WO2025026903A1 - Imidazo pyrimidine compounds for the treatment of cancer - Google Patents
Imidazo pyrimidine compounds for the treatment of cancer Download PDFInfo
- Publication number
- WO2025026903A1 WO2025026903A1 PCT/EP2024/071260 EP2024071260W WO2025026903A1 WO 2025026903 A1 WO2025026903 A1 WO 2025026903A1 EP 2024071260 W EP2024071260 W EP 2024071260W WO 2025026903 A1 WO2025026903 A1 WO 2025026903A1
- Authority
- WO
- WIPO (PCT)
- Prior art keywords
- methoxy
- purin
- ethynyl
- fluoro
- cyclobutyl
- Prior art date
- Legal status (The legal status is an assumption and is not a legal conclusion. Google has not performed a legal analysis and makes no representation as to the accuracy of the status listed.)
- Pending
Links
Classifications
-
- C—CHEMISTRY; METALLURGY
- C07—ORGANIC CHEMISTRY
- C07D—HETEROCYCLIC COMPOUNDS
- C07D473/00—Heterocyclic compounds containing purine ring systems
- C07D473/02—Heterocyclic compounds containing purine ring systems with oxygen, sulphur, or nitrogen atoms directly attached in positions 2 and 6
- C07D473/18—Heterocyclic compounds containing purine ring systems with oxygen, sulphur, or nitrogen atoms directly attached in positions 2 and 6 one oxygen and one nitrogen atom, e.g. guanine
-
- A—HUMAN NECESSITIES
- A61—MEDICAL OR VETERINARY SCIENCE; HYGIENE
- A61P—SPECIFIC THERAPEUTIC ACTIVITY OF CHEMICAL COMPOUNDS OR MEDICINAL PREPARATIONS
- A61P35/00—Antineoplastic agents
-
- C—CHEMISTRY; METALLURGY
- C07—ORGANIC CHEMISTRY
- C07D—HETEROCYCLIC COMPOUNDS
- C07D519/00—Heterocyclic compounds containing more than one system of two or more relevant hetero rings condensed among themselves or condensed with a common carbocyclic ring system not provided for in groups C07D453/00 or C07D455/00
Definitions
- Mutant KRAS is a well-understood oncogenic driver and has a wide-spread prevalence in various human cancer indications (J.L. Bos, Cancer Res. 1989, 49, 4682-4689).
- mutationally activated RAS genes were detected in human cancer, marking the first discovery of mutated genes in this disease (A.D. Cox, C.J. Der, Small GTPases 2010, 1, 2-27).
- the frequent mutation of RAS in three of the four most lethal cancers (lung, colon and pancreatic cancers) in the United States has spurred intense interest and effort in developing RAS inhibitors. Overall, RAS mutations have been detected in 9-30% of all tumor samples sequenced.
- KRAS mutations display a frequency of 97% and 32% respectively.
- Other indications with frequently mutated KRAS include colorectal carcinoma (CRC) (52%), and multiple myeloma (43%) (A.D. Cox et al. Nat. Rev. Drug Discov. 2014, 13, 828-851).
- RAS proteins act as molecular switches that cycle between an active, GTPbound state and an inactive, GDP-bound state.
- GEFs guanine nucleotide exchange factors
- RAS in its GTPbound state interacts with a number of effectors (R.M. Hillig et al. Proc. Natl. Acad. Sci. USA 2018, 116, 2551-2560).
- GAPs GTPase -activating proteins
- the GAP activity is impaired or greatly reduced, resulting in permanent activation, which is the basis of oncogenic RAS signaling (K.M.
- Covalent KRASG12C inhibitors as described by Shokat et al. occupy the so-called switch-II pocket and bind with their Michael acceptor system covalently to the cysteine mutation at G12 in this specific KRAS mutant (J.M. Ostrem, K.M. Shokat, Nat. Rev. Drug Discov. 2016, 15, 771-785). Occupation ofthis pocket with the covalent inhibitor results in a locked inactive GDP-bound protein conformation. Captured in this conformation, cycling of the mutated protein into the active GTP -bound state is prevented and thereby activity of the mutant KRASG12C is shut down. For decades, mutant KRAS has been considered “undruggable” via classical pharmacological small molecule inhibitors.
- G12D Besides G12C, other oncogenic mutants of KRAS include G12D, G12V and G12R, all of which represent attractive drug targets, with the G12D mutation being most prevalent across tumor types (K. Kashofer et al. Cancer Metastasis Rev. 2020, 39, 1029-1038). There is therefore a clear and continued desire for therapies targeting KRas mutants and especially G12D for the treatment of cancer.
- Biaryl derivatives were mentioned as KRAS G12C covalent inhibitors (WO2014152588, WO2016049524 and WO2016044772).
- W02018064510, W02018145012, W02018145014 disclosed quinazoline, quinoline, dihydrobenzo- naphthyridinone, quinazolinone, dihydropyrimidoquinolinone, isoquinoline derivatives. Further disclosures include anilinoacetamide and biaryl derivatives (WO2016049565, WO 2017058768, WO 2017058792), naphthalene or hexahydrofurofurane derivatives (WO 2014143659), quinazolinone (WO2017015562), phenylpyrazine derivatives (WO 2017058728).
- Benzimidazol, (aza)indole, imidazopyridine derivatives were disclosed as KRAS covalent inhibitors in W02018145013; benzothiazole, benzothiophene, benzisoxazole derivatives were disclosed in WO2018140599; pyridopyrimidone, benzothiazole were disclosed in WO2018119183 and tetrahydropyridopyrimidine were disclosed in WO2017201161.
- Substituted quinazoline compounds of the following general formula are described as inhibitors of Ras-protein in WO 2017/172979 (Araxes).
- KRAS G12D Reversible, non-covalent inhibitors of KRAS G12D have been described in patent applications W02021041671 and WO2017172979A1. However, so far compounds of general formula (I) have not been disclosed as reversible, non-covalent KRAS G12D inhibitors. Further related KRAS inhibitors are described in:
- the compounds of the present invention have surprisingly been found to effectively inhibit KRAS, for example KRAS G12D or KRAS G12V, and may therefore be used for the treatment or prophylaxis of neoplastic disorders, respectively cancer or conditions with dysregulated immune responses or other disorders associated with aberrant KRAS signaling, for example.
- KRAS for example KRAS G12D or KRAS G12V
- the present invention covers compounds of general formula (I):
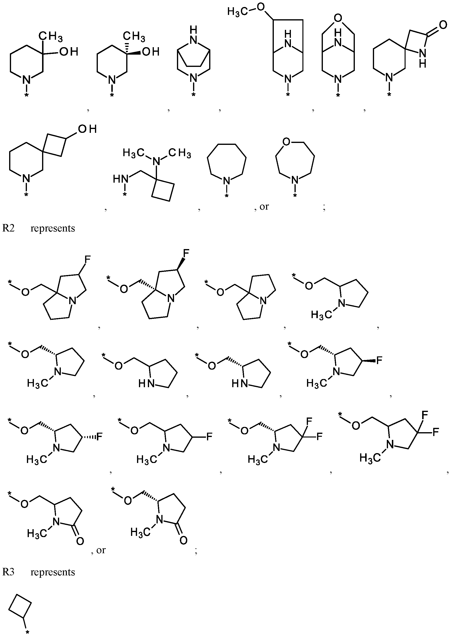
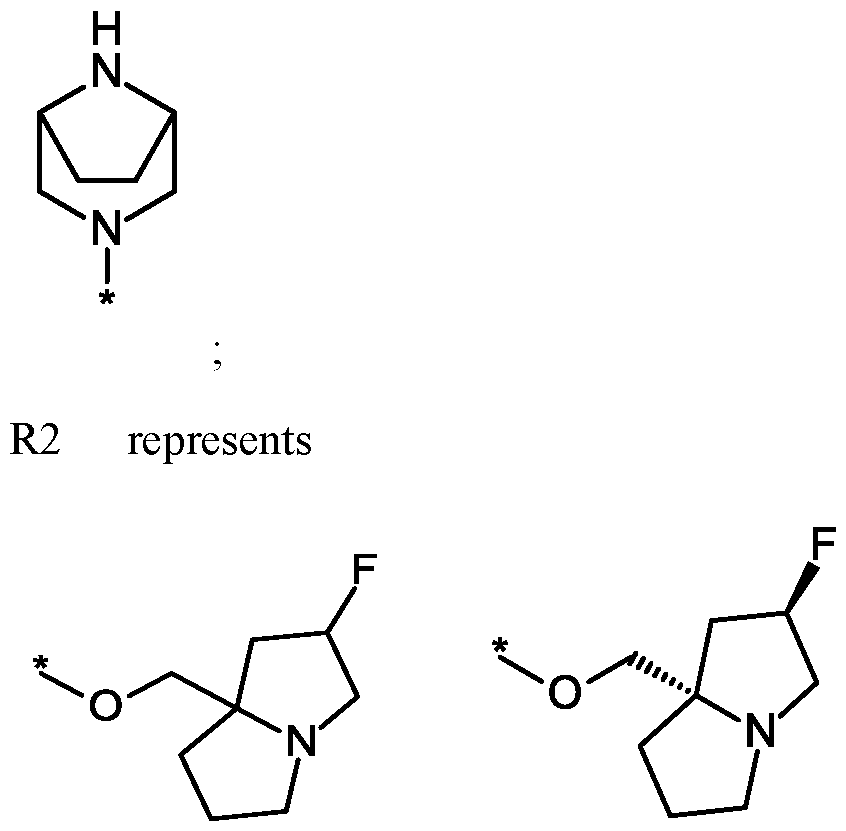
- R1 represents
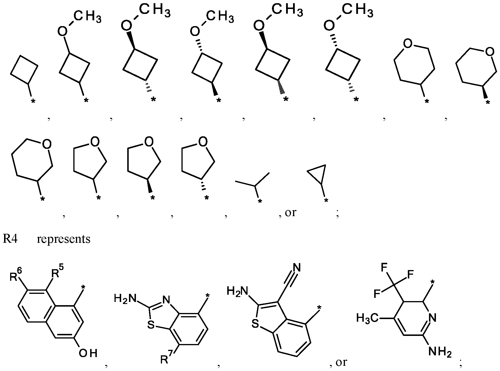
- R4 represents wherein
- R6 represents a hydrogen atom or a fluorine atom
- R7 represents a hydrogen atom or a fluorine atom; wherein * indicates the point of attachment of said group with the rest of the molecule, or a stereoisomer, a tautomer, an N-oxide, a hydrate, a solvate, or a salt of a stereoisomer, a salt of a tautomer, a salt of an N-oxide, or a mixture of same.
- substituted means that one or more hydrogen atoms on the designated atom or group are replaced with a selection from the indicated group, provided that the designated atom's normal valency under the existing circumstances is not exceeded. Combinations of substituents and/or variables are permissible.
- the term “one or more”, e.g. in the definition of the substituents of the compounds of general formula (I) of the present invention, means “1, 2, 3, 4 or 5, particularly 1, 2, 3 or 4, more particularly 1, 2 or 3, even more particularly 1 or 2”.
- Ci-Cs-alkyl means a linear or branched, saturated, monovalent hydrocarbon group having 1, 2, or 3 carbon atoms, e.g. a methyl-, ethyl-, propyl-, or a isopropyl group.
- the term “leaving group” means an atom or a group of atoms that is displaced in a chemical reaction as stable species taking with it the bonding electrons.
- a leaving group is selected from the group comprising: halide, in particular a fluoro-, a chloro-, bromo- or a iodo group, a (methylsulfonyl)oxy-, [(4-methylphenyl)sulfonyl]oxy-, [(trifluoromethyl)sulfonyl]oxy-, [(nona- fluorobutyl)sulfonyl]oxy-, [(4-bromophenyl)sulfonyl]oxy-, [(4-nitrophenyl)sulfonyl]oxy-, [(2-nitro- phenyl)sulfonyl]oxy-, [(4-isopropylphenyl)sulfonyl]oxy-, [(2,
- the invention therefore includes one or more isotopic variant(s) of the compounds of general formula (I), particularly deuterium- containing compounds of general formula (I).
- Isotopic variant of the compound of general formula (I) is defined as a compound of general formula (I) exhibiting an unnatural proportion of one or more of the isotopes that constitute such a compound.
- unnatural proportion means a proportion of such isotope which is higher than its natural abundance.
- the natural abundances of isotopes to be applied in this context are described in “Isotopic Compositions of the Elements 1997”, Pure Appl. Chem., 70(1), 217-235, 1998.
- isotopes examples include stable and radioactive isotopes of hydrogen, carbon, nitrogen, oxygen, phosphorus, sulfur, fluorine, chlorine, bromine and iodine, such as 2 H (deuterium), 3 H (tritium), n C, 13 C, 14 C, 15 N, 17 0, 18 0, 32 P, 33 P, 33 S, 34 S, 35 S, 36 S, 18 F, 36 C1, 82 Br, 123 1, 124 1, 125 1, 129 I and 131 I, respectively.
- stable and radioactive isotopes of hydrogen, carbon, nitrogen, oxygen, phosphorus, sulfur, fluorine, chlorine, bromine and iodine such as 2 H (deuterium), 3 H (tritium), n C, 13 C, 14 C, 15 N, 17 0, 18 0, 32 P, 33 P, 33 S, 34 S, 35 S, 36 S, 18 F, 36 C1, 82 Br, 123 1, 124 1, 125 1, 129 I and 131 I, respectively.
- the isotopic variant(s) of the compounds of general formula (I) preferably contain deuterium (“deuterium -containing compounds of general formula (I)”).
- Isotopic variants of the compounds of general formula (I) in which one or more radioactive isotopes, such as 3 H or 14 C, are incorporated are useful e.g. in drug and/or substrate tissue distribution studies. These isotopes are particularly preferred for the ease of their incorporation and detectability.
- Positron emitting isotopes such as 18 F or 11 C may be incorporated into a compound of general formula (I).
- These isotopic variants of the compounds of general formula (I) are useful for in vivo imaging applications.
- Deuterium-containing and 13 C-containing compounds of general formula (I) can be used in mass spectrometry analyses in the context of preclinical or clinical studies.
- Isotopic variants of the compounds of general formula (I) can generally be prepared by methods known to a person skilled in the art, such as those described in the schemes and/or examples herein, by substituting a reagent for an isotopic variant of said reagent, preferably for a deuterium-containing reagent.
- a reagent for an isotopic variant of said reagent preferably for a deuterium-containing reagent.
- deuterium from D2O can be incorporated either directly into the compounds or into reagents that are useful for synthesizing such compounds.
- Deuterium gas is also a useful reagent for incorporating deuterium into molecules. Catalytic deuteration of olefinic bonds and acetylenic bonds is a rapid route for incorporation of deuterium.
- Metal catalysts i.e.
- deuterated reagents and synthetic building blocks are commercially available from companies such as for example C/D/N Isotopes, Quebec, Canada; Cambridge Isotope Laboratories Inc., Andover, MA, USA; and CombiPhos Catalysts, Inc., Princeton, NJ, USA.
- deuterium-containing compound of general formula (I) is defined as a compound of general formula (I), in which one or more hydrogen atom(s) is/are replaced by one or more deuterium atom(s) and in which the abundance of deuterium at each deuterated position of the compound of general formula (I) is higher than the natural abundance of deuterium, which is about 0.015%.
- the abundance of deuterium at each deuterated position of the compound of general formula (I) is higher than 10%, 20%, 30%, 40%, 50%, 60%, 70% or 80%, preferably higher than 90%, 95%, 96% or 97%, even more preferably higher than 98% or 99% at said position(s). It is understood that the abundance of deuterium at each deuterated position is independent of the abundance of deuterium at other deuterated position(s).
- the selective incorporation of one or more deuterium atom(s) into a compound of general formula (I) may alter the physicochemical properties (such as for example acidity [C.L. Perrin et al. J. Am. Chem. Soc. 2007, 129, 4490-4497], basicity [C.L. Perrin et al. J. Am. Chem. Soc. 2005, 127, 9641-9647], lipophilicity [B. Testa et al. Int. J. Pharm. 1984, 19, 271-281]) and/or the metabolic profile of the molecule and may result in changes in the ratio of parent compound to metabolites or in the amounts of metabolites formed.
- physicochemical properties such as for example acidity [C.L. Perrin et al. J. Am. Chem. Soc. 2007, 129, 4490-4497], basicity [C.L. Perrin et al. J. Am. Chem. Soc. 2005, 127,
- WO2012/112363 are examples for this deuterium effect. Still other cases have been reported in which reduced rates of metabolism result in an increase in exposure of the drug without changing the rate of systemic clearance (e.g. Rofecoxib: F. Schneider et al. Arzneim. Forsch. / Drug. Res. 2006, 56, 295-300; Telaprevir: F. Maltais et al. J. Med. Chem. 2009, 52, 7993-8001). Deuterated drugs showing this effect may have reduced dosing requirements (e.g. lower number of doses or lower dosage to achieve the desired effect) and/or may produce lower metabolite loads.
- Rofecoxib F. Schneider et al. Arzneim. Forsch. / Drug. Res. 2006, 56, 295-300
- Telaprevir F. Maltais et al. J. Med. Chem. 2009, 52, 7993-8001
- Deuterated drugs showing this effect may have reduced dosing requirements (e.
- a compound of general formula (I) may have multiple potential sites of attack for metabolism.
- deuterium- containing compounds of general formula (I) having a certain pattern of one or more deuterium-hydrogen exchange(s) can be selected.
- the deuterium atom(s) of deuterium-containing compound(s) of general formula (I) is/are attached to a carbon atom and/or is/are located at those positions of the compound of general formula (I), which are sites of attack for metabolizing enzymes such as e.g. cytochrome P450.
- stable compound' or “stable structure” is meant a compound that is sufficiently robust to survive isolation to a useful degree of purity from a reaction mixture, and formulation into an efficacious therapeutic agent.
- the compounds of the present invention optionally contain one or more asymmetric centres, depending upon the location and nature of the various substituents desired. It is possible that one or more asymmetric carbon atoms are present in the (R) or (S) configuration, which can result in racemic mixtures in the case of a single asymmetric centre, and in diastereomeric mixtures in the case of multiple asymmetric centres. In certain instances, it is possible that asymmetry also be present due to restricted rotation about a given bond, for example, the central bond adjoining two substituted aromatic rings of the specified compounds. One embodiment includes those compounds which produce the more desirable biological activity.
- Preferred isomers are those which produce the more desirable biological activity.
- These separated, pure or partially purified isomers or racemic mixtures of the compounds of this invention are also included within the scope of the present invention.
- the purification and the separation of such materials can be accomplished by standard techniques known in the art as well as specifically those disclosed in the experimental section.
- the optical isomers can be obtained by resolution of the racemic mixtures according to conventional processes, for example, by the formation of diastereoisomeric salts using an optically active acid or base or formation of covalent diastereomers.
- appropriate acids are tartaric, diacetyltartaric, ditoluoyltartaric and camphorsulfonic acid.
- Mixtures of diastereoisomers can be separated into their individual diastereomers on the basis of their physical and/or chemical differences by methods known in the art, for example, by chromatography or fractional crystallisation.
- the optically active bases or acids are then liberated from the separated diastereomeric salts.
- a different process for separation of optical isomers involves the use of chiral chromatography (e.g., HPLC columns using a chiral phase), with or without conventional derivatisation, optimally chosen to maximise the separation of the enantiomers.
- Suitable HPLC columns using a chiral phase are commercially available, such as those manufactured by Daicel, e.g., Chiracel OD and Chiracel OJ, for example, among many others, which are all routinely selectable.
- Enzymatic separations, with or without derivatisation are also useful.
- the optically active compounds of the present invention can likewise be obtained by chiral syntheses utilizing optically active starting materials.
- the present invention includes all possible stereoisomers of the compounds of the present invention as single stereoisomers, or as any mixture of said stereoisomers, e.g. (R)- or (S)- isomers, in any ratio.
- Isolation of a single stereoisomer, e.g. a single enantiomer or a single diastereomer, of a compound of the present invention is achieved by any suitable state of the art method, such as chromatography, for example column chromatography, such as achiral or chiral column chromatography, especially chiral chromatography.
- diastereomers may be separated by achiral or chiral column chromatography; enantiomers may be separated by chiral column chromatography.
- the present invention includes all possible tautomers of the compounds of the present invention as single tautomers, or as any mixture of said tautomers, in any ratio.
- the compounds of the present invention can exist as N-oxides, which are defined in that at least one nitrogen of the compounds of the present invention is oxidised.
- the present invention includes all such possible N-oxides.
- the present invention also covers useful forms of the compounds of the present invention, such as metabolites, hydrates, solvates, prodrugs, salts, in particular pharmaceutically acceptable salts, and/or coprecipitates.
- the compounds of the present invention can exist as a hydrate, or as a solvate, wherein the compounds of the present invention contain polar solvents, in particular water, methanol or ethanol for example, as structural element of the crystal lattice of the compounds. It is possible for the amount of polar solvents, in particular water, to exist in a stoichiometric or non-stoichiometric ratio.
- polar solvents in particular water
- stoichiometric solvates e.g. a hydrate, hemi-, (semi-), mono-, sesqui-, di-, tri-, tetra-, penta- etc. solvates or hydrates, respectively, are possible.
- the present invention includes all such hydrates or solvates.
- the compounds of the present invention may exist in free form, e.g. as a free base, or as a free acid, or as a zwitterion, or to exist in the form of a salt.
- Said salt may be any salt, either an organic or inorganic addition salt, particularly any pharmaceutically acceptable organic or inorganic addition salt, which is customarily used in pharmacy, or which is used, for example, for isolating or purifying the compounds of the present invention.
- pharmaceutically acceptable salt refers to an inorganic or organic acid addition salt of a compound of the present invention.
- pharmaceutically acceptable salt refers to an inorganic or organic acid addition salt of a compound of the present invention.
- acid addition salts of the claimed compounds to be prepared by reaction of the compounds with the appropriate inorganic or organic acid via any of a number of known methods.
- alkali and alkaline earth metal salts of acidic compounds of the present invention are prepared by reacting the compounds of the present invention with the appropriate base via a variety of known methods.
- An in vivo hydrolysable ester of a compound of the present invention containing a hydroxy group includes inorganic esters such as phosphate esters and [alpha] -acyloxyalkyl ethers and related compounds which as a result of the in vivo hydrolysis of the ester breakdown to give the parent hydroxy group.
- inorganic esters such as phosphate esters and [alpha] -acyloxyalkyl ethers and related compounds which as a result of the in vivo hydrolysis of the ester breakdown to give the parent hydroxy group.
- [alpha] -acyloxyalkyl ethers include acetoxymethoxy and 2,2-dimethylpropionyloxymethoxy.
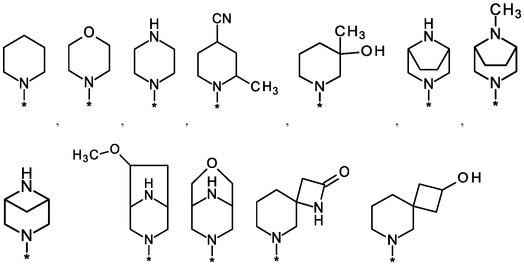
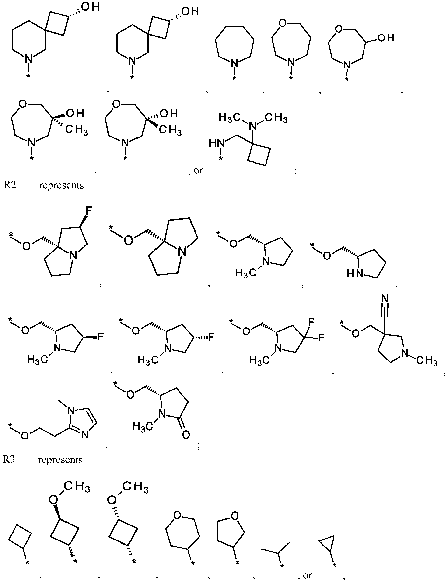
- R1 represents
- R1 represents
- R6 represents a hydrogen atom or a fluorine atom
- R7 represents a hydrogen atom or a fluorine atom
- * indicates the point of attachment of said group with the rest of the molecule, or a stereoisomer, a tautomer, an N-oxide, a hydrate, a solvate, or a salt of a stereoisomer, a salt of a tautomer, a salt of an N-oxide, or a mixture of same.
- R1 represents
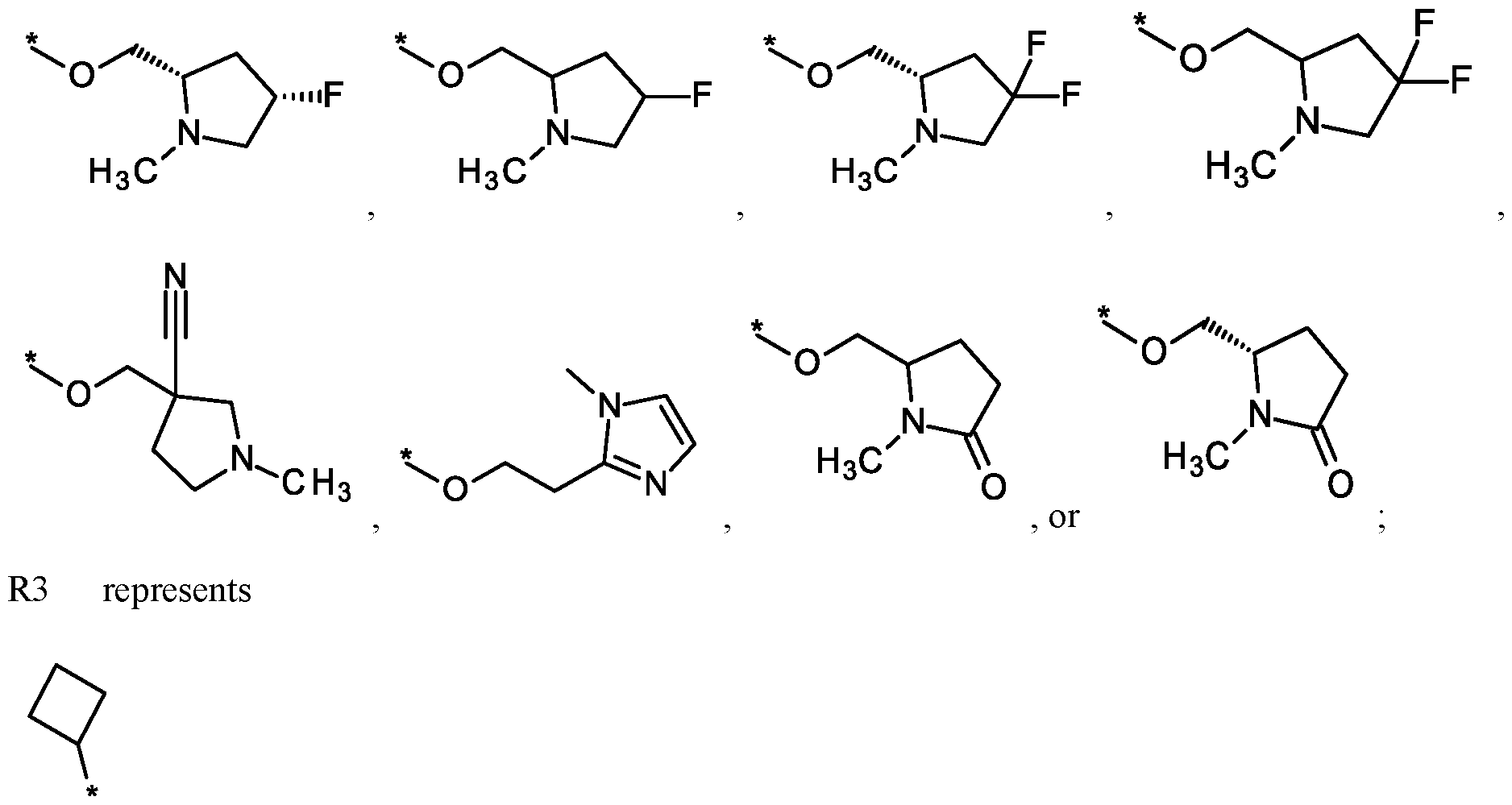
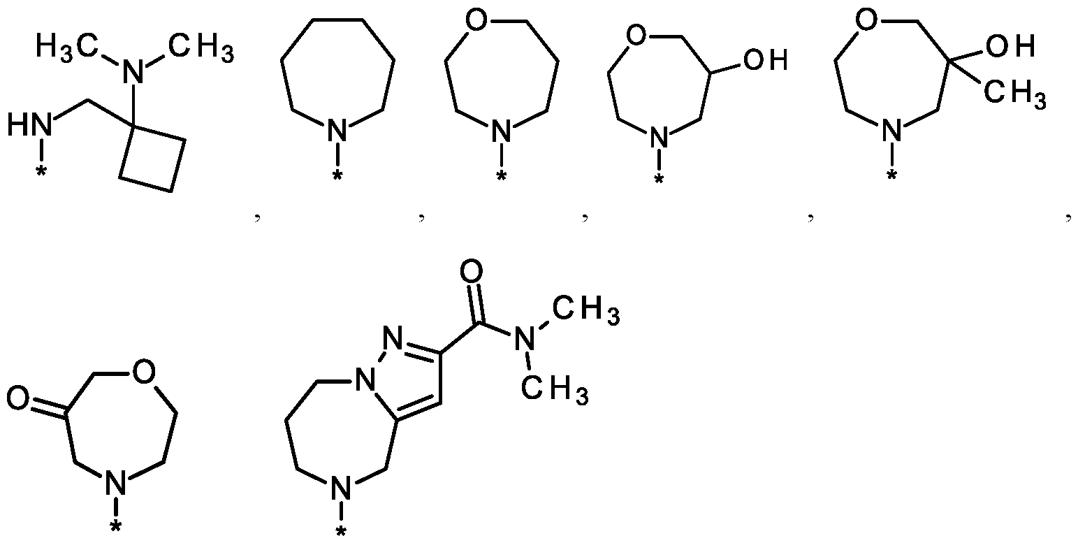
- R3 represents
- R6 represents a hydrogen atom or a fluorine atom
- R7 represents a hydrogen atom or a fluorine atom; wherein * indicates the point of attachment of said group with the rest of the molecule, or a stereoisomer, a tautomer, an N-oxide, a hydrate, a solvate, or a salt of a stereoisomer, a salt of a tautomer, a salt of an N-oxide, or a mixture of same.
- R1 represents
- R6 represents a hydrogen atom or a fluorine atom;
- R7 represents a hydrogen atom or a fluorine atom; wherein * indicates the point of attachment of said group with the rest of the molecule, or a stereoisomer, a tautomer, an N-oxide, a hydrate, a solvate, or a salt of a stereoisomer, a salt of a tautomer, a salt of an N-oxide, or a mixture of same.
- R1 represents R3 represents wherein
- R6 represents a hydrogen atom or a fluorine atom
- R7 represents a hydrogen atom or a fluorine atom; wherein * indicates the point of attachment of said group with the rest of the molecule, or a stereoisomer, a tautomer, an N-oxide, a hydrate, a solvate, or a salt of a stereoisomer, a salt of a tautomer, a salt of an N-oxide, or a mixture of same.
- R1 represents R4 represents wherein
- R6 represents: F
- R7 represents a hydrogen atom or a fluorine atom; wherein * indicates the point of attachment of said group with the rest of the molecule, or a stereoisomer, a tautomer, an N-oxide, a hydrate, a solvate, or a salt of a stereoisomer, a salt of a tautomer, a salt of an N-oxide, or a mixture of same.
- * indicates the point of attachment of said group with the rest of the molecule, or a stereoisomer, a tautomer, an N-oxide, a hydrate, a solvate, or a salt of a stereoisomer, a salt of a tautomer, a salt of an N-oxide, or a mixture of same.
- R1 represents
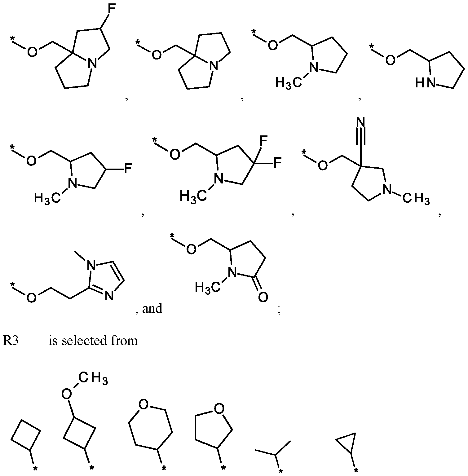
- R2 represents
- R3 represents wherein
- R6 represents: a fluorine atom; wherein * indicates the point of attachment of said group with the rest of the molecule, or a stereoisomer, a tautomer, an N-oxide, a hydrate, a solvate, or a salt of a stereoisomer, a salt of a tautomer, a salt of an N-oxide, or a mixture of same.
- R1 represents R2 represents
- R3 represents wherein
- R6 represents: F wherein * indicates the point of attachment of said group with the rest of the molecule, or a stereoisomer, a tautomer, an N-oxide, a hydrate, a solvate, or a salt of a stereoisomer, a salt of a tautomer, a salt of an N-oxide, or a mixture of same.
- R1 represents
- R6 represents a hydrogen atom or a fluorine atom; wherein * indicates the point of attachment of said group with the rest of the molecule, or a stereoisomer, a tautomer, an N-oxide, a hydrate, a solvate, or a salt of a stereoisomer, a salt of a tautomer, a salt of an N-oxide, or a mixture of same.
- R2 represents
- R6 represents a hydrogen atom or a fluorine atom
- * indicates the point of attachment of said group with the rest of the molecule, or a stereoisomer, a tautomer, an N-oxide, a hydrate, a solvate, or a salt of a stereoisomer, a salt of a tautomer, a salt of an N-oxide, or a mixture of same.
- R1 represents
- R3 represents ;
- R4 represents wherein
- R6 represents a fluorine atom; wherein * indicates the point of attachment of said group with the rest of the molecule, or a stereoisomer, a tautomer, an N-oxide, a hydrate, a solvate, or a salt of a stereoisomer, a salt of a tautomer, a salt of an N-oxide, or a mixture of same.
- R1 represents R3 represents
- R6 represents F; wherein * indicates the point of attachment of said group with the rest of the molecule, or a stereoisomer, a tautomer, an N-oxide, a hydrate, a solvate, or a salt of a stereoisomer, a salt of a tautomer, a salt of an N-oxide, or a mixture of same.
- R1 represents
- R3 represents
- R4 represents wherein
- R6 represents F; wherein * indicates the point of attachment of said group with the rest of the molecule, or a stereoisomer, a tautomer, an N-oxide, a hydrate, a solvate, or a salt of a stereoisomer, a salt of a tautomer, a salt of an N-oxide, or a mixture of same.
- K A compound of general formula (I) for use in the treatment or prophylaxis of a disease, wherein the disease is a neoplastic disorder.
- M A compound of general formula (I) for use in the treatment or prophylaxis of a disease, wherein the cancer disease is selected from colorectal cancer, gastric cancer, lung cancer, and pancreatic cancer.
- Method for controlling a neoplastic disease comprising administering an anti -neoplastic effective amount of at least one compound selected from the group of compounds of general formula (I) to a human or animal in need thereof.
- a pharmaceutical composition comprising a compound of general formula (I) and one or more pharmaceutically acceptable excipients.
- a pharmaceutical combination comprising:
- anti -cancer agents • one or more further active ingredients, in particular anti -cancer agents, more particularly those anticancer agents selected form the list consisting of
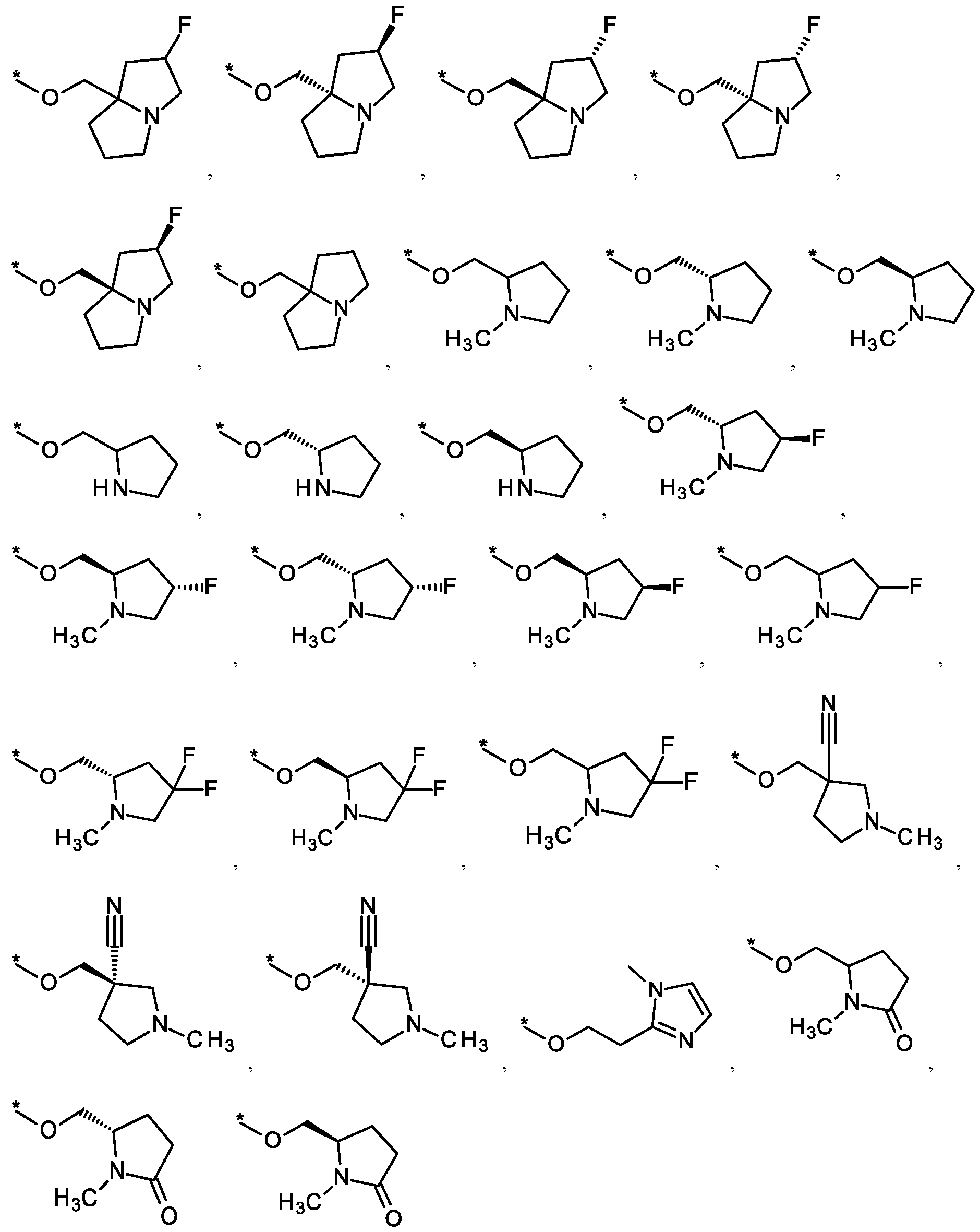
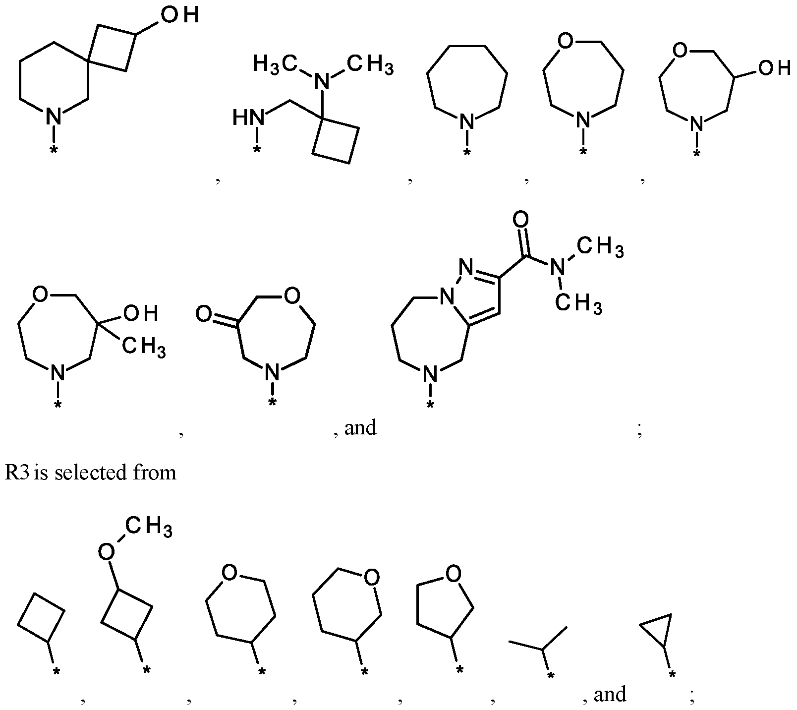
- R2 is selected from
- * indicates the point of attachment of said group with the rest of the molecule, or a stereoisomer, a tautomer, an N-oxide, a hydrate, a solvate, or a salt of a stereoisomer, a salt of a tautomer, a salt of an N-oxide, or a mixture of same, and which is optionally protected at R1 and/or R2 indicated by the dotted line to “PG-” and
- X4 is a hydrogen atom
- PG is independently selected from a SiR12R12R13 group, a benzyl group, a methoxymethyl group, and a tert.-butyloxycarbonyl group;
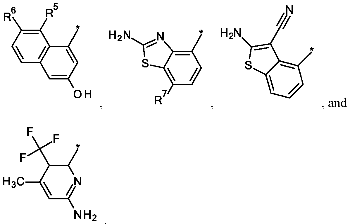
- R4 is 5 -ethynyl-6-fluoro-2 -naphthol, a 5 -ethyl-6-fluoro-2 -naphthol, a fluorinated or nonfluorinated l,3-benzothiazol-2-amine or a 2-amino-l-benzothiophene-3-carbonitrile;
- PG is independently selected from a SiR12R12R13 group, a methoxymethyl group, a tertbutoxycarbonyl group and a para-methoxybenzyl group,
- R12 and R13 are identical or different and are independently selected from a Ci-Ce-alkyl group and a phenyl group; introducing the R4 substituent optionally protected by replacing the bromine atom under strong basic conditions leading after suitable deprotection reactions e.g. under acidic conditions and/or tetrabutylammoniumfluoride, to a compound of formula (I)
- Rl, R2 and R3 have the meanings as defined above, and
- X4 is a hydrogen atom
- PG is independently selected from a SiR12R12R13 group, a benzyl group, a methoxymethyl group, and a tert.butoxycarbonyl group;
- R12 and R13 are identical or different and are independently selected from a Ci-Ce-alkyl group and a phenyl group; to react under strong basic conditions in an aprotic solvent and temperatures between -40° to 0°C with an aldehyde of general formula (XXVI) in which R12, R13 and PG have the meanings as defined above to obtain after deprotection and oxidation of the alcohol and optionally further deprotection reactions independently from its order a compound of general formula (I) in which
- Rl, R2, and R3 have the meanings as defined above and
- R4 is selected from wherein
- R6 is a hydrogen atom or a fluorine atom;
- R7 is a hydrogen atom or a fluorine atom; wherein * indicates the point of attachment of said group with the rest of the molecule, or a stereoisomer, a tautomer, an N-oxide, a hydrate, a solvate, or a salt of a stereoisomer, a salt of a tautomer, a salt of an N-oxide, or a mixture of same.
- Strong basic conditions include aqueous potassium carbonate or 2- tert-Butylimino-2-diethylamino-l,3-dimethylperhydro-l,3,2-diazaphosphorine (BEMP) in a solvent like tetrahydrofuran
- the deprotection conditions include tetrabutylammoniumfluoride and acidic conditions like HC1 in organic like in 1,4-dioxane or in tetrahydrofurane or methane sulfonic acid (MsOH) in methanol.
- R1 is selected from
- PG is selected from a SiR12R12R13 group, a methoxymethyl group, and a tert.- butoxy carbonyl group;
- R12 and R13 are identical or different and are independently selected from a Ci-Ce-alkyl group and a phenyl group; Z is -O- to react with a compound of formula (XXV)
- R2 is selected from
- PG is a tert.-butoxycarbonyl group, under strong basic conditions to obtain a compound of formula (XXXI) in which Rl, R2, R3, R12 and PG are as defined above, and
- R4 is selected from
- R6 is a hydrogen atom or a fluorine atom
- R7 is a hydrogen atom or a fluorine atom; wherein * indicates the point of attachment of said group with the rest of the molecule, which is finally being deprotected optionally in two steps, to obtain a compound of formula (I) wherein Z is -O-; or a stereoisomer, a tautomer, an N-oxide, a hydrate, a solvate, or a salt of a stereoisomer, a salt of a tautomer, a salt of an N-oxide, or a mixture of same.
- any optional feature is non-optional: a deprotection means then a two step deprotection, preferably conducted with tetrabutylammoniumfluoride followed by acidic conditions like HC1 in organic solvents like in 1,4-dioxane or in tetrahydrofurane or methanesulfonic acid (MsOH) in methanol.
- Strong basic conditions include sodiumhydide and lithium bis(trimethylsilyl)amide in a solvent like tetrahydrofuran.
- XI is a hydroxy group
- R2 is selected from
- R4 is selected from
- R6 is a hydrogen atom or a fluorine atom
- R7 is a hydrogen atom or a fluorine atom; wherein * indicates the point of attachment of said group with the rest of the molecule, or a stereoisomer, a tautomer, an N-oxide, a hydrate, a solvate, or a salt of a stereoisomer, a salt of a tautomer, a salt of an N-oxide, or a mixture of same;
- R12 and R13 are identical or different and are independently selected from Cl-C6-alkyl and phenyl;
- PG is independently selected from a SiR12R12R13 group, a benzyl group, a methoxymethyl group, and a tert.-butoxycarbonyl group; the hydroxy group XI being activated by a suitable activation agent, to react with a nucleophilic compound of formula (XXIII)
- R1 is selected from
- PG is a tert.-butoxycarbonyl group; or a stereoisomer, a tautomer, an N-oxide, a hydrate, a solvate, or a salt of a stereoisomer, a salt of a tautomer, a salt of an N-oxide, or a mixture of same; optionally protected, to obtain a compound of formula (XXXI) in which Rl, R2, R3, R4 and PG are as defined above, which is finally being deprotected using suitable conditions depending on the protecting group present, e.g. tetrabutylamoniumfluoride followed by acidic conditions e.g.
- R4 is selected from 5-ethynyl-6-fluoro-2 -naphthol, a 5 -ethyl-6-fluoro-2 -naphthol, a fluorinated or non-fluorinated l,3-benzothiazol-2-amine and a 2-amino-l- benzothiophene -3 -carbonitrile ; and
- Z is -O- or a stereoisomer, a tautomer, an N-oxide, a hydrate, a solvate, or a salt of a stereoisomer, a salt of a tautomer, a salt of an N-oxide, or a mixture of same.
- the activation reagent is e.g. a coupling reagent like (1H- benzotriazol-l-yloxy)[tri(pyrrolidin-l-yl)]phosphonium hexafluoro-phosphate (PyBOP), 1- [bis(dimethylamino)methylene]-lH-l,2,3-triazolo[4,5-b]pyridinium 3-oxid hexafluorophosphate (HATU), l-ethyl-3-(3-dimethylaminopropyl)carbodiimide (EDC), usually used in the presence of a strong base like l,8-diazabicclo[5.4.0]undec-7-en (DBU).
- a coupling reagent like (1H- benzotriazol-l-yloxy)[tri(pyrrolidin-l-yl)]phosphonium hexafluoro-phosphate (PyBOP), 1- [bis(dimethylamino)
- Z represents O or C(O)
- R6 represents a hydrogen atom or a fluorine atom
- R7 represents a hydrogen atom or a fluorine atom; wherein * indicates the point of attachment of said group with the rest of the molecule, or a stereoisomer, a tautomer, an N-oxide, a hydrate, a solvate, or a salt thereof, or a mixture of same.
- R1 represents R2 represents wherein * indicates the point of attachment of said group with the rest of the molecule, or a stereoisomer, a tautomer, an N-oxide, a hydrate, a solvate, or a salt thereof, or a mixture of same.
- R2 represents and wherein * indicates the point of attachment of said group with the rest of the molecule, or a stereoisomer, a tautomer, an N-oxide, a hydrate, a solvate, or a salt thereof, or a mixture of same.
- D-2) The compound of formula (I), wherein
- R4 represents
- R1 represents
- R4 represents or a stereoisomer, a tautomer, an N-oxide, a hydrate, a solvate, or a salt thereof, or a mixture of same.
- H-2) A pharmaceutical composition comprising a compound of general formula (I) and one or more pharmaceutically acceptable excipients.
- a pharmaceutical combination comprising:
- cancer agents • one or more further active ingredients, in particular cancer agents like:
- a compound of general formula (I) wherein Z represents C( O) or a stereoisomer, a tautomer, an N-oxide, a hydrate, a solvate, or a salt of a stereoisomer, a salt of a tautomer, a salt of an N-oxide, or a mixture of same.
- R1 represents wherein * indicates the point of attachment of said group with the rest of the molecule or a stereoisomer, a tautomer, an N-oxide, a hydrate, a solvate, or a salt thereof, or a mixture of same.
- R1 represents wherein * indicates the point of attachment of said group with the rest of the molecule or a stereoisomer, a tautomer, an N-oxide, a hydrate, a solvate, or a salt thereof, or a mixture of same.
- R1 represents wherein * indicates the point of attachment of said group with the rest of the molecule or a stereoisomer, a tautomer, an N- oxide, a hydrate, a solvate, or a salt thereof, or a mixture of same.
- R5 represents a fluorine atom or a stereoisomer, a tautomer, an N-oxide, a hydrate, a solvate, or a salt of a stereoisomer, a salt of a tautomer, a salt of an N-oxide, or a mixture of same.
- a compound of general formula (I) wherein R5 represents -C CH wherein * indicates the point of attachment of said group with the rest of the molecule or a stereoisomer, a tautomer, an N-oxide, a hydrate, a solvate, or a salt of a stereoisomer, a salt of a tautomer, a salt of an N-oxide, or a mixture of same.
- R6 represents a fluorine atom or a stereoisomer, a tautomer, an N-oxide, a hydrate, a solvate, or a salt of a stereoisomer, a salt of a tautomer, a salt of an N-oxide, or a mixture of same.
- R7 represents a fluorine atom or a stereoisomer, a tautomer, an N-oxide, a hydrate, a solvate, or a salt of a stereoisomer, a salt of a tautomer, a salt of an N-oxide, or a mixture of same.
- the present invention includes combinations of two or more of the above mentioned embodiments under the heading “further embodiments of the first aspect of the present invention”.
- the present invention includes any sub-combination within any embodiment or aspect of the present invention of compounds of general formula (I), supra.
- the present invention includes any sub-combination within any embodiment or aspect of the present invention.
- the present invention covers the compounds of general formula (I) which are disclosed in the Example Section of this text, infra.
- Compounds of general formula (I) of the present invention demonstrate a valuable pharmacological spectrum of action which could not have been predicted.
- Compounds of the present invention have surprisingly been found to effectively inhibit KRAS and it is possible therefore that said compounds be used for the treatment or prophylaxis of diseases, preferably neoplasic disorders in humans and animals.
- Compounds of the present invention can be utilized to inhibit, block, reduce, decrease, etc., cell proliferation and/or cell division, and/or produce apoptosis.
- This method comprises administering to a mammal in need thereof, including a human, an amount of a compound of general formula (I) of the present invention, or a pharmaceutically acceptable salt, isomer, polymorph, metabolite, hydrate, solvate or ester thereof, which is effective to treat the disorder.
- Hyperproliferative disorders include, but are not limited to, for example : psoriasis, keloids, and other hyperplasias affecting the skin, benign prostate hyperplasia (BPH), solid tumours, such as cancers of the breast, respiratory tract, brain, reproductive organs, digestive tract, urinary tract, eye, liver, skin, head and neck, thyroid, parathyroid and their distant metastases.
- BPH benign prostate hyperplasia
- solid tumours such as cancers of the breast, respiratory tract, brain, reproductive organs, digestive tract, urinary tract, eye, liver, skin, head and neck, thyroid, parathyroid and their distant metastases.
- Those disorders also include lymphomas, sarcomas, and leukaemias.
- breast cancers include, but are not limited to, invasive ductal carcinoma, invasive lobular carcinoma, ductal carcinoma in situ, and lobular carcinoma in situ.
- cancers of the respiratory tract include, but are not limited to, small-cell and non-small-cell lung carcinoma, as well as bronchial adenoma and pleuropulmonary blastoma.
- brain cancers include, but are not limited to, brain stem and hypophtalmic glioma, cerebellar and cerebral astrocytoma, medulloblastoma, ependymoma, as well as neuroectodermal and pineal tumour.
- Tumours of the male reproductive organs include, but are not limited to, prostate and testicular cancer.
- Tumours of the female reproductive organs include, but are not limited to, endometrial, cervical, ovarian, vaginal, and vulvar cancer, as well as sarcoma of the uterus.
- Tumours of the digestive tract include, but are not limited to, anal, colon, colorectal, oesophageal, gallbladder, gastric, pancreatic, rectal, small-intestine, and salivary gland cancers.
- Tumours of the urinary tract include, but are not limited to, bladder, penile, kidney, renal pelvis, ureter, urethral and human papillary renal cancers.
- Eye cancers include, but are not limited to, intraocular melanoma and retinoblastoma.
- liver cancers include, but are not limited to, hepatocellular carcinoma (liver cell carcinomas with or without fibrolamellar variant), cholangiocarcinoma (intrahepatic bile duct carcinoma), and mixed hepatocellular cholangiocarcinoma.
- Skin cancers include, but are not limited to, squamous cell carcinoma, Kaposi’s sarcoma, malignant melanoma, Merkel cell skin cancer, and non-melanoma skin cancer.
- Head-and-neck cancers include, but are not limited to, laryngeal, hypopharyngeal, nasopharyngeal, oropharyngeal cancer, lip and oral cavity cancer and squamous cell.
- Lymphomas include, but are not limited to, AIDS-related lymphoma, non-Hodgkin’s lymphoma, cutaneous T-cell lymphoma, Burkitt lymphoma, Hodgkin’s disease, and lymphoma of the central nervous system.
- Sarcomas include, but are not limited to, sarcoma of the soft tissue, osteosarcoma, malignant fibrous histiocytoma, lymphosarcoma, and rhabdomyosarcoma.
- Leukemias include, but are not limited to, acute myeloid leukemia, acute lymphoblastic leukemia, chronic lymphocytic leukemia, chronic myelogenous leukemia, and hairy cell leukemia.
- the present invention also provides methods of treating angiogenic disorders including diseases associated with excessive and/or abnormal angiogenesis.
- Inappropriate and ectopic expression of angiogenesis can be deleterious to an organism.
- a number of pathological conditions are associated with the growth of extraneous blood vessels. These include, for example, diabetic retinopathy, ischemic retinal-vein occlusion, and retinopathy of prematurity [L.P. Aiello et al. New Engl. J. Med. 1994, 331, 1480-1487; J. Pe’er et al. Lab. Invest. 1995, 72, 638-645], age-related macular degeneration (AMD) [P.F. Lopez et al. Invest. Opththalmol. Vis. Sci.
- AMD age-related macular degeneration
- neovascular glaucoma neovascular glaucoma
- psoriasis retrolental fibroplasias
- angiofibroma inflammation
- RA rheumatoid arthritis
- restenosis in-stent restenosis
- vascular graft restenosis etc.
- the increased blood supply associated with cancerous and neoplastic tissue encourages growth, leading to rapid tumour enlargement and metastasis.
- the growth of new blood and lymph vessels in a tumour provides an escape route for renegade cells, encouraging metastasis and the consequence spread of the cancer.
- compounds of general formula (I) of the present invention can be utilized to treat and/or prevent any of the aforementioned angiogenesis disorders, for example by inhibiting and/or reducing blood vessel formation; by inhibiting, blocking, reducing, decreasing, etc. endothelial cell proliferation, or other types involved in angiogenesis, as well as causing cell death or apoptosis of such cell types.
- treating or “treatment” as stated throughout this document is used conventionally, for example the management or care of a subject for the purpose of combating, alleviating, reducing, relieving, improving the condition of a disease or disorder, such as a carcinoma.
- the compounds of the present invention can be used in particular in therapy and prevention, i.e. prophylaxis, of tumour growth and metastases, especially in solid tumours of all indications and stages with or without pre -treatment of the tumour growth.
- chemotherapeutic agents and/or anti -cancer agents in combination with a compound or pharmaceutical composition of the present invention will serve to:
- the compounds of general formula (I) of the present invention can also be used in combination with radiotherapy and/or surgical intervention.
- the compounds of general formula (I) of the present invention may be used to sensitize a cell to radiation, i. e. treatment of a cell with a compound of the present invention prior to radiation treatment of the cell renders the cell more susceptible to DNA damage and cell death than the cell would be in the absence of any treatment with a compound of the present invention.
- the cell is treated with at least one compound of general formula (I) of the present invention.
- the present invention also provides a method of killing a cell, wherein a cell is administered one or more compounds of the present invention in combination with conventional radiation therapy.
- the present invention also provides a method of rendering a cell more susceptible to cell death, wherein the cell is treated with one or more compounds of general formula (I) of the present invention prior to the treatment of the cell to cause or induce cell death.
- the cell is treated with at least one compound, or at least one method, or a combination thereof, in order to cause DNA damage for the purpose of inhibiting the function of the normal cell or killing the cell.
- a compound of general formula (I) of the present invention is administered to a cell prior to the radiation or other induction of DNA damage in the cell.
- a compound of general formula (I) of the present invention is administered to a cell concomitantly with the radiation or other induction of DNA damage in the cell.
- a compound of general formula (I) of the present invention is administered to a cell immediately after radiation or other induction of DNA damage in the cell has begun.
- the cell is in vitro. In another embodiment, the cell is in vivo.
- the present invention covers compounds of general formula (I), as described supra, or stereoisomers, tautomers, N-oxides, hydrates, solvates, and salts thereof, particularly pharmaceutically acceptable salts thereof, or mixtures of same, for use in the treatment or prophylaxis of diseases, in particular neoplastic disorders.
- the pharmaceutical activity of the compounds according to the invention can be explained by their activity as KRAS inhibitors.
- the present invention covers the use of compounds of general formula (I), as described supra, or stereoisomers, tautomers, N-oxides, hydrates, solvates, and salts thereof, particularly pharmaceutically acceptable salts thereof, or mixtures of same, for the treatment or prophylaxis of diseases, in particular neoplastic disorders, respectively cancer or conditions with dysregulated immune responses or other disorders associated with aberrant KRAS signaling.
- the present invention covers the use of a compound of formula (I), described supra, or a stereoisomer, a tautomer, an N-oxide, a hydrate, a solvate, or a salt thereof, particularly a pharmaceutically acceptable salt thereof, or a mixture of same, for the prophylaxis or treatment of diseases, in particular neoplastic disorders, respectively cancer or conditions with dysregulated immune responses or other disorders associated with aberrant KRAS signaling.
- the present invention covers the use of compounds of general formula (I), as described supra, or stereoisomers, tautomers, N-oxides, hydrates, solvates, and salts thereof, particularly pharmaceutically acceptable salts thereof, or mixtures of same, in a method of treatment or prophylaxis of diseases, in particular neoplastic disorders, respectively cancer or conditions with dysregulated immune responses or other disorders associated with aberrant KRAS signaling.
- the present invention covers use of a compound of general formula (I), as described supra, or stereoisomers, tautomers, N-oxides, hydrates, solvates, and salts thereof, particularly pharmaceutically acceptable salts thereof, or mixtures of same, for the preparation of a pharmaceutical composition, preferably a medicament, for the prophylaxis or treatment of diseases, in particular neoplastic disorders, respectively cancer or conditions with dysregulated immune responses or other disorders associated with aberrant KRAS signaling.
- a pharmaceutical composition preferably a medicament, for the prophylaxis or treatment of diseases, in particular neoplastic disorders, respectively cancer or conditions with dysregulated immune responses or other disorders associated with aberrant KRAS signaling.
- the present invention covers a method of treatment or prophylaxis of diseases, in particular neoplastic disorders, respectively cancer or conditions with dysregulated immune responses or other disorders associated with aberrant KRAS signaling, using an effective amount of a compound of general formula (I), as described supra, or stereoisomers, tautomers, N-oxides, hydrates, solvates, and salts thereof, particularly pharmaceutically acceptable salts thereof, or mixtures of same.
- diseases in particular neoplastic disorders, respectively cancer or conditions with dysregulated immune responses or other disorders associated with aberrant KRAS signaling
- the present invention covers pharmaceutical compositions, in particular a medicament, comprising a compound of general formula (I), as described supra, or a stereoisomer, a tautomer, an N-oxide, a hydrate, a solvate, a salt thereof, particularly a pharmaceutically acceptable salt, or a mixture of same, and one or more excipients), in particular one or more pharmaceutically acceptable excipient(s).
- a medicament comprising a compound of general formula (I), as described supra, or a stereoisomer, a tautomer, an N-oxide, a hydrate, a solvate, a salt thereof, particularly a pharmaceutically acceptable salt, or a mixture of same, and one or more excipients), in particular one or more pharmaceutically acceptable excipient(s).
- excipients in particular one or more pharmaceutically acceptable excipient(s).
- the compounds according to the invention can be administered in a suitable manner, such as, for example, via the oral, parenteral, pulmonary, nasal, sublingual, lingual, buccal, rectal, vaginal, dermal, transdermal, conjunctival, otic route or as an implant or stent.
- the compounds according to the invention for oral administration, it is possible to formulate the compounds according to the invention to dosage forms known in the art that deliver the compounds of the invention rapidly and/or in a modified manner, such as, for example, tablets (uncoated or coated tablets, for example with enteric or controlled release coatings that dissolve with a delay or are insoluble), orally-disintegrating tablets, films/wafers, films/lyophylisates, capsules (for example hard or soft gelatine capsules), sugar-coated tablets, granules, pellets, powders, emulsions, suspensions, aerosols or solutions. It is possible to incorporate the compounds according to the invention in crystalline and/or amorphised and/or dissolved form into said dosage forms.
- Parenteral administration can be effected with avoidance of an absorption step (for example intravenous, intraarterial, intracardial, intraspinal or intralumbal) or with inclusion of absorption (for example intramuscular, subcutaneous, intracutaneous, percutaneous or intraperitoneal).
- absorption step for example intravenous, intraarterial, intracardial, intraspinal or intralumbal
- absorption for example intramuscular, subcutaneous, intracutaneous, percutaneous or intraperitoneal.
- Administration forms which are suitable for parenteral administration are, inter alia, preparations for injection and infusion in the form of solutions, suspensions, emulsions, lyophylisates or sterile powders.
- the compounds according to the invention can be incorporated into the stated administration forms. This can be effected in a manner known per se by mixing with pharmaceutically suitable excipients.
- Pharmaceutically suitable excipients include, inter alia,
- fdlers and carriers for example cellulose, microcrystalline cellulose (such as, for example, Avicel®), lactose, mannitol, starch, calcium phosphate (such as, for example, Di-Cafos®)),
- ointment bases for example petroleum jelly, paraffins, triglycerides, waxes, wool wax, wool wax alcohols, lanolin, hydrophilic ointment, polyethylene glycols
- ointment bases for example petroleum jelly, paraffins, triglycerides, waxes, wool wax, wool wax alcohols, lanolin, hydrophilic ointment, polyethylene glycols
- bases for suppositories for example polyethylene glycols, cacao butter, hard fat
- solvents for example water, ethanol, isopropanol, glycerol, propylene glycol, medium chainlength triglycerides, fatty oils, liquid polyethylene glycols, paraffins
- surfactants for example sodium dodecyl sulfate), lecithin, phospholipids, fatty alcohols (such as, for example, Lanette®), sorbitan fatty acid esters (such as, for example, Span®), polyoxyethylene sorbitan fatty acid esters (such as, for example, Tween®), polyoxyethylene fatty acid glycerides (such as, for example, Cremophor®), polyoxethylene fatty acid esters, polyoxyethylene fatty alcohol ethers, glycerol fatty acid esters, poloxamers (such as, for example, Pluronic®),
- buffers for example phosphates, carbonates, citric acid, acetic acid, hydrochloric acid, sodium hydroxide solution, ammonium carbonate, trometamol, triethanolamine
- acids and bases for example phosphates, carbonates, citric acid, acetic acid, hydrochloric acid, sodium hydroxide solution, ammonium carbonate, trometamol, triethanolamine
- isotonicity agents for example glucose, sodium chloride
- adsorbents for example highly-disperse silicas
- viscosity-increasing agents for example polyvinylpyrrolidone, methylcellulose, hydroxypropylmethylcellulose, hydroxypropylcellulose, carboxymethylcellulose-sodium, starch, carbomers, polyacrylic acids (such as, for example, Carbopol®); alginates, gelatine),
- disintegrants for example modified starch, carboxymethylcellulose-sodium, sodium starch glycolate (such as, for example, Explotab®), cross- linked polyvinylpyrrolidone, croscarmellose- sodium (such as, for example, AcDiSol®)
- flow regulators for example magnesium stearate, stearic acid, talc, highly-disperse silicas (such as, for example, Aerosil®)
- coating materials for example sugar, shellac
- film formers for films or diffusion membranes which dissolve rapidly or in a modified manner for example polyvinylpyrrolidones (such as, for example, Kollidon®), polyvinyl alcohol, hydroxypropylmethylcellulose, hydroxypropylcellulose, ethylcellulose, hydroxypropylmethylcellulose phthalate, cellulose acetate, cellulose acetate phthalate, polyacrylates, polymethacrylates such as, for example, Eudragit®)),
- capsule materials for example gelatine, hydroxypropylmethylcellulose
- synthetic polymers for example polylactides, polyglycolides, polyacrylates, polymethacrylates (such as, for example, Eudragit®), polyvinylpyrrolidones (such as, for example, Kollidon®), polyvinyl alcohols, polyvinyl acetates, polyethylene oxides, polyethylene glycols and their copolymers and blockcopolymers),
- plasticizers for example polyethylene glycols, propylene glycol, glycerol, triacetine, triacetyl citrate, dibutyl phthalate
- preservatives for example parabens, sorbic acid, thiomersal, benzalkonium chloride, chlorhexidine acetate, sodium benzoate
- colourants for example inorganic pigments such as, for example, iron oxides, titanium dioxide
- flavourings • flavourings, sweeteners, flavour- and/or odour-masking agents.
- the present invention furthermore relates to a pharmaceutical composition which comprise at least one compound according to the invention, conventionally together with one or more pharmaceutically suitable excipient(s), and to their use according to the present invention.
- the compounds according to the invention can be administered in a suitable manner, such as, for example, via the oral, parenteral, pulmonary, nasal, sublingual, lingual, buccal, rectal, vaginal, dermal, transdermal, conjunctival, otic route or as an implant or stent.
- the compounds according to the invention for oral administration, it is possible to formulate the compounds according to the invention to dosage forms known in the art that deliver the compounds of the invention rapidly and/or in a modified manner, such as, for example, tablets (uncoated or coated tablets, for example with enteric or controlled release coatings that dissolve with a delay or are insoluble), orally-disintegrating tablets, films/wafers, films/lyophylisates, capsules (for example hard or soft gelatine capsules), sugar-coated tablets, granules, pellets, powders, emulsions, suspensions, aerosols or solutions. It is possible to incorporate the compounds according to the invention in crystalline and/or amorphised and/or dissolved form into said dosage forms.
- Parenteral administration can be effected with avoidance of an absorption step (for example intravenous, intraarterial, intracardial, intraspinal or intralumbal) or with inclusion of absorption (for example intramuscular, subcutaneous, intracutaneous, percutaneous or intraperitoneal).
- absorption step for example intravenous, intraarterial, intracardial, intraspinal or intralumbal
- absorption for example intramuscular, subcutaneous, intracutaneous, percutaneous or intraperitoneal.
- Administration forms which are suitable for parenteral administration are, inter alia, preparations for injection and infusion in the form of solutions, suspensions, emulsions, lyophylisates or sterile powders.
- Examples which are suitable for other administration routes are pharmaceutical forms for inhalation [inter alia powder inhalers, nebulizers], nasal drops, nasal solutions, nasal sprays; tablets/films/wafers/capsules for lingual, sublingual or buccal administration; suppositories; eye drops, eye ointments, eye baths, ocular inserts, ear drops, ear sprays, ear powders, ear-rinses, ear tampons; vaginal capsules, aqueous suspensions (lotions, mixturae agitandae), lipophilic suspensions, emulsions, ointments, creams, transdermal therapeutic systems (such as, for example, patches), milk, pastes, foams, dusting powders, implants or stents.
- inhalation inter alia powder inhalers, nebulizers
- nasal drops nasal solutions, nasal sprays
- tablets/films/wafers/capsules for lingual, sublingual or buccal
- the compounds according to the invention can be incorporated into the stated administration forms. This can be effected in a manner known per se by mixing with pharmaceutically suitable excipients.
- Pharmaceutically suitable excipients include, inter alia,
- fillers and carriers for example cellulose, microcrystalline cellulose (such as, for example, Avicel®), lactose, mannitol, starch, calcium phosphate (such as, for example, Di-Cafos®)),
- ointment bases for example petroleum jelly, paraffins, triglycerides, waxes, wool wax, wool wax alcohols, lanolin, hydrophilic ointment, polyethylene glycols
- ointment bases for example petroleum jelly, paraffins, triglycerides, waxes, wool wax, wool wax alcohols, lanolin, hydrophilic ointment, polyethylene glycols
- solvents for example water, ethanol, isopropanol, glycerol, propylene glycol, medium chainlength triglycerides fatty oils, liquid polyethylene glycols, paraffins
- surfactants for example sodium dodecyl sulfate), lecithin, phospholipids, fatty alcohols (such as, for example, Lanette®), sorbitan fatty acid esters (such as, for example, Span®), polyoxyethylene sorbitan fatty acid esters (such as, for example, Tween®), polyoxyethylene fatty acid glycerides (such as, for example, Cremophor®), polyoxethylene fatty acid esters, polyoxyethylene fatty alcohol ethers, glycerol fatty acid esters, poloxamers (such as, for example, Pluronic®),
- buffers for example phosphates, carbonates, citric acid, acetic acid, hydrochloric acid, sodium hydroxide solution, ammonium carbonate, trometamol, triethanolamine
- acids and bases for example phosphates, carbonates, citric acid, acetic acid, hydrochloric acid, sodium hydroxide solution, ammonium carbonate, trometamol, triethanolamine
- isotonicity agents for example glucose, sodium chloride
- adsorbents for example highly-disperse silicas
- viscosity-increasing agents for example polyvinylpyrrolidone, methylcellulose, hydroxypropylmethylcellulose, hydroxypropylcellulose, carboxymethylcellulose-sodium, starch, carbomers, polyacrylic acids (such as, for example, Carbopol®); alginates, gelatine),
- coating materials for example sugar, shellac
- film formers for films or diffusion membranes which dissolve rapidly or in a modified manner for example polyvinylpyrrolidones (such as, for example, Kollidon®), polyvinyl alcohol, hydroxypropylmethylcellulose, hydroxypropylcellulose, ethylcellulose, hydroxypropylmethylcellulose phthalate, cellulose acetate, cellulose acetate phthalate, polyacrylates, polymethacrylates such as, for example, Eudragit®)),
- capsule materials for example gelatine, hydroxypropylmethylcellulose
- synthetic polymers for example polylactides, polyglycolides, polyacrylates, polymethacrylates (such as, for example, Eudragit®), polyvinylpyrrolidones (such as, for example, Kollidon®), polyvinyl alcohols, polyvinyl acetates, polyethylene oxides, polyethylene glycols and their copolymers and blockcopolymers),
- plasticizers for example polyethylene glycols, propylene glycol, glycerol, triacetine, triacetyl citrate, dibutyl phthalate
- stabilisers for example antioxidants such as, for example, ascorbic acid, ascorbyl palmitate, sodium ascorbate, butylhydroxyanisole, butylhydroxytoluene, propyl gallate
- antioxidants for example antioxidants such as, for example, ascorbic acid, ascorbyl palmitate, sodium ascorbate, butylhydroxyanisole, butylhydroxytoluene, propyl gallate
- colourants for example inorganic pigments such as, for example, iron oxides, titanium dioxide
- the present invention furthermore relates to a pharmaceutical composition which comprise at least one compound according to the invention, conventionally together with one or more pharmaceutically suitable excipient(s), and to their use according to the present invention.
- the present invention covers pharmaceutical combinations, in particular medicaments, comprising at least one compound of general formula (I) of the present invention and at least one or more further active ingredients, in particular for the treatment and/or prophylaxis of a neoplastic disorder, respectively cancer or conditions with dysregulated immune responses or other disorders associated with aberrant KRAS signaling.
- the present invention covers a pharmaceutical combination, which comprises:
- a “fixed combination” in the present invention is used as known to persons skilled in the art and is defined as a combination wherein, for example, a first active ingredient, such as one or more compounds of general formula (I) of the present invention, and a further active ingredient are present together in one unit dosage or in one single entity.
- a “fixed combination” is a pharmaceutical composition wherein a first active ingredient and a further active ingredient are present in admixture for simultaneous administration, such as in a formulation.
- Another example of a “fixed combination” is a pharmaceutical combination wherein a first active ingredient and a further active ingredient are present in one unit without being in admixture.
- a non-fixed combination or “kit-of-parts” in the present invention is used as known to persons skilled in the art and is defined as a combination wherein a first active ingredient and a further active ingredient are present in more than one unit.
- a non-fixed combination or kit-of-parts is a combination wherein the first active ingredient and the further active ingredient are present separately. It is possible for the components of the non-fixed combination or kit-of-parts to be administered separately, sequentially, simultaneously, concurrently or chronologically staggered.
- the compounds of the present invention can be administered as the sole pharmaceutical agent or in combination with one or more other pharmaceutically active ingredients where the combination causes no unacceptable adverse effects.
- the present invention also covers such pharmaceutical combinations.
- the compounds of the present invention can be combined with known cancer agents, as listed above und P-a).
- the effective dosage of the compounds of the present invention can readily be determined for treatment of each desired indication.
- the amount of the active ingredient to be administered in the treatment of one of these conditions can vary widely according to such considerations as the particular compound and dosage unit employed, the mode of administration, the period of treatment, the age and sex of the patient treated, and the nature and extent of the condition treated.
- the total amount of the active ingredient to be administered will generally range from about 0.001 mg/kg to about 200 mg/kg body weight per day, and preferably from about 0.01 mg/kg to about 20 mg/kg body weight per day.
- Clinically useful dosing schedules will range from one to three times a day dosing to once every four weeks dosing.
- drug holidays in which a patient is not dosed with a drug for a certain period of time, to be beneficial to the overall balance between pharmacological effect and tolerability. It is possible for a unit dosage to contain from about 0.5 mg to about 1500 mg of active ingredient, and can be administered one or more times per day or less than once a day.
- the average daily dosage for administration by injection will preferably be from 0.01 to 200 mg/kg of total body weight.
- the average daily rectal dosage regimen will preferably be from 0.01 to 200 mg/kg of total body weight.
- the average daily vaginal dosage regimen will preferably be from 0.01 to 200 mg/kg of total body weight.
- the average daily topical dosage regimen will preferably be from 0.1 to 200 mg administered between one to four times daily.
- the transdermal concentration will preferably be that required to maintain a daily dose of from 0.01 to 200 mg/kg.
- the average daily inhalation dosage regimen will preferably be from 0.01 to 100 mg/kg of total body weight.
- the specific initial and continuing dosage regimen for each patient will vary according to the nature and severity of the condition as determined by the attending diagnostician, the activity of the specific compound employed, the age and general condition of the patient, time of administration, route of administration, rate of excretion of the drug, drug combinations, and the like.
- the desired mode of treatment and number of doses of a compound of the present invention or a pharmaceutically acceptable salt or ester or composition thereof can be ascertained by those skilled in the art using conventional treatment tests.
- the compounds according to the invention of general formula (I) can be prepared according to the following schemes 1 to 6.
- the schemes and procedures described below illustrate synthetic routes to the compounds of general formula (I) of the invention and are not intended to be limiting. It is clear to the person skilled in the art that the order of transformations as exemplified in schemes 1 to 6 can be modified in various ways. The order of transformations exemplified in these schemes is therefore not intended to be limiting. In addition, interconversion of any of the substituents R 1 , R 2 , R 3 , and R 4 can be achieved before and/or after the exemplified transformations.
- the starting materials are either commercially available or can be prepared according to procedures available from the public domain, as understandable to the person skilled in the art. Specific examples are described in the Experimental Section.
- head group R 1 can also be placed at the end of the synthesis route.
- key intermediates of general formula (IV) can be employed wherein X 1 can represent a substiuent like hydroxy- or para-methoxybenzyl sulfoxide but must not be limited to those.
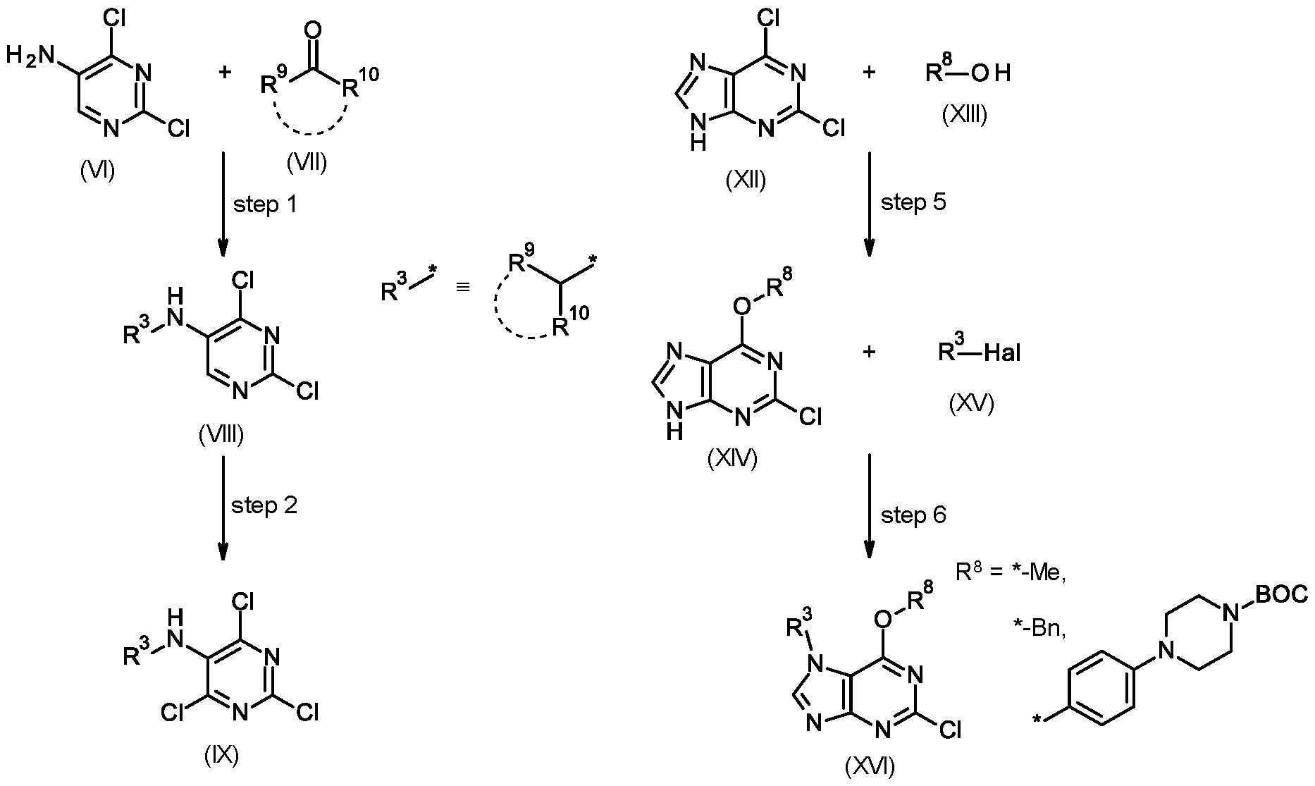
- the conditions of the reductive amination include a mild reducing agent such as sodium cyanoborohydride, sodium triacetoxyborohydride or 2-picoline borane complex, that chemoselectively prefers to reduce the in situ formed imine species from 2,4-dichloropyrimidin-5-amine (formula VI) and the ketone of general formula (VII) corresponding to substituent R 3 over the direct reduction of the carbonyl compound (general formula (VII)).
- a mild reducing agent such as sodium cyanoborohydride, sodium triacetoxyborohydride or 2-picoline borane complex
- scavengers such as titanium tetrachloride or mol sieves
- the pyrimidines of general formula (VIII) can be chlorinated at position 4 of the pyrimidine ring to get trichloropyrimidines of general formula (IX).
- a typical chlorinating agent like N-chlorosuccinimide (NCS) or trichloroisocyanuric acid (TCCA) is used in a halogenated solvent like CCU or a dipoloar aprotic solvent like V '-dimcth lfo rm a ide at temperatures ranging from 20°C to 100°C.
- these alcohols are deprotonated using a strong base like sodium hydride or potassium tert-butoxide in a protic solvent like methanol or tert-butanol at temperatures ranging from 50°C to 100°C to get the purine ethers of general formula (XIV).
- the following alkylation can be done using an electrophilic haloalkane of general formula (XV) like 2 -iodopropane or bromocyclobutane leading usually to a nearly 1: 1 mixture of the desired 7-alkylated product of general formula (XVI) and the 9-alkylated byproduct (not shown in Scheme 2) that can be separated by chromatography or preparative HPUC.
- the imidazole alkylation can be performed in a dipolar aprotic solvent like W-di methyl form am ide or W-dim ethyl acetamide at temperatures between 20°C and 120°C.
- a bromoalkene of general formula (XV) is used in the alkylation reaction the catalytic addition of an iodine source like potassium iodide might enhance the reaction velocity.
- the intermediates of general formula (XVI) can be directly used in the subsequent installation of the substituents R 1 , R 2 and Z-R 4 but in case R 8 represents a methyl group the intermediates of general formula (XVI) can also be converted to the dichloropurines of general formula (V) using POCI3, an organic amine like V '-dimcthylanilinc in a solvent like toluene at higher temperatures between 80°C and 120°C.
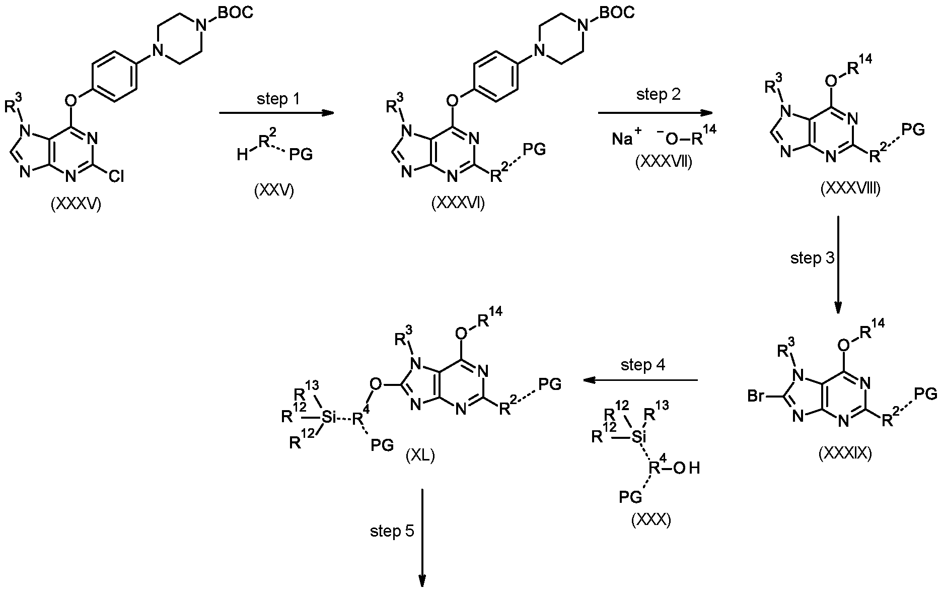
- the purines of general formula (V) can also be obtained by a third synthesis sequence also depicted in Scheme 2, Part 2 below, starting on one hand from bromoethyl acetate (CAS No: 105-36-2) and using cyanamine (CAS No: 420-04-2) for a second building block.
- bromoethyl acetate is converted with a primary amine of general formula (XVII) bringing the later substituent R 3 within its own alkylsubstituent to get the a-aminoesters of general formula (XVIII).
- a protic solvent like ethanol at temperatures between 0°C and 50°C.
- the unsubstituted cyanamine is converted with an orthoester of general formula wherein R 11 represents a Ci to C3 alkyl preferably ethyl.
- the orthoester used in excess has a double function as reactant and solvent for the cyanamine.
- higher temperatures between 80°C and 120°C are employed.
- the resulting cyanamines of general formula (XIX) are converted with the a-aminoesters of general formula (XVIII) using a strong base like potassium tert-butoxide in a solvent like ethanol or diethylether or mixtures thereof usually at room temperature.
- the obtained aminopyrazole esters of general formula (XX) can react with urea (CAS No: 57-13-6) without additional solvent at higher temperatures between 100°C and 150°C to close the pyrimidindione ring in compounds of general formula (XXI).
- the next double dehydrochlorination can be done with POCI3, an organic amine like triethylamine in a solvent like toluene at higher temperatures between 80°C and 120°C to afford the dichloropurines of general formula (V).
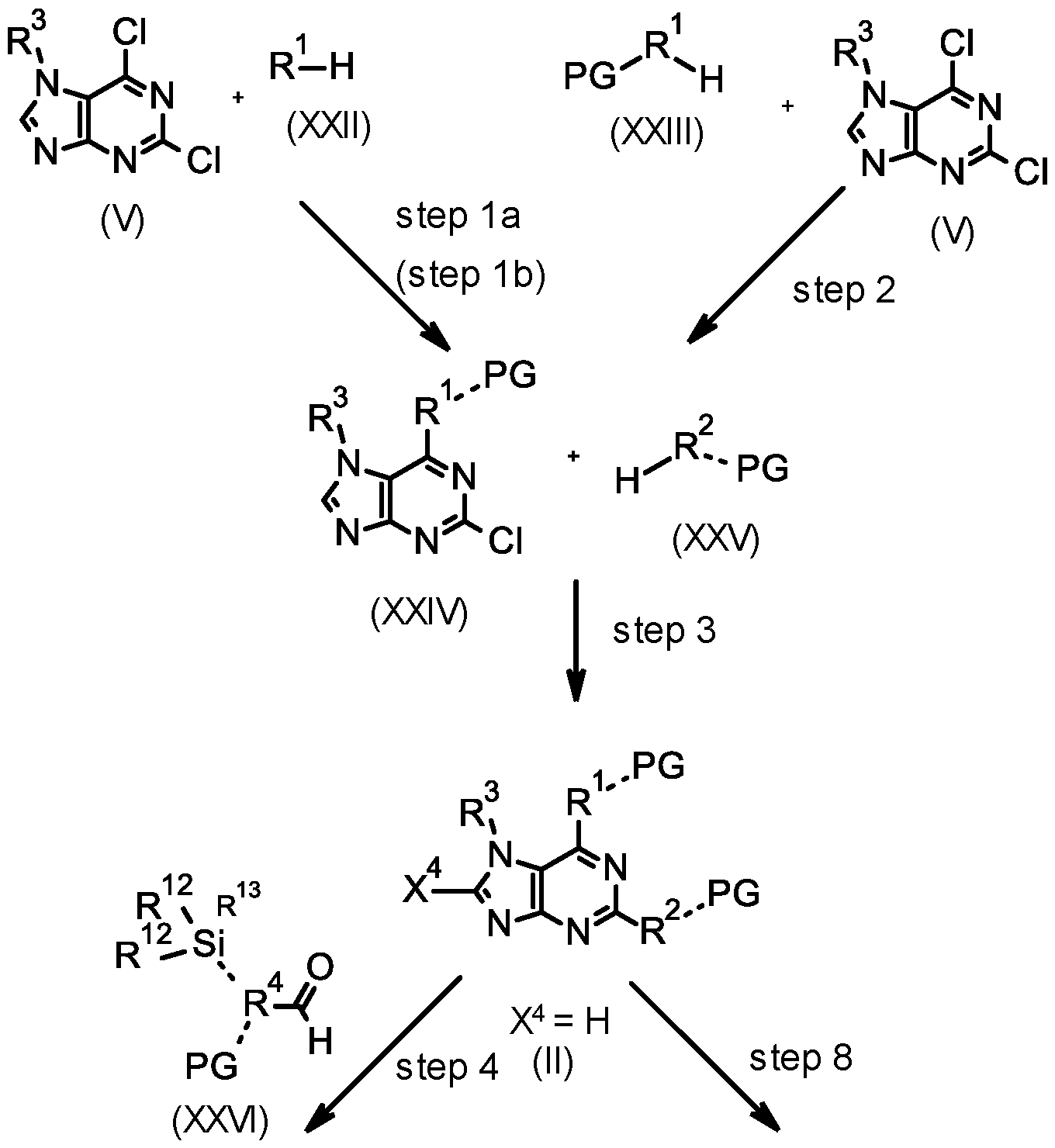
- the dichloropurines of general formula (V) can be the starting materials to get the key intermediates of general formula (II) as shown in Scheme 3.
- First the nitrogen nucleophiles R’-H of general formula (XXII) for nitrogen nucleophiles containing no protecting groups at further functional groups within R1 or of general formula (XXIII) for nitrogen nucleophiles containing a protecting groups at further functional groups within R 1 can be used to get the purine intermediates of general formula (XXIV).
- the reaction conditions include an organic amine base like triethylamine and a solvent like dichloromethane or 1,4-dixoane.
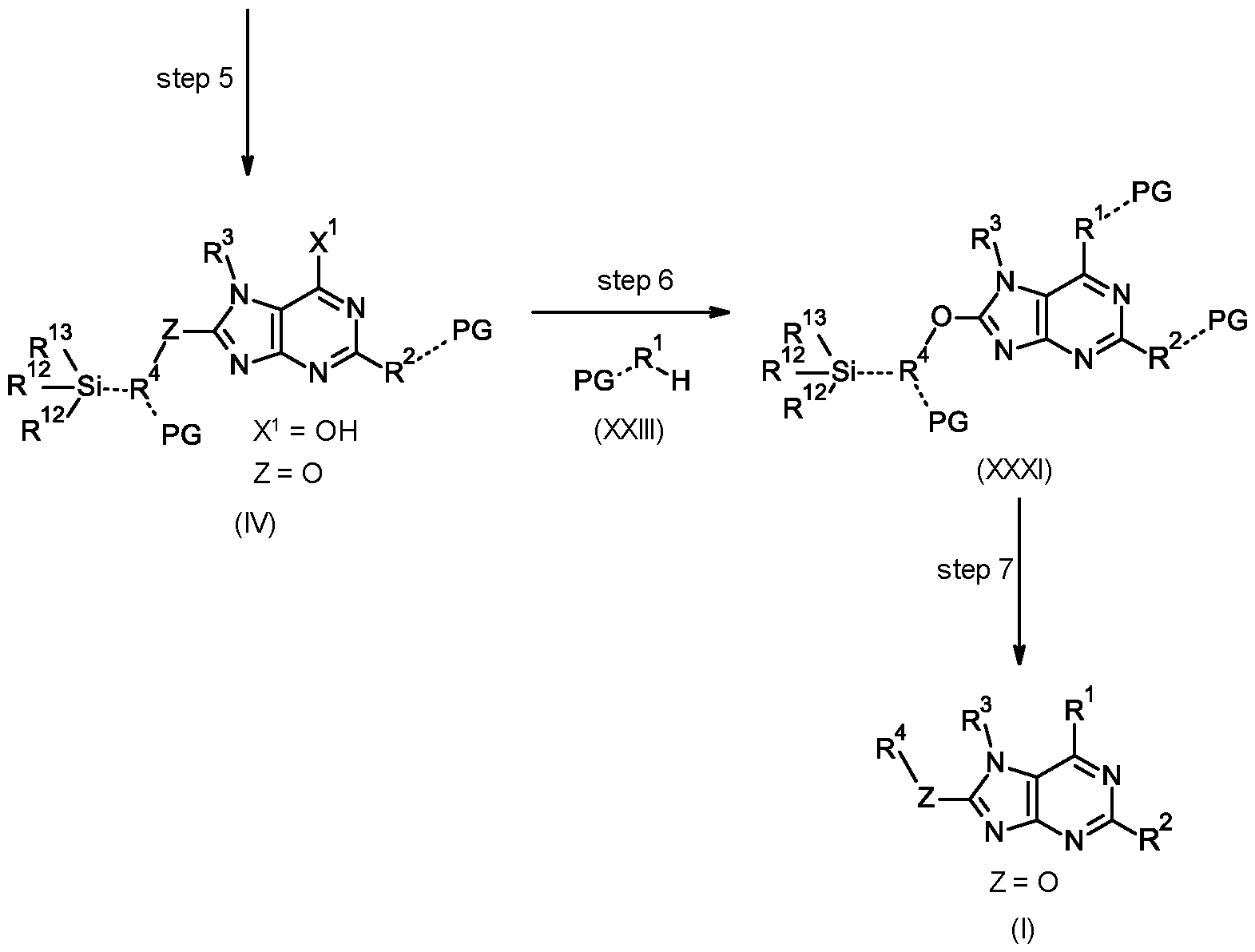
- the monochloropurines of general formula (XXIV) can be converted in a second nucleophilic aromatic substitution (S - Ar) with an alcohol of general formula (XXV) that might also contain a protecting group at an additional functional group within R 2 .
- the alcohols of general formula (XXV) first have to be deprotonated quantitatively by using a strong base like sodium hydride or sodium bis(trimethylsilyl)amide in a solvent like tetrahydrofuran or 1,4-dioxane at lower temperatures between -20C° to 30°C.
- R 4 includes 5 -ethynyl-6-fluoro-2 -naphthol, a 5-ethyl-6-fluoro-2- naphthol, a fluorinated or non-fluorinated l,3-benzothiazol-2-amine, a 2-amino-l-benzothiophene-3- carbonitrile, a 4-methyl-5-(trifluoromethyl)pyridine-2-amine and connecting points to the Z-linker as described for claim 1.
- R 4 represents a 5-ethynyl-6-fluoro-2-naphthol
- the naphtholic hydroxy group is connected to a protecting group PG as indicated for the compounds of general formula (XXVI) or (XXX) shown in Scheme 3, Part 1 and 2.
- This protecting group might be an ether like methoxymethyl (MOM) or a silyl group like tert-butyldiphenylsilyl (TBDPS) but not limited to those.
- the terminal alkyne position of a 5-ethynyl-6-fluoro-2-naphthol representing R 4 might additionally be protected with a silyl group SiR 12 R 12 R 13 as shown for compounds of general formula (XXVI) or (XXX).
- This silyl group SiR 12 R 12 R 13 can for example be a triisopropylsilyl (TIPS) group but any other suitable silyl group for a terminal alkyne as well.
- TIPS triisopropylsilyl
- R 4 represents a 4-methyl-5-(trifluoromethyl)pyridine-2 -amine the amino group is connected to a protecting group PG as indicated for the compounds of general formula (XXVI).
- This protecting group might be a PMB protecting group but is not limited to those.
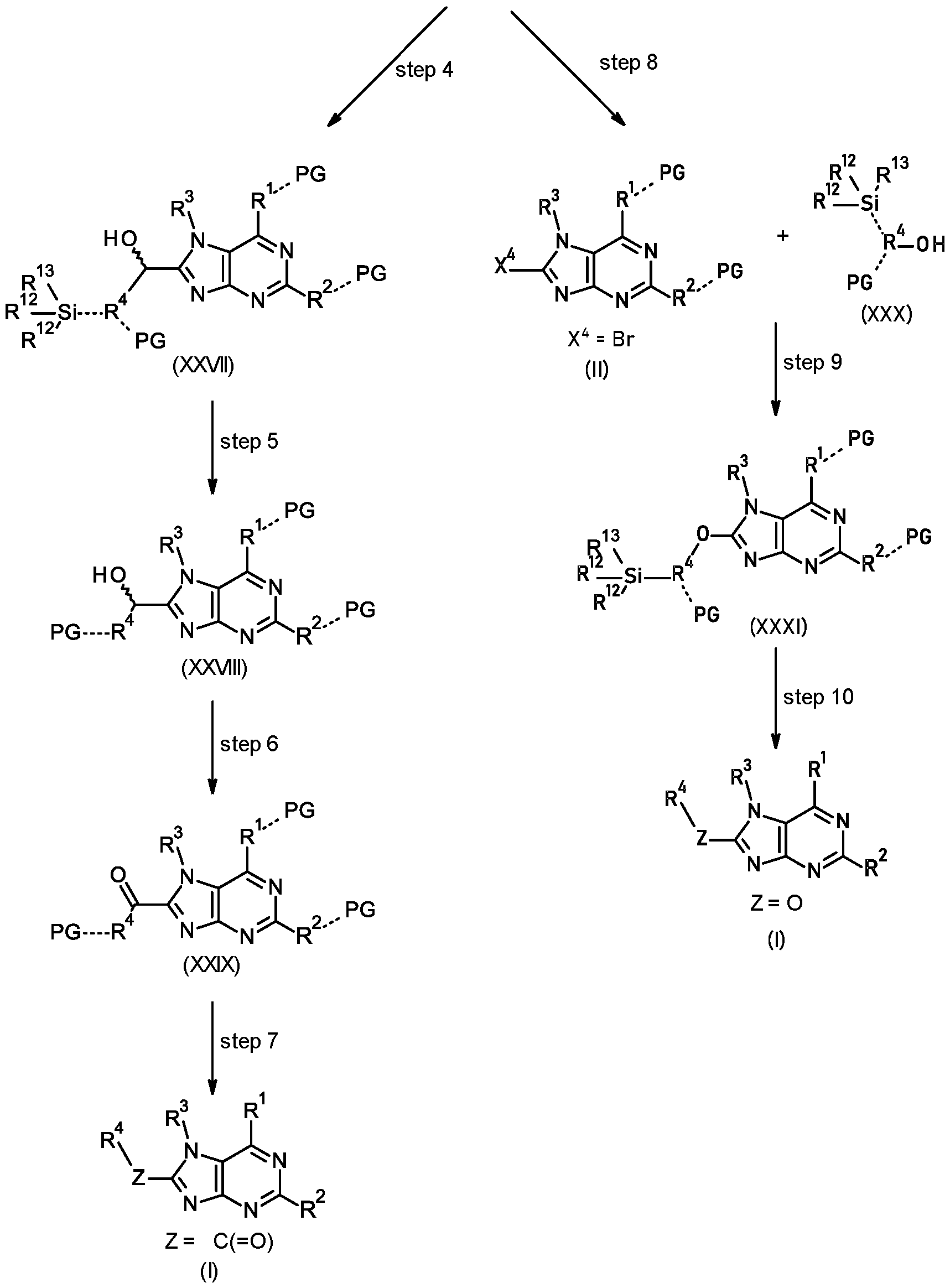
- an aldehyde of general formula (XXVI) can be used to be connected to position 8 of the central purine ring of intermediates of general formula (II) wherein X 4 represents a hydrogen. Therefore the imidazole ring first has to be quantitatively deprotonated at position 8 using a strong base like lithium bis(trimethylsilyl)amide in a solvent like tetrahydrofuran at lower temperatures between -40°C to 0°C. Afterwards the aldehyde of general formula (XXVI) is added and the reaction kept at lower temperature or raised to room temperature to get the intermediate alcohols of general formula (XXVII).
- the oxidation of the deprotected intermediate of general formula (XXVIII) is performed with a mild oxidizing agent like Dess-Martin periodinane (DMP) in a solvent like dichloromethane usually at room temperature.
- DMP Dess-Martin periodinane
- the reaction sequence of alkyne silyl deprotection and subsequent alcohol oxidation can also be done vice versa but in this case the sily deprotection has to be done at higher temperatures between 50°C and 80°C.
- Z represents the carbonyl as shown in Scheme 3 Part 2
- the penultimate protected intermediates of general formula (XXIX) have to be deprotected at R 1 , R 2 and/or R 4 .
- the position 8 of the central purine ring has to be quantitatively deprotonated using a strong base like lithium bis(trimethylsilyl)amide in a solvent like tetrahydrofuran at lower temperatures between -40°C to 0°C. Then a bromine source like Br2 or N- bromosuccinimide (NBS) can be added and the reaction kept at lower temperature or raised to room temperature to get the key intermediates of general formula (II) wherein X 4 represents a bromine.
- a strong base like lithium bis(trimethylsilyl)amide
- a solvent like tetrahydrofuran at lower temperatures between -40°C to 0°C.
- a bromine source like Br2 or N- bromosuccinimide (NBS) can be added and the reaction kept at lower temperature or raised to room temperature to get the key intermediates of general formula (II) wherein X 4 represents a bromine.
- This bromine can be substituted in an S- Ar reaction with an alcohol of general formula (XXX) wherein R 4 represents the known groups from claim 1 like 5-ethynyl-6-fluoro-2-naphthol that again might be doubly protected at the naphtholic hydroxy group (PG) and the terminal alkyne (SiR 12 R 12 R 13 ) as already described above.
- R 4 represents the known groups from claim 1 like 5-ethynyl-6-fluoro-2-naphthol that again might be doubly protected at the naphtholic hydroxy group (PG) and the terminal alkyne (SiR 12 R 12 R 13 ) as already described above.
- a strong base like the phosphazene 2-(tcrt-butylimino)-A'.A'-dicthyl- 1,3 -dimethyl- 1, 3, 21ambda5-diazaphos-phinan-2-amine (BEMP) is employed in a solvent like N,N- dimethylformamide at temperatures between 50°C and 100°C.
- the resulting ethers of general formula (XXXI) need to be deprotected from orthogonal protecting groups. This is usually done in two steps wherein first the SiR 12 R 12 R 13 group is removed from the terminal alkyne with TBAF as already described above. Finally the acid labile protecting groups like MOM, Boc or PMB are removed as also described above using HC1 in organic solvent or MsOH in methanol to get the desired compounds of general formula (I) wherein Z represents an oxygen (see scheme 3, part 2).
- step la part 2: step la, and 2: organic amine, solvent
- step lb protection (brackets indicate that the protection step might not be necessary depending on R 1 ; step 3, and 4: strong base, solvent; step 5; TBAF, solvent; step 6: oxidation; step 7, and 10: deprotection; step 8: bromination; step 9: base, solvent.
- the bromopurines of general formula (XXXIII) can be coupled to these alcohols using a base like potassium carbonate in a polar solvent like 'A'-dimcthylformamidc at higher temperatures between 80°C and 120°C to get the ethers of general formula (XXXIV).
- the final introduction of the side chain R 1 can be performed by reconverting the non-leaving group thiomethyl again in a proper leaving group via oxidation to the corresponding key intermediate sulfone of general formula (III) wherein Z represents an oxygen and X 2 represents a methylsulfonyl.
- This oxidative activation is usually done with at least 2 equivalents of an oxidizing reagent like meto-chloroperoxybenzoic acid or potassium peroxymonosulfate (oxone) in a solvent such as dichloromethane at temperatures between -20°C and 40°C.
- an oxidizing reagent like meto-chloroperoxybenzoic acid or potassium peroxymonosulfate (oxone) in a solvent such as dichloromethane at temperatures between -20°C and 40°C.
- the alcohol of general formula (XXV) can then be installed using a strong base like sodium hydride under reaction conditions already described at Scheme 3 using the good leaving group qualities ofX 2 representing methylsulfonyl.
- the final deprotection of the orthogonal protecting groups is again done sequentially using TBAF to remove SiR 12 R 12 R 13 and then removing MOM- and Boc-protecting groups under acidic conditions like HC1 or methansulfonic acid in organic solvent to get compounds of general formula (I) with the meaning of oxygen for the Z-linker.
- the aldehyde of general formula (XXVI) might be used in the conversion of intermediate (XXXII) via quantitative deprotonation at position 8 in the purine core with a strong base and subsequent trapping with the aldehyde of general formula (XXIV).
- monochloropurines of general formula (XVI) wherein R 8 represents tert-butyl 4-(4- hydroxyphenyl)piperazine-l -carboxylate can be used as starting points for the synthesis of key intermediates of general formula (IV) as shown in Scheme 5.
- the mentioned monochloropurines of general formula (XXXV) are first converted with alcohols of general formula (XXV) under Buchwald conditions to form the C-0 bond between the purine core and R 2 .
- the catalytic system used under these Buchwald conditions is composed of a palladium compound in combination with a suitable ligand like (2'-amino[biphenyl]-2-yl)(methanesulfonato-kappaO)palladium - dicyclohexyl(2',6'- diisopropoxy[biphenyl]-2-yl)phosphine (1: 1)(CAS No: 1445085-77-7), a base like caesium carbonate in a solvent like toluene at higher temperatures in the range between 80°C and 120°C to get the purines of general formula (XXXVI).
- the purine ring is quantitatively deprotonated using a strong base like lithium bis(trimethylsilyl)amide in a solvent like tetrahydrofuran at lower temperatures between -40°C to 0°C, before a bromination reagent like NBS or Br2 is added at very low temperatures between -80°C to -20°C to obtain the bromopurines of general formula (XXXIX) as shown in Scheme 5.
- a strong base like the phosphazene BEMP is employed and coupling can then be performed around room temperature in a solvent like '.
- R 14 has the meaning of a methyl group demethylation conditions could for example include a combination of an oxidizing agent like sodium iodate and a scavenger for the in situ formed acetal like chlorotrimethylsilane to cleave the methyl group.
- a solvent like acetonitrile is used at temperatures kept around room temperature.
- redutive hydrogenation conditions could be employed using atmospheric hydrogen gas pressure and catalytic amount of palladium on charcoal in a solvent like ethanol at room temperature to receive the key intermediate of general formula (IV) wherein Z represents an oxygen and X 1 represents a hydroxy group. This hydroxy group X 1 could then be activated with a coupling reagent like e.g.
- This conversion can be performed in a polar solvent like N, JV-dimethylformamide at temperatures around room temperature.
- the orthogonal protecting groups have to be removed.
- the silyl groups like SiR 12 R 12 R 13 are first removed using TBAF under reaction conditions already described for scheme 3 and 4.
- the compounds of general formula (XXXI) could also contain more than one silyl group (for example PG as general protecting group could also have the meaning of a silyl group like tert-butyldiphenysilyl (TBDPS)) that are simultaneously removed under the TBAF reaction conditions.
- TDPS tert-butyldiphenysilyl
- the acid labile groups like MOM and Boc can be removed under reaction conditions already described above.
- the compounds of general formula (XXXVI) could also be converted to thioethers at position 6 of the central purine core.
- a thiol of general formula (XLI) like (4-methoxyphenyl)methanethiol is quantitatively deprotonated using a stronger base like BEMP in a polar solvent like '. '-dimcthylacctamidc at temperatures between 0°C and 30°C.
- the ether of general formula (XXXVI) is added and stirring is continued usually at ambient temperature.
- the received thioether of general formula (XLII) can then be oxidized to the corresponding sulfoxide with one equivalent of oxidizing agent like oxone in a solvent or solvent mixture like methanol and 1,4-dioxane at temperatures ranging from 0°C to 50°C.
- the obtained sulfoxide of general formula (XLIII) has sufficient leaving group quality to be exchanged with a nitrogen nucleophile of general formula (XXIII) to install the head group R 1 .
- This exchange can be performed under acidic conditions with for example propionic acid in a solvent like 2 -methyl -2 -butanol at higher temperatures between 80°C and 120°C as shown in scheme 6.
- Z, X 4 , R 1 , R 2 , and R 3 represent substituents according to claim 1 optionally bearing suitable protecting groups, which is indicated by the dotted line to “PG”; the selection for X 4 for the shown synthesis is indicated in scheme 6; PG represents any protecting group, suitable for the respective functional group (see Greene 's Protective Groups in Organic Synthesis or Protecting Groups as cited above the dashed lines at PG indicate that the protecting group at the substiutents R 1 , and R 2 might be present or absent; R 15 represents Ci to C7 alkyl or aryl preferably para-methoxybenzyl (PMB).
- PMB para-methoxybenzyl
- the dichloropurines of general formula (V) can be the starting materials to get the key intermediates of general formula (XLV) as shown in Scheme 7.
- R 4 represents a 5 -ethynyl-6-fluoro-2 -naphthol
- the naphtholic hydroxy group is connected to a protecting group PG as indicated for the compounds of general formula (XXVI) shown in Scheme 7, part 1 and 2.
- This protecting group might be an ether like methoxymethyl (MOM) but is not limited to those.
- the terminal alkyne position of a 5-ethynyl-6-fluoro- 2-naphthol representing R 4 might additionally be protected with a silyl group SiR 12 R 12 R 13 as shown for compounds of general formula (XXVI).
- This silyl group SiR 12 R 12 R 13 can for example be a triisopropylsilyl (TIPS) group but any other suitable silyl group for a terminal alkyne as well.
- TIPS triisopropylsilyl
- an aldehyde of general formula (XXVI) can be used to be connected to position 8 of the central purine ring of intermediates of general formula (V).
- the imidazole ring first has to be quantitatively deprotonated at position 8 using a strong base like lithium bis(trimethylsilyl)amide in a solvent like tetrahydrofuran at lower temperatures between -40°C to 0°C.
- the reaction conditions include an organic amine base like triethylamine and a solvent like dichloromethane or 1,4- dixoane. Usually, the reactions are performed at temperatures ranging from 20°C to 80°C. The dotted line to “PG” in Scheme 3 indicates that the protecting group may be present or absent).
- the monochloropurines of general formula (XL VI) can be converted in a second nucleophilic aromatic substitution (S - Ar) with an alcohol of general formula (XXV) that might also contain a protecting group at an additional functional group within R 2 .
- the alcohols of general formula (XXV) first must be deprotonated quantitatively by using a strong base like sodium hydride or sodium bis(trimethylsilyl)amide in a solvent like tetrahydrofuran or 1,4-dioxane at lower temperatures between -20C° to 30°C. Then the chloropurine of general formula (XL VI) is added and the reaction continued at higher temperatures between 70°C and 110°C to obtain the key intermediates of general formula (XL VII) wherein. Thesilyl protecting group is then cleaved to obtain intermediate (XXIX).
- This silyl deprotection step can be performed for example with tetrabutylammonium fluoride (TBAF) in a solvent like tetrahydrofuran at lower temperatures between -30°C to 0°C.
- TBAF tetrabutylammonium fluoride
- the acid labile protecting groups like MOM and Boc are removed as also described above using HC1 or TFA in organic solvent or MsOH in methanol to get the desired compounds of general formula (I) wherein Z represents a carbonyl group.
- the dichloropurines of general formula (V) can be the starting materials to get the key intermediates of general formula (LI) as shown in Scheme 8.
- R 4 represents a 5 -ethynyl-6-fluoro-2 -naphthol
- the naphtholic hydroxy group is connected to a protecting group PG as indicated for the compounds of general formula (XXVI) shown in Scheme 8, part 1 and 2.
- This protecting group might be an ether like methoxymethyl (MOM) or methoxyethoxymethyl (MEM) but is not limited to those.
- the terminal alkyne position of a 5-ethynyl-6-fluoro-2-naphthol representing R 4 might additionally be protected with a silyl group SiR 12 R 12 R 13 as shown for compounds of general formula (XXVI).
- This silyl group SiR 12 R 12 R 13 can for example be a triisopropylsilyl (TIPS) group but any other suitable silyl group for a terminal alkyne as well.
- TIPS triisopropylsilyl
- p-methoxybenzylmercaptan can be used as nucleophiles to get the purine intermediates of general formula (XL VIII).
- the reaction conditions include an inorganic amine base like potassium carbonate and a solvent like DMF.
- the monochloropurines of general formula (XL VIII) can be converted in a second nucleophilic aromatic substitution (S- Ar) with an alcohol of general formula (XXV) that might also contain a protecting group at an additional functional group within R 2 .
- the alcohols of general formula (XXV) first must be deprotonated quantitatively by using a strong base like sodium hydride or sodium bis(trimethylsilyl)amide in a solvent like tetrahydrofuran or 1,4-dioxane at lower temperatures between -20C° to 30°C.
- the oxidation of the deprotected intermediate of general formula (LI) is performed with a mild oxidizing agent like Dess-Martin periodinane (DMP) in a solvent like dichloromethane usually at room temperature to give intermediate (LII) .
- DMP Dess-Martin periodinane
- the received thioether of general formula (LII) can then be in situ oxidized and trapped by water using two equivalents of oxidizing agent like oxone in a solvent mixture of 1,4-dioxane and water at temperatures ranging from 0°C to 25 °C to give key intermediate (LIII).
- NMR peak forms are stated as they appear in the spectra, possible higher order effects have not been considered.
- the ’H-NMR data of selected compounds are listed in the form of ’H-NMR peaklists. Therein, for each signal peak the 5 value in ppm is given, followed by the signal intensity, reported in round brackets. The 5 value-signal intensity pairs from different peaks are separated by commas. Therefore, a peaklist is described by the general form: 5i (intensity i), 82 (intensity2), ... , 8! (intensity!), ... , 8n (intensity n ).
- a ’H-NMR peaklist is similar to a classical ’H-NMR readout, and thus usually contains all the peaks listed in a classical NMR interpretation.
- peaklists can show solvent signals, signals derived from stereoisomers of the particular target compound, peaks of impurities, 13 C satellite peaks, and/or spinning sidebands.
- the peaks of stereoisomers, and/or peaks of impurities are typically displayed with a lower intensity compared to the peaks of the target compound (e.g., with a purity of >90%).
- Such stereoisomers and/or impurities may be typical for the particular manufacturing process, and therefore their peaks may help to identify a reproduction of the manufacturing process on the basis of "byproduct fingerprints".
- An expert who calculates the peaks of the target compound by known methods can isolate the peaks of the target compound as required, optionally using additional intensity filters. Such an operation would be similar to peak -picking in classical ’H-NMR interpretation.
- Chemical names were generated using the ACD/Name software from ACD/Labs. In some cases generally accepted names of commercially available reagents were used in place of ACD/Name generated names.
- Table 1 lists the abbreviations used in this paragraph and in the Intermediates and Examples sections as far as they are not explained within the text body.
- the compounds and intermediates produced according to the methods of the invention may require purification. Purification of organic compounds is well known to the person skilled in the art and there may be several ways of purifying the same compound. In some cases, no purification may be necessary. In some cases, the compounds may be purified by crystallization. In some cases, impurities may be stirred out using a suitable solvent. In some cases, the compounds may be purified by chromatography, particularly flash column chromatography, using for example prepacked silica gel cartridges, e.g.
- NMR peak forms in the following specific experimental descriptions are stated as they appear in the spectra, possible higher order effects have not been considered.
- the ’H-NMR data of selected compounds are listed in the form of ’H-NMR peaklists. Therein, for each signal peak the 5 value in ppm is given, followed by the signal intensity, reported in round brackets. The 5 value-signal intensity pairs from different peaks are separated by commas. Therefore, a peaklist is described by the general form: 5i (intensity:), 82 (intensity2), ... , 81 (intensity 1), ... , 8n (intensity n ).
- a ’H-NMR peaklist is similar to a classical ’H-NMR readout, and thus usually contains all the peaks listed in a classical NMR interpretation.
- peaklists can show solvent signals, signals derived from stereoisomers of the particular target compound, peaks of impurities, 13 C satellite peaks, and/or spinning sidebands.
- the peaks of stereoisomers, and/or peaks of impurities are typically displayed with a lower intensity compared to the peaks of the target compound (e.g., with a purity of >90%).
- Such stereoisomers and/or impurities may be typical for the particular manufacturing process, and therefore their peaks may help to identify a reproduction of the manufacturing process on the basis of "by-product fingerprints".
- An expert who calculates the peaks of the target compound by known methods can isolate the peaks of the target compound as required, optionally using additional intensity filters. Such an operation would be similar to peak -picking in classical ’H-NMR interpretation.
- Reactions employing microwave irradiation may be run with a Biotage Initiatora microwave oven optionally equipped with a robotic unit.
- the reported reaction times employing microwave heating are intended to be understood as fixed reaction times after reaching the indicated reaction temperature.
- the compounds and intermediates produced according to the methods of the invention may require purification. Purification of organic compounds is well known to the person skilled in the art and there may be several ways of purifying the same compound. In some cases, no purification may be necessary. In some cases, the compounds may be purified by crystallization. In some cases, impurities may be stirred out using a suitable solvent. In some cases, the compounds may be purified by chromatography, particularly flash column chromatography, using for example pre-packed silica gel cartridges, e.g. from Separtis such as Isolute® Flash silica gel or Isolute® Flash NH 2 silica gel in combination with a Isolera® autopurifier (Biotage) and eluents such as gradients of e.g.
- Separtis such as Isolute® Flash silica gel or Isolute® Flash NH 2 silica gel in combination with a Isolera® autopurifier (Biotage)
- eluents such as gradients of e.g.
- the compounds may be purified by preparative HPLC using for example a Waters autopurifier equipped with a diode array detector and/or on-line electrospray ionization mass spectrometer in combination with a suitable prepacked reverse phase column and eluents such as gradients of water and acetonitrile which may contain additives such as trifluoroacetic acid, formic acid or aqueous ammonia.
- a Waters autopurifier equipped with a diode array detector and/or on-line electrospray ionization mass spectrometer in combination with a suitable prepacked reverse phase column and eluents such as gradients of water and acetonitrile which may contain additives such as trifluoroacetic acid, formic acid or aqueous ammonia.
- purification methods as described above can provide those compounds of the present invention which possess a sufficiently basic or acidic functionality in the form of a salt, such as, in the case of a compound of the present invention which is sufficiently basic, a trifluoroacetate or formate salt for example, or, in the case of a compound of the present invention which is sufficiently acidic, an ammonium salt for example.
- a salt of this type can either be transformed into its free base or free acid form, respectively, by various methods known to the person skilled in the art, or be used as salts in subsequent biological assays. It is to be understood that the specific form (e.g. salt, free base etc) of a compound of the present invention as isolated as described herein is not necessarily the only form in which said compound can be applied to a biological assay in order to quantify the specific biological activity.
- System MS Waters TOF instrument; System UPLC: Waters Acquity I-CLASS; Column: Waters, XSELECT CSH C18, 4.6 x 50 mm 3.5 pm; Eluent A: 5 mmol ammonium acetate pH 4.2; Eluent B: 100 mmol ammonium acetate pH 4.2/Isopropanol/ACN (5/62/33); Gradient: 0.0 min 85% B 2.0 min 85% B —> 19.0 min 100% B —> 24.0 min 95% B; Oven: 50°C; Flow: 0.75 ml/min; UV-Detection: 240 nm.
- Instrument SHIMADZU LCMS-2020 SingleQuad; Column: Chromolith@Flash RP-18E 25-2 MM; eluent A: water + 0.0375 vol % trifluoroacetic acid, eluent B: acetonitrile + 0.01875 vol % trifluoroacetic acid; gradient: 0-0.8 min, 5-95% B, 0.8-1.2 min 95% B; flow 1.5 ml/min; temperature: 50 °C; PDA: 220 nm & 254 nm.
- Instrument Agilent 1200 ⁇ G6110A SingleQuad; Column: XBridge C18 2.1*50 mm, 5 pm; eluent A: water + 0.025 vol % ammonium hydroxide, eluent B: acetonitrile; gradient: 0-1.2 min 10-80% B, 1.2- 1.6 min 80% B; flow 1.2 ml/min; temperature: 40 °C; DAD: 220 nm & 254 nm.
- Instrument SHIMADZU LCMS-2020 SingleQuad; Column: Kinetex EVO C18 2.1*30 mm, 5 gm; eluent A: water + 0.025 vol % ammonium hydroxide, eluent B: acetonitrile; gradient: 0-0.8 min, 5-95% B, 0.8-1.2 min 95% B; flow 1.5 ml/min; temperature: 40 °C; PDA: 220 nm & 254 nm.
- Instrument SHIMADZU ECMS-2020 SingleQuad; Column: Kinetex EVO C18 2.1*30 mm, 5 pm; eluent A: water + 0.025 vol % ammonium hydroxide, eluent B: acetonitrile; gradient: 0-1.2 min, 0-60% B, 1.2-1.6 min, 60% B; flow 1.0 ml/min; temperature: 40 °C; PDA: 220 nm & 254 nm.
- Instrument SHIMADZU LCMS-2020 SingleQuad; Column: Kinetex EVO C18 2.1*30 mm, 5um; eluent A: water + 0.025 vol % ammonium hydroxide, eluent B: acetonitrile; gradient: 0-0.8 min, 5-95% B, 0.8-1.2 min, 95% B; flow 1.5 ml/min; temperature: 40 °C; PDA: 220 nm & 254 nm.
- Instrument SHIMADZU LCMS-2020 SingleQuad; Column: Kinetex EVO C18 2.1*30 mm, 5 pm; eluent A: water + 0.025 vol % ammonium hydroxide, eluent B: acetonitrile; gradient: 0-0.8 min, 0-60% B, 0.8-1.2 min, 60% B; flow 1.5 ml/min; temperature: 40 °C; PDA: 220 nm & 254 nm.
Landscapes
- Chemical & Material Sciences (AREA)
- Organic Chemistry (AREA)
- Health & Medical Sciences (AREA)
- General Chemical & Material Sciences (AREA)
- Medicinal Chemistry (AREA)
- Nuclear Medicine, Radiotherapy & Molecular Imaging (AREA)
- Chemical Kinetics & Catalysis (AREA)
- Pharmacology & Pharmacy (AREA)
- Life Sciences & Earth Sciences (AREA)
- Animal Behavior & Ethology (AREA)
- General Health & Medical Sciences (AREA)
- Public Health (AREA)
- Veterinary Medicine (AREA)
- Pharmaceuticals Containing Other Organic And Inorganic Compounds (AREA)
- Nitrogen Condensed Heterocyclic Rings (AREA)
Abstract
The present invention covers imidazo pyrimidine compounds of general formula (I), in which R1, R2, R3, R4 and Z are as defined herein, methods of preparing said compounds, intermediate compounds useful for preparing said compounds, pharmaceutical compositions and combinations comprising said compounds and the use of said compounds for manufacturing pharmaceutical compositions for the treatment or prophylaxis of diseases, in particular of neoplastic disorders, respectively cancer or conditions with dysregulated immune responses or other disorders associated with aberrant KRAS signaling, as a sole agent or in combination with other active ingredients.
Description
IMIDAZO PYRIMIDINE COMPOUNDS FOR THE TREATMENT OF CANCER
The present invention covers imidazo pyrimidine compounds of general formula (I) as described and defined herein, methods of preparing said compounds, intermediate compounds useful for preparing said compounds, pharmaceutical compositions and combinations comprising said compounds, and the use of said compounds for manufacturing pharmaceutical compositions for the treatment or prophylaxis of diseases, in particular for neoplastic disorders, respectively cancer or conditions with dysregulated immune responses or other disorders associated with aberrant KRAS signaling, as a sole agent or in combination with other active ingredients.
BACKGROUND
Mutant KRAS is a well-understood oncogenic driver and has a wide-spread prevalence in various human cancer indications (J.L. Bos, Cancer Res. 1989, 49, 4682-4689). In 1982, mutationally activated RAS genes were detected in human cancer, marking the first discovery of mutated genes in this disease (A.D. Cox, C.J. Der, Small GTPases 2010, 1, 2-27). The frequent mutation of RAS in three of the four most lethal cancers (lung, colon and pancreatic cancers) in the United States has spurred intense interest and effort in developing RAS inhibitors. Overall, RAS mutations have been detected in 9-30% of all tumor samples sequenced. In pancreatic ductal adenocarcinoma (PDAC; -90% of all pancreatic cancers) and lung adenocarcinoma (LAC; 30-35% of all lung cancers) KRAS mutations display a frequency of 97% and 32% respectively. Other indications with frequently mutated KRAS include colorectal carcinoma (CRC) (52%), and multiple myeloma (43%) (A.D. Cox et al. Nat. Rev. Drug Discov. 2014, 13, 828-851). RAS proteins act as molecular switches that cycle between an active, GTPbound state and an inactive, GDP-bound state. Activated by guanine nucleotide exchange factors (GEFs), RAS in its GTPbound state interacts with a number of effectors (R.M. Hillig et al. Proc. Natl. Acad. Sci. USA 2018, 116, 2551-2560). Return to the inactive state is driven by GTPase -activating proteins (GAPs), which down-regulate active RAS by accelerating the weak intrinsic GTPase activity by up to 5 orders of magnitude. For oncogenic RAS mutants, however, the GAP activity is impaired or greatly reduced, resulting in permanent activation, which is the basis of oncogenic RAS signaling (K.M. Haigis, Trends Cancer 2017, 3, 686-697); for example, through the RAS-RAF-MEK-ERK and RAS-PI3K-PDK1-AKT pathways, both essential to cell survival and proliferation (J. Downward, Nat. Rev. Cancer 2003, 3, 11-22).
Covalent KRASG12C inhibitors as described by Shokat et al. occupy the so-called switch-II pocket and bind with their Michael acceptor system covalently to the cysteine mutation at G12 in this specific KRAS mutant (J.M. Ostrem, K.M. Shokat, Nat. Rev. Drug Discov. 2016, 15, 771-785). Occupation ofthis pocket with the covalent inhibitor results in a locked inactive GDP-bound protein conformation. Captured in this conformation, cycling of the mutated protein into the active GTP -bound state is prevented and thereby activity of the mutant KRASG12C is shut down.
For decades, mutant KRAS has been considered “undruggable” via classical pharmacological small molecule inhibitors. However, in 2013 the G12C mutant of KRAS was found to be potentially druggable by covalent targeting of Cys-12 in vicinity to an inducible so-called “switch II pocket” (S-IIP) of KRAS G12C (J.M. Ostrem et al. Nature 2013, 503, 548-551; M R. Janes et al. Cell 2018, 172, 578-589). There have since been significant efforts by the pharmaceutical industry to develop KRas inhibitors targeting the SII-P for cancer therapy and several agents have entered clinical trials. However, no such therapies have yet won regulatory approval (F. McCormick, Clin. Cancer Res. 2015, 21, 1797-1801). Besides G12C, other oncogenic mutants of KRAS include G12D, G12V and G12R, all of which represent attractive drug targets, with the G12D mutation being most prevalent across tumor types (K. Kashofer et al. Cancer Metastasis Rev. 2020, 39, 1029-1038). There is therefore a clear and continued desire for therapies targeting KRas mutants and especially G12D for the treatment of cancer.
GENERAL STATE OF THE ART
Covalent inhibitors of KRAS G12C have been described in literatures and patent applications.
Biaryl derivatives were mentioned as KRAS G12C covalent inhibitors (WO2014152588, WO2016049524 and WO2016044772). WO2016164675, WO2015054572, WO2016044772, WO2016049568, WO2016168540, W020170070256, WO2017087528, W02017100546, WO2017172979,
W02018064510, W02018145012, W02018145014 disclosed quinazoline, quinoline, dihydrobenzo- naphthyridinone, quinazolinone, dihydropyrimidoquinolinone, isoquinoline derivatives. Further disclosures include anilinoacetamide and biaryl derivatives (WO2016049565, WO 2017058768, WO 2017058792), naphthalene or hexahydrofurofurane derivatives (WO 2014143659), quinazolinone (WO2017015562), phenylpyrazine derivatives (WO 2017058728). bezoimidazolsulfone, dihydroquinoxaline or dihydroquinoxalinone (WO 2017058805), phenylpiperazine -1 -carbohydrazide (WO 2017058807), tetrahydronaphthyridine (WO 2017058902), imidazolopyridine (WO 2017058915), various chemical entities (WO2018068017), bicyclic 6,5 -aryl, hetaryl rings containing compounds (WO2018140600).
Benzimidazol, (aza)indole, imidazopyridine derivatives were disclosed as KRAS covalent inhibitors in W02018145013; benzothiazole, benzothiophene, benzisoxazole derivatives were disclosed in WO2018140599; pyridopyrimidone, benzothiazole were disclosed in WO2018119183 and tetrahydropyridopyrimidine were disclosed in WO2017201161.
Compounds of the following general formula
are described in US 2018/0201610 (NantBio) which selectively inhibit mutant K-Ras, especially G12V and/or G12D over wild type K-Ras or other mutant K-Ras forms.
Substituted quinazoline compounds of the following general formula
are described as inhibitors of Ras-protein in WO 2017/172979 (Araxes).
Reversible, non-covalent inhibitors of KRAS G12D have been described in patent applications W02021041671 and WO2017172979A1. However, so far compounds of general formula (I) have not been disclosed as reversible, non-covalent KRAS G12D inhibitors. Further related KRAS inhibitors are described in:
Nature, volume 619, pages 160-166 (2023),
WO2023/099624, WO2023/099623, W02023/099608, W02023/099620, WO2023/099612,
WO2023/099592, WO 2023/018809, and W02023/001141.
SUMMARY
It has now been found, and this constitutes the basis of the present invention, that the compounds of the present invention have surprising and advantageous properties.
In particular, the compounds of the present invention have surprisingly been found to effectively inhibit KRAS, for example KRAS G12D or KRAS G12V, and may therefore be used for the treatment or prophylaxis of neoplastic disorders, respectively cancer or conditions with dysregulated immune responses or other disorders associated with aberrant KRAS signaling, for example.
Z represents -O- or C(=O)
R5 represents a hydrogen atom, a fluorine atom, -C=CH or -CH2-CH3;
R6 represents a hydrogen atom or a fluorine atom;
R7 represents a hydrogen atom or a fluorine atom; wherein * indicates the point of attachment of said group with the rest of the molecule, or a stereoisomer, a tautomer, an N-oxide, a hydrate, a solvate, or a salt of a stereoisomer, a salt of a tautomer, a salt of an N-oxide, or a mixture of same.
DEFINITIONS
The term “substituted” means that one or more hydrogen atoms on the designated atom or group are replaced with a selection from the indicated group, provided that the designated atom's normal valency under the existing circumstances is not exceeded. Combinations of substituents and/or variables are permissible.
The term “optionally substituted” means that the number of substituents can be equal to or different from zero. Unless otherwise indicated, it is possible that optionally substituted groups are substituted with as many optional substituents as can be accommodated by replacing a hydrogen atom with a non-hydrogen substituent on any available carbon or nitrogen or atom. Commonly, it is possible for the number of optional substituents, when present, to be 1, 2, 3, 4 or 5, in particular 1, 2 or 3.
As used herein, the term “one or more”, e.g. in the definition of the substituents of the compounds of general formula (I) of the present invention, means “1, 2, 3, 4 or 5, particularly 1, 2, 3 or 4, more particularly 1, 2 or 3, even more particularly 1 or 2”.
When groups in the compounds according to the invention are substituted, it is possible for said groups to be mono-substituted or poly-substituted with substituent(s), unless otherwise specified. Within the scope of the present invention, the meanings of all groups which occur repeatedly are independent from one
another. It is possible that groups in the compounds according to the invention are substituted with one, two or three identical or different substituents, particularly with one substituent.
As used herein, an oxo substituent represents an oxygen atom, which is bound to a carbon atom or to a sulfur atom via a double bond.
The term “comprising” when used in the specification includes “consisting of’.
If within the present text any item is referred to as “as mentioned herein”, it means that it may be mentioned anywhere in the present text.
The terms as mentioned in the present text have the following meanings:
The term “Ci-Cs-alkyl” means a linear or branched, saturated, monovalent hydrocarbon group having 1, 2, or 3 carbon atoms, e.g. a methyl-, ethyl-, propyl-, or a isopropyl group.
As used herein, the term “leaving group” means an atom or a group of atoms that is displaced in a chemical reaction as stable species taking with it the bonding electrons. In particular, such a leaving group is selected from the group comprising: halide, in particular a fluoro-, a chloro-, bromo- or a iodo group, a (methylsulfonyl)oxy-, [(4-methylphenyl)sulfonyl]oxy-, [(trifluoromethyl)sulfonyl]oxy-, [(nona- fluorobutyl)sulfonyl]oxy-, [(4-bromophenyl)sulfonyl]oxy-, [(4-nitrophenyl)sulfonyl]oxy-, [(2-nitro- phenyl)sulfonyl]oxy-, [(4-isopropylphenyl)sulfonyl]oxy-, [(2,4,6-triisopropylphenyl)sulfonyl]oxy-, [(2,4,6-trimethylphenyl)sulfonyl]oxy-, [(4-tert-butylphenyl)sulfonyl]oxy-, (phenylsulfonyl)oxy- and a [(4 -methoxyphenyl) sulfonyl] oxy group .
It is possible for the compounds of general formula (I) to exist as isotopic variants. The invention therefore includes one or more isotopic variant(s) of the compounds of general formula (I), particularly deuterium- containing compounds of general formula (I).
The term “Isotopic variant” of a compound or a reagent is defined as a compound exhibiting an unnatural proportion of one or more of the isotopes that constitute such a compound.
The term “Isotopic variant of the compound of general formula (I)” is defined as a compound of general formula (I) exhibiting an unnatural proportion of one or more of the isotopes that constitute such a compound.
The expression “unnatural proportion” means a proportion of such isotope which is higher than its natural abundance. The natural abundances of isotopes to be applied in this context are described in “Isotopic Compositions of the Elements 1997”, Pure Appl. Chem., 70(1), 217-235, 1998.
Examples of such isotopes include stable and radioactive isotopes of hydrogen, carbon, nitrogen, oxygen, phosphorus, sulfur, fluorine, chlorine, bromine and iodine, such as 2H (deuterium), 3H (tritium), nC, 13C, 14C, 15N, 170, 180, 32P, 33P, 33S, 34S, 35S, 36S, 18F, 36C1, 82Br, 1231, 1241, 1251, 129I and 131I, respectively.
With respect to the treatment and/or prophylaxis of the disorders specified herein the isotopic variant(s) of the compounds of general formula (I) preferably contain deuterium (“deuterium -containing compounds of general formula (I)”). Isotopic variants of the compounds of general formula (I) in which one or more
radioactive isotopes, such as 3H or 14C, are incorporated are useful e.g. in drug and/or substrate tissue distribution studies. These isotopes are particularly preferred for the ease of their incorporation and detectability. Positron emitting isotopes such as 18F or 11 C may be incorporated into a compound of general formula (I). These isotopic variants of the compounds of general formula (I) are useful for in vivo imaging applications. Deuterium-containing and 13C-containing compounds of general formula (I) can be used in mass spectrometry analyses in the context of preclinical or clinical studies.
Isotopic variants of the compounds of general formula (I) can generally be prepared by methods known to a person skilled in the art, such as those described in the schemes and/or examples herein, by substituting a reagent for an isotopic variant of said reagent, preferably for a deuterium-containing reagent. Depending on the desired sites of deuteration, in some cases deuterium from D2O can be incorporated either directly into the compounds or into reagents that are useful for synthesizing such compounds. Deuterium gas is also a useful reagent for incorporating deuterium into molecules. Catalytic deuteration of olefinic bonds and acetylenic bonds is a rapid route for incorporation of deuterium. Metal catalysts (i.e. Pd, Pt, and Rh) in the presence of deuterium gas can be used to directly exchange deuterium for hydrogen in functional groups containing hydrocarbons. A variety of deuterated reagents and synthetic building blocks are commercially available from companies such as for example C/D/N Isotopes, Quebec, Canada; Cambridge Isotope Laboratories Inc., Andover, MA, USA; and CombiPhos Catalysts, Inc., Princeton, NJ, USA.
The term “deuterium-containing compound of general formula (I)” is defined as a compound of general formula (I), in which one or more hydrogen atom(s) is/are replaced by one or more deuterium atom(s) and in which the abundance of deuterium at each deuterated position of the compound of general formula (I) is higher than the natural abundance of deuterium, which is about 0.015%. Particularly, in a deuterium- containing compound of general formula (I) the abundance of deuterium at each deuterated position of the compound of general formula (I) is higher than 10%, 20%, 30%, 40%, 50%, 60%, 70% or 80%, preferably higher than 90%, 95%, 96% or 97%, even more preferably higher than 98% or 99% at said position(s). It is understood that the abundance of deuterium at each deuterated position is independent of the abundance of deuterium at other deuterated position(s).
The selective incorporation of one or more deuterium atom(s) into a compound of general formula (I) may alter the physicochemical properties (such as for example acidity [C.L. Perrin et al. J. Am. Chem. Soc. 2007, 129, 4490-4497], basicity [C.L. Perrin et al. J. Am. Chem. Soc. 2005, 127, 9641-9647], lipophilicity [B. Testa et al. Int. J. Pharm. 1984, 19, 271-281]) and/or the metabolic profile of the molecule and may result in changes in the ratio of parent compound to metabolites or in the amounts of metabolites formed. Such changes may result in certain therapeutic advantages and hence may be preferred in some circumstances. Reduced rates of metabolism and metabolic switching, where the ratio of metabolites is changed, have been reported (A.E. Mutlib et al. Toxicol. Appl. Pharmacol. 2000, 169, 102-113). These changes in the exposure to parent drug and metabolites can have important consequences with respect to
the pharmacodynamics, tolerability and efficacy of a deuterium-containing compound of general formula (I). In some cases deuterium substitution reduces or eliminates the formation of an undesired or toxic metabolite and enhances the formation of a desired metabolite (e.g. Nevirapine: A.M. Sharma et al. Chem. Res. Toxicol. 2013, 26, 410-421; Efavirenz: A.E. Mutlib et al. Toxicol. Appl. Pharmacol. 2000, 169, 102- 113). In other cases the major effect of deuteration is to reduce the rate of systemic clearance. As a result, the biological half-life of the compound is increased. The potential clinical benefits would include the ability to maintain similar systemic exposure with decreased peak levels and increased trough levels. This could result in lower side effects and enhanced efficacy, depending on the particular compound’s pharmacokinetic/ pharmacodynamic relationship. ML-337 (C.J. Wenthur et al. J. Med. Chem. 2013, 56, 5208-5212) and Odanacatib (K. Kassahun et al. WO2012/112363) are examples for this deuterium effect. Still other cases have been reported in which reduced rates of metabolism result in an increase in exposure of the drug without changing the rate of systemic clearance (e.g. Rofecoxib: F. Schneider et al. Arzneim. Forsch. / Drug. Res. 2006, 56, 295-300; Telaprevir: F. Maltais et al. J. Med. Chem. 2009, 52, 7993-8001). Deuterated drugs showing this effect may have reduced dosing requirements (e.g. lower number of doses or lower dosage to achieve the desired effect) and/or may produce lower metabolite loads.
A compound of general formula (I) may have multiple potential sites of attack for metabolism. To optimize the above-described effects on physicochemical properties and metabolic profde, deuterium- containing compounds of general formula (I) having a certain pattern of one or more deuterium-hydrogen exchange(s) can be selected. Particularly, the deuterium atom(s) of deuterium-containing compound(s) of general formula (I) is/are attached to a carbon atom and/or is/are located at those positions of the compound of general formula (I), which are sites of attack for metabolizing enzymes such as e.g. cytochrome P450.
Where the plural form of the word compounds, salts, polymorphs, hydrates, solvates and the like, is used herein, this is taken to mean also a single compound, salt, polymorph, isomer, hydrate, solvate or the like. By "stable compound' or "stable structure" is meant a compound that is sufficiently robust to survive isolation to a useful degree of purity from a reaction mixture, and formulation into an efficacious therapeutic agent.
The compounds of the present invention optionally contain one or more asymmetric centres, depending upon the location and nature of the various substituents desired. It is possible that one or more asymmetric carbon atoms are present in the (R) or (S) configuration, which can result in racemic mixtures in the case of a single asymmetric centre, and in diastereomeric mixtures in the case of multiple asymmetric centres. In certain instances, it is possible that asymmetry also be present due to restricted rotation about a given bond, for example, the central bond adjoining two substituted aromatic rings of the specified compounds. One embodiment includes those compounds which produce the more desirable biological activity. Separated, pure or partially purified isomers and stereoisomers or racemic or diastereomeric mixtures of the compounds of the present invention are also included within the scope of the present invention. The
purification and the separation of such materials can be accomplished by standard techniques known in the art.
Preferred isomers are those which produce the more desirable biological activity. These separated, pure or partially purified isomers or racemic mixtures of the compounds of this invention are also included within the scope of the present invention. The purification and the separation of such materials can be accomplished by standard techniques known in the art as well as specifically those disclosed in the experimental section.
The optical isomers can be obtained by resolution of the racemic mixtures according to conventional processes, for example, by the formation of diastereoisomeric salts using an optically active acid or base or formation of covalent diastereomers. Examples of appropriate acids are tartaric, diacetyltartaric, ditoluoyltartaric and camphorsulfonic acid. Mixtures of diastereoisomers can be separated into their individual diastereomers on the basis of their physical and/or chemical differences by methods known in the art, for example, by chromatography or fractional crystallisation. The optically active bases or acids are then liberated from the separated diastereomeric salts. A different process for separation of optical isomers involves the use of chiral chromatography (e.g., HPLC columns using a chiral phase), with or without conventional derivatisation, optimally chosen to maximise the separation of the enantiomers. Suitable HPLC columns using a chiral phase are commercially available, such as those manufactured by Daicel, e.g., Chiracel OD and Chiracel OJ, for example, among many others, which are all routinely selectable. Enzymatic separations, with or without derivatisation, are also useful. The optically active compounds of the present invention can likewise be obtained by chiral syntheses utilizing optically active starting materials.
In order to distinguish different types of isomers from each other reference is made to IUPAC Rules Section E (Pure Appl Chem 45, 11-30, 1976).
The present invention includes all possible stereoisomers of the compounds of the present invention as single stereoisomers, or as any mixture of said stereoisomers, e.g. (R)- or (S)- isomers, in any ratio. Isolation of a single stereoisomer, e.g. a single enantiomer or a single diastereomer, of a compound of the present invention is achieved by any suitable state of the art method, such as chromatography, for example column chromatography, such as achiral or chiral column chromatography, especially chiral chromatography. For example, diastereomers may be separated by achiral or chiral column chromatography; enantiomers may be separated by chiral column chromatography.
Further, it is possible for the compounds of the present invention to exist as tautomers. One example is intermediate 2-16, which can exist in two tautomeric forms (Tautomeric mixture 7H or 9H):
The present invention includes all possible tautomers of the compounds of the present invention as single tautomers, or as any mixture of said tautomers, in any ratio.
Further, the compounds of the present invention can exist as N-oxides, which are defined in that at least one nitrogen of the compounds of the present invention is oxidised. The present invention includes all such possible N-oxides.
The present invention also covers useful forms of the compounds of the present invention, such as metabolites, hydrates, solvates, prodrugs, salts, in particular pharmaceutically acceptable salts, and/or coprecipitates.
The compounds of the present invention can exist as a hydrate, or as a solvate, wherein the compounds of the present invention contain polar solvents, in particular water, methanol or ethanol for example, as structural element of the crystal lattice of the compounds. It is possible for the amount of polar solvents, in particular water, to exist in a stoichiometric or non-stoichiometric ratio. In the case of stoichiometric solvates, e.g. a hydrate, hemi-, (semi-), mono-, sesqui-, di-, tri-, tetra-, penta- etc. solvates or hydrates, respectively, are possible. The present invention includes all such hydrates or solvates.
Further, it is possible for the compounds of the present invention to exist in free form, e.g. as a free base, or as a free acid, or as a zwitterion, or to exist in the form of a salt. Said salt may be any salt, either an organic or inorganic addition salt, particularly any pharmaceutically acceptable organic or inorganic addition salt, which is customarily used in pharmacy, or which is used, for example, for isolating or purifying the compounds of the present invention.
The term “pharmaceutically acceptable salt" refers to an inorganic or organic acid addition salt of a compound of the present invention. For example, see S.M. Berge et al. J. Pharm. Sci. 1977, 66, 1-19.
A suitable pharmaceutically acceptable salt of the compounds of the present invention may be, for example, an acid-addition salt of a compound of the present invention bearing a nitrogen atom, in a chain or in a ring, for example, which is sufficiently basic, such as an acid-addition salt with an inorganic acid, or “mineral acid”, such as hydrochloric, hydrobromic, hydroiodic, sulfuric, sulfamic, bisulfuric, phosphoric, or nitric acid, for example, or with an organic acid, such as formic, acetic, acetoacetic, pyruvic, trifluoroacetic, propionic, butyric, hexanoic, heptanoic, undecanoic, lauric, benzoic, salicylic, 2-(4- hydroxybenzoyl)-benzoic, camphoric, cinnamic, cyclopentanepropionic, digluconic, 3 -hydroxy-2-
naphthoic, nicotinic, pamoic, pectinic, 3 -phenylpropionic, pivalic, 2 -hydroxyethane sulfonic, itaconic, trifluoromethanesulfonic, dodecylsulfuric, ethane sulfonic, benzene sulfonic, para-toluene sulfonic, methanesulfonic,
2 -naphthalenesulfonic, naphthalinedisulfonic, camphorsulfonic acid, citric, tartaric, stearic, lactic, oxalic, malonic, succinic, malic, adipic, alginic, maleic, fumaric, D-gluconic, mandelic, ascorbic, glucoheptanoic, glycerophosphoric, aspartic, sulfosalicylic, or thiocyanic acid, for example.
Further, another suitably pharmaceutically acceptable salt of a compound of the present invention which is sufficiently acidic, is an alkali metal salt, for example a sodium or potassium salt, an alkaline earth metal salt, for example a calcium, magnesium or strontium salt, or an aluminium or a zinc salt, or an ammonium salt derived from ammonia or from an organic primary, secondary or tertiary amine having 1 to 20 carbon atoms, such as ethylamine, diethylamine, triethylamine, ethyldiisopropylamine, monoethanolamine, diethanolamine, triethanolamine, dicyclohexylamine, dimethylaminoethanol, diethylaminoethanol, tris(hydroxymethyl)aminomethane, procaine, dibenzylamine, A'-mcthylmorpholinc. arginine, lysine, 1,2- ethylenediamine, A'-mcthylpipcridinc. A-mcthyl-glucaminc. N, A-dimcthyl-glucaminc. '-cthyl- glucamine, 1,6-hexanediamine, glucosamine, sarcosine, serinol, 2-amino-l,3-propanediol, 3-amino-l,2- propanediol, 4-amino- 1,2, 3 -butanetriol, or a salt with a quarternary ammonium ion having 1 to 20 carbon atoms, such as tetramethylammonium, tetraethylammonium, tetra(«-propyl)ammonium, tctrafw- butyl)ammonium, A-bcnzyl-A.A.A-trimcthylammonium. choline or benzalkonium.
Those skilled in the art will further recognise that it is possible for acid addition salts of the claimed compounds to be prepared by reaction of the compounds with the appropriate inorganic or organic acid via any of a number of known methods. Alternatively, alkali and alkaline earth metal salts of acidic compounds of the present invention are prepared by reacting the compounds of the present invention with the appropriate base via a variety of known methods.
The present invention includes all possible salts of the compounds of the present invention as single salts, or as any mixture of said salts, in any ratio.
In the present text, in particular in the Experimental Section, for the synthesis of intermediates and of examples of the present invention, when a compound is mentioned as a salt form with the corresponding base or acid, the exact stoichiometric composition of said salt form, as obtained by the respective preparation and/or purification process, is, in most cases, unknown.
Unless specified otherwise, suffixes to chemical names or structural formulae relating to salts, such as "hydrochloride", "trifluoroacetate", "sodium salt", or "x HQ", "x CF3COOH", "x Na+", for example, mean a salt form, the stoichiometry of which salt form not being specified.
This applies analogously to cases in which synthesis intermediates or example compounds or salts thereof have been obtained, by the preparation and/or purification processes described, as solvates, such as hydrates, with (if defined) unknown stoichiometric composition.
As used herein, the term “in vivo hydrolysable ester” means an in vivo hydrolysable ester of a compound of the present invention containing a carboxy or hydroxy group, for example, a pharmaceutically acceptable ester which is hydrolysed in the human or animal body to produce the parent acid or alcohol. Suitable pharmaceutically acceptable esters for carboxy include for example alkyl-, cycloalkyl- and optionally substituted phenylalkyl esters, in particular benzyl esters, Ci-Ce alkoxymethyl esters, e.g. methoxymethyl-, Ci-Ce alkanoyloxymethyl esters, e.g. pivaloyloxymethyl, phthalidyl esters, Cs-Cs cycloalkoxy-carbonyloxy-Ci-Ce alkyl esters, e.g. 1 -cyclohexylcarbonyloxyethyl ; l,3-dioxolen-2- onylmethyl esters, e.g. 5-methyl-l,3-dioxolen-2-onylmethyl ester; and Ci-Ce -alkoxycarbonyloxyethyl esters, e.g. 1 -methoxy carbonyloxyethyl ester, it being possible for said esters to be formed at any carboxy group in the compounds of the present invention.
An in vivo hydrolysable ester of a compound of the present invention containing a hydroxy group includes inorganic esters such as phosphate esters and [alpha] -acyloxyalkyl ethers and related compounds which as a result of the in vivo hydrolysis of the ester breakdown to give the parent hydroxy group. Examples of [alpha] -acyloxyalkyl ethers include acetoxymethoxy and 2,2-dimethylpropionyloxymethoxy. A selection of in vivo hydrolysable ester forming groups for hydroxy include alkanoyl, benzoyl, phenylacetyl and substituted benzoyl and phenylacetyl, alkoxycarbonyl (to give alkyl carbonate esters), dialkylcarbamoyl and N-(dialkylaminoethyl)-N-alkylcarbamoyl (to give carbamates), dialkylaminoacetyl and carboxyacetyl. The present invention covers all such esters.
Furthermore, the present invention includes all possible crystalline forms, or polymorphs, of the compounds of the present invention, either as single polymorph, or as a mixture of more than one polymorph, in any ratio.
Moreover, the present invention also includes prodrugs of the compounds according to the invention. The term “prodrugs” here designates compounds which themselves can be biologically active or inactive, but are converted (for example metabolically or hydrolytically) into compounds according to the invention during their residence time in the body.
DESCRIPTION
This invention includes but is not limited to the following embodiments:
Z represents -O- or C(=O);
R2 represents
R6 represents a hydrogen atom or a fluorine atom;
R7 represents a hydrogen atom or a fluorine atom;
wherein * indicates the point of attachment of said group with the rest of the molecule, or a stereoisomer, a tautomer, an N-oxide, a hydrate, a solvate, or a salt of a stereoisomer, a salt of a tautomer, a salt of an N-oxide, or a mixture of same.
A-a) A compound of general formula (I) in which:
Z represents -O- or C(=O)
R5 represents a hydrogen atom, a fluorine atom, -C=CH or -CH2-CH3; R6 represents a hydrogen atom or a fluorine atom;
R7 represents a hydrogen atom or a fluorine atom; wherein * indicates the point of attachment of said group with the rest of the molecule, or a stereoisomer, a tautomer, an N-oxide, a hydrate, a solvate, or a salt of a stereoisomer, a salt of a tautomer, a salt of an N-oxide, or a mixture of same. A-b) A compound of general formula (I) in which:
Z represents -O- or C(=O)
R5 represents a hydrogen atom, a fluorine atom, -C=CH or -CH2-CH3;
R6 represents a hydrogen atom or a fluorine atom; R7 represents a hydrogen atom or a fluorine atom; wherein * indicates the point of attachment of said group with the rest of the molecule, or a stereoisomer, a tautomer, an N-oxide, a hydrate, a solvate, or a salt of a stereoisomer, a salt of a tautomer, a salt of an N-oxide, or a mixture of same.
B) A compound of general formula (I) in which:
Z represents -O- or C(=O);
R1 represents
R3 represents
R6 represents a hydrogen atom or a fluorine atom;
R7 represents a hydrogen atom or a fluorine atom; wherein * indicates the point of attachment of said group with the rest of the molecule, or a stereoisomer, a tautomer, an N-oxide, a hydrate, a solvate, or a salt of a stereoisomer, a salt of a tautomer, a salt of an N-oxide, or a mixture of same.
B-a) A compound of general formula (I) in which:
Z represents -O- or C(=O)
, or
R3 represents
R5 represents a hydrogen atom, a fluorine atom, -C=CH or -CH2-CH3;
R6 represents a hydrogen atom or a fluorine atom;
R7 represents a hydrogen atom or a fluorine atom; wherein * indicates the point of attachment of said group with the rest of the molecule, or a stereoisomer, a tautomer, an N-oxide, a hydrate, a solvate, or a salt of a stereoisomer, a salt of a tautomer, a salt of an N-oxide, or a mixture of same.
B-b) A compound of general formula (I) in which:
R5 represents a hydrogen atom, a fluorine atom, -C=CH or -CH2-CH3;
R6 represents a hydrogen atom or a fluorine atom; R7 represents a hydrogen atom or a fluorine atom; wherein * indicates the point of attachment of said group with the rest of the molecule, or a stereoisomer, a tautomer, an N-oxide, a hydrate, a solvate, or a salt of a stereoisomer, a salt of a tautomer, a salt of an N-oxide, or a mixture of same.
C) A compound of general formula (I) in which:
Z represents -O- or C(=O)
R1 represents
10 wherein
R5 represents a hydrogen atom, a fluorine atom, -C=CH or -CH2-CH3;
R6 represents a hydrogen atom or a fluorine atom;
R7 represents a hydrogen atom or a fluorine atom; wherein * indicates the point of attachment of said group with the rest of the molecule, or a stereoisomer, a tautomer, an N-oxide, a hydrate, a solvate, or a salt of a stereoisomer, a salt of a tautomer, a salt of an N-oxide, or a mixture of same.
C-a) A compound of general formula (I) in which:
Z represents -O- or C(=O)
R5 represents a hydrogen atom, a fluorine atom, -C=CH or -CH2-CH3;
R6 represents a hydrogen atom or a fluorine atom;
R7 represents a hydrogen atom or a fluorine atom; wherein * indicates the point of attachment of said group with the rest of the molecule, or a stereoisomer, a tautomer, an N-oxide, a hydrate, a solvate, or a salt of a stereoisomer, a salt of a tautomer, a salt of an N-oxide, or a mixture of same.
C-b) A compound of general formula (I) in which: Z represents -O- or C(=O)
R5 represents -C=CH or -CH2-CH3; R6 represents: F
R7 represents a hydrogen atom or a fluorine atom; wherein * indicates the point of attachment of said group with the rest of the molecule, or a stereoisomer, a tautomer, an N-oxide, a hydrate, a solvate, or a salt of a stereoisomer, a salt of a tautomer, a salt of an N-oxide, or a mixture of same. D) A compound of general formula (I) in which:
Z represents -O- or C(=O);
R5 represents -C=CH;
R6 represents: a fluorine atom; wherein * indicates the point of attachment of said group with the rest of the molecule, or a stereoisomer, a tautomer, an N-oxide, a hydrate, a solvate, or a salt of a stereoisomer, a salt of a tautomer, a salt of an N-oxide, or a mixture of same.
D-a) A compound of general formula (I) in which:
R5 represents -C=CH;
R6 represents: F wherein * indicates the point of attachment of said group with the rest of the molecule, or a stereoisomer, a tautomer, an N-oxide, a hydrate, a solvate, or a salt of a stereoisomer, a salt of a tautomer, a salt of an N-oxide, or a mixture of same.
D-b) A compound of general formula (I) in which:
, or ; and
R5 represents -C=CH;
R6 represents: F wherein * indicates the point of attachment of said group with the rest of the molecule, or a stereoisomer, a tautomer, an N-oxide, a hydrate, a solvate, or a salt of a stereoisomer, a salt of a tautomer, a salt of an N-oxide, or a mixture of same.
E) A compound of general formula (I), in which:
R5 represents a hydrogen atom, a fluorine atom, -C=CH or -CH2-CH3; R6 represents a hydrogen atom or a fluorine atom; wherein * indicates the point of attachment of said group with the rest of the molecule, or a stereoisomer, a tautomer, an N-oxide, a hydrate, a solvate, or a salt of a stereoisomer, a salt of a tautomer, a salt of an N-oxide, or a mixture of same.
E-a) A compound of general formula (I) in which:
Z represents -O- or C(=O)
R5 represents a hydrogen atom, a fluorine atom, -C=CH or -CH2-CH3;
R6 represents a hydrogen atom or a fluorine atom; wherein * indicates the point of attachment of said group with the rest of the molecule, or a stereoisomer, a tautomer, an N-oxide, a hydrate, a solvate, or a salt of a stereoisomer, a salt of a tautomer, a salt of an N-oxide, or a mixture of same.
E-b) A compound of general formula (I) in which: Z represents -O- or C(=O)
R1 represents
R5 represents a hydrogen atom, a fluorine atom, -C=CH or -CH2-CH3;
R6 represents a hydrogen atom or a fluorine atom; wherein * indicates the point of attachment of said group with the rest of the molecule, or a stereoisomer, a tautomer, an N-oxide, a hydrate, a solvate, or a salt of a stereoisomer, a salt of a tautomer, a salt of an N-oxide, or a mixture of same.
R2 represents
R5 represents a hydrogen atom, a fluorine atom, -C=CH or -CH2-CH3; R6 represents a hydrogen atom or a fluorine atom; wherein * indicates the point of attachment of said group with the rest of the molecule, or a stereoisomer, a tautomer, an N-oxide, a hydrate, a solvate, or a salt of a stereoisomer, a salt of a tautomer, a salt of an N-oxide, or a mixture of same.
F) A compound of general formula (I), in which:
Z represents -O- or C(=O)
R1 represents
R5 represents -C=CH3; R6 represents a fluorine atom; wherein * indicates the point of attachment of said group with the rest of the molecule, or a stereoisomer, a tautomer, an N-oxide, a hydrate, a solvate, or a salt of a stereoisomer, a salt of a tautomer, a salt of an N-oxide, or a mixture of same.
F-a) A compound of general formula (I) in which:
Z represents -O- or C(=O)
; and
R6 represents F; wherein * indicates the point of attachment of said group with the rest of the molecule, or a stereoisomer, a tautomer, an N-oxide, a hydrate, a solvate, or a salt of a stereoisomer, a salt of a tautomer, a salt of an N-oxide, or a mixture of same. F-b) A compound of general formula (I) in which:
Z represents -O- or C(=O)
, or
R5 represents -C=CHs;
R6 represents F; wherein * indicates the point of attachment of said group with the rest of the molecule, or a stereoisomer, a tautomer, an N-oxide, a hydrate, a solvate, or a salt of a stereoisomer, a salt of a tautomer, a salt of an N-oxide, or a mixture of same.
G) A compound of formula (I) which is selected from the group consisting of:
Formic acid - 4-{[7-cyclobutyl-6-(3,8-diazabicyclo[3.2.1]octan-3-yl)-2-{[(2R,7aS)-2-fluorotetrahydro- lH-pyrrolizin-7a(5H)-yl]methoxy}-7H-purin-8-yl]oxy}-5-ethynyl-6-fluoro-2 -naphthol (2/1),
Formic acid - 4-{[7-cyclobutyl-6-(3,8-diazabicyclo[3.2.1]octan-3-yl)-2-{[(2R,7aS)-2-fluorotetrahydro- lH-pyrrolizin-7a(5H)-yl]methoxy}-7H-purin-8-yl]oxy}-5-ethynyl-6-fluoro-2 -naphthol,
Formic acid - 4-({7-cyclobutyl-6-(3,8-diazabicyclo[3.2. l]octan-3-yl)-2-[(tetrahydro-lH-pyrrolizin- 7a(5H)-yl)methoxy]-7H-purin-8-yl}oxy)-5-ethynyl-6-fluoronaphthalen-2-ol, formic acid 4-( { 7 -cyclobutyl-6-(3 , 8 -diazabicyclo [3.2.1 ]octan-3 -yl)-2- [(tetrahydro- IH-pyrrolizin- 7a(5H)-yl)methoxy] -7H-purin-8-yl } oxy)-5 -ethynyl-6-fluoronaphthalen-2-ol (2/ 1 ),
Formic acid - 4-{[7-cyclobutyl-6-(3,8-diazabicyclo[3.2.1]octan-3-yl)-2-{[(2S)-l-methylpyrrolidin-2- yl]methoxy}-7H-purin-8-yl]oxy}-5-ethynyl-6-fluoronaphthalen-2-ol, 4-{[7-Cyclobutyl-6-(3,8-diazabicyclo[3.2.1]octan-3-yl)-2-{[(2S,4S)-4-fluoro-l-methylpyrrolidin-2- yl]methoxy}-7H-purin-8-yl]oxy}-5-ethynyl-6-fluoronaphthalen-2-ol,
Formic acid - 4-{[7-cyclobutyl-6-(3,8-diazabicyclo[3.2.1]octan-3-yl)-2-{[(2S,4R)-4-fluoro-l- methylpyrrolidin-2-yl]methoxy}-7H-purin-8-yl]oxy}-5-ethynyl-6-fluoronaphthalen-2-ol,
Formic acid - (5S)-5-[({7-cyclobutyl-6-(3,8-diazabicyclo[3.2. l]octan-3-yl)-8-[(8-ethynyl-7-fluoro-3- hydroxynaphthalen- 1 -yl)oxy] -7H-purin-2-yl } oxy)methyl] - 1 -methylpyrrolidin-2-one,
Formic acid - 4-{[7-cyclobutyl-6-(3,8-diazabicyclo[3.2.1]octan-3-yl)-2-{[(2S)-pyrrolidin-2- yl]methoxy}-7H-purin-8-yl]oxy}-5-ethynyl-6-fluoronaphthalen-2-ol,
Formic acid - 4-{[7-cyclobutyl-6-(3,8-diazabicyclo[3.2.1]octan-3-yl)-2-{[(2S)-4,4-difluoro-l- methylpyrrolidin-2-yl]methoxy}-7H-purin-8-yl]oxy}-5-ethynyl-6-fluoronaphthalen-2-ol,
3-[({7-Cyclobutyl-6-(3,8-diazabicyclo[3.2.1]octan-3-yl)-8-[(8-ethynyl-7-fluoro-3-hydroxynaphthalen-l- yl)oxy] -7H-purin-2-yl }oxy)methyl] - 1 -methylpyrrolidine-3 -carbonitrile (Racemate),
4-( { 7 -Cyclobutyl-6-(3 , 8 -diazabicyclo [3.2.1 ]octan-3 -yl)-2- [2-( 1 -methyl- lH-imidazol-2-yl)ethoxy] -7H- purin-8-yl } oxy)-5 -ethynyl-6-fluoronaphthalen-2-ol, 4-[(7-Cyclobutyl-2-{[(2R,7aS)-2-fluorotetrahydro-lH-pyrrolizin-7a(5H)-yl]methoxy}-6-[(lR,5R,6S or lS,5S,6R)-6-methoxy-3,8-diazabicyclo[3.2.1]octan-3-yl]-7H-purin-8-yl)oxy]-5-ethynyl-6-fluoro-2- naphthol - formic acid, 4-[(7-Cyclobutyl-2-{[(2R,7aS)-2-fhiorotetrahydro-lH-pyrrolizin-7a(5H)-yl]methoxy}-6-[(lS,5S,6R or lR,5R,6S)-6-methoxy-3,8-diazabicyclo[3.2.1]octan-3-yl]-7H-purin-8-yl)oxy]-5-ethynyl-6-fluoro-2- naphthol - formic acid, 4-[(7-Cyclobutyl-2-{[(2R,7aS)-2-fhiorotetrahydro-lH-pyrrolizin-7a(5H)-yl]methoxy}-6-[(lS,5S,6S or lR,5R,6R)-6-methoxy-3,8-diazabicyclo[3.2.1]octan-3-yl]-7H-purin-8-yl)oxy]-5-ethynyl-6-fluoro-2- naphthol - formic acid, 4-[(7-Cyclobutyl-2-{[(2R,7aS)-2-fhiorotetrahydro-lH-pyrrolizin-7a(5H)-yl]methoxy}-6-[(lR,5R,6R or lS,5S,6S)-6-methoxy-3,8-diazabicyclo[3.2.1]octan-3-yl]-7H-purin-8-yl)oxy]-5-ethynyl-6-fluoro-2- naphthol - formic acid,
8-[7-Cyclobutyl-8-[(8-ethynyl-7-fluoro-3-hydroxy-l-naphthyl)oxy]-2-[[(2R,8S)-2-fluoro-l,2,3,5,6,7- hexahydropyrrolizin-8-yl]methoxy]purin-6-yl]-l,8-diazaspiro[3.5]nonan-2-one: formic acid,
(4R or S)-6-(7-Cyclobutyl-8-[(8-ethynyl-7-fluoro-3-hydroxynaphthalen-l-yl)oxy]-2-{[(2R,7aS)-2- fluorotetrahydro-lH-pyrrolizin-7a(5H)-yl]methoxy}-7H-purin-6-yl)-l,6-diazaspiro[3.5]nonan-2-one,
(4S or R)-6-(7-Cyclobutyl-8-[(8-ethynyl-7-fluoro-3-hydroxynaphthalen-l-yl)oxy]-2-{[(2R,7aS)-2- fluorotetrahydro-lH-pyrrolizin-7a(5H)-yl]methoxy}-7H-purin-6-yl)-l,6-diazaspiro[3.5]nonan-2-one, cis or trans-6-[7-Cyclobutyl-8-[(8-ethynyl-7-fhioro-3-hydroxy-l-naphthyl)oxy]-2-[[(2R,8S)-2-fluoro-
1.2.3.5.6.7-hexahydropyrrolizin-8-yl]methoxy]purin-6-yl]-6-azaspiro[3.5]nonan-2-ol trans or cis-6-[7-Cyclobutyl-8-[(8-ethynyl-7-fhioro-3-hydroxy-l-naphthyl)oxy]-2-[[(2R,8S)-2-fluoro-
1.2.3.5.6.7-hexahydropyrrolizin-8-yl]methoxy]purin-6-yl]-6-azaspiro[3.5]nonan-2-ol,
Formic acid - 4-{[7-cyclobutyl-2-{[(2R,7aS)-2-fluorotetrahydro-lH-pyrrolizin-7a(5H)-yl]methoxy}-6- (3-oxa-7,9-diazabicyclo[3.3.1]nonan-7-yl)-7H-purin-8-yl]oxy}-5-ethynyl-6-fluoronaphthalen-2-ol,
Formic acid - (3R)-l-(7-cyclobutyl-8-[(8-ethynyl-7-fluoro-3-hydroxynaphthalen-l-yl)oxy]-2- {[(2R,7aS)-2-fluorotetrahydro-lH-pyrrolizin-7a(5H)-yl]methoxy}-7H-purin-6-yl)-3-methylpiperidin-3- ol,
4-{[6-(Azepan-l-yl)-7-cyclobutyl-2-{[(2R,7aS)-2-fhiorotetrahydro-lH-pyrrolizin-7a(5H)-yl]methoxy}- 7H-purin-8-yl]oxy}-5-ethynyl-6-fluoro-2 -naphthol,
4-{ [7-Cyclobutyl-6-({ [ l-(dimethylamino)cyclobutyl]methyl}amino)-2-{ [(2R,7aS)-2-fluorotetrahydro- lH-pyrrolizin-7a(5H)-yl]methoxy}-7H-purin-8-yl]oxy}-5-ethynyl-6-fluoro-2 -naphthol,
4-[7-Cyclobutyl-8-[(8-ethynyl-7-fluoro-3-hydroxy-l-naphthyl)oxy]-2-[[(2R,8S)-2-fluoro-l,2,3,5,6,7- hexahydropyrrolizin-8-yl]methoxy]purin-6-yl] - 1 ,4-oxazepan-6-ol: formic acid,
(6R or S)-4-(7-cyclobutyl-8-[(8-ethynyl-7-fluoro-3-hydroxy-l-naphthyl)oxy]-2-{[(2R,7aS)-2- fluorotetrahydro- lH-pyrrolizin-7a(5H)-yl]methoxy } -7H-purin-6-yl)-6-methyl- 1 ,4-oxazepan-6-ol,
4-(7-Cyclobutyl-8-[(8-ethynyl-7-fhioro-3-hydroxy-l-naphthyl)oxy]-2-{[(2R,7aS)-2-fluorotetrahydro- lH-pyrrolizin-7a(5H)-yl]methoxy}-7H-purin-6-yl)-l,4-oxazepan-6-one,
4-[(7-Cyclobutyl-2-{[(2R,7aS)-2-fhiorotetrahydro-lH-pyrrolizin-7a(5H)-yl]methoxy}-6-[8-methyl-3,8- diazabicyclo [3.2.1 ]octan-3 -yl] -7H-purin-8-yl)oxy] -5 -ethynyl-6-fluoronaphthalen-2-ol,
[7-Cyclobutyl-6-(3,8-diazabicyclo[3.2.1]octan-3-yl)-2-[[(2R,8S)-2-fluoro-l,2,3,5,6,7- hexahydropyrrolizin-8-yl]methoxy]purin-8-yl]-(8-ethynyl-7-fluoro-3-hydroxy-l-naphthyl)methanone,
(7-cyclobutyl-2-{[(2R,7aS)-2-fhiorotetrahydro-lH-pyrrolizin-7a(5H)-yl]methoxy}-6-[(3R)-3-hydroxy- 3-methylpiperidin-l-yl]-7H-purin-8-yl)(8-ethynyl-7-fluoro-3-hydroxynaphthalen-l-yl)methanone,
[6-(3,8-Diazabicyclo[3.2.1]octan-3-yl)-2-[[(2R,8S)-2-fluoro-l,2,3,5,6,7-hexahydropyrrolizin-8- yl]methoxy]-7-tetrahydrofuran-3-yl-purin-8-yl]-(8-ethynyl-7-fluoro-3-hydroxy-l-naphthyl)methanone (mixture of 2 isomers),
formic acid - [6-(3,8-diazabicyclo[3.2.1]octan-3-yl)-2-{[(2R,7aS)-2-fluorotetrahydro-lH-pyrrolizin- 7a(5H)-yl]methoxy} -7-(cis or trans-3-methoxycyclobutyl)-7H-purin-8-yl](8-ethynyl-7-fluoro-3- hydroxy- 1 -naphthyl)methanone (2/1), formic acid - [6-(3,8-diazabicyclo[3.2.1]octan-3-yl)-2-{[(2R,7aS)-2-fluorotetrahydro-lH-pyrrolizin- 7a(5H)-yl]methoxy} -7-(trans or cis-3-methoxycyclobutyl)-7H-purin-8-yl](8-ethynyl-7-fluoro-3- hydroxy- 1 -naphthyl)methanone (2/1),
Formic acid - (8-ethynyl-7-fluoro-3-hydroxy-l-naphthyl)[2-{[(2R,7aS)-2-fluorotetrahydro-lH- pyrrolizin-7a(5H)-yl]methoxy}-6-[(3R)-3-hydroxy-3-methylpiperidin-l-yl]-7-(cis or trans-3- methoxycyclobutyl)-7H-purin-8-yl]methanone (1/1), (8-Ethynyl-7-fluoro-3-hydroxy-l-naphthyl)[2-{[(2R,7aS)-2-fluorotetrahydro-lH-pyrrolizin-7a(5H)- yl]methoxy}-6-[(3R)-3-hydroxy-3-methylpiperidin-l-yl]-7-(trans or cis-3 -methoxy cyclobutyl)-7H- purin-8-yl]methanone, [6-(3,8-Diazabicyclo[3.2.1]octan-3-yl)-2-[[(2R,8S)-2-fluoro-l,2,3,5,6,7-hexahydropyrrolizin-8- yl]methoxy] -7 -isopropyl -purin- 8-yl] -(8-ethynyl-7 -fluoro-3 -hydroxy- 1 -naphthyl)methanone : formic acid, [7-Cyclopropyl-6-(3,8-diazabicyclo[3.2.1]octan-3-yl)-2-[[(2R,8S)-2-fluoro-l,2,3,5,6,7- hexahydropyrrolizin-8-yl]methoxy]purin-8-yl]-(8-ethynyl-7-fluoro-3-hydroxy-l- naphthyl)methanone: formic acid (1:2),
7-Cyclobutyl-2-{[(2R,7aS)-2-fhiorotetrahydro-lH-pyrrolizin-7a(5H)-yl]methoxy}-6-[(3R)-3-hydroxy-3- methylpiperidin- 1 -yl] -7H-purin-8-yl(8-ethynyl-7 -fluoro-3 -hydroxynaphthalen- 1 -yl)methanone / formic acid (1/1),
{7-Cyclobutyl-6-[(3R)-3-hydroxy-3-methylpiperidin-l-yl]-2-[(tetrahydro-lH-pyrrolizin-7a(5H)- yl)methoxy]-7H-purin-8-yl}(8-ethynyl-7-fluoro-3-hydroxynaphthalen-l-yl)methanone / formic acid (1/1),
(7-Cyclobutyl-6-[(3R)-3-hydroxy-3-methylpiperidin-l-yl]-2-{[(2S)-pyrrolidin-2-yl]methoxy}-7H-purin-
8-yl)(8-ethynyl-7-fluoro-3-hydroxynaphthalen-l-yl)methanone / formic acid (1/1),
7-Cyclobutyl-6-[(3R)-3-hydroxy-3-methylpiperidin-l-yl]-2-{[(2S)-l-methylpyrrolidin-2-yl]methoxy}- 7H-purin-8-yl)(8-ethynyl-7-fluoro-3-hydroxynaphthalen-l-yl)methanone / formic acid (1/1),
7-Cyclobutyl-2-{[(2S,4R)-4-fluoro-l-methylpyrrolidin-2-yl]methoxy}-6-[(3R)-3-hydroxy-3- methylpiperidin- 1 -yl] -7H-purin-8-yl)(8-ethynyl-7 -fluoro-3 -hydroxynaphthalen- 1 -yl)methanone / formic acid (1/1),
(5S)-5-[({7-Cyclobutyl-8-(8-ethynyl-7-fluoro-3-hydroxynaphthalene-l-carbonyl)-6-[(3R)-3-hydroxy-3- methylpiperidin- l-yl]-7H-purin-2-yl}oxy)methyl]-l-methylpyrrolidin -2 -one / formic acid (1/1),
[7-Cyclobutyl-2-{[(2R,7aS)-2-fluorotetrahydro-lH-pyrrolizin-7a(5H)-yl]methoxy}-6-(l,4-oxazepan-4- yl)-7H-purin-8-yl](8-ethynyl-7-fluoro-3-hydroxynaphthalen-l-yl)methanone,
{7-Cyclobutyl-6-(l,4-oxazepan-4-yl)-2-[(tetrahydro-lH-pyrrolizin-7a(5H)-yl)methoxy]-7H-purin-8- yl } (8-ethynyl-7 -fluoro-3 -hydroxynaphthalen- 1 -yl)methanone,
(7-Cyclobutyl-6-[3,8-diazabicyclo[3.2.1]octan-3-yl]-2-{[(2S)-pyrrolidin-2-yl]methoxy}-7H-purin-8- yl)(8-ethynyl-7-fluoro-3-hydroxynaphthalen-l-yl)methanone - formic acid (1: 1),
[7-Cyclobutyl-2-{[(2R,7aS)-2-fluorotetrahydro-lH-pyrrolizin-7a(5H)-yl]methoxy}-6-(3-oxa-7,9- diazabicyclo [3.3.1 ]nonan-7-yl)-7H-purin-8-yl] (8-ethynyl-7-fluoro-3 -hydroxynaphthalen- 1 - yl)methanone / formic acid (1/1),
(7-Cyclobutyl-2-{[(2R,7aS)-2-fhrorotetrahydro-lH-pyrrolizin-7a(5H)-yl]methoxy}-6-[(lR,5R,6R) or
(15.55.65)]-6-methoxy-3,8-diazabicyclo[3.2.1]octan-3-yl]-7H-purin-8-yl)(8-ethynyl-7-fluoro-3- hydroxynaphthalen- l-yl)methanone / formic acid (1/1),
7-Cyclobutyl-2-{[(2S)-4,4-difhroro-l-methylpyrrolidin-2-yl]methoxy}-6-[((lR,5R,6R) or (lS,5S,6S))-6- methoxy-3,8-diazabicyclo[3.2.1]octan-3-yl]-7H-purin-8-yl(8-ethynyl-7-fluoro-3-hydroxynaphthalen-l- yl)methanone formic acid (1/1),
(5S)-5-[({7-Cyclobutyl-8-(8-ethynyl-7-fluoro-3-hydroxynaphthalene-l-carbonyl)-6-[[(lR,5R,6R) or
(15.55.65)]-6-methoxy-3,8-diazabicyclo[3.2.1]octan-3-yl]-7H-purin-2-yl}oxy)methyl]-l- methylpyrrolidin-2-one / formic acid (1: 1),
5-[7-Cyclobutyl-8-(8-ethynyl-7-fluoro-3-hydroxynaphthalene-l-carbonyl)-2-{[(2R,7aS)-2- fluorotetrahydro-lH-pyrrolizin-7a(5H)-yl]methoxy}-7H-purin-6-yl]-N,N-dimethyl-5,6,7,8-tetrahydro- 4H-pyrazolo[ 1 ,5 -a] [ l,4]diazepine-2 -carboxamide, l-[7-Cyclobutyl-8-(8-ethynyl-7-fluoro-3-hydroxynaphthalene-l-carbonyl)-2-{[(2R,7aS)-2- fluorotetrahydro-lH-pyrrolizin-7a(5H)-yl]methoxy}-7H-purin-6-yl]-2-methylpiperidine-4-carbonitrile (mixture of the two cis-diastereomers regarding the piperidine substitution),
(7-Cyclobutyl-6-[(lR,5S)-3,6-diazabicyclo[3.1.1]heptan-3-yl]-2-{[(2R,7aS)-2-fluorotetrahydro-lH- pyrrolizin-7a(5H)-yl]methoxy}-7H-purin-8-yl)(8-ethynyl-7-fluoro-3-hydroxynaphthalen-l- yl)methanone,
(3R)-l-(7-Cyclobutyl-2-{[(2S)-4,4-difhioro-l-methylpyrrolidin-2-yl]methoxy}-8-[(8-ethynyl-7-fluoro-3- hydroxy- l-naphthyl)oxy]-7H-purin-6-yl)-3-methylpiperidin-3-ol (single stereoisomer),
(3R)- 1 - {7-Cyclobutyl-8-[(8-ethynyl-7-fluoro-3-hydroxy- 1 -naphthyl)oxy]-2-[(2S)-pyrrolidin-2- ylmethoxy] -7H-purin-6-yl } -3 -methylpiperidin-3 -ol hydrochloride,
(3R)-l-{8-[(8-Ethynyl-7-fhroro-3-hydroxynaphthalen-l-yl)oxy]-2-{[(2R,7aS)-2-fluorotetrahydro-lH- pyrrolizin-7a(5H)-yl]methoxy}-7-(3-methoxycyclobutyl)-7H-purin-6-yl}-3-methylpiperidin-3-ol,
(3R)-l-{8-[(8-Ethynyl-7-fluoro-3-hydroxynaphthalen-l-yl)oxy]-2-{[(2R,7aS)-2-fluorotetrahydro-lH- pyrrolizin-7a(5H)-yl]methoxy}-7-(3-methoxycyclobutyl)-7H-purin-6-yl}-3-methylpiperidin-3-ol,
4-{[6-(3,8-Diazabicyclo[3.2.1]octan-3-yl)-2-{[(2R,7aS)-2-fluorotetrahydro-lH-pyrrolizin-7a(5H)- yl]methoxy}-7-(oxan-4-yl)-7H-purin-8-yl]oxy}-5-ethynyl-6-fluoronaphthalen-2-ol,
4-{[6-(3,8-Diazabicyclo[3.2.1]octan-3-yl)-2-{[(2R,7aS)-2-fluorotetrahydro-lH-pyrrolizin-7a(5H)- yl]methoxy}-7-(3-methoxycyclobutyl)-7H-purin-8-yl]oxy}-5-ethynyl-6-fluoronaphthalen-2-ol - formic acid (1: 2) (cis-diastereomers 1 regarding cyclobutyl),
4-{[6-(3,8-Diazabicyclo[3.2.1]octan-3-yl)-2-{[(2R,7aS)-2-fluorotetrahydro-lH-pyrrolizin-7a(5H)- yl]methoxy}-7-(3-methoxycyclobutyl)-7H-purin-8-yl]oxy}-5-ethynyl-6-fluoronaphthalen-2-ol - formic acid (1: 2) (cis-diastereomers 2 regarding cyclobutyl),
4-({6-(3,8-Diazabicyclo[3.2.1]octan-3-yl)-2-{[(2R,7aS)-2-fluorotetrahydro-lH-pyrrolizin-7a(5H)- yl]methoxy}-7-[oxan-3-yl]-7H-purin-8-yl}oxy)-5-ethynyl-6-fluoronaphthalen-2-ol - formic acid (1: 1) (two enantiopure diastereomers),
4-[7-Cyclobutyl-6-(3,8-diazabicyclo[3.2.1]octan-3-yl)-2-[[(2R,8S)-2-fluoro-l,2,3,5,6,7- hexahydropyrrolizin-8-yl]methoxy]purin-8-yl]oxy-5-ethyl-6-fluoro-naphthalen-2-ol,
4-[7-Cyclobutyl-6-(3,8-diazabicyclo[3.2.1]octan-3-yl)-2-[[(2R,8S)-2-fluoro-l,2,3,5,6,7- hexahydropyrrolizin-8-yl]methoxy]purin-8-yl]oxy-l,3-benzothiazol-2-amine:formic acid (1: 1),
4-[7-Cyclobutyl-6-(3,8-diazabicyclo[3.2.1]octan-3-yl)-2-[[(2R,8S)-2-fluoro-l,2,3,5,6,7- hexahydropyrrolizin-8-yl]methoxy]purin-8-yl]oxy-7-fluoro-l,3-benzothiazol-2 -amine: formic acid (1:2), 4-[7-Cyclobutyl-6-[(lS,5R)-3,8-diazabicyclo[3.2.1]octan-3-yl]-2-[[(2R,8S)-2-fluoro-l,2,3,5,6,7- hexahydropyrrolizin-8-yl]methoxy]purin-8-yl]oxy-l,3-benzothiazol-2-amine,
2-Amino-4-[7-cyclobutyl-6-(3,8-diazabicyclo[3.2.1]octan-3-yl)-2-[[(2R,8S)-2-fluoro-l,2,3,5,6,7- hexahydropyrrolizin-8-yl]methoxy]purin-8-yl]oxy-benzothiophene-3-carbonitrile:formic acid, and
[6-Amino-4-methyl-3-(trifluoromethyl)pyridin-2-yl](7-cyclobutyl-6-[3,8-diazabicyclo[3.2.1]octan-3-yl]- 2-{[(2R,7aS)-2-fluorotetrahydro-lH-pyrrolizin-7a(5H)-yl]methoxy}-7H-purin-8-yl)methanone, or a stereoisomer, a tautomer, an N-oxide, a hydrate, a solvate, or a salt of a stereoisomer, a salt of a tautomer, a salt of an N-oxide, or a mixture of same.
H) The compound of formula (I) which is selected from the group consisting of:
Formic acid - 4-{[7-cyclobutyl-6-(3,8-diazabicyclo[3.2.1]octan-3-yl)-2-{[(2R,7aS)-2-fluorotetrahydro- lH-pyrrolizin-7a(5H)-yl]methoxy}-7H-purin-8-yl]oxy}-5-ethynyl-6-fluoro-2 -naphthol (2/1),
Formic acid - 4-{[7-cyclobutyl-6-(3,8-diazabicyclo[3.2.1]octan-3-yl)-2-{[(2R,7aS)-2-fluorotetrahydro- lH-pyrrolizin-7a(5H)-yl]methoxy}-7H-purin-8-yl]oxy}-5-ethynyl-6-fluoro-2 -naphthol,
Formic acid - 4-({7-cyclobutyl-6-(3,8-diazabicyclo[3.2.1]octan-3-yl)-2-[(tetrahydro-lH-pyrrolizin- 7a(5H)-yl)methoxy]-7H-purin-8-yl}oxy)-5-ethynyl-6-fluoronaphthalen-2-ol,
Formic acid 4-({7-cyclobutyl-6-(3,8-diazabicyclo[3.2. l]octan-3-yl)-2-[(tetrahydro-lH-pyrrolizin- 7a(5H)-yl)methoxy] -7H-purin-8-yl } oxy)-5 -ethynyl-6-fluoronaphthalen-2-ol (2/ 1 ),
Formic acid - 4-{[7-cyclobutyl-6-(3,8-diazabicyclo[3.2.1]octan-3-yl)-2-{[(2S)-l-methylpyrrolidin-2- yl]methoxy}-7H-purin-8-yl]oxy}-5-ethynyl-6-fluoronaphthalen-2-ol,
Formic acid - 4-{[7-cyclobutyl-6-(3,8-diazabicyclo[3.2.1]octan-3-yl)-2-{[(2S,4R)-4-fluoro-l- methylpyrrolidin-2-yl]methoxy}-7H-purin-8-yl]oxy}-5-ethynyl-6-fluoronaphthalen-2-ol,
Formic acid - 4-{[7-cyclobutyl-6-(3,8-diazabicyclo[3.2.1]octan-3-yl)-2-{[(2S)-pyrrolidin-2- yl]methoxy}-7H-purin-8-yl]oxy}-5-ethynyl-6-fluoronaphthalen-2-ol,
3-[({7-Cyclobutyl-6-(3,8-diazabicyclo[3.2.1]octan-3-yl)-8-[(8-ethynyl-7-fluoro-3-hydroxynaphthalen-l- yl)oxy] -7H-purin-2-yl }oxy)methyl] - 1 -methylpyrrolidine-3 -carbonitrile (Racemate),
4-[(7-Cyclobutyl-2-{[(2R,7aS)-2-fluorotetrahydro-lH-pyrrolizin-7a(5H)-yl]methoxy}-6-[(lS,5S,6S or lR,5R,6R)-6-methoxy-3,8-diazabicyclo[3.2.1]octan-3-yl]-7H-purin-8-yl)oxy]-5-ethynyl-6-fluoro-2- naphthol - formic acid, 8-[7-Cyclobutyl-8-[(8-ethynyl-7-fluoro-3-hydroxy-l-naphthyl)oxy]-2-[[(2R,8S)-2-fluoro-l,2,3,5,6,7- hexahydropyrrolizin-8-yl]methoxy]purin-6-yl]-l,8-diazaspiro[3.5]nonan-2-one: formic acid,
(4S or R)-6-(7-Cyclobutyl-8-[(8-ethynyl-7-fluoro-3-hydroxynaphthalen-l-yl)oxy]-2-{[(2R,7aS)-2- fhrorotetrahydro-lH-pyrrolizin-7a(5H)-yl]methoxy}-7H-purin-6-yl)-l,6-diazaspiro[3.5]nonan-2-one, [7-Cyclobutyl-6-(3,8-diazabicyclo[3.2.1]octan-3-yl)-2-[[(2R,8S)-2-fluoro-l,2,3,5,6,7- hexahydropyrrolizin-8-yl]methoxy]purin-8-yl]-(8-ethynyl-7-fluoro-3-hydroxy-l-naphthyl)methanone, (7-cyclobutyl-2-{[(2R,7aS)-2-fhiorotetrahydro-lH-pyrrolizin-7a(5H)-yl]methoxy}-6-[(3R)-3-hydroxy- 3-methylpiperidin-l-yl]-7H-purin-8-yl)(8-ethynyl-7-fluoro-3-hydroxynaphthalen-l-yl)methanone, [6-(3,8-Diazabicyclo[3.2.1]octan-3-yl)-2-[[(2R,8S)-2-fluoro-l,2,3,5,6,7-hexahydropyrrolizin-8- yl]methoxy]-7-tetrahydrofuran-3-yl-purin-8-yl]-(8-ethynyl-7-fluoro-3-hydroxy-l-naphthyl)methanone (mixture of 2 isomers),
Formic acid - [6-(3,8-diazabicyclo[3.2.1]octan-3-yl)-2-{[(2R,7aS)-2-fluorotetrahydro-lH-pyrrolizin- 7a(5H)-yl]methoxy} -7-(cis or trans-3-methoxycyclobutyl)-7H-purin-8-yl](8-ethynyl-7-fluoro-3- hydroxy- 1 -naphthyl)methanone (2/1), [6-(3,8-Diazabicyclo[3.2. l]octan-3-yl)-2-[[(2R,8S)-2 -fluoro- 1,2, 3,5,6, 7-hexahydropyrrolizin-8- yl]methoxy] -7 -isopropyl -purin- 8-yl] -(8-ethynyl-7 -fluoro-3 -hydroxy- 1 -naphthyl)methanone : formic acid, {7-Cyclobutyl-6-[(3R)-3-hydroxy-3-methylpiperidin-l-yl]-2-[(tetrahydro-lH-pyrrolizin-7a(5H)- yl)methoxy]-7H-purin-8-yl}(8-ethynyl-7-fluoro-3-hydroxynaphthalen-l-yl)methanone / formic acid (1/1), (7-Cyclobutyl-6-[3,8-diazabicyclo[3.2.1]octan-3-yl]-2-{[(2S)-pyrrolidin-2-yl]methoxy}-7H-purin-8- yl)(8-ethynyl-7-fluoro-3-hydroxynaphthalen-l-yl)methanone - formic acid (1: 1),
(7-Cyclobutyl-2-{[(2R,7aS)-2-fluorotetrahydro-lH-pyrrolizin-7a(5H)-yl]methoxy}-6-[(lR,5R,6R) or (lS,5S,6S)]-6-methoxy-3,8-diazabicyclo[3.2.1]octan-3-yl]-7H-purin-8-yl)(8-ethynyl-7-fluoro-3- hydroxynaphthalen-l-yl)methanone / formic acid (1/1), 5-[7-Cyclobutyl-8-(8-ethynyl-7-fluoro-3-hydroxynaphthalene-l-carbonyl)-2-{[(2R,7aS)-2- fluorotetrahydro-lH-pyrrolizin-7a(5H)-yl]methoxy}-7H-purin-6-yl]-N,N-dimethyl-5,6,7,8-tetrahydro- 4H-pyrazolo[ 1 ,5 -a] [ l,4]diazepine-2 -carboxamide, l-[7-Cyclobutyl-8-(8-ethynyl-7-fluoro-3-hydroxynaphthalene-l-carbonyl)-2-{[(2R,7aS)-2- fluorotetrahydro-lH-pyrrolizin-7a(5H)-yl]methoxy}-7H-purin-6-yl]-2-methylpiperidine-4-carbonitrile (mixture of the two cis-diastereomers regarding the piperidine substitution), (7-Cyclobutyl-6-[(lR,5S)-3,6-diazabicyclo[3.1.1]heptan-3-yl]-2-{[(2R,7aS)-2-fluorotetrahydro-lH- pyrrolizin-7a(5H)-yl]methoxy}-7H-purin-8-yl)(8-ethynyl-7-fluoro-3-hydroxynaphthalen-l- yl)methanone, 4-{[6-(3,8-Diazabicyclo[3.2.1]octan-3-yl)-2-{[(2R,7aS)-2-fluorotetrahydro-lH-pyrrolizin-7a(5H)- yl]methoxy}-7-(oxan-4-yl)-7H-purin-8-yl]oxy}-5-ethynyl-6-fluoronaphthalen-2-ol, 4-{[6-(3,8-Diazabicyclo[3.2.1]octan-3-yl)-2-{[(2R,7aS)-2-fluorotetrahydro-lH-pyrrolizin-7a(5H)- yl]methoxy}-7-(3-methoxycyclobutyl)-7H-purin-8-yl]oxy}-5-ethynyl-6-fluoronaphthalen-2-ol - formic acid (1: 2) (cis-diastereomers 1 regarding cyclobutyl), 4-{[6-(3,8-Diazabicyclo[3.2.1]octan-3-yl)-2-{[(2R,7aS)-2-fluorotetrahydro-lH-pyrrolizin-7a(5H)- yl]methoxy}-7-(3-methoxycyclobutyl)-7H-purin-8-yl]oxy}-5-ethynyl-6-fluoronaphthalen-2-ol - formic acid (1: 2) (cis-diastereomers 2 regarding cyclobutyl), and 4-({6-(3,8-Diazabicyclo[3.2.1]octan-3-yl)-2-{[(2R,7aS)-2-fluorotetrahydro-lH-pyrrolizin-7a(5H)- yl]methoxy}-7-[oxan-3-yl]-7H-purin-8-yl}oxy)-5-ethynyl-6-fluoronaphthalen-2-ol - formic acid (1: 1) (two enantiopure diastereomers), or a stereoisomer, a tautomer, an N-oxide, a hydrate, a solvate, or a salt of a stereoisomer, a salt of a tautomer, a salt of an N-oxide, or a mixture of same.
I) A compound of general formula (I) for use in the treatment or prophylaxis of a disease.
J) A compound of general formula (I) for use in the treatment or prophylaxis of a disease, wherein the disease is a neoplastic disorder, or conditions with dysregulated immune responses or other disorders associated with aberrant KRAS.
K) A compound of general formula (I) for use in the treatment or prophylaxis of a disease, wherein the disease is a neoplastic disorder.
L) A compound of general formula (I) for use in the treatment or prophylaxis of a disease, wherein the neoplastic disorder is a cancer disease.
M) A compound of general formula (I) for use in the treatment or prophylaxis of a disease, wherein the cancer disease is selected from colorectal cancer, gastric cancer, lung cancer, and pancreatic cancer.
N) Method for controlling a neoplastic disease comprising administering an anti -neoplastic effective amount of at least one compound selected from the group of compounds of general formula (I) to a human or animal in need thereof.
N-a) Use of a compound of general formula (I) in the manufacture of a medicament for the treatment or prophylaxis of a disease.
O) A pharmaceutical composition comprising a compound of general formula (I) and one or more pharmaceutically acceptable excipients.
P) A pharmaceutical combination comprising
• one or more first active ingredients, selected from the group of compounds of general formula (I) and
• one or more further active ingredients.
P-a) A pharmaceutical combination comprising:
• one or more first active ingredients selected from compounds of general formula (I), and
• one or more further active ingredients, in particular anti -cancer agents, more particularly those anticancer agents selected form the list consisting of
1311-metuximab, 1311-chTNT, abarelix, abemaciclib, abiraterone, acalabrutinib, aclarubicin, adalimumab, ado -trastuzumab emtansine, afatinib, aflibercept, aldesleukin, alectinib, alfaferone, alemtuzumab, alendronic acid, alitretinoin, almonertinib, alpelisib, alpharadin, monosodium alpha luminol, altretamine, amifostine, aminoglutethimide, hexyl aminolevulinate, aminolevulinic acid, amrubicin, amsacrine, anastrozole, ancestim, anethole dithiolethione, anetumab ravtansine, angiotensin II, antithrombin III, apalutamide, aprepitant, arcitumomab, arglabin, arsenic trioxide, asparaginase, atezolizumab, avapritinib, avelumab, axicabtagene ciloleucel, axitinib, azacitidine, basiliximab, beclomethasone dipropionate, belantamab mafodotin, belinostat, belotecan, bendamustine, besilesomab, beta-elemene, bevacizumab, bexarotene, bicalutamide, binimetinib, bisantrene, bleomycin, blinatumomab, boanmycin hydrochloride, borofalan, bortezomib, bosutinib, budesonide, buserelin, brentuximab vedotin, brigatinib, busulfan, cabazitaxel, cabozantinib, calcitonine, calcium folinate, calcium levofolinate, capecitabine, capmatinib, capromab, carbamazepine, carboplatin, carboquone, carfilzomib, carmofur, carmustine, catumaxomab, catequentinib, celecoxib, celmoleukin, cemiplimab, ceritinib, cetuximab, chlorambucil, chlormadinone, chlormethine, chloroxoquinoline, cidofovir, cinacalcet, cisplatin, cladribine, clodronic acid, clofarabine, cobimetinib, copanlisib, crisantaspase, crizotinib, cyclophosphamide, cyproterone, cytarabine, dacarbazine, dacomitinib, dactinomycin, daratumumab, darbepoetin alfa, dabrafenib, dasatinib, daunorubicin, decitabine, deferasirox, degarelix, denileukin diftitox, denosumab, depreotide, deslorelin, dianhydrogalactitol, dexrazoxane, dibrospidium chloride, dianhydrogalactitol, diclofenac, dinutuximab, docetaxel, dolasetron, doxifluridine, doxorubicin, doxorubicin + estrone, dronabinol, dupilumab, durvalumab, duvelisib, eculizumab, edrecolomab,
elliptinium acetate, elotuzumab, eltrombopag, enasidenib, encorafenib, endostatin, enfortumab vedotin, enocitabine, enzalutamide, epirubicin, epitiostanol, epoetin alfa, epoetin beta, epoetin zeta, eptaplatin, eribulin, erlotinib, ensartinib, entrectinib, erdafitinib, esomeprazole, estradiol, estramustine, estrone, ethinylestradiol, etoposide, everolimus, evocalcet, exemestane, fadrozole, famotidine, fentanyl, fdgrastim, flumatinib, fluoxymesterone, fluticasone, fluticasone furoate, floxuridine, fludarabine, fluorouracil, flutamide, folinate, folinic acid, formestane, forodesine, fosaprepitant, fotemustine, fruquintinib, fulvestrant, gadobutrol, gadoteridol, gadoteric acid meglumine, gadoversetamide, gadoxetic acid, gallium nitrate, ganirelix, gefitinib, gemcitabine, gemtuzumab, gendicine, gilteritinib, ginsenoside Rg3, glasdegib, glucarpidase, glutoxim, GM-CSF, goserelin, granisetron, granulocyte colony stimulating factor, hematoporphyrin, histamine dihydrochloride, histrelin, holmium- 166-chitosan complex, human menopausal gonadotrophin, hydroxycarbamide, 1-125 seeds, lansoprazole, ibandronic acid, ibritumomab tiuxetan, ibrutinib, icotinib hydrochloride, idarubicin, idelalisib, iobenguane (1311), iodine(131I) tumor necrosis factor monoclonal antibody, ifosfamide, imatinib, imiquimod, improsulfan, immunocyanin, indisetron, incadronic acid, indole -3 -carbinol + epigallocatechin-3 -gallate, ingenol mebutate, inotuzumab ozogamicin, interferon alfa, interferon alpha lb, interferon-alpha 2, interferon alpha-2a, interferon alfa- 2b, interferon beta, interferon gamma, interleukin-2, iobitridol, iobenguane (1231), iomeprol, ipilimumab, irinotecan, Itraconazole, isatuximab, ivosidenib, ixabepilone, ixazomib, lanreotide, lansoprazole, lapatinib, lasocholine, lenalidomide, lenvatinib, lenograstim, lentinan, letrozole, leuprorelin, levamisole, levonorgestrel, levothyroxine sodium, lisuride, lobaplatin, lomustine, lonidamine, lorlatinib, lurbinectedin, luspatercept, lutetium Lu 177 dotatate, masoprocol, medroxyprogesterone, megestrol, melarsoprol, melphalan, mepitiostane, mercaptamine, mercaptopurine, mesna, methadone, methotrexate, methoxsalen, methylaminolevulinate, methylprednisolone, methyltestosterone, metirosine, midostaurin, mifamurtide, mifepristone, miltefosine, miriplatin, mitobronitol, mitoguazone, mitolactol, mitomycin, mitotane, mitoxantrone, mogamulizumab, molgramostim, mometasone, mopidamol, morphine hydrochloride, morphine sulfate, mvasi, moxetumomab pasudotox, nabilone, nabiximols, nafarelin, naloxone + pentazocine, naltrexone, nartograstim, natalizumab, necitumumab, nedaplatin, nelarabine, neratinib, neridronic acid, netupitant/palonosetron, nivolumab, pentetreotide, nilotinib, nilutamide, nimorazole, nimotuzumab, nimustine, nintedanib, niraparib, nitracrine, nivolumab, obinutuzumab, octreotide, ofatumumab, olaparib, olaratumab, olmutinib, omacetaxine mepesuccinate, omalizumab, omeprazole, ondansetron, oprelvekin, orelabrutinib, orgotein, orilotimod, osimertinib, oxaliplatin, oxycodone, oxymetholone, ozogamicine, p53 gene therapy, paclitaxel, padeliporfm, palbociclib, palifermin, palladium- 103 seed, palonosetron, pamidronic acid, panitumumab, panobinostat, pantoprazole, pazopanib, pegaspargase, PEG-epoetin beta (methoxy PEG-epoetin beta), pembrolizumab, pemigatinib, pegfdgrastim, peginterferon alfa-2b, pembrolizumab, pemetrexed, pentazocine, pentostatin, peplomycin, Perflubutane, perfosfamide, Pertuzumab, phenoxybenzamine, picibanil, pilocarpine, pirarubicin, pixantrone, plerixafor, plicamycin, poliglusam, polatuzumab vedotin, polyestradiol phosphate, polyvinylpyrrolidone + sodium hyaluronate, polysaccharide-K, pomalidomide, ponatinib,
porfimer sodium, pralatrexate, pralsetimb, predmmustine, prednisone, procarbazine, procodazole, propranolol, quinagolide, quizartinib, rabeprazole, racotumomab, radium-223 chloride, radotinib, raloxifene, raltitrexed, ramosetron, ramucirumab, ranimustine, rasburicase, razoxane, refametinib, regorafenib, relugolix, ribociclib, ripretinib, risedronic acid, rhenium- 186 etidronate, rituximab, rivoceranib, rolapitant, romidepsin, romiplostim, romurtide, rucaparib, sacituzumab govitecan, samarium (153Sm) lexidronam, sargramostim, sarilumab, satumomab, secretin, selinexor, selpercatinib, selumetinib, siltuximab, sipuleucel-T, sirolimus, sizofiran, sobuzoxane, sodium glycididazole, sonidegib, sophoridine hydrochloride, sorafenib, stanozolol, streptozocin, Strontium 89, sunitinib, surufatinib, tagraxofusp, talaporfm, talazoparib, talimogene laherparepvec, tamibarotene, tamoxifen, tapentadol, tasonermin, tazemetostat, teceleukin, technetium (99mTc) nofetumomab merpentan, 99mTc-HYNIC- [Tyr3] -octreotide, tegafur, tegafur + gimeracil + oteracil, temoporfm, temozolomide, temsirolimus, teniposide, testosterone, tetrofosmin, thalidomide, thiotepa, thrombopoietin, thymalfasin, thyrotropin alfa, tioguanine, tirabrutinib, tisagenlecleucel, tislelizumab, tivozanib, tocilizumab, topotecan, toremifene, tositumomab, trabectedin, trametinib, tramadol, trastuzumab, trastuzumab emtansine, treosulfan, tretinoin, trifluridine + tipiracil, trilostane, triptorelin, trametinib, trofosfamide, tryptophan, tucatinib, tucidinostat, recombinant tumor necrosis a-factor of thymosine-al, ubenimex, ulipristal, umbralisib, valatinib, valrubicin, vandetanib, vapreotide, vemurafenib, venetoclax, vinblastine, vincristine, vindesine, vinflunine, vinorelbine, vismodegib, vorinostat, vorozole, yttrium-90 glass microspheres, zanubrutinib, zinostatin, zinostatin stimalamer, zoledronic acid, zorubicin.
Q) A method of preparing a compound of general formula (I), said method comprising
EITHER for compounds with Z= an oxygen atom (-O-), allowing an intermediate compound of general formula (II)
in which is selected from
5 R2 is selected from
wherein * indicates the point of attachment of said group with the rest of the molecule, or a stereoisomer, a tautomer, an N-oxide, a hydrate, a solvate, or a salt of a stereoisomer, a salt of a tautomer, a salt of an N-oxide, or a mixture of same, and which is optionally protected at R1 and/or R2 indicated by the dotted line to “PG-” and
X4 is a hydrogen atom;
PG is independently selected from a SiR12R12R13 group, a benzyl group, a methoxymethyl group, and a tert.-butyloxycarbonyl group;
R12 and R13 are identical or different and are independently selected from a Ci-Ce-alkyl group and a phenyl group; after undergoing a bromination reaction with a suitable bromination reagent, leading to X4=bromine, to react with a compound of general formula (XXX)
in which
R4 is 5 -ethynyl-6-fluoro-2 -naphthol, a 5 -ethyl-6-fluoro-2 -naphthol, a fluorinated or nonfluorinated l,3-benzothiazol-2-amine or a 2-amino-l-benzothiophene-3-carbonitrile;
PG is independently selected from a SiR12R12R13 group, a methoxymethyl group, a tertbutoxycarbonyl group and a para-methoxybenzyl group,
R12 and R13 are identical or different and are independently selected from a Ci-Ce-alkyl group and a phenyl group; introducing the R4 substituent optionally protected by replacing the bromine atom under strong basic conditions leading after suitable deprotection reactions e.g. under acidic conditions and/or tetrabutylammoniumfluoride, to a compound of formula (I)
OR for compounds with Z= C(=O), of allowing an intermediate compound of formula (II)
which is optionally protected at R1 and/or R2 indicated by the dotted line to “PG” and
in which
Rl, R2 and R3 have the meanings as defined above, and
X4 is a hydrogen atom,
PG is independently selected from a SiR12R12R13 group, a benzyl group, a methoxymethyl group, and a tert.butoxycarbonyl group;
R12 and R13 are identical or different and are independently selected from a Ci-Ce-alkyl group and a phenyl group; to react under strong basic conditions in an aprotic solvent and temperatures between -40° to 0°C with an aldehyde of general formula (XXVI)
in which R12, R13 and PG have the meanings as defined above to obtain after deprotection and oxidation of the alcohol and optionally further deprotection reactions independently from its order a compound of general formula (I)
in which
Rl, R2, and R3 have the meanings as defined above and
R5 is selected from a hydrogen atom, a fluorine atom, a -C=CH group and a -CH2-CH3 group; R6 is a hydrogen atom or a fluorine atom;
R7 is a hydrogen atom or a fluorine atom; wherein * indicates the point of attachment of said group with the rest of the molecule, or a stereoisomer, a tautomer, an N-oxide, a hydrate, a solvate, or a salt of a stereoisomer, a salt of a tautomer, a salt of an N-oxide, or a mixture of same.
QI) See also Scheme 3, part 2, step 9. Strong basic conditions include aqueous potassium carbonate or 2- tert-Butylimino-2-diethylamino-l,3-dimethylperhydro-l,3,2-diazaphosphorine (BEMP) in a solvent like tetrahydrofuran The deprotection conditions include tetrabutylammoniumfluoride and acidic conditions like HC1 in organic like in 1,4-dioxane or in tetrahydrofurane or methane sulfonic acid (MsOH) in methanol.
R) A method of preparing a compound of formula (I) wherein Z is -O-, said method comprising a step of allowing a compound of formula (III)
in which
R1 is selected from
PG is selected from a SiR12R12R13 group, a methoxymethyl group, and a tert.- butoxy carbonyl group;
R12 and R13 are identical or different and are independently selected from a Ci-Ce-alkyl group and a phenyl group;
Z is -O- to react with a compound of formula (XXV)
R:
H " PG
(XXV) in which
, and , optionally protected, PG is a tert.-butoxycarbonyl group, under strong basic conditions to obtain a compound of formula (XXXI)
in which Rl, R2, R3, R12 and PG are as defined above, and
R5 is selected from a hydrogen atom, a fluorine atom, a -C=CH group and a -CH2-CH3 group;
R6 is a hydrogen atom or a fluorine atom;
R7 is a hydrogen atom or a fluorine atom; wherein * indicates the point of attachment of said group with the rest of the molecule, which is finally being deprotected optionally in two steps, to obtain a compound of formula (I) wherein Z is -O-; or a stereoisomer, a tautomer, an N-oxide, a hydrate, a solvate, or a salt of a stereoisomer, a salt of a tautomer, a salt of an N-oxide, or a mixture of same.
Rl) See also scheme 4, steps 5 and 6. In one embodiment any optional feature is non-optional: a deprotection means then a two step deprotection, preferably conducted with tetrabutylammoniumfluoride followed by acidic conditions like HC1 in organic solvents like in 1,4-dioxane or in tetrahydrofurane or methanesulfonic acid (MsOH) in methanol. Strong basic conditions include sodiumhydide and lithium bis(trimethylsilyl)amide in a solvent like tetrahydrofuran.
S) A method of preparing a compound of formula (I) wherein Z is -O-, said method comprising a step of allowing a compound of formula (IV)
in which
XI is a hydroxy group;
, and
R5 is selected from a hydrogen atom, a fluorine atom, a -C=CH group and a -CH2-CH3 group;
R6 is a hydrogen atom or a fluorine atom;
R7 is a hydrogen atom or a fluorine atom; wherein * indicates the point of attachment of said group with the rest of the molecule,
or a stereoisomer, a tautomer, an N-oxide, a hydrate, a solvate, or a salt of a stereoisomer, a salt of a tautomer, a salt of an N-oxide, or a mixture of same;
Z is -O-
R12 and R13 are identical or different and are independently selected from Cl-C6-alkyl and phenyl;
PG is independently selected from a SiR12R12R13 group, a benzyl group, a methoxymethyl group, and a tert.-butoxycarbonyl group; the hydroxy group XI being activated by a suitable activation agent, to react with a nucleophilic compound of formula (XXIII)
(XXIII) in which
, and wherein * indicates the point of attachment of said group with the rest of the molecule,
PG is a tert.-butoxycarbonyl group; or a stereoisomer, a tautomer, an N-oxide, a hydrate, a solvate, or a salt of a stereoisomer, a salt of a tautomer, a salt of an N-oxide, or a mixture of same; optionally protected, to obtain a compound of formula (XXXI)
in which Rl, R2, R3, R4 and PG are as defined above, which is finally being deprotected using suitable conditions depending on the protecting group present, e.g. tetrabutylamoniumfluoride followed by acidic conditions e.g. like HC1 in organic solvents like 1,4- dioxane or tetrahydrofurane or methanesulfonic acid (MsOH) in methanol, to obtain a compound of formula (I) wherein Rl, R2, and R3 are as defined above;
R4 is selected from 5-ethynyl-6-fluoro-2 -naphthol, a 5 -ethyl-6-fluoro-2 -naphthol, a fluorinated or non-fluorinated l,3-benzothiazol-2-amine and a 2-amino-l- benzothiophene -3 -carbonitrile ; and
Z is -O-
or a stereoisomer, a tautomer, an N-oxide, a hydrate, a solvate, or a salt of a stereoisomer, a salt of a tautomer, a salt of an N-oxide, or a mixture of same.
SI) See also scheme 5, part 2, steps 6 and 7. The activation reagent is e.g. a coupling reagent like (1H- benzotriazol-l-yloxy)[tri(pyrrolidin-l-yl)]phosphonium hexafluoro-phosphate (PyBOP), 1- [bis(dimethylamino)methylene]-lH-l,2,3-triazolo[4,5-b]pyridinium 3-oxid hexafluorophosphate (HATU), l-ethyl-3-(3-dimethylaminopropyl)carbodiimide (EDC), usually used in the presence of a strong base like l,8-diazabicclo[5.4.0]undec-7-en (DBU).
This invention further includes but is not limited to the following embodiments:
Z represents O or C(O)
R6 represents a hydrogen atom or a fluorine atom;
R7 represents a hydrogen atom or a fluorine atom;
wherein * indicates the point of attachment of said group with the rest of the molecule, or a stereoisomer, a tautomer, an N-oxide, a hydrate, a solvate, or a salt thereof, or a mixture of same.
B-2) A compound of formula (I), wherein
R1 represents
R2 represents
wherein * indicates the point of attachment of said group with the rest of the molecule, or a stereoisomer, a tautomer, an N-oxide, a hydrate, a solvate, or a salt thereof, or a mixture of same.
C-2) The compound of formula (I), wherein
R2 represents
and wherein * indicates the point of attachment of said group with the rest of the molecule, or a stereoisomer, a tautomer, an N-oxide, a hydrate, a solvate, or a salt thereof, or a mixture of same. D-2) The compound of formula (I), wherein
R5 represents -C=CH or -CH2-CH3 and wherein * indicates the point of attachment of said group with the rest of the molecule, or a stereoisomer, a tautomer, an N-oxide, a hydrate, a solvate, or a salt thereof, or a mixture of same.
E-2) The compound of formula (I), wherein Z represents -O- or C(=O)
R4 represents
or a stereoisomer, a tautomer, an N-oxide, a hydrate, a solvate, or a salt thereof, or a mixture of same.
F-2) The compound according to formula (I) which is selected from the group consisting of:
Formic acid - 4-{[7-cyclobutyl-6-(3,8-diazabicyclo[3.2.1]octan-3-yl)-2-{[(2R,7aS)-2-fluorotetrahydro- lH-pyrrolizin-7a(5H)-yl]methoxy}-7H-purin-8-yl]oxy}-5-ethynyl-6-fluoro-2 -naphthol,
Formic acid - 4-({7-cyclobutyl-6-(3,8-diazabicyclo[3.2. l]octan-3-yl)-2-[(tetrahydro-lH-pyrrolizin-
7a(5H)-yl)methoxy]-7H-purin-8-yl}oxy)-5-ethynyl-6-fluoronaphthalen-2-ol,
Formic acid - 4-{[7-cyclobutyl-6-(3,8-diazabicyclo[3.2.1]octan-3-yl)-2-{[(2S)-l-methylpyrrolidin-2- yl]methoxy}-7H-purin-8-yl]oxy}-5-ethynyl-6-fluoronaphthalen-2-ol,
4-{[7-Cyclobutyl-6-(3,8-diazabicyclo[3.2.1]octan-3-yl)-2-{[(2S,4S)-4-fluoro-l-methylpyrrolidin-2- yl]methoxy}-7H-purin-8-yl]oxy}-5-ethynyl-6-fluoronaphthalen-2-ol,
Formic acid - 4-{[7-cyclobutyl-6-(3,8-diazabicyclo[3.2.1]octan-3-yl)-2-{[(2S,4R)-4-fluoro-l- methylpyrrolidin-2-yl]methoxy}-7H-purin-8-yl]oxy}-5-ethynyl-6-fluoronaphthalen-2-ol,
Formic acid - (5S)-5-[({7-cyclobutyl-6-(3,8-diazabicyclo[3.2. l]octan-3-yl)-8-[(8-ethynyl-7-fluoro-3- hydroxynaphthalen- 1 -yl)oxy] -7H-purin-2-yl } oxy)methyl] - 1 -methylpyrrolidin-2-one,
Formic acid - 4-{[7-cyclobutyl-6-(3,8-diazabicyclo[3.2.1]octan-3-yl)-2-{[(2S)-pyrrolidin-2- yl]methoxy}-7H-purin-8-yl]oxy}-5-ethynyl-6-fluoronaphthalen-2-ol,
Formic acid - 4-{[7-cyclobutyl-6-(3,8-diazabicyclo[3.2.1]octan-3-yl)-2-{[(2S)-4,4-difluoro-l- methylpyrrolidin-2-yl]methoxy}-7H-purin-8-yl]oxy}-5-ethynyl-6-fluoronaphthalen-2-ol,
3-[({7-Cyclobutyl-6-(3,8-diazabicyclo[3.2.1]octan-3-yl)-8-[(8-ethynyl-7-fluoro-3-hydroxynaphthalen-l- yl)oxy] -7H-purin-2-yl } oxy)methyl] - 1 -methylpyrrolidine -3 -carbonitrile (Racemate) ,
4-( { 7 -Cyclobutyl-6-(3 , 8 -diazabicyclo [3.2.1 ]octan-3 -yl)-2- [2-( 1 -methyl- lH-imidazol-2-yl)ethoxy] -7H- purin-8-yl } oxy)-5 -ethynyl-6-fluoronaphthalen-2-ol,
4-[(7-Cyclobutyl-2-{[(2R,7aS)-2-fluorotetrahydro-lH-pyrrolizin-7a(5H)-yl]methoxy}-6-[(lR,5R,6S or lS,5S,6R)-6-methoxy-3,8-diazabicyclo[3.2.1]octan-3-yl]-7H-purin-8-yl)oxy]-5-ethynyl-6-fluoro-2- naphthol - formic acid,
4-[(7-Cyclobutyl-2-{[(2R,7aS)-2-fhiorotetrahydro-lH-pyrrolizin-7a(5H)-yl]methoxy}-6-[(lS,5S,6R or lR,5R,6S)-6-methoxy-3,8-diazabicyclo[3.2.1]octan-3-yl]-7H-purin-8-yl)oxy]-5-ethynyl-6-fluoro-2- naphthol - formic acid,
4-[(7-Cyclobutyl-2-{[(2R,7aS)-2-fhiorotetrahydro-lH-pyrrolizin-7a(5H)-yl]methoxy}-6-[(lS,5S,6S or lR,5R,6R)-6-methoxy-3,8-diazabicyclo[3.2.1]octan-3-yl]-7H-purin-8-yl)oxy]-5-ethynyl-6-fluoro-2- naphthol - formic acid,
4-[(7-Cyclobutyl-2-{[(2R,7aS)-2-fhiorotetrahydro-lH-pyrrolizin-7a(5H)-yl]methoxy}-6-[(lR,5R,6R or lS,5S,6S)-6-methoxy-3,8-diazabicyclo[3.2.1]octan-3-yl]-7H-purin-8-yl)oxy]-5-ethynyl-6-fluoro-2- naphthol - formic acid,
8-[7-Cyclobutyl-8-[(8-ethynyl-7-fhioro-3-hydroxy-l-naphthyl)oxy]-2-[[(2R,8S)-2-fluoro-l,2,3,5,6,7- hexahydropyrrolizin-8-yl]methoxy]purin-6-yl]-l,8-diazaspiro[3.5]nonan-2-one: formic acid,
(4R or S)-6-(7-Cyclobutyl-8-[(8-ethynyl-7-fluoro-3-hydroxynaphthalen-l-yl)oxy]-2-{[(2R,7aS)-2- fhrorotetrahydro-lH-pyrrolizin-7a(5H)-yl]methoxy}-7H-purin-6-yl)-l,6-diazaspiro[3.5]nonan-2-one,
(4S or R)-6-(7-Cyclobutyl-8-[(8-ethynyl-7-fluoro-3-hydroxynaphthalen-l-yl)oxy]-2-{[(2R,7aS)-2- fhrorotetrahydro-lH-pyrrolizin-7a(5H)-yl]methoxy}-7H-purin-6-yl)-l,6-diazaspiro[3.5]nonan-2-one, cis or trans-6-[7-Cyclobutyl-8-[(8-ethynyl-7-fhioro-3-hydroxy-l-naphthyl)oxy]-2-[[(2R,8S)-2 -fluoro- l,2,3,5,6,7-hexahydropyrrolizin-8-yl]methoxy]purin-6-yl]-6-azaspiro[3.5]nonan-2-ol, trans or cis-6-[7-Cyclobutyl-8-[(8-ethynyl-7-fhioro-3-hydroxy-l-naphthyl)oxy]-2-[[(2R,8S)-2 -fluoro- l,2,3,5,6,7-hexahydropyrrolizin-8-yl]methoxy]purin-6-yl]-6-azaspiro[3.5]nonan-2-ol,
Formic acid - 4-{[7-cyclobutyl-2-{[(2R,7aS)-2-fhiorotetrahydro-lH-pyrrolizin-7a(5H)-yl]methoxy}-6- (3-oxa-7,9-diazabicyclo[3.3.1]nonan-7-yl)-7H-purin-8-yl]oxy}-5-ethynyl-6-fluoronaphthalen-2-ol,
Formic acid - (3R)-l-(7-cyclobutyl-8-[(8-ethynyl-7-fluoro-3-hydroxynaphthalen-l-yl)oxy]-2- {[(2R,7aS)-2-fhiorotetrahydro-lH-pyrrolizin-7a(5H)-yl]methoxy}-7H-purin-6-yl)-3-methylpiperidin-3- ol,
4-{[6-(Azepan-l-yl)-7-cyclobutyl-2-{[(2R,7aS)-2-fluorotetrahydro-lH-pyrrolizin-7a(5H)-yl]methoxy}- 7H-purin-8-yl]oxy}-5-ethynyl-6-fluoro-2 -naphthol,
4-{ [7-Cyclobutyl-6-({ [ l-(dimethylamino)cyclobutyl]methyl}amino)-2-{ [(2R,7aS)-2-fluorotetrahydro- lH-pyrrolizin-7a(5H)-yl]methoxy}-7H-purin-8-yl]oxy}-5-ethynyl-6-fluoro-2 -naphthol,
4-[7-Cyclobutyl-8-[(8-ethynyl-7-fhioro-3-hydroxy-l-naphthyl)oxy]-2-[[(2R,8S)-2-fluoro-l,2,3,5,6,7- hexahydropyrrolizin-8-yl]methoxy]purin-6-yl] - 1 ,4-oxazepan-6-ol: formic acid,
(6R or S)-4-(7-cyclobutyl-8-[(8-ethynyl-7-fluoro-3-hydroxy-l-naphthyl)oxy]-2-{[(2R,7aS)-2- fluorotetrahydro- lH-pyrrolizin-7a(5H)-yl]methoxy } -7H-purin-6-yl)-6-methyl- 1 ,4-oxazepan-6-ol,
[7-Cyclobutyl-6-(3,8-diazabicyclo[3.2.1]octan-3-yl)-2-[[(2R,8S)-2-fluoro-l,2,3,5,6,7- hexahydropyrrolizin-8-yl]methoxy]purin-8-yl]-(8-ethynyl-7-fluoro-3-hydroxy-l-naphthyl)methanone, (7-cyclobutyl-2-{[(2R,7aS)-2-fluorotetrahydro-lH-pyrrolizin-7a(5H)-yl]methoxy}-6-[(3R)-3-hydroxy-
3-methylpiperidin-l-yl]-7H-purin-8-yl)(8-ethynyl-7-fluoro-3-hydroxynaphthalen-l-yl)methanone, [6-(3,8-Diazabicyclo[3.2.1]octan-3-yl)-2-[[(2R,8S)-2-fluoro-l,2,3,5,6,7-hexahydropyrrolizin-8- yl]methoxy]-7-tetrahydrofuran-3-yl-purin-8-yl]-(8-ethynyl-7-fluoro-3-hydroxy-l-naphthyl)methanone
(mixture of 2 isomers), formic acid - [6-(3,8-diazabicyclo[3.2.1]octan-3-yl)-2-{[(2R,7aS)-2-fluorotetrahydro-lH-pyrrolizin- 7a(5H)-yl]methoxy} -7-(cis or trans-3-methoxycyclobutyl)-7H-purin-8-yl](8-ethynyl-7-fluoro-3- hydroxy- 1 -naphthyl)methanone, formic acid - [6-(3,8-diazabicyclo[3.2.1]octan-3-yl)-2-{[(2R,7aS)-2-fluorotetrahydro-lH-pyrrolizin- 7a(5H)-yl]methoxy} -7-(trans or cis-3-methoxycyclobutyl)-7H-purin-8-yl](8-ethynyl-7-fluoro-3- hydroxy- 1 -naphthyl)methanone,
Formic acid - (8-ethynyl-7-fhroro-3-hydroxy-l-naphthyl)[2-{[(2R,7aS)-2-fluorotetrahydro-lH- pyrrolizin-7a(5H)-yl]methoxy}-6-[(3R)-3-hydroxy-3-methylpiperidin-l-yl]-7-(cis or trans-3- methoxycyclobutyl)-7H-purin-8-yl]methanone,
(8-ethynyl-7-fluoro-3-hydroxy-l-naphthyl)[2-{[(2R,7aS)-2-fluorotetrahydro-lH-pyrrolizin-7a(5H)- yl]methoxy}-6-[(3R)-3-hydroxy-3-methylpiperidin-l-yl]-7-(trans or cis-3 -methoxy cyclobutyl)-7H- purin-8-yl]methanone,
[6-(3,8-Diazabicyclo[3.2.1]octan-3-yl)-2-[[(2R,8S)-2-fluoro-l,2,3,5,6,7-hexahydropyrrolizin-8- yl]methoxy] -7 -isopropyl -purin- 8-yl] -(8-ethynyl-7 -fluoro-3 -hydroxy- 1 -naphthyl)methanone : formic acid, [7-Cyclopropyl-6-(3,8-diazabicyclo[3.2.1]octan-3-yl)-2-[[(2R,8S)-2-fluoro-l,2,3,5,6,7- hexahydropyrrolizin-8-yl]methoxy]purin-8-yl]-(8-ethynyl-7-fluoro-3-hydroxy-l- naphthyl)methanone: formic acid,
(3R)-l-(7-Cyclobutyl-2-{[(2S)-4,4-difhroro-l-methylpyrrolidin-2-yl]methoxy}-8-[(8-ethynyl-7-fluoro-3- hydroxy- 1 -naphthyl)oxy] -7H-purin-6-y 1 )-3 -methylpiperidin-3 -ol (single stereoisomer),
(3R)- 1 - {7-Cyclobutyl-8-[(8-ethynyl-7-fluoro-3-hydroxy- 1 -naphthyl)oxy]-2-[(2S)-pyrrolidin-2- ylmethoxy] -7H-purin-6-yl } -3 -methylpiperidin-3 -ol hydrochloride,
4-{[6-(3,8-Diazabicyclo[3.2.1]octan-3-yl)-2-{[(2R,7aS)-2-fluorotetrahydro-lH-pyrrolizin-7a(5H)- yl]methoxy}-7-(oxan-4-yl)-7H-purin-8-yl]oxy}-5-ethynyl-6-fluoronaphthalen-2-ol, 4-[7-Cyclobutyl-6-(3,8-diazabicyclo[3.2.1]octan-3-yl)-2-[[(2R,8S)-2-fluoro-l,2,3,5,6,7- hexahydropyrrolizin-8-yl]methoxy]purin-8-yl]oxy-5-ethyl-6-fluoro-naphthalen-2-ol, 4-[7-Cyclobutyl-6-(3,8-diazabicyclo[3.2.1]octan-3-yl)-2-[[(2R,8S)-2-fluoro-l,2,3,5,6,7- hexahydropyrrolizin-8-yl]methoxy]purin-8-yl]oxy-l,3-benzothiazol-2-amine:formic acid,
4-[7-Cyclobutyl-6-(3,8-diazabicyclo[3.2.1]octan-3-yl)-2-[[(2R,8S)-2-fluoro-l,2,3,5,6,7- hexahydropyrrolizin-8-yl]methoxy]purin-8-yl]oxy-7-fluoro-l, 3-benzothiazol-2 -amine ;formic acid, 4-[7-Cyclobutyl-6-[(lS,5R)-3,8-diazabicyclo[3.2.1]octan-3-yl]-2-[[(2R,8S)-2-fluoro-l,2,3,5,6,7- hexahydropyrrolizin-8-yl]methoxy]purin-8-yl]oxy-l,3-benzothiazol-2-amine or 2-Amino-4-[7-cyclobutyl-6-(3,8-diazabicyclo[3.2.1]octan-3-yl)-2-[[(2R,8S)-2-fluoro-l,2,3,5,6,7- hexahydropyrrolizin-8-yl]methoxy]purin-8-yl]oxy-benzothiophene-3-carbonitrile:formic acid, or a stereoisomer, a tautomer, an N-oxide, a hydrate, a solvate, or a salt thereof, or a mixture of same. G-2) A compound of general formula (I) for use in the treatment or prophylaxis of a disease.
H-2) A pharmaceutical composition comprising a compound of general formula (I) and one or more pharmaceutically acceptable excipients.
1-2) A pharmaceutical combination comprising:
• one or more first active ingredients, in particular compounds of general formula (I), and
• one or more further active ingredients, in particular cancer agents like:
1311-chTNT, abarelix, abemaciclib, abiraterone, acalabrutinib, aclarubicin, adalimumab, ado- trastuzumab emtansine, afatinib, aflibercept, aldesleukin, alectinib, alemtuzumab, alendronic acid, alitretinoin, alpharadin, altretamine, amifostine, aminoglutethimide, hexyl aminolevulinate, amrubicin, amsacrine, anastrozole, ancestim, anethole dithiolethione, anetumab ravtansine, angiotensin II, antithrombin III, apalutamide, aprepitant, arcitumomab, arglabin, arsenic trioxide, asparaginase, atezolizumab, avelumab, axicabtagene ciloleucel, axitinib, azacitidine, basiliximab, belotecan, bendamustine, besilesomab, belinostat, bevacizumab, bexarotene, bicalutamide, bisantrene, bleomycin, blinatumomab, bortezomib, bosutinib, buserelin, brentuximab vedotin, brigatinib, busulfan, cabazitaxel, cabozantinib, calcitonine, calcium folinate, calcium levofolinate, capecitabine, capromab, carbamazepine carboplatin, carboquone, carfilzomib, carmofur, carmustine, catumaxomab, celecoxib, celmoleukin, cemiplimab, ceritinib, cetuximab, chlorambucil, chlormadinone, chlormethine, cidofovir, cinacalcet, cisplatin, cladribine, clodronic acid, clofarabine, cobimetinib, copanlisib, crisantaspase, crizotinib, cyclophosphamide, cyproterone, cytarabine, dacarbazine, dactinomycin, daratumumab, darbepoetin alfa, dabrafenib, darolutamide, dasatinib, daunorubicin, decitabine, degarelix, denileukin diftitox, denosumab, depreotide, deslorelin, dianhydrogalactitol, dexrazoxane, dibrospidium chloride, dianhydrogalactitol, diclofenac, dinutuximab, docetaxel, dolasetron, doxifluridine, doxorubicin, doxorubicin + estrone, dronabinol, durvalumab, eculizumab, edrecolomab, elliptinium acetate, elotuzumab, eltrombopag, enasidenib, endostatin, enocitabine, enzalutamide, epirubicin, epitiostanol, epoetin alfa, epoetin beta, epoetin zeta, eptaplatin, eribulin, erlotinib, esomeprazole, estradiol, estramustine, ethinylestradiol, etoposide, everolimus, exemestane, fadrozole, fentanyl, fdgrastim, fluoxymesterone, floxuridine, fludarabine, fluorouracil, flutamide, folinic acid, formestane, fosaprepitant, fotemustine, fulvestrant, gadobutrol, gadoteridol, gadoteric acid meglumine,
gadoversetamide, gadoxetic acid, gallium nitrate, ganirelix, gefitinib, gemcitabine, gemtuzumab, Glucarpidase, glutoxim, GM-CSF, goserelin, granisetron, granulocyte colony stimulating factor, histamine dihydrochloride, histrelin, hydroxycarbamide, 1-125 seeds, lansoprazole, ibandronic acid, ibritumomab tiuxetan, ibrutinib, idarubicin, ifosfamide, imatinib, imiquimod, improsulfan, indisetron, incadronic acid, ingenol mebutate, inotuzumab ozogamicin, interferon alfa, interferon beta, interferon gamma, iobitridol, iobenguane (1231), iomeprol, ipilimumab, irinotecan, Itraconazole, ixabepilone, ixazomib, lanreotide, lansoprazole, lapatinib, lasocholine, lenalidomide, lenvatinib, lenograstim, lentinan, letrozole, leuprorelin, levamisole, levonorgestrel, levothyroxine sodium, lisuride, lobaplatin, lomustine, lonidamine, lutetium Lu 177 dotatate, masoprocol, medroxyprogesterone, megestrol, melarsoprol, melphalan, mepitiostane, mercaptopurine, mesna, methadone, methotrexate, methoxsalen, methylaminolevulinate, methylprednisolone, methyltestosterone, metirosine, midostaurin, mifamurtide, miltefosine, miriplatin, mitobronitol, mitoguazone, mitolactol, mitomycin, mitotane, mitoxantrone, mogamulizumab, molgramostim, mopidamol, morphine hydrochloride, morphine sulfate, mvasi, nabilone, nabiximols, nafarelin, naloxone + pentazocine, naltrexone, nartograstim, necitumumab, nedaplatin, nelarabine, neratinib, neridronic acid, netupitant/palonosetron, nivolumab, pentetreotide, nilotinib, nilutamide, nimorazole, nimotuzumab, nimustine, nintedanib, niraparib, nitracrine, nivolumab, obinutuzumab, octreotide, ofatumumab, olaparib, olaratumab, omacetaxine mepesuccinate, omeprazole, ondansetron, oprelvekin, orgotein, orilotimod, osimertinib, oxaliplatin, oxycodone, oxymetholone, ozogamicine, p53 gene therapy, paclitaxel, palbociclib, palifermin, palladium-103 seed, palonosetron, pamidronic acid, panitumumab, panobinostat, pantoprazole, pazopanib, pegaspargase, PEG -epoetin beta (methoxy PEG-epoetin beta), pembrolizumab, pegfdgrastim, peginterferon alfa-2b, pembrolizumab, pemetrexed, pentazocine, pentostatin, peplomycin, Perflubutane, perfosfamide, Pertuzumab, picibanil, pilocarpine, pirarubicin, pixantrone, plerixafor, plicamycin, poliglusam, polyestradiol phosphate, polyvinylpyrrolidone + sodium hyaluronate, polysaccharide -K, pomalidomide, ponatinib, porfimer sodium, pralatrexate, prednimustine, prednisone, procarbazine, procodazole, propranolol, quinagolide, rabeprazole, racotumomab, radium-223 chloride, radotinib, raloxifene, raltitrexed, ramosetron, ramucirumab, ranimustine, rasburicase, razoxane, refametinib, regorafenib, ribociclib, risedronic acid, rhenium- 186 etidronate, rituximab, rolapitant, romidepsin, romiplostim, romurtide, rucaparib, samarium (153Sm) lexidronam, sargramostim, sarilumab, satumomab, secretin, siltuximab, sipuleucel-T, sizofiran, sobuzoxane, sodium glycididazole, sonidegib, sorafenib, stanozolol, streptozocin, sunitinib, talaporfm, talimogene laherparepvec, tamibarotene, tamoxifen, tapentadol, tasonermin, teceleukin, technetium (99mTc) nofetumomab merpentan, 99mTc-HYNIC-[Tyr3]-octreotide, tegafur, tegafur + gimeracil + oteracil, temoporfm, temozolomide, temsirolimus, teniposide, testosterone, tetrofosmin, thalidomide, thiotepa, thymalfasin, thyrotropin alfa, tioguanine, tisagenlecleucel, tislelizumab, tocilizumab, topotecan, toremifene, tositumomab, trabectedin, trametinib, tramadol, trastuzumab, trastuzumab emtansine, treosulfan, tretinoin, trifluridine + tipiracil, trilostane, triptorelin, trametinib, trofosfamide, thrombopoietin, tryptophan, ubenimex, valatinib, valrubicin, vandetanib, vapreotide,
vemurafenib, vinblastine, vincristine, vindesine, vinflunine, vinorelbine, vismodegib, vorinostat, vorozole, yttrium-90 glass microspheres, zinostatin, zinostatin stimalamer, zoledronic acid, zorubicin.
J-2) Use of a compound of general formula (I) for the treatment or prophylaxis of a disease.
K-2) Use of a compound of general formula (I) for the preparation of a medicament for the treatment or prophylaxis of a disease.
U-2) Use of a compound of formula (I), wherein the disease is a neoplastic disorder, such as cancer or conditions with dysregulated immune responses or other disorders associated with aberrant KRAS signaling, for example.
M-2) Method for controlling neoplastic diseases in humans and animals by administering an anti- neoplastic effective amount of at least one compound of formula (I).
This invention includes also the following further embodiments:
A compound of general formula (I) wherein Z represents -O- or a stereoisomer, a tautomer, an N-oxide, a hydrate, a solvate, or a salt of a stereoisomer, a salt of a tautomer, a salt of an N-oxide, or a mixture of same.
A compound of general formula (I) wherein Z represents C(=O) or a stereoisomer, a tautomer, an N-oxide, a hydrate, a solvate, or a salt of a stereoisomer, a salt of a tautomer, a salt of an N-oxide, or a mixture of same.
A compound of general formula (I) wherein R1 represents wherein * indicates the point of attachment of said group with the rest of the molecule or a stereoisomer, a tautomer, an N-oxide, a hydrate, a solvate, or a salt thereof, or a mixture of same.
A compound of general formula (I) wherein R1 represents wherein * indicates the point of attachment of said group with the rest of the molecule or a stereoisomer, a tautomer, an N-oxide, a hydrate, a solvate, or a salt thereof, or a mixture of same.
A compound of general formula (I) wherein R1 represents wherein * indicates the point of attachment of said group with the rest of the molecule or a stereoisomer, a tautomer, an N-oxide, a hydrate, a solvate, or a salt thereof, or a mixture of same.
A compound of general formula (I) wherein R1 represents wherein * indicates the point of attachment of said group with the rest of the molecule or a stereoisomer, a tautomer, an N-oxide, a hydrate, a solvate, or a salt thereof, or a mixture of same.
A compound of general formula (I) wherein R1 represents wherein * indicates the point of attachment of said group with the rest of the molecule or a stereoisomer, a tautomer, an N-oxide, a hydrate, a solvate, or a salt thereof, or a mixture of same.
A compound of general formula (I) wherein R1 represents wherein * indicates the point of attachment of said group with the rest of the molecule or a stereoisomer, a tautomer, an N-oxide, a hydrate, a solvate, or a salt thereof, or a mixture of same.
A compound of general formula (I) wherein R1 represents wherein * indicates the point of attachment of said group with the rest of the molecule or a stereoisomer, a tautomer, an N-oxide, a hydrate, a solvate, or a salt thereof, or a mixture of same.
A compound of general formula (I) wherein R1 represents wherein * indicates the point of attachment of said group with the rest of the molecule or a stereoisomer, a tautomer, an N-oxide, a hydrate, a solvate, or a salt thereof, or a mixture of same.
A compound of general formula (I) wherein R1 represents wherein * indicates the point of attachment of said group with the rest of the molecule or a stereoisomer, a tautomer, an N-oxide, a hydrate, a solvate, or a salt thereof, or a mixture of same.
A compound of general formula (I) wherein R1 represents wherein * indicates the point of attachment of said group with the rest of the molecule or a stereoisomer, a tautomer, an N-oxide, a hydrate, a solvate, or a salt thereof, or a mixture of same.
A compound of general formula (I) wherein R1 represents wherein * indicates the point of attachment of said group with the rest of the molecule or a stereoisomer, a tautomer, an N-oxide, a hydrate, a solvate, or a salt thereof, or a mixture of same.
A compound of general formula (I) wherein R1 represents wherein * indicates the point of attachment of said group with the rest of the molecule or a stereoisomer, a tautomer, an N-oxide, a hydrate, a solvate, or a salt thereof, or a mixture of same.
A compound of general formula (I) wherein R1 represents wherein * indicates the point of attachment of said group with the rest of the molecule or a stereoisomer, a tautomer, an N-oxide, a hydrate, a solvate, or a salt thereof, or a mixture of same.
A compound of general formula (I) wherein R1 represents wherein * indicates the point of attachment of said group with the rest of the molecule or a stereoisomer, a tautomer, an N-oxide, a hydrate, a solvate, or a salt thereof, or a mixture of same.
A compound of general formula (I) wherein R1 represents wherein * indicates the point of attachment of said group with the rest of the molecule or a stereoisomer, a tautomer, an N-oxide, a hydrate, a solvate, or a salt thereof, or a mixture of same.
A compound of general formula (I) wherein R1 represents wherein * indicates the point of attachment of said group with the rest of the molecule or a stereoisomer, a tautomer, an N-oxide, a hydrate, a solvate, or a salt thereof, or a mixture of same.
A compound of general formula (I) wherein R1 represents wherein * indicates the point of attachment of said group with the rest of the molecule or a stereoisomer, a tautomer, an N-oxide, a hydrate, a solvate, or a salt thereof, or a mixture of same.
A compound of general formula (I) wherein R1 represents wherein * indicates the point of attachment of said group with the rest of the molecule or a stereoisomer, a tautomer, an N-oxide, a hydrate, a solvate, or a salt thereof, or a mixture of same.
A compound of general formula (I) wherein R1 represents wherein * indicates the point of attachment of said group with the rest of the molecule or a stereoisomer, a tautomer, an N- oxide, a hydrate, a solvate, or a salt thereof, or a mixture of same.
A compound of general formula (I) wherein R2 represents wherein * indicates the point of attachment of said group with the rest of the molecule or a stereoisomer, a tautomer, an N-oxide, a hydrate, a solvate, or a salt of a stereoisomer, a salt of a tautomer, a salt of an N-oxide, or a mixture of same.
A compound of general formula (I) wherein R2 represents wherein * indicates the point of attachment of said group with the rest of the molecule or a stereoisomer, a tautomer, an N-oxide, a hydrate, a solvate, or a salt of a stereoisomer, a salt of a tautomer, a salt of an N-oxide, or a mixture of same.
A compound of general formula (I) wherein R2 represents wherein * indicates the point of attachment of said group with the rest of the molecule or a stereoisomer, a tautomer, an N-oxide, a hydrate, a solvate, or a salt of a stereoisomer, a salt of a tautomer, a salt of an N-oxide, or a mixture of same.
A compound of general formula (I) wherein R2 represents wherein * indicates the point of attachment of said group with the rest of the molecule or a stereoisomer, a tautomer, an N-oxide, a hydrate, a solvate, or a salt of a stereoisomer, a salt of a tautomer, a salt of an N-oxide, or a mixture of same.
A compound of general formula (I) wherein R2 represents wherein * indicates the point of attachment of said group with the rest of the molecule or a stereoisomer, a tautomer, an N-oxide, a hydrate, a solvate, or a salt of a stereoisomer, a salt of a tautomer, a salt of an N-oxide, or a mixture of same.
A compound of general formula (I) wherein R2 represents wherein * indicates the point of attachment of said group with the rest of the molecule or a stereoisomer, a tautomer, an N-oxide, a hydrate, a solvate, or a salt of a stereoisomer, a salt of a tautomer, a salt of an N-oxide, or a mixture of same.
A compound of general formula (I) wherein R2 represents wherein * indicates the point of atachment of said group with the rest of the molecule or a stereoisomer, a tautomer, an N-oxide, a hydrate, a solvate, or a salt of a stereoisomer, a salt of a tautomer, a salt of an N-oxide, or a mixture of same.
A compound of general formula (I) wherein R2 represents wherein * indicates the point of atachment of said group with the rest of the molecule or a stereoisomer, a tautomer, an N- oxide, a hydrate, a solvate, or a salt of a stereoisomer, a salt of a tautomer, a salt of an N-oxide, or a mixture of same.
A compound of general formula (I) wherein R2 represents wherein * indicates the point of atachment of said group with the rest of the molecule or a stereoisomer, a tautomer, an N- oxide, a hydrate, a solvate, or a salt of a stereoisomer, a salt of a tautomer, a salt of an N-oxide, or a mixture of same.
A compound of general formula (I) wherein R2 represents wherein * indicates the point of atachment of said group with the rest of the molecule or a stereoisomer, a tautomer, an N- oxide, a hydrate, a solvate, or a salt of a stereoisomer, a salt of a tautomer, a salt of an N-oxide, or a mixture of same.
A compound of general formula (I) wherein R2 represents wherein * indicates the point of atachment of said group with the rest of the molecule or a stereoisomer, a tautomer, an N- oxide, a hydrate, a solvate, or a salt of a stereoisomer, a salt of a tautomer, a salt of an N-oxide, or a mixture of same.
A compound of general formula (I) wherein R2 represents wherein * indicates the point of attachment of said group with the rest of the molecule or a stereoisomer, a tautomer, an N- oxide, a hydrate, a solvate, or a salt of a stereoisomer, a salt of a tautomer, a salt of an N-oxide, or a mixture of same.
A compound of general formula (I) wherein R2 represents wherein * indicates the point of attachment of said group with the rest of the molecule or a stereoisomer, a tautomer, an N- oxide, a hydrate, a solvate, or a salt of a stereoisomer, a salt of a tautomer, a salt of an N-oxide, or a mixture of same.
A compound of general formula (I) wherein R2 represents wherein * indicates the point of attachment of said group with the rest of the molecule or a stereoisomer, a tautomer, an N-oxide, a hydrate, a solvate, or a salt of a stereoisomer, a salt of a tautomer, a salt of an N-oxide, or a mixture of same.
A compound of general formula (I) wherein R2 represents wherein * indicates the point of attachment of said group with the rest of the molecule or a stereoisomer, a tautomer, an N-oxide, a hydrate, a solvate, or a salt of a stereoisomer, a salt of a tautomer, a salt of an N-oxide, or a mixture of same.
A compound of general formula (I) wherein R2 represents wherein * indicates the point of attachment of said group with the rest of the molecule or a stereoisomer, a tautomer, an N-oxide, a hydrate, a solvate, or a salt of a stereoisomer, a salt of a tautomer, a salt of an N-oxide, or a mixture of same.
A compound of general formula (I) wherein R3 represents wherein * indicates the point of attachment of said group with the rest of the molecule or a stereoisomer, a tautomer, an N-oxide, a hydrate, a solvate, or a salt of a stereoisomer, a salt of a tautomer, a salt of an N-oxide, or a mixture of same.
A compound of general formula (I) wherein R3 represents wherein * indicates the point of attachment of said group with the rest of the molecule or a stereoisomer, a tautomer, an N-oxide, a hydrate, a solvate, or a salt of a stereoisomer, a salt of a tautomer, a salt of an N-oxide, or a mixture of same.
A compound of general formula (I) wherein R3 represents wherein * indicates the point of attachment of said group with the rest of the molecule or a stereoisomer, a tautomer, an N-oxide, a hydrate, a solvate, or a salt of a stereoisomer, a salt of a tautomer, a salt of an N-oxide, or a mixture of same.
A compound of general formula (I) wherein R3 represents wherein * indicates the point of attachment of said group with the rest of the molecule or a stereoisomer, a tautomer, an N-oxide, a hydrate, a solvate, or a salt of a stereoisomer, a salt of a tautomer, a salt of an N-oxide, or a mixture of same.
A compound of general formula (I) wherein R3 represents wherein * indicates the point of attachment of said group with the rest of the molecule or a stereoisomer, a tautomer, an N-oxide, a hydrate, a solvate, or a salt of a stereoisomer, a salt of a tautomer, a salt of an N-oxide, or a mixture of same.
A compound of general formula (I) wherein R3 represents wherein * indicates the point of attachment of said group with the rest of the molecule or a stereoisomer, a tautomer, an N-oxide, a hydrate, a solvate, or a salt of a stereoisomer, a salt of a tautomer, a salt of an N-oxide, or a mixture of same.
A compound of general formula (I) wherein R4 represents wherein * indicates the point of attachment of said group with the rest of the molecule or a stereoisomer, a tautomer, an N-oxide, a hydrate, a solvate, or a salt of a stereoisomer, a salt of a tautomer, a salt of an N-oxide, or a mixture of same.
A compound of general formula (I) wherein R4 represents
wherein * indicates the point of attachment of said group with the rest of the molecule or a stereoisomer, a tautomer, an N-oxide, a hydrate, a solvate, or a salt of a stereoisomer, a salt of a tautomer, a salt of an N-oxide, or a mixture of same.
A compound of general formula (I) wherein R4 represents wherein * indicates the point of attachment of said group with the rest of the molecule or a stereoisomer, a tautomer, an N-oxide, a hydrate, a solvate, or a salt of a stereoisomer, a salt of a tautomer, a salt of an N-oxide, or a mixture of same.
A compound of general formula (I) wherein R4 represents wherein * indicates the point of attachment of said group with the rest of the molecule or a stereoisomer, a tautomer, an N-oxide, a hydrate, a solvate, or a salt of a stereoisomer, a salt of a tautomer, a salt of an N-oxide, or a mixture of same.
A compound of general formula (I) wherein R5 represents a hydrogen atom or a stereoisomer, a tautomer, an N-oxide, a hydrate, a solvate, or a salt of a stereoisomer, a salt of a tautomer, a salt of an N- oxide, or a mixture of same.
A compound of general formula (I) wherein R5 represents a fluorine atom or a stereoisomer, a tautomer, an N-oxide, a hydrate, a solvate, or a salt of a stereoisomer, a salt of a tautomer, a salt of an N-oxide, or a mixture of same.
A compound of general formula (I) wherein R5 represents -C=CH wherein * indicates the point of attachment of said group with the rest of the molecule or a stereoisomer, a tautomer, an N-oxide, a hydrate, a solvate, or a salt of a stereoisomer, a salt of a tautomer, a salt of an N-oxide, or a mixture of same.
A compound of general formula (I) wherein R5 represents -CH2-CH3 wherein * indicates the point of attachment of said group with the rest of the molecule or a stereoisomer, a tautomer, an N-oxide, a hydrate, a solvate, or a salt of a stereoisomer, a salt of a tautomer, a salt of an N-oxide, or a mixture of same.
A compound of general formula (I) wherein R6 represents a hydrogen atom or a stereoisomer, a tautomer, an N-oxide, a hydrate, a solvate, or a salt of a stereoisomer, a salt of a tautomer, a salt of an N- oxide, or a mixture of same.
A compound of general formula (I) wherein R6 represents a fluorine atom or a stereoisomer, a tautomer, an N-oxide, a hydrate, a solvate, or a salt of a stereoisomer, a salt of a tautomer, a salt of an N-oxide, or a mixture of same.
A compound of general formula (I) wherein R7 represents a hydrogen atom or a stereoisomer, a tautomer, an N-oxide, a hydrate, a solvate, or a salt of a stereoisomer, a salt of a tautomer, a salt of an N- oxide, or a mixture of same.
A compound of general formula (I) wherein R7 represents a fluorine atom or a stereoisomer, a tautomer, an N-oxide, a hydrate, a solvate, or a salt of a stereoisomer, a salt of a tautomer, a salt of an N-oxide, or a mixture of same.
In a particular further embodiment of the first aspect, the present invention includes combinations of two or more of the above mentioned embodiments under the heading “further embodiments of the first aspect of the present invention”.
The present invention includes any sub-combination within any embodiment or aspect of the present invention of compounds of general formula (I), supra.
The present invention includes any sub-combination within any embodiment or aspect of the present invention.
The present invention covers the compounds of general formula (I) which are disclosed in the Example Section of this text, infra.
UTILITY
Compounds of general formula (I) of the present invention demonstrate a valuable pharmacological spectrum of action which could not have been predicted. Compounds of the present invention have
surprisingly been found to effectively inhibit KRAS and it is possible therefore that said compounds be used for the treatment or prophylaxis of diseases, preferably neoplasic disorders in humans and animals.
Compounds of the present invention can be utilized to inhibit, block, reduce, decrease, etc., cell proliferation and/or cell division, and/or produce apoptosis. This method comprises administering to a mammal in need thereof, including a human, an amount of a compound of general formula (I) of the present invention, or a pharmaceutically acceptable salt, isomer, polymorph, metabolite, hydrate, solvate or ester thereof, which is effective to treat the disorder.
Hyperproliferative disorders include, but are not limited to, for example : psoriasis, keloids, and other hyperplasias affecting the skin, benign prostate hyperplasia (BPH), solid tumours, such as cancers of the breast, respiratory tract, brain, reproductive organs, digestive tract, urinary tract, eye, liver, skin, head and neck, thyroid, parathyroid and their distant metastases. Those disorders also include lymphomas, sarcomas, and leukaemias.
Examples of breast cancers include, but are not limited to, invasive ductal carcinoma, invasive lobular carcinoma, ductal carcinoma in situ, and lobular carcinoma in situ.
Examples of cancers of the respiratory tract include, but are not limited to, small-cell and non-small-cell lung carcinoma, as well as bronchial adenoma and pleuropulmonary blastoma.
Examples of brain cancers include, but are not limited to, brain stem and hypophtalmic glioma, cerebellar and cerebral astrocytoma, medulloblastoma, ependymoma, as well as neuroectodermal and pineal tumour. Tumours of the male reproductive organs include, but are not limited to, prostate and testicular cancer.
Tumours of the female reproductive organs include, but are not limited to, endometrial, cervical, ovarian, vaginal, and vulvar cancer, as well as sarcoma of the uterus.
Tumours of the digestive tract include, but are not limited to, anal, colon, colorectal, oesophageal, gallbladder, gastric, pancreatic, rectal, small-intestine, and salivary gland cancers.
Tumours of the urinary tract include, but are not limited to, bladder, penile, kidney, renal pelvis, ureter, urethral and human papillary renal cancers.
Eye cancers include, but are not limited to, intraocular melanoma and retinoblastoma.
Examples of liver cancers include, but are not limited to, hepatocellular carcinoma (liver cell carcinomas with or without fibrolamellar variant), cholangiocarcinoma (intrahepatic bile duct carcinoma), and mixed hepatocellular cholangiocarcinoma.
Skin cancers include, but are not limited to, squamous cell carcinoma, Kaposi’s sarcoma, malignant melanoma, Merkel cell skin cancer, and non-melanoma skin cancer.
Head-and-neck cancers include, but are not limited to, laryngeal, hypopharyngeal, nasopharyngeal, oropharyngeal cancer, lip and oral cavity cancer and squamous cell.
Lymphomas include, but are not limited to, AIDS-related lymphoma, non-Hodgkin’s lymphoma, cutaneous T-cell lymphoma, Burkitt lymphoma, Hodgkin’s disease, and lymphoma of the central nervous system.
Sarcomas include, but are not limited to, sarcoma of the soft tissue, osteosarcoma, malignant fibrous histiocytoma, lymphosarcoma, and rhabdomyosarcoma.
Leukemias include, but are not limited to, acute myeloid leukemia, acute lymphoblastic leukemia, chronic lymphocytic leukemia, chronic myelogenous leukemia, and hairy cell leukemia.
The present invention also provides methods of treating angiogenic disorders including diseases associated with excessive and/or abnormal angiogenesis.
Inappropriate and ectopic expression of angiogenesis can be deleterious to an organism. A number of pathological conditions are associated with the growth of extraneous blood vessels. These include, for example, diabetic retinopathy, ischemic retinal-vein occlusion, and retinopathy of prematurity [L.P. Aiello et al. New Engl. J. Med. 1994, 331, 1480-1487; J. Pe’er et al. Lab. Invest. 1995, 72, 638-645], age-related macular degeneration (AMD) [P.F. Lopez et al. Invest. Opththalmol. Vis. Sci. 1996, 37, 855-868], neovascular glaucoma, psoriasis, retrolental fibroplasias, angiofibroma, inflammation, rheumatoid arthritis (RA), restenosis, in-stent restenosis, vascular graft restenosis, etc. In addition, the increased blood supply associated with cancerous and neoplastic tissue, encourages growth, leading to rapid tumour enlargement and metastasis. Moreover, the growth of new blood and lymph vessels in a tumour provides an escape route for renegade cells, encouraging metastasis and the consequence spread of the cancer. Thus, compounds of general formula (I) of the present invention can be utilized to treat and/or prevent any of the aforementioned angiogenesis disorders, for example by inhibiting and/or reducing blood vessel formation; by inhibiting, blocking, reducing, decreasing, etc. endothelial cell proliferation, or other types involved in angiogenesis, as well as causing cell death or apoptosis of such cell types.
These disorders have been well characterized in humans, but also exist with a similar etiology in other mammals, and can be treated by administering pharmaceutical compositions of the present invention.
The term “treating” or “treatment” as stated throughout this document is used conventionally, for example the management or care of a subject for the purpose of combating, alleviating, reducing, relieving, improving the condition of a disease or disorder, such as a carcinoma.
The compounds of the present invention can be used in particular in therapy and prevention, i.e. prophylaxis, of tumour growth and metastases, especially in solid tumours of all indications and stages with or without pre -treatment of the tumour growth.
Generally, the use of chemotherapeutic agents and/or anti -cancer agents in combination with a compound or pharmaceutical composition of the present invention will serve to:
1. yield better efficacy in reducing the growth of a tumour or even eliminate the tumour as compared to administration of either agent alone,
2. provide for the administration of lesser amounts of the administered chemotherapeutic agents,
3. provide for a chemotherapeutic treatment that is well tolerated in the patient with fewer deleterious pharmacological complications than observed with single agent chemotherapies and certain other combined therapies,
4. provide for treating a broader spectrum of different cancer types in mammals, especially humans,
5. provide for a higher response rate among treated patients,
6. provide for a longer survival time among treated patients compared to standard chemotherapy treatments,
7. provide a longer time for tumour progression, and/or
8. yield efficacy and tolerability results at least as good as those of the agents used alone, compared to known instances where other cancer agent combinations produce antagonistic effects.
In addition, the compounds of general formula (I) of the present invention can also be used in combination with radiotherapy and/or surgical intervention.
In a further embodiment of the present invention, the compounds of general formula (I) of the present invention may be used to sensitize a cell to radiation, i. e. treatment of a cell with a compound of the present invention prior to radiation treatment of the cell renders the cell more susceptible to DNA damage and cell death than the cell would be in the absence of any treatment with a compound of the present invention. In one aspect, the cell is treated with at least one compound of general formula (I) of the present invention. Thus, the present invention also provides a method of killing a cell, wherein a cell is administered one or more compounds of the present invention in combination with conventional radiation therapy.
The present invention also provides a method of rendering a cell more susceptible to cell death, wherein the cell is treated with one or more compounds of general formula (I) of the present invention prior to the treatment of the cell to cause or induce cell death. In one aspect, after the cell is treated with one or more compounds of general formula (I) of the present invention, the cell is treated with at least one compound, or at least one method, or a combination thereof, in order to cause DNA damage for the purpose of inhibiting the function of the normal cell or killing the cell.
In other embodiments of the present invention, a cell is killed by treating the cell with at least one DNA damaging agent, i.e. after treating a cell with one or more compounds of general formula (I) of the present invention to sensitize the cell to cell death, the cell is treated with at least one DNA damaging agent to kill the cell. DNA damaging agents useful in the present invention include, but are not limited to, chemotherapeutic agents (e.g. cis platin), ionizing radiation (X-rays, ultraviolet radiation), carcinogenic agents, and mutagenic agents.
In other embodiments, a cell is killed by treating the cell with at least one method to cause or induce DNA damage. Such methods include, but are not limited to, activation of a cell signalling pathway that results in DNA damage when the pathway is activated, inhibiting of a cell signalling pathway that results in DNA
damage when the pathway is inhibited, and inducing a biochemical change in a cell, wherein the change results in DNA damage. By way of a non-limiting example, a DNA repair pathway in a cell can be inhibited, thereby preventing the repair of DNA damage and resulting in an abnormal accumulation of DNA damage in a cell.
In one aspect of the invention, a compound of general formula (I) of the present invention is administered to a cell prior to the radiation or other induction of DNA damage in the cell. In another aspect of the invention, a compound of general formula (I) of the present invention is administered to a cell concomitantly with the radiation or other induction of DNA damage in the cell. In yet another aspect of the invention, a compound of general formula (I) of the present invention is administered to a cell immediately after radiation or other induction of DNA damage in the cell has begun.
In another aspect, the cell is in vitro. In another embodiment, the cell is in vivo.
In accordance with a further aspect, the present invention covers compounds of general formula (I), as described supra, or stereoisomers, tautomers, N-oxides, hydrates, solvates, and salts thereof, particularly pharmaceutically acceptable salts thereof, or mixtures of same, for use in the treatment or prophylaxis of diseases, in particular neoplastic disorders.
The pharmaceutical activity of the compounds according to the invention can be explained by their activity as KRAS inhibitors.
In accordance with a further aspect, the present invention covers the use of compounds of general formula (I), as described supra, or stereoisomers, tautomers, N-oxides, hydrates, solvates, and salts thereof, particularly pharmaceutically acceptable salts thereof, or mixtures of same, for the treatment or prophylaxis of diseases, in particular neoplastic disorders, respectively cancer or conditions with dysregulated immune responses or other disorders associated with aberrant KRAS signaling.
In accordance with a further aspect, the present invention covers the use of a compound of formula (I), described supra, or a stereoisomer, a tautomer, an N-oxide, a hydrate, a solvate, or a salt thereof, particularly a pharmaceutically acceptable salt thereof, or a mixture of same, for the prophylaxis or treatment of diseases, in particular neoplastic disorders, respectively cancer or conditions with dysregulated immune responses or other disorders associated with aberrant KRAS signaling.
In accordance with a further aspect, the present invention covers the use of compounds of general formula (I), as described supra, or stereoisomers, tautomers, N-oxides, hydrates, solvates, and salts thereof, particularly pharmaceutically acceptable salts thereof, or mixtures of same, in a method of treatment or prophylaxis of diseases, in particular neoplastic disorders, respectively cancer or conditions with dysregulated immune responses or other disorders associated with aberrant KRAS signaling.
In accordance with a further aspect, the present invention covers use of a compound of general formula (I), as described supra, or stereoisomers, tautomers, N-oxides, hydrates, solvates, and salts thereof, particularly pharmaceutically acceptable salts thereof, or mixtures of same, for the preparation of a pharmaceutical composition, preferably a medicament, for the prophylaxis or treatment of diseases, in
particular neoplastic disorders, respectively cancer or conditions with dysregulated immune responses or other disorders associated with aberrant KRAS signaling.
In accordance with a further aspect, the present invention covers a method of treatment or prophylaxis of diseases, in particular neoplastic disorders, respectively cancer or conditions with dysregulated immune responses or other disorders associated with aberrant KRAS signaling, using an effective amount of a compound of general formula (I), as described supra, or stereoisomers, tautomers, N-oxides, hydrates, solvates, and salts thereof, particularly pharmaceutically acceptable salts thereof, or mixtures of same.
In accordance with a further aspect, the present invention covers pharmaceutical compositions, in particular a medicament, comprising a compound of general formula (I), as described supra, or a stereoisomer, a tautomer, an N-oxide, a hydrate, a solvate, a salt thereof, particularly a pharmaceutically acceptable salt, or a mixture of same, and one or more excipients), in particular one or more pharmaceutically acceptable excipient(s). Conventional procedures for preparing such pharmaceutical compositions in appropriate dosage forms can be utilized.
PHARMACEUTICAL COMPOSITION
The present invention furthermore covers pharmaceutical compositions, in particular medicaments, which comprise at least one compound according to the invention, conventionally together with one or more pharmaceutically suitable excipients, and to their use for the above mentioned purposes.
It is possible for the compounds according to the invention to have systemic and/or local activity. For this purpose, they can be administered in a suitable manner, such as, for example, via the oral, parenteral, pulmonary, nasal, sublingual, lingual, buccal, rectal, vaginal, dermal, transdermal, conjunctival, otic route or as an implant or stent.
For these administration routes, it is possible for the compounds according to the invention to be administered in suitable administration forms.
For oral administration, it is possible to formulate the compounds according to the invention to dosage forms known in the art that deliver the compounds of the invention rapidly and/or in a modified manner, such as, for example, tablets (uncoated or coated tablets, for example with enteric or controlled release coatings that dissolve with a delay or are insoluble), orally-disintegrating tablets, films/wafers, films/lyophylisates, capsules (for example hard or soft gelatine capsules), sugar-coated tablets, granules, pellets, powders, emulsions, suspensions, aerosols or solutions. It is possible to incorporate the compounds according to the invention in crystalline and/or amorphised and/or dissolved form into said dosage forms. Parenteral administration can be effected with avoidance of an absorption step (for example intravenous, intraarterial, intracardial, intraspinal or intralumbal) or with inclusion of absorption (for example intramuscular, subcutaneous, intracutaneous, percutaneous or intraperitoneal). Administration forms which are suitable for parenteral administration are, inter alia, preparations for injection and infusion in the form of solutions, suspensions, emulsions, lyophylisates or sterile powders.
Examples which are suitable for other administration routes are pharmaceutical forms for inhalation [inter alia powder inhalers, nebulizers], nasal drops, nasal solutions, nasal sprays; tablets/fdms/wafers/capsules for lingual, sublingual or buccal administration; suppositories; eye drops, eye ointments, eye baths, ocular inserts, ear drops, ear sprays, ear powders, ear-rinses, ear tampons; vaginal capsules, aqueous suspensions (lotions, mixturae agitandae), lipophilic suspensions, emulsions, ointments, creams, transdermal therapeutic systems (such as, for example, patches), milk, pastes, foams, dusting powders, implants or stents.
The compounds according to the invention can be incorporated into the stated administration forms. This can be effected in a manner known per se by mixing with pharmaceutically suitable excipients. Pharmaceutically suitable excipients include, inter alia,
• fdlers and carriers (for example cellulose, microcrystalline cellulose (such as, for example, Avicel®), lactose, mannitol, starch, calcium phosphate (such as, for example, Di-Cafos®)),
• ointment bases (for example petroleum jelly, paraffins, triglycerides, waxes, wool wax, wool wax alcohols, lanolin, hydrophilic ointment, polyethylene glycols),
• bases for suppositories (for example polyethylene glycols, cacao butter, hard fat),
• solvents (for example water, ethanol, isopropanol, glycerol, propylene glycol, medium chainlength triglycerides, fatty oils, liquid polyethylene glycols, paraffins),
• surfactants, emulsifiers, dispersants or wetters (for example sodium dodecyl sulfate), lecithin, phospholipids, fatty alcohols (such as, for example, Lanette®), sorbitan fatty acid esters (such as, for example, Span®), polyoxyethylene sorbitan fatty acid esters (such as, for example, Tween®), polyoxyethylene fatty acid glycerides (such as, for example, Cremophor®), polyoxethylene fatty acid esters, polyoxyethylene fatty alcohol ethers, glycerol fatty acid esters, poloxamers (such as, for example, Pluronic®),
• buffers, acids and bases (for example phosphates, carbonates, citric acid, acetic acid, hydrochloric acid, sodium hydroxide solution, ammonium carbonate, trometamol, triethanolamine),
• isotonicity agents (for example glucose, sodium chloride),
• adsorbents (for example highly-disperse silicas),
• viscosity-increasing agents, gel formers, thickeners and/or binders (for example polyvinylpyrrolidone, methylcellulose, hydroxypropylmethylcellulose, hydroxypropylcellulose, carboxymethylcellulose-sodium, starch, carbomers, polyacrylic acids (such as, for example, Carbopol®); alginates, gelatine),
• disintegrants (for example modified starch, carboxymethylcellulose-sodium, sodium starch glycolate (such as, for example, Explotab®), cross- linked polyvinylpyrrolidone, croscarmellose- sodium (such as, for example, AcDiSol®)),
• flow regulators, lubricants, glidants and mould release agents (for example magnesium stearate, stearic acid, talc, highly-disperse silicas (such as, for example, Aerosil®)),
• coating materials (for example sugar, shellac) and film formers for films or diffusion membranes which dissolve rapidly or in a modified manner (for example polyvinylpyrrolidones (such as, for example, Kollidon®), polyvinyl alcohol, hydroxypropylmethylcellulose, hydroxypropylcellulose, ethylcellulose, hydroxypropylmethylcellulose phthalate, cellulose acetate, cellulose acetate phthalate, polyacrylates, polymethacrylates such as, for example, Eudragit®)),
• capsule materials (for example gelatine, hydroxypropylmethylcellulose),
• synthetic polymers (for example polylactides, polyglycolides, polyacrylates, polymethacrylates (such as, for example, Eudragit®), polyvinylpyrrolidones (such as, for example, Kollidon®), polyvinyl alcohols, polyvinyl acetates, polyethylene oxides, polyethylene glycols and their copolymers and blockcopolymers),
• plasticizers (for example polyethylene glycols, propylene glycol, glycerol, triacetine, triacetyl citrate, dibutyl phthalate),
• penetration enhancers,
• stabilisers (for example antioxidants such as, for example, ascorbic acid, ascorbyl palmitate, sodium ascorbate, butylhydroxyanisole, butylhydroxytoluene, propyl gallate),
• preservatives (for example parabens, sorbic acid, thiomersal, benzalkonium chloride, chlorhexidine acetate, sodium benzoate),
• colourants (for example inorganic pigments such as, for example, iron oxides, titanium dioxide),
• flavourings, sweeteners, flavour- and/or odour-masking agents.
The present invention furthermore relates to a pharmaceutical composition which comprise at least one compound according to the invention, conventionally together with one or more pharmaceutically suitable excipient(s), and to their use according to the present invention.
It is possible for the compounds according to the invention to have systemic and/or local activity. For this purpose, they can be administered in a suitable manner, such as, for example, via the oral, parenteral, pulmonary, nasal, sublingual, lingual, buccal, rectal, vaginal, dermal, transdermal, conjunctival, otic route or as an implant or stent.
For these administration routes, it is possible for the compounds according to the invention to be administered in suitable administration forms.
For oral administration, it is possible to formulate the compounds according to the invention to dosage forms known in the art that deliver the compounds of the invention rapidly and/or in a modified manner, such as, for example, tablets (uncoated or coated tablets, for example with enteric or controlled release coatings that dissolve with a delay or are insoluble), orally-disintegrating tablets, films/wafers,
films/lyophylisates, capsules (for example hard or soft gelatine capsules), sugar-coated tablets, granules, pellets, powders, emulsions, suspensions, aerosols or solutions. It is possible to incorporate the compounds according to the invention in crystalline and/or amorphised and/or dissolved form into said dosage forms. Parenteral administration can be effected with avoidance of an absorption step (for example intravenous, intraarterial, intracardial, intraspinal or intralumbal) or with inclusion of absorption (for example intramuscular, subcutaneous, intracutaneous, percutaneous or intraperitoneal). Administration forms which are suitable for parenteral administration are, inter alia, preparations for injection and infusion in the form of solutions, suspensions, emulsions, lyophylisates or sterile powders.
Examples which are suitable for other administration routes are pharmaceutical forms for inhalation [inter alia powder inhalers, nebulizers], nasal drops, nasal solutions, nasal sprays; tablets/films/wafers/capsules for lingual, sublingual or buccal administration; suppositories; eye drops, eye ointments, eye baths, ocular inserts, ear drops, ear sprays, ear powders, ear-rinses, ear tampons; vaginal capsules, aqueous suspensions (lotions, mixturae agitandae), lipophilic suspensions, emulsions, ointments, creams, transdermal therapeutic systems (such as, for example, patches), milk, pastes, foams, dusting powders, implants or stents.
The compounds according to the invention can be incorporated into the stated administration forms. This can be effected in a manner known per se by mixing with pharmaceutically suitable excipients. Pharmaceutically suitable excipients include, inter alia,
• fillers and carriers (for example cellulose, microcrystalline cellulose (such as, for example, Avicel®), lactose, mannitol, starch, calcium phosphate (such as, for example, Di-Cafos®)),
• ointment bases (for example petroleum jelly, paraffins, triglycerides, waxes, wool wax, wool wax alcohols, lanolin, hydrophilic ointment, polyethylene glycols),
• bases for suppositories (for example polyethylene glycols, cacao butter, hard fat),
• solvents (for example water, ethanol, isopropanol, glycerol, propylene glycol, medium chainlength triglycerides fatty oils, liquid polyethylene glycols, paraffins),
• surfactants, emulsifiers, dispersants or wetters (for example sodium dodecyl sulfate), lecithin, phospholipids, fatty alcohols (such as, for example, Lanette®), sorbitan fatty acid esters (such as, for example, Span®), polyoxyethylene sorbitan fatty acid esters (such as, for example, Tween®), polyoxyethylene fatty acid glycerides (such as, for example, Cremophor®), polyoxethylene fatty acid esters, polyoxyethylene fatty alcohol ethers, glycerol fatty acid esters, poloxamers (such as, for example, Pluronic®),
• buffers, acids and bases (for example phosphates, carbonates, citric acid, acetic acid, hydrochloric acid, sodium hydroxide solution, ammonium carbonate, trometamol, triethanolamine),
• isotonicity agents (for example glucose, sodium chloride),
• adsorbents (for example highly-disperse silicas),
• viscosity-increasing agents, gel formers, thickeners and/or binders (for example polyvinylpyrrolidone, methylcellulose, hydroxypropylmethylcellulose, hydroxypropylcellulose, carboxymethylcellulose-sodium, starch, carbomers, polyacrylic acids (such as, for example, Carbopol®); alginates, gelatine),
• disintegrants (for example modified starch, carboxymethylcellulose-sodium, sodium starch glycolate (such as, for example, Explotab®), cross- linked polyvinylpyrrolidone, croscarmellose- sodium (such as, for example, AcDiSol®)),
• flow regulators, lubricants, glidants and mould release agents (for example magnesium stearate, stearic acid, talc, highly-disperse silicas (such as, for example, Aerosil®)),
• coating materials (for example sugar, shellac) and film formers for films or diffusion membranes which dissolve rapidly or in a modified manner (for example polyvinylpyrrolidones (such as, for example, Kollidon®), polyvinyl alcohol, hydroxypropylmethylcellulose, hydroxypropylcellulose, ethylcellulose, hydroxypropylmethylcellulose phthalate, cellulose acetate, cellulose acetate phthalate, polyacrylates, polymethacrylates such as, for example, Eudragit®)),
• capsule materials (for example gelatine, hydroxypropylmethylcellulose),
• synthetic polymers (for example polylactides, polyglycolides, polyacrylates, polymethacrylates (such as, for example, Eudragit®), polyvinylpyrrolidones (such as, for example, Kollidon®), polyvinyl alcohols, polyvinyl acetates, polyethylene oxides, polyethylene glycols and their copolymers and blockcopolymers),
• plasticizers (for example polyethylene glycols, propylene glycol, glycerol, triacetine, triacetyl citrate, dibutyl phthalate),
• penetration enhancers,
• stabilisers (for example antioxidants such as, for example, ascorbic acid, ascorbyl palmitate, sodium ascorbate, butylhydroxyanisole, butylhydroxytoluene, propyl gallate),
• preservatives (for example parabens, sorbic acid, thiomersal, benzalkonium chloride, chlorhexidine acetate, sodium benzoate),
• colourants (for example inorganic pigments such as, for example, iron oxides, titanium dioxide),
• flavourings, sweeteners, flavour- and/or odour-masking agents.
The present invention furthermore relates to a pharmaceutical composition which comprise at least one compound according to the invention, conventionally together with one or more pharmaceutically suitable excipient(s), and to their use according to the present invention.
PHARMACEUTICAL COMBINATION
In accordance with another aspect, the present invention covers pharmaceutical combinations, in particular medicaments, comprising at least one compound of general formula (I) of the present invention and at
least one or more further active ingredients, in particular for the treatment and/or prophylaxis of a neoplastic disorder, respectively cancer or conditions with dysregulated immune responses or other disorders associated with aberrant KRAS signaling.
Particularly, the present invention covers a pharmaceutical combination, which comprises:
• one or more first active ingredients, in particular compounds of general formula (I) as defined supra, and
• one or more further active ingredients, in particular cancer agents.
The term “combination” in the present invention is used as known to persons skilled in the art, it being possible for said combination to be a fixed combination, a non -fixed combination or a kit-of-parts.
A “fixed combination” in the present invention is used as known to persons skilled in the art and is defined as a combination wherein, for example, a first active ingredient, such as one or more compounds of general formula (I) of the present invention, and a further active ingredient are present together in one unit dosage or in one single entity. One example of a “fixed combination” is a pharmaceutical composition wherein a first active ingredient and a further active ingredient are present in admixture for simultaneous administration, such as in a formulation. Another example of a “fixed combination” is a pharmaceutical combination wherein a first active ingredient and a further active ingredient are present in one unit without being in admixture.
A non-fixed combination or “kit-of-parts” in the present invention is used as known to persons skilled in the art and is defined as a combination wherein a first active ingredient and a further active ingredient are present in more than one unit. One example of a non-fixed combination or kit-of-parts is a combination wherein the first active ingredient and the further active ingredient are present separately. It is possible for the components of the non-fixed combination or kit-of-parts to be administered separately, sequentially, simultaneously, concurrently or chronologically staggered.
The compounds of the present invention can be administered as the sole pharmaceutical agent or in combination with one or more other pharmaceutically active ingredients where the combination causes no unacceptable adverse effects. The present invention also covers such pharmaceutical combinations. For example, the compounds of the present invention can be combined with known cancer agents, as listed above und P-a).
Based upon standard laboratory techniques known to evaluate compounds useful for the treatment of neoplastic disorders, by standard toxicity tests and by standard pharmacological assays for the determination of treatment of the conditions identified above in mammals, and by comparison of these results with the results of known active ingredients or medicaments that are used to treat these conditions, the effective dosage of the compounds of the present invention can readily be determined for treatment of each desired indication. The amount of the active ingredient to be administered in the treatment of one of these conditions can vary widely according to such considerations as the particular compound and dosage
unit employed, the mode of administration, the period of treatment, the age and sex of the patient treated, and the nature and extent of the condition treated.
The total amount of the active ingredient to be administered will generally range from about 0.001 mg/kg to about 200 mg/kg body weight per day, and preferably from about 0.01 mg/kg to about 20 mg/kg body weight per day. Clinically useful dosing schedules will range from one to three times a day dosing to once every four weeks dosing. In addition, it is possible for "drug holidays", in which a patient is not dosed with a drug for a certain period of time, to be beneficial to the overall balance between pharmacological effect and tolerability. It is possible for a unit dosage to contain from about 0.5 mg to about 1500 mg of active ingredient, and can be administered one or more times per day or less than once a day. The average daily dosage for administration by injection, including intravenous, intramuscular, subcutaneous and parenteral injections, and use of infusion techniques will preferably be from 0.01 to 200 mg/kg of total body weight. The average daily rectal dosage regimen will preferably be from 0.01 to 200 mg/kg of total body weight. The average daily vaginal dosage regimen will preferably be from 0.01 to 200 mg/kg of total body weight. The average daily topical dosage regimen will preferably be from 0.1 to 200 mg administered between one to four times daily. The transdermal concentration will preferably be that required to maintain a daily dose of from 0.01 to 200 mg/kg. The average daily inhalation dosage regimen will preferably be from 0.01 to 100 mg/kg of total body weight.
Of course the specific initial and continuing dosage regimen for each patient will vary according to the nature and severity of the condition as determined by the attending diagnostician, the activity of the specific compound employed, the age and general condition of the patient, time of administration, route of administration, rate of excretion of the drug, drug combinations, and the like. The desired mode of treatment and number of doses of a compound of the present invention or a pharmaceutically acceptable salt or ester or composition thereof can be ascertained by those skilled in the art using conventional treatment tests.
GENERAL PROCEDURES
The compounds according to the invention of general formula (I) can be prepared according to the following schemes 1 to 6. The schemes and procedures described below illustrate synthetic routes to the compounds of general formula (I) of the invention and are not intended to be limiting. It is clear to the person skilled in the art that the order of transformations as exemplified in schemes 1 to 6 can be modified in various ways. The order of transformations exemplified in these schemes is therefore not intended to be limiting. In addition, interconversion of any of the substituents R1, R2, R3, and R4 can be achieved before and/or after the exemplified transformations. These modifications can be such as the introduction of protecting groups, cleavage of protecting groups, the combination of deprotection and reprotection at the substituents R1, R2, and R4, reduction or oxidation of functional groups, halogenation, metallation, substitution or other reactions known to the person skilled in the art. These transformations include those which introduce a functionality which allows for further interconversion of substituents. Appropriate
protecting groups and their introduction and cleavage are well-known to the person skilled in the art (e. g. Greene's Protective Groups in Organic Synthesis, 4th edition, 2006, P. Wuts, T. Greene, John Wiley & Sons or Protecting Groups, 3rd edition, 2003, P.J. Kocienski, Thieme). Specific examples are described in the subsequent paragraphs.
The starting materials are either commercially available or can be prepared according to procedures available from the public domain, as understandable to the person skilled in the art. Specific examples are described in the Experimental Section.
Several routes for the preparation of compounds of general formula (I) are described in schemes 1 to 8.
Synthesis of compounds of general formula (I) of the present invention
Description of Scheme 1 :
Compounds of general formula (I) with the meaning of Z, R1, R2, R3, and R2 as defined in general claim 1, can be synthesized via different key intermediates of general formula (II), (III) and (IV) as depicted in Scheme 1.
Key intermediates of general formula (II) indicate that the “western” imidazo-substituent Z-R4 of general formula (I) can be introduced at the end of the synthesis sequence.
To finally install the side chain R2 a key intermediate of general formula (III) can be used wherein the substituent X4 represents a leaving group like methylsulfonyl or chloride preferably methylsulfonyl.
The introduction of the head group R1 can also be placed at the end of the synthesis route. For this, key intermediates of general formula (IV) can be employed wherein X1 can represent a substiuent like hydroxy- or para-methoxybenzyl sulfoxide but must not be limited to those.
Overall, the different synthetic strategies of final installation of the “western” substituent Z-R4, the side chain R2 or the head group R1 allow maximal flexibility for profound SAR explorations at each substituent position of compounds of general formula (I). To avoid side reactions in the final installation of substituents Z-R4, R2, or R1 the functional groups already present in the substituents of key intermediates of general formula (II), (III), or (IV) might have to be protected via a proper protecting group (PG) described in the books of P. Wuts, and T. Greene or P.J. Kocienski as cited above and that can be finally cleaved via reactions also described in the cited books and well-known to the person skilled in the art.
Scheme 1
For the key intermediates shown in Scheme 1. Z, R1, R2, R3, and R4 represent substituents according to claim 1, optionally bearing suitable protecting groups, which is indicated by the dotted line to “PG”; X4 represents H, Br, or I; X2 represents SO?Mc. or Cl; X1 represents OH, S(O)-PMB (PMB = para- methoxybenzyl); PG represents any protecting group (see Greene's Protective Groups in Organic Synthesis or Protecting Groups as cited above) and if “PG” is used more times in one molecule PG can have different meanings; preferred are those PG combinations used in the experimental section; examples for PGs include triisopropylsilyl (TIPS), diisopropylphenylsilyl, benzyl, methoxymethyl (MOM), and tert.-butoxycarbonyl(Boc); the dashed lines at PG and also at the SiR12R12R13 group indicate that the protecting group and/or the SiR12R12R13 group at the substiutents R1, R2, and R4 might be present or absent; R12 and R13 are identical or different and are independently selected from Ci to Ce alkyl and aryl, preferably from iso-propyl, tert. -butyl, and phenyl.
The positional enumeration of the central purine core is indicated with arabic numbers at the structure of general formula (I) in Scheme 1 above.
To reach key intermediates of general formula (II), (III), or (IV) at first the central purine core has to be assembled, that can be combined with the regioselective installation of substituent R3 at imidazole position 7 (see Scheme 1). Therefore 2,6-dichloropurines of general formula (V) can be synthesized via different routes as shown in Scheme 2.
Description of Scheme 2: Part 1
One possible synthesis route starts from 2,4-dichloropyrimidin-5-amine (formula VI - CAS No: 5177-27- 5) that can be converted in a reductive amination with an acyclic or cyclic ketone of general formula (VII) to get the corresponding alkylated aminopyrimidines of general formula (VIII) having already regioselectively installed the later substituent R3 at the beginning of the synthesis sequence, Scheme 2, Part 1, left part. The conditions of the reductive amination include a mild reducing agent such as sodium cyanoborohydride, sodium triacetoxyborohydride or 2-picoline borane complex, that chemoselectively prefers to reduce the in situ formed imine species from 2,4-dichloropyrimidin-5-amine (formula VI) and the ketone of general formula (VII) corresponding to substituent R3 over the direct reduction of the carbonyl compound (general formula (VII)). To shift the equilibrium of in situ imine formation towards the imine species the byproduct water can be trapped using scavengers such as titanium tetrachloride or mol sieves (3 A). The reductive amination can be done in a protic (e.g. methanol) or aprotic solvent (e.g. dichloromethane) with temperatures ranging from 0°C to 80°C. After having installed substituent R3, the pyrimidines of general formula (VIII) can be chlorinated at position 4 of the pyrimidine ring to get trichloropyrimidines of general formula (IX). A typical chlorinating agent like N-chlorosuccinimide (NCS) or trichloroisocyanuric acid (TCCA) is used in a halogenated solvent like CCU or a dipoloar aprotic solvent like V '-dimcth lfo rm a ide at temperatures ranging from 20°C to 100°C. The subsequent monoaminolysis at one of the two positions ortho the the amino substitent at the pyrimidine of general formula (IX) is done with ammonia dissolved in a protic solvent like isopropanol. This reaction that is usually performed at temperatures between 50°C and 100°C leads to diaminopyrimidines of general formula (X). Subsequent conversion of an orthoester of general formula (XI) wherein R11 represents a Ci to C3 alkyl, preferably ethyl, closes the imidazole ring of the central purine core and leads to 7-substituted purines of general formula (V). Usually an additive like ammonium chloride is employed in a solvent like toluene at higher temperatures between 80°C and 150°C.
An alternative synthesis sequence, also depicted in Scheme 2 part 1, right part, starts from the commercially available 2,6-dichloro-9H-purine (formula XII - CAS No: 1839-23-2). This starting material can be regioselectively “alkoxylated” at position 6 using an alcohol of general formula (XIII) like methanol, benzyl alcohol or tert-butyl 4-(4-hydroxyphenyl)piperazine- 1 -carboxylate (CAS No: 158985- 25-2) as indicated for substituent R8 in Scheme 2 but not limited to those alcohols. Usually these alcohols are deprotonated using a strong base like sodium hydride or potassium tert-butoxide in a protic solvent like methanol or tert-butanol at temperatures ranging from 50°C to 100°C to get the purine ethers of general formula (XIV). The following alkylation can be done using an electrophilic haloalkane of general formula (XV) like 2 -iodopropane or bromocyclobutane leading usually to a nearly 1: 1 mixture of the desired 7-alkylated product of general formula (XVI) and the 9-alkylated byproduct (not shown in Scheme 2) that can be separated by chromatography or preparative HPUC. The imidazole alkylation can be performed in a dipolar aprotic solvent like W-di methyl form am ide or W-dim ethyl acetamide at
temperatures between 20°C and 120°C. In case a bromoalkene of general formula (XV) is used in the alkylation reaction the catalytic addition of an iodine source like potassium iodide might enhance the reaction velocity. The intermediates of general formula (XVI) can be directly used in the subsequent installation of the substituents R1, R2 and Z-R4 but in case R8 represents a methyl group the intermediates of general formula (XVI) can also be converted to the dichloropurines of general formula (V) using POCI3, an organic amine like V '-dimcthylanilinc in a solvent like toluene at higher temperatures between 80°C and 120°C.
Description of Scheme 2, Part 2:
The purines of general formula (V) can also be obtained by a third synthesis sequence also depicted in Scheme 2, Part 2 below, starting on one hand from bromoethyl acetate (CAS No: 105-36-2) and using cyanamine (CAS No: 420-04-2) for a second building block. On the one hand bromoethyl acetate is converted with a primary amine of general formula (XVII) bringing the later substituent R3 within its own alkylsubstituent to get the a-aminoesters of general formula (XVIII). As reaction conditions usually an
excess of amine is used to scavenge the liberated HBr in a protic solvent like ethanol at temperatures between 0°C and 50°C. To get the second cyanamine of general formula (XIX) the unsubstituted cyanamine is converted with an orthoester of general formula wherein R11 represents a Ci to C3 alkyl preferably ethyl. The orthoester used in excess has a double function as reactant and solvent for the cyanamine. Usually higher temperatures between 80°C and 120°C are employed. The resulting cyanamines of general formula (XIX) are converted with the a-aminoesters of general formula (XVIII) using a strong base like potassium tert-butoxide in a solvent like ethanol or diethylether or mixtures thereof usually at room temperature. The obtained aminopyrazole esters of general formula (XX) can react with urea (CAS No: 57-13-6) without additional solvent at higher temperatures between 100°C and 150°C to close the pyrimidindione ring in compounds of general formula (XXI). The next double dehydrochlorination can be done with POCI3, an organic amine like triethylamine in a solvent like toluene at higher temperatures between 80°C and 120°C to afford the dichloropurines of general formula (V).
In Scheme 2, part 2. R3 represents substituents according to claim 1; R8 represents the substituents shown in Scheme 2 part 1 ; the substituents R9 and R10 together represent a substituent R3 according to claim 1; the dashed circle, that might be present or not, has the meaning of a possible ring connection between R9 and R10 according to the claim 1 for substituent R3; R11 represents a Ci to Cs alkyl group, preferably a methyl- or an ethyl group; reaction conditions in Scheme 2 part 1 and 2: step 1: reductive amination; step 2: chlorination; step 3: NH3, solvent; step 4: NH4Cl, toluene; step 5, 10: base solvent; step 6: base, KI, solvent; step 7, 12: POCK. organic amine, solvent; step 8: solvent; step 9: neat; step 11: urea neat.
Description of Scheme 3, Part 1 :
The dichloropurines of general formula (V) can be the starting materials to get the key intermediates of general formula (II) as shown in Scheme 3. First the nitrogen nucleophiles R’-H of general formula (XXII) for nitrogen nucleophiles containing no protecting groups at further functional groups within R1 or of general formula (XXIII) for nitrogen nucleophiles containing a protecting groups at further functional groups within R1 can be used to get the purine intermediates of general formula (XXIV). In both cases of nitrogen nuclephiles with or without additional protecting groups at R1 the reaction conditions include an organic amine base like triethylamine and a solvent like dichloromethane or 1,4-dixoane. Usually the reactions are performed at temperatures ranging from 20°C to 80°C. In case the unprotected nitrogen nucleophiles of general formula (XXII) are employed a following, optional protection might be necessary at additional functional groups within R1. For example, if this additional functional group might be an alcohol within R1, a silyl protection group might be used well-known to a person skilled in the art (see
protecting group books cited above). The dotted line to “PG” in Scheme 3 indicates that the protecting group may be present or absent). The monochloropurines of general formula (XXIV) can be converted in a second nucleophilic aromatic substitution (S - Ar) with an alcohol of general formula (XXV) that might also contain a protecting group at an additional functional group within R2. To get good conversions the alcohols of general formula (XXV) first have to be deprotonated quantitatively by using a strong base like sodium hydride or sodium bis(trimethylsilyl)amide in a solvent like tetrahydrofuran or 1,4-dioxane at lower temperatures between -20C° to 30°C. Then the chloropurine of general formula (XXIV) is added and the reaction continued at higher temperatures between 70°C and 110°C to obtain the key intermediates of general formula (II) wherein X4 represents a hydrogen. Depending if the Z-linker is a carbonyl or an oxygen atom, different reaction sequences for the installation of the “western” substituent Z-R4 are employed. According to claim 1 R4 includes 5 -ethynyl-6-fluoro-2 -naphthol, a 5-ethyl-6-fluoro-2- naphthol, a fluorinated or non-fluorinated l,3-benzothiazol-2-amine, a 2-amino-l-benzothiophene-3- carbonitrile, a 4-methyl-5-(trifluoromethyl)pyridine-2-amine and connecting points to the Z-linker as described for claim 1. In case R4 represents a 5-ethynyl-6-fluoro-2-naphthol the naphtholic hydroxy group is connected to a protecting group PG as indicated for the compounds of general formula (XXVI) or (XXX) shown in Scheme 3, Part 1 and 2. This protecting group might be an ether like methoxymethyl (MOM) or a silyl group like tert-butyldiphenylsilyl (TBDPS) but not limited to those. The terminal alkyne position of a 5-ethynyl-6-fluoro-2-naphthol representing R4 might additionally be protected with a silyl group SiR12R12R13 as shown for compounds of general formula (XXVI) or (XXX). This silyl group SiR12R12R13 can for example be a triisopropylsilyl (TIPS) group but any other suitable silyl group for a terminal alkyne as well. In case R4 represents a 4-methyl-5-(trifluoromethyl)pyridine-2 -amine the amino group is connected to a protecting group PG as indicated for the compounds of general formula (XXVI). This protecting group might be a PMB protecting group but is not limited to those. In case the Z-linker of the final compounds of general formula (I) shall be a carbonyl, an aldehyde of general formula (XXVI) can be used to be connected to position 8 of the central purine ring of intermediates of general formula (II) wherein X4 represents a hydrogen. Therefore the imidazole ring first has to be quantitatively deprotonated at position 8 using a strong base like lithium bis(trimethylsilyl)amide in a solvent like tetrahydrofuran at lower temperatures between -40°C to 0°C. Afterwards the aldehyde of general formula (XXVI) is added and the reaction kept at lower temperature or raised to room temperature to get the intermediate alcohols of general formula (XXVII).
Scheme 3, Part 1
(XXVII) (II) Reaction conditions in scheme 3, part 1: step la, and 2: organic amine, solvent; step lb: protection (brackets indicate that the protection step might not be necessary depending on R1 ; step 3, and 4: strong base, solvent;
Description of Scheme 3, Part 2: Before oxidizing these alcohols to the corresponding ketones usually the silyl protecting group SiR12R12R13 of the terminal alkyne is removed due to steric shielding of the alcohol linker that is in close spatial proximity. This silyl deprotection step can be performed for example with tetrabutylammonium fluoride (TBAF) in a solvent like tetrahydrofuran at lower temperatures between -30°C to 0°C to avoid ring closure between the alcohol and the unprotected alkyne. Afterwards the oxidation of the deprotected intermediate of general formula (XXVIII) is performed with a mild oxidizing agent like Dess-Martin periodinane (DMP) in a solvent like dichloromethane usually at room temperature. The reaction sequence
of alkyne silyl deprotection and subsequent alcohol oxidation can also be done vice versa but in this case the sily deprotection has to be done at higher temperatures between 50°C and 80°C. To get to the final compounds of general formula (I) wherein Z represents the carbonyl as shown in Scheme 3 Part 2, the penultimate protected intermediates of general formula (XXIX) have to be deprotected at R1, R2 and/or R4. This can be done in one step using acidic conditions like HC1 or TFA in organic solvent like 1,4- dioxane or methane sulfonic acid (MsOH) in methanol to remove additional MOM groups at the naphtholic hydroxy or PMB groups at the amine - and tert-butyloxycarbonyl (Boc) groups at piperazine containing head groups R1. In case of an oxygen Z-linker the lower right reaction sequence shown in Scheme 3 Part 2 might be used. For that, first the key intermediates of general formula (II) wherein X4 represents a hydrogen might be brominated in position 8 to get intermediates of general formula (II) wherein X4 represents a bromine. To perform this bromination first the position 8 of the central purine ring has to be quantitatively deprotonated using a strong base like lithium bis(trimethylsilyl)amide in a solvent like tetrahydrofuran at lower temperatures between -40°C to 0°C. Then a bromine source like Br2 or N- bromosuccinimide (NBS) can be added and the reaction kept at lower temperature or raised to room temperature to get the key intermediates of general formula (II) wherein X4 represents a bromine. This bromine can be substituted in an S- Ar reaction with an alcohol of general formula (XXX) wherein R4 represents the known groups from claim 1 like 5-ethynyl-6-fluoro-2-naphthol that again might be doubly protected at the naphtholic hydroxy group (PG) and the terminal alkyne (SiR12R12R13) as already described above. For the S- Ar reaction usually a strong base like the phosphazene 2-(tcrt-butylimino)-A'.A'-dicthyl- 1,3 -dimethyl- 1, 3, 21ambda5-diazaphos-phinan-2-amine (BEMP) is employed in a solvent like N,N- dimethylformamide at temperatures between 50°C and 100°C. The resulting ethers of general formula (XXXI) need to be deprotected from orthogonal protecting groups. This is usually done in two steps wherein first the SiR12R12R13 group is removed from the terminal alkyne with TBAF as already described above. Finally the acid labile protecting groups like MOM, Boc or PMB are removed as also described above using HC1 in organic solvent or MsOH in methanol to get the desired compounds of general formula (I) wherein Z represents an oxygen (see scheme 3, part 2).
In Scheme 3 part 1 and 2. Z, X4, R1, R2, R3, and R4 represent substituents according to claim 1 optionally bearing suitable protecting groups, which is indicated by the dotted line to “PG”; the selections for Z and X4 for the shown synthesis are indicated in Scheme 3; PG represents any protecting group, suitable for the respective functional group (see Greene's Protective Groups in Organic Synthesis or Protecting Groups as cited above); the dashed lines at PG and also at the SiR12R12R13 group indicate that the protecting group and/or the SiR12R12R13 group at the substiutents R1, R2, and R4 might be present or absent; R12 and R13
represent Ci to Ce alkyl or aryl preferably iso-Propyl, tert.-Bu, or phenyl; reaction conditions in scheme
3, part 2: step la, and 2: organic amine, solvent; step lb: protection (brackets indicate that the protection step might not be necessary depending on R1; step 3, and 4: strong base, solvent; step 5; TBAF, solvent; step 6: oxidation; step 7, and 10: deprotection; step 8: bromination; step 9: base, solvent.
Descripton of Scheme 4:
After installation of the head group R1 the intermediate monochloropurines of general formula (XXIV) can also be converted at the chloro-position to a non-leaving group like thiomethyl as shown in Scheme
4. By employment of sodium thiomethoxide in a polar solvent like dimethyl sulfoxide the S - Ar reaction can lead at temperatures ranging from 50°C to 100°C to the thioethers of general formula (XXXII). These intermediate thioethers can be brominated in position 8 as already described in Scheme 3 using a strong base like lithium bis(trimethylsilyl)amide for quantitative deprotonation with subsequent addition of a bromination reagent like NBS at conditions already described in scheme 3. Using double protected alcohols (PG, SiR12R12R13) of general formula (XXX) as described in Scheme 3. the bromopurines of general formula (XXXIII) can be coupled to these alcohols using a base like potassium carbonate in a polar solvent like 'A'-dimcthylformamidc at higher temperatures between 80°C and 120°C to get the ethers of general formula (XXXIV). The final introduction of the side chain R1 can be performed by reconverting the non-leaving group thiomethyl again in a proper leaving group via oxidation to the corresponding key intermediate sulfone of general formula (III) wherein Z represents an oxygen and X2 represents a methylsulfonyl. This oxidative activation is usually done with at least 2 equivalents of an oxidizing reagent like meto-chloroperoxybenzoic acid or potassium peroxymonosulfate (oxone) in a solvent such as dichloromethane at temperatures between -20°C and 40°C. The alcohol of general formula (XXV) can then be installed using a strong base like sodium hydride under reaction conditions already described at Scheme 3 using the good leaving group qualities ofX2 representing methylsulfonyl. The final deprotection of the orthogonal protecting groups is again done sequentially using TBAF to remove SiR12R12R13 and then removing MOM- and Boc-protecting groups under acidic conditions like HC1 or methansulfonic acid in organic solvent to get compounds of general formula (I) with the meaning of oxygen for the Z-linker. Similarly to the sequence shown on the lower left of Scheme 3 also the aldehyde of general formula (XXVI) might be used in the conversion of intermediate (XXXII) via quantitative deprotonation at position 8 in the purine core with a strong base and subsequent trapping with the aldehyde of general formula (XXIV). After DMP oxidation of the resulting alcohol (not shown in Scheme 3 nor Scheme 4) the usual order of reaction steps as shown for intermediates of general formula (XXXIV) in Scheme 4 might be employed to get final products of general formula (I) wherein Z would represent a carbonyl group.
Scheme 4
step strong base, solvent
In Scheme 4, Z, X2, R1, R2, R3, and R4 represent substituents according to claim 1 optionally bearing suitable protecting groups, which is indicated by the dotted line to “PG”; the selections for Z and X2 for the shown synthesis are indicated in Scheme 4; PG represents any protecting group, suitable for the respective functional group (see Greene's Protective Groups in Organic Synthesis or Protecting Groups as cited above the dashed lines at PG and also at the SiR12R12R13 group indicate that the protecting group and/or the SiR12R12R13 group at the substiutents R1, R2, and R4 might be present or absent; R12 and R13 represent Ci to Ce alkyl or aryl preferably i-Pr, t-Bu, or phenyl; reaction conditions in scheme 3: step 1: NaSMe, solvent; step 2: bromination; step 3: base, solvent; step 4; oxidation; step 5: strong base, solvent; step 6: deprotection.
Description of Scheme 5 :
In Scheme 2 monochloropurines of general formula (XVI) wherein R8 represents tert-butyl 4-(4- hydroxyphenyl)piperazine-l -carboxylate can be used as starting points for the synthesis of key intermediates of general formula (IV) as shown in Scheme 5. The mentioned monochloropurines of general formula (XXXV) are first converted with alcohols of general formula (XXV) under Buchwald conditions to form the C-0 bond between the purine core and R2. The catalytic system used under these Buchwald conditions is composed of a palladium compound in combination with a suitable ligand like (2'-amino[biphenyl]-2-yl)(methanesulfonato-kappaO)palladium - dicyclohexyl(2',6'- diisopropoxy[biphenyl]-2-yl)phosphine (1: 1)(CAS No: 1445085-77-7), a base like caesium carbonate in a solvent like toluene at higher temperatures in the range between 80°C and 120°C to get the purines of general formula (XXXVI). A subsequent transetherification at position 8 of the purine core can be performed with an alcohol like methanol or benzyl alcohol. Therefore, first the alcohol of general formula (XXXVII) like the mentioned methanol or benzyl alcohol are quantitatively deprotonated with a strong base like sodium hydride at lower temperatures between -20°C to 20°C in a solvent like methanol or N,N- dimethylacetamide and after the addition of the compound of general formula (XXXVI) stirring is continued at lower temperatures or raised to 50°C to 80°C. The resulting ethers of general formula (XXXVIII) are next brominated at position 8 of the purine ring. At first again the purine ring is quantitatively deprotonated using a strong base like lithium bis(trimethylsilyl)amide in a solvent like tetrahydrofuran at lower temperatures between -40°C to 0°C, before a bromination reagent like NBS or Br2 is added at very low temperatures between -80°C to -20°C to obtain the bromopurines of general formula (XXXIX) as shown in Scheme 5. The attachment of the alcohols of general formula (XXX) already described above in Scheme 3 and 4 can be done via different conditions. Either a strong base like the phosphazene BEMP is employed and coupling can then be performed around room temperature in a solvent like '. '-dimcthylacctamidc. Or a weaker base like potassium carbonate is used in a solvent like V '-di cthylfo rm a ide, but then elevated temperatures are needed between 80°C to 120°C.
In the resulting intermediates of general formula (XL) the ether substituent first has to be removed before the head group R1 could be installed.
In case R14 has the meaning of a methyl group demethylation conditions could for example include a combination of an oxidizing agent like sodium iodate and a scavenger for the in situ formed acetal like chlorotrimethylsilane to cleave the methyl group. Typically a solvent like acetonitrile is used at temperatures kept around room temperature.
In case R14 has the meaning of a benzyl group, redutive hydrogenation conditions could be employed using atmospheric hydrogen gas pressure and catalytic amount of palladium on charcoal in a solvent like ethanol at room temperature to receive the key intermediate of general formula (IV) wherein Z represents an oxygen and X1 represents a hydroxy group. This hydroxy group X1 could then be activated with a coupling reagent like e.g. (lH-benzotriazol-l-yloxy)[tri(pyrrolidin-l-yl)]phosphonium hexafluorophosphate (PyBOP), l-[bis(dimethylamino)methylene]-lH-l,2,3-triazolo[4,5-b]pyridinium 3- oxid hexafluorophosphate (HATU), or l-ethyl-3 -(3 -dimethylaminop ropyl)carbodiimide (EDC)in the presence of a strong base like l,8-diazabicclo[5.4.0]undec-7-en (DBU) and coupled with a nitrogen nucleophile of general formula (XXIII) to install the head group R1. This conversion can be performed in a polar solvent like N, JV-dimethylformamide at temperatures around room temperature. After this coupling the orthogonal protecting groups have to be removed. Typically the silyl groups like SiR12R12R13 are first removed using TBAF under reaction conditions already described for scheme 3 and 4. The compounds of general formula (XXXI) could also contain more than one silyl group (for example PG as general protecting group could also have the meaning of a silyl group like tert-butyldiphenysilyl (TBDPS)) that
are simultaneously removed under the TBAF reaction conditions. Finally the acid labile groups like MOM and Boc can be removed under reaction conditions already described above.
In Scheme 5. part 1 and 2. Z, X1, R1, R2, R3, and R4 represent substituents according to claim 1 optionally bearing suitable protecting groups, which is indicated by the dotted line to “PG”; the selections for Z and X1 for the shown synthesis are indicated in Scheme 5; PG represents any protecting group, suitable for the respective functional group (see Greene's Protective Groups in Organic Synthesis or Protecting Groups as cited above the dashed lines at PG and also at the SiR12R12R13 group indicate that the protecting group and/or the SiR12R12R13 group at the substiutents R1, R2, and R4 might be present or absent; R12 and R13 represent Ci to Ce alkyl or aryl preferably iso-propyl, tert.-butyl, or phenyl; R14 represents methyl or benzyl; reaction conditions in Scheme 5: step 1: RuPhos palladacycle generation 3, CS2CO3, toluene; step 2: solvent; step 3: bromination; step 4; base, solvent; step 5: TMSCl, NalOi, MeCN (in case R14 is methyl) or H2. Pd/C, protic solvent (in case R14 is benzyl); step 6: PyBOP, DBU, DMAC; step 7: deprotection.
Description of Scheme 6:
Instead of the transetherification described at step 2 in Scheme 5 the compounds of general formula (XXXVI) could also be converted to thioethers at position 6 of the central purine core. To perform this
conversion at first a thiol of general formula (XLI) like (4-methoxyphenyl)methanethiol is quantitatively deprotonated using a stronger base like BEMP in a polar solvent like '. '-dimcthylacctamidc at temperatures between 0°C and 30°C. Then the ether of general formula (XXXVI) is added and stirring is continued usually at ambient temperature. The received thioether of general formula (XLII) can then be oxidized to the corresponding sulfoxide with one equivalent of oxidizing agent like oxone in a solvent or solvent mixture like methanol and 1,4-dioxane at temperatures ranging from 0°C to 50°C. The obtained sulfoxide of general formula (XLIII) has sufficient leaving group quality to be exchanged with a nitrogen nucleophile of general formula (XXIII) to install the head group R1. This exchange can be performed under acidic conditions with for example propionic acid in a solvent like 2 -methyl -2 -butanol at higher temperatures between 80°C and 120°C as shown in scheme 6. The resulting key intermediates of general formula (II) wherein X4 represents a hydrogen can further be converted as described in scheme 3. Alternatively the thioethers of general formula (XLII) can also be used to first install to western Z-R4 moiety according to the synthesis steps 3 and 4 described in Scheme 5 before the thioether position is oxidized to the sulfoxide to install the R1 headgroup as described in Scheme 6.
In scheme 6, Z, X4, R1, R2, and R3 represent substituents according to claim 1 optionally bearing suitable protecting groups, which is indicated by the dotted line to “PG”; the selection for X4 for the shown synthesis is indicated in scheme 6; PG represents any protecting group, suitable for the respective
functional group (see Greene 's Protective Groups in Organic Synthesis or Protecting Groups as cited above the dashed lines at PG indicate that the protecting group at the substiutents R1, and R2 might be present or absent; R15 represents Ci to C7 alkyl or aryl preferably para-methoxybenzyl (PMB). Scheme 7, part 1
Description of Scheme 7 :
The dichloropurines of general formula (V) can be the starting materials to get the key intermediates of general formula (XLV) as shown in Scheme 7. In case R4 represents a 5 -ethynyl-6-fluoro-2 -naphthol the
naphtholic hydroxy group is connected to a protecting group PG as indicated for the compounds of general formula (XXVI) shown in Scheme 7, part 1 and 2. This protecting group might be an ether like methoxymethyl (MOM) but is not limited to those. The terminal alkyne position of a 5-ethynyl-6-fluoro- 2-naphthol representing R4 might additionally be protected with a silyl group SiR12R12R13 as shown for compounds of general formula (XXVI). This silyl group SiR12R12R13 can for example be a triisopropylsilyl (TIPS) group but any other suitable silyl group for a terminal alkyne as well. For the final compounds of general formula (I) with a Z = carbonyl, an aldehyde of general formula (XXVI) can be used to be connected to position 8 of the central purine ring of intermediates of general formula (V). The imidazole ring first has to be quantitatively deprotonated at position 8 using a strong base like lithium bis(trimethylsilyl)amide in a solvent like tetrahydrofuran at lower temperatures between -40°C to 0°C. Afterwards the aldehyde of general formula (XXVI) is added, and the reaction kept at lower temperature or raised to room temperature to get the intermediate alcohols of general formula (XLIV). Afterwards the oxidation of the alcohol intermediate of general formula (XLIV) is performed with a mild oxidizing agent like Dess-Martin periodinane (DMP) in a solvent like dichloromethane usually at room temperature. Then the nitrogen nucleophiles of general formula (XXIII) containingor not containing protecting groups at further functional groups within R1 can be used to get the purine intermediates of general formula (XL VI). In both cases of nitrogen nucleophiles with or without additional protecting groups at R1 the reaction conditions include an organic amine base like triethylamine and a solvent like dichloromethane or 1,4- dixoane. Usually, the reactions are performed at temperatures ranging from 20°C to 80°C. The dotted line to “PG” in Scheme 3 indicates that the protecting group may be present or absent). The monochloropurines of general formula (XL VI) can be converted in a second nucleophilic aromatic substitution (S - Ar) with an alcohol of general formula (XXV) that might also contain a protecting group at an additional functional group within R2. To get good conversions the alcohols of general formula (XXV) first must be deprotonated quantitatively by using a strong base like sodium hydride or sodium bis(trimethylsilyl)amide in a solvent like tetrahydrofuran or 1,4-dioxane at lower temperatures between -20C° to 30°C. Then the chloropurine of general formula (XL VI) is added and the reaction continued at higher temperatures between 70°C and 110°C to obtain the key intermediates of general formula (XL VII) wherein. Thesilyl protecting group is then cleaved to obtain intermediate (XXIX). This silyl deprotection step can be performed for example with tetrabutylammonium fluoride (TBAF) in a solvent like tetrahydrofuran at lower temperatures between -30°C to 0°C. Finally, the acid labile protecting groups like MOM and Boc are removed as also described above using HC1 or TFA in organic solvent or MsOH in methanol to get the desired compounds of general formula (I) wherein Z represents a carbonyl group.
Scheme 8, part 1
Description of Scheme 8, part 1:
The dichloropurines of general formula (V) can be the starting materials to get the key intermediates of general formula (LI) as shown in Scheme 8. In case R4 represents a 5 -ethynyl-6-fluoro-2 -naphthol the naphtholic hydroxy group is connected to a protecting group PG as indicated for the compounds of general formula (XXVI) shown in Scheme 8, part 1 and 2. This protecting group might be an ether like methoxymethyl (MOM) or methoxyethoxymethyl (MEM) but is not limited to those. The terminal alkyne position of a 5-ethynyl-6-fluoro-2-naphthol representing R4 might additionally be protected with a silyl group SiR12R12R13 as shown for compounds of general formula (XXVI). This silyl group SiR12R12R13 can for example be a triisopropylsilyl (TIPS) group but any other suitable silyl group for a terminal alkyne as well. For the final compounds of general formula (I) p-methoxybenzylmercaptan can be used as nucleophiles to get the purine intermediates of general formula (XL VIII). The reaction conditions include an inorganic amine base like potassium carbonate and a solvent like DMF. Usually, the reactions are performed at 25 °C. The monochloropurines of general formula (XL VIII) can be converted in a second nucleophilic aromatic substitution (S- Ar) with an alcohol of general formula (XXV) that might also contain a protecting group at an additional functional group within R2. To get good conversions the alcohols of general formula (XXV) first must be deprotonated quantitatively by using a strong base like sodium hydride or sodium bis(trimethylsilyl)amide in a solvent like tetrahydrofuran or 1,4-dioxane at lower temperatures between -20C° to 30°C. Then the chloropurine of general formula (XL VIII) is added and the reaction continued at higher temperatures between 70°C and 110°C to obtain the key intermediates of general formula (XLIX) wherein. An aldehyde of general formula (XXVI) can be used to be connected to position 8 of the central purine ring of intermediates of general formula (XLIX). The imidazole ring
first must be quantitatively deprotonated at position 8 using a strong base like lithium bis(trimethylsilyl)amide in a solvent like tetrahydrofuran at lower temperatures between -40°C to 0°C. Afterwards the aldehyde of general formula (XXVI) is added, and the reaction kept at lower temperature or raised to room temperature to get the intermediate alcohols of general formula (L). Before oxidizing these alcohols to the corresponding ketones usually the silyl protecting group SiR12R12R13 of the terminal alkyne is removed due to steric shielding of the alcohol linker that is in close spatial proximity. This silyl deprotection step can be performed for example with tetrabutylammonium fluoride (TBAF) in a solvent like tetrahydrofuran at lower temperatures between -30°C to 0°C to avoid ring closure between the alcohol and the unprotected alkyne to give intermediate (LI)
(XXIX) Z = C(=O)
The oxidation of the deprotected intermediate of general formula (LI) is performed with a mild oxidizing agent like Dess-Martin periodinane (DMP) in a solvent like dichloromethane usually at room temperature to give intermediate (LII) . The received thioether of general formula (LII) can then be in situ oxidized and trapped by water using two equivalents of oxidizing agent like oxone in a solvent mixture of 1,4-dioxane and water at temperatures ranging from 0°C to 25 °C to give key intermediate (LIII). Intermediate (LIII) can then be activated using PyBOB and DBU in anhydrous DMA at rt and transformed to intermediate (XXIX) using nitrogen nucleophiles of general formula (XXIII) containing none or protecting groups at further functional groups within R1. Finally, the acid labile protecting groups like Boc are removed as also described above using HC1 or TFA in organic solvent or MsOH in methanol to get the desired compounds of general formula (I) wherein Z represents a carbonyl group.
EXPERIMENTAL SECTION
NMR peak forms are stated as they appear in the spectra, possible higher order effects have not been considered.
The ’H-NMR data of selected compounds are listed in the form of ’H-NMR peaklists. Therein, for each signal peak the 5 value in ppm is given, followed by the signal intensity, reported in round brackets. The 5 value-signal intensity pairs from different peaks are separated by commas. Therefore, a peaklist is described by the general form: 5i (intensity i), 82 (intensity2), ... , 8! (intensity!), ... , 8n (intensityn).
The intensity of a sharp signal correlates with the height (in cm) of the signal in a printed NMR spectrum. When compared with other signals, this data can be correlated to the real ratios of the signal intensities. In the case of broad signals, more than one peak, or the center of the signal along with their relative intensity, compared to the most intense signal displayed in the spectrum, are shown. A ’H-NMR peaklist is similar to a classical ’H-NMR readout, and thus usually contains all the peaks listed in a classical NMR interpretation. Moreover, similar to classical ’H-NMR printouts, peaklists can show solvent signals, signals derived from stereoisomers of the particular target compound, peaks of impurities, 13C satellite peaks, and/or spinning sidebands. The peaks of stereoisomers, and/or peaks of impurities are typically displayed with a lower intensity compared to the peaks of the target compound (e.g., with a purity of >90%). Such stereoisomers and/or impurities may be typical for the particular manufacturing process, and therefore their peaks may help to identify a reproduction of the manufacturing process on the basis of "byproduct fingerprints". An expert who calculates the peaks of the target compound by known methods (MestReC, ACD simulation, or by use of empirically evaluated expectation values), can isolate the peaks of the target compound as required, optionally using additional intensity filters. Such an operation would be similar to peak -picking in classical ’H-NMR interpretation. A detailed description of the reporting of NMR data in the form of peaklists can be found in the publication "Citation of NMR Peaklist Data within Patent Applications" (cf. http://www.researchdisclosure.com/searching-disclosures, Research Disclosure Database Number 605005, 2014, 01 Aug 2014). In the peak picking routine, as described in the Research Disclosure Database Number 605005, the parameter "MinimumHeight" can be adjusted between 1% and 4%. However, depending on the chemical structure and/or depending on the concentration of the measured compound it may be reasonable to set the parameter "MinimumHeight" <1%.
Chemical names were generated using the ACD/Name software from ACD/Labs. In some cases generally accepted names of commercially available reagents were used in place of ACD/Name generated names.
Optical rotations were measured using a JASCO P2000 Polarimeter. Typical, a solution of the compound with a concentration of 1 mg/mL to 15 mg/mL was used for the measurement. The specific rotation [O.]D was calculated according to the following formula:
In this equation, a is the measured rotation in degrees; d is the path length in decimetres and is the concentration in g/mL.
The following table 1 lists the abbreviations used in this paragraph and in the Examples section as far as they are not explained within the text body. Other abbreviations have their meanings customary per se to the skilled person. EXPERIMENTAL PART
Table 1 lists the abbreviations used in this paragraph and in the Intermediates and Examples sections as far as they are not explained within the text body.
Other abbreviations have their meanings customary per se to the skilled person.
The various aspects of the invention described in this application are illustrated by the following examples which are not meant to limit the invention in any way.
The example testing experiments described herein serve to illustrate the present invention and the invention is not limited to the examples given.
GENERAL PART
All reagents, for which the synthesis is not described in the experimental part, are either commercially available, or are known compounds or may be formed from known compounds by known methods by a person skilled in the art.
The compounds and intermediates produced according to the methods of the invention may require purification. Purification of organic compounds is well known to the person skilled in the art and there may be several ways of purifying the same compound. In some cases, no purification may be necessary. In some cases, the compounds may be purified by crystallization. In some cases, impurities may be stirred out using a suitable solvent. In some cases, the compounds may be purified by chromatography, particularly flash column chromatography, using for example prepacked silica gel cartridges, e.g. Biotage SNAP cartidges KP-Sil® or KP-NH® in combination with a Biotage autopurifier system (SP4® or Isolera Four®) and eluents such as gradients of hexane/ethyl acetate or DCM/methanol. In some cases, the compounds may be purified by preparative HPLC using for example a Waters autopurifier equipped with a diode array detector and/or on-line electrospray ionization mass spectrometer in combination with a suitable prepacked reverse phase column and eluents such as gradients of water and acetonitrile which may contain additives such as trifluoroacetic acid, formic acid or aqueous ammonia.
In some cases, purification methods as described above can provide those compounds of the present invention which possess a sufficiently basic or acidic functionality in the form of a salt, such as, in the case of a compound of the present invention which is sufficiently basic, a trifluoroacetate or formate salt for example, or, in the case of a compound of the present invention which is sufficiently acidic, an ammonium salt for example. A salt of this type can either be transformed into its free base or free acid form, respectively, by various methods known to the person skilled in the art or be used as salts in subsequent biological assays. It is to be understood that the specific form (e.g. salt, free base etc.) of a
compound of the present invention as isolated and as described herein is not necessarily the only form in which said compound can be applied to a biological assay in order to quantify the specific biological activity.
NMR peak forms in the following specific experimental descriptions are stated as they appear in the spectra, possible higher order effects have not been considered.
The ’H-NMR data of selected compounds are listed in the form of ’H-NMR peaklists. Therein, for each signal peak the 5 value in ppm is given, followed by the signal intensity, reported in round brackets. The 5 value-signal intensity pairs from different peaks are separated by commas. Therefore, a peaklist is described by the general form: 5i (intensity:), 82 (intensity2), ... , 81 (intensity 1), ... , 8n (intensityn).
The intensity of a sharp signal correlates with the height (in cm) of the signal in a printed NMR spectrum. When compared with other signals, this data can be correlated to the real ratios of the signal intensities. In the case of broad signals, more than one peak, or the center of the signal along with their relative intensity, compared to the most intense signal displayed in the spectrum, are shown. A ’H-NMR peaklist is similar to a classical ’H-NMR readout, and thus usually contains all the peaks listed in a classical NMR interpretation. Moreover, similar to classical ’H-NMR printouts, peaklists can show solvent signals, signals derived from stereoisomers of the particular target compound, peaks of impurities, 13C satellite peaks, and/or spinning sidebands. The peaks of stereoisomers, and/or peaks of impurities are typically displayed with a lower intensity compared to the peaks of the target compound (e.g., with a purity of >90%). Such stereoisomers and/or impurities may be typical for the particular manufacturing process, and therefore their peaks may help to identify a reproduction of the manufacturing process on the basis of "by-product fingerprints". An expert who calculates the peaks of the target compound by known methods (MestReC, ACD simulation, or by use of empirically evaluated expectation values), can isolate the peaks of the target compound as required, optionally using additional intensity filters. Such an operation would be similar to peak -picking in classical ’H-NMR interpretation. A detailed description of the reporting of NMR data in the form of peaklists can be found in the publication "Citation of NMR Peaklist Data within Patent Applications" (cf. http://www.researchdisclosure.com/searching-disclosures, Research Disclosure Database Number 605005, 2014, 01 Aug 2014). In the peak picking routine, as described in the Research Disclosure Database Number 605005, the parameter "MinimumHeight" can be adjusted between 1% and 4%. However, depending on the chemical structure and/or depending on the concentration of the measured compound it may be reasonable to set the parameter "MinimumHeight" <1%.
Reactions employing microwave irradiation may be run with a Biotage Initiatora microwave oven optionally equipped with a robotic unit. The reported reaction times employing microwave heating are intended to be understood as fixed reaction times after reaching the indicated reaction temperature.
The compounds and intermediates produced according to the methods of the invention may require purification. Purification of organic compounds is well known to the person skilled in the art and there
may be several ways of purifying the same compound. In some cases, no purification may be necessary. In some cases, the compounds may be purified by crystallization. In some cases, impurities may be stirred out using a suitable solvent. In some cases, the compounds may be purified by chromatography, particularly flash column chromatography, using for example pre-packed silica gel cartridges, e.g. from Separtis such as Isolute® Flash silica gel or Isolute® Flash NH2 silica gel in combination with a Isolera® autopurifier (Biotage) and eluents such as gradients of e.g. hexane/ethyl acetate or DCM/methanol. In some cases, the compounds may be purified by preparative HPLC using for example a Waters autopurifier equipped with a diode array detector and/or on-line electrospray ionization mass spectrometer in combination with a suitable prepacked reverse phase column and eluents such as gradients of water and acetonitrile which may contain additives such as trifluoroacetic acid, formic acid or aqueous ammonia.
In some cases, purification methods as described above can provide those compounds of the present invention which possess a sufficiently basic or acidic functionality in the form of a salt, such as, in the case of a compound of the present invention which is sufficiently basic, a trifluoroacetate or formate salt for example, or, in the case of a compound of the present invention which is sufficiently acidic, an ammonium salt for example. A salt of this type can either be transformed into its free base or free acid form, respectively, by various methods known to the person skilled in the art, or be used as salts in subsequent biological assays. It is to be understood that the specific form (e.g. salt, free base etc) of a compound of the present invention as isolated as described herein is not necessarily the only form in which said compound can be applied to a biological assay in order to quantify the specific biological activity.
The percentage yields reported in the following examples are based on the starting component that was used in the lowest molar amount. Air and moisture sensitive liquids and solutions were transferred via syringe or cannula and introduced into reaction vessels through rubber septa. Commercial grade reagents and solvents were used without further purification. The term “concentrated in vacuo” refers to the use of a Buchi rotary evaporator at a minimum pressure of approximately 15 mm of Hg. All temperatures are reported uncorrected in degrees Celsius (°C).
In order that this invention may be better understood, the following examples are set forth. These examples are for the purpose of illustration only, and are not to be construed as limiting the scope of the invention in any manner. All publications mentioned herein are incorporated by reference in their entirety.
Analytical conditions
UPLC-MS Standard Procedures
UPLC-MS-data given in the subsequent specific experimental descriptions refer (unless otherwise noted) to the following conditions:
LC-MS, Analytical Method 1:
Instrument: Thermo Scientific FT-MS; UHPLC: Thermo Scientific UltiMate 3000; column: Waters HSS T3 C18 1.8 pm, 75 mm * 2.1 mm; eluent A: water + 0.01% formic acid; eluent B: acetonitrile + 0.01% formic acid; gradient: 0.0 min 10% B 2.5 min 95% B 3.5 min 95% B; temperature: 50°C; flow rate: 0.90 mL/min; UV detection: 210-300 run.
LC-MS, Analytical Method 2:
Instrument: Thermo Scientific FT-MS; UHPLC+: Thermo Scientific Vanquish; column: Waters HSS T3 C18 1.8 pm, 2. 1 mm x 75 mm; eluent A: 1 L water + 0.01% formic acid; eluent B: 1 L acetonitrile + 0.01% formic acid; gradient: 0.0 min 10% B 2.5 min 95% B 3.5 min 95% B; temperature: 50°C; flow rate: 0.90 mL/min; UV detection: 210 nm.
LC-MS, Analytical Method 3
Instrument: Waters Acquity UPLCMS SingleQuad; Column: Acquity UPLC BEH C18 1.7 pm, 50x2.1mm; eluent A: water + 0.1 vol % formic acid (99%), eluent B: acetonitrile; gradient: 0-1.6 min 1- 99% B, 1.6-2.0 min 99% B; flow 0.8 ml/min; temperature: 60 °C; DAD scan: 210-400 nm.
LC-MS, Analytical Method 4
Instrument: Waters Acquity UPLCMS SingleQuad; Column: Acquity UPLC BEH C18 1.7 pm, 50x2.1mm; eluent A: water + 0.2 vol % aqueous ammonia (32%), eluent B: acetonitrile; gradient: 0-1.6 min 1-99% B, 1.6-2.0 min 99% B; flow 0.8 ml/min; temperature: 60 °C; DAD scan: 210-400 nm.
LC-MS, Analytical Method 5
System MS: Waters TOF instrument; System UPLC: Waters Acquity I-CLASS; Column: Waters, XSELECT CSH C18, 4.6 x 50 mm 3.5 pm; Eluent A: 5 mmol ammonium acetate pH 4.2; Eluent B: 100 mmol ammonium acetate pH 4.2/Isopropanol/ACN (5/62/33); Gradient: 0.0 min 85% B 2.0 min 85% B —> 19.0 min 100% B —> 24.0 min 95% B; Oven: 50°C; Flow: 0.75 ml/min; UV-Detection: 240 nm.
LC-MS, Analytical Method 6
System MS: Waters TOF instrument; System UPLC: Waters Acquity I-CLASS; Column: Waters Acquity UPLC HSS T3 1.8 pm 50 x 1 mm; Eluent A: 1 1 Water + 0.100 ml 99%ige Formic acid , Eluent B: 1 1 Acetonitrile + 0.100 ml 99%ige Formic acid; Gradient: 0.0 min 95% A 6.0 min 5% A 7.5 min 5% A Oven: 50°C; Flow: 0.35 ml/min; UV-Detection: 210 nm
LC-MS, Analytical Method 7
System MS: Thermo Scientific FT-MS; System UHPLC+: Thermo Scientific UltiMate 3000; Column: Waters, HSST3, 2.1 x 75 mm, C18 1.8 pm; Eluent A: 1 1 Water + 0.01% Formic acid; Eluent B: 1 1 Acetonitrile + 0.01% Formic acid; Gradient: 0.0 min 60% B 0.75 min 95% B 3.5 min 95% B; Oven: 50°C; Flow: 1.00 ml/min; UV-Detection: 210 nm/ Optimum Integration Path 210-300 nm
LC-MS, Analytical Method 8
Instrument: Agilent 1290 UPLCMS 6230 TOF; column: BEH C18 1.7 pm, 50 mm x 2.1 mm; Eluent A: water + 0.05% formic acid (99%); Eluent B: acetonitrile + 0.05% formic acid (99%); gradient: 0-1.7 2- 90% B, 1.7-2.0 90% B; flow 1.2 ml/min; temperature: 60 °C; DAD scan: 190-400 run.
Method A:0-60AB, Shimadzu
Instrument: SHIMADZU LCMS-2020 SingleQuad; Column: Chromolith@Flash RP-18E 25-2 MM; eluent A: water + 0.0375 vol % trifluoroacetic acid, eluent B: acetonitrile + 0.01875 vol % trifluoroacetic acid; gradient: 0-0.8 min 0-60% B, 0.8-1.2 min 60% B; flow 1.5 ml/min; temperature: 50 °C; PDA: 220 nm & 254 nm.
Method B:0-60AB, Agilent
Instrument: Agilent 1100\G1956A SingleQuad; Column: Kinetex@ 5um EVO C18 30*2.1 mm; eluent A: water + 0.0375 vol % trifluoroacetic acid, eluent B: acetonitrile + 0.01875 vol % trifluoroacetic acid; gradient: 0-0.8 min 0-60% B, 0.8-1.2 min 60% B; flow 1.5 ml/min; temperature: 50 °C; PDA: 220 nm & 254 nm.
Method C:5-95AB, Shimadzu
Instrument: SHIMADZU LCMS-2020 SingleQuad; Column: Chromolith@Flash RP-18E 25-2 MM; eluent A: water + 0.0375 vol % trifluoroacetic acid, eluent B: acetonitrile + 0.01875 vol % trifluoroacetic acid; gradient: 0-0.8 min, 5-95% B, 0.8-1.2 min 95% B; flow 1.5 ml/min; temperature: 50 °C; PDA: 220 nm & 254 nm.
Method D:5-95AB, Agilent
Instrument: Agilent 1100\G1956A SingleQuad; Column: Kinetex@ 5 pm EVO C18 30*2.1 mm; eluent A: water + 0.0375 vol % trifluoroacetic acid, eluent B: acetonitrile + 0.01875 vol % trifluoroacetic acid; gradient: 0-0.8 min 5-95% B, 0.8-1.2 min 95% B; flow 1.5 ml/min; temperature: 50 °C; PDA: 220 nm & 254 nm.
Method E:10-80CD, Agilent
Instrument: Agilent 1200\G6110A SingleQuad; Column: XBridge C18 2.1*50 mm, 5 pm; eluent A: water + 0.025 vol % ammonium hydroxide, eluent B: acetonitrile; gradient: 0-1.2 min 10-80% B, 1.2- 1.6 min 80% B; flow 1.2 ml/min; temperature: 40 °C; DAD: 220 nm & 254 nm.
Method F:0-60CD, Agilent
Instrument: Agilent 1200\G6110A SingleQuad; Column: XBridge C18 2.1*50 mm, 5 pm; eluent A: water + 0.025 vol % ammonium hydroxide, eluent B: acetonitrile; gradient: 0-1.2 min 0-60% B, 1.2-1.6 min 60% B; flow 1.0 ml/min; temperature: 40 °C; DAD: 220 nm & 254 nm.
Method G:5-95CD, Shimadzu
Instrument: SHIMADZU LCMS-2020 SingleQuad; Column: Kinetex EVO C18 2.1*30 mm, 5 gm; eluent A: water + 0.025 vol % ammonium hydroxide, eluent B: acetonitrile; gradient: 0-0.8 min, 5-95% B, 0.8-1.2 min 95% B; flow 1.5 ml/min; temperature: 40 °C; PDA: 220 nm & 254 nm.
Method H:0-60CD, Shimadzu
Instrument: SHIMADZU ECMS-2020 SingleQuad; Column: Kinetex EVO C18 2.1*30 mm, 5 pm; eluent A: water + 0.025 vol % ammonium hydroxide, eluent B: acetonitrile; gradient: 0-1.2 min, 0-60% B, 1.2-1.6 min, 60% B; flow 1.0 ml/min; temperature: 40 °C; PDA: 220 nm & 254 nm.
Method L5-95CD, Shimadzu
Instrument: SHIMADZU LCMS-2020 SingleQuad; Column: Kinetex EVO C18 2.1*30 mm, 5um; eluent A: water + 0.025 vol % ammonium hydroxide, eluent B: acetonitrile; gradient: 0-0.8 min, 5-95% B, 0.8-1.2 min, 95% B; flow 1.5 ml/min; temperature: 40 °C; PDA: 220 nm & 254 nm.
Method J:0-60CD, Shimadzu
Instrument: SHIMADZU LCMS-2020 SingleQuad; Column: Kinetex EVO C18 2.1*30 mm, 5 pm; eluent A: water + 0.025 vol % ammonium hydroxide, eluent B: acetonitrile; gradient: 0-0.8 min, 0-60% B, 0.8-1.2 min, 60% B; flow 1.5 ml/min; temperature: 40 °C; PDA: 220 nm & 254 nm.
Method K
Column: Kinetex EVO C18 5 pm, 2. 1 mm x 30 mm; eluent A: 0.0375% trifluoroacetic acid in water, eluent B: 0.01875% trifluoroacetic acid in acetonitrile (v/v); gradient: 0.0 min 5% B
0.5 min 95% B 0.81 min 5% B
1.05 min 5% B; flow rate: 1.5 mL/min; column temperature: 50 °C; UV detection: 220 nm & 254 nm.
Method L
Column: HALO C18 5 pm, 3.0 mm x 30 mm; eluent A: 0.0375% trifluoroacetic acid in water, eluent B: 0.01875% trifluoroacetic acid in acetonitrile (v/v); gradient: 0.0 min 50% B
0.5 min 100% B
0.81 min 50% B -> 1.05 min 50% B; flow rate: 1.5 mL/min; column temperature: 50 °C; UV detection: 220 nm & 254 nm.
Preparative HPLC conditions
“Purification by preparative HPLC” in the subsequent experimental descriptions refers to the following conditions (unless otherwise noted):
Method A:
Instrument: Labomatic HD-5000, pump head HDK-280, gradient module NDB-1000, fraction collector Labomatic Labocol Vario 2000, Knauer UV detector Azura UVD 2. IS, Prepcon 5 software. Column: Chromatorex C18 lOpM 120x30 mm; Eluent A: water + 0.1% formic acid; Eluent B: acetonitrile; gradient: given for intermediates and examples, rate 150 mL/min, temperature 25°C.; UV 220 nm
Method B:
Istrument: Labomatic HD-5000, pump head HDK-280, gradient module NDB-1000, fraction collector Labomatic Labocol Vario 2000, Knauer UV detector Azura UVD 2. IS, Prepcon 5 software. Column: Chromatorex C18 lOpM 120x30 mm; Eluent A: 0.1% ammonia in water; Eluent B: acetonitrile; gradient: given for intermediates and examples, rate 150 mL/min, temperature 25°C.; UV 250 nm
Flash column chromatography conditions
Biotage IsoleraTM chromatography system (http://www.biotage.com/product-area/flash-purification) using pre-packed silica and pre-packed modified silica cartridges. Purification by (flash) column chromatography” as stated in the subsequent specific experimental descriptions refers to the use of a Biotage Isolera purification system. For technical specifications see “Biotage product catalogue” on www.biotage.com.
Preparative HPLC, Method A: Instrument: pump: Labomatic HD-5000 or HD-3000, head HDK 280, lowpressure gradient module ND-B1000; manual injection valve: Rheodyne 3725i038; detector: Knauer Azura UVD 2.15; collector: Labomatic Labocol Vario-4000; column: Chromatorex RP C-18 10 pm, 125x30mm; eluent A: water + 0.1 vol % formic acid (99%), eluent B: acetonitrile; gradient A: 0 - 15 min 1 - 25% B; flow: 60 mL/min; gradient B: 0 - 15 min 10 - 50% B; flow: 60 mL/min; gradient C: 0 - 15 min 15 - 55% B; flow: 60 mL/min; gradient D: 0 - 15 min 30 - 70% B; flow: 60 mL/min; gradient E: 0 - 15 min 40 - 80% B; flow: 60 mL/min; gradient F: 0 - 15 min 65 - 100% B; flow: 60 mL/min; temperature: 25 °C; solution: max. 250 mg / 2ml dimethyl sulfoxide; injection: 1 x 2 ml; Detection: UV 254 nm; Software: SCPA PrepCon5.
Preparative HPLC, Method B: Instrument: pump: Labomatic HD-5000 or HD-3000, head HDK 280, lowpressure gradient module ND-B1000; manual injection valve: Rheodyne 3725i038; detector: Knauer Azura UVD 2.15; collector: Labomatic Labocol Vario-4000; column: Chromatorex RP C-18 10 pm, 125x30mm; eluent A: water + 0.2 vol-% ammonia (32%), eluent B: acetonitrile; gradient A: 0 - 15 min 1 - 25% B; flow: 60 mL/min; gradient B: 0 - 15 min 10 - 50% B; flow: 60 mL/min; gradient C: 0 - 15 min 15 - 55% B; flow: 60 mL/min; gradient D: 0 - 15 min 30 - 70% B; flow: 60 mL/min; gradient E: 0 - 15 min 40 - 80% B; flow: 60 mL/min; gradient F: 0 - 15 min 65 - 100% B; flow: 60 mL/min;
temperature: 25 °C; solution: max. 250 mg / 2ml dimethyl sulfoxide; injection: 1 x 2 ml; Detection: UV 254 nm; Software: SCPA PrepCon5.
Preparative HPLC, Method C: Instrument: Waters Autopurification MS SingleQuad; Column: Waters XBrigde C18 5p 100x30mm; eluent A: water + 0.1 vol % formic acid (99%), eluent B: acetonitrile; gradient: 0-5.5 min 5-100% B; flow 70 ml/min; temperature: 25 °C; DAD scan: 210-400 nm.
Preparative HPLC, Method D: Instrument: Waters Autopurificationsystem; column: XBrigde C18 5 pm 100x30 mm; mobile phase A: water + 0.2 vol % aqueous ammonia (32%); mobile phase B: acetonitril; gradient: 0.0-0.5 min 35% B (35-70 ml/min), 0.5-5.5 min 35-65% B; flow: 70 ml/min; temperature: 25°C; wavelength: 210-400 nm
EXPERIMENTAL SECTION - EXAMPLES and INTERMEDIATES
Intermediates
Intermediate 1-01
To a solution of 2,6-dichloro-9H-purine (200 g, 1.06 mol) in methanol (1.3 L) was added sodium methoxide (172 g, 3.18 mol) at room temperature. After stirring at room temperature for 16 hours, the reaction mixture was concentrated to remove methanol, diluted with water and acidified to pH = 6 - 7 by adding 2 M hydrochloric acid. After filtration, the filter cake was triturated with water followed by methanol and ethyl acetate. The residue was dried under vacuum to give 2-chloro-6-methoxy-9H-purine (180 g, 90% yield).
LC-MS (Method C): Rt = 0.286 min; MS (ESIpos): m/z = 185.0 [M+H]+.
'HNMR (400 MHz, DMSO- 6): 5 [ppm] = 14.1-12.8 (m, 1H), 8.42 (s, 1H), 4.09 (s, 3H).
Intermediate 1-02
To a solution of 2-chloro-6-methoxy-9H-purine (Intermediate 1-01, 110 g, 0.596 mmol) in N,N- dimethylformamide (1.2 L) were added potassium carbonate (132 g, 953 mmol) and bromocyclobutane (193 g, 1.4 mol) at room temperature. After stirring at 60 °C for 3 days, the mixture was diluted with water, extracted with ethyl acetate. The combined organic layers were washed with water and brine, dried over anhydrous sodium sulfate, filtered and concentrated in vacuumm. The residue was purified by column chromatography (300-400 mesh, petroleum ether: ethyl acetate = 5: 0, then 3: 1, 1: 1, then 0: 1) twice to give 2-chloro-9-cyclobutyl-6-methoxy-9H-purine (20 g, 70% purity).
LC-MS (Method C): Rt = 0.794 min; MS (ESIpos): m/z = 239.0 [M+H]+.
DP, 1H NMR (400 MHz, CDCh- ): 5 [ppm] = 8.72 (s, 1H), 5.20-5.01 (m, 1H), 4.12 (s, 3H), 2.62-2.51 (m, 2H), 2.53-2.40 (m, 2 H), 1.95-1.76 (m, 2H).
Intermediate 1-03
To a solution of 2-chloro-7-cyclobutyl-6-methoxy-7H-purine (Intermediate 1-02, 8.00 g, 90% purity, 30.1 mmol) in phosphorus oxychloride (80 ml) was added N,N -Dimethylformamide (4.6 ml, 60.3 mmol) and N,N -Diisopropylethylamine (7.8 g, 60.3 mmol) at room temperature. After stirring at 130 °C for 4 hours, the mixture was diluted with ice-water, neutralized by sodium bicarbonate powder to pH = 6 - 7 and extracted with ethyl acetate. The combined organic layers were washed with water and brine, dried over anhydrous sodium sulfate, filtered and concentrated in vacuum to give crude 2,6-dichloro-7-cyclobutyl- 7H-purine (8 g, crude) which was used without further purification.
LC-MS (Method C): Rt = 0.78 min; MS (ESIpos): m/z = 243.1 [M+H]+.
Intermediate 1-04 tert-Butyl 3-(2-chloro-7-cyclobutyl-7H-purin-6-yl)-3,8-diazabicyclo[3.2.1]octane-8-carboxylate
To a solution of 2,6-dichloro-7-cyclobutyl-7H-purine (Intermediate 1-03, 8.00 g, 70% purity, 23.0 mmol) in acetonitrile (90 ml) was added a solution of tert-butyl 3,8-diazabicyclo[3.2.1]octane-8-carboxylate (7.30 g, 34.5 mmol) and N,N-Diisopropylethylamine (8 ml, 46.1 mmol) dissolved in acetonitrile (30 ml) at 0 °C. After stirring at room temperature for 16 hours, the mixture was diluted with water and extracted with ethyl acetate. The combined organic layers were washed with water and brine, dried over anhydrous sodium sulfate, filtered and concentrated in vacuum. The residue was purified by flash column (petroleum ether: ethyl acetate = 5: 1 to 1: 1) to give tert-butyl 3-(2-chloro-7-cyclobutyl-7H-purin-6-yl)-3,8- diazabicyclo[3.2.1]octane-8-carboxylate (5 g, 49% yield).
LC-MS (Method C): Rt = 0.837 min; MS (ESIpos): m/z = 419.3 [M+H]+.
Intermediate 1-05 tert-Butyl 3-(7-cyclobutyl-2-{[(2R,7aS)-2-fluorotetrahydro-lH-pyrrolizin-7a(5H)-yl]methoxy}-7H- purin-6-yl)-3,8-diazabicyclo [3.2.1] octane-8-carboxylate
To a solution of tert-butyl 3-(2-chloro-7-cyclobutyl-7H-purin-6-yl)-3,8-diazabicyclo[3.2.1]octane-8- carboxylate (Intermediate 1-04, 5.00 g, 11.3 mmol), [(2R,7aS)-2-fluorotetrahydro-lH-pyrrolizin-7a(5H)- yl]methanol (2.35 g, 14.7 mmol) in tetrahydrofuran (120 ml) was added sodium hydride (907 mg, 22.7 mmol, 60% purity in mineral oil ) at 0 °C. After stirring at 40 °C for 6 hours, the mixture was diluted with water and extracted with ethyl acetate. The combined organic layers were washed with water and brine, dried over anhydrous sodium sulfate, filtered and concentrated in vacuum. The residue was purified by column chromatography (100-200 mesh, petroleum ether: ethyl acetate = 5: 1 then 0: 1, then ethyl acetate: methanol = 10: 1) to give tert-butyl 3-(7-cyclobutyl-2-{[(2R,7aS)-2-fhiorotetrahydro-lH-pyrrolizin- 7a(5H)-yl]methoxy}-7H-purin-6-yl)-3,8-diazabicyclo[3.2.1]octane-8-carboxylate (4.5 g, 66% yield). LC-MS (Method C): Rt = 0.81 min; MS (ESIpos): m/z = 542.3 [M+H]+. ’H NMR (400 MHz, DMSO- 6): 5 [ppm] = 8.68 (s, 1H), 5.34 (s, 0.5H), 5.20 (s, 0.5H), 4.99-4.85 (m, 1H), 4.31-4.17 (m, 2H), 4.02-3.96 (m, 1H), 3.95-3.89 (m, 1H), 3.85-3.66 (m, 2H), 3.29-3.19 (m, 2H), 3.13-3.04 (m, 2H), 3.02-2.95 (m, 1H), 2.87-2.77 (m, 1H), 2.49-2.38 (m, 4H), 2.13-2.09 (m, 1H), 2.05- 2.01 (m, 1H), 1.99-1.94 (m, 1H), 1.89-1.67 (m, 9H), 1.48-1.42 (m, 9H).
Intermediate 1-06
To a solution of 7-fluoronaphthalene-l,3-diol (25.0 g, 140 mmol) and (bromoethynyl)(triisopropyl)silane (38.5 g, 147 mmol) in dioxane (500 ml) were added dichloro(p-cymene)ruthenium(II)dimer (8.67 g, 14.0 mmol) and potassium acetate (27.5 g, 281 mmol) at room temperature. After stirring at 110 °C for 16 hours, the reaction mixture was concentrated under reduced pressure to give a residue. The residue was diluted with water and it was extracted with ethyl acetate. The organic phase was washed with brine, dried over anhydrous sodium sulfate and filtered. The filtrate was concentrated and purified by column chromatography on silica gel (100-200 mesh, petroleum ether: ethyl acetate = 20: 1, then 10: 1, then 5: 1) to give 7-fhioro-8-[(triisopropylsilyl)ethynyl]naphthalene-l,3-diol (43 g, 82% yield).
LC-MS (Method C): Rt = 1.103 min; MS (ESIpos): m/z = 359.2 [M+H]+.
’H NMR (400 MHz, CDCh- ): 5 [ppm] = 9.17 (s, 1H), 7.62-7.57 (m, 1H), 7.20-7.15 (m, 1H), 6.74 (d, J = 4.2 Hz, 1H), 6.66 (d, J= 3.6 Hz, 1H), 5.02 (br.s, 1H), 1.35-1.15 (m, 21H). Intermediate 1-07
To a solution of 7-fluoro-8-[(triisopropylsilyl)ethynyl]naphthalene-l,3-diol (Intermediate 1-06, 43 g, 115 mmol) and N,N-diisopropylethylamine (29.8 g, 230 mmol) in dichloromethane (450 ml) was added
dropwise a solution of bromo(methoxy)methane (16.5 g, 132 mmol) in dichloromethane (50 ml) at 0 °C. After stirring at the same temperature for 0.5 hour, the mixture was diluted with water and extracted with dichloromethane. The combined organic layers were washed with water and brine, dried over anhydrous sodium sulfate, filtered and concentrated in vacuum. The residue was purified by flash column (petroleum ether : ethyl acetate = 20: 1 to 10: 1) to give 7-fluoro-3-(methoxymethoxy)-8-[(triisopropylsilyl)ethynyl]- 1-naphthol (27 g, 57.7% yield).
LC-MS (Method C): Rt = 1.12 min; MS (ESIpos): m/z = 403.3 [M+H]+.
1H NMR (400 MHz, CDCh- ): 5 [ppm] = 9.14 (s, 1H), 7.73-7.62 (m, 1H), 7.20 (t, J= 8.8 Hz, 1H), 6.99 (d, J= 2.0 Hz, 1H), 6.82 (d, J= 2.0 Hz, 1H), 5.27 (s, 2H), 3.52 (s, 3H), 1.29-1.16 (m, 21H).
Intermediate 1-08 tert-Butyl 3-(8-bromo-7-cyclobutyl-2-{[(2R,7aS)-2-fluorotetrahydro-lH-pyrrolizin-7a(5H)- yl]methoxy}-7H-purin-6-yl)-3,8-diazabicyclo[3.2.1]octane-8-carboxylate
To a solution of tert-butyl 3-(7-cyclobutyl-2-{[(2R,7aS)-2-fluorotetrahydro-lH-pyrrolizin-7a(5H)- yl]methoxy}-7H-purin-6-yl)-3,8-diazabicyclo[3.2.1]octane-8-carboxylate (Intermediate 1-05, 2.00 g, 90% purity, 3.69 mmol) in tetrahydrofuran (30 ml) was added dropwise lithium bis(trimethylsilyl)amide (7.4 ml, 7.4 mmol, 1.0 M in tetrahydrofiiran) at -20 °C under nitrogen atmosphere. After stirring at -20 °C for 0.5 hours, carbon tetrabromide (2.45 g, 7.38 mmol) dissolved in tetrahydrofiiran (10 ml) was added dropwise to the above mixture at -70 °C. Afterwards, the reaction mixture was stirred at -70 °C for another 0.5 hour. Then, the mixture was diluted with water and extracted with ethyl acetate. The combined organic layers were washed with water and brine, dried over anhydrous sodium sulfate, filtered and concentrated in 139acuum. The residue was purified by chromatography column (100-200 mesh, petroleum ether: ethyl acetate= 5: 1 then 1: 1, then 0: 1) to give tert-butyl 3-(8-bromo-7-cyclobutyl-2-{[(2R,7aS)-2- fhiorotetrahydro-lH-pyrrolizin-7a(5H)-yl]methoxy}-7H-purin-6-yl)-3,8-diazabicyclo[3.2.1]octane-8- carboxylate (2 g).
LC-MS (Method C): Rt = 0.834 min; MS (ESIpos): m/z = 620/622 [M+H]+.
’HNMR (400 MHz, DMSO- 6): 5 [ppm] = 5.37-5.29 (m, 0.5H), 5.24-5.16 (m, 0.5H), 5.15-5.01 (m, 1H), 4.27-4.17 (m, 2H), 4.01-3.95 (m, 1H), 3.95-3.76 (m, 3H), 3.30-3.18 (m, 2H), 3.14-3.05 (m, 2H), 3.02-2.97 (m, 1H), 2.88-2.71 (m, 3H), 2.49-2.40 (m, 2H), 2.13-2.06 (m, 1H), 2.04-2.00 (m, 1H), 1.99-1.94 (m, 1H), 1.89-1.67 (m, 9H), 1.46 - 1.41 (m, 9H).
Intermediate 1-09 tert-Butyl 3-[7-cyclobutyl-8-({7-fluoro-3-(methoxymethoxy)-8-[(triisopropylsilyl)ethynyl]-l- naphthyl}oxy)-2-{[(2R,7aS)-2-fluorotetrahydro-lH-pyrrolizin-7a(5H)-yl]methoxy}-7H-purin-6-yl]-
To a solution of tert-butyl 3-(8-bromo-7-cyclobutyl-2-{[(2R,7aS)-2-fluorotetrahydro-lH-pyrrolizin- 7a(5H)-yl]methoxy} -7H-purin-6-yl)-3,8-diazabicyclo[3.2. l]octane-8-carboxylate (Intermediate 1-08, 1.2 g, 84% purity, 1.62 mmol) and 7-fluoro-3-(methoxymethoxy)-8-[(triisopropylsilyl)ethynyl]-l-naphthol (Intermediate 1-07, 719 mg, 1.79 mmol) in N,N -Dimethylformamide (20 ml) was added potassium carbonate (449 mg, 3.25 mmol) at room temperature. After stirring at 100 °C for 3 hours, the mixture was diluted with water and extracted with ethyl acetate. The combined organic layers were washed with water and brine, dried over anhydrous sodium sulfate, filtered and concentrated in vacuum. The residue was purified by chromatography column (100-200 mesh, petroleum ether: ethyl acetate= 5: 1, then 1: 1, then 0: 1) to give tert-butyl 3-[7-cyclobutyl-8-({7-fhioro-3-(methoxymethoxy)-8-[(triisopropylsilyl)ethynyl]- l-naphthyl}oxy)-2-{[(2R,7aS)-2-fhiorotetrahydro-lH-pyrrolizin-7a(5H)-yl]methoxy}-7H-purin-6-yl]- 3,8-diazabicyclo[3.2.1]octane-8-carboxylate (630 mg, 85% purity, 35% yield).
LC-MS (Method C): Rt = 1.109 min; MS (ESIpos): m/z = 942.2 [M+H]+.
Intermediate 1-10 tert-Butyl 3-(7-cyclobutyl-8-{[8-ethynyl-7-fluoro-3-(methoxymethoxy)naphthalen-l-yl]oxy}-2-
{[(2R,7aS)-2-fluorotetrahydro-lH-pyrrolizin-7a(5H)-yl]methoxy}-7H-purin-6-yl)-3,8- diazabicyclo[3.2.1]octane-8-carboxylate
To a solution of tert-butyl 3-[7-cyclobutyl-8-({7-fluoro-3-(methoxymethoxy)-8- [(triisopropylsilyl)ethynyl]-l-naphthyl}oxy)-2-{[(2R,7aS)-2-fluorotetrahydro-lH-pyrrolizin-7a(5H)- yl]methoxy}-7H-purin-6-yl]-3,8-diazabicyclo[3.2.1]octane-8-carboxylate (Intermedaite 1-09, 630 mg, 85% purity, 0.568 mmol) in tetrahydrofuran (10 ml) was added tetramethylammonium fluoride (159 mg,
1.70 mmol) at 25 °C. After stirring at 50 °C for 16 hours, the mixture was diluted with water, extracted with ethyl acetate. The combined organic layers were washed with water and brine, dried over anhydrous sodium sulfate, concentrated to give tert-butyl 3-(7-cyclobutyl-8-{[8-ethynyl-7-fluoro-3- (methoxymethoxy)-l-naphthyl]oxy}-2-{[(2R,7aS)-2-fluorotetrahydro-lH-pyrrolizin-7a(5H)- yl]methoxy}-7H-purin-6-yl)-3,8-diazabicyclo[3.2.1]octane-8-carboxylate (500 mg, 93% purity).
LC-MS (Method C): Rt = 0.938 min; MS (ESIpos): m/z =786.4 [M+H]+.
Intermediate 1-11 tert-Butyl 3-[7-cyclobutyl-2-(methylsulfanyl)-7H-purin-6-yl]-3,8-diazabicyclo-[3.2.1]octane-8- carboxylate
To a solution of tert-butyl 3-(2-chloro-7-cyclobutyl-7H-punn-6-yl)-3,8-diazabicyclo[3.2.1]octane-8- carboxylate (Intermediate 1-04, 4.00 g, 9.36 mmol) in dimethyl sulfoxide (250 ml) was added sodium thiomethoxide (1.31 g, 18.7 mmol) at 25 °C. After stirring at 60 °C for 3 hours, the reaction mixture was diluted with saturated ammonium chloride solution and extracted with ethyl acetate. The organic layer was washed with brine, dried over anhydrous sodium sulfate, filtered and concentrated to give a residue. The residue was purified by column chromatography on silica gel (100-200 mesh, petroleum ether: ethyl acetate = 10: 1, 4: 1 then 1: 1 then 0: 1) to give tert-butyl 3-[7-cyclobutyl-2-(methylsulfanyl)-7H-purin-6- yl]-3,8-diazabicyclo[3.2.1]octane-8-carboxylate (4.70 g, 90% purity).
LC-MS (Method C): Rt = 0.795 min; MS (ESIpos): m/z = 431.4 [M+H]+.
Intermediate 1-12 tert-Butyl 3-[8-bromo-7-cyclobutyl-2-(methylsulfanyl)-7H-purin-6-yl]-3,8-diazabicyclo[3.2.1] octane-8-carboxylate
To a solution of tert-butyl 3-[7-cyclobutyl-2-(methylsulfanyl)-7H-purin-6-yl]-3,8- diazabicyclo[3.2.1]octane-8-carboxylate (Intermediate 1-11, 2.50 g, 5.23 mmol) in tetrahydrofuran (40.0 ml) was added dropwise lithium bis(trimethylsilyl)amide (10.0 ml, 1.00 M in tetrahydrofuran, 10.0 mmol) at -30 °C under nitrogen atmosphere. After stirring at -30 °C for 0.5 hour, 1 -bromopyrrolidine-2, 5-dione (2.79 g, 15.7 mmol) in tetrahydrofiiran (20.0 ml) was added dropwise to the above mixture at -70 °C. After stirring at 0 °C for another 2 hours, the mixture was diluted with water, extracted with ethyl acetate. The combined organic layers were washed with water and brine, dried over anhydrous sodium sulfate, concentrated to give a residue. The residue was purified by column chromatography on silica gel (100- 200 mesh, petroleum ether: ethyl acetate = 10: 1, 4: 1 then 1: 1, 0: 1) to give tert-butyl 3-[8-bromo-7- cyclobutyl-2-(methylsulfanyl)-7H-purin-6-yl]-3,8-diazabicyclo[3.2. l]octane-8-carboxylate (3.30 g, 94% purity).
LC-MS (Method C): Rt = 0.973 min; MS (ESIpos): m/z = 509.1 [M+H]+.
’H NMR (400 MHz, DMSO- 6): 5 [ppm] = 5.18-4.97 (m, 1H), 4.28-4.13 (m, 2H), 4.01-3.79 (m, 2H), 3.31-3.24 (m, 2H), 2.81-2.66 (m, 2H), 2.47 (s, 5H), 1.89-1.79 (m, 2H), 1.78-1.70 (m, 2H), 1.70-1.50 (m, 2H), 1.43 (s, 9H).
Intermediate 1-13 tert-Butyl 3-[7-cyclobutyl-8-{[7-fluoro-3-(methoxymethoxy)-8-{[tri(propan-2-yl)silyl]ethynyl} naphthalen-l-yl]oxy}-2-(methylsulfanyl)-7H-purin-6-yl]-3,8-diazabicyclo[3.2.1]octane-8- carboxylate
To a solution of tert-butyl 3-[8-bromo-7-cyclobutyl-2-(methylsulfanyl)-7H-purin-6-yl]-3,8- diazabicyclo[3.2.1]octane-8-carboxylate (Intermediate 1-12, 3.10 g, 5.72 mmol) and 7-fluoro-3- (methoxymethoxy)-8-{[tri(propan-2-yl)silyl]ethynyl}naphthalen-l-ol (Intermediate 1-07, 4.65 g, 11.4 mmol) in N,N-dimethylformamide (50.0 ml) was added potassium carbonate (1.58 g, 11.4 mmol) at 25 °C. After stirring at 100 °C for 2 hours, the mixture was diluted with water, extracted with ethyl acetate. The combined organic layers were washed with water and brine, dried over anhydrous sodium sulfate, concentrated to give a residue. The residue was purified by column chromatography on silica gel (100- 200 mesh, petroleum ether: ethyl acetate = 10: 1, 6: 1 then 3: 1, 1: 1) to give tert-butyl 3-[7-cyclobutyl-8- {[7-fluoro-3-(methoxymethoxy)-8-{[tri(propan-2-yl)silyl]ethynyl}naphthalen-l-yl]oxy}-2- (methylsulfanyl)-7H-purin-6-yl]-3,8-diazabicyclo[3.2.1]octane-8-carboxylate (3.30 g, 99% purity, 69% yield).
LC-MS (Method C): Rt = 1.187 min; MS (ESIpos): m/z = 831.2 [M+H]+.
'HNMR (400 MHz, DMSO- 6): 5 [ppm] = 8.09 (dd, J= 9.2, 5.6 Hz, 1H), 7.64-7.56 (m, 2H), 7.30 (d, J = 2.0 Hz, 1H), 5.33 (s, 2H), 4.99 (s, 1H), 4.24 (br.s, 2H), 3.42 (s, 3H), 3.36-3.33 (m, 2H), 3.30 (s, 1H), 2.88- 2.75 (m, 1H), 2.54-2.52 (m, 2H), 2.47 (d, J = 2.4 Hz, 2H), 2.43 (s, 3H), 1.89 (br s, 2H), 1.83-1.72 (m, 3H), 1.44 (s, 9H), 1.27-1.20 (m, 1H), 0.93 (s, 21H).
Intermediate 1-14 tert-Butyl 3-[7-cyclobutyl-8-{[7-fluoro-3-(methoxymethoxy)-8-{[tri(propan-2-yl)silyl]ethynyl} naphthalen-l-yl]oxy}-2-(methanesulfonyl)-7H-purin-6-yl]-3,8-diazabicyclo[3.2.1]octane-8- carboxylate
To a solution of 3-[7-cyclobutyl-8-{[7-fhroro-3-(methoxymethoxy)-8-{[tri(propan-2- yl)silyl]ethynyl}naphthalen-l-yl]oxy}-2-(methylsulfanyl)-7H-purin-6-yl]-3,8-diazabicyclo[3.2.1] octane-8-carboxylate (Intermediate 1-13, 300 mg, 0.357 mmol) in dichloromethane (5.00 ml) was added meta-chloroperoxybenzoic acid (218 mg, 85% purity, 1.07 mmol) at 25 °C. After stirring at 25 °C for 2 hours, the mixture was diluted with water, extracted with ethyl acetate. The combined organic layers were washed with water and brine, dried over anhydrous sodium sulfate, concentrated to give tert-butyl 3-[7- cyclobutyl-8-{[7-fhioro-3-(methoxymethoxy)-8-{[tri(propan-2-yl)silyl]ethynyl}naphthalen-l-yl]oxy}-2- (methanesulfonyl)-7H-purin-6-yl]-3,8-diazabicyclo[3.2.1]octane-8-carboxylate (500 mg, 60% purity, 97% yield). LC-MS (Method C): Rt = 1.152 min; MS (ESIpos): m/z = 863.2 [M+H]+.
Intermediate 1-15 tert-Butyl 3-(7-cyclobutyl-8-{[7-fluoro-3-(methoxymethoxy)-8-{[tri(propan-2-yl)silyl]ethynyl} naphthalen-l-yl]oxy}-2-[(tetrahydro-lH-pyrrolizin-7a(5H)-yl)methoxy]-7H-purin-6-yl)-3,8- diazabicyclo[3.2.1]octane-8-carboxylate
To a solution of tert-butyl 3-[7-cyclobutyl-8-{[7-fhroro-3-(methoxymethoxy)-8-{[tri(propan-2- y 1 ) silyl ] ethynyl } naphthalen- 1 -yl] oxy } -2-(methane sulfonyl) -7H-purin-6-yl] -3,8 -diazabicyclo [3.2.1]octane-8-carboxylate (Intermediate 1-14, 230 mg, 0.160 mmol) and (tetrahydro -IH-pyrrolizin- 7a(5H)-yl)methanol (33.9 mg, 0.240 mmol) in tetrahydrofuran (5.00 ml) was added sodium hydride (19.2 mg, 60% in mineral oil, 0.480 mmol) at 0 °C under nitrogen atmosphere. After stirring at 40 °C for 16 hours, the mixture was diluted with water, extracted with ethyl acetate. The combined organic layers were washed with water and brine, dried over anhydrous sodium sulfate, concentrated to give a residue. The residue was purified by preparative TLC (dichloromethane: methanol = 8: 1) to give tert-butyl 3-(7- cyclobutyl-8-{[7-fluoro-3-(methoxymethoxy)-8-{[tri(propan-2-yl)silyl]ethynyl}naphthalen-l-yl]oxy}-2- [(tetrahydro-lH-pyrrolizin-7a(5H)-yl)methoxy]-7H-purin-6-yl)-3,8-diazabicyclo[3.2.1]octane-8- carboxylate (48.0 mg, 94% purity, 31% yield).
LC-MS (Method C): Rt = 1.000 min; MS (ESIpos): m/z = 924.3 [M+H]+.
Intermediate 1-16 tert-Butyl 3-(7-cyclobutyl-8-{[8-ethynyl-7-fluoro-3-(methoxymethoxy)naphthalen-l-yl]oxy}-2- [(tetrahydro-lH-pyrrolizin-7a(5H)-yl)methoxy]-7H-purin-6-yl)-3,8-diazabicyclo[3.2.1]octane-8- carboxylate
To a solution of tert-butyl 3-(7-cyclobutyl-8-{[7-fhioro-3-(methoxymethoxy)-8-{[tri(propan-2- yl)silyl]ethynyl}naphthalen- 1 -yl]oxy } -2-[(tetrahydro- lH-pyrrolizin-7a(5H)-yl)methoxy] -7H-purin-6- yl)-3,8-diazabicyclo[3.2.1]octane-8-carboxylate (Intermediate 1-15, 48.0 mg, 0.049 mmol) in tetrahydrofuran (2.00 ml) was added tetramethylammonium fluoride (13.6 mg, 0.146 mmol) at 25 °C. After stirring at 40 °C for 16 hours, the mixture was diluted with water, extracted with ethyl acetate. The combined organic layers were washed with water and brine, dried over anhydrous sodium sulfate, concentrated to give tert-butyl 3-(7-cyclobutyl-8-{[8-ethynyl-7-fluoro-3-(methoxymethoxy)naphthalen- l-yl]oxy}-2-[(tetrahydro-lH-pyrrolizin-7a(5H)-yl)methoxy]-7H-purin-6-yl)-3,8- diazabicyclo[3.2. l]octane-8-carboxylate (80.0 mg, 90% purity).
LC-MS (Method C): Rt = 0.850 min; MS (ESIpos): m/z = 768.2 [M+H]+.
Intermediate 1-17 tert-Butyl 3-(7-cyclobutyl-8-{[7-fluoro-3-(methoxymethoxy)-8-{[tri(propan-2-yl)silyl]ethynyl} naphthalen-l-yl]oxy}-2-{[(2S)-l-methylpyrrolidin-2-yl]methoxy}-7H-purin-6-yl)-3,8- diazabicyclo[3.2.1]octane-8-carboxylate
To a solution of tert-butyl 3-[7-cyclobutyl-8-{[7-fhroro-3-(methoxymethoxy)-8-{[tri(propan-2- y 1 ) silyl ] ethynyl } naphthalen- 1 -yl] oxy } -2-(methane sulfonyl) -7H-purin-6-yl] -3,8 -diazabicyclo [3.2.1]octane-8-carboxylate (Intermediate 1-14, 300 mg, 96% purity, 0.334 mmol) and [(2S)-1- methylpyrrolidin-2-yl]methanol (57.6 mg, 0.500 mmol) in tetrahydrofuran (3.0 ml) was added sodium hydride (26.7 mg, 0.667 mmol, 60% in mineral oil) at 0 °C under nitrogen atmosphere. After stirring at 25 °C for 16 hours, the mixture was diluted with water, extracted with ethyl acetate. The combined organic layers were washed with water and brine, dried over anhydrous sodium sulfate, concentrated to give a residue. The residue was purified by preparative TLC (dichloromethane: mehanol = 10: 1) to give tert- butyl 3-[7-cyclobutyl-8-({7-fluoro-3-(methoxymethoxy)-8-[(triisopropylsilyl)ethynyl]-l-naphthyl}oxy)- 2-{[(2S)-l-methylpyrrolidin-2-yl]methoxy}-7H-purin-6-yl]-3,8-diazabicyclo[3.2.1]octane-8-carboxylate (180 mg, 95% purity, 57% yield).
LC-MS (Method C): Rt = 0.996 min; MS (ESIpos): m/z = 898.3 [M+H]+.
Intermediate 1-18 tert-Butyl 3-(7-cyclobutyl-8-{[8-ethynyl-7-fluoro-3-(methoxymethoxy)naphthalen-l-yl]oxy}-2- {[(2S)-l-methylpyrrolidin-2-yl]methoxy}-7H-purin-6-yl)-3,8-diazabicyclo[3.2.1]octane-8- carboxylate
To a solution of tert-butyl 3-(7-cyclobutyl-8-{[7-fhioro-3-(methoxymethoxy)-8-{[tri(propan-2- yl)silyl]ethynyl}naphthalen- 1 -yl]oxy } -2-{ [(2 S) - 1 -methylpyrrolidin-2-yl]methoxy } -7H-purin-6-yl)-3,8- diazabicyclo[3.2.1]octane-8-carboxylate (Intermediate 1-17, 160 mg, 95% purity, 0.169 mmol) in tetrahydrofuran (4.0 ml) was added tetramethylammonium fluoride (47.3 mg, 0.508 mmol) at 25 °C. After stirring at 40 °C for 16 hours, the mixture was diluted with water, extracted with ethyl acetate. The combined organic layers were washed with water and brine, dried over anhydrous sodium sulfate, concentrated to give tert-butyl 3-(7-cyclobutyl-8-{[8-ethynyl-7-fluoro-3-(methoxymethoxy)-l- naphthyl]oxy}-2-{[(2S)-l-methylpyrrolidin-2-yl]methoxy}-7H-purin-6-yl)-3,8- diazabicyclo[3.2.1]octane-8-carboxylate (120 mg, 96% purity, 92% yield).
LC-MS (Method C): Rt = 0.844 min; MS (ESIpos): m/z = 744.2 [M+H]+.
Intermediate 1-19
To a solution of 1-tert-butyl 2-methyl (2S,4S)-4-fluoropyrrolidine-l,2-dicarboxylate (1.00 g, 4.04 mmol) in tetrahydrofuran (20.0 ml) was added lithium aluminum hydride (6.50 ml, 2.50 M in tetrahydrofuran, 16.0 mmol) at 0 °C under nitrogen atmosphere. After stirring at 25 °C for 16 hours, the reaction mixture was quenched by sal glauberi (10.0 g). After stirring at 25 °C for 2 hours, the mixture was filtered. The filtrate was concentrated to give [(2S,4S)-4-fluoro-l-methylpyrrolidin-2-yl]methanol (450 mg, 80% purity, 67% yield).
1HNMR (400 MHz, DMSO- 6): 5 [ppm] = 5.18-5.11 (m, 0.5H), 5.06-4.98 (m, 0.5H), 4.58-4.24 (m, 2H), 3.43-3.29 (m, 3H), 3.26-3.21 (m, 1H), 3.13-3.05 (m, 1H), 2.93-2.85 (m, 1H), 1.62-1.55 (m, 2H).
Intermediate 1-20 tert-Butyl 3-(7-cyclobutyl-8-{[7-fluoro-3-(methoxymethoxy)-8-{[tri(propan-2- yl)silyl]ethynyl}naphthalen-l-yl]oxy}-2-{[(2S,4S)-4-fluoro-l-methylpyrrolidin-2-yl]methoxy}-7H- purin-6-yl)-3,8-diazabicyclo [3.2.1] octane-8-carboxylate
To a solution of tert-butyl 3-[7-cyclobutyl-8-{[7-fhioro-3-(methoxymethoxy)-8-{[tri(propan-2- y 1 ) silyl ] ethynyl } naphthalen- 1 -yl] oxy } -2-(methane sulfonyl) -7H-purin-6-yl] -3,8- diazabicyclo[3.2.1]octane-8-carboxylate (Intermediate 1-14, 300 mg, 0.334 mmol) and [(2S,4S)-4-fluoro- l-methylpyrrolidin-2-yl]methanol (Intermediate 1-19, 66.6 mg, 0.400 mmol) in tetrahydrofuran (5.00 ml) was added sodium hydride (26.7 mg, 60% in mineral oil, 0.667 mmol;) at 0 °C under nitrogen atmosphere. After stirring at 25 °C for 16 hours, the mixture was diluted with water, extracted with ethyl acetate. The combined organic layers were washed with water and brine, dried over anhydrous sodium sulfate, concentrated to give a residue. The residue was purified by column chromatography on silica gel (100- 200 mesh, petroleum ether: ethyl acetate = 10: 1, 1: 1, then 0: 1 then ethyl acetate: methanol = 10: 1) to give tert-butyl 3 -(7 -cyclobutyl-8- { [7 -fluoro-3 -(methoxymethoxy)-8- { [tri(propan-2- yl)silyl]ethynyl}naphthalen- 1 -yl]oxy } -2-{ [(2S,4S)-4-fluoro- 1 -methylpyrrolidin-2-yl]methoxy} -7H- purin-6-yl)-3,8-diazabicyclo[3.2.1]octane-8-carboxylate (120 mg, 87% purity, 34% yield).
LC-MS (Method C): Rt = 0.990 min; MS (ESIpos): m/z = 916.2 [M+H]+. Intermediate 1-21 tert-Butyl 3-(7-cyclobutyl-8-{[8-ethynyl-7-fluoro-3-(methoxymethoxy)naphthalen-l-yl]oxy}-2- {[(2S,4S)-4-fluoro-l-methylpyrrolidin-2-yl]methoxy}-7H-purin-6-yl)-3,8-diazabicyclo[3.2.1] octane-8-carboxylate
To a solution of tert-butyl 3-(7-cyclobutyl-8-{[7-fhioro-3-(methoxymethoxy)-8-{[tri(propan-2- yl)silyl]ethynyl}naphthalen- 1 -yl]oxy } -2-{ [(2S,4S)-4-fluoro- 1 -methylpyrrolidin-2-yl]methoxy} -7H- purin-6-yl)-3,8-diazabicyclo[3.2.1]octane-8-carboxylate (Intermediate 1-20, 100 mg, 0.093 mmol) in tetrahydrofuran (5.00 ml) was added tetramethylammonium fluoride (25.9 mg, 0.278 mmol) at 25 °C. After stirring at 60 °C for 16 hours, the mixture was diluted with water, extracted with ethyl acetate. The combined organic layers were washed with water and brine, dried over anhydrous sodium sulfate, concentrated to give a residue. The residue was purified by preparative TLC (ethyl acetate: methanol= 10: 1) to give tert-butyl 3-(7-cyclobutyl-8-{[8-ethynyl-7-fluoro-3-(methoxymethoxy)naphthalen-l-yl]oxy}- 2-{[(2S,4S)-4-fhioro-l-methylpyrrolidin-2-yl]methoxy}-7H-purin-6-yl)-3,8-diazabicyclo[3.2.1]octane- 8-carboxylate (70.0 mg, 98% purity, 97% yield).
LC-MS (Method C): Rt = 0.835 min; MS (ESIpos): m/z = 760.2 [M+H]+.
Intermediate 1-22
To a solution of 1-tert-butyl 2-methyl (2S,4R)-4-fluoropyrrolidine-l,2-dicarboxylate (1.00 g, 4.04 mmol) in tetrahydrofuran (20 ml) was added dropwise lithium aluminum hydride (6.5 ml, 16 mmol, 2.5 M in tetrahydrofuran) at 25 °C. After stirring at 50 °C for 16 hours, the reaction mixture was quenched by sal glauberi (10.0 g). After stirring at 25 °C for 2 hours, the mixture was filtered. The filtrate was concentrated to give [(2S,4R)-4-fluoro-l-methylpyrrolidin-2-yl]methanol (300 mg, 95% purity, 53% yield).
' H NMR (400 MHz, CDCW): 5 [ppm] = 5.21-5.15 (m, 0.5H), 5.07-5.02 (m, 0.5H), 3.74 (dd, J= 11.2 Hz, 3.2 Hz, 1H), 3.59-3.48 (m, 1H), 3.45 (dd, J = 11.2 Hz, 1.6 Hz, 1H), 2.83-2.75 (m, 1H), 2.72-2.58
(m, 1H), 2.52-2.42 (m, 1H), 2.40 (s, 3H), 2.19-2.01 (m, 2H).
Intermediate 1-23 tert-Butyl 3-(7-cyclobutyl-8-{[7-fluoro-3-(methoxymethoxy)-8-{[tri(propan-2- yl)silyl]ethynyl}naphthalen-l-yl]oxy}-2-{[(2S,4R)-4-fluoro-l-methylpyrrolidin-2-yl]methoxy}-7H- purin-6-yl)-3,8-diazabicyclo [3.2.1] octane-8-carboxylate
To a solution of tert-butyl 3-[7-cyclobutyl-8-{[7-fhioro-3-(methoxymethoxy)-8-{[tri(propan-2- y 1 ) silyl ] ethynyl } naphthalen- 1 -yl] oxy } -2-(methane sulfonyl) -7H-purin-6-yl] -3,8 -diazabicyclo [3.2.1] octane-8-carboxylate (Intermediate 1-14, 300 mg, 96% purity, 0.334 mmol) and [(2S,4R)-4-fluoro-l- methylpyrrolidin-2-yl]methanol (Intermediate 1-22, 70.2 mg, 95% purity, 0.500 mmol) in tetrahydrofuran (10 ml) was added sodium hydride (26.7 mg, 0.667 mmol, 60% in mineral oil) at 0 °C under nitrogen atmosphere. After stirring at room temperature for 16 hours, the mixture was diluted with water, extracted with ethyl acetate. The combined organic layers were washed with water and brine, dried over anhydrous sodium sulfate, concentrated to give a residue. The residue was purified by preparative TLC (ethyl acetate: methanol = 10: 1) to give tert-butyl 3-[7-cyclobutyl-8-({7-fhioro-3-(methoxymethoxy)-8-
[(triisopropylsilyl)ethynyl] - 1 -naphthyl}oxy)-2-{ [(2S,4R)-4-fluoro- 1 -methylpyrrolidin-2-yl]methoxy } - 7H-purin-6-yl]-3,8-diazabicyclo[3.2.1]octane-8-carboxylate (280 mg, 98% purity, 90% yield).
LC-MS (Method C): Rt = 1.093 min; MS (ESIpos): m/z = 916.6 [M+H]+.
Intermediate 1-24 tert-Butyl 3-(7-cyclobutyl-8-{[8-ethynyl-7-fluoro-3-(methoxymethoxy)naphthalen-l-yl]oxy}-2-
{[(2S,4R)-4-fluoro-l-methylpyrrolidin-2-yl]methoxy}-7H-purin-6-yl)-3,8- diazabicyclo[3.2.1]octane-8-carboxylate
To a solution of tert-butyl 3-(7-cyclobutyl-8-{[7-fhroro-3-(methoxymethoxy)-8-{[tri(propan-2- yl)silyl]ethynyl}naphthalen- 1 -yl]oxy } -2-{ [(2S,4R)-4-fluoro- 1 -methylpyrrolidin-2-yl]methoxy} -7H- purin-6-yl)-3,8-diazabicyclo[3.2.1]octane-8-carboxylate (Intermediate 1-23, 260 mg, 98% purity, 0.278 mmol) in tetrahydrofuran (6.0 ml) was added tetramethylammonium fluoride (77.7 mg, 0.834 mmol) at 25 °C. After stirring at 50 °C for 6 hours, the mixture was poured into water and extracted with ethyl acetate. The organic phase was washed with brine, dried over anhydrous sodium sulfate, fdtered and concentrated to give tert-butyl 3-(7-cyclobutyl-8-{[8-ethynyl-7-fluoro-3-(methoxymethoxy)-l- naphthyl]oxy}-2-{[(2S,4R)-4-fluoro-l-methylpyrrolidin-2-yl]methoxy}-7H-purin-6-yl)-3,8- diazabicyclo[3.2. l]octane-8-carboxylate (200 mg, 98% purity, 93% yield).
LC-MS (Method C): Rt = 0.930 min; MS (ESIpos): m/z = 760.4 [M+H]+.
Intermediate 1-25
(5S)-5-(hydroxymethyl)-l-methyl-pyrrolidin-2-one
To a solution of methyl l-methyl-5-oxo-L-prolinate (300 mg, 1.91 mmol) in tetrahydrofuran (7.0 ml) was added dropwise lithium aluminum hydride (0.39 ml, 0.970 mmol, 2.5 M in tetrahydrofuran) at -65 °C under nitrogen atmosphere. After stirring at -65 °C for 1 hour. The reaction mixture was quenched by sodium sulfate decahydrate (3 g) and diluted with ethyl acetate. After stirring for 15 minutes, the mixture was fdtered. The fdtrate was concentrated and purified by preparative TLC (ethyl acetate: methanol = 10: 1) to give (5S)-5-(hydroxymethyl)-l-methylpyrrolidin-2-one (200 mg, 90% purity).
’H NMR (400 MHz, CDCh- ): 5 [ppm] = 3.76-3.83 (m, 1H), 3.56-3.47 (m, 2H), 3.09-2.91 (m, 1H), 2.80 (s, 3H), 2.46-2.33 (m, 1H), 2.29-2.19 (m, 1H), 2.09-2.01 (m, 1H), 1.94-1.86 (m, 1H).
Intermediate 1-26 tert-Butyl 3-(7-cyclobutyl-8-{[7-fluoro-3-(methoxymethoxy)-8-{[tri(propan-2- yl)silyl]ethynyl}naphthalen-l-yl]oxy}-2-{[(2S)-l-methyl-5-oxopyrrolidin-2-yl]methoxy}-7H-purin-
To a solution of tert-butyl 3-[7-cyclobutyl-8-{[7-fluoro-3-(methoxymethoxy)-8-{[tri(propan-2- y 1 ) silyl ] ethynyl } naphthalen- 1 -yl] oxy } -2-(methane sulfonyl) -7H-purin-6-yl] -3,8 -diazabicyclo [3.2.1] octane-8-carboxylate (Intermediate 1-14, 150 mg, 0.170 mmol) and (5 S)-5 -(hydroxymethyl)- 1- methylpyrrolidin-2-one (Intermediate 1-25, 33.7 mg, 261 mmol) in tetrahydrofuran (15 ml) was added sodium hydride (13.9 mg, 0.347 mmol, 60% purity in mineral oil) at 0 °C under nitrogen atmosphere. After stirring at room temperature for 16 hours, the reaction mixture was diluted with saturated ammonium chloride solution and extracted with ethyl acetate. The organic phase was washed with brine, dried over anhydrous sodium sulfate and filtered. The filtrate was concentrated to give tert-butyl 3-[7-cyclobutyl-8- ( { 7 -fluoro-3 -(methoxymethoxy)-8-[(triisopropylsilyl)ethynyl] - 1 -naphthyl } oxy)-2- { [(2 S ) - 1 -methyl-5 - oxopyrrolidin-2-yl]methoxy}-7H-purin-6-yl]-3,8-diazabicyclo[3.2. l]octane-8-carboxylate (160 mg, 88% purity).
LC-MS (Method C): Rt = 0.777 min; MS (ESIpos): m/z = 912.6 [M+H]+.
Intermediate 1-27 tert-Butyl 3-(7-cyclobutyl-8-{[8-ethynyl-7-fluoro-3-(methoxymethoxy)naphthalen-l-yl]oxy}-2- {[(2S)-l-methyl-5-oxopyrrolidin-2-yl]methoxy}-7H-purin-6-yl)-3,8-diazabicyclo[3.2.1]octane-8- carboxylate
A solution of tert-butyl 3-(7-cyclobutyl-8-{[7-fluoro-3-(methoxymethoxy)-8-{[tri(propan-2- yl)silyl]ethynyl}naphthalen- 1 -yl]oxy } -2-{ [(2 S) - 1 -methyl-5-oxopyrrolidin-2-yl]methoxy } -7H-purin-6- yl)-3,8-diazabicyclo[3.2.1]octane-8-carboxylate (Intermediate 1-26, 200 mg, 219 mmol) and tetramethylammonium fluoride (286 mg, 3.07 mmol) in tetrahydrofuran (10 ml) was stirred at 60 °C for 16 hours. The reaction mixture was diluted with water and extracted with ethyl acetate. The organic phase was washed with brine, dried over anhydrous sodium sulfate and fdtered. The fdtrate was concentrated to give tert-butyl 3-(7-cyclobutyl-8-{[8-ethynyl-7-fluoro-3-(methoxymethoxy)-l-naphthyl]oxy}-2-{[(2S)- l-methyl-5-oxopyrrolidin-2-yl]methoxy}-7H-purin-6-yl)-3,8-diazabicyclo[3.2.1]octane-8-carboxylate ( 150 mg, 90% purity, 81 % yield) .
LC-MS (Method C): Rt = 0.627 min; MS (ESIpos): m/z = 756.4 [M+H]+.
Intermediate 1-28 tert-Butyl 3-(2-{[(2S)-l-(tert-butoxycarbonyl)pyrrolidin-2-yl]methoxy}-7-cyclobutyl-8-{[7-fluoro-
3-(methoxymethoxy)-8-{[tri(propan-2-yl)silyl]ethynyl}naphthalen-l-yl]oxy}-7H-purin-6-yl)-3,8- diazabicyclo[3.2.1]octane-8-carboxylate
To a solution of tert-butyl 3-[7-cyclobutyl-8-{[7-fhroro-3-(methoxymethoxy)-8-{[tri(propan-2- y 1 ) silyl ] ethynyl } naphthalen- 1 -yl] oxy } -2-(methane sulfonyl) -7H-purin-6-yl] -3,8 -diazabicyclo [3.2.1] octane-8-carboxylate (Intermediate 1-14, 100 mg, 95% purity, 0.110 mmol) and tert-butyl (2S)-2- (hydroxymethyl)pyrrolidine-l -carboxylate (33.2 mg, 0.165 mmol) in tetrahydrofuran (12 ml) was added sodium hydride (8.80 mg, 0.220 mmol, 60% in mineral oil) at 0 °C under nitrogen atmosphere. After stirring at room temperature for 16 hours, the mixture was diluted with water, extracted with ethyl acetate. The combined organic layers were washed with water and brine, dried over anhydrous sodium sulfate, concentrated to give tert-butyl 3-[2-{[(2S)-l-(tert-butoxycarbonyl)pyrrolidin-2-yl]methoxy}-7- cyclobutyl-8-( { 7 -fluoro-3 -(methoxymethoxy)-8-[(triisopropylsilyl)ethynyl] - 1 -naphthyl } oxy)-7H-purin-
6-yl]-3,8-diazabicyclo [3.2.1]octane-8-carboxylate (180 mg, 80% purity).
LC-MS (Method C): Rt = 0.828 min; MS (ESIpos): m/z = 984.9 [M+H]+.
Intermediate 1-29 tert-Butyl 3-(2-{[(2S)-l-(tert-butoxycarbonyl)pyrrolidin-2-yl]methoxy}-7-cyclobutyl-8-{[8-ethynyl- 7-fluoro-3-(methoxymethoxy)naphthalen-l-yl]oxy}-7H-purin-6-yl)-3,8-diazabicyclo [3.2.1] octane-
8-carboxylate
To a solution of tert-butyl 3-(2-{[(2S)-l-(tert-butoxycarbonyl)pyrrolidin-2-yl]methoxy}-7-cyclobutyl-8- {[7-fluoro-3-(methoxymethoxy)-8-{[tri(propan-2-yl)silyl]ethynyl}naphthalen-l-yl]oxy}-7H-purin-6-yl)- 3,8-diazabicyclo[3.2.1]octane-8-carboxylate (Intermediate 1-28, 160 mg, 80% purity, 0.130 mmol) in tetrahydrofuran (15.0 ml) was added tetramethylammonium fluoride (182 mg, 1.95 mmol) at room temperature. After stirring at 60 °C for 16 hours, the reaction mixture was diluted with water, extracted with ethyl acetate. The combined organic layers were washed with water and brine, dried over anhydrous sodium sulfate, concentrated to give tert-butyl 3-(2-{[(2S)-l-(tert-butoxycarbonyl)pyrrolidin-2- yl]methoxy}-7-cyclobutyl-8-{[8-ethynyl-7-fhioro-3-(methoxymethoxy)-l-naphthyl]oxy}-7H-purin-6- yl)-3,8-diazabicyclo[3.2.1]octane-8-carboxylate (130 mg, 95% purity).
LC-MS (Method C): Rt = 1.123 min; MS (ESIpos): m/z = 828.5 [M+H]+.
Intermediate 1-30 tert-Butyl 3-(7-cyclobutyl-2-{[(2S)-4,4-difluoro-l-methylpyrrolidin-2-yl]methoxy}-8-{[7-fluoro-3-
(methoxymethoxy)-8-{[tri(propan-2-yl)silyl]ethynyl}naphthalen-l-yl] oxy}-7H-purin-6-yl)-3,8- diazabicyclo[3.2.1]octane-8-carboxylate
To a solution of tert-butyl 3-[7-cyclobutyl-8-{[7-fhroro-3-(methoxymethoxy)-8-{[tri(propan-2- y 1 ) silyl ] ethynyl } naphthalen- 1 -yl] oxy } -2-(methane sulfonyl) -7H-purin-6-yl] -3,8 -diazabicyclo [3.2.1] octane-8-carboxylate (Intermediate 1-14, 100 mg, 0.110 mmol) and [(2S)-4,4-difluoro-l- methylpyrrolidin-2-yl]methanol (25.0 mg, 0.165 mmol) in tetrahydrofuran (4.0 ml) was added sodium hydride (8.80 mg, 60% in mineral oil, 0.220 mmol) at 0 °C under nitrogen atmosphere. After stirring at 25 °C for 16 hours, the mixture was diluted with water, extracted with ethyl acetate. The combined organic layers were washed with water and brine, dried over anhydrous sodium sulfate, concentrated to give tertbutyl 3-(7-cyclobutyl-2-{[(2S)-4,4-difluoro-l-methylpyrrolidin-2-yl]methoxy}-8-{[7-fluoro-3-
(methoxymethoxy)-8-{ [tri (propan-2 -yl)silyl]ethynyl}naphthalen-l-yl]oxy}-7H-purin-6-yl)-3, 8- diazabicyclo[3.2.1]octane-8-carboxylate (190 mg, 88% purity).
LC-MS (Method C): Rt = 1.071 min; MS (ESIpos): m/z = 934.2 [M+H]+.
Intermediate 1-31 tert-Butyl 3-(7-cyclobutyl-2-{[(2S)-4,4-difluoro-l-methylpyrrolidin-2-yl]methoxy}-8-{[8-ethynyl-7- fluoro-3-(methoxymethoxy)naphthalen-l-yl]oxy}-7H-purin-6-yl)-3,8-diazabicyclo[3.2.1]octane-8- carboxylate
To a solution of tert-butyl 3-(7-cyclobutyl-2-{[(2S)-4,4-difluoro-l-methylpyrrolidin-2-yl]methoxy}-8- {[7-fluoro-3-(methoxymethoxy)-8-{[tri(propan-2-yl)silyl]ethynyl}naphthalen-l-yl]oxy}-7H-purin-6-yl)- 3,8-diazabicyclo[3.2.1]octane-8-carboxylate (Intermediate 1-30, 140 mg, 0.132 mmol) in tetrahydrofuran (5.0 ml) was added tetramethylammonium fluoride (36.9 mg, 0.396 mmol) at 25 °C. After stirring at 60 °C for 6 hours, the mixture was diluted with water, extracted with ethyl acetate. The combined organic layers were washed with water and brine, dried over anhydrous sodium sulfate, concentrated to give a residue. The residue was purified by preparative TLC (ethyl acetate: methanol = 20: 1) to give tert-butyl 3-(7-cyclobutyl-2-{[(2S)-4,4-difluoro-l-methylpyrrolidin-2-yl]methoxy}-8-{[8-ethynyl-7-fluoro-3-
(methoxymethoxy) naphthalen-l-yl]oxy}-7H-purin-6-yl)-3,8-diazabicyclo[3.2.1]octane-8-carboxylate (150 mg, 87% purity).
LC-MS (Method C): Rt = 0.884 min; MS (ESIpos): m/z = 778.2 [M+H]+.
Intermediate 1-32
To a solution of ethyl cyanoacetate (10.0 g, 88.4 mmol) and N-methylglycine (19.7 g, 221 mmol) in toluene (100 ml) was added formaldehyde (6.64 g, 221 mmol) at 25 °C. After stirring at 110 °C for 16 hours using dean-stark trap, the mixture was concentrated to remove toluene and diluted with water, extracted with ethyl acetate. The combined organic layers were washed with water and brine, dried over anhydrous sodium sulfate, concentrated to give a residue. The residue was purified by flash column (petroleum ether: ethyl acetate = 20: 1 to 1: 1) to give ethyl-3-cyano-l-methylpyrrolidine-3-carboxylate (7.80 g, 95% purity, 46% yield).
'HNMR (400 MHz, CDCE- ): 5 [ppm] = 4.29 (q, J= 7.2 Hz, 2H), 3.14-3.08 (m, 1H), 3.07-3.01 (m, 1H), 2.85-2.77 (m, 1H), 2.72-2.64 (m, 1H), 2.64-2.55 (m, 1H), 2.49-2.42 (m, 1H), 2.40 (s, 3H), 1.34 (t, J = 7.2 Hz, 3H).
Intermediate 1-33
To a solution of ethyl ethyl-3-cyano-l-methylpyrrolidine-3-carboxylate (Intermediate 1-32, 2.00 g, 11.0 mmol) in methanol (50.0 ml) was added sodium tetrahydroborate (4.15 g, 110 mmol) in small protions over 30 minutes at 0 °C. After stirring at 25 °C for 3 hours, the mixture was poured into ice water, extracted with ethyl acetate. The combined organic layers were washed with water and brine, dried over anhydrous sodium sulfate, concentrated to give a residue. The residue was purified by preparative HPLC [Instrument: ACSWH-GX-J; Column: Waters xbridge 150 mm x 25 mm, 10 pm; eluent A: water (ammonium bicarbonate v/v: 0.5%), eluent B: acetonitrile; gradient: 0-10 min 1-20% B; flow 25 ml/min; temperature:
room temperature; Detector: UV 220/254 nm] to give 3 -(hydroxymethyl)- l-methylpyrrolidine-3- carbonitrile (200 mg, 95% purity).
'HNMR (400 MHz, CDCW): 8 [ppm] = 3.81-3.76 (m, 1H), 3.72-3.66 (m, 1H), 2.97 (d, J = 9.8 Hz, 1H), 2.84 (m, 1H), 2.73 (d, J= 9.6 Hz, 1H), 2.51 (q, J= 8.4 Hz, 1H), 2.37 (s, 3H), 2.31-2.23(m,lH), 2.13-2.07 (m, 1H).
Intermediate 1-34 tert-Butyl 3-(2-{[3-cyano-l-methylpyrrolidin-3-yl]methoxy}-7-cyclobutyl-8-{[7-fluoro-3-
(methoxymethoxy)-8-{[tri(propan-2-yl)silyl]ethynyl}naphthalen-l-yl] oxy}-7H-purin-6-yl)-3,8- diazabicyclo[3.2.1]octane-8-carboxylate (racemic)
To a solution of tert-butyl 3-[7-cyclobutyl-8-{[7-fluoro-3-(methoxymethoxy)-8-{[tri(propan-2- y 1 ) silyl ] ethynyl } naphthalen- 1 -yl] oxy } -2-(methane sulfonyl) -7H-purin-6-yl] -3,8 -diazabicyclo [3.2.1] octane-8-carboxylate (Intermediate 1-14, 180 mg, 0.198 mmol) and 3 -(hydroxymethyl)- 1- methylpyrrolidine -3 -carbonitrile (Intermediate 1-33, 33.3 mg, 0.238 mmol) in tetrahydrofuran (20.0 ml) was added sodium hydride (15.8 mg, 60% in mineral oil, 0.396 mmol) at 0 °C under nitrogen atmosphere. After stirring at 25 °C for 4 hours, the mixture was diluted with water, extracted with ethyl acetate. The combined organic layers were washed with water and brine, dried over anhydrous sodium sulfate, concentrated to give tert-butyl 3-(2-{[3-cyano-l-methylpyrrolidin-3-yl]methoxy}-7-cyclobutyl-8-{[7- fluoro-3-(methoxymethoxy)-8-{[tri(propan-2-yl)silyl]ethynyl}naphthalen-l-yl]oxy}-7H-purin-6-yl)-3,8- diazabicyclo[3.2.1]octane-8-carboxylate (250 mg, 92% purity).
LC-MS (Method C): Rt = 1.033 min; MS (ESIpos): m/z = 923.2 [M+H]+.
Intermediate 1-35 tert-Butyl 3-(2-{[3-cyano-l-methylpyrrolidin-3-yl]methoxy}-7-cyclobutyl-8-{[8-ethynyl-7-fluoro-3-
(methoxymethoxy)naphthalen-l-yl]oxy}-7H-purin-6-yl)-3,8-diazabicyclo[3.2.1]octane-8- carboxylate (racemic)
To a solution of tert-butyl 3-(2-{[3-cyano-l-methylpyrrolidin-3-yl]methoxy}-7-cyclobutyl-8-{[7-fluoro- 3 -(methoxymethoxy)-8-{ [tri (propan-2 -yl)silyl]ethynyl}naphthalen-l-yl]oxy}-7H-purin-6-yl)-3, 8- diazabicyclo[3.2.1]octane-8-carboxylate (Intermediate 1-34, 230 mg, 0.229 mmol) in tetrahydrofuran (10.0 ml) was added tetramethylammonium fluoride (64.0 mg, 0.688 mmol) at 25 °C. After stirring at 60 °C for 4 hours, the mixture was diluted with water, extracted with ethyl acetate. The combined organic layers were washed with water and brine, dried over anhydrous sodium sulfate, concentrated to give a residue. The residue was purified by column chromatography on silica gel (100-200 mesh, petroleum ether: ethyl acetate = 10: 1, then 4: 1 then 1: 1, then 0: 1, then ethyl acetate: methanol = 10: 1) to give tertbutyl 3-(2-{[3-cyano-l-methylpyrrolidin-3-yl]methoxy}-7-cyclobutyl-8-{[8-ethynyl-7-fluoro-3-
(methoxymethoxy )naphthalen-l-yl]oxy}-7H-purin-6-yl)-3, 8 -diazabicyclo [3.2. l]octane-8-carboxylate (150 mg, 97% purity, 83% yield).
LC-MS (Method C): Rt = 0.860 min; MS (ESIpos): m/z = 767.2 [M+H]+.
Intermediate 1-36 tert-Butyl 3-(7-cyclobutyl-8-{[7-fluoro-3-(methoxymethoxy)-8-{[tri(propan-2-yl)silyl]ethynyl} naphthalen-l-yl]oxy}-2-[2-(l-methyl-lH-imidazol-2-yl)ethoxy]-7H-purin-6-yl)-3,8-diazabicyclo
To a solution of tert-butyl 3-[7-cyclobutyl-8-{[7-fhroro-3-(methoxymethoxy)-8-{[tri(propan-2- y 1 ) silyl ] ethynyl } naphthalen- 1 -yl] oxy } -2-(methane sulfonyl) -7H-purin-6-yl] -3,8 -diazabicyclo [3.2.1]octane-8-carboxylate (Intermediate 1-14, 180 mg, 0.198 mmol) and 2-(l -methyl- lH-imidazol-2- yl)ethan-l-ol (30.0 mg, 0.238 mmol) in tetrahydrofuran (20.0 ml) was added sodium hydride (15.8 mg,
60% in mineral oil, 0.396 mmol) at 0 °C under nitrogen atmosphere. After stirring at 40 °C for 4 hours, the mixture was diluted with water, extracted with ethyl acetate. The combined organic layers were washed with water and brine, dried over anhydrous sodium sulfate, concentrated to give tert-butyl 3-(7- cyclobutyl-8-{[7-fluoro-3-(methoxymethoxy)-8-{[tri(propan-2-yl)silyl]ethynyl}naphthalen-l-yl]oxy}-2- [2-(l-methyl-lH-imidazol-2-yl)ethoxy]-7H-purin-6-yl)-3,8-diazabicyclo[3.2.1]octane-8-carboxylate (250 mg, 91% purity).
LC-MS (Method C): Rt = 1.023 min; MS (ESIpos): m/z = 909.2 [M+H]+.
Intermediate 1-37 tert-Butyl 3-(7-cyclobutyl-8-{[8-ethynyl-7-fluoro-3-(methoxymethoxy)naphthalen-l-yl]oxy}-2-[2- (l-methyl-lH-imidazol-2-yl)ethoxy]-7H-purin-6-yl)-3,8-diazabicyclo[3.2.1]octane-8-carboxylate
To a solution of tert-butyl 3-(7-cyclobutyl-8-{[7-fhioro-3-(methoxymethoxy)-8-{[tri(propan-2- yl)silyl]ethynyl}naphthalen- 1 -yl]oxy} -2-[2-( 1 -methyl- lH-imidazol-2-yl)ethoxy] -7H-purin-6-yl)-3, 8- diazabicyclo[3.2.1]octane-8-carboxylate (Intermediate 1-36, 230 mg, 0.230 mmol) in tetrahydrofuran (10.0 ml) was added tetramethylammonium fluoride (64.3 mg, 0.691 mmol) at 25 °C. After stirring at 60
°C for 4 hours, the mixture was diluted with water, extracted with ethyl acetate. The combined organic layers were washed with water and brine, dried over anhydrous sodium sulfate, concentrated to give a residue. The residue was purified by column chromatography on silica gel (100-200 mesh, petroleum ether: ethyl acetate = 10: 1, then 4: 1, then 1: 1, then 0: 1, then ethyl acetate: methanol = 10: 1) to tert- butyl 3-(7-cyclobutyl-8- { [8-ethynyl-7-fluoro-3-(methoxymethoxy)naphthalen- 1 -yl]oxy } -2-[2-( 1 -methyl - lH-imidazol-2-yl)ethoxy]-7H-purin-6-yl)-3,8-diazabicyclo[3.2.1]octane-8-carboxylate (150 mg, 98% purity, 85% yield).
LC-MS (Method C): Rt = 0.862 min; MS (ESIpos): m/z = 753.2 [M+H]+.
Intermediate 2-01 tert-Butyl (3R,4S)-3,4-dihydroxypyrrolidine-l-carboxylate
To a solution of tert-butyl 2,5 -dihydro- IH-pyrrole-l -carboxylate (100 g, 591 mmol) in a mixture solution of acetone (600 ml) and water (50 ml) were added 4-methylmorpholinen-oxide (83.1 g, 709 mmol) and dipotassium tetraoxidoosmate(2-) (982 mg, 2.95 mmol) at room temperature. After stirring at the same temperature for 16 hours, the mixture was diluted with water, extracted with ethyl acetate. The combined organic layers were washed with water and brine, dried over anhydrous sodium sulfate, concentrated to give a residue. The residue was purified by flash column (petroleum ether: ethyl acetate = 10: 1 to 1: 1) to give tert-butyl (3R,4S)-3,4-dihydroxypyrrolidine-l-carboxylate (100 g, 95% purity, 79% yield).
’HNMR (400 MHz, CDCh- ): 5 [ppm] = 4.27-4.19 (m, 2H), 3.63-3.51 (m, 2H), 3.30-3.28 (m, 2H), 3.24- 3.15 (m, 1H), 3.07-2.96 (m, 1H), 1.45 (s, 9H).
To a solution of tert-butyl (3R,4S)-3,4-dihydroxypyrrolidine-l-carboxylate (Intermediate 2-01, 25.0 g, 123 mmol) in dichloromethane (800 ml) was added lodosobenzene diacetate (59.4 g, 185 mmol) at 0 °C. After stirring at the same temperature for 1 hour, vinylmagnesium bromide (740 ml, 1.0 M, 740 mmol) was added dropwise to the above mixture at -70 °C. The mixture was stirred at room temperature for another 16 hours. Four parallel reactions with same scale were combined. The combined mixture was diluted with ice-water, extracted with dichloromethane. The combined organic layers were washed with water and brine, dried over anhydrous sodium sulfate, concentrated to give a residue. The residue was purified by flash column (petroleum ether: ethyl acetate = 20: 1 to 3: 1) to give tert-butyl [(2R)-2- hydroxybut-3-en-l-yl][(2S)-2-hydroxybut-3-en-l-yl]carbamate (50.0 g, 90% purity).
1HNMR (400 MHz, CDCh- ): 5 [ppm] = 5.94-5.77 (m, 2H), 5.42-5.26 (m, 2H), 5.21-5.13 (m, 2H), 4.55- 4.30 (m, 2H), 3.82-3.46 (m, 2H), 3.45-3.31 (m, 3H), 3.27-3.15 (m, 1H), 1.47 (s, 9H).
Intermediate 2-03
(2R)-l-[(tert-Butoxycarbonyl){(2S)-2-[(2,2,2-trichloroethanimidoyl)oxy]but-3-en-l-yl}amino]but-
3-en-2-yl 2,2,2-trichloroethanimidate
To a solution of tert-butyl [(2R)-2-hydroxybut-3-en-l-yl][(2S)-2-hydroxybut-3-en-l-yl]carbamate (Intermediate 2-02, 55.0 g, 95% purity, 203 mmol) in dichloromethane (1.2 L) were added trichloroacetonitrile (120 ml, 1.2 mol) and l,8-diazabicyclo(5.4.0)undec-7-ene (45 ml, 300 mmol) at 0 °C. After stirring at room temperature for 16 hours, the mixture was diluted with water, extracted with ethyl acetate. The combined organic layers were washed with water and brine, dried over anhydrous sodium sulfate, concentrated to give a residue. The residue was purified by flash column (petroleum ether: ethyl acetate = 20: 1 to 5: 1) to give (2R)-l-[(tert-butoxycarbonyl){(2S)-2-[(2,2,2-trichloroethanimidoyl)- oxy]but-3-en-l-yl}amino]but-3-en-2-yl 2,2,2-trichloroethanimidate (100 g, 80% purity, 72% yield).
’H NMR (400 MHz, CDCl3-d): 5 [ppm] = 8.38 (s, 2H), 5.93-5.75 (m, 2H), 5.72-5.56 (m, 2H), 5.47-5.36 (m, 2H), 5.32-5.27 (m, 2H), 3.87-3.75 (m, 1H), 3.74-3.56 (m, 2H), 3.53-3.37 (m, 1H), 1.48 (s, 9H).
To a solution of 2-phenylpropan-2-amine (26.7 g, 198 mmol) and Chloro-(l,5-cyclooctadien)-iridium(I) Dimer (5.53 g, 8.24 mmol) in 1,2 -dichloroethane (800 ml) was added dropwise a solution of (2R)-1 -[(tertbutoxycarbonyl) {(2S)-2-[(2, 2, 2-trichloroethanimidoyl)oxy]but-3-en-l-yl}amino]but-3-en-2-yl-2, 2, 2- trichloroethanimidate (Intermediate 2-03, 100 g, 90% purity, 165 mmol) dissolved in 1,2 -dichloroethane (400 ml) at 0 °C. After stirring at room temperature for 16 hours, the mixture was purified by flash column (petroleum ether: ethyl acetate= 1: 0 to 10: 1) to give tert-butyl (3R,5S)-4-(2-phenylpropan-2-yl)-3,5- divinylpiperazine-1 -carboxylate (35.0 g, 80% purity, 48% yield).
’HNMR (400 MHz, CDCl3-d): 5 [ppm] = 7.49-7.42 (m, 2H), 7.26-7.17 (m, 2H), 7.15-7.11 (m, 1H), 5.97- 5.83 (m, 2H), 5.10-4.95 (m, 2H), 4.94-4.86 (m, 2H), 3.58-3.39 (m, 4H), 3.31-3.17 (m, 2H), 1.39 (s, 6H), 1.37 (s, 9H).
Intermediate 2-05 tert-butyl 8-(l-methyl-l-phenyl-ethyl)-3,8-diazabicyclo[3.2.1]oct-6-ene-3-carboxylate
A solution of tert-butyl (3R,5S)-3,5-diethenyl-4-(2-phenylpropan-2-yl)piperazine-l-carboxylate (Intermediate 2-04, 35.0 g, 80% purity, 78.5 mmol) and (l,3-bis(2,4,6-trimethylphenyl)-2- imidazolidinylidene)dichloro(phenylmethylene)(tricyclohexylphosphine)ruthenium (3.33 g, 3.93 mmol) in toluene (800 ml) was refluxed for 20 hours. The mixture was purified by flash column (petroleum ether: ethyl acetate = 1: 0 to 10: 1) to give tert-butyl 8-(l-methyl-l-phenyl-ethyl)-3,8-diazabicyclo[3.2.1]oct-6- ene -3 -carboxylate (14.0 g, 95% purity, 51% yield).
’H NMR (400 MHz, CDCh- ): 5 [ppm] = 7.62-7.56 (m, 2H), 7.32 (t, J= 7.6 Hz, 2H), 7.22 (t, J= 7.4 Hz, 1H), 6.02-5.94 (m, 2H), 3.67-3.58 (m, 2H), 3.55-3.46 (m, 2H), 3.16-3.05 (m, 2H), 1.42 (s, 9H), 1.26 (d, J = 6.0 Hz, 6H).
Intermediate 2-06
A solution of tert-butyl (lR,5S)-8-(2-phenylpropan-2-yl)-3,8-diazabicyclo[3.2.1]oct-6-ene-3-carboxylate (Intermediate 2-05, 5.00 g, 95% purity, 14.5 mmol) and hydrochloric acid (24 ml, 95 mmol, 4 M in ethyl acetate ) in ethyl acetate (19 ml) was stirred at room temperature for 16 hours. The mixture was concentrated to give 8-(l-methyl-l-phenyl-ethyl)-3,8-diazabicyclo[3.2.1]oct-6-ene:hydrochloride (1:1) (11.0 g, crude).
LC-MS (Method C): Rt = 0.746 min; MS (ESIpos): m/z =229.2 [M+H]+.
Intermediate 2-07
A solution of 8-(l-methyl-l-phenyl-ethyl)-3,8-diazabicyclo[3.2.1]oct-6-ene:hydrochloride (1: 1) (Intermediate 2-06, 11.0 g, 88% purity, 36.6 mmol), sodium hydrogen carbonate (12.3 g, 146 mmol) and N-(benzyloxycarbonyloxy)succinimide (18.2 g, 73.1 mmol) in a mixed solvent of tetrahydrofuran (130 ml) and water (90 ml) was stirred at room temperature for 3 hours. The mixture was diluted with water, extracted with ethyl acetate. The combined organic layers were washed with water and brine, dried over anhydrous sodium sulfate, concentrated to give benzyl 8-(l-methyl-l-phenyl-ethyl)-3,8- diazabicyclo[3.2.1]oct-6-ene-3-carboxylate (10.0 g, 75% yield).
LC-MS (Method C): Rt = 0.797 min; MS (ESIpos): m/z =363.2 [M+H]+.
1HNMR (400 MHz, CDCh- ): 5 [ppm] = 7.53-7.47 (m, 2H), 7.31-7.21 (m, 7H), 7.19-7.12 (m, 1H), 5.96- 5.86 (m, 2H), 5.02 (q, J = 12.4 Hz, 2H), 3.64-3.57 (m, 2H), 3.56-3.46 (m, 2H), 3.17-3.06 (m, 2H), 1.18 (d, J= 6.8 Hz, 6H).
Intermediate 2-08
A solution of benzyl 8-(l-methyl-l-phenyl-ethyl)-3,8-diazabicyclo[3.2.1]oct-6-ene-3-carboxylate (Intermediate 2-07, 10.0 g, 27.3 mmol) in acetic acid (100 ml) was stirred at 120 °C for 8 hours. The reaction mixture was concentrated to give benzyl 3,8-diazabicyclo[3.2.1]oct-6-ene-3-carboxylate (6.80 g, 90% purity, 92% yield), which used for the next step without purification.
LC-MS (Method C): Rt = 0.333 min; MS (ESIpos): m/z =245.1 [M+H]+.
Intermediate 2-09
To a solution of benzyl 3,8-diazabicyclo[3.2.1]oct-6-ene-3-carboxylate (Intermediate 2-08, 6.80 g, 90% purity, 25.1 mmol) and triethylamine (10 ml, 75 mmol) in tetrahydrofuran (120 ml) was added di -tert- butyl dicarbonate (6.9 ml, 30 mmol) in one portion at room temperature. After stirring at room temperature for 3 hours, the mixture was diluted with water, extracted with ethyl acetate. The combined organic layers were washed with water and brine, dried over anhydrous sodium sulfate, concentrated to give a residue. The residue was purified by column chromatography on silica gel (100-200 mesh, petroleum ether: ethyl acetate = 10: 1 then 5: 1, then 1: 1) to give O3-benzyl 08-tert-butyl 3,8-diazabicyclo[3.2.1]oct-6-ene-3,8- dicarboxylate (8.00 g, 88% yield).
LC-MS (Method C): Rt = 0.943 min; MS (ESIpos): m/z = 367.0 [M+Na]+.
Intermediate 2-10
3-Benzyl 8-tert-butyl (1R,5R,6R and lS,5S,6S)-6-hydroxy-3,8-diazabicyclo [3.2.1] octane-3, 8- dicarboxylate
To a solution of O3-benzyl 08-tert-butyl 3, 8 -diazabicyclo [3.2. l]oct-6-ene-3,8-dicarboxylate (Intermediate 2-09, 7.50 g, 21.6 mmol) in tetrahydrofuran (150 ml) was added borane tetrahydrofuran complex (32 ml, 32 mmol, 1.0 M in tetrahydrofuran) in one portion at 0 °C. After stirring for 1 hour, a solution of sodium hydroxide (22 ml, 43 mmol, 2 M in water) was added at 0 °C. Hydrogen peroxide (4.4
ml, 30% purity, 43 mmol) was added dropwise to the above mixture at 0 °C. The reaction mixture was stirred at room temperature for 1 hour. The mixture was quenched by sodium thiosulfate (5.0 g) and adjusted to pH = 7-8 by 1 M hydrochloric acid at room temperature. The mixture was poured into water and extracted with ethyl acetate. The combined organic phase were washed with brine, dried over anhydrous sodium sulfate, filtered and concentrated to give a residue. The residue was purified by flash column (petroleum ether: ethyl acetate = 20: 1 to 0: 1) to give 3-benzyl 8-tert-butyl (1R,5R,6R and IS, 5S,6S)-6-hydroxy-3,8-diazabicyclo[3.2. l]octane-3, 8-dicarboxylate (4.40 g, 99% purity, 56% yield). LC-MS (Method C): Rt = 0.869 min; MS (ESIpos): m/z =385.1 [M+Na]+.
’H NMR (400 MHz, CDCh- ): 5 [ppm] = 7.39-7.31 (m, 5H), 5.13 (s, 2H), 4.47-4.26 (m, 2H), 4.07-3.87 (m, 2H), 3.81-3.65 (m, 1H), 3.17-2.97 (m, 2H), 2.23-2.07 (m, 1H), 1.86-1.75 (m, 1H), 1.48 (s, 9H).
Intermediate 2-11
To a solution of 3-benzyl 8-tert-butyl (1R,5R,6R and lS,5S,6S)-6-hydroxy-3,8- diazabicyclo[3.2. l]octane-3, 8-dicarboxylate (Intermediate 2-10, 1.00 g, 99% purity, 2.73 mmol) in dichloromethane (15 ml) was added l,l,l-triacetoxy-llambda5,2-benziodoxol-3(lH)-one (2.55 g, 6.01 mmol) in one portion at 0 °C. After stirring at room temperature for 16 hours, the reaction mixture was concentrated and purified by column chromatography on silica gel (100-200 mesh, petroleum ether: ethyl acetate = 1: 0, then 20: 1) to give 3-benzyl 8-tert-butyl rac-6-oxo-3,8-diazabicyclo[3.2.1]octane-3,8- dicarboxylate (1.00 g, 90% purity, 91% yield).
LC-MS (Method C): Rt = 0.882 min; MS (ESIpos): m/z =361.3 [M+H]+.
Intermediate 2-12
3-Benzyl 8-tert-butyl (1R,5R,6S and lS,5S,6R)-6-hydroxy-3,8-diazabicyclo [3.2.1] -octane-3, 8- dicarboxylate
To a solution of 3-benzyl 8-tert-butyl rac-6-oxo-3,8-diazabicyclo[3.2.1]octane-3,8-dicarboxylate (Intermediate 2-11, 1.00 g, 90% purity, 2.50 mmol) in ethanol (25 ml) was added sodium tetrahydroborate (283 mg, 7.49 mmol) in one portion at -40 °C. After stirring at -40 °C for 1 hour, the reaction mixture was diluted with saturated ammonium chloride solution and extracted with ethyl acetate. The organic phase was washed with brine, dried over anhydrous sodium sulfate and filtered. The filtrate was concentrated and purified by column chromatography on silica gel (100-200 mesh, petroleum ether: ethyl acetate = 1: 0, then 10: 1, 5: 1) to give 3-benzyl 8-tert-butyl (1R,5R,6S and lS,5S,6R)-6-hydroxy-3,8- diazabicyclo[3.2.1]octane-3,8-dicarboxylate (900 mg, 99% purity, 98% yield).
LC-MS (Method C): Rt = 0.842 min; MS (ESIpos): m/z =363.2 [M+H]+.
Intermediate 2-13
3-Benzyl 8-tert-butyl (1S,5S,6R or lR,5R,6S)-6-hydroxy-3,8-diazabicyclo[3.2.1]-octane-3,8- dicarboxylate (#2, peak 2)
3-Benzyl 8-tert-butyl (1R,5R,6S and lS,5S,6R)-6-hydroxy-3,8-diazabicyclo[3.2.1]octane-3,8- dicarboxylate (Intermediate 2-12, 1.10 g, 99 % purity, 3.00 mmol) was separated by preparative-SFC (Instrument: Acswh-prep-SFC-D; Column: Daicel chiralpak AD-H 250mm*30mm*5 pm; eluent A: carbon dioxide, eluent B: i-PrOH (0.1% NHs’FEO), gradient: 4.7 min 25-25% (25% CO2) B; flow 100 ml/min; temperature: room temperature; Detector: UV 220/254 nm) to give 3-benzyl 8-tert-butyl (1R,5R,6S or lS,5S,6R)-6-hydroxy-3,8-diazabicyclo[3.2.1]octane-3,8-dicarboxylate (#1, peak 1. 540 mg,
90% purity, 45% yield) and 3-benzyl 8-tert-butyl (1S,5S,6R or lR,5R,6S)-6-hydroxy-3,8- diazabicyclo[3.2. l]octane-3,8-dicarboxylate (#2, peak 2. 620 mg, 90% purity, 21% yield).
Intermediate 2-14
3-Benzyl 8-tert-butyl (1S,5S,6R or lR,5R,6S)-6-methoxy-3,8-diazabicyclo[3.2.1]octane-3,8- dicarboxylate
To a solution of 3-benzyl 8-tert-butyl (1S,5S,6R or lR,5R,6S)-6-hydroxy-3,8-diazabicyclo[3.2.1]octane- 3, 8 -dicarboxy late (Intermediate 2-13, #2, peak 2, 620 mg, 90% purity, 1.54 mmol) in tetrahydrofuran (10 ml) was added sodium hydride (135 mg, 3.39 mmol, 60% purity in mineral oil) in one portion at 0 °C. After stirring for 0.5 hour, lodomethane (0.190 ml, 3.1 mmol) was added in one portion. The reaction mixture was stirred at room temperature for 16 hours. The reaction mixture was diluted with saturated ammonium chloride solution and extracted with ethyl acetate. The organic phase was washed with brine, dried over anhydrous sodium sulfate and fdtered. The filtrate was concentrated and purified by column chromatography on silica gel (100-200 mesh, petroleum ether: ethyl acetate 1: 0, then 10: 1, then 5: 1) to give 3-benzyl 8-tert-butyl (1S,5S,6R or lR,5R,6S)-6-methoxy-3,8-diazabicyclo[3.2.1]octane-3,8- dicarboxylate (550 mg, 92% purity, 87% yield).
LC-MS (Method C): Rt = 0.830 min; MS (ESIpos): m/z =277.4 [M+H-100]+.
1HNMR (400 MHz, DMSO- 6): 5 [ppm] = 7.40-7.28 (m, 5H), 5.21-5.0 (m, 2H), 4.16-3.91 (m, 3H), 3.89- 3.65 (m, 2H), 3.23 (s, 3H), 3.11-2.87 (m, 2H), 2.40-2.27 (m, 1H), 1.41 (s, 9H), 1.35-1.26 (m, 1H).
Intermediate 2-15 tert-Butyl (1S,5S,6R or lR,5R,6S)-6-methoxy-3,8-diazabicyclo[3.2.1]octane-8-carboxylate
To a solution of 3-benzyl 8-tert-butyl (lS,5S,6R or lR,5R,6S)-6-methoxy-3,8-diazabicyclo[3.2.1]octane- 3, 8 -dicarboxy late (Intermediate 2-14, 550 mg, 92% purity, 1.34 mmol) in methanol (10 ml) was added palladium (143 mg, 10% in activated carbon) in one portion. After stirring at room temperature for 3 hours under hydrogen atmosphere (balloon, 15 psi), the mixture was filtered through a pad of celite and the filtrate was concentrated to give tert-butyl (1S,5S,6R or lR,5R,6S)-6-methoxy-3,8- diazabicyclo[3.2.1]octane-8-carboxylate (320 mg, 95% purity, 93% yield).
’H NMR (400 MHz, DMSO- 6): 5 [ppm] = 3.98-3.89 (m, 1H), 3.88-3.77 (m, 2H), 3.30 (s, 3H), 2.85-2.77 (m, 2H), 2.71-2.62 (m, 1H), 2.57-2.51 (m, 1H), 2.37-2.23 (m, 1H), 1.71-1.62 (m, 1H), 1.41 (s, 9H).
Intermediate 2-16 tert-Butyl 4-{4-[(2-chloro-9H-purin-6-yl)oxy]phenyl}piperazine-l-carboxylate (Tautomeric mixture 7H/9H)
To a solution of tert-butyl 4-(4-hydroxyphenyl)piperazine-l -carboxylate (100 g, 359 mmol) in tert-butanol (1.5 L) were added 2,6-dichloro-9H-purine (61.7 g, 327 mmol) and potassium tert-butoxide (80.3 g, 719 mmol) at room temperature. After stirring at 80 °C for 16 hours, the mixture was concentrated to remove tert-butanol to give a residue. The residue was diluted with ice-water, neutralized to pH = 7 - 8 by 1 M hydrochloric acid, and extracted with ethyl acetate. The combined organic phase were washed with water then brine, dried over anhydrous sodium sulfate, filtered and concentrated to give a residue. The residue was tritutated with a mixture solvent of petroleum ether and ethyl acetate (1 : 1, 1.2 L) to give tert-butyl 4- {4-[(2-chloro-9H-purin-6-yl)oxy]phenyl}piperazine-l-carboxylate (130 g, 99% purity, 91% yield).
LC-MS (Method C): Rt = 0.817 min; MS (ESIpos): m/z = 431.3 [M+H]+.
’H NMR (400 MHz, DMSO- 6): 5 [ppm] = 8.52 (s, 1H), 7.17 (d, J = 8.4 Hz, 2H), 7.03 (d, J = 8.4 Hz, 2H), 3.51-3.44 (m, 4H), 3.16-3.08 (m, 4H), 1.42 (s, 9H).
Intermediate 2-17 tert-Butyl 4-{4-[(2-chloro-7-cyclobutyl-7H-purin-6-yl)oxy]phenyl}piperazine-l-carboxylate
To a solution of tert-butyl 4-{4-[(2-chloro-7H-purin-6-yl)oxy]phenyl}piperazine-l-carboxylate (Intermediate 2-16, 50.0 g, 99% purity, 115 mmol) in N,N -dimethylacetamide (1.00 L) were added potassium carbonate (31.8 g, 230 mmol), potassium iodide (5.72 g, 34.5 mmol) and bromocyclobutane (62.0 g, 460 mmol) at 25 °C. After stirring at 100°C for 16 hours, the reaction mixture was diluted with water and extracted with ethyl acetate. The combined organic layers were washed with water and brine, dried over anhydrous sodium sulfate and concentrated to give a residue. The residue was purified by column chromatography on silica gel (three purification, 100-200 mesh, petroleum ether: ethyl acetate: dichloromethane = 10: 1: 2, then 5: 1: 2, then 1: 1: 1, then 0: 1: 1 ) to give a crude product. The crude product was triturated with a mixed solvent of petroleum ether and ethyl acetate (1 : 5, 50 ml) to give tertbutyl 4-{4-[(2-chloro-7-cyclobutyl-7H-purin-6-yl)oxy]phenyl}piperazine-l-carboxylate (15.2 g, 99% purity, 27% yield).
LC-MS (Method C): Rt = 0.967 min; MS (ESIpos): m/z = 485.2 [M+H]+.
'HNMR (400 MHz, DMSO- 6): 5 [ppm] = 8.83 (s, 1H), 7.22 (d, J= 9.2 Hz, 2H), 7.05 (d, J= 9.2 Hz, 2H), 5.24-5.11 (m, 1H), 3.54-3.43 (m, 4H), 3.19-3.07 (m, 4H), 2.70-2.57 (m, 2H), 2.57-2.51 (m, 2H), 1.94-1.76 (m, 2H), 1.43 (s, 9H).
Intermediate 2-18 tert-Butyl 4-{4-[(7-cyclobutyl-2-{[(2R,7aS)-2-fluorotetrahydro-lH-pyrrolizin-7a(5H)-yl]methoxy}-
To a solution of tert-butyl 4-{4-[(2-chloro-7-cyclobutyl-7H-purin-6-yl)oxy]phenyl}piperazine-l- carboxylate (Intermediate 2-17, 11.2 g, 99% purity, 22.9 mmol) and [(2R,7aS)-2-fluorotetrahydro-lH- pyrrolizin-7a(5H)-yl]methanol (7.28 g, 45.7 mmol) in toluene (200 ml) were added cesium carbonate (22.4 g, 68.6 mmol) and methanesulfonato(2-dicyclohexylphosphino-2',6'-di-i-propoxy-l,T-biphenyl)(2'- amino-l,T-biphenyl-2-yl)palladium(II) (957 mg, 1.14 mmol) at 25 °C under nitrogen atmosphere. After stirring at 110 °C for 20 hours, the mixture was poured into water and extracted with ethyl acetate. The organic phase was washed with brine, dried over anhydrous sodium sulfate, filtered and concentrated to give a residue. The residue was purified by column chromatography on silica gel (100-200 mesh, petroleum ether: ethyl acetate = 20: 1, then 10: 1, then 5: 1, then 2: 1, then 1: 1, then 0: 1, then ethyl acetate: methanol= 10: 1) to give tert-butyl 4-{4-[(7-cyclobutyl-2-{[(2R,7aS)-2-fluorotetrahydro-lH- pyrrolizin-7a(5H)-yl]methoxy}-7H-purin-6-yl)oxy]phenyl}piperazine-l-carboxylate (fraction 1: 7.30 g, 95% purity) and (fraction 2: 3.70 g, 82% purity).
LC-MS (Method C): Rt = 0.761 min; MS (ESIpos): m/z = 608.4 [M+H]+.
’HNMR (400 MHz, DMSO- 6): 5 [ppm] = 8.58 (s, 1H), 7.18 (d, J= 8.8 Hz, 2H), 7.03 (d, J= 9.2 Hz, 2H), 5.29-5.24 (m, 0.5H), 5.16-5.06 (m, 1.5H), 3.98-3.83 (m, 2H), 3.55-3.40 (m, 4H), 3.16-3.09 (m, 4H), 3.05-3.00 (m, 2H), 2.97-2.90 (m, 1H), 2.81-2.74 (m, 1H), 2.90-2.45 (m, 2H), 2.06-2.00 (m, 1H), 1.95 (s, 1H), 1.92-1.61 (m, 8H), 1.43 (s, 9H).
Intermediate 2-19
To a solution of tert-butyl 4-{4-[(7-cyclobutyl-2-{[(2R,7aS)-2-fluorotetrahydro-lH-pyrrolizin-7a(5H)- yl]methoxy}-7H-purin-6-yl)oxy]phenyl}piperazine-l-carboxylate (Intermediate 2-18, 11.0 g, 95%purity, 17.2 mmol) in methanol (100.0 ml) was added sodium methoxide (1.86 g, 34.4 mmol) at 25 °C. After stirring at 60 °C for 4 hours, the reaction mixture was diluted with ethyl acetate and washed with brine. The organic layer was dried over anhydrous sodium sulfate, filtrated and concentrated to give a residue. The residue was purified by column chromatography on silica gel (100-200 mesh, petroleum ether: ethyl acetate = 10: 1, then 1: 1, then 0: 1, then methanol: ethyl acetate = 20: 1, then 10: 1) to give 7 -cyclobutyl - 2-{[(2R,7aS)-2-fluorotetrahydro-lH-pyrrolizin-7a(5H)-yl]methoxy}-6-methoxy-7H-purine (5.60 g, 97% purity, 87.4% yield).
LC-MS (Method C): Rt = 0.451 min; MS (ESIpos): m/z = 362.2 [M+H]+.
Intermediate 2-20
8-Bromo-7-cyclobutyl-2-{[(2R,7aS)-2-fluorotetrahydro-lH-pyrrolizin-7a(5H)-yl]methoxy}-6- methoxy- 7H-purine
To a solution of 7-cyclobutyl-2-{[(2R,7aS)-2-fluorotetrahydro-lH-pyrrolizin-7a(5H)-yl]methoxy}-6- methoxy-7H-purine (Intermediate 2-19, 5.60 g, 97% purity, 15.0 mmol) in tetrahydrofuran (60 ml) was added dropwise lithium bis(trimethylsilyl)amide (37.6 ml, 1.0 M in tetrahydrofuran, 37.6 mmol) at -30 °C under nitrogen atmosphere. After stirring at -30 °C for 1 hour, 1 -bromopyrrolidine-2, 5-dione (6.69 g, 37.6 mmol) dissolved in tetrahydrofuran (60 ml) was added dropwise to the above mixture at -70 °C, the reaction mixture was stirred at -70 °C for another 0.5 hour. The mixture was poured into water and extracted with ethyl acetate. The organic phase was washed with brine, dried over anhydrous sodium sulfate, filtered and concentrated to give a residue. The residue was purified by column chromatography on silica gel (100-200 mesh, petroleum ether: ethyl acetate = 20: 1 to 0: 1, then ethyl acetate: methanol=
10: 1) to give 8-bromo-7-cyclobutyl-2-{[(2R,7aS)-2-fluorotetrahydro-lH-pyrrolizin-7a(5H)- yl]methoxy}-6-methoxy-7H-purine (5.50 g, 76% purity, 63.1% yield).
LC-MS (Method C): Rt = 0.789 min; MS (ESIpos): m/z = 440.0 [M+H]+.
Intermediate 2-21
7-Cyclobutyl-8-{[7-fluoro-3-(methoxymethoxy)-8-{[tri(propan-2-yl)silyl]ethynyl}naphthalen-l- yl]oxy}-2-{[(2R,7aS)-2-fluorotetrahydro-lH-pyrrolizin-7a(5H)-yl]methoxy}-6-methoxy-7H-purine
To a solution of 8-bromo-7-cyclobutyl-2-{[(2R,7aS)-2-fluorotetrahydro-lH-pyrrolizin-7a(5H)- yl]methoxy}-6-methoxy-7H-purine (Intermediate 2-20, 5.50 g, 76% purity, 9.49 mmol) and 7-fluoro-3- (methoxymethoxy)-8-{[tri(propan-2-yl)silyl]ethynyl}naphthalen-l-ol (Intermediate 1-07, 7.64 g, 19.0 mmol) in N,N-dimethylformamide (60.0 ml) was added potassium carbonate (3.94 g, 28.5 mmol) at room temperature. After stirring at 100 °C for 2 hours, the reaction mixture was diluted with water and extracted with ethyl acetate. The combined organic layers were washed with water and brine, dried over anhydrous sodium sulfate and concentrated to give a residue. The residue was purified by column chromatography on silica gel (100-200 mesh, petroleum ether: ethyl acetate= 20: 1, then 10: 1, then 5: 1, then 3: 1, then 2: 1, then 1: 1, then 0: 1, then ethyl acetate: methanol= 10: 1) to give 7-cyclobutyl-8-({7-fluoro-3- (methoxymethoxy)-8-[(triisopropylsilyl)ethynyl]-l-naphthyl}oxy)-2-{[(2R,7aS)-2-fluorotetrahydro-lH- pyrrolizin-7a(5H)-yl]methoxy}-6-methoxy-7H-purine (4.20 g, 85% purity, 49% yield).
LC-MS (Method C): Rt = 1.105 min; MS (ESIpos): m/z = 762.4 [M+H]+.
'HNMR (400 MHz, DMSO- 6): 5 [ppm] = 8.13-8.02 (m, 1H), 7.64-7.54 (m, 2H), 7.26 (d, J= 2.0 Hz, 1H), 5.36-5.28 (m, 2.5H), 5.19-5.07 (m, 1.5H), 4.12-4.06 (m, 3H), 4.00-3.87 (m, 2H), 3.41 (s, 3H), 3.10- 3.00 (m, 2H), 2.99-2.94 (m, 1H), 2.85-2.75 (m, 3H), 2.11-1.96 (m, 3H), 1.96-1.67 (m, 7H), 0.88 (s, 21H).
Intermediate 2-22
4-[(7-Cyclobutyl-2-{[(2R,7aS)-2-fluorotetrahydro-lH-pyrrolizin-7a(5H)-yl]methoxy}-6-methoxy-
7H-purin-8-yl)oxy]-6-fluoro-5-{[tri(propan-2-yl)silyl]ethynyl}naphthalen-2-ol
A solution of 7-cyclobutyl-8-{[7-fluoro-3-(methoxymethoxy)-8-{[tri(propan-2- yl)silyl]ethynyl}naphthalen- 1 -yl]oxy } -2-{ [(2R,7aS)-2 -fluorotetrahydro- lH-pyrrolizin-7a(5H)- yl]methoxy}-6-methoxy-7H-purine (Intermediate 2-21, 2.40 g, 85% purity, 2.68 mmol) in hydrochloric acid (25.0 ml, 4 M in ethyl acetate) was stirred at room temperature for 0.5 hour. The mixture was concentrated to give 4-[(7-cyclobutyl-2-{[(2R,7aS)-2-fluorotetrahydro-lH-pyrrolizin-7a(5H)- yl]methoxy}-6-methoxy-7H-purin-8-yl)oxy]-6-fluoro-5-[(triisopropylsilyl)ethynyl] -2-naphthol (2.00 g, 93% purity, 97% yield).
LC-MS (Method C): Rt = 1.050 min; MS (ESIpos): m/z = 718.4 [M+H]+.
Intermediate 2-23
8-[(3-{[tert-Butyl(diphenyl)silyl]oxy}-7-fluoro-8-{[tri(propan-2-yl)silyl]ethynyl}naphthalen-l- yl)oxy]-7-cyclobutyl-2-{[(2R,7aS)-2-fluorotetrahydro-lH-pyrrolizin-7a(5H)-yl]methoxy}-6- methoxy- 7H-purine
To a solution of 4-[(7-cyclobutyl-2-{[(2R,7aS)-2-fluorotetrahydro-lH-pyrrolizin-7a(5H)-yl]methoxy}-6- methoxy-7H-purin-8-yl)oxy]-6-fluoro-5-{[tri(propan-2-yl)silyl]ethynyl}naphthalen-2-ol (Intermediate 2-
-\T1-
22, 2.00 g, 93% purity, 2.59 mmol) and N,N -diisopropylethylamine (1.40 ml, 7.8 mmol) in dichloromethane (50.0 ml) was added dropwise tert-butyl(chloro)diphenylsilane (0.810 ml, 3.10 mmol) at 0 °C. After stirring at room temperature for 16 hours, the mixture was diluted with water, extracted with ethyl acetate. The combined organic layers were washed with water and brine, dried over anhydrous sodium sulfate, concentrated to give a residue. The residue was purified by reverse phase column [Instrument: SW-5231-120-SP; Column: Spherical, 40-60 pm, 120 A, eluent A: water (0.225% formic acid), eluent B: acetonitrile; gradient: 0-30 min; flow 50 ml/min; temperature: RT; Detector: UV 220/254 nm] to give 8-[(3-{[tert-butyl(diphenyl)silyl]oxy}-7-fluoro-8-[(triisopropylsilyl)ethynyl]-l- naphthyl)oxy]-7-cyclobutyl-2-{[(2R,7aS)-2-fluorotetrahydro-lH-pyrrolizin-7a(5H)-yl]methoxy}-6- methoxy-7H-purine (2.40 g, 90% purity, 87% yield).
LC-MS (Method C): Rt = 1.250 min; MS (ESIpos): m/z = 956.6 [M+H]+.
Intermediate 2-24
8-[(3-{[tert-Butyl(diphenyl)silyl]oxy}-7-fluoro-8-{[tri(propan-2-yl)silyl]ethynyl}naphthalen-l- yl)oxy]-7-cyclobutyl-2-{[(2R,7aS)-2-fluorotetrahydro-lH-pyrrolizin-7a(5H)-yl]methoxy}-7H- purin-6-ol
To a solution of 8-[(3-{[tert-butyl(diphenyl)silyl]oxy}-7-fluoro-8-{[tri(propan-2- yl)silyl]ethynyl}naphthalen- 1 -yl)oxy]-7-cyclobutyl-2- { [(2R,7aS)-2-fluorotetrahydro- IH-pyrrolizin- 7a(5H)-yl]methoxy}-6-methoxy-7H-purine (Intermediate 2-23, 2.40 g, 90% purity, 2.26 mmol) and sodium iodate (3.39 g, 22.6 mmol) in acetonitrile (50.0 ml) was added dropwise chlorotrimethylsilane (1.70 ml, 14.0 mmol) at room temperature. After stirring at room temperature for 16 hours, the mixture was diluted with water, extracted with ethyl acetate. The combined organic layers were washed with water and brine, dried over anhydrous sodium sulfate, concentrated to give a residue. The residue was purified by reversed phase column [Instrument: SW-5231-120-SP; Column: Spherical, 40-60 pm, 120 A; eluent A: water (0.225% formic acid), eluent B: acetonitrile; gradient: 0-45 min 5-100% B; flow 200 ml/min; temperature: room temperature; Detector: UV 220/254 nm] to give 8-[(3-{[tert-butyl(diphenyl)silyl]oxy}-
7-fhioro-8-[(triisopropylsilyl)ethynyl]-l-naphthyl)oxy]-7-cyclobutyl-2-{[(2R,7aS)-2-fluorotetrahydro- lH-pyrrolizin-7a(5H)-yl]methoxy}-7H-purin-6-ol (1.00 g, 94% purity, 44% yield).
LC-MS (Method C): Rt = 1.250 min; MS (ESIpos): m/z = 942.6 [M+H]+.
Intermediate 2-25 tert-Butyl (1S,5S,6R or lR,5R,6S)-3-(8-[(3-{[tert-butyl(diphenyl)silyl]oxy}-7-fluoro-8- [(triisopropylsilyl)ethynyl]-l-naphthyl)oxy]-7-cyclobutyl-2-{[(2R,7aS)-2-fluorotetrahydro-lH- pyrrolizin-7a(5H)-yl]methoxy}-7H-purin-6-yl)-6-methoxy-3,8-diazabicyclo[3.2.1] octane-8- carboxylate
To a solution of 8-[(3-{[tert-butyl(diphenyl)silyl]oxy}-7-fluoro-8-[(triisopropylsilyl)ethynyl]-l- naphthyl)oxy]-7-cyclobutyl-2-{(2R,7aS)-2-fluorotetrahydro-lH-pyrrolizin-7a(5H)-yl]methoxy}-7H- purin-6-ol (Intermediate 2-24, 200 mg, 94% purity, 0.200 mmol), and l,8-diazabicyclo(5.4.0)undec-7-ene (0.09 ml, 0.6 mmol) in N,N-dimethylformamide (2.0 ml) was added (benzotriazol- 1-yloxy) tripyrrolidinophosphoniumhexafluorophosphate (208 mg, 0.399 mmol) at room temperature. After stirring at the same temperature for 20 minutes, tert-butyl (1S,5S,6R or lR,5R,6S)-6-methoxy-3,8- diazabicyclo[3.2.1]octane-8-carboxylate (Intermediate 2-15, 61.1 mg, 95% purity, 0.239 mmol) was added to the above mixture. After stirring at room temperature for another 16 hours, the mixture was diluted with water, extracted with ethyl acetate. The combined organic layers were washed with water and brine, dried over anhydrous sodium sulfate, concentrated to give a residue. The residue was purified by preparative TLC (ethyl acetate: methanol = 8: 1) to give tert-butyl (lS,5S,6Ror lR,5R,6S)-3-(8-[(3-{[tert- butyl(diphenyl)silyl]oxy}-7-fluoro-8-[(triisopropylsilyl)ethynyl]-l-naphthyl)oxy]-7-cyclobutyl-2- {[(2R,7aS)-2-fhiorotetrahydro-lH-pyrrolizin-7a(5H)-yl]methoxy}-7H-purin-6-yl)-6-methoxy-3,8- diazabicyclo[3.2.1]octane-8-carboxylate (40.0 mg, 56% purity).
LC-MS (Method C): Rt = 0.948 min; MS (ESIpos): m/z = 1166.8 [M+H]+.
Intermediate 2-26
tert-Butyl (1S,5S,6R or lR,5R,6S)-3-(7-cyclobutyl-8-[(8-ethynyl-7-fluoro-3-hydroxy-l- naphthyl)oxy]-2-{[(2R,7aS)-2-fluorotetrahydro-lH-pyrrolizin-7a(5H)-yl]methoxy}-7H-purin-6-yl)- 6-methoxy-3,8-diazabicyclo [3.2.1] octane-8-carboxylate
A solution of tert-butyl (1S,5S,6R or lR,5R,6S)-3-(8-[(3-{[tert-butyl(diphenyl)silyl]oxy}-7-fluoro-8- [(triisopropylsilyl)ethynyl] - 1 -naphthyl)oxy] -7-cyclobutyl-2-{ [(2R,7aS)-2 -fluorotetrahydro- 1H- pyrrolizin-7a(5H)-yl]methoxy}-7H-purin-6-yl)-6-methoxy-3,8-diazabicyclo[3.2.1]octane-8-carboxylate (Intermediate 2-25, 40.0 mg, 0.034 mmol) and tetramethylammonium fluoride (31.9 mg, 0.343 mmol) in tetrahydrofuran (0.5 ml) was stirred at 60 °C for 16 hours. The mixture was diluted with water, extracted with ethyl acetate. The combined organic layers were washed with water and brine, dried over anhydrous sodium sulfate, concentrated to give tert-butyl (1S,5S,6R or lR,5R,6S)-3-(7-cyclobutyl-8-[(8-ethynyl-7- fluoro-3-hydroxy-l-naphthyl)oxy]-2-{[(2R,7aS)-2-fluorotetrahydro-lH-pyrrolizin-7a(5H)-yl]methoxy}- 7H-purin-6-yl)-6-methoxy-3,8-diazabicyclo[3.2.1]octane-8-carboxylate (25.0 mg, 48% purity).
LC-MS (Method C): Rt = 0.832 min; MS (ESIpos): m/z = 772.2 [M+H]+.
Intermediate 2-27
3-Benzyl 8-tert-butyl (1R,5R,6S or lS,5S,6R)-6-hydroxy-3,8-diazabicyclo[3.2.1]octane-3,8- dicarboxylate (#1, peak 1)
3-Benzyl 8-tert-butyl (1R,5R,6S and lS,5S,6R)-6-hydroxy-3,8-diazabicyclo[3.2.1]octane-3,8- dicarboxylate (Intermediate 2-12, 1.10 g, 99 % purity, 3.00 mmol) was separated by preparative-SFC
(Instrument: Acswh-prep-SFC-D; Column: Daicel chiralpak AD-H 250mm*30mm*5 pm; eluent A: carbon dioxide, eluent B: i-PrOH (0.1% NHs^FEO), gradient: 4.7 min 25-25% (25% CO2) B; flow 100 ml/min; temperature: room temperature; Detector: UV 220/254 nm) to give 3-benzyl 8-tert-butyl (1R,5R,6S or lS,5S,6R)-6-hydroxy-3,8-diazabicyclo[3.2.1]octane-3,8-dicarboxylate (#l, peak 1, 540 mg, 90% purity, 45% yield) and 3-benzyl 8-tert-butyl (1S,5S,6S or lR,5R,6R)-6-hydroxy-3,8- diazabicyclo[3.2.1]octane-3,8-dicarboxylate (#2, peak 2, 620 mg, 90% purity, 21% yield).
Intermediate 2-28
3-Benzyl 8-tert-butyl (1R,5R,6S or lS,5S,6R)-6-methoxy-3,8-diazabicyclo[3.2.1]octane-3,8- dicarboxylate
To a solution of 3-benzyl 8-tert-butyl (1R,5R,6S or lS,5S,6R)-6-hydroxy-3,8-diazabicyclo[3.2.1]octane-
3.8 -dicarboxy late (Intermediate 2-27, #1, peak 1, 540 mg, 90% purity, 1.34 mmol) in tetrahydrofuran (10 ml) was added sodium hydride (118 mg, 2.95 mmol, 60% purity in mineral oil) in one portion at 0 °C. After stirring at 0.5 hour, iodomethane (0.170 ml, 2.7 mmol) was added in one portion. After stirring at room temperature for another 16 hours, the reaction mixture was diluted with saturated ammonium chloride solution and extracted with ethyl acetate. The organic phase was washed with brine, dried over anhydrous sodium sulfate and filtered. The filtrate was concentrated and purified by preparative -TLC (petroleum ether: ethyl acetate = 1: 1) to give 3-benzyl 8-tert-butyl (1R,5R,6S or lS,5S,6R)-6-methoxy-
3.8 -diazabicyclo [3.2.1] octane -3, 8 -dicarboxylate (500 mg, 99% purity, 98% yield).
LC-MS (Method C): Rt = 0.639 min; MS (ESIpos): m/z = 321.2 [M+H-56]+.
Intermediate 2-29 tert-Butyl (1R,5R,6S or lS,5S,6R)-6-methoxy-3,8-diazabicyclo[3.2.1]octane-8-carboxylate
To a solution of 3-benzyl 8-tert-butyl (1R,5R,6S or lS,5S,6R)-6-methoxy-3,8-diazabicyclo[3.2.1]octane- 3, 8 -dicarboxy late (Intermediate 2-28, 500 mg, 99% purity, 1.31 mmol) in methanol (10 ml) was added palladium (100 mg, 10% in activated carbon) in one portion. After stirring at room temperature for 16 hours under hydrogen atmosphere (balloon, 15 psi), the mixture was filtered and concentrated to give tertbutyl (1R,5R,6S or lS,5S,6R)-6-methoxy-3,8-diazabicyclo[3.2.1]octane-8-carboxylate (300 mg, 95% purity, 89% yield).
’H NMR (400 MHz, CDCh- ): 5 [ppm] = 4.15-3.90 (m, 3H), 3.40 (s, 3H), 3.15-2.86 (m, 3H), 2.68-2.55 (m, 1H), 2.52-2.39 (m, 1H), 2.00 (s, 1H), 1.63-1.54 (m, 1H), 1.47 (s, 9H).
Intermediate 2-30 tert-Butyl (1R,5R,6S or lS,5S,6R)-3-(8-[(3-{[tert-butyl(diphenyl)silyl]oxy}-7-fluoro-8- [(triisopropylsilyl)ethynyl]-l-naphthyl)oxy]-7-cyclobutyl-2-{[(2R,7aS)-2-fluorotetrahydro-lH- pyrrolizin-7a(5H)-yl]methoxy}-7H-purin-6-yl)-6-methoxy-3,8-diazabicyclo[3.2.1] octane-8- carboxylate
To a solution of 8-[(3-{[tert-butyl(diphenyl)silyl]oxy}-7-fluoro-8-[(triisopropylsilyl)ethynyl]-l- naphthyl)oxy]-7-cyclobutyl-2-{2R,7aS)-2-fluorotetrahydro-lH-pyrrolizin-7a(5H)-yl]methoxy}-7H- purin-6-ol (Intermediate 2-24, 200 mg, 94% purity, 0.200 mmol) and l,8-diazabicyclo(5.4.0)undec-7-ene (0.0890 ml, 0.600 mmol) in N,N -dimethylformamide (4.00 ml) was added (benzotriazol- 1- yloxy)tripyrrolidinophosphoniumhexafluorophosphate (208 mg, 0.399 mmol) at room temperature. After strring at the same temperature for 20 minutes, tert-butyl (1R,5R,6S or lS,5S,6R)-6-methoxy-3,8- diazabicyclo[3.2.1]octane-8-carboxylate (Intermediate 2-29, 61.1 mg, 95% purity, 0.239 mmol) was added to the above mixture, the mixture was stirred at room temperature for 16 hours. The mixture was diluted with water, extracted with ethyl acetate. The combined organic layers were washed with water and brine, dried over anhydrous sodium sulfate, concentrated to give a residue. The residue was purified by
preparative TLC (ethyl acetate: methanol = 10: 1) to give tert-butyl (1R,5R,6S or lS,5S,6R)-3-(8-[(3- {[tert-butyl(diphenyl)silyl]oxy}-7-fluoro-8-[(triisopropylsilyl)ethynyl]-l-naphthyl)oxy]-7-cyclobutyl-2- {[(2R,7aS)-2-fluorotetrahydro-lH-pyrrolizin-7a(5H)-yl]methoxy}-7H-purin-6-yl)-6-methoxy-3,8- diazabicyclo[3.2.1]octane-8-carboxylate (100 mg, 80% purity, 34% yield).
LC-MS (Method C): Rt = 1.042 min; MS (ESIpos): m/z = 1167.9 [M+2]+.
Intermediate 2-31 tert-Butyl (1R,5R,6S or lS,5S,6R)-3-(7-cyclobutyl-8-[(8-ethynyl-7-fluoro-3-hydroxy-l- naphthyl)oxy]-2-{[(2R,7aS)-2-fluorotetrahydro-lH-pyrrolizin-7a(5H)-yl]methoxy}-7H-purin-6-yl)- 6-methoxy-3,8-diazabicyclo [3.2.1] octane-8-carboxylate
To a solution of tert-butyl (1R,5R,6S or lS,5S,6R)-3-(8-[(3-{[tert-butyl(diphenyl)silyl]oxy}-7-fluoro-8- [(triisopropylsilyl)ethynyl] - 1 -naphthyl)oxy] -7-cyclobutyl-2-{[(2R,7aS)-2-fluorotetrahydro-lH- pyrrolizin-7a(5H)-yl]methoxy}-7H-purin-6-yl)-6-methoxy-3,8-diazabicyclo[3.2.1]octane-8-carboxylate (Intermediate 2-30, 100 mg, 80% purity, 0.0686 mmol) in tetrahydrofuran (4.00 ml) was added tetramethylammonium fluoride (19.2 mg, 0.0206 mmol) at 25 °C. After stirring at 25 °C for 16 hours and 60 °C for 16 hours, the mixture was diluted with water, extracted with ethyl acetate. The combined organic layers were washed with water and brine, dried over anhydrous sodium sulfate, concentrated to give tertbutyl (1R,5R,6S or lS,5S,6R)-3-(7-cyclobutyl-8-[(8-ethynyl-7-fluoro-3-hydroxy-l-naphthyl)oxy]-2- {[(2R,7aS)-2-fhiorotetrahydro-lH-pyrrolizin-7a(5H)-yl]methoxy}-7H-purin-6-yl)-6-methoxy-3,8- diazabicyclo[3.2.1]octane-8-carboxylate (60.0 mg, 80% purity, 91% yield).
LC-MS (Method C): Rt = 0.937 min; MS (ESIpos): m/z = 772.5 [M+H]+.
Intermediate 2-32
3-Benzyl 8-tert-butyl (1R,5R,6R or lS,5S,6S)-6-hydroxy-3,8-diazabicyclo[3.2.1]octane-3,8- dicarboxylate (peak 2, #2)
3-Benzyl 8-tert-butyl (1R,5R,6R and lS,5S,6S)-6-hydroxy-3,8-diazabicyclo[3.2.1]octane-3,8- dicarboxylate (Intermediate 2-10, 3.00 g, 8.19 mmol) was separated by preparative-SFC (Instrument: Acswh-prep-SFC-D; Column: Daicel chiralpak AD-H 250mm*30mm*5 pm; eluent A: carbon dioxide, eluent B: i-PrOH (0.1% NHs^FFO), gradient: 4.7 min 25-25% (25% CO2) B; flow 100 ml/min; temperature: room temperature; Detector: UV 220/254 run) to give 3-benzyl 8-tert-butyl (1S,5S,6S or lR,5R,6R)-6-hydroxy-3,8-diazabicyclo[3.2.1]octane-3,8-dicarboxylate (peak 1, #1) (1.3 g, 90% purity, 39% yield) and 3-benzyl 8-tert-butyl (1R,5R,6R or lS,5S,6S)-6-hydroxy-3,8-diazabicyclo[3.2.1]octane- 3, 8 -dicarboxy late (peak 2, #2) (1.4 g, 42% yield).
LC-MS (Method C): Rt = 0.869 min; MS (ESIpos): m/z =385.1 [M+Na]+.
Intermediate 2-33
3-Benzyl 8-tert-butyl (1R,5R,6R or lS,5S,6S)-6-methoxy-3,8-diazabicyclo[3.2.1]octane-3,8- dicarboxylate
To a solution of 3-benzyl 8-tert-butyl (1R,5R,6R or lS,5S,6S)-6-hydroxy-3,8-diazabicyclo[3.2.1]octane- 3, 8 -dicarboxy late (peak 2, #2) (Intermediate 2-32, 1.40 g, 90% purity, 3.48 mmol) in tetrahydrofuran (15.0 ml) was added sodium hydride (306 mg, 7.65 mmol, 60% purity in mineral oil) in one portion at 0 °C. After stirring for 0.5 hour at 0 °C, lodomethane (0.430 ml, 6.95 mmol) was added to the above mixture. After stirring at 25 °C for another 16 hours, the reaction mixture was diluted with saturated ammonium chloride solution and extracted with ethyl acetate. The combined organic phases were washed with brine, dried over anhydrous sodium sulfate and filtered. The filtrate was concentrated and purified by column
chromatography on silica gel (100-200 mesh, petroleum ether: ethyl acetate = 10: 1, then 8: 1, 5: 1) to give 3-benzyl 8-tert-butyl (1R,5R,6R or lS,5S,6S)-6-methoxy-3,8-diazabicyclo[3.2.1]octane-3,8- dicarboxylate (1.20 g, 90% purity, 83% yield).
LC-MS (Method C): Rt = 0.637min; MS (ESIpos): m/z = 399.2 [M+Na]+.
Intermediate 2-34 tert-Butyl (1R,5R,6R or lS,5S,6S)-6-methoxy-3,8-diazabicyclo[3.2.1]octane-8-carboxylate
To a solution of 3-benzyl 8-tert-butyl (lR,5R,6R or lS,5S,6S)-6-methoxy-3,8-diazabicyclo[3.2.1]octane- 3, 8 -dicarboxy late (Intermediate 2-33, based on Intermediate 2-27, peak 2, 1.10 g, 90% purity, 2.63 mmol) in methanol (10.0 ml) was added palladium (200 mg, 10% in activated carbon) at room temperature. After stirring at 25 °C for 3 hours under hydrogen atmosphere (balloon, 15 psi), the mixture was filtered and the filtrate was concentrated to give tert-butyl (1R,5R,6R or lS,5S,6S)-6-methoxy-3,8- diazabicyclo[3.2.1]octane-8-carboxylate (700 mg, 90% purity, 99% yield).
’H NMR (400 MHz, DMSO- 6): 5 [ppm] = 4.12-4.00 (m, 1H), 3.92 (d, J= 6.4 Hz, 1H), 3.86 (d, J= 11.6 Hz, 1H), 3.17 (s, 3H), 2.70-2.58 (m, 3H), 2.43 (d, J= 11.6 Hz, 1H), 2.13-2.00 (m, 1H), 1.70-1.53 (m, 1H), 1.39 (d, J = 6.0 Hz, 9H).
Intermediate 2-35 tert-Butyl (1R,5R,6R or lS,5S,6S)-3-(8-[(3-{[tert-butyl(diphenyl)silyl]oxy}-7-fluoro-8- [(triisopropylsilyl)ethynyl]-l-naphthyl)oxy]-7-cyclobutyl-2-{[(2R,7aS)-2-fluorotetrahydro-lH- pyrrolizin-7a(5H)-yl]methoxy}-7H-purin-6-yl)-6-methoxy-3,8-diazabicyclo[3.2.1]octane-8- carboxylate
To a solution of 8-[(3-{[tert-butyl(diphenyl)silyl]oxy}-7-fluoro-8-[(triisopropylsilyl)ethynyl]-l- naphthyl)oxy]-7-cyclobutyl-2-{(2R,7aS)-2-fhiorotetrahydro-lH-pyrrolizin-7a(5H)-yl]methoxy}-7H- purin-6-ol (Intermediate 2-24, 500 mg, 94% purity, 0.499 mmol) and l,8-diazabicyclo(5.4.0)undec-7-ene (0.223 ml, 1.50 mmol) in N,N-dimethylformamide (10.0 ml) was added benzotriazol- 1- yloxy(tripyrrolidin-l-yl)phosphanium;hexafluorophosphate (519 mg, 0.998 mmol) at 25 °C. After strring at 25 °C for 20 minutes, tert-butyl (1R,5R,6R or lS,5S,6S)-6-methoxy-3,8-diazabicyclo[3.2.1]octane-8- carboxylate (Intermediate 2-34, based on Intermediate 2-27, peak 2, 201 mg, 0.748 mmol) was added to the above mixture. After stirring at 25 °C for 16 hours, the mixture was diluted with water, extracted with ethyl acetate. The combined organic layers were washed with water and brine, dried over anhydrous sodium sulfate, concentrated to give a residue. The residue was purified by reversed phase column (Instrument: 50 g Flash; Column: Welch Ultimate XB_C18 20-40 pm; eluent A: water (0.05% formic acid in water), eluent B: acetonitrile; gradient: 0-15 min 0-50% B; flow 60 ml/min; temperature; Detector: UV 220/254 run) to give tert-butyl (1R,5R,6R or lS,5S,6S)-3-(8-[(3-{[tert-butyl(diphenyl)silyl]oxy}-7- fhroro-8-[(triisopropylsilyl)ethynyl]-l-naphthyl)oxy]-7-cyclobutyl-2-{[(2R,7aS)-2-fluorotetrahydro-lH- pyrrolizin-7a(5H)-yl]methoxy}-7H-purin-6-yl)-6-methoxy-3,8-diazabicyclo[3.2.1]octane-8-carboxylate (130 mg, 83% purity).
LC-MS (Method C): Rt = 0.925 min; MS (ESIpos): m/z = 1166.9 [M+H]+.
Intermediate 2-36 tert-Butyl (1R,5R,6R or lS,5S,6S)-3-(7-cyclobutyl-8-[(8-ethynyl-7-fluoro-3-hydroxy-l- naphthyl)oxy]-2-{[(2R,7aS)-2-fluorotetrahydro-lH-pyrrolizin-7a(5H)-yl]methoxy}-7H-purin-6-yl)-
To a solution of tert-butyl (1R,5R,6R or lS,5S,6S)-3-(8-[(3-{[tert-butyl(diphenyl)silyl]oxy}-7-fluoro-8- [(triisopropylsilyl)ethynyl] - 1 -naphthyl)oxy] -7-cyclobutyl-2-{ [(2R,7aS)-2 -fluorotetrahydro- 1H- pyrrolizin-7a(5H)-yl]methoxy}-7H-purin-6-yl)-6-methoxy-3,8-diazabicyclo[3.2.1]octane-8-carboxylate (Intermediate 2-35, 130 mg, 83% purity, 0.093 mmol) in tetrahydrofuran (5.0 ml) was added tetramethylammonium fluoride (86.1 mg, 0.925 mmol) at 25 °C. After stirring at 60 °C for 16 hours, the mixture was diluted with water, extracted with ethyl acetate. The combined organic layers were washed with water and brine, dried over anhydrous sodium sulfate, concentrated to give a residue. The residue was purified give tert-butyl (1R,5R,6R or lS,5S,6S)-3-(7-cyclobutyl-8-[(8-ethynyl-7-fluoro-3-hydroxy- 1 -naphthyl)oxy]-2- { [(2R,7aS)-2 -fluorotetrahydro- lH-pyrrolizin-7a(5H)-yl]methoxy } -7H-purin-6-yl)-6- methoxy-3,8-diazabicyclo[3.2.1]octane-8-carboxylate (110 mg, 55% purity, 85% yield).
LC-MS (Method C): Rt = 0.833 min; MS (ESIpos): m/z = 772.2 [M+H]+.
Intermediate 2-37
3-Benzyl 8-tert-butyl (1S,5S,6S or lR,5R,6R)-6-hydroxy-3,8-diazabicyclo [3.2.1] octane-3, 8- dicarboxylate (peak 1, #1)
3-Benzyl 8-tert-butyl (1R,5R,6R and lS,5S,6S)-6-hydroxy-3,8-diazabicyclo[3.2.1]octane-3,8- dicarboxylate (Intermediate 2-10, 3.00 g, 8.19 mmol) was separated by preparative-SFC (Instrument: Acswh-prep-SFC-D; Column: Daicel chiralpak AD-H 250mm*30mm*5 pm; eluent A: carbon dioxide, eluent B: iso-propanol (0.1% NHs^FFO), gradient: 4.7 min 25-25% (25% CO2) B; flow 100 ml/min;
temperature: room temperature; Detector: UV 220/254 rim) to give 3-benzyl 8-tert-butyl (1S,5S,6S or lR,5R,6R)-6-hydroxy-3,8-diazabicyclo[3.2.1]octane-3,8-dicarboxylate (peak 1, #1) (1.3 g, 90% purity, 39% yield) and 3-benzyl 8-tert-butyl (1R,5R,6R or lS,5S,6S)-6-hydroxy-3,8-diazabicyclo[3.2.1]octane- 3, 8 -dicarboxy late (peak 2, #2) (1.4 g, 42% yield).
LC-MS (Method C): Rt = 0.869 min; MS (ESIpos): m/z =385.1 [M+Na]+.
Intermediate 2-38
3-Benzyl 8-tert-butyl (1S,5S,6S or lR,5R,6R)-6-methoxy-3,8-diazabicyclo[3.2.1]octane-3,8- dicarboxylate
To a solution of 3-benzyl 8-tert-butyl (1S,5S,6S or lR,5R,6R)-6-hydroxy-3,8-diazabicyclo[3.2.1]octane- 3, 8 -dicarboxy late (peak 1, #1) (Intermediate 2-37, peak 1, 1.30 g, 90% purity, 3.23 mmol) in tetrahydrofuran (15 ml) was added sodium hydride (284 mg, 7. 10 mmol, 60% purity in mineral oil) in one portion at 0 °C. After stirring 0.5 hour, iodomethane (0.4 ml, 6.50 mmol) was added in one portion. The reaction mixture was stirred at room temperature for 16 hours. The reaction mixture was diluted with saturated ammonium chloride solution and extracted with ethyl acetate. The organic phase was washed with brine, dried over anhydrous sodium sulfate and filtered. The filtrate was concentrated and purified by column chromatography on silica gel (100-200 mesh, petroleum ether: ethyl acetate = 10: 1 then 5: 1) to give 3-benzyl 8-tert-butyl (1S,5S,6S or lR,5R,6R)-6-methoxy-3,8-diazabicyclo[3.2.1]octane-3,8- dicarboxylate (1.30 g, 94% purity).
LC-MS (Method D): Rt = 0.897 min; MS (ESIpos): m/z = 277.2 [M+H-100]+.
Intermediate 2-39 tert-Butyl (1S,5S,6S or lR,5R,6R)-6-methoxy-3,8-diazabicyclo[3.2.1]octane-8-carboxylate
To a solution of 3-benzyl 8-tert-butyl (1S,5S,6S or lR,5R,6R)-6-methoxy-3,8-diazabicyclo[3.2.1]octane- 3, 8 -dicarboxy late (Intermediate 38, based on Intermediate 37, peak 1, 1.30 g, 94% purity, 3.25 mmol) in methanol (20 ml) was added palladium (282 mg, 10% purity in activated carbon) in one portion. After stirring at room temperature for 3 hours under hydrogen atmosphere (balloon, 15 psi), the reaction mixture was filtered and the filtrate was concentrated to give tert-butyl (1S,5S,6S or lR,5R,6R)-6-methoxy-3,8- diazabicyclo[3.2.1]octane-8-carboxylate (730 mg, 90% purity, 84% yield).
’H NMR (400 MHz, CDCh- ): 5 [ppm] = 4.37-4.35 (m, 0.5H), 4.23-4.21 (m, 0.5H), 4.14-4.10 (m, 0.5H), 4.04-4.02 (m, 1.5H), 3.30 (s, 3H), 3.02-2.97 (m, 1H), 2.93-2.90 (m, 1H), 2.85-2.76 (m, 1H), 2.61- 2.58 (m, 1H), 2.24-2.13 (m, 1H), 1.91-1.78 (m, 2H), 1.47 (s, 9H).
Intermediate 2-40 tert-Butyl (1S,5S,6S or lR,5R,6R)-3-(8-[(3-{[tert-butyl(diphenyl)silyl]oxy}-7-fluoro-8- [(triisopropylsilyl)ethynyl]-l-naphthyl)oxy]-7-cyclobutyl-2-{[(2R,7aS)-2-fluorotetrahydro-lH- pyrrolizin-7a(5H)-yl]methoxy}-7H-purin-6-yl)-6-methoxy-3,8-diazabicyclo[3.2.1]octane-8- carboxylate
To a solution of 8-[(3-{[tert-butyl(diphenyl)silyl]oxy}-7-fluoro-8-[(triisopropylsilyl)ethynyl]-l- naphthyl)oxy]-7-cyclobutyl-2-{[(2R,7aS)-2-fluorotetrahydro-lH-pyrrolizin-7a(5H)-yl]methoxy} -7H- purin-6-ol (Intermediate 2-24, 500 mg, 0.525 mmol) and l,8-diazabicyclo(5.4.0)undec-7-ene (0.240 ml, 1.60 mmol) in N,N-dimethylformamide (10.0 ml) was added benzotriazol -1-yloxy (tripyrrolidin-1 - yl)phosphanium;hexafluorophosphate (547 mg, 1.05 mmol) at 25 °C. After strring 25 °C for 30 minutes, tert-butyl (1S,5S,6S or lR,5R,6R)-6-methoxy-3,8-diazabicyclo[3.2.1]octane-8-carboxylate (Intermediate 2-39, 283 mg, 1.05 mmol) was added to the above reaction mixture. After stirring at 25 °C for 16 hours, the mixture was diluted with saturated ammonium chloride solution and extracted with ethyl acetate. The organic phase was washed with brine, dried over anhydrous sodium sulfate and filtered. The filtrate was
concentrated and purified by reversed phase column (Instrument: 50 g Flash; Column: Welch Ultimate XB_C18 20-40 pm; eluent A: water (0.05% formic acid in water), eluent B: acetonitrile; gradient: 0-15 min 0-55% B; flow 60 ml/min; temperature; Detector: UV 220/254 nm) to give tert-butyl (1S,5S,6S or lR,5R,6R)-3-(8-[(3-{[tert-butyl(diphenyl)silyl]oxy}-7-fluoro-8-[(triisopropylsilyl)ethynyl]-l- naphthyl)oxy]-7-cyclobutyl-2-{[(2R,7aS)-2-fluorotetrahydro-lH-pyrrolizin-7a(5H)-yl]methoxy}-7H- purin-6-yl)-6-methoxy-3,8-diazabicyclo[3.2.1]octane-8-carboxylate (70.0 mg, 90% purity).
LC-MS (Method C): Rt = 0.948 min; MS (ESIpos): m/z = 1166.9 [M+H]+.
Intermediate 2-41 tert-Butyl (1S,5S,6S or lR,5R,6R)-3-(7-cyclobutyl-8-[(8-ethynyl-7-fluoro-3-hydroxy-l- naphthyl)oxy]-2-{[(2R,7aS)-2-fluorotetrahydro-lH-pyrrolizin-7a(5H)-yl]methoxy}-7H-purin-6-yl)- 6-methoxy-3,8-diazabicyclo [3.2.1] octane-8-carboxylate
A solution of tert-butyl (1S,5S,6S or lR,5R,6R)-3-(8-[(3-{[tert-butyl(diphenyl)silyl]oxy}-7-fluoro-8- [(triisopropylsilyl)ethynyl] - 1 -naphthyl)oxy] -7-cyclobutyl-2-{ [(2R,7aS)-2 -fluorotetrahydro- 1H- pyrrolizin-7a(5H)-yl]methoxy}-7H-purin-6-yl)-6-methoxy-3,8-diazabicyclo[3.2.1]octane-8-carboxylate (Intermediate 2-40, 70.0 mg, 90% purity) (70.0 mg, 90% purity, 0.054 mmol) and tetramethylammonium fluoride (50.3 mg, 0.540 mmol) in tetrahydrofuran (4.0 ml) was stirred at 60 °C for 16 hours. The residue was diluted with water and extracted with ethyl acetate. The organic phase was washed with brine, dried over anhydrous sodium sulfate and filtered. The filtrate was concentrated to give tert-butyl (1S,5S,6S or lR,5R,6R)-3-(7-cyclobutyl-8-[(8-ethynyl-7-fluoro-3-hydroxy-l-naphthyl)oxy]-2-{[(2R,7aS)-2- fluorotetrahydro-lH-pyrrolizin-7a(5H)-yl]methoxy}-7H-purin-6-yl)-6-methoxy-3,8- diazabicyclo[3.2.1]octane-8-carboxylate (60.0 mg, 70% purity).
LC-MS (Method C): Rt = 0.923 min; MS (ESIpos): m/z = 772.4 [M+H]+.
Intermediate 2-42
6-(8- [(3- {[tert-Butyl(diphenyl)silyl] oxy}-7-fluoro-8- [(triisopropylsilyl)ethynyl] -l-naphthyl)oxy]-7- cyclobutyl-2-{[(2R,7aS)-2-fluorotetrahydro-lH-pyrrolizin-7a(5H)-yl]methoxy}-7H-purin-6-yl)-l,6- diazaspiro[3.5]nonan-2-one
To a solution of 8-[(3-{[tert-butyl(diphenyl)silyl]oxy}-7-fluoro-8-[(triisopropylsilyl)ethynyl]-l- naphthyl)oxy]-7-cyclobutyl-2-{[(2R,7aS)-2-fluorotetrahydro-lH-pyrrolizin-7a(5H)-yl]methoxy}-7H- purin-6-ol (Intermediate 2-24, 300 mg, 94% purity, 0.299 mmol) and l,8-diazabicyclo(5.4.0)undec-7-ene (0.0890 ml, 0.600 mmol) in N,N -dimethylformamide (5.00 ml) was added (benzotriazol- 1- yloxy)tripyrrolidinophosphoniumhexafluoro-phosphate (311 mg, 0.599 mmol) at room temperature. After stirring at the same temperature for 20 minutes, l,6-diazaspiro[3.5]nonan-2-one (50.3 mg, 0.359 mmol) was added to the above mixture, the mixture was stirred at room temperature for 16 hours. The mixture was diluted with water, extracted with ethyl acetate. The combined organic layers were washed with water and brine, dried over anhydrous sodium sulfate, concentrated to give a residue. The residue was purified by preparative TLC (ethyl acetate: methanol = 10: 1) to give 6-(8-[(3-{[tert-butyl(diphenyl)silyl]oxy}-7- fhioro-8-[(triisopropylsilyl)ethynyl]-l-naphthyl)oxy]-7-cyclobutyl-2-{[(2R,7aS)-2-fluorotetrahydro-lH- pyrrolizin-7a(5H)-yl]methoxy}-7H-purin-6-yl)-l,6-diazaspiro[3.5]nonan-2-one (140 mg, 90% purity, 40% yield).
LC-MS (Method C): Rt = 0.972 min; MS (ESIpos): m/z = 1065.8 [M+2]+.
Intermediate 2-43
A solution of tert-butyl 2-hydroxy-6-azaspiro[3.5]nonane-6-carboxylate (1.00 g, 4.14 mmol) in hydrochloric acid (10 ml, 12 M, 120 mmol; CAS-RN:[7647-01-0]) was stirred at 25°C for 1 hour. The
reaction mixture was concentrated to give 6-azaspiro[3.5]nonan-2-ol hydrochloride (1: 1) (700 mg ,95% purity, 90% yield).
Intermediate 2-44
6-(8- [(3- {[tert-Butyl(diphenyl)silyl] oxy}-7-fluoro-8- [(triisopropylsilyl)ethynyl] -l-naphthyl)oxy]-7- cyclobutyl-2-{[(2R,7aS)-2-fluorotetrahydro-lH-pyrrolizin-7a(5H)-yl]methoxy}-7H-purin-6-yl)-6- azaspiro[3.5]nonan-2-ol
To a solution of 8-[(3-{[tert-butyl(diphenyl)silyl]oxy}-7-fluoro-8-[(triisopropylsilyl)ethynyl]-l- naphthyl)oxy]-7-cyclobutyl-2-{[(2R,7aS)-2-fluorotetrahydro-lH-pyrrolizin-7a(5H)-yl]methoxy}-7H- purin-6-ol (Intermediate 2-24, 270 mg, 99% purity, 0.284 mmol) and l,8-diazabicyclo(5.4.0)undec-7-ene (0.130 ml, 0.850 mmol) in N,N -dimethylformamide (3.00 ml) was added (295 mg, 0.567 mmol) at room temperature. After stirring at the same temperature for 20 minutes, 6-azaspiro[3.5]nonan-2-ol hydrochloride (1: 1) (Intermediate 2-43, 60.5 mg, 0.340 mmol) was added to the above mixture, the mixture was stirred at room temperature for 16 hours. The mixture was diluted with water, extracted with ethyl acetate. The combined organic layers were washed with water and brine, dried over anhydrous sodium sulfate, concentrated to give a residue. The residue was purified by preparative TLC (ethyl acetate: methanol = 10: 1) to give 6-(8-[(3-{[tert-butyl(diphenyl)silyl]oxy}-7-fluoro-8-
[(triisopropylsilyl)ethynyl] - 1 -naphthyl)oxy] -7-cyclobutyl-2-{ [(2R,7aS)-2 -fluorotetrahydro- 1H- pyrrolizin-7a(5H)-yl]methoxy}-7H-purin-6-yl)-6-azaspiro[3.5]nonan-2-ol (360 mg, 80% purity, 95% yield).
LC-MS (Method C): Rt = 1.003 min; MS (ESIpos): m/z = 1066.7 [M+2]+.
Intermediate 2-45
tert-Butyl 7-(8-[(3-{[tert-butyl(diphenyl)silyl]oxy}-7-fluoro-8-{[tri(propan-2-yl)silyl]ethynyl} naphthalen-l-yl)oxy]-7-cyclobutyl-2-{[(2R,7aS)-2-fluorotetrahydro-lH-pyrrolizin-7a(5H)- yl]methoxy}-7H-purin-6-yl)-3-oxa-7,9-diazabicyclo[3.3.1]nonane-9-carboxylate
To a solution of 8-[(3-{[tert-butyl(diphenyl)silyl]oxy}-7-fluoro-8-{[tri(propan-2- yl)silyl]ethynyl}naphthalen- 1 -yl)oxy]-7-cyclobutyl-2- { [(2R,7aS)-2-fluorotetrahydro- IH-pyrrolizin- 7a(5H)-yl]methoxy}-7H-purin-6-ol (Intermediate 2-24, 300 mg, 99% purity, 0.315 mmol) and 1,8- diazabicyclo(5.4.0)undec-7-ene (0.094 ml, 0.630 mmol) in N,N-dimethylformamide (3.0 ml) was added (benzotriazol-l-yloxy)tripyrrolidinophosphoniumhexafluorophosphate (328 mg, 0.630 mmol) at room temperature. After strring at the same temperature for 20 minutes, tert-butyl 3-oxa-7,9- diazabicyclo[3.3.1]nonane-9-carboxylate (108 mg, 0.473 mmol) was added to the above mixture. After stirring at room temperature for 16 hours, the mixture was diluted with water, extracted with ethyl acetate. The combined organic layers were washed with water and brine, dried over anhydrous sodium sulfate, concentrated to give a residue. The residue was purified by preparative TLC (ethyl acetate: methanol = 8: 1) to give tert-butyl 7-(8-[(3-{[tert-butyl(diphenyl)silyl]oxy}-7-fluoro-8-[(triisopropylsilyl)ethynyl]-l- naphthyl)oxy]-7-cyclobutyl-2-{[(2R,7aS)-2-fluorotetrahydro-lH-pyrrolizin-7a(5H)-yl]methoxy}-7H- purin-6-yl)-3-oxa-7,9-diazabicyclo[3.3.1]nonane-9-carboxylate (160 mg, 85% purity, 37% yield).
LC-MS (Method C): Rt = 0.926 min; MS (ESIpos): m/z = 1152.9 [M+H]+.
Intermediate 2-46 tert-Butyl 7-(7-cyclobutyl-8-[(8-ethynyl-7-fluoro-3-hydroxynaphthalen-l-yl)oxy]-2-{[(2R,7aS)-2- fluorotetrahydro-lH-pyrrolizin-7a(5H)-yl]methoxy}-7H-purin-6-yl)-3-oxa-7,9-diazabicyclo
A solution of tert-butyl 7-(8-[(3-{[tert-butyl(diphenyl)silyl]oxy}-7-fluoro-8-{[tri(propan-2- yl)silyl]ethynyl}naphthalen- 1 -yl)oxy]-7-cyclobutyl-2- { [(2R,7aS)-2-fluorotetrahydro- IH-pyrrolizin- 7a(5H)-yl]methoxy} -7H-purin-6-yl)-3-oxa-7,9-diazabicyclo[3.3. l]nonane-9-carboxylate (Intermediate 2-45, 100 mg, 85% purity, 0.074 mmol) and tetramethylammonium fluoride (68.7 mg, 0.737 mmol) in tetrahydrofuran (1.0 ml) was stirred at 60 °C for 16 hours. The mixture was diluted with water, extracted with ethyl acetate. The combined organic layers were washed with water and brine, dried over anhydrous sodium sulfate, concentrated to give tert-butyl 7-(7-cyclobutyl-8-[(8-ethynyl-7-fluoro-3-hydroxy-l- naphthyl)oxy]-2-{[(2R,7aS)-2-fluorotetrahydro-lH-pyrrolizin-7a(5H)-yl]methoxy}-7H-purin-6-yl)-3- oxa-7,9-diazabicyclo[3.3.1] nonane-9-carboxylate (90.0 mg, 87% purity).
LC-MS (Method C): Rt = 0.812 min; MS (ESIpos): m/z = 758.4 [M+H]+.
Intermediate 2-47
(3R)-l-(8-[(3-{[tert-Butyl(diphenyl)silyl]oxy}-7-fluoro-8-{[tri(propan-2- yl)silyl]ethynyl}naphthalen-l-yl)oxy]-7-cyclobutyl-2-{[(2R,7aS)-2-fluorotetrahydro-lH-pyrrolizin- 7a(5H)-yl]methoxy}-7H-purin-6-yl)-3-methylpiperidin-3-ol
To a solution of 8-[(3-{[tert-butyl(diphenyl)silyl]oxy}-7-fluoro-8-{[tri(propan-2- yl)silyl]ethynyl}naphthalen- 1 -yl)oxy]-7-cyclobutyl-2- { [(2R,7aS)-2-fluorotetrahydro- IH-pyrrolizin-
7a(5H)-yl]methoxy}-7H-purin-6-ol (Intermediate 2-24, 300 mg, 99% purity, 0.315 mmol) and 1,8- diazabicyclo(5.4.0)undec-7-ene (0.140 ml, 0.950 mmol) in N,N-dimethylformamide (3.0 ml) was added (benzotriazol-l-yloxy)tripyrrolidinophosphoniumhexafluorophosphate (328 mg, 0.630 mmol) at room temperature. After strring at the same temperature for 20 minutes, (3R)-3-methylpiperidin-3-ol hydrogen chloride (1/1) (57.4 mg, 0.378 mmol) was added to the above mixture, the mixture was stirred at room temperature for 3 hours. The mixture was diluted with water, extracted with ethyl acetate. The combined organic layers were washed with water and brine, dried over anhydrous sodium sulfate, concentrated to give a residue. The residue was purified by preparative TLC (ethyl acetate: methanol = 10: 1) to give (3R)- 1 -(8 - [(3 - { [tert-butyl(diphenyl)silyl]oxy } -7-fluoro-8-[(triisopropylsilyl)ethynyl] - 1 -naphthyl)oxy] -7- cyclobutyl-2-{[(2R,7aS)-2-fluorotetrahydro-lH-pyrrolizin-7a(5H)-yl]methoxy}-7H-purin-6-yl)-3- methylpiperidin-3-ol (300 mg, 94% purity).
LC-MS (Method C): Rt = 0.996 min; MS (ESIpos): m/z = 1040.7 [M+2]+.
Intermediate 2-48
6-(Azepan-l-yl)-8-[(3-{[tert-butyl(diphenyl)silyl]oxy}-7-fluoro-8-{[tri(propan-2-yl)silyl]ethynyl} naphthalen-l-yl)oxy]-7-cyclobutyl-2-{[(2R,7aS)-2-fluorotetrahydro-lH-pyrrolizin-7a(5H)- yl]methoxy}-7H-purine
To a solution of 8-[(3-{[tert-butyl(diphenyl)silyl]oxy}-7-fluoro-8-[(triisopropylsilyl)ethynyl]-l- naphthyl)oxy]-7-cyclobutyl-2-{[(2R,7aS)-2-fluorotetrahydro-lH-pyrrolizin-7a(5H)-yl]methoxy}-7H- purin-6-ol (Intermediate 2-24, 300 mg, 99% purity, 0.318 mmol) and l,8-diazabicyclo(5.4.0)undec-7-ene (145 mg, 0.96 mmol) in N,N -dimethylformamide (8.0 ml) was added (benzotriazol- 1-yloxy) tripyrrolidinophosphoniumhexafluorophosphate (331 mg, 0.637 mmol) at room temperature. After strring at room temperature for 30 minutes, azepane (63.1 mg, 0.637mmol) was added to the above reaction mixture, the reaction mixture was stirred at room temperature for 16 hours. The mixture was diluted with water, extracted with ethyl acetate. The combined organic layers were washed with water and brine, dried over anhydrous sodium sulfate, concentrated to give a residue. The residue was purified by preparative
TLC (dichloromethane: methanol = 10: 1) to give 6-(azepan-l-yl)-8-[(3-{[tert-butyl(diphenyl)silyl]oxy}- 7-fluoro-8-[(triisopropylsilyl)ethynyl]-l-naphthyl)oxy]-7-cyclobutyl-2-{[(2R,7aS)-2-fluorotetrahydro- lH-pyrrolizin-7a(5H)-yl]methoxy}-7H-purine (150 mg, 98% yield, 45.1% yield).
LC-MS (Method C): Rt = 0.613 min; MS (ESIpos): m/z = 1024.6 [M+2]+.
Intermediate 2-49
8-[(3-{[tert-Butyl(diphenyl)silyl]oxy}-7-fluoro-8-{[tri(propan-2-yl)silyl]ethynyl}naphthalen-l- yl)oxy]-7-cyclobutyl-N-{[l-(dimethylamino)cyclobutyl]methyl}-2-{[(2R,7aS)-2-fluorotetrahydro- lH-pyrrolizin-7a(5H)-yl]methoxy}-7H-purin-6-amine
To a solution of 8-[(3-{[tert-butyl(diphenyl)silyl]oxy}-7-fluoro-8-[(triisopropylsilyl)ethynyl]-l- naphthyl)oxy]-7-cyclobutyl-2-{[(2R,7aS)-2-fluorotetrahydro-lH-pyrrolizin-7a(5H)-yl]methoxy}-7H- purin-6-ol (Intermediate 2-24, 400 mg, 0.420 mmol) and l,8-diazabicyclo(5.4.0)undec-7-ene (0.190 ml, 1.30 mmol) in N,N -dimethylformamide (10.0 ml) was added benzotriazol -1-yloxy (tripyrrolidin-1 - yl)phosphanium;hexafluorophosphate (437 mg, 0.840 mmol) at 25 °C. After stirring at 25 °C for 20 minutes, l-(aminomethyl)-N,N-dimethylcyclobutanamine (80.8 mg, 0.630 mmol) was added to the above mixture. After stirring at 25 °C for another 16 hours, the mixture was purified by reversed phase column (Instrument: 50 g Flash; Column: Welch Ultimate XB_C18 20-40 pm; eluent A: water (0.05% formic acid in water), eluent B: acetonitrile; gradient: 0-15 min 0-50% B; flow 60 ml/min; temperature; Detector: UV 220/254 nm) followed by preparative TLC (ethyl acetate: methanol = 5: 1) to give 8-[(3-{ [tert- butyl(diphenyl)silyl]oxy}-7-fluoro-8-{[tri(propan-2-yl)silyl]ethynyl}naphthalen-l-yl)oxy]-7-cyclobutyl- N-{ [ 1 -(dimethylamino) cyclobutyl]methyl} -2- { [(2R,7aS)-2-fluorotetrahydro- lH-pyrrolizin-7a(5H)- yl]methoxy}-7H-purin-6-amine (110 mg, 90% purity, 22% yield).
LC-MS (Method C): Rt = 0.825 min; MS (ESIpos): m/z = 1053.0 [M+H]+.
To a solution of tert-butyl 6-oxo-l,4-oxazepane-4-carboxylate (500 mg, 2.32 mmol) in methanol (5.0 ml) was added sodium tetrahydroborate (220 mg, 5.81 mmol) at 0 °C. After stirring at 25 °C for 2 hours, the reaction mixture was quenched by saturated ammonium chloride solution. The mixture was diluted with ethyl acetate and washed with brine. The organic layer was dried over anhydrous sodium sulfate, filtrated and concentrated to give tert-butyl 6-hydroxy-l,4-oxazepane-4-carboxylate (400 mg, 79% yield).
1HNMR (400 MHz, CDC13 /): 5 [ppm] = 4.10-3.97 (m, 1H), 3.95-3.62 (m, 5H), 3.58-3.43 (m, 2H), 3.39- 3.17 (m, 1H), 1.47 (s, 9H).
A solution of tert-butyl-6-hydroxy-l,4-oxazepane-4-carboxylate (300 mg, 1.38 mmol) in hydrochloric acid (3.0 ml, 4 M in dioxane) was stirred at room temperature for 0.5 hour. The reaction mixture was concentrated to give l,4-oxazepan-6-ol hydrochloride (1: 1) (200 mg, 94% yield).
MS (ESIpos): m/z = 118.6 [M+H]+.
Intermediate 2-52
4- [8- [[3- [tert-Butyl(diphenyl)silyl] oxy-7-fluoro-8-(2-triisopropylsilylethynyl)-l-naphthyl] oxy] -7- cyclobutyl-2- [ [(2R,8S)-2-fluoro-l ,2, 3,5,6, 7-hexahydropyrr olizin-8-yl] methoxy] purin-6-yl] - 1 ,4- oxazepan-6-ol
To a solution of 8-[(3-{[tert-butyl(diphenyl)silyl]oxy}-7-fluoro-8-{[tri(propan-2- yl)silyl]ethynyl}naphthalen- 1 -yl)oxy]-7-cyclobutyl-2- { [(2R,7aS)-2-fluorotetrahydro- IH-pyrrolizin- 7a(5H)-yl]methoxy}-7H-purin-6-ol (Intermediate 2-24, 400 mg, 0.424 mmol), and 1,8- diazabicyclo(5.4.0)undec-7-ene (0.25 ml, 1.70 mmol) in N,N -dimethylformamide (13.0 ml) was added (benzotriazol- l-yloxy)tripyrrolidinophosphonium -hexafluorophosphate (442 mg, 0.849 mmol) at room temperature. After strring at the same temperature for 20 minutes, l,4-oxazepan-6-ol - hydrogen chloride (1/1) (Intermediate 2-51, 97.8 mg, 0.637 mmol) was added to the above mixture. After stirring at room temperature for 16 hours, the mixture was poured into water and extracted with ethyl acetate. The organic phase was washed with brine, dried over anhydrous sodium sulfate, filtered and concentrated to give a residue. The residue was purified by reversed phase column (Instrument: 25 g Flash; Column: Welch Ultimate XB_C18 20-40pm; eluent A: water (0.1% formic acid), eluent B: acetonitrile; gradient: 0-15 min, 0-55% B; flow 85 ml/min; temperature; Detector: UV 220/254 nm) to afford 4-[8-[[3-[tert- butyl(diphenyl)silyl]oxy-7-fluoro-8-(2-triisopropylsilylethynyl)-l-naphthyl]oxy]-7-cyclobutyl-2- [[(2R,8S)-2-fluoro-l,2,3,5,6,7-hexahydropyrrolizin-8-yl]methoxy]purin-6-yl]-l,4-oxazepan-6-ol (120 mg, 91% purity, 25% yield).
LC-MS (Method C): Rt = 0.866 min; MS (ESIpos): m/z = 1041.9 [M+H]+.
Intermediate 2-53
6-(Benzyloxy)-7-cyclobutyl-2-{[(2R,7aS)-2-fluorotetrahydro-lH-pyrrolizin-7a(5H)-yl]methoxy}-
Benzyl alcohol (4.0 eq., 3.4 ml, 33 mmol) was dissolved in THF (46 mL) and sodium hydride (3.0 eq., 987 mg, 60 % purity, 24.7 mmol) was added. The mixture was stirred for 30 min, then cooled to 0°C and tert-butyl 4-{4-[(7-cyclobutyl-2-{[(2R,7aR)-2-fluorotetrahydro-lH-pyrrolizin-7a(5H)-yl]methoxy}- 7H-purin-6-yl)oxy]phenyl}piperazine-l -carboxylate (Intermediate 2-19, 5.00 g, 8.23 mmol), dissolved in N,N-dimethylacetamide (38 mL), was added. After 1 h further stirring at 0°C, water /sat. aq. NaHCOs solution was added, and the mixture was extracted with ethyl acetate. The combined organic layers were washed with brine, dried with sodium sulfate and the solvents removed in vacuo. The residue was purified by flash chromatography to yield 1.91 g (53% of theory) of 6-(benzyloxy)-7-cyclobutyl-2- {[(2R,7aS)-2-fluorotetrahydro-lH-pyrrolizin-7a(5H)-yl]methoxy}-7H-purine.
LC-MS (Method 3): Rt = 0.83 min; MS (ESIpos): m/z = 439 [M+H]+
'H-NMR (400 MHz, DMSO- 6): 5 [ppm]: 1.561 (1.12), 1.586 (1.35), 1.612 (0.57), 1.648 (0.69), 1.653 (0.81), 1.672 (1.54), 1.693 (1.04), 1.699 (1.36), 1.719 (0.81), 1.725 (0.79), 1.746 (0.96), 1.764 (2.55), 1.781 (1.96), 1.794 (2.09), 1.817 (1.50), 1.838 (0.76), 1.849 (1.54), 1.862 (0.85), 1.974 (0.98), 1.989 (1.57), 2.002 (1.02), 2.012 (0.56), 2.032 (2.98), 2.039 (3.22), 2.106 (1.80), 2.115 (1.80), 2.126 (1.61), 2.309 (0.57), 2.314 (0.86), 2.322 (0.80), 2.335 (2.14), 2.344 (1.56), 2.351 (1.69), 2.358 (2.67), 2.363 (1.94), 2.370 (0.93), 2.377 (1.17), 2.383 (0.82), 2.425 (0.71), 2.431 (0.50), 2.449 (2.25), 2.455 (1.66), 2.473 (2.90), 2.479 (2.70), 2.518 (0.94), 2.522 (0.76), 2.798 (0.59), 2.821 (1.22), 2.836 (1.60), 2.857 (0.69), 3.016 (3.68), 3.043 (0.58), 3.079 (2.72), 3.098 (2.45), 3.105 (2.31), 3.133 (0.45), 3.140 (0.44), 3.972 (3.07), 3.998 (5.69), 4.047 (6.42), 4.073 (3.43), 4.952 (1.33), 4.972 (1.94), 4.993 (1.27), 5.205 (1.06), 5.210 (1.57), 5.344 (1.24), 5.557 (16.00), 5.570 (1.00), 5.759 (6.88), 7.348 (0.49), 7.351 (0.96), 7.355 (0.68), 7.362 (0.70), 7.369 (3.59), 7.376 (1.15), 7.383 (2.00), 7.387 (3.68), 7.391 (1.93), 7.396 (0.59), 7.400 (0.91), 7.405 (5.03), 7.409 (2.44), 7.419 (3.53), 7.423 (7.49), 7.437 (1.25), 7.441 (3.08), 7.445 (2.02), 7.537 (6.61), 7.554 (5.20), 7.558 (3.70), 8.373 (0.73), 8.449 (13.10).
Intermediate 2-54
6-(Benzyloxy)-8-bromo-7-cyclobutyl-2-{[(2R,7aS)-2-fluorotetrahydro-lH-pyrrolizin-7a(5H)- yl]methoxy}-7H-purine
6-(benzyloxy)-7-cyclobutyl-2-{[(2R,7aS)-2-fluorotetrahydro-lH-pyrrolizin-7a(5H)-yl]methoxy}-7H- purine (Intermediate 2-53, 100 mg, 229 pmol) was dissolved in THF (2 mb) and stirred with molecular sieves (4 A) for 15 min. The molecular sieves were removed and lithium hexamethyldisilazide (460 pl, 1.0 M in THF, 460 pmol) was added at -30°C. The solution was allowed to warm to -20°C during 30 min, then the mixture was cooled to -78°C and bromine (5.0 eq., 59 pl, 1.1 mmol), dissolved in THF (8 mb) was added drop wise. The reaction mixture was stirred at -78°C for Ih, then sat. aq. sodium thiosulfate solution and sat. aq. NaHCOs solution were added at -78°C, warmed to rt and the mixture extracted with ethyl acetate. The combined organic layers were dried with sodium sulfate and the solvents removed in vacuo. The residue was purified by flash chromatography to yield 23.0 mg (19 % of theory) of 6-(benzyloxy)-8-bromo-7-cyclobutyl-2-{[(2R,7aS)-2-fluorotetrahydro-lH-pyrrolizin-7a(5H)- yl]methoxy} -7H-purine.
LC-MS (Method 4): Rt = 1.42 min; MS (ESIpos): m/z = 518 [M+H]+
'H-NMR (400 MHz, DMSO- 6): 5 [ppm]: -0.008 (0.46), 0.851 (0.52), 1.054 (0.66), 1.078 (1.38), 1.103 (1.38), 1.231 (2.31), 1.352 (0.44), 1.454 (0.66), 1.496 (0.40), 1.522 (0.77), 1.544 (1.32), 1.569 (1.42), 1.592 (0.97), 1.616 (0.53), 1.652 (0.61), 1.677 (0.65), 1.723 (0.87), 1.790 (2.85), 1.840 (2.15), 1.877 (1.63), 1.907 (0.77), 2.013 (2.01), 2.066 (2.75), 2.144 (1.97), 2.240 (1.18), 2.263 (2.62), 2.285 (2.64), 2.307 (1.23), 2.318 (1.14), 2.323 (1.56), 2.327 (2.12), 2.331 (1.85), 2.361 (0.98), 2.387 (0.57), 2.452 (0.74), 2.518 (4.85), 2.523 (3.31), 2.558 (0.54), 2.586 (0.87), 2.609 (0.96), 2.627 (2.09), 2.651 (2.72), 2.656 (2.65), 2.665 (1.94), 2.669 (2.40), 2.674 (2.57), 2.678 (2.10), 2.706 (0.48), 2.861 (1.49), 3.055 (1.79), 3.127 (2.37), 4.040 (1.58), 4.092 (2.01), 4.117 (1.47), 4.134 (0.90), 4.388 (1.64), 4.978 (0.44), 5.113 (1.31), 5.135 (1.90), 5.158 (1.34), 5.234 (1.48), 5.368 (1.59), 5.562 (3.84), 5.583 (16.00), 5.596 (1.48), 5.635 (2.68), 5.648 (2.14), 5.760 (12.76), 7.373 (1.04), 7.381 (1.07), 7.388 (1.26), 7.391 (1.40), 7.398 (2.44), 7.400 (2.89), 7.407 (3.15), 7.411 (4.41), 7.415 (7.71), 7.419 (8.75), 7.426 (5.67), 7.433 (4.24), 7.436 (7.30), 7.444 (4.36), 7.452 (2.64), 7.459 (2.15), 7.466 (0.79), 7.517 (0.44), 7.540 (1.65), 7.556 (1.25), 7.560 (0.95), 7.587 (5.38), 7.590 (5.72), 7.606 (5.11), 7.610 (4.95), 7.633 (1.80), 7.941 (1.09), 8.455 (2.39).
Intermediate 2-55
6-(Benzyloxy)-7-cyclobutyl-8-({7-fluoro-3-(methoxymethoxy)-8-[(triisopropylsilyl)ethynyl]-l- naphthyl}oxy)-2-{[(2R,7aS)-2-fluorotetrahydro-lH-pyrrolizin-7a(5H)-yl]methoxy}-7H-purine
6-(Benzyloxy)-8-bromo-7-cyclobutyl-2-{[(2R,7aS)-2-fluorotetrahydro-lH-pyrrolizin-7a(5H)- yl]methoxy}-7H-purine (Intermediate 2-54, 110 mg, 213 pmol) and 7-fluoro-3-(methoxymethoxy)-8- [(triisopropylsilyl)ethynyl]-l -naphthol (Intermediate 1-07, 172 mg, 426 pmol, 2.0 eq.) were dissolved in N,N -dimethylacetamide (2.3 mL). 2-(tert-Butylimino)-N,N-diethyl-l,3-dimethyl-l,3,21ambda5- diazaphosphinan-2-amine (BEMP, 3.0 eq., 175 mg, 639 pmol) was added at rt and the mixture was stirred at rt for 1 h, at 50°C for 2 h and for further 18 h at rt. Water was added and the mixture was extracted with ethyl acetate. The combined organic layers were dried with sodium sulfate and the solvents removed in vacuo. The residue was purified by flash chromatography to yield 87.0 mg (90 % purity, 44 % of theory) of the title compound.
LC-MS (Method 3): Rt = 1.61 min; MS (ESIpos): m/z = 839 [M+H]+
’H-NMR (400 MHz, DMSO- 6): 5 [ppm] = 8.07 (dd, 1H), 7.62-7.53 (m, 4H), 7.47-7.35 (m, 3H), 7.25 (d, 1H), 5.59 (s, 2H), 5.35-5.18 (m, 3H), 5.11 (quin, 1H), 4.08-3.93 (m, 2H), 3.40 (s, 3H), 3.19-2.98 (m, 3H), 2.90-2.80 (m, 1H), 2.73 (td, 2H), 2.44-2.34 (m, 2H), 2.13-1.99 (m, 2H), 1.95 (br s, 1H), 1.88-1.59 (m, 4H), 1.56-1.43 (m, 1H), 0.90-0.84 (m, 21H)
Intermediate 2-56
7-Cyclobutyl-8-({7-fluoro-3-(methoxymethoxy)-8-[(triisopropylsilyl)ethynyl]-l-naphthyl}oxy)-2-
6-(benzyloxy)-7-cyclobutyl-8-({7-fluoro-3-(methoxymethoxy)-8-[(triisopropylsilyl)-ethynyl]-l- naphthyl}oxy)-2-{[(2R,7aS)-2-fluorotetrahydro-lH-pyrrolizin-7a(5H)-yl]methoxy}-7H-purine (Intermediate 55, 83.0 mg, 99.0 pmol) were dissolved in ethanol (4.0 mb) and palladium on activated carbon (10.5 mg, 10 % Pd, 9.90 pmol; CAS-RN:[7440-05-3]) was added. The mixture was vigorously stirred at rt under hydrogen atmosphere (1 atm). The mixture was filtered, and the filtrate concentrated to dryness. The crude product 7-cyclobutyl-8-({7-fhioro-3-(methoxymethoxy)-8- [(triisopropylsilyl)ethynyl]-l-naphthyl}oxy)-2-{[(2R,7aS)-2-fluorotetrahydro-lH-pyrrolizin-7a(5H)- yl]methoxy}-7H-purin-6-ol (73 mg, 90% purity, 89% of theory) was used without further purification.
LC-MS (Method 3): Rt = 1.43 min; MS (ESIneg): m/z = 746 [M-H]’
'H-NMR (400 MHz, DMSO- 6): 5 [ppm]: 0.735 (2.08), 0.823 (0.53), 0.849 (0.48), 0.891 (0.44), 0.918 (0.89), 0.932 (6.04), 0.939 (16.00), 0.957 (0.65), 0.972 (0.54), 1.014 (0.51), 1.096 (0.47), 1.103 (0.53), 1.108 (0.78), 1.132 (1.27), 1.229 (2.09), 1.955 (1.03), 2.518 (0.54), 2.781 (0.86), 2.890 (0.43), 2.941 (1.42), 3.401 (6.57), 3.412 (0.47), 3.435 (0.92), 5.310 (2.91), 5.328 (0.44), 5.759 (2.02), 7.063 (0.52), 7.069 (0.54), 7.545 (0.81), 7.551 (0.81), 7.559 (0.42), 7.581 (0.75), 7.603 (0.41).
Intermediate 2-57
Specific Rotation: [a]D = -11,67 ° (from solution in DMSO, c = 2,8 mg/mL)
'H-NMR (400 MHz, DMSO- 6): 5 [ppm]: 0.973 (16.00), 2.518 (0.68), 2.523 (0.44), 2.575 (0.54), 2.609 (3.72), 2.619 (4.38), 2.652 (0.61), 2.676 (0.40), 2.687 (0.44), 2.690 (0.40), 2.701 (0.41), 2.710 (0.92), 2.720 (1.04), 2.723 (1.13), 2.734 (0.95), 2.746 (0.93), 2.756 (1.05), 2.763 (0.99), 2.774 (1.01), 2.779
(0.40), 2.797 (0.42), 3.363 (4.17), 3.459 (3.46), 3.470 (0.67), 3.477 (0.69), 3.489 (2.83), 3.500 (0.93), 3.507 (1.06), 3.518 (0.86), 3.602 (0.88), 3.613 (1.04), 3.616 (0.95), 3.627 (0.90), 3.631 (0.64), 3.643 (0.67), 3.646 (0.64), 3.657 (0.56), 4.402 (0.61).
Intermediate 2-58
(6R or S*)-4-[7-Cyclobutyl-8-({7-fluoro-3-(methoxymethoxy)-8-[(triisopropylsilyl)ethynyl]-l- naphthyl}oxy)-2-{[(2R,7aS)-2-fluorotetrahydro-lH-pyrrolizin-7a(5H)-yl]methoxy}-7H-purin-6-yl]- 6-methyl-l,4-oxazepan-6-ol
7-cyclobutyl-8-({7-fluoro-3-(methoxymethoxy)-8-[(triisopropylsilyl)ethynyl]-l-naphthyl}oxy)-2- {[(2R,7aS)-2 -fluorotetrahydro- lH-pyrrolizin-7a(5H)-yl]methoxy}-7H-purin-6-ol (Intermediate 2-56, 60.0 mg, 80.2 pmol) and l,8-Diazabicyclo(5.4.0)undec-7-en (DBU, 4.0 eq., 48 pl, 320 pmol) were dissolved in N,N -dimethylacetamide (3.6 mL). (lH-benzotriazol-l-yloxy)[tri(pyrrolidin-l- yl)]phosphonium hexafluorophosphate(l-) (PyBop, 3.0 eq., 125 mg, 241 pmol; CAS-RN: [128625-52-5]) was added and the mixture was stirred at rt for 20 min. Then (6R or S*)-6-methyl-l,4-oxazepan-6-ol (Intermediate 2-57, 1.5 eq., 31.6 mg, 241 pmol) was added and the mixture was stirred for 2 h at rt. Further DBU (2.0 eq.) and (1.5 eq.) were added and the reaction mixture stirred at 50°C - 80 °C until complete conversion (ca. 4 h). Brine was added and the mixture was extracted with ethyl acetate. The combined organic layers were dried with sodium sulfate and the solvents removed in vacuo. The residue was purified by flash chromatography to yield 11.0 mg (90 % purity, 14 % of theory) of the title compound.
LC-MS (Method 4): Rt = 1.88 min; MS (ESIpos): m/z = 862 [M+H]+
'H-NMR (400 MHz, DMSO- 6): 5 [ppm]: 0.719 (0.53), 0.733 (0.87), 0.765 (1.23), 0.777 (0.43), 0.796 (0.56), 0.837 (0.52), 0.845 (0.62), 0.852 (0.97), 0.863 (0.67), 0.902 (5.74), 0.914 (9.07), 0.937 (14.32), 0.969 (0.66), 0.999 (1.53), 1.007 (0.56), 1.017 (3.26), 1.035 (1.67), 1.063 (1.09), 1.085 (1.26), 1.093 (0.74), 1.101 (0.61), 1.129 (5.32), 1.233 (4.14), 1.243 (1.91), 1.260 (2.31), 1.273 (1.31), 1.749 (1.24), 1.768 (1.18), 1.780 (0.91), 1.810 (0.70), 1.917 (0.56), 1.955 (4.32), 1.971 (1.11), 1.986 (0.41), 2.005 (0.41), 2.042 (0.89), 2.053 (0.57), 2.318 (0.54), 2.518 (5.96), 2.523 (3.97), 2.660 (0.57), 2.782 (4.21),
2.802 (0.79), 2.830 (0.49), 2.910 (0.70), 2.928 (0.71), 2.936 (0.78), 2.942 (5.57), 2.954 (0.91), 2.971 (1.30), 3.035 (1.00), 3.055 (0.84), 3.062 (0.86), 3.382 (0.70), 3.415 (16.00), 3.422 (1.49), 3.428 (0.70), 3.442 (2.00), 3.445 (1.61), 3.575 (1.57), 3.606 (1.52), 3.622 (1.11), 3.641 (2.48), 3.696 (1.12), 3.727 (0.60), 3.759 (0.78), 3.848 (0.98), 3.874 (1.50), 3.906 (0.60), 3.939 (1.76), 3.965 (1.02), 5.168 (0.46), 5.300 (0.71), 5.319 (4.13), 5.326 (0.67), 5.336 (0.52), 5.341 (0.79), 5.373 (0.46), 5.756 (1.27), 7.245 (1.49), 7.250 (1.55), 7.568 (1.98), 7.574 (2.60), 7.597 (1.66), 7.620 (0.88), 8.066 (0.77), 8.079 (0.80), 8.088 (0.88), 8.103 (0.81).
Intermediate 2-59
(6R or S*)-4-(7-Cyclobutyl-8-{[8-ethynyl-7-fluoro-3-(methoxymethoxy)-l-naphthyl]oxy}-2-
{[(2R,7aS)-2-fluorotetrahydro-lH-pyrrolizin-7a(5H)-yl]methoxy}-7H-purin-6-yl)-6-methyl-l,4- oxazepan-6-ol
(6R or S*)-4-[7-cyclobutyl-8-({7-fluoro-3-(methoxymethoxy)-8-[(triisopropylsilyl)ethynyl]-l- naphthyl}oxy)-2-{[(2R,7aS)-2-fluorotetrahydro-lH-pyrrolizin-7a(5H)-yl]methoxy}-7H-purin-6-yl]-6- methyl- l,4-oxazepan-6-ol (Intermediate 2-58, 10.0 mg, 11.6 pmol) was dissolved in THF (200 pL) and tetra-n-butylammoniumfluoride (TBAF, 2.0 eq., 23 pl, 1.0 M in THF, 23 pmol; CAS-RN:[429-41-4]) was added at 0°C. The mixture was stirred at rt for 1 h. The mixture was diluted with ethyl acetate, sat. aq. NaHCOs solution was added, and the mixture extracted with ethyl acetate. The combined organic layers were dried with sodium sulfate and the solvents removed in vacuo. The residue was purified by flash chromatography to yield 5.00 mg (90 % purity, 55 % of theory) of the title compound.
LC-MS (Method 3): Rt = 1.02 min; MS (ESIpos): m/z = 706 [M+H]+
Intermediate 2-60
7-Cyclobutyl-8-{[7-fluoro-3-(methoxymethoxy)-8-{[tri(propan-2-yl)silyl]ethynyl}naphthalen-l- yl]oxy}-2-{[(2R,7aS)-2-fluorotetrahydro-lH-pyrrolizin-7a(5H)-yl]methoxy}-6-methoxy-7H-purine
To a solution of 8-bromo-7-cyclobutyl-2-{[(2R,7aS)-2-fluorotetrahydro-lH-pyrrolizin-7a(5H)- yl]methoxy}-6-methoxy-7H-purine (Intermediate 2-20, 5.50 g, 76% purity, 9.49 mmol) and 7-fluoro-3- (methoxymethoxy)-8-{[tri(propan-2-yl)silyl]ethynyl}naphthalen-l-ol (Intermediate 1-07, 7.64 g, 19.0 mmol) in N,N-dimethylformamide (60.0 ml) was added potassium carbonate (3.94 g, 28.5 mmol) at room temperature. After stirring at 100 °C for 2 hours, the reaction mixture was diluted with water and extracted with ethyl acetate. The combined organic layers were washed with water and brine, dried over anhydrous sodium sulfate and concentrated to give a residue. The residue was purified by column chromatography on silica gel (100-200 mesh, petroleum ether: ethyl acetate = 20: 1, then 10: 1, then 5: 1, then 3: 1, then 2: 1, then 1: 1, then 0: 1, then ethyl acetate: methanol = 10: 1) to give 7-cyclobutyl-8-({7-fluoro-3-
(methoxymethoxy)-8-[(triisopropylsilyl)ethynyl]-l-naphthyl}oxy)-2-{[(2R,7aS)-2-fluorotetrahydro-lH- pyrrolizin-7a(5H)-yl]methoxy}-6-methoxy-7H-purine (4.20 g, 85% purity, 49% yield).
LC-MS (Method C): Rt = 1.105 min; MS (ESIpos): m/z = 762.4 [M+H]+.
’H NMR (400 MHz, DMSO- 6): 5 [ppm] = 8.13-8.02 (m, 1H), 7.64-7.54 (m, 2H), 7.26 (d, J= 2.0 Hz, 1H), 5.36-5.28 (m, 2.5H), 5.19-5.07 (m, 1.5H), 4.12-4.06 (m, 3H), 4.00-3.87 (m, 2H), 3.41 (s, 3H), 3.10-
3.00 (m, 2H), 2.99-2.94 (m, 1H), 2.85-2.75 (m, 3H), 2.11-1.96 (m, 3H), 1.96-1.67 (m, 7H), 0.88 (s, 21H).
Intermediate 2-61
4-[7-Cyclobutyl-8-({7-fluoro-3-(methoxymethoxy)-8-[(triisopropylsilyl)ethynyl]-l-naphthyl}oxy)-2-
{[(2R,7aS)-2-fluorotetrahydro-lH-pyrrolizin-7a(5H)-yl]methoxy}-7H-purin-6-yl]-l,4-oxazepan-6- ol (two diastereomers)
To a solution of 7-cyclobutyl-8-({7-fhioro-3-(methoxymethoxy)-8-[(triisopropylsilyl)ethynyl]-l- naphthyl}oxy)-2-{[rac-(2R,7aS)-2-fluorotetrahydro-lH-pyrrolizin-7a(5H)-yl]methoxy}-7H-purin-6-ol (Intermediate 2-56, 300 mg, 88% purity, 0.353 mmol), and l,8-diazabicyclo(5.4.0)undec-7-ene (0.21 ml, 1.41 mmol) in N,N -dimethylformamide (6.0 ml) was added (benzotriazol- 1- yloxy)tripyrrolidinophosphoniumhexafluorophosphate (367 mg, 0.705 mmol) at room temperature. After stirring at the same temperature for 20 minutes, l,4-oxazepan-6-ol hydrogen chloride (1: 1) (racemate) (85.6 mg, 95% purity, 0.529 mmol) was added to the above mixture. After stirring at room temperature for 16 hours, the mixture was poured into water and extracted with ethyl acetate. The organic phase was washed with brine, dried over anhydrous sodium sulfate, filtered and concentrated to give a residue. The residue was purified by reversed phase column (Instrument: 25 g Flash; column: Welch Ultimate XB_C18, 20-40 pm; eluent A: water (0.1% formic acid), eluent B: acetonitrile; gradient: 0-40 min 0-38% B; flow 60 ml/min; temperature; Detector: UV 220/254 nm) to give 4-[7-cyclobutyl-8-({7-fluoro-3- (methoxymethoxy)-8-[(triisopropylsilyl)ethynyl]-l-naphthyl}oxy)-2-{[(2R,7aS)-2-fluorotetrahydro-lH- pyrrolizin-7a(5H)-yl]methoxy}-7H-purin-6-yl]-l,4-oxazepan-6-ol (two diastereomers) (150 mg, 99% purity, 50% yield).
LC-MS (Method C): Rt = 0.931 min; MS (ESIpos): m/z = 847.2 [M+H]+.
Intermediate 2-62
4-[7-Cyclobutyl-8-({7-fluoro-3-(methoxymethoxy)-8-[(triisopropylsilyl)ethynyl]-l-naphthyl}oxy)-2-
{[rac-(2R,7aS)-2-fluorotetrahydro-lH-pyrrolizin-7a(5H)-yl]methoxy}-7H-purin-6-yl]-l,4- oxazepan-6-one
To a solution of 4-[7-cyclobutyl-8-({7-fhioro-3-(methoxymethoxy)-8-[(triisopropylsilyl)ethynyl]-l- naphthyl}oxy)-2-{[(2R,7aS)-2-fluorotetrahydro-lH-pyrrolizin-7a(5H)-yl]methoxy}-7H-purin-6-yl]-l,4- oxazepan-6-ol (two diastereomers) (Intermediate 2-61, 130 mg, 99% purity, 0.152 mmol) in dichloromethane (6.0 ml) was added 1,1,1 -triacetoxy- Hambda5,2-benziodoxol-3(lH)-one (193 mg, 0.456 mmol) in one portion at 0 °C. After stirring at room temperature for 6 hours, the mixture was diluted with water, extracted with ethyl acetate. The combined organic layers were washed with sodium bicarbonate solution and brine, dried over anhydrous sodium sulfate, concentrated to give 4-[7-cyclobutyl-8-({7- fhioro-3-(methoxymethoxy)-8-[(triisopropylsilyl)ethynyl]-l-naphthyl}oxy)-2-{[rac-(2R,7aS)-2- fhiorotetrahydro-lH-pyrrolizin-7a(5H)-yl]methoxy}-7H-purin-6-yl]-l,4-oxazepan-6-one (130 mg, 84% purity, 85% yield).
LC-MS (Method C): Rt = 0.933 min; MS (ESIpos): m/z = 845.2 [M+H]+.
Intermediate 2-63
4-(7-Cyclobutyl-8-{[8-ethynyl-7-fluoro-3-(methoxymethoxy)-l-naphthyl]oxy}-2-{[(2R,7aS)-2- fluorotetrahydro-lH-pyrrolizin-7a(5H)-yl]methoxy}-7H-purin-6-yl)-l,4-oxazepan-6-one
A solution of 4-[7-cyclobutyl-8-({7-fhioro-3-(methoxymethoxy)-8-[(triisopropylsilyl)ethynyl]-l-
naphthyl}oxy)-2-{[(2R,7aS)-2-fluorotetrahydro-lH-pyrrolizin-7a(5H)-yl]methoxy}-7H-purin-6-yl]-l,4- oxazepan-6-one (Intermediate 2-62, 130 mg, 84% purity, 0.129 mmol) and tetramethylammonium fluoride (120 mg, 1.29 mmol) in tetrahydrofuran (1 ml) was stirred at 60 °C for 16 hours. The mixture was poured into water and extracted with ethyl acetate. The organic phase was washed with brine, dried over anhydrous sodium sulfate, filtered and concentrated to give a residue. The residue was purified by preparative TLC (ethyl acetate: methanol = 10: 1) to give 4-(7-cyclobutyl-8-{[8-ethynyl-7-fluoro-3- (methoxymethoxy)-l-naphthyl]oxy}-2-{[(2R,7aS)-2-fluorotetrahydro-lH-pyrrolizin-7a(5H)- yl]methoxy}-7H-purin-6-yl)-l,4-oxazepan-6-one (60 mg, 70% purity, 47% yield).
LC-MS (Method C): Rt = 0.779 min; MS (ESIpos): m/z = 689.3 [M+H]+.
Intermediate 2-64
8-Bromo-7-cyclobutyl-6-(3,8-diazabicyclo[3.2.1]octan-3-yl)-2-{[(2R,7aS)-2-fluorotetrahydro-lH- pyrrolizin-7a(5H)-yl]methoxy}-7H-purine
Hydrogen chloride solution (4 M in 1,4-dioxane, 8.1 ml, 32 mmol, 20 eq) was added under nitrogen atmosphere at RT to a solution of tert-butyl 3-(8-bromo-7-cyclobutyl-2-{[(2R,7aS)-2-fluorotetrahydro- lH-pyrrolizin-7a(5H)-yl]methoxy}-7H-purin-6-yl)-3,8-diazabicyclo[3.2.1]octane-8-carboxylate (Intermediate 1-08, 1.00 g, 1.61 mmol) in dichloromethane (21 ml). The reaction mixture was stirred at RT for 1 h, diluted with some methanol (to resolve the cloudiness), stirred at RT overnight and concentrated under reduced pressure. The residue was dissolved in n-butanol. The solution was extracted with a mixture of aqueous hydrochloric acid solution (I N) and some brine. The aqueous phase was washed with ethyl acetate and with aqueous sodium hydroxide solution and re-extracted with n-butanol. The combined organic phases were washed with brine, dried and concentrated under reduced pressure. The residue was rubbed with a mixture of ethyl acetate and methanol and filtered. The filter residue was washed with ethyl acetate. The combined filtrates were concentrated under reduced pressure to give 8- bromo-7-cyclobutyl-6-(3,8-diazabicyclo[3.2.1]octan-3-yl)-2-{[(2R,7aS)-2-fluorotetrahydro-lH- pyrrolizin-7a(5H)-yl]methoxy}-7H-purine (610 mg, 73% yield).
'H-NMR (400 MHz, DMSO- 6): 5 [ppm] = 0.844 (3.46), 0.861 (9.19), 0.880 (4.70), 1.154 (4.20), 1.172 (8.67), 1.190 (4.29), 1.232 (1.37), 1.262 (1.13), 1.279 (1.60), 1.301 (1.62), 1.317 (1.30), 1.354 (0.75),
1.370 (1.91), 1.381 (1.15), 1.387 (1.65), 1.398 (0.58), 1.403 (1.12), 1.424 (0.45), 1.583 (10.70), 1.734
(3.05), 1.764 (2.98), 1.786 (2.40), 1.817 (1.99), 1.837 (2.63), 1.869 (1.35), 1.893 (0.66), 1.914 (0.53),
1.958 (1.68), 1.988 (16.00), 2.009 (3.63), 2.043 (0.41), 2.082 (3.01), 2.093 (1.92), 2.323 (1.39), 2.327
(1.89), 2.331 (1.31), 2.430 (2.19), 2.453 (2.66), 2.518 (5.11), 2.523 (3.09), 2.659 (1.97), 2.665 (2.22),
2.669 (2.96), 2.674 (3.39), 2.706 (1.66), 2.783 (0.78), 2.805 (1.47), 2.820 (1.79), 2.842 (0.86), 2.994 (3.87), 3.027 (0.64), 3.061 (3.38), 3.072 (3.38), 3.078 (3.16), 3.227 (3.09), 3.257 (3.40), 3.354 (1.98),
3.371 (2.42), 3.383 (2.55), 3.412 (5.55), 3.711 (2.13), 3.738 (1.88), 3.858 (3.46), 3.884 (5.49), 3.955 (6.25), 3.980 (3.83), 3.999 (1.26), 4.017 (3.48), 4.035 (3.31), 4.053 (1.09), 4.311 (0.76), 4.323 (1.51), 4.336 (0.74), 4.990 (1.07), 5.011 (1.53), 5.033 (1.07), 5.192 (1.46), 5.326 (1.41), 8.477 (0.44).
Intermediate 2-65
7-Cyclobutyl-6-[3,8-diazabicyclo[3.2.1]octan-3-yl]-8-{[7-fluoro-3-(methoxymethoxy)-8-
{ [tri(propan-2-yl)silyl]ethynyl}naphthalen-l-yl] oxy}-2- { [(2R,7aS)-2-fluorotetrahydro-lH- pyrrolizin-7a(5H)-yl]methoxy}-7H-purine
A mixture of 8-bromo-7-cyclobutyl-6-[3,8-diazabicyclo[3.2.1]octan-3-yl]-2-{[(2R,7aS)-2- fluorotetrahydro-lH-pyrrolizin-7a(5H)-yl]methoxy}-7H-purine (Intermediate 2-64, 2.00 g, 3.84 mmol), 7-fluoro-3-(methoxymethoxy)-8-[(triisopropylsilyl)ethynyl]-l-naphthol (Intermediate 1-07, 3.09 g, 7.69 mmol, 2.0 eq) and BEMP (CAS-RN 98015-45-3) (3.3 ml, 12 mmol, 3.0 eq) in N,N-dimethylformaide (89 ml) was stirred in a closed microwave vial at 80 °C overnight, poured into water and extracted with ethyl acetate. The combined organic phases were washed with brine, dried and concentrated under reduced pressure. The residue was purified by flash chromatography (Biotage Insolute® NH2 110, ethyl acetate / methanol gradient 1 - 10 - 20 - 100%) to give 7-cyclobutyl-6-[3,8-diazabicyclo[3.2.1]octan-3-yl]-8-{[7- fluoro-3-(methoxymethoxy)-8-{ [tri (propan-2 -yl)silyl]ethynyl}naphthalen-l-yl]oxy}-2-{[(2R,7aS)-2- fluorotetrahydro- lH-pyrrolizin-7a(5H)-yl]methoxy}-7H-purine (1.99 g, 61% yield).
LC-MS (Method 8): Rt = 1.05 min; MS (ESIpos): m/z = 842 [M+H]+
‘H-NMR (400 MHz, DMSO- 6): 5 [ppm] = 0.932 (12.58), 1.154 (4.60), 1.172 (9.95), 1.190 (4.75), 1.677 (0.77), 1.713 (0.92), 1.731 (0.87), 1.743 (0.71), 1.988 (16.00), 2.057 (0.67), 2.424 (0.41), 2.518 (1.10),
2.523 (0.76), 2.729 (0.50), 2.803 (0.46), 2.889 (0.50), 2.975 (0.79), 3.040 (0.64), 3.054 (0.64), 3.414
(11.30), 3.440 (0.99), 3.829 (0.64), 3.855 (0.96), 3.920 (0.92), 3.946 (0.57), 3.999 (1.16), 4.017 (3.45),
4.035 (3.37), 4.053 (1.07), 5.319 (3.90), 7.224 (1.16), 7.229 (1.19), 7.568 (1.40), 7.574 (1.89), 7.596
(1.20), 7.619 (0.62), 8.066 (0.56), 8.080 (0.59), 8.089 (0.59), 8.103 (0.56).
Intermediate 2-66
7-Cyclobutyl-6-[3,8-diazabicyclo[3.2.1]octan-3-yl]-8-{[8-ethynyl-7-fluoro-3- (methoxymethoxy)naphthalen-l-yl]oxy}-2-{[(2R,7aS)-2-fluorotetrahydro-lH-pyrrolizin-7a(5H)- yl]methoxy}-7H-purine
Tetra-n-butylammoniumfluorid solution (1 M in tetrahydrofuran, 4.7 ml, 4.7 mmol, 2.0 eq) was added under nitrogen atmosphere at -18 °C to a mixture of 7-cyclobutyl-6-[3,8-diazabicyclo[3.2.1]octan-3-yl]- 8-{[7-fluoro-3-(methoxymethoxy)-8-{[tri(propan-2-yl)silyl]ethynyl}naphthalen-l-yl]oxy}-2- {[(2R,7aS)-2 -fluorotetrahydro- lH-pyrrolizin-7a(5H)-yl]methoxy}-7H-purine (Intermediate 2-65, 1.99 g, 2.36 mmol) in tetrahydrofuran (86 ml). The reaction mixture was stirred at -18 °C for 20 min, poured into water and extracted with ethyl acetate. The combined organic phases were washed with brine, dried and concentrated under reduced pressure . The residue was purified by flash silica gel chromatography (Biotage Insolute® NH2 55, ethyl acetate / methanol gradient 5 - 20 - 100%) to give 7-cyclobutyl-6-[3,8- diazabicyclo[3.2.1]octan-3-yl]-8-{[8-ethynyl-7-fluoro-3-(methoxymethoxy)naphthalen-l-yl]oxy}-2-
{[(2R,7aS)-2 -fluorotetrahydro- lH-pyrrolizin-7a(5H)-yl]methoxy}-7H-purine (1.46 g (90% yield).
LC-MS (Method 8): Rt = 0.74 min; MS (ESIpos): m/z = 686 [M+H]+
'H-NMR (400 MHz, DMSO- 6): 5 [ppm] = 0.934 (0.94), 0.952 (0.45), 1.154 (2.30), 1.172 (4.74), 1.190 (2.14), 1.231 (0.61), 1.693 (1.40), 1.708 (1.26), 1.760 (1.26), 1.778 (1.22), 1.845 (0.47), 1.890 (0.56),
1.945 (0.58), 1.956 (0.97), 1.988 (8.13), 2.028 (0.99), 2.422 (0.76), 2.442 (0.81), 2.518 (2.54), 2.523
(1.74), 2.768 (0.40), 2.783 (0.55), 2.954 (0.80), 2.980 (0.54), 3.006 (0.93), 3.024 (1.65), 3.160 (1.06),
3.186 (1.07), 3.440 (16.00), 3.483 (1.36), 3.551 (0.72), 3.785 (0.96), 3.811 (1.59), 3.868 (1.80), 3.894
(1.05), 3.999 (0.52), 4.017 (1.60), 4.035 (1.57), 4.053 (0.49), 4.512 (2.56), 5.038 (0.46), 5.156 (0.41), 5.288 (0.41), 5.371 (6.64), 7.450 (1.68), 7.455 (1.84), 7.559 (0.90), 7.581 (1.81), 7.604 (0.91), 7.645 (2.06), 7.651 (1.87), 8.087 (0.80), 8.101 (0.85), 8.109 (0.83), 8.123 (0.77), 8.546 (0.73).
Intermediate 2-67
7-Cyclobutyl-8- { [8-ethynyl-7-fluoro-3-(methoxymethoxy)naphthalen-l-yl] oxy}-2- { [(2R,7aS)-2- fluorotetrahydro-lH-pyrrolizin-7a(5H)-yl]methoxy}-6-[8-methyl-3,8-diazabicyclo[3.2.1]octan-3- yl]-7H-purine
Sodium hydride (60% in mineral oil, 43.7 mg, 1.09 mmol) was added under nitrogen atmosphere at RT to a solution of 7-cyclobutyl-6-[3,8-diazabicyclo[3.2.1]octan-3-yl]-8-{[8-ethynyl-7-fluoro-3- (methoxymethoxy)naphthalen- 1 -yl]oxy } -2-{ [(2R,7aS)-2 -fluorotetrahydro- lH-pyrrolizin-7a(5H)- yl]methoxy}-7H-purine (Intermediate 2-66, 150 mg, 219 pmol) in tetrahydrofuran (8.9 ml). The reaction mixture was stirred at RT for 15 min, mixed with iodomethane (34 pl, 550 pmol; 2.5 eq), stirred at RT for 1 h, poured into aqueous ammonium chloride solution and extracted with ethyl acetate. The combined organic phases were washed with brine, dried and concentrated under reduced pressure. The residue was purified by flash chromatography (Biotage Sfar NH2 55, ethyl acetate / methanol gradient 2 - 40%) to give 7-cyclobutyl-8-{ [8-ethynyl-7-fhioro-3-(methoxymethoxy)naphthalen- l-yl]oxy} -2-{[(2R,7aS)-2- fhiorotetrahydro-lH-pyrrolizin-7a(5H)-yl]methoxy}-6-[8-methyl-3,8-diazabicyclo[3.2.1]octan-3-yl]- 7H-purine (20.0 mg, 13 % yield).
LC-MS (Method 8): Rt = 0.73 min; MS (ESIpos): m/z = 700 [M+H]+
'H-NMR (400 MHz, DMSO- 6): 5 [ppm] = 1.154 (2.96), 1.172 (6.31), 1.190 (2.78), 1.232 (1.20), 1.648 (0.95), 1.667 (1.17), 1.691 (0.91), 1.720 (0.70), 1.743 (0.67), 1.801 (0.60), 1.831 (0.49), 1.857 (0.50),
1.954 (1.45), 1.988 (11.12), 2.028 (1.01), 2.225 (7.49), 2.518 (4.43), 2.523 (2.96), 2.783 (0.58), 2.954
(1.02), 2.986 (0.91), 3.020 (1.36), 3.204 (1.33), 3.242 (0.99), 3.271 (1.13), 3.440 (16.00), 3.569 (0.81), 3.601 (0.70), 3.790 (0.94), 3.816 (1.58), 3.870 (1.78), 3.896 (0.99), 3.999 (0.76), 4.017 (2.25), 4.035
(2.20), 4.053 (0.73), 4.503 (2.49), 4.996 (0.47), 5.286 (0.41), 5.371 (6.47), 5.760 (0.77), 7.448 (1.69),
7.454 (1.75), 7.558 (0.85), 7.580 (1.65), 7.603 (0.81), 7.643 (1.92), 7.650 (1.82), 8.085 (0.80), 8.100 (0.82), 8.109 (0.84), 8.123 (0.75).
Intermediate 3-01
To a solution of Intermediate 1-07 (200 g, 496 mmol, 1.00 eq) in DCM (900 mL) was added DIEA (128 g, 990 mmol, 172 mL, 2.00 eq , then Tf2O (182 g, 645 mmol, 106 mL, 1.30 eq) was added dropwise at - 40 °C under N2 atmosphere and stirred at - 40 °C for 1 hrs. TLC (Petroleum ether/Ethyl acetate = 10/1) indicated Intermediate 1-07 (Rf = 0.35) was consumed completely and one new spot (Rf = 0.45) formed. The reaction mixture was quenched by addition water (1.00 L) and extracted with DCM (500 mL). The combined organic layers were washed with brine (1.00 L), dried over Na2SC>4, filtered, and concentrated under reduced pressure to give a residue. The residue was purified by column chromatography (SiO2, Petroleum ether/Ethyl acetate = 20/1) to give the title compound (240 g, 426 mmol, 86% yield, 98% purity).
LCMS (Method 1): Rt = 0.867 min, HPLC (Method 2): Rt = 2.065 min.
’H NMR (400 MHz, CDCh- ): 5 [ppm] = 7.72 - 7.69 (m, 1H), 7.42 (d, J= 2.4 Hz, 1H), 7.36 - 7.30 (m, 2H), 5.28 (s, 2H), 3.52 (s, 3H), 1.24 - 1.16 (m, 21H).
Intermediate 3-02
Methyl 7-fluoro-3-(methoxymethoxy)-8-(2-triisopropylsilylethynyl)naphthalene-l-carboxylate
A mixture of Intermediate 3-01 (210 g, 392 mmol, 1.00 eq) in DMSO (1.00 L) and MeOH (1.00 L) was added TEA (120 g, 1178 mmol, 164 mL, 3.00 eq) and Pd(dppf)C12 (28.6 g, 39.2 mmol, 0.10 eq) under N2. The mixture was degassed with CO in vacuum for three times and the mixture was heated to 80 °C and stirred for 3 hrs under 50 psi pressure. TLC (Petroleum ether/Ethyl acetate = 10/1) indicated Intermediate 3-01 (Rf = 0.45) was consumed completely and three new spots (Rf = 0.35, 0.25, 0.15) formed. The mixture was cooled to 25 °C and purged with N2 for 10 mins, then was poured into ice-water (1.00 L) and stirred for 30 mins. The aqueous phase was extracted with EtOAc (500 mL x 3), the combined organic phase was washed with brine (1.00 L x 2), dried with anhydrous Na2SC>4, filtered and concentrated in vacuum. The residue was purified by column chromatography (SiCE, Petroleum ether/Ethyl acetate = 1/0 to 20/1) to give methyl 7-fluoro-3-(methoxymethoxy)-8-(2-triisopropylsilylethynyl)naphthalene-l- carboxylate (108 g, 232 mmol, 59% yield, 96% purity).
LCMS (Method 1): Rt= 0.792 min.
Intermediate 3-03
To a solution of LiAlEL (2.5 M, 80.9 mL, 1.00 eq) in THF (400 mL) was drop wise added Intermediate 3-02 (90.0 g, 202 mmol, 1.00 eq) in THF (900 mL) at 10 °C under N2 atmosphere. The mixture was stirred at 10 °C for 2 hrs. TLC (Petroleum ether/Ethyl acetate = 10/1) indicated Intermediate 3-02 (Rf = 0.35) was consumed completely and one main new spots (Rf = 0.25) formed. The reaction mixture was quenched by addition water (8.00 mL), 15% NaOH aq. (8.00 mL), water (24.0 mL) at 10 °C, and then the mixture was warmed to 25 °C for 30 mins, filtered and the cake was washed with EA (300 mL x 3). The filtrate was concentrated under reduced pressure to give a residue. The residue was purified by column chromatography (SiO2, Petroleum ether/Ethyl acetate = 1/0 to 20/1) to give compound [7-Fluoro-3- (methoxymethoxy)-8-(2-triisopropylsilylethynyl)-l-naphthyl]methanol (53.4 g, 126.51 mmol, 62.5% yield, 98.7% purity).
LCMS (Method 1): Rt= 0.622 min, HPLC (Method 2): Rt =1.547 min.
’H NMR (400 MHz, CDCh-d): 5 [ppm] = 7.77 - 7.73 (m, 1H), 7.37 - 7.34 (m, 2H), 7.29 - 7.24 (m, 1H), 5.38 (d, J= 7.6 Hz, 2H), 5.29 (s, 2H), 3.52 (s, 3H), 3.11 (t, J= 7.6 Hz, 1H), 1.28 - 1.19 (m, 21H).
Intermediate 3-04
(l,l-Diacetoxy-3-oxo-llambda5,2-benziodoxol-l-yl) acetate (1.5 g, 3.6 mmol, 1.5 eq.) was added to a solution of [7-fluoro-3-(methoxymethoxy)-8-(2-triisopropylsilylethynyl)-l-naphthyl]-methanol
(Intermediate 3-03, 1.0 g, 2.4 mmol, 1.0 eq.) in DCM (24 mL) and stirred at RT overnight. The reaction mixture was diluted with DCM, washed with sat. aq. NaHCO3 -solution and brine, dried over Na2SO4 and concentrated under reduced pressure. The residue was filtrated over silica (elution with DCM), concentrated under reduced pressure, dried in vacuo, and used without further purification. Yield: 996 mg (100% purity, 100% of theory).
LC-MS (Method 1): Rt = 3.18 min; MS (ESIpos): m/z = 415 [M+H]+
'HNMR (400 MHz, DMSO- 6): 5 [ppm] = 1.03 - 1.25 (m, 21 H) 3.44 (s, 3 H) 5.36 (s, 2 H) 7.51 - 7.67 (m, 2 H) 7.87 (d, 1 H) 8.14 (dd, 1 H) 11.50 (s, 1 H).
Intermediate 3-05 tert-Butyl 3- [7-cyclobutyl-2- [ [(2R,8S)-2-fluoro-l,2,3,5,6,7-hexahydropyrrolizin-8-yl] methoxy] -8- [[7-fluoro-3-(methoxymethoxy)-8-(2-triisopropylsilylethynyl)-l-naphthyl]-hydroxy-methyl]purin- 6-yl]-3,8-diazabicyclo[3.2.1]octane-8-carboxylate
LiHMDS (l,0M in THF, 1.1 ml, 1.1 mmol, 2.3 eq.) was slowly added to a solution of tert-butyl 3-(7-cyclobutyl-2-{[(2R,7aS)-2-fluorotetrahydro-lH-pyrrolizin-7a(5H)-yl]methoxy}-7H- purin-6-yl)-3,8-diazabicyclo[3.2.1]octane-8-carboxylate (Intermediate 1-05, 250 mg, 462 pmol, 1.0 eq.) in THF (2.5 mb) at -18°C under argon atmosphere. The reaction mixture was stirred for 5 min. at -18°C before a solution of 7-fluoro-3-(methoxymethoxy)-8-(2-triisopropylsilylethynyl)naphthalene-l- carbaldehyde (Intermediate 3-04, 258 mg, 623 pmol, 1.35 eq.) in THF (2.5 mb) was added at -18 °C and the reaction mixture was stirred for 30 min. at -18 °C and 30 min. at RT. The reaction was quenched with water and sat. aq. NH4Cl-solution was added. The phases were separated, and the aqueous phase was extracted with ethyl acetate. The combined organic phases were dried over Na2SO4 and concentrated under reduced pressure. The obtained residue was purified by RP-HPLC (acetonitrile / 0.01% formic acid in water gradient). The product fractions were pooled and concentrated in vacuo to afford 302 mg (62% yield, 90% purity) of the title compound.
LC-MS (Method 1): Rt = 2.28 min; MS (ESIpos): m/z = 957 [M+H]+
' H NMR (400 MHz, DMSO- 6): 5 [ppm] = 0.99 - 1.09 (m, 21 H) 1.43 (s, 9 H) 1.56 - 1.88 (m, 9 H) 1.91 - 2.13 (m, 4 H) 2.25 - 2.47 (m, 2 H) 2.57 - 2.73 (m, 1 H) 2.76 - 2.90 (m, 1 H) 2.94 - 3.17 (m, 5 H) 3.37 (s, 3 H) 3.56 - 3.71 (m, 1 H) 3.85 - 4.10 (m, 3 H) 4.23 (s, 2 H) 4.86 - 5.09 (m, 1 H) 5.12 - 5.35 (m, 3 H) 6.14 - 6.37 (m, 1 H) 7.31 - 7.41 (m, 1 H) 7.48 - 7.62 (m, 2 H) 7.80 - 7.91 (m, 1 H) 8.05 (dd, 1 H).
Intermediate 3-06 tert-Butyl 3-[7-cyclobutyl-8-[[8-ethynyl-7-fluoro-3-(methoxymethoxy)-l-naphthyl]-hydroxy- methyl] -2- [ [(2R,8S)-2-fluor o-l ,2, 3,5,6, 7-hexahydr opyrr olizin-8-yl] methoxy] purin-6-yl] -3,8- diazabicyclo[3.2.1]octane-8-carboxylate
Tetra-n-butylammoniumfluoride (IM in THF, 220 pl, 1.0 M, 220 pmol, 2.0 eq.) was added to a solution of tert-Butyl 3-[7-cyclobutyl-2-[[(2R,8S)-2-fluoro-l,2,3,5,6,7-hexahydropyrrolizin-8-yl]methoxy]-8-[[7- fluoro-3-(methoxymethoxy)-8-(2-triisopropylsilylethynyl)-l-naphthyl]-hydroxy-methyl]purin-6-yl]-3,8- diazabicyclo[3.2.1]-octane-8-carboxylate (Intermediate 3-05, 103 mg, 108 pmol, 1.0 eq.) in THF (9 mb)
at -18°C under argon atmosphere and the reaction mixture was stirred for 20 min. at -18 °C. The reaction mixture was diluted with ethyl acetate and quenched with H2O. The phases were separated, and the organic phase was washed with H2O and brine, dried over MgSO4, concentrated under reduced pressure, dried in vacuo, and used without further purification. Yield: 103 mg (75% purity, 115% of theory).
LC-MS (Method 1): Rt = 1.66 min; MS (ESIpos): m/z = 800 [M+H]+
Intermediate 3-07 tert-Butyl 3- [7-cyclobutyl-8- [8-ethynyl-7-fluoro-3-(methoxymethoxy)naphthalene-l-carbonyl] -2-
[[(2R,8S)-2-fluoro-l,2,3,5,6,7-hexahydropyrrolizin-8-yl]methoxy]purin-6-yl]-3,8- diazabicyclo[3.2.1]octane-8-carboxylate
(l,l-Diacetoxy-3-oxo-llambda5,2-benziodoxol-l-yl) acetate (181 mg, 428 pmol, 1.4 eq.) was added to a solution of tert-Butyl 3-[7-cyclobutyl-8-[[8-ethynyl-7-fluoro-3-(methoxymethoxy)-l-naphthyl]-hydroxy- methyl]-2-[[(2R,8S)-2-fluoro-l,2,3,5,6,7-hexahydropyrrolizin-8-yl]methoxy]purin-6-yl]-3,8- diazabicyclo[3.2.1]octane-8-carboxylate (Intermediate 3-06, 326 mg, 75% purity, 306 pmol, 1.0 eq.) in DCM (21 ml) and stirred at RT overnight. H2O and ethyl acetate were added to the reaction mixture, the phases were separated, and the organic phase was washed with sat. aq. NaHCO3 -solution, H2O, and brine, dried over MgSO4, concentrated under reduced pressure, dried in vacuo, and used without further purification. Yield: 213 mg (88% purity, 77% of theory).
LC-MS (Method 1): Rt = 1.79 min; MS (ESIpos): m/z = 798 [M+H]+
Intermediate 3-08
7-Cyclobutyl-2-{[(2R,7aS)-2-fluorotetrahydro-lH-pyrrolizin-7a(5H)-yl]methoxy}-6-[(4- methoxybenzyl)sulfanyl]-7H-purine
(4-methoxyphenyl)methanethiol (1.5 eq., 920 pl, 6.6 mmol) was dissolved in N,N -dimethylacetamide (10 mL). 2-(tert-butylimino)-N,N-diethyl-l,3-dimethyl-l,3,21ambda<sup>5</sup>-diazaphosphinan-2- amine (BEMP, 3.0 eq., 175 mg, 639 pmol, CAS-RN:[98015-45-3]) was added and the mixture was stirred at rt for 15 min, then tert-butyl 4-{4-[(7-cyclobutyl-2-{[(2R,7aS)-2-fluorotetrahydro-lH-pyrrolizin- 7a(5H)-yl]methoxy}-7H-purin-6-yl)oxy]phenyl}piperazine-l-carboxylate (Intermediate 2-18, 895 mg, 1.47 mmol), dissolved in N,N-dimethylacetamide (2.5 mL) was added and the mixture was stirred for 2 h at rt. Water was added and the mixture was extracted with ethyl acetate. The combined organic layers were dried with sodium sulfate and the solvents removed in vacuo. The residue was purified by flash chromatography to yield 417 mg (59 % of theory) of the title compound.
LC-MS (Method 3): Rt = 0.96 min; MS (ESIpos): m/z = 485 [M+H]+
’H-NMR (400 MHz, DMSO- 6): 5 [ppm] = 8.67 (s, 1H), 7.45-7.34 (m, 2H), 6.94-6.81 (m, 2H), 5.41- 5.17 (m, 1H), 5.04 (quin, 1H), 4.57 (s, 2H), 4.13-3.99 (m, 2H), 3.72 (s, 3H), 3.16-3.04 (m, 2H), 3.02 (s, 1H), 2.89-2.79 (m, 1H), 2.48-2.43 (m, 2H), 2.21-2.07 (m, 1H), 2.05 (d, 1H), 2.00 (br s, 1H), 1.91-1.72 (m, 5H) (2H not detected, could be at 2.5 / below DMSO)
Intermediate 3-09
(7-Cyclobutyl-2-{[(2R,7aS)-2-fluorotetrahydro-lH-pyrrolizin-7a(5H)-yl]methoxy}-6-[(4- methoxybenzyl)sulfanyl]-7H-purin-8-yl){7-fluoro-3-(methoxymethoxy)-8-
[(triisopropylsilyl)ethynyl]-l-naphthyl}methanol
7-cyclobutyl-2-{[(2R,7aS)-2-fluorotetrahydro-lH-pyrrolizin-7a(5H)-yl]methoxy}-6-[(4- methoxybenzyl) sulfanyl] -7H-purine (Intermediate 3-08, 345 mg, 713 pmol) was dissolved in THF (15 mL) and lithium hexamethyldisilazide (2.0 eq., 1.4 ml, 1.0 M in THF, 1.4 mmol) was added at -30°C and stirred for 30 min. The solution cooled to -78°C and 7-fluoro-3-(methoxymethoxy)-8-(2- triisopropylsilylethynyl)naphthalene-l-carbaldehyde (Intermediate 3-04, 1.5 eq., 444 mg, 1.07 mmol), dissolved in THF (3 mL) was added drop wise. The reaction mixture was stirred at -78°C for 30 min, then sat. aq. ammonium chloride solution was added at -78°C. The mixture was warmed to rt and extracted with ethyl acetate. The combined organic layers were dried with sodium sulfate and the solvents removed in vacuo. The residue was purified by flash chromatography to yield 220 mg (90% purity, 31 % of theory) of the title compound.
LC-MS (Method 3): Rt = 1.51 min; MS (ESIpos): m/z = 899 [M+H]+
’H-NMR (400 MHz, DMSO- 6): 5 [ppm] = 8.11-8.02 (m, 2H), 7.59-7.51 (m, 2H), 7.43-7.38 (m, 2H), 7.12 (d, 1H), 6.87 (d, 2H), 6.48 (d, 1H), 5.36-5.23 (m, 4H), 4.61 (dd, 2H), 4.10-4.00 (m, 2H), 3.72 (s, 3H), 3.33 (s, 3H), 3.09 (br d, 2H), 3.03-3.00 (m, 1H), 2.87-2.69 (m, 3H), 2.40-2.34 (m, 1H), 2.14-2.09 (m, 1H), 2.08-2.02 (m, 2H), 1.98 (br s, 1H), 1.83 (br d, 2H), 1.80-1.76 (m, 2H), 1.75-1.72 (m, 1H), 1.04-0.95 (m, 21H)
Intermediate 3-10
(7-Cyclobutyl-2-{[(2R,7aS)-2-fluorotetrahydro-lH-pyrrolizin-7a(5H)-yl]methoxy}-6-[(4- methoxybenzyl)sulfanyl]-7H-purin-8-yl)[8-ethynyl-7-fluoro-3-(methoxymethoxy)-l- naphthyljmethanol
(7-cyclobutyl-2-{[(2R,7aS)-2-fluorotetrahydro-lH-pyrrolizin-7a(5H)-yl]methoxy}-6-[(4- methoxybenzyl) sulfanyl] -7H-purin-8-yl) {7-fluoro-3-(methoxymethoxy)-8-[(triisopropylsilyl)ethynyl] - 1 - naphthyl }methanol (Intermediate 3-09, 217 mg, 242 pmol) was dissolved in THF (4.2 mL) and tetra-n- butylammoniumfluoride (TBAF, 2.0 eq., 480 pl, 1.0 M in THF, 480 pmol) was added at 0°C. The mixture was stirred at rt for 1 h. The mixture was diluted with ethyl acetate, sat. aq. NaHCOs solution and sat. aq. NH4CI solution was added, and the mixture extracted with ethyl acetate. The combined organic layers were dried with sodium sulfate and the solvents removed in vacuo. The residue was purified by flash chromatography to yield 170 mg (95% of theory) of the title compound. LC-MS (Method 3): Rt = 1.21 min; MS (ESIpos): m/z = 742 [M+H]+
' H-NMR (400 MHz, DMSO- 6): 5 [ppm] = 8.04 (dd, 1H), 7.77 (d, 1H), 7.57 (d, 1H), 7.51 (d, 1H), 7.47- 7.41 (m, 3H), 6.92-6.87 (m, 2H), 6.84 (d, 1H), 5.58-5.46 (m, 1H), 5.36 (s, 2H), 5.34-5.17 (m, 1H), 4.68- 4.57 (m, 2H), 4.50 (s, 1H), 4.04-3.88 (m, 2H), 3.73 (s, 3H), 3.45 (s, 3H), 3.19-3.12 (m, 1H), 3.10-2.95 (m, 3H), 2.93-2.85 (m, 1H), 2.84-2.76 (m, 1H), 2.65-2.55 (m, 2H), 2.13-2.03 (m, 1H), 2.02-1.97 (m, 1H), 1.96-1.86 (m, 3H), 1.84-1.72 (m, 3H)
Intermediate 3-11
(7-Cyclobutyl-2-{[(2R,7aS)-2-fluorotetrahydro-lH-pyrrolizin-7a(5H)-yl]methoxy}-6-[(4- methoxybenzyl)sulfanyl]-7H-purin-8-yl)[8-ethynyl-7-fluoro-3-(methoxymethoxy)-l- naphthyljmethanone
(7-cyclobutyl-2-{[(2R,7aS)-2-fluorotetrahydro-lH-pyrrolizin-7a(5H)-yl]methoxy}-6-[(4- methoxybenzyl) sulfanyl] -7H-purin- 8 -yl) [8 -ethynyl-7 -fluoro-3 -(methoxymethoxy) - 1 -naphthyl] methanol (Intermediate 3-10, 167 mg, 225 pmol) was dissolved in dichloromethane (3.8 mL) and stirred with molecular sieves (4 A) for 30min. Dess-Martin periodinane (( 1,1,1 -triacetoxy)- 1,1 -dihydro- 1,2- benziodoxol-3(lH)-one, 2.0 eq., 191 mg, 450 pmol, CAS 87413-09-0) was added and the mixture was stirred for 4 h at rt. The reaction mixture was diluted with ethyl acetate, sat. aq. NaHCOs solution was added. The mixture was extracted with ethyl acetate, the mixture extracted with ethyl acetate, the combined organic layers were dried with sodium sulfate and the solvents removed in vacuo. The residue was purified by flash chromatography to yield 104 mg (90% purity, 56% of theory) of the title compound.
LC-MS (Method 3): Rt = 1.17 min; MS (ESIpos): m/z = 741 [M+H]+
’H-NMR (400 MHz, DMSO- 6): 5 [ppm] = 8.14 (dd, 1H), 7.79 (d, 1H), 7.58 (t, 1H), 7.52 (d, 1H), 7.49- 7.44 (m, 2H), 6.93-6.87 (m, 2H), 6.02 (quin, 1H), 5.37 (s, 2H), 5.34-5.14 (m, 1H), 4.65 (s, 2H), 4.57 (d, 1H), 4.02-3.93 (m, 2H), 3.74 (s, 3H), 3.43 (s, 3H), 3.12-2.99 (m, 4H), 2.99-2.95 (m, 1H), 2.85-2.75 (m,
1H), 2.60-2.52 (m, 2H), 2.13-2.06 (m, 1H), 2.05-1.99 (m, 2H), 1.97-1.87 (m, 2H), 1.86-1.68 (m, 3H).
Intermediate 3-12
(7-Cyclobutyl-2-{[(2R,7aS)-2-fluorotetrahydro-lH-pyrrolizin-7a(5H)-yl]methoxy}-6-hydroxy-7H- purin-8-yl)[8-ethynyl-7-fluoro-3-(methoxymethoxy)-l-naphthyl]methanone
(7-cyclobutyl-2-{[(2R,7aS)-2-fluorotetrahydro-lH-pyrrolizin-7a(5H)-yl]methoxy}-6-[(4- methoxybenzyl)sulfanyl]-7H-purin-8-yl)[8-ethynyl-7-fluoro-3-(methoxymethoxy)-l- naphthyl]methanone (Intermediate 3-11, 102 mg, 138 pmol) was dissolved in methanol (19 mL) and 1,4- dioxane (19 mL). Oxone monopersulfate (potassium peroxymonosulfate, 2.0 eq., 84.8 mg, 276 pmol; CAS-RN: [37222-66-5]), dissolved in water (6.1 mL) was added drop wise at 0°C. The mixture was stirred for 18 h at rt. The reaction was quenched with NH4CI solution, then aq. sodium thiosulfate solution was added and the mixture was extracted twice with chloroform / methanol (1/1). The combined organic layers were dried with sodium sulfate and the solvents removed in vacuo. The residue was purified by flash chromatography to yield 62 mg (75% of theory) of 7-cyclobutyl-8-{[8-ethynyl-7-fluoro-3- (methoxymethoxy)-l-naphthyl]oxy}-2-{[(2R,7aS)-2-fluorotetrahydro-lH-pyrrolizin-7a(5H)- yl]methoxy} -7H-purin-6-ol.
1H-NMR (400 MHz, DMSO- 6): 5 [ppm] = 12.76-12.28 (m, 1H), 8.12 (dd, 1H), 7.76 (d, 1H), 7.56 (t, 1H), 7.43 (d, 1H), 6.35 (quin, 1H), 5.38-5.35 (m, 2H), 5.34-5.13 (m, 1H), 4.53 (s, 1H), 4.03-3.88 (m, 2H), 3.43 (s, 3H), 3.15-2.90 (m, 5H), 2.86-2.72 (m, 1H), 2.46 (br s, 1H), 2.11-1.90 (m, 4H), 1.89-1.63 (m, 5H).
Intermediate 3-13
(7-Cyclobutyl-2-{[(2RS,7aSR)-2-fluorotetrahydro-lH-pyrrolizin-7a(5H)-yl]methoxy}-6-[(3R or S)-
3-hydroxy-3-methylpiperidin-l-yl]-7H-purin-8-yl)[8-ethynyl-7-fluoro-3-(methoxymethoxy)-l- naphthyljmethanone
7-cyclobutyl-8-{[8-ethynyl-7-fluoro-3-(methoxymethoxy)-l-naphthyl]oxy}-2-{[(2R,7aS)-2- fluorotetrahydro-lH-pyrrolizin-7a(5H)-yl]methoxy}-7H-purin-6-ol (Intermediate 3-12, 60.0 mg, 99.4 pmol) and l,8-Diazabicyclo(5.4.0)undec-7-en (DBU, 2.0 eq., 30 pl, 200 pmol) were dissolved in N,N- dimethylacetamide (4.5 mb). (lH-benzotriazol-l-yloxy)[tri(pyrrolidin-l-yl)]phosphonium hexafluorophosphate(l-) (PyBop, 2.0 eq., 103 mg, 199 pmol; CAS-RN: [128625-52-5]) was added and the mixture was stirred at rt for 20 min. Then (3R)-3-methylpiperidin-3-ol hydrochloride (1.2 eq., 18.1 mg, 119 pmol) was added and the mixture was stirred for 2 h at rt. Brine was added and the mixture was extracted with ethyl acetate / methanol (9/1). The combined organic layers were dried with sodium sulfate and the solvents removed in vacuo. The residue was purified by flash chromatography to yield 27.0 mg (90% purity, 35% of theory) of the title compound.
LC-MS (Method 4): Rt = 1.37 min; MS (ESIpos): m/z = 702 [M+H]+
'H-NMR (400 MHz, DMSO- 6): 5 [ppm]: 1.084 (0.44), 1.107 (2.38), 1.154 (1.24), 1.172 (2.28), 1.190 (1.12), 1.232 (0.82), 1.259 (0.59), 1.591 (0.43), 1.616 (0.56), 1.647 (0.64), 1.670 (0.43), 1.705 (0.76), 1.721 (0.49), 1.735 (0.44), 1.772 (0.75), 1.808 (0.50), 1.910 (0.45), 1.921 (0.40), 1.955 (10.62), 1.971 (1.30), 1.988 (4.75), 2.004 (0.42), 2.043 (0.87), 2.518 (2.59), 2.523 (2.02), 2.768 (0.45), 2.782 (9.99), 2.942 (16.00), 2.952 (0.76), 3.029 (1.07), 3.435 (15.16), 3.737 (0.40), 3.824 (0.76), 3.850 (1.39), 3.892 (1.56), 3.918 (0.84), 4.017 (0.96), 4.035 (0.97), 4.458 (0.76), 4.602 (0.41), 5.375 (5.87), 5.760 (0.77), 7.459 (1.48), 7.465 (1.54), 7.556 (0.83), 7.578 (1.58), 7.601 (0.81), 7.763 (1.84), 7.769 (1.74), 8.112 (0.71), 8.127 (0.74), 8.135 (0.75), 8.150 (0.71).
Intermediate 3-14 tert-Butyl 4-[4-(2-chloro-7-tetrahydrofuran-3-yl-purin-6-yl)oxyphenyl]piperazine-l-carboxylate (racemic)
tert-butyl 4-{4-[(2-chloro-7H-purin-6-yl)oxy]phenyl}piperazine-l-carboxylate (Intermediate 2-16), 4.60 g, 10.7 mmol) and 3 -Bromtetrahydrofuran (2.0 eq., 3.22 g, 21.4 mmol) were dissolved in N,N- dimethylacetamide (46 mL) and potassium carbonate (2.0 eq., 2.95 g, 21.4 mmol) was added. The reaction mixture was stirred at 100°C for 2 h. Further (3RS)-3-Bromtetrahydrofuran (0.5 eq., 0.81 g, 5.34 mmol) and potassium carbonate (0.5 eq., 0.74 g, 5.34 mmol) were added and the mixture stirred at 100°C for 10 h. The reaction mixture was diluted with ethyl acetate and dichloromethane (ca. 15% of organic phase) and methanol (ca. 5% of organic phase) were added to dissolve all solids. The combined organic layers were washed with brine, dried with sodium sulfate and the solvents were removed in vacuo. The residue was purified by flash chromatography to yield 1.84 g (99% purity, 34% of theory) of the title compound. Additionally, 2.83 g (53% of theory) of the regioisomer tert-butyl 4-[4-(2-chloro-9-tetrahydrofuran-3-yl- purin-6-yl)oxyphenyl]piperazine-l -carboxylate were obtained.
LC-MS (Method 3): Rt = 1.25 min; MS (ESIpos): m/z = 501 [M+H]+
'H-NMR (400 MHz, DMSO- 6): 5 [ppm]: 1.427 (16.00), 2.518 (0.60), 3.116 (0.83), 3.129 (1.17), 3.141 (0.95), 3.465 (0.80), 3.478 (1.03), 3.489 (0.70), 3.945 (0.44), 3.956 (0.51), 3.970 (0.45), 4.049 (0.40), 7.039 (1.08), 7.057 (0.41), 7.062 (1.33), 7.219 (1.61), 7.224 (0.41), 7.241 (1.22), 8.682 (2.13).
Intermediate 3-15 tert-Butyl 4-[4-[2-[[(2R,8S)-2-fluoro-l,2,3,5,6,7-hexahydropyrrolizin-8-yl]methoxy]-7- tetrahydrofuran-3-yl-purin-6-yl]oxyphenyl]piperazine-l-carboxylate
tert-Butyl 4-[4-(2-chloro-7-tetrahydrofuran-3-yl-purin-6-yl)oxyphenyl]piperazine-l-carboxylate (Intermediate 3-14, 1.14 g, 2.27 mmol) and [(2R,7aS)-2-fluorotetrahydro-lH-pyrrolizin-7a(5H)- yl]methanol (1.6 eq., 578 mg, 3.63 mmol) were dissolved in dried toluene (16 mb) and RuPhos Pd G3 (CAS 1445085-77-7, 0.1 eq., 189 mg, 227 pmol) and caesium carbonate (2.5 eq., 1.85 g, 5.67 mmol) were added. The mixture was degassed with argon and stirred at 100°C for 3 h. Water and sat. aq. NaHCCh solution were added, and the mixture was extracted with ethyl acetate. The combined organic layers were dried with sodium sulfate and the solvents were removed in vacuo. The residue was purified by flash chromatography to yield 1.52 g (67% of theory) of the title compound. LC-MS (Method 3): Rt = 0.88 min; MS (ESIpos): m/z = 625 [M+H]+
’H-NMR (400 MHz, DMSO- 6): 5 [ppm] = 8.47 (s, 1H), 7.23-7.17 (m, 2H), 7.07-7.01 (m, 2H), 5.42- 5.33 (m, 1H), 5.31-5.08 (m, 1H), 4.13 (dd, 1H), 4.03 (q, 1H), 3.98-3.80 (m, 4H), 3.53-3.42 (m, 4H), 3.16-3.07 (m, 4H), 3.06-2.86 (m, 3H), 2.83-2.72 (m, 1H), 2.59-2.52 (m, 1H), 2.47-2.39 (m, 1H), 2.07- 1.97 (m, 1H), 1.97-1.92 (m, 1H), 1.91-1.84 (m, 1H), 1.83-1.75 (m, 1H), 1.74-1.61 (m, 2H), 1.43 (s, 9H). Intermediate 3-16 tert-Butyl 3-[2-[[(2R,8S)-2-fluoro-l,2,3,5,6,7-hexahydropyrrolizin-8-yl]methoxy]-7- tetrahydrofuran-3-yl-purin-6-yl]-3,8-diazabicyclo[3.2.1]octane-8-carboxylate
tert-Butyl 4-[4-[2-[[(2R,8S)-2-fluoro-l,2,3,5,6,7-hexahydropyrrolizin-8-yl]methoxy]-7-tetrahydrofuran- 3-yl-purin-6-yl]oxyphenyl]piperazine-l-carboxylate (Intermediate 3-15, 400 mg, 641 pmol) was dissolved in 2-methyl-2 -butanol (6.7 mb). tert-Butyl 3,8-diazabicyclo[3.2.1]octane-8-carboxylate (4.0 eq., 545 mg, 2.57 mmol, CAS 149771-44-8) and propionic acid (4.0 eq., 190 pl, 2.6 mmol) were added. The reaction mixture was stirred at 120°C for 2 days. The reaction mixture was diluted with ethyl acetate, then water and sat. aq. NaHCCF solution were added. The mixture was extracted with ethyl acetate, the combined organic layers were washed with brine, dried with sodium sulfate and the solvents were removed in vacuo. The residue was purified by flash chromatography to yield 183 mg (51% of theory) of the title compound.
LC-MS (Method 3): Rt = 0.83 min; MS (ESIpos): m/z = 559 [M+H]+
1H-NMR (400 MHz, DMSO- 6): 5 [ppm]: 1.154 (0.41), 1.172 (0.86), 1.190 (0.43), 1.396 (0.47), 1.427 (4.55), 1.434 (16.00), 1.748 (0.59), 1.764 (0.61), 1.778 (0.71), 1.798 (0.84), 1.988 (1.59), 2.020 (0.61), 2.518 (1.05), 2.523 (0.65), 3.004 (0.70), 3.067 (0.52), 3.084 (0.50), 3.091 (0.48), 3.781 (0.45), 3.796 (0.47), 3.845 (0.77), 3.854 (0.78), 3.907 (0.53), 3.933 (0.98), 3.990 (0.96), 4.016 (0.75), 4.035 (0.42), 4.052 (0.44), 4.216 (0.68), 5.759 (2.62), 8.318 (2.51).
Intermediate 3-17 tert-Butyl 3-[2-[[(2R,8S)-2-fluoro-l,2,3,5,6,7-hexahydropyrrolizin-8-yl]methoxy]-8-[[7-fluoro-3- (methoxymethoxy)-8-(2-triisopropylsilylethynyl)-l-naphthyl]-hydroxy-methyl]-7-tetrahydrofuran- 3-yl-purin-6-yl]-3,8-diazabicyclo[3.2.1]octane-8-carboxylate
tert-Butyl 3-[2-[[(2R,8S)-2-fhioro-l,2,3,5,6,7-hexahydropyrrolizin-8-yl]methoxy]-7-tetrahydrofuran-3- yl-purin-6-yl]-3,8-diazabicyclo[3.2.1]octane-8-carboxylate (Intermediate 3-16, 101 mg, 182 pmol) was dissolved in THF (3.9 m ) and lithium hexamethyldisilazide (2.0 eq., 360 pl, 1.0 M in THF, 360 pmol) was added at -20°C and the mixture was stirred for 30 min at -20°C. The solution cooled to -78°C and 7-
fluoro-3-(methoxymethoxy)-8-(2-triisopropylsilylethynyl)naphthalene-l-carbaldehyde (Intermediate 3- 04, 1.5 eq., 113 mg, 273 pmol), dissolved in THF (0.8 mL) was added drop wise. The reaction mixture was stirred at -78°C for 60 min, then sat. aq. ammonium chloride/water/methanol (1/1/0.1) solution was added at -78°C. The mixture was warmed to rt and extracted with ethyl acetate. The combined organic layers were dried with sodium sulfate and the solvents removed in vacuo. The residue was purified by flash chromatography to yield 104 mg (80% purity, 47% of theory) of the title compound.
LC-MS (Method 3): Rt = 1.34 min; MS (ESIpos): m/z = 973 [M+H]+
'H-NMR (400 MHz, DMSO- 6): 5 [ppm]: 1.044 (3.24), 1.059 (7.25), 1.074 (8.19), 1.084 (12.65), 1.108 (1.90), 1.154 (3.22), 1.172 (6.24), 1.190 (3.10), 1.232 (0.48), 1.411 (14.69), 1.415 (16.00), 1.423 (5.90), 1.748 (1.15), 1.803 (1.04), 1.988 (10.49), 2.029 (0.75), 2.102 (0.52), 2.518 (2.40), 2.523 (1.54), 2.827 (0.41), 3.001 (1.02), 3.041 (0.60), 3.051 (0.71), 3.070 (0.88), 3.079 (0.93), 3.309 (10.53), 3.343 (2.07), 3.358 (1.40), 3.468 (0.47), 3.578 (0.55), 3.601 (0.65), 3.622 (0.50), 3.935 (0.49), 3.945 (0.50), 3.959 (0.67), 3.980 (0.48), 3.999 (1.52), 4.017 (2.86), 4.035 (2.60), 4.053 (0.81), 4.217 (1.12), 5.158 (0.63), 5.175 (1.49), 5.192 (1.25), 5.215 (1.10), 5.223 (1.07), 5.232 (0.72), 5.240 (0.62), 5.759 (5.64), 6.190 (0.41), 6.996 (0.88), 7.003 (0.83), 7.502 (0.47), 7.510 (0.86), 7.516 (0.84), 7.524 (0.96), 7.550 (1.42), 7.571 (0.46), 7.947 (0.45), 7.967 (0.45), 7.998 (0.40), 8.006 (0.46), 8.009 (0.43), 8.021 (0.46), 8.025 (0.45), 8.033 (0.41).
Intermediate 3-18 tert-Butyl 3-[8-[[8-ethynyl-7-fluoro-3-(methoxymethoxy)-l-naphthyl]-hydroxy-methyl]-2-
[[(2R,8S)-2-fluoro-l,2,3,5,6,7-hexahydropyrrolizin-8-yl]methoxy]-7-tetrahydrofuran-3-yl-purin-6- yl]-3,8-diazabicyclo[3.2.1]octane-8-carboxylate
tert-Butyl 3-[2-[[(2R,8S)-2-fluoro-l,2,3,5,6,7-hexahydropyrrolizin-8-yl]methoxy]-8-[[7-fluoro-3- (methoxymethoxy)-8-(2-triisopropylsilylethynyl)-l-naphthyl]-hydroxy-methyl]-7-tetrahydrofuran-3-yl- purin-6-yl]-3,8-diazabicyclo[3.2.1]octane-8-carboxylate (Intermediate 3-17, 89.6 mg, 92.2 pmol) was dissolved in THF (1.6 mL) and tetra-n-butylammoniumfluoride (TBAF, 2.0 eq., 180 pl, 1.0 M in THF, 180 pmol) was added at -20°C. The mixture was stirred at -20°C for 1 h. The mixture was diluted with
ethyl acetate, sat. aq. NH4CI solution/water (1/1) was added, and the mixture extracted with ethyl acetate. The combined organic layers were washed with brine and dried with sodium sulfate and the solvents removed in vacuo. The crude product was used without further purification. 108 mg of the title compound were obtained.
LC-MS (Method 3): Rt = 1.01 min; MS (ESIpos): m/z = 817 [M+H]+
'H-NMR (400 MHz, DMSO- 6): 5 [ppm]: 0.888 (0.65), 0.895 (0.76), 0.904 (0.93), 0.909 (0.93), 0.914 (2.64), 0.925 (1.79), 0.934 (5.45), 0.939 (1.70), 0.952 (2.91), 0.975 (16.00), 0.990 (7.76), 0.998 (2.23), 1.004 (0.64), 1.024 (0.69), 1.040 (1.22), 1.232 (0.55), 1.278 (0.68), 1.296 (1.12), 1.315 (1.11), 1.333 (0.67), 1.353 (1.05), 1.429 (3.93), 1.438 (12.85), 1.545 (0.56), 1.565 (0.73), 1.584 (0.59), 1.874 (0.44), 1.907 (0.73), 2.518 (2.51), 2.523 (1.55), 3.138 (0.91), 3.159 (0.73), 3.180 (0.79), 3.410 (4.02), 3.426 (3.96), 3.454 (1.27), 4.277 (0.41), 4.719 (0.44), 5.113 (2.01), 5.316 (1.17), 5.336 (1.47), 5.369 (0.55), 5.760 (1.74), 7.474 (0.47), 7.481 (0.49), 7.549 (0.45), 7.556 (0.59), 7.562 (0.60), 7.569 (0.61), 7.602 (0.48).
Intermediate 3-19 tert-Butyl 3-[8-[8-ethynyl-7-fluoro-3-(methoxymethoxy)naphthalene-l-carbonyl]-2-[[(2R,8S)-2- fluoro-l,2,3,5,6,7-hexahydropyrrolizin-8-yl]methoxy]-7-tetrahydrofuran-3-yl-purin-6-yl]-3,8- diazabicyclo[3.2.1]octane-8-carboxylate
tert-Butyl 3-[8-[[8-ethynyl-7-fluoro-3-(methoxymethoxy)-l-naphthyl]-hydroxy-methyl]-2-[[(2R,8S)-2- fluoro- 1 ,2,3 ,5 ,6,7-hexahydropyrrolizin-8-yl]methoxy] -7-tetrahydrofuran-3 -yl-purin-6-yl] -3 ,8- diazabicyclo[3.2.1]octane-8-carboxylate (Intermediate 3-18, 76.8 mg, 94.1 pmol) was dissolved in dichloromethane (1.6 mL) and stirred with molecular sieves (4 A, 169 mg) for 30min. Dess-Martin periodinane ((l,l,l-triacetoxy)-l,l-dihydro-l,2-benziodoxol-3(lH)-one, 2.0 eq., 79.8 mg, 188 pmol, CAS 87413-09-0) was added and the mixture was stirred for 3.5 h at rt. The reaction mixture was diluted with ethyl acetate, then sat. aq. NaHCOs solution was added. The mixture was extracted with ethyl acetate, the mixture extracted with ethyl acetate, the combined organic layers were dried with sodium sulfate and the
solvents removed in vacuo. The residue was purified by HPLC to yield 27.1 mg (84% purity, 30% of theory) of the title compound.
LC-MS (Method 3): Rt = 1.07 min; MS (ESIpos): m/z = 815 [M+H]+
'H-NMR (400 MHz, DMSO- 6): 5 [ppm]: 1.225 (1.58), 1.348 (1.71), 1.436 (1.70), 1.453 (16.00), 1.714 (0.68), 1.729 (0.54), 1.743 (0.59), 1.752 (1.44), 1.765 (0.53), 1.815 (0.78), 1.906 (0.40), 1.975 (0.59), 2.048 (0.66), 2.327 (0.41), 2.523 (1.19), 2.665 (0.42), 2.669 (0.52), 2.673 (0.41), 2.796 (0.43), 2.976 (0.50), 3.044 (1.08), 3.377 (2.12), 3.407 (1.44), 3.423 (1.37), 3.433 (9.63), 3.868 (0.57), 3.894 (1.04), 3.926 (1.16), 3.952 (0.63), 4.012 (0.51), 4.028 (0.48), 4.306 (0.76), 4.766 (1.36), 5.374 (3.43), 5.759 (2.28), 7.199 (0.53), 7.203 (0.52), 7.451 (0.74), 7.453 (0.72), 7.470 (0.43), 7.472 (0.48), 7.482 (1.10), 7.488 (1.14), 7.550 (0.60), 7.573 (1.08), 7.595 (0.56), 7.654 (0.60), 7.659 (0.60), 7.674 (0.54), 7.678 (0.49), 7.764 (1.22), 7.771 (1.16), 7.943 (0.68), 7.945 (0.69), 7.963 (0.66), 7.965 (0.63), 8.110 (0.51), 8.125 (0.54), 8.133 (0.56), 8.148 (4.51).
Intermediate 3-20
To a solution of 3 -oxocyclobutanecarboxylic acid (120 g, 1.05 mol) and Magnesium sulfate (127 g, 1.05 mol; CAS-RN:[7487-88-9]) in dichloromethane (1.5 1) was added silver(I) oxide (292 g, 1.26 mol; CAS- RN:[20667-12-3]) at room temperature. After stirring at the same temperature for 10 minutes, bromine (81 ml, 1.6 mol; CAS-RN: [7726-95-6]) was added dropwise to the above mixture, and the mixture was stirred at 30 °C for 16 hours.TLC (petroleum ether: ethyl acetate= 3: 1) showed much starting material remained, a new spot formed. After filtration, the filtrate was concentrated to remove dichloromethane and major bromic acid. The residue was diluted with water, basified to pH= 9 by sodium hydride (2 M), and extracted with ethyl acetate. The combined organic layers were washed with water and brine, dried over anhydrous sodium sulfate, concentrated to give a residue. The residue was purified by flash column (petroleum ether: ethyl acetate= 20: 1 to 5 : 1) to give 3-bromocyclobutanone (39.0 g, 84% purity, 21% yield).
Intermediate 3-21
3-Bromocyclobutanol
To a solution of 3-bromocyclobutanone (Intermediate 3-20, 50.0 g, 336 mmol) in methanol (1000 ml) was added sodium tetrahydroborate (31.7 g, 839 mmol) at 0 °C. After stirring at 25 °C for 2 hours, the reaction mixture was quenched by saturated ammonium chloride solution, and extracted with ethyl acetate. The organic layer was washed with brine, dried over anhydrous sodium sulfate, filtrated and concentrated to give a residue. The residue was dissolved in methanol (500 ml) was added glycerin (49.0 ml, 670 mmol) at 25 °C. After stirring at 60 °C for 2 hours, the mixture was diluted with ethyl acetate and washed with brine. The organic layer was dried over anhydrous sodium sulfate, filtrated and concentrated to give 3- bromocyclobutanol (101 g, 90% purity).
’H NMR (400 MHz, DMSO- 6): 5 [ppm] = 5.37 (d, J = 7.2 Hz, 1H), 4.09-4.02 (m, 1H), 3.94-3.82 (m, 1H), 2.96-2.87 (m, 2H), 2.33-2.23 (m, 2H).
To a solution of 3 -bromocyclobutanol (Intermediate 3-21, 180 g, 1.19 mol) in iodomethane (600 ml, 9.60 mol) was added silver(I) oxide (304 g, 1.31 mol) at 25 °C. After stirring at room temperature for 16 hours, the mixture was filtered through a pad of celite and the filtrate was concentrated to give a crude product. The crude product was purified by column chromatography (1000 mesh, petroleum ether: ethyl acetate = 1: 0, then 10: 1, then 5: 1) to give l-bromo-3 -methoxy cyclobutane (164 g, 91% purity, 76% yield).
' H NMR (400 MHz, CDCT- ): 5 [ppm] = 4.01 (q, J= 7.2 Hz, 1H), 3.71 (q, J= 7.2 Hz, 1H), 3.23 (s, 3H), 3.03-2.93 (m, 2H), 2.49-2.41 (m, 2H).
Intermediate 3-23 tert-Butyl 4-[4-[2-chloro-7-(3-methoxycyclobutyl)purin-6-yl]oxyphenyl]piperazine-l-carboxylate
To a solution of tert-butyl 4-{4-[(2-chloro-9H-purin-6-yl)oxy]phenyl}piperazine-l-carboxylate (Intermediate 2-16, 130 g, 302 mmol) in N,N-dimethylacetamide (2.1 1) were added potassium carbonate
(125 g, 905 mmol), potassium iodide (15.0 g, 90.5 mmol) and l-bromo-3 -methoxy cyclobutane (110 g, 664 mmol) at 25 °C. After stirring at 100 °C for 5 hours, the reaction mixture was diluted with water and extracted with ethyl acetate. The combined organic layers were washed with water and brine, dried over anhydrous sodium sulfate and concentrated to give a residue. The residue was purified by column chromatography on silica gel (100-200 mesh, petroleum ether: ethyl acetate = 10: l,then 5: 1, then 1: 1, then 1: 2, then 1: 3, then 0: 1) to give tert-butyl 4-[4-[2-chloro-7-(3-methoxycyclobutyl)purin-6- yl]oxyphenyl]piperazine-l -carboxylate (fraction 1, 32.0 g, 94% purity) and (fraction 2, 16.5 g, 75% purity). NMR showed two diastereomers mixed.
LC-MS (Method C): Rt = 0.874 min; MS (ESIpos): m/z = 515.3 [M+H]+.
’H NMR (400 MHz, DMSO- 6): 5 [ppm] = 8.84 (d, J = 5.6 Hz, 1H), 7.25-7.18 (m, 2H), 7.08-7.02 (m, 2H), 5.32 (q, J= 7.6 Hz, 0.5H), 4.80 (q, J= 7.6 Hz, 0.5H), 4.08 (q, J= 7.6 Hz, 0.5H), 3.83 (q, J= 7.6 Hz, 0.5H), 3.53-3.45 (m, 4H), 3.22-3.17 (m, 3H), 3.16-3.11 (m, 4H), 2.96-2.83 (m, 1H), 2.50-2.46 (m, 1H), 1.43 (s, 9H).
Intermediate 3-24 tert-Butyl 4-[4-[2-[[(2R,8S)-2-fluoro-l,2,3,5,6,7-hexahydropyrrolizin-8-yl]methoxy]-7-(3- methoxycyclobutyl)purin-6-yl]oxyphenyl]piperazine-l-carboxylate
To a solution of tert-butyl 4-[4-[2-chloro-7-(3-methoxycyclobutyl)purin-6-yl]oxyphenyl]piperazine-l- carboxylate (Intermediate 3-23, 27.0 g, 96% purity, 50.3 mmol) and [(2R,7aS)-2-fluorotetrahydro-lH- pyrrolizin-7a(5H)-yl]methanol (12.0 g, 75.5 mmol) in toluene (500 ml) were added cesium carbonate (41.0 g, 126 mmol) and methanesulfonato(2-dicyclohexylphosphino-2',6'-di-i-propoxy-l,T-biphenyl)(2'- amino-l,T-biphenyl-2-yl)palladium(II) (4.20 g, 5.03 mmol) at 25 °C under nitrogen atmosphere. After stirring at 100 °C for 6 hours, the mixture was poured into water and extracted with ethyl acetate. The organic phase was washed with brine, dried over anhydrous sodium sulfate, filtered and concentrated to give a residue. The residue was purified by silica gel chromatography column (petroleum ether: ethyl acetate = 1: 0 , then 1: 1, then 1: 2, then 0: 1, then ethyl acetate: methanol = 20: 1, then 10: 1) to give tertbutyl 4-[4-[2-[[(2R,8S)-2-fluoro-l,2,3,5,6,7-hexahydropyrrolizin-8-yl]methoxy]-7-(3-
methoxycyclobutyl)purin-6-yl]oxyphenyl]piperazine-l -carboxylate (fraction 1, 20.0 g, 85% purity) and (fraction 2, 8.50 g, 63% purity).
LC-MS (Method C): Rt = 0.747 min; MS (ESIpos): m/z = 638.3 [M+H]+.
Intermediate 3-25
6-Benzyloxy-2-[[(2R,8S)-2-fluoro-l,2,3,5,6,7-hexahydropyrrolizin-8-yl]methoxy]-7-(3- methoxycyclobutyl)purine
To a solution of tert-butyl 4-[4-[2-[[(2R,8S)-2-fluoro-l,2,3,5,6,7-hexahydropyrrolizin-8-yl]methoxy]-7- (3-methoxycyclobutyl)purin-6-yl]oxyphenyl]piperazine-l-carboxylate (Intermediate 3-24, 9.00 g, 76% purity, 10.7 mmol) and benzyl alcohol (4.4 ml, 43 mmol) in tetrahydrofuran (120 ml) was added sodium hydride (1.29 g, 60% in mineral oil, 32.2 mmol) at 0 °C. Afterstirring at room temperature for 1 hour, the mixture was diluted with water, extracted with ethyl acetate. The combined organic layers were washed with water and brine, dried over anhydrous sodium sulfate, concentrated to give a residue. The residue was purified by silica gel chromatography column (petroleum ether: ethyl acetate= 10: 1, then 3: 1, then 0: 1, then ethyl acetate: methanol = 10: 1) to give 6-benzyloxy-2-[[(2R,8S)-2-fluoro-l,2,3,5,6,7- hexahydropyrrolizin-8-yl]methoxy]-7-(3-methoxycyclobutyl)purine (fraction 1, 13.0 g, 78% purity) and (fraction 1, 3.00 g, 54% purity).
LC-MS (Method C): Rt = 0.687 min; MS (ESIpos): m/z = 468.4 [M+H]+.
Intermediate 3-26
2-{[(2R,7aS)-2-Fluorotetrahydro-lH-pyrrolizin-7a(5H)-yl]methoxy}-7-(3-methoxycyclobutyl)-7H- purin-6-ol
To a solution of 6-Benzyloxy-2-[[(2R,8S)-2-fluoro-l,2,3,5,6,7-hexahydropyrrolizin-8-yl]methoxy]-7-(3- methoxycyclobutyl)purine (Intermediate 3-25, 13.0 g, 78% purity, 21.7 mmol) in methanol (150 ml) was added palladium (1.60 g, 10% purity on activated carbon) in one portion. After stirring at room temperature for 3 hours under hydrogen atmosphere (balloon, 15 psi), the reaction mixture was filtered and the filtrate was concentrated to give 2-[[(2R,8S)-2-fluoro-l,2,3,5,6,7-hexahydropyrrolizin-8- yl]methoxy]-7-(3 -methoxy cyclobutyl)purin-6-ol (9.70 g, 91% purity). NMR showed two diastereomers mixed.
LC-MS (Method C): Rt = 0.648 min; MS (ESIpos): m/z = 378.3 [M+H]+.
’HNMR (400 MHz, DMSO- 6): 5 [ppm] = 8.27 (d, J= 1.6 Hz, 1H), 5.38-5.33 (m, 0.5H), 5.30-5.25 (m, 0.5H), 5.24-5.20 (m, 0.5H), 4.76-4.66 (m, 0.5H), 4.10-3.98 (m, 3H), 3.21-3.17 (m, 3H), 3.09-3.02 (m, 3H), 2.84-2.77 (m, 2H), 2.74-2.66 (m, 1H), 2.40-2.27 (m, 1H), 2.12-2.04 (m, 1H), 1.96-1.74 (m, 5H).
Intermediate 3-27 tert-Butyl 3-[2-[[(2R,8S)-2-fluoro-l,2,3,5,6,7-hexahydropyrrolizin-8-yl]methoxy]-7-(3- methoxycyclobutyl)purin-6-yl]-3,8-diazabicyclo[3.2.1]octane-8-carboxylate
To a solution of 2-[[(2R,8S)-2-fluoro-l,2,3,5,6,7-hexahydropyrrolizin-8-yl]methoxy]-7-(3- methoxycyclobutyl)purin-6-ol (Intermediate 3-26, 2.50 g, 63% purity, 4.17 mmol) and 1,8- diazabicyclo(5.4.0)undec-7-ene (1.90 ml, 12.51 mmol) in N,N -dimethylformamide (30.0 ml) was added (benzotriazol-l-yloxy)tripyrrolidinophosphoniumhexafluorophosphate (4.34 g, 8.35 mmol) at room
temperature. After strring at the same temperature for 20 minutes, tert-butyl 3,8- diazabicyclo[3.2.1]octane-8-carboxylate (1.33 g, 6.26 mmol) was added to the above mixture. After stirring at room temperature for another 16 hours, the reaction mixture was poured into water and extracted with ethyl acetate. The combined organic layers were washed with brine, dried over anhydrous sodium sulfate, filtered and concentrated to give the crude. The crude was purified by reversed phase column (Instrument: 120 g Flash; Column: Welch Ultimate XB_C18 20-40pm; eluent A: water (0.05% formic acid), eluent B: acetonitrile; gradient: 0-35 min 0-55% B; flow 60 ml/min; temperature; Detector: UV 220/254 run) to give tert-butyl 3-[2-[[(2R,8S)-2-fluoro-l,2,3,5,6,7-hexahydropyrrolizin-8-yl]methoxy]-7- (3-methoxycyclobutyl)purin-6-yl]-3,8-diazabicyclo[3.2.1]octane-8-carboxylate 1.10 g, 93% purity, 43% yield). NMR showed two diastereomers.
LC-MS (Method C): Rt = 0.701 min; MS (ESIpos): m/z = 572.4 [M+H]+.
’H NMR (400 MHz, DMSO- 6): 5 [ppm] = 8.67-8.57 (m, 1H), 5.39-5.32 (m, 0.5H), 5.24-5.19 (m, 0.5H), 5.18-5.06 (m, 0.5H), 4.61-4.53 (m, 0.5H), 4.23 (s, 2H), 4.05-3.99 (m, 1H), 3.97-3.93 (m, 1H), 3.81-3.74 (m, 2H), 3.71-3.65 (m, 1H), 3.34-3.25 (m, 1H), 3.23-3.19 (m, 3H), 3.15-3.09 (m, 2H), 3.06- 3.02 (m, 1H), 3.91-3.79 (m, 3H), 2.69-2.61 (m, 1H), 2.58-2.54 (m, 1H), 2.33-2.25 (m, 1H), 2.15-2.09 (m, 1H), 2.06-1.95 (m, 2H), 1.89-1.71 (m, 7H), 1.44 (s, 9H).
Intermediate 3-28 tert-Butyl 3-[2-[[(2R,8S)-2-fluoro-l,2,3,5,6,7-hexahydropyrrolizin-8-yl]methoxy]-8-[[7-fluoro-3-
(methoxymethoxy)-8-(2-triisopropylsilylethynyl)-l-naphthyl]-hydroxy-methyl]-7-(3- methoxycyclobutyl)purin-6-yl]-3,8-diazabicyclo[3.2.1]octane-8-carboxylate
To a solution of tert-butyl 3-[2-[[(2R,8S)-2-fluoro-l,2,3,5,6,7-hexahydropyrrolizin-8-yl]methoxy]-7-(3- methoxycyclobutyl)purin-6-yl]-3,8-diazabicyclo[3.2.1]octane-8-carboxylate (Intermediate 3-27, 200 mg, 0.350 mmol) in tetrahydrofuran (1.0 ml) was added dropwise lithium bis(trimethylsilyl)amide (1.7 ml, 1.7
mmol, 1 M in tetrahydrofuran) at -30°C. After stirring at -30 °C for 0.5 hour, 7-fluoro-3- (methoxymethoxy)-8-(2-triisopropylsilylethynyl)naphthalene- 1 -carbaldehyde (Intermediate 3-04, 160 mg, 0.385 mmol) in tetrahydrofuran (0.5 ml) was added dropwise to the solution at -78 °C. After stirring at -78 °C for another 0.5 hours, the mixture was warmed to room temperature, diluted with water, extracted with ethyl acetate. The combined organic layers were washed with water and brine, dried over anhydrous sodium sulfate, concentrated to give a residue. The residue was purified by preparative TLC (ethyl acetate: methanol = 10: 1) to give tert-butyl 3-[2-[[(2R,8S)-2-fluoro-l,2,3,5,6,7-hexahydropyrrolizin-8- yl]methoxy]-8-[[7-fluoro-3-(methoxymethoxy)-8-(2-triisopropylsilylethynyl)-l-naphthyl]-hydroxy- methyl]-7-(3-methoxycyclobutyl)purin-6-yl]-3,8-diazabicyclo[3.2.1]octane-8-carboxylate (60 mg, 80% purity).
LC-MS (Method C): Rt = 1.073 min; MS (ESIpos): m/z = 986.7 [M+H]+.
Intermediate 3-29 tert-Butyl 3-[2-[[(2R,8S)-2-fluoro-l,2,3,5,6,7-hexahydropyrrolizin-8-yl]methoxy]-8-[7-fluoro-3-
(methoxymethoxy)-8-(2-triisopropylsilylethynyl)naphthalene-l-carbonyl]-7-(3- methoxycyclobutyl)purin-6-yl]-3,8-diazabicyclo[3.2.1]octane-8-carboxylate
To a solution of tert-butyl 3-[2-[[(2R,8S)-2-fluoro-l,2,3,5,6,7-hexahydropyrrolizin-8-yl]methoxy]-8-[[7- fluoro-3 -(methoxymethoxy)-8-(2-triisopropylsilylethynyl)- 1 -naphthyl] -hydroxy-methyl] -7-(3 - methoxycyclobutyl)purin-6-yl]-3,8-diazabicyclo[3.2.1]octane-8-carboxylate (Intermediate 3-28, 60.0 mg, 80% purity, 0.0487 mmol) in dichloromethane (1.0 ml) was added 1, 1,1 -triacetoxy- llambda5, 2- benziodoxol-3(lH)-one (61.9 mg, 0.146 mmol) at 0 °C. After stirring at room temperature for 6 hours, the mixture was diluted with water, extracted with ethyl acetate. The combined organic layers were washed with water and brine, dried over anhydrous sodium sulfate, concentrated to give a residue. The residue was purified by preparative TLC (ethyl acetate: methanol = 10: 1) to give tert-butyl 3-[2-[[(2R,8S)-2- fluoro-l,2,3,5,6,7-hexahydropyrrolizin-8-yl]methoxy]-8-[7-fluoro-3-(methoxymethoxy)-8-(2-
triisopropylsilylethynyl)naphthalene- 1 -carbonyl] -7 -(3 -methoxy cyclobutyl )purin-6-yl] -3,8- diazabicyclo[3.2.1]octane-8-carboxylate (40 mg, 90% purity, 75% yield).
LC-MS (Method C): Rt = 1.098 min; MS (ESIpos): m/z = 984.7 [M+H]+.
Intermediate 3-30 tert-Butyl 3-[8-[8-ethynyl-7-fluoro-3-(methoxymethoxy)naphthalene-l-carbonyl]-2-[[(2R,8S)-2- fluoro-l,2,3,5,6,7-hexahydropyrrolizin-8-yl]methoxy]-7-(3-methoxycyclobutyl)purin-6-yl]-3,8- diazabicyclo[3.2.1]octane-8-carboxylate
A solution of tert-Butyl 3-[2-[[(2R,8S)-2-fluoro-l,2,3,5,6,7-hexahydropyrrolizin-8-yl]methoxy]-8-[7- fluoro-3-(methoxymethoxy)-8-(2-triisopropylsilylethynyl)naphthalene-l-carbonyl]-7-(3- methoxycyclobutyl)purin-6-yl]-3,8-diazabicyclo[3.2.1]octane-8-carboxylate (Intermediate 3-29, 40.0 mg, 90% purity, 0.0366 mmol) and tetramethylammonium fluoride (34.1 mg, 0.366 mmol) in tetrahydrofuran (1.0 ml) was stirred at 60 °C for 16 hours. The mixture was diluted with water, extracted with ethyl acetate. The combined organic layers were washed with water and brine, dried over anhydrous sodium sulfate, concentrated to give tert-butyl 3-[8-[8-ethynyl-7-fluoro-3- (methoxymethoxy)naphthalene-l-carbonyl]-2-[[(2R,8S)-2-fluoro-l,2,3,5,6,7-hexahydropyrrolizin-8- yl]methoxy]-7-(3-methoxycyclobutyl)purin-6-yl]-3,8-diazabicyclo[3.2.1]octane-8-carboxylate (30.0 mg, 91% purity, 90% yield).
LC-MS (Method C): Rt = 0.927 min; MS (ESIpos): m/z = 828.5 [M+H]+.
Intermediate 3-31
(3R)-l-[2-[[(2R,8S)-2-Fluoro-l,2,3,5,6,7-hexahydropyrrolizin-8-yl]methoxy]-7-(3- methoxycyclobutyl)purin-6-yl]-3-methyl-piperidin-3-ol
To a solution of 2-[[(2R,8S)-2-fluoro-l,2,3,5,6,7-hexahydropyrrolizin-8-yl]methoxy]-7-(3- methoxycyclobutyl)purin-6-ol (Intermediate 3-26, 3.00 g, 91% purity, 7.23 mmol) and triethylamine (5.0 ml, 36 mmol) in acetonitrile (120 ml) was added (benzotriazol- 1- yloxy)tripyrrolidinophosphoniumhexafluorophosphate (7.53 g, 14.5 mmol) at room temperature. After strring at the same temperature for 20 minutes, (3R)-3-methylpiperidin-3-ol (1.67 g, 14.5 mmol) was added to the above mixture. After stirring at 80 °C for another 16 hours, the mixture was diluted with water, extracted with ethyl acetate. The combined organic layers were washed with water and brine, dried over anhydrous sodium sulfate, concentrated to give a residue. The residue was purified by silica gel chromatography column (petroleum ether: ethyl acetate = 10: 1, then 3: 1, then 0: 1, then ethyl acetate: methanol = 8: 1) followed by reversed phase column [Instrument: 120 g Flash; Column: Welch Ultimate XB_C18 20-40 pm; eluent A: water (0.05% formic acid), eluent B: acetonitrile; gradient: 0-15 min 0-25% B; flow 80 ml/min; temperature; Detector: UV 220/254 nm] to give (3R)-l-[2-[[(2R,8S)-2-fluoro- l,2,3,5,6,7-hexahydropyrrolizin-8-yl]methoxy]-7-(3-methoxycyclobutyl)purin-6-yl]-3-methyl-piperidin- 3-ol (2.50 g, 70% purity).
LC-MS (Method C): Rt = 0.604 min; MS (ESIpos): m/z = 475.4 [M+H]+.
Intermediate 3-32
(3R)-l-[2-[[(2R,8S)-2-Fluoro-l,2,3,5,6,7-hexahydropyrrolizin-8-yl]methoxy]-8-[[7-fluoro-3-
(methoxymethoxy)-8-(2-triisopropylsilylethynyl)-l-naphthyl]-hydroxy-methyl]-7-(3- methoxy cyclobutyl)purin-6-yl]-3-methyl-piperidin-3-ol
To a solution of (3R)-l-[2-[[(2R,8S)-2-Fluoro-l,2,3,5,6,7-hexahydropyrrolizin-8-yl]methoxy]-7-(3- methoxycyclobutyl)purin-6-yl] -3 -methyl -piperidin-3-ol (Intermediate 3-31, 330 mg, 0.695 mmol) in tetrahydrofuran (5.0 ml) was added dropwise lithium bis(trimethylsilyl)amide (2.1 ml, 1.0 M in tetrahydrofuran, 2.1 mmol) at -20 °C under nitrogen atmosphere. After stirring at -20 °C for 1 hour, 7- Fluoro-3-(methoxymethoxy)-8-(2-triisopropylsilylethynyl)naphthalene-l-carbaldehyde (Intermediate 3- 04, 432 mg, 1.04 mmol) in tetrahydrofuran (1.6 ml) was added dropwise to the above mixture at -30 °C. After stirring at -20 °C for another 0.5 hour, the mixture was diluted with ice saturated ammonium chloride solution, extracted with ethyl acetate. The combined organic layers were washed with water and brine, dried over anhydrous sodium sulfate, concentrated to give a residue. The residue was purified by preparative TLC (ethyl acetate: methanol = 10: 1) to give (3R)-l-[2-[[(2R,8S)-2-fluoro-l,2,3,5,6,7- hexahydropyrrolizin- 8 -yl]methoxy] - 8 - [ [7 -fluoro -3 -(methoxymethoxy)- 8 -(2-triisopropylsilylethynyl) - 1 - naphthyl] -hydroxy-methyl] -7 -(3 -methoxy cyclobutyl)purin-6-yl] -3 -methyl -piperidin-3 -ol (390 mg, 94% purity, 59% yield).
LC-MS (Method C): Rt = 0.911 min; MS (ESIpos): m/z = 889.5 [M+H]+.
Intermediate 3-33
[2-[[(2R,8S)-2-Fluoro-l,2,3,5,6,7-hexahydropyrrolizin-8-yl]methoxy]-6-[(3R)-3-hydroxy-3-methyl- l-piperidyl]-7-(3-methoxycyclobutyl)purin-8-yl]-[7-fluoro-3-(methoxymethoxy)-8-(2- triisopropylsilylethynyl)-l-naphthyl]methanone
To a solution of (3R)-l-[2-[[(2R,8S)-2-fluoro-l,2,3,5,6,7-hexahydropyrrolizin-8-yl]methoxy]-8-[[7- fluoro-3 -(methoxymethoxy)-8-(2-triisopropylsilylethynyl)- 1 -naphthyl] -hydroxy-methyl] -7-(3 - methoxycyclobutyl)purin-6-yl] -3 -methyl -piperidin-3-ol (Intermediate 3-32, 350 mg, 0.394 mmol) in dichloromethane (10 ml) was added l,l,l-triacetoxy-llambda5,2-benziodoxol-3(lH)-one (501 mg, 1.18 mmol) in one portion at 0 °C. After stirring at room temperature for 6 hours, the reaction mixture was poured into water and extracted with ethyl acetate. The organic phase was washed with brine, dried over anhydrous sodium sulfate, filtered and concentrated to give [2-[[(2R,8S)-2-fluoro-l,2,3,5,6,7- hexahydropyrrolizin-8-yl]methoxy] -6-[(3R)-3 -hydroxy-3 -methyl- 1 -piperidyl] -7-(3 -
methoxycyclobutyl)purin-8-yl]-[7-fluoro-3-(methoxymethoxy)-8-(2-triisopropylsilylethynyl)-l- naphthyl]methanone (300 mg, 80% purity, 69% yield).
LC-MS (Method C): Rt = 0.928 min; MS (ESIpos): m/z = 887.2 [M+H]+.
Intermediate 3-34
[8-Ethynyl-7-fluoro-3-(methoxymethoxy)-l-naphthyl]-[2-[[(2R,8S)-2-fluoro-l,2,3,5,6,7- hexahydropyrrolizin-8-yl]methoxy]-6-[(3R)-3-hydroxy-3-methyl-l-piperidyl]-7-(3- methoxycyclobutyl)purin-8-yl]methanone
A solution of [2-[[(2R,8S)-2-fluoro-l,2,3,5,6,7-hexahydropyrrolizin-8-yl]methoxy]-6-[(3R)-3-hydroxy- 3 -methyl- 1 -piperidyl] -7 -(3 -methoxy cy clobutyl)purin-8-yl] -[7-fluoro-3 -(methoxymethoxy)-8-(2- triisopropylsilylethynyl)-l-naphthyl]methanone (Intermediate 3-33, 300 mg, 80% purity, 0.271 mmol) and tetramethylammonium fluoride (252 mg, 2.71 mmol) in tetrahydrofuran (10 ml) was stirred at 60 °C for 16 hours. The mixture was poured into water and extracted with ethyl acetate. The organic phase was washed with brine, dried over anhydrous sodium sulfate, filtered and concentrated to give a residue. The residue was purified by reversed phase column [Instrument: 25 g Flash; Column: Welch Ultimate XB_C 18 20-40 pm; eluent A: water (0.1% formic acid), eluent B: acetonitrile; gradient: 0-15 min 0-55% B; flow 85 ml/min; temperature; Detector: UV 220/254 nm) to give [8-ethynyl-7-fluoro-3-(methoxymethoxy)-l- naphthyl]-[2-[[(2R8S)-2-fluoro-l,2,3,5,6,7-hexahydropyrrolizin-8-yl]methoxy]-6-[(3R)-3-hydroxy-3- methyl-l-piperidyl]-7-(3-methoxycyclobutyl)purin-8-yl]methanone (130 mg, 90% purity, 59% yield).
LC-MS (Method C): Rt = 0.860/0.874 min; MS (ESIpos): m/z = 731.3 [M+H]+.
Intermediate 3-35
2-Chloro-7-isopropyl-6-methoxy-purine
K2CO3 (5.7 g, 41 mmol, 1.5 eq.) was added to a solution of 2-chloro-6-methoxy-9H-purine (5.3 g, 27 mmol, 1.0 eq.) and 2-iodopropane (8.2 mL, 3.0 eq.) in DMF (51 mL) and stirred overnight at RT. H2O was added and the phases were separated. The organic phase was extracted with ethyl acetate, dried over MgSO4 and the solvent was removed under reduced pressure. The residue was purified by Biotage Isolera™ chromatography (Biotage Star Silica HC - 20 pM, 100 g, gradient: cyclohexane / ethyl acetate 60:40 - 20:80) to afford 2.0 g (100% purity, 32% yield) of the title compound and 2.88 g (100% purity, 47% yield) of 2-chloro-9-isopropyl-6-methoxy -purine.
Analytical data o/2-Chloro-7-isopropyl-6-methoxy-purine:
LC-MS (Method 1): Rt = 1.27 min; MS (ESIpos): m/z = 227 [M+H]+
'HNMR (400 MHz, DMSO- 6): 5 [ppm] =1.54 (d, 6 H) 4.13 (s, 3 H) 4.88 (spt, 1 H) 8.68 (s, 1 H).
Analytical data of 2-chloro-9-isopropyl-6-methoxy-purine:
LC-MS (Method 1): Rt = 1.44 min; MS (ESIpos): m/z = 227 [M+H]+
’H NMR (400 MHz, DMSO- 6): 5 [ppm] =1.54 (d, 6 H) 4.11 (s, 3 H) 4.78 (spt, 1 H) 8.53 (s, 1 H).
Intermediate 3-36
N,N-Dimethylaniline (51 pl, 400 pmol, 0.39 eq.) was carefully added to a solution of 2-chloro-7- isopropyl-6-methoxy-purine (Intermediate 3-35, 234 mg, 1.03 mmol, 1.0 eq.) in phosphoroxychloride (1.3 ml, 14 mmol, 13.3 eq.) and stirred for 36 h at 105 °C. The reaction was carefully quenched with H2O and the aq. phase was extracted with ethyl acetate. The combined organic phases were dried over MgSO4, concentrated under reduced pressure, and dried in vacuo to afford 80.6 mg of the title compound (100% purity, 34% yield) which was directly used without further purification.
LC-MS (Method 1): Rt = 1.29 min; MS (ESIpos): m/z = 231 [M+H]+
'HNMR (400 MHz, DMSO- 6): 5 [ppm] = 1.60 (d, 6 H) 5.14 (spt, 1 H) 9.06 (s, 1 H).
Intermediate 3-37 tert-Butyl 3-(2-chloro-7-isopropyl-purin-6-yl)-3,8-diazabicyclo[3.2.1]octane-8-carboxylate
Triethylamine (47 ph, 0.34 mmol, 1.0 eq.) and tert-butyl 3,8-diazabicyclo[3.2.1]octane-8-carboxylate (75 mg, 0.35 mmol, 1.05 eq.) were added to a solution of 2,6-dichloro-7-isopropyl-purine (Intermediate 3-36, 77 mg, 0.34 mmol, 1.0 eq.) in ethanol (1.4 mb) and stirred for 6 h at 60 °C. The solvent was removed under reduced pressure, the residue was dissolved in ethyl acetate and washed with H2O. The organic phase was dried over MgSO4, the solvent was removed under reduced pressure, and dried in vacuo to afford 113 mg of the title compound (100% purity, 83% yield) which was directly used without further purification.
LC-MS (Method 1): Rt = 1.84 min; MS (ESIpos): m/z = 407 [M+H]+ ’H NMR (400 MHz, DMSO-t/e): 5 [ppm] = 1.44 (s, 9 H) 1.48 (d, 6 H) 1.60 - 1.85 (m, 4 H) 3.71 - 3.94 (m, 2 H) 4.23 (br s, 2 H) 4.70 (spt, 1 H) 8.74 (s, 1 H).
Intermediate 3-38 tert-Butyl 3-[2-[[(2R,8S)-2-fluoro-l,2,3,5,6,7-hexahydropyrrolizin-8-yl]methoxy]-7-isopropyl- purin-6-yl]-3,8-diazabicyclo[3.2.1]octane-8-carboxylate
[(2R,8S)-2-fluoro-l,2,3,5,6,7-hexahydropyrrolizin-8-yl]methanol (399 mg, 2.51 mmol, 2.0 eq.) in THF (2 m ) was added to a mixture of NaH (60% dispersion in mineral oil, 100 mg, 2.51 mmol, 2.0 eq.) in THF (2 m ) under argon atmosphere. The reaction mixture was stirred for 30 min. at RT, before a solution of
tert-butyl 3-(2-chloro-7-isopropyl-purin-6-yl)-3,8-diazabicyclo[3.2. l]octane-8-carboxylate (Intermediate 3-37, 510 mg, 1.25 mmol, 1.0 eq.) in THF (2 mL) was added. The reaction mixture was stirred for 24h at 70 °C and then quenched with water. THF was removed under reduced pressure and the aq. phase was extracted with ethyl acetate. The organic phase was washed with H2O and brine, dried over MgSO4 and the solvent was removed under reduced pressure. The residue was purified by RP-HPLC (acetonitrile / 0.01% formic acid in water gradient). The product fractions were pooled and concentrated in vacuo to afford 52 mg (39% yield, 100% purity) of the title compound.
LC-MS (Method 1): Rt = 1.26 min; MS (ESIpos): m/z = 530 [M+H]+
’H NMR (400 MHz, DMSO- 6): 5 [ppm] = 1.43 (s, 9 H) 1.47 (d, 6 H) 1.69 - 1.91 (m, 7 H) 1.94 - 2.16 (m, 3 H) 2.76 - 2.88 (m, 1 H) 2.98 - 3.11 (m, 3 H) 3.16 - 3.29 (m, 2 H) 3.73 (br s, 2 H) 3.96 (q, 2 H) 4.14 - 4.31 (m, 2 H) 4.69 (spt, 1 H) 5.27 (d, 1 H) 8.52 (s, 1 H).
Intermediate 3-39 tert-Butyl 3- [2- [ [(2R,8S)-2-fluoro-l ,2, 3,5,6, 7-hexahydr opyrr olizin-8-yl] methoxy] -8- [ [7-fluoro-3- (methoxymethoxy)-8-(2-triisopropylsilylethynyl)-l-naphthyl]-hydroxy-methyl]-7-isopropyl-purin-
LiHMDS (408 pl, 1.0 M, 108 pmol, 2.3 eq.) was slowly added to a solution of tert-butyl 3-[2-[[(2R,8S)- 2-fluoro-l,2,3,5,6,7-hexahydropyrrolizin-8-yl]methoxy]-7-isopropyl-purin-6-yl]-3,8- diazabicyclo[3.2.1]octane-8-carboxylate (Intermediate 3-38, 94 mg, 178 pmol, 1.0 eq.) in THF (1.9 mL) at -18°C under argon atmosphere. The reaction mixture was stirred for 5 min. at -18°C before a solution of 7-fluoro-3-(methoxymethoxy)-8-(2-triisopropylsilylethynyl)naphthalene-l-carbaldehyde
(Intermediate 3-04, 99 mg, 240 pmol, 1.35 eq.) in THF (1.9 mL) was added at -18 °C and the reaction mixture was stirred for 30 min. at -18 °C and overnight at RT. Analytical HPLC showed poor conversion, LiHMDS (355 pl, 1.0 M, 94 pmol, 2.0 eq.) was slowly added at RT and the reaction mixture was stirred
at RT for 4h. The reaction was quenched with water and sat. aq. NH4Cl-solution was added. The phases were separated, and the aqueous phase was extracted with ethyl acetate. The combined organic phases were dried over Na2SO4 and concentrated under reduced pressure. The obtained residue was purified RP- HPLC (acetonitrile / 0.01% formic acid in water gradient). The product fractions were pooled and concentrated in vacuo to afford 56 mg (34% yield, 100% purity) of the title compound.
LC-MS (Method 1): Rt = 2.26 min; MS (ESIpos): m/z = 945 [M+H]+
' H NMR (400 MHz, DMSO- 6): 5 [ppm] = 1.10 - 1.13 (m, 21 H) 1.22 - 1.59 (m, 15 H) 1.70 - 1.88 (m, 7 H) 1.97 - 2.18 (m, 3 H) 2.78 - 2.89 (m, 1 H) 2.97 - 3.15 (m, 5 H) 3.30 (s, 3 H) 3.50 - 3.68 (m, 1 H) 3.95 - 4.08 (m, 2 H) 4.16 - 4.23 (m, 2 H) 4.92 - 5.02 (m, 1 H) 5.15 - 5.37 (m, 3 H) 6.04 (d, 1 H) 6.99 (d, 1 H) 7.52 - 7.59 (m, 2 H) 7.98 (d, 1 H) 8.04 (dd, 1 H).
Intermediate 3-40 tert-Butyl 3-[8-[[8-ethynyl-7-fluoro-3-(methoxymethoxy)-l-naphthyl]-hydroxy-methyl]-2- [[(2R,8S)-2-fluoro-l,2,3,5,6,7-hexahydropyrrolizin-8-yl]methoxy]-7-isopropyl-purin-6-yl]-3,8- diazabicyclo[3.2.1]octane-8-carboxylate
Tetra-n-butylammoniumfluoride (IM in THF, 160 pl, 1.0 M, 160 pmol, 2.0 eq.) was added to a solution of tert-butyl 3-[2-[[(2R,8S)-2-fluoro-l,2,3,5,6,7-hexahydropyrrolizin-8-yl]methoxy]-8-[[7-fluoro-3- (methoxymethoxy)-8-(2-triisopropylsilylethynyl)-l-naphthyl]-hydroxy-methyl]-7-isopropyl-purin-6-yl]- 3,8-diazabicyclo[3.2.1]octane-8-carboxylate (Intermediate 3-39, 75.0 mg, 79.4 pmol, 1.0 eq.) in THF (6.6 mL) at -18°C under argon atmosphere and the reaction mixture was stirred for 20 min. at -18 °C. The reaction mixture was diluted with ethyl acetate and quenched with H2O. The phases were separated, and the organic phase was washed with H2O and brine, dried over MgSO4, concentrated under reduced pressure, dried in vacuo, and used without further purification. Yield: 85 mg (74% purity, 136% of theory). LC-MS (Method 2): Rt = 1.64 min; MS (ESIpos): m/z = 788 [M+H]+
Intermediate 3-41 tert-Butyl 3-[8-[8-ethynyl-7-fluoro-3-(methoxymethoxy)naphthalene-l-carbonyl]-2-[[(2R,8S)-2- fluoro-l,2,3,5,6,7-hexahydropyrrolizin-8-yl]methoxy]-7-isopropyl-purin-6-yl]-3,8- diazabicyclo[3.2.1]octane-8-carboxylate
(l,l-Diacetoxy-3-oxo-llambda5,2-benziodoxol-l-yl) acetate (48.0 mg, 113 pmol, 1.4 eq.) was added to a solution of tert-butyl 3-[8-[[8-ethynyl-7-fluoro-3-(methoxymethoxy)-l-naphthyl]-hydroxy-methyl]-2- [[(2R,8S)-2-fluoro-l,2,3,5,6,7-hexahydropyrrolizin-8-yl]methoxy]-7-isopropyl-purin-6-yl]-3,8- diazabicyclo[3.2.1]octane-8-carboxylate (Intermediate 3-40, 85.0 mg, 74% purity, 80.9 pmol, 1.0 eq.) in DCM (5.5 mL) and stirred at RT overnight. HPLC showed poor conversion, (l,l-Diacetoxy-3-oxo- llambda5,2-benziodoxol-l-yl) acetate (34.0 mg, 80 pmol, 1.0 eq.) was added and the reaction was stirred for 3h at RT. HPLC showed still poor conversion, (l,l-Diacetoxy-3-oxo-llambda5,2-benziodoxol-l-yl) acetate (34.0 mg, 80 pmol, 1.0 eq.) was added and the reaction was stirred for 14 days at RT. HPLC showed poor conversion, (l,l-Diacetoxy-3-oxo-llambda5,2-benziodoxol-l-yl) acetate (34.0 mg, 80 pmol, 1.0 eq.) was added and the reaction was stirred overnight at RT. H2O and ethyl acetate were added to the reaction mixture, the phases were separated, and the organic phase was washed with sat. aq. NaHCO3 -solution, H2O, and brine, dried over MgSO4, concentrated under reduced pressure. The residue was purified by RP-HPLC (acetonitrile / 0.01% formic acid in water gradient). The product fractions were pooled and concentrated in vacuo to afford 19.3 mg (45% purity, 30% of theory) of the title compound. LC-MS (Method 1): Rt = 1.83 min; MS (ESIpos): m/z = 786 [M+H]+
Intermediate 3-42
Ethyl 2-(cyclopropylamino)acetate
Cyclopropylamine (2.5 ml, 36 mmol, 4.0 eq.) was added to a solution of ethyl 2-bromoacetate (1 ml, 9.0 mmol, 1.0 eq.) in EtOH (10 mL) and was stirred at RT overnight. The solvent was removed under reduced pressure, the residue was dissolved in DCM and washed with H2O. The organic phase was dried over Na2SO4, the solvent was removed under reduced pressure and the crude product was dried in vacuo (10 min.) to afford 1.2 g (81% yield, 90% purity) of the title compound which was directly used in the next step without further purification.
’H NMR (400 MHz, CDCh- ): 5 [ppm] = 0.30 - 0.41 (m, 2 H) 0.41 - 0.50 (m, 2 H) 1.23 - 1.32 (m, 3 H) 2.19 - 2.27 (m, 1 H) 3.45 (s, 2 H) 4.20 (q, 2 H)
Intermediate 3-43
Cyanamide (1.00 g, 23.8 mmol, 1.0 eq.) was added to [ethoxy (methoxy )methoxy] ethane (Intermediate 3- 42, 7.5 ml, 67 mmol, 2.8 eq.) and was stirred at 100 °C for 3h. The solvent was removed under reduced pressure and the crude product was dried in vacuo to afford 2.25 g (87% yield, 90% purity) of the title compound which was directly used in the next step without further purification.
'HNMR (400 MHz, CDCh- ): 5 [ppm] = 1.31 (t, 3 H) 4.30 (q, 2 H) 8.37 (s, 1 H).
Intermediate 3-44
Ethyl N-cyanomethanimidate (627 mg, 6.4 mmol, 1.5 eq.) was added to a solution of ethyl 2- (cyclopropylamino)acetate (Intermediate 3-43, 610 mg, 4.3 mmol, 1.0 eq.) in Et2O (3 mL) and was stirred at RT overnight. The solvent was removed under reduced pressure, the crude product was dissolved in EtOH (3 mL), potassium tert-butoxide (574 mg, 5.1 mmol, 1.2 eq.) was added and the reaction mixture was stirred at RT overnight. The solvent was removed under reduced pressure, H2O and EtOAc were added. The phases were separated, and the organic phase was washed with brine, dried over MgSO4 and the solvent was removed under reduced pressure. The residue was purified by RP-HPLC (acetonitrile /
0.01% formic acid in water gradient). The product fractions were pooled and concentrated in vacuo to afford 316 mg (38% yield, 100% purity) of the title compound.
LC-MS (Method 1): Rt = 0.81 min; MS (ESIpos): m/z = 196 [M+H]+
'HNMR (400 MHz, DMSO- 6): 5 [ppm] = 0.84 - 0.96 (m, 4 H) 1.28 (t, 3 H) 3.41 - 3.50 (m, 1 H) 4.20 (q, 2 H) 5.62 (s, 2 H) 7.46 (s, 1 H).
Intermediate 3-45
Ethyl 5-amino-3-cyclopropyl-imidazole-4-carboxylate (Intermediate 3-44, 336 mg, 1.7 mmol, 1.0 eq.) and urea (2.07 g, 34.4 mmol, 20 eq.) were stirred at 150 °C overnight. The reaction was cooled down to 80 °C, H2O was carefully added, and the reaction mixture was stirred for 10 min. at that temperature. The reaction mixture was acidified using IN HC1 and the resulting precipitate was filtered off, washed with H2O, and dried in vacuo to afford 168 mg (100% purity, 51% yield) of the title compound.
LC-MS (Method 1): Rt = 0.45 min; MS (ESIpos): m/z = 193 [M+H]+
’H NMR (400 MHz, DMSO- 6): 5 [ppm] = 0.87 - 1.11 (m, 4 H) 3.56 - 3.79 (m, 1 H) 7.91 (s, 1 H) 10.80 (br s, 1 H) 11.48 (br s, 1 H).
Intermediate 3-46
Triethylamine (133 pl, 1.0 mmol, 1.1 eq.) was added to a solution of 7-cyclopropyl-3H-purine-2, 6-dione (Intermediate 3-45, 167 mg, 0.87 mmol, 1.0 eq.) in toluene (2 mb). The reaction mixture was heated to 60 °C, phosphoroxychloride (405 pl, 4.4 mmol, 5 eq.) was added and the reaction mixture was stirred at 100 °C for 2h and at RT overnight. The reaction was carefully quenched with a mixture of sat. aq. NaHCO3-solution/ethyl acetate: 1: 1. The phases were separated, and the aq. phase was extracted with ethyl acetate. The combined organic phases were dried over MgSO4 and concentrated under reduced pressure. The residue was purified by RP-HPLC (acetonitrile / 0.01% formic acid in water gradient). The
product fractions were pooled and concentrated in vacuo to afford 60 mg (96% purity 29% yield) of the title compound.
LC-MS (Method 1): Rt = 1.20 min; MS (ESIpos): m/z = 229 [M+H]+
' H NMR (400 MHz, DMSC ,): 5 [ppm] = 1.12 - 1.22 (m, 2 H) 1.23 - 1.32 (m, 2 H) 3.72 - 3.83 (m, 1 H) 8.87 (s, 1 H).
Intermediate 3-47 tert-Butyl 3-(2-chloro-7-cyclopropyl-purin-6-yl)-3,8-diazabicyclo[3.2.1]octane-8-carboxylate
To a solution of 2,6-dichloro-7-cyclopropyl-purine (Intermediate 3-46, 50.5 mg, 220 pmol, 1.0 eq.) in dioxane (1 mL) was added tert-butyl 3,8-diazabicyclo[3.2.1]octane-8-carboxylate (51.5 mg, 243 pmol, 1.1 eq.) and triethylamine (77 pl, 550 pmol, 2.5 eq.). The reaction mixture was stirred at RT overnight. Analytical HPLC showed incomplete conversion. The reaction mixture was stirred at 65 °C overnight. The reaction was cooled down to Rt and the residue was purified by RP-HPLC (acetonitrile / 0.01% formic acid in water gradient). The product fractions were pooled and concentrated in vacuo to afford 74.4 mg (100% purity 83% yield) of the title compound.
LC-MS (Method 1): Rt = 1.80 min; MS (ESIpos): m/z = 405 [M+H]+
’H NMR (400 MHz, DMSO- 6): 5 [ppm] = 0.90 - 1.02 (m, 2 H) 1.04 - 1.13 (m, 2 H) 1.44 (s, 9 H) 1.60 - 1.81 (m, 4 H) 3.44 (br d, 2 H) 3.75 - 3.87 (m, 1 H) 4.17 - 4.25 (m, 2 H) 4.29 (br d, 2 H) 8.43 (s, 1 H).
Intermediate 3-48 tert-Butyl 3-[7-cyclopropyl-2-[[(2R,8S)-2-fluoro-l,2,3,5,6,7-hexahydropyrrolizin-8- yl]methoxy]purin-6-yl]-3,8-diazabicyclo[3.2.1]octane-8-carboxylate
NaH (60% dispersion in mineral oil, 14.3 mg, 0.36 mmol, 2.0 eq.) was added to a solution of [(2R,8S)-2- fluoro-l,2,3,5,6,7-hexahydropyrrolizin-8-yl]methanol (43 mg, 0.27 mmol, 1.5 eq.) in THF (1.5 mL) under argon atmosphere at 0°C. The reaction mixture was stirred for 10 min. at 0°C, before a solution of tert- butyl 3-(2-chloro-7-cyclopropyl-purin-6-yl)-3,8-diazabicyclo[3.2. l]octane-8-carboxylate (Intermediate 3-47, 73 mg, 0.18 mmol, 1.0 eq.) was added. The reaction mixture was stirred at RT for 10 min. and then stirred at 65 °C overnight. The reaction mixture was quenched with water and extracted with ethyl acetate. The combined organic phases were washed with sat. aq. NH4Cl-solution, H2O, and brine, dried over Na2SO4 and the solvent was removed under reduced pressure. The residue was purified by RP-HPLC (acetonitrile / 0.01% formic acid in water gradient). The product fractions were pooled and concentrated in vacuo to afford 58 mg (99% purity, 61% yield) of the title compound.
LC-MS (Method 1): Rt = 1.13 min; MS (ESIpos): m/z = 528 [M+H]+
'H NMR (400 MHz, DMSO- 6): 5 [ppm] = 0.86 - 1.00 (m, 2 H) 1.01 - 1.11 (m, 2 H) 1.42 (s, 9 H) 1.64 - 1.92 (m, 7 H) 1.92 - 2.19 (m, 3 H) 2.75 - 2.94 (m, 1 H) 2.96 - 3.21 (m, 3 H) 3.37 (br d, 2 H) 3.77 - 3.80 (m, 1 H) 3.94 - 4.05 (m, 2 H) 4.17 - 4.31 (m, 4 H) 5.16 - 5.39 (m, 1 H) 8.25 (s, 1 H).
Intermediate 3-49 tert-Butyl 3-[7-cyclopropyl-2-[[(2R,8S)-2-fluoro-l,2,3,5,6,7-hexahydropyrrolizin-8-yl]methoxy]-8- [[7-fluoro-3-(methoxymethoxy)-8-(2-triisopropylsilylethynyl)-l-naphthyl]-hydroxy-methyl]purin-
LiHMDS (l.OM in THF, 170 pl, 1.0 M, 170 pmol, 2.3 eq.) was slowly added to a solution of tert-butyl (lR,5S)-3-[7-cyclopropyl-2-[[(2R,8S)-2-fluoro-l,2,3,5,6,7-hexahydropyrrolizin-8-yl]methoxy]purin-6- yl]-3,8-diazabicyclo[3.2.1]octane-8-carboxylate (Intermediate 3-48, 38 mg, 72 pmol, 1.0 eq.) in THF (0.5 mb) at -18°C under argon atmosphere. The reaction mixture was stirred for 5 min. at -18°C before a solution of 7-fluoro-3-(methoxymethoxy)-8-(2-triisopropylsilyl-ethynyl)naphthalene-l-carbaldehyde (Intermediate 3-04, 40.3 mg, 97.2 pmol, 1.35 eq.) in THF (0.5 mb) was added at -18 °C and the reaction mixture was stirred for 30 min. at -18 °C and 30 min. at RT. The reaction was quenched with water and sat. aq. NH4Cl-solution was added. The phases were separated, and the aqueous phase was extracted with ethyl acetate. The combined organic phases were dried over Na2SO4 and concentrated under reduced pressure. The residue was purified by RP-HPLC (acetonitrile / 0.01% formic acid in water gradient). The product fractions were pooled and concentrated in vacuo to afford 12.9 mg (19% yield, 100% purity) of the title compound.
LC-MS (Method 1): Rt = 2.22 min; MS (ESIpos): m/z = 943 [M+H]+ Intermediate 3-50 tert-Butyl 3-[7-cyclopropyl-8-[[8-ethynyl-7-fluoro-3-(methoxymethoxy)-l-naphthyl]-hydroxy- methyl] -2- [ [(2R,8S)-2-fluor o-l ,2, 3,5,6, 7-hexahydr opyrr olizin-8-yl] methoxy] purin-6-yl] -3,8- diazabicyclo[3.2.1]octane-8-carboxylate
Tetra-n-butylammoniumfluoride (IM in THF, 25 pl, 1.0 M, 25 pmol, 2.0 eq.) was added to a solution of tert-butyl 3-|7-cyclopropyl-2-| |(2R.8S)-2-fliioro- l .2.3.5.6.7-hcxahydropyrrolizin-8-yl |mcthoxy|-8-| |7- fluoro-3-(methoxymethoxy)-8-(2-triisopropylsilylethynyl)-l-naphthyl]-hydroxy-methyl]purin-6-yl]-3,8- diazabicyclo[3.2.1]octane-8-carboxylate (Intermediate 3-49, 12.0 mg, 12.7 pmol, 1.0 eq.) in THF (0.5 mb) at -18°C under argon atmosphere and the reaction mixture was stirred for 20 min. at -18 °C. The reaction mixture was diluted with DCM and quenched with H2O. The organic phase was separated by a Chromabond PTS column and the solvent was removed under reduced pressure. The crude product was dried in vacuo and used without further purification. Yield: 13.3 mg (85% purity, 112% of theory). LC-MS (Method 1): Rt = 1.58 min; MS (ESIpos): m/z = 786 [M+H]+
Intermediate 3-51 tert-Butyl 3-[7-cyclopropyl-8-[8-ethynyl-7-fluoro-3-(methoxymethoxy)naphthalene-l-carbonyl]-2- [[(2R,8S)-2-fluoro-l,2,3,5,6,7-hexahydropyrrolizin-8-yl]methoxy]purin-6-yl]-3,8- diazabicyclo[3.2.1]octane-8-carboxylate
(l,l-Diacetoxy-3-oxo-llambda5,2-benziodoxol-l-yl) acetate (10.5 mg, 24.8 pmol, 1.5 eq.) was added to a solution of tert-butyl 3-[7-cyclopropyl-8-[[8-ethynyl-7-fluoro-3-(methoxymethoxy)-l-naphthyl]- hydroxy-methyl]-2-[[(2R,8S)-2-fluoro-l,2,3,5,6,7-hexahydropyrrolizin-8-yl]methoxy]purin-6-yl]-3,8- diazabicyclo[3.2.1]octane-8-carboxylate (Intermediate 3-50, 13.0 mg, 16.5 pmol, 1.0 eq.) in DCM (0.5 mL) and stirred at RT overnight. The reaction was diluted with DCM and H2O was added, the phases were separated, and the organic phase was washed with sat. aq. NaHCO3 -solution, H2O, and brine and dried over an Extrelut NT3 -column. The solvent was removed under reduced pressure and the crude product was dried in vacuo to afford 11.9 mg (100% purity, 92% yield) of the title compound which was directly used without further purification.
LC-MS (Method 1): Rt = 1.65 min; MS (ESIpos): m/z = 784 [M+H]+
Intermediate 3-52
5-{2-Chloro-7-cyclobutyl-8-[7-fluoro-3-(methoxymethoxy)-8-{[tri(propan-2- yl)silyl]ethynyl}naphthalene-l-carbonyl]-7H-purin-6-yl}-N,N-dimethyl-5,6,7,8-tetrahydro-4H- pyrazolo[l,5-a] [l,4]diazepine-2-carboxamide
To a solution of (2,6-dichloro-7-cyclobutyl-7H-purin-8-yl)[7-fluoro-3-(methoxymethoxy)-8- {[tri(propan-2-yl)silyl]ethynyl}naphthalen-l-yl]methanone (Intermediate 7-02, 200 mg, 90% purity, 0.275 mmol) and triethylamine (0.110 ml, 0.820 mmol) in acetonitrile (4.00 ml) was added N,N-dimethyl- 5, 6, 7, 8-tetrahydro-4H-pyrazolo[l,5-a][l,4]diazepine-2 -carboxamide hydrochloride (synthesized following the instructions found in WO 2022/133038, paragraph [338] - [339], pages 135-136) (1: 1) (80.6 mg, 0.329 mmol) at room temperature. After stirring at the same temperature for 3 hours, the mixture was diluted with saturated ammonium chloride aqueous, extracted with ethyl acetate. The combined organic layers were washed with water and brine, dried over anhydrous sodium sulfate, concentrated to give a
residue. The residue was purified by preparative TLC (petroleum ether: ethyl acetate = 2: 1) to give 5-(2- chloro-7-cyclobutyl-8- { 7 -fluoro-3 -(methoxymethoxy)-8-[(triisopropylsilyl)ethynyl] - 1 -naphthoyl } -7H- purin-6-yl)-N,N-dimethyl-5,6,7,8-tetrahydro-4H-pyrazolo[l,5-a][l,4]diazepine-2-carboxamide (80.0 mg, 95% purity, 33% yield).
LC-MS (Method C): Rt = 1.165 min; MS (ESIpos): m/z = 827.4 [M+H]+.
Intermediate 3-53
5-(7-Cyclobutyl-8-[7-fluoro-3-(methoxymethoxy)-8-{[tri(propan-2-yl)silyl]ethynyl}naphthalene-l- carbonyl]-2-{[(2R,7aS)-2-fluorotetrahydro-lH-pyrrolizin-7a(5H)-yl]methoxy}-7H-purin-6-yl)-
To a solution of 5-{2-chloro-7-cyclobutyl-8-[7-fluoro-3-(methoxymethoxy)-8-{[tri(propan-2- yl)silyl]ethynyl}naphthalene-l-carbonyl]-7H-purin-6-yl}-N,N-dimethyl-5,6,7,8-tetrahydro-4H- pyrazolo[l,5-a][l,4]diazepine-2-carboxamide (Intermediate 3-52, 70.0 mg, 95% purity, 0.0800 mmol) and [(2R,7aS)-2-fluorotetrahydro-lH-pyrrolizin-7a(5H)-yl]methanol (15.4 mg, 0.0960 mmol) in tetrahydrofuran (1.50 ml) was added sodium hydride (6.43 mg, 0.160 mmol, 60% purity on mineral oil) at 0 °C. After stirring at room temperature for 3 hours, the mixture was diluted with saturated ammonium chloride aqueous, extracted with ethyl acetate. The combined organic layers were washed with water and brine, dried over anhydrous sodium sulfate, concentrated to give a residue. The residue was purified by preparative TLC (ethyl acetate: methanol = 10: 1) to give 5-(7-cyclobutyl-8-{7-fluoro-3- (methoxymethoxy)-8-[(triisopropylsilyl)ethynyl]-l-naphthoyl}-2-{[(2R,7aS)-2-fluorotetrahydro-lH- pyrrolizin-7a(5H)-yl]methoxy}-7H-purin-6-yl)-N,N-dimethyl-5,6,7,8-tetrahydro-4H-pyrazolo[l,5- a][l,4]diazepine-2-carboxamide (60.0 mg, 86% purity, 68% yield).
LC-MS (Method C): Rt = 1.020 min; MS (ESIpos): m/z = 950.6 [M+H]+.
Intermediate 3-54
5-(7-Cyclobutyl-8-[8-ethynyl-7-fluoro-3-(methoxymethoxy)naphthalene-l-carbonyl]-2-{[(2R,7aS)-
2-fluorotetrahydro-lH-pyrrolizin-7a(5H)-yl]methoxy}-7H-purin-6-yl)-N,N-dimethyl-5,6,7,8- tetrahydro-4H-pyrazolo[l,5-a] [l,4]diazepine-2-carboxamide
A solution of 5-(7-cyclobutyl-8-[7-fluoro-3-(methoxymethoxy)-8-{[tri(propan-2- yl)silyl]ethynyl}naphthalene- 1 -carbonyl]-2- { [(2R,7aS)-2-fluorotetrahydro- lH-pyrrolizin-7a(5H)- yl]methoxy}-7H-purin-6-yl)-N,N-dimethyl-5,6,7,8-tetrahydro-4H-pyrazolo[l,5-a][l,4]diazepine-2- carboxamide (Intermediate 3-53, 60.0 mg, 86% purity, 0.0540 mmol) and tetramethylammonium fluoride (50.6 mg, 0.543 mmol) in tetrahydrofuran (3.00 ml) was stirred at 65 °C for 4 hours. The mixture was diluted with saturated ammonium chloride aqueous, extracted with ethyl acetate. The combined organic layers were washed with water and brine, dried over anhydrous sodium sulfate, concentrated to give 5-(7- cyclobutyl-8-[8-ethynyl-7-fluoro-3-(methoxymethoxy)-l-naphthoyl]-2-{[(2R,7aS)-2-fluorotetrahydro- lH-pyrrolizin-7a(5H)-yl]methoxy}-7H-purin-6-yl)-N,N-dimethyl-5,6,7,8-tetrahydro-4H-pyrazolo[l,5- a][l,4]diazepine-2-carboxamide (50.0 mg, 85% purity, 99% yield).
LC-MS (Method C): Rt = 0.864 min; MS (ESIpos): m/z = 794.4 [M+H]+.
Intermediate 3-55 tert-Butyl 4-cyano-2-methylpiperidine-l-carboxylate (mixture of racemic trans- and cis- diastereomers)
To a solution of tert-butyl 2 -methyl -4-oxopiperidine-l -carboxylate (racemate) (5.00 g, 23.4 mmol), 1- [(isocyanomethyl)sulfonyl]-4-methylbenzene (5.49 g, 28.1 mmol) and ethanol (1.70 ml, 28 mmol) in 1,2- dimethoxyethane (50.0 ml) was added dropwise potassium tert-butoxide (59.0 ml, 1.0 M in tetrahydrofuran, 59.0 mmol) at 0 °C under nitrogen atmosphere. After stirring at room temperture for 1 hour under nitrogen atmosphere, the mixture was diluted with saturated ammonium chloride aqueous, extracted with ethyl acetate. The combined organic layers were washed with water and brine, dried over anhydrous sodium sulfate, concentrated to give a residue. The residue was purified by silical gel chromatography column (100-200 mesh, petroleum ether: ethyl acetate = 10: 1, then 5: 1) to give tertbutyl 4-cyano-2-methylpiperidine-l -carboxylate (mixture of racemic trans- and cis-diastereomers) (1.50 g, 95% purity, 27% yield).
’H NMR (400 MHz, MeOD- 4): 5 [ppm] = 4.51-4.47 (m, 1H), 4.03 (d, J = 14.0 Hz 1H), 3.07-3.04 (m, 1H), 2.97-2.95 (m, 1H), 2.07 (d, J = 12.4 Hz, 1H), 1.96-1.89 (m, 1H), 1.89-1.81 (m, 1H), 1.66-1.61 (m, 1H), 1.48 (s, 9H), 1.19 (d, J= 7.2 Hz, 3H).
Intermediate 3-56
2-Methylpiperidine-4-carbonitrile - hydrogen chloride (1: 1) (mixture of racemic trans- and cis- diastereomers)
To a mixture of tert-butyl 4-cyano-2 -methylpiperidine- 1 -carboxylate (mixture of racemic trans- and cis- diastereomers) (Intermediate 3-55, 300 mg, 95% purity, 1.27 mmol) in methanol (2.00 ml) was added hydrochloric acid (1.00 ml, 2.0 M in methanol) at 0 °C. After stirring at room temperature for 4 hours, the mixture was concentrated at room temperature to give 2-methylpiperidine-4-carbonitrile - hydrochloride (1: 1) (mixture of racemic trans- and cis-diastereomers) (200 mg, 98% yield).
MS (ESIpos): m/z = 125.2 [M+H]+.
Intermediate 3-57 l-{2-Chloro-7-cyclobutyl-8-[7-fluoro-3-(methoxymethoxy)-8-{[tri(propan-2-yl) silyl]ethynyl}naphthalene-l-carbonyl]-7H-purin-6-yl}-2-methylpiperidine-4-carbonitrile (mixture of racemic trans- and cis-diastereomers)
To a mixture of (2,6-dichloro-7-cyclobutyl-7H-purin-8-yl)[7-fluoro-3-(methoxymethoxy)-8-{[tri(propan- 2-yl)silyl]ethynyl}naphthalen-l-yl]methanone (Intermediate 7-02, 300 mg, 0.458 mmol) and 2- methylpiperidine-4-carbonitrile - hydrogen chloride (1: 1) (mixture of racemic trans- and cis- diastereomers) (88.2 mg, 0.549 mmol) in acetonitrile (10.0 ml) was added trimethylamine (0.190 ml, 1.4 mmol) at room temperature. After stirring at room temperature for 16 hours, the mixture was diluted with saturated ammonium chloride aqueous, extracted with ethyl acetate. The combined organic layers were washed with water and brine, dried over anhydrous sodium sulfate, concentrated to give a residue. The residue was purified by preparative TLC (petroleum ether: ethyl acetate = 3: 1) to give l-(2-chloro-7- cyclobutyl-8-{7-fluoro-3-(methoxymethoxy)-8-[(triisopropylsilyl)ethynyl]-l-naphthoyl}-7H-purin-6- yl)-2-methylpiperidine-4-carbonitrile (mixture of racemic trans- and cis-diastereomers) (230 mg, 96% purity, 65% yield).
LC-MS (Method C): Rt = 0.803 min; MS (ESIpos): m/z =743.5 [M+H]+.
Intermediate 3-58 l-(7-Cyclobutyl-8-[7-fluoro-3-(meth oxymeth oxy)-8-{[tri(propan-2-yl)silyl]ethynyl} naphthalene-1- carbonyl]-2-{[(2R,7aS)-2-fluorotetrahydro-lH-pyrrolizin-7a(5H)-yl]methoxy}-7H-purin-6-yl)-2- methylpiperidine-4-carbonitrile (mixture of racemic trans- and cis-diastereomers regarding the piperidine substitution)
To a mixture of l-{2-chloro-7-cyclobutyl-8-[7-fluoro-3-(methoxymethoxy)-8-{[tri(propan-2- yl)silyl]ethynyl}naphthalene-l-carbonyl]-7H-purin-6-yl}-2-methylpiperidine-4-carbonitrile (mixture of racemic trans- and cis-diastereomers) (Intermediate 3-57, 230 mg, 96% purity, 0.297 mmol) and [(2R,7aS)-2-fluorotetrahydro-lH-pyrrolizin-7a(5H)-yl]methanol (94.6 mg, 0.594 mmol) in tetrahydrofuran (10.0 ml) was added sodium hydride (35.6 mg, 0.891 mmol, 60% purity in mineral oil) at 0 °C under nitrogen atmosphere. After stirring at room temperature for 2 hours under nitrogen atmosphere, the mixture was quenched by saturated ammonium chloride aqueous solution at 0 °C and extracted with ethyl acetate. The combined organic layers were washed with brine, dried over anhydrous sodium sulfate, fdtered and concentrated under reduced pressure to give a residue. The reaction was purified by preparative TLC (dichloromethane: methanol = 10: 1) to give l-(7-cyclobutyl-8-{7-fluoro-3- (methoxymethoxy)-8-[(triisopropylsilyl)ethynyl]-l-naphthoyl}-2-{[(2R,7aS)-2-fluorotetrahydro-lH- pyrrolizin-7a(5H)-yl]methoxy}-7H-purin-6-yl)-2-methylpiperidine-4-carbonitrile (mixture of racemic trans- and cis-diastereomers regarding the piperidine substitution) (200 mg, 95% purity, 74% yield).
LC-MS (Method C): Rt = 1.007 min; MS (ESIpos): m/z = 866.6 [M+H]+.
Intermediate 3-59
1-(7-Cyclobutyl-8-[8-ethynyl-7-fluoro-3-(methoxymethoxy)naphthalene-l-carbonyl]-2-{[(2R,7aS)-
2-fluorotetrahydro-lH-pyrrolizin-7a(5H)-yl]methoxy}-7H-purin-6-yl)-2-methylpiperidine-4- carbonitrile (mixture of racemic trans- and cis-diastereomers regarding the piperidine substitution)
To a mixture of l-(7-cyclobutyl-8-[7-fhroro-3-(methoxymethoxy)-8-{[tri(propan-2- yl)silyl]ethynyl}naphthalene- 1 -carbonyl]-2- { [(2R,7aS)-2-fluorotetrahydro- lH-pyrrolizin-7a(5H)- yl]methoxy}-7H-purin-6-yl)-2-methylpiperidine-4-carbonitrile (mixture of racemic trans- and cis- diastereomers regarding the piperidine substitution) (Intermediate 3-58, 300 mg, 95% purity, 0.329 mmol) in tetrahydrofuran (15.0 ml) was added tetramethylammonium fluoride (306 mg, 3.29 mmol) at room temperature. After stirring at 60 °C for 16 hours, the reaction mixture was diluted with water, extracted with ethyl acetate. The combined organic layers were washed with saturated brine, dried over anhydrous sodium sulfate, filtered and concentrated under reduced pressure to give 1- (7-cyclobutyl-8-[8-ethynyl- 7- fluoro-3-(methoxymethoxy)-l-naphthoyl]-2-{[(2R,7aS)-2-fluorotetrahydro-lH-pyrrolizin-7a(5H)- yl]methoxy}-7H-purin-6-yl)-2-methylpiperidine-4-carbonitrile (mixture of racemic trans- and cis- diastereomers regarding the piperidine substitution) (200 mg, 95% purity, 81% yield).
LC-MS (Method C): Rt = 0.874 min; MS (ESIpos): m/z = 710.3 [M+H]+.
Intermediate 3-60 l-(7-Cyclobutyl-8- [8-ethynyl-7-fluoro-3-(methoxymethoxy)naphthalene-l-carbonyl] -2-{ [(2R,7aS)-
2-fluorotetrahydro-lH-pyrrolizin-7a(5H)-yl]methoxy}-7H-purin-6-yl)-2-methylpiperidine-4- carbonitrile (mixture of racemic cis-diastereomers regarding the piperidine substitution)
l-(7-Cyclobutyl-8-[8-ethynyl-7-fluoro-3-(methoxymethoxy)naphthalene-l-carbonyl]-2-{[(2R,7aS)-2- fluorotetrahydro-lH-pyrrolizin-7a(5H)-yl]methoxy}-7H-purin-6-yl)-2-methylpiperidine-4-carbonitrile (Intermediate 3-59, mixture of racemic trans- and cis-diastereomers regarding the piperidine substitution) (200 mg, 95% purity) was separated by preparative SFC [Instrument ACSWH-PREP-SFC-C; column:
DAICEL CHIRALPAK IC (250 mm x 30 mm, 10pm); eluent A: supercritical carbon dioxide / acetonitrile, eluent B: 0.1% ammonium hydroxide in isopropanol; gradient: 0 - 7.0 min, 40% B - 40% B (A: 60%, B: 40%, isocratic); flow 70 ml/min; temperature: room temperature; detector: UV 220/254 nm] to give l-(7- cyclobutyl-8-[8-ethynyl-7-fluoro-3-(methoxymethoxy)-l-naphthoyl]-2-{[(2R,7aS)-2-fluorotetrahydro- lH-pyrrolizin-7a(5H)-yl]methoxy}-7H-purin-6-yl)-2-methylpiperidine-4-carbonitrile (mixture of the two cis-diastereomers regarding the piperidine substitution) (20.0 mg, 96% purity) [besides the two enantiopure trans-diastereomers regarding the piperidine substitution: enantiomer 1 (60.0 mg, 96% purity) and enantiomer 2 (50.0 mg, 96% purity)].
LC-MS (Method C): Rt = 0.881 min; MS (ESIpos): m/z =710.3 [M+H]+. Intermediate 3-61
2-Chloro-7-cyclobutyl-6-((4-methoxybenzyl)thio)-7H-purine
A solution of 2,6-dichloro-7-cyclobutyl-7H-purine (Intermediate 1-03, 20 g, 57.59 mmol), (4- methoxyphenyl)methanethiol (10.69 g, 69.32 mmol) and potassium carbonate (24 g, 173.65 mmol) in DMF (100 mL) was stirred at 25 °C for 1 h. The mixture was diluted with water (300 mL) and extracted with ethyl acetate (two times 300 mL). The combined organic phases were washed with brine (two times 300 mL), dried over anhydrous sodium sulfate, fdtered and concentrated in vacuo. The residue was purified by chromatography on silica gel (300-400 mesh, 60% ethyl acetate in petroleum ether) to give 2-chloro-7-cyclobutyl-6-((4-methoxybenzyl)thio)-7H-purine (11.7 g, 32.42 mmol, 56% yield).
LC-MS (Method K): Rt = 0.575 min, m/z = 361 [M+H]+.
’H NMR (400 MHz, CDCL- ): 5 [ppm] = 8.23 (s, 1H), 7.43-7.37 (m, 2H), 6.90-6.85 (m, 2H), 5.19-5.07 (m, 1H), 4.60 (s, 2H), 3.80 (s, 3H), 2.71-2.58 (m, 2H), 2.50-2.37 (m, 2H), 2.03-1.90 (m, 2H).
Intermediate 3-62
(2-Chloro-7-cyclobutyl-6-((4-methoxybenzyl)thio)-7H-purin-8-yl)(7-fluoro-3-(methoxymethoxy)-8-
To a solution of 2-chloro-7-cyclobutyl-6-((4-methoxybenzyl)thio)-7H-purine (Intermediate 3-61, 11.7 g, 32.42 mmol) and 7-fluoro-3-(methoxymethoxy)-8-(2-triisopropylsilylethynyl)-naphthalene-l- carbaldehyde (Intermediate 3-04, 13.44 g, 32.42 mmol) in THF (300 mL) was added dropwise LiHMDS (1 M, 62 mL) at 0 °C under nitrogen atmosphere. The mixture was stirred at 0 °C for 1 h, quenched with saturated aqueous ammonium chloride solution (500 mL) and extracted with ethyl acetate (two times 500 mL). The combined organic phases were washed with brine (two times 500 mL), dried over anhydrous sodium sulfate, filtered and concentrated in vacuo. The residue was purified by column chromatography on silica gel (300-400 mesh, 30% ethyl acetate in petroleum ether) to give (2-chloro-7-cyclobutyl-6-((4- methoxybenzyl)thio)-7H-purin-8-yl)(7-fluoro-3-(methoxymethoxy)-8- ((triisopropylsilyl)ethynyl)naphthalen-l-yl)methanol (19.5 g, 25.15 mmol, 78% yield).
LC-MS (Method L): Rt = 0.760 min, m/z = 775.2 [M+H]+.
’H NMR (400 MHz, CDCL- ): 5 [ppm] = 8.50 (d, 1H), 7.69 (dd, 1H), 7.49-7.41 (m, 2H), 7.39-7.32 (m, 2H), 6.92-6.85 (m, 2H), 6.65 (d, 1H), 5.17-5.09 (m, 2H), 5.05-4.94 (m, 1H), 4.65-4.59 (m, 3H), 3.80 (s, 3H), 3.38 (s, 3H), 2.68-2.52 (m, 2H), 2.30-2.17 (m, 1H), 1.92-1.81 (m, 1H), 1.78-1.65 (m, 1H), 1.61-1.51 (m, 1H), 1.22-1.16 (m, 3H), 1.16-1.12 (m, 18H).
19F NMR (376 MHz, DMSO- 6): 5 [ppm] = -104.759.
Intermediate 3-63 tert-Butyl (2S)-2-(((7-cyclobutyl-8-((7-fluoro-3-(methoxymethoxy)-8-
((triisopropylsilyl)ethynyl)naphthalen-l-yl)(hydroxy)methyl)-6-((4-methoxybenzyl)thio)-7H-purin- 2-yl)oxy)methyl)pyrrolidine-l-carboxylate
A solution of (2-chloro-7-cyclobutyl-6-((4-methoxybenzyl)thio)-7H-purin-8-yl)(7-fluoro-3- (methoxymethoxy)-8-((triisopropylsilyl)ethynyl)naphthalen-l-yl)methanol (Intermediate 3-62, 6.5 g, 8.38 mmol), tert-butyl (2S)-2-(hydroxymethyl)pyrrolidine-l -carboxylate (2.60 g, 12.92 mmol), cesium carbonate (7.15 g, 21.94 mmol) and [2-(2-aminophenyl)phenyl]-methylsulfonyloxy- palladium;dicyclohexyl-[2-(2,6-diisopropoxyphenyl)phenyl]phosphane (2.10 g, 2.51 mmol) in toluene (100 mL) was stirred at 100 °C for 16 h under nitrogen atmosphere. The reaction was performed for three batches in parallel and worked-up together. The mixture was diluted with water (500 mL), then extracted with ethyl acetate (two times 500 mL). The combined organic phases were washed with brine (500 mL), dried over anhydrous sodium sulfate, fdtered and concentrated in vacuo. The residue was purified by column chromatography on silica gel (300-400 mesh, 30% ethyl acetate in petroleum ether) to give two batches of tert-butyl (2S)-2-(((7-cyclobutyl-8-((7-fluoro-3-(methoxymethoxy)-8- ((triisopropylsilyl)ethynyl)naphthalen-l-yl)(hydroxy)methyl)-6-((4-methoxybenzyl)thio)-7H-purin-2-
yl)oxy)methyl)pyrrolidine-l -carboxylate (10 g, 10.64 mmol, 100% purity and 2 g, 1.83 mmol, 86% purity).
LC-MS (Method L): Rt = 0.801 min, m/z = 940.3 [M+H]+.
’H NMR (400 MHz, CDCh- ): 5 [ppm] = 8.47 (d, 1H), 7.81-7.72 (m, 1H), 7.45-7.30 (m, 4H), 6.92-6.82 (m, 2H), 6.72-6.65 (m, 1H), 5.20-5.08 (m, 2H), 4.98-4.85 (m, 1H), 4.80-4.62 (m, 4H), 4.55-4.25 (m, 3H), 4.05-3.93 (m, 1H), 3.80 (s, 3H), 3.70-3.55 (m, 3H), 3.53-3.42 (m, 3H), 3.38 (s, 3H), 3.35-3.25 (m, 2H), 2.68-2.48 (m, 2H), 2.25-2.15 (m, 1H), 2.13-2.07 (m, 2H), 2.03-1.95 (m, 2H), 1.90-1.75 (m, 4H), 1.58 (s, 9H), 1.20-1.17 (m, 3H), 1.16-1.11 (m, 18H).
19F NMR (376 MHZ, DMSO- 6): 5 [ppm] = -104.932, -105.039.
Intermediate 3-64 tert-Butyl (2S)-2-(((7-cyclobutyl-8-((8-ethynyl-7-fluoro-3-(methoxymethoxy)naphthalen-l- yl)(hydroxy)methyl)-6-((4-methoxybenzyl)thio)-7H-purin-2-yl)oxy)methyl)pyrrolidine-l- carboxylate
A solution of tert-butyl (2S)-2-(((7-cyclobutyl-8-((7-fluoro-3-(methoxymethoxy)-8- ((triisopropylsilyl)ethynyl)naphthalen-l-yl)(hydroxy)methyl)-6-((4-methoxybenzyl)thio)-7H-purin-2- yl)oxy)methyl)pyrrolidine-l -carboxylate (Intermediate 3-63, 12 g, 12.76 mmol) and TBAF (1 M, 24.86 mb) in THF (150 mb) was stirred at 0 °C for 1 h. The mixture was diluted with water (100 mb) and extracted with ethyl acetate (two times 100 mb). The combined organic phases were washed with brine (three times 100 mb), dried over anhydrous sodium sulfate, fdtered and concentrated in vacuo. The residue was purified by column chromatography on silica gel (300-400 mesh, 60% ethyl acetate in petroleum ether) to give tert-butyl (2S)-2-(((7-cyclobutyl-8-((8-ethynyl-7-fluoro-3-(methoxymethoxy)naphthalen-l- yl)(hydroxy)methyl)-6-((4-methoxybenzyl)thio)-7H-purin-2-yl)oxy)methyl)pyrrolidine-l-carboxylate (6.6 g, 8.42 mmol, 66% yield).
LC-MS (Method L) Rt = 0.506 min, m/z = 784.2 [M+H]+.
'H NMR (400 MHz, CDCL- ): 5 [ppm] = 8.20 (d, 1H), 7.80 (dd, 1H), 7.45-7.37 (m, 3H), 7.33 (t, 1H), 6.92-6.83 (m, 3H), 5.19-5.14 (m, 2H), 5.13-5.03 (m, 1H), 4.74-4.60 (m, 2H), 4.58-4.46 (m, 2H), 4.45-4.36 (m, 1H), 4.35-4.24 (m, 1H), 3.87 (s, 1H), 3.80 (s, 3H), 3.53-3.43 (m, 2H), 3.41 (s, 3H), 2.77-2.48 (m, 2H), 2.33-2.20 (m, 1H), 2.17-2.05 (m, 3H), 1.97-1.85 (m, 1H), 1.82-1.69 (m, 2H), 1.67-1.57 (m, 1H), 1.47 (s, 9H).
19F NMR (376 MHz, DMSO- 6): 5 [ppm] = -106.058, -106.124.
Intermediate 3-65 tert-Butyl (2S)-2-(((7-cyclobutyl-8-(8-ethynyl-7-fluoro-3-(methoxymethoxy)-l-naphthoyl)-6-((4- methoxybenzyl)thio)-7H-purin-2-yl)oxy)methyl)pyrrolidine-l-carboxylate
A solution of tert-butyl (2S)-2-(((7-cyclobutyl-8-((8-ethynyl-7-fluoro-3-(methoxymethoxy)naphthalen-l- yl)(hydroxy)methyl)-6-((4-methoxybenzyl)thio)-7H-purin-2-yl)oxy)methyl)pyrrolidine-l-carboxylate (Intermediate 3-64, 2.2 g, 2.81 mmol), Dess-Martin periodinane (2.38 g, 5.61 mmol) in dichloromethane (20 mL) was stirred at 25 °C for 2.5 h. The reaction was performed for three batches in parallel and worked-up together. The mixture was quenched with saturated aqueous sodium carbonate solution (30 mL) and extracted with ethyl acetate (two times 50 mL). The combined organic phases were washed with saturated aqueous sodium sulfite solution (two times 50 mL), brine (two times 50 mL), dried over anhydrous sodium sulfate and filtered. The filtrate was purified by column chromatography on silica gel (300-400 mesh, 100% ethyl acetate) to give tert-butyl (2S)-2-(((7-cyclobutyl-8-(8-ethynyl-7-fluoro-3- (methoxymethoxy)- 1 -naphthoyl)-6-((4-methoxybenzyl)thio)-7H-purin-2-yl)oxy)methyl)pyrrolidine- 1 - carboxylate (5.7 g, 7.29 mmol, 87% yield).
LC-MS (Method L) Rt = 0.611 min, m/z = 782.2 [M+H]+.
'H NMR (400 MHz, CDCL- ): 5 [ppm] = 7.82 (dd, 1H), 7.55 (d, 1H), 7.48-7.41 (m, 2H), 7.35 (d, 1H), 7.32-7.28 (m, 1H), 6.94-6.86 (m, 2H), 6.20-6.05 (m, 1H), 5.29 (s, 2H), 4.74-4.60 (m, 2H), 4.55-4.17 (m, 3H), 3.83 (s, 3H), 3.52 (s, 3H), 3.47-3.32 (m, 2H), 3.30 (s, 1H), 3.25-3.11 (m, 2H), 2.63-2.49 (m, 2H), 2.25 -2.13 (m, 1H), 2.04-1.91 (m, 4H), 1.90-1.78 (m, 1H), 1.41 (s, 9H).
19F NMR (376 MHz, DMSO- 6): 5 [ppm] = -108.210.
Intermediate 3-66 tert-Butyl (2S)-2-(((7-cyclobutyl-8-(8-ethynyl-7-fluoro-3-(methoxymethoxy)-l-naphthoyl)-6- hydroxy- 7H-purin-2-yl)oxy)methyl)pyrrolidine-l-carboxylate
To a solution of tert-butyl (2S)-2-(((7-cyclobutyl-8-(8-ethynyl-7-fluoro-3-(methoxymethoxy)-l- naphthoyl)-6-((4-methoxybenzyl)thio)-7H-purin-2-yl)oxy)methyl)pyrrolidine-l-carboxylate (Intermediate 3-65, 1.9 g, 2.43 mmol) in 1,4-dioxane (20 mb) was added oxone (2.99 g, 4.86 mmol) in water (20 mL) at 0 °C. The mixture was stirred at 25 °C for 16 h. The reaction was performed for three batches in parallel and worked-up together. The mixture was quenched with aqueous sodium sulfite solution (1 M, 50 mL), diluted with water (50 mL) and then extracted with ethyl acetate (two times 100 mL). The combined organic phases were washed with saturated aqueous sodium bicarbonate solution (100 mL), brine (two times 100 mL), dried over anhydrous sodium sulfate, filtered and concentrated in vacuo. The crude product was purified by column chromatography (300-400 mesh, 40% ethyl acetate in petroleum ether) to give tert-butyl (2S)-2-(((7-cyclobutyl-8-(8-ethynyl-7-fluoro-3-(methoxymethoxy)-l- naphthoyl)-6-hydroxy-7H-purin-2-yl)oxy)methyl)pyrrolidine-l-carboxylate (2.59 g, 3.92 mmol, 98% purity, 54% yield).
LC-MS (Method L): Rt = 0.414 min, m/z = 646.2 [M+H]+.
’H NMR (400 MHz, CDCh- ): 5 [ppm] = 12.510 (s, 1H), 8.20-8.05 (m, 1H), 7.75 (d, 1H), 7.55 (t, 1H), 7.42 (d, 1H), 6.41-6.29 (m, 1H), 5.36 (s, 2H), 4.49 (s, 1H), 4.29-4.14 (m, 2H), 4.00-3.93 (m, 1H), 3.43 (s, 3H), 3.32-3.27 (m, 1H), 3.25-3.18 (m, 2H), 3.05-2.94 (m, 2H), 2.48-2.44 (m, 1H), 1.98-1.70 (m, 6H), 1.34-1.21 (m, 9H).
19F NMR (376 MHz, DMSO- 6): 5 [ppm] = -109.205, -109.294.
Chiral SFC (conditions: column: Chiralpak IC-3, 3 pm, 50 mm x 4.6 mm; mobile phase: eluent A: carbon dioxide, phase B: ethanol with 0.05% diethyl amine; gradient: 40% ethanol with 0.05% diethyl amine in carbon dioxide; flow rate: 3mL/min; detector: PDA; column temperature: 35 °C; back pressure: 100 bar): Rt = 1.007 min.
[a]D 25 = -14.791 (c = 0.1528, DMSO).
Intermediate 3-67 tert-Butyl 3-(2-{[(2S)-l-(tert-butoxycarbonyl)pyrrolidin-2-yl]methoxy}-7-cyclobutyl-8-[8-ethynyl-
7-fluoro-3-(methoxymethoxy)naphthalene-l-carbonyl]-7H-purin-6-yl)-3,8- diazabicyclo[3.2.1]octane-8-carboxylate
To a solution of tert-butyl (2S)-2-[({7-cyclobutyl-8-[8-ethynyl-7-fluoro-3- (methoxymethoxy)naphthalene- 1 -carbonyl] -6-hydroxy-7H-purin-2-yl } oxy)methyl]pyrrolidine- 1 - carboxylate (Intermediate 3-66, 150 mg, 232 pmol) in anhydrous N,N -dimethylacetamide (1.5 ml) was added PyBOP (242 mg, 465 pmol, 2.0 eq) and DBU (69 pl, 460 pmol, 2.0 eq). The mixture was stirred for 20 minutes at room temperature, then tert-butyl 3,8-diazabicyclo[3.2.1]octane-8-carboxylate (59 mg, 232 pmol, 1.2 eq) was added. The reaction mixture was stirred at room temperature for further 2 hours and quenched with water. The aqueous phase was extracted with ethyl acetate. The combined organic phases were washed twice with brine, filtered through a water repellant filter and concentrated. The crude product was purified by column chromatography (12 g silica gel, hexane / ethyl acetate 10-100%) to give tert-butyl 3-(2-{[(2S)-l-(tert-butoxycarbonyl)pyrrolidin-2-yl]methoxy}-7-cyclobutyl-8-[8-ethynyl-7- fluoro-3 -(methoxymethoxy)naphthalene- 1 -carbonyl] -7H-purin-6-yl)-3 , 8 -diazabicyclo [3.2.1] octane-8- carboxylate (154 mg, 66% purity, 52% yield).
’HNMR (400 MHz, DMSO- 6): 5 [ppm] = 1.27 + 1.35 (s, 9H), 1.45 (s, 9H), 1.53-1.96 (m, 10H), 2.70 (br s, 1H), 3.14-3.27 (m, 2H), 3.33 (s, 7H), 3.44 (s, 3H), 3.97-4.14 (m, 2H), 4.28 (br s, 3H), 4.59-4.62 (m, 1H), 5.28 (br s, 1H), 5.38 (s, 2H), 7.47 (d, J=2.53 Hz, 1H), 7.54-7.61 (m, 1H), 7.77 (d, J=2.53 Hz, 1H), 8.10-8.16 (m, 1H).
Intermediate 4-01
(3R)-3-Methylpiperidin-3-ol hydrochloride (single stereoisomer) (485 mg, 3.07 mmol, 1.0 eq) was added at 0°C to a solution of 2,6-dichloro-7-cyclobutyl-7H-purine (Intermediate 1-03, 747 mg, 3.07 mmol) and triethylamine (1.3 ml, 9.2 mmol, 3.0 eq) in dichloromethane (19 ml). The reaction mixture was stirred at RT overnight and concentrated under reduced pressure. The residue was dissolved in dichloromethane (3 ml) and purified by flash silica gel chromatography (cyclohexane / ethyl acetate gradient). Yield: 995 mg (100% of theory).
LC-MS (Method 1): Rt = 1.32 min; MS (ESIpos): m/z = 322 [M+H]+;
'H-NMR (400 MHz, DMSO- 6): 5 [ppm]: 0.935 (0.58), 1.097 (16.00), 1.511 (0.44), 1.541 (1.29), 1.562 (1.41), 1.573 (0.99), 1.623 (0.82), 1.660 (0.55), 1.756 (0.70), 1.781 (0.92), 1.806 (0.80), 1.831 (0.76), 1.853 (0.62), 1.997 (0.52), 2.024 (0.49), 2.464 (1.23), 2.570 (0.49), 3.018 (0.51), 3.045 (0.92), 3.071 (0.52), 3.152 (1.70), 3.184 (2.40), 3.295 (0.61), 3.306 (0.95), 3.311 (1.28), 3.324 (4.12), 3.380 (1.14), 3.387 (0.88), 3.397 (0.55), 3.406 (0.63), 3.669 (0.76), 3.700 (0.64), 4.498 (6.20), 5.031 (0.73), 5.051 (1.12), 5.073 (0.75), 5.749 (4.15), 8.876 (8.02).
Intermediate 4-02
6-[(3/?)-3-{[rerr-Butyl(dimethyl)silyl|oxy}-3-methylpiperidin-l-yl|-2-chloro-7-cyclobutyl-7//-purine
/< / /-Bntyl (dimethyl )silyl trifluoromethane sulfonate (3.5 ml, 15.4 mmol, 5.0 eq) was added dropwise under argon atmosphere at RT to a solution of (3/?)- 1 -(2-chloro-7-cy clobiityl-7//-piirin-6-yl)-3-mcthylpipcridin- 3-ol (single stereoisomer) (Intermediate 4-01, 994 mg, 3.09 mmol) and triethylamine (2.8 ml, 20.1 mmol, 6.5 eq) in dichloromethane (19 ml). The reaction mixture was stirred at RT for 1 h, quenched with saturated aqueous sodium bicarbonate and extracted. After phase separation, the aqueous phase was extracted two times with dichloromethane. The combined organic phases were dried over phase separation filter paper and concentrated under reduced pressure. The residue was dissolved in dichloromethane (5 ml) and purified by flash silica gel chromatography (cyclohexane / ethyl acetate gradient). Yield: 1.21 g (90% of theory).
LC-MS (Method 1): Rt = 2.61 min; MS (ESIpos): m/z = 436 [M+H]+;
1H-NMR (400 MHz, DMSO- 6): 5 [ppm]: -0.216 (5.31), -0.024 (5.58), -0.014 (0.47), 0.533 (1.43), 0.541 (16.00), 1.203 (3.91), 2.478 (0.44), 2.574 (0.41), 3.326 (0.75), 3.369 (1.05), 8.837 (2.12).
Intermediate 4-03
6- 1(37?) -3- { [tert- Butyl(dimethyl)silyl ] oxy }-3-methylpiperidin- 1-yl] -7-cyclobutyl-2- { [(2A)-4 ,4- difluoro-l-methylpyrrolidin-2-yl]methoxy}-717-purine (single stereoisomer)
Sodium hydride (60% in mineral oil, 37 mg, 0.92 mmol, 2.0 eq) was added under argon atmosphere at RT to a mixture of |(2.S)-4.4-difluoro- l -mcthylpyrrolidin-2-yl |mcthanol (single stereoisomer) (83 mg, 0.55 mmol, 1.2 eq) and molecular sieve (3 A, 204 mg) in 1,4-dioxane (2.0 ml), followed by the addition of 6- [(3R)-3-{[tert-butyl(dimethyl)silyl]oxy}-3-methylpiperidin-l-yl]-2-chloro-7-cyclobutyl-7H-purine (single stereoisomer) (Intermediate 4-02, 200 mg, 0.46 mmol). The reaction mixture was stirred at 95°C for 1 h in a closed microwave vial and added to saturated aqueous ammonium chloride solution. The
mixture was extracted three times with ethyl acetate. The combined organic phases were washed with brine, dried over phase separation filter paper and concentrated under reduced pressure. The residue was dissolved in dimethyl sulfoxide (3 ml) and purified by RP-HPLC (acetonitrile / 0. 1% formic acid in water gradient). Yield: 211 mg (82% of theory).
LC-MS (Method 1): Rt = 2.22 min; MS (ESIpos): m/z = 551 [M+H]+;
1H-NMR (400 MHz, DMSO- 6): 5 [ppm]: -0.175 (5.40), -0.013 (0.55), 0.592 (0.73), 0.615 (16.00), 1.222 (3.80), 1.585 (0.47), 1.711 (0.47), 2.356 (4.37), 2.459 (0.40), 2.932 (0.53), 3.202 (0.48), 3.234 (0.66), 3.409 (0.54), 4.192 (0.42), 4.207 (0.41), 8.698 (2.19).
Intermediate 4-04
8-Bromo-6- |(3/?)-3- { [ter/-butyl(dimethyl)silyl] oxy }-3-methylpiperidin- 1-yl] -7-cyclobutyl-2- { [(2A)- 4,4-difluoro-l-methylpyrrolidin-2-yl]methoxy}-7/f-purine (single stereoisomer)
Lithium bis(trimethylsilyl)amide solution (1 M in tetrahydrofuran, 894 pl, 0.89 mmol, 2.4 eq) was added under argon atmosphere at -78°C to a solution of 6-[(3R)-3-{[tert-butyl(dimethyl)silyl]oxy}-3- methylpiperidin- 1 -yl] -7 -cyclobutyl-2- { | (2.S')-4.4-difl uoro- 1 -methylpyrrolidin-2-yl]methoxy } -7H-purine (single stereoisomer) (Intermediate 4-03, 210 mg, 0.37 mmol) in tetrahydrofuran (5.3 ml). The mixture was stirred at -20°C for 15 min and at -78°C for another 45 min, followed by the addition of bromine (27 pl, 0.52 mmol, 1.4 eq). The reaction mixture was stirred at -78°C for 1 h and at RT overnight, cooled to - 78°C, mixed with additional lithium bis(trimethylsilyl)amide solution (1 M in tetrahydrofuran, 373 pl, 0.37 mmol, 1.0 eq) and bromine (9.6 pl, 0.19 mmol, 0.5 eq) and stirred at RT for 5 h. The mixture was diluted with water and ethyl acetate and extracted. After phase separation, the aqueous phase was extracted three times with ethyl acetate. The combined organic phases were washed with saturated aqueous sodium thiosulfate solution, with water and with brine, dried over phase separation filter paper and concentrated under reduced pressure. The residue was dissolved in dimethyl sulfoxide (5 ml) and purified by flash silica gel chromatography (cyclohexane / ethyl acetate gradient). Yield: 147 mg (63% of theory).
LC-MS (Method 1): Rt = 2.60 min; MS (ESIpos): m/z = 629 [M+H]+;
*H-NMR(400 MHz, DMSO- 6): 5 [ppm]: -0.186 (6.65), -0.145 (0.66), -0.039 (8.94), -0.026 (1.25), -0.014 (0.58), 0.037 (0.41), 0.557 (3.86), 0.577 (11.62), 0.642 (0.72), 0.658 (0.60), 0.735 (0.41), 1.153 (0.43),
1.171 (0.96), 1.189 (1.50), 1.202 (11.27), 1.516 (0.68), 1.549 (1.39), 1.575 (0.99), 1.605 (0.75), 1.615
(0.54), 1.693 (1.02), 1.725 (0.61), 1.769 (0.71), 1.794 (0.83), 1.816 (0.51), 1.876 (0.86), 1.903 (0.77),
1.930 (0.50), 1.962 (0.69), 1.984 (1.81), 2.129 (0.57), 2.162 (0.62), 2.181 (0.45), 2.349 (16.00), 2.396
(0.55), 2.416 (0.43), 2.424 (0.41), 2.432 (0.42), 2.442 (0.68), 2.459 (0.77), 2.467 (0.59), 2.578 (1.03),
2.606 (0.72), 2.617 (0.72), 2.625 (0.67), 2.645 (0.72), 2.653 (0.72), 2.664 (0.70), 2.692 (0.59), 2.803 (0.92), 2.818 (0.88), 2.888 (0.66), 2.915 (1.62), 2.942 (1.12), 3.227 (0.53), 3.258 (0.75), 3.293 (0.51), 3.390 (1.21), 4.142 (0.93), 4.157 (0.96), 4.170 (1.21), 4.185 (1.17), 4.332 (1.33), 4.344 (1.32), 4.360 (1.04), 4.372 (0.99), 5.023 (0.62), 5.045 (0.90), 5.067 (0.60).
Intermediate 4-05
6- 1(37?) -3- { [re/7- Butyl(dimethyl)silyl | oxy }-3-methylpiperidin- 1-yl] -7-cyclobutyl-2- { [(2A)-4,4- difluoro-l-methylpyrrolidin-2-yl]methoxy}-8-({7-fluoro-3-(methoxymethoxy)-8- [(triisopropylsilyl)ethynyl]-l-naphthyl}oxy)-7/f-purine (single stereoisomer)
2-lert-Butylimino-2-diethylamino-l,3-dimethylperhydro-l,3,2-diazaphosphorine (BEMP, CAS RN 98015-45-3) (201 pl, 0.70 mmol, 3.0 eq) was added at RT to a solution of 8-bromo-6-[(3R)-3-{[tert- butyl(dimethyl)silyl] oxy} -3 -methylpiperidin- 1 -yl] -7 -cyclobutyl -2- { | ( 2.8) -4.4 -di fl no ro - 1 - methylpyrrolidin-2-yl]methoxy}-7H-purine (single stereoisomer) (Intermediate 4-04, 146 mg, 0.23 mmol) and 7-fluoro-3-(methoxymethoxy)-8-[(triisopropylsilyl)ethynyl]-l-naphthol (Intermediate 1-07, 187 mg, 0.46 mmol, 2.0 eq) in '. '-dimcthylformamidc (2.5 ml). The reaction mixture was stirred at 80°C for 4 h in a closed microwave vial, diluted with water and ethyl acetate and extracted. After phase separation, the aqueous phase was extracted two times with ethyl acetate. The combined organic phases were washed with brine, dried over phase separation filter paper and concentrated under reduced pressure. The residue was dissolved in dichloromethane (4 ml) and purified by flash silica gel chromatography (cyclohexane / ethyl acetate gradient). Yield: 136 mg (62% of theory).
LC-MS (Method 5): Rt = 3.84 min; MS (ESIpos): m/z = 952 [M+H]+;
‘H-NMR (400 MHz, DMSO- 6): 5 [ppm]: 0.038 (5.57), 0.122 (5.44), 0.763 (0.90), 0.826 (11.55), 0.901 (6.05), 0.916 (5.99), 0.947 (1.57), 1.157 (0.90), 1.175 (1.53), 1.193 (0.84), 1.319 (2.95), 1.398 (16.00),
1.648 (0.42), 1.989 (2.60), 2.321 (3.91), 2.433 (0.40), 2.894 (0.49), 3.358 (0.46), 3.413 (8.34), 4.021 (0.61), 4.039 (0.60), 5.321 (3.34), 7.252 (0.68), 7.576 (1.04), 7.581 (1.47), 7.603 (0.98), 7.626 (0.53), 8.072 (0.44), 8.086 (0.46), 8.095 (0.50), 8.109 (0.48).
Intermediate 4-06
(37?)-l-(7-Cyclobutyl-2-{[(2iS)-4,4-difluoro-l-methylpyrrolidin-2-yl]methoxy}-8-{[8-ethynyl-7- fluoro-3-(methoxymethoxy)-l-naphthyl]oxy}-7/7-purin-6-yl)-3-methylpiperidin-3-ol (single stereoisomer)
6-[(3R)-3-{[tert-Butyl(dimethyl)silyl]oxy}-3-methylpiperidin-l-yl]-7-cyclobutyl-2-{[(2S)-4,4-difluoro- l-methylpyrrolidin-2-yl]methoxy}-8-({7-fluoro-3-(methoxymethoxy)-8-[(triisopropylsilyl)ethynyl]-l- naphthyl} oxy) -7H-purine (single stereoisomer) (Intermediate 4-05, 134 mg, 0.14 mmol) was dissolved in tetra-w-butylammonium fluoride solution (1 M in tetrahydrofuran, 3.52 ml, 3.52 mmol, 25 eq). The reaction mixture was stirred at RT for 4 h and concentrated under reduced pressure. The residue was dissolved in dimethyl sulfoxide (7 ml) and acetonitrile (1 ml) and purified by RP-HPLC (acetonitrile / 0.1% formic acid in water gradient). Yield: 67 mg (67% of theory).
LC-MS (Method 1): Rt = 1.91 min; MS (ESIpos): m/z = 681 [M+H]+;
'H-NMR (400 MHz, DMSO- 6): 5 [ppm]: 1.159 (6.08), 1.573 (0.48), 1.647 (0.91), 1.673 (0.69), 1.776 (0.42), 1.842 (0.44), 2.313 (3.17), 2.439 (0.69), 2.457 (0.74), 3.016 (0.84), 3.040 (1.36), 3.066 (1.50),
3.279 (0.95), 3.405 (0.51), 3.445 (16.00), 4.119 (0.49), 4.133 (0.50), 4.240 (0.62), 4.252 (0.64), 4.268
(0.49), 4.280 (0.45), 4.444 (2.60), 4.662 (1.44), 5.203 (0.48), 5.374 (6.65), 7.452 (1.74), 7.457 (1.84),
7.563 (0.87), 7.586 (1.72), 7.609 (0.89), 7.650 (2.02), 7.656 (1.87), 8.093 (0.79), 8.107 (0.86), 8.116
(0.84), 8.131 (0.79).
Intermediate 4-07
2,4-Dichloropyrimidin-5-amine (36.0 g, 213 mmol) was dissolved in dichloromethane (690 mL) and cooled to 0°C. Titantetrachlorid (1.1 eq., 230 ml 1.0 M solution in dichloromethane) was added drop wise. The solution was allowed to warm to rt within 1 h and stirred at rt for further 2 h. Sodium cyanoborohydride (3.0 eq, 40.1 g, 639 mmol) was added in four portions and the mixture stirred for further 1.5 h. The reaction mixture was slowly poured into water, the mixture extracted 3 times with ethyl acetate, the combined organic layers were washed with brine and dried with sodium sulfate. The solvents were removed in vacuo and the crude product purified by flash chromatography to yield 18.3 g (39% of theory) of 2,4-dichloro-N-cyclobutylpyrimidin-5-amine. 16.6 g (46%) of 2,4-dichloropyrimidin-5-amine were reisolated.
LC-MS (Method 8): Rt = 1.09 min; MS (ESI): m/z = 218 [M+l]+
'H NMR (400 MHz, DMSO- 6): 5 [ppm] 1.63 - 1.77 (m, 2H), 1.98 - 2.08 (m, 2H), 2.30 - 2.38 (m, 2H), 3.93 - 4.02 (m, 1H), 6.28 (d, 1H), 8.03 (s, 1H).
Intermediate 4-08
2,4-Dichloro-N-cyclobutylpyrimidin-5-amine (Intermediate 4-07, 18.3 g, 83.9 mmol) was dissolved in DMF (520 mL), N-chloro succinimide (1.0 eq., 11.2 g, 83.9 mmol) were added and the mixture stirred at 70°C for 1 h. Then a second equivalent N-chloro succinimide (1.0 eq., 11.2 g, 83.9 mmol) was added and the mixture stirred at 70°C for further 30 min. The solution was allowed to cool to rt and concentrated to dryness in vacuo. The residue was purified by flash chromatography to yield 17.0 g of 2,4,6-trichloro-N- cyclobutylpyrimidin-5 -amine (purity 83%, 67% of theory).
LC-MS (Method 8): Rt = 1.32 min; MS (ESI): m/z = 252 [M+l]+
'H NMR (400 MHz, DMSO- 6): 5 [ppm] 1.50 - 1.65 (m, 2H), 2.04 - 2.14 (m, 2H), 2.23 - 2.29 (m, 2H), 4.10 - 4.20 (m, 1H), 5.61 (d, 1H).
2,4,6-trichloro-N-cyclobutylpyrimidin-5-amine (Intermediate 4-08, 17.0 g, 67.3 mmol) was dissolved in ammonia solution (2M in isopropanol, 168 mL, 5 eq.). The solution was distributed into several pressure tubes which were closed and heated to 80°C for 18 h. The reaction mixtures were allowed to cool to rt, combined and evaporated to dryness. The crude product 2,6-dichloro-N5-cyclobutylpyrimidine-4,5- diamine was used without further purification
LC-MS (Method 8): Rt = 0.92 min; MS (ESI): m/z = 233 [M+l]+
'H NMR (400 MHz, DMSO- 6): 5 [ppm] 1.43 - 1.63 (m, 2H), 1.85 - 1.96 (m, 2H), 2.10 - 2.17 (m, 2H), 3.67 - 3.77 (m, 1H), 4.36 (d, 1H), 7.48 (s, br, 2H).
Intermediate 4-10 - identical with intermediate 1-03 but prepared by different route
To triethyl orthoformate (10 eq., 140 ml, 820 mmol), dissolved in toluene (220 mL), 2,6-dichloro-N5- cyclobutylpyrimidine-4,5-diamine (Intermediate 1-03, 19 g, 81.5 mmol) was added. Ammonium chloride (17.4 g, 326 mmol) was added and the mixture was stirred at 135°C for 1 h. The solution was allowed to cool to rt and concentrated to dryness in vacuo. The residue was purified by flash chromatography to yield 7.0 g (35% of theory) of 2,6-dichloro-7-cyclobutyl-7H-purine.
LC-MS (Method 8): Rt = 0.86 min; MS (ESI): m/z = 243 [M+l]+
'H NMR (400 MHz, DMSO- 6): 5 [ppm] 1.85 - 1.93 (m, 2H), 2.50 - 2.64 (m, 4H), 5.18 - 5.26 (m, 1H), 9.12 (s, 1H).
Intermediate 4-11
6- [(3R)-3- { [tert-Butyl(dimethyl)silyl] oxy }-3-methylpiperidin- 1-yl] -7-cyclobutyl-2- [(2S)-pyrrolidin-
2-ylmethoxy]-7H-purine
tert-butyl (2.S')-2-(hydroxymcthyl)pyrrolidinc- l -carboxylate (120 mg, 596 pmol; CAS-RN: [69610-40-8]) was dissolved in dry 1,4-dioxane (5.0 ml), then sodium hydride (36.7 mg, 60 % purity, 917 pmol; CAS- RN:[7646-69-7]) was added. The reaction mixture was flushed with argon, stirred for 5 minutes at RT, before 6-[(3R)-3-{[tert-butyl(dimethyl)silyl]oxy}-3-methylpiperidin-l-yl]-2-chloro-7-cyclobutyl-7H- purine (Intermediate 4-02, 200 mg, 459 pmol) was added. The reaction mixture was heated at 95°C for 1 h. After this time the reaction was allowed to cool to room temperature, then the mixture was diluted with ethyl acetate and filtered through celite. The organic phase was washed with brine, filtered through a water repellant filter and concentrated. The crude material was purified by chromatography on a Biotage Isolera (Biotage Sfar Silica HC D - 20 pm 25 g cartridge) using gradient conditions (0% ethyl acetate in hexane 40% ethyl acetate in hexane) to afford 69 mg (29% yield, 97% purity) of the title compound.
LC-MS (Method 3): Rt = 1.05 min; MS (ESIpos): m/z = 502 [M+H]+;
’H NMR (400 MHz, DMSO- 6): 5 [ppm] = -0.17 (s, 3H), 0.00 (s, 3H), 0.62 (s, 9H), 1.22 (s, 3H), 1.38 (br s, 9H), 1.52-1.63 (m, 2H), 1.69-1.96 (m, 7H), 1.96-2.07 (m, 1H), 2.32-2.38 (m, 1H), 2.40-2.47 (m, 1H), 2.52-2.59 (m, 2H), 2.92 (br t, 1H), 3.19-3.30 (m, 3H), 3.35-3.43 (m, 1H), 3.79 (br d, 1H), 4.01-4.16 (m, 2H), 4.20 (br s, 1H), 4.86 (quin, 1H), 8.70 (s, 1H).
Intermediate 4-12 tert-Butyl (2S)-2-[({8-bromo-6-[(3R)-3-{[tert-butyl(dimethyl)silyl]oxy}-3-methyl-piperidin-l-yl]-7- cyclobutyl-7H-purin-2-yl}oxy)methyl]pyrrolidine-l-carboxylate
6-[(3R)-3-{[tert-butyl(dimethyl)silyl]oxy}-3-methylpiperidin-l-yl]-7-cyclobutyl-2-[(2S)-pyrrolidin-2- ylmethoxy]-7H-purine (Intermediate 4-11, 65.0 mg, 108 pmol) was dissolved in anhydrous tetrahydrofuran (1.0 ml) and the solution was flushed with argon. The mixture was cooled down to -20°C, then a 1 M solution of lithium bis(trimethylsilyl)amide in tetrahydrofuran (260 pl, 1.0 M, 260 pmol; CAS- RN:[4039-32-l]) was added dropwise and the resulting solution was stirred for 15 minutes at this temperature. To the cold mixture was added dropwise bromine (7.8 pl, 150 pmol; CAS-RN: [7726-95-6]), dissolved in tetrahydrofuran (260 pl, 1.0 M, 260 pmol; CAS-RN:[4039-32-l]). The reaction mixture was allowed to warm to room temperature and was stirred for further 1 h. The reaction was quenched with sodium thiosulfate solution and the aqueous mixture was extracted with ethyl acetate. The combined organic phases were washed with brine, filtered through a water repellant filter and concentrated. The crude material was purified by using on a Biotage Isolera (Biotage Sfar C18 D - 30 pm 12 g cartridge) using gradient conditions (0% ethyl acetate in hexane 30% ethyl acetate in hexane) to afford 46.0 mg (59% yield, 95% purity) of the title compound.
LC-MS (Method 3): Rt = 1.85 min; MS (ESIpos): m/z = 679 [M+H]+;
’H NMR (400 MHz, DMSO- 6): 5 [ppm] = -0.26-0.10 (m, 3H), -0.04 (s, 3H), 0.58 (br s, 9H), 1.20 (s, 3H), 1.38 (br s, 9H), 1.49-1.62 (m, 2H), 1.67-2.04 (m, 8H), 2.31-2.37 (m, 1H), 2.52-2.59 (m, 1H), 2.77- 2.94 (m, 3H), 3.22-3.32 (m, 3H), 3.35-3.42 (m, 1H), 3.86-4.11 (m, 3H), 4.22 (br s, 1H), 5.05 (quin, 1H).
Intermediate 4-13 tert-Butyl (2RS)-2- [({6- [(3SR)-3- { [tert-butyl(dimethyl)silyl] oxy }-3-methylpiperidin- 1-yl] -7- cyclobutyl-8-({7-fluoro-3-(methoxymethoxy)-8-[(triisopropylsilyl)ethynyl]-l-naphthyl}oxy)-7H- purin-2-yl}oxy)methyl]pyrrolidine-l-carboxylate
tert-Butyl (2S)-2-[({8-bromo-6-[(3R)-3-{[tert-butyl(dimethyl)silyl]oxy}-3-methylpiperidin-l-yl]-7- cyclobutyl-7H-purin-2-yl}oxy)methyl]pyrrolidine-l-carboxylate (Intermediate 4-12, 250 mg, 368 pmol) was dissolved in dry A. A-dimcthylfonna idc (3.0 ml), then 7-fluoro-3-(methoxymethoxy)-8- [(triisopropylsilyl)ethynyl]-l -naphthol (Intermediate 1-07, 296 mg, 736 pmol) was added followed by 2- tert.-butylimino-2-diethylamino-l,3-dimethyl-perhydro-l,3,2-diaza-phosphorin (320 pl, 1.1 mmol; CAS-
RN:[98015-45-3]). The reaction mixture was heated at 65°C for 16 h. The reaction was quenched with water and the aqueous phase was extracted with ethyl acetate. The combined organic phases were filtered through a water repellant filter and concentrated. The crude material was purified by chromatography on a Biotage Isolera (Biotage Star Silica HC D - 20 pm 25 g cartridge) using gradient conditions (0% ethyl acetate in hexane 90% ethyl acetate in hexane) to afford 278 mg (74% yield, 98% purity) of the title compound.
’H NMR (400 MHz, DMSO- 6): 5 [ppm] = 0.03 (s, 3H), 0.12 (s, 3H), 0.82 (s, 9H), 0.86-0.95 (m, 21H), 1.20-1.26 (m, 1H), 1.31 (s, 3H), 1.34 (br s, 9H), 1.59-1.87 (m, 8H), 1.94-2.08 (m, 3H), 2.34-2.47 (m, 2H), 2.91 (br s, 3H), 3.07 (br d, 1H), 3.19-3.32 (m, 3H), 3.42-3.61 (m, 2H), 4.03 (q, 2H), 4.15 (br s, 1H), 4.97- 5.06 (m, 1H), 5.32 (s, 2H), 7.23 (s, 1H), 7.56-7.59 (m, 1H), 7.60-7.63 (m, 1H), 8.09 (dd, 1H).
Intermediate 4-14 tert-Butyl (2S)-2-{[(7-cyclobutyl-8-{[8-ethynyl-7-fluoro-3-(methoxymethoxy)-l-naphthyl]oxy}-6- [(3R)-3-hydroxy-3-methylpiperidin-l-yl]-7H-purin-2-yl)oxy]methyl}pyrrolidine-l-carboxylate
tert-Butyl (2RS)-2-[({6-[(3SR)-3-{[tert-butyl(dimethyl)silyl]oxy}-3-methylpiperidin-l-yl]-7-cyclobutyl- 8-({7-fhioro-3-(methoxymethoxy)-8-[(triisopropylsilyl)ethynyl]-l-naphthyl}oxy)-7H-purin-2- yl}oxy)methyl]pyrrolidine-l-carboxylate (Intermediate 4-13, 50.0 mg, 49.9 pmol) was treated with a 1 M solution of tetrabutylammonium fluoride in tetrahydrofuran (1000 pl, CAS-RN: [429-41-4]). The reaction mixture was stirred for 2 h at RT. The mixture was quenched with saturated sodium bicarbonate solution and extracted with ethyl acetate. The combined organic phases were washed with brine, filtered through a water repellant filter and concentated. The crude material was purified by chromatography on a Interchim PuriFlash 5.250 (PF Silica HC - 15 pm 4 g cartridge) using gradient conditions (0% ethyl acetate in hexane 100% ethyl acetate in hexane) to afford 28.0 mg (77% yield, 99% purity) of the title compound.
LC-MS (Method 3): Rt = 1.52 min; MS (ESIpos): m/z = 731 [M+H]+;
’HNMR (400 MHz, DMSO- 6): 5 [ppm] = 1.15 (s, 3H), 1.30 + 1.36 (br s, 9H), 1.53-1.69 (m, 3H), 1.71- 1.97 (m, 7H), 2.39-2.47 (m, 2H), 2.97-3.10 (m, 4H), 3.15-3.32 (m, 4H), 3.44 (s, 3H), 3.93-4.15 (m, 3H), 4.44 (s, 1H), 4.67 (s, 1H), 5.20 (brt, 1H), 5.37 (s, 2H), 7.45 (d, 1H), 7.59 (t, 1H), 7.65 (d, 1H), 8.11 (dd, 1H).
Intermediate 4-15
(3R)-l-[2-{[(2R,7aS)-2-Fluorotetrahydro-lH-pyrrolizin-7a(5H)-yl]methoxy}-7-(3- methoxycyclobutyl)-7H-purin-6-yl]-3-methylpiperidin-3-ol
PyBop (2 eq., 10 g, 19.3 mmol; CAS-RN:[128625-52-5]) was added to a solution of 2-{[(2R,7aS)-2- fluorotetrahydro-lH-pyrrolizin-7a(5H)-yl]methoxy}-7-(3-methoxycyclobutyl)-7H-purin-6-ol
(Intermediate 3-26, 1 eq., 4 g, 91 % purity, 9.6 mmol) and TEA (5 eq., 6.7 ml, 48 mmol; CAS-RN:[121- 44-8]) in MeCN (160 m ) and stirred for 20 minutes at rt. Afterwards, (3R)-3-methylpiperidin-3-ol (2 eq., 2.22 g, 19.3 mmol) was added and the resulting mixture was stirred for 16h at 80 °C. The reaction was cooled down to rt and the residue was purified by column chromatography on silica gel (petroleum ether: ethyl acetate = 10: 1, 3: 1 then 0: 1). The crude product was purified a second time by RP-HPLC (acetonitrile / 0.01% formic acid in water gradient). The product fractions were pooled and concentrated in vacuo to afford 13.2 mg (19% yield, 100% purity) of the title compound. The residue was purified by by reversed phase column (instrument: 450 g Flash; Column: Welch Ultimate XB_C18 20-40 pm; eluent A: water (0.05% formic acid), eluent B: acetonitrile; gradient: 0-35 min 0 - 65% B; flow 80 ml/min; temperature; Detector: UV 220/254 nm) to give 1 g (94 % purity, 21 % yield) of the title compound.
LC-MS (Method 3): Rt = 0.60 min; MS (ESIpos): m/z = 475 [M+H]+
Intermediate 4-16
6- [(3R)-3- { [tert-Butyl(dimethyl)silyl] oxy }-3-methylpiperidin- 1-yl] -2- { [(2R,7aS)-2- fluorotetrahydro-lH-pyrrolizin-7a(5H)-yl]methoxy}-7-(3-methoxycyclobutyl)-7H-purine
tert-Butyldimethylsilyl trifluoromethanesulfonate: (5 eq., 4.6 ml, 20 mmol; CAS-RN: [69739-34-0]) was added to a solution of (3R)-l-[2-{[(2R,7aS)-2-fluorotetrahydro-lH-pyrrolizin-7a(5H)-yl]methoxy}-7-(3- methoxycyclobutyl)-7H-purin-6-yl]-3-methylpiperidin-3-ol (Intermediate 4-15, 1 eq., 2.40 g, 80 % purity, 4.05 mmol), triethylamine (10 eq., 5.6 ml, 40 mmol; CAS-RN: [121-44-8]) and 4- (dimethylamino)pyridine: (0.1 eq., 49.4 mg, 405 pmol; CAS-RN:[1122-58-3]) in DCM (41 mL) at rt. The resulting mixture was stirred at 50 °C for 2 h. The reaction mixture was poured into water and extracted with ethyl acetate. The combined organic layers were washed with brine, dried over anhydrous sodium sulfate, filtered and concentrated to give a residue. The residue was purified by flash column chromatography (petroleum ether: ethyl acetate = 1: 0 then 1: 1, then 0: 1, then methanol: ethyl acetate = 1: 10 ) to give 580 mg (95 % purity, 23 % yield) of the title compound.
LC-MS (Method 3): Rt = 0.79 min; MS (ESIpos): m/z = 589 [M+H]+;
'HNMR (400 MHz, DMSO- 6): 5 [ppm] = -0.31 - -0.08 (m, 3 H) -0.05 - 0.11 (m, 3 H) 0.46 - 0.74 (m, 9 H) 1.20 - 1.25 (m, 3 H) 1.48 - 1.67 (m, 2 H) 1.67 - 1.88 (m, 4 H) 1.91 - 2.16 (m, 4 H) 2.19 - 2.44 (m, 2 H) 2.55 - 3.15 (m, 9 H) 3.18 - 3.22 (m, 3 H) 3.55 - 4.20 (m, 4 H) 4.40 - 4.59 (m, 0.5 H) 5.02 - 5.15 (m, 0.5 H) 5.15 - 5.40 (m, 1 H) 8.56 - 8.71 (m, 1 H)
Intermediate 4-17
8-Bromo-6-[(3R)-3-{[tert-butyl(dimethyl)silyl]oxy}-3-methylpiperidin-l-yl]-2-{[(2R,7aS)-2- fluorotetrahydro-lH-pyrrolizin-7a(5H)-yl]methoxy}-7-(3-methoxycyclobutyl)-7H-purine
To a solution of 6-[(3R)-3-{[tert-butyl(dimethyl)silyl]oxy}-3-methylpiperidin-l-yl]-2-{[(2R,7aS)-2- fluorotetrahydro-lH-pyrrolizin-7a(5H)-yl]methoxy}-7-(3-methoxycyclobutyl)-7H-purine (Intermediate 4-16, 1 eq., 580 mg, 95 % purity, 774 pmol) in THF (9 mb) was added dropwise lithium bis(trimethylsilyl)amide (3.8 mb, 1.0 M, 3.8 mmol) at -30 °C under nitrogen atmosphere. After stirring at -30 °C for 1 h. N-bromosuccinimide (3 eq., 499 mg, 2.80 mmol; CAS-RN: [128-08-5]) dissolved in THF (5 mL) was added dropwise to the above mixture at -30 °C, the reaction mixture was stirred at -30 °C for another 4 hours. The reaction mixture was poured into water and extracted with ethyl acetate. The combined organic layers were washed with brine, dried over anhydrous sodium sulfate, filtered and concentrated to give a residue. The residue was purified by prep-TLC (methanol: ethyl acetate = 1: 10 ) to give 500 mg (87 % purity, 80 % yield) of the title compound.
LC-MS (Method 3): Rt = 0.82 min; MS (ESIpos): m/z = 669 [M+H]+;
'HNMR (400 MHz, DMSO- 6): 5 [ppm] = -0.29 - -0.10 (m, 3 H) -0.10 - 0.04 (m, 3 H) 0.29 - 0.78 (m, 9
H) 1.12 - 1.29 (m, 3 H) 1.46 - 1.65 (m, 2 H) 1.65 - 1.89 (m, 4 H) 1.89 - 2.12 (m, 4 H) 2.54 - 3.12 (m, 10
H) 3.13 - 3.21 (m, 5 H) 3.68 - 4.15 (m, 4 H) 4.58 - 4.71 (m, 0.5 H) 5.14 - 5.37 (m, 1.5 H)
Intermediate 4-18
6- [(3R)-3- { [tert-Butyl(dimethyl)silyl] oxy }-3-methylpiperidin- 1-yl] -8- { [7-fluoro-3- (methoxymethoxy)-8-{[tri(propan-2-yl)silyl]ethynyl}naphthalen-l-yl] oxy}-2-{[(2R,7aS)-2- fluorotetrahydro-lH-pyrrolizin-7a(5H)-yl]methoxy}-7-(3-methoxycyclobutyl)-7H-purine
A solution of 8-bromo-6-[(3R)-3-{[tert-butyl(dimethyl)silyl]oxy}-3-methylpiperidin-l-yl]-2-{[(2R,7aS)- 2-fluorotetrahydro-lH-pyrrolizin-7a(5H)-yl]methoxy}-7-(3-methoxycyclobutyl)-7H-purine (Intermediate 4-17,1 eq., 450 mg, 89 % purity, 600 pmol), 7-fluoro-3-(methoxymethoxy)-8-{[tri(propan- 2-yl)silyl]ethynyl}naphthalen-l-ol (Intermediate 1-07, 1.5 eq., 362 mg, 900 pmol) and potassium carbonate (3 eq., 249 mg, 1.80 mmol; CAS-RN: [584-08-7]) in N,N-dimethylformamide (10 mL) was
stirred at 100 °C for 16 hours. The mixture was diluted with water, extracted with ethyl acetate. The combined organic layers were washed with water and brine, dried over anhydrous sodium sulfate, concentrated to give a residue. The residue was purified twice by preparative TLC (ethyl acetate : methanol = 10: 1) to give 150 mg of a 1/4 mixture of the title compound and the de-TIPS title compound (intermediate 4-19), which was used directly and without further purification in the next step.
Intermediate 4-19
6- [(3R)-3- { [tert-Butyl(dimethyl)silyl] oxy }-3-methylpiperidin- 1-yl] -8- { [8-ethynyl-7-fluoro-3- (methoxymethoxy)naphthalen-l-yl]oxy}-2-{[(2R,7aS)-2-fluorotetrahydro-lH-pyrrolizin-7a(5H)- yl]methoxy}-7-(3-methoxycyclobutyl)-7H-purine
Tetramethylammonium fluoride ( 10 eq., 113 mg, 1.21 mmol) was added to a solution of tert-butyl-[[(3R)- l-[2-[[(2R,8S)-2-fluoro-l,2,3,5,6,7-hexahydropyrrolizin-8-yl]methoxy]-8-[[7-fluoro-3- (methoxymethoxy)-8-(2-triisopropylsilylethynyl)-l-naphthyl]oxy]-7-(3-methoxycyclobutyl)purin-6-yl]- 3 -methyl-3 -piperidyl] oxy] -dimethyl-silane / 6-[(3R)-3-{ [tert-butyl(dimethyl) silyl] oxy } -3 - methylpiperidin-l-yl]-8-{[7-fluoro-3-(methoxymethoxy)-8-{[tri(propan-2-yl)silyl]ethynyl}naphthalen- 1 -yl]oxy } -2- { [(2R,7aS)-2-fluorotetrahydro- lH-pyrrolizin-7a(5H)-yl]methoxy} -7-(3- methoxycyclobutyl)-7H-purine 1/4 (1 eq., 150 mg, 80% purity) in THF (3.2 mL) and stirred at 60°C for 20 hours. The mixture was cooled down to rt, diluted with water and extracted with ethyl acetate. The combined organic layers were washed with water and brine, dried over anhydrous sodium sulfate, concentrated to give a residue. The residue was purified by preparative TLC ( ethyl acetate : mehanol = 10: 1) to give 100 mg (87 % purity, 86 % yield).
LC-MS (Method 3): Rt = 0.90 min; MS (ESIpos): m/z = 833 [M+H]+;
-m-
Intermediate 4-20 tert-Butyl-3-(8- [(RS)- [6- {bis [(4-methoxyphenyl)methyl] amino}-4-methyl-3-
(trifluoromethyl)pyridin-2-yl](hydroxy)methyl]-7-cyclobutyl-2-{[(2R,7aS)-2-fluorotetrahydro-lH- pyrrolizin-7a(5H)-yl]methoxy}-7H-purin-6-yl)-3,8-diazabicyclo[3.2.1]octane-8-carboxylate
LiHMDS (1.5 eq., 190 pl, 1.0 M, 190 pmol; CAS-RN: [109-72-8]) was added dropwise to a mixture of tert-butyl-3-(7-cyclobutyl-2-{[(2R,7aS)-2-fluorotetrahydro-lH-pyrrolizin-7a(5H)-yl]methoxy}-7H- purin-6-yl)-3,8-diazabicyclo[3.2.1]octane-8-carboxylate (Intermediate 1-05, 1 eq., 69.0 mg, 127 pmol) in THF (0.5 mL) at -18 °C and stirred for 5 minutes at -18 °C. 6-{bis[(4-Methoxyphenyl)methyl]amino}-4- methyl-3-(trifluoromethyl)pyridine-2-carbaldehyde [WO 2022/161443, Synthesis of compound 23-5, paragraph 0590-0598, pages 68-69] (1 eq., 70.8 mg, 80 % purity, 127 pmol) in THF (0.5 mL) was added dropwise to this mixture and the reaction mixture was stirred for 30 minutes at -18 °C and for 30 minutes at rt. The reaction was quenched with water (0.5 mL) and saturated aq. NH4C1 -solution (0.5 mL) and diluted with water (2 mL) and EtOAc (4 mL) and extracted with EtOAc. The combined organic layers were washed with brine, dried over anhydrous sodium sulfate, concentrated in vacuo and purified by RP- HPLC (acetonitrile / 0.01% formic acid in water gradient). The product fractions were pooled and concentrated in vacuo to afford 83.2 mg (100 % purity, 66 % yield) of the title compound.
LC-MS (Method 1): Rt = 1.73 min; MS (ESIpos): m/z = 986 [M+H]+
Intermediate 4-21 tert-Butyl-3-(8-[6-{bis[(4-methoxyphenyl)methyl]amino}-4-methyl-3-(trifluoromethyl)pyridine-2- carbonyl]-7-cyclobutyl-2-{[(2R,7aS)-2-fluorotetrahydro-lH-pyrrolizin-7a(5H)-yl]methoxy}-7H- purin-6-yl)-3,8-diazabicyclo [3.2.1] octane-8-carboxylate
Dess-Martin periodinane ((l,l,l-triacetoxy)-l,l-dihydro-l,2-benziodoxol-3(lH)-one, 1.4 eq., 48.8 mg, 115 pmol, CAS 87413-09-0) was added to a solution of tert-butyl-3-(8-[(RS)-[6-{bis[(4- methoxyphenyl)methyl] amino } -4-methyl-3 -(trifluoromethyl)pyridin-2-yl] (hydroxy )methyl] -7 - cyclobutyl-2-{[(2R,7aS)-2-fluorotetrahydro-lH-pyrrolizin-7a(5H)-yl]methoxy}-7H-purin-6-yl)-3,8- diazabicyclo[3.2.1]octane-8-carboxylate (Intermediate 4-20, 1 eq., 81.0 mg, 82.1 pmol) in DCM (5 mL) and the resulting mixture was stirred at rt for 5h. The reaction mixture was quenched with water, diluted with DCM and the organic phase was separated by a Chromabob PTS-cartidge. The solvent was removed in vacuo, and the residue was purified by RP-HPLC (acetonitrile / 0.01% formic acid in water gradient). The product fractions were pooled and concentrated in vacuo to afford 46.5 mg (75 % purity, 43 % yield) of the title compound
LC-MS (Method 2): Rt = 1.96 min; MS (ESIpos): m/z = 984 [M+H]+
Intermediate 5-01 tert-Butyl 4-(4- { [2-chloro-7-(oxan-4-yl)-7H-purin-6-yl] oxy}phenyl)piperazine-l-carboxylate
To a solution of tert-butyl 4-{4-[(2-chloro-9H-purin-6-yl)oxy]phenyl}piperazine-l-carboxylate (Intermediate 2-16, 10.0 g, 23.2 mmol) (2.0 g ' 5, parallel reactions) in N,N-dimethylacetamide (100 ml) were added potassium carbonate (16.0 g, 116 mmol), potassium iodide (1.16 g, 6.96 mmol) and 4- bromotetrahydro-2H-pyran (15.3 g, 92.8 mmol) at 25 °C. After stirring at 100 °C for 64 hours, the reaction mixture was diluted with water and extracted with ethyl acetate. The combined organic layers were washed with water and brine, dried over anhydrous sodium sulfate and concentrated to give a residue. The residue was purified by column chromatography on silica gel (100-200 mesh, petroleum ether: ethyl acetate = 10: 1, then 5: 1, then 1: 1, then 0: 1, then ethyl acetate: methanol = 10: 1) to give tert-butyl 4-(4-{[2-chloro-7- (tetrahydro-2H-pyran-4-yl)-7H-purin-6-yl]oxy}phenyl)piperazine-l-carboxylate (2.00 g, 91% purity).
LC-MS (Method C): Rt = 0.973 min; MS (ESIpos): m/z = 515.2 [M+H]+.
’H NMR (400 MHz, DMSO- 6): 5 [ppm] = 8.82 (s, 1H), 7.23 (d, J = 8.8 Hz, 2H), 7.05 (d, J = 8.8 Hz, 2H), 4.90-4.79 (m, 1H), 4.04-3.99 (m, 2H), 3.52-3.44 (m, 6H), 3.16-3.10 (m, 4H), 2.24-2.10 (m, 4H), 1.43 (s, 9H). Intermediate 5-02 tert-Butyl 4-(4-{[2-{[(2R,7aS)-2-fluorotetrahydro-lH-pyrrolizin-7a(5H)-yl]methoxy}-7-(oxan-4-yl)- 7H-purin-6-yl]oxy}phenyl)piperazine-l-carboxylate
To a solution of tert-butyl 4-(4-{[2-chloro-7-(oxan-4-yl)-7H-purin-6-yl]oxy}phenyl)piperazine-l- carboxylate (Intermediate 5-01, 1.00 g, 91% purity, 1.77 mmol) and [(2R,7aS)-2-fhrorotetrahydro-lH- pyrrolizin-7a(5H)-yl]methanol (563 mg, 3.53 mmol) in toluene (10 ml) were added cesium carbonate (1.73 g, 5.30 mmol) and methanesulfonato(2-dicyclohexylphosphino-2',6'-di-iso-propoxy-l,l'- biphenyl)(2'-amino-l,r-biphenyl-2-yl)palladium(II) (74.0 mg, 0.0883 mmol) at 25 °C under nitrogen atmosphere. After stirring at 100 °C for 16 hours, the mixture was diluted with water, extracted with ethyl acetate. The combined organic layers were washed with water and brine, dried over anhydrous sodium sulfate, concentrated to give a residue. The residue was purified by column chromatography on silica gel (100-200 mesh, petroleum ether: ethyl acetate = 5: 1, then 2: 1, then 1: 1, then 0: 1, then ethyl acetate: methanol = 10: 1, then 5: 1) to give a crude product. The crude product was purified by preparative TLC (ethyl acetate: methanol = 10: 1) to give tert-butyl 4-(4-{[2-{[(2R,7aS)-2-fhrorotetrahydro-lH-pyrrolizin- 7a(5H)-yl]methoxy}-7-(tetrahydro-2H-pyran-4-yl)-7H-purin-6-yl]oxy}phenyl) piperazine- 1 -carboxylate (800 mg, 74% purity).
LC-MS (Method C): Rt = 0.823 min; MS (ESIpos): m/z = 638.4 [M+H]+.
Intermediate 5-03
To a solution of tert-butyl 4-(4-{[2-{[(2R,7aS)-2-fluorotetrahydro-lH-pyrrolizin-7a(5H)-yl]methoxy}-7- (oxan-4-yl)-7H-purin-6-yl]oxy}phenyl)piperazine-l -carboxylate (Intermediate 5-02, 750 mg, 74% purity, 0.870 mmol) in methanol (8.0 ml) was added sodium methoxide (94.0 mg, 1.74 mmol) at 25 °C. After stirring at 60 °C for 5 hours, the mixture was diluted with water, extracted with ethyl acetate. The combined organic layers were washed with water and brine, dried over anhydrous sodium sulfate, concentrated to give a residue. The residue was purified by preparative TLC (ethyl acetate: methanol = 10: 1) to give 2-{[(2R,7aS)-2-fhiorotetrahydro-lH-pyrrolizin-7a(5H)-yl]methoxy}-6-methoxy-7-
(tetrahydro-2H-pyran-4-yl)-7H-purine (350 mg, 87% purity, 89% yield).
LC-MS (Method C): Rt = 0.662 min; MS (ESIpos): m/z = 392.2 [M+H]+.
Intermediate 5-04
To a solution of 2-{[(2R,7aS)-2-fhiorotetrahydro-lH-pyrrolizin-7a(5H)-yl]methoxy}-6-methoxy-7- (oxan-4-yl)-7H-purine (Intermediate 5.03, 330 mg, 87% purity, 0.733 mmol) and sodium iodate (1.10 g, 7.33 mmol) in acetonitrile (5.0 ml) was added dropwise chlorotrimethylsilane (0.560 ml, 4.4 mmol) at room temperature. After stirring at room temperature for 16 hours, the mixture was diluted with water, extracted with ethyl acetate. The combined organic layers were washed with water and brine, dried over anhydrous sodium sulfate, concentrated to give a residue. The residue was purified by preparative TLC (ethyl acetate: methanol = 10: 1) to give 2-{[(2R,7aS)-2-fhiorotetrahydro-lH-pyrrolizin-7a(5H)- yl]methoxy}-7-(tetrahydro-2H-pyran-4-yl)-7H-purin-6-ol (260 mg, 96% purity, 90% yield).
LC-MS (Method C): Rt = 0.730 min; MS (ESIpos): m/z = 378.2 [M+H]+.
Intermediate 5-05 tert-Butyl 3-[2-{[(2R,7aS)-2-fluorotetrahydro-lH-pyrrolizin-7a(5H)-yl]methoxy}-7-(oxan-4-yl)-
To a solution of 2-{[(2R,7aS)-2-fluorotetrahydro-lH-pyrrolizin-7a(5H)-yl]methoxy}-7-(oxan-4-yl)-7H- purin-6-ol (Intermediate 5-04, 230 mg, 96% purity, 0.585 mmo, and 1,8-Diazabicyclo(5.4.0) undec-7-ene (0.260 ml, 1.8 mmol) in N,N-dimethylformamide (4.0 ml) was added (benzotriazol- 1- yloxy)tripyrrolidinophosphoniumhexafluorophosphate (609 mg, 1.17 mmol) at room temperature. After strring at the same temperature for 20 minutes, tert-butyl 3,8-diazabicyclo[3.2.1]octane-8-carboxylate (149 mg, 0.702 mmol) was added to the above mixture, the mixture was stirred at room temperature for 16 hours. The mixture was diluted with water, extracted with ethyl acetate. The combined organic layers
were washed with water and brine, dried over anhydrous sodium sulfate, concentrated to give a residue. The residue was purified by preparative TLC (ethyl acetate: methanol = 10: 1) to give tert -butyl 3-[2- {[(2R,7aS)-2-fluorotetrahydro-lH-pyrrolizin-7a(5H)-yl]methoxy}-7-(tetrahydro-2H-pyran-4-yl)-7H- purin-6-yl]-3,8-diazabicyclo[3.2.1]octane-8-carboxylate (250 mg, 91% purity, 68% yield).
LC-MS (Method C): Rt = 0.797 min; MS (ESIpos): m/z = 572.4 [M+H]+.
Intermediate 5-06 tert-Butyl 3-[8-bromo-2-{[(2R,7aS)-2-fluorotetrahydro-lH-pyrrolizin-7a(5H)-yl]methoxy}-7- (oxan-4-yl)-7H-purin-6-yl]-3,8-diazabicyclo[3.2.1]octane-8-carboxylate
To a solution of tert-butyl 3-[2-{[(2R,7aS)-2-fluorotetrahydro-lH-pyrrolizin-7a(5H)-yl]methoxy}-7- (oxan-4-yl)-7H-purin-6-yl]-3,8-diazabicyclo[3.2.1]octane-8-carboxylate (Intermediate 5-05, 200 mg, 91% purity, 0.318 mmol) in tetrahydrofuran (1.5 ml) was added dropwise lithium bis(trimethylsilyl)amide (1.0 M in tetrahydrofuran) at -30 °C under nitrogen atmosphere. After stirring at -30 °C for 1 hour, 1- bromopyrrolidine-2, 5-dione (227 mg, 1.27 mmol) in tetrahydrofuran (0.5 ml) was added dropwise to the above mixture at -30 °C, the reaction mixture was stirred at -30 °C for another 1 hour. The mixture was diluted with water, extracted with ethyl acetate. The combined organic layers were washed with water and brine, dried over anhydrous sodium sulfate, concentrated to give a residue. The residue was purified by preparative TLC (ethyl acetate: methanol = 10: 1) to give tert-butyl 3-[8-bromo-2-{[(2R,7aS)-2- fluorotetrahydro-lH-pyrrolizin-7a(5H)-yl]methoxy}-7-(tetrahydro-2H-pyran-4-yl)-7H-purin-6-yl]-3,8- diazabicyclo[3.2.1]octane-8-carboxylate (100 mg, 89% purity, 43% yield).
LC-MS (Method C): Rt = 0.833 min; MS (ESIpos): m/z = 650.3 [M+H]+.
Intermediate 5-07 tert-Butyl 3-[8-{[7-fluoro-3-(methoxymethoxy)-8-{[tri(propan-2-yl)silyl]ethynyl}naphthalen-l- yl]oxy}-2-{[(2R,7aS)-2-fluorotetrahydro-lH-pyrrolizin-7a(5H)-yl]methoxy}-7-(oxan-4-yl)-7H- purin-6-yl]-3,8-diazabicyclo[3.2.1]octane-8-carboxylate
To a solution of tert-butyl 3-[8-bromo-2-{[(2R,7aS)-2-fluorotetrahydro-lH-pyrrolizin-7a(5H)- yl]methoxy} -7-(oxan-4-yl)-7H-purin-6-yl]-3,8-diazabicyclo[3.2. l]octane-8-carboxylate (Intermediate 5- 06, 80.0 mg, 89% purity, 0.109 mmol) and 7-fluoro-3-(methoxymethoxy)-8-{[tri(propan-2- yl)silyl]ethynyl}naphthalen-l-ol (Intermediate 1-07, 88.1 mg, 0.219 mmol) in N,N -dimethylformamide (0.8 ml) was added potassium carbonate (45.4 mg, 0.328 mmol) at room temperature. After stirring at 100 °C for 2 hours, the mixture was diluted with water, extracted with ethyl acetate. The combined organic layers were washed with water and brine, dried over anhydrous sodium sulfate, concentrated to give a residue. The residue was purified by preparative TLC (ethyl acetate: methanol = 10: 1) to give tert-butyl 3-[8-({7-fhroro-3-(methoxymethoxy)-8-[(triisopropylsilyl)ethynyl]-l-naphthyl}oxy)-2-{[(2R,7aS)-2- fluorotetrahydro-lH-pyrrolizin-7a(5H)-yl]methoxy}-7-(tetrahydro-2H-pyran-4-yl)-7H-purin-6-yl]-3,8- diazabicyclo[3.2.1]octane-8-carboxylate (30.0 mg, 70% purity, 20% yield).
LC-MS (Method C): Rt = 1.104 min; MS (ESIpos): m/z = 972.7 [M+H]+.
Intermediate 5-08 tert-Butyl 3- [8- { [8-ethynyl-7-fluoro-3-(methoxymethoxy)naphthalen-l-yl] oxy}-2- { [(2R,7aS)-2- fluorotetrahydro-lH-pyrrolizin-7a(5H)-yl]methoxy}-7-(oxan-4-yl)-7H-purin-6-yl]-3,8- diazabicyclo[3.2.1]octane-8-carboxylate
To a solution of tert-butyl 3-[8-{[7-fluoro-3-(methoxymethoxy)-8-{[tri(propan-2- yl)silyl]ethynyl}naphthalen- 1 -yl]oxy } -2-{ [(2R,7aS)-2 -fluorotetrahydro- lH-pyrrolizin-7a(5H)- yl]methoxy} -7-(oxan-4-yl)-7H-purin-6-yl]-3,8-diazabicyclo[3.2. l]octane-8-carboxylate (Intermediate 5- 07, 30.0 mg, 70% purity, 0.0216 mmol) in tetrahydrofuran (1.0 ml) was added tetramethylammonium fluoride (6.04 mg, 0.0648 mmol) at 25 °C. After stirring at 60 °C for 16 hours, the mixture was diluted with water, extracted with ethyl acetate. The combined organic layers were washed with water and brine, dried over anhydrous sodium sulfate, concentrated to give tert-butyl 3-[8-{[8-ethynyl-7-fluoro-3- (methoxymethoxy)-l-naphthyl]oxy}-2-{[(2R,7aS)-2-fluorotetrahydro-lH-pyrrolizin-7a(5H)- yl]methoxy}-7-(tetrahydro-2H-pyran-4-yl)-7H-purin-6-yl]-3,8-diazabicyclo[3.2.1]octane-8-carboxylate (20.0 mg, 74% purity, 84% yield).
LC-MS (Method C): Rt = 0.928 min; MS (ESIpos): m/z = 816.5 [M+H]+.
Intermediate 5-09 tert-Butyl 3-[8-bromo-2-{[(2R,7aS)-2-fluorotetrahydro-lH-pyrrolizin-7a(5H)-yl]methoxy}-7-(3- methoxycyclobutyl)-7H-purin-6-yl]-3,8-diazabicyclo[3.2.1]octane-8-carboxylate (two cis- diastereomers regarding cyclobutyl)
To a solution of tert-butyl 3-[2-{[(2R,7aS)-2-fluorotetrahydro-lH-pyrrolizin-7a(5H)-yl]methoxy}-7-(3- methoxycyclobutyl)-7H-purin-6-yl]-3,8-diazabicyclo[3.2.1]octane-8-carboxylate (two cis-diastereomers regarding cyclobutyl) (Intermediate 3-27, 1.40 g, 2.45 mmol) in tetrahydrofuran (30 ml) was added dropwise lithium bis(trimethylsilyl)amide (7.3 ml, 7.3 mmol, 2 M in tetrahydrofuran) at -50 °C under nitrogen atmosphere. After stirring at -50 °C for 1 hour, 1 -bromopyrrolidine-2, 5-dione (1.09 g, 6.12 mmol) in tetrahydrofuran (11 ml) was added dropwise to the above mixture at -50 °C. After stirring at -50 °C for another 1 hour, the mixture was diluted with saturated ammonium chloride aqueous, extracted with ethyl acetate. The combined organic layers were washed with water and brine, dried over anhydrous sodium sulfate, concentrated to give a residue. The residue was purified by silica gel chromatography column (petroleum ether: ethyl acetate = 5: 1, then 2: 1, then 0: 1, then ethyl acetate: methanol = 10: 1) to give tert-butyl 3-[8-bromo-2-{[(2R,7aS)-2-fluorotetrahydro-lH-pyrrolizin-7a(5H)-yl]methoxy}-7-(3- methoxycyclobutyl)-7H-purin-6-yl]-3,8-diazabicyclo[3.2.1]octane-8-carboxylate (two cis-diastereomers regarding cyclobutyl) (1.20 g, 99% purity, 75% yield).
LC-MS (Method C): Rt = 0.737 min; MS (ESIpos): m/z = 650.2 [M+H]+.
’HNMR (400 MHz, DMSO- 6): 5 [ppm] = 5.39-5.24 (m, 1H), 5.19 (s, 0.5H), 4.72-4.63 (m, 0.5H), 4.20 (s, 2H), 4.12-4.03 (m, 1H), 3.99 (d, J= 10.4 Hz, 1H), 3.90 (d, J= 10.4 Hz, 1H), 3.78-3.72 (m, 1H), 3.21 (s, 1H), 3.17 (s, 3H), 3.10-3.05 (m, 2H), 3.04-2.98 (m, 2H), 2.87-2.79 (m, 2H), 2.62-2.53 (m, 2H), 2.13- 2.06 (m, 1H), 2.03-1.94 (m, 2H), 1.87-1.66 (m, 8H), 1.63-1.57 (m, 1H), 1.43 (s, 9H).
Intermediate 5-10 tert-Butyl 3-[8-{[7-fluoro-3-(methoxymethoxy)-8-{[tri(propan-2-yl)silyl]ethynyl}naphthalen-l- yl]oxy}-2-{[(2R,7aS)-2-fluorotetrahydro-lH-pyrrolizin-7a(5H)-yl]methoxy}-7-(3- methoxycyclobutyl)-7H-purin-6-yl]-3,8-diazabicyclo[3.2.1]octane-8-carboxylate (two cis- diastereomers regarding cyclobutyl)
To a solution of tert-butyl 3-[8-bromo-2-{[(2R,7aS)-2-fluorotetrahydro-lH-pyrrolizin-7a(5H)- yl]methoxy} -7-(3-methoxycyclobutyl)-7H-purin-6-yl]-3,8-diazabicyclo[3.2. l]octane-8-carboxylate (two cis-diastereomers regarding cyclobutyl) (Intermediate 5-09, 500 mg, 98% purity, 0.753 mmol) and 7- fluoro-3-(methoxymethoxy)-8-{[tri(propan-2-yl)silyl]ethynyl}naphthalen-l-ol (Intermediate 1-07, 484 mg, 94% purity, 1.13 mmol) in dimethyl sulfoxide (20 ml) were added copper(I) iodide (47.9 mg, 0.75 mmol), pyridine-2-carboxylic acid (92.7 mg, 0.75 mmol) and potassium phosphate (320 mg, 1.51 mmol) at room temperature. After stirring at 100 °C for 16 hours under nitrogen atmosphere, the mixture was diluted with saturated ammonium chloride aqueous, extracted with ethyl acetate. The combined organic layers were washed with water and brine, dried over anhydrous sodium sulfate, concentrated to give a residue. The residue was purified by preparative TLC (ethyl acetate: methanol = 10: 1) to give tert-butyl 3-[8-({7-fhioro-3-(methoxymethoxy)-8-[(triisopropylsilyl)ethynyl]-l-naphthyl}oxy)-2-{[(2R,7aS)-2- fhiorotetrahydro-lH-pyrrolizin-7a(5H)-yl]methoxy}-7-(3-methoxycyclobutyl)-7H-purin-6-yl]-3,8- diazabicyclo[3.2.1]octane-8-carboxylate (two cis-diastereomers regarding cyclobutyl) (300 mg, 96% purity, 39% yield).
LC-MS (Method C): Rt = 0.998 min; MS (ESIpos): m/z = 972.2 [M+H]+.
Intermediate 5-11 tert-Butyl 3- [8- { [8-ethynyl-7-fluoro-3-(methoxymethoxy)naphthalen-l-yl] oxy}-2- { [(2R,7aS)-2- fluorotetrahydro-lH-pyrrolizin-7a(5H)-yl]methoxy}-7-(3-methoxycyclobutyl)-7H-purin-6-yl]-3,8- diazabicyclo[3.2.1]octane-8-carboxylate (two cis-diastereomers regarding cyclobutyl)
A solution of tert-butyl 3-[8-{[7-fluoro-3-(methoxymethoxy)-8-{[tri(propan-2- yl)silyl]ethynyl}naphthalen- 1 -yl]oxy } -2-{ [(2R,7aS)-2 -fluorotetrahydro- lH-pyrrolizin-7a(5H)- yl]methoxy} -7-(3-methoxycyclobutyl)-7H-purin-6-yl]-3,8-diazabicyclo[3.2. l]octane-8-carboxylate (two cis-diastereomers regarding cyclobutyl) (Intermedaite 5-10, 300 mg, 96% purity, 0.296 mmol) and tetramethylammonium fluoride (276 mg, 2.96 mmol) in tetrahydrofuran (10 ml) was stirred at 60 °C for 16 hours. The mixture was poured into water and extracted with ethyl acetate. The organic phase was washed with brine, dried over anhydrous sodium sulfate, filtered and concentrated to give tert-butyl 3-[8- { [8-ethynyl-7-fluoro-3-(methoxymethoxy)- 1 -naphthyl]oxy } -2- { [(2R,7aS)-2 -fluorotetrahydro- 1H- pyrrolizin-7a(5H)-yl]methoxy}-7-(3-methoxycyclobutyl)-7H-purin-6-yl]-3,8-diazabicyclo[3.2.1]octane- 8-carboxylate (two cis-diastereomers regarding cyclobutyl) (240 mg, 99% purity, 98% yield).
LC-MS (Method C): Rt = 0.835 min; MS (ESIpos): m/z = 816.2 [M+H]+.
Intermediate 5-12
To a solution of tetrahydro -2H-pyran-3 -amine hydrochloride (1: 1) (racemate) (10.0 g, 72.7 mmol) and N,N -diisopropylethylamine (38.0 ml) in dichloromethane (200 ml) was added dropwise benzyl chloroformate (12.0 ml, 87.0 mmol) at 0 °C. After stirring at room temperature for 1 hour, the mixture was diluted with saturated ammonium chloride aqueous, extracted with ethyl acetate. The combined
organic layers were washed with water and brine, dried over anhydrous sodium sulfate, concentrated to give a residue. The residue was purified by flash column (petroleum ether: ethyl acetate = 20: 1 to 3: 1) to give benzyl tetrahydro -2H-pyran-3-ylcarbamate (racemate) (14. 1 g, 99% purity, 82% yield).
LC-MS (Method C): Rt = 0.841 min; MS (ESIpos): m/z = 192.1 [M-43]+.
'HNMR (400 MHz, DMSO- 6): 5 [ppm] = 7.31-7.38 (m, 5H), 7.26 (d, J= 7.6 Hz, 1H), 5.01 (s, 2H), 3.63-3.77 (m, 2H), 3.35-3.47 (m, 1H), 3.18-3.29 (m, 1H), 3.02 (t, J= 10.0 Hz, 1H), 1.86-1.83 (m, 1H), 1.59-1.69 (m, 1H), 1.32-1.56 (m, 2H).
Intermediate 5-13
To a solution of benzyl oxan-3-ylcarbamate - hydrogen chloride (1: 1) (racemate) (Intermediate 5-12, 10.0 g, 80% purity, 29.4 mmol) in 2,2,2-trifluoroethanol (15.0 ml, 210 mmol) was added palladium (1.00 g, 10 % purity in activated carbon) at room temperature. After stirring at room temperature for 1 hour, the reaction mixture was filtered and the filtrate was poured into water and extracted with ethyl acetate. The combined organic layers were washed with brine, dried over anhydrous sodium sulfate, filtered and concentrated to give tetrahydro-2H-pyran-3-amine (racemate) (2.00 g, 80% purity, 53% yield).
'HNMR (400 MHz, DMSO- 6): 5 [ppm] = 3.86 (q, J= 9.6 Hz, 1H), 3.62-3.71 (m, 2H), 3.14-3.24 (m, 1H), 2.82-2.91 (m, 1H), 2.61-2.62 (m, 2H), 1.78-1.88 (m, 1H), 1.53-1.63 (m, 1H), 1.38-1.51 (m, 1H), 1.08-1.21 (m, 1H).
Intermediate 5-14 tert-Butyl 3-[6-amino-2-(methylsulfanyl)pyrimidin-4-yl]-3,8-diazabicyclo[3.2.1]octane-8- carboxylate
To a solution of 6-chloro-2-(methylsulfanyl)pyrimidin-4-amine (30.0 g, 171 mmol) and tert-butyl 3,8- diazabicyclo[3.2.1]octane-8-carboxylate (58.0 g, 273 mmol) in N,N-dimethylformamide (500 ml) was
added N,N-diisopropylethylamine (60.0 ml, 340 mmol) at room temperature. After stirring at 120 °C for 12 hours, the reaction mixture was poured into water and extracted with ethyl acetate. The combined organic layers were washed with brine, dried over anhydrous sodium sulfate, filtered and concentrated to give a crude product. The crude product was purified by flash column chromatography (petroleum ether: ethyl acetate = 1: 2 to 0: 1) to give ethyl 4-tert-butyl-lH-imidazole-2-carboxylate (43.0 g, 98% purity, 70% yield).
LC-MS (Method C): Rt = 0.808 min; MS (ESIpos): m/z = 352.2 [M+H]+.
'HNMR (400 MHz, DMSO- 6): 5 [ppm] = 6.26 (s, 2H), 5.27 (s, 1H), 4.19 (br.s, 2H), 3.76-3.95 (m, 2H), 2.87 (d, J= 12.0 Hz, 2H), 2.34 (s, 3H), 1.74-1.88 (m, 2H), 1.59 (d, J= 7.2 Hz, 2H), 1.41 (s, 9H).
Intermediate 5-15 tert-Butyl 3-[6-amino-5-bromo-2-(methylsulfanyl)pyrimidin-4-yl]-3,8-diazabicyclo[3.2.1]octane-8- carboxylate
To a solution of tert-butyl 3-[6-amino-2-(methylsulfanyl)pyrimidin-4-yl]-3,8-diazabicyclo[3.2.1]octane- 8-carboxylate (Intermediate 5-14, 43.0 g, 122 mmol, 98% purity) in dichloromethane (430 ml) was added 1 -bromopyrrolidine-2, 5-dione (21.8 g, 122 mmol) at room temperature. After stirring at room temperature for 2 hours, the reaction mixture was poured into water and extracted with dichloromethane. The combined organic layers were washed with brine, dried over anhydrous sodium sulfate, filtered and concentrated to give tert-butyl 3-[6-amino-5-bromo-2-(methylsulfanyl)pyrimidin-4-yl]-3,8-diazabicyclo[3.2.1]octane-8- carboxylate (43.0 g, 93% purity, 76% yield).
LC-MS (Method C): Rt = 0.978 min; MS (ESIpos): m/z = 432.0 [M+H+2]+.
Intermediate 5-16 tert-Butyl 3-[5-bromo-6-{(E)-[(dimethylamino)methylidene]amino}-2-(methylsulfanyl)pyrimidin-
To a solution of tert-butyl 3-[6-amino-5-bromo-2-(methylsulfanyl)pyrimidin-4-yl]-3,8- diazabicyclo[3.2.1]octane-8-carboxylate (Intermediate 5-15, 10.0 g, 23.2 mmol, 93% purity) and 1,1- dimethoxy-N,N-dimethylmethanamine (6.92 g, 58.1 mmol) in N,N-dimethylformamide (40.0 ml) was stirred at 100 °C for 2 hours. The reaction mixture was concentrated under vacuum at 60 °C to give a crude which was triturated in a mixed solvent of petroleum ether and ethyl acetate (2: 1) to give tert-butyl 3 -[5 -bromo-6- { (E)- [(dimethylamino)methylene]amino } -2-(methylsulfanyl)pyrimidin-4-yl] -3,8- diazabicyclo[3.2.1]octane-8-carboxylate (10.3 g, 89% purity, 81% yield).
LC-MS (Method C): Rt = 0.834 min; MS (ESIpos): m/z = 487.1 [M+3]+. Intermediate 5-17 tert-Butyl 3-{5-bromo-2-(methylsulfanyl)-6-[(Z)-({[oxan-3- yl]amino}methylidene)amino]pyrimidin-4-yl}-3,8-diazabicyclo[3.2.1]octane-8-carboxylate (racemate)
To a solution of tert-butyl 3-[5-bromo-6-{(E)-[(dimethylamino)methylidene]amino}-2- (methylsulfanyl)pyrimidin-4-yl]-3,8-diazabicyclo[3.2.1]octane-8-carboxylate (Intermediate 5-16, 7.60 g, 15.7 mmol, 89% purity), oxan-3-amine (racemate) (Intermediate 5-13, 1.90 g, 18.8 mmol) in tetrahydrofuran (130 ml) was added lithium bis(trimethylsilyl)amide (23.0 ml, 1.00 M in tetrahydrofuran,
23.0 mmol) at room temperature. After stirring at the same temperature for 16 hours under nitrogen atmosphere, the reaction mixture was poured into water and extracted with ethyl acetate. The combined organic layers were washed with brine, dried over anhydrous sodium sulfate, filtered and concentrated to give the crude, which was purified by flash column chromatography (petroleum ether: ethyl acetate = 1 : 0 to 1: 1) to give tert-butyl 3-{5-bromo-2-(methylsulfanyl)-6-[(Z)-{[tetrahydro-2H-pyran-3- ylamino]methylene } amino]pyrimidin-4-yl } -3, 8 -diazabicyclo [3.2.1] octane-8-carboxylate (racemate)
(1.00 g, 40% purity).
LC-MS (Method C): Rt = 0.884 min; MS (ESIpos): m/z = 543.2 [M+3]+.
Intermediate 5-18 tert-Butyl 3-{2-(methylsulfanyl)-7-[oxan-3-yl]-7H-purin-6-yl}-3,8-diazabicyclo[3.2.1] octane-8- carboxylate (racemate)
To a solution of tert-butyl 3-{5-bromo-2-(methylsulfanyl)-6-[(Z)-({[oxan-3- yl] amino } methylidene)amino] pyrimidin-4-yl } -3 , 8 -diazabicyclo [3.2.1] octane- 8 -carboxylate (racemate) (Intermediate 5-17, 1.00 g, 40% purity, 0.739 mmol), potassium phosphate (314 mg, 1.48 mmol) and 1,10- phenanthroline (133 mg, 0.739 mmol) in dimethyl sulfoxide (20.0 ml) was added copper(I) iodide (141 mg, 0.739 mmol) at room temperature. After stirring at 100 °C for 16 hours under nitrogen atmosphere, the reaction mixture was poured into water and extracted with ethyl acetate. The combined organic layers were washed with brine, dried over anhydrous sodium sulfate, filtered and concentrated to give the crude. The crude was purified by flash column chromatography (petroleum ether: ethyl acetate = 1: 0 to 0: 1) to give tert-butyl 3 - {2-(methylsulfanyl)-7-[tetrahydro-2H-pyran-3 -yl] -7H-purin-6-yl } -3 ,8- diazabicyclo[3.2.1]octane-8-carboxylate (racemate) (320 mg, 96% purity, 90% yield).
LC-MS (Method C): Rt = 0.543 min; MS (ESIpos): m/z = 461.2 [M+H]+.
’H NMR (400 MHz, CDCh- ): 5 [ppm] = 8.28-8.42 (m, 1H), 4.56 (br.s, 1H), 4.44-4.26 (m, 2H), 4.02- 3.90 (m, 1H), 3.89-3.97 (m, 1H), 3.53-3.78 (m, 4H), 3.32-3.52 (m, 2H), 2.63 (s, 3H), 2.29-2.39 (m, 1H), 2.00-2.05 (m, 1H), 1.95 (s, 3H), 1.83 (s, 2H), 1.65-1.77 (m, 1H), 1.52 (s, 9H).
Intermediate 5-19 tert-Butyl 3-{8-bromo-2-(methylsulfanyl)-7-[oxan-3-yl]-7H-purin-6-yl}-3,8- diazabicyclo[3.2.1]octane-8-carboxylate (racemate)
To a solution of tert-butyl 3-{2-(methylsulfanyl)-7-[oxan-3-yl]-7H-purin-6-yl}-3,8- diazabicyclo[3.2.1]octane-8-carboxylate (racemate) (Intermediate 5-18, 400 mg, 0.868 mmol, 96% purity) in tetrahydrofuran (6.00 ml) was added dropwise lithium bis(trimethylsilyl)amide (2.60 ml, 1.00 M in tetrahydrofuran, 2.60 mmol) at -30 °C under nitrogen atmosphere. After stirring at -30 °C for 30 minutes, 1 -bromopyrrolidine-2, 5-dione (386 mg, 2.17 mmol) in tetrahydrofuran(4.00 ml) was added dropwise to the above mixture at the same temperature. After stirring at -30 °C for 30 minutes, the reaction mixture was poured into water and extracted with ethyl acetate. The combined organic layers were washed with brine, dried over anhydrous sodium sulfate, filtered and concentrated to give the crude. The crude was purified by flash column chromatography (petroleum ether: ethyl acetate = 1: 0 to 1: 1) to give tert-butyl 3 - { 8-bromo-2-(methylsulfanyl)-7 - [tetrahydro-2H-pyran-3 -yl] -7H-purin-6-yl } -3 ,8- diazabicyclo[3.2.1]octane-8-carboxylate (racemate) (390 mg, 95% purity, 79% yield).
LC-MS (Method C): Rt = 0.991 min; MS (ESIpos): m/z = 541.0 [M+H+2]+.
’H NMR (400 MHz, DMSO- 6): 5 [ppm] = 4.22 (d, J= 10.8 Hz, 2H), 4.08-4.18 (m, 1H), 3.97-4.06 (m, 1H), 3.86-3.95 (m, 1H), 3.82-3.65 (m, 1H), 3.60 (t, J= 6.4 Hz, 1H), 3.42-3.36 (m, 1H), 3.35-3.29 (m, 2H), 3.26-3.17 (m, 1H), 2.48 (s, 3H), 2.10-2.04 (m, 1H), 1.89-1.82 (m, 4H), 1.78-1.72 (m, 2H), 1.72-1.66 (m, 1H), 1.43 (s, 9H).
Intermediate 5-20 tert-Butyl 3-(8-{[7-fluoro-3-(methoxymethoxy)-8-{[tri(propan-2-yl)silyl]ethynyl}naphthalen-l- yl]oxy}-2-(methylsulfanyl)-7-[oxan-3-yl]-7H-purin-6-yl)-3,8-diazabicyclo[3.2.1]octane-8- carboxylate (racemate)
To a solution of tert-butyl 3-{8-bromo-2-(methylsulfanyl)-7-[oxan-3-yl]-7H-purin-6-yl}-3,8- diazabicyclo[3.2.1]octane-8-carboxylate (racemate) (Intermediate 5-19, 340 mg, 0.630 mmol, 95% purity) and 7-fluoro-3-(methoxymethoxy)-8-{[tri(propan-2-yl)silyl]ethynyl}naphthalen-l-ol (Intermediate 1-07, 304 mg, 0.756 mmol) in N,N-dimethylformamide (4.30 ml) was added potassium carbonate (174 mg, 1.26 mmol) at room temperature. After stirring at 100 °C for 3 hours, the reaction mixture was poured into water and extracted with ethyl acetate. The combined organic layers were washed with brine, dried over anhydrous sodium sulfate, filtered and concentrated to give the crude. The crude was purified by flash column chromatography (petroleum ether: ethyl acetate = 1: 0 to 1: 1) to give tert-butyl 3-{8-({7-fluoro- 3-(methoxymethoxy)-8-[(triisopropylsilyl)ethynyl]-l-naphthyl}oxy)-2-(methylsulfanyl)-7-[tetrahydro-
2H-pyran-3-yl]-7H-purin-6-yl}-3,8-diazabicyclo[3.2.1]octane-8-carboxylate (racemate) (440 mg, 99% purity, 80% yield).
LC-MS (Method C): Rt = 1.316 min; MS (ESIpos): m/z = 861.5 [M+H]+.
Intermediate 5-21 tert-Butyl 3-(8-{[7-fluoro-3-(methoxymethoxy)-8-{[tri(propan-2-yl)silyl]ethynyl}naphthalen-l- yl]oxy}-2-(methanesulfonyl)-7-[oxan-3-yl]-7H-purin-6-yl)-3,8-diazabicyclo[3.2.1]octane-8- carboxylate (racemate)
Boc
To a solution of tert-butyl 3-(8-{[7-fluoro-3-(methoxymethoxy)-8-{[tri(propan-2- yl)silyl]ethynyl}naphthalen-l-yl]oxy}-2-(methylsulfanyl)-7-[oxan-3-yl]-7H-purin-6-yl)-3,8- diazabicyclo[3.2. l]octane-8-carboxylate (racemate) (Intermediate 5-20, 440 mg, 0.511 mmol, 99% purity) in dichloromethane (5.00 ml) was added meta-chloroperoxybenzoic acid (228 mg, 85% purity, 1.12 mmol) at room temperature. After stirring at the same temperature for 2 hours, the reaction mixture was poured into water and extracted with dichloromethane. The combined organic layers were washed with sodium hydrogen carbonate, dried over anhydrous sodium sulfate, filtered and concentrated to give the crude, which was purified by flash column chromatography (petroleum ether: ethyl acetate = 1: 0 to 1: 1) to give tert-butyl 3 - { 8-( { 7 -fluoro-3 -(methoxymethoxy)-8-[(triisopropylsilyl)ethynyl] - 1 -naphthyl } oxy)-2-
(methylsulfonyl)-7-[tetrahydro-2H-pyran-3-yl]-7H-purin-6-yl}-3,8-diazabicyclo[3.2.1]octane-8- carboxylate (racemate) (400 mg, 99% purity, 87% yield).
LC-MS (Method C): Rt = 1.284 min; MS (ESIpos): m/z = 893.5 [M+H]+.
Intermediate 5-22 tert-Butyl 3-(8-{[7-fluoro-3-(methoxymethoxy)-8-{[tri(propan-2-yl)silyl]ethynyl}naphthalen-l- yl]oxy}-2-{[(2R,7aS)-2-fluorotetrahydro-lH-pyrrolizin-7a(5H)-yl]methoxy}-7-[oxan-3-yl]-7H- purin-6-yl)-3,8-diazabicyclo [3.2.1] octane-8-carboxylate (two enantiopure diastereomers)
To a solution of tert-butyl 3-(8-{[7-fluoro-3-(methoxymethoxy)-8-{[tri(propan-2- yl)silyl]ethynyl}naphthalen-l-yl]oxy}-2-(methanesulfonyl)-7-[oxan-3-yl]-7H-purin-6-yl)-3,8- diazabicyclo[3.2.1]octane-8-carboxylate (racemate) (Intermediate 5-21, 350 mg, 99% purity, 0.388 mmol) and [(2R,7aS)-2-fluorotetrahydro-lH-pyrrolizin-7a(5H)-yl]methanol (74.1 mg, 0.466 mmol) in N,N -dimethylformamide (5.00 ml) was added sodium hydride (46.5 mg, 60% purity in mineral oil, 1.16 mmol) at 0 °C under nitrogen atmosphere. After stirring at 25 °C for 4 hours, the reaction mixture was poured into water and extracted with ethyl acetate. The combined organic layers were washed with brine, dried over anhydrous sodium sulfate, filtered and concentrated to give the crude. The crude was purified by preparative TLC (ethyl acetate: methanol = 10: 1) to give tert-butyl 3-{8-({7-fluoro-3- (methoxymethoxy)-8-[(triisopropylsilyl)ethynyl]-l-naphthyl}oxy)-2-{[(2R,7aS)-2-fluorotetrahydro-lH- pyrrolizin-7 a(5H) -yl]methoxy } -7- [tetrahydro-2H-pyran-3 -yl] -7H-purin-6-yl } -3 , 8 - diazabicyclo[3.2.1]octane-8-carboxylate (two enantiopure diastereomers) (230 mg, 99% purity, 60% yield).
LC-MS (Method C): Rt = 1.107 min; MS (ESIpos): m/z = 972.6 [M+H]+.
’H NMR (400 MHz, DMSO- 6): 5 [ppm] = 8.09 (dd, J= 9.2, 5.6 Hz, 1H), 7.56-7.64 (m, 2H), 7.14 (br.s, 1H), 5.40-5.25 (m, 2.5H), 5.20-5.15 (m, 0.5H), 4.71-4.56 (m, 1H), 4.32-4.21 (m, 2H), 4.20-4.09 (m, 1H), 4.07-3.99 (m, 1H), 3.99-3.93 (m, 1H), 3.91-3.83 (m, 2H), 3.71-3.56 (m, 1H), 3.42 (s, 3H), 3.04 (d, J= 6.4 Hz, 2H), 2.97 (s, 1H), 2.75-2.84 (m, 1H), 2.07 (d, J= 4.4 Hz, 1H), 1.99 (s, 2H), 1.96-1.89 (m, 3H), 1.84- 1.66 (m, 6H), 1.44 (s, 9H), 1.03-0.80 (m, 21H).
Intermediate 5-23
tert-Butyl 3-(8- { [8-ethynyl-7-fluoro-3-(methoxymethoxy)naphthalen-l-yl] oxy}-2-{ [(2R,7aS)-2- fluorotetrahydro-lH-pyrrolizin-7a(5H)-yl]methoxy}-7-[oxan-3-yl]-7H-purin-6-yl)-3,8- diazabicyclo[3.2.1]octane-8-carboxylate (two enantiopure diastereomers)
A solution of tert-butyl 3-(8-{[7-fhioro-3-(methoxymethoxy)-8-{[tri(propan-2- yl)silyl]ethynyl}naphthalen- 1 -yl]oxy} -2-{ [(2R,7aS)-2 -fluorotetrahydro- lH-pyrrolizin-7a(5H)- yl]methoxy}-7-[oxan-3-yl]-7H-purin-6-yl)-3,8-diazabicyclo[3.2.1]octane-8-carboxylate (two enantiopure diastereomers) (Intermediate 5-22, 230 mg, 0.237 mmol, 99% purity) and tetramethylammonium fluoride (220 mg, 2.37 mmol) in tetrahydrofuran (6.00 ml) was stirred at 60 °C for 16 hours. The reaction mixture was poured into water and extracted with ethyl acetate. The combined organic layers were washed with brine, dried over anhydrous sodium sulfate, filtered and concentrated to give tert-butyl 3-(8-{[8-ethynyl-7-fhioro-3-(methoxymethoxy)-l-naphthyl]oxy}-2-{[(2R,7aS)-2- fhiorotetrahydro-lH-pyrrolizin-7a(5H)-yl]methoxy}-7-[tetrahydro-2H-pyran-3-yl]-7H-purin-6-yl)-3,8- diazabicyclo[3.2.1]octane-8-carboxylate (two enantiopure diastereomers) (180 mg, 99% purity, 92% yield).
LC-MS (Method C): Rt = 0.572 min; MS (ESIpos): m/z = 816.3 [M+H]+.
Intermediate 6-01
7-Fluoro-3-(methoxymethoxy)-8-{[tri(propan-2-yl)silyl]ethynyl}naphthalen-l-yl 2,2- dimethylpropanoate
7-fluoro-3-(methoxymethoxy)-8-{[tri(propan-2-yl)silyl]ethynyl}naphthalen-l-ol (Intermediate 1-07, 2.00 g, 4.97 mmol), 4-(dimethylamino)pyridine (121 mg, 994 pmol; CAS-RN:[1122-58-3]), and triethylamine (2.1 ml, 15 mmol; CAS-RN:[121-44-8]) was dissolved in dichloromethane (48 ml). The solution was cooled to 0°C and 2,2-dimethylpropanoyl chloride (1.8 ml, 15 mmol; CAS-RN: [3282-30-2]) was added slowly. The reaction mixture was stirred at room temperature for 1 hour. Afterwards, it was diluted with a 1 : 1 mixture of dichloromethane and water. The layers were separated and the aqueous layer was extracted 3 times with dichloromethane. The combined organic layers were dried over sodium sulfate. It was fdtered and evaporated. The crude material (3.10 g (80 % purity) was used without purification. LC-MS (Method 4): Rt = 1.96 min; MS (ESIpos): m/z = 487 [M+H]+
Intermediate 6-02
7-fluoro-3-(methoxymethoxy)-8-{[tri(propan-2-yl)silyl]ethynyl}naphthalen-l-yl 2,2-dimethylpropanoate (Intermediate 6-01, 1.80 g, 3.70 mmol) was dissolved in N,N-dimethylformamide (21 ml).
Caesiumfluoride (5.62 g, 37.0 mmol; CAS-RN: [13400- 13-0]) was added- The reaction mixture was stirred at room temperature for 15 minutes. Afterwards, it was diluted with water and extracted with ethyl acetate. The combined organic layers were washed with water and dried over sodium sulfate. It was filtered and evaporated. The crude material was used without further purification (1.15 g, 80 % purity, 75 % yield)
‘H-NMR (400 MHz, DMSO- 6): 5 [ppm]: 1.106 (3.61), 1.198 (0.67), 1.382 (3.69), 2.729 (14.67), 2.887 (16.00), 5.334 (0.68), 7.951 (2.21).
Intermediate 6-03
8-ethynyl-7-fluoro-3-(methoxymethoxy)naphthalen-l-yl 2,2-dimethylpropanoate (Intermediate 6-02, 1.80 g, 5.45 mmol) was dissolved in ethanol (20 ml). Pd/C (1.16 g, 10 %, 1.09 mmol; CAS-RN:[7440-05- 3]) was added. The reaction mixture was evacuated and put under hydrogen atmosphere. It was stirred for 20 hours. Then it was filtered. The residue was intensively washed with ethanol. The combined ethanol layers were evaporated. The crude product (1.63 g,89 % yield) was used without purification.
LC-MS (Method 3): Rt = 1.58 min; MS (ESIpos): m/z = 334 [M+H]+
'H-NMR (400 MHz, DMSO- 6): 5 [ppm]: 0.733 (0.72), 1.035 (2.68), 1.039 (0.45), 1.102 (2.04), 1.108 (2.71), 1.128 (0.58), 1.147 (1.41), 1.165 (0.59), 1.315 (1.90), 1.394 (16.00), 1.407 (1.30), 2.727 (0.45), 2.729 (0.45), 2.888 (0.51), 3.396 (0.83), 3.418 (6.40), 5.316 (3.02), 6.920 (0.56), 6.925 (0.54), 7.404 (0.44), 7.463 (0.65), 7.469 (0.63).
Intermediate 6-04
8-ethyl-7-fluoro-3-(methoxymethoxy)naphthalen-l-yl 2,2-dimethylpropanoate (Intermediate 6-03, 1.63 g, 4.87 mmol) was dissolved in methanol (16 ml). Potassium hydroxide (820 mg, 14.6 mmol; CAS- RN:[1310-58-3]) was added portion wise. Afterwards, it was stirred for 1 hour at room temperature. Then, the reaction mixture was acidified to pH 4 by adding 0.5 M hydrochloric acid. It was extracted with ethyl
acetate 3 times. The combined organic layers were washed with water and dried over sodium sulfate. It was fdtered and evaporated. The crude product (1.20 g, 98 % yield) was used without further purification.
LC-MS (Method 3): Rt = 1.27 min; MS (ESIneg): m/z = 249 [M-H]’
'H-NMR (400 MHz, DMSO- 6): 5 [ppm]: 0.807 (2.00), 0.824 (0.56), 1.034 (2.70), 1.039 (1.19), 1.083 (5.97), 1.102 (0.83), 1.108 (7.70), 1.136 (1.99), 1.154 (0.73), 1.161 (4.56), 1.167 (0.59), 1.172 (1.36), 1.184 (1.63), 1.190 (0.91), 1.202 (3.76), 1.221 (1.53), 1.988 (2.02), 2.518 (0.83), 2.523 (0.55), 3.255 (0.67), 3.263 (0.68), 3.273 (0.68), 3.281 (0.67), 3.390 (3.71), 3.394 (16.00), 3.399 (2.57), 3.495 (0.52), 3.587 (0.73), 4.017 (0.47), 4.034 (0.46), 5.214 (0.83), 5.220 (7.80), 5.240 (0.81), 6.655 (1.24), 6.660 (1.14), 6.903 (1.51), 6.908 (1.41), 7.216 (0.67), 7.238 (0.99), 7.263 (0.72), 7.551 (0.67), 7.566 (0.70), 7.574 (0.65), 7.589 (0.61), 10.230 (2.25).
Intermediate 6-05 tert-Butyl 3-[7-cyclobutyl-8-[[8-ethyl-7-fluoro-3-(methoxymethoxy)-l-naphthyl]-oxy]-2-[[(2R,8S)- 2-fluoro-l,2,3,5,6,7-hexahydropyrrolizin-8-yl]methoxy]purin-6-yl]-3,8-diazabicyclo[3.2.1]octane-8- carboxylate
A mixture of tert-butyl 3-[8-bromo-7-cyclobutyl-2-[[(2R,8S)-2-fluoro-l,2,3,5,6,7-hexahydropyrrolizin-8- yl]methoxy]purin-6-yl]-3,8-diazabicyclo[3.2.1]octane-8-carboxylate (Intermediate 1-08, 50.0 mg, 80.6 pmol, 1.0 eq.), 8-ethyl-7-fluoro-3-(methoxymethoxy)naphthalen-l-ol (Intermediate 6-04, 35.3 mg, 141 pmol, 1.7 eq.) and BEMP (58 pl, 200 pmol, 2.5 eq.) in DMF (10 mb) was stirred at 50 °C for 30 min. in a microwave vial. The reaction mixture was cooled down and purified by RP-HPLC (acetonitrile / 0.01% formic acid in water gradient) . The product fractions were pooled and concentrated in vacuo to afford 21.3 mg (35% yield, 100% purity) of the title compound.
LC-MS (Method 1): Rt = 1.97 min; MS (ESIpos): m/z = 790 [M+H]+
’H NMR (400 MHz, DMSO- 6): 5 [ppm] = 1.13 (t, 3 H) 1.45 (s, 9 H) 1.55 - 2.20 (m, 14 H) 2.72 - 2.89 (m, 3 H) 2.96 - 3.13 (m, 5 H) 3.43 (s, 3 H) 3.66 - 3.82 (m, 2 H) 3.82 - 3.97 (m, 2 H) 4.21 - 4.33 (m, 2 H) 4.98 - 5.12 (m, 1 H) 5.15 - 5.32 (m, 1 H) 5.33 (s, 2 H) 7.27 (d, 1 H) 7.46 (t, 1 H) 7.55 (d, 1 H) 7.89 (dd, 1 H)
Intermediate 6-06 tert-Butyl 3-[8-[(2-amino-l,3-benzothiazol-4-yl)oxy]-7-cyclobutyl-2-[[(2R,8S)-2-fluoro-l,2,3,5,6,7- hexahydropyrrolizin-8-yl]methoxy]purin-6-yl]-3,8-diazabicyclo[3.2.1]octane-8-carboxylate
A mixture of tert-butyl 3-[8-bromo-7-cyclobutyl-2-[[(2R,8S)-2-fluoro-l,2,3,5,6,7-hexahydropyrrolizin-8- yl]methoxy]purin-6-yl]-3,8-diazabicyclo[3.2.1]octane-8-carboxylate (Intermediate 1-08, 50 mg, 0.08 pmol, 1.0 eq.), 2-amino-l,3-benzothiazol-4-ol (27 mg, 0.16 mmol, 2.0 eq.) and BEMP (70 pl, 0.24 mmol, 3.0 eq.) in DMF (1 mL) was stirred at 80 °C overnight. The reaction mixture was cooled down and purified by RP-HPLC (acetonitrile / 0.01% formic acid in water gradient). The product fractions were pooled and concentrated in vacuo to afford 21.6 mg (38% yield, 99% purity) of the title compound.
LC-MS (Method 1): Rt = 1.59 min; MS (ESIpos): m/z = 704 [M+H]+
’H NMR (400 MHz, DMSO- 6): 5 [ppm] = 1.44 (s, 9 H) 1.55 - 2.19 (m, 14 H) 2.35 - 2.45 (m, 2 H) 2.77 - 2.86 (m, 1 H) 2.93 - 3.08 (m, 5 H) 3.60 - 3.75 (m, 2 H) 3.83 - 3.97 (m, 2 H) 4.26 (br s, 2 H) 4.91 - 5.08 (m, 1 H) 5.14 - 5.36 (m, 1 H) 7.10 (t, 1 H) 7.27 (dd, 1 H) 7.54 - 7.69 (m, 3 H)
Intermediate 6-07
Boron tribromide (2.4 ml, 25 mmol, 10 eq.) was added to a mixture of 7-fluoro-4-methoxy-l,3- benzothiazol-2-amine (500 mg, 2.52 mmol, 1.0 eq.) in DCM (9 mb) at 0 °C. The reaction mixture was allowed to warm to RT and stirred for Ih. Boron tribromide (1.2 ml, 12.5 mmol, 5.0 eq.) was added and the reaction was stirred at RT for 3 days. LCMS showed incomplete conversion; therefore, boron tribromide (1.2 ml, 12.5 mmol, 5.0 eq.) was added and the reaction was stirred at RT overnight. LCMS showed still incomplete conversion; therefore, boron tribromide (1.2 ml, 12.5 mmol, 5.0 eq.) was added and the reaction was stirred at RT overnight. LCMS showed still incomplete conversion; therefore, boron tribromide (1.2 ml, 12.5 mmol, 5.0 eq.) was added and the reaction was stirred at RT for overnight, after which LCMS showed full conversion. The reaction mixture was quenched with a mixture of MeOH/H2O, the phases were separated, and the organic phase was extracted with EtOAc and dried over MgSO4. The solvent was removed under reduced pressure and the crude product was dried in vacuo to afford 96.6 mg (19% yield, 92% purity) of the title compound. The aq. phase was adjusted to pH 6-7 using IN NaOH and extracted with DCM. The organic phase was dried over MgSO4, the solvent was removed under reduced pressure and the crude product was dried in vacuo to afford 329.9 mg (71% yield, 99% purity) of the title compound.
LC-MS (Method 1): Rt = 0.87 min; MS (ESIpos): m/z = 185 [M+H]+
'HNMR (400 MHz, DMSO- 6): 5 [ppm] = 6.48 (dd, 1 H) 6.99 (dd, 1 H) 7.21 (s, 2 H) 9.75 (br s, 1 H).
Intermediate 6-08 tert-Butyl 3-[8-[(2-amino-7-fluoro-l,3-benzothiazol-4-yl)oxy]-7-cyclobutyl-2-[[(2R,8S)-2-fluoro- l,2,3,5,6,7-hexahydropyrrolizin-8-yl]methoxy]purin-6-yl]-3,8-diazabicyclo[3.2.1]octane-8- carboxylate
A mixture of tert-butyl 3-[8-bromo-7-cyclobutyl-2-[[(2R,8S)-2-fluoro-l,2,3,5,6,7-hexahydropyrrolizin-8- yl]methoxy]purin-6-yl]-3,8-diazabicyclo[3.2.1]octane-8-carboxylate (Intermediate 1-08, 50 mg, 0.08 pmol, 1.0 eq.), 2-amino-7-fluoro-l,3-benzothiazol-4-ol (Inermediate 6-07, 27 mg, 0.16 mmol, 2.0 eq.) and BEMP (70 pl, 240 pmol, 3.0 eq.) in DMF (1 m ) was stirred at 80 °C overnight. The reaction mixture was cooled down and purified by RP-HPLC (acetonitrile / 0.01% formic acid in water gradient). The product fractions were pooled and concentrated in vacuo to afford 11.0 mg (18% yield, 95% purity) of the title compound.
LC-MS (Method 1): Rt = 1.65 min; MS (ESIpos): m/z = 724 [M+H]+ Intermediate 6-09
NaH (60% dispersion in mineral oil, 611 mg, 15.3 mmol, 1.0 eq.) was added to a mixture of 2-(2,6- dibromophenyl)acetonitrile (4.2 g, 15.3 mmol, 1.0 eq.) in DMF (42 mL) under argon atmosphere and at 0 °C. The resulting mixture was stirred at 0 °C for 10 min. before ethyl N-(thioxomethylene)carbamate (2 g, 15.3 mmol, 1.0 eq.) in DMF (5 mL) was added dropwise. The resulting mixture was stirred at RT overnight and then at 100 °C for 4h. The reaction mixture was cooled down to RT, sat. aq. NaHCO3. solution was added, the resulting precipitate was collected by filtration and washed with MeCN
and dried in vacuo to afford 3.9 g (64% yield, 82% purity) of the title compound which was directly used in the next step without further purification.
LC-MS (Method 1): Rt = 2.01 min; MS (ESIpos): m/z = 325 [M+H]+
’HNMR (400 MHz, DMSO- 6): 5 [ppm] = 1.19 (t, 3 H) 3.99 (q, 2 H) 6.76 - 6.90 (m, 1 H) 7.31 (d, 1 H)
7.49 (d, 1 H)
Intermediate 6-10
6N NaOH (14.5 mL, 87 mmol, 8.0 eq.) was added to a mixture of ethyl N-(4-bromo-3-cyano- benzothiophen-2-yl)carbamate (Intermediate, 6-09, 85% purity, 4.2 g, 10.9 mmol, 1.0 eq.) in DMSO (11 mL) and the resulting mixture was stirred at 120 °C overnight. The reaction mixture was cooled down to RT, H2O was added, the resulting precipitate was collected by fdtration and dried in vacuo to afford 1.3 g (47% yield, 97% purity) of the title compound which was directly used in the next step without further purification.
LC-MS (Method 1): Rt = 1.60 min; MS (ESIpos): m/z = 253 [M+H]+
'HNMR (400 MHz, DMSO- 6): 5 [ppm] = 6.99 (t, 1 H) 7.44 (d, 1 H) 7.67 (d, 1 H) 7.92 (br s, 2 H)
Di-tert-butyldicarbonate (213 mg, 1.0 mmol, 1.1 eq.) was added to a mixture of 2-amino-4-bromo- benzothiophene-3 -carbonitrile (Intermediate 6-10, 225 mg, 0.9 mmol, 1.0 eq.), N,N- diisopropylethylamine (0.23 mL, 1.3 mmol, 1.5 eq.) and 4-(dimethylamino)pyridine (11 mg, 0.1 mmol, 0.1 eq.) in THF (2.7 mL) and the resulting mixture was stirred at RT overnight. LCMS indicated
incomplete conversion, di-tert-butyldicarbonate (97 mg, 0.5 mmol, 0.5 eq.) was added and the reaction mixture was stirred at RT overnight. The reaction was quenched with H2O, sat. aq. NaHCO3-solution was added, and the resulting mixture was stirred at RT for 10 min. The resulting precipitate was fdtered off, dissolved in DCM and the phases were separated. The aqueous phase was extracted with DCM and the combined organic phase was washed with brine, dried over MgSO4, the solvent was removed under reduced pressure and the crude product was dried in vacuo to afford 346 mg (0.9 mmol, 103% yield, 94% purity) of the title compound which was directly used without further purification.
LC-MS (Method 1): Rt = 2.29 min; MS (ESIneg): m/z = 351 [M+H]’
’H NMR (400 MHz, DMSO- 6): 5 [ppm] = 1.53 (s, 9 H) 7.24 (t, 1 H) 7.64 (d, 1 H) 7.97 (d, 1 H) 11.45 (br s, 1 H)
Intermediate 6-12 tert-Butyl N-(4-bromo-3-cyano-benzothiophen-2-yl)-N-[(4-methoxyphenyl)methyl]-carbamate
Cs2CO3 (157 mg, 0.48 mmol, 1.7 eq.) and 4 -methoxybenzyl chloride (42 pL, 0.31 mmol, 1.1 eq.) were added under an argon atmosphere to a solution of tert-butyl N-(4-bromo-3-cyano-benzothiophen-2- yl)carbamate (Intermediate 6-11, 100 mg, 0.28 mmol, 1.0 eq.) in DMF (0.4 mb). The resulting mixture was stirred at 80 °C for Ih. LCMS showed incomplete conversion, therefore 4 -methoxybenzyl chloride (19 pL, 0.14 mmol, 0.5 eq.) was added and the reaction was stirred at 80 °C for Ih. The reaction was cooled down to RT and quenched with H2O. The phases were separated, and the aqueous phase was extracted with EtOAc, dried over MgSO4 and the solvent was removed under reduced pressure. The residue was purified by RP-HPLC (acetonitrile / 0.01% formic acid in water gradient). The product fractions were pooled and concentrated in vacuo to afford 107 mg (79% yield, 98% purity) of the title compound.
LC-MS (Method 1): Rt = 2.53 min; MS (ESIpos): m/z = 473 [M+H]+
'HNMR (400 MHz, DMSO- 6): 5 [ppm] = 1.46 (s, 9 H) 3.73 (s, 3 H) 4.91 (s, 2 H) 6.91 (d, 2 H) 7.22 (d,
2 H) 7.39 (t, 1 H) 7.75 (d, 1 H) 8.07 (d, 1 H)
Intermediate 6-13
tert-Butyl N-(3-cyano-4-hydroxy-benzothiophen-2-yl)-N-[(4-methoxyphenyl)-methyl] carbamate
Pd2(dba)3 (29 mg, 0.03 mmol, 0.05 eq.), t-Bu Bippy Phos (32 mg, 0.06 mmol, 0.1 eq.) and KOH (107 mg, 1.9 mmol, 3 eq.) were added under an argon atmosphere to a solution of tert-butyl N-(4-bromo-3- cyano-benzothiophen-2-yl)-N-[(4-methoxyphenyl)methyl]-carbamate (Intermediate 6-12, 300 mg, 0.63 mmol, 1.0 eq.) in dioxane (6 mL) and water (6 mL). The reaction vial was purged with argon for 5 min., closed and stirred at 80 °C overnight. The reaction mixture was cooled down to RT, diluted with EtOAc, filtrated, washed with H2O, dried over MgSO4 and the solvent was removed under reduced pressure. The residue was purified by RP-HPLC (acetonitrile / 0.01% formic acid in water gradient). The product fractions were pooled and concentrated in vacuo to afford 135 mg (49% yield, 95% purity) of the title compound.
LC-MS (Method 1): Rt = 2.14 min; MS (ESIpos): m/z = 411 [M+H]+
'HNMR (400 MHz, DMSO- 6): 5 [ppm] = 1.44 (s, 9 H) 3.72 (s, 3 H) 4.85 (s, 2 H) 6.83 (d, 1 H) 6.89 (d, 2 H) 7.20 (d, 2 H) 7.26 (t, 1 H) 7.36 (d, 1 H) 10.52 (s, 1 H). Intermediate 6-14 tert-Butyl 3- [8- [2- [tert-butoxycarbonyl- [(4-methoxyphenyl)methyl] amino] -3-cyano- benzothiophen-4-yl]oxy-7-cyclobutyl-2-[[(2R,8S)-2-fluoro-l,2,3,5,6,7-hexahydropyrrolizin-8- yl]methoxy]purin-6-yl]-3,8-diazabicyclo[3.2.1]octane-8-carboxylate
A mixture of tert-butyl 3-[8-bromo-7-cyclobutyl-2-[[(2R,8S)-2-fluoro-l,2,3,5,6,7-hexahydropyrrolizin-8- yl]methoxy]purin-6-yl]-3,8-diazabicyclo[3.2.1]octane-8-carboxylate (Intermediate 1-08, 52.0 mg, 83.8 pmol, 1.0 eq.), tert-butyl N-(3-cyano-4-hydroxy-benzothiophen-2-yl)-N-[(4- methoxyphenyl)methyl] carbamate (Intermediate 6-13, 48.0 mg, 117 pmol, 1.4 eq.) and BEMP (73 pl, 250 pmol, 3.0 eq.) in DMF (1 mL) was stirred at 80 °C overnight. The reaction mixture was cooled down and purified by RP-HPLC (acetonitrile / 0.01% formic acid in water gradient). The product fractions were pooled and concentrated in vacuo to afford 37 mg (46% yield, 100% purity) of the title compound.
LC-MS (Method 1): Rt = 2.05 min; MS (ESIpos): m/z = 950 [M+H]+
Intermediate 7-01
2,6-Dichloro-7-cyclobutyl-7H-purin-8-yl[7-fluoro-3-(methoxymethoxy)-8-{[tri (propan-2- yl)silyl]ethynyl}naphthalen-l-yl]methanol
LiHMDS (2.4 ml, 1.0 M, 2.4 mmol; CAS-RN: [109-72-8]) was dropwise added to a mixture of 2,6- dichloro-7-cyclobutyl-7H-purine (Intermediate 1-03, 383.8 mg, 1.6 mmol, 1.0 eq.) and 7-fluoro-3- (methoxymethoxy)-8-[(triisopropylsilyl)ethynyl]-l-naphthaldehyde (Intermediate 3-04, 1.1 eq., 720 mg, 1.7 mmol) in THF (10 mL) at -18 °C and stirred for 30 minutes at -18 °C, followed by 30 minutes at rt. The reaction was quenched with water (0.5 mL) and saturated aq. NH4Cl-solution (0.5 mL) and diluted with water (2 mL) and EtOAc (4 mL) and extracted with EtOAc. The combined organic layers were washed with brine, dried over anhydrous sodium sulfate and concentrated in vacuo to give the crude product. The crude product was purified by column chromatography (25 g silica gel, cyclohexane / ethyl acetate 4-34%). The product fractions were pooled and concentrated in vacuo to afford 612 mg (99% purity, 59 % yield) of the title compound.
LC-MS (Method 1): Rt = 3.18 min; MS (ESIpos): m/z = 657 [M+H]
’H NMR (400 MHz, DMSO- 6): 5 [ppm] = 0.84 - 1.17 (m, 21 H) 1.63 - 1.94 (m, 2 H) 1.94 - 2.07 (m, 1 H) 2.33 - 2.50 (m, 1 H) 2.64 - 2.90 (m, 2 H) 3.34 (s, 3 H) 5.06 - 5.31 (m, 2 H) 5.41 (quin, 1 H) 6.68 (d, 1 H) 7.08 (d, 1 H) 7.51 - 7.65 (m, 2 H) 8.09 (dd, 1 H) 8.26 (d, 1 H)
Intermediate 7-02
(2,6-Dichloro-7-cyclobutyl-7H-purin-8-yl) [7-fluoro-3-(meth oxymeth oxy)-8-{ [tri (propan-2- yl)silyl]ethynyl}naphthalen-l-yl]methanone
l,l,l-Triacetoxy-llambda5,2-benziodoxol-3(lH)-on (1.21 g, 2.85 mmol; CAS-RN:[87413-09-0]) was added to a mixture of 2,6-dichloro-7-cyclobutyl-7H-purin-8-yl{7-fluoro-3-(methoxymethoxy)-8- [(triisopropylsilyl)ethynyl]-l-naphthyl}methanol (Intermediate 7-01, 1.34 g, 2.04 mmol) in DCM (30 mL) and stirred at rt over night. As LCMS analysis indicated incompletion of the reaction further 1,1,1- triacetoxy-llambda5,2-benziodoxol-3(lH)-on (0.6 eq, 519 mg, 1.2 mmol; CAS-RN:[87413-09-0]) was added and the resulting mixture was stirred at rt for further 4 h. The reaction mixture was diluted with DCM, washed with water, dried over anhydrous sodium sulfate and concentrated in vacuo to give the crude productThe crude product was purified by column chromatography (50 g silica gel, cyclohexane / ethyl acetate 0-100%). The product fractions were pooled and concentrated in vacuo to afford 815 mg (99 % purity, 61 % yield) of the title compound.
LC-MS (Method 6): Rt = 6.06 min; MS (ESIpos): m/z = 655 [M+H]+
'H NMR (500 MHz, DMSO- 6): 5 [ppm] = 0.67 - 0.83 (m, 21 H) 1.81 - 1.98 (m, 2 H) 2.58 - 2.79 (m, 4 H) 3.42 (s, 3H) 5.38 (s, 2 H) 5.63 (quin, 1 H) 7.65 (t, 1 H) 7.81 (d, 1 H) 7.87 (d, 1 H) 8.17 (dd, 1 H)
Intermediate 7-03
{2-Chloro-7-cyclobutyl-6-[(3R)-3-hydroxy-3-methylpiperidin-l-yl]-7H-purin-8-yl}[7-fluoro-3-
N,N -diisopropylethylamine (3.5 eq., 560 pl, 3.2 mmol; CAS-RN: [7087-68-5]) was added to a mixture of 2, 6-dichloro-7-cyclobutyl-7H-pmin-8-yl)[7-fluoro-3-(methoxymethoxy)-8-{ [tri (propan-2- yl)silyl]ethynyl}naphthalen-l-yl]methanone (Intermediate 7-01, 1 eq., 600 mg, 915 pmol) and (3R)-3- methylpiperidin-3-ol hydrogen chloride (1/1) (1.2 eq., 167 mg, 1.10 mmol) in dioxane (19 mb) and stirred at 50 °C for 3.5 h. The reaction was allowed to cool down to rt, water and EtOAc were added and the mixture was extracted with EtOAc. The combined organic layers were washed with brine, dried over anhydrous sodium sulfate and concentrated in vacuo to give the crude product. The crude product was purified by column chromatography (25 g silica gel, cyclohexane / ethyl acetate 33%). The product fractions were pooled and concentrated in vacuo to afford 547 mg (99 % purity, 81 % yield) of the title compound.
LC-MS (Method 1): Rt = 3.01 min; MS (ESIpos): m/z = 734 [M+H]+
1HNMR (400 MHz, DMSO- 6): 5 [ppm] = 0.80 - 0.93 (m, 21 H) 1.13 (s, 3 H) 1.45 - 1.81 (m, 5 H) 1.94 - 2.13 (m, 1 H) 2.58 - 2.66 (m, 1 H) 3.04 - 3.27 (m, 1 H) 3.40 - 3.45 (m, 3 H) 3.47 - 3.56 (m, 1 H) 3.66 - 4.17 (m, 1 H) 4.34 - 4.68 (m, 1 H) 4.99 - 5.26 (m, 1 H) 5.33 - 5.42 (m, 2 H) 7.52 - 7.70 (m, 2 H) 7.83 (d, l H) 8.15 (dd, 1 H).
Intermediate 7-04 formic acid - (7-cyclobutyl-2-{[(2R,7aS)-2-fluorotetrahydro-lH-pyrrolizin-7a(5H)-yl]methoxy}-6- [(3R)-3-hydroxy-3-methylpiperidin-l-yl]-7H-purin-8-yl)[7-fluoro-3-(methoxymethoxy)-8- {[tri(propan-2-yl)silyl]ethynyl}naphthalen-l-yl]methanone (1/1)
NaH (2.0 eq, 6.15 mg, 60 %purity, 154 pmol; CAS-RN: [7646-69-7]) was added to a mixture of [(2R,7aS)- 2-fluorotetrahydro-lH-pyrrolizin-7a(5H)-yl]methanol (1.2 eq., 14.7 mg, 92 pmol) in THF (1 mL) and stirred for 10 minutes at rt. To this mixture, a solution of {2-chloro-7-cyclobutyl-6-[(3R)-3-hydroxy-3- methylpiperidin-l-yl]-7H-purin-8-yl}[7-fluoro-3-(methoxymethoxy)-8-{[tri(propan-2- yl)silyl]ethynyl}naphthalen-l-yl]methanone (Intermediate 7-03, 1 eq., 56.5 mg, 76.9 pmol) in THF (2 mL) was added and the reaction mixture was stirred for 3h at 65 °C. The reaction mxture was cooled down to rt, diluted with MeOH (3 mL) and purified by RP-HPLC (acetonitrile / 0.01% formic acid in water gradient). The product fractions were pooled and concentrated in vacuo to afford 13.2 mg (19% yield, 100% purity) of the title compound.
LC-MS (Method 1): Rt = 2.15 min; MS (ESIpos): m/z = 857 [M+H]+
’H NMR (600 MHz, DMSO- 6): 5 [ppm] = 0.72 - 0.98 (m, 21 H) 1.17 (s, 3 H) 1.42 - 2.19 (m, 13 H) 2.57 - 2.67 (m, 1 H) 2.72 - 2.87 (m, 1 H) 2.94 - 3.18 (m, 4 H) 3.18 - 3.27 (m, 1 H) 3.43 (s, 3 H) 3.46 - 3.55 (m, 1 H) 3.88 - 4.02 (m, 2 H) 4.28 - 4.91 (m, 1 H) 5.07 - 5.33 (m, 2 H) 5.37 (s, 2 H) 7.48 (br s, 1 H) 7.62 (t, 1 H) 7.80 (d, l H) 8.14 (dd, 1 H)
Intermediate 7-05
(7-Cyclobutyl-2-{[(2R,7aS)-2-fluorotetrahydro-lH-pyrrolizin-7a(5H)-yl]methoxy}-6-[(3R)-3- hydroxy-3-methylpiperidin-l-yl]-7H-purin-8-yl)[8-ethynyl-7-fluoro-3-
To a mixture of (7-cyclobutyl-2-{[(2R,7aS)-2-fluorotetrahydro-lH-pyrrolizin-7a(5H)-yl]methoxy}-6- [(3R)-3-hydroxy-3-methylpiperidin-l-yl]-7H-purin-8-yl)[7-fluoro-3-(methoxymethoxy)-8-{ [tri (propan- 2-yl)silyl]ethynyl}naphthalen-l-yl]methanone / formic acid (1/1) (Intermediate 7-04, 1 eq., 12.1 mg, 13.4 pmol) in tetrahydrofuran (0.25 ml) was added tetramethylammonium fluoride (2 eq., 27 pl, 1.0 M in THF, 27 pmol; CAS-RN: [429-41-4]) at -25 °C and the reaction was stirred for 20 minutes at -25 °C. The reaction mixture was quenched with sat. aq. NH4Cl-solution at -25 °C, allowed to warm to rt, diluted with EtOAc and water and extracted with EtOAc. The combined organic layers were washed with saturated brine, dried over anhydrous sodium sulfate, fdtered and concentrated under reduced pressure to give 29.8 mg (32 % purity, 100 % yield) of the title compound which was directly used in the next step without further purification.
LC-MS (Method 1): Rt = 1.60 min; MS (ESIpos): m/z = 701 [M+H]+
Intermediate 7-06
{7-Cyclobutyl-6-[(3R)-3-hydroxy-3-methylpiperidin-l-yl]-2-[(tetrahydro-lH-pyrrolizin-7a(5H)- yl)methoxy]-7H-purin-8-yl}[7-fluoro-3-(methoxymethoxy)-8-{[tri(propan-2- yl)silyl]ethynyl}naphthalen-l-yl]methanone / formic acid (1/1)
NaH (2.0 eq, 7.62 mg, 60 % purity, 191 pmol; CAS-RN: [7646-69-7]) was added to a mixture of tetrahydro-lH-pyrrolizin-7a(5H)-ylmethanol (1.2 eq., 16.2 mg, 114 pmol) in THF (2 mL) and stirred for
10 minutes at rt. To this mixture {2-chloro-7-cyclobutyl-6-[(3R)-3-hydroxy-3-methylpiperidin-l-yl]-7H- purin-8-yl}[7-fluoro-3-(methoxymethoxy)-8-{[tri(propan-2-yl)silyl]ethynyl}naphthalen-l-yl]methanone (Intermediate 7-03, 1 eq., 70 mg, 95.3 pmol) was added and the reaction mixture was stirred for 3h at 65 °C. The reaction mxture was cooled down to rt, diluted with MeOH (3 mL) and purified by RP-HPLC (acetonitrile / 0.01% formic acid in water gradient). The product fractions were pooled and concentrated in vacuo to afford 29.3 mg (35% yield, 100% purity) of the title compound.
LC-MS (Method 1): Rt = 2.21 min; MS (ESIpos): m/z = 839 [M+H]+
’H NMR (400 MHz, DMSO- 6): 5 [ppm] = 0.77 - 0.92 (m, 21 H) 1.18 (s, 3 H) 1.46 - 1.91 (m, 14 H) 2.56 - 2.63 (m, 2 H) 2.92 - 2.99 (m, 2 H) 3.43 (s, 3 H) 3.95 (s, 2 H) 5.07 - 5.30 (m, 1 H) 5.36 (s, 2 H) 7.48 (d, 1 H) 7.62 (t, 1 H) 7.80 (d, 1 H) 8.14 (dd, 1 H)
Intermediate 7-07
{7-Cyclobutyl-6-[(3R)-3-hydroxy-3-methylpiperidin-l-yl]-2-[(tetrahydro-lH-pyrrolizin-7a(5H)- yl)methoxy]-7H-purin-8-yl}[8-ethynyl-7-fluoro-3-(methoxymethoxy)naphthalen-l-yl]methanone
To a mixture of {7-cyclobutyl-6-[(3R)-3-hydroxy-3-methylpiperidin-l-yl]-2-[(tetrahydro-lH-pyrrolizin- 7a(5H)-yl)methoxy]-7H-purin-8-yl}[7-fluoro-3-(methoxymethoxy)-8-{ [tri (propan-2- yl)silyl]ethynyl}naphthalen-l-yl]methanone (1/1) (Intermediate 7-06, 1 eq., 27.6 mg, 31.2 pmol) / formic acid (1/1) in THF (580 pl) was added tetramethylammonium fluoride (2 eq., 62 pl, 1.0 M, 62 pmol; CAS- RN: [429-41 -4])at -25 °C and the reaction was stirred for 20 minutes at -25 °C. The reaction mixture was quenched with sat. aq. NH4Cl-solution at -25 °C, allowed to warm to rt, diluted with EtOAc and water and extracted with EtOAc. The combined organic layers were washed with saturated brine, dried over anhydrous sodium sulfate, filtered and concentrated under reduced pressure to give 23.2 mg (92 % purity, 100 % yield) of the title compound which was directly used in the next step without further purification.
LC-MS (Method 1): Rt = 1.55 min; MS (ESIpos): m/z = 683 [M+H]+
Intermediate 7-08 tert-Butyl (2S)-2-[({7-cyclobutyl-8-[7-fluoro-3-(methoxymethoxy)-8-{[tri(propan-2- yl)silyl]ethynyl}naphthalene-l-carbonyl]-6-[(3R)-3-hydroxy-3-methylpiperidin-l-yl]-7H-purin-2- yl}oxy)methyl]pyrrolidine-l-carboxylate / formic acid (1/1)
NaH (2.0 eq, 7.62 mg, 60 %purity, 191 pmol; CAS-RN: [7646-69-7]) was added to a mixture oftert-butyl (2S)-2-(hydroxymethyl)pyrrolidine-l -carboxylate (1.2 eq., 23.0 mg, 114 pmol) in THF (3 mL) and stirred for 10 minutes at rt. To this mixture {2-chloro-7-cyclobutyl-6-[(3R)-3-hydroxy-3-methylpiperidin-l-yl]- 7H-purin-8-yl}[7-fluoro-3-(methoxymethoxy)-8-{ [tri (propan-2 -yl)silyl]ethynyl}naphthalen-l- yl]methanone (Intermediate 7-03, 1 eq., 70.0 mg, 95.3 pmol) was added and the reaction mixture was stirred at 65 °C over night. The reaction mxture was cooled down to rt, diluted with MeOH (3 mL) and purified by RP-HPLC (acetonitrile / 0.01% formic acid in water gradient). The product fractions were pooled and concentrated in vacuo to afford 22.7 mg (25% yield, 100% purity) of the title compound.
LC-MS (Method 7): Rt = 1.43 min; MS (ESIpos): m/z = 899 [M+H]+ Intermediate 7-09 tert-Butyl (2S)-2-[({7-cyclobutyl-8-[8-ethynyl-7-fluoro-3-(methoxymethoxy)-naphthalene-l- carbonyl]-6-[(3R)-3-hydroxy-3-methylpiperidin-l-yl]-7H-purin-2-yl}oxy)methyl]pyrrolidine-l- carboxylate
To a mixture of tert-butyl (2S)-2-[({7-cyclobutyl-8-[7-fluoro-3-(methoxymethoxy)-8-{[tri(propan-2- yl)silyl]ethynyl}naphthalene-l-carbonyl]-6-[(3R)-3-hydroxy-3-methylpiperidin-l-yl]-7H-purin-2- yl}oxy)methyl]pyrrolidine-l-carboxylate / formic acid (1/1) (Intermediate 7-08, 1 eq., 20.6 mg, 21.8 pmol) in THF (410 pl) was added tetramethylammonium fluoride (2 eq., 44 pl, 1.0 M, 44 pmol; CAS- RN: [429-41-4]) at -25 °C and the reaction was stirred for 45 minutes at -25 °C. The reaction mixture was quenched with sat. aq. NH4Cl-solution at -25 °C, allowed to warm to rt, diluted with EtOAc and water and extracted with EtOAc. The combined organic layers were washed with saturated brine, dried over anhydrous sodium sulfate, fdtered and concentrated under reduced pressure to give 37.2 mg (44 % purity, 100 % yield) of the title compound which was directly used in the next step without further purification.
LC-MS (Method 1): Rt = 2.47 min; MS (ESIpos): m/z = 743 [M+H]+
Intermediate 7-10
7-cyclobutyl-6-[(3R)-3-hydroxy-3-methylpiperidin-l-yl]-2-{[(2S)-l-methylpyrrolidin-2- yl]methoxy}-7H-purin-8-yl[7-fluoro-3-(methoxymethoxy)-8-{[tri (propan-2- yl)silyl]ethynyl}naphthalen-l-yl]methanone / formic acid (1/1)
NaH (2.0 eq, 7.62 mg, 60 % purity, 191 pmol; CAS-RN: [7646-69-7]) was added to a mixture of [(2S)-1- methylpyrrolidin-2-yl]methanol (1.2 eq., 13.2 mg, 114 pmol) in THF (3 mL) and stirred for 10 minutes at rt. To this mixture {2-chloro-7-cyclobutyl-6-[(3R)-3-hydroxy-3-methylpiperidin-l-yl]-7H-purin-8-yl}[7- fluoro-3-(methoxymethoxy)-8-{[tri(propan-2-yl)silyl]ethynyl}naphthalen-l-yl]methanone (Intermediate 7-03, 1 eq., 70.0 mg, 95.3 pmol) was added and the reaction mixture was stirred at 65 °C over night. The reaction mxture was cooled down to rt, diluted with MeOH (3 mL) and purified by RP-HPLC (acetonitrile / 0.01% formic acid in water gradient). The product fractions were pooled and concentrated in vacuo to afford 28.0 mg (100 % purity, 34 % yield) of the title compound.
LC-MS (Method 1): Rt = 2.17 min; MS (ESIpos): m/z = 813 [M+H]+
Intermediate 7-11
7-Cyclobutyl-6-[(3R)-3-hydroxy-3-methylpiperidin-l-yl]-2-{[(2S)-l-methylpyrrolidin-2- yl]methoxy}-7H-purin-8-yl[8-ethynyl-7-fluoro-3-(methoxymethoxy)naphthalen-l-yl]methanone
To a mixture of 7-cyclobutyl-6-[(3R)-3-hydroxy-3-methylpiperidin-l-yl]-2-{[(2S)-l-methylpyrrolidin-2- yl]methoxy}-7H-purin-8-yl[7-fluoro-3-(methoxymethoxy)-8-{ [tri (propan-2 -y 1) silyl] ethynyl} naphthalen- l-yl]methanone / formic acid (1/1) (Intermediate 7-10, 1 eq., 26.4 mg, 30.7 pmol) in THF (570 pl) was added tetramethylammonium fluoride (2 eq., 61 pl, 1.0 M, 61 pmol; CAS-RN: [429-41-4]) at -25 °C and the reaction was stirred for 45 minutes at -25 °C. The reaction mixture was quenched with sat. aq. NH4C1- solution at -25 °C, allowed to warm to rt, diluted with EtOAc and water and extracted with EtOAc. The combined organic layers were washed with saturated brine, dried over anhydrous sodium sulfate, filtered and concentrated under reduced pressure to give 22.9 mg (88 % purity, 100 % yield) of the title compound which was directly used in the next step without further purification.
LC-MS (Method 1): Rt = 1.52 min; MS (ESIpos): m/z = 657 [M+H]+
Intermediate 7-12
7-Cyclobutyl-2-{[(2S,4R)-4-fluoro-l-methylpyrrolidin-2-yl]methoxy}-6-[(3R)-3-hydroxy-3- methylpiperidin-l-yl]-7H-purin-8-yl[7-fluoro-3-(methoxymethoxy)-8-{[tri (propan-2- yl)silyl]ethynyl}naphthalen-l-yl]methanone / formic acid (1/1)
NaH (2.0 eq, 7.62 mg, 60 % purity, 191 pmol; CAS-RN: [7646-69-7]) was added to a mixture of [(2S,4R)- 4-fluoro-l-methylpyrrolidin-2-yl]methanol (1.2, 30.5 mg, 50 % purity, 114 pmol)in THF (3 mL) and stirred for 10 minutes at rt. To this mixture {2-chloro-7-cyclobutyl-6-[(3R)-3-hydroxy-3-methylpiperidin- l-yl]-7H-purin-8-yl}[7-fhioro-3-(methoxymethoxy)-8-{[tri(propan-2-yl)silyl]ethynyl}naphthalen-l- yl]methanone (Intermediate 7-03, 1 eq., 70.0 mg, 95.3 pmol) was added and the reaction mixture was stirred for 3 h at 65 °C. The reaction mxture was cooled down to rt, diluted with MeOH (3 mL) and purified by RP-HPLC (acetonitrile / 0.01% formic acid in water gradient). The product fractions were pooled and concentrated in vacuo to afford 36.9 mg (100 % purity, 44 % yield) of the title compound. LC-MS (Method 1): Rt = 2.19 min; MS (ESIpos): m/z = 831 [M+H]+
Intermediate 7-13 7-Cyclobutyl-2- { [(2S,4R)-4-fluoro-l-methylpyrrolidin-2-yl]methoxy}-6- [(3R)-3-hydroxy-3- methylpiperidin-l-yl]-7H-purin-8-yl[8-ethynyl-7-fluoro-3-(methoxymethoxy)naphthalen-l- yljmethanone
To a mixture of 7-cyclobutyl-2-{[(2S,4R)-4-fluoro-l-methylpyrrolidin-2-yl]methoxy}-6-[(3R)-3- hydroxy-3 -methylpiperidin- 1 -yl] -7H-purin-8-yl [7 -fluoro-3 -(methoxymethoxy)-8- { [tri(propan-2- yl)silyl]ethynyl}naphthalen-l-yl]methanone formic acid (1/1) (Intermediate 7-12, 1 eq., 34.0 mg, 38.8 pmol) in THF (720 pl) was added tetramethylammonium fluoride (2 eq., 78 pl, 1.0 M, 78 pmol; CAS- RN: [429-41-4]) at -25 °C and the reaction was stirred for 45 minutes at -25 °C. The reaction mixture was quenched with sat. aq. NH4Cl-solution at -25 °C, allowed to warm to rt, diluted with EtOAc and water and extracted with EtOAc. The combined organic layers were washed with saturated brine, dried over anhydrous sodium sulfate, filtered and concentrated under reduced pressure to give 28.9 mg (91 % purity, 100 % yield) of the title compound which was directly used in the next step without further purification.
LC-MS (Method 1): Rt = 1.52 min; MS (ESIpos): m/z = 675 [M+H]+
Intermediate 7-14
(5S)-5-[({7-Cyclobutyl-8-[7-fluoro-3-(methoxymethoxy)-8-{[tri(propan-2- yl)silyl]ethynyl}naphthalene-l-carbonyl]-6-[(3R)-3-hydroxy-3-methylpiperidin-l-yl]-7H-purin-2- yl}oxy)methyl]-l-methylpyrrolidin-2-one
NaH (2.0 eq, 4.66 mg, 60 % purity, 117 pmol; CAS-RN: [7646-69-7]) was added to a mixture of (5S)-5- (Hydroxymethyl)-l-methylpyrrolidin-2-one (1.2 eq., 9.03 mg, 69.9 pmol) in THF (2 mL) and stirred for 10 minutes at rt. To this mixture {2-chloro-7-cyclobutyl-6-[(3R)-3-hydroxy-3-methylpiperidin-l-yl]-7H- purin-8-yl}[7-fluoro-3-(methoxymethoxy)-8-{[tri(propan-2-yl)silyl]ethynyl}naphthalen-l-yl]methanone (Intermediate 7-03, 1 eq., 42.8 mg, 58.3 pmol) was added and the reaction mixture was stirred for 8 h at 65 °C. The reaction mxture was cooled down to rt, diluted with MeOH (3 mL) and purified by RP-HPLC (acetonitrile / 0.01% formic acid in water gradient). The product fractions were pooled and concentrated in vacuo to afford 22.1 mg (100 % purity, 46 % yield) of the title compound.
LC-MS (Method 1): Rt = 2.86 min; MS (ESIpos): m/z = 827 [M+H]+
Intermediate 7-15
(5S)-5-[({7-Cyclobutyl-8-[8-ethynyl-7-fluoro-3-(methoxymethoxy)naphthalene-l-carbonyl]-6-
To a mixture of (5S)-5-[({7-cyclobutyl-8-[7-fhioro-3-(methoxymethoxy)-8-{[tri(propan-2- yl)silyl]ethynyl}naphthalene-l-carbonyl]-6-[(3R)-3-hydroxy-3-methylpiperidin-l-yl]-7H-purin-2- yl}oxy)methyl]-l-methylpyrrolidin-2-one (Intermediate 7-14, 1 eq., 20.8 mg, 25.1 pmol) in THF (470 pl) was added tetramethylammonium fluoride (2 eq., 50 pl, 1.0 M, 50 pmol; CAS-RN: [429-41-4]) at -25 °C and the reaction was stirred for 45 minutes at -25 °C. The reaction mixture was quenched with sat. aq. NH4Cl-solution at -25 °C, allowed to warm to rt, diluted with EtOAc and water and extracted with EtOAc. The combined organic layers were washed with saturated brine, dried over anhydrous sodium sulfate, filtered and concentrated under reduced pressure to give 21.7 mg (78 % purity, 100 % yield) of the title compound which was directly used in the next step without further purification.
LC-MS (Method 1): Rt = 1.97 min; MS (ESIpos): m/z = 671 [M+H]+
Intermediate 7-16 [2-Chloro-7-cyclobutyl-6-(l,4-oxazepan-4-yl)-7H-purin-8-yl] [7-fluoro-3-(methoxymethoxy)-8-
{[tri(propan-2-yl)silyl]ethynyl}naphthalen-l-yl]methanone
N,N -diisopropylethylamine (3.5 eq., 560 pl, 3.2 mmol; CAS-RN: [7087-68-5]) was added to a mixture of 2,6-dichloro-7-cyclobutyl-7H-purin-8-yl)[7-fhioro-3-(methoxymethoxy)-8-{[tri(propan-2- yl)silyl]ethynyl}naphthalen-l-yl]methanone (Intermediate 7-02, 1 eq., 600 mg, 915 pmol) and 1,4- oxazepane/hydrogen chloride (1/1) (1.2 eq., 151 mg, 1.10 mmol) in dioxane (19 mL) and stirred at 50 °C for 4.5 h. The reaction was allowed to cool to rt, water and EtOAc were added and the mixture was extracted with EtOAc. The combined organic layers were washed with brine, dried over anhydrous sodium sulfate and concentrated in vacuo to give the crude product (700 mg, 95 % purity, 100 % yield) which was directly used in the next step without further purification.
LC-MS (Method 1): Rt = 3.00 min; MS (ESIpos): m/z = 720 [M+H]+
’H NMR (400 MHz, DMSO- 6): 5 [ppm] = 0.76 - 0.93 (m, 21 H) 1.56 - 2.04 (m, 4 H) 2.21 - 2.42 (m, 2 H) 3.57 (s, 3 H) 3.70 (s, 2 H) 3.79 - 4.02 (m, 4 H) 5.05 - 5.19 (m, 1 H) 5.35 (s, 2 H) 7.63 (t, 1 H) 7.68 (d, 1 H) 7.83 (d, 1 H) 8.15 (dd, 1 H)
Intermediate 7-17
[7-Cyclobutyl-2-{[(2R,7aS)-2-fluorotetrahydro-lH-pyrrolizin-7a(5H)-yl]methoxy}-6-(l,4- oxazepan-4-yl)-7H-purin-8-yl] [7-fluoro-3-(methoxymethoxy)-8-{[tri(propan-2- yl)silyl]ethynyl}naphthalen-l-yl]methanone / formic acid (1/2)
[2-Chloro-7-cyclobutyl-6-(l,4-oxazepan-4-yl)-7H-purin-8-yl][7-fluoro-3-(methoxymethoxy)-8- {[tri(propan-2-yl)silyl]ethynyl}naphthalen-l-yl]methanone (Intermediate 7-16, 1 eq., 70.0 mg, 95 % purity, 92.3 pmol) was dissolved in toluene (3 mL) under argon. To this mixture [(2R,7aS)-2- Fluorotetrahydro-lH-pyrrolizin-7a(5H)-yl]methanol (1.2 eq., 17.6 mg, 111 pmol), RuPhos Pd G3 (10 mol%, 7.72 mg, 9.23 pmol) and caesiumcarbonat (2.5 eq., 75.2 mg, 231 pmol; CAS-RN: [534- 17-8]) were added. The resulting mixture was stirred at 100 °C over night. As LCMS indicated poor conversion additional RuPhos Pd G3 (30 mol%, 23.1 mg, 0.03 mmol) was added and the mixture was stirred for
additional 7h at 100 °C. The reaction mixture was cooled down to rt, water and EtOAc were added and the mixture was extracted with EtOAc. The combined organic layers were washed with brine, dried over anhydrous sodium sulfate, concentrated in vacuo and purified by RP-HPLC (acetonitrile / 0.01% formic acid in water gradient). The product fractions were pooled and concentrated in vacuo to afford 23.7 mg (100 % purity, 27 % yield) of the title compound.
LC-MS (Method 1): Rt = 2.29 min; MS (ESIpos): m/z = 422 [M+H]+
'H NMR (400 MHz, DMSO- 6): 5 [ppm] = 0.62 - 1.02 (m, 21 H) 1.55 - 2.46 (m, 13 H) 2.76 - 2.89 (m, 1 H) 2.98 - 3.20 (m, 3 H) 3.45 (s, 3 H) 3.52 - 4.05 (m, 9 H) 4.97 - 5.15 (m, 1 H) 5.15 - 5.41 (m, 3 H) 7.54 (d, 1 H) 7.62 (t, 1 H) 7.80 (d, 1 H) 8.14 (dd, 1 H)
Intermediate 7-18
[7-Cyclobutyl-2-{[(2R,7aS)-2-fluorotetrahydro-lH-pyrrolizin-7a(5H)-yl]methoxy}-6-(l,4- oxazepan-4-yl)-7H-purin-8-yl] [8-ethynyl-7-fluoro-3-(methoxymethoxy)naphthalen-l-yl]methanone
To a mixture of [7-cyclobutyl-2-{[(2R,7aS)-2-fluorotetrahydro-lH-pyrrolizin-7a(5H)-yl]methoxy}-6- (l,4-oxazepan-4-yl)-7H-purin-8-yl][7-fhioro-3-(methoxymethoxy)-8-{[tri(propan-2- yl)silyl]ethynyl}naphthalen-l-yl]methanone / formic acid (1/2) (Intermediate 7-17, 1 eq., 31.0 mg, 33.1 pmol) in THF (1 mb) was added tetramethylammonium fluoride (2 eq., 66 pl, 1.0 M, 66 pmol; CAS- RN: [429-41-4]) at -18 °C and the reaction was stirred for 20 minutes at -18 °C. The reaction mixture was quenched with sat. aq. NH4Cl-solution at -18 °C, allowed to warm to rt, diluted with EtOAc and water and extracted with EtOAc. The combined organic layers were washed with saturated brine, dried over anhydrous sodium sulfate, fdtered and concentrated under reduced pressure to give 33.7 mg (68 % purity, 100 % yield) of the title compound which was directly used in the next step without further purification.
LC-MS (Method 1): Rt = 1.62 min; MS (ESIpos): m/z = 687 [M+H]+
Intermediate 7-19
{7-Cyclobutyl-6-(l,4-oxazepan-4-yl)-2-[(tetrahydro-lH-pyrrolizin-7a(5H)-yl)methoxy]-7H-purin- 8-yl}[7-fluoro-3-(methoxymethoxy)-8-{[tri(propan-2-yl)silyl]ethynyl}naphthalen-l-yl]methanone I formic acid (1/1)
[2-Chloro-7-cyclobutyl-6-(l,4-oxazepan-4-yl)-7H-purin-8-yl][7-fluoro-3-(methoxymethoxy)-8- {[tri(propan-2-yl)silyl]ethynyl}naphthalen-l-yl]methanone (Intermediate 7-16, 1 eq., 70.0 mg, 95 % purity, 92.3 pmol) was dissolved in toluene (3 mL) under argon. To this mixture (tetrahydro- 1H- pyrrolizin-7a(5H)-yl)methanol (1.2 eq., 15.6 mg, 111 pmol), RuPhos Pd G3 (25 mol%, 19.3 mg, 23.1 pmol) and caesiumcarbonat (2.5 eq., 75.2 mg, 231 pmol; CAS-RN:[534-17-8]) were added. The resulting mixture was stirred at 100 °C over night. As LCMS indicated poor conversion additional RuPhos Pd G3 (25 mol%, 19.3 mg, 23.1 pmol) was added and the mixture was stirred for additional 7h at 100 °C. The reaction mixture was cooled down to rt, water and EtOAc were added and the mixture was extracted with EtOAc. The combined organic layers were washed with brine, dried over anhydrous sodium sulfate, concentrated in vacuo and purified by RP-HPLC (acetonitrile / 0.01% formic acid in water gradient). The product fractions were pooled and concentrated in vacuo to afford 17.8 mg (100 % purity, 22 % yield) of the title compound.
LC-MS (Method 2): Rt = 2.08 min; MS (ESIpos): m/z = 825 [M+H]+
Intermediate 7-20
{7-Cyclobutyl-6-(l,4-oxazepan-4-yl)-2-[(tetrahydro-lH-pyrrolizin-7a(5H)-yl)methoxy]-7H-purin-
To a mixture of {7-cyclobutyl-6-(l,4-oxazepan-4-yl)-2-[(tetrahydro-lH-pyrrolizin-7a(5H)-yl)methoxy]- 7H-purin-8-yl}[7-fluoro-3-(methoxymethoxy)-8-{[tri (propan-2 -yl)silyl]ethynyl}naphthalen-l- yl]methanone / formic acid (1/1) (Intermediate 7-19, 1 eq., 17.0 mg, 20 pmol) in THF (600 pl) was added tetramethylammonium fluoride (2 eq., 39 pl, 1.0 M, 39 pmol; CAS-RN:[429-41-4]) at -18 °C and the reaction was stirred for 20 minutes at -18 °C. The reaction mixture was quenched with sat. aq. NH4C1- solution at -18 °C, allowed to warm to rt, diluted with EtOAc and water and extracted with EtOAc. The combined organic layers were washed with saturated brine, dried over anhydrous sodium sulfate, filtered and concentrated under reduced pressure to give 26.8 mg (49 % purity, 100 % yield) of the title compound which was directly used in the next step without further purification.
LC-MS (Method 1): Rt = 1.59 min; MS (ESIpos): m/z = 669 [M+H]+
Intermediate 7-21 tert-Butyl 7-{2-chloro-7-cyclobutyl-8-[7-fluoro-3-(methoxymethoxy)-8-{[tri(propan-2- yl)silyl]ethynyl}naphthalene-l-carbonyl]-7H-purin-6-yl}-3-oxa-7,9-diazabicyclo[3.3.1]nonane-9- carboxylate
N,N -diisopropylethylamine (3.5 eq., 190 pl, 1.1 mmol; CAS-RN: [7087-68-5]) was added to a mixture of (2,6-dichloro-7-cyclobutyl-7H-purin-8-yl)[7-fluoro-3-(methoxymethoxy)-8-{[tri(propan-2- yl)silyl]ethynyl}naphthalen-l-yl]methanone (Intermediate 7-02, 1 eq., 200 mg, 305 pmol) and tert-butyl 3-oxa-7,9-diazabicyclo[3.3.1]nonane-9-carboxylate (1.2 eq., 83.6 mg, 366 pmol) in dioxane (2 mb) and stirred at rt over night. The reaction was directly purified by RP-HPLC (acetonitrile / 0.01% formic acid in water gradient). The product fractions were pooled and concentrated in vacuo to afford 289 mg (94 % purity, 100 % yield) of the title compound.
LC-MS (Method 1): Rt = 3.14 min; MS (ESIpos): m/z = 847 [M+H]+
Intermediate 7-22 tert-Butyl 7-(7-cyclobutyl-8-[7-fluoro-3-(methoxymethoxy)-8-{[tri(propan-2- yl)silyl]ethynyl}naphthalene-l-carbonyl]-2-{[(2R,7aS)-2-fluorotetrahydro-lH-pyrrolizin-7a(5H)- yl]methoxy}-7H-purin-6-yl)-3-oxa-7,9-diazabicyclo[3.3.1]nonane-9-carboxylate
NaH (1.5 eq, 5.31 mg, 60 % purity, 133 pmol; CAS-RN: [7646-69-7]) was added to a mixture of [(2R,7aS)- 2-fhiorotetrahydro-lH-pyrrolizin-7a(5H)-yl]methanol (1.2 eq., 16.9 mg, 106 pmol) in THF (1.5 mb) and stirred for 10 minutes at rt. To this mixture tert-butyl 7-{2-chloro-7-cyclobutyl-8-[7-fluoro-3- (methoxymethoxy)-8-{[tri(propan-2-yl)silyl]ethynyl}naphthalene-l-carbonyl]-7H-purin-6-yl}-3-oxa- 7,9-diazabicyclo[3.3.1]nonane-9-carboxylate (Intermediate 7-21, 1 eq., 75.0 mg, 88.5 pmol) was added and the reaction mixture was stirred at rt over night. The reaction mixture was diluted with water and MeCN and directly purified by RP-HPLC (acetonitrile / 0.01% formic acid in water gradient). The product fractions were pooled and concentrated in vacuo to afford 17.6 mg (96 % purity, 20 % yield) of the title compound.
LC-MS (Method 2): Rt = 2.21 min; MS (ESIpos): m/z = 971 [M+H]+
Intermediate 7-23
tert-Butyl 7-(7-cyclobutyl-8-[8-ethynyl-7-fluoro-3-(methoxymethoxy)naphthalene-l-carbonyl]-2- {[(2R,7aS)-2-fluorotetrahydro-lH-pyrrolizin-7a(5H)-yl]methoxy}-7H-purin-6-yl)-3-oxa-7,9- diazabicyclo[3.3.1]nonane-9-carboxylate
To a mixture of tert-butyl 7-(7-cyclobutyl-8-[7-fhioro-3-(methoxymethoxy)-8-{[tri(propan-2- yl)silyl]ethynyl}naphthalene- 1 -carbonyl]-2- { [(2R,7aS)-2-fluorotetrahydro- lH-pyrrolizin-7a(5H)- yl]methoxy}-7H-purin-6-yl)-3-oxa-7,9-diazabicyclo[3.3.1]nonane-9-carboxylate (Intermediate 7-22, 1 eq., 17.6 mg, 18.1 pmol) in THF (1.5 mL) was added tetramethylammonium fluoride (2 eq., 36 pl, 1.0 M, 36 pmol; CAS-RN: [429-41-4]) at -18 °C and the reaction was stirred for 20 minutes at -18 °C. The reaction mixture was quenched with sat. aq. NH4Cl-solution at -18 °C, allowed to warm to rt, diluted with EtOAc and water and extracted with EtOAc. The combined organic layers were washed with saturated brine, dried over anhydrous sodium sulfate, filtered and concentrated under reduced pressure to give 16.8 mg (80% purity, 100% yield) of the title compound which was directly used in the next step without further purification. Intermediate 7-24 tert-Butyl- [(1R,5R,6R) or (lS,5S,6S)]-3-{2-chloro-7-cyclobutyl-8-[7-fluoro-3-(methoxymethoxy)-8- {[tri(propan-2-yl)silyl]ethynyl}naphthalene-l-carbonyl]-7H-purin-6-yl}-6-methoxy-3,8- diazabicyclo[3.2.1]octane-8-carboxylate
N,N -diisopropylethylamine (3.5 eq., 280 pl, 1.6 mmol; CAS-RN: [7087-68-5]) was added to a mixture of (2,6-dichloro-7-cyclobutyl-7H-purin-8-yl)[7-fluoro-3-(methoxymethoxy)-8-{[tri(propan-2- yl)silyl]ethynyl}naphthalen-l-yl]methanone (Intermediate 7-02, 1 eq., 303 mg, 463 pmol) and tert-butyl- [(1R,5R,6R) or (lS,5S,6S)]-6-methoxy-3,8-diazabicyclo[3.2.1]octane-8-carboxylate (Intermediate 2-15,
1.2 eq., 135 mg, 555 pmol) in dioxane (9.5 mb) and stirred at 50 °C for 5.5 h. The reaction was allowed to cool down to rt, water and EtOAc were added and the mixture was extracted with EtOAc. The combined organic layers were washed with brine, dried over anhydrous sodium sulfate and concentrated in vacuo to give the crude product. The crude product was purified by column chromatography (25 g silica gel, cyclohexane / ethyl acetate 33%). The product fractions were pooled and concentrated in vacuo to afford 325 mg (100 % purity, 81 % yield) of the title compound.
LC-MS (Method 1): Rt = 3.20 min; MS (ESIpos): m/z = 861 [M+H]+
Intermediate 7-25 tert-Butyl [(1R,5R,6R) or (lS,5S,6S)]-3-(7-cyclobutyl-8-[7-fluoro-3-(methoxymethoxy)-8- {[tri(propan-2-yl)silyl]ethynyl}naphthalene-l-carbonyl]-2-{[(2R,7aS)-2-fluorotetrahydro-lH- pyrrolizin-7a(5H)-yl]methoxy}-7H-purin-6-yl)-6-methoxy-3,8-diazabicyclo[3.2.1] octane-8- carboxylate / formic acid (1/1)
NaH (2.0 eq, 9.28 mg, 60 %purity, 232 pmol; CAS-RN: [7646-69-7]) was added to a mixture of [(2R,7aS)- 2-fluorotetrahydro-lH-pyrrolizin-7a(5H)-yl]methanol (1.2 eq., 22.2 mg, 139 pmol) in THF (1.5 mb) and stirred for 10 minutes at rt. To this mixture tert-butyl-[(lR,5R,6R) or (lS,5S,6S)]-3-{2-chloro-7- cyclobutyl-8-[7-fhioro-3-(methoxymethoxy)-8-{[tri(propan-2-yl)silyl]ethynyl}naphthalene-l-carbonyl]-
7H-purin-6-yl}-6-methoxy-3,8-diazabicyclo[3.2.1]octane-8-carboxylate (Intermediate 7-24, 1 eq., 100 mg, 116 pmol) was added and the reaction mixture was stirred for 3h at 65 °C. The reaction mixture was diluted with water and MeOH and directly purified by RP-HPLC (acetonitrile / 0.01% formic acid in water gradient). The product fractions were pooled and concentrated in vacuo to afford 35.7 mg (77 % purity, 23 % yield) of the title compound.
LC-MS (Method 1): Rt = 2.40 min; MS (ESIpos): m/z = 984 [M+H]+
Intermediate 7-26 tert-Butyl [(1R,5R,6R) or (lS,5S,6S)]-3-(7-cyclobutyl-8-[8-ethynyl-7-fluoro-3-
(methoxymethoxy)naphthalene-l-carbonyl]-2-{[(2R,7aS)-2-fluorotetrahydro-lH-pyrrolizin- 7a(5H)-yl]methoxy}-7H-purin-6-yl)-6-methoxy-3,8-diazabicyclo[3.2.1]octane-8-carboxylate
To a mixture of tert-butyl [(1R,5R,6R) or (lS,5S,6S)]-3-(7-cyclobutyl-8-[7-fhioro-3-(methoxymethoxy)- 8-{[tri(propan-2-yl)silyl]ethynyl}naphthalene-l-carbonyl]-2-{[(2R,7aS)-2-fluorotetrahydro-lH- pyrrolizin-7a(5H)-yl]methoxy}-7H-purin-6-yl)-6-methoxy-3,8-diazabicyclo[3.2.1]octane-8-carboxylate / formic acid (1/1) (Intermediate 7-25, 1 eq., 34.8 mg, 33.8 pmol) in THF (630 pl) was added tetramethylammonium fluoride (2 eq., 68 pl, 1.0 M, 68 pmol; CAS-RN: [429-41-4]) at -25 °C and the reaction was stirred for 45 minutes at -25 °C. The reaction mixture was quenched with sat. aq. NH4C1- solution at -25 °C, allowed to warm to rt, diluted with EtOAc and water and extracted with EtOAc. The combined organic layers were washed with saturated brine, dried over anhydrous sodium sulfate, filtered and concentrated under reduced pressure to give 36.2 mg (77 % purity, 100 % yield) of the title compound which was directly used in the next step without further purification.
LC-MS (Method 1): Rt = 2.40 min; MS (ESIpos): m/z = 984 [M+H]+
Intermediate 7-27 tert-Butyl [(1R,5R,6R) or (lS,5S,6S)]-3-(7-cyclobutyl-2-{[(2S)-4,4-difluoro-l-methylpyrrolidin-2- yl]methoxy}-8-[7-fluoro-3-(methoxymethoxy)-8-{[tri(propan-2-yl)silyl]ethynyl}naphthalene-l- carbonyl] -7H-purin-6-yl)-6-meth oxy-3, 8-diazabicyclo [3.2.1] octane-8-carboxylate / formic acid (1/1)
NaH (2.0 eq, 9.28 mg, 60 % purity, 232 pmol; CAS-RN: [7646-69-7]) was added to a mixture of [(2S)- 4,4-difhioro-l-methylpyrrolidin-2-yl]methanol (1.2 eq., 21.1 mg, 139 pmol) in THF (3 mL) and stirred for 10 minutes at rt. To this mixture tert-butyl-[(lR,5R,6R) or (lS,5S,6S)]-3-{2-chloro-7-cyclobutyl-8-[7- fluoro-3-(methoxymethoxy)-8-{[tri(propan-2-yl)silyl]ethynyl}naphthalene-l-carbonyl]-7H-purin-6-yl}- 6-methoxy-3,8-diazabicyclo[3.2.1]octane-8-carboxylate (Intermediate 7-24, 1 eq., 100 mg, 116 pmol) was added and the reaction mixture was stirred for 3h at 65 °C. The reaction mixture was diluted with water and MeOH and directly purified by RP-HPLC (acetonitrile / 0.01% formic acid in water gradient). The product fractions were pooled and concentrated in vacuo to 36.0 mg (100 % purity, 30 % yield) of the title compound.
LC-MS (Method 1): Rt = 3.12 min; MS (ESIpos): m/z = 976 [M+H]+
Intermediate 7-28 tert-Butyl [(1R,5R,6R) or (lS,5S,6S)]-3-(7-cyclobutyl-2-{[(2S)-4,4-difluoro-l-methylpyrrolidin-2- yl]methoxy}-8-[8-ethynyl-7-fluoro-3-(methoxymethoxy)naphthalene-l-carbonyl]-7H-purin-6-yl)-6- methoxy-3,8-diazabicyclo[3.2.1]octane-8-carboxylate
To a mixture of tert-butyl [(1R,5R,6R) or (lS,5S,6S)]-3-(7-cyclobutyl-2-{[(2S)-4,4-difluoro-l- methylpyrrolidin-2-yl]methoxy}-8-[7-fluoro-3-(methoxymethoxy)-8-{[tri(propan-2- yl)silyl]ethynyl}naphthalene-l-carbonyl]-7H-purin-6-yl)-6-methoxy-3,8-diazabicyclo[3.2.1]octane-8- carboxylate / formic acid (1/1) (Intermediate 7-27, 31 eq., 4.8 mg, 34.0 pmol) in THF (630 pl) was added tetramethylammonium fluoride (2 eq., 68 pl, 1.0 M, 68 pmol; CAS-RN:[429- 41-4]) at -25 °C and the reaction was stirred for 45 minutes at -25 °C. The reaction mixture was quenched with sat. aq. NH4Cl-solution at -25 °C, allowed to warm to rt, diluted with EtOAc and water and extracted with EtOAc. The combined organic layers were washed with saturated brine, dried over anhydrous sodium sulfate, fdtered and concentrated under reduced pressure to give 58.8 mg (47 % purity, 100 % yield) of the title compound which was directly used in the next step without further purification.
LC-MS (Method 1): Rt = 2.32 min; MS (ESIpos): m/z = 820 [M+H]+
Intermediate 7-29 tert-Butyl [(1R,5R,6R) or (lS,5S,6S)]-3-(7-cyclobutyl-8-[7-fluoro-3-(methoxymethoxy)-8- {[tri(propan-2-yl)silyl]ethynyl}naphthalene-l-carbonyl]-2-{[(2S)-l-methyl-5-oxopyrrolidin-2- yl]methoxy}-7H-purin-6-yl)-6-methoxy-3,8-diazabicyclo[3.2.1]octane-8-carboxylate I formic acid (1/1)
NaH (2.0 eq, 9.28 mg, 60 % purity, 232 pmol; CAS-RN: [7646-69-7]) was added to a mixture (5S)-5- (Hydroxymethyl)-l-methylpyrrolidin-2-one (1.2 eq., 18.0 mg, 139 pmol) in THF (3 mb) and stirred for 10 minutes at rt. To this mixture tert-butyl [(1R,5R,6R) or (lS,5S,6S)]-3-{2-chloro-7-cyclobutyl-8-[7- fluoro-3-(methoxymethoxy)-8-{[tri(propan-2-yl)silyl]ethynyl}naphthalene-l-carbonyl]-7H-purin-6-yl}- 6-methoxy-3,8-diazabicyclo[3.2.1]octane-8-carboxylate (Intermediate 7-24, 1 eq., 100 mg, 116 pmol) was added and the reaction mixture was stirred for 3h at 65 °C. The reaction mixture was diluted with water and MeOH and directly purified by RP-HPLC (acetonitrile / 0.01% formic acid in water gradient). The product fractions were pooled and concentrated in vacuo 45.5 mg (100 % purity, 39 % yield) of the title compound.
LC-MS (Method 1): Rt = 2.96 min; MS (ESIpos): m/z = 954 [M+H]+
Intermediate 7-30 tert-Butyl [(1R,5R,6R) or (lS,5S,6S)]-3-(7-cyclobutyl-8-[8-ethynyl-7-fluoro-3- (methoxymethoxy)naphthalene-l-carbonyl]-2-{[(2S)-l-methyl-5-oxopyrrolidin-2-yl]methoxy}-7H- purin-6-yl)-6-methoxy-3,8-diazabicyclo [3.2.1] octane-8-carboxylate
To a mixture of tert-butyl [(1R,5R,6R) or (lS,5S,6S)]-3-(7-cyclobutyl-8-[7-fhroro-3-(methoxymethoxy)- 8-{[tri(propan-2-yl)silyl]ethynyl}naphthalene-l-carbonyl]-2-{[(2S)-l-methyl-5-oxopyrrolidin-2- yl]methoxy}-7H-purin-6-yl)-6-methoxy-3,8-diazabicyclo[3.2.1]octane-8-carboxylate / formic acid (1/1) (Intermediate 7-29, 1 eq., 34.8 mg, 34.8 pmol) in THF (650 pl) was added tetramethylammonium fluoride (2 eq., 70 pl, 1.0 M, 70 pmol; CAS-RN: [429-41-4]) at -25 °C and the reaction was stirred for 45 minutes at -25 °C. The reaction mixture was quenched with sat. aq. NH4Cl-solution at -25 °C, allowed to warm to rt, diluted with EtOAc and water and extracted with EtOAc. The combined organic layers were washed with saturated brine, dried over anhydrous sodium sulfate, fdtered and concentrated under reduced pressure to give 57.6 mg (48 % purity, 100 % yield) of the title compound which was directly used in the next step without further purification.
LC-MS (Method 1): Rt = 2.25 min; MS (ESIpos): m/z = 798 [M+H]+
Intermediate 7-31 tert-Butyl-3-{2-chloro-7-cyclobutyl-8-[7-fluoro-3-(methoxymethoxy)-8-{[tri (propan-2- yl)silyl]ethynyl}naphthalene-l-carbonyl]-7H-purin-6-yl}-3,6-diazabicyclo[3.1.1]heptane-6- carboxylate
N,N -diisopropylethylamine (3.5 eq., 100 pl, 570 pmol; CAS-RN: [7087-68-5]) was added to a mixture of (2,6-dichloro-7-cyclobutyl-7H-purin-8-yl)[7-fluoro-3-(methoxymethoxy)-8-{[tri(propan-2- yl)silyl]ethynyl}naphthalen-l-yl]methanone (Intermediate 7-02, 1 eq., 150 mg, 229 pmol) and tert-butyl- 3,6-diazabicyclo[3.1.1]heptane-6-carboxylate (1.2 eq., 57.3 mg, 95 % purity, 275 pmol) in dioxane (2.5 mb) and stirred at rt for 3 days. The reaction mixture was diluted with water and EtOAc and extracted with EtOAc. The combined organic layers were washed with brine, dried over anhydrous sodium sulfate and concentrated in vacuo to give the crude product (187 mg, 100 % purity, 100 % yield), which was directly used without further purification in the next step
LC-MS (Method 1): Rt = 3.21 min; MS (ESIpos): m/z = 817 [M+H]+
Intermediate 7-32 tert-Butyl-3-(7-cyclobutyl-8-[7-fluoro-3-(methoxymethoxy)-8-{ [tri (propan-2- yl)silyl]ethynyl}naphthalene-l-carbonyl]-2-{[(2R,7aS)-2-fluorotetrahydro-lH-pyrrolizin-7a(5H)- yl]methoxy}-7H-purin-6-yl)-3,6-diazabicyclo[3.1.1]heptane-6-carboxylate
NaH (1.5 eq, 13.6 mg, 60 %purity, 339 pmol; CAS-RN: [7646-69-7]) was added to a mixture of [(2R,7aS)- 2-fluorotetrahydro-lH-pyrrolizin-7a(5H)-yl]methanol (1.2 eq., 43.2 mg, 272 pmol) in THF (4 mL) and stirred for 5 minutes at rt. To this mixture tert-butyl-3-{2-chloro-7-cyclobutyl-8-[7-fluoro-3- (methoxymethoxy)-8-{[tri(propan-2-yl)silyl]ethynyl}naphthalene-l-carbonyl]-7H-purin-6-yl}-3,6- diazabicyclo[3.1.1]heptane-6-carboxylate (leq., 185 mg, 226 pmol) was added and the reaction mixture was stirred for 3h at 60 °C. The reaction mixture was diluted with water and MeCN and directly purified by RP-HPLC (acetonitrile / 0.01% formic acid in water gradient). The product fractions were pooled and concentrated in vacuo 55.7 mg (100 % purity, 26 % yield) of the title compound. LC-MS (Method 5): Rt = 4.16 min; MS (ESIpos): m/z = 940 [M+H]+
Intermediate 7-33 tert-Butyl-3-(7-cyclobutyl-8-[8-ethynyl-7-fluoro-3-(methoxymethoxy)naphthalene-l-carbonyl]-2-
{[(2R,7aS)-2-fluorotetrahydro-lH-pyrrolizin-7a(5H)-yl]methoxy}-7H-purin-6-yl)-3,6- diazabicyclo[3.1.1]heptane-6-carboxylate
To a mixture of tert-butyl-3-(7-cyclobutyl-8-[7-fluoro-3-(methoxymethoxy)-8-{[tri(propan-2- yl)silyl]ethynyl}naphthalene- 1 -carbonyl]-2- { [(2R,7aS)-2-fluorotetrahydro- lH-pyrrolizin-7a(5H)- yl]methoxy}-7H-purin-6-yl)-3,6-diazabicyclo[3.1.1]heptane-6-carboxylate (Intermediate 7-32, 1 eq., 54.0 mg, 100 % purity, 57.4 pmol) in THF (1.5 mb) was added tetramethylammonium fluoride (2 eq., 110 pl, 1.0 M, 110 pmol; CAS-RN: [429-41-4]) at -18 °C and the reaction was stirred for 20 minutes at - 18 °C. The reaction mixture was quenched with sat. aq. Na2CO3 -solution at -18 °C, allowed to warm to rt, diluted with EtOAc and water and extracted with EtOAc. The combined organic layers were washed with saturated brine, dried over anhydrous sodium sulfate, fdtered and concentrated under reduced pressure to give 56.6 mg (80 % purity, 100 % yield) of the title compound which was directly used in the next step without further purification.
LC-MS (Method 5): Rt = 3.00 min; MS (ESIpos): m/z = 784 [M+H]+
Examples
Example 1-01
Formic acid - 4-{[7-cyclobutyl-6-(3,8-diazabicyclo[3.2.1]octan-3-yl)-2-{[(2R,7aS)-2- fluorotetrahydro-lH-pyrrolizin-7a(5H)-yl]methoxy}-7H-purin-8-yl] oxy}-5-ethynyl-6-fluoro-2- naphthol (2/1)
To a solution of tert-butyl 3-[7-cyclobutyl-8-[[8-ethynyl-7-fluoro-3-(methoxymethoxy)-l-naphthyl]oxy]- 2-[[(2R,8S)-2 -fluoro- 1,2, 3,5,6, 7-hexahydropyrrolizin-8-yl]methoxy]purin-6-yl]-3, 8- diazabicyclo[3.2.1]octane-8-carboxylate (Intermediate 1-10, 72 mg, 0.05 mmol, 55% purity, 1.0 eq.) in DCM (1.2 mL) was added hydrochloric acid (1.2 mL, 4.0 M in dioxane) at 0 °C. The reaction mixture was stirred for 4.5h at RT. The mixture was concentrated, and the residue was purified by RP-HPLC (acetonitrile / 0.05% HCOOH in water gradient). The product fractions were pooled and concentrated in vacuo to afford 16.8 mg (41% yield, 90% purity) of the title compound.
LC-MS (Method 1): Rt = 0.95 min; MS (ESIneg): m/z = 640 [M-H]’
'H NMR (400 MHz, DMSO-t/6): 5 [ppm] = 1.62 - 2.07 (m, 12 H) 2.38 - 2.48 (m, 2 H) 2.74 - 2.82 (m, 1 H) 2.91 - 3.06 (m, 5 H) 3.23 - 3.32 (m, 2 H) 3.55 - 3.61 (m, 2 H) 3.66 - 3.72 (m, 2 H) 3.81 - 3.91 (m, 2 H) 4.46 (s, 1 H) 5.03 (quin, 1 H) 5.14 - 5.31 (m, 1 H) 7.18 (d, 1 H) 7.30 (d, 1 H) 7.49 (t, 1 H) 7.97 (dd, 1 H) 8.28 (br s, 1 H)
Example 1-01 a
Formic acid - 4-{[7-cyclobutyl-6-(3,8-diazabicyclo[3.2.1]octan-3-yl)-2-{[(2R,7aS)-2- fluorotetrahydro-lH-pyrrolizin-7a(5H)-yl]methoxy}-7H-purin-8-yl] oxy}-5-ethynyl-6-fluoro-2- naphthol
To a solution of tert-butyl 3-(7-cyclobutyl-8-{[8-ethynyl-7-fluoro-3-(methoxymethoxy)naphthalen-l- yl]oxy}-2-{[(2R,7aS)-2-fluorotetrahydro-lH-pyrrolizin-7a(5H)-yl]methoxy}-7H-purin-6-yl)-3,8- diazabicyclo [3.2.1 ] octane- 8 -carboxylate
(Intermediate 1-10, 500 mg, 93% purity, 0.193 mmol) in ethyl acetate (10 ml) was added hydrochloric acid (10 ml, 4 M in ethyl acetate) at room temperature. After stirring at room temperature for 0.3 hour, the mixture was concentrated to give a residue. The residue was purified by by reversed phase column (instrument: 40 g Flash; Column: Welch Ultimate XB_C1820-40 pm; eluent A: water (0.1% formic acid), eluent B: acetonitrile; gradient: 0-15 min 0 - 40% B; flow 85 ml/min; temperature; Detector: UV 220/254 nm) to give formic acid - 4-{[7-cyclobutyl-6-(3,8-diazabicyclo[3.2.1]octan-3-yl)-2-{[(2R,7aS)-2- fluorotetrahydro-lH-pyrrolizin-7a(5H)-yl]methoxy}-7H-purin-8-yl]oxy}-5-ethynyl-6-fluoro-2 -naphthol (1: 1) (259.4 mg, 61.2% yield).
LC-MS (Method C): Rt = 0.776 min; MS (ESIpos): m/z =642.3 [M+H]+.
’H NMR (400 MHz, DMSO- 6): 5 [ppm] = 8.03-7.96 (m, 1H), 7.50 (t, J= 9.2 Hz, 1H), 7.31 (d, J= 2.4 Hz, 1H), 7.19 (d, J= 2.4 Hz, 1H), 5.33-5.28 (m, 0.5H), 5.19-5.15 (m, 0.5H), 5.09-4.97 (m, 1H), 4.49 (s, 1H), 3.93-3.88 (m, 1H), 3.87-3.79 (m, 3H), 3.61 (d, J= 11.6 Hz, 1H), 3.39-3.28 (m, 1H), 3.07-2.94 (m, 5H), 2.83-2.75 (m, 1H), 2.48-2.35 (m, 4H), 2.08-2.02 (m, 1H), 1.98-1.94 (m, 1H), 1.94-1.69 (m, 10H).
Example 1-02
Formic acid - 4-({7-cyclobutyl-6-(3,8-diazabicyclo[3.2.1]octan-3-yl)-2-[(tetrahydro-lH-pyrrolizin- 7a(5H)-yl)methoxy]-7H-purin-8-yl}oxy)-5-ethynyl-6-fluoronaphthalen-2-ol
To a solution of tert-butyl 3-(7-cyclobutyl-8-{[8-ethynyl-7-fluoro-3-(methoxymethoxy)naphthalen-l- yl]oxy}-2-[(tetrahydro-lH-pyrrolizin-7a(5H)-yl)methoxy]-7H-purin-6-yl)-3,8-diazabicyclo[3.2.1] octane-8-carboxylate (Intermediate 1-16, 80.0 mg, 0.094 mmol) in ethyl acetate (5.00 ml) was added hydrochloric acid (5.00 ml, 4.00 M in ethyl acetate, 20.0 mmol) at 25 °C. After stirring at 25 °C for 0.5 hour, the mixture was concentrated to give a residue. The residue was purified by preparative HPLC [Instrument: ACSWH-GX-Q; Column: Phenomenex luna C18 150*25mm* 10 pm; eluent A: 0.225% formic acid in water, eluent B: acetonitrile; gradient: 2-10 min 7-37% B; flow 25 ml/min; temperature: room temperature; Detector: UV 220/254 nm] to give formic acid-4-({7-cyclobutyl-6-(3,8- diazabicyclo[3.2.1]octan-3-yl)-2-[(tetrahydro-lH-pyrrolizin-7a(5H)-yl)methoxy]-7H-purin-8-yl}oxy)-5- ethynyl-6-fhioronaphthalen-2-ol (1/1) (27.5 mg, 99% purity, 43% yield).
LC-MS (Method C): Rt = 0.662 min; MS (ESIpos): m/z = 624.3 [M+H]+.
’H NMR (400 MHz, DMSO-t/6): 5 [ppm] = 8.26 (s, 1H), 7.98 (dd, J= 9.0, 5.6 Hz, 1H), 7.49 (t, J= 9.2 Hz, 1H), 7.30 (d, J= 2.0 Hz, 1H), 7.18 (d, J = 2.0 Hz, 1H), 5.09-4.97 (m, 1H), 4.47 (s, 1H), 3.92 (s, 2H), 3.75-3.62 (m, 3H), 3.63-3.54 (m, 2H), 3.31-3.22 (m, 2H), 3.04-2.90 (m, 4H), 2.65-2.56 (m, 2H), 2.44-2.38 (m, 2H), 1.89-1.68 (m, 12H), 1.61-1.53 (m, 2H).
Example 1-02 a formic acid 4-({7-cyclobutyl-6-(3,8-diazabicyclo[3.2.1]octan-3-yl)-2-[(tetrahydro-lH-pyrrolizin-
To a solution of tert-butyl 3-(7-cyclobutyl-8-{[8-ethynyl-7-fluoro-3-(methoxymethoxy)naphthalen-l- yl]oxy}-2-[(tetrahydro-lH-pyrrolizin-7a(5H)-yl)methoxy]-7H-purin-6-yl)-3,8- diazabicyclo[3.2.1]octane-8-carboxylate (Intermediate 1-16, 260 mg, 99 % purity, 335 pmol) in methanol (5.0 ml) was added methanesulfonic acid (330 pl, 5.0 mmol; CAS-RN:[75-75-2]) at room temperature. The mixture was stirred at room temperature for 16 hours. Afterwards, the mixture was adjusted to pH=7 with solid sodium bicarbonate. After filtration, the filter liquor was concentrated to give a residue. The residue was purified by preparative HPLC [Instrument: ACSWH-GX-C; Column: Phenomenex luna C 18
150*25mm* 10pm; eluent A: 0.225% formic acid in water, eluent B: acetonitrile; gradient: 2-10 min 5- 35% B; flow 25 ml/min; temperature: room temperature; Detector: UV 220/254 nm] to give formic acid - 4-{[7-cyclobutyl-6-(3,8-diazabicyclo[3.2.1]octan-3-yl)-2-(tetrahydro-lH-pyrrolizin-7a(5H)-ylmethoxy)- 7H-purin-8-yl]oxy}-5-ethynyl-6-fluoro-2 -naphthol (2: 1) 41.4 mg (97 % purity, 17 % yield).
1H-NMR (400 MHz, DMSO- 6): 5 [ppm] = 1.590 (1.01), 1.611 (2.96), 1.627 (2.91), 1.641 (3.16), 1.656 (2.43), 1.717 (1.93), 1.734 (2.99), 1.749 (3.86), 1.764 (4.69), 1.782 (2.82), 1.807 (3.33), 1.823 (4.85),
1.838 (7.16), 1.860 (13.86), 1.885 (5.64), 1.900 (2.43), 2.070 (0.49), 2.443 (2.73), 2.463 (2.78), 2.662
(1.72), 2.678 (2.99), 2.693 (2.78), 2.704 (3.21), 2.720 (1.84), 2.945 (2.12), 2.969 (2.93), 2.996 (2.06),
3.023 (2.38), 3.038 (3.64), 3.051 (3.19), 3.063 (3.16), 3.078 (1.76), 3.166 (2.96), 3.335 (2.90), 3.606
(3.73), 3.636 (3.27), 3.797 (5.92), 3.993 (16.00), 4.071 (6.16), 4.475 (8.09), 4.573 (0.57), 4.978 (0.50), 5.000 (1.24), 5.021 (1.67), 5.044 (1.15), 7.192 (5.06), 7.197 (5.40), 7.298 (5.62), 7.303 (4.92), 7.457 (2.13), 7.480 (4.28), 7.503 (2.21), 7.949 (2.25), 7.963 (2.41), 7.972 (2.28),
7.986 (1.98), 8.310 (8.79).
Example 1-03
Formic acid - 4-{[7-cyclobutyl-6-(3,8-diazabicyclo[3.2.1]octan-3-yl)-2-{[(2S)-l-methylpyrrolidin-2- yl]methoxy}-7H-purin-8-yl]oxy}-5-ethynyl-6-fluoronaphthalen-2-ol
To a solution of tert-butyl 3-(7-cyclobutyl-8-{[8-ethynyl-7-fluoro-3-(methoxymethoxy)naphthalen-l- yl]oxy}-2-{[(2S)-l-methylpyrrolidin-2-yl]methoxy}-7H-purin-6-yl)-3,8-diazabicyclo[3.2.1]octane-8- carboxylate (Intermediate 1-18, 120 mg, 95% purity, 0.154 mmol) in ethyl acetate (2.5 ml) was added hydrochloric acid (2.5 ml, 4.0 M in ethyl acetate, 10.0 mmol) at room temperature. After stirring at room temperature for 0.5 hour, the reaction mixture was concentrated to give a crude product. The crude product was purified by preparative HPLC [Instrument: Gilson-281; Column: Phenomenex Luna Cl 8 150*25mm* 10 pm; eluent A: water(0.225% formic acid), eluent B: acetonitrile; gradient: 0-10 min 4-34 B; flow 25 ml/min; temperature: RT; Detector: UV 220/254 nm] to give formic acid - 4-{[7-cyclobutyl- 6-(3,8-diazabicyclo[3.2.1]octan-3-yl)-2-{[(2S)-l-methylpyrrolidin-2-yl]methoxy}-7H-purin-8-yl]oxy}- 5-ethynyl-6-fluoro-2-naphthol (1: 1) (32.8 mg, 99% purity, 33% yield).
LC-MS (Method C): Rt = 0.665 min; MS (ESIpos): m/z = 598.3 [M+H]+.
'H NMR (400 MHz, DMSO- 6): 5 [ppm] = 8.25 (s, 1H), 8.01-7.94 (m, 1H), 7.49 (t, J = 12.8 Hz, 1H), 7.30 (d, J = 2.4 Hz, 1H), 7.19 (d, J = 2.4 Hz, 1H), 5.07-4.96 (m, 1H), 4.48 (s, 1H), 4.21-4.15 (m, 1H), 4.03-3.96 (m, 1H), 3.84-3.76 (m, 2H), 3.68-3.56 (m, 2H), 3.41-3.28 (m, 2H), 3.04-2.88 (m, 3H), 2.60-2.53 (m, 1H), 2.46-2.40 (m, 2H), 2.32 (s, 3H), 2.23-2.14 (m, 1H), 1.95-1.81 (m, 6H), 1.78-1.71 (m, 1H), 1.68- 1.57 (m, 2H), 1.56-1.46 (m, 1H).
Example 1-04
4-{[7-Cyclobutyl-6-(3,8-diazabicyclo[3.2.1]octan-3-yl)-2-{[(2S,4S)-4-fluoro-l-methylpyrrolidin-2- yl]methoxy}-7H-purin-8-yl]oxy}-5-ethynyl-6-fluoronaphthalen-2-ol
To a solution of tert-Butyl 3-(7-cyclobutyl-8-{[8-ethynyl-7-fluoro-3-(methoxymethoxy)naphthalen-l- yl]oxy}-2-{[(2S,4S)-4-fluoro-l-methylpyrrolidin-2-yl]methoxy}-7H-purin-6-yl)-3,8- diazabicyclo[3.2.1]octane-8-carboxylate (Intermediate 1-21, 50.0 mg, 0.0590 mmol) in ethyl acetate (4.50 ml) was added hydrochloric acid (4.50 ml, 4.00 M in ethyl acetate, 18.0 mmol) at 25 °C. After stirring at 25 °C for 0.5 hour, the mixture was concentrated to give a residue. The residue was purified by preparative HPLC [Instrument: ACSWH-GX-M; Column: Waters Xbridge 150*25mm* 5pm; eluent A: water (0.05% ammonia hydroxide), eluent B: acetonitrile; gradient: 0-10 min 13-43% B; flow 25 ml/min; temperature: room temperature; Detector: UV 220/254 nm] to give 4-{[7-cyclobutyl-6-(3,8-diazabicyclo[3.2.1]octan- 3-yl)-2-{[(2S,4S)-4-fluoro-l-methylpyrrolidin-2-yl]methoxy}-7H-purin-8-yl]oxy}-5-ethynyl-6- fluoronaphthalen-2-ol (6.90 mg, 96% purity).
LC-MS (Method C): Rt = 0.667 min; MS (ESIpos): m/z = 616.3 [M+H]+.
’HNMR (400 MHz, DMSO- 6): 5 [ppm] = 10.56-10.11 (m, 1H), 7.98 (dd, J= 9.2, 5.6 Hz, 1H), 7.56-7.47 (m, 1H), 7.29 (d, J = 1.8 Hz, 1H), 7.17 (s, 1H), 5.19-5.16 (m, 0.5H), 5.08-4.98 (m, 1.5H), 4.47 (s, 1H), 4.26-4.21 (m, 1H), 4.06-4.01 (m, 1H), 3.60-3.52 (m, 2H), 3.52-3.46 (m, 2H), 3.21-3.14 (m, 2H), 3.13-3.06 (m, 1H), 3.02-2.91 (m, 2H), 2.58-2.54 (m, 1H), 2.46-2.37 (m, 3H), 2.35-2.31 (m, 1H), 2.29 (s, 3H), 1.82- 1.60 (m, 8H).
Example 1-05
Formic acid - 4-{[7-cyclobutyl-6-(3,8-diazabicyclo[3.2.1]octan-3-yl)-2-{[(2S,4R)-4-fluoro-l- methylpyrrolidin-2-yl]methoxy}-7H-purin-8-yl]oxy}-5-ethynyl-6-fluoronaphthalen-2-ol
To a solution of tert-butyl 3-(7-cyclobutyl-8-{[8-ethynyl-7-fluoro-3-(methoxymethoxy)naphthalen-l- yl]oxy}-2-{[(2S,4R)-4-fluoro-l-methylpyrrolidin-2-yl]methoxy}-7H-purin-6-yl)-3,8- diazabicyclo[3.2.1]octane-8-carboxylate (Intermediate 1-24, 180 mg, 98% purity, 0.232 mmol) in ethyl acetate (2.0 ml) was added hydrochloric acid (4.0 ml, 16 mmol, 4 M in ethyl acetate) at room temperature. After stirring at room temperature for 0.5 hour, the mixture was concentrated to give a residue. The residue was purified by preparative HPLC (Instrument: ACS-WH-GX-AF; Column: Phenomenex Luna C18 150*25mm* 10pm; eluent A: water(0.225% FA), eluent B: acetonitrile; gradient: 0-10 min 3-33% B; flow 25 ml/min; temperature: room temperature; Detector: UV 220/254 nm) to give formic acid - 4-{[7- cyclobutyl-6-(3,8-diazabicyclo[3.2.1]octan-3-yl)-2-{[(2S,4R)-4-fluoro-l-methylpyrrolidin-2- yl]methoxy}-7H-purin-8-yl]oxy}-5-ethynyl-6-fluoro-2 -naphthol (1: 1) (39.3 mg, 97% purity, 25% yield). LC-MS (Method C): Rt = 0.770 min; MS (ESIpos): m/z = 616.3 [M+H]+.
1HNMR (400 MHz, DMSO- 6): 5 [ppm] = 8.25 (s, 1H), 8.08 (dd, J= 8.8 Hz, 5.2 Hz, 1H), 7.49 (t, J= 8.8 Hz, 1H), 7.30 (d, J= 2.0 Hz, 1H), 7.18 (d, J= 2.0 Hz, 1H), 5.24-5.18 (m, 0.5H), 5.10-4.97 (m, 1.5H), 4.47 (s, 1H), 4.21 (dd, J= 10.8 Hz, 4.8 Hz, 1H), 4.05 (dd, J= 11.2 Hz, 6.0 Hz, 1H), 3.71 (s, 2H), 3.60 (d, J = 8.8 Hz, 2H), 3.46-3.35 (m, 1H), 3.30 (d, J = 12.4 Hz, 2H), 3.04-2.91 (m, 2H), 2.88-2.79 (m, 1H), 2.47- 2.43 (m, 2H), 2.41-2.35 (m, 1H), 2.33 (s, 3H), 2.12-1.99 (m, 1H), 1.91-1.71 (m, 7H).
Example 1-06
F ormic acid - (5S)-5- [({7-cyclobutyl-6-(3,8-diazabicyclo [3.2.1] octan-3-yl)-8- [(8-ethynyl-7-fluoro-3- hydroxynaphthalen-l-yl)oxy]-7H-purin-2-yl}oxy)methyl]-l-methylpyrrolidin-2-one
A solution of tert-butyl 3-(7-cyclobutyl-8-{[8-ethynyl-7-fluoro-3-(methoxymethoxy)naphthalen-l- yl]oxy}-2-{[(2S)-l-methyl-5-oxopyrrolidin-2-yl]methoxy}-7H-purin-6-yl)-3,8- diazabicyclo[3.2.1]octane-8-carboxylate (Intermediate 1-27, 130 mg, 90% purity, 0.160 mmol) in hydrochloric acid (8 ml, 4 M in dioxane) was stirred at room temperature for 0.5 hour. The reaction mixture was quenched by sodium hydrogen carbonate powder to pH = 7- 8. After Alteration, the filtrate was concentrated to give a residue. The residue was purified by preparative HPLC [Instrument: Gilson- 281; Column: Phenomenex Synergi Cl 8 150*30mm*4pm; eluent A: water (0.225% formic acid in water), eluent B: acetonitrile; gradient: 0-10.5 min 5-35% B; flow 25 ml/min; temperature: RT; Detector: UV 220/254 nm] to give formic acid - (5S)-5-[({7-cyclobutyl-6-(3,8-diazabicyclo[3.2.1]octan-3-yl)-8-[(8- ethynyl-7 -fluoro-3 -hydroxy- 1 -naphthyl)oxy] -7H-purin-2-yl } oxy)methyl] - 1 -methylpyrrolidin-2-one ( 1 : 1) (76.0 mg, 98% purity, 73% yield).
LC-MS (Method C): Rt = 0.807 min; MS (ESIpos): m/z = 612.3 [M+H]+.
1H NMR (400 MHz, DMSO- 6): 5 [ppm] = 8.24-8.20 (m, 1H), 7.98-7.96 (m, 1H), 7.49 (t, J = 9.2 Hz, 1H), 7.29 (d, J= 2.4 Hz, 1H), 7.17 (d, J= 2.4 Hz, 1H), 5.06-4.98 (m, 1H), 4.47 (s, 1H), 4.31-4.20 (m, 2H), 3.85-3.79 (m, 1H), 3.67-3.58 (m, 4H), 3.29-3.26 (m, 2H), 3.09-2.94 (m, 2H), 2.69 (s, 3H), 2.45-2.37 (m, 2H), 2.29-2.24 (m, 1H), 2.17-2.12 (m, 1H), 2.09-2.04 (m, 1H), 1.87-1.69 (m, 7H).
Example 1-07
Formic acid - 4-{[7-cyclobutyl-6-(3,8-diazabicyclo[3.2.1]octan-3-yl)-2-{[(2S)-pyrrolidin-2- yl]methoxy}-7H-purin-8-yl]oxy}-5-ethynyl-6-fluoronaphthalen-2-ol
A solution of tert-butyl 3-(2-{[(2S)-l-(tert-butoxycarbonyl)pyrrolidin-2-yl]methoxy}-7-cyclobutyl-8- {[8-ethynyl-7-fluoro-3-(methoxymethoxy)naphthalen-l-yl]oxy}-7H-purin-6-yl)-3,8-diazabicyclo [3.2.1]octane-8-carboxylate (Intermediate 1-29, 110 mg, 95 % purity, 0.126 mmol) in hydrochloric acid (8 ml, 4 M in dioxane) was stirred at room temperature for 25 minutes. The reaction mixture was quenched by sodium hydrogen carbonate and adjusted to pH = ~7. The reaction mixture was filtered and the filtrated was concentrated to give a residue. The residue was purified by preparative HPLC [Instrument: Gilson- 281; Column: Phenomenex Synergi C18 150*30mm*4 pm; eluent A: water (0.225% formic acid in water), eluent B: acetonitrile; gradient: 0-10.5 min 5-35% B; flow 25 ml/min; temperature: RT; Detector: UV 220/254 nm] to give formic acid - 4-({7-cyclobutyl-6-(3,8-diazabicyclo[3.2.1]octan-3-yl)-2-[(2S)- pyrrolidin-2-ylmethoxy]-7H-purin-8-yl}oxy)-5-ethynyl-6-fluoro-2 -naphthol (2: 1) (42.1 mg, 99% purity, 49% yield).
LC-MS (Method C): Rt = 0.493 min; MS (ESIpos): m/z = 584.4 [M+H]+.
’H NMR (400 MHz, DMSO- 6): 5 [ppm] = 8.33 (br.s, 2H), 7.99 (dd, J= 8.8, 5.6 Hz, 1H), 7.50 (t, J= 8.8 Hz, 1H), 7.31 (d, J= 2.0 Hz, 1H), 7.19 (d, J= 2.0 Hz, 1H), 5.11-4.97 (m, 1H), 4.48 (s, 1H), 4.26-4.16 (m, 1H), 4.15-4.08 (m, 1H), 3.65-3.52 (m, 6H), 3.28-3.19 (m, 2H), 3.09-2.91 (m, 4H), 2.51-2.40(m, 2H), 2.01- 1.92 (m, 1H), 1.85-1.69 (m, 7H), 1.59-1.45 (m, 1H).
Example 1-08
Formic acid - 4-{[7-cyclobutyl-6-(3,8-diazabicyclo[3.2.1]octan-3-yl)-2-{[(2S)-4,4-difluoro-l- methylpyrrolidin-2-yl]methoxy}-7H-purin-8-yl]oxy}-5-ethynyl-6-fluoronaphthalen-2-ol
To a solution of tert-butyl 3-(7-cyclobutyl-2-{[(2S)-4,4-difhioro-l-methylpyrrolidin-2-yl]methoxy}-8- {[8-ethynyl-7-fluoro-3-(methoxymethoxy)naphthalen-l-yl]oxy}-7H-purin-6-yl)-3,8-diazabicyclo
[3.2. l]octane-8-carboxylate (Intermediate, 1-31, 100 mg, 0.112 mmol) in 1,4-dioxane (10.0 ml) was added hydrochloric acid (10.0 ml, 4.0 M in 1,4-dioxane) at 25 °C. After stirring at 25 °C for 0.5 hour, the mixture was concentrated to give a residue. The residue was purified by preparative HPLC [Instrument: ACSWH- GX-Q; Column: Phenomenex luna C18 150*25mm* 10 pm; eluent A: water (0.225% formic acid in water), eluent B: acetonitrile; gradient: 0-10 min 6-36% B; flow 25 ml/min; temperature: room temperature; Detector: UV 220/254 nm] to give formic acid - 4-{[7-cyclobutyl-6-(3,8- diazabicyclo[3.2.1]octan-3-yl)-2-{[(2S)-4,4-difluoro-l-methylpyrrolidin-2-yl]methoxy}-7H-purin-8- yl]oxy}-5-ethynyl-6-fluoronaphthalen-2-ol (1/1) (19.5 mg, 98% purity, 25% yield).
LC-MS (Method C): Rt = 0.672 min; MS (ESIpos): m/z = 634.2 [M+H]+.
’HNMR (400 MHz, DMSO- 6): 5 [ppm] = 8.26 (s, 1H), 7.98 (dd, J= 9.2, 5.6 Hz, 1H), 7.53-7.45 (m, 1H), 7.33-7.29 (m, 1H), 7.19 (d, J= 2.0 Hz, 1H), 5.09-5.00 (m, 1H), 4.48 (s, 1H), 4.31-4.20 (m, 1H), 4.17-4.06 (m, 1H), 3.82-3.76 (m, 2H), 3.67-3.59 (m, 2H), 3.36-3.31 (m, 2H), 3.04-2.92 (m, 2H), 2.91-2.83 (m, 1H), 2.65-2.53 (m, 2H), 2.48-2.38 (m, 3H), 2.30 (s, 3H), 2.16-2.00 (m, 1H), 1.94-1.68 (m, 6H).
Example 1-09
3- [({7-Cyclobutyl-6-(3,8-diazabicyclo [3.2.1] octan-3-yl)-8- [(8-ethynyl-7-fluoro-3- hydroxynaphthalen-l-yl)oxy]-7H-purin-2-yl}oxy)methyl]-l-methylpyrrolidine-3-carbonitrile (Racemate)
To a solution of tert-butyl 3-(2-{[3-cyano-l-methylpyrrolidin-3-yl]methoxy}-7-cyclobutyl-8-{[8- ethynyl-7-fluoro-3-(methoxymethoxy)naphthalen-l-yl]oxy}-7H-purin-6-yl)-3,8-diazabicyclo [3.2.1]octane-8-carboxylate (Intermediate 1-35, 130 mg, 0.164 mmol) in methanol (3.0 ml) was added methanesulfonic acid (0.320 ml, 4.90 mmol) at 25 °C. After stirring at 25 °C for 4 hours, the mixture was adjusted to pH = 7 with sodium bicarbonate powder. After filtration, the filtrate was concentrated to give a residue. The residue was purified by preparative HPLC [Instrument: ACSWH-GX-A; Column: Waters Xbridge 150*25mm* 5 pm; eluent A: water (ammonia hydroxide v/v: 0.5%), eluent B: acetonitrile; gradient: 0-10 min 25-55% B; flow 25 ml/min; temperature: room temperature; Detector: UV 220/254 nm] to give 3-[({7-cyclobutyl-6-(3,8-diazabicyclo[3.2.1]octan-3-yl)-8-[(8-ethynyl-7-fluoro-3- hydroxynaphthalen- 1 -yl)oxy] -7H-purin-2-yl } oxyjmethyl] - 1 -methylpyrrolidine-3 -carbonitrile (42.4 mg, 99% purity, 41% yield).
LC-MS (Method C): Rt = 0.782 min; MS (ESIpos): m/z = 623.3 [M+H]+.
'H NMR (400 MHz, DMSO- 6): 5 [ppm] = 7.83 (m, 1H), 7.37 (t, J= 9.2 Hz, 1H), 7.14 (s, 1H), 7.08 (s, 1H), 5.08-4.96 (m, 1H), 4.38 (s, 1H), 4.30-4.20 (m, 2H), 3.62-3.55 (m, 2H), 3.53-3.45 (m, 2H), 3.20-3.11 (m, 2H), 3.00-2.89 (m, 2H), 2.85 (d, J= 9.6 Hz, 1H), 2.68-2.56 (m, 2H), 2.43 (m, 4H), 2.24 (s, 3H), 2.21- 2.15 (m, 1H), 2.00-1.92 (m, 1H), 1.88-1.65 (m, 6H).
Example 1-10
4-({7-Cyclobutyl-6-(3,8-diazabicyclo[3.2.1]octan-3-yl)-2-[2-(l-methyl-lH-imidazol-2-yl)ethoxy]-
To a solution of tert-butyl 3-(7-cyclobutyl-8-{[8-ethynyl-7-fluoro-3-(methoxymethoxy)naphthalen-l- yl]oxy}-2-[2-(l-methyl-lH-imidazol-2-yl)ethoxy]-7H-purin-6-yl)-3,8-diazabicyclo[3.2.1] octane-8- carboxylate (Intermediate 1-37, 130 mg, 0.169 mmol) in methanol (3.0 ml) was added methanesulfonic acid (0.330 ml, 5.10 mmol) at 25 °C. After stirring at 25 °C for 4 hours, the mixture was adjusted to pH = 7 with sodium bicarbonate powder. After filtration, the filtrate was concentrated to give a residue. The residue was purified by preparative HPLC [Instrument: ACSWH-GX-A; Column: Waters Xbridge 150*25mm* 5 pm; eluent A: water (ammonia hydroxide v/v: 0.5%), eluent B: acetonitrile; gradient: 0-10 min 26-56% B; flow 25 ml/min; temperature: room temperature; Detector: UV 220/254 nm] to give 4- ({7-cyclobutyl-6-(3,8-diazabicyclo[3.2.1]octan-3-yl)-2-[2-(l-methyl-lH-imidazol-2-yl)ethoxy]-7H- purin-8-yl}oxy)-5-ethynyl-6-fluoronaphthalen-2-ol (65.2 mg, 99% purity, 63% yield).
LC-MS (Method C): Rt = 0.773 min; MS (ESIpos): m/z = 609.3 [M+H]+.
’HNMR (400 MHz, DMSO- 6): 5 [ppm] = 7.93 (dd, J= 9.2, 5.6 Hz, 1H), 7.45 (t, J= 9.2 Hz, 1H), 7.24 (d, J= 2.4 Hz, 1H), 7.13 (d, J= 2.4 Hz, 1H), 6.99 (d, J= 1.2 Hz, 1H), 6.72 (d, J= 1.2 Hz, 1H), 5.02 (m, 1H), 4.47-4.40 (m, 3H), 3.58-3.55 (m, 1H), 3.55 (s, 3H), 3.54-3.51 (m, 1H), 3.50-3.43 (m, 2H), 3.18 (d, J = 12.0 Hz, 2H), 3.01 (t, J = 7.2 Hz, 2H), 2.99-2.90 (m, 2H), 2.45-2.39 (m, 2H), 1.90-1.65 (m, 6H).
Example 2-01
4-[(7-Cyclobutyl-2-{[(2R,7aS)-2-fluorotetrahydro-lH-pyrrolizin-7a(5H)-yl]methoxy}-6-[(lS,5S,6R or lR,5R,6S)-6-methoxy-3,8-diazabicyclo[3.2.1]octan-3-yl]-7H-purin-8-yl)oxy]-5-ethynyl-6-fluoro- 2-naphthol - formic acid
A solution of tert-butyl (1S,5S,6R or lR,5R,6S)-3-(7-cyclobutyl-8-[(8-ethynyl-7-fluoro-3-hydroxy-l- naphthyl)oxy]-2-{[(2R,7aS)-2-fluorotetrahydro-lH-pyrrolizin-7a(5H)-yl]methoxy}-7H-purin-6-yl)-6- methoxy-3,8-diazabicyclo[3.2.1]octane-8-carboxylate (Intermediate 2-26, 25.0 mg, 0.032 mmol) in hydrochloric acid (0.5 ml, 4 M in dioxane) was stirred at room temperature for 0.5 hour. The reaction mixture was quenched with sodium bicarbonate powder and adjusted to pH = 8. The mixture was filtered and the filtrate was purified by preparative HPLC [Instrument: ACS-WH-GX-Q; Column: Phenomenex Luna C18 150*25mm* 10pm; eluent A: water (0.225% formic acid) eluent B: acetonitrile; gradient: 0-10 min 8-38% B; flow 25 ml/min; temperature: room temperature; Detector: UV 220/254 nm] to give 4-[(7- cyclobutyl-2-{[(2R,7aS)-2-fluorotetrahydro-lH-pyrrolizin-7a(5H)-yl]methoxy}-6-[(lS,5S,6R or lR,5R,6S)-6-methoxy-3,8-diazabicyclo[3.2.1]octan-3-yl]-7H-purin-8-yl)oxy]-5-ethynyl-6-fluoro-2- naphthol - formic acid: (1:2) (1.90 mg, 94% purity).
LC-MS (Method C): Rt = 0.862 min; MS (ESIpos): m/z = 672.4 [M+H]+.
'HNMR (400 MHz, DMSO- 6): 5 [ppm] = 8.27 (s, 1H), 8.01-7.96 (m, 1H), 7.49 (t, J= 9.2 Hz, 1H), 7.30 (d, J = 2.0 Hz, 1H), 7.16 (d, J= 2.0 Hz, 1H), 5.32-5.28 (m, 0.5H), 5.23-5.13 (m, 1.5H), 4.31 (s, 1H), 3.92- 3.87 (m, 2H), 3.84-3.79 (m, 1H), 3.60-3.57 (m, 1H), 3.18-3.14 (m, 2H), 3.17 (s, 3H), 3.07-3.01 (m, 3H), 2.99-2.86 (m, 4H), 2.82-2.75 (m, 1H), 2.46-2.39 (m, 2H), 2.06-2.02 (m, 1H), 1.98-1.95 (m, 1H), 1.96-1.61 (m, 9H).
Example 2-02
4- [(7-Cyclobutyl-2- { [(2R,7aS)-2-fluorotetrahydro-lH-pyrrolizin-7a(5H)-yl]methoxy}-6- [(1R,5R,6S or lS,5S,6R)-6-methoxy-3,8-diazabicyclo[3.2.1]octan-3-yl]-7H-purin-8-yl)oxy]-5-ethynyl-6-fluoro- 2-naphthol - formic acid
A solution of tert-butyl (1R,5R,6S or lS,5S,6R)-3-(7-cyclobutyl-8-[(8-ethynyl-7-fluoro-3-hydroxy-l- naphthyl)oxy]-2-{[(2R,7aS)-2-fluorotetrahydro-lH-pyrrolizin-7a(5H)-yl]methoxy}-7H-purin-6-yl)-6- methoxy-3,8-diazabicyclo[3.2. l]octane-8-carboxylate
(Intermediate 2-31, 50.0 mg, 80% purity, 0.0518 mmol) in hydrochloric acid (1.00 ml, 4 M in dioxane) was stirred at room temperature for 0.5 hour. The reaction mixture was quenched with sodium bicarbonate powder and adjusted to pH = 8. The mixture was filtered and the filtrate was purified by preparative HPLC [Instrument: ACS-WH-GX-AF; Column: Phenomenex Luna C18 150*25mm* 10pm; eluent A: water (0.225% formic acid) eluent B: acetonitrile; gradient: 0-10 min 4-34% B; flow 25 ml/min; temperature: room temperature; Detector: UV 220/254 nm] to give 4-[(7-cyclobutyl-2-{[(2R,7aS)-2-fluorotetrahydro- lH-pyrrolizin-7a(5H)-yl]methoxy}-6-[(lR,5R,6S or lS,5S,6R)-6-methoxy-3,8-diazabicyclo[3.2. l]octan- 3-yl]-7H-purin-8-yl)oxy]-5-ethynyl-6-fluoro-2 -naphthol - formic acid (1:2).
LC-MS (Method C): Rt = 0.778 min; MS (ESIpos): m/z = 672.2 [M+H]+.
’H NMR (400 MHz, DMSO- 6): 5 [ppm] = 8.28 (s, 2H), 7.97 (dd, J = 9.2, 5.6 Hz, 1H), 7.49 (t, J = 9.2 Hz, 1H), 7.30 (d, J= 2.0 Hz, 1H), 7.16 (d, J= 2.0 Hz, 1H), 5.32-5.26 (m, 0.5H), 5.24-5.11 (m, 1.5H), 4.30 (s, 1H), 3.90 (d, J= 10.4 Hz, 2H), 3.80 (d, J= 10.4 Hz, 1H), 3.38-3.35 (m, 3H), 3.16-3.11 (m, 4H), 3.05- 2.90 (m, 6H), 2.81-2.75 (m, 1H), 2.46-2.40 (m, 2H), 2.14-2.02 (m, 2H), 1.97-1.66 (m, 9H).
Example 2-03
4- [(7-Cyclobutyl-2- { [(2R,7aS)-2-fluorotetrahydro-lH-pyrrolizin-7a(5H)-yl]methoxy}-6- [(1R,5R,6R or lS,5S,6S)-6-methoxy-3,8-diazabicyclo[3.2.1]octan-3-yl]-7H-purin-8-yl)oxy]-5-ethynyl-6-fluoro- 2-naphthol - formic acid
To a solution of tert-butyl (1R,5R,6R or lS,5S,6S)-3-(7-cyclobutyl-8-[(8-ethynyl-7-fluoro-3-hydroxy-l- naphthyl)oxy]-2-{[(2R,7aS)-2-fluorotetrahydro-lH-pyrrolizin-7a(5H)-yl]methoxy}-7H-purin-6-yl)-6- methoxy-3,8-diazabicyclo[3.2.1]octane-8-carboxylate (Intermediate 2-36, 90.0 mg, 55% purity, 0.064 mmol) in 1,4-dioxane (1.0 ml) was added hydrochloric acid (1.00 ml, 4.0 M in 1,4-dioxane) at 25 °C. After stirring at 25 °C for 0.5 hour, the mixture was adjusted to pH = 7 - 8 with solid sodium bicarbonate. After filtration, the filtrate was concentrated and purified by preparative HPLC [Instrument: ACSWH- GX-Q; Column: Phenomenex luna C18 150*25mm* 10 pm; eluent A: water (0.225% formic acid in water), eluent B: acetonitrile; gradient: 0-10 min 6-36% B; flow 25 ml/min; temperature: room temperature; Detector: UV 220/254 nm] to give 4-[(7-cyclobutyl-2-{[(2R,7aS)-2-fluorotetrahydro-lH- pyrrolizin-7a(5H)-yl]methoxy}-6-[(lR,5R,6R or lS,5S,6S)-6-methoxy-3,8-diazabicyclo[3.2.1]octan-3- yl]-7H-purin-8-yl)oxy]-5-ethynyl-6-fluoro-2-naphthol - formic acid (1: 1) (19.6 mg, 98% purity, 42% yield).
LC-MS (Method C): Rt = 0.658 min; MS (ESIpos): m/z = 672.3 [M+H]+.
’H NMR (400 MHz, DMSO- 6): 5 [ppm] = 8.20 (s, 1H), 7.98 (dd, J= 9.2, 5.6 Hz, 1H), 7.49 (t, J= 9.2 Hz, 1H), 7.30 (d, J = 2.4 Hz, 1H), 7.18 (d, J= 2.4 Hz, 1H), 5.33-5.26 (m, 0.5H), 5.19-5.13 (m, 0.5H), 5.07-4.95 (m, 1H), 4.46 (s, 1H), 4.06-4.00 (m, 1H), 3.93-3.87 (m, 1H), 3.85-3.81 (m, 1H), 3.72-3.68 (m, 1H), 3.64-3.63 (m, 1H), 3.39-3.37 (m, 1H), 3.25 (s, 3H), 3.18-3.12 (m, 2H), 3.09-2.94 (m, 6H), 2.81-2.78 (m, 1H), 2.45-2.38 (m, 2H), 2.21-2.13 (m, 1H), 2.07-2.03 (m, 1H), 2.02-1.60 (m, 9H).
Example 2-04
4-[(7-Cyclobutyl-2-{[(2R,7aS)-2-fluorotetrahydro-lH-pyrrolizin-7a(5H)-yl]methoxy}-6-[(lS,5S,6S or lR,5R,6R)-6-methoxy-3,8-diazabicyclo[3.2.1]octan-3-yl]-7H-purin-8-yl)oxy]-5-ethynyl-6-fluoro- 2-naphthol - formic acid
To a solution of tert-butyl (1S,5S,6S or lR,5R,6R)-3-(7-cyclobutyl-8-[(8-ethynyl-7-fluoro-3-hydroxy-l- naphthyl)oxy]-2-{[(2R,7aS)-2-fluorotetrahydro-lH-pyrrolizin-7a(5H)-yl]methoxy}-7H-purin-6-yl)-6- methoxy-3,8-diazabicyclo[3.2.1]octane-8-carboxylate (Intermediate 2-41, 60.0 mg, 70% purity, 0.0544 mmol) in 1,4-dioxane (2.0 ml) was added hydrochloric acid (2.00 ml, 2.0 M in 1,4-dioxane) at 25 °C. After stirring at 25 °C for 0.5 hour, the mixture was adjusted to pH=7-8 with solid sodium bicarbonate powder. After filtration, the filtrate was concentrated and purified by preparative HPLC [Instrument: ACSWH-GX-Q; Column: Phenomenex luna C18 150*25mm* 10 pm; eluent A: water (0.225% formic acid in water), eluent B: acetonitrile; gradient: 0-10 min 8-38% B; flow 25 ml/min; temperature: room temperature; Detector: UV 220/254 nm] to give 4-[(7-cyclobutyl-2-{[(2R,7aS)-2-fluorotetrahydro-lH- pyrrolizin-7a(5H)-yl]methoxy}-6-[(lS,5S,6S or lR,5R,6R)-6-methoxy-3,8-diazabicyclo[3.2.1]octan-3- yl]-7H-purin-8-yl)oxy]-5-ethynyl-6-fluoro-2-naphthol - formic acid (1: 1) (9.00 mg, 98% purity, 23% yield).
LC-MS (Method C): Rt = 0.682 min; MS (ESIpos): m/z = 672.3 [M+H]+.
’H NMR (400 MHz, DMSO- 6): 5 [ppm] = 8.20 (s, 1H), 7.98 (dd, J= 5.6, 9.2 Hz, 1H), 7.49 (t, J= 9.2 Hz, 1H), 7.30 (d, J = 2.3 Hz, 1H), 7.17 (d, J= 2.3 Hz, 1H), 5.33-5.27 (m, 0.5H), 5.18-5.15 (m, 0.5H), 5.07-4.96 (m, 1H), 4.46 (s, 1H), 4.06-3.99 (m, 1H), 3.94-3.88 (m, 1H), 3.85-3.79 (m, 1H), 3.70-3.64 (m, 1H), 3.62-3.59 (m, 1H), 3.50-3.50 (m, 1H), 3.24 (s, 3H), 3.13 (d, J= 13.2 Hz, 2H), 3.08-2.94 (m, 6H), 2.82-2.75 (m, 1H), 2.48-2.43 (m, 1H), 2.20-2.15 (m, 1H), 2.06-2.02 (m, 1H), 1.98-1.94 (m, 1H), 1.94-1.62 (m, 8H).
Example 2-05
8- [7-Cyclobutyl-8- [(8-ethynyl-7-fluoro-3-hydroxy-l-naphthyl)oxy] -2- [ [(2R,8S)-2-fluoro-l,2,3,5,6,7- hexahydropyrrolizin-8-yl]methoxy]purin-6-yl]-l,8-diazaspiro[3.5]nonan-2-one: formic acid
8-[8-[[3-[tert-butyl(diphenyl)silyl]oxy-7-fluoro-8-(2-triisopropylsilylethynyl)-l-naphthyl]oxy]-7- cyclobutyl-2-[[(2R,8S)-2-fluoro-l,2,3,5,6,7-hexahydropyrrolizin-8-yl]methoxy]purin-6-yl]-l,8- diazaspiro[3 ,5]nonan-2-one (Intermediate 2-42, 140 mg, 90% purity, 0.118 mmol) in tetrahydrofuran (4.0 ml) was added tetramethylammonium fluoride (33.1 mg, 0.355 mmol) at 25 °C. After stirring at 25 °C for 16 hours and 60 °C for 16 hours, the mixture was diluted with water, extracted with ethyl acetate. The combined organic layers were washed with water and brine, dried over anhydrous sodium sulfate, concentrated to give a crude product. The crude product was purified by preparative HPLC [Instrument: ACS-WH-GX-AF; Column: Phenomenex Luna C18 150*25mm*10pm; eluent A: water (0.225% formic acid), eluent B: acetonitrile; gradient: 0-10 min 15-45 B; flow 25 ml/min; temperature: RT; Detector: UV 220/254 nm] to give 8-[7-cyclobutyl-8-[(8-ethynyl-7-fluoro-3-hydroxy-l-naphthyl)oxy]-2-[[(2R,8S)-2- fluoro-l,2,3,5,6,7-hexahydropyrrolizin-8-yl]methoxy]purin-6-yl]-l,8-diazaspiro[3.5]nonan-2-one: formic acid (1/1) (fraction 1: 4.5 mg delivered, 94% purity) and 8-[7-cyclobutyl-8-[(8-ethynyl-7-fluoro- 3-hydroxy-l-naphthyl)oxy]-2-[[(2R,8S)-2-fluoro-l,2,3,5,6,7-hexahydropyrrolizin-8-yl]methoxy]purin- 6-yl]-l,8-diazaspiro[3.5]nonan-2-one: formic acid (1/1) (fraction 2: 25.0 mg, 94% purity).
LC-MS (Method C): Rt = 0.842 min; MS (ESIpos): m/z = 670.3 [M+H]+.
'HNMR (400 MHz, DMSO- 6): 5 [ppm] = 8.75 (s, 1H), 8.18 (s, 1H), 8.04-7.91 (m, 1H), 7.50 (t, J= 9.2 Hz, 1H), 7.31 (d, J = 2.0 Hz, 1H), 7.17 (d, J= 2.0 Hz, 1H), 5.30 (s, 0.5H), 5.19-5.10 (m, 1.5H), 4.41 (s, 1H), 3.90 (d, J= 10.4 Hz, 1H), 3.82 (d, J= 10.4 Hz, 1H), 3.23-3.20 (m, 1H), 3.08-2.94 (m, 7H), 2.84- 2.76 (m, 2H), 2.69-2.64 (m, 1H), 2.45-2.34 (m, 2H), 2.06-1.96 (m, 2H), 1.93-1.75 (m, 9H), 1.74-1.65 (m, 2H).
Example 2-06
(4R or S)-6-(7-Cyclobutyl-8-[(8-ethynyl-7-fluoro-3-hydroxynaphthalen-l-yl)oxy]-2-{[(2R,7aS)-2- fluorotetrahydro-lH-pyrrolizin-7a(5H)-yl]methoxy}-7H-purin-6-yl)-l,6-diazaspiro[3.5]nonan-2- one
8-[7-cyclobutyl-8-[(8-ethynyl-7-fluoro-3-hydroxy-l-naphthyl)oxy]-2-[[(2R,8S)-2-fluoro-l,2,3,5,6,7- hexahydropyrrolizin-8-yl]methoxy]purin-6-yl]-l,8-diazaspiro[3.5]nonan-2-one: formic acid (1/1) (Fraction 2 of example 2-05, 25.0 mg, 94% purity, 0.0328 mmol) was separated by SFC separation [Instrument: ACSWH-PREP-SFC-D; Column: DAICEL CHIRALPAK AS (250mm*30mm,10pm); eluent A: CO2 (Supercritical carbon dioxide), eluent B: 0.1% ammonium hydroxide in iso-propanol; gradient: 0-5 min 55-55% B; flow 70 ml/min; temperature: room temperature; Detector: UV 220/254 nm] to give (4R or S)-6-(7-cyclobutyl-8-[(8-ethynyl-7-fluoro-3-hydroxy-l-naphthyl)oxy]-2-{[(2R,7aS)-2- fhiorotetrahydro-lH-pyrrolizin-7a(5H)-yl]methoxy}-7H-purin-6-yl)-l,6-diazaspiro[3.5]nonan-2-one (Diastereomer # 1 : 4.5 mg, 91% purity) and (4S or R)-6-(7-cyclobutyl-8-[(8-ethynyl-7-fluoro-3-hydroxy- 1 -naphthyl)oxy]-2- { [(2R, 7aS)-2 -fluorotetrahydro- lH-pyrrolizin-7a(5H)-yl]methoxy } -7H-purin-6-yl)- l,6-diazaspiro[3.5]nonan-2-one (Diastereomer #2: 4.8 mg, 97% purity).
LC-MS (Method C): Rt = 0.843 min; MS (ESIpos): m/z = 670.4 [M+H]+.
'HNMR (400 MHz, DMSO- 6): 5 [ppm] = 8.76 (s, 1H), 7.99-7.92 (m, 1H), 7.48 (t, J= 9.2 Hz, 1H), 7.29 (d, J= 2.0 Hz, 1H), 7.18 (d, J = 2.0 Hz, 1H), 5.29 (s, 0.5H), 5.18-5.10 (m, 1.5H), 4.40 (s, 1H), 3.90 (d, J= 10.4 Hz, 1H), 3.81 (d, J= 10.4 Hz, 1H), 3.28-3.21 (m, 1H), 3.05-2.94 (m, 7H), 2.84-2.76 (m, 2H), 2.70-2.65 (m, 1H), 2.43-2.40 (m, 2H), 2.04 (s, 1H), 1.96 (s, 1H), 1.86-1.77 (m, 9H), 1.73-1.69 (m, 2H).
Example 2-07
(4S or R)-6-(7-Cyclobutyl-8-[(8-ethynyl-7-fluoro-3-hydroxynaphthalen-l-yl)oxy]-2-{[(2R,7aS)-2- fluorotetrahydro-lH-pyrrolizin-7a(5H)-yl]methoxy}-7H-purin-6-yl)-l,6-diazaspiro[3.5]nonan-2- one
8-[7-cyclobutyl-8-[(8-ethynyl-7-fluoro-3-hydroxy-l-naphthyl)oxy]-2-[[(2R,8S)-2-fluoro-l,2,3,5,6,7- hexahydropyrrolizin-8-yl]methoxy]purin-6-yl]-l,8-diazaspiro[3.5]nonan-2-one: formic acid (1/1) (Fraction 2 of Example 2-05, 25.0 mg, 94% purity, 0.0328 mmol) was separated by SFC separation [Instrument: ACSWH-PREP-SFC-D; Column: DAICEL CHIRALPAK AS (250mm*30mm,10pm); eluent A: CO2 (Supercritical carbon dioxide), eluent B: 0.1% ammonium hydroxide in iso-propanol; gradient: 0-5 min 55-55% B; flow 70 ml/min; temperature: room temperature; Detector: UV 220/254 nm] to give (4R or S)-6-(7-cyclobutyl-8-[(8-ethynyl-7-fluoro-3-hydroxy-l-naphthyl)oxy]-2-{[(2R,7aS)-2- fluorotetrahydro-lH-pyrrolizin-7a(5H)-yl]methoxy}-7H-purin-6-yl)-l,6-diazaspiro[3.5]nonan-2-one (Diastereomer # 1 : 4.5 mg, 91% purity) and (4S or R)-6-(7-cyclobutyl-8-[(8-ethynyl-7-fluoro-3-hydroxy- 1 -naphthyl)oxy]-2- { [(2R, 7aS)-2 -fluorotetrahydro- lH-pyrrolizin-7a(5H)-yl]methoxy } -7H-purin-6-yl)- l,6-diazaspiro[3.5]nonan-2-one (Diastereomer #2: 4.8 mg, 97% purity).
LC-MS (Method C): Rt = 0.847 min; MS (ESIpos): m/z = 670.4 [M+H]+.
’HNMR (400 MHz, DMSO- 6): 5 [ppm] = 8.81-8.70 (s, 1H), 7.97-7.89 (m, 1H), 7.46 (t, J= 9.2 Hz, 1H), 7.27 (s, 1H), 7.18 (s, 1H), 5.31-5.27 (m, 0.5H), 5.18-5.09 (m, 1.5H), 4.38 (s, 1H), 3.90 (d, J= 10.4 Hz, 1H), 3.82 (d, J= 10.4 Hz, 1H), 3.26-3.21 (m, 1H), 3.05-2.94 (m, 7H), 2.84-2.76 (m, 2H), 2.70-2.67 (m, 1H), 2.43-2.39 (m, 2H), 2.04 (s, 1H), 1.96 (s, 1H), 1.87-1.78 (m, 7H), 1.72-1.68 (m, 4H).
Example 2-08 cis or trans-6-[7-Cyclobutyl-8-[(8-ethynyl-7-fluoro-3-hydroxy-l-naphthyl)oxy]-2-[[(2R,8S)-2- fluoro-l,2,3,5,6,7-hexahydropyrrolizin-8-yl]methoxy]purin-6-yl]-6-azaspiro[3.5]nonan-2-ol
To a solution of cis and trans-6-(8-[(3-{[tert-butyl(diphenyl)silyl]oxy}-7-fluoro-8- [(triisopropylsilyl)ethynyl] - 1 -naphthyl)oxy] -7-cyclobutyl-2-{ [(2R,7aS)-2 -fluorotetrahydro- 1H- pyrrolizin-7a(5H)-yl]methoxy}-7H-purin-6-yl)-6-azaspiro[3.5]nonan-2-ol (Intermediate 2-44, 360 mg, 80% purity, 0.270 mmol) in tetrahydrofuran (6.0 ml) was added tetramethylammonium fluoride (75.5 mg, 0.811 mmol) at 25 °C. After stirring at 25 °C for 16 hours and 50 °C for 16 hours, the mixture was diluted with water, extracted with ethyl acetate. The combined organic layers were washed with water and brine, dried over anhydrous sodium sulfate, concentrated to give a residue. The residue was purified by preparative HPLC [Instrument: GX-E; Column: Waters xbridge 150*25mm* 10pm; eluent A: water (0.05%NH4HCC>3), eluent B: acetonitrile; gradient: 0-10 min 42-72 B; flow 25 ml/min; temperature: RT; Detector: UV 220/254 nm] to give cis or trans-6-[7-cyclobutyl-8-[(8-ethynyl-7-fluoro-3-hydroxy-l- naphthyl)oxy]-2-[[(2R,8S)-2-fluoro-l,2,3,5,6,7-hexahydropyrrolizin-8-yl]methoxy]purin-6-yl]-6- azaspiro[3.5]nonan-2-ol (#1: 12.8 mg, 90% purity) and trans or cis-6-[7-cyclobutyl-8-[(8-ethynyl-7- fluoro-3-hydroxy-l-naphthyl)oxy]-2-[[(2R,8S)-2-fluoro-l,2,3,5,6,7-hexahydropyrrolizin-8- yl]methoxy]purin-6-yl]-6-azaspiro[3.5]nonan-2-ol (#2: 12.6 mg, 92% purity).
LC-MS (Method C): Rt = 0.864 min; MS (ESIpos): m/z = 671.4 [M+H]+.
'H NMR (400 MHz, DMSO- 6): 5 [ppm] = 10.25 (s, 1H), 8.04-7.94 (m, 1H), 7.49 (t, J = 9.2 Hz, 1H), 7.30 (d, J= 2.4 Hz, 1H), 7.16 (d, J= 2.4 Hz, 1H), 5.35-5.25 (m, 0.5H), 5.19-5.14 (m, 0.5H), 5.13-5.03 (m, 1H), 4.95 (d, J= 6.0 Hz, 1H), 4.42 (s, 1H), 4.18-4.06 (m, 1H), 3.91 (d, J= 10.4 Hz, 1H), 3.81 (d, J = 10.4 Hz, 1H), 3.19-3.11 (m, 3H), 3.06-2.94 (m, 5H), 2.82-2.77 (m, 1H), 2.45-2.40 (m, 2H), 2.25-2.17 (m, 2H), 2.08-2.04 (m, 1H), 1.97-1.95 (m, 1H), 1.93-1.86 (m, 2H), 1.84-1.57 (m, 11H).
Example 2-09 trans or cis-6- [7-Cyclobutyl-8- [(8-ethynyl-7-fluoro-3-hydroxy-l-naphthyl)oxy] -2-[[(2R,8S)-2- fluoro-l,2,3,5,6,7-hexahydropyrrolizin-8-yl]methoxy]purin-6-yl]-6-azaspiro[3.5]nonan-2-ol
To a solution of cis and trans-6-(8-[(3-{[tert-butyl(diphenyl)silyl]oxy}-7-fluoro-8- [(triisopropylsilyl)ethynyl] - 1 -naphthyl)oxy] -7-cyclobutyl-2-{ [(2R,7aS)-2 -fluorotetrahydro- 1H- pyrrolizin-7a(5H)-yl]methoxy}-7H-purin-6-yl)-6-azaspiro[3.5]nonan-2-ol (Intermediate 2-44, 360 mg, 80% purity, 0.270 mmol) in tetrahydrofuran (6.0 ml) was added tetramethylammonium fluoride (75.5 mg, 0.811 mmol) at 25 °C. After stirring at 25 °C for 16 hours and 50 °C for 16 hours, the mixture was diluted with water, extracted with ethyl acetate. The combined organic layers were washed with water and brine, dried over anhydrous sodium sulfate, concentrated to give a residue. The residue was purified by preparative HPLC [Instrument: GX-E; Column: Waters xbridge 150*25mm* 10pm; eluent A: water (0.05%NH4HC03), eluent B: acetonitrile; gradient: 0-10 min 42-72 B; flow 25 ml/min; temperature: RT; Detector: UV 220/254 nm] to give cis or trans-6-[7-cyclobutyl-8-[(8-ethynyl-7-fluoro-3-hydroxy-l- naphthyl)oxy]-2-[[(2R,8S)-2-fluoro-l,2,3,5,6,7-hexahydropyrrolizin-8-yl]methoxy]purin-6-yl]-6- azaspiro[3.5]nonan-2-ol (#1: 12.8 mg, 90% purity) and trans or cis-6-[7-Cyclobutyl-8-[(8-ethynyl-7- fluoro-3-hydroxy-l-naphthyl)oxy]-2-[[(2R,8S)-2-fluoro-l,2,3,5,6,7-hexahydropyrrolizin-8- yl]methoxy]purin-6-yl]-6-azaspiro[3.5]nonan-2-ol (#2: 12.6 mg, 92% purity).
LC-MS (Method C): Rt = 0.873 min; MS (ESIpos): m/z = 671.4 [M+H]+.
'HNMR (400 MHz, DMSO- 6): 5 [ppm] = 10.25 (s, 1H), 8.01-7.96 (m, 1H), 7.49 (t, J= 9.2 Hz, 1H), 7.30 (d, J= 2.4 Hz, 1H), 7.16 (d, J = 2.4 Hz, 1H), 5.30 (s, 0.5H), 5.17 (s, 0.5H), 5.06-4.97 (m, 2H), 4.45 (s, 1H), 4.18-4.09 (m, 1H), 3.92 (d, J= 10.4 Hz, 1H), 3.84 (d, J= 10.4 Hz, 1H), 3.24-3.19 (m, 2H), 3.10- 2.93 (m, 6H), 2.84-2.76 (m, 1H), 2.46-2.43 (m, 2H), 2.11-2.05 (m, 3H), 2.00-1.96 (m, 1H), 1.94-1.76 (m, 5H), 1.75-1.67 (m, 4H), 1.64-1.60 (m, 2H), 1.58-1.52 (m, 2H).
Example 2-10
Formic acid - 4-{[7-cyclobutyl-2-{[(2R,7aS)-2-fluorotetrahydro-lH-pyrrolizin-7a(5H)- yl]methoxy}-6-(3-oxa-7,9-diazabicyclo[3.3.1]nonan-7-yl)-7H-purin-8-yl]oxy}-5-ethynyl-6- fluoronaphthalen-2-ol
A solution of tert-butyl 7-(7-cyclobutyl-8-[(8-ethynyl-7-fluoro-3-hydroxynaphthalen-l-yl)oxy]-2- {[(2R,7aS)-2-fluorotetrahydro-lH-pyrrolizin-7a(5H)-yl]methoxy}-7H-purin-6-yl)-3-oxa-7,9- diazabicyclo[3.3.1]nonane-9-carboxylate (Intermediate 2-46, 70.0 mg, 87% purity, 0.080 mmol) in hydrochloric acid (1.0 ml, 4 M in dioxane) was stirred at room temperature for 2 hours. The reaction mixture was quenched with sodium bicarbonate powder and adjusted to pH = 8. The mixture was filtered and the filtrate was purified by preparative HPLC [Instrument: ACS-WH-GX-AF; Column: Phenomenex Luna C18 150*25mm* 10 pm; eluent A: water (0.225% fomic acid) eluent B: acetonitrile; gradient: 0-10 min, 3-39% B; flow 25 ml/min; temperature: room temperature; Detector: UV 220/254 nm] to give formic acid - 4-{[7-cyclobutyl-2-{[(2R,7aS)-2-fluorotetrahydro-lH-pyrrolizin-7a(5H)-yl]methoxy}-6-(3-oxa- 7,9-diazabicyclo [3.3.1]nonan-7-yl)-7H-purin-8-yl]oxy}-5-ethynyl-6-fluoro-2-naphthol (1: 1) (7.20 mg, 98% purity).
LC-MS (Method C): Rt = 0.681 min; MS (ESIpos): m/z = 658.3 [M+H]+.
'H NMR (400 MHz, DMSO- 6): 5 [ppm] = 8.14 (br.s, 1H), 8.03-7.96 (m, 1H), 7.49 (t, J= 8.8 Hz, 1H), 7.31 (br.s, 1H), 7.18 (br.s, 1H), 5.41-5.35 (m, 0.5H), 5.27-5.16 (m, 1.5H), 4.50 (s, 1H), 4.05-3.86 (m, 9H), 3.26-3.21 (m, 4H), 3.13-2.08 (m, 1H), 3.03-2.96 (m, 2H), 2.92-2.86 (m, 1H), 2.55-2.52 (m, 2H), 2.46-2.41 (m, 2H), 2.19-2.04 (m, 2H), 2.02-1.93 (m, 1H), 1.92-1.65 (m, 5H).
Example 2-11
Formic acid - (3R)-l-(7-cyclobutyl-8-[(8-ethynyl-7-fluoro-3-hydroxynaphthalen-l-yl)oxy]-2-
{[(2R,7aS)-2-fluorotetrahydro-lH-pyrrolizin-7a(5H)-yl]methoxy}-7H-purin-6-yl)-3- methylpiperidin-3-ol
To a solution of (3R)-l-(8-[(3-{[tert-butyl(diphenyl)silyl]oxy}-7-fluoro-8-{[tri(propan-2- yl)silyl]ethynyl}naphthalen- 1 -yl)oxy]-7-cyclobutyl-2- { [(2R,7aS)-2-fluorotetrahydro- IH-pyrrolizin- 7a(5H)-yl]methoxy}-7H-purin-6-yl)-3-methylpiperidin-3-ol (Intermediate 2-47, 300 mg, 94% purity, 0.271 mmol) in tetrahydrofuran (4.0 ml) was added tetramethylammonium fluoride (75.8 mg, 0.814 mmol) at 25 °C. After stirring at 50 °C for 20 hours, the mixture was diluted with water, extracted with ethyl acetate. The combined organic layers were washed with water and brine, dried over anhydrous sodium sulfate, concentrated to give a crude product. The crude product was purified by preparative HPLC [Instrument: ACS-WH-GX-AF; Column: Phenomenex luna C18 150*25mm* 10pm; eluent A: water (0.225% formic acid) eluent B: acetonitrile; gradient: 0-10 min 21-51% B; flow 25 ml/min; temperature: room temperature; Detector: UV 220/254 nm] twice to give formic acid - (3R)-l-(7-cyclobutyl-8-[(8- ethynyl-7-fluoro-3-hydroxy-l-naphthyl)oxy]-2-{[(2R,7aS)-2-fluorotetrahydro-lH-pyrrolizin-7a(5H)- yl]methoxy}-7H-purin-6-yl)-3-methylpiperidin-3-ol (1: 1) (19.1 mg, 99% purity).
LC-MS (Method C): Rt = 0.869 min; MS (ESIpos): m/z = 645.3 [M+H]+.
'H NMR (400 MHz, DMSO- 6): 5 [ppm] = 8.19 (s, 1H), 7.98 (dd, J = 9.2, 5.6 Hz, 1H), 7.50 (t, J = 9.2 Hz, 1H), 7.30 (d, J = 2.4 Hz, 1H), 7.16 (d, J = 2.4 Hz, 1H), 5.32-5.27 (m, 0.5H), 5.25-5.12 (m, 1.5H), 4.79-4.51 (m, 1H), 4.40 (s, 1H), 3.89 (d, J= 10.4 Hz, 1H), 3.81 (d, J= 10.4 Hz, 1H), 3.26-3.24 (m, 1H), 3.10-3.02 (m, 6H), 2.98-2.95 (m, 1H), 2.82-2.75 (m, 1H), 2.47-2.36 (m, 2H), 2.07-2.02 (m, 1H), 1.98-1.95 (m, 1H), 1.93-1.52 (m, 11H), 1.17 (s, 3H).
Example 2-12
4-{[6-(Azepan-l-yl)-7-cyclobutyl-2-{[(2R,7aS)-2-fluorotetrahydro-lH-pyrrolizin-7a(5H)- yl]methoxy}-7H-purin-8-yl]oxy}-5-ethynyl-6-fluoro-2-naphthol
A solution of 6-(azepan-l-yl)-8-[(3-{[tert-butyl(diphenyl)silyl]oxy}-7-fluoro-8- [(triisopropylsilyl)ethynyl] - 1 -naphthyl)oxy] -7-cyclobutyl-2-{ [(2R,7aS)-2 -fluorotetrahydro- 1H- pyrrolizin-7a(5H)-yl]methoxy}-7H-purine (Intermediate 2-48, 150 mg, 98% purity, 0.143 mmol) and tetramethylammonium fluoride (66.7 mg, 0.716 mmol) in tetrahydrofuran (11.0 ml) was stirred at 60 °C for 16 hours. The reaction mixture was poured into water and extracted with ethyl acetate. The combined organic layers were washed with brine, dried over anhydrous sodium sulfate, filtered and concentrated to give a residue. The residue was was purified by preparative HPLC [Instrument: ACSWH-GX-A; Column: Waters Xbridge 150*25mm*5pm; eluent A: water (ammonia hydroxide v/v:0.5%); eluent B: acetonitrile; gradient: 0-10.5 min 5-35% B; flow 25 ml/min; temperature: RT; Detector: UV 220/254 nm] to give 4- {[6-(azepan-l-yl)-7-cyclobutyl-2-{[(2R,7aS)-2-fluorotetrahydro-lH-pyrrolizin-7a(5H)-yl]methoxy}-7H- purin-8-yl]oxy}-5-ethynyl-6-fluoro-2 -naphthol (12.0 mg, 97% purity).
LC-MS (Method G): Rt = 1.065 min; MS (ESIpos): m/z = 629.4 [M+H]+
’HNMR (400 MHz, DMSO- 6): 5 [ppm] = 7.97 (dd, J= 9.2, 5.6 Hz, 1H), 7.49 (t, J= 9.2 Hz, 1H), 7.29 (d, J= 2.4 Hz, 1H), 7.15 (d, J= 2.4 Hz, 1H), 5.27-5.32 (m, 0.5H), 5.13-5.18 (m, 0.5H), 4.96 (m, 1H), 4.43 (s, 1H), 3.86-3.92 (m, 1H), 3.78-3.85 (m, 1H), 3.55-3.63 (m, 4H), 3.00-3.09 (m, 2H), 2.96 (s, 1H), 2.83- 2.92 (m, 2H), 2.75-2.82 (m, 1H), 2.39-2.47 (m, 2H), 2.06-2.00 (m, 1H), 1.99-1.94 (m, 1H), 1.86-1.92 (m, 1H), 1.75-1.85 (m, 7H), 1.66-1.73 (m, 2H), 1.63-1.54 (m, 4H).
Example 2-13
4-{[7-Cyclobutyl-6-({[l-(dimethylamino)cyclobutyl]methyl}amino)-2-{[(2R,7aS)-2- fluorotetrahydro-lH-pyrrolizin-7a(5H)-yl]methoxy}-7H-purin-8-yl] oxy}-5-ethynyl-6-fluoro-2- naphthol
To a solution of 8-[(3-{[tert-butyl(diphenyl)silyl]oxy}-7-fluoro-8-[(triisopropylsilyl)ethynyl]-l- naphthyl)oxy]-7-cyclobutyl-N-{[l-(dimethylamino)cyclobutyl]methyl}-2-{[(2R,7aS)-2- fluorotetrahydro-lH-pyrrolizin-7a(5H)-yl]methoxy}-7H-purin-6-amine (Intermediate 2-49, 110 mg, 0.094 mmol) in tetrahydrofuran (5.0 ml) was added tetramethylammonium fluoride (87.6 mg, 0.941 mmol) at 25 °C. After stirring at 60 °C for 16 hours, the mixture was diluted with water, extracted with ethyl acetate. The combined organic layers were washed with water and brine, dried over anhydrous sodium sulfate, concentrated to give a residue. The residue was purified by preparative HPLC [Instrument: ACSWH-GX-Q; Column: Phenomenex luna C18 150*25mm* 10 pm; eluent A: water (0.225% formic acid in water), eluent B: acetonitrile; gradient: 0-10 min 8-38% B; flow 25 ml/min; temperature: room temperature; Detector: UV 220/254 nm] to give 4-{[7-cyclobutyl-6-({[l-(dimethylamino) cyclobutyl]methyl}amino)-2-{[(2R,7aS)-2-fluorotetrahydro-lH-pyrrolizin-7a(5H)-yl]methoxy}-7H- purin-8-yl]oxy}-5-ethynyl-6-fluoro-2-naphthol (41.6 mg, 97% purity, 65% yield).
LC-MS (Method C): Rt = 0.694 min; MS (ESIpos): m/z = 658.3 [M+H]+.
'HNMR (400 MHz, DMSO- 6): 5 [ppm] = 10.36-10.18 (m, 1H), 7.96 (dd, J= 9.2, 5.6 Hz, 1H), 7.47 (t, J = 9.2 Hz, 1H), 7.26 (d, J = 2.4 Hz, 1H), 7.12 (d, J = 2.4 Hz, 1H), 6.25 (br.s, 1H), 5.32-5.29 (m, 0.5H), 5.22-5.08 (m, 1.5H), 4.44 (s, 1H), 3.95-3.89 (m, 1H), 3.89-3.83 (m, 1H), 3.72 (d, J= 4.4 Hz, 2H), 3.09- 3.04 (m, 2H), 3.00 (d, J= 2.0 Hz, 1H), 2.85-2.71 (m, 3H), 2.64-2.55 (m, 2H), 2.32 (s, 6H), 2.29-2.25 (m, 2H), 2.10-2.05 (m, 1H), 2.02-1.98 (m, 1H), 1.94-1.67 (m, 10H).
Example 2-14
4- [7-Cyclobutyl-8- [(8-ethynyl-7-fluoro-3-hydroxy-l-naphthyl)oxy] -2- [ [(2R,8S)-2-fluoro-l,2,3,5,6,7- hexahydr opyrr olizin-8-yl] methoxy] purin-6-yl] -1 ,4-oxazepan-6-ol : formic acid
A solution of 4-[8-[[3-[tert-butyl(diphenyl)silyl]oxy-7-fluoro-8-(2-triisopropylsilylethynyl)-l- naphthyl]oxy]-7-cyclobutyl-2-[[(2R,8S)-2-fluoro-l,2,3,5,6,7-hexahydropyrrolizin-8-yl]methoxy]purin- 6-yl]-l,4-oxazepan-6-ol (Intermediate 2-52, 120 mg, 0.115 mmol) and tetramethylammonium fluoride (107 mg, 1.15 mmol) in tetrahydrofuran (2.0 ml) was stirred at 60 °C for 16 hours. The mixture was poured into water and extracted with ethyl acetate. The organic phase was washed with brine, dried over anhydrous sodium sulfate, filtered and concentrated to give a residue. The residue was purified by preparative HPLC [Instrument:Gilson-281; Column: Phenomenex Synergi C18 150*30mm*4 pm; eluent A: water(0.225% formic acid), eluent B: acetonitrile; gradient: 0-10.5 min, 5-35% B; flow 25 ml/min; temperature: RT; Detector: UV 220/254 nm] to give 4-[7-cyclobutyl-8-[(8-ethynyl-7-fluoro-3-hydroxy- l-naphthyl)oxy]-2-[[(2R,8S)-2-fluoro-l,2,3,5,6,7-hexahydropyrrolizin-8-yl]methoxy]purin-6-yl]-l,4- oxazepan-6-ol : formic acid (1/1) (12.7 mg, 99% purity).
LC-MS (Method C): Rt = 0.733 min; MS (ESIpos): m/z = 647.3 [M+H]+.
1HNMR (400 MHz, DMSO- 6): 5 [ppm] = 8.15 (br.s, 1H), 7.97 (br.s, 1H), 7.49 (t, J= 10.0 Hz, 1H), 7.30 (br.s, 1H), 7.17 (br.s, 1H), 5.36-5.31 (m, 0.5H), 5.24-5.15 (m, 0.5H), 5.05-4.91 (m, 1H), 4.38 (s, 1H), 3.99-3.86 (m, 6H), 3.74-3.69 (m, 3H), 3.19-3.01 (m, 4H), 2.91-2.89 (m, 3H), 2.15-1.65 (m, 9H), 1.29-1.16 (m, 2H).
Example 2-15
(6R or S)-4-(7-cyclobutyl-8- [(8-ethynyl-7-fluoro-3-hydroxy-l-naphthyl)oxy] -2-{ [(2R,7aS)-2- fluorotetrahydro-lH-pyrrolizin-7a(5H)-yl]methoxy}-7H-purin-6-yl)-6-methyl-l,4-oxazepan-6-ol
4-[7-cyclobutyl-8-[(8-ethynyl-7-fluoro-3-hydroxy-l-naphthyl)oxy]-2-[[(2R,8S)-2-fluoro-l,2,3,5,6,7- hexahydropyrrolizin-8-yl]methoxy]purin-6-yl]-l,4-oxazepan-6-ol formic acid (1/1) (Intermediate 2-59, 4.00 mg, 4.65 pmol) was dissolved in dichloromethane / methanol (50 pL / 25pL), hydrochloric acid (20 eq., 23 pl, 4.0 M in dioxane, 93 pmol) was added at 0°C and the mixture was stirred at rt for 3 h. The solvents were removed in vacuo and the residue was purified by flash chromatography to yield 2.70 mg (90 % purity, 79 % yield) of the title compound.
LC-MS (Method 3): Rt = 0.91 min; MS (ESIpos): m/z = 662 [M+H]+
'H-NMR (400 MHz, DMSO- 6): 5 [ppm]: 0.742 (0.49), 0.765 (0.45), 0.832 (0.66), 0.852 (1.11), 0.916 (2.42), 0.934 (6.29), 0.953 (3.05), 1.060 (16.00), 1.233 (3.83), 1.280 (0.96), 1.298 (1.44), 1.316 (1.27), 1.335 (1.06), 1.354 (0.80), 1.479 (0.46), 1.565 (0.81), 1.700 (2.44), 1.716 (1.91), 1.729 (1.85), 1.751 (1.76), 1.775 (1.59), 1.798 (2.75), 1.822 (1.94), 1.851 (1.48), 1.892 (1.95), 1.953 (3.05), 1.986 (0.75), 2.006 (0.52), 2.027 (2.55), 2.037 (1.64), 2.318 (1.22), 2.422 (0.87), 2.518 (11.71), 2.523 (8.32), 2.593 (0.57), 2.660 (1.21), 2.749 (0.59), 2.771 (1.26), 2.786 (1.83), 2.808 (1.77), 2.834 (1.71), 2.861 (1.91), 2.886 (1.79), 2.913 (1.23), 2.955 (3.44), 2.986 (0.58), 3.021 (2.88), 3.032 (2.88), 3.039 (2.65), 3.138 (0.92), 3.161 (0.80), 3.180 (0.91), 3.353 (5.10), 3.433 (0.54), 3.449 (0.77), 3.465 (0.44), 3.494 (3.84), 3.525 (2.92), 3.568 (2.14), 3.604 (5.19), 3.660 (3.42), 3.695 (2.46), 3.797 (2.98), 3.823 (4.66), 3.869 (0.53), 3.882 (5.19), 3.908 (4.03), 3.921 (1.03), 3.933 (0.83), 3.943 (1.30), 4.395 (6.78), 4.502 (0.43), 4.964 (1.00), 4.985 (1.40), 5.005 (0.99), 5.153 (1.28), 5.288 (1.18), 5.580 (1.92), 5.756 (7.25), 7.150 (3.97), 7.155 (4.17), 7.278 (3.95), 7.283 (3.52), 7.457 (2.10), 7.480 (4.23), 7.502 (2.18), 7.949 (1.80), 7.963 (1.94), 7.972 (1.81), 7.986 (1.69).
Example 2-16
4-(7-Cyclobutyl-8-[(8-ethynyl-7-fluoro-3-hydroxy-l-naphthyl)oxy]-2-{[(2R,7aS)-2- fluorotetrahydro-lH-pyrrolizin-7a(5H)-yl]methoxy}-7H-purin-6-yl)-l,4-oxazepan-6-one
To a solution of 4-(7-cyclobutyl-8-{[8-ethynyl-7-fluoro-3-(methoxymethoxy)-l-naphthyl]oxy}-2- { [(2R,7aS)-2 -fluorotetrahydro- lH-pyrrolizin-7a(5H)-yl]methoxy } -7H-purin-6-yl)- 1 ,4-oxazepan-6-one (Intermediate 2-63, 30 mg, 70% purity, 0.030 mmol) in tetrahydrofuran (0.5 ml) was added sulfuric acid (1.0 ml, IM, 1.0 mmol) in one portion at room temperature. After stirring at room temperature for 4 hours, the reaction mixture was adjusted to pH 7 by saturated sodium bicarbonate solution and extracted with ethyl acetate. The combined organic layers were washed with water and brine, dried over anhydrous sodium sulfate, concentrated to give a residue. The residue was purified by preparative HPLC [Instrument: ACS-WH-GX-AF; column: Phenomenex luna C18, 150 mm x 25 mm, 10 pm; eluent A: water (0.225% formic acid in water), eluent B: acetonitrile; gradient: 0-10 min 18-48% B; flow 25 ml/min; temperature: room temperature; Detector: UV 220/254 nm] to give 4-(7-cyclobutyl-8-[(8-ethynyl-7-fluoro-3-hydroxy- 1 -naphthyl)oxy]-2- { [(2R, 7aS)-2 -fluorotetrahydro- lH-pyrrolizin-7a(5H)-yl]methoxy } -7H-purin-6-yl)- l,4-oxazepan-6-one (5.2 mg, 99% purity, 26% yield).
LC-MS (Method C): Rt = 0.752 min; MS (ESIpos): m/z = 645.2 [M+H]+.
'H NMR (400 MHz, DMSO- 6): 5 [ppm] = 10.31 (br.s, 1H), 8.01-7.95 (m, 1H), 7.49 (t, J= 9.2 Hz, 1H), 7.30 (d, J = 2.4 Hz, 1H), 7.19 (d, J = 2.4 Hz, 1H), 5.32-5.28 (m, 0.5H), 5.19-5.15 (m, 0.5H), 5.06-4.96 (m, 1H), 4.42 (s, 1H), 4.11 (s, 2H), 4.06 (s, 2H), 3.84-3.74 (m, 6H), 3.11-2.97 (m, 4H), 2.95-2.77 (m, 4H), 2.08-2.0 (m, 1H), 1.99-1.93 (m, 1H), 1.90-1.69 (m, 6H).
Example 2-17
4- [(7-Cyclobutyl-2- { [(2R,7aS)-2-fluorotetrahydro-lH-pyrrolizin-7a(5H)-yl]methoxy}-6- [8-methyl-
Hydrogen chloride solution (4 M in 1,4-dioxane, 93 pl, 370 pmol, 13 eq) was added at RT to a solution of 7-cyclobutyl-8-{ [8-ethynyl-7-fluoro-3-(methoxymethoxy)naphthalen- l-yl]oxy} -2-{[(2R,7aS)-2- fluorotetrahydro-lH-pyrrolizin-7a(5H)-yl]methoxy}-6-[8-methyl-3,8-diazabicyclo[3.2.1]octan-3-yl]- 7H-purine (Intermediate 2-67, 20.0 mg, 28.6 pmol) in dichloromethane (640 pl). The reaction mixture was stirred at RT for 15 min and concentrated under reduced pressure. The residue was purified by RP- HPLC (acetonitrile / 0.07% formic acid in water) to give 4-[(7-cyclobutyl-2-{[(2R,7aS)-2- fhrorotetrahydro-lH-pyrrolizin-7a(5H)-yl]methoxy}-6-[8-methyl-3,8-diazabicyclo[3.2.1]octan-3-yl]- 7H-purin-8-yl)oxy]-5-ethynyl-6-fluoronaphthalen-2-ol (21.0 mg, quantitative yield).
LC-MS (Method 8): Rt = 0.63 min; MS (ESIpos): m/z = 656 [M+H]+
'H-NMR (400 MHz, DMSO- 6): 5 [ppm] = 0.852 (0.77), 1.232 (2.94), 1.652 (2.19), 1.671 (2.63), 1.694 (2.09), 1.723 (1.52), 1.746 (1.47), 1.765 (1.33), 1.805 (1.38), 1.835 (1.07), 1.861 (1.13), 1.906 (1.35), 1.959 (3.18), 2.033 (2.23), 2.229 (16.00), 2.437 (1.65), 2.518 (13.46), 2.523 (8.68), 2.770 (0.95), 2.786 (1.21), 2.807 (0.58), 2.926 (1.22), 2.951 (3.08), 3.025 (2.83), 3.209 (3.05), 3.243 (2.35), 3.271 (2.77),
3.571 (1.83), 3.598 (1.58), 3.795 (2.11), 3.821 (3.47), 3.875 (3.87), 3.901 (2.24), 4.462 (5.82), 4.969
(0.71), 4.990 (1.04), 5.011 (0.68), 5.156 (0.92), 5.291 (0.92), 7.158 (3.65), 7.164 (4.02), 7.293 (4.49),
7.299 (4.10), 7.472 (2.00), 7.495 (4.04), 7.518 (2.04), 7.964 (1.76), 7.978 (1.85), 7.988 (1.91), 8.002
(1.73), 8.174 (1.98), 10.282 (2.01).
Example 3-01
[7-Cyclobutyl-6-(3,8-diazabicyclo[3.2.1]octan-3-yl)-2-[[(2R,8S)-2-fluoro-l,2,3,5,6,7- hexahydropyrrolizin-8-yl]methoxy]purin-8-yl]-(8-ethynyl-7-fluoro-3-hydroxy-l- naphthyl)methanone
To a solution of tert-butyl 3-[7-cyclobutyl-8-[8-ethynyl-7-fluoro-3-(methoxymethoxy)naphthalene-l- carbonyl]-2-[[(2R,8S)-2-fluoro-l,2,3,5,6,7-hexahydropyrrolizin-8-yl]methoxy]purin-6-yl]-3,8- diazabicyclo[3.2.1]octane-8-carboxylate (Intermediate 3-07, 212 mg, 266 pmol, 1.0 eq.) in MeCN (29 m ) was added hydrochloric acid (9.8 m , 4.0 M in dioxane, 39 mmol) at 0 °C. The reaction mixture was stirred for 30 min. at RT. The mixture was concentrated, and the residue was purified by RP-HPLC (acetonitrile / 2% NH3 in water gradient). The product fractions were pooled and concentrated in vacuo to afford 92.4 mg (51% yield, 95% purity) of the title compound.
LC-MS (Method 1): Rt = 0.88 min; MS (ESIneg): m/z = 652 [M-H]’ ’H NMR (400 MHz, DMSO- e): 5 [ppm] = 1.37 - 2.19 (m, 14 H) 2.59 - 2.74 (m, 2 H) 2.74 - 2.86 (m, 1 H) 2.94 - 3.07 (m, 3 H) 3.57 (br s, 2 H) 3.82 - 3.97 (m, 4 H) 4.49 (s, 1 H) 5.13 - 5.33 (m, 2 H) 7.24 (d, 1 H) 7.42 (d, 1 H) 7.49 (t, 1 H) 8.00 (dd, 1 H).
Example 3-02
(7-cyclobutyl-2-{[(2R,7aS)-2-fluorotetrahydro-lH-pyrrolizin-7a(5H)-yl]methoxy}-6-[(3R)-3- hydroxy-3-methylpiperidin-l-yl]-7H-purin-8-yl)(8-ethynyl-7-fluoro-3-hydroxynaphthalen-l- yl)methanone
(7-cyclobutyl-2-{[(2R,7aS)-2-fluorotetrahydro-lH-pyrrolizin-7a(5H)-yl]methoxy}-6-[(3R)-3-hydroxy- 3-methylpiperidin-l-yl]-7H-purin-8-yl)[8-ethynyl-7-fluoro-3-(methoxymethoxy)-l-naphthyl]methanone (Intermediate 3-13, 26.0 mg, 37.1 pmol) was dissolved in dichloromethane / methanol (1.0 mL / 200 pL), hydrochloric acid (10 eq., 93 pl, 4.0 M in dioxane, 370 pmol) was added at 0°C and the mixture was stirred at rt for 3 h. The solvents were removed in vacuo. The residue was redissolved in methanol/dichloromethane, sat. aq. NaHCOs solution was added the mixture concentrated in vacuo. The residue was purified by flash chromatography to yield 20 mg (95 % purity, 78 % yield) of the title compound.
LC-MS (Method 4): Rt = 1.05 min; MS (ESIpos): m/z = 658 [M+H]+
1H-NMR (400 MHz, DMSO- 6): 5 [ppm]: 0.851 (0.42), 1.025 (1.19), 1.102 (6.94), 1.232 (1.38), 1.590 (1.24), 1.614 (1.57), 1.644 (1.68), 1.676 (1.04), 1.709 (2.02), 1.724 (1.32), 1.738 (1.20), 1.760 (0.99), 1.770 (0.63), 1.778 (0.78), 1.802 (1.18), 1.824 (1.13), 1.850 (0.97), 1.873 (0.84), 1.915 (1.47), 1.928 (1.33), 1.938 (1.44), 1.966 (2.59), 1.976 (3.12), 2.048 (2.32), 2.337 (0.59), 2.518 (6.71), 2.523 (4.57), 2.755 (0.92), 2.775 (1.57), 2.789 (1.93), 2.811 (1.28), 2.956 (2.01), 2.994 (0.45), 3.032 (2.77), 3.039 (2.37), 3.228 (0.67), 3.391 (0.73), 3.629 (0.40), 3.829 (1.97), 3.854 (3.64), 3.896 (4.16), 3.922 (2.16), 4.412 (2.63), 4.593 (1.16), 5.161 (0.96), 5.294 (0.96), 5.399 (0.56), 5.420 (0.80), 5.441 (0.57), 5.760 (16.00), 7.217 (3.90), 7.223 (4.18), 7.411 (4.38), 7.417 (4.05), 7.472 (2.01), 7.495 (4.00), 7.517 (2.05), 7.990 (1.79), 8.005 (1.88), 8.014 (1.85), 8.028 (1.73), 8.089 (0.54).
Example 3-03
[6-(3,8-Diazabicyclo[3.2.1]octan-3-yl)-2-[[(2R,8S)-2-fluoro-l,2,3,5,6,7-hexahydropyrrolizin-8- yl]methoxy]-7-tetrahydrofuran-3-yl-purin-8-yl]-(8-ethynyl-7-fluoro-3-hydroxy-l- naphthyl)methanone (mixture of 2 isomers)
tert-butyl 3-[8-[8-ethynyl-7-fluoro-3-(methoxymethoxy)naphthalene-l-carbonyl]-2-[[(2R,8S)-2 -fluoro- l,2,3,5,6,7-hexahydropyrrolizin-8-yl]methoxy]-7-tetrahydrofuran-3-yl-purin-6-yl]-3,8- diazabicyclo[3.2.1]octane-8-carboxylate (Intermediate 3-19, 25.5 mg, 31.3 pmol) was dissolved in dichloromethane / methanol (500 pL / 200 pL), then hydrochloric acid (25 eq., 200 pl, 4.0 M in dioxane, 780 pmol) was added at 0°C and the mixture was stirred at rt for 1.5 h. The solvents were removed in vacuo. The residue was redissolved in methanol/dichloromethane, sat. aq. NaHCOs solution was added the mixture concentrated in vacuo. The residue was purified by flash chromatography to yield 11.6 mg (92 % purity, 51 % yield) of the title compound.
LC-MS (Method 3): Rt = 0.64 min; MS (ESIpos): m/z = 671 [M+H]+
1H-NMR (400 MHz, DMSO- 6): 5 [ppm]: 0.852 (0.42), 1.232 (1.51), 1.352 (0.74), 1.658 (3.12), 1.705 (3.69), 1.721 (2.72), 1.734 (2.67), 1.755 (2.13), 1.804 (1.71), 1.890 (1.54), 1.900 (1.64), 1.965 (2.74), 2.039 (3.18), 2.518 (13.08), 2.523 (8.93), 2.771 (1.40), 2.785 (1.92), 2.807 (1.00), 2.951 (2.35), 2.991 (0.75), 3.027 (4.35), 3.246 (1.01), 3.277 (1.09), 3.503 (4.87), 3.625 (0.64), 3.835 (2.69), 3.861 (4.85), 3.899 (4.68), 3.927 (2.44), 3.978 (1.15), 3.998 (2.20), 4.013 (2.23), 4.033 (1.07), 4.127 (1.39), 4.342
(1.63), 4.356 (1.59), 4.378 (0.61), 4.663 (8.75), 5.155 (1.39), 5.292 (1.43), 5.449 (0.94), 5.760 (16.00), 7.226 (5.61), 7.231 (5.91), 7.408 (6.82), 7.414 (6.40), 7.468 (2.98), 7.490 (5.83), 7.513 (3.03), 7.988
(2.63), 8.003 (2.85), 8.012 (2.82), 8.026 (2.63), 8.491 (0.41).
Example 3-04 formic acid - [6-(3,8-diazabicyclo[3.2.1]octan-3-yl)-2-{[(2R,7aS)-2-fluorotetrahydro-lH-pyrrolizin-
7a(5H)-yl]methoxy}-7-(cis or trans-3-methoxycyclobutyl)-7H-purin-8-yl](8-ethynyl-7-fluoro-3- hydroxy-l-naphthyl)methanone (2/1)
To a solution of tert-butyl 3-{8-[8-ethynyl-7-fluoro-3-(methoxymethoxy)-l-naphthoyl]-2-{[(2R,7aS)-2- fluorotetrahydro-lH-pyrrolizin-7a(5H)-yl]methoxy}-7-(cis and trans-3-methoxycyclobutyl)-7H-purin-6- yl}-3,8-diazabicyclo[3.2.1]octane-8-carboxylate (Intermediate 3-30, 30.0 mg, 91% purity, 0.033 mmol) in methanol (0.6 ml) was added methanesulfonic acid (0.032 ml, 0.490 mmol) at room temperature. After stirring at the same temperature for 3 hours, sodium bicarbonate was added to the mixture to adjust pH = 8. The mixture was filtered and the filtrate was purified by preparative HPLC [Instrument: ACSWH-GX- P; Column: Phenomenex luna C18 150*25mm* 10 pm; eluent A: water (0.05% fomic acid) eluent B: acetonitrile; gradient: 0-10 min 13-33% B; flow 25 ml/min; temperature: room temperature; Detector: UV 220/254 nm] to give Peak 1: formic acid - [6-(3,8-diazabicyclo[3.2.1]octan-3-yl)-2-{[(2R,7aS)-2- fluorotetrahydro-lH-pyrrolizin-7a(5H)-yl]methoxy}-7-(cis or trans-3- methoxycyclobutyl)-7H-purin-8- yl](8-ethynyl-7-fluoro-3-hydroxy-l-naphthyl)methanone (2: 1) (#1: 3.40 mg, 88% purity) and Peak 2: formic acid - [6-(3,8-diazabicyclo[3.2.1]octan-3-yl)-2-{[(2R,7aS)-2-fluorotetrahydro-lH-pyrrolizin- 7a(5H)-yl]methoxy} -7-(trans or cis-3-methoxycyclobutyl)-7H-purin-8-yl](8-ethynyl-7-fluoro-3- hydroxy-l-naphthyl)methanone (2: 1) (#2: 5.70 mg, 96% purity).
LC-MS (Method C): Rt = 0.754 min; MS (ESIpos): m/z = 684.4 [M+H]+.
'HNMR (400 MHz, DMSO-t/6): 5 [ppm] = 8.18 (br.s, 2H), 8.02 (dd, J= 8.8, 5.6 Hz, 1H), 7.51 (t, J= 8.8 Hz, 1H), 7.43 (d, J= 2.0 Hz, 1H), 7.26 (m, J= 2.0 Hz, 1H), 5.31 (br.s, 0.5H), 5.17 (br.s, 0.5H), 4.92- 4.83 (m, 1H), 4.46 (s, 1H), 4.02-3.91 (m, 2H), 3.90-3.83 (m, 1H), 3.77-3.72 (m, 1H), 3.73-3.64 (m, 2H), 3.16 (s, 3H), 3.08-3.02 (m, 3H), 3.00-2.89 (m, 4H), 2.84-2.76 (m, 1H), 2.45-2.35 (m, 3H), 2.08-2.04 (m, 1H), 2.01-1.97 (m, 1H), 1.96-1.90 (m, 1H), 1.85-1.55 (m, 7H).
Example 3-05 formic acid - [6-(3,8-diazabicyclo[3.2.1]octan-3-yl)-2-{[(2R,7aS)-2-fluorotetrahydro-lH-pyrrolizin- 7a(5H)-yl]methoxy}-7-(trans or cis-3-methoxycyclobutyl)-7H-purin-8-yl](8-ethynyl-7-fluoro-3- hydroxy-l-naphthyl)methanone (2/1)
To a solution of tert-butyl 3-{8-[8-ethynyl-7-fluoro-3-(methoxymethoxy)-l-naphthoyl]-2-{[(2R,7aS)-2- fluorotetrahydro-lH-pyrrolizin-7a(5H)-yl]methoxy}-7-(cis and trans-3-methoxycyclobutyl)-7H-purin-6- yl}-3,8-diazabicyclo[3.2.1]octane-8-carboxylate (Intermediate 3-30, 30.0 mg, 91% purity, 0.033 mmol) in methanol (0.6 ml) was added methanesulfonic acid (0.032 ml, 0.490 mmol) at room temperature. After stirring at the same temperature for 3 hours, sodium bicarbonate powder was added to the mixture to adjust pH = 8. The mixture was filtered and the filtrate was purified by preparative HPLC [Instrument: ACSWH- GX-P; Column: Phenomenex luna C18 150*25mm* 10 pm; eluent A: water (0.05% fomic acid) eluent B: acetonitrile; gradient: 0-10 min 13-33% B; flow 25 ml/min; temperature: room temperature; Detector: UV 220/254 nm] to give Peak 1: formic acid - [6-(3,8-diazabicyclo[3.2.1]octan-3-yl)-2-{[(2R,7aS)-2- fluorotetrahydro-lH-pyrrolizin-7a(5H)-yl]methoxy}-7-(cis or trans-3-methoxycyclobutyl)-7H-purin-8- yl](8-ethynyl-7-fluoro-3-hydroxy-l-naphthyl)methanone (2: 1) (#1: 3.40 mg, 88% purity) and Peak 2: formic acid - [6-(3,8-diazabicyclo[3.2.1]octan-3-yl)-2-{[(2R,7aS)-2-fluorotetrahydro-lH-pyrrolizin- 7a(5H)-yl]methoxy} -7-(trans or cis-3-methoxycyclobutyl)-7H-purin-8-yl](8-ethynyl-7-fluoro-3- hydroxy-l-naphthyl)methanone (2: 1) (#2: 5.70 mg, 96% purity).
LC-MS (Method C): Rt = 0.767 min; MS (ESIpos): m/z = 684.4 [M+H]+.
'HNMR (400 MHz, DMSO-t/6): 5 [ppm] = 8.24-8.16 (m, 2H), 8.001 (dd, J= 8.8, 5.6 Hz, 1H), 7.50 (d, J = 8.8 Hz, 1H), 7.43 (d, J= 2.0 Hz, 1H), 7.27 (m, J= 2.0 Hz, 1H), 5.59-5.44 (m, 1H), 5.33-5.27 (m, 0.5H), 5.20-5.14 (m, 0.5H), 4.53 (s, 1H), 4.17-4.08 (m, 1H), 3.95-3.91 (m, 1H), 3.89-3.82 (m, 1H), 3.84-3.76 (m, 1H), 3.75-3.69 (m, 2H), 3.24 (s, 3H), 3.09-3.01 (m, 3H), 2.99-2.87 (m, 4H), 2.84-2.74 (m, 1H), 2.63-2.54 (m, 2H), 2.46-2.41 (m, 1H), 2.08-2.03 (m, 1H), 2.00-1.95 (m, 1H), 1.94-1.88 (m, 1H), 1.85-1.64 (m, 7H).
Example 3-06
Formic acid - (8-ethynyl-7-fluoro-3-hydroxy-l-naphthyl)[2-{[(2R,7aS)-2-fluorotetrahydro-lH- pyrrolizin-7a(5H)-yl]methoxy}-6-[(3R)-3-hydroxy-3-methylpiperidin-l-yl]-7-(cis or trans-3- methoxycyclobutyl)-7H-purin-8-yl]methanone (1/1)
A solution of [8-ethynyl-7-fluoro-3-(methoxymethoxy)-l-naphthyl][2-{[(2R,7aS)-2-fluorotetrahydro- lH-pyrrolizin-7a(5H)-yl]methoxy}-6-[(3R)-3-hydroxy-3-methylpiperidin-l-yl]-7-(cis and trans-3- methoxycyclobutyl)-7H-purin-8-yl]methanone (Intermediate 3-34, 110 mg, 90% purity, 0.135 mmol) in hydrochloric acid (2.0 ml, 4 M in dioxane) was stirred at room temperature for 2 hours. The reaction mixture was quenched with sodium bicarbonate powder and adjusted to pH = 8. The mixture was fdtered and the fdtrate was purified by preparative HPLC [Instrument: ACS-WH-GX-AF; Column: Phenomenex Luna C18 150*25mm* 10 pm; eluent A: water (0.225% formic acid) eluent B: acetonitrile; gradient: 0-10 min 4-34% B; flow 25 ml/min; temperature: room temperature; Detector: UV 220/254 nm] to give formic acid - (8-ethynyl-7-fhioro-3-hydroxy-l-naphthyl)[2-{[(2R,7aS)-2-fluorotetrahydro-lH-pyrrolizin- 7a(5H)-yl]methoxy}-6-[(3R)-3-hydroxy-3-methylpiperidin-l-yl]-7-(cis or trans-3-methoxycyclobutyl)- 7H-purin- 8 -yl] methanone (1: 1) (fraction 1: 38.8 mg ,98% purity, 38% yield) and (fraction 2: 40 mg, 90% purity).
The fraction 2 was separated by preparative SFC [Instrument: ACSWH-PREP-SFC-D; Column: (s,s) WHELK-01 (250mm*30mm,10um); eluent A: CO2 (Supercritical carbon dioxide), eluent B: 0.1% ammonium hydroxide in methanol; gradient: 0 - 14 min, 30 - 30% B; flow 65 ml/min; temperature: room temperature; Detector: UV 220/254 nm] to give (8 -ethynyl-7-fluoro-3 -hydroxy- 1 -naphthyl) [2- {[(2R,7aS)-2-fhrorotetrahydro-lH-pyrrolizin-7a(5H)-yl]methoxy}-6-[(3R)-3-hydroxy-3- methylpiperidin-l-yl]-7-(trans or cis-3-methoxycyclobutyl)-7H-purin-8-yl]methanone (27.8 mg, 99% purity, 30% yield).
LC-MS (Method C): Rt = 0.729 min; MS (ESIpos): m/z = 687.3 [M+H]+.
'HNMR (400 MHz, DMSO- 6): 5 [ppm] = 8.15 (s, 1H), 8.03-7.98 (m, 1H), 7.49 (t, J= 9.2 Hz, 1H), 7.42 (d, J = 2.4 Hz, 1H), 7.24 (d, J = 2.4 Hz, 1H), 5.35-5.30 (m, 0.5H), 5.21-5.16 (m, 0.5H), 5.05-4.94 (m, 1H),
4.37 (s, 1H), 3.97-3.93 (m, 1H), 3.91-3.82 (m, 1H), 3.76-3.71 (m, 1H), 3.46-3.41 (m, 2H), 3.28-3.22 (m, 2H), 3.17 (s, 3H), 3.11-3.06 (m, 2H), 3.04-2.98 (m, 1H), 2.97-2.89 (m, 2H), 2.86-2.76 (m, 1H), 2.64-2.53 (m, 2H), 2.15-2.06 (m, 1H), 2.01-1.88 (m, 3H), 1.85-1.53 (m, 6H), 1.07 (s, 3H).
Example 3-07
(8-Ethynyl-7-fluoro-3-hydroxy-l-naphthyl)[2-{[(2R,7aS)-2-fluorotetrahydro-lH-pyrrolizin-
7a(5H)-yl]methoxy}-6-[(3R)-3-hydroxy-3-methylpiperidin-l-yl]-7-(trans or cis-3- methoxycyclobutyl)-7H-purin-8-yl]methanone
A solution of [8-ethynyl-7-fluoro-3-(methoxymethoxy)-l-naphthyl][2-{[(2R,7aS)-2-fluorotetrahydro- lH-pyrrolizin-7a(5H)-yl]methoxy}-6-[(3R)-3-hydroxy-3-methylpiperidin-l-yl]-7-(cis and trans-3- methoxycyclobutyl)-7H-purin-8-yl]methanone (Intermediate 3-34, 110 mg, 90% purity, 0.135 mmol) in hydrochloric acid (2.0 ml, 4 M in dioxane) was stirred at room temperature for 2 hours. The reaction mixture was quenched with sodium bicarbonate powder and adjusted to pH = 8. The mixture was filtered and the filtrate was purified by preparative HPLC [Instrument: ACS-WH-GX-AF; Column: Phenomenex Luna C18 150*25mm* 10 pm; eluent A: water (0.225% formic acid) eluent B: acetonitrile; gradient: 0-10 min 4-34% B; flow 25 ml/min; temperature: room temperature; Detector: UV 220/254 nm] to give formic acid - (8-ethynyl-7-fhioro-3-hydroxy-l-naphthyl)[2-{[(2R,7aS)-2-fluorotetrahydro-lH-pyrrolizin- 7a(5H)-yl]methoxy}-6-[(3R)-3-hydroxy-3-methylpiperidin-l-yl]-7-(cis or trans-3-methoxycyclobutyl)- 7H-purin- 8 -yl] methanone (1: 1) (fraction 1: 38.8 mg ,98% purity, 38% yield) and (fraction 2: 40 mg, 90% purity).
The fraction 2 was separated by preparative SFC [Instrument: ACSWH-PREP-SFC-D; Column: (s,s) WHELK-01 (250mm*30mm,10um); eluent A: CO2 (Supercritical carbon dioxide), eluent B: 0.1% ammonium hydroxide in methanol; gradient: 0 - 14 min, 30 - 30% B; flow 65 ml/min; temperature: room temperature; Detector: UV 220/254 nm] to give (8-ethynyl-7-fluoro-3-hydroxy-l-naphthyl)[2- {[(2R,7aS)-2-fluorotetrahydro-lH-pyrrolizin-7a(5H)-yl]methoxy}-6-[(3R)-3-hydroxy-3- methylpiperidin-l-yl]-7-(trans or cis-3-methoxycyclobutyl)-7H-purin-8-yl]methanone (27.8 mg, 99% purity, 30% yield).
LC-MS (Method C): Rt = 0.744 min; MS (ESIpos): m/z = 687.3 [M+H]+.
’H NMR (400 MHz, DMSO- 6): 5 [ppm] = 7.84-7.76 (m, 1H), 7.33 (t, J= 8.8 Hz, 1H), 7.22-7.10 (m, 2H), 5.61-5.56 (m, 1H), 5.33-5.27 (m, 0.5H), 5.19-5.12 (m, 0.5H), 4.37 (s, 1H), 4.15-4.06 (m, 1H), 3.96- 3.85 (m, 2H), 3.84-3.76 (m, 1H), 3.41-3.34 (m, 1H), 3.31-3.25 (m, 2H), 3.21 (s, 3H), 3.06-3.01 (m, 2H), 2.97-2.84 (m, 3H), 2.84-2.73 (m, 1H), 2.62-2.53 (m, 2H), 2.09-2.03 (m, 1H), 2.01-1.89 (m, 3H),1.83- 1.59 (m, 6H), 1.11 (s, 3H).
Example 3-08
[6-(3,8-Diazabicyclo[3.2.1]octan-3-yl)-2-[[(2R,8S)-2-fluoro-l,2,3,5,6,7-hexahydropyrrolizin-8- yl]methoxy]-7-isopropyl-purin-8-yl]-(8-ethynyl-7-fluoro-3-hydroxy-l-naphthyl)methanone:formic acid
To a solution of tert-butyl (lR,5S)-3-[8-[8-ethynyl-7-fhioro-3-(methoxymethoxy)naphthalene-l- carbonyl]-2-[[(2R,8S)-2-fluoro-l,2,3,5,6,7-hexahydropyrrolizin-8-yl]methoxy]-7-isopropyl-purin-6-yl]- 3,8-diazabicyclo[3.2.1]octane-8-carboxylate (Intermediate 3-41, 42.6 mg, 45 % purity, 0.026 pmol,1.0 eq.) in DCM (0.7 mL) was added hydrochloric acid (0.7 mL, 4.0 M in dioxane) at 0 °C. The reaction mixture was stirred for 30 min. at RT. The mixture was concentrated, and the residue was purified by RP- HPLC (acetonitrile / 0.01% formic acid in water gradient). The product fractions were pooled and concentrated in vacuo to afford 10.3 mg (31% yield, 96% purity) of the title compound.
LC-MS (Method 1): Rt = 0.89 min; MS (ESIneg): m/z = 640 [M-H]’
'H NMR (400 MHz, DMSO- 6): 5 [ppm] = 1.73 (d, 6 H) 1.92 - 2.23 (m, 10 H) 3.62 - 3.99 (m, 8 H) 4.15 - 4.24 (m, 2 H) 4.34 - 4.52 (m, 2 H) 4.62 (s, 1 H) 5.00 - 5.23 (m, 1 H) 5.45 - 5.63 (m, 1 H) 7.17 (d, 1 H) 7.43 (d, 1 H) 7.49 (t, 1 H) 8.01 (dd, 1 H) 9.48 - 9.63 (m, 1 H) 9.83 - 9.97 (m, 1 H) 11.03 - 11.19 (m, 1 H).
Example 3-09
[7-Cyclopropyl-6-(3,8-diazabicyclo[3.2.1]octan-3-yl)-2-[[(2R,8S)-2-fluoro-l,2,3,5,6,7- hexahydropyrrolizin-8-yl]methoxy]purin-8-yl]-(8-ethynyl-7-fluoro-3-hydroxy-l- naphthyl)methanone:formic acid (1:2)
To a solution of tert-butyl 3-[7-cyclopropyl-8-[8-ethynyl-7-fluoro-3-(methoxymethoxy)naphthalene-l- carbonyl]-2-[[(2R,8S)-2-fluoro-l,2,3,5,6,7-hexahydropyrrolizin-8-yl]methoxy]purin-6-yl]-3,8- diazabicyclo[3.2.1]octane-8-carboxylate (Intermediate 3-51, 11.9 mg, 15.2 pmol, 1.0 eq.) in MeCN (0.5 mL) was added hydrochloric acid (0.13 mL, 4.0 M in dioxane) at 0 °C. The reaction mixture was stirred at 0 °C for Ih. The mixture was concentrated, and the residue was purified by RP-HPLC (acetonitrile / 0.01% formic acid in water gradient). The product fractions were pooled and concentrated in vacuo to afford 7.3 mg (59% yield, 90% purity) of the title compound.
LC-MS (Method 1): Rt = 0.81 min; MS (ESIneg): m/z = 638 [M-H]’
1HNMR (400 MHz, DMSO- 6): 5 [ppm] = 0.91 - 1.04 (m, 2 H) 1.26 - 1.32 (m, 2 H) 1.69 - 1.84 (m, 3 H) 1.85 - 2.30 (m, 7 H) 3.18 - 3.28 (m, 1 H) 3.67 - 3.83 (m, 3 H) 4.00 - 4.03 (m, 1 H) 4.42 - 4.54 (m, 4 H) 4.79 (s, 1 H) 5.46 - 5.62 (m, 1 H) 7.29 (d, 1 H) 7.45 (d, 1 H) 7.49 (t, 1 H) 8.00 (dd, 1 H) 9.67 - 9.84 (m, 1 H) 9.99 - 10.66 (m, 2 H) 11.45 - 11.63 (m, 1 H).
Example 3-10
7-Cyclobutyl-2-{[(2R,7aS)-2-fluorotetrahydro-lH-pyrrolizin-7a(5H)-yl]methoxy}-6-[(3R)-3- hydroxy-3-methylpiperidin-l-yl]-7H-purin-8-yl(8-ethynyl-7-fluoro-3-hydroxynaphthalen-l- yl)methanone / formic acid (1/1)
To a solution of (7-cyclobutyl-2-{[(2R,7aS)-2-fluorotetrahydro-lH-pyrrolizin-7a(5H)-yl]methoxy}-6- [(3R)-3 -hydroxy-3 -methylpiperidin- 1 -yl] -7H-purin-8-yl) [8-ethynyl-7 -fluoro-3 - (methoxymethoxy)naphthalen-l-yl]methanone (Intermediate 7-05, 1 eq., 28.6 mg, 32 % purity, 12.9 pmol) in DCM (190 pl) was added hydrochloric acid (0.19 mL, 4.0 M in dioxane) at 0 °C. The reaction mixture was stirred at 0 °C for 1.5h. The mixture was concentrated, and the residue was purified by RP- HPLC (acetonitrile / 0.01% formic acid in water gradient). The product fractions were pooled and concentrated in vacuo to afford 5.7 mg (57% yield, 90% purity) of the title compound.
LC-MS (Method 1): Rt = 1.33 min; MS (ESIpos): m/z = 657 [M+H]+ 1HNMR (400 MHz, DMSO-t/e): 5 [ppm] = 1.08 (s, 3 H) 1.49 - 2.09 (m, 12 H) 2.72 - 2.89 (m, 3 H) 2.95 -
3.07 (m, 3 H) 3.83 - 3.94 (m, 2 H) 4.31 - 4.47 (m, 1 H) 5.13 - 5.32 (m, 1 H) 5.36 - 5.52 (m, 1 H) 7.23 (d, 1 H) 7.42 (d, 1 H) 7.49 (t, 1 H) 8.00 (dd, 1 H) 8.33 (s, 1 H).
Example 3-11
{7-Cyclobutyl-6-[(3R)-3-hydroxy-3-methylpiperidin-l-yl]-2-[(tetrahydro-lH-pyrrolizin-7a(5H)- yl)methoxy]-7H-purin-8-yl}(8-ethynyl-7-fluoro-3-hydroxynaphthalen-l-yl)methanone I formic acid (1/1)
To a solution of {7-cyclobutyl-6-[(3R)-3-hydroxy-3-methylpiperidin-l-yl]-2-[(tetrahydro-lH-pyrrolizin-
7a(5H)-yl)methoxy]-7H-purin-8-yl}[8-ethynyl-7-fluoro-3-(methoxymethoxy)naphthalen-l-
yl]methanone (Intermediate 7-07, 1 eq., 20.1 mg, 92 % purity, 27.0 pmol) in DCM (390 pl) was added hydrochloric acid (390 pl, 1.6 mmol) at 0 °C. The reaction mixture was stirred at 0 °C for 1.5h. The mixture was concentrated, and the residue was purified by RP-HPLC (acetonitrile / 0.01% formic acid in water gradient). The product fractions were pooled and concentrated in vacuo to afford 12.2 mg (59% yield, 90% purity) of the title compound.
LC-MS (Method 1): Rt = 1.36 min; MS (ESIpos): m/z = 639 [M+H]+
’HNMR (600 MHz, DMSO- 6): 5 [ppm] = 1.10 (s, 3 H) 1.50 - 1.90 (m, 13 H) 1.90 - 2.03 (m, 2 H) 2.68 - 3.01 (m, 5 H) 3.91 (s, 2 H) 4.37 - 4.43 (m, 1 H) 5.36 - 5.47 (m, 1 H) 7.23 (s, 1 H) 7.37 - 7.45 (m, 1 H) 7.49 (t, 1 H) 8.01 (dd, 1 H) 8.24 (s, 1 H)
Example 3-12
(7-Cyclobutyl-6-[(3R)-3-hydroxy-3-methylpiperidin-l-yl]-2-{[(2S)-pyrrolidin-2-yl]methoxy}-7H- purin-8-yl)(8-ethynyl-7-fluoro-3-hydroxynaphthalen-l-yl)methanone / formic acid (1/1)
To a solution of tert-butyl (2S)-2-[({7-cyclobutyl-8-[8-ethynyl-7-fluoro-3- (methoxymethoxy)naphthalene- 1 -carbonyl] -6- [(3R)-3 -hydroxy-3 -methylpiperidin- 1 -yl] -7H-purin-2- yl}oxy)methyl]pyrrolidine-l-carboxylate (Intermediate 7-09, 1 eq., 35.9 mg, 44 % purity, 21.0 pmol) in DCM (310 pl) was added hydrochloric acid (310 pl, 1.6 mmol) at 0 °C. The reaction mixture was stirred at 0 °C for 1.5h. The mixture was concentrated, and the residue was purified by RP-HPLC (acetonitrile / 0.01% formic acid in water gradient). The product fractions were pooled and concentrated in vacuo to afford 9.3 mg (62% yield, 90% purity) of the title compound.
LC-MS (Method 1): Rt = 1.29 min; MS (ESIpos): m/z = 599 [M+H]+
'HNMR (400 MHz, DMSO- 6): 5 [ppm] = 1.08 (s, 3 H) 1.28 - 2.11 (m, 12 H) 2.69 - 2.85 (m, 2 H) 2.87 - 2.99 (m, 3 H) 4.09 - 4.21 (m, 2 H) 4.40 (s, 1 H) 5.24 - 5.54 (m, 1 H) 7.24 (d, 1 H) 7.42 (d, 1 H) 7.49 (t, 1 H) 8.00 (dd, 1 H) 8.36 (s, 1 H)
Example 3-13
7-Cyclobutyl-6-[(3R)-3-hydroxy-3-methylpiperidin-l-yl]-2-{[(2S)-l-methylpyrrolidin-2- yl]methoxy}-7H-purin-8-yl)(8-ethynyl-7-fluoro-3-hydroxynaphthalen-l-yl)methanone I formic acid (1/1)
To a solution of (7-cyclobutyl-6-[(3R)-3-hydroxy-3-methylpiperidin-l-yl]-2-{[(2S)-l-methylpyrrolidin- 2-yl]methoxy } -7H-purin-8-yl) [8 -ethynyl-7 -fluoro-3 -(methoxymethoxy )naphthalen- 1 -yl]methanone (Intermediate 7-11, 1 eq., 20.5 mg, 88 % purity, 27.5 pmol) in DCM (400 pl) was added hydrochloric acid (400 pl, 1.6 mmol) at 0 °C. The reaction mixture was stirred at 0 °C for 1.5h. The mixture was concentrated, and the residue was purified by RP-HPLC (acetonitrile / 0.01% formic acid in water gradient). The product fractions were pooled and concentrated in vacuo to afford 13.5 mg (90 % purity, 67 % yield) of the title compound.
LC-MS (Method 1): Rt = 1.32 min; MS (ESIpos): m/z = 613 [M+H]+
'H NMR (600 MHz, DMSO-t/6): 5 [ppm] = 1.08 (s, 3 H) 1.46 - 1.71 (m, 6 H) 1.79 - 2.04 (m, 4 H) 2.10 - 2.20 (m, 1 H) 2.30 (s, 3 H) 2.65 - 2.86 (m, 2 H) 2.89 - 2.96 (m, 1 H) 3.97 - 4.07 (m, 1 H) 4.13 - 4.24 (m, 1 H) 4.36 - 4.41 (s, 1 H) 5.32 - 5.46 (m, 1 H) 7.23 (d, 1 H) 7.42 (d, 1 H) 7.50 (t, 1 H) 8.01 (dd, 1 H) 8.22 (s, 1 H)
Example 3-14
7-Cyclobutyl-2-{[(2S,4R)-4-fluoro-l-methylpyrrolidin-2-yl]methoxy}-6-[(3R)-3-hydroxy-3- methylpiperidin-l-yl]-7H-purin-8-yl)(8-ethynyl-7-fluoro-3-hydroxynaphthalen-l-yl)methanone I formic acid (1/1)
To a solution of (7-cyclobutyl-2-{[(2S,4R)-4-fluoro-l-methylpyrrolidin-2-yl]methoxy}-6-[(3R)-3- hydroxy-3 -methylpiperidin- 1 -yl] -7H-purin-8-yl) [8-ethynyl-7 -fluoro-3 -(methoxymethoxy )naphthalen- 1 - yl]methanone (Intermediate 7-13, 1 eq., 27.6 mg, 91 % purity, 37.0 pmol) in DCM (540 pl) was added hydrochloric acid (540 pl, 2.2 mmol) at 0 °C. The reaction mixture was stirred at 0 °C for 1.5h. The mixture was concentrated, and the residue was purified by RP-HPLC (acetonitrile / 0.01% formic acid in water gradient). The product fractions were pooled and concentrated in vacuo to afford 16.1 mg (90 % purity, 58 % yield) of the title compound.
LC-MS (Method 1): Rt = 1.33 min; MS (ESIpos): m/z = 631 [M+H]+ 'HNMR (600 MHz, DMSO- 6): 5 [ppm] = 1.09 (br s, 3 H) 1.53 - 1.70 (m, 3 H) 1.74 - 1.90 (m, 2 H) 1.89 - 2.02 (m, 2 H) 2.02 - 2.13 (m, 1 H) 2.34 (s, 3 H) 2.68 - 2.91 (m, 3 H) 3.61 - 3.75 (m, 1 H) 4.02 - 4.12 (m, 1 H) 4.22 - 4.30 (m, 1 H) 4.41 (br s, 1 H) 4.46 - 4.76 (m, 1 H) 5.04 - 5.26 (m, 1 H) 5.31 - 5.50 (m, 1 H) 7.23 (d, 1 H) 7.42 (d, 1 H) 7.50 (t, 1 H) 8.01 (dd, 1 H) 8.19 (s, 1 H)
Example 3-15 (5S)-5-[({7-Cyclobutyl-8-(8-ethynyl-7-fluoro-3-hydroxynaphthalene-l-carbonyl)-6-[(3R)-3- hydroxy-3-methylpiperidin-l-yl]-7H-purin-2-yl}oxy)methyl]-l-methylpyrrolidin-2-one I formic acid (1/1)
To a solution of (5S)-5-[({7-cyclobutyl-8-[8-ethynyl-7-fluoro-3-(methoxymethoxy)naphtha-lene-l- carbonyl] -6-[(3R)-3 -hydroxy-3 -methylpiperidin- 1 -yl] -7H-purin-2-yl } oxy )methyl] - 1 -methylpyrrolidin -2- one (Intermediate 7-15, 1 eq., 18.6 mg, 78 % purity, 21.5 pmol) in DCM (310 pl) was added hydrochloric acid (310 pl, 1.3 mmol) at 0 °C. The reaction mixture was stirred at 0 °C for 1.5h. The mixture was concentrated, and the residue was purified by RP-HPLC (acetonitrile / 0.01% formic acid in water gradient). The product fractions were pooled and concentrated in vacuo to afford 11.2 mg (100 % purity, 77 % yield) of the title compound.
LC-MS (Method 1): Rt = 1.68 min; MS (ESIpos): m/z = 627 [M+H]+
'HNMR (500 MHz, DMSO- 6): 5 [ppm] = 1.08 (s, 3 H) 1.50 - 2.23 (m, 10 H) 2.23 - 2.36 (m, 1 H) 2.74 - 2.87 (m, 2 H) 3.61 - 3.77 (m, 1 H) 3.77 - 3.92 (m, 1 H) 4.20 - 4.35 (m, 2 H) 4.42 (s, 1 H) 4.48 - 4.76 (m, 1 H) 5.23 - 5.50 (m, 1 H) 7.24 (d, 1 H) 7.42 (d, 1 H) 7.49 (t, 1 H) 8.01 (dd, 1 H) 10.43 (s, 1 H)
Example 3-16
[7-Cyclobutyl-2-{[(2R,7aS)-2-fluorotetrahydro-lH-pyrrolizin-7a(5H)-yl]methoxy}-6-(l,4- oxazepan-4-yl)-7H-purin-8-yl](8-ethynyl-7-fluoro-3-hydroxynaphthalen-l-yl)methanone
To a solution of [7-cyclobutyl-2-{[(2R,7aS)-2-fhiorotetrahydro-lH-pyrrolizin-7a(5H)-yl]methoxy}-6- (l,4-oxazepan-4-yl)-7H-purin-8-yl][8-ethynyl-7-fluoro-3-(methoxymethoxy)naphthalen-l-yl]methanone (Intermediate 7-18, 1 eq., 32.0 mg, 68 % purity, 31.7 pmol) in DCM (950 pl) was added hydrochloric acid (950 pl, 3.8 mmol) at 0 °C. The reaction mixture was stirred at 0 °C for 1.5h. The mixture was concentrated, and the residue was purified by RP-HPLC (acetonitrile / 0.01% formic acid in water gradient). The product fractions were pooled and concentrated in vacuo to afford 11.9 mg (100 % purity, 58 % yield) of the title compound.
LC-MS (Method 1): Rt = 1.28 min; MS (ESIpos): m/z = 643 [M+H]+
’HNMR (400 MHz, DMSO- 6): 5 [ppm] = 1.56 - 2.15 (m, 11 H) 2.78 - 2.86 (m, 1 H) 2.98 - 3.13 (m, 4 H) 3.64 - 3.71 (m, 2 H) 3.73 - 3.85 (m, 6 H) 3.87 - 4.03 (m, 2 H) 4.46 (s, 1 H) 5.14 - 5.36 (m, 2 H) 7.23 (d, 1 H) 7.42 (d, 1 H) 7.50 (t, 1 H) 8.01 (dd, 1 H) 10.21 (br s, 1 H)
Example 3-17
{7-Cyclobutyl-6-(l,4-oxazepan-4-yl)-2-[(tetrahydro-lH-pyrrolizin-7a(5H)-yl)methoxy]-7H-purin-
8-yl}(8-ethynyl-7-fluoro-3-hydroxynaphthalen-l-yl)methanone
To a solution of {7-cyclobutyl-6-(l,4-oxazepan-4-yl)-2-[(tetrahydro-lH-pyrrolizin-7a(5H)-yl)methoxy]- 7H-purin-8-yl} [8-ethynyl-7-fluoro-3-(methoxymethoxy)naphthalen-l-yl]methanone (Intermediate 7-20, 1 eq., 25.0 mg, 37.4 pmol) in DCM (1.1 mL) and MeOH (0.2 mL) was added hydrochloric acid (1.1 mL, 4.5 mmol) at 0 °C. The reaction mixture was stirred at 0 °C for 30 minutes. The mixture was concentrated, and the residue was purified by RP-HPLC (acetonitrile / 0.01% formic acid in water gradient). The product fractions were pooled and concentrated in vacuo to afford 11.3 mg (90 % purity, 44 % yield) of the title compound.
LC-MS (Method 1): Rt = 1.34 min; MS (ESIpos): m/z = 625 [M+H]+
’H NMR (400 MHz, DMSO- 6): 5 [ppm] = 1.55 - 1.72 (m, 1 H) 1.72 - 2.20 (m, 11 H) 2.57 - 2.73 (m, 2 H) 2.94 - 3.05 (m, 1 H) 3.11 - 3.21 (m, 2 H) 3.65 - 3.77 (m, 3 H) 3.77 - 3.95 (m, 6 H) 4.43 (s, 2 H) 4.51 (s, 1 H) 5.25 - 5.39 (m, 1 H) 7.29 (d, 1 H) 7.45 (d, 1 H) 7.50 (t, 1 H) 8.01 (dd, 1 H) 10.55 (s, 1 H)
Example 3-18
(7-Cyclobutyl-6- [3,8-diazabicyclo [3.2.1] octan-3-yl]-2- { [(2S)-pyrrolidin-2-yl]methoxy}-7H-purin-8- yl)(8-ethynyl-7-fluoro-3-hydroxynaphthalen-l-yl)methanone - formic acid (1: 1)
tert-Butyl 3-(2-{[(2S)-l-(tert-butoxycarbonyl)pyrrolidin-2-yl]methoxy}-7-cyclobutyl-8-[8-ethynyl-7- fluoro-3 -(methoxymethoxy)naphthalene- 1 -carbonyl] -7H-purin-6-yl)-3 , 8 -diazabicyclo [3.2.1] octane-8- carboxylate (Intermediate 3-67, 150 mg, 179 pmol) was dissolved in dichloromethane (2.0 ml) and methanol (500 pl), then the solution was cooled to 4 °C and hydrogen chloride solution (4 M in 1,4- dioxane, 890 pl, 3.6 mmol, 20 eq) was added. The reaction mixture was stirred for 3 hours at 4 °C and concentrated. The residue was taken up in 2 ml of a mixture of acetonitrile / water (7: 3). The solution was fdtered via syringe fdter and purified by HPLC (aqueous formic acid solution / acetonitrile gradient 5- 45%) to give (7-cyclobutyl-6-[3,8-diazabicyclo[3.2.1]octan-3-yl]-2-{[(2S)-pyrrolidin-2-yl]methoxy}- 7H-purin-8-yl)(8-ethynyl-7-fluoro-3-hydroxynaphthalen-l-yl)methanone - formic acid (1: 1) 43 mg (36% yield).
’H NMR (400 MHz, DMSO- 6): 5 [ppm] = 1.43-1.66 (m, 5H), 1.68-1.94 (m, 5H), 2.52-2.58 (m, 2H), 2.59-2.73 (m, 2H), 2.89-3.01 (m, 2H), 3.32-3.39 (m, 3H), 3.48-3.53 (m, 2H), 3.53-3.65 (m, 2H), 3.87 (br s, 2H), 4.08-4.24 (m, 3H), 4.50 (s, 1H), 5.25 (br t, J=8.24 Hz, 1H), 7.25 (d, J=2.28 Hz, 1H), 7.42 (d, J=2.53 Hz, 1H), 7.50 (t, J=9. 12 Hz, 1H), 8.01 (dd, J=9.25, 5.96 Hz, 1H), 8.29 (s, 1H).
Example 3-19
[7-Cyclobutyl-2-{[(2R,7aS)-2-fluorotetrahydro-lH-pyrrolizin-7a(5H)-yl]methoxy}-6-(3-oxa-7,9- diazabicyclo[3.3.1]nonan-7-yl)-7H-purin-8-yl](8-ethynyl-7-fluoro-3-hydroxynaphthalen-l- yl)methanone / formic acid (1/1)
tert-butyl 7-(7-cyclobutyl-8-[8-ethynyl-7-fluoro-3-(methoxymethoxy)naphthalene-l-carbonyl]-2- {[(2R,7aS)-2-fhiorotetrahydro-lH-pyrrolizin-7a(5H)-yl]methoxy}-7H-purin-6-yl)-3-oxa-7,9- diazabicyclo[3.3.1]nonane-9-carboxylate (Intermediate 7-23, 1 eq., 16.8 mg, 20.6 pmol) was dissolved in MeCN (2.0 ml), then the solution was cooled to 0 °C and hydrogen chloride solution (500 pl, 4.0 M, 2.0 mmol; CAS-RN:[7647-01-0]) was added. The reaction mixture was stirred for 1 hours at rt. The mixture was concentrated, and the residue was purified by RP-HPLC (acetonitrile / 0.01% formic acid in water gradient). The product fractions were pooled and concentrated in vacuo to afford 6.70 mg (100 % purity, 45 % yield) of the title compound.
LC-MS (Method 2): Rt = 0.89 min; MS (ESIpos): m/z = 669 [M+H]+
'HNMR (500 MHz, CDC13- ): 5 [ppm] = 1.72 - 1.83 (m, 1 H) 1.83 - 2.00 (m, 4 H) 2.08 - 2.34 (m, 3 H) 2.45 - 2.56 (m, 2 H) 2.58 - 2.80 (m, 2 H) 2.93 - 3.04 (m, 3 H) 3.15 - 3.29 (m, 1 H) 3.31 - 3.48 (m, 3 H) 3.53 - 3.66 (m, 2 H) 3.85 - 3.95 (m, 3 H) 4.00 - 4.25 (m, 4 H) 5.21 - 5.43 (m, 2 H) 7.05 (brt, 1 H) 7.25 (br d, 2 H) 7.52 (br dd, 1 H) 8.47 (s, 1 H)
Example 3-20
(7-Cyclobutyl-2-{[(2R,7aS)-2-fluorotetrahydro-lH-pyrrolizin-7a(5H)-yl]methoxy}-6-[(lR,5R,6R) or (lS,5S,6S)]-6-methoxy-3,8-diazabicyclo[3.2.1]octan-3-yl]-7H-purin-8-yl)(8-ethynyl-7-fluoro-3- hydroxynaphthalen-l-yl)methanone / formic acid (1/1)
tert-butyl [(1R,5R,6R) or (lS,5S,6S)]-3-(7-cyclobutyl-8-[8-ethynyl-7-fluoro-3- (methoxymethoxy)naphthalene- 1 -carbonyl]-2- { [(2R, 7aS)-2 -fluorotetrahydro- lH-pyrrolizin-7a(5H)- yl]methoxy} -7H-purin-6-yl)-6-methoxy-3,8-diazabicyclo[3.2. l]octane-8-carboxylate (Intermediate 7-26, 1 eq., 36.2 mg, 77 % purity, 33.8 pmol) was dissolved in DCM (490 pl), then the solution was cooled to 0 °C and hydrogen chloride solution (490 pl, 4.0 M; CAS-RN:[7647-01-0]) was added. The reaction mixture was stirred for 2.5 h at 0 °C. The mixture was concentrated, and the residue was purified by RP- HPLC (acetonitrile / 0.01% formic acid in water gradient). The product fractions were pooled and concentrated in vacuo to afford 12.5 mg (90 % purity, 46 % yield)of the title compound.
LC-MS (Method 1): Rt = 0.97 min; MS (ESIneg): m/z = 682 [M-H]’
’HNMR (400 MHz, DMSO- 6): 5 [ppm] = 1.48 - 2.11 (m, 12 H) 2.60 - 2.83 (m, 4 H) 2.95 - 3.07 (m, 4 H) 3.16 - 3.19 (m, 3 H) 3.67 - 4.02 (m, 7 H) 4.50 (s, 1 H) 5.07 - 5.34 (m, 2 H) 7.25 (d, 1 H) 7.42 (d, 1 H) 7.49 (t, 1 H) 8.00 (dd, 1 H) 8.24 (s, 1 H)
Example 3-21
7-Cyclobutyl-2-{[(2S)-4,4-difluoro-l-methylpyrrolidin-2-yl]methoxy}-6-[((lR,5R,6R) or (lS,5S,6S))-6-methoxy-3,8-diazabicyclo[3.2.1]octan-3-yl]-7H-purin-8-yl(8-ethynyl-7-fluoro-3- hydroxynaphthalen-l-yl)methanone formic acid (1/1)
tert-Butyl [(1R,5R,6R) or (lS,5S,6S)]-3-(7-cyclobutyl-2-{[(2S)-4,4-difluoro-l-methylpyrrolidin-2- yl]methoxy}-8-[8-ethynyl-7-fluoro-3-(methoxymethoxy)naphthalene-l-carbonyl]-7H-purin-6-yl)-6- methoxy-3,8-diazabicyclo[3.2.1]octane-8-carboxylate (Intermediate 7-28, 1 eq., 58.8 mg, 47 % purity, 34.0 pmol) was dissolved in DCM (500 pl), then the solution was cooled to 0 °C and hydrogen chloride solution (490 pl, 4.0 M; CAS-RN:[7647-01-0]) was added. The reaction mixture was stirred for 2.5 h at 0 °C. The mixture was concentrated, and the residue was purified by RP-HPLC (acetonitrile / 0.01% formic acid in water gradient). The product fractions were pooled and concentrated in vacuo to afford 15.0 mg (95 % purity, 58 % yield) of the title compound.
LC-MS (Method 5): Rt = 2.49 min; MS (ESIpos): m/z = 676 [M+H]+ ’HNMR (400 MHz, DMSO- e): 5 [ppm] = 1.49 - 1.61 (m, 1 H) 1.71 - 2.19 (m, 4 H) 2.32 (s, 3 H) 2.61 - 2.79 (m, 3 H) 2.80 - 2.95 (m, 1 H) 3.18 (s, 3 H) 3.58 - 4.00 (m, 5 H) 4.10 - 4.35 (m, 2 H) 4.50 (s, 1 H) 5.18 - 5.34 (m, 1 H) 7.25 (d, 1 H) 7.43 (d, 1 H) 7.50 (t, 1 H) 8.01 (dd, 1 H) 8.27 (s, 1 H)
Example 3-22
(5S)-5-[({7-Cyclobutyl-8-(8-ethynyl-7-fluoro-3-hydroxynaphthalene-l-carbonyl)-6-[[(lR,5R,6R) or
(lS,5S,6S)]-6-methoxy-3,8-diazabicyclo[3.2.1]octan-3-yl]-7H-purin-2-yl}oxy)methyl]-l- methylpyrrolidin-2-one / formic acid (1:1)
tert-Butyl [(1R,5R,6S) or (lS,5S,6S)]-3-(7-cyclobutyl-8-[8-ethynyl-7-fluoro-3- (methoxymethoxy)naphthalene- 1 -carbonyl]-2- { [(2 S) - 1 -methyl-5-oxopyrrolidin-2-yl]methoxy } -7H- purin-6-yl)-6-methoxy-3,8-diazabicyclo[3.2.1]octane-8-carboxylate (Intermediate 7-30, 1 eq., 57.6 mg, 48 % purity, 34.7 pmol) was dissolved in DCM (510 pl), then the solution was cooled to 0 °C and hydrogen chloride solution (510 pl, 4.0 M; CAS-RN: [7647-01-0]) was added. The reaction mixture was stirred for 2.5 h at 0 °C. The mixture was concentrated, and the residue was purified by RP-HPLC (acetonitrile / 0.01% formic acid in water gradient). The product fractions were pooled and concentrated in vacuo to afford 23.4 mg (95 % purity, 91 % yield) of the title compound.
LC-MS (Method 1): Rt = 1.17 min; MS (ESIpos): m/z = 654 [M+H]+ ’HNMR (400 MHz, DMSO- e): 5 [ppm] = 1.50 - 1.60 (m, 1 H) 1.66 - 2.01 (m, 4 H) 2.01 - 2.40 (m, 4 H) 2.61 - 2.79 (m, 5 H) 3.18 (s, 3 H) 3.56 - 4.07 (m, 6 H) 4.20 - 4.39 (m, 2 H) 4.50 (s, 1 H) 5.15 - 5.36 (m, 1 H) 7.25 (d, 1 H) 7.43 (d, 1 H) 7.50 (t, J=9.07 Hz, 1 H) 8.01 (dd, 1 H) 8.21 (s, 1 H)
Example 3-23
5-[7-Cyclobutyl-8-(8-ethynyl-7-fluoro-3-hydroxynaphthalene-l-carbonyl)-2-{[(2R,7aS)-2- fluorotetrahydro-lH-pyrrolizin-7a(5H)-yl]methoxy}-7H-purin-6-yl]-N,N-dimethyl-5,6,7,8- tetrahydro-4H-pyrazolo[l,5-a][l,4]diazepine-2-carboxamide
A solution of 5-(7-cyclobutyl-8-[8-ethynyl-7-fluoro-3-(methoxymethoxy)naphthalene-l-carbonyl]-2- { [(2R, 7aS)-2 -fluorotetrahydro- lH-pyrrolizin-7a(5H)-yl]methoxy } -7H-purin-6-yl)-N,N-dimethyl- 5,6,7,8-tetrahydro-4H-pyrazolo[l,5-a][l,4]diazepine-2-carboxamide (Intermediate 3-54, 45.0 mg, 85% purity, 0.0480 mmol) in dichloromethane (0.5 ml) was stirred at room temperature for 1 hour. The reaction mixture was concentrated to give a residue, which was purified by preparative HPLC [Instrument: ACSWH-GX-E; column: Phenomenex luna C18, 150 mm x 25 mm, 10 pm; eluent A: water (0.225% formic acid), eluent B: acetonitrile; gradient: 20-50 min 5-35% B; flow 25 ml/min; temperature: room temperature; Detector: UV 220/254 nm] to give 5-[7-cyclobutyl-8-(8-ethynyl-7-fluoro-3-hydroxy-l- naphthoyl)-2-{[(2R,7aS)-2-fluorotetrahydro-lH-pyrrolizin-7a(5H)-yl]methoxy}-7H-purin-6-yl]-N,N- dimethyl-5, 6, 7, 8-tetrahydro-4H-pyrazolo[l,5-a][l,4]diazepine-2 -carboxamide (2.00 mg, 99% purity).
LC-MS (Method C): Rt = 0.830 min; MS (ESIpos): m/z = 750.4 [M+H]+.
’H NMR (400 MHz, DMSO- 6): 5 [ppm] = 10.30-10.21 (m, 1H), 8.01 (dd, J= 9.2, 6.0 Hz, 1H), 7.51 (t, J = 9.2 Hz, 1H), 7.43 (d, J = 2.4 Hz, 1H), 7.24 (d, J = 2.4 Hz, 1H), 6.36 (s, 1H), 5.55-5.46 (m, 1H), 5.33 (br.s, 0.5H), 5.21 (br.s, 0.5H), 4.92-4.82 (m, 2H), 4.59 (s, 1H), 4.51-4.42 (m, 2H), 4.02-3.93 (m, 2H), 3.93-3.83 (m, 2H), 3.25 (br.s, 3H), 3.17 (br.s, 1H), 3.07 (br.s, 2H), 2.99 (d, J= 2.4 Hz, 1H), 2.91 (s, 3H), 2.84-2.77 (m, 1H), 2.63-2.57 (m, 1H), 2.06-1.95 (m, 4H), 1.90 (s, 1H), 1.88-1.76 (m, 4H), 1.76-1.66 (m, 2H).
Example 3-24 l-[7-Cyclobutyl-8-(8-ethynyl-7-fluoro-3-hydroxynaphthalene-l-carbonyl)-2-{[(2R,7aS)-2- fluorotetrahydro-lH-pyrrolizin-7a(5H)-yl]methoxy}-7H-purin-6-yl]-2-methylpiperidine-4- carbonitrile (mixture of the two cis-diastereomers regarding the piperidine substitution)
To a mixture of l-(7-cyclobutyl-8-[8-ethynyl-7-fluoro-3-(methoxymethoxy)naphthalene-l-carbonyl]-2- {[(2R,7aS)-2-fluorotetrahydro-lH-pyrrolizin-7a(5H)-yl]methoxy}-7H-purin-6-yl)-2-methylpiperidine-4- carbonitrile (mixture of the two cis-diastereomers regarding the piperidine substitution) (Intermediate 3- 60, 20.0 mg, 96% purity, 27.0 pmol) in methanol (1.0 ml) was added methanesulfonic acid (0.018 ml, 0.270 mmol) at room temperature. After stirring at room temperature for 16 hours, the reaction mixture was adjusted to pH 7 - 8 with sodium bicarbonate powder, fdtered and concentrated to give a residue. The residue was purified by preparative HPLC [Instrument: ACSWH-GX-S; column: phenomenex luna C18, 150 mm x 25mm, 10 pm; eluent A: water (ammonium bicarbonate in water), eluent B: acetonitrile; gradient: 0-10 min, 43-73% B; flow 60 ml/min; temperature: room temperature; detector: UV 220/254 nm] to give l-[7-cyclobutyl-8-(8-ethynyl-7-fluoro-3-hydroxy-l-naphthoyl)-2-{[(2R,7aS)-2- fluorotetrahydro-IH-pyrrolizin-7a(5H)-yl]methoxy}-7H-purin-6-yl]-2-methylpiperidine-4-carbonitrile (mixture of the two cis-diastereomers regarding the piperidine substitution) (2.4 mg, 99% purityj.yLC- MS (Method C): Rt = 0.848 min; MS (ESIpos): m/z = 666.4 [M+H]+.
To a mixture of l-(7-cyclobutyl-8-[8-ethynyl-7-fluoro-3-(methoxymethoxy)naphthalene-I-carbonyl]-2- {[(2R,7aS)-2-fluorotetrahydro-IH-pyrrolizin-7a(5H)-yl]methoxy}-7H-purin-6-yl)-2-methylpiperidine-4- carbonitrile (mixture of the two cis-diastereomers regarding the piperidine substitution) (Intermediate 3- 60, 20.0 mg, 96% purity, 27.0 pmol) in methanol (1.0 ml) was added methanesulfonic acid (0.018 ml, 0.270 mmol) at room temperature. After stirring at room temperature for 16 hours, the reaction mixture was adjusted to pH 7 - 8 with sodium bicarbonate powder, filtered and concentrated to give a residue. The residue was purified by preparative HPLC [Instrument: ACSWH-GX-S; column: phenomenex luna Cl 8, 150 mm x 25mm, 10 pm; eluent A: water (ammonium bicarbonate in water), eluent B: acetonitrile; gradient: 0-10 min, 43-73% B; flow 60 ml/min; temperature: room temperature; detector: UV 220/254
nm] to give l-P-cyclobuty’H NMR (400 MHz, DMSO- 6): 5 [ppm] = 10.37-10.05 (m, 1H), 8.02 (q, J = 9.2 Hz, 1H), 7.50 (t, J= 9.2 Hz, 1H), 7.43 (d, J= 2.4 Hz, 1H), 7.26 (d, J= 2.4 Hz, 1H), 5.80-5.59 (m, 1H), 5.30 (br.s, 0.5H), 5.16 (br.s, 0.5H), 4.49 (s, 1H), 4.00-3.81 (m, 3H), 3.50-3.40 (m, 1H), 3.29-3.26 (m, 1H), 3.23-3.13 (m, 2H), 3.07-2.93 (m, 4H), 2.92-2.84 (m, 1H), 2.83-2.74 (m, 1H), 2.21-2.17 (m, 1H), 2.13-1.60 (m, 12H), 1.29 (d, J = 6.4 Hz, 3H).
Example 3-25
(7-Cyclobutyl-6-[(lR,5S)-3,6-diazabicyclo[3.1.1]heptan-3-yl]-2-{[(2R,7aS)-2-fluorotetrahydro-lH- pyrrolizin-7a(5H)-yl]methoxy}-7H-purin-8-yl)(8-ethynyl-7-fluoro-3-hydroxynaphthalen-l- yl)methanone
tert-Butyl-3-(7-cyclobutyl-8-[8-ethynyl-7-fluoro-3-(methoxymethoxy)naphthalene-l-carbonyl]-2- {[(2R,7aS)-2-fluorotetrahydro-lH-pyrrolizin-7a(5H)-yl]methoxy}-7H-purin-6-yl)-3,6- diazabicyclo[3.1.1]heptane-6-carboxylate (Intermediate 3-33, 1 eq., 55.0 mg, 80 %purity, 56.1 pmol) was dissolved in DCM (4 mb), then the solution was cooled to 0 °C and TFA (800 pl, 10 mmol, CAS-RN: [76- 05-1]) was added. The reaction mixture was stirred for 2.5 h at rt. The mixture was concentrated, and the residue was purified by RP-HPLC (acetonitrile / 0.01% formic acid in water gradient). The product fractions were pooled and concentrated in vacuo to afford 31 mg (72 % purity, 62 % yield) of the title compound, which was futher purified by preparative TLC (dichloromethane: methanol/NH3 = 10:2) to give 5.10 mg (91 % purity, 13 % yield) of the title compound.
LC-MS (Method 1): Rt = 0.76 min; MS (ESIpos): m/z = 639 [M+H]+
'HNMR (500 MHz, DMSO- 6): 5 [ppm] = 1.61 - 2.15 (m, 10 H) 2.30 - 2.45 (m, 2 H) 2.61 - 2.71 (m, 2 H) 2.76 - 2.84 (m, 1 H) 2.97 - 3.08 (m, 3 H) 3.85 - 4.00 (m, 6 H) 4.08 - 4.19 (m, 2 H) 4.46 (s, 1 H) 5.17 - 5.37 (m, 2 H) 7.25 (d, 1 H) 7.43 (d, 1 H) 7.50 (t, 1 H) 8.01 (dd, 1 H) 10.25 (br s, 1 H)
Example 4-01
(37?)-l-(7-Cyclobutyl-2- { [(2iS)-4,4-difluoro-l-methylpyrrolidin-2-yl] methoxy}-8- [(8-ethynyl-7- fluoro-3-hydroxy-l-naphthyl)oxy] -7/f-purin-6-yl)-3-methylpiperidin-3-ol (single stereoisomer)
Hydrogen chloride solution (4 M in 1,4-dioxane, 695 pl, 2.78 mmol, 30 eq) was added at RT to a solution of (3R)-l-(7-cyclobutyl-2-{[(2S)-4,4-difluoro-l-methylpyrrolidin-2-yl]methoxy}-8-{[8-ethynyl-7- fluoro-3-(methoxymethoxy)- 1 -naphthyl ]oxy}-7H-purin-6-yl)-3-methylpiperidin-3-ol (single stereoisomer) (Intermediate 4-06, 66 mg, 0.09 mmol) in dichloromethane (1.0 ml). The reaction mixture was stirred at RT for 4 h and concentrated under reduced pressure. The residue was dissolved in dimethyl sulfoxide (6 ml) and water (1 ml) and purified by RP-HPLC (acetonitrile / 0.1% formic acid in water gradient). Yield: 25 mg (41% of theory).
LC-MS (Method 1): Rt = 1.61 min; MS (ESIpos): m/z = 637 [M+H]+;
'H-NMR (400 MHz, DMSO- 6): 5 [ppm]: 1.157 (12.18), 1.549 (0.50), 1.572 (0.99), 1.595 (0.80), 1.645 (1.88), 1.672 (1.39), 1.729 (0.44), 1.750 (0.79), 1.776 (0.87), 1.796 (0.53), 1.819 (0.51), 1.843 (0.91),
1.868 (0.81), 1.972 (0.73), 2.053 (0.41), 2.071 (0.63), 2.105 (0.65), 2.127 (0.47), 2.305 (16.00), 2.319
(1.48), 2.370 (0.56), 2.415 (1.42), 2.434 (1.75), 2.453 (1.57), 2.583 (0.68), 2.595 (0.76), 2.603 (0.66),
2.622 (0.72), 2.631 (0.70), 2.642 (0.64), 2.671 (0.84), 2.876 (1.19), 2.982 (1.29), 3.008 (1.87), 3.035
(2.17), 3.066 (1.81), 3.282 (3.40), 4.085 (1.12), 4.100 (1.12), 4.113 (1.50), 4.128 (1.50), 4.240 (1.43),
4.252 (1.42), 4.268 (1.13), 4.280 (1.03), 4.405 (5.26), 4.661 (1.83), 5.174 (0.68), 5.196 (0.94), 5.218
(0.61), 7.164 (3.42), 7.170 (3.70), 7.303 (4.10), 7.309 (3.77), 7.478 (1.75), 7.501 (3.49), 7.523 (1.79),
7.971 (1.69), 7.985 (1.69), 7.994 (1.77), 8.008 (1.58), 8.186 (0.87), 10.294 (0.47).
Example 4-02
(3R)-l-{7-Cyclobutyl-8-[(8-ethynyl-7-fluoro-3-hydroxy-l-naphthyl)oxy]-2-[(2S)-pyrrolidin-2- ylmethoxy] -7H-purin-6-yl}-3-methylpiperidin-3-ol hydrochloride
tert-butyl (2S)-2-{[(7-cyclobutyl-8-{[8-ethynyl-7-fluoro-3-(methoxymethoxy)-l-naphthyl]oxy}-6-[(3R)-
3 -hydroxy-3 -methylpiperidin- 1 -yl] -7H-purin-2-yl)oxy]methyl }pyrrolidine- 1 -carboxylate (Intermediate 7-09, 250 mg, 342 pmol) was dissolved in dichloromethane (2.5 ml) and methanol (250 pl), then 4 M HC1 in dioxane (1.3 ml, 4.0 M, 5.1 mmol; CAS-RN:[7647-01-0]) was added at 4°C. The reaction mixture was stirred for 1.5 h at 4°C. The volatiles were removed under reduced pressure and the obtained solid was triturated with methyl tert-butyl ether. The solid was collected by vacuum filtration, washed with hexane and dried to afford 186 mg (83% yield, 95% purity) of the title compound.
LC-MS (Method 3): Rt = 0.92 min; MS (ESIpos): m/z = 588 [M+H]+
1H NMR (400 MHz, DMSO- 6): 5 [ppm] = 1.15 (s, 3H), 1.56-1.71 (m, 4H), 1.74-2.11 (m, 7H), 2.42-2.47 (m, 1H), 2.92-3.06 (m, 2H), 3.09-3.21 (m, 4H), 3.54 (br d, 1H), 3.86 (br d, 1H), 4.30 (br dd, 1H), 4.38- 4.52 (m, 3H), 5.10-5.23 (m, 1H), 7.23 (d, 1H), 7.33 (d, 1H), 7.50 (t, 1H), 7.99 (dd, 1H), 9.04 (br s, 1H),
9.48 (br d, 1H), 10.42 (br s, 1H).
Example 4-03
(3R)-l-{8-[(8-Ethynyl-7-fluoro-3-hydroxynaphthalen-l-yl)oxy]-2-{[(2R,7aS)-2-fluorotetrahydro- lH-pyrrolizin-7a(5H)-yl]methoxy}-7-(3-methoxycyclobutyl)-7H-purin-6-yl}-3-methylpiperi din-3- 01
Methanesulfonic acid (187 pl) was added to a mixture of 6-[(3R)-3-{[tert-butyl(dimethyl)silyl]oxy}-3- methylpiperidin- 1 -yl] -8-{ [8-ethynyl-7-fluoro-3-(methoxymethoxy)naphthalen- 1 -yl]oxy } -2-{ [(2R,7aS)- 2-fluorotetrahydro-lH-pyrrolizin-7a(5H)-yl]methoxy}-7-(3-methoxycyclobutyl)-7H-purine
(Intermediate 4-19, 100.0 mg, 86 % purity, 103.2 pmol) in MeOH (5.4 mL) and the resulting mixture was stirred at room temperature for 3 days. The mixture was adjusted to pH=7-8 with solid sodium bicarbonate, and concentrated to give a residue. The residue was purified by preparative HPLC [Instrument: ACSWH- GX-Q; Column: Phenomenex luna C18 150*25mm* 10 pm; eluent A: water (0.225% formic acid in water), eluent B: acetonitrile; gradient: 0-11 min 13-46% B; flow 25 ml/min; temperature: room temperature; Detector: UV 220/254 nm] to give a residue. The residue was purified preparative-SFC (Instrument: CASWH-PREP-NPLC-A; Column: REGIS (R,R)WHELK-01(250mm* 25mm, 10 pm); eluent A: Heptane(0.05% DEA), eluent B: EtOH (0.05% DEA), gradient: 0-15 min 30-30% B; flow 70 ml/min; temperature: room temperature; Detector: UV 220/254 nm) to give a residue. The residue was purified by preparative HPLC [Instrument: ACSWH-GX-QF; Column: Phenomenex luna C18 150*25mm* 10 pm; eluent A: water (0.225% formic acid in water), eluent B: methanol; gradient: 0-10 min 20-40% B; flow 25 ml/min; temperature: room temperature; Detector: UV 220/254 nm] to give 4.90 mg (97 % purity, 8 % yield) of the title compound and 4.4 mg of a mixed fraction that was further purified by Daicel Chiralpak IE HPLC (250*20mm; n-heptane / EtOH: 65/35, 0.2% DEA) to give 0.5 mg (93 % purity, 1% yield) of the title compound and 1 mg (96% purity, 2% yield) of example 4-04.
LC-MS (Method 3): Rt = 0.74 min; MS (ESIpos): m/z = 675 [M+H]+
’H NMR (400 MHz, DMSO- 6): 5 [ppm] = 1.16 (s, 3 H) 1.45 - 2.31 (m, 12 H) 2.94 - 3.02 (m, 1 H) 3.06 - 3.18 (m, 7 H) 3.21 (br s, 3 H) 3.97 - 4.23 (m, 3 H) 4.45 (s, 1 H) 4.64 (s, 1 H) 5.24 - 5.45 (m, 2 H) 7.21 (d, 1 H) 7.31 (d, 1 H) 7.50 (t, 1 H) 7.99 (dd, 1 H) 10.28 (s, 1 H)
Example 4-04
(3R)-l-{8-[(8-Ethynyl-7-fluoro-3-hydroxynaphthalen-l-yl)oxy]-2-{[(2R,7aS)-2-fluorotetrahydro- lH-pyrrolizin-7a(5H)-yl]methoxy}-7-(3-methoxycyclobutyl)-7H-purin-6-yl}-3-methylpiperi din-3- 01
1 mg (96% purity, 2% yield) of the title compound was isolated by Daicel Chiralpak IE HPLC purification (250*20mm; n-heptane / EtOH: 65/35, 0.2% DEA) of example 4-03.
LC-MS (Method 2): Rt = 1.34 min; MS (ESIpos): m/z = 675 [M+H]+ 'HNMR (500 MHz, DMSO- 6): 5 [ppm] = 1.15 (s, 3 H) 1.48 - 2.07 (m, 10 H) 2.70 - 3.08 (m, 9 H) 3.16 (s, 3 H) 3.23 - 3.29 (m, 1 H) 3.67 - 3.79 (m, 1 H) 3.79 - 3.94 (m, 2 H) 4.43 (s, 1 H) 4.68 (s, 1 H) 4.79 - 4.94 (m, 1 H) 5.12 - 5.31 (m, 1 H) 7.17 (d, 1 H) 7.31 (d, 1 H) 7.50 (t, 1 H) 7.99 (dd, 1 H) 10.27 (s, 1 H)
Example 5-01
4-{[6-(3,8-Diazabicyclo[3.2.1]octan-3-yl)-2-{[(2R,7aS)-2-fluorotetrahydro-lH-pyrrolizin-7a(5H)- yl]methoxy}-7-(oxan-4-yl)-7H-purin-8-yl]oxy}-5-ethynyl-6-fluoronaphthalen-2-ol
To a solution of tert-butyl 3-[8-{[8-ethynyl-7-fhioro-3-(methoxymethoxy)naphthalen-l-yl]oxy}-2- {[(2R,7aS)-2-fhrorotetrahydro-lH-pyrrolizin-7a(5H)-yl]methoxy}-7-(oxan-4-yl)-7H-purin-6-yl]-3,8-
diazabicyclo[3.2.1]octane-8-carboxylate (Intermediate 5-08, 20.0 mg, 74% purity, 0.0181 mmol) in methanol (0.20 ml) was added methane sulfonic acid (0.012 ml, 0.180 mmol) at room temperature. After stirring at room temperature for 20 hours, the reaction mixture was quenched with sodium bicarbonate and adjusted to pH = 8. The mixture was filtered and the filtrate was purified by preparative HPLC [Instrument: ACSWH-GX-A; Column: Waters Xbridge 150*25mm* 5 pm; eluent A: water (0.05% ammonia hydroxide) eluent B: acetonitrile; gradient: 0-10 min 15-45% B; flow 25 ml/min; temperature: room temperature; Detector: UV 220/254 nm] to give 4-{[6-(3,8-diazabicyclo[3.2.1]octan-3-yl)-2- {[(2R,7aS)-2-fluorotetrahydro-lH-pyrrolizin-7a(5H)-yl]methoxy}-7-(tetrahydro-2H-pyran-4-yl)-7H- purin-8-yl]oxy}-5-ethynyl-6-fluoro-2 -naphthol (2.80 mg, 99% purity, 23% yield).
LC-MS (Method C): Rt = 0.758 min; MS (ESIpos): m/z = 672.3 [M+H]+.
’H NMR (400 MHz, DMSO- 6): 5 [ppm] = 7.92-7.83 (m, 1H), 7.42 (t, J= 8.8 Hz, 1H), 7.19 (s, 1H), 7.02 (s, 1H), 5.29 (s, 0.5H), 5.16 (s, 0.5H), 4.64-4.54 (m, 1H), 4.49 (s, 1H), 4.04 (d, J= 8.8 Hz, 2H), 3.89 (d, J = 10.4 Hz, 1H), 3.81 (d, J= 10.4 Hz, 1H), 3.50-3.45 (m, 4H), 3.22-3.17 (m, 3H), 3.07-3.00 (m, 3H), 2.96 (s, 1H), 2.81-2.75 (m, 1H), 2.09-1.88 (m, 6H), 1.85-1.66 (m, 8H).
Example 5-02
4-{[6-(3,8-Diazabicyclo[3.2.1]octan-3-yl)-2-{[(2R,7aS)-2-fluorotetrahydro-lH-pyrrolizin-7a(5H)- yl]methoxy}-7-(3-methoxycyclobutyl)-7H-purin-8-yl]oxy}-5-ethynyl-6-fluoronaphthalen-2-ol - formic acid (1: 2) (cis-diastereomers 1 regarding cyclobutyl)
To a solution of tert-butyl 3-[8-{[8-ethynyl-7-fhioro-3-(methoxymethoxy)naphthalen-l-yl]oxy}-2- {[(2R,7aS)-2-fhiorotetrahydro-lH-pyrrolizin-7a(5H)-yl]methoxy}-7-(3-methoxycyclobutyl)-7H-purin- 6-yl]-3,8-diazabicyclo[3.2.1]octane-8-carboxylate (two cis-diastereomers regarding cyclobutyl) (Intermediate 5-11, 240 mg, 99% purity, 0.291 mmol) in methanol (10.0 ml) was added methanesulfonic acid (0.19 ml, 2.9 mmol) room temperature. After stirring at room temperature for 16 hours, the reaction mixture was adjusted to pH 7 - 8 by sodium bicarbonate powder. The mixture was filtered and the filtrate was purified by preparative HPLC [Instrument: ACS-WH-GX-AF; column: Phenomenex Luna C18, 150 mm x 25 mm, 10 pm; eluent A: water (0.225% formic acid), eluent B: acetonitrile; gradient: 0-10 min
3-33% B; flow 25 ml/min; temperature: room temperature; Detector: UV 220/254 nm] to give 4-{[6-(3,8- diazabicyclo[3.2.1]octan-3-yl)-2-{[(2R,7aS)-2-fluorotetrahydro-lH-pyrrolizin-7a(5H)-yl]methoxy}-7- (3-methoxycyclobutyl)-7H-purin-8-yl]oxy}-5-ethynyl-6-fluoro-2 -naphthol - formic acid (1: 2) (cis- diastereomers 1 regarding cyclobutyl) (22.1 mg, 98% purity) and 4-{[6-(3,8-diazabicyclo[3.2.1]octan-3- yl)-2-{[(2R,7aS)-2-fluorotetrahydro-lH-pyrrolizin-7a(5H)-yl]methoxy}-7-(3-methoxycyclobutyl)-7H- purin-8-yl]oxy}-5-ethynyl-6-fluoro-2 -naphthol - formic acid (1: 2) (cis-diastereomers 2 regarding cyclobutyl) (36.8 mg, 95 % purity).
LC-MS (Method C): Rt = 0.639 min; MS (ESIpos): m/z = 672.2 [M+H]+.
’H NMR (400 MHz, DMSO- 6): 5 [ppm] = 8.27 (br.s, 2H), 8.01-7.95 (m, 1H), 7.49 (t, J= 8.8 Hz, 1H), 7.31 (d, J= 2.4 Hz, 1H), 7.19 (d, J= 2.4 Hz, 1H), 5.32-5.27 (m, 0.5H), 5.17-5.13 (m, 0.5H), 4.68-4.58 (m, 1H), 4.47 (s, 1H), 3.93-3.89 (m, 1H), 3.84-3.81 (m, 2H), 3.76-3.73 (m, 1H), 3.63-3.58 (m, 2H), 3.38- 3.33 (m, 2H), 3.16 (s, 3H), 3.06-3.01 (m, 2H), 2.98-2.94 (m, 1H), 2.90-2.81 (m, 4H), 2.80-2.74 (m, 1H), 2.08-2.06 (m, 1H), 2.05-2.02 (m, 1H), 1.98-1.95 (m, 1H), 1.91-1.77 (m, 6H), 1.74-1.64 (m, 2H).
Example 5-03
4-{[6-(3,8-Diazabicyclo[3.2.1]octan-3-yl)-2-{[(2R,7aS)-2-fluorotetrahydro-lH-pyrrolizin-7a(5H)- yl]methoxy}-7-(3-methoxycyclobutyl)-7H-purin-8-yl]oxy}-5-ethynyl-6-fluoronaphthalen-2-ol - formic acid (1: 2) (cis-diastereomers 2 regarding cyclobutyl)
To a solution of tert-butyl 3-[8-{[8-ethynyl-7-fhioro-3-(methoxymethoxy)naphthalen-l-yl]oxy}-2- {[(2R,7aS)-2-fhiorotetrahydro-lH-pyrrolizin-7a(5H)-yl]methoxy}-7-(3-methoxycyclobutyl)-7H-purin- 6-yl]-3,8-diazabicyclo[3.2.1]octane-8-carboxylate (two cis-diastereomers regarding cyclobutyl) (Intermediate 5-11, 240 mg, 99% purity, 0.291 mmol) in methanol (10.0 ml) was added methanesulfonic acid (0.19 ml, 2.9 mmol) room temperature. After stirring at room temperature for 16 hours, the reaction mixture was adjusted to pH 7 - 8 by sodium bicarbonate powder. The mixture was filtered and the filtrate was purified by preparative HPLC [Instrument: ACS-WH-GX-AF; column: Phenomenex Luna C18, 150 mm x 25 mm, 10 pm; eluent A: water (0.225% formic acid), eluent B: acetonitrile; gradient: 0-10 min
3-33% B; flow 25 ml/min; temperature: room temperature; Detector: UV 220/254 nm] to give 4-{[6-(3,8- diazabicyclo[3.2.1]octan-3-yl)-2-{[(2R,7aS)-2-fluorotetrahydro-lH-pyrrolizin-7a(5H)-yl]methoxy}-7- (3-methoxycyclobutyl)-7H-purin-8-yl]oxy}-5-ethynyl-6-fluoro-2 -naphthol - formic acid (1: 2) (cis- diastereomers 1 regarding cyclobutyl) (22.1 mg, 98% purity) and 4-{[6-(3,8-diazabicyclo[3.2.1]octan-3- yl)-2-{[(2R,7aS)-2-fluorotetrahydro-lH-pyrrolizin-7a(5H)-yl]methoxy}-7-(3-methoxycyclobutyl)-7H- purin-8-yl]oxy}-5-ethynyl-6-fluoro-2 -naphthol - formic acid (1: 2) (cis -diastereomers 2 regarding cyclobutyl) (36.8 mg, 95 % purity).
LC-MS (Method C): Rt = 0.658 min; MS (ESIpos): m/z = 672.2 [M+H]+.
’H NMR (400 MHz, DMSO- 6): 5 [ppm] = 8.29 (br.s, 2H), 8.01-7.95 (m, 1H), 7.48 (t, J = 8.8 Hz, 1H), 7.31 (d, J = 2.0 Hz, 1H), 7.22 (d, J = 2.0 Hz, 1H), 5.35-5.25 (m, 1.5H), 5.18-5.11 (m, 0.5H), 4.49 (s, 1H), 4.11-4.05 (m, 2H), 3.93-3.87 (m, 3H), 3.86-3.81 (m, 2H), 3.67-3.51 (m, 2H), 3.39-3.30 (m, 2H), 3.22 (s, 3H), 3.17-3.09 (m, 2H), 3.07-3.01 (m, 2H), 2.98-2.94 (m, 1H), 2.85-2.75 (m, 1H), 2.59-2.51 (m, 2H), 2.07-2.03 (m, 1H), 2.02-1.99 (m, 1H), 1.98-1.94 (m, 1H), 1.94-1.87 (m, 2H), 1.85-1.77(m, 1H), 1.77-1.65 (m, 2H).
Example 5-04
4-({6-(3,8-Diazabicyclo[3.2.1]octan-3-yl)-2-{[(2R,7aS)-2-fluorotetrahydro-lH-pyrrolizin-7a(5H)- yl]methoxy}-7-[oxan-3-yl]-7H-purin-8-yl}oxy)-5-ethynyl-6-fluoronaphthalen-2-ol - formic acid (1: 1) (two enantiopure diastereomers)
A solution of tert-butyl 3-(8-{[8-ethynyl-7-fluoro-3-(methoxymethoxy)naphthalen-l-yl]oxy}-2- {[(2R,7aS)-2-fluorotetrahydro-lH-pyrrolizin-7a(5H)-yl]methoxy}-7-[oxan-3-yl]-7H-purin-6-yl)-3,8- diazabicyclo[3.2.1]octane-8-carboxylate (two enantiopure diastereomers) (Intermediate 5-23, 120 mg, 0.147 mmol, 99% purity) in methanol (1.80 ml) was added methane sulfonic acid (0.190 ml, 2.90 mmol) at room temperature. After stirring at the same temperature for 16 hours, the reaction mixture was adjusted to pH 7 with sodium bicarbonate and fdtered. After extraction with ethyl acetate, the combined organic layers were washed with brine, dried over anhydrous sodium sulfate, fdtered and concentrated to give the residue. The residue was purified by preparative HPLC [Instrument: ACS-WH-GX-AF; column:
Phenomenex Luna C18, 150 mm x 25 mm, 10 pm; eluent A: water (0.225% formic acid in water), eluent B: acetonitrile; gradient: 0-10.5 min 5-35% B; flow 25 ml/min; temperature: room temperature; Detector: UV 220/254 nm] to give 4-({6-(3,8-diazabicyclo[3.2.1]octan-3-yl)-2-{[(2R,7aS)-2-fluorotetrahydro-lH- pyrrolizin-7a(5H)-yl]methoxy}-7-[tetrahydro-2H-pyran-3-yl]-7H-purin-8-yl}oxy)-5-ethynyl-6-fluoro-2- naphthol - formic acid (1: 1) (two enantiopure diastereomers) (3.00 mg, 97% purity).
LC-MS (Method C): Rt = 0.764 min; MS (ESIpos): m/z = 672.3 [M+H]+.
'HNMR (400 MHz, DMSO- 6): 5 [ppm] = 8.27-8.18 (m, 1H), 7.98 (dd, J= 9.2, 5.6 Hz, 1H), 7.49 (t, J = 9.2 Hz, 1H), 7.30 (d, J= 2.4 Hz, 1H), 7.10 (d, J= 1.6 Hz, 1H), 5.31 (br.s, 0.5H), 5.23 (br.s, 0.5H), 4.69- 4.60 (m, 1H), 4.57 (s, 1H), 4.24-4.10 (m, 1H), 4.03-3.96 (m, 1H), 3.94-3.87 (m, 2H), 3.85-3.79 (m, 2H), 3.79-3.68 (m, 4H), 3.50-3.43 (m, 2H), 3.42-3.37 (m, 2H), 3.04 (br.s, 2H), 2.93-2.98 (m, 1H), 2.74-2.83 (m, 1H), 2.07-2.03 (s, 1H), 1.99-1.96 (m, 1H), 1.95-1.89 (m, 2H), 1.88-1.79 (m, 4H), 1.78-1.65 (m, 4H).
Example 6-01
4-[7-Cyclobutyl-6-(3,8-diazabicyclo[3.2.1]octan-3-yl)-2-[[(2R,8S)-2-fluoro-l,2,3,5,6,7- hexahydr opyrr olizin-8-yl] methoxy] purin-8-yl] oxy-5-ethyl-6-fluor o-naphthalen-2-ol
To a solution of tert-butyl 3-[7-cyclobutyl-8-[[8-ethyl-7-fluoro-3-(methoxymethoxy)-l-naphthyl]oxy]-2- [[(2R,8S)-2-fluoro-l,2,3,5,6,7-hexahydropyrrolizin-8-yl]methoxy]purin-6-yl]-3,8- diazabicyclo[3.2.1]octane-8-carboxylate (Intermediate 6-05, 20.0 mg, 25.3 pmol, 1.0 eq.) in MeCN (1.0 mL) was added hydrochloric acid (500 pl, 2.0 mmol, 4.0 M in dioxane) at 0 °C. The reaction mixture was stirred for 2h at RT. The mixture was concentrated, and the residue was purified by RP-HPLC (acetonitrile / 2% NH3 in water gradient). The product fractions were pooled and concentrated in vacuo to afford 11.2 mg (69% yield, 100% purity) of the title compound.
LC-MS (Method 1): Rt = 1.01 min; MS (ESIneg): m/z = 644 [M-H]’
’H NMR (400 MHz, DMSO- 6): 5 [ppm] = 1.11 (t, 3 H) 1.70 - 2.07 (m, 12 H) 2.72 - 2.85 (m, 3 H) 2.96 - 3.11 (m, 5 H) 3.60 - 3.70 (m, 4 H) 3.86 (q, 2 H) 4.90 - 5.11 (m, 1 H) 5.11 - 5.41 (m, 1 H) 7.00 (d, 1 H) 7.22 (d, 1 H) 7.38 (t, 1 H) 7.76 (dd, 1 H)
Example 6-02
4-[7-Cyclobutyl-6-(3,8-diazabicyclo[3.2.1]octan-3-yl)-2-[[(2R,8S)-2-fluoro-l,2,3,5,6,7- hexahydropyrrolizin-8-yl]methoxy]purin-8-yl]oxy-l,3-benzothiazol-2-amine:formic acid (1:1)
To a solution of tert-butyl 3-[8-[(2-amino-l,3-benzothiazol-4-yl)oxy]-7-cyclobutyl-2-[[(2R,8S)-2-fluoro- l,2,3,5,6,7-hexahydropyrrolizin-8-yl]methoxy]purin-6-yl]-3,8-diazabicyclo[3.2.1]octane-8-carboxylate (Intermediate 6-06, 107 mg, 152 pmol, 1.0 eq.) in DCM (2.0 mL) was added hydrochloric acid (2.0 ml, 4.0 M in dioxane, 8.0 mmol) at 0 °C. The reaction mixture was stirred for 30 min. at 0 °C. The mixture was concentrated, and the residue was dissolved in a mixture of H2O/MeCN/formic acid and purified by RP-HPLC (acetonitrile / 0.01% formic acid in water gradient). The product fractions were pooled and concentrated in vacuo to afford 10.6 mg (10% yield, 100% purity) of the title compound along with 82.8 mg of a mixed fraction, which was further purified under example 6-04.
Analytical data of example 6-02
LC-MS (Method 1): Rt = 0.83 min; MS (ESIneg): m/z = 604 [M-H]’ ’HNMR (400 MHz, DMSO-t/e): 5 [ppm] = 1.57 - 2.09 (m, 12 H) 2.34 - 2.46 (m, 2 H) 2.75 - 2.85 (m, 1 H) 2.94 - 3.09 (m, 5 H) 3.82 - 3.93 (m, 2 H) 4.89 - 5.09 (m, 1 H) 5.13 - 5.34 (m, 1 H) 7.10 (t, 1 H) 7.27 (d, 1 H) 7.45 - 7.78 (m, 3 H) 8.27 (br s, 1 H).
Example 6-03
4-[7-Cyclobutyl-6-(3,8-diazabicyclo[3.2.1]octan-3-yl)-2-[[(2R,8S)-2-fluoro-l,2,3,5,6,7- hexahydropyrrolizin-8-yl]methoxy]purin-8-yl]oxy-7-fluoro-l,3-benzothiazol-2-amine: formic acid (1:2)
To a solution tert-butyl 3-[8-[(2-amino-7-fluoro-l,3-benzothiazol-4-yl)oxy]-7-cyclobutyl-2-[[(2R,8S)-2- fluoro-l,2,3,5,6,7-hexahydropyrrolizin-8-yl]methoxy]purin-6-yl]-3,8-diazabicyclo[3.2.1]octane-8- carboxylate (Intermediate 6-08, 11.0 mg, 15.2 pmol, 1.0 eq.) in DCM (180 pl) was added hydrochloric acid (180 pl, 4.0 M, 700 pmol, 4.0 M in dioxane) at 0 °C. The reaction mixture was stirred for 30 min. at RT. The mixture was concentrated, and the residue was purified by RP-HPLC (acetonitrile / 0.01% formic acid in water gradient). The product fractions were pooled and concentrated in vacuo to afford 7.9 mg (70% yield, 96% purity) of the title compound.
LC-MS (Method 1): Rt = 0.85 min; MS (ESIneg): m/z = 622 [M-H]’
'HNMR (400 MHz, DMSO- 6): 5 [ppm] = 1.64 - 2.27 (m, 14 H) 2.90 - 3.02 (m, 2 H) 3.64 - 3.90 (m, 8 H) 4.10 - 4.19 (m, 2 H) 4.39 - 4.50 (m, 2 H) 4.96 (quin, 1 H) 5.44 - 5.68 (m, 1 H) 7.33 (dd, 1 H) 7.67 (dd, 3 H) 9.40 - 9.65 (m, 1 H) 9.76 - 9.90 (m, 1 H) 11.12 - 11.35 (m, 1 H)
Example 6-04
4-[7-Cyclobutyl-6-[(lS,5R)-3,8-diazabicyclo[3.2.1]octan-3-yl]-2-[[(2R,8S)-2-fluoro-l,2,3,5,6,7- hexahydropyrrolizin-8-yl]methoxy]purin-8-yl]oxy-l,3-benzothiazol-2-amine
The mixed fraction of example 6-02 was purified by RP-HPLC (acetonitrile / 0.01% formic acid in water gradient). The product fractions were pooled and concentrated in vacuo. LCMS indicated impurities; therefore, the mixture was purified by RP-HPLC (acetonitrile / 2% NH3 in water gradient). The product fractions were pooled and concentrated in vacuo to afford 26 mg (28% yield, 100% purity) of the title compound.
LC-MS (Method 1): Rt = 0.85 min; MS (ESIneg): m/z = 604 [M-H]’
'HNMR (400 MHz, DMSO- 6): 5 [ppm] = 1.61 - 2.07 (m, 12 H) 2.34 - 2.46 (m, 2 H) 2.73 - 2.87 (m, 1 H) 2.96 - 3.07 (m, 5 H) 3.14 - 3.23 (m, 2 H) 3.42 - 3.65 (m, 4 H) 3.77 - 3.96 (m, 2 H) 4.98 (quin, 1 H) 5.12 - 5.34 (m, 1 H) 7.09 (t, 1 H) 7.27 (dd, 1 H) 7.62 (s, 2 H) 7.65 (dd, 1 H)
Example 6-05
2-Amino-4-[7-cyclobutyl-6-(3,8-diazabicyclo[3.2.1]octan-3-yl)-2-[[(2R,8S)-2-fluoro-l,2,3,5,6,7- hexahydropyrrolizin-8-yl]methoxy]purin-8-yl]oxy-benzothiophene-3-carbonitrile:formic acid
TFA (100 pl) was added to a solution of tert-butyl 3-[8-[2-[tert-butoxycarbonyl-[(4- methoxyphenyl)methyl]amino]-3-cyano-benzothiophen-4-yl]oxy-7-cyclobutyl-2-[[(2R,8S)-2-fluoro- l,2,3,5,6,7-hexahydropyrrolizin-8-yl]methoxy]purin-6-yl]-3,8-diazabicyclo[3.2.1]octane-8-carboxylate (Intermediate 6-14, 11.0 mg, 15.2 pmol, 1.0 eq.) in DCM (2 mL) at 0 °C. The reaction mixture was stirred
for Ih at 0 °C. The solvent and TFA were removed under reduced pressure and the residue was dissolved in DCM (2 mL) and hydrochloric acid (1.0 ml, 4.0 M, 4 mmol, 4.0 M in dioxane) was added at 0 °C. The reaction mixture was stirred for 30 min. at 0 °C. LCMS showed poor conversion, the solvent was removed, and the residue was dissolved in a solution of DCM/TFA: 1: 1 (2 mL) at 0 °C. LCMS showed poor conversion, the solvent was removed, and the residue was dissolved in a solution of DCM/TFA: 1: 1 (2 mL) and stirred at RT for 30 min. The solvent was removed under reduced pressure and the residue was purified by RP-HPLC (acetonitrile / 0.01% formic acid in water gradient). The product fractions were pooled and concentrated in vacuo to afford 21 mg (75% yield, 100% purity) of the title compound.
LC-MS (Method 1): Rt = 0.86 min; MS (ESIneg): m/z = 628 [M-H]’
'HNMR (400 MHz, DMSO- 6): 5 [ppm] = 1.72 - 2.29 (m, 12 H) 2.90 - 3.04 (m, 2 H) 3.47 - 3.64 (m, 3 H) 3.68 - 3.92 (m, 5 H) 4.04 - 4.28 (m, 2 H) 4.28 - 4.47 (m, 2 H) 4.86 - 5.06 (m, 1 H) 5.45 - 5.71 (m, 1 H) 7.14 - 7.24 (m, 1 H) 7.24 - 7.32 (m, 1 H) 7.64 - 7.75 (m, 1 H) 7.93 (s, 2 H) 9.03 - 9.23 (m, 2 H) 10.56 - 10.84 (m, 1 H)
Example 6-06
[6-Amino-4-methyl-3-(trifluoromethyl)pyridin-2-yl] (7-cyclobutyl-6- [3,8-diazabicyclo [3.2.1] octan- 3-yl]-2-{[(2R,7aS)-2-fluorotetrahydro-lH-pyrrolizin-7a(5H)-yl]methoxy}-7H-purin-8- yl)methanone
tert-Butyl ( 1 R,5 S)-3 -(8-[6- {bis [(4-methoxyphenyl)methyl]amino } -4-methyl-3 -
(trifluoromethyl)pyridine-2-carbonyl]-7-cyclobutyl-2-{[(2R,7aS)-2-fluorotetrahydro-lH-pyrrolizin- 7a(5H)-yl]methoxy}-7H-purin-6-yl)-3,8-diazabicyclo[3.2.1]octane-8-carboxylate (Intermediate 4-21, 1 eq., 45.0 mg, 45.7 pmol) was dissolved in TFA (5.0 ml, 65 mmol; CAS-RN:[76-05-l]) and refluxed over night. The solvent was removed, and the residue was purified by RP-HPLC (acetonitrile / 0.01% formic acid in water gradient). The product fractions were pooled and concentrated in vacuo. The residue was purified a second time by RP-HPLC (acetonitrile / 0.01% NH3 in water gradient) to afford 1.20 mg (100 % purity, 4 % yield) of the title compound.
LC-MS (Method 1): Rt = 0.88 min; MS (ESIneg): m/z = 643 [M-H]'
’H NMR (500 MHz, DMSO- 6): 5 [ppm] = 1.37 - 1.64 (m, 4 H) 1.69 - 1.87 (m, 5 H) 1.89 - 2.12 (m, 3 H) 2.32 (s, 3 H) 2.37 - 2.45 (m, 2 H) 2.71 - 2.84 (m, 1 H) 2.95 - 3.09 (m, 3 H) 3.44 - 3.51 (m, 2 H) 3.85 - 4.00 (m, 3 H) 5.10 - 5.34 (m, 2 H) 6.50 (s, 1 H) 6.85 (br s, 2 H)
BIOLOGICAL ASSAYS
Examples were tested in selected biological assays one or more times. When tested more than once, data are reported as either average values or as median values, wherein
• the average value, also referred to as the arithmetic mean value, represents the sum of the values obtained divided by the number of times tested, and
• the median value represents the middle number of the group of values when ranked in ascending or descending order. If the number of values in the data set is odd, the median is the middle value. If the number of values in the data set is even, the median is the arithmetic mean of the two middle values.
Examples were synthesized one or more times. When synthesized more than once, data from biological assays represent average values or median values calculated utilizing data sets obtained from testing of one or more synthetic batch.
The in vitro activity of the compounds of the present invention can be demonstrated in the following assays:
Biochemical KRAS/SOS1 activation assays
Preparation of test compound dilutions. A 100-fold concentrated solution of the test compound (50 nL) in DMSO was transferred to microtiter test plates (384 or 1,536 wells, Greiner Bio-One, Germany) using either a Hummingbird liquid handler (Digilab, MA, USA) or an Echo acoustic system (Labcyte, CA, USA). Plates were sealed with adhesive foil or heat-sealed and stored at -20 C until use. Serial dilutions of test compounds were prepared in 100% DMSO using a Precision Pipetting System (BioTek, USA).
Measurement and evaluation of inhibition data, calculation of ICso values. Homogeneous time- resolved fluorescence (HTRF) was measured with a PHERAstar reader (BMG, Germany) using the HTRF module (excitation: 337 nm; emission 1: 620 nm, emission 2: 665 nm). The ratio of the emissions at 665 and 620 nm was used as the specific signal for further evaluation. The data were normalized using the controls: DMSO = 0% inhibition, inhibition control wells with inhibitor control solution = 100% inhibition. Compounds were tested in duplicates at up to 11 concentrations (e.g. 20 pM, 5.7 pM. 1.6 pM, 0.47 pM, 0.13 pM, 38 nM, 11 nM, 3.1 nM, 0.89 nM, 0.25 nM and 0.073 nM). IC50 values were calculated using a four-parameter fit, with a commercial software package (Genedata Screener, Switzerland). a) KRASG12D activation by SOSlcat assay (“On-assay”). This assay quantifies SOSlcat mediated loading of KRASG12D-GDP with a fluorescent GTP analogue. Detection of successful loading was achieved by measuring resonance energy transfer from anti-GST-terbium (FRET donor) bound to GST-KRASG12D to
the loaded fluorescent GTP analogue (FRET acceptor). The fluorescent GTP analogue EDA-GTP-DY- 647P1 [273 '-O-(2-aminoethyl-carbamoyl)guanosine-5 '-triphosphate labelled with DY-647P1 (Dyomics GmbH, Germany)] was synthesized by Jena Bioscience (Germany) and supplied as a 1 mM aqueous solution. A KRASG12D working solution was prepared in assay buffer [10 mM HEPES pH 7.4 (AppliChem), 150 mM NaCl (Sigma), 5 mM MgCT (Sigma), 1 mM DTT (Thermo Fisher), 0.05% BSA Fraction V pH 7.0 (ICN Biomedicals), 0.0025% (v/v) Igepal (Sigma)] containing GST-KRASG12D (final concentration in assay 2 nM) and anti-GST-terbium (Cisbio, France) (final concentration in assay 1 nM). A SOSlcat working solution was prepared in assay buffer containing SOSlcat (final concentration 5 nM) and EDA-GTP-DY-647P1 (final concentration 100 nM). An inhibitor control solution was prepared in assay buffer containing EDA-GTP-DY-647P1 (final concentration 100 nM) without SOSlcat but with addition of GDP (final concentration 20pM, Jena Bioscience, prepared from 100 mM stock solution). All steps of the assay were performed at 20 °C. A volume of 3 pL of the KRASG12D working solution was added to all wells of the test plate using a Multidrop dispenser (Thermo LabSystems). After 15 min, 2 pL of the SOSlcat working solution was added to all wells, except for the inhibitor control solution wells. After 10 min incubation, HTRF was measured. b) KRASWT activation by SOSlcat assay (“On-assay”). This assay quantifies SOSlcat mediated loading of KRASWT-GDP with a fluorescent GTP analogue. Detection of successful loading was achieved by measuring resonance energy transfer from anti-GST-terbium (FRET donor) bound to GST-KRASWT to the loaded fluorescent GTP analogue (FRET acceptor). The fluorescent GTP analogue EDA-GTP-DY- 647P1 [273 '-O-(2-aminoethyl-carbamoyl)guanosine-5 '-triphosphate labelled with DY-647P1 (Dyomics GmbH, Germany)] was synthesized by Jena Bioscience (Germany) and supplied as a 1 mM aqueous solution. A KRASWT working solution was prepared in assay buffer [10 mM HEPES pH 7.4 (AppliChem), 150 mM NaCl (Sigma), 5 mM MgCh (Sigma), 1 mM DTT (Thermo Fisher), 0.05% BSA Fraction V pH 7.0 (ICN Biomedicals), 0.0025% (v/v) Igepal (Sigma)] containing GST-KRASWT (final concentration in assay 2 nM) and anti-GST-terbium (Cisbio, France) (final concentration in assay 1 nM). A SOSlcat working solution was prepared in assay buffer containing SOSlcat (final concentration 5 nM) and EDA- GTP-DY-647P1 (final concentration 100 nM). An inhibitor control solution was prepared in assay buffer containing EDA-GTP-DY-647P1 (final concentration 100 nM) without SOS lcat but with addition of GDP (final concentration 20pM, Jena Bioscience, prepared from 100 mM stock solution). All steps of the assay were performed at 20 °C. A volume of 3 pL of the KRASWT working solution was added to all wells of the test plate using a Multidrop dispenser (Thermo LabSystems). After 15 min, 2 pL of the SOSlcat working solution was added to all wells, except for the inhibitor control solution wells. After 10 min incubation, HTRF was measured. c) HRASWT activation by SOSlcat assay (“On-assay”). This assay quantifies SOSlcat mediated loading of HRASWT-GDP with a fluorescent GTP analogue. Detection of successful loading was achieved by measuring resonance energy transfer from anti-GST-terbium (FRET donor) bound to GST-HRASWT (Reaction Biology) to the loaded fluorescent GTP analogue (FRET acceptor). The fluorescent GTP
analogue EDA-GTP-DY-647P1 [273'-O-(2-aminoethyl-carbamoyl)guanosine-5'-triphosphate labelled with DY-647P1 (Dyomics GmbH, Germany)] was synthesized by Jena Bioscience (Germany) and supplied as a 1 mM aqueous solution. A HRASWT working solution was prepared in assay buffer [10 mM HEPES pH 7.4 (AppliChem), 150 mM NaCl (Sigma), 5 mM MgCF (Sigma), 1 mM DTT (Thermo Fisher), 0.05% BSA Fraction V pH 7.0 (ICN Biomedicals), 0.0025% (v/v) Igepal (Sigma)] containing GST- HRASWT (final concentration in assay 2 nM) and anti-GST-terbium (Cisbio, France) (final concentration in assay 1 nM). A SOSlcat working solution was prepared in assay buffer containing SOSlcat (final concentration 1 nM) and EDA-GTP-DY-647P 1 (final concentration 100 nM). An inhibitor control solution was prepared in assay buffer containing EDA-GTP-DY-647P 1 (final concentration 100 nM) without SOSlcatbut with addition of GDP (final concentration 20pM, Jena Bioscience, prepared from 100 mM stock solution). All steps of the assay were performed at 20 °C. A volume of 3 pL of the HRASWT working solution was added to all wells of the test plate using a Multidrop dispenser (Thermo LabSystems). After 15 min, 2 pL of the SOSlcat working solution was added to all wells, except for the inhibitor control solution wells. After 10 min incubation, HTRF was measured. d) NRASWT activation by SOSlcat assay (“On-assay”). This assay quantifies SOSlcat mediated loading of NRASWT-GDP with a fluorescent GTP analogue. Detection of successful loading was achieved by measuring resonance energy transfer from anti-GST-terbium (FRET donor) bound to GST-NRASWT (Reaction Biology) to the loaded fluorescent GTP analogue (FRET acceptor). The fluorescent GTP analogue EDA-GTP-DY-647P1 [273'-O-(2-aminoethyl-carbamoyl)guanosine-5'-triphosphate labelled with DY-647P1 (Dyomics GmbH, Germany)] was synthesized by Jena Bioscience (Germany) and supplied as a 1 mM aqueous solution. A NRASWT working solution was prepared in assay buffer [10 mM HEPES pH 7.4 (AppliChem), 150 mM NaCl (Sigma), 5 mM MgCF (Sigma), 1 mM DTT (Thermo Fisher), 0.05% BSA Fraction V pH 7.0 (ICN Biomedicals), 0.0025% (v/v) Igepal (Sigma)] containing GST- NRASWT (final concentration in assay 2 nM) and anti-GST-terbium (Cisbio, France) (final concentration in assay 1 nM). A SOSlcat working solution was prepared in assay buffer containing SOSlcat (final concentration 1 nM) and EDA-GTP-DY-647P 1 (final concentration 100 nM). An inhibitor control solution was prepared in assay buffer containing EDA-GTP-DY-647P 1 (final concentration 100 nM) without SOSlcatbut with addition of GDP (final concentration 20pM, Jena Bioscience, prepared from 100 mM stock solution). All steps of the assay were performed at 20 °C. A volume of 3 pL of the NRASWT working solution was added to all wells of the test plate using a Multidrop dispenser (Thermo LabSystems). After 15 min, 2 pL of the SOSlcat working solution was added to all wells, except for the inhibitor control solution wells. After 10 min incubation, HTRF was measured. e) KRASG12V activation by SOSlcat assay (“On-assay”). This assay quantifies SOS 1 cat mediated loading of KRASG12V-GDP with a fluorescent GTP analogue. Detection of successful loading was achieved by measuring resonance energy transfer from anti-GST-terbium (FRET donor) bound to GST-KRASG12V (Reaction Biology) to the loaded fluorescent GTP analogue (FRET acceptor). The fluorescent GTP analogue EDA-GTP-DY-647P1 [273'-O-(2-aminoethyl-carbamoyl)guanosine-5'-triphosphate labelled
with DY-647P1 (Dyomics GmbH, Germany)] was synthesized by Jena Bioscience (Germany) and supplied as a 1 mM aqueous solution. A KRASG12V working solution was prepared in assay buffer [10 mM HEPES pH 7.4 (AppliChem), 150 mM NaCl (Sigma), 5 mM MgCT (Sigma), 1 mM DTT (Thermo Fisher), 0.05% BSA Fraction V pH 7.0 (ICN Biomedicals), 0.0025% (v/v) Igepal (Sigma)] containing GST-KRASG12V (final concentration in assay 2 nM) and anti-GST-terbium (Cisbio, France) (final concentration in assay 1 nM). A SOSlcat working solution was prepared in assay buffer containing SOSlcat (final concentration 20 nM) and EDA-GTP-DY-647P1 (final concentration 100 nM). An inhibitor control solution was prepared in assay buffer containing EDA-GTP-DY-647P 1 (final concentration 100 nM) without SOSlcatbut with addition of GDP (final concentration 20pM, Jena Bioscience, prepared from 100 mM stock solution). All steps of the assay were performed at 20 °C. A volume of 3 pL of the KRASG12V working solution was added to all wells of the test plate using a Multidrop dispenser (Thermo LabSystems). After 15 min, 2 pL of the SOSlcat working solution was added to all wells, except for the inhibitor control solution wells. After 30 min incubation, HTRF was measured. f) KRASG12C activation by SOSlcat assay (“OFF-assay”). This assay quantifies SOSlcat mediated deloading of KRASG12C pre-loaded with a fluorescent GDP analogue at excess GTP. Detection of successful deloading was achieved by measuring resonance energy transfer from anti-GST-terbium (FRET donor) bound to GST-KRASG12C to the loaded fluorescent GDP analogue (FRET acceptor). The fluorescent GDP analogue EDA-GDP-DY-647P 1 [273'-O-(2-aminoethyl-carbamoyl)guanosine-5'- diphosphate labelled with DY-647P1 (Dyomics GmbH, Germany)] was synthesized by Jena Bioscience (Germany). A KRASG12C working solution was prepared in assay buffer [10 mM HEPES pH 7.4 (AppliChem), 150 mM NaCl (Sigma), 5 mM MgCF (Sigma), 1 mM DTT (Thermo Fisher), 0.05% BSA Fraction V pH 7.0 (ICN Biomedicals), 0.0025% (v/v) Igepal (Sigma)] containing GST-KRASG12C pre loaded with EDA-GDP-DY-647P 1 (final concentration in assay 5 nM) and anti-GST-terbium (Cisbio, France) (final concentration in assay 1 nM). A SOSlcat working solution was prepared in assay buffer containing SOSlcat (final concentration 1 nM) and GTP (final concentration 50 pM). An inhibitor control solution was prepared in assay buffer containing SOS lcat (final concentration 1 nM). All steps of the assay were performed at 20 °C. A volume of 3 pL of the KRASG12C working solution was added to all wells of the test plate using a Multidrop dispenser (Thermo LabSystems). After 15 min, 2 pL of the SOS lcat working solution was added to all wells, except for the inhibitor control solution wells. After 30 min incubation, HTRF was measured.
KRAS Surface plasmon resonance assay
The surface plasmon resonance experiments were performed at 20°C using a Biacore 8K or 8K+ system (Cytiva Europe GmbH). The at NUVISAN ICB GmbH produced biotinylated recombinant KRAS variants (WT, G12D, G12V, G12C constructs, for details see section “KRAS Protein Production for SPR”) or purchased biotinylated recombinant KRASG12V (MSC-11-536, kRas_P_2-169_G12V), NRAS (MSC-11-543, nRas_P_WT_2- 169) and HRAS (MSC-11-547, hRas_P_WT_2-169) from Reaction Biology were used for immobilization at a concentration of 5 pg/mL or 50 pg/mL on SA-Chip (Cytiva Europe GmbH) in 10 mM Hepes pH7.5, 150 mM NaCl, 5 mM MgCl2, 0.05% BSA, 1 mM DTT, 0.0025% Igepal (NP40) with a flow rate of 5 pL/min to reach target ligand density between 1000 and 4000 RU. KD titrations were performed in multicycle mode using running buffer of 10 mM Hepes pH7.5, 150 mM NaCl, 5 mM MgCl2, 1 mM DTT, 0.05% BSA, 0.0025% Igepal (NP40), 2% DMSO in a flow rate of 30 pL/min with a contact time of 90s
and a dissociation time of 150s. For selected high-affinity compounds, KD titrations were performed in single-cycle mode in the same running buffer in a flow rate of 100 pL/min with a contact time of 60s and dissociation time of 3500s. Starting concentration of the dilution series for each compound was adjusted based on the estimated KD or results of a test run. In general, for multi cycle experiments a 1:2 dilution series with 10 concentrations was prepared, while for single cycle experiments a 1:3 dilutions dilution series with 6 concentrations was used.
All SPR sensograms were analysed using the Biacore Insight Evaluation Software (Version: 3.0.12.15655 or 4.0.8.20368 GE.Healthcare Bio-Sciences Corp.). Multi cycle experiments were analysed by steady state affinity or by 1: 1 binding kinetics model, while single cycle data was analysed by 1 : 1 binding kinetics model after double referencing and solvent correction hat been applied.
All measurements were performed at least as duplicates. Final Ko-value were prepared by taking the mean value of the independently determined Ko-values.
Cloning, in vivo biotinylating expression and purification
DNA sequences encoding for human KRAS (Acc. No P01116-2) variants: KRASWT (Aa 1-169; C118S), KRASG12D (Aa 1-169; G12D; C118S), KRASG12C (Aa 1-169; G12C; C118S), KRASG12V (Aa 1-169; G12V; C118S) were synthesized by the GeneArt Technology at Life Technologies as codon optimized version for expression in E. coli with N-terminal enhanced TEV cleavage site as well as additionally encoded att-site sequences at the 5 'and 3' ends for subcloning into various destination vectors using the Gateway Technology.
DNA fragments were cloned into N-terminal His-StrepII-Avi-tag vector using Gateway technologies. These vectors were co-transfected with pBirAcm and expressed into E. coli BL21(DE3) using LB 184 medium or Terrific Broth media in the presence of 200 pg/mL Ampicillin and 34 pg/mL Chloramphenicol. The cells were grown at 37°C until the OD55o reached 1, at which point 0.1 mM or 0.5 mM IPTG and 50 pM Biotin were added and the temperature was lowered to 27°C. The cells were harvested after 24 hours. E. coli cell pellet was resuspended in 3.5 mL buffer (50 mM Tris-HCl pH 7.5, 300 mM NaCl, 10 mM Imidazole, 0.5% CHAPS, Complete -EDTAfree protease inhibitor, 2 pg Benzonase) per gram wet weight and lysed by sonication or microfluidizer. The soluble protein was separated by centrifugation at 24000 xg for an hour at 4°C. The protein was purified via Ni-NTA affinity chromatography using buffer (50 mM Tris HC1 pH 7.5, 300 mM NaCl) with 10 mM Imidazole for washing and 300 mM Imidazole for elution. The eluted protein was then concentrated and further purified by size exclusion chromatography (Superdex 200) in 20 mM Tris-HCl pH 7.5, 100 mM NaCl, 5 mM MgCL.
KRAS, SOS1 Protein Production for Biochemical activation assays
Cloning, in vivo biotinylating expression and purification
DNA sequences encoding for human KRAS (Acc. No P01116-2) variants: KRASWT (Aa 1-169), KRASG12D (Aa 1-169; G12D; C118S), KRASG12V (Aa 1-169; G12V), and human S0S1 (hSOSl) (Acc. No Q07889, Aa 564-1049) were synthesized by the GeneArt Technology at Life Technologies as codon optimized version for expression in E. coli with N-terminal TEV/ enhanced TEV (Tobacco Etch Virus) protease site as well as additionally encoded att-site sequences at the 5 'and 3' ends for subcloning into various destination vectors using the Gateway Technology.
All above mentioned KRAS DNA fragments were cloned into N-terminal GST-tag vector (an in-house derivate of the pET vector series from Novagen with ampicillin resistance gene) using Gateway technologies, while hSOSl was cloned into N-terminal HislO-tag vector (an in-house derivate of the pET vector series from Novagen with ampicillin resistance gene).
This vectors were transformed into E. coli strain BL21 (DE3). Cultivation of the transformed strains for expression was done in 10 L , 2L, 1 L fermenters or shaker flasks. The cultures were grown in Terrific
Broth media with 200 ug/mL ampicillin at a temperature of 37 °C to a density of 0.6 (OD600), shifted to a temperature of 27 °C (for hK-Ras expression vectors) or 17 °C (for hSOS expression vectors), induced for expression with 0.1 mM IPTG and further cultivated for 24 hours.
Purification
After cultivation the transformed E. coli were harvested by centrifugation and the resulting pellet was suspended in a lysis buffer (see below) and lysed by passing three-times through a high pressure device (Microfluidics). The lysate was centrifuged at 4 °C and the supernatant used for further purification. An Akta chromatography system was used for all further chromatography steps.
Purification of GSTw Ras constructs for biochemical assays
E. coli culture was lysed in lysis buffer (50mM Tris HC1 7.5, 500mM NaCl,lmM DTT, 0,5% CHAPS, Complete Protease Inhibitor Cocktail-(Roche)). As a first chromatography step the centrifuged lysate was incubated with Glutathione Agarose 4B (Macherey -Nagel; 745500.100) in a spinner flask (16 h, 10°C). The Glutathione Agarose 4B leased with protein was transferred to a chromatography column connected to an Akta chromatography system. The column was washed with wash buffer (50mM Tris HC1 7.5, 500mM NaCl, ImM DTT) and the bound protein eluted with elution buffer (50mM Tris HC1 7.5, 500mM NaCl, ImM DTT, 15 or 20 mM Glutathione). The main fractions of the elution peak (monitored by OD280) were pooled.
For further purification by size -exclusion chromatography the above eluate volume was applied to a column Superdex 200 HR prep grade (GE Healthcare) running SEC buffer (20 mM HEPES pH 7.5, 150 mM NaCl, 5 mM MgCF. 1 mM DTT) and the resulting peak fractions of the eluted fusion protein were collected.
Purification of HislO-hSOSl for biochemical assays
E. coli transformed with pD-ECO5_hSOSl were cultured and induced in a fermenter, harvested and lysed in lysis buffer (25mM Tris HC1 7.5, 500mM NaCl, 20mM hnidazol, Complete EDTA-free (Roche)). For immobilized metal ion affinity chromatography (IMAC) the centrifuged lysate was incubated with 30mL Ni-NTA (Macherey-Nagel; #745400.100) in a spinner flask (16 h, 4°C) and subsequently transferred to a chromatography column connected to an Akta chromatography system. The column was rinsed with wash buffer (25mM Tris HC1 7.5, 500mM NaCl, 20mM hnidazol) and the bound protein eluted with a linear gradient (0-100%) of elution buffer (25mM Tris HC1 7.5, 500mM NaCl, 300mM hnidazol). The main fractions of the elution peak (monitored by OD280) containing homogenous HislO-hSOS were pooled. The final yield of HislO-hSOSl was about 110 mg purified protein per L culture and the final product concentration was about 2 mg/mL.
HTRF® (Homogenous Time-Resolved Fluorescence) phospho-ERKl/2 (THR202/TYR204) assay with AGS, ASPC-1, GP2d, HPAC, LK2, NCI-H441 and PANC10.05 cells
2500 AGS cells were seeded in a HTRF 384-well low volume plate (Greiner bio-one #784080) in DMEM+F12 (GIBCO) complemented with L-Alanyl-L-Glutamine (final: 2 mM, Gibco), FCS Superior (final: 10%, Sigma).
5000 ASPC-1 cells were seeded in a HTRF 384-well low volume plate (Greiner bio-one #784080) in RPMI-1640 (GIBCO) complemented with L-Alanyl-L-Glutamine (final: 2 mM, Gibco), FCS Superior (final: 10%, Sigma).
2500 GP2d cells were seeded in a HTRF 384-well low volume plate (Greiner bio-one #784080) in RPMI- 1640 (GIBCO) complemented with L-Alanyl-L-Glutamine (final: 2 mM, Gibco), FCS Superior (final: 10%, Sigma).
2500 HPAC cells were seeded in a HTRF 384-well low volume plate (Greiner bio-one #784080) in DMEM+F12 including 15 mM HEPES (GIBCO) complemented with L-Alanyl-L-Glutamine (final: 2 mM, Gibco), FCS Superior (final: 5%, Sigma), E2 (final: 10 nM), hEGF (final: 10 ng/ml, Invitrogen), Hydrocortisone (final: 40 ng/ml, Sigma), hlnsulin (final: 2 pg/ml, Sigma), Sodium pyruvate (final: 0.5 mM, Gibco), Transferrin (final: 5 pg/ml, Sigma).
20000 LK2 cells were seeded in a HTRF 384-well low volume plate (Greiner bio-one #784080) in RPMI- 1640 (GIBCO) complemented with L-Alanyl-L-Glutamine (final: 2 mM, Gibco), FCS Superior (final: 10%, Sigma).
2500 NCI-H441 cells were seeded in a HTRF 384-well low volume plate (Greiner bio-one #784080) in RPMI-1640 (GIBCO) complemented with L-Alanyl-L-Glutamine (final: 2 mM, Gibco), FCS Superior (final: 10%, Sigma).
2500 Pancl0.05 cells were seeded in a HTRF 384-well low volume plate (Greiner bio-one #784080) in RPMI-1640 (GIBCO) complemented with L-Alanyl-L-Glutamine (final: 2 mM, Gibco), FCS Superior (final: 10%, Sigma), hlnsulin (final: 10 units/ml).
After 24 h in a standard incubator (37°C, 5% CO2) cells were treated with varying concentrations of the different test compounds dissolved in DMSO (1% final DMSO concentration per well) using a HP- dispenser followed by incubation for 1.5 h (at 37°C 5% CO2). Subsequently, NCI-H441 were stimulated for 3 min with hEGF (final concentration 200 ng/ml), while the other cell lines were processed without stimulation. The following steps were performed for all cell lines as described in the supplier's manual (Cisbio one-plate assay protocol; https://www.cisbio.eu/) for the HTRF ADVANCED PHOSPHO- ERK1/2 (THR202/TYR204) DETECTION KITS (#64AERPEH) The content of pERK/ERK was measured with a PHERAstar (BMG Labtech) using the HTRF module. Calculation of the pERK/ERK Ratio was done as described in the assay protocol.
The resulting IC50 values for the test compounds reflect the inhibition of ERK phosphorylation compared to DMSO-treated control cells.The ratio of cells solely treated with 1% DMSO was set as 100% and the ratio of maximal pERK inhibition obtained with the internal control compound (Trametinib) was set as 0%.
Bidirectional Permeability in Caco-2 Cells
Caco-2 cells (purchased from the German Collection of Microorganisms and Cell Cultures (DSMZ), Braunschweig, Germany) were seeded at a density of 4.5 x 10e4 cells/well on 24-well insert plates, 0.4 pm pore size (Costar) and grown for 14-21 days in DMEM supplemented with 10% FCS, 1% GlutaMAX (100x, Gibco), 100 U/mL penicillin, 100 pg/mL streptomycin (Gibco), and 1% nonessential amino acids (100x, Thermo Fischer Scientific). Cells were maintained at 37 °C in a humidified 5% CO2 atmosphere. Medium was changed every 2-3 days. Before the assay was run, the culture medium was replaced by FCS-free transport buffer. For the assessment of monolayer integrity, the transepithelial electrical resistance (TEER) was measured. Test compounds were pre-dissolved in DMSO and added either to the apical or basolateral compartment at a final concentration of 2 or 30 pM. The organic solvent in the incubations was limited to <1% dimethylsulfoxide (DMSO). Before and after incubation for 2 h at 37 °C, samples were taken from both compartments and analyzed by LC-MS/MS detection after precipitation with MeOH. The apparent permeability coefficient (Papp) was calculated both for the apical to basolateral (A B) and the basolateral to apical (B A) direction using the following equation: Papp = (Vr/Po)(l/S)(P2/t), where Vr is the volume of medium in the receiver chamber, Po is the measured peak area of the test compound in the donor chamber at t = 0, S is the surface area of the monolayer, P2 is the measured peak area of the test compound in the acceptor chamber after incubation for 2 h, and t is the incubation time. The efflux ratio (ER) basolateral (B) to apical (A) was calculated by dividing Papp (B-A) by Papp (A-B). In addition, the compound recovery was calculated. As assay control, reference compounds were analyzed in parallel.
In Vitro Metabolic Stability in Rat Hepatocytes
Cryopreserved rat hepatocytes were thawed according to the suppliers information. Altemetively, hepatocytes from male Wistar rats were isolated via a two-step perfusion method. After perfusion, the liver was carefully removed from the rat, the liver capsule was opened, and the hepatocytes were gently shaken out into a Petri dish with ice-cold Williams’ medium E (WME). The resulting cell suspension was filtered through sterile gauze into 50 mL Falcon tubes and centrifuged at 50 x g for 3 min at rt. The cell
pellet was resuspended in 30 mL of WME and centrifuged through a Percoll gradient two times at 100 x g. The hepatocytes were washed again and resuspended with WME. Cell viability was determined by trypan blue exclusion. For the metabolic stability assay, cryopreserved or freshly isolated hepatocytes were distributed in WME to glass vials at a density of 1.0 x 10e6 vital cells/mL. The test compound was added to a final concentration of 1 pM. Organic solvent in the incubations was limited to <0.01% DMSO and <1% acetonitrile. During incubation, the hepatocyte suspensions were continuously shaken at 580 rpm and aliquots were taken at 2, 8, 16, 30, 45, and 90 min, to which an equal volume of cold acetonitrile was immediately added. Samples were frozen at -20 °C overnight, and subsequently centrifuged at 3000 rpm for 15 min. The supernatant was analyzed with an Agilent 1200 HPLC system with MS/MS detection. The half-life of a test compound was determined from the concentration-time plot. From the half-life, the intrinsic and the in vitro predicted blood clearances were calculated, as well as the hepatic extraction ratio with EH = CLb/LBF and Fmax as 1 - EH * 100%,. In combination with the standardized liver blood flow (LBF) and amount of liver cells in vivo and in vitro, the in vitro blood clearance (CLb, in vitro) was calculated according to the ‘well-stirred’ liver model. The following parameter values were used: liver blood flow: 4.2 L/h/kg, specific liver weight: 32 g/kg body weight; liver cells in vivo, 1.1 x 10e8 cells/g liver; liver cells in vitro, 1.0 x 10e6/mL.
In Vitro Metabolic Stability in Human Hepatocytes
Cryopreserved human hepatocytes were thawed according to the suppliers information. For the metabolic stability assay, cryopreserved hepatocytes were distributed in Williams’ medium E to glass vials at a density of 1.0 x 10e6 vital cells/mL. The test compound was added to a final concentration of 1 pM. Organic solvent in the incubations was limited to <0.01% DMSO and <1% acetonitrile. During incubation, the hepatocyte suspensions were continuously shaken at 580 rpm and aliquots were taken at 2, 8, 16, 30, 45, and 90 min, to which an equal volume of cold acetonitrile was immediately added. Samples were frozen at -20 °C overnight, and subsequently centrifuged at 3000 rpm for 15 min. The supernatant was analyzed with an Agilent 1200 HPLC system with MS/MS detection. The half-life of a test compound was determined from the concentration-time plot. From the half-life, the intrinsic and the in vitro predicted blood clearances were calculated, as well as the hepatic extraction ratio with EH = CLb/LBF and Fmax as 1 - EH * 100%. In combination with the standardized liver blood flow (LBF) and amount of liver cells in vivo and in vitro, the in vitro blood clearance (CLb, in vitro) was calculated according to the ‘well-stirred’ liver model. The following parameter values were used: liver blood flow: 1.32 L/h/kg, specific liver weight: 21 g/kg body weight; liver cells in vivo, 1.1 x 10e8 cells/g liver; liver cells in vitro, 1.0 x 10e6/mL.
In Vitro Metabolic Stability in Liver Microsomes
The in vitro metabolic stability of test compounds was determined by incubation at 1 pM in a suspension of liver microsomes in 100 mM phosphate buffer pH 7.4 (NaH2PO4 H2O + Na2HPO4 2H2O) and at a protein concentration of 0.5 mg/mL at 37 °C. The microsomes were activated by adding a cofactor mix containing 8 mM glucose-6-phosphate, 0.5 mM NADP, and 1 lU/mL glucose-6-phos“phate dehydro-
genase in phosphate buffer pH 7.4. The metabolic assay was started shortly afterwards by adding the test com-pound to the incubation at a final volume of 1 mb. During incubation, the microsomal suspensions were continuously shaken at 580 rpm and aliquots were taken at 2, 8, 16, 30, 45, and 60 min. Further handling and analysis as per the hepatocyte method described above.
In Vivo Pharmacokinetics in Rats
All animal experiments were conducted in accordance with the German Animal Welfare Law and were approved by local authorities. For in vivo pharmacokinetic experiments, test compounds were administered to male Wistar rats intravenously at doses of 0.1 to 0.5 mg/kg as solutions potentially using solubilizers such as PEG 400 in well-tolerated amounts. Concerning iv administration, test compounds were given as bolus injection. Blood samples were taken at various time points after dosing, including 2 min and 30 min timepoints. Blood was collected into K3-EDTA tubes and centrifuged at 1811 g for min. 5 min or at 14000 g for 1.5 min. An aliquot of 62.5 pL from the supernatant (plasma) was taken and precipitated by the addition of 250 pL of MeOH. Samples were frozen at -20 °C overnight and subsequently thawed and centrifuged at 3000 rpm, 4 °C for 15 min. Aliquots of the supernatants were analyzed by LC-MS/MS detection. Measured concentrations after 30 min were put into relation with those after 2 min and percent recovery after 30 min was calculated. MRTX1133 (J. Med. Chem. 2022, 65, 4, 3123-3133) was characterized in this assay for comparison.
Claims
Z represents -O- or C(=O);
R5 represents a hydrogen atom, a fluorine atom, -C=CH or -CH2-CH3;
R6 represents a hydrogen atom or a fluorine atom;
R7 represents a hydrogen atom or a fluorine atom; wherein * indicates the point of attachment of said group with the rest of the molecule, or a stereoisomer, a tautomer, an N-oxide, a hydrate, a solvate, or a salt of a stereoisomer, a salt of a tautomer, a salt of an N-oxide, or a mixture of same.
A compound of general formula (I) according to claim 1 in which:
Z represents -O- or C(=O);
R5 represents a hydrogen atom, a fluorine atom, -C=CH or -CH2-CH3;
R6 represents a hydrogen atom or a fluorine atom;
R7 represents a hydrogen atom or a fluorine atom; wherein * indicates the point of attachment of said group with the rest of the molecule, or a stereoisomer, a tautomer, an N-oxide, a hydrate, a solvate, or a salt of a stereoisomer, a salt of a tautomer, a salt of an N-oxide, or a mixture of same. 3. A compound of general formula (I) according to claim 1 or 2
in which:
Z represents -O- or C(=O)
R5 represents a hydrogen atom, a fluorine atom, -C=CH or -CH2-CH3;
R6 represents a hydrogen atom or a fluorine atom;
R7 represents a hydrogen atom or a fluorine atom; wherein * indicates the point of attachment of said group with the rest of the molecule, or a stereoisomer, a tautomer, an N-oxide, a hydrate, a solvate, or a salt of a stereoisomer, a salt of a tautomer, a salt of an N-oxide, or a mixture of same.
4. A compound of general formula (I) according to claim 1 or 2 in which:
Z represents -O- or C(=O);
R5 represents -C=CH;
R6 represents: a fluorine atom; wherein * indicates the point of attachment of said group with the rest of the molecule, or a stereoisomer, a tautomer, an N-oxide, a hydrate, a solvate, or a salt of a stereoisomer, a salt of a tautomer, a salt of an N-oxide, or a mixture of same.
5. A compound of general formula (I) according to claim 1, in which:
Z represents -O- or C(=O);
R5 represents a hydrogen atom, a fluorine atom, -C=CH or -CH2-CH3;
R6 represents a hydrogen atom or a fluorine atom; wherein * indicates the point of attachment of said group with the rest of the molecule, or a stereoisomer, a tautomer, an N-oxide, a hydrate, a solvate, or a salt of a stereoisomer, a salt of a tautomer, a salt of an N-oxide, or a mixture of same.
6. A compound of general formula (I) according to any of claims 1 to 5, in which:
R5 represents -C=CH3;
R6 represents a fluorine atom; wherein * indicates the point of attachment of said group with the rest of the molecule, or a stereoisomer, a tautomer, an N-oxide, a hydrate, a solvate, or a salt of a stereoisomer, a salt of a tautomer, a salt of an N-oxide, or a mixture of same.
7. A compound of formula (I) according to claim 1 which is selected from the group consisting of: Formic acid - 4-{[7-cyclobutyl-6-(3,8-diazabicyclo[3.2.1]octan-3-yl)-2-{[(2R,7aS)-2- fluorotetrahydro-lH-pyrrolizin-7a(5H)-yl]methoxy}-7H-purin-8-yl]oxy}-5-ethynyl-6-fluoro-2- naphthol (2/1),
Formic acid - 4-{[7-cyclobutyl-6-(3,8-diazabicyclo[3.2.1]octan-3-yl)-2-{[(2R,7aS)-2- fluorotetrahydro-lH-pyrrolizin-7a(5H)-yl]methoxy}-7H-purin-8-yl]oxy}-5-ethynyl-6-fluoro-2- naphthol,
Formic acid - 4-({7-cyclobutyl-6-(3,8-diazabicyclo[3.2.1]octan-3-yl)-2-[(tetrahydro-lH- pyrrolizin-7a(5H)-yl)methoxy]-7H-purin-8-yl}oxy)-5-ethynyl-6-fluoronaphthalen-2-ol, formic acid 4-({7-cyclobutyl-6-(3,8-diazabicyclo[3.2. l]octan-3-yl)-2-[(tetrahydro-lH- pyrrolizin-7a(5H)-yl)methoxy]-7H-purin-8-yl}oxy)-5-ethynyl-6-fluoronaphthalen-2-ol (2/1), Formic acid - 4-{[7-cyclobutyl-6-(3,8-diazabicyclo[3.2.1]octan-3-yl)-2-{[(2S)-l- methylpyrrolidin-2-yl]methoxy}-7H-purin-8-yl]oxy}-5-ethynyl-6-fluoronaphthalen-2-ol, 4-{[7-Cyclobutyl-6-(3,8-diazabicyclo[3.2.1]octan-3-yl)-2-{[(2S,4S)-4-fluoro-l- methylpyrrolidin-2-yl]methoxy}-7H-purin-8-yl]oxy}-5-ethynyl-6-fluoronaphthalen-2-ol, Formic acid - 4-{[7-cyclobutyl-6-(3,8-diazabicyclo[3.2.1]octan-3-yl)-2-{[(2S,4R)-4-fluoro-l- methylpyrrolidin-2-yl]methoxy}-7H-purin-8-yl]oxy}-5-ethynyl-6-fluoronaphthalen-2-ol, Formic acid - (5S)-5-[({7-cyclobutyl-6-(3,8-diazabicyclo[3.2.1]octan-3-yl)-8-[(8-ethynyl-7- fluoro-3 -hydroxynaphthalen- 1 -yl)oxy] -7H-purin-2-yl } oxy)methyl] - 1 -methylpyrrolidin-2-one, Formic acid - 4-{[7-cyclobutyl-6-(3,8-diazabicyclo[3.2.1]octan-3-yl)-2-{[(2S)-pyrrolidin-2- yl]methoxy}-7H-purin-8-yl]oxy}-5-ethynyl-6-fluoronaphthalen-2-ol,
Formic acid - 4-{[7-cyclobutyl-6-(3,8-diazabicyclo[3.2.1]octan-3-yl)-2-{[(2S)-4,4-difluoro-l- methylpyrrolidin-2-yl]methoxy}-7H-purin-8-yl]oxy}-5-ethynyl-6-fluoronaphthalen-2-ol,
3-[({7-Cyclobutyl-6-(3,8-diazabicyclo[3.2.1]octan-3-yl)-8-[(8-ethynyl-7-fluoro-3- hydroxynaphthalen- 1 -yl)oxy] -7H-purin-2-yl } oxy)methyl] - 1 -methylpyrrolidine-3 -carbonitrile (Racemate),
4-({7-Cyclobutyl-6-(3,8-diazabicyclo[3.2.1]octan-3-yl)-2-[2-(l-methyl-lH-imidazol-2- yl)ethoxy] -7H-purin-8-yl } oxy)-5 -ethynyl-6-fluoronaphthalen-2-ol,
4-[(7-Cyclobutyl-2-{[(2R,7aS)-2-fluorotetrahydro-lH-pyrrolizin-7a(5H)-yl]methoxy}-6- [(1R,5R,6S or lS,5S,6R)-6-methoxy-3,8-diazabicyclo[3.2.1]octan-3-yl]-7H-purin-8-yl)oxy]-5- ethynyl-6-fluoro-2 -naphthol - formic acid,
4-[(7-Cyclobutyl-2-{[(2R,7aS)-2-fluorotetrahydro-lH-pyrrolizin-7a(5H)-yl]methoxy}-6- [(1S,5S,6R or lR,5R,6S)-6-methoxy-3,8-diazabicyclo[3.2.1]octan-3-yl]-7H-purin-8-yl)oxy]-5- ethynyl-6-fluoro-2 -naphthol - formic acid,
4-[(7-Cyclobutyl-2-{[(2R,7aS)-2-fluorotetrahydro-lH-pyrrolizin-7a(5H)-yl]methoxy}-6-
[(1 S,5S,6S or lR,5R,6R)-6-methoxy-3,8-diazabicyclo[3.2.1]octan-3-yl]-7H-purin-8-yl)oxy]-5- ethynyl-6-fluoro-2 -naphthol - formic acid,
4-[(7-Cyclobutyl-2-{[(2R,7aS)-2-fluorotetrahydro-lH-pyrrolizin-7a(5H)-yl]methoxy}-6- [(1R,5R,6R or lS,5S,6S)-6-methoxy-3,8-diazabicyclo[3.2.1]octan-3-yl]-7H-purin-8-yl)oxy]-5- ethynyl-6-fluoro-2 -naphthol - formic acid,
8-[7-Cyclobutyl-8-[(8-ethynyl-7-fhioro-3-hydroxy-l-naphthyl)oxy]-2-[[(2R,8S)-2-fluoro- l,2,3,5,6,7-hexahydropyrrolizin-8-yl]methoxy]purin-6-yl]-l,8-diazaspiro[3.5]nonan-2-one: formic acid,
(4R or S)-6-(7-Cyclobutyl-8-[(8-ethynyl-7-fluoro-3-hydroxynaphthalen-l-yl)oxy]-2-{[(2R,7aS)- 2 -fluorotetrahydro- lH-pyrrolizin-7a(5H)-yl]methoxy } -7H-purin-6-yl)- 1,6- diazaspiro[3 ,5]nonan-2-one,
(4S or R)-6-(7-Cyclobutyl-8-[(8-ethynyl-7-fluoro-3-hydroxynaphthalen-l-yl)oxy]-2-{[(2R,7aS)- 2 -fluorotetrahydro- lH-pyrrolizin-7a(5H)-yl]methoxy } -7H-purin-6-yl)- 1,6- diazaspiro[3 ,5]nonan-2-one, cis or trans-6-[7-Cyclobutyl-8-[(8-ethynyl-7-fluoro-3-hydroxy-l-naphthyl)oxy]-2-[[(2R,8S)-2- fluoro-l,2,3,5,6,7-hexahydropyrrolizin-8-yl]methoxy]purin-6-yl]-6-azaspiro[3.5]nonan-2-ol trans or cis-6-[7-Cyclobutyl-8-[(8-ethynyl-7-fluoro-3-hydroxy-l-naphthyl)oxy]-2-[[(2R,8S)-2- fluoro-l,2,3,5,6,7-hexahydropyrrolizin-8-yl]methoxy]purin-6-yl]-6-azaspiro[3.5]nonan-2-ol,
Formic acid - 4-{[7-cyclobutyl-2-{[(2R,7aS)-2-fluorotetrahydro-lH-pyrrolizin-7a(5H)- yl]methoxy}-6-(3-oxa-7,9-diazabicyclo[3.3.1]nonan-7-yl)-7H-purin-8-yl]oxy}-5-ethynyl-6- fluoronaphthalen-2-ol,
Formic acid - (3R)-l-(7-cyclobutyl-8-[(8-ethynyl-7-fluoro-3-hydroxynaphthalen-l-yl)oxy]-2- {[(2R,7aS)-2-fhrorotetrahydro-lH-pyrrolizin-7a(5H)-yl]methoxy}-7H-purin-6-yl)-3- methylpiperidin-3 -ol,
4-{[6-(Azepan-l-yl)-7-cyclobutyl-2-{[(2R,7aS)-2-fluorotetrahydro-lH-pyrrolizin-7a(5H)- yl]methoxy}-7H-purin-8-yl]oxy}-5-ethynyl-6-fluoro-2 -naphthol,
4-{[7-Cyclobutyl-6-({[l-(dimethylamino)cyclobutyl]methyl}amino)-2-{[(2R,7aS)-2- fluorotetrahydro-lH-pyrrolizin-7a(5H)-yl]methoxy}-7H-purin-8-yl]oxy}-5-ethynyl-6-fluoro-2- naphthol,
4-[7-Cyclobutyl-8-[(8-ethynyl-7-fluoro-3-hydroxy-l-naphthyl)oxy]-2-[[(2R,8S)-2-fluoro- l,2,3,5,6,7-hexahydropyrrolizin-8-yl]methoxy]purin-6-yl]-l,4-oxazepan-6-ol: formic acid,
(6R or S)-4-(7-cyclobutyl-8-[(8-ethynyl-7-fluoro-3-hydroxy-l-naphthyl)oxy]-2-{[(2R,7aS)-2- fluorotetrahydro- lH-pyrrolizin-7a(5H)-yl]methoxy } -7H-purin-6-yl)-6-methyl- 1 ,4-oxazepan-6- ol,
4-(7-Cyclobutyl-8-[(8-ethynyl-7-fluoro-3-hydroxy-l-naphthyl)oxy]-2-{[(2R,7aS)-2- fluorotetrahydro- lH-pyrrolizin-7a(5H)-yl]methoxy } -7H-purin-6-yl)- 1 ,4-oxazepan-6-one,
4-[(7-Cyclobutyl-2-{[(2R,7aS)-2-fluorotetrahydro-lH-pyrrolizin-7a(5H)-yl]methoxy}-6-[8- methyl-3 , 8 -diazabicyclo [3.2.1 ]octan-3 -yl] -7H-purin-8-yl)oxy] -5 -ethynyl-6-fluoronaphthalen-2- ol,
[7-Cyclobutyl-6-(3,8-diazabicyclo[3.2.1]octan-3-yl)-2-[[(2R,8S)-2-fluoro-l,2,3,5,6,7- hexahydropyrrolizin-8-yl]methoxy]purin-8-yl]-(8-ethynyl-7-fluoro-3-hydroxy-l- naphthyl)methanone ,
(7-cyclobutyl-2-{[(2R,7aS)-2-fhiorotetrahydro-lH-pyrrolizin-7a(5H)-yl]methoxy}-6-[(3R)-3- hydroxy-3 -methylpiperidin- 1 -yl] -7H-purin-8-yl)(8-ethynyl-7 -fluoro-3 -hydroxynaphthalen- 1 - yl)methanone,
[6-(3,8-Diazabicyclo[3.2.1]octan-3-yl)-2-[[(2R,8S)-2-fluoro-l,2,3,5,6,7-hexahydropyrrolizin-8- yl]methoxy] -7 -tetrahydrofuran-3 -yl -purin-8 -yl] -(8-ethynyl-7 -fluoro-3 -hydroxy- 1 - naphthyl)methanone (mixture of 2 isomers), formic acid - [6-(3,8-diazabicyclo[3.2.1]octan-3-yl)-2-{[(2R,7aS)-2-fluorotetrahydro-lH- pyrrolizin-7a(5H)-yl]methoxy}-7-(cis or trans-3-methoxycyclobutyl)-7H-purin-8-yl](8-ethynyl- 7 -fluoro-3 -hydroxy- 1 -naphthyl)methanone (2/ 1 ) , formic acid - [6-(3,8-diazabicyclo[3.2.1]octan-3-yl)-2-{[(2R,7aS)-2-fluorotetrahydro-lH- pyrrolizin-7a(5H)-yl]methoxy}-7-(trans or cis-3-methoxycyclobutyl)-7H-purin-8-yl](8-ethynyl- 7 -fluoro-3 -hydroxy- 1 -naphthyl)methanone (2/ 1 ) ,
Formic acid - (8-ethynyl-7-fhioro-3-hydroxy-l-naphthyl)[2-{[(2R,7aS)-2-fluorotetrahydro-lH- pyrrolizin-7a(5H)-yl]methoxy}-6-[(3R)-3-hydroxy-3-methylpiperidin-l-yl]-7-(cis or trans-3- methoxycyclobutyl)-7H-purin-8-yl]methanone (1/1),
(8-Ethynyl-7-fluoro-3-hydroxy-l-naphthyl)[2-{[(2R,7aS)-2-fluorotetrahydro-lH-pyrrolizin- 7a(5H)-yl]methoxy}-6-[(3R)-3-hydroxy-3-methylpiperidin-l-yl]-7-(trans or cis-3- methoxy cyclobutyl) -7H-purin-8 -yl] methanone ,
[6-(3,8-Diazabicyclo[3.2.1]octan-3-yl)-2-[[(2R,8S)-2-fluoro-l,2,3,5,6,7-hexahydropyrrolizin-8- yl]methoxy]-7-isopropyl-purin-8-yl]-(8-ethynyl-7-fluoro-3-hydroxy-l- naphthyl)methanone: formic acid,
[7-Cyclopropyl-6-(3,8-diazabicyclo[3.2.1]octan-3-yl)-2-[[(2R,8S)-2-fluoro-l,2,3,5,6,7- hexahydropyrrolizin-8-yl]methoxy]purin-8-yl]-(8-ethynyl-7-fluoro-3-hydroxy-l- naphthyl)methanone: formic acid (1:2),
7-Cyclobutyl-2-{[(2R,7aS)-2-fluorotetrahydro-lH-pyrrolizin-7a(5H)-yl]methoxy}-6-[(3R)-3- hydroxy-3 -methylpiperidin- 1 -yl] -7H-purin-8-yl(8-ethynyl-7 -fluoro-3 -hydroxynaphthalen- 1 - yl)methanone / formic acid (1/1),
{7-Cyclobutyl-6-[(3R)-3-hydroxy-3-methylpiperidin-l-yl]-2-[(tetrahydro-lH-pyrrolizin-7a(5H)- yl)methoxy]-7H-purin-8-yl}(8-ethynyl-7-fluoro-3-hydroxynaphthalen-l-yl)methanone / formic acid (1/1),
(7-Cyclobutyl-6-[(3R)-3-hydroxy-3-methylpiperidin-l-yl]-2-{[(2S)-pyrrolidin-2-yl]methoxy}- 7H-purin-8-yl)(8-ethynyl-7-fluoro-3-hydroxynaphthalen-l-yl)methanone / formic acid (1/1),
7-Cyclobutyl-6-[(3R)-3-hydroxy-3-methylpiperidin-l-yl]-2-{[(2S)-l-methylpyrrolidin-2- yl]methoxy}-7H-purin-8-yl)(8-ethynyl-7-fluoro-3-hydroxynaphthalen-l-yl)methanone / formic acid (1/1),
7-Cyclobutyl-2-{[(2S,4R)-4-fluoro-l-methylpyrrolidin-2-yl]methoxy}-6-[(3R)-3-hydroxy-3- methylpiperidin-l-yl]-7H-purin-8-yl)(8-ethynyl-7-fluoro-3-hydroxynaphthalen-l-yl)methanone / formic acid (1/1),
(5S)-5-[({7-Cyclobutyl-8-(8-ethynyl-7-fluoro-3-hydroxynaphthalene-l-carbonyl)-6-[(3R)-3- hydroxy-3 -methylpiperidin- 1 -yl] -7H-purin-2-yl }oxy)methyl] - 1 -methylpyrrolidin-2-one / formic acid (1/1),
[7-Cyclobutyl-2-{[(2R,7aS)-2-fluorotetrahydro-lH-pyrrolizin-7a(5H)-yl]methoxy}-6-(l,4- oxazepan-4-yl)-7H-purin-8-yl](8-ethynyl-7-fluoro-3-hydroxynaphthalen-l-yl)methanone,
{7-Cyclobutyl-6-( 1 ,4-oxazepan-4-yl)-2-[(tetrahydro- lH-pyrrolizin-7a(5H)-yl)methoxy]-7H- purin-8-yl}(8-ethynyl-7-fluoro-3-hydroxynaphthalen-l-yl)methanone,
(7-Cyclobutyl-6-[3,8-diazabicyclo[3.2.1]octan-3-yl]-2-{[(2S)-pyrrolidin-2-yl]methoxy}-7H- purin-8-yl)(8-ethynyl-7-fluoro-3-hydroxynaphthalen-l-yl)methanone - formic acid (1: 1),
[7-Cyclobutyl-2-{[(2R,7aS)-2-fluorotetrahydro-lH-pyrrolizin-7a(5H)-yl]methoxy}-6-(3-oxa- 7,9-diazabicyclo [3.3.1 ]nonan-7-yl)-7H-purin-8-yl] (8 -ethynyl-7-fluoro-3 -hydroxynaphthalen- 1 - yl)methanone / formic acid (1/1),
(7-Cyclobutyl-2-{[(2R,7aS)-2-fluorotetrahydro-lH-pyrrolizin-7a(5H)-yl]methoxy}-6- [(1R,5R,6R) or (lS,5S,6S)]-6-methoxy-3,8-diazabicyclo[3.2.1]octan-3-yl]-7H-purin-8-yl)(8- ethynyl-7-fluoro-3-hydroxynaphthalen-l-yl)methanone / formic acid (1/1),
7-Cyclobutyl-2-{[(2S)-4,4-difluoro-l-methylpyrrolidin-2-yl]methoxy}-6-[((lR,5R,6R) or (lS,5S,6S))-6-methoxy-3,8-diazabicyclo[3.2.1]octan-3-yl]-7H-purin-8-yl(8-ethynyl-7-fluoro-3- hydroxynaphthalen-l-yl)methanone formic acid (1/1),
(5S)-5-[({7-Cyclobutyl-8-(8-ethynyl-7-fluoro-3-hydroxynaphthalene-l-carbonyl)-6- [[(1R,5R,6R) or (lS,5S,6S)]-6-methoxy-3,8-diazabicyclo[3.2.1]octan-3-yl]-7H-purin-2- yl}oxy)methyl]-l-methylpyrrolidin-2-one / formic acid (1:1),
5-[7-Cyclobutyl-8-(8-ethynyl-7-fluoro-3-hydroxynaphthalene-l-carbonyl)-2-{[(2R,7aS)-2- fluorotetrahydro-lH-pyrrolizin-7a(5H)-yl]methoxy}-7H-purin-6-yl]-N,N-dimethyl-5,6,7,8- tetrahydro-4H-pyrazolo[l,5-a][l,4]diazepine-2 -carboxamide, l-[7-Cyclobutyl-8-(8-ethynyl-7-fluoro-3-hydroxynaphthalene-l-carbonyl)-2-{[(2R,7aS)-2- fluorotetrahydro-lH-pyrrolizin-7a(5H)-yl]methoxy}-7H-purin-6-yl]-2-methylpiperidine-4- carbonitrile (mixture of the two cis-diastereomers regarding the piperidine substitution),
(7-Cyclobutyl-6-[(lR,5S)-3,6-diazabicyclo[3.1.1]heptan-3-yl]-2-{[(2R,7aS)-2-fluorotetrahydro- lH-pyrrolizin-7a(5H)-yl]methoxy}-7H-purin-8-yl)(8-ethynyl-7-fluoro-3-hydroxynaphthalen-l- yl)methanone,
(3R)-l-(7-Cyclobutyl-2-{[(2S)-4,4-difhioro-l-methylpyrrolidin-2-yl]methoxy}-8-[(8-ethynyl-7- fluoro-3 -hydroxy- l-naphthyl)oxy |-7//-purin -6-yl )-3 -methyl pi pcridin-3-ol (single stereoisomer), (3R)-l-{7-Cyclobutyl-8-[(8-ethynyl-7-fluoro-3-hydroxy-l-naphthyl)oxy]-2-[(2S)-pyrrolidin-2- ylmethoxy] -7H-purin-6-yl} -3 -methylpiperidin-3 -ol hydrochloride,
(3R)-l-{8-[(8-Ethynyl-7-fluoro-3-hydroxynaphthalen-l-yl)oxy]-2-{[(2R,7aS)-2- fluorotetrahydro-lH-pyrrolizin-7a(5H)-yl]methoxy}-7-(3-methoxycyclobutyl)-7H-purin-6-yl}-
3 -methylpiperidin-3 -ol,
(3R)-l-{8-[(8-Ethynyl-7-fluoro-3-hydroxynaphthalen-l-yl)oxy]-2-{[(2R,7aS)-2- fluorotetrahydro-lH-pyrrolizin-7a(5H)-yl]methoxy}-7-(3-methoxycyclobutyl)-7H-purin-6-yl}-
3 -methylpiperidin-3 -ol,
4-{[6-(3,8-Diazabicyclo[3.2.1]octan-3-yl)-2-{[(2R,7aS)-2-fluorotetrahydro-lH-pyrrolizin- 7a(5H)-yl]methoxy}-7-(oxan-4-yl)-7H-purin-8-yl]oxy}-5-ethynyl-6-fluoronaphthalen-2-ol, 4-{[6-(3,8-Diazabicyclo[3.2.1]octan-3-yl)-2-{[(2R,7aS)-2-fluorotetrahydro-lH-pyrrolizin- 7a(5H)-yl]methoxy}-7-(3-methoxycyclobutyl)-7H-purin-8-yl]oxy}-5-ethynyl-6- fluoronaphthalen-2-ol - formic acid (1: 2) (cis-diastereomers 1 regarding cyclobutyl),
4-{[6-(3,8-Diazabicyclo[3.2.1]octan-3-yl)-2-{[(2R,7aS)-2-fluorotetrahydro-lH-pyrrolizin- 7a(5H)-yl]methoxy}-7-(3-methoxycyclobutyl)-7H-purin-8-yl]oxy}-5-ethynyl-6- fluoronaphthalen-2-ol - formic acid (1: 2) (cis-diastereomers 2 regarding cyclobutyl),
4-({6-(3,8-Diazabicyclo[3.2.1]octan-3-yl)-2-{[(2R,7aS)-2-fluorotetrahydro-lH-pyrrolizin- 7a(5H)-yl]methoxy}-7-[oxan-3-yl]-7H-purin-8-yl}oxy)-5-ethynyl-6-fluoronaphthalen-2-ol - formic acid (1: 1) (two enantiopure diastereomers),
4-[7-Cyclobutyl-6-(3,8-diazabicyclo[3.2.1]octan-3-yl)-2-[[(2R,8S)-2-fluoro-l,2,3,5,6,7- hexahydropyrrolizin-8-yl]methoxy]purin-8-yl]oxy-5-ethyl-6-fluoro-naphthalen-2-ol, 4-[7-Cyclobutyl-6-(3,8-diazabicyclo[3.2.1]octan-3-yl)-2-[[(2R,8S)-2-fluoro-l,2,3,5,6,7- hexahydropyrrolizin-8-yl]methoxy]purin-8-yl]oxy-l,3-benzothiazol-2-amine:formic acid (1: 1),
4-[7-Cyclobutyl-6-(3,8-diazabicyclo[3.2.1]octan-3-yl)-2-[[(2R,8S)-2-fluoro-l,2,3,5,6,7- hexahydropyrrolizin-8-yl]methoxy]purin-8-yl]oxy-7-fluoro-l,3-benzothiazol-2 -amine: formic acid (1:2),
4-[7-Cyclobutyl-6-[(lS,5R)-3,8-diazabicyclo[3.2.1]octan-3-yl]-2-[[(2R,8S)-2-fluoro-l,2,3,5,6,7- hexahydropyrrolizin-8-yl]methoxy]purin-8-yl]oxy-l,3-benzothiazol-2 -amine,
2-Amino-4-[7-cyclobutyl-6-(3,8-diazabicyclo[3.2.1]octan-3-yl)-2-[[(2R,8S)-2 -fluoro- l,2,3,5,6,7-hexahydropyrrolizin-8-yl]methoxy]purin-8-yl]oxy-benzothiophene-3- carbonitrile: formic acid, and
[6-Amino-4-methyl-3-(trifluoromethyl)pyridin-2-yl](7-cyclobutyl-6-[3,8- diazabicyclo[3.2.1]octan-3-yl]-2-{[(2R,7aS)-2-fluorotetrahydro-lH-pyrrolizin-7a(5H)- yl]methoxy } -7H-purin- 8 -yl)methanone , or a stereoisomer, a tautomer, an N-oxide, a hydrate, a solvate, or a salt of a stereoisomer, a salt of a tautomer, a salt of an N-oxide, or a mixture of same.
8. A compound of formula (I) according to claim 1 which is selected from the group consisting of:
Formic acid - 4-{[7-cyclobutyl-6-(3,8-diazabicyclo[3.2.1]octan-3-yl)-2-{[(2R,7aS)-2- fluorotetrahydro-lH-pyrrolizin-7a(5H)-yl]methoxy}-7H-purin-8-yl]oxy}-5-ethynyl-6-fluoro-2- naphthol (2/1),
Formic acid - 4-{[7-cyclobutyl-6-(3,8-diazabicyclo[3.2.1]octan-3-yl)-2-{[(2R,7aS)-2- fluorotetrahydro-lH-pyrrolizin-7a(5H)-yl]methoxy}-7H-purin-8-yl]oxy}-5-ethynyl-6-fluoro-2- naphthol,
Formic acid - 4-({7-cyclobutyl-6-(3,8-diazabicyclo[3.2.1]octan-3-yl)-2-[(tetrahydro-lH- pyrrolizin-7a(5H)-yl)methoxy]-7H-purin-8-yl}oxy)-5-ethynyl-6-fluoronaphthalen-2-ol,
Formic acid 4-({7-cyclobutyl-6-(3,8-diazabicyclo[3.2. l]octan-3-yl)-2-[(tetrahydro-lH- pyrrolizin-7a(5H)-yl)methoxy]-7H-purin-8-yl}oxy)-5-ethynyl-6-fluoronaphthalen-2-ol (2/1),
Formic acid - 4-{[7-cyclobutyl-6-(3,8-diazabicyclo[3.2.1]octan-3-yl)-2-{[(2S)-l- methylpyrrolidin-2-yl]methoxy}-7H-purin-8-yl]oxy}-5-ethynyl-6-fluoronaphthalen-2-ol,
Formic acid - 4-{[7-cyclobutyl-6-(3,8-diazabicyclo[3.2.1]octan-3-yl)-2-{[(2S,4R)-4-fluoro-l- methylpyrrolidin-2-yl]methoxy}-7H-purin-8-yl]oxy}-5-ethynyl-6-fluoronaphthalen-2-ol,
Formic acid - 4-{[7-cyclobutyl-6-(3,8-diazabicyclo[3.2.1]octan-3-yl)-2-{[(2S)-pyrrolidin-2- yl]methoxy}-7H-purin-8-yl]oxy}-5-ethynyl-6-fluoronaphthalen-2-ol,
3-[({7-Cyclobutyl-6-(3,8-diazabicyclo[3.2.1]octan-3-yl)-8-[(8-ethynyl-7-fluoro-3- hydroxynaphthalen- 1 -yl)oxy] -7H-purin-2-yl } oxy)methyl] - 1 -methylpyrrolidine-3 -carbonitrile (Racemate),
4-[(7-Cyclobutyl-2-{[(2R,7aS)-2-fluorotetrahydro-lH-pyrrolizin-7a(5H)-yl]methoxy}-6-
[(1 S,5S,6S or lR,5R,6R)-6-methoxy-3,8-diazabicyclo[3.2.1]octan-3-yl]-7H-purin-8-yl)oxy]-5- ethynyl-6-fluoro-2 -naphthol - formic acid, 8-[7-Cyclobutyl-8-[(8-ethynyl-7-fhioro-3-hydroxy-l-naphthyl)oxy]-2-[[(2R,8S)-2-fluoro- l,2,3,5,6,7-hexahydropyrrolizin-8-yl]methoxy]purin-6-yl]-l,8-diazaspiro[3.5]nonan-2-one: formic acid,
(4S or R)-6-(7-Cyclobutyl-8-[(8-ethynyl-7-fluoro-3-hydroxynaphthalen-l-yl)oxy]-2-{[(2R,7aS)- 2 -fluorotetrahydro- lH-pyrrolizin-7a(5H)-yl]methoxy } -7H-purin-6-yl)- 1,6- diazaspiro[3 ,5]nonan-2-one, [7-Cyclobutyl-6-(3,8-diazabicyclo[3.2.1]octan-3-yl)-2-[[(2R,8S)-2-fluoro-l,2,3,5,6,7- hexahydropyrrolizin-8-yl]methoxy]purin-8-yl]-(8-ethynyl-7-fluoro-3-hydroxy-l- naphthyl)methanone , (7-cyclobutyl-2-{[(2R,7aS)-2-fhiorotetrahydro-lH-pyrrolizin-7a(5H)-yl]methoxy}-6-[(3R)-3- hydroxy-3 -methylpiperidin- 1 -yl] -7H-purin-8-yl)(8-ethynyl-7 -fluoro-3 -hydroxynaphthalen- 1 - yl)methanone, [6-(3,8-Diazabicyclo[3.2.1]octan-3-yl)-2-[[(2R,8S)-2-fluoro-l,2,3,5,6,7-hexahydropyrrolizin-8- yl]methoxy] -7 -tetrahydrofuran-3 -yl -purin-8 -yl] -(8-ethynyl-7 -fluoro-3 -hydroxy- 1 - naphthyl)methanone (mixture of 2 isomers),
Formic acid - [6-(3,8-diazabicyclo[3.2.1]octan-3-yl)-2-{[(2R,7aS)-2-fluorotetrahydro-lH- pyrrolizin-7a(5H)-yl]methoxy}-7-(cis or trans-3-methoxycyclobutyl)-7H-purin-8-yl](8-ethynyl- 7 -fluoro-3 -hydroxy- 1 -naphthyl)methanone (2/ 1 ) , [6-(3,8-Diazabicyclo[3.2.1]octan-3-yl)-2-[[(2R,8S)-2-fluoro-l,2,3,5,6,7-hexahydropyrrolizin-8- yl]methoxy] -7-isopropyl-purin-8-yl] -(8-ethynyl-7-fluoro-3 -hydroxy- 1 - naphthyl)methanone: formic acid, {7-Cyclobutyl-6-[(3R)-3-hydroxy-3-methylpiperidin-l-yl]-2-[(tetrahydro-lH-pyrrolizin-7a(5H)- yl)methoxy]-7H-purin-8-yl}(8-ethynyl-7-fluoro-3-hydroxynaphthalen-l-yl)methanone / formic acid (1/1),
(7-Cyclobutyl-6-[3,8-diazabicyclo[3.2.1]octan-3-yl]-2-{[(2S)-pyrrolidin-2-yl]methoxy}-7H- purin-8-yl)(8-ethynyl-7-fluoro-3-hydroxynaphthalen-l-yl)methanone - formic acid (1: 1), (7-Cyclobutyl-2-{[(2R,7aS)-2-fluorotetrahydro-lH-pyrrolizin-7a(5H)-yl]methoxy}-6- [(1R,5R,6R) or (lS,5S,6S)]-6-methoxy-3,8-diazabicyclo[3.2.1]octan-3-yl]-7H-purin-8-yl)(8- ethynyl-7-fluoro-3-hydroxynaphthalen-l-yl)methanone / formic acid (1/1), 5-[7-Cyclobutyl-8-(8-ethynyl-7-fluoro-3-hydroxynaphthalene-l-carbonyl)-2-{[(2R,7aS)-2- fluorotetrahydro-lH-pyrrolizin-7a(5H)-yl]methoxy}-7H-purin-6-yl]-N,N-dimethyl-5,6,7,8- tetrahydro-4H-pyrazolo[l,5-a][l,4]diazepine-2 -carboxamide, l-[7-Cyclobutyl-8-(8-ethynyl-7-fluoro-3-hydroxynaphthalene-l-carbonyl)-2-{[(2R,7aS)-2- fluorotetrahydro-lH-pyrrolizin-7a(5H)-yl]methoxy}-7H-purin-6-yl]-2-methylpiperidine-4- carbonitrile (mixture of the two cis-diastereomers regarding the piperidine substitution), (7-Cyclobutyl-6-[(lR,5S)-3,6-diazabicyclo[3.1.1]heptan-3-yl]-2-{[(2R,7aS)-2-fluorotetrahydro- lH-pyrrolizin-7a(5H)-yl]methoxy}-7H-purin-8-yl)(8-ethynyl-7-fluoro-3-hydroxynaphthalen-l- yl)methanone, 4-{[6-(3,8-Diazabicyclo[3.2.1]octan-3-yl)-2-{[(2R,7aS)-2-fluorotetrahydro-lH-pyrrolizin- 7a(5H)-yl]methoxy}-7-(oxan-4-yl)-7H-purin-8-yl]oxy}-5-ethynyl-6-fluoronaphthalen-2-ol, 4-{[6-(3,8-Diazabicyclo[3.2.1]octan-3-yl)-2-{[(2R,7aS)-2-fluorotetrahydro-lH-pyrrolizin- 7a(5H)-yl]methoxy}-7-(3-methoxycyclobutyl)-7H-purin-8-yl]oxy}-5-ethynyl-6- fluoronaphthalen-2-ol - formic acid (1: 2) (cis-diastereomers 1 regarding cyclobutyl), 4-{[6-(3,8-Diazabicyclo[3.2.1]octan-3-yl)-2-{[(2R,7aS)-2-fluorotetrahydro-lH-pyrrolizin- 7a(5H)-yl]methoxy}-7-(3-methoxycyclobutyl)-7H-purin-8-yl]oxy}-5-ethynyl-6- fluoronaphthalen-2-ol - formic acid (1: 2) (cis-diastereomers 2 regarding cyclobutyl), and 4-({6-(3,8-Diazabicyclo[3.2.1]octan-3-yl)-2-{[(2R,7aS)-2-fluorotetrahydro-lH-pyrrolizin- 7a(5H)-yl]methoxy } -7- [oxan-3 -yl] -7H-purin-8-yl } oxy)-5 -ethynyl-6-fluoronaphthalen-2-ol formic acid (1: 1) (two enantiopure diastereomers), or a stereoisomer, a tautomer, an N-oxide, a hydrate, a solvate, or a salt of a stereoisomer, a salt of a tautomer, a salt of an N-oxide, or a mixture of same.
9. A compound of general formula (I) according to any of claims 1 to 8 for use in the treatment or prophylaxis of a disease.
10. A compound of general formula (I) according to any of claims 1 to 8 for use in the treatment or prophylaxis of a disease according to claim 9, wherein the disease is a neoplastic disorder, or conditions with dysregulated immune responses or other disorders associated with aberrant KRAS.
11. A compound of general formula (I) according to any of claims 1 to 8 for use in the treatment or prophylaxis of a disease according to claim 9 or 10, wherein the disease is a neoplastic disorder.
12. A compound of general formula (I) according to any of claims 1 to 8 for use in the treatment or prophylaxis of a disease according to any of claims 9 to 11, wherein the neoplastic disorder is a cancer disease.
13. A compound of general formula (I) according to any of claims 1 to 8 for use in the treatment or prophylaxis of a disease according to any of claims 9 to 12, wherein the cancer disease is selected from colorectal cancer, gastric cancer, lung cancer, and pancreatic cancer.
14. Method for controlling a neoplastic disease comprising administering an anti -neoplastic effective amount of at least one compound as defined in one of claims 1 to 8 to a human or animal in need thereof.
15. A pharmaceutical composition comprising a compound of general formula (I) according to any of claims 1 to 8 and one or more pharmaceutically acceptable excipients.
16. A pharmaceutical combination comprising: one or more first active ingredients, selected from the group of compounds of general formula
(I) according to any one of claims 1 to 8, and one or more further active ingredients.
17. A method of preparing a compound of general formula (I), according to any of claims 1 to 8, said method comprising
EITHER a) for compounds with Z= an oxygen atom (-O-), allowing an intermediate compound of general formula (II)
in which
is selected from
5
, and wherein * indicates the point of attachment of said group with the rest of the molecule, or a stereoisomer, a tautomer, an N-oxide, a hydrate, a solvate, or a salt of a stereoisomer, a salt of a tautomer, a salt of an N-oxide, or a mixture of same and X4 is a hydrogen atom; which is optionally protected at R1 and/or R2 indicated by the dotted line to “PG-” and PG is independently selected from a SiR12R12R13 group, a benzyl group, a methoxymethyl group, and a tert.-butoxycarbonyl group;
R12 and R13 are identical or different and are independently selected from a C1-C6- alkyl group and a phenyl group; after undergoing a bromination reaction with a suitable bromination reagent, leading to X4=bromine; to react with a compound of general formula (XXX)
in which
R4 is 5-ethynyl-6-fluoro-2 -naphthol, a 5-ethyl-6-fluoro-2-naphthol, a fluorinated or non-fluorinated l,3-benzothiazol-2-amine or a 2 -amino- 1 -benzothiophene-3 - carbonitrile; and
R12 and R13 are identical or different and are independently selected from a C1-C6- alkyl group and a phenyl group;
PG is independently selected from a SiR12R12R13 group, a benzyl group, a methoxymethyl group, and a para-methoxybenzyl group; introducing the R4 substituent under strong basic conditions optionally protected by replacing the bromine atom, leading after suitable deprotection reaction to a compound of formula (I)
Rl, R2 and R3 have the meanings as defined above, and
X4 is a hydrogen atom; which is optionally protected at Rl and/or R2 indicated by the dotted line to “PG” and
PG is independently selected from a SiR12R12R13 group, a benzyl group, a methoxymethyl group, and a tert.-butoxycarbonyl group;
R12 and R13 are identical or different and are independently selected from a C1-C6- alkyl group and a phenyl group; to react under strong basic conditions in an aprotic solvent and temperatures between -40° to 0°C with an aldehyde of general formula (XXVI)
in which R12, R13 and PG have the meanings as defined above to obtain after deprotection and oxidation of the alcohol and optionally further deprotection reactions independently from its order a compound of general formula (I)
in which
Rl, R2, and R3 have the meanings as defined above and
R4 is selected from
is selected from a hydrogen atom, a fluorine atom, a -C=CH group and a -CH2-CH3 group;
R6 is a hydrogen atom or a fluorine atom;
R7 is a hydrogen atom or a fluorine atom; wherein * indicates the point of attachment of said group with the rest of the molecule, or a stereoisomer, a tautomer, an N-oxide, a hydrate, a solvate, or a salt of a stereoisomer, a salt of a tautomer, a salt of an N-oxide, or a mixture of same.
18. A method of preparing a compound of formula (I) according to any of claims 1-8 wherein Z is - O-, said method comprising a step of allowing a compound of formula (III)
in which
X2 is SO2CH3
PG is independently selected from a SiR12R12R13 group, a methoxymethyl group, and a tert.-butoxycarbonyl group;
R12 and R13 are identical or different and are independently selected from a Cl-C6-alkyl group and a phenyl group;
PGis atert.-butoxycarboyl group; under strong basic conditions, to obtain a compound of formula (XXXI)
in which Rl, R2, R3, and PG are as defined above, and
R5 is selected from a hydrogen atom, a fluorine atom, a -C=CH group and a -CH2-CH3 group;
R6 is a hydrogen atom or a fluorine atom;
R7 is a hydrogen atom or a fluorine atom; wherein * indicates the point of attachment of said group with the rest of the molecule, which is finally being deprotected optionally in two steps depending on the proteting groups, to obtain a compound of formula (I) wherein Z is -O-; or a stereoisomer, a tautomer, an N-oxide, a hydrate, a solvate, or a salt of a stereoisomer, a salt of a tautomer, a salt of an N-oxide, or a mixture of same.
19. A method of preparing a compound of formula (I) according to any of claims 1-8 wherein Z is - O- , said method comprising a step of allowing a compound of formula (IV)
in which
XI is a hydroxy group;
R5 is selected from a hydrogen atom, a fluorine atom, a -C=CH group and a -CH2- CH3 group;
R6 is a hydrogen atom or a fluorine atom;
R7 is a hydrogen atom or a fluorine atom; wherein * indicates the point of attachment of said group with the rest of the molecule, or a stereoisomer, a tautomer, an N-oxide, a hydrate, a solvate, or a salt of a stereoisomer, a salt of a tautomer, a salt of an N-oxide, or a mixture of same;
Z is -O-
R12 and R13 are identical or different and are independently selected from Cl-C6-alkyl and phenyl;
PG is identical or different and is independently selected from a SiR12R12R13 group, a benzyl group, a methoxymethyl group and a tert. -butoxy carbonyl group; the hydroxy group XI being activated by a suitable activation agent, to react with a nucleophilic compound of formula (XXIII)
,R‘
PG’ H
(XXIII) in which
R1 is selected from
wherein * indicates the point of attachment of said group with the rest of the molecule, and
PG is a tert. -butoxy carbonyl group; or a stereoisomer, a tautomer, an N-oxide, a hydrate, a solvate, or a salt of a stereoisomer, a salt of a tautomer, a salt of an N-oxide, or a mixture of same; the hydroxy group X4 optionally being activated using a suitable activation agent, optionally protected, to obtain a compound of formula (XXXI)
in which Rl, R2, R3, R4 and PG are as defined above, which is finally being deprotected using suitable conditions depending on the protecting groups present, to obtain a compound of formula (I) wherein
Rl, R2, and R3 are as defined above;
R4 is selected from 5-ethynyl-6-fluoro-2 -naphthol, a 5 -ethyl-6-fluoro-2 -naphthol, a fluorinated or non-fluorinated l,3-benzothiazol-2-amine and a 2-amino-l- benzothiophene -3 -carbonitrile ; and
Z is -O-.
Applications Claiming Priority (2)
| Application Number | Priority Date | Filing Date | Title |
|---|---|---|---|
| EP23188705.0 | 2023-07-31 | ||
| EP23188705 | 2023-07-31 |
Publications (1)
| Publication Number | Publication Date |
|---|---|
| WO2025026903A1 true WO2025026903A1 (en) | 2025-02-06 |
Family
ID=87551105
Family Applications (1)
| Application Number | Title | Priority Date | Filing Date |
|---|---|---|---|
| PCT/EP2024/071260 Pending WO2025026903A1 (en) | 2023-07-31 | 2024-07-26 | Imidazo pyrimidine compounds for the treatment of cancer |
Country Status (3)
| Country | Link |
|---|---|
| AR (1) | AR133428A1 (en) |
| TW (1) | TW202523297A (en) |
| WO (1) | WO2025026903A1 (en) |
Cited By (8)
| Publication number | Priority date | Publication date | Assignee | Title |
|---|---|---|---|---|
| WO2025240847A1 (en) | 2024-05-17 | 2025-11-20 | Revolution Medicines, Inc. | Ras inhibitors |
| WO2025255438A1 (en) | 2024-06-07 | 2025-12-11 | Revolution Medicines, Inc. | Methods of treating a ras protein-related disease or disorder |
| WO2025265060A1 (en) | 2024-06-21 | 2025-12-26 | Revolution Medicines, Inc. | Therapeutic compositions and methods for managing treatment-related effects |
| WO2026006747A1 (en) | 2024-06-28 | 2026-01-02 | Revolution Medicines, Inc. | Ras inhibitors |
| WO2026015796A1 (en) | 2024-07-12 | 2026-01-15 | Revolution Medicines, Inc. | Methods of treating a ras related disease or disorder |
| WO2026015790A1 (en) | 2024-07-12 | 2026-01-15 | Revolution Medicines, Inc. | Methods of treating a ras related disease or disorder |
| WO2026015801A1 (en) | 2024-07-12 | 2026-01-15 | Revolution Medicines, Inc. | Methods of treating a ras related disease or disorder |
| WO2026015825A1 (en) | 2024-07-12 | 2026-01-15 | Revolution Medicines, Inc. | Use of ras inhibitor for treating pancreatic cancer |
Citations (46)
| Publication number | Priority date | Publication date | Assignee | Title |
|---|---|---|---|---|
| WO2012112363A1 (en) | 2011-02-14 | 2012-08-23 | Merck Sharp & Dohme Corp. | Cathepsin cysteine protease inhibitors |
| WO2014143659A1 (en) | 2013-03-15 | 2014-09-18 | Araxes Pharma Llc | Irreversible covalent inhibitors of the gtpase k-ras g12c |
| WO2014152588A1 (en) | 2013-03-15 | 2014-09-25 | Araxes Pharma Llc | Covalent inhibitors of kras g12c |
| WO2015054572A1 (en) | 2013-10-10 | 2015-04-16 | Araxes Pharma Llc | Inhibitors of kras g12c |
| WO2016044772A1 (en) | 2014-09-18 | 2016-03-24 | Araxes Pharma Llc | Combination therapies for treatment of cancer |
| WO2016049524A1 (en) | 2014-09-25 | 2016-03-31 | Araxes Pharma Llc | Inhibitors of kras g12c mutant proteins |
| WO2016049568A1 (en) | 2014-09-25 | 2016-03-31 | Araxes Pharma Llc | Methods and compositions for inhibition of ras |
| WO2016049565A1 (en) | 2014-09-25 | 2016-03-31 | Araxes Pharma Llc | Compositions and methods for inhibition of ras |
| WO2016164675A1 (en) | 2015-04-10 | 2016-10-13 | Araxes Pharma Llc | Substituted quinazoline compounds and methods of use thereof |
| WO2016168540A1 (en) | 2015-04-15 | 2016-10-20 | Araxes Pharma Llc | Fused-tricyclic inhibitors of kras and methods of use thereof |
| WO2017015562A1 (en) | 2015-07-22 | 2017-01-26 | Araxes Pharma Llc | Substituted quinazoline compounds and their use as inhibitors of g12c mutant kras, hras and/or nras proteins |
| WO2017058792A1 (en) | 2015-09-28 | 2017-04-06 | Araxes Pharma Llc | Inhibitors of kras g12c mutant proteins |
| WO2017058805A1 (en) | 2015-09-28 | 2017-04-06 | Araxes Pharma Llc | Inhibitors of kras g12c mutant proteins |
| WO2017058915A1 (en) | 2015-09-28 | 2017-04-06 | Araxes Pharma Llc | Inhibitors of kras g12c mutant proteins |
| WO2017058728A1 (en) | 2015-09-28 | 2017-04-06 | Araxes Pharma Llc | Inhibitors of kras g12c mutant proteins |
| WO2017058807A1 (en) | 2015-09-28 | 2017-04-06 | Araxes Pharma Llc | Inhibitors of kras g12c mutant proteins |
| WO2017058768A1 (en) | 2015-09-28 | 2017-04-06 | Araxes Pharma Llc | Inhibitors of kras g12c mutant proteins |
| WO2017058902A1 (en) | 2015-09-28 | 2017-04-06 | Araxes Pharma Llc | Inhibitors of kras g12c mutant proteins |
| WO2017070256A2 (en) | 2015-10-19 | 2017-04-27 | Araxes Pharma Llc | Method for screening inhibitors of ras |
| WO2017087528A1 (en) | 2015-11-16 | 2017-05-26 | Araxes Pharma Llc | 2-substituted quinazoline compounds comprising a substituted heterocyclic group and methods of use thereof |
| WO2017100546A1 (en) | 2015-12-09 | 2017-06-15 | Araxes Pharma Llc | Methods for preparation of quinazoline derivatives |
| WO2017172979A1 (en) | 2016-03-30 | 2017-10-05 | Araxes Pharma Llc | Substituted quinazoline compounds and methods of use |
| WO2017201161A1 (en) | 2016-05-18 | 2017-11-23 | Mirati Therapeutics, Inc. | Kras g12c inhibitors |
| WO2018064510A1 (en) | 2016-09-29 | 2018-04-05 | Araxes Pharma Llc | Inhibitors of kras g12c mutant proteins |
| WO2018068017A1 (en) | 2016-10-07 | 2018-04-12 | Araxes Pharma Llc | Heterocyclic compounds as inhibitors of ras and methods of use thereof |
| WO2018119183A2 (en) | 2016-12-22 | 2018-06-28 | Amgen Inc. | Kras g12c inhibitors and methods of using the same |
| US20180201610A1 (en) | 2017-01-18 | 2018-07-19 | Nantbio, Inc. | Compositions and methods of targeting mutant k-ras |
| WO2018140600A1 (en) | 2017-01-26 | 2018-08-02 | Araxes Pharma Llc | Fused hetero-hetero bicyclic compounds and methods of use thereof |
| WO2018140599A1 (en) | 2017-01-26 | 2018-08-02 | Araxes Pharma Llc | Benzothiophene and benzothiazole compounds and methods of use thereof |
| WO2018145014A1 (en) | 2017-02-06 | 2018-08-09 | Schott Gemtron Corporation | Thermally insulating glass laminates with a non-uniform coating layer and sealed cavities of gas molecules |
| WO2018145012A1 (en) | 2017-02-06 | 2018-08-09 | Seabed Geosolutions B.V. | Ocean bottom seismic autonomous underwater vehicle |
| WO2018145013A1 (en) | 2017-02-06 | 2018-08-09 | Intel Corporation | Uplink transmissions using precoded sounding reference signals for communication systems |
| CN112047948A (en) | 2019-06-06 | 2020-12-08 | 山东轩竹医药科技有限公司 | Kras mutant inhibitors |
| WO2021041671A1 (en) | 2019-08-29 | 2021-03-04 | Mirati Therapeutics, Inc. | Kras g12d inhibitors |
| WO2021106231A1 (en) * | 2019-11-29 | 2021-06-03 | Taiho Pharmaceutical Co., Ltd. | A compound having inhibitory activity against kras g12d mutation |
| WO2022133038A1 (en) | 2020-12-16 | 2022-06-23 | Mirati Therapeutics, Inc. | Tetrahydropyridopyrimidine pan-kras inhibitors |
| WO2022161443A1 (en) | 2021-02-01 | 2022-08-04 | 南京明德新药研发有限公司 | Pyrimidopyran compound |
| WO2023001141A1 (en) | 2021-07-23 | 2023-01-26 | Shanghai Zion Pharma Co. Limited | Kras g12d inhibitors and uses thereof |
| WO2023018809A1 (en) | 2021-08-10 | 2023-02-16 | Amgen Inc. | Heterocyclic compounds and methods of use |
| WO2023099592A1 (en) | 2021-12-01 | 2023-06-08 | Boehringer Ingelheim International Gmbh | Annulated 2-amino-3-cyano thiophenes and derivatives for the treatment of cancer |
| WO2023099620A1 (en) | 2021-12-01 | 2023-06-08 | Boehringer Ingelheim International Gmbh | Kras degrading compounds comprising annulated 2-amino-3-cyano thiophenes |
| WO2023099623A1 (en) | 2021-12-01 | 2023-06-08 | Boehringer Ingelheim International Gmbh | Annulated 2-amino-3-cyano thiophenes and derivatives for the treatment of cancer |
| WO2023099608A1 (en) | 2021-12-01 | 2023-06-08 | Boehringer Ingelheim International Gmbh | Annulated 2-amino-3-cyano thiophenes and derivatives for the treatment of cancer |
| WO2023099624A1 (en) | 2021-12-01 | 2023-06-08 | Boehringer Ingelheim International Gmbh | Annulated 2-amino-3-cyano thiophenes and derivatives for the treatment of cancer |
| WO2023099612A1 (en) | 2021-12-01 | 2023-06-08 | Boehringer Ingelheim International Gmbh | Annulated 2-amino-3-cyano thiophenes and derivatives for the treatment of cancer |
| WO2023152255A1 (en) * | 2022-02-10 | 2023-08-17 | Bayer Aktiengesellschaft | Fused pyrimidines as kras inhibitors |
-
2024
- 2024-07-26 WO PCT/EP2024/071260 patent/WO2025026903A1/en active Pending
- 2024-07-29 TW TW113128027A patent/TW202523297A/en unknown
- 2024-07-31 AR ARP240102032A patent/AR133428A1/en unknown
Patent Citations (46)
| Publication number | Priority date | Publication date | Assignee | Title |
|---|---|---|---|---|
| WO2012112363A1 (en) | 2011-02-14 | 2012-08-23 | Merck Sharp & Dohme Corp. | Cathepsin cysteine protease inhibitors |
| WO2014143659A1 (en) | 2013-03-15 | 2014-09-18 | Araxes Pharma Llc | Irreversible covalent inhibitors of the gtpase k-ras g12c |
| WO2014152588A1 (en) | 2013-03-15 | 2014-09-25 | Araxes Pharma Llc | Covalent inhibitors of kras g12c |
| WO2015054572A1 (en) | 2013-10-10 | 2015-04-16 | Araxes Pharma Llc | Inhibitors of kras g12c |
| WO2016044772A1 (en) | 2014-09-18 | 2016-03-24 | Araxes Pharma Llc | Combination therapies for treatment of cancer |
| WO2016049524A1 (en) | 2014-09-25 | 2016-03-31 | Araxes Pharma Llc | Inhibitors of kras g12c mutant proteins |
| WO2016049568A1 (en) | 2014-09-25 | 2016-03-31 | Araxes Pharma Llc | Methods and compositions for inhibition of ras |
| WO2016049565A1 (en) | 2014-09-25 | 2016-03-31 | Araxes Pharma Llc | Compositions and methods for inhibition of ras |
| WO2016164675A1 (en) | 2015-04-10 | 2016-10-13 | Araxes Pharma Llc | Substituted quinazoline compounds and methods of use thereof |
| WO2016168540A1 (en) | 2015-04-15 | 2016-10-20 | Araxes Pharma Llc | Fused-tricyclic inhibitors of kras and methods of use thereof |
| WO2017015562A1 (en) | 2015-07-22 | 2017-01-26 | Araxes Pharma Llc | Substituted quinazoline compounds and their use as inhibitors of g12c mutant kras, hras and/or nras proteins |
| WO2017058792A1 (en) | 2015-09-28 | 2017-04-06 | Araxes Pharma Llc | Inhibitors of kras g12c mutant proteins |
| WO2017058805A1 (en) | 2015-09-28 | 2017-04-06 | Araxes Pharma Llc | Inhibitors of kras g12c mutant proteins |
| WO2017058915A1 (en) | 2015-09-28 | 2017-04-06 | Araxes Pharma Llc | Inhibitors of kras g12c mutant proteins |
| WO2017058728A1 (en) | 2015-09-28 | 2017-04-06 | Araxes Pharma Llc | Inhibitors of kras g12c mutant proteins |
| WO2017058807A1 (en) | 2015-09-28 | 2017-04-06 | Araxes Pharma Llc | Inhibitors of kras g12c mutant proteins |
| WO2017058768A1 (en) | 2015-09-28 | 2017-04-06 | Araxes Pharma Llc | Inhibitors of kras g12c mutant proteins |
| WO2017058902A1 (en) | 2015-09-28 | 2017-04-06 | Araxes Pharma Llc | Inhibitors of kras g12c mutant proteins |
| WO2017070256A2 (en) | 2015-10-19 | 2017-04-27 | Araxes Pharma Llc | Method for screening inhibitors of ras |
| WO2017087528A1 (en) | 2015-11-16 | 2017-05-26 | Araxes Pharma Llc | 2-substituted quinazoline compounds comprising a substituted heterocyclic group and methods of use thereof |
| WO2017100546A1 (en) | 2015-12-09 | 2017-06-15 | Araxes Pharma Llc | Methods for preparation of quinazoline derivatives |
| WO2017172979A1 (en) | 2016-03-30 | 2017-10-05 | Araxes Pharma Llc | Substituted quinazoline compounds and methods of use |
| WO2017201161A1 (en) | 2016-05-18 | 2017-11-23 | Mirati Therapeutics, Inc. | Kras g12c inhibitors |
| WO2018064510A1 (en) | 2016-09-29 | 2018-04-05 | Araxes Pharma Llc | Inhibitors of kras g12c mutant proteins |
| WO2018068017A1 (en) | 2016-10-07 | 2018-04-12 | Araxes Pharma Llc | Heterocyclic compounds as inhibitors of ras and methods of use thereof |
| WO2018119183A2 (en) | 2016-12-22 | 2018-06-28 | Amgen Inc. | Kras g12c inhibitors and methods of using the same |
| US20180201610A1 (en) | 2017-01-18 | 2018-07-19 | Nantbio, Inc. | Compositions and methods of targeting mutant k-ras |
| WO2018140600A1 (en) | 2017-01-26 | 2018-08-02 | Araxes Pharma Llc | Fused hetero-hetero bicyclic compounds and methods of use thereof |
| WO2018140599A1 (en) | 2017-01-26 | 2018-08-02 | Araxes Pharma Llc | Benzothiophene and benzothiazole compounds and methods of use thereof |
| WO2018145014A1 (en) | 2017-02-06 | 2018-08-09 | Schott Gemtron Corporation | Thermally insulating glass laminates with a non-uniform coating layer and sealed cavities of gas molecules |
| WO2018145012A1 (en) | 2017-02-06 | 2018-08-09 | Seabed Geosolutions B.V. | Ocean bottom seismic autonomous underwater vehicle |
| WO2018145013A1 (en) | 2017-02-06 | 2018-08-09 | Intel Corporation | Uplink transmissions using precoded sounding reference signals for communication systems |
| CN112047948A (en) | 2019-06-06 | 2020-12-08 | 山东轩竹医药科技有限公司 | Kras mutant inhibitors |
| WO2021041671A1 (en) | 2019-08-29 | 2021-03-04 | Mirati Therapeutics, Inc. | Kras g12d inhibitors |
| WO2021106231A1 (en) * | 2019-11-29 | 2021-06-03 | Taiho Pharmaceutical Co., Ltd. | A compound having inhibitory activity against kras g12d mutation |
| WO2022133038A1 (en) | 2020-12-16 | 2022-06-23 | Mirati Therapeutics, Inc. | Tetrahydropyridopyrimidine pan-kras inhibitors |
| WO2022161443A1 (en) | 2021-02-01 | 2022-08-04 | 南京明德新药研发有限公司 | Pyrimidopyran compound |
| WO2023001141A1 (en) | 2021-07-23 | 2023-01-26 | Shanghai Zion Pharma Co. Limited | Kras g12d inhibitors and uses thereof |
| WO2023018809A1 (en) | 2021-08-10 | 2023-02-16 | Amgen Inc. | Heterocyclic compounds and methods of use |
| WO2023099592A1 (en) | 2021-12-01 | 2023-06-08 | Boehringer Ingelheim International Gmbh | Annulated 2-amino-3-cyano thiophenes and derivatives for the treatment of cancer |
| WO2023099620A1 (en) | 2021-12-01 | 2023-06-08 | Boehringer Ingelheim International Gmbh | Kras degrading compounds comprising annulated 2-amino-3-cyano thiophenes |
| WO2023099623A1 (en) | 2021-12-01 | 2023-06-08 | Boehringer Ingelheim International Gmbh | Annulated 2-amino-3-cyano thiophenes and derivatives for the treatment of cancer |
| WO2023099608A1 (en) | 2021-12-01 | 2023-06-08 | Boehringer Ingelheim International Gmbh | Annulated 2-amino-3-cyano thiophenes and derivatives for the treatment of cancer |
| WO2023099624A1 (en) | 2021-12-01 | 2023-06-08 | Boehringer Ingelheim International Gmbh | Annulated 2-amino-3-cyano thiophenes and derivatives for the treatment of cancer |
| WO2023099612A1 (en) | 2021-12-01 | 2023-06-08 | Boehringer Ingelheim International Gmbh | Annulated 2-amino-3-cyano thiophenes and derivatives for the treatment of cancer |
| WO2023152255A1 (en) * | 2022-02-10 | 2023-08-17 | Bayer Aktiengesellschaft | Fused pyrimidines as kras inhibitors |
Non-Patent Citations (29)
| Title |
|---|
| A.D. COX ET AL., NAT. REV. DRUG DISCOV., vol. 13, 2014, pages 828 - 851 |
| A.D. COXC.J. DER, SMALL GTPASES, vol. 1, 2010, pages 2 - 27 |
| C.J. WENTHUR ET AL., J. MED. CHEM., vol. 56, 2013, pages 5208 - 5212 |
| C.L. PERRIN ET AL., J. AM. CHEM. SOC., vol. 127, 2005, pages 9641 - 9647 |
| C.L. PERRIN ET AL., J. AM. CHEM. SOC., vol. 129, 2007, pages 4490 - 4497 |
| EFAVIRENZ: A.E. MUTLIB ET AL., TOXICOL. APPL. PHARMACOL., vol. 169, 2000, pages 102 - 113 |
| F. MCCORMICK, CLIN. CANCER RES., vol. 21, 2015, pages 1797 - 1801 |
| J. DOWNWARD, NAT. REV. CANCER, vol. 3, 2003, pages 11 - 22 |
| J. PE'ER ET AL., LAB. INVEST., vol. 72, 1995, pages 638 - 645 |
| J.L. BOS, CANCER RES., vol. 49, 1989, pages 4682 - 4689 |
| J.M. OSTREM ET AL., NATURE, vol. 503, 2013, pages 548 - 551 |
| J.M. OSTREMK.M. SHOKAT, NAT. REV. DRUG DISCOV., vol. 15, 2016, pages 771 - 785 |
| K. KASHOFER ET AL., CANCER METASTASIS REV., vol. 39, 2020, pages 1029 - 1038 |
| K.M. HAIGIS, TRENDS CANCER, vol. 3, 2017, pages 686 - 697 |
| L.P. AIELLO ET AL., NEW ENGL. J. MED., vol. 331, 1994, pages 1480 - 1487 |
| M.R. JANES ET AL., CELL, vol. 172, 2018, pages 578 - 589 |
| NATURE, vol. 619, 2023, pages 160 - 166 |
| NEVIRAPINE: A.M. SHARMA ET AL., CHEM. RES. TOXICOL., vol. 26, 2013, pages 410 - 421 |
| no. 149771-44-8 |
| P. WUTST. GREENEP.J. KOCIENSKITHIEME: "Greene's Protective Groups in Organic Synthesis", 2003, JOHN WILEY & SONS OR PROTECTING GROUPS |
| P.F. LOPEZ ET AL., INVEST. OPTHTHALMOL. VIS. SCI., vol. 37, 1996, pages 855 - 868 |
| PURE APPL CHEM, vol. 45, 1976, pages 11 - 30 |
| PURE APPL. CHEM., vol. 70, no. 1, 1998, pages 217 - 235 |
| R.M. HILLIG ET AL., PROC. NATL. ACAD. SCI. USA, vol. 116, 2018, pages 2551 - 2560 |
| ROFECOXIB: F. SCHNEIDER ET AL., ARZNEIM. FORSCH. / DRUG. RES., vol. 56, 2006, pages 295 - 300 |
| S.M. BERGE ET AL., J. PHARM. SCI., vol. 66, 1977, pages 1 - 19 |
| TELAPREVIR: F. MALTAIS ET AL., J. MED. CHEM., vol. 52, 2009, pages 7993 - 8001 |
| TESTA ET AL., INT. J. PHARM., vol. 19, 1984, pages 271 - 281 |
| WANG XIAOLUN ET AL: "Identification of MRTX1133, a Noncovalent, Potent, and Selective KRAS G12D Inhibitor", JOURNAL OF MEDICINAL CHEMISTRY, vol. 65, no. 4, 24 February 2022 (2022-02-24), US, pages 3123 - 3133, XP055952002, ISSN: 0022-2623, Retrieved from the Internet <URL:https://pubs.acs.org/doi/pdf/10.1021/acs.jmedchem.1c01688> DOI: 10.1021/acs.jmedchem.1c01688 * |
Cited By (8)
| Publication number | Priority date | Publication date | Assignee | Title |
|---|---|---|---|---|
| WO2025240847A1 (en) | 2024-05-17 | 2025-11-20 | Revolution Medicines, Inc. | Ras inhibitors |
| WO2025255438A1 (en) | 2024-06-07 | 2025-12-11 | Revolution Medicines, Inc. | Methods of treating a ras protein-related disease or disorder |
| WO2025265060A1 (en) | 2024-06-21 | 2025-12-26 | Revolution Medicines, Inc. | Therapeutic compositions and methods for managing treatment-related effects |
| WO2026006747A1 (en) | 2024-06-28 | 2026-01-02 | Revolution Medicines, Inc. | Ras inhibitors |
| WO2026015796A1 (en) | 2024-07-12 | 2026-01-15 | Revolution Medicines, Inc. | Methods of treating a ras related disease or disorder |
| WO2026015790A1 (en) | 2024-07-12 | 2026-01-15 | Revolution Medicines, Inc. | Methods of treating a ras related disease or disorder |
| WO2026015801A1 (en) | 2024-07-12 | 2026-01-15 | Revolution Medicines, Inc. | Methods of treating a ras related disease or disorder |
| WO2026015825A1 (en) | 2024-07-12 | 2026-01-15 | Revolution Medicines, Inc. | Use of ras inhibitor for treating pancreatic cancer |
Also Published As
| Publication number | Publication date |
|---|---|
| TW202523297A (en) | 2025-06-16 |
| AR133428A1 (en) | 2025-09-24 |
Similar Documents
| Publication | Publication Date | Title |
|---|---|---|
| WO2025026903A1 (en) | Imidazo pyrimidine compounds for the treatment of cancer | |
| US11795164B2 (en) | 2-heteroaryl-3-oxo-2,3-dihydropyridazine-4-carboxamides for the treatment of cancer | |
| EP4476221A1 (en) | Fused pyrimidines as kras inhibitors | |
| US11787797B2 (en) | 4,5-annulated 1,2,4-triazolones | |
| CN116323623B (en) | Pyrido[2,3-d]pyrimidin-4-amines as SOS1 inhibitors | |
| WO2017207387A1 (en) | Spiro condensed azetidine derivatives as inhibitors of the menin-mml1 interaction | |
| TWI865582B (en) | [1,2,4]triazolo[1,5-c]quinazolin-5-amines | |
| US11427578B1 (en) | Substituted pyrrolopyridine-derivatives | |
| WO2025016899A1 (en) | Spirocyclic compounds for the treatment of cancer | |
| WO2018024602A1 (en) | 2,7-diazaspiro[4.4]nonanes | |
| EP3319945B1 (en) | 2-aryl- and 2-arylalkyl-benzimidazoles as midh1 inhibitors | |
| AU2016257302A1 (en) | Amido-substituted cyclohexane derivatives | |
| EP3638670B1 (en) | Substituted pyrrolopyridine-derivatives as map4k1 modulators for the treatment of cancer diseases | |
| EP3390387B1 (en) | Heteroarylbenzimidazole compounds | |
| AU2018354777A1 (en) | Novel Pyrazolo-pyrrolo-pyrimidine-dione derivatives as P2X3 inhibitors | |
| EP4073072A1 (en) | Pyrazolotriazines | |
| WO2024003259A1 (en) | Tead inhibitors | |
| WO2023135057A1 (en) | Bicyclic triazine derivatives for the treatment of cancer | |
| US11161825B2 (en) | 4-oxo-2,3,4,5-tetrahydro-1H-1,5-benzodiazepine-7-carboxamides | |
| WO2025021997A1 (en) | New map4k1 inhibitors | |
| WO2018078009A1 (en) | Amido-substituted cyclohexane derivatives | |
| WO2018087126A1 (en) | Amido-substituted cyclohexane derivatives as inhibitors of tankyrase |
Legal Events
| Date | Code | Title | Description |
|---|---|---|---|
| 121 | Ep: the epo has been informed by wipo that ep was designated in this application |
Ref document number: 24748930 Country of ref document: EP Kind code of ref document: A1 |
























































































































































































































































































































































































































































































































































