.7272 Q-1.72
73 Q-1.7373 Q-1.73
74 Q-1.7474 Q-1.74
75 Q-1.7575 Q-1.75
76 Q-1.7676 Q-1.76
77 Q-1.7777 Q-1.77
78 Q-1.7878 Q-1.78
79 Q-1.7979 Q-1.79
80 Q-1.8080 Q-1.80
81 Q-1.8181 Q-1.81
82 Q-1.8282 Q-1.82
83 Q-1.8383 Q-1.83
84 Q-1.8484 Q-1.84
85 Q-1.8585 Q-1.85
86 Q-1.8686 Q-1.86
87 Q-1.8787 Q-1.87
88 Q-1.8888 Q-1.88
89 Q-1.8989 Q-1.89
90 Q-1.9090 Q-1.90
91 Q-1.9191 Q-1.91
92 Q-1.9292 Q-1.92
93 Q-1.9393 Q-1.93
94 Q-1.9494 Q-1.94
95 Q-1.9595 Q-1.95
96 Q-1.9696 Q-1.96
97 Q-1.9797 Q-1.97
98 Q-1.9898 Q-1.98
99 Q-1.9999 Q-1.99
100 Q-1.100100 Q-1,100
101 Q-1.101101 Q-1.101
102 Q-1.102102 Q-1.102
103 Q-1.103103 Q-1.103
104 Q-1.104104 Q-1.104
105 Q-1.105 No. Q105 Q-1.105 No. Q
106 Q-1.106106 Q-1.106
107 Q-1.107107 Q-1.107
108 Q-1.108108 Q-1.108
109 Q-1.109109 Q-1.109
110 Q-1.110110 Q-1.110
111 Q-l . l l l111 Q-l. l l l
112 Q-1.112112 Q-1.112
113 Q-1.113113 Q-1,113
114 Q-1.114114 Q-1,114
115 Q-1.115115 Q-1,115
116 Q-1.116116 Q-1,116
117 Q-1.117117 Q-1,117
118 Q-1.118118 Q-1,118
119 Q-1.119119 Q-1,119
120 Q-1.120120 Q-1.120
121 Q-1.121121 Q-1.121
122 Q-1.122122 Q-1.122
123 Q-1.123123 Q-1.123
124 Q-1.124124 Q-1.124
125 Q-1.125125 Q-1.125
126 Q-1.126126 Q-1,126
127 Q-1.127127 Q-1,127
128 Q-1.128128 Q-1.128
129 Q-1.129129 Q-1.129
130 Q-1.130130 Q-1,130
131 Q-1.131131 Q-1,131
132 Q-1.132132 Q-1,132
133 Q-1.133133 Q-1,133
134 Q-1.134134 Q-1,134
135 Q-1.135135 Q-1,135
136 Q-1.136136 Q-1,136
137 Q-1.137137 Q-1,137
138 Q-1.138138 Q-1,138
139 Q-1.139 No. Q139 Q-1,139 No. Q
140 Q-1.140140 Q-1,140
141 Q-1.141141 Q-1,141
142 Q-1.142142 Q-1,142
143 Q-1.143143 Q-1,143
144 Q-1.144144 Q-1,144
145 Q-1.145145 Q-1,145
146 Q-1.146146 Q-1,146
147 Q-1.147147 Q-1,147
148 Q-1.148148 Q-1,148
149 Q-1.149149 Q-1,149
150 Q-1.150150 Q-1,150
151 Q-1.151151 Q-1,151
152 Q-1.152152 Q-1,152
153 Q-1.153153 Q-1,153
154 Q-1.154154 Q-1,154
155 Q-1.155155 Q-1,155
156 Q-1.156156 Q-1,156
157 Q-1.157157 Q-1,157
158 Q-1.158158 Q-1,158
159 Q-1.159159 Q-1.159
160 Q-1.160160 Q-1,160
161 Q-1.161161 Q-1.161
162 Q-1.162162 Q-1.162
163 Q-1.163163 Q-1,163
164 Q-1.164164 Q-1.164
165 Q-1.165165 Q-1,165
166 Q-2.1166 Q-2.1
167 Q-2.2167 Q-2.2
168 Q-2.3168 Q-2.3
169 Q-2.4169 Q-2.4
170 Q-2.5170 Q-2.5
171 Q-2.6171 Q-2.6
172 Q-2.7172 Q-2.7
173 Q-2.8 No. Q173 Q-2.8 No. Q
174 Q-2.9174 Q-2.9
175 Q-2.10175 Q-2.10
176 Q-2.11176 Q-2.11
177 Q-2.12177 Q-2.12
178 Q-2.13178 Q-2.13
179 Q-2.14179 Q-2.14
180 Q-2.15180 Q-2.15
181 Q-2.16181 Q-2.16
182 Q-2.17182 Q-2.17
183 Q-2.18183 Q-2.18
184 Q-2.19184 Q-2.19
185 Q-2.20185 Q-2.20
186 Q-2.21186 Q-2.21
187 Q-2.22187 Q-2.22
188 Q-2.23188 Q-2.23
189 Q-2.24189 Q-2.24
190 Q-2.25190 Q-2.25
191 Q-2.26191 Q-2.26
192 Q-2.27192 Q-2.27
193 Q-2.28193 Q-2.28
194 Q-3.1194 Q-3.1
195 Q-3.2195 Q-3.2
196 Q-3.3196 Q-3.3
197 Q-3.4197 Q-3.4
198 Q-3.5198 Q-3.5
199 Q-3.6199 Q-3.6
200 Q-3.7200 Q-3.7
201 Q-3.8201 Q-3.8
202 Q-3.9202 Q-3.9
203 Q-3.10203 Q-3.10
204 Q-3.11204 Q-3.11
205 Q-3.12205 Q-3.12
206 Q-3.13206 Q-3.13
207 Q-3.14 No. Q207 Q-3.14 No. Q
208 Q-3.15208 Q-3.15
209 Q-3.16209 Q-3.16
210 Q-3.17210 Q-3.17
211 Q-3.18211 Q-3.18
212 Q-3.19212 Q-3.19
213 Q-4.1213 Q-4.1
214 Q-4.2214 Q-4.2
215 Q-4.3215 Q-4.3
216 Q-4.4216 Q-4.4
217 Q-4.5217 Q-4.5
218 Q-4.6218 Q-4.6
219 Q-4.7219 Q-4.7
220 Q-4.8220 Q-4.8
221 Q-5.1221 Q-5.1
222 Q-5.2222 Q-5.2
223 Q-5.3223 Q-5.3
224 Q-5.4224 Q-5.4
225 Q-5.5225 Q-5.5
226 Q-5.6226 Q-5.6
227 Q-6.1227 Q-6.1
228 Q-7.1228 Q-7.1
229 Q-7.2229 Q-7.2
230 Q-7.3230 Q-7.3
231 Q-7.4231 Q-7.4
232 Q-7.5232 Q-7.5
233 Q-8.1233 Q-8.1
234 Q-8.2234 Q-8.2
235 Q-8.3235 Q-8.3
236 Q-9.1236 Q-9.1
237 Q-9.2237 Q-9.2
238 Q-10.1238 Q-10.1
239 Q-10.2239 Q-10.2
240 Q-10.3240 Q-10.3
241 Q-10.4241 Q-10.4
242 Q-10.5 No. Q242 Q-10.5 No. Q
243 Q-10.6243 Q-10.6
243 Q-10.7243 Q-10.7
245 Q-10.8245 Q-10.8
246 Q-10.9246 Q-10.9
247 Q-10.10247 Q-10.10
248 Q-10.11248 Q-10.11
249 Q-10.12249 Q-10.12
250 Q-10.13250 Q-10.13
251 Q-10.14251 Q-10.14
252 Q-l l . l252 Q-l l. l
253 Q-12.1253 Q-12.1
254 Q-12.2254 Q-12.2
255 Q-13.1255 Q-13.1
256 Q-13.2256 Q-13.2
257 Q-13.3257 Q-13.3
258 Q-13.4258 Q-13.4
259 Q-13.5259 Q-13.5
260 Q-13.6260 Q-13.6
261 Q-13.7261 Q-13.7
262 Q-13.8262 Q-13.8
263 Q-13.9263 Q-13.9
264 Q-13.10264 Q-13.10
265 Q-13.11265 Q-13.11
266 Q-13.12266 Q-13.12
267 Q-13.13267 Q-13.13
268 Q-13.14268 Q-13.14
269 Q-13.15269 Q-13.15
270 Q-13.16 270 Q-13.16
Tabelle 1.2: Bevorzugte Verbindungen der Formel (1.2) sind die Verbindungen 1.2-1 bis 1.2-270, worin Q die in der jeweiligen Zeile angegebenen Bedeutungen der Tabelle 1 hat. Die Verbindungen 1.2-1 bis 1.2-270 der Tabelle 1.2 sind somit durch die Bedeutung der jeweiligen Einträge No. 1 bis 270 für Q der oben stehenden Tabelle 1 definiert. Table 1.2: Preferred compounds of the formula (1.2) are the compounds 1.2-1 to 1.2-270, wherein Q has the meanings indicated in the respective line of Table 1. The compounds 1.2-1 to 1.2-270 of Table 1.2 are thus characterized by the meaning of the respective entries no. 1 to 270 for Q of Table 1 above.
Tabelle 1.3: Bevorzugte Verbindungen der Formel (1.3) sind die Verbindungen 1.3-1 bis 1.3-270, worin Q die in der jeweiligen Zeile angegebenen Bedeutungen der Tabelle 1 hat. Die Verbindungen 1.3-1 bis 1.3-270 der Tabelle 1.3 sind somit durch die Bedeutung der jeweiligen Einträge No. 1 bis 270 für Q der Tabelle 1 definiert. Table 1.3: Preferred compounds of the formula (1.3) are the compounds 1.3-1 to 1.3-270, in which Q has the meanings of Table 1 indicated in the respective line. The compounds 1.3-1 to 1.3-270 of Table 1.3 are thus determined by the meaning of the respective entries no. 1 to 270 defined for Q of Table 1.
Tabelle 1.4: Bevorzugte Verbindungen der Formel (1.4) sind die Verbindungen 1.4-1 bis 1.4-270, worin Q die in der jeweiligen Zeile angegebenen Bedeutungen der Tabelle 1 hat. Die Verbindungen 1.4-1 bis 1.4-270 der Tabelle 1.4 sind somit durch die Bedeutung der jeweiligen Einträge No. 1 bis 270 für Q der oben stehenden Tabelle 1 definiert. Table 1.4: Preferred compounds of the formula (1.4) are the compounds 1.4-1 to 1.4-270, wherein Q has the meanings given in Table 1 of each Table. The compounds 1.4-1 to 1.4-270 of Table 1.4 are thus characterized by the meaning of the respective entries no. 1 to 270 for Q of Table 1 above.
Tabelle 1.5: Bevorzugte Verbindungen der Formel (1.5) sind die Verbindungen 1.5-1 bis 1.5-270, worin Q die in der jeweiligen Zeile angegebenen Bedeutungen der Tabelle 1 hat. Die Verbindungen 1.5-1 bis 1.5-346 der Tabelle 1.5 sind somit durch die Bedeutung der jeweiligen Einträge No. 1 bis 270 für Q der Tabelle 1 definiert. Table 1.5: Preferred compounds of the formula (1.5) are the compounds 1.5-1 to 1.5-270, wherein Q has the meanings indicated in the respective line of Table 1. The compounds 1.5-1 to 1.5-346 of Table 1.5 are thus by the meaning of the respective entries no. 1 to 270 defined for Q of Table 1.
Tabelle 1.6: Bevorzugte Verbindungen der Formel (1.6) sind die Verbindungen 1.6-1 bis 1.6-270, worin Q die in der jeweiligen Zeile angegebenen Bedeutungen der Tabelle 1 hat. Die Verbindungen 1.6-1 bis 1.6-270 der Tabelle 1.6 sind somit durch die Bedeutung der jeweiligen Einträge No. 1 bis 270 für Q der oben stehenden Tabelle 1 definiert. Table 1.6: Preferred compounds of the formula (1.6) are the compounds 1.6-1 to 1.6-270, in which Q has the meanings given in Table 1 of each Table. The compounds 1.6-1 to 1.6-270 of Table 1.6 are thus characterized by the meaning of the respective entries no. 1 to 270 for Q of Table 1 above.
Tabelle 1.7: Bevorzugte Verbindungen der Formel (1.7) sind die Verbindungen 1.7-1 bis 1.7-270, worin Q die in der jeweiligen Zeile angegebenen Bedeutungen der Tabelle 1 hat. Die Verbindungen 1.7-1 bis 1.7-270 der Tabelle 1.7 sind somit durch die Bedeutung der jeweiligen Einträge No. 1 bis 270 für Q der Tabelle 1 definiert. Table 1.7: Preferred compounds of the formula (1.7) are the compounds 1.7-1 to 1.7-270, wherein Q has the meanings indicated in the respective line of Table 1. The compounds 1.7-1 to 1.7-270 of Table 1.7 are thus characterized by the meaning of the respective entries no. 1 to 270 defined for Q of Table 1.
Tabelle 1.8: Bevorzugte Verbindungen der Formel (1.8) sind die Verbindungen 1.8-1 bis 1.8-270, worin Q die in der jeweiligen Zeile angegebenen Bedeutungen der Tabelle 1 hat. Die Verbindungen 1.8-1 bis 1.8-270 der Tabelle 1.8 sind somit durch die Bedeutung der jeweiligen Einträge No. 1 bis 270 für Q der oben stehenden Tabelle 1 definiert. Table 1.8: Preferred compounds of the formula (1.8) are the compounds 1.8-1 to 1.8-270, in which Q has the meanings indicated in the respective line of Table 1. The compounds 1.8-1 to 1.8-270 of Table 1.8 are thus characterized by the meaning of the respective entries no. 1 to 270 for Q of Table 1 above.
Tabelle 1.9: Bevorzugte Verbindungen der Formel (1.9) sind die Verbindungen 1.9-1 bis 1.9-270, worin Q die in der jeweiligen Zeile angegebenen Bedeutungen der Tabelle 1 hat. Die Verbindungen 1.9-1 bis 1.9-270 der Tabelle 1.9 sind somit durch die Bedeutung der jeweiligen Einträge No. 1 bis 270 für Q der Tabelle 1 definiert. Table 1.9: Preferred compounds of the formula (1.9) are the compounds 1.9-1 to 1.9-270, wherein Q has the meanings indicated in the respective line of Table 1. The compounds 1.9-1 to 1.9-270 of Table 1.9 are thus characterized by the meaning of the respective entries no. 1 to 270 defined for Q of Table 1.
Tabelle 1.10: Bevorzugte Verbindungen der Formel (1.10) sind die Verbindungen 1.10-1 bis 1.10-270, worin Q die in der jeweiligen Zeile angegebenen Bedeutungen der Tabelle 1 hat. Die Verbindungen 1.10-1 bis 1.10-270 der Tabelle 1.10 sind somit durch die Bedeutung der jeweiligen Einträge No. 1 bis 270 für Q der oben stehenden Tabelle 1 definiert. Table 1.10: Preferred compounds of the formula (1.10) are the compounds 1.10-1 to 1.10-270, in which Q has the meanings of Table 1 indicated in the respective line. The compounds 1.10-1 to 1.10-270 of Table 1.10 are therefore distinguished by the meaning of the respective entries no. 1 to 270 for Q of Table 1 above.
Tabelle 1.11 : Bevorzugte Verbindungen der Formel (1.11) sind die Verbindungen 1.11 - 1 bis 1.11 -270, worin Q die in der jeweiligen Zeile angegebenen Bedeutungen der Tabelle 1 hat. Die Verbindungen L I 1-1 bis L I 1-270 der Tabelle LI 1 sind somit durch die Bedeutung der jeweiligen Einträge No. 1 bis 270 für Q der Tabelle 1 definiert. Table 1.11: Preferred compounds of the formula (1.11) are the compounds 1.11 - 1 to 1.11 -270, in which Q has the meanings of Table 1 indicated in the respective line. The compounds L I 1-1 to L I 1-270 of Table LI 1 are thus characterized by the meaning of the respective entries no. 1 to 270 defined for Q of Table 1.
Tabelle 1.12: Bevorzugte Verbindungen der Formel (1.12) sind die Verbindungen 1.12-1 bis 1.12-270, worin Q die in der jeweiligen Zeile angegebenen Bedeutungen der Tabelle 1 hat. Die Verbindungen 1.12-1 bis 1.12-270 der Tabelle 1.12 sind somit durch die Bedeutung der jeweiligen Einträge No. 1 bis 270 für Q der oben stehenden Tabelle 1 definiert. Table 1.12: Preferred compounds of the formula (1.12) are the compounds 1.12-1 to 1.12-270, in which Q has the meanings of Table 1 indicated in the respective line. The compounds 1.12-1 to 1.12-270 of Table 1.12 are thus distinguished by the meaning of the respective entries no. 1 to 270 for Q of Table 1 above.
Tabelle 1.13: Bevorzugte Verbindungen der Formel (1.13) sind die Verbindungen 1.13-1 bis 1.13-270, worin Q die in der jeweiligen Zeile angegebenen Bedeutungen der Tabelle 1 hat. Die Verbindungen 1.13-1 bis 1.13-270 der Tabelle 1.13 sind somit durch die Bedeutung der jeweiligen Einträge No. 1 bis 270 für Q der Tabelle 1 definiert. Table 1.13: Preferred compounds of the formula (1.13) are the compounds 1.13-1 to 1.13-270, in which Q has the meanings of Table 1 indicated in the respective line. The compounds 1.13-1 to 1.13-270 of Table 1.13 are thus distinguished by the meaning of the respective entries no. 1 to 270 defined for Q of Table 1.
Tabelle 1.14: Bevorzugte Verbindungen der Formel (1.14) sind die Verbindungen 1.14-1 bis 1.14-270, worin Q die in der jeweiligen Zeile angegebenen Bedeutungen der Tabelle 1 hat. Die Verbindungen 1.14-1 bis 1.14-270 der Tabelle 1.14 sind somit durch die Bedeutung der jeweiligen Einträge No. 1 bis 270 für Q der oben stehenden Tabelle 1 definiert. Table 1.14: Preferred compounds of the formula (1.14) are the compounds 1.14-1 to 1.14-270, in which Q has the meanings of Table 1 indicated in the respective line. The compounds 1.14-1 to 1.14-270 of Table 1.14 are thus distinguished by the meaning of the respective entries no. 1 to 270 for Q of Table 1 above.
Tabelle 1.15: Bevorzugte Verbindungen der Formel (1.15) sind die Verbindungen 1.15-1 bis 1.15-270, worin Q die in der jeweiligen Zeile angegebenen Bedeutungen der Tabelle 1 hat. Die Verbindungen 1.15-1 bis 1.15-270 der Tabelle 1.15 sind somit durch die Bedeutung der jeweiligen Einträge No. 1 bis 270 für Q der Tabelle 1 definiert. Table 1.15: Preferred compounds of the formula (1.15) are the compounds 1.15-1 to 1.15-270, in which Q has the meanings of Table 1 indicated in the respective line. The compounds 1.15-1 to 1.15-270 of Table 1.15 are thus characterized by the meaning of the respective entries no. 1 to 270 defined for Q of Table 1.
Tabelle 1.16: Bevorzugte Verbindungen der Formel (1.16) sind die Verbindungen 1.16-1 bis 1.16-270, worin Q die in der jeweiligen Zeile angegebenen Bedeutungen der Tabelle 1 hat. Die Verbindungen 1.16-1 bis 1.16-270 der Tabelle 1.16 sind somit durch die Bedeutung der jeweiligen Einträge No. 1 bis 270 für Q der oben stehenden Tabelle 1 definiert. Table 1.16: Preferred compounds of the formula (1.16) are the compounds 1.16-1 to 1.16-270, in which Q has the meanings of Table 1 indicated in the respective line. The connections 1.16-1 to 1.16-270 of Table 1.16 are therefore distinguished by the meaning of the respective entries no. 1 to 270 for Q of Table 1 above.
Tabelle 1.17: Bevorzugte Verbindungen der Formel (1.17) sind die Verbindungen 1.17-1 bis 1.17-270, worin Q die in der jeweiligen Zeile angegebenen Bedeutungen der Tabelle 1 hat. Die Verbindungen 1.17-1 bis 1.17-270 der Tabelle 1.17 sind somit durch die Bedeutung der jeweiligen Einträge No. 1 bis 270 für Q der Tabelle 1 definiert. Table 1.17: Preferred compounds of the formula (1.17) are the compounds 1.17-1 to 1.17-270, wherein Q has the meanings of Table 1 given in the respective line. The compounds 1.17-1 to 1.17-270 of Table 1.17 are thus distinguished by the meaning of the respective entries no. 1 to 270 defined for Q of Table 1.
Tabelle 1.18: Bevorzugte Verbindungen der Formel (1.18) sind die Verbindungen 1.18-1 bis 1.18-270, worin Q die in der jeweiligen Zeile angegebenen Bedeutungen der Tabelle 1 hat. Die Verbindungen 1.18-1 bis 1.18-270 der Tabelle 1.18 sind somit durch die Bedeutung der jeweiligen Einträge No. 1 bis 270 für Q der oben stehenden Tabelle 1 definiert. Table 1.18: Preferred compounds of the formula (1.18) are the compounds 1.18-1 to 1.18-270, in which Q has the meanings of Table 1 indicated in the respective line. The compounds 1.18-1 to 1.18-270 of Table 1.18 are thus distinguished by the meaning of the respective entries no. 1 to 270 for Q of Table 1 above.
Tabelle 1.19: Bevorzugte Verbindungen der Formel (1.19) sind die Verbindungen 1.19-1 bis 1.19-270, worin Q die in der jeweiligen Zeile angegebenen Bedeutungen der Tabelle 1 hat. Die Verbindungen 1.19-1 bis 1.19-270 der Tabelle 1.19 sind somit durch die Bedeutung der jeweiligen Einträge No. 1 bis 270 für Q der Tabelle 1 definiert. Table 1.19: Preferred compounds of the formula (1.19) are the compounds 1.19-1 to 1.19-270, in which Q has the meanings of Table 1 indicated in the respective line. The compounds 1.19-1 to 1.19-270 of Table 1.19 are therefore distinguished by the meaning of the respective entries no. 1 to 270 defined for Q of Table 1.
Tabelle 1.20: Bevorzugte Verbindungen der Formel (1.20) sind die Verbindungen 1.20-1 bis 1.20-270, worin Q die in der jeweiligen Zeile angegebenen Bedeutungen der Tabelle 1 hat. Die Verbindungen 1.20-1 bis 1.20-270 der Tabelle 1.20 sind somit durch die Bedeutung der jeweiligen Einträge No. 1 bis 270 für Q der oben stehenden Tabelle 1 definiert. Table 1.20: Preferred compounds of the formula (1.20) are the compounds 1.20-1 to 1.20-270, in which Q has the meanings of Table 1 indicated in the respective line. The compounds 1.20-1 to 1.20-270 of Table 1.20 are thus distinguished by the meaning of the respective entries no. 1 to 270 for Q of Table 1 above.
Tabelle 1.21 : Bevorzugte Verbindungen der Formel (1.21) sind die Verbindungen 1.21-1 bis 1.21 -270, worin Q die in der jeweiligen Zeile angegebenen Bedeutungen der Tabelle 1 hat. Die Verbindungen 1.21-1 bis 1.21-270 der Tabelle 1.21 sind somit durch die Bedeutung der jeweiligen Einträge No. 1 bis 270 für Q der Tabelle 1 definiert. Table 1.21: Preferred compounds of the formula (1.21) are the compounds 1.21-1 to 1.21-270, in which Q has the meanings of Table 1 indicated in the respective line. The compounds 1.21-1 to 1.21-270 of Table 1.21 are thus distinguished by the meaning of the respective entries no. 1 to 270 defined for Q of Table 1.
Tabelle 1.22: Bevorzugte Verbindungen der Formel (1.22) sind die Verbindungen 1.22-1 bis 1.22-270, worin Q die in der jeweiligen Zeile angegebenen Bedeutungen der Tabelle 1 hat. Die Verbindungen 1.22-1 bis 1.22-270 der Tabelle 1.22 sind somit durch die Bedeutung der jeweiligen Einträge No. 1 bis 270 für Q der oben stehenden Tabelle 1 definiert. Table 1.22: Preferred compounds of the formula (1.22) are the compounds 1.22-1 to 1.22-270, in which Q has the meanings of Table 1 indicated in the respective line. The compounds 1.22-1 to 1.22-270 of Table 1.22 are thus distinguished by the meaning of the respective entries no. 1 to 270 for Q of Table 1 above.
Tabelle 1.23: Bevorzugte Verbindungen der Formel (1.23) sind die Verbindungen 1.23-1 bis 1.23-270, worin Q die in der jeweiligen Zeile angegebenen Bedeutungen der Tabelle 1 hat. Die Verbindungen 1.23-1 bis 1.23-270 der Tabelle 1.23 sind somit durch die Bedeutung der jeweiligen Einträge No. 1 bis 270 für Q der Tabelle 1 definiert. Table 1.23: Preferred compounds of the formula (1.23) are the compounds 1.23-1 to 1.23-270, in which Q has the meanings of Table 1 indicated in the respective line. The compounds 1.23-1 to 1.23-270 of Table 1.23 are thus distinguished by the meaning of the respective entries no. 1 to 270 defined for Q of Table 1.
Tabelle 1.24: Bevorzugte Verbindungen der Formel (1.24) sind die Verbindungen 1.24-1 bis 1.24-270, worin Q die in der jeweiligen Zeile angegebenen Bedeutungen der Tabelle 1 hat. Die Verbindungen 1.24-1 bis 1.24-270 der Tabelle 1.24 sind somit durch die Bedeutung der jeweiligen Einträge No. 1 bis 270 für Q der oben stehenden Tabelle 1 definiert. Table 1.24: Preferred compounds of the formula (1.24) are the compounds 1.24-1 to 1.24-270, in which Q has the meanings of Table 1 indicated in the respective line. The compounds 1.24-1 to 1.24-270 of Table 1.24 are thus distinguished by the meaning of the respective entries no. 1 to 270 for Q of Table 1 above.
Tabelle 1.25: Bevorzugte Verbindungen der Formel (1.25) sind die Verbindungen 1.25-1 bis 1.25-270, worin Q die in der jeweiligen Zeile angegebenen Bedeutungen der Tabelle 1 hat. Die Verbindungen 1.25-1 bis 1.25-270 der Tabelle 1.25 sind somit durch die Bedeutung der jeweiligen Einträge No. 1 bis 270 für Q der Tabelle 1 definiert. Table 1.25: Preferred compounds of the formula (1.25) are the compounds 1.25-1 to 1.25-270, in which Q has the meanings of Table 1 indicated in the respective line. The compounds 1.25-1 to 1.25-270 of Table 1.25 are thus distinguished by the meaning of the respective entries no. 1 to 270 defined for Q of Table 1.
Tabelle 1.26: Bevorzugte Verbindungen der Formel (1.26) sind die Verbindungen 1.26-1 bis 1.26-270, worin Q die in der jeweiligen Zeile angegebenen Bedeutungen der Tabelle 1 hat. Die Verbindungen 1.26-1 bis 1.26-270 der Tabelle 1.26 sind somit durch die Bedeutung der jeweiligen Einträge No. 1 bis 270 für Q der oben stehenden Tabelle 1 definiert. Table 1.26: Preferred compounds of the formula (1.26) are the compounds 1.26-1 to 1.26-270, in which Q has the meanings of Table 1 indicated in the respective line. The compounds 1.26-1 to 1.26-270 of Table 1.26 are thus distinguished by the meaning of the respective entries no. 1 to 270 for Q of Table 1 above.
Tabelle 1.27: Bevorzugte Verbindungen der Formel (1.27) sind die Verbindungen 1.27-1 bis 1.27-270, worin Q die in der jeweiligen Zeile angegebenen Bedeutungen der Tabelle 1 hat. Die Verbindungen 1.27-1 bis 1.27-270 der Tabelle 1.27 sind somit durch die Bedeutung der jeweiligen Einträge No. 1 bis 270 für Q der Tabelle 1 definiert. Table 1.27: Preferred compounds of the formula (1.27) are the compounds 1.27-1 to 1.27-270, in which Q has the meanings of Table 1 indicated in the respective line. The compounds 1.27-1 to 1.27-270 of Table 1.27 are thus distinguished by the meaning of the respective entries no. 1 to 270 defined for Q of Table 1.
Tabelle 1.28: Bevorzugte Verbindungen der Formel (1.28) sind die Verbindungen 1.28-1 bis 1.28-270, worin Q die in der jeweiligen Zeile angegebenen Bedeutungen der Tabelle 1 hat. Die Verbindungen 1.28-1 bis 1.28-270 der Tabelle 1.28 sind somit durch die Bedeutung der jeweiligen Einträge No. 1 bis 270 für Q der oben stehenden Tabelle 1 definiert. Table 1.28: Preferred compounds of the formula (1.28) are the compounds 1.28-1 to 1.28-270, in which Q has the meanings of Table 1 indicated in the respective line. The compounds 1.28-1 to 1.28-270 of Table 1.28 are thus characterized by the meaning of the respective entries no. 1 to 270 for Q of Table 1 above.
Tabelle 1.29: Bevorzugte Verbindungen der Formel (1.29) sind die Verbindungen 1.29-1 bis 1.29-270, worin Q die in der jeweiligen Zeile angegebenen Bedeutungen der Tabelle 1 hat. Die Verbindungen 1.29-1 bis 1.29-270 der Tabelle 1.29 sind somit durch die Bedeutung der jeweiligen Einträge No. 1 bis 270 für Q der Tabelle 1 definiert. Table 1.29: Preferred compounds of the formula (1.29) are the compounds 1.29-1 to 1.29-270, in which Q has the meanings of Table 1 indicated in the respective line. The compounds 1.29-1 to 1.29-270 of Table 1.29 are thus characterized by the meaning of the respective entries no. 1 to 270 defined for Q of Table 1.
Tabelle 1.30: Bevorzugte Verbindungen der Formel (1.30) sind die Verbindungen 1.30-1 bis 1.30-270, worin Q die in der jeweiligen Zeile angegebenen Bedeutungen der Tabelle 1 hat. Die Verbindungen 1.30-1 bis 1.30-270 der Tabelle 1.30 sind somit durch die Bedeutung der jeweiligen Einträge No. 1 bis 270 für Q der oben stehenden Tabelle 1 definiert. Table 1.30: Preferred compounds of the formula (1.30) are the compounds 1.30-1 to 1.30-270, in which Q has the meanings of Table 1 indicated in the respective line. The compounds 1.30-1 to 1.30-270 of Table 1.30 are thus distinguished by the meaning of the respective entries no. 1 to 270 for Q of Table 1 above.
Tabelle 1.31 : Bevorzugte Verbindungen der Formel (1.31) sind die Verbindungen 1.31-1 bis 1.31-270, worin Q die in der jeweiligen Zeile angegebenen Bedeutungen der Tabelle 1 hat. Die Verbindungen 1.31-1 bis 1.31-270 der Tabelle 1.31 sind somit durch die Bedeutung der jeweiligen Einträge No. 1 bis 270 für Q der Tabelle 1 definiert. Table 1.31: Preferred compounds of the formula (1.31) are the compounds 1.31-1 to 1.31-270, in which Q has the meanings of Table 1 indicated in the respective line. The compounds 1.31-1 to 1.31-270 of Table 1.31 are thus characterized by the meaning of the respective entries no. 1 to 270 defined for Q of Table 1.
Tabelle 1.32: Bevorzugte Verbindungen der Formel (1.32) sind die Verbindungen 1.32-1 bis 1.32-270, worin Q die in der jeweiligen Zeile angegebenen Bedeutungen der Tabelle 1 hat. Die Verbindungen 1.32-1 bis 1.32-270 der Tabelle 1.32 sind somit durch die Bedeutung der jeweiligen Einträge No. 1 bis 270 für Q der oben stehenden Tabelle 1 definiert. Table 1.32: Preferred compounds of the formula (1.32) are the compounds 1.32-1 to 1.32-270, in which Q has the meanings of Table 1 indicated in the respective line. The compounds 1.32-1 to 1.32-270 of Table 1.32 are therefore distinguished by the meaning of the respective entries no. 1 to 270 for Q of Table 1 above.
Tabelle 1.33: Bevorzugte Verbindungen der Formel (1.33) sind die Verbindungen 1.33-1 bis 1.33-270, worin Q die in der jeweiligen Zeile angegebenen Bedeutungen der Tabelle 1 hat. Die Verbindungen 1.33-1 bis 1.33-270 der Tabelle 1.33 sind somit durch die Bedeutung der jeweiligen Einträge No. 1 bis 270 für Q der Tabelle 1 definiert. Table 1.33: Preferred compounds of the formula (1.33) are the compounds 1.33-1 to 1.33-270, in which Q has the meanings of Table 1 indicated in the respective line. The compounds 1.33-1 to 1.33-270 of Table 1.33 are thus distinguished by the meaning of the respective entries no. 1 to 270 defined for Q of Table 1.
Tabelle 1.34: Bevorzugte Verbindungen der Formel (1.34) sind die Verbindungen 1.34-1 bis 1.34-270, worin Q die in der jeweiligen Zeile angegebenen Bedeutungen der Tabelle 1 hat. Die Verbindungen 1.34-1 bis 1.34-270 der Tabelle 1.34 sind somit durch die Bedeutung der jeweiligen Einträge No. 1 bis 270 für Q der oben stehenden Tabelle 1 definiert. Table 1.34: Preferred compounds of the formula (1.34) are the compounds 1.34-1 to 1.34-270, wherein Q has the meanings given in Table 1 of each Table. The compounds 1.34-1 to 1.34-270 of Table 1.34 are therefore distinguished by the meaning of the respective entries no. 1 to 270 for Q of Table 1 above.
Tabelle 1.35: Bevorzugte Verbindungen der Formel (1.35) sind die Verbindungen 1.35-1 bis 1.35-270, worin Q die in der jeweiligen Zeile angegebenen Bedeutungen der Tabelle 1 hat. Die Verbindungen 1.35-1 bis 1.35-270 der Tabelle 1.35 sind somit durch die Bedeutung der jeweiligen Einträge No. 1 bis 270 für Q der Tabelle 1 definiert. Table 1.35: Preferred compounds of the formula (1.35) are the compounds 1.35-1 to 1.35-270, in which Q has the meanings of Table 1 indicated in the respective line. The compounds 1.35-1 to 1.35-270 of Table 1.35 are thus distinguished by the meaning of the respective entries no. 1 to 270 defined for Q of Table 1.
Tabelle 1.36: Bevorzugte Verbindungen der Formel (1.36) sind die Verbindungen 1.36-1 bis 1.36-270, worin Q die in der jeweiligen Zeile angegebenen Bedeutungen der Tabelle 1 hat. Die Verbindungen 1.36-1 bis 1.36-270 der Tabelle 1.36 sind somit durch die Bedeutung der jeweiligen Einträge No. 1 bis 270 für Q der oben stehenden Tabelle 1 definiert. Table 1.36: Preferred compounds of the formula (1.36) are the compounds 1.36-1 to 1.36-270, in which Q has the meanings of Table 1 indicated in the respective line. The compounds 1.36-1 to 1.36-270 of Table 1.36 are thus distinguished by the meaning of the respective entries no. 1 to 270 for Q of Table 1 above.
Tabelle 1.37: Bevorzugte Verbindungen der Formel (1.37) sind die Verbindungen 1.37-1 bis 1.37-270, worin Q die in der jeweiligen Zeile angegebenen Bedeutungen der Tabelle 1 hat. Die Verbindungen 1.37-1 bis 1.37-270 der Tabelle 1.37 sind somit durch die Bedeutung der jeweiligen Einträge No. 1 bis 270 für Q der Tabelle 1 definiert. Table 1.37: Preferred compounds of the formula (1.37) are the compounds 1.37-1 to 1.37-270, in which Q has the meanings of Table 1 indicated in the respective line. The compounds 1.37-1 to 1.37-270 of Table 1.37 are thus characterized by the meaning of the respective entries no. 1 to 270 defined for Q of Table 1.
Tabelle 1.38: Bevorzugte Verbindungen der Formel (1.38) sind die Verbindungen 1.38-1 bis 1.38-270, worin Q die in der jeweiligen Zeile angegebenen Bedeutungen der Tabelle 1 hat. Die Verbindungen 1.38-1 bis 1.38-270 der Tabelle 1.38 sind somit durch die Bedeutung der jeweiligen Einträge No. 1 bis 270 für Q der oben stehenden Tabelle 1 definiert. Table 1.38: Preferred compounds of the formula (1.38) are the compounds 1.38-1 to 1.38-270, in which Q has the meanings of Table 1 indicated in the respective line. The compounds 1.38-1 to 1.38-270 of Table 1.38 are thus distinguished by the meaning of the respective entries no. 1 to 270 for Q of Table 1 above.
Tabelle 1.39: Bevorzugte Verbindungen der Formel (1.39) sind die Verbindungen 1.39-1 bis 1.39-270, worin Q die in der jeweiligen Zeile angegebenen Bedeutungen der Tabelle 1 hat. Die Verbindungen 1.39-1 bis 1.39-270 der Tabelle 1.39 sind somit durch die Bedeutung der jeweiligen Einträge No. 1 bis 270 für Q der Tabelle 1 definiert. Table 1.39: Preferred compounds of the formula (1.39) are the compounds 1.39-1 to 1.39-270, in which Q has the meanings of Table 1 indicated in the respective line. The compounds 1.39-1 to 1.39-270 of Table 1.39 are thus characterized by the meaning of the respective entries no. 1 to 270 defined for Q of Table 1.
Tabelle 1.40: Bevorzugte Verbindungen der Formel (1.40) sind die Verbindungen 1.40-1 bis 1.40-270, worin Q die in der jeweiligen Zeile angegebenen Bedeutungen der Tabelle 1 hat. Die Verbindungen 1.40-1 bis 1.40-270 der Tabelle 1.40 sind somit durch die Bedeutung der jeweiligen Einträge No. 1 bis 270 für Q der oben stehenden Tabelle 1 definiert. Table 1.40: Preferred compounds of the formula (1.40) are the compounds 1.40-1 to 1.40-270, in which Q has the meanings of Table 1 indicated in the respective line. The compounds 1.40-1 to 1.40-270 of Table 1.40 are therefore distinguished by the meaning of the respective entries no. 1 to 270 for Q of Table 1 above.
Tabelle 1.41 : Bevorzugte Verbindungen der Formel (1.41) sind die Verbindungen 1.41-1 bis 1.41-270, worin Q die in der jeweiligen Zeile angegebenen Bedeutungen der Tabelle 1 hat. Die Verbindungen 1.41-1 bis 1.41-270 der Tabelle 1.41 sind somit durch die Bedeutung der jeweiligen Einträge No. 1 bis 270 für Q der Tabelle 1 definiert. Table 1.41: Preferred compounds of the formula (1.41) are the compounds 1.41-1 to 1.41-270, in which Q has the meanings given in Table 1 in each line. The compounds 1.41-1 to 1.41-270 of Table 1.41 are thus distinguished by the meaning of the respective entries no. 1 to 270 defined for Q of Table 1.
Tabelle 1.42: Bevorzugte Verbindungen der Formel (1.42) sind die Verbindungen 1.42-1 bis 1.42-270, worin Q die in der jeweiligen Zeile angegebenen Bedeutungen der Tabelle 1 hat. Die Verbindungen 1.42-1 bis 1.42-270 der Tabelle 1.42 sind somit durch die Bedeutung der jeweiligen Einträge No. 1 bis 270 für Q der oben stehenden Tabelle 1 definiert. Table 1.42: Preferred compounds of the formula (1.42) are the compounds 1.42-1 to 1.42-270, in which Q has the meanings of Table 1 indicated in the respective line. The compounds 1.42-1 to 1.42-270 of Table 1.42 are thus distinguished by the meaning of the respective entries no. 1 to 270 for Q of Table 1 above.
Tabelle 1.43: Bevorzugte Verbindungen der Formel (1.43) sind die Verbindungen 1.43-1 bis 1.43-270, worin Q die in der jeweiligen Zeile angegebenen Bedeutungen der Tabelle 1 hat. Die Verbindungen 1.43-1 bis 1.43-270 der Tabelle 1.43 sind somit durch die Bedeutung der jeweiligen Einträge No. 1 bis 270 für Q der Tabelle 1 definiert. Table 1.43: Preferred compounds of the formula (1.43) are the compounds 1.43-1 to 1.43-270, in which Q has the meanings of Table 1 indicated in the respective line. The compounds 1.43-1 to 1.43-270 of Table 1.43 are thus characterized by the meaning of the respective entries no. 1 to 270 defined for Q of Table 1.
Tabelle 1.44: Bevorzugte Verbindungen der Formel (1.44) sind die Verbindungen 1.44-1 bis 1.44-270, worin Q die in der jeweiligen Zeile angegebenen Bedeutungen der Tabelle 1 hat. Die Verbindungen 1.44-1 bis 1.44-270 der Tabelle 1.44 sind somit durch die Bedeutung der jeweiligen Einträge No. 1 bis 270 für Q der oben stehenden Tabelle 1 definiert. Table 1.44: Preferred compounds of the formula (1.44) are the compounds 1.44-1 to 1.44-270, in which Q has the meanings of Table 1 indicated in the respective line. The compounds 1.44-1 to 1.44-270 of Table 1.44 are thus distinguished by the meaning of the respective entries no. 1 to 270 for Q of Table 1 above.
Tabelle 1.45: Bevorzugte Verbindungen der Formel (1.45) sind die Verbindungen 1.45-1 bis 1.45-270, worin Q die in der jeweiligen Zeile angegebenen Bedeutungen der Tabelle 1 hat. Die Verbindungen 1.45-1 bis 1.45-270 der Tabelle 1.45 sind somit durch die Bedeutung der jeweiligen Einträge No. 1 bis 270 für Q der Tabelle 1 definiert. Table 1.45: Preferred compounds of the formula (1.45) are the compounds 1.45-1 to 1.45-270, in which Q has the meanings of Table 1 indicated in the respective line. The compounds 1.45-1 to 1.45-270 of Table 1.45 are therefore distinguished by the meaning of the respective entries no. 1 to 270 defined for Q of Table 1.
Tabelle 1.46: Bevorzugte Verbindungen der Formel (1.46) sind die Verbindungen 1.46-1 bis 1.46-270, worin Q die in der jeweiligen Zeile angegebenen Bedeutungen der Tabelle 1 hat. Die Verbindungen 1.46-1 bis 1.46-270 der Tabelle 1.46 sind somit durch die Bedeutung der jeweiligen Einträge No. 1 bis 270 für Q der oben stehenden Tabelle 1 definiert. Table 1.46: Preferred compounds of the formula (1.46) are the compounds 1.46-1 to 1.46-270, in which Q has the meanings of Table 1 indicated in the respective line. The compounds 1.46-1 to 1.46-270 of Table 1.46 are thus characterized by the meaning of the respective entries no. 1 to 270 for Q of Table 1 above.
Tabelle 1.47: Bevorzugte Verbindungen der Formel (1.47) sind die Verbindungen 1.47-1 bis 1.47-270, worin Q die in der jeweiligen Zeile angegebenen Bedeutungen der Tabelle 1 hat. Die Verbindungen 1.47-1 bis 1.47-270 der Tabelle 1.47 sind somit durch die Bedeutung der jeweiligen Einträge No. 1 bis 270 für Q der Tabelle 1 definiert. Table 1.47: Preferred compounds of the formula (1.47) are the compounds 1.47-1 to 1.47-270, in which Q has the meanings of Table 1 indicated in the respective line. The compounds 1.47-1 to 1.47-270 of Table 1.47 are therefore distinguished by the meaning of the respective entries no. 1 to 270 defined for Q of Table 1.
Tabelle 1.48: Bevorzugte Verbindungen der Formel (1.48) sind die Verbindungen 1.48-1 bis 1.48-270, worin Q die in der jeweiligen Zeile angegebenen Bedeutungen der Tabelle 1 hat. Die Verbindungen 1.48-1 bis 1.48-270 der Tabelle 1.48 sind somit durch die Bedeutung der jeweiligen Einträge No. 1 bis 270 für Q der oben stehenden Tabelle 1 definiert. Table 1.48: Preferred compounds of the formula (1.48) are the compounds 1.48-1 to 1.48-270, in which Q has the meanings of Table 1 indicated in the respective line. The compounds 1.48-1 to 1.48-270 of Table 1.48 are thus characterized by the meaning of the respective entries no. 1 to 270 for Q of Table 1 above.
Tabelle 1.49: Bevorzugte Verbindungen der Formel (1.49) sind die Verbindungen 1.49-1 bis 1.49-270, worin Q die in der jeweiligen Zeile angegebenen Bedeutungen der Tabelle 1 hat. Die Verbindungen 1.49-1 bis 1.49-270 der Tabelle 1.49 sind somit durch die Bedeutung der jeweiligen Einträge No. 1 bis 270 für Q der Tabelle 1 definiert. Spektroskopische Daten ausgewählter Tabellenbeispiele: Table 1.49: Preferred compounds of the formula (1.49) are the compounds 1.49-1 to 1.49-270, in which Q has the meanings of Table 1 indicated in the respective line. The compounds 1.49-1 to 1.49-270 of Table 1.49 are thus distinguished by the meaning of the respective entries no. 1 to 270 defined for Q of Table 1. Spectroscopic data of selected table examples:
Ausgewählte detaillierte Synthesebeispiele für die erfindungsgemäßen Verbindungen der allgemeinen Formeln (I) sind im Folgenden aufgeführt. Die 'H-NMR-, 13C-NMR- und 19F-NMR-spektroskopischen Daten, die für die in den nachfolgenden Abschnitten beschriebenen chemischen Beispiele angegeben sind, (400 MHz bei 'H-NMR und 150 MHz bei 13C-NMR und 375 MHz bei "F-NMR, Lösungsmittel CDCb, CD3OD oder dö-DMSO, interner Standard: Tetramethylsilan δ = 0.00 ppm), wurden mit einem Gerät der Firma Bruker erhalten, und die bezeichneten Signale haben die nachfolgend aufgeführten Bedeutungen: br = breit(es); s = Singulett, d = Dublett, t = Triplett, dd = Doppeldublett, ddd = Dublett eines Doppeldubletts, m = Multiplett, q = Quartett, quint = Quintett, sext = Sextett, sept = Septett, dq = Doppelquartett, dt = Doppeltriplett. Bei Diastereomerengemischen werden entweder die jeweils signifikanten Signale beider Diastereomere oder das charakteristische Signal des Hauptdiastereomers angegeben. Die verwendeten Abkürzungen für chemische Gruppen haben beispielsweise die nachfolgenden Bedeutungen: Me = CH3, Et = CH2CH3, t-Hex = C(CH3)2CH(CH3)2, t-Bu = C(CH3)3, n- Bu = unverzweigtes Butyl, n-Pr = unverzweigtes Propyl, i-Pr = verzweigtes Propyl, c-Pr = Cyclopropyl, c-Hex = Cyclohexyl. Selected detailed synthesis examples of the compounds of the general formulas (I) according to the invention are listed below. The 'H NMR, 13 C NMR and 19 F NMR spectroscopic data given for the chemical examples described in the following sections (400 MHz for 'H-NMR and 150 MHz for 13 C-NMR and 375 MHz for' F-NMR, solvent CDCb, CD3OD or dö-DMSO, internal standard: tetramethylsilane δ = 0.00 ppm) were mixed with one instrument Bruker and the signals given have the following meanings: br = broad (es), s = singlet, d = doublet, t = triplet, dd = double doublet, ddd = doublet of double doublet, m = multiplet, q = Quartet, quint = sextet, sext = sextet, sept = septet, dq = double quartet, dt = double triplet For diastereomeric mixtures, either the respective significant signals of both diastereomers or the characteristic signal of the main diastereomer are given, for example, the abbreviations used below meanings: Me = CH3, Et = CH2CH3, t-Hex = C (CH 3) 2 CH (CH 3) 2, t-Bu = C (CH 3) 3, n-Bu = unbranched butyl, n-Pr = straight Propyl, i-Pr = branched propyl, c-Pr = cyclopropyl, c-hex = cyclohex yl.
Die nachfolgend aufgeführten spektroskopischen Daten ausgewählter Tabellenbeispiele wurden über klassische 'H-NMR-Interpretation oder über NMR-Peak-Listenverfahren ausgewertet. The spectroscopic data of selected table examples listed below were evaluated by classical 'H-NMR interpretation or by NMR peak list methods.
Klassische 'H-NMR-Interpretation Beispiel No. 1.15-12: Classical 'H NMR Interpretation Example No. 1.15-12:
'H-NMR (400 MHz, de-DMSO δ, ppm) 7.87 (s, 1H), 7,54-7,43 (m, 4H), 7,29-7,14 (m, 5H), 5.81 (s, 1H), 4.28 (dd, 1H), 3.80 (dd, 1H), 3.42 (dd, 1H), 3.31 (d, 1H), 1.35-1.15 (m, 4H).. 'H-NMR (400 MHz, de-DMSO δ, ppm) 7.87 (s, 1H), 7.54-7.43 (m, 4H), 7.29-7.14 (m, 5H), 5.81 ( s, 1H), 4.28 (dd, 1H), 3.80 (dd, 1H), 3.42 (dd, 1H), 3.31 (d, 1H), 1.35-1.15 (m, 4H).
Beispiel No. 1.9-12: Example No. 1.9-12:
'H-NMR (400 MHz, de-DMSO δ, ppm) 7,55-7,44 (m, 4H), 7.40 (s, 1H), 5.80 (s, 1H), 4.28 (dd, 1H), 3.81 (dd, 1H), 3.42 (dd, 1H), 3.21 (d, 1H), 1.71-1.66 (m, 1H), 1.51-1.45 (m, 1H), 0.92 (t, 3H), 0.78-0.58 (m, 4H). 'H-NMR (400 MHz, de-DMSO δ, ppm) 7.55-7.44 (m, 4H), 7.40 (s, 1H), 5.80 (s, 1H), 4.28 (dd, 1H), 3.81 (dd, 1H), 3.42 (dd, 1H), 3.21 (d, 1H), 1.71-1.66 (m, 1H), 1.51-1.45 (m, 1H), 0.92 (t, 3H), 0.78-0.58 (m , 4H).
Beispiel No. 1.13-12: Example No. 1.13-12:
'H-NMR (400 MHz, de-DMSO δ, ppm) 7.81 (s, 1H), 7,56-7,47 (m, 4H), 5.90 (s, 1H), 4.26 (dd, 1H), 3.83 (dd, 1H), 3.66, (s, 3H), 3.44 (dd, 1H), 3.35 (d, 1H), 1.58-1.56 (m, 2H), 1.18-1.17 (m, 2H). 'H-NMR (400 MHz, de-DMSO δ, ppm) 7.81 (s, 1H), 7.56-7.47 (m, 4H), 5.90 (s, 1H), 4.26 (dd, 1H), 3.83 (dd, 1H), 3.66, (s, 3H), 3.44 (dd, 1H), 3.35 (d, 1H), 1.58-1.56 (m, 2H), 1.18-1.17 (m, 2H).
Beispiel No. 1.16-12: Example No. 1.16-12:
'H-NMR (400 MHz, de-DMSO δ, ppm) 7.87 (s, 1H), 7,53-7,43 (m, 4H), 7.31-7.23 (m, 2H), 6.97-6.91 (m, 2H), 5.81 (s, 1H), 4.26 (dd, 1H), 3.80 (dd, 1H), 3.42 (dd, 1H), 3.29 (d, 1H), 1.30-1.09 (m, 4H). Beispiel No. 1.10-12: 'H-NMR (400 MHz, de-DMSO δ, ppm) 7.87 (s, 1H), 7.53-7.43 (m, 4H), 7.31-7.23 (m, 2H), 6.97-6.91 (m, 2H), 5.81 (s, 1H), 4.26 (dd, 1H), 3.80 (dd, 1H), 3.42 (dd, 1H), 3.29 (d, 1H), 1.30-1.09 (m, 4H). Example No. 1.10-12:
'H-NMR (400 MHz, de-DMSO δ, ppm) 7,56-7,44 (m, 5H), 5.98 (s, IH), 4.28 (dd, IH), 3.82 (dd, IH), 3.42 (dd, IH), 3.25 (d, IH), 1.41-1.35 (m, IH), 0.73-0.55 (m, 4H), 0.41-0.36 (m, 2H), 0.17-0.10 (m, 2H). 'H NMR (400 MHz, de-DMSO δ, ppm) 7.56-7.44 (m, 5H), 5.98 (s, IH), 4.28 (dd, IH), 3.82 (dd, IH), 3.42 (dd, IH), 3.25 (d, IH), 1.41-1.35 (m, IH), 0.73-0.55 (m, 4H), 0.41-0.36 (m, 2H), 0.17-0.10 (m, 2H).
Beispiel No. 1.7-12: Example No. 1.7-12:
'H-NMR (400 MHz, de-DMSO δ, ppm) 8.06 (s, IH), 7,56-7,47 (m, 4H), 5.80 (s, IH), 4.30 (dd, IH), 3.82 (dd, IH), 3.45 (dd, IH), 3.32 (s, 3H), 3.31 (d, IH), 1.14-1.08 (m, 2H), 0.96-0.89 (m, 2H). Beispiel No. 1.22-12: 'H-NMR (400 MHz, de-DMSO δ, ppm) 8.06 (s, IH), 7.56-7.47 (m, 4H), 5.80 (s, IH), 4.30 (dd, IH), 3.82 (dd, IH), 3.45 (dd, IH), 3.32 (s, 3H), 3.31 (d, IH), 1.14-1.08 (m, 2H), 0.96-0.89 (m, 2H). Example No. 1.22-12:
'H-NMR (400 MHz, de-DMSO δ, ppm) 7,56-7,45 (m, 5H), 5.82 (s, IH), 4.32-4.27 (m, IH), 3.84-3.80 (m, IH), 3.45-3.41 (m, IH), 3.28-3.25 (m, IH), 1.34 (s, 3H), 1.06 (d, 3H), 0.89-0.83 (m, IH), 0.78-0.74 (m, IH), 0.33-0.30 (m, IH). Beispiel No. 1.2 -12: 'H-NMR (400 MHz, de-DMSO δ, ppm) 7.56-7.45 (m, 5H), 5.82 (s, IH), 4.32-4.27 (m, IH), 3.84-3.80 (m, IH), 3.45-3.41 (m, IH), 3.28-3.25 (m, IH), 1.34 (s, 3H), 1.06 (d, 3H), 0.89-0.83 (m, IH), 0.78-0.74 (m, IH), 0.33-0.30 (m, IH). Example No. 1.2 -12:
'H-NMR (400 MHz, de-DMSO δ, ppm) 7,56-7,44 (m, 5H), 5.72 (s, IH), 4.27 (dd, IH), 3.81 (dd, IH), 3.42 (dd, IH), 3.22 (d, IH), 1.36 (s, 3H), 0.76-0.73 (m, 2H), 0.65-0.60 (m, 2H). 'H NMR (400 MHz, de-DMSO δ, ppm) 7.56-7.44 (m, 5H), 5.72 (s, IH), 4.27 (dd, IH), 3.81 (dd, IH), 3.42 (dd, IH), 3.22 (d, IH), 1.36 (s, 3H), 0.76-0.73 (m, 2H), 0.65-0.60 (m, 2H).
Beispiel No. 1.19 -12: Example No. 1.19 -12:
'H-NMR (400 MHz, de-DMSO δ, ppm) 7,56-7,31 (m, 5H), 5.94 (s, IH), 4.66-4.46 (m, IH), 4.24 (dd, IH), 3.81 (dd, IH), 3.44 (dd, IH), 3.28 (d, IH), 3.10-3.00 (m, IH), 1.45-1.32 (m, IH), 0.99-0.91 (m, IH). 'H NMR (400 MHz, de-DMSO δ, ppm) 7.56-7.31 (m, 5H), 5.94 (s, IH), 4.66-4.46 (m, IH), 4.24 (dd, IH) , 3.81 (dd, IH), 3.44 (dd, IH), 3.28 (d, IH), 3.10-3.00 (m, IH), 1.45-1.32 (m, IH), 0.99-0.91 (m, IH).
Beispiel No. 1.20 -12: Example No. 1.20 -12:
'H-NMR (400 MHz, de-DMSO δ, ppm) 7,57-7,45 (m, 4H), 7.19 (s, IH), 5.87 (s, IH), 4.29 (dd, IH), 3.82 (dd, IH), 3.43 (dd, IH), 3.31 (d, IH), 2.55-2.51 (m, IH), 1.08 (s, 3H), 1.06 (s, 3H), 0.73 (dd, IH), 0.34 (dd, IH). 'H-NMR (400 MHz, de-DMSO δ, ppm) 7.57-7.45 (m, 4H), 7.19 (s, IH), 5.87 (s, IH), 4.29 (dd, IH), 3.82 (dd, IH), 3.43 (dd, IH), 3.31 (d, IH), 2.55-2.51 (m, IH), 1.08 (s, 3H), 1.06 (s, 3H), 0.73 (dd, IH), 0.34 (dd, IH).
Beispiel No. 1.11 -12: Example No. 1.11 -12:
'H-NMR (400 MHz, de-DMSO δ, ppm) 7.90 (s, IH), 7,56-7,46 (m, 4H), 6.06 (s, IH), 4.24 (dd, IH), 3.82 (dd, IH), 3.44 (dd, IH), 3.33 (d, IH), 1.33-1.28 (m, 2H), 1.13-1.08 (m, 2H). 'H NMR (400 MHz, de-DMSO δ, ppm) 7.90 (s, IH), 7.56-7.46 (m, 4H), 6.06 (s, IH), 4.24 (dd, IH), 3.82 (dd, IH), 3.44 (dd, IH), 3.33 (d, IH), 1.33-1.28 (m, 2H), 1.13-1.08 (m, 2H).
Beispiel No. 1.24 -12: Example No. 1.24 -12:
'H-NMR (400 MHz, CDC13 δ, ppm) 7.55-7.29 (m, 5H), 5.90 (s, IH), 4.26 (dd, IH), 3.82 (dd, IH), 3.41 (dd, IH), 3.27 (d, IH), 2.34-2.25 (m, 2H), 2.03-1.98 (m, 2H), 1.89-1.78 (m, 2H), 1.46 (s, 3H). Beispiel No. 1.23 -12: 'H NMR (400 MHz, CDC1 3 δ, ppm) 7.55-7.29 (m, 5H), 5.90 (s, IH), 4.26 (dd, IH), 3.82 (dd, IH), 3.41 (dd, IH) , 3.27 (d, IH), 2.34-2.25 (m, 2H), 2.03-1.98 (m, 2H), 1.89-1.78 (m, 2H), 1.46 (s, 3H). Example No. 1.23 -12:
'H-NMR (400 MHz, CDC13 δ, ppm) 7.56-7.38 (m, 5H), 5.81 (s, IH), 4.41- 4.31 (m, IH), 4.26 (dd, IH), 3.81 (dd, IH), 3.42 (dd, IH), 3.27 (d, IH), 2.38-2.25 (m, 2H), 1.97-1.88 (m, 2H), 1.74-1.65 (m, 2H). Beispiel No. 1.31 -12: 'H-NMR (400 MHz, CDC1 3 δ, ppm) 7.56-7.38 (m, 5H), 5.81 (s, IH), 4.41-4.31 (m, IH), 4.26 (dd, IH), 3.81 (dd, IH), 3.42 (dd, IH), 3.27 (d, IH), 2.38-2.25 (m, 2H), 1.97-1.88 (m, 2H), 1.74-1.65 (m, 2H). Example No. 1.31 -12:
'H-NMR (400 MHz, CDCI3 δ, ppm) 7.55-7.44 (m, 4H), 7.13 (s, IH), 5.80 (s, IH), 4.27 (dd, IH), 3.81 (dd, IH), 3.39 (dd, IH), 3.25 (d, IH), 2.00-1.92 (m, 2H), 1.71-1.62 (m, 6H), 1.41 (s, 3H). 'H NMR (400 MHz, CDCl3 δ, ppm) 7.55-7.44 (m, 4H), 7.13 (s, IH), 5.80 (s, IH), 4.27 (dd, IH), 3.81 (dd, IH), 3.39 (dd, IH), 3.25 (d, IH), 2.00-1.92 (m, 2H), 1.71-1.62 (m, 6H), 1.41 (s, 3H).
Beispiel No. 1.38 -12: Example No. 1.38-12:
'H-NMR (400 MHz, CDCI3 δ, ppm) 7.57-7.44 (m, 5H), 6.15 (s, IH), 4.28 (dd, IH), 3.82 (dd, IH), 3.41 (dd, IH), 3.33 (d, IH), 2.39 (s, IH), 2.11-2.08 (m, 2H), 1.85-1.74 (m, 2H), 1.70-1.52 (m, 4H), 1.32-1.24 (m, 2H). 'H NMR (400 MHz, CDCl3 δ, ppm) 7.57-7.44 (m, 5H), 6.15 (s, IH), 4.28 (dd, IH), 3.82 (dd, IH), 3.41 (dd, IH), 3.33 (d, IH), 2.39 (s, IH), 2.11-2.08 (m, 2H), 1.85-1.74 (m, 2H), 1.70-1.52 (m, 4H), 1.32-1.24 (m, 2H).
Beispiel No. 1.39 -12: Example No. 1.39 -12:
'H-NMR (400 MHz, CDCI3 δ, ppm) 7.74 (s, IH), 7.58-7.46 (m, 4H), 5.92 (s, IH), 4.27 (dd, IH), 3.83 (dd, IH), 3.45 (dd, IH), 3.37 (d, IH), 2.39-2.26 (m, 2H), 1.78-1.61 (m, 6H), 1.35-1.26 (m, 2H). 'H NMR (400 MHz, CDCl3 δ, ppm) 7.74 (s, IH), 7.58-7.46 (m, 4H), 5.92 (s, IH), 4.27 (dd, IH), 3.83 (dd, IH), 3.45 (dd, IH), 3.37 (d, IH), 2.39-2.26 (m, 2H), 1.78-1.61 (m, 6H), 1.35-1.26 (m, 2H).
Beispiel No. 1.1 -267: Example No. 1.1 -267:
'H-NMR (400 MHz, CDCI3 δ, ppm) 7,11 (bs, IH), 5,68 (bs, IH), 3,43 (t, IH), 3,09 (dd, IH), 3,00-2,89 (m, 2H), 2,73 (m, IH); 1,79-0,95 (m, 10H), 0,84 (m, IH), 0,79-0,70 (m, 2H), 0,56-0,47 (m, 2H). 'H NMR (400 MHz, CDCl3 δ, ppm) 7.11 (bs, IH), 5.68 (bs, IH), 3.43 (t, IH), 3.09 (dd, IH), 3 , 00-2.89 (m, 2H), 2.73 (m, IH); 1.79-0.95 (m, 10H), 0.84 (m, IH), 0.79-0.70 (m, 2H), 0.56-0.47 (m, 2H).
Beispiel No. 1.6 -267: Example No. 1.6 -267:
'H-NMR (400 MHz, CDCI3 δ, ppm) 7,91 (bs, IH), 5,68 (bs, IH), 3,45 (t, IH), 3,13 (t, IH), 2,97-2,91 (m, 2H), 1,79-0,88 (m, 15H). 'H NMR (400 MHz, CDCl3 δ, ppm) 7.91 (bs, IH), 5.68 (bs, IH), 3.45 (t, IH), 3.13 (t, IH), 2 , 97-2.91 (m, 2H), 1.79-0.88 (m, 15H).
Beispiel No. 1.19 -267: Example No. 1.19-226:
'H-NMR (400 MHz, CDCI3 δ, ppm) 7,13 (bd, IH), 6,23 (bs, IH), 4,63 (m, IH), 4,48 (m, IH), 3,44 (t, IH), 3,13-3,01 (m, 3H), 2,92 (t, 2H), 1,78-0,94 (m, 11H). Beispiel No. 1.2 -267: 'H NMR (400 MHz, CDCl3 δ, ppm) 7.13 (bd, IH), 6.23 (bs, IH), 4.63 (m, IH), 4.48 (m, IH), 3 , 44 (t, IH), 3.13-3.01 (m, 3H), 2.92 (t, 2H), 1.78-0.94 (m, 11H). Example No. 1.2 -267:
'H-NMR (400 MHz, CDCI3 δ, ppm) 7,22 (bs, IH), 6,05 (bs, IH), 3,44 (t, IH), 3,09 (dd, IH), 2,94-2,85 (m, 2H), 1,76-1,59 (m, 5H), 1,37 (s, 3H), 1,28-0,97 (m, 4H), 0,76-0,71 (m, 2H), 0,66-0,58 (m, 2H). Beispiel No. 1.1 -255: 'H NMR (400 MHz, CDCl3 δ, ppm) 7.22 (bs, IH), 6.05 (bs, IH), 3.44 (t, IH), 3.09 (dd, IH), 2 , 94-2.85 (m, 2H), 1.76-1.59 (m, 5H), 1.37 (s, 3H), 1.28-0.97 (m, 4H), 0.76 -0.71 (m, 2H), 0.66-0.58 (m, 2H). Example No. 1.1 -255:
'H-NMR (400 MHz, CDC13 δ, ppm) 7,18 (bs, 1H), 6,09 (bs, 1H), 3,52 (t, 1H), 3,14 (dd, 1H), 3,00 (d, 1H), 2,73 (m, 1H), 2,43 (m, 1H), 0,91-0,84 (m, 2H), 0,78-0,73 (m, 2H), 0,57-0,49 (m, 5H), 0,22 (m, 1H). 'H-NMR (400 MHz, CDC1 3 δ, ppm) 7.18 (bs, 1H), 6.09 (bs, 1H), 3.52 (t, 1H), 3.14 (dd, 1H), 3.00 (d, 1H), 2.73 (m, 1H), 2.43 (m, 1H), 0.91-0.84 (m, 2H), 0.78-0.73 (m, 2H), 0.57-0.49 (m, 5H), 0.22 (m, 1H).
Beispiel No. 1.1 -265: Example No. 1.1 -265:
'H-NMR (400 MHz, CDCI3 δ, ppm) 7,05 (bs, 1H), 5,63 (bs, 1H), 3,50 (t, 1H), 3,11-3,01 (m, 2H), 2,86 (m, 1H), 2,74 (m, 1H), 2,00 (m, 1H), 1,81-1,49 (m, 5H), 1,32-1,16 (m, 3H), 0,78-0,73 (m, 2H), 0,56- 0,52 (m, 2H). 'H-NMR (400 MHz, CDCl3 δ, ppm) 7.05 (bs, 1H), 5.63 (bs, 1H), 3.50 (t, 1H), 3.11-3.01 (m, 2H), 2.86 (m, 1H), 2.74 (m, 1H), 2.00 (m, 1H), 1.81-1.49 (m, 5H), 1.32-1.16 (m, 3H), 0.78-0.73 (m, 2H), 0.56-0.52 (m, 2H).
Beispiel No. 1.19 -265: Example No. 1.19-265:
'H-NMR (400 MHz, CDCI3 δ, ppm) 7,08 (bd, 1H), 5,66 (bs, 1H), 4,65 (m, 1H), 4,49 (m, 1H), 3,52-3,47 (m, 1H), 3,11-3,00 (m, 3H), 2,87 (d, 1H), 2,04-0,93 (m, 10H). Synthesebeispiel No. 1.2-265: 'H-NMR (400 MHz, CDCl3 δ, ppm) 7.08 (bd, 1H), 5.66 (bs, 1H), 4.65 (m, 1H), 4.49 (m, 1H), 3 , 52-3.47 (m, 1H), 3.11-3.00 (m, 3H), 2.87 (d, 1H), 2.04-0.93 (m, 10H). Synthesis Example No. 1.2-265:
'H-NMR (400 MHz, CDCI3, δ, ppm): 7,09 (bs, 1H), 6,14 (bs, 1H), 3,53 (m, 1H), 3,12-3,00 (m, 2H), 2,86 (d, 1H), 1,97 (m, 1H), 1,77-1,58 (m, 5H), 1,37 (s, 3H), 1,26-1,16 (m, 2H), 0,75-0,70 (m, 2H), 0,65-0,61 (m, 2H). Synthesebeispiel No. 1.6-265: 'H-NMR (400 MHz, CDCl3, δ, ppm): 7.09 (bs, 1H), 6.14 (bs, 1H), 3.53 (m, 1H), 3.12-3.00 ( m, 2H), 2.86 (d, 1H), 1.97 (m, 1H), 1.77-1.58 (m, 5H), 1.37 (s, 3H), 1.26-1 , 16 (m, 2H), 0.75-0.70 (m, 2H), 0.65-0.61 (m, 2H). Synthesis Example No. 1.6-265:
'H-NMR (400 MHz, CDCI3, δ, ppm): 7,67 (bs, 1H), 6,46 (bs, 1H), 3,56 (t, 1H), 3,15 (dd, 1H), 3,05 (m, 1H), 2,98 (d, 1H), 2,03 (m, 1H), 1,78-1,50 (m, 5H), 1,33-1,15 (m,4H). 'H-NMR (400 MHz, CDCl3, δ, ppm): 7.67 (bs, 1H), 6.46 (bs, 1H), 3.56 (t, 1H), 3.15 (dd, 1H) , 3.05 (m, 1H), 2.98 (d, 1H), 2.03 (m, 1H), 1.78-1.50 (m, 5H), 1.33-1.15 (m , 4H).
NMR-Peak-Listenverfahren Die 1H-NMR-Daten ausgewählter Beispiele werden in Form von 1H-NMR-Peaklisten notiert. Zu jedem Signalpeak wird erst der δ-Wert in ppm und dann die Signalintensität in runden Klammern aufgeführt. Die δ-Wert - Signalintensitäts- Zahlenpaare von verschiedenen Signalpeaks werden durch Semikolons voneinander getrennt aufgelistet. NMR Peak List Method The 1H NMR data of selected examples are noted in terms of 1H NMR peak lists. For each signal peak, first the δ value in ppm and then the signal intensity in round brackets are listed. The δ-value signal intensity number pairs of different signal peaks are listed separated by semicolons.
Die Peakliste eines Beispieles hat daher die Form: δι (Intensität^; 82 (Intensität2); ; δ; (Intensität^; ; δη (Intensitätn) The peak list of an example therefore has the form: δι (intensity ^; 82 (intensity 2);; δ; (intensity ^;; δ η (intensity n )
Die Intensität scharfer Signale korreliert mit der Höhe der Signale in einem gedruckten Beispiel eines NMR-Spektrums in cm und zeigt die wirklichen Verhältnisse der Signalintensitäten. Bei breiten Signalen können mehrere Peaks oder die Mitte des Signals und ihre relative Intensität im Vergleich zum intensivsten Signal im Spektrum gezeigt werden. Zur Kalibrierung der chemischen Verschiebung von 1H-NMR-Spektren benutzen wir Tetramethylsilan und/oder die chemische Verschiebung des Lösungsmittels, besondern im Falle von Spektren, die in DMSO gemessen werden. Daher kann in NMR-Peaklisten der Tetramethylsilan-Peak vorkommen, muss es aber nicht. The intensity of sharp signals correlates with the height of the signals in a printed example of an NMR spectrum in cm and shows the true ratios of the signal intensities. For broad signals, multiple peaks or the center of the signal and their relative intensity can be shown compared to the most intense signal in the spectrum. To calibrate the chemical shift of 1H NMR spectra, we use tetramethylsilane and / or the chemical shift of the solvent, especially in the case of spectra measured in DMSO. Therefore, the tetramethylsilane peak can occur in NMR peaks, but it does not have to.
Die Listen der IH-NMR-Peaks sind ähnlich den klassischen IH-NMR- Ausdrucken und enthalten somit gewöhnlich alle Peaks, die bei einer klassischen NMR-Interpretation aufgeführt werden. The lists of the IH-NMR peaks are similar to the classical IH-NMR prints and thus usually contain all the peaks that are listed in a classical NMR interpretation.
Darüber hinaus können sie wie klassische IH-NMR- Ausdrucke Lösungsmittelsignale, Signale von Stereoisomeren der Zielverbindungen, die ebenfalls Gegenstand der Erfindung sind, und/oder Peaks von Verunreinigungen zeigen. In addition, like classical IH-NMR prints, they can show solvent signals, signals from stereoisomers of the target compounds, which are also the subject of the invention, and / or peaks of impurities.
Bei der Angabe von Verbindungssignalen im Delta-Bereich von Lösungsmitteln und/oder Wasser sind in unseren Listen von IH-NMR-Peaks die gewöhnlichen Lösungsmittelpeaks, zum Beispiel Peaks von DMSO in DMSO-D6 und der Peak von Wasser, gezeigt, die gewöhnlich im Durchschnitt eine hohe Intensität aufweisen. When indicating compound signals in the delta range of solvents and / or water, our lists of IH NMR peaks show the usual solvent peaks, for example, peaks of DMSO in DMSO-D6 and the peak of water, which are usually average have a high intensity.
Die Peaks von Stereoisomeren der Targetverbindungen und/oder Peaks von Verunreinigungen haben gewöhnlich im Durchschnitt eine geringere Intensität als die Peaks der Zielverbindungen (zum Beispiel mit einer Reinheit von >90 %). The peaks of stereoisomers of the target compounds and / or peaks of impurities usually have on average a lower intensity than the peaks of the target compounds (for example with a purity of> 90%).
Solche Stereoisomere und/oder Verunreinigungen können typisch für das jeweilige Such stereoisomers and / or impurities may be typical of each
Herstellungsverfahren sein. Ihre Peaks können somit dabei helfen, die Reproduktion unseres Be manufacturing process. Their peaks can thus help the reproduction of our
Herstellungsverfahrens anhand von "Nebenprodukt-Fingerabdrucken" zu erkennen. Detect manufacturing process by "by-product fingerprints".
Einem Experten, der die Peaks der Zielverbindungen mit bekannten Verfahren (MestreC, ACD- Simulation, aber auch mit empirisch ausgewerteten Erwartungswerten) berechnet, kann je nach Bedarf die Peaks der Zielverbindungen isolieren, wobei gegebenenfalls zusätzliche Intensitätsfilter eingesetzt werden. Diese Isolierung wäre ähnlich dem betreffenden Peak-Picking bei der klassischen 1H-NMR- Interpretation. An expert calculating the peaks of the target compounds by known methods (MestreC, ACD simulation, but also with empirically evaluated expectancy values) can isolate the peaks of the target compounds as needed, using additional intensity filters if necessary. This isolation would be similar to peak picking in classical 1H NMR interpretation.
Weitere Details zu 1H-NMR-Peaklisten können der Research Disclosure Database Number 564025 entnommen werden. 1.10-13: Ή-ΝΜΙΙ(400.0 MHz, CDC13): Further details on 1H NMR peaks can be found in Research Disclosure Database Number 564025. 1.10-13: Ή-ΝΜΙΙ (400.0 MHz, CDC13):
δ= 7.6135 (12.4); 7.5932 (16.0); 7.5405 (1.4); 7.5205 (4.7); 7.5144 (5.2); 7.4706 (15.1); 7.4499 (11.4); 7.3918 (1.2); 7.3716 (0.9); 7.2619 (112.7); 6.9979 (0.6); 6.0048 (3.7); 4.3024 (2.2); 4.2807 (5.2); 4.2611 (5.4); 4.2394 (2.5); 3.8329 (4.8); 3.8091 (8.8); 3.7855 (4.6); 3.6018 (0.8); 3.5811 (0.7); 3.4892 (5.0); 3.4435 (5.9); 3.4246 (5.9); 3.4188 (5.6); 3.3999 (5.0); 3.2550 (11.4); 3.2333 (10.9); 1.6791 (1.0); 1.4106 (1.6); 1.3977 (3.2); 1.3899 (3.4); 1.3850 (2.1); 1.3771 (6.5); 1.3692 (2.1); 1.3643 (3.5); 1.3564 (3.4); 1.3436 (1.7); 1.0081 (0.5); 0.7206 (1.6); 0.7157 (1.6); 0.7097 (1.8); 0.6979 (3.4); 0.6939 (4.3); 0.6842 (8.5); 0.6697 (9.2); 0.6660 (6.9); 0.6595 (4.5); 0.6475 (0.7); 0.6408 (2.4); 0.6366 (4.1); 0.6180 (4.3); 0.6127 (1.8); 0.6074 (3.0); 0.6008 (1.8); 0.5850 (12.4); 0.5813 (12.9); 0.5715 (6.5); 0.5566 (2.1); 0.5504 (1.2); 0.5458 (1.4); 0.4833 (0.6); 0.4782 (0.6); 0.4717 (0.5); 0.4620 (0.6); 0.4326 (0.7); 0.4233 (0.7); 0.4110 (2.0); 0.3994 (7.7); 0.3972 (9.7); 0.3939 (11.4); 0.3913 (8.5); 0.3787 (8.0); 0.3765 (10.2); 0.3732 (10.3); 0.3709 (7.6); 0.3598 (2.0); 0.3473 (0.7); 0.2091 (0.9); 0.2046 (1.3); 0.1987 (0.5); 0.1847 (1.4); 0.1743 (1.3); 0.1717 (1.1); 0.1691 (1.1); 0.1616 (1.3); 0.1587 (1.4); 0.1556 (2.3); 0.1510 (7.7); 0.1479 (5.3); 0.1452 (5.2); 0.1383 (11.2); 0.1349 (9.9); 0.1323 (10.0); 0.1259 (4.7); 0.1220 (5.0); 0.1196 (5.5); 0.1159 (2.1); 0.1113 (1.0); 0.1083 (1.1); 0.1021 (0.8); 0.0984 (0.8); 0.0953 (0.9); 0.0079 (1.5); -0.0002 (49.1); -0.0085 (1.4); -0.0633 (0.7); -0.0711 (0.5); -0.0759 (1.0); -0.0871δ = 7.6135 (12.4); 7.5932 (16.0); 7.5405 (1.4); 7.5205 (4.7); 7.5144 (5.2); 7.4706 (15.1); 7.4499 (11.4); 7.3918 (1.2); 7.3716 (0.9); 7.2619 (112.7); 6.9979 (0.6); 6.0048 (3.7); 4.3024 (2.2); 4.2807 (5.2); 4.2611 (5.4); 4.2394 (2.5); 3.8329 (4.8); 3.8091 (8.8); 3.7855 (4.6); 3.6018 (0.8); 3.5811 (0.7); 3.4892 (5.0); 3.4435 (5.9); 3.4246 (5.9); 3.4188 (5.6); 3.3999 (5.0); 3.2550 (11.4); 3.2333 (10.9); 1.6791 (1.0); 1.4106 (1.6); 1.3977 (3.2); 1.3899 (3.4); 1.3850 (2.1); 1.3771 (6.5); 1.3692 (2.1); 1.3643 (3.5); 1.3564 (3.4); 1.3436 (1.7); 1.0081 (0.5); 0.7206 (1.6); 0.7157 (1.6); 0.7097 (1.8); 0.6979 (3.4); 0.6939 (4.3); 0.6842 (8.5); 0.6697 (9.2); 0.6660 (6.9); 0.6595 (4.5); 0.6475 (0.7); 0.6408 (2.4); 0.6366 (4.1); 0.6180 (4.3); 0.6127 (1.8); 0.6074 (3.0); 0.6008 (1.8); 0.5850 (12.4); 0.5813 (12.9); 0.5715 (6.5); 0.5566 (2.1); 0.5504 (1.2); 0.5458 (1.4); 0.4833 (0.6); 0.4782 (0.6); 0.4717 (0.5); 0.4620 (0.6); 0.4326 (0.7); 0.4233 (0.7); 0.4110 (2.0); 0.3994 (7.7); 0.3972 (9.7); 0.3939 (11.4); 0.3913 (8.5); 0.3787 (8.0); 0.3765 (10.2); 0.3732 (10.3); 0.3709 (7.6); 0.3598 (2.0); 0.3473 (0.7); 0.2091 (0.9); 0.2046 (1.3); 0.1987 (0.5); 0.1847 (1.4); 0.1743 (1.3); 0.1717 (1.1); 0.1691 (1.1); 0.1616 (1.3); 0.1587 (1.4); 0.1556 (2.3); 0.1510 (7.7); 0.1479 (5.3); 0.1452 (5.2); 0.1383 (11.2); 0.1349 (9.9); 0.1323 (10.0); 0.1259 (4.7); 0.1220 (5.0); 0.1196 (5.5); 0.1159 (2.1); 0.1113 (1.0); 0.1083 (1.1); 0.1021 (0.8); 0.0984 (0.8); 0.0953 (0.9); 0.0079 (1.5); -0.0002 (49.1); -0.0085 (1.4); -0.0633 (0.7); -0.0711 (0.5); -0.0759 (1.0); -0.0871
(0-6) (0-6)
1.10-32: Ή-ΝΜΙΙ(400.0 MHz, CDC13): 1.10-32: Ή-ΝΜΙΙ (400.0 MHz, CDC13):
δ= 7.8918 (0.5); 7.5213 (1.8); 7.4999 (6.1); 7.2625 (158.6); 7.1785 (4.6); 7.1729 (5.1); 7.1596 (5.5); 7.1569 (6.2); 7.1543 (6.1); 7.1502 (5.2); 7.1447 (5.5); 7.1359 (9.6); 7.1318 (8.6); 7.1261 (5.4); 7.1158 (8.4); 7.1108 (8.9); 7.0912 (8.2); 7.0818 (5.1); 7.0791δ = 7.8918 (0.5); 7.5213 (1.8); 7.4999 (6.1); 7.2625 (158.6); 7.1785 (4.6); 7.1729 (5.1); 7.1596 (5.5); 7.1569 (6.2); 7.1543 (6.1); 7.1502 (5.2); 7.1447 (5.5); 7.1359 (9.6); 7.1318 (8.6); 7.1261 (5.4); 7.1158 (8.4); 7.1108 (8.9); 7.0912 (8.2); 7.0818 (5.1); 7.0791
(5.0) ; 7.0768 (4.8); 7.0710 (6.5); 7.0690 (6.0); 7.0655 (5.1); 7.0634 (5.0); 7.0578 (2.9); 7.0518 (3.0); 7.0471 (3.1); 7.0265 (0.6); 6.9984 (1.2); 5.9831 (4.6); 4.1967 (2.8); 4.1752 (7.0); 4.1552 (7.5); 4.1337 (3.4); 3.9658 (0.6); 3.8097 (0.9); 3.8008 (6.3); 3.7770 (11.2); 3.7537 (6.2); 3.5463 (1.0); 3.5257 (0.9); 3.4901 (1.8); 3.4746 (0.7); 3.4496 (0.6); 3.3909 (7.8); 3.3718 (8.0); 3.3663 (7.6); 3.3472 (6.7); 3.1820 (14.7); 3.1602 (14.1); 1.7489 (0.7); 1.4097 (2.1); 1.3969 (4.4); 1.3890 (4.6); 1.3842 (2.8); 1.3762 (8.9); 1.3683 (2.9); 1.3634 (4.8); 1.3556 (4.7); 1.3427 (2.4); 1.0922 (0.7); 0.7232 (2.1); 0.7184 (2.1); 0.7124 (2.4); 0.7003 (4.8); 0.6972 (5.4); 0.6930 (3.4); 0.6866 (10.0); 0.6703 (12.3); 0.6665 (8.8); 0.6602 (6.0); 0.6487 (0.9); 0.6413 (3.4); 0.6373 (6.3); 0.6211(5.0); 7.0768 (4.8); 7.0710 (6.5); 7.0690 (6.0); 7.0655 (5.1); 7.0634 (5.0); 7.0578 (2.9); 7.0518 (3.0); 7.0471 (3.1); 7.0265 (0.6); 6.9984 (1.2); 5.9831 (4.6); 4.1967 (2.8); 4.1752 (7.0); 4.1552 (7.5); 4.1337 (3.4); 3.9658 (0.6); 3.8097 (0.9); 3.8008 (6.3); 3.7770 (11.2); 3.7537 (6.2); 3.5463 (1.0); 3.5257 (0.9); 3.4901 (1.8); 3.4746 (0.7); 3,4496 (0.6); 3.3909 (7.8); 3.3718 (8.0); 3.3663 (7.6); 3.3472 (6.7); 3.1820 (14.7); 3.1602 (14.1); 1.7489 (0.7); 1.4097 (2.1); 1.3969 (4.4); 1.3890 (4.6); 1.3842 (2.8); 1.3762 (8.9); 1.3683 (2.9); 1.3634 (4.8); 1.3556 (4.7); 1.3427 (2.4); 1.0922 (0.7); 0.7232 (2.1); 0.7184 (2.1); 0.7124 (2.4); 0.7003 (4.8); 0.6972 (5.4); 0.6930 (3.4); 0.6866 (10.0); 0.6703 (12.3); 0.6665 (8.8); 0.6602 (6.0); 0.6487 (0.9); 0.6413 (3.4); 0.6373 (6.3); 0.6211
(6.1) ; 0.6160 (2.8); 0.6116 (3.6); 0.6003 (3.0); 0.5958 (6.3); 0.5916 (10.3); 0.5874 (14.8); 0.5840 (15.8); 0.5731 (9.5); 0.5587 (2.4); 0.5526 (1.9); 0.5484 (2.2); 0.5321 (0.8); 0.5256 (0.6); 0.5189 (0.6); 0.5132 (0.7); 0.5078 (1.2); 0.4915 (0.8); 0.4804 (0.6); 0.4727 (0.7); 0.4620 (0.6); 0.4446 (0.5); 0.4261 (0.8); 0.4134 (2.5); 0.3995 (13.1); 0.3960 (16.0); 0.3940 (12.2); 0.3788 (14.2); 0.3753 (14.9); 0.3616 (2.8); 0.3491 (1.1); 0.3131 (0.6); 0.3094 (0.5); 0.2985 (0.6); 0.2638 (1.2); 0.2605 (1.3); 0.2496 (0.6); 0.2431 (1.2); 0.2398 (1.2); 0.1991 (0.5); 0.1858 (0.6); 0.1749 (1.5); 0.1717 (1.4); 0.1689 (1.2); 0.1621 (1.6); 0.1588 (1.8); 0.1554 (2.9); 0.1508 (9.1); 0.1479 (7.3); 0.1452 (7.0); 0.1382 (14.3); 0.1349 (14.1); 0.1325 (12.0); 0.1260 (6.4); 0.1219 (7.6); 0.1190(6.1); 0.6160 (2.8); 0.6116 (3.6); 0.6003 (3.0); 0.5958 (6.3); 0.5916 (10.3); 0.5874 (14.8); 0.5840 (15.8); 0.5731 (9.5); 0.5587 (2.4); 0.5526 (1.9); 0.5484 (2.2); 0.5321 (0.8); 0.5256 (0.6); 0.5189 (0.6); 0.5132 (0.7); 0.5078 (1.2); 0.4915 (0.8); 0.4804 (0.6); 0.4727 (0.7); 0.4620 (0.6); 0.4446 (0.5); 0.4261 (0.8); 0.4134 (2.5); 0.3995 (13.1); 0.3960 (16.0); 0.3940 (12.2); 0.3788 (14.2); 0.3753 (14.9); 0.3616 (2.8); 0.3491 (1.1); 0.3131 (0.6); 0.3094 (0.5); 0.2985 (0.6); 0.2638 (1.2); 0.2605 (1.3); 0.2496 (0.6); 0.2431 (1.2); 0.2398 (1.2); 0.1991 (0.5); 0.1858 (0.6); 0.1749 (1.5); 0.1717 (1.4); 0.1689 (1.2); 0.1621 (1.6); 0.1588 (1.8); 0.1554 (2.9); 0.1508 (9.1); 0.1479 (7.3); 0.1452 (7.0); 0.1382 (14.3); 0.1349 (14.1); 0.1325 (12.0); 0.1260 (6.4); 0.1219 (7.6); 0.1190
(6.1) ; 0.1114 (1.5); 0.1078 (1.5); 0.1022 (1.2); 0.0984 (1.2); 0.0949 (1.2); 0.0080 (2.2); 0.0056 (0.8); 0.0047 (1.0); -0.0002 (67.6);(6.1); 0.1114 (1.5); 0.1078 (1.5); 0.1022 (1.2); 0.0984 (1.2); 0.0949 (1.2); 0.0080 (2.2); 0.0056 (0.8); 0.0047 (1.0); -0.0002 (67.6);
-0.0084 (2.2); -0.0131 (0.9); -0.0163 (1.4); -0.0186 (1.5); -0.0259 (0.9); -0.0291 (1.5) -0.0084 (2.2); -0.0131 (0.9); -0.0163 (1.4); -0.0186 (1.5); -0.0259 (0.9); -0.0291 (1.5)
1.10-37: 1H-NMR(400.0 MHz, CDC13): 1.10-37: 1 H-NMR (400.0 MHz, CDC13):
δ= 7.5510 (16.0); 7.5348 (12.5); 7.4761 (0.7); 7.4617 (0.7); 7.2614 (101.6); 7.2000 (4.7); 7.1885 (1.6); 7.1759 (7.9); 7.1521 (3.9); 7.1097 (0.5); 6.9974 (0.6); 5.9159 (5.4); 4.2663 (2.4); 4.2443 (6.4); 4.2236 (6.8); 4.2018 (2.9); 3.8209 (5.0); 3.7977 (9.4); 3.7738 (5.0); 3.5819 (0.8); 3.5610 (0.7); 3.4739 (0.5); 3.4096 (6.1); 3.3897 (6.5); 3.3851 (6.5); 3.3652 (5.2); 3.2133 (12.1); 3.1908 (11.7); 1.6281 (1.4); 1.4098 (1.5); 1.3969 (3.1); 1.3891 (3.4); 1.3764 (6.4); 1.3637 (3.7); 1.3559 (3.5); 1.3428 (1.7); 0.7187 (1.7); 0.7127 (1.8); 0.6987 (4.5); 0.6869 (8.6); 0.6715 (10.2); 0.6614 (5.0); 0.6392 (5.1); 0.6241 (4.4); 0.6148 (2.8); 0.5882 (13.6); 0.5768 (6.3); 0.5624 (2.0); 0.5533 (1.7); 0.4992 (0.7); 0.4888 (0.7); 0.4668 (0.6); 0.4376 (0.5); 0.4153 (1.8); 0.3988 (11.3); 0.3812 (10.5); 0.3782 (10.8); 0.3653 (2.2); 0.3523 (0.6); 0.2387 (1.2); 0.2186 (1.0); 0.1727 (1.0); 0.1510 (5.8); 0.1448 (6.1);δ = 7.5510 (16.0); 7.5348 (12.5); 7.4761 (0.7); 7.4617 (0.7); 7.2614 (101.6); 7.2000 (4.7); 7.1885 (1.6); 7.1759 (7.9); 7.1521 (3.9); 7.1097 (0.5); 6.9974 (0.6); 5.9159 (5.4); 4.2663 (2.4); 4.2443 (6.4); 4.2236 (6.8); 4.2018 (2.9); 3.8209 (5.0); 3.7977 (9.4); 3.7738 (5.0); 3.5819 (0.8); 3.5610 (0.7); 3.4739 (0.5); 3.4096 (6.1); 3.3897 (6.5); 3.3851 (6.5); 3.3652 (5.2); 3.2133 (12.1); 3.1908 (11.7); 1.6281 (1.4); 1.4098 (1.5); 1.3969 (3.1); 1.3891 (3.4); 1.3764 (6.4); 1.3637 (3.7); 1.3559 (3.5); 1.3428 (1.7); 0.7187 (1.7); 0.7127 (1.8); 0.6987 (4.5); 0.6869 (8.6); 0.6715 (10.2); 0.6614 (5.0); 0.6392 (5.1); 0.6241 (4.4); 0.6148 (2.8); 0.5882 (13.6); 0.5768 (6.3); 0.5624 (2.0); 0.5533 (1.7); 0.4992 (0.7); 0.4888 (0.7); 0.4668 (0.6); 0.4376 (0.5); 0.4153 (1.8); 0.3988 (11.3); 0.3812 (10.5); 0.3782 (10.8); 0.3653 (2.2); 0.3523 (0.6); 0.2387 (1.2); 0.2186 (1.0); 0.1727 (1.0); 0.1510 (5.8); 0.1448 (6.1);
0.1351 (10.7); 0.1233 (6.1); 0.0986 (1.0); -0.0002 (48.8); -0.0349 (0.6); -0.0494 (0.8) 0.1351 (10.7); 0.1233 (6.1); 0.0986 (1.0); -0.0002 (48.8); -0.0349 (0.6); -0.0494 (0.8)
1.1-13: 1H-NMR(400.0 MHz, CDC13): 1.1-13: 1 H-NMR (400.0 MHz, CDC13):
δ= 7.6160 (12.4); 7.5957 (16.0); 7.5191 (1.5); 7.4743 (15.3); 7.4535 (11.6); 7.3112 (3.5); 7.2602 (247.8); 7.2098 (0.6); 6.9962δ = 7.6160 (12.4); 7.5957 (16.0); 7.5191 (1.5); 7.4743 (15.3); 7.4535 (11.6); 7.3112 (3.5); 7.2602 (247.8); 7.2098 (0.6); 6.9962
(1.4) ; 5.7944 (3.4); 4.3018 (2.3); 4.2800 (5.7); 4.2600 (6.1); 4.2380 (2.8); 3.8296 (4.8); 3.8272 (5.0); 3.8049 (10.2); 3.7824 (5.0); 3.7801 (5.1); 3.4899 (0.6); 3.4543 (6.3); 3.4350 (6.4); 3.4299 (6.1); 3.4104 (5.4); 3.2681 (10.8); 3.2459 (10.4); 2.7441 (0.8); 2.7355 (2.1); 2.7260 (3.7); 2.7176 (5.0); 2.7080 (5.1); 2.6996 (3.7); 2.6901 (2.2); 2.6817 (0.8); 1.5538 (22.4); 0.7723 (3.9); 0.7666 (4.1); 0.7625 (5.3); 0.7582 (10.0); 0.7560 (8.4); 0.7492 (7.0); 0.7451 (7.6); 0.7403 (9.6); 0.7319 (5.1); 0.7283 (4.9); 0.7165 (0.6); 0.7025 (0.6); 0.6845 (0.6); 0.5447 (3.0); 0.5419 (3.8); 0.5394 (4.9); 0.5317 (11.9); 0.5276 (7.0); 0.5228 (11.5);(1.4); 5.7944 (3.4); 4.3018 (2.3); 4.2800 (5.7); 4.2600 (6.1); 4.2380 (2.8); 3.8296 (4.8); 3.8272 (5.0); 3.8049 (10.2); 3.7824 (5.0); 3.7801 (5.1); 3.4899 (0.6); 3.4543 (6.3); 3.4350 (6.4); 3.4299 (6.1); 3.4104 (5.4); 3.2681 (10.8); 3.2459 (10.4); 2.7441 (0.8); 2.7355 (2.1); 2.7260 (3.7); 2.7176 (5.0); 2.7080 (5.1); 2.6996 (3.7); 2.6901 (2.2); 2.6817 (0.8); 1.5538 (22.4); 0.7723 (3.9); 0.7666 (4.1); 0.7625 (5.3); 0.7582 (10.0); 0.7560 (8.4); 0.7492 (7.0); 0.7451 (7.6); 0.7403 (9.6); 0.7319 (5.1); 0.7283 (4.9); 0.7165 (0.6); 0.7025 (0.6); 0.6845 (0.6); 0.5447 (3.0); 0.5419 (3.8); 0.5394 (4.9); 0.5317 (11.9); 0.5276 (7.0); 0.5228 (11.5);
0.5180 (7.2); 0.5137 (4.6); 0.5090 (3.0); 0.5062 (2.9); 0.0079 (3.6); -0.0002 (104.3); -0.0085 (3.8) 0.5180 (7.2); 0.5137 (4.6); 0.5090 (3.0); 0.5062 (2.9); 0.0079 (3.6); -0.0002 (104.3); -0.0085 (3.8)
1.1-32: 1H-NMR(400.0 MHz, CDC13): 1.1-32: 1 H-NMR (400.0 MHz, CDC13):
δ= 7.5188 (3.0); 7.3584 (0.8); 7.3131 (1.5); 7.2972 (4.0); 7.2908 (3.6); 7.2599 (547.2); 7.2276 (0.5); 7.2099 (3.5); 7.1836 (4.0); 7.1779 (4.6); 7.1648 (4.1); 7.1597 (8.6); 7.1555 (5.0); 7.1498 (4.9); 7.1391 (8.8); 7.1359 (7.0); 7.1312 (4.9); 7.1191 (6.9); 7.1141δ = 7.5188 (3.0); 7.3584 (0.8); 7.3131 (1.5); 7.2972 (4.0); 7.2908 (3.6); 7.2599 (547.2); 7.2276 (0.5); 7.2099 (3.5); 7.1836 (4.0); 7.1779 (4.6); 7.1648 (4.1); 7.1597 (8.6); 7.1555 (5.0); 7.1498 (4.9); 7.1391 (8.8); 7.1359 (7.0); 7.1312 (4.9); 7.1191 (6.9); 7.1141
(7.5) ; 7.0945 (6.8); 7.0857 (4.1); 7.0831 (4.2); 7.0747 (5.0); 7.0696 (4.1); 7.0563 (2.3); 6.9959 (3.0); 5.7137 (3.7); 4.1986 (2.8); 4.1769 (6.9); 4.1566 (7.3); 4.1350 (3.4); 4.1307 (2.0); 4.1127 (1.5); 3.7964 (5.4); 3.7945 (5.5); 3.7719 (11.2); 3.7494 (5.6); 3.7475 (5.5); 3.4010 (7.6); 3.3815 (7.7); 3.3764 (7.3); 3.3570 (6.5); 3.1924 (13.2); 3.1701 (12.7); 2.7441 (0.9); 2.7344 (2.5); 2.7252 (4.3); 2.7166 (5.9); 2.7073 (6.1); 2.6987 (4.5); 2.6894 (2.7); 2.6798 (0.9); 2.0437 (6.9); 2.0051 (0.7); 1.5899 (2.5); 1.2766(7.5); 7.0945 (6.8); 7.0857 (4.1); 7.0831 (4.2); 7.0747 (5.0); 7.0696 (4.1); 7.0563 (2.3); 6.9959 (3.0); 5.7137 (3.7); 4.1986 (2.8); 4.1769 (6.9); 4.1566 (7.3); 4.1350 (3.4); 4.1307 (2.0); 4.1127 (1.5); 3.7964 (5.4); 3.7945 (5.5); 3.7719 (11.2); 3.7494 (5.6); 3.7475 (5.5); 3.4010 (7.6); 3.3815 (7.7); 3.3764 (7.3); 3.3570 (6.5); 3.1924 (13.2); 3.1701 (12.7); 2.7441 (0.9); 2.7344 (2.5); 2.7252 (4.3); 2.7166 (5.9); 2.7073 (6.1); 2.6987 (4.5); 2.6894 (2.7); 2.6798 (0.9); 2.0437 (6.9); 2.0051 (0.7); 1.5899 (2.5); 1.2766
(2.2) ; 1.2587 (4.6); 1.2409 (1.9); 0.7903 (0.6); 0.7860 (0.6); 0.7748 (5.3); 0.7697 (4.8); 0.7661 (6.0); 0.7611 (9.6); 0.7577 (10.1); 0.7520 (9.4); 0.7486 (10.3); 0.7432 (9.9); 0.7403 (7.0); 0.7344 (5.7); 0.7314 (6.1); 0.7159 (0.8); 0.7051 (0.8); 0.6870 (0.7); 0.5450 (6.2); 0.5397 (6.0); 0.5345 (16.0); 0.5302 (12.7); 0.5247 (13.7); 0.5197 (10.9); 0.5168 (5.9); 0.5096 (5.2); 0.3307 (0.5); 0.2375 (0.8); 0.1572 (1.1); 0.1459 (0.8); 0.1264 (0.6); 0.0079 (6.7); -0.0002 (231.1); -0.0085 (7.5); -0.0503 (1.6); -0.1497 (0.9) 1.1- 37: 'H-NMR(400.0 MHz, CDC13): (2.2); 1.2587 (4.6); 1.2409 (1.9); 0.7903 (0.6); 0.7860 (0.6); 0.7748 (5.3); 0.7697 (4.8); 0.7661 (6.0); 0.7611 (9.6); 0.7577 (10.1); 0.7520 (9.4); 0.7486 (10.3); 0.7432 (9.9); 0.7403 (7.0); 0.7344 (5.7); 0.7314 (6.1); 0.7159 (0.8); 0.7051 (0.8); 0.6870 (0.7); 0.5450 (6.2); 0.5397 (6.0); 0.5345 (16.0); 0.5302 (12.7); 0.5247 (13.7); 0.5197 (10.9); 0.5168 (5.9); 0.5096 (5.2); 0.3307 (0.5); 0.2375 (0.8); 0.1572 (1.1); 0.1459 (0.8); 0.1264 (0.6); 0.0079 (6.7); -0.0002 (231.1); -0.0085 (7.5); -0.0503 (1.6); -0.1497 (0.9) 1.1-37: 'H-NMR (400.0 MHz, CDC13):
δ= 7.5658 (14.5); 7.5499 (11.6); 7.5364 (5.5); 7.5205 (1.3); 7.4466 (0.5); 7.3581 (4.6); 7.2937 (0.6); 7.2616 (192.2); 7.2044 (5.0); 7.1799 (9.1); 7.1706 (1.4); 7.1561 (4.8); 6.9975 (1.0); 5.9577 (4.9); 4.2593 (3.3); 4.2371 (8.1); 4.2163 (8.5); 4.1941 (3.9); 3.8184 (6.4); 3.8161 (6.2); 3.7936 (12.6); 3.7711 (6.0); 3.7688 (6.1); 3.5947 (0.6); 3.5738 (0.6); 3.4232 (8.3); 3.4031 (8.5); 3.3984 (8.0); 3.3784 (7.0); 3.2279 (14.2); 3.2050 (13.6); 2.7420 (1.1); 2.7335 (2.9); 2.7241 (5.0); 2.7156 (6.8); 2.7062 (6.9); 2.6977 (5.0); 2.6882 (3.0); 2.6796 (1.0); 1.6308 (1.5); 0.7888 (0.7); 0.7785 (5.1); 0.7730 (5.4); 0.7690 (6.8); 0.7646 (13.1); 0.7620 (10.8); 0.7556 (9.4); 0.7515 (10.2); 0.7466 (12.8); 0.7445 (8.5); 0.7382 (6.3); 0.7348 (5.9); 0.7201 (0.6); 0.7089 (0.8); 0.6912 (0.8); 0.6480 (0.5); 0.5906 (0.6); 0.5808 (0.7); 0.5473 (4.2); 0.5452 (5.0); 0.5419 (6.4); 0.5353 (16.0); 0.5258 (15.5); 0.5210 (10.1);δ = 7.5658 (14.5); 7.5499 (11.6); 7.5364 (5.5); 7.5205 (1.3); 7.4466 (0.5); 7.3581 (4.6); 7.2937 (0.6); 7.2616 (192.2); 7.2044 (5.0); 7.1799 (9.1); 7.1706 (1.4); 7.1561 (4.8); 6.9975 (1.0); 5.9577 (4.9); 4.2593 (3.3); 4.2371 (8.1); 4.2163 (8.5); 4.1941 (3.9); 3.8184 (6.4); 3.8161 (6.2); 3.7936 (12.6); 3.7711 (6.0); 3.7688 (6.1); 3.5947 (0.6); 3.5738 (0.6); 3.4232 (8.3); 3.4031 (8.5); 3.3984 (8.0); 3.3784 (7.0); 3.2279 (14.2); 3.2050 (13.6); 2.7420 (1.1); 2.7335 (2.9); 2.7241 (5.0); 2.7156 (6.8); 2.7062 (6.9); 2.6977 (5.0); 2.6882 (3.0); 2.6796 (1.0); 1.6308 (1.5); 0.7888 (0.7); 0.7785 (5.1); 0.7730 (5.4); 0.7690 (6.8); 0.7646 (13.1); 0.7620 (10.8); 0.7556 (9.4); 0.7515 (10.2); 0.7466 (12.8); 0.7445 (8.5); 0.7382 (6.3); 0.7348 (5.9); 0.7201 (0.6); 0.7089 (0.8); 0.6912 (0.8); 0.6480 (0.5); 0.5906 (0.6); 0.5808 (0.7); 0.5473 (4.2); 0.5452 (5.0); 0.5419 (6.4); 0.5353 (16.0); 0.5258 (15.5); 0.5210 (10.1);
0.5169 (5.8); 0.5116 (3.7); 0.5093 (3.6); 0.0080 (3.1); -0.0002 (96.0); -0.0085 (2.7) 0.5169 (5.8); 0.5116 (3.7); 0.5093 (3.6); 0.0080 (3.1); -0.0002 (96.0); -0.0085 (2.7)
1.15-13: Ή-ΝΜϋ^ΟΟ.Ο MHz, CDC13): 1.15-13: Ή-ΝΜϋ ^ ΟΟ.Ο MHz, CDC13):
δ= 7.8851 (6.2); 7.6013 (12.7); 7.5810 (16.0); 7.5179 (3.2); 7.5051 (0.8); 7.4855 (1.1); 7.4493 (15.5); 7.4290 (11.8); 7.3780 (1.1); 7.3587 (1.0); 7.3160 (0.8); 7.2839 (5.8); 7.2794 (5.1); 7.2590 (557.0); 7.2490 (39.1); 7.2437 (32.3); 7.2357 (2.3); 7.2279 (6.3); 7.2223 (1.8); 7.2086 (2.5); 7.1879 (4.5); 7.1830 (4.6); 7.1761 (2.6); 7.1730 (3.6); 7.1708 (3.6); 7.1664 (6.4); 7.1590 (2.1); 7.1563δ = 7.8851 (6.2); 7.6013 (12.7); 7.5810 (16.0); 7.5179 (3.2); 7.5051 (0.8); 7.4855 (1.1); 7.4493 (15.5); 7.4290 (11.8); 7.3780 (1.1); 7.3587 (1.0); 7.3160 (0.8); 7.2839 (5.8); 7.2794 (5.1); 7.2590 (557.0); 7.2490 (39.1); 7.2437 (32.3); 7.2357 (2.3); 7.2279 (6.3); 7.2223 (1.8); 7.2086 (2.5); 7.1879 (4.5); 7.1830 (4.6); 7.1761 (2.6); 7.1730 (3.6); 7.1708 (3.6); 7.1664 (6.4); 7.1590 (2.1); 7.1563
(2.3) ; 7.1502 (3.1); 7.1450 (1.8); 7.1154 (0.7); 7.1017 (1.3); 7.0973 (1.4); 6.9950 (3.1); 6.9051 (0.9); 6.8854 (0.6); 5.7918 (5.0); 4.2976 (2.4); 4.2754 (5.6); 4.2556 (5.9); 4.2336 (2.7); 3.8348 (0.6); 3.8226 (4.6); 3.7981 (9.4); 3.7753 (4.7); 3.6536 (0.6); 3.6326 (0.7); 3.4802 (0.5); 3.4496 (6.2); 3.4305 (6.4); 3.4250 (5.8); 3.4058 (5.2); 3.3183 (12.4); 3.2963 (11.8); 1.6397 (3.7); 1.3431 (2.1); 1.3362 (3.0); 1.3302 (3.2); 1.3240 (3.0); 1.3121 (5.2); 1.3061 (6.6); 1.2808 (2.2); 1.2699 (1.8); 1.2623 (2.4); 1.2564 (1.8); 1.2458 (6.7); 1.2397 (13.7); 1.2321 (14.1); 1.2251 (6.8); 1.2097 (4.3); 1.2011 (2.0); 1.1916 (1.9); 1.1845 (7.2); 1.1776 (5.7); 1.1667 (3.6); 1.1602 (3.2); 1.1537 (3.0); 1.1466 (1.8); 1.1195 (1.3); 0.8355 (0.5); 0.1459 (0.9); 0.0079 (10.5); -0.0002 (245.0); -(2.3); 7.1502 (3.1); 7.1450 (1.8); 7.1154 (0.7); 7.1017 (1.3); 7.0973 (1.4); 6.9950 (3.1); 6.9051 (0.9); 6.8854 (0.6); 5.7918 (5.0); 4.2976 (2.4); 4.2754 (5.6); 4.2556 (5.9); 4.2336 (2.7); 3.8348 (0.6); 3.8226 (4.6); 3.7981 (9.4); 3.7753 (4.7); 3.6536 (0.6); 3.6326 (0.7); 3.4802 (0.5); 3.4496 (6.2); 3.4305 (6.4); 3.4250 (5.8); 3.4058 (5.2); 3.3183 (12.4); 3.2963 (11.8); 1.6397 (3.7); 1.3431 (2.1); 1.3362 (3.0); 1.3302 (3.2); 1.3240 (3.0); 1.3121 (5.2); 1.3061 (6.6); 1.2808 (2.2); 1.2699 (1.8); 1.2623 (2.4); 1.2564 (1.8); 1.2458 (6.7); 1.2397 (13.7); 1.2321 (14.1); 1.2251 (6.8); 1.2097 (4.3); 1.2011 (2.0); 1.1916 (1.9); 1.1845 (7.2); 1.1776 (5.7); 1.1667 (3.6); 1.1602 (3.2); 1.1537 (3.0); 1.1466 (1.8); 1.1195 (1.3); 0.8355 (0.5); 0.1459 (0.9); 0.0079 (10.5); -0.0002 (245.0); -
0.0085 (7.6); -0.0507 (1.1); -0.1497 (0.9) 0.0085 (7.6); -0.0507 (1.1); -0.1497 (0.9)
1.15-32: 1H-NMR(400.0 MHz, CDC13): 1.15-32: 1 H-NMR (400.0 MHz, CDC13):
δ= 7.8891 (6.4); 7.5181 (0.9); 7.2839 (3.0); 7.2818 (4.6); 7.2776 (2.6); 7.2667 (7.8); 7.2592 (168.6); 7.2524 (5.4); 7.2430 (30.6); 7.2374 (30.5); 7.2303 (3.4); 7.2248 (4.2); 7.2212 (8.4); 7.2163 (3.7); 7.2097 (0.8); 7.1857 (4.7); 7.1813 (5.4); 7.1756 (3.1); 7.1703 (3.9); 7.1679 (4.1); 7.1643 (9.1); 7.1575 (2.8); 7.1528 (6.2); 7.1474 (8.2); 7.1428 (3.6); 7.1409 (4.7); 7.1338 (4.3); 7.1281 (5.7); 7.1246 (5.6); 7.1195 (11.4); 7.1159 (5.2); 7.1056 (4.2); 7.0996 (9.7); 7.0946 (7.6); 7.0746 (6.0); 7.0546 (3.4); 7.0514 (3.8); 7.0445 (4.7); 7.0416 (4.3); 7.0353 (3.7); 7.0301 (2.6); 7.0238 (2.7); 7.0200 (2.3); 7.0145 (2.0); 6.9951 (1.3); 6.9890 (0.7); 6.9747 (0.7); 6.9718 (0.6); 6.8992 (0.8); 6.8944 (0.8); 6.8788 (0.8); 6.8751 (0.7); 5.9743 (4.0); 4.1812 (2.2); 4.1594 (5.8); 4.1392 (6.2); 4.1175 (2.8); 3.7738 (4.9); 3.7502 (8.9); 3.7266 (5.0); 3.4863 (1.7); 3.3795 (6.2); 3.3601 (6.4); 3.3548 (6.1); 3.3354 (5.3); 3.2440 (12.1); 3.2218 (11.5); 1.6623 (1.6); 1.3471 (1.9); 1.3391 (3.1); 1.3334 (3.2); 1.3264 (3.2); 1.3145 (6.4); 1.3097 (7.1); 1.3001δ = 7.8891 (6.4); 7.5181 (0.9); 7.2839 (3.0); 7.2818 (4.6); 7.2776 (2.6); 7.2667 (7.8); 7.2592 (168.6); 7.2524 (5.4); 7.2430 (30.6); 7.2374 (30.5); 7.2303 (3.4); 7.2248 (4.2); 7.2212 (8.4); 7.2163 (3.7); 7.2097 (0.8); 7.1857 (4.7); 7.1813 (5.4); 7.1756 (3.1); 7.1703 (3.9); 7.1679 (4.1); 7.1643 (9.1); 7.1575 (2.8); 7.1528 (6.2); 7.1474 (8.2); 7.1428 (3.6); 7.1409 (4.7); 7.1338 (4.3); 7.1281 (5.7); 7.1246 (5.6); 7.1195 (11.4); 7.1159 (5.2); 7.1056 (4.2); 7.0996 (9.7); 7.0946 (7.6); 7.0746 (6.0); 7.0546 (3.4); 7.0514 (3.8); 7.0445 (4.7); 7.0416 (4.3); 7.0353 (3.7); 7.0301 (2.6); 7.0238 (2.7); 7.0200 (2.3); 7.0145 (2.0); 6.9951 (1.3); 6.9890 (0.7); 6.9747 (0.7); 6.9718 (0.6); 6.8992 (0.8); 6.8944 (0.8); 6.8788 (0.8); 6.8751 (0.7); 5.9743 (4.0); 4.1812 (2.2); 4.1594 (5.8); 4.1392 (6.2); 4.1175 (2.8); 3.7738 (4.9); 3.7502 (8.9); 3.7266 (5.0); 3.4863 (1.7); 3.3795 (6.2); 3.3601 (6.4); 3.3548 (6.1); 3.3354 (5.3); 3.2440 (12.1); 3.2218 (11.5); 1.6623 (1.6); 1.3471 (1.9); 1.3391 (3.1); 1.3334 (3.2); 1.3264 (3.2); 1.3145 (6.4); 1.3097 (7.1); 1.3001
(1.1) ; 1.2843 (2.3); 1.2729 (1.6); 1.2633 (1.9); 1.2587 (1.6); 1.2488 (5.9); 1.2406 (13.6); 1.2333 (16.0); 1.2259 (6.6); 1.2153(1.1); 1.2843 (2.3); 1.2729 (1.6); 1.2633 (1.9); 1.2587 (1.6); 1.2488 (5.9); 1.2406 (13.6); 1.2333 (16.0); 1.2259 (6.6); 1.2153
(2.2) ; 1.2102 (6.2); 1.2017 (2.0); 1.1939 (1.5); 1.1849 (6.2); 1.1791 (6.0); 1.1683 (3.9); 1.1609 (3.5); 1.1545 (3.4); 1.1467 (2.6); 1.1394 (0.7); 1.1312 (1.2); 0.0079 (2.2); 0.0064 (0.8); 0.0054 (0.8); 0.0046 (1.0); -0.0002 (71.5); -0.0059 (1.2); -0.0068 (1.0); -(2.2); 1.2102 (6.2); 1.2017 (2.0); 1.1939 (1.5); 1.1849 (6.2); 1.1791 (6.0); 1.1683 (3.9); 1.1609 (3.5); 1.1545 (3.4); 1.1467 (2.6); 1.1394 (0.7); 1.1312 (1.2); 0.0079 (2.2); 0.0064 (0.8); 0.0054 (0.8); 0.0046 (1.0); -0.0002 (71.5); -0.0059 (1.2); -0.0068 (1.0); -
0.0085 (2.2) 0.0085 (2.2)
1.15-37: 1H-NMR(400.0 MHz, CDC13): 1.15-37: 1 H-NMR (400.0 MHz, CDC13):
δ= 7.9314 (6.9); 7.5359 (10.5); 7.5183 (10.9); 7.5139 (8.4); 7.5081 (5.4); 7.3094 (1.2); 7.2880 (3.7); 7.2858 (5.5); 7.2816 (3.4); 7.2706 (9.6); 7.2662 (19.8); 7.2650 (19.9); 7.2592 (331.8); 7.2498 (25.0); 7.2481 (26.1); 7.2456 (26.4); 7.2401 (32.1); 7.2334 (4.0); 7.2275 (4.8); 7.2239 (9.3); 7.2191 (4.4); 7.1895 (5.4); 7.1843 (9.8); 7.1798 (5.3); 7.1740 (5.0); 7.1716 (5.0); 7.1681 (11.2); 7.1595 (9.5); 7.1512 (5.1); 7.1467 (3.8); 7.1357 (4.7); 7.1232 (1.6); 6.9952 (1.9); 6.9085 (0.6); 6.8882 (0.6); 6.8844 (0.6); 5.8401 (5.7); 4.2566 (2.6); 4.2342 (6.7); 4.2137 (7.1); 4.1915 (3.2); 3.8065 (5.3); 3.8047 (5.3); 3.7819 (10.7); 3.7592 (5.2); 3.7573 (5.2); 3.6286 (0.5); 3.4074 (7.1); 3.3874 (7.3); 3.3831 (7.0); 3.3630 (6.0); 3.2764 (13.9); 3.2537 (13.3); 1.6078 (6.8); 1.3506 (2.1); 1.3438 (3.2); 1.3378 (3.5); 1.3323 (3.5); 1.3199 (5.3); 1.3138 (7.4); 1.3066 (1.5); 1.2885 (2.4); 1.2730 (1.9); 1.2656 (2.6); 1.2594δ = 7.9314 (6.9); 7.5359 (10.5); 7.5183 (10.9); 7.5139 (8.4); 7.5081 (5.4); 7.3094 (1.2); 7.2880 (3.7); 7.2858 (5.5); 7.2816 (3.4); 7.2706 (9.6); 7.2662 (19.8); 7.2650 (19.9); 7.2592 (331.8); 7.2498 (25.0); 7.2481 (26.1); 7.2456 (26.4); 7.2401 (32.1); 7.2334 (4.0); 7.2275 (4.8); 7.2239 (9.3); 7.2191 (4.4); 7.1895 (5.4); 7.1843 (9.8); 7.1798 (5.3); 7.1740 (5.0); 7.1716 (5.0); 7.1681 (11.2); 7.1595 (9.5); 7.1512 (5.1); 7.1467 (3.8); 7.1357 (4.7); 7.1232 (1.6); 6.9952 (1.9); 6.9085 (0.6); 6.8882 (0.6); 6.8844 (0.6); 5.8401 (5.7); 4.2566 (2.6); 4.2342 (6.7); 4.2137 (7.1); 4.1915 (3.2); 3.8065 (5.3); 3.8047 (5.3); 3.7819 (10.7); 3.7592 (5.2); 3.7573 (5.2); 3.6286 (0.5); 3.4074 (7.1); 3.3874 (7.3); 3.3831 (7.0); 3.3630 (6.0); 3.2764 (13.9); 3.2537 (13.3); 1.6078 (6.8); 1.3506 (2.1); 1.3438 (3.2); 1.3378 (3.5); 1.3323 (3.5); 1.3199 (5.3); 1.3138 (7.4); 1.3066 (1.5); 1.2885 (2.4); 1.2730 (1.9); 1.2656 (2.6); 1.2594
(2.0) ; 1.2489 (7.2); 1.2432 (14.4); 1.2404 (11.5); 1.2354 (16.0); 1.2286 (8.2); 1.2150 (4.8); 1.2107 (4.1); 1.2047 (2.2); 1.1963(2.0); 1.2489 (7.2); 1.2432 (14.4); 1.2404 (11.5); 1.2354 (16.0); 1.2286 (8.2); 1.2150 (4.8); 1.2107 (4.1); 1.2047 (2.2); 1.1963
(2.1) ; 1.1894 (8.0); 1.1823 (6.3); 1.1716 (4.2); 1.1652 (3.6); 1.1586 (3.4); 1.1518 (2.1); 1.1333 (0.8); 0.0080 (4.9); -0.0002 (2.1); 1.1894 (8.0); 1.1823 (6.3); 1.1716 (4.2); 1.1652 (3.6); 1.1586 (3.4); 1.1518 (2.1); 1.1333 (0.8); 0.0080 (4.9); -0.0002
(147.4); -0.0085 (4.8) (147.4); -0.0085 (4.8)
1.2- 13: 1H-NMR(400.0 MHz, CDC13): 1.2-13: 1 H NMR (400.0 MHz, CDC13):
δ= 7.6129 (2.9); 7.5926 (3.8); 7.4688 (4.2); 7.4481 (2.8); 7.2620 (22.4); 5.9937 (0.7); 4.2842 (0.6); 4.2623 (1.3); 4.2426 (1.4); 4.2207 (0.7); 3.8234 (1.2); 3.8213 (1.3); 3.7988 (2.4); 3.7762 (1.2); 3.7740 (1.2); 3.4883 (0.5); 3.4401 (1.5); 3.4209 (1.5); 3.4155δ = 7.6129 (2.9); 7.5926 (3.8); 7.4688 (4.2); 7.4481 (2.8); 7.2620 (22.4); 5.9937 (0.7); 4.2842 (0.6); 4.2623 (1.3); 4.2426 (1.4); 4.2207 (0.7); 3.8234 (1.2); 3.8213 (1.3); 3.7988 (2.4); 3.7762 (1.2); 3.7740 (1.2); 3.4883 (0.5); 3.4401 (1.5); 3.4209 (1.5); 3.4155
(1.4) ; 3.3963 (1.3); 3.2293 (3.1); 3.2074 (3.0); 1.6066 (0.6); 1.3584 (16.0); 1.0825 (1.7); 0.7578 (0.5); 0.7401 (3.0); 0.7365 (3.1);(1.4); 3.3963 (1.3); 3.2293 (3.1); 3.2074 (3.0); 1.6066 (0.6); 1.3584 (16.0); 1.0825 (1.7); 0.7578 (0.5); 0.7401 (3.0); 0.7365 (3.1);
0.7225 (0.8); 0.6488 (0.7); 0.6321 (1.1); 0.6172 (3.5); 0.6121 (3.8); 0.6062 (1.7); 0.5941 (0.7); -0.0002 (9.5) 0.7225 (0.8); 0.6488 (0.7); 0.6321 (1.1); 0.6172 (3.5); 0.6121 (3.8); 0.6062 (1.7); 0.5941 (0.7); -0.0002 (9.5)
1.23-13: 1H-NMR(400.0 MHz, CDC13): 1.23-13: 1 H-NMR (400.0 MHz, CDC13):
δ= 7.6121 (12.3); 7.5914 (16.0); 7.4628 (15.5); 7.4423 (12.1); 7.4101 (2.7); 7.3924 (2.6); 7.2627 (53.9); 6.0679 (3.5); 4.4070 (0.6); 4.3868 (2.4); 4.3667 (4.4); 4.3457 (4.4); 4.3258 (2.4); 4.3053 (0.5); 4.2737 (2.3); 4.2521 (5.6); 4.2322 (6.0); 4.2106 (2.7); 3.8264 (4.5); 3.8034 (9.2); 3.7805 (4.6); 3.4871 (0.5); 3.4431 (6.3); 3.4240 (6.3); 3.4185 (5.8); 3.3994 (5.2); 3.2827 (11.8); 3.2608 (11.3); 2.3580 (1.0); 2.3502 (1.5); 2.3392 (2.4); 2.3369 (2.5); 2.3320 (3.8); 2.3289 (3.2); 2.3250 (2.7); 2.3207 (3.0); 2.3179 (3.0); 2.3135 (5.0); 2.3091 (4.6); 2.3065 (4.8); 2.3020 (3.3); 2.2948 (3.4); 2.2881 (3.9); 2.2821 (2.8); 2.2715 (1.8); 2.2624 (1.1); 2.2524 (0.5); 1.9738 (1.0); 1.9700 (1.5); 1.9473 (5.3); 1.9451 (5.2); 1.9219 (8.2); 1.8966 (6.0); 1.8742 (2.1); 1.8699 (1.4); 1.7647 (0.7); 1.7581 (0.6); 1.7432 (4.0); 1.7366 (3.4); 1.7245 (5.4); 1.7157 (6.1); 1.7059 (3.6); 1.6987 (7.0); 1.6907 (3.3); 1.6796 (2.6); 1.6724 (3.2); 1.6631 (0.5); 1.6534 (1.8); 1.6448 (1.4); 1.6284 (15.4); 0.0078 (0.8); -0.0002 (22.5); -0.0083 (0.8) 1.23-32: Ή-ΝΜΙΙ(400.0 MHz, CDC13): δ = 7.6121 (12.3); 7.5914 (16.0); 7.4628 (15.5); 7.4423 (12.1); 7.4101 (2.7); 7.3924 (2.6); 7.2627 (53.9); 6.0679 (3.5); 4.4070 (0.6); 4.3868 (2.4); 4.3667 (4.4); 4.3457 (4.4); 4.3258 (2.4); 4.3053 (0.5); 4.2737 (2.3); 4.2521 (5.6); 4.2322 (6.0); 4.2106 (2.7); 3.8264 (4.5); 3.8034 (9.2); 3.7805 (4.6); 3.4871 (0.5); 3.4431 (6.3); 3.4240 (6.3); 3.4185 (5.8); 3.3994 (5.2); 3.2827 (11.8); 3.2608 (11.3); 2.3580 (1.0); 2.3502 (1.5); 2.3392 (2.4); 2.3369 (2.5); 2.3320 (3.8); 2.3289 (3.2); 2.3250 (2.7); 2.3207 (3.0); 2.3179 (3.0); 2.3135 (5.0); 2.3091 (4.6); 2.3065 (4.8); 2.3020 (3.3); 2.2948 (3.4); 2.2881 (3.9); 2.2821 (2.8); 2.2715 (1.8); 2.2624 (1.1); 2.2524 (0.5); 1.9738 (1.0); 1.9700 (1.5); 1.9473 (5.3); 1.9451 (5.2); 1.9219 (8.2); 1.8966 (6.0); 1.8742 (2.1); 1.8699 (1.4); 1.7647 (0.7); 1.7581 (0.6); 1.7432 (4.0); 1.7366 (3.4); 1.7245 (5.4); 1.7157 (6.1); 1.7059 (3.6); 1.6987 (7.0); 1.6907 (3.3); 1.6796 (2.6); 1.6724 (3.2); 1.6631 (0.5); 1.6534 (1.8); 1.6448 (1.4); 1.6284 (15.4); 0.0078 (0.8); -0.0002 (22.5); -0.0083 (0.8) 1.23-32: Ή-ΝΜΙΙ (400.0 MHz, CDC13):
δ= 7.5207 (1.2); 7.3786 (4.4); 7.3626 (4.5); 7.2618 (195.1); 7.1705 (5.8); 7.1650 (6.6); 7.1570 (6.3); 7.1519 (6.7); 7.1462 (7.8); 7.1424 (7.6); 7.1363 (17.6); 7.1323 (7.8); 7.1236 (6.5); 7.1160 (12.0); 7.1110 (11.7); 7.0909 (9.0); 7.0685 (7.1); 7.0617 (8.0); 7.0588 (7.6); 7.0418 (4.1); 7.0375 (3.8); 6.9978 (1.2); 6.0567 (4.6); 4.4065 (1.0); 4.3864 (3.9); 4.3658 (7.4); 4.3454 (7.4); 4.3253δ = 7.5207 (1.2); 7.3786 (4.4); 7.3626 (4.5); 7.2618 (195.1); 7.1705 (5.8); 7.1650 (6.6); 7.1570 (6.3); 7.1519 (6.7); 7.1462 (7.8); 7.1424 (7.6); 7.1363 (17.6); 7.1323 (7.8); 7.1236 (6.5); 7.1160 (12.0); 7.1110 (11.7); 7.0909 (9.0); 7.0685 (7.1); 7.0617 (8.0); 7.0588 (7.6); 7.0418 (4.1); 7.0375 (3.8); 6.9978 (1.2); 6.0567 (4.6); 4.4065 (1.0); 4.3864 (3.9); 4.3658 (7.4); 4.3454 (7.4); 4.3253
(4.0) ; 4.3052 (1.0); 4.1748 (3.5); 4.1535 (9.1); 4.1333 (9.6); 4.1120 (4.1); 3.9584 (0.5); 3.8011 (8.1); 3.7771 (13.1); 3.7539 (7.6); 3.5506 (0.7); 3.5309 (0.6); 3.4788 (0.6); 3.4507 (0.5); 3.3971 (8.7); 3.3780 (9.5); 3.3726 (9.2); 3.3534 (7.5); 3.2149 (16.0); 3.1930 (15.2); 2.3682 (1.0); 2.3582 (2.0); 2.3497 (3.0); 2.3356 (6.5); 2.3284 (7.2); 2.3169 (10.4); 2.3092 (10.3); 2.2980 (8.2); 2.2900 (6.8); 2.2770 (3.5); 2.2685 (2.1); 2.2571 (1.2); 2.2445 (0.5); 2.1340 (0.5); 1.9735 (2.0); 1.9697 (2.5); 1.9471 (8.8); 1.9217 (12.9); 1.8986 (9.1); 1.8957 (9.2); 1.8733 (3.3); 1.7678 (1.4); 1.7613 (1.2); 1.7467 (7.1); 1.7400 (6.2); 1.7280 (9.2); 1.7190(4.0); 4.3052 (1.0); 4.1748 (3.5); 4.1535 (9.1); 4.1333 (9.6); 4.1120 (4.1); 3.9584 (0.5); 3.8011 (8.1); 3.7771 (13.1); 3.7539 (7.6); 3.5506 (0.7); 3.5309 (0.6); 3.4788 (0.6); 3.4507 (0.5); 3.3971 (8.7); 3.3780 (9.5); 3.3726 (9.2); 3.3534 (7.5); 3.2149 (16.0); 3.1930 (15.2); 2.3682 (1.0); 2.3582 (2.0); 2.3497 (3.0); 2.3356 (6.5); 2.3284 (7.2); 2.3169 (10.4); 2.3092 (10.3); 2.2980 (8.2); 2.2900 (6.8); 2.2770 (3.5); 2.2685 (2.1); 2.2571 (1.2); 2.2445 (0.5); 2.1340 (0.5); 1.9735 (2.0); 1.9697 (2.5); 1.9471 (8.8); 1.9217 (12.9); 1.8986 (9.1); 1.8957 (9.2); 1.8733 (3.3); 1.7678 (1.4); 1.7613 (1.2); 1.7467 (7.1); 1.7400 (6.2); 1.7280 (9.2); 1.7190
(10.7) ; 1.7094 (6.6); 1.7022 (11.5); 1.6942 (6.0); 1.6834 (4.7); 1.6760 (5.4); 1.6568 (3.0); 1.6489 (1.7); 1.6301 (1.1); 0.0080(10.7); 1.7094 (6.6); 1.7022 (11.5); 1.6942 (6.0); 1.6834 (4.7); 1.6760 (5.4); 1.6568 (3.0); 1.6489 (1.7); 1.6301 (1.1); 0.0080
(2.5) ; -0.0002 (81.0); -0.0085 (2.7) (2.5); -0.0002 (81.0); -0.0085 (2.7)
1.23- 37: Ή-ΝΜϋ^ΟΟ.Ο MHz, CDC13): 1.23-37: Ή-ΝΜϋ ^ ΟΟ.Ο MHz, CDC13):
δ= 7.5544 (15.9); 7.5407 (16.0); 7.5359 (9.5); 7.5282 (4.1); 7.5226 (5.4); 7.5168 (3.1); 7.4701 (1.1); 7.4456 (3.6); 7.4287 (3.6); 7.2615 (185.9); 7.2114 (0.6); 7.1979 (5.7); 7.1756 (8.3); 7.1511 (4.5); 7.1095 (0.5); 6.9974 (1.0); 5.9728 (5.0); 4.4057 (0.9); 4.3854 (3.4); 4.3656 (6.2); 4.3441 (6.3); 4.3245 (3.4); 4.3048 (0.8); 4.2374 (3.3); 4.2154 (8.3); 4.1950 (8.8); 4.1729 (4.1); 3.8379 (0.6); 3.8140 (6.6); 3.7911 (12.4); 3.7683 (6.3); 3.7669 (6.2); 3.5715 (0.8); 3.5510 (0.7); 3.4899 (0.5); 3.4645 (0.5); 3.4131 (8.6); 3.3934 (8.8); 3.3884 (8.4); 3.3687 (7.3); 3.2378 (15.9); 3.2152 (15.2); 2.3695 (0.6); 2.3596 (1.6); 2.3560 (1.3); 2.3519 (2.2); 2.3408 (4.2); 2.3331 (5.1); 2.3297 (4.6); 2.3224 (5.2); 2.3166 (6.7); 2.3148 (6.8); 2.3103 (7.6); 2.3037 (6.2); 2.2961 (5.3); 2.2918δ = 7.5544 (15.9); 7.5407 (16.0); 7.5359 (9.5); 7.5282 (4.1); 7.5226 (5.4); 7.5168 (3.1); 7.4701 (1.1); 7.4456 (3.6); 7.4287 (3.6); 7.2615 (185.9); 7.2114 (0.6); 7.1979 (5.7); 7.1756 (8.3); 7.1511 (4.5); 7.1095 (0.5); 6.9974 (1.0); 5.9728 (5.0); 4.4057 (0.9); 4.3854 (3.4); 4.3656 (6.2); 4.3441 (6.3); 4.3245 (3.4); 4.3048 (0.8); 4.2374 (3.3); 4.2154 (8.3); 4.1950 (8.8); 4.1729 (4.1); 3.8379 (0.6); 3.8140 (6.6); 3.7911 (12.4); 3.7683 (6.3); 3.7669 (6.2); 3.5715 (0.8); 3.5510 (0.7); 3.4899 (0.5); 3.4645 (0.5); 3.4131 (8.6); 3.3934 (8.8); 3.3884 (8.4); 3.3687 (7.3); 3.2378 (15.9); 3.2152 (15.2); 2.3695 (0.6); 2.3596 (1.6); 2.3560 (1.3); 2.3519 (2.2); 2.3408 (4.2); 2.3331 (5.1); 2.3297 (4.6); 2.3224 (5.2); 2.3166 (6.7); 2.3148 (6.8); 2.3103 (7.6); 2.3037 (6.2); 2.2961 (5.3); 2.2918
(5.1) ; 2.2888 (3.9); 2.2848 (4.5); 2.2738 (2.7); 2.2697 (1.4); 2.2662 (1.7); 2.2554 (0.8); 1.9772 (1.6); 1.9738 (2.3); 1.9509 (7.7); 1.9489 (7.1); 1.9254 (11.1); 1.9026 (8.0); 1.8992 (7.4); 1.8769 (3.3); 1.8736 (2.1); 1.7778 (0.6); 1.7683 (1.3); 1.7633 (1.1); 1.7466 (5.6); 1.7425 (5.0); 1.7405 (5.1); 1.7356 (3.0); 1.7332 (3.1); 1.7281 (8.7); 1.7199 (9.1); 1.7179 (8.6); 1.7092 (5.1); 1.7022(5.1); 2.2888 (3.9); 2.2848 (4.5); 2.2738 (2.7); 2.2697 (1.4); 2.2662 (1.7); 2.2554 (0.8); 1.9772 (1.6); 1.9738 (2.3); 1.9509 (7.7); 1.9489 (7.1); 1.9254 (11.1); 1.9026 (8.0); 1.8992 (7.4); 1.8769 (3.3); 1.8736 (2.1); 1.7778 (0.6); 1.7683 (1.3); 1.7633 (1.1); 1.7466 (5.6); 1.7425 (5.0); 1.7405 (5.1); 1.7356 (3.0); 1.7332 (3.1); 1.7281 (8.7); 1.7199 (9.1); 1.7179 (8.6); 1.7092 (5.1); 1.7022
(10.8) ; 1.6971 (4.1); 1.6945 (5.5); 1.6899 (2.6); 1.6830 (4.0); 1.6761 (5.5); 1.6664 (1.5); 1.6571 (3.2); 1.6485 (2.3); 1.6296 (1.8); 1.6233 (1.2); 1.6046 (0.8); 1.5966 (0.6); 0.0080 (2.5); -0.0002 (83.2); -0.0085 (2.5) (10.8); 1.6971 (4.1); 1.6945 (5.5); 1.6899 (2.6); 1.6830 (4.0); 1.6761 (5.5); 1.6664 (1.5); 1.6571 (3.2); 1.6485 (2.3); 1.6296 (1.8); 1.6233 (1.2); 1.6046 (0.8); 1.5966 (0.6); 0.0080 (2.5); -0.0002 (83.2); -0.0085 (2.5)
1.24- 13: 1H-NMR(400.0 MHz, CDC13): 1.24-13: 1 H NMR (400.0 MHz, CDC13):
δ= 7.6412 (0.7); 7.6157 (12.3); 7.5954 (16.0); 7.5547 (1.4); 7.5343 (1.6); 7.5196 (1.2); 7.4638 (14.6); 7.4434 (11.7); 7.3996 (1.6); 7.3795 (1.3); 7.3053 (4.1); 7.2607 (180.4); 7.2269 (1.0); 6.9967 (1.0); 5.9335 (2.9); 4.2754 (1.8); 4.2541 (4.7); 4.2343 (5.0); 4.2129 (2.4); 3.8334 (4.4); 3.8095 (7.6); 3.7862 (4.3); 3.5938 (0.6); 3.5731 (0.6); 3.4913 (0.9); 3.4264 (4.8); 3.4075 (5.2); 3.4019 (5.1); 3.3830 (4.4); 3.2837 (9.0); 3.2622 (8.8); 2.3487 (1.4); 2.3400 (1.8); 2.3177 (5.4); 2.2951 (6.3); 2.2715 (2.7); 2.2642 (2.2); 2.0435 (1.3); 2.0344 (4.4); 2.0245 (5.5); 2.0156 (6.0); 2.0134 (6.2); 2.0040 (7.7); 1.9949 (6.2); 1.9856 (5.4); 1.9761 (4.7); 1.9721 (3.3); 1.8889 (1.8); 1.8793 (1.4); 1.8749 (1.7); 1.8700 (2.7); 1.8651 (3.1); 1.8604 (4.0); 1.8554 (3.8); 1.8508 (3.1); 1.8465 (4.2); 1.8363 (7.3); 1.8330 (6.6); 1.8269 (4.3); 1.8233 (3.2); 1.8121 (7.8); 1.8043 (3.2); 1.7902 (4.1); 1.7834 (2.7); 1.7681 (1.5); 1.7616δ = 7.6412 (0.7); 7.6157 (12.3); 7.5954 (16.0); 7.5547 (1.4); 7.5343 (1.6); 7.5196 (1.2); 7.4638 (14.6); 7.4434 (11.7); 7.3996 (1.6); 7.3795 (1.3); 7.3053 (4.1); 7.2607 (180.4); 7.2269 (1.0); 6.9967 (1.0); 5.9335 (2.9); 4.2754 (1.8); 4.2541 (4.7); 4.2343 (5.0); 4.2129 (2.4); 3.8334 (4.4); 3.8095 (7.6); 3.7862 (4.3); 3.5938 (0.6); 3.5731 (0.6); 3.4913 (0.9); 3.4264 (4.8); 3.4075 (5.2); 3.4019 (5.1); 3.3830 (4.4); 3.2837 (9.0); 3.2622 (8.8); 2.3487 (1.4); 2.3400 (1.8); 2.3177 (5.4); 2.2951 (6.3); 2.2715 (2.7); 2.2642 (2.2); 2.0435 (1.3); 2.0344 (4.4); 2.0245 (5.5); 2.0156 (6.0); 2.0134 (6.2); 2.0040 (7.7); 1.9949 (6.2); 1.9856 (5.4); 1.9761 (4.7); 1.9721 (3.3); 1.8889 (1.8); 1.8793 (1.4); 1.8749 (1.7); 1.8700 (2.7); 1.8651 (3.1); 1.8604 (4.0); 1.8554 (3.8); 1.8508 (3.1); 1.8465 (4.2); 1.8363 (7.3); 1.8330 (6.6); 1.8269 (4.3); 1.8233 (3.2); 1.8121 (7.8); 1.8043 (3.2); 1.7902 (4.1); 1.7834 (2.7); 1.7681 (1.5); 1.7616
(1.6) ; 1.7393 (0.7); 1.7333 (0.6); 1.7164 (0.8); 1.7094 (0.8); 1.6938 (1.1); 1.6724 (0.6); 1.4539 (58.4); 1.1732 (5.2); 0.0080 (2.3);(1.6); 1.7393 (0.7); 1.7333 (0.6); 1.7164 (0.8); 1.7094 (0.8); 1.6938 (1.1); 1.6724 (0.6); 1.4539 (58.4); 1.1732 (5.2); 0.0080 (2.3);
-0.0002 (77.8); -0.0085 (3.4) -0.0002 (77.8); -0.0085 (3.4)
1.24-32: 1H-NMR(400.0 MHz, CDC13): 1.24-32: 1 H-NMR (400.0 MHz, CDC13):
δ= 7.6764 (0.6); 7.5190 (4.9); 7.3599 (1.0); 7.3107 (1.4); 7.2941 (2.5); 7.2601 (891.1); 7.2335 (1.4); 7.2272 (1.1); 7.2224 (0.8); 7.2106 (2.9); 7.1677 (4.8); 7.1613 (6.4); 7.1491 (5.3); 7.1390 (14.1); 7.1346 (10.0); 7.1187 (10.5); 7.1144 (12.2); 7.0937 (8.0); 7.0736 (5.0); 7.0699 (5.2); 7.0639 (6.8); 7.0604 (6.6); 7.0394 (3.5); 6.9961 (5.5); 5.9201 (0.8); 5.8497 (4.3); 4.1744 (2.6); 4.1527 (6.9); 4.1330 (7.2); 4.1117 (3.3); 3.9602 (0.8); 3.8039 (7.3); 3.7813 (10.7); 3.7580 (6.1); 3.5504 (1.0); 3.5306 (1.1); 3.4751 (0.9); 3.4483 (0.8); 3.3782 (7.2); 3.3593 (7.3); 3.3536 (7.3); 3.3346 (6.0); 3.2139 (13.3); 3.1923 (12.7); 2.3487 (1.9); 2.3363 (2.7); 2.3146 (6.4); 2.2944 (7.7); 2.2838 (5.7); 2.2715 (3.4); 2.2604 (2.5); 2.1094 (0.8); 2.0827 (1.0); 2.0378 (5.6); 2.0278 (7.5); 2.0184 (8.8); 2.0079 (11.3); 1.9983 (8.2); 1.9881 (6.7); 1.9789 (6.4); 1.9392 (2.3); 1.9016 (3.2); 1.8920 (4.1); 1.8784 (4.6); 1.8731 (6.2); 1.8682 (6.7); 1.8635 (8.4); 1.8582 (8.6); 1.8539 (7.7); 1.8498 (9.7); 1.8395 (14.3); 1.8356 (13.8); 1.8300 (10.7); 1.8150 (16.0); 1.8068 (9.6); 1.7929 (10.5); 1.7863 (7.9); 1.7712 (5.9); 1.7645 (5.6); 1.7499 (4.2); 1.7296 (3.2); 1.6110 (1.1); 1.4548 (87.0); 1.2946 (1.1); 1.2229 (9.2); 1.0701 (0.5); 0.1460 (1.4); 0.0294 (0.6); 0.0080 (12.4); -0.0002 (380.4); -0.0085 (11.4); -0.0258 (0.6);δ = 7.6764 (0.6); 7.5190 (4.9); 7.3599 (1.0); 7.3107 (1.4); 7.2941 (2.5); 7.2601 (891.1); 7.2335 (1.4); 7.2272 (1.1); 7.2224 (0.8); 7.2106 (2.9); 7.1677 (4.8); 7.1613 (6.4); 7.1491 (5.3); 7.1390 (14.1); 7.1346 (10.0); 7.1187 (10.5); 7.1144 (12.2); 7.0937 (8.0); 7.0736 (5.0); 7.0699 (5.2); 7.0639 (6.8); 7.0604 (6.6); 7.0394 (3.5); 6.9961 (5.5); 5.9201 (0.8); 5.8497 (4.3); 4.1744 (2.6); 4.1527 (6.9); 4.1330 (7.2); 4.1117 (3.3); 3.9602 (0.8); 3.8039 (7.3); 3.7813 (10.7); 3.7580 (6.1); 3.5504 (1.0); 3.5306 (1.1); 3.4751 (0.9); 3,4483 (0.8); 3.3782 (7.2); 3.3593 (7.3); 3.3536 (7.3); 3.3346 (6.0); 3.2139 (13.3); 3.1923 (12.7); 2.3487 (1.9); 2.3363 (2.7); 2.3146 (6.4); 2.2944 (7.7); 2.2838 (5.7); 2.2715 (3.4); 2.2604 (2.5); 2.1094 (0.8); 2.0827 (1.0); 2.0378 (5.6); 2.0278 (7.5); 2.0184 (8.8); 2.0079 (11.3); 1.9983 (8.2); 1.9881 (6.7); 1.9789 (6.4); 1.9392 (2.3); 1.9016 (3.2); 1.8920 (4.1); 1.8784 (4.6); 1.8731 (6.2); 1.8682 (6.7); 1.8635 (8.4); 1.8582 (8.6); 1.8539 (7.7); 1.8498 (9.7); 1.8395 (14.3); 1.8356 (13.8); 1.8300 (10.7); 1.8150 (16.0); 1.8068 (9.6); 1.7929 (10.5); 1.7863 (7.9); 1.7712 (5.9); 1.7645 (5.6); 1.7499 (4.2); 1.7296 (3.2); 1.6110 (1.1); 1.4548 (87.0); 1.2946 (1.1); 1.2229 (9.2); 1.0701 (0.5); 0.1460 (1.4); 0.0294 (0.6); 0.0080 (12.4); -0.0002 (380.4); -0.0085 (11.4); -0.0258 (0.6);
-0.0497 (1.2); -0.1495 (1.3) -0.0497 (1.2); -0.1495 (1.3)
1.24-37: 1H-NMR(400.0 MHz, CDC13): 1.24-37: 1 H-NMR (400.0 MHz, CDC13):
δ= 7.7072 (0.6); 7.5531 (5.9); 7.5474 (9.3); 7.5416 (11.7); 7.5362 (7.4); 7.5306 (8.1); 7.5250 (12.5); 7.5199 (3.8); 7.5020 (0.7); 7.4970 (0.8); 7.4851 (0.7); 7.4804 (0.8); 7.4715 (0.5); 7.4591 (0.6); 7.4496 (0.6); 7.4379 (0.6); 7.3344 (5.4); 7.3102 (1.2); 7.2954 (0.7); 7.2922 (0.7); 7.2609 (291.5); 7.2010 (5.6); 7.1889 (1.9); 7.1769 (9.4); 7.1603 (1.4); 7.1525 (4.7); 7.1213 (0.9); 7.0983 (0.6); 6.9969 (1.6); 5.9944 (0.6); 5.9110 (4.8); 4.2422 (3.2); 4.2202 (7.6); 4.2003 (8.0); 4.1783 (3.8); 4.0332 (0.7); 3.8405 (0.9); 3.8232 (6.6); 3.7988 (12.4); 3.7759 (5.8); 3.5694 (1.4); 3.5485 (1.2); 3.4905 (7.0); 3.4752 (1.0); 3.4492 (0.7); 3.3892 (8.0); 3.3698 (8.2); 3.3645 (7.8); 3.3451 (6.9); 3.2390 (16.0); 3.2168 (15.2); 2.3482 (1.9); 2.3372 (2.4); 2.3245 (4.1); 2.3154 (6.3); 2.3072 (3.9); 2.2940 (7.6); 2.2843 (5.2); 2.2711 (3.0); 2.2612 (2.2); 2.0899 (0.6); 2.0616 (0.8); 2.0476 (1.4); 2.0393 (5.4); 2.0292 (6.8); 2.0203 (8.2); 2.0178 (7.4); 2.0094 (9.7); 1.9991 (7.2); 1.9903 (6.0); 1.9807 (6.2); 1.9766 (3.5); 1.9707 (1.2); 1.9326 (0.7); 1.9034 (1.9); 1.8936 (2.1); 1.8840 (2.0); 1.8800 (2.1); 1.8749 (3.6); 1.8699 (3.7); 1.8651 (5.6); 1.8602 (5.1); 1.8555 (3.7); 1.8514 (6.0); 1.8460 (2.7); 1.8411 (10.4); 1.8378 (8.8); 1.8316 (5.3); 1.8280 (3.6); 1.8171 (11.1); 1.8091 (3.4); 1.7952 (5.8); 1.7881 (3.3); 1.7730 (2.0); 1.7666 (2.3); 1.7597 (1.1); 1.7446 (1.5); 1.7414 (1.4); 1.7369 (1.8); 1.7235 (1.6); 1.7187 (1.6); 1.7125 (1.4); 1.6989 (1.2); 1.6762 (1.0); 1.6126 (1.0); 1.4558 (85.0); 1.2957 (1.2); 1.2841 (0.5); 1.2072 (8.6); 0.0119 (0.6); 0.0080 (4.0); 0.0055 (1.6); -0.0002 (125.0); -0.0067 (1.4); -0.0085 (3.6) 1.25-12: 'H-NMR^OO.O MHz, CDC13): δ = 7.7072 (0.6); 7.5531 (5.9); 7.5474 (9.3); 7.5416 (11.7); 7.5362 (7.4); 7.5306 (8.1); 7.5250 (12.5); 7.5199 (3.8); 7.5020 (0.7); 7.4970 (0.8); 7.4851 (0.7); 7.4804 (0.8); 7.4715 (0.5); 7.4591 (0.6); 7.4496 (0.6); 7.4379 (0.6); 7.3344 (5.4); 7.3102 (1.2); 7.2954 (0.7); 7.2922 (0.7); 7.2609 (291.5); 7.2010 (5.6); 7.1889 (1.9); 7.1769 (9.4); 7.1603 (1.4); 7.1525 (4.7); 7.1213 (0.9); 7.0983 (0.6); 6.9969 (1.6); 5.9944 (0.6); 5.9110 (4.8); 4.2422 (3.2); 4.2202 (7.6); 4.2003 (8.0); 4.1783 (3.8); 4.0332 (0.7); 3.8405 (0.9); 3.8232 (6.6); 3.7988 (12.4); 3.7759 (5.8); 3.5694 (1.4); 3.5485 (1.2); 3,4905 (7.0); 3.4752 (1.0); 3.4492 (0.7); 3.3892 (8.0); 3.3698 (8.2); 3.3645 (7.8); 3.3451 (6.9); 3.2390 (16.0); 3.2168 (15.2); 2.3482 (1.9); 2.3372 (2.4); 2.3245 (4.1); 2.3154 (6.3); 2.3072 (3.9); 2.2940 (7.6); 2.2843 (5.2); 2.2711 (3.0); 2.2612 (2.2); 2.0899 (0.6); 2.0616 (0.8); 2.0476 (1.4); 2.0393 (5.4); 2.0292 (6.8); 2.0203 (8.2); 2.0178 (7.4); 2.0094 (9.7); 1.9991 (7.2); 1.9903 (6.0); 1.9807 (6.2); 1.9766 (3.5); 1.9707 (1.2); 1.9326 (0.7); 1.9034 (1.9); 1.8936 (2.1); 1.8840 (2.0); 1.8800 (2.1); 1.8749 (3.6); 1.8699 (3.7); 1.8651 (5.6); 1.8602 (5.1); 1.8555 (3.7); 1.8514 (6.0); 1.8460 (2.7); 1.8411 (10.4); 1.8378 (8.8); 1.8316 (5.3); 1.8280 (3.6); 1.8171 (11.1); 1.8091 (3.4); 1.7952 (5.8); 1.7881 (3.3); 1.7730 (2.0); 1.7666 (2.3); 1.7597 (1.1); 1.7446 (1.5); 1.7414 (1.4); 1.7369 (1.8); 1.7235 (1.6); 1.7187 (1.6); 1.7125 (1.4); 1.6989 (1.2); 1.6762 (1.0); 1.6126 (1.0); 1.4558 (85.0); 1.2957 (1.2); 1.2841 (0.5); 1.2072 (8.6); 0.0119 (0.6); 0.0080 (4.0); 0.0055 (1.6); -0.0002 (125.0); -0.0067 (1.4); -0.0085 (3.6) 1.25-12: 'H NMR ^ OO.O MHz, CDC13):
δ= 7.9305 (6.0); 7.5688 (16.0); 7.5542 (9.4); 7.5440 (8.4); 7.5422 (8.5); 7.5195 (1.4); 7.5068 (6.6); 7.4871 (7.0); 7.4674 (2.2); 7.4451 (1.2); 7.4319 (0.8); 7.3107 (0.7); 7.2676 (1.5); 7.2606 (186.4); 6.9966 (1.0); 6.1450 (3.8); 4.2879 (2.2); 4.2653 (5.6); 4.2446 (6.0); 4.2221 (2.8); 3.9776 (2.8); 3.8715 (4.3); 3.8472 (7.8); 3.8234 (4.3); 3.4957 (1.3); 3.4870 (5.6); 3.4670 (5.6); 3.4620 (5.4); 3.4419 (4.6); 3.4127 (9.8); 3.3895 (9.4); 2.8120 (3.4); 2.8025 (3.5); 2.7995 (3.9); 2.7904 (6.0); 2.7811 (6.7); 2.7692 (6.4); 2.7597 (4.4); 2.7479 (3.5); 2.7455 (3.3); 2.4069 (2.7); 2.3976 (1.4); 2.3839 (6.0); 2.3774 (3.5); 2.3738 (4.0); 2.3638 (5.0); 2.3542δ = 7.9305 (6.0); 7.5688 (16.0); 7.5542 (9.4); 7.5440 (8.4); 7.5422 (8.5); 7.5195 (1.4); 7.5068 (6.6); 7.4871 (7.0); 7.4674 (2.2); 7.4451 (1.2); 7.4319 (0.8); 7.3107 (0.7); 7.2676 (1.5); 7.2606 (186.4); 6.9966 (1.0); 6.1450 (3.8); 4.2879 (2.2); 4.2653 (5.6); 4.2446 (6.0); 4.2221 (2.8); 3.9776 (2.8); 3.8715 (4.3); 3.8472 (7.8); 3.8234 (4.3); 3.4957 (1.3); 3.4870 (5.6); 3.4670 (5.6); 3.4620 (5.4); 3.4419 (4.6); 3.4127 (9.8); 3.3895 (9.4); 2.8120 (3.4); 2.8025 (3.5); 2.7995 (3.9); 2.7904 (6.0); 2.7811 (6.7); 2.7692 (6.4); 2.7597 (4.4); 2.7479 (3.5); 2.7455 (3.3); 2.4069 (2.7); 2.3976 (1.4); 2.3839 (6.0); 2.3774 (3.5); 2.3738 (4.0); 2.3638 (5.0); 2.3542
(4.8) ; 2.3513 (5.6); 2.3372 (2.0); 2.3317 (2.3); 2.3275 (3.6); 2.2523 (1.1); 2.2308 (2.7); 2.2232 (1.7); 2.2102 (3.2); 2.2019 (3.8); 2.1895 (2.0); 2.1810 (5.0); 2.1681 (0.8); 2.1601 (2.8); 2.1387 (0.9); 2.1231 (1.2); 2.1108 (2.4); 2.0988 (2.7); 2.0940 (1.4); 2.0871(4.8); 2.3513 (5.6); 2.3372 (2.0); 2.3317 (2.3); 2.3275 (3.6); 2.2523 (1.1); 2.2308 (2.7); 2.2232 (1.7); 2.2102 (3.2); 2.2019 (3.8); 2.1895 (2.0); 2.1810 (5.0); 2.1681 (0.8); 2.1601 (2.8); 2.1387 (0.9); 2.1231 (1.2); 2.1108 (2.4); 2.0988 (2.7); 2.0940 (1.4); 2.0871
(4.2) ; 2.0816 (2.3); 2.0754 (2.8); 2.0702 (2.2); 2.0635 (2.3); 2.0578 (2.9); 2.0510 (1.4); 2.0456 (1.7); 2.0341 (1.4); 2.0214 (0.6); 2.0053 (8.4); 0.0080 (2.6); -0.0002 (87.7); -0.0086 (2.6) (4.2); 2.0816 (2.3); 2.0754 (2.8); 2.0702 (2.2); 2.0635 (2.3); 2.0578 (2.9); 2.0510 (1.4); 2.0456 (1.7); 2.0341 (1.4); 2.0214 (0.6); 2.0053 (8.4); 0.0080 (2.6); -0.0002 (87.7); -0.0086 (2.6)
1.25- 13: Ή-ΝΜϋ^ΟΟ.Ο MHz, CDC13): 1.25-13: Ή-ΝΜϋ ^ ΟΟ.Ο MHz, CDC13):
δ= 7.9993 (2.2); 7.6327 (4.0); 7.6123 (5.2); 7.4822 (4.9); 7.4618 (3.7); 7.3861 (0.5); 7.2627 (31.0); 6.1165 (1.0); 4.2684 (0.7); 4.2458 (1.8); 4.2247 (1.9); 4.2020 (0.9); 3.8510 (1.4); 3.8486 (1.4); 3.8259 (3.0); 3.8032 (1.5); 3.8006 (1.5); 3.7987 (1.3); 3.4874 (16.0); 3.4779 (2.3); 3.4575 (2.1); 3.4529 (2.0); 3.4326 (1.8); 3.3929 (3.9); 3.3694 (3.7); 2.8059 (1.0); 2.7970 (0.7); 2.7937 (1.2); 2.7844 (1.6); 2.7828 (1.6); 2.7731 (2.2); 2.7701 (1.8); 2.7609 (2.0); 2.7509 (1.4); 2.7400 (1.2); 2.4068 (0.7); 2.4004 (0.6); 2.3907 (0.6); 2.3867 (1.2); 2.3831 (1.4); 2.3798 (1.1); 2.3765 (1.4); 2.3730 (1.2); 2.3674 (1.3); 2.3632 (1.5); 2.3539 (1.4); 2.3472 (1.4); 2.3435 (1.1); 2.3388 (0.6); 2.3310 (0.7); 2.3229 (0.9); 2.2275 (0.9); 2.2198 (0.6); 2.2068 (1.1); 2.1988 (1.3); 2.1859 (0.6); 2.1775 (1.7); 2.1567 (0.9); 2.1050 (0.9); 2.0932 (1.0); 2.0814 (1.5); 2.0757 (0.7); 2.0695 (1.0); 2.0644 (0.8); 2.0577 (0.8); 2.0520 (1.0); 2.0397 (0.6); 1.5317 (1.4); -0.0002 (13.1) δ = 7.9993 (2.2); 7.6327 (4.0); 7.6123 (5.2); 7.4822 (4.9); 7.4618 (3.7); 7.3861 (0.5); 7.2627 (31.0); 6.1165 (1.0); 4.2684 (0.7); 4.2458 (1.8); 4.2247 (1.9); 4.2020 (0.9); 3.8510 (1.4); 3.8486 (1.4); 3.8259 (3.0); 3.8032 (1.5); 3.8006 (1.5); 3.7987 (1.3); 3.4874 (16.0); 3.4779 (2.3); 3.4575 (2.1); 3.4529 (2.0); 3.4326 (1.8); 3.3929 (3.9); 3.3694 (3.7); 2.8059 (1.0); 2.7970 (0.7); 2.7937 (1.2); 2.7844 (1.6); 2.7828 (1.6); 2.7731 (2.2); 2.7701 (1.8); 2.7609 (2.0); 2.7509 (1.4); 2.7400 (1.2); 2.4068 (0.7); 2.4004 (0.6); 2.3907 (0.6); 2.3867 (1.2); 2.3831 (1.4); 2.3798 (1.1); 2.3765 (1.4); 2.3730 (1.2); 2.3674 (1.3); 2.3632 (1.5); 2.3539 (1.4); 2.3472 (1.4); 2.3435 (1.1); 2.3388 (0.6); 2.3310 (0.7); 2.3229 (0.9); 2.2275 (0.9); 2.2198 (0.6); 2.2068 (1.1); 2.1988 (1.3); 2.1859 (0.6); 2.1775 (1.7); 2.1567 (0.9); 2.1050 (0.9); 2.0932 (1.0); 2.0814 (1.5); 2.0757 (0.7); 2.0695 (1.0); 2.0644 (0.8); 2.0577 (0.8); 2.0520 (1.0); 2.0397 (0.6); 1.5317 (1.4); -0.0002 (13.1)
1.26- 12: 1H-NMR(400.0 MHz, CDC13): 1.26-12: 1 H NMR (400.0 MHz, CDC13):
δ= 7.8285 (0.8); 7.5425 (1.6); 7.5196 (2.2); 7.4815 (1.0); 7.4657 (0.6); 7.2606 (25.7); 5.9676 (0.6); 4.2485 (0.8); 4.2292 (0.8); 3.8521 (0.6); 3.8290 (1.2); 3.8061 (0.6); 3.7417 (16.0); 3.4476 (0.8); 3.4286 (0.8); 3.4230 (0.8); 3.4039 (0.7); 3.3942 (1.6); 3.3723 (1.5); 2.6785 (0.5); 2.6751 (0.5); 2.6639 (0.7); 2.6602 (0.6); 2.6568 (0.6); 2.6525 (0.8); 2.6491 (0.5); 2.6463 (0.5); 2.6423 (0.5); 2.6380 (0.5); 2.6313 (0.6); 2.3580 (0.6); 2.3540 (0.6); 2.3482 (0.6); 2.3441 (0.6); 2.3403 (0.6); 2.3334 (0.7); 2.3299 (0.6);δ = 7.8285 (0.8); 7.5425 (1.6); 7.5196 (2.2); 7.4815 (1.0); 7.4657 (0.6); 7.2606 (25.7); 5.9676 (0.6); 4.2485 (0.8); 4.2292 (0.8); 3.8521 (0.6); 3.8290 (1.2); 3.8061 (0.6); 3.7417 (16.0); 3.4476 (0.8); 3,4286 (0.8); 3.4230 (0.8); 3.4039 (0.7); 3.3942 (1.6); 3.3723 (1.5); 2.6785 (0.5); 2.6751 (0.5); 2.6639 (0.7); 2.6602 (0.6); 2.6568 (0.6); 2.6525 (0.8); 2.6491 (0.5); 2.6463 (0.5); 2.6423 (0.5); 2.6380 (0.5); 2.6313 (0.6); 2.3580 (0.6); 2.3540 (0.6); 2.3482 (0.6); 2.3441 (0.6); 2.3403 (0.6); 2.3334 (0.7); 2.3299 (0.6);
2.0770 (0.6); 2.0741 (0.7); 2.0595 (0.6); 2.0548 (0.9); 2.0501 (0.6); 2.0354 (1.1); 2.0207 (0.5); -0.0002 (12.2) 2.0770 (0.6); 2.0741 (0.7); 2.0595 (0.6); 2.0548 (0.9); 2.0501 (0.6); 2.0354 (1.1); 2.0207 (0.5); -0.0002 (12.2)
1.26-13: 1H-NMR(400.0 MHz, CDC13): 1.26-13: 1 H-NMR (400.0 MHz, CDC13):
δ= 7.8801 (0.8); 7.6125 (1.9); 7.5922 (2.4); 7.4543 (2.2); 7.4338 (1.8); 7.2604 (39.4); 5.9241 (0.5); 4.2311 (0.8); 4.2110 (0.8); 3.8389 (0.7); 3.8150 (1.2); 3.7914 (0.6); 3.7428 (16.0); 3.5426 (2.2); 3.4446 (0.8); 3.4253 (0.8); 3.4200 (0.8); 3.4006 (0.7); 3.3912 (1.4); 3.3691 (1.3); 2.6725 (0.6); 2.6646 (0.7); 2.6583 (0.6); 2.6542 (0.8); 2.6504 (0.7); 2.6452 (0.6); 2.6395 (0.8); 2.6324 (0.7); 2.6177 (0.6); 2.3579 (0.8); 2.3528 (0.8); 2.3339 (0.9); 2.3286 (0.7); 2.0769 (0.5); 2.0736 (0.6); 2.0549 (1.0); 2.0324 (1.1);δ = 7.8801 (0.8); 7.6125 (1.9); 7.5922 (2.4); 7.4543 (2.2); 7.4338 (1.8); 7.2604 (39.4); 5.9241 (0.5); 4.2311 (0.8); 4.2110 (0.8); 3.8389 (0.7); 3.8150 (1.2); 3.7914 (0.6); 3.7428 (16.0); 3.5426 (2.2); 3.4446 (0.8); 3,4253 (0.8); 3.4200 (0.8); 3.4006 (0.7); 3.3912 (1.4); 3.3691 (1.3); 2.6725 (0.6); 2.6646 (0.7); 2.6583 (0.6); 2.6542 (0.8); 2.6504 (0.7); 2.6452 (0.6); 2.6395 (0.8); 2.6324 (0.7); 2.6177 (0.6); 2.3579 (0.8); 2.3528 (0.8); 2.3339 (0.9); 2.3286 (0.7); 2.0769 (0.5); 2.0736 (0.6); 2.0549 (1.0); 2.0324 (1.1);
0.0079 (0.6); -0.0002 (17.4); -0.0085 (0.6) 0.0079 (0.6); -0.0002 (17.4); -0.0085 (0.6)
1.26-32: 1H-NMR(400.0 MHz, CDC13): 1.26-32: 1 H-NMR (400.0 MHz, CDC13):
δ= 7.8604 (0.6); 7.5185 (0.9); 7.2687 (1.0); 7.2597 (166.3); 7.1598 (0.6); 7.1559 (0.9); 7.1410 (0.6); 7.1353 (1.7); 7.1314 (1.2); 7.1263 (0.7); 7.1146 (1.2); 7.1101 (1.4); 7.0899 (0.8); 7.0583 (0.6); 7.0519 (0.7); 6.9957 (1.0); 4.1302 (0.8); 4.1100 (0.8); 3.8050 (0.7); 3.7813 (1.2); 3.7578 (0.9); 3.7462 (16.0); 3.6023 (0.7); 3.3955 (0.7); 3.3760 (0.8); 3.3712 (0.8); 3.3517 (0.6); 3.3154 (1.1); 3.2932 (1.0); 2.6754 (0.6); 2.6678 (0.8); 2.6627 (0.7); 2.6568 (0.8); 2.6482 (0.8); 2.6422 (0.9); 2.6354 (0.7); 2.6205 (0.6); 2.3491 (0.8); 2.3259 (0.8); 2.0746 (0.6); 2.0560 (1.0); 2.0486 (0.5); 2.0339 (1.2); 2.0194 (0.5); 1.5679 (2.6); 0.0079 (2.3); 0.0063 (1.0); -δ = 7.8604 (0.6); 7.5185 (0.9); 7.2687 (1.0); 7.2597 (166.3); 7.1598 (0.6); 7.1559 (0.9); 7.1410 (0.6); 7.1353 (1.7); 7.1314 (1.2); 7.1263 (0.7); 7.1146 (1.2); 7.1101 (1.4); 7.0899 (0.8); 7.0583 (0.6); 7.0519 (0.7); 6.9957 (1.0); 4.1302 (0.8); 4.1100 (0.8); 3.8050 (0.7); 3.7813 (1.2); 3.7578 (0.9); 3.7462 (16.0); 3.6023 (0.7); 3.3955 (0.7); 3.3760 (0.8); 3.3712 (0.8); 3.3517 (0.6); 3.3154 (1.1); 3.2932 (1.0); 2.6754 (0.6); 2.6678 (0.8); 2.6627 (0.7); 2.6568 (0.8); 2.6482 (0.8); 2.6422 (0.9); 2.6354 (0.7); 2.6205 (0.6); 2.3491 (0.8); 2.3259 (0.8); 2.0746 (0.6); 2.0560 (1.0); 2.0486 (0.5); 2.0339 (1.2); 2.0194 (0.5); 1.5679 (2.6); 0.0079 (2.3); 0.0063 (1.0); -
0.0002 (72.2); -0.0068 (0.9); -0.0085 (2.2) 0.0002 (72.2); -0.0068 (0.9); -0.0085 (2.2)
1.26-37: 1H-NMR(400.0 MHz, CDC13): 1.26-37: 1 H-NMR (400.0 MHz, CDC13):
δ= 7.8921 (0.6); 7.5404 (1.2); 7.5241 (1.0); 7.5204 (0.8); 7.5112 (0.5); 7.2614 (18.9); 7.1750 (0.8); 4.1975 (0.6); 4.1769 (0.7); 3.8331 (0.5); 3.8091 (1.0); 3.7861 (0.5); 3.7453 (16.0); 3.5926 (0.8); 3.4167 (0.7); 3.3968 (0.7); 3.3920 (0.7); 3.3721 (0.6); 3.3518 (1.3); 3.3291 (1.2); 2.6688 (0.6); 2.6615 (0.6); 2.6543 (0.6); 2.6470 (0.8); 2.3496 (0.6); 2.3251 (0.7); 2.0765 (0.6); 2.0612δ = 7.8921 (0.6); 7.5404 (1.2); 7.5241 (1.0); 7.5204 (0.8); 7.5112 (0.5); 7.2614 (18.9); 7.1750 (0.8); 4.1975 (0.6); 4.1769 (0.7); 3.8331 (0.5); 3.8091 (1.0); 3.7861 (0.5); 3.7453 (16.0); 3.5926 (0.8); 3.4167 (0.7); 3.3968 (0.7); 3.3920 (0.7); 3.3721 (0.6); 3.3518 (1.3); 3.3291 (1.2); 2.6688 (0.6); 2.6615 (0.6); 2.6543 (0.6); 2.6470 (0.8); 2.3496 (0.6); 2.3251 (0.7); 2.0765 (0.6); 2.0612
(0.7); 2.0578 (0.8); 2.0364 (1.0); -0.0002 (8.7) (0.7); 2.0578 (0.8); 2.0364 (1.0); -0.0002 (8.7)
1.28-12: 1H-NMR(400.0 MHz, CDC13): 1.28-12: 1 H-NMR (400.0 MHz, CDC13):
δ= 7.6260 (3.2); 7.6103 (3.2); 7.5666 (11.4); 7.5544 (8.4); 7.5336 (16.0); 7.5196 (1.4); 7.4994 (8.7); 7.4799 (4.8); 7.4617 (2.6); 7.4299 (1.3); 7.4167 (0.9); 7.2606 (134.6); 6.9966 (0.7); 6.0799 (3.6); 4.2726 (1.0); 4.2627 (4.1); 4.2522 (2.2); 4.2407 (9.0); 4.2286 (2.4); 4.2203 (8.6); 4.1978 (3.4); 3.8600 (0.6); 3.8478 (4.6); 3.8244 (8.8); 3.8008 (4.5); 3.6497 (0.6); 3.6293 (0.6); 3.4706δ = 7.6260 (3.2); 7.6103 (3.2); 7.5666 (11.4); 7.5544 (8.4); 7.5336 (16.0); 7.5196 (1.4); 7.4994 (8.7); 7.4799 (4.8); 7.4617 (2.6); 7.4299 (1.3); 7.4167 (0.9); 7.2606 (134.6); 6.9966 (0.7); 6.0799 (3.6); 4.2726 (1.0); 4.2627 (4.1); 4.2522 (2.2); 4.2407 (9.0); 4.2286 (2.4); 4.2203 (8.6); 4.1978 (3.4); 3.8600 (0.6); 3.8478 (4.6); 3.8244 (8.8); 3.8008 (4.5); 3.6497 (0.6); 3.6293 (0.6); 3.4706
(6.3) ; 3.4507 (6.5); 3.4458 (6.2); 3.4258 (5.3); 3.3528 (11.6); 3.3298 (11.0); 3.0319 (1.0); 3.0250 (0.9); 3.0201 (1.2); 3.0147 (1.7); 3.0111 (1.7); 3.0078 (2.3); 3.0011 (2.6); 2.9946 (3.3); 2.9896 (3.3); 2.9831 (3.8); 2.9773 (3.6); 2.9733 (3.4); 2.9700 (3.8); 2.9638 (3.9); 2.9574 (3.3); 2.9525 (3.5); 2.9459 (2.7); 2.9392 (2.6); 2.9357 (1.8); 2.9326 (1.9); 2.9266 (1.3); 2.9221 (1.0); 2.9152 (1.1); 2.5936 (2.8); 2.5873 (0.9); 2.5761 (3.1); 2.5696 (1.2); 2.5611 (3.8); 2.5553 (4.8); 2.5487 (1.9); 2.5436 (4.2); 2.5376 (5.0); 2.5307 (2.1); 2.5236 (4.8); 2.5179 (3.8); 2.5059 (4.6); 2.5004 (3.4); 2.4921 (1.0); 2.4854 (2.7); 2.4740 (0.7); 2.4679 (2.4); 2.0044(6.3); 3.4507 (6.5); 3.4458 (6.2); 3.4258 (5.3); 3.3528 (11.6); 3.3298 (11.0); 3.0319 (1.0); 3.0250 (0.9); 3.0201 (1.2); 3.0147 (1.7); 3.0111 (1.7); 3.0078 (2.3); 3.0011 (2.6); 2.9946 (3.3); 2.9896 (3.3); 2.9831 (3.8); 2.9773 (3.6); 2.9733 (3.4); 2.9700 (3.8); 2.9638 (3.9); 2.9574 (3.3); 2.9525 (3.5); 2.9459 (2.7); 2.9392 (2.6); 2.9357 (1.8); 2.9326 (1.9); 2.9266 (1.3); 2.9221 (1.0); 2.9152 (1.1); 2.5936 (2.8); 2.5873 (0.9); 2.5761 (3.1); 2.5696 (1.2); 2.5611 (3.8); 2.5553 (4.8); 2.5487 (1.9); 2.5436 (4.2); 2.5376 (5.0); 2.5307 (2.1); 2.5236 (4.8); 2.5179 (3.8); 2.5059 (4.6); 2.5004 (3.4); 2.4921 (1.0); 2.4854 (2.7); 2.4740 (0.7); 2.4679 (2.4); 2.0044
(0.7); 0.0080 (1.9); -0.0002 (63.0); -0.0085 (1.8) (0.7); 0.0080 (1.9); -0.0002 (63.0); -0.0085 (1.8)
1.28-13: 1H-NMR(400.0 MHz, CDC13): 1.28-13: 1 H-NMR (400.0 MHz, CDC13):
δ= 7.6492 (3.1); 7.6281 (14.1); 7.6076 (16.0); 7.5205 (0.6); 7.4662 (14.7); 7.4458 (11.5); 7.2615 (88.2); 6.0520 (3.5); 4.2507 (3.6); 4.2418 (2.0); 4.2288 (7.9); 4.2079 (7.2); 4.1857 (2.8); 3.8372 (4.2); 3.8137 (8.0); 3.7899 (4.2); 3.4645 (5.8); 3.4444 (5.9); 3.4398 (5.7); 3.4197 (4.7); 3.3451 (10.4); 3.3220 (9.8); 3.0283 (1.0); 3.0164 (1.1); 3.0114 (1.6); 3.0042 (2.4); 2.9967 (2.3); 2.9909 (2.7); 2.9874 (3.0); 2.9835 (2.9); 2.9800 (3.4); 2.9735 (3.5); 2.9666 (3.5); 2.9597 (3.6); 2.9568 (3.0); 2.9529 (3.0); 2.9492δ = 7.6492 (3.1); 7.6281 (14.1); 7.6076 (16.0); 7.5205 (0.6); 7.4662 (14.7); 7.4458 (11.5); 7.2615 (88.2); 6.0520 (3.5); 4.2507 (3.6); 4.2418 (2.0); 4.2288 (7.9); 4.2079 (7.2); 4.1857 (2.8); 3.8372 (4.2); 3.8137 (8.0); 3.7899 (4.2); 3.4645 (5.8); 3.4444 (5.9); 3.4398 (5.7); 3.4197 (4.7); 3.3451 (10.4); 3.3220 (9.8); 3.0283 (1.0); 3.0164 (1.1); 3.0114 (1.6); 3.0042 (2.4); 2.9967 (2.3); 2.9909 (2.7); 2.9874 (3.0); 2.9835 (2.9); 2.9800 (3.4); 2.9735 (3.5); 2.9666 (3.5); 2.9597 (3.6); 2.9568 (3.0); 2.9529 (3.0); 2.9492
(2.9) ; 2.9430 (2.5); 2.9360 (2.5); 2.9287 (1.8); 2.9236 (1.2); 2.9119 (1.1); 2.5928 (2.1); 2.5847 (0.8); 2.5754 (2.4); 2.5603 (2.9); 2.5544 (4.2); 2.5428 (3.2); 2.5370 (4.3); 2.5291 (1.7); 2.5222 (4.3); 2.5164 (2.8); 2.5047 (4.1); 2.4992 (2.5); 2.4839 (2.0); 2.4745 (0.7); 2.4666 (1.8); 1.6276 (7.8); 0.0079 (1.2); -0.0002 (36.7); -0.0084 (1.2) 1.28-32: Ή-ΝΜΙΙ(400.0 MHz, CDC13): (2.9); 2.9430 (2.5); 2.9360 (2.5); 2.9287 (1.8); 2.9236 (1.2); 2.9119 (1.1); 2.5928 (2.1); 2.5847 (0.8); 2.5754 (2.4); 2.5603 (2.9); 2.5544 (4.2); 2.5428 (3.2); 2.5370 (4.3); 2.5291 (1.7); 2.5222 (4.3); 2.5164 (2.8); 2.5047 (4.1); 2.4992 (2.5); 2.4839 (2.0); 2.4745 (0.7); 2.4666 (1.8); 1.6276 (7.8); 0.0079 (1.2); -0.0002 (36.7); -0.0084 (1.2) 1.28-32: Ή-ΝΜΙΙ (400.0 MHz, CDC13):
δ= 7.5995 (3.8); 7.5184 (9.9); 7.3596 (1.5); 7.3098 (3.2); 7.2998 (2.4); 7.2862 (4.1); 7.2595 (1792.5); 7.2287 (1.2); 7.1739 (7.8); 7.1692 (5.9); 7.1520 (12.4); 7.1413 (6.0); 7.1319 (8.5); 7.1274 (12.7); 7.1227 (5.9); 7.1071 (7.7); 7.0875 (2.5); 7.0662 (7.2); 7.0392 (4.3); 6.9955 (10.3); 5.8486 (1.1); 5.7588 (5.4); 4.2468 (2.9); 4.2290 (3.9); 4.2095 (3.2); 4.1483 (3.5); 4.1261 (8.1); 4.1048 (8.6); 4.0824 (4.0); 3.9762 (1.3); 3.9579 (1.0); 3.8464 (1.7); 3.8303 (1.3); 3.8214 (2.1); 3.8030 (13.6); 3.7784 (13.8); 3.7559 (6.5); 3.7536 (7.0); 3.5909 (2.4); 3.5705 (2.2); 3.4861 (1.2); 3.4370 (2.4); 3.4123 (11.0); 3.3922 (9.3); 3.3877 (8.9); 3.3674 (7.6); 3.2652 (16.0); 3.2420 (15.1); 3.0218 (2.3); 3.0055 (3.2); 2.9921 (6.2); 2.9847 (5.2); 2.9759 (5.9); 2.9709 (6.0); 2.9617 (5.6); 2.9547 (6.6); 2.9408 (3.9); 2.9245 (3.2); 2.9174 (2.1); 2.5931 (4.0); 2.5753 (3.8); 2.5606 (5.8); 2.5541 (6.1); 2.5430δ = 7.5995 (3.8); 7.5184 (9.9); 7.3596 (1.5); 7.3098 (3.2); 7.2998 (2.4); 7.2862 (4.1); 7.2595 (1792.5); 7.2287 (1.2); 7.1739 (7.8); 7.1692 (5.9); 7.1520 (12.4); 7.1413 (6.0); 7.1319 (8.5); 7.1274 (12.7); 7.1227 (5.9); 7.1071 (7.7); 7.0875 (2.5); 7.0662 (7.2); 7.0392 (4.3); 6.9955 (10.3); 5.8486 (1.1); 5.7588 (5.4); 4.2468 (2.9); 4.2290 (3.9); 4.2095 (3.2); 4.1483 (3.5); 4.1261 (8.1); 4.1048 (8.6); 4.0824 (4.0); 3.9762 (1.3); 3.9579 (1.0); 3.8464 (1.7); 3.8303 (1.3); 3.8214 (2.1); 3.8030 (13.6); 3.7784 (13.8); 3.7559 (6.5); 3.7536 (7.0); 3.5909 (2.4); 3.5705 (2.2); 3.4861 (1.2); 3.4370 (2.4); 3.4123 (11.0); 3.3922 (9.3); 3.3877 (8.9); 3.3674 (7.6); 3.2652 (16.0); 3.2420 (15.1); 3.0218 (2.3); 3.0055 (3.2); 2.9921 (6.2); 2.9847 (5.2); 2.9759 (5.9); 2.9709 (6.0); 2.9617 (5.6); 2.9547 (6.6); 2.9408 (3.9); 2.9245 (3.2); 2.9174 (2.1); 2.5931 (4.0); 2.5753 (3.8); 2.5606 (5.8); 2.5541 (6.1); 2.5430
(5.6) ; 2.5370 (6.1); 2.5302 (3.3); 2.5218 (5.9); 2.5173 (5.0); 2.5058 (5.5); 2.4996 (5.2); 2.4847 (3.5); 2.4673 (3.4); 1.6270 (14.9);(5.6); 2.5370 (6.1); 2.5302 (3.3); 2.5218 (5.9); 2.5173 (5.0); 2.5058 (5.5); 2.4996 (5.2); 2.4847 (3.5); 2.4673 (3.4); 1.6270 (14.9);
0.1460 (2.7); 0.0499 (1.0); 0.0080 (26.4); -0.0002 (810.9); -0.0085 (25.2); -0.1494 (2.8) 0.1460 (2.7); 0.0499 (1.0); 0.0080 (26.4); -0.0002 (810.9); -0.0085 (25.2); -0.1494 (2.8)
1.28-37: Ή-ΝΜϋ^ΟΟ.Ο MHz, CDC13): 1.28-37: Ή-ΝΜϋ ^ ΟΟ.Ο MHz, CDC13):
δ= 7.6712 (4.1); 7.6564 (4.0); 7.5572 (15.2); 7.5437 (16.0); 7.5306 (4.1); 7.5251 (5.2); 7.5195 (4.1); 7.4651 (0.5); 7.4485 (0.5); 7.2607 (217.2); 7.2153 (6.0); 7.1930 (8.3); 7.1697 (4.3); 7.1268 (0.6); 6.9967 (1.2); 5.9946 (5.6); 4.2683 (1.2); 4.2644 (1.2); 4.2508 (3.0); 4.2437 (2.4); 4.2373 (2.8); 4.2334 (3.6); 4.2308 (3.6); 4.2269 (2.9); 4.2202 (2.9); 4.2146 (5.9); 4.1928 (9.2); 4.1707δ = 7.6712 (4.1); 7.6564 (4.0); 7.5572 (15.2); 7.5437 (16.0); 7.5306 (4.1); 7.5251 (5.2); 7.5195 (4.1); 7.4651 (0.5); 7.4485 (0.5); 7.2607 (217.2); 7.2153 (6.0); 7.1930 (8.3); 7.1697 (4.3); 7.1268 (0.6); 6.9967 (1.2); 5.9946 (5.6); 4.2683 (1.2); 4.2644 (1.2); 4.2508 (3.0); 4.2437 (2.4); 4.2373 (2.8); 4.2334 (3.6); 4.2308 (3.6); 4.2269 (2.9); 4.2202 (2.9); 4.2146 (5.9); 4.1928 (9.2); 4.1707
(8.7) ; 4.1484 (4.0); 4.0572 (0.5); 3.8750 (0.6); 3.8584 (0.5); 3.8498 (0.7); 3.8282 (5.9); 3.8263 (5.9); 3.8034 (12.1); 3.7807 (5.9); 3.7788 (5.8); 3.6265 (0.9); 3.6059 (0.8); 3.4570 (0.8); 3.4358 (8.8); 3.4151 (8.9); 3.4111 (8.5); 3.3904 (7.1); 3.2968 (15.1); 3.2731 (14.4); 3.0444 (0.6); 3.0318 (1.2); 3.0266 (1.3); 3.0226 (1.8); 3.0145 (2.6); 3.0097 (2.6); 3.0058 (3.2); 3.0018 (3.4); 2.9942 (4.8); 2.9852 (5.4); 2.9745 (5.5); 2.9713 (4.9); 2.9638 (5.3); 2.9547 (5.1); 2.9472 (3.5); 2.9431 (3.5); 2.9395 (2.8); 2.9346 (2.9); 2.9263 (2.1); 2.9229 (1.5); 2.9174 (1.4); 2.9048 (0.7); 2.6004 (0.6); 2.5934 (3.3); 2.5883 (1.3); 2.5761 (3.6); 2.5710 (1.8); 2.5611 (5.2); 2.5553 (5.8); 2.5497 (2.6); 2.5437 (5.3); 2.5382 (5.9); 2.5320 (2.7); 2.5296 (2.7); 2.5227 (6.1); 2.5180 (4.6); 2.5117(8.7); 4.1484 (4.0); 4.0572 (0.5); 3.8750 (0.6); 3.8584 (0.5); 3.8498 (0.7); 3.8282 (5.9); 3.8263 (5.9); 3.8034 (12.1); 3.7807 (5.9); 3.7788 (5.8); 3.6265 (0.9); 3.6059 (0.8); 3.4570 (0.8); 3.4358 (8.8); 3.4151 (8.9); 3.4111 (8.5); 3.3904 (7.1); 3.2968 (15.1); 3.2731 (14.4); 3.0444 (0.6); 3.0318 (1.2); 3.0266 (1.3); 3.0226 (1.8); 3.0145 (2.6); 3.0097 (2.6); 3.0058 (3.2); 3.0018 (3.4); 2.9942 (4.8); 2.9852 (5.4); 2.9745 (5.5); 2.9713 (4.9); 2.9638 (5.3); 2.9547 (5.1); 2.9472 (3.5); 2.9431 (3.5); 2.9395 (2.8); 2.9346 (2.9); 2.9263 (2.1); 2.9229 (1.5); 2.9174 (1.4); 2.9048 (0.7); 2.6004 (0.6); 2.5934 (3.3); 2.5883 (1.3); 2.5761 (3.6); 2.5710 (1.8); 2.5611 (5.2); 2.5553 (5.8); 2.5497 (2.6); 2.5437 (5.3); 2.5382 (5.9); 2.5320 (2.7); 2.5296 (2.7); 2.5227 (6.1); 2.5180 (4.6); 2.5117
(2.4) ; 2.5054 (5.5); 2.5006 (4.5); 2.4906 (1.5); 2.4856 (3.0); 2.4732 (1.1); 2.4682 (2.9); 1.6157 (0.7); 0.0080 (2.9); -0.0002 (95.1);(2.4); 2.5054 (5.5); 2.5006 (4.5); 2.4906 (1.5); 2.4856 (3.0); 2.4732 (1.1); 2.4682 (2.9); 1.6157 (0.7); 0.0080 (2.9); -0.0002 (95.1);
-0.0085 (2.7) -0.0085 (2.7)
1.30-12: 1H-NMR(400.0 MHz, CDC13): 1.30-12: 1 H-NMR (400.0 MHz, CDC13):
δ= 7.5711 (15.7); 7.5588 (8.5); 7.5390 (15.9); 7.5202 (12.1); 7.5181 (12.4); 7.5021 (1.9); 7.4855 (12.5); 7.4667 (11.2); 7.4475 (4.3); 7.4344 (1.4); 7.4234 (1.2); 7.4053 (1.0); 7.3108 (0.8); 7.2743 (0.8); 7.2613 (179.6); 7.2284 (1.6); 7.2124 (3.5); 7.2092 (4.3); 7.1908 (4.3); 6.9973 (1.0); 6.0067 (5.3); 4.3060 (3.4); 4.2842 (8.1); 4.2649 (8.8); 4.2432 (4.3); 4.2308 (1.3); 4.2129 (4.0); 4.1963 (7.4); 4.1786 (7.6); 4.1619 (4.1); 4.1446 (1.3); 4.0769 (0.6); 3.9699 (0.5); 3.8408 (6.3); 3.8167 (12.5); 3.7937 (6.7); 3.6069 (1.0); 3.5861 (0.9); 3.5146 (0.5); 3.4894 (0.5); 3.4486 (8.3); 3.4297 (8.7); 3.4240 (8.3); 3.4051 (7.3); 3.2932 (16.0); 3.2715 (15.5); 2.0105 (1.3); 1.9938 (2.9); 1.9788 (5.4); 1.9616 (7.5); 1.9456 (8.0); 1.9413 (5.2); 1.9278 (6.2); 1.9137 (3.6); 1.8962 (2.0); 1.8331 (0.5); 1.7410 (0.6); 1.7332 (1.2); 1.7281 (1.2); 1.7151 (2.8); 1.7105 (3.0); 1.7038 (5.4); 1.6923 (6.5); 1.6843δ = 7.5711 (15.7); 7.5588 (8.5); 7.5390 (15.9); 7.5202 (12.1); 7.5181 (12.4); 7.5021 (1.9); 7.4855 (12.5); 7.4667 (11.2); 7.4475 (4.3); 7.4344 (1.4); 7.4234 (1.2); 7.4053 (1.0); 7.3108 (0.8); 7.2743 (0.8); 7.2613 (179.6); 7.2284 (1.6); 7.2124 (3.5); 7.2092 (4.3); 7.1908 (4.3); 6.9973 (1.0); 6.0067 (5.3); 4.3060 (3.4); 4.2842 (8.1); 4.2649 (8.8); 4.2432 (4.3); 4.2308 (1.3); 4.2129 (4.0); 4.1963 (7.4); 4.1786 (7.6); 4.1619 (4.1); 4.1446 (1.3); 4.0769 (0.6); 3.9699 (0.5); 3.8408 (6.3); 3.8167 (12.5); 3.7937 (6.7); 3.6069 (1.0); 3.5861 (0.9); 3.5146 (0.5); 3.4894 (0.5); 3.4486 (8.3); 3.4297 (8.7); 3.4240 (8.3); 3.4051 (7.3); 3.2932 (16.0); 3.2715 (15.5); 2.0105 (1.3); 1.9938 (2.9); 1.9788 (5.4); 1.9616 (7.5); 1.9456 (8.0); 1.9413 (5.2); 1.9278 (6.2); 1.9137 (3.6); 1.8962 (2.0); 1.8331 (0.5); 1.7410 (0.6); 1.7332 (1.2); 1.7281 (1.2); 1.7151 (2.8); 1.7105 (3.0); 1.7038 (5.4); 1.6923 (6.5); 1.6843
(7.8) ; 1.6780 (6.4); 1.6717 (6.4); 1.6664 (5.4); 1.6596 (4.9); 1.6496 (3.7); 1.6401 (3.4); 1.6290 (3.8); 1.6208 (3.7); 1.6096 (5.2); 1.6018 (6.7); 1.5966 (5.0); 1.5913 (8.0); 1.5887 (7.1); 1.5834 (8.2); 1.5723 (7.7); 1.5635 (5.6); 1.5576 (3.5); 1.5536 (3.9); 1.5419(7.8); 1.6780 (6.4); 1.6717 (6.4); 1.6664 (5.4); 1.6596 (4.9); 1.6496 (3.7); 1.6401 (3.4); 1.6290 (3.8); 1.6208 (3.7); 1.6096 (5.2); 1.6018 (6.7); 1.5966 (5.0); 1.5913 (8.0); 1.5887 (7.1); 1.5834 (8.2); 1.5723 (7.7); 1.5635 (5.6); 1.5576 (3.5); 1.5536 (3.9); 1.5419
(1.9) ; 1.5365 (1.7); 1.5279 (1.3); 1.5056 (1.0); 1.4869 (1.5); 1.4703 (3.7); 1.4553 (6.3); 1.4392 (7.4); 1.4274 (6.0); 1.4230 (7.1);(1.9); 1.5365 (1.7); 1.5279 (1.3); 1.5056 (1.0); 1.4869 (1.5); 1.4703 (3.7); 1.4553 (6.3); 1.4392 (7.4); 1.4274 (6.0); 1.4230 (7.1);
1.4077 (4.9); 1.3924 (2.4); 1.2912 (0.5); 0.0079 (2.8); -0.0002 (84.6); -0.0085 (3.4) 1.4077 (4.9); 1.3924 (2.4); 1.2912 (0.5); 0.0079 (2.8); -0.0002 (84.6); -0.0085 (3.4)
1.30-13: 1H-NMR(400.0 MHz, CDC13): 1.30-13: 1 H-NMR (400.0 MHz, CDC13):
δ= 7.6152 (12.2); 7.5949 (16.0); 7.5469 (1.5); 7.5265 (1.8); 7.5211 (1.0); 7.4723 (15.0); 7.4516 (11.3); 7.3831 (1.5); 7.3627 (1.1); 7.2621 (87.1); 7.2202 (2.5); 7.2028 (2.5); 6.0319 (3.3); 4.2941 (2.3); 4.2723 (5.6); 4.2526 (5.8); 4.2308 (2.8); 4.2240 (0.9); 4.2062 (2.6); 4.1896 (5.0); 4.1720 (5.1); 4.1552 (2.6); 4.1378 (0.7); 4.0710 (0.5); 3.8448 (0.6); 3.8310 (4.8); 3.8288 (5.2); 3.8200 (0.9); 3.8063 (10.0); 3.8043 (6.7); 3.7839 (4.8); 3.7817 (4.8); 3.6032 (1.1); 3.5826 (1.0); 3.5099 (0.6); 3.4867 (6.4); 3.4449 (6.3); 3.4258 (6.3); 3.4203 (5.9); 3.4012 (5.3); 3.2873 (12.2); 3.2654 (11.8); 2.0076 (0.8); 1.9984 (0.7); 1.9919 (1.8); 1.9765 (3.4); 1.9593 (4.8); 1.9434 (5.1); 1.9391 (3.1); 1.9256 (3.8); 1.9118 (2.0); 1.9060 (1.1); 1.8944 (1.1); 1.7313 (0.7); 1.7261 (0.6); 1.7130 (1.7); 1.7086 (1.7); 1.7016 (3.4); 1.6906 (4.1); 1.6861 (3.8); 1.6821 (4.8); 1.6757 (3.8); 1.6697 (4.0); 1.6642 (3.1); 1.6574 (3.1); 1.6472 (2.3); 1.6385 (2.4); 1.6345 (1.9); 1.6275 (2.8); 1.6197 (3.5); 1.6084 (5.6); 1.6032 (5.1); 1.6006 (6.4); 1.5951 (4.1); 1.5899δ = 7.6152 (12.2); 7.5949 (16.0); 7.5469 (1.5); 7.5265 (1.8); 7.5211 (1.0); 7.4723 (15.0); 7.4516 (11.3); 7.3831 (1.5); 7.3627 (1.1); 7.2621 (87.1); 7.2202 (2.5); 7.2028 (2.5); 6.0319 (3.3); 4.2941 (2.3); 4.2723 (5.6); 4.2526 (5.8); 4.2308 (2.8); 4.2240 (0.9); 4.2062 (2.6); 4.1896 (5.0); 4.1720 (5.1); 4.1552 (2.6); 4.1378 (0.7); 4.0710 (0.5); 3.8448 (0.6); 3.8310 (4.8); 3.8288 (5.2); 3.8200 (0.9); 3.8063 (10.0); 3.8043 (6.7); 3.7839 (4.8); 3.7817 (4.8); 3.6032 (1.1); 3.5826 (1.0); 3.5099 (0.6); 3.4867 (6.4); 3.4449 (6.3); 3.4258 (6.3); 3.4203 (5.9); 3.4012 (5.3); 3.2873 (12.2); 3.2654 (11.8); 2.0076 (0.8); 1.9984 (0.7); 1.9919 (1.8); 1.9765 (3.4); 1.9593 (4.8); 1.9434 (5.1); 1.9391 (3.1); 1.9256 (3.8); 1.9118 (2.0); 1.9060 (1.1); 1.8944 (1.1); 1.7313 (0.7); 1.7261 (0.6); 1.7130 (1.7); 1.7086 (1.7); 1.7016 (3.4); 1.6906 (4.1); 1.6861 (3.8); 1.6821 (4.8); 1.6757 (3.8); 1.6697 (4.0); 1.6642 (3.1); 1.6574 (3.1); 1.6472 (2.3); 1.6385 (2.4); 1.6345 (1.9); 1.6275 (2.8); 1.6197 (3.5); 1.6084 (5.6); 1.6032 (5.1); 1.6006 (6.4); 1.5951 (4.1); 1.5899
(6.0) ; 1.5874 (5.0); 1.5816 (5.5); 1.5710 (4.9); 1.5622 (3.4); 1.5561 (1.9); 1.5521 (2.4); 1.5440 (0.9); 1.5405 (0.9); 1.5349 (1.0); 1.5324 (0.9); 1.4971 (0.6); 1.4881 (1.0); 1.4822 (0.8); 1.4724 (1.8); 1.4646 (2.2); 1.4584 (2.8); 1.4487 (3.7); 1.4431 (3.3); 1.4391(6.0); 1.5874 (5.0); 1.5816 (5.5); 1.5710 (4.9); 1.5622 (3.4); 1.5561 (1.9); 1.5521 (2.4); 1.5440 (0.9); 1.5405 (0.9); 1.5349 (1.0); 1.5324 (0.9); 1.4971 (0.6); 1.4881 (1.0); 1.4822 (0.8); 1.4724 (1.8); 1.4646 (2.2); 1.4584 (2.8); 1.4487 (3.7); 1.4431 (3.3); 1.4391
(3.5) ; 1.4330 (3.9); 1.4267 (3.6); 1.4180 (3.4); 1.4113 (2.6); 1.4066 (2.6); 1.3998 (2.2); 1.3904 (1.4); 1.3832 (0.8); 0.0079 (1.1); -(3.5); 1.4330 (3.9); 1.4267 (3.6); 1.4180 (3.4); 1.4113 (2.6); 1.4066 (2.6); 1.3998 (2.2); 1.3904 (1.4); 1.3832 (0.8); 0.0079 (1.1); -
0.0002 (36.4); -0.0085 (1.0) 0.0002 (36.4); -0.0085 (1.0)
1.30-32: 1H-NMR(400.0 MHz, CDC13): 1.30-32: 1 H-NMR (400.0 MHz, CDC13):
δ= 7.5207 (1.2); 7.3121 (0.8); 7.2740 (1.1); 7.2617 (203.4); 7.2362 (0.5); 7.2316 (0.5); 7.2127 (1.8); 7.1953 (3.9); 7.1799 (9.1); 7.1745 (9.2); 7.1602 (9.7); 7.1558 (7.6); 7.1518 (6.8); 7.1462 (7.0); 7.1387 (11.4); 7.1342 (8.7); 7.1277 (6.6); 7.1185 (9.4); 7.1135 (10.2); 7.0938 (8.8); 7.0818 (5.5); 7.0787 (6.2); 7.0711 (6.9); 7.0691 (6.4); 7.0657 (5.8); 7.0633 (5.5); 7.0576 (4.0); 7.0523 (3.5); 7.0475 (3.1); 7.0422 (2.4); 6.9977 (1.3); 5.9732 (5.2); 4.2236 (1.2); 4.2060 (4.2); 4.1897 (8.7); 4.1717 (15.9); 4.1522 (11.1); 4.1373 (1.6); 4.1300 (4.0); 3.8009 (7.3); 3.7773 (12.7); 3.7539 (7.3); 3.5563 (0.5); 3.3951 (9.0); 3.3760 (9.4); 3.3705 (8.9); 3.3514 (7.8); 3.2153 (16.0); 3.1934 (15.3); 2.0063 (1.6); 1.9885 (3.2); 1.9820 (3.5); 1.9748 (5.1); 1.9634 (5.6); 1.9572 (6.4); 1.9494 (6.0); 1.9431 (6.0); 1.9329 (5.4); 1.9240 (3.9); 1.9176 (3.6); 1.9010 (1.9); 1.7276 (1.3); 1.7144 (3.0); 1.7093 (3.3); 1.7027 (5.5); 1.6843 (8.1); 1.6710 (6.4); 1.6586 (4.2); 1.6486 (3.0); 1.6410 (2.8); 1.6384 (2.6); 1.6290 (3.1); 1.6243 (2.9); 1.6213 (3.0); 1.6161 (3.0); 1.6104 (4.9); 1.6046 (6.2); 1.6014 (6.8); 1.5941 (6.1); 1.5890 (6.6); 1.5848 (8.5); 1.5733 (7.1); 1.5642δ = 7.5207 (1.2); 7.3121 (0.8); 7.2740 (1.1); 7.2617 (203.4); 7.2362 (0.5); 7.2316 (0.5); 7.2127 (1.8); 7.1953 (3.9); 7.1799 (9.1); 7.1745 (9.2); 7.1602 (9.7); 7.1558 (7.6); 7.1518 (6.8); 7.1462 (7.0); 7.1387 (11.4); 7.1342 (8.7); 7.1277 (6.6); 7.1185 (9.4); 7.1135 (10.2); 7.0938 (8.8); 7.0818 (5.5); 7.0.787 (6.2); 7.0711 (6.9); 7.0691 (6.4); 7.0657 (5.8); 7.0633 (5.5); 7.0576 (4.0); 7.0523 (3.5); 7.0475 (3.1); 7.0422 (2.4); 6.9977 (1.3); 5.9732 (5.2); 4.2236 (1.2); 4.2060 (4.2); 4.1897 (8.7); 4.1717 (15.9); 4.1522 (11.1); 4.1373 (1.6); 4.1300 (4.0); 3.8009 (7.3); 3.7773 (12.7); 3.7539 (7.3); 3.5563 (0.5); 3.3951 (9.0); 3.3760 (9.4); 3.3705 (8.9); 3.3514 (7.8); 3.2153 (16.0); 3.1934 (15.3); 2.0063 (1.6); 1.9885 (3.2); 1.9820 (3.5); 1.9748 (5.1); 1.9634 (5.6); 1.9572 (6.4); 1.9494 (6.0); 1.9431 (6.0); 1.9329 (5.4); 1.9240 (3.9); 1.9176 (3.6); 1.9010 (1.9); 1.7276 (1.3); 1.7144 (3.0); 1.7093 (3.3); 1.7027 (5.5); 1.6843 (8.1); 1.6710 (6.4); 1.6586 (4.2); 1.6486 (3.0); 1.6410 (2.8); 1.6384 (2.6); 1.6290 (3.1); 1.6243 (2.9); 1.6213 (3.0); 1.6161 (3.0); 1.6104 (4.9); 1.6046 (6.2); 1.6014 (6.8); 1.5941 (6.1); 1.5890 (6.6); 1.5848 (8.5); 1.5733 (7.1); 1.5642
(5.1) ; 1.5595 (3.3); 1.5550 (3.2); 1.5422 (1.6); 1.5355 (1.3); 1.5291 (1.2); 1.5087 (0.7); 1.4701 (3.5); 1.4524 (6.9); 1.4363 (8.4); 1.4218 (7.9); 1.4034 (5.2); 1.3864 (2.2); 0.0080 (2.8); 0.0055 (1.1); -0.0002 (87.9); -0.0085 (2.6) 1.30- 37: 'H-NMR(400.0 MHz, CDC13): (5.1); 1.5595 (3.3); 1.5550 (3.2); 1.5422 (1.6); 1.5355 (1.3); 1.5291 (1.2); 1.5087 (0.7); 1.4701 (3.5); 1.4524 (6.9); 1.4363 (8.4); 1.4218 (7.9); 1.4034 (5.2); 1.3864 (2.2); 0.0080 (2.8); 0.0055 (1.1); -0.0002 (87.9); -0.0085 (2.6) 1.30-37: 'H-NMR (400.0 MHz, CDC13):
δ= 7.5633 (16.0); 7.5494 (14.3); 7.5441 (11.0); 7.5325 (5.4); 7.5265 (2.7); 7.5211 (1.4); 7.3620 (0.6); 7.2940 (0.8); 7.2622 (199.0); 7.2524 (3.4); 7.2516 (3.2); 7.2508 (3.2); 7.2499 (3.1); 7.2492 (3.2); 7.2483 (3.1); 7.2475 (3.1); 7.2420 (3.5); 7.2412 (3.5); 7.2117 (1.6); 7.2017 (5.1); 7.1789 (8.8); 7.1547 (4.9); 6.9981 (1.1); 5.9687 (5.3); 4.2578 (3.4); 4.2357 (8.3); 4.2154 (9.0); 4.2045 (4.0); 4.1930 (5.1); 4.1878 (7.3); 4.1701 (7.1); 4.1534 (3.6); 4.1361 (1.0); 3.8412 (0.5); 3.8205 (6.3); 3.8189 (6.4); 3.7961 (12.5); 3.7734 (6.2); 3.7717 (6.1); 3.5861 (0.7); 3.5654 (0.6); 3.4145 (8.7); 3.3948 (8.9); 3.3898 (8.4); 3.3701 (7.4); 3.2443 (16.0); 3.2217 (15.3); 2.0074 (1.1); 1.9916 (2.6); 1.9764 (4.3); 1.9604 (6.0); 1.9461 (5.8); 1.9317 (4.5); 1.9287 (4.5); 1.9209 (2.2); 1.9151 (3.0); 1.9092 (1.7); 1.9025 (1.3); 1.8974 (1.6); 1.7425 (0.9); 1.7302 (1.6); 1.7172 (3.1); 1.7122 (3.5); 1.7058 (5.5); 1.6990 (6.1); 1.6934 (6.8); 1.6866 (8.3); 1.6800 (7.2); 1.6736 (7.4); 1.6689 (7.1); 1.6614 (6.7); 1.6573 (6.1); 1.6498 (6.4); 1.6435δ = 7.5633 (16.0); 7.5494 (14.3); 7.5441 (11.0); 7.5325 (5.4); 7.5265 (2.7); 7.5211 (1.4); 7.3620 (0.6); 7.2940 (0.8); 7.2622 (199.0); 7.2524 (3.4); 7.2516 (3.2); 7.2508 (3.2); 7.2499 (3.1); 7.2492 (3.2); 7.2483 (3.1); 7.2475 (3.1); 7.2420 (3.5); 7.2412 (3.5); 7.2117 (1.6); 7.2017 (5.1); 7.1789 (8.8); 7.1547 (4.9); 6.9981 (1.1); 5.9687 (5.3); 4.2578 (3.4); 4.2357 (8.3); 4.2154 (9.0); 4.2045 (4.0); 4.1930 (5.1); 4.1878 (7.3); 4.1701 (7.1); 4.1534 (3.6); 4.1361 (1.0); 3.8412 (0.5); 3.8205 (6.3); 3.8189 (6.4); 3.7961 (12.5); 3.7734 (6.2); 3.7717 (6.1); 3.5861 (0.7); 3.5654 (0.6); 3.4145 (8.7); 3.3948 (8.9); 3.3898 (8.4); 3.3701 (7.4); 3.2443 (16.0); 3.2217 (15.3); 2.0074 (1.1); 1.9916 (2.6); 1.9764 (4.3); 1.9604 (6.0); 1.9461 (5.8); 1.9317 (4.5); 1.9287 (4.5); 1.9209 (2.2); 1.9151 (3.0); 1.9092 (1.7); 1.9025 (1.3); 1.8974 (1.6); 1.7425 (0.9); 1.7302 (1.6); 1.7172 (3.1); 1.7122 (3.5); 1.7058 (5.5); 1.6990 (6.1); 1.6934 (6.8); 1.6866 (8.3); 1.6800 (7.2); 1.6736 (7.4); 1.6689 (7.1); 1.6614 (6.7); 1.6573 (6.1); 1.6498 (6.4); 1.6435
(6.5) ; 1.6408 (6.3); 1.6364 (5.8); 1.6319 (6.6); 1.6256 (5.9); 1.6228 (6.2); 1.6178 (5.1); 1.6124 (6.8); 1.6033 (7.7); 1.5960 (6.9); 1.5934 (7.3); 1.5865 (8.6); 1.5826 (6.8); 1.5753 (7.3); 1.5661 (5.4); 1.5601 (3.3); 1.5566 (3.5); 1.5439 (1.7); 1.5408 (1.6); 1.5376(6.5); 1.6408 (6.3); 1.6364 (5.8); 1.6319 (6.6); 1.6256 (5.9); 1.6228 (6.2); 1.6178 (5.1); 1.6124 (6.8); 1.6033 (7.7); 1.5960 (6.9); 1.5934 (7.3); 1.5865 (8.6); 1.5826 (6.8); 1.5753 (7.3); 1.5661 (5.4); 1.5601 (3.3); 1.5566 (3.5); 1.5439 (1.7); 1.5408 (1.6); 1.5376
(1.6) ; 1.5303 (1.3); 1.5173 (1.0); 1.4986 (0.9); 1.4738 (3.3); 1.4722 (3.2); 1.4576 (6.0); 1.4548 (6.0); 1.4391 (7.7); 1.4237 (6.9); 1.4064 (4.6); 1.3898 (2.0); 0.0080 (2.6); -0.0002 (87.9); -0.0085 (2.6) (1.6); 1.5303 (1.3); 1.5173 (1.0); 1.4986 (0.9); 1.4738 (3.3); 1.4722 (3.2); 1.4576 (6.0); 1.4548 (6.0); 1.4391 (7.7); 1.4237 (6.9); 1.4064 (4.6); 1.3898 (2.0); 0.0080 (2.6); -0.0002 (87.9); -0.0085 (2.6)
1.31- 13: Ή-ΝΜΙΙ(400.0 MHz, CDC13): 1.31-13: Ή-ΝΜΙΙ (400.0 MHz, CDC13):
δ= 7.6145 (7.3); 7.5942 (9.4); 7.5439 (0.8); 7.5218 (1.0); 7.4603 (8.8); 7.4398 (6.8); 7.3963 (0.9); 7.3760 (0.7); 7.2623 (55.2); 7.1747 (2.5); 5.9991 (1.8); 4.2760 (1.4); 4.2544 (3.1); 4.2352 (3.3); 4.2137 (1.6); 3.8278 (2.8); 3.8256 (2.9); 3.8031 (6.0); 3.7806 (2.9); 3.7784 (2.9); 3.5727 (0.7); 3.5522 (0.6); 3.4873 (16.0); 3.4119 (3.7); 3.3932 (3.6); 3.3874 (3.5); 3.3686 (3.1); 3.2653 (7.9); 3.2440 (7.6); 1.9933 (1.3); 1.9754 (2.5); 1.9658 (2.2); 1.9589 (2.9); 1.9530 (2.4); 1.9384 (1.4); 1.9349 (1.4); 1.9307 (1.2); 1.7427 (0.6); 1.7303 (1.1); 1.7208 (1.5); 1.7173 (1.8); 1.7100 (2.6); 1.7017 (3.3); 1.6893 (1.9); 1.6840 (2.3); 1.6774 (2.2); 1.6729 (2.8); 1.6629 (3.8); 1.6567 (4.3); 1.6514 (4.2); 1.6462 (6.1); 1.6429 (7.2); 1.6281 (6.2); 1.6215 (4.0); 1.6134 (2.9); 1.6025 (1.7); 1.5923 (1.2); 1.5891 (1.1); 1.5572 (2.9); 1.5250 (0.8); 1.5167 (0.8); 1.5064 (0.6); 1.4008 (54.0); 1.1637 (5.4); 0.0079 (0.7); -0.0002δ = 7.6145 (7.3); 7.5942 (9.4); 7.5439 (0.8); 7.5218 (1.0); 7.4603 (8.8); 7.4398 (6.8); 7.3963 (0.9); 7.3760 (0.7); 7.2623 (55.2); 7.1747 (2.5); 5.9991 (1.8); 4.2760 (1.4); 4.2544 (3.1); 4.2352 (3.3); 4.2137 (1.6); 3.8278 (2.8); 3.8256 (2.9); 3.8031 (6.0); 3.7806 (2.9); 3.7784 (2.9); 3.5727 (0.7); 3.5522 (0.6); 3.4873 (16.0); 3.4119 (3.7); 3.3932 (3.6); 3.3874 (3.5); 3.3686 (3.1); 3.2653 (7.9); 3.2440 (7.6); 1.9933 (1.3); 1.9754 (2.5); 1.9658 (2.2); 1.9589 (2.9); 1.9530 (2.4); 1.9384 (1.4); 1.9349 (1.4); 1.9307 (1.2); 1.7427 (0.6); 1.7303 (1.1); 1.7208 (1.5); 1.7173 (1.8); 1.7100 (2.6); 1.7017 (3.3); 1.6893 (1.9); 1.6840 (2.3); 1.6774 (2.2); 1.6729 (2.8); 1.6629 (3.8); 1.6567 (4.3); 1.6514 (4.2); 1.6462 (6.1); 1.6429 (7.2); 1.6281 (6.2); 1.6215 (4.0); 1.6134 (2.9); 1.6025 (1.7); 1.5923 (1.2); 1.5891 (1.1); 1.5572 (2.9); 1.5250 (0.8); 1.5167 (0.8); 1.5064 (0.6); 1.4008 (54.0); 1.1637 (5.4); 0.0079 (0.7); -0.0002
(23.4); -0.0085 (0.7) (23.4); -0.0085 (0.7)
1.31-32: 1H-NMR(400.0 MHz, CDC13): 1.31-32: 1 H-NMR (400.0 MHz, CDC13):
δ= 7.5195 (1.7); 7.3110 (0.5); 7.2607 (298.3); 7.2115 (0.5); 7.1644 (5.2); 7.1584 (9.5); 7.1456 (8.8); 7.1370 (15.0); 7.1330 (8.4); 7.1170 (11.0); 7.1120 (12.9); 7.0919 (7.0); 7.0707 (4.2); 7.0671 (4.6); 7.0605 (5.2); 7.0570 (4.6); 7.0509 (4.4); 7.0461 (2.8); 7.0398 (2.7); 7.0356 (2.4); 7.0304 (2.3); 6.9966 (2.1); 5.8353 (3.8); 4.1751 (2.5); 4.1538 (6.0); 4.1342 (6.4); 4.1128 (3.0); 3.9523 (0.5); 3.7962 (5.9); 3.7726 (10.5); 3.7491 (5.7); 3.5219 (0.9); 3.5016 (0.8); 3.4526 (0.6); 3.4277 (0.5); 3.3627 (7.1); 3.3441 (7.2); 3.3382 (6.9); 3.3195 (6.2); 3.1921 (12.8); 3.1708 (12.2); 1.9913 (2.9); 1.9719 (5.7); 1.9576 (6.2); 1.9424 (3.9); 1.9141 (1.0); 1.8249 (0.8); 1.8075 (0.9); 1.7936 (0.9); 1.7764 (0.8); 1.7543 (1.2); 1.7379 (2.2); 1.7318 (2.7); 1.7228 (3.8); 1.7098 (5.9); 1.7024 (7.0); 1.6934 (4.4); 1.6852 (5.7); 1.6747 (6.4); 1.6581 (10.3); 1.6483 (13.0); 1.6441 (16.0); 1.6303 (12.5); 1.6234 (8.0); 1.6205 (6.9); 1.6151 (6.4); 1.6048 (3.4); 1.5647 (1.0); 1.5583 (1.3); 1.5416 (0.8); 1.5270 (0.8); 1.5116 (0.8); 1.4925 (0.7); 1.4735 (0.7);δ = 7.5195 (1.7); 7.3110 (0.5); 7.2607 (298.3); 7.2115 (0.5); 7.1644 (5.2); 7.1584 (9.5); 7.1456 (8.8); 7.1370 (15.0); 7.1330 (8.4); 7.1170 (11.0); 7.1120 (12.9); 7.0919 (7.0); 7.0707 (4.2); 7.0671 (4.6); 7.0605 (5.2); 7.0570 (4.6); 7.0509 (4.4); 7.0461 (2.8); 7.0398 (2.7); 7.0356 (2.4); 7.0304 (2.3); 6.9966 (2.1); 5.8353 (3.8); 4.1751 (2.5); 4.1538 (6.0); 4.1342 (6.4); 4.1128 (3.0); 3.9523 (0.5); 3.7962 (5.9); 3.7726 (10.5); 3.7491 (5.7); 3.5219 (0.9); 3.5016 (0.8); 3.4526 (0.6); 3.4277 (0.5); 3.3627 (7.1); 3.3441 (7.2); 3.3382 (6.9); 3.3195 (6.2); 3.1921 (12.8); 3.1708 (12.2); 1.9913 (2.9); 1.9719 (5.7); 1.9576 (6.2); 1.9424 (3.9); 1.9141 (1.0); 1.8249 (0.8); 1.8075 (0.9); 1.7936 (0.9); 1.7764 (0.8); 1.7543 (1.2); 1.7379 (2.2); 1.7318 (2.7); 1.7228 (3.8); 1.7098 (5.9); 1.7024 (7.0); 1.6934 (4.4); 1.6852 (5.7); 1.6747 (6.4); 1.6581 (10.3); 1.6483 (13.0); 1.6441 (16.0); 1.6303 (12.5); 1.6234 (8.0); 1.6205 (6.9); 1.6151 (6.4); 1.6048 (3.4); 1.5647 (1.0); 1.5583 (1.3); 1.5416 (0.8); 1.5270 (0.8); 1.5116 (0.8); 1.4925 (0.7); 1.4735 (0.7);
1.4527 (0.6); 1.4021 (105.4); 1.2421 (0.6); 1.2067 (8.6); 0.0080 (4.1); -0.0002 (136.5); -0.0085 (4.1) 1.4527 (0.6); 1.4021 (105.4); 1.2421 (0.6); 1.2067 (8.6); 0.0080 (4.1); -0.0002 (136.5); -0.0085 (4.1)
1.31-37: 1H-NMR(400.0 MHz, CDC13): 1.31-37: 1 H-NMR (400.0 MHz, CDC13):
δ= 7.5924 (0.5); 7.5432 (8.2); 7.5372 (9.5); 7.5200 (10.6); 7.4960 (0.6); 7.4799 (0.6); 7.2936 (0.6); 7.2864 (0.5); 7.2752 (1.1); 7.2744 (1.1); 7.2736 (1.2); 7.2728 (1.3); 7.2720 (1.4); 7.2712 (1.6); 7.2704 (1.7); 7.2696 (2.0); 7.2688 (2.2); 7.2680 (2.5); 7.2608 (227.6); 7.2535 (1.2); 7.2526 (0.9); 7.2518 (0.8); 7.2510 (0.8); 7.2503 (0.6); 7.2494 (0.5); 7.2110 (1.6); 7.1995 (7.9); 7.1902δ = 7.5924 (0.5); 7.5432 (8.2); 7.5372 (9.5); 7.5200 (10.6); 7.4960 (0.6); 7.4799 (0.6); 7.2936 (0.6); 7.2864 (0.5); 7.2752 (1.1); 7.2744 (1.1); 7.2736 (1.2); 7.2728 (1.3); 7.2720 (1.4); 7.2712 (1.6); 7.2704 (1.7); 7.2696 (2.0); 7.2688 (2.2); 7.2680 (2.5); 7.2608 (227.6); 7.2535 (1.2); 7.2526 (0.9); 7.2518 (0.8); 7.2510 (0.8); 7.2503 (0.6); 7.2494 (0.5); 7.2110 (1.6); 7.1995 (7.9); 7.1902
(6.0) ; 7.1762 (9.6); 7.1600 (1.5); 7.1520 (4.4); 7.1353 (0.6); 7.1124 (0.7); 6.9968 (1.3); 5.8613 (4.0); 4.2463 (2.8); 4.2244 (6.7); 4.2048 (7.1); 4.1830 (3.4); 4.0270 (0.5); 3.8278 (0.8); 3.8180 (5.4); 3.8163 (5.3); 3.8027 (1.2); 3.7935 (10.8); 3.7708 (5.3); 3.7691 (5.3); 3.5486 (1.1); 3.5282 (1.1); 3.4900 (4.9); 3.4673 (0.7); 3.4418 (0.6); 3.3774 (7.2); 3.3582 (7.3); 3.3528 (6.8); 3.3336(6.0); 7.1762 (9.6); 7.1600 (1.5); 7.1520 (4.4); 7.1353 (0.6); 7.1124 (0.7); 6.9968 (1.3); 5.8613 (4.0); 4.2463 (2.8); 4.2244 (6.7); 4.2048 (7.1); 4.1830 (3.4); 4.0270 (0.5); 3.8278 (0.8); 3.8180 (5.4); 3.8163 (5.3); 3.8027 (1.2); 3.7935 (10.8); 3.7708 (5.3); 3.7691 (5.3); 3.5486 (1.1); 3.5282 (1.1); 3.4900 (4.9); 3.4673 (0.7); 3.4418 (0.6); 3.3774 (7.2); 3.3582 (7.3); 3.3528 (6.8); 3.3336
(6.1) ; 3.2199 (14.5); 3.1980 (13.9); 1.9917 (2.8); 1.9756 (5.1); 1.9727 (5.4); 1.9676 (4.5); 1.9578 (6.1); 1.9421 (3.2); 1.9356 (2.8); 1.7992 (0.5); 1.7846 (0.6); 1.7396 (2.0); 1.7341 (2.5); 1.7248 (3.6); 1.7209 (4.1); 1.7178 (4.2); 1.7114 (5.8); 1.7046 (7.1); 1.6944 (4.4); 1.6873 (5.7); 1.6813 (5.6); 1.6775 (6.7); 1.6662 (9.2); 1.6604 (11.0); 1.6505 (13.4); 1.6468 (16.0); 1.6331 (13.0); 1.6258 (8.8); 1.6172 (6.8); 1.6061 (4.1); 1.5961 (2.5); 1.5925 (2.3); 1.5649 (1.3); 1.5595 (1.6); 1.5350 (1.1); 1.5278 (1.1); 1.5136 (0.9); 1.4922 (0.7); 1.4807 (0.7); 1.4691 (0.8); 1.4565 (0.8); 1.4356 (0.8); 1.4031 (105.3); 1.2431 (0.6); 1.1801 (9.0); 0.0080(6.1); 3.2199 (14.5); 3.1980 (13.9); 1.9917 (2.8); 1.9756 (5.1); 1.9727 (5.4); 1.9676 (4.5); 1.9578 (6.1); 1.9421 (3.2); 1.9356 (2.8); 1.7992 (0.5); 1.7846 (0.6); 1.7396 (2.0); 1.7341 (2.5); 1.7248 (3.6); 1.7209 (4.1); 1.7178 (4.2); 1.7114 (5.8); 1.7046 (7.1); 1.6944 (4.4); 1.6873 (5.7); 1.6813 (5.6); 1.6775 (6.7); 1.6662 (9.2); 1.6604 (11.0); 1.6505 (13.4); 1.6468 (16.0); 1.6331 (13.0); 1.6258 (8.8); 1.6172 (6.8); 1.6061 (4.1); 1.5961 (2.5); 1.5925 (2.3); 1.5649 (1.3); 1.5595 (1.6); 1.5350 (1.1); 1.5278 (1.1); 1.5136 (0.9); 1.4922 (0.7); 1.4807 (0.7); 1.4691 (0.8); 1.4565 (0.8); 1.4356 (0.8); 1.4031 (105.3); 1.2431 (0.6); 1.1801 (9.0); 0.0080
(3.2) ; -0.0002 (101.8); -0.0085 (2.9) (3.2); -0.0002 (101.8); -0.0085 (2.9)
1.33-12: 1H-NMR(400.0 MHz, CDC13): 1.33-12: 1 H-NMR (400.0 MHz, CDC13):
δ= 7.8005 (4.8); 7.5668 (9.3); 7.5377 (5.4); 7.5198 (0.8); 7.5041 (4.7); 7.4936 (1.2); 7.4839 (4.9); 7.4742 (1.0); 7.4649 (1.6); 7.4333 (0.6); 7.2609 (93.0); 6.9969 (0.5); 5.9856 (2.6); 5.2984 (5.7); 4.3019 (1.7); 4.2792 (4.1); 4.2590 (4.4); 4.2362 (2.1); 4.1481 (1.2); 4.1302 (3.5); 4.1123 (3.6); 4.0945 (1.3); 3.8579 (3.0); 3.8557 (3.0); 3.8328 (6.4); 3.8100 (3.1); 3.8078 (3.1); 3.4677δ = 7.8005 (4.8); 7.5668 (9.3); 7.5377 (5.4); 7.5198 (0.8); 7.5041 (4.7); 7.4936 (1.2); 7.4839 (4.9); 7.4742 (1.0); 7.4649 (1.6); 7.4333 (0.6); 7.2609 (93.0); 6.9969 (0.5); 5.9856 (2.6); 5.2984 (5.7); 4.3019 (1.7); 4.2792 (4.1); 4.2590 (4.4); 4.2362 (2.1); 4.1481 (1.2); 4.1302 (3.5); 4.1123 (3.6); 4.0945 (1.3); 3.8579 (3.0); 3.8557 (3.0); 3.8328 (6.4); 3.8100 (3.1); 3.8078 (3.1); 3.4677
(4.5) ; 3.4478 (4.4); 3.4428 (4.2); 3.4228 (3.7); 3.3680 (8.2); 3.3450 (7.9); 2.4149 (1.7); 2.4098 (1.3); 2.3983 (3.2); 2.3904 (1.8); 2.3809 (3.5); 2.3777 (3.4); 2.3646 (4.3); 2.3529 (2.0); 2.3455 (2.4); 2.2641 (0.7); 2.1397 (1.2); 2.1292 (1.2); 2.1203 (2.8); 2.1180 (2.8); 2.1134 (2.1); 2.1022 (3.5); 2.0926 (2.4); 2.0864 (3.2); 2.0711 (2.4); 2.0540 (1.4); 2.0435 (16.0); 2.0122 (0.9); 1.9016 (0.9); 1.8966 (1.2); 1.8891 (1.5); 1.8845 (2.0); 1.8766 (3.2); 1.8646 (3.4); 1.8574 (4.2); 1.8513 (3.7); 1.8469 (3.8); 1.8327 (4.9); 1.8250 (3.0); 1.8161 (3.8); 1.8124 (4.2); 1.8056 (2.7); 1.8028 (2.8); 1.7945 (2.6); 1.7737 (1.2); 1.5765 (5.8); 1.2765 (4.4); 1.2586 (9.3);(4.5); 3.4478 (4.4); 3.4428 (4.2); 3.4228 (3.7); 3.3680 (8.2); 3.3450 (7.9); 2.4149 (1.7); 2.4098 (1.3); 2.3983 (3.2); 2.3904 (1.8); 2.3809 (3.5); 2.3777 (3.4); 2.3646 (4.3); 2.3529 (2.0); 2.3455 (2.4); 2.2641 (0.7); 2.1397 (1.2); 2.1292 (1.2); 2.1203 (2.8); 2.1180 (2.8); 2.1134 (2.1); 2.1022 (3.5); 2.0926 (2.4); 2.0864 (3.2); 2.0711 (2.4); 2.0540 (1.4); 2.0435 (16.0); 2.0122 (0.9); 1.9016 (0.9); 1.8966 (1.2); 1.8891 (1.5); 1.8845 (2.0); 1.8766 (3.2); 1.8646 (3.4); 1.8574 (4.2); 1.8513 (3.7); 1.8469 (3.8); 1.8327 (4.9); 1.8250 (3.0); 1.8161 (3.8); 1.8124 (4.2); 1.8056 (2.7); 1.8028 (2.8); 1.7945 (2.6); 1.7737 (1.2); 1.5765 (5.8); 1.2765 (4.4); 1.2586 (9.3);
1.2408 (4.2); 0.0079 (1.0); -0.0002 (32.9); -0.0084 (1.2) 1.2408 (4.2); 0.0079 (1.0); -0.0002 (32.9); -0.0084 (1.2)
1.33-13: 1H-NMR(400.0 MHz, CDC13): 1.33-13: 1 H-NMR (400.0 MHz, CDC13):
δ= 7.8045 (6.2); 7.6324 (12.0); 7.6121 (16.0); 7.5562 (0.7); 7.5361 (0.8); 7.5203 (0.7); 7.4860 (14.5); 7.4656 (11.6); 7.3766 (0.7); 7.3573 (0.6); 7.2613 (106.4); 6.9973 (0.6); 6.0384 (3.4); 4.2927 (1.7); 4.2702 (4.6); 4.2490 (5.0); 4.2268 (2.2); 3.8510 (3.6); 3.8269 (6.6); 3.8032 (3.8); 3.4903 (0.8); 3.4743 (4.3); 3.4539 (4.8); 3.4498 (4.8); 3.4293 (3.7); 3.3654 (7.8); 3.3421 (7.5); 2.4132 (2.2); 2.3968 (4.4); 2.3786 (5.2); 2.3633 (5.9); 2.3441 (3.6); 2.1310 (1.7); 2.1118 (4.4); 2.0970 (5.4); 2.0812 (4.5); 2.0637 (3.9); 2.0487 (2.0); 1.9378 (0.7); 1.8948 (2.5); 1.8746 (5.2); 1.8556 (6.5); 1.8461 (6.3); 1.8356 (5.7); 1.8303 (7.1); 1.8086 (6.2); 1.8008δ = 7.8045 (6.2); 7.6324 (12.0); 7.6121 (16.0); 7.5562 (0.7); 7.5361 (0.8); 7.5203 (0.7); 7.4860 (14.5); 7.4656 (11.6); 7.3766 (0.7); 7.3573 (0.6); 7.2613 (106.4); 6.9973 (0.6); 6.0384 (3.4); 4.2927 (1.7); 4.2702 (4.6); 4.2490 (5.0); 4.2268 (2.2); 3.8510 (3.6); 3.8269 (6.6); 3.8032 (3.8); 3,4903 (0.8); 3.4743 (4.3); 3.4539 (4.8); 3,4498 (4.8); 3.4293 (3.7); 3.3654 (7.8); 3.3421 (7.5); 2.4132 (2.2); 2.3968 (4.4); 2.3786 (5.2); 2.3633 (5.9); 2.3441 (3.6); 2.1310 (1.7); 2.1118 (4.4); 2.0970 (5.4); 2.0812 (4.5); 2.0637 (3.9); 2.0487 (2.0); 1.9378 (0.7); 1.8948 (2.5); 1.8746 (5.2); 1.8556 (6.5); 1.8461 (6.3); 1.8356 (5.7); 1.8303 (7.1); 1.8086 (6.2); 1.8008
(4.6) ; 1.7902 (4.0); 1.7666 (2.1); 0.0080 (1.4); -0.0002 (47.1); -0.0085 (2.1) 1.33-32: Ή-ΝΜΙΙ(400.0 MHz, CDC13): (4.6); 1.7902 (4.0); 1.7666 (2.1); 0.0080 (1.4); -0.0002 (47.1); -0.0085 (2.1) 1.33-32: Ή-ΝΜΙΙ (400.0 MHz, CDC13):
δ= 7.7936 (8.8); 7.5198 (1.6); 7.2872 (0.6); 7.2609 (279.5); 7.2107 (0.5); 7.1907 (4.6); 7.1851 (5.3); 7.1779 (4.9); 7.1722 (5.2); 7.1665 (6.1); 7.1628 (6.0); 7.1570 (14.4); 7.1532 (5.8); 7.1481 (2.1); 7.1441 (5.0); 7.1371 (10.7); 7.1319 (9.0); 7.1123 (8.1); 7.1029 (5.0); 7.1004 (5.2); 7.0921 (6.8); 7.0869 (5.5); 7.0790 (3.2); 7.0730 (3.0); 7.0683 (3.2); 7.0461 (0.6); 6.9969 (1.7); 5.9288 (5.7); 4.1892 (3.0); 4.1667 (7.8); 4.1456 (8.3); 4.1231 (3.8); 3.8415 (0.6); 3.8199 (6.2); 3.7953 (12.1); 3.7722 (6.0); 3.6978 (1.6); 3.6516 (0.5); 3.4908 (4.8); 3.4555 (0.6); 3.4200 (8.6); 3.3998 (8.9); 3.3951 (8.5); 3.3749 (7.2); 3.2867 (16.0); 3.2634 (15.2); 2.4129 (2.8); 2.4083 (3.0); 2.4021 (5.2); 2.3972 (5.4); 2.3802 (7.1); 2.3643 (6.7); 2.3564 (4.4); 2.3501 (4.0); 2.1366 (2.7); 2.1288 (2.7); 2.1169 (5.0); 2.1027 (5.3); 2.0979 (5.8); 2.0948 (5.7); 2.0856 (5.4); 2.0803 (5.7); 2.0689 (3.3); 2.0607 (3.8); 2.0464 (2.2); 1.9150 (1.1); 1.8978 (2.9); 1.8869 (3.9); 1.8762 (6.2); 1.8648 (6.9); 1.8607 (7.5); 1.8562 (7.8); 1.8496 (8.8); 1.8414 (6.0); 1.8366 (7.3); 1.8317 (9.8); 1.8169 (8.0); 1.8106 (8.3); 1.8040 (6.2); 1.8007 (5.9); 1.7930 (6.3); 1.7887 (5.7); 1.7833 (4.5); 1.7721 (3.8); 1.7528 (2.4); 1.7288 (2.1); 1.2929 (0.8); 0.0080 (4.1); -0.0002 (126.2); -0.0085 (3.8) δ = 7.7936 (8.8); 7.5198 (1.6); 7.2872 (0.6); 7.2609 (279.5); 7.2107 (0.5); 7.1907 (4.6); 7.1851 (5.3); 7.1779 (4.9); 7.1722 (5.2); 7.1665 (6.1); 7.1628 (6.0); 7.1570 (14.4); 7.1532 (5.8); 7.1481 (2.1); 7.1441 (5.0); 7.1371 (10.7); 7.1319 (9.0); 7.1123 (8.1); 7.1029 (5.0); 7.1004 (5.2); 7.0921 (6.8); 7.0869 (5.5); 7.0790 (3.2); 7.0730 (3.0); 7.0683 (3.2); 7.0461 (0.6); 6.9969 (1.7); 5.9288 (5.7); 4.1892 (3.0); 4.1667 (7.8); 4.1456 (8.3); 4.1231 (3.8); 3.8415 (0.6); 3.8199 (6.2); 3.7953 (12.1); 3.7722 (6.0); 3.6978 (1.6); 3.6516 (0.5); 3.4908 (4.8); 3.4555 (0.6); 3.4200 (8.6); 3.3998 (8.9); 3.3951 (8.5); 3.3749 (7.2); 3.2867 (16.0); 3.2634 (15.2); 2.4129 (2.8); 2.4083 (3.0); 2.4021 (5.2); 2.3972 (5.4); 2.3802 (7.1); 2.3643 (6.7); 2.3564 (4.4); 2.3501 (4.0); 2.1366 (2.7); 2.1288 (2.7); 2.1169 (5.0); 2.1027 (5.3); 2.0979 (5.8); 2.0948 (5.7); 2.0856 (5.4); 2.0803 (5.7); 2.0689 (3.3); 2.0607 (3.8); 2.0464 (2.2); 1.9150 (1.1); 1.8978 (2.9); 1.8869 (3.9); 1.8762 (6.2); 1.8648 (6.9); 1.8607 (7.5); 1.8562 (7.8); 1.8496 (8.8); 1.8414 (6.0); 1.8366 (7.3); 1.8317 (9.8); 1.8169 (8.0); 1.8106 (8.3); 1.8040 (6.2); 1.8007 (5.9); 1.7930 (6.3); 1.7887 (5.7); 1.7833 (4.5); 1.7721 (3.8); 1.7528 (2.4); 1.7288 (2.1); 1.2929 (0.8); 0.0080 (4.1); -0.0002 (126.2); -0.0085 (3.8)
1.33- 37: Ή-ΝΜϋ^ΟΟ.Ο MHz, CDC13): 1.33-37: Ή-ΝΜϋ ^ ΟΟ.Ο MHz, CDC13):
δ= 8.2798 (0.5); 7.8212 (9.2); 7.5913 (3.1); 7.5854 (4.8); 7.5800 (3.9); 7.5736 (5.5); 7.5646 (16.0); 7.5488 (9.9); 7.5202 (1.3); 7.4661 (0.5); 7.4500 (0.7); 7.2613 (208.4); 7.2202 (6.2); 7.1973 (8.4); 7.1746 (5.9); 7.1339 (0.6); 6.9972 (1.2); 6.0347 (5.5); 4.2569 (3.1); 4.2343 (7.7); 4.2125 (8.2); 4.1899 (3.7); 3.9776 (0.8); 3.8438 (5.8); 3.8195 (10.8); 3.7959 (5.8); 3.6932 (0.6); 3.6721 (0.5); 3.4912 (4.9); 3.4423 (7.4); 3.4215 (8.1); 3.4174 (7.8); 3.3966 (6.2); 3.3219 (14.0); 3.2982 (13.3); 2.4152 (2.9); 2.3994 (5.7); 2.3966 (6.1); 2.3885 (3.6); 2.3810 (7.6); 2.3638 (8.1); 2.3542 (4.7); 2.3476 (4.3); 2.3438 (4.6); 2.1366 (2.9); 2.1172δ = 8.2798 (0.5); 7.8212 (9.2); 7.5913 (3.1); 7.5854 (4.8); 7.5800 (3.9); 7.5736 (5.5); 7.5646 (16.0); 7.5488 (9.9); 7.5202 (1.3); 7.4661 (0.5); 7.4500 (0.7); 7.2613 (208.4); 7.2202 (6.2); 7.1973 (8.4); 7.1746 (5.9); 7.1339 (0.6); 6.9972 (1.2); 6.0347 (5.5); 4.2569 (3.1); 4.2343 (7.7); 4.2125 (8.2); 4.1899 (3.7); 3.9776 (0.8); 3.8438 (5.8); 3.8195 (10.8); 3.7959 (5.8); 3.6932 (0.6); 3.6721 (0.5); 3.4912 (4.9); 3.4423 (7.4); 3.4215 (8.1); 3.4174 (7.8); 3.3966 (6.2); 3.3219 (14.0); 3.2982 (13.3); 2.4152 (2.9); 2.3994 (5.7); 2.3966 (6.1); 2.3885 (3.6); 2.3810 (7.6); 2.3638 (8.1); 2.3542 (4.7); 2.3476 (4.3); 2.3438 (4.6); 2.1366 (2.9); 2.1172
(5.6) ; 2.1081 (5.3); 2.0969 (6.5); 2.0830 (6.6); 2.0657 (4.4); 2.0624 (4.4); 2.0481 (2.9); 1.9949 (1.1); 1.9741 (1.1); 1.9612 (1.1); 1.9415 (1.1); 1.9175 (1.4); 1.8999 (3.1); 1.8918 (3.7); 1.8885 (4.2); 1.8795 (6.6); 1.8634 (7.6); 1.8587 (7.6); 1.8511 (8.3); 1.8335(5.6); 2.1081 (5.3); 2.0969 (6.5); 2.0830 (6.6); 2.0657 (4.4); 2.0624 (4.4); 2.0481 (2.9); 1.9949 (1.1); 1.9741 (1.1); 1.9612 (1.1); 1.9415 (1.1); 1.9175 (1.4); 1.8999 (3.1); 1.8918 (3.7); 1.8885 (4.2); 1.8795 (6.6); 1.8634 (7.6); 1.8587 (7.6); 1.8511 (8.3); 1.8335
(9.2) ; 1.8161 (7.6); 1.8125 (8.0); 1.8029 (5.6); 1.7940 (5.4); 1.7905 (4.8); 1.7736 (2.6); 1.7538 (1.0); 1.7291 (0.6); 1.7156 (0.6); 1.6966 (0.5); 0.0080 (3.0); -0.0002 (93.2); -0.0085 (2.8) (9.2); 1.8161 (7.6); 1.8125 (8.0); 1.8029 (5.6); 1.7940 (5.4); 1.7905 (4.8); 1.7736 (2.6); 1.7538 (1.0); 1.7291 (0.6); 1.7156 (0.6); 1.6966 (0.5); 0.0080 (3.0); -0.0002 (93.2); -0.0085 (2.8)
1.34- 12: 1H-NMR(400.0 MHz, CDC13): 1.34-12: 1 H NMR (400.0 MHz, CDC13):
δ= 7.6217 (0.8); 7.5393 (1.6); 7.5170 (1.9); 7.4786 (1.0); 7.4626 (0.6); 7.2625 (14.1); 4.2512 (0.7); 4.2320 (0.7); 3.8479 (0.6); 3.8242 (1.0); 3.8008 (0.6); 3.6916 (16.0); 3.4873 (6.8); 3.4374 (0.7); 3.4187 (0.7); 3.4129 (0.7); 3.3940 (0.6); 3.3584 (1.5); 3.3368 (1.4); 2.2543 (0.6); 2.2323 (0.7); 2.2201 (0.6); 1.9860 (0.7); 1.9704 (0.5); 1.9523 (0.6); 1.7962 (1.5); 1.7873 (1.5); 1.7778δ = 7.6217 (0.8); 7.5393 (1.6); 7.5170 (1.9); 7.4786 (1.0); 7.4626 (0.6); 7.2625 (14.1); 4.2512 (0.7); 4.2320 (0.7); 3.8479 (0.6); 3.8242 (1.0); 3.8008 (0.6); 3.6916 (16.0); 3.4873 (6.8); 3.4374 (0.7); 3.4187 (0.7); 3.4129 (0.7); 3.3940 (0.6); 3.3584 (1.5); 3.3368 (1.4); 2.2543 (0.6); 2.2323 (0.7); 2.2201 (0.6); 1.9860 (0.7); 1.9704 (0.5); 1.9523 (0.6); 1.7962 (1.5); 1.7873 (1.5); 1.7778
(3.0); 1.7692 (1.4); 1.7598 (1.0); -0.0002 (6.6) (3.0); 1.7692 (1.4); 1.7598 (1.0); -0.0002 (6.6)
1.34-13: 1H-NMR(400.0 MHz, CDC13): 1.34-13: 1 H-NMR (400.0 MHz, CDC13):
δ= 7.6534 (1.0); 7.6095 (1.9); 7.5890 (2.4); 7.4504 (2.3); 7.4299 (1.8); 7.2609 (18.5); 5.9115 (0.7); 4.2357 (0.8); 4.2159 (0.9); 3.8337 (0.7); 3.8108 (1.4); 3.7867 (0.7); 3.6925 (16.0); 3.4341 (0.9); 3.4151 (0.9); 3.4096 (0.9); 3.3906 (0.8); 3.3517 (1.8); 3.3298 (1.8); 2.2594 (0.6); 2.2544 (0.7); 2.2399 (0.6); 2.2330 (0.5); 2.2246 (0.9); 2.2199 (0.8); 1.9859 (1.1); 1.9696 (0.7); 1.9513δ = 7.6534 (1.0); 7.6095 (1.9); 7.5890 (2.4); 7.4504 (2.3); 7.4299 (1.8); 7.2609 (18.5); 5.9115 (0.7); 4.2357 (0.8); 4.2159 (0.9); 3.8337 (0.7); 3.8108 (1.4); 3.7867 (0.7); 3.6925 (16.0); 3.4341 (0.9); 3.4151 (0.9); 3.4096 (0.9); 3.3906 (0.8); 3.3517 (1.8); 3.3298 (1.8); 2.2594 (0.6); 2.2544 (0.7); 2.2399 (0.6); 2.2330 (0.5); 2.2246 (0.9); 2.2199 (0.8); 1.9859 (1.1); 1.9696 (0.7); 1.9513
(0.8); 1.7940 (1.7); 1.7850 (1.9); 1.7753 (3.4); 1.7670 (1.7); 1.7571 (1.1); 1.5783 (1.5); -0.0002 (8.3) (0.8); 1.7940 (1.7); 1.7850 (1.9); 1.7753 (3.4); 1.7670 (1.7); 1.7571 (1.1); 1.5783 (1.5); -0.0002 (8.3)
1.34-32: 1H-NMR(400.0 MHz, CDC13): 1.34-32: 1 H-NMR (400.0 MHz, CDC13):
δ= 7.6343 (0.7); 7.2607 (37.4); 7.1574 (0.6); 7.1528 (0.9); 7.1388 (0.6); 7.1323 (1.5); 7.1285 (1.0); 7.1239 (0.6); 7.1115 (1.2); 7.1067 (1.3); 7.0867 (0.8); 7.0547 (0.6); 7.0487 (0.6); 7.0446 (0.6); 4.1344 (0.8); 4.1142 (0.8); 3.8013 (0.7); 3.7778 (1.2); 3.7546 (0.6); 3.6966 (16.0); 3.3873 (0.8); 3.3681 (0.9); 3.3628 (0.8); 3.3436 (0.7); 3.2787 (1.4); 3.2566 (1.3); 2.2602 (0.6); 2.2560 (0.6); 2.2462 (0.5); 2.2401 (0.6); 2.2255 (0.8); 2.2218 (0.8); 1.9815 (0.8); 1.9694 (0.5); 1.9499 (0.6); 1.7944 (1.8); 1.7859 (1.9); 1.7760δ = 7.6343 (0.7); 7.2607 (37.4); 7.1574 (0.6); 7.1528 (0.9); 7.1388 (0.6); 7.1323 (1.5); 7.1285 (1.0); 7.1239 (0.6); 7.1115 (1.2); 7.1067 (1.3); 7.0867 (0.8); 7.0547 (0.6); 7.0487 (0.6); 7.0446 (0.6); 4.1344 (0.8); 4.1142 (0.8); 3.8013 (0.7); 3.7778 (1.2); 3.7546 (0.6); 3.6966 (16.0); 3.3873 (0.8); 3.3681 (0.9); 3.3628 (0.8); 3.3436 (0.7); 3.2787 (1.4); 3.2566 (1.3); 2.2602 (0.6); 2.2560 (0.6); 2.2462 (0.5); 2.2401 (0.6); 2.2255 (0.8); 2.2218 (0.8); 1.9815 (0.8); 1.9694 (0.5); 1.9499 (0.6); 1.7944 (1.8); 1.7859 (1.9); 1.7760
(3.3) ; 1.7674 (1.6); 1.7588 (1.1); 0.0080 (0.6); -0.0002 (17.2) (3.3); 1.7674 (1.6); 1.7588 (1.1); 0.0080 (0.6); -0.0002 (17.2)
1.34-37: 1H-NMR(400.0 MHz, CDC13): 1.34-37: 1 H-NMR (400.0 MHz, CDC13):
δ= 7.6801 (0.7); 7.5367 (1.3); 7.5202 (1.3); 7.5148 (0.9); 7.5080 (0.5); 7.2614 (25.1); 7.1965 (0.5); 7.1720 (0.9); 4.2026 (0.7); 4.1821 (0.7); 3.8282 (0.6); 3.8045 (1.0); 3.7812 (0.5); 3.6951 (16.0); 3.5500 (1.0); 3.4892 (1.2); 3.4069 (0.7); 3.3872 (0.7); 3.3823 (0.7); 3.3626 (0.6); 3.3146 (1.3); 3.2921 (1.2); 2.2597 (0.8); 2.2252 (1.0); 1.9869 (0.6); 1.9803 (0.6); 1.7966 (1.5); 1.7882δ = 7.6801 (0.7); 7.5367 (1.3); 7.5202 (1.3); 7.5148 (0.9); 7.5080 (0.5); 7.2614 (25.1); 7.1965 (0.5); 7.1720 (0.9); 4.2026 (0.7); 4.1821 (0.7); 3.8282 (0.6); 3.8045 (1.0); 3.7812 (0.5); 3.6951 (16.0); 3,500 (1.0); 3.4892 (1.2); 3.4069 (0.7); 3.3872 (0.7); 3.3823 (0.7); 3.3626 (0.6); 3.3146 (1.3); 3.2921 (1.2); 2.2597 (0.8); 2.2252 (1.0); 1.9869 (0.6); 1.9803 (0.6); 1.7966 (1.5); 1.7882
(1.7) ; 1.7774 (2.7); 1.7687 (1.3); 1.7615 (0.9); -0.0002 (11.0) (1.7); 1.7774 (2.7); 1.7687 (1.3); 1.7615 (0.9); -0.0002 (11.0)
1.36-12: 1H-NMR(400.0 MHz, CDC13): 1.36-12: 1 H-NMR (400.0 MHz, CDC13):
δ= 7.5735 (3.6); 7.5606 (1.8); 7.5407 (3.2); 7.5170 (2.6); 7.4847 (2.5); 7.4657 (2.5); 7.4465 (0.8); 7.2613 (32.7); 7.1672 (0.9); 7.1490 (0.9); 5.9303 (1.3); 4.2985 (0.8); 4.2767 (1.9); 4.2570 (2.0); 4.2353 (0.9); 3.8362 (1.5); 3.8122 (3.0); 3.7988 (0.5); 3.7889δ = 7.5735 (3.6); 7.5606 (1.8); 7.5407 (3.2); 7.5170 (2.6); 7.4847 (2.5); 7.4657 (2.5); 7.4465 (0.8); 7.2613 (32.7); 7.1672 (0.9); 7.1490 (0.9); 5.9303 (1.3); 4.2985 (0.8); 4.2767 (1.9); 4.2570 (2.0); 4.2353 (0.9); 3.8362 (1.5); 3.8122 (3.0); 3.7988 (0.5); 3.7889
(2.0) ; 3.7730 (0.9); 3.7629 (0.9); 3.7527 (0.9); 3.7477 (0.6); 3.4508 (1.9); 3.4317 (2.0); 3.4263 (1.9); 3.4071 (1.6); 3.2960 (3.8); 3.2741 (3.6); 2.0046 (16.0); 1.9008 (0.8); 1.8813 (1.6); 1.8725 (1.6); 1.8531 (0.9); 1.8427 (0.9); 1.7267 (0.8); 1.7173 (1.5); 1.7072 (1.6); 1.6962 (1.5); 1.6843 (1.8); 1.6746 (1.7); 1.5968 (0.9); 1.5873 (0.7); 1.5747 (0.8); 1.5650 (1.0); 1.5553 (0.7); 1.3731 (0.7); 1.3638 (1.2); 1.3540 (1.3); 1.3447 (1.0); 1.3255 (1.4); 1.3116 (0.8); 1.3025 (0.9); 1.2928 (0.8); 1.2707 (0.6); 1.2632 (0.7); 1.2546 (0.8); 1.2457 (1.3); 1.2409 (1.5); 1.2323 (1.7); 1.2242 (1.5); 1.2153 (1.8); 1.2042 (1.8); 1.1921 (1.3); 1.1727 (1.1); 1.1638(2.0); 3.7730 (0.9); 3.7629 (0.9); 3.7527 (0.9); 3.7477 (0.6); 3.4508 (1.9); 3.4317 (2.0); 3.4263 (1.9); 3.4071 (1.6); 3.2960 (3.8); 3.2741 (3.6); 2.0046 (16.0); 1.9008 (0.8); 1.8813 (1.6); 1.8725 (1.6); 1.8531 (0.9); 1.8427 (0.9); 1.7267 (0.8); 1.7173 (1.5); 1.7072 (1.6); 1.6962 (1.5); 1.6843 (1.8); 1.6746 (1.7); 1.5968 (0.9); 1.5873 (0.7); 1.5747 (0.8); 1.5650 (1.0); 1.5553 (0.7); 1.3731 (0.7); 1.3638 (1.2); 1.3540 (1.3); 1.3447 (1.0); 1.3255 (1.4); 1.3116 (0.8); 1.3025 (0.9); 1.2928 (0.8); 1.2707 (0.6); 1.2632 (0.7); 1.2546 (0.8); 1.2457 (1.3); 1.2409 (1.5); 1.2323 (1.7); 1.2242 (1.5); 1.2153 (1.8); 1.2042 (1.8); 1.1921 (1.3); 1.1727 (1.1); 1.1638
(0.7); 0.0078 (0.6); -0.0002 (15.6); -0.0084 (0.6) (0.7); 0.0078 (0.6); -0.0002 (15.6); -0.0084 (0.6)
1.36-13: 1H-NMR(400.0 MHz, CDC13): 1.36-13: 1 H-NMR (400.0 MHz, CDC13):
δ= 7.6147 (12.1); 7.5943 (16.0); 7.5422 (1.4); 7.5213 (2.2); 7.4733 (15.0); 7.4527 (11.3); 7.3854 (1.6); 7.3651 (1.2); 7.3120 (0.6); 7.2622 (88.6); 7.1742 (2.5); 7.1552 (2.4); 6.9982 (0.5); 6.0255 (3.6); 4.2870 (2.3); 4.2651 (5.6); 4.2452 (5.9); 4.2235 (2.7); 4.0746 (0.6); 3.8471 (0.7); 3.8294 (5.1); 3.8271 (4.8); 3.8047 (10.5); 3.7920 (1.3); 3.7822 (5.9); 3.7801 (5.8); 3.7719 (1.8); 3.7662 (2.7); 3.7560 (2.5); 3.7459 (2.6); 3.7405 (1.8); 3.7364 (1.6); 3.7304 (1.3); 3.7202 (1.2); 3.7106 (0.6); 3.6114 (1.2); 3.5909δ = 7.6147 (12.1); 7.5943 (16.0); 7.5422 (1.4); 7.5213 (2.2); 7.4733 (15.0); 7.4527 (11.3); 7.3854 (1.6); 7.3651 (1.2); 7.3120 (0.6); 7.2622 (88.6); 7.1742 (2.5); 7.1552 (2.4); 6.9982 (0.5); 6.0255 (3.6); 4.2870 (2.3); 4.2651 (5.6); 4.2452 (5.9); 4.2235 (2.7); 4.0746 (0.6); 3.8471 (0.7); 3.8294 (5.1); 3.8271 (4.8); 3.8047 (10.5); 3.7920 (1.3); 3.7822 (5.9); 3.7801 (5.8); 3.7719 (1.8); 3.7662 (2.7); 3.7560 (2.5); 3.7459 (2.6); 3.7405 (1.8); 3.7364 (1.6); 3.7304 (1.3); 3.7202 (1.2); 3.7106 (0.6); 3.6114 (1.2); 3.5909
(1.1) ; 3.5028 (0.7); 3.4985 (0.5); 3.4871 (2.3); 3.4777 (0.6); 3.4501 (6.3); 3.4308 (6.3); 3.4255 (5.9); 3.4062 (5.2); 3.2939 (12.3); 3.2718 (11.8); 1.9065 (2.1); 1.8976 (2.2); 1.8779 (4.2); 1.8693 (4.4); 1.8497 (2.3); 1.8400 (2.3); 1.7266 (2.2); 1.7160 (4.0); 1.7060 (4.4); 1.6942 (4.2); 1.6827 (5.0); 1.6732 (4.8); 1.6631 (3.1); 1.6336 (3.0); 1.6075 (2.6); 1.5973 (3.0); 1.5867 (2.3); 1.5762(1.1); 3.5028 (0.7); 3.4985 (0.5); 3.4871 (2.3); 3.4777 (0.6); 3.4501 (6.3); 3.4308 (6.3); 3.4255 (5.9); 3.4062 (5.2); 3.2939 (12.3); 3.2718 (11.8); 1.9065 (2.1); 1.8976 (2.2); 1.8779 (4.2); 1.8693 (4.4); 1.8497 (2.3); 1.8400 (2.3); 1.7266 (2.2); 1.7160 (4.0); 1.7060 (4.4); 1.6942 (4.2); 1.6827 (5.0); 1.6732 (4.8); 1.6631 (3.1); 1.6336 (3.0); 1.6075 (2.6); 1.5973 (3.0); 1.5867 (2.3); 1.5762
(2.3) ; 1.5653 (2.7); 1.5563 (1.9); 1.5199 (0.5); 1.4924 (0.6); 1.3994 (0.9); 1.3905 (1.4); 1.3790 (1.4); 1.3706 (2.3); 1.3619 (3.2); 1.3589 (3.0); 1.3504 (3.5); 1.3419 (3.0); 1.3370 (2.6); 1.3333 (3.3); 1.3294 (3.6); 1.3251 (3.7); 1.3217 (3.7); 1.3175 (3.0); 1.3088(2.3); 1.5653 (2.7); 1.5563 (1.9); 1.5199 (0.5); 1.4924 (0.6); 1.3994 (0.9); 1.3905 (1.4); 1.3790 (1.4); 1.3706 (2.3); 1.3619 (3.2); 1.3589 (3.0); 1.3504 (3.5); 1.3419 (3.0); 1.3370 (2.6); 1.3333 (3.3); 1.3294 (3.6); 1.3251 (3.7); 1.3217 (3.7); 1.3175 (3.0); 1.3088
(2.4) ; 1.3004 (2.4); 1.2891 (2.4); 1.2814 (1.3); 1.2687 (1.8); 1.2612 (2.0); 1.2497 (2.3); 1.2391 (4.4); 1.2302 (4.6); 1.2211 (4.0); 1.2125 (5.4); 1.2021 (4.7); 1.1932 (4.3); 1.1846 (3.8); 1.1701 (3.0); 1.1646 (2.3); 1.1417 (1.2); 1.1327 (0.8); 0.0080 (1.1); -0.0002 (37.7); -0.0085 (1.1) 1.36-32: Ή-ΝΜΙΙ(400.0 MHz, CDC13): (2.4); 1.3004 (2.4); 1.2891 (2.4); 1.2814 (1.3); 1.2687 (1.8); 1.2612 (2.0); 1.2497 (2.3); 1.2391 (4.4); 1.2302 (4.6); 1.2211 (4.0); 1.2125 (5.4); 1.2021 (4.7); 1.1932 (4.3); 1.1846 (3.8); 1.1701 (3.0); 1.1646 (2.3); 1.1417 (1.2); 1.1327 (0.8); 0.0080 (1.1); -0.0002 (37.7); -0.0085 (1.1) 1.36-32: Ή-ΝΜΙΙ (400.0 MHz, CDC13):
δ= 7.5211 (0.8); 7.2622 (144.2); 7.1813 (5.5); 7.1757 (6.3); 7.1624 (8.0); 7.1578 (12.7); 7.1532 (9.7); 7.1476 (9.2); 7.1371 (14.6); 7.1337 (12.9); 7.1291 (8.8); 7.1171 (9.5); 7.1121 (10.0); 7.0925 (8.8); 7.0828 (5.7); 7.0799 (5.9); 7.0778 (6.0); 7.0721 (7.3); 7.0667 (5.9); 7.0645 (5.7); 7.0588 (3.8); 7.0528 (3.5); 7.0482 (3.5); 7.0273 (0.6); 6.9981 (1.2); 5.9986 (4.8); 4.1846 (3.1); 4.1630δ = 7.5211 (0.8); 7.2622 (144.2); 7.1813 (5.5); 7.1757 (6.3); 7.1624 (8.0); 7.1578 (12.7); 7.1532 (9.7); 7.1476 (9.2); 7.1371 (14.6); 7.1337 (12.9); 7.1291 (8.8); 7.1171 (9.5); 7.1121 (10.0); 7.0925 (8.8); 7.0828 (5.7); 7.0799 (5.9); 7.0778 (6.0); 7.0721 (7.3); 7.0667 (5.9); 7.0645 (5.7); 7.0588 (3.8); 7.0528 (3.5); 7.0482 (3.5); 7.0273 (0.6); 6.9981 (1.2); 5.9986 (4.8); 4.1846 (3.1); 4.1630
(8.1) ; 4.1428 (8.7); 4.1212 (3.8); 3.9703 (0.6); 3.7967 (7.4); 3.7733 (15.1); 3.7557 (4.7); 3.7496 (9.3); 3.7307 (2.2); 3.7203 (1.8); 3.7107 (1.0); 3.5575 (1.0); 3.5372 (0.8); 3.4888 (0.7); 3.4627 (0.6); 3.4374 (0.5); 3.3970 (8.6); 3.3777 (9.1); 3.3725 (8.6); 3.3532(8.1); 4.1428 (8.7); 4.1212 (3.8); 3.9703 (0.6); 3.7967 (7.4); 3.7733 (15.1); 3.7557 (4.7); 3.7496 (9.3); 3.7307 (2.2); 3.7203 (1.8); 3.7107 (1.0); 3.5575 (1.0); 3.5372 (0.8); 3.4888 (0.7); 3.4627 (0.6); 3.4374 (0.5); 3.3970 (8.6); 3.3777 (9.1); 3.3725 (8.6); 3.3532
(7.3) ; 3.2186 (16.0); 3.1965 (15.3); 1.8841 (6.2); 1.8747 (7.0); 1.8651 (6.6); 1.7161 (6.2); 1.7074 (6.6); 1.6952 (6.1); 1.6844(7.3); 3.2186 (16.0); 3.1965 (15.3); 1.8841 (6.2); 1.8747 (7.0); 1.8651 (6.6); 1.7161 (6.2); 1.7074 (6.6); 1.6952 (6.1); 1.6844
(7.5) ; 1.6761 (7.4); 1.6066 (2.9); 1.5988 (3.8); 1.5881 (3.3); 1.5766 (3.7); 1.5669 (4.4); 1.5575 (3.1); 1.4000 (1.1); 1.3917 (2.3); 1.3840 (2.3); 1.3712 (3.0); 1.3630 (6.2); 1.3555 (6.4); 1.3473 (3.6); 1.3425 (3.6); 1.3341 (6.3); 1.3273 (7.0); 1.3228 (5.9); 1.3093 (2.9); 1.3015 (4.7); 1.2939 (4.5); 1.2867 (2.2); 1.2651 (2.8); 1.2541 (3.8); 1.2450 (4.0); 1.2311 (8.5); 1.2088 (7.2); 1.1999 (9.9); 1.1806 (4.3); 1.1714 (5.7); 1.1629 (3.3); 1.1428 (1.6); 1.1337 (1.0); 0.0080 (2.2); -0.0002 (62.4); -0.0085 (2.1) (7.5); 1.6761 (7.4); 1.6066 (2.9); 1.5988 (3.8); 1.5881 (3.3); 1.5766 (3.7); 1.5669 (4.4); 1.5575 (3.1); 1.4000 (1.1); 1.3917 (2.3); 1.3840 (2.3); 1.3712 (3.0); 1.3630 (6.2); 1.3555 (6.4); 1.3473 (3.6); 1.3425 (3.6); 1.3341 (6.3); 1.3273 (7.0); 1.3228 (5.9); 1.3093 (2.9); 1.3015 (4.7); 1.2939 (4.5); 1.2867 (2.2); 1.2651 (2.8); 1.2541 (3.8); 1.2450 (4.0); 1.2311 (8.5); 1.2088 (7.2); 1.1999 (9.9); 1.1806 (4.3); 1.1714 (5.7); 1.1629 (3.3); 1.1428 (1.6); 1.1337 (1.0); 0.0080 (2.2); -0.0002 (62.4); -0.0085 (2.1)
1.36- 37: Ή-ΝΜϋ^ΟΟ.Ο MHz, CDC13): 1.36-37: Ή-ΝΜϋ ^ ΟΟ.Ο MHz, CDC13):
δ= 7.5634 (16.0); 7.5495 (15.0); 7.5443 (10.9); 7.5381 (4.3); 7.5324 (5.5); 7.5265 (2.9); 7.5211 (1.4); 7.4802 (0.7); 7.4633 (0.8); 7.4378 (0.5); 7.2621 (174.3); 7.2130 (4.1); 7.2005 (8.0); 7.1780 (9.6); 7.1538 (5.1); 7.1353 (0.7); 7.1116 (0.8); 7.0889 (0.6); 6.9981 (1.0); 6.0841 (0.6); 6.0007 (5.2); 4.2509 (3.2); 4.2288 (8.1); 4.2081 (8.6); 4.1861 (3.9); 4.0509 (0.6); 3.8415 (0.8); 3.8183δ = 7.5634 (16.0); 7.5495 (15.0); 7.5443 (10.9); 7.5381 (4.3); 7.5324 (5.5); 7.5265 (2.9); 7.5211 (1.4); 7.4802 (0.7); 7.4633 (0.8); 7.4378 (0.5); 7.2621 (174.3); 7.2130 (4.1); 7.2005 (8.0); 7.1780 (9.6); 7.1538 (5.1); 7.1353 (0.7); 7.1116 (0.8); 7.0889 (0.6); 6.9981 (1.0); 6.0841 (0.6); 6,0007 (5.2); 4.2509 (3.2); 4.2288 (8.1); 4.2081 (8.6); 4.1861 (3.9); 4.0509 (0.6); 3.8415 (0.8); 3.8183
(6.6) ; 3.7951 (12.2); 3.7712 (8.5); 3.7651 (4.2); 3.7547 (3.5); 3.7445 (3.7); 3.7393 (2.6); 3.7351 (2.3); 3.7293 (2.0); 3.7189 (1.7); 3.7093 (0.9); 3.5958 (1.3); 3.5753 (1.3); 3.4693 (0.7); 3.4434 (0.7); 3.4193 (8.3); 3.3994 (8.6); 3.3947 (8.2); 3.3748 (7.1); 3.2528 (15.2); 3.2301 (14.5); 1.8937 (4.1); 1.8807 (5.7); 1.8732 (6.8); 1.8637 (6.0); 1.8527 (4.9); 1.8422 (4.2); 1.7714 (2.8); 1.7278(6.6); 3.7951 (12.2); 3.7712 (8.5); 3.7651 (4.2); 3.7547 (3.5); 3.7445 (3.7); 3.7393 (2.6); 3.7351 (2.3); 3.7293 (2.0); 3.7189 (1.7); 3.7093 (0.9); 3.5958 (1.3); 3.5753 (1.3); 3.4693 (0.7); 3.4434 (0.7); 3.4193 (8.3); 3.3994 (8.6); 3.3947 (8.2); 3.3748 (7.1); 3.2528 (15.2); 3.2301 (14.5); 1.8937 (4.1); 1.8807 (5.7); 1.8732 (6.8); 1.8637 (6.0); 1.8527 (4.9); 1.8422 (4.2); 1.7714 (2.8); 1.7278
(4.2) ; 1.7184 (6.1); 1.7079 (6.3); 1.6969 (5.8); 1.6859 (7.1); 1.6756 (6.7); 1.6072 (2.7); 1.5992 (3.5); 1.5886 (2.9); 1.5778 (3.2); 1.5674 (4.0); 1.5579 (2.9); 1.4018 (1.0); 1.3931 (2.3); 1.3842 (2.2); 1.3733 (2.8); 1.3644 (5.8); 1.3557 (5.7); 1.3450 (3.6); 1.3356(4.2); 1.7184 (6.1); 1.7079 (6.3); 1.6969 (5.8); 1.6859 (7.1); 1.6756 (6.7); 1.6072 (2.7); 1.5992 (3.5); 1.5886 (2.9); 1.5778 (3.2); 1.5674 (4.0); 1.5579 (2.9); 1.4018 (1.0); 1.3931 (2.3); 1.3842 (2.2); 1.3733 (2.8); 1.3644 (5.8); 1.3557 (5.7); 1.3450 (3.6); 1.3356
(5.8) ; 1.3308 (5.8); 1.3273 (6.2); 1.3228 (5.0); 1.3113 (2.8); 1.3027 (4.3); 1.2945 (4.1); 1.2865 (2.1); 1.2703 (2.7); 1.2624 (3.1); 1.2577 (3.3); 1.2490 (4.0); 1.2410 (5.8); 1.2330 (8.2); 1.2258 (6.2); 1.2147 (6.3); 1.2030 (8.6); 1.1940 (5.9); 1.1859 (3.8); 1.1741 (5.0); 1.1648 (3.2); 1.1552 (1.5); 1.1457 (1.5); 1.1366 (1.1); 0.0080 (2.5); 0.0056 (1.1); -0.0002 (77.2); -0.0085 (2.3) (5.8); 1.3308 (5.8); 1.3273 (6.2); 1.3228 (5.0); 1.3113 (2.8); 1.3027 (4.3); 1.2945 (4.1); 1.2865 (2.1); 1.2703 (2.7); 1.2624 (3.1); 1.2577 (3.3); 1.2490 (4.0); 1.2410 (5.8); 1.2330 (8.2); 1.2258 (6.2); 1.2147 (6.3); 1.2030 (8.6); 1.1940 (5.9); 1.1859 (3.8); 1.1741 (5.0); 1.1648 (3.2); 1.1552 (1.5); 1.1457 (1.5); 1.1366 (1.1); 0.0080 (2.5); 0.0056 (1.1); -0.0002 (77.2); -0.0085 (2.3)
1.37- 12: 1H-NMR(400.0 MHz, CDC13): 1.37-12: 1 H-NMR (400.0 MHz, CDC13):
δ= 7.5500 (1.9); 7.5280 (1.5); 7.5199 (1.2); 7.5181 (1.2); 7.5158 (1.2); 7.4840 (1.2); 7.4658 (1.0); 7.4646 (1.0); 7.2615 (16.0); 7.0560 (0.7); 6.0310 (0.5); 4.2703 (0.8); 4.2520 (0.8); 3.8447 (0.7); 3.8213 (1.4); 3.7983 (0.8); 3.4882 (2.1); 3.4130 (0.9); 3.3949 (0.9); 3.3884 (0.8); 3.3702 (0.8); 3.3129 (1.9); 3.2921 (1.8); 1.5319 (0.7); 1.5214 (0.8); 1.5086 (0.9); 1.4980 (1.1); 1.4864 (1.1); 1.4775 (0.8); 1.4523 (0.6); 1.4437 (0.5); 1.4273 (0.6); 1.4010 (0.9); 1.3940 (0.6); 1.3888 (0.5); 1.3676 (1.4); 1.3518 (16.0);δ = 7.5500 (1.9); 7.5280 (1.5); 7.5199 (1.2); 7.5181 (1.2); 7.5158 (1.2); 7.4840 (1.2); 7.4658 (1.0); 7.4646 (1.0); 7.2615 (16.0); 7.0560 (0.7); 6.0310 (0.5); 4,2703 (0.8); 4.2520 (0.8); 3.8447 (0.7); 3.8213 (1.4); 3,7983 (0.8); 3.4882 (2.1); 3.4130 (0.9); 3.3949 (0.9); 3.3884 (0.8); 3.3702 (0.8); 3.3129 (1.9); 3.2921 (1.8); 1.5319 (0.7); 1.5214 (0.8); 1.5086 (0.9); 1.4980 (1.1); 1.4864 (1.1); 1.4775 (0.8); 1.4523 (0.6); 1.4437 (0.5); 1.4273 (0.6); 1.4010 (0.9); 1.3940 (0.6); 1.3888 (0.5); 1.3676 (1.4); 1.3518 (16.0);
1.3433 (1.0); 1.3335 (0.6); 1.0674 (1.3); -0.0002 (7.6) 1.3433 (1.0); 1.3335 (0.6); 1.0674 (1.3); -0.0002 (7.6)
1.37-12: 1H-NMR(400.0 MHz, CDC13): 1.37-12: 1 H-NMR (400.0 MHz, CDC13):
δ= 7.5504 (2.5); 7.5286 (1.9); 7.5151 (1.6); 7.4835 (1.5); 7.4649 (1.3); 7.2613 (24.0); 7.0605 (0.9); 5.9766 (0.5); 4.2697 (0.9); 4.2509 (0.9); 3.8426 (0.8); 3.8190 (1.4); 3.7957 (0.8); 3.4108 (0.8); 3.3926 (0.9); 3.3863 (0.9); 3.3681 (0.7); 3.3090 (1.8); 3.2883δ = 7.5504 (2.5); 7.5286 (1.9); 7.5151 (1.6); 7.4835 (1.5); 7.4649 (1.3); 7.2613 (24.0); 7.0605 (0.9); 5.9766 (0.5); 4.2697 (0.9); 4.2509 (0.9); 3.8426 (0.8); 3.8190 (1.4); 3.7957 (0.8); 3.4108 (0.8); 3.3926 (0.9); 3.3863 (0.9); 3.3681 (0.7); 3.3090 (1.8); 3.2883
(1.7) ; 1.9845 (0.5); 1.9531 (0.6); 1.5315 (0.9); 1.5213 (1.1); 1.5084 (1.2); 1.4976 (1.4); 1.4860 (1.4); 1.4792 (1.1); 1.4631 (0.6); 1.4534 (0.8); 1.4449 (0.7); 1.4366 (0.6); 1.4282 (0.8); 1.4207 (0.7); 1.4107 (0.5); 1.4009 (1.1); 1.3886 (0.8); 1.3674 (1.7); 1.3517(1.7); 1.9845 (0.5); 1.9531 (0.6); 1.5315 (0.9); 1.5213 (1.1); 1.5084 (1.2); 1.4976 (1.4); 1.4860 (1.4); 1.4792 (1.1); 1.4631 (0.6); 1.4534 (0.8); 1.4449 (0.7); 1.4366 (0.6); 1.4282 (0.8); 1.4207 (0.7); 1.4107 (0.5); 1.4009 (1.1); 1.3886 (0.8); 1.3674 (1.7); 1.3517
(16.0); 1.3331 (0.8); 1.2503 (0.5); 1.0687 (1.3); -0.0002 (12.1) (16.0); 1.3331 (0.8); 1.2503 (0.5); 1.0687 (1.3); -0.0002 (12.1)
1.37-13: 1H-NMR(400.0 MHz, CDC13): 1.37-13: 1 H-NMR (400.0 MHz, CDC13):
δ= 7.6156 (1.8); 7.5954 (2.3); 7.5181 (1.0); 7.4609 (2.1); 7.4398 (1.6); 7.2593 (171.0); 7.1120 (0.6); 6.9953 (0.9); 5.6824 (0.6); 4.2537 (0.7); 4.2347 (0.8); 3.8297 (0.7); 3.8277 (0.7); 3.8051 (1.5); 3.7826 (0.7); 3.7805 (0.7); 3.4097 (0.8); 3.3908 (0.9); 3.3853 (0.8); 3.3666 (0.7); 3.3036 (1.8); 3.2825 (1.8); 1.5416 (4.8); 1.5101 (1.0); 1.4983 (1.2); 1.4866 (1.2); 1.4776 (0.9); 1.4522 (0.6); 1.4268 (0.6); 1.3940 (0.6); 1.3638 (1.1); 1.3471 (16.0); 1.3284 (0.6); 1.0911 (0.9); 0.0080 (2.3); 0.0055 (0.9); -0.0002 (73.4); -δ = 7.6156 (1.8); 7.5954 (2.3); 7.5181 (1.0); 7.4609 (2.1); 7.4398 (1.6); 7.2593 (171.0); 7.1120 (0.6); 6.9953 (0.9); 5.6824 (0.6); 4.2537 (0.7); 4.2347 (0.8); 3.8297 (0.7); 3.8277 (0.7); 3.8051 (1.5); 3.7826 (0.7); 3.7805 (0.7); 3.4097 (0.8); 3.3908 (0.9); 3.3853 (0.8); 3.3666 (0.7); 3.3036 (1.8); 3.2825 (1.8); 1.5416 (4.8); 1.5101 (1.0); 1.4983 (1.2); 1.4866 (1.2); 1.4776 (0.9); 1.4522 (0.6); 1.4268 (0.6); 1.3940 (0.6); 1.3638 (1.1); 1.3471 (16.0); 1.3284 (0.6); 1.0911 (0.9); 0.0080 (2.3); 0.0055 (0.9); -0.0002 (73.4); -
0.0068 (0.9); -0.0085 (2.3) 0.0068 (0.9); -0.0085 (2.3)
1.37-37: 1H-NMR(400.0 MHz, CDC13): 1.37-37: 1 H-NMR (400.0 MHz, CDC13):
δ= 7.5443 (1.1); 7.5378 (0.9); 7.5274 (1.2); 7.5207 (1.1); 7.2614 (20.9); 7.2008 (0.6); 7.1765 (1.0); 7.1523 (0.6); 7.1149 (0.6); 5.9637 (0.6); 4.2200 (0.8); 4.2006 (0.9); 3.8235 (0.7); 3.8215 (0.7); 3.7989 (1.4); 3.7763 (0.7); 3.7743 (0.7); 3.4881 (4.2); 3.3765 (0.9); 3.3575 (0.9); 3.3519 (0.8); 3.3328 (0.8); 3.2657 (1.8); 3.2440 (1.8); 1.5314 (0.7); 1.5210 (0.8); 1.5086 (0.9); 1.4976 (1.0); 1.4854 (0.9); 1.4723 (0.7); 1.4464 (0.6); 1.4217 (0.5); 1.3960 (0.7); 1.3885 (0.8); 1.3641 (1.3); 1.3464 (16.0); 1.3322 (0.6); 1.1031 (0.9); -0.0002 (9.3) δ = 7.5443 (1.1); 7.5378 (0.9); 7.5274 (1.2); 7.5207 (1.1); 7.2614 (20.9); 7.2008 (0.6); 7.1765 (1.0); 7.1523 (0.6); 7.1149 (0.6); 5.9637 (0.6); 4.2200 (0.8); 4.2006 (0.9); 3.8235 (0.7); 3.8215 (0.7); 3.7989 (1.4); 3.7763 (0.7); 3.7743 (0.7); 3.4881 (4.2); 3.3765 (0.9); 3.3575 (0.9); 3.3519 (0.8); 3.3328 (0.8); 3.2657 (1.8); 3.2440 (1.8); 1.5314 (0.7); 1.5210 (0.8); 1.5086 (0.9); 1.4976 (1.0); 1.4854 (0.9); 1.4723 (0.7); 1.4464 (0.6); 1.4217 (0.5); 1.3960 (0.7); 1.3885 (0.8); 1.3641 (1.3); 1.3464 (16.0); 1.3322 (0.6); 1.1031 (0.9); -0.0002 (9.3)
1.37- 37: 1H-NMR(400.0 MHz, CDC13): 1.37- 37: 1 H-NMR (400.0 MHz, CDC13):
δ= 7.5441 (1.7); 7.5278 (1.8); 7.5216 (1.7); 7.2612 (29.0); 7.2009 (0.8); 7.1768 (1.4); 7.1529 (0.8); 7.1146 (0.9); 5.9491 (0.6); 4.2204 (0.9); 4.2005 (1.0); 3.8239 (0.8); 3.8002 (1.4); 3.7768 (0.8); 3.3786 (0.8); 3.3594 (0.9); 3.3543 (0.9); 3.3351 (0.7); 3.2674δ = 7.5441 (1.7); 7.5278 (1.8); 7.5216 (1.7); 7.2612 (29.0); 7.2009 (0.8); 7.1768 (1.4); 7.1529 (0.8); 7.1146 (0.9); 5.9491 (0.6); 4.2204 (0.9); 4.2005 (1.0); 3.8239 (0.8); 3.8002 (1.4); 3.7768 (0.8); 3.3786 (0.8); 3.3594 (0.9); 3.3543 (0.9); 3.3351 (0.7); 3.2674
(1.4) ; 3.2457 (1.3); 2.0956 (0.5); 1.9804 (0.5); 1.9488 (0.6); 1.5312 (1.1); 1.5217 (1.2); 1.5092 (1.3); 1.4981 (1.5); 1.4859 (1.4); 1.4735 (1.1); 1.4560 (0.6); 1.4471 (0.9); 1.4394 (0.7); 1.4315 (0.6); 1.4221 (0.8); 1.4148 (0.7); 1.3974 (1.2); 1.3882 (1.2); 1.3646(1.4); 3.2457 (1.3); 2.0956 (0.5); 1.9804 (0.5); 1.9488 (0.6); 1.5312 (1.1); 1.5217 (1.2); 1.5092 (1.3); 1.4981 (1.5); 1.4859 (1.4); 1.4735 (1.1); 1.4560 (0.6); 1.4471 (0.9); 1.4394 (0.7); 1.4315 (0.6); 1.4221 (0.8); 1.4148 (0.7); 1.3974 (1.2); 1.3882 (1.2); 1.3646
(1.9) ; 1.3466 (16.0); 1.2522 (0.6); 1.1032 (1.0); 0.0079 (0.6); -0.0002 (15.3); -0.0085 (0.6) (1.9); 1.3466 (16.0); 1.2522 (0.6); 1.1032 (1.0); 0.0079 (0.6); -0.0002 (15.3); -0.0085 (0.6)
1.38- 37: 1H-NMR(400.0 MHz, CDC13): 1.38- 37: 1 H-NMR (400.0 MHz, CDC13):
δ= 7.5771 (0.8); 7.5712 (1.6); 7.5542 (4.7); 7.5405 (5.2); 7.5192 (1.7); 7.5114 (2.6); 7.2604 (98.6); 7.1943 (1.6); 7.1702 (2.6); 7.1474 (1.3); 6.9964 (0.6); 5.8161 (2.0); 5.2986 (3.1); 4.2714 (1.0); 4.2490 (2.6); 4.2290 (2.7); 4.2067 (1.3); 3.8223 (1.9); 3.8201 (2.0); 3.7974 (4.0); 3.7747 (2.0); 3.7726 (2.0); 3.4028 (2.6); 3.3831 (2.7); 3.3781 (2.7); 3.3584 (2.3); 3.2874 (5.2); 3.2649 (5.0); 2.3930 (16.0); 2.0974 (1.8); 1.8440 (0.7); 1.8194 (1.3); 1.7967 (1.4); 1.7822 (1.2); 1.7726 (1.4); 1.7502 (0.8); 1.7409 (0.8); 1.7110 (0.5); 1.7020 (0.9); 1.6929 (0.7); 1.6772 (1.8); 1.6682 (2.3); 1.6588 (1.4); 1.6526 (2.1); 1.6436 (2.9); 1.6345 (1.5); 1.6286 (1.7); 1.6182 (1.8); 1.6024 (2.5); 1.5910 (2.6); 1.5762 (2.4); 1.5578 (4.8); 1.5192 (1.2); 1.3375 (0.6); 1.3225 (1.1); 1.3120 (0.9); 1.2996 (0.9); 1.2920 (0.8); 0.0080 (1.2); -0.0002 (40.7); -0.0084 (2.3) 1.39-13: Ή-ΝΜΙΙ(400.0 MHz, CDC13): δ = 7.5771 (0.8); 7.5712 (1.6); 7.5542 (4.7); 7.5405 (5.2); 7.5192 (1.7); 7.5114 (2.6); 7.2604 (98.6); 7.1943 (1.6); 7.1702 (2.6); 7.1474 (1.3); 6.9964 (0.6); 5.8161 (2.0); 5.2986 (3.1); 4.2714 (1.0); 4.2490 (2.6); 4.2290 (2.7); 4.2067 (1.3); 3.8223 (1.9); 3.8201 (2.0); 3.7974 (4.0); 3.7747 (2.0); 3.7726 (2.0); 3.4028 (2.6); 3.3831 (2.7); 3.3781 (2.7); 3.3584 (2.3); 3.2874 (5.2); 3.2649 (5.0); 2.3930 (16.0); 2.0974 (1.8); 1.8440 (0.7); 1.8194 (1.3); 1.7967 (1.4); 1.7822 (1.2); 1.7726 (1.4); 1.7502 (0.8); 1.7409 (0.8); 1.7110 (0.5); 1.7020 (0.9); 1.6929 (0.7); 1.6772 (1.8); 1.6682 (2.3); 1.6588 (1.4); 1.6526 (2.1); 1.6436 (2.9); 1.6345 (1.5); 1.6286 (1.7); 1.6182 (1.8); 1.6024 (2.5); 1.5910 (2.6); 1.5762 (2.4); 1.5578 (4.8); 1.5192 (1.2); 1.3375 (0.6); 1.3225 (1.1); 1.3120 (0.9); 1.2996 (0.9); 1.2920 (0.8); 0.0080 (1.2); -0.0002 (40.7); -0.0084 (2.3) 1.39-13: Ή-ΝΜΙΙ (400.0 MHz, CDC13):
δ= 7.7461 (6.3); 7.6289 (12.2); 7.6086 (16.0); 7.5557 (0.5); 7.5354 (0.7); 7.5199 (0.9); 7.4863 (14.8); 7.4657 (11.2); 7.3876 (0.5); 7.2610 (149.1); 6.9969 (0.8); 5.9814 (3.8); 4.2904 (2.0); 4.2679 (5.1); 4.2471 (5.4); 4.2246 (2.4); 3.8479 (4.1); 3.8239 (8.0); 3.8001 (4.2); 3.4722 (5.7); 3.4522 (5.9); 3.4473 (5.6); 3.4273 (4.8); 3.3724 (10.1); 3.3493 (9.6); 2.3841 (1.7); 2.3599 (2.4); 2.2898 (2.0); 2.2668 (2.4); 1.7825 (1.1); 1.7659 (1.8); 1.7488 (2.8); 1.7211 (7.1); 1.7128 (8.2); 1.7014 (9.3); 1.6963 (9.4); 1.6867 (13.2); 1.6784 (11.9); 1.6670 (11.5); 1.6127 (2.5); 1.3524 (1.4); 1.3397 (2.0); 1.3222 (2.0); 0.0080 (2.0); -0.0002 (63.9); -0.0085δ = 7.7461 (6.3); 7.6289 (12.2); 7.6086 (16.0); 7.5557 (0.5); 7.5354 (0.7); 7.5199 (0.9); 7.4863 (14.8); 7.4657 (11.2); 7.3876 (0.5); 7.2610 (149.1); 6.9969 (0.8); 5.9814 (3.8); 4.2904 (2.0); 4.2679 (5.1); 4.2471 (5.4); 4.2246 (2.4); 3.8479 (4.1); 3.8239 (8.0); 3.8001 (4.2); 3.4722 (5.7); 3.4522 (5.9); 3.4473 (5.6); 3.4273 (4.8); 3.3724 (10.1); 3.3493 (9.6); 2.3841 (1.7); 2.3599 (2.4); 2.2898 (2.0); 2.2668 (2.4); 1.7825 (1.1); 1.7659 (1.8); 1.7488 (2.8); 1.7211 (7.1); 1.7128 (8.2); 1.7014 (9.3); 1.6963 (9.4); 1.6867 (13.2); 1.6784 (11.9); 1.6670 (11.5); 1.6127 (2.5); 1.3524 (1.4); 1.3397 (2.0); 1.3222 (2.0); 0.0080 (2.0); -0.0002 (63.9); -0.0085
(1 -8) (1 -8)
1.39-32: Ή-ΝΜΙΙ(400.0 MHz, CDC13): 1.39-32: Ή-ΝΜΙΙ (400.0 MHz, CDC13):
δ= 7.7241 (6.6); 7.5211 (0.8); 7.2622 (151.4); 7.1911 (3.8); 7.1855 (4.2); 7.1735 (6.2); 7.1669 (4.8); 7.1632 (4.5); 7.1575 (5.0); 7.1529 (8.1); 7.1491 (4.6); 7.1444 (4.2); 7.1390 (4.6); 7.1329 (7.0); 7.1279 (7.2); 7.1084 (6.7); 7.1006 (4.3); 7.0980 (4.3); 7.0955 (4.2); 7.0897 (5.4); 7.0843 (4.4); 7.0769 (2.7); 7.0711 (2.6); 7.0663 (2.6); 6.9981 (1.0); 6.0607 (3.9); 4.1859 (2.1); 4.1637 (5.6); 4.1426 (6.0); 4.1203 (2.6); 3.9778 (1.6); 3.8201 (5.1); 3.7959 (8.4); 3.7723 (4.8); 3.4913 (8.2); 3.4636 (0.7); 3.4389 (0.7); 3.4216 (5.7); 3.4015 (6.1); 3.3968 (5.8); 3.3767 (4.7); 3.3026 (9.4); 3.2794 (8.9); 2.3881 (2.1); 2.3634 (2.9); 2.3001 (2.1); 2.2861 (2.4); 2.2654 (2.9); 2.0130 (1.4); 1.7777 (1.2); 1.7447 (3.0); 1.7190 (8.5); 1.7115 (9.8); 1.7007 (11.2); 1.6915 (14.6); 1.6828 (16.0); 1.6707 (13.6); 1.6242 (2.8); 1.3545 (1.5); 1.3406 (2.3); 1.3236 (2.3); 1.3096 (1.8); 0.0080 (2.1); -0.0002 (68.2); -0.0085 (1.9) 1.39-37: 1H-NMR(400.0 MHz, CDC13): δ = 7.7241 (6.6); 7.5211 (0.8); 7.2622 (151.4); 7.1911 (3.8); 7.1855 (4.2); 7.1735 (6.2); 7.1669 (4.8); 7.1632 (4.5); 7.1575 (5.0); 7.1529 (8.1); 7.1491 (4.6); 7.1444 (4.2); 7.1390 (4.6); 7.1329 (7.0); 7.1279 (7.2); 7.1084 (6.7); 7.1006 (4.3); 7.0980 (4.3); 7.0955 (4.2); 7.0897 (5.4); 7.0843 (4.4); 7.0769 (2.7); 7.0711 (2.6); 7.0663 (2.6); 6.9981 (1.0); 6.0607 (3.9); 4.1859 (2.1); 4.1637 (5.6); 4.1426 (6.0); 4.1203 (2.6); 3.9778 (1.6); 3.8201 (5.1); 3.7959 (8.4); 3.7723 (4.8); 3.4913 (8.2); 3.4636 (0.7); 3.4389 (0.7); 3.4216 (5.7); 3.4015 (6.1); 3.3968 (5.8); 3.3767 (4.7); 3.3026 (9.4); 3.2794 (8.9); 2.3881 (2.1); 2.3634 (2.9); 2.3001 (2.1); 2.2861 (2.4); 2.2654 (2.9); 2.0130 (1.4); 1.7777 (1.2); 1.7447 (3.0); 1.7190 (8.5); 1.7115 (9.8); 1.7007 (11.2); 1.6915 (14.6); 1.6828 (16.0); 1.6707 (13.6); 1.6242 (2.8); 1.3545 (1.5); 1.3406 (2.3); 1.3236 (2.3); 1.3096 (1.8); 0.0080 (2.1); -0.0002 (68.2); -0.0085 (1.9) 1.39-37: 1 H-NMR (400.0 MHz, CDC13):
δ= 7.7667 (8.2); 7.5902 (2.6); 7.5843 (4.0); 7.5788 (3.3); 7.5725 (4.7); 7.5641 (14.0); 7.5497 (9.5); 7.5208 (0.8); 7.4631 (0.5); 7.2619 (134.2); 7.2157 (4.9); 7.1916 (7.0); 7.1702 (4.9); 6.9978 (0.8); 6.0263 (4.6); 4.2530 (2.6); 4.2305 (6.6); 4.2089 (7.0); 4.1862 (3.2); 3.8405 (4.9); 3.8162 (9.6); 3.7923 (4.9); 3.4899 (14.9); 3.4723 (0.5); 3.4392 (6.7); 3.4186 (7.2); 3.4143 (6.9); 3.3937 (5.7); 3.3301 (12.2); 3.3064 (11.6); 2.3869 (2.1); 2.3627 (3.1); 2.3019 (2.2); 2.2877 (2.6); 2.2667 (3.1); 1.7461 (4.8); 1.7219 (10.6); 1.7144 (12.1); 1.7038 (12.2); 1.6907 (16.0); 1.6828 (15.7); 1.6716 (14.2); 1.6177 (3.2); 1.3552 (1.8); 1.3426 (2.5);δ = 7.7667 (8.2); 7.5902 (2.6); 7.5843 (4.0); 7.5788 (3.3); 7.5725 (4.7); 7.5641 (14.0); 7.5497 (9.5); 7.5208 (0.8); 7.4631 (0.5); 7.2619 (134.2); 7.2157 (4.9); 7.1916 (7.0); 7.1702 (4.9); 6.9978 (0.8); 6.0263 (4.6); 4.2530 (2.6); 4.2305 (6.6); 4.2089 (7.0); 4.1862 (3.2); 3.8405 (4.9); 3.8162 (9.6); 3.7923 (4.9); 3.4899 (14.9); 3.4723 (0.5); 3.4392 (6.7); 3.4186 (7.2); 3.4143 (6.9); 3.3937 (5.7); 3.3301 (12.2); 3.3064 (11.6); 2.3869 (2.1); 2.3627 (3.1); 2.3019 (2.2); 2.2877 (2.6); 2.2667 (3.1); 1.7461 (4.8); 1.7219 (10.6); 1.7144 (12.1); 1.7038 (12.2); 1.6907 (16.0); 1.6828 (15.7); 1.6716 (14.2); 1.6177 (3.2); 1.3552 (1.8); 1.3426 (2.5);
1.3251 (2.5); 1.3117 (2.0); 1.2940 (1.5); 1.2759 (0.7); 0.0079 (2.0); -0.0002 (59.7); -0.0085 (2.0) 1.3251 (2.5); 1.3117 (2.0); 1.2940 (1.5); 1.2759 (0.7); 0.0079 (2.0); -0.0002 (59.7); -0.0085 (2.0)
1.42-12: 1H-NMR(400.0 MHz, CDC13): 1.42-12: 1 H-NMR (400.0 MHz, CDC13):
δ= 7.5805 (4.0); 7.5678 (3.9); 7.5485 (3.1); 7.5367 (3.8); 7.5203 (4.0); 7.5171 (4.5); 7.5049 (1.2); 7.4865 (4.4); 7.4671 (4.1); 7.4482 (1.6); 7.2617 (61.0); 7.0668 (0.5); 7.0470 (0.6); 6.0417 (2.0); 4.3013 (1.0); 4.2951 (0.6); 4.2791 (2.4); 4.2734 (1.4); 4.2597 (2.5); 4.2378 (1.2); 4.2320 (0.7); 4.0275 (1.0); 4.0172 (1.2); 4.0077 (1.0); 3.8414 (1.9); 3.8354 (1.3); 3.8184 (3.8); 3.8110δ = 7.5805 (4.0); 7.5678 (3.9); 7.5485 (3.1); 7.5367 (3.8); 7.5203 (4.0); 7.5171 (4.5); 7.5049 (1.2); 7.4865 (4.4); 7.4671 (4.1); 7.4482 (1.6); 7.2617 (61.0); 7.0668 (0.5); 7.0470 (0.6); 6.0417 (2.0); 4.3013 (1.0); 4.2951 (0.6); 4.2791 (2.4); 4.2734 (1.4); 4.2597 (2.5); 4.2378 (1.2); 4.2320 (0.7); 4.0275 (1.0); 4.0172 (1.2); 4.0077 (1.0); 3.8414 (1.9); 3.8354 (1.3); 3.8184 (3.8); 3.8110
(2.0) ; 3.7942 (1.8); 3.7878 (1.0); 3.6835 (0.6); 3.6736 (0.5); 3.6635 (0.6); 3.4885 (5.5); 3.4560 (2.4); 3.4484 (1.3); 3.4368 (2.4); 3.4307 (2.9); 3.4237 (1.3); 3.4121 (2.1); 3.4046 (1.1); 3.3414 (4.6); 3.3194 (4.4); 3.2884 (2.3); 3.2665 (2.2); 1.9742 (0.6); 1.9684 (0.8); 1.9595 (0.7); 1.9506 (0.5); 1.9363 (1.1); 1.9281 (1.1); 1.9049 (0.6); 1.8962 (0.7); 1.8904 (0.5); 1.7141 (1.6); 1.7059 (1.5); 1.7013 (1.6); 1.6931 (2.1); 1.6832 (2.5); 1.6735 (2.0); 1.6635 (1.4); 1.6543 (1.1); 1.6425 (0.7); 1.5872 (2.8); 1.5786 (2.3); 1.5734 (2.2); 1.5650 (3.6); 1.5569 (4.1); 1.5478 (4.1); 1.5353 (2.7); 1.5251 (2.4); 1.5151 (1.5); 1.5058 (0.9); 1.4981 (0.9); 1.4898 (1.0); 1.4818 (0.9); 1.4745 (0.7); 1.4651 (0.6); 1.3159 (0.5); 1.2326 (0.7); 1.2207 (0.8); 1.2006 (2.1); 1.1910 (1.5); 1.1798 (1.9); 1.1702(2.0); 3.7942 (1.8); 3.7878 (1.0); 3.6835 (0.6); 3.6736 (0.5); 3.6635 (0.6); 3.4885 (5.5); 3.4560 (2.4); 3.4484 (1.3); 3.4368 (2.4); 3.4307 (2.9); 3.4237 (1.3); 3.4121 (2.1); 3.4046 (1.1); 3.3414 (4.6); 3.3194 (4.4); 3.2884 (2.3); 3.2665 (2.2); 1.9742 (0.6); 1.9684 (0.8); 1.9595 (0.7); 1.9506 (0.5); 1.9363 (1.1); 1.9281 (1.1); 1.9049 (0.6); 1.8962 (0.7); 1.8904 (0.5); 1.7141 (1.6); 1.7059 (1.5); 1.7013 (1.6); 1.6931 (2.1); 1.6832 (2.5); 1.6735 (2.0); 1.6635 (1.4); 1.6543 (1.1); 1.6425 (0.7); 1.5872 (2.8); 1.5786 (2.3); 1.5734 (2.2); 1.5650 (3.6); 1.5569 (4.1); 1.5478 (4.1); 1.5353 (2.7); 1.5251 (2.4); 1.5151 (1.5); 1.5058 (0.9); 1.4981 (0.9); 1.4898 (1.0); 1.4818 (0.9); 1.4745 (0.7); 1.4651 (0.6); 1.3159 (0.5); 1.2326 (0.7); 1.2207 (0.8); 1.2006 (2.1); 1.1910 (1.5); 1.1798 (1.9); 1.1702
(2.5) ; 1.1618 (1.6); 1.1502 (1.4); 1.1408 (1.2); 1.1313 (0.7); 1.0436 (0.5); 1.0327 (0.8); 1.0238 (0.9); 1.0192 (0.8); 1.0106 (0.7); 1.0039 (0.6); 0.9999 (0.5); 0.9954 (0.6); 0.9903 (0.7); 0.9817 (0.6); 0.9284 (15.6); 0.9120 (16.0); 0.8828 (8.5); 0.8788 (2.5);(2.5); 1.1618 (1.6); 1.1502 (1.4); 1.1408 (1.2); 1.1313 (0.7); 1.0436 (0.5); 1.0327 (0.8); 1.0238 (0.9); 1.0192 (0.8); 1.0106 (0.7); 1.0039 (0.6); 0.9999 (0.5); 0.9954 (0.6); 0.9903 (0.7); 0.9817 (0.6); 0.9284 (15.6); 0.9120 (16.0); 0.8828 (8.5); 0.8788 (2.5);
0.8665 (8.0); 0.8350 (0.8); 0.8186 (0.7); 0.0080 (0.8); -0.0002 (28.1); -0.0085 (0.9) 0.8665 (8.0); 0.8350 (0.8); 0.8186 (0.7); 0.0080 (0.8); -0.0002 (28.1); -0.0085 (0.9)
1.42-13: 1H-NMR(400.0 MHz, CDC13): 1.42-13: 1 H-NMR (400.0 MHz, CDC13):
δ= 7.6168 (5.8); 7.5966 (7.8); 7.5357 (0.6); 7.5203 (1.2); 7.5153 (1.1); 7.5038 (1.1); 7.4812 (6.9); 7.4687 (3.9); 7.4610 (4.9); 7.4489 (2.4); 7.3986 (0.6); 7.3780 (0.7); 7.2710 (0.5); 7.2702 (0.6); 7.2694 (0.6); 7.2686 (0.8); 7.2678 (0.9); 7.2670 (1.1); 7.2614 (79.7); 7.2573 (1.3); 7.2565 (1.0); 7.2557 (0.7); 7.2549 (0.6); 7.0701 (0.6); 7.0517 (0.6); 5.9898 (2.0); 4.2908 (0.9); 4.2850 (0.6); 4.2686 (2.3); 4.2489 (2.4); 4.2271 (1.1); 4.2216 (0.6); 4.0214 (1.0); 4.0110 (1.2); 4.0019 (1.0); 3.8316 (2.0); 3.8255 (1.3); 3.8085δ = 7.6168 (5.8); 7.5966 (7.8); 7.5357 (0.6); 7.5203 (1.2); 7.5153 (1.1); 7.5038 (1.1); 7.4812 (6.9); 7.4687 (3.9); 7.4610 (4.9); 7.4489 (2.4); 7.3986 (0.6); 7.3780 (0.7); 7.2710 (0.5); 7.2702 (0.6); 7.2694 (0.6); 7.2686 (0.8); 7.2678 (0.9); 7.2670 (1.1); 7.2614 (79.7); 7.2573 (1.3); 7.2565 (1.0); 7.2557 (0.7); 7.2549 (0.6); 7.0701 (0.6); 7.0517 (0.6); 5.9898 (2.0); 4.2908 (0.9); 4.2850 (0.6); 4.2686 (2.3); 4.2489 (2.4); 4.2271 (1.1); 4.2216 (0.6); 4.0214 (1.0); 4.0110 (1.2); 4.0019 (1.0); 3.8316 (2.0); 3.8255 (1.3); 3.8085
(3.6) ; 3.8014 (2.1); 3.7854 (1.8); 3.7784 (1.0); 3.6770 (0.6); 3.6671 (0.5); 3.6572 (0.6); 3.6475 (0.5); 3.4881 (9.5); 3.4544 (2.5); 3.4467 (1.4); 3.4351 (2.5); 3.4294 (2.8); 3.4222 (1.3); 3.4105 (2.1); 3.4029 (1.1); 3.3362 (4.2); 3.3140 (4.0); 3.2830 (2.2); 3.2610(3.6); 3.8014 (2.1); 3.7854 (1.8); 3.7784 (1.0); 3.6770 (0.6); 3.6671 (0.5); 3.6572 (0.6); 3.6475 (0.5); 3.4881 (9.5); 3.4544 (2.5); 3.4467 (1.4); 3.4351 (2.5); 3.4294 (2.8); 3.4222 (1.3); 3.4105 (2.1); 3.4029 (1.1); 3.3362 (4.2); 3.3140 (4.0); 3.2830 (2.2); 3.2610
(2.1) ; 1.9648 (0.5); 1.9332 (1.0); 1.9246 (1.0); 1.9020 (0.5); 1.8931 (0.6); 1.7121 (1.8); 1.6998 (1.8); 1.6916 (2.5); 1.6799 (2.9); 1.6708 (2.5); 1.6594 (2.1); 1.6505 (2.2); 1.6394 (1.9); 1.5931 (1.7); 1.5838 (3.2); 1.5741 (2.6); 1.5629 (3.6); 1.5542 (4.0); 1.5463 (4.0); 1.5340 (2.6); 1.5242 (2.1); 1.5144 (1.4); 1.5060 (0.9); 1.4984 (0.9); 1.4904 (1.1); 1.4822 (1.0); 1.4746 (0.7); 1.4659 (0.6); 1.3313 (0.5); 1.3149 (0.5); 1.2341 (0.6); 1.2280 (0.6); 1.2194 (0.9); 1.2102 (1.0); 1.1982 (2.1); 1.1869 (1.6); 1.1827 (1.6); 1.1669(2.1); 1.9648 (0.5); 1.9332 (1.0); 1.9246 (1.0); 1.9020 (0.5); 1.8931 (0.6); 1.7121 (1.8); 1.6998 (1.8); 1.6916 (2.5); 1.6799 (2.9); 1.6708 (2.5); 1.6594 (2.1); 1.6505 (2.2); 1.6394 (1.9); 1.5931 (1.7); 1.5838 (3.2); 1.5741 (2.6); 1.5629 (3.6); 1.5542 (4.0); 1.5463 (4.0); 1.5340 (2.6); 1.5242 (2.1); 1.5144 (1.4); 1.5060 (0.9); 1.4984 (0.9); 1.4904 (1.1); 1.4822 (1.0); 1.4746 (0.7); 1.4659 (0.6); 1.3313 (0.5); 1.3149 (0.5); 1.2341 (0.6); 1.2280 (0.6); 1.2194 (0.9); 1.2102 (1.0); 1.1982 (2.1); 1.1869 (1.6); 1.1827 (1.6); 1.1669
(2.2) ; 1.1502 (1.3); 1.1413 (1.1); 1.1272 (0.7); 1.0399 (0.6); 1.0303 (0.8); 1.0211 (0.8); 1.0155 (0.8); 1.0112 (0.7); 1.0070 (0.8); 1.0016 (0.7); 0.9977 (0.5); 0.9929 (0.6); 0.9870 (0.7); 0.9780 (0.6); 0.9277 (15.6); 0.9113 (16.0); 0.8824 (9.3); 0.8661 (8.7);(2.2); 1.1502 (1.3); 1.1413 (1.1); 1.1272 (0.7); 1.0399 (0.6); 1.0303 (0.8); 1.0211 (0.8); 1.0155 (0.8); 1.0112 (0.7); 1.0070 (0.8); 1.0016 (0.7); 0.9977 (0.5); 0.9929 (0.6); 0.9870 (0.7); 0.9780 (0.6); 0.9277 (15.6); 0.9113 (16.0); 0.8824 (9.3); 0.8661 (8.7);
0.8360 (0.8); 0.8196 (0.8); 0.0079 (1.1); -0.0002 (36.0); -0.0052 (0.5); -0.0085 (1.0) 0.8360 (0.8); 0.8196 (0.8); 0.0079 (1.1); -0.0002 (36.0); -0.0052 (0.5); -0.0085 (1.0)
1.42-32: 1H-NMR(400.0 MHz, CDC13): 1.42-32: 1 H-NMR (400.0 MHz, CDC13):
δ= 7.4846 (0.9); 7.4671 (0.9); 7.2693 (0.6); 7.2686 (0.7); 7.2669 (1.0); 7.2622 (70.8); 7.2565 (0.8); 7.2556 (0.6); 7.1893 (1.3); 7.1838 (1.4); 7.1769 (0.9); 7.1708 (2.1); 7.1650 (1.7); 7.1608 (2.8); 7.1567 (2.2); 7.1487 (1.1); 7.1397 (3.3); 7.1361 (3.8); 7.1317 (1.4); 7.1244 (1.2); 7.1197 (2.5); 7.1150 (3.3); 7.1110 (1.7); 7.0953 (2.6); 7.0909 (2.7); 7.0789 (2.6); 7.0738 (2.4); 7.0661 (2.0); 7.0610 (1.8); 7.0555 (1.7); 7.0525 (1.6); 7.0405 (1.0); 6.9981 (0.6); 6.0025 (1.8); 4.1880 (0.8); 4.1825 (0.6); 4.1659 (2.3); 4.1459 (2.4); 4.1243 (1.1); 4.1191 (0.7); 4.0213 (1.0); 4.0114 (1.2); 4.0015 (1.1); 3.8010 (2.0); 3.7946 (1.2); 3.7778 (3.5); 3.7708 (2.0); 3.7542 (1.8); 3.7476 (1.1); 3.6867 (0.5); 3.6769 (0.6); 3.6671 (0.6); 3.6572 (0.6); 3.6475 (0.5); 3.4887 (5.6); 3.4019 (2.4); 3.3937 (1.4); 3.3826 (2.4); 3.3770 (2.6); 3.3691 (1.4); 3.3580 (2.0); 3.3498 (1.1); 3.2617 (4.0); 3.2395 (3.8); 3.2088 (2.2); 3.1868 (2.1); 1.9599 (0.6); 1.9501 (0.6); 1.9346 (1.0); 1.9298 (1.1); 1.9255 (1.0); 1.9093 (0.7); 1.9000 (0.7); 1.7948 (0.6); 1.7177 (1.7); 1.7099 (2.0); 1.6989 (1.7); 1.6945 (1.8); 1.6854 (2.8); 1.6768 (2.7); 1.6659 (1.9); 1.6565 (1.2); 1.6444 (0.8); 1.5892 (2.4); 1.5860 (2.6); 1.5800 (2.5); 1.5676 (2.8); 1.5551 (3.6); 1.5492 (3.5); 1.5362 (2.4); 1.5329 (2.3); 1.5269 (2.1); 1.5231 (1.9); 1.5171 (1.5); 1.4999 (0.9); 1.4920 (1.0); 1.4835 (0.8); 1.4761 (0.7); 1.4672 (0.6); 1.3327 (0.6); 1.3246 (0.6); 1.3163 (0.6); 1.3080 (0.5); 1.2987 (0.6); 1.2875 (0.5); 1.2312 (0.6); 1.2223 (0.6); 1.2156 (0.7); 1.1996 (1.9); 1.1940 (1.6); 1.1897 (1.7); 1.1795 (2.0); 1.1697 (2.4); 1.1492 (1.4); 1.1377 (1.2); 1.0546 (0.6); 1.0457 (0.5); 1.0314 (0.8); 1.0221 (1.1); 1.0131 (0.7); 1.0025 (0.6); 0.9982 (0.6); 0.9924 (0.9); 0.9837 (0.6); 0.9283 (15.5); 0.9119 (16.0); 0.8988 (1.8); 0.8841 (9.9); 0.8679 (8.8); 0.8494 (0.8); 0.8330 (0.7); 0.0080 (0.9); - 0.0002 (32.0); -0.0085 (1.0) 1.42-37: 'H-NMR(400.0 MHz, CDC13): δ = 7.4846 (0.9); 7.4671 (0.9); 7.2693 (0.6); 7.2686 (0.7); 7.2669 (1.0); 7.2622 (70.8); 7.2565 (0.8); 7.2556 (0.6); 7.1893 (1.3); 7.1838 (1.4); 7.1769 (0.9); 7.1708 (2.1); 7.1650 (1.7); 7.1608 (2.8); 7.1567 (2.2); 7.1487 (1.1); 7.1397 (3.3); 7.1361 (3.8); 7.1317 (1.4); 7.1244 (1.2); 7.1197 (2.5); 7.1150 (3.3); 7.1110 (1.7); 7.0953 (2.6); 7.0909 (2.7); 7.0.789 (2.6); 7.0738 (2.4); 7.0661 (2.0); 7.0610 (1.8); 7.0555 (1.7); 7.0525 (1.6); 7.0405 (1.0); 6.9981 (0.6); 6.0025 (1.8); 4.1880 (0.8); 4.1825 (0.6); 4.1659 (2.3); 4.1459 (2.4); 4.1243 (1.1); 4.1191 (0.7); 4.0213 (1.0); 4.0114 (1.2); 4.0015 (1.1); 3.8010 (2.0); 3.7946 (1.2); 3.7778 (3.5); 3.7708 (2.0); 3.7542 (1.8); 3.7476 (1.1); 3.6867 (0.5); 3.6769 (0.6); 3.6671 (0.6); 3.6572 (0.6); 3.6475 (0.5); 3.4887 (5.6); 3.4019 (2.4); 3.3937 (1.4); 3.3826 (2.4); 3.3770 (2.6); 3.3691 (1.4); 3.3580 (2.0); 3.3498 (1.1); 3.2617 (4.0); 3.2395 (3.8); 3.2088 (2.2); 3.1868 (2.1); 1.9599 (0.6); 1.9501 (0.6); 1.9346 (1.0); 1.9298 (1.1); 1.9255 (1.0); 1.9093 (0.7); 1.9000 (0.7); 1.7948 (0.6); 1.7177 (1.7); 1.7099 (2.0); 1.6989 (1.7); 1.6945 (1.8); 1.6854 (2.8); 1.6768 (2.7); 1.6659 (1.9); 1.6565 (1.2); 1.6444 (0.8); 1.5892 (2.4); 1.5860 (2.6); 1.5800 (2.5); 1.5676 (2.8); 1.5551 (3.6); 1.5492 (3.5); 1.5362 (2.4); 1.5329 (2.3); 1.5269 (2.1); 1.5231 (1.9); 1.5171 (1.5); 1.4999 (0.9); 1.4920 (1.0); 1.4835 (0.8); 1.4761 (0.7); 1.4672 (0.6); 1.3327 (0.6); 1.3246 (0.6); 1.3163 (0.6); 1.3080 (0.5); 1.2987 (0.6); 1.2875 (0.5); 1.2312 (0.6); 1.2223 (0.6); 1.2156 (0.7); 1.1996 (1.9); 1.1940 (1.6); 1.1897 (1.7); 1.1795 (2.0); 1.1697 (2.4); 1.1492 (1.4); 1.1377 (1.2); 1.0546 (0.6); 1.0457 (0.5); 1.0314 (0.8); 1.0221 (1.1); 1.0131 (0.7); 1.0025 (0.6); 0.9982 (0.6); 0.9924 (0.9); 0.9837 (0.6); 0.9283 (15.5); 0.9119 (16.0); 0.8988 (1.8); 0.8841 (9.9); 0.8679 (8.8); 0.8494 (0.8); 0.8330 (0.7); 0.0080 (0.9); - 0.0002 (32.0); -0.0085 (1.0) 1.42-37: 'H-NMR (400.0 MHz, CDC13):
δ= 7.5717 (4.5); 7.5584 (6.0); 7.5525 (4.1); 7.5465 (4.0); 7.5410 (3.7); 7.5349 (2.1); 7.5295 (1.8); 7.5205 (1.1); 7.2615 (83.5); 7.2015 (1.8); 7.1790 (3.1); 7.1550 (1.6); 7.1172 (0.6); 7.1002 (0.6); 5.9449 (2.2); 4.2538 (1.0); 4.2475 (0.6); 4.2315 (2.4); 4.2253δ = 7.5717 (4.5); 7.5584 (6.0); 7.5525 (4.1); 7.5465 (4.0); 7.5410 (3.7); 7.5349 (2.1); 7.5295 (1.8); 7.5205 (1.1); 7.2615 (83.5); 7.2015 (1.8); 7.1790 (3.1); 7.1550 (1.6); 7.1172 (0.6); 7.1002 (0.6); 5.9449 (2.2); 4.2538 (1.0); 4.2475 (0.6); 4.2315 (2.4); 4.2253
(1.4) ; 4.2110 (2.6); 4.2050 (1.6); 4.1887 (1.2); 4.1826 (0.7); 4.0201 (1.0); 4.0102 (1.1); 4.0005 (1.0); 3.8222 (1.8); 3.8199 (1.9); 3.8142 (1.2); 3.8120 (1.1); 3.7975 (3.8); 3.7953 (2.5); 3.7918 (1.4); 3.7894 (2.0); 3.7750 (1.8); 3.7727 (1.8); 3.7670 (1.0); 3.7648 (0.9); 3.6751 (0.6); 3.6653 (0.6); 3.6554 (0.6); 3.6457 (0.5); 3.4887 (6.1); 3.4222 (2.4); 3.4137 (1.4); 3.4022 (2.5); 3.3974 (2.5); 3.3891 (1.3); 3.3775 (2.1); 3.3691 (1.1); 3.2900 (4.5); 3.2672 (4.3); 3.2394 (2.4); 3.2167 (2.3); 1.9609 (0.5); 1.9266 (1.0); 1.9048 (0.5); 1.8958 (0.6); 1.7185 (1.5); 1.7120 (1.8); 1.6932 (1.9); 1.6859 (2.6); 1.6765 (2.3); 1.6549 (1.2); 1.6431 (0.9); 1.5974 (1.9); 1.5889 (3.6); 1.5797 (3.3); 1.5672 (3.8); 1.5584 (4.7); 1.5494 (4.2); 1.5358 (2.7); 1.5262 (2.5); 1.5167 (1.6); 1.5082 (1.1); 1.5007 (1.1); 1.4921 (1.0); 1.4842 (0.9); 1.4766 (0.8); 1.4678 (0.6); 1.3342 (0.5); 1.3261 (0.5); 1.3179 (0.5); 1.2364 (0.6); 1.2277 (0.6); 1.2132 (1.0); 1.2041 (2.0); 1.1964 (1.6); 1.1823 (2.1); 1.1740 (2.3); 1.1668 (2.0); 1.1519 (1.6); 1.1435 (1.2); 1.1369 (0.9); 1.0439 (0.5); 1.0323 (0.8); 1.0237 (0.9); 1.0199 (0.8); 1.0154 (0.6); 1.0112 (0.7); 1.0033 (0.6); 0.9996 (0.5); 0.9908 (0.7); 0.9824 (0.6);(1.4); 4.2110 (2.6); 4.2050 (1.6); 4.1887 (1.2); 4.1826 (0.7); 4.0201 (1.0); 4.0102 (1.1); 4,0005 (1.0); 3.8222 (1.8); 3.8199 (1.9); 3.8142 (1.2); 3.8120 (1.1); 3.7975 (3.8); 3.7953 (2.5); 3.7918 (1.4); 3.7894 (2.0); 3.7750 (1.8); 3.7727 (1.8); 3.7670 (1.0); 3.7648 (0.9); 3.6751 (0.6); 3.6653 (0.6); 3.6554 (0.6); 3.6457 (0.5); 3.4887 (6.1); 3.4222 (2.4); 3.4137 (1.4); 3.4022 (2.5); 3.3974 (2.5); 3.3891 (1.3); 3.3775 (2.1); 3.3691 (1.1); 3.2900 (4.5); 3.2672 (4.3); 3.2394 (2.4); 3.2167 (2.3); 1.9609 (0.5); 1.9266 (1.0); 1.9048 (0.5); 1.8958 (0.6); 1.7185 (1.5); 1.7120 (1.8); 1.6932 (1.9); 1.6859 (2.6); 1.6765 (2.3); 1.6549 (1.2); 1.6431 (0.9); 1.5974 (1.9); 1.5889 (3.6); 1.5797 (3.3); 1.5672 (3.8); 1.5584 (4.7); 1.5494 (4.2); 1.5358 (2.7); 1.5262 (2.5); 1.5167 (1.6); 1.5082 (1.1); 1.5007 (1.1); 1.4921 (1.0); 1.4842 (0.9); 1.4766 (0.8); 1.4678 (0.6); 1.3342 (0.5); 1.3261 (0.5); 1.3179 (0.5); 1.2364 (0.6); 1.2277 (0.6); 1.2132 (1.0); 1.2041 (2.0); 1.1964 (1.6); 1.1823 (2.1); 1.1740 (2.3); 1.1668 (2.0); 1.1519 (1.6); 1.1435 (1.2); 1.1369 (0.9); 1.0439 (0.5); 1.0323 (0.8); 1.0237 (0.9); 1.0199 (0.8); 1.0154 (0.6); 1.0112 (0.7); 1.0033 (0.6); 0.9996 (0.5); 0.9908 (0.7); 0.9824 (0.6);
0.9306 (15.5); 0.9142 (16.0); 0.8840 (8.6); 0.8677 (8.0); 0.0080 (1.1); -0.0002 (37.8); -0.0085 (1.1) 0.9306 (15.5); 0.9142 (16.0); 0.8840 (8.6); 0.8677 (8.0); 0.0080 (1.1); -0.0002 (37.8); -0.0085 (1.1)
1.45-12: Ή-ΝΜϋ^ΟΟ.Ο MHz, CDC13): 1.45-12: Ή-ΝΜϋ ^ ΟΟ.Ο MHz, CDC13):
δ= 7.5695 (14.2); 7.5586 (7.2); 7.5389 (13.2); 7.5161 (10.6); 7.4841 (10.7); 7.4652 (10.1); 7.4461 (3.5); 7.4337 (1.1); 7.4187 (0.9); 7.4004 (0.8); 7.2617 (123.3); 7.2510 (1.0); 7.2303 (3.7); 7.2120 (4.2); 6.9976 (0.7); 6.0359 (5.1); 4.2943 (3.2); 4.2724δ = 7.5695 (14.2); 7.5586 (7.2); 7.5389 (13.2); 7.5161 (10.6); 7.4841 (10.7); 7.4652 (10.1); 7.4461 (3.5); 7.4337 (1.1); 7.4187 (0.9); 7.4004 (0.8); 7.2617 (123.3); 7.2510 (1.0); 7.2303 (3.7); 7.2120 (4.2); 6.9976 (0.7); 6.0359 (5.1); 4.2943 (3.2); 4.2724
(7.7) ; 4.2530 (8.2); 4.2311 (3.9); 4.0738 (0.6); 3.9728 (1.2); 3.9621 (2.2); 3.9515 (3.1); 3.9411 (3.4); 3.9310 (3.1); 3.9202 (2.2); 3.8435 (0.8); 3.8347 (5.9); 3.8110 (11.6); 3.7876 (6.1); 3.5994 (1.1); 3.5787 (1.0); 3.5103 (0.6); 3.4884 (1.7); 3.4439 (8.0); 3.4249 (8.0); 3.4193 (7.7); 3.4002 (6.8); 3.2935 (16.0); 3.2717 (15.4); 1.9286 (2.0); 1.9179 (2.5); 1.8944 (5.8); 1.8861 (4.9); 1.8741 (6.3); 1.8494 (2.7); 1.6557 (1.5); 1.6384 (4.1); 1.6221 (6.7); 1.6023 (8.7); 1.5839 (8.3); 1.5709 (9.2); 1.5567 (6.5); 1.5448 (6.6); 1.5280 (9.2); 1.5223 (12.0); 1.5002 (18.9); 1.4801 (13.5); 1.4587 (6.6); 1.4495 (5.0); 1.4363 (2.3); 1.4048 (0.8); 1.3923(7.7); 4.2530 (8.2); 4.2311 (3.9); 4.0738 (0.6); 3.9728 (1.2); 3.9621 (2.2); 3.9515 (3.1); 3.9411 (3.4); 3.9310 (3.1); 3.9202 (2.2); 3.8435 (0.8); 3.8347 (5.9); 3.8110 (11.6); 3.7876 (6.1); 3.5994 (1.1); 3.5787 (1.0); 3.5103 (0.6); 3.4884 (1.7); 3.4439 (8.0); 3.4249 (8.0); 3.4193 (7.7); 3.4002 (6.8); 3.2935 (16.0); 3.2717 (15.4); 1.9286 (2.0); 1.9179 (2.5); 1.8944 (5.8); 1.8861 (4.9); 1.8741 (6.3); 1.8494 (2.7); 1.6557 (1.5); 1.6384 (4.1); 1.6221 (6.7); 1.6023 (8.7); 1.5839 (8.3); 1.5709 (9.2); 1.5567 (6.5); 1.5448 (6.6); 1.5280 (9.2); 1.5223 (12.0); 1.5002 (18.9); 1.4801 (13.5); 1.4587 (6.6); 1.4495 (5.0); 1.4363 (2.3); 1.4048 (0.8); 1.3923
(0.9); 1.3658 (0.7); 0.0080 (1.6); -0.0002 (58.6); -0.0084 (1.8) (0.9); 1.3658 (0.7); 0.0080 (1.6); -0.0002 (58.6); -0.0084 (1.8)
1.45-13: 1H-NMR(400.0 MHz, CDC13): 1.45-13: 1 H-NMR (400.0 MHz, CDC13):
δ= 7.6143 (12.2); 7.5940 (16.0); 7.5418 (0.7); 7.5201 (1.5); 7.4718 (14.9); 7.4511 (11.2); 7.3838 (0.8); 7.3633 (0.6); 7.3606 (0.5); 7.3107 (0.5); 7.2611 (138.0); 7.2386 (2.6); 7.2276 (1.9); 7.2194 (2.6); 7.2107 (1.4); 6.9971 (0.7); 5.9472 (3.9); 4.2834 (2.2); 4.2616 (5.3); 4.2416 (5.6); 4.2198 (2.6); 3.9662 (0.9); 3.9552 (1.6); 3.9448 (2.3); 3.9346 (2.4); 3.9243 (2.2); 3.9137 (1.6); 3.8238δ = 7.6143 (12.2); 7.5940 (16.0); 7.5418 (0.7); 7.5201 (1.5); 7.4718 (14.9); 7.4511 (11.2); 7.3838 (0.8); 7.3633 (0.6); 7.3606 (0.5); 7.3107 (0.5); 7.2611 (138.0); 7.2386 (2.6); 7.2276 (1.9); 7.2194 (2.6); 7.2107 (1.4); 6.9971 (0.7); 5.9472 (3.9); 4.2834 (2.2); 4.2616 (5.3); 4.2416 (5.6); 4.2198 (2.6); 3.9662 (0.9); 3.9552 (1.6); 3.9448 (2.3); 3.9346 (2.4); 3.9243 (2.2); 3.9137 (1.6); 3.8238
(4.5) ; 3.8010 (8.7); 3.7782 (4.4); 3.5989 (0.5); 3.4434 (5.9); 3.4242 (6.1); 3.4189 (5.6); 3.3996 (5.0); 3.2882 (11.1); 3.2661 (10.6); 1.9256 (1.4); 1.9148 (1.8); 1.8900 (4.0); 1.8703 (4.5); 1.8446 (1.8); 1.6553 (1.9); 1.6372 (3.7); 1.6188 (5.2); 1.6004 (6.7); 1.5823 (6.3); 1.5737 (6.6); 1.5697 (6.9); 1.5559 (4.7); 1.5440 (4.9); 1.5215 (8.7); 1.4986 (13.7); 1.4766 (10.2); 1.4693 (7.3);(4.5); 3.8010 (8.7); 3.7782 (4.4); 3.5989 (0.5); 3.4434 (5.9); 3.4242 (6.1); 3.4189 (5.6); 3.3996 (5.0); 3.2882 (11.1); 3.2661 (10.6); 1.9256 (1.4); 1.9148 (1.8); 1.8900 (4.0); 1.8703 (4.5); 1.8446 (1.8); 1.6553 (1.9); 1.6372 (3.7); 1.6188 (5.2); 1.6004 (6.7); 1.5823 (6.3); 1.5737 (6.6); 1.5697 (6.9); 1.5559 (4.7); 1.5440 (4.9); 1.5215 (8.7); 1.4986 (13.7); 1.4766 (10.2); 1.4693 (7.3);
1.4560 (4.3); 1.4467 (3.3); 1.3990 (0.5); 0.0079 (1.8); -0.0002 (60.4); -0.0085 (1.7) 1.4560 (4.3); 1.4467 (3.3); 1.3990 (0.5); 0.0079 (1.8); -0.0002 (60.4); -0.0085 (1.7)
1.45-32: 1H-NMR(400.0 MHz, CDC13): 1.45-32: 1 H-NMR (400.0 MHz, CDC13):
δ= 7.5184 (6.6); 7.3729 (0.9); 7.3595 (1.2); 7.3172 (0.7); 7.3085 (1.8); 7.3029 (1.1); 7.2595 (1213.2); 7.2360 (1.0); 7.2321 (1.2); 7.2131 (2.9); 7.2091 (4.6); 7.1972 (2.8); 7.1789 (4.4); 7.1732 (4.7); 7.1585 (5.7); 7.1543 (5.0); 7.1503 (4.4); 7.1448 (4.5); 7.1374δ = 7.5184 (6.6); 7.3729 (0.9); 7.3595 (1.2); 7.3172 (0.7); 7.3085 (1.8); 7.3029 (1.1); 7.2595 (1213.2); 7.2360 (1.0); 7.2321 (1.2); 7.2131 (2.9); 7.2091 (4.6); 7.1972 (2.8); 7.1789 (4.4); 7.1732 (4.7); 7.1585 (5.7); 7.1543 (5.0); 7.1503 (4.4); 7.1448 (4.5); 7.1374
(7.6) ; 7.1328 (5.9); 7.1264 (4.5); 7.1172 (6.3); 7.1121 (7.0); 7.0925 (6.1); 7.0790 (3.9); 7.0711 (4.8); 7.0251 (0.7); 6.9955 (6.7); 5.7033 (4.0); 4.1847 (2.4); 4.1624 (5.8); 4.1424 (6.2); 4.1205 (2.9); 3.9455 (2.6); 3.9357 (2.7); 3.9246 (2.5); 3.7935 (5.3); 3.7693(7.6); 7.1328 (5.9); 7.1264 (4.5); 7.1172 (6.3); 7.1121 (7.0); 7.0925 (6.1); 7.0790 (3.9); 7.0711 (4.8); 7.0251 (0.7); 6.9955 (6.7); 5.7033 (4.0); 4.1847 (2.4); 4.1624 (5.8); 4.1424 (6.2); 4.1205 (2.9); 3.9455 (2.6); 3.9357 (2.7); 3.9246 (2.5); 3.7935 (5.3); 3.7693
(9.8) ; 3.7469 (6.1); 3.3908 (6.5); 3.3715 (6.6); 3.3664 (6.3); 3.3470 (5.6); 3.2110 (12.0); 3.1889 (11.4); 1.8774 (5.4); 1.8518 (2.3); 1.6029 (16.0); 1.5209 (10.4); 1.4982 (14.5); 1.4831 (10.8); 1.4751 (10.6); 1.3330 (0.8); 1.2842 (0.9); 0.1461 (1.7); 0.0079(9.8); 3.7469 (6.1); 3.3908 (6.5); 3.3715 (6.6); 3.3664 (6.3); 3.3470 (5.6); 3.2110 (12.0); 3.1889 (11.4); 1.8774 (5.4); 1.8518 (2.3); 1.6029 (16.0); 1.5209 (10.4); 1.4982 (14.5); 1.4831 (10.8); 1.4751 (10.6); 1.3330 (0.8); 1.2842 (0.9); 0.1461 (1.7); 0.0079
(17.5); -0.0002 (543.0); -0.0069 (5.4); -0.0085 (15.7); -0.0506 (1.2); -0.1498 (1.8) (17.5); -0.0002 (543.0); -0.0069 (5.4); -0.0085 (15.7); -0.0506 (1.2); -0.1498 (1.8)
1.45-37: 1H-NMR(400.0 MHz, CDC13): 1.45-37: 1 H-NMR (400.0 MHz, CDC13):
δ= 7.5615 (13.1); 7.5471 (10.2); 7.5315 (4.6); 7.5255 (2.1); 7.5208 (1.1); 7.4798 (0.6); 7.4633 (0.6); 7.3111 (0.9); 7.2787 (3.6); 7.2730 (3.2); 7.2618 (161.6); 7.2513 (1.6); 7.2497 (1.3); 7.2481 (1.0); 7.2473 (1.0); 7.2465 (0.9); 7.2449 (0.8); 7.2433 (0.7); 7.2417 (0.6); 7.2106 (0.6); 7.2019 (4.3); 7.1773 (7.8); 7.1686 (1.2); 7.1606 (1.0); 7.1532 (4.1); 7.1115 (0.6); 6.9978 (0.9); 5.9818 (4.5); 4.2466 (2.8); 4.2244 (6.9); 4.2039 (7.4); 4.1817 (3.4); 3.9770 (0.5); 3.9653 (1.1); 3.9545 (1.9); 3.9439 (2.7); 3.9337 (2.9); 3.9233 (2.6); 3.9125 (1.9); 3.8385 (0.6); 3.8218 (0.9); 3.8156 (5.6); 3.8136 (5.9); 3.7910 (11.1); 3.7685 (5.4); 3.7664 (5.4); 3.5828 (1.0); 3.5623 (0.9); 3.4886 (16.0); 3.4715 (0.6); 3.4459 (0.5); 3.4105 (7.4); 3.3906 (7.4); 3.3858 (7.0); 3.3659 (6.2); 3.2466 (14.0); 3.2239 (13.4); 1.9225 (1.7); 1.9104 (2.6); 1.9040 (3.3); 1.8929 (5.0); 1.8851 (4.3); 1.8746 (5.0); 1.8670 (4.3); 1.8488 (2.3); 1.7769 (0.6); 1.6735 (1.3); 1.6556 (1.9); 1.6377 (4.0); 1.6238 (6.5); 1.6095 (7.0); 1.6015 (7.5); 1.5976 (7.3); 1.5859δ = 7.5615 (13.1); 7.5471 (10.2); 7.5315 (4.6); 7.5255 (2.1); 7.5208 (1.1); 7.4798 (0.6); 7.4633 (0.6); 7.3111 (0.9); 7.2787 (3.6); 7.2730 (3.2); 7.2618 (161.6); 7.2513 (1.6); 7.2497 (1.3); 7.2481 (1.0); 7.2473 (1.0); 7.2465 (0.9); 7.2449 (0.8); 7.2433 (0.7); 7.2417 (0.6); 7.2106 (0.6); 7.2019 (4.3); 7.1773 (7.8); 7.1686 (1.2); 7.1606 (1.0); 7.1532 (4.1); 7.1115 (0.6); 6.9978 (0.9); 5.9818 (4.5); 4.2466 (2.8); 4.2244 (6.9); 4.2039 (7.4); 4.1817 (3.4); 3.9770 (0.5); 3.9653 (1.1); 3.9545 (1.9); 3.9439 (2.7); 3.9337 (2.9); 3.9233 (2.6); 3.9125 (1.9); 3.8385 (0.6); 3.8218 (0.9); 3.8156 (5.6); 3.8136 (5.9); 3.7910 (11.1); 3.7685 (5.4); 3.7664 (5.4); 3.5828 (1.0); 3.5623 (0.9); 3.4886 (16.0); 3.4715 (0.6); 3.4459 (0.5); 3.4105 (7.4); 3.3906 (7.4); 3.3858 (7.0); 3.3659 (6.2); 3.2466 (14.0); 3.2239 (13.4); 1.9225 (1.7); 1.9104 (2.6); 1.9040 (3.3); 1.8929 (5.0); 1.8851 (4.3); 1.8746 (5.0); 1.8670 (4.3); 1.8488 (2.3); 1.7769 (0.6); 1.6735 (1.3); 1.6556 (1.9); 1.6377 (4.0); 1.6238 (6.5); 1.6095 (7.0); 1.6015 (7.5); 1.5976 (7.3); 1.5859
(7.3) ; 1.5732 (8.0); 1.5585 (5.8); 1.5445 (5.8); 1.5300 (7.9); 1.5220 (10.4); 1.4996 (14.9); 1.4913 (10.4); 1.4835 (11.6); 1.4755 (10.8); 1.4622 (5.8); 1.4521 (4.1); 1.4381 (1.8); 1.4173 (1.0); 1.4016 (0.8); 0.0079 (2.2); -0.0002 (72.3); -0.0069 (0.7); -0.0085(7.3); 1.5732 (8.0); 1.5585 (5.8); 1.5445 (5.8); 1.5300 (7.9); 1.5220 (10.4); 1.4996 (14.9); 1.4913 (10.4); 1.4835 (11.6); 1.4755 (10.8); 1.4622 (5.8); 1.4521 (4.1); 1.4381 (1.8); 1.4173 (1.0); 1.4016 (0.8); 0.0079 (2.2); -0.0002 (72.3); -0.0069 (0.7); -0.0085
(2.0) (2.0)
1.6-13: 1H-NMR(400.0 MHz, CDC13): 1.6-13: 1 H-NMR (400.0 MHz, CDC13):
δ= 8.4565 (0.5); 8.0811 (6.9); 7.6340 (11.6); 7.6137 (15.2); 7.5610 (1.0); 7.5406 (1.2); 7.4836 (14.4); 7.4631 (11.1); 7.3381 (1.1); 7.3178 (0.9); 7.2622 (72.3); 6.1493 (3.0); 4.2755 (2.1); 4.2528 (5.3); 4.2311 (5.7); 4.2086 (2.6); 3.8737 (0.6); 3.8573 (0.5); 3.8481 (4.1); 3.8458 (4.1); 3.8230 (8.6); 3.8002 (4.2); 3.7979 (4.1); 3.6997 (0.8); 3.6791 (0.8); 3.4873 (16.0); 3.4851 (7.4); 3.4641 (6.5); 3.4598 (6.2); 3.4392 (5.1); 3.3326 (11.6); 3.3088 (11.1); 1.5816 (1.0); 1.5635 (4.1); 1.5569 (4.7); 1.5474 (6.4); 1.5373 (9.0); 1.5311 (6.9); 1.5244 (7.2); 1.5197 (10.1); 1.5083 (5.7); 1.4987 (1.4); 1.4935 (1.8); 1.4911 (2.0); 1.4740 (0.7); 1.3765 (0.5); 1.3711 (1.1); 1.3063 (0.8); 1.2860 (0.9); 1.2752 (1.9); 1.2696 (2.8); 1.2612 (5.4); 1.2498 (6.1); 1.2448 (6.8); 1.2422δ = 8.4565 (0.5); 8.0811 (6.9); 7.6340 (11.6); 7.6137 (15.2); 7.5610 (1.0); 7.5406 (1.2); 7.4836 (14.4); 7.4631 (11.1); 7.3381 (1.1); 7.3178 (0.9); 7.2622 (72.3); 6.1493 (3.0); 4.2755 (2.1); 4.2528 (5.3); 4.2311 (5.7); 4.2086 (2.6); 3.8737 (0.6); 3.8573 (0.5); 3.8481 (4.1); 3.8458 (4.1); 3.8230 (8.6); 3.8002 (4.2); 3.7979 (4.1); 3.6997 (0.8); 3.6791 (0.8); 3.4873 (16.0); 3.4851 (7.4); 3.4641 (6.5); 3.4598 (6.2); 3.4392 (5.1); 3.3326 (11.6); 3.3088 (11.1); 1.5816 (1.0); 1.5635 (4.1); 1.5569 (4.7); 1.5474 (6.4); 1.5373 (9.0); 1.5311 (6.9); 1.5244 (7.2); 1.5197 (10.1); 1.5083 (5.7); 1.4987 (1.4); 1.4935 (1.8); 1.4911 (2.0); 1.4740 (0.7); 1.3765 (0.5); 1.3711 (1.1); 1.3063 (0.8); 1.2860 (0.9); 1.2752 (1.9); 1.2696 (2.8); 1.2612 (5.4); 1.2498 (6.1); 1.2448 (6.8); 1.2422
(6.4) ; 1.2298 (7.6); 1.2228 (5.6); 1.2127 (4.3); 1.2040 (2.8); 1.1975 (1.7); 1.1878 (0.7); 0.0080 (0.9); -0.0002 (30.6); -0.0085 (0.9) 1.6-32: 1H-NMR(400.0 MHz, CDC13): (6.4); 1.2298 (7.6); 1.2228 (5.6); 1.2127 (4.3); 1.2040 (2.8); 1.1975 (1.7); 1.1878 (0.7); 0.0080 (0.9); -0.0002 (30.6); -0.0085 (0.9) 1.6-32: 1 H-NMR (400.0 MHz, CDC13):
δ= 8.0535 (7.3); 7.5183 (11.6); 7.3726 (2.7); 7.3600 (3.0); 7.3083 (2.6); 7.2932 (3.7); 7.2595 (2128.7); 7.2433 (2.6); 7.2273 (1.7); 7.2089 (7.5); 7.1879 (4.8); 7.1818 (8.4); 7.1693 (5.3); 7.1602 (13.8); 7.1559 (7.0); 7.1405 (10.6); 7.1355 (12.7); 7.1154 (7.4); 7.0978 (5.3); 7.0905 (5.8); 6.9955 (11.4); 5.7527 (5.3); 4.1743 (3.1); 4.1518 (7.4); 4.1301 (7.9); 4.1073 (3.9); 3.8154 (6.3); 3.7927 (12.2); 3.7678 (6.0); 3.4301 (8.6); 3.4095 (8.9); 3.4053 (8.3); 3.3848 (7.2); 3.2478 (16.0); 3.2241 (15.2); 2.0049 (1.2); 1.5519 (72.6); 1.5432 (49.6); 1.5368 (25.2); 1.5303 (18.8); 1.5251 (25.1); 1.5144 (11.8); 1.4997 (5.8); 1.4814 (2.2); 1.4137 (1.8); 1.3333 (1.5); 1.2840 (1.8); 1.2743 (2.9); 1.2693 (4.9); 1.2600 (8.5); 1.2490 (12.8); 1.2443 (15.4); 1.2321 (11.0); 1.2265 (11.1); 1.2168 (6.4); 1.2075 (4.2); 1.2017 (2.2); 0.1459 (3.0); 0.1129 (1.2); 0.1003 (1.2); 0.0079 (31.6); -0.0002 (959.6); -0.0085 (28.4); - 0.0507 (3.4); -0.1498 (3.0) 1.6- 37: 'H-NMR(400.0 MHz, CDC13): δ = 8.0535 (7.3); 7.5183 (11.6); 7.3726 (2.7); 7.3600 (3.0); 7.3083 (2.6); 7.2932 (3.7); 7.2595 (2128.7); 7.2433 (2.6); 7.2273 (1.7); 7.2089 (7.5); 7.1879 (4.8); 7.1818 (8.4); 7.1693 (5.3); 7.1602 (13.8); 7.1559 (7.0); 7.1405 (10.6); 7.1355 (12.7); 7.1154 (7.4); 7.0978 (5.3); 7.0905 (5.8); 6.9955 (11.4); 5.7527 (5.3); 4.1743 (3.1); 4.1518 (7.4); 4.1301 (7.9); 4.1073 (3.9); 3.8154 (6.3); 3.7927 (12.2); 3.7678 (6.0); 3.4301 (8.6); 3.4095 (8.9); 3.4053 (8.3); 3.3848 (7.2); 3.2478 (16.0); 3.2241 (15.2); 2.0049 (1.2); 1.5519 (72.6); 1.5432 (49.6); 1.5368 (25.2); 1.5303 (18.8); 1.5251 (25.1); 1.5144 (11.8); 1.4997 (5.8); 1.4814 (2.2); 1.4137 (1.8); 1.3333 (1.5); 1.2840 (1.8); 1.2743 (2.9); 1.2693 (4.9); 1.2600 (8.5); 1.2490 (12.8); 1.2443 (15.4); 1.2321 (11.0); 1.2265 (11.1); 1.2168 (6.4); 1.2075 (4.2); 1.2017 (2.2); 0.1459 (3.0); 0.1129 (1.2); 0.1003 (1.2); 0.0079 (31.6); -0.0002 (959.6); -0.0085 (28.4); - 0.0507 (3.4); -0.1498 (3.0) 1.6-37: 'H-NMR (400.0 MHz, CDC13):
δ= 8.4977 (0.6); 8.0802 (8.4); 7.5859 (2.7); 7.5801 (5.0); 7.5746 (3.9); 7.5674 (9.8); 7.5625 (15.9); 7.5488 (16.0); 7.5195 (1.9); 7.4176 (1.1); 7.4043 (1.1); 7.2606 (334.0); 7.2262 (5.4); 7.2016 (8.5); 7.1796 (4.7); 7.1442 (0.7); 6.9966 (1.8); 6.0344 (5.5); 4.2427 (3.0); 4.2202 (7.5); 4.1975 (8.0); 4.1749 (3.6); 4.0822 (0.5); 3.8739 (0.6); 3.8572 (0.6); 3.8440 (5.4); 3.8198 (10.4); 3.7960 (5.4); 3.6876 (0.7); 3.6676 (0.7); 3.4926 (1.7); 3.4571 (7.6); 3.4359 (8.5); 3.4324 (8.2); 3.4111 (6.1); 3.2903 (13.8); 3.2661 (13.2); 2.0472 (0.8); 1.5904 (0.8); 1.5730 (2.8); 1.5666 (2.1); 1.5569 (6.0); 1.5468 (13.6); 1.5408 (9.0); 1.5341 (9.5); 1.5294 (15.9); 1.5181 (7.1); 1.5084 (1.8); 1.5026 (3.0); 1.4844 (1.0); 1.4649 (0.5); 1.4075 (1.4); 1.3910 (0.5); 1.3106 (1.0); 1.2909 (1.1); 1.2791 (2.6); 1.2739 (4.0); 1.2651 (6.8); 1.2535 (9.0); 1.2483 (11.1); 1.2347 (12.2); 1.2286 (8.0); 1.2184 (5.6); 1.2095 (3.9); 1.2031 (2.2); 1.1924 (0.9); 1.1729 (0.5); 1.0592 (0.6); 0.7060 (0.5); 0.0080 (4.6); -0.0002 (148.6); -0.0085 (3.9)δ = 8.4977 (0.6); 8.0802 (8.4); 7.5859 (2.7); 7.5801 (5.0); 7.5746 (3.9); 7.5674 (9.8); 7.5625 (15.9); 7.5488 (16.0); 7.5195 (1.9); 7.4176 (1.1); 7.4043 (1.1); 7.2606 (334.0); 7.2262 (5.4); 7.2016 (8.5); 7.1796 (4.7); 7.1442 (0.7); 6.9966 (1.8); 6.0344 (5.5); 4.2427 (3.0); 4.2202 (7.5); 4.1975 (8.0); 4.1749 (3.6); 4.0822 (0.5); 3.8739 (0.6); 3.8572 (0.6); 3.8440 (5.4); 3.8198 (10.4); 3.7960 (5.4); 3.6876 (0.7); 3.6676 (0.7); 3.4926 (1.7); 3.4571 (7.6); 3.4359 (8.5); 3.4324 (8.2); 3.4111 (6.1); 3.2903 (13.8); 3.2661 (13.2); 2,0472 (0.8); 1.5904 (0.8); 1.5730 (2.8); 1.5666 (2.1); 1.5569 (6.0); 1.5468 (13.6); 1.5408 (9.0); 1.5341 (9.5); 1.5294 (15.9); 1.5181 (7.1); 1.5084 (1.8); 1.5026 (3.0); 1.4844 (1.0); 1.4649 (0.5); 1.4075 (1.4); 1.3910 (0.5); 1.3106 (1.0); 1.2909 (1.1); 1.2791 (2.6); 1.2739 (4.0); 1.2651 (6.8); 1.2535 (9.0); 1.2483 (11.1); 1.2347 (12.2); 1.2286 (8.0); 1.2184 (5.6); 1.2095 (3.9); 1.2031 (2.2); 1.1924 (0.9); 1.1729 (0.5); 1.0592 (0.6); 0.7060 (0.5); 0.0080 (4.6); -0.0002 (148.6); -0.0085 (3.9)
1.7- 13: 'H-NMR^OO.O MHz, CDC13): 1.7-13: 'H NMR ^ OO.O MHz, CDC13):
δ= 8.0536 (1.1); 7.6198 (2.5); 7.5995 (3.1); 7.4710 (3.0); 7.4506 (2.3); 7.2605 (40.9); 6.1089 (0.8); 4.3005 (1.0); 4.2802 (1.1); 3.8551 (0.9); 3.8311 (1.5); 3.8074 (0.8); 3.4806 (1.0); 3.4611 (1.1); 3.4559 (1.0); 3.4363 (0.8); 3.3306 (2.3); 3.3167 (16.0); 3.3086 (2.6); 2.9422 (1.2); 1.1514 (0.6); 1.1459 (0.7); 1.1374 (0.9); 1.1327 (0.9); 1.1224 (0.9); 1.1040 (0.8); 1.0940 (0.9); 1.0903 (1.0); 1.0813 (0.6); 1.0763 (0.6); 1.0633 (0.5); 1.0517 (0.6); 0.9839 (0.6); 0.9720 (0.6); 0.9596 (0.8); 0.9542 (0.6); 0.9457 (1.1); 0.9427 (1.0); 0.9321 (0.8); 0.9122 (0.9); 0.9023 (0.9); 0.8972 (0.9); 0.8898 (0.6); 0.8843 (0.6); 0.0079 (0.7); -0.0002 (17.8); -δ = 8.0536 (1.1); 7.6198 (2.5); 7.5995 (3.1); 7.4710 (3.0); 7.4506 (2.3); 7.2605 (40.9); 6.1089 (0.8); 4.3005 (1.0); 4.2802 (1.1); 3.8551 (0.9); 3.8311 (1.5); 3.8074 (0.8); 3.4806 (1.0); 3.4611 (1.1); 3.4559 (1.0); 3.4363 (0.8); 3.3306 (2.3); 3.3167 (16.0); 3.3086 (2.6); 2.9422 (1.2); 1.1514 (0.6); 1.1459 (0.7); 1.1374 (0.9); 1.1327 (0.9); 1.1224 (0.9); 1.1040 (0.8); 1.0940 (0.9); 1.0903 (1.0); 1.0813 (0.6); 1.0763 (0.6); 1.0633 (0.5); 1.0517 (0.6); 0.9839 (0.6); 0.9720 (0.6); 0.9596 (0.8); 0.9542 (0.6); 0.9457 (1.1); 0.9427 (1.0); 0.9321 (0.8); 0.9122 (0.9); 0.9023 (0.9); 0.8972 (0.9); 0.8898 (0.6); 0.8843 (0.6); 0.0079 (0.7); -0.0002 (17.8); -
0.0085 (0.7) 0.0085 (0.7)
1.7-32: 1H-NMR(400.0 MHz, CDC13): 1.7-32: 1 H-NMR (400.0 MHz, CDC13):
δ= 8.0197 (1.0); 7.2599 (71.0); 7.1771 (0.7); 7.1717 (0.8); 7.1651 (0.7); 7.1586 (0.8); 7.1528 (1.0); 7.1494 (1.0); 7.1440 (1.9); 7.1304 (0.8); 7.1242 (1.5); 7.1192 (1.2); 7.0991 (0.9); 7.0728 (1.0); 6.0757 (0.8); 4.1997 (1.0); 4.1789 (1.1); 3.8268 (0.9); 3.8032 (1.7); 3.7790 (0.9); 3.4316 (1.0); 3.4119 (1.1); 3.4068 (1.0); 3.3870 (0.9); 3.3168 (16.0); 3.2613 (2.0); 3.2390 (1.9); 3.0618 (1.0); 1.1506 (0.8); 1.1414 (0.9); 1.1365 (0.9); 1.1263 (0.9); 1.1086 (0.9); 1.0985 (1.0); 1.0949 (1.0); 1.0852 (0.8); 1.0679 (0.5); 1.0563 (0.6); 0.9868 (0.6); 0.9746 (0.6); 0.9618 (0.8); 0.9559 (0.6); 0.9485 (1.0); 0.9454 (1.0); 0.9351 (0.8); 0.9139 (0.9); 0.9038 (0.9);δ = 8.0197 (1.0); 7.2599 (71.0); 7.1771 (0.7); 7.1717 (0.8); 7.1651 (0.7); 7.1586 (0.8); 7.1528 (1.0); 7.1494 (1.0); 7.1440 (1.9); 7.1304 (0.8); 7.1242 (1.5); 7.1192 (1.2); 7.0991 (0.9); 7.0728 (1.0); 6.0757 (0.8); 4.1997 (1.0); 4.1789 (1.1); 3.8268 (0.9); 3.8032 (1.7); 3.7790 (0.9); 3.4316 (1.0); 3.4119 (1.1); 3.4068 (1.0); 3.3870 (0.9); 3.3168 (16.0); 3.2613 (2.0); 3.2390 (1.9); 3.0618 (1.0); 1.1506 (0.8); 1.1414 (0.9); 1.1365 (0.9); 1.1263 (0.9); 1.1086 (0.9); 1.0985 (1.0); 1.0949 (1.0); 1.0852 (0.8); 1.0679 (0.5); 1.0563 (0.6); 0.9868 (0.6); 0.9746 (0.6); 0.9618 (0.8); 0.9559 (0.6); 0.9485 (1.0); 0.9454 (1.0); 0.9351 (0.8); 0.9139 (0.9); 0.9038 (0.9);
0.8988 (0.9); 0.8929 (0.5); 0.8867 (0.7); 0.0079 (1.2); -0.0002 (30.9); -0.0084 (1.4) 0.8988 (0.9); 0.8929 (0.5); 0.8867 (0.7); 0.0079 (1.2); -0.0002 (30.9); -0.0084 (1.4)
1.7-37: 1H-NMR(400.0 MHz, CDC13): 1.7-37: 1 H-NMR (400.0 MHz, CDC13):
δ= 8.1131 (0.9); 7.5662 (0.8); 7.5599 (1.2); 7.5545 (1.5); 7.5380 (1.7); 7.2609 (36.7); 7.2059 (0.7); 7.1819 (1.2); 7.1578 (0.6); 6.0005 (0.6); 4.2581 (0.9); 4.2370 (1.0); 3.8350 (0.7); 3.8112 (1.3); 3.7877 (0.7); 3.4406 (0.9); 3.4203 (1.0); 3.4159 (0.9); 3.3956 (0.8); 3.3168 (16.0); 3.2796 (1.8); 3.2565 (1.8); 3.0364 (1.3); 1.1471 (0.6); 1.1387 (0.8); 1.1338 (0.8); 1.1242 (0.8); 1.1090 (0.8); 1.0996 (0.8); 1.0958 (0.9); 1.0874 (0.5); 1.0574 (0.5); 0.9812 (0.5); 0.9568 (0.7); 0.9433 (0.9); 0.9400 (0.9); 0.9303 (0.7); 0.9127 (0.8); 0.9034 (0.8); 0.8982 (0.8); 0.8856 (0.6); -0.0002 (15.8); -0.0085 (0.5) δ = 8.1131 (0.9); 7.5662 (0.8); 7.5599 (1.2); 7.5545 (1.5); 7.5380 (1.7); 7.2609 (36.7); 7.2059 (0.7); 7.1819 (1.2); 7.1578 (0.6); 6,0005 (0.6); 4.2581 (0.9); 4.2370 (1.0); 3.8350 (0.7); 3.8112 (1.3); 3.7877 (0.7); 3.4406 (0.9); 3.4203 (1.0); 3.4159 (0.9); 3.3956 (0.8); 3.3168 (16.0); 3.2796 (1.8); 3.2565 (1.8); 3.0364 (1.3); 1.1471 (0.6); 1.1387 (0.8); 1.1338 (0.8); 1.1242 (0.8); 1.1090 (0.8); 1.0996 (0.8); 1.0958 (0.9); 1.0874 (0.5); 1.0574 (0.5); 0.9812 (0.5); 0.9568 (0.7); 0.9433 (0.9); 0.9400 (0.9); 0.9303 (0.7); 0.9127 (0.8); 0.9034 (0.8); 0.8982 (0.8); 0.8856 (0.6); -0.0002 (15.8); -0.0085 (0.5)
Gegenstand der vorliegenden Erfindung ist weiterhin die Verwendung einer oder mehrerer The present invention furthermore relates to the use of one or more
Verbindungen der allgemeinen Formel (I) und/oder deren Salzen, wie oben definiert, vorzugsweise in einer der als bevorzugt bzw. besonders bevorzugt gekennzeichneten Ausgestaltung, insbesondere einer oder mehrerer Verbindungen der Formeln (L I) bis (1.49) und/oder deren Salze, jeweils wie oben definiert, Compounds of general formula (I) and / or salts thereof, as defined above, preferably in one of the preferred or particularly preferred embodiment, in particular one or more compounds of formulas (LI) to (1.49) and / or salts thereof, each as defined above,
als Herbizid und/oder Pflanzenwachstumsregulator, vorzugsweise in Kulturen von Nutz- und/oder Zierpflanzen. as a herbicide and / or plant growth regulator, preferably in crops of useful and / or ornamental plants.
Gegenstand der vorliegenden Erfindung ist ferner ein Verfahren zur Bekämpfung von Schadpflanzen und/oder zur Wachstumsregulierung von Pflanzen, dadurch gekennzeichnet, dass eine wirksame Menge einer oder mehrerer Verbindungen der allgemeinen Formel (I) und/oder deren Salzen, wie oben definiert, vorzugsweise in einer der als bevorzugt bzw. besonders bevorzugt gekennzeichneten Ausgestaltung, insbesondere einer oder mehrerer Verbindungen der Formeln (L I) bis (1.49) und/oder deren Salze, jeweils wie oben definiert, oder eines erfindungsgemäßen Mittels, wie nachstehend definiert, auf die (Schad)Pflanzen, (Schad)Pflanzensamen, den Boden, in dem oder auf dem die The present invention furthermore relates to a method for controlling harmful plants and / or for regulating the growth of plants, characterized in that an effective amount of one or more compounds of the general formula (I) and / or their salts, as defined above, preferably in one the embodiment characterized as being preferred or particularly preferred, in particular one or more compounds of the formulas (LI) to (1.49) and / or salts thereof, each as defined above, or an agent according to the invention, as defined below, on the (harmful) plants , (Harmful) plant seeds, the soil in which or on the
(Schad)Pflanzen wachsen, oder die Anbaufläche appliziert wird. Gegenstand der vorliegenden Erfindung ist auch ein Verfahren zur Bekämpfung von unerwünschten Pflanzen, vorzugsweise in Nutzpflanzenkulturen, dadurch gekennzeichnet, dass eine wirksame Menge - einer oder mehrerer Verbindungen der allgemeinen Formel (I) und/oder deren Salzen, wie oben definiert, vorzugsweise in einer der als bevorzugt bzw. besonders bevorzugt gekennzeichneten Ausgestaltung, insbesondere einer oder mehrerer Verbindungen der Formeln (LI) bis (1.49) und/oder deren Salze, jeweils wie oben definiert, oder - eines erfindungsgemäßen Mittels, wie nachstehend definiert, auf unerwünschte Pflanzen (z.B. Schadpflanzen wie mono- oder dikotyle Unkräuter oder unerwünschte Kulturpflanzen), das Saatgut der unerwünschten Pflanzen (d.h. Pflanzensamen, z.B. Körner, Samen oder vegetative Vermehrungsorgane wie Knollen oder Sprossteile mit Knospen), den Boden, in dem oder auf dem die unerwünschte Pflanzen wachsen, (z.B. den(Schad) plants grow, or the acreage is applied. The present invention also provides a method for controlling undesirable plants, preferably in crops, characterized in that an effective amount of one or more compounds of general formula (I) and / or their salts, as defined above, preferably in one of characterized as preferred or particularly preferred embodiment, in particular one or more compounds of formulas (LI) to (1.49) and / or their salts, each as defined above, or - an agent according to the invention, as defined below, on undesirable plants (eg harmful plants such as monocotyledonous or dicotyledonous weeds or undesired crops), the seed of the undesired plants (ie plant seeds, eg grains, seeds or vegetative propagules such as tubers or sprouts with buds), the soil in or on which the undesired plants grow (eg the
Boden von Kulturland oder Nicht-Kulturland) oder die Anbaufläche (d.h. Fläche, auf der die unerwünschte Pflanzen wachsen werden) appliziert wird. Soil of cultivated land or non-cultivated land) or the cultivated area (i.e., area on which the undesirable plants will grow) is applied.
Gegenstand der vorliegenden Erfindung ist ferner auch Verfahren zur Bekämpfung zur The present invention is also a method for controlling
Wachstumsregulierung von Pflanzen, vorzugsweise von Nutzpflanzen, dadurch gekennzeichnet, dass eine wirksame Menge einer oder mehrerer Verbindungen der allgemeinen Formel (I) und/oder deren Salzen, wie oben definiert, vorzugsweise in einer der als bevorzugt bzw. besonders bevorzugt gekennzeichneten Ausgestaltung, insbesondere einer oder mehrerer Verbindungen der allgemeinen Formeln (L I) bis (1.49) und/oder deren Salze, jeweils wie oben definiert, oder eines erfindungsgemäßen Mittels, wie nachstehend definiert, die Pflanze, das Saatgut der Pflanze (d.h. Pflanzensamen, z.B. Körner, Samen oder vegetativeGrowth regulation of plants, preferably of useful plants, characterized in that an effective amount of one or more compounds of the general formula (I) and / or their salts, as defined above, preferably in one of the preferred embodiment or particularly preferred embodiment, in particular one or more compounds of the general formulas (LI) to (1.49) and / or salts thereof, each as defined above, or an agent according to the invention, as defined below, the plant, the seed of the plant (ie plant seeds, eg grains, seeds or vegetative
Vermehrungsorgane wie Knollen oder Sprossteile mit Knospen), den Boden, in dem oder auf dem die Pflanzen wachsen, (z.B. den Boden von Kulturland oder Nicht-Kulturland) oder die Anbaufläche (d.h. Fläche, auf der die Pflanzen wachsen werden) appliziert wird. Propagating organs such as tubers or sprouts with buds), the soil in which or on which the plants grow (e.g., the soil of cultivated land or non-cultivated land) or the cultivated area (i.e., area on which the plants will grow) is applied.
Dabei können die erfindungsgemäßen Verbindungen bzw. die erfindungsgemäßen Mittel z.B. im Vorsaat- (gegebenenfalls auch durch Einarbeitung in den Boden), Vorauflauf- und/oder The compounds according to the invention or the agents according to the invention may e.g. in Vorsaat- (possibly also by incorporation into the soil), pre-emergence and / or
Nachauflaufverfahren ausgebracht werden. Im einzelnen seien beispielhaft einige Vertreter der mono- und dikotylen Unkrautflora genannt, die durch die die erfindungsgemäßen Verbindungen kontrolliert werden können, ohne dass durch die Nennung eine Beschränkung auf bestimmte Arten erfolgen soll. Postemergence be applied. In particular, some representatives of the mono- and dicotyledonous weed flora, which can be controlled by the compounds of the invention, without that by naming a restriction to certain species is to take place.
Vorzugsweise werden in einem erfindungsgemäßen Verfahren zur Bekämpfung von Schadpflanzen oder zur Wachstumsregulierung von Pflanzen eine oder mehrere Verbindungen der allgemeinen Formel (I) und/oder deren Salze zur Bekämpfung von Schadpflanzen oder zur Wachstumsregulierung in Kulturen von Nutzpflanzen oder Zierpflanzen eingesetzt, wobei die Nutzpflanzen oder Zierpflanzen in einer bevorzugten Ausgestaltung transgene Pflanzen sind. Die erfindungsgemäßen Verbindungen der allgemeinen Formel (I) und/oder deren Salze eignen sich zur Bekämpfung der folgenden Gattungen von monokotylen und dikotylen Schadpflanzen: Preferably, in a method according to the invention for controlling harmful plants or regulating the growth of plants, one or more compounds of the general formula (I) and / or their salts are employed for controlling harmful plants or regulating growth in crops of crops or ornamental plants, the crops or ornamentals in a preferred embodiment are transgenic plants. The compounds of the general formula (I) according to the invention and / or salts thereof are suitable for controlling the following genera of monocotyledonous and dicotyledonous harmful plants:
Monokotyle Schadpflanzen der Gattungen: Aegilops, Agropyron, Agrostis, Alopecurus, Apera, Avena, Brachiaria, Bromus, Cenchrus, Commelina, Cynodon, Cyperus, Dactyloctenium, Digitaria, Echinochloa, Eleocharis, Eleusine, Eragrostis, Eriochloa, Festuca, Fimbristylis, Heteranthera, Imperata, Ischaemum, Leptochloa, Lolium, Monochoria, Panicum, Paspalum, Phalaris, Phleum, Poa, Rottboellia, Sagittaria, Scirpus, Setaria, Sorghum. Monocotyledonous weeds of the genera: Aegilops, Agropyron, Agrostis, Alopecurus, Apera, Avena, Brachiaria, Bromus, Cenchrus, Commelina, Cynodon, Cyperus, Dactyloctenium, Digitaria, Echinochloa, Eleocharis, Eleusine, Eragrostis, Eriochloa, Festuca, Fimbristylis, Heteranthera, Imperata , Ishumum, Leptochloa, Lolium, Monochoria, Panicum, Paspalum, Phalaris, Phleum, Poa, Rottboellia, Sagittaria, Scirpus, Setaria, Sorghum.
Dikotyle Schadpflanzen der Gattungen: Abutilon, Amaranthus, Ambrosia, Anoda, Anthemis, Aphanes, Artemisia, Atriplex, Bellis, Bidens, Capsella, Carduus, Cassia, Centaurea, Chenopodium, Cirsium, Convolvulus, Datura, Desmodium, Emex, Erysimum, Euphorbia, Galeopsis, Galinsoga, Galium, Hibiscus, Ipomoea, Kochia, Lamium, Lepidium, Lindernia, Matricaria, Mentha, Mercurialis, Mullugo, Myosotis, Papaver, Pharbitis, Plantago, Polygonum, Portulaca, Ranunculus, Raphanus, Rorippa, Rotala, Rumex, Salsola, Senecio, Sesbania, Sida, Sinapis, Solanum, Sonchus, Sphenoclea, Stellaria, Taraxacum, Thlaspi, Trifolium, Urtica, Veronica, Viola, Xanthium. Werden die erfindungsgemäßen Verbindungen vor dem Keimen der Schadpflanzen (Ungräser und/oder Unkräuter) auf die Erdoberfläche appliziert (Vorauflaufverfahren), so wird entweder das Auflaufen der Ungras- bzw. Unkrautkeimlinge vollständig verhindert oder diese wachsen bis zum Keimblattstadium heran, stellen jedoch dann ihr Wachstum ein und sterben schließlich nach Ablauf von drei bis vier Wochen vollkommen ab. Dicotyledonous weeds of the genera: Abutilon, Amaranthus, Ambrosia, Anoda, Anthemis, Aphanes, Artemisia, Atriplex, Bellis, Bidens, Capsella, Carduus, Cassia, Centaurea, Chenopodium, Cirsium, Convolvulus, Datura, Desmodium, Emex, Erysimum, Euphorbia, Galeopsis Galinsoga Galium Hibiscus Ipomoea Kochia Lamium Lepidium Lindernia Matricaria Mentha Mercurialis Mullugo Myosotis Papaver Pharbitis Plantago Polygonum Portulaca Ranunculus Raphanus Rorippa Rotala Rumex , Sesbania, Sida, Sinapis, Solanum, Sonchus, Sphenoclea, Stellaria, Taraxacum, Thlaspi, Trifolium, Urtica, Veronica, Viola, Xanthium. If the compounds according to the invention are applied to the surface of the earth (weeds and / or weeds) prior to germination (pre-emergence method), either the emergence of the weed seedlings or weed seedlings is completely prevented or they grow up to the cotyledon stage, but then grow and eventually die off after three to four weeks.
Bei Applikation der Wirkstoffe auf die grünen Pflanzenteile im Nachauflaufverfahren tritt nach der Behandlung Wachstumsstop ein und die Schadpflanzen bleiben in dem zum Applikationszeitpunkt vorhandenen Wachstumsstadium stehen oder sterben nach einer gewissen Zeit ganz ab, so dass auf diese Weise eine für die Kulturpflanzen schädliche Unkrautkonkurrenz sehr früh und nachhaltig beseitigt wird. Obgleich die erfindungsgemäßen Verbindungen eine ausgezeichnete herbizide Aktivität gegenüber mono- und dikotylen Unkräutern aufweisen, werden Kulturpflanzen wirtschaftlich bedeutender Kulturen z.B. dikotyler Kulturen der Gattungen Arachis, Beta, Brassica, Cucumis, Cucurbita, Helianthus, Daucus, Glycine, Gossypium, Ipomoea, Lactuca, Linum, Lycopersicon, Miscanthus, Nicotiana, Phaseolus, Pisum, Solanum, Vicia, oder monokotyler Kulturen der Gattungen Allium, Ananas, Asparagus, Avena, Hordeum, Oryza, Panicum, Saccharum, Seeale, Sorghum, Triticale, Triticum, Zea, abhängig von der Struktur der jeweiligen erfindungsgemäßen Verbindung und deren Aufwandmenge nur unwesentlich oder gar nicht geschädigt. Die vorliegenden Verbindungen eignen sich aus diesen Gründen sehr gut zur selektiven Bekämpfung von unerwünschtem Pflanzenwuchs in Pflanzenkulturen wie When the active ingredients are applied to the green parts of the plants postemergence, growth stops after the treatment and the harmful plants remain in the growth stage existing at the time of application or die completely after a certain time, so that a weed competition harmful to the crop plants takes place very early and sustainably eliminated. Although the compounds according to the invention have excellent herbicidal activity against monocotyledonous and dicotyledonous weeds, crops of economically important crops, eg dicotyledonous crops of the genera Arachis, Beta, Brassica, Cucumis, Cucurbita, Helianthus, Daucus, Glycine, Gossypium, Ipomoea, Lactuca, Linum, Lycopersicon, Miscanthus, Nicotiana, Phaseolus, Pisum, Solanum, Vicia, or monocotylic cultures of the genera Allium, Pineapple, Asparagus, Avena, Hordeum, Oryza, Panicum, Saccharum, Seeale, Sorghum, Triticale, Triticum, Zea, depending on the structure of the respective compound of the invention and its application rate only insignificantly damaged or not at all. For these reasons, the present compounds are very well suited for the selective control of undesired plant growth in crops such as
landwirtschaftlichen Nutzpflanzungen oder Zierpflanzungen. agricultural crops or ornamental plantings.
Darüberhinaus weisen die erfindungsgemäßen Verbindungen (abhängig von ihrer jeweiligen Struktur und der ausgebrachten Aufwandmenge) hervorragende wachstumsregulatorische Eigenschaften bei Kulturpflanzen auf. Sie greifen regulierend in den pflanzeneigenen Stoffwechsel ein und können damit zur gezielten Beeinflussung von Pflanzeninhaltsstoffen und zur Ernteerleichterung wie z.B. durchIn addition, the compounds according to the invention (depending on their respective structure and the applied application rate) have excellent growth-regulatory properties in crop plants. They regulate the plant's metabolism and can thus be used to specifically influence plant constituents and facilitate harvesting, such as by
Auslösen von Desikkation und Wuchsstauchung eingesetzt werden. Desweiteren eignen sie sich auch zur generellen Steuerung und Hemmung von unerwünschtem vegetativem Wachstum, ohne dabei die Pflanzen abzutöten. Eine Hemmung des vegetativen Wachstums spielt bei vielen mono- und dikotylen Kulturen eine große Rolle, da beispielsweise die Lagerbildung hierdurch verringert oder völlig verhindert werden kann. Triggering of desiccation and stunting are used. Furthermore, they are also suitable for the general control and inhibition of unwanted vegetative growth, without killing the plants. Inhibition of vegetative growth plays an important role in many monocotyledonous and dicotyledonous crops, since, for example, storage formation can thereby be reduced or completely prevented.
Aufgrund ihrer herbiziden und pflanzenwachstumsregulatorischen Eigenschaften können die Wirkstoffe auch zur Bekämpfung von Schadpflanzen in Kulturen von gentechnisch oder durch konventionelle Mutagenese veränderten Pflanzen eingesetzt werden. Die transgenen Pflanzen zeichnen sich in der Regel durch besondere vorteilhafte Eigenschaften aus, beispielsweise durch Resistenzen gegenüber bestimmten Pestiziden, vor allem bestimmten Herbiziden, Resistenzen gegenüber Pflanzenkrankheiten oder Erregern von Pflanzenkrankheiten wie bestimmten Insekten oder Mikroorganismen wie Pilzen, Bakterien oder Viren. Andere besondere Eigenschaften betreffen z.B. das Erntegut hinsichtlich Menge, Qualität, Lagerfähigkeit, Zusammensetzung und spezieller Inhaltsstoffe. So sind transgene Pflanzen mit erhöhtem Stärkegehalt oder veränderter Qualität der Stärke oder solche mit anderer Because of their herbicidal and plant growth regulatory properties, the active compounds can also be used to control harmful plants in crops of genetically engineered or conventional mutagenized plants. The transgenic plants are usually characterized by particular advantageous properties, for example by resistance to certain pesticides, especially certain herbicides, resistance to plant diseases or pathogens of plant diseases such as certain insects or microorganisms such as fungi, bacteria or viruses. Other special properties concern e.g. the crop in terms of quantity, quality, shelf life, composition and special ingredients. So are transgenic plants with increased starch content or altered quality of starch or those with others
Fettsäurezusammensetzung des Ernteguts bekannt. Fatty acid composition of the crop known.
Bevorzugt bezüglich transgener Kulturen ist die Anwendung der erfindungsgemäßen Verbindungen und/oder deren Salze in wirtschaftlich bedeutenden transgenen Kulturen von Nutz und Zierpflanzen, z.B. von Getreide wie Weizen, Gerste, Roggen, Hafer, Hirse, Reis und Mais oder auch Kulturen von Zuckerrübe, Baumwolle, Soja, Raps, Kartoffel, Tomate, Erbse und anderen Gemüsesorten. Vorzugsweise können die erfindungsgemäßen Verbindungen auch als Herbizide in Preferred in relation to transgenic cultures is the use of the compounds according to the invention and / or their salts in economically important transgenic crops of useful and ornamental plants, for example cereals such as wheat, barley, rye, oats, millet, rice and maize or also crops of sugar beet, cotton, Soy, rapeseed, potato, tomato, pea and other vegetables. Preferably, the compounds of the invention may also be used as herbicides in
Nutzpflanzenkulturen eingesetzt werden, welche gegenüber den phytotoxischen Wirkungen der Herbizide resistent sind bzw. gentechnisch resistent gemacht worden sind. Aufgrund ihrer herbiziden und pflanzenwachstumsregulatorischen Eigenschaften können die Wirkstoffe auch zur Bekämpfung von Schadpflanzen in Kulturen von bekannten oder noch zu entwickelnden gentechnisch veränderten Pflanzen eingesetzt werden. Die transgenen Pflanzen zeichnen sich in der Regel durch besondere vorteilhafte Eigenschaften aus, beispielsweise durch Resistenzen gegenüber bestimmten Pestiziden, vor allem bestimmten Herbiziden, Resistenzen gegenüber Pflanzenkrankheiten oder Erregern von Pflanzenkrankheiten wie bestimmten Insekten oder Mikroorganismen wie Pilzen, Bakterien oder Viren. Andere besondere Eigenschaften betreffen z.B. das Erntegut hinsichtlich Menge, Qualität, Lagerfähigkeit, Zusammensetzung und spezieller Inhaltsstoffe. So sind transgene Pflanzen mit erhöhtem Stärkegehalt oder veränderter Qualität der Stärke oder solche mit anderer Crop plants are used, which are resistant to the phytotoxic effects of herbicides or have been made genetically resistant. Due to their herbicidal and plant growth regulatory properties, the active compounds can also be used for controlling harmful plants in crops of known or yet to be developed genetically modified plants. The transgenic plants are usually characterized by particular advantageous properties, for example by resistance to certain pesticides, especially certain herbicides, resistance to plant diseases or pathogens of plant diseases such as certain insects or microorganisms such as fungi, bacteria or viruses. Other special properties concern e.g. the crop in terms of quantity, quality, shelf life, composition and special ingredients. So are transgenic plants with increased starch content or altered quality of starch or those with others
Fettsäurezusammensetzung des Ernteguts bekannt. Weitere besondere Eigenschaften können in einer Toleranz oder Resistenz gegen abiotische Stressoren z.B. Hitze, Kälte, Trockenheit, Salz und ultraviolette Strahlung liegen. Fatty acid composition of the crop known. Other particular properties may include tolerance or resistance to abiotic stressors, e.g. Heat, cold, drought, salt and ultraviolet radiation are present.
Bevorzugt ist die Anwendung der erfindungsgemäßen Verbindungen der allgemeinen Formel (I) oder deren Salze in wirtschaftlich bedeutenden transgenen Kulturen von Nutz-und Zierpflanzen, z.B. von Getreide wie Weizen, Gerste, Roggen, Hafer, Triticale, Hirse, Reis, Maniok und Mais oder auchPreference is given to the use of the compounds of general formula (I) according to the invention or their salts in economically important transgenic crops of useful and ornamental plants, e.g. of cereals such as wheat, barley, rye, oats, triticale, millet, rice, cassava and corn or even
Kulturen von Zuckerrübe, Baumwolle, Soja, Raps, Kartoffel, Tomate, Erbse und anderen Gemüsesorten. Cultures of sugar beet, cotton, soy, rapeseed, potato, tomato, pea and other vegetables.
Vorzugsweise können die Verbindungen der allgemeinen Formel (I) als Herbizide in Preferably, the compounds of general formula (I) as herbicides in
Nutzpflanzenkulturen eingesetzt werden, welche gegenüber den phytotoxischen Wirkungen der Herbizide resistent sind bzw. gentechnisch resistent gemacht worden sind. Crop plants are used, which are resistant to the phytotoxic effects of herbicides or have been made genetically resistant.
Herkömmliche Wege zur Herstellung neuer Pflanzen, die im Vergleich zu bisher vorkommenden Pflanzen modifizierte Eigenschaften aufweisen, bestehen beispielsweise in klassischen Conventional ways of producing new plants which have modified properties in comparison with previously occurring plants consist, for example, in classical methods
Züchtungsverfahren und der Erzeugung von Mutanten. Alternativ können neue Pflanzen mit veränderten Eigenschaften mit Hilfe gentechnischer Verfahren erzeugt werden. Breeding methods and the generation of mutants. Alternatively, new plants with altered properties can be generated using genetic engineering techniques.
Zahlreiche molekularbiologische Techniken, mit denen neue transgene Pflanzen mit veränderten Eigenschaften hergestellt werden können, sind dem Fachmann bekannt. Für derartige gentechnische Manipulationen können Nucleinsäuremoleküle in Plasmide eingebracht werden, die eine Mutagenese oder eine Sequenzveränderung durch Rekombination von DNA-Sequenzen erlauben. Mit Hilfe vonNumerous molecular biological techniques with which new transgenic plants with altered properties can be prepared are known to the person skilled in the art. For such genetic engineering, nucleic acid molecules can be introduced into plasmids that allow mutagenesis or sequence alteration by recombination of DNA sequences. With the help of
Standardverfahren können z.B. Basenaustausche vorgenommen, Teilsequenzen entfernt oder natürliche oder synthetische Sequenzen hinzugefügt werden. Für die Verbindung der DNA-Fragmente untereinander können an die Fragmente Adaptoren oder Linker angesetzt werden. For example, standard methods can be used to exchange bases, remove partial sequences, or natural ones or synthetic sequences are added. For the connection of the DNA fragments with one another adapters or linkers can be attached to the fragments.
Die Herstellung von Pflanzenzellen mit einer verringerten Aktivität eines Genprodukts kann beispielsweise erzielt werden durch die Expression mindestens einer entsprechenden antisense-RNA, einer sense-RNA zur Erzielung eines Cosuppressionseffektes oder die Expression mindestens eines entsprechend konstruierten Ribozyms, das spezifisch Transkripte des obengenannten Genprodukts spaltet. Hierzu können zum einen DNA-Moleküle verwendet werden, die die gesamte codierende Sequenz eines Genprodukts einschließlich eventuell vorhandener flankierender Sequenzen umfassen, als auch DNA- Moleküle, die nur Teile der codierenden Sequenz umfassen, wobei diese Teile lang genug sein müssen, um in den Zellen einen antisense-Effekt zu bewirken. Möglich ist auch die Verwendung von DNA- Sequenzen, die einen hohen Grad an Homologie zu den codiereden Sequenzen eines Genprodukts aufweisen, aber nicht vollkommen identisch sind. The production of plant cells having a reduced activity of a gene product can be achieved, for example, by the expression of at least one corresponding antisense RNA, a sense RNA to obtain a cosuppression effect, or the expression of at least one appropriately engineered ribozyme which specifically cleaves transcripts of the above gene product. For this purpose, on the one hand DNA molecules can be used which comprise the entire coding sequence of a gene product including any flanking sequences, as well as DNA molecules which comprise only parts of the coding sequence, which parts have to be long enough to be present in the cells to cause an antisense effect. It is also possible to use DNA sequences which have a high degree of homology to the coding sequences of a gene product, but are not completely identical.
Bei der Expression von Nucleinsäuremolekülen in Pflanzen kann das synthetisierte Protein in jedem beliebigen Kompartiment der pflanzlichen Zelle lokalisiert sein. Um aber die Lokalisation in einem bestimmten Kompartiment zu erreichen, kann z.B. die codierende Region mit DNA-Sequenzen verknüpft werden, die die Lokalisierung in einem bestimmten Kompartiment gewährleisten. Derartige Sequenzen sind dem Fachmann bekannt (siehe beispielsweise Braun et al., EMBO J. 11 (1992), 3219- 3227). Die Expression der Nukleinsäuremoleküle kann auch in den Organellen der Pflanzenzellen stattfinden. Die transgenen Pflanzenzellen können nach bekannten Techniken zu ganzen Pflanzen regeneriert werden. Bei den transgenen Pflanzen kann es sich prinzipiell um Pflanzen jeder beliebigen In the expression of nucleic acid molecules in plants, the synthesized protein may be located in any compartment of the plant cell. However, to achieve localization in a particular compartment, e.g. the coding region is linked to DNA sequences which ensure localization in a particular compartment. Such sequences are known to the person skilled in the art (see, for example, Braun et al., EMBO J. 11 (1992), 3219-3227). The expression of the nucleic acid molecules can also take place in the organelles of the plant cells. The transgenic plant cells can be regenerated to whole plants by known techniques. The transgenic plants can in principle be plants of any one
Pflanzenspezies handeln, d.h. sowohl monokotyle als auch dikotyle Pflanzen. Plant species, i. both monocotyledonous and dicotyledonous plants.
So sind transgene Pflanzen erhältlich, die veränderte Eigenschaften durch Überexpression, Suppression oder Inhibierung homologer (= natürlicher) Gene oder Gensequenzen oder Expression heterologer (= fremder) Gene oder Gensequenzen aufweisen. Thus, transgenic plants are available which have altered properties by overexpression, suppression or inhibition of homologous (= natural) genes or gene sequences or expression of heterologous (= foreign) genes or gene sequences.
Vorzugsweise können die erfindungsgemäßen Verbindungen (I) in transgenen Kulturen eingesetzt werden, welche gegen Wuchsstoffe, wie z.B. Dicamba oder gegen Herbizide, die essentielle Preferably, the compounds (I) according to the invention can be used in transgenic cultures which are resistant to growth factors, such as e.g. Dicamba or against herbicides, the essential
Pflanzenenzyme, z.B. Acetolactatsynthasen (ALS), EPSP Synthasen, Glutaminsynthasen (GS) oderPlant enzymes, e.g. Acetolactate synthases (ALS), EPSP synthases, glutamine synthases (GS) or
Hydoxyphenylpyruvat Dioxygenasen (HPPD) hemmen, respektive gegen Herbizide aus der Gruppe der Sulfonylharnstoffe, der Glyphosate, Glufosinate oder Benzoylisoxazole und analogen Wirkstoffe, resistent sind. Hydoxyphenylpyruvate dioxygenases (HPPD) inhibit, respectively against herbicides from the group of Sulfonylureas, the glyphosate, glufosinate or benzoylisoxazole and analogues, are resistant.
Bei der Anwendung der erfindungsgemäßen Wirkstoffe in transgenen Kulturen treten neben den in anderen Kulturen zu beobachtenden Wirkungen gegenüber Schadpflanzen oftmals Wirkungen auf, die für die Applikation in der jeweiligen transgenen Kultur spezifisch sind, beispielsweise ein verändertes oder speziell erweitertes Unkrautspektrum, das bekämpft werden kann, veränderte Aufwandmengen, die für die Applikation eingesetzt werden können, vorzugsweise gute Kombinierbarkeit mit den Herbiziden, gegenüber denen die transgene Kultur resistent ist, sowie Beeinflussung von Wuchs und Ertrag der transgenen Kulturpflanzen. In the application of the active compounds according to the invention in transgenic crops, in addition to the effects observed in other crops on harmful plants, effects which are specific for the application in the respective transgenic crop often occur, for example a modified or specially extended weed spectrum which can be controlled Application rates that can be used for the application, preferably good combinability with the herbicides to which the transgenic culture is resistant, and influencing growth and yield of the transgenic crops.
Gegenstand der Erfindung ist deshalb auch die Verwendung der erfindungsgemäßen Verbindungen der allgemeinen Formel (I) und/oder deren Salze als Herbizide zur Bekämpfung von Schadpflanzen in Kulturen von Nutz- oder Zierpflanzen, gegebenenfalls in transgenen Kulturpflanzen. The invention therefore also relates to the use of the compounds of the general formula (I) according to the invention and / or salts thereof as herbicides for controlling harmful plants in crops of useful or ornamental plants, optionally in transgenic crop plants.
Bevorzugt ist die Verwendung in Getreide, dabei vorzugsweise Mais, Weizen, Gerste, Roggen, Hafer, Hirse, oder Reis, im Vor- oder Nachauflauf. Preferred is the use in cereals, preferably corn, wheat, barley, rye, oats, millet, or rice, in the pre- or post-emergence.
Bevorzugt ist auch die Verwendung in Soja im Vor- oder Nachauflauf. Preference is also the use in soy in the pre or postemergence.
Die erfindungsgemäße Verwendung zur Bekämpfung von Schadpflanzen oder zur The use according to the invention for controlling harmful plants or for
Wachstumsregulierung von Pflanzen schließt auch den Fall ein, bei dem der Wirkstoff der allgemeinen Formel (I) oder dessen Salz erst nach der Ausbringung auf der Pflanze, in der Pflanze oder im Boden aus einer Vorläufersubstanz ("Prodrug") gebildet wird. Growth regulation of plants also includes the case where the active ingredient of general formula (I) or its salt is formed from a precursor substance ("prodrug") only after plant, plant or soil application.
Gegenstand der Erfindung ist auch die Verwendung einer oder mehrerer Verbindungen der allgemeinen Formel (I) oder deren Salzen bzw. eines erfindungsgemäßen Mittels (wie nachstehend definiert) (in einem Verfahren) zur Bekämpfung von Schadpflanzen oder zur Wachstumsregulierung von Pflanzen, dadurch gekennzeichnet, dass man eine wirksame Menge einer oder mehreren Verbindungen der allgemeinen Formel (I) oder deren Salzen auf die Pflanzen (Schadpflanzen, gegebenenfalls zusammen mit den Nutzpflanzen) Pflanzensamen, den Boden, in dem oder auf dem die Pflanzen wachsen, oder die Anbaufläche appliziert. The invention also provides the use of one or more compounds of the general formula (I) or salts thereof or an agent according to the invention (as defined below) (in a process) for controlling harmful plants or regulating the growth of plants, characterized in that an effective amount of one or more compounds of general formula (I) or their salts on the plants (weeds, optionally together with the crops) plant seeds, the soil in which or on which the plants grow, or applied to the acreage.
Gegenstand der Erfindung ist auch ein herbizides und/oder pflanzenwachstumsregulierendes Mittel, dadurch gekennzeichnet, dass das Mittel The invention also provides a herbicidal and / or plant growth-regulating agent, characterized in that the agent
(a) eine oder mehrere Verbindungen der allgemeinen Formel (I) und/oder deren Salze enthält wie oben definiert, vorzugsweise in einer der als bevorzugt bzw. besonders bevorzugt gekennzeichneten Ausgestaltung, insbesondere eine oder mehrere Verbindungen der Formeln (1.1) bis (1.49) und/oder deren Salze, jeweils wie oben definiert, (A) one or more compounds of the general formula (I) and / or salts thereof as defined above, preferably in one of the preferred or particularly preferred Embodiment, in particular one or more compounds of the formulas (1.1) to (1.49) and / or salts thereof, each as defined above,
und (b) ein oder mehrere weitere Stoffe ausgewählt aus den Gruppen (i) und/oder (ii): and (b) one or more further substances selected from groups (i) and / or (ii):
(i) ein oder mehrere weitere agrochemisch wirksame Stoffe, vorzugsweise ausgewählt aus der Gruppe bestehend aus Insektiziden, Akariziden, Nematiziden, weiteren Herbiziden (d.h. solche, die nicht der oben definierten allgemeinen Formel (I) entsprechen), Fungiziden, Safenern, Düngemitteln und/ oder weiteren Wachstumsregulatoren, (i) one or more further agrochemically active substances, preferably selected from the group consisting of insecticides, acaricides, nematicides, further herbicides (ie those which do not correspond to the general formula (I) defined above), fungicides, safeners, fertilizers and / or or other growth regulators,
(ii) ein oder mehrere im Pflanzenschutz übliche Formulierungshilfsmittel. (ii) one or more formulation aids customary in crop protection.
Die weiteren agrochemischen wirksamen Stoffe des Bestandteils (i) eines erfindungsgemäßen Mittels sind dabei vorzugsweise ausgewählt aus der Gruppe der Stoffe, die in "The Pesticide Manual", 16th edition, The British Crop Protection Council und the Royal Soc. of Chemistry, 2012 genannt sind. The other agrochemically active substances of constituent (i) of an agent according to the invention are preferably selected from the group of substances described in "The Pesticide Manual", 16th edition, The British Crop Protection Council and the Royal Soc. of Chemistry, 2012 are mentioned.
Ein erfindungsgemäßes herbizides oder pflanzenwachstumsregulierendes Mittel, umfasst vorzugsweise ein, zwei, drei oder mehr im Pflanzenschutz übliche Formulierungshilfsmittel (ii) ausgewählt aus der Gruppe bestehend aus Tensiden, Emulgatoren, Dispergiermitteln, Filmbildnern, Verdickungsmitteln, anorganischen Salzen, Stäubemitteln, bei 25 °C und 1013 mbar festen Trägerstoffen, vorzugsweise adsorptionsfähigen, granulierten Inertmaterialien, Netzmitteln, Antioxidationsmitteln, Stabilisatoren, Puffersubstanzen, Antischaummitteln, Wasser, organischen Lösungsmitteln, vorzugsweise bei 25 °C und 1013 mbar mit Wasser in jedem beliebigen Verhältnis mischbare organische Lösungsmittel. A herbicidal or plant growth-regulating agent according to the invention preferably comprises one, two, three or more plant protection formulation auxiliaries (ii) selected from the group consisting of surfactants, emulsifiers, dispersants, film formers, thickeners, inorganic salts, dusts, at 25 ° C and 1013 mbar solid carriers, preferably adsorptive, granulated inert materials, wetting agents, antioxidants, stabilizers, buffer substances, anti-foaming agents, water, organic solvents, preferably at 25 ° C and 1013 mbar with water in any ratio miscible organic solvents.
Die erfindungsgemäßen Verbindungen der allgemeinen Formel (I) können in Form von Spritzpulvern, emulgierbaren Konzentraten, versprühbaren Lösungen, Stäubemitteln oder Granulaten in den üblichen Zubereitungen angewendet werden. Gegenstand der Erfindung sind deshalb auch herbizide und pflanzenwachstumsregulierende Mittel, die Verbindungen der allgemeinen Formel (I) und/oder deren Salze enthalten. The compounds of the general formula (I) according to the invention can be used in the form of wettable powders, emulsifiable concentrates, sprayable solutions, dusts or granules in the customary formulations. The invention therefore also relates to herbicidal and plant growth-regulating agents which contain compounds of the general formula (I) and / or salts thereof.
Die Verbindungen der allgemeinen Formel (I) und/oder deren Salze können auf verschiedene Art formuliert werden, je nachdem welche biologischen und/oder chemisch-physikalischen Parameter vorgegeben sind. Als Formulierungsmöglichkeiten kommen beispielsweise in Frage: Spritzpulver (WP), wasserlösliche Pulver (SP), wasserlösliche Konzentrate, emulgierbare Konzentrate (EC), Emulsionen (EW), wie Öl-in- Wasser- und Wasser-in-Öl-Emulsionen, versprühbare Lösungen, The compounds of the general formula (I) and / or their salts can be formulated in various ways, depending on which biological and / or chemical-physical parameters are predetermined. Possible formulation options are, for example: wettable powder (WP), water-soluble powders (SP), water-soluble concentrates, emulsifiable concentrates (EC), emulsions (EW), such as oil-in-water and water-in-oil emulsions, sprayable solutions .
Suspensionskonzentrate (SC), Dispersionen auf Öl- oder Wasserbasis, ölmischbare Lösungen, Kapselsuspensionen (CS), Stäubemittel (DP), Beizmittel, Granulate für die Streu- und Bodenapplikation, Granulate (GR) in Form von Mikro-, Sprüh-, Aufzugs- und Adsorptionsgranulaten, wasserdispergierbare Granulate (WG), wasserlösliche Granulate (SG), ULV-Formulierungen, Suspension concentrates (SC), dispersions based on oil or water, oil-miscible solutions, Capsule suspensions (CS), dusts (DP), mordants, granules for spreading and soil application, granules (GR) in the form of micro, spray, elevator and adsorption granules, water-dispersible granules (WG), water-soluble granules (SG), ULV formulations,
Mikrokapseln und Wachse. Microcapsules and waxes.
Diese einzelnen Formulierungstypen und die Formulierungshilfsmittel wie Inertmaterialien, Tenside, Lösungsmittel und weitere Zusatzstoffe sind dem Fachmann bekannt, und werden beispielsweise beschrieben in: Watkins, "Handbook of Insecticide Dust Diluents and Carriers", 2nd Ed., Darland Books, Caldwell N.J., H.v. Olphen, "Introduction to Clay Colloid Chemistry"; 2nd Ed., J. Wiley & Sons, N.Y.; C. Marsden, "Solvents Guide"; 2nd Ed., Interscience, N.Y. 1963; McCutcheon's "Detergents and Emulsifiers Annual", MC Publ. Corp., Ridgewood N.J.; Sisley and Wood, "Encyclopedia of Surface Active Agents", Chem. Publ. Co. Inc., N.Y. 1964; Schönfeldt, "Grenzflächenaktive These individual types of formulation and formulation aids such as inert materials, surfactants, solvents and other additives are known to those skilled in the art and are described, for example, in Watkins, Handbook of Insecticides Dust Diluents and Carriers, 2nd ed., Darland Books, Caldwell N.J., H.v. Olphen, "Introduction to Clay Colloid Chemistry"; 2nd Ed., J. Wiley & Sons, N.Y .; C. Marsden, "Solvents Guide"; 2nd Ed., Interscience, N.Y. 1963; McCutcheon's "Detergents and Emulsifiers Annual", MC Publ. Corp., Ridgewood N.J .; Sisley and Wood, "Encyclopedia of Surface Active Agents", Chem. Publ. Co. Inc., N.Y. 1964; Schönfeldt, "Grenzflächenaktive
Äthylenoxidaddukte", Wiss. Verlagsgesellschaft, Stuttgart 1976; Winnacker-Küchler, "Chemische Technologie", Band 7, C. Hanser Verlag München, 4. Aufl. 1986. Äthylenoxidaddukte ", Wiss. Verlagsgesellschaft, Stuttgart 1976; Winnacker-Küchler," Chemical Technology ", Volume 7, C. Hanser Verlag Munich, 4th ed., 1986.
Spritzpulver sind in Wasser gleichmäßig dispergierbare Präparate, die neben dem Wirkstoff außer einem Verdünnungs- oder Inertstoff noch Tenside ionischer und/oder nichtionischer Art (Netzmittel, Injectable powders are preparations which are uniformly dispersible in water and, in addition to the active substance, also contain surfactants of an ionic and / or nonionic type (wetting agent,
Dispergiermittel), z.B. polyoxyethylierte Alkylphenole, polyoxethylierte Fettalkohole, polyoxethylierte Fettamine, Fettalkoholpolyglykolethersulfate, Alkansulfonate, Alkylbenzolsulfonate, ligninsulfonsaures Natrium, 2,2'-dinaphthylmethan-6,6'-disulfonsaures Natrium, dibutylnaphthalin-sulfonsaures Natrium oder auch oleoylmethyltaurinsaures Natrium enthalten. Zur Herstellung der Spritzpulver werden die herbiziden Wirkstoffe beispielsweise in üblichen Apparaturen wie Hammermühlen, Gebläsemühlen und Luftstrahlmühlen feingemahlen und gleichzeitig oder anschließend mit den Formulierungshilfsmitteln vermischt. Dispersant), e.g. polyoxyethylated alkylphenols, polyoxethylated fatty alcohols, polyoxethylated fatty amines, fatty alcohol polyglycol ether sulfates, alkanesulfonates, alkylbenzenesulfonates, sodium lignosulfonate, sodium 2,2'-dinaphthylmethane-6,6'-disulfonate, dibutylnaphthalene-sodium sulfonate or sodium oleoylmethyltaurine. To prepare the wettable powders, the herbicidal active compounds are finely ground, for example, in customary apparatus such as hammer mills, blower mills and air-jet mills and mixed simultaneously or subsequently with the formulation auxiliaries.
Emulgierbare Konzentrate werden durch Auflösen des Wirkstoffes in einem organischen Lösungsmittel z.B. Butanol, Cyclohexanon, Dimethylformamid, Xylol oder auch höhersiedenden Aromaten oder Kohlenwasserstoffen oder Mischungen der organischen Lösungsmittel unter Zusatz von einem oder mehreren Tensiden ionischer und/oder nichtionischer Art (Emulgatoren) hergestellt. Als Emulgatoren können beispielsweise verwendet werden: Alkylarylsulfonsaure Calcium-Salze wie Emulsifiable concentrates are prepared by dissolving the active ingredient in an organic solvent, e.g. Butanol, cyclohexanone, dimethylformamide, xylene or higher-boiling aromatics or hydrocarbons or mixtures of organic solvents with the addition of one or more surfactants of ionic and / or nonionic type (emulsifiers). As emulsifiers can be used for example: Alkylarylsulfonsaure calcium salts such as
Ca-dodecylbenzolsulfonat oder nichtionische Emulgatoren wie Fettsäurepolyglykolester, Ca-dodecylbenzenesulfonate or nonionic emulsifiers such as fatty acid polyglycol ester,
Alkylarylpolyglykolether, Fettalkoholpolyglykolether, Propylenoxid-Ethylenoxid- Kondensationsprodukte, Alkylpolyether, Sorbitanester wie z.B. Sorbitanfettsäureester oder Alkylaryl polyglycol ethers, fatty alcohol polyglycol ethers, propylene oxide-ethylene oxide condensation products, alkyl polyethers, sorbitan esters such as e.g. Sorbitan fatty acid esters or
Polyoxethylensorbitanester wie z.B. Polyoxyethylensorbitanfettsäureester. Polyoxethylenesorbitanester such. Polyoxyethylene.
Stäubemittel erhält man durch Vermählen des Wirkstoffes mit fein verteilten festen Stoffen, z.B. Dusts are obtained by milling the active ingredient with finely divided solids, e.g.
Talkum, natürlichen Tonen, wie Kaolin, Bentonit und Pyrophyllit, oder Diatomeenerde. Suspensionskonzentrate können auf Wasser- oder Ölbasis sein. Sie können beispielsweise durch Naß-Vermahlung mittels handelsüblicher Perlmühlen und gegebenenfalls Zusatz von Tensiden, wie sie z.B. oben bei den anderen Formulierungstypen bereits aufgeführt sind, hergestellt werden. Talc, natural clays such as kaolin, bentonite and pyrophyllite, or diatomaceous earth. Suspension concentrates may be water or oil based. They can be prepared, for example, by wet grinding by means of commercially available bead mills and, if appropriate, addition of surfactants, as already listed above, for example, in the other formulation types.
Emulsionen, z.B. Öl-in- Wasser-Emulsionen (EW), lassen sich beispielsweise mittels Rührern, Emulsions, e.g. Oil-in-water emulsions (EW), for example, by means of stirrers,
Kolloidmühlen und/oder statischen Mischern unter Verwendung von wäßrigen organischen Colloidal mills and / or static mixers using aqueous organic
Lösungsmitteln und gegebenenfalls Tensiden, wie sie z.B. oben bei den anderen Formulierungstypen bereits aufgeführt sind, herstellen. Solvents and optionally surfactants, such as e.g. listed above for the other formulation types.
Granulate können entweder durch Verdüsen des Wirkstoffes auf adsorptionsfähiges, granuliertes Inertmaterial hergestellt werden oder durch Aufbringen von Wirkstoffkonzentraten mittels Klebemitteln, z.B. Polyvinylalkohol, polyacrylsaurem Natrium oder auch Mineralölen, auf die Oberfläche von Trägerstoffen wie Sand, Kaolinite oder von granuliertem Inertmaterial. Auch können geeignete Granules can either be prepared by atomizing the active ingredient on adsorptive, granulated inert material or by applying active substance concentrates by means of adhesives, e.g. Polyvinyl alcohol, polyacrylic acid sodium or mineral oils, on the surface of carriers such as sand, kaolinites or granulated inert material. Also suitable
Wirkstoffe in der für die Herstellung von Düngemittelgranulaten üblichen Weise - gewünschtenfalls in Mischung mit Düngemitteln - granuliert werden. Active ingredients in the usual manner for the production of fertilizer granules - if desired, mixed with fertilizers - granulated.
Wasserdispergierbare Granulate werden in der Regel nach den üblichen Verfahren wie Sprühtrocknung, Wirbelbett-Granulierung, Teller-Granulierung, Mischung mit Hochgeschwindigkeitsmischern und Extrusion ohne festes Inertmaterial hergestellt. Water-dispersible granules are generally prepared by the usual methods such as spray drying, fluidized bed granulation, plate granulation, mixing with high-speed mixers and extrusion without solid inert material.
Zur Herstellung von Teller-, Fließbett-, Extruder- und Sprühgranulaten siehe z.B. Verfahren in "Spray- Drying Handbook" 3rd ed. 1979, G. Goodwin Ltd., London; J.E. Browning, "Agglomeration", Chemical and Engineering 1967, Seiten 147 ff; "Perry's Chemical Engineer's Handbook", 5th Ed., McGraw-Hill, New York 1973, S. 8-57. For the preparation of plate, fluid bed, extruder and spray granules, see e.g. Method in "Spray-Drying Handbook" 3rd ed. 1979, G. Goodwin Ltd., London; J.E. Browning, "Agglomeration", Chemical and Engineering 1967, pages 147 ff; Perry's Chemical Engineer's Handbook, 5th Ed., McGraw-Hill, New York 1973, pp. 8-57.
Für weitere Einzelheiten zur Formulierung von Pflanzenschutzmitteln siehe z.B. G.C. Klingman, "Weed Control as a Science", John Wiley and Sons, Inc., New York, 1961, Seiten 81-96 und J.D. Freyer, S.A. Evans, "Weed Control Handbook", 5th Ed., Blackwell Scientific Publications, Oxford, 1968, Seiten 101-103. For further details on the formulation of crop protection agents see, e.g. G.C. Klingman, "Weed Control as a Science", John Wiley and Sons, Inc., New York, 1961, pp. 81-96 and J.D. Freyer, S.A. Evans, "Weed Control Handbook", 5th Ed., Blackwell Scientific Publications, Oxford, 1968, pp. 101-103.
Die agrochemischen Zubereitungen, vorzugsweise herbizide oder pflanzenwachstumsregulierende Mittel der vorliegenden Erfindung enthalten vorzugsweise eine Gesamtmenge von 0,1 bis 99 Gew.-%, bevorzugt 0,5 bis 95 Gew.-%, weiter bevorzugt 1 bis 90 Gew.-%, insbesondere bevorzugt 2 bis 80 Gew.-%, an Wirkstoffen der allgemeinen Formel (I) und deren Salzen. In Spritzpulvern beträgt die Wirkstoffkonzentration z.B. etwa 10 bis 90 Gew.-%, der Rest zu 100 Gew.-% besteht aus üblichen Formulierungsbestandteilen. Bei emulgierbaren Konzentraten kann die Wirkstoffkonzentration etwa 1 bis 90, vorzugsweise 5 bis 80 Gew.-% betragen. Staubförmige The agrochemical compositions, preferably herbicidal or plant growth regulating agents of the present invention, preferably contain a total amount of from 0.1 to 99% by weight, preferably from 0.5 to 95% by weight, more preferably from 1 to 90% by weight, most preferably 2 to 80 wt .-%, of active compounds of the general formula (I) and their salts. In wettable powders, the active ingredient concentration is for example about 10 to 90 wt .-%, the remainder to 100 wt .-% consists of conventional formulation components. For emulsifiable concentrates, the active ingredient concentration may be about 1 to 90, preferably 5 to 80 wt .-%. Powdery
Formulierungen enthalten 1 bis 30 Gew.-% Wirkstoff, vorzugsweise meistens 5 bis 20 Gew.-% an Wirkstoff, versprühbare Lösungen enthalten etwa 0,05 bis 80, vorzugsweise 2 bis 50 Gew.-% Wirkstoff. Bei wasserdispergierbaren Granulaten hängt der Wirkstoffgehalt zum Teil davon ab, ob die wirksame Verbindung flüssig oder fest vorliegt und welche Granulierhilfsmittel, Füllstoffe usw. verwendet werden. Bei den in Wasser dispergierbaren Granulaten liegt der Gehalt an Wirkstoff beispielsweise zwischen 1 und 95 Gew.-%, vorzugsweise zwischen 10 und 80 Gew.-%. Formulations contain 1 to 30 wt .-% of active ingredient, preferably usually 5 to 20 wt .-% of active ingredient, sprayable solutions contain about 0.05 to 80, preferably 2 to 50 wt .-% of active ingredient. In the case of water-dispersible granules, the active ingredient content depends, in part, on whether the active compound is liquid or solid and which granulating aids, fillers, etc. are used. In the case of the water-dispersible granules, the content of active ingredient is, for example, between 1 and 95% by weight, preferably between 10 and 80% by weight.
Daneben enthalten die genannten Wirkstofformulierungen gegebenenfalls die jeweils üblichen Haft-, Netz-, Dispergier-, Emulgier-, Penetrations-, Konservierungs-, Frostschutz- und Lösungsmittel, Füll-, Träger- und Farbstoffe, Entschäumer, Verdunstungshemmer und den pH- Wert und die Viskosität beeinflussende Mittel. Beispiele für Formulierungshilfsmittel sind unter anderem in "Chemistry and Technology of Agrochemical Formulations", ed. D. A. Knowles, Kluwer Academic Publishers (1998) beschrieben. In addition, the active substance formulations mentioned optionally contain the customary adhesion, wetting, dispersing, emulsifying, penetrating, preserving, antifreezing and solvent, fillers, carriers and dyes, antifoams, evaporation inhibitors and the pH and the Viscosity-influencing agent. Examples of formulation auxiliaries are described inter alia in "Chemistry and Technology of Agrochemical Formulations", ed. D.A. Knowles, Kluwer Academic Publishers (1998).
Die Verbindungen der allgemeinen Formel (I) oder deren Salze können als solche oder in Form ihrer Zubereitungen (Formulierungen) mit anderen pestizid wirksamen Stoffen, wie z.B. Insektiziden, Akariziden, Nematiziden, Herbiziden, Fungiziden, Safenern, Düngemitteln und/oder The compounds of general formula (I) or their salts may be used as such or in the form of their formulations (formulations) with other pesticidally active substances, e.g. Insecticides, acaricides, nematicides, herbicides, fungicides, safeners, fertilizers and / or
Wachstumsregulatoren kombiniert eingesetzt werden, z.B. als Fertigformulierung oder als Growth regulators can be used in combination, e.g. as finished formulation or as
Tankmischungen. Die Kombinationsformulierungen können dabei auf Basis der obengenannten Formulierungen hergestellt werden, wobei die physikalischen Eigenschaften und Stabilitäten der zu kombinierenden Wirkstoffe zu berücksichtigen sind. Tank mixes. The combination formulations can be prepared on the basis of the above-mentioned formulations, taking into account the physical properties and stabilities of the active ingredients to be combined.
Als Kombinationspartner für die erfindungsgemäßen Verbindungen der allgemeinen Formel (I) in Mischungsformulierungen oder im Tank-Mix sind beispielsweise bekannte Wirkstoffe, die auf einer Inhibition von beispielsweise Acetolactat-Synthase, Acetyl-CoA-Carboxylase, Cellulose-Synthase, Enolpyruvylshikimat-3-phosphat-Synthase, Glutamin-Synthetase, p-Hydroxyphenylpyruvat- Dioxygenase, Phytoendesaturase, Photosystem I, Photosystem II, Protoporphyrinogen-Oxidase beruhen, einsetzbar, wie sie z.B. in Weed Research 26 (1986) 441-445 oder "The Pesticide Manual", 16th edition, The British Crop Protection Council and the Royal Soc. of Chemistry, 2012 und der dort zitierten Literatur beschrieben sind. Von besonderem Interesse ist die selektive Bekämpfung von Schadpflanzen in Kulturen von Nutz- und Zierpflanzen. Obgleich die erfindungsgemäßen Verbindungen der allgemeinen Formel (I) bereits in vielen Kulturen sehr gute bis ausreichende Selektivität aufweisen, können prinzipiell in einigen Kulturen und vor allem auch im Falle von Mischungen mit anderen Herbiziden, die weniger selektiv sind, Phytotoxizitäten an den Kulturpflanzen auftreten. Diesbezüglich sind Kombinationen Examples of combination partners for the compounds of general formula (I) according to the invention in mixture formulations or in tank mix are known active compounds which are based on inhibition of, for example, acetolactate synthase, acetyl-CoA carboxylase, cellulose synthase, enolpyruvylshikimate-3-phosphate Synthase, glutamine synthetase, p-hydroxyphenylpyruvate dioxygenase, phytoene desaturase, photosystem I, photosystem II, protoporphyrinogen oxidase, can be used, as described, for example, in Weed Research 26 (1986) 441-445 or "The Pesticide Manual", 16th edition, The British Crop Protection Council and the Royal Soc. of Chemistry, 2012 and the literature cited therein. Of particular interest is the selective control of harmful plants in crops of commercial and ornamental plants. Although the compounds of the general formula (I) according to the invention already have very good to sufficient selectivity in many cultures, in principle in some cultures and especially in the case of mixtures with other herbicides that are less selective, phytotoxicities on crops occur. In this regard, combinations are
erfindungsgemäßer Verbindungen (I) von besonderem Interesse, welche die Verbindungen der allgemeinen Formel (I) bzw. deren Kombinationen mit anderen Herbiziden oder Pestiziden und Safenern enthalten. Die Safener, welche in einem antidotisch wirksamen Gehalt eingesetzt werden, reduzieren die phytotoxischen Nebenwirkungen der eingesetzten Herbizide/Pestizide, z.B. in wirtschaftlich bedeutenden Kulturen wie Getreide (Weizen, Gerste, Roggen, Mais, Reis, Hirse), Zuckerrübe, Zuckerrohr, Raps, Baumwolle und Soja, vorzugsweise Getreide. Die Gewichtsverhältnisse von Herbizid(mischung) zu Safener hängt im Allgemeinen von der Compounds (I) of particular interest according to the invention which contain the compounds of general formula (I) or their combinations with other herbicides or pesticides and safeners. The safeners, which are used in an antidote effective content, reduce the phytotoxic side effects of the herbicides / pesticides used, e.g. in economically important crops such as cereals (wheat, barley, rye, corn, rice, millet), sugar beet, sugar cane, oilseed rape, cotton and soybeans, preferably cereals. The weight ratios of herbicide (mixture) to safener generally depends on the
Aufwandmenge an Herbizid und der Wirksamkeit des jeweiligen Safeners ab und kann innerhalb weiter Grenzen variieren, beispielsweise im Bereich von 200: 1 bis 1 :200, vorzugsweise 100: 1 bis 1 : 100, insbesondere 20:1 bis 1 :20. Die Safener können analog den Verbindungen der allgemeinen Formel (I) oder deren Mischungen mit weiteren Herbiziden/Pestiziden formuliert werden und als Application rate of herbicide and the effectiveness of each safener and may vary within wide limits, for example in the range of 200: 1 to 1: 200, preferably 100: 1 to 1: 100, especially 20: 1 to 1: 20. The safeners can be formulated analogously to the compounds of the general formula (I) or mixtures thereof with further herbicides / pesticides and as
Fertigformulierung oder Tankmischung mit den Herbiziden bereitgestellt und angewendet werden. Ready-made formulation or tank mix with the herbicides are provided and used.
Zur Anwendung werden die in handelsüblicher Form vorliegenden Herbizid- oder Herbizid- Safener- Formulierungen gegebenenfalls in üblicher Weise verdünnt z.B. bei Spritzpulvern, emulgierbaren Konzentraten, Dispersionen und wasserdispergierbaren Granulaten mittels Wasser. Staubförmige Zubereitungen, Boden- bzw. Streugranulate sowie versprühbare Lösungen werden vor der Anwendung üblicherweise nicht mehr mit weiteren inerten Stoffen verdünnt. For use, the herbicidal or herbicidal safener formulations present in commercial form are optionally diluted in a customary manner, e.g. for wettable powders, emulsifiable concentrates, dispersions and water-dispersible granules by means of water. Dust-like preparations, ground or scattered granules and sprayable solutions are usually no longer diluted with other inert substances before use.
Äußere Bedingungen wie Temperatur, Feuchtigkeit etc. beeinflussen zu einem gewissen Teil die Aufwandmenge der Verbindungen der allgemeinen Formel (I) und/oder deren Salze. Die External conditions such as temperature, humidity, etc. influence to a certain extent the application rate of the compounds of general formula (I) and / or their salts. The
Aufwandmenge kann dabei innerhalb weiter Grenzen variieren. Für die Anwendung als Herbizid zur Bekämpfung von Schadpflanzen liegt die Gesamtmenge an Verbindungen der allgemeinen Formel (I) und deren Salze vorzugsweise im Bereich von 0,001 bis 10,0 kg/ha, bevorzugt im Bereich von 0,005 bis 5 kg/ha, weiter bevorzugt im Bereich von 0,01 bis 1,5 kg/ha, insbesondere bevorzugt im Bereich von 0,05 bis 1 kg/ha. Dies gilt sowohl für die Anwendung im Vorauflauf oder im Nachauflauf. Application rate can vary within wide limits. For use as a herbicide for controlling harmful plants, the total amount of compounds of general formula (I) and their salts is preferably in the range of 0.001 to 10.0 kg / ha, preferably in the range of 0.005 to 5 kg / ha, more preferably in Range of 0.01 to 1.5 kg / ha, particularly preferably in the range of 0.05 to 1 kg / ha. This applies both to pre-emergence or post-emergence applications.
Bei der Anwendung von Verbindungen der allgemeinen Formel (I) und/oder deren Salzen als In the application of compounds of general formula (I) and / or their salts as
Pflanzenwachstumsregulator, beispielsweise als Halmverkürzer bei Kulturpflanzen, wie sie oben genannt worden sind, vorzugsweise bei Getreidepflanzen wie Weizen, Gerste, Roggen, Triticale, Hirse, Reis oder Mais, liegt die Gesamt- Aufwandmenge vorzugsweise im Bereich von 0,001 bis 2 kg/ha, vorzugsweise im Bereich von 0,005 bis 1 kg/ha, insbesondere im Bereich von 10 bis 500 g/ha, ganz besonders bevorzugt im Bereich von 20 bis 250 g/ha. Dies gilt sowohl für die Anwendung im Plant growth regulator, for example as Halmverkürzer in crops, as mentioned above, preferably in cereal plants such as wheat, barley, rye, triticale, millet, rice or corn, the total application rate is preferably in the range of 0.001 to 2 kg / ha, preferably in the range of 0.005 to 1 kg / ha, in particular in the range of 10 to 500 g / ha, most preferably in the range of 20 to 250 g / ha. This applies to both the application in the
Vorauflauf oder im Nachauflauf. Die Applikation als Halmverkürzer kann in verschiedenen Stadien des Wachstums der Pflanzen erfolgen. Bevorzugt ist beispielsweise die Anwendung nach der Bestückung am Beginn des Pre-emergence or postemergence. The application as Halmverkürzer can be done in various stages of growth of the plants. For example, the application is preferred after placement at the beginning of
Längenwachstums . Length growth.
Alternativ kommt bei der Anwendung als Pflanzenwachstumsregulator auch die Behandlung des Saatguts in Frage, welche die unterschiedlichen Saatgutbeiz- und Beschichtungstechniken einschließt. Die Aufwandmenge hängt dabei von den einzelnen Techniken ab und kann in Vorversuchen ermittelt werden. Alternatively, when used as a plant growth regulator, seed treatment may be considered, including the different seed dressing and coating techniques. The application rate depends on the individual techniques and can be determined in preliminary tests.
Als Kombinationspartner für die erfindungsgemäßen Verbindungen der allgemeinen Formel (I) in erfindungsgemäßen Mitteln (z.B. Mischungsformulierungen oder im Tank-Mix) sind beispielsweise bekannte Wirkstoffe, die auf einer Inhibition von beispielsweise Acetolactat-Synthase, Acetyl-CoA- Carboxylase, Cellulose-Synthase, Enolpyruvylshikimat-3-phosphat-Synthase, Glutamin-Synthetase, p- Hydroxyphenylpyruvat-Dioxygenase, Phytoendesaturase, Photosystem I, Photosystem II oder As combination partners for the compounds of the general formula (I) according to the invention (for example mixture formulations or in the tank mix), known active substances are those which are based on inhibition of, for example, acetolactate synthase, acetyl-CoA carboxylase, cellulose synthase, enolpyruvyl shikimate 3-phosphate synthase, glutamine synthetase, p-hydroxyphenylpyruvate dioxygenase, phytoene desaturase, photosystem I, photosystem II or
Protoporphyrinogen-Oxidase beruhen, einsetzbar, wie sie z.B. aus Weed Research 26 (1986) 441-445 oder "The Pesticide Manual", 16th edition, The British Crop Protection Council und the Royal Soc. of Chemistry, 2012 und dort zitierter Literatur beschrieben sind. Nachfolgend werden beispielhaft bekannte Herbizide oder Pflanzenwachstumsregulatoren genannt, die mit den erfindungsgemäßen Verbindungen kombiniert werden können, wobei diese Wirkstoffe entweder mit ihrem "common name" in der englischsprachigen Variante gemäß International Organization for Standardization (ISO) oder mit dem chemischen Namen bzw. mit der Codenummer bezeichnet sind. Dabei sind stets sämtliche Protoporphyrinogen oxidase, can be used, as e.g. from Weed Research 26 (1986) 441-445 or "The Pesticide Manual", 16th edition, The British Crop Protection Council and the Royal Soc. of Chemistry, 2012 and cited therein. The following are examples of known herbicides or plant growth regulators, which can be combined with the compounds of the invention, these agents either with their "common name" in the English version according to International Organization for Standardization (ISO) or with the chemical name or with the code number are designated. There are always all
Anwendungsformen wie beispielsweise Säuren, Salze, Ester sowie auch alle isomeren Formen wie Stereoisomere und optische Isomere umfaßt, auch wenn diese nicht explizit erwähnt sind. Use forms such as acids, salts, esters as well as all isomeric forms such as stereoisomers and optical isomers, even if they are not explicitly mentioned.
Beispiele für solche herbiziden Mischungspartner sind: Examples of such herbicidal mixture partners are:
Acetochlor, acifluorfen, acifluorfen-sodium, aclonifen, alachlor, allidochlor, alloxydim, alloxydim- sodium, ametryn, amicarbazone, amidochlor, amidosulfuron, 4-amino-3-chloro-6-(4-chloro-2-fluoro-3- methylphenyl)-5-fluoropyridine-2-carboxylic acid, aminocyclopyrachlor, aminocyclopyrachlor- potassium, aminocyclopyrachlor-methyl, aminopyralid, amitrole, ammoniumsulfamate, anilofos, asulam, atrazine, azafenidin, azimsulfuron, beflubutamid, benazolin, benazolin-ethyl, benfluralin, benfuresate, bensulfuron, bensulfuron-methyl, bensulide, bentazone, benzobicyclon, benzofenap, bicyclopyron, bifenox, bilanafos, bilanafos-sodium, bispyribac, bispyribac-sodium, bromacil, bromobutide, bromofenoxim, bromoxynil, bromoxynil-butyrate, -potassium, -heptanoate und -octanoate, busoxinone, butachlor, butafenacil, butamifos, butenachlor, butralin, butroxydim, butylate, cafenstrole, carbetamide, carfentrazone, carfentrazone-ethyl, chloramben, chlorbromuron, chlorfenac, chlorfenac- sodium, chlorfenprop, chlorflurenol, chlorflurenol-methyl, chloridazon, chlorimuron, chlorimuron-ethyl, chlorophthalim, chlorotoluron, chlorthal-dimethyl, chlorsulfuron, cinidon, cinidon-ethyl, cinmethylin, cinosulfüron, clacyfos, clethodim, clodmafop, clodmafop-propargyl, clomazone, clomeprop, clopyralid, cloransulam, cloransulam-methyl, cumyluron, cyanamide, cyanazine, cycloate, cyclopyrimorate, cyclosulfamuron, cycloxydim, cyhalofop, cyhalofop-butyl, cyprazine, 2,4-D, 2,4-D-butotyl, -butyl, - dimethylammonium, -diolamin, -ethyl, 2-ethylhexyl, -isobutyl, -isooctyl, -isopropylammonium, - potassium, -triisopropanolammonium und -trolamine, 2,4-DB, 2,4-DB-butyl, -dimethylammonium, isooctyl, -potassium und -sodium, daimuron (dymron), dalapon, dazomet, n-decanol, desmedipham, detosyl-pyrazolate (DTP), dicamba, dichlobenil, 2-(2,4-dichlorobenzyl)-4,4-dimethyl-l,2-oxazolidin-3- one, 2-(2,5-dichlorobenzyl)-4,4-dimethyl-l,2-oxazolidin-3-one, dichlorprop, dichlorprop-P, diclofop, diclofop-methyl, diclofop-P-methyl, diclosulam, difenzoquat, diflufenican, diflufenzopyr, diflufenzopyr- sodium, dimefuron, dimepiperate, dimethachlor, dimethametryn, dimethenamid, dimethenamid-P, dimetrasulfuron, dinitramine, dinoterb, diphenamid, diquat, diquat-dibromid, dithiopyr, diuron, DNOC, endothal, EPTC, esprocarb, ethalfluralin, ethametsulfuron, ethametsulfuron-methyl, ethiozin, ethofumesate, ethoxyfen, ethoxyfen- ethyl, ethoxysulfuron, etobenzanid, F-9600, F-5231, i.e. N-[2- Chlor-4-fluor-5-[4-(3-fluorpropyl)-4,5-dihydro-5-oxo-lH-tetrazol-l-yl]-phenyl]-ethansulfonamid, F- 7967, i.e. 3-[7-Chlor-5-fluor-2-(trifluormethyl)-lH-benzimidazol-4-yl]-l-methyl-6- (trifluormethyl)pyrimidin-2,4(lH,3H)-dion, fenoxaprop, fenoxaprop-P, fenoxaprop-ethyl, fenoxaprop-P- ethyl, fenoxasulfone, fenquinotrione, fentrazamide, flamprop, flamprop-M-isopropyl, flamprop-M- methyl, flazasulfuron, florasulam, fluazifop, fluazifop-P, fluazifop-butyl, fluazifop-P-butyl, Acetochlor, acifluorfen, acifluorfen-sodium, aclonifen, alachlor, allidochlor, alloxydim, alloxydim-sodium, ametryn, amicarbazone, amidochlor, amidosulfuron, 4-amino-3-chloro-6- (4-chloro-2-fluoro-3-methylphenyl ) -5-fluoropyridines-2-carboxylic acid, aminocyclopyrachlor, aminocyclopyrachloro- potassium, aminocyclopyrachloromethyl, aminopyralid, amitrole, ammonium sulfamates, anilofos, asulam, atrazine, azafenidin, azimsulfuron, beflubutamid, benazolin, benazolin-ethyl, benfluralin, benfuresate, bensulfuron , bensulphon-methyl, bensulide, bentazone, benzobicyclone, benzofenap, bicyclopyrone, bifenox, bilanafos, bilanafos-sodium, bispyribac, bispyribac-sodium, bromacil, bromobutide, bromofenoxime, bromoxynil, bromoxynil-butyrate, -potassium, -heptanoates and -octanoates, busoxinone, butachlor, butafenacil, butamifos, butenachlor, butraline, butroxydim, butylate, cafenstrole, carbetamide, carfentrazone, carfentrazone-ethyl, chloramben, chlorobromuron, chlorfenac, chlorfenac-sodium, chlorfenprop, ch lorflurenol, chlorofurenol-methyl, chloridazon, chlorimuron, chlorimuron-ethyl, chlorophthalim, chlorotoluron, chlorothal-dimethyl, chlorosulfuron, cinidone, cinidon-ethyl, cinmethylin, cinosulfuron, clacyfos, clethodim, clodmafop, clodmafop-propargyl, clomazone, clomeprop, clopyralid, cloransulam, cloransulam-methyl, cumyluron, cyanamide, cyanazine, cycloate, cyclopyrimorate, cyclosulfamuron, cycloxydim, cyhalofop, cyhalofop-butyl, cyprazine, 2,4-D, 2,4-D-butotyl, -butyl, - dimethylammonium, -diolamine, -ethyl, 2-ethylhexyl, -isobutyl, -isooctyl, -isopropylammonium, -potassium, -triisopropanolammonium and -trolamine, 2,4-DB, 2,4-DB-butyl, -dimethylammonium, isooctyl, -potassium and -sodium, daimuron (dymron), dalapon, dazomet, n-decanol, desmedipham, detosyl-pyrazolate (DTP), dicamba, dichlobenil, 2- (2,4-dichlorobenzyl) -4,4-dimethyl-1,2-oxazolidin-3-one, 2- (2,5-dichlorobenzyl) -4 , 4-dimethyl-l, 2-oxazolidin-3-one, dichlorprop, dichlorprop-P, diclofop, diclofop-methyl, diclofop-P-methyl, diclosulam, difenzoquat, diflufenican, diflufenzopyr, diflufenzopyr-, dime furon, dimepiperate, dimethachlor, dimethametryn, dimethenamid, dimethenamid-P, dimetrasulfuron, dinitramine, dinoterb, diphenamid, diquat, diquat-dibromide, dithiopyr, diuron, DNOC, endothal, EPTC, esprocarb, ethalfluralin, ethametsulfuron, ethametsulfuron-methyl, ethiozine, ethofumesate, ethoxyfen, ethoxyfenethyl, ethoxysulfuron, etobenzanide, F-9600, F-5231, ie N- [2-chloro-4-fluoro-5- [4- (3-fluoropropyl) -4,5-dihydro-5 -oxo-lH-tetrazol-1-yl] -phenyl] -ethanesulfonamide, F-7967, ie 3- [7-chloro-5-fluoro-2- (trifluoromethyl) -lH-benzimidazol-4-yl] -l- methyl-6- (trifluoromethyl) pyrimidine-2,4 (1H, 3H) -dione, fenoxaprop, fenoxaprop-P, fenoxaprop-ethyl, fenoxaprop-P-ethyl, fenoxasulfone, fenquinotrione, fentrazamide, flamprop, flamprop-M-isopropyl, flamprop-M-methyl, flazasulfuron, florasulam, fluazifop, fluazifop-P, fluazifop-butyl, fluazifop-p-butyl,
flucarbazone, flucarbazone-sodium, flucetosulfuron, fluchloralin, flufenacet, flufenpyr, flufenpyr-ethyl, flumetsulam, flumiclorac, flumiclorac-pentyl, flumioxazin, fluometuron, flurenol, flurenol-butyl, - dimethylammonium und -methyl, fluoroglycofen, fluoroglycofen-ethyl, flupropanate, flupyrsulfuron, flupyrsulfuron-methyl-sodium, fluridone, flurochloridone, fluroxypyr, fluroxypyr-meptyl, flurtamone, fluthiacet, fluthiacet-methyl, fomesafen, fomesafen-sodium, foramsulfuron, fosamine, glufosinate, glufosinate-ammonium, glufosinate-P-sodium, glufosinate-P-ammonium, glufosinate-P-sodium, glyphosate, glyphosate-ammonium, -isopropylammonium, -diammonium, -dimethylammonium, - potassium, -sodium und -trimesium, H-9201, i.e. 0-(2,4-Dimethyl-6-nitrophenyl)-0-ethyl- isopropylphosphoramidothioat, halauxifen, halauxifen-methyl, halosafen, halosulfuron, halosulfuron- methyl, haloxyfop, haloxyfop-P, haloxyfop-ethoxyethyl, haloxyfop-P-ethoxyethyl, haloxyfop-methyl, haloxyfop-P-methyl, hexazinone, HW-02, i.e. l-(Dimethoxyphosphoryl)-ethyl-(2,4- dichlorphenoxy)acetat, imazamethabenz, Imazamethabenz-methyl, imazamox, imazamox-ammonium, imazapic, imazapic-ammonium, imazapyr, imazapyr-isopropylammonium, imazaquin, imazaquin- ammonium, imazethapyr, imazethapyr-immonium, imazosulfuron, indanofan, indaziflam, iodosulfuron, iodosulfuron-methyl-sodium, ioxynil, ioxynil-octanoate, -potassium und sodium, ipfencarbazone, isoproturon, isouron, isoxaben, isoxaflutole, karbutilate, KUH-043, i.e. 3-({[5-(Difluormethyl)-l - methyl-3-(trifluormethyl)- 1 H-pyrazol-4-yl]methyl} sulfonyl)-5,5-dimethyl-4,5-dihydro- 1 ,2-oxazol, ketospiradox, lactofen, lenacil, linuron, MCPA, MCPA-butotyl, -dimethylammonium, -2-ethylhexyl, - isopropylammonium, -potassium und -sodium, MCPB, MCPB-methyl, -ethyl und -sodium, mecoprop, mecoprop-sodium, und -butotyl, mecoprop-P, mecoprop-P-butotyl, -dimethylammonium, -2-ethylhexyl und -potassium, mefenacet, mefluidide, mesosulfuron, mesosulfuron-methyl, mesotrione, flucarbazone, flucarbazone-sodium, flucetosulfuron, fluchloralin, flufenacet, flufenpyr, flufenpyr-ethyl, flumetsulam, flumiclorac, flumiclorac-pentyl, flumioxazine, fluometuron, flurenol, flurenol-butyl, - dimethylammonium and -methyl, fluoroglycofen, fluoroglycofen-ethyl, flupropanate, flupyrsulfuron, flupyrsulfuron-methyl-sodium, fluridone, flurochloridone, fluroxypyr, fluroxypyr-meptyl, flurtamone, fluthiacet, fluthiacet-methyl, fomesafen, fomesafen-sodium, foramsulfuron, fosamine, glufosinate, glufosinate-ammonium, glufosinate-p-sodium, glufosinate- P-ammonium, glufosinate-P-sodium, glyphosate, glyphosate-ammonium, -isopropylammonium, -diammonium, -dimethylammonium, - potassium, -sodium and -trimesium, H-9201, ie 0- (2,4-dimethyl-6- nitrophenyl) -0-ethyl-isopropylphosphoramidothioate, halo-cy, halo-iso-methyl, halosafen, halosulfuron, halosulfuron-methyl, haloxyfop, haloxyfop-P, haloxyfopethoxyethyl, haloxyfop-P-ethoxyethyl, haloxyfop-methyl, haloxyfop-P-methyl, hexazinone , HW-0 2, ie, 1- (dimethoxyphosphoryl) ethyl (2,4-dichlorophenoxy) acetate, imazamethabenz, imazamethabenz-methyl, imazamox, imazamoxammonium, imazapic, imazapicammonium, imazapyr, imazapyrisopropylammonium, imazaquin, imazaquinammonium, imazethapyr, imazethapyrimmonium, imazosulfuron, indanofan, indaziflam, iodosulfuron, iodosulfuron-methyl-sodium, ioxynil, ioxynil-octanoate, -potassium and sodium, ipfencarbazone, isoproturon, isourone, isoxaben, isoxaflutole, karbutilate, KUH-043, ie ({[5- (Difluoromethyl) -1-methyl-3- (trifluoromethyl) -1 H -pyrazol-4-yl] methyl} sulfonyl) -5,5-dimethyl-4,5-dihydro-1,2-oxazole , ketospiradox, lactofen, lenacil, linuron, MCPA, MCPA-butotyl, -dimethylammonium, -2-ethylhexyl, - isopropylammonium, -potassium and -sodium, MCPB, MCPB-methyl, -ethyl and -sodium, mecoprop, mecoprop-sodium, and -butotyl, mecoprop-P, mecoprop-P-butotyl, -dimethylammonium, -2-ethylhexyl and -potassium , mefenacet, mefluidide, mesosulfuron, mesosulfuron-methyl, mesotrione,
methabenzthiazuron, metam, metamifop, metamitron, metazachlor, metazosulfuron, methabenzothiazuron, metam, metamifop, metamitron, metazachlor, metazosulfuron,
methabenzthiazuron, methiopyrsulfuron, methiozolin, methyl isothiocyanate, metobromuron, metolachlor, S-metolachlor, metosulam, metoxuron, metribuzin, metsulfuron, metsulfuron-methyl, molinat, monolinuron, monosulfuron, monosulfuron-ester, MT-5950, i.e. N-[3-chlor-4-(l-methylethyl)- phenyl]-2-methylpentanamid, NGGC-011, napropamide, NC-310, i.e. 4-(2,4-Dichlorbenzoyl)-l-methyl- 5-benzyloxypyrazol, neburon, nicosulfuron, nonanoic acid (Pelargonsäure), norflurazon, oleic acid (fatty acids), orbencarb, orthosulfamuron, oryzalin, oxadiargyl, oxadiazon, oxasulfuron, oxaziclomefon, oxyfluorfen, paraquat, paraquat dichloride, pebulate, pendimethalin, penoxsulam, pentachlorphenol, pentoxazone, pethoxamid, petroleum oils, phenmedipham, picloram, picolinafen, pinoxaden, piperophos, pretilachlor, primisulfuron, primisulfuron-methyl, prodiamine, profoxydim, prometon, prometryn, propachlor, propanil, propaquizafop, propazine, propham, propisochlor, propoxycarbazone, propoxycarbazone-sodium, propyrisulfuron, propyzamide, prosulfocarb, prosulfuron, pyraclonil, pyraflufen, pyraflufen- ethyl, pyrasulfotole, pyrazolynate (pyrazolate), pyrazosulfuron, pyrazosulfuron- ethyl, pyrazoxyfen, pyribambenz, pyribambenz-isopropyl, pyribambenz-propyl, pyribenzoxim, pyributicarb, pyridafol, pyridate, pyriftalid, pyriminobac, pyriminobac-methyl, pyrimisulfan, pyrithiobac, pyrithiobac-sodium, pyroxasulfone, pyroxsulam, quinclorac, quinmerac, quinoclamine, quizalofop, quizalofop-ethyl, quizalofop-P, quizalofop-P-ethyl, quizalofop-P-tefuryl, rimsulfuron, saflufenacil, sethoxydim, siduron, simazine, simetryn, SL-261, sulcotrion, sulfentrazone, sulfometuron, sulfometuron-methyl, sulfosulfuron, , SYN-523, SYP-249, i.e. l-Ethoxy-3-methyl-l-oxobut-3-en-2-yl- 5-[2-chlor-4-(trifluormethyl)phenoxy]-2-nitrobenzoat, SYP-300, i.e. l-[7-Fluor-3-oxo-4-(prop-2-in-l- yl)-3,4-dihydro-2H-l,4-benzoxazin-6-yl]-3-propyl-2-thioxoimidazolidin-4,5-dion, 2,3,6-TBA, TCA (Trifluoressigsäure), TCA-sodium, tebuthiuron, tefuryltrione, tembotrione, tepraloxydim, terbacil, terbucarb, terbumeton, terbuthylazin, terbutryn, thenylchlor, thiazopyr, thiencarbazone, thiencarbazone- methyl, thifensulfuron, thifensulfuron-methyl, thiobencarb, tiafenacil, tolpyralate, topramezone, tralkoxydim, triafamone, tri-allate, triasulfuron, triaziflam, tribenuron, tribenuron-methyl, triclopyr, trietazine, trifloxysulfuron, trifloxysulfuron-sodium, trifludimoxazin, trifluralin, triflusulfuron, triflusulfuron-methyl, tritosulfuron, urea sulfate, vernolate, XDE-848, ZJ-0862, i.e. 3,4-Dichlor-N- {2- [(4,6-dimethoxypyrimidin-2-yl)oxy]benzyl}anilin, sowie die folgenden Verbindungen: methabenzthiazuron, methiopyrsulfuron, methiozoline, methyl isothiocyanate, metobromuron, metolachlor, S-metolachlor, metosulam, metoxuron, metribuzin, metsulfuron, metsulfuron-methyl, molinate, monolinuron, monosulfuron, monosulfuron ester, MT-5950, ie N- [3-chloro -4- (1-methylethyl) phenyl] -2-methylpentanamide, NGGC-011, napropamide, NC-310, ie 4- (2,4-dichlorobenzoyl) -l-methyl-5-benzyloxypyrazole, neburon, nicosulfuron, nonanoic acid (pelargonic acid), norflurazon, oleic acid (fatty acids), orbencarb, orthosulfamuron, oryzalin, oxadiargyl, oxadiazon, oxasulfuron, oxaziclomefon, oxyfluorfen, paraquat, paraquat dichloride, pebulate, pendimethalin, penoxsulam, pentachlorophenol, pentoxazone, pethoxamide, petroleum oils, phenmedipham, picloram, picolinafen, pinoxaden, piperophos, pretilachlor, primisulfuron, primisulfuron-methyl, prodiamine, profoxydim, prometon, prometryn, propachlor, propanil, propaquizafop, propazine, propham, propisochlor, propoxycarbazone, propoxycarbazone-sodium, propyrisul furon, propyzamide, prosulfocarb, prosulfuron, pyraclonil, pyraflufen, pyraflufenethyl, pyrasulfotole, pyrazolynate (pyrazolate), pyrazosulfuron, pyrazosulfuronethyl, pyrazoxyfen, pyribambenz, pyribambenz-isopropyl, pyribambenz-propyl, pyribenzoxim, pyributicarb, pyridafol, pyridate, pyriftalid , pyriminobac, pyriminobac-methyl, pyrimisulfan, pyrithiobac, pyrithiobac-sodium, pyroxasulfone, pyroxsulam, quinclorac, quinmerac, quinoclamine, quizalofop, quizalofop-ethyl, quizalofop-P, quizalofop-P-ethyl, quizalofop-P-tefuryl, rimsulfuron, saflufenacil , sethoxydim, siduron, simazine, simetryn, SL-261, sulcotrione, sulfentrazone, sulfometuron, sulfometuron-methyl, sulfosulfuron,, SYN-523, SYP-249, ie, 1-ethoxy-3-methyl-1-oxobut-3-ene -2-yl- 5- [2-chloro-4- (trifluoromethyl) phenoxy] -2-nitrobenzoate, SYP-300, ie 1- [7-fluoro-3-oxo-4- (prop-2-yn-1 - yl) -3,4-dihydro-2H-l, 4-benzoxazin-6-yl] -3-propyl-2-thioxoimidazolidine-4,5-dione, 2,3,6-TBA, TCA (trifluoroacetic acid), TCA-sodium, tebuthiuron, tefuryltrione , tembotrione, tepraloxydim, terbacil, terbucarb, terbumetone, terbuthylazine, terbutryn, thenylchlor, thiazopyr, thiencarbazone, thiencarbazone-methyl, thifensulfuron, thifensulfuron-methyl, thiobencarb, tiafenacil, tolpyralate, topramezone, tralkoxydim, triafamone, tri-allate, triasulfuron, triaziflam , tribenuron, tribenuron-methyl, triclopyr, trietazine, trifloxysulfuron, trifloxysulfuron-sodium, trifludimoxazine, trifluralin, triflusulfuron, triflusulfuron-methyl, tritosulfuron, urea sulfate, vernolate, XDE-848, ZJ-0862, ie 3,4-dichloro-N - {2- [(4,6-dimethoxypyrimidin-2-yl) oxy] benzyl} aniline, and the following compounds:
Beispiele für Pflanzenwachstumsregulatoren als mögliche Mischungspartner sind: Examples of plant growth regulators as possible mixing partners are:
Acibenzolar, acibenzolar-S-methyl, 5-Aminolävulinsäure, ancymidol, 6-benzylaminopurine, Acibenzolar, acibenzolar-S-methyl, 5-aminolevulinic acid, ancymidol, 6-benzylaminopurine,
Brassinolid, Catechin, chlormequat chloride, cloprop, cyclanilide, 3-(Cycloprop-l-enyl)propionsäure, daminozide, dazomet, n-decanol, dikegulac, dikegulac-sodium, endothal, endothal- dipotassium, -disodium, und mono(N,N-dimethylalkylammonium), ethephon, flumetralin, flurenol, flurenol-butyl, flurprimidol, forchlorfenuron, gibberellic acid, inabenfide, indol-3-acetic acid (IAA), 4- indol-3-ylbutyric acid, isoprothiolane, probenazole, Jasmonsäure, Jasmonsäuremethylester, maleic hydrazide, mepiquat chloride, 1 -methylcyclopropene, 2-(l-naphthyl)acetamide, 1 -naphthylacetic acid, 2- naphthyloxyacetic acid, nitrophenolate-mixture, 4-0x0-4 [(2 -phenylethyl)amino]buttersäure, paclobutrazol, N-phenylphthalamic acid, prohexadione, prohexadione-calcium, prohydrojasmone,Brassinolide, catechin, chloroformate chloride, cloprop, cyclanilide, 3- (cycloprop-1-enyl) propionic acid, daminozide, dazomet, n-decanol, dikegulac, dikegulac-sodium, endothal, endothaldipotassium, -disodium, and mono (N, N-dimethylalkylammonium), ethephon, flumetralin, flurenol, flurenol-butyl, flurprimidol, forchlorfenuron, gibberellic acid, inabenfide, indole-3-acetic acid (IAA), 4-indol-3-yl-butyric acid, isoprothiolane, probenazole, jasmonic acid, methyl jasmonate maleic hydrazides, mepiquat chloride, 1-methylcyclopropene, 2- (1-naphthyl) acetamide, 1 -naphthylacetic acid, 2-naphthyloxyacetic acid, nitrophenolate-mixture, 4-0x0-4 [(2-phenylethyl) amino] butyric acid, paclobutrazole , N-phenylphthalamic acid, prohexadione, prohexadione-calcium, prohydrojasmone,
Salicylsäure, Strigolacton, tecnazene, thidiazuron, triacontanol, trinexapac, trinexapac-ethyl, tsitodef, uniconazole, uniconazole-P. Salicylic acid, strigolactone, tecnazene, thidiazuron, triacontanol, trinexapac, trinexapac-ethyl, tsitodef, uniconazole, uniconazole-P.
Ebenfalls als Kombinationspartner für die erfindungsgemäßen Verbindungen der allgemeinen Formel (I) kommen beispielsweise die folgenden Safener in Frage: Also suitable as combination partners for the compounds of the general formula (I) according to the invention are, for example, the following safeners:
Sl) Verbindungen aus der Gruppe heterocyc lischer Carbonsäurederivate: Sl) Compounds from the group of heterocyclic carboxylic acid derivatives:
Sla) Verbindungen vom Typ der Dichlorphenylpyrazolin-3-carbonsäure (Sla), vorzugsweise Sl a ) compounds of the type dichlorophenylpyrazoline-3-carboxylic acid (Sl a ), preferably
Verbindungen wie l-(2,4-Dichlorphenyl)-5-(ethoxycarbonyl)-5-methyl-2-pyrazolin-3-carbonsäure, Compounds such as 1- (2,4-dichlorophenyl) -5- (ethoxycarbonyl) -5-methyl-2-pyrazoline-3-carboxylic acid,
1 -(2,4-Dichlorphenyl)-5-(ethoxycarbonyl)-5-methyl-2-pyrazolin-3-carbonsäureethylester (S 1 - 1 ) Ethyl 1 - (2,4-dichlorophenyl) -5- (ethoxycarbonyl) -5-methyl-2-pyrazoline-3-carboxylate (S 1 - 1)
("Mefenpyr-diethyl"), und verwandte Verbindungen, wie sie in der WO-A-91/07874 beschrieben sind; Derivate der Dichlorphenylpyrazolcarbonsäure (Slb), vorzugsweise Verbindungen wie 1 -(2,4-Dichlorphenyl)-5-methylpyrazol-3 -carbonsäureethylester (S 1 -2), ("Mefenpyr-diethyl"), and related compounds as described in WO-A-91/07874; Derivatives of dichlorophenylpyrazolecarboxylic acid (Sl b ), preferably compounds such as ethyl 1- (2,4-dichlorophenyl) -5-methylpyrazole-3-carboxylate (S 1 -2),
l-(2,4-Dichlorphenyl)-5-isopropylpyrazol-3-carbonsäureethylester (Sl-3), Ethyl l- (2,4-dichlorophenyl) -5-isopropylpyrazole-3-carboxylate (Sl-3),
1 -(2,4-Dichlorphenyl)-5-(l , 1 -dimethyl-ethyl)pyrazol-3-carbonsäureethylester (S 1 -4) und verwandte Verbindungen, wie sie in EP-A-333131 und EP-A-269806 beschrieben sind; 1- (2,4-dichlorophenyl) -5- (1,1-dimethyl-ethyl) -pyrazole-3-carboxylic acid ethyl ester (S 1 -4) and related compounds as described in EP-A-333131 and EP-A-269806 are described;
Derivate der l,5-Diphenylpyrazol-3-carbonsäure (Slc), vorzugsweise Verbindungen wie l-(2,4-Dichlorphenyl)-5-phenylpyrazol-3-carbonsäureethylester (Sl-5), Derivatives of l, 5-diphenylpyrazole-3-carboxylic acid (Sl c ), preferably compounds such as l- (2,4-dichlorophenyl) -5-phenylpyrazole-3-carboxylic acid ethyl ester (Sl-5),
l-(2-Chlorphenyl)-5-phenylpyrazol-3-carbonsäuremethylester (Sl-6) und verwandte 1- (2-chlorophenyl) -5-phenylpyrazole-3-carboxylic acid methyl ester (Sl-6) and related
Verbindungen wie sie beispielsweise in der EP-A-268554 beschrieben sind; Compounds as described, for example, in EP-A-268554;
Verbindungen vom Typ der Triazolcarbonsäuren (Sld), vorzugsweise Verbindungen wie Fenchlorazol(-ethylester), d.h. l-(2,4-Dichlorphenyl)-5-trichlormethyl-(lH)-l,2,4-triazol-3- carbonsäureethylester (Sl-7), und verwandte Verbindungen, wie sie in EP-A- 174562 und EP-A-346620 beschrieben sind; Compounds of the type of triazolecarboxylic acids (Sl d ), preferably compounds such as fenchlorazole (ethyl ester), ie ethyl 1- (2,4-dichlorophenyl) -5-trichloromethyl- (1H) -l, 2,4-triazole-3-carboxylate ( Sl-7), and related compounds as described in EP-A-174562 and EP-A-346620;
Verbindungen vom Typ der 5-Benzyl- oder 5-Phenyl-2-isoxazolin-3- carbonsäure, oder der 5,5- Diphenyl-2-isoxazolin-3-carbonsäure(Sle), vorzugsweise Verbindungen wie Compounds of the 5-benzyl- or 5-phenyl-2-isoxazoline-3-carboxylic acid type or of the 5,5-diphenyl-2-isoxazoline-3-carboxylic acid (Sl e ), preferably compounds such as
5-(2,4-Dichlorbenzyl)-2-isoxazolin-3 -carbonsäureethylester (Sl-8) oder 5- (2,4-dichlorobenzyl) -2-isoxazoline-3-carboxylic acid ethyl ester (Sl-8) or
5-Phenyl-2-isoxazolin-3-carbonsäureethylester (Sl-9) und verwandte Verbindungen, wie sie in WO-A-91/08202 beschrieben sind, bzw. 5,5-Diphenyl-2-isoxazolin-carbonsäure (Sl-10) oder 5,5-Diphenyl-2-isoxazolin-3-carbonsäureethylester (Sl-11) ("Isoxadifen-ethyl") 5-phenyl-2-isoxazoline-3-carboxylic acid ethyl ester (Sl-9) and related compounds, as described in WO-A-91/08202, or 5,5-diphenyl-2-isoxazoline-carboxylic acid (Sl-10 ) or ethyl 5,5-diphenyl-2-isoxazoline-3-carboxylate (Sl-11) ("isoxadifen-ethyl")
oder -n-propylester (Sl-12) oder 5-(4-Fluorphenyl)-5-phenyl-2-isoxazolin-3-carbon- säureethylester (Sl-13), wie sie in der Patentanmeldung WO-A-95/07897 beschrieben sind. or -n-propyl ester (Sl-12) or 5- (4-fluorophenyl) -5-phenyl-2-isoxazoline-3-carboxylic acid ethyl ester (Sl-13), as described in the patent application WO-A-95/07897 are described.
Verbindungen aus der Gruppe der 8-Chinolinoxyderivate (S2): Compounds from the group of the 8-quinolinoxy derivatives (S2):
Verbindungen vom Typ der 8-Chinolinoxyessigsäure (S2a), vorzugsweise Compounds of the 8-quinolinoxyacetic acid type (S2 a ), preferably
(5 -Chlort ^-chinolinoxy)essij *säure-(l-methylhexyl)-ester ("Cloquintocet-mexyl") (S2-1), (5-chloro-quinolinoxy) -acetic acid (1-methylhexyl) ester ("cloquintocet-mexyl") (S2-1),
(5 -Chlort -chinolinoxy)essi *säure-(l,3-dimethyl-but-l -yl)-ester (S2-2), (5-chloro-quinolinoxy) -acetic acid (1,3-dimethyl-but-1-yl) ester (S2-2),
(5 -Chlort -chinolinoxy)essi *säure-4-allyl-oxy-butylester (S2-3), (5-chloro-quinolinoxy) -acetic acid 4-allyl oxy-butyl ester (S2-3),
(5 -Chlort -chinolinoxy)essi ^säure- 1 -allyloxy-prop-2-ylester (S2-4), (5-chloro-quinolinoxy) -acetic acid 1 -allyloxy-prop-2-yl ester (S2-4),
(5 -Chlort -chinolinoxy)essi *säureethylester (S2-5), (5-chloro-quinolinoxy) -acetic acid ethyl ester (S2-5),
(5 -Chlort ^-chinolinoxy)essij jsäuremethylester (S2-6), Methyl (5-chloro-quinolinoxy) -acetate (S2-6),
(5 -Chlort ^-chinolinoxy)essij jsäureallylester (S2-7), (5-chloro-quinolinoxy) -acetyl-allyl ester (S2-7),
(5 -Chlort -chinolinoxy)essi *säure-2-(2-propyliden-iminoxy)- 1 -ethylester (S2-8), (5-chloro-quinolinoxy) -acetic acid 2- (2-propylidene-iminoxy) -1-ethyl-ester (S2-8),
(5 -Chlort -chinolinoxy)essi *säure-2-oxo-prop-l -ylester (S2-9) und verwandte Verbindungen wie sie in EP-A-86750, EP-A-94349 und EP-A-191736 oder EP-A-0 492 366 beschrieben sind, sowie (5-Chlor-8-chinolinoxy)essigsäure (S2-10), deren Hydrate und Salze, beispielsweise deren Lithium-, Natrium- Kalium-, Kalzium-, Magnesium-, Aluminium-, Eisen-, Ammonium-, quartäre Ammonium-, Sulfonium-, oder Phosphoniumsalze wie sie in der WO-A-2002/34048 beschrieben sind; (5-chloro-quinolinoxy) -acetic acid 2-oxo-prop-1-yl-ester (S2-9) and related compounds as described in EP-A-86750, EP-A-94349 and EP-A-191736 or EP -A-0 492 366, as well as (5-chloro-8-quinolinoxy) acetic acid (S2-10), their hydrates and salts, for example their lithium, sodium, potassium, calcium, magnesium, aluminum, iron, ammonium, quaternary ammonium, sulfonium or phosphonium salts as described in WO-A-2002/34048;
S2b) Verbindungen vom Typ der (5-Chlor-8-chinolinoxy)malonsäure (S2b), vorzugsweise S2 b ) compounds of the type of (5-chloro-8-quinolinoxy) malonic acid (S2 b ), preferably
Verbindungen wie (5-Chlor-8-chinolinoxy)malonsäurediethylester, Compounds such as diethyl (5-chloro-8-quinolinoxy) malonate,
(5-Chlor-8-chinolinoxy)malonsäurediallylester, (5-chloro-8-quinolinoxy) malonate,
(5-Chlor-8-chinolinoxy)malonsäure-methyl-ethylester und verwandte Verbindungen, wie sie in EP-A-0 582 198 beschrieben sind. (5-chloro-8-quinolinoxy) malonic acid methyl ethyl ester and related compounds as described in EP-A-0 582 198.
S3) Wirkstoffe vom Typ der Dichloracetamide (S3), die häufig als Vorauflaufsafener S3) Dichloroacetamide-type drugs (S3), often used as pre-emergence safeners
(bodenwirksame Safener) angewendet werden, wie z. B. (soil-active safeners) are used, such. B.
"Dichlormid" (N,N-Diallyl-2,2-dichloracetamid) (S3-1), "Dichloromid" (N, N-diallyl-2,2-dichloroacetamide) (S3-1),
"R-29148" (3-Dichloracetyl-2,2,5-trimethyl-l,3-oxazolidin) der Firma Stauffer (S3-2), "R-28725" (3-Dichloracetyl-2,2,-dimethyl-l,3-oxazolidin) der Firma Stauffer (S3-3), "R-29148" (3-dichloroacetyl-2,2,5-trimethyl-1,3-oxazolidine) from Stauffer (S3-2), "R-28725" (3-dichloro-acetyl-2,2-dimethyl) 1, 3-oxazolidine) from Stauffer (S3-3),
"Benoxacor" (4-Dichloracetyl-3,4-dihydro-3-methyl-2H-l,4-benzoxazin) (S3-4), "Benoxacor" (4-dichloroacetyl-3,4-dihydro-3-methyl-2H-1,4-benzoxazine) (S3-4),
"PPG-1292" (N-Allyl-N-[(l,3-dioxolan-2-yl)-methyl]-dichloracetamid) der Firma PPG "PPG-1292" (N-allyl-N - [(1,3-dioxolan-2-yl) -methyl] -dichloroacetamide) from PPG
Industries (S3-5), Industries (S3-5),
"DKA-24" (N-Allyl-N-[(allylaminocarbonyl)methyl]-dichloracetamid) der Firma Sagro-Chem (S3-6), "DKA-24" (N-allyl-N - [(allylaminocarbonyl) methyl] -dichloroacetamide) from Sagro-Chem (S3-6),
"AD-67" oder "MON 4660" (3-Dichloracetyl-l-oxa-3-aza-spiro[4,5]decan) der Firma "AD-67" or "MON 4660" (3-dichloroacetyl-1-oxa-3-aza-spiro [4,5] decane) from the company
Nitrokemia bzw. Monsanto (S3-7), Nitrokemia and Monsanto (S3-7),
"TI-35" (1-Dichloracetyl-azepan) der Firma TRI-Chemical RT (S3-8), "TI-35" (1-dichloroacetyl-azepane) from TRI-Chemical RT (S3-8),
"Diclonon" (Dicyclonon) oder "BAS145138" oder "LAB145138" (S3-9) "Diclonone" (dicyclonone) or "BAS145138" or "LAB145138" (S3-9)
((RS)-l-Dichloracetyl-3,3,8a-trimethylperhydropyrrolo[l,2-a]pyrimidin-6-on) der Firma BASF, "Furilazol" oder "MON 13900" ((RS)-3-Dichloracetyl-5-(2-furyl)-2,2-dimethyloxazolidin) (S3-10), sowie dessen (R)-Isomer (S3-11). ((RS) -1-dichloroacetyl-3,3,8a-trimethylperhydropyrrolo [1,2-a] pyrimidin-6-one) from BASF, "furilazole" or "MON 13900" ((RS) -3-dichloroacetyl) 5- (2-furyl) -2,2-dimethyloxazolidine) (S3-10) and its (R) isomer (S3-11).
S4) Verbindungen aus der Klasse der Acylsulfonamide (S4): S4) Compounds of the class of acylsulfonamides (S4):
S4a) N-Acylsulfonamide der Formel (S4a) und deren Salze wie sie in der WO-A-97/45016 S4 a ) N-acylsulfonamides of the formula (S4 a ) and salts thereof as described in WO-A-97/45016
beschrieben sind, are described
worin RA1 (Ci-C6)Alkyl, (C3-C6)Cycloalkyl, wobei die 2 letztgenannten Reste durch VA wherein RA 1 (C 1 -C 6) alkyl, (C 3 -C 6) cycloalkyl, where the 2 last-mentioned radicals are represented by VA
Substituenten aus der Gruppe Halogen, (Ci-C i)Alkoxy, (Ci-Ce)Haloalkoxy und (Ci- C4)Alkylthio und im Falle cyclischer Reste auch durch (Ci-C i)Alkyl und (Ci-C i)Haloalkyl substituiert sind; Substituents from the group halogen, (Ci-C i) alkoxy, (Ci-Ce) haloalkoxy and (Ci-C4) alkylthio and in the case of cyclic radicals by (Ci-C i) alkyl and (Ci-C i) haloalkyl substituted are;
RA2 Halogen, (Ci-C4)Alkyl, (Ci-C4)Alkoxy, CF3; mA 1 oder 2; RA 2 halogen, (C 1 -C 4 ) alkyl, (C 1 -C 4 ) alkoxy, CF 3; mA 1 or 2;
VA ist 0, 1 , 2 oder 3 bedeuten; VA is 0, 1, 2 or 3;
S4b) Verbindun gen vom Typ der 4-(Benzoylsulfamoyl)benzamide der Formel (S4b) und deren Salze, wie sie in der WO-A-99/16744 beschrieben sind, S4 b) Verbindun conditions (the type of 4- benzoylsulfamoyl) benzamide of the formula (S4 b) and salts thereof, as they are in the WO-A-99/16744 describes
worin wherein
RB1, RB2 unabhängig voneinander Wasserstoff, (Ci-C6)Alkyl, (C3-C6)Cycloalkyl, (C3- C6)Alkenyl, (C3-C6)Alkinyl, RB 3 Halogen, (Ci-C4)Alkyl, (Ci-C4)Haloalkyl oder (Ci-C4)Alkoxy und ms 1 oder 2 bedeuten, z.B. solche worin RB 1 , RB 2 independently of one another are hydrogen, (C 1 -C 6 ) alkyl, (C 3 -C 6 ) cycloalkyl, (C 3 -C 6 ) alkenyl, (C 3 -C 6 ) alkynyl, R B 3 halogen, (C 1 -C 4 ) Alkyl, (Ci-C 4 ) haloalkyl or (Ci-C 4 ) alkoxy and ms 1 or 2, for example those in which
RB1 = Cyclopropyl, RB 2 = Wasserstoff und (RB3) = 2-OMe ist ("Cyprosulfamide", S4-1), RB1 = Cyclopropyl, RB 2 = Wasserstoff und (RB3) = 5-Cl-2-OMe ist (S4-2), RB1 = Ethyl, RB 2 = Wasserstoff und (RB3) = 2-OMe ist (S4-3), RB 1 = cyclopropyl, R B 2 = hydrogen and (RB 3 ) = 2-OMe ("Cyprosulfamide", S4-1), RB 1 = cyclopropyl, R B 2 = hydrogen and (RB 3 ) = 5-Cl- 2-OMe is (S4-2), RB 1 = ethyl, R B 2 = hydrogen and (RB 3 ) = 2-OMe is (S4-3),
RB1 = Isopropyl, RB 2 = Wasserstoff und (RB3) = 5-Cl-2-OMe ist (S4-4) und RB1 = Isopropyl, RB 2 = Wasserstoff und (RB3) = 2-OMe ist (S4-5); S4C) Verbindungen aus der Klasse der Benzoylsulfamoylphenylharnstoffe der Formel (S4C), wie sie in der EP-A-365484 beschrieben sind, RB 1 = isopropyl, R B 2 = hydrogen and (RB 3 ) = 5-Cl-2-OMe is (S4-4) and RB 1 = isopropyl, R B 2 = hydrogen and (RB 3 ) = 2-OMe (S4-5); S4 C ) compounds from the class of the benzoylsulfamoylphenylureas of the formula (S4 C ) as described in EP-A-365484,
wonn Wonn
Rc1, Rc2 unabhängig voneinander Wasserstoff, (Ci-Cg)Alkyl, (C3-Cg)Cycloalkyl, (C3-Rc 1 , Rc 2 are each independently hydrogen, (Ci-Cg) alkyl, (C3-Cg) cycloalkyl, (C3-
C6)Alkenyl, (C3-C6)Alkinyl, C 6 ) alkenyl, (C 3 -C 6 ) alkynyl,
Rc3 Halogen, (Ci-C4)Alkyl, (Ci-C4)Alkoxy, CF3 und mc 1 oder 2 bedeuten; beispielsweise R c 3 is halogen, (C 1 -C 4 ) alkyl, (C 1 -C 4 ) alkoxy, CF 3 and mc are 1 or 2; for example
1 - [4-(N-2-Methoxybenzoylsulfamoyl)phenyl] -3 -methylharnstoff, 1 - [4- (N-2-methoxybenzoylsulfamoyl) phenyl] -3-methylurea,
1 - [4-(N-2-Methoxybenzoylsulfamoyl)phenyl] -3 ,3 -dimethylharnstoff, 1 - [4- (N-2-methoxybenzoylsulfamoyl) phenyl] -3,3-dimethylurea,
l -[4-(N-4,5-Dimethylbenzoylsulfamoyl)phenyl]-3-methylharnstoff; 1 - [4- (N-4,5-dimethylbenzoylsulfamoyl) phenyl] -3-methylurea;
S4d) Verbindun gen vom Typ der N-Phenylsulfonylterephthalamide der Formel (S4d) und deren Salze, die z.B. bekannt sind aus CN 101838227, S4 d ) compounds of the N-phenylsulfonylterephthalamide type of the formula (S4 d ) and salts thereof which are known, for example, from CN 101838227,
worin wherein
RD 4 Halogen, (Ci-C4)Alkyl, (Ci-C4)Alkoxy, CF3; mD 1 oder 2; R D 4 is halogen, (C 1 -C 4 ) alkyl, (C 1 -C 4 ) alkoxy, CF 3; mD 1 or 2;
RD 5 Wasserstoff, (Ci-C6)Alkyl, (C3-C6)Cycloalkyl, (C2-C6)Alkenyl, (C2-C6)Alkinyl, (C5- Ce)Cycloalkenyl bedeutet. R D 5 is hydrogen, (C 1 -C 6 ) alkyl, (C 3 -C 6 ) cycloalkyl, (C 2 -C 6 ) alkenyl, (C 2 -C 6 ) alkynyl, (C 5 -C 6 ) cycloalkenyl.
S5) Wirkstoffe aus der Klasse der Hydroxyaromaten und der aromatisch-aliphatischen S5) active ingredients from the class of hydroxyaromatic and aromatic-aliphatic
Carbonsäurederivate (S5), z.B. 3,4,5-Triacetoxybenzoesäureethylester, 3,5-Dimethoxy-4-hydroxybenzoesäure, 3,5- Dihydroxybenzoesäure, 4-Hydroxysalicylsäure, 4-Fluorsalicyclsäure, 2-Hydroxyzimtsäure, 2,4 Dichlorzimtsäure, wie sie in der WO-A-2004/084631 , WO-A-2005/015994, WO-A- 2005/016001 beschrieben sind. Carboxylic acid derivatives (S5), eg 3,4,5-triacetoxybenzoic acid ethyl ester, 3,5-dimethoxy-4-hydroxybenzoic acid, 3,5-dihydroxybenzoic acid, 4-hydroxysalicylic acid, 4-fluorosalicyclic acid, 2-hydroxycinnamic acid, 2,4-dichlorocinnamic acid, as described in WO-A-2004 No. 084631, WO-A-2005/015994, WO-A-2005/016001.
Wirkstoffe aus der Klasse der l ,2-Dihydrochinoxalin-2-one (S6), z.B. Agents from the class of 1,2-dihydroquinoxaline-2-ones (S6), e.g.
l -Methyl-3-(2-thienyl)-l ,2-dihydrochinoxalin-2-on, l -Methyl-3-(2-thienyl)-l ,2-dihydro- chinoxalin-2-thion, l -(2-Aminoethyl)-3-(2-thienyl)-l ,2-dihydro-chinoxalin-2-on-hydrochlorid, l -(2-Methylsulfonylaminoethyl)-3-(2-thienyl)-l ,2-dihydro-chinoxalin-2-on, wie sie in der WO A-2005/1 12630 beschrieben sind. 1-methyl-3- (2-thienyl) -1,2-dihydroquinoxalin-2-one, 1-methyl-3- (2-thienyl) -1,2-dihydroquinoxaline-2-thione, 1- (2 -Aminoethyl) -3- (2-thienyl) -1,2-dihydroquinoxaline-2-one hydrochloride, 1- (2-methylsulphonylaminoethyl) -3- (2-thienyl) -1,2-dihydroquinoxaline 2-on, as described in WO-A-2005/1 12630.
Verbindungen aus der Klasse der Diphenylmethoxyessigsäurederivate (S7), z.B. Compounds from the class of diphenylmethoxyacetic acid derivatives (S7), e.g.
Diphenylmethoxyessigsäuremethylester (CAS-Reg.Nr. 41858-19-9) (S7-1), Methyl diphenylmethoxyacetate (CAS No. 41858-19-9) (S7-1),
Diphenylmethoxyessigsäureethylester oder Diphenylmethoxyessigsäure wie sie in der WO-A- 98/38856 beschrieben sind. Diphenylmethoxyessigsäureethylester or Diphenylmethoxyessigsäure as described in WO-A-98/38856.
Verbindungen der Formel (S8), wie sie in der WO-A-98/27049 beschrieben sind, Compounds of the formula (S8) as described in WO-A-98/27049,
worin die Symbole und Indizes folgende Bedeutungen haben: wherein the symbols and indices have the following meanings:
RD1 ist Halogen, (Ci-C4)Alkyl, (Ci-C4)Haloalkyl, (Ci-C4)Alkoxy, (Ci-C4)Haloalkoxy, RD2 ist Wasserstoff oder (Ci-C4)Alkyl, RD 1 is halogen, (Ci-C 4) alkyl, (Ci-C 4) haloalkyl, (Ci-C 4) alkoxy, (Ci-C 4) haloalkoxy, RD 2 is hydrogen or (Ci-C 4) alkyl,
RD3 ist Wasserstoff, (Ci-Cg)Alkyl, (C2-C4)Alkenyl, (C2-C4)Alkinyl, oder Aryl, wobei jeder der vorgenannten C-haltigen Reste unsubstituiert oder durch einen oder mehrere, vorzugsweise bis zu drei gleiche oder verschiedene Reste aus der Gruppe, bestehend aus Halogen und Alkoxy substituiert ist; oder deren Salze, nD ist eine ganze Zahl von 0 bis 2. RD 3 is hydrogen, (Ci-Cg) alkyl, (C 2 -C 4 ) alkenyl, (C 2 -C 4 ) alkynyl, or aryl, wherein each of the aforementioned C-containing radicals unsubstituted or by one or more, preferably bis substituted into three identical or different radicals from the group consisting of halogen and alkoxy; or their salts, nD is an integer from 0 to 2.
S9) Wirkstoffe aus der Klasse der 3-(5-Tetrazolylcarbonyl)-2-chinolone (S9), z.B. S9) Agents from the class of 3- (5-tetrazolylcarbonyl) -2-quinolones (S9), e.g.
1 ,2-Dihydro-4-hydroxy- 1 -ethyl-3-(5-tetrazolylcarbonyl)-2-chinolon (CAS-Reg.Nr. : 219479- 18 2), l ,2-Dihydro-4-hydroxy-l -methyl-3-(5-tetrazolyl-carbonyl)-2-chinolon (CAS-Reg.Nr. 1,2-Dihydro-4-hydroxy-1-ethyl-3- (5-tetrazolylcarbonyl) -2-quinolone (CAS Reg. No. 219479-18 2), 1,2-dihydro-4-hydroxy-1-methyl-3- (5-tetrazolyl-carbonyl) -2-quinolone (CAS Reg.
95855-00-8), wie sie in der WO-A- 1999/000020 beschrieben sind. 95855-00-8), as described in WO-A-1999/000020.
Verbindungen der Formeln (S10a) oder (S 10b), wie sie in der WO-A-2007/023719 und WO-A-2007/023764 beschrieben sind, Compounds of the formulas (S10 a ) or (S 10 b ), as described in WO-A-2007/023719 and WO-A-2007/023764,
(S10A) (S10B) (S10 A ) (S10 B )
worin wherein
Halogen, (Ci-C4)Alkyl, Methoxy, Nitro, Cyano, CF3, OCF: Halogen, (C 1 -C 4 ) alkyl, methoxy, nitro, cyano, CF 3 , OCF :
YE, ZE unabhängig voneinander O oder S, eine ganze Zahl von 0 bis 4, YE, Z E independently of one another are O or S, an integer from 0 to 4,
(Ci-Ci6)Alkyl, (C2-C6)Alkenyl, (C3-C6)Cycloalkyl, Aryl; Benzyl, Halogenbenzyl, Wasserstoff oder (Ci-Ce)Alkyl bedeuten. (C 1 -C 6 ) alkyl, (C 2 -C 6 ) alkenyl, (C 3 -C 6 ) cycloalkyl, aryl; Benzyl, halobenzyl, hydrogen or (Ci-Ce) alkyl.
Wirkstoffe vom Typ der Oxyimino- Verbindungen (Si l), die als Saatbeizmittel bekannt sind, wie z. B. Active ingredients of the type of oxyimino compounds (Si l), which are known as seed dressings, such as. B.
"Oxabetrinil" ((Z)-l ,3-Dioxolan-2-ylmethoxyimino(phenyl)acetonitril) (Sl 1 -1), das als Saatbeiz-Safener für Hirse gegen Schäden von Metolachlor bekannt ist, "Oxabetrinil" ((Z) -l, 3-dioxolan-2-ylmethoxyimino (phenyl) acetonitrile) (Sl 1 -1), which is known as millet safener for millet against damage by metolachlor,
"Fluxofenim" (l -(4-Chlorphenyl)-2,2,2-trifluor-l -ethanon-0-(l ,3-dioxolan-2-ylmethyl)-oxim) (S l 1 -2), das als Saatbeiz-Safener für Hirse gegen Schäden von Metolachlor bekannt ist, und "Fluxofenim" (1- (4-chlorophenyl) -2,2,2-trifluoro-1-ethanone 0- (1,3-dioxolan-2-ylmethyl) -oxime) (S l 1 -2), which was used as a Seed pickling safener for millet is known against damage from metolachlor, and
"Cyometrinil" oder "CGA-43089" ((Z)-Cyanomethoxyimino(phenyl)acetonitril) (Sl l -3), das als Saatbeiz-Safener für Hirse gegen Schäden von Metolachlor bekannt ist. "Cyometrinil" or "CGA-43089" ((Z) -cyanomethoxyimino (phenyl) acetonitrile) (Sl l -3), which is known as a seed dressing safener for millet against damage by metolachlor.
Wirkstoffe aus der Klasse der Isothiochromanone (S 12), wie z.B. Methyl- [(3 -oxo-lH-2- benzothiopyran-4(3H)-yliden)methoxy]acetat (CAS-Reg.Nr. 205121 -04-6) (S 12-1) und verwandte Verbindungen aus WO-A-1998/13361. Agents from the class of isothiochromanones (S 12), such as Methyl [(3-oxo-1H-2-benzothiopyran-4 (3H) -ylidene) methoxy] acetate (CAS Reg. No. 205121 -04-6) (S12-1) and related compounds of WO-A -1998 / 13361.
Eine oder mehrere Verbindungen aus Gruppe (S13) "Naphthalic anhydrid" (1 ,8-Naphthalindicarbonsäureanhydrid) (S13-1), das als Saatbeiz-Safener für Mais gegen Schäden von Thiocarbamatherbiziden bekannt ist, One or more compounds from group (S13) "Naphthalene anhydride" (1,8-naphthalenedicarboxylic anhydride) (S13-1), which is known as a seed safener for corn against damage by thiocarbamate herbicides.
"Fenclorim" (4,6-Dichlor-2-phenylpyrimidin) (S13-2), das als Safener für Pretilachlor in gesätem Reis bekannt ist, "Fenclorim" (4,6-dichloro-2-phenylpyrimidine) (S13-2), known as safener for pretilachlor in sown rice,
"Flurazole" (Benzyl-2-chlor-4-trifluormethyl-l ,3-thiazol-5-carboxylat) (S 13-3), das als Saatbeiz-Safener für Hirse gegen Schäden von Alachlor und Metolachlor bekannt ist, "Flurazole" (benzyl-2-chloro-4-trifluoromethyl-1,3-thiazole-5-carboxylate) (S 13-3), which is known as a seeder-safener for millet against damage by alachlor and metolachlor,
"CL 304415" (CAS-Reg.Nr. 31541 -57-8) "CL 304415" (CAS No. 31541 -57-8)
(4-Carboxy-3,4-dihydro-2H-l -benzopyran-4-essigsäure) (S13-4) der Firma American (4-carboxy-3,4-dihydro-2H-1-benzopyran-4-acetic acid) (S13-4) from American
Cyanamid, das als Safener für Mais gegen Schäden von Imidazolinonen bekannt ist, Cyanamide, which is known as safener for maize against damage of imidazolinones,
"MG 191 " (CAS-Reg.Nr. 96420-72-3) (2-Dichlormethyl-2-methyl-l ,3-dioxolan) (S13-5) der Firma Nitrokemia, das als Safener für Mais bekannt ist, "MG 191" (CAS Reg. No. 96420-72-3) (2-dichloromethyl-2-methyl-1,3-dioxolane) (S13-5) from Nitrokemia, which is known as safener for corn,
"MG 838" (CAS-Reg.Nr. 133993-74-5) "MG 838" (CAS Reg. No. 133993-74-5)
(2-propenyl l -oxa-4-azaspiro[4.5]decan-4-carbodithioat) (S 13-6) der Firma Nitrokemia "Disulfoton" (0,0-Diethyl S-2-ethylthioethyl phosphordithioat) (S13-7), "Dietholate" (0,0-Diethyl-O-phenylphosphorothioat) (S 13-8), "Mephenate" (4-Chlorphenyl-methylcarbamat) (S 13-9). (2-propenyl 1 -oxa-4-azaspiro [4.5] decane-4-carbodithioate) (S 13-6) from Nitrokemia "Disulfotonic" (O-diethyl S-2-ethylthioethyl phosphorodithioate) (S13-7) , "Dietholate" (0,0-diethyl-O-phenyl phosphorothioate) (S 13-8), "mephenate" (4-chlorophenyl methylcarbamate) (S 13-9).
Wirkstoffe, die neben einer herbiziden Wirkung gegen Schadpflanzen auch Safenerwirkung an Kulturpflanzen wie Reis aufweisen, wie z. B. Active substances which, in addition to having a herbicidal action against harmful plants, also have safener action on cultivated plants such as rice, such as, for example, rice. B.
"Dimepiperate" oder "MY-93" (S-\ -Methyl- 1 -phenylethyl-piperidin-l -carbothioat), das als Safener für Reis gegen Schäden des Herbizids Molinate bekannt ist, "Dimepiperate" or "MY-93" (S-methyl-1-phenylethyl-piperidine-1-carbothioate) known as a safener for rice against damage by the herbicide Molinate,
"Daimuron" oder "SK 23" (l -(l -Methyl-l -phenylethyl)-3-p-tolyl-harnstoff), das als Safener für Reis gegen Schäden des Herbizids Imazosulfuron bekannt ist, "Daimuron" or "SK 23" (1- (1-methyl-1-phenylethyl) -3-p-tolyl-urea) known as a safener for rice against damage by the herbicide imazosulfuron,
"Cumyluron" = "JC-940" (3-(2-Chlorphenylmethyl)-l -(l -methyl-l -phenyl-ethyl)harnstoff, siehe JP-A-60087270), das als Safener für Reis gegen Schäden einiger Herbizide bekannt ist, "Cumyluron" = "JC-940" (3- (2-chlorophenylmethyl) -1- (1-methyl-1-phenyl-ethyl) urea, see JP-A-60087270) which can be used as safener for rice against damage of some herbicides is known
"Methoxyphenon" oder "NK 049" (3,3'-Dimethyl-4-methoxy-benzophenon), das als Safener für Reis gegen Schäden einiger Herbizide bekannt ist, "Methoxyphenone" or "NK 049" (3,3'-dimethyl-4-methoxy-benzophenone), which is known as safener for rice against damage of some herbicides,
"CSB" (l -Brom-4-(chlormethylsulfonyl)benzol) von Kumiai, (CAS-Reg.Nr. 54091 -06-4), das als Safener gegen Schäden einiger Herbizide in Reis bekannt ist. Verbindungen der Formel (S 15) oder deren Tautomere, "CSB" (1-Bromo-4- (chloromethylsulfonyl) benzene) from Kumiai, (CAS Registry No. 54091-06-4), which is known as a safener against damage of some herbicides in rice. Compounds of the formula (S 15) or their tautomers,
wie sie in der WO-A-2008/131861 und WO-A-2008/131860 beschrieben sind, worin einen (Ci-C6)Haloalkylrest bedeutet und as described in WO-A-2008/131861 and WO-A-2008/131860, wherein a (Ci-C6) haloalkyl radical means and
Wasserstoff oder Halogen bedeutet und Is hydrogen or halogen and
RH4 unabhängig voneinander Wasserstoff, (Ci-Ci6)Alkyl, (C2-Ci6)Alkenyl oder RH 4 are independently hydrogen, (Ci-Ci6) alkyl, (C2-Ci6) alkenyl or
(C2-Ci6)Alkinyl, wobei jeder der letztgenannten 3 Reste unsubstituiert oder durch einen oder mehrere Reste aus der Gruppe Halogen, Hydroxy, Cyano, (Ci-C i)Alkoxy, (Ci-C i)Haloalkoxy, (Ci-C4)Alkylthio, (Ci-C4)Alkylamino, Di[(Ci-C4)alkyl]-amino, [(Ci-C4)Alkoxy]- carbonyl, [(Ci-C4)Haloalkoxy]-carbonyl, (C3-C6)Cycloalkyl, das unsubstituiert oder substituiert ist, Phenyl, das unsubstituiert oder substituiert ist, und Heterocyclyl, das unsubstituiert oder substituiert ist, substituiert ist, oder (C3-C6)Cycloalkyl, (C4-C6)Cycloalkenyl, (C3-C6)Cycloalkyl, das an einer Seite des Rings mit einem 4 bis 6-gliedrigen gesättigten oder ungesättigten carbocyclischen Ring kondensiert ist, oder (C4-C6)Cycloalkenyl, das an einer Seite des Rings mit einem 4 bis 6-gliedrigen gesättigten oder ungesättigten carbocyclischen Ring kondensiert ist, wobei jeder der letztgenannten 4 Reste unsubstituiert oder durch einen oder mehrere Reste aus der Gruppe Halogen, Hydroxy, Cyano, (Ci-C4)Alkyl, (Ci-C4)Haloalkyl, (Ci-C4)Alkoxy, (Ci-C4)Haloalkoxy, (Ci-C4)Alkylthio, (Ci-C4)Alkylamino, Di[(Ci- C4)alkyl]-amino, [(Ci-C4)Alkoxy]-carbonyl, [(Ci-C4)Haloalkoxy]-carbonyl, (C3-C6)Cycloalkyl, das unsubstituiert oder substituiert ist, Phenyl, das unsubstituiert oder substituiert ist, und Heterocyclyl, das unsubstituiert oder substituiert ist, substituiert ist, bedeutet oder (C 2 -C 6) alkynyl, each of the last-mentioned 3 unsubstituted or by one or more radicals from the group halogen, hydroxy, cyano, (Ci-C i) alkoxy, (Ci-C i) haloalkoxy, (Ci-C 4 ) alkylthio, (C 1 -C 4 ) alkylamino, di [(C 1 -C 4 ) alkyl] amino, [(C 1 -C 4 ) alkoxy] carbonyl, [(C 1 -C 4 ) haloalkoxy] carbonyl, ( C3-C6) cycloalkyl which is unsubstituted or substituted, phenyl which is unsubstituted or substituted, and heterocyclyl which is unsubstituted or substituted, is substituted, or (C3-C6) cycloalkyl, (C 4 -C 6) cycloalkenyl, (C3 -C6) cycloalkyl condensed on one side of the ring with a 4 to 6 membered saturated or unsaturated carbocyclic ring, or (C 4 -C 6) cycloalkenyl attached to one side of the ring with a 4 to 6 membered saturated or is condensed unsaturated carbocyclic ring, wherein each of the last-mentioned 4 unsubstituted or by one or more radicals selected from the group consisting of halogen, hydroxy, cyano, (Ci-C 4 ) alkyl, (Ci-C 4) haloalkyl, (Ci-C 4) alkoxy, (Ci-C 4) haloalkoxy, (Ci-C 4) alkylthio, (Ci-C 4) alkylamino, di [(Ci- C4) alkyl] -amino, [(C 1 -C 4 ) alkoxy] carbonyl, [(C 1 -C 4 ) haloalkoxy] carbonyl, (C 3 -C 6) cycloalkyl which is unsubstituted or substituted, phenyl which is unsubstituted or substituted, and heterocyclyl which is unsubstituted or substituted, is substituted, means or
RH (Ci-C i)-Alkoxy, (C2-C i)Alkenyloxy, (C2-C6)Alkinyloxy oder (C2-C i)Haloalkoxy bedeutet und RH4 Wasserstoff oder (Ci-C i)-Alkyl bedeutet oder R is H (Ci-C i) alkoxy, (C 2 -C 10) alkenyloxy, (C 2 -C 6) alkynyloxy or (C 2 -C 12) haloalkoxy and R 4 is hydrogen or (Ci-C i) -alkyl or
RH3 und RH4 zusammen mit dem direkt gebundenen N-Atom einen vier- bis achtgliedrigen RH 3 and RH 4 together with the directly attached N atom form a four- to eight-membered one
heterocyclischen Ring, der neben dem N-Atom auch weitere Heteroringatome, vorzugsweise b zu zwei weitere Heteroringatome aus der Gruppe N, O und S enthalten kann und der unsubstituiert oder durch einen oder mehrere Reste aus der Gruppe Halogen, Cyano, Nitro, (Ci C4)Alkyl, (Ci-C4)Haloalkyl, (Ci-C4)Alkoxy, (Ci-C4)Haloalkoxy und (Ci-C4)Alkylthio substituiert ist, bedeutet. heterocyclic ring, in addition to the N-atom and other hetero ring atoms, preferably b to two other hetero ring from the group N, O and S may contain and unsubstituted or by one or more radicals from the group halogen, cyano, nitro, (Ci C 4 ) alkyl, (Ci-C 4 ) haloalkyl, (Ci-C 4 ) alkoxy, (Ci-C 4 ) haloalkoxy and (Ci-C 4 ) alkylthio is substituted means.
S 16) Wirkstoffe, die vorrangig als Herbizide eingesetzt werden, jedoch auch Safenerwirkung auf Kulturpflanzen aufweisen, z. B. S 16) active substances which are used primarily as herbicides, but also have safener effect on crop plants, eg. B.
(2,4-Dichlorphenoxy)essigsäure (2,4-D), (2,4-dichlorophenoxy) acetic acid (2,4-D),
(4-Chlorphenoxy)essigsäure, (4-chlorophenoxy) acetic acid,
(R,S)-2-(4-Chlor-o-tolyloxy)propionsäure (Mecoprop), (R, S) -2- (4-chloro-o-tolyloxy) propionic acid (mecoprop),
4-(2,4-Dichlorphenoxy)buttersäure (2,4-DB), 4- (2,4-dichlorophenoxy) butyric acid (2,4-DB),
(4-Chlor-o-tolyloxy)essigsäure (MCPA), (4-chloro-o-tolyloxy) acetic acid (MCPA),
4-(4-Chlor-o-tolyloxy)buttersäure, 4- (4-chloro-o-tolyloxy) butyric acid,
4-(4-Chlorphenoxy)buttersäure, 4- (4-chlorophenoxy) butyric acid,
3,6-Dichlor-2-methoxybenzoesäure (Dicamba), 3,6-dichloro-2-methoxybenzoic acid (Dicamba),
l -(Ethoxycarbonyl)ethyl-3,6-dichlor-2-methoxybenzoat (Lactidichlor-ethyl). L - (ethoxycarbonyl) ethyl 3,6-dichloro-2-methoxybenzoate (lactidichloroethyl).
Bevorzugte Safener in Kombination mit den erfindungsgemäßen Verbindungend der Formel (I) und/oder deren Salze, insbesondere mit den Verbindungen der Formeln (L I) bis (1.49) und/oder deren Salze sind: Cloquintocet-mexyl, Cyprosulfamid, Fenchlorazol-ethylester, Isoxadifen-ethyl, Mefenpyr- diethyl, Fenclorim, Cumyluron, S4-1 und S4-5, und besonders bevorzugte Safener sind: Cloquintocet- mexyl, Cyprosulfamid, Isoxadifen-ethyl und Mefenpyr-diethyl. Biologische Beispiele: Preferred safeners in combination with the compounds according to the invention of the formula (I) and / or salts thereof, in particular with the compounds of the formulas (LI) to (1.49) and / or salts thereof are: cloquintocet-mexyl, cyprosulfamide, fenchlorazole ethyl ester, isoxadifen and particularly preferred safeners are: cloquintocetmexyl, cyprosulfamide, isoxadifen-ethyl and mefenpyr-diethyl. Biological examples:
Herbizide Wirkung und Kulturverträglichkeit im Nachauflauf (A) Samen von mono- bzw. dikotylen Unkraut- bzw. Kulturpflanzen werden in Kunststoff- oder Holzfasertöpfen in sandigem Lehmboden ausgelegt, mit Erde abgedeckt und im Gewächshaus unter kontrollierten Wachstumsbedingungen angezogen. 2 bis 3 Wochen nach der Aussaat werden die Versuchspflanzen im Einblattstadium behandelt. Die in Form von benetzbaren Pulvern (WP) oder als Emulsionskonzentrate (EC) formulierten erfindungsgemäßen Verbindungen werden dann als wässrige Suspension bzw. Emulsion unter Zusatz von 0,5% Additiv mit einer Wasseraufwandmenge von umgerechnet 600 1/ha auf die grünen Pflanzenteile gesprüht. Nach ca. 3 Wochen Standzeit der Herbicidal action and post-emergence culture compatibility (A) Seeds of monocotyledonous or dicotyledonous weed or crop plants are placed in sandy loam soil in plastic or wood fiber pots, covered with soil and grown in the greenhouse under controlled growth conditions. 2 to 3 weeks after sowing, the test plants are treated in the single leaf stage. The compounds according to the invention formulated as wettable powders (WP) or as emulsion concentrates (EC) are then sprayed onto the green plant parts as an aqueous suspension or emulsion with the addition of 0.5% of additive at a rate of 600 l / ha. After about 3 weeks of service life of
Versuchspflanzen im Gewächshaus, unter optimalen Wachstumsbedingungen, wird die Wirkung der Präparate visuell im Vergleich zu unbehandelten Kontrollen bonitiert. Beispielsweise bedeutet 100% Wirkung = Pflanzen sind abgestorben, 0%> Wirkung = wie Kontrollpflanzen. Test plants in the greenhouse, under optimal growth conditions, the effect of the preparations is scored visually compared to untreated controls. For example, 100% means action = plants are dead, 0%> effect = like control plants.
Die Versuche zeigten, dass erfindungsgemäße Verbindungen bei Behandlung im Nachauflauf eine gute herbizide Wirksamkeit gegen ausgewählte Schadpflanzen wie z.B. Abutilon theophrasti, Alopecurus myosuroides, Amaranthus retroflexus, Avena fatua, Cyperus esculentus, Echinochloa crus-galli, Hordeum murinum, Lolium rigidum, Matricaria inodora, Pharbitis purpurea, Polygonum convolvulus, Setaria viridis, Stellaria media, Veronica persica oder Viola tricolor bei einer Aufwandmenge von 1.28 kg Aktivsubstanz oder weniger pro Hektar aufweisen. The experiments showed that compounds according to the invention have a good herbicidal activity against selected harmful plants, such as e.g. Abutilon theophrasti, Alopecurus myosuroides, Amaranthus retroflexus, Avena fatua, Cyperus esculentus, Echinochloa crus-galli, Hordeum murinum, Lolium rigidum, Matricaria inodora, Pharitis purpurea, Polygonum convolvulus, Setaria viridis, Stellaria media, Veronica persica or Viola tricolor at an application rate of 1.28 kg of active substance or less per hectare.
Daneben zeigten die erfindungsgemäßen Verbindungen teilweise eine hohe Selektivität und eignen sich deshalb im Nachauflaufverfahren zur Bekämpfung von unerwünschtem Pflanzenwuchs in In addition, some of the compounds according to the invention showed high selectivity and are therefore suitable postemergence for combating undesired plant growth in
landwirtschaftlichen Kulturen. agricultural crops.
(B) Alternativ können die Beprobungen auf Mikrotiterplatten gemäß dem nachfolgend (B) Alternatively, the sampling on microtiter plates according to the following
beschriebenen Protokoll durchgeführt werden. described protocol.
Es werden Samen von mono- bzw. dikotylen Unkrautpflanzen in 96-well Mikrotiterplatten in Quarzsand ausgelegt und in der Klimakammer unter kontrollierten Wachstumsbedingungen angezogen. 5 bis 7Seeds of mono- or dicotyledonous weed plants are laid out in 96-well microtiter plates in quartz sand and grown in the climatic chamber under controlled growth conditions. 5 to 7
Tage nach der Aussaat werden die Versuchspflanzen im Keimblattstadium behandelt. Die in Form von Emulsionskonzentraten (EC) formulierten erfindungsgemäßen Verbindungen werden mit einer Wasseraufwandmenge von umgerechnet 2200 Liter pro Hektar appliziert. Nach 9 bis 12 Tagen Standzeit der Versuchspflanzen in der Klimakammer unter optimalen Wachstumsbedingungen, wird die Wirkung der Präparate visuell im Vergleich zu unbehandelten Kontrollen bonitiert. Beispielsweise bedeutet 100% Wirkung = Pflanzen sind abgestorben, 0% Wirkung = wie Kontrollpflanzen. Days after sowing, the test plants are treated at the cotyledon stage. The compounds of the invention formulated in the form of emulsion concentrates (EC) are applied at a rate of 2200 liters per hectare. After 9 to 12 days of life of the test plants in the climatic chamber under optimal growth conditions, the effect of the preparations is scored visually in comparison to untreated controls. For example, 100% means action = plants are dead, 0% effect = like control plants.
In den nachstehenden Tabllen Bl bis B8 sind die Wirkungen ausgewählter Verbindungen der allgemeinen Formel (I) gemäß der Tabellen 1.1 bis 1.49 auf verschiedene Schadpflanzen und einer Aufwandmenge entsprechend 1900 g/ha, die gemäß zuvor genannter Versuchsvorschrift erhalten wurden, dargestellt. In the following Tables Bl to B8, the effects of selected compounds of the general formula (I) according to Tables 1.1 to 1.49 on various harmful plants and an application rate corresponding to 1900 g / ha, which were obtained according to the above-mentioned experimental procedure are shown.
Tabelle Bl Table Bl
Verbindung Aufwandmenge AGSTE Connection application rate AGSTE
Beispiel-Nr. [g/ha] Example no. [G / ha]
1.25-12 1900 80 1.25-12 1900 80
1.45-12 1900 80 1.45-12 1900 80
1.23-13 1900 80 1.23-13 1900 80
1.25-13 1900 80 1.25-13 1900 80
1.23-32 1900 80 1.23-32 1900 80
1.33-32 1900 80 1.33-32 1900 80
1.34-37 1900 80 1.34-37 1900 80
1.26-13 1900 80 1.26-13 1900 80
1.26-32 1900 80 1.26-32 1900 80
1.6-32 1900 80 1.6-32 1900 80
1.37-37 1900 80 1.37-37 1900 80
Tabelle B2 Table B2
Verbindung Aufwandmenge LOLPE Connection application rate LOLPE
Beispiel-Nr. [g/ha] Example no. [G / ha]
1.37-37 1900 100 Tabelle B3 1.37-37 1900 100 Table B3
Tabelle B4 Table B4
Tabelle B6 Table B6
Verbindung Auiwandmenge MATCH Beispiel-Nr. [g/ha] Connection of body quantity MATCH Example no. [G / ha]
1.42-12 1900 80 1.42-12 1900 80
1.34-13 1900 801.34-13 1900 80
1.30-32 1900 801.30-32 1900 80
1.31-32 1900 801.31-32 1900 80
1.34-37 1900 1001.34-37 1900 100
1.26-13 1900 801.26-13 1900 80
1.10-13 1900 1001.10-13 1900 100
1.26-32 1900 80 Verbindung Aufwandmenge MATCH 1.26-32 1900 80 Connection application rate MATCH
Beispiel-Nr. [g/ha] Example no. [G / ha]
1.45-32 1900 80 1.45-32 1900 80
1.6-32 1900 80 1.6-32 1900 80
1.37-37 1900 80 1.37-37 1900 80
Tabelle B7 Table B7
Verbindung Aufwandmenge STEME Connection rate STEME
Beispiel-Nr. [g/ha] Example no. [G / ha]
1.37-37 1900 80 1.37-37 1900 80
Tabelle B8 Table B8
Verbindung Aufwandmenge VERPE Connection application rate VERPE
Beispiel-Nr. [g/ha] Example no. [G / ha]
1.30-32 1900 80 1.30-32 1900 80
1.37-13 1900 80 1.37-13 1900 80
1.37-37 1900 80 1.37-37 1900 80
Wie die Ergebnisse zeigen, weisen erfindungsgemäße Verbindungen der Formel (I) bei Behandlung im Nachauflauf eine gute herbizide Wirksamkeit gegen Schadpflanzen auf. Beispielsweise zeigten dabei die in den o.g. Tabellen Bl bis B8 genannten Verbindungen im Nachauflaufverfahren eine sehr gute herbizide Wirkung (80% bis 100% herbizide Wirkung) gegen Schadpflanzen wie Agrostis capillaris (AGSTE), Lolium perenne (LOLPE), Poa annua (POAAN), Setaria viridis (SETVI), Diplotaxis tenuifolia (DIPTE), Matricaria chamomilla (MATCH), Stellaria media (STEME) und Veronica persica (VERPE) bei einer Aufwandmenge von 1900 g Aktivsubstanz pro Hektar. Herbizide Wirkung und Kulturverträglichkeit im Vorauflauf As the results show, compounds of the formula (I) according to the invention have a good herbicidal activity against harmful plants during postemergence treatment. For example, the compounds mentioned in the abovementioned tables B1 to B8 have a very good herbicidal action (80% to 100% herbicidal action) against harmful plants such as Agrostis capillaris (AGSTE), Lolium perenne (LOLPE), Poa annua (POAAN). Setaria viridis (SETVI), Diplotaxis tenuifolia (DIPTE), Matricaria chamomilla (MATCH), Stellaria media (STEME) and Veronica persica (VERPE) at an application rate of 1900 g of active ingredient per hectare. Herbicidal action and culture compatibility in pre-emergence
Samen von mono- bzw. dikotylen Unkraut und Kulturpflanzen werden in Kunststoff- oder Seeds of monocotyledonous or dicotyledonous weeds and crops are in plastic or
Holzfasertöpfen ausgelegt und mit Erde abgedeckt. Die in Form von benetzbaren Pulvern (WP) oder als Emulsionskonzentrate (EC) formulierten erfindungsgemäßen Verbindungen werden dann als wässrige Suspension bzw. Emulsion unter Zusatz von 0,5% Additiv mit einer Wasseraufwandmenge von umgerechnet 600 1/ha auf die Oberfläche der Abdeckerde appliziert. Nach der Behandlung werden die Töpfe im Gewächshaus aufgestellt und unter guten Wachstumsbedingungen für die Testpflanzen gehalten. Nach ca. 3 Wochen wird die Wirkung der Präparate visuell im Vergleich zu unbehandelten Kontrollen in Prozentwerten bonitiert. Beispielsweise bedeutet 100% Wirkung = Pflanzen sind abgestorben, 0%> Wirkung = wie Kontrollpflanzen. Wood fiber pots designed and covered with soil. The compounds according to the invention formulated in the form of wettable powders (WP) or as emulsion concentrates (EC) are then applied to the surface of the cover soil as an aqueous suspension or emulsion with the addition of 0.5% of additive at a water application rate of 600 l / ha. After the treatment, the pots are placed in the greenhouse and kept under good growth conditions for the test plants. After about 3 weeks, the effect of the preparations is scored visually in comparison to untreated controls in percentages. For example, 100% means action = plants are dead, 0%> effect = like control plants.
Die Versuche zeigten, dass erfindungsgemäße Verbindungen bei Behandlung im Vorauflauf eine gute herbizide Wirksamkeit gegen ausgewählte Schadpflanzen wie z.B. Abutilon theophrasti, Alopecurus myosuroides, Amaranthus retroflexus, Avena fatua, Cyperus esculentus, Echinochloa crus-galli,The tests showed that compounds according to the invention have a good herbicidal activity against selected harmful plants, such as e.g. Abutilon theophrasti, Alopecurus myosuroides, Amaranthus retroflexus, Avena fatua, Cyperus esculentus, Echinochloa crus-galli,
Hordeum murinum, Lolium rigidum, Matricaria inodora, Pharbitis purpurea, Polygonum convolvulus, Setaria viridis, Stellaria media, Veronica persica oder Viola tricolor bei einer Aufwandmenge von 1.28 kg Aktivsubstanz oder weniger pro Hektar auweisen. Hordeum murinum, Lolium rigidum, Matricaria inodora, Pharitis purpurea, Polygonum convolvulus, Setaria viridis, Stellaria media, Veronica persica or Viola tricolor at an application rate of 1.28 kg of active ingredient or less per hectare.
Daneben zeigten die erfindungsgemäßen Verbindungen teilweise eine hohe Selektivität und eignen sich deshalb im Vorauflaufverfahren zur Bekämpfung von unerwünschtem Pflanzenwuchs in In addition, some of the compounds of the invention showed a high selectivity and are therefore suitable in the pre-emergence process for controlling undesired plant growth in
landwirtschaftlichen Kulturen. agricultural crops.
Claims
Applications Claiming Priority (2)
| Application Number | Priority Date | Filing Date | Title |
|---|---|---|---|
| EP17163796.0 | 2017-03-30 | ||
| EP17163796 | 2017-03-30 |
Publications (1)
| Publication Number | Publication Date |
|---|---|
| WO2018177836A1 true WO2018177836A1 (en) | 2018-10-04 |
Family
ID=58461156
Family Applications (1)
| Application Number | Title | Priority Date | Filing Date |
|---|---|---|---|
| PCT/EP2018/057154 Ceased WO2018177836A1 (en) | 2017-03-30 | 2018-03-21 | N-cyclopropyl-2-oxopyrrolidine-3-carboxamide derivatives and related compounds as herbicidal plant protection agents |
Country Status (3)
| Country | Link |
|---|---|
| AR (1) | AR111303A1 (en) |
| UY (1) | UY37654A (en) |
| WO (1) | WO2018177836A1 (en) |
Cited By (4)
| Publication number | Priority date | Publication date | Assignee | Title |
|---|---|---|---|---|
| WO2020161148A3 (en) * | 2019-02-05 | 2020-09-17 | Syngenta Crop Protection Ag | Pyrazole derivatives |
| WO2022029019A1 (en) * | 2020-08-05 | 2022-02-10 | Syngenta Crop Protection Ag | Herbicidal compounds |
| CN117800945A (en) * | 2023-12-22 | 2024-04-02 | 贵州大学 | A kind of pyrrolidone-containing 2-phenylpyridine derivative and its synthesis method, application and herbicide |
| RU2852147C1 (en) * | 2020-08-05 | 2025-12-04 | Сингента Кроп Протекшн Аг | Herbicidal compounds |
Citations (42)
| Publication number | Priority date | Publication date | Assignee | Title |
|---|---|---|---|---|
| EP0086750A2 (en) | 1982-02-17 | 1983-08-24 | Ciba-Geigy Ag | Use of quinoline derivatives in the protection of crop plants |
| EP0094349A2 (en) | 1982-05-07 | 1983-11-16 | Ciba-Geigy Ag | Use of quinoline derivatives for the protection of cultivated plants |
| JPS6087270A (en) | 1983-09-26 | 1985-05-16 | バイエル・アクチエンゲゼルシヤフト | 1,3-diaryl-5-methylene-perhydropyrimidin-2-one |
| EP0174562A2 (en) | 1984-09-11 | 1986-03-19 | Hoechst Aktiengesellschaft | Plant protecting agents based on 1,2,4 - triazole derivatives as well as 1,2,4-triazole derivatives |
| EP0191736A2 (en) | 1985-02-14 | 1986-08-20 | Ciba-Geigy Ag | Use of quinoline derivatives for the protection of crop plants |
| EP0268554A2 (en) | 1986-10-22 | 1988-05-25 | Ciba-Geigy Ag | 1,5-Diphenyl pyrazole-3-carbonic-acid derivatives for the protection of cultured plants |
| EP0269806A1 (en) | 1986-10-04 | 1988-06-08 | Hoechst Aktiengesellschaft | Phenylpyrazole carbonic acid derivatives, their preparation and use as plant growth regulators and antidotes |
| EP0333131A1 (en) | 1988-03-17 | 1989-09-20 | Hoechst Aktiengesellschaft | Plant protective agent based on pyrazolecarboxylic acid derivatives |
| US4874422A (en) | 1988-12-27 | 1989-10-17 | Ici Americas Inc. | 1-Phenyl-3-carboxyamidopyrrolidones and their use as herbicides |
| EP0346620A1 (en) | 1988-05-20 | 1989-12-20 | Hoechst Aktiengesellschaft | Plant protection agents containing 1,2,4-triazole derivatives, and the 1,2,4-triazole derivatives |
| EP0365484A1 (en) | 1988-10-20 | 1990-04-25 | Ciba-Geigy Ag | Sulfamoyl phenyl ureas |
| WO1991008202A1 (en) | 1989-11-25 | 1991-06-13 | Hoechst Aktiengesellschaft | Isoxazolines, method of preparation thereof, and their use as plant-protection agents |
| WO1991007874A1 (en) | 1989-11-30 | 1991-06-13 | Hoechst Aktiengesellschaft | Pyrazolines for the protection of crops against herbicides |
| EP0492366A2 (en) | 1990-12-21 | 1992-07-01 | Hoechst Schering AgrEvo GmbH | New 5-chloroquinolin-8-oxyalkanecarbonic acid derivatives, process for their preparation and their use as antidotes for herbicides |
| EP0582198A2 (en) | 1992-08-01 | 1994-02-09 | Hoechst Schering AgrEvo GmbH | Substituted (hetero-)aryle compounds, process for their preparation, those containing compositions and their use as safeners |
| WO1995007897A1 (en) | 1993-09-16 | 1995-03-23 | Hoechst Schering Agrevo Gmbh | Substituted isoxazolines, process for producing them, agents containing them and their use as safeners |
| WO1997045016A1 (en) | 1996-05-29 | 1997-12-04 | Hoechst Schering Agrevo Gmbh | Novel n-acyl sulphonamides, novel mixtures of herbicides and antidotes and their use |
| WO1998013361A1 (en) | 1996-09-26 | 1998-04-02 | Novartis Ag | Herbicidal composition |
| WO1998027049A1 (en) | 1996-12-19 | 1998-06-25 | Hoechst Schering Agrevo Gmbh | Novel 2-fluoroacrylic acid derivatives, novel mixtures of herbicides and antidotes and the use thereof |
| WO1998038856A1 (en) | 1997-03-04 | 1998-09-11 | Zeneca Limited | Compositions for safening rice against acetochlor |
| WO1999000020A1 (en) | 1997-06-27 | 1999-01-07 | Hoechst Schering Agrevo Gmbh | 3-(5-tetrazolyl carbonyl)-2-quinolones and products for protecting useful plants containing the same |
| WO1999016744A1 (en) | 1997-09-29 | 1999-04-08 | Aventis Cropscience Gmbh | Acylsulfamoyl benzoic acid amides, plant protection agents containing said acylsulfamoyl benzoic acid amides, and method for producing the same |
| WO2002034048A1 (en) | 2000-10-23 | 2002-05-02 | Syngenta Participations Ag | Agrochemical compositions with quinoline safeners |
| WO2004037787A1 (en) | 2002-10-18 | 2004-05-06 | Basf Aktiengesellschaft | 1-phenylpyrrolidine-2-one-3-carboxamides |
| WO2004084631A1 (en) | 2003-03-26 | 2004-10-07 | Bayer Cropscience Gmbh | Use of aromatic hydroxy compounds as safeners |
| WO2005016001A1 (en) | 2003-08-05 | 2005-02-24 | Bayer Cropscience Gmbh | Safener based on aromatic-aliphatic carboxylic acid derivatives |
| WO2005015994A1 (en) | 2003-08-05 | 2005-02-24 | Bayer Cropscience Gmbh | Use of aromatic compounds as safeners |
| WO2005112630A1 (en) | 2004-05-12 | 2005-12-01 | Bayer Cropscience Gmbh | Quinoxalin-2-one derivatives crop protection agents comprising the same and method for production and use therof |
| WO2007023764A1 (en) | 2005-08-26 | 2007-03-01 | Kumiai Chemical Industry Co., Ltd. | Agent for reduction of harmful effect of herbicide and herbicide composition having reduced harmful effect |
| WO2007023719A1 (en) | 2005-08-22 | 2007-03-01 | Kumiai Chemical Industry Co., Ltd. | Agent for reducing chemical injury and herbicide composition with reduced chemical injury |
| WO2008131860A2 (en) | 2007-04-30 | 2008-11-06 | Bayer Cropscience Ag | Pyridonecarboxamides crop protection agents containing the same method for production and use thereof |
| WO2008131861A1 (en) | 2007-04-30 | 2008-11-06 | Bayer Cropscience Ag | Use of pyridine-2-oxy-3-carbonamides as safeners |
| CN101838227A (en) | 2010-04-30 | 2010-09-22 | 孙德群 | Safener of benzamide herbicide |
| EP2336104A1 (en) | 2008-09-02 | 2011-06-22 | Nissan Chemical Industries, Ltd. | Ortho-substituted haloalkylsulfonanilide derivative and herbicide |
| WO2015084796A1 (en) | 2013-12-03 | 2015-06-11 | E. I. Du Pont De Nemours And Company | Pyrrolidinones as herbicides |
| WO2016003997A1 (en) | 2014-07-02 | 2016-01-07 | E. I. Du Pont De Nemours And Company | Piperidinone herbicides |
| WO2016094117A1 (en) | 2014-12-08 | 2016-06-16 | E. I. Du Pont De Nemours And Company | 3-oxo-3-(arylamino)propanoates, a process for their preparation, and their use in preparing pyrrolidinones |
| WO2016164201A1 (en) | 2015-04-10 | 2016-10-13 | E I Du Pont De Nemours And Company | Substituted cyclic amides as herbicides |
| WO2016176082A1 (en) | 2015-04-27 | 2016-11-03 | E I Du Pont De Nemours And Company | Butyrolactones as herbicides |
| WO2016182780A1 (en) | 2015-05-12 | 2016-11-17 | E I Du Pont De Nemours And Company | Aryl substituted bicyclic compounds as herbicides |
| WO2016196593A1 (en) | 2015-06-02 | 2016-12-08 | E I Du Pont De Nemours And Company | Substituted cyclic amides and their use as herbicides |
| WO2016196019A1 (en) | 2015-05-29 | 2016-12-08 | E I Du Pont De Nemours And Company | Substituted cyclic amides as herbicides |
-
2018
- 2018-03-21 WO PCT/EP2018/057154 patent/WO2018177836A1/en not_active Ceased
- 2018-03-28 AR ARP180100756A patent/AR111303A1/en unknown
- 2018-04-02 UY UY0001037654A patent/UY37654A/en not_active Application Discontinuation
Patent Citations (42)
| Publication number | Priority date | Publication date | Assignee | Title |
|---|---|---|---|---|
| EP0086750A2 (en) | 1982-02-17 | 1983-08-24 | Ciba-Geigy Ag | Use of quinoline derivatives in the protection of crop plants |
| EP0094349A2 (en) | 1982-05-07 | 1983-11-16 | Ciba-Geigy Ag | Use of quinoline derivatives for the protection of cultivated plants |
| JPS6087270A (en) | 1983-09-26 | 1985-05-16 | バイエル・アクチエンゲゼルシヤフト | 1,3-diaryl-5-methylene-perhydropyrimidin-2-one |
| EP0174562A2 (en) | 1984-09-11 | 1986-03-19 | Hoechst Aktiengesellschaft | Plant protecting agents based on 1,2,4 - triazole derivatives as well as 1,2,4-triazole derivatives |
| EP0191736A2 (en) | 1985-02-14 | 1986-08-20 | Ciba-Geigy Ag | Use of quinoline derivatives for the protection of crop plants |
| EP0269806A1 (en) | 1986-10-04 | 1988-06-08 | Hoechst Aktiengesellschaft | Phenylpyrazole carbonic acid derivatives, their preparation and use as plant growth regulators and antidotes |
| EP0268554A2 (en) | 1986-10-22 | 1988-05-25 | Ciba-Geigy Ag | 1,5-Diphenyl pyrazole-3-carbonic-acid derivatives for the protection of cultured plants |
| EP0333131A1 (en) | 1988-03-17 | 1989-09-20 | Hoechst Aktiengesellschaft | Plant protective agent based on pyrazolecarboxylic acid derivatives |
| EP0346620A1 (en) | 1988-05-20 | 1989-12-20 | Hoechst Aktiengesellschaft | Plant protection agents containing 1,2,4-triazole derivatives, and the 1,2,4-triazole derivatives |
| EP0365484A1 (en) | 1988-10-20 | 1990-04-25 | Ciba-Geigy Ag | Sulfamoyl phenyl ureas |
| US4874422A (en) | 1988-12-27 | 1989-10-17 | Ici Americas Inc. | 1-Phenyl-3-carboxyamidopyrrolidones and their use as herbicides |
| WO1991008202A1 (en) | 1989-11-25 | 1991-06-13 | Hoechst Aktiengesellschaft | Isoxazolines, method of preparation thereof, and their use as plant-protection agents |
| WO1991007874A1 (en) | 1989-11-30 | 1991-06-13 | Hoechst Aktiengesellschaft | Pyrazolines for the protection of crops against herbicides |
| EP0492366A2 (en) | 1990-12-21 | 1992-07-01 | Hoechst Schering AgrEvo GmbH | New 5-chloroquinolin-8-oxyalkanecarbonic acid derivatives, process for their preparation and their use as antidotes for herbicides |
| EP0582198A2 (en) | 1992-08-01 | 1994-02-09 | Hoechst Schering AgrEvo GmbH | Substituted (hetero-)aryle compounds, process for their preparation, those containing compositions and their use as safeners |
| WO1995007897A1 (en) | 1993-09-16 | 1995-03-23 | Hoechst Schering Agrevo Gmbh | Substituted isoxazolines, process for producing them, agents containing them and their use as safeners |
| WO1997045016A1 (en) | 1996-05-29 | 1997-12-04 | Hoechst Schering Agrevo Gmbh | Novel n-acyl sulphonamides, novel mixtures of herbicides and antidotes and their use |
| WO1998013361A1 (en) | 1996-09-26 | 1998-04-02 | Novartis Ag | Herbicidal composition |
| WO1998027049A1 (en) | 1996-12-19 | 1998-06-25 | Hoechst Schering Agrevo Gmbh | Novel 2-fluoroacrylic acid derivatives, novel mixtures of herbicides and antidotes and the use thereof |
| WO1998038856A1 (en) | 1997-03-04 | 1998-09-11 | Zeneca Limited | Compositions for safening rice against acetochlor |
| WO1999000020A1 (en) | 1997-06-27 | 1999-01-07 | Hoechst Schering Agrevo Gmbh | 3-(5-tetrazolyl carbonyl)-2-quinolones and products for protecting useful plants containing the same |
| WO1999016744A1 (en) | 1997-09-29 | 1999-04-08 | Aventis Cropscience Gmbh | Acylsulfamoyl benzoic acid amides, plant protection agents containing said acylsulfamoyl benzoic acid amides, and method for producing the same |
| WO2002034048A1 (en) | 2000-10-23 | 2002-05-02 | Syngenta Participations Ag | Agrochemical compositions with quinoline safeners |
| WO2004037787A1 (en) | 2002-10-18 | 2004-05-06 | Basf Aktiengesellschaft | 1-phenylpyrrolidine-2-one-3-carboxamides |
| WO2004084631A1 (en) | 2003-03-26 | 2004-10-07 | Bayer Cropscience Gmbh | Use of aromatic hydroxy compounds as safeners |
| WO2005016001A1 (en) | 2003-08-05 | 2005-02-24 | Bayer Cropscience Gmbh | Safener based on aromatic-aliphatic carboxylic acid derivatives |
| WO2005015994A1 (en) | 2003-08-05 | 2005-02-24 | Bayer Cropscience Gmbh | Use of aromatic compounds as safeners |
| WO2005112630A1 (en) | 2004-05-12 | 2005-12-01 | Bayer Cropscience Gmbh | Quinoxalin-2-one derivatives crop protection agents comprising the same and method for production and use therof |
| WO2007023719A1 (en) | 2005-08-22 | 2007-03-01 | Kumiai Chemical Industry Co., Ltd. | Agent for reducing chemical injury and herbicide composition with reduced chemical injury |
| WO2007023764A1 (en) | 2005-08-26 | 2007-03-01 | Kumiai Chemical Industry Co., Ltd. | Agent for reduction of harmful effect of herbicide and herbicide composition having reduced harmful effect |
| WO2008131861A1 (en) | 2007-04-30 | 2008-11-06 | Bayer Cropscience Ag | Use of pyridine-2-oxy-3-carbonamides as safeners |
| WO2008131860A2 (en) | 2007-04-30 | 2008-11-06 | Bayer Cropscience Ag | Pyridonecarboxamides crop protection agents containing the same method for production and use thereof |
| EP2336104A1 (en) | 2008-09-02 | 2011-06-22 | Nissan Chemical Industries, Ltd. | Ortho-substituted haloalkylsulfonanilide derivative and herbicide |
| CN101838227A (en) | 2010-04-30 | 2010-09-22 | 孙德群 | Safener of benzamide herbicide |
| WO2015084796A1 (en) | 2013-12-03 | 2015-06-11 | E. I. Du Pont De Nemours And Company | Pyrrolidinones as herbicides |
| WO2016003997A1 (en) | 2014-07-02 | 2016-01-07 | E. I. Du Pont De Nemours And Company | Piperidinone herbicides |
| WO2016094117A1 (en) | 2014-12-08 | 2016-06-16 | E. I. Du Pont De Nemours And Company | 3-oxo-3-(arylamino)propanoates, a process for their preparation, and their use in preparing pyrrolidinones |
| WO2016164201A1 (en) | 2015-04-10 | 2016-10-13 | E I Du Pont De Nemours And Company | Substituted cyclic amides as herbicides |
| WO2016176082A1 (en) | 2015-04-27 | 2016-11-03 | E I Du Pont De Nemours And Company | Butyrolactones as herbicides |
| WO2016182780A1 (en) | 2015-05-12 | 2016-11-17 | E I Du Pont De Nemours And Company | Aryl substituted bicyclic compounds as herbicides |
| WO2016196019A1 (en) | 2015-05-29 | 2016-12-08 | E I Du Pont De Nemours And Company | Substituted cyclic amides as herbicides |
| WO2016196593A1 (en) | 2015-06-02 | 2016-12-08 | E I Du Pont De Nemours And Company | Substituted cyclic amides and their use as herbicides |
Non-Patent Citations (27)
| Title |
|---|
| "Chemistry and Technology of Agrochemical Formulations", 1998, KLUWER ACADEMIC PUBLISHERS |
| "Chemistry of Peptide Synthsis", 2006, TAYLOR & FRANCIS |
| "Perry's Chemical Engineer's Handbook", 1973, MCGRAW-HILL, pages: 8 - 57 |
| "Research Disclosure Database", Database accession no. 564025 |
| "Spray-Drying Handbook", 1979, G. GOODWIN LTD. |
| "The Pesticide Manual", 2012, THE BRITISH CROP PROTECTION COUNCIL AND THE ROYAL SOC. OF CHEMISTRY |
| "The Pesticide Manual", 2012, THE BRITISH CROP PROTECTION COUNCIL UND THE ROYAL SOC. OF CHEMISTRY |
| ADVANCED SYNTHESIS & CATALYSIS, vol. 354, no. 11-12, 2012, pages 2151 - 2156,S2151,1-S2151,99 |
| BEISPIEL BERICHTE DER DEUTSCHEN CHEMISCHEN GESELLSCHAFT, vol. 37, 1904, pages 3520 - 3525 |
| BEISPIEL TETRAHEDRON LETTERS, vol. 26, no. 52, 1985, pages 6413 - 6416 |
| BEISPIEL TETRAHEDRON LETTERS, vol. 32, no. 14, 1991, pages 1699 - 1702 |
| BRAUN ET AL., EMBO J., vol. 11, 1992, pages 3219 - 3227 |
| C. MARSDEN: "Solvents Guide", 1963, INTERSCIENCE |
| CALDWELL N.J.; H.V. OLPHEN: "Introduction to Clay Colloid Chemistry", J. WILEY & SONS |
| CHEMMICAL COMMUNICATIONS, vol. 48, no. 61, 2012, pages 7571 - 7573 |
| G. JONES: "Organic Reactions", vol. 15, 1967, JOHN WILEY AND SONS |
| IP.COM JOURNAL, vol. 15, no. 6B, 2015, pages 1 - 293 |
| J.D. FREYER; S.A. EVANS: "Weed Control Handbook", 1968, BLACKWELL SCIENTIFIC PUBLICATIONS, pages: 101 - 103 |
| J.E. BROWNING: "Agglomeration'', Chemical and Engineering", 1967, pages: 147 ff |
| KLINGMAN: "Weed Control as a Science", 1961, JOHN WILEY AND SONS, INC., pages: 81 - 96 |
| MCCUTCHEON'S: "Detergents and Emulsifiers Annual", MC PUBL. CORP. |
| ORGANIC PROCESS RESEARCH & DEVELOPMENT, vol. 13, 2009, pages 900 - 906 |
| SCHÖNFELDT: "Grenzflächenaktive Äthylenoxidaddukte", 1976, WISS. VERLAGSGESELLSCHAFT |
| SISLEY; WOOD: "Encyclopedia of Surface Active Agents", 1964, CHEM. PUBL. CO. INC. |
| WATKINS: "Handbook of Insecticide Dust Diluents and Carriers" |
| WEED RESEARCH, vol. 26, 1986, pages 441 - 445 |
| WINNACKER-KÜCHLER: "Chemische Technologie", vol. 7, 1986, C. HANSER VERLAG |
Cited By (16)
| Publication number | Priority date | Publication date | Assignee | Title |
|---|---|---|---|---|
| JP7686870B2 (en) | 2019-02-05 | 2025-06-02 | シンジェンタ クロップ プロテクション アクチェンゲゼルシャフト | Pyrazole Derivatives |
| JP7584422B2 (en) | 2019-02-05 | 2024-11-15 | シンジェンタ クロップ プロテクション アクチェンゲゼルシャフト | Pyrazole Derivatives |
| US12454523B2 (en) | 2019-02-05 | 2025-10-28 | Syngenta Crop Protection Ag | Pyrazole derivatives |
| JP2022519657A (en) * | 2019-02-05 | 2022-03-24 | シンジェンタ クロップ プロテクション アクチェンゲゼルシャフト | Pyrazole derivative |
| JP2022519857A (en) * | 2019-02-05 | 2022-03-25 | シンジェンタ クロップ プロテクション アクチェンゲゼルシャフト | Herbicidal mixture |
| JP2022519864A (en) * | 2019-02-05 | 2022-03-25 | シンジェンタ クロップ プロテクション アクチェンゲゼルシャフト | Pyrazole derivative |
| US11059806B2 (en) | 2019-02-05 | 2021-07-13 | Syngenta Crop Protection Ag | Pyrazole derivatives |
| WO2020161148A3 (en) * | 2019-02-05 | 2020-09-17 | Syngenta Crop Protection Ag | Pyrazole derivatives |
| JP2025041760A (en) * | 2019-02-05 | 2025-03-26 | シンジェンタ クロップ プロテクション アクチェンゲゼルシャフト | Pyrazole Derivatives |
| US11680057B2 (en) | 2019-02-05 | 2023-06-20 | Syngenta Crop Protection Ag | Pyrazole derivatives |
| JP7624394B2 (en) | 2019-02-05 | 2025-01-30 | シンジェンタ クロップ プロテクション アクチェンゲゼルシャフト | Herbicidal mixture |
| CN116096711A (en) * | 2020-08-05 | 2023-05-09 | 先正达农作物保护股份公司 | Herbicidal compounds |
| WO2022029019A1 (en) * | 2020-08-05 | 2022-02-10 | Syngenta Crop Protection Ag | Herbicidal compounds |
| RU2852147C1 (en) * | 2020-08-05 | 2025-12-04 | Сингента Кроп Протекшн Аг | Herbicidal compounds |
| CN116096711B (en) * | 2020-08-05 | 2025-12-23 | 先正达农作物保护股份公司 | herbicides |
| CN117800945A (en) * | 2023-12-22 | 2024-04-02 | 贵州大学 | A kind of pyrrolidone-containing 2-phenylpyridine derivative and its synthesis method, application and herbicide |
Also Published As
| Publication number | Publication date |
|---|---|
| UY37654A (en) | 2018-10-31 |
| AR111303A1 (en) | 2019-06-26 |
Similar Documents
| Publication | Publication Date | Title |
|---|---|---|
| EP4003981A1 (en) | Substituted n-phenyl uracils, salts thereof and their use as herbicidal agents | |
| EP4003975A1 (en) | Substituted n-phenyl-n-aminouarcils and salts thereof and use thereof as herbicidal agents | |
| EP3810589A1 (en) | Substituted 2-heteroaryloxypyridines and salts thereof and their use as herbicidal agents | |
| WO2019121543A1 (en) | Substituted thiophenyl uracils, salts thereof and the use thereof as herbicidal agents | |
| EP3558976A1 (en) | Substituted azolylpyrrolones and azolylhydantoines and salts thereof and use thereof as herbicidal active substances | |
| WO2023161172A1 (en) | Substituted n-benzoic acid uracils and salts thereof, and use thereof as herbicidal active substances | |
| EP3728237B1 (en) | Substituted thiophenyluracils , their salts and use of said compounds as herbicidal agents | |
| EP3947350A1 (en) | Substituted 2-heteroarylaminobenzenes and the salts thereof and their use as herbicidal agents | |
| WO2018177836A1 (en) | N-cyclopropyl-2-oxopyrrolidine-3-carboxamide derivatives and related compounds as herbicidal plant protection agents | |
| WO2019025156A1 (en) | SUBSTITUTED PYRROLIDINONE AND THEIR SALTS AND THEIR USE AS HERBICIDAL ACTIVE SUBSTANCES | |
| WO2018184890A1 (en) | 4-substituted n-amino and n-hydroxy 2-oxo-pyrrolidie-3-carboxamide derivatives, salts thereof and use thereof as herbicidal agents | |
| EP3655393A1 (en) | Substituted 5-(het-)arylpyrazolamides and salts thereof and their use as herbicidal active substances | |
| EP4097087B1 (en) | [(1,4,5-trisubstituted-1h-pyrazol-3-yl)sulfanyl]acetic acid derivatives, their salts and use of said compounds as herbicidal agents | |
| WO2018178010A1 (en) | N-cyclopropyl-2-oxo-4-phenyl-piperidine-3-carboxamide derivatives and related compounds as herbicidal plant protection agents | |
| WO2018177837A1 (en) | 4-cyclopentyl- and 4-cyclopropyl-2-oxopyrrolidine-3-carboxamide derivatives and related compounds as herbicidal plant protection agents | |
| WO2018178008A1 (en) | Substituted isoxazoline-5-ones and salts thereof and use thereof as herbicidal agents | |
| WO2019081477A1 (en) | SUBSTITUTED PYRAZOLE AND THEIR SALTS AND THEIR USE AS HERBICIDAL ACTIVE SUBSTANCES | |
| WO2019121547A1 (en) | Substituted thiophenyl uracils, salts thereof and the use thereof as herbicidal agents | |
| EP4230620A1 (en) | Substituted n-amino-n-benzoic acid uracils, their salts and use of said compounds as herbicidal agents | |
| EP4230621A1 (en) | Substituted n-benzoic acid uracils, their salts and use of said compounds as herbicidal agents | |
| EP3558975A1 (en) | Substituted heteroaryl pyrrolones and salts thereof and use thereof as herbicidal active substances | |
| WO2020064260A1 (en) | Substituted 5-(sulfanyl)-3,4-dihydro-2h-pyrrol-4-carboxamides and salts thereof and their use as herbicidal active substances | |
| WO2019179928A1 (en) | Substituted succinimide-3-carboxamides, salts thereof and the use thereof as herbicidal agents | |
| WO2020002087A1 (en) | Substituted 3-heteroaryloxypyridines and salts thereof and their use as herbicidal agents | |
| EP3810588A1 (en) | Substituted 4-heteroaryloxypyridines and salts thereof and their use as herbicidal agents |
Legal Events
| Date | Code | Title | Description |
|---|---|---|---|
| 121 | Ep: the epo has been informed by wipo that ep was designated in this application |
Ref document number: 18711136 Country of ref document: EP Kind code of ref document: A1 |
|
| NENP | Non-entry into the national phase |
Ref country code: DE |
|
| 122 | Ep: pct application non-entry in european phase |
Ref document number: 18711136 Country of ref document: EP Kind code of ref document: A1 |











































































































