WO2025078263A1 - Microbiocidal pyridyl pyrazole derivatives - Google Patents
Microbiocidal pyridyl pyrazole derivatives Download PDFInfo
- Publication number
- WO2025078263A1 WO2025078263A1 PCT/EP2024/077866 EP2024077866W WO2025078263A1 WO 2025078263 A1 WO2025078263 A1 WO 2025078263A1 EP 2024077866 W EP2024077866 W EP 2024077866W WO 2025078263 A1 WO2025078263 A1 WO 2025078263A1
- Authority
- WO
- WIPO (PCT)
- Prior art keywords
- alkyl
- alkoxy
- cyano
- halogen
- formula
- Prior art date
- Legal status (The legal status is an assumption and is not a legal conclusion. Google has not performed a legal analysis and makes no representation as to the accuracy of the status listed.)
- Pending
Links
Classifications
-
- C—CHEMISTRY; METALLURGY
- C07—ORGANIC CHEMISTRY
- C07D—HETEROCYCLIC COMPOUNDS
- C07D401/00—Heterocyclic compounds containing two or more hetero rings, having nitrogen atoms as the only ring hetero atoms, at least one ring being a six-membered ring with only one nitrogen atom
- C07D401/02—Heterocyclic compounds containing two or more hetero rings, having nitrogen atoms as the only ring hetero atoms, at least one ring being a six-membered ring with only one nitrogen atom containing two hetero rings
- C07D401/04—Heterocyclic compounds containing two or more hetero rings, having nitrogen atoms as the only ring hetero atoms, at least one ring being a six-membered ring with only one nitrogen atom containing two hetero rings directly linked by a ring-member-to-ring-member bond
-
- A—HUMAN NECESSITIES
- A01—AGRICULTURE; FORESTRY; ANIMAL HUSBANDRY; HUNTING; TRAPPING; FISHING
- A01N—PRESERVATION OF BODIES OF HUMANS OR ANIMALS OR PLANTS OR PARTS THEREOF; BIOCIDES, e.g. AS DISINFECTANTS, AS PESTICIDES OR AS HERBICIDES; PEST REPELLANTS OR ATTRACTANTS; PLANT GROWTH REGULATORS
- A01N43/00—Biocides, pest repellants or attractants, or plant growth regulators containing heterocyclic compounds
- A01N43/48—Biocides, pest repellants or attractants, or plant growth regulators containing heterocyclic compounds having rings with two nitrogen atoms as the only ring hetero atoms
- A01N43/56—1,2-Diazoles; Hydrogenated 1,2-diazoles
-
- A—HUMAN NECESSITIES
- A01—AGRICULTURE; FORESTRY; ANIMAL HUSBANDRY; HUNTING; TRAPPING; FISHING
- A01N—PRESERVATION OF BODIES OF HUMANS OR ANIMALS OR PLANTS OR PARTS THEREOF; BIOCIDES, e.g. AS DISINFECTANTS, AS PESTICIDES OR AS HERBICIDES; PEST REPELLANTS OR ATTRACTANTS; PLANT GROWTH REGULATORS
- A01N53/00—Biocides, pest repellants or attractants, or plant growth regulators containing cyclopropane carboxylic acids or derivatives thereof
-
- A—HUMAN NECESSITIES
- A01—AGRICULTURE; FORESTRY; ANIMAL HUSBANDRY; HUNTING; TRAPPING; FISHING
- A01P—BIOCIDAL, PEST REPELLANT, PEST ATTRACTANT OR PLANT GROWTH REGULATORY ACTIVITY OF CHEMICAL COMPOUNDS OR PREPARATIONS
- A01P3/00—Fungicides
Definitions
- the present invention relates to microbiocidal pyrazole derivatives, e.g., as active ingredients, which have microbiocidal activity, in particular fungicidal activity.
- the invention also relates to preparation of these pyrazole derivatives, to intermediates useful in the preparation of these pyrazole derivatives, to the preparation of these intermediates, to agrochemical compositions which comprise at least one of the pyrazole derivatives, to preparation of these compositions and to the use of the pyrazole derivatives or compositions in agriculture or horticulture for controlling or preventing infestation of plants, harvested food crops, seeds or non-living materials by phytopathogenic microorganisms, in particular fungi.
- R 1 is selected from hydrogen, C1-C4-alkyl, C2-C4-alkenyl, C2-C4-alkynyl, or C3-C6-cycloalkyl
- R 2 is selected from hydrogen, halogen, C1-C4-alkyl, C2-C4-alkenyl, C2-C4-alkynyl, C1-C4-haloalkyl, C3- C6-cycloalkyl, C1-C4-alkoxy, C1-C4-alkoxy-C1-C4alkyl, C1-C4-alkoxy-C1-C4-alkoxy, C1-C4-alkoxy-C1-C4-alkoxy- C 1 -C 4 -alkyl, C 1 -C 4 -alkylcarbonyl, N-C 1 -C 4 -alkoxy-C-C
- an intermediate compound of formula (IIb) as respectively described in the invention can form, for example, acid addition salts, for example with strong inorganic acids such as mineral acids, for example perchloric acid, sulfuric acid, nitric acid, nitrous acid, a phosphorus acid or a hydrohalic acid, with strong organic carboxylic acids, such as C1- C4alkanecarboxylic acids which are unsubstituted or substituted, for example by halogen, for example acetic acid, such as saturated or unsaturated dicarboxylic acids, for example oxalic acid, malonic acid, succinic acid, maleic acid, fumaric acid or phthalic acid, such as hydroxycarboxylic acids, for example ascorbic acid, lactic 82953 FF 4 acid, malic acid, tartaric acid or citric acid, or such as benzoic acid, or with organic sulfate, for example with organic carboxylic acids, such as mineral acids, for example perchloric acid, sulfuric acid
- Compounds of formula (I) which have at least one acidic group can form, for example, salts with bases, for example mineral salts such as alkali metal or alkaline earth metal salts, for example sodium, potassium or magnesium salts, or salts with ammonia or an organic amine, such as morpholine, piperidine, pyrrolidine, a mono-, di- or tri-lower-alkylamine, for example ethyl-, diethyl-, triethyl- or dimethylpropylamine, or a mono-, di- or trihydroxy-lower-alkylamine, for example mono-, di- or triethanolamine.
- bases for example mineral salts such as alkali metal or alkaline earth metal salts, for example sodium, potassium or magnesium salts
- salts with ammonia or an organic amine such as morpholine, piperidine, pyrrolidine, a mono-, di- or tri-lower-alkylamine, for example ethyl-, die
- substituents are indicated as being “optionally substituted”, this means that they may or may not carry one or more identical or different substituents, e.g., one, two or three R x substituents.
- C1-C6alkyl substituted by 1, 2 or 3 halogens may include, but not be limited to, -CH2Cl, -CHCl2, -CCl3, -CH2F, -CHF2, - CF3, -CH2CF3 or -CF2CH3 groups.
- C1-C6alkoxy substituted by 1, 2 or 3 halogens may include, but not be limited to, CH2ClO-, CHCl2O-, CCl3O-, CH2FO-, CHF2O-, CF3O-, CF3CH2O- or CH3CF2O- groups.
- optionally substituted can be used interchangeably with the term “unsubstituted or substituted”.
- halogen or “halo” refers to fluorine (fluoro), chlorine (chloro), bromine (bromo) or iodine (iodo), preferably fluorine, chlorine, or bromine.
- halogen in combination with other meanings, such as haloalkyl, haloalkenyl, haloalkynyl, haloalkoxy, and halocycloalkyl.
- amino means a -NH2 group.
- cyano means a -CN group.
- hydroxyl or “hydroxy” means an -OH group.
- carboxylic acid means a -COOH group.
- C1-Cn-alkylene refers to the corresponding definition of C1-Cn-alkyl, except that such 82953 FF 5 radical is attached to the rest of the molecule by two single bonds.
- the term “C1-Cn-alkylene” is to be construed accordingly. Examples of C1-Cn-alkylene, include, but are not limited to, -CH 2 -, -CH 2 CH 2 - and -(CH 2 ) 3 -.
- C 2 -C n -alkenyl refers to a straight or branched alkenyl chain moiety having from two to n carbon atoms and one or two double bonds, for example, ethenyl, prop-1-enyl, but-2-enyl.
- C2-Cn- alkenylene group refers to the corresponding definition of C2-Cn-alkenyl, except that such radical is attached to the rest of the molecule by two single bonds.
- C3-Cn-cycloalkyl refers to three (3) to n membered cycloalkyl radical such as cyclopropyl, cyclobutyl, cyclopentyl and cyclohexyl.
- C1-Cn-alkoxy refers to a straight-chain or branched saturated alkyl radical having one (1) to n carbon atoms (as mentioned above) which is attached via an oxygen atom, i.e., for example, any one of the radicals methoxy, ethoxy, n-propoxy, 1-methylethoxy, n-butoxy, 1-methylpropoxy, 2-methylpropoxy and 1,1-dimethylethoxy.
- C2-Cn-alkenyloxy refers to a straight-chain or branched alkenyl chain having two (2) to n carbon atoms (as mentioned above) which is attached via an oxygen atom.
- C2-Cn-alkynyloxy refers to a radical of the formula -ORa where Ra is a C2-Cn-alkynyl radical as generally defined above.
- C1-Cn-alkoxy-C1-Cn-alkyl refers to an alkyl radical (as mentioned above) substituted with a C1-Cn-alkoxy group.
- Examples are cyclopropylmethyl, cyclopropylethyl.
- C3-Cn-halocycloalkyl-C1-Cn-alkyl refers to an alkyl radical substituted with cycloalkyl group, wherein the cycloalkyl group is substituted by one or more of the same or different halogen atoms. Examples are 3,3- difluorobutylmethyl and 1-chlorocyclopropylmethyl.
- cyano-C1-Cn-alkyl refers to C1-Cn-alkyl radical having 1 to n carbon atoms (as mentioned above), where one of the hydrogen atoms in the radical is be replaced by a cyano group: for example, cyano-methyl, 2-cyano-ethyl, 2-cyano-propyl, 3-cyano-propyl, 1-(cyano-methyl)-2-ethyl, 1-(methyl)- 2-cyano-ethyl, 4-cyanobutyl, and the like.
- C 1 -C 2 fluoroalkyl would refer to a C 1 -C 2 alkyl radical which carries 1, 2, 3, 4, or 5 fluorine atoms, for example, any one of difluoromethyl, trifluoromethyl, 1- fluoroethyl, 2-fluoroethyl, 2,2-difluoroethyl, 2,2,2-trifluoroethyl, 1,1,2,2-tetrafluoroethyl or pentafluoroethyl.
- C1-Cn-alkylthio“ or “C1-Cn-alkylsulfanyl“ refers to a C1-Cn-alkyl group linked through a sulfur atom.
- heterocyclic ring or heterocycle comprising 1, 2 or 3 heteroatoms" or “containing heteroatom groups", wherein those heteroatom(s) (group(s) are selected from N, O, S, NO, SO and SO2 and are ring members, or selected from N, O and S and are ring members, refers to monocyclic radicals, the monocyclic radicals being saturated, partially unsaturated or aromatic.
- the heterocyclic radical may be attached to the remainder of the molecule via a carbon ring member or via a nitrogen ring member.
- 4-, 5-, or 6-membered saturated heterocyclic rings or heterocycles include, but are not limited to: 2 tetrahydrofuranyl, 3-tetrahydrofuranyl, 2 tetrahydrothienyl, 3-tetrahydrothienyl, 2-pyrrolidinyl, 3-pyrrolidinyl, 3 pyrazolidinyl, 4 pyrazolidinyl, 5-pyrazolidinyl, 2 imidazolidinyl, 4 imidazolidinyl, 2-oxazolidinyl, 4-oxazolidinyl, 5 oxazolidinyl, 3-isoxazolidinyl, 4-isoxazolidinyl, 5 isoxazolidinyl, 2 thiazolidinyl, 4-thiazolidinyl, 5-thiazolidinyl, 3 isothiazolidinyl, 4-isothiazolidinyl, 5-isothiazolidinyl, 1,2,4-oxadiazolidin
- Examples of 4-, 5-, or 6-membered partially unsaturated heterocyclic rings or heterocycles include: 2,3- dihydrofur-2-yl, 2,3-dihydrofur-3-yl, 2,4-dihydrofur-2-yl, 2,4-dihydrofur-3-yl, 2,3-dihydrothien-2-yl, 2,3- dihydrothien-3-yl, 2,4 dihydrothien-2-yl, 2,4-dihydrothien-3-yl, 2-pyrrolin-2-yl, 2-pyrrolin-3-yl, 3-pyrrolin-2-yl, 3- pyrrolin-3-yl, 2-isoxazolin-3-yl, 3-isoxazolin-3-yl, 4-isoxazolin-3-yl, 2-isoxazolin-4-yl, 3-isoxazolin-4-yl, 4- isoxazolin-4-yl, 2-isoxazolin-5-yl, 3-isox
- Examples of 5- or 6-membered aromatic heterocyclic rings or heterocycles also termed heteroaromatic rings or heteroaryl, include: 2-furyl, 3-furyl, 2-thienyl, 3-thienyl, 2-pyrrolyl, 3-pyrrolyl, 3-pyrazolyl, 4-pyrazolyl, 5- pyrazolyl, 2-oxazolyl, 4-oxazolyl, 5-oxazolyl, 2-thiazolyl, 4 thiazolyl, 5-thiazolyl, 2-imidazolyl, 4-imidazolyl, 1,3,4-triazol-2-yl, 2-pyridinyl, 3-pyridinyl, 4-pyridinyl, 3-pyridazinyl, 4-pyridazinyl, 2-pyrimidinyl, 4-pyrimidinyl, 5- pyrimidinyl and 2-pyrazinyl.
- heterocyclyl refers to a stable 4-, 5- or 6-membered non-aromatic monocyclic ring radical which comprises 1, 2, or 3 heteroatoms individually selected from nitrogen, oxygen and sulfur, with the proviso of only one O or S.
- the heterocyclyl radical may be bonded to the rest of the molecule via a carbon atom or heteroatom.
- heteroaryl examples include, but are not limited to, furanyl, pyrrolyl, thienyl, pyrazolyl, imidazolyl, thiazolyl, isothiazolyl, oxazolyl, isoxazolyl, triazolyl, tetrazolyl, pyrazinyl, pyridazinyl, pyrimidyl or pyridyl.
- heteroaryl-C1-Cn-alkyl or “heteroaryl- C3-Cn-cycloalkyl” refers to an C1-Cn-alkyl or C3-Cn-cycloalkyl radical respectively substituted by a heteroaryl group.
- R 2 is hydrogen, halogen, C1-C3 alkyl, C3-C6-cycloalkyl, C1-C3alkoxy, C1-C3-alkoxy-C1-C3-alkyl, C1-C3-alkoxy-C1-C3-alkoxy, C1-C3-alkoxy-C1-C3- alkoxy-C1-C3-alkyl, C1-C3-alkylcarbonyl, N-C1-C3-alkoxy-C-C1-C3-alkyl-carbonimidoyl, N-hydroxy-C-C1-C3- alkyl-carbonimidoyl, or C1-C3-alkoxycarbonyl.
- R 2 is hydrogen, halogen, C1-C3 alkyl, C1-C3 alkoxy, C1-C2-alkoxy-C1-C2-alkyl, C1-C2-alkoxy-C1-C2-alkoxy, C1-C2-alkoxy-C1-C2-alkoxy-C1-C2-alkyl, acetyl, or N-C1-C2-alkoxy-C-C1-C2-alkyl-carbonimidoyl.
- R 2 is hydrogen, chlorine, methyl, cyclopropyl, methoxy, methoxymethyl, methoxyethoxy, 2-methoxyethoxymethyl.
- R 3 is hydrogen, halogen, C1-C4-haloalkyl, C1-C4-alkyl, C1-C4-alkoxy, or C3- C6-cycloalkyl.
- R 3 is hydrogen, C1-C4-alkyl, or C1-C4-alkoxy. More preferably R 3 is hydrogen, C1-C3- 82953 FF 10 alkyl, or C1-C3-alkoxy.
- R 3 is hydrogen, methyl, ethyl, or methoxy.
- R 3 is hydrogen, methyl, or methoxy. Still even more preferably R 3 is hydrogen.
- R 5 is selected from hydrogen, halogen, cyano, C1-C4-alkyl, C1-C4-haloalkyl, C 3 -C 6 -cycloalkyl, C 1 -C 4 -alkoxy, C 1 -C 4 -alkoxy-C 1 -C 4 -alkyl, C 1 -C 4 -alkoxy-C 1 -C 4 -alkoxy, or C 1 -C 4 -alkoxy-C 1 -C 4 - alkoxy-C1-C4-alkyl.
- R 4 is selected from hydrogen, halogen, or C1-C4-alkyl.
- R 4 is halogen, or C1-C3-alkyl. Even more preferably R 4 is chlorine, or methyl.
- R 5 is selected from hydrogen, halogen, or C1-C4-alkyl.
- R 5 is halogen, or C1-C3-alkyl. Even more preferably R 5 is chlorine, or methyl.
- R 4 is selected from halogen, or C1-C4-alkyl; and R 5 is hydrogen; or R 4 is hydrogen; and R 5 is selected from halogen, or C1-C4-alkyl.
- W 2 is selected from O, NR 14 , or *-NR 15 O-#, wherein the star(*) denotes the connection to the pyridine-moiety and the # the connection to Z 2 .
- W 2 is O, or NR 14 . More preferably W 2 is O, or NH.
- Z 1 is hydrogen, C1-C6alkyl, C2-C6alkenyl, or C2-C6alkynyl, wherein any of said alkyl, alkenyl and alkynyl is unsubstituted or substituted with 1, 2 or 3 substituents independently selected from halogen, C1-C2 alkoxy, C1-C2 alkylcarbamoyl, cyano, phenyl, a 4-, 5- or 6-membered saturated, partially saturated or aromatic heterocycle, or cyclopropyl; and wherein said cyclopropyl group is unsubstituted or substituted with 1 substituent selected from cyano; wherein any of said 4-, 5- or 6-membered saturated, partially saturated or aromatic heterocycle contains 1, 2 or 3 heteroatoms selected from O, S or N, with the proviso that no more than one is O or S; and wherein said any of said phenyl and 4-, 5- or 6-membered saturated, partially 82953 FF 14
- Z 1 is hydrogen, C1-C6alkyl, C2-C6alkenyl, or C2-C6alkynyl, wherein any of said alkyl, alkenyl and alkynyl is unsubstituted or substituted with 1, 2 or 3 substituents independently selected from halogen, C1-C3alkyl, C2-C3 alkenyl, C2-C3 alkynyl, C1-C2 haloalkyl, C1-C2 alkoxy, C1-C2alkoxy-C1-C2alkyl, C1-C2alkoxy-C1-C2alkoxy, C1-C2haloalkoxy, di(C1-C2alkyl)carbamoyl, C1-C2 alkylcarbamoyl, C1-C2alkylsulfanyl, C1-C2alkylsulfinyl, C1-C2alkylsulfon
- Z 1 is phenyl, wherein said phenyl is unsubstituted or substituted with 1, 2 or 3 substituents independently selected from halogen, trifluoromethyl, difluoromethyl, methyl, vinyl, prop-1-enyl, ethynyl, prop- 1-ynyl, cyano, carbamoyl, dimethylcarbamoyl, methylcarbamoyl, methoxymethyl, 2-methoxyethoxy, cyanomethyl, 2-cyanoethyl, 1-cyano-ethyl, 1-cyano-1-methyl-ethyl, methoxycarbonylmethyl, 2- methoxycarbonylethyl, 1-methoxycarbonylethyl, 1-methoxycarbonylethyl, 1-methoxycarbonyl-1-methyl-ethyl, hydroxycarbonymethyl, 1- hydoxyoxycarbonyl-1-methyl-ethyl, 2-hydroxycarbonylethyl, carbamoylmethyl,
- Z 2 is selected from hydrogen, C1-C6alkyl, C2-C6alkenyl, or C2-C6alkynyl, wherein any of said alkyl, alkenyl, and alkynyl is unsubstituted or substituted with 1, 2 or 3 substituents independently selected from halogen, C1-C4 alkyl, C2-C4 alkenyl, C2-C4 alkynyl, C1-C4 haloalkyl, C1-C4 alkoxy, C1-C4 alkoxy-C1-C4 alkoxy, C1-C4 haloalkoxy, di(C1-C4alkyl)carbamoyl, C1-C4 alkylcarbamoyl, C2-C4alkenyloxy, C2-C4 alkynyloxy, C1-C4 alkylsulfanyl, C1-C4 alkylsulfinyl, C1-C4
- Z 2 is C1-C6alkyl, wherein said C1-C6alkyl is unsubstituted or substituted with 1, 2 or 3 substituents independently selected from halogen, C1-C4 alkoxy, phenyl, a 4, 5- or 6- membered saturated, partially unsaturated or aromatic heterocycle, or cyclopropyl, cyanocyclopropyl; wherein said cyclopropyl is unsubstituted or substituted with 1 substituent selected from cyano, and wherein any of said 4-, 5- or 6- membered saturated, partially saturated or aromatic heterocycle contains 1, 2 or 3 heteroatoms selected from O, S or N, with the proviso that only one is O or S; and wherein any of said phenyl and 4-, 5- or 6-membered saturated, partially saturated or aromatic heterocycle, are unsubstituted or substituted with 1, 2 or 3 substituents independently selected from halogen, C1-C4 haloalkyl, C1-C4alkyl
- Z 2 is C1-C6alkyl, wherein said C1-C6alkyl is unsubstituted or substituted with 1, 2 or 3 substituents selected from halogen, or with one substituent selected from C1-C3 alkoxy, phenyl, a 4, 5- or 6- membered saturated, partially unsaturated or aromatic heterocycle, or cyclopropyl; wherein said cyclopropyl is unsubstituted or substituted with 1 substituent selected from cyano; wherein any of said 4-, 5- or 6-membered saturated, partially saturated or aromatic heterocycle contains 1, 2 or 3 heteroatoms selected from O, S or N, with the proviso that only one is O or S; and wherein any of said phenyl and 4-, 5- or 6-membered saturated, partially saturated or aromatic heterocycles, are unsubstituted or substituted with 1, or 2 substituents selected from halogen, cyano, C1-C3 haloalkyl, C1-C3alkyl
- Z 2 is C1-C6alkyl, wherein said C1-C6alkyl is unsubstituted or substituted with 1, 2 or 3 substituents selected from halogen, or with one substituent selected from C1-C2 alkoxy, phenyl, a 4, 5- or 6- membered saturated, partially unsaturated or aromatic heterocycle, or cyclopropyl; wherein said cyclopropyl is unsubstituted or substituted with 1 substituent selected from cyano; wherein any of said 4-, 5- or 6-membered saturated, partially saturated or aromatic heterocycle contains 1, 2 or 3 heteroatoms selected from O, S or N, with the proviso that only one is O or S; and wherein any of said phenyl and 4-, 5- or 6-membered saturated, partially saturated or aromatic heterocycles, are unsubstituted or substituted with 1, or 2 substituents selected from halogen, cyano, C1-C2 haloalkyl, C1-C2alky
- Z 2 is C1-C6alkyl, wherein said C1-C6alkyl is unsubstituted or substituted with 1, 2 or 3 substituents selected from halogen, or with one substituent selected from methoxy, ethoxy, or cyclopropyl.
- R 6 , R 7 , R 8 , R 9 , R 10 , R 11 , R 12 , R 13 , R 14 , R 15 are independently selected from hydrogen, or C1-C4 alkyl, wherein said C1-C4 alkyl is unsubstituted or substituted with 1 substituent selected from cyano, halogen, or C1-C4 alkoxy.
- R 6 , R 7 , R 8 , R 9 , R 10 , R 11 , R 12 , R 13 , R 14 , R 15 are hydrogen. In another embodiment of the invention R 6 , R 7 , R 8 , R 9 , R 10 , R 11 , R 12 , R 13 , R 14 , R 15 are methyl.
- the present invention accordingly, makes available a compound of formula (I) having R 1 , R 2 , R 3 , R 4 , R 5 , R 6 , R 7 , R 8 , R 9 , R 10 , R 11 , R 12 , R 13 , R 14 , R 15 , W 1 , W 2 , Z 1 and Z 2 as defined above in all combinations / each permutation.
- Embodiments according to the invention are provided as set out below.
- the compound of formula (I) may be a compound of formula (I-A), wherein W 1 is a bond wherein R 1 , R 2 , R 3 , R 4 , R 5 , R 6 , R 7 , R 8 , R 9 , R 10 , R 11 , R 12 , R 13 , R 14 , R 15 , W 2 , Z 1 and Z 2 are as defined for the compounds of formula (I) according to the present invention.
- Z 1 is a 4-, 5- or 6-membered saturated, partially saturated or aromatic heterocycle; wherein any of said 4-, 5- or 6-membered saturated, partially saturated or aromatic heterocycle contains 1, 2 or 3 heteroatoms independently selected from O, S, or N, with the proviso that only one is O or S; and wherein any of said 4-, 5- or 6-membered saturated, partially saturated or aromatic heterocycles, are unsubstituted or substituted with 1 or 2 substituents independently selected from halogen, C1-C2 haloalkyl, C1-C2alkyl, C2-C3 alkenyl, C2-C3 alkyny
- Z 1 is a 4-, 5- or 6-membered saturated, partially saturated or aromatic heterocycle; wherein any of said 4-, 5- or 6-membered saturated, partially saturated or aromatic heterocycle contains 1, 2 or 3 heteroatoms 82953 FF 19 independently selected from O, S, or N, with the proviso that only one is O or S; and wherein any of said 4-, 5- or 6-membered saturated, partially saturated or aromatic heterocycles, are unsubstituted or substituted with 1 or 2 substituents independently selected from halogen, trifluoromethyl, difluoromethyl, methyl, vinyl, prop-1- enyl, ethyn
- Z 1 is a 4-, 5- or 6-membered saturated, partially saturated or aromatic heterocycle selected from oxetan-2-yl, oxetan-3-yl, tetrahydrofuran-2-yl, tetrahydrofuran-3-yl, tetrahydropyran-2-yl, tetrahydropyran-3-yl, tetrahydropyran-4-yl, 1H-pyrrol-1-yl, 1H-pyrrol-2-yl, 1-methylpyrrol-2-yl, 1H-pyrrol-3-yl, 1-methylpyrrol-3-yl, 1
- Z 1 is a 4-, 5- or 6-membered saturated, partially saturated or aromatic heterocycle selected from oxetan-3-yl, tetrahydrofuran-3-yl, tetrahydropyran-4-yl, 1H-pyrazol-1-yl, 1-methylpyrazol-3-yl, 2-methylpyrazol-3-yl, 3H- pyrazol-3-yl, 1-methylpyrazol-4-yl, 3-isoxazolyl, 5-isoxazolyl, 2-thienyl, 3-thienyl, 1-methylimidazol-2-yl, 3- methylimida
- Z 1 is a 4-, 5- or 6-membered saturated, partially saturated or aromatic heterocycle selected from oxetan-3-yl, tetrahydropyran-4-yl, 1H-pyrazol-1-yl, 1-methylpyrazol-3-yl, 2-methylpyrazol-3-yl, 3H-pyrazol-3-yl, 1- methylpyrazol-4-yl, 3-isoxazolyl, 5-isoxazolyl, 2-thienyl, 3-thienyl, 1-methylimidazol-2-yl, 3-methylimidazol-4-yl, 1-methylimidazol-4
- the present invention accordingly, makes available a compound of formula (I-A), wherein R 1 , R 2 , R 3 , R 4 , R 5 , R 6 , R 7 , R 8 , R 9 , R 10 , R 11 , R 12 , R 13 , R 14 , R 15 , W 2 and Z 2 are as defined for the compounds of formula (I) having Z 1 as defined above in all combinations / each permutation.
- Embodiments according to the invention are provided as set out below.
- R 1 is C1-C3 alkyl, or C3-C6cycloalkyl
- R 2 is hydrogen, halogen, C1-C3 alkyl, C1-C3 alkoxy, C1-C2 alkoxy-C1-C2alkyl, C1-C2 alkoxy-C1-C2alkoxy, C1- C2alkoxy-C1-C2alkoxy-C1-C2alkyl, acetyl, or N-C1-C2 alkoxy-C-C1-C2 alkyl-carbonimidoyl
- R 3 is hydrogen;
- R 4 is halogen, or C1-C3 alkyl; and
- R 5 is hydrogen; or R 4 is hydrogen; and R 5 is halogen or C1-C3 alkyl;
- R 14 is hydrogen, or C 1 -C 4 alkyl, wherein said C 1 -C 4 alkyl is unsubstituted or substituted with
- R 1 is C1-C3 alkyl, or C3-C6cycloalkyl
- R 2 is hydrogen, halogen, C1-C3 alkyl, C1-C3 alkoxy, C1-C2 alkoxy-C1-C2alkyl, C1-C2 alkoxy-C1-C2alkoxy, C1- C2alkoxy-C1-C2alkoxy-C1-C2alkyl, acetyl, or N-C1-C2 alkoxy-C-C1-C2 alkyl-carbonimidoyl
- R 3 is hydrogen;
- R 4 is halogen, or C1-C3 alkyl; and R 5 is hydrogen; or R 4 is hydrogen; and R 5 is halogen or C1-C3 alkyl;
- R 14 is hydrogen, or C1-C3 alkyl;
- Z 1 is hydrogen, C1-C6alkyl, C2-C6alkeny
- R 1 is C1-C3 alkyl, or C3-C6cycloalkyl
- R 2 is hydrogen, halogen, C1-C3 alkyl, C1-C3 alkoxy, C1-C2 alkoxy-C1-C2alkyl, C1-C2 alkoxy-C1-C2alkoxy, C1- C2alkoxy-C1-C2alkoxy-C1-C2alkyl, acetyl, or N-C1-C2 alkoxy-C-C1-C2 alkyl-carbonimidoyl
- R 3 is hydrogen
- R 4 is halogen, or C1-C3 alkyl
- R 5 is hydrogen
- or R 4 is hydrogen
- R 5 is halogen or C1-C3 alkyl
- Z 1 is hydrogen, C1-C6alkyl, C2-C6alkenyl, or C2-C6alkynyl, wherein
- the compound of formula (I) according to the invention is selected from compounds of formula (I), (I-A), (I-A1), (I-A2), or (I-A3),
- the compound of formula (I) according to the invention is selected from compounds listed in any one of Tables A-1 to A-50. More preferably the compound of formula (I) according to the invention is selected from compounds listed in Table P (below).
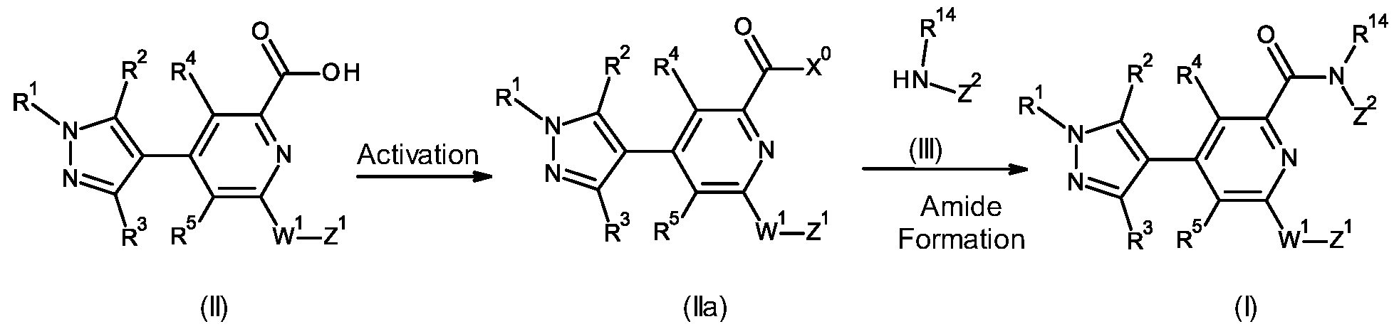
- compounds of formula (I) may be prepared from compounds of formula (III) or a salt thereof, wherein Z 2 is as defined above for compound of formula (I), and W 2 is NR 14 , by reaction with a compound of formula (II), wherein R 1 , R 2 , R 3 , R 4 , R 5 , R 5 , W 1 , and Z 1 , are as defined above for the compound of formula (I).This reaction is shown in Scheme 1.
- compounds of formula (IIa), where X 0 is halogen are formed by treatment of compounds of formula (II) with, for example, oxalyl chloride or thionyl chloride in the presence of catalytic quantities of N,N-dimethylformamide (DMF) in inert solvents such as DCM or THF at temperatures between 20°C to 100°C, preferably 25°C.
- DMF N,N-dimethylformamide
- compounds of formula (I) may be prepared by treatment of compounds of formula (II) with dicyclohexyl carbodiimide (DCC), 1-ethyl-3-(3-dimethylaminopropyl)carbodiimide (EDC) or 1- 82953 FF 39 [bis(dimethylamino)methylene]-1H-1,2,3-triazolo[4,5-b]pyridinium 3-oxide hexafluorophosphate (HATU) to give the activated compound of formula (IIb), wherein G 0 is G 01 , G 02 or G 03 as set forth below, in an inert solvent, e.g., pyridine, DMF, acetonitrile, DCM or THF, optionally in the presence of a base, e.g., triethylamine, at temperatures between 30°C and 180°C.
- DCC dicyclohexyl carbodiimide
- EDC 1-ethyl-3-(3-di
- a compound of formula (II) can also be activated by reaction with a coupling reagent such as propanephosphonic acid anhydride (T3P) to provide compounds of formula (IIa), wherein G 0 is G 04 as set forth in scheme 2, and as described for example in Synthesis 2013, 45, 1569. Further reaction with an amine (or a salt thereof) of the compound of formula (III) leads to compounds of formula (I).
- Compounds of formula (II) can be prepared from compounds of formula (IIc), wherein R 1 , R 2 , R 3 , R 4 , R 5 , W 1 , and Z 1 are as described in formula (I), and R 01 is C1-C4alkyl, by ester hydrolysis (scheme 3).
- boronic acid may also be in the form of a boronic ester such as (4,4,5,5-tetramethyl-1,3,2- dioxaborolan-2-yl).
- reaction can be performed by interchanging the coupling partners, e.g., by reacting a compound of formula (X), wherein R 1 , R 2 and R 3 are as defined above for the compound of formula (I), with a compound of formula (IX), wherein, R 4 , R 5 , W 1 , and Z 1 are as defined above for the compound of formula (I) and X 03 is halogen, preferably chlorine, bromine or iodine, to provide a compounds of formula (VI).
- R 1 , R 2 , R 3 , R 4 , R 5 , W 1 , and Z 1 are as defined above for the compound of formula (I) (Scheme 10).
- compounds of formula (IX), wherein substituents are as previously defined and X 3 is halogen, preferably chlorine, bromine or iodine, are treated with compounds of formula (XII), wherein R 1 , R 2 and R 3 are as defined above for the compound of formula (I), in the presence of a palladium catalyst, typically palladium acetate Pd(OAc)2, a suitable ligand, for example 1,10-phenanthroline, in the presence of a base such as cesium carbonate or potassium carbonate, in inert solvents such as chlorobenzene, toluene or xylene at temperatures between room temperature and 180°C, optionally under microwave heating conditions, preferably under inert atmosphere.
- a palladium catalyst typically palladium acetate Pd(OAc)2
- a suitable ligand for example 1,10-phenanthroline
- a base such as cesium carbonate or potassium carbonate
- inert solvents such as chlorobenzene, toluen
- the metal derivative can also be and organono zinc derivative (Negishi coupling), trialkyl tin derivative (Stille coupling), organo magnesium derivative (Kumada Coupling), or organosilicon derivative (Hiyama coupling), all in the presence of palladium or nickel catalysts.
- organono zinc derivative Negishi coupling
- trialkyl tin derivative Stille coupling
- organo magnesium derivative Kumada Coupling
- organosilicon derivative Hiyama coupling
- Such reactions can be achieved by nucleophilic aromatic substitution (SnAr) reactions by treatment with compounds of formula Z 1 -OH, Z 1 -N(R 6 )H, OR Z 1 -SH, optionally in the presence of a base.
- SnAr nucleophilic aromatic substitution
- Such reactions are well known to those skilled in the art and are particularly facile when the carbon is activated by an adjacent nitrogen as is the case in compound (Ia).
- Reactions of this type can also be carried out in the presence of metal catalysts, such as copper, optionally with ligands.
- metal catalysts such as copper
- compounds with more than one asymmetric carbon atoms may exist in diastereomeric forms which can be optionally separated using for example supercritical fluid chromatography (SFC) chromatography with chiral columns.
- SFC supercritical fluid chromatography
- Such diastereomers can show a different fungicidal activity profile, but all isomers and diastereomers form part of this invention.
- the compounds of formula (I) and, where appropriate, the tautomers thereof, in each case in free form or in salt form can, if appropriate, also be obtained in the form of hydrates and/or include other solvents, for example those which may have been used for the crystallization of compounds which are present in solid form.
- Diaporthe miriciae also known as Diaporthe ueckeri or Diaporthe ueckerae
- Didymella spp. Drechslera spp.
- Elsinoe spp. Elsinoe spp.
- Erwinia amylovora Erysiphe spp. including E. cichoracearum
- Eutypa lata Fusarium spp. including F. culmorum, F. graminearum, F. langsethiae, F. moniliforme, F. oxysporum, F. proliferatum, F. subglutinans, F.
- leucotricha Polymyxa graminis, Polymyxa betae, Pseudocercosporella herpotrichoides, Pseudomonas spp., Pseudoperonospora spp. including P. cubensis, P. humuli, Pseudopeziza tracheiphila, Puccinia spp. including P. hordei, P. recondita, P. striiformis, P. triticina, Pyrenopeziza spp., Pyrenophora spp., Pyricularia spp. including P. oryzae, Pythium spp. including P.
- target crops and/or useful plants to be protected typically comprise perennial and annual crops, such as berry plants for example blackberries, blueberries, cranberries, raspberries and strawberries; cereals for example barley, maize (corn), millet, oats, rice, rye, sorghum triticale and wheat; fibre plants for example cotton, flax, hemp, jute and sisal; field crops for example sugar and fodder beet, coffee, hops, mustard, oilseed rape (canola), poppy, sugar cane, sunflower, tea and tobacco; fruit trees for example apple, apricot, avocado, banana, cherry, citrus, nectarine, peach, pear and plum; grasses for example Bermuda grass, bluegrass, bentgrass, centipede grass, fescue, ryegrass, St.
- perennial and annual crops such as berry plants for example blackberries, blueberries, cranberries, raspberries and strawberries
- cereals for example barley, maize (corn), millet, oats
- Augustine grass and Zoysia grass herbs such as basil, borage, chives, coriander, lavender, lovage, mint, oregano, parsley, rosemary, sage and thyme; legumes for example beans, lentils, peas and soya beans; nuts for example almond, cashew, ground nut, hazelnut, peanut, pecan, pistachio and walnut; palms for example oil palm; ornamentals for example flowers, shrubs and trees; other trees, for example cacao, coconut, olive and rubber; vegetables for example asparagus, aubergine, broccoli, cabbage, carrot, cucumber, garlic, lettuce, marrow, melon, okra, onion, pepper, potato, pumpkin, rhubarb, spinach and tomato; and vines for example grapes.
- herbs such as basil, borage, chives, coriander, lavender, lovage, mint, oregano, parsley, rosemary, sage and thyme
- legumes for example beans, lentils, peas and soya beans
- useful plants is to be understood as also including useful plants that have been rendered tolerant to herbicides like bromoxynil or classes of herbicides (such as, for example, HPPD inhibitors, ALS inhibitors, for example primisulfuron, prosulfuron and trifloxysulfuron, EPSPS (5-enol-pyrovyl-shikimate-3-phosphate- synthase) inhibitors, GS (glutamine synthetase) inhibitors or PPO (protoporphyrinogen-oxidase) inhibitors) as a result of conventional methods of breeding or genetic engineering.
- herbicides like bromoxynil or classes of herbicides
- ALS inhibitors for example primisulfuron, prosulfuron and trifloxysulfuron
- EPSPS (5-enol-pyrovyl-shikimate-3-phosphate- synthase) inhibitors
- GS glutamine synthetase
- PPO protoporphyrinogen-oxida
- crops is to be understood as including also crop plants which have been so transformed using recombinant DNA techniques that they are capable of synthesizing one or more selectively acting toxins, such as are known, for example, from toxin-producing bacteria, especially those of the genus Bacillus.
- Toxins that can be expressed by such transgenic plants include, for example, insecticidal proteins from Bacillus cereus or Bacillus popilliae; or insecticidal proteins from Bacillus thuringiensis, such as delta-endotoxins, e.g., Cry1Ab, Cry1Ac, Cry1F, Cry1Fa2, Cry2Ab, Cry3A, Cry3Bb1 or Cry9C, or vegetative insecticidal proteins (Vip), e.g., Vip1, Vip2, Vip3 or Vip3A; or insecticidal proteins of bacteria colonizing nematodes, for example Photorhabdus spp.
- insecticidal proteins from Bacillus cereus or Bacillus popilliae such as delta-endotoxins, e.g., Cry1Ab, Cry1Ac, Cry1F, Cry1Fa2, Cry2Ab, Cry3A, Cry3Bb1 or Cry9C, or
- Xenorhabdus spp. such as Photorhabdus luminescens, Xenorhabdus nematophilus
- toxins produced by animals such as scorpion toxins, arachnid toxins, wasp toxins and other insect-specific neurotoxins
- toxins produced by fungi such as Streptomycetes toxins, plant lectins, such as pea lectins, barley lectins or snowdrop lectins
- agglutinins proteinase inhibitors, such as trypsin inhibitors, serine protease inhibitors, patatin, cystatin, papain inhibitors
- steroid metabolism enzymes such as 3-hydroxysteroidoxidase, ecdysteroid- UDP-glycosyl-transferase, cholesterol oxidases, ecd
- delta-endotoxins for example Cry1Ab, Cry1Ac, Cry1F, Cry1Fa2, Cry2Ab, Cry3A, Cry3Bb1 or Cry9C, or vegetative insecticidal proteins (Vip), for example Vip1, Vip2, Vip3 or Vip3A
- Vip vegetative insecticidal proteins
- Hybrid toxins are produced recombinantly by a new combination of different domains of those proteins (see, for example, WO02/15701).
- Truncated toxins for example a truncated Cry1Ab, are known.
- Transgenic plants containing one or more genes that code for an insecticidal resistance and express one or more toxins are known and some of them are commercially available. Examples of such plants are: YieldGard® (maize variety that expresses a Cry1Ab toxin); YieldGard Rootworm® (maize variety that expresses a Cry3Bb1 toxin); YieldGard Plus® (maize variety that expresses a Cry1Ab and a Cry3Bb1 toxin); Starlink® (maize variety that expresses a Cry9C toxin); Herculex I® (maize variety that expresses a Cry1Fa2 toxin and the enzyme phosphinothricine N-acetyltransferase (PAT) to achieve tolerance to the herbicide glufosinate ammonium); NuCOTN 33B® (cotton variety that expresses a Cry1Ac toxin); Bollgard I® (cotton variety that express
- transgenic crops are: 1. Bt11 Maize from Syngenta Seeds SAS, Chemin de l'Hobit 27, F-31790 St. Sauveur, France, registration number C/FR/96/05/10. Genetically modified Zea mays which has been rendered resistant to attack by the European corn borer (Ostrinia nubilalis and Sesamia nonagrioides) by transgenic expression of a truncated Cry1Ab toxin. Bt11 maize also transgenically expresses the enzyme PAT to achieve tolerance to the herbicide glufosinate ammonium. 2. Bt176 Maize from Syngenta Seeds SAS, Chemin de l'Hobit 27, F-31790 St. Sauveur, France, registration number C/FR/96/05/10.
- NK603 ⁇ MON 810 Maize from Monsanto Europe S.A. 270-272 Avenue de Tervuren, B 1150 Brussels, Belgium, registration number C/GB/02/M3/03. Consists of conventionally bred hybrid maize varieties by crossing the genetically modified varieties NK603 and MON 810. NK603 ⁇ MON 810 Maize transgenically expresses the protein CP4 EPSPS, obtained from Agrobacterium sp.
- the compounds of formula (I) according to the invention may be used in controlling or preventing phytopathogenic diseases, especially phytopathogenic fungi such as Alternaria species in fruits, vegetables and potatoes; Botrytis cinerea in strawberries, tomatoes, sunflower, pulse crops, vegetables and grapes; Rhizoctonia solani in potatoes and vegetables; Uncinula necator in grapes; Cladosporium cucumerinum, Didymella bryoniae, Sphaerotheca fuliginea and Glomerella lagenarium in cucurbits; Leveillula taurica in cucurbits and solanaceous crops; Fusarium spp. in cereals; Leptosphaeria spp. in cereals; and Zymoseptoria spp. in cereals.
- phytopathogenic diseases especially phytopathogenic fungi such as Alternaria species in fruits, vegetables and potatoes; Botrytis cinerea in strawberries, tomatoes, sunflower, pulse crops, vegetables and grapes; Rhizoctonia solani in potatoes and vegetables; Uncin
- locus means fields in or on which plants are growing, or where seeds of cultivated plants are sown, or where seed will be placed into the soil. It includes soil, seeds, and seedlings, as well as established vegetation.
- plants refers to all physical parts of a plant, including seeds, seedlings, saplings, roots, tubers, stems, stalks, foliage, and fruits.
- plant propagation material is understood to denote generative parts of the plant, such as seeds, which can be used for the multiplication of the latter, and vegetative material, such as cuttings or tubers, for example potatoes. There can be mentioned for example seeds (in the strict sense), roots, fruits, tubers, bulbs, rhizomes, and parts of plants.
- Germinated plants and young plants which are to be transplanted after germination or after emergence from the soil may also be mentioned. These young plants can be protected before transplantation by a total or partial treatment by immersion.
- plant propagation material is understood to denote seeds.
- the compounds of formula (I) according to the invention may be used in unmodified form or, preferably, together with the adjuvants conventionally employed in the art of formulation. To this end they may be conveniently formulated in known manner to emulsifiable concentrates, coatable pastes, directly sprayable or dilutable solutions or suspensions, dilute emulsions, wettable powders, soluble powders, dusts, granulates, and also encapsulations e.g., in polymeric substances.
- Typical solid matrices include fuller’s earth, kaolin clays, silicas and other readily wet organic or inorganic solids.
- Wettable powders normally contain from 5% to 95% of the active ingredient plus a small amount of wetting, dispersing or emulsifying agent.
- Emulsifiable concentrates are homogeneous liquid compositions dispersible in water or other liquid and may consist entirely of the active compound with a liquid or solid emulsifying agent, or may also contain a liquid carrier, such as xylene, heavy aromatic naphthas, isophorone and other non-volatile organic solvents. In use, these concentrates are dispersed in water or other liquid and normally applied as a spray to the area to be treated.
- the amount of active ingredient may range from 0.5% to 95% of the concentrate.
- Granular formulations include both extrudates and relatively coarse particles and are usually applied without dilution to the area in which treatment is required.
- Typical carriers for granular formulations include sand, fuller’s earth, attapulgite clay, bentonite clays, montmorillonite clay, vermiculite, perlite, calcium carbonate, brick, pumice, pyrophyllite, kaolin, dolomite, plaster, wood flour, ground corn cobs, ground peanut hulls, sugars, sodium chloride, sodium sulfate, sodium silicate, sodium borate, magnesia, mica, iron oxide, zinc oxide, titanium oxide, antimony oxide, cryolite, gypsum, diatomaceous earth, calcium sulfate and other organic or inorganic materials which absorb or which can be coated with the active compound.
- Granular formulations normally contain 5% to 25% of active ingredients which may include surface-active agents such as heavy aromatic naphthas, kerosene and other petroleum fractions, or vegetable oils; and/or stickers such as dextrins, glue or synthetic resins.
- Dusts are free-flowing admixtures of the active ingredient with finely divided solids such as talc, clays, flours and other organic and inorganic solids which act as dispersants and carriers.
- Microcapsules are typically droplets or granules of the active ingredient enclosed in an inert porous shell which allows escape of the enclosed material to the surroundings at controlled rates. Encapsulated droplets are typically 1 to 50 microns in diameter.
- the enclosed liquid typically constitutes 50 to 95% of the weight of the 82953 FF 62 capsule and may include solvent in addition to the active compound.
- Encapsulated granules are generally porous granules with porous membranes sealing the granule pore openings, retaining the active species in liquid form inside the granule pores.
- Granules typically range from 1 millimeter to 1 centimeter and preferably 1 to 2 millimeters in diameter.
- Granules are formed by extrusion, agglomeration or prilling, or are naturally occurring. Examples of such materials are vermiculite, sintered clay, kaolin, attapulgite clay, sawdust, and granular carbon.
- Liquid carriers that can be employed include, for example, water, toluene, xylene, petroleum naphtha, crop oil, acetone, methyl ethyl ketone, cyclohexanone, acetic anhydride, acetonitrile, acetophenone, amyl acetate, 2- butanone, chlorobenzene, cyclohexane, cyclohexanol, alkyl acetates, diacetonalcohol, 1,2-dichloropropane, diethanolamine, p diethylbenzene, diethylene glycol, diethylene glycol abietate, diethylene glycol butyl ether, diethylene glycol ethyl ether, diethylene glycol methyl ether, N,N-dimethyl formamide, dimethyl sulfoxide, 1,
- Water is generally the carrier of choice for the dilution of concentrates.
- suitable solid carriers include, for example, talc, titanium dioxide, pyrophyllite clay, silica, attapulgite clay, kieselguhr, chalk, diatomaxeous earth, lime, calcium carbonate, bentonite clay, fuller’s earth, cotton seed hulls, wheat flour, soybean flour, pumice, wood flour, walnut shell flour and lignin. 82953 FF 63
- a broad range of surface-active agents are advantageously employed in both said liquid and solid compositions, especially those designed to be diluted with carrier before application. These agents, when used, normally comprise from 0.1% to 15% by weight of the formulation.
- Typical surface-active agents include salts of alkyl sulfates, such as diethanolammonium lauryl sulfate; alkylarylsulfonate salts, such as calcium dodecylbenzenesulfonate; alkylphenol-alkylene oxide addition products, such as nonylphenol-C.sub.18 ethoxylate; alcohol-alkylene oxide addition products, such as tridecyl alcohol-C.sub.16 ethoxylate; soaps, such as sodium stearate; alkylnaphthalenesulfonate salts, such as sodium dibutylnaphthalenesulfonate; dialkyl esters of sulfosuccinate salts, such as sodium di(2 ethylhexyl) sulfosuccinate;
- compositions of the invention include crystallisation inhibitors, viscosity modifiers, suspending agents, spray droplet modifiers, pigments, antioxidants, foaming agents, anti-foaming agents, light-blocking agents, compatibilizing agents, antifoam agents, sequestering agents, neutralising agents and buffers, corrosion inhibitors, dyes, odorants, spreading agents, penetration aids, micronutrients, emollients, lubricants, and sticking agents.
- biocidal active ingredients or compositions may be combined with the compositions of the invention and used in the methods of the invention and applied simultaneously or sequentially with the compositions of the invention.
- the compounds of formula (I) according to the invention are normally used in the form of agrochemical compositions and can be applied to the crop area or plant to be treated, simultaneously or in succession with further compounds. These further compounds can be e.g., fertilizers or micronutrient donors or other preparations, which influence the growth of plants.
- lecontei NPV, Orius spp. Paecilomyces fumosoroseus, Phytoseiulus persimilis, Steinernema bibionis, Steinernema carpocapsae, Steinernema feltiae, Steinernema glaseri, Steinernema riobrave, Steinernema riobravis, Steinernema scapterisci, Steinernema spp., Trichogramma spp., Typhlodromus occidentalis, Verticillium lecanii, apholate, bisazir, busulfan, dimatif, hemel, hempa, metepa, methiotepa, methyl apholate, morzid, penfluron, tepa, thiohempa, thiotepa, tretamine, uredepa, (E)-dec-5-en- 1-yl acetate
- Additional anthelmintic agents include the benzimidazoles such as albendazole, cambendazole, fenbendazole, flubendazole, mebendazole, oxfendazole, oxibendazole, parbendazole, and other members of the class. Additional anthelmintic agents include imidazothiazoles and tetrahydropyrimidines such as tetramisole, levamisole, pyrantel pamoate, oxantel or morantel. Additional anthelmintic agents include flukicides, such as triclabendazole and clorsulon and the cestocides, such as praziquantel and epsiprantel.
- Carbamates alanycarb, aldicarb, 2-sec-butylphenyl methylcarbamate, benfuracarb, carbaryl, carbofuran, carbosulfan, cloethocarb, ethiofencarb, fenoxycarb, fenthiocarb, furathiocarb, HCN-801, isoprocarb, indoxacarb, methiocarb, methomyl, 5-methyl-m-cumenylbutyryl(methyl)carbamate, oxamyl, pirimicarb, propoxur, thiodicarb, thiofanox, triazamate, UC-51717.
- the mixtures as described above can be used in a method for controlling pests, which comprises applying a composition comprising a mixture as described above to the pests or their environment, with the exception of a method for treatment of the human or animal body by surgery or therapy and diagnostic methods practised on the human or animal body.
- the mixtures comprising a compound selected from compounds of formula (I), (I-A), (I-A2), or (I-C), or compounds selected from compounds listed in Tables A-1 to A-50, or compounds listed in Table P (below), and one or more active ingredients as described above can be applied, for example, in a single “ready-mix” form, in a combined spray mixture composed from separate formulations of the single active ingredient components, such as a “tank-mix”, and in a combined use of the single active ingredients when applied in a sequential manner, i.e. one after the other with a reasonably short period, such as a few hours or days.
- compositions according to the invention are prepared in a manner known per se, in the absence of auxiliaries for example by grinding, screening and/or compressing a solid active ingredient and in the presence of at least one auxiliary for example by intimately mixing and/or grinding the active ingredient with the auxiliary (auxiliaries).
- auxiliaries for example by grinding, screening and/or compressing a solid active ingredient and in the presence of at least one auxiliary for example by intimately mixing and/or grinding the active ingredient with the auxiliary (auxiliaries).
- compositions may be produced in conventional manner, e.g., by mixing the active ingredients with appropriate formulation inerts (diluents, solvents, fillers, and optionally other formulating ingredients such as surfactants, biocides, anti-freeze, stickers, thickeners, and compounds that provide adjuvancy effects). Also, conventional slow-release formulations may be employed where long lasting efficacy is intended.
- Table A-6 This table provides 34 compounds (A-6.01) to (A-6.34) of formula (I-A) wherein R 2 and R 4 are H, R 5 is CH3, W 1 is a bond, W 2 is -NH-, Z 2 is 5,5-difluoro-pentyl, and Z 1 substituents are as defined in Table A.
- Table A-7 This table provides 34 compounds (A-7.01) to (A-7.34) of formula (I-A) wherein R 2 and R 4 are H, R 5 is CH3, W 1 is a bond, W 2 is -NH-, Z 2 is 5,5,5-trifluoro-pentyl, and Z 1 substituents are as defined in Table A.
- compound (A-9.33) has the following structure: Compound (A-9.33) 82953 FF 85 Table A-10: This table provides 34 compounds (A-10.01) to (A-10.34) of formula (I-A) wherein R 4 is H, R 2 and R 5 are CH3, W 1 is a bond, W 2 is -NH-, Z 2 is 3-cyclopropyl-propyl, and Z 1 substituents are as defined in Table A.
- Table A-11 This table provides 34 compounds (A-11.01) to (A-11.34) of formula (I-A) wherein R 4 is H, R 2 and R 5 are CH3, W 1 is a bond, W 2 is -NH-, Z 2 is 4-cyclopropyl-butyl, and Z 1 substituents are as defined in Table A.
- compound A-11.04 has the following structure: Compound (A-11.04) (A-12.01) to (A-12.34) of formula (I-A) wherein R 4 is H, R 2 and R 5 are CH3, W 1 is a bond, W 2 is -NH-, Z 2 is 4,4-dimethyl-pentyl, and Z 1 substituents are as defined in Table A.
- Table A-13 This table provides 34 compounds (A-13.01) to (A-13.34) of formula (I-A) wherein R 4 is H, R 2 and R 5 are CH3, W 1 is a bond, W 2 is -NH-, Z 2 is 2-cyclohexyl-ethyl, and Z 1 substituents are as defined in Table A.
- Table A-14 This table provides 34 compounds (A-14.01) to (A-14.34) of formula (I-A) wherein R 4 is H, R 2 and R 5 are CH3, W 1 is a bond, W 2 is -NH-, Z 2 is 5,5-difluoro-pentyl, and Z 1 substituents are as defined in Table A.
- Table A-17 This table provides 34 compounds (A-17.01) to (A-17.34) of formula (I-A) wherein R 4 is H, R 2 and R 5 are CH3, W 1 is a bond, W 2 is -N(CH3)-, Z 2 is n-pentyl, and Z 1 substituents are as defined in Table A.
- compound (A-17.23) has the following structure: Compound (A-17.23) compounds (A-18.01) to (A-18.34) of formula (I-A) wherein R 4 is H, R 2 and R 5 are CH3, W 1 is a bond, W 2 is -N(CH3)-, Z 2 is 3-cyclopropyl-propyl, and Z 1 substituents are as defined in Table A.
- compound (A-20.05) has the following structure: Compound (A-20.05) (A-21.01) to (A-21.34) of formula (I-A) wherein R 4 is H, R 2 and R 5 are CH3, W 1 is a bond, W 2 is -NHO-, Z 2 is 3-cyclopropyl-propyl, and Z 1 substituents are as defined in Table A.
- Table A-22 This table provides 34 compounds (A-22.01) to (A-22.34) of formula (I-A) wherein R 4 is H, R 2 and R 5 are CH3, W 1 is a bond, W 2 is -NHO-, Z 2 is 4-cyclopropyl-butyl, and Z 1 substituents are as defined in Table A.
- Table A-23 This table provides 25 compounds (A-23.01) to (A-23.25) of formula (I-A) wherein R 4 is H, R 2 and R 5 are CH3, W 1 is a bond, W 2 is -O-, Z 2 is n-pentyl, and Z 1 substituents are as defined in Table A.
- compound (A-23.17) has the following structure: Compound (A-23.17) compounds (A-24.01) to (A-24.34) of formula (I-A) wherein R 4 is H, R 2 and R 5 are CH3, W 1 is a bond, W 2 is -O-, Z 2 is 3-cyclopropyl-propyl, and Z 1 substituents are as defined in Table A.
- Table A-25 This table provides 25 compounds (A-25.01) to (A-25.25) of formula (I-A) wherein R 4 is H, R 2 and R 5 are CH3, W 1 is O, W 2 is -NH-, Z 2 is n-pentyl, and Z 1 substituents are as defined in Table A.
- compound (A-25.12) has the following structure: 82953 FF 87 Compound (A-25.12) (A-26.01) to (A-26.25) of formula (I-A) wherein R 4 is H, R 2 and R 5 are CH3, W 1 is O, W 2 is -NH-, Z 2 is 3-cyclopropyl-propyl, and Z 1 substituents are as defined in Table A.
- Table A-27 This table provides 25 compounds (A-27.01) to (A-27.25) of formula (I-A) wherein R 4 is H, R 2 and R 5 are CH3, W 1 is O, W 2 is -NH-,Z 2 is 4-cyclopropyl-butyl, and Z 1 substituents are as defined in Table A.
- Table A-28 This table provides 25 compounds (A-28.01) to (A-28.25) of formula (I-A) wherein R 4 is H, R 2 and R 5 are CH3, W 1 is O, W 2 is -NH-, Z 2 is 4,4-dimethyl-pentyl, and Z 1 substituents are as defined in Table A.
- Table A-29 This table provides 25 compounds (A-29.01) to (A-29.25) of formula (I-A) wherein R 4 is H, R 2 and R 5 are CH3, W 1 is O, W 2 is -NH-, Z 2 is 5,5-difluoro-pentyl, and Z 1 substituents are as defined in Table A.
- Table A-30 This table provides 25 compounds (A-30.01) to (A-30.25) of formula (I-A) wherein R 4 is H, R 2 and R 5 are CH3, W 1 is O, W 2 is -NH-, Z 2 is 5,5,5-trifluoro-pentyl, and Z 1 substituents are as defined in Table A.
- Table A-31 This table provides 25 compounds (A-31.01) to (A-31.25) of formula (I-A) wherein R 4 is H, R 2 and R 5 are CH3, W 1 is O, W 2 is -NH-, Z 2 is 5-fluoro-pentyl, and Z 1 substituents are as defined in Table A.
- Table A-32 This table provides 25 compounds (A-32.01) to (A-32.25) of formula (I-A) wherein R 4 is H, R 2 and R 5 are CH3, W 1 is NH, W 2 is -NH-, Z 2 is n-pentyl, and Z 1 substituents are as defined in Table A.
- compound (A-38.06) has the following structure: Compound (A-38.06) (A-39.01) to (A-39.25) of formula (I-A) wherein R 4 is H, R 2 and R 5 are CH3, W 1 is a S, W 2 is -NH-, Z 2 is 3-cyclopropyl-propyl, and Z 1 substituents are as defined in Table A.
- Table A-40 This table provides 25 compounds (A-40.01) to (A-40.25) of formula (I-A wherein R 4 is H, R 2 and R 5 are CH3, W 1 is S, W 2 is -NH-,Z 2 is 4-cyclopropyl-butyl, and Z 1 substituents are as defined in Table A.
- Table A-41 This table provides 25 compounds (A-41.01) to (A-41.25) of formula (I-A) wherein R 4 is H, R 2 and R 5 are CH3, W 1 is SO2, W 2 is -NH-, Z 2 is n-pentyl, and Z 1 substituents are as defined in Table A.
- compound (A-41.15) has the following structure: 82953 FF 89 Compound (A-41.15) (A-42.01) to (A-42.25) of formula (I-A) wherein R 4 is H, R 2 and R 5 are CH3, W 1 is SO2, W 2 is -NH-, Z 2 is 3-cyclopropyl-propyl, and Z 1 substituents are as defined in Table A.
- compound (A-50.01) has the following structure: Compound (A-50.01) EXAMPLES
- the Examples which follow serve to illustrate the invention and are not meant in any way to limit the invention.
- the compounds of the invention can be distinguished from known compounds by virtue of greater efficacy at low application rates, which can be verified by a person skilled in the art using the experimental procedures outlined in the Examples, using lower application rates if necessary, for example 60 ppm, 20 ppm or 2 ppm.
- LCMS Method B Spectra were recorded on a ACQUITY Mass Spectrometer from Waters Corporations (SQD Single quadrupole mass spectrometer) equipped with an electrospray source (Polarity: positive or ions, Capillary: 3.0 kV, Cone: 30V, Extractor: 3.00 V, Source Temperature: 150°C, Desolvation Temperature: 400°C, Cone Gas Flow: 60 L/hr, Desolvation Gas Flow: 700 L/hr, Mass range: 140 to 800 Da) and an ACQUITY UPLC from Waters Corporations with solvent degasser, binary pump, heated column compartment and diode-array detector.
- an electrospray source Polyity: positive or ions, Capillary: 3.0 kV, Cone: 30V, Extractor: 3.00 V, Source Temperature: 150°C, Desolvation Temperature: 400°C, Cone Gas Flow: 60 L/hr, Desolvation Gas Flow: 700 L/hr, Mass range:
- LCMS Method C Spectra were recorded on a Mass Spectrometer from Waters Corporation (SQD, SQDII or Single mass spectrometer) equipped with an electrospray source (Polarity: positive and , Capillary: 0.8-3.00 kV, Cone: 5-30 V, Source Temperature: 120-150°C, Desolvation Temperature: 350-600°C, Cone Gas Flow: 50-150 l/h, Desolvation Gas Flow: 650-1000 l/h, Mass range: 100 to 900 Da and an Acquity UPLC from Waters Corporation: Binary pump, heated column compartment, diode- array detector and ELSD.
- Wettable powders a) b) c) active ingredients 25 % 50 % 75 % sodium lignosulfonate 5 % 5 % - sodium lauryl sulfate 3 % - 5 % sodium diisobutylnaphthalenesulfonate - 6 % 10 % phenol polyethylene glycol ether (7-8 mol of ethylene oxide) - 2 % - highly dispersed silicic acid 5 % 10 % 10 % Kaolin 62 % 27 % - The combination is thoroughly mixed with the adjuvants and the mixture is thoroughly ground in a suitable mill, affording wettable powders that can be diluted with water to give suspensions of the desired concentration.
- Powders for dry seed treatment a) b) c) active ingredients 25 % 50 % 75 % light mineral oil 5 % 5 % 5 % highly dispersed silicic acid 5 % 5 % - Kaolin 65 % 40 % - Talcum - - 20 % The combination is thoroughly mixed with the adjuvants and the mixture is thoroughly ground in a suitable mill, affording powders that can be used directly for seed treatment.
- Emulsifiable concentrate active ingredients 10 % octylphenol polyethylene glycol ether (4-5 mol of ethylene oxide) 3 % calcium dodecylbenzene sulfonate 3 % castor oil polyglycol ether (35 mol of ethylene oxide) 4 % Cyclohexanone 30 % xylene mixture 50 % Emulsions of any required dilution, which can be used in plant protection, can be obtained from this concentrate by dilution with water.
- Suspension concentrate active ingredients 40 % propylene glycol 10 % nonylphenol polyethylene glycol ether (15 mol of ethylene oxide) 6 % Sodium lignosulfonate 10 % carboxymethylcellulose 1 % silicone oil (in the form of a 75 % emulsion in water) 1 % Water 32 %
- the finely ground combination is intimately mixed with the adjuvants, giving a suspension concentrate from which suspensions of any desired dilution can be obtained by dilution with water. Using such dilutions, living plants as well as plant propagation material can be treated and protected against infestation by microorganisms, by spraying, pouring or immersion.
- Flowable concentrate for seed treatment active ingredients 40 % propylene glycol 5 % copolymer butanol PO/EO 2 % Tristyrenephenole with 10-20 moles EO 2 % 1,2-benzisothiazolin-3-one (in the form of a 20% solution in water) 0.5 % monoazo-pigment calcium salt 5 % Silicone oil (in the form of a 75 % emulsion in water) 0.2 % Water 45.3 %
- the finely ground combination is intimately mixed with the adjuvants, giving a suspension concentrate from which suspensions of any desired dilution can be obtained by dilution with water.
- the mixture is agitated until the polymerization reaction is completed.
- the obtained capsule suspension is stabilized by adding 0.25 parts of a thickener and 3 parts of a dispersing agent.
- the capsule suspension formulation contains 28% of the active ingredients.
- the medium capsule diameter is 8-15 microns.
- the resulting formulation is applied to seeds as an aqueous suspension in an apparatus suitable for that purpose.
- Step 2 Preparation of 4-(1,5-dimethylpyrazol-4-yl)-N-pentyl-pyridine-2-carboxamide (compound P-5, Table P) 2-carboxamide (0.05 g, 184.40 ⁇ mol) 4-(4,4,5,5- tetramethyl-1,3,2-dioxaborolan-2-yl) pyrazole (40.95 mg, 184.40 ⁇ mol) in dioxane (2 mL) and H2O (0.5 mL) was added K3PO4 (78.28 mg, 368.80 ⁇ mol) and Pd(dppf)Cl2 (13.49 mg, 18.44 ⁇ mol) under nitrogen atmosphere.
- reaction mixture was allowed to warm to rt and stirred for 8 82953 FF 97 hrs upon which time LC-MS showed reaction completion.
- Step 2 Preparation of methyl 6-chloro-5-methyl-pyridine-2-carboxylate 1-oxido-pyridin-1-ium-2-carboxylate (17g, 0.102mol) in chloroform (300mL) was treated with phosphorus oxychloride (140.4g, 0.916mol) and TEA (30.9g, 0.305mol) at rt under nitrogen. The reaction mixture was heated to 80°C until completion as monitored by LCMS. The phosphorus oxychloride was removed by distillation in vacuo, and the residue taken up in DCM (200 mL) and quenched with 2L of crushed ice.
- Step3 Preparation of methyl 6-chloro-5-methyl-4-(4,4,5,5-tetramethyl-1,3,2-dioxaborolan-2-yl)pyridine-2- carboxylate were added cyclohexane ( 500 mL), methyl 6-chloro-5-methyl-pyridine-2- carboxylate (12.6 g, 0.07mol), 4,4′-Bis(1,1-dimethylethyl)-2,2′-bipyridine (1.89g, 0.007mol), Bis[(1,2,5,6- ⁇ )-1,5- cyclooctadiene]di- ⁇ -methoxydiiridium (0.887g, 0.0013mol) and Bis(pinacolato)diborane (34.4g, 0.135mol).
- the reaction mixture was heated to 80°C and stirred for 12 hr monitored by GCMS.
- the reaction mixture was concentrated in vacuo and the residue obtained was dissolved in 150mL of EtOAc.
- the mixture was stirred with 15g of activated charcoal for 30 min for decolorization and filtered.
- the resulting filtrate was concentrated in vacuo to obtain 46 g of black oil.
- the oil was distilled using a pump at an external temperature of 160°C and an internal temperature of 8°C to remove most of the excess Bis(pinacolato)diborane.
- the remaining mixture was cooled to 15°C, dissolved with 150mL of EtOAc and decolorized with 10g of activated charcoal.
- the reaction mixture was heated to 65°C for 2hr.
- the reaction mixture was cooled to 15°C and concentrated in vacuo to obtain 52g of brown solid.
- the solid was then stirred with 30mL of MTBE and filtered to obtain the title compound.
- the resulting reaction mixture was flushed with argon for 5 min and 1,1'- bis(diphenylphosphino)ferrocene-palladium(II)dichloride dichloromethane complex (49 mg, 0.0597 mmol) was added.
- the reaction mixture was flushed with argon for 5 min and stirred at 75 °C for 16 hours.
- the reaction mixture was allowed to cool down to rt and was partitioned between water (20 mL) and EtOAc (20 mL). The layers were separated, the aqueous layer was extracted with EtOAc (10 mL), and the combined organic layer was washed with brine (20 mL), dried over anhydrous sodium sulfate, filtered, and concentrated in vacuo.
- Step 2 Preparation of methyl 5-amino-4-bromo-6-(1-methylpyrazol-4-yl)pyridine-2-carboxylate 82953 FF 103 4,6-dibromo-pyridine-2-carboxylate (0.1 g, 0.30 mmol), (1-methylpyrazol-4- yl)boronic acid (38.5 mg, 0.30 mmol) and potassium carbonate (84.7 mg, 0.61 mmol) in toluene/ethanol (1:1) (0.6 mL) was stirred under nitrogen at rt.
- Step 3 Preparation of methyl 5-amino-4-(1,5-dimethylpyrazol-4-yl)-6-(1-methylpyrazol-4-yl)pyridine-2- carboxylate bromo-6-(1-methylpyrazol-4-yl)pyridine-2-carboxylate (0.46 g, 1.48 mmol) and 1,5-dimethyl-4-(4,4,5,5-tetramethyl-1,3,2-dioxaborolan-2-yl)pyrazole (0.72 g 3.26 mmol) in 2-MeTHF (6 mL) was treated with potassium phosphate (1.27 g 5.92 mmol) at rt and the reaction mixture was de-gassed with nitrogen for 15 min.
- Step 5 Preparation of 5-chloro-4-(1,5-dimethylpyrazol-4-yl)-6-(1-methylpyrazol-4-yl)-N-pentyl-pyridine-2- carboxamide (Compound P-71, Table P) A solution of 5-amino-4-(1,5-dimethylpyrazol-4-yl)-6-(1-methylpyrazol-4-yl)-N-pentyl-pyridine-2-carboxamide (0.070 g, 0.18 mmol) in hydrochloric acid (2.75 mL) was allowed to stir at 0 °C.
- test compound After placing a (DMSO) solution of test compound into a microtiter plate (96-well format), the nutrient broth containing the fungal spores is added. The test plates are incubated at 24°C and the inhibition of growth is determined photometrically 3 - 4 days after application.
- DMSO DMSO
- test plates are incubated at 24°C and the inhibition of growth is determined photometrically 3 - 4 days after application.
- the following compounds gave at least 80% control of Fusarium culmorum at 20 ppm when compared to untreated control under the same conditions, which showed extensive disease development: P-18, P-19, P-21, P-22, P-23, P-27, P-28, P-33, P-35, P-44, P-47, P-50, P-56, P-57, P-58, P-59, P-65, P-66, P-71, P-72, P-73, and P-74
- Example B-6 Fusarium culmorum / wheat / (Head blight) 82953 FF 118 Wheat spikelets cv.
- test compound After placing a (DMSO) solution of test compound into a microtiter plate (96-well format), the nutrient broth containing the fungal spores is added. The test plates are incubated at 24°C and the inhibition of growth is determined photometrically 4 - 5 days after application.
- DMSO DMSO
- tritici / wheat / (Brown rust) leaf segments cv. Kanzler are placed on agar in plates (24-well format). The leaf segments are inoculated with a spore suspension of the fungus. Plates are stored in darkness at 19°C and 75% rh. The formulated test compound diluted in water is applied 1 day after inoculation. The leaf segments are incubated at 19°C and 75% rh under a light regime of 12 h light / 12 h darkness in a climate cabinet and the activity of a compound is assessed as percent disease control compared to untreated when an appropriate level of disease damage appears in untreated check leaf segments (6 - 8 days after application).
- the leaf segments are inoculated with a spore suspension of the fungus 2 days after application.
- the inoculated leaf segments are incubated at 20°C and 65% rh under a light regime of 12 h light / 12 h darkness in a climate cabinet and the activity of a compound is assessed as disease control compared to untreated when an appropriate level of disease damage appears in untreated check leaf segments (5 - 7 days after application).
- test compounds After placing a (DMSO) solution of the test compounds into a microtiter plate (96-well format), the nutrient broth containing the fungal material is added. The test plates are incubated at 24°C and the inhibition of growth is determined photometrically 3 - 4 days after application.
- DMSO DMSO
- a DMSO solution of the test compounds was a broth containing the fungal spores was added to it.
- the test plates were incubated at 24 °C and the inhibition of growth was determined photometrically after 3 - 4 days at 620 nm.
- the following compounds gave at least 80% control of Cercospora kikuchii at 20 ppm when compared to untreated control under the same conditions, which showed extensive disease development: P-73, and P-74
- Example B-19 Cercospora sojina (frogeye leaf spot of soybean):Conidia of the fungus from cryogenic storage broth).
- a DMSO solution of the test compounds was a broth containing the fungal spores was added to it.
- test plates were incubated at 24 °C and the inhibition of growth was determined photometrically after 3 - 4 days at 620 nm. 82953 FF 122
- the following compounds gave at least 80% control of Corynespora cassiicola at 20 ppm when compared to untreated control under the same conditions, which showed extensive disease development: P-73, and P-74
- Example B-21 Gibberella zeae (Fusarium graminearum) / wheat / (Head blight) Wheat spikelets cv. Monsun are placed on agar in multiwell plates (24-well format) and sprayed with the formulated test compound diluted in water.
- the spikelets are inoculated with a spore suspension of the fungus.
- the inoculated test leaf disks are incubated at 20 °C and 60% rh under a light regime of 72 h semi darkness followed by 12 h light / 12 h darkness in a climate chamber, the activity of a compound is assessed as percent disease control compared to untreated when an appropriate level of disease damage appears on untreated check spikelets (6 - 8 days after application).
Landscapes
- Life Sciences & Earth Sciences (AREA)
- Chemical & Material Sciences (AREA)
- Plant Pathology (AREA)
- Environmental Sciences (AREA)
- Engineering & Computer Science (AREA)
- Organic Chemistry (AREA)
- Zoology (AREA)
- Pest Control & Pesticides (AREA)
- Wood Science & Technology (AREA)
- Agronomy & Crop Science (AREA)
- Health & Medical Sciences (AREA)
- Dentistry (AREA)
- General Health & Medical Sciences (AREA)
- Microbiology (AREA)
- General Chemical & Material Sciences (AREA)
- Mycology (AREA)
- Chemical Kinetics & Catalysis (AREA)
- Agricultural Chemicals And Associated Chemicals (AREA)
- Plural Heterocyclic Compounds (AREA)
Abstract
A compound of formula (I) wherein the substituents are as defined in claim 1, and the agrochemically acceptable salts, stereoisomers, enantiomers, tautomers and N-oxides of those compounds, which can be used as fungicides.
Description
82953 FF 1 MICROBIOCIDAL PYRIDYL PYRAZOLE DERIVATIVES The present invention relates to microbiocidal pyrazole derivatives, e.g., as active ingredients, which have microbiocidal activity, in particular fungicidal activity. The invention also relates to preparation of these pyrazole derivatives, to intermediates useful in the preparation of these pyrazole derivatives, to the preparation of these intermediates, to agrochemical compositions which comprise at least one of the pyrazole derivatives, to preparation of these compositions and to the use of the pyrazole derivatives or compositions in agriculture or horticulture for controlling or preventing infestation of plants, harvested food crops, seeds or non-living materials by phytopathogenic microorganisms, in particular fungi. According to a first aspect of the present invention, there is provided a compound of formula (I): wherein
R1 is selected from hydrogen, C1-C4-alkyl, C2-C4-alkenyl, C2-C4-alkynyl, or C3-C6-cycloalkyl; R2 is selected from hydrogen, halogen, C1-C4-alkyl, C2-C4-alkenyl, C2-C4-alkynyl, C1-C4-haloalkyl, C3- C6-cycloalkyl, C1-C4-alkoxy, C1-C4-alkoxy-C1-C4alkyl, C1-C4-alkoxy-C1-C4-alkoxy, C1-C4-alkoxy-C1-C4-alkoxy- C1-C4-alkyl, C1-C4-alkylcarbonyl, N-C1-C4-alkoxy-C-C1-C4-alkyl-carbonimidoyl, N-hydroxy-C-C1-C4-alkyl- carbonimidoyl, or C1-C4-alkoxycarbonyl; R3 is selected from hydrogen, halogen, C1-C4-haloalkyl, C1-C4-alkyl, C1-C4-alkoxy, or C3-C6-cycloalkyl; R4 is selected from hydrogen, halogen, C1-C4-haloalkyl, C3-C6-cycloalkyl, or C1-C4-alkyl; R5 is selected from hydrogen, halogen, cyano, C1-C4-alkyl, C1-C4-haloalkyl, C3-C6-cycloalkyl, C1-C4- alkoxy, C1-C4-alkoxy-C1-C4-alkoxy, C1-C4-alkoxy-C1-C4-alkyl, or C1-C4-alkoxy-C1-C4-alkoxy-C1-C4-alkyl, W1 is selected from -O, S, SO, SO2, NR6, -(C=O), *-(C=O)O-#, *-(C=O)N(R7)-#, *-NR8(C=O)-#, C=N- OR9, *-N(R10)O-#, *-(C=O)N(R11)O-#, *-N(R12)S(O2)-#, *-S(O2)N(R13)-#, or a bond- wherein the star(*) denotes the connection to the pyridine-moiety and the # the connection to Z1; W2 is selected from O, NR14, *-NR15O-#; wherein the star (*) denotes the connection to the pyridine- moiety and the # the connection to Z2; Z1 is selected from hydrogen, C1-C6-alkyl, C2-C6-alkenyl, or C2-C6-alkynyl, wherein any of said alkyl, alkenyl or alkynyl is unsubstituted or substituted with 1, 2 or 3 substituents independently selected from halogen, C1-C4-alkyl, C2-C4-alkenyl, C2-C4-alkynyl, C1-C4-haloalkyl, C1-C4-alkoxy, C1-C4-alkoxy-C1-C4-alkoxy,
82953 FF 2 C1-C4-haloalkoxy, di(C1-C4-alkyl)carbamoyl, C1-C4-alkylcarbamoyl, C2-C4-alkenyloxy, C2-C4-alkynyloxy, C1-C4- alkylsulfanyl, C1-C4-alkylsulfinyl, C1-C4-alkylsulfonyl, C1-C4-alkoxy-C1-C4 alkyl, C1-C4-alkoxycarbonyl, C1-C4- alkylcarbonyl, N-C1-C4-alkoxy-C-C1-C4-alkyl-carbonimidoyl, N-hydroxy-C-C1-C4-alkyl-carbonimidoyl, methyl- C=N-ORX (RX = (CH2)1-4-CN), trifluoromethylsulfonyloxy, cyano, carboxy, amino, phenyl, a 4-, 5- or 6- membered saturated, partially saturated or aromatic heterocycle, or cyclopropyl; and wherein said cyclopropyl group is unsubstituted or substituted with 1, 2 or 3 substituents independently selected from halogen, cyano, C1-C4-alkyl, C1-C4-haloalkyl, or C1-C4-alkoxy; wherein any of said 4-, 5- or 6-membered saturated, partially saturated or aromatic heterocycle contains 1, 2 or 3 heteroatoms selected from O, S or N, with the proviso that no more than one is O or S; and wherein said any of said phenyl and 4-, 5- or 6-membered saturated, partially saturated or aromatic heterocycles, are unsubstituted or substituted with 1, 2 or 3 substituents independently selected from halogen, C1-C4-alkyl, C1-C4-haloalkyl, C2-C4-alkenyl, C2-C4-alkynyl, cyano, carboxy, amino, C1- C4-alkoxycarbonyl, carbamoyl, di(C1-C4-alkyl)carbamoyl, C1-C4-alkylcarbamoyl, C1-C4-alkoxy, C1-C4-alkoxy- C1-C4-alkyl, cyano-C1-C4-alkyl, C1-C4-alkoxycarbonyl-C1-C4-alkyl, hydroxycarbonyl-C1-C4-alkyl, C1-C4- alkylcarbamoyl-C1-C4-alkyl, (di-C1-C4-alkyl)carbamoyl-C1-C4-alkyl, cyclopropyl, or cyanocyclopropyl; or Z1 is phenyl, a 4-, 5- or 6-membered saturated, partially saturated or aromatic heterocycle, or cyclopropyl, and wherein said cyclopropyl is unsubstituted or substituted with 1, 2 or 3 substituents independently selected from halogen, cyano, C1-C4-alkyl, C1-C4-haloalkyl, or C1-C4-alkoxy; wherein any of said 4-, 5- or 6-membered saturated, partially saturated or aromatic heterocycle contains 1, 2 or 3 heteroatoms selected from O, S or N with the proviso that no more than one is O or S; and wherein any of said phenyl and 4-, 5- or 6-membered saturated, partially saturated or aromatic heterocycles, are unsubstituted or substituted with 1, 2 or 3 substituents independently selected from halogen, C1-C4-haloalkyl, C1-C4-alkyl, C2-C4-alkenyl, C2-C4-alkynyl, cyano, carboxy, amino, C1-C4 alkoxycarbonyl, carbamoyl, di(C1-C4alkyl)carbamoyl, C1-C4 alkylcarbamoyl, C1-C4-alkoxy, C1-C4-alkoxy-C1-C4-alkyl, cyano-C1-C4-alkyl, C1-C4-alkoxycarbonyl-C1-C4-alkyl, hydroxycarbonyl-C1-C4-alkyl, C1-C4-alkylcarbamoyl-C1-C4-alkyl, (di-C1-C4-alkyl)carbamoyl-C1-C4-alkyl, cyclopropyl, or cyanocyclopropyl; or Z1 is cyano, or halogen, with the proviso that W1 is a bond; Z2 is selected from hydrogen, C1-C6-alkyl, C2-C6-alkenyl, or C2-C6-alkynyl, wherein any of said alkyl, alkenyl, or alkynyl is unsubstituted or substituted with 1, 2 or 3 substituents independently selected from halogen, C1-C4-alkyl, C2-C4-alkenyl, C2-C4-alkynyl, C1-C4-haloalkyl, C1-C4-alkoxy, C1-C4-alkoxy-C1-C4-alkoxy, C1-C4-haloalkoxy, di(C1-C4-alkyl)carbamoyl, C1-C4-alkylcarbamoyl, C2-C4-alkenyloxy, C2-C4 alkynyloxy, C1-C4- alkylsulfanyl, C1-C4-alkylsulfinyl, C1-C4-alkylsulfonyl, C1-C4-alkoxy-C1-C4-alkyl, C1-C4-alkoxycarbonyl, C1-C4- alkylcarbonyl, N-C1-C4-alkoxy-C-C1-C4-alkyl-carbonimidoyl, N-hydroxy-C-C1-C4-alkyl-carbonimidoyl, methyl- C=N-ORX (RX = (CH2)1-4-CN), trifluoromethylsulfonyloxy, cyano, carboxy, amino, phenyl, a 4, 5- or 6- membered saturated, partially unsaturated or aromatic heterocycle, or cyclopropyl; wherein said cyclopropyl is unsubstituted or substituted with 1, 2 or 3 substituents independently selected from halogen, cyano, C1-C4- alkyl, C1-C4-haloalkyl, or C1-C4-alkoxy; wherein any of said 4-, 5- or 6-membered saturated, partially saturated or aromatic heterocycle contains 1, 2 or 3 heteroatoms selected from O, S or N with the proviso that no more
82953 FF 3 than one is O or S; and wherein any of said phenyl and 4-, 5- or 6-membered saturated, partially saturated or aromatic heterocycles, are unsubstituted or substituted with 1, 2 or 3 substituents independently selected from halogen, C1-C4-haloalkyl, C1-C4-alkyl, C2-C4-alkenyl, C2-C4-alkynyl, cyano, carboxy, amino, C1-C4- alkoxycarbonyl, carbamoyl, di(C1-C4-alkyl)carbamoyl, C1-C4-alkylcarbamoyl, C1-C4-alkoxy, C1-C4-alkoxy-C1- C4-alkyl, cyano-C1-C4-alkyl, C1-C4-alkoxycarbonyl-C1-C4-alkyl, hydroxycarbonyl-C1-C4-alkyl, C1-C- 4alkylcarbamoyl-C1-C4-alkyl, (di-C1-C4-alkyl)carbamoyl-C1-C4-alkyl, cyclopropyl, or cyanocyclopropyl; and R6, R7, R8, R9, R10, R11, R12, R13, R14, and R15 are independently selected from hydrogen, or C1-C4-alkyl, wherein said C1-C4-alkyl is unsubstituted or substituted with 1 substituent selected from cyano, halogen, or C1- C4-alkoxy; or an agrochemically acceptable salt, stereoisomer, enantiomer, tautomer or N-oxide thereof. Surprisingly, it has been found that the compounds of formula (I) have, for practical purposes, a very advantageous level of biological activity for protecting plants against diseases that are caused by fungi. According to a second aspect of the invention, there is provided an agrochemical composition comprising a fungicidally effective amount of a compound of formula (I) according to the invention. Such an agricultural composition may further comprise at least one additional active ingredient and/or an agrochemically- acceptable diluent or carrier. According to a third aspect of the invention, there is provided a method of controlling or preventing infestation of useful plants by phytopathogenic microorganisms, wherein a fungicidally effective amount of a compound of formula (I) according to the invention, or a composition comprising the compound of formula (I), is applied to the plants, to parts thereof or the locus thereof. According to a fourth aspect of the invention, there is provided the use of a compound of formula (I) according to the invention as a fungicide. According to this particular aspect of the invention, the use may exclude methods for treatment of the human or animal body by surgery or therapy and diagnostic methods practiced on the human or animal body. According to a fifth aspect of the invention, there is provided an intermediate of formula (Ia) as respectively described in the invention. According to a sixth aspect of the invention, there is provided an intermediate compound of formula (IIb) as respectively described in the invention. Compounds of formula (I) which have at least one basic centre can form, for example, acid addition salts, for example with strong inorganic acids such as mineral acids, for example perchloric acid, sulfuric acid, nitric acid, nitrous acid, a phosphorus acid or a hydrohalic acid, with strong organic carboxylic acids, such as C1- C4alkanecarboxylic acids which are unsubstituted or substituted, for example by halogen, for example acetic acid, such as saturated or unsaturated dicarboxylic acids, for example oxalic acid, malonic acid, succinic acid, maleic acid, fumaric acid or phthalic acid, such as hydroxycarboxylic acids, for example ascorbic acid, lactic
82953 FF 4 acid, malic acid, tartaric acid or citric acid, or such as benzoic acid, or with organic sulfonic acids, such as C1- C4 alkane- or aryl sulfonic acids which are unsubstituted or substituted, for example by halogen, for example methane- or p-toluene sulfonic acid. Compounds of formula (I) which have at least one acidic group can form, for example, salts with bases, for example mineral salts such as alkali metal or alkaline earth metal salts, for example sodium, potassium or magnesium salts, or salts with ammonia or an organic amine, such as morpholine, piperidine, pyrrolidine, a mono-, di- or tri-lower-alkylamine, for example ethyl-, diethyl-, triethyl- or dimethylpropylamine, or a mono-, di- or trihydroxy-lower-alkylamine, for example mono-, di- or triethanolamine. In each case, the compounds of formula (I) according to the invention are in free form, in oxidized form as a N-oxide or in salt form, e.g., an agronomically usable salt form. N-oxides are oxidized forms of tertiary amines or oxidized forms of nitrogen containing heteroaromatic compounds. They are described for instance in the book “Heterocyclic N-oxides” by A. Albini and S. Pietra, CRC Press, Boca Raton 1991. The compounds of formula (I) according to the invention also include hydrates which may be formed during the salt formation. Where substituents are indicated as being “optionally substituted”, this means that they may or may not carry one or more identical or different substituents, e.g., one, two or three Rx substituents. For example, C1-C6alkyl substituted by 1, 2 or 3 halogens, may include, but not be limited to, -CH2Cl, -CHCl2, -CCl3, -CH2F, -CHF2, - CF3, -CH2CF3 or -CF2CH3 groups. As another example, C1-C6alkoxy substituted by 1, 2 or 3 halogens, may include, but not be limited to, CH2ClO-, CHCl2O-, CCl3O-, CH2FO-, CHF2O-, CF3O-, CF3CH2O- or CH3CF2O- groups. Further the term “optionally substituted”, as used herein, can be used interchangeably with the term “unsubstituted or substituted”. As used herein, the term "halogen" or “halo” refers to fluorine (fluoro), chlorine (chloro), bromine (bromo) or iodine (iodo), preferably fluorine, chlorine, or bromine. This also applies, correspondingly, to halogen in combination with other meanings, such as haloalkyl, haloalkenyl, haloalkynyl, haloalkoxy, and halocycloalkyl. As used herein, amino means a -NH2 group. As used herein, cyano means a -CN group. As used herein, the term “hydroxyl” or “hydroxy” means an -OH group. As used herein, the term “carboxylic acid” means a -COOH group. As used herein, the term "C1-Cn-alkyl” refers to a saturated straight-chain or branched hydrocarbon radical attached via any of the carbon atoms having 1 to n carbon atoms, for example, any one of the radicals methyl, ethyl, n-propyl, 1-methylbutyl, 2-methylbutyl, 3-methylbutyl, 2, 2-dimethylpropyl, 1-ethylpropyl, n-hexyl, n- pentyl, 1,1-dimethylpropyl, 1,2-dimethylpropyl, 1-methylpentyl, 2-methylpentyl, 3-methylpentyl, 4-methylpentyl, 1,1-dimethylbutyl, 1,2-dimethylbutyl, 1,3-dimethylbutyl, 2,2-dimethylbutyl, 2,3-dimethylbutyl, 3,3-dimethylbutyl, 1-ethylbutyl, 2-ethylbutyl, 1,1,2-trimethylpropyl, 1,2,2-trimethylpropyl, 1-ethyl-1-methylpropyl, or 1-ethyl-2- methylpropyl. A “C1-Cn-alkylene” group refers to the corresponding definition of C1-Cn-alkyl, except that such
82953 FF 5 radical is attached to the rest of the molecule by two single bonds. The term “C1-Cn-alkylene” is to be construed accordingly. Examples of C1-Cn-alkylene, include, but are not limited to, -CH2-, -CH2CH2- and -(CH2)3-. As used herein, the term “C2-Cn-alkenyl” refers to a straight or branched alkenyl chain moiety having from two to n carbon atoms and one or two double bonds, for example, ethenyl, prop-1-enyl, but-2-enyl. C2-Cn- alkenylene group refers to the corresponding definition of C2-Cn-alkenyl, except that such radical is attached to the rest of the molecule by two single bonds. As used herein, the term “C2-Cn-alkynyl” refers to a straight or branched alkynyl moiety having from two to n carbon atoms and one triple bond, for example, ethynyl, prop-2-ynyl, and but-3-ynyl. The term "C2-Cn- alkynylene" refers to the corresponding definition of C2-Cn-alkynyl, except that such radical is attached to the rest of the molecule by two single bonds. As used herein, the term “C3-Cn-cycloalkyl” refers to three (3) to n membered cycloalkyl radical such as cyclopropyl, cyclobutyl, cyclopentyl and cyclohexyl. As used herein, the term "C1-Cn-alkoxy" refers to a straight-chain or branched saturated alkyl radical having one (1) to n carbon atoms (as mentioned above) which is attached via an oxygen atom, i.e., for example, any one of the radicals methoxy, ethoxy, n-propoxy, 1-methylethoxy, n-butoxy, 1-methylpropoxy, 2-methylpropoxy and 1,1-dimethylethoxy. The term “C2-Cn-alkenyloxy” as used herein refers to a straight-chain or branched alkenyl chain having two (2) to n carbon atoms (as mentioned above) which is attached via an oxygen atom. As used herein, the term "C2-Cn-alkynyloxy" refers to a radical of the formula -ORa where Ra is a C2-Cn-alkynyl radical as generally defined above. As used herein, the term “C1-Cn-alkoxy-C1-Cn-alkyl” refers to an alkyl radical (as mentioned above) substituted with a C1-Cn-alkoxy group. Examples are methoxymethyl, methoxyethyl, ethoxymethyl and propoxymethyl. As used herein, the term “C1-Cn-alkoxy C1-Cn-alkoxy” refers to a radical of the formula Ra-O-Rb- wherein Ra is a C1-Cnalkyl radical as generally defined above, and Rb is a C1-Cnalkoxy radical as generally defined above. As used herein, the term “C3-Cn-cycloalkyl-C1-Cn-alkyl” refers to an alkyl radical (as mentioned above) substituted with a C3-Cn-cycloalkyl group. Examples are cyclopropylmethyl, cyclopropylethyl. Similarly, the term “C3-Cn-halocycloalkyl-C1-Cn-alkyl” refers to an alkyl radical substituted with cycloalkyl group, wherein the cycloalkyl group is substituted by one or more of the same or different halogen atoms. Examples are 3,3- difluorobutylmethyl and 1-chlorocyclopropylmethyl. As used herein, the term “cyano-C1-Cn-alkyl” refers to C1-Cn-alkyl radical having 1 to n carbon atoms (as mentioned above), where one of the hydrogen atoms in the radical is be replaced by a cyano group: for example, cyano-methyl, 2-cyano-ethyl, 2-cyano-propyl, 3-cyano-propyl, 1-(cyano-methyl)-2-ethyl, 1-(methyl)- 2-cyano-ethyl, 4-cyanobutyl, and the like. Similarly, the term “cyano-C3-Cn-cycloalkyl” refers to a C3-Cn- cycloalkyl radical substituted with one of the hydrogen atoms by a cyano group; and the term “cyano-C3-Cn- cycloalkyl-C1-Cn-alkyl” refers to an C1-Cn-alkyl radical having a cyano-C3-Cn-cycloalkyl group.
82953 FF 6 As used herein, the term "C1-Cn-haloalkyl" refers to a straight-chain or branched saturated alkyl radical attached via any of the carbon atoms having 1 to n carbon atoms (as mentioned above), where some or all of the hydrogen atoms in these radicals may be replaced by fluorine, chlorine, bromine and/or iodine, i.e., for example, any one of chloromethyl, dichloromethyl, trichloromethyl, fluoromethyl, difluoromethyl, trifluoromethyl, chlorofluoromethyl, dichlorofluoromethyl, chlorodifluoromethyl, 2-fluoroethyl, 2-chloroethyl, 2- bromoethyl, 2-iodoethyl, 2,2-difluoroethyl, 2,2,2-trifluoroethyl, 2-chloro-2-fluoroethyl, 2-chloro-2,2-difluoroethyl, 2,2-dichloro-2-fluoroethyl, 2,2,2-trichloroethyl, pentafluoroethyl, 2-fluoropropyl, 3-fluoropropyl, 2,2- difluoropropyl, 2,3-difluoropropyl, 2-chloropropyl, 3-chloropropyl, 2,3-dichloropropyl, 2-bromopropyl, 3- bromopropyl, 3,3,3-trifluoropropyl, 3,3,3-trichloropropyl, 2,2,3,3,3- pentafluoropropyl, heptafluoropropyl, 1- (fluoromethyl)-2-fluoroethyl, 1-(chloromethyl)-2-chloroethyl, 1-(bromomethyl)-2-bromoethyl, 4-fluorobutyl, 4- chlorobutyl, 4-bromobutyl or nonafluorobutyl. Accordingly, a term "C1-C2fluoroalkyl" would refer to a C1-C2alkyl radical which carries 1, 2, 3, 4, or 5 fluorine atoms, for example, any one of difluoromethyl, trifluoromethyl, 1- fluoroethyl, 2-fluoroethyl, 2,2-difluoroethyl, 2,2,2-trifluoroethyl, 1,1,2,2-tetrafluoroethyl or pentafluoroethyl. Similarly, the term “C2-Cn-haloalkenyl” or “C2-Cn-haloalkynyl” as used herein refers to a C2-Cn-alkenyl or C2- Cn-alkynyl radical respectively substituted with one or more halogen atoms which may be the same or different. Similarly, the term “C3-Cn-halocycloalkyl” or “C1-Cn-haloalkoxy” as used herein refers to a C3-Cn-cycloalkyl radical or C1-Cn-alkoxyl radical respectively substituted with one or more halo atoms which may be the same or different. As used herein, the term “C1-Cn-alkylthio“ or “C1-Cn-alkylsulfanyl“ refers to a C1-Cn-alkyl group linked through a sulfur atom. As used herein, the term “C1-Cn-alkylsulfinyl“ refers to a C1-Cnalkyl group linked through the sulfur atom of a sulfinyl (or S(=O)-) group. As used herein, the term “C1-Cn-alkylsulfonyl“ refers to a C1-Cnalkyl group linked through the sulfur atom of a sulfonyl (or S(=O)2-) group. As used herein, the term “C1-Cn-alkylcarbonyl” refers to a C1-Cn-alkyl group linked through the carbon atom of a carbonyl (C=O) group. As used herein, the term “C1-Cn-alkoxycarbonyl” refers to a C1-Cn-alkoxy moiety linked through a carbon atom of a carbonyl (or C=O) group. As used herein, the term “C1-Cn-alkylcarbamoyl” refers to a radical of the formula (C=O)-NH-(Ra) where Ra is a C1-Cn-alkyl radical as generally defined above. As used herein, the term “di(C1-Cn-alkyl)carbamoyl” refers to a radical of the formula (C=O)-N(Ra)(Rb) where Ra is a C1-Cn-alkyl radical as generally defined above, and Rb is a C1-Cn-alkyl radical as generally defined above.
82953 FF 7 As used herein, the term “N-C1-Cn-alkoxy-C-C1-Cn-alkyl-carbonimidoyl” refers to a radical of the formula - C(Ra)=NO(Rb) where Ra is a C1-Cn-alkyl radical as generally defined above, and Rb is a C1-Cn-alkyl radical as generally defined above. As used herein the term “N-hydroxy-C-C1-Cn-alkyl-carbonimidoyl” refers to a radical of the formula -C(Ra)=NOH where Ra is a C1-Cn-alkyl radical as generally defined above. As used herein the term "4-, 5-, or 6-membered saturated, partially unsaturated or aromatic heterocyclic ring or heterocycle” comprising 1, 2 or 3 heteroatoms" or "containing heteroatom groups", wherein those heteroatom(s) (group(s) are selected from N, O, S, NO, SO and SO2 and are ring members, or selected from N, O and S and are ring members, refers to monocyclic radicals, the monocyclic radicals being saturated, partially unsaturated or aromatic. The heterocyclic radical may be attached to the remainder of the molecule via a carbon ring member or via a nitrogen ring member. Examples of 4-, 5-, or 6-membered saturated heterocyclic rings or heterocycles include, but are not limited to: 2 tetrahydrofuranyl, 3-tetrahydrofuranyl, 2 tetrahydrothienyl, 3-tetrahydrothienyl, 2-pyrrolidinyl, 3-pyrrolidinyl, 3 pyrazolidinyl, 4 pyrazolidinyl, 5-pyrazolidinyl, 2 imidazolidinyl, 4 imidazolidinyl, 2-oxazolidinyl, 4-oxazolidinyl, 5 oxazolidinyl, 3-isoxazolidinyl, 4-isoxazolidinyl, 5 isoxazolidinyl, 2 thiazolidinyl, 4-thiazolidinyl, 5-thiazolidinyl, 3 isothiazolidinyl, 4-isothiazolidinyl, 5-isothiazolidinyl, 1,2,4-oxadiazolidin-3-yl, 1,2,4-oxadiazolidin-5-yl, 1,2,4- thiadiazolidin-3-yl, 1,2,4 thiadiazolidin-5-yl, 1,2,4 triazolidin-3-yl, 1,3,4-oxadiazolidin-2-yl, 1,3,4 thiadiazolidin- 2-yl, 1,3,4-triazolidin-2-yl, 2-tetrahydropyranyl, 4-tetrahydropyranyl, 1,3-dioxan-5-yl, 1,4-dioxan-2-yl, 2- piperidinyl, 3-piperidinyl, 4-piperidinyl, 3-hexahydropyridazinyl, 4-hexahydropyridazinyl, 2- hexahydropyrimidinyl, 4-hexahydropyrimidinyl, 5-hexahydropyrimidinyl, 2-piperazinyl, 1,3,5-hexahydrotriazin- 2-yl and 1,2,4-hexahydrotriazin-3-yl, 2-morpholinyl, 3-morpholinyl, 2-thiomorpholinyl, 3-thiomorpholinyl, 1- oxothiomorpholin-2-yl, 1-oxothiomorpholin-3-yl, 1,1-dioxothiomorpholin-2-yl, 1,1-dioxothiomorpholin-3-yl, hexahydroazepin-1-,-2-,-3- or -4-yl, hexahydrooxepinyl, hexahydro-1,3-diazepinyl, hexahydro-1,4-diazepinyl, hexahydro-1,3-oxazepinyl, hexahydro-1,4-oxazepinyl, hexahydro-1,3-dioxepinyl, hexahydro-1,4-dioxepinyl and the like. Examples of 4-, 5-, or 6-membered partially unsaturated heterocyclic rings or heterocycles include: 2,3- dihydrofur-2-yl, 2,3-dihydrofur-3-yl, 2,4-dihydrofur-2-yl, 2,4-dihydrofur-3-yl, 2,3-dihydrothien-2-yl, 2,3- dihydrothien-3-yl, 2,4 dihydrothien-2-yl, 2,4-dihydrothien-3-yl, 2-pyrrolin-2-yl, 2-pyrrolin-3-yl, 3-pyrrolin-2-yl, 3- pyrrolin-3-yl, 2-isoxazolin-3-yl, 3-isoxazolin-3-yl, 4-isoxazolin-3-yl, 2-isoxazolin-4-yl, 3-isoxazolin-4-yl, 4- isoxazolin-4-yl, 2-isoxazolin-5-yl, 3-isoxazolin-5-yl, 4-isoxazolin-5-yl, 2-isothiazolin-3-yl, 3 isothiazolin-3-yl, 4- isothiazolin-3-yl, 2-isothiazolin-4-yl, 3-isothiazolin-4-yl, 4 isothiazolin-4-yl, 2-isothiazolin-5-yl, 3-isothiazolin-5- yl, 4-isothiazolin-5-yl, 2,3-dihydropyrazol-1-yl, 2,3-dihydropyrazol-2-yl, 2,3-dihydropyrazol-3-yl, 2,3- dihydropyrazol-4-yl, 2,3-dihydropyrazol-5-yl, 3,4-dihydropyrazol-1-yl, 3,4-dihydropyrazol-3-yl, 3,4- dihydropyrazol-4-yl, 3,4-dihydropyrazol-5-yl, 4,5-dihydropyrazol-1-yl, 4,5-dihydropyrazol-3-yl, 4,5- dihydropyrazol-4-yl, 4,5-dihydropyrazol-5-yl, 2,3-dihydrooxazol-2-yl, 2,3-dihydrooxazol-3-yl, 2,3 dihydrooxazol-4-yl, 2,3-dihydrooxazol-5-yl, 3,4-dihydrooxazol-2-yl, 3,4-dihydrooxazol-3-yl, 3,4-dihydrooxazol- 4-yl, 3,4-dihydrooxazol-5-yl, 3,4 dihydrooxazol-2-yl, 3,4-dihydrooxazol-3-yl, 3,4-dihydrooxazol-4-yl, 2-,3-,4-,5-
82953 FF 8 or 6-di- or tetrahydropyridinyl, 3-di- or tetrahydropyridazinyl, 4 di- or tetrahydropyridazinyl, 2-di- or tetrahydropyrimidinyl, 4-di- or tetrahydropyrimidinyl, 5 di- or tetrahydropyrimidinyl, di- or tetrahydropyrazinyl, 1,3,5-di- or tetrahydrotriazin-2-yl, 1,2,4-di-or tetrahydrotriazin-3-yl, 2,3,4,5-tetrahydro[1H]azepin-1-,-2-,-3-,-4-,- 5-,-6- or -7-yl, 3,4,5,6-tetrahydro[2H]azepin-2-,-3-,-4-,-5-,-6- or -7-yl, 2,3,4,7-tetrahydro[1H]azepin-1-,-2-,-3-,-4- ,-5-,-6- or -7-yl, 2,3,6,7-tetrahydro[1H]azepin-1-,-2-,-3-,-4-,-5-,-6- or -7-yl, tetrahydrooxepinyl, such as 2,3,4,5- tetrahydro[1 H]oxepin-2-,-3-,-4-,-5-,-6- or -7-yl, 2,3,4,7-tetrahydro[1H]oxepin-2-,-3-,-4-,-5-,-6- or -7-yl, 2,3,6,7 tetrahydro[1H]oxepin-2-,-3-,-4-,-5-,-6- or -7-yl, tetrahydro-1,3-diazepinyl, tetrahydro-1,4-diazepinyl, tetrahydro- 1,3-oxazepinyl, tetrahydro-1,4-oxazepinyl, tetrahydro-1,3-dioxepinyl and tetrahydro-1,4-dioxepinyl. Examples of 5- or 6-membered aromatic heterocyclic rings or heterocycles, also termed heteroaromatic rings or heteroaryl, include: 2-furyl, 3-furyl, 2-thienyl, 3-thienyl, 2-pyrrolyl, 3-pyrrolyl, 3-pyrazolyl, 4-pyrazolyl, 5- pyrazolyl, 2-oxazolyl, 4-oxazolyl, 5-oxazolyl, 2-thiazolyl, 4 thiazolyl, 5-thiazolyl, 2-imidazolyl, 4-imidazolyl, 1,3,4-triazol-2-yl, 2-pyridinyl, 3-pyridinyl, 4-pyridinyl, 3-pyridazinyl, 4-pyridazinyl, 2-pyrimidinyl, 4-pyrimidinyl, 5- pyrimidinyl and 2-pyrazinyl. As used herein, the term "heterocyclyl", “heterocycle” or "heterocyclic" refers to a stable 4-, 5- or 6-membered non-aromatic monocyclic ring radical which comprises 1, 2, or 3 heteroatoms individually selected from nitrogen, oxygen and sulfur, with the proviso of only one O or S. The heterocyclyl radical may be bonded to the rest of the molecule via a carbon atom or heteroatom. Examples of heterocyclyl include, but are not limited to, pyrrolinyl, pyrrolidyl, tetrahydrofuranyl, tetrahydrothienyl, tetrahydrothiopyranyl, piperidyl, piperazinyl, tetrahydropyranyl, dioxolanyl, morpholinyl, oxazinanyl, oxetanyl, or δ-lactamyl. As used herein, the term “heteroaryl" refers to a 5- or 6-membered aromatic monocyclic ring radical which comprises 1, 2, 3 or 4 heteroatoms individually selected from N, O and S. Examples of heteroaryl include, but are not limited to, furanyl, pyrrolyl, thienyl, pyrazolyl, imidazolyl, thiazolyl, isothiazolyl, oxazolyl, isoxazolyl, triazolyl, tetrazolyl, pyrazinyl, pyridazinyl, pyrimidyl or pyridyl. The term “heteroaryl-C1-Cn-alkyl” or “heteroaryl- C3-Cn-cycloalkyl” refers to an C1-Cn-alkyl or C3-Cn-cycloalkyl radical respectively substituted by a heteroaryl group. The heteroaryl-C1-Cn-alkyl or heteroaryl-C3-Cn-cycloalkyl radical may be substituted on heteroaryl, alkyl and/or cycloalkyl group as appropriate. As used herein, the singular forms “a,” “an” and “the” are intended to include the plural forms as well, unless the context clearly indicates otherwise. As used herein, the term "controlling" refers to reducing the number of pests, eliminating pests and/or preventing further pest damage such that damage to a plant or to a plant derived product is reduced. As used herein, the term "pest" refers to insects, and molluscs that are found in agriculture, horticulture, forestry, the storage of products of vegetable origin (such as fruit, grain, and timber); and those pests associated with the damage of man-made structures. The term pest encompasses all stages in the life cycle of the pest. As used herein, the term "effective amount" refers to the amount of the compound, or a salt thereof, which, upon single or multiple applications provides the desired effect.
82953 FF 9 An effective amount is readily determined by the skilled person in the art, using known techniques and by observing results obtained under analogous circumstances. In determining the effective amount, a number of factors are considered including, but not limited to the type of plant or derived product to be applied; the pest to be controlled and its lifecycle; the particular compound applied; the type of application; and other relevant circumstances. As used herein, the term “room temperature” or “RT” or “rt” or “ambient temperature” refer to a temperature of about 15° C to about 35° C. For example, rt can refer to a temperature of about 20° C to about 30° C. The following list provides definitions, including preferred definitions, for substituents R1, R2, R3, R4, R5, R6, R7, R8, R9, R10, R11, R12, R13, R14, R15, W1, W2, Z1 and Z2 with reference to the compounds of formula (I) of the present invention. For any one of these substituents, any of the definitions given below may be combined with any definition of any other substituent given below or elsewhere in this document. In one embodiment of the invention, R1 is selected from hydrogen, C1-C4-alkyl, C2-C4-alkenyl, C2-C4-alkynyl, or C3-C6-cycloalkyl. Preferably R1 is C1-C3-alkyl, C2-C3-alkenyl, C2-C3-alkynyl, or C3-C6-cycloalkyl. More preferably R1 is C1-C3-alkyl, or C3-C6-cycloalkyl. Even more preferably R1 is C1-C3-alkyl, or cyclopropyl. Even more preferably R1 is methyl, or cyclopropyl. Preferably R1 is C1-C3-alkyl In one embodiment R1 is C1-C4-alkyl. Preferably R1 is C1-C3-alkyl. More preferably R1 is methyl. In one embodiment of the invention, R2 is selected from hydrogen, halogen, C1-C4-alkyl, C2-C4-alkenyl, C2-C4- alkynyl, C1-C4-haloalkyl, C3-C6-cycloalkyl, C1-C4-alkoxy, C1-C4-alkoxy-C1-C4-alkyl, C1-C4-alkoxy-C1-C4-alkoxy, C1-C4 alkoxy-C1-C4 alkoxy-C1-C4 alkyl, C1-C4 alkylcarbonyl, N-C1-C4alkoxy-C-C1-C4alkyl-carbonimidoyl, N- hydroxy-C-C1-C4 alkyl-carbonimidoyl, or C1-C4 alkoxycarbonyl. Preferably R2 is hydrogen, halogen, C1-C3 alkyl, C3-C6-cycloalkyl, C1-C3alkoxy, C1-C3-alkoxy-C1-C3-alkyl, C1-C3-alkoxy-C1-C3-alkoxy, C1-C3-alkoxy-C1-C3- alkoxy-C1-C3-alkyl, C1-C3-alkylcarbonyl, N-C1-C3-alkoxy-C-C1-C3-alkyl-carbonimidoyl, N-hydroxy-C-C1-C3- alkyl-carbonimidoyl, or C1-C3-alkoxycarbonyl. More preferably R2 is hydrogen, halogen, C1-C3 alkyl, C1-C3 alkoxy, C1-C2-alkoxy-C1-C2-alkyl, C1-C2-alkoxy-C1-C2-alkoxy, C1-C2-alkoxy-C1-C2-alkoxy-C1-C2-alkyl, acetyl, or N-C1-C2-alkoxy-C-C1-C2-alkyl-carbonimidoyl. Still more preferably R2 is hydrogen, chlorine, methyl, cyclopropyl, acetyl, -C(CH3)=NOCH3, –C(CH3)=NOCH2CH3, –C(CH3)=NOH, methoxy, ethoxy, methoxymethyl, ethoxymethyl, 2-methoxyethoxy, 2-methoxyethoxymethyl. Even more preferably R2 is hydrogen, chlorine, methyl, cyclopropyl, methoxy, methoxymethyl, methoxyethoxy, 2-methoxyethoxymethyl. In another embodiment R2 is selected from hydrogen, halogen, C1-C3-alkyl, C3-C4-cycloalkyl, C1-C3-alkoxy, C1- C2-alkoxy-C1-C2-alkyl, C1-C2-alkoxy-C1-C2-alkoxy, or C1-C2-alkoxy-C1-C2-alkoxy-C1-C2-alkyl. Preferably R2 is hydrogen, halogen, or C1-C3-alkyl. More preferably R2 is hydrogen, or C1-C3-alkyl. Even more preferably R2 is hydrogen, or methyl. In one embodiment of the invention, R3 is hydrogen, halogen, C1-C4-haloalkyl, C1-C4-alkyl, C1-C4-alkoxy, or C3- C6-cycloalkyl. Preferably R3 is hydrogen, C1-C4-alkyl, or C1-C4-alkoxy. More preferably R3 is hydrogen, C1-C3-
82953 FF 10 alkyl, or C1-C3-alkoxy. Even more preferably R3 is hydrogen, methyl, ethyl, or methoxy. Still more preferably R3 is hydrogen, methyl, or methoxy. Still even more preferably R3 is hydrogen. In one embodiment of the invention, R4 is selected from hydrogen, halogen, C1-C4-alkyl, C1-C4-haloalkyl, or C3- C6-cycloalkyl. Preferably R4 is hydrogen, or C1-C4-alkyl. More preferably R4 is hydrogen, or C1-C3-alkyl. Even more preferably R4 is hydrogen, or methyl. Still more preferably R4 is hydrogen. In one embodiment of the invention, R5 is selected from hydrogen, halogen, cyano, C1-C4-alkyl, C1-C4-haloalkyl, C3-C6-cycloalkyl, C1-C4-alkoxy, C1-C4-alkoxy-C1-C4-alkyl, C1-C4-alkoxy-C1-C4-alkoxy, or C1-C4-alkoxy-C1-C4- alkoxy-C1-C4-alkyl. Preferably R5 is hydrogen, halogen, C1-C4-alkyl, C3-C6-cycloalkyl, C1-C4-alkoxy, C1-C4- alkoxy-C1-C4-alkyl, C1-C4-alkoxy-C1-C4-alkoxy, or C1-C4-alkoxy-C1-C4-alkoxy-C1-C4-alkyl. More preferably R5 is hydrogen, halogen, or C1-C4-alkyl. Still more preferably R5 is hydrogen, halogen, or C1-C3-alkyl. Even more preferably R5 is chlorine or methyl. In one embodiment of the invention, R4 is selected from hydrogen, halogen, or C1-C4-alkyl. Preferably R4 is halogen, or C1-C3-alkyl. Even more preferably R4 is chlorine, or methyl. In one embodiment of the invention, R5 is selected from hydrogen, halogen, or C1-C4-alkyl. Preferably R5 is halogen, or C1-C3-alkyl. Even more preferably R5 is chlorine, or methyl. In another embodiment of the invention, R4 is selected from halogen, or C1-C4-alkyl; and R5 is hydrogen; or R4 is hydrogen; and R5 is selected from halogen, or C1-C4-alkyl. Preferably R4 is halogen, or C1-C3-alkyl; and R5 is hydrogen; or R4 is hydrogen; and R5 is halogen or C1-C3-alkyl. More preferably R4 is chlorine or methyl; and R5 is hydrogen; or R4 is hydrogen; and R5 is chlorine or methyl. In one embodiment of the invention, W1 is selected from -O, S, SO, SO2, NR6, -(C=O), *-(C=O)=O-#, *- (C=O)N(R7)-#, *-NR8(C=O)-#, C=N-OR9, *-N(R10)O-#, *-(C=O)N(R11)O-#, *-N(R12)S(O2)-#, *-S(O2)N(R13)-#, or a bond- wherein the start denotes the connection to the pyridine-moiety and the # the connection to Z1. Preferably W1 is NH, *-NHC(=O)-#, CO, CONH, C=N-OH, C=N-OCH3, *-C(=O)NHO-#, or a bond, wherein the star (*) denotes the connection to the pyridine-moiety and the # the connection to Z2. More preferably, W1 is a bond. In one embodiment of the invention, W2 is selected from O, NR14, or *-NR15O-#, wherein the star(*) denotes the connection to the pyridine-moiety and the # the connection to Z2. Preferably W2 is O, or NR14. More preferably W2 is O, or NH. Even more preferably, W2 is NH. In one embodiment of the invention, Z1 is selected from hydrogen, C1-C6-alkyl, C2-C6-alkenyl, or C2-C6-alkynyl, wherein any of said alkyl, alkenyl and alkynyl is unsubstituted or substituted with 1, 2 or 3 substituents independently selected from halogen, C1-C4-alkyl, C2-C4-alkenyl, C2-C4-alkynyl, C1-C4-haloalkyl, C1-C4-alkoxy, C1-C4-alkoxy-C1-C4-alkoxy, C1-C4-haloalkoxy, di(C1-C4alkyl)carbamoyl, C1-C4 alkylcarbamoyl, C2-C4alkenyloxy, C2-C4-alkynyloxy, C1-C4-alkylsulfanyl, C1-C4 alkylsulfinyl, C1-C4 alkylsulfonyl, C1-C4 alkoxy-C1-C4 alkyl, C1-C4 alkoxycarbonyl, C1-C4-alkylcarbonyl, N-C1-C4 alkoxy-C-C1-C4 alkyl-carbonimidoyl, N-hydroxy-C-C1-C4-alkyl- carbonimidoyl, methyl-C=N-ORX (RX = (CH2)1-4-CN), trifluoromethylsulfonyloxy, cyano, carboxy, amino, phenyl,
82953 FF 11 a 4-, 5- or 6-membered saturated, partially saturated or aromatic heterocycle, or cyclopropyl; and wherein said cyclopropyl group is unsubstituted or substituted with 1, 2 or 3 substituents independently selected from halogen, C1-C4 haloalkyl, cyano, C1-C4 alkyl, or C1-C4 alkoxy; wherein any of said 4-, 5- or 6-membered saturated, partially saturated or aromatic heterocycle contains 1, 2 or 3 heteroatoms selected from O, S or N, with the proviso that no more than one is O or S; and wherein any of said phenyl and 4-, 5- or 6-membered saturated, partially saturated or aromatic heterocycles, are unsubstituted or substituted with 1, 2 or 3 substituents independently selected from halogen, C1-C4 haloalkyl, C1-C4alkyl, C2-C4 alkenyl, C2-C4 alkynyl, cyano, carboxy, amino, C1-C4 alkoxycarbonyl, carbamoyl, di(C1-C4alkyl)carbamoyl, C1-C4 alkylcarbamoyl, C1- C4 alkoxy, C1-C4 alkoxy-C1-C4 alkyl, cyano-C1-C4 alkyl, C1-C4 alkoxycarbonyl-C1-C4 alkyl, hydroxycarbonyl-C1- C4 alkyl, C1-C4alkylcarbamoyl-C1-C4 alkyl, (di-C1-C4alkyl)carbamoyl-C1-C4 alkyl, cyclopropyl, or cyanocyclopropyl; or Z1 is phenyl, a 4-, 5- or 6-membered saturated, partially saturated or aromatic heterocycle, or cyclopropyl, and wherein said cyclopropyl is unsubstituted or substituted with 1, 2 or 3 substituents independently selected from halogen, cyano, C1-C4-alkyl, C1-C4-haloalkyl, or C1-C4-alkoxy; wherein any of said 4-, 5- or 6-membered saturated, partially saturated or aromatic heterocycle contains 1, 2 or 3 heteroatoms selected from O, S or N, with the proviso that no more than one is O or S; and wherein any of said phenyl and 4-, 5- or 6-membered saturated, partially saturated or aromatic heterocycles, are unsubstituted or substituted with 1, 2 or 3 substituents independently selected from halogen, C1-C4 haloalkyl, C1-C4alkyl, C2-C4 alkenyl, C2-C4 alkynyl, cyano, carboxy, amino, C1-C4 alkoxycarbonyl, carbamoyl, di(C1-C4alkyl)carbamoyl, C1-C4 alkylcarbamoyl, C1- C4 alkoxy, C1-C4 alkoxy-C1-C4 alkyl, cyano-C1-C4 alkyl, C1-C4 alkoxycarbonyl-C1-C4 alkyl, hydroxycarbonyl-C1- C4 alkyl, C1-C4alkylcarbamoyl-C1-C4 alkyl, (di-C1-C4alkyl)carbamoyl-C1-C4 alkyl, cyclopropyl, or cyanocyclopropyl; or Z1 is cyano, or halogen, with the proviso that W1 is a bond. Preferably Z1 is hydrogen, C1-C6alkyl, C2-C6alkenyl, or C2-C6alkynyl, wherein any of said alkyl, alkenyl and alkynyl is unsubstituted or substituted with 1, 2 or 3 substituents independently selected from halogen, C1- C3alkyl, C2-C3 alkenyl, C2-C3 alkynyl, C1-C2 haloalkyl, C1-C2 alkoxy, C1-C2alkoxy-C1-C2alkyl, C1-C2alkoxy-C1- C2alkoxy, C1-C2haloalkoxy, di(C1-C2alkyl)carbamoyl, C1-C2 alkylcarbamoyl, C1-C2alkylsulfanyl, C1- C2alkylsulfinyl, C1-C2alkylsulfonyl, C1-C2 alkoxycarbonyl, C1-C2 alkylcarbonyl, N-C1-C2alkoxy-C-C1-C2alkyl- carbonimidoyl, N-hydroxy-C-C1-C2alkyl-carbonimidoyl, methyl-C=N-ORX (RX = (CH2)1-4-CN), trifluoromethylsulfonyloxy, cyano, carboxy, amino, phenyl, a 4-, 5- or 6-membered saturated, partially saturated or aromatic heterocycle, or cyclopropyl; and wherein said cyclopropyl group is unsubstituted or substituted with 1 substituent selected from halogen, C1-C2 haloalkyl, cyano, C1-C2 alkyl, or C1-C2 alkoxy; wherein any of said 4-, 5- or 6-membered saturated, partially saturated or aromatic heterocycle contains 1, 2 or 3 heteroatoms selected from O, S or N, with the proviso that no more than one is O or S and wherein said any of said phenyl and 4-, 5- or 6-membered saturated, partially saturated or aromatic heterocycles, are unsubstituted or substituted with 1, 2 or 3 substituents independently selected from halogen, C1-C2alkyl, C2-C3 alkenyl, C2- C3alkynyl, C1-C2 haloalkyl, cyano, carboxy, amino, C1-C2alkoxycarbonyl, carbamoyl, di(C1-C2alkyl)carbamoyl,
82953 FF 12 C1-C2 alkylcarbamoyl, C1-C2 alkoxy, C1-C2alkoxy-C1-C2alkyl, cyano-C1-C4alkyl, C1-C2 alkoxycarbonyl-C1- C2alkyl, hydroxycarbonyl-C1-C2 alkyl, C1-C2alkylcarbamoyl-C1-C2alkyl, (di-C1-C2alkyl)carbamoyl-C1-C2alkyl, cyclopropyl, or cyanocyclopropyl; or Z1 is phenyl, a 4-, 5- or 6-membered saturated, partially saturated or aromatic heterocycle, or cyclopropyl, and wherein said cyclopropyl group is unsubstituted or substituted with 1 substituent selected from halogen, C1-C2 haloalkyl, cyano, C1-C2 alkyl, or C1-C2 alkoxy; wherein any of said 4-, 5- or 6-membered saturated, partially saturated or aromatic heterocycle contains 1, 2 or 3 heteroatoms selected from O, S or N, with the proviso that no more than one is O or S; and wherein any of said phenyl and 4-, 5- or 6-membered saturated, partially saturated or aromatic heterocycles, are unsubstituted or substituted with 1, 2 or 3 substituents independently selected from halogen, C1-C2 haloalkyl, C1-C2alkyl, C2-C3 alkenyl, C2-C3 alkynyl, cyano, carboxy, amino, C1-C2 alkoxycarbonyl, carbamoyl, di(C1-C2alkyl)carbamoyl, C1-C2 alkylcarbamoyl, C1-C2 alkoxy, C1-C2 alkoxy-C1-C2 alkyl, cyano-C1-C2 alkyl, C1-C2alkoxycarbonyl-C1-C2alkyl, hydroxycarbonyl-C1-C2alkyl, C1-C2alkylcarbamoyl- C1-C2alkyl, (di-C1-C2alkyl)carbamoyl-C1-C2 alkyl, cyclopropyl, or cyanocyclopropyl; or Z1 is cyano, or halogen, with the proviso that W1 is a bond. More preferably Z1 is hydrogen, C1-C6alkyl, C2-C6alkenyl, or C2-C6alkynyl, wherein any of said alkyl, alkenyl and alkynyl is unsubstituted or substituted with 1, 2 or 3 substituents independently selected from halogen, C1- C3alkyl, C2-C3 alkenyl, C2-C3 alkynyl, C1-C2 haloalkyl, C1-C2 alkoxy, C1-C2 alkoxy-C1-C2 alkyl, C1-C2alkoxy-C1- C2alkoxy, C1-C2 haloalkoxy, di(C1-C2alkyl)carbamoyl, C1-C2 alkylcarbamoyl, C1-C2alkylsulfanyl, C1- C2alkylsulfinyl, C1-C2alkylsulfonyl, C1-C2 alkoxycarbonyl, C1-C2 alkylcarbonyl, N-C1-C2alkoxy-C-C1-C2alkyl- carbonimidoyl, N-hydroxy-C-C1-C2alkyl-carbonimidoyl, methyl-C=N-ORX (RX = (CH2)1-4-CN), trifluoromethylsulfonyloxy, cyano, carboxy, amino, phenyl, a 4-, 5- or 6-membered saturated, partially saturated or aromatic heterocycle, or cyclopropyl; and wherein said cyclopropyl group is unsubstituted or substituted with 1 substituent selected from halogen, C1-C2 haloalkyl, cyano, C1-C2 alkyl, or C1-C2 alkoxy; wherein any of said 4-, 5- or 6-membered saturated, partially saturated or aromatic heterocycle contains 1, 2 or 3 heteroatoms selected from O, S or N, with the proviso that no more than one is O or S; and wherein said any of said phenyl and 4-, 5- or 6-membered saturated, partially saturated or aromatic heterocycles, are unsubstituted or substituted with 1 or 2 substituents independently selected from halogen, C1-C2alkyl, C2-C3 alkenyl, C2- C3alkynyl, C1-C2 haloalkyl, cyano, carboxy, amino, C1-C2alkoxycarbonyl, carbamoyl, di(C1-C2alkyl)carbamoyl, C1-C2 alkylcarbamoyl, C1-C2 alkoxy, C1-C2alkoxy-C1-C2alkyl, cyano-C1-C2alkyl, C1-C2 alkoxycarbonyl-C1- C2alkyl, hydroxycarbonyl-C1-C2 alkyl, C1-C2alkylcarbamoyl-C1-C2alkyl, (di-C1-C2alkyl)carbamoyl-C1-C2alkyl, cyclopropyl, or cyanocyclopropyl; or Z1 is phenyl, a 4-, 5- or 6-membered saturated, partially saturated or aromatic heterocycle, or cyclopropyl, and wherein said cyclopropyl group is unsubstituted or substituted with 1 substituent selected from halogen, C1-C2 haloalkyl, cyano, C1-C2 alkyl, or C1-C2 alkoxy; wherein any of said 4-, 5- or 6-membered saturated, partially saturated or aromatic heterocycle contains 1, 2 or 3 heteroatoms selected from O, S or N, with the proviso that no more than one is O or S; and wherein any of said phenyl and 4-, 5- or 6-membered saturated, partially saturated or aromatic heterocycles, are unsubstituted or substituted with 1, 2 or 3 substituents independently
82953 FF 13 selected from halogen, C1-C2 haloalkyl, C1-C2alkyl, C2-C3 alkenyl, C2-C3 alkynyl, cyano, carboxy, amino, C1-C2 alkoxycarbonyl, carbamoyl, di(C1-C2alkyl)carbamoyl, C1-C2 alkylcarbamoyl, C1-C2 alkoxy, C1-C2 alkoxy-C1-C2 alkyl, cyano-C1-C2 alkyl, C1-C2alkoxycarbonyl-C1-C2alkyl, hydroxycarbonyl-C1-C2alkyl, C1-C2alkylcarbamoyl- C1-C2alkyl, (di-C1-C2alkyl)carbamoyl-C1-C2 alkyl, cyclopropyl, or cyanocyclopropyl; or Z1 is cyano, or halogen, with the proviso that W1 is a bond. Even more preferably Z1 is hydrogen, C1-C6alkyl, C2-C6alkenyl, or C2-C6alkynyl, wherein any of said alkyl, alkenyl and alkynyl is unsubstituted or substituted with 1, 2 or 3 substituents independently selected from halogen, C1-C2alkyl, C2-C3 alkenyl, C2-C3 alkynyl, C1-C2 haloalkyl, C1-C2 alkoxy, C1-C2 alkoxy-C1-C2 alkyl, C1- C2alkoxy-C1-C2alkoxy, C1-C2 alkylcarbamoyl, N-C1-C2alkoxy-C-C1-C2alkyl-carbonimidoyl, N-hydroxy-C-C1- C2alkyl-carbonimidoyl, methyl-C=N-ORX (RX = (CH2)1-4-CN), cyano, phenyl, a 4-, 5- or 6-membered saturated, partially saturated or aromatic heterocycle, or cyclopropyl; and wherein said cyclopropyl group is unsubstituted or substituted with 1 substituent selected from halogen, cyano, or C1-C2 alkyl; wherein any of said 4-, 5- or 6- membered saturated, partially saturated or aromatic heterocycle contains 1, 2 or 3 heteroatoms selected from O, S or N, with the proviso that no more than one is O or S; and wherein said any of said phenyl and 4-, 5- or 6-membered saturated, partially saturated or aromatic heterocycles, are unsubstituted or substituted with 1 or 2 substituents independently selected from halogen, C1-C2alkyl, C2-C3 alkenyl, C2-C3alkynyl, C1-C2 haloalkyl, cyano, acetyl, carbamoyl, C1-C2 alkylcarbamoyl, C1-C2 alkoxy, C1-C2alkoxy-C1-C2alkyl, cyano-C1-C2alkyl, C1- C2alkylcarbamoyl-C1-C2alkyl, cyclopropyl, or cyanocyclopropyl; or Z1 is phenyl, a 4-, 5- or 6-membered saturated, partially saturated or aromatic heterocycle, or cyclopropyl, and wherein said cyclopropyl group is unsubstituted or substituted with 1 substituent selected from halogen, cyano, or C1-C2 alkyl; wherein any of said 4-, 5- or 6-membered saturated, partially saturated or aromatic heterocycle contains 1, 2 or 3 heteroatoms selected from O, S or N, with the proviso that no more than one is O or S; and wherein any of said phenyl and 4-, 5- or 6-membered saturated, partially saturated or aromatic heterocycles, are unsubstituted or substituted with 1 or 2 substituents independently selected from halogen, C1-C2 haloalkyl, C1-C2alkyl, C2-C3 alkenyl, C2-C3 alkynyl, cyano, carbamoyl, di(C1-C2alkyl)carbamoyl, C1-C2 alkylcarbamoyl, C1- C2 alkoxy, C1-C2 alkoxy-C1-C2 alkyl, cyano-C1-C2 alkyl, C1-C2alkoxycarbonyl-C1-C2alkyl, hydroxycarbonyl-C1- C2alkyl, C1-C2alkylcarbamoyl-C1-C2alkyl, (di-C1-C2alkyl)carbamoyl-C1-C2 alkyl, cyclopropyl, or cyanocyclopropyl; or Z1 is cyano, or halogen, with the proviso that W1 is a bond. Still even more preferably Z1 is hydrogen, C1-C6alkyl, C2-C6alkenyl, or C2-C6alkynyl, wherein any of said alkyl, alkenyl and alkynyl is unsubstituted or substituted with 1, 2 or 3 substituents independently selected from halogen, C1-C2 alkoxy, C1-C2 alkylcarbamoyl, cyano, phenyl, a 4-, 5- or 6-membered saturated, partially saturated or aromatic heterocycle, or cyclopropyl; and wherein said cyclopropyl group is unsubstituted or substituted with 1 substituent selected from cyano; wherein any of said 4-, 5- or 6-membered saturated, partially saturated or aromatic heterocycle contains 1, 2 or 3 heteroatoms selected from O, S or N, with the proviso that no more than one is O or S; and wherein said any of said phenyl and 4-, 5- or 6-membered saturated, partially
82953 FF 14 saturated or aromatic heterocycles, are unsubstituted or substituted with 1 or 2 substituents independently selected from halogen, C1-C2alkyl, C2-C3 alkenyl, cyano, acetyl, carbamoyl, C1-C2 alkylcarbamoyl, C1-C2 alkoxy, C1-C2alkoxy-C1-C2alkyl, cyano-C1-C2alkyl, C1-C2alkylcarbamoyl-C1-C2alkyl, cyclopropyl, or cyanocyclopropyl; or Z1 is phenyl, a 4-, 5- or 6-membered saturated, partially saturated or aromatic heterocycle, or cyclopropyl, and wherein said cyclopropyl group is unsubstituted or substituted with 1 substituent selected from cyano; wherein any of said 4-, 5- or 6-membered saturated, partially saturated or aromatic heterocycle contains 1, 2 or 3 heteroatoms selected from O, S or N, with the proviso that no more than one is O or S; and wherein any of said phenyl and 4-, 5- or 6-membered saturated, partially saturated or aromatic heterocycles, are unsubstituted or substituted with 1 or 2 substituents independently selected from halogen, C1-C2 haloalkyl, C1-C2alkyl, C2-C3 alkenyl, C2-C3 alkynyl, cyano, carbamoyl, di(C1-C2alkyl)carbamoyl, C1-C2 alkylcarbamoyl, C1-C2 alkoxy, C1- C2alkoxy-C1-C2alkyl, cyano-C1-C2alkyl, C1-C2alkoxycarbonyl-C1-C2alkyl, hydroxycarbonyl-C1-C2alkyl, C1- C2alkylcarbamoyl-C1-C2alkyl, (di-C1-C2alkyl)carbamoyl-C1-C2 alkyl, cyclopropyl, or cyanocyclopropyl; or Z1 is cyano, or halogen, with the proviso that W1 is a bond. Still even more preferably Z1 is a C1-C6alkyl, C2-C6alkenyl or C2-C6alkynyl, wherein any of said alkyl, alkenyl and alkynyl is unsubstituted or substituted with 1, 2 or 3 substituents independently selected from chlorine, fluorine, methoxy, methylcarbamoyl, cyano, phenyl, a 4-, 5- or 6-membered saturated, partially saturated or aromatic heterocycle, or cyclopropyl; and wherein said cyclopropyl group is unsubstituted or substituted with 1 substituent selected from cyano; wherein any of said 4-, 5- or 6-membered saturated, partially saturated or aromatic heterocycle contains 1, 2 or 3 heteroatoms selected from O, S or N, with the proviso that no more than one is O or S; and wherein said any of said phenyl and 4-, 5- or 6-membered saturated, partially saturated or aromatic heterocycles, are unsubstituted or substituted with 1 or 2 substituents independently selected from chloro, fluoro, methyl, vinyl, cyano, acetyl, carbamoyl, methylcarbamoyl, methoxy, cyanomethyl, 2-cyanoethyl, 1-cyano-1-methyl-ethyl, methoxycarbonylmethyl, 2-methoxycarbonylethyl, 1-methoxycarbonylethyl, 1- methoxycarbonyl-1-methyl-ethyl, hydroxycarbonymethyl, 1-hydoxyoxycarbonyl-1-methyl-ethyl, 2- hydroxycarbonylethyl, carbamoylmethyl, methylcarbamoylmethyl, dimethylcarbamoylmethyl, 2- carbamoylethyl, 2-methylcarbamoylethyl, 2-dimethylcarbamoylethyl, cyclopropyl, or cyanocyclopropyl; and wherein the said cyclopropyl group is optionally substituted with cyano, or Z1 is phenyl, a 4-, 5- or 6-membered saturated, partially saturated or aromatic heterocycle, or cyclopropyl, and wherein said cyclopropyl group is unsubstituted or substituted with 1 substituent selected from cyano; wherein any of said 4-, 5- or 6-membered saturated, partially saturated or aromatic heterocycle contains 1, 2 or 3 heteroatoms selected from O, S or N, with the proviso that no more than one is O or S; and wherein any of said phenyl and 4-, 5- or 6-membered saturated, partially saturated or aromatic heterocycles, are unsubstituted or substituted with 1 or 2 substituents independently selected from halogen, trifluoromethyl, difluoromethyl, methyl, vinyl, prop-1-enyl, ethynyl, prop-1-ynyl, cyano, carbamoyl, dimethylcarbamoyl, methylcarbamoyl, methoxymethyl, 2-methoxyethoxy, cyanomethyl, 2-cyanoethyl, 1-cyano-ethyl, 1-cyano-1-methyl-ethyl, methoxycarbonylmethyl, 2-methoxycarbonylethyl, 1-methoxycarbonylethyl, 1-methoxycarbonyl-1-methyl-ethyl,
82953 FF 15 hydroxycarbonymethyl, 1-hydoxyoxycarbonyl-1-methyl-ethyl, 2-hydroxycarbonylethyl, carbamoylmethyl, methylcarbamoylmethyl, dimethylcarbamoylmethyl, 2-carbamoylethyl, 2-methylcarbamoylethyl, 2- dimethylcarbamoylethyl, cyclopropyl, or cyanocyclopropyl; and wherein the said cyclopropyl group is optionally substituted with cyano; or Z1 is cyano, or halogen, with the proviso that W1 is a bond. In one embodiment of the invention, Z1 is hydrogen, C1-C6alkyl, C2-C6alkenyl, or C2-C6alkynyl, wherein any of said alkyl, alkenyl and alkynyl is unsubstituted or substituted with 1, 2 or 3 substituents independently selected from halogen, C1-C3alkyl, C2-C3 alkenyl, C2-C3 alkynyl, C1-C2 haloalkyl, C1-C2 alkoxy, C1-C2alkoxy-C1-C2alkyl, C1-C2alkoxy-C1-C2alkoxy, C1-C2haloalkoxy, di(C1-C2alkyl)carbamoyl, C1-C2 alkylcarbamoyl, C1-C2alkylsulfanyl, C1-C2alkylsulfinyl, C1-C2alkylsulfonyl, C1-C2 alkoxycarbonyl, C1-C2 alkylcarbonyl, N-C1-C2alkoxy-C-C1-C2alkyl- carbonimidoyl, N-hydroxy-C-C1-C2alkyl-carbonimidoyl, methyl-C=N-ORX (RX = (CH2)1-4-CN), trifluoromethylsulfonyloxy, cyano, carboxy, amino, phenyl, a 4-, 5- or 6-membered saturated, partially saturated or aromatic heterocycle, or cyclopropyl; and wherein said cyclopropyl group is unsubstituted or substituted with 1 substituent selected from halogen, C1-C2 haloalkyl, cyano, C1-C2 alkyl, or C1-C2 alkoxy; wherein any of said 4-, 5- or 6-membered saturated, partially saturated or aromatic heterocycle contains 1, 2 or 3 heteroatoms selected from O, S or N, with the proviso that no more than one is O or S and wherein said any of said phenyl and 4-, 5- or 6-membered saturated, partially saturated or aromatic heterocycles, are unsubstituted or substituted with 1, 2 or 3 substituents independently selected from halogen, C1-C2alkyl, C2-C3 alkenyl, C2- C3alkynyl, C1-C2 haloalkyl, cyano, carboxy, amino, C1-C2alkoxycarbonyl, carbamoyl, di(C1-C2alkyl)carbamoyl, C1-C2 alkylcarbamoyl, C1-C2 alkoxy, C1-C2alkoxy-C1-C2alkyl, cyano-C1-C4alkyl, C1-C2 alkoxycarbonyl-C1- C2alkyl, hydroxycarbonyl-C1-C2 alkyl, C1-C2alkylcarbamoyl-C1-C2alkyl, (di-C1-C2alkyl)carbamoyl-C1-C2alkyl, cyclopropyl, or cyanocyclopropyl. Preferably Z1 is hydrogen, C1-C6alkyl, C2-C6alkenyl, or C2-C6alkynyl, wherein any of said alkyl, alkenyl and alkynyl is unsubstituted or substituted with 1, 2 or 3 substituents independently selected from halogen, C1-C2 alkoxy, C1-C2 alkylcarbamoyl, cyano, phenyl, a 4-, 5- or 6-membered saturated, partially saturated or aromatic heterocycle, or cyclopropyl; and wherein said cyclopropyl group is unsubstituted or substituted with 1 substituent selected from cyano; wherein any of said 4-, 5- or 6-membered saturated, partially saturated or aromatic heterocycle contains 1, 2 or 3 heteroatoms selected from O, S or N, with the proviso that no more than one is O or S; and wherein said any of said phenyl and 4-, 5- or 6-membered saturated, partially saturated or aromatic heterocycles, are unsubstituted or substituted with 1 or 2 substituents independently selected from halogen, C1-C2alkyl, C2-C3 alkenyl, cyano, acetyl, carbamoyl, C1-C2 alkylcarbamoyl, C1-C2 alkoxy, C1-C2alkoxy-C1-C2alkyl, cyano-C1-C2alkyl, C1-C2alkylcarbamoyl-C1-C2alkyl, cyclopropyl, or cyanocyclopropyl. More preferably Z1 is a C1-C6alkyl, C2-C6alkenyl or C2-C6alkynyl, wherein any of said alkyl, alkenyl and alkynyl is unsubstituted or substituted with 1, 2 or 3 substituents independently selected from chlorine, fluorine, methoxy, methylcarbamoyl, cyano, phenyl, a 4-, 5- or 6-membered saturated, partially saturated or aromatic heterocycle, or cyclopropyl; and wherein said cyclopropyl group is unsubstituted or substituted with 1 substituent selected from cyano; wherein any of said 4-, 5- or 6-membered saturated, partially saturated or aromatic heterocycle contains 1, 2 or 3 heteroatoms selected from O, S or N, with the
82953 FF 16 proviso that no more than one is O or S; and wherein said any of said phenyl and 4-, 5- or 6-membered saturated, partially saturated or aromatic heterocycles, are unsubstituted or substituted with 1 or 2 substituents independently selected from chloro, fluoro, methyl, vinyl, cyano, acetyl, carbamoyl, methylcarbamoyl, methoxy, cyanomethyl, 2-cyanoethyl, 1-cyano-1-methyl-ethyl, methoxycarbonylmethyl, 2-methoxycarbonylethyl, 1- methoxycarbonylethyl, 1-methoxycarbonyl-1-methyl-ethyl, hydroxycarbonymethyl, 1-hydoxyoxycarbonyl-1- methyl-ethyl, 2-hydroxycarbonylethyl, carbamoylmethyl, methylcarbamoylmethyl, dimethylcarbamoylmethyl, 2- carbamoylethyl, 2-methylcarbamoylethyl, 2-dimethylcarbamoylethyl, cyclopropyl, or cyanocyclopropyl; and wherein the said cyclopropyl group is optionally substituted with cyano. In another embodiment of the invention, Z1 is phenyl, wherein said phenyl is unsubstituted or substituted with 1, 2 or 3 substituents independently selected from halogen, C1-C2alkyl, C1-C2 haloalkyl, C2-C3 alkenyl, C2-C3 alkynyl, cyano, carbamoyl, C1-C2 alkylcarbamoyl, di(C1-C2alkyl)carbamoyl, C1-C2alkoxy, C1-C2alkoxy-C1- C2alkyl, cyano-C1-C2alkyl, C1-C2alkoxycarbonyl-C1-C2alkyl, hydroxycarbonyl-C1-C2alkyl, C1-C2alkylcarbamoyl- C1-C2alkyl, (di-C1-C2alkyl)carbamoyl-C1-C2 alkyl, cyclopropyl, or cyanocyclopropyl; or Z1 is cyano, or halogen, with the proviso that W1 is a bond. Preferably Z1 is phenyl, wherein said phenyl is unsubstituted or substituted with 1, 2 or 3 substituents independently selected from halogen, trifluoromethyl, difluoromethyl, methyl, vinyl, prop-1-enyl, ethynyl, prop- 1-ynyl, cyano, carbamoyl, dimethylcarbamoyl, methylcarbamoyl, methoxymethyl, 2-methoxyethoxy, cyanomethyl, 2-cyanoethyl, 1-cyano-ethyl, 1-cyano-1-methyl-ethyl, methoxycarbonylmethyl, 2- methoxycarbonylethyl, 1-methoxycarbonylethyl, 1-methoxycarbonyl-1-methyl-ethyl, hydroxycarbonymethyl, 1- hydoxyoxycarbonyl-1-methyl-ethyl, 2-hydroxycarbonylethyl, carbamoylmethyl, methylcarbamoylmethyl, dimethylcarbamoylmethyl, 2-carbamoylethyl, 2-methylcarbamoylethyl, 2-dimethylcarbamoylethyl, cyclopropyl, or cyanocyclopropyl; or Z1 is cyano, or halogen, with the proviso that W1 is a bond. In one embodiment of the invention, Z2 is selected from hydrogen, C1-C6alkyl, C2-C6alkenyl, or C2-C6alkynyl, wherein any of said alkyl, alkenyl, and alkynyl is unsubstituted or substituted with 1, 2 or 3 substituents independently selected from halogen, C1-C4 alkyl, C2-C4 alkenyl, C2-C4 alkynyl, C1-C4 haloalkyl, C1-C4 alkoxy, C1-C4 alkoxy-C1-C4 alkoxy, C1-C4 haloalkoxy, di(C1-C4alkyl)carbamoyl, C1-C4 alkylcarbamoyl, C2-C4alkenyloxy, C2-C4 alkynyloxy, C1-C4 alkylsulfanyl, C1-C4 alkylsulfinyl, C1-C4 alkylsulfonyl, C1-C4 alkoxy-C1-C4 alkyl, C1-C4 alkoxycarbonyl, C1-C4 alkylcarbonyl, N-C1-C4 alkoxy-C-C1-C4 alkyl-carbonimidoyl, N-hydroxy-C-C1-C4 alkyl- carbonimidoyl, methyl-C=N-ORX (RX = (CH2)1-4-CN), trifluoromethylsulfonyloxy, cyano, carboxy, amino, phenyl, a 4, 5- or 6- membered saturated, partially unsaturated or aromatic heterocycle, or cyclopropyl; wherein said cyclopropyl is unsubstituted or substituted with 1, 2 or 3 substituents independently selected from halogen, C1- C4 haloalkyl, cyano, C1-C4 alkyl, or C1-C4 alkoxy; wherein any of said 4-, 5- or 6-membered saturated, partially saturated or aromatic heterocycle contains 1, 2 or 3 heteroatoms selected from O, S or N, with the proviso that only one is O or S; and wherein any of said phenyl and 4-, 5- or 6-membered saturated, partially saturated or aromatic heterocycles, are unsubstituted or substituted with 1, 2 or 3 substituents independently selected from
82953 FF 17 halogen, C1-C4 haloalkyl, C1-C4alkyl, C2-C4 alkenyl, C2-C4 alkynyl, cyano, carboxy, amino, C1-C4 alkoxycarbonyl, carbamoyl, di(C1-C4alkyl)carbamoyl, C1-C4 alkylcarbamoyl, C1-C4 alkoxy, C1-C4 alkoxy-C1-C4 alkyl, cyano-C1- C4 alkyl, C1-C4 alkoxycarbonyl-C1-C4 alkyl, hydroxycarbonyl-C1-C4 alkyl, C1-C4alkylcarbamoyl-C1-C4 alkyl, (di- C1-C4alkyl)carbamoyl-C1-C4 alkyl, cyclopropyl, or cyanocyclopropyl. Preferably Z2 is C1-C6alkyl, wherein said C1-C6alkyl is unsubstituted or substituted with 1, 2 or 3 substituents independently selected from halogen, C1-C4 alkoxy, phenyl, a 4, 5- or 6- membered saturated, partially unsaturated or aromatic heterocycle, or cyclopropyl, cyanocyclopropyl; wherein said cyclopropyl is unsubstituted or substituted with 1 substituent selected from cyano, and wherein any of said 4-, 5- or 6- membered saturated, partially saturated or aromatic heterocycle contains 1, 2 or 3 heteroatoms selected from O, S or N, with the proviso that only one is O or S; and wherein any of said phenyl and 4-, 5- or 6-membered saturated, partially saturated or aromatic heterocycle, are unsubstituted or substituted with 1, 2 or 3 substituents independently selected from halogen, C1-C4 haloalkyl, C1-C4alkyl, cyano, C1-C4 alkoxy, cyclopropyl, or cyanocyclopropyl. More preferably, Z2 is C1-C6alkyl, wherein said C1-C6alkyl is unsubstituted or substituted with 1, 2 or 3 substituents selected from halogen, or with one substituent selected from C1-C3 alkoxy, phenyl, a 4, 5- or 6- membered saturated, partially unsaturated or aromatic heterocycle, or cyclopropyl; wherein said cyclopropyl is unsubstituted or substituted with 1 substituent selected from cyano; wherein any of said 4-, 5- or 6-membered saturated, partially saturated or aromatic heterocycle contains 1, 2 or 3 heteroatoms selected from O, S or N, with the proviso that only one is O or S; and wherein any of said phenyl and 4-, 5- or 6-membered saturated, partially saturated or aromatic heterocycles, are unsubstituted or substituted with 1, or 2 substituents selected from halogen, cyano, C1-C3 haloalkyl, C1-C3alkyl, C1-C3 alkoxy, cyclopropyl, or cyanocyclopropyl. Even more preferably, Z2 is C1-C6alkyl, wherein said C1-C6alkyl is unsubstituted or substituted with 1, 2 or 3 substituents selected from halogen, or with one substituent selected from C1-C2 alkoxy, phenyl, a 4, 5- or 6- membered saturated, partially unsaturated or aromatic heterocycle, or cyclopropyl; wherein said cyclopropyl is unsubstituted or substituted with 1 substituent selected from cyano; wherein any of said 4-, 5- or 6-membered saturated, partially saturated or aromatic heterocycle contains 1, 2 or 3 heteroatoms selected from O, S or N, with the proviso that only one is O or S; and wherein any of said phenyl and 4-, 5- or 6-membered saturated, partially saturated or aromatic heterocycles, are unsubstituted or substituted with 1, or 2 substituents selected from halogen, cyano, C1-C2 haloalkyl, C1-C2alkyl, C1-C2 alkoxy, cyclopropyl, or cyanocyclopropyl. Still even more preferably, Z2 is C1-C6alkyl, wherein said C1-C6alkyl is unsubstituted or substituted with 1, 2 or 3 substituents selected from halogen, or with one substituent selected from methoxy, ethoxy, or cyclopropyl. In one embodiment of the invention, R6, R7, R8, R9, R10, R11, R12, R13, R14, R15 are independently selected from hydrogen, or C1-C4 alkyl, wherein said C1-C4 alkyl is unsubstituted or substituted with 1 substituent selected from cyano, halogen, or C1-C4 alkoxy. Preferably R6, R7, R8, R9, R10, R11, R12, R13, R14, R15 are independently selected from hydrogen, or C1-C4 alkyl. More preferably R6, R7, R8, R9, R10, R11, R12, R13, R14, R15 are
82953 FF 18 independently selected from hydrogen, or C1-C3 alkyl. Even more preferably R6, R7, R8, R9, R10, R11, R12, R13, R14, R15 are independently selected from hydrogen, or methyl. In one embodiment of the invention R6, R7, R8, R9, R10, R11, R12, R13, R14, R15 are hydrogen. In another embodiment of the invention R6, R7, R8, R9, R10, R11, R12, R13, R14, R15 are methyl. The present invention, accordingly, makes available a compound of formula (I) having R1, R2, R3, R4, R5, R6, R7, R8, R9, R10, R11, R12, R13, R14, R15, W1, W2, Z1 and Z2 as defined above in all combinations / each permutation. Embodiments according to the invention are provided as set out below. In one embodiment of the invention, the compound of formula (I) may be a compound of formula (I-A), wherein W1 is a bond wherein
R1, R2, R3, R4, R5, R6, R7, R8, R9, R10, R11, R12, R13, R14, R15, W2, Z1 and Z2 are as defined for the compounds of formula (I) according to the present invention. In one embodiment of the invention, in the compound of formula (I-A), wherein R1, R2, R3, R4, R5, R6, R7, R8, R9, R10, R11, R12, R13, R14, R15, W2 and Z2 are as defined for the compounds of formula (I); Z1 is a 4-, 5- or 6-membered saturated, partially saturated or aromatic heterocycle; wherein any of said 4-, 5- or 6-membered saturated, partially saturated or aromatic heterocycle contains 1, 2 or 3 heteroatoms independently selected from O, S, or N, with the proviso that only one is O or S; and wherein any of said 4-, 5- or 6-membered saturated, partially saturated or aromatic heterocycles, are unsubstituted or substituted with 1 or 2 substituents independently selected from halogen, C1-C2 haloalkyl, C1-C2alkyl, C2-C3 alkenyl, C2-C3 alkynyl, cyano, carbamoyl, di(C1-C2alkyl)carbamoyl, C1-C2 alkylcarbamoyl, C1-C2 alkoxy, C1-C2alkoxy-C1-C2alkyl, cyano-C1-C2alkyl, C1-C2alkoxycarbonyl-C1-C2alkyl, hydroxycarbonyl-C1-C2alkyl, C1-C2alkylcarbamoyl-C1- C2alkyl, (di-C1-C2alkyl)carbamoyl-C1-C2 alkyl, cyclopropyl, or cyanocyclopropyl; or Z1 is cyano, cyclopropyl, cyanocyclopropyl, or halogen. In a preferred embodiment of the invention, in the compound of formula (I-A), wherein R1, R2, R3, R4, R5, R6, R7, R8, R9, R10, R11, R12, R13, R14, R15, W2 and Z2 are as defined for the compounds of formula (I); Z1 is a 4-, 5- or 6-membered saturated, partially saturated or aromatic heterocycle; wherein any of said 4-, 5- or 6-membered saturated, partially saturated or aromatic heterocycle contains 1, 2 or 3 heteroatoms
82953 FF 19 independently selected from O, S, or N, with the proviso that only one is O or S; and wherein any of said 4-, 5- or 6-membered saturated, partially saturated or aromatic heterocycles, are unsubstituted or substituted with 1 or 2 substituents independently selected from halogen, trifluoromethyl, difluoromethyl, methyl, vinyl, prop-1- enyl, ethynyl, prop-1-ynyl, cyano, carbamoyl, dimethylcarbamoyl, methylcarbamoyl, methoxymethyl, 2- methoxyethoxy, cyanomethyl, 2-cyanoethyl, 1-cyano-ethyl, 1-cyano-1-methyl-ethyl, methoxycarbonylmethyl, 2-methoxycarbonylethyl, 1-methoxycarbonylethyl, 1-methoxycarbonyl-1-methyl-ethyl, hydroxycarbonymethyl, 1-hydoxyoxycarbonyl-1-methyl-ethyl, 2-hydroxycarbonylethyl, carbamoylmethyl, methylcarbamoylmethyl, dimethylcarbamoylmethyl, 2-carbamoylethyl, 2-methylcarbamoylethyl, 2-dimethylcarbamoylethyl, cyclopropyl, or cyanocyclopropyl; or Z1 is cyano, cyclopropyl, cyanocyclopropyl, or halogen. In another preferred embodiment of the invention, in the compound of formula (I-A), wherein R1, R2, R3, R4, R5, R6, R7, R8, R9, R10, R11, R12, R13, R14, R15, W2 and Z2 are as defined for the compounds of formula (I); Z1 is a 4-, 5- or 6-membered saturated, partially saturated or aromatic heterocycle selected from oxetan-2-yl, oxetan-3-yl, tetrahydrofuran-2-yl, tetrahydrofuran-3-yl, tetrahydropyran-2-yl, tetrahydropyran-3-yl, tetrahydropyran-4-yl, 1H-pyrrol-1-yl, 1H-pyrrol-2-yl, 1-methylpyrrol-2-yl, 1H-pyrrol-3-yl, 1-methylpyrrol-3-yl, 1H- pyrazol-1-yl, 1H-pyrazol-3-yl, 1-methylpyrazol-3-yl, 2-methylpyrazol-3-yl, 3H-pyrazol-3-yl, 1H-pyrazol-4-yl, 1- methylpyrazol-4-yl, 3-isoxazolyl, 5-isoxazolyl, 2-furanyl, 3-furanyl, 2-thienyl, 3-thienyl, 1H-imidazol-2-yl, 1- methylimidazol-2-yl, 1H- imidazol-4-yl, 3-methylimidazol-4-yl, 1-methylimidazol-4-yl, 1H-imidazol-5-yl, 2- oxazol-2-yl, oxazol-4-yl, oxazol-5-yl, thiazol-2-yl, thiazol-4-yl, thiazol-5-yl, isothiazol-3-yl, isothiazol-5-yl, 1H- 1,2,3-triazol-1-yl, 1H-1,2,4-triazol-3-yl, 1-methyl-1,2,4-triazol-3-yl, 2-methyl-1,2,4-triazol-3-yl, 4H-1,2,4-triazol- 4-yl, 1H-1,2,4-triazol-1-yl, 1,2,4-oxadiazol-3-yl, 1,2,4-oxadiazol-4-yl, 1,2,4-oxadiazol-5-yl, 1,2,3-thiadiazol-2-yl, 1,2,4-thiadiazol-3-yl, 1,2,4-thiadiazol-4-yl, 1,3,4-thiadiazol-5-yl, 1H-tetrazol-1-yl, 1H-tetrazol-5-yl, 1- methyltetrazol-5-yl, 2H-tetrazol-5-yl, 2-methyltetrazol-5-yl, 2-pyridyl, 3-pyridyl, 4-pyridyl, 2-pyrimidinyl, 4- pyrimidinyl, 5-pyrimidinyl, 2-pyrazinyl, 3-pyridazinyl, 4-pyridazinyl, 1,3,5-triazin-2-yl, 1,2,4-triazin-5-yl, 1,2,4- triazin-6-yl, 1,2,4-triazin-3-yl, or furazan-3-yl; wherein any of said heterocycles is unsubstituted or substituted by 1 or 2 substituents independently selected from halogen, C1-C2 haloalkyl, C1-C2alkyl, C2-C4 alkenyl, C2-C4 alkynyl, cyano, carbamoyl, di(C1-C2alkyl)carbamoyl, C1-C2 alkylcarbamoyl, C1-C2 alkoxy, C1-C2alkoxy-C1- C2alkyl, cyano-C1-C2alkyl, C1-C2alkoxycarbonyl-C1-C2alkyl, hydroxycarbonyl-C1-C2alkyl, C1-C2alkylcarbamoyl- C1-C2alkyl, (di-C1-C2alkyl)carbamoyl-C1-C2 alkyl, cyclopropyl, or cyanocyclopropyl; or Z1 is cyano, cyclopropyl, cyanocyclopropyl, or halogen. In another more preferred embodiment of the invention, in the compound of formula (I-A), wherein R1, R2, R3, R4, R5, R6, R7, R8, R9, R10, R11, R12, R13, R14, R15, W2 and Z2 are as defined for the compounds of formula (I); Z1 is a 4-, 5- or 6-membered saturated, partially saturated or aromatic heterocycle selected from oxetan-3-yl, tetrahydrofuran-3-yl, tetrahydropyran-4-yl, 1H-pyrazol-1-yl, 1-methylpyrazol-3-yl, 2-methylpyrazol-3-yl, 3H- pyrazol-3-yl, 1-methylpyrazol-4-yl, 3-isoxazolyl, 5-isoxazolyl, 2-thienyl, 3-thienyl, 1-methylimidazol-2-yl, 3- methylimidazol-4-yl, 1-methylimidazol-4-yl, 2-oxazol-2-yl, oxazol-4-yl, oxazol-5-yl, thiazol-2-yl, thiazol-4-yl, thiazol-5-yl, isothiazol-3-yl, isothiazol-5-yl, 1H-1,2,3-triazol-1-yl, 1-methyl-1,2,4-triazol-3-yl, 2-methyl-1,2,4-
82953 FF 20 triazol-3-yl, 4H-1,2,4-triazol-4-yl, 1H-1,2,4-triazol-1-yl, 1,2,4-oxadiazol-3-yl, 1,3,4-oxadiazol-5-yl, 1,2,4- oxadiazol-5-yl, 1,2,4-thiadiazol-3-yl, 1,3,4-thiadiazol-5-yl, 1H-tetrazol-1-yl, 2-pyridyl, 3-pyridyl, 4-pyridyl, 2- pyrimidinyl, 4-pyrimidinyl, 5-pyrimidinyl, 2-pyrazinyl, 3-pyridazinyl, or 4-pyridazinyl; wherein any of said heterocycles is unsubstituted or substituted by 1 or 2 substituents independently selected from halogen, C1-C2 haloalkyl, C1-C2alkyl, C2-C3 alkenyl, C2-C3 alkynyl, cyano, carbamoyl, di(C1-C2alkyl)carbamoyl, C1-C2 alkylcarbamoyl, C1-C2 alkoxy, C1-C2alkoxy-C1-C2alkyl, cyano-C1-C2alkyl, C1-C2alkoxycarbonyl-C1-C2alkyl, hydroxycarbonyl-C1-C2alkyl, C1-C2alkylcarbamoyl-C1-C2alkyl, (di-C1-C2alkyl)carbamoyl-C1-C2 alkyl, cyclopropyl, or cyanocyclopropyl; or Z1 is cyano, cyclopropyl, cyanocyclopropyl, or halogen. In another even more preferred embodiment of the invention, in the compound of formula (I-A), wherein R1, R2, R3, R4, R5, R6, R7, R8, R9, R10, R11, R12, R13, R14, R15, W2 and Z2 are as defined for the compounds of formula (I); Z1 is a 4-, 5- or 6-membered saturated, partially saturated or aromatic heterocycle selected from oxetan-3-yl, tetrahydropyran-4-yl, 1H-pyrazol-1-yl, 1-methylpyrazol-3-yl, 2-methylpyrazol-3-yl, 3H-pyrazol-3-yl, 1- methylpyrazol-4-yl, 3-isoxazolyl, 5-isoxazolyl, 2-thienyl, 3-thienyl, 1-methylimidazol-2-yl, 3-methylimidazol-4-yl, 1-methylimidazol-4-yl, 2-oxazol-2-yl, oxazol-4-yl, oxazol-5-yl, thiazol-2-yl, thiazol-4-yl, thiazol-5-yl, isothiazol-3- yl, isothiazol-5-yl, 1H-1,2,3-triazol-1-yl, 1-methyl-1,2,4-triazol-3-yl, 2-methyl-1,2,4-triazol-3-yl, 4H-1,2,4-triazol- 4-yl, 1H-1,2,4-triazol-1-yl, 1,2,4-oxadiazol-3-yl, 1,3,4-oxadiazol-5-yl, 1,2,4-oxadiazol-5-yl, 1,2,4-thiadiazol-3-yl, 1,3,4-thiadiazol-5-yl, 1H-tetrazol-1-yl, (1-methyltetrazol-5-yl), (2-methyltetrazol-5-yl), 2-pyridyl, 3-pyridyl, 4- pyridyl, 2-pyrimidinyl, 4-pyrimidinyl, 5-pyrimidinyl, 2-pyrazinyl, 3-pyridazinyl, or 4-pyridazinyl; wherein any of said heterocycles is unsubstituted or substituted by 1 or 2 substituents independently selected from halogen, trifluoromethyl, difluoromethyl, methyl, vinyl, prop-1-enyl, ethynyl, prop-1-ynyl, cyano, carbamoyl, dimethylcarbamoyl, methylcarbamoyl, methoxymethyl, 2-methoxyethoxy, cyanomethyl, 2-cyanoethyl, 1-cyano- ethyl, 1-cyano-1-methyl-ethyl, methoxycarbonylmethyl, 2-methoxycarbonylethyl, 1-methoxycarbonylethyl, 1- methoxycarbonyl-1-methyl-ethyl, hydroxycarbonymethyl, 1-hydoxyoxycarbonyl-1-methyl-ethyl, 2- hydroxycarbonylethyl, carbamoylmethyl, methylcarbamoylmethyl, dimethylcarbamoylmethyl, 2- carbamoylethyl, 2-methylcarbamoylethyl, 2-dimethylcarbamoylethyl, cyclopropyl, or cyanocyclopropyl; or Z1 is cyano, cyclopropyl, cyanocyclopropyl, or halogen. In another still even more preferred embodiment of the invention, in the compound of formula (I-A), wherein R1, R2, R3, R4, R5, R6, R7, R8, R9, R10, R11, R12, R13, R14, R15, W2 and Z2 are as defined for the compounds of formula (I); Z1 is a 4-, 5- or 6-membered saturated, partially saturated or aromatic heterocycle selected from is oxetan-3- yl, tetrahydrofuran-3-yl, tetrahydropyran-4-yl, 1H-pyrazol-1-yl, 1-methylpyrazol-3-yl, 2-methylpyrazol-3-yl, 3H- pyrazol-3-yl, 1-methylpyrazol-4-yl, 3-isoxazolyl, 5-isoxazolyl, 2-thienyl, 3-thienyl, 2-oxazol-2-yl, oxazol-4-yl, oxazol-5-yl, thiazol-2-yl, thiazol-4-yl, thiazol-5-yl, isothiazol-3-yl, isothiazol-5-yl, 1H-1,2,3-triazol-1-yl, 1-methyl- 1,2,4-triazol-3-yl, 2-methyl-1,2,4-triazol-3-yl, 4H-1,2,4-triazol-4-yl, 1H-1,2,4-triazol-1-yl, 1,2,4-oxadiazol-3-yl, 1,3,4-oxadiazol-5-yl, 1,2,4-oxadiazol-5-yl, 1,2,4-thiadiazol-3-yl, 1,3,4-thiadiazol-5-yl, 2-pyridyl, 3-pyridyl, 4-
82953 FF 21 pyridyl, 2-pyrimidinyl, 4-pyrimidinyl, 5-pyrimidinyl, 2-pyrazinyl, 3-pyridazinyl, or 4-pyridazinyl; wherein any of said heterocycles is unsubstituted or substituted by 1 or 2 substituents independently selected from chlorine, fluorine, trifluoromethyl, difluoromethyl, methyl, cyano, carbamoyl, dimethylcarbamoyl, methylcarbamoyl, methoxymethyl, 2-methoxyethoxy, cyanomethyl, 2-cyanoethyl, 1-cyano-ethyl, 1-cyano-1-methyl-ethyl, cyclopropyl, or cyanocyclopropyl; or Z1 is cyano, cyclopropyl, cyanocyclopropyl, chloro, or fluoro. The present invention, accordingly, makes available a compound of formula (I-A), wherein R1, R2, R3, R4, R5, R6, R7, R8, R9, R10, R11, R12, R13, R14, R15, W2 and Z2 are as defined for the compounds of formula (I) having Z1 as defined above in all combinations / each permutation. Embodiments according to the invention are provided as set out below. In one embodiment of the invention, in a compound of formula (I) R1 is C1-C3 alkyl, or C3-C6cycloalkyl; R2 is hydrogen, halogen, C1-C3 alkyl, C1-C3 alkoxy, C1-C2 alkoxy-C1-C2alkyl, C1-C2 alkoxy-C1-C2alkoxy, C1- C2alkoxy-C1-C2alkoxy-C1-C2alkyl, acetyl, or N-C1-C2 alkoxy-C-C1-C2 alkyl-carbonimidoyl; R3 is hydrogen; R4 is halogen, or C1-C3 alkyl; and R5 is hydrogen; or R4 is hydrogen; and R5 is halogen or C1-C3 alkyl; W1 is NH, *-NHC(=O)-#, CO, *-C(=O)NH-#, -C=N-OH, C=N-OCH3, *-CONHO-#, or a bond; wherein the star(*) denotes the connection to the pyridine-moiety and the # the connection to Z1; W2 is O, or NH; Z1 is hydrogen, C1-C6alkyl, C2-C6alkenyl, or C2-C6alkynyl, wherein any of said alkyl, alkenyl and alkynyl is unsubstituted or substituted with 1, 2 or 3 substituents independently selected from halogen, C1-C2 alkoxy, C1- C2 alkylcarbamoyl, cyano, phenyl, a 4-, 5- or 6-membered saturated, partially saturated or aromatic heterocycle, or cyclopropyl; and wherein said cyclopropyl group is unsubstituted or substituted with 1 substituent selected from cyano; wherein any of said 4-, 5- or 6-membered saturated, partially saturated or aromatic heterocycle contains 1, 2 or 3 heteroatoms selected from O, S or N, with the proviso that no more than one is O or S; and wherein said any of said phenyl and 4-, 5- or 6-membered saturated, partially saturated or aromatic heterocycles, are unsubstituted or substituted with 1 or 2 substituents independently selected from halogen, C1-C2alkyl, C2-C3 alkenyl, cyano, acetyl, carbamoyl, C1-C2 alkylcarbamoyl, C1-C2 alkoxy, C1-C2alkoxy-C1- C2alkyl, cyano-C1-C2alkyl, C1-C2alkylcarbamoyl-C1-C2alkyl, cyclopropyl, or cyanocyclopropyl; or Z1 is phenyl, a 4-, 5- or 6-membered saturated, partially saturated or aromatic heterocycle, or cyclopropyl, and wherein said cyclopropyl group is unsubstituted or substituted with 1 substituent selected from cyano; wherein any of said 4-, 5- or 6-membered saturated, partially saturated or aromatic heterocycle contains 1, 2 or 3 heteroatoms selected from O, S or N, with the proviso that no more than one O or S; and wherein any of said phenyl and 4-, 5- or 6-membered saturated, partially saturated or aromatic heterocycles, are unsubstituted or substituted with 1 or 2 substituents independently selected from halogen, C1-C2 haloalkyl, C1-C2alkyl, C2-C3 alkenyl, C2-C3 alkynyl, cyano, carbamoyl, di(C1-C2alkyl)carbamoyl, C1-C2 alkylcarbamoyl, C1-C2 alkoxy, C1-
82953 FF 22 C2alkoxy-C1-C2alkyl, cyano-C1-C2alkyl, C1-C2alkoxycarbonyl-C1-C2alkyl, hydroxycarbonyl-C1-C2alkyl, C1- C2alkylcarbamoyl-C1-C2alkyl, (di-C1-C2alkyl)carbamoyl-C1-C2 alkyl, cyclopropyl, or cyanocyclopropyl; or Z1 is cyano, or halogen, with the proviso that W1 is a bond; and Z2 is C1-C6alkyl, wherein said C1-C6alkyl is unsubstituted or substituted with 1, 2 or 3 substituents selected from halogen, or with one substituent selected from C1-C3 alkoxy, phenyl, a 4, 5- or 6- membered saturated, partially unsaturated or aromatic heterocycle, or cyclopropyl; wherein said cyclopropyl is unsubstituted or substituted with 1 substituent selected from cyano; wherein any of said 4-, 5- or 6-membered saturated, partially saturated or aromatic heterocycle contains 1, 2 or 3 heteroatoms selected from O, S or N, with the proviso that only one is O or S; and wherein any of said phenyl and 4-, 5- or 6-membered saturated, partially saturated or aromatic heterocycles, are unsubstituted or substituted with 1, or 2 substituents selected from halogen, cyano, C1-C3 haloalkyl, C1-C3alkyl, C1-C3 alkoxy, cyclopropyl, or cyanocyclopropyl. In another embodiment of the invention, in a compound of formula (I) R1 is C1-C3 alkyl, or C3-C6cycloalkyl; R2 is hydrogen, halogen, C1-C3 alkyl, C1-C3 alkoxy, C1-C2 alkoxy-C1-C2alkyl, C1-C2 alkoxy-C1-C2alkoxy, C1- C2alkoxy-C1-C2alkoxy-C1-C2alkyl, acetyl, or N-C1-C2 alkoxy-C-C1-C2 alkyl-carbonimidoyl; R3 is hydrogen; R4 is halogen, or C1-C3 alkyl; and R5 is hydrogen; or R4 is hydrogen; and R5 is halogen or C1-C3 alkyl; W1 is a bond; W2 is O, or NH; Z1 is hydrogen, C1-C6alkyl, C2-C6alkenyl, or C2-C6alkynyl, wherein any of said alkyl, alkenyl and alkynyl is unsubstituted or substituted with 1, 2 or 3 substituents independently selected from halogen, C1-C2 alkoxy, C1- C2 alkylcarbamoyl, cyano, phenyl, a 4-, 5- or 6-membered saturated, partially saturated or aromatic heterocycle, or cyclopropyl; and wherein said cyclopropyl group is unsubstituted or substituted with 1 substituent selected from cyano; wherein any of said 4-, 5- or 6-membered saturated, partially saturated or aromatic heterocycle contains 1, 2 or 3 heteroatoms selected from O, S or N, with the proviso that no more than one is O or S; and wherein said any of said phenyl and 4-, 5- or 6-membered saturated, partially saturated or aromatic heterocycles, are unsubstituted or substituted with 1 or 2 substituents independently selected from halogen, C1-C2alkyl, C2-C3 alkenyl, cyano, acetyl, carbamoyl, C1-C2 alkylcarbamoyl, C1-C2 alkoxy, C1-C2alkoxy-C1- C2alkyl, cyano-C1-C2alkyl, C1-C2alkylcarbamoyl-C1-C2alkyl, cyclopropyl, or cyanocyclopropyl; or Z1 is phenyl, a 4-, 5- or 6-membered saturated, partially saturated or aromatic heterocycle, or cyclopropyl, and wherein said cyclopropyl group is unsubstituted or substituted with 1 substituent selected from cyano; wherein any of said 4-, 5- or 6-membered saturated, partially saturated or aromatic heterocycle contains 1, 2 or 3 heteroatoms selected from O, S or N, with the proviso that no more than one O or S; and wherein any of said phenyl and 4-, 5- or 6-membered saturated, partially saturated or aromatic heterocycles, are unsubstituted or substituted with 1 or 2 substituents independently selected from halogen, C1-C2 haloalkyl, C1-C2alkyl, C2-C3 alkenyl, C2-C3 alkynyl, cyano, carbamoyl, di(C1-C2alkyl)carbamoyl, C1-C2 alkylcarbamoyl, C1-C2 alkoxy, C1- C2alkoxy-C1-C2alkyl, cyano-C1-C2alkyl, C1-C2alkoxycarbonyl-C1-C2alkyl, hydroxycarbonyl-C1-C2alkyl, C1- C2alkylcarbamoyl-C1-C2alkyl, (di-C1-C2alkyl)carbamoyl-C1-C2 alkyl, cyclopropyl, or cyanocyclopropyl; or
82953 FF 23 Z1 is cyano, or halogen; and Z2 is C1-C6alkyl, wherein said C1-C6alkyl is unsubstituted or substituted with 1, 2 or 3 substituents selected from halogen, or with one substituent selected from C1-C3 alkoxy, phenyl, a 4, 5- or 6- membered saturated, partially unsaturated or aromatic heterocycle, or cyclopropyl; wherein said cyclopropyl is unsubstituted or substituted with 1 substituent selected from cyano; wherein any of said 4-, 5- or 6-membered saturated, partially saturated or aromatic heterocycle contains 1, 2 or 3 heteroatoms selected from O, S or N, with the proviso that only one is O or S; and wherein any of said phenyl and 4-, 5- or 6-membered saturated, partially saturated or aromatic heterocycles, are unsubstituted or substituted with 1, or 2 substituents selected from halogen, cyano, C1-C3 haloalkyl, C1-C3alkyl, C1-C3 alkoxy, cyclopropyl, or cyanocyclopropyl. In one embodiment of the invention, in a compound of formula (I) R1 is C1-C3 alkyl, or C3-C6cycloalkyl; R2 is halogen, or C1-C3 alkyl; R3 is hydrogen; R4 is halogen, or C1-C3 alkyl; and R5 is hydrogen; or R4 is hydrogen; and R5 is halogen or C1-C3 alkyl; W1 is NH, NHCO, CO, CONH, C=N-OH, C=N-OCH3, CONHO-, or a bond; W2 is O, or NH; Z1 is hydrogen, C1-C6alkyl, C2-C6alkenyl, or C2-C6alkynyl, wherein any of said alkyl, alkenyl and alkynyl is unsubstituted or substituted with 1, 2 or 3 substituents independently selected from halogen, C1-C2 alkoxy, C1- C2 alkylcarbamoyl, cyano, phenyl, a 4-, 5- or 6-membered saturated, partially saturated or aromatic heterocycle, or cyclopropyl; and wherein said cyclopropyl group is unsubstituted or substituted with 1 substituent selected from cyano; wherein any of said 4-, 5- or 6-membered saturated, partially saturated or aromatic heterocycle contains 1, 2 or 3 heteroatoms selected from O, S or N, with the proviso that no more than one is O or S; and wherein said any of said phenyl and 4-, 5- or 6-membered saturated, partially saturated or aromatic heterocycles, are unsubstituted or substituted with 1 or 2 substituents independently selected from halogen, C1-C2alkyl, C2-C3 alkenyl, cyano, acetyl, carbamoyl, C1-C2 alkylcarbamoyl, C1-C2 alkoxy, C1-C2alkoxy-C1- C2alkyl, cyano-C1-C2alkyl, C1-C2alkylcarbamoyl-C1-C2alkyl, cyclopropyl, or cyanocyclopropyl; or Z1 is phenyl, a 4-, 5- or 6-membered saturated, partially saturated or aromatic heterocycle, or cyclopropyl, and wherein said cyclopropyl group is unsubstituted or substituted with 1 substituent selected from cyano; wherein any of said 4-, 5- or 6-membered saturated, partially saturated or aromatic heterocycle contains 1, 2 or 3 heteroatoms selected from O, S or N, with the proviso that no more than one O or S; and wherein any of said phenyl and 4-, 5- or 6-membered saturated, partially saturated or aromatic heterocycles, are unsubstituted or substituted with 1 or 2 substituents independently selected from halogen, C1-C2 haloalkyl, C1-C2alkyl, C2-C3 alkenyl, C2-C3 alkynyl, cyano, carbamoyl, di(C1-C2alkyl)carbamoyl, C1-C2 alkylcarbamoyl, C1-C2 alkoxy, C1- C2alkoxy-C1-C2alkyl, cyano-C1-C2alkyl, C1-C2alkoxycarbonyl-C1-C2alkyl, hydroxycarbonyl-C1-C2alkyl, C1- C2alkylcarbamoyl-C1-C2alkyl, (di-C1-C2alkyl)carbamoyl-C1-C2 alkyl, cyclopropyl, or cyanocyclopropyl; or Z1 is cyano, or halogen, with the proviso that W1 is a bond; and Z2 is C1-C6alkyl, wherein said C1-C6alkyl is unsubstituted or substituted with 1, 2 or 3 substituents selected from halogen, or with one substituent selected from C1-C3 alkoxy, phenyl, a 4, 5- or 6- membered saturated, partially
82953 FF 24 unsaturated or aromatic heterocycle, or cyclopropyl; wherein said cyclopropyl is unsubstituted or substituted with 1 substituent selected from cyano; wherein any of said 4-, 5- or 6-membered saturated, partially saturated or aromatic heterocycle contains 1, 2 or 3 heteroatoms selected from O, S or N, with the proviso that only one is O or S; and wherein any of said phenyl and 4-, 5- or 6-membered saturated, partially saturated or aromatic heterocycles, are unsubstituted or substituted with 1, or 2 substituents selected from halogen, cyano, C1-C3 haloalkyl, C1-C3alkyl, C1-C3 alkoxy, cyclopropyl, or cyanocyclopropyl. In another embodiment of the invention, in a compound of formula (I) R1 is C1-C3 alkyl, or C3-C6cycloalkyl; R2 is halogen, or C1-C3 alkyl; R3 is hydrogen; R4 is halogen, or C1-C3 alkyl; and R5 is hydrogen; or R4 is hydrogen; and R5 is halogen or C1-C3 alkyl; W1 is a bond; W2 is O, or NH; Z1 is hydrogen, C1-C6alkyl, C2-C6alkenyl, or C2-C6alkynyl, wherein any of said alkyl, alkenyl and alkynyl is unsubstituted or substituted with 1, 2 or 3 substituents independently selected from halogen, C1-C2 alkoxy, C1- C2 alkylcarbamoyl, cyano, phenyl, a 4-, 5- or 6-membered saturated, partially saturated or aromatic heterocycle, or cyclopropyl; and wherein said cyclopropyl group is unsubstituted or substituted with 1 substituent selected from cyano; wherein any of said 4-, 5- or 6-membered saturated, partially saturated or aromatic heterocycle contains 1, 2 or 3 heteroatoms selected from O, S or N, with the proviso that no more than one is O or S; and wherein said any of said phenyl and 4-, 5- or 6-membered saturated, partially saturated or aromatic heterocycles, are unsubstituted or substituted with 1 or 2 substituents independently selected from halogen, C1-C2alkyl, C2-C3 alkenyl, cyano, acetyl, carbamoyl, C1-C2 alkylcarbamoyl, C1-C2 alkoxy, C1-C2alkoxy-C1- C2alkyl, cyano-C1-C2alkyl, C1-C2alkylcarbamoyl-C1-C2alkyl, cyclopropyl, or cyanocyclopropyl; or Z1 is phenyl, a 4-, 5- or 6-membered saturated, partially saturated or aromatic heterocycle, or cyclopropyl, and wherein said cyclopropyl group is unsubstituted or substituted with 1 substituent selected from cyano; wherein any of said 4-, 5- or 6-membered saturated, partially saturated or aromatic heterocycle contains 1, 2 or 3 heteroatoms selected from O, S or N, with the proviso that no more than one O or S; and wherein any of said phenyl and 4-, 5- or 6-membered saturated, partially saturated or aromatic heterocycles, are unsubstituted or substituted with 1 or 2 substituents independently selected from halogen, C1-C2 haloalkyl, C1-C2alkyl, C2-C3 alkenyl, C2-C3 alkynyl, cyano, carbamoyl, di(C1-C2alkyl)carbamoyl, C1-C2 alkylcarbamoyl, C1-C2 alkoxy, C1- C2alkoxy-C1-C2alkyl, cyano-C1-C2alkyl, C1-C2alkoxycarbonyl-C1-C2alkyl, hydroxycarbonyl-C1-C2alkyl, C1- C2alkylcarbamoyl-C1-C2alkyl, (di-C1-C2alkyl)carbamoyl-C1-C2 alkyl, cyclopropyl, or cyanocyclopropyl; or Z1 is cyano, or halogen; and Z2 is C1-C6alkyl, wherein said C1-C6alkyl is unsubstituted or substituted with 1, 2 or 3 substituents selected from halogen, or with one substituent selected from C1-C3 alkoxy, phenyl, a 4, 5- or 6- membered saturated, partially unsaturated or aromatic heterocycles, or cyclopropyl; wherein said cyclopropyl is unsubstituted or substituted with 1 substituent selected from cyano; wherein any of said 4-, 5- or 6-membered saturated, partially saturated or aromatic heterocycle contains 1, 2 or 3 heteroatoms selected from O, S or N, with the proviso that only one
82953 FF 25 is O or S; and wherein any of said phenyl and 4-, 5- or 6-membered saturated, partially saturated or aromatic heterocycles, are unsubstituted or substituted with 1, or 2 substituents selected from halogen, cyano, C1-C3 haloalkyl, C1-C3alkyl, C1-C3 alkoxy, cyclopropyl, or cyanocyclopropyl. In one embodiment of the invention, the compound of formula (I) may be a compound of formula (I-A1), wherein W1 is a bond; and wherein W2 is NR14; and wherein 1
R , R2, R3, R4, R5, R14, Z1 and are as formula (I) according to the present invention. In one embodiment, in a compound of formula (I-A1) R1 is C1-C3 alkyl, or C3-C6cycloalkyl; R2 is hydrogen, halogen, C1-C3 alkyl, C1-C3 alkoxy, C1-C2 alkoxy-C1-C2alkyl, C1-C2 alkoxy-C1-C2alkoxy, C1- C2alkoxy-C1-C2alkoxy-C1-C2alkyl, acetyl, or N-C1-C2 alkoxy-C-C1-C2 alkyl-carbonimidoyl; R3 is hydrogen; R4 is halogen, or C1-C3 alkyl; and R5 is hydrogen; or R4 is hydrogen; and R5 is halogen or C1-C3 alkyl; R14 is hydrogen, or C1-C4 alkyl, wherein said C1-C4 alkyl is unsubstituted or substituted with 1 substituent selected from cyano, halogen, or C1-C4 alkoxy; Z1 is hydrogen, C1-C6alkyl, C2-C6alkenyl, or C2-C6alkynyl, wherein any of said alkyl, alkenyl and alkynyl is unsubstituted or substituted with 1, 2 or 3 substituents independently selected from halogen, C1-C2 alkoxy, C1- C2 alkylcarbamoyl, cyano, phenyl, a 4-, 5- or 6-membered saturated, partially saturated or aromatic heterocycle, or cyclopropyl; and wherein said cyclopropyl group is unsubstituted or substituted with 1 substituent selected from cyano; wherein any of said 4-, 5- or 6-membered saturated, partially saturated or aromatic heterocycle contains 1, 2 or 3 heteroatoms selected from O, S or N, with the proviso that no more than one is O or S; and wherein said any of said phenyl and 4-, 5- or 6-membered saturated, partially saturated or aromatic heterocycles, are unsubstituted or substituted with 1 or 2 substituents independently selected from halogen, C1-C2alkyl, C2-C3 alkenyl, cyano, acetyl, carbamoyl, C1-C2 alkylcarbamoyl, C1-C2 alkoxy, C1-C2alkoxy-C1- C2alkyl, cyano-C1-C2alkyl, C1-C2alkylcarbamoyl-C1-C2alkyl, cyclopropyl, or cyanocyclopropyl; or Z1 is phenyl, a 4-, 5- or 6-membered saturated, partially saturated or aromatic heterocycle, or cyclopropyl, and wherein said cyclopropyl group is unsubstituted or substituted with 1 substituent selected from cyano; wherein any of said 4-, 5- or 6-membered saturated, partially saturated or aromatic heterocycle contains 1, 2 or 3 heteroatoms selected from O, S or N, with the proviso that no more than one O or S; and wherein any of said phenyl and 4-, 5- or 6-membered saturated, partially saturated or aromatic heterocycles, are unsubstituted or
82953 FF 26 substituted with 1 or 2 substituents independently selected from halogen, C1-C2 haloalkyl, C1-C2alkyl, C2-C3 alkenyl, C2-C3 alkynyl, cyano, carbamoyl, di(C1-C2alkyl)carbamoyl, C1-C2 alkylcarbamoyl, C1-C2 alkoxy, C1- C2alkoxy-C1-C2alkyl, cyano-C1-C2alkyl, C1-C2alkoxycarbonyl-C1-C2alkyl, hydroxycarbonyl-C1-C2alkyl, C1- C2alkylcarbamoyl-C1-C2alkyl, (di-C1-C2alkyl)carbamoyl-C1-C2 alkyl, cyclopropyl, or cyanocyclopropyl; or Z1 is cyano, or halogen; and Z2 is C1-C6alkyl, wherein said C1-C6alkyl is unsubstituted or substituted with 1, 2 or 3 substituents selected from halogen, or with one substituent selected from C1-C3 alkoxy, phenyl, a 4, 5- or 6- membered saturated, partially unsaturated or aromatic heterocycle, or cyclopropyl; wherein said cyclopropyl is unsubstituted or substituted with 1 substituent selected from cyano; wherein any of said 4-, 5- or 6-membered saturated, partially saturated or aromatic heterocycle contains 1, 2 or 3 heteroatoms selected from O, S or N, with the proviso that only one is O or S; and wherein any of said phenyl and 4-, 5- or 6-membered saturated, partially saturated or aromatic heterocycles, are unsubstituted or substituted with 1, or 2 substituents selected from halogen, cyano, C1-C3 haloalkyl, C1-C3alkyl, C1-C3 alkoxy, cyclopropyl, or cyanocyclopropyl. In another embodiment of the invention, in a compound of formula (I-A1) R1 is C1-C3 alkyl, or C3-C6cycloalkyl; R2 is hydrogen, halogen, C1-C3 alkyl, C1-C3 alkoxy, C1-C2 alkoxy-C1-C2alkyl, C1-C2 alkoxy-C1-C2alkoxy, C1- C2alkoxy-C1-C2alkoxy-C1-C2alkyl, acetyl, or N-C1-C2 alkoxy-C-C1-C2 alkyl-carbonimidoyl; R3 is hydrogen; R4 is halogen, or C1-C3 alkyl; and R5 is hydrogen; or R4 is hydrogen; and R5 is halogen or C1-C3 alkyl; R14 is hydrogen, or C1-C3 alkyl; Z1 is hydrogen, C1-C6alkyl, C2-C6alkenyl, or C2-C6alkynyl, wherein any of said alkyl, alkenyl and alkynyl is unsubstituted or substituted with 1, 2 or 3 substituents independently selected from halogen, C1-C2 alkoxy, C1- C2 alkylcarbamoyl, cyano, phenyl, a 4-, 5- or 6-membered saturated, partially saturated or aromatic heterocycle, or cyclopropyl; and wherein said cyclopropyl group is unsubstituted or substituted with 1 substituent selected from cyano; wherein any of said 4-, 5- or 6-membered saturated, partially saturated or aromatic heterocycle contains 1, 2 or 3 heteroatoms selected from O, S or N, with the proviso that no more than one is O or S; and wherein said any of said phenyl and 4-, 5- or 6-membered saturated, partially saturated or aromatic heterocycles, are unsubstituted or substituted with 1 or 2 substituents independently selected from halogen, C1-C2alkyl, C2-C3 alkenyl, cyano, acetyl, carbamoyl, C1-C2 alkylcarbamoyl, C1-C2 alkoxy, C1-C2alkoxy-C1- C2alkyl, cyano-C1-C2alkyl, C1-C2alkylcarbamoyl-C1-C2alkyl, cyclopropyl, or cyanocyclopropyl; or Z1 is phenyl, a 4-, 5- or 6-membered saturated, partially saturated or aromatic heterocycle, or cyclopropyl, and wherein said cyclopropyl group is unsubstituted or substituted with 1 substituent selected from cyano; wherein any of said 4-, 5- or 6-membered saturated, partially saturated or aromatic heterocycle contains 1, 2 or 3 heteroatoms selected from O, S or N, with the proviso that no more than one O or S; and wherein any of said phenyl and 4-, 5- or 6-membered saturated, partially saturated or aromatic heterocycles, are unsubstituted or substituted with 1 or 2 substituents independently selected from halogen, C1-C2 haloalkyl, C1-C2alkyl, C2-C3 alkenyl, C2-C3 alkynyl, cyano, carbamoyl, di(C1-C2alkyl)carbamoyl, C1-C2 alkylcarbamoyl, C1-C2 alkoxy, C1-
82953 FF 27 C2alkoxy-C1-C2alkyl, cyano-C1-C2alkyl, C1-C2alkoxycarbonyl-C1-C2alkyl, hydroxycarbonyl-C1-C2alkyl, C1- C2alkylcarbamoyl-C1-C2alkyl, (di-C1-C2alkyl)carbamoyl-C1-C2 alkyl, cyclopropyl, or cyanocyclopropyl; or Z1 is cyano, or halogen; and Z2 is C1-C6alkyl, wherein said C1-C6alkyl is unsubstituted or substituted with 1, 2 or 3 substituents selected from halogen, or with one substituent selected from C1-C3 alkoxy, phenyl, a 4, 5- or 6- membered saturated, partially unsaturated or aromatic heterocycle, or cyclopropyl; wherein said cyclopropyl is unsubstituted or substituted with 1 substituent selected from cyano; wherein any of said 4-, 5- or 6-membered saturated, partially saturated or aromatic heterocycle contains 1, 2 or 3 heteroatoms selected from O, S or N, with the proviso that only one is O or S; and wherein any of said phenyl and 4-, 5- or 6-membered saturated, partially saturated or aromatic heterocycles, are unsubstituted or substituted with 1, or 2 substituents selected from halogen, cyano, C1-C3 haloalkyl, C1-C3alkyl, C1-C3 alkoxy, cyclopropyl, or cyanocyclopropyl. In one embodiment of the invention, in a compound of formula (I-A1) R1 is C1-C3 alkyl, or C3-C6cycloalkyl; R2 is halogen, or C1-C3 alkyl; R3 is hydrogen; R4 is halogen, or C1-C3 alkyl; and R5 is hydrogen; or R4 is hydrogen; and R5 is halogen or C1-C3 alkyl; R14 is hydrogen or C1-C3 alkyl; Z1 is hydrogen, C1-C6alkyl, C2-C6alkenyl, or C2-C6alkynyl, wherein any of said alkyl, alkenyl and alkynyl is unsubstituted or substituted with 1, 2 or 3 substituents independently selected from halogen, C1-C2 alkoxy, C1- C2 alkylcarbamoyl, cyano, phenyl, a 4-, 5- or 6-membered saturated, partially saturated or aromatic heterocycle, or cyclopropyl; and wherein said cyclopropyl group is unsubstituted or substituted with 1 substituent selected from cyano; wherein any of said 4-, 5- or 6-membered saturated, partially saturated or aromatic heterocycle contains 1, 2 or 3 heteroatoms selected from O, S or N, with the proviso that no more than one is O or S; and wherein said any of said phenyl and 4-, 5- or 6-membered saturated, partially saturated or aromatic heterocycles, are unsubstituted or substituted with 1 or 2 substituents independently selected from halogen, C1-C2alkyl, C2-C3 alkenyl, cyano, acetyl, carbamoyl, C1-C2 alkylcarbamoyl, C1-C2 alkoxy, C1-C2alkoxy-C1- C2alkyl, cyano-C1-C2alkyl, C1-C2alkylcarbamoyl-C1-C2alkyl, cyclopropyl, or cyanocyclopropyl; or Z1 is phenyl, a 4-, 5- or 6-membered saturated, partially saturated or aromatic heterocycle, or cyclopropyl, and wherein said cyclopropyl group is unsubstituted or substituted with 1 substituent selected from cyano; wherein any of said 4-, 5- or 6-membered saturated, partially saturated or aromatic heterocycle contains 1, 2 or 3 heteroatoms selected from O, S or N, with the proviso that no more than one O or S; and wherein any of said phenyl and 4-, 5- or 6-membered saturated, partially saturated or aromatic heterocycles, are unsubstituted or substituted with 1 or 2 substituents independently selected from halogen, C1-C2 haloalkyl, C1-C2alkyl, C2-C3 alkenyl, C2-C3 alkynyl, cyano, carbamoyl, di(C1-C2alkyl)carbamoyl, C1-C2 alkylcarbamoyl, C1-C2 alkoxy, C1- C2alkoxy-C1-C2alkyl, cyano-C1-C2alkyl, C1-C2alkoxycarbonyl-C1-C2alkyl, hydroxycarbonyl-C1-C2alkyl, C1- C2alkylcarbamoyl-C1-C2alkyl, (di-C1-C2alkyl)carbamoyl-C1-C2 alkyl, cyclopropyl, or cyanocyclopropyl; or Z1 is cyano, or halogen; and
82953 FF 28 Z2 is C1-C6alkyl, wherein said C1-C6alkyl is unsubstituted or substituted with 1, 2 or 3 substituents selected from halogen, or with one substituent selected from C1-C3 alkoxy, phenyl, a 4, 5- or 6- membered saturated, partially unsaturated or aromatic heterocycle, or cyclopropyl; wherein said cyclopropyl is unsubstituted or substituted with 1 substituent selected from cyano; wherein any of said 4-, 5- or 6-membered saturated, partially saturated or aromatic heterocycle contains 1, 2 or 3 heteroatoms selected from O, S or N, with the proviso that only one is O or S; and wherein any of said phenyl and 4-, 5- or 6-membered saturated, partially saturated or aromatic heterocycles, are unsubstituted or substituted with 1, or 2 substituents selected from halogen, cyano, C1-C3 haloalkyl, C1-C3alkyl, C1-C3 alkoxy, cyclopropyl, or cyanocyclopropyl. In another embodiment of the invention, in a compound of formula (I-A1) R1 is C1-C3 alkyl, or C3-C6cycloalkyl; R2 is halogen, or C1-C3 alkyl; R3 is hydrogen; R4 is halogen, or C1-C3 alkyl; and R5 is hydrogen; or R4 is hydrogen; and R5 is halogen or C1-C3 alkyl; R14 is hydrogen or C1-C3 alkyl; Z1 is hydrogen, C1-C6alkyl, C2-C6alkenyl, or C2-C6alkynyl, wherein any of said alkyl, alkenyl and alkynyl is unsubstituted or substituted with 1, 2 or 3 substituents independently selected from halogen, C1-C2 alkoxy, C1- C2 alkylcarbamoyl, cyano, phenyl, a 4-, 5- or 6-membered saturated, partially saturated or aromatic heterocycle, or cyclopropyl; and wherein said cyclopropyl group is unsubstituted or substituted with 1 substituent selected from cyano; wherein any of said 4-, 5- or 6-membered saturated, partially saturated or aromatic heterocycle contains 1, 2 or 3 heteroatoms selected from O, S or N, with the proviso that no more than one is O or S; and wherein said any of said phenyl and 4-, 5- or 6-membered saturated, partially saturated or aromatic heterocycles, are unsubstituted or substituted with 1 or 2 substituents independently selected from halogen, C1-C2alkyl, C2-C3 alkenyl, cyano, acetyl, carbamoyl, C1-C2 alkylcarbamoyl, C1-C2 alkoxy, C1-C2alkoxy-C1- C2alkyl, cyano-C1-C2alkyl, C1-C2alkylcarbamoyl-C1-C2alkyl, cyclopropyl, or cyanocyclopropyl; or Z1 is phenyl, a 4-, 5- or 6-membered saturated, partially saturated or aromatic heterocycle, or cyclopropyl, and wherein said cyclopropyl group is unsubstituted or substituted with 1 substituent selected from cyano; wherein any of said 4-, 5- or 6-membered saturated, partially saturated or aromatic heterocycle contains 1, 2 or 3 heteroatoms selected from O, S or N, with the proviso that no more than one O or S; and wherein any of said phenyl and 4-, 5- or 6-membered saturated, partially saturated or aromatic heterocycles, are unsubstituted or substituted with 1 or 2 substituents independently selected from halogen, C1-C2 haloalkyl, C1-C2alkyl, C2-C3 alkenyl, C2-C3 alkynyl, cyano, carbamoyl, di(C1-C2alkyl)carbamoyl, C1-C2 alkylcarbamoyl, C1-C2 alkoxy, C1- C2alkoxy-C1-C2alkyl, cyano-C1-C2alkyl, C1-C2alkoxycarbonyl-C1-C2alkyl, hydroxycarbonyl-C1-C2alkyl, C1- C2alkylcarbamoyl-C1-C2alkyl, (di-C1-C2alkyl)carbamoyl-C1-C2 alkyl, cyclopropyl, or cyanocyclopropyl; or Z1 is cyano, or halogen; and Z2 is C1-C6alkyl, wherein said C1-C6alkyl is unsubstituted or substituted with 1, 2 or 3 substituents selected from halogen, or with one substituent selected from C1-C3 alkoxy, phenyl, a 4, 5- or 6- membered saturated, partially unsaturated or aromatic heterocycles, or cyclopropyl; wherein said cyclopropyl is unsubstituted or substituted with 1 substituent selected from cyano; wherein any of said 4-, 5- or 6-membered saturated, partially saturated
82953 FF 29 or aromatic heterocycle contains 1, 2 or 3 heteroatoms selected from O, S or N, with the proviso that only one is O or S; and wherein any of said phenyl and 4-, 5- or 6-membered saturated, partially saturated or aromatic heterocycles, are unsubstituted or substituted with 1, or 2 substituents selected from halogen, cyano, C1-C3 haloalkyl, C1-C3alkyl, C1-C3 alkoxy, cyclopropyl, or cyanocyclopropyl. In one embodiment of the invention, the compound of formula (I) may be a compound of formula (I-A2), wherein W1 is a bond; and wherein W2 is O; and wherein 1 2 3 4 5
R , R , R , R , R , Z1 and Z2 are as (I) according to the present invention. In one embodiment, in a compound of formula (I-A2) R1 is C1-C3 alkyl, or C3-C6cycloalkyl; R2 is hydrogen, halogen, C1-C3 alkyl, C1-C3 alkoxy, C1-C2 alkoxy-C1-C2alkyl, C1-C2 alkoxy-C1-C2alkoxy, C1- C2alkoxy-C1-C2alkoxy-C1-C2alkyl, acetyl, or N-C1-C2 alkoxy-C-C1-C2 alkyl-carbonimidoyl; R3 is hydrogen; R4 is halogen, or C1-C3 alkyl; and R5 is hydrogen; or R4 is hydrogen; and R5 is halogen or C1-C3 alkyl; Z1 is hydrogen, C1-C6alkyl, C2-C6alkenyl, or C2-C6alkynyl, wherein any of said alkyl, alkenyl and alkynyl is unsubstituted or substituted with 1, 2 or 3 substituents independently selected from halogen, C1-C2 alkoxy, C1- C2 alkylcarbamoyl, cyano, phenyl, a 4-, 5- or 6-membered saturated, partially saturated or aromatic heterocycle, or cyclopropyl; and wherein said cyclopropyl group is unsubstituted or substituted with 1 substituent selected from cyano; wherein any of said 4-, 5- or 6-membered saturated, partially saturated or aromatic heterocycle contains 1, 2 or 3 heteroatoms selected from O, S or N, with the proviso that no more than one is O or S; and wherein said any of said phenyl and 4-, 5- or 6-membered saturated, partially saturated or aromatic heterocycles, are unsubstituted or substituted with 1 or 2 substituents independently selected from halogen, C1-C2alkyl, C2-C3 alkenyl, cyano, acetyl, carbamoyl, C1-C2 alkylcarbamoyl, C1-C2 alkoxy, C1-C2alkoxy-C1- C2alkyl, cyano-C1-C2alkyl, C1-C2alkylcarbamoyl-C1-C2alkyl, cyclopropyl, or cyanocyclopropyl; or Z1 is phenyl, a 4-, 5- or 6-membered saturated, partially saturated or aromatic heterocycle, or cyclopropyl, and wherein said cyclopropyl group is unsubstituted or substituted with 1 substituent selected from cyano; wherein any of said 4-, 5- or 6-membered saturated, partially saturated or aromatic heterocycle contains 1, 2 or 3 heteroatoms selected from O, S or N, with the proviso that no more than one O or S; and wherein any of said phenyl and 4-, 5- or 6-membered saturated, partially saturated or aromatic heterocycles, are unsubstituted or substituted with 1 or 2 substituents independently selected from halogen, C1-C2 haloalkyl, C1-C2alkyl, C2-C3 alkenyl, C2-C3 alkynyl, cyano, carbamoyl, di(C1-C2alkyl)carbamoyl, C1-C2 alkylcarbamoyl, C1-C2 alkoxy, C1-
82953 FF 30 C2alkoxy-C1-C2alkyl, cyano-C1-C2alkyl, C1-C2alkoxycarbonyl-C1-C2alkyl, hydroxycarbonyl-C1-C2alkyl, C1- C2alkylcarbamoyl-C1-C2alkyl, (di-C1-C2alkyl)carbamoyl-C1-C2 alkyl, cyclopropyl, or cyanocyclopropyl; or Z1 is cyano, or halogen; and Z2 is C1-C6alkyl, wherein said C1-C6alkyl is unsubstituted or substituted with 1, 2 or 3 substituents selected from halogen, or with one substituent selected from C1-C3 alkoxy, phenyl, a 4, 5- or 6- membered saturated, partially unsaturated or aromatic heterocycle, or cyclopropyl; wherein said cyclopropyl is unsubstituted or substituted with 1 substituent selected from cyano; wherein any of said 4-, 5- or 6-membered saturated, partially saturated or aromatic heterocycle contains 1, 2 or 3 heteroatoms selected from O, S or N, with the proviso that only one is O or S; and wherein any of said phenyl and 4-, 5- or 6-membered saturated, partially saturated or aromatic heterocycles, are unsubstituted or substituted with 1, or 2 substituents selected from halogen, cyano, C1-C3 haloalkyl, C1-C3alkyl, C1-C3 alkoxy, cyclopropyl, or cyanocyclopropyl. In another embodiment of the invention, in a compound of formula (I-A2) R1 is C1-C3 alkyl, or C3-C6cycloalkyl; R2 is hydrogen, halogen, C1-C3 alkyl, C1-C3 alkoxy, C1-C2 alkoxy-C1-C2alkyl, C1-C2 alkoxy-C1-C2alkoxy, C1- C2alkoxy-C1-C2alkoxy-C1-C2alkyl, acetyl, or N-C1-C2 alkoxy-C-C1-C2 alkyl-carbonimidoyl; R3 is hydrogen; R4 is halogen, or C1-C3 alkyl; and R5 is hydrogen; or R4 is hydrogen; and R5 is halogen or C1-C3 alkyl; Z1 is hydrogen, C1-C6alkyl, C2-C6alkenyl, or C2-C6alkynyl, wherein any of said alkyl, alkenyl and alkynyl is unsubstituted or substituted with 1, 2 or 3 substituents independently selected from halogen, C1-C2 alkoxy, C1- C2 alkylcarbamoyl, cyano, phenyl, a 4-, 5- or 6-membered saturated, partially saturated or aromatic heterocycle, or cyclopropyl; and wherein said cyclopropyl group is unsubstituted or substituted with 1 substituent selected from cyano; wherein any of said 4-, 5- or 6-membered saturated, partially saturated or aromatic heterocycle contains 1, 2 or 3 heteroatoms selected from O, S or N, with the proviso that no more than one is O or S; and wherein said any of said phenyl and 4-, 5- or 6-membered saturated, partially saturated or aromatic heterocycles, are unsubstituted or substituted with 1 or 2 substituents independently selected from halogen, C1-C2alkyl, C2-C3 alkenyl, cyano, acetyl, carbamoyl, C1-C2 alkylcarbamoyl, C1-C2 alkoxy, C1-C2alkoxy-C1- C2alkyl, cyano-C1-C2alkyl, C1-C2alkylcarbamoyl-C1-C2alkyl, cyclopropyl, or cyanocyclopropyl; or Z1 is phenyl, a 4-, 5- or 6-membered saturated, partially saturated or aromatic heterocycle, or cyclopropyl, and wherein said cyclopropyl group is unsubstituted or substituted with 1 substituent selected from cyano; wherein any of said 4-, 5- or 6-membered saturated, partially saturated or aromatic heterocycle contains 1, 2 or 3 heteroatoms selected from O, S or N, with the proviso that no more than one O or S; and wherein any of said phenyl and 4-, 5- or 6-membered saturated, partially saturated or aromatic heterocycles, are unsubstituted or substituted with 1 or 2 substituents independently selected from halogen, C1-C2 haloalkyl, C1-C2alkyl, C2-C3 alkenyl, C2-C3 alkynyl, cyano, carbamoyl, di(C1-C2alkyl)carbamoyl, C1-C2 alkylcarbamoyl, C1-C2 alkoxy, C1- C2alkoxy-C1-C2alkyl, cyano-C1-C2alkyl, C1-C2alkoxycarbonyl-C1-C2alkyl, hydroxycarbonyl-C1-C2alkyl, C1- C2alkylcarbamoyl-C1-C2alkyl, (di-C1-C2alkyl)carbamoyl-C1-C2 alkyl, cyclopropyl, or cyanocyclopropyl; or Z1 is cyano, or halogen; and
82953 FF 31 Z2 is C1-C6alkyl, wherein said C1-C6alkyl is unsubstituted or substituted with 1, 2 or 3 substituents selected from halogen, or with one substituent selected from C1-C3 alkoxy, phenyl, a 4, 5- or 6- membered saturated, partially unsaturated or aromatic heterocycle, or cyclopropyl; wherein said cyclopropyl is unsubstituted or substituted with 1 substituent selected from cyano; wherein any of said 4-, 5- or 6-membered saturated, partially saturated or aromatic heterocycle contains 1, 2 or 3 heteroatoms selected from O, S or N, with the proviso that only one is O or S; and wherein any of said phenyl and 4-, 5- or 6-membered saturated, partially saturated or aromatic heterocycles, are unsubstituted or substituted with 1, or 2 substituents selected from halogen, cyano, C1-C3 haloalkyl, C1-C3alkyl, C1-C3 alkoxy, cyclopropyl, or cyanocyclopropyl. In one embodiment of the invention, in a compound of formula (I-A2) R1 is C1-C3 alkyl, or C3-C6cycloalkyl; R2 is halogen, or C1-C3 alkyl; R3 is hydrogen; R4 is halogen, or C1-C3 alkyl; and R5 is hydrogen; or R4 is hydrogen; and R5 is halogen or C1-C3 alkyl; Z1 is hydrogen, C1-C6alkyl, C2-C6alkenyl, or C2-C6alkynyl, wherein any of said alkyl, alkenyl and alkynyl is unsubstituted or substituted with 1, 2 or 3 substituents independently selected from halogen, C1-C2 alkoxy, C1- C2 alkylcarbamoyl, cyano, phenyl, a 4-, 5- or 6-membered saturated, partially saturated or aromatic heterocycle, or cyclopropyl; and wherein said cyclopropyl group is unsubstituted or substituted with 1 substituent selected from cyano; wherein any of said 4-, 5- or 6-membered saturated, partially saturated or aromatic heterocycle contains 1, 2 or 3 heteroatoms selected from O, S or N, with the proviso that no more than one is O or S; and wherein said any of said phenyl and 4-, 5- or 6-membered saturated, partially saturated or aromatic heterocycles, are unsubstituted or substituted with 1 or 2 substituents independently selected from halogen, C1-C2alkyl, C2-C3 alkenyl, cyano, acetyl, carbamoyl, C1-C2 alkylcarbamoyl, C1-C2 alkoxy, C1-C2alkoxy-C1- C2alkyl, cyano-C1-C2alkyl, C1-C2alkylcarbamoyl-C1-C2alkyl, cyclopropyl, or cyanocyclopropyl; or Z1 is phenyl, a 4-, 5- or 6-membered saturated, partially saturated or aromatic heterocycle, or cyclopropyl, and wherein said cyclopropyl group is unsubstituted or substituted with 1 substituent selected from cyano; wherein any of said 4-, 5- or 6-membered saturated, partially saturated or aromatic heterocycle contains 1, 2 or 3 heteroatoms selected from O, S or N, with the proviso that no more than one O or S; and wherein any of said phenyl and 4-, 5- or 6-membered saturated, partially saturated or aromatic heterocycles, are unsubstituted or substituted with 1 or 2 substituents independently selected from halogen, C1-C2 haloalkyl, C1-C2alkyl, C2-C3 alkenyl, C2-C3 alkynyl, cyano, carbamoyl, di(C1-C2alkyl)carbamoyl, C1-C2 alkylcarbamoyl, C1-C2 alkoxy, C1- C2alkoxy-C1-C2alkyl, cyano-C1-C2alkyl, C1-C2alkoxycarbonyl-C1-C2alkyl, hydroxycarbonyl-C1-C2alkyl, C1- C2alkylcarbamoyl-C1-C2alkyl, (di-C1-C2alkyl)carbamoyl-C1-C2 alkyl, cyclopropyl, or cyanocyclopropyl; or Z1 is cyano, or halogen; and Z2 is C1-C6alkyl, wherein said C1-C6alkyl is unsubstituted or substituted with 1, 2 or 3 substituents selected from halogen, or with one substituent selected from C1-C3 alkoxy, phenyl, a 4, 5- or 6- membered saturated, partially unsaturated or aromatic heterocycle, or cyclopropyl; wherein said cyclopropyl is unsubstituted or substituted with 1 substituent selected from cyano; wherein any of said 4-, 5- or 6-membered saturated, partially saturated or aromatic heterocycle contains 1, 2 or 3 heteroatoms selected from O, S or N, with the proviso that only one
82953 FF 32 is O or S; and wherein any of said phenyl and 4-, 5- or 6-membered saturated, partially saturated or aromatic heterocycles, are unsubstituted or substituted with 1, or 2 substituents selected from halogen, cyano, C1-C3 haloalkyl, C1-C3alkyl, C1-C3 alkoxy, cyclopropyl, or cyanocyclopropyl. In another embodiment of the invention, in a compound of formula (I-A2) R1 is C1-C3 alkyl, or C3-C6cycloalkyl; R2 is halogen, or C1-C3 alkyl; R3 is hydrogen; R4 is halogen, or C1-C3 alkyl; and R5 is hydrogen; or R4 is hydrogen; and R5 is halogen or C1-C3 alkyl; Z1 is hydrogen, C1-C6alkyl, C2-C6alkenyl, or C2-C6alkynyl, wherein any of said alkyl, alkenyl and alkynyl is unsubstituted or substituted with 1, 2 or 3 substituents independently selected from halogen, C1-C2 alkoxy, C1- C2 alkylcarbamoyl, cyano, phenyl, a 4-, 5- or 6-membered saturated, partially saturated or aromatic heterocycle, or cyclopropyl; and wherein said cyclopropyl group is unsubstituted or substituted with 1 substituent selected from cyano; wherein any of said 4-, 5- or 6-membered saturated, partially saturated or aromatic heterocycle contains 1, 2 or 3 heteroatoms selected from O, S or N, with the proviso that no more than one is O or S; and wherein said any of said phenyl and 4-, 5- or 6-membered saturated, partially saturated or aromatic heterocycles, are unsubstituted or substituted with 1 or 2 substituents independently selected from halogen, C1-C2alkyl, C2-C3 alkenyl, cyano, acetyl, carbamoyl, C1-C2 alkylcarbamoyl, C1-C2 alkoxy, C1-C2alkoxy-C1- C2alkyl, cyano-C1-C2alkyl, C1-C2alkylcarbamoyl-C1-C2alkyl, cyclopropyl, or cyanocyclopropyl; or Z1 is phenyl, a 4-, 5- or 6-membered saturated, partially saturated or aromatic heterocycle, or cyclopropyl, and wherein said cyclopropyl group is unsubstituted or substituted with 1 substituent selected from cyano; wherein any of said 4-, 5- or 6-membered saturated, partially saturated or aromatic heterocycle contains 1, 2 or 3 heteroatoms selected from O, S or N, with the proviso that no more than one O or S; and wherein any of said phenyl and 4-, 5- or 6-membered saturated, partially saturated or aromatic heterocycles, are unsubstituted or substituted with 1 or 2 substituents independently selected from halogen, C1-C2 haloalkyl, C1-C2alkyl, C2-C3 alkenyl, C2-C3 alkynyl, cyano, carbamoyl, di(C1-C2alkyl)carbamoyl, C1-C2 alkylcarbamoyl, C1-C2 alkoxy, C1- C2alkoxy-C1-C2alkyl, cyano-C1-C2alkyl, C1-C2alkoxycarbonyl-C1-C2alkyl, hydroxycarbonyl-C1-C2alkyl, C1- C2alkylcarbamoyl-C1-C2alkyl, (di-C1-C2alkyl)carbamoyl-C1-C2 alkyl, cyclopropyl, or cyanocyclopropyl; or Z1 is cyano, or halogen; and Z2 is C1-C6alkyl, wherein said C1-C6alkyl is unsubstituted or substituted with 1, 2 or 3 substituents selected from halogen, or with one substituent selected from C1-C3 alkoxy, phenyl, a 4, 5- or 6- membered saturated, partially unsaturated or aromatic heterocycles, or cyclopropyl; wherein said cyclopropyl is unsubstituted or substituted with 1 substituent selected from cyano; wherein any of said 4-, 5- or 6-membered saturated, partially saturated or aromatic heterocycle contains 1, 2 or 3 heteroatoms selected from O, S or N, with the proviso that only one is O or S; and wherein any of said phenyl and 4-, 5- or 6-membered saturated, partially saturated or aromatic heterocycles, are unsubstituted or substituted with 1, or 2 substituents selected from halogen, cyano, C1-C3 haloalkyl, C1-C3alkyl, C1-C3 alkoxy, cyclopropyl, or cyanocyclopropyl.
82953 FF 33 In one embodiment of the invention, the compound of formula (I) may be a compound of formula (I-A3), wherein W1 is a bond; and wherein W2 is NR15O-; and wherein 1 2 3
R , R , R , R4, R5, R15, Z1 and are as (I) according to the present invention. In one embodiment, in a compound of formula (I-A3) R1 is C1-C3-alkyl, or C3-C6-cycloalkyl; R2 is hydrogen, halogen, C1-C3-alkyl, C1-C3-alkoxy, C1-C2-alkoxy-C1-C2-alkyl, C1-C2-alkoxy-C1-C2-alkoxy, C1- C2-alkoxy-C1-C2-alkoxy-C1-C2-alkyl, acetyl, or N-C1-C2-alkoxy-C-C1-C2-alkyl-carbonimidoyl; R3 is hydrogen; R4 is halogen, or C1-C3-alkyl; and R5 is hydrogen; or R4 is hydrogen; and R5 is halogen or C1-C3-alkyl; R15 is hydrogen, or C1-C4-alkyl, wherein said C1-C4 alkyl is unsubstituted or substituted with 1 substituent selected from cyano, halogen, or C1-C4 alkoxy; Z1 is hydrogen, C1-C6-alkyl, C2-C6-alkenyl, or C2-C6-alkynyl, wherein any of said alkyl, alkenyl and alkynyl is unsubstituted or substituted with 1, 2 or 3 substituents independently selected from halogen, C1-C2 alkoxy, C1- C2 alkylcarbamoyl, cyano, phenyl, a 4-, 5- or 6-membered saturated, partially saturated or aromatic heterocycle, or cyclopropyl; and wherein said cyclopropyl group is unsubstituted or substituted with 1 substituent selected from cyano; wherein any of said 4-, 5- or 6-membered saturated, partially saturated or aromatic heterocycle contains 1, 2 or 3 heteroatoms selected from O, S or N, with the proviso that no more than one is O or S; and wherein said any of said phenyl and 4-, 5- or 6-membered saturated, partially saturated or aromatic heterocycles, are unsubstituted or substituted with 1 or 2 substituents independently selected from halogen, C1-C2alkyl, C2-C3 alkenyl, cyano, acetyl, carbamoyl, C1-C2 alkylcarbamoyl, C1-C2 alkoxy, C1-C2alkoxy-C1- C2alkyl, cyano-C1-C2alkyl, C1-C2alkylcarbamoyl-C1-C2alkyl, cyclopropyl, or cyanocyclopropyl; or Z1 is phenyl, a 4-, 5- or 6-membered saturated, partially saturated or aromatic heterocycle, or cyclopropyl, and wherein said cyclopropyl group is unsubstituted or substituted with 1 substituent selected from cyano; wherein any of said 4-, 5- or 6-membered saturated, partially saturated or aromatic heterocycle contains 1, 2 or 3 heteroatoms selected from O, S or N, with the proviso that no more than one O or S; and wherein any of said phenyl and 4-, 5- or 6-membered saturated, partially saturated or aromatic heterocycles, are unsubstituted or substituted with 1 or 2 substituents independently selected from halogen, C1-C2 haloalkyl, C1-C2alkyl, C2-C3 alkenyl, C2-C3 alkynyl, cyano, carbamoyl, di(C1-C2alkyl)carbamoyl, C1-C2 alkylcarbamoyl, C1-C2 alkoxy, C1- C2alkoxy-C1-C2alkyl, cyano-C1-C2alkyl, C1-C2alkoxycarbonyl-C1-C2alkyl, hydroxycarbonyl-C1-C2alkyl, C1- C2alkylcarbamoyl-C1-C2alkyl, (di-C1-C2alkyl)carbamoyl-C1-C2 alkyl, cyclopropyl, or cyanocyclopropyl; or
82953 FF 34 Z1 is cyano, or halogen; and Z2 is C1-C6alkyl, wherein said C1-C6alkyl is unsubstituted or substituted with 1, 2 or 3 substituents selected from halogen, or with one substituent selected from C1-C3 alkoxy, phenyl, a 4, 5- or 6- membered saturated, partially unsaturated or aromatic heterocycle, or cyclopropyl; wherein said cyclopropyl is unsubstituted or substituted with 1 substituent selected from cyano; wherein any of said 4-, 5- or 6-membered saturated, partially saturated or aromatic heterocycle contains 1, 2 or 3 heteroatoms selected from O, S or N, with the proviso that only one is O or S; and wherein any of said phenyl and 4-, 5- or 6-membered saturated, partially saturated or aromatic heterocycles, are unsubstituted or substituted with 1, or 2 substituents selected from halogen, cyano, C1-C3 haloalkyl, C1-C3alkyl, C1-C3 alkoxy, cyclopropyl, or cyanocyclopropyl. In another embodiment of the invention, in a compound of formula (I-A3) R1 is C1-C3-alkyl, or C3-C6-cycloalkyl; R2 is hydrogen, halogen, C1-C3 alkyl, C1-C3 alkoxy, C1-C2 alkoxy-C1-C2alkyl, C1-C2 alkoxy-C1-C2alkoxy, C1- C2alkoxy-C1-C2alkoxy-C1-C2alkyl, acetyl, or N-C1-C2 alkoxy-C-C1-C2 alkyl-carbonimidoyl; R3 is hydrogen; R4 is halogen, or C1-C3 alkyl; and R5 is hydrogen; or R4 is hydrogen; and R5 is halogen or C1-C3 alkyl; R15 is hydrogen, or C1-C3 alkyl; Z1 is hydrogen, C1-C6alkyl, C2-C6alkenyl, or C2-C6alkynyl, wherein any of said alkyl, alkenyl and alkynyl is unsubstituted or substituted with 1, 2 or 3 substituents independently selected from halogen, C1-C2 alkoxy, C1- C2 alkylcarbamoyl, cyano, phenyl, a 4-, 5- or 6-membered saturated, partially saturated or aromatic heterocycle, or cyclopropyl; and wherein said cyclopropyl group is unsubstituted or substituted with 1 substituent selected from cyano; wherein any of said 4-, 5- or 6-membered saturated, partially saturated or aromatic heterocycle contains 1, 2 or 3 heteroatoms selected from O, S or N, with the proviso that no more than one is O or S; and wherein said any of said phenyl and 4-, 5- or 6-membered saturated, partially saturated or aromatic heterocycles, are unsubstituted or substituted with 1 or 2 substituents independently selected from halogen, C1-C2alkyl, C2-C3 alkenyl, cyano, acetyl, carbamoyl, C1-C2 alkylcarbamoyl, C1-C2 alkoxy, C1-C2alkoxy-C1- C2alkyl, cyano-C1-C2alkyl, C1-C2alkylcarbamoyl-C1-C2alkyl, cyclopropyl, or cyanocyclopropyl; or Z1 is phenyl, a 4-, 5- or 6-membered saturated, partially saturated or aromatic heterocycle, or cyclopropyl, and wherein said cyclopropyl group is unsubstituted or substituted with 1 substituent selected from cyano; wherein any of said 4-, 5- or 6-membered saturated, partially saturated or aromatic heterocycle contains 1, 2 or 3 heteroatoms selected from O, S or N, with the proviso that no more than one O or S; and wherein any of said phenyl and 4-, 5- or 6-membered saturated, partially saturated or aromatic heterocycles, are unsubstituted or substituted with 1 or 2 substituents independently selected from halogen, C1-C2 haloalkyl, C1-C2alkyl, C2-C3 alkenyl, C2-C3 alkynyl, cyano, carbamoyl, di(C1-C2alkyl)carbamoyl, C1-C2 alkylcarbamoyl, C1-C2 alkoxy, C1- C2alkoxy-C1-C2alkyl, cyano-C1-C2alkyl, C1-C2alkoxycarbonyl-C1-C2alkyl, hydroxycarbonyl-C1-C2alkyl, C1- C2alkylcarbamoyl-C1-C2alkyl, (di-C1-C2alkyl)carbamoyl-C1-C2 alkyl, cyclopropyl, or cyanocyclopropyl; or Z1 is cyano, or halogen; and Z2 is C1-C6alkyl, wherein said C1-C6alkyl is unsubstituted or substituted with 1, 2 or 3 substituents selected from halogen, or with one substituent selected from C1-C3 alkoxy, phenyl, a 4, 5- or 6- membered saturated, partially
82953 FF 35 unsaturated or aromatic heterocycle, or cyclopropyl; wherein said cyclopropyl is unsubstituted or substituted with 1 substituent selected from cyano; wherein any of said 4-, 5- or 6-membered saturated, partially saturated or aromatic heterocycle contains 1, 2 or 3 heteroatoms selected from O, S or N, with the proviso that only one is O or S; and wherein any of said phenyl and 4-, 5- or 6-membered saturated, partially saturated or aromatic heterocycles, are unsubstituted or substituted with 1, or 2 substituents selected from halogen, cyano, C1-C3 haloalkyl, C1-C3alkyl, C1-C3 alkoxy, cyclopropyl, or cyanocyclopropyl. In one embodiment of the invention, in a compound of formula (I-A3) R1 is C1-C3 alkyl, or C3-C6cycloalkyl; R2 is halogen, or C1-C3 alkyl; R3 is hydrogen; R4 is halogen, or C1-C3 alkyl; and R5 is hydrogen; or R4 is hydrogen; and R5 is halogen or C1-C3 alkyl; R15 is hydrogen or C1-C3 alkyl; Z1 is hydrogen, C1-C6alkyl, C2-C6alkenyl, or C2-C6alkynyl, wherein any of said alkyl, alkenyl and alkynyl is unsubstituted or substituted with 1, 2 or 3 substituents independently selected from halogen, C1-C2 alkoxy, C1- C2 alkylcarbamoyl, cyano, phenyl, a 4-, 5- or 6-membered saturated, partially saturated or aromatic heterocycle, or cyclopropyl; and wherein said cyclopropyl group is unsubstituted or substituted with 1 substituent selected from cyano; wherein any of said 4-, 5- or 6-membered saturated, partially saturated or aromatic heterocycle contains 1, 2 or 3 heteroatoms selected from O, S or N, with the proviso that no more than one is O or S; and wherein said any of said phenyl and 4-, 5- or 6-membered saturated, partially saturated or aromatic heterocycles, are unsubstituted or substituted with 1 or 2 substituents independently selected from halogen, C1-C2alkyl, C2-C3 alkenyl, cyano, acetyl, carbamoyl, C1-C2 alkylcarbamoyl, C1-C2 alkoxy, C1-C2alkoxy-C1- C2alkyl, cyano-C1-C2alkyl, C1-C2alkylcarbamoyl-C1-C2alkyl, cyclopropyl, or cyanocyclopropyl; or Z1 is phenyl, a 4-, 5- or 6-membered saturated, partially saturated or aromatic heterocycle, or cyclopropyl, and wherein said cyclopropyl group is unsubstituted or substituted with 1 substituent selected from cyano; wherein any of said 4-, 5- or 6-membered saturated, partially saturated or aromatic heterocycle contains 1, 2 or 3 heteroatoms selected from O, S or N, with the proviso that no more than one O or S; and wherein any of said phenyl and 4-, 5- or 6-membered saturated, partially saturated or aromatic heterocycles, are unsubstituted or substituted with 1 or 2 substituents independently selected from halogen, C1-C2 haloalkyl, C1-C2alkyl, C2-C3 alkenyl, C2-C3 alkynyl, cyano, carbamoyl, di(C1-C2alkyl)carbamoyl, C1-C2 alkylcarbamoyl, C1-C2 alkoxy, C1- C2alkoxy-C1-C2alkyl, cyano-C1-C2alkyl, C1-C2alkoxycarbonyl-C1-C2alkyl, hydroxycarbonyl-C1-C2alkyl, C1- C2alkylcarbamoyl-C1-C2alkyl, (di-C1-C2alkyl)carbamoyl-C1-C2 alkyl, cyclopropyl, or cyanocyclopropyl; or Z1 is cyano, or halogen; and Z2 is C1-C6alkyl, wherein said C1-C6alkyl is unsubstituted or substituted with 1, 2 or 3 substituents selected from halogen, or with one substituent selected from C1-C3 alkoxy, phenyl, a 4, 5- or 6- membered saturated, partially unsaturated or aromatic heterocycle, or cyclopropyl; wherein said cyclopropyl is unsubstituted or substituted with 1 substituent selected from cyano; wherein any of said 4-, 5- or 6-membered saturated, partially saturated or aromatic heterocycle contains 1, 2 or 3 heteroatoms selected from O, S or N, with the proviso that only one is O or S; and wherein any of said phenyl and 4-, 5- or 6-membered saturated, partially saturated or aromatic
82953 FF 36 heterocycles, are unsubstituted or substituted with 1, or 2 substituents selected from halogen, cyano, C1-C3 haloalkyl, C1-C3alkyl, C1-C3 alkoxy, cyclopropyl, or cyanocyclopropyl. In another embodiment of the invention, in a compound of formula (I-A3) R1 is C1-C3-alkyl, or C3-C6-cycloalkyl; R2 is halogen, or C1-C3 alkyl; R3 is hydrogen; R4 is halogen, or C1-C3 alkyl; and R5 is hydrogen; or R4 is hydrogen; and R5 is halogen or C1-C3 alkyl; R15 is hydrogen or C1-C3 alkyl; Z1 is hydrogen, C1-C6alkyl, C2-C6alkenyl, or C2-C6alkynyl, wherein any of said alkyl, alkenyl and alkynyl is unsubstituted or substituted with 1, 2 or 3 substituents independently selected from halogen, C1-C2 alkoxy, C1- C2 alkylcarbamoyl, cyano, phenyl, a 4-, 5- or 6-membered saturated, partially saturated or aromatic heterocycle, or cyclopropyl; and wherein said cyclopropyl group is unsubstituted or substituted with 1 substituent selected from cyano; wherein any of said 4-, 5- or 6-membered saturated, partially saturated or aromatic heterocycle contains 1, 2 or 3 heteroatoms selected from O, S or N, with the proviso that no more than one is O or S; and wherein said any of said phenyl and 4-, 5- or 6-membered saturated, partially saturated or aromatic heterocycles, are unsubstituted or substituted with 1 or 2 substituents independently selected from halogen, C1-C2alkyl, C2-C3 alkenyl, cyano, acetyl, carbamoyl, C1-C2 alkylcarbamoyl, C1-C2 alkoxy, C1-C2alkoxy-C1- C2alkyl, cyano-C1-C2alkyl, C1-C2alkylcarbamoyl-C1-C2alkyl, cyclopropyl, or cyanocyclopropyl; or Z1 is phenyl, a 4-, 5- or 6-membered saturated, partially saturated or aromatic heterocycle, or cyclopropyl, and wherein said cyclopropyl group is unsubstituted or substituted with 1 substituent selected from cyano; wherein any of said 4-, 5- or 6-membered saturated, partially saturated or aromatic heterocycle contains 1, 2 or 3 heteroatoms selected from O, S or N, with the proviso that no more than one O or S; and wherein any of said phenyl and 4-, 5- or 6-membered saturated, partially saturated or aromatic heterocycles, are unsubstituted or substituted with 1 or 2 substituents independently selected from halogen, C1-C2 haloalkyl, C1-C2alkyl, C2-C3 alkenyl, C2-C3 alkynyl, cyano, carbamoyl, di(C1-C2alkyl)carbamoyl, C1-C2 alkylcarbamoyl, C1-C2 alkoxy, C1- C2alkoxy-C1-C2alkyl, cyano-C1-C2alkyl, C1-C2alkoxycarbonyl-C1-C2alkyl, hydroxycarbonyl-C1-C2alkyl, C1- C2alkylcarbamoyl-C1-C2alkyl, (di-C1-C2alkyl)carbamoyl-C1-C2 alkyl, cyclopropyl, or cyanocyclopropyl; or Z1 is cyano, or halogen; and Z2 is C1-C6alkyl, wherein said C1-C6alkyl is unsubstituted or substituted with 1, 2 or 3 substituents selected from halogen, or with one substituent selected from C1-C3 alkoxy, phenyl, a 4, 5- or 6- membered saturated, partially unsaturated or aromatic heterocycles, or cyclopropyl; wherein said cyclopropyl is unsubstituted or substituted with 1 substituent selected from cyano; wherein any of said 4-, 5- or 6-membered saturated, partially saturated or aromatic heterocycle contains 1, 2 or 3 heteroatoms selected from O, S or N, with the proviso that only one is O or S; and wherein any of said phenyl and 4-, 5- or 6-membered saturated, partially saturated or aromatic heterocycles, are unsubstituted or substituted with 1, or 2 substituents selected from halogen, cyano, C1-C3 haloalkyl, C1-C3alkyl, C1-C3 alkoxy, cyclopropyl, or cyanocyclopropyl.
82953 FF 37 The presence of one or more possible asymmetric carbon atoms in any of the compounds selected from compounds of formula (I), (I-A), (I-A1), (I-A2), or (I-A3), or compounds selected from compounds listed in Tables A-1 to A-50, or Table P (below), according to the invention means that the compounds may occur in chiral isomeric forms, i.e., enantiomeric or diastereomeric forms. In one embodiment the compound of formula (I) according to the invention is selected from compounds of formula (I), (I-A), (I-A1), (I-A2), or (I-A3), Preferably, the compound of formula (I) according to the invention is selected from compounds listed in any one of Tables A-1 to A-50. More preferably the compound of formula (I) according to the invention is selected from compounds listed in Table P (below). According to a fifth aspect of the invention, there is provided an intermediate compound of formula (Ia) or a salt thereof are as defined as for compounds of formula (I), and wherein W1-Z1 is
The intermediate compounds of formula (Ia) possess the same definitions for R1, R2, R3, R4, R5, R14, and Z2 as for the compounds of formula (I) according to the invention and their corresponding preferences. According to a sixth aspect of the invention, there is provided an intermediate compound of formula (IId) or a salt thereof as for compounds of formula (I), R01 is C1-C4alkyl, and X06 is halogen.
The intermediate compounds of formula (IId) possess the same definitions for R1, R2, R3, R4 and R5 as for the compounds of formula (I) according to the invention and their corresponding preferences.
82953 FF 38 The compounds of formula (I) according to the present invention can be made as shown in the following Schemes below, in which, unless otherwise stated, the definition of each variable is as defined above for a compound of formula (I). In particular, compounds of formula (I), wherein R1, R2, R3, R4, R5, R6, R7, R8, R9, R10, R11, R12, R13, R14, R15, W1, W2, Z1 and Z2 are as defined for compound of formula (I), can be prepared as described in Schemes below, in which, unless otherwise stated, the definition of each variable is as defined above for a compound of formula (I). In any of the Schemes below, the presence of one or more possible asymmetric carbon atoms in a compound of formula (I) according to the invention means that the compounds may occur in chiral isomeric forms, i.e., enantiomeric or diastereomeric forms. In particular, compounds of formula (I), wherein R1, R2, R3, R4, R5, R5, W1, Z1 and Z2 are as defined for compound of formula (I), and W2 is NR14 can be prepared as described in Schemes below, in which, unless otherwise stated, the definition of each variable is as defined above for a compound of formula (I). Specifically, compounds of formula (I) may be prepared from compounds of formula (III) or a salt thereof, wherein Z2 is as defined above for compound of formula (I), and W2 is NR14, by reaction with a compound of formula (II), wherein R1, R2, R3, R4, R5, R5, W1, and Z1, are as defined above for the compound of formula (I).This reaction is shown in Scheme 1.
In Scheme 1, compounds of formula (II), wherein R1, R2, R3, R4, R5, W1, and Z1, are as defined above for the compound of formula (I) are activated to compounds of formula (IIa) by methods known to a person skilled in the art and described, for example, in Tetrahedron 2005, 61 (46), 10827-10852. For example, compounds of formula (IIa), where X0 is halogen, are formed by treatment of compounds of formula (II) with, for example, oxalyl chloride or thionyl chloride in the presence of catalytic quantities of N,N-dimethylformamide (DMF) in inert solvents such as DCM or THF at temperatures between 20°C to 100°C, preferably 25°C. Treatment of compounds of formula (IIa) with compounds of formula (III), wherein Z2 and R14 are as defined above for the compound of formula (I), optionally in the presence of a base, e.g., triethylamine or pyridine, leads to compounds of formula (I). Alternatively, compounds of formula (I) may be prepared by treatment of compounds of formula (II) with dicyclohexyl carbodiimide (DCC), 1-ethyl-3-(3-dimethylaminopropyl)carbodiimide (EDC) or 1-
82953 FF 39 [bis(dimethylamino)methylene]-1H-1,2,3-triazolo[4,5-b]pyridinium 3-oxide hexafluorophosphate (HATU) to give the activated compound of formula (IIb), wherein G0 is G01, G02 or G03 as set forth below, in an inert solvent, e.g., pyridine, DMF, acetonitrile, DCM or THF, optionally in the presence of a base, e.g., triethylamine, at temperatures between 30°C and 180°C. Finally, a compound of formula (II) can also be activated by reaction with a coupling reagent such as propanephosphonic acid anhydride (T3P) to provide compounds of formula (IIa), wherein G0 is G04 as set forth in scheme 2, and as described for example in Synthesis 2013, 45, 1569. Further reaction with an amine (or a salt thereof) of the compound of formula (III) leads to compounds of formula (I).
Compounds of formula (II) can be prepared from compounds of formula (IIc), wherein R1, R2, R3, R4, R5, W1, and Z1 are as described in formula (I), and R01 is C1-C4alkyl, by ester hydrolysis (scheme 3). A variety of conditions can be used, as for example aqueous sodium hydroxide or lithium hydroxide, and an organic water miscible solvent like THF, dimethoxyethane, methanol, or ethanol. Such ester hydrolyses are well known to those skilled in the art.
82953 FF 40 Compounds of formula (IIc) can also be directly converted to compounds of formula (I) by reaction with compounds of formula (III) in the presence of trimethyl aluminium (AlMe3), or trimethyl aluminium-DABCO complex (AlMe3-DABCO) in an inert solvent such as toluene or methylene chloride (scheme 4). Such reactions have been reported in the literature (see Tetrahedron Lett.1977, 4171-4174, Tetrahedron Lett.2006, 5767- 5769, and references cited therein).
A further method to prepare compounds of formula (I) involves amino carbonylation of compounds of formula (III) with compounds of formula (IV), wherein R1, R2, R3, R4, R5, W1, and Z1, are as defined in compounds of formula (I), and X02 is halogen, preferably Cl. Such amino carbonylation reactions involve treatment of compounds of formula (III) with compounds of formula (IV) under a carbon monoxide atmosphere between 1- 10ba, in the presence of a palladium catalyst, for example [1,3-Bis(diphenylphosphino)propane] palladium(II) chloride in an inert solvent such as methyl-THF or THF and a base such as triethyl amine. Such amino carbonylation reactions (scheme 5) are well known to those skilled in the art and similar reactions have been reported in for example Org. Lett.2007, 9, 4575-4578, or Org. Lett.2015, 17, 3236-3239.
Compounds of formula (III) are generally commercially available. Compounds of formula (II) and (IIc) are also commercially available or can be synthesized as described vide infra. Compounds of formula (IIc), wherein R1, R2, R3, R4, R5, W1, and Z1are as defined above for the compound of formula (I), and X0 is C1-C4 alkyl may be prepared by reacting compounds of formula (IV) wherein R1, R2, R3, R4, R5, W1, and Z1 are as defined above for the compound of formula (I), and X02 is halogen, preferably chlorine, in a high-pressure reactor typically under a carbon monoxide between 1-10ba using palladium-catalyzed conditions analogously to conditions described in US20150218102 or WO98/04557. This reaction is carried
82953 FF 41 out in the presence of an alcohol R01-OH wherein R01 is C1-C4 alkyl and a base, for example triethylamine, to give the corresponding ester where R01 is C1-C4 alkyl (Scheme 6).
Scheme 6 Compounds of formula (IV), wherein R1, R2, R3, R4, R5, W1, and Z1 are as defined above for the compound of formula (I), and X02 is halogen, preferably Cl, may be prepared by reacting compounds of formula (V), wherein and R1, R2, R3, R4, R5, W1, and Z1 are as defined above for the compound of formula (I), preferably with a chlorinating agent such as phosphorus oxychloride, oxalyl chloride or thionyl chloride neat or in a presence of an inert solvent. Similar reactions have been described for example in Tetrahedron Lett.2014, 55(51), 7130- 7132 (Scheme 7). Compound
the compound of formula (I), may be prepared by reacting compounds of formula (VI) wherein R1, R2, R3, R4, R5, W1, and Z1 are as defined above for the compound of formula (I) with a oxidizing agent such as hydrogen peroxide in acetic acid or m-chloroperbenzoic acid in a presence of solvent. Similar reactions have been described in WO04/052370 or Adv. Synth. & Cat. 2020, 362(24), 5777-5782. Such oxidations can also be performed in presence of oxygen using ruthenium as catalyst as described in Chem. Comm.2002, 10, 1040-1041 (Scheme 8).
82953 FF 42 Scheme 8 Compounds of formula (VI), wherein R1, R2, R3, R4, R5, W1, and Z1 are as defined above for the compound of formula (I), may be prepared by reacting compounds of formula (VIII), wherein R1, R2 and R3 are as defined above for the compound of formula (I) and X03 is halogen, preferably chlorine, bromine or iodine, with compounds of formula (VII), wherein R4, R5, W1 and Z1 are as defined above for the compound of formula (I), by means of a C-C bond formation reaction typically under palladium-catalyzed (alternatively nickel-catalyzed) cross-coupling conditions (Scheme 9).
Suzuki–Miyaura cross-coupling reactions between compounds of formula (VII) and compounds of formula (VIII) are well known to a person skilled in the art and are usually carried out in the presence of a palladium catalyst, such as tetrakis(triphenylphosphine)-palladium(0) or [1,1'-bis(diphenylphosphino)ferrocene] palladium(II) dichloride dichloromethane complex, and a base, such as sodium or potassium carbonate, in a solvent, such as N,N-dimethylformamide, dioxane or dioxane-water mixtures, at temperatures between rt and 160°C, optionally under microwave heating conditions, and preferably under inert atmosphere. Such reactions have been reviewed for example in J. Organomet. Chem. 1999, 576, 147-168. Persons skilled in the art will appreciate that the boronic acid may also be in the form of a boronic ester such as (4,4,5,5-tetramethyl-1,3,2- dioxaborolan-2-yl). A person skilled in the art will also recognize that the reaction can be performed by interchanging the coupling partners, e.g., by reacting a compound of formula (X), wherein R1, R2 and R3 are as defined above for the compound of formula (I), with a compound of formula (IX), wherein, R4, R5, W1, and Z1 are as defined above for the compound of formula (I) and X03 is halogen, preferably chlorine, bromine or iodine, to provide a compounds of formula (VI). wherein R1, R2, R3, R4, R5, W1, and Z1 are as defined above for the compound of formula (I) (Scheme 10).
82953 FF 43 Persons
of a boronic ester such as (4,4,5,5-tetramethyl-1,3,2-dioxaborolan-2-yl), for example compounds of formula (Xa). A further cross-coupling chemistry, namely C-H activation, can also be used to prepare compounds of formula (VI), This is shown in Scheme 11.
As shown in Scheme 11, compounds of formula (IX), wherein substituents are as previously defined and X3 is halogen, preferably chlorine, bromine or iodine, are treated with compounds of formula (XII), wherein R1, R2 and R3 are as defined above for the compound of formula (I), in the presence of a palladium catalyst, typically palladium acetate Pd(OAc)2, a suitable ligand, for example 1,10-phenanthroline, in the presence of a base such as cesium carbonate or potassium carbonate, in inert solvents such as chlorobenzene, toluene or xylene at temperatures between room temperature and 180°C, optionally under microwave heating conditions, preferably under inert atmosphere. Similar reactions have been reported in the literature for example in Chem. Sci.2013, 4, 2374-2379. Compounds of formula (I) wherein R1,R2, R3, R4, R5, R14, and Z2 are as described in previously, and W1-Z1 is halogen (X04), namely compounds of formula (Ia)
82953 FF 44
compounds of formula (I) as exemplified in scheme 12.
As shown in scheme 12, compounds of formula (Ib), wherein R1, R2, R3, R4, R5, R14, and Z2 are as defined for compounds of formula (I) and Z1 is selected from C1-C6alkyl, C2-C6alkenyl or C2-C6alkynyl, wherein any of said alkyl, alkenyl or alkynyl is unsubstituted or substituted with 1, 2 or 3 substituents independently selected from halogen, C1-C4 alkyl, C2-C4 alkenyl, C2-C4 alkynyl, C1-C4 haloalkyl, C1-C4 alkoxy, C1-C4 alkoxy-C1-C4 alkoxy, C1- C4 haloalkoxy, di(C1-C4alkyl)carbamoyl, C1-C4 alkylcarbamoyl, C2-C4alkenyloxy, C2-C4 alkynyloxy, C1-C4
82953 FF 45 alkylsulfanyl, C1-C4 alkylsulfinyl, C1-C4 alkylsulfonyl, C1-C4 alkoxy-C1-C4 alkyl, C1-C4 alkoxycarbonyl, C1-C4 alkylcarbonyl, N-C1-C4 alkoxy-C-C1-C4 alkyl-carbonimidoyl, N-hydroxy-C-C1-C4 alkyl-carbonimidoyl, methyl- C=N-ORX (RX = (CH2)1-4-CN), trifluoromethylsulfonyloxy, cyano, carboxy, amino, phenyl, a 4-, 5- or 6-membered saturated, partially saturated or aromatic heterocycle, or cyclopropyl; and wherein said cyclopropyl group is unsubstituted or substituted with 1, 2 or 3 substituents independently selected from halogen, C1-C4 haloalkyl, cyano, C1-C4 alkyl, or C1-C4 alkoxy; wherein any of said 4-, 5- or 6-membered saturated, partially saturated or aromatic heterocycle contains 1, 2 or 3 heteroatoms selected from O, S or N, with the proviso that no more than one is O or S; and wherein said any of said phenyl and 4-, 5- or 6-membered saturated, partially saturated or aromatic heterocycles, are unsubstituted or substituted with 1, 2 or 3 substituents independently selected from halogen, C1-C4 haloalkyl, C1-C4alkyl, C2-C4 alkenyl, C2-C4 alkynyl, cyano, carboxy, amino, C1-C4 alkoxycarbonyl, carbamoyl, di(C1-C4alkyl)carbamoyl, C1-C4 alkylcarbamoyl, C1-C4 alkoxy, C1-C4 alkoxy-C1-C4 alkyl, cyano-C1-C4 alkyl, C1-C4 alkoxycarbonyl-C1-C4 alkyl, hydroxycarbonyl-C1-C4 alkyl, C1-C4alkylcarbamoyl- C1-C4 alkyl, (di-C1-C4alkyl)carbamoyl-C1-C4 alkyl, cyclopropyl, or cyanocyclopropyl; or Z1 is phenyl, a 4-, 5- or 6-membered saturated, partially saturated or aromatic heterocycle, or cyclopropyl, and wherein said cyclopropyl is unsubstituted or substituted with 1, 2 or 3 substituents independently selected from halogen, C1- C4 haloalkyl, cyano, C1-C4 alkyl, or C1-C4 alkoxy; wherein any of said 4-, 5- or 6-membered saturated, partially saturated or aromatic heterocycle contains 1, 2 or 3 heteroatoms selected from O, S or N with the proviso that no more than one is O or S; and wherein any of said phenyl and 4-, 5- or 6-membered saturated, partially saturated or aromatic heterocycles, are unsubstituted or substituted with 1, 2 or 3 substituents independently selected from halogen, C1-C4 haloalkyl, C1-C4alkyl, C2-C4 alkenyl, C2-C4 alkynyl, cyano, carboxy, amino, C1-C4 alkoxycarbonyl, carbamoyl, di(C1-C4alkyl)carbamoyl, C1-C4 alkylcarbamoyl, C1-C4 alkoxy, C1-C4 alkoxy-C1-C4 alkyl, cyano-C1-C4 alkyl, C1-C4 alkoxycarbonyl-C1-C4 alkyl, hydroxycarbonyl-C1-C4 alkyl, C1-C4alkylcarbamoyl- C1-C4 alkyl, (di-C1-C4alkyl)carbamoyl-C1-C4 alkyl, cyclopropyl, or cyanocyclopropyl; or Z1 is cyano, or halogen, with the proviso that W1 is a bond; can be prepared by reacting a compound of formula M-Z1 where M is a metal derivative such as B(OH)2 or (4,4,5,5-tetramethyl-1,3,2-dioxaborolan-2-yl) in the presence of a palladium catalyst (Suzuki- Miyaura coupling) as discussed in scheme 5. The metal derivative can also be and organono zinc derivative (Negishi coupling), trialkyl tin derivative (Stille coupling), organo magnesium derivative (Kumada Coupling), or organosilicon derivative (Hiyama coupling), all in the presence of palladium or nickel catalysts. Such reactions are well known to those skilled in the art and have been reviewed in for example J. Organomet. Chem. 1999, 576 (1-2), 147-168 (Suzuki- Miyaura coupling), ACS Catal.2016, 6, 3, 1540–1552 (Negishi coupling), ACS Catal.2015, 5, 5, 3040–3053 (Stille coupling), Monatshefte für Chemie-Chemical Monthly 2012, 143, 1575-1592 (Kumada coupling), and Molecules 2022, 27(17) 5654 (Hiyama coupling). Further useful reactions for coupling of sp3-Grignard reagents to compounds of formula (Ia) have been reported using copper or iron catalysts (e.g. Org. Biomol. Chem.2015, 13, 4816-4827 and J. Am. Chem. Soc.2002, 124, 46, 13856– 13863). Further reactions that enable alkenes and alkynes to be coupled to compounds of formula (Ib) are Heck reaction (Chem. Rev.2000, 100, 8, 3009–3066) and Sonogashira reaction (Chem. Rev.2007, 107, 3, 874–922), respectively. Those skilled in the art will understand that the metal reagent can sometimes be
82953 FF 46 reversed, namely that the metal is on the pyridyl portion, and the halogen on the Z1 group (compounds of formula Z1-X05, wherein X05 is halogen). This is illustrated in scheme 13
This is particularly favored for Stille-, Negishi-, Kumada-, Hiyama-coupling reactions, and iron and copper catalyzed reactions when M is, for example magnesium. Compounds of formula (Ic) wherein R1, R2, R3, R4, R5, R14, and Z2 are as defined as for compounds of formula (I), and Z1 is cyano can be obtained from compounds of formula (Ia) by treatment with a metal cyanide, such as Zn(CN)2 or CuCN, optionally under conditions known to those skilled in the art. Examples of such cyanation reactions can optionally be carried out in the presence of a palladium catalyst (for example as described in Org. Lett.2015, 17, 2, 202–205) or with CuCN in solvents such as DMF or NMP at temperatures between rt- 200°C. Such Rosenmund-von Braun reactions have been reported (Rosenmund, K. W. and Struck, E., Ber., 1919, 52, 1749; von Braun, J. and Manz, G., Ann., 1931, 488, 111). More modern variations of this reaction are known, e.g., J. Am. Chem. Soc.2003, 125, 2890, and references cited therein. Synthesis of compounds of formulae (Id), (Ie), and (If) are related in that they are all obtained by C-heteroatom couplings. Such reactions can be achieved by nucleophilic aromatic substitution (SnAr) reactions by treatment with compounds of formula Z1-OH, Z1-N(R6)H, OR Z1-SH, optionally in the presence of a base. Such reactions are well known to those skilled in the art and are particularly facile when the carbon is activated by an adjacent nitrogen as is the case in compound (Ia). Reactions of this type can also be carried out in the presence of metal catalysts, such as copper, optionally with ligands. Such Ullmann type couplings with O,N, OR S nucleophiles are well documented and have been recently reviewed (Org. Proc. Res. & Dev.2022, 26 (6), 1690-1750 and references cited therein). Compounds of formula (Ig) can be obtained by oxidation of compounds of formula (If) by methods known to those skilled in the art. Alternatively, compounds of formula (If) can be obtained by copper catalyzed coupling of sulfinate salts of formula Z1SO2Na as described in J. Org. Chem.2018, 83, 12, 6589–6598. Compounds of formula (Ih) can be obtained from compounds of formula (Ia) by palladium catalyzed carbonylation. Carbonylation of heteroaryl halogen compounds such as (Ia) in the presence of compounds of formula Z1-OH to give compounds of formula (Ih) are usually carried out in the presence of a base and a palladium catalyst. Such carbonylation reactions are well known to those skilled in the art, and are described for example in Chem.2019, 5, 526–552, and references cited therein.
82953 FF 47 Compounds of formula (Ii) can be obtained from compounds of formula (Ih) by methods known to those skilled in the art, particularly when Z1 is C1-C4 alkyl. Alternatively, compounds of formula (Ii) can be obtained by amino carbonylation of compounds of formula (Ia) with compounds of formula Z1-NH2 as similarly described under scheme 5. Those skilled in the art will recognize that it may be advantageous to carry out reactions of the type shown in scheme 12 with compounds of formula (IId)
in formula (I), R01 is C1-C4alkyl, and X06 is halogen. The products (IIe), (IIf), (IIg), (IIh), (IIi), (IIj), (IIk), and (IIm), wherein R1, R2, R3, R4, R5, and Z1 are as previously described, and R01 is C1-C4alkyl, are shown in scheme 14.
82953 FF 48
These products can be converted to products of formula (I) by the methods described in schemes 1-4 vide supra. Compounds of formula (IId) can be prepared as shown in scheme 15:
82953 FF 49
(IId) wherein R1, R2 and R5 are methyl; R3 and R4 are hydrogen; R01 is methyl; and X06 is chlorine, namely a compound of formula (IIda)
Compounds of formula (IId) can also be prepared by route shown in scheme 16 below.
82953 FF 50
As shown in scheme 16, reactions previously described (C-H activation or Suzuki-Miyaura cross-coupling) of compounds of formula (XII) or (X), respectively, with compounds of formula (XVII), wherein R4, R5 and R01 are as previously described, and X07 is halogen leads to compounds of formula (XVIII). Compounds of formula (XVIII) are converted to compounds of formula (IId) via compounds (XIX) by chemistry previously described and known to those skilled in the art. The synthesis in scheme 16 is illustrated in the experimental section as a further method to prepare compounds of formula (IIda), wherein R1, R2, R5 are methyl; R3 and R4 are hydrogen; R01 is methyl and X06 is chloro.
of formula (II), respectively (IIn),
82953 FF 51 wherein R1, R2, R3, R4, R01, W1, and Z1 are as previously described and X08 is halogen, preferably Br, Cl, or F. is shown in schemes 17 and 18. SnAr reactions
As shown in scheme 17, a compound of formula (XX) is halogenated to a compound of formula (XXII), wherein R4, and R01 are as described under formula (I) and X08 is halogen. Such halogenations on 3-amino pyridines are well precedented, and can be carried out with, for example, N-halo-succinimides in acetonitrile or halogenated solvents (see Heterocycles (2013), 87(6), 1279-1287, WO2020102574, or WO2022236319). Compounds of formula (XXII) can be converted to compounds of formula (XXIII) analogously to the methods described in schemes 14 and 15 and are generally selective to react at the position shown. Compounds of formula (XXIV) so obtained can be converted to compounds of formula (XXV) as described in schemes 1-3 above and shown below in scheme 18.
Compounds of (XXV) wherein R1, R2, R3, R4, R14, W1, Z1 and Z2 are as described under formula (I) can be diazotized under aqueous acidic conditions in the presence of an inorganic nitrite source, for example NaNO2 or KNO2, to give intermediates (Scheme 19) of formula (XXVI) wherein M is the conjugate base of the acid used for the diazotation (e.g. Cl- when HCl is used for the diazotation). Diazotation can also be achieved under
82953 FF 52 non aqueous conditions using, for example, t-butyl nitrite and anhydrous HCl in methanol. Diazonium salts of formula (XXVI) are usually not isolated, but used directly in situ to generate compounds of formula (I). Some examples are shown in scheme 19.
As shown in scheme 19, diazonium compounds of formula (XXVI) can be treated with copper salts such as CuBr, CuCl, CuCN to yield compounds of formula (Ik), (Im) and (Ip), respectively. Additionally, compounds of formula (XXVI) can be converted to compounds of formula (Io) by treatment with, for example aqueous KI, or to alkyl sulphides by treatment with thiols (e.g. methyl thiol, to give compound (Ir)). Yet another conversion of compounds of formula (XXVI) to compounds of formula (I), wherein R5 is OCH3, namely compounds of formula (Iq) can be achieved by heating (XXVI) with, for example KOH in the presence of dimethyl sulphate (analogous to Tet. Let, 1988, 29, 2665-2666). The latter six reaction types are variants of the Sandmeyer reaction, and are discussed in Molecular Diversity (2022) 26, 1837–1873 and references cited therein. Compounds of formula (In) are also readily available from compounds of formula (XXVI) by Balz-Schiemann coupling (J. Fluorine Chem., 2001, 107, 31-34). Finally, C-C coupling of diazonium salts to give compounds of formula (Ij) are well precedented in the literature using alkyl tin compounds (see for example Synthesis (2008), (3), 474-478,
82953 FF 53 wherein M- is 3-thioxo-1λ⁶,3λ⁶,2-benzodithiazol-2-ide 1,1,3-trioxide) or boronic acids (cf. Org. Lett.2001, 3, 23, 3761–3764). Those skilled in the art will recognize that the order of the sequences described in schemes 17-19 can be interchanged, and still lead to compounds of formula (I). This is illustrated as an example in scheme 20.
Compounds of formula (XXV) are useful intermediates for preparation of compounds of formula (I) and as such are part of this invention. A compound of formula (I) as defined in any of the embodiments of the present invention can be converted in a manner known per se into another compound as defined in any of the embodiments of the present invention by replacing one or more substituents of the starting compound in the customary manner by (an)other substituent(s) according to the invention. Those skilled in the art will also appreciate that compounds of formula (I) can be further transformed to further derivatives of formula (I) by, for example, alkylation, nucleophilic substitution, elimination, C-C-bond forming reactions in the presence of metal catalysts, heteroatom-carbon bond formation in the presence of metal catalysts, oxidation, and reduction. Depending on the choice of the reaction conditions and starting materials which are suitable in each case, it is possible, for example, in one reaction step only to replace one substituent by another substituent according to the invention, or a plurality of substituents can be replaced by other substituents according to the invention in the same reaction step. Salts of compounds of formula (I) may be prepared in a manner) known per se. Thus, for example, acid addition salts of compounds of formula (I) are obtained by treatment with a suitable acid or a suitable ion exchanger reagent and salts with bases are obtained by treatment with a suitable base or with a suitable ion exchanger reagent. All other compounds mentioned in the schemes above are readily prepared by those skilled in the art or are commercially available. Salts of compounds of formula (I) can be converted in the customary manner into the free compounds (I), acid addition salts, for example, by treatment with a suitable basic compound or with a suitable ion exchanger
82953 FF 54 reagent and salts with bases, for example, by treatment with a suitable acid or with a suitable ion exchanger reagent. Salts of compounds of formula (I) can be converted in a manner known per se into other salts of compounds of formula (I), acid addition salts, for example, into other acid addition salts, for example by treatment of a salt of inorganic acid such as hydrochloride with a suitable metal salt such as a sodium, barium or silver salt, of an acid, for example with silver acetate, in a suitable solvent in which an inorganic salt which forms, for example silver chloride, is insoluble and thus precipitates from the reaction mixture. Depending on the procedure or the reaction conditions, the compounds of formula (I), which have salt-forming properties, can be obtained in free form or in the form of salts. The compounds of formula (I) and, where appropriate, the tautomer’s thereof, in each case in free form or in salt form, can be present in the form of one of the isomers which are possible or as a mixture of these, for example in the form of pure isomers, such as antipodes and/or diastereomers, or as isomer mixtures, such as enantiomer mixtures, for example racemates, or diastereomer mixtures, depending on the number, absolute and relative configuration of asymmetric carbon atoms which occur in the molecule and/or depending on the configuration of non-aromatic double bonds which occur in the molecule, the invention relates to the pure isomers and also to all isomer mixtures which are possible and is to be understood in each case in this sense hereinabove and herein below, even when stereochemical details are not mentioned specifically in each case. Diastereomeric mixtures or racemic mixtures of compounds of formula (I), in free form or in salt form, which can be obtained depending on which starting materials and procedures have been chosen can be separated in a known manner into the pure diastereomers or racemates on the basis of the physicochemical differences of the components, for example by fractional crystallization, distillation and/or chromatography. Enantiomeric mixtures, such as racemates, which can be obtained in a similar manner can be resolved into the optical antipodes by known methods, for example by recrystallization from an optically active solvent, by chromatography on chiral adsorbents, for example high-performance liquid chromatography (HPLC) on acetyl cellulose, with the aid of suitable microorganisms, by cleavage with specific, immobilized enzymes, via the formation of inclusion compounds, for example using chiral crown ethers, where only one enantiomer is com- plexed, or by conversion into diastereomeric salts, for example by reacting a basic end-product racemate with an optically active acid, such as a carboxylic acid, for example camphor, tartaric or malic acid, or sulfonic acid, for example camphor sulfonic acid, and separating the diastereomer mixture which can be obtained in this manner, for example by fractional crystallization based on their differing solubilities, to give the diastereomers, from which the desired enantiomer can be set free by the action of suitable agents, for example basic agents. Pure diastereomers or enantiomers can be obtained according to the invention not only by separating suitable isomer mixtures, but also by generally known methods of diastereoselective or enantioselective synthesis, for example by carrying out the process according to the invention with starting materials of a suitable stereochemistry.
82953 FF 55 It is advantageous to isolate or synthesize in each case the biologically more effective isomer, for example enantiomer or diastereomer, or isomer mixture, for example enantiomer mixture or diastereomer mixture, if the individual components have a different biological activity. As an example, compounds with more than one asymmetric carbon atoms may exist in diastereomeric forms which can be optionally separated using for example supercritical fluid chromatography (SFC) chromatography with chiral columns. Such diastereomers can show a different fungicidal activity profile, but all isomers and diastereomers form part of this invention. The compounds of formula (I) and, where appropriate, the tautomers thereof, in each case in free form or in salt form, can, if appropriate, also be obtained in the form of hydrates and/or include other solvents, for example those which may have been used for the crystallization of compounds which are present in solid form. As already indicated, surprisingly, it has now been found that the compounds of formula (I) of the present invention have, for practical purposes, a very advantageous level of biological activity for protecting plants against diseases that are caused by fungi. The compounds of formula (I) according to the invention can be used in the agricultural sector and related fields of use, e.g., as active ingredients for controlling plant pests or on non-living materials for the control of spoilage microorganisms or organisms potentially harmful to man. The novel compounds are distinguished by excellent activity at low rates of application, by being well tolerated by plants and by being environmentally safe. They have very useful curative, preventive and systemic properties and can be used for protecting numerous cultivated plants. The compounds of formula (I) can be used to inhibit or destroy the pests that occur on plants or parts of plants (fruit, blossoms, leaves, stems, tubers, roots) of different crops of useful plants, while at the same time protecting also those parts of the plants that grow later, e.g., from phytopathogenic microorganisms. The present invention further relates to a method for controlling or preventing infestation of plants or plant propagation material and/or harvested food crops susceptible to microbial attack by treating plants or plant propagation material and/or harvested food crops wherein an effective amount a compound of formula (I) according to the invention is applied to the plants, to parts thereof or the locus thereof. It is also possible to use a compound of formula (I) according to the invention as a fungicide. The term “fungicide” as used herein means a compound that controls, modifies, or prevents the growth of fungi. The term “fungicidally effective amount” where used means the quantity of such a compound or combination of such compounds that is capable of producing an effect on the growth of fungi. Controlling or modifying effects include all deviation from natural development, such as killing, retardation and the like, and prevention includes barrier or other defensive formation in or on a plant to prevent fungal infection. It may also be possible to use compounds of formula (I) according to the invention as dressing agents for the treatment of plant propagation material, e.g., seed, such as fruits, tubers or grains, or plant cuttings, for the protection against fungal infections as well as against phytopathogenic fungi occurring in the soil. The propagation material can be treated with a composition comprising a compound of formula (I) before planting: seed, for example, can be dressed before being sown. The active compounds of formula (I) can also be applied
82953 FF 56 to grains (coating), either by impregnating the seeds in a liquid formulation or by coating them with a solid formulation. The composition can also be applied to the planting site when the propagation material is being planted, for example, to the seed furrow during sowing. The invention relates also to such methods of treating plant propagation material and to the plant propagation material so treated. Furthermore, the compounds of formula (I) according to the invention can be used for controlling fungi in related areas, for example in the protection of technical materials, including wood and wood related technical products, in food storage, in hygiene management. In addition, the invention could be used to protect non-living materials from fungal attack, e.g., lumber, wall boards, and paint. The compounds of formula (I) according to the invention are for example, effective against fungi and fungal vectors of disease as well as phytopathogenic bacteria and viruses. These fungi and fungal vectors of disease as well as phytopathogenic bacteria and viruses are for example: Absidia corymbifera, Alternaria spp., Aphanomyces spp., Ascochyta spp., Aspergillus spp. including A. flavus, A. fumigatus, A. nidulans, A. niger, A. terrus, Aureobasidium spp. including A. pullulans, Blastomyces dermatitidis, Blumeria graminis, Bremia lactucae, Botryosphaeria spp. including B. dothidea, B. obtusa, Botrytis spp. inclusing B. cinerea, Candida spp. including C. albicans, C. glabrata, C. krusei, C. lusitaniae, C. parapsilosis, C. tropicalis, Cephaloascus fragrans, Ceratocystis spp., Cercospora spp. including C. arachidicola, Cercosporidium personatum, Cladosporium spp., Claviceps purpurea, Coccidioides immitis, Cochliobolus spp., Colletotrichum spp. including C. musae, Corynespora cassiicola, Cryptococcus neoformans, Diaporthe spp. including Diaporthe miriciae (also known as Diaporthe ueckeri or Diaporthe ueckerae), Didymella spp., Drechslera spp., Elsinoe spp.,Epidermophyton spp., Erwinia amylovora, Erysiphe spp. including E. cichoracearum, Eutypa lata, Fusarium spp. including F. culmorum, F. graminearum, F. langsethiae, F. moniliforme, F. oxysporum, F. proliferatum, F. subglutinans, F. solani, Gaeumannomyces graminis, Gibberella fujikuroi, Gloeodes pomigena, Gloeosporium musarum, Glomerella cingulate, Guignardia bidwellii, Gymnosporangium juniperi-virginianae, Helminthosporium spp., Hemileia spp., Histoplasma spp. including H. capsulatum, Laetisaria fuciformis, Leptographium lindbergi, Leveillula taurica, Lophodermium seditiosum, Microdochium nivale, Microsporum spp., Monilinia spp., Mucor spp., Mycosphaerella spp. including M. graminicola, M. pomi, Oncobasidium theobromaeon, Ophiostoma piceae, Paracoccidioides spp., Penicillium spp. including P. digitatum, P. italicum, Petriellidium spp., Peronosclerospora spp. including P. maydis, P. philippinensis and P. sorghi, Peronospora spp., Phaeosphaeria nodorum, Phakopsora pachyrhizi, Phellinus igniarus, Phialophora spp., Phoma spp., Phomopsis viticola, Phytophthora spp. including P. infestans, Plasmopara spp. including P. halstedii, P. viticola, Pleospora spp., Podosphaera spp. including P. leucotricha, Polymyxa graminis, Polymyxa betae, Pseudocercosporella herpotrichoides, Pseudomonas spp., Pseudoperonospora spp. including P. cubensis, P. humuli, Pseudopeziza tracheiphila, Puccinia spp. including P. hordei, P. recondita, P. striiformis, P. triticina, Pyrenopeziza spp., Pyrenophora spp., Pyricularia spp. including P. oryzae, Pythium spp. including P. ultimum, Ramularia spp., Rhizoctonia spp., Rhizomucor pusillus, Rhizopus arrhizus, Rhynchosporium spp., Scedosporium spp. including S. apiospermum and S. prolificans, Schizothyrium pomi, Sclerotinia spp., Sclerotium spp., Septoria spp.,
82953 FF 57 including S. nodorum, S. tritici, Sphaerotheca macularis, Sphaerotheca fusca (Sphaerotheca fuliginea), Sporothorix spp., Stagonospora nodorum, Stemphylium spp., Stereum hirsutum, Thanatephorus cucumeris, Thielaviopsis basicola, Tilletia spp., Trichoderma spp. including T. harzianum, T. pseudokoningii, T. viride, Trichophyton spp., Typhula spp., Uncinula necator, Urocystis spp., Ustilago spp., Venturia spp. including V. inaequalis, Verticillium spp., and Xanthomonas spp. The compounds of formula (I) according to the invention may be used for example on turf, ornamentals, such as flowers, shrubs, broad-leaved trees, or evergreens, for example conifers, as well as for tree injection, pest management and the like. Within the scope of present invention, target crops and/or useful plants to be protected typically comprise perennial and annual crops, such as berry plants for example blackberries, blueberries, cranberries, raspberries and strawberries; cereals for example barley, maize (corn), millet, oats, rice, rye, sorghum triticale and wheat; fibre plants for example cotton, flax, hemp, jute and sisal; field crops for example sugar and fodder beet, coffee, hops, mustard, oilseed rape (canola), poppy, sugar cane, sunflower, tea and tobacco; fruit trees for example apple, apricot, avocado, banana, cherry, citrus, nectarine, peach, pear and plum; grasses for example Bermuda grass, bluegrass, bentgrass, centipede grass, fescue, ryegrass, St. Augustine grass and Zoysia grass; herbs such as basil, borage, chives, coriander, lavender, lovage, mint, oregano, parsley, rosemary, sage and thyme; legumes for example beans, lentils, peas and soya beans; nuts for example almond, cashew, ground nut, hazelnut, peanut, pecan, pistachio and walnut; palms for example oil palm; ornamentals for example flowers, shrubs and trees; other trees, for example cacao, coconut, olive and rubber; vegetables for example asparagus, aubergine, broccoli, cabbage, carrot, cucumber, garlic, lettuce, marrow, melon, okra, onion, pepper, potato, pumpkin, rhubarb, spinach and tomato; and vines for example grapes. The term "useful plants" is to be understood as also including useful plants that have been rendered tolerant to herbicides like bromoxynil or classes of herbicides (such as, for example, HPPD inhibitors, ALS inhibitors, for example primisulfuron, prosulfuron and trifloxysulfuron, EPSPS (5-enol-pyrovyl-shikimate-3-phosphate- synthase) inhibitors, GS (glutamine synthetase) inhibitors or PPO (protoporphyrinogen-oxidase) inhibitors) as a result of conventional methods of breeding or genetic engineering. An example of a crop that has been rendered tolerant to imidazolinones, e.g., imazamox, by conventional methods of breeding (mutagenesis) is Clearfield® summer rape (Canola). Examples of crops that have been rendered tolerant to herbicides or classes of herbicides by genetic engineering methods include glyphosate- and glufosinate-resistant maize varieties commercially available under the trade names RoundupReady®, Herculex I® and LibertyLink®. The term "useful plants" is to be understood as also including useful plants which have been so transformed by the use of recombinant DNA techniques that they are capable of synthesizing one or more selectively acting toxins, such as are known, for example, from toxin-producing bacteria, especially those of the genus Bacillus. Examples of such plants are: YieldGard® (maize variety that expresses a CryIA(b) toxin); YieldGard Rootworm® (maize variety that expresses a CryIIIB(b1) toxin); YieldGard Plus® (maize variety that expresses a CryIA(b) and a CryIIIB(b1) toxin); Starlink® (maize variety that expresses a Cry9(c) toxin); Herculex I® (maize
82953 FF 58 variety that expresses a CryIF(a2) toxin and the enzyme phosphinothricine N-acetyltransferase (PAT) to achieve tolerance to the herbicide glufosinate ammonium); NuCOTN 33B® (cotton variety that expresses a CryIA(c) toxin); Bollgard I® (cotton variety that expresses a CryIA(c) toxin); Bollgard II® (cotton variety that expresses a CryIA(c) and a CryIIA(b) toxin); VIPCOT® (cotton variety that expresses a VIP toxin); NewLeaf® (potato variety that expresses a CryIIIA toxin); Nature-Gard® Agrisure® GT Advantage (GA21 glyphosate- tolerant trait), Agrisure® CB Advantage (Bt11 corn borer (CB) trait), Agrisure® RW (corn rootworm trait) and Protecta®. The term "crops" is to be understood as including also crop plants which have been so transformed using recombinant DNA techniques that they are capable of synthesizing one or more selectively acting toxins, such as are known, for example, from toxin-producing bacteria, especially those of the genus Bacillus. Toxins that can be expressed by such transgenic plants include, for example, insecticidal proteins from Bacillus cereus or Bacillus popilliae; or insecticidal proteins from Bacillus thuringiensis, such as delta-endotoxins, e.g., Cry1Ab, Cry1Ac, Cry1F, Cry1Fa2, Cry2Ab, Cry3A, Cry3Bb1 or Cry9C, or vegetative insecticidal proteins (Vip), e.g., Vip1, Vip2, Vip3 or Vip3A; or insecticidal proteins of bacteria colonizing nematodes, for example Photorhabdus spp. or Xenorhabdus spp., such as Photorhabdus luminescens, Xenorhabdus nematophilus; toxins produced by animals, such as scorpion toxins, arachnid toxins, wasp toxins and other insect-specific neurotoxins; toxins produced by fungi, such as Streptomycetes toxins, plant lectins, such as pea lectins, barley lectins or snowdrop lectins; agglutinins; proteinase inhibitors, such as trypsin inhibitors, serine protease inhibitors, patatin, cystatin, papain inhibitors; ribosome-inactivating proteins (RIP), such as ricin, maize-RIP, abrin, luffin, saporin or bryodin; steroid metabolism enzymes, such as 3-hydroxysteroidoxidase, ecdysteroid- UDP-glycosyl-transferase, cholesterol oxidases, ecdysone inhibitors, HMG-COA-reductase, ion channel blockers, such as blockers of sodium or calcium channels, juvenile hormone esterase, diuretic hormone receptors, stilbene synthase, bibenzyl synthase, chitinases and glucanases. Further, in the context of the present invention there are to be understood by delta-endotoxins, for example Cry1Ab, Cry1Ac, Cry1F, Cry1Fa2, Cry2Ab, Cry3A, Cry3Bb1 or Cry9C, or vegetative insecticidal proteins (Vip), for example Vip1, Vip2, Vip3 or Vip3A, expressly also hybrid toxins, truncated toxins, and modified toxins. Hybrid toxins are produced recombinantly by a new combination of different domains of those proteins (see, for example, WO02/15701). Truncated toxins, for example a truncated Cry1Ab, are known. In the case of modified toxins, one or more amino acids of the naturally occurring toxin are replaced. In such amino acid replacements, preferably non-naturally present protease recognition sequences are inserted into the toxin, such as, for example, in the case of Cry3A055, a cathepsin-G-recognition sequence is inserted into a Cry3A toxin (see WO2003/018810). Examples of such toxins or transgenic plants capable of synthesizing such toxins are disclosed, for example, in EP-0374753, WO93/07278, WO95/34656, EP0427529, EP0451878 and WO03/052073.
82953 FF 59 The processes for the preparation of such transgenic plants are generally known to a person skilled in the art and are described, for example, in the publications mentioned above. CryI-type deoxyribonucleic acids and their preparation are known, for example, from WO95/34656, EP0367474, EP0401979 and WO90/13651. The toxin contained in the transgenic plants imparts to the plants tolerance to harmful insects. Such insects can occur in any taxonomic group of insects but are especially commonly found in the beetles (Coleoptera), two-winged insects (Diptera) and butterflies (Lepidoptera). Transgenic plants containing one or more genes that code for an insecticidal resistance and express one or more toxins are known and some of them are commercially available. Examples of such plants are: YieldGard® (maize variety that expresses a Cry1Ab toxin); YieldGard Rootworm® (maize variety that expresses a Cry3Bb1 toxin); YieldGard Plus® (maize variety that expresses a Cry1Ab and a Cry3Bb1 toxin); Starlink® (maize variety that expresses a Cry9C toxin); Herculex I® (maize variety that expresses a Cry1Fa2 toxin and the enzyme phosphinothricine N-acetyltransferase (PAT) to achieve tolerance to the herbicide glufosinate ammonium); NuCOTN 33B® (cotton variety that expresses a Cry1Ac toxin); Bollgard I® (cotton variety that expresses a Cry1Ac toxin); Bollgard II® (cotton variety that expresses a Cry1Ac and a Cry2Ab toxin); VipCot® (cotton variety that expresses a Vip3A and a Cry1Ab toxin); NewLeaf® (potato variety that expresses a Cry3A toxin); NatureGard®, Agrisure® GT Advantage (GA21 glyphosate-tolerant trait), Agrisure® CB Advantage (Bt11 corn borer (CB) trait) and Protecta®. Further examples of such transgenic crops are: 1. Bt11 Maize from Syngenta Seeds SAS, Chemin de l'Hobit 27, F-31790 St. Sauveur, France, registration number C/FR/96/05/10. Genetically modified Zea mays which has been rendered resistant to attack by the European corn borer (Ostrinia nubilalis and Sesamia nonagrioides) by transgenic expression of a truncated Cry1Ab toxin. Bt11 maize also transgenically expresses the enzyme PAT to achieve tolerance to the herbicide glufosinate ammonium. 2. Bt176 Maize from Syngenta Seeds SAS, Chemin de l'Hobit 27, F-31790 St. Sauveur, France, registration number C/FR/96/05/10. Genetically modified Zea mays which has been rendered resistant to attack by the European corn borer (Ostrinia nubilalis and Sesamia nonagrioides) by transgenic expression of a Cry1Ab toxin. Bt176 maize also transgenically expresses the enzyme PAT to achieve tolerance to the herbicide glufosinate ammonium. 3. MIR604 Maize from Syngenta Seeds SAS, Chemin de l'Hobit 27, F-31790 St. Sauveur, France, registration number C/FR/96/05/10. Maize which has been rendered insect-resistant by transgenic expression of a modified Cry3A toxin. This toxin is Cry3A055 modified by insertion of a cathepsin-G-protease recognition sequence. The preparation of such transgenic maize plants is described in WO2003/018810. 4. MON 863 Maize from Monsanto Europe S.A. 270-272 Avenue de Tervuren, B-1150 Brussels, Belgium, registration number C/DE/02/9. MON 863 expresses a Cry3Bb1 toxin and has resistance to certain Coleoptera insects.
82953 FF 60 5. IPC 531 Cotton from Monsanto Europe S.A. 270-272 Avenue de Tervuren, B-1150 Brussels, Belgium, registration number C/ES/96/02. 6.1507 Maize from Pioneer Overseas Corporation, Avenue Tedesco, 7 B-1160 Brussels, Belgium, registration number C/NL/00/10. Genetically modified maize for the expression of the protein Cry1F for achieving resistance to certain Lepidoptera insects and of the PAT protein for achieving tolerance to the herbicide glufosinate ammonium. 7. NK603 × MON 810 Maize from Monsanto Europe S.A. 270-272 Avenue de Tervuren, B 1150 Brussels, Belgium, registration number C/GB/02/M3/03. Consists of conventionally bred hybrid maize varieties by crossing the genetically modified varieties NK603 and MON 810. NK603 × MON 810 Maize transgenically expresses the protein CP4 EPSPS, obtained from Agrobacterium sp. strain CP4, which imparts tolerance to the herbicide Roundup® (contains glyphosate), and also a Cry1Ab toxin obtained from Bacillus thuringiensis subsp. kurstaki which brings about tolerance to certain Lepidoptera, include the European corn borer. The compounds of formula (I) according to the invention may be used in controlling or preventing phytopathogenic diseases, especially phytopathogenic fungi such as Alternaria species in fruits, vegetables and potatoes; Botrytis cinerea in strawberries, tomatoes, sunflower, pulse crops, vegetables and grapes; Rhizoctonia solani in potatoes and vegetables; Uncinula necator in grapes; Cladosporium cucumerinum, Didymella bryoniae, Sphaerotheca fuliginea and Glomerella lagenarium in cucurbits; Leveillula taurica in cucurbits and solanaceous crops; Fusarium spp. in cereals; Leptosphaeria spp. in cereals; and Zymoseptoria spp. in cereals. The term “locus” as used herein means fields in or on which plants are growing, or where seeds of cultivated plants are sown, or where seed will be placed into the soil. It includes soil, seeds, and seedlings, as well as established vegetation. The term “plants” refers to all physical parts of a plant, including seeds, seedlings, saplings, roots, tubers, stems, stalks, foliage, and fruits. The term “plant propagation material” is understood to denote generative parts of the plant, such as seeds, which can be used for the multiplication of the latter, and vegetative material, such as cuttings or tubers, for example potatoes. There can be mentioned for example seeds (in the strict sense), roots, fruits, tubers, bulbs, rhizomes, and parts of plants. Germinated plants and young plants which are to be transplanted after germination or after emergence from the soil, may also be mentioned. These young plants can be protected before transplantation by a total or partial treatment by immersion. Preferably “plant propagation material” is understood to denote seeds. The compounds of formula (I) according to the invention may be used in unmodified form or, preferably, together with the adjuvants conventionally employed in the art of formulation. To this end they may be conveniently formulated in known manner to emulsifiable concentrates, coatable pastes, directly sprayable or dilutable solutions or suspensions, dilute emulsions, wettable powders, soluble powders, dusts, granulates, and also encapsulations e.g., in polymeric substances. As with the type of the compositions, the methods of
82953 FF 61 application, such as spraying, atomising, dusting, scattering, coating, or pouring, are chosen in accordance with the intended objectives and the prevailing circumstances. The compositions may also contain further adjuvants such as stabilizers, antifoams, viscosity regulators, binders or tackifiers as well as fertilizers, micronutrient donors or other formulations for obtaining special effects. Suitable carriers and adjuvants, e.g., for agricultural use, can be solid or liquid and are substances useful in formulation technology, e.g., natural or regenerated mineral substances, solvents, dispersants, wetting agents, tackifiers, thickeners, binders or fertilizers. Such carriers are for example described in WO1997/33890. Suspension concentrates are aqueous formulations in which finely divided solid particles of the active compound are suspended. Such formulations include anti-settling agents and dispersing agents and may further include a wetting agent to enhance activity as well an anti-foam and a crystal growth inhibitor. In use, these concentrates are diluted in water and normally applied as a spray to the area to be treated. The amount of active ingredient may range from 0.5% to 95% of the concentrate. Wettable powders are in the form of finely divided particles which disperse readily in water or other liquid carriers. The particles contain the active ingredient retained in a solid matrix. Typical solid matrices include fuller’s earth, kaolin clays, silicas and other readily wet organic or inorganic solids. Wettable powders normally contain from 5% to 95% of the active ingredient plus a small amount of wetting, dispersing or emulsifying agent. Emulsifiable concentrates are homogeneous liquid compositions dispersible in water or other liquid and may consist entirely of the active compound with a liquid or solid emulsifying agent, or may also contain a liquid carrier, such as xylene, heavy aromatic naphthas, isophorone and other non-volatile organic solvents. In use, these concentrates are dispersed in water or other liquid and normally applied as a spray to the area to be treated. The amount of active ingredient may range from 0.5% to 95% of the concentrate. Granular formulations include both extrudates and relatively coarse particles and are usually applied without dilution to the area in which treatment is required. Typical carriers for granular formulations include sand, fuller’s earth, attapulgite clay, bentonite clays, montmorillonite clay, vermiculite, perlite, calcium carbonate, brick, pumice, pyrophyllite, kaolin, dolomite, plaster, wood flour, ground corn cobs, ground peanut hulls, sugars, sodium chloride, sodium sulfate, sodium silicate, sodium borate, magnesia, mica, iron oxide, zinc oxide, titanium oxide, antimony oxide, cryolite, gypsum, diatomaceous earth, calcium sulfate and other organic or inorganic materials which absorb or which can be coated with the active compound. Granular formulations normally contain 5% to 25% of active ingredients which may include surface-active agents such as heavy aromatic naphthas, kerosene and other petroleum fractions, or vegetable oils; and/or stickers such as dextrins, glue or synthetic resins. Dusts are free-flowing admixtures of the active ingredient with finely divided solids such as talc, clays, flours and other organic and inorganic solids which act as dispersants and carriers. Microcapsules are typically droplets or granules of the active ingredient enclosed in an inert porous shell which allows escape of the enclosed material to the surroundings at controlled rates. Encapsulated droplets are typically 1 to 50 microns in diameter. The enclosed liquid typically constitutes 50 to 95% of the weight of the
82953 FF 62 capsule and may include solvent in addition to the active compound. Encapsulated granules are generally porous granules with porous membranes sealing the granule pore openings, retaining the active species in liquid form inside the granule pores. Granules typically range from 1 millimeter to 1 centimeter and preferably 1 to 2 millimeters in diameter. Granules are formed by extrusion, agglomeration or prilling, or are naturally occurring. Examples of such materials are vermiculite, sintered clay, kaolin, attapulgite clay, sawdust, and granular carbon. Shell or membrane materials include natural and synthetic rubbers, cellulosic materials, styrene-butadiene copolymers, polyacrylonitriles, polyacrylates, polyesters, polyamides, polyureas, polyurethanes and starch xanthates. Other useful formulations for agrochemical applications include simple solutions of the active ingredient in a solvent in which it is completely soluble at the desired concentration, such as acetone, alkylated naphthalenes, xylene and other organic solvents. Pressurized sprayers, wherein the active ingredient is dispersed in finely divided form as a result of vaporization of a low boiling dispersant solvent carrier, may also be used. Suitable agricultural adjuvants and carriers that are useful in formulating the compositions of the invention in the formulation types described above are well known to a person skilled in the art. Liquid carriers that can be employed include, for example, water, toluene, xylene, petroleum naphtha, crop oil, acetone, methyl ethyl ketone, cyclohexanone, acetic anhydride, acetonitrile, acetophenone, amyl acetate, 2- butanone, chlorobenzene, cyclohexane, cyclohexanol, alkyl acetates, diacetonalcohol, 1,2-dichloropropane, diethanolamine, p diethylbenzene, diethylene glycol, diethylene glycol abietate, diethylene glycol butyl ether, diethylene glycol ethyl ether, diethylene glycol methyl ether, N,N-dimethyl formamide, dimethyl sulfoxide, 1,4- dioxane, dipropylene glycol, dipropylene glycol methyl ether, dipropylene glycol dibenzoate, diproxitol, alkyl pyrrolidinone, ethyl acetate, 2-ethyl hexanol, ethylene carbonate, 1,1,1-trichloroethane, 2-heptanone, alpha pinene, d-limonene, ethylene glycol, ethylene glycol butyl ether, ethylene glycol methyl ether, gamma- butyrolactone, glycerol, glycerol diacetate, glycerol monoacetate, glycerol triacetate, hexadecane, hexylene glycol, isoamyl acetate, isobornyl acetate, isooctane, isophorone, isopropyl benzene, isopropyl myristate, lactic acid, laurylamine, mesityl oxide, methoxy-propanol, methyl isoamyl ketone, methyl isobutyl ketone, methyl laurate, methyl octanoate, methyl oleate, methylene chloride, m-xylene, n-hexane, n-octylamine, octadecanoic acid, octyl amine acetate, oleic acid, oleylamine, o-xylene, phenol, polyethylene glycol (PEG400), propionic acid, propylene glycol, propylene glycol monomethyl ether, p-xylene, toluene, triethyl phosphate, triethylene glycol, xylene sulfonic acid, paraffin, mineral oil, trichloroethylene, perchloroethylene, ethyl acetate, amyl acetate, butyl acetate, methanol, ethanol, isopropanol, and higher molecular weight alcohols such as amyl alcohol, tetrahydrofurfuryl alcohol, hexanol, octanol, etc., ethylene glycol, propylene glycol, glycerine and N- methyl-2-pyrrolidinone. Water is generally the carrier of choice for the dilution of concentrates. Suitable solid carriers include, for example, talc, titanium dioxide, pyrophyllite clay, silica, attapulgite clay, kieselguhr, chalk, diatomaxeous earth, lime, calcium carbonate, bentonite clay, fuller’s earth, cotton seed hulls, wheat flour, soybean flour, pumice, wood flour, walnut shell flour and lignin.
82953 FF 63 A broad range of surface-active agents are advantageously employed in both said liquid and solid compositions, especially those designed to be diluted with carrier before application. These agents, when used, normally comprise from 0.1% to 15% by weight of the formulation. They can be anionic, cationic, non-ionic, or polymeric in character and can be employed as emulsifying agents, wetting agents, suspending agents or for other purposes. Typical surface-active agents include salts of alkyl sulfates, such as diethanolammonium lauryl sulfate; alkylarylsulfonate salts, such as calcium dodecylbenzenesulfonate; alkylphenol-alkylene oxide addition products, such as nonylphenol-C.sub.18 ethoxylate; alcohol-alkylene oxide addition products, such as tridecyl alcohol-C.sub.16 ethoxylate; soaps, such as sodium stearate; alkylnaphthalenesulfonate salts, such as sodium dibutylnaphthalenesulfonate; dialkyl esters of sulfosuccinate salts, such as sodium di(2 ethylhexyl) sulfosuccinate; sorbitol esters, such as sorbitol oleate; quaternary amines, such as lauryl trimethylammonium chloride; polyethylene glycol esters of fatty acids, such as polyethylene glycol stearate; block copolymers of ethylene oxide and propylene oxide; and salts of mono and dialkyl phosphate esters. Other adjuvants commonly utilized in agricultural compositions include crystallisation inhibitors, viscosity modifiers, suspending agents, spray droplet modifiers, pigments, antioxidants, foaming agents, anti-foaming agents, light-blocking agents, compatibilizing agents, antifoam agents, sequestering agents, neutralising agents and buffers, corrosion inhibitors, dyes, odorants, spreading agents, penetration aids, micronutrients, emollients, lubricants, and sticking agents. In addition, further, other biocidal active ingredients or compositions may be combined with the compositions of the invention and used in the methods of the invention and applied simultaneously or sequentially with the compositions of the invention. When applied simultaneously, these further active ingredients may be formulated together with the compositions of the invention or mixed in, for example, the spray tank. These further biocidal active ingredients may be fungicides, herbicides, insecticides, bactericides, acaricides, nematicides and/or plant growth regulators. Pesticidal agents are referred to herein using their common name are known, for example, from "The Pesticide Manual", 15th Ed., British Crop Protection Council 2009. In addition, the compositions of the invention may also be applied with one or more systemically acquired resistance inducers (“SAR” inducer). SAR inducers are known and described in, for example, United States Patent No. US 6,919,298 and include, for example, salicylates and the commercial SAR inducer acibenzolar- S-methyl. The compounds of formula (I) according to the invention are normally used in the form of agrochemical compositions and can be applied to the crop area or plant to be treated, simultaneously or in succession with further compounds. These further compounds can be e.g., fertilizers or micronutrient donors or other preparations, which influence the growth of plants. They can also be selective herbicides or non-selective herbicides as well as insecticides, fungicides, bactericides, nematicides, molluscicides or mixtures of several of these preparations, if desired together with further carriers, surfactants or application promoting adjuvants customarily employed in the art of formulation.
82953 FF 64 The compounds of formula (I) according to the invention may be used in the form of (fungicidal) compositions for controlling or protecting against phytopathogenic microorganisms, comprising as active ingredient at least one compound of formula (I) or of at least one preferred individual compound as defined herein, in free form or in agrochemical usable salt form, and at least one of the above-mentioned adjuvants. The invention therefore provides a composition, preferably a fungicidal composition, comprising at least one compound of formula (I) according to the invention, an agriculturally acceptable carrier and optionally an adjuvant. An agricultural acceptable carrier is for example a carrier that is suitable for agricultural use. Agricultural carriers are well known in the art. Preferably, said composition may comprise at least one or more pesticidal-active compounds, for example an additional fungicidal active ingredient in addition to the compound of formula (I). The compound of formula (I) according to the invention may be the sole active ingredient of a composition or it may be admixed with one or more additional active ingredients such as a pesticide, fungicide, synergist, herbicide, or plant growth regulator where appropriate. An additional active ingredient may, in some cases, result in unexpected synergistic activities. Examples of suitable additional active ingredients include the following: acycloamino acid fungicides, aliphatic nitrogen fungicides, amide fungicides, anilide fungicides, antibiotic fungicides, aromatic fungicides, arsenical fungicides, aryl phenyl ketone fungicides, benzamide fungicides, benzanilide fungicides, benzimidazole fungicides, benzothiazole fungicides, botanical fungicides, bridged diphenyl fungicides, carbamate fungicides, carbanilate fungicides, conazole fungicides, copper fungicides, dicarboximide fungicides, dinitrophenol fungicides, dithiocarbamate fungicides, dithiolane fungicides, furamide fungicides, furanilide fungicides, hydrazide fungicides, imidazole fungicides, mercury fungicides, morpholine fungicides, organophosphorous fungicides, organotin fungicides, oxathiin fungicides, oxazole fungicides, phenylsulfamide fungicides, polysulfide fungicides, pyrazole fungicides, pyridine fungicides, pyrimidine fungicides, pyrrole fungicides, quaternary ammonium fungicides, quinoline fungicides, quinone fungicides, quinoxaline fungicides, strobilurin fungicides, sulfonanilide fungicides, thiadiazole fungicides, thiazole fungicides, thiazolidine fungicides, thiocarbamate fungicides, thiophene fungicides, triazine fungicides, triazole fungicides, triazolopyrimidine fungicides, urea fungicides, valinamide fungicides, and zinc fungicides. Examples of suitable additional active ingredients include the following: petroleum oils, 1,1-bis(4-chlorophenyl)- 2-ethoxyethanol, 2,4-dichlorophenyl benzenesulfonate, 2-fluoro-N-methyl-N-1-naphthylacetamide, 4- chlorophenyl phenyl sulfone, acetoprole, aldoxycarb, amidithion, amidothioate, amiton, amiton hydrogen oxalate, amitraz, aramite, arsenous oxide, azobenzene, azothoate, benomyl, benoxa-fos, benzyl benzoate, bixafen, brofenvalerate, bromocyclen, bromophos, bromopropylate, buprofezin, butocarboxim, butoxycarboxim, butylpyridaben, calcium polysulfide, camphechlor, carbanolate, carbophenothion, cymiazole, chinomethionat, chlorbenside, chlordimeform, chlordimeform hydrochloride, chlorfenethol, chlorfenson, chlorfensulfide, chlorobenzilate, chloromebuform, chloromethiuron, chloropropylate, chlorthiophos, cinerin I, cinerin II, cinerins, closantel, coumaphos, crotamiton, crotoxyphos, cufraneb, cyanthoate, DCPM, DDT, demephion, demephion-O, demephion-S, demeton-methyl, demeton-O, demeton-O-methyl, demeton-S,
82953 FF 65 demeton-S-methyl, demeton-S-methylsulfon, dichlofluanid, dichlorvos, dicliphos, dienochlor, dimefox, dinex, dinex-diclexine, dinocap-4, dinocap-6, dinocton, dinopenton, dinosulfon, dinoterbon, dioxathion, diphenyl sulfone, disulfiram, DNOC, dofenapyn, doramectin, endothion, eprinomectin, ethoate-methyl, etrimfos, fenazaflor, fenbutatin oxide, fenothiocarb, fenpyrad, fenpyroximate, fenpyrazamine, fenson, fentrifanil, flubenzimine, flucycloxuron, fluenetil, fluorbenside, FMC 1137, formetanate, formetanate hydrochloride, formparanate, gamma-HCH, glyodin, halfenprox, hexadecyl cyclopropanecarboxylate, isocarbophos, jasmolin I, jasmolin II, jodfenphos, lindane, malonoben, mecarbam, mephosfolan, mesulfen, methacrifos, methyl bromide, metolcarb, mexacarbate, milbemycin oxime, mipafox, monocrotophos, morphothion, moxidectin, naled, 4-chloro-2-(2-chloro-2-methyl-propyl)-5-[(6-iodo-3-pyridyl)methoxy]pyridazin-3-one, nifluridide, nikkomycins, nitrilacarb, nitrilacarb 1:1 zinc chloride complex, omethoate, oxydeprofos, oxydisulfoton, pp'-DDT, parathion, permethrin, phenkapton, phosalone, phosfolan, phosphamidon, polychloroterpenes, polynactins, proclonol, promacyl, propoxur, prothidathion, prothoate, pyrethrin I, pyrethrin II, pyrethrins, pyridaphenthion, pyrimitate, quinalphos, quintiofos, R-1492, phosglycin, rotenone, schradan, sebufos, selamectin, sophamide, SSI-121, sulfiram, sulfluramid, sulfotep, sulfur, diflovidazin, tau-fluvalinate, TEPP, terbam, tetradifon, tetrasul, thiafenox, thiocarboxime, thiofanox, thiometon, thioquinox, thuringiensin, triamiphos, triarathene, triazophos, triazuron, trifenofos, trinactin, vamidothion, vaniliprole, bethoxazin, copper dioctanoate, copper sulfate, cybutryne, dichlone, dichlorophen, endothal, fentin, hydrated lime, nabam, quinoclamine, quinonamid, simazine, triphenyltin acetate, triphenyltin hydroxide, crufomate, piperazine, thiophanate, chloralose, fenthion, pyridin-4-amine, strychnine, 1-hydroxy-1H-pyridine-2-thione, 4-(quinoxalin-2-ylamino)benzenesulfonamide, 8- hydroxyquinoline sulfate, bronopol, copper hydroxide, cresol, dipyrithione, dodicin, fenaminosulf, formaldehyde, hydrargaphen, kasugamycin, kasugamycin hydrochloride hydrate, nickel bis(dimethyldithiocarbamate), nitrapyrin, octhilinone, oxolinic acid, oxytetracycline, potassium hydroxyquinoline sulfate, probenazole, streptomycin, streptomycin sesquisulfate, tecloftalam, thiomersal, Adoxophyes orana GV, Agrobacterium radiobacter, Amblyseius spp., Anagrapha falcifera NPV, Anagrus atomus, Aphelinus abdominalis, Aphidius colemani, Aphidoletes aphidimyza, Autographa californica NPV, Bacillus sphaericus Neide, Beauveria brongniartii, Chrysoperla carnea, Cryptolaemus montrouzieri, Cydia pomonella GV, Dacnusa sibirica, Diglyphus isaea, Encarsia formosa, Eretmocerus eremicus, Heterorhabditis bacteriophora and H. megidis, Hippodamia convergens, Leptomastix dactylopii, Macrolophus caliginosus, Mamestra brassicae NPV, Metaphycus helvolus, Metarhizium anisopliae var. acridum, Metarhizium anisopliae var. anisopliae, Neodiprion sertifer NPV and N. lecontei NPV, Orius spp., Paecilomyces fumosoroseus, Phytoseiulus persimilis, Steinernema bibionis, Steinernema carpocapsae, Steinernema feltiae, Steinernema glaseri, Steinernema riobrave, Steinernema riobravis, Steinernema scapterisci, Steinernema spp., Trichogramma spp., Typhlodromus occidentalis, Verticillium lecanii, apholate, bisazir, busulfan, dimatif, hemel, hempa, metepa, methiotepa, methyl apholate, morzid, penfluron, tepa, thiohempa, thiotepa, tretamine, uredepa, (E)-dec-5-en- 1-yl acetate with (E)-dec-5-en-1-ol, (E)-tridec-4-en-1-yl acetate, (E)-6-methylhept-2-en-4-ol, (E,Z)-tetradeca- 4,10-dien-1-yl acetate, (Z)-dodec-7-en-1-yl acetate, (Z)-hexadec-11-enal, (Z)-hexadec-11-en-1-yl acetate, (Z)- hexadec-13-en-11-yn-1-yl acetate, (Z)-icos-13-en-10-one, (Z)-tetradec-7-en-1-al, (Z)-tetradec-9-en-1-ol, (Z)- tetradec-9-en-1-yl acetate, (7E,9Z)-dodeca-7,9-dien-1-yl acetate, (9Z,11E)-tetradeca-9,11-dien-1-yl acetate,
82953 FF 66 (9Z,12E)-tetradeca-9,12-dien-1-yl acetate, 14-methyloctadec-1-ene, 4-methylnonan-5-ol with 4-methylnonan- 5-one, alpha-multistriatin, brevicomin, codlelure, codlemone, cuelure, disparlure, dodec-8-en-1-yl acetate, dodec-9-en-1-yl acetate, dodeca-8,10-dien-1-yl acetate, dominicalure, ethyl 4-methyloctanoate, eugenol, frontalin, grandlure, grandlure I, grandlure II, grandlure III, grandlure IV, hexalure, ipsdienol, ipsenol, japonilure, lineatin, litlure, looplure, medlure, megatomoic acid, methyl eugenol, muscalure, octadeca-2,13-dien-1-yl acetate, octadeca-3,13-dien-1-yl acetate, orfralure, oryctalure, ostramone, siglure, sordidin, sulcatol, tetradec- 11-en-1-yl acetate, trimedlure, trimedlure A, trimedlure B1, trimedlure B2, trimedlure C, trunc-call, 2- (octylthio)ethanol, butopyronoxyl, butoxy(polypropylene glycol), dibutyl adipate, dibutyl phthalate, dibutyl succinate, diethyltoluamide, dimethyl carbate, dimethyl phthalate, ethyl hexanediol, hexamide, methoquin- butyl, methylneodecanamide, oxamate, picaridin, 1-dichloro-1-nitroethane, 1,1-dichloro-2,2-bis(4- ethylphenyl)ethane, 1,2-dichloropropane with 1,3-dichloropropene, 1-bromo-2-chloroethane, 2,2,2-trichloro-1- (3,4-dichlorophenyl)ethyl acetate, 2,2-dichlorovinyl 2-ethylsulfinylethyl methyl phosphate, 2-(1,3-dithiolan-2- yl)phenyl dimethylcarbamate, 2-(2-butoxyethoxy)ethyl thiocyanate, 2-(4,5-dimethyl-1,3-dioxolan-2-yl)phenyl methylcarbamate, 2-(4-chloro-3,5-xylyloxy)ethanol, 2-chlorovinyl diethyl phosphate, 2-imidazolidone, 2- isovalerylindan-1,3-dione, 2-methyl(prop-2-ynyl)aminophenyl methylcarbamate, 2-thiocyanatoethyl laurate, 3- bromo-1-chloroprop-1-ene, 3-methyl-1-phenylpyrazol-5-yl dimethylcarbamate, 4-methyl(prop-2-ynyl)amino- 3,5-xylyl methylcarbamate, 5,5-dimethyl-3-oxocyclohex-1-enyl dimethylcarbamate, acethion, acrylonitrile, aldrin, allosamidin, allyxycarb, alpha-ecdysone, aluminium phosphide, aminocarb, anabasine, athidathion, azamethiphos, Bacillus thuringiensis delta endotoxins, barium hexafluorosilicate, barium polysulfide, barthrin, Bayer 22/190, Bayer 22408, beta-cyfluthrin, beta-cypermethrin, bioethanomethrin, biopermethrin, bis(2- chloroethyl) ether, borax, bromfenvinfos, bromo-DDT, bufencarb, butacarb, butathiofos, butonate, calcium arsenate, calcium cyanide, carbon disulfide, carbon tetrachloride, cartap hydrochloride, cevadine, chlorbicyclen, chlordane, chlordecone, chloroform, chloropicrin, chlorphoxim, chlorprazophos, cis-resmethrin, cismethrin, clocythrin, copper acetoarsenite, copper arsenate, copper oleate, coumithoate, cryolite, CS 708, cyanofenphos, cyanophos, cyclethrin, cythioate, d-tetramethrin, DAEP, dazomet, decarbofuran, diamidafos, dicapthon, dichlofenthion, dicresyl, dicyclanil, dieldrin, diethyl 5-methylpyrazol-3-yl phosphate, dilor, dimefluthrin, dimetan, dimethrin, dimethylvinphos, dimetilan, dinoprop, dinosam, dinoseb, diofenolan, dioxabenzofos, dithicrofos, DSP, ecdysterone, EI 1642, EMPC, EPBP, etaphos, ethiofencarb, ethyl formate, ethylene dibromide, ethylene dichloride, ethylene oxide, EXD, fenchlorphos, fenethacarb, fenitrothion, fenoxacrim, fenpirithrin, fensulfothion, fenthion-ethyl, flucofuron, fosmethilan, fospirate, fosthietan, furathiocarb, furethrin, guazatine, guazatine acetates, sodium tetrathiocarbonate, halfenprox, HCH, HEOD, heptachlor, heterophos, HHDN, hydrogen cyanide, hyquincarb, IPSP, isazofos, isobenzan, isodrin, isofenphos, isolane, isoprothiolane, isoxathion, juvenile hormone I, juvenile hormone II, juvenile hormone III, kelevan, kinoprene, lead arsenate, leptophos, lirimfos, lythidathion, m-cumenyl methylcarbamate, magnesium phosphide, mazidox, mecarphon, menazon, mercurous chloride, mesulfenfos, metam, metam-potassium, metam-sodium, methanesulfonyl fluoride, methocrotophos, methoprene, methothrin, methoxychlor, methyl isothiocyanate, methylchloroform, methylene chloride, metoxadiazone, mirex, naftalofos, naphthalene, NC-170, nicotine, nicotine sulfate, nithiazine, nornicotine, O-5-dichloro-4-iodophenyl O-ethyl ethylphosphonothioate, O,O-diethyl
82953 FF 67 O-4-methyl-2-oxo-2H-chromen-7-yl phosphorothioate, O,O-diethyl O-6-methyl-2-propylpyrimidin-4-yl phosphorothioate, O,O,O',O'-tetrapropyl dithiopyrophosphate, oleic acid, para-dichlorobenzene, parathion- methyl, pentachlorophenol, pentachlorophenyl laurate, PH 60-38, phenkapton, phosnichlor, phosphine, phoxim-methyl, pirimetaphos, polychlorodicyclopentadiene isomers, potassium arsenite, potassium thiocyanate, precocene I, precocene II, precocene III, primidophos, profluthrin, promecarb, prothiofos, pyrazophos, pyresmethrin, quassia, quinalphos-methyl, quinothion, rafoxanide, resmethrin, rotenone, kadethrin, ryania, ryanodine, sabadilla, schradan, sebufos, SI-0009, thiapronil, sodium arsenite, sodium cyanide, sodium fluoride, sodium hexafluorosilicate, sodium pentachlorophenoxide, sodium selenate, sodium thiocyanate, sulcofuron, sulcofuron-sodium, sulfuryl fluoride, sulprofos, tar oils, tazimcarb, TDE, tebupirimfos, temephos, terallethrin, tetrachloroethane, thicrofos, thiocyclam, thiocyclam hydrogen oxalate, thionazin, thiosultap, thiosultap-sodium, tralomethrin, transpermethrin, triazamate, trichlormetaphos-3, trichloronat, trimethacarb, tolprocarb, triclopyricarb, triprene, veratridine, veratrine, XMC, zetamethrin, zinc phosphide, zolaprofos, meperfluthrin, tetramethylfluthrin, bis(tributyltin) oxide, bromoacetamide, ferric phosphate, niclosamide-olamine, tributyltin oxide, pyrimorph, trifenmorph, 1,2-dibromo-3-chloropropane, 1,3- dichloropropene, 3,4-dichlorotetrahydrothiophene 1,1-dioxide, 3-(4-chlorophenyl)-5-methylrhodanine, 5- methyl-6-thioxo-1,3,5-thiadiazinan-3-ylacetic acid, 6-isopentenylaminopurine, anisiflupurin, benclothiaz, cytokinins, DCIP, furfural, isamidofos, kinetin, Myrothecium verrucaria composition, tetrachlorothiophene, xylenols, zeatin, potassium ethylxanthate, acibenzolar, acibenzolar-S-methyl, Reynoutria sachalinensis extract, alpha-chlorohydrin, antu, barium carbonate, bisthiosemi, brodifacoum, bromadiolone, bromethalin, chlorophacinone, cholecalciferol, coumachlor, coumafuryl, coumatetralyl, crimidine, difenacoum, difethialone, diphacinone, ergocalciferol, flocoumafen, fluoroacetamide, flupropadine, flupropadine hydrochloride, norbormide, phosacetim, phosphorus, pindone, pyrinuron, scilliroside, sodium fluoroacetate, thallium sulfate, warfarin, 2-(2-butoxyethoxy)ethyl piperonylate, 5-(1,3-benzodioxol-5-yl)-3-hexylcyclohex-2-enone, farnesol with nerolidol, verbutin, MGK 264, piperonyl butoxide, piprotal, propyl isomer, S421, sesamex, sesamolin, sulfoxide, anthraquinone, copper naphthenate, copper oxychloride, dicyclopentadiene, thiram, zinc naphthenate, ziram, imanin, ribavirin, chloroinconazide, mercuric oxide, thiophanate-methyl, azaconazole, bitertanol, bromuconazole, cyproconazole, difenoconazole, diniconazole, epoxiconazole, fenbuconazole, fluquinconazole, flusilazole, flutriafol, furametpyr, hexaconazole, imazalil, imibenconazole, ipconazole, metconazole, myclobutanil, paclobutrazole, pefurazoate, penconazole, prothioconazole, pyrifenox, prochloraz, propiconazole, pyrisoxazole, simeconazole, tebuconazole, tetraconazole, triadimefon, triadimenol, triflumizole, triticonazole, ancymidol, fenarimol, nuarimol, bupirimate, dimethirimol, ethirimol, dodemorph, fenpropidin, fenpropimorph, spiroxamine, tridemorph, cyprodinil, mepanipyrim, pyrimethanil, fenpiclonil, fludioxonil, benalaxyl, furalaxyl, metalaxyl, R‑metalaxyl, ofurace, oxadixyl, carbendazim, debacarb, fuberidazole, thiabendazole, chlozolinate, dichlozoline, myclozoline, procymidone, vinclozoline, boscalid, carboxin, fenfuram, flutolanil, mepronil, oxycarboxin, penthiopyrad, thifluzamide, dodine, iminoctadine, azoxystrobin, dimoxystrobin, enestroburin, fenaminstrobin, flufenoxystrobin, fluoxastrobin, kresoxim-methyl, metominostrobin, trifloxystrobin, orysastrobin, picoxystrobin, pyraclostrobin, pyrametostrobin, pyraoxystrobin, ferbam, mancozeb, maneb, metiram, propineb, zineb, captafol, captan, fluoroimide, folpet, tolylfluanid,
82953 FF 68 bordeaux mixture, copper oxide, mancopper, oxine-copper, nitrothal-isopropyl, edifenphos, iprobenphos, phosdiphen, tolclofos-methyl, anilazine, benthiavalicarb, blasticidin-S, chloroneb, chlorothalonil, cyflufenamid, cymoxanil, cyclobutrifluram, diclocymet, diclomezine, dicloran, diethofencarb, dimethomorph, flumorph, dithianon, ethaboxam, etridiazole, famoxadone, fenamidone, fenoxanil, ferimzone, fluazinam, flumetylsulforim,fluopicolide, fluoxytioconazole, flusulfamide, fluxapyroxad, fenhexamid, fosetylaluminium, hymexazol, iprovalicarb, cyazofamid, methasulfocarb, metrafenone, pencycuron, phthalide, polyoxins, propamocarb, pyribencarb, proquinazid, pyroquilon, pyriofenone, quinoxyfen, quintozene, tiadinil, triazoxide, tricyclazole, triforine, validamycin, valifenalate, zoxamide, mandipropamid, flubeneteram, isopyrazam, sedaxane, benzovindiflupyr, pydiflumetofen, 3-difluoromethyl-1-methyl-1H-pyrazole-4-carboxylic acid (3',4',5'- trifluoro-biphenyl-2-yl)-amide, isoflucypram, isotianil, dipymetitrone, 6-ethyl-5,7-dioxo- pyrrolo[4,5][1,4]dithiino[1,2-c]isothiazole-3-carbonitrile, 2-(difluoromethyl)-N-[3-ethyl-1,1-dimethyl-indan-4- yl]pyridine-3-carboxamide, 4-(2,6-difluorophenyl)-6-methyl-5-phenyl-pyridazine-3-carbonitrile, (R)-3- (difluoromethyl)-1-methyl-N-[1,1,3-trimethylindan-4-yl]pyrazole-4-carboxamide, 4-(2-bromo-4-fluoro-phenyl)- N-(2-chloro-6-fluoro-phenyl)-2,5-dimethyl-pyrazol-3-amine, 4- (2- bromo- 4- fluorophenyl) -N-(2-chloro-6- fluorophenyl)-1,3-dimethyl-1H-pyrazol-5-amine, fluindapyr, coumethoxystrobin, lvbenmixianan, dichlobentiazox, mandestrobin, 3-(4,4-difluoro-3,4-dihydro-3,3-dimethylisoquinolin-1-yl)quinolone, 2-[2-fluoro- 6-[(8-fluoro-2-methyl-3-quinolyl)oxy]phenyl]propan-2-ol, oxathiapiprolin, tert-butyl N-[6-[[[(1-methyltetrazol-5- yl)-phenyl-methylene]amino]oxymethyl]-2-pyridyl]carbamate, pyraziflumid, inpyrfluxam, trolprocarb, mefentrifluconazole, ipfentrifluconazole, 2-(difluoromethyl)-N-[(3R)-3-ethyl-1,1-dimethyl-indan-4-yl]pyridine-3- carboxamide, N'-(2,5-dimethyl-4-phenoxy-phenyl)-N-ethyl-N-methyl-formamidine, N'-[4-(4,5-dichlorothiazol-2- yl)oxy-2,5-dimethyl-phenyl]-N-ethyl-N-methyl-formamidine, [2-[3-[2-[1-[2-[3,5-bis(difluoromethyl)pyrazol-1- yl]acetyl]-4-piperidyl]thiazol-4-yl]-4,5-dihydroisoxazol-5-yl]-3-chloro-phenyl] methanesulfonate, but-3-ynyl N-[6- [[(Z)-[(1-methyltetrazol-5-yl)-phenyl-methylene]amino]oxymethyl]-2-pyridyl]carbamate, methyl N-[[5-[4-(2,4- dimethylphenyl)triazol-2-yl]-2-methyl-phenyl]methyl]carbamate, 3-chloro-6-methyl-5-phenyl-4-(2,4,6- trifluorophenyl)pyridazine, pyridachlometyl, 3-(difluoromethyl)-1-methyl-N-[1,1,3-trimethylindan-4-yl]pyrazole- 4-carboxamide, 1-[2-[[1-(4-chlorophenyl)pyrazol-3-yl]oxymethyl]-3-methyl-phenyl]-4-methyl-tetrazol-5-one, 1- methyl-4-[3-methyl-2-[[2-methyl-4-(3,4,5-trimethylpyrazol-1-yl)phenoxy]methyl]phenyl]tetrazol-5-one, aminopyrifen, ametoctradin, amisulbrom, penflufen, (Z,2E)-5-[1-(4-chlorophenyl)pyrazol-3-yl]oxy-2- methoxyimino-N,3-dimethyl-pent-3-enamide, florylpicoxamid, fenpicoxamid, metarylpicoxamid, tebufloquin, ipflufenoquin, quinofumelin, isofetamid, ethyl 1-[[4-[[2-(trifluoromethyl)-1,3-dioxolan-2- yl]methoxy]phenyl]methyl]pyrazole-3-carboxylate (may be prepared from the methods described in WO2020/056090), ethyl 1-[[4-[(Z)-2-ethoxy-3,3,3-trifluoro-prop-1-enoxy]phenyl]methyl]pyrazole-3-carboxylate (may be prepared from the methods described in WO2020/056090), methyl N-[[4-[1-(4-cyclopropyl-2,6-difluoro- phenyl)pyrazol-4-yl]-2-methyl-phenyl]methyl]carbamate (may be prepared from the methods described in WO2020/097012), methyl N-[[4-[1-(2,6-difluoro-4-isopropyl-phenyl)pyrazol-4-yl]-2-methyl- phenyl]methyl]carbamate (may be prepared from the methods described in WO2020/097012), 6-chloro-3-(3- cyclopropyl-2-fluoro-phenoxy)-N-[2-(2,4-dimethylphenyl)-2,2-difluoro-ethyl]-5-methyl-pyridazine-4- carboxamide (may be prepared from the methods described in WO2020/109391), 6-chloro-N-[2-(2-chloro-4-
82953 FF 69 methyl-phenyl)-2,2-difluoro-ethyl]-3-(3-cyclopropyl-2-fluoro-phenoxy)-5-methyl-pyridazine-4-carboxamide (may be prepared from the methods described in WO2020/109391), 6-chloro-3-(3-cyclopropyl-2-fluoro- phenoxy)-N-[2-(3,4-dimethylphenyl)-2,2-difluoro-ethyl]-5-methyl-pyridazine-4-carboxamide (may be prepared from the methods described in WO2020/109391),N-[2-[2,4-dichloro-phenoxy]phenyl]-3-(difluoromethyl)-1- methyl-pyrazole-4-carboxamide, N-[2-[2-chloro-4-(trifluoromethyl)phenoxy]phenyl]-3-(difluoromethyl)-1- methyl-pyrazole-4-carboxamide, benzothiostrobin, phenamacril, 5-amino-1,3,4-thiadiazole-2-thiol zinc salt (2:1), fluopyram, flufenoxadiazam, flutianil, fluopimomide, pyrapropoyne, picarbutrazox, 2-(difluoromethyl)-N- (3-ethyl-1,1-dimethyl-indan-4-yl)pyridine-3-carboxamide, 2-(difluoromethyl)-N-((3R)-1,1,3-trimethylindan-4-yl) pyridine-3-carboxamide, 4-[[6-[2-(2,4-difluorophenyl)-1,1-difluoro-2-hydroxy-3-(1,2,4-triazol-1-yl)propyl]-3- pyridyl]oxy]benzonitrile, metyltetraprole, α- (1,1- dimethylethyl)-α-[4'-(trifluoromethoxy) [1,1'-biphenyl]-4-yl] -5- pyrimidinemethanol, fluoxapiprolin, enoxastrobin, methyl (Z)-2-(5-cyclohexyl-2-methyl-phenoxy)-3-methoxy- prop-2-enoate, methyl (Z)-2-(5-cyclopentyl-2-methyl-phenoxy)-3-methoxy-prop-2-enoate (these compounds may be prepared from the methods described in WO2020/193387), 4-[[6-[2-(2,4-difluorophenyl)-1,1-difluoro-2- hydroxy-3-(1,2,4-triazol-1-yl)propyl]-3-pyridyl]oxy] benzonitrile, 4-[[6-[2-(2,4-difluorophenyl)-1,1-difluoro-2- hydroxy-3-(5-sulfanyl-1,2,4-triazol-1-yl)propyl]-3-pyridyl]oxy] benzonitrile, 4-[[6-[2-(2,4-difluorophenyl)-1,1- difluoro-2-hydroxy-3-(5-thioxo-4H-1,2,4-triazol-1-yl)propyl]-3-pyridyl]oxy]benzonitrile, trinexapac, coumoxystrobin, zhongshengmycin, thiodiazole copper, zinc thiazole, amectotractin, iprodione, seboctylamine,N-[(1R)-1-benzyl-1,3-dimethyl-butyl]-8-fluoro-quinoline-3-carboxamide (this compound may be prepared from the methods described in WO2017/153380); N-methoxy-N-[[4-[5-(trifluoromethyl)-1,2,4- oxadiazol-3-yl]phenyl]methyl] cyclopropane carboxamide, N,2-dimethoxy-N-[[4-[5-(trifluoromethyl)-1,2,4- oxadiazol-3-yl]phenyl]methyl]propanamide (these compounds may be prepared from the methods described in WO2017/055473, WO2018/177894 and in WO2020/212513); 2-[6-(4-chlorophenoxy)-2-(trifluoromethyl)-3- pyridyl]-1-(1,2,4-triazol-1-yl)propan-2-ol (this compound may be prepared from the methods described in WO2017/029179); 2-[6-(4-bromophenoxy)-2-(trifluoromethyl)-3-pyridyl]-1-(1,2,4-triazol-1-yl)propan-2-ol (this compound may be prepared from the methods described in WO2017/029179); 3-[2-(1-chlorocyclopropyl)-3-(2- fluorophenyl)-2-hydroxy-propyl]imidazole-4-carbonitrile (this compound may be prepared from the methods described in WO2016/156290); 3-[2-(1-chlorocyclopropyl)-3-(3-chloro-2-fluoro-phenyl)-2-hydroxy- propyl]imidazole-4-carbonitrile (this compound may be prepared from the methods described in WO2016/156290); (4-phenoxyphenyl)methyl 2-amino-6-methyl-pyridine-3-carboxylate (this compound may be prepared from the methods described in WO2014/006945); 2,6-Dimethyl-1H,5H-[1,4]dithiino[2,3-c:5,6- c']dipyrrole-1,3,5,7(2H,6H)-tetrone (this compound may be prepared from the methods described in WO2011/138281) N-methyl-4-[5-(trifluoromethyl)-1,2,4-oxadiazol-3-yl]benzenecarbothioamide; N-methyl-4-[5- (trifluoromethyl)-1,2,4-oxadiazol-3-yl]benzamide; (Z,2E)-5-[1-(2,4-dichlorophenyl)pyrazol-3-yl]oxy-2- methoxyimino-N,3-dimethyl-pent-3-enamide (this compound may be prepared from the methods described in WO2018/153707); N'-(2-chloro-5-methyl-4-phenoxy-phenyl)-N-ethyl-N-methyl-formamidine; N'-[2-chloro-4-(2- fluorophenoxy)-5-methyl-phenyl]-N-ethyl-N-methyl-formamidine (this compound may be prepared from the methods described in WO2016/202742); 2-(difluoromethyl)-N-[(3S)-3-ethyl-1,1-dimethyl-indan-4-yl]pyridine-3- carboxamide (this compound may be prepared from the methods described in WO2014/095675); 2-[cyano-
82953 FF 70 (2,6-difluoro-4-pyridyl)amino]-5-methyl-N-spiro[3.4]octan-3-yl-thiazole-4-carboxamide, 2-[cyano-(2,6-difluoro- 4-pyridyl)amino]-N-(2,2-dimethylcyclobutyl)-5-methyl-thiazole-4-carboxamide (these compounds may be prepared from the methods described in WO2017207362A1, WO2019105933A1, WO2020109509A1), 2-[(2,6- difluoro-4-pyridyl)-(2-methoxyacetyl)amino]-N-(2,2-dimethylcyclobutyl)-5-methyl-thiazole-4-carboxamide, 2- [(2,6-difluoro-4-pyridyl)-(tetrahydropyran-4-carbonyl)amino]-N-(2,2-dimethylcyclobutyl)-5-methyl-thiazole-4- carboxamide, 2-[(2,6-difluoro-4-pyridyl)-(oxetane-3-carbonyl)amino]-N-(2,2-dimethylcyclobutyl)-5-methyl- thiazole-4-carboxamide, 2-[acetyl-(2,6-difluoro-4-pyridyl)amino]-N-(2,2-dimethylcyclobutyl)-5-methyl-thiazole- 4-carboxamide, 2-[acetyl-(2,6-difluoro-4-pyridyl)amino]-5-methyl-N-spiro[3.4]octan-3-yl]-thiazole-4- carboxamide, 2-[(2,6-difluoro-4-pyridyl)-(2-methylpropanoyl)amino]-N-(2,2-dimethylcyclobutyl)-5-methyl- thiazole-4-carboxamide, (these compounds may be prepared from the methods described in WO2017207362A1, WO2019105933A1, WO2020109511A1, WO2021244952A1) The compounds of the invention may also be used in combination with anthelmintic agents. Such anthelmintic agents include, compounds selected from the macrocyclic lactone class of compounds such as ivermectin, avermectin, abamectin, emamectin, eprinomectin, doramectin, selamectin, moxidectin, nemadectin and milbemycin derivatives as described in EP0357460, EP0444964 and EP0594291. Additional anthelmintic agents include semisynthetic and biosynthetic avermectin/milbemycin derivatives such as those described in US5,015,630, WO9415944 and WO9522552. Additional anthelmintic agents include the benzimidazoles such as albendazole, cambendazole, fenbendazole, flubendazole, mebendazole, oxfendazole, oxibendazole, parbendazole, and other members of the class. Additional anthelmintic agents include imidazothiazoles and tetrahydropyrimidines such as tetramisole, levamisole, pyrantel pamoate, oxantel or morantel. Additional anthelmintic agents include flukicides, such as triclabendazole and clorsulon and the cestocides, such as praziquantel and epsiprantel. The compounds of the invention may be used in combination with derivatives and analogues of the paraherquamide/marcfortine class of anthelmintic agents, as well as the antiparasitic oxazolines such as those disclosed in US5478855, US4639771 and DE-19520936. The compounds of the invention may be used in combination with derivatives and analogues of the general class of dioxomorpholine antiparasitic agents as described in WO9615121 and also with anthelmintic active cyclic depsipeptides such as those described in WO9611945, WO9319053, WO9325543, EP0626375, EP0382173, WO9419334, EP0382173, and EP0503538. The compounds of the invention may be used in combination with other ectoparasiticides; for example, fipronil; pyrethroids; organophosphates; insect growth regulators such as lufenuron; ecdysone agonists such as tebufenozide and the like; neonicotinoids such as imidacloprid and the like. The compounds of the invention may be used in combination with terpene alkaloids, for example those described in WO95/19363 or WO04/72086, particularly the compounds disclosed therein. Other examples of such biologically active compounds that the compounds of the invention may be used in combination with include but are not restricted to the following:
82953 FF 71 Organophosphates: acephate, azamethiphos, azinphos-ethyl, azinphos- methyl, bromophos, bromophos-ethyl, cadusafos, chlorethoxyphos, chlorpyrifos, chlorfenvinphos, chlormephos, demeton, demeton-S-methyl, demeton-S-methyl sulfone, dialifos, diazinon, dichlorvos, dicrotophos, dimethoate, disulfoton, ethion, ethoprophos, etrimfos, famphur, fenamiphos, fenitrothion, fensulfothion, fenthion, flupyrazofos, fonofos, formothion, fosthiazate, heptenophos, isazophos, isothioate, isoxathion, malathion, methacriphos, methamidophos, methidathion, methyl- parathion, mevinphos, monocrotophos, naled, omethoate, oxydemeton-methyl, paraoxon, parathion, parathion-methyl, phenthoate, phosalone, phosfolan, phosphocarb, phosmet, phosphamidon, phorate, phoxim, pirimiphos, pirimiphos- methyl, profenofos, propaphos, propetamphos, prothiofos, pyraclofos, pyridaphenthion, quinalphos, sulprophos, temephos, terbufos, tebupirimfos, tetrachlorvinphos, thimeton, triazophos, trichlorfon, vamidothion. Carbamates: alanycarb, aldicarb, 2-sec-butylphenyl methylcarbamate, benfuracarb, carbaryl, carbofuran, carbosulfan, cloethocarb, ethiofencarb, fenoxycarb, fenthiocarb, furathiocarb, HCN-801, isoprocarb, indoxacarb, methiocarb, methomyl, 5-methyl-m-cumenylbutyryl(methyl)carbamate, oxamyl, pirimicarb, propoxur, thiodicarb, thiofanox, triazamate, UC-51717. Pyrethroids: acrinathin, allethrin, alphametrin, 5-benzyl-3-furylmethyl (E)-(1R)-cis-2,2-dimethyl-3-(2-oxothiolan- 3-ylidenemethyl)cyclopropanecarboxylate, bifenthrin, beta-cyfluthrin, cyfluthrin, a-cypermethrin, beta- cypermethrin, bioallethrin, bioallethrin((S)-cyclopentylisomer), bioresmethrin, bifenthrin, NCI-85193, cycloprothrin, cyhalothrin, cythithrin, cyphenothrin, deltamethrin, empenthrin, esfenvalerate, etofenprox, fenfluthrin, fenpropathrin, fenvalerate, flucythrinate, flumethrin, fluvalinate (D isomer), imiprothrin, cyhalothrin, lambda-cyhalothrin, permethrin, phenothrin, prallethrin, pyrethrins (natural products), resmethrin, tetramethrin, transfluthrin, theta-cypermethrin, silafluofen, t-fluvalinate, tefluthrin, tralomethrin, Zeta-cypermethrin. Arthropod growth regulators: a) chitin synthesis inhibitors: benzoylureas: chlorfluazuron, diflubenzuron, fluazuron, flucycloxuron, flufenoxuron, hexaflumuron, lufenuron, novaluron, teflubenzuron, triflumuron, buprofezin, diofenolan, hexythiazox, etoxazole, chlorfentazine; b) ecdysone antagonists: halofenozide, methoxyfenozide, tebufenozide; c) juvenoids: pyriproxyfen, methoprene (including S-methoprene), fenoxycarb; d) lipid biosynthesis inhibitors: spirodiclofen. Other antiparasitics: acequinocyl, amitraz, AKD-1022, ANS-118, azadirachtin, Bacillus thuringiensis, bensultap, bifenazate, binapacryl, bromopropylate, BTG-504, BTG-505, camphechlor, cartap, chlorobenzilate, chlordimeform, chlorfenapyr, chromafenozide, clothianidine, cyromazine, diacloden, diafenthiuron, DBI-3204, dinactin, dihydroxymethyldihydroxypyrrolidine, dinobuton, dinocap, endosulfan, ethiprole, etofenprox, fenazaquin, flumite, MTI- 800, fenpyroximate, fluacrypyrim, flubenzimine, flubrocythrinate, flufenzine, flufenprox, fluproxyfen, halofenprox, hydramethylnon, IKI-220, kanemite, NC-196, neem guard, nidinorterfuran, nitenpyram, SD-35651, WL-108477, pirydaryl, propargite, protrifenbute, pymethrozine, pyridaben, pyrimidifen, NC-1111, R-195, RH-0345, RH-2485, RYI-210, S-1283, S-1833, SI-8601, silafluofen, silomadine, spinosad, tebufenpyrad, tetradifon, tetranactin, thiacloprid, thiocyclam, thiamethoxam, tolfenpyrad, triazamate, triethoxyspinosyn, trinactin, verbutin, vertalec, YI-5301.
82953 FF 72 Biological agents: Bacillus thuringiensis ssp. aizawai, kurstaki, Bacillus thuringiensis delta endotoxin, baculovirus, entomopathogenic bacteria, virus, and fungi. Bactericides: chlortetracycline, oxytetracycline, streptomycin. Other biological agents: enrofloxacin, febantel, penethamate, moloxicam, cefalexin, kanamycin, pimobendan, clenbuterol, omeprazole, tiamulin, benazepril, pyriprole, cefquinome, florfenicol, buserelin, cefovecin, tulathromycin, ceftiofur, carprofen, metaflumizone, praziqantel, triclabendazole. The following mixtures of the compounds of formula (I) with active ingredients are preferred. The abbreviation “TX” means one compound selected from compounds of formula (I), (I-A), (I-A2), or (I-C), or compounds selected from compounds listed in Tables A-1 to A-50, or compounds listed in Table P (below), and a compound selected from the group of substances consisting of petroleum oils + TX, 1,1-bis(4-chlorophenyl)-2- ethoxyethanol + TX, 2,4-dichlorophenyl benzenesulfonate + TX, 2-fluoro-N-methyl-N-1-naphthylacetamide + TX, 4-chlorophenyl phenyl sulfone + TX, acetoprole + TX, aldoxycarb + TX, amidithion + TX, amidothioate + TX, amiton + TX, amiton hydrogen oxalate + TX, amitraz + TX, aramite + TX, arsenous oxide + TX, azobenzene + TX, azothoate + TX, benomyl + TX, benoxafos + TX, benzyl benzoate + TX, bixafen + TX, brofenvalerate + TX, bromocyclen + TX, bromophos + TX, bromopropylate + TX, buprofezin + TX, butocarboxim + TX, butoxycarboxim + TX, butylpyridaben + TX, calcium polysulfide + TX, camphechlor + TX, carbanolate + TX, carbophenothion + TX, cymiazole + TX, chinomethionat + TX, chlorbenside + TX, chlordimeform + TX, chlordimeform hydrochloride + TX, chlorfenethol + TX, chlorfenson + TX, chlorfensulfide + TX, chlorobenzilate + TX, chloromebuform + TX, chloromethiuron + TX, chloropropylate + TX, chlorthiophos + TX, cinerin I + TX, cinerin II + TX, cinerins + TX, closantel + TX, coumaphos + TX, crotamiton + TX, crotoxyphos + TX, cufraneb + TX, cyanthoate + TX, DCPM + TX, DDT + TX, demephion + TX, demephion-O + TX, demephion-S + TX, demeton-methyl + TX, demeton-O + TX, demeton-O-methyl + TX, demeton-S + TX, demeton-S-methyl + TX, demeton-S-methylsulfon + TX, dichlofluanid + TX, dichlorvos + TX, dicliphos + TX, dienochlor + TX, dimefox + TX, dinex + TX, dinex-diclexine + TX, dinocap-4 + TX, dinocap-6 + TX, dinocton + TX, dinopenton + TX, dinosulfon + TX, dinoterbon + TX, dioxathion + TX, diphenyl sulfone + TX, disulfiram + TX, DNOC + TX, dofenapyn + TX, doramectin + TX, endothion + TX, eprinomectin + TX, ethoate-methyl + TX, etrimfos + TX, fenazaflor + TX, fenbutatin oxide + TX, fenothiocarb + TX, fenpyrad + TX, fenpyroximate + TX, fenpyrazamine + TX, fenson + TX, fentrifanil + TX, flubenzimine + TX, flucycloxuron + TX, fluenetil + TX, fluorbenside + TX, FMC 1137 + TX, formetanate + TX, formetanate hydrochloride + TX, formparanate + TX, gamma-HCH + TX, glyodin + TX, halfenprox + TX, hexadecyl cyclopropanecarboxylate + TX, isocarbophos + TX, jasmolin I + TX, jasmolin II + TX, jodfenphos + TX, lindane + TX, malonoben + TX, mecarbam + TX, mephosfolan + TX, mesulfen + TX, methacrifos + TX, methyl bromide + TX, metolcarb + TX, mexacarbate + TX, milbemycin oxime + TX, mipafox + TX, monocrotophos + TX, morphothion + TX, moxidectin + TX, naled + TX, 4-chloro-2-(2- chloro-2-methyl-propyl)-5-[(6-iodo-3-pyridyl)methoxy]pyridazin-3-one + TX, nifluridide + TX, nikkomycins + TX, nitrilacarb + TX, nitrilacarb 1:1 zinc chloride complex + TX, omethoate + TX, oxydeprofos + TX, oxydisulfoton + TX, pp'-DDT + TX, parathion + TX, permethrin + TX, phenkapton + TX, phosalone + TX, phosfolan + TX, phosphamidon + TX, polychloroterpenes + TX, polynactins + TX, proclonol + TX, promacyl + TX, propoxur +
82953 FF 73 TX, prothidathion + TX, prothoate + TX, pyrethrin I + TX, pyrethrin II + TX, pyrethrins + TX, pyridaphenthion + TX, pyrimitate + TX, quinalphos + TX, quintiofos + TX, R-1492 + TX, phosglycin + TX, rotenone + TX, schradan + TX, sebufos + TX, selamectin + TX, sophamide + TX, SSI-121 + TX, sulfiram + TX, sulfluramid + TX, sulfotep + TX, sulfur + TX, diflovidazin + TX, tau-fluvalinate + TX, TEPP + TX, terbam + TX, tetradifon + TX, tetrasul + TX, thiafenox + TX, thiocarboxime + TX, thiofanox + TX, thiometon + TX, thioquinox + TX, thuringiensin + TX, triamiphos + TX, triarathene + TX, triazophos + TX, triazuron + TX, trifenofos + TX, trinactin + TX, vamidothion + TX, vaniliprole + TX, bethoxazin + TX, copper dioctanoate + TX, copper sulfate + TX, cybutryne + TX, dichlone + TX, dichlorophen + TX, endothal + TX, fentin + TX, hydrated lime + TX, nabam + TX, quinoclamine + TX, quinonamid + TX, simazine + TX, triphenyltin acetate + TX, triphenyltin hydroxide + TX, crufomate + TX, piperazine + TX, thiophanate + TX, chloralose + TX, fenthion + TX, pyridin-4-amine + TX, strychnine + TX, 1- hydroxy-1H-pyridine-2-thione + TX, 4-(quinoxalin-2-ylamino)benzenesulfonamide + TX, 8-hydroxyquinoline sulfate + TX, bronopol + TX, copper hydroxide + TX, cresol + TX, dipyrithione + TX, dodicin + TX, fenaminosulf + TX, formaldehyde + TX, hydrargaphen + TX, kasugamycin + TX, kasugamycin hydrochloride hydrate + TX, nickel bis(dimethyldithiocarbamate) + TX, nitrapyrin + TX, octhilinone + TX, oxolinic acid + TX, oxytetracycline + TX, potassium hydroxyquinoline sulfate + TX, probenazole + TX, streptomycin + TX, streptomycin sesquisulfate + TX, tecloftalam + TX, thiomersal + TX, Adoxophyes orana GV + TX, Agrobacterium radiobacter + TX, Amblyseius spp. + TX, Anagrapha falcifera NPV + TX, Anagrus atomus + TX, Aphelinus abdominalis + TX, Aphidius colemani + TX, Aphidoletes aphidimyza + TX, Autographa californica NPV + TX, Bacillus sphaericus Neide + TX, Beauveria brongniartii + TX, Chrysoperla carnea + TX, Cryptolaemus montrouzieri + TX, Cydia pomonella GV + TX, Dacnusa sibirica + TX, Diglyphus isaea + TX, Encarsia formosa + TX, Eretmocerus eremicus + TX, Heterorhabditis bacteriophora and H. megidis + TX, Hippodamia convergens + TX, Leptomastix dactylopii + TX, Macrolophus caliginosus + TX, Mamestra brassicae NPV + TX, Metaphycus helvolus + TX, Metarhizium anisopliae var. acridum + TX, Metarhizium anisopliae var. anisopliae + TX, Neodiprion sertifer NPV and N. lecontei NPV + TX, Orius spp. + TX, Paecilomyces fumosoroseus + TX, Phytoseiulus persimilis + TX, Steinernema bibionis + TX, Steinernema carpocapsae + TX, Steinernema feltiae + TX, Steinernema glaseri + TX, Steinernema riobrave + TX, Steinernema riobravis + TX, Steinernema scapterisci + TX, Steinernema spp. + TX, Trichogramma spp. + TX, Typhlodromus occidentalis + TX, Verticillium lecanii + TX, apholate + TX, bisazir + TX, busulfan + TX, dimatif + TX, hemel + TX, hempa + TX, metepa + TX, methiotepa + TX, methyl apholate + TX, morzid + TX, penfluron + TX, tepa + TX, thiohempa + TX, thiotepa + TX, tretamine + TX, uredepa + TX, (E)-dec-5-en-1-yl acetate with (E)-dec-5-en-1-ol + TX, (E)- tridec-4-en-1-yl acetate + TX, (E)-6-methylhept-2-en-4-ol + TX, (E,Z)-tetradeca-4,10-dien-1-yl acetate + TX, (Z)-dodec-7-en-1-yl acetate + TX, (Z)-hexadec-11-enal + TX, (Z)-hexadec-11-en-1-yl acetate + TX, (Z)- hexadec-13-en-11-yn-1-yl acetate + TX, (Z)-icos-13-en-10-one + TX, (Z)-tetradec-7-en-1-al + TX, (Z)-tetradec- 9-en-1-ol + TX, (Z)-tetradec-9-en-1-yl acetate + TX, (7E,9Z)-dodeca-7,9-dien-1-yl acetate + TX, (9Z,11E)- tetradeca-9,11-dien-1-yl acetate + TX, (9Z,12E)-tetradeca-9,12-dien-1-yl acetate + TX, 14-methyloctadec-1- ene + TX, 4-methylnonan-5-ol with 4-methylnonan-5-one + TX, alpha-multistriatin + TX, brevicomin + TX, codlelure + TX, codlemone + TX, cuelure + TX, disparlure + TX, dodec-8-en-1-yl acetate + TX, dodec-9-en-1- yl acetate + TX, dodeca-8,10-dien-1-yl acetate + TX, dominicalure + TX, ethyl 4-methyloctanoate + TX, eugenol
82953 FF 74 + TX, frontalin + TX, grandlure + TX, grandlure I + TX, grandlure II + TX, grandlure III + TX, grandlure IV + TX, hexalure + TX, ipsdienol + TX, ipsenol + TX, japonilure + TX, lineatin + TX, litlure + TX, looplure + TX, medlure + TX, megatomoic acid + TX, methyl eugenol + TX, muscalure + TX, octadeca-2,13-dien-1-yl acetate + TX, octadeca-3,13-dien-1-yl acetate + TX, orfralure + TX, oryctalure + TX, ostramone + TX, siglure + TX, sordidin + TX, sulcatol + TX, tetradec-11-en-1-yl acetate + TX, trimedlure + TX, trimedlure A + TX, trimedlure B1 + TX, trimedlure B2 + TX, trimedlure C + TX, trunc-call + TX, 2-(octylthio)ethanol + TX, butopyronoxyl + TX, butoxy(polypropylene glycol) + TX, dibutyl adipate + TX, dibutyl phthalate + TX, dibutyl succinate + TX, diethyltoluamide + TX, dimethyl carbate + TX, dimethyl phthalate + TX, ethyl hexanediol + TX, hexamide + TX, methoquin-butyl + TX, methylneodecanamide + TX, oxamate + TX, picaridin + TX, 1-dichloro-1-nitroethane + TX, 1,1-dichloro-2,2-bis(4-ethylphenyl)ethane + TX, 1,2-dichloropropane with 1,3-dichloropropene + TX, 1- bromo-2-chloroethane + TX, 2,2,2-trichloro-1-(3,4-dichlorophenyl)ethyl acetate + TX, 2,2-dichlorovinyl 2- ethylsulfinylethyl methyl phosphate + TX, 2-(1,3-dithiolan-2-yl)phenyl dimethylcarbamate + TX, 2-(2- butoxyethoxy)ethyl thiocyanate + TX, 2-(4,5-dimethyl-1,3-dioxolan-2-yl)phenyl methylcarbamate + TX, 2-(4- chloro-3,5-xylyloxy)ethanol + TX, 2-chlorovinyl diethyl phosphate + TX, 2-imidazolidone + TX, 2- isovalerylindan-1,3-dione + TX, 2-methyl(prop-2-ynyl)aminophenyl methylcarbamate + TX, 2-thiocyanatoethyl laurate + TX, 3-bromo-1-chloroprop-1-ene + TX, 3-methyl-1-phenylpyrazol-5-yl dimethylcarbamate + TX, 4- methyl(prop-2-ynyl)amino-3,5-xylyl methylcarbamate + TX, 5,5-dimethyl-3-oxocyclohex-1-enyl dimethylcarbamate + TX, acethion + TX, acrylonitrile + TX, aldrin + TX, allosamidin + TX, allyxycarb + TX, alpha-ecdysone + TX, aluminium phosphide + TX, aminocarb + TX, anabasine + TX, athidathion + TX, azamethiphos + TX, Bacillus thuringiensis delta endotoxins + TX, barium hexafluorosilicate + TX, barium polysulfide + TX, barthrin + TX, Bayer 22/190 + TX, Bayer 22408 + TX, beta-cyfluthrin + TX, beta-cypermethrin + TX, bioethanomethrin + TX, biopermethrin + TX, bis(2-chloroethyl) ether + TX, borax + TX, bromfenvinfos + TX, bromo-DDT + TX, bufencarb + TX, butacarb + TX, butathiofos + TX, butonate + TX, calcium arsenate + TX, calcium cyanide + TX, carbon disulfide + TX, carbon tetrachloride + TX, cartap hydrochloride + TX, cevadine + TX, chlorbicyclen + TX, chlordane + TX, chlordecone + TX, chloroform + TX, chloropicrin + TX, chlorphoxim + TX, chlorprazophos + TX, cis-resmethrin + TX, cismethrin + TX, clocythrin + TX, copper acetoarsenite + TX, copper arsenate + TX, copper oleate + TX, coumithoate + TX, cryolite + TX, CS 708 + TX, cyanofenphos + TX, cyanophos + TX, cyclethrin + TX, cythioate + TX, d-tetramethrin + TX, DAEP + TX, dazomet + TX, decarbofuran + TX, diamidafos + TX, dicapthon + TX, dichlofenthion + TX, dicresyl + TX, dicyclanil + TX, dieldrin + TX, diethyl 5-methylpyrazol-3-yl phosphate + TX, dilor + TX, dimefluthrin + TX, dimetan + TX, dimethrin + TX, dimethylvinphos + TX, dimetilan + TX, dinoprop + TX, dinosam + TX, dinoseb + TX, diofenolan + TX, dioxabenzofos + TX, dithicrofos + TX, DSP + TX, ecdysterone + TX, EI 1642 + TX, EMPC + TX, EPBP + TX, etaphos + TX, ethiofencarb + TX, ethyl formate + TX, ethylene dibromide + TX, ethylene dichloride + TX, ethylene oxide + TX, EXD + TX, fenchlorphos + TX, fenethacarb + TX, fenitrothion + TX, fenoxacrim + TX, fenpirithrin + TX, fensulfothion + TX, fenthion-ethyl + TX, flucofuron + TX, fosmethilan + TX, fospirate + TX, fosthietan + TX, furathiocarb + TX, furethrin + TX, guazatine + TX, guazatine acetates + TX, sodium tetrathiocarbonate + TX, halfenprox + TX, HCH + TX, HEOD + TX, heptachlor + TX, heterophos + TX, HHDN + TX, hydrogen cyanide + TX, hyquincarb + TX, IPSP + TX, isazofos + TX, isobenzan + TX, isodrin +
82953 FF 75 TX, isofenphos + TX, isolane + TX, isoprothiolane + TX, isoxathion + TX, juvenile hormone I + TX, juvenile hormone II + TX, juvenile hormone III + TX, kelevan + TX, kinoprene + TX, lead arsenate + TX, leptophos + TX, lirimfos + TX, lythidathion + TX, m-cumenyl methylcarbamate + TX, magnesium phosphide + TX, mazidox + TX, mecarphon + TX, menazon + TX, mercurous chloride + TX, mesulfenfos + TX, metam + TX, metam- potassium + TX, metam-sodium + TX, methanesulfonyl fluoride + TX, methocrotophos + TX, methoprene + TX, methothrin + TX, methoxychlor + TX, methyl isothiocyanate + TX, methylchloroform + TX, methylene chloride + TX, metoxadiazone + TX, mirex + TX, naftalofos + TX, naphthalene + TX, NC-170 + TX, nicotine + TX, nicotine sulfate + TX, nithiazine + TX, nornicotine + TX, O-5-dichloro-4-iodophenyl O-ethyl ethylphosphonothioate + TX, O,O-diethyl O-4-methyl-2-oxo-2H-chromen-7-yl phosphorothioate + TX, O,O- diethyl O-6-methyl-2-propylpyrimidin-4-yl phosphorothioate + TX, O,O,O',O'-tetrapropyl dithiopyrophosphate + TX, oleic acid + TX, para-dichlorobenzene + TX, parathion-methyl + TX, pentachlorophenol + TX, pentachlorophenyl laurate + TX, PH 60-38 + TX, phenkapton + TX, phosnichlor + TX, phosphine + TX, phoxim- methyl + TX, pirimetaphos + TX, polychlorodicyclopentadiene isomers + TX, potassium arsenite + TX, potassium thiocyanate + TX, precocene I + TX, precocene II + TX, precocene III + TX, primidophos + TX, profluthrin + TX, promecarb + TX, prothiofos + TX, pyrazophos + TX, pyresmethrin + TX, quassia + TX, quinalphos-methyl + TX, quinothion + TX, rafoxanide + TX, resmethrin + TX, rotenone + TX, kadethrin + TX, ryania + TX, ryanodine + TX, sabadilla + TX, schradan + TX, sebufos + TX, SI-0009 + TX, thiapronil + TX, sodium arsenite + TX, sodium cyanide + TX, sodium fluoride + TX, sodium hexafluorosilicate + TX, sodium pentachlorophenoxide + TX, sodium selenate + TX, sodium thiocyanate + TX, sulcofuron + TX, sulcofuron- sodium + TX, sulfuryl fluoride + TX, sulprofos + TX, tar oils + TX, tazimcarb + TX, TDE + TX, tebupirimfos + TX, temephos + TX, terallethrin + TX, tetrachloroethane + TX, thicrofos + TX, thiocyclam + TX, thiocyclam hydrogen oxalate + TX, thionazin + TX, thiosultap + TX, thiosultap-sodium + TX, tralomethrin + TX, transpermethrin + TX, triazamate + TX, trichlormetaphos-3 + TX, trichloronat + TX, trimethacarb + TX, tolprocarb + TX, triclopyricarb + TX, triprene + TX, veratridine + TX, veratrine + TX, XMC + TX, zetamethrin + TX, zinc phosphide + TX, zolaprofos + TX, and meperfluthrin + TX, tetramethylfluthrin + TX, bis(tributyltin) oxide + TX, bromoacetamide + TX, ferric phosphate + TX, niclosamide-olamine + TX, tributyltin oxide + TX, pyrimorph + TX, trifenmorph + TX, 1,2-dibromo-3-chloropropane + TX, 1,3-dichloropropene + TX, 3,4- dichlorotetrahydrothiophene 1,1-dioxide + TX, 3-(4-chlorophenyl)-5-methylrhodanine + TX, 5-methyl-6-thioxo- 1,3,5-thiadiazinan-3-ylacetic acid + TX, 6-isopentenylaminopurine + TX, 2-fluoro-N-(3-methoxyphenyl)-9H- purin-6-amine + TX, benclothiaz + TX, cytokinins + TX, DCIP + TX, furfural + TX, isamidofos + TX, kinetin + TX, Myrothecium verrucaria composition + TX, tetrachlorothiophene + TX, xylenols + TX, zeatin + TX, potassium ethylxanthate + TX, acibenzolar + TX, acibenzolar-S-methyl + TX, Reynoutria sachalinensis extract + TX, alpha-chlorohydrin + TX, antu + TX, barium carbonate + TX, bisthiosemi + TX, brodifacoum + TX, bromadiolone + TX, bromethalin + TX, chlorophacinone + TX, cholecalciferol + TX, coumachlor + TX, coumafuryl + TX, coumatetralyl + TX, crimidine + TX, difenacoum + TX, difethialone + TX, diphacinone + TX, ergocalciferol + TX, flocoumafen + TX, fluoroacetamide + TX, flupropadine + TX, flupropadine hydrochloride + TX, norbormide + TX, phosacetim + TX, phosphorus + TX, pindone + TX, pyrinuron + TX, scilliroside + TX, sodium fluoroacetate + TX, thallium sulfate + TX, warfarin + TX, 2-(2-butoxyethoxy)ethyl piperonylate + TX, 5-
82953 FF 76 (1,3-benzodioxol-5-yl)-3-hexylcyclohex-2-enone + TX, farnesol with nerolidol + TX, verbutin + TX, MGK 264 + TX, piperonyl butoxide + TX, piprotal + TX, propyl isomer + TX, S421 + TX, sesamex + TX, sesamolin + TX, sulfoxide + TX, anthraquinone + TX, copper naphthenate + TX, copper oxychloride + TX, dicyclopentadiene + TX, thiram + TX, zinc naphthenate + TX, ziram + TX, imanin + TX, ribavirin + TX, mercuric oxide + TX, thiophanate-methyl + TX, azaconazole + TX, bitertanol + TX, bromuconazole + TX, cyproconazole + TX, difenoconazole + TX, diniconazole + TX, epoxiconazole + TX, fenbuconazole + TX, fluquinconazole + TX, flusilazole + TX, flutriafol + TX, furametpyr + TX, hexaconazole + TX, imazalil + TX, imibenconazole + TX, ipconazole + TX, metconazole + TX, myclobutanil + TX, paclobutrazole + TX, pefurazoate + TX, penconazole + TX, prothioconazole + TX, pyrifenox + TX, prochloraz + TX, propiconazole + TX, pyrisoxazole + TX, - simeconazole + TX, tebuconazole + TX, tetraconazole + TX, triadimefon + TX, triadimenol + TX, triflumizole + TX, triticonazole + TX, ancymidol + TX, fenarimol + TX, nuarimol + TX, bupirimate + TX, dimethirimol + TX, ethirimol + TX, dodemorph + TX, fenpropidin + TX, fenpropimorph + TX, spiroxamine + TX, tridemorph + TX, cyprodinil + TX, mepanipyrim + TX, pyrimethanil + TX, fenpiclonil + TX, fludioxonil + TX, benalaxyl + TX, furalaxyl + TX, metalaxyl -+ TX, Rmetalaxyl + TX, ofurace + TX, oxadixyl + TX, carbendazim + TX, debacarb + TX, fuberidazole + TX, thiabendazole + TX, chlozolinate + TX, dichlozoline + TX, myclozoline + TX, procymidone + TX, vinclozoline + TX, boscalid + TX, carboxin + TX, fenfuram + TX, flutolanil + TX, mepronil + TX, oxycarboxin + TX, penthiopyrad + TX, thifluzamide + TX, dodine + TX, iminoctadine + TX, azoxystrobin + TX, dimoxystrobin + TX, enestroburin + TX, fenaminstrobin + TX, flufenoxystrobin + TX, fluoxastrobin + TX, kresoxim-methyl + TX, metominostrobin + TX, trifloxystrobin + TX, orysastrobin + TX, picoxystrobin + TX, pyraclostrobin + TX, pyrametostrobin + TX, pyraoxystrobin + TX, ferbam + TX, mancozeb + TX, maneb + TX, metiram + TX, propineb + TX, zineb + TX, captafol + TX, captan + TX, fluoroimide + TX, folpet + TX, tolylfluanid + TX, bordeaux mixture + TX, copper oxide + TX, mancopper + TX, oxine-copper + TX, nitrothal-isopropyl + TX, edifenphos + TX, iprobenphos + TX, phosdiphen + TX, tolclofos-methyl + TX, anilazine + TX, benthiavalicarb + TX, blasticidin-S + TX, chloroneb + TX, chlorothalonil + TX, cyflufenamid + TX, cymoxanil + TX, cyclobutrifluram + TX, diclocymet + TX, diclomezine + TX, dicloran + TX, diethofencarb + TX, dimethomorph + TX, flumorph + TX, dithianon + TX, ethaboxam + TX, etridiazole + TX, famoxadone + TX, fenamidone + TX, fenoxanil + TX, ferimzone + TX, fluazinam + TX, fluopicolide + TX, flusulfamide + TX, fluxapyroxad + TX, fenhexamid + TX, fosetyl-aluminium + TX, hymexazol + TX, iprovalicarb + TX, cyazofamid + TX, methasulfocarb + TX, metrafenone + TX, pencycuron + TX, phthalide + TX, polyoxins + TX, propamocarb + TX, pyribencarb + TX, proquinazid + TX, pyroquilon + TX, pyriofenone + TX, quinoxyfen + TX, quintozene + TX, tiadinil + TX, triazoxide + TX, tricyclazole + TX, triforine + TX, validamycin + TX, valifenalate + TX, zoxamide + TX, mandipropamid + TX, flubeneteram + TX, isopyrazam + TX, sedaxane + TX, benzovindiflupyr + TX, pydiflumetofen + TX, 3-difluoromethyl-1-methyl-1H-pyrazole-4-carboxylic acid (3',4',5'-trifluoro-biphenyl- 2-yl)-amide + TX, isoflucypram + TX, isotianil + TX, dipymetitrone + TX, 6-ethyl-5,7-dioxo- pyrrolo[4,5][1,4]dithiino[1,2-c]isothiazole-3-carbonitrile + TX, 2-(difluoromethyl)-N-[3-ethyl-1,1-dimethyl-indan- 4-yl]pyridine-3-carboxamide + TX, 4-(2,6-difluorophenyl)-6-methyl-5-phenyl-pyridazine-3-carbonitrile + TX, (R)- 3-(difluoromethyl)-1-methyl-N-[1,1,3-trimethylindan-4-yl]pyrazole-4-carboxamide + TX, 4-(2-bromo-4-fluoro- phenyl)-N-(2-chloro-6-fluoro-phenyl)-2,5-dimethyl-pyrazol-3-amine + TX, 4- (2- bromo- 4- fluorophenyl) - N- (2-
82953 FF 77 chloro- 6- fluorophenyl) - 1, 3- dimethyl- 1H- pyrazol- 5- amine + TX, fluindapyr + TX, coumethoxystrobin + TX, lvbenmixianan + TX, dichlobentiazox + TX, mandestrobin + TX, 3-(4,4-difluoro-3,4-dihydro-3,3- dimethylisoquinolin-1-yl)quinolone + TX, 2-[2-fluoro-6-[(8-fluoro-2-methyl-3-quinolyl)oxy]phenyl]propan-2-ol + TX, oxathiapiprolin + TX, tert-butyl N-[6-[[[(1-methyltetrazol-5-yl)-phenyl-methylene]amino]oxymethyl]-2- pyridyl]carbamate + TX, pyraziflumid + TX, inpyrfluxam + TX, trolprocarb + TX, mefentrifluconazole + TX, ipfentrifluconazole+ TX, 2-(difluoromethyl)-N-[(3R)-3-ethyl-1,1-dimethyl-indan-4-yl]pyridine-3-carboxamide + TX, N'-(2,5-dimethyl-4-phenoxy-phenyl)-N-ethyl-N-methyl-formamidine + TX, N'-[4-(4,5-dichlorothiazol-2- yl)oxy-2,5-dimethyl-phenyl]-N-ethyl-N-methyl-formamidine + TX, [2-[3-[2-[1-[2-[3,5-bis(difluoromethyl)pyrazol- 1-yl]acetyl]-4-piperidyl]thiazol-4-yl]-4,5-dihydroisoxazol-5-yl]-3-chloro-phenyl] methanesulfonate + TX, but-3- ynyl N-[6-[[(Z)-[(1-methyltetrazol-5-yl)-phenyl-methylene]amino]oxymethyl]-2-pyridyl]carbamate + TX, methyl N-[[5-[4-(2,4-dimethylphenyl)triazol-2-yl]-2-methyl-phenyl]methyl]carbamate + TX, 3-chloro-6-methyl-5-phenyl- 4-(2,4,6-trifluorophenyl)pyridazine + TX, pyridachlometyl + TX, 3-(difluoromethyl)-1-methyl-N-[1,1,3- trimethylindan-4-yl]pyrazole-4-carboxamide + TX, 1-[2-[[1-(4-chlorophenyl)pyrazol-3-yl]oxymethyl]-3-methyl- phenyl]-4-methyl-tetrazol-5-one + TX, 1-methyl-4-[3-methyl-2-[[2-methyl-4-(3,4,5-trimethylpyrazol-1- yl)phenoxy]methyl]phenyl]tetrazol-5-one + TX, aminopyrifen + TX, ametoctradin + TX, amisulbrom + TX, penflufen + TX, (Z,2E)-5-[1-(4-chlorophenyl)pyrazol-3-yl]oxy-2-methoxyimino-N,3-dimethyl-pent-3-enamide + TX, florylpicoxamid + TX, fenpicoxamid + TX, tebufloquin + TX, ipflufenoquin + TX, quinofumelin + TX, isofetamid + TX, N-[2-[2,4-dichloro-phenoxy]phenyl]-3-(difluoromethyl)-1-methyl-pyrazole-4-carboxamide + TX, N-[2-[2-chloro-4-(trifluoromethyl)phenoxy]phenyl]-3-(difluoromethyl)-1-methyl-pyrazole-4-carboxamide + TX, benzothiostrobin + TX, phenamacril + TX, 5-amino-1,3,4-thiadiazole-2-thiol zinc salt (2:1) + TX, fluopyram + TX, flutianil + TX, fluopimomide + TX, pyrapropoyne + TX, picarbutrazox + TX, 2-(difluoromethyl)-N-(3-ethyl- 1,1-dimethyl-indan-4-yl)pyridine-3-carboxamide + TX, 2-(difluoromethyl)-N-((3R)-1,1,3- trimethylindan-4- yl)pyridine-3-carboxamide + TX, 4-[[6-[2-(2,4-difluorophenyl)-1,1-difluoro-2-hydroxy-3-(1,2,4-triazol-1- yl)propyl]-3-pyridyl]oxy]benzonitrile + TX, metyltetraprole + TX, α- (1,1-dimethylethyl)- α- [4'- (trifluoromethoxy) [1, 1'-biphenyl]-4-yl] -5- pyrimidinemethanol + TX, fluoxapiprolin + TX, enoxastrobin + TX, 4-[[6-[2-(2,4- difluorophenyl)-1,1-difluoro-2-hydroxy-3-(1,2,4-triazol-1-yl)propyl]-3-pyridyl]oxy] benzonitrile + TX, 4-[[6-[2- (2,4-difluorophenyl)-1,1-difluoro-2-hydroxy-3-(5-sulfanyl-1,2,4-triazol-1-yl)propyl]-3-pyridyl]oxy] benzonitrile + TX, 4-[[6-[2-(2,4-difluorophenyl)-1,1-difluoro-2-hydroxy-3-(5-thioxo-4H-1,2,4-triazol-1-yl)propyl]-3- pyridyl]oxy]benzonitrile + TX, trinexapac + TX, coumoxystrobin + TX, zhongshengmycin + TX, thiodiazole copper + TX, zinc thiazole + TX, amectotractin + TX, iprodione + TX, N-octyl-N'-[2-(octylamino)ethyl]ethane- 1,2-diamine^+ TX; methyl (Z)-2-(5-cyclohexyl-2-methyl-phenoxy)-3-methoxy-prop-2-enoate + TX; methyl (Z)-2- (5-cyclopentyl-2-methyl-phenoxy)-3-methoxy-prop-2-enoate + TX (these compounds may be prepared from the methods described in WO2020/193387); N-[(1R)-1-benzyl-1,3-dimethyl-butyl]-8-fluoro-quinoline-3- carboxamide + TX (this compound may be prepared from the methods described in WO2017/153380); N- methoxy-N-[[4-[5-(trifluoromethyl)-1,2,4-oxadiazol-3-yl]phenyl]methyl]cyclopropanecarboxamide + TX, N,2- dimethoxy-N-[[4-[5-(trifluoromethyl)-1,2,4-oxadiazol-3-yl]phenyl]methyl]propanamide + TX,. The compounds in this paragraph may be prepared from the methods described in WO2017/055473, WO2018/177894 and in WO2020/212513; 2-[6-(4-chlorophenoxy)-2-(trifluoromethyl)-3-pyridyl]-1-(1,2,4-triazol-1-yl)propan-2-ol + TX
82953 FF 78 (this compound may be prepared from the methods described in WO2017/029179); 2-[6-(4-bromophenoxy)-2- (trifluoromethyl)-3-pyridyl]-1-(1,2,4-triazol-1-yl)propan-2-ol + TX (this compound may be prepared from the methods described in WO2017/029179); 3-[2-(1-chlorocyclopropyl)-3-(2-fluorophenyl)-2-hydroxy- propyl]imidazole-4-carbonitrile + TX (this compound may be prepared from the methods described in WO2016/156290); 3-[2-(1-chlorocyclopropyl)-3-(3-chloro-2-fluoro-phenyl)-2-hydroxy-propyl]imidazole-4- carbonitrile + TX (this compound may be prepared from the methods described in WO2016/156290); (4- phenoxyphenyl)methyl 2-amino-6-methyl-pyridine-3-carboxylate + TX (this compound may be prepared from the methods described in WO2014/006945); 2,6-Dimethyl-1H,5H-[1,4]dithiino[2,3-c:5,6-c']dipyrrole- 1,3,5,7(2H,6H)-tetrone + TX (this compound may be prepared from the methods described in WO2011/138281); N-methyl-4-[5-(trifluoromethyl)-1,2,4-oxadiazol-3-yl]benzenecarbothioamide + TX; N- methyl-4-[5-(trifluoromethyl)-1,2,4-oxadiazol-3-yl]benzamide + TX; (Z,2E)-5-[1-(2,4-dichlorophenyl)pyrazol-3- yl]oxy-2-methoxyimino-N,3-dimethyl-pent-3-enamide + TX (this compound may be prepared from the methods described in WO2018/153707); N'-(2-chloro-5-methyl-4-phenoxy-phenyl)-N-ethyl-N-methyl-formamidine + TX; N'-[2-chloro-4-(2-fluorophenoxy)-5-methyl-phenyl]-N-ethyl-N-methyl-formamidine + TX (this compound may be prepared from the methods described in WO2016/202742); 2-(difluoromethyl)-N-[(3S)-3-ethyl-1,1-dimethyl- indan-4-yl]pyridine-3-carboxamide + TX (this compound may be prepared from the methods described in WO2014/095675); chloroinconazide + TX, flumetylsulforim + TX, fluoxytioconazole + TX, flufenoxadiazam +TX, metarylpicoxamid +TX. The references in brackets behind the active ingredients, e.g., [3878-19-1] refer to the Chemical Abstracts Registry number. The above-described mixing partners are known. Where the active ingredients are included in "The Pesticide Manual" [The Pesticide Manual - A World Compendium; Thirteenth Edition; Editor: C. D. S. TomLin; The British Crop Protection Council], they are described therein under the entry number given in round brackets hereinabove for the particular compound; for example, the compound "abamectin" is described under entry number (1). Where "[CCN]" is added hereinabove to the particular compound, the compound in question is included in the "Compendium of Pesticide Common Names", which is accessible on the internet [A. Wood; Compendium of Pesticide Common Names, Copyright © 1995-2004]; for example, the compound "acetoprole" under the internet address http://www.alanwood.net/pesticides/acetoprole.html. Most of the active ingredients described above are referred to hereinabove by a so-called "common name", the relevant "ISO common name" or another "common name" being used in individual cases. If the designation is not a "common name", the nature of the designation used instead is given in round brackets for the particular compound; in that case, the IUPAC name, the IUPAC/Chemical Abstracts name, a "chemical name", a "traditional name", a "compound name" or a "development code" is used or, if neither one of those designations nor a "common name" is used, an "alternative name" is employed. “CAS Reg. No” means the Chemical Abstracts Registry Number. The active ingredient mixture of the compound selected from compounds of formula (I), (I-A), (I-A2), or (I-C), or compounds selected from compounds listed in Tables A-1 to A-50, or compounds listed in Table P (below), is preferably in a mixing ratio of from 100:1 to 1:100, especially from 50:1 to 1:50, more especially in a ratio of
82953 FF 79 from 20:1 to 1:20, even more especially from 10:1 to 1:10, and still more especially from 5:1 to 1:5 Those mixing ratios are by weight. The mixtures as described above can be used in a method for controlling pests, which comprises applying a composition comprising a mixture as described above to the pests or their environment, with the exception of a method for treatment of the human or animal body by surgery or therapy and diagnostic methods practised on the human or animal body. The mixtures comprising a compound selected from compounds of formula (I), (I-A), (I-A2), or (I-C), or compounds selected from compounds listed in Tables A-1 to A-50, or compounds listed in Table P (below), and one or more active ingredients as described above can be applied, for example, in a single “ready-mix” form, in a combined spray mixture composed from separate formulations of the single active ingredient components, such as a “tank-mix”, and in a combined use of the single active ingredients when applied in a sequential manner, i.e. one after the other with a reasonably short period, such as a few hours or days. The order of applying a compound selected from compounds of formula (I), (I-A), (I-A2), or (I-C), or compounds selected from compounds listed in Tables A-1 to A-50, or compounds listed in Table P (below), and the active ingredient(s) as described above, is not essential for working the present invention. The compositions according to the invention can also comprise further solid or liquid auxiliaries, such as stabilizers, for example unepoxidized or epoxidized vegetable oils (for example epoxidized coconut oil, rapeseed oil or soya oil), antifoams, for example silicone oil, preservatives, viscosity regulators, binders and/or tackifiers, fertilizers or other active ingredients for achieving specific effects, for example bactericides, fungicides, nematicides, plant activators, molluscicides, or herbicides. The compositions according to the invention are prepared in a manner known per se, in the absence of auxiliaries for example by grinding, screening and/or compressing a solid active ingredient and in the presence of at least one auxiliary for example by intimately mixing and/or grinding the active ingredient with the auxiliary (auxiliaries). These processes for the preparation of the compositions and the use of the compounds (I) for the preparation of these compositions are also a subject of the invention. Another aspect of the invention is related to the use of a compound of formula (I) according to the invention or of a preferred individual compound as defined herein, of a composition comprising at least one compound of formula (I) or at least one preferred individual compound as defined herein, or of a fungicidal or insecticidal mixture comprising at least one compound of formula (I) or at least one preferred individual compound as defined herein, in admixture with other fungicides or insecticides as described above, for controlling or preventing infestation of plants, e.g., useful plants such as crop plants, propagation material thereof, e.g., seeds, harvested crops, e.g., harvested food crops, or non-living materials by insects, or by phytopathogenic microorganisms, preferably fungal organisms. A further aspect of invention is related to a method of controlling or preventing an infestation of plants, e.g., useful plants such as crop plants, propagation material thereof, e.g., seeds, harvested crops, e.g., harvested food crops, or of non-living materials by phytopathogenic or spoilage microorganisms or organisms potentially
82953 FF 80 harmful to man, especially fungal organisms, which comprises the application of a compound of formula (I) according to the invention or of a preferred individual compound as defined herein as active ingredient to the plants, to parts of the plants or to the locus thereof, to the propagation material thereof, or to any part of the non-living materials. Controlling or preventing means reducing infestation by insects, or by phytopathogenic or spoilage microorganisms, or organisms potentially harmful to man, especially fungal organisms, to such a level that an improvement is demonstrated. A preferred method of controlling or preventing an infestation of crop plants by phytopathogenic microorganisms, especially fungal organisms, or insects which comprises the application of a compound of formula (I) according to the invention, or an agrochemical composition which contains at least one compound of formula (I), is foliar application. The frequency of application and the rate of application will depend on the risk of infestation by the corresponding pathogen or insect. However, the compounds of formula (I) according to the invention can also penetrate the plant through the roots via the soil (systemic action) by drenching the locus of the plant with a liquid formulation, or by applying the compounds in solid form to the soil, e.g., in granular form (soil application). In crops of water rice such granulates can be applied to the flooded rice field. The compounds of formula (I) may also be applied to seeds (coating) by impregnating the seeds or tubers either with a liquid formulation of the fungicide or coating them with a solid formulation. A formulation, e.g., a composition containing the compound of formula (I) according to the invention and, if desired, a solid or liquid adjuvant or monomers for encapsulating the compound of formula (I), may be prepared in a known manner, typically by intimately mixing and/or grinding the compound with extenders, for example solvents, solid carriers and, optionally, surface active compounds (surfactants). Advantageous rates of application are normally from 5g to 2kg of active ingredient (a.i.) per hectare (ha), preferably from 10g to 1kg^a.i./ha, most preferably from 20g to 600g^a.i./ha. When used as seed drenching agent, convenient dosages are from 10mg to 1g of active substance per kg of seeds. The term “g a.i./ha” as used herein refer to the application rate given in gram [g] of active ingredient [a.i.] per unit of surface [ha]. The unit hectare (symbol ha) is the metric unit of area that equals a square with 100 m side (1 hm2) or 10,000 square meters. Hectare is a commonly used unit of area in the metric system. When the combinations of the present invention are used for treating seed, rates of 0.001 to 50 g of a compound of formula (I) per kg of seed, preferably from 0.01 to 10g per kg of seed are generally sufficient. Suitably, a composition comprising a compound of formula (I) according to the present invention is applied either preventative, meaning prior to disease development or curative, meaning after disease development. The compositions of the invention may be employed in any conventional form, for example in the form of a twin pack, a powder for dry seed treatment (DS), an emulsion for seed treatment (ES), a flowable concentrate for seed treatment (FS), a solution for seed treatment (LS), a water dispersible powder for seed treatment (WS), a capsule suspension for seed treatment (CF), a gel for seed treatment (GF), an emulsion concentrate (EC), a
82953 FF 81 suspension concentrate (SC), a suspo-emulsion (SE), a capsule suspension (CS), a water dispersible granule (WG), an emulsifiable granule (EG), an emulsion, water in oil (EO), an emulsion, oil in water (EW), a micro- emulsion (ME), an oil dispersion (OD), an oil miscible flowable (OF), an oil miscible liquid (OL), a soluble concentrate (SL), an ultra-low volume suspension (SU), an ultra-low volume liquid (UL), a technical concentrate (TK), a dispersible concentrate (DC), a wettable powder (WP) or any technically feasible formulation in combination with agriculturally acceptable adjuvants. Such compositions may be produced in conventional manner, e.g., by mixing the active ingredients with appropriate formulation inerts (diluents, solvents, fillers, and optionally other formulating ingredients such as surfactants, biocides, anti-freeze, stickers, thickeners, and compounds that provide adjuvancy effects). Also, conventional slow-release formulations may be employed where long lasting efficacy is intended. Particularly formulations to be applied in spraying forms, such as water dispersible concentrates (e.g., EC, SC, DC, OD, SE, EW, EO and the like), wettable powders and granules, may contain surfactants such as wetting and dispersing agents and other compounds that provide adjuvancy effects, e.g., the condensation product of formaldehyde with naphthalene sulfonate, an alkyl aryl sulfonate, a lignin sulfonate, a fatty alkyl sulphate, and ethoxylated alkylphenol and an ethoxylated fatty alcohol. A seed dressing formulation is applied in a manner known per se to the seeds employing the combination of the invention and a diluent in suitable seed dressing formulation form, e.g., as an aqueous suspension or in a dry powder form having good adherence to the seeds. Such seed dressing formulations are known in the art. Seed dressing formulations may contain the single active ingredients or the combination of active ingredients in encapsulated form, e.g., as slow-release capsules or microcapsules. In general, the formulations include from 0.01 to 90% by weight of active agent, from 0 to 20% agriculturally acceptable surfactant and 10 to 99.99% solid or liquid formulation inerts, and adjuvant(s), the active agent consisting of at least the compound of formula (I) according to the invention optionally together with other active agents, particularly microbiocides or conservatives or the like. Concentrated forms of compositions generally contain in between about 2 to 80%, preferably between about 5 to 70% by weight of active agent. Application forms of formulation may for example contain from 0.01 to 20% by weight, preferably from 0.01 to 5% by weight of active agent. Whereas commercial products will preferably be formulated as concentrates, the end user will normally employ diluted formulations. Whereas it is preferred to formulate commercial products as concentrates, the end user will normally use dilute formulations. The rates of application vary within wide limits and depend on the nature of the soil, the method of application, the crop plant, the pest to be controlled, the prevailing climatic conditions, and other factors governed by the method of application, the time of application and the target crop. As a general guideline, compounds may be applied at a rate of from 1 to 2000 l/ha, especially from 10 to 1000 l/ha. Preferred formulations can have the following compositions (weight %): Emulsifiable concentrates:
82953 FF 82 active ingredient: 1 to 95 %, preferably 60 to 90 % surface-active agent: 1 to 30 %, preferably 5 to 20 % liquid carrier: 1 to 80 %, preferably 1 to 35 % Dusts: active ingredient: 0.1 to 10 %, preferably 0.1 to 5 % solid carrier: 99.9 to 90 %, preferably 99.9 to 99 % Suspension concentrates: active ingredient: 5 to 75 %, preferably 10 to 50 % water: 94 to 24 %, preferably 88 to 30 % surface-active agent: 1 to 40 %, preferably 2 to 30 % Wettable powders: active ingredient: 0.5 to 90 %, preferably 1 to 80 % surface-active agent: 0.5 to 20 %, preferably 1 to 15 % solid carrier: 5 to 95 %, preferably 15 to 90 % Granules: active ingredient: 0.1 to 30 %, preferably 0.1 to 15 % solid carrier: 99.5 to 70 %, preferably 97 to 85 % The disclosure in the present application makes available each and every combination of embodiments disclosed herein. The compounds according to the following Tables A-1 to A-50 may be prepared according to the methods described above. The examples which follow are intended to illustrate the invention and show preferred compounds of formula (I). In any of Table’s A-1 to A-50 below, the presence of one or more possible asymmetric carbon atoms in a compound of formula (I) according to the invention means that the compounds may occur in chiral isomeric forms, i.e., enantiomeric or diastereomeric forms. Table A: This table discloses 34 substituent definitions Z1 of compounds of the formula (I-A) according to the invention: Formula (I) of the invention are as defined below:
Index Z1 Index Z1 1 hydrogen 18 3-(methylcarbamoyl)phenyl
82953 FF 83 2 methyl 19 4-[2-(methylamino)-2-oxo-ethyl]phenyl 3 propyl 20 3-[2-(methylamino)-2-oxo-ethyl]phenyl 4 1-cyanocyclopropyl 21 6-acetamido-3-pyridyl 5 1-cyano-1-methyl-1-ethyl 22 6-methoxycarbonyl-3-pyridyl 6 cyanomethyl 23 4-(2-methoxy-1,1-dimethyl-2-oxo-ethyl)phenyl 7 2-cyanoethyl 24 1-[(1-cyanocyclopropyl)methyl]pyrazol-4-yl 8 pyrimidin-5-yl 25 ethoxymethyl 9 1-methylpyrazol-3-yl 26 vinyl 10 2-methylpyrazol-3-yl 27 2-methyl-prop-1-enyl 11 1-methylpyrazol-4-yl 28 prop-1-ynyl 12 2-cyano-4-pyridyl 29 oxazol-5-yl 13 5-cyano-3-pyridyl 30 3-(methoxymethyl)-5-methyl-isoxazol-4-yl 14 6-cyano-2-pyridyl 31 isopropenyl 15 4-carbamoylphenyl 32 isoxazol-4-yl 16 1-(2-methoxyethyl)pyrazol-4-yl 33 Cl 17 6-(methylcarbamoyl)-3-pyridyl 34 Br The following compounds are thus specifically described in Tables A-1 to A-50 with the substituents for Formula (I-A) Table A-1: This table provides 34 compounds (A-1.01) to (A-1.34) of formula (I-A) wherein R2 and R4 are H, R5 is CH3, W1 is a bond, W2 is -NH-, Z2 is n-pentyl, and Z1 substituents are as defined in Table A. For example, compound (A-1.02) has the following structure: Compound (A-1.02)
(A-2.01) to (A-2.34) of formula (I-A) wherein R2 and R4 are H, R5 is CH3, W1 is a bond, W2 is -NH-, Z2 is 3-cyclopropyl-propyl, and Z1 substituents are as defined in Table A. Table A-3: This table provides 34 compounds (A-3.01) to (A-3.34) of formula (I-A) wherein R2 and R4 are H, R5 is CH3, W1 is a bond, W2 is -NH-, Z2 is 4-cyclopropyl-butyl, and Z1 substituents are as defined in Table A. For example, compound A-3.25 has the following structure:
82953 FF 84 Compound (A-3.25)
(A-4.01) to (A-4.34) of formula (I-A) wherein R2 and R4 are H, R5 is CH3, W1 is a bond, W2 is -NH-, Z2 is 4,4-dimethyl-pentyl, and Z1 substituents are as defined in Table A. Table A-5: This table provides 34 compounds (A-5.01) to (A-5.34) of formula (I-A) wherein R2 and R4 are H, R5 is CH3, W1 is a bond, W2 is -NH-, Z2 is 2-cyclohexyl-ethyl, and Z1 substituents are as defined in Table A. Table A-6: This table provides 34 compounds (A-6.01) to (A-6.34) of formula (I-A) wherein R2 and R4 are H, R5 is CH3, W1 is a bond, W2 is -NH-, Z2 is 5,5-difluoro-pentyl, and Z1 substituents are as defined in Table A. Table A-7: This table provides 34 compounds (A-7.01) to (A-7.34) of formula (I-A) wherein R2 and R4 are H, R5 is CH3, W1 is a bond, W2 is -NH-, Z2 is 5,5,5-trifluoro-pentyl, and Z1 substituents are as defined in Table A. For example, compound A-7.22 has the following structure: (Compound A-7.22)
compounds (A-8.01) to (A-8.34) of formula (I-A) wherein R2 and R4 are H, R5 is CH3, W1 is a bond, W2 is -NH-, Z2 is 5-fluoro-pentyl, and Z1 substituents are as defined in Table A. Table A-9: This table provides 34 compounds (A-9.01) to (A-9.34) of formula (I-A) wherein R4 is H, R2 and R5 are CH3, W1 is a bond, W2 is -NH-, Z2 is n-pentyl, and Z1 substituents are as defined in Table A. For example, compound (A-9.33) has the following structure: Compound (A-9.33)
82953 FF 85 Table A-10: This table provides 34 compounds (A-10.01) to (A-10.34) of formula (I-A) wherein R4 is H, R2 and R5 are CH3, W1 is a bond, W2 is -NH-, Z2 is 3-cyclopropyl-propyl, and Z1 substituents are as defined in Table A. Table A-11: This table provides 34 compounds (A-11.01) to (A-11.34) of formula (I-A) wherein R4 is H, R2 and R5 are CH3, W1 is a bond, W2 is -NH-, Z2 is 4-cyclopropyl-butyl, and Z1 substituents are as defined in Table A. For example, compound A-11.04 has the following structure: Compound (A-11.04)
(A-12.01) to (A-12.34) of formula (I-A) wherein R4 is H, R2 and R5 are CH3, W1 is a bond, W2 is -NH-, Z2 is 4,4-dimethyl-pentyl, and Z1 substituents are as defined in Table A. Table A-13: This table provides 34 compounds (A-13.01) to (A-13.34) of formula (I-A) wherein R4 is H, R2 and R5 are CH3, W1 is a bond, W2 is -NH-, Z2 is 2-cyclohexyl-ethyl, and Z1 substituents are as defined in Table A. Table A-14: This table provides 34 compounds (A-14.01) to (A-14.34) of formula (I-A) wherein R4 is H, R2 and R5 are CH3, W1 is a bond, W2 is -NH-, Z2 is 5,5-difluoro-pentyl, and Z1 substituents are as defined in Table A. Table A-15: This table provides 34 compounds (A-15.01) to (A-15.34) of formula (I-A) wherein R4 is H, R2 and R5 are CH3, W1 is a bond, W2 is -NH-, Z2 is 5,5,5-trifluoro-pentyl, and Z1 substituents are as defined in Table A. Table A-16: This table provides 34 compounds (A-16.01) to (A-16.34) of formula (I-A) wherein R4 is H, R2 and R5 are CH3, W1 is a bond, W2 is -NH-, Z2 is 5-fluoro-pentyl, and Z1 substituents are as defined in Table A. Table A-17: This table provides 34 compounds (A-17.01) to (A-17.34) of formula (I-A) wherein R4 is H, R2 and R5 are CH3, W1 is a bond, W2 is -N(CH3)-, Z2 is n-pentyl, and Z1 substituents are as defined in Table A. For example, compound (A-17.23) has the following structure: Compound (A-17.23)
compounds (A-18.01) to (A-18.34) of formula (I-A) wherein R4 is H, R2 and R5 are CH3, W1 is a bond, W2 is -N(CH3)-, Z2 is 3-cyclopropyl-propyl, and Z1 substituents are as defined in Table A.
82953 FF 86 Table A-19: This table provides 34 compounds (A-19.01) to (A-19.34) of formula (I-A) wherein R4 is H, R2 and R5 are CH3, W1 is a bond, W2 is -N(CH3)-, Z2 is 4-cyclopropyl-butyl, and Z1 substituents are as defined in Table A. Table A-20: This table provides 34 compounds (A-20.01) to (A-20.34) of formula (I-A) wherein R4 is H, R2 and R5 are CH3, W1 is a bond, W2 is -NHO-, Z2 is n-pentyl, and Z1 substituents are as defined in Table A. For example, compound (A-20.05) has the following structure: Compound (A-20.05)
(A-21.01) to (A-21.34) of formula (I-A) wherein R4 is H, R2 and R5 are CH3, W1 is a bond, W2 is -NHO-, Z2 is 3-cyclopropyl-propyl, and Z1 substituents are as defined in Table A. Table A-22: This table provides 34 compounds (A-22.01) to (A-22.34) of formula (I-A) wherein R4 is H, R2 and R5 are CH3, W1 is a bond, W2 is -NHO-, Z2 is 4-cyclopropyl-butyl, and Z1 substituents are as defined in Table A. Table A-23: This table provides 25 compounds (A-23.01) to (A-23.25) of formula (I-A) wherein R4 is H, R2 and R5 are CH3, W1 is a bond, W2 is -O-, Z2 is n-pentyl, and Z1 substituents are as defined in Table A. For example, compound (A-23.17) has the following structure: Compound (A-23.17)
compounds (A-24.01) to (A-24.34) of formula (I-A) wherein R4 is H, R2 and R5 are CH3, W1 is a bond, W2 is -O-, Z2 is 3-cyclopropyl-propyl, and Z1 substituents are as defined in Table A. Table A-25: This table provides 25 compounds (A-25.01) to (A-25.25) of formula (I-A) wherein R4 is H, R2 and R5 are CH3, W1 is O, W2 is -NH-, Z2 is n-pentyl, and Z1 substituents are as defined in Table A. For example, compound (A-25.12) has the following structure:
82953 FF 87 Compound (A-25.12)
(A-26.01) to (A-26.25) of formula (I-A) wherein R4 is H, R2 and R5 are CH3, W1 is O, W2 is -NH-, Z2 is 3-cyclopropyl-propyl, and Z1 substituents are as defined in Table A. Table A-27: This table provides 25 compounds (A-27.01) to (A-27.25) of formula (I-A) wherein R4 is H, R2 and R5 are CH3, W1 is O, W2 is -NH-,Z2 is 4-cyclopropyl-butyl, and Z1 substituents are as defined in Table A. Table A-28: This table provides 25 compounds (A-28.01) to (A-28.25) of formula (I-A) wherein R4 is H, R2 and R5 are CH3, W1 is O, W2 is -NH-, Z2 is 4,4-dimethyl-pentyl, and Z1 substituents are as defined in Table A. Table A-29: This table provides 25 compounds (A-29.01) to (A-29.25) of formula (I-A) wherein R4 is H, R2 and R5 are CH3, W1 is O, W2 is -NH-, Z2 is 5,5-difluoro-pentyl, and Z1 substituents are as defined in Table A. Table A-30: This table provides 25 compounds (A-30.01) to (A-30.25) of formula (I-A) wherein R4 is H, R2 and R5 are CH3, W1 is O, W2 is -NH-, Z2 is 5,5,5-trifluoro-pentyl, and Z1 substituents are as defined in Table A. Table A-31: This table provides 25 compounds (A-31.01) to (A-31.25) of formula (I-A) wherein R4 is H, R2 and R5 are CH3, W1 is O, W2 is -NH-, Z2 is 5-fluoro-pentyl, and Z1 substituents are as defined in Table A. Table A-32: This table provides 25 compounds (A-32.01) to (A-32.25) of formula (I-A) wherein R4 is H, R2 and R5 are CH3, W1 is NH, W2 is -NH-, Z2 is n-pentyl, and Z1 substituents are as defined in Table A. For example, compound (A-32.04) has the following structure: Compound (A-32.04)
(A-33.01) to (A-33.25) of formula (I-A) wherein R4 is H, R2 and R5 are CH3, W1 is a NH, W2 is -NH-, Z2 is 3-cyclopropyl-propyl, and Z1 substituents are as defined in Table A. Table A-34: This table provides 25 compounds (A-34.01) to (A-34.25) of formula (I-A) wherein R4 is H, R2 and R5 are CH3, W1 is NH, W2 is -NH-,Z2 is 4-cyclopropyl-butyl, and Z1 substituents are as defined in Table A.
82953 FF 88 Table A-35: This table provides 25 compounds (A-35.01) to (A-35.25) of formula (I-A) wherein R4 is H, R2 and R5 are CH3, W1 is NCH3, W2 is -NH-, Z2 is n-pentyl, and Z1 substituents are as defined in Table A. For example, compound (A-35.02) has the following structure: Compound (A-35.02)
(A-36.01) to (A-36.25) of formula (I-A) wherein R4 is H, R2 and R5 are CH3, W1 is a NCH3, W2 is -NH-, Z2 is 3-cyclopropyl-propyl, and Z1 substituents are as defined in Table A. Table A-37: This table provides 25 compounds (A-37.01) to (A-37.25) of formula (I-A) wherein R4 is H, R2 and R5 are CH3, W1 is NCH3, W2 is -NH-, Z2 is 4-cyclopropyl-butyl, and Z1 substituents are as defined in Table A. Table A-38: This table provides 25 compounds (A-38.01) to (A-38.25) of formula (I-A) wherein R4 is H, R2 and R5 are CH3, W1 is S, W2 is -NH-, Z2 is n-pentyl, and Z1 substituents are as defined in Table A. For example, compound (A-38.06) has the following structure: Compound (A-38.06)
(A-39.01) to (A-39.25) of formula (I-A) wherein R4 is H, R2 and R5 are CH3, W1 is a S, W2 is -NH-, Z2 is 3-cyclopropyl-propyl, and Z1 substituents are as defined in Table A. Table A-40: This table provides 25 compounds (A-40.01) to (A-40.25) of formula (I-A wherein R4 is H, R2 and R5 are CH3, W1 is S, W2 is -NH-,Z2 is 4-cyclopropyl-butyl, and Z1 substituents are as defined in Table A. Table A-41: This table provides 25 compounds (A-41.01) to (A-41.25) of formula (I-A) wherein R4 is H, R2 and R5 are CH3, W1 is SO2, W2 is -NH-, Z2 is n-pentyl, and Z1 substituents are as defined in Table A. For example, compound (A-41.15) has the following structure:
82953 FF 89 Compound (A-41.15)
(A-42.01) to (A-42.25) of formula (I-A) wherein R4 is H, R2 and R5 are CH3, W1 is SO2, W2 is -NH-, Z2 is 3-cyclopropyl-propyl, and Z1 substituents are as defined in Table A. Table A-43: This table provides 25 compounds (A-43.01) to (A-43.25) of formula (I-A) wherein R4 is H, R2 and R5 are CH3, W1 is SO2, W2 is -NH-,Z2 is 4-cyclopropyl-butyl, and Z1 substituents are as defined in Table A. Table A-44: This table provides 25 compounds (A-44.01) to (A-44.25) of formula (I-A) wherein R4 is H, R2 and R5 are CH3, W1 is -NHO-, W2 is -NH-, Z2 is n-pentyl, and Z1 substituents are as defined in Table A. For example, compound (A-44.01) has the following structure: Compound (A-44.01)
(A-45.01) to (A-45.25) of formula (I-A) wherein R4 is H, R2 and R5 are CH3, W1 is a -NHO-, W2 is -NH-, Z2 is 3-cyclopropyl-propyl, and Z1 substituents are as defined in Table A. Table A-46: This table provides 25 compounds (A-46.01) to (A-46.25) of formula (I-A) wherein R4 is H, R2 and R5 are CH3, W1 is -NHO-, W2 is -NH-, Z2 is 4-cyclopropyl-butyl, and Z1 substituents are as defined in Table A. Table A-47: This table provides 34 compounds (A-47.01) to (A-47.34) of formula (I-A) wherein R5 is H, R2 and R4 are CH3, W1 is a bond, W2 is -NH-, Z2 is n-pentyl, and Z1 substituents are as defined in Table A. For example, compound (A-47.33) has the following structure:
82953 FF 90 Compound (A-47.33)
Table A-48: This table provides 34 compounds (A-48.01) to (A-48.34) of formula (I-A) wherein R5 is H, R2 and R4 are CH3, W1 is a bond, W2 is -NH-, Z2 is 3-cyclopropyl-propyl, and Z1 substituents are as defined in Table A. Table A-49: This table provides 34 compounds (A-49.01) to (A-49.34) of formula (I-A) wherein R5 is H, R2 and R4 are CH3, W1 is a bond, W2 is -NH-, Z2 is 4-cyclopropyl-butyl, and Z1 substituents are as defined in Table A. Table A-50: This table provides 34 compounds (A-50.01) to (A-50.34) of formula (I-A) wherein R2 is CH3 R4 and R5 are H, W1 is a bond, W2 is -NH-, Z2 is n-pentyl, and Z1 substituents are as defined in Table A. For example, compound (A-50.01) has the following structure: Compound (A-50.01)
EXAMPLES The Examples which follow serve to illustrate the invention and are not meant in any way to limit the invention. The compounds of the invention can be distinguished from known compounds by virtue of greater efficacy at low application rates, which can be verified by a person skilled in the art using the experimental procedures outlined in the Examples, using lower application rates if necessary, for example 60 ppm, 20 ppm or 2 ppm. Compounds of formula (I) may possess any number of benefits including, inter alia, advantageous levels of biological activity for protecting plants against diseases that are caused by fungi or superior properties for use as agrochemical active ingredients (for example, greater biological activity, an advantageous spectrum of activity, an increased safety profile (including improved crop tolerance), improved physico-chemical properties, or increased biodegradability). Throughout this description, temperatures are given in degrees Celsius and “m.p.” means melting point. LC/MS means Liquid Chromatography Mass Spectroscopy and the description of the apparatus, and the methods is as follows. 1H NMR and 19F NMR measurements were recorded on a Bruker 400MHz spectrometer, chemical shifts are given in ppm relevant to a TMS (1H) and CFCl3 (19F) standard. Spectra measured in deuterated solvents as
82953 FF 91 indicated. Either one of the LCMS methods below was used to characterize the compounds. The characteristic LC-MS values obtained for each compound were the retention time (“Rt”, recorded in minutes) and the measured molecular ion [M+H] or [M-H] The following LC-MS^methods were used for the analysis of the compounds: LCMS Methods LCMS Method A: Mobile Phase: 0.1% formic acid in Water (solvent A) and 0.1% formic acid in ACN (solvent B). Using the elution gradient 10%-90% (solvent B) over 4.0 minutes and holding at 90% for 0.25 minutes at a flow rate of 0.6ml/min; Column: Water Acquity BEH C1850*2.1mm,1.7um; Wavelength: UV 233nm, Reference Wavelength 360nm, Reference Bandwidth 100nm; Column temperature: 40℃; MS ionization: ESI, positive and negative. LCMS Method B: Spectra were recorded on a ACQUITY Mass Spectrometer from Waters Corporations (SQD Single quadrupole mass spectrometer) equipped with an electrospray source (Polarity: positive or ions, Capillary: 3.0 kV, Cone: 30V, Extractor: 3.00 V, Source Temperature: 150°C, Desolvation Temperature: 400°C, Cone Gas Flow: 60 L/hr, Desolvation Gas Flow: 700 L/hr, Mass range: 140 to 800 Da) and an ACQUITY UPLC from Waters Corporations with solvent degasser, binary pump, heated column compartment and diode-array detector. Column: Waters UPLC HSS T3, 1.8 µm, 30 x 2.1 mm, Temp: 60 °C, DAD Wavelength range (nm): 210 to 400, Solvent Gradient: A = Water/Methanol 9:1 + 0.1% formic acid, B= Acetonitrile + 0.1% formic acid, gradient: 0-100% B in 3.0 min; Flow (ml/min) 0.75. LCMS Method C: Spectra were recorded on a Mass Spectrometer from Waters Corporation (SQD, SQDII or Single mass spectrometer) equipped with an electrospray source (Polarity: positive and , Capillary: 0.8-3.00 kV, Cone: 5-30 V, Source Temperature: 120-150°C, Desolvation Temperature: 350-600°C, Cone Gas Flow: 50-150 l/h, Desolvation Gas Flow: 650-1000 l/h, Mass range: 100 to 900 Da and an Acquity UPLC from Waters Corporation: Binary pump, heated column compartment, diode- array detector and ELSD. Column: Waters UPLC HSS T3, 1.8 µm, 30 x 2.1 mm, Temp: 60 °C, DAD Wavelength range (nm): 210 to 400, Runtime: 1.5 min; Solvents: A = water + 5% MeOH + 0.05 % HCOOH, B= Acetonitrile + 0.05 % HCOOH; Flow (ml/min) 0.85, Gradient: 10% B isocratic for 0.2 min, then 10-100% B in 1.0 min, 100% B isocratic for 0.2min, 100-10% B in 0.05min, 10% B isocratic for 0.05 min. LCMS Method D: Spectra were recorded on a Mass Spectrometer from Waters (Acquity QDa Mass Spectrometer) equipped with an electrospray source (Polarity: Positive and Negative Polarity Switch), Capillary: 0.8 kV, Cone range: 25 V, Extractor: V (No extractor voltage for Qda detector) Source Temperature: 120°C, Desolvation Temperature: 600°C, Cone Gas Flow: 50 L/h, Desolvation Gas Flow: 1000 L/h, Mass range: 110 to 850 Da) and an Acquity UPLC from Waters: Quaternary solvent manager, heated column compartment , diode-array detector. Column: Acquity UPLC HSS T3 C18, 1.8 µm, 30 x 2.1 mm, Temp: 40 °C, DAD Wavelength range (nm): 200 to 400, Solvent Gradient: A = water + 5% Acetonitrile + 0.1 % HCOOH, B= Acetonitrile + 0.05 % HCOOH: gradient: 0 min 10% B; 0.-0.2 min 10-50% B; 0.2-0.6 min 50-100% B; 0.6-1.3 min 100% B; 1.3-1.4 min 100-10% B; 1.4-1.6 min 10% B; Flow (mL/min) 0.6.
82953 FF 92 FORMULATION EXAMPLES Wettable powders a) b) c) active ingredients 25 % 50 % 75 % sodium lignosulfonate 5 % 5 % - sodium lauryl sulfate 3 % - 5 % sodium diisobutylnaphthalenesulfonate - 6 % 10 % phenol polyethylene glycol ether (7-8 mol of ethylene oxide) - 2 % - highly dispersed silicic acid 5 % 10 % 10 % Kaolin 62 % 27 % - The combination is thoroughly mixed with the adjuvants and the mixture is thoroughly ground in a suitable mill, affording wettable powders that can be diluted with water to give suspensions of the desired concentration. Powders for dry seed treatment a) b) c) active ingredients 25 % 50 % 75 % light mineral oil 5 % 5 % 5 % highly dispersed silicic acid 5 % 5 % - Kaolin 65 % 40 % - Talcum - - 20 % The combination is thoroughly mixed with the adjuvants and the mixture is thoroughly ground in a suitable mill, affording powders that can be used directly for seed treatment. Emulsifiable concentrate active ingredients 10 % octylphenol polyethylene glycol ether (4-5 mol of ethylene oxide) 3 % calcium dodecylbenzene sulfonate 3 % castor oil polyglycol ether (35 mol of ethylene oxide) 4 % Cyclohexanone 30 % xylene mixture 50 % Emulsions of any required dilution, which can be used in plant protection, can be obtained from this concentrate by dilution with water. Dusts a) b) c) Active ingredients 5 % 6 % 4 % Talcum 95 % - - Kaolin - 94 % - mineral filler - - 96 % Ready-for-use dusts are obtained by mixing the combination with the carrier and grinding the mixture in a suitable mill. Such dusts can also be used for dry dressings for seed.
82953 FF 93 Extruder granules Active ingredients 15 % sodium lignosulfonate 2 % carboxymethylcellulose 1 % Kaolin 82 % The combination is mixed and ground with the adjuvants, and the mixture is moistened with water. The mixture is extruded and then dried in a stream of air. Coated granules Active ingredients 8% polyethylene glycol (mol. wt.200) 3 % Kaolin 89 % The finely ground combination is uniformly applied, in a mixer, to the kaolin moistened with polyethylene glycol. Non-dusty coated granules are obtained in this manner. Suspension concentrate active ingredients 40 % propylene glycol 10 % nonylphenol polyethylene glycol ether (15 mol of ethylene oxide) 6 % Sodium lignosulfonate 10 % carboxymethylcellulose 1 % silicone oil (in the form of a 75 % emulsion in water) 1 % Water 32 % The finely ground combination is intimately mixed with the adjuvants, giving a suspension concentrate from which suspensions of any desired dilution can be obtained by dilution with water. Using such dilutions, living plants as well as plant propagation material can be treated and protected against infestation by microorganisms, by spraying, pouring or immersion. Flowable concentrate for seed treatment active ingredients 40 % propylene glycol 5 % copolymer butanol PO/EO 2 % Tristyrenephenole with 10-20 moles EO 2 % 1,2-benzisothiazolin-3-one (in the form of a 20% solution in water) 0.5 % monoazo-pigment calcium salt 5 % Silicone oil (in the form of a 75 % emulsion in water) 0.2 % Water 45.3 % The finely ground combination is intimately mixed with the adjuvants, giving a suspension concentrate from which suspensions of any desired dilution can be obtained by dilution with water. Using such dilutions, living
82953 FF 94 plants as well as plant propagation material can be treated and protected against infestation by microorganisms, by spraying, pouring or immersion. Slow-Release Capsule Suspension 28 parts of
mixed with 2 parts of an aromatic solvent and 7 parts of toluene diisocyanate/polymethylene-polyphenylisocyanate-mixture (8:1). This mixture is emulsified in a mixture of 1.2 parts of polyvinylalcohol, 0.05 parts of a defoamer and 51.6 parts of water until the desired particle size is achieved. To this emulsion a mixture of 2.8 parts 1,6-diaminohexane in 5.3 parts of water is added. The mixture is agitated until the polymerization reaction is completed. The obtained capsule suspension is stabilized by adding 0.25 parts of a thickener and 3 parts of a dispersing agent. The capsule suspension formulation contains 28% of the active ingredients. The medium capsule diameter is 8-15 microns. The resulting formulation is applied to seeds as an aqueous suspension in an apparatus suitable for that purpose. Formulation types include an emulsion concentrate (EC), a suspension concentrate (SC), a suspo-emulsion (SE), a capsule suspension (CS), a water dispersible granule (WG), an emulsifiable granule (EG), an emulsion, water in oil (EO), an emulsion, oil in water (EW), a micro-emulsion (ME), an oil dispersion (OD), an oil miscible flowable (OF), an oil miscible liquid (OL), a soluble concentrate (SL), an ultra-low volume suspension (SU), an ultra-low volume liquid (UL), a technical concentrate (TK), a dispersible concentrate (DC), a wettable powder (WP), a soluble granule (SG) or any technically feasible formulation in combination with agriculturally acceptable adjuvants. ABBREVIATIONS aq. aqueous CDCl3 deuterated chloroform DABCO 1,4-diazabicyclo[2.2.2]octane, also known as triethylenediamine or TEDA DCM dichloromethane DIPEA N,N-Diisopropylethylamine (or Hünig's base, also abbreviated as DIEA or i-Pr2Net) DMF dimethylformamide DMSO dimethyl sulfoxide DMSO-d6 deuterated Dimethyl sulfoxide Et3N triethylamine (Et3N or TEA) EtOAc ethyl acetate GCMS Gas Chromatography Mass Spectrometry (GCMS, GC-MS or GC/MS) HATU 1-[bis(dimethylamino)methylene]-1H-1,2,3-triazolo[4,5-b]pyridinium-3-oxide-hexafluoro phosphate HCl hydrochloric acid h/hrs hour/hours LC-MS Liquid Chromatography Mass Spectrometry (LC-MS, LCMS or LC/MS) MgSO4 magnesium sulphate
82953 FF 95 Na2SO4 sodium sulphate rh relative humidity rt room temperature Rt retention time sat. saturated ssp. subspecies TLC thin layer chromatography T3P propanephosphonic acid anhydride, also called 2,4,6-tripropyl-1,3,5,2,4,6- trioxatriphosphorinane-2,4,6-trioxide THF tetrahydrofuran 2-MeTHF 2-methyl-tetrahydrofuran PREPARATION EXAMPLES The compounds of formula (I) according to the invention may be prepared using the synthetic techniques described both above and below. “Mp” means melting point in °C. Free radicals represent methyl groups.1H NMR and 19F NMR measurements were recorded on a Bruker 400MHz spectrometer (or 600MHz as indicated), chemical shifts are given in ppm relevant to a TMS (1H) and CFCl3 (19F) standard. Spectra measured in deuterated solvents as indicated. Either one of the LC-MS methods below was used to characterize the compounds. The characteristic LC-MS values obtained for each compound were the retention time (“Rt”, recorded in minutes) and the measured molecular ion (M+H)+ or (M-H)-. Example P-1: Preparation of 4-(1,5-dimethylpyrazol-4-yl)-N-pentyl-pyridine-2-carboxamide (Compound P-5,
82953 FF 96 To a solution of 4-bromopyridine-2-carboxylic acid (100 mg, 495.04 μmol, 1 eq) and pentan-1-amine (51.78 mg, 594.04 μmol, 69.04 μL) in acetonitrile (2 mL) was added DIPEA (127.96 mg, 990.07 μmol, 172.45 μL) and HATU (207.05 mg, 544.54 μmol). The reaction mixture was stirred at 25°C for 16 hrs, upon which time TLC analysis showed reaction completion. The aqueous layer was extracted with EtOAc (2x4 mL) and the combined organic layers washed with an aqueous solution of NaCl (4 mL), dried over Na2SO4 (1 g) and concentrated in vacuo. The crude product 4-bromo-N-pentyl-pyridine-2-carboxamide was used in the next step without further purification. Step 2: Preparation of 4-(1,5-dimethylpyrazol-4-yl)-N-pentyl-pyridine-2-carboxamide (compound P-5, Table P)
2-carboxamide (0.05 g, 184.40 μmol)
4-(4,4,5,5- tetramethyl-1,3,2-dioxaborolan-2-yl) pyrazole (40.95 mg, 184.40 μmol) in dioxane (2 mL) and H2O (0.5 mL) was added K3PO4 (78.28 mg, 368.80 μmol) and Pd(dppf)Cl2 (13.49 mg, 18.44 μmol) under nitrogen atmosphere. The reaction mixture was stirred at 25°C for 16 hrs under nitrogen atmosphere whereupon TLC analysis after this time indicated 4-bromo-N-pentyl-pyridine-2-carboxamide was consumed completely. The reaction mixture was concentrated in vacuo to give a residue that as purified by column chromatography (eluting with DCM : MeOH, 10/1) to give the title product as a white solid. LC-MS (Method A): Rt = 2.34min, m/z = 287 [M+H] Example P-2: Preparation of methyl 2-[4-[4-(1,5-dimethylpyrazol-4-yl)-3-methyl-6-(pentylcarbamoyl)-2- -
Step1:Preparation of methyl 5-methyl-1-oxido-pyridin-1-ium-2-carboxylate
methylpyridine-2-carboxylate (39g, 0.26mol) in DCM was added dropwise m- chloroperbenzoic acid (89g, 0.52mol) at 0°C. The reaction mixture was allowed to warm to rt and stirred for 8
82953 FF 97 hrs upon which time LC-MS showed reaction completion. The reaction mixture was concentrated in vacuo and purified by column chromatography eluting with cyclohexane:EtOAc; 95%:5% - 85%:15%. A second column eluting with DCM:MeOH=5:1 yielded the title compound as a white solid. Step 2: Preparation of methyl 6-chloro-5-methyl-pyridine-2-carboxylate
1-oxido-pyridin-1-ium-2-carboxylate (17g, 0.102mol) in chloroform (300mL) was treated with phosphorus oxychloride (140.4g, 0.916mol) and TEA (30.9g, 0.305mol) at rt under nitrogen. The reaction mixture was heated to 80°C until completion as monitored by LCMS. The phosphorus oxychloride was removed by distillation in vacuo, and the residue taken up in DCM (200 mL) and quenched with 2L of crushed ice. The mixture was adjusted to pH=6 with solid sodium carbonate, extracted with EtOAc (500mL x 2), dried over Na2SO4 and concentrated in vacuo. The crude product was then purified by column chromatography eluting with cyclohexane:EtOAc = 10:1 to cyclohexane:EtOAc = 5:1 to obtain of title compound as a white solid. Step3: Preparation of methyl 6-chloro-5-methyl-4-(4,4,5,5-tetramethyl-1,3,2-dioxaborolan-2-yl)pyridine-2- carboxylate
were added cyclohexane ( 500 mL), methyl 6-chloro-5-methyl-pyridine-2- carboxylate (12.6 g, 0.07mol), 4,4′-Bis(1,1-dimethylethyl)-2,2′-bipyridine (1.89g, 0.007mol), Bis[(1,2,5,6-η)-1,5- cyclooctadiene]di-μ-methoxydiiridium (0.887g, 0.0013mol) and Bis(pinacolato)diborane (34.4g, 0.135mol). The reaction mixture was heated to 80°C and stirred for 12 hr monitored by GCMS. The reaction mixture was concentrated in vacuo and the residue obtained was dissolved in 150mL of EtOAc. The mixture was stirred with 15g of activated charcoal for 30 min for decolorization and filtered. The resulting filtrate was concentrated in vacuo to obtain 46 g of black oil. The oil was distilled using a pump at an external temperature of 160°C and an internal temperature of 8°C to remove most of the excess Bis(pinacolato)diborane. The remaining mixture was cooled to 15°C, dissolved with 150mL of EtOAc and decolorized with 10g of activated charcoal. The resulting mixture was concentrated in vacuo to obtain the title compound as a pale-yellow solid. Step 4: Preparation of methyl 6-chloro-4-(1,5-dimethylpyrazol-4-yl)-5-methyl-pyridine-2-carboxylate
82953 FF 98
6-chloro-5-methyl-4-(4,4,5,5-tetramethyl-1,3,2-dioxaborolan-2-yl)pyridine- 2-carboxylate (10.6 g, 0.034 mol) was dissolved in THF (1 L) and 4-Iodo-1,5-dimethyl-1H-pyrazole (9.1 g, 0.41 mol), tripotassium phosphate (25.3 g, 0.12mol) and Pd(dppf)Cl2 (2.76 g, 0.0034 mol) were added, under nitrogen. The reaction mixture was heated to 65°C for 2hr. The reaction mixture was cooled to 15°C and concentrated in vacuo to obtain 52g of brown solid. The crude was purified by column chromatography (eluting with cyclohexane:EtOAc = 80%:20% to cyclohexane:EtOAc =75%:25% to remove impurities, cyclohexane:EtOAc =70%:30% to obtain product) to obtain 5.2 g of an off-white solid. The solid was then stirred with 30mL of MTBE and filtered to obtain the title compound. LC-MS (Method C): Rt = 0.87 min, m/z = 280 [M+H] 1H NMR (CDCl3) δ: 7.87 (s, 1H), 7.47 (s, 1H), 4.01 (s, 3H), 3.89 (s, 3H), 2.41 (s, 3H), 2.24 (s, 3H) Step 5: Preparation of 6-chloro-4-(1,5-dimethylpyrazol-4-yl)-5-methyl-pyridine-2-carboxylic acid
g, 13.25 mmol) was dissolved in THF (24.85 mL) and water (8.283 mL) to give a very pale brown suspension. Lithium hydroxide (1.687 g, 39.76 mmol) was added, and the resulting suspension was stirred for 2 hrs at rt and acidified with aqueous HCl 1N until pH 1-2. EtOAc was added to the solution and the white precipitate between the 2 phases was filtered off and dried. The aqueous layer was washed with EtOAc, the combined organic layer was dried over anhydrous Na2SO4, filtered and concentrated in vacuo. The crude product obtained, and the precipitate previously obtained, were combined to afford the title compound as a white powder. LCMS (Method C): Rt = 0.68 min, m/z = 266 [M+H] 1H NMR (400 MHz, DMSO-d6) δ ppm 2.22 (s, 3 H) 2.35 (s, 3 H) 3.82 (s, 3 H) 7.57 (s, 1 H) 7.75 (s, 1 H) 13.42 (br s, 1 H) Step 6: Preparation of 6-chloro-4-(1,5-dimethylpyrazol-4-yl)-5-methyl-N-pentyl-pyridine-2-carboxamide
82953 FF 99
methyl-pyridine-2-carboxylic acid (3.74 g, 14.1 mmol) was dissolved in EtOAc (99 mL) and 1-propanephosphonic anhydride (20.9 mL, 35.2 mmol) was added. The reaction mixture was stirred for 10 min, and N,N-diisopropylethylamine (7.38 mL, 42.2 mmol) and pentylamine (1.81 mL, 5 mmol) were added, and the reaction mixture was stirred for 2.5 hrs at rt. A saturated sodium bicarbonate solution (50 mL) was added, and the layers were separated. The aqueous layer was extracted with EtOAc (40 mL), and the combined organic layer was washed with a saturated sodium bicarbonate solution (50 mL) and brine (50 mL), dried over anhydrous sodium sulfate, filtered, and concentrated in vacuo to afford the title compound. LCMS (Method C): Rt = 1.06 min, m/z = 335 [M+H]1H NMR (400 MHz, DMSO-d6) δ ppm 0.83 - 0.91 (m, 3 H) 1.22 - 1.36 (m, 4 H) 1.53 (quin, J=7.18 Hz, 2 H) 2.21 (s, 3 H) 2.33 (s, 3 H) 3.24 - 3.30 (m, 2 H) 3.81 (s, 3 H) 7.56 (s, 1 H) 7.72 (s, 1 H) 8.60 (t, J=5.99 Hz, 1 H) Step 7: Preparation of methyl 2-[4-[4-(1,5-dimethylpyrazol-4-yl)-3-methyl-6-(pentylcarbamoyl)-2- pyridyl]phenyl] -2-methyl-propanoate (compound P-25, Table P) To a solution of 6-chloro-4-(1,5-dimethylpyrazol-4-yl)-5-methyl-N-pentyl-pyridine-2-carboxamide (200 mg, 0.597 mmol) in 2-methyltetrahydrofuran (3.5 mL) and water (0.35 mL) was added methyl 2-methyl-2-(4- (4,4,5,5-tetramethyl-1,3,2-dioxaborolan-2-yl)phenyl)propanoate (191 mg, 0.597 mmol) and potassium carbonate (165 mg, 1.195 mmol). The resulting reaction mixture was flushed with argon for 5 min and 1,1'- bis(diphenylphosphino)ferrocene-palladium(II)dichloride dichloromethane complex (49 mg, 0.0597 mmol) was added. The reaction mixture was flushed with argon for 5 min and stirred at 75 °C for 16 hours. The reaction mixture was allowed to cool down to rt and was partitioned between water (20 mL) and EtOAc (20 mL). The layers were separated, the aqueous layer was extracted with EtOAc (10 mL), and the combined organic layer was washed with brine (20 mL), dried over anhydrous sodium sulfate, filtered, and concentrated in vacuo. The crude product was purified by flash column chromatography using cyclohexane/EtOAc as eluent to afford the title compound. LCMS (Method C): Rt = 1.20 min, m/z = 478 [M+H]1H NMR (400 MHz, DMSO-d6) δ ppm 0.86 (t, J=7.08 Hz, 3 H) 1.21 - 1.34 (m, 4 H) 1.48 - 1.54 (m, 2 H) 1.57 (s, 6 H) 2.24 (d, J=8.72 Hz, 6 H) 3.24 - 3.29 (m, 2 H) 3.64 (s, 3 H) 3.82 (s, 3 H) 7.43 (d, J=8.36 Hz, 2 H) 7.57 (s, 1 H) 7.59 - 7.65 (m, 2 H) 7.73 (s, 1 H) 8.53 - 8.61 (m, 1 H) Alternative procedure for the synthesis of methyl 6-chloro-4-(1,5-dimethylpyrazol-4-yl)-5-methyl-pyridine-2- carboxylate
82953 FF 100
4-(1,5-dimethylpyrazol-4-yl)-5-methyl-pyridine-2-carboxylate Method A:
Pd(dppf)Cl2.DCM (0.0906 g, 0.109 mmol), 1,5-dimethyl-4-(4,4,5,5-tetramethyl- 1,3,2-dioxaborolan-2-yl)pyrazole (0.579 g, 2.61 mmol) and methyl 4-bromo-5-methyl-pyridine-2-carboxylate ( CAS 1256813-52-1, 0.500 g, 2.17 mmol). 2-methyltetrahydrofuran (6.52 mL) was added, followed by water (0.652 mL) and potassium phosphate (K3PO4) (0.941 g, 4.35 mmol) and argon was bubbled through the resulting suspension for 5 min. The vial was sealed and the reaction mixture was stirred in a microwave system at 100°C for 30min. Pd(dppf)Cl2.DCM (0.040 g) was added again and the resulting reaction mixture was stirred in microwave system at 120°C for 30 min, then at 150°C for 30 min and finally at 160°C for 1 hr. The reaction mixture was poured into water, extracted with EtOAc, and the combined organic layer was washed with water, dried over magnesium sulphate (MgSO4), filtered, and concentrated in vacuo. The crude obtained was purified using flash chromatography over silica gel to afford the title compound. LC-MS (Method C); Rt = 0.70 min, m/z = 246 [M+H].1H NMR (CDCl3) δ: 8.62 (s, 1H), 7.93 (s, 1H), 7.50 (s, 1H), 4.02 (s, 3H), 3.88-3.91 (s, 3H), 2.37 (s, 3H), 2.27 (s, 3H) Method B: A suspension of methyl 4-bromo-5-methyl-pyridine-2-carboxylate (0.200 g, 0.869 mmol), 1,5-dimethylpyrazole (0.100 g, 1.04 mmol) and potassium acetate (0.174 g, 1.74 mmol) in N,N-dimethylacetamide (3.48 mL) was flushed with argon, palladium(II) acetate (0.00996 g, 0.0435 mmol) was added, and the reaction mixture was stirred at 120°C for 2 days. The reaction mixture was concentrated under reduced pressure and purified using flash chromatography over silica gel to afford the title compound. LC-MS (method C): Rt = 0.70 min, m/z = 246 [M+H].1H NMR (CDCl3) δ: 8.62 (s, 1H), 7.93 (s, 1H), 7.50 (s, 1H), 4.02 (s, 3H), 3.88-3.91 (s, 3H), 2.37 (s, 3H), 2.27 (s, 3H) Step 2: Preparation of methyl 4-(1,5-dimethylpyrazol-4-yl)-5-methyl-1-oxido-pyridin-1-ium-2-carboxylate
82953 FF 101
dimethylpyrazol-4-yl)-5-methyl-pyridine-2-carboxylate (0.114 g, 0.465 mmol) in dichloromethane (2.32 mL) was added 3-chlorobenzenecarboperoxoic acid (0.135 g, 0.604 mmol). The resulting mixture was stirred at rt for 18hr. Additional amounts of mCPBA (30 mg) was added and the reaction mixture further stirred at rt for 4 hrs, quenched with sat. Na2S2O3 solution and stirred for 30min after quenching. The resulting mixture was then diluted with EtOAc and sat NaHCO3. The aqueous phase was extracted with EtOAc and the combined organic phase was washed with water, dried over MgSO4 and concentrated in vacuo to afford the title compound. Step 3: Preparation of methyl 6-chloro-4-(1,5-dimethylpyrazol-4-yl)-5-methyl-pyridine-2-carboxylate
4-yl)-5-methyl-1-oxido-pyridin-1-ium-2-carboxylate (0.503 g, 1.35 mmol) in phosphoryl chloride (2.70 mL) was stirred at 60°C for 2hr. The phosphoryl chloride was removed by evaporation and the crude gum was diluted with EtOAc, water and sat. NaHCO3. The aqueous layer was extracted with EtOAc and the combined organic phases was washed with brine, dried over magnesium sulphate and concentrated in vacuo. The crude product was purified by chromatography over silica gel to get the title compound. LC-MS (Method C); Rt = 0.87min, m/z = 280 [M+H] 1H NMR (CDCl3) δ: 7.87 (s, 1H), 7.47 (s, 1H), 4.01 (s, 3H), 3.89 (s, 3H), 2.41 (s, 3H), 2.24 (s, 3H) Example P-3. Preparation of 4-(1,5-dimethylpyrazol-4-yl)-5-methyl-6-methylsulfanyl-N-pentyl-pyridine-2- carboxamide (Compound P-59, Table P) (Compound P-59, Table P)
82953 FF 102 A solution of 6-chloro-4-(1,5-dimethylpyrazol-4-yl)-5-methyl-N-pentyl-pyridine-2-carboxamide (0.110 g, 0.329 mmol) in 2-Me-THF (1 mL) was treated with sodium methanethiolate (0.0307 g, 0.394 mmol) at rt. The reaction mixture was stirred at rt and then heated to 75°C monitoring by LCMS. Upon reaction completion, the mixture was cooled, diluted with water and extracted with EtOAc (2X). The combined organic phases were washed with brine, dried over MgSO4, filtered, and concentrated in vacuo. The crude product was purified by CombiFlash® chromatography eluting with EtOAc in cyclohexane to afford the title compound as a white solid. LC-MS (Method C) Rt = 1.11min, m/z = 347 [M+H] 1H NMR (CDCl3) δ: 7.99 (br t, 1H), 7.73 (s, 1H), 7.43 (s, 1H), 3.88 (s, 3H), 3.50 (q, 2H), 2.63 (s, 3H), 2.26 (s, 3H), 2.22 (s, 3H), 1.61-1.75 (m, 2H), 1.35-1.45 (m, 4H), 0.91-0.98 (t, 3H). Example P-4. Preparation of 5-chloro-4-(1,5-dimethylpyrazol-4-yl)-6-(1-methylpyrazol-4-yl)-N-pentyl-pyridine- 2-carboxamide (Compound P-71, Table P) (Compound P-71, Table P)
4,6-dibromo-pyridine-2-carboxylate
aminopyridine-2-carboxylate (1 g, 6.37 mmol,) in acetonitrile (20 mL) was stirred rt and the treated with N-bromosuccinimide (NBS, 2.31 g, 12.7 mmol) and the reaction stirred at rt monitoring by LCMS. After reaction completion, the mixture was diluted with water (30 mL) and extracted with EtOAc (x3). The combined organic layers were dried over Na2SO4, filtered, and concentrated in vacuo to obtain the crude compound. This was purified by CombiFlash® chromatography eluting with 20-40% EtOAc in cyclohexane to afford the title compound as a white solid. LCMS: (Method D): Rt = 1.02 min, m/z = 309 [M+H]. Step 2: Preparation of methyl 5-amino-4-bromo-6-(1-methylpyrazol-4-yl)pyridine-2-carboxylate
82953 FF 103
4,6-dibromo-pyridine-2-carboxylate (0.1 g, 0.30 mmol), (1-methylpyrazol-4- yl)boronic acid (38.5 mg, 0.30 mmol) and potassium carbonate (84.7 mg, 0.61 mmol) in toluene/ethanol (1:1) (0.6 mL) was stirred under nitrogen at rt. To this reaction mixture was added tetrakis(triphenylphosphine)palladium(0) (53.6 g, 0.045 mmol), the mixture degassed with nitrogen, and then the yellow solution was stirred at 60°C monitoring by LCMS. After reaction completion, the mixture was diluted with cold water and extracted with EtOAc (x3). The combined organic layers were washed with brine (10 mL), dried over Na2SO4, and concentrated in vacuo. Purification of the crude material by flash chromatography over silica gel (eluting with 10 % methanol in EtOAc) afforded the title compound as a brown solid. LCMS: (Method D): Rt = 0.96 min, m/z = 311 [M+H] Step 3: Preparation of methyl 5-amino-4-(1,5-dimethylpyrazol-4-yl)-6-(1-methylpyrazol-4-yl)pyridine-2- carboxylate
bromo-6-(1-methylpyrazol-4-yl)pyridine-2-carboxylate (0.46 g, 1.48 mmol) and 1,5-dimethyl-4-(4,4,5,5-tetramethyl-1,3,2-dioxaborolan-2-yl)pyrazole (0.72 g 3.26 mmol) in 2-MeTHF (6 mL) was treated with potassium phosphate (1.27 g 5.92 mmol) at rt and the reaction mixture was de-gassed with nitrogen for 15 min. To the degassed suspension at rt was added [1,1′-Bis(diphenylphosphino) ferrocen]dichlorpalladium(II) (CAS [72287-26-4], 0.38 g 0.44 mmol) and the reaction mixture then stirred at 90 °C monitoring by LCMS. After reaction completion, the mixture was diluted with cold water and extracted with EtOAc (x3). The combined organic layers were washed with brine (10 mL), dried over Na2SO4, and concentrated in vacuo. Purification of the crude material by flash chromatography over silica gel (eluting with 60 % EtOAc in cyclohexane) afforded the title compound as a yellow solid. LCMS: (Method D): Rt = 0.97 min, m/z = 327 [M+H] Step 4: Preparation of 5-amino-4-(1,5-dimethylpyrazol-4-yl)-6-(1-methylpyrazol-4-yl)-N-pentyl-pyridine-2- carboxamide
82953 FF 104
dimethylpyrazol-4-yl)-6-(1-methylpyrazol-4-yl)pyridine-2-carboxylate (300 mg, 0.91 mmol) and 1-pentylamine (1.06 mL, 9.19 mmol) was heated at 100 °C in a microwave for 3 hr. The solution was then cooled to rt, diluted with EtOAc and water. The EtOAc phase decanted and concentrated in vacuo. The crude product was purified by reverse phase CombiFlash® chromatography, eluting with 40-60 % water/acetonitrile to afford the title compound as a colorless gummy mass. LCMS: (Method D): Rt = 01.08 min, m/z = 382 [M+H] Step 5: Preparation of 5-chloro-4-(1,5-dimethylpyrazol-4-yl)-6-(1-methylpyrazol-4-yl)-N-pentyl-pyridine-2- carboxamide (Compound P-71, Table P) A solution of 5-amino-4-(1,5-dimethylpyrazol-4-yl)-6-(1-methylpyrazol-4-yl)-N-pentyl-pyridine-2-carboxamide (0.070 g, 0.18 mmol) in hydrochloric acid (2.75 mL) was allowed to stir at 0 °C. To this reaction mixture was added a solution of sodium nitrite (0.063 g, 0.91 mmol) in water (0.3 mL). The reaction mixture was stirred at 0 °C for 10 min, and then treated with copper(I) chloride (0.18 g, 1.83 mmol) and allowed to stir at 0-5°C monitoring the reaction by LCMS. After completion of reaction, the mixture was neutralized with saturated sodium bicarbonate solution (pH till basic) and extracted with EtOAc (x3). The combined organic layers were washed with brine (10 mL), dried over Na2SO4, and concentrated in vacuo. Purification of the crude material by reverse phase CombiFlash® (eluting with 40-60 % water in acetonitrile) afforded the title compound as a gummy mass. LCMS (Method D): Rt = 1.15; m/z = 401 [M+H] 1H NMR (400 MHz, CDCl3) δ ppm 8.25 (s, 1H) 8.21 (s, 1 H) 8.01-8.03 (br t, J=5.82 Hz, 1 H) 7.92 (s, 1 H) 7.68 (s, 1 H) 4.03 (3 H, s) 3.90 (s, 3 H) 3.48-3.53(q, J=6.75 Hz, 2 H) 2.31 (s, 3 H) 1.66-1.70 (br t, J=7.07 Hz, 2 H,) 1.39 - 1.43 (m, 4 H) 0.92 - 0.96 (m, 3 H). Examples of synthesized compounds of formula (I) are shown in Table P. Table P: Synthesized Compounds and Spectral and Physical Chemical Data.
82953 FF 105 ) ) yrt IUPAC name Molecule n d i ] e r d o n E m ( H + u s h T M [ a e t e R m ( M N-[2-(2,4-difluorophenyl)ethyl]- P-1 4-(1,5-dimethylpyrazol-4- 2.376 357 A yl)pyridine-2-carboxamide N-hexyl-5-methyl-4-(1- P-2 methylpyrazol-4-yl)pyridine-2- 2.674 301 A carboxamide N-butyl-4-(1,5-dimethylpyrazol- P-3 2.023 273 A 4-yl)pyridine-2-carboxamide 5-methyl-4-(1-methylpyrazol-4- P-4 yl)-N-pentyl-pyridine-2- 2.373 287 A carboxamide 4-(1,5-dimethylpyrazol-4-yl)-N- P-5 2.339 287 A pentyl-pyridine-2-carboxamide 4-(1,5-dimethylpyrazol-4-yl)-N- P-6 2.639 301 A hexyl-pyridine-2-carboxamide N-(2-cyclohexylethyl)-4-(1,5- P-7 dimethylpyrazol-4-yl)pyridine-2- 2.912 327 A carboxamide
82953 FF 106 4-(1,5-dimethylpyrazol-4-yl)-5- P-8 methyl-N-pentyl-pyridine-2- 2.498 301 A carboxamide N-(2-cyclohexylethyl)-4-(1,5- P-9 dimethylpyrazol-4-yl)-5-methyl- 3.054 341 A pyridine-2-carboxamide N-butyl-5-methyl-4-(1- P-10 methylpyrazol-4-yl)pyridine-2- 2.051 273 A carboxamide N-butyl-4-(1,5-dimethylpyrazol- P-11 4-yl)-5-methyl-pyridine-2- 2.2 287 A carboxamide N-[2-(2,4-difluorophenyl)ethyl]- P-12 4-(1,5-dimethylpyrazol-4-yl)-5- 2.514 371 A methyl-pyridine-2-carboxamide N-(2-cyclohexylethyl)-5-methyl- P-13 4-(1-methylpyrazol-4- 2.956 327 A yl)pyridine-2-carboxamide N-[2-(2,4-difluorophenyl)ethyl]- P-14 5-methyl-4-(1-methylpyrazol-4- 2.421 357 A yl)pyridine-2-carboxamide 4-(1,5-dimethylpyrazol-4-yl)-N- P-15 hexyl-5-methyl-pyridine-2- 2.791 315 A carboxamide
82953 FF 107 N-(4,4-difluorobutyl)-4-(1,5- dimethylpyrazol-4-yl)-5,6- P-16 1.24 337.18 B dimethyl-pyridine-2- carboxamide N-(4,4-dimethylpentyl)-4-(1,5- dimethylpyrazol-4-yl)-5,6- P-17 1.73 343.25 B dimethyl-pyridine-2- carboxamide 4-(1,5-dimethylpyrazol-4-yl)-5,6- P-18 dimethyl-N-pentyl-pyridine-2- 1.53 315.2 B carboxamide N-(5,5-difluoropentyl)-4-(1,5- dimethylpyrazol-4-yl)-5,6- P-19 1.34 351.2 B dimethyl-pyridine-2- carboxamide N-(3-cyclopropylpropyl)-4-(1,5- dimethylpyrazol-4-yl)-5,6- P-20 1.53 327.21 B dimethyl-pyridine-2- carboxamide 4-(1,5-dimethylpyrazol-4-yl)-N- P-21 (5-fluoropentyl)-5,6-dimethyl- 1.31 333.22 B pyridine-2-carboxamide N-(4-cyclopropylbutyl)-4-(1,5- dimethylpyrazol-4-yl)-5,6- P-22 1.65 341.24 B dimethyl-pyridine-2- carboxamide 4-(1,5-dimethylpyrazol-4-yl)-5,6- dimethyl-N-(5,5,5- P-23 1.45 369.21 B trifluoropentyl)pyridine-2- carboxamide N-(2-cyclohexylethyl)-4-(1,5- dimethylpyrazol-4-yl)-5,6- P-24 1.79 355.25 B dimethyl-pyridine-2- carboxamide
82953 FF 108 methyl 2-[4-[4-(1,5- dimethylpyrazol-4-yl)-3-methyl- P-25 6-(pentylcarbamoyl)-2- 1.20 478 C pyridyl]phenyl]-2-methyl- propanoate 4-(1,5-dimethylpyrazol-4-yl)-5- P-26 methyl-N-pentyl-6-vinyl- 1.68 327.16 B pyridine-2-carboxamide 4-(1,5-dimethylpyrazol-4-yl)-5- P-27 methyl-N-pentyl-6-prop-1-ynyl- 1.66 339.16 B pyridine-2-carboxamide 4-(1,5-dimethylpyrazol-4-yl)-5- P-28 methyl-N-pentyl-6-propyl- 1.86 343.19 B pyridine-2-carboxamide 6-(2-cyanoethyl)-4-(1,5- dimethylpyrazol-4-yl)-5-methyl- P-29 1.42 354.18 B N-pentyl-pyridine-2- carboxamide 4-(1,5-dimethylpyrazol-4-yl)-6- P-30 (ethoxymethyl)-5-methyl-N- 1.6 359.19 B pentyl-pyridine-2-carboxamide 4-(1,5-dimethylpyrazol-4-yl)-5- P-31 methyl-6-oxazol-5-yl-N-pentyl- 1.41 368.17 B pyridine-2-carboxamide 4-(1,5-dimethylpyrazol-4-yl)-5- P-32 methyl-N-pentyl-6-pyrimidin-5- 1.35 379.19 B yl-pyridine-2-carboxamide
82953 FF 109 4-(1,5-dimethylpyrazol-4-yl)-5- methyl-6-(1-methylpyrazol-3-yl)- P-33 1.45 381.2 B N-pentyl-pyridine-2- carboxamide 4-(1,5-dimethylpyrazol-4-yl)-5- methyl-6-(2-methylpyrazol-3-yl)- P-34 1.44 381.2 B N-pentyl-pyridine-2- carboxamide 4-(1,5-dimethylpyrazol-4-yl)-5- methyl-6-(1-methylpyrazol-4-yl)- P-35 1.4 381.2 B N-pentyl-pyridine-2- carboxamide 6-(6-cyano-3-pyridyl)-4-(1,5- dimethylpyrazol-4-yl)-5-methyl- P-36 1.56 403.21 B N-pentyl-pyridine-2- carboxamide 4-(1,5-dimethylpyrazol-4-yl)-5- methyl-N-pentyl-6- P-37 (tetrahydropyran-4- 1.64 399.26 B ylmethyl)pyridine-2- carboxamide 6-(2-cyano-4-pyridyl)-4-(1,5- dimethylpyrazol-4-yl)-5-methyl- P-38 1.56 403.21 B N-pentyl-pyridine-2- carboxamide 6-(5-cyano-3-pyridyl)-4-(1,5- dimethylpyrazol-4-yl)-5-methyl- P-39 1.51 403.21 B N-pentyl-pyridine-2- carboxamide 6-(6-cyano-2-pyridyl)-4-(1,5- dimethylpyrazol-4-yl)-5-methyl- P-40 1.58 403.21 B N-pentyl-pyridine-2- carboxamide
82953 FF 110 6-(4-carbamoylphenyl)-4-(1,5- dimethylpyrazol-4-yl)-5-methyl- P-41 1.28 420.23 B N-pentyl-pyridine-2- carboxamide 6-(3-carbamoylphenyl)-4-(1,5- dimethylpyrazol-4-yl)-5-methyl- P-42 1.33 420.22 B N-pentyl-pyridine-2- carboxamide 4-(1,5-dimethylpyrazol-4-yl)-6- [3-(methoxymethyl)-5-methyl- P-43 1.55 426.24 B isoxazol-4-yl]-5-methyl-N- pentyl-pyridine-2-carboxamide 4-(1,5-dimethylpyrazol-4-yl)-6- [1-(2-methoxyethyl)pyrazol-4- P-44 1.44 425.25 B yl]-5-methyl-N-pentyl-pyridine-2- carboxamide 4-(1,5-dimethylpyrazol-4-yl)-5- methyl-6-[6-(methylcarbamoyl)- P-45 1.42 435.23 B 3-pyridyl]-N-pentyl-pyridine-2- carboxamide 4-(1,5-dimethylpyrazol-4-yl)-5- methyl-6-[3- P-46 1.41 434.24 B (methylcarbamoyl)phenyl]-N- pentyl-pyridine-2-carboxamide 6-[1-[(1- cyanocyclopropyl)methyl]pyrazo P-47 l-4-yl]-4-(1,5-dimethylpyrazol-4- 1.46 446.25 B yl)-5-methyl-N-pentyl-pyridine- 2-carboxamide 4-(1,5-dimethylpyrazol-4-yl)-5- methyl-6-[4-[2-(methylamino)-2- P-48 1.38 448.25 B oxo-ethyl]phenyl]-N-pentyl- pyridine-2-carboxamide
82953 FF 111 4-(1,5-dimethylpyrazol-4-yl)-5- methyl-6-[3-[2-(methylamino)-2- P-49 1.41 448.26 B oxo-ethyl]phenyl]-N-pentyl- pyridine-2-carboxamide 4-(1,5-dimethylpyrazol-4-yl)-6- P-50 isopropenyl-5-methyl-N-pentyl- 1.76 341.18 B pyridine-2-carboxamide methyl 4-[4-(1,5- dimethylpyrazol-4-yl)-3-methyl- P-51 1.47 450.24 B 6-(pentylcarbamoyl)-2-pyridyl]- 5-methyl-pyridine-2-carboxylate 6-(6-acetamido-3-pyridyl)-4- (1,5-dimethylpyrazol-4-yl)-5- P-52 1.37 435.23 B methyl-N-pentyl-pyridine-2- carboxamide 4-(1,5-dimethylpyrazol-4-yl)-6- P-53 isoxazol-4-yl-5-methyl-N-pentyl- 1.52 368.16 B pyridine-2-carboxamide methyl 5-[4-(1,5- dimethylpyrazol-4-yl)-3-methyl- P-54 1.48 436.21 B 6-(pentylcarbamoyl)-2- pyridyl]pyridine-2-carboxylate 4-(1,5-dimethylpyrazol-4-yl)-5- methyl-6-[4- P-55 1.38 434.24 B (methylcarbamoyl)phenyl]-N- pentyl-pyridine-2-carboxamide 4-(1,5-dimethylpyrazol-4-yl)-6- P-56 methoxy-5-methyl-N-pentyl- 1.06 331 C pyridine-2-carboxamide
82953 FF 112 6-(1-cyano-1-methyl-ethoxy)-4- (1,5-dimethylpyrazol-4-yl)-5- P-57 1.11 384 C methyl-N-pentyl-pyridine-2- carboxamide 4,6-bis(1,5-dimethylpyrazol-4- P-58 yl)-5-methyl-N-pentyl-pyridine- 0.96 395 C 2-carboxamide 4-(1,5-dimethylpyrazol-4-yl)-5- P-59 methyl-6-methylsulfanyl-N- 1.11 347 C pentyl-pyridine-2-carboxamide 4-(1,5-dimethylpyrazol-4-yl)-5- P-60 methyl-6-methylsulfonyl-N- 0.92 379 C pentyl-pyridine-2-carboxamide 6-amino-4-(1,5-dimethylpyrazol- P-61 4-yl)-5-methyl-N-pentyl- 0.78 316 C pyridine-2-carboxamide 6-chloro-N-(3- cyclopropylpropyl)-4-(1,5- P-62 1.08 347 C dimethylpyrazol-4-yl)-5-methyl- pyridine-2-carboxamide 6-chloro-4-(1,5-dimethylpyrazol- P-63 4-yl)-N-(5-fluoropentyl)-5- 0.98 353 C methyl-pyridine-2-carboxamide 6-chloro-N-(5,5-difluoropentyl)- P-64 4-(1,5-dimethylpyrazol-4-yl)-5- 1.01 371 C methyl-pyridine-2-carboxamide
82953 FF 113 6-(1-cyanoethyl)-4-(1,5- dimethylpyrazol-4-yl)-5-methyl- P-65 0.99 354 C N-pentyl-pyridine-2- carboxamide methyl 4-(1,5-dimethylpyrazol- 4-yl)-3-methyl-6- P-66 0.98 359 C (pentylcarbamoyl)pyridine-2- carboxylate 6-(2-amino-1,1-dimethyl-2-oxo- ethoxy)-4-(1,5-dimethylpyrazol- P-67 0.94 402 C 4-yl)-5-methyl-N-pentyl- pyridine-2-carboxamide 4-(1,5-dimethylpyrazol-4-yl)- P-68 N2,3-dimethyl-N6-pentyl- 0.88 358 C pyridine-2,6-dicarboxamide 4-(1,5-dimethylpyrazol-4-yl)- P-69 N2,N2,3-trimethyl-N6-pentyl- 0.88 372 C pyridine-2,6-dicarboxamide 4-(1,5-dimethylpyrazol-4-yl)-6- (N-methoxy-C-methyl- P-70 0.8 372 C carbonimidoyl)-5-methyl-N- pentyl-pyridine-2-carboxamide 5-chloro-4-(1,5-dimethylpyrazol- P-71 4-yl)-6-(1-methylpyrazol-4-yl)-N- 1.15 401 D pentyl-pyridine-2-carboxamide 5-bromo-4-(1,5-dimethylpyrazol- 4-yl)-6-[1-(2- P-72 1.01 491 C methoxyethyl)pyrazol-4-yl]-N- pentyl-pyridine-2-carboxamide
82953 FF 114 5-chloro-4-(1,5-dimethylpyrazol- 4-yl)-6-[1-(2- P-73 1.01 445 C methoxyethyl)pyrazol-4-yl]-N- pentyl-pyridine-2-carboxamide 4-(1,5-dimethylpyrazol-4-yl)-5- methoxy-6-[1-(2- P-74 0.98 441 C methoxyethyl)pyrazol-4-yl]-N- pentyl-pyridine-2-carboxamide 4-(1,5-dimethylpyrazol-4-yl)-6- P-75 fluoro-5-methyl-N-pentyl- 1.13 319 D pyridine-2-carboxamide 5-cyano-4-(1,5-dimethylpyrazol- 4-yl)-6-[1-(2- P-76 0.99 436 C methoxyethyl)pyrazol-4-yl]-N- pentyl-pyridine-2-carboxamide methyl 4-(1,5-dimethylpyrazol- 4-yl)-5-methyl-6-(1- P-77 0.94 326 D methylpyrazol-4-yl)pyridine-2- carboxylate methyl 4-(1,5-dimethylpyrazol- 4-yl)-5-methoxy-6-(1- P-78 0.94 269 D methylpyrazol-4-yl)pyridine-2- carboxylate ethyl 4-(1,5-dimethylpyrazol-4- P-79 yl)-3-methyl-6-(1-methylpyrazol- 0.98 340 D 4-yl)pyridine-2-carboxylate methyl 4-(1,5-dimethylpyrazol- 4-yl)-5-(2-methoxyethoxy)-6-(1- P-80 0.96 386 D methylpyrazol-4-yl)pyridine-2- carboxylate
82953 FF 115 ethyl 2-[[4-(1,5-dimethylpyrazol- 4-yl)-3-methyl-6- P-81 0.95 444 C (pentylcarbamoyl)pyridine-2- carbonyl]-methyl-amino]acetate ethyl 2-[[4-(1,5-dimethylpyrazol- 4-yl)-3-methyl-6- P-82 0.96 430 C (pentylcarbamoyl)pyridine-2- carbonyl]amino]acetate 4-(1,5-dimethylpyrazol-4-yl)-N2- (2-methoxyethyl)-N2,3-dimethyl- P-83 0.90 416 C N6-pentyl-pyridine-2,6- dicarboxamide N2-cyclohexyl-4-(1,5- dimethylpyrazol-4-yl)-N2,3- P-84 0.91 440.35 B dimethyl-N6-pentyl-pyridine-2,6- dicarboxamide N2-cyclohexyl-4-(1,5- dimethylpyrazol-4-yl)-3-methyl- P-85 0.92 426.34 B N6-pentyl-pyridine-2,6- dicarboxamide N2-benzyl-4-(1,5- dimethylpyrazol-4-yl)-3-methyl- P-86 0.86 434.31 B N6-pentyl-pyridine-2,6- dicarboxamide 4-(1,5-dimethylpyrazol-4-yl)-3- P-87 methyl-N2,N6-dipentyl-pyridine- 0.91 414.32 B 2,6-dicarboxamide N2-(cyclopropylmethyl)-4-(1,5- dimethylpyrazol-4-yl)-3-methyl- P-88 0.79 398.29 B N6-pentyl-pyridine-2,6- dicarboxamide
82953 FF 116 4-(1,5-dimethylpyrazol-4-yl)-3- P-89 methyl-N6-pentyl-N2-prop-2- 0.71 382.24 B ynyl-pyridine-2,6-dicarboxamide 4-(1,5-dimethylpyrazol-4-yl)-N2- P-90 isopropyl-3-methyl-N6-pentyl- 0.76 386.29 B pyridine-2,6-dicarboxamide N2-benzyl-4-(1,5- dimethylpyrazol-4-yl)-N2,3- P-91 0.85 448.33 B dimethyl-N6-pentyl-pyridine-2,6- dicarboxamide N2-(cyanomethyl)-4-(1,5- dimethylpyrazol-4-yl)-3-methyl- P-92 0.91 383 C N6-pentyl-pyridine-2,6- dicarboxamide BIOLOGICAL EXAMPLES Example B-1: Alternaria solani / tomato / (early blight) Tomato leaf disks cv. Baby are placed on agar in multiwell plates (24-well format) and sprayed with the formulated test compound diluted in water. The leaf disks are inoculated with a spore suspension of the fungus 2 days after application. The inoculated leaf disks are incubated at 23°C / 21°C (day/night) and 80% rh under a light regime of 12 h light / 12 h darkness in a climate cabinet and the activity of a compound is assessed as percent disease control compared to untreated when an appropriate level of disease damage appears on untreated check disk leaf disks (5 – 7 days after application). The following compounds gave at least 80% control of Alternaria solani at 200 ppm when compared to untreated control under the same conditions, which showed extensive disease development: P-8, P-15, P-17, P-18, P-19, P-20, P-21, P-22, P-23, P-24, P-25, P-27, P-28, P-32, P-33, P-34, P-35, P-36, P-38, P-39, P-40, P-41, P-42, P-43, P-44, P-45, P-47, P-48, P-50, P-52, P-54, P-55, P-56, P-57, P-58, P-59, P-60, P-61, P-62, P-63, P-64, P-65, P-66, P-68, P-69, P-72, P-73, P-74, P-75, P-81, P-82, P-83, and P-92 Example B-2: Botryotinia fuckeliana (Botrytis cinerea) / (Gray mould) Conidia of the fungus from cryogenic storage are directly mixed into nutrient broth (Vogels broth). After placing a (DMSO) solution of test compound into a microtiter plate (96-well format), the nutrient broth containing the fungal spores is added. The test plates are incubated at 24°C and the inhibition of growth is determined photometrically 3 - 4 days after application.
82953 FF 117 The following compounds gave at least 80% control of Botryotinia fuckeliana at 20 ppm when compared to untreated control under the same conditions, which showed extensive disease development: P-17, P-18, P-22, P-23, P-25, P-27, P-28, P-33, P-35, P-44, P-47, P-50, P-56, P-57, P-58, P-59, P-65, P-66, P-71, P-72, P-73, P-74, and P-92 Example B-3: Glomerella lagenarium (Colletotrichum lagenarium) / (Anthracnose) Conidia of the fungus from cryogenic storage are directly mixed into nutrient broth (PDB potato dextrose broth). After placing a (DMSO) solution of test compound into a microtiter plate (96-well format), the nutrient broth containing the fungal spores is added. The test plates are incubated at 24°C and the inhibition of growth is measured photometrically 3 – 4 days after application. The following compounds gave at least 80% control of Glomerella lagenarium at 20 ppm when compared to untreated control under the same conditions, which showed extensive disease development: P-9, P-15, P-18, P-19, P-21, P-22, P-23, P-27, P-56, P-58, P-59, P-71, P-72, P-73, P-74, and P-76 Example B-4: Blumeria graminis f. sp. tritici (Erysiphe graminis f. sp. tritici) / wheat / (Powdery mildew on wheat) Wheat leaf segments cv. Kanzler are placed on agar in a multiwell plate (24-well format) and sprayed with the formulated test compound diluted in water. The leaf disks are inoculated by shaking powdery mildew infected plants above the test plates 1 day after application. The inoculated leaf disks are incubated at 20°C and 60% rh under a light regime of 24 h darkness followed by 12 h light / 12 h darkness in a climate chamber and the activity of a compound is assessed as percent disease control compared to untreated when an appropriate level of disease damage appears on untreated check leaf segments (6 - 8 days after application). The following compounds gave at least 80% control of Blumeria graminis f. sp. tritici at 200 ppm when compared to untreated control under the same conditions, which showed extensive disease development: P- 10, P-18, P-19, P-21, P-23, P-27, P-33, P-34, P-35, P-42, P-44, P-47, P-50, P-51, P-58, P-63, P-64, and P-72 Example B-5: Fusarium culmorum / (Head blight)
directly mixed into nutrient broth (PDB potato dextrose broth). After placing a (DMSO) solution of test compound into a microtiter plate (96-well format), the nutrient broth containing the fungal spores is added. The test plates are incubated at 24°C and the inhibition of growth is determined photometrically 3 - 4 days after application. The following compounds gave at least 80% control of Fusarium culmorum at 20 ppm when compared to untreated control under the same conditions, which showed extensive disease development: P-18, P-19, P-21, P-22, P-23, P-27, P-28, P-33, P-35, P-44, P-47, P-50, P-56, P-57, P-58, P-59, P-65, P-66, P-71, P-72, P-73, and P-74 Example B-6: Fusarium culmorum / wheat / (Head blight)
82953 FF 118 Wheat spikelets cv. Monsun are placed on agar in multiwell plates (24-well format) and sprayed with the formulated test compound diluted in water. The spikelets are inoculated with a spore suspension of the fungus 1 day after application. The inoculated spikelets are incubated at 20°C and 60% rh under a light regime of 72 h semi darkness followed by 12 h light / 12 h darkness in a climate chamber and the activity of a compound is assessed as percent disease control compared to untreated when an appropriate level of disease damage appears on untreated check spikelets (6 - 8 days after application). The following compounds gave at least 80% control of Fusarium culmorum at 200 ppm when compared to untreated control under the same conditions, which showed extensive disease development: P-18, P-27, P-33, P-35, P-44, P-56, P-58, P-59, P-72, and P-73 Example B-7: Phaeosphaeria nodorum (Septoria nodorum) / wheat / (Glume blotch)
and sprayed with the formulated test compound diluted in water. The leaf disks are inoculated with a spore suspension of the fungus 2 days after application. The inoculated test leaf disks are incubated at 20°C and 75% rh under a light regime of 12 h light / 12 h darkness in a climate cabinet and the activity of a compound is assessed as percent disease control compared to untreated when an appropriate level of disease damage appears in untreated check leaf disks (5 – 7 days after application). The following compounds gave at least 80% control of Phaeosphaeria nodorum at 200 ppm when compared to untreated control under the same conditions, which showed extensive disease development: P-8, P-9, P-17, P-18, P-19, P-20, P-21, P-22, P-23, P-24, P-25, P-27, P-28, P-32, P-33, P-34, P-35, P-36, P-38, P-39, P-40, P-41, P-42, P-43, P-44, P-45, P-46, P-47, P-48, P-49, P-50, P-52, P-54, P-55, P-56, P-57, P-58, P-59, P-60, P-61, P-62, P-63, P-64, P-65, P-66, P-68, P-69, P-70, P-72, P-73, P-74, P-75, P-76, P-81, P-83, and P-92 Example B-8: Monographella nivalis (Microdochium nivale) / (foot rot cereals)
(PDB potato dextrose broth). After placing a (DMSO) solution of test compound into a microtiter plate (96-well format), the nutrient broth containing the fungal spores is added. The test plates are incubated at 24°C and the inhibition of growth is determined photometrically 4 - 5 days after application. The following compounds gave at least 80% control of Monographella nivalis at 20 ppm when compared to untreated control under the same conditions, which showed extensive disease development: P-9, P-17, P-22, P-25, P-33, P-35, P-44, P-47, P-58, P-61, P-66, P-71, P-72, P-73, P-74, and P-77 Example B-9: Mycosphaerella arachidis (Cercospora arachidicola) / (early leaf spot) Conidia of the fungus from cryogenic storage are directly mixed into nutrient broth (PDB potato dextrose broth). After placing a (DMSO) solution of test compound into a microtiter plate (96-well format), the nutrient broth containing the fungal spores is added. The test plates are incubated at 24°C and the inhibition of growth is determined photometrically 4 – 5 days after application.
82953 FF 119 The following compounds gave at least 80% control of Mycosphaerella arachidis at 20 ppm when compared to untreated control under the same conditions, which showed extensive disease development: P-8, P-9, P- 15, P-17, P-18, P-19, P-20, P-21, P-22, P-23, P-24, P-25, P-27, P-28, P-32, P-33, P-34, P-35, P-38, P-39, P- 40, P-44, P-45, P-47, P-50, P-52, P-54, P-55, P-56, P-57, P-58, P-59, P-61, P-62, P-63, P-64, P-65, P-66, P- 68, P-70, P-71, P-72, P-73, P-74, P-75, and P-76 Example B-10: Plasmopara viticola / grape / (late blight)
plates (24-well format) and sprayed with the formulated test compound diluted in water. The leaf disks are inoculated with a spore suspension of the fungus 1 day after application. The inoculated leaf disks are incubated at 19°C and 80% rh under a light regime of 12 h light / 12 h darkness in a climate cabinet and the activity of a compound is assessed as percent disease control compared to untreated when an appropriate level of disease damage appears in untreated check leaf disks (6 - 8 days after application). The following compounds gave at least 80% control of Plasmopara viticola at 200 ppm when compared to untreated control under the same conditions, which showed extensive disease development: P-22 and P-58 Example B-11: Puccinia recondita f. sp. tritici / wheat / (Brown rust) leaf segments cv. Kanzler are placed on agar in
plates (24-well format). The leaf segments are inoculated with a spore suspension of the fungus. Plates are stored in darkness at 19°C and 75% rh. The formulated test compound diluted in water is applied 1 day after inoculation. The leaf segments are incubated at 19°C and 75% rh under a light regime of 12 h light / 12 h darkness in a climate cabinet and the activity of a compound is assessed as percent disease control compared to untreated when an appropriate level of disease damage appears in untreated check leaf segments (6 - 8 days after application). The following compounds gave at least 80% control of Puccinia recondita f. sp. tritici at 200 ppm when compared to untreated control under the same conditions, which showed extensive disease development: P- 12, P-25, P-27, P-33, P-35, P-41, P-44, P-55, P-66, P-69, and P-73 Example B-12: Puccinia recondita f. sp. tritici / wheat / (Brown rust) leaf segments cv. Kanzler are placed on agar in
(24-well format) and sprayed with the formulated test compound diluted in water. The leaf disks are inoculated with a spore suspension of the fungus 1 day after application. The inoculated leaf disks are incubated at 19°C and 75% rh under a light regime of 12 h light / 12 h darkness in a climate cabinet and the activity of a compound is assessed as percent disease control compared to untreated when an appropriate level of disease damage appears in untreated check leaf segments (7 - 9 days after application). The following compounds gave at least 80% control of Puccinia recondita f. sp. tritici at 200 ppm when compared to untreated control under the same conditions, which showed extensive disease development: P- 18, P-33, P-35, P-44, P-48, P-51, P-65, and P-66 Example B-13: Magnaporthe grisea (Pyricularia oryzae) / (Rice Blast)
82953 FF 120 Conidia of the fungus from cryogenic storage are directly mixed into nutrient broth (PDB potato dextrose broth). After placing a (DMSO) solution of test compound into a microtiter plate (96-well format), the nutrient broth containing the fungal spores is added. The test plates are incubated at 24°C and the inhibition of growth is determined photometrically 3 - 4 days after application. The following compounds gave at least 80% control of Magnaporthe grisea at 20 ppm when compared to untreated control under the same conditions, which showed extensive disease development: P-25, P-27, P-28, P-33, P-34, P-35, P-44, P-46, P-47, P-48, P-49, P-50, P-56, P-57, P-58, P-59, P-65, P-66, P-71, P-72, P-73, P-74, P-76, and P-92 Example B-14: Pyrenophora teres / barley / (Net blotch)
a multiwell plate (24-well format) and sprayed with the formulated test compound diluted in water. The leaf segments are inoculated with a spore suspension of the fungus 2 days after application. The inoculated leaf segments are incubated at 20°C and 65% rh under a light regime of 12 h light / 12 h darkness in a climate cabinet and the activity of a compound is assessed as disease control compared to untreated when an appropriate level of disease damage appears in untreated check leaf segments (5 - 7 days after application). The following compounds gave at least 80% control of Pyrenophora teres at 200 ppm when compared to untreated control under the same conditions, which showed extensive disease development: P-8, P-9, P-11, P-12, P-16, P-17, P-18, P-19, P-20, P-21, P-22, P-23, P-24, P-25, P-27, P-28, P-32, P-33, P-34, P-35, P-36, P-38, P-39, P-40, P-41, P-42, P-43, P-44, P-45, P-46, P-47, P-48, P-49, P-50, P-51, P-52, P-54, P-55, P-56, P-57, P-58, P-59, P-60, P-61, P-62, P-63, P-64, P-65, P-66, P-68, P-69, P-70, P-72, P-73, P-74, P-75, P-76, P-79, P-81, P-83, and P-92 Example B-15: Thanatephorus cucumeris (Rhizoctonia solani) / (foot rot, damping-off) Mycelia fragments of a newly grown liquid culture of the fungus are directly mixed into nutrient broth (PDB potato dextrose broth). After placing a (DMSO) solution of the test compounds into a microtiter plate (96-well format), the nutrient broth containing the fungal material is added. The test plates are incubated at 24°C and the inhibition of growth is determined photometrically 3 - 4 days after application. The following compounds gave at least 80% control of Thanatephorus cucumeris at 20 ppm when compared to untreated control under the same conditions, which showed extensive disease development: P-8, P-17, P- 18, P-22, P-23, P-25, P-27, P-28, P-33, P-35, P-44, P-50, P-54, P-58, P-66, P-71, P-72, and P-73 Example B-16: Sclerotinia sclerotiorum / (cottony rot) Mycelia fragments of a newly grown liquid culture of the fungus are directly mixed into nutrient broth (PDB potato dextrose broth). After placing a (DMSO) solution of test compound into a microtiter plate (96-well format) the nutrient broth containing the fungal material is added. The test plates are incubated at 24°C and the inhibition of growth is determined photometrically 3 - 4 days after application.
82953 FF 121 The following compounds gave at least 80% control of Sclerotinia sclerotiorum at 20 ppm when compared to untreated control under the same conditions, which showed extensive disease development: P-18, P-35, P-59, P-71, P-72, and P-73 Example B-17: Mycosphaerella graminicola (Septoria tritici) / (Septoria blotch)
(PDB potato dextrose broth). After placing a (DMSO) solution of test compound into a microtiter plate (96-well format), the nutrient broth containing the fungal spores is added. The test plates are incubated at 24°C and the inhibition of growth is determined photometrically 4 - 5 days after application. The following compounds gave at least 80% control of Mycosphaerella graminicola at 20 ppm when compared to untreated control under the same conditions, which showed extensive disease development: P-7, P-8, P-9, P-12, P-15, P-16, P-17, P-18, P-19, P-20, P-21, P-22, P-23, P-24, P-25, P-27, P-28, P-32, P-33, P-34, P-35, P-38, P-39, P-40, P-41, P-43, P-44, P-45, P-46, P-47, P-48, P-49, P-50, P-52, P-54, P-55, P-56, P-57, P-58, P-59, P-61, P-62, P-63, P-64, P-65, P-66, P-68, P-70, P-71, P-72, P-73, P-74, P-75, P-76, P-82, and P-92 Example B-18: Cercospora kikuchii (leaf blight of soybean):Conidia of the fungus from cryogenic storage were broth). A DMSO solution of the test compounds was
a broth containing the fungal spores was added to it. The test plates were incubated at 24 °C and the inhibition of growth was determined photometrically after 3 - 4 days at 620 nm. The following compounds gave at least 80% control of Cercospora kikuchii at 20 ppm when compared to untreated control under the same conditions, which showed extensive disease development: P-73, and P-74 Example B-19: Cercospora sojina (frogeye leaf spot of soybean):Conidia of the fungus from cryogenic storage broth). A DMSO solution of the test compounds
was a broth containing the fungal spores was added to it. The test plates were incubated at 24 °C and the inhibition of growth was determined photometrically after 3 - 4 days at 620 nm. The following compounds gave at least 80% control of Cercospora sojina at 20 ppm when compared to untreated control under the same conditions, which showed extensive disease development: P-73 Example B-20: Corynespora cassiicola (target leaf spot of tomato): Conidia of the fungus from cryogenic storage were directly mixed into nutrient broth (PDB potato dextrose broth). A DMSO solution of the test compounds was placed into a microtiter plate (96-well format) and the nutrient broth containing the fungal spores was added to it. The test plates were incubated at 24 °C and the inhibition of growth was determined photometrically after 3 - 4 days at 620 nm.
82953 FF 122 The following compounds gave at least 80% control of Corynespora cassiicola at 20 ppm when compared to untreated control under the same conditions, which showed extensive disease development: P-73, and P-74 Example B-21: Gibberella zeae (Fusarium graminearum) / wheat / (Head blight) Wheat spikelets cv. Monsun are placed on agar in multiwell plates (24-well format) and sprayed with the formulated test compound diluted in water. One day after application, the spikelets are inoculated with a spore suspension of the fungus. The inoculated test leaf disks are incubated at 20 °C and 60% rh under a light regime of 72 h semi darkness followed by 12 h light / 12 h darkness in a climate chamber, the activity of a compound is assessed as percent disease control compared to untreated when an appropriate level of disease damage appears on untreated check spikelets (6 - 8 days after application). The following compounds gave at least 80% control of Gibberella zeae at 200 ppm when compared to untreated control under the same conditions, which showed extensive disease development: P-27, P-33, P-35, P-44, P-56, P-59, P-65, P-72, and P-73 Example B-22: Magnaporthe grisea (Pyricularia oryzae) / rice / (Rice blast)
well format) and sprayed with the formulated test compound diluted in water. The leaf segments are inoculated with a spore suspension of the fungus 2 days after application. The inoculated leaf segments are incubated at 22 °C and 80% rh under a light regime of 24 h darkness followed by 12 h light / 12 h darkness in a climate cabinet and the activity of a compound is assessed as percent disease control compared to untreated when an appropriate level of disease damage appears in untreated check leaf segments (5 - 7 days after application). The following compounds gave at least 80% control of Magnaporthe grisea at 200 ppm when compared to untreated control under the same conditions, which showed extensive disease development: P-27, P-33, P-35, P-44, P-61
Claims
82953 FF 123 CLAIMS 1. A compound of formula (I) wherein
R1 is selected from hydrogen, C1-C4-alkyl, C2-C4-alkenyl, C2-C4-alkynyl, or C3-C6-cycloalkyl; R2 is selected from hydrogen, halogen, C1-C4-alkyl, C2-C4-alkenyl, C2-C4-alkynyl, C1-C4- haloalkyl, C3-C6-cycloalkyl, C1-C4-alkoxy, C1-C4-alkoxy-C1-C4alkyl, C1-C4-alkoxy-C1-C4-alkoxy, C1-C4- alkoxy-C1-C4-alkoxy-C1-C4-alkyl, C1-C4-alkylcarbonyl, N-C1-C4-alkoxy-C-C1-C4-alkyl-carbonimidoyl, N- hydroxy-C-C1-C4-alkyl-carbonimidoyl, or C1-C4-alkoxycarbonyl; R3 is selected from hydrogen, halogen, C1-C4-haloalkyl, C1-C4-alkyl, C1-C4-alkoxy, or C3-C6- cycloalkyl; R4 is selected from hydrogen, halogen, C1-C4-haloalkyl, C3-C6-cycloalkyl, or C1-C4-alkyl; R5 is selected from hydrogen, halogen, cyano, C1-C4-alkyl, C1-C4-haloalkyl, C3-C6-cycloalkyl, C1-C4-alkoxy, C1-C4-alkoxy-C1-C4-alkoxy, C1-C4-alkoxy-C1-C4-alkyl, or C1-C4-alkoxy-C1-C4-alkoxy-C1- C4-alkyl, W1 is selected from O, S, SO, SO2, NR6, -(C=O), *-(C=O)O-#, *-(C=O)N(R7)-#, *-N(R8)(C=O)- #, -C=N-OR9, *-N(R10)O-#, star (*) denotes the
W2 is selected from O, NR14, *-NR15O-#; wherein the star (*) denotes the connection to the pyridine-moiety and the # the connection to Z2; Z1 is selected from hydrogen, C1-C6-alkyl, C2-C6-alkenyl, or C2-C6-alkynyl, wherein any of said alkyl, alkenyl or alkynyl is unsubstituted or substituted with 1, 2 or 3 substituents independently selected from halogen, C1-C4-alkyl, C2-C4-alkenyl, C2-C4-alkynyl, C1-C4-haloalkyl, C1-C4-alkoxy, C1-C4-alkoxy- C1-C4-alkoxy, C1-C4-haloalkoxy, di(C1-C4-alkyl)carbamoyl, C1-C4-alkylcarbamoyl, C2-C4-alkenyloxy, C2-C4-alkynyloxy, C1-C4-alkylsulfanyl, C1-C4-alkylsulfinyl, C1-C4-alkylsulfonyl, C1-C4-alkoxy-C1-C4 alkyl,
82953 FF 124 C1-C4-alkoxycarbonyl, C1-C4-alkylcarbonyl, N-C1-C4-alkoxy-C-C1-C4-alkyl-carbonimidoyl, N-hydroxy- C-C1-C4-alkyl-carbonimidoyl, methyl-C=N-ORX (RX = (CH2)1-4-CN), trifluoromethylsulfonyloxy, cyano, carboxy, amino, phenyl, a 4-, 5- or 6-membered saturated, partially saturated or aromatic heterocycle, or cyclopropyl; and wherein said cyclopropyl group is unsubstituted or substituted with 1, 2 or 3 substituents independently selected from halogen, cyano, C1-C4-alkyl, C1-C4-haloalkyl, or C1-C4- alkoxy; wherein any of said 4-, 5- or 6-membered saturated, partially saturated or aromatic heterocycle contains 1, 2 or 3 heteroatoms selected from O, S or N, with the proviso that no more than one is O or S; and wherein said any of said phenyl and 4-, 5- or 6-membered saturated, partially saturated or aromatic heterocycles, are unsubstituted or substituted with 1, 2 or 3 substituents independently selected from halogen, C1-C4-alkyl, C1-C4-haloalkyl, C2-C4-alkenyl, C2-C4-alkynyl, cyano, carboxy, amino, C1-C4-alkoxycarbonyl, carbamoyl, di(C1-C4-alkyl)carbamoyl, C1-C4-alkylcarbamoyl, C1-C4- alkoxy, C1-C4-alkoxy-C1-C4-alkyl, cyano-C1-C4-alkyl, C1-C4-alkoxycarbonyl-C1-C4-alkyl, hydroxycarbonyl-C1-C4-alkyl, C1-C4-alkylcarbamoyl-C1-C4-alkyl, (di-C1-C4-alkyl)carbamoyl-C1-C4-alkyl, cyclopropyl, or cyanocyclopropyl; or Z1 is phenyl, a 4-, 5- or 6-membered saturated, partially saturated or aromatic heterocycle, or cyclopropyl, and wherein said cyclopropyl is unsubstituted or substituted with 1, 2 or 3 substituents independently selected from halogen, cyano, C1-C4-alkyl, C1-C4-haloalkyl, or C1-C4-alkoxy; wherein any of said 4-, 5- or 6-membered saturated, partially saturated or aromatic heterocycle contains 1, 2 or 3 heteroatoms selected from O, S or N with the proviso that no more than one is O or S; and wherein any of said phenyl and 4-, 5- or 6-membered saturated, partially saturated or aromatic heterocycles, are unsubstituted or substituted with 1, 2 or 3 substituents independently selected from halogen, C1- C4-haloalkyl, C1-C4-alkyl, C2-C4-alkenyl, C2-C4-alkynyl, cyano, carboxy, amino, C1-C4 alkoxycarbonyl, carbamoyl, di(C1-C4alkyl)carbamoyl, C1-C4 alkylcarbamoyl, C1-C4-alkoxy, C1-C4-alkoxy-C1-C4-alkyl, cyano-C1-C4-alkyl, C1-C4-alkoxycarbonyl-C1-C4-alkyl, hydroxycarbonyl-C1-C4-alkyl, C1-C4- alkylcarbamoyl-C1-C4-alkyl, (di-C1-C4-alkyl)carbamoyl-C1-C4-alkyl, cyclopropyl, or cyanocyclopropyl; or Z1 is cyano, or halogen, with the proviso that W1 is a bond; Z2 is selected from hydrogen, C1-C6-alkyl, C2-C6-alkenyl, or C2-C6-alkynyl, wherein any of said alkyl, alkenyl, or alkynyl is unsubstituted or substituted with 1, 2 or 3 substituents independently selected from halogen, C1-C4-alkyl, C2-C4-alkenyl, C2-C4-alkynyl, C1-C4-haloalkyl, C1-C4-alkoxy, C1-C4- alkoxy-C1-C4-alkoxy, C1-C4-haloalkoxy, di(C1-C4-alkyl)carbamoyl, C1-C4-alkylcarbamoyl, C2-C4- alkenyloxy, C2-C4 alkynyloxy, C1-C4-alkylsulfanyl, C1-C4-alkylsulfinyl, C1-C4-alkylsulfonyl, C1-C4-alkoxy- C1-C4-alkyl, C1-C4-alkoxycarbonyl, C1-C4-alkylcarbonyl, N-C1-C4-alkoxy-C-C1-C4-alkyl-carbonimidoyl, N-hydroxy-C-C1-C4-alkyl-carbonimidoyl, methyl-C=N-ORX (RX = (CH2)1-4-CN), trifluoromethylsulfonyloxy, cyano, carboxy, amino, phenyl, a 4, 5- or 6- membered saturated, partially unsaturated or aromatic heterocycle, or cyclopropyl; wherein said cyclopropyl is unsubstituted or
82953 FF 125 substituted with 1, 2 or 3 substituents independently selected from halogen, cyano, C1-C4-alkyl, C1-C4- haloalkyl, or C1-C4-alkoxy; wherein any of said 4-, 5- or 6-membered saturated, partially saturated or aromatic heterocycle contains 1, 2 or 3 heteroatoms selected from O, S or N with the proviso that no more than one is O or S; and wherein any of said phenyl and 4-, 5- or 6-membered saturated, partially saturated or aromatic heterocycles, are unsubstituted or substituted with 1, 2 or 3 substituents independently selected from halogen, C1-C4-haloalkyl, C1-C4-alkyl, C2-C4-alkenyl, C2-C4-alkynyl, cyano, carboxy, amino, C1-C4-alkoxycarbonyl, carbamoyl, di(C1-C4-alkyl)carbamoyl, C1-C4- alkylcarbamoyl, C1-C4-alkoxy, C1-C4-alkoxy-C1-C4-alkyl, cyano-C1-C4-alkyl, C1-C4-alkoxycarbonyl-C1- C4-alkyl, hydroxycarbonyl-C1-C4-alkyl, C1-C-4alkylcarbamoyl-C1-C4-alkyl, (di-C1-C4-alkyl)carbamoyl- C1-C4-alkyl, cyclopropyl, or cyanocyclopropyl; and R6, R7, R8, R9, R10, R11, R12, R13, R14, and R15 are independently selected from hydrogen, or C1- C4-alkyl, wherein said C1-C4-alkyl is unsubstituted or substituted with 1 substituent selected from cyano, halogen, or C1-C4-alkoxy; or an agrochemically acceptable salt, stereoisomer, enantiomer, tautomer or N-oxide thereof. 2. The compound of formula (I) according to claim 1, wherein W2 is NR14, and R14 is hydrogen or methyl. 3. The compound of formula (I) according to claim 1 or claim 2, wherein W1 is a bond. 4. The compound of formula (I) according to any one of claims 1 to 3, wherein R1 is C1-C3-alkyl; R2 is hydrogen, or C1-C3-alkyl; and R3 is hydrogen. 5. The compound of formula (I) according to any one of claims 1 to 4, wherein R4 is halogen, or C1-C3- alkyl, and R5 is hydrogen; or R4 is hydrogen, and R5 is halogen or C1-C3-alkyl. 6. The compound of formula (I) according to any one of claims 1 to 5, wherein Z1 is hydrogen, C1-C6-alkyl, C2-C6-alkenyl, or C2-C6-alkynyl, wherein any of said alkyl, alkenyl and alkynyl is unsubstituted or substituted with 1, 2 or 3 substituents independently selected from halogen, cyano, C1-C2-alkoxy, C1-C2-alkylcarbamoyl, phenyl, a 4-, 5- or 6-membered saturated, partially saturated or aromatic heterocycle, or cyclopropyl; and wherein said cyclopropyl group is unsubstituted or substituted with 1 substituent selected from cyano; wherein any of said 4-, 5- or 6-membered saturated, partially saturated or aromatic heterocycle contains 1, 2 or 3 heteroatoms selected from O, S or N, with the proviso that no more than one is O or S; and wherein said any of said phenyl and 4-,
82953 FF 126 5- or 6-membered saturated, partially saturated or aromatic heterocycles, are unsubstituted or substituted with 1 or 2 substituents independently selected from halogen, C1-C2-alkyl, C2-C3-alkenyl, cyano, acetyl, carbamoyl, C1-C2-alkylcarbamoyl, C1-C2-alkoxy, C1-C2-alkoxy-C1-C2-alkyl, cyano-C1-C2- alkyl, C1-C2-alkylcarbamoyl-C1-C2-alkyl, cyclopropyl, or cyanocyclopropyl; or Z1 is phenyl, a 4-, 5- or 6-membered saturated, partially saturated or aromatic heterocycle, or cyclopropyl, and wherein said cyclopropyl group is unsubstituted or substituted with 1 substituent selected from cyano; wherein any of said 4-, 5- or 6-membered saturated, partially saturated or aromatic heterocycle contains 1, 2 or 3 heteroatoms selected from O, S or N, with the proviso that no more than one O or S; and wherein any of said phenyl and 4-, 5- or 6-membered saturated, partially saturated or aromatic heterocycles, are unsubstituted or substituted with 1 or 2 substituents independently selected from halogen, C1-C2-haloalkyl, C1-C2-alkyl, C2-C3-alkenyl, C2-C3-alkynyl, cyano, carbamoyl, di(C1-C2-alkyl)carbamoyl, C1-C2-alkylcarbamoyl, C1-C2-alkoxy, C1-C2-alkoxy-C1-C2- alkyl, cyano-C1-C2-alkyl, C1-C2-alkoxycarbonyl-C1-C2-alkyl, hydroxycarbonyl-C1-C2-alkyl, C1-C2- alkylcarbamoyl-C1-C2-alkyl, (di-C1-C2-alkyl)carbamoyl-C1-C2-alkyl, cyclopropyl, or cyanocyclopropyl; or Z1 is cyano, or halogen. 7. The compound of formula (I) according to claim 6, wherein Z1 is selected a C1-C6-alkyl, C2-C6-alkenyl or C2-C6-alkynyl, wherein any of said alkyl, alkenyl and alkynyl is unsubstituted or substituted with 1, 2 or 3 substituents independently selected from chlorine, fluorine, methoxy, methylcarbamoyl, cyano, phenyl, a 4-, 5- or 6-membered saturated, partially saturated or aromatic heterocycle, or cyclopropyl; and wherein said cyclopropyl group is unsubstituted or substituted with 1 substituent selected from cyano; wherein any of said 4-, 5- or 6-membered saturated, partially saturated or aromatic heterocycle contains 1, 2 or 3 heteroatoms selected from O, S or N, with the proviso that no more than one is O or S; and wherein said any of said phenyl and 4-, 5- or 6-membered saturated, partially saturated or aromatic heterocycles, are unsubstituted or substituted with 1 or 2 substituents independently selected from chloro, fluoro, methyl, vinyl, cyano, acetyl, carbamoyl, methylcarbamoyl, methoxy, cyanomethyl, 2-cyanoethyl, 1-cyano-1-methyl-ethyl, methoxycarbonylmethyl, 2-methoxycarbonylethyl, 1-methoxycarbonylethyl, 1-methoxycarbonyl-1- methyl-ethyl, hydroxycarbonymethyl, 1-hydoxyoxycarbonyl-1-methyl-ethyl, 2-hydroxycarbonylethyl, carbamoylmethyl, methylcarbamoylmethyl, dimethylcarbamoylmethyl, 2-carbamoylethyl, 2- methylcarbamoylethyl, 2-dimethylcarbamoylethyl,cyclopropyl, or cyanocyclopropy,; and wherein the said cyclopropyl group is optionally substituted with cyano; Z1 is phenyl, wherein said phenyl is unsubstituted or substituted with 1, 2 or 3 substituents independently selected from halogen, trifluoromethyl, difluoromethyl, methyl, vinyl, prop-1-enyl, ethynyl, prop-1-ynyl, cyano, carbamoyl, dimethylcarbamoyl, methylcarbamoyl, methoxymethyl, 2- methoxyethoxy, cyanomethyl, 2-cyanoethyl, 1-cyano-ethyl, 1-cyano-1-methyl-ethyl,
82953 FF 127 methoxycarbonylmethyl, 2-methoxycarbonylethyl, 1-methoxycarbonylethyl, 1-methoxycarbonyl-1- methyl-ethyl, hydroxycarbonymethyl, 1-hydoxyoxycarbonyl-1-methyl-ethyl, 2-hydroxycarbonylethyl, carbamoylmethyl, methylcarbamoylmethyl, dimethylcarbamoylmethyl, 2-carbamoylethyl, 2- methylcarbamoylethyl, 2-dimethylcarbamoylethyl, cyclopropyl, or cyanocyclopropyl; or Z1 is cyano, or halogen, with the proviso that W1 is a bond. 8. The compound of formula (I) according to any one of claims 1 to 7, wherein Z2 is C1-C6-alkyl, wherein said C1-C6-alkyl is unsubstituted or substituted with 1, 2 or 3 substituents selected from halogen, or with one substituent selected from C1-C3-alkoxy, phenyl, a 4, 5- or 6- membered saturated, partially unsaturated or aromatic heterocycle, or cyclopropyl; wherein said cyclopropyl is unsubstituted or substituted with 1 substituent selected from cyano; wherein any of said 4-, 5- or 6-membered saturated, partially saturated or aromatic heterocycle contains 1, 2 or 3 heteroatoms selected from O, S or N, with the proviso that only one is O or S; and wherein any of said phenyl and 4-, 5- or 6-membered saturated, partially saturated or aromatic heterocycles, are unsubstituted or substituted with 1, or 2 substituents selected from halogen, cyano, C1-C3-alkyl, C1-C3-alkoxy, C1-C3-haloalkyl, cyclopropyl, or cyanocyclopropyl. 9. The compound of formula (I) according to claim 8, wherein Z2 is C1-C6-alkyl, wherein said C1-C6-alkyl is unsubstituted or substituted with 1, 2 or 3 substituents selected from halogen, or with one substituent selected from methoxy, ethoxy, or cyclopropyl. 10. An intermediate compound of formula (Ia) or a salt thereof wherein R1, R2, R3, R4,
of formula (I) according to any one of claims 1 to 9, and wherein X06 is halogen. 11. An intermediate compound of formula (IId) or a salt thereof
82953 FF 128 wherein R1, R2, R3, R4,
formula (I) according to any one of claims 1 to 9; and wherein R01 is C1-C4-alkyl, and X06 is halogen. 12. An intermediate compound of formula (XXV) or a salt thereof wherein R1, R2, R3, R4,
compounds of formula (I) according to any one of claims 1 to 9. 13. An intermediate compound of formula (XXIV) or a salt thereof wherein R1, R2, R3, R4,
formula (I) according to any one of claims 1 to 9, and wherein R01 is C1-C4-alkyl. 14. An agrochemical composition comprising a fungicidally effective amount of a compound of formula (I) as defined in any one of claims 1 to 9.
82953 FF 129 15. The agrochemical composition according to claim 14, further comprising at least one additional active ingredient and/or an agrochemically-acceptable diluent or carrier. 16. A method of controlling or preventing infestation of useful plants by phytopathogenic microorganisms, wherein a fungicidally effective amount of a compound of formula (I) as defined in any one of claims 1 to 9, or a composition comprising the compound of formula (I), is applied to the plants, to parts thereof or the locus thereof. 17. Use of a compound according to any one of claims 1 to 9 as a fungicide.
Applications Claiming Priority (4)
| Application Number | Priority Date | Filing Date | Title |
|---|---|---|---|
| IN202311068351 | 2023-10-11 | ||
| IN202311068351 | 2023-10-11 | ||
| EP24155001 | 2024-01-31 | ||
| EP24155001.1 | 2024-01-31 |
Publications (1)
| Publication Number | Publication Date |
|---|---|
| WO2025078263A1 true WO2025078263A1 (en) | 2025-04-17 |
Family
ID=92973621
Family Applications (1)
| Application Number | Title | Priority Date | Filing Date |
|---|---|---|---|
| PCT/EP2024/077866 Pending WO2025078263A1 (en) | 2023-10-11 | 2024-10-03 | Microbiocidal pyridyl pyrazole derivatives |
Country Status (3)
| Country | Link |
|---|---|
| AR (1) | AR134067A1 (en) |
| TW (1) | TW202515443A (en) |
| WO (1) | WO2025078263A1 (en) |
Citations (59)
| Publication number | Priority date | Publication date | Assignee | Title |
|---|---|---|---|---|
| US4639771A (en) | 1984-10-31 | 1987-01-27 | Kabushiki Kaisha Toshiba | Image processing system |
| EP0357460A2 (en) | 1988-09-02 | 1990-03-07 | Sankyo Company Limited | 13-Substituted milbemycin derivatives, their preparation and use |
| EP0367474A1 (en) | 1988-11-01 | 1990-05-09 | Mycogen Corporation | Novel bacillus thuringiensis isolate denoted b.t. ps81gg, active against lepidopteran pests, and a gene encoding a lepidopteran-active toxin |
| EP0374753A2 (en) | 1988-12-19 | 1990-06-27 | American Cyanamid Company | Insecticidal toxines, genes coding therefor, antibodies binding them, transgenic plant cells and plants expressing these toxines |
| EP0382173A2 (en) | 1989-02-07 | 1990-08-16 | Meiji Seika Kaisha Ltd. | PF 1022 substance, method of producing same and anthelmintic composition containing same |
| WO1990013651A1 (en) | 1989-05-09 | 1990-11-15 | Imperial Chemical Industries Plc | Bacterial genes |
| EP0401979A2 (en) | 1989-05-18 | 1990-12-12 | Mycogen Corporation | Novel bacillus thuringiensis isolates active against lepidopteran pests, and genes encoding novel lepidopteran-active toxins |
| US5015630A (en) | 1989-01-19 | 1991-05-14 | Merck & Co., Inc. | 5-oxime avermectin derivatives |
| EP0427529A1 (en) | 1989-11-07 | 1991-05-15 | Pioneer Hi-Bred International, Inc. | Larvicidal lectins and plant insect resistance based thereon |
| EP0444964A1 (en) | 1990-03-01 | 1991-09-04 | Sankyo Company Limited | Milbemycin ether derivatives, their preparation and their anthelmintic uses |
| EP0451878A1 (en) | 1985-01-18 | 1991-10-16 | Plant Genetic Systems, N.V. | Modifying plants by genetic engineering to combat or control insects |
| EP0503538A1 (en) | 1991-03-08 | 1992-09-16 | Meiji Seika Kaisha Ltd. | Medicinal composition containing an anthelmintic cyclic depsipeptide |
| WO1993007278A1 (en) | 1991-10-04 | 1993-04-15 | Ciba-Geigy Ag | Synthetic dna sequence having enhanced insecticidal activity in maize |
| WO1993019053A1 (en) | 1992-03-17 | 1993-09-30 | Fujisawa Pharmaceutical Co., Ltd. | Depsipeptide derivative, production thereof and use thereof |
| WO1993025543A2 (en) | 1992-06-11 | 1993-12-23 | Bayer Aktiengesellschaft | Enniatines and enniatine derivates used to control endoparasites |
| EP0594291A1 (en) | 1992-09-01 | 1994-04-27 | Sankyo Company Limited | Novel processes for the production of 13-ether derivatives of milbemycins, and novel intermediates therefor |
| WO1994015944A1 (en) | 1993-01-18 | 1994-07-21 | Pfizer Limited | New antiparasitic agents related to the milbemycins and avermectins |
| WO1994019334A1 (en) | 1993-02-19 | 1994-09-01 | Meiji Seika Kaisha, Ltd. | Pf1022 derivative, cyclic depsipeptide |
| EP0626375A1 (en) | 1993-05-26 | 1994-11-30 | Bayer Ag | Octacyclodepsipeptides having endoparasiticidal activity |
| WO1995019363A1 (en) | 1994-01-14 | 1995-07-20 | Pfizer Inc. | Antiparasitic pyrrolobenzoxazine compounds |
| WO1995022552A1 (en) | 1994-02-16 | 1995-08-24 | Pfizer Limited | Antiparasitic agents |
| WO1995034656A1 (en) | 1994-06-10 | 1995-12-21 | Ciba-Geigy Ag | Novel bacillus thuringiensis genes coding toxins active against lepidopteran pests |
| US5478855A (en) | 1992-04-28 | 1995-12-26 | Yashima Chemical Industry Co., Ltd. | 2-(2,6-difluorophenyl)-4-(2-ethoxy-4-tert-butylphenyl)-2-oxazoline |
| WO1996011945A2 (en) | 1994-10-18 | 1996-04-25 | Bayer Aktiengesellschaft | Cyclic depsipeptide sulfonylation, sulfenylation and phosphorylation process |
| WO1996015121A1 (en) | 1994-11-10 | 1996-05-23 | Bayer Aktiengesellschaft | Use of dioxomorpholines to combat endoparasites, novel dioxomorpholines and process for their production |
| DE19520936A1 (en) | 1995-06-08 | 1996-12-12 | Bayer Ag | Ectoparasiticides means |
| WO1997033890A1 (en) | 1996-03-11 | 1997-09-18 | Novartis Ag | Pyrimidin-4-one derivatives as pesticide |
| WO1998004557A1 (en) | 1996-07-30 | 1998-02-05 | Bionumerik Pharmaceuticals, Inc. | Novel process for preparing camptothecin |
| WO2002015701A2 (en) | 2000-08-25 | 2002-02-28 | Syngenta Participations Ag | Bacillus thuringiensis crystal protein hybrids |
| WO2003018810A2 (en) | 2001-08-31 | 2003-03-06 | Syngenta Participations Ag | Modified cry3a toxins and nucleic acid sequences coding therefor |
| WO2003052073A2 (en) | 2001-12-17 | 2003-06-26 | Syngenta Participations Ag | Novel corn event |
| WO2004052370A2 (en) | 2002-12-11 | 2004-06-24 | 7Tm Pharma A/S | Quinoline compounds for use in mch receptor related disorders |
| WO2004072086A2 (en) | 2003-02-14 | 2004-08-26 | Pfizer Limited | Antiparasitic terpene alkaloids |
| US6919298B2 (en) | 2002-04-04 | 2005-07-19 | Valent Biosciences Corporation | Enhanced herbicide composition |
| WO2011138281A2 (en) | 2010-05-06 | 2011-11-10 | Bayer Cropscience Ag | Process for the preparation of dithiine tetracarboxydiimides |
| WO2014006945A1 (en) | 2012-07-04 | 2014-01-09 | アグロカネショウ株式会社 | 2-aminonicotinic acid ester derivative and bactericide containing same as active ingredient |
| WO2014095675A1 (en) | 2012-12-19 | 2014-06-26 | Bayer Cropscience Ag | Difluoromethyl-nicotinic-indanyl carboxamides as fungicides |
| US20150218102A1 (en) | 2014-02-06 | 2015-08-06 | Abbvie Inc. | 6-heteroaryloxy- or 6-aryloxy-quinoline-2-carboxamides and method of use |
| WO2016156290A1 (en) | 2015-04-02 | 2016-10-06 | Bayer Cropscience Aktiengesellschaft | Novel 5-substituted imidazole derivatives |
| WO2016202742A1 (en) | 2015-06-15 | 2016-12-22 | Bayer Cropscience Aktiengesellschaft | Halogen-substituted phenoxyphenylamidines and the use thereof as fungicides |
| WO2017029179A1 (en) | 2015-08-14 | 2017-02-23 | Bayer Cropscience Aktiengesellschaft | Triazole derivatives, intermediates thereof and their use as fungicides |
| WO2017055473A1 (en) | 2015-10-02 | 2017-04-06 | Syngenta Participations Ag | Microbiocidal oxadiazole derivatives |
| WO2017153380A1 (en) | 2016-03-10 | 2017-09-14 | Syngenta Participations Ag | Microbiocidal quinoline (thio)carboxamide derivatives |
| WO2017207362A1 (en) | 2016-05-30 | 2017-12-07 | Syngenta Participations Ag | Microbiocidal thiazole derivatives |
| WO2018153707A1 (en) | 2017-02-22 | 2018-08-30 | Basf Se | Crystalline forms of a strobilurin type compound for combating phytopathogenic fungi |
| WO2018177894A1 (en) | 2017-03-31 | 2018-10-04 | Syngenta Participations Ag | Fungicidal compositions |
| WO2019105933A1 (en) | 2017-11-29 | 2019-06-06 | Syngenta Participations Ag | Microbiocidal thiazole derivatives |
| US20190337923A1 (en) * | 2018-05-02 | 2019-11-07 | Enanta Pharmaceuticals, Inc. | Tetrazole containing apoptosis signal-regulating kinase 1 inhibitors and methods of use thereof |
| WO2020056090A1 (en) | 2018-09-14 | 2020-03-19 | Fmc Corporation | Fungicidal halomethyl ketones and hydrates |
| WO2020097012A1 (en) | 2018-11-06 | 2020-05-14 | Fmc Corporation | Substituted tolyl as fungicides |
| WO2020102574A1 (en) | 2018-11-16 | 2020-05-22 | Novartis Inflammasome Research, Inc. | The compounds and compositions for treating conditions associated with nlrp activity |
| WO2020109511A1 (en) | 2018-11-30 | 2020-06-04 | Syngenta Crop Protection Ag | Microbiocidal 2-acylamino-thiazole-4-carboxamide derivatives |
| WO2020109391A1 (en) | 2018-11-28 | 2020-06-04 | Bayer Aktiengesellschaft | Pyridazine (thio)amides as fungicidal compounds |
| WO2020109509A1 (en) | 2018-11-30 | 2020-06-04 | Syngenta Participations Ag | Microbiocidal thiazole derivatives |
| WO2020193387A1 (en) | 2019-03-22 | 2020-10-01 | Syngenta Crop Protection Ag | Fungicidal compounds |
| WO2020212513A1 (en) | 2019-04-18 | 2020-10-22 | Syngenta Crop Protection Ag | Process for the preparation of microbiocidal oxadiazole derivatives |
| WO2021244952A1 (en) | 2020-06-03 | 2021-12-09 | Syngenta Crop Protection Ag | Microbiocidal derivatives |
| WO2022236319A1 (en) | 2021-05-07 | 2022-11-10 | Enliven Therapeutics, Inc. | Naphthyridone compounds for inhibition of raf kinases and/or bcr-abl tyrosine kinases |
| WO2023099460A1 (en) * | 2021-12-02 | 2023-06-08 | Syngenta Crop Protection Ag | Fungicidal compositions |
-
2024
- 2024-10-03 WO PCT/EP2024/077866 patent/WO2025078263A1/en active Pending
- 2024-10-07 TW TW113138052A patent/TW202515443A/en unknown
- 2024-10-08 AR ARP240102730A patent/AR134067A1/en unknown
Patent Citations (59)
| Publication number | Priority date | Publication date | Assignee | Title |
|---|---|---|---|---|
| US4639771A (en) | 1984-10-31 | 1987-01-27 | Kabushiki Kaisha Toshiba | Image processing system |
| EP0451878A1 (en) | 1985-01-18 | 1991-10-16 | Plant Genetic Systems, N.V. | Modifying plants by genetic engineering to combat or control insects |
| EP0357460A2 (en) | 1988-09-02 | 1990-03-07 | Sankyo Company Limited | 13-Substituted milbemycin derivatives, their preparation and use |
| EP0367474A1 (en) | 1988-11-01 | 1990-05-09 | Mycogen Corporation | Novel bacillus thuringiensis isolate denoted b.t. ps81gg, active against lepidopteran pests, and a gene encoding a lepidopteran-active toxin |
| EP0374753A2 (en) | 1988-12-19 | 1990-06-27 | American Cyanamid Company | Insecticidal toxines, genes coding therefor, antibodies binding them, transgenic plant cells and plants expressing these toxines |
| US5015630A (en) | 1989-01-19 | 1991-05-14 | Merck & Co., Inc. | 5-oxime avermectin derivatives |
| EP0382173A2 (en) | 1989-02-07 | 1990-08-16 | Meiji Seika Kaisha Ltd. | PF 1022 substance, method of producing same and anthelmintic composition containing same |
| WO1990013651A1 (en) | 1989-05-09 | 1990-11-15 | Imperial Chemical Industries Plc | Bacterial genes |
| EP0401979A2 (en) | 1989-05-18 | 1990-12-12 | Mycogen Corporation | Novel bacillus thuringiensis isolates active against lepidopteran pests, and genes encoding novel lepidopteran-active toxins |
| EP0427529A1 (en) | 1989-11-07 | 1991-05-15 | Pioneer Hi-Bred International, Inc. | Larvicidal lectins and plant insect resistance based thereon |
| EP0444964A1 (en) | 1990-03-01 | 1991-09-04 | Sankyo Company Limited | Milbemycin ether derivatives, their preparation and their anthelmintic uses |
| EP0503538A1 (en) | 1991-03-08 | 1992-09-16 | Meiji Seika Kaisha Ltd. | Medicinal composition containing an anthelmintic cyclic depsipeptide |
| WO1993007278A1 (en) | 1991-10-04 | 1993-04-15 | Ciba-Geigy Ag | Synthetic dna sequence having enhanced insecticidal activity in maize |
| WO1993019053A1 (en) | 1992-03-17 | 1993-09-30 | Fujisawa Pharmaceutical Co., Ltd. | Depsipeptide derivative, production thereof and use thereof |
| US5478855A (en) | 1992-04-28 | 1995-12-26 | Yashima Chemical Industry Co., Ltd. | 2-(2,6-difluorophenyl)-4-(2-ethoxy-4-tert-butylphenyl)-2-oxazoline |
| WO1993025543A2 (en) | 1992-06-11 | 1993-12-23 | Bayer Aktiengesellschaft | Enniatines and enniatine derivates used to control endoparasites |
| EP0594291A1 (en) | 1992-09-01 | 1994-04-27 | Sankyo Company Limited | Novel processes for the production of 13-ether derivatives of milbemycins, and novel intermediates therefor |
| WO1994015944A1 (en) | 1993-01-18 | 1994-07-21 | Pfizer Limited | New antiparasitic agents related to the milbemycins and avermectins |
| WO1994019334A1 (en) | 1993-02-19 | 1994-09-01 | Meiji Seika Kaisha, Ltd. | Pf1022 derivative, cyclic depsipeptide |
| EP0626375A1 (en) | 1993-05-26 | 1994-11-30 | Bayer Ag | Octacyclodepsipeptides having endoparasiticidal activity |
| WO1995019363A1 (en) | 1994-01-14 | 1995-07-20 | Pfizer Inc. | Antiparasitic pyrrolobenzoxazine compounds |
| WO1995022552A1 (en) | 1994-02-16 | 1995-08-24 | Pfizer Limited | Antiparasitic agents |
| WO1995034656A1 (en) | 1994-06-10 | 1995-12-21 | Ciba-Geigy Ag | Novel bacillus thuringiensis genes coding toxins active against lepidopteran pests |
| WO1996011945A2 (en) | 1994-10-18 | 1996-04-25 | Bayer Aktiengesellschaft | Cyclic depsipeptide sulfonylation, sulfenylation and phosphorylation process |
| WO1996015121A1 (en) | 1994-11-10 | 1996-05-23 | Bayer Aktiengesellschaft | Use of dioxomorpholines to combat endoparasites, novel dioxomorpholines and process for their production |
| DE19520936A1 (en) | 1995-06-08 | 1996-12-12 | Bayer Ag | Ectoparasiticides means |
| WO1997033890A1 (en) | 1996-03-11 | 1997-09-18 | Novartis Ag | Pyrimidin-4-one derivatives as pesticide |
| WO1998004557A1 (en) | 1996-07-30 | 1998-02-05 | Bionumerik Pharmaceuticals, Inc. | Novel process for preparing camptothecin |
| WO2002015701A2 (en) | 2000-08-25 | 2002-02-28 | Syngenta Participations Ag | Bacillus thuringiensis crystal protein hybrids |
| WO2003018810A2 (en) | 2001-08-31 | 2003-03-06 | Syngenta Participations Ag | Modified cry3a toxins and nucleic acid sequences coding therefor |
| WO2003052073A2 (en) | 2001-12-17 | 2003-06-26 | Syngenta Participations Ag | Novel corn event |
| US6919298B2 (en) | 2002-04-04 | 2005-07-19 | Valent Biosciences Corporation | Enhanced herbicide composition |
| WO2004052370A2 (en) | 2002-12-11 | 2004-06-24 | 7Tm Pharma A/S | Quinoline compounds for use in mch receptor related disorders |
| WO2004072086A2 (en) | 2003-02-14 | 2004-08-26 | Pfizer Limited | Antiparasitic terpene alkaloids |
| WO2011138281A2 (en) | 2010-05-06 | 2011-11-10 | Bayer Cropscience Ag | Process for the preparation of dithiine tetracarboxydiimides |
| WO2014006945A1 (en) | 2012-07-04 | 2014-01-09 | アグロカネショウ株式会社 | 2-aminonicotinic acid ester derivative and bactericide containing same as active ingredient |
| WO2014095675A1 (en) | 2012-12-19 | 2014-06-26 | Bayer Cropscience Ag | Difluoromethyl-nicotinic-indanyl carboxamides as fungicides |
| US20150218102A1 (en) | 2014-02-06 | 2015-08-06 | Abbvie Inc. | 6-heteroaryloxy- or 6-aryloxy-quinoline-2-carboxamides and method of use |
| WO2016156290A1 (en) | 2015-04-02 | 2016-10-06 | Bayer Cropscience Aktiengesellschaft | Novel 5-substituted imidazole derivatives |
| WO2016202742A1 (en) | 2015-06-15 | 2016-12-22 | Bayer Cropscience Aktiengesellschaft | Halogen-substituted phenoxyphenylamidines and the use thereof as fungicides |
| WO2017029179A1 (en) | 2015-08-14 | 2017-02-23 | Bayer Cropscience Aktiengesellschaft | Triazole derivatives, intermediates thereof and their use as fungicides |
| WO2017055473A1 (en) | 2015-10-02 | 2017-04-06 | Syngenta Participations Ag | Microbiocidal oxadiazole derivatives |
| WO2017153380A1 (en) | 2016-03-10 | 2017-09-14 | Syngenta Participations Ag | Microbiocidal quinoline (thio)carboxamide derivatives |
| WO2017207362A1 (en) | 2016-05-30 | 2017-12-07 | Syngenta Participations Ag | Microbiocidal thiazole derivatives |
| WO2018153707A1 (en) | 2017-02-22 | 2018-08-30 | Basf Se | Crystalline forms of a strobilurin type compound for combating phytopathogenic fungi |
| WO2018177894A1 (en) | 2017-03-31 | 2018-10-04 | Syngenta Participations Ag | Fungicidal compositions |
| WO2019105933A1 (en) | 2017-11-29 | 2019-06-06 | Syngenta Participations Ag | Microbiocidal thiazole derivatives |
| US20190337923A1 (en) * | 2018-05-02 | 2019-11-07 | Enanta Pharmaceuticals, Inc. | Tetrazole containing apoptosis signal-regulating kinase 1 inhibitors and methods of use thereof |
| WO2020056090A1 (en) | 2018-09-14 | 2020-03-19 | Fmc Corporation | Fungicidal halomethyl ketones and hydrates |
| WO2020097012A1 (en) | 2018-11-06 | 2020-05-14 | Fmc Corporation | Substituted tolyl as fungicides |
| WO2020102574A1 (en) | 2018-11-16 | 2020-05-22 | Novartis Inflammasome Research, Inc. | The compounds and compositions for treating conditions associated with nlrp activity |
| WO2020109391A1 (en) | 2018-11-28 | 2020-06-04 | Bayer Aktiengesellschaft | Pyridazine (thio)amides as fungicidal compounds |
| WO2020109511A1 (en) | 2018-11-30 | 2020-06-04 | Syngenta Crop Protection Ag | Microbiocidal 2-acylamino-thiazole-4-carboxamide derivatives |
| WO2020109509A1 (en) | 2018-11-30 | 2020-06-04 | Syngenta Participations Ag | Microbiocidal thiazole derivatives |
| WO2020193387A1 (en) | 2019-03-22 | 2020-10-01 | Syngenta Crop Protection Ag | Fungicidal compounds |
| WO2020212513A1 (en) | 2019-04-18 | 2020-10-22 | Syngenta Crop Protection Ag | Process for the preparation of microbiocidal oxadiazole derivatives |
| WO2021244952A1 (en) | 2020-06-03 | 2021-12-09 | Syngenta Crop Protection Ag | Microbiocidal derivatives |
| WO2022236319A1 (en) | 2021-05-07 | 2022-11-10 | Enliven Therapeutics, Inc. | Naphthyridone compounds for inhibition of raf kinases and/or bcr-abl tyrosine kinases |
| WO2023099460A1 (en) * | 2021-12-02 | 2023-06-08 | Syngenta Crop Protection Ag | Fungicidal compositions |
Non-Patent Citations (32)
| Title |
|---|
| "The Pesticide Manual", 2009, BRITISH CROP PROTECTION COUNCIL |
| ADV. SYNTH. & CAT., vol. 362, no. 24, 2020, pages 5777 - 5782 |
| CHEM. COMM., vol. 10, 2002, pages 1040 - 1041 |
| CHEM. SCI., vol. 4, 2013, pages 2374 - 2379 |
| CHEM., vol. 5, 2019, pages 526 - 552 |
| HECK, CHEM. REV., vol. 100, no. 8, 2000, pages 3009 - 3066 |
| HETEROCYCLES, vol. 87, no. 6, 2013, pages 1279 - 1287 |
| HIYAMA COUPLING: "Further useful reactions for coupling of sp3-Grignard reagents to compounds of formula (la) have been reported using copper or iron catalysts", ORG. BIOMOL. CHEM., vol. 13, 2015, pages 4816 - 4827 |
| J. AM. CHEM. SOC., vol. 124, no. 46, 2002, pages 13856 - 13863 |
| J. AM. CHEM. SOC., vol. 125, 2003, pages 2890 |
| J. FLUORINE CHEM., vol. 107, 2001, pages 31 - 34 |
| J. ORG. CHEM., vol. 83, no. 12, 2018, pages 6589 - 6598 |
| J. ORGANOMET. CHEM., vol. 576, no. 1-2, 1999, pages 147 - 168 |
| KUMADA COUPLING, MOLECULES, vol. 27, no. 17, 2022, pages 5654 |
| NEGISHI COUPLING, ACS CATAL., vol. 5, 2015, pages 5,3040 - 3053 |
| no. 1256813-52-1 |
| ORG. LETT., vol. 17, no. 2, 2015, pages 3236 - 3239 |
| ORG. LETT., vol. 3, no. 23, 2001, pages 3761 - 3764 |
| ORG. LETT., vol. 9, 2007, pages 4575 - 4578 |
| ORG. PROC. RES. & DEV., vol. 26, no. 6, 2022, pages 1690 - 1750 |
| ROSENMUND, K. W. AND STRUCK, E., BER., vol. 52, 1919, pages 1749 |
| SANDMEYER, MOLECULAR DIVERSITY, vol. 26, 2022, pages 1837 - 1873 |
| SONOGASHIRA, CHEM. REV., vol. 107, no. 3, 2007, pages 874 - 922 |
| STILLE COUPLING, MONATSHEFTE FAR CHEMIE-CHEMICAL MONTHLY, vol. 143, 2012, pages 1575 - 1592 |
| SUZUKI- MIYAURA COUPLING, ACS CATAL., vol. 6, 2016, pages 3,1540 - 1552 |
| SYNTHESIS, no. 3, 2008, pages 474 - 478 |
| TET. LET, vol. 29, 1988, pages 2665 - 2666 |
| TETRAHEDRON LETT., 1977, pages 4171 - 4174 |
| TETRAHEDRON LETT., 2006, pages 5767 - 5769 |
| TETRAHEDRON LETT., vol. 55, no. 51, 2014, pages 7130 - 7132 |
| TETRAHEDRON, vol. 61, no. 46, 2005, pages 10827 - 10852 |
| VON BRAUN, J.MANZ, G., ANN., vol. 488, 1931, pages 111 |
Also Published As
| Publication number | Publication date |
|---|---|
| AR134067A1 (en) | 2025-11-26 |
| TW202515443A (en) | 2025-04-16 |
Similar Documents
| Publication | Publication Date | Title |
|---|---|---|
| AU2022323303B2 (en) | Microbiocidal pyrazole derivatives | |
| AU2023376706A1 (en) | Microbiocidal pyrazole derivatives | |
| AU2022415492A1 (en) | Microbiocidal bicycle heterocyclic derivatives | |
| WO2024068950A1 (en) | Microbiocidal pyrazole derivatives | |
| AU2024211865A1 (en) | Microbiocidal pyrazole derivatives | |
| EP4447682A1 (en) | Microbiocidal pyrazole derivatives | |
| WO2024132901A1 (en) | Microbiocidal pyridazine dihydrooxadiazine derivatives | |
| WO2024132895A1 (en) | Microbiocidal dihydrooxadiazinyl pyridazinone compounds | |
| AU2023348296A1 (en) | Microbiocidal pyrazole derivatives | |
| US20250034097A1 (en) | Microbiocidal isonicotinic amide derivatives | |
| AU2022251771A1 (en) | Microbiocidal isonicotinic amide derivatives | |
| AU2023381091A1 (en) | Microbiocidal tetrahydroisoquinoline derivatives | |
| EP4626882A1 (en) | Microbiocidal tetrahydroisoquinoline derivatives | |
| WO2023166067A1 (en) | Microbiocidal pyridazinone amide derivatives | |
| WO2025078263A1 (en) | Microbiocidal pyridyl pyrazole derivatives | |
| WO2024115509A1 (en) | Microbiocidal tetrahydroisoquinoline derivatives | |
| WO2023094304A1 (en) | Microbiocidal heterobiaryl amide derivatives | |
| WO2023148206A1 (en) | Microbiocidal n-amide derivatives | |
| WO2025210095A1 (en) | Microbiocidal tetrahydroisoquinoline compounds |
Legal Events
| Date | Code | Title | Description |
|---|---|---|---|
| 121 | Ep: the epo has been informed by wipo that ep was designated in this application |
Ref document number: 24783715 Country of ref document: EP Kind code of ref document: A1 |








































































