WO2025049402A1 - Kras modulators and uses thereof - Google Patents
Kras modulators and uses thereof Download PDFInfo
- Publication number
- WO2025049402A1 WO2025049402A1 PCT/US2024/043892 US2024043892W WO2025049402A1 WO 2025049402 A1 WO2025049402 A1 WO 2025049402A1 US 2024043892 W US2024043892 W US 2024043892W WO 2025049402 A1 WO2025049402 A1 WO 2025049402A1
- Authority
- WO
- WIPO (PCT)
- Prior art keywords
- salt
- compound
- alkyl
- optionally substituted
- heterocycle
- Prior art date
- Legal status (The legal status is an assumption and is not a legal conclusion. Google has not performed a legal analysis and makes no representation as to the accuracy of the status listed.)
- Pending
Links
Classifications
-
- C—CHEMISTRY; METALLURGY
- C07—ORGANIC CHEMISTRY
- C07D—HETEROCYCLIC COMPOUNDS
- C07D487/00—Heterocyclic compounds containing nitrogen atoms as the only ring hetero atoms in the condensed system, not provided for by groups C07D451/00 - C07D477/00
- C07D487/02—Heterocyclic compounds containing nitrogen atoms as the only ring hetero atoms in the condensed system, not provided for by groups C07D451/00 - C07D477/00 in which the condensed system contains two hetero rings
- C07D487/04—Ortho-condensed systems
-
- A—HUMAN NECESSITIES
- A61—MEDICAL OR VETERINARY SCIENCE; HYGIENE
- A61P—SPECIFIC THERAPEUTIC ACTIVITY OF CHEMICAL COMPOUNDS OR MEDICINAL PREPARATIONS
- A61P35/00—Antineoplastic agents
-
- C—CHEMISTRY; METALLURGY
- C07—ORGANIC CHEMISTRY
- C07D—HETEROCYCLIC COMPOUNDS
- C07D487/00—Heterocyclic compounds containing nitrogen atoms as the only ring hetero atoms in the condensed system, not provided for by groups C07D451/00 - C07D477/00
- C07D487/02—Heterocyclic compounds containing nitrogen atoms as the only ring hetero atoms in the condensed system, not provided for by groups C07D451/00 - C07D477/00 in which the condensed system contains two hetero rings
- C07D487/08—Bridged systems
Definitions
- KRAS MODULATORS AND USES THEREOF CROSS-REFERENCE [0001] This application claims the benefit of U.S. Provisional Patent Applications No. 63/579,226 filed on August 28, 2023, the entire contents of which is incorporated herein by reference.
- BACKGROUND [0002] The small GTPase protein Kirsten Rat Sarcoma 2 Viral Oncogene Homolog (KRAS) is a member of the Ras family of cell signaling switches, regulating growth and survival of normal and cancerous cells (e.g., see Cully, M. and J. Downward, SnapShot: Ras Signaling. Cell, 2008. 133(7): p. 1292-1292 e1).
- KRAS mutations drive approximately 25% of human cancers by aberrant regulation of the mitogen-activated protein kinase (MAPK) signaling cascade and other effector pathways (e.g., see Stephen, A.G., et al., Dragging ras back in the ring. Cancer Cell, 2014. 25(3): p.272-81).
- MPK mitogen-activated protein kinase
- Ras has been recognized as a target in cancer for about 40 years, Ras- driven cancers remain among the most difficult to treat due to insensitivity to available targeted therapies.
- Ras encoded by the three major genes KRAS, NRAS and HRAS, has the highest frequency of mutation of any oncogene. All oncogenic Ras mutations drive the switch to accumulate in the active GTP-bound state.
- Ras mutations in codon 12 impair the small GTPases’ ability to perform their role in hydrolyzing GTP. This regulatory impairment is fundamental for initiating and maintaining tumor progression.
- GAP GTPase activating protein
- SOS guanine nucleotide exchange factor
- KRAS G12C mutations most common in lung adenocarcinoma, have been clinically shown to be susceptible to direct inhibition by covalent modification with small molecule inhibitors trapping the protein in the inactive GDP-bound state.
- KRAS G12D mutation confers a significantly slower intrinsic rate of GTP hydrolysis than G12C, resulting in more constitutive activation.
- pharmacological targeting the of inactive state is unlikely to achieve similar results against G12D, despite the existence of a similar binding pocket in the GDP-state.
- a cysteine present at the site of the activating mutation yields itself to covalent chemistry, while aspartic acid does not provide typical medicinal chemistry approaches for selective covalent modification.
- R 100 is selected from R 1A is selected from C 1-6 alkyl, C 3 -C 12 carbocycle, and 4- to 12-membered heterocycle, each of which is optionally substituted with one or more R 11 , and wherein optionally two R 11 on the same atom of R 1A come together to form a C 3 -C 6 carbocycle or 3- to 8-membered heterocycle, wherein the C 3 -C 6 carbocycle and 3- to 8-membered heterocycle are each optionally substituted with one or more R 11A ;
- R 1B is selected from hydrogen, C 1-6 alkyl, C 3 -C 6 carbocycle, wherein the C 1-6 al
- Formula (I) is represented by Formula (I-A), or a pharmaceutically acceptable salt thereof.
- Formula (I) is represented by Formula (I-B), or a pharmaceutically acceptable salt thereof.
- Formula (I) is represented by Formula (I-D), or a pharmaceutically acceptable salt thereof.
- Formula (I) is represented by , or a pharmaceutically acceptable salt thereof.
- the disclosure provides a pharmaceutical composition comprising a compound or salt of Formula (I), Formula (I-A), Formula (I-B), Formula (I-D), Formula (I-E), Formula (I-F), or Formula (I-G), and a pharmaceutically acceptable excipient.
- the disclosure provides a method of treating a disease or disorder, using a compound or salt of Formula (I), Formula (I-A), Formula (I-B), Formula (I-D), Formula (I-E), Formula (I-F), or Formula (I-G).
- the disclosure provides a method of treating a disease or disorder, using a compound or salt of Formula (I), Formula (I-A), Formula (I-B), Formula (I-D), Formula (I-E), Formula (I-F), or Formula (I-G), and a pharmaceutically acceptable excipient.
- the disease or disorder is a cancer.
- the disclosure provides a method of inhibiting KRas G12D and/or other G12 mutants, using a compound or salt of Formula (I), Formula (I-A), Formula (I- B), Formula (I-D), Formula (I-E), Formula (I-F), or Formula (I-G).
- the disclosure provides a method of inhibiting KRas G12D and/or other G12 mutants, using a compound or salt of Formula (I), Formula (I-A), Formula (I- B), Formula (I-D), Formula (I-E), Formula (I-F), or Formula (I-G), and a pharmaceutically acceptable excipient.
- a compound or salt of Formula (I), Formula (I-A), Formula (I- B), Formula (I-D), Formula (I-E), Formula (I-F), or Formula (I-G) and a pharmaceutically acceptable excipient.
- Alkyl refers to a straight or branched hydrocarbon chain radical consisting solely of carbon and hydrogen atoms, containing no unsaturation, and preferably having from one to fifteen carbon atoms (i.e., C 1 -C 15 alkyl).
- an alkyl comprises one to thirteen carbon atoms (i.e., C 1 -C 13 alkyl). In certain embodiments, an alkyl comprises one to eight carbon atoms (i.e., C 1- C 8 alkyl). In other embodiments, an alkyl comprises one to five carbon atoms (i.e., C 1- C 5 alkyl). In other embodiments, an alkyl comprises one to four carbon atoms (i.e., C 1- C 4 alkyl). In other embodiments, an alkyl comprises one to three carbon atoms (i.e., C 1 -C 3 alkyl). In other embodiments, an alkyl comprises one to two carbon atoms (i.e., C 1- C 2 alkyl).
- an alkyl comprises one carbon atom (i.e., C1 alkyl). In other embodiments, an alkyl comprises five to fifteen carbon atoms (i.e., C 5 -C 15 alkyl). In other embodiments, an alkyl comprises five to eight carbon atoms (i.e., C 5 -C 8 alkyl). In other embodiments, an alkyl comprises two to five carbon atoms (i.e., C 2 -C 5 alkyl). In other embodiments, an alkyl comprises three to five carbon atoms (i.e., C 3 -C 5 alkyl).
- the alkyl group is selected from methyl, ethyl, 1-propyl (n-propyl), 1-methylethyl (iso-propyl), 1-butyl (n-butyl), 1-methylpropyl (sec-butyl), 2-methylpropyl (iso-butyl), 1,1-dimethylethyl (tert-butyl), 1-pentyl (n-pentyl).
- the alkyl is attached to the rest of the molecule by a single bond.
- C x-y or “C x- C y ” when used in conjunction with a chemical moiety, such as alkyl, alkenyl, or alkynyl is meant to include groups that contain from x to y carbons in the chain.
- C 1-6 alkyl refers to substituted or unsubstituted saturated hydrocarbon groups, including straight-chain alkyl and branched-chain alkyl groups that contain from 1 to 6 carbons.
- the term –C x-y alkylene- refers to a substituted or unsubstituted alkylene chain with from x to y carbons in the alkylene chain.
- alkylene- may be selected from methylene, ethylene, propylene, butylene, pentylene, and hexylene, any one of which is optionally substituted.
- Alkoxy refers to a radical bonded through an oxygen atom of the formula –O-alkyl, where alkyl is an alkyl chain as defined above.
- Alkenyl refers to a straight or branched hydrocarbon chain radical group consisting solely of carbon and hydrogen atoms, containing at least one carbon-carbon double bond, and preferably having from two to twelve carbon atoms (i.e., C 2 -C 12 alkenyl).
- an alkenyl comprises two to eight carbon atoms (i.e., C 2 -C 8 alkenyl). In certain embodiments, an alkenyl comprises two to six carbon atoms (i.e., C 2 -C 6 alkenyl). In other embodiments, an alkenyl comprises two to four carbon atoms (i.e., C 2 -C 4 alkenyl).
- the alkenyl is attached to the rest of the molecule by a single bond, for example, ethenyl (i.e., vinyl), prop-1-enyl (i.e., allyl), but-1-enyl, pent-1-enyl, penta-1,4-dienyl, and the like.
- Alkynyl refers to a straight or branched hydrocarbon chain radical group consisting solely of carbon and hydrogen atoms, containing at least one carbon-carbon triple bond, and preferably having from two to twelve carbon atoms (i.e., C 2 -C 12 alkynyl).
- an alkynyl comprises two to eight carbon atoms (i.e., C2-C8 alkynyl).
- an alkynyl comprises two to six carbon atoms (i.e., C 2 -C 6 alkynyl).
- an alkynyl comprises two to four carbon atoms (i.e., C 2 -C 4 alkynyl).
- the alkynyl is attached to the rest of the molecule by a single bond, for example, ethynyl, propynyl, butynyl, pentynyl, hexynyl, and the like.
- C x-y alkenyl and C x-y alkynyl refer to substituted or unsubstituted unsaturated aliphatic groups analogous in length and possible substitution to the alkyls described above, but that contain at least one double or triple bond, respectively.
- the term –Cx-yalkenylene- refers to a substituted or unsubstituted alkenylene chain with from x to y carbons in the alkenylene chain.
- –C 2-6 alkenylene- may be selected from ethenylene, propenylene, butenylene, pentenylene, and hexenylene, any one of which is optionally substituted.
- An alkenylene chain may have one double bond or more than one double bond in the alkenylene chain.
- the term –Cx- y alkynylene- refers to a substituted or unsubstituted alkynylene chain with from x to y carbons in the alkenylene chain.
- alkenylene- may be selected from ethynylene, propynylene, butynylene, pentynylene, and hexynylene, any one of which is optionally substituted.
- An alkynylene chain may have one triple bond or more than one triple bond in the alkynylene chain.
- "Alkylene” or “alkylene chain” refers to a straight or branched divalent hydrocarbon chain linking the rest of the molecule to a radical group, consisting solely of carbon and hydrogen, containing no unsaturation, and preferably having from one to twelve carbon atoms, for example, methylene, ethylene, propylene, n-butylene, and the like.
- an alkylene chain is attached to the rest of the molecule through a single bond and to the radical group through a single bond.
- the points of attachment of the alkylene chain to the rest of the molecule and to the radical group may be through any two carbons within the chain.
- an alkylene comprises one to ten carbon atoms (i.e., C 1 -C 8 alkylene).
- an alkylene comprises one to eight carbon atoms (i.e., C 1- C 8 alkylene).
- an alkylene comprises one to five carbon atoms (i.e., C 1- C 5 alkylene).
- an alkylene comprises one to four carbon atoms (i.e., C 1 -C 4 alkylene).
- an alkylene comprises one to three carbon atoms (i.e., C 1 -C 3 alkylene). In other embodiments, an alkylene comprises one to two carbon atoms (i.e., C 1- C 2 alkylene). In other embodiments, an alkylene comprises one carbon atom (i.e., C 1 alkylene). In other embodiments, an alkylene comprises five to eight carbon atoms (i.e., C 5 -C 8 alkylene). In other embodiments, an alkylene comprises two to five carbon atoms (i.e., C 2 - C 5 alkylene). In other embodiments, an alkylene comprises three to five carbon atoms (i.e., C 3 -C 5 alkylene).
- alkenylene or "alkenylene chain” refers to a straight or branched divalent hydrocarbon chain linking the rest of the molecule to a radical group, consisting solely of carbon and hydrogen, containing at least one carbon-carbon double bond, and preferably having from two to twelve carbon atoms.
- the alkenylene chain is attached to the rest of the molecule through a single bond and to the radical group through a single bond.
- the points of attachment of the alkenylene chain to the rest of the molecule and to the radical group may be through any two carbons within the chain.
- an alkenylene comprises two to ten carbon atoms (i.e., C 2 -C 10 alkenylene).
- an alkenylene comprises two to eight carbon atoms (i.e., C2-C8 alkenylene). In other embodiments, an alkenylene comprises two to five carbon atoms (i.e., C 2 -C 5 alkenylene). In other embodiments, an alkenylene comprises two to four carbon atoms (i.e., C 2 -C 4 alkenylene). In other embodiments, an alkenylene comprises two to three carbon atoms (i.e., C2-C3 alkenylene). In other embodiments, an alkenylene comprises two carbon atom (i.e., C2 alkenylene).
- an alkenylene comprises five to eight carbon atoms (i.e., C 5 -C 8 alkenylene). In other embodiments, an alkenylene comprises three to five carbon atoms (i.e., C 3 -C 5 alkenylene).
- Alkynylene or "alkynylene chain” refers to a straight or branched divalent hydrocarbon chain linking the rest of the molecule to a radical group, consisting solely of carbon and hydrogen, containing at least one carbon-carbon triple bond, and preferably having from two to twelve carbon atoms. The alkynylene chain is attached to the rest of the molecule through a single bond and to the radical group through a single bond.
- an alkynylene comprises two to ten carbon atoms (i.e., C2-C10 alkynylene). In certain embodiments, an alkynylene comprises two to eight carbon atoms (i.e., C 2 -C 8 alkynylene). In other embodiments, an alkynylene comprises two to five carbon atoms (i.e., C 2 -C 5 alkynylene). In other embodiments, an alkynylene comprises two to four carbon atoms (i.e., C 2 -C 4 alkynylene).
- an alkynylene comprises two to three carbon atoms (i.e., C 2 -C 3 alkynylene). In other embodiments, an alkynylene comprises two carbon atom (i.e., C 2 alkynylene). In other embodiments, an alkynylene comprises five to eight carbon atoms (i.e., C 5 -C 8 alkynylene). In other embodiments, an alkynylene comprises three to five carbon atoms (i.e., C 3 -C 5 alkynylene). [0028] "Aryl" refers to a radical derived from an aromatic monocyclic or aromatic multicyclic hydrocarbon ring system by removing a hydrogen atom from a ring carbon atom.
- the aromatic monocyclic or aromatic multicyclic hydrocarbon ring system contains only hydrogen and carbon and from five to eighteen carbon atoms, where at least one of the rings in the ring system is aromatic, i.e., it contains a cyclic, delocalized (4n+2) ⁇ –electron system in accordance with the Hückel theory.
- the ring system from which aryl groups are derived include, but are not limited to, groups such as benzene, fluorene, indane, indene, tetralin and naphthalene.
- Alkyl refers to a radical of the formula -R c -aryl where R c is an alkylene chain as defined above, for example, methylene, ethylene, and the like.
- Alkenyl refers to a radical of the formula –R d -aryl where R d is an alkenylene chain as defined above.
- Alkynyl refers to a radical of the formula -R e -aryl, where R e is an alkynylene chain as defined above.
- Carbocycle refers to a saturated, unsaturated or aromatic rings in which each atom of the ring is carbon.
- Carbocycle may include 3- to 10-membered monocyclic rings, 6- to 12- membered bicyclic rings, and 6- to 12-membered bridged rings.
- Each ring of a bicyclic carbocycle may be selected from saturated, unsaturated, and aromatic rings.
- An aromatic ring e.g., phenyl, may be fused to a saturated or unsaturated ring, e.g., cyclohexane, cyclopentane, or cyclohexene. Any combination of saturated, unsaturated and aromatic bicyclic rings, as valence permits, are included in the definition of carbocyclic.
- Exemplary carbocycles include cyclopentyl, cyclohexyl, cyclohexenyl, adamantyl, phenyl, indanyl, and naphthyl.
- Bicyclic carbocycles may be fused, bridged or spiro-ring systems. In some cases, spiro-ring carbocycles have at least two molecular rings with only one common atom.
- unsaturated carbocycle refers to carbocycles with at least one degree of unsaturation and excluding aromatic carbocycles. Examples of unsaturated carbocycles include cyclohexadiene, cyclohexene, and cyclopentene.
- Cycloalkyl refers to a fully saturated monocyclic or polycyclic hydrocarbon radical consisting solely of carbon and hydrogen atoms, which includes fused or bridged ring systems, and preferably having from three to twelve carbon atoms. In certain embodiments, a cycloalkyl comprises three to ten carbon atoms. In other embodiments, a cycloalkyl comprises five to seven carbon atoms. The cycloalkyl may be attached to the rest of the molecule by a single bond.
- Examples of monocyclic cycloalkyls include, e.g., cyclopropyl, cyclobutyl, cyclopentyl, cyclohexyl, cycloheptyl, and cyclooctyl.
- Polycyclic cycloalkyl radicals include, for example, adamantyl, norbornyl (i.e., bicyclo[2.2.1]heptanyl), norbornenyl, decalinyl, 7,7-dimethyl-bicyclo[2.2.1]heptanyl, and the like.
- Cycloalkenyl refers to an unsaturated non-aromatic monocyclic or polycyclic hydrocarbon radical consisting solely of carbon and hydrogen atoms, which includes fused or bridged ring systems, preferably having from three to twelve carbon atoms and comprising at least one double bond.
- a cycloalkenyl comprises three to ten carbon atoms.
- a cycloalkenyl comprises five to seven carbon atoms.
- the cycloalkenyl may be attached to the rest of the molecule by a single bond.
- Examples of monocyclic cycloalkenyls includes, e.g., cyclopentenyl, cyclohexenyl, cycloheptenyl, and cyclooctenyl.
- Cycloalkylalkyl refers to a radical of the formula –R c -cycloalkyl where R c is an alkylene chain as described above.
- Cycloalkylalkoxy refers to a radical bonded through an oxygen atom of the formula –O-R c -cycloalkyl where R c is an alkylene chain as described above.
- Halo or “halogen” refers to halogen substituents such as bromo, chloro, fluoro and iodo substituents.
- haloalkyl or “haloalkane” refers to an alkyl radical, as defined above, that is substituted by one or more halogen radicals, for example, trifluoromethyl, dichloromethyl, bromomethyl, 2,2,2-trifluoroethyl, 1-fluoromethyl-2-fluoroethyl, and the like.
- the alkyl part of the fluoroalkyl radical is optionally further substituted.
- haloalkanes examples include halomethane (e.g., chloromethane, bromomethane, fluoromethane, iodomethane), di-and trihalomethane (e.g., trichloromethane, tribromomethane, trifluoromethane, triiodomethane), 1-haloethane, 2- haloethane, 1,2-dihaloethane, 1-halopropane, 2-halopropane, 3-halopropane, 1,2-dihalopropane, 1,3-dihalopropane, 2,3-dihalopropane, 1,2,3-trihalopropane, and any other suitable combinations of alkanes (or substituted alkanes) and halogens (e.g., Cl, Br, F, I, etc.).
- halogen substituted alkanes e.g., Cl, Br, F, I, etc.
- each halogen may be independently selected e.g., 1-chloro,2-fluoroethane.
- fluoroalkyl refers to an alkyl radical, as defined above, that is substituted by one or more fluoro radicals, for example, trifluoromethyl, difluoromethyl, fluoromethyl, 2,2,2-trifluoroethyl, 1-fluoromethyl-2-fluoroethyl, and the like.
- Aminoalkyl refers to an alkyl radical, as defined above, that is substituted by one or more amine radicals, for example, propan-2-amine, butane-1,2-diamine, pentane-1,2,4-triamine and the like.
- Hydroxyalkyl refers to an alkyl radical, as defined above, that is substituted by one or more hydroxy radicals, for example, propan-1-ol, butane-1,4-diol, pentane-1,2,4-triol, and the like.
- Alkoxyalkyl refers to an alkyl radical, as defined above, that is substituted by one or more alkoxy radicals, for example, methoxymethane, 1,3-dimethoxybutane, 1-methoxypropane, 2-ethoxypentane, and the like.
- Cyanoalkyl refers to an alkyl radical, as defined above, that is substituted by one or more cyano radicals, for example, acetonitrile, 2-ethyl-3- methylsuccinonitrile, butyronitrile, and the like.
- Heterocycle refers to a saturated or unsaturated or aromatic ring comprising one or more heteroatoms.
- exemplary heteroatoms include N, O, Si, P, B, and S atoms.
- Heterocycles include 3- to 10-membered monocyclic rings, 6- to 12-membered bicyclic rings, and 6- to 12- membered bridged rings.
- Each ring of a bicyclic heterocycle may be selected from saturated, unsaturated, and aromatic rings.
- Bicyclic heterocycles may be fused, bridged or spiro-ring systems.
- spiro-ring heterocycles have at least two molecular rings with only one common atom.
- the spiro-ring heterocycle includes at least one heteroatom.
- Heterocyclene refers to a divalent heterocycle linking the rest of the molecule to a radical group.
- Heteroaryl or “aromatic heterocycle” refers to a radical derived from a heteroaromatic ring radical that comprises one to eleven carbon atoms and at least one heteroatom wherein each heteroatom may be selected from N, O, and S.
- the heteroaryl ring may be selected from monocyclic or bicyclic and fused or bridged ring systems rings wherein at least one of the rings in the ring system is aromatic, i.e., it contains a cyclic, delocalized (4n+2) ⁇ –electron system in accordance with the Hückel theory.
- the heteroatom(s) in the heteroaryl radical may be optionally oxidized.
- One or more nitrogen atoms, if present, are optionally quaternized.
- the heteroaryl may be attached to the rest of the molecule through any atom of the heteroaryl, valence permitting, such as a carbon or nitrogen atom of the heteroaryl.
- heteroaryls include, but are not limited to, pyridine, pyrimidine, oxazole, furan, pyran, thiophene, isoxazole, benzimidazole, benzthiazole, and imidazopyridine.
- An “X-membered heteroaryl” refers to the number of endocylic atoms, i.e., X, in the ring.
- a 5-membered heteroaryl ring or 5-membered aromatic heterocycle has 5 endocyclic atoms, e.g., triazole, oxazole, thiophene, etc.
- the term “unsaturated heterocycle” refers to heterocycles with at least one degree of unsaturation and excluding aromatic heterocycles. Examples of unsaturated heterocycles include dihydropyrrole, dihydrofuran, oxazoline, pyrazoline, and dihydropyridine.
- Heterocycles may be optionally substituted by one or more substituents such as those substituents described herein.
- substituted refers to moieties having substituents replacing a hydrogen on one or more carbons or substitutable heteroatoms, e.g., NH, of the structure. It will be understood that “substitution” or “substituted with” includes the implicit proviso that such substitution is in accordance with permitted valence of the substituted atom and the substituent, and that the substitution results in a stable compound, i.e., a compound which does not spontaneously undergo transformation such as by rearrangement, cyclization, elimination, etc.
- substituted refers to moieties having substituents replacing two hydrogen atoms on the same carbon atom, such as substituting the two hydrogen atoms on a single carbon with an oxo, imino or thioxo group.
- substituted is contemplated to include all permissible substituents of organic compounds.
- the permissible substituents include acyclic and cyclic, branched and unbranched, carbocyclic and heterocyclic, aromatic and non-aromatic substituents of organic compounds.
- the permissible substituents can be one or more and the same or different for appropriate organic compounds.
- the heteroatoms such as nitrogen may have hydrogen substituents and/or any permissible substituents of organic compounds described herein which satisfy the valences of the heteroatoms.
- the term “optional” or “optionally” means that the subsequently described event of circumstances may or may not occur, and that the description includes instances where the event or circumstance occurs and instances in which it does not.
- “optionally substituted aryl” means that the aryl group may or may not be substituted and that the description includes both substituted aryl groups and aryl groups having no substitution.
- the term “electrophile” or “electrophilic moiety” is any moiety capable of reacting with a nucleophile (e.g., a moiety having a lone pair of electrons, a negative charge, a partial negative charge and/or an excess of electrons, for example an —SH group).
- Electrophiles typically are electron poor or comprise atoms which are electron poor.
- an electrophile contains a positive charge or partial positive charge, has a resonance structure which contains a positive charge or partial positive charge, or is a moiety in which delocalization or polarization of electrons results in one or more atoms which contains a positive charge or partial positive charge.
- an electrophile comprises a conjugated double bond, for example an ⁇ , ⁇ -unsaturated carbonyl or ⁇ , ⁇ -unsaturated thiocarbonyl compound.
- salt or “pharmaceutically acceptable salt” refers to salts derived from a variety of organic and inorganic counter ions well known in the art.
- Pharmaceutically acceptable acid addition salts can be formed with inorganic acids and organic acids.
- Inorganic acids from which salts can be derived include, for example, hydrochloric acid, hydrobromic acid, sulfuric acid, nitric acid, phosphoric acid, and the like.
- Organic acids from which salts can be derived include, for example, acetic acid, propionic acid, glycolic acid, pyruvic acid, oxalic acid, maleic acid, malonic acid, succinic acid, fumaric acid, tartaric acid, citric acid, benzoic acid, cinnamic acid, mandelic acid, methanesulfonic acid, ethanesulfonic acid, p-toluenesulfonic acid, salicylic acid, and the like.
- Pharmaceutically acceptable base addition salts can be formed with inorganic and organic bases.
- Inorganic bases from which salts can be derived include, for example, sodium, potassium, lithium, ammonium, calcium, magnesium, iron, zinc, copper, manganese, aluminum, and the like.
- Organic bases from which salts can be derived include, for example, primary, secondary, and tertiary amines, substituted amines including naturally occurring substituted amines, cyclic amines, basic ion exchange resins, and the like, specifically such as isopropylamine, trimethylamine, diethylamine, triethylamine, tripropylamine, and ethanolamine.
- the pharmaceutically acceptable base addition salt is chosen from ammonium, potassium, sodium, calcium, and magnesium salts.
- parenteral administration and “administered parenterally” as used herein means modes of administration other than enteral and topical administration, usually by injection, and includes, without limitation, intravenous, intramuscular, intraarterial, intrathecal, intracapsular, intraorbital, intracardiac, intradermal, intraperitoneal, transtracheal, subcutaneous, subcuticular, intraarticular, subcapsular, subarachnoid, intraspinal and intrasternal injection and infusion.
- phrases “pharmaceutically acceptable” is employed herein to refer to those compounds, materials, compositions, and/or dosage forms which are, within the scope of sound medical judgment, suitable for use in contact with the tissues of human beings and animals without excessive toxicity, irritation, allergic response, or other problem or complication, commensurate with a reasonable benefit/risk ratio.
- pharmaceutically acceptable excipient or “pharmaceutically acceptable carrier” as used herein means a pharmaceutically acceptable material, composition or vehicle, such as a liquid or solid filler, diluent, excipient, solvent or encapsulating material. Each carrier must be “acceptable” in the sense of being compatible with the other ingredients of the formulation and not injurious to the patient.
- materials which can serve as pharmaceutically acceptable carriers include: (1) sugars, such as lactose, glucose and sucrose; (2) starches, such as corn starch and potato starch; (3) cellulose, and its derivatives, such as sodium carboxymethyl cellulose, ethyl cellulose and cellulose acetate; (4) powdered tragacanth; (5) malt; (6) gelatin; (7) talc; (8) excipients, such as cocoa butter and suppository waxes; (9) oils, such as peanut oil, cottonseed oil, safflower oil, sesame oil, olive oil, corn oil and soybean oil; (10) glycols, such as propylene glycol; (11) polyols, such as glycerin, sorbitol, mannitol and polyethylene glycol; (12) esters, such as ethyl oleate and ethyl laurate; (13) agar; (14) buffering agents, such as magnesium hydroxide and aluminum hydroxide;
- the term “prevent” or “preventing” as related to a disease or disorder may refer to a compound that, in a statistical sample, reduces the occurrence of the disorder or condition in the treated sample relative to an untreated control sample, or delays the onset or reduces the severity of one or more symptoms of the disorder or condition relative to the untreated control sample.
- the terms “treat,” “treating” or “treatment,” as used herein, may include alleviating, abating or ameliorating a disease or condition symptoms, preventing additional symptoms, ameliorating or preventing the underlying causes of symptoms, inhibiting the disease or condition, e.g., arresting the development of the disease or condition, relieving the disease or condition, causing regression of the disease or condition, relieving a condition caused by the disease or condition, or stopping the symptoms of the disease or condition either prophylactically and/or therapeutically.
- G12 mutants refers to other oncogenic alleles of KRAS at amino acid position 12 (ie. G12X).
- the present disclosure provides a compound of Formula (I): Formula (I), or a pharmaceutically acceptable salt thereof wherein: R 100 is selected from R 1A is selected from C 1-6 alkyl, C 3 -C 12 carbocycle, and 4- to 12-membered heterocycle, each of which is optionally substituted with one or more R 11 , and wherein optionally two R 11 on the same atom of R 1A come together to form a C 3 -C 6 carbocycle or 3- to 8-membered heterocycle, wherein the C 3 -C 6 carbocycle and 3- to 8-membered heterocycle are each optionally substituted with one or more R 11A ; R 1B is selected from hydrogen, C 1-6 alkyl, C 3 -C 6 carbocycle, wherein the C 1-6 alkyl and C 3 -C 6 carbocycle are each optionally substituted with one or
- the present disclosure provides a compound of Formula (I-B*): Formula (I-B*), or a pharmaceutically acceptable salt thereof wherein: R 1A is selected from C 1-6 alkyl, C 3 -C 12 carbocycle, and 4- to 12-membered heterocycle, each of which is optionally substituted with one or more R 11 , and wherein optionally two R 11 on the same atom of R 1A come together to form a C 3 -C 6 carbocycle or 3- to 8-membered heterocycle, wherein the C 3 -C 6 carbocycle and 3- to 8-membered heterocycle are each optionally substituted with one or more R 11A ; R 1B is selected from hydrogen, C 1-6 alkyl, C 3 -C 6 carbocycle, wherein the C 1-6 alkyl and C 3 - C6 carbocycle are each optionally substituted with one or more R 10 ; or R 1A and R 1B come together with the atom to which they are bound to form R 1 , wherein: R 1A is selected
- Formula (I) is represented by Formula (I-A), or a pharmaceutically acceptable salt thereof.
- Formula (I) is represented by , or a pharmaceutically acceptable salt thereof.
- Formula (I) is represented by Formula (I-D), or a pharmaceutically acceptable salt thereof.
- Formula (I) is represented by Formula (I-E), or a pharmaceutically acceptable salt thereof.
- R 9 is selected from hydrogen, halogen, C 1 -C 3 alkyl, -CN, -OR 20 , -SR 20 , C 1-3 aminoalkyl, C 1-3 alkoxyalkyl, C 1-3 hydroxyalkyl, C 1-3 cyanoalkyl, and C 1-3 haloalkyl.
- R 9 is selected from hydrogen, halogen, C 1 -C 3 alkyl, -CN, -OH, -OCH 3 , C 1-3 aminoalkyl, C 1-3 alkoxyalkyl, C 1-3 hydroxyalkyl, C 1-3 cyanoalkyl, and C 1-3 haloalkyl. In some cases, R 9 is selected from hydrogen, halogen, C 1 -C 3 alkyl, -CN, -OH, -OCH3, C 1-3 aminoalkyl, C 1-3 alkoxyalkyl, C 1-3 hydroxyalkyl, C 1-3 cyanoalkyl, and C 1-3 haloalkyl.
- R 9 is selected from hydrogen, halogen, C 1 -C 3 alkyl, C 1-3 aminoalkyl, C 1-3 alkoxyalkyl, C 1-3 hydroxyalkyl, C 1-3 cyanoalkyl, and C 1-3 haloalkyl. In some cases, R 9 is selected from hydrogen and C 1 -C 3 alkyl. In some cases, R 9 is selected from hydrogen and C1 alkyl. In some cases, R 9 is hydrogen. In some cases, R 9 is C 1 alkyl.
- R 8 is selected from optionally substituted 5- to 6-membered heteroaryl. In some cases, R 8 is selected from optionally substituted 5- membered heteroaryl. In some cases, the heteroaryl of R 8 has at least heteroatom selected from oxygen, nitrogen, and sulfur. In some cases, the heteroaryl of R 8 contains only one sulfur atom. In some cases, the heteroaryl of R 8 has at least one sulfur atom. In some cases, the heteroaryl of R 8 has at most one sulfur atom. In some cases, the heteroaryl of R 8 has at least one oxygen atom.
- the heteroaryl of R 8 has at least one nitrogen atom. In some cases, the heteroaryl of which is optionally substituted. In some cases, the heteroaryl , which is optionally substituted. In some cases, the heteroaryl , which is substituted. In some cases, the one or more optional substituents of R 8 are independently selected from halogen, C 1-6 alkyl, C 1-6 haloalkyl, -N(R 20 ) 2 , and -C(O)H. In some cases, the one or more optional substituents of R 8 are independently selected from halogen, C 1-6 alkyl, C 1-6 haloalkyl, -N(R 20 ) 2 , and -CN.
- the one or more optional substituents of R 8 are independently selected from halogen, -N(R 20 ) 2 , and -CN. In some cases, the one or more optional substituents of R 8 are independently selected from halogen, -NH 2 , and -CN. In some cases, the one or more substituents of R 8 are independently selected from halogen, -NH2, and -CN. In some cases, the one or more optional substituents of R 8 are independently selected from chlorine, -NH2, and -CN. In some cases, R 8 is substituted with at least one substituent selected from halogen, -NH 2 , and -CN. In some cases, R 8 is substituted with at least one substituent selected from halogen.
- R 8 is substituted with at least one substituent selected from -NH2. In some cases, R 8 is substituted with at least one substituent selected from -CN. In some cases, R 8 is selected from , . . , [0071] In some embodiments, for a compound or salt of Formula (I), Formula (I-A), Formula (I-B), Formula (I-B*), Formula (I-D), or Formula (I-E), R 8 is selected from an optionally substituted 6- to 9-membered heteroaryl. In some cases, the R 8 is selected , and , each of which is optionally substituted. In some cases, the R 8 is selected , each of which is optionally substituted.
- the one or more optional substituents of R 8 are independently selected from halogen, C 1-6 alkyl, C 1-6 haloalkyl, -N(R 20 ) 2 , and -CN. In some cases, the one or more optional substituents of R 8 are independently selected from halogen, C 2-6 alkyl, C 1-6 haloalkyl, -N(R 20 ) 2 , and -CN. In some cases, the one or more optional substituents of R 8 are independently selected from halogen, C 1-6 alkyl, C 1-6 haloalkyl, -NH2, and -CN.
- the one or more optional substituents of R 8 are independently selected from halogen, C 1-6 haloalkyl, -N(R 20 ) 2 , and -CN.
- R 8 is the heteroaryl of R 8 is bicyclic. In some cases, the heteroaryl of R 8 is monocyclic. In some cases, R 8 is , which is optionally substituted. In some cases, , which is optionally substituted.
- the one or more optional substituents of R 8 are independently selected from halogen, C 1-6 alkyl, C 1-6 haloalkyl, -N(R 20 ) 2 , and -CN. In some cases, R 8 is .
- R 8 is selected from an optionally substituted 5- to 12-membered unsaturated heterocycle. In some cases, R 8 is selected from an optionally substituted 8- to 12-membered unsaturated bicyclic heterocycle. In some cases, R 8 is selected from an optionally substituted 9-membered unsaturated heterocycle. In some cases, the heterocycle of R 8 is a bicyclic heterocycle. In some cases, the bicyclic heterocycle has two rings.
- one ring of the bicyclic heterocycle is an unsaturated carbocycle and the second ring is a heteroaryl.
- the heterocycle of R 8 has at least one sulfur atom.
- the heterocycle which is optionally substituted.
- the one or more optional substituents of R 8 are independently selected from halogen, -N(R 20 ) 2 , and - [0073]
- n is selected from 0 and 1. In some cases, n is 1. In some cases, n is 0.
- R 3 is selected from hydrogen, halogen, -CN, -N(R 20 ) 2 , -OR 20 , -C(O)N(R 20 ) 2 , -C(O)R 20 , -C(O)OR 20 , -OC(O)R 20 , -OC(O)N(R 20 ) 2 , C 1-6 aminoalkyl, C 1-6 alkoxy, C 1-6 alkoxyalkyl, C 1-6 hydroxyalkyl, C 1-6 cyanoalkyl, C 1-6 haloalkyl, and C 1-6 alkyl.
- R 3 is selected from hydrogen, -CN, -C(O)N(R 20 ) 2 , -C(O)R 20 , C 1-6 aminoalkyl, C 1-6 alkoxy, C 1-6 alkoxyalkyl, C 1-6 hydroxyalkyl, C 1-6 cyanoalkyl, C 1-6 haloalkyl, and C 1-6 alkyl.
- R 3 is selected from hydrogen, -CN, -C(O)H, C 1-6 hydroxyalkyl, and C 1- 6 alkyl.
- R 3 is hydrogen. [0076] In some cases, R 3 is -CN. In some cases, R 3 is -C(O)H.
- R 3 is C 1-6 hydroxyalkyl. In some cases, R 3 is C 1-6 alkyl. [0077] In some embodiments, for a compound or salt of Formula (I), R 100 is R 1 . [0078] In some embodiments, for a compound or salt of Formula (I), R 100 is selected from and . In some cases, R 100 is .
- R 100 is selected from and , wherein R 1A is selected from C 1-6 alkyl, wherein the C 1-6 alkyl is optionally substituted with one or more R 11 , and wherein optionally two R 11 on the same atom of R 1A come together to form a C 3 -C 6 carbocycle, wherein the C 3 -C 6 carbocycle is optionally substituted with one or more R 11A ; or the R 1A and R 1B come together with the atom to which they are bound to form R 1 , wherein R 1 is an optionally substituted 6- to 10-membered heterocycle; R 1B is selected from hydrogen and C 1-6 alkyl; and R 1C is selected from C 1-6 alkyl, wherein the C 1-6 alkyl is optionally substituted with one or more R 12 , and wherein optionally two R 12 on the same atom of R 1C come together to form a C 3 -
- R 100 is selected from: , wherein R 1A is selected from C 1-6 alkyl, wherein the C 1-6 alkyl is optionally substituted with one or more R 11 , and wherein optionally two R 11 on the same atom of R 1A come together to form an unsubstituted C 3 carbocycle; , wherein R 1C is selected from C 1-6 alkyl, wherein the C 1-6 alkyl is optionally substituted with one or more R 12 , and wherein optionally two R 12 on the same atom of R 1C come together to form an unsubstituted C3 carbocycle; and , wherein R 1A and R 1B come together with the atom to which they are bound to form R 1 , wherein R 1 is selected from , , , , , each of which is optionally substituted.
- R 100 is [0082] in some embodiments, for a compound or salt of Formula (I) or Formula (I-B*), R 100 is [0082] In some embodiments, for a compound or salt of Formula (I), each R 11 is selected from -CN, and wherein optionally two R 11 on the same atom of R 1A come together to form an unsubstituted C3 carbocycle; each R 12 is selected from -CN, and wherein optionally two R 12 on the same atom of R 1C come together to form an unsubstituted C 3 carbocycle; and the one or more substituents of R 1 is independently selected from halogen, -OR 20 , -CN, oxo, C 1-6 alkyl, C 1-6 hydroxyalkyl, and -C(O)N(R 20 ) 2 .
- each R 11 is selected from -CN, and wherein optionally two R 11 on the same atom of R 1A come together to form an unsubstituted C 3 carbocycle.
- the one or more substituents of R 1 is independently selected from halogen, -OR 20 , -CN, oxo, C 1-6 alkyl, C 1-6 hydroxyalkyl, and -C(O)N(R 20 ) 2 .
- the one or more substituents of R 1 is independently selected from halogen, -OH, -CN, oxo, C 1-6 alkyl, C 1-6 hydroxyalkyl, and - C(O)N(CH3) 2 .
- each R 12 is selected from -CN, and wherein optionally two R 12 on the same atom of R 1C come together to form an unsubstituted C3 carbocycle.
- R 1A is selected from ; and the one or more substituents of R 1 is independently selected from halogen, -OH, -CN, oxo, C 1-6 alkyl, C 1-6 hydroxyalkyl, and - C(O)N(CH 3 ) 2 .
- R 1A is selected from ; and the one or more substituents of R 1 is independently selected from halogen, -OH, -CN, oxo, C 1-6 alkyl, C 1-6 hydroxyalkyl, and - C(O)N(CH3) 2 .
- R 1A is selected from .
- R 1C is selected from .
- R 100 is selected from [0091]
- R 100 is selected from [0092]
- R 100 is selected from , wherein R 1A and R 1B come together with the atom to which they are bound to form R 1 .
- R 100 is selected from bodiments, for a compound or salt of Formula (I) or Formula (I-B*), R 100 is s and .
- R 1A is selected from C 1-6 alkyl, C 3 -C 12 carbocycle, and 4- to 12-membered heterocycle, each of which is optionally substituted with one or more R 11 , and wherein optionally two R 11 on the same atom of R 1A come together to form a C 3 - C6 carbocycle or 3- to 8-membered heterocycle, wherein the C 3 -C 6 carbocycle and 3- to 8- membered heterocycle are each optionally substituted with one or more R 11A .
- R 1B is hydrogen. In some cases, R 1B is selected from an optionally substituted C 1-6 alkyl. In some cases, R 1B is selected from an optionally substituted C 3 -C 6 carbocycle. [0096] In some embodiments, for a compound or salt of Formula (I), Formula (I-A), Formula (I-B*), or Formula (I-B), R 1A is selected from an optionally substituted C 1-6 alkyl. In some cases, R 11 is -N(R 20 ) 2 .
- R 1A is selected , , , [0097]
- R 1A is C4-C6 carbocycle, wherein the C4-C6 carbocycle is optionally with one or more R 11 .
- each R 11 is selected from -N(R 20 ) 2 , wherein each R 20 is selected from hydrogen and [0098]
- R 1A is selected from 4- to 12-membered heterocycle, wherein the 4- to 12-membered heterocycle is optionally with one or more R 11 .
- each R 11 is selected from halogen, -N(R 20 ) 2 , -C(O)R 20 , -C(O)N(R 20 ) 2 , C 1-6 aminoalkyl, C 1-6 alkoxy, C 1-6 hydroxyalkyl, membered heterocycle, wherein the 5- to 6-membered heterocycle is optionally with one or more R 11 .
- the heterocycle has at least one oxygen atom.
- the heterocycle has one oxygen atom.
- R 1A is selected from , which is optionally substituted.
- each R 11 is selected from -OH and C 1-6 hydroxyalkyl. In some cases, each R 11 is - OH.
- R 1A is selected from .
- each R 11 is independently selected from halogen, -OR 20 , -N(R 20 ) 2 , -CN, -NHCN, C 1-6 aminoalkyl, C 1-6 alkoxy, C 1-6 hydroxyalkyl, C 1- 6 cyanoalkyl, and C 1-6 haloalkyl.
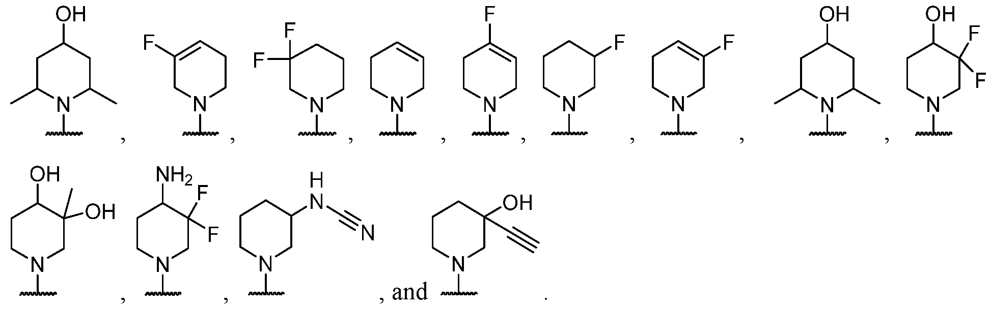
- R 1B is selected from hydrogen, optionally substituted C 1-6 alkyl, and optionally substituted C 3 -C 6 carbocycle.
- R 1B is hydrogen, C 1-6 alkyl, C 1-6 cyanoalkyl, C 1-6 hydroxyalkyl, and C 3 -C 6 carbocycle. In some cases, R 1B is hydrogen, methyl, ethyl, C2 hydroxyalkyl, and cyclopropyl. In some cases, R 1B is hydrogen. In some cases, R 1B is selected from an optionally substituted C 1-6 alkyl. In some cases, R 1B is selected from methyl and ethyl. In some cases, R 1B is methyl. In some cases, R 1B is selected from an optionally substituted C 3 -C 6 carbocycle.
- R 1B In some cases, R 1B is selected from C 1-6 cyanoalkyl. In some cases, R 1B is selected from C 1-6 hydroxyalkyl. [00102] In some embodiments, for a compound or salt of Formula (I), Formula (I-A), Formula (I-B*), or Formula (I-B), R 1A is selected from an optionally substituted C 1-3 alkyl, and wherein optionally two R 11 on the same atom of R 1A come together to form a C 3 carbocycle.
- R 11 is selected from halogen, -N(R 20 ) 2 , C3 carbocycle, and 5- to 6-membered heterocycle, wherein the 5- to 6-membered heterocycle is optionally substituted with one or more substituents independently selected from halogen, -OH, -CN, -N(R 20 ) 2 , C 1-10 alkyl, and -C 1-10 haloalkyl.
- each R 20 is independently selected from hydrogen; and C 1-6 alkyl, wherein the C 1-6 alkyl is optionally substituted with one or more substituents independently selected from halogen, oxo, C 3-6 carbocycle, and 3- to 6-membered heterocycle.
- R 1A is selected from an optionally substituted C 1-6 alkyl. In some cases, R 1A is selected from an optionally substituted C 1-3 alkyl, and wherein optionally two R 11 on the same atom of R 1A come together to form a C3 carbocycle. In some cases, R 1A is selected from an optionally substituted C 1- , R 1A is selected from . In some cases, R 11 is selected from an optionally substituted 5- to 12-membered heterocycle.
- R 11 is selected from an optionally substituted 5- to 8- membered heterocycle. In some cases, R 11 is selected from an optionally substituted 5- to 6- membered heterocycle. In some cases, R 11 is selected from an optionally substituted 5- to 6- membered heteroaryl. In some cases, the heterocycle has at least one nitrogen atom. In some cases, the heterocycle has at least two nitrogen atoms. In some cases, the heteroaryl has at least one nitrogen atom. In some cases, the heteroaryl has at least two nitrogen atoms. In some cases, the heterocycle has only 1 nitrogen atom and no other heteroatoms. In some cases, the heterocycle has only 2 nitrogen atoms and no other heteroatoms. In some cases, R 11 , , p y .
- R 20 is independently selected from hydrogen; and C 1-6 alkyl, wherein the C 1-6 alkyl is optionally substituted with one or more substituents independently selected from halogen, oxo, C3-6 carbocycle, and 3- to 6- membered heterocycle.
- the optional one or more substituents of R 11 is selected from halogen, C 1-6 haloalkyl, -NH 2 , -NH(C 1-6 alkyl), -N(C 1-6 alkyl) 2 , , , ,and C 1-10 alkyl. In some cases, the optional one or more substituents of R 11 is selected from -NH2, -NH(C 1-6 alkyl), -N(C 1-6 alkyl) 2 , and C 1-10 alkyl. In some cases, the optional one or more substituents of R 11 is selected from -NH2, and C 1-10 alkyl. In some cases, the optional one or more substituents of R 11 is selected from -NH 2 . In some cases, R 11 is selected from
- R 100 is ,
- R 100 is [00107] in some embodiments, for a compound or salt of Formula (I) or Formula (I-B*), R 100 is [00108] In some embodiments, for a compound or salt of Formula (I) or Formula (I-B*), R 100 is hydroxyalkyl, and C 1-6 cyanoalkyl. In some cases, R 1B is selected from hydrogen and C 1-6 alkyl. In some cases, R 1B is selected from C 1-6 alkyl. In some cases, R 1B is a cyclopropyl. In some cases, R 1B is methyl. In some cases, R 1B is ethyl.
- R 100 is selected from , [00109]
- R 1A is selected from an optionally substituted C 1-6 alkyl.
- R 11 is selected from an optionally substituted 5- to 6- membered heteroaryl.
- R 11 is selected from an optionally substituted 6-membered heteroaryl.
- R 11 is selected from an optionally substituted pyridine.
- the heteroaryl e.g., pyridine
- the heteroaryl is optionally substituted with one or more substituents independently selected from halogen, -CN, - OH, -NH2, -NH(C 1-6 alkyl), -N(C 1-6 alkyl) 2 , C 1-10 alkyl, and -C 1-10 haloalkyl.
- the heteroaryl e.g., pyridine
- the heteroaryl is optionally substituted with one or more substituents independently selected from -NH 2 , -NH(C 1-6 alkyl), and -N(C 1-6 alkyl) 2 .
- the heteroaryl e.g., pyridine
- the heteroaryl is substituted with at least one -NH2.
- R 1A is selected from .
- R 1A is C 4 -C 6 carbocycle, wherein the C 4 -C 6 carbocycle is optionally with one or more R 11 .
- the carbocycle is a saturated carbocycle.
- each R 11 is selected from - N(R 20 ) 2 , wherein each R 20 is selected from hydrogen and optionally substituted C 1-6 alkyl.
- R 1A is selected [00111]
- R 1A is selected from 4- to 12-membered heterocycle, wherein the 4- to 12-membered heterocycle is optionally with one or more R 11 .
- the heterocycle is a saturated heterocycle.
- each R 11 is selected from halogen, -N(R 20 ) 2 , -C(O)R 20 , -C(O)N(R 20 ) 2 , C 1-6 aminoalkyl, C 1-6 alkoxy, C 1-6 hydroxyalkyl, C 1-6 cyanoalkyl, C 1-6 haloalkyl, and C 1-6 alkyl.
- R 1B is hydrogen. In some cases, R 1B is selected from an optionally substituted C 1-6 alkyl. In some cases, R 1B is selected from an unsubstituted C 1-6 alkyl. In some cases, R 1B is methyl. In some cases, R 1B is selected from an optionally substituted C 3 -C 6 carbocycle. [00114] In some embodiments, for a compound or salt of Formula (I), Formula (I-A), Formula (I-B*), or Formula (I-B), R 1A is selected from an optionally substituted C 1-6 alkyl.
- R 11 is -N(R 20 ) 2 .
- R 1A is selected , some cases, R 1A is C 4 -C 6 carbocycle, wherein the C 4 -C 6 carbocycle is optionally with one or more R 11 .
- R 11 is selected from -N(R 20 ) 2 , and wherein each R 20 is selected from hydrogen and optionally substituted C 1-6 alkyl.
- R 1A is selected , , , .
- R 1A is selected from , optionally substituted.
- R 1A is selected from 4- to 12-membered heterocycle, wherein the 4- to 12-membered heterocycle is optionally with one or more R 11 .
- each R 11 is independently selected from C 1-6 aminoalkyl, C 1-6 cyanoalkyl, C 1-6 haloalkyl, C 1-6 alkyl, -C(O)R 20 , C 3 -C 12 carbocycle and 5- to 12-membered heterocycle, wherein the C 3 -C 12 carbocycle and 5- to 12-membered heterocycle are each optionally substituted with one or more substituents independently selected from halogen, -OH, -CN, -NO 2 , -NH2, -NH(C 1-6 alkyl), -N(C 1-6 alkyl) 2 , C 1- 10 alkyl, -C 1-10 haloalkyl, -O-C 1-10 alkyl, and oxo.
- each R 11 is selected from halogen, -OH, -N(R 20 ) 2 , -C(O)R 20 , -C(O)N(R 20 ) 2 , C 1-6 aminoalkyl, C 1-6 alkoxy, C 1-6 hydroxyalkyl, C 1-6 cyanoalkyl, C 1-6 haloalkyl, and C 1-6 alkyl.
- R 1A is selected from , , , each of which is optionally substituted. In some cases, R 1A is selected from , which is optionally substituted.
- each R 11 is independently selected from C 1-6 aminoalkyl, C 1- 6 cyanoalkyl, C 1-6 haloalkyl, C 1-6 alkyl, -C(O)R 20 , C 3 -C 12 carbocycle and 5- to 12-membered heterocycle, wherein the C 3 -C 12 carbocycle and 5- to 12-membered heterocycle are each optionally substituted with one or more substituents independently selected from halogen, -OH, -CN, -NO 2 , -NH 2 , -NH(C 1-6 alkyl), -N(C 1-6 alkyl) 2 , C 1-10 alkyl, -C 1-10 haloalkyl, -O-C 1-10 alkyl, and oxo.
- each R 11 is selected from halogen, -N(R 20 ) 2 , -C(O)R 20 , -C(O)N(R 20 ) 2 , C 1-6 aminoalkyl, C 1-6 alkoxy, C 1-6 hydroxyalkyl, C 1-6 cyanoalkyl, C 1-6 haloalkyl, and C 1-6 alkyl. In some cases, each R 11 is selected from halogen, -N(R 20 ) 2 , -C(O)R 20 , -C(O)N(R 20 ) 2 , C 1-6 haloalkyl, and C 1-6 alkyl. In some cases, each R 11 is selected from halogen, -N(R 20 ) 2 , -C(O)R 20 , -C(O)N(R 20 ) 2 , C 1-6 haloalkyl, and C 1-6 alkyl. In some cases, each R 11 is selected from halogen, -N(R
- R 11 is selected from - OH and -CN, and wherein two R 11 on the same atom of R 1A come together to form an unsubstituted C3 carbocycle. In some cases, R 1A is selected from some cases, R 1A is selected from .
- R 1A is selected from 5- to 6-membered heterocycle, wherein the 5- to 6- membered heterocycle is optionally with one or more R 11 .
- the heterocycle has at least one oxygen atom.
- the heterocycle has one oxygen atom.
- R 1A is selected from , which is optionally substituted.
- each R 11 is selected from - OH and C 1-6 hydroxyalkyl.
- each R 11 is -OH.
- R 1A is selected from .
- R 100 is from .
- R 100 is selected from , and .
- R 1A is selected from an optionally substituted C 1-6 alkyl, and wherein optionally two R 11 on the same atom of R 1A come together to form an optionally substituted C 3 -C 6 carbocycle.
- R 11 is selected from -OH, -CN, and 5- to 6-membered heterocycle, wherein the 5- to 6- membered heterocycle is optionally substituted with one or more substituents independently selected from halogen, -OH, -CN, -NH 2 , -NH(C 1-6 alkyl), -N(C 1-6 alkyl) 2 , C 1-10 alkyl, -C 1-10 haloalkyl, and -O-C 1-10 alkyl; and wherein two R 11 on the same atom of R 1A come together to form an unsubstituted C3 carbocycle.
- R 1A is selected from , cases, R 1A is selected from .
- R 100 is selected from , [00120]
- R 1B is hydrogen.
- R 1B is selected from an optionally substituted C 1-6 alkyl.
- R 1B is selected from an optionally substituted C 3 -C 6 carbocycle.
- R 1B is selected from hydrogen, C 1-6 alkyl, C 1-6 hydroxyalkyl, and C 3 -C 6 carbocycle.
- R 1B is hydrogen, methyl, ethyl, and cyclopropyl.
- R 1B is hydrogen.
- R 1B is selected from an optionally substituted C 1-6 alkyl. In some cases, R 1B is selected from an optionally substituted C 1- 2 alkyl. In some cases, R 1B is selected from methyl and ethyl. In some cases, R 1B is methyl. In some cases, R 1B is selected from an optionally substituted C 3 -C 6 [00121] In some embodiments, for a compound or salt of Formula (I), Formula (I-A), Formula (I-B*), or Formula (I-B), R 1A is selected from an optionally substituted C 1-3 alkyl, and wherein optionally two R 11 on the same atom of R 1A come together to form a C3 carbocycle.
- R 11 is selected from halogen, -N(R 20 ) 2 , C3 carbocycle, and 5- to 6-membered heterocycle, wherein the 5- to 6-membered heterocycle is optionally substituted with one or more substituents independently selected from halogen, -OH, -CN, -N(R 21 ) 2 , C 1-10 alkyl, and -C 1-10 haloalkyl.
- each R 21 is independently selected from hydrogen; and C 1-6 alkyl, wherein the C 1-6 alkyl is optionally substituted with one or more substituents independently selected from halogen, oxo, C 3-6 carbocycle, and 3- to 6-membered heterocycle.
- R 1A is selected from [00122] In some embodiments, for a compound or salt of Formula (I) or Formula (I-B*), R 100 is [00123] In some embodiments, for a compound or salt of Formula (I), Formula (I-A), Formula (I-B*), or Formula (I-B), R 1A is selected from an optionally substituted C 1-6 alkyl. In some cases, R 1A is selected from an optionally substituted C 1-3 alkyl, and wherein optionally two R 11 on the same atom of R 1A come together to form a C3 carbocycle. In some cases, R 1A is selected from an optionally substituted C 1- 2 alkyl.
- R 1A is selected from , , some cases, R 1A is selected from . In some cases, R 1A is selected from . In some cases, R 11 is selected from an optionally substituted 5- to 12-membered heterocycle. In some cases, R 11 is selected from an optionally substituted 5- to 8-membered heterocycle. In some cases, R 11 is selected from an optionally substituted 5- to 6-membered heterocycle. In some cases, R 11 is selected from an optionally substituted 5- to 6-membered heteroaryl.
- the heterocycle has at least one nitrogen atom. In some cases, the heterocycle has at least two nitrogen atoms. In some cases, the heterocycle has one nitrogen atom and no other heteroatoms.
- the heterocycle has two nitrogen atoms and no other heteroatoms.
- the heteroaryl has at least one nitrogen atom.
- the heteroaryl has at least two nitrogen atoms.
- the heteroaryl has one nitrogen atom and no other heteroatoms.
- the heteroaryl has two nitrogen atoms and no other heteroatoms.
- R 11 is selected from , , , , , each of which is optionally substituted. In some cases, R 11 is selected from each of which is optionally substituted. In some cases, R 11 is selected from each of which is optionally substituted.
- the optional one or more substituents of R 11 are each independently selected from halogen, -OH, -CN, -N(R 21 ) 2 , -C(O)N(R 21 ) 2 , C 1-10 alkyl, and -C 1-10 haloalkyl.
- each R 21 is independently selected from hydrogen; and C 1-6 alkyl, C 3-12 carbocycle, and 3- to 12-membered heterocycle, each of which is optionally substituted with one or more substituents independently selected from halogen, oxo, C 3-6 carbocycle, and 3- to 6-membered heterocycle.
- the optional one or more substituents of R 11 is selected from halogen, C 1-6 haloalkyl, -NH 2 , -NH(C 1-6 alkyl), -N(C 1-6 alkyl) 2 , , , , and C 1-10 alkyl. In some cases, the optional one or more substituents of R 11 is selected from -NH 2 , -NH(C 1-6 alkyl), -N(C 1-6 alkyl) 2 , and C 1-10 alkyl. In some cases, the optional one or more substituents of R 11 is selected from -NH2, and C 1-10 alkyl. In some cases, the optional one or more substituents of R 11 is selected from -NH2. In some cases, R 11 is selected from [00124] In some embodiments, for a compound or salt of Formula (I) or Formula (I-B*), R 100 is ,
- R 1B is selected from hydrogen and C 1-6 alkyl. In some cases, R 1B is selected from C 1- 6 alkyl. In some cases, R 1B is a cyclopropyl. In some cases, R 1B is methyl. In some cases, R 1B is ethyl. In some cases, R 100 is selected from ,
- R 1A is selected from C 1-6 alkyl, which is substituted with one R 11 , wherein the one R 11 is selected from an optionally substituted 5- to 6-membered heteroaryl, wherein the 5- to 6- membered heteroaryl is optionally substituted;
- R 1B is selected from hydrogen, optionally substituted C 1-6 alkyl, and C 3 -C 6 carbocycle. or R 1A and R 1B come together with the atom to which they are bound to form R 1 , wherein R 1 is selected from an optionally substituted 5- to 10-membered heterocycle.
- R 1A is selected from C 1-6 alkyl, which is substituted with one R 11 , wherein the one R 11 is selected from an optionally substituted 5- to 6-membered heteroaryl, wherein the 5- to 6- membered heteroaryl is optionally substituted with one or more substituents independently selected from halogen, -OH, -CN, -N(R 20 ) 2 , C 1-10 alkyl, and -C 1-10 haloalkyl; R 1B is selected from hydrogen, C 1-6 alkyl, C 1-6 cyanoalkyl, C 1-6 hydroxyalkyl, and C 3 -C 6 carbocycle.
- R 1A and R 1B come together with the atom to which they are bound to form R 1 , wherein R 1 is selected from an optionally substituted 5- to 9-membered heterocycle, wherein the 5- to 9- membered heterocycle is optionally substituted with one or more substituents independently selected from -OH, -CN, oxo, -NHCN, C 1-6 hydroxyalkyl, C 1-6 cyanoalkyl, C 1-6 haloalkyl, and C 1- 6 alkyl.
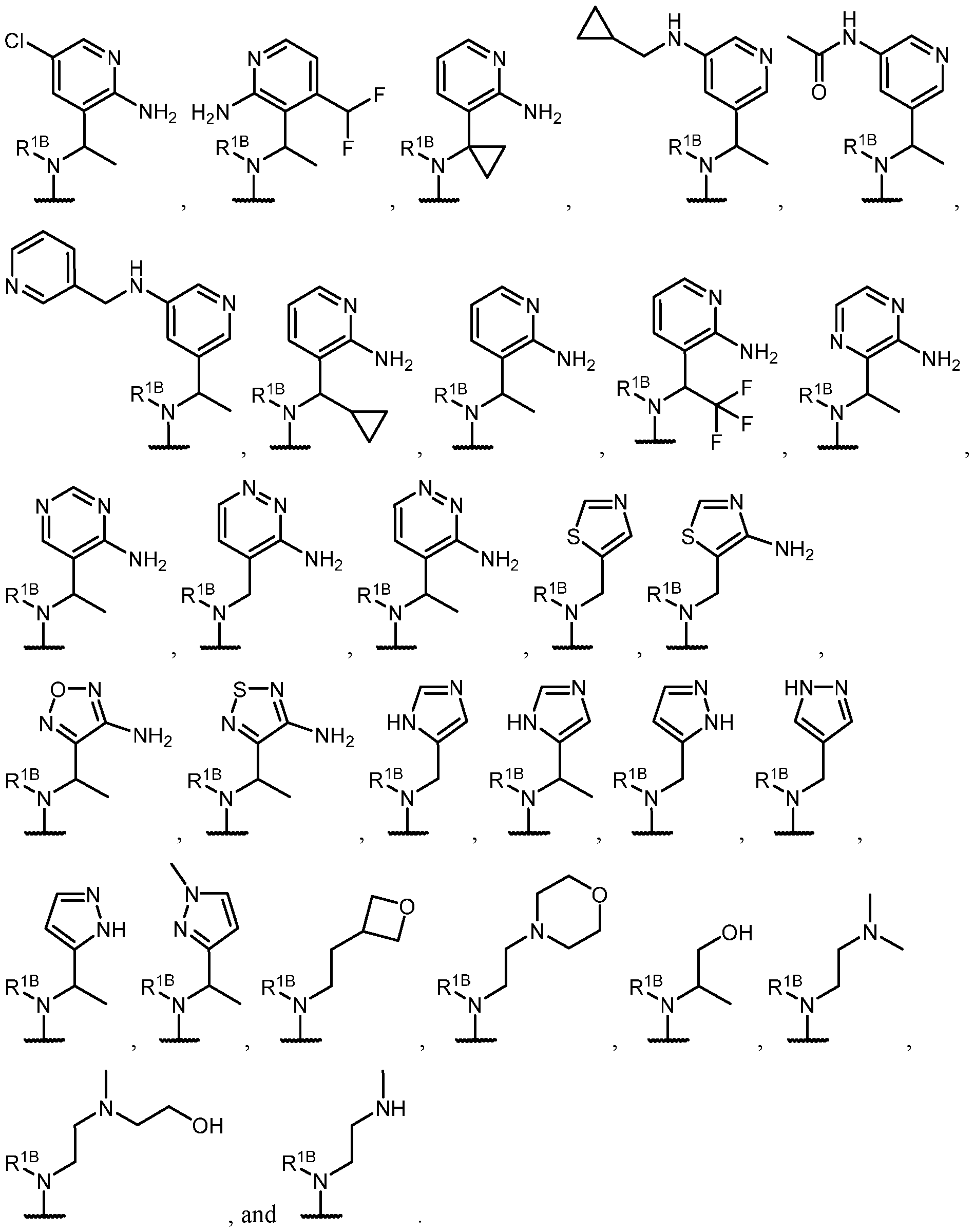
- R 1 is selected from , , each of which is optionally substituted; and wherein R 1A is selected from an C 1-3 alkyl substituted with an optionally substituted 6-membered heteroaryl (e.g., pyridine, pyrimidine).
- R 1 is selected from which is optionally substituted.
- R 1 is selected from optionally substituted.
- R 1 is selected from , which is optionally substituted.
- R 1 is selected from , which is optionally substituted.
- R 1 is selected from , which is optionally substituted.
- R 1 is selected from , which is optionally substituted.
- R 1 is selected from , which is optionally substituted.
- R 1 is selected from , , , , , each of which is optionally substituted.
- the optional one or more substituents of R 1 is independently selected from -OH, oxo, -CN, -NHCN, C 1-6 hydroxyalkyl, C 1-6 cyanoalkyl, C 1-6 haloalkyl, and C 1-6 alkyl.
- R 100 is .
- R 1C is selected from an optionally substituted C 1-6 alkyl.
- R 1C is selected from an optionally substituted C 1-6 alkyl, and wherein optionally two R 12 on the same atom of R 1C come together to form an optionally substituted C 3 -C 6 carbocycle.
- R 12 is selected from - OH and -CN, and wherein two R 12 on the same atom of R 1C come together to form an unsubstituted C 3 carbocycle.
- R 1C is selected from [00131]
- R 1C is selected from an optionally substituted C 1-6 alkyl.
- R 1C is selected from an optionally substituted C 1-6 alkyl, and wherein optionally two R 12 on the same atom of R 1C come together to form an optionally substituted C 3 -C 6 carbocycle.
- R 12 is selected from - OH, -CN, and 5- to 6-membered heterocycle, wherein the 5- to 6-membered heterocycle is optionally substituted with one or more substituents independently selected from halogen, -OH, - CN, -NH 2 , -NH(C 1-6 alkyl), -N(C 1-6 alkyl) 2 , C 1-10 alkyl, -C 1-10 haloalkyl, and -O-C 1-10 alkyl; and wherein two R 12 on the same atom of R 1C come together to form an unsubstituted C3 carbocycle. .
- R 100 is selected from some embodiments, for a compound or salt of Formula .
- R 1C is selected from an optionally substituted C 1-3 alkyl. In some cases, R 1C is selected from .
- R 1C is selected from .
- R 12 is selected from an optionally substituted 5- to 12-membered heterocycle. In some cases, R 12 is selected from an optionally substituted 5- to 8-membered heterocycle.
- R 12 is selected from an optionally substituted 5- to 6-membered heterocycle. In some cases, R 12 is selected from an optionally substituted 5- to 6-membered heteroaryl. In some cases, , , selected from , each of which is optionally substituted. In some cases, R 12 is selected from , each of which is optionally substituted. In some cases, the optional one or more substituents of R 12 is selected from -NH2, - NH(C 1-6 alkyl), -N(C 1-6 alkyl) 2 , and C 1-10 alkyl.
- the optional one or more substituents of R 12 is selected from -NH2, -NH(C 1-6 alkyl), -N(C 1-6 alkyl) 2 , and C 1-10 alkyl. In some cases, the optional one or more substituents of R 12 is selected from -NH2, and C 1-10 alkyl. In some cases, the optional one or more substituents of R 12 is selected from -NH 2 . In some cases, R 12 is selected from [00136] In some embodiments, for a compound or salt of Formula (I), R 100 is selected from .
- R 1C is selected from an optionally substituted 5- to 6-membered heterocycle. In some cases, R 1C is selected from an optionally substituted 5-membered heterocycle having at least one oxygen atom. In some cases, R 1C is selected , which is optionally substituted. In some cases, each R 12 is selected from halogen, -OR 20 , C 1-6 hydroxyalkyl, C 1-6 cyanoalkyl, C 1-6 haloalkyl, and C 1-6 1 2 alkyl. In some cases, R is selected from -OH. In some cases, R 1C is .
- R 1C is selected from an optionally substituted 5- to 6-membered heterocycle. In some cases, R 1C is selected from an optionally substituted 5-membered heterocycle. In some cases, R 1C is selected from an optionally substituted 5-membered heterocycle having at least one oxygen atom. In some cases, R 1C is selected , which is optionally substituted. In some cases, R 12 is selected from halogen, -OR 20 , C 1-6 hydroxyalkyl, C 1-6 cyanoalkyl, C 1-6 haloalkyl, and C 1-6 alkyl.
- each R 1 c 2 is selected from -OH. In some cases, R 1C is .
- R 100 is selected from [00140] In some embodiments, for a compound or salt of Formula (I), R 100 is .
- Formula (I) is represented by Formula (I-F), or a pharmaceutically acceptable salt thereof.
- Formula (I) is represented by Formula (I-G), or a pharmaceutically acceptable salt thereof.
- R 1D is selected from an optionally substituted C 1-6 alkyl.
- R 1D is selected from an optionally substituted C 1-6 alkyl, and wherein optionally two R 13 on the same atom of R 1D come together to form an optionally substituted C 3 -C 6 carbocycle.
- R 13 is selected from - OH and -CN, and wherein two R 13 on the same atom of R 1D come together to form an unsubstituted C3 carbocycle.
- R 1D is selected from [00144]
- each R 13 is independently selected from halogen, -OR 20 , -N(R 20 ) 2 , - CN, -NHCN, C 1-6 aminoalkyl, C 1-6 alkoxy, C 1-6 hydroxyalkyl, C 1-6 cyanoalkyl, and C 1-6 haloalkyl.
- R 100 is selected from [00147]
- R 1D is selected from an optionally substituted C 1-6 alkyl. In some cases, R 1D is selected from .
- R 13 is selected from an optionally substituted 5- to 12- membered heterocycle. In some cases, R 13 is selected from an optionally substituted 5- to 8- membered heterocycle. In some cases, R 13 is selected from an optionally substituted 5- to 6- membered heterocycle. In some cases, R 13 is selected from an optionally substituted 5- to 6- membered heteroaryl.
- R 13 is selected from , the optional one or more substituents of R 12 is selected from -NH2, -NH(C 1-6 alkyl), -N(C 1-6 alkyl) 2 , and C 1-10 alkyl.
- the optional one or more substituents of R 12 is selected from -NH2, -NH(C 1-6 alkyl), -N(C 1-6 alkyl) 2 , and C 1-10 alkyl.
- the optional one or more substituents of R 12 is selected from -NH2, and C 1-10 alkyl.
- the optional one or more substituents of R 12 is selected from -NH 2 .
- R 13 is selected from ,
- R 1D is selected from an optionally substituted C 1-6 alkyl, and wherein optionally two R 13 on the same atom of R 1D come together to form an optionally substituted C 3 -C 6 carbocycle.
- R 13 is selected from -OH, -CN, and 5- to 6-membered heterocycle, wherein the 5- to 6- membered heterocycle is optionally substituted with one or more substituents independently selected from halogen, -OH, -CN, -NH 2 , -NH(C 1-6 alkyl), -N(C 1-6 alkyl) 2 , C 1-10 alkyl, -C 1-10 haloalkyl, and -O-C 1-10 alkyl; and wherein two R 13 on the same atom of R 1D come together to form [00149]
- R 100 is selected from .
- R 1A and R 1B come together with the atoms to which they are bound to form R 1 .
- R 1 is a 5- to 12-membered heterocycle, wherein the 5- to 12-membered heterocycle is optionally substituted.
- R 1B and R 1A come together with the atoms to which they are bound to form an optionally substituted 5- to 12-membered heterocycle, wherein the 5- to 12-membered heterocycle is optionally substituted.
- R 1B and R 1A come together with the atoms to which they are bound to form a bridged heterocycle. In some cases, R 1B and R 1A come together with the atoms to which they are bound to form a spiro heterocycle. In some cases, R 1B and R 1A come together with the atoms to which they are bound to form a fused heterocycle. In some cases, R 1B and R 1A come together with the atoms to which they are bound to form a non-aromatic heterocycle. In some cases, R 1B and R 1A come together with the atoms to which they are bound to form a saturated heterocycle. Each heterocycle may be substituted as described elsewhere herein.
- the heterocycle of R 1 is a 5- to 12-membered heterocycle, 6- to 12- membered heterocycle, 7- to 12-membered heterocycle, or 8- to 12-membered heterocycle.
- the heterocycle of R 1 is a 5- to 11-membered heterocycle, 5- to 10-membered heterocycle, 5- to 9-membered heterocycle, or 5- to 8-membered heterocycle.
- the heterocycle of R 1 is a 6- to 11-membered heterocycle, 6- to 10-membered heterocycle, 6- to 9- membered heterocycle, or 6- to 8-membered heterocycle.
- the heterocycle of R 1 is a 7- to 11-membered heterocycle, 7- to 10-membered heterocycle, 7- to 9-membered heterocycle, or 7- to 8-membered heterocycle.
- the heterocycle of R 1 is a 5- to 6-membered heterocycle or 5- to 9-membered heterocycle.
- the heterocycle of R 1 is an 8- to 9- membered heterocycle.
- the heterocycle of R 1 is saturated. The heterocycle is optionally substituted as described elsewhere herein.
- R 1 is a 5- to 12-membered monocyclic heterocycle.
- the heterocycle of R 1 is a 5- to 12-membered monocyclic heterocycle, 6- to 12-membered monocyclic heterocycle, 7- to 12-membered monocyclic heterocycle, or 8- to 12-membered monocyclic heterocycle.
- the heterocycle of R 1 is a 5- to 11-membered monocyclic heterocycle, 5- to 10-membered monocyclic heterocycle, 5- to 9-membered monocyclic heterocycle, or 5- to 8-membered monocyclic heterocycle.
- the heterocycle of R 1 is a 6- to 11-membered monocyclic heterocycle, 6- to 10-membered monocyclic heterocycle, 6- to 9-membered monocyclic heterocycle, or 6- to 8-membered monocyclic heterocycle.
- the heterocycle of R 1 is a monocyclic 7- to 11-membered heterocycle, 7- to 10-membered monocyclic heterocycle, 7- to 9-membered monocyclic heterocycle, or 7- to 8-membered monocyclic heterocycle.
- the heterocycle of R 1 is a 5- to 6-membered monocyclic heterocycle or 5- to 9-membered monocyclic heterocycle.
- the heterocycle of R 1 is an 8- to 9- membered monocyclic heterocycle. In some cases, the heterocycle of R 1 is saturated. The monocyclic heterocycle is optionally substituted as described elsewhere herein. [00154]
- R 1 is a bridged heterocycle. In some cases, the heterocycle of R 1 is a 5- to 12-membered bridged heterocycle, 6- to 12-membered bridged heterocycle, 7- to 12-membered bridged heterocycle, or 8- to 12-membered bridged heterocycle.
- the heterocycle of R 1 is a 5- to 11-membered bridged heterocycle, 5- to 10-membered bridged heterocycle, 5- to 9- membered bridged heterocycle, or 5- to 8-membered bridged heterocycle.
- the heterocycle of R 1 is a 6- to 11-membered bridged heterocycle, 6- to 10-membered bridged heterocycle, 6- to 9-membered bridged heterocycle, or 6- to 8-membered bridged heterocycle.
- the heterocycle of R 1 is a bridged 7- to 11-membered heterocycle, 7- to 10-membered bridged heterocycle, 7- to 9-membered bridged heterocycle, or 7- to 8-membered bridged heterocycle.
- the heterocycle of R 1 is a 5- to 6-membered bridged heterocycle or 5- to 9-membered bridged heterocycle. In some cases, the heterocycle of R 1 is an 8- to 9-membered bridged heterocycle. In some cases, the heterocycle of R 1 is saturated. In some cases, the bridged heterocycle is selected from , , . In some cases, the bridged heterocycle optionally substituted as described elsewhere herein. [00155] In some embodiments, for a compound or salt of Formula (I), Formula (I-A), Formula (I-B*), or Formula (I-B), R 1 is a spiro heterocycle.
- the spiro heterocycle of R 1 is a 7- to 12- membered spiro heterocycle, 7- to 12-membered spiro heterocycle, or 8- to 12-membered spiro heterocycle.
- the spiro heterocycle of R 1 is a 7- to 11-membered spiro heterocycle, 7- to 10-membered spiro heterocycle, 7- to 9-membered spiro heterocycle, or 7- to 8-membered spiro heterocycle.
- the spiro heterocycle of R 1 is a 7- to 11-membered spiro heterocycle, 7- to 10-membered spiro heterocycle, 7- to 9-membered spiro heterocycle, or 7- to 8- membered spiro heterocycle.
- the spiro heterocycle of R 1 is a 7- to 11-membered spiro heterocycle.
- the spiro heterocycle of R 1 is a 7-membered spiro heterocycle.
- the spiro heterocycle of R 1 is an 8-membered spiro heterocycle.
- the spiro heterocycle of R 1 is a 9-membered spiro heterocycle. In some cases, the spiro heterocycle of R 1 is a 10-membered spiro heterocycle. In some cases, the spiro heterocycle of R 1 contains at most 1 nitrogen atom. In some cases, the spiro heterocycle of R 1 contains only 1 nitrogen atom. In some cases, the spiroheterocycle of R 1 contains at most 2 heteroatom atoms. In some cases, the spiro heterocycle of R 1 contains at least 2 heteroatom atoms. In some cases, the spiro heterocycle of R 1 contains at least 3 heteroatom atoms. In some cases, the heteroatom is selected from nitrogen, oxygen, and sulfur.
- the spiroheterocycle of R 1 is bound to the Formula via the nitrogen atom. In some embodiments, the spiro heterocycle of R 1 is selected from optionally substituted as described elsewhere herein. [00156] In some embodiments, for a compound or salt of Formula (I), Formula (I-A), Formula (I-B*), or Formula (I-B), R 1 is a fused heterocycle. In some cases, the fused heterocycle of R 1 is a 6- to 12-membered fused heterocycle, 6- to 12-membered fused heterocycle, 7- to 12-membered fused heterocycle, or 8- to 12-membered fused heterocycle.
- the fused heterocycle of R 1 is a 6- to 11-membered fused heterocycle, 6- to 10-membered fused heterocycle, 6- to 9- membered fused heterocycle, or 6- to 8-membered fused heterocycle.
- the fused heterocycle of R 1 is a 7- to 11-membered fused heterocycle, 7- to 10-membered fused heterocycle, 7- to 9-membered fused heterocycle, or 7- to 8-membered fused heterocycle.
- the fused heterocycle of R 1 is an 8- to 11-membered fused heterocycle.
- the fused heterocycle of R 1 is a 6-membered fused heterocycle.
- the fused heterocycle of R 1 is a 7-membered fused heterocycle. In some cases, the fused heterocycle of R 1 is a 10-membered fused heterocycle. In some cases, the fused heterocycle is selected from . Each fused heterocycle is optionally substituted as described elsewhere herein. [00157] In some embodiments, for a compound or salt of Formula (I), Formula (I-A), Formula (I-B*), or Formula (I-B), R 1 is substituted with one substituent. In some cases, R 1 is substituted with two substituents. In some cases, R 1 is substituted with three substituents. In some cases, R 1 is substituted with four substituents. In some cases, R 1 is substituted with five substituents.
- R 1 is selected from an optionally substituted 8- to 10-membered fused heterocycle.
- the 8- to 10-membered fused heterocycle is a bicyclic heterocycle.
- the 8- to 10-membered fused heterocycle is a saturated heterocycle.
- the 8- to 10-membered fused heterocycle is an unsaturated heterocycle.
- the 8- to 10-membered heterocycle is a non-aromatic heterocycle.
- R 1 is selected from an optionally substituted 9-membered fused heterocycle.
- R 1 is selected from an optionally substituted 10-membered fused heterocycle.
- the 10-membered fused heterocycle is a bicyclic heterocycle.
- the 10-membered fused heterocycle is a saturated heterocycle.
- the 9-membered heterocycle is a non-aromatic heterocycle.
- the 10-membered heterocycle is a non-aromatic heterocycle.
- the fused heterocycle has one saturated ring and one aromatic ring.
- the fused heterocycle has one saturated ring and one unsaturated ring.
- the fused heterocycle has two saturated rings.
- the 10-membered heterocycle contains at least 1 nitrogen atom.
- the 10-membered heterocycle contains at least 2 nitrogen atoms. In some cases, the 10-membered heterocycle contains at least 3 nitrogen atoms. In some cases, the 9- membered heterocycle contains at least 1 nitrogen atom. In some cases, the 9-membered heterocycle contains at least 2 nitrogen atoms. In some cases, the 9-membered heterocycle contains at least 3 nitrogen atoms. In some cases, R 1 is selected from of which is optionally substituted with one or more substituents. In some cases, , which is optionally substituted with one or more substituents. In some cases, which is optionally substituted with one or more substituents.
- the optional one or more substituents are independently selected from -C(O)R 20 , -C(O)N(R 20 ) 2 , and - C(O)NR 20 OR 20 .
- the further one or more optional substituents are selected from halogen, -CN, C 2 alkenyl, and C 1-6 alkyl. In some cases, the further one or more optional substituents are selected from halogen, and C 1-6 alkyl. In some cases, the further one or more optional substituents are selected from halogen.
- each R 20 is independently selected from hydrogen; and C 1-6 alkyl, C 3-12 carbocycle, and 3- to 12-membered heterocycle. In some cases, each R 20 is independently selected from hydrogen; and C 1-6 alkyl, and 3- to 12-membered heterocycle. In some cases, each R 20 is independently selected from hydrogen; and C 1-6 alkyl, and 3- to 12-membered saturated heterocycle.
- each R 20 is independently selected from 5- to 6-membered saturated heterocycle.
- the heterocycle of R 20 has at least one nitrogen atom.
- the heterocycle of R 20 has at least one sulfur atom.
- the heterocycle of R 20 has at least one oxygen atom.
- the heterocycle of R 20 contains only 1 heteroatom.
- the heterocycle of R 20 has at least two heteroatoms.
- the heterocycle of R 20 contains only 2 heteroatoms.
- the optional one or more substituents of R 1 are independently selected from halogen, -CN, C2 alkenyl, , , , , cases, the optional one or more substituents of R 1 are independently selected from halogen, , some cases, the optional one or more substituents of R 1 are or more substituents of R 1 are independently selected from ,
- R 1 is selected from
- R 1 are independently selected from halogen, and C 1-6 alkyl-N(R 20 ) 2 .
- the optional one or more substituents of R 1 are independently selected from halogen, . , , , and C3-6 carbocycle.
- R 1 is selected , ,
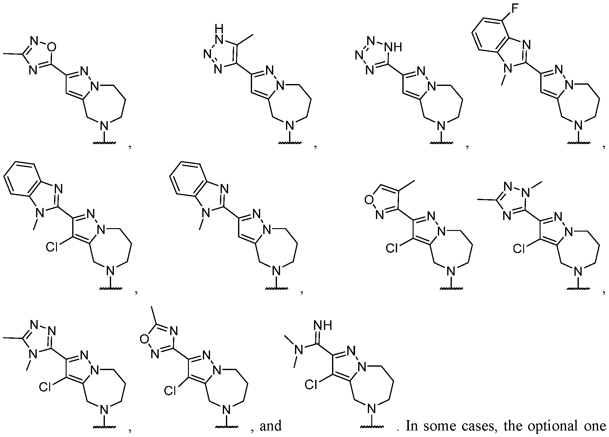
- R 1 is selected from , which is optionally substituted with one more substituents independently selected from halogen and C 1-6 alkyl. In some cases, R 1 is selected from . [00159] In some embodiments, for a compound or salt of Formula (I), Formula (I-A), Formula (I-B*), or Formula (I-B), R 1 is selected from , wherein is selected from a 5- to 12-membered heterocycle, wherein the 5- to 12-membered heterocycle is optionally substituted independently with one or more R 1* ; and R B is selected from hydrogen, halogen, C 1-6 alkyl, C 1-6 haloalkyl, C 2-6 alkynyl, and -CN.
- R B is selected from hydrogen, and halogen. In some cases, R B is chloride. In some cases, R B is hydrogen. In some cases, has at least 1, 2, 3, or 4 heteroatoms. In some cases, has at least 1, 2, 3, or 4 nitrogen atoms. In some cases, has at least 1 oxygen atom. In some cases, is a monocyclic heterocycle. In some cases, is a bicyclic heterocycle. In some cases, is selected from an optionally substituted 5-membered heterocycle. In some cases, is selected from an optionally substituted with one or more R 1* . In some cases, which is optionally substituted with one or more R 1* .
- each R 1* is independently selected from halogen, C 1-6 alkyl-N(R 20 ) 2 , C 1-6 aminoalkyl, C 1-6 hydroxyalkyl, C 1-6 cyanoalkyl, C 1-6 haloalkyl, and C 1-6 alkyl. In some cases, each R 1* is independently selected from halogen, and C 1-6 alkyl. In some cases, , , [00160] In some embodiments, for a compound or salt of Formula (I), Formula (I-A), Formula (I-B*), or Formula (I-B), when R 1 is substituted with -C(O)R 20 , R 20 is selected from a 5- to 12- membered heterocycle, which is optionally substituted.
- R 1 is selected from 5- to 12-membered heterocycle, wherein the 5- to 12-membered heterocycle is optionally substituted with one or more substituents.
- R 1 is selected from a saturated 5- to 12-membered heterocycle, which is optionally substituted with one or more substituents.
- the 5- to 12-membered heterocycle of R 1 is bridged.
- the 5- to 12-membered heterocycle of R 1 is not bridged.
- the 5- to 12-membered heterocycle is selected from , with one or more substituents.
- each of which is optionally substituted with one or more substituents.
- R 1 is selected from an optionally substituted 5- to 12-membered unsaturated heterocycle, wherein the heterocycle has as most one nitrogen atom. In some cases, the 5- to 12-membered unsaturated heterocycle has at least one nitrogen atom. In some cases, the 5- to 12-membered unsaturated heterocycle has at most one nitrogen atom.
- the heterocycle of R 1 contains only 1 nitrogen atom and optionally one or more heteroatoms selected from oxygen, and sulfur.
- the heterocycle is a fused heterocycle or a bridged heterocycle. In some cases, the heterocycle is a monocyclic heterocycle or a bridged heterocycle. In some cases, the heterocycle is a monocyclic heterocycle. In some cases, the heterocycle is a bridged heterocycle. In some cases, the heterocycle is selected from . The heterocycle is optionally substituted as described elsewhere herein. [00167] In some embodiments, for a compound or salt of Formula (I), Formula (I-A), or Formula (I-B), the heterocycle of R 1 has at most 1 nitrogen atom. In some cases, the heterocycle of R 1 has only 1 nitrogen atom and optionally one or more other heteroatoms selected from oxygen and sulfur.
- the heterocycle of R 1 has only 1 nitrogen atom and no other heteroatoms.
- R 1 is selected from an optionally substituted 5- to 12-membered saturated heterocycle, wherein the heterocycle has as most one nitrogen atom.
- the 5- to 12-membered unsaturated heterocycle has at least one nitrogen atom.
- the 5- to 12-membered unsaturated heterocycle has only one nitrogen atom and 0-2 other heteroatoms selected from nitrogen, oxygen, and sulfur.
- the 5- to 12-membered unsaturated heterocycle has only one nitrogen atom and no further heteroatoms.
- the 5- to 12- membered unsaturated heterocycle has three nitrogen atoms and no further heteroatoms.
- R 1 is selected from an optionally substituted 5- to 12-membered unsaturated heterocycle, wherein the heterocycle has as most one nitrogen atom.
- the 5- to 12-membered unsaturated heterocycle has at least one nitrogen atom.
- the 5- to 12-membered unsaturated heterocycle has only one nitrogen atom and no further heteroatoms.
- R 1 is selected from 6- to 9-membered heterocycle. In some cases, R 1 is selected from 6- to 7-membered heterocycle. In some cases, R 1 is selected from 7-membered heterocycle. In some cases, R 1 is selected from 6-membered heterocycle. In some cases, the 6- to 7-membered heterocycle contains only 1 nitrogen atom and optionally one or more additional heteroatoms selected from oxygen, and sulfur. In some cases, the optionally one or more additional heteroatoms are selected from sulfur. In some cases, the optionally one or more additional heteroatoms are selected from oxygen.
- the 6- to 7-membered heterocycle contains only 1 nitrogen atom and no further additional heteroatoms. In some cases, the 6- to 7-membered heterocycle is a non-aromatic 6- to 7-membered heterocycle. In some cases, R 1 is selected from and , each of which is substituted.
- R 1 cases, R 1 is selected from each of which is optionally substituted.
- the one or more optional substituents of R 1 are each independently selected from halogen, -OH, -CN, C 1-6 cyanoalkyl, C 1-6 alkyl, and C 2-6 alkynyl.
- the one or more optional substituents of R 1 are each independently selected from halogen, -OH, and -CN. In some cases, the one or more optional substituents of R 1 are each independently selected from fluorine, - OH, -CN, C 1-6 cyanoalkyl, C 1-6 alkyl, oxo, and C 2-6 alkynyl. In some cases, the one or more optional substituents of R 1 are each independently selected from fluorine, -OH, -CN, C 1-6 cyanoalkyl, C 1-6 alkyl, and C 2-6 alkynyl. In some cases, R 1 is selected ,
- R 1 is selected from , , , , , ,
- R 1 is selected from an optionally substituted unsaturated 6- to 8- membered heterocycle. In some cases, R 1 is selected from an optionally substituted unsaturated 6-membered heterocycle. In some cases, R 1 is selected from an optionally substituted unsaturated 7-membered heterocycle. In some cases, the heterocycle has 1 or 2 double bonds. In some cases, the heterocycle has only 1 double bond. In some cases, the heterocycle has only 2 double bonds.
- R 1 is selected from each is optionally substituted with one or more substituents independently selected from halogen, -OH, -NH 2 , -NO 2 , C 1-6 aminoalkyl, C 1-6 alkoxy, C 1-6 hydroxyalkyl, C 1-6 haloalkyl, and C 1-6 alkyl. In some cases, R 1 is selected from wherein each is optionally substituted with one or more substituents independently selected from halogen, -OH, - NH2, -NO 2 , C 1-6 aminoalkyl, C 1-6 alkoxy, C 1-6 hydroxyalkyl, C 1-6 haloalkyl, and C 1-6 alkyl.
- R 1 is selected from , wherein each is optionally substituted with one or more substituents independently selected from halogen, -OH, - NH2, -NO 2 , C 1-6 aminoalkyl, C 1-6 alkoxy, C 1-6 hydroxyalkyl, C 1-6 haloalkyl, and C 1-6 alkyl. In some , R 1 is selected from . some cases, . some cases, R 1 is selected from , wherein each is substituted with one or more substituents independently selected from halogen.
- R 1 is selected from an unsaturated 6- to 7-membered heterocycle, wherein the unsaturated 6- to 7-membered heterocycle is substituted with one or more substituents selected from halogen.
- the unsaturated 6- to 7-membered heterocycle is substituted with at least one halogen.
- the unsaturated 6- to 7-membered heterocycle is substituted with at only one halogen.
- the unsaturated 7-membered heterocycle is substituted with one fluorine.
- R 1 is selected from an unsaturated 6-membered heterocycle, substituted with at least one halogen. In some cases, R 1 is selected from an unsaturated 7-membered heterocycle, substituted with at least one halogen. In some cases, R 1 is
- R 1 is selected from an optionally substituted unsaturated 6- to 8- membered heterocycle. In some cases, R 1 is selected from an optionally substituted unsaturated 7-membered heterocycle. In some cases, R 1 is selected from , wherein each is optionally substituted with one or more substituents independently selected from halogen, -OH, -NH2, -NO 2 , C 1-6 aminoalkyl, C 1-6 alkoxy, C 1-6 hydroxyalkyl, C 1-6 haloalkyl, and C 1-6 alkyl.
- R 1 is selected from [00175]
- R 1 is selected from an optionally substituted 6-membered heterocycle.
- the 6-membered heterocycle contains only 1 nitrogen atom.
- the 6- membered heterocycle of R 1 is bound to the respective Formula via the only 1 nitrogen atom.
- R 1 is selected from , any of which is optionally substituted.
- the 6-membered heterocycle is a partially unsaturated 6-membered heterocycle or a saturated 6-membered heterocycle. In some cases, the 6-membered heterocycle is partially unsaturated. In some cases, the 6-membered heterocycle is a saturated 6-membered heterocycle. In some cases, the 6-membered heterocycle is a monocyclic 6-membered heterocycle. In some cases, the 6-membered heterocycle is not a bridged heterocycle.
- R 1 is selected from , [00176]
- R 1 is selected from an optionally substituted 6-membered unsaturated heterocycle and 6-membered saturated heterocycle.
- R 1 is selected from and , wherein each is optionally substituted with one or more substituents independently selected from halogen, -OH, -NH 2 , -NO 2 , C 1-6 aminoalkyl, C 1-6 cyanoalkyl, C 1-6 alkoxy, C 1-6 hydroxyalkyl, C 1-6 haloalkyl, and C 1-6 alkyl.
- R 1 is selected from , wherein each is optionally substituted with one or more substituents independently selected from halogen, and C 1-6 haloalkyl. In some cases, R 1 is selected from , , and . In some cases, R 1 is selected from , which is optionally substituted with one or more substituents independently selected from halogen, C 1-6 cyanoalkyl, and C 1-6 haloalkyl. In some cases, .
- R 1 is selected from , wherein each is optionally substituted two substituents independently selected from halogen, -OH, -NH 2 , -NO 2 , C 1-6 aminoalkyl, C 1-6 alkoxy, C 1-6 hydroxyalkyl, C 1-6 haloalkyl, and C 1-6 alkyl. In some cases, R 1 is selected from , wherein each is optionally substituted with two substituents independently selected from halogen, and C 1-6 haloalkyl. In some cases, .
- R 1 is selected from an optionally substituted 6- to 10-membered heterocycle.
- the 6- to 10-membered heterocycle contains 0-2 additional heteroatoms selected from nitrogen, oxygen, and sulfur. In some cases, the 6- to 10-membered heterocycle contains at least 1 nitrogen atom.
- each R 20 is independently selected from hydrogen; and C 1-6 alkyl, C 3-12 carbocycle, and 3- to 12-membered heterocycle, each of which is optionally substituted with one or more substituents independently selected from halogen, -OH, -CN, -NO 2 , -NH2, -N(C 1-6 alkyl) 2 , C 1-10 alkyl, -C 1-10 haloalkyl, -O-C 1-10 alkyl, oxo, C 3-12 carbocycle, and 3- to 12-membered heterocycle.
- R 1 is selected from 6- to 7-membered heterocycle. In some cases, R 1 is selected from 7-membered heterocycle. In some cases, R 1 is selected from 6-membered heterocycle. In some cases, the 6- to 7-membered heterocycle contains only 1 nitrogen atom and optionally one or more additional heteroatoms selected from oxygen, and sulfur. In some cases, the optionally one or more additional heteroatoms are selected from sulfur. In some cases, the optionally one or more additional heteroatoms are selected from oxygen.
- the 6- to 7-membered heterocycle contains only 1 nitrogen atom and no further additional heteroatoms. In some cases, the 6- to 7-membered heterocycle is a non-aromatic 6- to 7-membered heterocycle. In some cases, the 6- to 7-membered heterocycle of R 1 is bound to the respective Formula via the , , , each of which is substituted.
- the one or more optional substituents of R 1 are each independently selected from halogen, -OH, -CN, C 1-6 cyanoalkyl, C 1-6 alkyl, and C 2-6 alkynyl.
- the one or more optional substituents of R 1 are each independently selected from halogen, -OH, and -CN. In some cases, the one or more optional substituents of R 1 are each independently selected from fluorine, -OH, -CN, C 1-6 cyanoalkyl, C 1-6 alkyl, oxo, and C 2-6 alkynyl. In some cases, the one or more optional substituents of R 1 are each independently selected from fluorine, - OH, -CN, C 1-6 cyanoalkyl, C 1-6 alkyl, and C 2-6 alkynyl.
- R 1 is selected from In some cases, R 1 is selected from , from , , , , , , , and . [00180] In some embodiments, for a compound or salt of Formula (I), Formula (I-A), Formula (I-B*), or Formula (I-B), the 5- to 12-membered heterocycle of R 1 is unsaturated and a bridged heterocycle. In some cases, R 1 is selected from an optionally substituted 7- to 8-membered unsaturated and bridged heterocycle. In some cases, R 1 is selected from .
- R 1 is selected from an optionally substituted 10-membered heterocycle.
- the 10-membered heterocycle is a bicyclic heterocycle.
- the 10-membered heterocycle is a spiro heterocycle.
- the 10-membered heterocycle is a fused heterocycle.
- the 10-membered heterocycle is a saturated heterocycle.
- the 10- membered heterocycle is a non-aromatic heterocycle.
- the 10-membered heterocycle contains at least 1 nitrogen atom. In some cases, the 10-membered heterocycle contains at least 2 nitrogen atoms.
- the 10-membered heterocycle contains at least 3 nitrogen atoms. In some cases, the 10-membered heterocycle contains at least 1 sulfur atom.
- R 1 is selected from an optionally substituted unsaturated 9- to 11-membered heterocycle. In some cases, R 1 is selected from an optionally substituted unsaturated 10-membered heterocycle. In some cases, R 1 is selected from an optionally substituted unsaturated 10-membered fused N heterocycle. In some cases, which is optionally substituted.
- each R 20 is independently selected from hydrogen; and C 1-6 alkyl, and C 3- 12 carbocycle, and each of which is optionally substituted with one or more substituents independently selected from halogen, -OH, -CN, -NO 2 , -NH2, C 1-10 alkyl, -C 1-10 haloalkyl, -O-C 1- 10 alkyl, C 2-10 alkenyl, C 2-10 alkynyl, C 3-12 carbocycle, and 3- to 12-membered heterocycle.
- R 1 is selected from a 7- to 11-membered spiro heterocycle.
- R 1 is selected from a 10-membered spiro heterocycle.
- the spiro heterocycle has at least 3 nitrogen atoms.
- the spiro heterocycle has at least 1 sulfur atom.
- R 1 is selected each of which is optionally substituted.
- R 1 is selected from , and [00185]
- R 1 is selected from an optionally substituted 8- to 10-membered fused heterocycle.
- the 8- to 10-membered fused heterocycle is a bicyclic heterocycle.
- the 8- to 10-membered fused heterocycle is a saturated heterocycle.
- the 8- to 10-membered fused heterocycle is an unsaturated heterocycle.
- the 8- to 10-membered heterocycle is a non-aromatic heterocycle.
- R 1 is selected from an optionally substituted 10-membered fused heterocycle.
- the 10-membered fused heterocycle is a bicyclic heterocycle.
- the 10-membered fused heterocycle is a saturated heterocycle.
- the 10-membered heterocycle is a non-aromatic heterocycle.
- the fused heterocycle has one saturated ring and one aromatic ring.
- the fused heterocycle has one saturated ring and one unsaturated ring.
- the fused heterocycle has two saturated rings.
- the 10-membered heterocycle contains at least 1 nitrogen atom.
- the 10-membered heterocycle contains at least 2 nitrogen atoms.
- the 10-membered heterocycle contains at least 3 nitrogen atoms.
- R 1 is selected from , each of which is optionally substituted with one or more substituents. In some cases, , which is optionally substituted with one or more substituents.
- R 1 is selected substituted.
- the optional one or more substituents are independently selected from -C(O)R 20 , -C(O)N(R 20 ) 2 , and -C(O)NR 20 OR 20 .
- the optional one or more substituents are independently selected from -C(O)N(R 20 ) 2 . In some cases, the optional one or more substituents are independently selected from -C(O)NR 20 OR 20 . In some cases, each R 20 is independently selected from hydrogen; and C 1-6 alkyl, C 3-12 carbocycle, and 3- to 12-membered heterocycle. In some cases, each R 20 is independently selected from hydrogen; and C 1-6 alkyl, and 3- to 12- membered heterocycle. In some cases, each R 20 is independently selected from hydrogen; and C 1- 6 alkyl, and 3- to 12-membered saturated heterocycle. In some cases, the optional one or more substituents of R 1 are independently selected from halogen, , , , , ,
- substituents of R 1 are independently selected from halogen, and C 1-6 alkyl-N(R 20 ) 2 . In some cases, the optional one or more substituents of R 1 are independently selected from halogen, , cases, each R 20 is independently selected from hydrogen, C 1-6 alkyl, and C3-6 carbocycle. In some . [00186] In some embodiments, for a compound or salt of Formula (I), Formula (I-A), Formula (I-B*), or Formula (I-B), R 1 is selected from an optionally substituted 8- to 10-membered fused heterocycle. In some cases, the 8- to 10-membered fused heterocycle is a bicyclic heterocycle.
- the 8- to 10-membered fused heterocycle is a saturated heterocycle. In some cases, the 8- to 10-membered fused heterocycle is an unsaturated heterocycle. In some cases, the 8- to 10-membered heterocycle is a non-aromatic heterocycle. In some cases, R 1 is selected from an optionally substituted 10-membered fused heterocycle. In some cases, the 10-membered fused heterocycle is a bicyclic heterocycle. In some cases, the 10-membered fused heterocycle is a saturated heterocycle. In some cases, the 10-membered heterocycle is a non-aromatic heterocycle. In some cases, the fused heterocycle has one saturated ring and one aromatic ring.
- the fused heterocycle has one saturated ring and one unsaturated ring. In some cases, the fused heterocycle has two saturated rings. In some cases, the 10-membered heterocycle contains at least 1 nitrogen atom. In some cases, the 10-membered heterocycle contains at least 2 nitrogen atoms. In some cases, the 10-membered heterocycle contains at least 3 nitrogen atoms. In some cases, R 1 is selected from , each of which is optionally substituted with one or more substituents. In some cases, R 1 is selected from and , each of which is optionally substituted with one or more substituents. In some cases, which is optionally substituted with one or more substituents.
- the optional one or more substituents are independently selected from -C(O)R 20 , -C(O)N(R 20 ) 2 , and -C(O)NR 20 OR 20 .
- the further one or more optional substituents are selected from halogen and C 1-6 alkyl. In some cases, the further one or more optional substituents are selected from halogen.
- each R 20 is independently selected from hydrogen; and C 1-6 alkyl, C 3-12 carbocycle, and 3- to 12-membered heterocycle. In some cases, each R 20 is independently selected from hydrogen; and C 1-6 alkyl, and 3- to 12-membered heterocycle. In some cases, each R 20 is independently selected from hydrogen; and C 1-6 alkyl, and 3- to 12-membered saturated heterocycle. In some cases, each R 20 is independently selected from 5- to 6-membered saturated heterocycle. In some cases, the heterocycle of R 20 has at least one nitrogen atom.
- the heterocycle of R 20 has at least one sulfur atom. In some cases, the heterocycle of R 20 has at least one oxygen atom. In some cases, the heterocycle of R 20 contains only 1 heteroatom. In some cases, the heterocycle of R 20 has at least two heteroatoms. In some cases, the heterocycle of R 20 contains only 2 heteroatoms. In some cases, the optional one or more substituents of R 1 are independently selected from halogen, , , , ,
- R 1 independently selected from halogen, and C 1-6 alkyl-N(R 20 ) 2 .
- the optional one or more substituents of R 1 are independently selected from halogen, , , and .
- R 1 is selected from .
- each R 20 is independently selected from hydrogen, C 1-6 alkyl, and C3-6 carbocycle. In some cases, R 1 is
- R 20 is selected from a 5- to 12- membered heterocycle.
- the heterocycle has at least one nitrogen atom. In some cases, the heterocycle has at least oxygen atom. In some cases, the heterocycle has at least one nitrogen atom and at least one oxygen atom. In some cases, heterocycle has at least two heteroatoms. In some cases, the heterocycle has at least three heteroatoms. In some cases, the heterocycle has at least four heteroatoms. In some cases, the heterocycle of the one or more optional substituents of R 1 is selected from , , , and , which is optionally substituted with one or more R 1* . In some cases, the heterocycle of the one or more optional substituents of R 1 is selected from , which is optionally substituted with one or more R 1* .
- each R 1* is independently selected from halogen, C 1-6 alkyl-N(R 20 ) 2 , C 1-6 aminoalkyl, C 1-6 hydroxyalkyl, C 1-6 cyanoalkyl, C 1-6 haloalkyl, and C 1-6 alkyl. In some cases, each R 1* is independently selected from halogen, C 1-6 haloalkyl, and C 1-6 alkyl. In some cases, each R 1* is independently selected from halogen, and C 1-6 alkyl. In some cases, each R 1* is independently selected from halogen. In some cases, each R 1* is independently selected from C 1-6 alkyl. In some cases, each R 1* is independently selected from -OR 20 .
- each R 1* is independently selected from halogen, C 1-6 alkyl-N(R 20 ) 2 , C 1-6 aminoalkyl, C 1-6 hydroxyalkyl, C 1-6 cyanoalkyl, C 1-6 haloalkyl, and C 1-6 alkyl. In some cases, each R 1* is independently selected from halogen, C 1-6 haloalkyl, and C 1-6 alkyl. In some cases, each R 1* is independently selected from halogen, and C 1-6 alkyl. In some cases, each R 1* is independently selected from halogen. In some cases, each R 1* is independently selected from C 1-6 alkyl.
- R 1 is selected from 5- to 15-membered heterocycle (preferably 8- to 10- membered heterocycle or preferably 10-membered heterocycle), each of which are optionally substituted with one or more substituents independently selected from halogen, oxo, - C(O)N(R 20 ) 2 , -C(O)NR 20 OR 20 , -N(R 20 ) 2 , -C(O)R 20 , -C(O)OR 20 , -SO 2 R 20 , -NHCN, C 1-6 cyanoalkyl, C 1-6 alkyl, C 1-6 alkyl-N(R 20 ) 2 , C 2-6 alkynyl, and 5- to 12-membered heterocycle (preferably 5- to 9-membered heterocycle), wherein the 5- to 12-membered heterocycle are each optionally substituted independently with
- R 1 is selected from 5- to 15-membered heterocycle (preferably 8- to 10- membered heterocycle or preferably 10-membered heterocycle or preferably 8-membered heterocycle), each of which are optionally substituted with one or more substituents independently selected from halogen, -C(O)N(R 20 ) 2 , -C(O)NR 20 OR 20 , -N(R 20 ) 2 , -C(O)R 20 , -C(O)OR 20 , -NHCN, C 1-6 cyanoalkyl, C 1-6 alkyl, C 2-6 alkynyl, and 5- to 12-membered
- the 8- to 10-membered heterocycle is bicyclic. In some cases, the 10-membered heterocycle is substituted. In some cases, R 1 is selected , , and , each of which is optionally substituted. In some cases, R 1 is selected , which is optionally substituted. In some cases, R 1 is selected , , . [00193] In some embodiments, for a compound or salt of Formula (I), Formula (I-A), Formula (I-B*), or Formula (I-B), R 1 is selected from an optionally substituted 7- to 10-membered spiro heterocycle and optionally substituted 7- to 10-membered fused heterocycle. In some cases, the heterocycle of R 1 has at least one nitrogen atom.
- R 1 is selected from an optionally substituted 10-membered spiro heterocycle and optionally substituted 10-membered fused heterocycle.
- R 1 is selected from an optionally substituted 6- to 11-membered heterocycle, wherein the 6- to 11-membered heterocycle has at least one nitrogen atom.
- R 1 is selected from hydrogen, , , [00196]
- R 1 is selected from hydrogen and optionally substituted 7- to 10- membered heterocycle.
- R 1 is selected from hydrogen , , , each of which is optionally substituted.
- R 1 is selected from an optionally substituted 8- to 10-membered heterocycle.
- the heterocycle is bicyclic. In some cases, the heterocycle has at least one nitrogen atom. In some cases, the heterocycle has at least two nitrogen atoms. In some cases, , each of which is optionally substituted. In some cases, the optional one or more substituents of R 1 are independently selected from halogen, , and 5- to 9-membered heteroaryl, wherein the 5- to 9-membered heteroaryl is substituted with at least one R 1* , wherein the R 1* is selected from halogen, and C 1-6 alkyl. In some cases, the optional one or more substituents of R 1 are , , , , ,
- R 1 is selected from an optionally substituted bridged 8- to 9-membered heterocycle.
- the heterocycle of R 1 is selected from , each of which is optionally substituted.
- the one or more substituents of R 1 are selected from halogen, C 1-6 alkyl, -N(R 20 ) 2 , and C 1-6 aminoalkyl.
- R 1 is selected [00199]
- R 1 is selected from an optionally substituted bridged 8-membered heterocycle, wherein the heterocycle contains heteroatoms selected from nitrogen.
- the one or more substituents of R 1 are selected from C 1-6 alkyl, -N(R 20 ) 2 , and C 1-6 aminoalkyl.
- the heterocycle of R 1 is selected from , each of which is optionally substituted. In some cases, R 1 is selected . , . , .
- R 1 is selected from an optionally substituted saturated 6- to 7-membered heterocycle. In some cases, R 1 is selected from an optionally substituted saturated 6-membered heterocycle. In some cases, R 1 is selected from , which is optionally substituted. In some cases, the optional one or more substituents are independently selected from halogen, -CN, - NHCN, C 1-6 cyanoalkyl, and C 1-6 alkyl. In some cases, the optional one or more substituents are independently selected from -CN, -NHCN, C 1-6 cyanoalkyl, and C 1-6 alkyl.
- the optional one or more substituents are independently selected from -CN, -NHCN, C 1-6 cyanoalkyl, and C 1-6 alkyl. In some cases, the optional one or more substituents are independently selected from -NHCN, and C 1-6 alkyl. In some cases, R 1 is selected from , which is substituted with one or more substituents selected from -NHCN, and C 1-6 alkyl. In some cases, R 1 is selected from [00201] In some embodiments, for a compound or salt of Formula (I), Formula (I-A), Formula (I-B*), or Formula (I-B), R 1 is a bridged heterocycle. In some cases, R 1 is selected from an 7- to 10-membered bridged heterocycle.
- R 1 is selected from an 8-membered bridged heterocycle. In some cases, the bridged heterocycle of R 1 has at most 1 nitrogen atom. In some cases, the bridged heterocycle of R 1 has at most 2 nitrogen atoms. In some cases, the bridged heterocycle of R 1 has at least 2 nitrogen atom. In some cases, R 1 is selected from , which is optionally substituted. In some cases, .
- the optional substituents of R 1 are independently selected from one or more halogen, -OH, and C 1-6 alkoxy. In some cases, the optional substituents of R 1 are independently selected from one or more halogen, and -OH. In some cases, the optional substituents of R 1 are independently selected from one or more -OH. In some cases, the optional substituents of R 1 are independently selected from one or more C 1-6 alkyl, C 1-6 hydroxyalkyl and -OH. In some cases, the optional substituents of R 1 are independently selected from one or more C 1-6 hydroxyalkyl and -OH. In some cases, R 1 is substituted with at least one substituent independently selected from C 1-6 hydroxyalkyl and -OH.
- the substituents of R 1 are independently selected from one or more halogen, -OH, -NH 2 , and C 1-6 alkoxy.
- the substituents of R 1 are independently selected from one or more halogen, -OH, and C 1-6 alkoxy.
- the optional substituents of R 1 are independently selected from one or more halogen, and -OH.
- the heterocycle of R 1 is substituted with one substituent.
- the heterocycle of R 1 is substituted with two substituents.
- the heterocycle of R 1 is substituted with three substituents.
- the heterocycle of R 1 is substituted with four substituents.
- the heterocycle of R 1 is substituted with one or more substituents.
- the heterocycle of R 1 is substituted with at least one C 1-6 alkyl-N(R 20 ) 2 .
- R 100 is different than Y- R 2 . In some cases, is different than Y-R 2 .
- L is selected from C 1 -C 4 alkylene. In some cases, L is selected from Cl-C2 alkylene. In some cases, L is selected from Cl alkylene. [00210] In some embodiments, for a compound or salt of Formula (I), Formula (I-A), Formula (I-B), Formula (I-B*), Formula (I-D), Formula (I-E), Formula (I-F), or Formula (I-G), L is selected from unsubstituted C 1 -C 4 alkylene.
- L is selected from unsubstituted Cl-C2 alkylene. In some cases, L is selected from unsubstituted Cl alkylene. In some cases, L is selected from methylene and ethylene. In some cases, L is methylene.
- R 2 is selected from optionally substituted -L-heterocycle, optionally substituted -L-heteroaryl, optionally substituted -L-aryl, -L-N(R 5 ) 2 , and -L-O-R 5 .
- R 2 is selected from optionally substituted -L-5- to 12-membered heterocycle, optionally substituted -L-5- to 12- membered heteroaryl, optionally substituted -L-C 6 -C 12 aryl, -L-N(R 5 ) 2 , and -L-O-R 5 . In some cases, R 2 is selected from optionally substituted -L-heterocycle, optionally substituted -L- heteroaryl, and -L-N(R 5 ) 2 .
- R 2 is selected from optionally substituted -L-5- to 12- membered heterocycle, optionally substituted -L-5-to-12-membered heteroaryl, and -L-N(R 5 ) 2 . In some cases, R 2 is selected from optionally substituted -L-heterocycle and -L-N(R 5 ) 2 . In some cases, R 2 is selected from optionally substituted -L-5- to 12-membered heterocycle and -L-N(R 5 ) 2 . In some cases, R 2 is selected from optionally substituted -L-5- to 12-membered heterocycle. In some cases, R 2 is selected from optionally substituted -L-5- to 12-membered saturated heterocycle.
- R 2 is selected from optionally substituted -L-heterocycle.
- the heterocycle is selected from pyrrolidine, hexahydro-1H-pyrrolizine, pyrazolidine, imidazolidine, tetrahydrofuran, piperidine, piperazine, morpholine, azocane, and azonane.
- the heterocycle is selected from cyclic sulfonamide.
- the heterocycle is selected from pyrrolidine, hexahydro-1H-pyrrolizine, pyrazolidine, imidazolidine, piperidine, piperazine, azocane, and azonane.
- the heteroaryl is selected from pyrrole, pyrazole, furan, thiohene, oxazole, isoxazole, isothiazole, thiazole, pyridine, pyrazine, and triazine.
- the heteroaryl or heterocycle has at most 1 nitrogen atom. In some cases, the heteroaryl or heterocycle has at least 1 nitrogen atom. In some cases, the heteroaryl or heterocycle has 1 nitrogen atom.
- L is selected from C 1 -C 4 alkylene. In some cases, L is selected from an unsubstituted C 1 -C 4 alkylene. In some cases, L is selected from an unsubstituted C 1 alkylene.
- two substituents on the same carbon atom of L come together to form a C 3 -C 6 carbocycle or 3- to 8-membered heterocycle.
- L is selected from C 1- C 4 alkylene. In some cases, L is selected from unsubstituted C 1- C 4 alkylene.
- the optional substituents of L are selected from C 1 -C 4 hydroxyalkyl, C 1 -C 4 alkyl, C 3 -C 6 carbocycle; and wherein optionally two substituents on the same carbon atom of L come together to form a C 3 -C 6 carbocycle or 3- to 8-membered heterocycle wherein the C 3 -C 6 carbocycle and 3- to 8-membered heterocycle are optionally substituted with one or more substituents selected from cases, each L is independently selected from a substituted C 1 -C 4 alkylene, and wherein two substituents on the same carbon atom of L come together to form a C 3 -C 6 carbocycle 3- to 5- membered heterocycle.
- each L is independently selected from a substituted C2-3 alkylene, and wherein two substituents on the same carbon atom of L come together to form a C 3 carbocycle or 4-membered heterocycle, wherein the C3 carbocycle is optionally substituted with one or more substituents selected from halogen.
- each L is independently selected cases, each L is independently selected from .
- each L is independently selected from a C 1 -C 4 alkylene optionally substituted with one or more substituents independently selected from halogen and C 1 -C 4 alkyl.
- L is selected from , , [00214]
- each L is independently selected from an unsubstituted C 1 -C 4 alkylene. In some cases, L is selected from selected from .
- R 2 is selected from heterocycle, -L-heterocycle, -L-aryl, -L-heteroaryl, and -L-N(R 20 ) 2 , wherein the heterocycle, the heterocycle portion of -L-heterocycle, are each optionally substituted with one or more R 6 , and wherein the aryl of the -L-aryl, and the heteroaryl of -L-heteroaryl are each optionally substituted with one or more R 7 .
- each R 7 is independently selected from halogen, C 1 -C 4 alkyl, C 1 -C 4 alkoxy, C 1 -C 4 haloalkyl, C 1 -C 4 hydroxyalkyl, and -NH 2 . In some cases, each R 7 is independently selected from halogen, C 1 -C 4 haloalkyl, and C 1 -C 4 alkyl. In some cases, there is one R 7 substituent. In some cases, there are two R 7 substituents. In some cases, there are three R 7 substituents.
- Y-R 2 is selected from and , wherein the heteroaryl portion is optionally substituted with one or more R 7 .
- each R 7 is independently selected from C 1 -C 4 alkyl, halogen, and C 1 -C 4 haloalkyl.
- Y-R 2 is selected from .
- Y- R 2 is selected from . [00221]
- R 2 is -L- aryl, optionally substituted with one or more R 7 .
- R 2 is -L- N(R 20 ) 2 .
- Y-R 2 is selected from , , [00223]
- R 2 is heterocycle, optionally substituted with one or more R 6 .
- the heterocycle of R 6 is , which is optionally substituted.
- the heterocycle of R 6 is , In some cases, .
- R 2 is selected from heterocycle, -L-heterocycle, wherein the heterocycle, and the heterocycle portion of -L-heterocycle, are each optionally substituted with one or more R 6 ; -L-aryl, and -L-heteroaryl, wherein the aryl of the -L-aryl, and the heteroaryl of -L-heteroaryl are each optionally substituted with one or more R 7 ; and -L-N(R 20 ) 2 .
- the heterocycle of R 2 , the aryl and heteroaryl of R 2 and
- L is independently selected from a C 1 -C 4 alkylene optionally substituted with one or more substituents independently selected from hydroxy, C 1 -C 4 hydroxyalkyl and C 1 -C 4 alkyl. In some cases, L is independently selected from a C 1 -C 4 alkylene optionally substituted with one or more substituents independently selected from C 1 -C 4 alkyl. In some cases, L is selected from C 1 -C 4 alkylene.
- the optional substituents of L are selected from C 1 -C 4 hydroxyalkyl, C 1 -C 4 alkyl, C 3 -C 6 carbocycle; and wherein optionally two substituents on the same carbon atom of L come together to form a C 3 -C 6 carbocycle or 3- to 8-membered heterocycle wherein the C 3 -C 6 carbocycle and 3- to 8-membered heterocycle are optionally substituted with one or more substituents selected from halogen and C 1-6 haloalkyl.
- each L is independently selected from a substituted C 1 -C 4 alkylene, wherein two substituents on the same carbon atom of L come together to form a C 3 -C 6 carbocycle.
- each L is independently selected from a substituted C 1 -C 4 alkylene, and two substituents on the same carbon atom of L come together to form a C 3 -C 6 carbocycle.
- each L is independently selected from a substituted C3 alkylene, and wherein two substituents on the same carbon atom of L come together to form a C3 carbocycle.
- each L is independently selected from .
- R 2 is selected from -L-heterocycle, wherein the heterocycle portion of -L-heterocycle is optionally substituted with one or more R 6 .
- the heterocycle is a saturated heterocycle.
- the heterocycle has at least one nitrogen atom and at least one sulfur atom.
- the heterocycle has at least one nitrogen atom.
- the heterocycle has at least one sulfur atom.
- R 2 is selected from wherein the heterocycle portion is optionally substituted with one or more R 6 .
- R 2 is selected from wherein the heterocycle portion is optionally substituted with one or more R 6 .
- Y-R 2 is selected from , wherein the heterocycle portion is optionally substituted with one or more R 6 .
- Y-R 2 is selected from , wherein the heterocycle portion is optionally substituted with one or more R 6 .
- R 2 is selected from -L-saturated heterocycle, wherein the saturated heterocycle portion of the -L- saturated heterocycle is optionally substituted with one or more R 6 , and contains one nitrogen atom and one sulfur atom.
- Y-R 2 is selected from , , , wherein the heterocycle portion is optionally substituted with one or more R 6 .
- Y-R 2 is selected from , wherein the heterocycle portion is optionally substituted with one or more substituents selected from C 1 - C3 alkyl and oxo. In some cases, Y-R 2 is selected from , and .
- each R 6 is independently selected from halogen, -OH, C 1 -C 3 hydroxyalkyl, C 1 -C 3 alkyl, C 1 -C 3 haloalkyl, C 1 - C 3 alkoxy, -CN, and C 1 -C 3 aminoalkyl.
- each R 6 is independently selected from halogen, -OH, C 1 -C 3 hydroxyalkyl, C 1 -C 3 alkyl, C 1 -C 3 aminoalkyl, C 1 - C3 haloalkyl, C 1 -C 3 alkoxy, -N(R 5 ) 2 , and oxo.
- each R 6 is independently selected from -OH, C 1 -C 3 hydroxyalkyl, C 1 -C 3 alkyl, C 1 -C 3 aminoalkyl, C 1 -C 3 alkoxy, and -N(R 5 ) 2 . In some cases, each R 6 is independently selected from C 1 -C 3 alkyl, C 1 -C 3 alkoxy, and -N(R 5 ) 2 .
- R 6 is selected from halogen, -OH, C 1 -C 3 hydroxyalkyl, C 1 -C 3 alkyl, C 1 -C 3 haloalkyl, C 1 -C 3 alkoxy, -CN, and C 1 -C 3 aminoalkyl. In some cases, R 6 is selected from halogen and C 1 -C 3 alkyl. In some cases, R 6 is halogen. In some cases, R 6 is C 1 -C 3 alkyl.
- R 6 is selected from halogen and Cl- C 3 alkyl. In some cases, R 6 is selected from methyl and fluorine. [00239] In some embodiments, for a compound or salt of Formula (I), Formula (I-A), Formula (I-B), Formula (I-B*), Formula (I-D), Formula (I-E), Formula (I-F), or Formula (I-G), R 2 is [00240] In some embodiments, for a compound or salt of Formula (I), Formula (I-A), Formula (I-B), Formula (I-B*), Formula (I-D), Formula (I-E), Formula (I-F), or Formula (I-G), Y-R 2 is [00241] In some embodiments, for a compound or salt of Formula (I), Formula (I-A), Formula (I-B), Formula (I-B*), Formula (I-D), Formula (I-E), Formula (I-F), or Formula (I-G), Y-R 2 is [00242] In some embodiments, for
- L is selected from unsubstituted C 1- C 4 alkylene.
- Y-R 2 is selected from , wherein the heterocycle portion is optionally substituted with one or more R 6 .
- R 6 of R 2 is independently selected at each occurrence from halogen, hydroxy, C 1 -C 3 hydroxyalkyl, C 1 -C 3 alkyl, C 1 -C 3 haloalkyl, C 1 -C 3 alkoxy, cyano, and C 1 -C 3 aminoalkyl.
- R 6 of R 2 is independently selected at each occurrence from C 1 -C 3 alkyl and halogen.
- Y-R 2 is selected from . some cases, .
- R 100 is selected from selected from hydrogen, halogen, and -CN; and R 8 is selected from , some cases, m is 1. In some cases, n is 2. In some cases, R 9 is selected from hydrogen, and C 1 -C 3 alkyl. In some cases, R 9 is hydrogen. In some cases, . some cases, R 100 . In some cases, R 8 is . In some cases, R 8 is . In some cases, R 8 is some cases, Y-R 2 is . In some cases, Y-R 2 is . In some cases, R 3 is hydrogen. In some cases, R 3 is halogen. In some cases, R 3 is -CN.
- salts particularly pharmaceutically acceptable salts, of the compounds described herein.
- the compounds of the present invention that possess a sufficiently acidic, a sufficiently basic, or both functional groups can react with any of a number of inorganic bases, and inorganic and organic acids, to form a salt.
- compounds that are inherently charged such as those with a quaternary nitrogen, can form a salt with an appropriate counterion, e.g., a halide such as bromide, chloride, or fluoride, particularly bromide.
- Chemical entities having carbon-carbon double bonds or carbon-nitrogen double bonds may exist in Z- or E- form (or cis- or trans- form).
- tautomer refers to a molecule wherein a proton shift from one atom of a molecule to another atom of the same molecule is possible.
- the compounds disclosed herein are used in different enriched isotopic forms, e.g., enriched in the content of 2 H, 3 H, 11 C, 13 C and/or 14 C.
- the compound is deuterated in at least one position.
- deuterated forms can be made by the procedure described in U.S. Patent Nos. 5,846,514 and 6,334,997.
- deuteration can improve the metabolic stability and or efficacy, thus increasing the duration of action of drugs.
- compounds described herein are intended to include compounds which differ only in the presence of one or more isotopically enriched atoms.
- compounds having the present structures except for the replacement of a hydrogen by a deuterium or tritium, or the replacement of a carbon by 13 C- or 14 C-enriched carbon are within the scope of the present disclosure.
- the compounds of the present disclosure optionally contain unnatural proportions of atomic isotopes at one or more atoms that constitute such compounds.
- the compounds may be labeled with isotopes, such as for example, deuterium ( 2 H), tritium ( 3 H), iodine-125 ( 125 I) or carbon-14 ( 14 C).
- Deuterium substituted compounds are synthesized using various methods such as described in: Dean, Dennis C.; Editor. Recent Advances in the Synthesis and Applications of Radiolabeled Compounds for Drug Discovery and Development. [In: Curr., Pharm. Des., 2000; 6(10)] 2000, 110 pp; George W.; Varma, Rajender S. The Synthesis of Radiolabeled Compounds via Organometallic Intermediates, Tetrahedron, 1989, 45(21), 6601-21; and Evans, E. Anthony. Synthesis of radiolabeled compounds, J. Radioanal. Chem., 1981, 64(1-2), 9-32.
- Deuterated starting materials are readily available and are subjected to the synthetic methods described herein to provide for the synthesis of deuterium-containing compounds. Large numbers of deuterium-containing reagents and building blocks are available commercially from chemical vendors, such as Aldrich Chemical Co.
- Compounds of the present invention also include crystalline and amorphous forms of those compounds, pharmaceutically acceptable salts, and active metabolites of these compounds having the same type of activity, including, for example, polymorphs, pseudopolymorphs, solvates, hydrates, unsolvated polymorphs (including anhydrates), conformational polymorphs, and amorphous forms of the compounds, as well as mixtures thereof.
- the compounds described herein may in some cases exist as diastereomers, enantiomers, or other stereoisomeric forms. Where absolute stereochemistry is not specified, the compounds presented herein include all diastereomeric, enantiomeric, and epimeric forms as well as the appropriate mixtures thereof. Separation of stereoisomers may be performed by chromatography or by forming diastereomers and separating by recrystallization, or chromatography, or any combination thereof. (Jean Jacques, Andre Collet, Samuel H. Wilen, “Enantiomers, Racemates and Resolutions”, John Wiley And Sons, Inc., 1981, herein incorporated by reference for this disclosure). Stereoisomers may also be obtained by stereoselective synthesis.
- compositions described herein include the use of amorphous forms as well as crystalline forms (also known as polymorphs).
- the compounds described herein may be in the form of pharmaceutically acceptable salts.
- active metabolites of these compounds having the same type of activity are included in the scope of the present disclosure.
- the compounds described herein can exist in unsolvated as well as solvated forms with pharmaceutically acceptable solvents such as water, ethanol, and the like.
- the solvated forms of the compounds presented herein are also considered to be disclosed herein.
- compounds or salts of the compounds may be prodrugs, e.g., wherein a hydroxyl in the parent compound is presented as an ester or a carbonate, or carboxylic acid present in the parent compound is presented as an ester.
- prodrug is intended to encompass compounds which, under physiologic conditions, are converted into pharmaceutical agents of the present disclosure.
- One method for making a prodrug is to include one or more selected moieties which are hydrolyzed under physiologic conditions to reveal the desired molecule.
- the prodrug is converted by an enzymatic activity of the host animal such as specific target cells in the host animal.
- esters or carbonates are preferred prodrugs of the present disclosure.
- Prodrug forms of the herein described compounds, wherein the prodrug is metabolized in vivo to produce a compound as set forth herein are included within the scope of the claims.
- some of the herein-described compounds may be a prodrug for another derivative or active compound.
- Prodrugs are often useful because, in some situations, they may be easier to administer than the parent drug. They may, for instance, be bioavailable by oral administration whereas the parent is not. Prodrugs may help enhance the cell permeability of a compound relative to the parent drug.
- the prodrug may also have improved solubility in pharmaceutical compositions over the parent drug.
- Prodrugs may be designed as reversible drug derivatives, for use as modifiers to enhance drug transport to site-specific tissues or to increase drug residence inside of a cell.
- the design of a prodrug increases the lipophilicity of the pharmaceutical agent.
- the design of a prodrug increases the effective water solubility. See, e.g., Fedorak et al., Am. J. Physiol., 269:G210-218 (1995); McLoed et al., Gastroenterol, 106:405-413 (1994); Hochhaus et al., Biomed.
- the compounds may be synthesized using conventional techniques.
- these compounds are conveniently synthesized from readily available starting materials.
- Synthetic chemistry transformations and methodologies useful in synthesizing the compounds described herein are known in the art and include, for example, those described in R. Larock, Comprehensive Organic Transformations (1989); T. W. Greene and P. G. M. Wuts, Protective Groups in Organic Synthesis, 2d. Ed. (1991); L. Fieser and M. Fieser, Fieser and Fieser’s Reagents for Organic Synthesis (1994); and L. Paquette, ed., Encyclopedia of Reagents for Organic Synthesis (1995).
- compositions comprising a therapeutically effective amount of any compound or salt of any one of Formula (I), Formula (I- A), Formula (I-B), Formula (I-D), Formula (I-E), Formula (I-F), or Formula (I-G), (also referred to herein as “a pharmaceutical agent”).
- a pharmaceutical agent also referred to herein as “a pharmaceutical agent”.
- Pharmaceutical compositions may be formulated using one or more physiologically acceptable carriers including excipients and auxiliaries which facilitate processing of the pharmaceutical agent into preparations which are used pharmaceutically. Proper formulation is dependent upon the route of administration chosen.
- compositions and methods of the present disclosure may be utilized to treat an individual in need thereof.
- the individual is a mammal such as a human, or a non-human mammal.
- the excipients can be chosen, for example, to effect delayed release of an agent or to selectively target one or more cells, tissues or organs.
- the pharmaceutical composition can be in dosage unit form such as tablet, capsule, granule, lyophile for reconstitution, powder, solution, syrup, suppository, injection or the like.
- the composition can also be present in a transdermal delivery system, e.g., a skin patch.
- the composition can also be present in a solution suitable for topical administration, such as an eye drop.
- a pharmaceutically acceptable excipient can contain physiologically acceptable agents that act, for example, to stabilize, increase solubility or to increase the absorption of a compound such as a pharmaceutical agent.
- physiologically acceptable agents include, for example, carbohydrates, such as glucose, sucrose or dextrans, antioxidants, such as ascorbic acid or glutathione, chelating agents, low molecular weight proteins or other stabilizers or excipients.
- carbohydrates such as glucose, sucrose or dextrans
- antioxidants such as ascorbic acid or glutathione
- chelating agents low molecular weight proteins or other stabilizers or excipients.
- the choice of a pharmaceutically acceptable excipient, including a physiologically acceptable agent depends, for example, on the route of administration of the composition.
- the preparation or pharmaceutical composition can be a self emulsifying drug delivery system or a self microemulsifying drug delivery system.
- the pharmaceutical composition (preparation) also can be a liposome or other polymer matrix, which can have incorporated therein, for example, a compound of the invention.
- Liposomes for example, which comprise phospholipids or other lipids, are nontoxic, physiologically acceptable and metabolizable carriers that are relatively simple to make and administer.
- a pharmaceutical composition can be administered to a subject by any of a number of routes of administration including, for example, orally, for example, drenches as in aqueous or non-aqueous solutions or suspensions, tablets, capsules, including sprinkle capsules and gelatin capsules, boluses, powders, granules, pastes for application to the tongue; absorption through the oral mucosa, e.g., sublingually; anally, rectally or vaginally, for example, as a pessary, cream or foam; parenterally, including intramuscularly, intravenously, subcutaneously or intrathecally as, for example, a sterile solution or suspension; nasally; intraperitoneally; subcutaneously; transdermally, for example, as a patch applied to the skin; and topically,
- a pharmaceutical composition may be a sterile aqueous or non-aqueous solution, suspension or emulsion, e.g., a microemulsion.
- the excipients described herein are examples and are in no way limiting.
- An effective amount or therapeutically effective amount refers to an amount of the one or more pharmaceutical agents administered to a subject, either as a single dose or as part of a series of doses, which is effective to produce a desired therapeutic effect.
- Subjects may generally be monitored for therapeutic effectiveness using assays and methods suitable for the condition being treated, which assays will be familiar to those having ordinary skill in the art and are described herein.
- Pharmacokinetics of a pharmaceutical agent, or one or more metabolites thereof, that is administered to a subject may be monitored by determining the level of the pharmaceutical agent or metabolite in a biological fluid, for example, in the blood, blood fraction, e.g., serum, and/or in the urine, and/or other biological sample or biological tissue from the subject. Any method practiced in the art and described herein to detect the agent may be used to measure the level of the pharmaceutical agent or metabolite during a treatment course.
- the dose of a pharmaceutical agent described herein for treating a disease or disorder may depend upon the subject’s condition, that is, stage of the disease, severity of symptoms caused by the disease, general health status, as well as age, gender, and weight, and other factors apparent to a person skilled in the medical art.
- Pharmaceutical compositions may be administered in a manner appropriate to the disease to be treated as determined by persons skilled in the medical arts.
- suitable duration and frequency of administration of the pharmaceutical agent may also be determined or adjusted by such factors as the condition of the patient, the type and severity of the patient’s disease, the particular form of the active ingredient, and the method of administration.
- Optimal doses of an agent may generally be determined using experimental models and/or clinical trials.
- the optimal dose may depend upon the body mass, weight, or blood volume of the subject. The use of the minimum dose that is sufficient to provide effective therapy is usually preferred. Design and execution of pre-clinical and clinical studies for a pharmaceutical agent, including when administered for prophylactic benefit, described herein are well within the skill of a person skilled in the relevant art.
- the optimal dose of each pharmaceutical agent may be different, such as less than when either agent is administered alone as a single agent therapy.
- two pharmaceutical agents in combination may act synergistically or additively, and either agent may be used in a lesser amount than if administered alone.
- An amount of a pharmaceutical agent that may be administered per day may be, for example, between about 0.01 mg/kg and 100 mg/kg, e.g., between about 0.1 to 1 mg/kg, between about 1 to 10 mg/kg, between about 10-50 mg/kg, between about 50-100 mg/kg body weight. In other embodiments, the amount of a pharmaceutical agent that may be administered per day is between about 0.01 mg/kg and 1000 mg/kg, between about 100-500 mg/kg, or between about 500- 1000 mg/kg body weight.
- the optimal dose, per day or per course of treatment may be different for the disease or disorder to be treated and may also vary with the administrative route and therapeutic regimen.
- compositions comprising a pharmaceutical agent can be formulated in a manner appropriate for the delivery method by using techniques routinely practiced in the art.
- the composition may be in the form of a solid, e.g., tablet, capsule, semi-solid, e.g., gel, liquid, or gas, e.g., aerosol.
- the pharmaceutical composition is administered as a bolus infusion.
- Pharmaceutical acceptable excipients are well known in the pharmaceutical art and described, for example, in Rowe et al., Handbook of Pharmaceutical Excipients: A Comprehensive Guide to Uses, Properties, and Safety, 5 th Ed., 2006, and in Remington: The Science and Practice of Pharmacy (Gennaro, 21 st Ed. Mack Pub.
- compositions described herein may be formulated as a lyophilizate.
- a composition described herein may be lyophilized or otherwise formulated as a lyophilized product using one or more appropriate excipient solutions for solubilizing and/or diluting the pharmaceutical agent(s) of the composition upon administration.
- the pharmaceutical agent may be encapsulated within liposomes using technology known and practiced in the art.
- a pharmaceutical agent is not formulated within liposomes for application to a stent that is used for treating highly, though not totally, occluded arteries.
- Pharmaceutical compositions may be formulated for any appropriate manner of administration described herein and in the art. [00276]
- a pharmaceutical composition e.g., for oral administration or for injection, infusion, subcutaneous delivery, intramuscular delivery, intraperitoneal delivery or other method, may be in the form of a liquid.
- a liquid pharmaceutical composition may include, for example, one or more of the following: a sterile diluent such as water, saline solution, preferably physiological saline, Ringer’s solution, isotonic sodium chloride, fixed oils that may serve as the solvent or suspending medium, polyethylene glycols, glycerin, propylene glycol or other solvents; antibacterial agents; antioxidants; chelating agents; buffers and agents for the adjustment of tonicity such as sodium chloride or dextrose.
- a parenteral composition can be enclosed in ampoules, disposable syringes or multiple dose vials made of glass or plastic. The use of physiological saline is preferred, and an injectable pharmaceutical composition is preferably sterile.
- a liquid pharmaceutical composition for treatment of an ophthalmological condition or disease, may be applied to the eye in the form of eye drops.
- a liquid pharmaceutical composition may be delivered orally.
- at least one of the pharmaceutical agents described herein can be used alone or in combination with appropriate additives to make tablets, powders, granules or capsules, and if desired, with diluents, buffering agents, moistening agents, preservatives, coloring agents, and flavoring agents.
- the pharmaceutical agents may be formulated with a buffering agent to provide for protection of the compound from low pH of the gastric environment and/or an enteric coating.
- a pharmaceutical agent included in a pharmaceutical composition may be formulated for oral delivery with a flavoring agent, e.g., in a liquid, solid or semi-solid formulation and/or with an enteric coating.
- a pharmaceutical composition comprising any one of the pharmaceutical agents described herein may be formulated for sustained or slow release, also called timed release or controlled release.
- sustained or slow release also called timed release or controlled release.
- Such compositions may generally be prepared using well known technology and administered by, for example, oral, rectal, intradermal, or subcutaneous implantation, or by implantation at the desired target site.
- Sustained-release formulations may contain the compound dispersed in a carrier matrix and/or contained within a reservoir surrounded by a rate controlling membrane.
- compositions comprising a pharmaceutical agent are formulated for transdermal, intradermal, or topical administration.
- the compositions can be administered using a syringe, bandage, transdermal patch, insert, or syringe-like applicator, as a powder/talc or other solid, liquid, spray, aerosol, ointment, foam, cream, gel, paste.
- the active compositions can also be delivered via iontophoresis. Preservatives can be used to prevent the growth of fungi and other microorganisms.
- Suitable preservatives include, but are not limited to, benzoic acid, butylparaben, ethyl paraben, methyl paraben, propylparaben, sodium benzoate, sodium propionate, benzalkonium chloride, benzethonium chloride, benzyl alcohol, cetypyridinium chloride, chlorobutanol, phenol, phenylethyl alcohol, thimerosal, and combinations thereof.
- Pharmaceutical compositions comprising a pharmaceutical agent can be formulated as emulsions for topical application. An emulsion contains one liquid distributed in the body of a second liquid.
- the emulsion may be an oil-in-water emulsion or a water-in-oil emulsion.
- Either or both of the oil phase and the aqueous phase may contain one or more surfactants, emulsifiers, emulsion stabilizers, buffers, and other excipients.
- the oil phase may contain other oily pharmaceutically approved excipients.
- Suitable surfactants include, but are not limited to, anionic surfactants, non-ionic surfactants, cationic surfactants, and amphoteric surfactants.
- Compositions for topical application may also include at least one suitable suspending agent, antioxidant, chelating agent, emollient, or humectant.
- Ointments and creams may, for example, be formulated with an aqueous or oily base with the addition of suitable thickening and/or gelling agents.
- Lotions may be formulated with an aqueous or oily base and will in general also contain one or more emulsifying agents, stabilizing agents, dispersing agents, suspending agents, thickening agents, or coloring agents.
- Liquid sprays may be delivered from pressurized packs, for example, via a specially shaped closure.
- Oil-in-water emulsions can also be used in the compositions, patches, bandages and articles. These systems are semisolid emulsions, micro-emulsions, or foam emulsion systems.
- the pharmaceutical agent described herein can be formulated as in inhalant. Inhaled methods can deliver medication directly to the airway.
- the pharmaceutical agent can be formulated as aerosols, microspheres, liposomes, or nanoparticles.
- the pharmaceutical agent can be formulated with solvents, gases, nitrates, or any combinations thereof.
- Compositions described herein are optionally formulated for delivery as a liquid aerosol or inhalable dry powder. Liquid aerosol formulations are optionally nebulized predominantly into particle sizes that can be delivered to the terminal and respiratory bronchioles.
- Liquid aerosol and inhalable dry powder formulations are preferably delivered throughout the endobronchial tree to the terminal bronchioles and eventually to the parenchymal tissue.
- Aerosolized formulations described herein are optionally delivered using an aerosol forming device, such as a jet, vibrating porous plate or ultrasonic nebulizer, preferably selected to allow the formation of aerosol particles having with a mass medium average diameter predominantly between 1 to 5 ⁇ .
- the formulation preferably has balanced osmolarity ionic strength and chloride concentration, and the smallest aerosolizable volume able to deliver effective dose of the pharmaceutical agent.
- the aerosolized formulation preferably does not impair negatively the functionality of the airways and does not cause undesirable side effects.
- Aerosolization devices suitable for administration of aerosol formulations described herein include, for example, jet, vibrating porous plate, ultrasonic nebulizers and energized dry powder inhalers, that are able to nebulize the formulation into aerosol particle size predominantly in the size range from 1-5 ⁇ . Predominantly in this application means that at least 70% but preferably more than 90% of all generated aerosol particles are within 1-5 ⁇ range.
- a jet nebulizer works by air pressure to break a liquid solution into aerosol droplets. Vibrating porous plate nebulizers work by using a sonic vacuum produced by a rapidly vibrating porous plate to extrude a solvent droplet through a porous plate.
- An ultrasonic nebulizer works by a piezoelectric crystal that shears a liquid into small aerosol droplets.
- a variety of suitable devices are available, including, for example, AeroNeb ⁇ ⁇ and AeroDose ⁇ ⁇ ⁇ vibrating porous plate nebulizers (AeroGen, Inc., Sunnyvale, California), Sidestream ⁇ nebulizers (Medic-Aid Ltd., West Wales, England), Pari LC ⁇ and Pari LC Star ⁇ jet nebulizers (Pari Respiratory Equipment, Inc., Richmond, Virginia), and Aerosonic ⁇ ⁇ (DeVilbiss Medizinische Kunststoffische Kunststoffische Kunststoffische Kunststoffische Kunststoffische Kunststoffische Kunststoffische Kunststoffische Kunststoffische Kunststoffische Kunststoffische Kunststoffische Kunststoffische Kunststoffische Kunststoffische Kunststoffische Kunststoffische Kunststoffische Kunststoffische Kunststoffische Kunststoffische Kunststoffische Kunststoffische Kunststoffische Kunststoffische Kunststoffische Kunststoffische Kunststoffische Kunststoffische Kunststoffische Kunststoffische Kunststoffische Kunststoffische Kunststoffische Kunststoffische Kunststoffische Kunststoffische Kunststoffische Kunststoffische Kunststoffische Kunststoffische Kunststoffische
- the pharmaceutical agent(s) can be formulated with oleaginous bases or ointments to form a semisolid composition with a desired shape.
- these semisolid compositions can contain dissolved and/or suspended bactericidal agents, preservatives and/or a buffer system.
- a petrolatum component that may be included may be any paraffin ranging in viscosity from mineral oil that incorporates isobutylene, colloidal silica, or stearate salts to paraffin waxes.
- Absorption bases can be used with an oleaginous system.
- Additives may include cholesterol, lanolin (lanolin derivatives, beeswax, fatty alcohols, wool wax alcohols, low HLB (hydrophobellipophobe balance) emulsifiers, and assorted ionic and nonionic surfactants, singularly or in combination.
- Controlled or sustained release transdermal or topical formulations can be achieved by the addition of time-release additives, such as polymeric structures, matrices, that are available in the art.
- the compositions may be administered through use of hot-melt extrusion articles, such as bioadhesive hot-melt extruded film.
- the formulation can comprise a cross-linked polycarboxylic acid polymer formulation.
- a cross-linking agent may be present in an amount that provides adequate adhesion to allow the system to remain attached to target epithelial or endothelial cell surfaces for a sufficient time to allow the desired release of the compound.
- An insert, transdermal patch, bandage or article can comprise a mixture or coating of polymers that provide release of the pharmaceutical agents at a constant rate over a prolonged period of time.
- the article, transdermal patch or insert comprises water- soluble pore forming agents, such as polyethylene glycol (PEG) that can be mixed with water insoluble polymers to increase the durability of the insert and to prolong the release of the active ingredients.
- PEG polyethylene glycol
- Transdermal devices may also comprise a water insoluble polymer.
- Rate controlling polymers may be useful for administration to sites where pH change can be used to effect release. These rate controlling polymers can be applied using a continuous coating film during the process of spraying and drying with the active compound.
- the coating formulation is used to coat pellets comprising the active ingredients that are compressed to form a solid, biodegradable insert.
- a polymer formulation can also be utilized to provide controlled or sustained release. Bioadhesive polymers described in the art may be used. By way of example, a sustained-release gel and the compound may be incorporated in a polymeric matrix, such as a hydrophobic polymer matrix.
- Examples of a polymeric matrix include a microparticle.
- the microparticles can be microspheres, and the core may be of a different material than the polymeric shell.
- the polymer may be cast as a thin slab or film, a powder produced by grinding or other standard techniques, or a gel such as a hydrogel.
- the polymer can also be in the form of a coating or part of a bandage, stent, catheter, vascular graft, or other device to facilitate delivery of the pharmaceutical agent.
- the matrices can be formed by solvent evaporation, spray drying, solvent extraction and other methods known to those skilled in the art. [00290] Kits with unit doses of one or more of the agents described herein, usually in oral or injectable doses, are provided.
- kits may include a container containing the unit dose, an informational package insert describing the use and attendant benefits of the drugs in treating disease, and optionally an appliance or device for delivery of the composition.
- Methods of Treatment [00291]
- the present disclosure provides compounds that inhibit KRas G12 mutants.
- the method may inhibit KRas G12 mutants activity in a cell.
- inhibiting KRas G12 mutants activity in a cell may include contacting the cell in which inhibition of KRas G12 mutants activity is desired with an effective amount of a compound of Formula (I), Formula (I-A), Formula (I-B), Formula (I-B*), Formula (I-D), Formula (I-E), Formula (I-F), or Formula (I-G), or pharmaceutical compositions containing any one of the Formulas thereof or a pharmaceutically acceptable salt thereof.
- the contacting is in vitro.
- the contacting is in vivo.
- the term "contacting" refers to the bringing together of indicated moieties in an in vitro system or an in vivo system.
- contacting" a KRas G12D and/or other G12 mutants with a compound provided herein includes the administration of a compound provided herein to an individual or patient, such as a human, having KRas G12D and/or other G12 mutants, as well as, for example, introducing a compound provided herein into a sample containing a cellular or purified preparation containing the KRas G12D and/or other G12 mutants.
- a cell in which inhibition of KRas G12D and/or other G12 mutants activity is desired is contacted with an effective amount of a compound of Formula (I), Formula (I-A), Formula (I-B), Formula (I-B*),or pharmaceutically acceptable salt thereof to negatively modulate the activity of KRas G12D and/or other G12 mutants.
- a compound of Formula (I), Formula (I-A), Formula (I-B), Formula (I-B*),or pharmaceutically acceptable salt thereof to negatively modulate the activity of KRas G12D and/or other G12 mutants.
- the methods described herein are designed to inhibit undesired cellular proliferation resulting from enhanced KRas G12D and/or other G12 mutants activity within the cell.
- the cells may be contacted in a single dose or multiple doses in accordance with a particular treatment regimen to effect the desired negative modulation of KRas G12D and/or other G12 mutants.
- the ability of compounds to bind KRas G12D and/or other G12 mutants may be monitored in vitro using well known methods.
- the inhibitory activity of exemplary compounds in cells may be monitored, for example, by measuring the inhibition of KRas G12D and/or other G12 mutants activity of the amount of phosphorylated ERK.
- methods of treating a disease or disorder in a patient in need thereof comprising administering to the patient a compound of Formula (I), Formula (I-A), Formula (I- B), Formula (I-B*), Formula (I-D), Formula (I-E), Formula (I-F), or Formula (I-G), or a pharmaceutically acceptable salt thereof, or a pharmaceutical composition comprising the compound or pharmaceutically acceptable salt thereof are provided.
- the disease or disorder can be a cancer.
- the cancer may be a cancer described elsewhere herein.
- methods of treating a disease or disorder in a patient in need thereof comprising administering to said patient a therapeutically effective amount of a compound of Formula (I), Formula (I-A), Formula (I-B), Formula (I-B*), Formula (I-D), Formula (I-E), Formula (I-F), or Formula (I-G), or a pharmaceutically acceptable salt thereof, or a pharmaceutical composition comprising the compound or pharmaceutically acceptable salt thereof are provided.
- the disease or disorder can be a cancer.
- the cancer may be a cancer described elsewhere herein.
- methods of treating cancer in a patient in need thereof comprising administering to said patient a therapeutically effective amount of a compound of Formula (I), Formula (I-A), Formula (I-B), Formula (I-B*), Formula (I-D), Formula (I-E), Formula (I-F), or Formula (I-G), or a pharmaceutically acceptable salt thereof, or a pharmaceutical composition comprising the compound or pharmaceutically acceptable salt thereof are provided.
- compositions and methods provided herein may be used for the treatment of a KRas G12D and/or other G12 mutants-associated cancer in a patient in need thereof, comprising administering to the patient a therapeutically effective amount of a compound of Formula (I), Formula (I-A), Formula (I-B), Formula (I-B*), Formula (I-D), Formula (I-E), Formula (I-F), or Formula (I-G), or a pharmaceutically acceptable salt any one thereof, or a pharmaceutical composition comprising the compound or pharmaceutically acceptable salt thereof are provided.
- the KRas G12D and/or other G12 mutants associated cancer is lung cancer.
- compositions and methods provided herein may be used for the treatment of a wide variety of cancers including tumors such as lung, prostate, breast, brain, skin, cervical carcinomas, testicular carcinomas, etc. More particularly, cancers that may be treated by the compositions and methods of the invention include, but are not limited to tumor types such as astrocytic, breast, cervical, colorectal, endometrial, esophageal, gastric, head and neck, hepatocellular, laryngeal, lung, oral, ovarian, prostate and thyroid carcinomas and sarcomas.
- tumor types such as astrocytic, breast, cervical, colorectal, endometrial, esophageal, gastric, head and neck, hepatocellular, laryngeal, lung, oral, ovarian, prostate and thyroid carcinomas and sarcomas.
- these compounds can be used to treat: Cardiac: sarcoma (angiosarcoma, fibrosarcoma, rhabdomyosarcoma, liposarcoma), myxoma, rhabdomyoma, fibroma, lipoma and teratoma; Lung: bronchogenic carcinoma (squamous cell, undifferentiated small cell, undifferentiated large cell, adenocarcinoma), alveolar (bronchiolar) carcinoma, bronchial adenoma, sarcoma, lymphoma, chondromatous hamartoma, mesothelioma; Gastrointestinal: esophagus (squamous cell carcinoma, adenocarcinoma, leiomyosarcoma, lymphoma), stomach (carcinoma, lymphoma, leiomyosarcoma), pancreas (ductal adenocarcinoma, insulinom
- the cancer is non-small cell lung cancer, small cell lung cancer, colorectal cancer, rectal cancer or pancreatic cancer. In some cases, the cancer is non-small cell lung cancer.
- the concentration and route of administration to the patient will vary depending on the cancer to be treated.
- the compounds, pharmaceutically acceptable salts thereof and pharmaceutical compositions comprising such compounds and salts also may be co-administered with other anti-neoplastic compounds, e.g., chemotherapy, or used in combination with other treatments, such as radiation or surgical intervention, either as an adjuvant prior to surgery or post-operatively.
- Also provided herein is a compound of Formula (I), Formula (I-A), Formula (I-B), Formula (I-B*), Formula (I-D), Formula (I-E), Formula (I-F), or Formula (I-G), or a pharmaceutically acceptable salt thereof, or a pharmaceutical composition thereof for use in the inhibition of KRas G12D and/or other G12 mutants.
- Also provided herein is a compound of Formula (I), Formula (I-A), Formula (I-B), Formula (I-B*), Formula (I-D), Formula (I-E), Formula (I-F), or Formula (I-G), or a pharmaceutically acceptable salt thereof, or a pharmaceutical composition thereof as defined herein, for use in the treatment of a KRas G12D and/or other G12 mutants -associated disease or disorder.
- Also provided herein is a use of a compound of Formula (I), Formula (I-A), Formula (I-B), Formula (I-B*), Formula (I-D), Formula (I-E), Formula (I-F), or Formula (I-G), or a pharmaceutically acceptable salt thereof, as defined herein in the manufacture of a medicament for the inhibition of activity of KRas G12D and/or other G12 mutants.
- Also provided herein is the use of a compound of Formula (I), Formula (I-A), Formula (I-B), Formula (I-B*), Formula (I-D), Formula (I-E), Formula (I-F), or Formula (I-G), or a pharmaceutically acceptable salt thereof, as defined herein, in the manufacture of a medicament for the treatment of a KRas G12D and/or other G12 mutants-associated disease or disorder.
- the present disclosure provides a method for treating cancer in a patient in need thereof, the method comprising (a) determining that cancer is associated with a KRas G12D mutation and/or other G12 mutants (e.g., a KRas G12D and/or other G12 mutants- associated cancer) (e.g., as determined using a regulatory agency-approved, e.g., FDA- approved, assay or kit); and (b) administering to the patient a therapeutically effective amount of a compound of Formula (I), Formula (I-A), Formula (I-B), Formula (I-B*), Formula (I-D), Formula (I-E), Formula (I-F), or Formula (I-G), a pharmaceutically acceptable salt thereof, or a pharmaceutical composition thereof.
- a KRas G12D mutation and/or other G12 mutants e.g., a KRas G12D and/or other G12 mutants- associated cancer
- a regulatory agency-approved e.g., FDA- approved
- the compounds described herein can be used in the preparation of medicaments for the prevention or treatment of diseases or conditions.
- a method for treating any of the diseases or conditions described herein in a subject in need of such treatment involves administration of pharmaceutical compositions containing at least one compound described herein, or a pharmaceutically acceptable salt, pharmaceutically acceptable prodrug, or pharmaceutically acceptable solvate thereof, in therapeutically effective amounts to said subject.
- the compositions containing the compound(s) described herein can be administered for prophylactic and/or therapeutic treatments. In therapeutic applications, the compositions are administered to a patient already suffering from a disease or condition, in an amount sufficient to cure or at least partially arrest the symptoms of the disease or condition.
- compositions containing the compounds described herein are administered to a patient susceptible to or otherwise at risk of a particular disease, disorder or condition. Such an amount is defined to be a "prophylactically effective amount or dose.”
- prophylactically effective amount or dose In this use, the precise amounts also depend on the patient's state of health, weight, and the like.
- effective amounts for this use will depend on the severity and course of the disease, disorder or condition, previous therapy, the patient's health status and response to the drugs, and the judgment of the treating physician.
- the administration of the compounds may be administered chronically, that is, for an extended period of time, including throughout the duration of the patient’s life in order to ameliorate or otherwise control or limit the symptoms of the patient’s disease or condition.
- a maintenance dose is administered if necessary.
- the dosage or the frequency of administration, or both can be reduced, as a function of the symptoms, to a level at which the improved disease, disorder or condition is retained. Patients can, however, require intermittent treatment on a long-term basis upon any recurrence of symptoms.
- the amount of a given agent that will correspond to such an amount will vary depending upon factors such as the particular compound, disease or condition and its severity, the identity (e.g., weight) of the subject or host in need of treatment, but can nevertheless be determined in a manner recognized in the field according to the particular circumstances surrounding the case, including, e.g., the specific agent being administered, the route of administration, the condition being treated, and the subject or host being treated. In general, however, doses employed for adult human treatment will typically be in the range of about 0.02 - about 5000 mg per day, in some embodiments, about 1 – about 1500 mg per day.
- the desired dose may conveniently be presented in a single dose or as divided doses administered simultaneously (or over a short period of time) or at appropriate intervals, for example as two, three, four or more sub-doses per day.
- the pharmaceutical composition described herein may be in unit dosage forms suitable for single administration of precise dosages.
- the formulation is divided into unit doses containing appropriate quantities of one or more compound.
- the unit dosage may be in the form of a package containing discrete quantities of the formulation.
- Non-limiting examples are packaged tablets or capsules, and powders in vials or ampoules.
- Aqueous suspension compositions can be packaged in single-dose non-reclosable containers.
- multiple- dose reclosable containers can be used, in which case it is typical to include a preservative in the composition.
- formulations for parenteral injection may be presented in unit dosage form, which include, but are not limited to ampoules, or in multi-dose containers, with an added preservative.
- Toxicity and therapeutic efficacy of such therapeutic regimens can be determined by standard pharmaceutical procedures in cell cultures or experimental animals, including, but not limited to, the determination of the LD 50 (the dose lethal to 50% of the population) and the ED 50 (the dose therapeutically effective in 50% of the population).
- the dose ratio between the toxic and therapeutic effects is the therapeutic index and it can be expressed as the ratio between LD50 and ED 50 .
- the invention provides a method of treating or preventing a disease, state, or condition in a patient in need thereof comprising administering to the patient an effective amount of a compound of any one of embodiments of the invention or a pharmaceutically acceptable salt thereof.
- the disease, state or condition may be selected from a group as described elsewhere herein.
- DRUG DEVELOPMENT Phthalimide conjugation as a strategy for in vivo target protein degradation. Science.2015 Jun 19; 348 (6241): 1376-81), which can bind with both mutated KRas protein and E3 ligase, create interactions between those two proteins and induce KRas degradation.
- KRAS G12D target protein
- E3 ubiquitin ligase-binding moiety an E3 ubiquitin ligase-binding moiety
- the bifunctional compound comprises a target protein (i.e., KRAS G12D)-binding moiety and an E3 ubiquitin ligase-binding moiety known in the art.
- a target protein i.e., KRAS G12D
- E3 ubiquitin ligase-binding moiety known in the art.
- disclosed herein is the use of the compound disclosed herein in the preparation of degrading a target protein compound by using chemical modification of the compound disclosed herein.
- the target protein-binding moiety is derived from a compound of Formula (I), Formula (I-A), Formula (I-B), Formula (I-B*), Formula (I-D), or Formula (I-E).
- the compounds of the present disclosure can generally be prepared in a number of ways well known to those skilled in the art of organic synthesis.
- Step 3 Synthesis of tert-butyl N-tert-butoxycarbonyl-N-[4-[1-[6-[3-chloro-2- (dimethylcarbamoyl)-4,6,7,8-tetrahydropyrazolo[1,5-a][1,4]diazepin-5-yl]-2-methylsulfanyl- pyrimidin-4-yl]-3-methyl-azetidin-3-yl]-3-cyano-2-thienyl]carbamate (8c).
- Step 4 Synthesis of tert-butyl N-[4-[1-[6-[3-chloro-2-(dimethylcarbamoyl)-4,6,7,8- tetrahydropyrazolo[1,5-a][1,4]diazepin-5-yl]-2-methylsulfinyl-pyrimidin-4-yl]-3-methyl- azetidin-3-yl]-3-cyano-2-thienyl]carbamate (8d).
- Step 1 Synthesis of 2-[bis[(4-methoxyphenyl)methyl]amino]pyridine-3-carbaldehyde (Int-1a).
- 2-fluoropyridine-3-carbaldehyde 5 g, 39.97 mmol
- 1-(4- methoxyphenyl)-N-[(4-methoxyphenyl)methyl] methanamine (12.34 g, 47.96 mmol)
- 1,4- Dioxane 50mL
- TEA 16.64 mL, 119.9 mmol
- the mixture was stirred at 70 °C for 16 h under argon.
- the reaction was cooled to rt.
- the mixture was quenched with H 2 O (50 mL) at rt, then the mixture was filtered to afford a crude solution.
- the crude solution extracted with EtOAc (200 mL x 2), The combined organic layers were washed with brine (200 mL), dried over Na 2 SO 4 , filtered, and concentrated.
- Step 4 Synthesis of N-[(1R)-1-[2-[bis[(4-methoxyphenyl)methyl]amino]-3- pyridyl]ethyl]-N,2-dimethyl-propane-2-sulfinamide (Int-1d).
- N-[(1R)-1-[2- [bis[(4-methoxyphenyl)methyl]amino]-3-pyridyl]ethyl]-2-methyl-propane-2-sulfinamide (Int- 1c, 4 g, 8.3 mmol) in DMSO (40 mL) was added NaH (664.38 mg, 16.61 mmol) at 0 °C.
- Step 3 Synthesis of 4-chloro-2-(((2R,7aS)-2-fluorotetrahydro-1H-pyrrolizin-7a(5H)- yl)methoxy)-6-(((R)-1-(2-((4-methoxybenzyl)amino)pyridin-3- yl)ethyl)(methyl)amino)pyrimidine-5-carbonitrile (20c).
- Compound B-1 15-[6-[3-(5-Amino-2-chloro-4-cyano-3-thienyl)pyrrolidin-1-yl]-5- cyano-2-[[(2R,8S)-2-fluoro-1,2,3,5,6,7-hexahydropyrrolizin-8-yl]methoxy]pyrimidin-4-yl]-3- chloro-N,N-dimethyl-4,6,7,8-tetrahydropyrazolo[1,5-a][1,4]diazepine-2-carboxamide (B-1). [00386] Compound B-1 was prepared similarly to that of Ex 1 as formic acid salt.
- Compound B-9 5-[6-[3-(5-amino-2-bromo-4-cyano-3-thienyl)pyrrolidin-1-yl]-5- cyano-2-[[(2R,8S)-2-fluoro-1,2,3,5,6,7-hexahydropyrrolizin-8-yl]methoxy]pyrimidin-4-yl]-3- chloro-N,N-dimethyl-4,6,7,8-tetrahydropyrazolo[1,5-a][1,4]diazepine-2-carboxamide [00402] Compound B-9 was prepared similarly to that of Ex.6 as a formate salt.
- Compound B-18 4-(2-acetyl-3-chloro-4,6,7,8-tetrahydropyrazolo[1,5- a][1,4]diazepin-5-yl)-6-[3-(5-amino-2-chloro-4-cyano-3-thienyl)pyrrolidin-1-yl]-2-[[(2R,8S)-2- fluoro-1,2,3,5,6,7-hexahydropyrrolizin-8-yl]methoxy]pyrimidine-5-carbonitrile [00420] Compound B-18 was prepared similarly to that of Ex.6 as a formate salt.
- Example 7 Nucleotide Exchange Assay: [00433] Ras proteins cycle between an active, GTP bound state, and an inactive GDP-bound state. This activity is tightly regulated by GTPase activating proteins (GAPs) and guanine nucleotide exchange factors (GEFs). GEFs, such as SOS1/2, activate Ras proteins by exchanging GDP for GTP, thus returning Ras to its active conformation (Simanshu, Nissley, & McCormick, 2017). Therefore, a small molecule that binds K-Ras in a manner that prevents SOS-mediated nucleotide exchange locks KRas in its inactive state.
- GAPs GTPase activating proteins
- GEFs guanine nucleotide exchange factors
- HTRF Homogenous time resolved fluorescence
- GST-tagged KRAS-G12D (2-169) and anti-GST MAb Tb Cryptate Gold (CisBio 61GSTTLB) were diluted into assay buffer (20 mM HEPES, pH 7.3, 150 mM NaCl, 5 mM MgCl2, 0.05% BSA 0.0025% NP40, 1 mM DTT) to prepare a 2.5X donor solution. 5X compound was added to the protein mixture and incubated for 1 h at RT.
- NEA KRAS G12D and G12V IC50 (uM) values of selected compounds are depicted in Table 1 with compounds having a value ⁇ 0.01 uM as ++++; ⁇ 0.01 uM to 0.1 uM as +++; ⁇ 0.1 uM to 1 uM as ++; ⁇ 1 uM to 20 uM as +; and ⁇ 20 uM as NA.
- Table 1 NEA KRAS G12D and G12V IC50 (uM) values of selected compounds are depicted in Table 1 with compounds having a value ⁇ 0.01 uM as ++++; ⁇ 0.01 uM to 0.1 uM as +++; ⁇ 0.1 uM to 1 uM as ++; ⁇ 1 uM to 20 uM as +; and ⁇ 20 uM as NA.
- pERK ICW is a high throughput screening assay to evaluate the cellular potency of mutant KRAS small molecule inhibitors.
- KRAS mutant cell lines AGS, GP2D (KRAS-G12D) as well as SW620 (KRAS-G12V) were purchased from ATCC and maintained respectively in RPMI/DMEM/RPMI medium supplemented with 10% fetal bovine serum.
- KRAS-G12V KRAS mutant cell lines AGS, GP2D (KRAS-G12D) as well as SW620 (KRAS-G12V) were purchased from ATCC and maintained respectively in RPMI/DMEM/RPMI medium supplemented with 10% fetal bovine serum.
- Cells grown in exponential phase were trypsinized, resuspended in fresh media, and viable cells were counted using a cell counter with Trypan Blue (BioRad TC20).
- Cells were seeded into 384-well plate (Greiner 781091) at density of 5,000 cells/well for AGS and 10,000 cells/well for GP2D/SW620 and allowed to grow overnight in a 37 ⁇ C CO 2 incubator. The next day, compounds were dispensed into wells with a 1 ⁇ 2 log, 9-point serial dilution using a Tecan D300e dispenser and incubated for 3 hours in a 37 ⁇ C CO 2 incubator.
- IC50 half-maximal inhibitory concentrations
- Table 1 includes NEA KRAS G12D and G12V IC 50 (uM) values ( ⁇ 0.01 uM as ++++; ⁇ 0.01 uM to 0.1 uM as +++; ⁇ 0.1 uM to 1 uM as ++; ⁇ 1 uM to 20 uM as +; and ⁇ 20 uM as NA), of selected compounds.
- ND indicates not determined and AGS pERK ICW IC50 (uM) values ⁇ 0.001 uM to 0.01 uM as ++++; ⁇ 0.01 uM to 0.1 uM as +++; ⁇ 0.1 uM to 1 uM as ++; ⁇ 1 uM to 10 uM as + and ⁇ 10 uM as NA.
Landscapes
- Chemical & Material Sciences (AREA)
- Organic Chemistry (AREA)
- Health & Medical Sciences (AREA)
- General Chemical & Material Sciences (AREA)
- Medicinal Chemistry (AREA)
- Nuclear Medicine, Radiotherapy & Molecular Imaging (AREA)
- Chemical Kinetics & Catalysis (AREA)
- Pharmacology & Pharmacy (AREA)
- Life Sciences & Earth Sciences (AREA)
- Animal Behavior & Ethology (AREA)
- General Health & Medical Sciences (AREA)
- Public Health (AREA)
- Veterinary Medicine (AREA)
- Plural Heterocyclic Compounds (AREA)
- Pharmaceuticals Containing Other Organic And Inorganic Compounds (AREA)
Abstract
Provided herein are KRAS modulating compounds, such as compounds of Formula (I), (I-A), (I-B), or pharmaceutically acceptable salts, solvates, stereoisomers, atom labelled, or tautomers of any of the foregoing. The compounds provided herein are useful for modulating KRAS GD12 and/or other G12 mutants.
Description
KRAS MODULATORS AND USES THEREOF CROSS-REFERENCE [0001] This application claims the benefit of U.S. Provisional Patent Applications No. 63/579,226 filed on August 28, 2023, the entire contents of which is incorporated herein by reference. BACKGROUND [0002] The small GTPase protein Kirsten Rat Sarcoma 2 Viral Oncogene Homolog (KRAS) is a member of the Ras family of cell signaling switches, regulating growth and survival of normal and cancerous cells (e.g., see Cully, M. and J. Downward, SnapShot: Ras Signaling. Cell, 2008. 133(7): p. 1292-1292 e1). KRAS mutations drive approximately 25% of human cancers by aberrant regulation of the mitogen-activated protein kinase (MAPK) signaling cascade and other effector pathways (e.g., see Stephen, A.G., et al., Dragging ras back in the ring. Cancer Cell, 2014. 25(3): p.272-81). Though Ras has been recognized as a target in cancer for about 40 years, Ras- driven cancers remain among the most difficult to treat due to insensitivity to available targeted therapies. Ras, encoded by the three major genes KRAS, NRAS and HRAS, has the highest frequency of mutation of any oncogene. All oncogenic Ras mutations drive the switch to accumulate in the active GTP-bound state. The most common Ras mutation found across human tumor types is KRAS G12D (e.g., see The AACR Project GENIE Consortium. Cancer Discovery, 2017. 7(8): p. 818-831. Dataset Version 4). Activating mutations in codon 12 impair the small GTPases’ ability to perform their role in hydrolyzing GTP. This regulatory impairment is fundamental for initiating and maintaining tumor progression. [0003] Despite extensive efforts, small molecules have not been identified which block effector binding or restore GTPase activating protein (GAP) sensitivity, though some have been found which block interaction of Ras with the guanine nucleotide exchange factor (GEF), SOS, which activates Ras at the plasma membrane. KRAS G12C mutations, most common in lung adenocarcinoma, have been clinically shown to be susceptible to direct inhibition by covalent modification with small molecule inhibitors trapping the protein in the inactive GDP-bound state. KRAS G12D mutation confers a significantly slower intrinsic rate of GTP hydrolysis than G12C, resulting in more constitutive activation. Thus, pharmacological targeting the of inactive state is unlikely to achieve similar results against G12D, despite the existence of a similar binding pocket in the GDP-state. Additionally, a cysteine present at the site of the activating mutation yields itself to covalent chemistry, while aspartic acid does not provide typical medicinal chemistry approaches for selective covalent modification.
[0004] In order to potentially exploit the accumulation of KRAS G12D and other mutant variants in the GTP-bound state as a vulnerability to achieve selective inhibition of cancer cells while sparing normal Ras function, it is attractive for small molecule inhibitors to bind selectively to the GTP-state and stabilize a conformation that is incompetent for oncogenic signaling interactions with effector proteins. Furthermore, it has been shown that only constitutive activation of Raf, MEK and ERK kinases in the MAPK cascade downstream of Ras can bypass the requirement for Ras proteins in proliferative signaling (e.g., see Drosten, M., et al., Genetic analysis of Ras signalling pathways in cell proliferation, migration and survival. EMBO J, 2010. 29(6): p.1091-104). As all evidence has indicated that MAPK signaling is essential for the growth effects of Ras in cancer, KRAS-mutant-selective inhibition in this pathway is considered the critical functional readout for potential clinical benefit of novel therapeutic approaches. Thus, there is a need to develop new inhibitors for KRAS-driven cancers that demonstrate inhibition of MAPK signals via a mechanism of action that is selective for binding to the active GTP-bound state over the inactive GDP-bound state. INCORPORATION BY REFERENCE [0005] All publications, patents, and patent applications mentioned in this specification are herein incorporated by reference to the same extent as if each individual publication, patent, or patent application was specifically and individually indicated to be incorporated by reference. To the extent publications and patents or patent applications incorporated by reference contradict the disclosure contained in the specification, the specification is intended to supersede and/or take precedence over any such contradictory material. SUMMARY OF THE INVENTION [0006] In an aspect, the present disclosure provides a compound represented by Formula (I),
Formula (I), or a pharmaceutically acceptable salt thereof wherein: R100 is selected from
R1A is selected from C1-6 alkyl, C3-C12 carbocycle, and 4- to 12-membered heterocycle, each of which is optionally substituted with one or more R11, and wherein optionally two R11 on the same atom of R1A come together to form a C3-C6 carbocycle or 3- to 8-membered heterocycle, wherein the C3-C6 carbocycle and 3- to 8-membered heterocycle are each optionally substituted with one or more R11A; R1B is selected from hydrogen, C1-6 alkyl, C3-C6 carbocycle, wherein the C1-6 alkyl and C3-C6 carbocycle are each optionally substituted with one or more R10; or R1A and R1B come together with the atom to which they are bound to form R1, wherein R1 is a 5- to 15-membered heterocycle, wherein the 5- to 15-membered heterocycle is optionally substituted with one or more substituents independently selected from halogen, -B(OR20)2, - N(R20)2, -OR20, -SR20, -S(O)2(R20), -S(O)2N(R20)2, -S(O)N(R20)2, -S(O)R20(=NR20), - NR20S(O)2R20, -C(O)N(R20)2, -C(=NR20)N(R20)2, -C1-6 alkyl(=NR20OR20), -C(O)NR20OR20, - N(R20)C(O)R20, -N(R20)C(O)N(R20)2, -N(R20)C(O)OR20, -C(O)R20, -C(O)OR20, -OC(O)R20, - OC(O)N(R20)2, -NO2, =O, =N(R20), =NO(R20), -CN, -NHCN, C1-6 alkyl-N(R20)2, C1-6 aminoalkyl, C1-6 alkoxy, C1-6 hydroxyalkyl, C1-6 cyanoalkyl, C1-6 haloalkyl, C1-6 alkyl-SO2R20, C1- 6 alkoxyalkyl, C1-6 alkyl, C2-6 alkenyl, C2-6 alkynyl, C3-C12 carbocycle and 5- to 12-membered heterocycle, wherein the C3-C12 carbocycle and 5- to 12-membered heterocycle are each optionally substituted independently with one or more R1*; each R1* is independently selected from halogen, -B(OR20)2, -OR20, -SR20, -S(O)2(R20), - S(O)2N(R20)2, -S(O)N(R20)2, -S(O)R20(=NR20), -NR20S(O)2R20, -C(O)N(R20)2, -C(O)NR20OR20, -N(R20)C(O)R20, -N(R20)C(O)N(R20)2, -N(R20)C(O)OR20, -N(R20)2, -C(O)R20, -C(O)OR20, - OC(O)R20, -OC(O)N(R20)2, -NO2, =O, =N(R20), =NO(R20), -CN, -NHCN, C1-6 alkyl-N(R20)2, C1- 6 aminoalkyl, C1-6 alkoxy, C1-6 hydroxyalkyl, C1-6 cyanoalkyl, C1-6 haloalkyl, C1-6 alkyl, C2-6 alkenyl, C2-6 alkynyl, and C3-C12 carbocycle; R1C is selected from hydrogen, C1-6 alkyl, C3-C12 carbocycle, and 4- to 12-membered heterocycle, each of which is optionally substituted with one or more R12, and wherein optionally two R12 on the same atom of R1C come together to form a C3-C6 carbocycle or 3- to 8- membered heterocycle, wherein the C3-C6 carbocycle and 3- to 8-membered heterocycle are each optionally substituted with one or more R12A; R1D is selected from hydrogen, C1-6 alkyl, C3-C12 carbocycle, and 4- to 12-membered heterocycle, each of which is optionally substituted with one or more R13, and wherein optionally two R13 on the same atom of R1D come together to form a C3-C6 carbocycle or 3- to 8- membered heterocycle, wherein the C3-C6 carbocycle and 3- to 8-membered heterocycle are each optionally substituted with one or more R13A; Y is selected from a -O-, -S-, and -N(R5)-;
R2 is selected from heterocycle, -L-heterocycle, -L-N(R20)2, -L-OR20, -L-aryl, -L- heteroaryl, -L-cycloalkyl, -L-NHC(=NH)NH2, -L-C(O)N(R20)2, -L-Cl-C6 haloalkyl, -L- NR20C(O)-aryl, -L-COOH, -L-NR20S(O)2(R20), -L-S(O)2N(R20)2, -L-N(R20)C(O)(OR20), -L- OC(O)N(R20)2, and -L-C(=O)OCl-C6 alkyl, wherein the heterocycle, the heterocycle portion of - L-heterocycle, and the cycloalkyl portion of the -L-cycloalkyl are each optionally substituted with one or more R6, and wherein the aryl portion of -L-NR20C(O)-aryl, the aryl of the -L-aryl, and the heteroaryl of -L-heteroaryl are each optionally substituted with one or more R7; each L is independently selected from a C1-C4 alkylene optionally substituted with one or more substituents independently selected from hydroxy, C1-C4 hydroxyalkyl, C1-C4 alkyl, C3-C6 carbocycle, and 3- to 8-membered heterocycle, wherein the C3-C6 carbocycle and 3- to 8- membered heterocycle are each optionally substituted with one or more substituents independently selected from halogen, -OH, -NO2, =O, =S, -CN, C1-6 aminoalkyl, C1-6 alkoxy, C1- 6 hydroxyalkyl, C1-6 haloalkyl; and wherein optionally two substituents on the same carbon atom of L come together to form a C3-C6 carbocycle or 3- to 8-membered heterocycle, wherein the C3- C6 carbocycle and 3- to 8-membered heterocycle are each optionally substituted with one or more substituents independently selected from halogen, -OH, -NO2, =O, =S, -CN, C1-6 aminoalkyl, C1-6 alkoxy, C1-6 hydroxyalkyl, and C1-6 haloalkyl; R3 is selected from hydrogen, halogen, -CN, -NO2, -N(R20)2, -OR20, -SR20, -S(O)2(R20), - S(O)2N(R20)2, -S(O)N(R20)2, -S(O)R20(=NR20), -NR20S(O)2R20, -C(O)N(R20)2, -N(R20)C(O)R20, - N(R20)C(O)N(R20)2, -N(R20)C(O)OR20, -C(O)R20, C(O)OR20, -OC(O)R20, -OC(O)N(R20)2, C1-6 aminoalkyl, C1-6 alkoxy, C1-6 alkoxyalkyl, C1-6 hydroxyalkyl, C1-6 cyanoalkyl, C1-6 haloalkyl, C1-6 alkyl, C2-6 alkenyl, C2-6 alkynyl, C3-C12 carbocycle and 5- to 12-membered heterocycle; each R4 is independently selected from halogen, -NO2, -NH2, -NH(C1-6 alkyl), -N(C1-6 alkyl)2, =O, =S, -CN, C1-6 alkyl, C1-6 aminoalkyl, C1-6 alkoxy, C1-6 cyanoalkyl, C1-6 hydroxyalkyl, and C1-6 haloalkyl; n is selected from 0, 1, 2, 3, and 4; m is selected from 1 and 2; each R5 is independently selected from hydrogen and C1-C6 alkyl; each R6 is independently selected from halogen, hydroxy, C1-C3 hydroxyalkyl, C1-C3 alkyl, oxo, C1-C3 haloalkyl, C1-C3 alkoxy, cyano, =CH2, =NO-C1-C3 alkyl, C1-C3 aminoalkyl, - N(R5)S(O)2(R5), -Q-phenyl, -Q-phenylSO2F, -NHC(O)phenyl, - NHC(O)phenylSO2F, C1-C3 alkyl substituted pyrazolyl, tert-butyldimethylsilyloxyCH2-, -N(R5)2, (C1-C3 alkoxy)C1-C3 alkyl-, (C1-C3 alkyl)C(=O), oxo, (C1-C3 haloalkyl)C(=O)-, -SO2F, (C1-C3 alkoxy)C1-C3 alkoxy, - CH2OC(O)N(R5)2, -CH2NHC(O)OC1-C6 alkyl, -CH2NHC(O)N(R5)2, -CH2NHC(O)C1-C6 alkyl, - CH2(pyrazolyl), -CH2NHSO2C1-C6 alkyl, -CH2OC(O)heterocycle, -OC(O)N(R5)2, -
OC(O)NH(C1-C3 alkyl)O(C1-C3 alkyl), -OC(O)NH(C1-C3 alkyl)O(C1-C3 alkyl)phenyl(C1-C3 alkyl)N(CH3)2, -OC(O)NH(C1-C3 alkyl)O(C1-C3 alkyl)phenyl, -OC(O)heterocycle, -O-C1-C3 alkyl, -S(O)2(R20), -S(O)2N(R20)2, -S(O)N(R20)2, -S(O)R20(=NR20), -NR20S(O)2R20, and - CH2heterocycle, wherein the phenyl of -NHC(O)phenyl and -OC(O)NH(C1-C3 alkyl)(C1-C3 alkyl)phenyl are optionally substituted with one or more substituents selected from -C(O)H and OH, and wherein the alkyl of -O-C1-C3 alkyl is optionally substituted with substituents selected from heterocycle, oxo and hydroxy; and wherein the heterocycle of -CH2heterocyclyl is optionally substituted with oxo; each Q is selected from a bond and O; each R7 is independently selected from halogen, hydroxy, HC(=O)-, C1-C4 alkyl, C1-C4 alkoxy, C1-C4 haloalkyl, C1-C4 hydroxyalkyl, and -N(R5)2; R8 is selected from 5- to 10-membered heteroaryl and 5- to 12-membered unsaturated heterocycle, wherein the 5- to 10-membered heteroaryl and 5- to 12-membered unsaturated heterocycle are each optionally substituted with one or more substituents independently selected from halogen, -CN, -NO2, =O, -N(R20)2, -B(OR20)2, -OR20, -SR20, -S(O)2(R20), -S(O)2N(R20)2, - S(O)N(R20)2, -S(O)R20(=NR20), -NR20S(O)2R20, -C(O)N(R20)2, -N(R20)C(O)R20, - N(R20)C(O)N(R20)2, -N(R20)C(O)OR20, -C(O)R20, C(O)OR20, -OC(O)R20, -OC(O)N(R20)2, - C(O)NR20-OR20, C1-6 aminoalkyl, C1-6 alkoxy, C1-6 alkoxyalkyl, C1-6 hydroxyalkyl, C1-6 cyanoalkyl, C1-6 haloalkyl, C1-6 alkyl, C2-6 alkenyl, C2-6 alkynyl, C3-C12 carbocycle and 5- to 12- membered heterocycle; and wherein when R8 is 1-methyl-1H-benzo[d]imidazole, m is 1, Y is oxygen, L is C1 alkylene, R9 is hydrogen, and R1A and R1B come together with the atom to which they are bound to form R1, the heterocycle of R1 is selected from an optionally substituted 6- to 15-membered heterocycle; R9 is selected from hydrogen, halogen, C1-C3 alkyl, -CN, -OR20, -SR20, C1-3 aminoalkyl, C1-3 alkoxyalkyl, C1-3 hydroxyalkyl, C1-3 cyanoalkyl, C1-3 haloalkyl; each R10 is independently selected from halogen, -B(OR20)2, -OR20, -SR20, -S(O)2(R20), - S(O)2N(R20)2, -S(O)N(R20)2, -S(O)R20(=NR20), -NR20S(O)2R20, -C(O)N(R20)2, -N(R20)C(O)R20, - N(R20)C(O)N(R20)2, -N(R20)C(O)OR20, -N(R20)2, -C(O)R20, -C(O)OR20, -OC(O)R20, - OC(O)N(R20)2, -NO2, =O, =NO(R20), -CN, -NHCN, C1-6 alkyl-N(R20)2, C1-6 aminoalkyl, C1-6 alkoxy, C1-6 hydroxyalkyl, C1-6 cyanoalkyl, C1-6 haloalkyl, C1-6 alkyl, C2-6 alkenyl, C2-6 alkynyl, C3-C12 carbocycle and 5- to 12-membered heterocycle, wherein the C3-C12 carbocycle and 5- to 12-membered heterocycle are each optionally substituted with one or more substituents independently selected from halogen, -OH, -CN, -NO2, -NH2, -NH(C1-6 alkyl), -N(C1-6 alkyl)2, C1-10 alkyl, -C1-10 haloalkyl, -O-C1-10 alkyl, oxo;
each R11 , R12, and R13 is independently selected from halogen, -B(OR20)2, -OR20, -SR20, -S(O)2(R20), -S(O)2N(R20)2, -S(O)N(R20)2, -S(O)R20(=NR20), -NR20S(O)2R20, -C(O)N(R20)2, - N(R20)C(O)R20, -N(R20)C(O)N(R20)2, -N(R20)C(O)OR20, -N(R20)2, -C(O)R20, -C(O)OR20, - OC(O)R20, -OC(O)N(R20)2, -NO2, =O, =NO(R20), -CN, -NHCN, C1-6 alkyl-N(R20)2, C1-6 aminoalkyl, C1-6 alkoxy, C1-6 hydroxyalkyl, C1-6 cyanoalkyl, C1-6 haloalkyl, C1-6 alkyl, C2-6 alkenyl, C2-6 alkynyl, C3-C12 carbocycle and 5- to 12-membered heterocycle, wherein the C3-C12 carbocycle and 5- to 12-membered heterocycle are each optionally substituted with one or more substituents independently selected from halogen, -OH, -CN, -NO2, -N(R20)2, -C(O)N(R20)2, C1- 10 alkyl, -C1-10 haloalkyl, -O-C1-10 alkyl, and oxo; each R11A, R12A, and R13A is independently selected from halogen, -B(OR20)2, -OR20, - SR20, -S(O)2(R20), -S(O)2N(R20)2, -S(O)N(R20)2, -S(O)R20(=NR20), -NR20S(O)2R20, - C(O)N(R20)2, -N(R20)C(O)R20, -N(R20)C(O)N(R20)2, -N(R20)C(O)OR20, -N(R20)2, -C(O)R20, - C(O)OR20, -OC(O)R20, -OC(O)N(R20)2, -NO2, =O, =NO(R20), -CN, -NHCN, C1-6 alkyl-N(R20)2, C1-6 aminoalkyl, C1-6 alkoxy, C1-6 hydroxyalkyl, C1-6 cyanoalkyl, C1-6 haloalkyl, C1-6 alkyl, C2-6 alkenyl, and C2-6 alkynyl; and each R20 is independently selected from hydrogen; and C1-6 alkyl, C2-6 alkenyl, C2-6 alkynyl, C3-12 carbocycle, and 3- to 12-membered heterocycle, each of which is optionally substituted with one or more substituents independently selected from halogen, -OH, -CN, -NO2, -NH2, -NH(C1-6 alkyl), -N(C1-6 alkyl)2, C1-10 alkyl, -C1-10 haloalkyl, -O-C1-10 alkyl, oxo, C3-12 carbocycle, and 3- to 12-membered heterocycle. [0007] In some embodiments, Formula (I) is represented by
Formula (I-A), or a pharmaceutically acceptable salt thereof. [0008] In some embodiments, Formula (I) is represented by
Formula (I-B), or a pharmaceutically acceptable salt thereof.
[0009] In some embodiments, Formula (I) is represented by
Formula (I-D), or a pharmaceutically acceptable salt thereof. [0010] In some embodiments, Formula (I) is represented by
, or a pharmaceutically acceptable salt thereof. [0011] In certain embodiments, the disclosure provides a pharmaceutical composition comprising a compound or salt of Formula (I), Formula (I-A), Formula (I-B), Formula (I-D), Formula (I-E), Formula (I-F), or Formula (I-G), and a pharmaceutically acceptable excipient. [0012] In certain embodiments, the disclosure provides a method of treating a disease or disorder, using a compound or salt of Formula (I), Formula (I-A), Formula (I-B), Formula (I-D), Formula (I-E), Formula (I-F), or Formula (I-G). [0013] In certain embodiments, the disclosure provides a method of treating a disease or disorder, using a compound or salt of Formula (I), Formula (I-A), Formula (I-B), Formula (I-D), Formula (I-E), Formula (I-F), or Formula (I-G), and a pharmaceutically acceptable excipient. In some cases, the disease or disorder is a cancer. [0014] In certain embodiments, the disclosure provides a method of inhibiting KRas G12D and/or other G12 mutants, using a compound or salt of Formula (I), Formula (I-A), Formula (I- B), Formula (I-D), Formula (I-E), Formula (I-F), or Formula (I-G). [0015] In certain embodiments, the disclosure provides a method of inhibiting KRas G12D and/or other G12 mutants, using a compound or salt of Formula (I), Formula (I-A), Formula (I- B), Formula (I-D), Formula (I-E), Formula (I-F), or Formula (I-G), and a pharmaceutically acceptable excipient.
DETAILED DESCRIPTION OF THE INVENTION [0016] The following description sets forth numerous exemplary configurations, methods, parameters, and the like. It should be recognized, however, that such description is not intended as a limitation on the scope of the present disclosure, but is instead provided as a description of exemplary embodiments. [0017] In the following description, certain specific details are set forth in order to provide a thorough understanding of various embodiments of the disclosure. However, one skilled in the art will understand that the disclosure may be practiced without these details. Definitions [0018] Unless defined otherwise, all technical and scientific terms used herein have the same meaning as is commonly understood by one of skill in the art to which this invention belongs. All patents and publications referred to herein are incorporated by reference. [0019] "Alkyl" refers to a straight or branched hydrocarbon chain radical consisting solely of carbon and hydrogen atoms, containing no unsaturation, and preferably having from one to fifteen carbon atoms (i.e., C1-C15 alkyl). In certain embodiments, an alkyl comprises one to thirteen carbon atoms (i.e., C1-C13 alkyl). In certain embodiments, an alkyl comprises one to eight carbon atoms (i.e., C1-C8 alkyl). In other embodiments, an alkyl comprises one to five carbon atoms (i.e., C1-C5 alkyl). In other embodiments, an alkyl comprises one to four carbon atoms (i.e., C1-C4 alkyl). In other embodiments, an alkyl comprises one to three carbon atoms (i.e., C1-C3 alkyl). In other embodiments, an alkyl comprises one to two carbon atoms (i.e., C1-C2 alkyl). In other embodiments, an alkyl comprises one carbon atom (i.e., C1 alkyl). In other embodiments, an alkyl comprises five to fifteen carbon atoms (i.e., C5-C15 alkyl). In other embodiments, an alkyl comprises five to eight carbon atoms (i.e., C5-C8 alkyl). In other embodiments, an alkyl comprises two to five carbon atoms (i.e., C2-C5 alkyl). In other embodiments, an alkyl comprises three to five carbon atoms (i.e., C3-C5 alkyl). In certain embodiments, the alkyl group is selected from methyl, ethyl, 1-propyl (n-propyl), 1-methylethyl (iso-propyl), 1-butyl (n-butyl), 1-methylpropyl (sec-butyl), 2-methylpropyl (iso-butyl), 1,1-dimethylethyl (tert-butyl), 1-pentyl (n-pentyl). The alkyl is attached to the rest of the molecule by a single bond. [0020] The term “Cx-y” or “Cx-Cy” when used in conjunction with a chemical moiety, such as alkyl, alkenyl, or alkynyl is meant to include groups that contain from x to y carbons in the chain. For example, the term “C1-6alkyl” refers to substituted or unsubstituted saturated hydrocarbon groups, including straight-chain alkyl and branched-chain alkyl groups that contain from 1 to 6 carbons. The term –Cx-yalkylene- refers to a substituted or unsubstituted alkylene chain with from x to y carbons in the alkylene chain. For example –C1-6alkylene- may be selected from methylene, ethylene, propylene, butylene, pentylene, and hexylene, any one of which is optionally substituted.
[0021] "Alkoxy" refers to a radical bonded through an oxygen atom of the formula –O-alkyl, where alkyl is an alkyl chain as defined above. [0022] "Alkenyl" refers to a straight or branched hydrocarbon chain radical group consisting solely of carbon and hydrogen atoms, containing at least one carbon-carbon double bond, and preferably having from two to twelve carbon atoms (i.e., C2-C12 alkenyl). In certain embodiments, an alkenyl comprises two to eight carbon atoms (i.e., C2-C8 alkenyl). In certain embodiments, an alkenyl comprises two to six carbon atoms (i.e., C2-C6 alkenyl). In other embodiments, an alkenyl comprises two to four carbon atoms (i.e., C2-C4 alkenyl). The alkenyl is attached to the rest of the molecule by a single bond, for example, ethenyl (i.e., vinyl), prop-1-enyl (i.e., allyl), but-1-enyl, pent-1-enyl, penta-1,4-dienyl, and the like. [0023] "Alkynyl" refers to a straight or branched hydrocarbon chain radical group consisting solely of carbon and hydrogen atoms, containing at least one carbon-carbon triple bond, and preferably having from two to twelve carbon atoms (i.e., C2-C12 alkynyl). In certain embodiments, an alkynyl comprises two to eight carbon atoms (i.e., C2-C8 alkynyl). In other embodiments, an alkynyl comprises two to six carbon atoms (i.e., C2-C6 alkynyl). In other embodiments, an alkynyl comprises two to four carbon atoms (i.e., C2-C4 alkynyl). The alkynyl is attached to the rest of the molecule by a single bond, for example, ethynyl, propynyl, butynyl, pentynyl, hexynyl, and the like. [0024] The terms “Cx-yalkenyl” and “Cx-yalkynyl” refer to substituted or unsubstituted unsaturated aliphatic groups analogous in length and possible substitution to the alkyls described above, but that contain at least one double or triple bond, respectively. The term –Cx-yalkenylene- refers to a substituted or unsubstituted alkenylene chain with from x to y carbons in the alkenylene chain. For example, –C2-6alkenylene- may be selected from ethenylene, propenylene, butenylene, pentenylene, and hexenylene, any one of which is optionally substituted. An alkenylene chain may have one double bond or more than one double bond in the alkenylene chain. The term –Cx- yalkynylene- refers to a substituted or unsubstituted alkynylene chain with from x to y carbons in the alkenylene chain. For example, –C2-6alkenylene- may be selected from ethynylene, propynylene, butynylene, pentynylene, and hexynylene, any one of which is optionally substituted. An alkynylene chain may have one triple bond or more than one triple bond in the alkynylene chain. [0025] "Alkylene" or "alkylene chain" refers to a straight or branched divalent hydrocarbon chain linking the rest of the molecule to a radical group, consisting solely of carbon and hydrogen, containing no unsaturation, and preferably having from one to twelve carbon atoms, for example, methylene, ethylene, propylene, n-butylene, and the like. The alkylene chain is attached to the rest of the molecule through a single bond and to the radical group through a single bond. The points
of attachment of the alkylene chain to the rest of the molecule and to the radical group may be through any two carbons within the chain. In certain embodiments, an alkylene comprises one to ten carbon atoms (i.e., C1-C8 alkylene). In certain embodiments, an alkylene comprises one to eight carbon atoms (i.e., C1-C8 alkylene). In other embodiments, an alkylene comprises one to five carbon atoms (i.e., C1-C5 alkylene). In other embodiments, an alkylene comprises one to four carbon atoms (i.e., C1-C4 alkylene). In other embodiments, an alkylene comprises one to three carbon atoms (i.e., C1-C3 alkylene). In other embodiments, an alkylene comprises one to two carbon atoms (i.e., C1-C2 alkylene). In other embodiments, an alkylene comprises one carbon atom (i.e., C1 alkylene). In other embodiments, an alkylene comprises five to eight carbon atoms (i.e., C5-C8 alkylene). In other embodiments, an alkylene comprises two to five carbon atoms (i.e., C2- C5 alkylene). In other embodiments, an alkylene comprises three to five carbon atoms (i.e., C3-C5 alkylene). [0026] "Alkenylene" or "alkenylene chain" refers to a straight or branched divalent hydrocarbon chain linking the rest of the molecule to a radical group, consisting solely of carbon and hydrogen, containing at least one carbon-carbon double bond, and preferably having from two to twelve carbon atoms. The alkenylene chain is attached to the rest of the molecule through a single bond and to the radical group through a single bond. The points of attachment of the alkenylene chain to the rest of the molecule and to the radical group may be through any two carbons within the chain. In certain embodiments, an alkenylene comprises two to ten carbon atoms (i.e., C2-C10 alkenylene). In certain embodiments, an alkenylene comprises two to eight carbon atoms (i.e., C2-C8 alkenylene). In other embodiments, an alkenylene comprises two to five carbon atoms (i.e., C2-C5 alkenylene). In other embodiments, an alkenylene comprises two to four carbon atoms (i.e., C2-C4 alkenylene). In other embodiments, an alkenylene comprises two to three carbon atoms (i.e., C2-C3 alkenylene). In other embodiments, an alkenylene comprises two carbon atom (i.e., C2 alkenylene). In other embodiments, an alkenylene comprises five to eight carbon atoms (i.e., C5-C8 alkenylene). In other embodiments, an alkenylene comprises three to five carbon atoms (i.e., C3-C5 alkenylene). [0027] "Alkynylene" or "alkynylene chain" refers to a straight or branched divalent hydrocarbon chain linking the rest of the molecule to a radical group, consisting solely of carbon and hydrogen, containing at least one carbon-carbon triple bond, and preferably having from two to twelve carbon atoms. The alkynylene chain is attached to the rest of the molecule through a single bond and to the radical group through a single bond. The points of attachment of the alkynylene chain to the rest of the molecule and to the radical group may be through any two carbons within the chain. In certain embodiments, an alkynylene comprises two to ten carbon atoms (i.e., C2-C10 alkynylene). In certain embodiments, an alkynylene comprises two to eight
carbon atoms (i.e., C2-C8 alkynylene). In other embodiments, an alkynylene comprises two to five carbon atoms (i.e., C2-C5 alkynylene). In other embodiments, an alkynylene comprises two to four carbon atoms (i.e., C2-C4 alkynylene). In other embodiments, an alkynylene comprises two to three carbon atoms (i.e., C2-C3 alkynylene). In other embodiments, an alkynylene comprises two carbon atom (i.e., C2 alkynylene). In other embodiments, an alkynylene comprises five to eight carbon atoms (i.e., C5-C8 alkynylene). In other embodiments, an alkynylene comprises three to five carbon atoms (i.e., C3-C5 alkynylene). [0028] "Aryl" refers to a radical derived from an aromatic monocyclic or aromatic multicyclic hydrocarbon ring system by removing a hydrogen atom from a ring carbon atom. The aromatic monocyclic or aromatic multicyclic hydrocarbon ring system contains only hydrogen and carbon and from five to eighteen carbon atoms, where at least one of the rings in the ring system is aromatic, i.e., it contains a cyclic, delocalized (4n+2) ^–electron system in accordance with the Hückel theory. The ring system from which aryl groups are derived include, but are not limited to, groups such as benzene, fluorene, indane, indene, tetralin and naphthalene. [0029] "Aralkyl" refers to a radical of the formula -Rc-aryl where Rc is an alkylene chain as defined above, for example, methylene, ethylene, and the like. [0030] "Aralkenyl" refers to a radical of the formula –Rd-aryl where Rd is an alkenylene chain as defined above. "Aralkynyl" refers to a radical of the formula -Re-aryl, where Re is an alkynylene chain as defined above. [0031] “Carbocycle” refers to a saturated, unsaturated or aromatic rings in which each atom of the ring is carbon. Carbocycle may include 3- to 10-membered monocyclic rings, 6- to 12- membered bicyclic rings, and 6- to 12-membered bridged rings. Each ring of a bicyclic carbocycle may be selected from saturated, unsaturated, and aromatic rings. An aromatic ring, e.g., phenyl, may be fused to a saturated or unsaturated ring, e.g., cyclohexane, cyclopentane, or cyclohexene. Any combination of saturated, unsaturated and aromatic bicyclic rings, as valence permits, are included in the definition of carbocyclic. Exemplary carbocycles include cyclopentyl, cyclohexyl, cyclohexenyl, adamantyl, phenyl, indanyl, and naphthyl. Bicyclic carbocycles may be fused, bridged or spiro-ring systems. In some cases, spiro-ring carbocycles have at least two molecular rings with only one common atom. [0032] The term “unsaturated carbocycle” refers to carbocycles with at least one degree of unsaturation and excluding aromatic carbocycles. Examples of unsaturated carbocycles include cyclohexadiene, cyclohexene, and cyclopentene. [0033] "Cycloalkyl" refers to a fully saturated monocyclic or polycyclic hydrocarbon radical consisting solely of carbon and hydrogen atoms, which includes fused or bridged ring systems, and preferably having from three to twelve carbon atoms. In certain embodiments, a cycloalkyl
comprises three to ten carbon atoms. In other embodiments, a cycloalkyl comprises five to seven carbon atoms. The cycloalkyl may be attached to the rest of the molecule by a single bond. Examples of monocyclic cycloalkyls include, e.g., cyclopropyl, cyclobutyl, cyclopentyl, cyclohexyl, cycloheptyl, and cyclooctyl. Polycyclic cycloalkyl radicals include, for example, adamantyl, norbornyl (i.e., bicyclo[2.2.1]heptanyl), norbornenyl, decalinyl, 7,7-dimethyl-bicyclo[2.2.1]heptanyl, and the like. [0034] "Cycloalkenyl" refers to an unsaturated non-aromatic monocyclic or polycyclic hydrocarbon radical consisting solely of carbon and hydrogen atoms, which includes fused or bridged ring systems, preferably having from three to twelve carbon atoms and comprising at least one double bond. In certain embodiments, a cycloalkenyl comprises three to ten carbon atoms. In other embodiments, a cycloalkenyl comprises five to seven carbon atoms. The cycloalkenyl may be attached to the rest of the molecule by a single bond. Examples of monocyclic cycloalkenyls includes, e.g., cyclopentenyl, cyclohexenyl, cycloheptenyl, and cyclooctenyl. [0035] "Cycloalkylalkyl" refers to a radical of the formula –Rc-cycloalkyl where Rc is an alkylene chain as described above. [0036] "Cycloalkylalkoxy" refers to a radical bonded through an oxygen atom of the formula –O-Rc-cycloalkyl where Rc is an alkylene chain as described above. [0037] "Halo" or "halogen" refers to halogen substituents such as bromo, chloro, fluoro and iodo substituents. [0038] As used herein, the term "haloalkyl" or “haloalkane” refers to an alkyl radical, as defined above, that is substituted by one or more halogen radicals, for example, trifluoromethyl, dichloromethyl, bromomethyl, 2,2,2-trifluoroethyl, 1-fluoromethyl-2-fluoroethyl, and the like. In some embodiments, the alkyl part of the fluoroalkyl radical is optionally further substituted. Examples of halogen substituted alkanes (“haloalkanes”) include halomethane (e.g., chloromethane, bromomethane, fluoromethane, iodomethane), di-and trihalomethane (e.g., trichloromethane, tribromomethane, trifluoromethane, triiodomethane), 1-haloethane, 2- haloethane, 1,2-dihaloethane, 1-halopropane, 2-halopropane, 3-halopropane, 1,2-dihalopropane, 1,3-dihalopropane, 2,3-dihalopropane, 1,2,3-trihalopropane, and any other suitable combinations of alkanes (or substituted alkanes) and halogens (e.g., Cl, Br, F, I, etc.). When an alkyl group is substituted with more than one halogen radicals, each halogen may be independently selected e.g., 1-chloro,2-fluoroethane. [0039] "Fluoroalkyl" refers to an alkyl radical, as defined above, that is substituted by one or more fluoro radicals, for example, trifluoromethyl, difluoromethyl, fluoromethyl, 2,2,2-trifluoroethyl, 1-fluoromethyl-2-fluoroethyl, and the like.
[0040] "Aminoalkyl" refers to an alkyl radical, as defined above, that is substituted by one or more amine radicals, for example, propan-2-amine, butane-1,2-diamine, pentane-1,2,4-triamine and the like. [0041] "Hydroxyalkyl" refers to an alkyl radical, as defined above, that is substituted by one or more hydroxy radicals, for example, propan-1-ol, butane-1,4-diol, pentane-1,2,4-triol, and the like. [0042] "Alkoxyalkyl" refers to an alkyl radical, as defined above, that is substituted by one or more alkoxy radicals, for example, methoxymethane, 1,3-dimethoxybutane, 1-methoxypropane, 2-ethoxypentane, and the like. [0043] "Cyanoalkyl" as used herein refers to an alkyl radical, as defined above, that is substituted by one or more cyano radicals, for example, acetonitrile, 2-ethyl-3- methylsuccinonitrile, butyronitrile, and the like. [0044] “Heterocycle” refers to a saturated or unsaturated or aromatic ring comprising one or more heteroatoms. Exemplary heteroatoms include N, O, Si, P, B, and S atoms. Heterocycles include 3- to 10-membered monocyclic rings, 6- to 12-membered bicyclic rings, and 6- to 12- membered bridged rings. Each ring of a bicyclic heterocycle may be selected from saturated, unsaturated, and aromatic rings. Bicyclic heterocycles may be fused, bridged or spiro-ring systems. In some cases, spiro-ring heterocycles have at least two molecular rings with only one common atom. The spiro-ring heterocycle includes at least one heteroatom. [0045] “Heterocyclene” refers to a divalent heterocycle linking the rest of the molecule to a radical group. [0046] "Heteroaryl" or “aromatic heterocycle” refers to a radical derived from a heteroaromatic ring radical that comprises one to eleven carbon atoms and at least one heteroatom wherein each heteroatom may be selected from N, O, and S. As used herein, the heteroaryl ring may be selected from monocyclic or bicyclic and fused or bridged ring systems rings wherein at least one of the rings in the ring system is aromatic, i.e., it contains a cyclic, delocalized (4n+2) ^–electron system in accordance with the Hückel theory. The heteroatom(s) in the heteroaryl radical may be optionally oxidized. One or more nitrogen atoms, if present, are optionally quaternized. The heteroaryl may be attached to the rest of the molecule through any atom of the heteroaryl, valence permitting, such as a carbon or nitrogen atom of the heteroaryl. Examples of heteroaryls include, but are not limited to, pyridine, pyrimidine, oxazole, furan, pyran, thiophene, isoxazole, benzimidazole, benzthiazole, and imidazopyridine. [0047] An “X-membered heteroaryl” refers to the number of endocylic atoms, i.e., X, in the ring. For example, a 5-membered heteroaryl ring or 5-membered aromatic heterocycle has 5 endocyclic atoms, e.g., triazole, oxazole, thiophene, etc.
[0048] The term “unsaturated heterocycle” refers to heterocycles with at least one degree of unsaturation and excluding aromatic heterocycles. Examples of unsaturated heterocycles include dihydropyrrole, dihydrofuran, oxazoline, pyrazoline, and dihydropyridine. Heterocycles may be optionally substituted by one or more substituents such as those substituents described herein. [0049] The term “substituted” refers to moieties having substituents replacing a hydrogen on one or more carbons or substitutable heteroatoms, e.g., NH, of the structure. It will be understood that “substitution” or “substituted with” includes the implicit proviso that such substitution is in accordance with permitted valence of the substituted atom and the substituent, and that the substitution results in a stable compound, i.e., a compound which does not spontaneously undergo transformation such as by rearrangement, cyclization, elimination, etc. In certain embodiments, substituted refers to moieties having substituents replacing two hydrogen atoms on the same carbon atom, such as substituting the two hydrogen atoms on a single carbon with an oxo, imino or thioxo group. [0050] As used herein, the term “substituted” is contemplated to include all permissible substituents of organic compounds. In a broad aspect, the permissible substituents include acyclic and cyclic, branched and unbranched, carbocyclic and heterocyclic, aromatic and non-aromatic substituents of organic compounds. The permissible substituents can be one or more and the same or different for appropriate organic compounds. For purposes of this disclosure, the heteroatoms such as nitrogen may have hydrogen substituents and/or any permissible substituents of organic compounds described herein which satisfy the valences of the heteroatoms. In some embodiments, substituents may include any substituents described herein, for example: halogen, hydroxy, oxo (=O), thioxo (=S), cyano (-CN), nitro (-NO2), imino (=N-H), oximo (=N-OH), hydrazino (=N- NH2), -Rb-ORa, -Rb-OC(O)-Ra, -Rb-OC(O)-ORa, -Rb-OC(O)-N(Ra)2, -Rb-N(Ra)2, -Rb-C(O)Ra, - Rb-C(O)ORa, -Rb-C(O)N(Ra)2, -Rb-O-Rc-C(O)N(Ra)2, -Rb-N(Ra)C(O)ORa, -Rb-N(Ra)C(O)Ra, -Rb -N(Ra)S(O)tRa (where t is 1 or 2), -Rb-S(O)tRa (where t is 1 or 2), -Rb-S(O)tORa (where t is 1 or 2), and -Rb-S(O)tN(Ra)2 (where t is 1 or 2); and alkyl, alkenyl, alkynyl, aryl, aralkyl, aralkenyl, aralkynyl, cycloalkyl, cycloalkylalkyl, and heterocycle, any of which may be optionally substituted by alkyl, alkenyl, alkynyl, halogen, haloalkyl, haloalkenyl, haloalkynyl, oxo (=O), thioxo (=S), cyano (-CN), nitro (-NO2), imino (=N-H), oximo (=N-OH), hydrazine (=N- NH2), -Rb-ORa, -Rb-OC(O)-Ra, -Rb-OC(O)-ORa, -Rb-OC(O)-N(Ra)2, -Rb-N(Ra)2, -Rb-C(O)Ra, -R b-C(O)ORa, -Rb-C(O)N(Ra)2, -Rb-O-Rc-C(O)N(Ra)2, -Rb-N(Ra)C(O)ORa, -Rb-N(Ra)C(O)Ra, -Rb- N(Ra)S(O)tRa (where t is 1 or 2), -Rb-S(O)tRa (where t is 1 or 2), -Rb-S(O)tORa (where t is 1 or 2) and -Rb-S(O)tN(Ra)2 (where t is 1 or 2); wherein each Ra is independently selected from hydrogen, alkyl, cycloalkyl, cycloalkylalkyl, aryl, aralkyl, heterocycloalkyl, heterocycloalkylalkyl, heteroaryl, or heteroarylalkyl, wherein each Ra, valence permitting, may be optionally substituted
with alkyl, alkenyl, alkynyl, halogen, haloalkyl, haloalkenyl, haloalkynyl, oxo (=O), thioxo (=S), cyano (-CN), nitro (-NO2), imino (=N-H), oximo (=N-OH), hydrazine (=N- NH2), -Rb-ORa, -Rb-OC(O)-Ra, -Rb-OC(O)-ORa, -Rb-OC(O)-N(Ra)2, -Rb-N(Ra)2, -Rb-C(O)Ra, -R b-C(O)ORa, -Rb-C(O)N(Ra)2, -Rb-O-Rc-C(O)N(Ra)2, -Rb-N(Ra)C(O)ORa, -Rb-N(Ra)C(O)Ra, -Rb- N(Ra)S(O)tRa (where t is 1 or 2), -Rb-S(O)tRa (where t is 1 or 2), -Rb-S(O)tORa (where t is 1 or 2) and -Rb-S(O)tN(Ra)2 (where t is 1 or 2); and wherein each Rb is independently selected from a direct bond or a straight or branched alkylene, alkenylene, or alkynylene chain, and each Rc is a straight or branched alkylene, alkenylene or alkynylene chain. [0051] As used herein, the term “optional” or “optionally” means that the subsequently described event of circumstances may or may not occur, and that the description includes instances where the event or circumstance occurs and instances in which it does not. For example, “optionally substituted aryl” means that the aryl group may or may not be substituted and that the description includes both substituted aryl groups and aryl groups having no substitution. [0052] As used herein, the term “electrophile” or “electrophilic moiety” is any moiety capable of reacting with a nucleophile (e.g., a moiety having a lone pair of electrons, a negative charge, a partial negative charge and/or an excess of electrons, for example an —SH group). Electrophiles typically are electron poor or comprise atoms which are electron poor. In certain embodiments, an electrophile contains a positive charge or partial positive charge, has a resonance structure which contains a positive charge or partial positive charge, or is a moiety in which delocalization or polarization of electrons results in one or more atoms which contains a positive charge or partial positive charge. In some embodiments, an electrophile comprises a conjugated double bond, for example an α,β-unsaturated carbonyl or α,β-unsaturated thiocarbonyl compound. [0053] As used in the specification and claims, the singular form “a”, “an” and “the” includes plural references unless the context clearly dictates otherwise. [0054] The term “salt” or “pharmaceutically acceptable salt” refers to salts derived from a variety of organic and inorganic counter ions well known in the art. Pharmaceutically acceptable acid addition salts can be formed with inorganic acids and organic acids. Inorganic acids from which salts can be derived include, for example, hydrochloric acid, hydrobromic acid, sulfuric acid, nitric acid, phosphoric acid, and the like. Organic acids from which salts can be derived include, for example, acetic acid, propionic acid, glycolic acid, pyruvic acid, oxalic acid, maleic acid, malonic acid, succinic acid, fumaric acid, tartaric acid, citric acid, benzoic acid, cinnamic acid, mandelic acid, methanesulfonic acid, ethanesulfonic acid, p-toluenesulfonic acid, salicylic acid, and the like. Pharmaceutically acceptable base addition salts can be formed with inorganic and organic bases. Inorganic bases from which salts can be derived include, for example, sodium, potassium, lithium, ammonium, calcium, magnesium, iron, zinc, copper, manganese, aluminum,
and the like. Organic bases from which salts can be derived include, for example, primary, secondary, and tertiary amines, substituted amines including naturally occurring substituted amines, cyclic amines, basic ion exchange resins, and the like, specifically such as isopropylamine, trimethylamine, diethylamine, triethylamine, tripropylamine, and ethanolamine. In some embodiments, the pharmaceutically acceptable base addition salt is chosen from ammonium, potassium, sodium, calcium, and magnesium salts. [0055] The phrases “parenteral administration” and “administered parenterally” as used herein means modes of administration other than enteral and topical administration, usually by injection, and includes, without limitation, intravenous, intramuscular, intraarterial, intrathecal, intracapsular, intraorbital, intracardiac, intradermal, intraperitoneal, transtracheal, subcutaneous, subcuticular, intraarticular, subcapsular, subarachnoid, intraspinal and intrasternal injection and infusion. [0056] The phrase “pharmaceutically acceptable” is employed herein to refer to those compounds, materials, compositions, and/or dosage forms which are, within the scope of sound medical judgment, suitable for use in contact with the tissues of human beings and animals without excessive toxicity, irritation, allergic response, or other problem or complication, commensurate with a reasonable benefit/risk ratio. [0057] The phrase “pharmaceutically acceptable excipient” or “pharmaceutically acceptable carrier” as used herein means a pharmaceutically acceptable material, composition or vehicle, such as a liquid or solid filler, diluent, excipient, solvent or encapsulating material. Each carrier must be “acceptable” in the sense of being compatible with the other ingredients of the formulation and not injurious to the patient. Some examples of materials which can serve as pharmaceutically acceptable carriers include: (1) sugars, such as lactose, glucose and sucrose; (2) starches, such as corn starch and potato starch; (3) cellulose, and its derivatives, such as sodium carboxymethyl cellulose, ethyl cellulose and cellulose acetate; (4) powdered tragacanth; (5) malt; (6) gelatin; (7) talc; (8) excipients, such as cocoa butter and suppository waxes; (9) oils, such as peanut oil, cottonseed oil, safflower oil, sesame oil, olive oil, corn oil and soybean oil; (10) glycols, such as propylene glycol; (11) polyols, such as glycerin, sorbitol, mannitol and polyethylene glycol; (12) esters, such as ethyl oleate and ethyl laurate; (13) agar; (14) buffering agents, such as magnesium hydroxide and aluminum hydroxide; (15) alginic acid; (16) pyrogen-free water; (17) isotonic saline; (18) Ringer's solution; (19) ethyl alcohol; (20) phosphate buffer solutions; and (21) other non-toxic compatible substances employed in pharmaceutical formulations. [0058] In certain embodiments, the term “prevent” or “preventing” as related to a disease or disorder may refer to a compound that, in a statistical sample, reduces the occurrence of the disorder or condition in the treated sample relative to an untreated control sample, or delays the
onset or reduces the severity of one or more symptoms of the disorder or condition relative to the untreated control sample. [0059] The terms “treat,” “treating” or “treatment,” as used herein, may include alleviating, abating or ameliorating a disease or condition symptoms, preventing additional symptoms, ameliorating or preventing the underlying causes of symptoms, inhibiting the disease or condition, e.g., arresting the development of the disease or condition, relieving the disease or condition, causing regression of the disease or condition, relieving a condition caused by the disease or condition, or stopping the symptoms of the disease or condition either prophylactically and/or therapeutically. [0060] The term “G12 mutants”, as used herein, refers to other oncogenic alleles of KRAS at amino acid position 12 (ie. G12X). Compounds of the Disclosure [0061] The following is a discussion of compounds and salts thereof that may be used in the methods of the disclosure. [0062] In aspect, the present disclosure provides a compound of Formula (I):
Formula (I), or a pharmaceutically acceptable salt thereof wherein: R100 is selected from
R1A is selected from C1-6 alkyl, C3-C12 carbocycle, and 4- to 12-membered heterocycle, each of which is optionally substituted with one or more R11, and wherein optionally two R11 on the same atom of R1A come together to form a C3-C6 carbocycle or 3- to 8-membered heterocycle, wherein the C3-C6 carbocycle and 3- to 8-membered heterocycle are each optionally substituted with one or more R11A; R1B is selected from hydrogen, C1-6 alkyl, C3-C6 carbocycle, wherein the C1-6 alkyl and C3-C6 carbocycle are each optionally substituted with one or more R10; or R1A and R1B come together with the atom to which they are bound to form R1, wherein R1 is a 5- to 15-membered heterocycle, wherein the 5- to 15-membered heterocycle is optionally substituted with one or more substituents independently selected from halogen, -B(OR20)2, - N(R20)2, -OR20, -SR20, -S(O)2(R20), -S(O)2N(R20)2, -S(O)N(R20)2, -S(O)R20(=NR20), -
NR20S(O)2R20, -C(O)N(R20)2, -C(=NR20)N(R20)2, -C1-6 alkyl(=NR20OR20), -C(O)NR20OR20, - N(R20)C(O)R20, -N(R20)C(O)N(R20)2, -N(R20)C(O)OR20, -C(O)R20, -C(O)OR20, -OC(O)R20, - OC(O)N(R20)2, -NO2, =O, =N(R20), =NO(R20), -CN, -NHCN, C1-6 alkyl-N(R20)2, C1-6 aminoalkyl, C1-6 alkoxy, C1-6 hydroxyalkyl, C1-6 cyanoalkyl, C1-6 haloalkyl, C1-6 alkyl-SO2R20, C1- 6 alkoxyalkyl, C1-6 alkyl, C2-6 alkenyl, C2-6 alkynyl, C3-C12 carbocycle and 5- to 12-membered heterocycle, wherein the C3-C12 carbocycle and 5- to 12-membered heterocycle are each optionally substituted independently with one or more R1*; each R1* is independently selected from halogen, -B(OR20)2, -OR20, -SR20, -S(O)2(R20), - S(O)2N(R20)2, -S(O)N(R20)2, -S(O)R20(=NR20), -NR20S(O)2R20, -C(O)N(R20)2, -C(O)NR20OR20, -N(R20)C(O)R20, -N(R20)C(O)N(R20)2, -N(R20)C(O)OR20, -N(R20)2, -C(O)R20, -C(O)OR20, - OC(O)R20, -OC(O)N(R20)2, -NO2, =O, =N(R20), =NO(R20), -CN, -NHCN, C1-6 alkyl-N(R20)2, C1- 6 aminoalkyl, C1-6 alkoxy, C1-6 hydroxyalkyl, C1-6 cyanoalkyl, C1-6 haloalkyl, C1-6 alkyl, C2-6 alkenyl, C2-6 alkynyl, and C3-C12 carbocycle; R1C is selected from hydrogen, C1-6 alkyl, C3-C12 carbocycle, and 4- to 12-membered heterocycle, each of which is optionally substituted with one or more R12, and wherein optionally two R12 on the same atom of R1C come together to form a C3-C6 carbocycle or 3- to 8- membered heterocycle, wherein the C3-C6 carbocycle and 3- to 8-membered heterocycle are each optionally substituted with one or more R12A; R1D is selected from hydrogen, C1-6 alkyl, C3-C12 carbocycle, and 4- to 12-membered heterocycle, each of which is optionally substituted with one or more R13, and wherein optionally two R13 on the same atom of R1D come together to form a C3-C6 carbocycle or 3- to 8- membered heterocycle, wherein the C3-C6 carbocycle and 3- to 8-membered heterocycle are each optionally substituted with one or more R13A; Y is selected from a -O-, -S-, and -N(R5)-; R2 is selected from heterocycle, -L-heterocycle, -L-N(R20)2, -L-OR20, -L-aryl, -L- heteroaryl, -L-cycloalkyl, -L-NHC(=NH)NH2, -L-C(O)N(R20)2, -L-C1-C6 haloalkyl, -L- NR20C(O)-aryl, -L-COOH, -L-NR20S(O)2(R20), -L-S(O)2N(R20)2, -L-N(R20)C(O)(OR20), -L- OC(O)N(R20)2, and -L-C(=O)OCl-C6 alkyl, wherein the heterocycle, the heterocycle portion of - L-heterocycle, and the cycloalkyl portion of the -L-cycloalkyl are each optionally substituted with one or more R6, and wherein the aryl portion of -L-NR20C(O)-aryl, the aryl of the -L-aryl, and the heteroaryl of -L-heteroaryl are each optionally substituted with one or more R7; each L is independently selected from a C1-C4 alkylene optionally substituted with one or more substituents independently selected from hydroxy, C1-C4 hydroxyalkyl, C1-C4 alkyl, C3-C6 carbocycle, and 3- to 8-membered heterocycle, wherein the C3-C6 carbocycle and 3- to 8- membered heterocycle are each optionally substituted with one or more substituents
independently selected from halogen, -OH, -NO2, =O, =S, -CN, C1-6 aminoalkyl, C1-6 alkoxy, C1- 6 hydroxyalkyl, C1-6 haloalkyl; and wherein optionally two substituents on the same carbon atom of L come together to form a C3-C6 carbocycle or 3- to 8-membered heterocycle, wherein the C3- C6 carbocycle and 3- to 8-membered heterocycle are each optionally substituted with one or more substituents independently selected from halogen, -OH, -NO2, =O, =S, -CN, C1-6 aminoalkyl, C1-6 alkoxy, C1-6 hydroxyalkyl, and C1-6 haloalkyl; R3 is selected from hydrogen, halogen, -CN, -NO2, -N(R20)2, -OR20, -SR20, -S(O)2(R20), - S(O)2N(R20)2, -S(O)N(R20)2, -S(O)R20(=NR20), -NR20S(O)2R20, -C(O)N(R20)2, -N(R20)C(O)R20, - N(R20)C(O)N(R20)2, -N(R20)C(O)OR20, -C(O)R20, C(O)OR20, -OC(O)R20, -OC(O)N(R20)2, C1-6 aminoalkyl, C1-6 alkoxy, C1-6 alkoxyalkyl, C1-6 hydroxyalkyl, C1-6 cyanoalkyl, C1-6 haloalkyl, C1-6 alkyl, C2-6 alkenyl, C2-6 alkynyl, C3-C12 carbocycle and 5- to 12-membered heterocycle; each R4 is independently selected from halogen, -NO2, -NH2, -NH(C1-6 alkyl), -N(C1-6 alkyl)2, =O, =S, -CN, C1-6 alkyl, C1-6 aminoalkyl, C1-6 alkoxy, C1-6 cyanoalkyl, C1-6 hydroxyalkyl, and C1-6 haloalkyl; n is selected from 0, 1, 2, 3, and 4; m is selected from 1 and 2; each R5 is independently selected from hydrogen and C1-C6 alkyl; each R6 is independently selected from halogen, hydroxy, C1-C3 hydroxyalkyl, C1-C3 alkyl, oxo, C1-C3 haloalkyl, C1-C3 alkoxy, cyano, =CH2, =NO-C1-C3 alkyl, C1-C3 aminoalkyl, - N(R5)S(O)2(R5), -Q-phenyl, -Q-phenylSO2F, -NHC(O)phenyl, - NHC(O)phenylSO2F, C1-C3 alkyl substituted pyrazolyl, tert-butyldimethylsilyloxyCH2-, -N(R5)2, (C1-C3 alkoxy)C1-C3 alkyl-, (C1-C3 alkyl)C(=O), oxo, (C1-C3 haloalkyl)C(=O)-, -SO2F, (C1-C3 alkoxy)C1-C3 alkoxy, - CH2OC(O)N(R5)2, -CH2NHC(O)OC1-C6 alkyl, -CH2NHC(O)N(R5)2, -CH2NHC(O)C1-C6 alkyl, - CH2(pyrazolyl), -CH2NHSO2C1-C6 alkyl, -CH2OC(O)heterocycle, -OC(O)N(R5)2, - OC(O)NH(C1-C3 alkyl)O(C1-C3 alkyl), -OC(O)NH(C1-C3 alkyl)O(C1-C3 alkyl)phenyl(C1-C3 alkyl)N(CH3)2, -OC(O)NH(C1-C3 alkyl)O(C1-C3 alkyl)phenyl, -OC(O)heterocycle, -O-C1-C3 alkyl, -S(O)2(R20), -S(O)2N(R20)2, -S(O)N(R20)2, -S(O)R20(=NR20), -NR20S(O)2R20, and - CH2heterocycle, wherein the phenyl of -NHC(O)phenyl and -OC(O)NH(C1-C3 alkyl)(C1-C3 alkyl)phenyl are optionally substituted with one or more substituents selected from -C(O)H and OH, and wherein the alkyl of -O-C1-C3 alkyl is optionally substituted with substituents selected from heterocycle, oxo and hydroxy; and wherein the heterocycle of -CH2heterocyclyl is optionally substituted with oxo; each Q is selected from a bond and O; each R7 is independently selected from halogen, hydroxy, HC(=O)-, C1-C4 alkyl, C1-C4 alkoxy, C1-C4 haloalkyl, C1-C4 hydroxyalkyl, and -N(R5)2;
R8 is selected from 5- to 10-membered heteroaryl and 5- to 12-membered unsaturated heterocycle, wherein the 5- to 10-membered heteroaryl and 5- to 12-membered unsaturated heterocycle are each optionally substituted with one or more substituents independently selected from halogen, -CN, -NO2, =O, -N(R20)2, -B(OR20)2, -OR20, -SR20, -S(O)2(R20), -S(O)2N(R20)2, - S(O)N(R20)2, -S(O)R20(=NR20), -NR20S(O)2R20, -C(O)N(R20)2, -N(R20)C(O)R20, - N(R20)C(O)N(R20)2, -N(R20)C(O)OR20, -C(O)R20, C(O)OR20, -OC(O)R20, -OC(O)N(R20)2, - C(O)NR20-OR20, C1-6 aminoalkyl, C1-6 alkoxy, C1-6 alkoxyalkyl, C1-6 hydroxyalkyl, C1-6 cyanoalkyl, C1-6 haloalkyl, C1-6 alkyl, C2-6 alkenyl, C2-6 alkynyl, C3-C12 carbocycle and 5- to 12- membered heterocycle; and wherein when R8 is 1-methyl-1H-benzo[d]imidazole, m is 1, Y is oxygen, L is C1 alkylene, R9 is hydrogen, and R1A and R1B come together with the atom to which they are bound to form R1, the heterocycle of R1 is selected from an optionally substituted 6- to 15-membered heterocycle; R9 is selected from hydrogen, halogen, C1-C3 alkyl, -CN, -OR20, -SR20, C1-3 aminoalkyl, C1-3 alkoxyalkyl, C1-3 hydroxyalkyl, C1-3 cyanoalkyl, C1-3 haloalkyl, each R10 is independently selected from halogen, -B(OR20)2, -OR20, -SR20, -S(O)2(R20), - S(O)2N(R20)2, -S(O)N(R20)2, -S(O)R20(=NR20), -NR20S(O)2R20, -C(O)N(R20)2, -N(R20)C(O)R20, - N(R20)C(O)N(R20)2, -N(R20)C(O)OR20, -N(R20)2, -C(O)R20, -C(O)OR20, -OC(O)R20, - OC(O)N(R20)2, -NO2, =O, =NO(R20), -CN, -NHCN, C1-6 alkyl-N(R20)2, C1-6 aminoalkyl, C1-6 alkoxy, C1-6 hydroxyalkyl, C1-6 cyanoalkyl, C1-6 haloalkyl, C1-6 alkyl, C2-6 alkenyl, C2-6 alkynyl, C3-C12 carbocycle and 5- to 12-membered heterocycle, wherein the C3-C12 carbocycle and 5- to 12-membered heterocycle are each optionally substituted with one or more substituents independently selected from halogen, -OH, -CN, -NO2, -NH2, -NH(C1-6 alkyl), -N(C1-6 alkyl)2, C1-10 alkyl, -C1-10 haloalkyl, -O-C1-10 alkyl, oxo; each R11 , R12, and R13 is independently selected from halogen, -B(OR20)2, -OR20, -SR20, -S(O)2(R20), -S(O)2N(R20)2, -S(O)N(R20)2, -S(O)R20(=NR20), -NR20S(O)2R20, -C(O)N(R20)2, - N(R20)C(O)R20, -N(R20)C(O)N(R20)2, -N(R20)C(O)OR20, -N(R20)2, -C(O)R20, -C(O)OR20, - OC(O)R20, -OC(O)N(R20)2, -NO2, =O, =NO(R20), -CN, -NHCN, C1-6 alkyl-N(R20)2, C1-6 aminoalkyl, C1-6 alkoxy, C1-6 hydroxyalkyl, C1-6 cyanoalkyl, C1-6 haloalkyl, C1-6 alkyl, C2-6 alkenyl, C2-6 alkynyl, C3-C12 carbocycle and 5- to 12-membered heterocycle, wherein the C3-C12 carbocycle and 5- to 12-membered heterocycle are each optionally substituted with one or more substituents independently selected from halogen, -OH, -CN, -NO2, -N(R20)2, -C(O)N(R20)2, C1- 10 alkyl, -C1-10 haloalkyl, -O-C1-10 alkyl, and oxo; each R11A, R12A, and R13A is independently selected from halogen, -B(OR20)2, -OR20, - SR20, -S(O)2(R20), -S(O)2N(R20)2, -S(O)N(R20)2, -S(O)R20(=NR20), -NR20S(O)2R20, - C(O)N(R20)2, -N(R20)C(O)R20, -N(R20)C(O)N(R20)2, -N(R20)C(O)OR20, -N(R20)2, -C(O)R20, -
C(O)OR20, -OC(O)R20, -OC(O)N(R20)2, -NO2, =O, =NO(R20), -CN, -NHCN, C1-6 alkyl-N(R20)2, C1-6 aminoalkyl, C1-6 alkoxy, C1-6 hydroxyalkyl, C1-6 cyanoalkyl, C1-6 haloalkyl, C1-6 alkyl, C2-6 alkenyl, and C2-6 alkynyl; and each R20 is independently selected from hydrogen; and C1-6 alkyl, C2-6 alkenyl, C2-6 alkynyl, C3-12 carbocycle, and 3- to 12-membered heterocycle, each of which is optionally substituted with one or more substituents independently selected from halogen, -OH, -CN, -NO2, -NH2, -NH(C1-6 alkyl), -N(C1-6 alkyl)2, C1-10 alkyl, -C1-10 haloalkyl, -O-C1-10 alkyl, oxo, C3-12 carbocycle, and 3- to 12-membered heterocycle. [0063] In an aspect, the present disclosure provides a compound of Formula (I-B*):
Formula (I-B*), or a pharmaceutically acceptable salt thereof wherein:
R1A is selected from C1-6 alkyl, C3-C12 carbocycle, and 4- to 12-membered heterocycle, each of which is optionally substituted with one or more R11, and wherein optionally two R11 on the same atom of R1A come together to form a C3-C6 carbocycle or 3- to 8-membered heterocycle, wherein the C3-C6 carbocycle and 3- to 8-membered heterocycle are each optionally substituted with one or more R11A; R1B is selected from hydrogen, C1-6 alkyl, C3-C6 carbocycle, wherein the C1-6 alkyl and C3- C6 carbocycle are each optionally substituted with one or more R10; or R1A and R1B come together with the atom to which they are bound to form R1, wherein R1 is a 5- to 15-membered heterocycle, wherein the 5- to 15-membered heterocycle is optionally substituted with one or more substituents independently selected from halogen, -B(OR20)2, - N(R20)2, -OR20, -SR20, -S(O)2(R20), -S(O)2N(R20)2, -S(O)N(R20)2, -S(O)R20(=NR20), - NR20S(O)2R20, -C(O)N(R20)2, -C(=NR20)N(R20)2, -C1-6 alkyl(=NR20OR20), -C(O)NR20OR20, - N(R20)C(O)R20, -N(R20)C(O)N(R20)2, -N(R20)C(O)OR20, -C(O)R20, -C(O)OR20, -OC(O)R20, - OC(O)N(R20)2, -NO2, =O, =N(R20), =NO(R20), -CN, -NHCN, C1-6 alkyl-N(R20)2, C1-6 aminoalkyl, C1-6 alkoxy, C1-6 hydroxyalkyl, C1-6 cyanoalkyl, C1-6 haloalkyl, C1-6 alkyl-SO2R20, C1-6 alkoxyalkyl,
C1-6 alkyl, C2-6 alkenyl, C2-6 alkynyl, C3-C12 carbocycle and 5- to 12-membered heterocycle, wherein the C3-C12 carbocycle and 5- to 12-membered heterocycle are each optionally substituted independently with one or more R1*; each R1* is independently selected from halogen, -B(OR20)2, -OR20, -SR20, -S(O)2(R20), - S(O)2N(R20)2, -S(O)N(R20)2, -S(O)R20(=NR20), -NR20S(O)2R20, -C(O)N(R20)2, -C(O)NR20OR20, - N(R20)C(O)R20, -N(R20)C(O)N(R20)2, -N(R20)C(O)OR20, -N(R20)2, -C(O)R20, -C(O)OR20, - OC(O)R20, -OC(O)N(R20)2, -NO2, =O, =N(R20), =NO(R20), -CN, -NHCN, C1-6 alkyl-N(R20)2, C1- 6 aminoalkyl, C1-6 alkoxy, C1-6 hydroxyalkyl, C1-6 cyanoalkyl, C1-6 haloalkyl, C1-6 alkyl, C2-6 alkenyl, C2-6 alkynyl, and C3-C12 carbocycle; R1C is selected from hydrogen, C1-6 alkyl, C3-C12 carbocycle, and 4- to 12-membered heterocycle, each of which is optionally substituted with one or more R12, and wherein optionally two R12 on the same atom of R1C come together to form a C3-C6 carbocycle or 3- to 8-membered heterocycle, wherein the C3-C6 carbocycle and 3- to 8-membered heterocycle are each optionally substituted with one or more R12A; R1D is selected from hydrogen, C1-6 alkyl, C3-C12 carbocycle, and 4- to 12-membered heterocycle, each of which is optionally substituted with one or more R13, and wherein optionally two R13 on the same atom of R1D come together to form a C3-C6 carbocycle or 3- to 8-membered heterocycle, wherein the C3-C6 carbocycle and 3- to 8-membered heterocycle are each optionally substituted with one or more R13A; Y is selected from a -O-, -S-, and -N(R5)-; R2 is selected from heterocycle, -L-heterocycle, -L-N(R20)2, -L-OR20, -L-aryl, -L- heteroaryl, -L-cycloalkyl, -L-NHC(=NH)NH2, -L-C(O)N(R20)2, -L-Cl-C6 haloalkyl, -L- NR20C(O)-aryl, -L-COOH, -L-NR20S(O)2(R20), -L-S(O)2N(R20)2, -L-N(R20)C(O)(OR20), -L- OC(O)N(R20)2, and -L-C(=O)OCl-C6 alkyl, wherein the heterocycle, the heterocycle portion of - L-heterocycle, and the cycloalkyl portion of the -L-cycloalkyl are each optionally substituted with one or more R6, and wherein the aryl portion of -L-NR20C(O)-aryl, the aryl of the -L-aryl, and the heteroaryl of -L-heteroaryl are each optionally substituted with one or more R7; each L is independently selected from a C1-C4 alkylene optionally substituted with one or more substituents independently selected from hydroxy, C1-C4 hydroxyalkyl, C1-C4 alkyl, C3-C6 carbocycle, and 3- to 8-membered heterocycle, wherein the C3-C6 carbocycle and 3- to 8- membered heterocycle are each optionally substituted with one or more substituents independently selected from halogen, -OH, -NO2, =O, =S, -CN, C1-6 aminoalkyl, C1-6 alkoxy, C1-6 hydroxyalkyl, C1-6 haloalkyl; and wherein optionally two substituents on the same carbon atom of L come together to form a C3-C6 carbocycle or 3- to 8-membered heterocycle, wherein the C3-C6 carbocycle and 3- to 8-membered heterocycle are each optionally substituted with one or more
substituents independently selected from halogen, -OH, -NO2, =O, =S, -CN, C1-6 aminoalkyl, C1- 6 alkoxy, C1-6 hydroxyalkyl, and C1-6 haloalkyl; R3 is selected from hydrogen, halogen, -CN, -NO2, -N(R20)2, -OR20, -SR20, -S(O)2(R20), - S(O)2N(R20)2, -S(O)N(R20)2, -S(O)R20(=NR20), -NR20S(O)2R20, -C(O)N(R20)2, -N(R20)C(O)R20, - N(R20)C(O)N(R20)2, -N(R20)C(O)OR20, -C(O)R20, C(O)OR20, -OC(O)R20, -OC(O)N(R20)2, C1-6 aminoalkyl, C1-6 alkoxy, C1-6 alkoxyalkyl, C1-6 hydroxyalkyl, C1-6 cyanoalkyl, C1-6 haloalkyl, C1-6 alkyl, C2-6 alkenyl, C2-6 alkynyl, C3-C12 carbocycle and 5- to 12-membered heterocycle; each R4 is independently selected from halogen, -NO2, -NH2, -NH(C1-6 alkyl), -N(C1-6 alkyl)2, =O, =S, -CN, C1-6 alkyl, C1-6 aminoalkyl, C1-6 alkoxy, C1-6 cyanoalkyl, C1-6 hydroxyalkyl, and C1-6 haloalkyl; n is selected from 0, 1, 2, 3, and 4; each R5 is independently selected from hydrogen and C1-C6 alkyl; each R6 is independently selected from halogen, hydroxy, C1-C3 hydroxyalkyl, C1-C3 alkyl, oxo, C1-C3 haloalkyl, C1-C3 alkoxy, cyano, =CH2, =NO-C1-C3 alkyl, C1-C3 aminoalkyl, - N(R5)S(O)2(R5), -Q-phenyl, -Q-phenylSO2F, -NHC(O)phenyl, - NHC(O)phenylSO2F, C1-C3 alkyl substituted pyrazolyl, tert-butyldimethylsilyloxyCH2-, -N(R5)2, (C1-C3 alkoxy)C1-C3 alkyl-, (C1-C3 alkyl)C(=O), oxo, (C1-C3 haloalkyl)C(=O)-, -SO2F, (C1-C3 alkoxy)C1-C3 alkoxy, - CH2OC(O)N(R5)2, -CH2NHC(O)OC1-C6 alkyl, -CH2NHC(O)N(R5)2, -CH2NHC(O)C1-C6 alkyl, - CH2(pyrazolyl), -CH2NHSO2C1-C6 alkyl, -CH2OC(O)heterocycle, -OC(O)N(R5)2, - OC(O)NH(C1-C3 alkyl)O(C1-C3 alkyl), -OC(O)NH(C1-C3 alkyl)O(C1-C3 alkyl)phenyl(C1-C3 alkyl)N(CH3)2, -OC(O)NH(C1-C3 alkyl)O(C1-C3 alkyl)phenyl, -OC(O)heterocycle, -O-C1-C3 alkyl, -S(O)2(R20), -S(O)2N(R20)2, -S(O)N(R20)2, -S(O)R20(=NR20), -NR20S(O)2R20, and - CH2heterocycle, wherein the phenyl of -NHC(O)phenyl and -OC(O)NH(C1-C3 alkyl)(C1-C3 alkyl)phenyl are optionally substituted with one or more substituents selected from -C(O)H and OH, and wherein the alkyl of -O-C1-C3 alkyl is optionally substituted with substituents selected from heterocycle, oxo and hydroxy; and wherein the heterocycle of -CH2heterocyclyl is optionally substituted with oxo; each Q is selected from a bond and O; each R7 is independently selected from halogen, hydroxy, HC(=O)-, C1-C4 alkyl, C1-C4 alkoxy, C1-C4 haloalkyl, C1-C4 hydroxyalkyl, and -N(R5)2; R8 is selected from 5- to 10-membered heteroaryl and 5- to 12-membered unsaturated heterocycle, wherein the 5- to 10-membered heteroaryl and 5- to 12-membered unsaturated heterocycle are each optionally substituted with one or more substituents independently selected from halogen, -CN, -NO2, =O, -N(R20)2, -B(OR20)2, -OR20, -SR20, -S(O)2(R20), -S(O)2N(R20)2, - S(O)N(R20)2, -S(O)R20(=NR20), -NR20S(O)2R20, -C(O)N(R20)2, -N(R20)C(O)R20, -
N(R20)C(O)N(R20)2, -N(R20)C(O)OR20, -C(O)R20, C(O)OR20, -OC(O)R20, -OC(O)N(R20)2, - C(O)NR20-OR20, C1-6 aminoalkyl, C1-6 alkoxy, C1-6 alkoxyalkyl, C1-6 hydroxyalkyl, C1-6 cyanoalkyl, C1-6 haloalkyl, C1-6 alkyl, C2-6 alkenyl, C2-6 alkynyl, C3-C12 carbocycle and 5- to 12- membered heterocycle; and wherein when R8 is 1-methyl-1H-benzo[d]imidazole, m is 1, Y is oxygen, L is C1 alkylene, R9 is hydrogen, and R1A and R1B come together with the atom to which they are bound to form R1, the heterocycle of R1 is selected from an optionally substituted 6- to 15-membered heterocycle; R9 is selected from hydrogen, halogen, C1-C3 alkyl, -CN, -OR20, -SR20, C1-3 aminoalkyl, C1-3 alkoxyalkyl, C1-3 hydroxyalkyl, C1-3 cyanoalkyl, C1-3 haloalkyl; each R10 is independently selected from halogen, -B(OR20)2, -OR20, -SR20, -S(O)2(R20), - S(O)2N(R20)2, -S(O)N(R20)2, -S(O)R20(=NR20), -NR20S(O)2R20, -C(O)N(R20)2, -N(R20)C(O)R20, - N(R20)C(O)N(R20)2, -N(R20)C(O)OR20, -N(R20)2, -C(O)R20, -C(O)OR20, -OC(O)R20, - OC(O)N(R20)2, -NO2, =O, =NO(R20), -CN, -NHCN, C1-6 alkyl-N(R20)2, C1-6 aminoalkyl, C1-6 alkoxy, C1-6 hydroxyalkyl, C1-6 cyanoalkyl, C1-6 haloalkyl, C1-6 alkyl, C2-6 alkenyl, C2-6 alkynyl, C3- C12 carbocycle and 5- to 12-membered heterocycle, wherein the C3-C12 carbocycle and 5- to 12- membered heterocycle are each optionally substituted with one or more substituents independently selected from halogen, -OH, -CN, -NO2, -NH2, -NH(C1-6 alkyl), -N(C1-6 alkyl)2, C1-10 alkyl, -C1-10 haloalkyl, -O-C1-10 alkyl, oxo; each R11 , R12, and R13 is independently selected from halogen, -B(OR20)2, -OR20, -SR20, - S(O)2(R20), -S(O)2N(R20)2, -S(O)N(R20)2, -S(O)R20(=NR20), -NR20S(O)2R20, -C(O)N(R20)2, - N(R20)C(O)R20, -N(R20)C(O)N(R20)2, -N(R20)C(O)OR20, -N(R20)2, -C(O)R20, -C(O)OR20, - OC(O)R20, -OC(O)N(R20)2, -NO2, =O, =NO(R20), -CN, -NHCN, C1-6 alkyl-N(R20)2, C1-6 aminoalkyl, C1-6 alkoxy, C1-6 hydroxyalkyl, C1-6 cyanoalkyl, C1-6 haloalkyl, C1-6 alkyl, C2-6 alkenyl, C2-6 alkynyl, C3-C12 carbocycle and 5- to 12-membered heterocycle, wherein the C3-C12 carbocycle and 5- to 12-membered heterocycle are each optionally substituted with one or more substituents independently selected from halogen, -OH, -CN, -NO2, -N(R20)2, -C(O)N(R20)2, C1-10 alkyl, -C1-10 haloalkyl, -O-C1-10 alkyl, and oxo; each R11A, R12A, and R13A is independently selected from halogen, -B(OR20)2, -OR20, -SR20, -S(O)2(R20), -S(O)2N(R20)2, -S(O)N(R20)2, -S(O)R20(=NR20), -NR20S(O)2R20, -C(O)N(R20)2, - N(R20)C(O)R20, -N(R20)C(O)N(R20)2, -N(R20)C(O)OR20, -N(R20)2, -C(O)R20, -C(O)OR20, - OC(O)R20, -OC(O)N(R20)2, -NO2, =O, =NO(R20), -CN, -NHCN, C1-6 alkyl-N(R20)2, C1-6 aminoalkyl, C1-6 alkoxy, C1-6 hydroxyalkyl, C1-6 cyanoalkyl, C1-6 haloalkyl, C1-6 alkyl, C2-6 alkenyl, and C2-6 alkynyl; and each R20 is independently selected from hydrogen; and C1-6 alkyl, C2-6 alkenyl, C2-6 alkynyl, C3-12 carbocycle, and 3- to 12-membered heterocycle, each of which is optionally substituted with
one or more substituents independently selected from halogen, -OH, -CN, -NO2, -NH2, -NH(C1-6 alkyl), -N(C1-6 alkyl)2, C1-10 alkyl, -C1-10 haloalkyl, -O-C1-10 alkyl, oxo, C3-12 carbocycle, and 3- to 12-membered heterocycle. [0064] In some embodiments, for a compound a salt of Formula (I-B*)
[0065] In some embodiments, Formula (I) is represented by
Formula (I-A), or a pharmaceutically acceptable salt thereof. [0066] In some embodiments, Formula (I) is represented by
, or a pharmaceutically acceptable salt thereof. [0067] In some embodiments, Formula (I) is represented by
Formula (I-D), or a pharmaceutically acceptable salt thereof. [0068] In some embodiments, Formula (I) is represented by
Formula (I-E), or a pharmaceutically acceptable salt thereof. [0069] In some embodiments, for a compound or salt of Formula (I), Formula (I-A), Formula (I-B), Formula (I-B*), Formula (I-D), or Formula (I-E), R9 is selected from hydrogen, halogen, C1-C3 alkyl, -CN, -OR20, -SR20, C1-3 aminoalkyl, C1-3 alkoxyalkyl, C1-3 hydroxyalkyl, C1-3 cyanoalkyl, and C1-3 haloalkyl. In some cases, R9 is selected from hydrogen, halogen, C1-C3 alkyl, -CN, -OH, -OCH3, C1-3 aminoalkyl, C1-3 alkoxyalkyl, C1-3 hydroxyalkyl, C1-3 cyanoalkyl, and C1-3 haloalkyl. In some cases, R9 is selected from hydrogen, halogen, C1-C3 alkyl, -CN, -OH, -OCH3, C1-3 aminoalkyl, C1-3 alkoxyalkyl, C1-3 hydroxyalkyl, C1-3 cyanoalkyl, and C1-3 haloalkyl. In some cases, R9 is selected from hydrogen, halogen, C1-C3 alkyl, C1-3 aminoalkyl, C1-3 alkoxyalkyl, C1-3 hydroxyalkyl, C1-3 cyanoalkyl, and C1-3 haloalkyl. In some cases, R9 is selected from hydrogen and C1-C3 alkyl. In some cases, R9 is selected from hydrogen and C1 alkyl. In some cases, R9 is hydrogen. In some cases, R9 is C1 alkyl. [0070] In some embodiments, for a compound or salt of Formula (I), Formula (I-A), Formula (I-B), Formula (I-B*), Formula (I-D), or Formula (I-E), R8 is selected from optionally substituted 5- to 6-membered heteroaryl. In some cases, R8 is selected from optionally substituted 5- membered heteroaryl. In some cases, the heteroaryl of R8 has at least heteroatom selected from oxygen, nitrogen, and sulfur. In some cases, the heteroaryl of R8 contains only one sulfur atom. In some cases, the heteroaryl of R8 has at least one sulfur atom. In some cases, the heteroaryl of R8 has at most one sulfur atom. In some cases, the heteroaryl of R8 has at least one oxygen atom. In some cases, the heteroaryl of R8 has at least one nitrogen atom. In some cases, the heteroaryl of
which is optionally substituted. In some cases, the heteroaryl
, which is optionally substituted. In some cases, the heteroaryl
, which is substituted. In some cases, the one or more optional substituents of R8 are independently selected from halogen, C1-6 alkyl, C1-6 haloalkyl, -N(R20)2, and -C(O)H. In some cases, the one or more optional substituents of R8 are independently selected from halogen, C1-6 alkyl, C1-6 haloalkyl, -N(R20)2,
and -CN. In some cases, the one or more optional substituents of R8 are independently selected from halogen, -N(R20)2, and -CN. In some cases, the one or more optional substituents of R8 are independently selected from halogen, -NH2, and -CN. In some cases, the one or more substituents of R8 are independently selected from halogen, -NH2, and -CN. In some cases, the one or more optional substituents of R8 are independently selected from chlorine, -NH2, and -CN. In some cases, R8 is substituted with at least one substituent selected from halogen, -NH2, and -CN. In some cases, R8 is substituted with at least one substituent selected from halogen. In some cases, R8 is substituted with at least one substituent selected from -NH2. In some cases, R8 is substituted with at least one substituent selected from -CN. In some cases, R8 is selected from
,
. . , [0071] In some embodiments, for a compound or salt of Formula (I), Formula (I-A), Formula (I-B), Formula (I-B*), Formula (I-D), or Formula (I-E), R8 is selected from an optionally substituted 6- to 9-membered heteroaryl. In some cases, the R8 is selected
, and
, each of which is optionally substituted. In some cases, the R8 is selected
, each of which is optionally substituted. In some cases, the one or more optional substituents of R8 are independently selected from halogen, C1-6 alkyl, C1-6 haloalkyl, -N(R20)2, and -CN. In some cases, the one or more optional substituents of R8 are independently selected from halogen, C2-6 alkyl, C1-6 haloalkyl, -N(R20)2, and -CN. In some cases, the one or more optional substituents of R8 are independently selected from halogen, C1-6 alkyl, C1-6 haloalkyl, -NH2, and -CN. In some cases, the one or more optional substituents of R8 are independently selected from halogen, C1-6 haloalkyl, -N(R20)2, and -CN. In some cases, R8 is
the heteroaryl of R8 is bicyclic. In some cases, the heteroaryl of R8 is monocyclic. In some cases, R8 is
, which is optionally substituted. In some cases,
, which is optionally substituted. In some cases, the one or more optional substituents of R8 are independently selected from halogen, C1-6 alkyl, C1-6 haloalkyl, -N(R20)2, and -CN. In some cases, R8 is
. [0072] In some embodiments, for a compound or salt of Formula (I), Formula (I-A), Formula (I-B), Formula (I-B*), Formula (I-D), or Formula (I-E), R8 is selected from an optionally substituted 5- to 12-membered unsaturated heterocycle. In some cases, R8 is selected from an optionally substituted 8- to 12-membered unsaturated bicyclic heterocycle. In some cases, R8 is selected from an optionally substituted 9-membered unsaturated heterocycle. In some cases, the heterocycle of R8 is a bicyclic heterocycle. In some cases, the bicyclic heterocycle has two rings. In some cases, one ring of the bicyclic heterocycle is an unsaturated carbocycle and the second ring is a heteroaryl. In some cases, the heterocycle of R8 has at least one sulfur atom. In some
cases, the heterocycle
, which is optionally substituted. In some cases, the one or more optional substituents of R8 are independently selected from halogen, -N(R20)2, and -
[0073] In some embodiments, for a compound or salt of Formula (I), Formula (I-A), Formula (I-B), Formula (I-D), or Formula (I-E), n is selected from 0 and 1. In some cases, n is 1. In some cases, n is 0. [0074] In some embodiments, for a compound or salt of Formula (I), Formula (I-A), Formula (I-B), Formula (I-B*), Formula (I-D), or Formula (I-E), each R4 is independently selected from halogen, -NO2, -NH2, -NH(C1-6 alkyl), -N(C1-6 alkyl)2, =O, -CN, C1-6 alkyl, C1-6 aminoalkyl, C1-6 alkoxy, C1-6 cyanoalkyl, C1-6 hydroxyalkyl, and C1-6 haloalkyl. In some cases, each R4 is independently selected from =O. [0075] In some embodiments, for a compound or salt of Formula (I), Formula (I-A), Formula (I- B), Formula (I-B*), Formula (I-D), or Formula (I-E), R3 is selected from hydrogen, halogen, -CN, -N(R20)2, -OR20, -C(O)N(R20)2, -C(O)R20, -C(O)OR20, -OC(O)R20, -OC(O)N(R20)2, C1-6 aminoalkyl, C1-6 alkoxy, C1-6 alkoxyalkyl, C1-6 hydroxyalkyl, C1-6 cyanoalkyl, C1-6 haloalkyl, and C1-6 alkyl. In some cases, R3 is selected from hydrogen, -CN, -C(O)N(R20)2, -C(O)R20, C1-6 aminoalkyl, C1-6 alkoxy, C1-6 alkoxyalkyl, C1-6 hydroxyalkyl, C1-6 cyanoalkyl, C1-6 haloalkyl, and C1-6 alkyl. In some cases, R3 is selected from hydrogen, -CN, -C(O)H, C1-6 hydroxyalkyl, and C1- 6 alkyl. In some cases, R3 is hydrogen. [0076] In some cases, R3 is -CN. In some cases, R3 is -C(O)H. In some cases, R3 is C1-6 hydroxyalkyl. In some cases, R3 is C1-6 alkyl. [0077] In some embodiments, for a compound or salt of Formula (I), R100 is R1. [0078] In some embodiments, for a compound or salt of Formula (I), R100 is selected from and . In some cases, R100 is . [0079] In some embodiments, for a compound or salt of Formula (I) or Formula (I-B*), R100 is selected from and , wherein R1A is selected from C1-6 alkyl, wherein the C1-6 alkyl is optionally substituted with one or more R11, and wherein optionally two R11 on the same
atom of R1A come together to form a C3-C6 carbocycle, wherein the C3-C6 carbocycle is optionally substituted with one or more R11A; or the R1A and R1B come together with the atom to which they are bound to form R1, wherein R1 is an optionally substituted 6- to 10-membered heterocycle; R1B is selected from hydrogen and C1-6 alkyl; and R1C is selected from C1-6 alkyl, wherein the C1-6 alkyl is optionally substituted with one or more R12, and wherein optionally two R12 on the same atom of R1C come together to form a C3-C6 carbocycle, wherein the C3-C6 carbocycle is optionally substituted with one or more R12A. [0080] In some embodiments, for a compound or salt of Formula (I), R100 is selected from: , wherein R1A is selected from C1-6 alkyl, wherein the C1-6 alkyl is optionally substituted with one or more R11, and wherein optionally two R11 on the same atom of R1A come together to form an unsubstituted C3 carbocycle;
, wherein R1C is selected from C1-6 alkyl, wherein the C1-6 alkyl is optionally substituted with one or more R12, and wherein optionally two R12 on the same atom of R1C come together to form an unsubstituted C3 carbocycle; and
, wherein R1A and R1B come together with the atom to which they are bound to form R1, wherein R1 is selected from
, , , , , each of which is optionally substituted. [0081] In some embodiments, for a compound or salt of Formula (I) or Formula (I-B*), R100 is
[0082] In some embodiments, for a compound or salt of Formula (I), each R11 is selected from -CN, and wherein optionally two R11 on the same atom of R1A come together to form an unsubstituted C3 carbocycle; each R12 is selected from -CN, and wherein optionally two R12 on the same atom of R1C come together to form an unsubstituted C3 carbocycle; and the one or more substituents of R1 is independently selected from halogen, -OR20, -CN, oxo, C1-6 alkyl, C1-6 hydroxyalkyl, and -C(O)N(R20)2.
[0083] In some embodiments, for a compound or salt of Formula (I), Formula (I-A), Formula (I-B*), or Formula (I-B), each R11 is selected from -CN, and wherein optionally two R11 on the same atom of R1A come together to form an unsubstituted C3 carbocycle. [0084] In some embodiments, for a compound or salt of Formula (I), the one or more substituents of R1 is independently selected from halogen, -OR20, -CN, oxo, C1-6 alkyl, C1-6 hydroxyalkyl, and -C(O)N(R20)2. In some cases, the one or more substituents of R1 is independently selected from halogen, -OH, -CN, oxo, C1-6 alkyl, C1-6 hydroxyalkyl, and - C(O)N(CH3)2. [0085] In some embodiments, for a compound or salt of Formula (I), Formula (I-D), or Formula (I-E), each R12 is selected from -CN, and wherein optionally two R12 on the same atom of R1C come together to form an unsubstituted C3 carbocycle. [0086] In some embodiments, for a compound or salt of Formula (I), R1A is selected from
; and the one or more substituents of R1 is independently selected from halogen, -OH, -CN, oxo, C1-6 alkyl, C1-6 hydroxyalkyl, and - C(O)N(CH3)2. [0087] In some embodiments, for a compound or salt of Formula (I), R1A is selected from
; and the one or more substituents of R1 is independently selected from halogen, -OH, -CN, oxo, C1-6 alkyl, C1-6 hydroxyalkyl, and - C(O)N(CH3)2. [0088] In some embodiments, for a compound or salt of Formula (I), Formula (I-A), or Formula (I-B), R1A is selected from
. [0089] In some embodiments, for a compound or salt of Formula (I), Formula (I-D), or Formula (I-E), R1C is selected from
. [0090] In some embodiments, for a compound or salt of Formula (I), R100 is selected from
[0091] In some embodiments, for a compound or salt of Formula (I), R100 is selected from
[0092] In some embodiments, for a compound or salt of Formula (I), R100 is selected from , wherein R1A and R1B come together with the atom to which they are bound to form R1. [0093] In some embodiments, for a compound or salt of Formula (I), R100 is selected from bodiments, for a compound or salt of Formula (I) or Formula (I-B*), R100 is s
and . In some cases, R1A is selected from C1-6 alkyl, C3-C12 carbocycle, and 4- to 12-membered heterocycle, each of which is optionally substituted with one or more R11, and wherein optionally two R11 on the same atom of R1A come together to form a C3- C6 carbocycle or 3- to 8-membered heterocycle, wherein the C3-C6 carbocycle and 3- to 8- membered heterocycle are each optionally substituted with one or more R11A. [0095] In some embodiments, for a compound or salt of Formula (I), Formula (I-A), Formula (I-B*), or Formula (I-B), R1B is hydrogen. In some cases, R1B is selected from an optionally substituted C1-6 alkyl. In some cases, R1B is selected from an optionally substituted C3-C6 carbocycle. [0096] In some embodiments, for a compound or salt of Formula (I), Formula (I-A), Formula (I-B*), or Formula (I-B), R1A is selected from an optionally substituted C1-6 alkyl. In some cases, R11 is -N(R20)2. In some cases, R1A is selected
, , ,
[0097] In some embodiments, for a compound or salt of Formula (I), Formula (I-A), or Formula (I-B), R1A is C4-C6 carbocycle, wherein the C4-C6 carbocycle is optionally with one or more R11. In some cases, each R11 is selected from -N(R20)2, wherein each R20 is selected from hydrogen and
[0098] In some embodiments, for a compound or salt of Formula (I), Formula (I-A), Formula (I-B*), or Formula (I-B), R1A is selected from 4- to 12-membered heterocycle, wherein the 4- to 12-membered heterocycle is optionally with one or more R11. In some cases, each R11 is selected from halogen, -N(R20)2, -C(O)R20, -C(O)N(R20)2, C1-6 aminoalkyl, C1-6 alkoxy, C1-6 hydroxyalkyl,
membered heterocycle, wherein the 5- to 6-membered heterocycle is optionally with one or more R11. In some cases, the heterocycle has at least one oxygen atom. In some cases, the heterocycle has one oxygen atom. In some cases, R1A is selected from
, which is optionally substituted.
In some cases, each R11 is selected from -OH and C1-6 hydroxyalkyl. In some cases, each R11 is - OH. In some cases, R1A is selected from
. [0099] In some embodiments, for a compound or salt of Formula (I), Formula (I-A), Formula (I-B*), or Formula (I-B), each R11A is independently selected from halogen, -B(OR20)2, -OR20, - SR20, -S(O)2(R20), -S(O)2N(R20)2, -S(O)N(R20)2, -S(O)R20(=NR20), -NR20S(O)2R20, -C(O)N(R20)2, -N(R20)C(O)R20, -N(R20)C(O)N(R20)2, -N(R20)C(O)OR20, -N(R20)2, -C(O)R20, -C(O)OR20, - OC(O)R20, -OC(O)N(R20)2, -NO2, =O, =NO(R20), -CN, -NHCN, C1-6 alkyl-N(R20)2, C1-6 aminoalkyl, C1-6 alkoxy, C1-6 hydroxyalkyl, C1-6 cyanoalkyl, C1-6 haloalkyl, C1-6 alkyl, C2-6 alkenyl, and C2-6 alkynyl. [00100] In some embodiments, for a compound or salt of Formula (I), Formula (I-A), Formula (I-B*), or Formula (I-B), each R11 is independently selected from halogen, -B(OR20)2, -OR20, - SR20, -S(O)2(R20), -S(O)2N(R20)2, -S(O)N(R20)2, -S(O)R20(=NR20), -NR20S(O)2R20, -C(O)N(R20)2, -N(R20)C(O)R20, -N(R20)C(O)N(R20)2, -N(R20)C(O)OR20, -N(R20)2, -C(O)R20, -C(O)OR20, - OC(O)R20, -OC(O)N(R20)2, -NO2, =O, =NO(R20), -CN, -NHCN, C1-6 alkyl-N(R20)2, C1-6 aminoalkyl, C1-6 alkoxy, C1-6 hydroxyalkyl, C1-6 cyanoalkyl, C1-6 haloalkyl, C1-6 alkyl, C2-6 alkenyl, C2-6 alkynyl, C3-C12 carbocycle and 5- to 12-membered heterocycle. In some cases, each R11 is independently selected from halogen, -OR20, -S(O)2(R20), -S(O)2N(R20)2, -S(O)N(R20)2, - S(O)R20(=NR20), -NR20S(O)2R20, -C(O)N(R20)2, -N(R20)C(O)R20, -N(R20)C(O)N(R20)2, - N(R20)C(O)OR20, -N(R20)2, -C(O)R20, -C(O)OR20, -OC(O)R20, -OC(O)N(R20)2, -NO2, =O, =NO(R20), -CN, -NHCN, C1-6 alkyl-N(R20)2, C1-6 aminoalkyl, C1-6 alkoxy, C1-6 hydroxyalkyl, C1-6 cyanoalkyl, C1-6 haloalkyl, C1-6 alkyl, C2-6 alkenyl, C2-6 alkynyl, C3-C12 carbocycle and 5- to 12- membered heterocycle. In some cases, each R11 is independently selected from halogen, -OR20, - N(R20)2, =O, =NO(R20), -CN, -NHCN, C1-6 alkyl-N(R20)2, C1-6 aminoalkyl, C1-6 alkoxy, C1-6 hydroxyalkyl, C1-6 cyanoalkyl, C1-6 haloalkyl, C1-6 alkyl, C2-6 alkenyl, C2-6 alkynyl, C3-C12 carbocycle and 5- to 12-membered heterocycle. In some cases, each R11 is independently selected from halogen, -OR20, -N(R20)2, -CN, -NHCN, C1-6 aminoalkyl, C1-6 alkoxy, C1-6 hydroxyalkyl, C1- 6 cyanoalkyl, and C1-6 haloalkyl. [00101] In some embodiments, for a compound or salt of Formula (I), Formula (I-A), Formula (I-B*), or Formula (I-B), R1B is selected from hydrogen, optionally substituted C1-6 alkyl, and optionally substituted C3-C6 carbocycle. In some cases, R1B is hydrogen, C1-6 alkyl, C1-6 cyanoalkyl, C1-6 hydroxyalkyl, and C3-C6 carbocycle. In some cases, R1B is hydrogen, methyl, ethyl, C2 hydroxyalkyl, and cyclopropyl. In some cases, R1B is hydrogen. In some cases, R1B is selected from an optionally substituted C1-6 alkyl. In some cases, R1B is selected from methyl and
ethyl. In some cases, R1B is methyl. In some cases, R1B is selected from an optionally substituted C3-C6 carbocycle. In some cases, R1B
In some cases, R1B is selected from C1-6 cyanoalkyl. In some cases, R1B is selected from C1-6 hydroxyalkyl. [00102] In some embodiments, for a compound or salt of Formula (I), Formula (I-A), Formula (I-B*), or Formula (I-B), R1A is selected from an optionally substituted C1-3 alkyl, and wherein optionally two R11 on the same atom of R1A come together to form a C3 carbocycle. In some cases, R11 is selected from halogen, -N(R20)2, C3 carbocycle, and 5- to 6-membered heterocycle, wherein the 5- to 6-membered heterocycle is optionally substituted with one or more substituents independently selected from halogen, -OH, -CN, -N(R20)2, C1-10 alkyl, and -C1-10 haloalkyl. In some cases, each R20 is independently selected from hydrogen; and C1-6 alkyl, wherein the C1-6 alkyl is optionally substituted with one or more substituents independently selected from halogen, oxo, C3-6 carbocycle, and 3- to 6-membered heterocycle. [00103] In some embodiments, for a compound or salt of Formula (I), Formula (I-A), Formula
,
[00105] In some embodiments, for a compound or salt of Formula (I), Formula (I-A), or Formula (I-B), R1A is selected from an optionally substituted C1-6 alkyl. In some cases, R1A is selected from an optionally substituted C1-3 alkyl, and wherein optionally two R11 on the same atom of R1A come together to form a C3 carbocycle. In some cases, R1A is selected from an optionally substituted C1-
, R1A is selected from
. In some cases, R11 is selected from an optionally substituted 5- to 12-membered heterocycle. In some cases, R11 is selected from an optionally substituted 5- to 8- membered heterocycle. In some cases, R11 is selected from an optionally substituted 5- to 6- membered heterocycle. In some cases, R11 is selected from an optionally substituted 5- to 6-
membered heteroaryl. In some cases, the heterocycle has at least one nitrogen atom. In some cases, the heterocycle has at least two nitrogen atoms. In some cases, the heteroaryl has at least one nitrogen atom. In some cases, the heteroaryl has at least two nitrogen atoms. In some cases, the heterocycle has only 1 nitrogen atom and no other heteroatoms. In some cases, the heterocycle has only 2 nitrogen atoms and no other heteroatoms. In some cases, R11
,
, p y . ,
cases, the optional one or more substituents independently selected from halogen, -OH, -CN, - N(R20)2, -C(O)N(R20)2, C1-10 alkyl, and -C1-10 haloalkyl. In some cases, R20 is independently selected from hydrogen; and C1-6 alkyl, wherein the C1-6 alkyl is optionally substituted with one or more substituents independently selected from halogen, oxo, C3-6 carbocycle, and 3- to 6- membered heterocycle. In some cases, the optional one or more substituents of R11 is selected from halogen, C1-6 haloalkyl, -NH2, -NH(C1-6 alkyl), -N(C1-6 alkyl)2,
, ,
,and C1-10 alkyl. In some cases, the optional one or more substituents of R11 is selected from -NH2, -NH(C1-6 alkyl), -N(C1-6 alkyl)2, and C1-10 alkyl. In some cases, the optional one or more substituents of R11 is selected from -NH2, and C1-10 alkyl. In some cases, the optional one or more substituents of R11 is selected from -NH2. In some cases, R11 is selected from
[00107] In some embodiments, for a compound or salt of Formula (I) or Formula (I-B*), R100 is
[00108] In some embodiments, for a compound or salt of Formula (I) or Formula (I-B*), R100 is
hydroxyalkyl, and C1-6 cyanoalkyl. In some cases, R1B is selected from hydrogen and C1-6 alkyl. In some cases, R1B is selected from C1-6 alkyl. In some cases, R1B is a cyclopropyl. In some cases,
R1B is methyl. In some cases, R1B is ethyl. In some cases, R100 is selected from
,
[00109] In some embodiments, for a compound or salt of Formula (I), Formula (I-A), Formula (I-B*), or Formula (I-B), R1A is selected from an optionally substituted C1-6 alkyl. In some cases,
some cases, R11 is selected from an optionally substituted 5- to 6- membered heteroaryl. In some
cases, R11 is selected from an optionally substituted 6-membered heteroaryl. In some cases, R11 is selected from an optionally substituted pyridine. In some cases, the heteroaryl (e.g., pyridine) is optionally substituted with one or more substituents independently selected from halogen, -CN, - OH, -NH2, -NH(C1-6 alkyl), -N(C1-6 alkyl)2, C1-10 alkyl, and -C1-10 haloalkyl. In some cases, the heteroaryl (e.g., pyridine) is optionally substituted with one or more substituents independently selected from -NH2, -NH(C1-6 alkyl), and -N(C1-6 alkyl)2. In some cases, the heteroaryl (e.g., pyridine) is substituted with at least one -NH2. In some cases, there heteroaryl has at least one nitrogen atom. In some cases, there heteroaryl has one nitrogen atom and no other heteroatoms. In some cases, R1A is selected from
. [00110] In some embodiments, for a compound or salt of Formula (I), Formula (I-A), or Formula (I-B), R1A is C4-C6 carbocycle, wherein the C4-C6 carbocycle is optionally with one or more R11. In some cases, the carbocycle is a saturated carbocycle. In some cases, each R11 is selected from - N(R20)2, wherein each R20 is selected from hydrogen and optionally substituted C1-6 alkyl. In some cases, R1A is selected
[00111] In some embodiments, for a compound or salt of Formula (I), Formula (I-A), or Formula (I-B), R1A is selected from 4- to 12-membered heterocycle, wherein the 4- to 12-membered heterocycle is optionally with one or more R11. In some cases, the heterocycle is a saturated heterocycle. In some cases, each R11 is selected from halogen, -N(R20)2, -C(O)R20, -C(O)N(R20)2, C1-6 aminoalkyl, C1-6 alkoxy, C1-6 hydroxyalkyl, C1-6 cyanoalkyl, C1-6 haloalkyl, and C1-6 alkyl. In
. [00113] In some embodiments, for a compound or salt of Formula (I), Formula (I-A), or Formula (I-B), R1B is hydrogen. In some cases, R1B is selected from an optionally substituted C1-6 alkyl. In some cases, R1B is selected from an unsubstituted C1-6 alkyl. In some cases, R1B is methyl. In some cases, R1B is selected from an optionally substituted C3-C6 carbocycle. [00114] In some embodiments, for a compound or salt of Formula (I), Formula (I-A), Formula (I-B*), or Formula (I-B), R1A is selected from an optionally substituted C1-6 alkyl. In some cases, R11 is -N(R20)2. In some cases, R1A is selected
,
some cases, R1A is C4-C6 carbocycle, wherein the C4-C6 carbocycle is optionally with one or more R11. In some cases, R11 is selected from -N(R20)2, and wherein each R20 is selected from hydrogen and optionally substituted C1-6 alkyl. In some cases, R1A is selected
,
, , . In some cases, R1A is selected from
,
optionally substituted. In some cases, R1A is selected from 4- to 12-membered heterocycle, wherein the 4- to 12-membered heterocycle is optionally with one or more R11. In some cases, each R11 is independently selected from C1-6 aminoalkyl, C1-6 cyanoalkyl, C1-6 haloalkyl, C1-6 alkyl, -C(O)R20, C3-C12 carbocycle and 5- to 12-membered heterocycle, wherein the C3-C12 carbocycle and 5- to 12-membered heterocycle are each optionally substituted with one or more substituents independently selected from halogen, -OH, -CN, -NO2, -NH2, -NH(C1-6 alkyl), -N(C1-6 alkyl)2, C1- 10 alkyl, -C1-10 haloalkyl, -O-C1-10 alkyl, and oxo. In some cases, each R11 is selected from halogen, -OH, -N(R20)2, -C(O)R20, -C(O)N(R20)2, C1-6 aminoalkyl, C1-6 alkoxy, C1-6 hydroxyalkyl, C1-6 cyanoalkyl, C1-6 haloalkyl, and C1-6 alkyl. In some cases, R1A is selected from
, ,
, each of which is optionally substituted. In some cases, R1A is selected from
, which is optionally substituted. In some cases, each R11 is independently selected from C1-6 aminoalkyl, C1- 6 cyanoalkyl, C1-6 haloalkyl, C1-6 alkyl, -C(O)R20, C3-C12 carbocycle and 5- to 12-membered heterocycle, wherein the C3-C12 carbocycle and 5- to 12-membered heterocycle are each optionally substituted with one or more substituents independently selected from halogen, -OH, -CN, -NO2, -NH2, -NH(C1-6 alkyl), -N(C1-6 alkyl)2, C1-10 alkyl, -C1-10 haloalkyl, -O-C1-10 alkyl, and oxo. In some cases, each R11 is selected from halogen, -N(R20)2, -C(O)R20, -C(O)N(R20)2, C1-6 aminoalkyl, C1-6 alkoxy, C1-6 hydroxyalkyl, C1-6 cyanoalkyl, C1-6 haloalkyl, and C1-6 alkyl. In some cases, each R11 is selected from halogen, -N(R20)2, -C(O)R20, -C(O)N(R20)2, C1-6 haloalkyl, and C1-6 alkyl. In some
optionally substituted C1-6 alkyl, and wherein optionally two R11 on the same atom of R1A come together to form an optionally substituted C3-C6 carbocycle. In some cases, R11 is selected from - OH and -CN, and wherein two R11 on the same atom of R1A come together to form an unsubstituted C3 carbocycle. In some cases, R1A is selected from
some cases, R1A is selected from
. [00115] In some embodiments, for a compound or salt of Formula (I), Formula (I-A), Formula (I-B*), or Formula (I-B), R1A is selected from 5- to 6-membered heterocycle, wherein the 5- to 6- membered heterocycle is optionally with one or more R11. In some cases, the heterocycle has at least one oxygen atom. In some cases, the heterocycle has one oxygen atom. In some cases, R1A
is selected from
, which is optionally substituted. In some cases, each R11 is selected from - OH and C1-6 hydroxyalkyl. In some cases, each R11 is -OH. In some cases, R1A is selected from
. [00116] In some embodiments, for a compound or salt of Formula
some cases, R100 is from
. [00117] In some embodiments, for a compound or salt of Formula (I), R100 is selected from , and
. [00118] In some embodiments, for a compound or salt of Formula (I), Formula (I-A), or Formula (I-B), R1A is selected from an optionally substituted C1-6 alkyl, and wherein optionally two R11 on the same atom of R1A come together to form an optionally substituted C3-C6 carbocycle. In some cases, R11 is selected from -OH, -CN, and 5- to 6-membered heterocycle, wherein the 5- to 6- membered heterocycle is optionally substituted with one or more substituents independently selected from halogen, -OH, -CN, -NH2, -NH(C1-6 alkyl), -N(C1-6 alkyl)2, C1-10 alkyl, -C1-10 haloalkyl, and -O-C1-10 alkyl; and wherein two R11 on the same atom of R1A come together to form an unsubstituted C3 carbocycle. In some cases, R1A is selected from
,
cases, R1A is selected from
. [00119] In some embodiments, for a compound or salt of Formula (I), R100 is selected from ,
[00120] In some embodiments, for a compound or salt of Formula (I), Formula (I-A), or Formula (I-B), R1B is hydrogen. In some cases, R1B is selected from an optionally substituted C1-6 alkyl. In some cases, R1B is selected from an optionally substituted C3-C6 carbocycle. In some cases, R1B is selected from hydrogen, C1-6 alkyl, C1-6 hydroxyalkyl, and C3-C6 carbocycle. In some cases, R1B is hydrogen, methyl, ethyl, and cyclopropyl. In some cases, R1B is hydrogen. In some cases, R1B is selected from an optionally substituted C1-6 alkyl. In some cases, R1B is selected from an optionally substituted C1-2 alkyl. In some cases, R1B is selected from methyl and ethyl. In some cases, R1B is methyl. In some cases, R1B is selected from an optionally substituted C3-C6
[00121] In some embodiments, for a compound or salt of Formula (I), Formula (I-A), Formula (I-B*), or Formula (I-B), R1A is selected from an optionally substituted C1-3 alkyl, and wherein optionally two R11 on the same atom of R1A come together to form a C3 carbocycle. In some cases, R11 is selected from halogen, -N(R20)2, C3 carbocycle, and 5- to 6-membered heterocycle, wherein the 5- to 6-membered heterocycle is optionally substituted with one or more substituents independently selected from halogen, -OH, -CN, -N(R21)2, C1-10 alkyl, and -C1-10 haloalkyl. In some cases, each R21 is independently selected from hydrogen; and C1-6 alkyl, wherein the C1-6 alkyl is optionally substituted with one or more substituents independently selected from halogen, oxo, C3-6 carbocycle, and 3- to 6-membered heterocycle. In some cases, R1A is selected from
[00122] In some embodiments, for a compound or salt of Formula (I) or Formula (I-B*), R100 is
[00123] In some embodiments, for a compound or salt of Formula (I), Formula (I-A), Formula (I-B*), or Formula (I-B), R1A is selected from an optionally substituted C1-6 alkyl. In some cases, R1A is selected from an optionally substituted C1-3 alkyl, and wherein optionally two R11 on the same atom of R1A come together to form a C3 carbocycle. In some cases, R1A is selected from an optionally substituted C1-2 alkyl. In some cases, R1A is selected from
, ,
some cases, R1A is selected from
. In some cases, R1A is selected from
. In some cases, R11 is selected from an optionally substituted 5- to 12-membered heterocycle. In some cases, R11 is selected from an optionally substituted 5- to 8-membered heterocycle. In some cases, R11 is selected from an optionally substituted 5- to 6-membered heterocycle. In some cases, R11 is selected from an optionally substituted 5- to 6-membered heteroaryl. In some cases, the heterocycle has at least one nitrogen atom. In some cases, the heterocycle has at least two nitrogen atoms. In some cases, the heterocycle has one nitrogen atom and no other heteroatoms. In some cases, the heterocycle has two nitrogen atoms and no other heteroatoms. In some cases, the heteroaryl has at least one nitrogen atom. In some cases, the heteroaryl has at least two nitrogen atoms. In some cases, the heteroaryl has one nitrogen atom and no other heteroatoms. In some cases, the heteroaryl has two nitrogen atoms and no other heteroatoms. In some cases, R11 is selected from
, ,
, , , each of which is optionally substituted. In some cases, R11 is selected from
each of which is optionally substituted. In some cases, R11 is selected from
each of which is optionally substituted. In some cases, the optional one or more substituents of R11 are each independently selected from halogen, -OH, -CN, -N(R21)2, -C(O)N(R21)2, C1-10 alkyl, and -C1-10 haloalkyl. In
some cases, each R21 is independently selected from hydrogen; and C1-6 alkyl, C3-12 carbocycle, and 3- to 12-membered heterocycle, each of which is optionally substituted with one or more substituents independently selected from halogen, oxo, C3-6 carbocycle, and 3- to 6-membered heterocycle. In some cases, the optional one or more substituents of R11 is selected from halogen, C1-6 haloalkyl, -NH2, -NH(C1-6 alkyl), -N(C1-6 alkyl)2,
, ,
, and C1-10 alkyl. In some cases, the optional one or more substituents of R11 is selected from -NH2, -NH(C1-6 alkyl), -N(C1-6 alkyl)2, and C1-10 alkyl. In some cases, the optional one or more substituents of R11 is selected from -NH2, and C1-10 alkyl. In some cases, the optional one or more substituents of R11 is selected from -NH2. In some cases, R11 is selected from
[00124] In some embodiments, for a compound or salt of Formula (I) or Formula (I-B*), R100 is
,
some cases, R1B is selected from hydrogen and C1-6 alkyl. In some cases, R1B is selected from C1- 6 alkyl. In some cases, R1B is a cyclopropyl. In some cases, R1B is methyl. In some cases, R1B is ethyl. In some cases, R100 is selected from
,
. [00125] In some embodiments, for a compound or salt of Formula (I), Formula (I-A), Formula (I-B*), or Formula
,
R1A is selected from C1-6 alkyl, which is substituted with one R11, wherein the one R11 is selected from an optionally substituted 5- to 6-membered heteroaryl, wherein the 5- to 6- membered heteroaryl is optionally substituted; R1B is selected from hydrogen, optionally substituted C1-6 alkyl, and C3-C6 carbocycle. or R1A and R1B come together with the atom to which they are bound to form R1, wherein R1 is selected from an optionally substituted 5- to 10-membered heterocycle. In some cases, for
, R1A is selected from C1-6 alkyl, which is substituted with one R11, wherein the one R11 is selected from an optionally substituted 5- to 6-membered heteroaryl, wherein the 5- to 6- membered heteroaryl is optionally substituted with one or more substituents independently selected from halogen, -OH, -CN, -N(R20)2, C1-10 alkyl, and -C1-10 haloalkyl; R1B is selected from hydrogen, C1-6 alkyl, C1-6 cyanoalkyl, C1-6 hydroxyalkyl, and C3-C6 carbocycle. or R1A and R1B come together with the atom to which they are bound to form R1, wherein R1 is selected from an optionally substituted 5- to 9-membered heterocycle, wherein the 5- to 9- membered heterocycle is optionally substituted with one or more substituents independently selected from -OH, -CN, oxo, -NHCN, C1-6 hydroxyalkyl, C1-6 cyanoalkyl, C1-6 haloalkyl, and C1- 6 alkyl. In some cases, R1 is selected from
,
, each of which is optionally substituted; and wherein R1A is selected from an C1-3 alkyl substituted with an optionally substituted 6-membered heteroaryl (e.g., pyridine, pyrimidine). In some cases, R1 is selected from
which is optionally substituted. In some cases, R1 is selected from
optionally substituted. In some cases, R1 is selected from , which is optionally substituted. In some cases, R1 is selected from
, which is optionally substituted. In some cases, R1 is selected from
, which is optionally substituted. In some cases, R1 is selected from
, which is optionally substituted. In some cases, R1 is selected from
, , ,
, each of which is optionally substituted. In some cases, the optional one or more substituents of R1 is independently selected from -OH, oxo, -CN, -NHCN, C1-6 hydroxyalkyl, C1-6 cyanoalkyl, C1-6 haloalkyl, and C1-6 alkyl. [00126] In some embodiments, for a compound or salt of Formula (I) or Formula (I-B*),
,
[00128] In some embodiments, for a compound or salt of Formula (I), R100 is . [00129] In some embodiments, for a compound or salt of Formula (I), Formula (I-D), or Formula
different than Y-R2. [00130] In some embodiments, for a compound or salt of Formula (I), Formula (I-D), or Formula (I-E), R1C is selected from an optionally substituted C1-6 alkyl. In some cases, R1C is selected from an optionally substituted C1-6 alkyl, and wherein optionally two R12 on the same atom of R1C come together to form an optionally substituted C3-C6 carbocycle. In some cases, R12 is selected from - OH and -CN, and wherein two R12 on the same atom of R1C come together to form an unsubstituted C3 carbocycle. In some cases, R1C is selected from
[00131] In some embodiments, for a compound or salt of Formula (I), Formula (I-D), or Formula (I-E), R1C is selected from an optionally substituted C1-6 alkyl. In some cases, R1C is selected from an optionally substituted C1-6 alkyl, and wherein optionally two R12 on the same atom of R1C come together to form an optionally substituted C3-C6 carbocycle. In some cases, R12 is selected from - OH, -CN, and 5- to 6-membered heterocycle, wherein the 5- to 6-membered heterocycle is optionally substituted with one or more substituents independently selected from halogen, -OH, - CN, -NH2, -NH(C1-6 alkyl), -N(C1-6 alkyl)2, C1-10 alkyl, -C1-10 haloalkyl, and -O-C1-10 alkyl; and wherein two R12 on the same atom of R1C come together to form an unsubstituted C3 carbocycle.
. [00132] In some embodiments, for a compound or salt of Formula (I), R100 is selected from
some embodiments, for a compound or salt of Formula
. [00134] In some embodiments, for a compound or salt of Formula (I), Formula (I-D), or Formula (I-E), R1C is selected from an optionally substituted C1-3 alkyl. In some cases, R1C is selected from
. [00135] In some embodiments, for a compound or salt of Formula (I), Formula (I-D), or Formula (I-E), R1C is selected from
. In some cases, R12 is selected from an optionally substituted 5- to 12-membered heterocycle. In some cases, R12 is selected from an optionally substituted 5- to 8-membered heterocycle. In some cases, R12 is selected from an optionally substituted 5- to 6-membered heterocycle. In some cases, R12 is selected from an optionally substituted 5- to 6-membered heteroaryl. In some cases,
, ,
selected from
, each of which is optionally substituted. In some cases, R12 is selected from
, each of which is optionally substituted. In some cases, the optional one or more substituents of R12 is selected from -NH2, - NH(C1-6 alkyl), -N(C1-6 alkyl)2, and C1-10 alkyl. In some cases, the optional one or more substituents of R12 is selected from -NH2, -NH(C1-6 alkyl), -N(C1-6 alkyl)2, and C1-10 alkyl. In some cases, the optional one or more substituents of R12 is selected from -NH2, and C1-10 alkyl. In some cases, the optional one or more substituents of R12 is selected from -NH2. In some cases, R12 is selected from
[00136] In some embodiments, for a compound or salt of Formula (I), R100 is selected from
. [00137] In some embodiments, for a compound or salt of Formula (I), Formula (I-D), or Formula (I-E), R1C is selected from an optionally substituted 5- to 6-membered heterocycle. In some cases, R1C is selected from an optionally substituted 5-membered heterocycle having at least one oxygen
atom. In some cases, R1C is selected , which is optionally substituted. In some cases, each R12 is selected from halogen, -OR20, C1-6 hydroxyalkyl, C1-6 cyanoalkyl, C1-6 haloalkyl, and C1-6 12
alkyl. In some cases, R is selected from -OH. In some cases, R1C is . [00138] In some embodiments, for a compound or salt of Formula (I), Formula (I-D), or Formula (I-E), R1C is selected from an optionally substituted 5- to 6-membered heterocycle. In some cases, R1C is selected from an optionally substituted 5-membered heterocycle. In some cases, R1C is selected from an optionally substituted 5-membered heterocycle having at least one oxygen atom. In some cases, R1C is selected
, which is optionally substituted. In some cases, R12 is selected from halogen, -OR20, C1-6 hydroxyalkyl, C1-6 cyanoalkyl, C1-6 haloalkyl, and C1-6 alkyl. In some ases, each R1
c 2 is selected from -OH. In some cases, R1C is . [00139] In some embodiments, for a compound or salt of Formula (I), R100 is selected from
[00140] In some embodiments, for a compound or salt of Formula (I), R100 is
. [00141] In some embodiments, Formula (I) is represented by
Formula (I-F), or a pharmaceutically acceptable salt thereof. [00142] In some embodiments, Formula (I) is represented by
Formula (I-G), or a pharmaceutically acceptable salt thereof. [00143] In some embodiments, for a compound or salt of Formula (I), Formula (I-F), or (I-G), R1D is selected from an optionally substituted C1-6 alkyl. In some cases, R1D is selected from an optionally substituted C1-6 alkyl, and wherein optionally two R13 on the same atom of R1D come together to form an optionally substituted C3-C6 carbocycle. In some cases, R13 is selected from - OH and -CN, and wherein two R13 on the same atom of R1D come together to form an unsubstituted C3 carbocycle. In some cases, R1D is selected from
[00144] In some embodiments, for a compound or salt of Formula (I), Formula (I-F), or (I-G), each R13 is independently selected from halogen, -B(OR20)2, -OR20, -SR20, -S(O)2(R20), - S(O)2N(R20)2, -S(O)N(R20)2, -S(O)R20(=NR20), -NR20S(O)2R20, -C(O)N(R20)2, -N(R20)C(O)R20, - N(R20)C(O)N(R20)2, -N(R20)C(O)OR20, -N(R20)2, -C(O)R20, -C(O)OR20, -OC(O)R20, - OC(O)N(R20)2, -NO2, =O, =NO(R20), -CN, -NHCN, C1-6 alkyl-N(R20)2, C1-6 aminoalkyl, C1-6 alkoxy, C1-6 hydroxyalkyl, C1-6 cyanoalkyl, C1-6 haloalkyl, C1-6 alkyl, C2-6 alkenyl, C2-6 alkynyl, C3- C12 carbocycle and 5- to 12-membered heterocycle. In some cases, each R13 is independently selected from halogen, -OR20, -S(O)2(R20), -S(O)2N(R20)2, -S(O)N(R20)2, -S(O)R20(=NR20), - NR20S(O)2R20, -C(O)N(R20)2, -N(R20)C(O)R20, -N(R20)C(O)N(R20)2, -N(R20)C(O)OR20, -N(R20)2, -C(O)R20, -C(O)OR20, -OC(O)R20, -OC(O)N(R20)2, -NO2, =O, =NO(R20), -CN, -NHCN, C1-6 alkyl-N(R20)2, C1-6 aminoalkyl, C1-6 alkoxy, C1-6 hydroxyalkyl, C1-6 cyanoalkyl, C1-6 haloalkyl, C1- 6 alkyl, C2-6 alkenyl, C2-6 alkynyl, C3-C12 carbocycle and 5- to 12-membered heterocycle. In some cases, each R13 is independently selected from halogen, -OR20, -N(R20)2, =O, =NO(R20), -CN, - NHCN, C1-6 alkyl-N(R20)2, C1-6 aminoalkyl, C1-6 alkoxy, C1-6 hydroxyalkyl, C1-6 cyanoalkyl, C1-6 haloalkyl, C1-6 alkyl, C2-6 alkenyl, C2-6 alkynyl, C3-C12 carbocycle and 5- to 12-membered heterocycle. In some cases, each R13 is independently selected from halogen, -OR20, -N(R20)2, - CN, -NHCN, C1-6 aminoalkyl, C1-6 alkoxy, C1-6 hydroxyalkyl, C1-6 cyanoalkyl, and C1-6 haloalkyl. [00145] In some embodiments, for a compound or salt of Formula (I), Formula (I-F), or (I-G), each R13A is independently selected from halogen, -B(OR20)2, -OR20, -SR20, -S(O)2(R20), - S(O)2N(R20)2, -S(O)N(R20)2, -S(O)R20(=NR20), -NR20S(O)2R20, -C(O)N(R20)2, -N(R20)C(O)R20, -
N(R20)C(O)N(R20)2, -N(R20)C(O)OR20, -N(R20)2, -C(O)R20, -C(O)OR20, -OC(O)R20, - OC(O)N(R20)2, -NO2, =O, =NO(R20), -CN, -NHCN, C1-6 alkyl-N(R20)2, C1-6 aminoalkyl, C1-6 alkoxy, C1-6 hydroxyalkyl, C1-6 cyanoalkyl, C1-6 haloalkyl, C1-6 alkyl, C2-6 alkenyl, and C2-6 alkynyl. [00146] In some embodiments, for a compound or salt of Formula (I), R100 is selected from
[00147] In some embodiments, for a compound or salt of Formula (I), Formula (I-F), or (I-G), R1D is selected from an optionally substituted C1-6 alkyl. In some cases, R1D is selected from
. In some cases, R13 is selected from an optionally substituted 5- to 12- membered heterocycle. In some cases, R13 is selected from an optionally substituted 5- to 8- membered heterocycle. In some cases, R13 is selected from an optionally substituted 5- to 6- membered heterocycle. In some cases, R13 is selected from an optionally substituted 5- to 6- membered heteroaryl. In some cases, R13
, , , ,
, each of which is optionally substituted. In some cases, R13 is selected from
,
the optional one or more substituents of R12 is selected from -NH2, -NH(C1-6 alkyl), -N(C1-6 alkyl)2, and C1-10 alkyl. In some cases, the optional one or more substituents of R12 is selected from -NH2, -NH(C1-6 alkyl), -N(C1-6 alkyl)2, and C1-10 alkyl. In some cases, the optional one or more substituents of R12 is selected from -NH2, and C1-10 alkyl. In some cases, the optional one or more substituents of R12 is selected from -NH2. In some cases, R13 is selected from
,
[00148] In some embodiments, for a compound or salt of Formula (I), Formula (I-F), or (I-G), R1D is selected from an optionally substituted C1-6 alkyl, and wherein optionally two R13 on the same atom of R1D come together to form an optionally substituted C3-C6 carbocycle. In some cases, R13 is selected from -OH, -CN, and 5- to 6-membered heterocycle, wherein the 5- to 6- membered heterocycle is optionally substituted with one or more substituents independently selected from halogen, -OH, -CN, -NH2, -NH(C1-6 alkyl), -N(C1-6 alkyl)2, C1-10 alkyl, -C1-10 haloalkyl, and -O-C1-10 alkyl; and wherein two R13 on the same atom of R1D come together to form
[00149] In some embodiments, for a compound or salt of Formula (I), R100 is selected from
.
[00150] In some embodiments, for a compound or salt of Formula (I), Formula (I-A), or Formula (I-B), R1A and R1B come together with the atoms to which they are bound to form R1. [00151] In some embodiments, for a compound or salt of Formula (I), Formula (I-A), Formula (I-B*), or Formula (I-B), R1 is a 5- to 12-membered heterocycle, wherein the 5- to 12-membered heterocycle is optionally substituted. In some cases, R1B and R1A come together with the atoms to which they are bound to form an optionally substituted 5- to 12-membered heterocycle, wherein the 5- to 12-membered heterocycle is optionally substituted. In some cases, R1B and R1A come together with the atoms to which they are bound to form a bridged heterocycle. In some cases, R1B and R1A come together with the atoms to which they are bound to form a spiro heterocycle. In some cases, R1B and R1A come together with the atoms to which they are bound to form a fused heterocycle. In some cases, R1B and R1A come together with the atoms to which they are bound to form a non-aromatic heterocycle. In some cases, R1B and R1A come together with the atoms to which they are bound to form a saturated heterocycle. Each heterocycle may be substituted as described elsewhere herein. [00152] In some embodiments, for a compound or salt of Formula (I), Formula (I-A), Formula (I-B*), or Formula (I-B), the heterocycle of R1 is a 5- to 12-membered heterocycle, 6- to 12- membered heterocycle, 7- to 12-membered heterocycle, or 8- to 12-membered heterocycle. In some cases, the heterocycle of R1 is a 5- to 11-membered heterocycle, 5- to 10-membered heterocycle, 5- to 9-membered heterocycle, or 5- to 8-membered heterocycle. In some cases, the heterocycle of R1 is a 6- to 11-membered heterocycle, 6- to 10-membered heterocycle, 6- to 9- membered heterocycle, or 6- to 8-membered heterocycle. In some cases, the heterocycle of R1 is a 7- to 11-membered heterocycle, 7- to 10-membered heterocycle, 7- to 9-membered heterocycle, or 7- to 8-membered heterocycle. In some cases, the heterocycle of R1 is a 5- to 6-membered heterocycle or 5- to 9-membered heterocycle. In some cases, the heterocycle of R1 is an 8- to 9- membered heterocycle. In some cases, the heterocycle of R1 is saturated. The heterocycle is optionally substituted as described elsewhere herein. [00153] In some embodiments, for a compound or salt of Formula (I), Formula (I-A), Formula (I-B*), or Formula (I-B), R1 is a 5- to 12-membered monocyclic heterocycle. In some cases, the heterocycle of R1 is a 5- to 12-membered monocyclic heterocycle, 6- to 12-membered monocyclic heterocycle, 7- to 12-membered monocyclic heterocycle, or 8- to 12-membered monocyclic heterocycle. In some cases, the heterocycle of R1 is a 5- to 11-membered monocyclic heterocycle, 5- to 10-membered monocyclic heterocycle, 5- to 9-membered monocyclic heterocycle, or 5- to 8-membered monocyclic heterocycle. In some cases, the heterocycle of R1 is a 6- to 11-membered monocyclic heterocycle, 6- to 10-membered monocyclic heterocycle, 6- to 9-membered monocyclic heterocycle, or 6- to 8-membered monocyclic heterocycle. In some cases, the
heterocycle of R1 is a monocyclic 7- to 11-membered heterocycle, 7- to 10-membered monocyclic heterocycle, 7- to 9-membered monocyclic heterocycle, or 7- to 8-membered monocyclic heterocycle. In some cases, the heterocycle of R1 is a 5- to 6-membered monocyclic heterocycle or 5- to 9-membered monocyclic heterocycle. In some cases, the heterocycle of R1 is an 8- to 9- membered monocyclic heterocycle. In some cases, the heterocycle of R1 is saturated. The monocyclic heterocycle is optionally substituted as described elsewhere herein. [00154] In some embodiments, for a compound or salt of Formula (I), Formula (I-A), Formula (I-B*), or Formula (I-B), R1 is a bridged heterocycle. In some cases, the heterocycle of R1 is a 5- to 12-membered bridged heterocycle, 6- to 12-membered bridged heterocycle, 7- to 12-membered bridged heterocycle, or 8- to 12-membered bridged heterocycle. In some cases, the heterocycle of R1 is a 5- to 11-membered bridged heterocycle, 5- to 10-membered bridged heterocycle, 5- to 9- membered bridged heterocycle, or 5- to 8-membered bridged heterocycle. In some cases, the heterocycle of R1 is a 6- to 11-membered bridged heterocycle, 6- to 10-membered bridged heterocycle, 6- to 9-membered bridged heterocycle, or 6- to 8-membered bridged heterocycle. In some cases, the heterocycle of R1 is a bridged 7- to 11-membered heterocycle, 7- to 10-membered bridged heterocycle, 7- to 9-membered bridged heterocycle, or 7- to 8-membered bridged heterocycle. In some cases, the heterocycle of R1 is a 5- to 6-membered bridged heterocycle or 5- to 9-membered bridged heterocycle. In some cases, the heterocycle of R1 is an 8- to 9-membered bridged heterocycle. In some cases, the heterocycle of R1 is saturated. In some cases, the bridged heterocycle is selected from
, , . In some cases, the bridged heterocycle
optionally substituted as described elsewhere herein. [00155] In some embodiments, for a compound or salt of Formula (I), Formula (I-A), Formula (I-B*), or Formula (I-B), R1 is a spiro heterocycle. The spiro heterocycle of R1 is a 7- to 12- membered spiro heterocycle, 7- to 12-membered spiro heterocycle, or 8- to 12-membered spiro heterocycle. In some cases, the spiro heterocycle of R1 is a 7- to 11-membered spiro heterocycle, 7- to 10-membered spiro heterocycle, 7- to 9-membered spiro heterocycle, or 7- to 8-membered spiro heterocycle. In some cases, the spiro heterocycle of R1 is a 7- to 11-membered spiro heterocycle, 7- to 10-membered spiro heterocycle, 7- to 9-membered spiro heterocycle, or 7- to 8- membered spiro heterocycle. In some cases, the spiro heterocycle of R1 is a 7- to 11-membered spiro heterocycle. In some cases, the spiro heterocycle of R1 is a 7-membered spiro heterocycle. In some cases, the spiro heterocycle of R1 is an 8-membered spiro heterocycle. In some cases, the
spiro heterocycle of R1 is a 9-membered spiro heterocycle. In some cases, the spiro heterocycle of R1 is a 10-membered spiro heterocycle. In some cases, the spiro heterocycle of R1 contains at most 1 nitrogen atom. In some cases, the spiro heterocycle of R1 contains only 1 nitrogen atom. In some cases, the spiroheterocycle of R1 contains at most 2 heteroatom atoms. In some cases, the spiro heterocycle of R1 contains at least 2 heteroatom atoms. In some cases, the spiro heterocycle of R1 contains at least 3 heteroatom atoms. In some cases, the heteroatom is selected from nitrogen, oxygen, and sulfur. In some cases, the spiroheterocycle of R1 is bound to the Formula via the nitrogen atom. In some embodiments, the spiro heterocycle of R1 is selected from
optionally substituted as described elsewhere herein. [00156] In some embodiments, for a compound or salt of Formula (I), Formula (I-A), Formula (I-B*), or Formula (I-B), R1 is a fused heterocycle. In some cases, the fused heterocycle of R1 is a 6- to 12-membered fused heterocycle, 6- to 12-membered fused heterocycle, 7- to 12-membered fused heterocycle, or 8- to 12-membered fused heterocycle. In some cases, the fused heterocycle of R1 is a 6- to 11-membered fused heterocycle, 6- to 10-membered fused heterocycle, 6- to 9- membered fused heterocycle, or 6- to 8-membered fused heterocycle. In some cases, the fused heterocycle of R1 is a 7- to 11-membered fused heterocycle, 7- to 10-membered fused heterocycle, 7- to 9-membered fused heterocycle, or 7- to 8-membered fused heterocycle. In some cases, the fused heterocycle of R1 is an 8- to 11-membered fused heterocycle. In some cases, the fused heterocycle of R1 is a 6-membered fused heterocycle. In some cases, the fused heterocycle of R1 is a 7-membered fused heterocycle. In some cases, the fused heterocycle of R1 is a 10-membered
fused heterocycle. In some cases, the fused heterocycle is selected from
. Each fused heterocycle is optionally substituted as described elsewhere herein. [00157] In some embodiments, for a compound or salt of Formula (I), Formula (I-A), Formula (I-B*), or Formula (I-B), R1 is substituted with one substituent. In some cases, R1 is substituted with two substituents. In some cases, R1 is substituted with three substituents. In some cases, R1 is substituted with four substituents. In some cases, R1 is substituted with five substituents. [00158] In some embodiments, for a compound or salt of Formula (I), Formula (I-A), Formula (I-B*), or Formula (I-B), R1 is selected from an optionally substituted 8- to 10-membered fused heterocycle. In some cases, the 8- to 10-membered fused heterocycle is a bicyclic heterocycle. In some cases, the 8- to 10-membered fused heterocycle is a saturated heterocycle. In some cases, the 8- to 10-membered fused heterocycle is an unsaturated heterocycle. In some cases, the 8- to 10-membered heterocycle is a non-aromatic heterocycle. In some cases, R1 is selected from an optionally substituted 9-membered fused heterocycle. In some cases, R1 is selected from an optionally substituted 10-membered fused heterocycle. In some cases, the 10-membered fused heterocycle is a bicyclic heterocycle. In some cases, the 10-membered fused heterocycle is a saturated heterocycle. In some cases, the 9-membered heterocycle is a non-aromatic heterocycle. In some cases, the 10-membered heterocycle is a non-aromatic heterocycle. In some cases, the fused heterocycle has one saturated ring and one aromatic ring. In some cases, the fused heterocycle has one saturated ring and one unsaturated ring. In some cases, the fused heterocycle has two saturated rings. In some cases, the 10-membered heterocycle contains at least 1 nitrogen atom. In some cases, the 10-membered heterocycle contains at least 2 nitrogen atoms. In some cases, the 10-membered heterocycle contains at least 3 nitrogen atoms. In some cases, the 9- membered heterocycle contains at least 1 nitrogen atom. In some cases, the 9-membered heterocycle contains at least 2 nitrogen atoms. In some cases, the 9-membered heterocycle contains at least 3 nitrogen atoms. In some cases, R1 is selected from
of which is optionally substituted with one or more substituents. In some cases,
, which is optionally substituted with one or more substituents. In some cases,
, which is optionally substituted with one or more substituents. In some cases, the one or more optional substituents of R1 are independently selected from halogen, -OH, -S(O)2(R20), - S(O)2N(R20)2, -S(O)N(R20)2, -S(O)R20(=NR20), -C(=NR20)N(R20)2, -C(O)N(R20)2, -C(O)NHOR20, -N(R20)2, -C(O)R20, -NO2, =O, -CN, C1-6 alkyl-N(R20)2, C1-6 aminoalkyl, C1-6 alkoxy, C1-6 hydroxyalkyl, C1-6 cyanoalkyl, C1-6 haloalkyl, C1-6 alkyl, C2-6 alkynyl, and 5- to 12-membered heterocycle, wherein the 5- to 12-membered heterocycle are each optionally substituted independently with one or more R1*. In some cases, the one or more optional substituents of R1 are independently selected from halogen, -OH, -S(O)2(R20), -S(O)2N(R20)2, -S(O)N(R20)2, - S(O)R20(=NR20), -C(O)N(R20)2, -C(O)NHOR20, -N(R20)2, -C(O)R20, -NO2, =O, -CN, C1-6 alkyl- N(R20)2, C1-6 aminoalkyl, C1-6 alkoxy, C1-6 hydroxyalkyl, C1-6 cyanoalkyl, C1-6 haloalkyl, C1-6 alkyl, and C2-6 alkynyl. In some cases, the optional one or more substituents are independently selected from halogen, =O, -OH, -CN, -NHCN, -S(O)2(R20), -S(O)2N(R20)2, -S(O)N(R20)2, - S(O)R20(=NR20), -C(O)R20, -C(O)N(R20)2, -C(O)NR20OR20, C1-6 alkyl-N(R20)2, C1-6 aminoalkyl, C1-6 hydroxyalkyl, C1-6 cyanoalkyl, and C1-6 alkyl. In some cases, the optional one or more substituents are independently selected from halogen, =O, C1-6 alkyl-N(R20)2, -S(O)2(R20), - S(O)N(R20)2, -S(O)R20(=NR20), -C(O)R20, -C(O)N(R20)2, and -C(O)NR20OR20. In some cases, the optional one or more substituents are independently selected from halogen, =O, -S(O)2(R20), - S(O)N(R20)2, -S(O)R20(=NR20), -C(O)R20, -C(O)N(R20)2, and -C(O)NR20OR20. In some cases, the optional one or more substituents are independently selected from -C(O)R20, -C(O)N(R20)2, and - C(O)NR20OR20. In some cases, the optional one or more substituents are independently selected from -S(O)2(R20), -S(O)2N(R20)2, -S(O)N(R20)2, -S(O)R20(=NR20). In some cases, the optional one or more substituents are independently selected from -S(O)N(R20)2. In some cases, the optional one or more substituents are independently selected from S(O)2(R20). In some cases, the optional one or more substituents are independently selected from S(O)R20(=NR20). In some cases, the optional one or more substituents are independently selected from -C(O)R20. In some cases, the optional one or more substituents are independently selected from -C(O)N(R20)2. In some cases, the optional one or more substituents are independently selected from -C(O)NR20OR20. In some
,
nd
, each of which is further optionally substituted. In some cases, the further one or more optional substituents are selected from halogen, -OH, =O, -CN, C1-6 aminoalkyl, C1-6 alkoxy, C1-6 hydroxyalkyl, C1-6 cyanoalkyl, C1-6 haloalkyl, C1-6 alkyl, and C2-6 alkynyl. In some cases, the further one or more optional substituents are selected from halogen, -CN, C2 alkenyl, and C1-6 alkyl. In some cases, the further one or more optional substituents are selected from halogen, and C1-6 alkyl. In some cases, the further one or more optional substituents are selected from halogen. In some cases, each R20 is independently selected from hydrogen; and C1-6 alkyl, C3-12 carbocycle, and 3- to 12-membered heterocycle. In some cases, each R20 is independently selected from hydrogen; and C1-6 alkyl, and 3- to 12-membered heterocycle. In some cases, each R20 is independently selected from hydrogen; and C1-6 alkyl, and 3- to 12-membered saturated heterocycle. In some cases, each R20 is independently selected from 5- to 6-membered saturated heterocycle. In some cases, the heterocycle of R20 has at least one nitrogen atom. In some cases, the heterocycle of R20 has at least one sulfur atom. In some cases, the heterocycle of R20 has at least one oxygen atom. In some cases, the heterocycle of R20 contains only 1 heteroatom. In some cases, the heterocycle of R20 has at least two heteroatoms. In some cases, the heterocycle of R20 contains only 2 heteroatoms. In some cases, the optional one or more substituents of R1 are independently selected from halogen, -CN, C2 alkenyl,
, , , ,
cases, the optional one or more substituents of R1 are independently selected from halogen,
,
some cases, the optional one or more substituents of R1 are
or more substituents of R1 are independently selected from
,
or more substituents of R1 are independently selected from halogen, and C1-6 alkyl-N(R20)2. In some cases, the optional one or more substituents of R1 are independently selected from halogen,
. , , , and C3-6 carbocycle. In some cases, R1 is selected
,
,
, ,
selected from
, which is optionally substituted with one more substituents independently selected from halogen, -OH, -S(O)2(R20), -S(O)2N(R20)2, -S(O)N(R20)2, - S(O)R20(=NR20), -C(O)N(R20)2, -C(=NR20)N(R20)2, -C(O)OR20, -C(O)NHOR20, -N(R20)2, - C(O)R20, -NO2, =O, -CN, C1-6 alkyl-N(R20)2, C1-6 aminoalkyl, C1-6 alkoxy, C1-6 alkoxyalkyl, C1-6 hydroxyalkyl, C1-6 cyanoalkyl, C1-6 haloalkyl, C1-6 alkyl, C2-6 alkynyl, 5- to 12-membered heterocycle, wherein the 5- to 12-membered heterocycle is optionally substituted with one or more substituents selected from halogen, -OR20, and C1-6 alkyl. In some cases, R1 is selected from
, which is optionally substituted with one more substituents independently selected from halogen and C1-6 alkyl. In some cases, R1 is selected from
. [00159] In some embodiments, for a compound or salt of Formula (I), Formula (I-A), Formula (I-B*), or Formula (I-B), R1 is selected from
, wherein
is selected from a 5- to 12-membered heterocycle, wherein the 5- to 12-membered heterocycle is optionally substituted independently with one or more R1* ; and RB is selected from hydrogen, halogen, C1-6 alkyl, C1-6 haloalkyl, C2-6 alkynyl, and -CN. In some cases, RB is selected from hydrogen, and halogen. In some cases, RB is chloride. In some cases, RB is hydrogen. In some cases,
has at least 1, 2, 3, or 4 heteroatoms. In some cases,
has at least 1, 2, 3, or 4 nitrogen atoms. In some cases,
has at least 1 oxygen atom. In some cases,
is a monocyclic heterocycle. In some cases,
is a bicyclic heterocycle. In some cases,
is selected from an optionally substituted 5-membered heterocycle. In some cases,
is selected from an
optionally substituted with one or more R1*. In some cases,
,
which is optionally substituted with one or more R1*. In some cases, each R1* is independently selected from halogen, -OR20, -S(O)2(R20), -S(O)2N(R20)2, -S(O)N(R20)2, -S(O)R20(=NR20), - NR20S(O)2R20, -C(O)N(R20)2, -C(O)NR20OR20, -N(R20)C(O)R20, -N(R20)C(O)N(R20)2, - N(R20)C(O)OR20, -N(R20)2, -C(O)R20, -C(O)OR20, -OC(O)R20, -OC(O)N(R20)2, -NO2, =O, =N(R20), =NO(R20), -CN, -NHCN, C1-6 alkyl-N(R20)2, C1-6 aminoalkyl, C1-6 alkoxy, C1-6 hydroxyalkyl, C1-6 cyanoalkyl, C1-6 haloalkyl, and C1-6 alkyl. In some cases, each R1* is independently selected from halogen, C1-6 alkyl-N(R20)2, C1-6 aminoalkyl, C1-6 hydroxyalkyl, C1-6 cyanoalkyl, C1-6 haloalkyl, and C1-6 alkyl. In some cases, each R1* is independently selected from halogen, and C1-6 alkyl. In some cases,
, ,
[00160] In some embodiments, for a compound or salt of Formula (I), Formula (I-A), Formula (I-B*), or Formula (I-B), when R1 is substituted with -C(O)R20, R20 is selected from a 5- to 12- membered heterocycle, which is optionally substituted. In some cases, R1 is substituted with - C(O)R20. In some cases, R20 is selected from a 5- to 12-membered unsubstituted heterocycle. In some cases, R20 is selected from a 5- to 6-membered heterocycle, which is optionally substituted. In some cases, the heterocycle has at least one nitrogen atom. In some cases, the heterocycle has at least one sulfur atom. In some cases, the heterocycle has at least one oxygen atom. In some cases, the heterocycle has two heteroatoms. In some cases, the heterocycle of R20 is selected from
, , , , each of which is optionally substituted. In some cases, R20 is selected from
, the optional substituents are selected from C1-10 alkyl, oxo, and =NH. [00161] In some embodiments, for a compound or salt of Formula (I), Formula (I-A), Formula (I-B*), or Formula (I-B), each R20 is independently selected from hydrogen; and C1-6 alkyl, C3-12 carbocycle, and 3- to 12-membered heterocycle, each of which is optionally substituted with one
or more substituents independently selected from halogen, -OH, -CN, -NO2, -NH2, -N(C1-6 alkyl)2, C1-10 alkyl, -C1-10 haloalkyl, -O-C1-10 alkyl, oxo, and =NH. In some cases, each R20 is independently selected from hydrogen; and unsubstituted C1-6 alkyl, and 3- to 12-membered heterocycle which is optionally substituted with one or more substituents independently selected from halogen, -OH, -CN, -NO2, -NH2, -N(C1-6 alkyl)2, C1-10 alkyl, -C1-10 haloalkyl, -O-C1-10 alkyl, oxo, and =NH. [00162] In some embodiments, for a compound or salt of Formula (I), Formula (I-A), or Formula (I-B), R1 is selected from 5- to 12-membered heterocycle, wherein the 5- to 12-membered heterocycle is optionally substituted with one or more substituents. In some cases, the one or more optional substituents are independently selected from halogen, -CN, -NO2, =O, -N(R20)2, - B(OR20)2, -OR20, -SR20, -S(O)2(R20), -S(O)2N(R20)2, -NR20S(O)2R20, -C(O)N(R20)2, - N(R20)C(O)R20, -N(R20)C(O)N(R20)2, -N(R20)C(O)OR20, -C(O)R20, C(O)OR20, -OC(O)R20, - OC(O)N(R20)2, C1-6 aminoalkyl, C1-6 alkoxy, C1-6 alkoxyalkyl, C1-6 hydroxyalkyl, C1-6 cyanoalkyl, C1-6 haloalkyl, C1-6 alkyl, C2-6 alkenyl, and C2-6 alkynyl. In some cases, the one or more optional substituents are independently selected from halogen, -OH, -N(R20)2, -NO2, =O, -CN, C1-6 aminoalkyl, C1-6 alkoxy, C1-6 hydroxyalkyl, and C1-6 haloalkyl. In some cases, the one or more optional substituents are independently selected from halogen, -OH, -N(R20)2, -NO2, C1-6 aminoalkyl, C1-6 alkoxy, C1-6 hydroxyalkyl, and C1-6 haloalkyl. In some cases, R20 is selected from hydrogen and C1-3 alkyl. [00163] In some embodiments, for a compound or salt of Formula (I), Formula (I-A), or Formula (I-B), R1 is selected from a saturated 5- to 12-membered heterocycle, which is optionally substituted with one or more substituents. In some cases, the 5- to 12-membered heterocycle of R1 is bridged. In some cases, the 5- to 12-membered heterocycle of R1 is not bridged. In some cases, the 5- to 12-membered heterocycle is selected from
,
with one or more substituents. [00164] In some embodiments, for a compound or salt of Formula (I), Formula (I-A), Formula
,
, each of which is optionally substituted with one or more substituents. In some cases, the one or more of the optional substituents are independently selected from halogen, -OH, -N(R20)2, -B(OH)2, -C(O)N(R20)2, -NHCN, -NO2, C1-6 alkoxy, =O, -CN, C1-6 alkyl, C2-6 alkenyl, C1-6 alkyl-N(R20)2, C1-6 aminoalkyl, C1-6 hydroxyalkyl, and C1-6 haloalkyl. In
[00165] In some embodiments, for a compound or salt of Formula (I), Formula (I-A), Formula (I-B*), or Formula (I-B), R1 is selected from an optionally substituted 5- to 12-membered unsaturated heterocycle, wherein the heterocycle has as most one nitrogen atom. In some cases, the 5- to 12-membered unsaturated heterocycle has at least one nitrogen atom. In some cases, the 5- to 12-membered unsaturated heterocycle has at most one nitrogen atom. [00166] In some embodiments, for a compound or salt of Formula (I), Formula (I-A), Formula (I-B*), or Formula (I-B), the heterocycle of R1 contains only 1 nitrogen atom and optionally one or more heteroatoms selected from oxygen, and sulfur. In some cases, the heterocycle is a fused heterocycle or a bridged heterocycle. In some cases, the heterocycle is a monocyclic heterocycle or a bridged heterocycle. In some cases, the heterocycle is a monocyclic heterocycle. In some cases, the heterocycle is a bridged heterocycle. In some cases, the heterocycle is selected from
. The heterocycle is optionally substituted as described elsewhere herein.
[00167] In some embodiments, for a compound or salt of Formula (I), Formula (I-A), or Formula (I-B), the heterocycle of R1 has at most 1 nitrogen atom. In some cases, the heterocycle of R1 has only 1 nitrogen atom and optionally one or more other heteroatoms selected from oxygen and sulfur. In some cases, the heterocycle of R1 has only 1 nitrogen atom and no other heteroatoms. [00168] In some embodiments, for a compound or salt of Formula (I), Formula (I-A), Formula (I-B*), or Formula (I-B), R1 is selected from an optionally substituted 5- to 12-membered saturated heterocycle, wherein the heterocycle has as most one nitrogen atom. In some cases, the 5- to 12-membered unsaturated heterocycle has at least one nitrogen atom. In some cases, the 5- to 12-membered unsaturated heterocycle has only one nitrogen atom and 0-2 other heteroatoms selected from nitrogen, oxygen, and sulfur. In some cases, the 5- to 12-membered unsaturated heterocycle has only one nitrogen atom and no further heteroatoms. In some cases, the 5- to 12- membered unsaturated heterocycle has three nitrogen atoms and no further heteroatoms. [00169] In some embodiments, for a compound or salt of Formula (I), Formula (I-A), Formula (I-B*), or Formula (I-B), R1 is selected from an optionally substituted 5- to 12-membered unsaturated heterocycle, wherein the heterocycle has as most one nitrogen atom. In some cases, the 5- to 12-membered unsaturated heterocycle has at least one nitrogen atom. In some cases, the 5- to 12-membered unsaturated heterocycle has only one nitrogen atom and no further heteroatoms. [00170] In some embodiments, for a compound or salt of Formula (I), Formula (I-A), Formula (I-B*), or Formula (I-B), R1 is selected from 6- to 9-membered heterocycle. In some cases, R1 is selected from 6- to 7-membered heterocycle. In some cases, R1 is selected from 7-membered heterocycle. In some cases, R1 is selected from 6-membered heterocycle. In some cases, the 6- to 7-membered heterocycle contains only 1 nitrogen atom and optionally one or more additional heteroatoms selected from oxygen, and sulfur. In some cases, the optionally one or more additional heteroatoms are selected from sulfur. In some cases, the optionally one or more additional heteroatoms are selected from oxygen. In some cases, the 6- to 7-membered heterocycle contains only 1 nitrogen atom and no further additional heteroatoms. In some cases, the 6- to 7-membered heterocycle is a non-aromatic 6- to 7-membered heterocycle. In some cases, R1 is selected from
and , each of which is substituted. In some cases, the substituents of R1 are each selected from one or more halogen, -OR20, -SR20, -N(R20)2, -NHCN, -NO2, =O, -CN, C1-6 haloalkyl, -C(O)N(R20)2, C1-6 aminoalkyl, C1-6 hydroxyalkyl, C1-6 cyanoalkyl, C1-6 alkyl, C2-6 alkenyl, and C2-6 alkynyl. In some cases, the substituents of R1 are each selected from one or more halogen, -OR20, -N(R20)2, -NHCN, =O, -CN, -C(O)N(R20)2, C1-6 aminoalkyl, C1-6 hydroxyalkyl, C1-6 cyanoalkyl, C1-6 alkyl, and C2-6 alkynyl. In some cases, the substituents of R1 are each selected from one or more halogen, -OH, -NHCN, =O, -CN, C2-6 alkynyl, and C1-6 alkyl. In some cases, R1
,
cases, R1 is selected from
each of which is optionally substituted. In some cases, the one or more optional substituents of R1 are each independently selected from fluorine, -OH, -C(O)NH2, -NH-C(O)-(C1-6 alkoxy), -NH-C(O)-(C1-6 hydroxyalkyl), -NH2, -NH(CN), =O, -CN, C1-6 hydroxyalkyl, C1-6 cyanoalkyl, C1-6 alkyl, and C2-6 alkynyl. In some cases, the one or more optional substituents of R1 are each independently selected from halogen, -OH, -CN, C1-6 cyanoalkyl, C1-6 alkyl, and C2-6 alkynyl. In some cases, the one or more optional substituents of R1 are each independently selected from halogen, -OH, and -CN. In some cases, the one or more optional substituents of R1 are each independently selected from fluorine, - OH, -CN, C1-6 cyanoalkyl, C1-6 alkyl, oxo, and C2-6 alkynyl. In some cases, the one or more optional substituents of R1 are each independently selected from fluorine, -OH, -CN, C1-6 cyanoalkyl, C1-6
alkyl, and C2-6 alkynyl. In some cases, R1 is selected
,
,
, each of which is optionally substituted with one or more substituents. In some cases, the one or more of the optional substituents are independently selected from halogen, -OH, -N(R20)2, -B(OH)2, -C(O)N(R20)2, -NHCN, -NO2, C1-6 alkoxy, =O, -CN, C1-6 alkyl, C2-6 alkenyl, C1-6 aminoalkyl, , C1-6 cyanoalkyl, C1-6 hydroxyalkyl, and C1- 6 haloalkyl. In some cases, R1 is selected from
, , ,
,
,
, ,
[00172] In some embodiments, for a compound or salt of Formula (I), Formula (I-A), Formula (I-B*), or Formula (I-B), R1 is selected from an optionally substituted unsaturated 6- to 8- membered heterocycle. In some cases, R1 is selected from an optionally substituted unsaturated 6-membered heterocycle. In some cases, R1 is selected from an optionally substituted unsaturated 7-membered heterocycle. In some cases, the heterocycle has 1 or 2 double bonds. In some cases, the heterocycle has only 1 double bond. In some cases, the heterocycle has only 2 double bonds.
In some cases, R1 is selected from
each is optionally substituted with one or more substituents independently selected from halogen, -OH, -NH2, -NO2, C1-6 aminoalkyl, C1-6 alkoxy, C1-6 hydroxyalkyl, C1-6 haloalkyl, and C1-6 alkyl. In some cases, R1 is selected from
wherein each is optionally substituted with one or more substituents independently selected from halogen, -OH, - NH2, -NO2, C1-6 aminoalkyl, C1-6 alkoxy, C1-6 hydroxyalkyl, C1-6 haloalkyl, and C1-6 alkyl. In some cases, R1 is selected from
, wherein each is optionally substituted with one or more substituents independently selected from halogen, -OH, - NH2, -NO2, C1-6 aminoalkyl, C1-6 alkoxy, C1-6 hydroxyalkyl, C1-6 haloalkyl, and C1-6 alkyl. In some
,
R1 is selected from
. some cases,
. some cases, R1 is selected from
, wherein each is substituted with one or more substituents independently selected from halogen. [00173] In some embodiments, for a compound or salt of Formula (I), Formula (I-A), Formula (I-B*), or Formula (I-B), R1 is selected from an unsaturated 6- to 7-membered heterocycle, wherein the unsaturated 6- to 7-membered heterocycle is substituted with one or more substituents selected from halogen. In some cases, the unsaturated 6- to 7-membered heterocycle is substituted with at least one halogen. In some cases, the unsaturated 6- to 7-membered heterocycle is substituted with at only one halogen. In some cases, the unsaturated 7-membered heterocycle is substituted with one fluorine. In some cases, R1 is selected from an unsaturated 6-membered heterocycle, substituted with at least one halogen. In some cases, R1 is selected from an unsaturated 7-membered heterocycle, substituted with at least one halogen. In some cases, R1 is
. [00174] In some embodiments, for a compound or salt of Formula (I), Formula (I-A), Formula (I-B*), or Formula (I-B), R1 is selected from an optionally substituted unsaturated 6- to 8- membered heterocycle. In some cases, R1 is selected from an optionally substituted unsaturated 7-membered heterocycle. In some cases, R1 is selected from
, wherein each is optionally substituted with one or more substituents independently selected from halogen, -OH, -NH2, -NO2, C1-6 aminoalkyl, C1-6 alkoxy, C1-6 hydroxyalkyl, C1-6 haloalkyl, and C1-6 alkyl. In some cases, R1 is selected from
[00175] In some embodiments, for a compound or salt of Formula (I), Formula (I-A), Formula (I-B*), or Formula (I-B), R1 is selected from an optionally substituted 6-membered heterocycle. In some cases, the 6-membered heterocycle contains only 1 nitrogen atom. In some cases, the 6- membered heterocycle of R1 is bound to the respective Formula via the only 1 nitrogen atom. In some cases, R1 is selected from
, any of which is optionally substituted. In some cases, the one or more optional substituents of R1 are each independently selected from halogen,
-OR20, -N(R20)2, =O, -CN, C1-6 hydroxyalkyl, C1-6 cyanoalkyl, C1-6 alkyl, and C2-6 alkynyl. In some cases, the one or more optional substituents of R1 are each independently selected from fluorine, -OH, -NH2, -NH(CN), =O, -CN, C1-6 hydroxyalkyl, C1-6 cyanoalkyl, C1-6 alkyl, and C2-6 alkynyl. In some cases, the one or more optional substituents of R1 are each independently selected from fluorine, -OH, -NH2, -NH(CN), =O, -CN, C1-6 hydroxyalkyl, C1-6 alkyl, and C2-6 alkynyl. In some cases, the 6-membered heterocycle is a partially unsaturated 6-membered heterocycle or a saturated 6-membered heterocycle. In some cases, the 6-membered heterocycle is partially unsaturated. In some cases, the 6-membered heterocycle is a saturated 6-membered heterocycle. In some cases, the 6-membered heterocycle is a monocyclic 6-membered heterocycle. In some cases, the 6-membered heterocycle is not a bridged heterocycle. In some cases, R1 is selected from ,
[00176] In some embodiments, for a compound or salt of Formula (I), Formula (I-A), Formula (I-B*), or Formula (I-B), R1 is selected from an optionally substituted 6-membered unsaturated heterocycle and 6-membered saturated heterocycle. In some cases, R1 is selected from
and
, wherein each is optionally substituted with one or more substituents independently selected from halogen, -OH, -NH2, -NO2, C1-6 aminoalkyl, C1-6 cyanoalkyl, C1-6 alkoxy, C1-6 hydroxyalkyl, C1-6 haloalkyl, and C1-6 alkyl. In some cases, R1 is selected from
, wherein each is optionally substituted with one or more substituents independently selected from halogen, and C1-6 haloalkyl. In some cases, R1 is selected from
, , and
. In some cases, R1 is selected from
, which is optionally substituted with one or more substituents independently selected from halogen, C1-6 cyanoalkyl, and C1-6 haloalkyl. In some cases,
. [00177] In some embodiments, for a compound or salt of Formula (I), Formula (I-A), Formula (I-B*), or Formula (I-B), R1 is selected from
, wherein each is optionally substituted two substituents independently selected from halogen, -OH, -NH2, -NO2, C1-6 aminoalkyl, C1-6 alkoxy, C1-6 hydroxyalkyl, C1-6 haloalkyl, and C1-6 alkyl. In some cases, R1 is selected from
, wherein each is optionally substituted with two substituents independently selected from halogen, and C1-6 haloalkyl. In some cases,
. [00178] In some embodiments, for a compound or salt of Formula (I), Formula (I-A), Formula (I-B*), or Formula (I-B), R1 is selected from an optionally substituted 6- to 10-membered heterocycle. In some cases, the 6- to 10-membered heterocycle contains 0-2 additional heteroatoms selected from nitrogen, oxygen, and sulfur. In some cases, the 6- to 10-membered heterocycle contains at least 1 nitrogen atom. In some cases, R1 is selected from
, each of which is optionally substituted with one or more substituents independently selected from halogen, =O, -OH, -CN, -
NHCN, -C(O)N(R20)2, C1-6 aminoalkyl, C1-6 hydroxyalkyl, C1-6 cyanoalkyl, and C1-6 alkyl. In some cases, each R20 is independently selected from hydrogen; and C1-6 alkyl, C3-12 carbocycle, and 3- to 12-membered heterocycle, each of which is optionally substituted with one or more substituents independently selected from halogen, -OH, -CN, -NO2, -NH2, -N(C1-6 alkyl)2, C1-10 alkyl, -C1-10 haloalkyl, -O-C1-10 alkyl, oxo, C3-12 carbocycle, and 3- to 12-membered heterocycle. In some cases, ,
[00179] In some embodiments, for a compound or salt of Formula (I), Formula (I-A), Formula (I-B*), or Formula (I-B), R1 is selected from 6- to 7-membered heterocycle. In some cases, R1 is selected from 7-membered heterocycle. In some cases, R1 is selected from 6-membered heterocycle. In some cases, the 6- to 7-membered heterocycle contains only 1 nitrogen atom and optionally one or more additional heteroatoms selected from oxygen, and sulfur. In some cases, the optionally one or more additional heteroatoms are selected from sulfur. In some cases, the optionally one or more additional heteroatoms are selected from oxygen. In some cases, the 6- to 7-membered heterocycle contains only 1 nitrogen atom and no further additional heteroatoms. In some cases, the 6- to 7-membered heterocycle is a non-aromatic 6- to 7-membered heterocycle. In some cases, the 6- to 7-membered heterocycle of R1 is bound to the respective Formula via the
,
, , each of which is substituted. In some cases, R1 is selected from
,
, the substituents of R1 are each selected from one or more halogen, -OR20, -SR20, -N(R20)2, -NHCN,
-NO2, =O, -CN, C1-6 fluoroalkyl, and C2-6 alkynyl; and further optionally substituted with one or more substituents independently selected from -C(O)N(R20)2, C1-6 aminoalkyl, C1-6 hydroxyalkyl, C1-6 cyanoalkyl, C1-6 alkyl, and C2-6 alkenyl. In some cases, the substituents of R1 are each selected from one or more halogen, -OR20, -N(R20)2, -NHCN, =O, -CN, and C2-6 alkynyl; and further optionally substituted with one or more substituents independently selected from -C(O)N(R20)2, C1-6 aminoalkyl, C1-6 hydroxyalkyl, C1-6 cyanoalkyl, and C1-6 alkyl. In some cases, the substituents of R1 are each selected from one or more halogen, -OH, -NHCN, =O, -CN, and C2-6 alkynyl; and further optionally substituted with one or more substituents independently selected from C1-6 alkyl.
,
, , , , , , each of which is optionally substituted. In some cases, R1 is selected from
, each of which is optionally substituted. In some cases, R1 is selected from
each of which is optionally substituted. In some cases, the one or more optional substituents of R1 are each independently selected from fluorine, -OH, -C(O)NH2, -NH-C(O)-(C1-6 alkoxy), -NH-C(O)-(C1-6 hydroxyalkyl), -NH2, -NH(CN), =O, -CN, C1-6 hydroxyalkyl, C1-6 cyanoalkyl, C1-6 alkyl, and C2- 6 alkynyl. In some cases, the one or more optional substituents of R1 are each independently selected from halogen, -OH, -CN, C1-6 cyanoalkyl, C1-6 alkyl, and C2-6 alkynyl. In some cases, the one or more optional substituents of R1 are each independently selected from halogen, -OH, and -CN. In some cases, the one or more optional substituents of R1 are each independently selected from fluorine, -OH, -CN, C1-6 cyanoalkyl, C1-6 alkyl, oxo, and C2-6 alkynyl. In some cases, the one or more optional substituents of R1 are each independently selected from fluorine, -
OH, -CN, C1-6 cyanoalkyl, C1-6 alkyl, and C2-6 alkynyl. In some cases, R1 is selected from
In some cases, R1 is selected from
,
from , , , , , , , , and . [00180] In some embodiments, for a compound or salt of Formula (I), Formula (I-A), Formula (I-B*), or Formula (I-B), the 5- to 12-membered heterocycle of R1 is unsaturated and a bridged heterocycle. In some cases, R1 is selected from an optionally substituted 7- to 8-membered unsaturated and bridged heterocycle. In some cases, R1 is selected from
. [00181] In some embodiments, for a compound or salt of Formula (I), Formula (I-A), Formula (I-B*), or Formula (I-B), R1 is selected from 5- to 10-membered heterocycle, 7-, 8-, 10-, 11- membered spiro heterocycle, and 6-, 9-, 10-, 11-, and 12-membered fused heterocycle, and wherein each are optionally substituted with one or more substituents independently selected from halogen, -N(R20)2, C1-6 alkyl, -OR20, -N(R20)C(O)N(R20)2, -B(OR20)2, C1-6 cyanoalkyl, - N(R20)C(O)N(R20)2, =O, C1-6 hydroxyalkyl, halogen, -N(R20)C(O)R20, -N(R20) S(O)2(R20), and C1-
optionally substituted with one or more substituents independently selected from halogen, - N(R20)2, C1-6 alkyl, -OR20, -N(R20)C(O)N(R20)2, -B(OR20)2, C1-6 cyanoalkyl, -N(R20)C(O)N(R20)2, =O, C1-6 hydroxyalkyl, halogen, -N(R20)C(O)R20, -N(R20) S(O)2(R20), and C1-6 aminoalkyl. In
,
[00182] In some embodiments, for a compound or salt of Formula (I), Formula (I-A), or Formula (I-B), R1 is selected from an optionally substituted 10-membered heterocycle. In some cases, the 10-membered heterocycle is a bicyclic heterocycle. In some cases, the 10-membered heterocycle is a spiro heterocycle. In some cases, the 10-membered heterocycle is a fused heterocycle. In some cases, the 10-membered heterocycle is a saturated heterocycle. In some cases, the 10- membered heterocycle is a non-aromatic heterocycle. In some cases, the 10-membered heterocycle contains at least 1 nitrogen atom. In some cases, the 10-membered heterocycle contains at least 2 nitrogen atoms. In some cases, the 10-membered heterocycle contains at least 3 nitrogen atoms. In some cases, the 10-membered heterocycle contains at least 1 sulfur atom. In some cases, R1 is selected from
, each of which is optionally substituted with one or more substituents independently selected from halogen, =O, -OH, -CN, - NHCN, -C(O)N(R20)2, C1-6 aminoalkyl, C1-6 hydroxyalkyl, C1-6 cyanoalkyl, and C1-6 alkyl. In some
R1 is selected from
, . In some cases, R1 is selected from
, which is optionally substituted with one or more substituents independently
selected from halogen, -OR20, -SR20, -N(R20)2, -NO2, =O, -CN, C1-6 aminoalkyl, C1-6 alkoxy, C1-6 hydroxyalkyl, C1-6 cyanoalkyl, C1-6 haloalkyl, C1-6 alkyl, C2-6 alkenyl, and C2-6 alkynyl. [00183] In some embodiments, for a compound or salt of Formula (I), Formula (I-A), or Formula (I-B), R1 is selected from an optionally substituted unsaturated 9- to 11-membered heterocycle. In some cases, R1 is selected from an optionally substituted unsaturated 10-membered heterocycle. In some cases, R1 is selected from an optionally substituted unsaturated 10-membered fused N heterocycle. In some cases,
which is optionally substituted. In some cases, the one or more optional substituents are selected from halogen, -OH, -C(O)N(R20)2, -N(R20)2, - C(O)R20, -NO2, =O, -CN, C1-6 aminoalkyl, C1-6 alkoxy, C1-6 hydroxyalkyl, C1-6 cyanoalkyl, C1-6 haloalkyl, C1-6 alkyl, and C2-6 alkynyl. In some cases, R1 is , optionally substituted with one or more substituents selected from -N(R20)2, -C(O)R20, -NO2, =O, -CN, C1-6 aminoalkyl, C1-6 alkoxy, C1-6 hydroxyalkyl, C1-6 cyanoalkyl, C1-6 haloalkyl, C1-6 alkyl, and C2-6 alkynyl. In some cases, each R20 is independently selected from hydrogen; and C1-6 alkyl, and C3- 12 carbocycle, and each of which is optionally substituted with one or more substituents independently selected from halogen, -OH, -CN, -NO2, -NH2, C1-10 alkyl, -C1-10 haloalkyl, -O-C1- 10 alkyl, C2-10 alkenyl, C2-10 alkynyl, C3-12 carbocycle, and 3- to 12-membered heterocycle. [00184] In some embodiments, for a compound or salt of Formula (I), Formula (I-A), or Formula (I-B), R1 is selected from a 7- to 11-membered spiro heterocycle. In some cases, R1 is selected from a 10-membered spiro heterocycle. In some cases, the spiro heterocycle has at least 3 nitrogen atoms. In some cases, the spiro heterocycle has at least 1 sulfur atom. In some cases, R1 is selected
each of which is optionally substituted. In some cases, the one or more optional substituents are independently selected from halogen, -OH, -N(R20)2, -NO2, =O, -CN, -NHCN, C1-6 aminoalkyl, C1-6 alkoxy, C1-6 hydroxyalkyl, C1-6 cyanoalkyl, C1-6 haloalkyl, C1- 6 alkyl, C2-6 alkenyl, and C2-6 alkynyl. In some cases, R1 is selected from
, and
[00185] In some embodiments, for a compound or salt of Formula (I), Formula (I-A), Formula (I-B*), or Formula (I-B), R1 is selected from an optionally substituted 8- to 10-membered fused heterocycle. In some cases, the 8- to 10-membered fused heterocycle is a bicyclic heterocycle. In some cases, the 8- to 10-membered fused heterocycle is a saturated heterocycle. In some cases, the 8- to 10-membered fused heterocycle is an unsaturated heterocycle. In some cases, the 8- to 10-membered heterocycle is a non-aromatic heterocycle. In some cases, R1 is selected from an optionally substituted 10-membered fused heterocycle. In some cases, the 10-membered fused heterocycle is a bicyclic heterocycle. In some cases, the 10-membered fused heterocycle is a saturated heterocycle. In some cases, the 10-membered heterocycle is a non-aromatic heterocycle. In some cases, the fused heterocycle has one saturated ring and one aromatic ring. In some cases, the fused heterocycle has one saturated ring and one unsaturated ring. In some cases, the fused heterocycle has two saturated rings. In some cases, the 10-membered heterocycle contains at least 1 nitrogen atom. In some cases, the 10-membered heterocycle contains at least 2 nitrogen atoms. In some cases, the 10-membered heterocycle contains at least 3 nitrogen atoms. In some cases, R1 is selected from
, each of which is optionally substituted with one or more
substituents. In some cases,
, which is optionally substituted with one or more substituents. In some cases, the one or more optional substituents of R1 are independently selected from halogen, -OH, -S(O)2(R20), -S(O)2N(R20)2, -S(O)N(R20)2, -S(O)R20(=NR20), -C(O)N(R20)2, - C(O)NHOR20, -N(R20)2, -C(O)R20, -NO2, =O, -CN, C1-6 alkyl-N(R20)2, C1-6 aminoalkyl, C1-6 alkoxy, C1-6 hydroxyalkyl, C1-6 cyanoalkyl, C1-6 haloalkyl, C1-6 alkyl, and C2-6 alkynyl. In some cases, the optional one or more substituents are independently selected from halogen, =O, - OH, -CN, -NHCN, -S(O)2(R20), -S(O)2N(R20)2, -S(O)N(R20)2, -S(O)R20(=NR20), - C(O)R20, -C(O)N(R20)2, -C(O)NR20OR20, C1-6 alkyl-N(R20)2, C1-6 aminoalkyl, C1-6 hydroxyalkyl, C1-6 cyanoalkyl, and C1-6 alkyl. In some cases, the optional one or more substituents are independently selected from halogen, =O, C1-6 alkyl-N(R20)2, -S(O)2(R20), -S(O)N(R20)2, - S(O)R20(=NR20), -C(O)R20, -C(O)N(R20)2, and -C(O)NR20OR20. In some cases, the optional one or more substituents are independently selected from halogen, =O, -S(O)2(R20), -S(O)N(R20)2, - S(O)R20(=NR20), -C(O)R20, -C(O)N(R20)2, and -C(O)NR20OR20. In some cases, R1 is selected
substituted. In some cases, the optional one or more substituents are independently selected from -C(O)R20, -C(O)N(R20)2, and -C(O)NR20OR20. In some cases, the optional one or more substituents are independently selected from -S(O)2(R20), -S(O)2N(R20)2, -S(O)N(R20)2, - S(O)R20(=NR20). In some cases, the optional one or more substituents are independently selected from -S(O)N(R20)2. In some cases, the optional one or more substituents are independently selected from S(O)2(R20). In some cases, the optional one or more substituents are independently selected from S(O)R20(=NR20). In some cases, the optional one or more substituents are independently selected from -C(O)R20. In some cases, the optional one or more substituents are independently selected from -C(O)N(R20)2. In some cases, the optional one or more substituents are independently selected from -C(O)NR20OR20. In some cases, each R20 is independently
selected from hydrogen; and C1-6 alkyl, C3-12 carbocycle, and 3- to 12-membered heterocycle. In some cases, each R20 is independently selected from hydrogen; and C1-6 alkyl, and 3- to 12- membered heterocycle. In some cases, each R20 is independently selected from hydrogen; and C1- 6 alkyl, and 3- to 12-membered saturated heterocycle. In some cases, the optional one or more substituents of R1 are independently selected from halogen,
, , ,
,
substituents of R1 are independently selected from halogen, and C1-6 alkyl-N(R20)2. In some cases, the optional one or more substituents of R1 are independently selected from halogen,
,
cases, each R20 is independently selected from hydrogen, C1-6 alkyl, and C3-6 carbocycle. In some
. [00186] In some embodiments, for a compound or salt of Formula (I), Formula (I-A), Formula (I-B*), or Formula (I-B), R1 is selected from an optionally substituted 8- to 10-membered fused
heterocycle. In some cases, the 8- to 10-membered fused heterocycle is a bicyclic heterocycle. In some cases, the 8- to 10-membered fused heterocycle is a saturated heterocycle. In some cases, the 8- to 10-membered fused heterocycle is an unsaturated heterocycle. In some cases, the 8- to 10-membered heterocycle is a non-aromatic heterocycle. In some cases, R1 is selected from an optionally substituted 10-membered fused heterocycle. In some cases, the 10-membered fused heterocycle is a bicyclic heterocycle. In some cases, the 10-membered fused heterocycle is a saturated heterocycle. In some cases, the 10-membered heterocycle is a non-aromatic heterocycle. In some cases, the fused heterocycle has one saturated ring and one aromatic ring. In some cases, the fused heterocycle has one saturated ring and one unsaturated ring. In some cases, the fused heterocycle has two saturated rings. In some cases, the 10-membered heterocycle contains at least 1 nitrogen atom. In some cases, the 10-membered heterocycle contains at least 2 nitrogen atoms. In some cases, the 10-membered heterocycle contains at least 3 nitrogen atoms. In some cases, R1 is selected from
, each of which is optionally substituted with one or more substituents. In some cases, R1 is selected from
and
, each of which is optionally substituted with one or more substituents. In some cases,
which is optionally substituted with one or more substituents. In some cases, the one or more optional substituents of R1 are independently selected from halogen, -OH, - S(O)2(R20), -S(O)2N(R20)2, -S(O)N(R20)2, -S(O)R20(=NR20), -C(O)N(R20)2, -C(O)NHOR20, - N(R20)2, -C(O)R20, -NO2, =O, -CN, C1-6 alkyl-N(R20)2, C1-6 aminoalkyl, C1-6 alkoxy, C1-6 hydroxyalkyl, C1-6 cyanoalkyl, C1-6 haloalkyl, C1-6 alkyl, and C2-6 alkynyl. In some cases, the optional one or more substituents are independently selected from halogen, =O, -OH, -CN, - NHCN, -S(O)2(R20), -S(O)2N(R20)2, -S(O)N(R20)2, -S(O)R20(=NR20), -C(O)R20, -C(O)N(R20)2, -
C(O)NR20OR20, C1-6 alkyl-N(R20)2, C1-6 aminoalkyl, C1-6 hydroxyalkyl, C1-6 cyanoalkyl, and C1-6 alkyl. In some cases, the optional one or more substituents are independently selected from halogen, =O, C1-6 alkyl-N(R20)2, -S(O)2(R20), -S(O)N(R20)2, -S(O)R20(=NR20), - C(O)R20, -C(O)N(R20)2, and -C(O)NR20OR20. In some cases, the optional one or more substituents are independently selected from halogen, =O, -S(O)2(R20), -S(O)N(R20)2, -S(O)R20(=NR20), - C(O)R20, -C(O)N(R20)2, and -C(O)NR20OR20. In some cases, the optional one or more substituents are independently selected from -C(O)R20, -C(O)N(R20)2, and -C(O)NR20OR20. In some cases, the optional one or more substituents are independently selected from -S(O)2(R20), -S(O)2N(R20)2, - S(O)N(R20)2, -S(O)R20(=NR20). In some cases, the optional one or more substituents are independently selected from -S(O)N(R20)2. In some cases, the optional one or more substituents are independently selected from S(O)2(R20). In some cases, the optional one or more substituents are independently selected from S(O)R20(=NR20). In some cases, the optional one or more substituents are independently selected from -C(O)R20. In some cases, the optional one or more substituents are independently selected from -C(O)N(R20)2. In some cases, the optional one or more substituents are independently selected from -C(O)NR20OR20. In some cases, R1 is selected
of which is further optionally substituted. In some cases, the further one or more optional substituents are selected from halogen, -OH, =O, -CN, C1-6 aminoalkyl, C1-6 alkoxy, C1-6 hydroxyalkyl, C1-6 cyanoalkyl, C1-6 haloalkyl, C1-6 alkyl, and C2-6 alkynyl. In some cases, the further one or more optional substituents are selected from halogen and C1-6 alkyl. In some cases, the further one or more optional substituents are selected from halogen. In some cases, each R20 is independently selected from hydrogen; and C1-6 alkyl, C3-12 carbocycle, and 3- to 12-membered heterocycle. In some cases, each R20 is independently selected from hydrogen; and C1-6 alkyl, and 3- to 12-membered heterocycle. In some cases, each R20 is independently selected from hydrogen; and C1-6 alkyl, and 3- to 12-membered saturated heterocycle. In some cases, each R20 is independently selected from 5- to 6-membered saturated heterocycle. In some cases, the
heterocycle of R20 has at least one nitrogen atom. In some cases, the heterocycle of R20 has at least one sulfur atom. In some cases, the heterocycle of R20 has at least one oxygen atom. In some cases, the heterocycle of R20 contains only 1 heteroatom. In some cases, the heterocycle of R20 has at least two heteroatoms. In some cases, the heterocycle of R20 contains only 2 heteroatoms. In some cases, the optional one or more substituents of R1 are independently selected from halogen,
, , , ,
independently selected from halogen, and C1-6 alkyl-N(R20)2. In some cases, the optional one or more substituents of R1 are independently selected from halogen,
, , and
. In some cases, R1 is selected from
. some cases, each R20 is independently selected from hydrogen, C1-6 alkyl, and C3-6 carbocycle. In some cases, R1 is
[00187] In some embodiments, for a compound or salt of Formula (I), Formula (I-A), Formula (I-B*), or Formula (I-B), when R1 is substituted with -C(O)R20, R20 is selected from a 5- to 12- membered heterocycle. [00188] In some embodiments, for a compound or salt of Formula (I), Formula (I-A), Formula (I-B*), or Formula
and the one or more optional substituents of R1 are independently selected from halogen, -OH, -S(O)2(R20), -S(O)2N(R20)2, -S(O)N(R20)2, - S(O)R20(=NR20), -C(O)N(R20)2, -C(=NR20)N(R20)2, -C(O)NHOR20, -N(R20)2, -C(O)R20, -NO2, =O, -CN, C1-6 alkyl-N(R20)2, C1-6 aminoalkyl, C1-6 alkoxy, C1-6 alkoxyalkyl, C1-6 hydroxyalkyl, C1- 6 cyanoalkyl, C1-6 haloalkyl, C1-6 alkyl, C2-6 alkynyl, and optionally substituted 5- to 12-membered
heterocycle. In some cases, the one or more optional substituents of R1 are independently selected from halogen, -OH, -S(O)2(R20), -S(O)2N(R20)2, -S(O)N(R20)2, -S(O)R20(=NR20), -C(O)N(R20)2, - C(=NR20)N(R20)2, -C(O)NHOR20, -N(R20)2, -C(O)R20, -NO2, =O, -CN, C1-6 alkyl-N(R20)2, C1-6 aminoalkyl, C1-6 alkoxy, C1-6 alkoxyalkyl, C1-6 hydroxyalkyl, C1-6 cyanoalkyl, C1-6 haloalkyl, C1-6 alkyl, C2-6 alkynyl, and optionally substituted 5- to 12-membered heterocycle. In some cases, the one or more optional substituents of R1 are independently selected from halogen, -CN, C2-6 alkynyl, -C(=NR20)N(R20)2, and optionally substituted 5- to 12-membered heterocycle. In some cases, the one or more optional substituents of R1 are independently selected from halogen, - C(=NR20)N(R20)2, and optionally substituted 5- to 12-membered heterocycle. In some cases, the one or more optional substituents of R1 are independently selected from -C(=NR20)N(R20)2, and optionally substituted 5- to 12-membered heterocycle. In some cases, the one or more optional substituents of R1 are independently selected from optionally substituted 5- to 12-membered heterocycle. In some cases, the one or more optional substituents of R1 are independently selected from a 5-membered heterocycle and 9-membered heterocycle, each of which is optionally substituted independently with one or more R1*. In some cases, R1 is substituted with at least one halogen atom and optionally substituted with one or more substituents are independently selected from -CN, C2-6 alkynyl, -C(=NR20)N(R20)2, and 5- to 12-membered heterocycle, wherein the 5- to 12-membered heterocycle is optionally substituted independently with one or more R1*. In some cases, the heterocycle has at least one nitrogen atom. In some cases, the heterocycle has at least oxygen atom. In some cases, the heterocycle has at least one nitrogen atom and at least one oxygen atom. In some cases, heterocycle has at least two heteroatoms. In some cases, the heterocycle has at least three heteroatoms. In some cases, the heterocycle has at least four heteroatoms. In some cases, the heterocycle of the one or more optional substituents of R1 is selected from
, ,
, and
, which is optionally substituted with one or more R1*. In some cases, the heterocycle of the one or more optional substituents of R1 is selected from
, which is optionally substituted with one or more R1*. In some cases, each R1* is independently selected from halogen, -OR20, -S(O)2(R20), -S(O)2N(R20)2, -S(O)N(R20)2, -S(O)R20(=NR20), - NR20S(O)2R20, -C(O)N(R20)2, -C(O)NR20OR20, -N(R20)C(O)R20, -N(R20)C(O)N(R20)2, -
N(R20)C(O)OR20, -N(R20)2, -C(O)R20, -C(O)OR20, -OC(O)R20, -OC(O)N(R20)2, -NO2, =O, =N(R20), =NO(R20), -CN, -NHCN, C1-6 alkyl-N(R20)2, C1-6 aminoalkyl, C1-6 alkoxy, C1-6 hydroxyalkyl, C1-6 cyanoalkyl, C1-6 haloalkyl, and C1-6 alkyl. In some cases, each R1* is independently selected from halogen, -OR20, -S(O)2(R20), -S(O)2N(R20)2, -S(O)N(R20)2, - S(O)R20(=NR20), -NR20S(O)2R20, -C(O)N(R20)2, -C(O)NR20OR20, -N(R20)C(O)R20, - N(R20)C(O)N(R20)2, -N(R20)C(O)OR20, -N(R20)2, -C(O)R20, -C(O)OR20, -OC(O)R20, - OC(O)N(R20)2, -NO2, =O, =N(R20), =NO(R20), -CN, -NHCN, C1-6 alkyl-N(R20)2, C1-6 aminoalkyl, C1-6 alkoxy, C1-6 hydroxyalkyl, C1-6 cyanoalkyl, C1-6 haloalkyl, and C1-6 alkyl. In some cases, each R1* is independently selected from halogen, C1-6 alkyl-N(R20)2, C1-6 aminoalkyl, C1-6 hydroxyalkyl, C1-6 cyanoalkyl, C1-6 haloalkyl, and C1-6 alkyl. In some cases, each R1* is independently selected from halogen, C1-6 haloalkyl, and C1-6 alkyl. In some cases, each R1* is independently selected from halogen, and C1-6 alkyl. In some cases, each R1* is independently selected from halogen. In some cases, each R1* is independently selected from C1-6 alkyl. In some cases, each R1* is independently selected from -OR20. In some cases, each R1* is independently selected from -OH. In some cases, each R1* is independently selected from -OMe. In some cases, the heterocycle of the one or more optional substituents of R1 is selected from
, , ,
[00189] In some embodiments, for a compound or salt of Formula (I), Formula (I-A), Formula (I-B*), or Formula (I-B), the one or more optional substituents of R1 are independently selected from -C(=NR20)N(R20)2, and optionally substituted 5- to 12-membered heterocycle. In some cases, the one or more optional substituents of R1 are independently selected from optionally substituted 5- to 12-membered heterocycle. In some cases, the heterocycle is selected from
,
of which is optionally substituted with one or more R1*. In some cases, the one or more optional
[00190] In some embodiments, for a compound or salt of Formula (I), Formula (I-A), Formula (I-B*), or Formula (I-B), each R1* is independently selected from halogen, -OR20, -S(O)2(R20), - S(O)2N(R20)2, -S(O)N(R20)2, -S(O)R20(=NR20), -NR20S(O)2R20, -C(O)N(R20)2, -C(O)NR20OR20, - N(R20)C(O)R20, -N(R20)C(O)N(R20)2, -N(R20)C(O)OR20, -N(R20)2, -C(O)R20, -C(O)OR20, - OC(O)R20, -OC(O)N(R20)2, -NO2, =O, =N(R20), =NO(R20), -CN, -NHCN, C1-6 alkyl-N(R20)2, C1- 6 aminoalkyl, C1-6 alkoxy, C1-6 hydroxyalkyl, C1-6 cyanoalkyl, C1-6 haloalkyl, and C1-6 alkyl. In some cases, each R1* is independently selected from halogen, -OR20, -S(O)2(R20), -S(O)2N(R20)2, -S(O)N(R20)2, -S(O)R20(=NR20), -NR20S(O)2R20, -C(O)N(R20)2, -C(O)NR20OR20, - N(R20)C(O)R20, -N(R20)C(O)N(R20)2, -N(R20)C(O)OR20, -N(R20)2, -C(O)R20, -C(O)OR20, - OC(O)R20, -OC(O)N(R20)2, -NO2, =O, =N(R20), =NO(R20), -CN, -NHCN, C1-6 alkyl-N(R20)2, C1- 6 aminoalkyl, C1-6 alkoxy, C1-6 hydroxyalkyl, C1-6 cyanoalkyl, C1-6 haloalkyl, and C1-6 alkyl. In some cases, each R1* is independently selected from halogen, C1-6 alkyl-N(R20)2, C1-6 aminoalkyl, C1-6 hydroxyalkyl, C1-6 cyanoalkyl, C1-6 haloalkyl, and C1-6 alkyl. In some cases, each R1* is independently selected from halogen, C1-6 haloalkyl, and C1-6 alkyl. In some cases, each R1* is independently selected from halogen, and C1-6 alkyl. In some cases, each R1* is independently selected from halogen. In some cases, each R1* is independently selected from C1-6 alkyl. [00191] In some embodiments, for a compound or salt of Formula (I), Formula (I-A), Formula (I-B*), or Formula (I-B), R1 is selected from 5- to 15-membered heterocycle (preferably 8- to 10- membered heterocycle or preferably 10-membered heterocycle), each of which are optionally substituted with one or more substituents independently selected from halogen, oxo, - C(O)N(R20)2, -C(O)NR20OR20, -N(R20)2, -C(O)R20, -C(O)OR20, -SO2R20, -NHCN, C1-6 cyanoalkyl, C1-6 alkyl, C1-6 alkyl-N(R20)2, C2-6 alkynyl, and 5- to 12-membered heterocycle (preferably 5- to 9-membered heterocycle), wherein the 5- to 12-membered heterocycle are each optionally substituted independently with one or more R1*; each R1* is independently selected from halogen, C1-6 haloalkyl, and C1-6 alkyl. In some cases, the 8- to 10-membered heterocycle is bicyclic. In some cases, the 10-membered heterocycle is substituted. In some cases, R1 is selected
, p y . ,
[00192] In some embodiments, for a compound or salt of Formula (I), Formula (I-A), Formula (I-B*), or Formula (I-B), R1 is selected from 5- to 15-membered heterocycle (preferably 8- to 10- membered heterocycle or preferably 10-membered heterocycle or preferably 8-membered heterocycle), each of which are optionally substituted with one or more substituents independently selected from halogen, -C(O)N(R20)2, -C(O)NR20OR20, -N(R20)2, -C(O)R20, -C(O)OR20, -NHCN, C1-6 cyanoalkyl, C1-6 alkyl, C2-6 alkynyl, and 5- to 12-membered heterocycle (preferably 5- to 6- membered heterocycle), wherein the 5- to 12-membered heterocycle are each optionally
substituted independently with one or more R1*; each R1* is independently selected from halogen, C1-6 haloalkyl, and C1-6 alkyl. In some cases, the 8- to 10-membered heterocycle is bicyclic. In some cases, the 10-membered heterocycle is substituted. In some cases, R1 is selected
,
, and , each of which is optionally substituted. In some cases, R1 is selected , which is optionally substituted. In some cases, R1 is selected
,
, . [00193] In some embodiments, for a compound or salt of Formula (I), Formula (I-A), Formula (I-B*), or Formula (I-B), R1 is selected from an optionally substituted 7- to 10-membered spiro heterocycle and optionally substituted 7- to 10-membered fused heterocycle. In some cases, the heterocycle of R1 has at least one nitrogen atom. In some cases, the at least one nitrogen at of the heterocycle of R1 is bound to Formula (I). In some cases, R1 is selected from an optionally substituted 10-membered spiro heterocycle and optionally substituted 10-membered fused heterocycle. In some cases, the optional one or more substituents of R1 are independently selected from halogen, -OH, -S(O)2(R20), -S(O)2N(R20)2, -S(O)N(R20)2, -S(O)R20(=NR20), -C(O)N(R20)2, - C(=NR20)N(R20)2, -C(O)OR20, -C(O)NHOR20, -N(R20)2, -C(O)R20, -NO2, =O, -CN, C1-6 alkyl- N(R20)2, C1-6 aminoalkyl, C1-6 alkoxy, C1-6 alkoxyalkyl, C1-6 hydroxyalkyl, C1-6 cyanoalkyl, C1-6
haloalkyl, C1-6 alkyl, C2-6 alkynyl, 5- to 12-membered heterocycle, wherein the 5- to 12-membered heterocycle is optionally substituted with one or more substituents selected from halogen, and C1-
6 alkyl. In some cases, R1 is selected from , which is substituted with one or more substituents independently selected from halogen, -OH, -S(O)2(R20), -S(O)2N(R20)2, -S(O)N(R20)2, -S(O)R20(=NR20), -C(O)N(R20)2, -C(=NR20)N(R20)2, -C(O)OR20, -C(O)NHOR20, -N(R20)2, - C(O)R20, -NO2, =O, -CN, C1-6 alkyl-N(R20)2, C1-6 aminoalkyl, C1-6 alkoxy, C1-6 alkoxyalkyl, C1-6 hydroxyalkyl, C1-6 cyanoalkyl, C1-6 haloalkyl, C1-6 alkyl, C2-6 alkynyl, 5- to 12-membered heterocycle, wherein the 5- to 12-membered heterocycle is optionally substituted with one or more substituents selected from halogen, and C1-6 alkyl. In some cases, R1 is selected from
[00194] In some embodiments, for a compound or salt of Formula (I), Formula (I-A), Formula (I-B*), or Formula (I-B), R1 is selected from an optionally substituted 6- to 11-membered heterocycle, wherein the 6- to 11-membered heterocycle has at least one nitrogen atom. In some cases, the one or more optional substituents of R1 is selected from halogen, -OR20, -C(O)N(R20)2, -C(O)R20, -S(O)2R20, =O, -C1-6 alkyl(=NR20OR20), =NO(R20), -CN, -NHCN, C1-6 alkyl, and 5- to 12-membered heterocycle, wherein the 5- to 12-membered heterocycle is optionally substituted independently with one or more R1*; and wherein each R1* is independently selected from halogen, ,
, , , , ,
. [00195] In some embodiments, for a compound or salt of Formula (I), Formula (I-A), Formula (I-B*), or Formula (I-B), R1 is selected from hydrogen and optionally substituted 5- to 15-
membered heterocycle. In some cases, R1 is selected from
,
, each of which is optionally substituted. In some cases, the optional one or more substituents of R1 is selected from -OH, =NO(R20), -NHCN, and C1-6 alkyl. In some cases, R1 is selected from hydrogen,
, ,
[00196] In some embodiments, for a compound or salt of Formula (I), Formula (I-A), Formula (I-B*), or Formula (I-B), R1 is selected from hydrogen and optionally substituted 7- to 10- membered heterocycle. In some cases, R1 is selected from hydrogen
, ,
, each of which is optionally substituted. In some cases, the optional one or more substituents of R1 are independently selected from halogen, -NH2, -S(O)2(R20), -C(O)R20, -C(O)N(R20)2, =O,=NO(R20), -CN, -NHCN, C1-6 alkyl, and 5- to 12- membered heterocycle, wherein the 5- to 12-membered heterocycle is optionally substituted
independently with one or more R1*; and wherein each R1* is independently selected from halogen, , ,
[00197] In some embodiments, for a compound or salt of Formula (I), Formula (I-A), Formula (I-B*), or Formula (I-B), R1 is selected from an optionally substituted 8- to 10-membered heterocycle. In some cases, the heterocycle is bicyclic. In some cases, the heterocycle has at least one nitrogen atom. In some cases, the heterocycle has at least two nitrogen atoms. In some cases,
, each of which is optionally substituted. In some cases, the optional one or more substituents of R1 are independently selected from halogen,
, and 5- to 9-membered heteroaryl, wherein the 5- to 9-membered heteroaryl is substituted with at least one R1*, wherein the R1* is selected from halogen, and C1-6 alkyl. In some cases, the optional one or more substituents of R1 are
, , , ,
and
. [00198] In some embodiments, for a compound or salt of Formula (I), Formula (I-A), Formula (I-B*), or Formula (I-B), R1 is selected from an optionally substituted bridged 8- to 9-membered heterocycle. In some cases, the heterocycle of R1 is selected from
, each of which is optionally substituted. In some cases, the one or more substituents of R1 are selected from halogen, C1-6 alkyl, -N(R20)2, and C1-6 aminoalkyl. In some cases, R1 is selected
[00199] In some embodiments, for a compound or salt of Formula (I), Formula (I-A), Formula (I-B*), or Formula (I-B), R1 is selected from an optionally substituted bridged 8-membered heterocycle, wherein the heterocycle contains heteroatoms selected from nitrogen. In some cases, the one or more substituents of R1 are selected from C1-6 alkyl, -N(R20)2, and C1-6 aminoalkyl. In some cases, the heterocycle of R1 is selected from
, each of which is optionally substituted. In some cases, R1 is selected
. , . , .
[00200] In some embodiments, for a compound or salt of Formula (I), Formula (I-A), Formula (I-B*), or Formula (I-B), R1 is selected from an optionally substituted saturated 6- to 7-membered heterocycle. In some cases, R1 is selected from an optionally substituted saturated 6-membered heterocycle. In some cases, R1 is selected from
, which is optionally substituted. In some cases, the optional one or more substituents are independently selected from halogen, -CN, - NHCN, C1-6 cyanoalkyl, and C1-6 alkyl. In some cases, the optional one or more substituents are independently selected from -CN, -NHCN, C1-6 cyanoalkyl, and C1-6 alkyl. In some cases, the optional one or more substituents are independently selected from -CN, -NHCN, C1-6 cyanoalkyl, and C1-6 alkyl. In some cases, the optional one or more substituents are independently selected from -NHCN, and C1-6 alkyl. In some cases, R1 is selected from
, which is substituted with one or more substituents selected from -NHCN, and C1-6 alkyl. In some cases, R1 is selected from
[00201] In some embodiments, for a compound or salt of Formula (I), Formula (I-A), Formula (I-B*), or Formula (I-B), R1 is a bridged heterocycle. In some cases, R1 is selected from an 7- to 10-membered bridged heterocycle. In some cases, R1 is selected from an 8-membered bridged heterocycle. In some cases, the bridged heterocycle of R1 has at most 1 nitrogen atom. In some cases, the bridged heterocycle of R1 has at most 2 nitrogen atoms. In some cases, the bridged
heterocycle of R1 has at least 2 nitrogen atom. In some cases, R1 is selected from
, which is optionally substituted. In some cases,
. [00202] In some embodiments, for a compound or salt of Formula (I), Formula (I-A), Formula (I-B*), or Formula (I-B), the optional substituents of R1 are independently selected from one or more halogen, -B(OR20)2, -OR20, -SR20, -S(O)2(R20), -S(O)2N(R20)2, -S(O)N(R20)2, - S(O)R20(=NR20), -NR20S(O)2R20, -C(O)N(R20)2, -N(R20)C(O)R20, -N(R20)C(O)N(R20)2, - N(R20)C(O)OR20, -N(R20)2, -C(O)R20, -C(O)OR20, -OC(O)R20, -OC(O)N(R20)2, -NO2, =O, =NO(R20), -CN, -NHCN, C1-6 alkyl-N(R20)2, C1-6 aminoalkyl, C1-6 alkoxy, C1-6 hydroxyalkyl, C1-6 cyanoalkyl, C1-6 haloalkyl, C1-6 alkyl, C2-6 alkenyl, and C2-6 alkynyl. In some cases, the optional
substituents of R1 are independently selected from one or more halogen, -B(OR20)2, -OR20, -SR20, -S(O)2(R20), -S(O)2N(R20)2, -S(O)N(R20)2, -S(O)R20(=NR20), -NR20S(O)2R20, -C(O)N(R20)2, - N(R20)C(O)R20, -N(R20)C(O)N(R20)2, -N(R20)C(O)OR20, -N(R20)2, -C(O)R20, -C(O)OR20, - OC(O)R20, -OC(O)N(R20)2, -NO2, =O, =NO(R20), -CN, -NHCN, C1-6 aminoalkyl, C1-6 alkoxy, C1- 6 hydroxyalkyl, C1-6 cyanoalkyl, C1-6 haloalkyl, C1-6 alkyl, C2-6 alkenyl, and C2-6 alkynyl. [00203] In some embodiments, for a compound or salt of Formula (I), Formula (I-A), Formula (I-B*), or Formula (I-B), the optional substituents of R1 are independently selected from one or more halogen, -B(OR20)2, -OH, -O-C1-6 alkyl, -SR20, -N(R20)2, -NO2, =O, =NO(R20), -CN, -NHCN, C1-6 aminoalkyl, C1-6 alkoxy, C1-6 hydroxyalkyl, C1-6 cyanoalkyl, C1-6 haloalkyl, and C1-6 alkyl. In some cases, the optional substituents of R1 are independently selected from one or more halogen, -B(OR20)2, -OH, -SR20, -N(R20)2, -NO2, =NO(R20), C1-6 alkoxyalkyl, C1-6 aminoalkyl, C1-6 alkoxy, C1-6 hydroxyalkyl, C1-6 haloalkyl, and C1-6 alkyl. In some cases, the optional substituents of R1 are independently selected from one or more halogen, -OH, -NH2, and C1-6 alkoxy. In some cases, the optional substituents of R1 are independently selected from one or more halogen, -OH, and C1-6 alkoxy. In some cases, the optional substituents of R1 are independently selected from one or more halogen, and -OH. In some cases, the optional substituents of R1 are independently selected from one or more -OH. In some cases, the optional substituents of R1 are independently selected from one or more C1-6 alkyl, C1-6 hydroxyalkyl and -OH. In some cases, the optional substituents of R1 are independently selected from one or more C1-6 hydroxyalkyl and -OH. In some cases, R1 is substituted with at least one substituent independently selected from C1-6 hydroxyalkyl and -OH. In some cases, R1 is substituted with at least one substituent independently selected from -OH. [00204] In some embodiments, for a compound or salt of Formula (I), Formula (I-A), Formula (I-B*), or Formula (I-B), the heterocycle of R1 is substituted with one or more substituents. In some cases, the substituents of R1 are independently selected from one or more halogen, - B(OR20)2, -OH, -O-C1-6 alkyl, -SR20, -N(R20)2, -NO2, =O, =NO(R20), -CN, -NHCN, C1-6 aminoalkyl, C1-6 alkoxy, C1-6 hydroxyalkyl, C1-6 cyanoalkyl, C1-6 haloalkyl, and C1-6 alkyl. In some cases, the substituents of R1 are independently selected from one or more halogen, -B(OR20)2, - OH, -SR20, -N(R20)2, -NO2, =NO(R20), C1-6 aminoalkyl, C1-6 alkoxy, C1-6 hydroxyalkyl, C1-6 haloalkyl, and C1-6 alkyl. In some cases, the substituents of R1 are independently selected from one or more halogen, -OH, -NH2, and C1-6 alkoxy. In some cases, the substituents of R1 are independently selected from one or more halogen, -OH, and C1-6 alkoxy. In some cases, the optional substituents of R1 are independently selected from one or more halogen, and -OH. [00205] In some embodiments, for a compound or salt of Formula (I), Formula (I-A), Formula (I-B*), or Formula (I-B), the heterocycle of R1 is substituted with one substituent. In some cases, the heterocycle of R1 is substituted with two substituents. In some cases, the heterocycle of R1 is
substituted with three substituents. In some cases, the heterocycle of R1 is substituted with four substituents. [00206] In some embodiments, for a compound or salt of Formula (I), Formula (I-A), Formula (I-B*), or Formula (I-B), the heterocycle of R1 is substituted with one or more substituents. In some cases, the heterocycle of R1 is substituted with one or more substituents selected from halogen, -B(OR20)2, -OR20, -SR20, -S(O)2(R20), -S(O)2N(R20)2, -NR20S(O)2R20, -C(O)N(R20)2, - N(R20)C(O)R20, -N(R20)C(O)N(R20)2, -N(R20)C(O)OR20, -N(R20)2, -NO2, =O, =NO(R20), -CN, - NHCN, C1-6 alkoxyalkyl, C2-6 alkenyl, and C2-6 alkynyl; and further optionally substituted with one or more substituents independently selected from C1-6 alkoxyalkyl, C1-6 aminoalkyl, C1-6 hydroxyalkyl, C1-6 cyanoalkyl, C1-6 haloalkyl, and C1-6 alkyl. In some cases, the substituents of R1 are each selected from one or more halogen, -OR20, -SR20, -N(R20)2, -NHCN, -NO2, =O, -CN, C1- 6 fluoroalkyl, and C2-6 alkynyl; and further optionally substituted with one or more substituents independently selected from -C(O)N(R20)2, C1-6 aminoalkyl, C1-6 hydroxyalkyl, C1-6 cyanoalkyl, C1-6 alkyl, and C2-6 alkenyl. In some cases, the substituents of R1 are each selected from one or more halogen, -OR20, -N(R20)2, -NHCN, =O, -CN, and C2-6 alkynyl; and further optionally substituted with one or more substituents independently selected from -C(O)N(R20)2, C1-6 aminoalkyl, C1-6 hydroxyalkyl, C1-6 cyanoalkyl, and C1-6 alkyl. In some cases, the substituents of R1 are each selected from one or more halogen, -OH, -NHCN, =O, -CN, and C2-6 alkynyl; and further optionally substituted with one or more substituents independently selected from C1-6 alkyl. In some cases, the substituents of R1 are each selected from one or more halogen, NH2, -OH, and =O. [00207] In some embodiments, for a compound or salt of Formula (I), Formula (I-A), Formula (I-B*), or Formula (I-B), the heterocycle of R1 is substituted with at least one halogen. In some cases, the heterocycle of R1 is substituted with at least one substituent selected from -S(O)2(R20), -S(O)2N(R20)2, -S(O)N(R20)2, -S(O)R20(=NR20), -C(O)N(R20)2, and -C(O)NHOR20. In some cases, the heterocycle of R1 is substituted with at least one C1-6 alkyl-N(R20)2. [00208] In some embodiments, for a compound or salt of Formula (I), R100 is different than Y- R2. In some cases, is different than Y-R2. [00209] In some embodiments, for a compound or salt of Formula (I), Formula (I-A), Formula (I-B), Formula (I-D), Formula (I-E), Formula (I-F), or Formula (I-G), L is selected from C1-C4 alkylene. In some cases, L is selected from Cl-C2 alkylene. In some cases, L is selected from Cl alkylene. [00210] In some embodiments, for a compound or salt of Formula (I), Formula (I-A), Formula (I-B), Formula (I-B*), Formula (I-D), Formula (I-E), Formula (I-F), or Formula (I-G), L is selected
from unsubstituted C1-C4 alkylene. In some cases, L is selected from unsubstituted Cl-C2 alkylene. In some cases, L is selected from unsubstituted Cl alkylene. In some cases, L is selected from methylene and ethylene. In some cases, L is methylene. [00211] In some embodiments, for a compound or salt of Formula (I), Formula (I-A), Formula (I-B), Formula (I-B*), Formula (I-D), Formula (I-E), Formula (I-F), or Formula (I-G), R2 is selected from optionally substituted -L-heterocycle, optionally substituted -L-heteroaryl, optionally substituted -L-aryl, -L-N(R5)2, and -L-O-R5. In some cases, R2 is selected from optionally substituted -L-5- to 12-membered heterocycle, optionally substituted -L-5- to 12- membered heteroaryl, optionally substituted -L-C6-C12aryl, -L-N(R5)2, and -L-O-R5. In some cases, R2 is selected from optionally substituted -L-heterocycle, optionally substituted -L- heteroaryl, and -L-N(R5)2. In some cases, R2 is selected from optionally substituted -L-5- to 12- membered heterocycle, optionally substituted -L-5-to-12-membered heteroaryl, and -L-N(R5)2. In some cases, R2 is selected from optionally substituted -L-heterocycle and -L-N(R5)2. In some cases, R2 is selected from optionally substituted -L-5- to 12-membered heterocycle and -L-N(R5)2. In some cases, R2 is selected from optionally substituted -L-5- to 12-membered heterocycle. In some cases, R2 is selected from optionally substituted -L-5- to 12-membered saturated heterocycle. In some cases, R2 is selected from optionally substituted -L-heterocycle. In some cases, the heterocycle is selected from pyrrolidine, hexahydro-1H-pyrrolizine, pyrazolidine, imidazolidine, tetrahydrofuran, piperidine, piperazine, morpholine, azocane, and azonane. In some cases, the heterocycle is selected from cyclic sulfonamide. In some cases, the heterocycle is selected from pyrrolidine, hexahydro-1H-pyrrolizine, pyrazolidine, imidazolidine, piperidine, piperazine, azocane, and azonane. In some cases, the heteroaryl is selected from pyrrole, pyrazole, furan, thiohene, oxazole, isoxazole, isothiazole, thiazole, pyridine, pyrazine, and triazine. In some cases, the heteroaryl or heterocycle has at most 1 nitrogen atom. In some cases, the heteroaryl or heterocycle has at least 1 nitrogen atom. In some cases, the heteroaryl or heterocycle has 1 nitrogen atom. [00212] In some embodiments, for a compound or salt of Formula (I), Formula (I-A), Formula (I-B*), Formula (I-B), Formula (I-D), Formula (I-E), Formula (I-F), or Formula (I-G), L is selected from C1-C4 alkylene. In some cases, L is selected from an unsubstituted C1-C4 alkylene. In some cases, L is selected from an unsubstituted C1 alkylene. In some cases, two substituents on the same carbon atom of L come together to form a C3-C6 carbocycle or 3- to 8-membered heterocycle, wherein the C3-C6 carbocycle and 3- to 8-membered heterocycle are each optionally substituted with one or more substituents independently selected from halogen, -OH, -NO2, =O, =S, -CN, C1- 6 aminoalkyl, C1-6 alkoxy, C1-6 hydroxyalkyl, C1-6 haloalkyl. In some cases, two substituents on the same carbon atom of L come together to form a C3-C6 carbocycle or 3- to 8-membered heterocycle.
In some cases, two substituents on the same carbon atom of L come together to form a C3-C6 carbocycle. [00213] In some embodiments, for a compound or salt of Formula (I), Formula (I-A), Formula (I-B), Formula (I-B*), Formula (I-D), Formula (I-E), Formula (I-F), or Formula (I-G), L is selected from C1-C4 alkylene. In some cases, L is selected from unsubstituted C1-C4 alkylene. In some cases, each L is independently selected from a C1-C4 alkylene optionally substituted; and wherein optionally two substituents on the same carbon atom of L come together to form a C3-C6 carbocycle or 3- to 8-membered heterocycle wherein the C3-C6 carbocycle and 3- to 8-membered heterocycle are each optionally substituted with one or more substituents selected from halogen, - OH, -NO2, =O, =S, -CN, C1-6 aminoalkyl, C1-6 alkoxy, C1-6 hydroxyalkyl, C1-6 haloalkyl. In some cases, the optional substituents of L are selected from C1-C4 hydroxyalkyl, C1-C4 alkyl, C3-C6 carbocycle; and wherein optionally two substituents on the same carbon atom of L come together to form a C3-C6 carbocycle or 3- to 8-membered heterocycle wherein the C3-C6 carbocycle and 3- to 8-membered heterocycle are optionally substituted with one or more substituents selected from
cases, each L is independently selected from a substituted C1-C4 alkylene, and wherein two substituents on the same carbon atom of L come together to form a C3-C6 carbocycle 3- to 5- membered heterocycle. In some cases, each L is independently selected from a substituted C2-3 alkylene, and wherein two substituents on the same carbon atom of L come together to form a C3 carbocycle or 4-membered heterocycle, wherein the C3 carbocycle is optionally substituted with one or more substituents selected from halogen. In some cases, each L is independently selected
cases, each L is independently selected from
. In some cases, each L is independently selected from a C1-C4 alkylene optionally substituted with one or more substituents independently
selected from halogen and C1-C4 alkyl. In some cases, L is selected from
, ,
[00214] In some embodiments, for a compound or salt of Formula (I), Formula (I-A), Formula (I-B), Formula (I-B*), Formula (I-D), Formula (I-E), Formula (I-F), or Formula (I-G), each L is independently selected from an unsubstituted C1-C4 alkylene. In some cases, L is selected from
selected from . [00215] In some embodiments, for a compound or salt of Formula (I), Formula (I-A), Formula (I-B), Formula (I-B*), Formula (I-D), Formula (I-E), Formula (I-F), or Formula (I-G), R2 is selected from heterocycle, Cl-C6 alkyl, -L-heterocycle, -L-N(R20)2, -L-OR20, -L-aryl, -L- heteroaryl, -L-cycloalkyl, -L-N(R20)2, -L-NHC(=NH)NH2, -L-C(O)N(R20)2, -L-C1-C6 haloalkyl, - L-OR20, -L-NR20C(O)-aryl, -L-COOH, -L-NR20S(O)2(R20), -L-S(O)2N(R20)2, -L- N(R20)C(O)(OR20), -L-OC(O)N(R20)2, and -L-C(=O)OCl-C6 alkyl, wherein the heterocycle, the heterocycle portion of -L-heterocycle, and the cycloalkyl portion of the -L-cycloalkyl are each optionally substituted with one or more R6, and wherein the aryl portion of -L-NR20C(O)-aryl, the aryl portion of -L-NR20C(O)-aryl, the aryl of the -L-aryl, and the heteroaryl of -L-heteroaryl are each optionally substituted with one or more R7. [00216] In some embodiments, for a compound or salt of Formula (I), Formula (I-A), Formula (I-B), Formula (I-B*), Formula (I-D), Formula (I-E), Formula (I-F), or Formula (I-G), R2 is selected from heterocycle, -L-heterocycle, -L-aryl, -L-heteroaryl, and -L-N(R20)2, wherein the heterocycle, the heterocycle portion of -L-heterocycle, are each optionally substituted with one or more R6, and wherein the aryl of the -L-aryl, and the heteroaryl of -L-heteroaryl are each optionally substituted with one or more R7. [00217] In some embodiments, for a compound or salt of Formula (I), Formula (I-A), Formula (I-B), Formula (I-B*), Formula (I-D), Formula (I-E), Formula (I-F), or Formula (I-G), each R7 is independently selected from halogen, hydroxy, HC(=O)-, C1-C4 alkyl, C1-C4 alkoxy, C1-C4 haloalkyl, C1-C4 hydroxyalkyl, and -N(R5)2. In some cases, each R7 is independently selected from halogen, C1-C4 alkyl, C1-C4 alkoxy, C1-C4 haloalkyl, C1-C4 hydroxyalkyl, and -NH2. In some cases, each R7 is independently selected from halogen, C1-C4 haloalkyl, and C1-C4 alkyl. In some cases, there is one R7 substituent. In some cases, there are two R7 substituents. In some cases, there are three R7 substituents. [00218] In some embodiments, for a compound or salt of Formula (I), Formula (I-A), Formula (I-B), Formula (I-B*), Formula (I-D), Formula (I-E), Formula (I-F), or Formula (I-G), R2 is -L-
heterocycle, wherein the heterocycle portion is optionally substituted. In some cases, R2 is -L- heterocycle, wherein the heterocycle portion is a bicyclic heterocycle. In some cases, R2 is -L- heterocycle, wherein the heterocycle portion is a monocyclic heterocycle. In some cases, R2 is -L- heterocycle, wherein the heterocycle portion is a saturated heterocycle. In some cases, R2 is selected from a -L-5- to 10-membered heterocycle. In some cases, R2 is selected from a -(C1-C2 alkylene)-5- to 10-membered heterocycle. In some cases, R2 is selected from a -L-5- to 8- membered heterocycle. In some cases, R2 is selected from a -L-5- to 8-membered saturated heterocycle. In some cases, R2 is a -L-5-membered heterocycle. In some cases, R2 is a -L-8- membered heterocycle. In some cases, the heterocycle contains at least 1 nitrogen atom. In some cases, the heterocycle contains at most 1 nitrogen atom. In some cases, the heterocycle contains 1 nitrogen atom. In some cases, the bicyclic heterocycle contains at least 1 nitrogen atom. In some cases, the bicyclic heterocycle contains at most 1 nitrogen atom. In some cases, the bicyclic heterocycle contains 1 nitrogen atom. In some cases, Y-R2 is selected from
,
wherein the heterocycle portion is optionally substituted. In some cases, Y-R2 is selected from
, wherein the heterocycle portion is optionally substituted. In some cases, the heterocycle portion is optionally substituted with one or more substituents selected from halogen, hydroxy, C1-C3 hydroxyalkyl, C1-C3 alkyl, C1-C3 haloalkyl, C1- C3 alkoxy, -CN, and C1-C3 aminoalkyl. In some cases, the heterocycle portion is optionally substituted with one or more substituents selected from halogen, hydroxy, -CN, C1-C3 hydroxyalkyl, C1-C3 alkyl, C1-C3 haloalkyl, C1-C3 alkoxy, and C1-C3 aminoalkyl. In some cases, the heterocycle portion is optionally substituted with one or more substituents selected from C1-
. In some cases, Y-R2 is selected from
. In some cases, Y-R2 is
. [00219] In some embodiments, for a compound or salt of Formula (I), Formula (I-A), Formula (I-B), Formula (I-B*), Formula (I-D), Formula (I-E), Formula (I-F), or Formula (I-G), R2 is selected from optionally substituted -L-heterocycle. In some cases, the heterocycle is a bicyclic heterocycle. In some cases, the heterocycle is a monocyclic heterocycle. In some cases, the heterocycle has only 1 nitrogen atom. In some cases, the heterocycle has only 1 nitrogen atom and no other heteroatoms. In some cases, Y-R2 is selected from
, wherein the heterocycle portion is optionally substituted. In some cases, Y-R2 is selected from
wherein the heterocycle portion is optionally substituted. In some cases, Y-R2 is selected from
, wherein the heterocycle portion is optionally substituted. In some cases, Y-R2 is selected from
, wherein the heterocycle portion is optionally substituted. In some cases, the heterocycle is optionally substituted with one or more substituent selected from halogen, hydroxy, C1-C3 alkyl, -N(R5)S(O)2(R5), -OC(O)N(R5)2, oxo, =CH2, =NO-C1-C3 alkyl, -CH2OC(O)heterocycle, -CH2heterocycle, -CH2OC(O)N(R5)2, and -O- C1-C3 alkyl, wherein the alkyl of -O-C1-C3 alkyl is optionally substituted with substituents selected from heterocycle, oxo, and hydroxy. In some cases, Y-R2 is selected from
,
,
[00220] In some embodiments, for a compound or salt of Formula (I), Formula (I-A), Formula (I-B), Formula (I-B*), Formula (I-D), Formula (I-E), Formula (I-F), or Formula (I-G), R2 is -L- heteroaryl, wherein the heteroaryl portion is optionally substituted with one or more R7. In some cases, the heteroaryl has at least one nitrogen atom. In some cases, the heteroaryl has two nitrogen atoms. In some cases, the heteroaryl is
, which is optionally substituted. In some cases, the heteroaryl is
, which is optionally substituted. In some cases, the heteroaryl is
, which is optionally substituted. In some cases, Y-R2 is selected from
and
, wherein the heteroaryl portion is optionally substituted with one or more R7. In some cases, each R7 is independently selected from C1-C4 alkyl, halogen, and C1-C4 haloalkyl. In some cases, Y-R2 is selected from
. In some cases, Y- R2 is selected from
. [00221] In some embodiments, for a compound or salt of Formula (I), Formula (I-A), Formula (I-B), Formula (I-B*), Formula (I-D), Formula (I-E), Formula (I-F), or Formula (I-G), R2 is -L- aryl, optionally substituted with one or more R7. In some cases, wherein Y-R2 is selected from
, wherein the heterocycle portion is optionally substituted with one or more R7. In some cases, Y-R2 is selected from
. [00222] In some embodiments, for a compound or salt of Formula (I), Formula (I-A), Formula (I-B), Formula (I-B*), Formula (I-D), Formula (I-E), Formula (I-F), or Formula (I-G), R2 is -L- N(R20)2. In some cases, Y-R2 is selected from
, ,
[00223] In some embodiments, for a compound or salt of Formula (I), Formula (I-A), Formula (I-B), Formula (I-B*), Formula (I-D), Formula (I-E), Formula (I-F), or Formula (I-G), R2 is heterocycle, optionally substituted with one or more R6. In some cases, the heterocycle of R6 is
, which is optionally substituted. In some cases, the heterocycle of R6 is , In some cases,
. [00224] In some embodiments, for a compound or salt of Formula (I), Formula (I-A), Formula (I-B), Formula (I-B*), Formula (I-D), Formula (I-E), Formula (I-F), or Formula (I-G), R2 is selected from heterocycle, -L-heterocycle, wherein the heterocycle, and the heterocycle portion of -L-heterocycle, are each optionally substituted with one or more R6; -L-aryl, and -L-heteroaryl, wherein the aryl of the -L-aryl, and the heteroaryl of -L-heteroaryl are each optionally substituted with one or more R7; and -L-N(R20)2. In some cases, the heterocycle of R2 is selected from
,
,
, wherein the heterocycle of R2 is optionally substituted with one or more
R6; wherein the aryl and heteroaryl of R2 is selected from , and , wherein the aryl and the heteroaryl are each optionally substituted with one or more R7; and
, . In some cases, the heterocycle of R2 is selected from
, , , ,
,
, wherein the heterocycle is optionally substituted with one or more R6; wherein the aryl and heteroaryl of R2 is selected from
, , wherein the aryl and the heteroaryl are each optionally substituted with one or more R7; and
, . In some cases, each R6 is independently selected from halogen, hydroxy, C1-C3 alkyl, C1-C3 haloalkyl, - N(R5)S(O)2(R5), -OC(O)N(R5)2, =CH2, oxo, =NO-C1-C3 alkyl, -CH2OC(O)heterocycle, - CH2heterocycle, -CH2OC(O)N(R5)2, and -O-C1-C3 alkyl, wherein the alkyl of -O-C1-C3 alkyl is optionally substituted with substituents selected from heterocycle, oxo, and hydroxy; and wherein each R7 is selected from C1-C3 alkyl, halogen and C1-C3 haloalkyl. In some cases, the heterocycle of R2, the aryl and heteroaryl of R2, and -N(R20)2 of R2 is selected from
, , , ,
, , , , , ,
heterocycle, and the heterocycle portion of -L-heterocycle, are each optionally substituted with one or more R6;
wherein the aryl of the -L- aryl, and the heteroaryl of -L-heteroaryl are each optionally substituted with one or more R7; and
[00225] In some embodiments, for a compound or salt of Formula (I), Formula (I-A), Formula (I-B), Formula (I-B*), Formula (I-D), Formula (I-E), Formula (I-F), or Formula (I-G), L is independently selected from a C1-C4 alkylene optionally substituted with one or more substituents independently selected from hydroxy, C1-C4 hydroxyalkyl and C1-C4 alkyl. In some cases, L is independently selected from a C1-C4 alkylene optionally substituted with one or more substituents independently selected from C1-C4 alkyl. In some cases, L is selected from C1-C4 alkylene. In some cases, L is selected from C1-C2 alkylene. In some cases, L is
. In some cases, L is
. [00226] In some embodiments, for a compound or salt of Formula (I), Formula (I-A), Formula (I-B), Formula (I-B*), Formula (I-D), Formula (I-E), Formula (I-F), or Formula (I-G), each L is independently selected from an optionally substituted C1-C4 alkylene; and wherein optionally two substituents on the same carbon atom of L come together to form a C3-C6 carbocycle, wherein the C3-C6 carbocycle is optionally substituted with one or more substituents selected from halogen, -
OH, -NO2, =O, =S, -CN, C1-6 aminoalkyl, C1-6 alkoxy, C1-6 hydroxyalkyl, C1-6 haloalkyl. In some cases, the optional substituents of L are selected from C1-C4 hydroxyalkyl, C1-C4 alkyl, C3-C6 carbocycle; and wherein optionally two substituents on the same carbon atom of L come together to form a C3-C6 carbocycle or 3- to 8-membered heterocycle wherein the C3-C6 carbocycle and 3- to 8-membered heterocycle are optionally substituted with one or more substituents selected from halogen and C1-6 haloalkyl. [00227] In some embodiments, for a compound or salt of Formula (I), Formula (I-A), Formula (I-B), Formula (I-B*), Formula (I-D), Formula (I-E), Formula (I-F), or Formula (I-G), each L is independently selected from a substituted C1-C4 alkylene, wherein two substituents on the same carbon atom of L come together to form a C3-C6 carbocycle. In some cases, the C3-C6 carbocycle is optionally substituted with one or more substituents selected from halogen, -OH, -NO2, =O, =S, -CN, C1-6 aminoalkyl, C1-6 alkoxy, C1-6 hydroxyalkyl, C1-6 haloalkyl. [00228] In some embodiments, for a compound or salt of Formula (I), Formula (I-A), Formula (I-B), Formula (I-B*), Formula (I-D), Formula (I-E), Formula (I-F), or Formula (I-G), each L is independently selected from a substituted C1-C4 alkylene, and two substituents on the same carbon atom of L come together to form a C3-C6 carbocycle. In some cases, each L is independently selected from a substituted C3 alkylene, and wherein two substituents on the same carbon atom of L come together to form a C3 carbocycle. In some cases, each L is independently selected from
. [00229] In some embodiments, for a compound or salt of Formula (I), Formula (I-A), Formula (I-B), Formula (I-B*), Formula (I-D), Formula (I-E), Formula (I-F), or Formula (I-G), R2 is selected from -L-heterocycle, wherein the heterocycle portion of -L-heterocycle is optionally substituted with one or more R6. In some cases, the heterocycle is a saturated heterocycle. In some cases, the heterocycle has at least one nitrogen atom and at least one sulfur atom. In some cases, the heterocycle has at least one nitrogen atom. In some cases, the heterocycle has at least one sulfur atom. [00230] In some embodiments, for a compound or salt of Formula (I), Formula (I-A), Formula (I-B), Formula (I-B*), Formula (I-D), Formula (I-E), Formula (I-F), or Formula (I-G), R2 is selected from
wherein the heterocycle portion is optionally substituted with one or more R6. [00231] In some embodiments, for a compound or salt of Formula (I), Formula (I-A), Formula (I-B), Formula (I-B*), Formula (I-D), Formula (I-E), Formula (I-F), or Formula (I-G), -R2 is
selected from
wherein the heterocycle portion is optionally substituted with one or more R6. [00232] In some embodiments, for a compound or salt of Formula (I), Formula (I-A), Formula (I-B), Formula (I-B*), Formula (I-D), Formula (I-E), Formula (I-F), or Formula (I-G), Y-R2 is selected from
, , wherein the heterocycle portion is optionally substituted with one or more R6. [00233] In some embodiments, for a compound or salt of Formula (I), Formula (I-A), Formula (I-B), Formula (I-B*), Formula (I-D), Formula (I-E), Formula (I-F), or Formula (I-G), Y-R2 is selected from
, wherein the heterocycle portion is optionally substituted with one or more R6. [00234] In some embodiments, for a compound or salt of Formula (I), Formula (I-A), Formula (I-B), Formula (I-B*), Formula (I-D), Formula (I-E), Formula (I-F), or Formula (I-G), R2 is selected from -L-saturated heterocycle, wherein the saturated heterocycle portion of the -L- saturated heterocycle is optionally substituted with one or more R6, and contains one nitrogen atom and one sulfur atom. In some cases, Y-R2 is selected from
, ,
, wherein the heterocycle portion is optionally substituted with one or more R6. In some cases, Y-R2 is selected from
, wherein the heterocycle portion is optionally substituted with one or more substituents selected from C1- C3 alkyl and oxo. In some cases, Y-R2 is selected from
, and
. [00235] In some embodiments, for a compound or salt of Formula (I), Formula (I-A), Formula (I-B), Formula (I-B*), Formula (I-D), Formula (I-E), Formula (I-F), or Formula (I-G), each R6 is independently selected from halogen, -OH, C1-C3 hydroxyalkyl, C1-C3 alkyl, C1-C3 haloalkyl, C1- C3 alkoxy, -CN, C1-C3 aminoalkyl, -Q-phenyl, -Q-phenylSO2F, -NHC(O)phenyl, - NHC(O)phenylSO2F, C1-C3 alkyl substituted pyrazolyl, -N(R5)2, (C1-C3 alkoxy)C1-C3 alkyl-, (C1- C3 alkyl)C(=O), oxo, (C1-C3 haloalkyl)C(=O)-, -SO2F, (C1-C3 alkoxy)C1-C3 alkoxy, - CH2OC(O)N(R5)2, -CH2NHC(O)OC1-C6 alkyl, -CH2NHC(O)N(R5)2, -CH2NHC(O)C1-C6 alkyl, - CH2(pyrazolyl), -CH2NHSO2C1-C6 alkyl, -CH2OC(O)heterocycle, -OC(O)N(R5)2, - OC(O)NH(C1-C3 alkyl)O(C1-C3 alkyl), -OC(O)NH(C1-C3 alkyl)O(C1-C3 alkyl)phenyl(C1-C3 alkyl)N(CH3)2, -OC(O)NH(C1-C3 alkyl)O(C1-C3 alkyl)phenyl, -OC(O)heterocycle, and - CH2heterocycle, wherein the phenyl of -NHC(O)phenyl and -OC(O)NH(C1-C3 alkyl)(C1-C3 alkyl)phenyl are each optionally substituted with -C(O)H and OH, and wherein the heterocycle of -CH2heterocyclyl is optionally substituted with oxo. [00236] In some embodiments, for a compound or salt of Formula (I), Formula (I-A), Formula (I-B), Formula (I-B*), Formula (I-D), Formula (I-E), Formula (I-F), or Formula (I-G), each R6 is independently selected from halogen, -OH, C1-C3 hydroxyalkyl, C1-C3 alkyl, C1-C3 haloalkyl, C1- C3 alkoxy, -CN, and C1-C3 aminoalkyl. [00237] In some embodiments, for a compound or salt of Formula (I), Formula (I-A), Formula (I-B), Formula (I-B*), Formula (I-D), Formula (I-E), Formula (I-F), or Formula (I-G), each R6 is independently selected from halogen, -OH, C1-C3 hydroxyalkyl, C1-C3 alkyl, C1-C3 aminoalkyl, C1- C3 haloalkyl, C1-C3 alkoxy, -N(R5)2, and oxo. In some cases, each R6 is independently selected from -OH, C1-C3 hydroxyalkyl, C1-C3 alkyl, C1-C3 aminoalkyl, C1-C3 alkoxy, and -N(R5)2. In some cases, each R6 is independently selected from C1-C3 alkyl, C1-C3 alkoxy, and -N(R5)2. In some cases, each R6 is independently selected from halogen, hydroxy, C1-C3 alkyl, C1-C3 haloalkyl, - N(R5)S(O)2(R5), -OC(O)N(R5)2, =CH2, oxo, =NO-C1-C3 alkyl, -CH2OC(O)heterocycle, - CH2heterocycle, -CH2OC(O)N(R5)2, and -O-C1-C3 alkyl, wherein the alkyl of -O-C1-C3 alkyl is optionally substituted with substituents selected from heterocycle, oxo, and hydroxy; and wherein each R7 is selected from C1-C3 alkyl, halogen and C1-C3 haloalkyl.
[00238] In some embodiments, for a compound or salt of Formula (I), Formula (I-A), Formula (I-B), Formula (I-B*), Formula (I-D), Formula (I-E), Formula (I-F), or Formula (I-G), R6 is selected from halogen, -OH, C1-C3 hydroxyalkyl, C1-C3 alkyl, C1-C3 haloalkyl, C1-C3 alkoxy, -CN, and C1-C3 aminoalkyl. In some cases, R6 is selected from halogen and C1-C3 alkyl. In some cases, R6 is halogen. In some cases, R6 is C1-C3 alkyl. In some cases, R6 is selected from halogen and Cl- C3 alkyl. In some cases, R6 is selected from methyl and fluorine. [00239] In some embodiments, for a compound or salt of Formula (I), Formula (I-A), Formula (I-B), Formula (I-B*), Formula (I-D), Formula (I-E), Formula (I-F), or Formula (I-G), R2 is
[00240] In some embodiments, for a compound or salt of Formula (I), Formula (I-A), Formula (I-B), Formula (I-B*), Formula (I-D), Formula (I-E), Formula (I-F), or Formula (I-G), Y-R2 is
[00241] In some embodiments, for a compound or salt of Formula (I), Formula (I-A), Formula (I-B), Formula (I-B*), Formula (I-D), Formula (I-E), Formula (I-F), or Formula (I-G), Y-R2 is
[00242] In some embodiments, for a compound or salt of Formula (I), Formula (I-A), Formula (I-B), Formula (I-B*), Formula (I-D), Formula (I-E), Formula (I-F), or Formula (I-G), Y-R2 is
. [00243] In some embodiments, for a compound or salt of Formula (I), Formula (I-A), Formula (I-B), Formula (I-B*), Formula (I-D), or Formula (I-E), L is selected from unsubstituted C1-C4 alkylene. [00244] In some embodiments, for a compound or salt of Formula (I), Formula (I-A), Formula (I-B), Formula (I-B*), Formula (I-D), Formula (I-E), Formula (I-F), or Formula (I-G), Y-R2 is selected from
, wherein the heterocycle portion is optionally substituted with one or more R6.
[00245] In some embodiments, for a compound or salt of Formula (I), Formula (I-A), Formula (I-B), Formula (I-B*), Formula (I-D), Formula (I-E), Formula (I-F), or Formula (I-G), R6 of R2 is independently selected at each occurrence from halogen, hydroxy, C1-C3 hydroxyalkyl, C1-C3 alkyl, C1-C3 haloalkyl, C1-C3 alkoxy, cyano, and C1-C3 aminoalkyl. [00246] In some embodiments, for a compound or salt of Formula (I), Formula (I-A), Formula (I-B), Formula (I-B*), Formula (I-D), Formula (I-E), Formula (I-F), or Formula (I-G), R6 of R2 is independently selected at each occurrence from C1-C3 alkyl and halogen. [00247] In some embodiments, for a compound or salt of Formula (I), Formula (I-A), Formula (I-B), Formula (I-B*), Formula (I-D), Formula (I-E), Formula (I-F), or Formula (I-G), Y-R2 is selected from
. some cases,
. [00248] In some embodiments, for a compound or salt of Formula (I), R100 is selected from
selected from hydrogen, halogen, and -CN; and R8 is selected from
,
some cases, m is 1. In some cases, n is 2. In some cases, R9 is selected from hydrogen, and C1-C3 alkyl. In some cases, R9 is hydrogen. In some cases,
. some cases, R100
. In some cases, R8 is . In some cases, R8 is . In some cases, R8 is
some cases, Y-R2 is
. In some cases, Y-R2 is
. In some cases, R3 is hydrogen. In some cases, R3 is halogen. In some cases, R3 is -CN. [00249] Included in the present disclosure are salts, particularly pharmaceutically acceptable salts, of the compounds described herein. The compounds of the present invention that possess a sufficiently acidic, a sufficiently basic, or both functional groups, can react with any of a number of inorganic bases, and inorganic and organic acids, to form a salt. Alternatively, compounds that are inherently charged, such as those with a quaternary nitrogen, can form a salt with an appropriate counterion, e.g., a halide such as bromide, chloride, or fluoride, particularly bromide. [00250] Chemical entities having carbon-carbon double bonds or carbon-nitrogen double bonds may exist in Z- or E- form (or cis- or trans- form). Furthermore, some chemical entities may exist in various tautomeric forms. Unless otherwise specified, compounds described herein are intended to include all Z-, E- and tautomeric forms as well. [00251] A “tautomer” refers to a molecule wherein a proton shift from one atom of a molecule to another atom of the same molecule is possible. The compounds presented herein, in certain embodiments, exist as tautomers. In circumstances where tautomerization is possible, a chemical equilibrium of the tautomers will exist. The exact ratio of the tautomers depends on several factors, including physical state, temperature, solvent, and pH. Some examples of tautomeric equilibrium include:
.
[00252] The compounds disclosed herein, in some embodiments, are used in different enriched isotopic forms, e.g., enriched in the content of 2H, 3H, 11C, 13C and/or 14C. In one particular embodiment, the compound is deuterated in at least one position. Such deuterated forms can be made by the procedure described in U.S. Patent Nos. 5,846,514 and 6,334,997. As described in U.S. Patent Nos.5,846,514 and 6,334,997, deuteration can improve the metabolic stability and or efficacy, thus increasing the duration of action of drugs. [00253] Unless otherwise stated, compounds described herein are intended to include compounds which differ only in the presence of one or more isotopically enriched atoms. For example, compounds having the present structures except for the replacement of a hydrogen by a deuterium or tritium, or the replacement of a carbon by 13C- or 14C-enriched carbon are within the scope of the present disclosure. [00254] The compounds of the present disclosure optionally contain unnatural proportions of atomic isotopes at one or more atoms that constitute such compounds. For example, the compounds may be labeled with isotopes, such as for example, deuterium (2H), tritium (3H), iodine-125 (125I) or carbon-14 (14C). Isotopic substitution with 2H, 11C, 13C, 14C, 15C, 12N, 13N, 15N, 16N, 16O, 17O, 14F, 15F, 16F, 17F, 18F, 33S, 34S, 35S, 36S, 35Cl, 37Cl, 79Br, 81Br, and 125I are all contemplated. All isotopic variations of the compounds of the present invention, whether radioactive or not, are encompassed within the scope of the present invention. [00255] In certain embodiments, the compounds disclosed herein have some or all of the 1H atoms replaced with 2H atoms. The methods of synthesis for deuterium-containing compounds are known in the art and include, by way of non-limiting example only, the following synthetic methods. [00256] Deuterium substituted compounds are synthesized using various methods such as described in: Dean, Dennis C.; Editor. Recent Advances in the Synthesis and Applications of Radiolabeled Compounds for Drug Discovery and Development. [In: Curr., Pharm. Des., 2000; 6(10)] 2000, 110 pp; George W.; Varma, Rajender S. The Synthesis of Radiolabeled Compounds via Organometallic Intermediates, Tetrahedron, 1989, 45(21), 6601-21; and Evans, E. Anthony. Synthesis of radiolabeled compounds, J. Radioanal. Chem., 1981, 64(1-2), 9-32. [00257] Deuterated starting materials are readily available and are subjected to the synthetic methods described herein to provide for the synthesis of deuterium-containing compounds. Large numbers of deuterium-containing reagents and building blocks are available commercially from chemical vendors, such as Aldrich Chemical Co. [00258] Compounds of the present invention also include crystalline and amorphous forms of those compounds, pharmaceutically acceptable salts, and active metabolites of these compounds having the same type of activity, including, for example, polymorphs, pseudopolymorphs,
solvates, hydrates, unsolvated polymorphs (including anhydrates), conformational polymorphs, and amorphous forms of the compounds, as well as mixtures thereof. [00259] The compounds described herein may in some cases exist as diastereomers, enantiomers, or other stereoisomeric forms. Where absolute stereochemistry is not specified, the compounds presented herein include all diastereomeric, enantiomeric, and epimeric forms as well as the appropriate mixtures thereof. Separation of stereoisomers may be performed by chromatography or by forming diastereomers and separating by recrystallization, or chromatography, or any combination thereof. (Jean Jacques, Andre Collet, Samuel H. Wilen, “Enantiomers, Racemates and Resolutions”, John Wiley And Sons, Inc., 1981, herein incorporated by reference for this disclosure). Stereoisomers may also be obtained by stereoselective synthesis. [00260] The methods and compositions described herein include the use of amorphous forms as well as crystalline forms (also known as polymorphs). The compounds described herein may be in the form of pharmaceutically acceptable salts. As well, in some embodiments, active metabolites of these compounds having the same type of activity are included in the scope of the present disclosure. In addition, the compounds described herein can exist in unsolvated as well as solvated forms with pharmaceutically acceptable solvents such as water, ethanol, and the like. The solvated forms of the compounds presented herein are also considered to be disclosed herein. [00261] In certain embodiments, compounds or salts of the compounds may be prodrugs, e.g., wherein a hydroxyl in the parent compound is presented as an ester or a carbonate, or carboxylic acid present in the parent compound is presented as an ester. The term “prodrug” is intended to encompass compounds which, under physiologic conditions, are converted into pharmaceutical agents of the present disclosure. One method for making a prodrug is to include one or more selected moieties which are hydrolyzed under physiologic conditions to reveal the desired molecule. In other embodiments, the prodrug is converted by an enzymatic activity of the host animal such as specific target cells in the host animal. For example, esters or carbonates (e.g., esters or carbonates of alcohols or carboxylic acids and esters of phosphonic acids) are preferred prodrugs of the present disclosure. [00262] Prodrug forms of the herein described compounds, wherein the prodrug is metabolized in vivo to produce a compound as set forth herein are included within the scope of the claims. In some cases, some of the herein-described compounds may be a prodrug for another derivative or active compound. [00263] Prodrugs are often useful because, in some situations, they may be easier to administer than the parent drug. They may, for instance, be bioavailable by oral administration whereas the parent is not. Prodrugs may help enhance the cell permeability of a compound relative to the parent drug. The prodrug may also have improved solubility in pharmaceutical compositions over the
parent drug. Prodrugs may be designed as reversible drug derivatives, for use as modifiers to enhance drug transport to site-specific tissues or to increase drug residence inside of a cell. [00264] In some embodiments, the design of a prodrug increases the lipophilicity of the pharmaceutical agent. In some embodiments, the design of a prodrug increases the effective water solubility. See, e.g., Fedorak et al., Am. J. Physiol., 269:G210-218 (1995); McLoed et al., Gastroenterol, 106:405-413 (1994); Hochhaus et al., Biomed. Chrom., 6:283-286 (1992); J. Larsen and H. Bundgaard, Int. J. Pharmaceutics, 37, 87 (1987); J. Larsen et al., Int. J. Pharmaceutics, 47, 103 (1988); Sinkula et al., J. Pharm. Sci., 64:181-210 (1975); T. Higuchi and V. Stella, Pro-drugs as Novel Delivery Systems, Vol. 14 of the A.C.S. Symposium Series; and Edward B. Roche, Bioreversible Carriers in Drug Design, American Pharmaceutical Association and Pergamon Press, 1987, all incorporated herein for such disclosure). According to another embodiment, the present disclosure provides methods of producing the above-defined compounds. The compounds may be synthesized using conventional techniques. Advantageously, these compounds are conveniently synthesized from readily available starting materials. [00265] Synthetic chemistry transformations and methodologies useful in synthesizing the compounds described herein are known in the art and include, for example, those described in R. Larock, Comprehensive Organic Transformations (1989); T. W. Greene and P. G. M. Wuts, Protective Groups in Organic Synthesis, 2d. Ed. (1991); L. Fieser and M. Fieser, Fieser and Fieser’s Reagents for Organic Synthesis (1994); and L. Paquette, ed., Encyclopedia of Reagents for Organic Synthesis (1995). Pharmaceutical Formulations [00266] Provided herein, in certain embodiments, are pharmaceutical compositions comprising a therapeutically effective amount of any compound or salt of any one of Formula (I), Formula (I- A), Formula (I-B), Formula (I-D), Formula (I-E), Formula (I-F), or Formula (I-G), (also referred to herein as “a pharmaceutical agent”). [00267] Pharmaceutical compositions may be formulated using one or more physiologically acceptable carriers including excipients and auxiliaries which facilitate processing of the pharmaceutical agent into preparations which are used pharmaceutically. Proper formulation is dependent upon the route of administration chosen. A summary of pharmaceutical compositions is found, for example, in Remington: The Science and Practice of Pharmacy, Nineteenth Ed (Easton, Pa., Mack Publishing Company, 1995); Hoover, John E., Remington’s Pharmaceutical Sciences, Mack Publishing Co., Easton, Pennsylvania 1975; Liberman, H.A. and Lachman, L., Eds., Pharmaceutical Dosage Forms, Marcel Decker, New York, N.Y., 1980; and Pharmaceutical Dosage Forms and Drug Delivery Systems, Seventh Ed. (Lippincott Williams & Wilkins, 1999).
[00268] The compositions and methods of the present disclosure may be utilized to treat an individual in need thereof. In certain embodiments, the individual is a mammal such as a human, or a non-human mammal. When administered to an animal, such as a human, the composition or the pharmaceutical agent, is preferably administered as a pharmaceutical composition comprising, for example, a pharmaceutical agent and a pharmaceutically acceptable carrier or excipient. Pharmaceutically acceptable carriers are well known in the art and include, for example, aqueous solutions such as water or physiologically buffered saline or other solvents or vehicles such as glycols, glycerol, oils such as olive oil, or injectable organic esters. In a preferred embodiment, when such pharmaceutical compositions are for human administration, particularly for invasive routes of administration, e.g., routes, such as injection or implantation, that circumvent transport or diffusion through an epithelial barrier, the aqueous solution is pyrogen-free, or substantially pyrogen-free. The excipients can be chosen, for example, to effect delayed release of an agent or to selectively target one or more cells, tissues or organs. The pharmaceutical composition can be in dosage unit form such as tablet, capsule, granule, lyophile for reconstitution, powder, solution, syrup, suppository, injection or the like. The composition can also be present in a transdermal delivery system, e.g., a skin patch. The composition can also be present in a solution suitable for topical administration, such as an eye drop. [00269] A pharmaceutically acceptable excipient can contain physiologically acceptable agents that act, for example, to stabilize, increase solubility or to increase the absorption of a compound such as a pharmaceutical agent. Such physiologically acceptable agents include, for example, carbohydrates, such as glucose, sucrose or dextrans, antioxidants, such as ascorbic acid or glutathione, chelating agents, low molecular weight proteins or other stabilizers or excipients. The choice of a pharmaceutically acceptable excipient, including a physiologically acceptable agent, depends, for example, on the route of administration of the composition. The preparation or pharmaceutical composition can be a self emulsifying drug delivery system or a self microemulsifying drug delivery system. The pharmaceutical composition (preparation) also can be a liposome or other polymer matrix, which can have incorporated therein, for example, a compound of the invention. Liposomes, for example, which comprise phospholipids or other lipids, are nontoxic, physiologically acceptable and metabolizable carriers that are relatively simple to make and administer. [00270] A pharmaceutical composition (preparation) can be administered to a subject by any of a number of routes of administration including, for example, orally, for example, drenches as in aqueous or non-aqueous solutions or suspensions, tablets, capsules, including sprinkle capsules and gelatin capsules, boluses, powders, granules, pastes for application to the tongue; absorption through the oral mucosa, e.g., sublingually; anally, rectally or vaginally, for example, as a pessary,
cream or foam; parenterally, including intramuscularly, intravenously, subcutaneously or intrathecally as, for example, a sterile solution or suspension; nasally; intraperitoneally; subcutaneously; transdermally, for example, as a patch applied to the skin; and topically, for example, as a cream, ointment or spray applied to the skin, or as an eye drop. The compound may also be formulated for inhalation. In certain embodiments, a compound may be simply dissolved or suspended in sterile water. [00271] A pharmaceutical composition may be a sterile aqueous or non-aqueous solution, suspension or emulsion, e.g., a microemulsion. The excipients described herein are examples and are in no way limiting. An effective amount or therapeutically effective amount refers to an amount of the one or more pharmaceutical agents administered to a subject, either as a single dose or as part of a series of doses, which is effective to produce a desired therapeutic effect. [00272] Subjects may generally be monitored for therapeutic effectiveness using assays and methods suitable for the condition being treated, which assays will be familiar to those having ordinary skill in the art and are described herein. Pharmacokinetics of a pharmaceutical agent, or one or more metabolites thereof, that is administered to a subject may be monitored by determining the level of the pharmaceutical agent or metabolite in a biological fluid, for example, in the blood, blood fraction, e.g., serum, and/or in the urine, and/or other biological sample or biological tissue from the subject. Any method practiced in the art and described herein to detect the agent may be used to measure the level of the pharmaceutical agent or metabolite during a treatment course. [00273] The dose of a pharmaceutical agent described herein for treating a disease or disorder may depend upon the subject’s condition, that is, stage of the disease, severity of symptoms caused by the disease, general health status, as well as age, gender, and weight, and other factors apparent to a person skilled in the medical art. Pharmaceutical compositions may be administered in a manner appropriate to the disease to be treated as determined by persons skilled in the medical arts. In addition to the factors described herein and above related to use of pharmaceutical agent for treating a disease or disorder, suitable duration and frequency of administration of the pharmaceutical agent may also be determined or adjusted by such factors as the condition of the patient, the type and severity of the patient’s disease, the particular form of the active ingredient, and the method of administration. Optimal doses of an agent may generally be determined using experimental models and/or clinical trials. The optimal dose may depend upon the body mass, weight, or blood volume of the subject. The use of the minimum dose that is sufficient to provide effective therapy is usually preferred. Design and execution of pre-clinical and clinical studies for a pharmaceutical agent, including when administered for prophylactic benefit, described herein are well within the skill of a person skilled in the relevant art. When two or more pharmaceutical agents are administered to treat a disease or disorder, the optimal dose of each pharmaceutical
agent may be different, such as less than when either agent is administered alone as a single agent therapy. In certain particular embodiments, two pharmaceutical agents in combination may act synergistically or additively, and either agent may be used in a lesser amount than if administered alone. An amount of a pharmaceutical agent that may be administered per day may be, for example, between about 0.01 mg/kg and 100 mg/kg, e.g., between about 0.1 to 1 mg/kg, between about 1 to 10 mg/kg, between about 10-50 mg/kg, between about 50-100 mg/kg body weight. In other embodiments, the amount of a pharmaceutical agent that may be administered per day is between about 0.01 mg/kg and 1000 mg/kg, between about 100-500 mg/kg, or between about 500- 1000 mg/kg body weight. The optimal dose, per day or per course of treatment, may be different for the disease or disorder to be treated and may also vary with the administrative route and therapeutic regimen. [00274] Pharmaceutical compositions comprising a pharmaceutical agent can be formulated in a manner appropriate for the delivery method by using techniques routinely practiced in the art. The composition may be in the form of a solid, e.g., tablet, capsule, semi-solid, e.g., gel, liquid, or gas, e.g., aerosol. In other embodiments, the pharmaceutical composition is administered as a bolus infusion. [00275] Pharmaceutical acceptable excipients are well known in the pharmaceutical art and described, for example, in Rowe et al., Handbook of Pharmaceutical Excipients: A Comprehensive Guide to Uses, Properties, and Safety, 5th Ed., 2006, and in Remington: The Science and Practice of Pharmacy (Gennaro, 21st Ed. Mack Pub. Co., Easton, PA (2005)). Exemplary pharmaceutically acceptable excipients include sterile saline and phosphate buffered saline at physiological pH. Preservatives, stabilizers, dyes, buffers, and the like may be provided in the pharmaceutical composition. In addition, antioxidants and suspending agents may also be used. In general, the type of excipient is selected based on the mode of administration, as well as the chemical composition of the active ingredient(s). Alternatively, compositions described herein may be formulated as a lyophilizate. A composition described herein may be lyophilized or otherwise formulated as a lyophilized product using one or more appropriate excipient solutions for solubilizing and/or diluting the pharmaceutical agent(s) of the composition upon administration. In other embodiments, the pharmaceutical agent may be encapsulated within liposomes using technology known and practiced in the art. In certain particular embodiments, a pharmaceutical agent is not formulated within liposomes for application to a stent that is used for treating highly, though not totally, occluded arteries. Pharmaceutical compositions may be formulated for any appropriate manner of administration described herein and in the art. [00276] A pharmaceutical composition, e.g., for oral administration or for injection, infusion, subcutaneous delivery, intramuscular delivery, intraperitoneal delivery or other method, may be
in the form of a liquid. A liquid pharmaceutical composition may include, for example, one or more of the following: a sterile diluent such as water, saline solution, preferably physiological saline, Ringer’s solution, isotonic sodium chloride, fixed oils that may serve as the solvent or suspending medium, polyethylene glycols, glycerin, propylene glycol or other solvents; antibacterial agents; antioxidants; chelating agents; buffers and agents for the adjustment of tonicity such as sodium chloride or dextrose. A parenteral composition can be enclosed in ampoules, disposable syringes or multiple dose vials made of glass or plastic. The use of physiological saline is preferred, and an injectable pharmaceutical composition is preferably sterile. In another embodiment, for treatment of an ophthalmological condition or disease, a liquid pharmaceutical composition may be applied to the eye in the form of eye drops. A liquid pharmaceutical composition may be delivered orally. [00277] For oral formulations, at least one of the pharmaceutical agents described herein can be used alone or in combination with appropriate additives to make tablets, powders, granules or capsules, and if desired, with diluents, buffering agents, moistening agents, preservatives, coloring agents, and flavoring agents. The pharmaceutical agents may be formulated with a buffering agent to provide for protection of the compound from low pH of the gastric environment and/or an enteric coating. A pharmaceutical agent included in a pharmaceutical composition may be formulated for oral delivery with a flavoring agent, e.g., in a liquid, solid or semi-solid formulation and/or with an enteric coating. [00278] A pharmaceutical composition comprising any one of the pharmaceutical agents described herein may be formulated for sustained or slow release, also called timed release or controlled release. Such compositions may generally be prepared using well known technology and administered by, for example, oral, rectal, intradermal, or subcutaneous implantation, or by implantation at the desired target site. Sustained-release formulations may contain the compound dispersed in a carrier matrix and/or contained within a reservoir surrounded by a rate controlling membrane. Excipients for use within such formulations are biocompatible, and may also be biodegradable; preferably the formulation provides a relatively constant level of active component release. The amount of pharmaceutical agent contained within a sustained release formulation depends upon the site of implantation, the rate and expected duration of release, and the nature of the condition, disease or disorder to be treated or prevented. [00279] In certain embodiments, the pharmaceutical compositions comprising a pharmaceutical agent are formulated for transdermal, intradermal, or topical administration. The compositions can be administered using a syringe, bandage, transdermal patch, insert, or syringe-like applicator, as a powder/talc or other solid, liquid, spray, aerosol, ointment, foam, cream, gel, paste. This preferably is in the form of a controlled release formulation or sustained release formulation
administered topically or injected directly into the skin adjacent to or within the area to be treated, e.g., intradermally or subcutaneously. The active compositions can also be delivered via iontophoresis. Preservatives can be used to prevent the growth of fungi and other microorganisms. Suitable preservatives include, but are not limited to, benzoic acid, butylparaben, ethyl paraben, methyl paraben, propylparaben, sodium benzoate, sodium propionate, benzalkonium chloride, benzethonium chloride, benzyl alcohol, cetypyridinium chloride, chlorobutanol, phenol, phenylethyl alcohol, thimerosal, and combinations thereof. [00280] Pharmaceutical compositions comprising a pharmaceutical agent can be formulated as emulsions for topical application. An emulsion contains one liquid distributed in the body of a second liquid. The emulsion may be an oil-in-water emulsion or a water-in-oil emulsion. Either or both of the oil phase and the aqueous phase may contain one or more surfactants, emulsifiers, emulsion stabilizers, buffers, and other excipients. The oil phase may contain other oily pharmaceutically approved excipients. Suitable surfactants include, but are not limited to, anionic surfactants, non-ionic surfactants, cationic surfactants, and amphoteric surfactants. Compositions for topical application may also include at least one suitable suspending agent, antioxidant, chelating agent, emollient, or humectant. [00281] Ointments and creams may, for example, be formulated with an aqueous or oily base with the addition of suitable thickening and/or gelling agents. Lotions may be formulated with an aqueous or oily base and will in general also contain one or more emulsifying agents, stabilizing agents, dispersing agents, suspending agents, thickening agents, or coloring agents. Liquid sprays may be delivered from pressurized packs, for example, via a specially shaped closure. Oil-in-water emulsions can also be used in the compositions, patches, bandages and articles. These systems are semisolid emulsions, micro-emulsions, or foam emulsion systems. [00282] In some embodiments, the pharmaceutical agent described herein can be formulated as in inhalant. Inhaled methods can deliver medication directly to the airway. The pharmaceutical agent can be formulated as aerosols, microspheres, liposomes, or nanoparticles. The pharmaceutical agent can be formulated with solvents, gases, nitrates, or any combinations thereof. Compositions described herein are optionally formulated for delivery as a liquid aerosol or inhalable dry powder. Liquid aerosol formulations are optionally nebulized predominantly into particle sizes that can be delivered to the terminal and respiratory bronchioles. Liquid aerosol and inhalable dry powder formulations are preferably delivered throughout the endobronchial tree to the terminal bronchioles and eventually to the parenchymal tissue. [00283] Aerosolized formulations described herein are optionally delivered using an aerosol forming device, such as a jet, vibrating porous plate or ultrasonic nebulizer, preferably selected to allow the formation of aerosol particles having with a mass medium average diameter
predominantly between 1 to 5 ^. Further, the formulation preferably has balanced osmolarity ionic strength and chloride concentration, and the smallest aerosolizable volume able to deliver effective dose of the pharmaceutical agent. Additionally, the aerosolized formulation preferably does not impair negatively the functionality of the airways and does not cause undesirable side effects. [00284] Aerosolization devices suitable for administration of aerosol formulations described herein include, for example, jet, vibrating porous plate, ultrasonic nebulizers and energized dry powder inhalers, that are able to nebulize the formulation into aerosol particle size predominantly in the size range from 1-5 ^. Predominantly in this application means that at least 70% but preferably more than 90% of all generated aerosol particles are within 1-5 ^ range. A jet nebulizer works by air pressure to break a liquid solution into aerosol droplets. Vibrating porous plate nebulizers work by using a sonic vacuum produced by a rapidly vibrating porous plate to extrude a solvent droplet through a porous plate. An ultrasonic nebulizer works by a piezoelectric crystal that shears a liquid into small aerosol droplets. A variety of suitable devices are available, including, for example, AeroNeb ^ ^ and AeroDose ^ ^ ^vibrating porous plate nebulizers (AeroGen, Inc., Sunnyvale, California), Sidestream ^ nebulizers (Medic-Aid Ltd., West Sussex, England), Pari LC ^ and Pari LC Star ^ jet nebulizers (Pari Respiratory Equipment, Inc., Richmond, Virginia), and Aerosonic ^ ^ (DeVilbiss Medizinische Produkte (Deutschland) GmbH, Heiden, Germany) and UltraAire ^ (Omron Healthcare, Inc., Vernon Hills, Illinois) ultrasonic nebulizers. [00285] In some embodiments, the pharmaceutical agent(s) can be formulated with oleaginous bases or ointments to form a semisolid composition with a desired shape. In addition to the pharmaceutical agent, these semisolid compositions can contain dissolved and/or suspended bactericidal agents, preservatives and/or a buffer system. A petrolatum component that may be included may be any paraffin ranging in viscosity from mineral oil that incorporates isobutylene, colloidal silica, or stearate salts to paraffin waxes. Absorption bases can be used with an oleaginous system. Additives may include cholesterol, lanolin (lanolin derivatives, beeswax, fatty alcohols, wool wax alcohols, low HLB (hydrophobellipophobe balance) emulsifiers, and assorted ionic and nonionic surfactants, singularly or in combination. [00286] Controlled or sustained release transdermal or topical formulations can be achieved by the addition of time-release additives, such as polymeric structures, matrices, that are available in the art. For example, the compositions may be administered through use of hot-melt extrusion articles, such as bioadhesive hot-melt extruded film. The formulation can comprise a cross-linked polycarboxylic acid polymer formulation. A cross-linking agent may be present in an amount that provides adequate adhesion to allow the system to remain attached to target epithelial or endothelial cell surfaces for a sufficient time to allow the desired release of the compound.
[00287] An insert, transdermal patch, bandage or article can comprise a mixture or coating of polymers that provide release of the pharmaceutical agents at a constant rate over a prolonged period of time. In some embodiments, the article, transdermal patch or insert comprises water- soluble pore forming agents, such as polyethylene glycol (PEG) that can be mixed with water insoluble polymers to increase the durability of the insert and to prolong the release of the active ingredients. [00288] Transdermal devices (inserts, patches, bandages) may also comprise a water insoluble polymer. Rate controlling polymers may be useful for administration to sites where pH change can be used to effect release. These rate controlling polymers can be applied using a continuous coating film during the process of spraying and drying with the active compound. In one embodiment, the coating formulation is used to coat pellets comprising the active ingredients that are compressed to form a solid, biodegradable insert. [00289] A polymer formulation can also be utilized to provide controlled or sustained release. Bioadhesive polymers described in the art may be used. By way of example, a sustained-release gel and the compound may be incorporated in a polymeric matrix, such as a hydrophobic polymer matrix. Examples of a polymeric matrix include a microparticle. The microparticles can be microspheres, and the core may be of a different material than the polymeric shell. Alternatively, the polymer may be cast as a thin slab or film, a powder produced by grinding or other standard techniques, or a gel such as a hydrogel. The polymer can also be in the form of a coating or part of a bandage, stent, catheter, vascular graft, or other device to facilitate delivery of the pharmaceutical agent. The matrices can be formed by solvent evaporation, spray drying, solvent extraction and other methods known to those skilled in the art. [00290] Kits with unit doses of one or more of the agents described herein, usually in oral or injectable doses, are provided. Such kits may include a container containing the unit dose, an informational package insert describing the use and attendant benefits of the drugs in treating disease, and optionally an appliance or device for delivery of the composition. Methods of Treatment [00291] In an aspect, the present disclosure provides compounds that inhibit KRas G12 mutants. In some cases, the method may inhibit KRas G12 mutants activity in a cell. In some cases, inhibiting KRas G12 mutants activity in a cell may include contacting the cell in which inhibition of KRas G12 mutants activity is desired with an effective amount of a compound of Formula (I), Formula (I-A), Formula (I-B), Formula (I-B*), Formula (I-D), Formula (I-E), Formula (I-F), or Formula (I-G), or pharmaceutical compositions containing any one of the Formulas thereof or a pharmaceutically acceptable salt thereof. In some cases, the contacting is in vitro. In some cases, the contacting is in vivo. As used herein, the term "contacting" refers to the bringing together of
indicated moieties in an in vitro system or an in vivo system. For example, "contacting" a KRas G12D and/or other G12 mutants with a compound provided herein includes the administration of a compound provided herein to an individual or patient, such as a human, having KRas G12D and/or other G12 mutants, as well as, for example, introducing a compound provided herein into a sample containing a cellular or purified preparation containing the KRas G12D and/or other G12 mutants. In some cases, a cell in which inhibition of KRas G12D and/or other G12 mutants activity is desired is contacted with an effective amount of a compound of Formula (I), Formula (I-A), Formula (I-B), Formula (I-B*),or pharmaceutically acceptable salt thereof to negatively modulate the activity of KRas G12D and/or other G12 mutants. In some cases, by negatively modulating the activity of KRas G12D and/or other G12 mutants, the methods described herein are designed to inhibit undesired cellular proliferation resulting from enhanced KRas G12D and/or other G12 mutants activity within the cell. The cells may be contacted in a single dose or multiple doses in accordance with a particular treatment regimen to effect the desired negative modulation of KRas G12D and/or other G12 mutants. The ability of compounds to bind KRas G12D and/or other G12 mutants may be monitored in vitro using well known methods. [00292] In some embodiments, the inhibitory activity of exemplary compounds in cells may be monitored, for example, by measuring the inhibition of KRas G12D and/or other G12 mutants activity of the amount of phosphorylated ERK. [00293] In another aspect, methods of treating a disease or disorder in a patient in need thereof, comprising administering to the patient a compound of Formula (I), Formula (I-A), Formula (I- B), Formula (I-B*), Formula (I-D), Formula (I-E), Formula (I-F), or Formula (I-G), or a pharmaceutically acceptable salt thereof, or a pharmaceutical composition comprising the compound or pharmaceutically acceptable salt thereof are provided. The disease or disorder can be a cancer. The cancer may be a cancer described elsewhere herein. [00294] In another aspect, methods of treating a disease or disorder in a patient in need thereof, comprising administering to said patient a therapeutically effective amount of a compound of Formula (I), Formula (I-A), Formula (I-B), Formula (I-B*), Formula (I-D), Formula (I-E), Formula (I-F), or Formula (I-G), or a pharmaceutically acceptable salt thereof, or a pharmaceutical composition comprising the compound or pharmaceutically acceptable salt thereof are provided. The disease or disorder can be a cancer. The cancer may be a cancer described elsewhere herein. [00295] In another aspect, methods of treating cancer in a patient in need thereof, comprising administering to said patient a therapeutically effective amount of a compound of Formula (I), Formula (I-A), Formula (I-B), Formula (I-B*), Formula (I-D), Formula (I-E), Formula (I-F), or Formula (I-G), or a pharmaceutically acceptable salt thereof, or a pharmaceutical composition comprising the compound or pharmaceutically acceptable salt thereof are provided. The
compositions and methods provided herein may be used for the treatment of a KRas G12D and/or other G12 mutants-associated cancer in a patient in need thereof, comprising administering to the patient a therapeutically effective amount of a compound of Formula (I), Formula (I-A), Formula (I-B), Formula (I-B*), Formula (I-D), Formula (I-E), Formula (I-F), or Formula (I-G), or a pharmaceutically acceptable salt any one thereof, or a pharmaceutical composition comprising the compound or pharmaceutically acceptable salt thereof are provided. In some cases, the KRas G12D and/or other G12 mutants associated cancer is lung cancer. The compositions and methods provided herein may be used for the treatment of a wide variety of cancers including tumors such as lung, prostate, breast, brain, skin, cervical carcinomas, testicular carcinomas, etc. More particularly, cancers that may be treated by the compositions and methods of the invention include, but are not limited to tumor types such as astrocytic, breast, cervical, colorectal, endometrial, esophageal, gastric, head and neck, hepatocellular, laryngeal, lung, oral, ovarian, prostate and thyroid carcinomas and sarcomas. More specifically, these compounds can be used to treat: Cardiac: sarcoma (angiosarcoma, fibrosarcoma, rhabdomyosarcoma, liposarcoma), myxoma, rhabdomyoma, fibroma, lipoma and teratoma; Lung: bronchogenic carcinoma (squamous cell, undifferentiated small cell, undifferentiated large cell, adenocarcinoma), alveolar (bronchiolar) carcinoma, bronchial adenoma, sarcoma, lymphoma, chondromatous hamartoma, mesothelioma; Gastrointestinal: esophagus (squamous cell carcinoma, adenocarcinoma, leiomyosarcoma, lymphoma), stomach (carcinoma, lymphoma, leiomyosarcoma), pancreas (ductal adenocarcinoma, insulinoma, glucagonoma, gastrinoma, carcinoid tumors, vipoma), small bowel (adenocarcinoma, lymphoma, carcinoid tumors, Kaposi's sarcoma, leiomyoma, hemangioma, lipoma, neurofibroma, fibroma), large bowel (adenocarcinoma, tubular adenoma, villous adenoma, hamartoma, leiomyoma); Genitourinary tract: kidney (adenocarcinoma, Wilm's tumor (nephroblastoma), lymphoma, leukemia), bladder and urethra (squamous cell carcinoma, transitional cell carcinoma, adenocarcinoma), prostate (adenocarcinoma, sarcoma), testis (seminoma, teratoma, embryonal carcinoma, teratocarcinoma, choriocarcinoma, sarcoma, interstitial cell carcinoma, fibroma, fibroadenoma, adenomatoid tumors, lipoma); Liver: hepatoma (hepatocellular carcinoma), cholangiocarcinoma, hepatoblastoma, angiosarcoma, hepatocellular adenoma, hemangioma; Biliary tract: gall bladder carcinoma, ampullary carcinoma, cholangiocarcinoma; Bone: osteogenic sarcoma (osteosarcoma), fibrosarcoma, malignant fibrous histiocytoma, chondrosarcoma, Ewing's sarcoma, malignant lymphoma (reticulum cell sarcoma), multiple myeloma, malignant giant cell tumor chordoma, osteochronfroma (osteocartilaginous exostoses), benign chondroma, chondroblastoma, chondromyxofibroma, osteoid osteoma and giant cell tumors; Nervous system: skull (osteoma, hemangioma, granuloma, xanthoma, osteitis deformans), meninges (meningioma, meningiosarcoma, gliomatosis), brain (astrocytoma,
medulloblastoma, glioma, ependymoma, germinoma (pinealoma), glioblastoma multiform, oligodendroglioma, schwannoma, retinoblastoma, congenital tumors), spinal cord neurofibroma, meningioma, glioma, sarcoma); Gynecological: uterus (endometrial carcinoma), cervix (cervical carcinoma, pre-tumor cervical dysplasia), ovaries (ovarian carcinoma (serous cystadenocarcinoma, mucinous cystadenocarcinoma, unclassified carcinoma), granulosa-thecal cell tumors, Sertoli-Leydig cell tumors, dysgerminoma, malignant teratoma), vulva (squamous cell carcinoma, intraepithelial carcinoma, adenocarcinoma, fibrosarcoma, melanoma), vagina (clear cell carcinoma, squamous cell carcinoma, botryoid sarcoma (embryonal rhabdomyosarcoma), fallopian tubes (carcinoma); Hematologic: blood (myeloid leukemia (acute and chronic), acute lymphoblastic leukemia, chronic lymphocytic leukemia, myeloproliferative diseases, multiple myeloma, myelodysplastic syndrome), Hodgkin's disease, non-Hodgkin's lymphoma (malignant lymphoma); Skin: malignant melanoma, basal cell carcinoma, squamous cell carcinoma, Kaposi's sarcoma, moles dysplastic nevi, lipoma, angioma, dermatofibroma, keloids, psoriasis; and Adrenal glands: neuroblastoma. In some cases, the cancer is non-small cell lung cancer, small cell lung cancer, colorectal cancer, rectal cancer or pancreatic cancer. In some cases, the cancer is non-small cell lung cancer. In some cases, the concentration and route of administration to the patient will vary depending on the cancer to be treated. The compounds, pharmaceutically acceptable salts thereof and pharmaceutical compositions comprising such compounds and salts also may be co-administered with other anti-neoplastic compounds, e.g., chemotherapy, or used in combination with other treatments, such as radiation or surgical intervention, either as an adjuvant prior to surgery or post-operatively. [00296] Also provided herein is a compound of Formula (I), Formula (I-A), Formula (I-B), Formula (I-B*), Formula (I-D), Formula (I-E), Formula (I-F), or Formula (I-G), or a pharmaceutically acceptable salt thereof, or a pharmaceutical composition thereof as defined herein for use in therapy. [00297] Also provided herein is a compound of Formula (I), Formula (I-A), Formula (I-B), Formula (I-B*), Formula (I-D), Formula (I-E), Formula (I-F), or Formula (I-G), or a pharmaceutically acceptable salt thereof, or a pharmaceutical composition thereof as defined herein for use in the treatment of cancer. [00298] Also provided herein is a compound of Formula (I), Formula (I-A), Formula (I-B), Formula (I-B*), Formula (I-D), Formula (I-E), Formula (I-F), or Formula (I-G), or a pharmaceutically acceptable salt thereof, or a pharmaceutical composition thereof for use in the inhibition of KRas G12D and/or other G12 mutants. [00299] Also provided herein is a compound of Formula (I), Formula (I-A), Formula (I-B), Formula (I-B*), Formula (I-D), Formula (I-E), Formula (I-F), or Formula (I-G), or a
pharmaceutically acceptable salt thereof, or a pharmaceutical composition thereof as defined herein, for use in the treatment of a KRas G12D and/or other G12 mutants -associated disease or disorder. [00300] Also provided herein is the use of a compound of Formula (I), Formula (I-A), Formula (I-B), Formula (I-B*), Formula (I-D), Formula (I-E), Formula (I-F), or Formula (I-G), or a pharmaceutically acceptable salt thereof, as defined herein in the manufacture of a medicament for the treatment of cancer. [00301] Also provided herein is a use of a compound of Formula (I), Formula (I-A), Formula (I-B), Formula (I-B*), Formula (I-D), Formula (I-E), Formula (I-F), or Formula (I-G), or a pharmaceutically acceptable salt thereof, as defined herein in the manufacture of a medicament for the inhibition of activity of KRas G12D and/or other G12 mutants. [00302] Also provided herein is the use of a compound of Formula (I), Formula (I-A), Formula (I-B), Formula (I-B*), Formula (I-D), Formula (I-E), Formula (I-F), or Formula (I-G), or a pharmaceutically acceptable salt thereof, as defined herein, in the manufacture of a medicament for the treatment of a KRas G12D and/or other G12 mutants-associated disease or disorder. [00303] In another aspect, the present disclosure provides a method for treating cancer in a patient in need thereof, the method comprising (a) determining that cancer is associated with a KRas G12D mutation and/or other G12 mutants (e.g., a KRas G12D and/or other G12 mutants- associated cancer) (e.g., as determined using a regulatory agency-approved, e.g., FDA- approved, assay or kit); and (b) administering to the patient a therapeutically effective amount of a compound of Formula (I), Formula (I-A), Formula (I-B), Formula (I-B*), Formula (I-D), Formula (I-E), Formula (I-F), or Formula (I-G), a pharmaceutically acceptable salt thereof, or a pharmaceutical composition thereof. [00304] The compounds described herein can be used in the preparation of medicaments for the prevention or treatment of diseases or conditions. In addition, a method for treating any of the diseases or conditions described herein in a subject in need of such treatment, involves administration of pharmaceutical compositions containing at least one compound described herein, or a pharmaceutically acceptable salt, pharmaceutically acceptable prodrug, or pharmaceutically acceptable solvate thereof, in therapeutically effective amounts to said subject. [00305] The compositions containing the compound(s) described herein can be administered for prophylactic and/or therapeutic treatments. In therapeutic applications, the compositions are administered to a patient already suffering from a disease or condition, in an amount sufficient to cure or at least partially arrest the symptoms of the disease or condition. Amounts effective for this use will depend on the severity and course of the disease or condition, previous therapy, the
patient's health status, weight, and response to the drugs, and the judgment of the treating physician. [00306] In prophylactic applications, compositions containing the compounds described herein are administered to a patient susceptible to or otherwise at risk of a particular disease, disorder or condition. Such an amount is defined to be a "prophylactically effective amount or dose." In this use, the precise amounts also depend on the patient's state of health, weight, and the like. When used in a patient, effective amounts for this use will depend on the severity and course of the disease, disorder or condition, previous therapy, the patient's health status and response to the drugs, and the judgment of the treating physician. [00307] In the case wherein the patient’s condition does not improve, upon the doctor’s discretion the administration of the compounds may be administered chronically, that is, for an extended period of time, including throughout the duration of the patient’s life in order to ameliorate or otherwise control or limit the symptoms of the patient’s disease or condition. [00308] Once improvement of the patient's conditions has occurred, a maintenance dose is administered if necessary. Subsequently, the dosage or the frequency of administration, or both, can be reduced, as a function of the symptoms, to a level at which the improved disease, disorder or condition is retained. Patients can, however, require intermittent treatment on a long-term basis upon any recurrence of symptoms. [00309] The amount of a given agent that will correspond to such an amount will vary depending upon factors such as the particular compound, disease or condition and its severity, the identity (e.g., weight) of the subject or host in need of treatment, but can nevertheless be determined in a manner recognized in the field according to the particular circumstances surrounding the case, including, e.g., the specific agent being administered, the route of administration, the condition being treated, and the subject or host being treated. In general, however, doses employed for adult human treatment will typically be in the range of about 0.02 - about 5000 mg per day, in some embodiments, about 1 – about 1500 mg per day. The desired dose may conveniently be presented in a single dose or as divided doses administered simultaneously (or over a short period of time) or at appropriate intervals, for example as two, three, four or more sub-doses per day. [00310] The pharmaceutical composition described herein may be in unit dosage forms suitable for single administration of precise dosages. In unit dosage form, the formulation is divided into unit doses containing appropriate quantities of one or more compound. The unit dosage may be in the form of a package containing discrete quantities of the formulation. Non-limiting examples are packaged tablets or capsules, and powders in vials or ampoules. Aqueous suspension compositions can be packaged in single-dose non-reclosable containers. Alternatively, multiple- dose reclosable containers can be used, in which case it is typical to include a preservative in the
composition. By way of example only, formulations for parenteral injection may be presented in unit dosage form, which include, but are not limited to ampoules, or in multi-dose containers, with an added preservative. [00311] Toxicity and therapeutic efficacy of such therapeutic regimens can be determined by standard pharmaceutical procedures in cell cultures or experimental animals, including, but not limited to, the determination of the LD50 (the dose lethal to 50% of the population) and the ED50 (the dose therapeutically effective in 50% of the population). The dose ratio between the toxic and therapeutic effects is the therapeutic index and it can be expressed as the ratio between LD50 and ED50. Compounds exhibiting high therapeutic indices are preferred. The data obtained from cell culture assays and animal studies can be used in formulating a range of dosage for use in human. The dosage of such compounds lies preferably within a range of circulating concentrations that include the ED50 with minimal toxicity. The dosage may vary within this range depending upon the dosage form employed and the route of administration utilized. [00312] In certain embodiments, the invention provides a method of treating or preventing a disease, state, or condition in a patient in need thereof comprising administering to the patient an effective amount of a compound of any one of embodiments of the invention or a pharmaceutically acceptable salt thereof. The disease, state or condition may be selected from a group as described elsewhere herein. Bifunctional Compounds [00313] In some embodiments, compounds herein can adopt to selectively eliminate an over activated KRas signaling which is induced by KRas mutations by directly binding with the mutated KRas protein, either by stabilizing its GDP bound form (the inactive form) or by blocking the interaction between GTP bound form and its downstream target protein. In some embodiments, another way is to hijack the protein degradation mechanism in a cell and leverage E3 ligases’ (like VHL, CRBN or IAPs) substrate specificity through a bi-functional molecule called Proteolysis targeting chimera (PROTAC) (Winter GE, Buckley DL, Paulk J, Roberts JM, Souza A, Dhe- Paganon S, Bradner JE. DRUG DEVELOPMENT. Phthalimide conjugation as a strategy for in vivo target protein degradation. Science.2015 Jun 19; 348 (6241): 1376-81), which can bind with both mutated KRas protein and E3 ligase, create interactions between those two proteins and induce KRas degradation. [00314] Disclosed herein is a bifunctional compound composed of a target protein (i.e., KRAS G12D)-binding moiety and an E3 ubiquitin ligase-binding moiety, which may induce proteasome- mediated degradation of selected proteins. In some embodiments, the bifunctional compound comprises a target protein (i.e., KRAS G12D)-binding moiety and an E3 ubiquitin ligase-binding moiety known in the art. In some embodiments, disclosed herein is the use of the compound
disclosed herein in the preparation of degrading a target protein compound by using chemical modification of the compound disclosed herein. In some cases, the target protein-binding moiety is derived from a compound of Formula (I), Formula (I-A), Formula (I-B), Formula (I-B*), Formula (I-D), or Formula (I-E). Preparation of Compounds [00315] The compounds of the present disclosure can generally be prepared in a number of ways well known to those skilled in the art of organic synthesis. By way of example, compounds of the present disclosure can be synthesized using the methods described herein, together with synthetic methods known in the art of synthetic organic chemistry, or variations thereof as appreciated by those skilled in the art. The compounds of the present disclosure may be prepared as described in the schemes and examples described elsewhere herein. [00316] The following examples further illustrate the invention but, of course, should not be construed as in any way limiting its scope. EXAMPLES [00317] The following synthetic schemes are provided for purposes of illustration, not limitation. The following examples illustrate the various methods of making compounds described herein. It is understood that one skilled in the art may be able to make these compounds by similar methods or by combining other methods known to one skilled in the art. It is also understood that one skilled in the art would be able to make, in a similar manner as described below by using the appropriate starting materials and modifying the synthetic route as needed. In general, starting materials and reagents can be obtained from commercial vendors or synthesized according to sources known to those skilled in the art or prepared as described herein. Example 1. Exemplary synthesis of 4-[3-(5-amino-2-chloro-4-cyano-3-thienyl)-3-methyl- azetidin-1-yl]-6-[(1R,5S)-3,8-diazabicyclo[3.2.1]octan-3-yl]-2-[[(2R,8S)-2-fluoro-1,2,3,5,6,7- hexahydropyrrolizin-8-yl]methoxy]pyrimidine-5-carbonitrile (Compound 1)
[00318] Step 1. Synthesis of tert-butyl 3-[methoxy(methyl)carbamoyl]-3-methyl-azetidine-1- carboxylate (1a). To a solution of 1-tert-butoxycarbonyl-3-methyl-azetidine-3-carboxylic acid (500 mg, 2.32 mmol) in THF (10mL) was added N-methoxymethanamine (184.45 mg, 3.02 mmol) and DIPEA (1.21 mL, 6.97 mmol), followed by addition of HATU (1059.9 mg, 2.79 mmol). The reaction was stirred for 1 h at room temperature. The reaction mixture was extracted with EtOAc (2 x 10 mL) and sat. NH4Cl aq. (10 mL). The combined organic layers were dried over Na2SO4 and concentrated in vacuo. The residue was purified by column chromatography eluting 10% to 40% EtOAc in heptane to provide pure product tert-butyl 3-[methoxy(methyl)carbamoyl]-3- methyl-azetidine-1-carboxylate (1a) (635.9 mg, 2.46 mmol, 106% yield). 1H NMR (300 MHz, CDCl3) δ 4.19 (d, J = 8.8 Hz, 2H), 3.67 (s, 3H), 3.59 (d, J = 8.8 Hz, 2H), 3.17 (s, 3H), 1.54 (s, 3H), 1.41 (s, 9H). [00319] Step 2. Synthesis of tert-butyl 3-acetyl-3-methyl-azetidine-1-carboxylate (1b). To a solution of tert-butyl 3-[methoxy(methyl)carbamoyl]-3-methyl-azetidine-1-carboxylate (1a) (635 mg, 2.46 mmol) in THF (6mL) was added MeMgCl (1.23 mL, 3.69 mmol) at -78 °C. The resulting mixture was allowed to warm to room temperature and stirred for 1 h. The reaction was quenched with sat. NH4Cl aq. (5 mL) and extracted with EtOAc (2 x 10 mL). The combined organic layers were dried over Na2SO4 and concentrated in vacuo. The residue was purified by column chromatography eluting 5% to 35% EtOAc in heptane to provide product tert-butyl 3-acetyl-3- methyl-azetidine-1-carboxylate (1b) (411 mg, 1.93 mmol, 78.4% yield). 1H NMR (300 MHz, CDCl3) δ 4.16 (d, J = 8.6 Hz, 2H), 3.64 (d, J = 8.6 Hz, 2H), 2.19 (s, 3H), 1.50 (s, 3H), 1.44 (s, 9H). [00320] Step 3. Synthesis of tert-butyl 3-(5-amino-4-cyano-3-thienyl)-3-methyl-azetidine-1- carboxylate (1c). To a solution of tert-butyl 3-acetyl-3-methyl-azetidine-1-carboxylate (1b) (150 mg, 0.7 mmol) and propanedinitrile (46.46 mg, 0.7 mmol) in Ethanol (1 mL) was added
morpholine (61.52 uL, 0.7 mmol) and Sulfur (22.55 mg, 0.7 mmol). The resulting mixture was heated to 80 °C and stirred for 1 h. After completion, the reaction was concentrated in vacuo and the residue was diluted with DCM (2 mL). The reaction mixture was extracted with DCM (2 x 2 mL) and H2O (2 mL). The combined organic layers were dried over Na2SO4 and concentrated in vacuo. The residue was purified by column chromatography eluting 5% to 35% EtOAc in heptane to provide product tert-butyl 3-(5-amino-4-cyano-3-thienyl)-3-methyl-azetidine-1-carboxylate (1c) (110 mg, 0.375 mmol, 53.31% yield). LCMS calcld for C14H20N3O2S (M+H)+ m/z = 294.4; found 294.1.1H NMR (300 MHz, CDCl3) δ 5.97 (s, 1H), 5.06 (s, 2H), 4.18 (d, J = 8.3 Hz, 2H), 3.87 (d, J = 8.3 Hz, 2H), 1.63 (s, 3H), 1.43 (s, 9H). [00321] Step 4. Synthesis of tert-butyl 3-(5-amino-2-chloro-4-cyano-3-thienyl)-3-methyl- azetidine-1-carboxylate (1d). To a solution of tert-butyl 3-(5-amino-4-cyano-3-thienyl)-3-methyl- azetidine-1-carboxylate (1c) (83 mg, 0.28 mmol) in pyridine (0.52 mL, 6.36 mmol) was added NCS (45.33 mg, 0.34 mmol). The mixture was heated to 60 °C for 1 h. The reaction mixture was extracted with DCM (2 x 2 mL) and 1N HCl aq. (2 mL). The combined organic layers were dried over Na2SO4 and concentrated in vacuo. The residue was purified by column chromatography eluting EtOAc in heptane to provide pure product tert-butyl 3-(5-amino-2-chloro- 4-cyano-3-thienyl)-3-methyl-azetidine-1-carboxylate (1d) (35.9 mg, 0.110 mmol, 38.7% yield). [00322] Step 5. Synthesis of 2-amino-5-chloro-4-(3-methylazetidin-3-yl)thiophene-3- carbonitrile;2,2,2-trifluoroacetic acid (1e). To a solution of tert-butyl 3-(5-amino-2-chloro-4- cyano-3-thienyl)-3-methyl-azetidine-1-carboxylate (1d) (35.9 mg, 0.11 mmol) in DCM (0.5 mL) was added TFA (0.5 mL). The mixture was stirred at room temperature for 1 h. The mixture was concentrated in vacuo. The mixture was purified by prep-HPLC (30 x 100 mm, C18) eluting 5% to 50% MeCN/H2O with 0.1% TFA to provide pure 2-amino-5-chloro-4-(3-methylazetidin-3- yl)thiophene-3-carbonitrile;2,2,2-trifluoroacetic acid (1e) (6.6 mg, 0.0193 mmol, 18% yield). [00323] Step 6. Synthesis of tert-butyl 3-(6-chloro-5-cyano-2-methylsulfanyl-pyrimidin-4-yl)- 3,8-diazabicyclo[3.2.1]octane-8-carboxylate (1f). To a solution of 4,6-dichloro-2-methylsulfanyl- pyrimidine-5-carbonitrile (200 mg, 0.91 mmol) and DIPEA (0.24 mL, 1.36 mmol) in DCM (2 mL) was added tert-butyl 3,8-diazabicyclo[3.2.1]octane-8-carboxylate (192.92 mg, 0.91 mmol). The resulting mixture was stirred at room temperature for 2 h. The reaction mixture was extracted with DCM (2 x 2 mL) and H2O (2 mL). The combined organic layers were dried over Na2SO4 and concentrated in vacuo. The residue was purified by column chromatography eluting 5% to 25% EtOAc in heptane to provide pure product tert-butyl 3-(6-chloro-5-cyano-2-methylsulfanyl- pyrimidin-4-yl)-3,8-diazabicyclo[3.2.1]octane-8-carboxylate (1f) (276.5 mg, 0.698 mmol, 76.85% yield). LCMS calcld for C17H23ClN5O2S (M+H)+ m/z = 396.12; found 396.02.1H NMR
(300 MHz, CDCl3) δ 4.53 (d, J = 12.1 Hz, 2H), 4.36 (s, 2H), 3.38 (d, J = 11.8 Hz, 2H), 2.50 (s, 3H), 1.99 (dd, J = 8.6, 4.4 Hz, 2H), 1.71 (q, J = 6.8 Hz, 2H), 1.49 (s, 9H). [00324] Step 7. Synthesis of tert-butyl 3-(6-chloro-5-cyano-2-methylsulfonyl-pyrimidin-4-yl)- 3,8-diazabicyclo[3.2.1]octane-8-carboxylate (1g). To a suspension of tert-butyl 3-(6-chloro-5- cyano-2-methylsulfanyl-pyrimidin-4-yl)-3,8-diazabicyclo[3.2.1]octane-8-carboxylate (1g) (500 mg, 1.26 mmol) in THF (5mL) and Water (1mL) was added oxone (1553 mg, 2.53 mmol). The mixture was stirred at room temperature for 6 h. The reaction mixture was extracted with DCM (2 x 3 mL) and H2O (3 mL). The combined organic layers were dried over Na2SO4 and concentrated in vacuo. The residue was used directly without further purification. [00325] Step 8. Synthesis of tert-butyl 3-[6-chloro-5-cyano-2-[[(2R,8S)-2-fluoro-1,2,3,5,6,7- hexahydropyrrolizin-8-yl]methoxy]pyrimidin-4-yl]-3,8-diazabicyclo[3.2.1]octane-8-carboxylate (1h). To a solution of [(2R,8S)-2-fluoro-1,2,3,5,6,7-hexahydropyrrolizin-8-yl]methanol (225.08 mg, 1.41 mmol) in DMF (2 mL) was added sodium hydride (56.55 mg, 1.41 mmol) at 0 °C. In a separate vial containing a solution of tert-butyl 3-(6-chloro-5-cyano-2-methylsulfonyl-pyrimidin- 4-yl)-3,8-diazabicyclo[3.2.1]octane-8-carboxylate (1g) (550 mg, 1.29 mmol) in DMF (5mL) was added the above solution. The mixture was stirred at 0 °C for 30 min and quenched with water. The reaction mixture was extracted with DCM (2 x 5 mL). The combined organic layers were dried over Na2SO4 and concentrated in vacuo. The residue was purified by column chromatography eluting 0% to 5% MeOH in DCM to provide relatively pure product which was further purified by prep-HPLC (30 x 100 mm, C18) eluting 20% to 80% MeCN/H2O with 0.1% TFA to provide pure tert-butyl 3-[6-chloro-5-cyano-2-[[(2R,8S)-2-fluoro-1,2,3,5,6,7- hexahydropyrrolizin-8-yl]methoxy]pyrimidin-4-yl]-3,8-diazabicyclo[3.2.1]octane-8-carboxylate (1h) (68.3 mg,0.135 mmol, 10.5% yield). LCMS calcld for C24H33ClFN6O3 (M+H)+ m/z = 507.22; found 507.16.1H NMR (300 MHz, CD3OD) δ 5.56 (d, J = 54 Hz, 1H), 4.58 (d, J = 14.1 Hz, 4H), 4.35 (s, 2H), 4.04 – 3.78 (m, 3H), 3.42 (m, 3H), 2.76 – 2.52 (m, 2H), 2.46 – 2.23 (m, 3H), 2.23 – 2.10 (m, 1H), 2.01 – 1.89 (m, 2H), 1.82 – 1.69 (m, 2H), 1.49 (s, 9H). [00326] Step 9. tert-butyl (1R,5S)-3-[6-[3-(5-amino-2-chloro-4-cyano-3-thienyl)-3-methyl- azetidin-1-yl]-5-cyano-2-[[(2R,8S)-2-fluoro-1,2,3,5,6,7-hexahydropyrrolizin-8- yl]methoxy]pyrimidin-4-yl]-3,8-diazabicyclo[3.2.1]octane-8-carboxylate (1i). To a solution of tert-butyl 3-[6-chloro-5-cyano-2-[[(2R,8S)-2-fluoro-1,2,3,5,6,7-hexahydropyrrolizin-8- yl]methoxy]pyrimidin-4-yl]-3,8-diazabicyclo[3.2.1]octane-8-carboxylate (1h) (9.79mg, 0.02mmol) in 1,4-Dioxane (0.5mL) was added 2-amino-5-chloro-4-(3-methylazetidin-3- yl)thiophene-3-carbonitrile;2,2,2-trifluoroacetic acid (1e) (6.6 mg, 0.02 mmol) and DIPEA (10.09 uL, 0.06 mmol). The resulting mixture was heated to 90 °C for 1 h. Solvent was removed and the residue was purified by prep-HPLC (30 x 100 mm, C18) eluting 20% to 80% MeCN/H2O with
0.1% TFA to provide pure tert-butyl 3-[6-[3-(5-amino-2-chloro-4-cyano-3-thienyl)-3-methyl- azetidin-1-yl]-5-cyano-2-[[(2R,8S)-2-fluoro-1,2,3,5,6,7-hexahydropyrrolizin-8- yl]methoxy]pyrimidin-4-yl]-3,8-diazabicyclo[3.2.1]octane-8-carboxylate (1i) (9.5 mg,0.014 mmol, 70% yield). LCMS calcld for C33H42ClFN9O3S (M+H)+ m/z = 698.3; found 698.43. [00327] Step 10. Synthesis of 4-[3-(5-amino-2-chloro-4-cyano-3-thienyl)-3-methyl-azetidin-1- yl]-6-[3,8-diazabicyclo[3.2.1]octan-3-yl]-2-[[(2R,8S)-2-fluoro-1,2,3,5,6,7-hexahydropyrrolizin- 8-yl]methoxy]pyrimidine-5-carbonitrile (Compound 1). To a solution of tert-butyl 3-[6-[3-(5- amino-2-chloro-4-cyano-3-thienyl)-3-methyl-azetidin-1-yl]-5-cyano-2-[[(2R,8S)-2-fluoro- 1,2,3,5,6,7-hexahydropyrrolizin-8-yl]methoxy]pyrimidin-4-yl]-3,8-diazabicyclo[3.2.1]octane-8- carboxylate (1) (8.7 mg, 0.01 mmol) in DCM (500 uL) was added TFA (200 uL, 2.61mmol). The mixture was stirred at room temperature for 30 min. Solvent was removed and the residue was purified by prep-HPLC (30 x 100 mm, C18) eluting 5% to 50% MeCN/H2O with 0.1% TFA to provide pure 4-[3-(5-amino-2-chloro-4-cyano-3-thienyl)-3-methyl-azetidin-1-yl]-6-[3,8- diazabicyclo[3.2.1]octan-3-yl]-2-[[(2R,8S)-2-fluoro-1,2,3,5,6,7-hexahydropyrrolizin-8- yl]methoxy]pyrimidine-5-carbonitrile 5 (6.6 mg, 0.011 mmol, 88.09% yield). LCMS calcld for C28H34ClFN9OS (M+H)+ m/z = 598.2; found: 598.0.1H NMR (300 MHz, CD3OD) δ 5.55 (d, J = 54 Hz, 1H), 4.73-4.49 (m, 6H), 4.36 (s, 2H), 4.16 (s, 2H), 4.05 – 3.77 (m, 3H), 3.61 – 3.37 (m, 3H), 2.76-2.03 (m, 10H), 1.68 (s, 3H). [00328] Compound 2. 4-[3-(5-Amino-4-cyano-3-thienyl)-3-methyl-azetidin-1-yl]-6-[3,8- diazabicyclo[3.2.1]octan-3-yl]-2-[[(2R,8S)-2-fluoro-1,2,3,5,6,7-hexahydropyrrolizin-8- yl]methoxy]pyrimidine-5-carbonitrile (2)
[00329] Compound 2 was prepared similarly to that of Ex.1 as a di-TFA salt. LCMS calculated for C28H35FN9OS (M+H)+ m/z = 564.69; found 564.30.1H NMR (300 MHz, CD3OD) δ 6.17 (s, 1H), 5.55 (d, J = 54 Hz, 1H), 4.78 – 4.42 (m, 6H), 4.36 (brs, 2H), 4.16 (s, 2H), 4.05 – 3.77 (m, 3H), 3.60 – 3.36 (m, 3H), 2.78-1.99 (m, 10H), 1.70 (s, 3H). [00330] Compound 3. 4-[3-(5-Amino-4-cyano-3-thienyl)azetidin-1-yl]-2-[[(2R,8S)-2-fluoro- 1,2,3,5,6,7-hexahydropyrrolizin-8-yl]methoxy]-6-[(3R)-3-hydroxy-3-methyl-1- piperidyl]pyrimidine-5-carbonitrile (3)
[00331] Compound 3 was prepared similarly to that of Ex. 1. LCMS calculated for C27H34FN8O2S (M+H)+ m/z = 553.67, found: 553.15.1H NMR (400 MHz, CD3OD) δ 6.28 (d, J = 0.9 Hz, 1H), 5.31 (d, J = 53.7 Hz, 1H), 4.71-4.65 (m, 2H), 4.41 – 4.33 (m, 2H), 4.19 (d, J = 10.7 Hz, 1H), 4.13 – 4.00 (m, 2H), 3.98 – 3.85 (m, 2H), 3.54 – 3.48 (m, 2H), 3.32 – 3.23 (m, 3H), 3.08– 3.01 (m, 1H), 2.35–1.89 (m, 7H), 1.75– 1.66 (m, 3H), 1.23 (s, 3H). Example 2. Exemplary synthesis of 5-[6-[3-(5-Amino-4-cyano-3-thienyl)azetidin-1-yl]-5- cyano-2-[[(2R,8S)-2-fluoro-1,2,3,5,6,7-hexahydropyrrolizin-8-yl]methoxy]pyrimidin-4-yl]-3- chloro-N,N-dimethyl-4,6,7,8-tetrahydropyrazolo[1,5-a][1,4]diazepine-2-carboxamide (4).
[00332] Step 1. Synthesis of tert-butyl 2-(dimethylcarbamoyl)-4,6,7,8-tetrahydropyrazolo[1,5- a][1,4]diazepine-5-carboxylate (4a). To a solution of 5-tert-butoxycarbonyl-4,6,7,8- tetrahydropyrazolo[1,5-a][1,4]diazepine-2-carboxylic acid (1500 mg, 5.33 mmol) , DIEA (3.72 mL, 21.33 mmol) and HATU (3041 mg, 8 mmol) in DMF (10mL) was added 2M N- methylmethanamine in THF (361 mg, 8 mmol) at 25 °C. The mixture was stirred at 25 °C for 1h. The mixture was diluted with EtOAc (60 x 2 mL), washed with water (60 mL) and brine (60 ml), dried over Na2SO4, concentrated. The crude product was purified by silica gel chromatography (eluted with EtOAc in petroleum ether from 10% to 90%) to give tert-butyl 2- (dimethylcarbamoyl)-4,6,7,8-tetrahydropyrazolo[1,5-a][1,4]diazepine-5-carboxylate (4a, 1400 mg, 4.54 mmol, 85% yield) as a yellow oil. LCMS calcld for C15H25N4O3(M+H)+ m/z = 309.2, found: 309.1. [00333] Step 2. Synthesis of tert-butyl 3-chloro-2-(dimethylcarbamoyl)-4,6,7,8- tetrahydropyrazolo[1,5-a][1,4]diazepine-5-carboxylate (4b). To a solution of tert-butyl 2- (dimethylcarbamoyl)-4,6,7,8-tetrahydropyrazolo[1,5-a][1,4]diazepine-5-carboxylate (4a, 500 mg, 1.62 mmol) in DMF (5mL) was added NCS (259.8 mg, 1.95 mmol) at 0 °C under argon. The
mixture was stirred at 50 °C for 1.5 h. The mixture was diluted with EtOAc (50 x 2 mL), washed with water (100 mL) and brine (100 ml), dried over Na2SO4, concentrated. The crude product was triturated in EtOAc/PE (10 mL, 1:1) and filtered. The combined filtrates were concentrated to provide 1-tert-butyl 3-chloro-2-(dimethylcarbamoyl)-4,6,7,8-tetrahydropyrazolo[1,5- a][1,4]diazepine-5-carboxylate (4b, 500 mg, 1.46 mmol, 90% yield) as a crude yellow oil. LCMS calcld for C15H24ClN4O3 (M+H)+ m/z = 343.2, found: 343.1 [00334] Compound 4 was prepared similarly to that of Ex.1 as a formic acid salt. LCMS calcld for C31H36ClFN11O2S (M+H)+ m/z = 680.2, found: 680.2.1H NMR (400 MHz, CD3OD) δ 6.24 (d, J = 0.9 Hz, 1H), 5.25 (d, J = 55.1 Hz, 1H), 5.08 (s, 2H), 4.73 – 4.57 (m, 2H), 4.53 – 4.41 (m, 2H), 4.39 – 4.25 (m, 2H), 4.22 – 4.15 (m, 2H), 4.10 (dd, J = 22.1, 10.7 Hz, 2H), 3.95 – 3.85 (m, 1H), 3.20 (dd, J = 14.2, 8.3 Hz, 2H), 3.13 (s, 1H), 3.08 (s, 6H), 2.98 (dd, J = 8.4, 5.5 Hz, 1H), 2.25 – 2.07 (m, 4H), 2.04 – 1.78 (m, 4H). [00335] Compound 5. 4-[3-(5-Amino-2-chloro-4-cyano-3-thienyl)azetidin-1-yl]-2-[[(2R,8S)- 2-fluoro-1,2,3,5,6,7-hexahydropyrrolizin-8-yl]methoxy]-6-[(3R)-3-hydroxy-3-methyl-1- piperidyl]pyrimidine-5-carbonitrile (5)
[00336] Compound 5 was prepared similarly to that of Ex. 1 as a TFA salt. LCMS calcld for C27H33ClFN8O2S (M+H)+ m/z = 587.11, found: 587.15.1H NMR (400 MHz, CD3OD) δ 5.55 (d, J = 51.6 Hz, 1H), 4.77 – 4.43 (m, 7H), 4.27 – 4.12 (m, 1H), 4.09 – 4.04 (m, 1H), 4.02 – 3.76 (m, 4H), 3.57 – 3.38 (m, 3H), 2.76 – 2.46 (m, 2H), 2.42 – 2.24 (m, 3H), 2.19 – 2.13 (m, 1H), 1.94 – 1.89 (m, 1H), 1.81 – 1.54 (m, 3H), 1.21 (s, 3H). [00337] Compound 6. 4-[3-(5-Amino-4-cyano-2-methyl-3-thienyl)-3-methyl-azetidin-1-yl]-6- [(1R,5S)-3,8-diazabicyclo[3.2.1]octan-3-yl]-2-[[(2R,8S)-2-fluoro-1,2,3,5,6,7- hexahydropyrrolizin-8-yl]methoxy]pyrimidine-5-carbonitrile (6)
[00338] Compound 6 was prepared similarly to that of Ex. 1 as a bis TFA salt. LCMS calcld for C29H37FN9OS (M+H)+ m/z = 578.3, found: 578.3.1H NMR (300 MHz, CD3OD) δ 5.67 – 5.42
(d, J = 57 Hz, 1H), 4.76 – 4.45 (m, 7H), 4.37 (s, 2H), 4.16 (s, 2H), 4.04 – 3.75 (m, 4H), 3.59 – 3.37 (m, 3H), 2.76 – 2.43 (m, 3H), 2.43 – 2.22 (m, 4H), 2.22 – 1.97 (m, 9H), 1.67 (s, 3H). [00339] Compound 7. 4-[3-(5-Amino-4-cyano-3-thienyl)-3-methyl-azetidin-1-yl]-6-(3- hydroxy-3-methyl-1-piperidyl)-2-[[(2R,8S)-2-fluoro-1,2,3,5,6,7-hexahydropyrrolizin-8- yl]methoxy]pyrimidine-5-carbonitrile (7)
[00340] Compound 7 was prepared similarly to that of Ex. 1 as a TFA salt. LCMS calcld for C28H36FN8O2S (M+H)+ m/z = 567.3, found: 567.3. 1H NMR (300 MHz, CD3OD) δ 6.16 (s, 1H), 5.59 (d, J = 54 Hz, 1H), 4.47 (m, 4H), 4.27 (s, 2H), 4.18 – 3.75 (m, 6H), 3.52 – 3.37 (m, 3H), 2.78 – 2.43 (m, 2H), 2.43 – 2.07 (m, 5H), 2.01 – 1.86 (m, 1H), 1.83 – 1.53 (m, 7H), 1.21 (s, 3H). Example 3. Exemplary synthesis of 5-[6-[3-(5-Amino-4-cyano-3-thienyl)-3-methyl-azetidin-1- yl]-2-[[(2R,8S)-2-fluoro-1,2,3,5,6,7-hexahydropyrrolizin-8-yl]methoxy]pyrimidin-4-yl]-3- chloro-N,N-dimethyl-4,6,7,8-tetrahydropyrazolo[1,5-a][1,4]diazepine-2-carboxamide (8).
[00341] Step 1. Synthesis of 3-chloro-5-(6-chloro-2-methylsulfanyl-pyrimidin-4-yl)-N,N- dimethyl-4,6,7,8-tetrahydropyrazolo[1,5-a][1,4]diazepine-2-carboxamide (8a). To a solution of 4,6-dichloro-2-methylsulfanyl-pyrimidine (100 mg, 0.51 mmol), 3-chloro-N,N-dimethyl-5,6,7,8- tetrahydro-4H-pyrazolo[1,5-a][1,4]diazepine-2-carboxamide (124.42 mg, 0.51 mmol) and DIEA (0.17 mL, 1.03 mmol) in DMF (0.2 mL) and heated to 80 °C. under argon. The mixture was stirred at 80 °C for 1 h. The mixture was extracted with H2O (10 mL) and EtOAc (10 mL x 3), The
combined organic layers were washed with brine (10 mL), dried over Na2SO4 and concentrated. The residue was purified by flash chromatography (eluted with CH3CN in H2O from 5.0% to 95%) to give 3-chloro-5-(6-chloro-2-methylsulfanyl-pyrimidin-4-yl)-N,N-dimethyl-4,6,7,8- tetrahydropyrazolo[1,5-a][1,4]diazepine-2-carboxamide (8a) (140 mg, 0.349 mmol, 68.05% yield) was obtained as white solid. LCMS calcld for C15H19Cl2N6OS (M+H)+ m/z = 401.1, found: 401.1. [00342] Step 2. Synthesis of 5-[6-[3-(5-amino-4-cyano-3-thienyl)-3-methyl-azetidin-1-yl]-2- methylsulfanyl-pyrimidin-4-yl]-3-chloro-N,N-dimethyl-4,6,7,8-tetrahydropyrazolo[1,5- a][1,4]diazepine-2-carboxamide (8b). The mixture of 3-chloro-5-(6-chloro-2-methylsulfanyl- pyrimidin-4-yl)-N,N-dimethyl-4,6,7,8-tetrahydropyrazolo[1,5-a][1,4]diazepine-2-carboxamide (8a) (100 mg, 0.25 mmol), 2-amino-4-(3-methylazetidin-3-yl)thiophene-3-carbonitrile (96.32 mg, 0.5 mmol) and DIEA (0.13 mL, 0.75 mmol) in NMP (0.2 mL) was stirred at 120 °C for 16 h. The mixture was purified by flash chromatography (eluted with CH3CN in H2O (0.1 % TFA) from 5.0% to 95%) to afford 5-[6-[3-(5-amino-4-cyano-3-thienyl)-3-methyl-azetidin-1-yl]-2- methylsulfanyl-pyrimidin-4-yl]-3-chloro-N,N-dimethyl-4,6,7,8-tetrahydropyrazolo[1,5- a][1,4]diazepine-2-carboxamide (8b) (80mg, 0.14mmol, 58% yield) as a yellow solid. LCMS calcld for C24H29ClN9OS2 (M+H)+ m/z = 558.2, found: 558.3. [00343] Step 3. Synthesis of tert-butyl N-tert-butoxycarbonyl-N-[4-[1-[6-[3-chloro-2- (dimethylcarbamoyl)-4,6,7,8-tetrahydropyrazolo[1,5-a][1,4]diazepin-5-yl]-2-methylsulfanyl- pyrimidin-4-yl]-3-methyl-azetidin-3-yl]-3-cyano-2-thienyl]carbamate (8c). The mixture of 5-[6- [3-(5-amino-4-cyano-3-thienyl)-3-methyl-azetidin-1-yl]-2-methylsulfanyl-pyrimidin-4-yl]-3- chloro-N,N-dimethyl-4,6,7,8-tetrahydropyrazolo[1,5-a][1,4]diazepine-2-carboxamide (8b) (80.mg, 0.14mmol), DMAP (1.75mg, 0.01mmol) and (Boc)2O (93.85mg, 0.43mmol) in MeCN (1mL) was stirred at 25 °C for 16 h. The mixture was extracted with water (10 mL) and EtOAc (3 x 10 mL), washed with brine (10 mL), dried over Na2SO4, concentrated to give tert-butyl N-tert- butoxycarbonyl-N-[4-[1-[6-[3-chloro-2-(dimethylcarbamoyl)-4,6,7,8-tetrahydropyrazolo[1,5- a][1,4]diazepin-5-yl]-2-methylsulfanyl-pyrimidin-4-yl]-3-methyl-azetidin-3-yl]-3-cyano-2- thienyl]carbamate (8c) (80mg, 0.11mmol, 73.60% yield) as a brown solid. LCMS calcld for C34H45ClN9O5S2 (M+H)+ m/z = 758.3, found: 758.2. [00344] Step 4. Synthesis of tert-butyl N-[4-[1-[6-[3-chloro-2-(dimethylcarbamoyl)-4,6,7,8- tetrahydropyrazolo[1,5-a][1,4]diazepin-5-yl]-2-methylsulfinyl-pyrimidin-4-yl]-3-methyl- azetidin-3-yl]-3-cyano-2-thienyl]carbamate (8d). The mixture of tert-butyl N-tert- butoxycarbonyl-N-[4-[1-[6-[3-chloro-2-(dimethylcarbamoyl)-4,6,7,8-tetrahydropyrazolo[1,5- a][1,4]diazepin-5-yl]-2-methylsulfanyl-pyrimidin-4-yl]-3-methyl-azetidin-3-yl]-3-cyano-2- thienyl]carbamate (60.mg, 0.08mmol), ,tert-butyl N-[4-[1-[6-[3-chloro-2-(dimethylcarbamoyl)-
4,6,7,8-tetrahydropyrazolo[1,5-a][1,4]diazepin-5-yl]-2-methylsulfanyl-pyrimidin-4-yl]-3- methyl-azetidin-3-yl]-3-cyano-2-thienyl]carbamate (8c) (52.08 mg, 0.08 mmol) and oxone (36.43 mg, 0.12 mmol) in Water (0.5mL) and THF (0.5mL) was stirred at 25 °C for 1 h. The mixture was extracted with water (10 mL) and EtOAc (3 x 10 mL), washed with brine (10 mL), dried over Na2SO4, concentrated. The crude was purified by prep-TLC (DCM: MeOH= 15 :1) to give a mixture of tert-butyl N-[4-[1-[6-[3-chloro-2-(dimethylcarbamoyl)-4,6,7,8- tetrahydropyrazolo[1,5-a][1,4]diazepin-5-yl]-2-methylsulfinyl-pyrimidin-4-yl]-3-methyl- azetidin-3-yl]-3-cyano-2-thienyl]carbamate and tert-butyl N-tert-butoxycarbonyl-N-[4-[1-[6-[3- chloro-2-(dimethylcarbamoyl)-4,6,7,8-tetrahydropyrazolo[1,5-a][1,4]diazepin-5-yl]-2- methylsulfinyl-pyrimidin-4-yl]-3-methyl-azetidin-3-yl]-3-cyano-2-thienyl]carbamate (8d) (80 mg) as a brown solid. LCMS calcld for C29H37ClN9O3S2 (M+H)+ m/z = 674.1, found: 674.1. LCMS calcld for C34H45ClN9O6S2 (M+H)+ m/z = 774.2, found: 774.2. [00345] Step 5. Synthesis of tert-butyl N-[4-[1-[6-[3-chloro-2-(dimethylcarbamoyl)-4,6,7,8- tetrahydropyrazolo[1,5-a][1,4]diazepin-5-yl]-2-[[(2R,8S)-2-fluoro-1,2,3,5,6,7- hexahydropyrrolizin-8-yl]methoxy]pyrimidin-4-yl]-3-methyl-azetidin-3-yl]-3-cyano-2- thienyl]carbamate (8e). The mixture of [(2R,8S)-2-fluoro-1,2,3,5,6,7-hexahydropyrrolizin-8- yl]methanol (82.24 mg, 0.52 mmol) and NaH (20.66 mg, 0.52 mmol) in DMF (1mL), was added 8d and stirred at 25 °C for 1 h. The mixture was extracted with water (10 mL) and EtOAc (3 x 10 mL), washed with brine (10 mL), dried over Na2SO4, concentrated to give crude product tert-butyl N-[4-[1-[6-[3-chloro-2-(dimethylcarbamoyl)-4,6,7,8-tetrahydropyrazolo[1,5-a][1,4]diazepin-5- yl]-2-[[(2R,8S)-2-fluoro-1,2,3,5,6,7-hexahydropyrrolizin-8-yl]methoxy]pyrimidin-4-yl]-3- methyl-azetidin-3-yl]-3-cyano-2-thienyl]carbamate (8e) (80 mg) as a yellow solid. LCMS calcld for C36H47ClFN10O4S (M+H)+ m/z = 769.3, found: 769.3. [00346] Step 6. Synthesis of 5-[6-[3-(5-amino-4-cyano-3-thienyl)-3-methyl-azetidin-1-yl]-2- [[(2R,8S)-2-fluoro-1,2,3,5,6,7-hexahydropyrrolizin-8-yl]methoxy]pyrimidin-4-yl]-3-chloro- N,N-dimethyl-4,6,7,8-tetrahydropyrazolo[1,5-a][1,4]diazepine-2-carboxamide;2,2,2- trifluoroacetic acid (8). The mixture of tert-butyl N-[4-[1-[6-[3-chloro-2-(dimethylcarbamoyl)- 4,6,7,8-tetrahydropyrazolo[1,5-a][1,4]diazepin-5-yl]-2-[[(2R,8S)-2-fluoro-1,2,3,5,6,7- hexahydropyrrolizin-8-yl]methoxy]pyrimidin-4-yl]-3-methyl-azetidin-3-yl]-3-cyano-2- thienyl]carbamate (8e, 60 mg, 0.08 mmol) in TFA (3 mL, 39.18 mmol) and DCM (0.5mL) stirred at 25 °C for 1 h. The crude product was purified by prep-HPLC (eluted with CH3CN in H2O (0.1 % TFA) from 5.0% to 95%) to give 5-[6-[3-(5-amino-4-cyano-3-thienyl)-3-methyl-azetidin-1-yl]- 2-[[(2R,8S)-2-fluoro-1,2,3,5,6,7-hexahydropyrrolizin-8-yl]methoxy]pyrimidin-4-yl]-3-chloro- N,N-dimethyl-4,6,7,8-tetrahydropyrazolo[1,5-a][1,4]diazepine-2-carboxamide;2,2,2- trifluoroacetic acid (Compound 8, 32.96 mg, 0.0481 mmol, 61.7% yield) as a brown solid. LCMS
calcld for C31H39ClFN10O2S (M+H)+ m/z = 669.3, found: 669.2.1H NMR (400 MHz, CD3OD) δ 6.13 (s, 1H), 5.55 (d, J = 52 Hz, 1H), 5.31 (s, 1H), 4.80 – 4.72 (m, 2H), 4.53 – 4.42 (m, 4H), 4.29 – 4.20 (m, 2H), 4.07 – 3.79 (m, 7H), 3.47 – 3.39 (m, 1H), 3.07 (s, 6H), 2.71 – 2.46 (m, 2H), 2.38 – 1.95 (m, 6H), 1.68 (s, 3H). [00347] Compound 9.5-[6-[3-(5-Amino-2-chloro-4-cyano-3-thienyl)azetidin-1-yl]-5-cyano-2- [[(2R,8S)-2-fluoro-1,2,3,5,6,7-hexahydropyrrolizin-8-yl]methoxy]pyrimidin-4-yl]-3-chloro- N,N-dimethyl-4,6,7,8-tetrahydropyrazolo[1,5-a][1,4]diazepine-2-carboxamide (9).
[00348] Compound 9 was prepared similarly to that of Ex 2. LCMS calcld for C31H35Cl2FN11O2S (M+H)+ m/z = 714.2, found: 714.3.1H NMR (400 MHz, CD3OD) δ 5.25 (d, J = 54.5 Hz, 1H), 5.07 (s, 2H), 4.74 – 4.40 (m, 6H), 4.26 – 4.04 (m, 5H), 3.19 (dd, J = 26.1, 12.9 Hz, 3H), 3.08 (d, J = 2.5 Hz, 6H), 2.97 (dd, J = 14.9, 9.4 Hz, 1H), 2.27 – 1.79 (m, 8H). Example 4. Exemplary synthesis of 4-[3-[5-Amino-4-cyano-2-(trifluoromethyl)-3- thienyl]azetidin-1-yl]-2-[[(2R,8S)-2-fluoro-1,2,3,5,6,7-hexahydropyrrolizin-8-yl]methoxy]-6- [(3R)-3
[00349] Step 1. Synthesis of tert-butyl 3-[5-amino-4-cyano-2-(trifluoromethyl)-3- thienyl]azetidine-1-carboxylate (10a). To the solution of methylene blue (1.14 mg, 0.004 mmol), tert-butyl 3-(5-amino-4-cyano-3-thienyl)azetidine-1-carboxylate (- prepared similarly to that of 1c and B-1b, 50 mg, 0.18 mmol) and Togni's Reagent (88.62 mg, 0.27 mmol) in DMF was added tetramethyl ethylenediamine (41.6 mg, 0.36 mmol) under Ar. The reaction mixture was then irradiated for 4 h. The mixture was extracted with EtOAc and water, dried with brine and Na2SO4, concentrated and purified by prep-TLC (PE: EtOAc=3:1) to provide tert-butyl 3-[5-amino-4- cyano-2-(trifluoromethyl)-3-thienyl]azetidine-1-carboxylate (10a) (16 mg, 0.046 mmol, 25.74 %
yield) as a white solid. LCMS calcld for C14H16F3N3O2S (M+H)+ m/z =348.1, found: 248.1 (M+H- Boc)+. [00350] Step 2. Synthesis of 2-Amino-4-(azetidin-3-yl)-5-(trifluoromethyl)thiophene-3- carbonitrile (10b). The solution of tert-butyl 3-[5-amino-4-cyano-2-(trifluoromethyl)-3- thienyl]azetidine-1-carboxylate (10a) (16 mg, 0.05 mmol) and trifluoroacetic acid (52.51 mg, 0.46 mmol) in DCM (3mL) was stirred at room temperature for 0.5h. The solvent was removed at room temperature to afford crude 2-amino-4-(azetidin-3-yl)-5-(trifluoromethyl)thiophene-3- carbonitrile (10b) (15 mg). LCMS calcld for C9H9F3N3S (M+H)+ m/z =248.0, found: 248.1. [00351] Compound 10 was prepared similarly to that of Ex 1. LCMS calcld for C28H33F4N8O2S (M+H)+ m/z = 621.2, found: 621.5. 1H NMR (400 MHz, CD3OD) δ 5.32 (d, J = 52.3 Hz, 1H), 4.78 – 4.48 (m, 4H), 4.31 – 4.24 (m, 1H), 4.17 (dd, J = 37.9, 10.9 Hz, 2H), 4.02 – 3.96 (m, 1H), 3.88 (d, J = 13.4 Hz, 1H), 3.56 – 3.52 (m, 2H), 3.38 – 3.31 (m, 3H), 3.11 – 3.05 (m, 1H), 2.43 – 1.79 (m, 7H), 1.78 – 1.54 (m, 3H), 1.21 (s, 3H). [00352] Compound 11. 2-amino-4-[1-[2-[[(2R,8S)-2-fluoro-1,2,3,5,6,7-hexahydropyrrolizin- 8-yl]methoxy]-6-[(3R)-3-hydroxy-3-methyl-1-piperidyl]pyrimidin-4-yl]-3-methyl-azetidin-3- yl]thiophene-3-carbonitrile
[00353] Compound 11 was prepared similarly to that of Ex.3 as a TFA salt. LCMS calcld for C27H37FN7O2S (M+H)+ m/z = 542.3, found: 542.4.1H NMR (400 MHz, CD3OD) δ 8.57 – 8.36 (m, 1H), 6.13 (s, 1H), 5.46 (d, J = 52.3 Hz, 1H), 5.21 (s, 1H), 4.36-4.29 (m, 2H), 4.24 (dd, J = 8.0, 2.6 Hz, 2H), 3.97 (dd, J = 8.1, 1.9 Hz, 2H), 3.89 – 3.41 (m, 6H), 3.35-3.31 (m, 2H), 2.56-2.40 (m, 2H), 2.30-2.16 (m, 4H), 2.06-2.01 (m, 1H), 1.82-1.71 (m, 5H), 1.68-1.65 (m, 1H), 1.20 (s, 3H). [00354] Compound 12.5-[6-[3-(2-amino-3-cyano-7-fluoro-benzothiophen-4-yl)azetidin-1-yl]- 5-cyano-2-[[(2R,8S)-2-fluoro-1,2,3,5,6,7-hexahydropyrrolizin-8-yl]methoxy]pyrimidin-4-yl]-3- chloro-N,N-dimethyl-4,6,7,8-tetrahydropyrazolo[1,5-a][1,4]diazepine-2-carboxamide
[00355] Compound 12 was prepared similarly to that of Ex. 1. LCMS calcld for C35H37ClF2N11O2S (M+H)+ m/z =748.2; found:748.2.1H NMR (400 MHz, DMSO) δ 8.11 (s, 2H), 7.47 (dd, J = 8.4, 5.2 Hz, 1H), 7.03 (t, J = 9.2 Hz, 1H), 5.25 (d, J = 53.2 Hz, 1H), 4.97– 5.10 (m, 2H), 4.68 (s, 2H), 4.48 – 4.57 (m, 1H), 4.40 – 4.46 (m, 2H), 4.29 – 4.37 (m, 2H), 4.07 – 4.15 (m, 2H), 3.92, 4.01 (m, J = 10.4 Hz, 2H), 2.97 – 3.11 (m, 3H), 2.97 (s, 3H), 2.95 (s, 3H), 2.77 – 2.86 (m, 1H), 2.02 – 2.19 (m, 3H), 1.69 – 1.99 (m, 5H). [00356] Compound 13. 3-chloro-5-[5-cyano-6-[3-(5-methyl-1H-indazol-4-yl)azetidin-1-yl]-2- [[(2R,8S)-2-fluoro-1,2,3,5,6,7-hexahydropyrrolizin-8-yl]methoxy]pyrimidin-4-yl]-N,N- dimethyl-4,6,7,8-tetrahydropyrazolo[1,5-a][1,4]diazepine-2-carboxamide
[00357] Compound 13 was prepared similarly to that of Ex.1 as a TFA salt. LCMS calcld for C34H40ClFN11O2 (M+H)+ m/z = 688.3; found 688.39.1H NMR (300 MHz, CD3OD) δ 8.04 (s, 1H), 7.37 (d, J = 8.6 Hz, 1H), 7.23 (d, J = 8.6 Hz, 1H), 5.64 (d, J = 51 Hz, 1H), 5.03 (m, 3H), 4.73 – 4.51 (m, 4H), 4.51 – 4.39 (m, 4H), 4.34 – 4.16 (m, 2H), 3.95 – 3.78 (m, 3H), 3.43 (m, 1H), 3.12 (s, 3H), 3.10 (s, 3H), 2.70 – 2.63 (m, 1H), 2.58 – 2.49 (m, 1H), 2.42 (s, 3H), 2.39 – 2.22 (m, 5H), 2.22 – 2.06 (m, 1H). [00358] Compound 14. 5-[6-[3-(5-amino-4-cyano-3-thienyl)-3-methyl-azetidin-1-yl]-5- formyl-2-[[(2R,8S)-2-fluoro-1,2,3,5,6,7-hexahydropyrrolizin-8-yl]methoxy]pyrimidin-4-yl]-3- chloro-N,N-dimethyl-4,6,7,8-tetrahydropyrazolo[1,5-a][1,4]diazepine-2-carboxamide
[00359] Compound 14 was prepared similarly to that of Ex.1 as a TFA salt. LCMS calcld for C32H39ClFN10O3S (M+H)+ m/z =697.3, found: 697.3. 1H NMR (400 MHz, CD3OD) δ: 9.49 (s, 1H), 6.16 (s, 1H), 5.54 (d, J=51.6 Hz, 1H), 5.01-4.84 (m, 4H), 4.59-4.29 (m, 2H), 4.22-4.20 (m, 4H), 4.20-3.77 (m, 5H), 3.49-3.37 (m, 1 H), 3.13-3.05 (m, 6H), 2.69- 2.07 (m, 8H), 1.67 (s, 3H). [00360] Compound 15. 5-[6-[3-[6-amino-3-(trifluoromethyl)-2-pyridyl]azetidin-1-yl]-5- cyano-2-[[(2R,8S)-2-fluoro-1,2,3,5,6,7-hexahydropyrrolizin-8-yl]methoxy]pyrimidin-4-yl]-3- chloro-N,N-dimethyl-4,6,7,8-tetrahydropyrazolo[1,5-a][1,4]diazepine-2-carboxamide
[00361] Compound 15 was prepared similarly to that of Ex.1 as a TFA salt. LCMS calcld for C32H37ClF4N11O2 (M+H)+ m/z = 718.3; found 718.38.1H NMR (300 MHz, CD3OD) δ 7.71 (d, J = 8.9 Hz, 1H), 6.59 (d, J = 8.8 Hz, 1H), 5.71 – 5.41 (m, 1H), 5.09 – 4.95 (m, 4H), 4.62 (s, 3H), 4.52 – 4.40 (m, 5H), 4.40 – 4.13 (m, 3H), 4.00 – 3.76 (m, 3H), 3.42 (td, J = 11.1, 5.8 Hz, 1H), 3.11 (s, 3H), 3.09 (s, 3H), 2.73 – 2.48 (m, 2H), 2.40 – 2.06 (m, 6H). [00362] Compound 16. 3-chloro-5-[6-[3-(5-chloro-1H-indazol-4-yl)azetidin-1-yl]-5-cyano-2- [[(2R,8S)-2-fluoro-1,2,3,5,6,7-hexahydropyrrolizin-8-yl]methoxy]pyrimidin-4-yl]-N,N- dimethyl-4,6,7,8-tetrahydropyrazolo[1,5-a][1,4]diazepine-2-carboxamide
[00363] Compound 16 was prepared similarly to that of Ex.1 as a TFA salt. LCMS calcld for C33H37Cl2FN11O2 (M+H)+ m/z = 708.2; found 708.3.1H NMR (300 MHz, CD3OD) δ 8.13 (d, J = 0.7 Hz, 1H), 7.47 (dd, J = 8.9, 0.8 Hz, 1H), 7.38 (d, J = 8.9 Hz, 1H), 5.67 – 5.43 (d, J = 57 Hz, 1H), 5.12 – 4.97 (m, 4H), 4.83 – 4.62 (m, 3H), 4.52 – 4.38 (m, 4H), 4.34 – 4.16 (m, 2H), 4.02 – 3.78 (m, 3H), 3.42 (td, J = 11.1, 5.8 Hz, 1H), 3.11 (s, 3H), 3.09 (s, 3H), 2.74 – 2.64 (m, 1H), 2.59 (s, 1H), 2.57 – 2.49 (m, 1H), 2.42 – 2.22 (m, 5H), 2.22 – 2.08 (m, 1H). [00364] Compound 17.5-[6-[3-(5-amino-4-cyano-3-thienyl)-3-methyl-azetidin-1-yl]-5-fluoro- 2-[[(2R,8S)-2-fluoro-1,2,3,5,6,7-hexahydropyrrolizin-8-yl]methoxy]pyrimidin-4-yl]-3-chloro- N,N-dimethyl-4,6,7,8-tetrahydropyrazolo[1,5-a][1,4]diazepine-2-carboxamide
[00365] Compound 17 was prepared similarly to that of Ex. 3 as a formate salt. LCMS calcld for C31H38ClF2N10O2S (M+H)+ m/z =687.2, found: 687.5.1H NMR (400 MHz, CD3OD) δ 6.14 (s, 1H), 5.39 (d, J = 53.1 Hz, 1H), 4.94 – 4.89 (m, 2H), 4.51 – 4.41 (m, 4H), 4.21 – 4.04 (m, 6H), 3.46 – 3.41 (m, 3H), 3.16 – 3.08 (m, 7H), 2.41 – 2.05 (m, 8H), 1.71 (s, 3H). [00366] Compound 18. 5-[6-[3-(5-amino-4-cyano-3-thienyl)-3-methyl-azetidin-1-yl]-2- [[(2R,8S)-2-fluoro-1,2,3,5,6,7-hexahydropyrrolizin-8-yl]methoxy]-5-methyl-pyrimidin-4-yl]-3- chloro-N,N-dimethyl-4,6,7,8-tetrahydropyrazolo[1,5-a][1,4]diazepine-2-carboxamide
[00367] Compound 18 was prepared similarly to that of Ex. 3 as a formate salt. LCMS calcld for C32H41ClFN10O2S (M+H)+ m/z = 683.3, found: 683.2.1H NMR (400 MHz, CD3OD) δ 8.60 – 8.47 (m, 1H), 6.11 (s, 1H), 5.43 – 5.21 (d, J = 56 Hz, 1H), 4.69 – 4.54 (m, 2H), 4.44 – 4.31 (m, 4H), 4.16 – 3.93 (m, 4H), 3.86 – 3.72 (m, 2H), 3.47 – 3.34 (m, 1H), 3.30 – 3.17 (m, 2H), 3.04 (s, 3H), 3.04 (s, 3H), 2.42 – 1.77 (m, 12H), 1.69 (s, 3H). [00368] Compound 19. 5-[6-[3-(6-amino-3-fluoro-2-pyridyl)azetidin-1-yl]-5-cyano-2- [[(2S,8R)-2-fluoro-1,2,3,5,6,7-hexahydropyrrolizin-8-yl]methoxy]pyrimidin-4-yl]-3-chloro- N,N-dimethyl-4,6,7,8-tetrahydropyrazolo[1,5-a][1,4]diazepine-2-carboxamide
[00369] Compound 19 was prepared similarly to that of Ex. 1. LCMS calcld for C31H37ClF2N11O2 (M+H)+ m/z = 668.3, found: 668.4.1H NMR (DMSO-d6, 400 MHz) δ 7.28 (t, J = 12.0 Hz, 1H), 6.36 (dd, J = 8.0, 4.0 Hz, 1H), 5.94 (s, 2H), 5.24 (d, J = 52.0 Hz, 1H), 5.04 (s, 2H), 4.51-4.39 (m, 6H), 4.15-4.09 (m, 3H), 3.99 (d, J = 12.0 Hz, 1H), 3.91 (d, J = 12.0 Hz, 1H), 3.03 (br, 2H), 2.98-2.91 (m, 7H), 2.82-2.76 (m, 1H), 2.13-2.11 (m, 2H), 2.04-2.03 (m, 1H), 1.96- 1.95 (m, 1H), 1.91-1.87 (m, 1H), 1.84-1.78 (m, 1H), 1.71-1.71 (m, 2H). [00370] Intermediate 1. Synthesis of (R)-3-(1-(methylamino)ethyl)pyridin-2-amine
[00371] Step 1. Synthesis of 2-[bis[(4-methoxyphenyl)methyl]amino]pyridine-3-carbaldehyde (Int-1a). To a solution of 2-fluoropyridine-3-carbaldehyde (5 g, 39.97 mmol) and1-(4- methoxyphenyl)-N-[(4-methoxyphenyl)methyl] methanamine (12.34 g, 47.96 mmol) in 1,4- Dioxane (50mL) was added TEA (16.64 mL, 119.9 mmol) at 25 °C. Then the above mixture was heated to 90 °C for 16 h under Ar. Upon completion, the reaction was cooled down to RT. The mixture was concentrated to afford a crude product, which was purified by silica gel chromatography (eluted with EtOAc in petroleum ether from 0% to 20%) to give the desired product 2-[bis[(4-methoxyphenyl)methyl]amino]pyridine-3-carbaldehyde (Int-1a, 14.00 g, 38.6 mmol, 96.65% yield) as green oil. LCMS calcld for C22H23N2O3 (M+H)+ m/z = 363.2, found: 363.2. [00372] Step 2. Synthesis of (NZ,S)-N-[[2-[bis[(4-methoxyphenyl)methyl]amino]-3- pyridyl]methylene]-2-methyl-propane-2-sulfinamide (Int-1b). To a solution of 2-[bis[(4- methoxyphenyl)methyl]amino]pyridine-3-carbaldehyde (10.5 g, 28.97mmol) and (S)-2- methylpropane-2-sulfinamide (7.02 g, 57.94 mmol) in THF (100 mL) was added tetraisopropoxytitanium (17.15 mL, 57.94 mmol) at 25 °C. The mixture was stirred at 70 °C for 16 h under argon. The reaction was cooled to rt. The mixture was quenched with H2O (50 mL) at rt, then the mixture was filtered to afford a crude solution. The crude solution extracted with EtOAc (200 mL x 2), The combined organic layers were washed with brine (200 mL), dried over Na2SO4, filtered, and concentrated. The crude product was purified by silica gel chromatography (PE:EtOAc = 20:1 to 1:1).to afford the desired product (NZ,S)-N-[[2-[bis[(4- methoxyphenyl)methyl]amino]-3-pyridyl]methylene]-2-methyl-propane-2-sulfinamide (Int-1b, 13.00 g, 27.9 mmol, 96.37 %yield) as yellow oil. LCMS calcld for C26H32N3O3S (M+H)+ m/z = 466.2, found:466.3.1H NMR (400 MHz, DMSO) δ 8.82 (s, 1H), 8.38 (dd, J = 4.7, 2.0 Hz, 1H), 8.16 (dd, J = 7.7, 1.9 Hz, 1H), 7.21 – 7.01 (m, 5H), 6.94 – 6.76 (m, 4H), 4.34 (q, J = 14.7 Hz, 4H), 3.71 (s, 6H), 1.16 (s, 9H). [00373] Step 3. Synthesis of (S)-N-[(1R)-1-[2-[bis[(4-methoxyphenyl)methyl]amino]-3- pyridyl]ethyl]-2-methyl-propane-2-sulfinamide (Int-1c). To a solution of (NZ,S)-N-[[2-[bis[(4-
methoxyphenyl)methyl]amino]-3-pyridyl]methylene]-2-methyl-propane-2-sulfinamide (Int-1b, 11 g, 23.62 mmol) in DCM (110 mL) was added 3M CH3MgBr in 2-Methyltetrahydrofuran (23.62 mL, 70.87 mmol) at -60 °C . The mixture was stirred at -60 °C for 1 h. then warmed to RT for 3 h. The mixture was quenched with NH4Cl (40 mL) at 0 °C. The mixture was diluted with DCM (150 mL), washed with H2O (2 x 150 mL) and brine (150 mL). The organic phase was dried over Na2SO4, filtered and concentrated to afford the crude product, which was purified by silica gel chromatography (eluted with EtOAc in petroleum ether from 10% to 80%) to give the desired product (S)-N-[(1R)-1-[2-[bis[(4-methoxyphenyl)methyl]amino]-3-pyridyl]ethyl]-2-methyl- propane-2-sulfinamide (Int-1c, 9.90 g, 20.6 mmol, 87.00 %yield) as a yellow oil. LCMS calcld for C27H36N3O3S (M+H)+ m/z = 482.2, found:482.3.1HNMR (400 MHz, DMSO) δ 8.16 (dd, J = 4.7, 1.8 Hz, 1H), 7.81 (dd, J = 7.7, 1.8 Hz, 1H), 7.19 (d, J = 8.6 Hz, 4H), 7.07 (dd, J = 7.6, 4.7 Hz, 1H), 6.83 (d, J = 8.6 Hz, 4H), 5.39 (d, J = 5.5 Hz, 1H), 5.19 – 4.95 (m, 1H), 4.15 – 4.05 (m, 4H), 3.70 (s, 6H), 1.35 (d, J = 6.6 Hz, 3H), 1.03 (s, 9H). [00374] Step 4. Synthesis of N-[(1R)-1-[2-[bis[(4-methoxyphenyl)methyl]amino]-3- pyridyl]ethyl]-N,2-dimethyl-propane-2-sulfinamide (Int-1d). To a solution of N-[(1R)-1-[2- [bis[(4-methoxyphenyl)methyl]amino]-3-pyridyl]ethyl]-2-methyl-propane-2-sulfinamide (Int- 1c, 4 g, 8.3 mmol) in DMSO (40 mL) was added NaH (664.38 mg, 16.61 mmol) at 0 °C. The mixture was stirred at 25 °C for 30 min. Then CH3I (1.04 mL, 16.61 mmol) was added at 25 °C. The mixture was stirred at 25 °C for 1 h. The mixture was quenched with sat. NH4Cl (20 mL) at 0 °C. The mixture was extracted with EtOAc (60 mL x 2). The combined organic layers were washed with brine (60 mL), dried over Na2SO4, filtered and concentrated. The crude product was purified by silica gel chromatography (eluted with EtOAc in petroleum ether from 10% to 50%) to afford the desired product N-[(1R)-1-[2-[bis[(4-methoxyphenyl)methyl]amino]-3- pyridyl]ethyl]-N,2-dimethyl-propane-2-sulfinamide (Int-1d, 3.30 g, 6.66 mmol, 80.16 %yield) as yellow oil. LCMS calcld for C28H38N3O3S (M+H)+ m/z = 496.3, found:496.4.1H NMR (400 MHz, DMSO) δ 8.28 (dd, J = 4.7, 1.8 Hz, 1H), 7.82 (dd, J = 7.7, 1.8 Hz, 1H), 7.18 – 7.10 (m, 5H), 6.84 (d, J = 8.7 Hz, 4H), 4.97 (q, J = 7.0 Hz, 1H), 4.10 – 4.02 (m, 4H), 3.71 (s, 6H), 2.30 (s, 3H), 1.33 (d, J = 7.1 Hz, 3H), 1.02 (s, 9H). [00375] Step 5. Synthesis of N-[(4-methoxyphenyl)methyl]-3-[(1R)-1- (methylamino)ethyl]pyridin-2-amine (Intermediate 1). To a solution of (S)-N-[(1R)-1-[2-[bis[(4- methoxyphenyl)methyl]amino]-3-pyridyl]ethyl]-N,2-dimethyl-propane-2-sulfinamide (700 mg, 1.41 mmol) in Methanol (2 mL) was added 4M HCl/MeOH (10 mL, 40.0 mmol) at 25 °C under Ar. Then the above mixture was stirred at 25 °C for 1 h. LCMS showed the reaction was completed. The mixture was concentrated. The residue was basified with saturated aqueous NaHCO3 to pH=8. Then extracted with EtOAc (3 x 50 mL), washed with H2O (50 mL) and brine
(50 mL). The organic phase was dried over Na2SO4, filtered and concentrated. The crude product was purified by flash chromatography (Mobile phase A was 0.1%NH4HCO3 in H2O, mobile phase B was ACN; Gradient from 5 to 95%.) to afford the desired product N-[(4- methoxyphenyl)methyl]-3-[(1R)-1-(methylamino)ethyl]pyridin-2-amine (Intermediate 1, 340 mg, 1.2529 mmol, 88.723% yield) was obtained as a colorless oil. LCMS calcld for C16H22N3O+H m/z = 272.2, found: 272.3. Example 5.4-[3-(5-amino-4-cyano-3-thienyl)-3-methyl-azetidin-1-yl]-6-[[(1R)-1-(2-amino-3- pyridyl)ethyl]-methyl-amino]-2-[[(2R,8S)-2-fluoro-1,2,3,5,6,7-hexahydropyrrolizin-8- yl]methoxy]pyrimidine-5-carbonitrile (Compound 20)
[00376] Step 1. Synthesis of (R)-4-chloro-6-((1-(2-((4-methoxybenzyl)amino)pyridin-3- yl)ethyl)(methyl)amino)-2-(methylthio)pyrimidine-5-carbonitrile (20a). To a solution of N-[(4- methoxyphenyl)methyl]-3-[(1R)-1-(methylamino)ethyl]pyridin-2-amine (Intermediate 1, 345.26 mg, 1.27 mmol) and 4,6-dichloro-2-methylsulfanyl-pyrimidine-5-carbonitrile (280 mg, 1.27 mmol) in DCM (12 mL) was added DIEA (0.66 mL, 3.82 mmol) at 25 °C. The mixture was stirred at 25 °C for 4 h. Upon completion, the reaction was cooled down to RT. The mixture was diluted with water (20 mL), and then extracted with EtOAc (30 mL x 3). The combined organic phases were washed with brine (30 mL), dried over Na2SO4, filtered and concentrated. The crude product was purified by silica gel chromatography (eluted with EtOAc in petroleum ether from 10% to 40%) to afford the desired product 4-chloro-6-[[(1R)-1-[2-[(4- methoxyphenyl)methylamino]-3-pyridyl]ethyl]-methyl-amino]-2-methylsulfanyl-pyrimidine-5- carbonitrile(20a, 450 mg, 0.989 mmol, 77.74 % yield) as yellow solid. LCMS calcld for C22H24ClN6OS (M+H)+ m/z =455.2, found:455.3. [00377] Step 2. Synthesis of (R)-4-chloro-6-((1-(2-((4-methoxybenzyl)amino)pyridin-3- yl)ethyl)(methyl)amino)-2-(methylsulfonyl)pyrimidine-5-carbonitrile (20b) To a solution of 4-chloro-6-[[(1R)-1-[2-[(4-methoxyphenyl)methylamino]-3-pyridyl]ethyl]- methyl-amino]-2-methylsulfanyl-pyrimidine-5-carbonitrile (450 mg, 0.99 mmol) in THF (10
mL) /Water (5 mL) was added oxone (912.05 mg, 1.48 mmol) at 25 °C. The mixture was stirred at 25 °C for 2 h. The mixture was diluted with EtOAc (80 mL) and then extracted with water (30 mL). The organic phase was washed with brine (30 mL), dried over Na2SO4, filtered and concentrated to afford the crude product 4-chloro-6-[[(1R)-1-[2-[(4- methoxyphenyl)methylamino]-3-pyridyl]ethyl]-methyl-amino]-2-methylsulfonyl-pyrimidine-5- carbonitrile (20b, 380 mg, 0.780 mmol, 78.90% yield) as yellow solid, which was used directly for the next step. LCMS calcld for C22H24ClN6O3S (M+H)+ m/z = 487.1, found:487.2. [00378] Step 3. Synthesis of 4-chloro-2-(((2R,7aS)-2-fluorotetrahydro-1H-pyrrolizin-7a(5H)- yl)methoxy)-6-(((R)-1-(2-((4-methoxybenzyl)amino)pyridin-3- yl)ethyl)(methyl)amino)pyrimidine-5-carbonitrile (20c). To a solution of 4-chloro-6-[[(1R)-1-[2- [(4-methoxyphenyl)methylamino]-3-pyridyl]ethyl]-methyl-amino]-2-methylsulfonyl- pyrimidine-5-carbonitrile (350 mg, 0.72 mmol) in DCM (0.2 mL) was added [(2R,8S)-2-fluoro- 1,2,3,5,6,7-hexahydropyrrolizin-8-yl]methanol (457.68 mg, 2.87 mmol) at 0 °C. The mixture was stirred at 0 °C for 1 h. The mixture was diluted with water (20 mL), and then extracted with EtOAc (30 mL x 3). The combined organic phase was washed with brine (30 mL), dried over Na2SO4, filtered and concentrated. The crude product was purified by flash chromatography (eluted with CH3CN in H2O from 5.0% to 95%) to afford the desired product 4-chloro-2-[[(2R,8S)-2-fluoro- 1,2,3,5,6,7-hexahydropyrrolizin-8-yl]methoxy]-6-[[(1R)-1-[2-[(4-methoxyphenyl)methylamino]- 3-pyridyl]ethyl]-methyl-amino]pyrimidine-5-carbonitrile (20c, 120 mg, 0.212 mmol, 29.49 %yield) as a yellow oil. LCMS calcld for C29H34ClFN7O2 (M+H)+ m/z =566.2, found:566.1. [00379] Step 4. Synthesis of 4-(((R)-1-(2-aminopyridin-3-yl)ethyl)(methyl)amino)-6-chloro-2- (((2R,7aS)-2-fluorotetrahydro-1H-pyrrolizin-7a(5H)-yl)methoxy)pyrimidine-5-carbonitrile (20d). To a solution of 4-chloro-2-[[(2R,8S)-2-fluoro-1,2,3,5,6,7-hexahydropyrrolizin-8- yl]methoxy]-6-[[(1R)-1-[2-[(4-methoxyphenyl)methylamino]-3-pyridyl]ethyl]-methyl- amino]pyrimidine-5-carbonitrile (135 mg, 0.24 mmol) in TFA (1.62 mL, 21.16 mmol) was added TfOH (0.16 mL, 1.83 mmol) at 25 °C. The mixture was stirred at 25 °C for 10 min. The mixture was concentrated in vacuum to give the residue, which was added ice water (30 mL) and basified with saturated aqueous NaHCO3 to pH=8. The mixture was extracted with EtOAc (3 x 50 mL). The organic phases were washed with H2O (30 mL) and brine (40 mL). dried over Na2SO4, filtered and concentrated, which was purified by flash chromatography (eluted with CH3CN in H2O from 5.0% to 95%); 4-[[(1R)-1-(2-amino-3-pyridyl)ethyl]-methyl-amino]-6-chloro-2-[[(2R,8S)-2- fluoro-1,2,3,5,6,7-hexahydropyrrolizin-8-yl]methoxy]pyrimidine-5-carbonitrile (20d, 90 mg, 0.202 mmol, 84.63 %yield) as a yellow oil. LCMS calcld for C21H26ClFN7O (M+H)+ m/z =446.2, found:446.2.
[00380] Step 5. Synthesis of 4-(3-(5-amino-4-cyanothiophen-3-yl)-3-methylazetidin-1-yl)-6- (((R)-1-(2-aminopyridin-3-yl)ethyl)(methyl)amino)-2-(((2R,7aS)-2-fluorotetrahydro-1H- pyrrolizin-7a(5H)-yl)methoxy)pyrimidine-5-carbonitrile (Compound 20). To a solution of 2- amino-4-(3-methylazetidin-3-yl)thiophene-3-carbonitrile;methanesulfonic acid (prepared from 1c, 27.25 mg, 0.09 mmol) , DIEA (40.57 mg, 0.31 mmol) and 4-[[(1R)-1-(2-amino-3- pyridyl)ethyl]-methyl-amino]-6-chloro-2-[[(2R,8S)-2-fluoro-1,2,3,5,6,7-hexahydropyrrolizin-8- yl]methoxy]pyrimidine-5-carbonitrile (35 mg, 0.08 mmol) in 1,4-Dioxane (2 mL) at 25 °C. The mixture was heated to 25 °C and stirred for 1 h. The mixture was concentrated to afford a crude product. The crude product was purified by Prep-HPLC (Mobile phase A was 0.1% NH4HCO3 in H2O, mobile phase B 0.1% NH4HCO3 was ACN; Gradient from 5% to 95%) to afford the desired product 4-[3-(5-amino-4-cyano-3-thienyl)-3-methyl-azetidin-1-yl]-6-[[(1R)-1-(2-amino-3- pyridyl)ethyl]-methyl-amino]-2-[[(2R,8S)-2-fluoro-1,2,3,5,6,7-hexahydropyrrolizin-8- yl]methoxy]pyrimidine-5-carbonitrile (Compound 20, 16 mg, 0.0258 mmol, 32.86 %yield) as a white solid. LCMS calcld for C30H36FN10OS (M+H)+ m/z =603.3, found:603.3. 1H NMR (400 MHz, CD3OD) δ 7.93-7.85 (m, 1H), 7.70-7.61 (m, 1H), 6.76-6.65 (m, 1H), 6.19-6.06 (m, 2H), 5.26 (d, J = 53.6 Hz, 1H), 4.68-4.03 (m, 6H), 3.23-3.08 (m, 3H), 3.04-2.91 (m, 4H), 2.32-2.03 (m, 3H), 2.00-1.80 (m, 3H), 1.69 (s, 3H), 1.56 (d, J = 6.8 Hz, 3H). Example 6. Exemplary synthesis of 15-[6-[3-(5-Amino-2-chloro-4-cyano-3-thienyl)pyrrolidin- 1-yl]-5-cyano-2-[[(2R,8S)-2-fluoro-1,2,3,5,6,7-hexahydropyrrolizin-8-yl]methoxy]pyrimidin-4- yl]-3-chloro-N,N-dimethyl-4,6,7,8-tetrahydropyrazolo[1,5-a][1,4]diazepine-2-carboxamide (B- 1)
[00381] Step 1. Synthesis of tert-Butyl 3-(2,2-dicyano-1-methyl-vinyl) pyrrolidine-1- carboxylate (B-1a). To a solution of propanedinitrile (155 mg, 2.34 mmol) and tert-butyl 3- acetylpyrrolidine-1-carboxylate (500 mg, 2.34 mmol) in o-Xylene (5 mL) was added Acetic acid (28.13 mg, 0.47 mmol) and NH4OAc (72.3 mg, 0.94 mmol) at 25 °C. The mixture was stirred at 110 °C for 16 h. The mixture was extracted with EtOAC (2 x 5 mL), dried over Na2SO4, concentrated. The crude product was purified by silica gel chromatography (EtOAc/PE, 1/10) to provide tert-butyl 3-(2,2-dicyano-1-methyl-vinyl) pyrrolidine-1-carboxylate (B-1a, 300 mg, 1.15 mmol, 49 % yield) as an oil. LCMS calcld for C14H20N3O2 (M+H)+ m/z =262.2, found: 162.2 (M+H-Boc).
[00382] Step 2. Synthesis of tert-Butyl 3-(5-amino-4-cyano-3-thienyl) pyrrolidine-1- carboxylate (B-1b). To a solution of tert-butyl 3-(2,2-dicyano-1-methyl-vinyl) pyrrolidine-1- carboxylate (B-1a, 500 mg, 1.91mmol) in THF (3 mL) and Water (1 mL) was added S8 (61.23 mg, 1.91 mmol) and NaHCO3 (251.7 mg, 2.49 mmol) at 25 °C. Then the mixture was stirred at 35°C for 1.5 h. The mixture was added water (50 mL) and extracted with EtOAC (2 x 25 mL), dried over Na2SO4, concentrated. The crude product was purified by flash chromatography (eluted with EtOAc/PE from 0% to 30%) to provide tert-butyl 3-(5-amino-4-cyano-3-thienyl) pyrrolidine- 1-carboxylate (B-1b, 230 mg, 0.784 mmol, 41 % yield) as an off-white solid. LCMS calcld for C14H20N3O2S (M+H)+ m/z =294.1, found: 294.2.1H NMR (400 MHz, CDCl3) δ 6.04 (s, 1H), 5.36 – 4.28 (m, 2H), 3.75 (m, 1H), 3.62 – 3.47 (m, 1H), 3.37 (m, 3H), 2.29 (m, 1H), 2.02 – 1.85 (m, 1H), 1.47 (s, 9H). [00383] Step 3. Synthesis of tert-Butyl 3-(5-amino-2-chloro-4-cyano-3-thienyl) pyrrolidine-1- carboxylate (B-1c). To a solution of tert-butyl 3-(5-amino-4-cyano-3-thienyl) pyrrolidine-1- carboxylate (B-1b, 100 mg, 0.34 mmol) in MeCN (4 mL) was added NCS (40.96 mg, 0.31 mmol) at 25 °C. The mixture was stirred at 25 °C for 30min. The reaction mixture was concentrated in vacuum to give the residue. The residue was purified by flash chromatography (EtOAc/PE from 0% to 40%) to give tert-butyl 3-(5-amino-2-chloro-4-cyano-3-thienyl) pyrrolidine-1-carboxylate (B-1c, 90 mg, 0.28 mmol, 80.5% yield) as a white solid. LCMS calcld for C14H18ClN3O2SNa (M+Na)+ m/z =350.83, found: 350.2.1H NMR (400 MHz, CDCl3) δ 4.81 (s, 2H), 3.66 (m, 2H), 3.57 – 3.44 (m, 2H), 3.35 (m, 1H), 2.47 – 2.28 (m, 1H), 2.16 – 2.05 (m, 1H), 1.47 (s, 9H). [00384] Step 4. Synthesis of 2-Amino-5-chloro-4-pyrrolidin-3-yl-thiophene-3- carbonitrile;2,2,2-trifluoroacetic acid (B-1d). To a solution of tert-butyl 3-(5-amino-2-chloro-4- cyano-3-thienyl)pyrrolidine-1-carboxylate (B-1c, 90 mg, 0.27 mmol) in DCM (1.5 mL) was added TFA (1.11 mL, 27.45 mmol) at 25 °C, Then the mixture was stirred at 25 °C for 0.5 h. The reaction was concentrated in vacuum and the crude product was used directly for the next step (90 mg). LCMS calcld for C9H11ClN3S (M+H)+ m/z =228,0 found: 228.0. [00385] Compound B-1 15-[6-[3-(5-Amino-2-chloro-4-cyano-3-thienyl)pyrrolidin-1-yl]-5- cyano-2-[[(2R,8S)-2-fluoro-1,2,3,5,6,7-hexahydropyrrolizin-8-yl]methoxy]pyrimidin-4-yl]-3- chloro-N,N-dimethyl-4,6,7,8-tetrahydropyrazolo[1,5-a][1,4]diazepine-2-carboxamide (B-1). [00386] Compound B-1 was prepared similarly to that of Ex 1 as formic acid salt. LCMS calcld for C32H37Cl2FN11O2S (M+H)+ m/z = 728.2, found: 728.3.1H NMR (400 MHz, CD3OD) δ 8.59 – 8.46 (m, 1H), 5.49 – 5.26 (m, 1H), 5.25 – 5.15 (m, 1H), 4.94 – 4.86 (m, 2H), 4.53 – 4.33 (m, 2H), 4.31 – 4.13 (m, 3H), 4.08 – 3.89 (m, 4H), 3.88 – 3.77 (m, 1H), 3.74 – 3.62 (m, 1H), 3.48 – 3.36 (m, 2H), 3.08 (d, J = 2.5 Hz, 7H), 2.53 – 1.81 (m, 10H).
[00387] Compound B-2. 4-[3-(5-Amino-2-chloro-4-cyano-3-thienyl)pyrrolidin-1-yl]-2- [[(2R,8S)-2-fluoro-1,2,3,5,6,7-hexahydropyrrolizin-8-yl]methoxy]-6-[(3R)-3-hydroxy-3-methyl- 1-piperidyl]pyrimidine-5-carbonitrile (B-2)
[00388] Compound B-2 was prepared similarly to that of Ex. 6 as a formic acid salt. LCMS calcld for C28H35ClFN8O2S (M+H)+ m/z =601.2, found: 601.1. 1H NMR (400 MHz, CD3OD) δ 8.53 (s, 1H), 5.41 – 5.20 (m, 1H), 4.66 – 4.49 (m, 2H), 4.28 – 3.63 (m, 10H), 3.42 – 3.38 (m, 1H), 3.30 – 3.20 (m, 2H), 3.11 – 2.99 (m, 1H), 2.51 – 1.54 (m, 11H), 1.30 – 1.19 (m, 3H). [00389] Compound B-3. 5-[6-[3-(5-Amino-4-cyano-3-thienyl)-3-methyl-pyrrolidin-1-yl]-5- cyano-2-[[(2R,8S)-2-fluoro-1,2,3,5,6,7-hexahydropyrrolizin-8-yl]methoxy]pyrimidin-4-yl]-3- chloro-N,N-dimethyl-4,6,7,8-tetrahydropyrazolo[1,5-a][1,4]diazepine-2-carboxamide (B-3)
[00390] Compound B-3 was prepared similarly to that of Ex.1 as a TFA salt. LCMS calcld for C33H40ClFN11O2S (M+H)+ m/z =708.3, found: 708.3. 1H NMR (400 MHz, CD3OD) δ: 6.11 (s, 1H), 5.58 (d, J=51.2 Hz, 1H), 5.08-4.94 (m, 2H), 4.52-4.38 (m, 4H), 4.21-4.09 (m, 3H), 3.93-3.78 (m, 6H), 3.50-3.42 (m, 1H), 3.12- 3.11 (m, 6H), 2.71-2.16 (m, 10H), 1.41 (m, 3H). [00391] Compound B-4. 5-[6-[3-(5-amino-4-cyano-2-methyl-3-thienyl)pyrrolidin-1-yl]-5- cyano-2-[[(2R,8S)-2-fluoro-1,2,3,5,6,7-hexahydropyrrolizin-8-yl]methoxy]pyrimidin-4-yl]-3- chloro-N,N-dimethyl-4,6,7,8-tetrahydropyrazolo[1,5-a][1,4]diazepine-2-carboxamide
[00392] Compound B-4 was prepared similarly to that of Ex. 6. LCMS calcld for C33H40ClFN11O2S (M+H)+ m/z = 708.1, found:708.1. 1H NMR (400 MHz, CD3OD) δ 5.33 (m, 3H), 4.47 (s, 3H), 4.10 (m, 2H), 3.91 (m, 4H), 3.64 – 3.51 (m, 1H), 3.23 – 3.10 (m, 3H), 3.08 (s,
6H), 3.00 – 2.92 (m, 1H), 2.45 – 2.30 (m, 1H), 2.24 – 2.09 (m, 7H), 2.03 (m, 2H), 1.95 (m, 2H), 1.86 – 1.77 (m, 1H), 1.65 – 1.53 (m, 1H). [00393] Compound B-5. 4-[3-(5-amino-4-cyano-3-thienyl)-3-methyl-pyrrolidin-1-yl]-2- [[(2R,8S)-2-fluoro-1,2,3,5,6,7-hexahydropyrrolizin-8-yl]methoxy]-6-[(3S)-3-hydroxy-3-methyl- 1-piperidyl]pyrimidine-5-carbonitrile
[00394] Compound B-5 was prepared similarly to that of Ex.1 as a TFA salt. LCMS calcld for C29H38FN8O2S (M+H)+ m/z =581.3, found: 581.2.1H NMR (400 MHz, CD3OD) δ: 6.10-6.09 (m, 1H), 5.55 (d, J=51.6 Hz, 1H), 4.54-4.44 (m, 2H), 4.15-3.70 (m, 10H), 3.52-3.38 (m, 2H), 2.72- 2.27 (m, 6H), 2.19-2.07 (m, 2H), 2.03- 1.89 (m, 1H), 1.77-1.60 (m, 3H), 1.46–1.44 (m, 3 H), 1.22- 1.21 (m, 3H). [00395] Compound B-6. 5-[6-[3-(5-amino-2-chloro-4-cyano-3-thienyl)pyrrolidin-1-yl]-2- [[(2R,8S)-2-fluoro-1,2,3,5,6,7-hexahydropyrrolizin-8-yl]methoxy]pyrimidin-4-yl]-3-chloro- N,N-dimethyl-4,6,7,8-tetrahydropyrazolo[1,5-a][1,4]diazepine-2-carboxamide
[00396] Compound B-6 was prepared similarly to that of Ex.6 as a formate salt. LCMS calcld for C31H38Cl2FN10O2S (M+H)+ m/z = 703.2, found: 703.3.1H NMR (400 MHz, CD3OD) δ 8.57 – 8.43 (s, 1H), 5.53 – 5.33 (m, 2H), 4.81 – 4.72 (m, 1H), 4.52 – 4.45 (m, 2H), 4.42 – 4.28 (m, 2H), 4.16 – 3.97 (m, 2H), 3.83 – 3.40 (m, 9H), 3.27 – 3.20 (m, 1H), 3.07 (s, 6H), 2.62 – 1.95 (m, 10H). [00397] Compound B-7A and B-7B. 5-[6-[(3*)-3-(5-amino-2-chloro-4-cyano-3- thienyl)pyrrolidin-1-yl]-5-cyano-2-[[(2R,8S)-2-fluoro-1,2,3,5,6,7-hexahydropyrrolizin-8- yl]methoxy]pyrimidin-4-yl]-3-chloro-N,N-dimethyl-4,6,7,8-tetrahydropyrazolo[1,5- a][1,4]diazepine-2-carboxamide
[00398] Compound B-6 was purified by SFC (supercritical CO2/EtOH as eluent) to afford both diastereomers. P1 (B-7A), LCMS calcld for C32H37Cl2FN11O2S (M+H)+ m/z = 728.2, found: 728.1.1H NMR (400 MHz, DMSO-d6) δ 7.48 (s, 2H), 5.35 – 5.11 (m, 2H), 4.87 (d, J = 16.1 Hz, 1H), 4.41 (s, 2H), 4.05 (dd, J = 70.8, 12.1 Hz, 4H), 3.87 – 3.64 (m, 4H), 3.54 (s, 1H), 3.03 (s, 2H), 2.96 (d, J = 7.3 Hz, 7H), 2.79 (s, 1H), 2.07 (m, 10H). P2 (B-7B), LCMS calcld for C32H37Cl2FN11O2S (M+H)+ m/z = 728.2, found: 728.1.1H NMR (400 MHz, DMSO-d6) δ 7.49 (s, 2H), 5.39 – 5.12 (m, 2H), 4.86 (d, J = 16.2 Hz, 1H), 4.41 (s, 2H), 4.20 – 3.90 (m, 4H), 3.87 – 3.66 (m, 4H), 3.61 – 3.45 (m, 1H), 3.10 (s, 2H), 2.96 (d, J = 7.3 Hz, 7H), 2.74 (s, 1H), 2.21 – 1.77 (m, 10H). [00399] Compound B-8. 3-chloro-5-[5-cyano-2-[[(2R,8S)-2-fluoro-1,2,3,5,6,7- hexahydropyrrolizin-8-yl]methoxy]-6-[3-(5-methyl-1H-indazol-4-yl)-2,5-dihydropyrrol-1- yl]pyrimidin-4-yl]-N,N-dimethyl-4,6,7,8-tetrahydropyrazolo[1,5-a][1,4]diazepine-2- carboxamide
[00400] Compound B-8 was prepared similarly to that of Ex.1 as a TFA salt. LCMS calcld for C35H40ClFN11O2 (M+H)+ m/z = 700.3; found 700.5.1H NMR (300 MHz, CD3OD) δ 7.96 (s, 1H), 7.44 (d, J = 8.6 Hz, 1H), 7.30 (d, J = 8.6 Hz, 1H), 6.04 (s, 1H), 5.54 (d, J = 50.9 Hz, 1H), 5.01 (t, J = 9.4 Hz, 4H), 4.52 – 4.34 (m, 4H), 4.19 (t, J = 5.0 Hz, 2H), 3.85 (m, 3H), 3.42 (m, 1H), 3.10 (d, J = 6.0 Hz, 6H), 2.74 – 2.62 (m, 1H), 2.62 – 2.46 (m, 2H), 2.42 (s, 3H), 2.40 – 2.21 (m, 6H), 2.15 (d, J = 6.5 Hz, 1H). [00401] Compound B-9. 5-[6-[3-(5-amino-2-bromo-4-cyano-3-thienyl)pyrrolidin-1-yl]-5- cyano-2-[[(2R,8S)-2-fluoro-1,2,3,5,6,7-hexahydropyrrolizin-8-yl]methoxy]pyrimidin-4-yl]-3- chloro-N,N-dimethyl-4,6,7,8-tetrahydropyrazolo[1,5-a][1,4]diazepine-2-carboxamide
[00402] Compound B-9 was prepared similarly to that of Ex.6 as a formate salt. LCMS calcld for C32H37BrClFN11O2S (M+H)+ m/z = 774.2, found: 774.2.1H NMR (400 MHz, CD3OD) δ 7.83- 7.70 (m, 1H), 5.46-5.26 (m, 1H), 5.24-5.13 (m, 1H), 4.95-4.85 (m, 1H), 4.54-4.33 (m, 2H), 4.30- 4.14 (m, 3H), 4.10-3.77 (m, 5H), 3.73-3.60 (m, 1H), 3.53-3.32 (m, 3H), 3.19-3.04 (m, 7H), 2.50- 1.90 (m, 10H). [00403] Compound B-10. 3-chloro-5-[5-cyano-2-[[(2R,8S)-2-fluoro-1,2,3,5,6,7- hexahydropyrrolizin-8-yl]methoxy]-6-[3-(5-methyl-1H-indazol-4-yl)pyrrolidin-1-yl]pyrimidin- 4-yl]-N,N-dimethyl-4,6,7,8-tetrahydropyrazolo[1,5-a][1,4]diazepine-2-carboxamide
[00404] Compound B-10 was prepared similarly to that of Ex.1 as a TFA salt. LCMS calcld for C35H42ClFN11O2 (M+H)+ m/z = 702.3; found 702.5.1H NMR (300 MHz, CD3OD) δ 8.02 (d, J = 3.0 Hz, 1H), 7.35 (d, J = 8.6 Hz, 1H), 7.24 (d, J = 8.6 Hz, 1H), 5.53 (d, J = 52.8 Hz, 1H), 5.14 – 4.90 (m, 2H), 4.55 – 4.28 (m, 4H), 4.28 – 3.93 (m, 7H), 3.93 – 3.74 (m, 3H), 3.41 (m, 1H), 3.11 (s, 3H), 3.09 (s, 3H), 2.73 – 2.46 (m, 6H), 2.42 – 2.06 (m, 8H). [00405] Compound B-11. 5-[6-[3-[5-amino-4-cyano-2-(trifluoromethyl)-3-thienyl]pyrrolidin- 1-yl]-5-cyano-2-[[(2R,8S)-2-fluoro-1,2,3,5,6,7-hexahydropyrrolizin-8-yl]methoxy]pyrimidin-4- yl]-3-chloro-N,N-dimethyl-4,6,7,8-tetrahydropyrazolo[1,5-a][1,4]diazepine-2-carboxamide
[00406] Compound B-11 was prepared similarly to that of Ex.4 as a formate salt. LCMS calcld for C33H37ClF4N11O2S (M+H)+ m/z = 762.2, found: 762.5.1H NMR (400 MHz, CD3OD) δ 5.40 - 5.26 (m, 2H), 4.88 – 4.77 (m, 3H), 4.50 (s, 2H), 4.41 – 3.63 (m, 9H), 3.29 (s, 2H), 3.12 (s, 7H), 2.63 – 1.81 (m, 10H). [00407] Compound B-12. 2-amino-4-[1-[2-[[ (2R,8S)-2-fluoro-1,2,3,5,6,7- hexahydropyrrolizin-8-yl]methoxy]-6-[(3R)-3-hydroxy-3-methyl-1-piperidyl]pyrimidin-4- yl]pyrrolidin-3-yl]-5-(trifluoromethyl)thiophene-3-carbonitrile
[00408] Compound B-12 was prepared similarly to that of Ex.4 as a TFA salt. LCMS calcld for C28H36F4N7O2S (M+H)+ m/z =610.3, found: 610.4.1H NMR (400 MHz, CD3OD) δ 5.57 (d, J = 52.0 Hz, 1H), 4.87 (s, 1H), 4.63 – 4.57 (m, 2H), 4.07 – 3.79 (m, 8H), 3.59 (d, J = 8.3 Hz, 1H), 3.46 (dd, J = 10.8, 5.7 Hz, 1H), 3.32 – 3.28 (m, 3H), 2.77 – 2.15 (m, 8H), 1.94 – 1.61 (m, 4H), 1.26 (s, 3H). [00409] Compound B-13. 5-[6-[3-(5-amino-4-cyano-2-ethyl-3-thienyl)pyrrolidin-1-yl]-5- cyano-2-[[(2R,8S)-2-fluoro-1,2,3,5,6,7-hexahydropyrrolizin-8-yl]methoxy]pyrimidin-4-yl]-3- chloro-N,N-dimethyl-4,6,7,8-tetrahydropyrazolo[1,5-a][1,4]diazepine-2-carboxamide
[00410] Compound B-13 was prepared similarly to that of Ex.4 as a formate salt. LCMS calcld for C34H42ClFN11O2S (M+H)+ m/z = 722.6, found: 722.6.1H NMR (400 MHz, CD3OD) δ 5.36 – 5.20 (m, 1H), 5.28 (d, J = 16.2 Hz, 1H), 4.83 – 4.77 (m, 1H), 4.53 – 3.79 (m, 10H), 3.64 – 3.47 (m, 1H), 3.28 – 3.15 (m, 2H), 3.12 – 2.99 (m, 7H), 2.71 – 2.57 (m, 2H), 2.49 – 1.82 (m, 10H), 1.17 (t, J = 7.5 Hz, 3H). [00411] Compound B-14. 5-[6-[3-[6-amino-3-(trifluoromethyl)-2-pyridyl]pyrrolidin-1-yl]-5- cyano-2-[[(2R,8S)-2-fluoro-1,2,3,5,6,7-hexahydropyrrolizin-8-yl]methoxy]pyrimidin-4-yl]-3- chloro-N,N-dimethyl-4,6,7,8-tetrahydropyrazolo[1,5-a][1,4]diazepine-2-carboxamide
[00412] Compound B-14 was prepared similarly to that of Ex.6 as a TFA salt. LCMS calcld for C33H39ClF4N11O2 (M+H)+ m/z = 732.3; found 732.4.1H NMR (300 MHz, CD3OD) δ 7.88 (d, J =
9.2 Hz, 1H), 6.77 (d, J = 9.2 Hz, 1H), 5.54 (d, J = 50.9 Hz, 1H), 4.91 (m, 1H), 4.54 – 4.28 (m, 4H), 4.28 – 4.00 (m, 5H), 4.00 – 3.75 (m, 5H), 3.41 (m, 1H), 3.10 (s, 3H), 3.09 (s, 3H), 2.67 (m, 1H), 2.37 (m, 10H). [00413] Compound B-15. 2-amino-5-chloro-4-[1-[6-(2,4-dioxo-1,3,9-triazaspiro[4.5]decan-9- yl)-2-[[(2R,8S)-2-fluoro-1,2,3,5,6,7-hexahydropyrrolizin-8-yl]methoxy]pyrimidin-4- yl]pyrrolidin-3-yl]thiophene-3-carbonitrile
[00414] Compound B-15 was prepared similarly to that of Ex.6 as a TFA salt. LCMS calcld for C28H34ClFN9O3S (M+H)+ m/z = 630.2 , found: 630.5.1H NMR (400 MHz, CD3OD) δ 5.67 – 5.41 (m, 1H), 4.85 – 4.77 (m, 1H), 4.60 – 4.27 (m, 3H), 4.12 – 3.69 (m, 7H), 3.57 – 3.38 (m, 3H), 3.27 – 3.09 (m, 2H), 2.74 – 2.25 (m, 7H), 2.18 – 2.03 (m, 2H), 1.93 – 1.73 (m, 3H). [00415] Compound B-16. 2-amino-5-chloro-4-[1-[2-[[(2R,8S)-2-fluoro-1,2,3,5,6,7- hexahydropyrrolizin-8-yl]methoxy]-6-[(3R)-3-hydroxy-3-methyl-1-piperidyl]pyrimidin-4- yl]pyrrolidin-3-yl]thiophene-3-carbonitrile
[00416] Compound B-16 was prepared similarly to that of Ex.6 as a TFA salt. LCMS calcld for C27H36ClFN7O2S (M+H)+ m/z =576.2, found: 576.2. 1H NMR (400 MHz, CD3OD) δ: 5.46 (d, J=52.4 Hz, 1H), 4.74-4.72 (m, 1H), 4.52-4.45 (m, 2H), 3.95-3.60 (m, 10H), 3.47-3.32 (m, 2H), 3.18-3.16 (m, 1H), 2.66-2.18 (m, 6H), 2.13- 2.00 (m, 1H), 1.83-1.50 (m, 5H), 1.14 (s, 3H). [00417] Compound B-17. 5-[6-[3-(5-amino-4-cyano-2-formyl-3-thienyl)pyrrolidin-1-yl]-5- cyano-2-[[(2R,8S)-2-fluoro-1,2,3,5,6,7-hexahydropyrrolizin-8-yl]methoxy]pyrimidin-4-yl]-3- chloro-N,N-dimethyl-4,6,7,8-tetrahydropyrazolo[1,5-a][1,4]diazepine-2-carboxamide
[00418] Compound B-17 was prepared similarly to that of Ex.6 as a formate salt. LCMS calcld for C33H38ClFN11O3S (M+H)+ m/z = 722.2, found: 722.2.1H NMR (400 MHz, CD3OD) δ 9.81 (s, 1H), 8.47 (s, 2H), 5.57 – 5.38 (m, 1H), 5.17 – 5.04 (m, 2H), 4.61 – 4.56 (m, 1H), 4.52 – 4.44 (m, 1H), 4.46 – 4.15 (m, 5H), 4.18 – 3.84 (m, 4H), 3.71 – 3.41 (m, 3H), 3.09 (d, J = 4.7 Hz, 6H), 2.61 – 2.51 (m, 1H), 2.47 – 2.26 (m, 4H), 2.28 – 1.92 (m, 6H). [00419] Compound B-18. 4-(2-acetyl-3-chloro-4,6,7,8-tetrahydropyrazolo[1,5- a][1,4]diazepin-5-yl)-6-[3-(5-amino-2-chloro-4-cyano-3-thienyl)pyrrolidin-1-yl]-2-[[(2R,8S)-2- fluoro-1,2,3,5,6,7-hexahydropyrrolizin-8-yl]methoxy]pyrimidine-5-carbonitrile
[00420] Compound B-18 was prepared similarly to that of Ex.6 as a formate salt. LCMS calcld for C31H34Cl2FN10O2S (M+H)+ m/z = 699.2, found: 699.3. 1H NMR (CD3OD, 400 MHz) δ 5.47 (d, J = 52.0 Hz, 1H), 5.18-5.09 (m, 2H), 5.03-4.96 (m, 3H), 4.60-4.48 (m, 1H), 4.36-4.27 (m, 1H), 4.14-3.86 (m, 3H), 3.75-3.51 (m, 5H), 3.34-3.15 (m, 3H), 2.52 (m, 3H), 2.47-2.44 (m, 3H), 2.42- 2.39 (m, 2H), 2.35-2.32 (m, 1H), 2.28-2.15 (m, 2H), 2.05-1.97 (m, 1H). [00421] Compound B-19. 2-amino-5-chloro-4-[1-[6-[(5R)-2,4-dioxo-1,3,9- triazaspiro[4.5]decan-9-yl]-5-fluoro-2-[[(2R,8S)-2-fluoro-1,2,3,5,6,7-hexahydropyrrolizin-8- yl]methoxy]pyrimidin-4-yl]pyrrolidin-3-yl]thiophene-3-carbonitrile
[00422] Compound B-19 was prepared similarly to that of Ex. 6. LCMS calcld for C28H33ClF2N9O3S (M+H)+ m/z = 648.2, found: 648.3.1H NMR (400 MHz, CD3OD) δ 5.32 - 5.19 (m, 1H), 4.14 - 4.11 (m, 2H), 4.05 - 3.96 (m, 2H), 3.95 – 3.75 (m, 3H), 3.75 – 3.53 (m, 2H), 3.36 (d, J = 2.5 Hz, 1H), 3.23 - 3.14 (m, 4H), 3.00 - 2.94 (m, 1H), 2.47 – 2.31 (m, 1H), 2.42 – 2.37 (m, 1H), 2.29 - 2.03 (m, 6H), 1.94 - 1.79 (m, 6H). [00423] Compound B-20. 5-[6-[3-(5-amino-2-chloro-4-cyano-3-thienyl)pyrrolidin-1-yl]-5- cyano-2-[[(2R,8S)-2-fluoro-1,2,3,5,6,7-hexahydropyrrolizin-8-yl]methoxy]pyrimidin-4-yl]-N,N- dimethyl-4-oxo-5,6,7,8-tetrahydropyrazolo[1,5-a]azepine-2-carboxamide
[00424] Compound B-20 was prepared similarly to that of Ex. 6. LCMS calcld for C33H36ClFN10O3S (M+H)+ m/z =707.2, found: 707.1.1H NMR (400 MHz, CD3OD) δ 6.46 (s, 1H), 5.95 (t, J = 4.9 Hz, 1H), 5.18 (d, J = 55.1 Hz, 1H), 4.54 – 4.45 (m, 2H), 4.16 – 4.04 (m, 2H), 4.02 – 3.89 (m, 2H), 3.72 (s, 1H), 3.33 (s, 3H), 3.17 – 3.10 (m, 2H), 3.09 – 2.98 (m, 4H), 2.96 – 2.87 (m, 1H), 2.67 – 2.60 (m, 2H), 2.38 (m, 2H), 2.24 – 1.57 (m, 10H). [00425] Compound B-21. 4-[3-(5-amino-2-chloro-4-cyano-3-thienyl)pyrrolidin-1-yl]-2-[[1- (morpholinomethyl)cyclopropyl]methoxy]-6-[(1R,5S)-3,8-diazabicyclo[3.2.1]octan-3- yl]pyrimidine-5-carbonitrile
[00426] Compound B-21 was prepared similarly to that of Ex. 6. LCMS calculated for C29H37ClN9O2S (M+H)+ m/z = 610.2, found: 610.2.1H NMR (400 MHz, CD3OD) δ 4.60 (s, 1H), 4.49 (d, J = 13.2 Hz, 1H), 4.26 (s, 2H), 4.07 – 3.87 (m, 4H), 3.83 (s, 1H), 3.65 (t, J = 4.6 Hz, 5H), 3.57 (s, 2H), 3.40 (d, J = 13.6 Hz, 1H), 3.18 (d, J = 12.8 Hz, 1H), 2.47 (s, 4H), 2.37 (s, 2H), 2.25 (s, 1H), 1.94 – 1.67 (m, 4H), 0.65 (d, J = 5.6 Hz, 2H), 0.45 (t, J = 5.6 Hz, 2H). [00427] Compound B-22. 3-chloro-5-[6-[3-(6-chloro-4-oxo-1H-thieno[2,3-d]pyrimidin-5- yl)pyrrolidin-1-yl]-5-cyano-2-[[(2R,8S)-2-fluoro-1,2,3,5,6,7-hexahydropyrrolizin-8- yl]methoxy]pyrimidin-4-yl]-N,N-dimethyl-4,6,7,8-tetrahydropyrazolo[1,5-a][1,4]diazepine-2- carboxamide
[00428] Compound B-22 was prepared similarly to that of Ex. 6. LCMS calcld for C33H37Cl2FN11O3S (M+H)+ m/z = 756.2, found: 756.7. 1H NMR (400 MHz, CD3OD) δ 8.55 –
8.48 (m, 1H), 8.07 (s, 1H), 5.22 (s, 2H), 4.89 (s, 2H), 4.54 – 4.33 (m, 2H), 4.22 (s, 5H), 4.06 – 3.94 (m, 2H), 3.95 – 3.81 (m, 2H), 3.22 (s, 2H), 3.09 (d, J = 2.1 Hz, 7H), 2.81 – 2.68 (m, 1H), 2.20 (s, 9H). [00429] Compound B-23. 4-[3-(6-chloro-4-oxo-1H-thieno[2,3-d]pyrimidin-5-yl)pyrrolidin-1- yl]-6-[(1R,5S)-3,8-diazabicyclo[3.2.1]octan-3-yl]-2-[[1- (morpholinomethyl)cyclopropyl]methoxy]pyrimidine-5-carbonitrile
[00430] Compound B-23 was prepared similarly to that of Ex.6 as a TFA salt. LCMS calcld for C30H37ClN9O3S (M+H)+ m/z = 638,2, found: 638.1.1H NMR (400 MHz, CD3OD) δ 8.08 (s, 1H), 4.68 – 4.56 (m, 4H), 4.29 – 3.89 (m, 8H), 3.72 – 3.54 (m, 5H), 3.38 (s, 2H), 2.63 – 2.42 (m, 5H), 2.24 – 1.96 (m, 5H), 0.74 – 0.43 (m, 4H). [00431] Compound B-24A and B-24B. 4-[(3*)-3-(5-amino-2-chloro-4-cyano-3- thienyl)pyrrolidin-1-yl]-6-[[(1R)-1-(2-amino-3-pyridyl)ethyl]-methyl-amino]-2-[[(2R,8S)-2- fluoro-1,2,3,5,6,7-hexahydropyrrolizin-8-yl]methoxy]pyrimidine-5-carbonitrile
[00432] Compound B-24 was prepared similarly to that of Ex.6 with Intermediate 1 and the resulting mixture was separated by SFC. P1 (B-24A): LCMS calcld for C30H35ClFN10OS (M+H)+ m/z = 637.2, found: 637.2.1H NMR (400 MHz, CD3OD) δ 7.94-7.86 (m, 1H), 7.72-7.64 (m, 1H), 6.78-6.68 (m, 1H), 6.08-5.97 (m, 1H), 5.39-5.17 (m, 2H), 4.65-4.55 (m, 1H), 4.24-3.92 (m, 5H), 3.87-3.59 (m, 2H), 3.30-3.09 (m, 3H), 3.05-2.94 (m, 1H), 2.90 (s, 3H), 2.47-2.37 (m, 1H), 2.34- 1.81 (m, 8H), 1.59 (d, J = 6.8 Hz, 3H). P2 (B-24B): LCMS calcld for C30H35ClFN10OS (M+H)+ m/z = 637.2, found: 637.2.1H NMR (400 MHz, MeOD) δ 7.93-7.85 (m, 1H), 7.72-7.64 (m, 1H), 6.75-6.65 (m, 1H), 6.17-6.05 (m, 1H), 5.38-5.17 (m, 2H), 4.65-4.55 (m, 1H), 4.22-4.00 (m, 3H), 3.94-3.81 (m, 2H), 3.74-3.60 (m, 1H), 3.30-3.08 (m, 3H), 3.05-2.89 (m, 4H), 2.51-2.41 (m, 1H), 2.31-1.82 (m, 8H), 1.59 (d, J = 6.8 Hz, 3H).
Example 7: Nucleotide Exchange Assay: [00433] Ras proteins cycle between an active, GTP bound state, and an inactive GDP-bound state. This activity is tightly regulated by GTPase activating proteins (GAPs) and guanine nucleotide exchange factors (GEFs). GEFs, such as SOS1/2, activate Ras proteins by exchanging GDP for GTP, thus returning Ras to its active conformation (Simanshu, Nissley, & McCormick, 2017). Therefore, a small molecule that binds K-Ras in a manner that prevents SOS-mediated nucleotide exchange locks KRas in its inactive state. Homogenous time resolved fluorescence (HTRF) was used to detect SOS-mediated binding of a fluorescent GTP analog, GTP-DY-647P1 (Jena Biosciences NU-820-647P1) to GST-tagged KRAS-G12D (2-169) or to GST-tagged KRAS- G12V (2-169, Reaction Biology, MSC-11-540). [00434] GST-tagged KRAS-G12D (2-169) and anti-GST MAb Tb Cryptate Gold (CisBio 61GSTTLB) were diluted into assay buffer (20 mM HEPES, pH 7.3, 150 mM NaCl, 5 mM MgCl2, 0.05% BSA 0.0025% NP40, 1 mM DTT) to prepare a 2.5X donor solution. 5X compound was added to the protein mixture and incubated for 1 h at RT. 2.5X acceptor solution containing SOS1cat (564-1049, Reaction Biology MSC-11-502) and GTP-DY-647P1 were then added to the donor KRAS mixture such that the final concentration of the reaction contained 0.25 nM GST- tagged KRAS-G12D (2-169), 20 nM SOScat, and 150 nM GTP-DY-647P1. The reaction was monitored using at RT with the Envision multimode plate reader (Ex/Em 337/665, 620 nM) up to 90 minutes at 5 minute intervals. To monitor KRAS-G12V SOS-mediated nucleotide exchange, 80 nM SOS was added to reaction instead of 20 nM. All other components were the same as previously described. Data was blanked to reactions without SOS1 and % inhibition was calculated such that DMSO only = 0% and blank = 100%. Curve fitting was done using a 4 parameter fit. Reported IC50 values were extracted at 30 min and 90 min for the KRAS-G12D and KRAS-G12V assays, respectively. NEA KRAS G12D and G12V IC50 (uM) values of selected compounds are depicted in Table 1 with compounds having a value <0.01 uM as ++++; ≥ 0.01 uM to 0.1 uM as +++; ≥ 0.1 uM to 1 uM as ++; ≥ 1 uM to 20 uM as +; and ≥ 20 uM as NA. Example 8. pERK In Cell Western (ICW) assay [00435] pERK ICW is a high throughput screening assay to evaluate the cellular potency of mutant KRAS small molecule inhibitors. KRAS mutant cell lines AGS, GP2D (KRAS-G12D) as well as SW620 (KRAS-G12V) were purchased from ATCC and maintained respectively in RPMI/DMEM/RPMI medium supplemented with 10% fetal bovine serum. [00436] Cells grown in exponential phase were trypsinized, resuspended in fresh media, and viable cells were counted using a cell counter with Trypan Blue (BioRad TC20). Cells were seeded into 384-well plate (Greiner 781091) at density of 5,000 cells/well for AGS and 10,000 cells/well
for GP2D/SW620 and allowed to grow overnight in a 37˚C CO2 incubator. The next day, compounds were dispensed into wells with a ½ log, 9-point serial dilution using a Tecan D300e dispenser and incubated for 3 hours in a 37 ˚C CO2 incubator. Cells were then fixed with paraformaldehyde (Electron Microscopy Sciences, 15710, 4% final concentration) for 30 min, permeabilized with wash buffer (1X PBS + 0.1% Triton X-100) for 30 min and blocked with Odyssey blocking buffer (Li-COR 927-70001) for 1 hour, all at room temperature (RT). Phospho- ERK antibody (CST 4370L) was diluted 1:500 in Odyssey T20 (PBS) antibody diluent (Li-COR 927-75001) and incubated with cells overnight at 4 ˚C. The next day, plates were washed 5x with wash buffer, incubated with IRDye 800 CW, Goat anti-Rabbit secondary antibody (Li-COR 926- 32211, 1:800) and DRAQ5 (CST 4084L, 1:5,000) diluted in in Odyssey T20 (PBS) antibody diluent for 1 hour, washed 5x, and imaged on an Odyssey CLx imaging system. [00437] For data analysis, signal intensities from 800 (phosphor-ERK) and 700 (DRAQ5) channels were extracted, and phospho-ERK signals were normalized to DRAQ5 signals for each well and percent of blank control values were computed. Data were then imported into Graphpad Prism to compute half-maximal inhibitory concentrations (IC50) using a 4-parameter variable slope model. Z-factor for each plate was computed from signals derived from wells treated with either DMSO or 5 µM of control compound. Table 1 includes NEA KRAS G12D and G12V IC50 (uM) values (< 0.01 uM as ++++; ≥ 0.01 uM to 0.1 uM as +++; ≥ 0.1 uM to 1 uM as ++; ≥ 1 uM to 20 uM as +; and ≥ 20 uM as NA), of selected compounds. ND indicates not determined and AGS pERK ICW IC50 (uM) values ≥ 0.001 uM to 0.01 uM as ++++; ≥ 0.01 uM to 0.1 uM as +++; ≥ 0.1 uM to 1 uM as ++; ≥ 1 uM to 10 uM as + and ≥ 10 uM as NA.
Claims
CLAIMS WHAT IS CLAIMED IS: 1. A compound of Formula (I):
Formula (I), or a pharmaceutically acceptable salt thereof wherein: R100 is selected from
R1A is selected from C1-6 alkyl, C3-C12 carbocycle, and 4- to 12-membered heterocycle, each of which is optionally substituted with one or more R11, and wherein optionally two R11 on the same atom of R1A come together to form a C3-C6 carbocycle or 3- to 8-membered heterocycle, wherein the C3-C6 carbocycle and 3- to 8-membered heterocycle are each optionally substituted with one or more R11A; R1B is selected from hydrogen, C1-6 alkyl, C3-C6 carbocycle, wherein the C1-6 alkyl and C3-C6 carbocycle are each optionally substituted with one or more R10; or R1A and R1B come together with the atom to which they are bound to form R1, wherein R1 is a 5- to 15-membered heterocycle, wherein the 5- to 15-membered heterocycle is optionally substituted with one or more substituents independently selected from halogen, -B(OR20)2, - N(R20)2, -OR20, -SR20, -S(O)2(R20), -S(O)2N(R20)2, -S(O)N(R20)2, -S(O)R20(=NR20), - NR20S(O)2R20, -C(O)N(R20)2, -C(=NR20)N(R20)2, -C1-6 alkyl(=NR20OR20), -C(O)NR20OR20, -N(R20)C(O)R20, -N(R20)C(O)N(R20)2, -N(R20)C(O)OR20, -C(O)R20, -C(O)OR20, -OC(O)R20, -OC(O)N(R20)2, -NO2, =O, =N(R20), =NO(R20), -CN, -NHCN, C1-6 alkyl-N(R20)2, C1-6 aminoalkyl, C1-6 alkoxy, C1-6 hydroxyalkyl, C1-6 cyanoalkyl, C1-6 haloalkyl, C1-6 alkyl-SO2R20, C1-6 alkoxyalkyl, C1-6 alkyl, C2-6 alkenyl, C2-6 alkynyl, C3-C12 carbocycle and 5- to 12- membered heterocycle, wherein the C3-C12 carbocycle and 5- to 12-membered heterocycle are each optionally substituted independently with one or more R1*; each R1* is independently selected from halogen, -B(OR20)2, -OR20, -SR20, -S(O)2(R20), - S(O)2N(R20)2, -S(O)N(R20)2, -S(O)R20(=NR20), -NR20S(O)2R20, -C(O)N(R20)2, - C(O)NR20OR20, -N(R20)C(O)R20, -N(R20)C(O)N(R20)2, -N(R20)C(O)OR20, -N(R20)2, -
C(O)R20, -C(O)OR20, -OC(O)R20, -OC(O)N(R20)2, -NO2, =O, =N(R20), =NO(R20), -CN, - NHCN, C1-6 alkyl-N(R20)2, C1-6 aminoalkyl, C1-6 alkoxy, C1-6 hydroxyalkyl, C1-6 cyanoalkyl, C1-6 haloalkyl, C1-6 alkyl, C2-6 alkenyl, C2-6 alkynyl, and C3-C12 carbocycle; R1C is selected from hydrogen, C1-6 alkyl, C3-C12 carbocycle, and 4- to 12-membered heterocycle, each of which is optionally substituted with one or more R12, and wherein optionally two R12 on the same atom of R1C come together to form a C3-C6 carbocycle or 3- to 8-membered heterocycle, wherein the C3-C6 carbocycle and 3- to 8-membered heterocycle are each optionally substituted with one or more R12A; R1D is selected from hydrogen, C1-6 alkyl, C3-C12 carbocycle, and 4- to 12-membered heterocycle, each of which is optionally substituted with one or more R13, and wherein optionally two R13 on the same atom of R1D come together to form a C3-C6 carbocycle or 3- to 8-membered heterocycle, wherein the C3-C6 carbocycle and 3- to 8-membered heterocycle are each optionally substituted with one or more R13A; Y is selected from a -O-, -S-, and -N(R5)-; R2 is selected from heterocycle, -L-heterocycle, -L-N(R20)2, -L-OR20, -L-aryl, -L-heteroaryl, -L- cycloalkyl, -L-NHC(=NH)NH2, -L-C(O)N(R20)2, -L-C1-C6 haloalkyl, -L-NR20C(O)-aryl, -L- COOH, -L-NR20S(O)2(R20), -L-S(O)2N(R20)2, -L-N(R20)C(O)(OR20), -L-OC(O)N(R20)2, and -L-C(=O)OCl-C6 alkyl, wherein the heterocycle, the heterocycle portion of -L-heterocycle, and the cycloalkyl portion of the -L-cycloalkyl are each optionally substituted with one or more R6, and wherein the aryl portion of -L-NR20C(O)-aryl, the aryl of the -L-aryl, and the heteroaryl of -L-heteroaryl are each optionally substituted with one or more R7; each L is independently selected from a C1-C4 alkylene optionally substituted with one or more substituents independently selected from hydroxy, C1-C4 hydroxyalkyl, C1-C4 alkyl, C3-C6 carbocycle, and 3- to 8-membered heterocycle, wherein the C3-C6 carbocycle and 3- to 8- membered heterocycle are each optionally substituted with one or more substituents independently selected from halogen, -OH, -NO2, =O, =S, -CN, C1-6 aminoalkyl, C1-6 alkoxy, C1-6 hydroxyalkyl, C1-6 haloalkyl; and wherein optionally two substituents on the same carbon atom of L come together to form a C3-C6 carbocycle or 3- to 8-membered heterocycle, wherein the C3-C6 carbocycle and 3- to 8-membered heterocycle are each optionally substituted with one or more substituents independently selected from halogen, - OH, -NO2, =O, =S, -CN, C1-6 aminoalkyl, C1-6 alkoxy, C1-6 hydroxyalkyl, and C1-6 haloalkyl; R3 is selected from hydrogen, halogen, -CN, -NO2, -N(R20)2, -OR20, -SR20, -S(O)2(R20), - S(O)2N(R20)2, -S(O)N(R20)2, -S(O)R20(=NR20), -NR20S(O)2R20, -C(O)N(R20)2, - N(R20)C(O)R20, -N(R20)C(O)N(R20)2, -N(R20)C(O)OR20, -C(O)R20, C(O)OR20, -OC(O)R20, - OC(O)N(R20)2, C1-6 aminoalkyl, C1-6 alkoxy, C1-6 alkoxyalkyl, C1-6 hydroxyalkyl, C1-6
cyanoalkyl, C1-6 haloalkyl, C1-6 alkyl, C2-6 alkenyl, C2-6 alkynyl, C3-C12 carbocycle and 5- to 12-membered heterocycle; each R4 is independently selected from halogen, -NO2, -NH2, -NH(C1-6 alkyl), -N(C1-6 alkyl)2, =O, =S, -CN, C1-6 alkyl, C1-6 aminoalkyl, C1-6 alkoxy, C1-6 cyanoalkyl, C1-6 hydroxyalkyl, and C1-6 haloalkyl; n is selected from 0, 1, 2, 3, and 4; m is selected from 1 and 2; each R5 is independently selected from hydrogen and C1-C6 alkyl; each R6 is independently selected from halogen, hydroxy, C1-C3 hydroxyalkyl, C1-C3 alkyl, oxo, C1-C3 haloalkyl, C1-C3 alkoxy, cyano, =CH2, =NO-C1-C3 alkyl, C1-C3 aminoalkyl, - N(R5)S(O)2(R5), -Q-phenyl, -Q-phenylSO2F, -NHC(O)phenyl, - NHC(O)phenylSO2F, C1-C3 alkyl substituted pyrazolyl, tert-butyldimethylsilyloxyCH2-, -N(R5)2, (C1-C3 alkoxy)C1-C3 alkyl-, (C1-C3 alkyl)C(=O), oxo, (C1-C3 haloalkyl)C(=O)-, -SO2F, (C1-C3 alkoxy)C1-C3 alkoxy, -CH2OC(O)N(R5)2, -CH2NHC(O)OC1-C6 alkyl, -CH2NHC(O)N(R5)2, - CH2NHC(O)C1-C6 alkyl, -CH2(pyrazolyl), -CH2NHSO2C1-C6 alkyl, -CH2OC(O)heterocycle, -OC(O)N(R5)2, -OC(O)NH(C1-C3 alkyl)O(C1-C3 alkyl), -OC(O)NH(C1-C3 alkyl)O(C1-C3 alkyl)phenyl(C1-C3 alkyl)N(CH3)2, -OC(O)NH(C1-C3 alkyl)O(C1-C3 alkyl)phenyl, - OC(O)heterocycle, -O-C1-C3 alkyl, -S(O)2(R20), -S(O)2N(R20)2, -S(O)N(R20)2, - S(O)R20(=NR20), -NR20S(O)2R20, and -CH2heterocycle, wherein the phenyl of - NHC(O)phenyl and -OC(O)NH(C1-C3 alkyl)(C1-C3 alkyl)phenyl are optionally substituted with one or more substituents selected from -C(O)H and OH, and wherein the alkyl of -O-Cl- C3 alkyl is optionally substituted with substituents selected from heterocycle, oxo and hydroxy; and wherein the heterocycle of -CH2heterocyclyl is optionally substituted with oxo; each Q is selected from a bond and O; each R7 is independently selected from halogen, hydroxy, HC(=O)-, C1-C4 alkyl, C1-C4 alkoxy, C1-C4 haloalkyl, C1-C4 hydroxyalkyl, and -N(R5)2; R8 is selected from 5- to 10-membered heteroaryl and 5- to 12-membered unsaturated heterocycle, wherein the 5- to 10-membered heteroaryl and 5- to 12-membered unsaturated heterocycle are each optionally substituted with one or more substituents independently selected from halogen, -CN, -NO2, =O, -N(R20)2, -B(OR20)2, -OR20, -SR20, -S(O)2(R20), - S(O)2N(R20)2, -S(O)N(R20)2, -S(O)R20(=NR20), -NR20S(O)2R20, -C(O)N(R20)2, - N(R20)C(O)R20, -N(R20)C(O)N(R20)2, -N(R20)C(O)OR20, -C(O)R20, C(O)OR20, -OC(O)R20, - OC(O)N(R20)2, -C(O)NR20-OR20, C1-6 aminoalkyl, C1-6 alkoxy, C1-6 alkoxyalkyl, C1-6 hydroxyalkyl, C1-6 cyanoalkyl, C1-6 haloalkyl, C1-6 alkyl, C2-6 alkenyl, C2-6 alkynyl, C3-C12 carbocycle and 5- to 12-membered heterocycle; and wherein when R8 is 1-methyl-1H-
benzo[d]imidazole, m is 1, Y is oxygen, L is C1 alkylene, R9 is hydrogen, and R1A and R1B come together with the atom to which they are bound to form R1, the heterocycle of R1 is selected from an optionally substituted 6- to 15-membered heterocycle; R9 is selected from hydrogen, halogen, C1-C3 alkyl, -CN, -OR20, -SR20, C1-3 aminoalkyl, C1-3 alkoxyalkyl, C1-3 hydroxyalkyl, C1-3 cyanoalkyl, C1-3 haloalkyl; each R10 is independently selected from halogen, -B(OR20)2, -OR20, -SR20, -S(O)2(R20), - S(O)2N(R20)2, -S(O)N(R20)2, -S(O)R20(=NR20), -NR20S(O)2R20, -C(O)N(R20)2, - N(R20)C(O)R20, -N(R20)C(O)N(R20)2, -N(R20)C(O)OR20, -N(R20)2, -C(O)R20, -C(O)OR20, - OC(O)R20, -OC(O)N(R20)2, -NO2, =O, =NO(R20), -CN, -NHCN, C1-6 alkyl-N(R20)2, C1-6 aminoalkyl, C1-6 alkoxy, C1-6 hydroxyalkyl, C1-6 cyanoalkyl, C1-6 haloalkyl, C1-6 alkyl, C2-6 alkenyl, C2-6 alkynyl, C3-C12 carbocycle and 5- to 12-membered heterocycle, wherein the C3- C12 carbocycle and 5- to 12-membered heterocycle are each optionally substituted with one or more substituents independently selected from halogen, -OH, -CN, -NO2, -NH2, -NH(C1-6 alkyl), -N(C1-6 alkyl)2, C1-10 alkyl, -C1-10 haloalkyl, -O-C1-10 alkyl, oxo; each R11 , R12, and R13 is independently selected from halogen, -B(OR20)2, -OR20, -SR20, - S(O)2(R20), -S(O)2N(R20)2, -S(O)N(R20)2, -S(O)R20(=NR20), -NR20S(O)2R20, -C(O)N(R20)2, - N(R20)C(O)R20, -N(R20)C(O)N(R20)2, -N(R20)C(O)OR20, -N(R20)2, -C(O)R20, -C(O)OR20, - OC(O)R20, -OC(O)N(R20)2, -NO2, =O, =NO(R20), -CN, -NHCN, C1-6 alkyl-N(R20)2, C1-6 aminoalkyl, C1-6 alkoxy, C1-6 hydroxyalkyl, C1-6 cyanoalkyl, C1-6 haloalkyl, C1-6 alkyl, C2-6 alkenyl, C2-6 alkynyl, C3-C12 carbocycle and 5- to 12-membered heterocycle, wherein the C3- C12 carbocycle and 5- to 12-membered heterocycle are each optionally substituted with one or more substituents independently selected from halogen, -OH, -CN, -NO2, -N(R20)2, - C(O)N(R20)2, C1-10 alkyl, -C1-10 haloalkyl, -O-C1-10 alkyl, and oxo; each R11A, R12A, and R13A is independently selected from halogen, -B(OR20)2, -OR20, -SR20, - S(O)2(R20), -S(O)2N(R20)2, -S(O)N(R20)2, -S(O)R20(=NR20), -NR20S(O)2R20, -C(O)N(R20)2, - N(R20)C(O)R20, -N(R20)C(O)N(R20)2, -N(R20)C(O)OR20, -N(R20)2, -C(O)R20, -C(O)OR20, - OC(O)R20, -OC(O)N(R20)2, -NO2, =O, =NO(R20), -CN, -NHCN, C1-6 alkyl-N(R20)2, C1-6 aminoalkyl, C1-6 alkoxy, C1-6 hydroxyalkyl, C1-6 cyanoalkyl, C1-6 haloalkyl, C1-6 alkyl, C2-6 alkenyl, and C2-6 alkynyl; and each R20 is independently selected from hydrogen; and C1-6 alkyl, C2-6 alkenyl, C2-6 alkynyl, C3-12 carbocycle, and 3- to 12-membered heterocycle, each of which is optionally substituted with one or more substituents independently selected from halogen, -OH, -CN, -NO2, -NH2, - NH(C1-6 alkyl), -N(C1-6 alkyl)2, C1-10 alkyl, -C1-10 haloalkyl, -O-C1-10 alkyl, oxo, C3-12 carbocycle, and 3- to 12-membered heterocycle. 2. The compound or salt of claim 1, wherein Formula (I) is represented by
Formula (I-A), or a pharmaceutically acceptable salt thereof. 3. The compound or salt of claim 1, wherein Formula (I) is represented by
, or a pharmaceutically acceptable salt thereof. 4. The compound or salt of claim 1 to 3, wherein each R9 is selected from hydrogen, halogen, C1-C3 alkyl, and -CN. 5. The compound or salt of claim 4, wherein each R9 is selected from hydrogen, halogen, and C1-C3 alkyl. 6. The compound or salt of claim 5, wherein each R9 is selected from C1-3 alkyl. 7. The compound or salt of claim 6, wherein each R9 is hydrogen. 8. The compound or salt of any one of claims 1 to 7, wherein R8 is selected from an optionally substituted 5- to 6-membered heteroaryl. 9. The compound or salt of any one of claims 1 to 8, wherein R8 is selected from an optionally substituted 5-membered heteroaryl. 10. The compound or salt of any one of claims 1 to 9, wherein the heteroaryl of R8 has at least one sulfur atom. 11. The compound or salt of any one of claims 1 to 10, wherein the heteroaryl of R8 is
optionally substituted. 12. The compound or salt of any of claims 1 to 11, wherein the one or more optional substituents of R8 are independently selected from halogen, C1-6 alkyl, C1-6 haloalkyl, -N(R20)2, and -CN.
13. The compound or salt of any one of claims 1 to 12, wherein R8 is selected from
14. The compound or salt of any one of claims 1 to 7, wherein R8 is selected from an optionally substituted 6- to 9-membered heteroaryl. 1 lt of claim 14, R8 is selected from
,
, each of which is optionally substituted. 16. The compound or salt of claims 14 or 15, wherein the one or more optional substituents of R8 are independently selected from halogen, C1-6 alkyl, C1-6 haloalkyl, -N(R20)2, and -CN. 17. The compound or salt of any of claims 14 to 16, wherein the one or more optional substituents of R8 are independently selected from halogen, C2-6 alkyl, C1-6 haloalkyl, -N(R20)2, and -CN. 18. The compound or salt of claim 17, wherein the one or more optional substituents of R8 are independently selected from halogen, C1-6 haloalkyl, -N(R20)2, and -CN.
19. The compound or salt of any one of claims 14 to 18, wherein R8 is selected from
20. The compound or salt of any one of claims 1 to 7, wherein R8 is selected from an optionally substituted 9-membered heteroaryl. 21. The compound or salt of claim 20, wherein the heteroaryl of R8 has at least one sulfur atom. 22. The compound or salt of claims 20 or 21, wherein the heteroaryl of R8 is bicyclic. 23. The compound or salt of any one of claims 20 to 22, wherein
, which is optionally substituted. 24. The compound or salt of claim 23, wherein the one or more optional substituents of R8 are independently selected from halogen, C1-6 alkyl, C1-6 haloalkyl, -N(R20)2, and -CN. 25. The compound or salt of any one of claims 21 to 24, wherein R8 is
. 26. The compound or salt of any one of claims 1 to 7, wherein R8 is selected from an optionally substituted 5- to 12-membered unsaturated heterocycle. 27. The compound or salt of claim 26, wherein R8 is selected from an optionally substituted 9-membered unsaturated heterocycle. 28. The compound or salt of any one of claims 26 to 27, wherein the heterocycle of R8 is a bicyclic heterocycle. 29. The compound or salt of any one of claims 26 to 28, wherein the heterocycle of R8 has at least one sulfur atom.
30. The compound or salt of any one of claims 26 to 29, wherein the heterocycle of R8 is , which is optionally substituted. 31. The compound or salt of claim 30, wherein the one or more optional substituents of R8 are independently selected from halogen, -N(R20)2, and -CN. 32. The compound or salt of claim 31, wherein
. 33. The compound or salt of any one of claims 1 to 32, wherein n is selected from 0 and 1. 34. The compound or salt of any one of claims 1 to 33, wherein n is 1. 35. The compound or salt of any one of claims 1 to 34, wherein each R4 is independently selected from halogen, -NO2, -NH2, -NH(C1-6 alkyl), -N(C1-6 alkyl)2, =O, -CN, C1-6 alkyl, C1-6 aminoalkyl, C1-6 alkoxy, C1-6 cyanoalkyl, C1-6 hydroxyalkyl, and C1-6 haloalkyl. 36. The compound or salt of claim 35, wherein each R4 is independently selected from =O. 37. The compound or salt of any one of claims 1 to 35, wherein n is 0. 38. The compound or salt of any one of claims 1 to 37, wherein Y is -O-. 39. The compound or salt of any one of claims 1 to 38, wherein L is selected from C1-C4 alkylene. 40. The compound or salt of claim 39, wherein L is selected from unsubstituted C1-C4 alkylene. 41. The compound or salt of any one of claims 1 to 38, wherein each L is independently selected from a C1-C4 alkylene optionally substituted; and wherein optionally two substituents on the same carbon atom of L come together to form a C3-C6 carbocycle or 3- to 8-membered heterocycle wherein the C3-C6 carbocycle and 3- to 8-membered heterocycle are each optionally substituted with one or more substituents selected from halogen, -OH, -NO2, =O, =S, -CN, C1-6 aminoalkyl, C1-6 alkoxy, C1-6 hydroxyalkyl, C1-6 haloalkyl. 42. The compound or salt of claim 41, wherein the optional substituents of L are selected from C1-C4 hydroxyalkyl, C1-C4 alkyl, C3-C6 carbocycle; and wherein optionally two substituents on the same carbon atom of L come together to form a C3-C6 carbocycle or 3- to 8-membered heterocycle wherein the C3-C6 carbocycle and 3- to 8-membered heterocycle are optionally substituted with one or more substituents selected from halogen and C1-6 haloalkyl.
43. The compound or salt of any one of claims 41 to 42, wherein L is selected from
. 44. The compound or salt of claim 43, wherein L is selected from
, ,
45. The compound or salt of claim 43 or 44, wherein each L is independently selected from a substituted C1-C4 alkylene, and wherein two substituents on the same carbon atom of L come together to form a C3-C6 carbocycle 3- to 5-membered heterocycle. 46. The compound or salt of claim 45, wherein each L is independently selected from a substituted C2-3 alkylene, and wherein two substituents on the same carbon atom of L come together to form a C3 carbocycle or 4-membered heterocycle, wherein the C3 carbocycle is optionally substituted with one or more substituents selected from halogen. 47. The compound or salt of claims 45 or 46, wherein each L is independently selected
48. The compound or salt of claim 47, wherein each L is independently selected from
49. The compound or salt of claim 48, wherein each L is independently selected from
. 50. The compound or salt of claims 45 or 46, wherein each L is independently selected from a C1-C4 alkylene optionally substituted with one or more substituents independently selected from halogen and C1-C4 alkyl. 51. The compound or salt of claim 50, wherein L is selected from
, ,
52. The compound or salt of claim 50, wherein each L is independently selected from an unsubstituted C1-C4 alkylene.
53. The compound or salt of claim 52, wherein L is selected from and .
54. The compound or salt of claim 53, wherein L is selected from . 55. The compound or salt of any one of claims 1 to 54, wherein R2 is selected from heterocycle, -L-heterocycle, -L-aryl, -L-heteroaryl, and -L-N(R20)2, wherein the heterocycle, the heterocycle portion of -L-heterocycle, are each optionally substituted with one or more R6, and wherein the aryl of the -L-aryl, and the heteroaryl of -L-heteroaryl are each optionally substituted with one or more R7. 56. The compound or salt of claim 55, wherein R2 is -L-heterocycle, wherein the heterocycle portion of R2 is an optionally substituted heterocycle. 57. The compound or salt of claim 55 or 56, wherein R2 is -L-heterocycle, optionally substituted with one or more R6. 58. The compound or salt of any one of claims 1 to 57, wherein Y-R2 is selected from
wherein the heterocycle portion is optionally substituted with one or more R6. 59. The compound or salt of any one of claims 55 to 58, wherein the heterocycle portion of R2 is a heterocycle optionally substituted with one or more substituents selected from halogen, hydroxy, -CN, C1-C3 hydroxyalkyl, C1-C3 alkyl, C1-C3 haloalkyl, C1-C3 alkoxy, and C1-C3 aminoalkyl. 60. The compound or salt of claim 59, wherein the heterocycle portion of R2 is a heterocycle optionally substituted with one or more substituents selected from C1-C3 alkyl and halogen. 61. The compound or salt of any one of claims 1 to 60, wherein Y-R2 is selected from
62. The compound or salt of any one of claims 55 to 58, wherein R6 of R2 is independently selected at each occurrence from halogen, hydroxy, C1-C3 hydroxyalkyl, C1-C3 alkyl, C1-C3 haloalkyl, C1-C3 alkoxy, cyano, and C1-C3 aminoalkyl. 63. The compound or salt of claim 62, wherein R6 of R2 is independently selected at each occurrence from C1-C3 alkyl and halogen.
64. The compound or salt of claim 63, wherein Y-R2 is selected from
,
optionally substituted with one or more R6.
66. The compound or salt of claim 65, wherein Y-R2 selected from ,
67. The compound or salt of any one of claims 1 to 57, wherein Y-R2 is selected from
, wherein the heterocycle is optionally substituted. 68. The compound or salt of claim 67, wherein the heterocycle is optionally substituted with one or more substituents selected from halogen, hydroxy, C1-C3 alkyl, -N(R5)S(O)2(R5), - OC(O)N(R5)2, =CH2, oxo, =NO-C1-C3 alkyl, -CH2OC(O)heterocycle, -CH2heterocycle, - CH2OC(O)N(R5)2, and -O-C1-C3 alkyl, wherein the alkyl of -O-C1-C3 alkyl is optionally substituted with substituents selected from heterocycle, oxo, and hydroxy. 69. The compound or salt of any one of claims 1 to 68, wherein Y-R2 is selected from
,
70. The compound or salt of any one of claims 1 to 57, wherein Y-R2 is selected from
. 71. The compound or salt of any one of claims 1 to 57, wherein Y-R2 is selected from in the heterocycle portion is optionally substituted with one or more R6. pound or salt of any one of claims 1 to 57, wherein Y-R2 is selected from
, wherein the heterocycle portion is optionally substituted with one or more R6. 73. The compound or salt of any one of claims 1 to 57, wherein Y-R2 is selected from
wherein the heterocycle portion is optionally substituted with one or more R6.
74. The compound or salt of any one of claims 70 to 73, wherein the heterocycle is optionally substituted with one or more substituents selected from halogen, hydroxy, C1-C3 alkyl, -N(R5)S(O)2(R5), -OC(O)N(R5)2, =CH2, oxo, =NO-C1-C3 alkyl, -CH2OC(O)heterocycle, - CH2heterocycle, -CH2OC(O)N(R5)2, and -O-C1-C3 alkyl, wherein the alkyl of -O-C1-C3 alkyl is optionally substituted with substituents selected from heterocycle, oxo, and hydroxy. 75. The compound or salt of any one of claims 70 to 74, wherein each R6 is independently selected from halogen. 76. The compound or salt of any one of claims 70 to 75, wherein each R6 is independently selected from fluorine. 77. The compound or salt of any one of claims 1 to 76, wherein Y-R2 is selected from
78. The compound or salt of any one of claims 1 to 77, wherein Y-R2 is selected from
79. The compound or salt of any one of claims 1 to 55, wherein R2 is 80. The compound or salt of claim 79, wherein Y-R2 is selected from
,
81. The compound or salt of any one of claims 1 to 38, wherein R2 is heterocycle, optionally substituted with one or more R6. 82. The compound or salt of claim 81, wherein
. 83. The compound or salt of claim 82, wherein Y-R2 is
. 84. The compound or salt of any one of claims 1 to 55, wherein R2 is selected from heterocycle, -L-heterocycle, wherein the heterocycle, and the heterocycle portion of -L- heterocycle, are each optionally substituted with one or more R6; and -L-N(R20)2.
85. The compound or salt of claim 84, wherein the heterocycle of R2 is selected from
86. The compound or salt of claim 85, wherein the heterocycle of R2 is selected from
87. The compound or salt of any one of claims 84 to 86, wherein each R6 is independently selected from halogen, hydroxy, C1-C3 alkyl, C1-C3 haloalkyl, -N(R5)S(O)2(R5), - OC(O)N(R5)2, =CH2, oxo, =NO-C1-C3 alkyl, -CH2OC(O)heterocycle, -CH2heterocycle, - CH2OC(O)N(R5)2, and -O-C1-C3 alkyl, wherein the alkyl of -O-C1-C3 alkyl is optionally substituted with substituents selected from heterocycle, oxo, and hydroxy; and wherein each R7 is selected from C1-C3 alkyl, halogen and C1-C3 haloalkyl. 88. The compound or salt of any one of claims 84 to 87, wherein the heterocycle of R2, and -N(R20)2 of R2 is selected from is selected from
, , ,
. 93. The compound or salt of any one of claims 1 to 38, wherein Y is -O- and R2 is selected from L-5-membered heteroaryl, wherein L is selected from an optionally substituted C1- C4 alkylene, and wherein the heteroaryl is optionally substituted with one or more R7, wherein each R7 is preferably selected from halogen, C1-C4 alkyl, and C1-C4 haloalkyl. 94. The compound or salt of any one of claims 1 to 38, wherein Y is -O- and R2 is selected from L-5-membered heterocycle, wherein L is selected from an optionally substituted C1-C4 alkylene, and wherein the heterocycle is optionally substituted with one or more R6. 95. The compound or salt of any one of claims 1 to 94, wherein R1B is hydrogen. 96. The compound or salt of any one of claims 1 to 95, wherein R1B is selected from an optionally substituted C1-6 alkyl. 97. The compound or salt of any one of claims 1 to 95, wherein R1B is methyl. 98. The compound or salt of any one of claims 1 to 95, wherein R1B is selected from an optionally substituted C3-C6 carbocycle. 99. The compound or salt of any one of claims 1 to 98, wherein R1A is selected from an optionally substituted C1-6 alkyl. 100. The compound or salt of claim 99, wherein R11 is -N(R20)2. 101. The compound or salt of claim 100, wherein R1A is selected
,
102. The compound or salt of any one of claims 1 to 98, wherein R1A is C4-C6 carbocycle, wherein the C4-C6 carbocycle is optionally with one or more R11. 103. The compound or salt of claim 102, wherein each R11 is selected from -N(R20)2, and wherein each R20 is selected from hydrogen and optionally substituted C1-6 alkyl.
104. The compound or salt of claim 103, wherein R1A is selected
,
105. The compound or salt of any one of claims 1 to 98, wherein R1A is selected from 4- to 12-membered heterocycle, wherein the 4- to 12-membered heterocycle is optionally with one or more R11. 106. The compound or salt of any one of claims 1 to 98 or 105, wherein R1A is selected from
,
, each of which is optionally substituted with one or more R11, and wherein each R11 is independently selected from -OH, C1-6 aminoalkyl, C1-6 cyanoalkyl, C1-6 haloalkyl, C1-6 alkyl, -C(O)R20, C3-C12 carbocycle and 5- to 12-membered heterocycle, wherein the C3-C12 carbocycle and 5- to 12-membered heterocycle are each optionally substituted with one or more substituents independently selected from halogen, -OH, -CN, -NO2, -NH2, -NH(C1-6 alkyl), -N(C1-6 alkyl)2, C1-10 alkyl, -C1-10 haloalkyl, -O-C1-10 alkyl, and oxo. 107. The compound or salt of claim 106, wherein each R11 is selected from halogen, -OH, -N(R20)2, -C(O)R20, -C(O)N(R20)2, C1-6 aminoalkyl, C1-6 alkoxy, C1-6 hydroxyalkyl, C1-6 cyanoalkyl, C1-6 haloalkyl, and C1-6 alkyl.
optionally substituted C1-6 alkyl, and wherein optionally two R11 on the same atom of R1A come together to form an optionally substituted C3-C6 carbocycle. 110. The compound or salt of claim 109, wherein R11 is -CN, and wherein two R11 on the same atom of R1A come together to form an unsubstituted C3 carbocycle. 111. The compound or salt of claim 110, wherein R1A is selected from
. 112. The compound or salt of claim 111, wherein R1A is selected from
. 113. The compound or salt of any one of claims 1, or 4 to 94, wherein R100 is selected
114. The compound or salt of any one of claims 1 to 94, wherein R1B is selected from hydrogen, optionally substituted C1-6 alkyl, and optionally substituted C3-C6 carbocycle. 115. The compound or salt of any one of claims 1 to 94 or 114, wherein R1B is selected from hydrogen, C1-6 alkyl, C1-6 cyanoalkyl, C1-6 hydroxyalkyl, and C3-C6 carbocycle. 116. The compound or salt of any one of claims 1 to 94 or 115, wherein R1B is selected from hydrogen, methyl, ethyl, C2 hydroxyalkyl, and cyclopropyl. 117. The compound or salt of any one of claims 1 to 94 or 116, wherein R1B is hydrogen. 118. The compound or salt of any one of claims 1 to 94 or 116, wherein R1B is selected from an optionally substituted C1-6 alkyl.
119. The compound or salt of any one of claims 1 to 94 or 116, wherein R1B is selected from methyl and ethyl. 120. The compound or salt of any one of claims 1 to 94 or 116, wherein R1B is methyl. 121. The compound or salt of any one of claims 1 to 94 or 115, wherein R1B is selected from an optionally substituted C3-C6 carbocycle. 122. The compound or salt of claim 121, wherein R1B is
. 123. The compound or salt of any one of claims 1 to 94 or 116 to 122, wherein R1A is selected from an optionally substituted C1-3 alkyl, and wherein optionally two R11 on the same atom of R1A come together to form a C3 carbocycle. 124. The compound or salt of any one of claims 1 to 94 or 116 to 123, wherein R11 is selected from halogen, -N(R20)2, C3 carbocycle, and 5- to 6-membered heterocycle, wherein the 5- to 6-membered heterocycle is optionally substituted with one or more substituents independently selected from halogen, -OH, -CN, -N(R21)2, C1-10 alkyl, and -C1-10 haloalkyl. 125. The compound or salt of any one of claims 1 to 94 or 116 to 124, wherein each R21 is independently selected from hydrogen; and C1-6 alkyl, wherein the C1-6 alkyl is optionally substituted with one or more substituents independently selected from halogen, oxo, C3-6 carbocycle, and 3- to 6-membered heterocycle. 126. The compound or salt of any one of claims 1 to 94 or 116 to 125, wherein R1A is
,
128. The compound or salt of any one of claims 1 to 98 or 116 to 122, wherein R1A is selected from an optionally substituted C1-6 alkyl. 129. The compound or salt of any one of claims 1 to 98, 116 to 122, or 128, wherein R1A is selected from an optionally substituted C1-3 alkyl, and wherein optionally two R11 on the same atom of R1A come together to form a C3 carbocycle. 130. The compound or salt of any one of claims 1 to 98, 116 to 122, or 128 to 129, wherein R1A is selected from an optionally substituted C1-2 alkyl.
131. The compound or salt of any one of claims 1 to 98, 116 to 122, or 128 to 130, ,
132. The compound or salt of any one of claims 1 to 98, 116 to 122, or 128 to 131, wherein R1A is selected from
. 133. The compound or salt of any one of claims 1 to 98, 116 to 122, or 128 to 132, wherein R1A is selected from
. 134. The compound or salt of any one of claims 1 to 98, 116 to 122, or 128 to 133, wherein R11 is selected from an optionally substituted 5- to 12-membered heterocycle. 135. The compound or salt of any one of claims 1 to 98, 116 to 122, or 128 to 134, wherein R11 is selected from an optionally substituted 5- to 8-membered heterocycle. 136. The compound or salt of any one of claims 1 to 98, 116 to 122, or 128 to 135, wherein R11 is selected from an optionally substituted 5- to 6-membered heterocycle. 137. The compound or salt of any one of claims 1 to 98, 116 to 122, or 128 to 136, wherein R11 is selected from an optionally substituted 5- to 6-membered heteroaryl. 138. The compound or salt of any one of claims 1 to 98, 116 to 122, or 128 to 137, wherein R11 is selected from
optionally substituted. 139. The compound or salt of any one of claims 1 to 98, 116 to 122, or 128 to 138, wherein R11 is selected from
, each of which is optionally substituted.
140. The compound or salt of any one of claims 1 to 98, 116 to 122, or 128 to 139,
wherein R11 is selected from , and , each of which is optionally substituted. 141. The compound or salt of any one of claims 1 to 98, 116 to 122, or 128 to 140, wherein the optional one or more substituents of R11 are each independently selected from halogen, -OH, -CN, -N(R21)2, -C(O)N(R21)2, C1-10 alkyl, and -C1-10 haloalkyl. 142. The compound or salt of any one of claims 1 to 98, 116 to 122, or 128 to 141, wherein each R21 is independently selected from hydrogen; and C1-6 alkyl, C3-12 carbocycle, and 3- to 12-membered heterocycle, each of which is optionally substituted with one or more substituents independently selected from halogen, oxo, C3-6 carbocycle, and 3- to 6-membered heterocycle. 143. The compound or salt of any one of claims 1 to 98, 116 to 122, or 128 to 142, wherein the optional one or more substituents of R11 is selected from halogen, C1-6 haloalkyl, - NH2, -NH(C1-6 alkyl), -N(C1-6 alkyl)
alkyl. 144. The compound or salt of any one of claims 1 to 98, 116 to 122, or 128 to 143, wherein the optional one or more substituents of R11 is selected from -NH2, -NH(C1-6 alkyl), - N(C1-6 alkyl)2, and C1-10 alkyl. 145. The compound or salt of any one of claims 1 to 98, 116 to 122, or 128 to 144, wherein the optional one or more substituents of R11 is selected from -NH2, and C1-10 alkyl. 146. The compound or salt of any one of claims 1 to 98, 116 to 122, or 128 to 145, wherein the optional one or more substituents of R11 is selected from -NH2. 147. The compound or salt of any one of claims 1 to 98, 116 to 122, or 128 to 146,
148. The compound or salt of any one of claims 1 to 98, 116 to 122, or 128 to 147,
150. The compound or salt of any one of claims 1 to 98, 116 to 122, or 128 to 149,
. 151. The compound or salt of any one of claims 1 to 98, 116 to 122, or 128 to 138,
153. The compound or salt of claim 1, or 4 to 94, wherein R100 is selected from
154. The compound or salt of claim 1, or 3 to 94, wherein R100 is selected from
. 156. The compound or salt of any one of claims 1 to 98 or 114 to 122, wherein R1A is C4- C6 carbocycle, wherein the C4-C6 carbocycle is optionally with one or more R11. 157. The compound or salt of any one of claims 1 to 98, 114 to 122, or 156, wherein each R11 is selected from -N(R20)2, and wherein each R20 is selected from hydrogen and optionally substituted C1-6 alkyl. 158. The compound or salt of any one of claims 1 to 98, 114 to 122, or 156 to 157,
159. The compound or salt of any one of claims 1 to 98, 114 to 122, or 156 to 158, wherein R1A is selected from 4- to 12-membered heterocycle, wherein the 4- to 12-membered heterocycle is optionally with one or more R11. 160. The compound or salt of any one of claims 1 to 98, 114 to 122, or 156 to 159,
161. The compound or salt of any one of claims 1 to 98, 114 to 122, or 156 to 160, wherein each R11 is independently selected from C1-6 aminoalkyl, C1-6 cyanoalkyl, C1-6 haloalkyl, C1-6 alkyl, -C(O)R20, C3-C12 carbocycle and 5- to 12-membered heterocycle, wherein the C3-C12 carbocycle and 5- to 12-membered heterocycle are each optionally substituted with one or more substituents independently selected from halogen, -OH, -CN, -NO2, -NH2, -NH(C1-6 alkyl), - N(C1-6 alkyl)2, C1-10 alkyl, -C1-10 haloalkyl, -O-C1-10 alkyl, and oxo. 162. The compound or salt of any one of claims 1 to 98, 114 to 122, or 156 to 161, wherein each R11 is selected from halogen, -OH, -N(R20)2, -C(O)R20, -C(O)N(R20)2, C1-6 aminoalkyl, C1-6 alkoxy, C1-6 hydroxyalkyl, C1-6 cyanoalkyl, C1-6 haloalkyl, and C1-6 alkyl. 163. The compound or salt of any one of claims 1 to 98, 114 to 122, or 156 to 162, ,
164. The compound or salt of claims 1, 4 to 98, 114 to 122, or 156 to 163, wherein R100 is
. 165. The compound or salt of any one of claims 1 to 98, or 114 to 122, , wherein R1A is selected from an optionally substituted C1-6 alkyl, and wherein optionally two R11 on the same atom of R1A come together to form an optionally substituted C3-C6 carbocycle. 166. The compound or salt of any one of claims 1 to 98, or 114 to 122, or 165, wherein R11 is selected from -OH, -CN, and 5- to 6-membered heterocycle, wherein the 5- to 6- membered heterocycle is optionally substituted with one or more substituents independently selected from halogen, -OH, -CN, -NH2, -NH(C1-6 alkyl), -N(C1-6 alkyl)2, C1-10 alkyl, -C1-10 haloalkyl, and -O-C1-10 alkyl; and wherein two R11 on the same atom of R1A come together to form an unsubstituted C3 carbocycle. 167. The compound or salt of any one of claims 1 to 98, or 114 to 122, or 166, wherein
168. The compound or salt of any one of claims 1 to 98, or 114 to 122, or 165 to 167, wherein R1A is selected from
.
169. The compound or salt of claim 1, or 4 to 98, wherein R100 is selected from
170. The compound or salt of any one of claims 1 to 98, wherein R1A and R1B come together with the atoms to which they are bound to form R1, and R1 is selected from an optionally substituted 5- to 12-membered heterocycle. 171. The compound or salt of claim 170, wherein R1 is selected from 5- to 12-membered heterocycle, wherein the 5- to 12-membered heterocycle is optionally substituted with one or more substituents independently selected from halogen, -OH, -N(R20)2, -NO2, =O, -CN, C1-6 aminoalkyl, C1-6 alkoxy, C1-6 hydroxyalkyl, and C1-6 haloalkyl. 172. The compound or salt of claim 171, wherein R1 is selected from 5- to 12-membered heterocycle, wherein the 5- to 12-membered heterocycle is optionally substituted with one or more substituents independently selected from halogen, -OH, -N(R20)2, -NO2, C1-6 aminoalkyl, C1-6 alkoxy, C1-6 hydroxyalkyl, and C1-6 haloalkyl. 173. The compound or salt of claims 171 or 172, wherein each R20 is selected from hydrogen and C1-3 alkyl. 174. The compound or salt of any one of claims 171 to 172, wherein each R20 is selected from hydrogen and C1 alkyl. 175. The compound or salt of any one of claims 171 to 174, wherein the 5- to 12- membered heterocycle of R1 is unsaturated. 176. The compound or salt of any one of claims 171 to 174, wherein the 5- to 12- membered heterocycle of R1 is saturated. 177. The compound or salt of any one of claims 171 to 174, wherein the 5- to 12- membered heterocycle of R1 is bridged. 178. The compound or salt of any one of claims 171 to 174, wherein the 5- to 12- membered heterocycle of R1 is a spiro heterocycle. 179. The compound or salt of any one of claims 171 to 178, wherein the 5- to 12- membered heterocycle of R1 is a fused heterocycle.
180. The compound or salt of any one of claims 171 to 178, wherein the 5- to 12- membered heterocycle of R1 is non-aromatic. 181. The compound or salt of any one of claims 171 to 180, wherein R1 is selected from
,
, each of which is optionally substituted. 182. The compound or salt of claim 181, wherein the optional one or more substituents are each independently selected from halogen, -OH, -N(R20)2, -NO2, C1-6 aminoalkyl, C1-6 alkoxy, =O, -CN, C1-6 hydroxyalkyl, and C1-6 haloalkyl. 1 . The compound or salt of claims 181 or 182, wherein R1 is selected from
,
, each of which is optionally substituted with one or more substituents independently selected from halogen, -OH, -N(R20)2, -NO2, C1-6 aminoalkyl, C1-6 alkoxy, =O, -CN, C1-6 hydroxyalkyl, and C1-6 haloalkyl.
184. The compound or salt of claim 183, wherein R1 is selected from
,
185. The compound or salt of any one of claims 171 to 181, wherein R1 is selected from 6- to 8-membered heterocycle, which is optionally substituted. 186. The compound or salt of claim 185, wherein R1 is selected from 7-membered saturated heterocycle, 8-membered bridged heterocycle, and 6- to 7-membered unsaturated heterocycle, each of which is optionally substituted. 187. The compound or salt of claim 186, wherein R1 is selected from
,
, each of which is optionally substituted. 188. The compound or salt of claim 187, wherein the one or more optional substituents are independently selected from -OH, -CN, oxo, C1-6 cyanoalkyl. 189. The compound or salt of claims 187 or 188, wherein R1 is selected from
,
.
190. The compound or salt of any one of claims 170 to180, wherein R1 is selected from an optionally substituted 6- to 7-membered heterocycle. 191. The compound or salt of claim 190, wherein the 6- to 7-membered heterocycle contains only 1 nitrogen atom, and wherein the 6- to 7-membered heterocycle is optionally substituted. 192. The compound or salt of claim 191, wherein R1 is selected from an optionally substituted unsaturated 6-membered heterocycle. 193. The compound or salt of any one of claims 190 to 192, wherein R1 is selected from an optionally substituted unsaturated 7-membered heterocycle. 194. The compound or salt of any one of claims 190 to 193, wherein R1 is selected from
, any of which is optionally substituted.
195. The compound or salt of any one of claims 194, wherein R1 is selected from ,
, any of which is optionally substituted. 196. The compound or salt of any one of claims 190 to 195, wherein the one or more optional substituents of R1 are each independently selected from halogen, -OR20, -N(R20)2, =O, -CN, C1-6 hydroxyalkyl, C1-6 cyanoalkyl, C1-6 alkyl, -NHCN, and C2-6 alkynyl. 197. The compound or salt of any one of claims 190 to 196, each is optionally substituted with one or more substituents independently selected from halogen, -OH, -NH2, -NO2, C1-6 aminoalkyl, C1-6 alkoxy, C1-6 hydroxyalkyl, C1-6 haloalkyl, and C1-6 alkyl. 198. The compound or salt of any one of claims 190 to 197, wherein the one or more optional substituents of R1 are each independently selected from halogen.
199. The compound or salt of any one of claims 190 to 198, wherein R1 is selected from
200. The compound or salt of any one of claims 190 to 195, wherein R1 is selected from
, wherein each is optionally substituted with one or more substituents independently selected from halogen, -OH, -NH2, -NO2, C1-6 aminoalkyl, C1-6 alkoxy, C1-6 hydroxyalkyl, C1-6 haloalkyl, and C1-6 alkyl. 201. The compound or salt of claim 200, wherein R1 is selected from
, and
, wherein each is optionally substituted with one or more substituents independently selected from halogen, -OH, -NH2, -NO2, C1-6 aminoalkyl, C1-6 alkoxy, C1-6 hydroxyalkyl, C1-6 haloalkyl, and C1-6 alkyl. 202. The compound or salt of claim 201, wherein R1 is selected from
,
, wherein each is optionally substituted with one or more substituents independently selected from halogen, and C1-6 haloalkyl.
203. The compound or salt of claim 202, wherein R1 is selected from
204. The compound or salt of any one of claims 190, wherein R1 is selected from , which is optionally substituted with one or more substituents independently selected from halogen, -OH, -NH2, -NO2, C1-6 cyanoalkyl, C1-6 aminoalkyl, C1-6 alkoxy, C1-6 hydroxyalkyl, C1-6 haloalkyl, and C1-6 alkyl.
205. The compound or salt of claim 204, wherein R1 is selected from , which is optionally substituted with one or more substituents independently selected from halogen and C1- 6 cyanoalkyl. 206. The compound or salt of claim 205, wherein R1 is selected from
. 208. The compound or salt of any one of claims 171 to 181, wherein R1 is selected from an optionally substituted 6- to 7-membered heterocycle. 209. The compound or salt of claim 208, wherein the 6- to 7-membered heterocycle contains only 1 nitrogen atom and optionally one or more additional heteroatoms selected from oxygen, and sulfur. 210. The compound or salt of claim 209, wherein the optionally one or more additional heteroatoms are selected from sulfur.
211. The compound or salt of any one of claims 208 to 210, wherein the 6- to 7- membered heterocycle contains only 1 nitrogen atom and no further additional heteroatoms. 212. The compound or salt of any one of claims 208 to 211, wherein the 6- to 7- membered heterocycle is a non-aromatic 6- to 7-membered heterocycle. 213. The compound or salt of any one of claims 208 to 212, wherein the 6- to 7- membered heterocycle of R1 is bound to the respective Formula via the only 1 nitrogen atom. 214. The compound or salt of any one of claims 208 to 213, wherein R1 is selected from
, , , , , , each of which is optionally substituted. 215. The compound or salt of any one of claims 208 to 214, wherein the one or more optional substituents of R1 are each independently selected from halogen, -OH, -CN, C1-6 cyanoalkyl, -NHCN, C1-6 alkyl, oxo, and C2-6 alkynyl. 216. The compound or salt of any one of claims 171 to 181, wherein R1 is selected from an optionally substituted 6- to 10-membered heterocycle. 217. The compound or salt of claim 216, wherein R1 is selected from
,
, each of which is optionally substituted. 218. The compound or salt of claim 217, wherein the one or more optional substituents are independently selected from halogen, =O, -OH, -C(O)N(R20)2, C2-6 alkynyl, -NHCN, -CN, C1-6 aminoalkyl, C1-6 hydroxyalkyl, C1-6 cyanoalkyl, and C1-6 alkyl. 219. The compound or salt of claims 216 or 217, wherein R1 is selected from
,
220. The compound or salt of any one of claims 175 to 181, wherein R1 is selected from a 7- to 11-membered spiro heterocycle. 221. The compound or salt of claim 220, wherein R1 is selected from a 10-membered spiro heterocycle. 222. The compound or salt of claims 220 or 221, wherein the spiro heterocycle has at least 3 nitrogen atoms. 223. The compound or salt of claim 222, wherein R1 is selected from
, each of which is optionally substituted. 224. The compound or salt of claim 223, wherein R1 is selected from
, each of which is optionally substituted with one or more substituents independently selected from halogen, -OH, -N(R20)2, -NO2, =O, -CN, -NHCN, C1-6 aminoalkyl, C1-6 alkoxy, C1- 6 hydroxyalkyl, C1-6 cyanoalkyl, C1-6 haloalkyl, C1-6 alkyl, C2-6 alkenyl, and C2-6 alkynyl.
225. The compound or salt of claim 224, wherein R1 is selected from
. 226. The compound or salt of any one of claims 171 to 181, wherein R1 is selected from an optionally substituted unsaturated 9- to 11-membered heterocycle. 227. The compound or salt of claim 226, wherein R1 is selected from an optionally substituted unsaturated 10-membered heterocycle. 228. The compound or salt of claims 226 or 227, wherein
, which is optionally substituted. 229. The compound or salt of claim 228, wherein
, which is optionally substituted with one or more substituents selected from halogen, -OH, -C(O)N(R20)2, - C(O)NHOR20, -N(R20)2, -C(O)R20, -NO2, =O, -CN, C1-6 aminoalkyl, C1-6 alkoxy, C1-6 hydroxyalkyl, C1-6 cyanoalkyl, C1-6 haloalkyl, C1-6 alkyl, and C2-6 alkynyl. 230. The compound or salt of claim 229, wherein R1 is selected from
further optionally substituted with one or more substituents selected from halogen, -OH, - N(R20)2, =O, -CN, C1-6 aminoalkyl, C1-6 alkoxy, C1-6 hydroxyalkyl, C1-6 cyanoalkyl, C1-6 haloalkyl, C1-6 alkyl, and C2-6 alkynyl. 231. The compound or salt of any one of claims 228 to 230, wherein the one or more optional substituents of R1 are independently selected from halogen, -OH, -S(O)2(R20), - S(O)2N(R20)2, -S(O)N(R20)2, -S(O)R20(=NR20), -C(O)N(R20)2, -C(O)NHOR20, -N(R20)2, -
C(O)R20, -NO2, =O, -CN, C1-6 alkyl-N(R20)2, C1-6 aminoalkyl, C1-6 alkoxy, C1-6 alkoxyalkyl, C1-6 hydroxyalkyl, C1-6 cyanoalkyl, C1-6 haloalkyl, C1-6 alkyl, and C2-6 alkynyl. 232. The compound or salt of claims 230 or 231, wherein R1 is selected from
optionally substituted. 233. The compound or salt of claim 232, wherein R1 is selected from
234. The compound or salt of claim 231, wherein the one or more optional substituents of R1 are independently selected from halogen, -OH, -N(R20)2, =O, -CN, C1-6 aminoalkyl, C1-6 alkoxy, C1-6 hydroxyalkyl, C1-6 cyanoalkyl, C1-6 haloalkyl, -C(O)N(R20)2, C1-6 alkyl, and C2-6 alkynyl. 235. The compound or salt of claim 234, wherein the one or more optional substituents of R1 are independently selected from halogen, and -C(O)N(R20)2. 236. The compound or salt of claim 235, wherein R1 is selected from
. 237. The compound or salt of claim 236, wherein
. 238. The compound or salt of claim 237, wherein
.
239. The compound or salt of claim 228, wherein the one or more optional substituents of R1 are independently selected from halogen, C1-6 alkyl, C1-6 alkyl-N(R20)2, - C(O)NR20OR20, -C(O)N(R20)2, and -C(O)R20. 240. The compound or salt of claims 239, wherein the one or more optional substituents of R1 are selected from chlorine,
,
, , , ,
,
242. The compound or salt of any one of claims 226 to 228, wherein the one or more optional substituents of R1 are independently selected from halogen, -N(R20)2, -CN, C1-6 alkyl, C1-6 cyanoalkyl, C1-6 alkyl-N(R20)2, C1-6 alkyl-SO2-C1-6 alkyl, C2-6 alkenyl, - C(O)NR20OR20, -C(O)N(R20)2, -C(O)R20, and 5- to 10-membered heterocycle, wherein the 5- to 10-membered heterocycle is optionally substituted independently with one or more R1*, wherein each R1* is independently selected from halogen, -OR20, and C1-6 alkyl. 243. The compound or salt of claim 242, wherein the one or more optional substituents of
.
. 245. The compound or salt of any one of claims 170 to 180, wherein R1 is selected from an optionally substituted 6- to 11-membered heterocycle (e.g., 6-, 7-, 8-, 9-, 10-, and 11- membered heterocycle). 246. The compound or salt of claim 245, wherein the one or more optional substituents of R1 is selected from halogen, -OR20, -C(O)N(R20)2, -C(O)R20, -S(O)2R20, =O, -C1-6 alkyl(=NR20OR20), =NO(R20), -CN, -NHCN, C1-6 alkyl, and 5- to 12-membered heterocycle,
wherein the 5- to 12-membered heterocycle is optionally substituted independently with one or more R1*; and wherein each R1* is independently selected from halogen, and C1-6 alkyl. 247. The compound or salt of claims 245 or 246, wherein R1 is selected from
250. The compound or salt of any one of claims 170 to 180, wherein R1 is selected from
,
each of which is optionally substituted. 251. The compound or salt of claim 250, wherein the optional one or more substituents of R1 is selected from -OH, =NO(R20), -NHCN, and C1-6 alkyl. 252. The compound or salt of claims 250 or 251, wherein R1 is selected from hydrogen,
,
. 253. The compound or salt of any one of claims 170 to 180, wherein R1 is selected optionally substituted 7- to 10-membered heterocycle. 254. The compound or salt of claim 253, wherein R1 is selected from hydrogen
,
, each of which is optionally substituted. 255. The compound or salt of claim 254, wherein the optional one or more substituents of R1 are independently selected from halogen, -NH2, -S(O)2(R20), -C(O)R20, -C(O)N(R20)2, =O,=NO(R20), -CN, -NHCN, C1-6 alkyl, and 5- to 12-membered heterocycle, wherein the 5- to 12-membered heterocycle is optionally substituted independently with one or more R1*; and wherein each R1* is independently selected from halogen, and C1-6 alkyl. 256. The compound or salt of any one of claims 253 to 255, wherein R1 is selected from
, , , , ,
,
. 257. The compound or salt of any one of claims 170 to 180, wherein R1 is selected from an optionally substituted 8- to 10-membered heterocycle. 258. The compound or salt of claim 257, wherein the heterocycle is bicyclic. 259. The compound or salt of claims 257 or 258, wherein the heterocycle has at least two nitrogen atoms. 260. The compound or salt of any one of claims 257 to 259,
, ,
, each of which is optionally substituted.
261. The compound or salt of any one of claims 257 to 260, wherein the optional one or more substituents of R1 are independently selected from halogen,
,
-membered heteroaryl, wherein the 5- to 9-membered heteroaryl is substituted with at least one R1*, wherein the R1* is selected from halogen, and C1-6 alkyl. 262. The compound or salt of any one of claims 257 to 261, wherein the optional one or more substituents of R1 are independently selected from chlorine,
,
264. The compound or salt of any one of claims 1, or 4 to 94, wherein R100 is selected from and , wherein R1A is selected from C1-6 alkyl, wherein the C1-6 alkyl is optionally substituted with one or more R11, and wherein optionally two R11 on the same atom of R1A come together to form a C3-C6 carbocycle, wherein the C3-C6 carbocycle is optionally substituted with one or more R11A; or the R1A and R1B come together with the atom to which they are bound to form R1, wherein R1 is an optionally substituted 6- to 10-membered heterocycle; R1B is selected from hydrogen and C1-6 alkyl; and R1C is selected from C1-6 alkyl, wherein the C1- 6 alkyl is optionally substituted with one or more R12, and wherein optionally two R12 on the same atom of R1C come together to form a C3-C6 carbocycle, wherein the C3-C6 carbocycle is optionally substituted with one or more R12A. 265. The compound or salt of claim 264, wherein R100 is selected from: , wherein R1A is selected from C1-6 alkyl, wherein the C1-6 alkyl is optionally substituted with one or more R11, and wherein optionally two R11 on the same atom of R1A come together to form an unsubstituted C3 carbocycle; , wherein R1C is selected from C1-6 alkyl, wherein the C1-6 alkyl is optionally substituted with one or more R12, and wherein optionally two R12 on the same atom of R1C come together to form an unsubstituted C3 carbocycle; and which they are bound to form R1, w
, , , , , each of which is optionally substituted. 266. The compound or salt of claims 264 or 265, wherein: each R11 is selected from -CN, and wherein optionally two R11 on the same atom of R1A come together to form an unsubstituted C3 carbocycle; each R12 is selected from -CN, and wherein optionally two R12 on the same atom of R1C come together to form an unsubstituted C3 carbocycle; and the one or more substituents of R1 is independently selected from halogen, -OR20, -CN, oxo, C1-6 alkyl, C1-6 hydroxyalkyl, and -C(O)N(R20)2. 267. The compound or salt of claim 266, wherein:
R11 is selected from
R12 is selected from
the one or more substituents of R1 is independently selected from halogen, -OH, -CN, oxo, C1-6 alkyl, C1-6 hydroxyalkyl, and -C(O)N(CH3)2. 268. The compound or salt of claim 267, wherein R100 is selected from
,
269. The compound or salt of any one of claims 170 to 180, wherein R1 is selected from substituted 6- to 7-membered heterocycle, wherein the 6- to 7-membered heterocycle is substituted with at least one -NHCN, and further optionally substituted with one or more C1-6 alkyl. 270. The compound or salt of claim 269, wherein R1 is selected from
. 271. The compound or salt of any one of claims 170 to 180, wherein R1 is selected from an optionally substituted bridged 8- to 9-membered heterocycle. 272. The compound or salt of claim 271, wherein the heterocycle of R1 is selected from
, each of which is optionally substituted.
273. The compound or salt of claims 271 or 272, wherein the one or more substituents of R1 are selected from halogen, C1-6 alkyl, -N(R20)2, and C1-6 aminoalkyl. 274. The compound or salt of any one of claims 271 to 273, wherein R1 is selected
,
275. The compound or salt of claim 271, wherein R1 is selected from an optionally substituted bridged 8-membered heterocycle, wherein the heterocycle contains heteroatoms selected from nitrogen. 276. The compound or salt of claim 275, wherein the heterocycle of R1 is selected from
, each of which is optionally substituted. 277. The compound or salt of claim 276, wherein the one or more substituents of R1 are selected from C1-6 alkyl, -N(R20)2, and C1-6 aminoalkyl. 278. The compound or salt of claims 276 or 277, wherein R1 is selected
.
279. The compound or salt of claim278, wherein R1 is selected from
. 280. The compound or salt of any one of claims 1, or 4 to 94, wherein R100 is
. 281. The compound or salt of any one of claims 1, 4 to 94, wherein Formula (I) is represented by
Formula (I-D), or a pharmaceutically acceptable salt thereof. 282. The compound or salt of any one of claims 1, 4 to 94, wherein Formula (I) is represented by
, or a pharmaceutically acceptable salt thereof. 283. The compound or salt of any one of claims 1, 281 or 282, wherein R1C is selected from an optionally substituted C1-6 alkyl. 284. The compound or salt of claim 283, wherein R1C is selected from an optionally substituted C1-6 alkyl, and wherein optionally two R12 on the same atom of R1C come together to form an optionally substituted C3-C6 carbocycle. 285. The compound or salt of claim 284, wherein R12 is selected from -OH, -CN, and 5- to 6-membered heterocycle, wherein the 5- to 6-membered heterocycle is optionally substituted with one or more substituents independently selected from halogen, -OH, -CN, -NH2, -NH(C1-6 alkyl), -N(C1-6 alkyl)2, C1-10 alkyl, -C1-10 haloalkyl, and -O-C1-10 alkyl; and wherein two R12 on the same atom of R1C come together to form an unsubstituted C3 carbocycle.
287. The compound or salt of any one of claims 1, or 4 to 94, wherein R100 is selected
288. The compound or salt of any one of claims 1, 4 to 94, or 281 or 283, wherein R1C is selected from an optionally substituted C1-3 alkyl. 289. The compound or salt of claim 288, wherein R1C is selected from
,
. 291. The compound or salt of claim 290, wherein R12 is selected from an optionally substituted 5- to 12-membered heterocycle. 292. The compound or salt of claim 291, wherein R12 is selected from an optionally substituted 5- to 8-membered heterocycle. 293. The compound or salt of claim 292, wherein R12 is selected from an optionally substituted 5- to 6-membered heterocycle. 294. The compound or salt of claim 293, wherein R12 is selected from an optionally substituted 5- to 6-membered heteroaryl.
296. The compound or salt of claim 295, wherein R12 is selected from
,
, each of which is optionally substituted. 297. The compound or salt of claim 296, wherein R12 is selected from
,
, each of which is optionally substituted. 298. The compound or salt of any one of claims 1, or 281 to 288, wherein the optional one or more substituents of R12 is selected from -NH2, -NH(C1-6 alkyl), -N(C1-6 alkyl)2, and C1-10 alkyl. 299. The compound or salt of any one of claims 1, or 281 to 289, wherein the optional one or more substituents of R12 is selected from -NH2, -NH(C1-6 alkyl), -N(C1-6 alkyl)2, and C1-10 alkyl. 300. The compound or salt of any one of claims 1, 281 to 28, or 298 to 299, wherein the optional one or more substituents of R12 is selected from -NH2, and C1-10 alkyl. 301. The compound or salt of any one of claims 1, 281 to 28, or 298 to 300, wherein the optional one or more substituents of R12 is selected from -NH2. 302. The compound or salt of any one of claims 1, 281 to 288, or 298 to 301, wherein R12
.
303. The compound or salt of any one of claims 1, 281 to 288, or 298 to 302, wherein R1C
304. The compound or salt of any one of claims 1, 281 to 288, or 298 to 303wherein R1C
305. The compound or salt of claim 304, wherein
. 306. The compound or salt of claim 1, wherein R100 is selected from
. 307. The compound or salt of claims 1, 281 to 288, or 298 to 301, wherein R1C is selected from an optionally substituted 5- to 6-membered heterocycle. 308. The compound or salt of claim 307, wherein R1C is selected from an optionally substituted 5-membered heterocycle having at least one oxygen atom. 309. The compound or salt of claims 307 or 308, wherein R1C is selected
, which is optionally substituted. 310. The compound or salt of claim 309, wherein each R12 is selected from halogen, -OR20, C1-6 hydroxyalkyl, C1-6 cyanoalkyl, C1-6 haloalkyl, and C1-6 alkyl. 311. The compound or salt of claim 310, wherein each R12 is selected from -OH. 1C
312. The compound or salt of any one of claims 307 to 311, wherein R is .
313. The compound or salt of claim 1, wherein R100 is selected from
. 314. The compound or salt of claims 1, 4 to 94, wherein R100 is
. 315. The compound or salt of claim 314, wherein Formula (I) is represented by
Formula (I-F), or a pharmaceutically acceptable salt thereof. 316. The compound or salt of claim 314, wherein Formula (I) is represented by
or a pharmaceutically acceptable salt thereof. 317. The compound or salt of claims 1, 4 to 94, or 315 or 316, wherein R1D is selected from an optionally substituted C1-6 alkyl. 318. The compound or salt of any one of claims 1, 4 to 94, or 315 or 317, wherein R1D is selected from
. 319. The compound or salt of claim 318, wherein R13 is selected from an optionally substituted 5- to 12-membered heterocycle. 320. The compound or salt of claim 319, wherein R13 is selected from an optionally substituted 5- to 8-membered heterocycle.
321. The compound or salt of claim 320, wherein R13 is selected from an optionally substituted 5- to 6-membered heterocycle. 322. The compound or salt of claim 321, wherein R13 is selected from an optionally substituted 5- to 6-membered heteroaryl. 323. The compound or salt of claim 322, wherein R13 i
, ,
, ,
325. The compound or salt of claim 324, wherein R13 is selected from
,
, each of which is optionally substituted. 326. The compound or salt of any one of claims 1, or 316 to 325, wherein the optional one or more substituents of R12 is selected from -NH2, -NH(C1-6 alkyl), -N(C1-6 alkyl)2, and C1-10 alkyl. 327. The compound or salt of any one of claims 1, or 316 to 326, wherein the optional one or more substituents of R12 is selected from -NH2, -NH(C1-6 alkyl), -N(C1-6 alkyl)2, and C1-10 alkyl. 328. The compound or salt of any one of claims 1, or 316 to 327, wherein the optional one or more substituents of R12 is selected from -NH2, and C1-10 alkyl. 329. The compound or salt of any one of claims 1, or 316 to 328, wherein the optional one or more substituents of R12 is selected from -NH2.
333. The compound or salt of claim 332, wherein
. 334. The compound or salt of claims 1 to 333, wherein R3 is selected from hydrogen, halogen, -CN, -N(R20)2, -OR20, -C(O)N(R20)2, -C(O)R20, C1-6 aminoalkyl, C1-6 alkoxy, C1-6 alkoxyalkyl, C1-6 hydroxyalkyl, C1-6 cyanoalkyl, C1-6 haloalkyl, C1-6 alkyl, C2-6 alkenyl, C2-6 alkynyl, C3-C12 carbocycle and 5- to 12-membered heterocycle. 335. The compound or salt of claims 1 to 334, wherein R3 is selected from hydrogen, halogen, and -CN. 336. The compound or salt of claims 1 to 334, wherein R3 is hydrogen. 337. The compound or salt of claims 1 to 334, wherein R3 is halogen.
338. The compound or salt of claims 1 to 334, wherein R3 is -CN. 339. A pharmaceutical composition comprising a compound or salt of any one of claims 1 to 338 and a pharmaceutically acceptable excipient. 340. A method of treating a disease or disorder, using a compound or salt of any one of claims 1 to 338 or a pharmaceutical composition of claim 339. 341. The method of claim 340, wherein the disease or disorder is cancer. 342. The method of claim 341, wherein the cancer is selected from: Cardiac: sarcoma (angiosarcoma, fibrosarcoma, rhabdomyosarcoma, liposarcoma), myxoma, rhabdomyoma, fibroma, lipoma and teratoma; Lung: bronchogenic carcinoma (squamous cell, undifferentiated small cell, undifferentiated large cell, adenocarcinoma), alveolar (bronchiolar) carcinoma, bronchial adenoma, sarcoma, lymphoma, chondromatous hamartoma, mesothelioma; Gastrointestinal: esophagus (squamous cell carcinoma, adenocarcinoma, leiomyosarcoma, lymphoma), stomach (carcinoma, lymphoma, leiomyosarcoma), pancreas (ductal adenocarcinoma, insulinoma, glucagonoma, gastrinoma, carcinoid tumors, vipoma), small bowel (adenocarcinoma, lymphoma, carcinoid tumors, Kaposi's sarcoma, leiomyoma, hemangioma, lipoma, neurofibroma, fibroma), large bowel (adenocarcinoma, tubular adenoma, villous adenoma, hamartoma, leiomyoma); Genitourinary tract: kidney (adenocarcinoma, Wilm's tumor (nephroblastoma), lymphoma, leukemia), bladder and urethra (squamous cell carcinoma, transitional cell carcinoma, adenocarcinoma), prostate (adenocarcinoma, sarcoma), testis (seminoma, teratoma, embryonal carcinoma, teratocarcinoma, choriocarcinoma, sarcoma, interstitial cell carcinoma, fibroma, fibroadenoma, adenomatoid tumors, lipoma); Liver: hepatoma (hepatocellular carcinoma), cholangiocarcinoma, hepatoblastoma, angiosarcoma, hepatocellular adenoma, hemangioma; Biliary tract: gall bladder carcinoma, ampullary carcinoma, cholangiocarcinoma; Bone: osteogenic sarcoma (osteosarcoma), fibrosarcoma, malignant fibrous histiocytoma, chondrosarcoma, Ewing's sarcoma, malignant lymphoma (reticulum cell sarcoma), multiple myeloma, malignant giant cell tumor chordoma, osteochronfroma (osteocartilaginous exostoses), benign chondroma, chondroblastoma, chondromyxofibroma, osteoid osteoma and giant cell tumors; Nervous system: skull (osteoma, hemangioma, granuloma, xanthoma, osteitis deformans), meninges (meningioma, meningiosarcoma, gliomatosis), brain (astrocytoma, medulloblastoma, glioma, ependymoma, germinoma (pinealoma), glioblastoma multiform,
oligodendroglioma, schwannoma, retinoblastoma, congenital tumors), spinal cord neurofibroma, meningioma, glioma, sarcoma); Gynecological: uterus (endometrial carcinoma), cervix (cervical carcinoma, pre-tumor cervical dysplasia), ovaries (ovarian carcinoma (serous cystadenocarcinoma, mucinous cystadenocarcinoma, unclassified carcinoma), granulosa-thecal cell tumors, Sertoli-Leydig cell tumors, dysgerminoma, malignant teratoma), vulva (squamous cell carcinoma, intraepithelial carcinoma, adenocarcinoma, fibrosarcoma, melanoma), vagina (clear cell carcinoma, squamous cell carcinoma, botryoid sarcoma (embryonal rhabdomyosarcoma), fallopian tubes (carcinoma); Hematologic: blood (myeloid leukemia (acute and chronic), acute lymphoblastic leukemia, chronic lymphocytic leukemia, myeloproliferative diseases, multiple myeloma, myelodysplastic syndrome), Hodgkin's disease, non-Hodgkin's lymphoma (malignant lymphoma); Skin: malignant melanoma, basal cell carcinoma, squamous cell carcinoma, Kaposi's sarcoma, moles dysplastic nevi, lipoma, angioma, dermatofibroma, keloids, psoriasis; and Adrenal glands: neuroblastoma. 343. The method of claim 341, wherein the cancer is non-small cell lung cancer, small cell lung cancer, colorectal cancer, rectal cancer or pancreatic cancer. 344. The method of claim 341, wherein the cancer is non-small cell lung cancer. 345. The method of claim 341, wherein the cancer is small cell lung cancer. 346. The method of claim 341, wherein the cancer is colorectal cancer. 347. The method of claim 341, wherein the cancer is rectal cancer. 348. The method of claim 341, wherein the cancer is pancreatic cancer. 349. The method of claim 341, wherein the cancer is a solid tumor cancer. 350. The method of any one of claims 341 to 349, wherein the cancer is selected from a KRas mutant-associated cancer. 351. The method of any one of claims 341 to 350, wherein the cancer is selected from a KRas wildtype-associated cancer. 352. The method of any one of claims 341 to 350, wherein the cancer is selected from a KRas G12D-associated cancer, a KRas G12V-associated cancer, and a KRas wildtype- associated cancer. 353. The method of any one of claims 341 to 350, wherein the cancer is a KRas G12D- associated cancer. 354. The method of any one of claims 341 to 350, wherein the cancer is a KRas G12V- associated cancer.
355. The method of any one of claims 341 to 350, wherein the cancer is a KRas wildtype- associated cancer. 356. A method of inhibiting KRas G12D and/or other G12 mutants, using a compound or salt of any one of claims 1 to 338 or a pharmaceutical composition of claim 339. 357. A method of inhibiting KRas G12D and/or other G12 alleles, using a compound or salt of any one of claims 1 to 338 or a pharmaceutical composition of claim 339. 358. A method of inhibiting KRas G12D and/or other alleles, using a compound or salt of any one of claims 1 to 338 or a pharmaceutical composition of claim 339. 359. Use of a compound of any one of claims 1-338 thereof in the preparation of a target protein degrading compound by using chemical modification of compound of any one of claims 1-338.
Applications Claiming Priority (2)
| Application Number | Priority Date | Filing Date | Title |
|---|---|---|---|
| US202363579226P | 2023-08-28 | 2023-08-28 | |
| US63/579,226 | 2023-08-28 |
Publications (1)
| Publication Number | Publication Date |
|---|---|
| WO2025049402A1 true WO2025049402A1 (en) | 2025-03-06 |
Family
ID=92712381
Family Applications (1)
| Application Number | Title | Priority Date | Filing Date |
|---|---|---|---|
| PCT/US2024/043892 Pending WO2025049402A1 (en) | 2023-08-28 | 2024-08-26 | Kras modulators and uses thereof |
Country Status (1)
| Country | Link |
|---|---|
| WO (1) | WO2025049402A1 (en) |
Cited By (8)
| Publication number | Priority date | Publication date | Assignee | Title |
|---|---|---|---|---|
| WO2025240847A1 (en) | 2024-05-17 | 2025-11-20 | Revolution Medicines, Inc. | Ras inhibitors |
| WO2025255438A1 (en) | 2024-06-07 | 2025-12-11 | Revolution Medicines, Inc. | Methods of treating a ras protein-related disease or disorder |
| WO2025265060A1 (en) | 2024-06-21 | 2025-12-26 | Revolution Medicines, Inc. | Therapeutic compositions and methods for managing treatment-related effects |
| WO2026006747A1 (en) | 2024-06-28 | 2026-01-02 | Revolution Medicines, Inc. | Ras inhibitors |
| WO2026015796A1 (en) | 2024-07-12 | 2026-01-15 | Revolution Medicines, Inc. | Methods of treating a ras related disease or disorder |
| WO2026015790A1 (en) | 2024-07-12 | 2026-01-15 | Revolution Medicines, Inc. | Methods of treating a ras related disease or disorder |
| WO2026015801A1 (en) | 2024-07-12 | 2026-01-15 | Revolution Medicines, Inc. | Methods of treating a ras related disease or disorder |
| WO2026015825A1 (en) | 2024-07-12 | 2026-01-15 | Revolution Medicines, Inc. | Use of ras inhibitor for treating pancreatic cancer |
Citations (8)
| Publication number | Priority date | Publication date | Assignee | Title |
|---|---|---|---|---|
| US5846514A (en) | 1994-03-25 | 1998-12-08 | Isotechnika, Inc. | Enhancement of the efficacy of nifedipine by deuteration |
| US6334997B1 (en) | 1994-03-25 | 2002-01-01 | Isotechnika, Inc. | Method of using deuterated calcium channel blockers |
| WO2007056221A2 (en) * | 2005-11-03 | 2007-05-18 | Vertex Pharmaceuticals Incorporated | Aminopyrimidines useful as kinase inhibitors |
| EP2394999A1 (en) * | 2009-02-06 | 2011-12-14 | Nippon Shinyaku Co., Ltd. | Aminopyrazine derivative and medicine |
| WO2013052395A1 (en) * | 2011-10-06 | 2013-04-11 | Merck Sharp & Dohme Corp. | 1,3-substituted azetidine pde10 inhibitors |
| EP3533795A1 (en) * | 2016-10-26 | 2019-09-04 | Carna Biosciences Inc. | Novel pyrimidine derivative having antimalarial activity |
| WO2020028706A1 (en) * | 2018-08-01 | 2020-02-06 | Araxes Pharma Llc | Heterocyclic spiro compounds and methods of use thereof for the treatment of cancer |
| WO2022177917A2 (en) * | 2021-02-16 | 2022-08-25 | Theras, Inc. | Compositions and methods for inhibition of ras |
-
2024
- 2024-08-26 WO PCT/US2024/043892 patent/WO2025049402A1/en active Pending
Patent Citations (8)
| Publication number | Priority date | Publication date | Assignee | Title |
|---|---|---|---|---|
| US5846514A (en) | 1994-03-25 | 1998-12-08 | Isotechnika, Inc. | Enhancement of the efficacy of nifedipine by deuteration |
| US6334997B1 (en) | 1994-03-25 | 2002-01-01 | Isotechnika, Inc. | Method of using deuterated calcium channel blockers |
| WO2007056221A2 (en) * | 2005-11-03 | 2007-05-18 | Vertex Pharmaceuticals Incorporated | Aminopyrimidines useful as kinase inhibitors |
| EP2394999A1 (en) * | 2009-02-06 | 2011-12-14 | Nippon Shinyaku Co., Ltd. | Aminopyrazine derivative and medicine |
| WO2013052395A1 (en) * | 2011-10-06 | 2013-04-11 | Merck Sharp & Dohme Corp. | 1,3-substituted azetidine pde10 inhibitors |
| EP3533795A1 (en) * | 2016-10-26 | 2019-09-04 | Carna Biosciences Inc. | Novel pyrimidine derivative having antimalarial activity |
| WO2020028706A1 (en) * | 2018-08-01 | 2020-02-06 | Araxes Pharma Llc | Heterocyclic spiro compounds and methods of use thereof for the treatment of cancer |
| WO2022177917A2 (en) * | 2021-02-16 | 2022-08-25 | Theras, Inc. | Compositions and methods for inhibition of ras |
Non-Patent Citations (25)
| Title |
|---|
| "Curr., Pharm. Des.", vol. 6, 2000, article "Recent Advances in the Synthesis and Applications of Radiolabeled Compounds for Drug Discovery and Development", pages: 110 |
| "Pharmaceutical Dosage Forms and Drug Delivery Systems", 1999, LIPPINCOTT WILLIAMS & WILKINS |
| "Pharmaceutical Dosage Forms", 1980, MARCEL DECKER |
| "The AACR Project GENIE Consortium", CANCER DISCOVERY, vol. 7, no. 8, 2017, pages 818 - 831 |
| CULLY, M.J. DOWNWARD: "SnapShot: Ras Signaling", CELL, vol. 133, no. 7, 2008, pages 1292 - 1292 |
| DROSTEN, M. ET AL.: "Genetic analysis of Ras signalling pathways in cell proliferation, migration and survival", EMBO J, vol. 29, no. 6, 2010, pages 1091 - 104 |
| EDWARD B. ROCHE: "Bioreversible Carriers in Drug Design,", 1987, AMERICAN PHARMACEUTICAL ASSOCIATION |
| EVANS, E. ANTHONY: "Synthesis of radiolabeled compounds", J. RADIOANAL. CHEM., vol. 64, no. 1-2, 1981, pages 9 - 32 |
| FEDORAK ET AL., AM. J. PHYSIOL., vol. 269, 1995, pages G210 - 218 |
| GEORGE W.VARMA, RAJENDER S: "The Synthesis of Radiolabeled Compounds via Organometallic Intermediates", TETRAHEDRON, vol. 45, no. 21, 1989, pages 6601 - 21 |
| HOCHHAUS ET AL., BIOMED. CHROM., vol. 6, 1992, pages 283 - 286 |
| HOOVER, JOHN E.: "Remington's Pharmaceutical Sciences", 1975, MACK PUBLISHING CO. |
| J. LARSEN ET AL., INT. J. PHARMACEUTICS, vol. 47, 1988, pages 103 |
| J. LARSENH. BUNDGAARD, INT. J. PHARMACEUTICS, vol. 37, 1987, pages 87 |
| JEAN JACQUESANDRE COLLETSAMUEL H. WILEN: "Enantiomers, Racemates and Resolutions", 1981, JOHN WILEY AND SONS, INC. |
| L. FIESERM. FIESER: "Fieser and Fieser's Reagents for Organic Synthesis", 1994 |
| L. PAQUETTE: "Remington: The Science and Practice of Pharmacy", 2005, MACK PUBLISHING COMPANY |
| MCLOED ET AL., GASTROENTEROL, vol. 106, 1994, pages 405 - 413 |
| R. LAROCK: "Comprehensive Organic Transformations", 1989 |
| ROWE ET AL.: "Handbook of Pharmaceutical Excipients: A Comprehensive Guide to Uses, Properties, and Safety", 2006 |
| SINKULA ET AL., J. PHARM. SCI., vol. 64, 1975, pages 181 - 210 |
| STEPHEN, A.G. ET AL.: "Dragging ras back in the ring", CANCER CELL, vol. 25, no. 3, 2014, pages 272 - 81, XP028633347, DOI: 10.1016/j.ccr.2014.02.017 |
| T. HIGUCHIV. STELLA: "Pro-drugs as Novel Delivery Systems", A.C.S. SYMPOSIUM SERIES, vol. 14 |
| T. W. GREENEP. G. M. WUTS: "Protective Groups in Organic Synthesis", 1991 |
| WINTER GEBUCKLEY DLPAULK JROBERTS JMSOUZA ADHE-PAGANON SBRADNER JE: "DRUG DEVELOPMENT. Phthalimide conjugation as a strategy for in vivo target protein degradation", SCIENCE, vol. 348, no. 6241, 19 June 2015 (2015-06-19), pages 1376 - 81 |
Cited By (8)
| Publication number | Priority date | Publication date | Assignee | Title |
|---|---|---|---|---|
| WO2025240847A1 (en) | 2024-05-17 | 2025-11-20 | Revolution Medicines, Inc. | Ras inhibitors |
| WO2025255438A1 (en) | 2024-06-07 | 2025-12-11 | Revolution Medicines, Inc. | Methods of treating a ras protein-related disease or disorder |
| WO2025265060A1 (en) | 2024-06-21 | 2025-12-26 | Revolution Medicines, Inc. | Therapeutic compositions and methods for managing treatment-related effects |
| WO2026006747A1 (en) | 2024-06-28 | 2026-01-02 | Revolution Medicines, Inc. | Ras inhibitors |
| WO2026015796A1 (en) | 2024-07-12 | 2026-01-15 | Revolution Medicines, Inc. | Methods of treating a ras related disease or disorder |
| WO2026015790A1 (en) | 2024-07-12 | 2026-01-15 | Revolution Medicines, Inc. | Methods of treating a ras related disease or disorder |
| WO2026015801A1 (en) | 2024-07-12 | 2026-01-15 | Revolution Medicines, Inc. | Methods of treating a ras related disease or disorder |
| WO2026015825A1 (en) | 2024-07-12 | 2026-01-15 | Revolution Medicines, Inc. | Use of ras inhibitor for treating pancreatic cancer |
Similar Documents
| Publication | Publication Date | Title |
|---|---|---|
| US11912723B2 (en) | KRAS modulators and uses thereof | |
| WO2023114733A1 (en) | Kras modulators and uses thereof | |
| US12145947B2 (en) | Pyrimidine based modulators and uses thereof | |
| WO2025049402A1 (en) | Kras modulators and uses thereof | |
| US12421254B2 (en) | KRAS modulators and uses thereof | |
| WO2022256459A1 (en) | Kras modulators and uses thereof | |
| WO2022261210A1 (en) | Kras modulators and uses thereof | |
| WO2025049619A1 (en) | Kras modulators and uses thereof | |
| CA3216163A1 (en) | Carboxy-benzimidazole glp-1r modulating compounds | |
| WO2024259169A1 (en) | Pyrimidine based modulators and uses thereof | |
| TW202327602A (en) | Small molecule inhibitors of ubiquitin specific protease 1 (usp1) and uses thereof | |
| WO2025049641A1 (en) | Kras modulators and uses thereof | |
| CN119173515A (en) | Small molecule inhibitors of ubiquitin-specific protease 1 (USP1) and uses thereof | |
| JP2021528375A (en) | Melanocortin subtype-2 receptor (MC2R) antagonist and its use | |
| WO2025034883A1 (en) | Combination therapies with kras modulators | |
| WO2025106901A1 (en) | Combination cancer therapies with a kras modulator and an rtk-mapk pathway inhibitor | |
| WO2025106905A1 (en) | Combination therapies with a kras modulator and an immunomodulator inhibitor | |
| CN119053601A (en) | Small molecule inhibitors of ubiquitin-specific protease 1 (USP 1) and uses thereof | |
| KR20240024948A (en) | Beta-lactam derivatives for the treatment of diseases | |
| WO2022179528A1 (en) | Analogs for the treatment of disease | |
| CN118339149A (en) | Compounds and compositions for treating conditions associated with LPA receptor activity | |
| WO2025034919A1 (en) | Combination therapies with kras modulators | |
| WO2023078337A1 (en) | Cdk8/19 dual inhibitors and methods of use |
Legal Events
| Date | Code | Title | Description |
|---|---|---|---|
| 121 | Ep: the epo has been informed by wipo that ep was designated in this application |
Ref document number: 24768865 Country of ref document: EP Kind code of ref document: A1 |









































































































































































































































































































































































































































































































































































































































