WO2024201156A1 - Grafted opthalmic devices containing deactivated regions and processes for their preparation and use - Google Patents
Grafted opthalmic devices containing deactivated regions and processes for their preparation and use Download PDFInfo
- Publication number
- WO2024201156A1 WO2024201156A1 PCT/IB2024/051680 IB2024051680W WO2024201156A1 WO 2024201156 A1 WO2024201156 A1 WO 2024201156A1 IB 2024051680 W IB2024051680 W IB 2024051680W WO 2024201156 A1 WO2024201156 A1 WO 2024201156A1
- Authority
- WO
- WIPO (PCT)
- Prior art keywords
- ophthalmic device
- substrate network
- crosslinked substrate
- composition
- bis
- Prior art date
- Legal status (The legal status is an assumption and is not a legal conclusion. Google has not performed a legal analysis and makes no representation as to the accuracy of the status listed.)
- Ceased
Links
Classifications
-
- G—PHYSICS
- G02—OPTICS
- G02B—OPTICAL ELEMENTS, SYSTEMS OR APPARATUS
- G02B1/00—Optical elements characterised by the material of which they are made; Optical coatings for optical elements
- G02B1/04—Optical elements characterised by the material of which they are made; Optical coatings for optical elements made of organic materials, e.g. plastics
- G02B1/041—Lenses
- G02B1/043—Contact lenses
Definitions
- silicone hydrogels have been found to provide lenses with significantly increased oxygen permeability and therefore are capable of reducing corneal edema and hyper-vasculature, conditions that may sometimes be associated with conventional hydrogel lenses.
- Silicone hydrogels have typically been prepared by polymerizing mixtures containing at least one silicone-containing monomer or reactive macromer and at least one hydrophilic monomer.
- silicone hydrogel lenses can be difficult to produce because the silicone components and the hydrophilic components are often incompatible.
- processes that allow for regional modification of a device may permit manufacturers to create products with customized lens powers or other desirable properties.
- Attorney Docket No.: VTN6149WOPCT1 Summary of the Invention The invention relates to new polymeric compositions derived from a wide variety of component monomers and polymers, including where such component monomers and polymers are generally incompatible.
- the invention further relates to processes for selectively modifying the material makeup of a substrate.
- the invention provides ophthalmic device formed by a process comprising: (a) providing a reactive composition containing: (i) a polymerization initiator that is capable, upon a first activation, of forming two or more free radical groups, at least one of which is further activatable by subsequent activation; (ii) one or more ethylenically unsaturated compounds; and (iii) a crosslinker; (b) subjecting the reactive composition to a first activation step such that the reactive composition polymerizes therein to form a crosslinked substrate network containing a covalently bound activatable free radical initiator; (c) deactivating at least a portion of the covalently bound activatable free radical initiator at one or more selective regions of the crosslinked substrate network such that the crosslinked substrate network contains retained covalently
- the invention provides an ophthalmic device comprised of a reaction product of a composition
- a reaction product of a composition comprising: (a) a crosslinked substrate network, wherein at least a portion of the covalently bound Attorney Docket No.: VTN6149WOPCT1 activatable free radical initiators are deactivated in one or more selective regions of the crosslinked substrate network such that the crosslinked substrate network contains retained covalently bound activatable free radical initiators outside of the one or more selective regions and optionally within the one or more selective regions; and (b) a grafting composition containing one or more ethylenically unsaturated compounds, wherein the grafting composition is localized in the crosslinked substrate network where there are retained covalently bound activatable free radical initiators.
- the invention provides a process for making an ophthalmic device, the process comprising: (a) providing a reactive composition containing: (i) a polymerization initiator that is capable, upon a first activation, of forming two or more free radical groups, at least one of which is further activatable by subsequent activation; (ii) one or more ethylenically unsaturated compounds; and (iii) a crosslinker; (b) subjecting the reactive composition to a first activation step such that the reactive composition polymerizes therein to form a crosslinked substrate network containing a covalently bound activatable free radical initiator; (c) deactivating at least a portion of the covalently bound activatable free radical initiator at one or more selective regions of the crosslinked substrate network such that the crosslinked substrate network contains retained covalently bound activatable free radical initiator outside of the one or more selective regions and optionally within the one or more selective regions; (d) contacting the crosslinked substrate network with a grafting
- the invention provides a process for making an ophthalmic device, the process comprising: (a) providing a reactive composition containing: (i) a thermal initiator; (ii) one or more Attorney Docket No.: VTN6149WOPCT1 ethylenically unsaturated compounds; (iii) a crosslinker; (iv) at least one reactive component having at least one pendant group selected from the group consisting of monoacylphosphine oxide, bisacylphosphine oxide, and combinations thereof; (v) at least one reactive component selected from the group consisting of monoacylphosphine oxide compounds having refractive index or light absorbing moieties, bisacylphosphine oxide compounds having refractive index or light absorbing moieties, and combinations thereof; (b) subjecting the reactive composition to a thermal polymerization to form a precursor crosslinked substrate network, wherein the monoacylphosphine oxide compounds having refractive index or light absorbing moieties and bisacylphosphine oxide
- Figure 1 illustrates a voxel-based lithographic apparatus that may be used to implement some embodiments of the invention.
- Figure 2 depicts an in-mold jig design according to various embodiments of the invention.
- Figure 3 shows the projected images of the deactivation and grafting steps used in Example 1.
- Figure 4 shows micrographs of the deactivated and grafted contact lenses of Example 1.
- Figure 5 depicts one example for carrying a process according to the invention.
- numeric ranges for instance as in “from 2 to 10" or as in “between 2 and 10” are inclusive of the numbers defining the range (e.g., 2 and 10).
- ratios, percentages, parts, and the like are by weight.
- number average molecular weight refers to the number average molecular weight (M n ) of a sample
- weight average molecular weight refers to the weight Attorney Docket No.: VTN6149WOPCT1 average molecular weight (Mw) of a sample
- PDI polydispersity index refers to the ratio of Mw divided by Mn and describes the molecular weight distribution of a sample.
- the average number of repeating units in a polymer sample is known as its "degree of polymerization.”
- degree of polymerization When a generic chemical formula of a polymer sample, such as [***]n is used, "n" refers to its degree of polymerization, and the formula shall be interpreted to represent the number average molecular weight of the polymer sample.
- the term "individual” includes humans and vertebrates.
- the term “ophthalmic device” refers to any device which resides in or on the eye or any part of the eye, including the ocular surface.
- ophthalmic devices can provide optical correction, cosmetic enhancement, vision enhancement, therapeutic benefit (for example as bandages) or delivery of active components such as pharmaceutical and nutraceutical components, or a combination of any of the foregoing.
- ophthalmic devices include but are not limited to lenses, optical and ocular inserts, including but not limited to punctal plugs, and the like.
- “Lenses” include soft contact lenses, hard contact lenses, hybrid contact lenses, intraocular lenses, and inlay and overlay lenses.
- the ophthalmic device preferably may comprise a contact lens.
- the term "contact lens” refers to an ophthalmic device that can be placed on the cornea of an individual's eye.
- the contact lens may provide corrective, cosmetic, or therapeutic benefit, including wound healing, the delivery of drugs or nutraceuticals, diagnostic evaluation or monitoring, ultraviolet light blocking, visible light or glare reduction, or any combination thereof.
- a contact lens can be of any appropriate material known in the art and can Attorney Docket No.: VTN6149WOPCT1 be a soft lens, a hard lens, or a hybrid lens containing at least two distinct portions with different physical, mechanical, or optical properties, such as modulus, water content, light transmission, or combinations thereof.
- the ophthalmic devices and contact lenses of the invention may be comprised of silicone hydrogels. These silicone hydrogels typically contain at least one hydrophilic monomer and at least one silicone-containing component that are covalently bound to one another in the cured device.
- the ophthalmic devices and contact lenses of the invention may also be comprised of conventional hydrogels, or combination of conventional and silicone hydrogels.
- a "macromolecule” is an organic compound having a number average molecular weight of greater than 1500 grams/mole and may be reactive or non-reactive.
- the "target macromolecule” is the intended macromolecule being synthesized from the reactive composition comprising monomers, macromers, prepolymers, cross-linkers, initiators, additives, diluents, and the like.
- a "monomer” is a mono-functional molecule which can undergo chain growth polymerization, and in particular, free radical polymerization, thereby creating a repeating unit in the chemical structure of the target macromolecule.
- a “hydrophilic monomer” is also a monomer which yields a clear single-phase solution when mixed with deionized water at 25°C at a concentration of 5 weight percent.
- a “hydrophilic component” is a monomer, macromer, prepolymer, initiator, cross-linker, additive, or polymer which yields a clear single-phase solution when mixed with deionized water at 25°C at a concentration of 5 weight percent.
- a “macromonomer” or “macromer” is a linear or branched macromolecule having at least one polymerizable group that can undergo chain growth polymerization, and in particular, free radical polymerization.
- polymerizable means that the compound comprises at least one polymerizable group.
- Polymerizable groups are groups that can undergo chain growth polymerization, such as free radical and/or cationic polymerization, for example a carbon-carbon double bond group which can polymerize when subjected to radical polymerization initiation conditions.
- Non-limiting examples of polymerizable groups (Rg) include (meth)acrylates, styrenes, vinyl ethers, (meth)acrylamides, N-vinyllactams, N-vinylamides, O-vinylcarbamates, O-vinylcarbonates, and other vinyl groups.
- the polymerizable groups comprise Attorney Docket No.: VTN6149WOPCT1 (meth)acrylates, (meth)acrylamides, and mixtures thereof.
- the polymerizable groups comprise (meth)acrylate, (meth)acrylamide, N-vinyl lactam, N-vinylamide, styryl functional groups, or mixtures of any of the foregoing.
- the polymerizable group may be unsubstituted or substituted.
- the nitrogen atom in (meth)acrylamide may be bonded to a hydrogen, or the hydrogen may be replaced with alkyl or cycloalkyl (which themselves may be further substituted).
- non-polymerizable means that the compound does not comprise such a free radical polymerizable group.
- examples of the foregoing include substituted or unsubstituted C1-6alkyl(meth)acrylates, C 1-6 alkyl(meth)acrylamides, C 2-12 alkenyls, C 2-12 alkenylphenyls, C 2-12 alkenylnaphthyls, C 2-6 alkenylphenylC 1-6 alkyls, where suitable substituents on said C 1-6 alkyls include ethers, hydroxyls, carboxyls, halogens and combinations thereof.
- Any type of free radical polymerization may be used including but not limited to bulk, solution, suspension, and emulsion as well as any of the controlled radical polymerization methods such as stable free radical polymerization, nitroxide-mediated living polymerization, atom transfer radical polymerization, reversible addition fragmentation chain transfer polymerization, organotellurium mediated living radical polymerization, and the like.
- An "ethylenically unsaturated compound” is a monomer, macromer, or prepolymer that contains at least one polymerizable group.
- An ethylenically unsaturated compound may preferably consist of one polymerizable group.
- a "silicone-containing component” or “silicone component” is a monomer, macromer, prepolymer, cross-linker, initiator, additive, or polymer in the reactive composition with at least one silicon-oxygen bond, typically in the form of siloxy groups, siloxane groups, carbosiloxane groups, and mixtures thereof. Examples of silicone-containing components which are useful in this invention may be found in U.S.
- a “polymer” is a target macromolecule composed of the repeating units of the monomers and macromers used during polymerization.
- a “homopolymer” is a polymer made from one monomer; a “copolymer” is a polymer made from two or more monomers; a “terpolymer” is a polymer made from three monomers.
- a “block copolymer” is composed of compositionally different blocks or segments. Diblock copolymers have two blocks. Triblock copolymers have three blocks. "Comb or graft copolymers” are made from at least one macromer.
- a “repeating unit” is the smallest group of atoms in a polymer that corresponds to the polymerization of a specific monomer or macromer.
- An “initiator” is a molecule that can decompose into free radical groups which can react with a monomer to initiate a free radical polymerization reaction.
- a thermal initiator decomposes at a certain rate depending on the temperature; typical examples are azo compounds such as 1,1'- azobisisobutyronitrile and 4,4'-azobis(4-cyanovaleric acid), peroxides such as benzoyl peroxide, tert-butyl peroxide, tert-butyl hydroperoxide, tert-butyl peroxybenzoate, dicumyl peroxide, and lauroyl peroxide, peracids such as peracetic acid and potassium persulfate as well as various redox systems.
- azo compounds such as 1,1'- azobisisobutyronitrile and 4,4'-azobis(4-cyanovaleric acid)
- peroxides such as benzoyl peroxide, tert-butyl peroxide, tert-butyl hydroperoxide, tert-butyl peroxybenzoate, dicumyl peroxide, and lauroyl peroxid
- a photo-initiator decomposes by a photochemical process; typical examples are derivatives of benzil, benzoin, acetophenone, benzophenone, camphorquinone, and mixtures thereof as well as various monoacyl and bisacyl phosphine oxides and combinations thereof.
- a "free radical group” is a molecule that has an unpaired valence electron which can react with a polymerizable group to initiate a free radical polymerization reaction.
- a "cross-linking agent” or “crosslinker” is a di-functional or multi-functional monomer which can undergo free radical polymerization at two or more locations on the molecule, thereby creating branch points and a polymeric network.
- the two or more polymerizable functionalities on the crosslinker may be the same or different and may, for instance, be independently selected from vinyl groups (including allyl), (meth)acrylate groups, and (meth)acrylamide groups. Common examples are ethylene glycol dimethacrylate, tetraethylene glycol dimethacrylate, trimethylolpropane trimethacrylate, methylene bisacrylamide, triallyl cyanurate, and the like.
- a "prepolymer” is a reaction product of monomers (or macromers) which contains remaining polymerizable groups capable of undergoing further reaction to form a polymer.
- polymeric network is a type of polymer that is in the form of a cross-linked macromolecule. Generally, a polymeric network may swell but cannot dissolve in solvents.
- the crosslinked substrate network of the invention is a material that is swellable, without dissolving.
- Hydrogels are hydrogels that are made from at least one silicone-containing component with at least one hydrophilic component. Hydrophilic components may also include non-reactive polymers.
- Conventional hydrogels refer to polymeric networks made from monomers without any siloxy, siloxane or carbosiloxane groups.
- Conventional hydrogels are prepared from reactive compositions predominantly containing hydrophilic monomers, such as 2-hydroxyethyl methacrylate (“HEMA”), N-vinyl pyrrolidone (“NVP”), N, N-dimethylacrylamide (“DMA”) or vinyl acetate.
- HEMA 2-hydroxyethyl methacrylate
- NDP N-vinyl pyrrolidone
- DMA N-dimethylacrylamide
- vinyl acetate vinyl acetate
- reactive composition refers to a composition containing one or more reactive components (and optionally non-reactive components) which are mixed (when more than one is present) together and, when subjected to polymerization conditions, form polymer compositions.
- the reactive composition may also be referred to herein as a "reactive mixture” or a “reactive monomer mixture” (or RMM).
- the reactive composition comprises reactive components such as the monomers, macromers, prepolymers, cross-linkers, and initiators, and optional additives such as wetting agents, release agents, dyes, light absorbing compounds such as UV-VIS absorbers, pigments, dyes and photochromic compounds, any of which may be reactive or non-reactive but are preferably capable of being retained within the resulting polymer composition, as well as pharmaceutical and nutraceutical compounds, and any diluents. It will be appreciated that a wide range of additives may be added based upon the final product which is made and its intended use.
- Concentrations of components of the reactive composition are expressed as weight percentages of all components in the reaction composition, excluding diluent. When diluents are used, their concentrations are expressed as weight percentages based upon the amount of all components in the reaction composition and the diluent.
- “Reactive components” are the components in the reactive composition which become part of the chemical structure of the resulting material by covalent bonding, hydrogen bonding, Attorney Docket No.: VTN6149WOPCT1 electrostatic interactions, the formation of interpenetrating polymeric networks, or any other means. Examples include, but are not limited, to silicone reactive components (e.g., the silicone- containing components described below) and hydrophilic reactive components (e.g., the hydrophilic monomers described below).
- silicone hydrogel contact lens refers to a contact lens comprising at least one silicone hydrogel.
- Silicone hydrogel contact lenses generally have increased oxygen permeability compared to conventional hydrogels. Silicone hydrogel contact lenses use both their water and polymer content to transmit oxygen to the eye.
- DMD refers to a digital micromirror device that may be a bistable spatial light modulator consisting of an array of movable micromirrors functionally mounted over a CMOS SRAM. Each mirror may be independently controlled by loading data into the memory cell below the mirror to steer reflected light, spatially mapping a pixel of video data to a pixel on a display.
- the data electrostatically controls the mirror's tilt angle in a binary fashion, where the mirror states are either +X degrees (on) or -X degrees (off).
- Light reflected by the on mirrors then may be passed through a projection lens and onto a screen.
- Light may be reflected off to create a dark field, and defines the black-level floor for the image. Images may be created by gray-scale modulation between on and off levels at a rate fast enough to be integrated by the observer.
- the DMD digital micromirror device
- DMD Script refers to a control protocol for a spatial light modulator and also to the control signals of any system component, for example, a light source or filter wheel, either of which may include a series of command sequences in time.
- multi-functional refers to a component having two or more polymerizable groups.
- mono-functional refers to a component having one polymerizable group.
- halogen or halo indicate fluorine, chlorine, bromine, and iodine.
- alkyl refers to an unsubstituted or substituted linear or branched alkyl group containing the indicated number of carbon atoms. If no number is indicated, then alkyl (optionally including any substituents on alkyl) may contain 1 to 16 carbon atoms. Preferably, the alkyl group contains 1 to 10 carbon atoms, alternatively 1 to 7 carbon atoms, or alternatively 1 to 4 carbon atoms.
- alkyl examples include methyl, ethyl, propyl, isopropyl, butyl, iso-, sec- and tert-butyl, pentyl, hexyl, heptyl, 3-ethylbutyl, and the like.
- substituents on alkyl include 1, 2, or 3 groups independently selected from hydroxy, Attorney Docket No.: VTN6149WOPCT1 amino, amido, oxa, carboxy, alkyl carboxy, carbonyl, alkoxy, amido, carbamate, carbonate, halogen, phenyl, benzyl, and combinations thereof.
- Alkylene means a divalent alkyl group, such as -CH 2 -, -CH 2 CH 2 -, -CH 2 CH 2 CH 2 -, -CH 2 CH(CH 3 )CH 2 -, and -CH 2 CH 2 CH 2 CH 2 -.
- Haloalkyl refers to an alkyl group as defined above substituted with one or more halogen atoms, where each halogen is independently F, Cl, Br or I. A preferred halogen is F.
- Preferred haloalkyl groups contain 1-6 carbons, more preferably 1-4 carbons, and still more preferably 1-2 carbons.
- Haloalkyl includes perhaloalkyl groups, such as -CF 3 - or -CF 2 CF 3 -.
- Haloalkylene means a divalent haloalkyl group, such as -CH2CF2-.
- Cycloalkyl refers to an unsubstituted or substituted cyclic hydrocarbon containing the indicated number of ring carbon atoms. If no number is indicated, then cycloalkyl may contain 3 to 12 ring carbon atoms. Preferred are C3-C8 cycloalkyl groups, more preferably C4-C7 cycloalkyl, and still more preferably C5-C6 cycloalkyl.
- cycloalkyl examples include cyclopropyl, cyclobutyl, cyclopentyl, cyclohexyl, cycloheptyl and cyclooctyl.
- substituents on cycloalkyl include 1, 2, or 3 groups independently selected from alkyl, hydroxy, amino, amido, oxa, carbonyl, alkoxy, amido, carbamate, carbonate, halo, phenyl, benzyl, and combinations thereof.
- Cycloalkylene means a divalent cycloalkyl group, such as 1,2- cyclohexylene, 1,3- cyclohexylene, or 1,4- cyclohexylene.
- Heterocycloalkyl refers to a cycloalkyl ring or ring system as defined above in which at least one ring carbon has been replaced with a heteroatom selected from nitrogen, oxygen, and sulfur.
- the heterocycloalkyl ring is optionally fused to or otherwise attached to other heterocycloalkyl rings and/or non-aromatic hydrocarbon rings and/or phenyl rings.
- Preferred heterocycloalkyl groups have from 5 to 7 members. More preferred heterocycloalkyl groups have 5 or 6 members.
- Heterocycloalkylene means a divalent heterocycloalkyl group.
- Aryl refers to an unsubstituted or substituted aromatic hydrocarbon ring system containing at least one aromatic ring.
- the aryl group contains the indicated number of ring carbon atoms. If no number is indicated, then aryl may contain 6 to 14 ring carbon atoms.
- the aromatic ring may optionally be fused or otherwise attached to other aromatic hydrocarbon rings or non-aromatic hydrocarbon rings. Examples of aryl groups include phenyl, naphthyl, and biphenyl. Preferred examples of aryl groups include phenyl.
- substituents on aryl include 1, 2, or 3 groups independently selected from alkyl, hydroxy, amino, amido, oxa, carboxy, alkyl carboxy, carbonyl, alkoxy, amido, carbamate, carbonate, halo, phenyl, benzyl, and Attorney Docket No.: VTN6149WOPCT1 combinations thereof.
- Arylene means a divalent aryl group, for example 1,2-phenylene, 1,3- phenylene, or 1,4-phenylene.
- Heteroaryl refers to an aryl ring or ring system, as defined above, in which at least one ring carbon atom has been replaced with a heteroatom selected from nitrogen, oxygen, and sulfur.
- the heteroaryl ring may be fused or otherwise attached to one or more heteroaryl rings, aromatic or nonaromatic hydrocarbon rings or heterocycloalkyl rings.
- heteroaryl groups include pyridyl, furyl, and thienyl.
- Heteroarylene means a divalent heteroaryl group.
- Alkoxy refers to an alkyl group attached to the parent molecular moiety through an oxygen bridge. Examples of alkoxy groups include, for instance, methoxy, ethoxy, propoxy and isopropoxy.
- Aryloxy refers to an aryl group attached to a parent molecular moiety through an oxygen bridge. Examples include phenoxy.
- Cyclic alkoxy means a cycloalkyl group attached to the parent moiety through an oxygen bridge.
- Alkylamine refers to an alkyl group attached to the parent molecular moiety through an -NH bridge.
- Alkyleneamine means a divalent alkylamine group, such as -CH2CH2NH-.
- Siloxanyl refers to a structure having at least one Si-O-Si bond.
- siloxanyl group means a group having at least one Si-O-Si group (i.e., a siloxane group)
- siloxanyl compound means a compound having at least one Si-O-Si group.
- Siloxanyl encompasses monomeric (e.g., Si-O-Si) as well as oligomeric/polymeric structures (e.g., -[Si- O] n -, where n is 2 or more). Each silicon atom in the siloxanyl group is substituted with independently selected R A groups (where R A is as defined in formula A options (b)-(i)) to complete their valence.
- silyl refers to a structure of formula R 3 Si- and "siloxy” refers to a structure of formula R 3 Si-O-, where each R in silyl or siloxy is independently selected from trimethylsiloxy, C 1 -C 8 alkyl (preferably C1-C3 alkyl, more preferably ethyl or methyl), and C3-C8 cycloalkyl.
- Alkyleneoxy refers to groups of the general formula -(alkylene-O)p- or -(O-alkylene)p-, wherein alkylene is as defined above, and p is from 1 to 200, or from 1 to 100, or from 1 to 50, or from 1 to 25, or from 1 to 20, or from 1 to 10, wherein each alkylene is independently optionally substituted with one or more groups independently selected from hydroxyl, halo (e.g., fluoro), amino, amido, ether, carbonyl, carboxyl, and combinations thereof. If p is greater than 1, then each alkylene may be the same or different and the alkyleneoxy may be in block or random configuration.
- alkyleneoxy forms a terminal group in a molecule
- the terminal Attorney Docket No.: VTN6149WOPCT1 end of the alkyleneoxy may, for instance, be a hydroxy or alkoxy (e.g., HO-[CH2CH2O]p- or CH3O-[CH2CH2O]p-).
- alkyleneoxy include polymethyleneoxy, polyethyleneoxy, polypropyleneoxy, polybutyleneoxy, and poly(ethyleneoxy-co-propyleneoxy).
- "Oxaalkylene” refers to an alkylene group as defined above where one or more non- adjacent CH2 groups have been substituted with an oxygen atom, such as -CH 2 CH 2 OCH(CH 3 )CH 2 -.
- Thiaalkylene refers to an alkylene group as defined above where one or more non-adjacent CH 2 groups have been substituted with a sulfur atom, such as -CH2CH2SCH(CH3)CH2-.
- the term "linking group” refers to a moiety that links the polymerizable group to the parent molecule.
- the linking group may be any moiety that does not undesirably interfere with the polymerization of the compound of which it is a part.
- the linking group may be a bond, or it may comprise one or more alkylene, haloalkylene, amide, amine, alkyleneamine, carbamate, carboxylate (-CO 2 -), arylene, heteroarylene, cycloalkylene, heterocycloalkylene, alkyleneoxy, oxaalkylene, thiaalkylene, haloalkyleneoxy (alkyleneoxy substituted with one or more halo groups, e.g., -OCF2-, -OCF2CF2-, -OCF2CH2-), siloxanyl, alkylenesiloxanyl, or combinations thereof.
- the linking group may optionally be substituted with 1 or more substituent groups.
- Suitable substituent groups may include those independently selected from alkyl, halo (e.g., fluoro), hydroxyl, HO-alkyleneoxy, MeO-alkyleneoxy, siloxanyl, siloxy, siloxy- alkyleneoxy-, siloxy-alkylene-alkyleneoxy- (where more than one alkyleneoxy groups may be present and wherein each methylene in alkylene and alkyleneoxy is independently optionally substituted with hydroxyl), ether, amine, carbonyl, carbamate, and combinations thereof.
- the linking group may also be substituted with a polymerizable group, such as (meth)acrylate.
- Preferred linking groups include C 1 -C 8 alkylene (preferably C 2 -C 6 alkylene) and C 1 -C 8 oxaalkylene (preferably C2-C6 oxaalkylene), each of which is optionally substituted with 1 or 2 groups independently selected from hydroxyl and siloxy.
- Preferred linking groups also include carboxylate, amide, C 1 -C 8 alkylene-carboxylate-C 1 -C 8 alkylene, or C 1 -C 8 alkylene-amide-C 1 -C 8 alkylene.
- the linking group is comprised of combinations of moieties as described above (e.g., alkylene and cycloalkylene), the moieties may be present in any order.
- Rg-L may be either Rg- alkylene-cycloalkylene-, or Rg-cycloalkylene-alkylene-.
- the listing order Attorney Docket No.: VTN6149WOPCT1 represents the preferred order in which the moieties appear in the compound starting from the terminal polymerizable group (Rg or Pg) to which the linking group is attached.
- Rg or Pg terminal polymerizable group
- Pg-L is preferably Pg- alkylene-cycloalkylene-.
- the invention provides an ophthalmic device formed by a process comprising: (a) providing a reactive composition containing: (i) a polymerization initiator that is capable, upon a first activation, of forming two or more free radical groups, at least one of which is further activatable by subsequent activation; (ii) one or more ethylenically unsaturated compounds; and (iii) a crosslinker; (b) subjecting the reactive composition to a first activation step such that the reactive composition polymerizes therein to form a crosslinked substrate network containing a covalently bound activatable free radical initiator; (c) deactivating at least a portion of the covalently bound activatable free radical initiator at one or more selective regions of the crosslinked substrate network such that the crosslinked substrate network contains retained covalently bound activatable free radical initiator outside of the one or more selective regions and optionally within the one or more selective regions; (d) contacting the crosslinked substrate network with a grafting composition
- the invention provides an ophthalmic device comprised of a reaction product of a composition comprising: (a) a crosslinked substrate network, wherein at least a portion of the covalently bound activatable free radical initiators are deactivated in one or more selective regions of the crosslinked substrate network such that the crosslinked substrate network contains retained covalently bound activatable free radical initiators outside of the one or more selective regions and optionally within the one or more selective regions; and (b) a grafting composition containing one or more ethylenically unsaturated compounds, wherein the grafting composition is localized in the crosslinked substrate network where there are retained covalently bound activatable free radical initiators.
- the polymerization initiator may be any composition with the ability to generate free Attorney Docket No.: VTN6149WOPCT1 radical groups in two or more separate activation steps. There is no particular requirement in the invention with respect to what type of polymerization initiator is used or the mechanism of activation, as long as the first activation and the second activation can be conducted sequentially.
- suitable polymerization initiators may, for example, be activated thermally, by visible light, by ultraviolet light, via electron beam irradiation, by gamma ray irradiation, or combinations thereof.
- polymerization initiators for use in the invention include, without limitation, bisacylphosphine oxides ("BAPO"), bis(acyl)phosphane oxides (e.g., bis(mesitoyl)phosphinic acid), azo compounds, peroxides, alpha-hydroxy ketones, alpha-alkoxy ketones, 1, 2-diketones, germanium based compounds (such as bis(4- methoxybenzoyl)diethylgermanium), or combinations thereof.
- BAPO bisacylphosphine oxides
- bis(acyl)phosphane oxides e.g., bis(mesitoyl)phosphinic acid
- azo compounds peroxides
- alpha-hydroxy ketones alpha-alkoxy ketones
- 1, 2-diketones 1, 2-diketones
- germanium based compounds such as bis(4- methoxybenzoyl)diethylgermanium
- the polymerization initiator is a bisacylphosphine oxide, a bisacylphosphane oxide, a di-azo compound, a di-peroxide compound, an azo-bis(monoacylphosphine oxide), an azo- bis(monoacylphosphane oxide), a peroxy-bis(monoacylphosphine oxide), a peroxy- bis(monoacylphosphane oxide), an azo-bis(alpha-hydroxy ketone), a peroxy-bis(alpha-hydroxy ketone), an azo-bis(1,2-diketone), a peroxy-bis(1,2-diketone), a germanium based compound, tert-butyl 7-methyl-7-(tert-butylazo)peroxyoctanoate, or combinations thereof.
- BAPO initiators are preferred.
- suitable BAPO initiators include, without limitation, compounds having the chemical structure of formula I: wherein Ar 1 and Ar 2 are independently substituted or unsubstituted aryl groups, typically substituted phenyl groups, wherein the substituents are linear, branched, or cyclic alkyl groups, such as methyl groups, linear, branched, or cyclic alkoxy groups, such as methoxy groups, and halogen atoms; preferably Ar 1 and Ar 2 have identical chemical structures; and wherein R 1 is a linear, branched, or cyclic alky group having from 1 to 10 carbon atoms, or R 1 is a phenyl group, a hydroxyl group, or an alkoxy group having from 1 to 10 carbon atoms.
- polymerization initiators that are activatable by different types of energy for the initial and subsequent activations may be used.
- materials that Attorney Docket No.: VTN6149WOPCT1 undergo a first thermal activation and a second activation via irradiation are within the scope of the invention.
- Examples of such mixed activation materials include compounds of formulae II, III, IV, and V: , , or wherein Ar 1 and Ar 2 are independently substituted or unsubstituted aryl groups, typically substituted phenyl groups, wherein the substituents are linear, branched, or cyclic alkyl groups, such as methyl groups, linear, branched, or cyclic alkoxy groups, such as methoxy groups, and halogen atoms; preferably Ar 1 and Ar 2 have identical chemical structures; and wherein R 1 is a linear, branched, or cyclic alkyl group having from 1 to 10 carbon atoms; wherein R 2 is Attorney Docket No.: VTN6149WOPCT1 difunctional methylene linking group that may further comprise ether, ketone, or ester groups along the methylene chain having from 1 to 10 carbon atoms; and R 3 is a hydrogen atom, a hydroxyl group, or a linear, branched, or cyclic alkoxy group having from
- a further example is tert-butyl 7-methyl-7-(tert-butylazo)peroxyoctanoate.
- diazo compounds, diperoxy compounds, or azo-peroxy compounds that exhibit two distinct decomposition temperatures may be used in the prevent invention.
- the polymerization initiator is a photopolymerization initiator, preferably a bisacylphosphine oxide.
- Bisacylphosphine oxides are desirable because they can undergo sequential activations steps at different wavelengths and are therefore simple to use. At the longer wavelength, bisacylphosphine oxides can form two free radical groups, one of which is a monoacylphosphine oxide.
- the monacylphosphine oxide (MAPO) can then undergo a second activation, typically at a shorter wavelength.
- a particularly preferred bisacylphosphine oxide is bis(2,4,6-trimethylbenzoyl) phenylphosphine oxide, for which the longer wavelength is typically above 420 nm (e.g., 435 nm and above) and the shorter wavelength is typically 420 nm and below. It may be preferable to use an LED or equivalent light in which the bandwidths are relatively narrow as the radiation source, thereby allowing initial irradiation while preserving some or most of the MAPO groups in the crosslinked substrate network.
- bisacylphosphine oxide compounds that may be used include bis-(2,6- dimethoxybenzoyl)-2,4,4-trimethylpenthylphosphine oxide, bis(2,4,6-trimethylbenzoyl)-2,4,4- trimethylpenthylphosphine oxide, or bis(2,4,6-trimethylbenzoyl)phosphinic acid or salt thereof.
- the reactive composition which contains the polymerization initiator, one or more ethylenically unsaturated compounds, and a crosslinker, is subjected to a first activation step under conditions that cause the polymerization initiator to undergo its initial activation.
- the reactive composition may be irradiated at 435 nm or above using an appropriate light source.
- the reactive composition consequently polymerizes to form a crosslinked substrate network.
- the crosslinked substrate network contains the residue of the polymerization initiator as a covalently bound activatable free radical initiator.
- the activation and polymerization of the reactive composition may be carried out using techniques known to those skilled in the art.
- the reactive components of the reactive composition may be mixed in a vessel.
- a diluent may optionally be used to facilitate the Attorney Docket No.: VTN6149WOPCT1 mixing.
- the mixture may be filtered, degassed, and heated to a desired temperature and then irradiated under conditions to cause a first activation of the polymerization initiator and consequent formation of the crosslinked substrate network.
- the vessel for the polymerization may be a mold, for instance where it is desired for the product to have a specific shape.
- the reactive composition may be dosed and polymerized within the cavity of a mold pair (e.g., front and back molds).
- the crosslinked substrate network for use in ophthalmic devices of the invention is a conventional or a silicone hydrogel. More preferably, it is a silicone hydrogel.
- the crosslinked substrate network is formed by a thermal polymerization of a reactive composition comprising at least one ethylenically unsaturated compound; at least one reactive component selected from the group consisting of a monoacylphosphine oxide compound, a bisoacylphosphine oxide compound, and combinations thereof; and a thermal crosslinker.
- thermal initiator examples include, without limitation, azo compounds such as azobisisobutyronitrile and 4,4'-azobis(4-cyanovaleric acid), peroxides such as benzoyl peroxide, tert-butyl peroxide, tert-butyl hydroperoxide, tert-butyl peroxybenzoate, dicumyl peroxide, and lauroyl peroxide, peracids such as peracetic acid and potassium persulfate as well as various redox systems.
- a preferred thermal initiator is azobisisobutyronitrile.
- Thermal polymerization reactions are typically carried out at temperatures between 50°C and 150°C, preferably between 50°C and 125°C, and most preferably between 60°C and 100°C.
- One type of monoacylphosphine oxide compound is a monoacylphosphine oxide monomer (MAPO-M) containing a polymerizable group and a monoacylphosphosine oxide group.
- MAPO-M may have many different chemical structures.
- Examples include Formula MAPO-M1: Rg-L-PO(R)(COAr 1 ) and Formula MAPO-M2: Rg-L-CO-POAr1Ar2, wherein Rg is a polymerizable group, L is a linking group (including a direct bond), and Ar 1 and Ar 2 are independently aryl groups which may have substituents.
- Rg is a polymerizable group
- L is a linking group (including a direct bond)
- Ar 1 and Ar 2 are independently aryl groups which may have substituents.
- a monoacylphosphine oxide monomer is (diphenylphophosyl)- (4-vinylphenyl)-methanone (DPPM) having the chemical structure shown below: Attorney Docket No.: VTN6149WOPCT1
- BAPO-M bisacylphosphine oxide monomer
- an exemplary BAPO-M may be depicted in the Formula BAPO-M1: Rg-L-PO(COAr 1 )(COAr 2 ), wherein Rg is a polymerizable group, L is a linking group (including a direct bond), and Ar 1 and Ar 2 are independently aryl groups which may have substituents.
- Rg is a polymerizable group
- L is a linking group (including a direct bond)
- Ar 1 and Ar 2 are independently aryl groups which may have substituents.
- BAPO-M is ethyl 2-(bis[2,4,6- trimethylbenzoyl]-phosphoryl)methacrylate.
- an ophthalmic device may be fabricated using the following process: (1) grafting a first grafting composition into first selected regions of a BAPO-M crosslinked substrate network using a wavelength of light that does not activate the MAPO groups formed thereby, for instance by irradiating with 435 nanometer light; (2) deactivating the resulting MAPO groups and any residual BAPO groups by irradiating with 405 nanometer light in second selected regions; and then (3) grafting a second grafting composition in third selected regions of a MAPO crosslinked substrate network, which may or may not overlap with the first selected regions or second selected regions, depending on the levels of deactivation and the locations of the selected regions used in each step.
- an ophthalmic device may be fabricated using the following process: (1) convertingting BAPO groups into MAPO groups in first selected regions of a thermally cured BAPO-M crosslinked substrate network using a wavelength of light that does not activate the MAPO Attorney Docket No.: VTN6149WOPCT1 groups formed thereby, for instance, by irradiating with 435 nanometer light; (2) deactivating both MAPO and BAPO groups in second selected regions, for instance, by irradiating with 405 nanometer light in second selected regions, said second selected regions may optionally overlap with the first selected regions; (3) grafting a first grafting composition in un-deactivated (BAPO containing) regions, for instance, by irradiating with 435 nanometer light; and (4) grafting a second grafting composition in the first selected (MAPO containing) regions, for instance, by irradiating at 405 nanometers.
- a wide range of apodization patterns can be fabricated into the ophthalmic device. Said apodization patterns can be formed in the optical zone to augment the optics of the ophthalmic lens or in the periphery to modify the appearance of the iris when the ophthalmic device is a contact lens.
- the crosslinked substrate network can be extracted and/or hydrated.
- monoacylphosphine oxide compound is a monoacylphosphine oxide compound having refractive index (MAPO-RI) or light absorbing (MAPO-LA) moieties as disclosed in US patent application 17/821311 which is hereby incorporated by reference in its entirety.
- bisacylphosphine oxide compound is a bisacylphosphine oxide compound having refractive index (BAPO-RI) or light absorbing (BAPO-LA) moieties as disclosed in US patent application 17/821311 which is hereby incorporated by reference in its entirety.
- MAPO-RI, MAPO-LA, BAPO-RI, and BAPO-LA compounds may be incorporated into the crosslinked substrate network by a combination of thermal polymerization and photochemical having the following steps: (a) thermally polymerizing the reactive composition, comprising at least one ethylenically unsaturated compound, at least one reactive component selected from the group consisting of a monoacylphosphine oxide monomer (MAPO- M), a bisacylphosphine oxide monomer (MAPO-M), or combinations thereof; and a thermal crosslinker, to form a precursor crosslinked substrate network, wherein the monoacylphosphine oxide compounds having refractive index or light absorbing moieties and bisacylphosphine oxide compounds having refractive index or light absorbing moieties are spatially dispersed within a precursor crosslinked substrate network and wherein the reactive composition has not been fully Attorney Docket No.: VTN6149WOPCT1 polymerized; (b) irradiating the precursor crosslinked substrate network in preselected
- Incorporating MAPO-RI, MAPO-LA, BAPO-RI, and BAPO-LA compounds into the precursor crosslinked substrate network after partial thermal cure and subsequently into the crosslinked substrate network upon full thermal cure may be designed to affect an overall change in the optical path length with or without a concomitant change in the absorption spectrum in the preselected regions of the crosslinked substrate network.
- the MAPO-RI, MAPO-LA, BAPO-RI, and BAPO-LA compounds are spatially dispersed in the precursor crosslinked substrate network after partial thermal cure in terms of their concentration based on solubility and cure kinetics including gelation and phase morphology.
- OPL is simply the refractive index times the distance travelled (n times s).
- the OPL can be modified by the incorporation of a functional moiety by either changing the refractive index of the region, by changing the distance travelled by light rays through the region, for instance, by changing the swelling Attorney Docket No.: VTN6149WOPCT1 properties of the region based on compositional and/or crosslink density modifications which in turn affect the thickness profile of the optical zone of the lens, or any combination of factors that change the OPL in the region.
- the term “refractive index moiety” is defined as a functional moiety that changes the OPL in part by changing the refractive index of the preselected regions.
- the composition of the reactive monomer mixture will determine the impact of swelling and/or crosslink density on the OPL of the preselected regions.
- the term “light absorbing moiety” is defined as a functional moiety that changes the light absorbing properties or spectra of the preselected regions.
- the functional moiety may, for instance, be a refractive index moiety, a light absorbing moiety, or a combination thereof.
- Light absorbing moieties may be used to provide an ophthalmic lens with a variety of functions including, for instance, cosmetic features, or the absorption of specific wavelengths of light (e.g., absorption of high energy visible (HEV) light and/or other wavelengths).
- the functional moiety may provide more than one function.
- a light absorbing moiety may also modify the refractive index of the lens in a desirable manner.
- incorporated moieties may achieve multiple effects.
- Light absorbing moieties may be used to provide general or custom apodization features to the lens in order to improve a lens user's vision. Examples of light absorbing moieties include, for instance, static dyes, photochromic dyes, thermochromic dyes, leuco dyes, and combinations thereof.
- More specific examples include, without limitation: azo-based dyes; anthraquinone- based dyes; nitro-based dyes; phthalocyanine-based dyes; quinoneimine-based dyes; quinoline- based dyes; carbonyl-based dyes; triarylmethane-based dyes; methine-based dyes; naphthopyrans; spiro (indoline) quinopyrans and spiro (indoline) pyrans; oxazines, such as spiro (indoline) naphthoxazines, spiro (indoline) pyridobenzoxazines, spiro (benzindoline) pyridobenzoxazines, spiro (benzindoline) naphthoxazines and spiro (indoline) benzoxazines; mercury dithizonates; fulgides; fulgimides,
- the functional moiety may be a refractive index moiety.
- a refractive index moiety alters the OPL of the lens, in the areas where it is incorporated, relative to the bulk lens. Variations in refractive properties across a lens can be used to impart images or other visual features into the lens or to impart features that affect visual function, for example for the purpose of generating bifocal or multifocal lenses.
- a preferred class of refractive index moiety are polyamides.
- Exemplary polyamides include, without limitation, polyvinylpyrrolidone (PVP), polyvinylmethyacetamide (PVMA), polydimethylacrylamide (PDMA), polyvinylacetamide (PNVA), poly(hydroxyethyl(meth)acrylamide), polyacrylamide, and copolymers of two or more thereof.
- PVP polyvinylpyrrolidone
- PVMA polyvinylmethyacetamide
- PDMA polydimethylacrylamide
- PNVA polyvinylacetamide
- poly(hydroxyethyl(meth)acrylamide) polyacrylamide
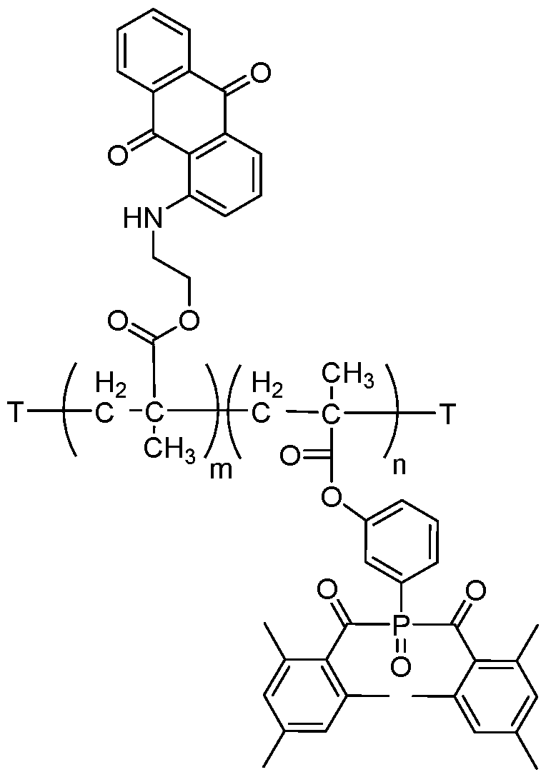
- copolymers of two or more thereof Some chemical structures of exemplary MAPO-RI, MAPO-LA, BAPO-RI, and BAPO- LA compounds are shown below : , where n is an integer group, where n is an integer terminating group, where x and y are T is a chain terminating group,
- VTN6149WOPCT1 O where m is an integer ranging from 1 to 100, and each T is independently a chain terminating group or an initiator fragment, where m is an integer chain terminating group, Attorney Docket No.: VTN6149WOPCT1 wherein a is an integer from 1 to 100, c is an integer ranging from 1 to 250, T is independently a chain terminating group or an initiator fragment, and Q is derived from a hydrophilic monomer, such as N,N-dimethylacrylamide, N- vinyl pyrrolidone, 2-hydroxyethyl methacrylate, N-vinyl-N-methylacetamide, N-vinyl acetamide.
- a hydrophilic monomer such as N,N-dimethylacrylamide, N- vinyl pyrrolidone, 2-hydroxyethyl methacrylate, N-vinyl-N-methylacetamide, N-vinyl acetamide.
- the MAPO-RI, MAPO-LA, BAPO-RI, and BAPO-LA compounds may be used in the reactive composition in effective amounts of, for instance, 0.01 weight percent to 20 weight percent based on all components in the reactive monomer mixture, excluding diluents.
- portions of the covalently bound activatable free radical initiators are deactivated in one or more selective regions, such that after deactivation, the crosslinked substrate network contains retained covalently bound activatable free radical initiators outside of the one or more selective regions and optionally within the one or more selective regions, depending on the level of deactivation.
- Deactivation may be achieved by various means, as long as the covalently bound free radical initiators are converted into other chemical moieties that cannot initiate a free radical polymerization, including but not limited to, oxidation reactions, reduction reactions, and radical coupling reactions.
- a preferred method of deactivation for crosslinked substate networks containing monoacylphosphine oxides or bisacylphosphine oxides as the covalently bound free radical initiators involves the irradiation of the selective regions in an oxygen gas atmosphere, Attorney Docket No.: VTN6149WOPCT1 for example, in air, thereby oxidizing monoacylphosphine oxides or bisacylphosphine oxides into other functional groups.
- Ultraviolet or visible light may be used in the deactivation process depending on the composition of the crosslinked substrate network and the desired features imparted by deactivating in the selective regions.
- the preferred wavelength range of ultraviolet light is between 300 nanometers and 400 nanometers, and the more preferred wavelength range of ultraviolet light is between 350 nanometers and 400 nanometers.
- the preferred wavelength range of visible light is between 400 nanometers and 500 nanometers, and the more preferred wavelength range of visible light is between 400 nanometers and 450 nanometers.
- the preferred light source comprises a narrow band light emitting diode.
- Deactivation in the crosslinked substrate network may be varied spatially by irradiating in an oxygen atmosphere using a voxel-based lithographic optical forming apparatus, described later in this application, equipped with an actinic radiation light source and a digital micromirror device (DMD) that projects spatially a predetermined DMD script onto the crosslinked substrate network, thereby varying the level of deactivation spatially within the crosslinked substrate network.
- the DMD script controls the location and the level of deactivation by control the amount of light energy delivered to a specific location within the crosslinked substrate network. There are several ways in which deactivation may be carried out.
- deactivation may be performed as described above on a crosslinked substrate network that enclosed in a mold assembly, comprised of a front mold and a back mold, the front mold and a back mold defining and enclosing a cavity in the shape of the ophthalmic device therebetween.
- Deactivation may be performed on a crosslinked substrate network that is adhered to either the front or back molds of a mold assembly, preferably adhered to the front mold in a conclave up position as shown in Figure 5.
- Deactivation may be performed on an unextracted, non-hydrated crosslinked substrate network or on an extracted and/or hydrated crosslinked substrate network.
- Deactivation may be performed from multiple directions, for example, from the top and from the bottom of a crosslinked substrate network, optionally using more than one actinic radiation light source, more than one DMD, more than one DMD script.
- the crosslinked substrate network comprises an ultraviolet light absorber and if ultraviolet light is used in the deactivation of the selective regions, then the intensity of the Attorney Docket No.: VTN6149WOPCT1 ultraviolet light is attenuated inside depending on its path length or depth in the crosslinked substrate network due to absorption. Under these conditions, the deactivation will be more effective on or near the surface of the crosslinked substrate network (due to less absorption), thereby enabling a means to modify the surface or a surface layer by deactivation.
- the retained covalently bound free radical initiators are concentrated in the bulk of the crosslinked substrate network, not in the surface layer, thereby enabling subsequent grafting in only the bulk and preventing grafting on the surface of the grafted polymeric network, or at least substantially so.
- the crosslinked substrate network comprises a visible light absorber and if visible light is used in the deactivation of the selective regions, then the intensity of the visible light may attenuated inside depending on its path length or depth in the crosslinked substrate network due to absorption.
- the deactivation may be more effective on or near the surface of the crosslinked substrate network (due to less absorption), thereby enabling a means to modify the surface or a surface layer by deactivation.
- the retained covalently bound free radical initiators may be concentrated in the bulk of the crosslinked substrate network, not in the surface region, thereby enabling subsequent grafting in only the bulk and preventing grafting on the surface of the grafted polymeric network, or at least substantially so.
- the crosslinked substrate network after deactivating at least a portion of the covalently bound activatable free radical initiator at one or more selective regions of the crosslinked substrate network such that the crosslinked substrate network contains retained covalently bound activatable free radical initiator outside of the one or more selective regions and optionally within the one or more selective regions, the crosslinked substrate network, formed as described above, is contacted with a grafting composition.
- the grafting composition contains one or more ethylenically unsaturated compounds.
- the crosslinked substrate network is a swellable material and therefore absorbs at least some grafting composition for the subsequent grafting reaction. Absorption into the crosslinked substrate network may be carried out in various ways.
- the crosslinked substrate network may be placed in the grafting composition and allowed to swell.
- the crosslinked substrate network may be first swollen in a solvent and then Attorney Docket No.: VTN6149WOPCT1 combined with the grafting composition, e.g., by suspending the pre-swollen crosslinked substrate network in the grafting composition, during which the reactive components partition into the crosslinked substrate network by molecular diffusion and fluid exchange prior.
- the crosslinked substrate network may first be extracted with a solvent, either an organic solvent or an aqueous organic solvent or both, optionally followed by hydration and equilibration in aqueous buffers or deionized water, and then combined with the grafting composition as described previously.
- any organic solvent or aqueous organic solvent may be used.
- the grafting composition that should absorb into the crosslinked substrate network as long as some is present (greater than 0 weight percent of reactive components).
- the polymerization initiator used in step (a) of the process is a bisacylphosphine oxide
- retained covalently bound activatable free radical initiators in this case, monoacylphosphine oxides, outside of the one or more selective regions and optionally within the one or more selective regions, may be activated by irradiation at 420 nanometers or below using an appropriate light source.
- the activation may be conducted anywhere in the crosslinked substrate network, except of course in selective regions in which all of the monoacylphosphine oxide was deactivated.
- the grafting composition then undergoes polymerization in the activated portions of the crosslinked substrate network having retained monoacylphosphine oxide.
- the product is thus an ophthalmic device having localized regions or volumes that comprise a grafted polymeric network and selective regions with either no grafted polymeric network or varying amounts depending on the level of deactivation and therefore the concentration of covalently bound monoacylphosphine oxides.
- Any un-grafted composition along with any by-products or by-product polymers may be removed from the network, for instance, by extraction with a solvent.
- the grafting outside of the selective regions of the crosslinked substrate network, and Attorney Docket No.: VTN6149WOPCT1 optionally within the one or more selective regions with partial deactivation, allows a manufacturer to change the chemical composition of the device in those volume elements.
- the inventive process may allow for custom light absorption profiles in the optical zone comprising both clear (deactivated) and colored (grafted to varying degrees) sections or patterns in the optical zone.
- custom light absorption profiles may be achieved by completely deactivating some selective regions such as in the center of the optical zone, partially deactivating in other selective regions of the optical zone, and then grafting a colored composition onto all of the regions having retained covalently bound activatable free radical initiators, followed by standard extraction, hydration, and sterilization procedures.
- Other contact lens examples are the formation of patterns, including cosmetic designs, fiduciary markers, and barcodes in the periphery of the contact lens using similar process, namely create a clear pattern, fiduciary marker, or barcode in the deactivation step and then graft enough of a colored composition to make said patterns, fiduciary markers, or barcodes visible to a third-party observer or optical scanner.
- the patterns, fiduciary markers, and barcodes can be composed of dots, lines, shapes, symbols, letters, numbers, and the like, with variable sizes and spacing as well as color intensity, thereby enabling high levels of information storage.
- Such patterns, fiduciary markers, and barcodes can be used in tracking lenses during manufacturing, product surveillance, or clinical trials, can be used as inversion markers to ensure that contact lens wearers place do not invert the lens prior to insertion onto the eye, and can be used as diagnostic tools to better fit a patient with the best prescription lens.
- a reactive composition containing: (i) a polymerization initiator that is capable, upon a first activation, of forming two or more free radical groups, at least one of which is further activatable by subsequent activation; (ii) one or more ethylenically unsaturated compounds; and (iii) a crosslinker; (b) subjecting the reactive composition to a first activation step such that the reactive composition polymerizes therein to form a crosslinked substrate network containing a covalently bound activatable free radical initiator; (c) deactivating at least a portion of the covalently bound activatable free radical initiator at one or more selective regions of the crosslinked substrate network such that the crosslinked substrate network contains retained Attorney Docket No.: VTN6149WOPCT1 covalently bound activatable free radical initiator outside of the one or more selective regions and optionally within the one or more selective regions; (d) contacting the crosslinked substrate network
- Various techniques may be used for the deactivation of at least a portion of the covalently bound activatable free radical initiator at one or more selective regions of the crosslinked substrate network such that the crosslinked substrate network contains retained covalently bound activatable free radical initiator outside of the one or more selective regions and optionally within the one or more selective regions.
- the same techniques may be used for the activation of the retained covalently bound activatable free radical initiator such that the grafting composition polymerizes with the crosslinked substrate network outside of the deactivated selective regions and optionally partially within the deactivated selective regions.
- a preferred technique is voxel- based lithography as generally described, for example, in US20150146159, US9075186, and US8317505, each of which is incorporated herein by reference in its entirety. Additional references include US7905594, US8157373, US8240849, US8313828, US8318055, US8795558, US9180633, US9180634, US9417464, US9610742, US9857607, US10961341, US11021558, and US11034789, each of which is incorporated herein by reference in its entirety.
- An exemplary voxel-based lithographic apparatus that may be used in the invention is shown in Figure 1.
- the voxel-based lithographic optical forming apparatus 100 may include a source of actinic radiation 110, a spatial grid 111, a forming optic 130 having a forming optic surface 140.
- the radiation or light may impinge in a roughly vertical manner to the surface 140 of the forming optic 130.
- the forming optic 130 may be held in place via a retaining ring 121 or other fastening device, which may maintain the correct orientation of the optical system relative to the forming optic 130.
- Other paths that light may take on a voxel-by-voxel basis across the optic surface 140 may be apparent and are within the scope of the inventive art.
- a reservoir 150 which may Attorney Docket No.: VTN6149WOPCT1 be empty or may contain a liquid 145 such as the grafting composition and forming optic 130 to the light beam may be significant
- additional mechanisms for their interlocked location may be included, for example, a forming optic retaining member 170 with associated interlocking features 180 and 122.
- the alignment between the retaining member 170 and interlocking features 180 and 122 may also provide for position control of the centering of the reservoir 150 to the forming optic surface 140.
- the position control may be enhanced in some exemplary embodiments with a spacing ring 151, which may also control the volume of material added to the reservoir 150.
- the reservoir 150 may be enclosed in a containment vessel 190 that may exclude ambient gasses, such as oxygen.
- the exclusion may be enhanced by flowing an inert gas, such as nitrogen, through a tube or channel 160 included in the containment vessel 190.
- the oxygen level may be managed by controlling the dilution of oxygen in the gas flowed through the channel 160 included in the containment vessel 190.
- the forming optic 130 may be made from numerous optically transparent materials, wherein a light beam, such as actinic radiation, may pass through the forming optic 130 and impinge on the target.
- the forming optic 130 may comprise fused quartz or transparent polymeric materials.
- a crosslinked substrate network may first be formed in a mold as describe above.
- the crosslinked substrate network may then be positioned (not shown) on the forming optic surface 140 and contacted with grafting composition 145 contained in the reservoir 150.
- a crosslinked substrate network may be formed, for instance in a mold as described above, and contacted with the grafting composition outside of the voxel- based lithograph optical forming apparatus.
- the crosslinked substrate network, containing grafting composition may then be positioned (not shown) on the forming optic surface 140.
- the reservoir 150 may be empty or it may, for example, contain solvents, water, or additional grafting composition.
- Actinic radiation 110 which may be controlled and varied across a spatial grid 111, may be applied to the crosslinked lens substrate (containing grafting composition) at the appropriate wavelength for activating the substrate's covalently bound activatable free radical initiators.
- the actinic radiation 110 may be controlled such that it impinges at selective locations on the crosslinked substrate network, resulting in localized activation of the covalently bound initiators with consequent grafting at only those locations.
- Various techniques may be used to control the Attorney Docket No.: VTN6149WOPCT1 actinic radiation such that it impinges only at the desired locations of the crosslinked substrate network.
- a digital micromirror device (DMD) and DMD script along with various associated components may be used, as described in US9075186.
- the source of actinic irradiation used in any deactivation step and any activation step (polymerization or grafting) of any of the inventive processes herein may include a plurality of selectively controllable beams of actinic radiation controlled by a digital micro-mirror device according to a predetermined script.
- the illumination source of the actinic irradiation may include at least one light emitting diode, and the predetermined DMD script may direct the actinic irradiation to one or more surfaces of the crosslinked substrate network.
- ultraviolet or visible light may be used in any deactivation step and any activation step (polymerization or grafting) of any of the inventive processes herein.
- the preferred wavelength range of ultraviolet light is between 300 nanometers and 400 nanometers, and the more preferred wavelength range of ultraviolet light is between 350 nanometers and 400 nanometers.
- the preferred wavelength range of visible light is between 400 nanometers and 500 nanometers, and the more preferred wavelength range of visible light is between 400 nanometers and 450 nanometers.
- the preferred light source comprises a narrow band light emitting diode.
- the in-mold jig has a clear front mold base (201) made from a suitable plastic such as poly(methylmethacrylate) that is designed to hold a front mold (202) with a crosslinked substrate network lens (204) adhered thereon in a concave up position, thereby allowing the grafting composition to be dispensed therein.
- the front mold base is also designed to be attached to the voxel-based lithograph optical forming apparatus for actinic irradiation using a predetermined DMD script.
- the targeted image plane of the apparatus may be adjusted to be at or near the center of the front mold (202).
- the in-mold jig is further equipped with magnetic spacers that hold the front mold in place.
- These magnetic spacers may also be designed to hold a complete contact lens mold assembly, comprised of a front mold and a back mold, the front mold and a back mold defining and enclosing a cavity in the shape of the contact lens therebetween, as well as an optional (not shown in Figure 2) clear back mold base having an opaque or light absorbing top surface to control the amount of extraneous light.
- the ladder configuration provides for the mold assembly having a precursor crosslinked substrate network lens, comprising MAPO-M, Attorney Docket No.: VTN6149WOPCT1 MAPO-RI, MAPO-LA, BAPO-M, BAPO-RI, and BAPO-LA compounds, to be irradiated conveniently in preselected regions prior to completing the thermal polymerization, thereby forming a crosslinked substrate network lens ready for grafting.
- voxel-based lithography as described above is a preferred technique for the selective activation of the crosslinked substrate network, other techniques may also be utilized. For example, selective activation may be provided by simply masking, from the activating light, those areas of the crosslinked substrate network where activation is not desired.
- the non-masked areas of the substrate may then undergo activation and grafting. Unreacted material may be removed, for instance, by extraction. Additional optional grafting steps may be added. Such additional grafting may, for instance, be through the bulk of the grafted crosslinked substrate network, or it may be more concentrated at the surface than at the core, or it may be localized in other regions of the grafted crosslinked substrate network. For instance, following the above-described localized grafting, the grafted crosslinked substrate network may be contacted with a second grafting composition containing one or more ethylenically unsaturated compounds.
- Such second composition may be grafted onto the grafted crosslinked substrate network if the grafted crosslinked substrate network contains additional retained covalently bound activatable free radical initiators.
- the free radical initiator covalently bound to the crosslinked substrate network forms two free radical groups when activated, one of which may not be covalently bound to the substrate. Consequently, some of the reactive components in the grafting composition may polymerize via the unbound free radical group to form a polymer that is not covalently bound with the network.
- Such polymer is referred to herein as a "byproduct polymer.” This byproduct polymer may be induced to covalently bind with the grafted polymeric network by inclusion of a crosslinking agent in the grafting composition.
- the composition may contain at least a portion of the byproduct polymer that is not covalently bound to the grafted polymeric network.
- the polymerization of the grafting composition is conducted in the substantial absence of a crosslinker.
- substantially absence of a crosslinker is meant that any crosslinker used in the grafting composition is present in less than a stoichiometric amount. In some embodiments, no crosslinker is present in the grafting composition.
- the reactive composition and the grafting compositions of the invention contain Attorney Docket No.: VTN6149WOPCT1 ethylenically unsaturated compounds as reactive components. The ethylenically unsaturated compounds undergo polymerization to form the polymer compositions described herein.
- ethylenically unsaturated compounds may be used in the invention.
- the ethylenically unsaturated compounds may be the same or different between the reactive composition and the grafting composition, although in some embodiments, it is preferable that at least some of the ethylenically unsaturated compounds in each composition are different.
- the ethylenically unsaturated compound for inclusion in the reactive composition and/or the grafting composition may comprise an independently selected silicone-containing component.
- the silicone-containing component may comprise one or more compounds selected from monomers or macromer, where each compound may independently comprise at least one polymerizable group, at least one siloxane group, and one or more linking groups connecting the polymerizable group(s) to the siloxane group(s).
- the silicone-containing components may, for instance, contain from 1 to 220 siloxane repeat units, such as the groups defined below.
- the silicone-containing component may also contain at least one fluorine atom.
- the silicone-containing component may comprise: one or more polymerizable groups as defined above; one or more optionally repeating siloxane units; and one or more linking groups connecting the polymerizable groups to the siloxane units.
- the silicone-containing component may comprise: one or more polymerizable groups that are independently a (meth)acrylate, a styryl, a vinyl ether, a (meth)acrylamide, an N-vinyllactam, an N-vinylamide, an O- vinylcarbamate, an O-vinylcarbonate, a vinyl group, or mixtures of the foregoing; one or more optionally repeating siloxane units; and one or more linking groups connecting the polymerizable groups to the siloxane units.
- the silicone-containing component may comprise: one or more polymerizable groups that are independently a (meth)acrylate, a (meth)acrylamide, an N-vinyl lactam, an N- Attorney Docket No.: VTN6149WOPCT1 vinylamide, a styryl, or mixtures of the foregoing; one or more optionally repeating siloxane units; and one or more linking groups connecting the polymerizable groups to the siloxane units.
- the silicone-containing component may comprise: one or more polymerizable groups that are independently a (meth)acrylate, a (meth)acrylamide, or mixtures of the foregoing; one or more optionally repeating siloxane units; and one or more linking groups connecting the polymerizable groups to the siloxane units.
- the silicone-containing component may comprise one or more polymerizable compounds of Formula A: wherein: at least one R A is a group of formula R g -L- wherein R g is a polymerizable group and L is a linking group, and the remaining R A are each independently: (a) Rg-L-, (b) C 1 -C 16 alkyl optionally substituted with one or more hydroxy, amino, amido, oxa, carboxy, alkyl carboxy, carbonyl, alkoxy, amido, carbamate, carbonate, halo, phenyl, benzyl, or combinations thereof, (c) C 3 -C 12 cycloalkyl optionally substituted with one or more alkyl, hydroxy, amino, amido, oxa, carbonyl, alkoxy, amido, carbamate, carbonate, halo, phenyl, benzyl, or combinations thereof, (d) a C 6 -C 14 aryl group optionally substituted with one
- the SiO units may carry the same or different R A substituents and if different R A substituents are present, the n groups may be in random or block configuration.
- three R A may each comprise a polymerizable group, alternatively two R A may each comprise a polymerizable group, or alternatively one R A may comprise a polymerizable group.
- silicone-containing components suitable for use in the invention include, but are not limited to, compounds listed in Table B. Where the compounds in Table B contain polysiloxane groups, the number of SiO repeat units in such compounds, unless otherwise indicated, is preferably from 3 to 100, more preferably from 3 to 40, or still more preferably from 3 to 20.
- Table B 1 mono-methacryloxypropyl terminated mono-n-butyl terminated polydimethylsiloxanes (mPDMS) (preferably containing from 3 to 15 SiO repeating units) 2 mono-acryloxypropyl terminated mono-n-butyl terminated polydimethylsiloxane 3 mono(meth)acryloxypropyl terminated mono-n-methyl terminated p olydimethylsiloxane 4 mono(meth)acryloxypropyl terminated mono-n-butyl terminated polydiethylsiloxane 5 mono(meth)acryloxypropyl terminated mono-n-methyl terminated polydiethylsiloxane 6 mono(meth)acrylamidoalkylpolydialkylsiloxanes 7 mono(meth)acryloxyalkyl terminated mono-alkyl polydiarylsiloxanes 8 3-methacryloxypropyltris(trimethylsiloxy)silane (TRIS) 9 3-meth
- j2 where applicable is preferably from 1 to 100, more preferably from 3 to 40, or still more preferably from 3 to 15.
- the sum of j1 and j2 is preferably from 2 to 100, more preferably from 3 to 40, or still more preferably from 3 to 15.
- Table C 25 26 p is 1 to 10 Attorney Docket No.: VTN6149WOPCT1 p is 5-10 1,3-bis[4-(vinyloxycarbonyloxy)but-1-yl]tetramethyl-disiloxane 3-(vinyloxycarbonylthio) propyl-[tris (trimethylsiloxy)silane] 3-[tris(trimethylsiloxy)silyl] propyl allyl carbamate 3-[tris(trimethylsiloxy)silyl] propyl vinyl carbamate tris(trimethylsiloxy)silylstyrene (Styryl-TRIS)
- suitable mixtures may include, but are not limited to: a mixture of mono-(2-hydroxy-3- Attorney Docket No.: VTN6149WOPCT1 methacryloxypropyloxy)-propyl terminated mono-n-butyl terminated polydimethylsiloxane (OH- mPDMS) having different molecular weights, such as a mixture of OH-mPDMS containing 4 and 15 SiO repeat units; a mixture of OH-mPDMS with different molecular weights (e.g., containing 4 and 15 repeat SiO repeat units) together with a silicone based crosslinker, such as bis-3-acryloxy-2-hydroxypropyloxypropyl polydimethylsiloxane (ac-PDMS); a mixture of 2- hydroxy-3-[3-methyl-3,3-di(trimethylsiloxy)silylpropoxy]-propyl methacrylate (SiMAA) and mono-methacryloxypropyl terminated mono-n-but
- Silicone-containing components for use in the invention may have an average molecular weight of from about 400 to about 4000 daltons.
- the silicone containing component(s) may be present in amounts up to about 95 weight %, or from about 10 to about 80 weight %, or from about 20 to about 70 weight %, based upon all reactive components of a formulation (excluding diluents).
- the ethylenically unsaturated compound for inclusion in the reactive composition and/or the grafting composition may comprise an independently selected hydrophilic component.
- Hydrophilic components include those which are capable of providing at least about 20% or at least about 25% water content to the resulting composition when combined with the remaining reactive components. Suitable hydrophilic components include hydrophilic monomers, prepolymers and polymers.
- the hydrophilic component has at least one polymerizable group and at least one hydrophilic functional group.
- polymerizable groups include acrylic, methacrylic, acrylamido, methacrylamido, fumaric, maleic, styryl, isopropenylphenyl, O-vinylcarbonate, O-vinylcarbamate, allylic, O-vinylacetyl and N- vinyllactam and N-vinylamido double bonds.
- DMA N,N-dimethyl acrylamide
- 2-hydroxyethyl methacrylamide polyethyleneglycol monomethacrylate
- methacrylic acid acrylic acid, mixtures thereof and the like.
- the hydroxyl alkyl group may be selected from C2-C4 mono or dihydroxy substituted alkyl, and poly(ethylene glycol) having 1-10 repeating units; or is selected from 2-hydroxyethyl, 2,3-dihydroxypropyl, or 2-hydroxypropyl, and combinations thereof.
- hydroxyalkyl monomers examples include 2-hydroxyethyl (meth)acrylate, 3- hydroxypropyl (meth)acrylate, 2-hydroxypropyl (meth)acrylate, 2,3-dihydroxypropyl (meth)acrylate, 2-hydroxybutyl (meth)acrylate, 3-hydroxybutyl (meth)acrylate, 1-hydroxypropyl 2-(meth)acrylate, 2-hydroxy-2-methyl-propyl (meth)acrylate, 3-hydroxy-2,2-dimethyl-propyl (meth)acrylate, 4-hydroxybutyl (meth)acrylate, 2-hydroxyethyl (meth)acrylamide, N-(2- hydroxypropyl) (meth)acrylamide, N,N-bis(2-hydroxyethyl) (meth)acrylamide, N,N-bis(2- hydroxypropyl) (meth)acrylamide, N-(3-hydroxypropyl) (meth)acrylamide, 2,3-dihydroxypropyl (meth)acrylamide, glyce
- the hydroxyalkyl monomer may also be selected from the group consisting of 2- hydroxyethyl methacrylate, glycerol methacrylate, 2-hydroxypropyl methacrylate, hydroxybutyl methacrylate, 3-hydroxy-2,2-dimethyl-propyl methacrylate, and mixtures thereof.
- the hydroxyalkyl monomer may comprise 2-hydroxyethyl methacrylate, 3-hydroxy-2,2- dimethyl-propyl methacrylate, hydroxybutyl methacrylate or glycerol methacrylate.
- hydroxyl containing (meth)acrylamides are generally too hydrophilic to be included as compatibilizing hydroxyalkyl monomers, and hydroxyl containing (meth)acrylates may be included in the reactive composition and the lower amount of hydroxyalkyl monomers may be selected to provide a haze value to the final lens of less than about 50% or less than about 30%. It will be appreciated that the amount of hydroxyl component will vary depending upon a number of factors, including, the number of hydroxyl groups on the hydroxyalkyl monomer, the amount, molecular weight and presence of hydrophilic functionality on the silicone containing components.
- hydrophilic hydroxyl component may be present in the reactive composition in amounts up to about 15%, up to about 10 wt%, between about 3 and about 15 wt% or about 5 and about 15 wt%.
- Hydrophilic vinyl-containing monomers which may be incorporated into the polymer compositions include monomers such as hydrophilic N-vinyl lactam and N-vinyl amide Attorney Docket No.: VTN6149WOPCT1 monomers including: N-vinyl pyrrolidone (NVP), N-vinyl-2-piperidone, N-vinyl-2-caprolactam, N-vinyl-3-methyl-2-caprolactam, N-vinyl-3-methyl-2-piperidone, N-vinyl-4-methyl-2- piperidone, N-vinyl-4-methyl-2-caprolactam, N-vinyl-3-ethyl-2- pyrrolidone, N-vinyl-4,5- dimethyl-2-pyrrolidone, N-vinyl
- Hydrophilic O-vinyl carbamates and O-vinyl carbonates monomers that may be used in the invention include: N-2-hydroxyethyl vinyl carbamate and N-carboxy-ß-alanine N-vinyl ester. Further examples of the hydrophilic vinyl carbonate or vinyl carbamate monomers are disclosed in U.S. Patent No.5,070,215, and the hydrophilic oxazolone monomers are disclosed in U.S. Patent No.4,910,277.
- vinyl carbamates and carbonates examples include: N-2- hydroxyethyl vinyl carbamate, N-carboxy-ß-alanine N-vinyl ester, other hydrophilic vinyl monomers, including vinylimidazole, ethylene glycol vinyl ether (EGVE), di(ethylene glycol) vinyl ether (DEGVE), allyl alcohol, 2-ethyl oxazoline, vinyl acetate, acrylonitrile, and mixtures thereof. (Meth)acrylamide monomers may also be used as hydrophilic monomers.
- Examples include N-N-dimethylacrylamide, acrylamide, N,N-bis(2-hydroxyethyl)acrylamide, acrylonitrile, N-isopropyl acrylamide, N,N-dimethylaminopropyl(meth)acrylamide, and any of the hydroxyl functional (meth)acrylamides listed above.
- the hydrophilic monomers which may be incorporated into the polymers disclosed herein may be selected from N,N-dimethyl acrylamide (DMA), 2-hydroxyethyl acrylamide, 2- hydroxyethyl methacrylamide, N-hydroxypropyl methacrylamide, bishydroxyethyl acrylamide, Attorney Docket No.: VTN6149WOPCT1 2,3-dihydroxypropyl (meth)acrylamide, N-vinylpyrrolidone (NVP), N-vinyl-N-methyl acetamide, N-vinyl methacetamide (VMA), and polyethyleneglycol monomethacrylate.
- the hydrophilic monomers may be selected from DMA, NVP, VMA, NVA, and mixtures thereof.
- the hydrophilic monomers may be macromers of linear or branched poly(ethylene glycol), poly(propylene glycol), or statistically random or block copolymers of ethylene oxide and propylene oxide.
- the macromer of these polyethers has one polymerizable group. Non- limiting examples of such polymerizable groups are acrylates, methacrylates, styrenes, vinyl ethers, acrylamides, methacrylamides, and other vinyl compounds.
- the macromer of these polyethers may comprise acrylates, methacrylates, acrylamides, methacrylamides, and mixtures thereof.
- Other suitable hydrophilic monomers will be apparent to one skilled in the art.
- the hydrophilic monomers may also comprise charged monomers including but not limited to acrylic acid, methacrylic acid, 3-acrylamidopropionic acid (ACA1), 4- acrylamidobutanoic acid, 5-acrylamidopentanoic acid (ACA2), 3-acrylamido-3-methylbutanoic acid (AMBA), N-vinyloxycarbonyl- ⁇ -alanine, N-vinyloxycarbonyl- ⁇ -alanine (VINAL), 2-vinyl- 4,4-dimethyl-2-oxazolin-5-one (VDMO), reactive sulfonate salts, including, sodium-2- (acrylamido)-2-methylpropane sulphonate (AMPS), 3-sulphopropyl (meth)acrylate potassium salt, 3-sulphopropyl (meth)acrylate sodium salt, bis 3- sulphopropyl itaconate di sodium, bis 3- sulphopropyl itaconate di potassium, vinyl sulphonate sodium salt, vinyl
- the hydrophilic monomers may be selected from N, N-dimethyl acrylamide (DMA), N- vinylpyrrolidone (NVP), 2-hydroxyethyl methacrylate (HEMA), N-vinyl methacetamide (VMA), and N-vinyl N-methyl acetamide (NVA), N-hydroxypropyl methacrylamide, mono-glycerol methacrylate, 2-hydroxyethyl acrylamide, 2-hydroxyethyl methacrylamide, bishydroxyethyl acrylamide, 2,3-dihydroxypropyl (meth)acrylamide and mixtures thereof.
- the hydrophilic monomers may be selected from DMA, NVP, HEMA, VMA, NVA, and mixtures thereof.
- the hydrophilic monomer(s) may be present in amounts up to about 60 wt%, from about 1 to about 60 weight %, from about 5 to about 50 weight %, or from about 5 to about 40 weight %, based upon the weight of all reactive components.
- VTN6149WOPCT1 Other hydrophilic monomers that can be employed include polyoxyethylene polyols having one or more of the terminal hydroxyl groups replaced with a polymerizable group. Examples include polyethylene glycol with one or more of the terminal hydroxyl groups replaced with a polymerizable group.
- Examples include polyethylene glycol reacted with one or more molar equivalents of an end-capping group such as isocyanatoethyl methacrylate ("IEM"), methacrylic anhydride, methacryloyl chloride, vinylbenzoyl chloride, or the like, to produce a polyethylene polyol having one or more terminal polymerizable olefinic groups bonded to the polyethylene polyol through linking moieties such as carbamate or ester groups.
- IEM isocyanatoethyl methacrylate
- methacrylic anhydride methacryloyl chloride
- vinylbenzoyl chloride vinylbenzoyl chloride
- Still further examples are the hydrophilic vinyl carbonate or vinyl carbamate monomers disclosed in U.S. Pat. No.5,070,215, and the hydrophilic oxazolone monomers disclosed in U.S. Pat. No.4,190,277.
- Hydrophilic monomers which may be incorporated into the polymer compositions disclosed herein include hydrophilic monomers such as N,N-dimethyl acrylamide (DMA), 2- hydroxyethyl acrylate, glycerol methacrylate, 2-hydroxyethyl methacrylamide, N- vinylpyrrolidone (NVP), N-vinyl methacrylamide, HEMA, and poly(ethyleneglycol) methyl ether methacrylate (mPEG). Hydrophilic monomers may include DMA, NVP, HEMA and mixtures thereof.
- DMA N,N-dimethyl acrylamide
- NVP 2- hydroxyethyl acrylate
- NDP 2-hydroxyethyl methacrylamide
- N- vinylpyrrolidone N- vinylpyrrolidone
- HEMA N-vinyl methacrylamide
- HEMA poly(ethyleneglycol) methyl ether methacrylate
- mPEG poly(ethyleneglycol) methyl ether methacrylate
- the reactive composition and/or the grafting composition may contain one or more independently selected ethylenically unsaturated zwitterionic compounds, such as an ethylenically unsaturated betaine.
- the zwitterionic compound is in the grafting composition.
- suitable compounds include: N-(2-carboxyethyl)-N,N-dimethyl-3- [(1-oxo-2-propen-1-yl)amino]-1-propanaminium, , inner salt (CAS 79704-35-1, also known as 3- acrylamido-N-(2-carboxyethyl)-N,N-dimethylpropane-1-aminium or CBT); 3-methacrylamido- N-(2-carboxyethyl)-N,N-dimethylpropane-1-aminium; N,N-dimethyl-N-[3-[(1-oxo-2-propen-1- yl)amino]propyl]-3-sulfo-1-propanaminium, , inner salt (CAS 80293-60-3, also known as 3-((3- acrylamidopropyl) dimethylammonio) propane-1-sulfonate or SBT); 3-((3- methacryl
- the reactive composition and/or the grafting composition may contain one or more independently selected ethylenically unsaturated quaternary ammonium salts.
- the quaternary ammonium salt is in the grafting composition.
- suitable compounds include 2-(methacryloyloxy)ethyl trimethylammonium chloride; 2-(acryloyloxy)ethyl trimethylammonium chloride; 3-methacrylamido-N,N,N-trimethylpropan-1-aminium chloride; or 3-acrylamido-N,N,N-trimethylpropan-1-aminium chloride
- the reactive composition and/or the grafting composition may contain one or more independently selected ethylenically unsaturated active pharmaceutical ingredients.
- the active pharmaceutical compound is in the grafting composition.
- suitable compounds include cyclosporine or salicylate monomers.
- the reactive composition and/or the grafting composition may contain one or more independently selected ethylenically unsaturated peptides.
- the peptide is in the grafting composition.
- Exemplary compounds include, for instance, those wherein the amino- terminus of a peptide may be acylated with an acylating agent such as (meth)acryloyl chloride, (meth)acrylic anhydride, isopropenyl ⁇ , ⁇ -dimethylbenzyl isocyanate and 2-isocyanatoethyl methacrylate along with known co-reagents and catalysts to form a monomer suitable for incorporation into reactive compositions of the present inventions
- the reactive composition of the invention contains a crosslinker.
- Crosslinkers may optionally be present in the grafting composition.
- a variety of crosslinkers may be used, including silicone-containing and non-silicone containing cross-linking agents, and mixtures thereof.
- crosslinkers examples include ethylene glycol dimethacrylate (EGDMA), diethyleneglycol dimethacrylate, trimethylolpropane trimethacrylate (TMPTMA), tetraethylene glycol dimethacrylate (TEGDMA), triallyl cyanurate (TAC), glycerol trimethacrylate, 1,3- propanediol dimethacrylate; 2,3-propanediol dimethacrylate; 1,6-hexanediol dimethacrylate; 1,4- butanediol dimethacrylate, methacryloxyethyl vinylcarbonate (HEMAVc), allylmethacrylate, methylene bisacrylamide (MBA), polyethylene glycol dimethacrylate (wherein the polyethylene glycol preferably has a molecular weight up to 5,000 Daltons).
- EGDMA ethylene glycol dimethacrylate
- TMPTMA trimethylolpropane trimethacrylate
- crosslinkers are used in the Attorney Docket No.: VTN6149WOPCT1 typical amounts known to those skilled in the art, e.g., from about 0.000415 to about 0.0156 mole per 100 grams of reactive components in the reaction composition.
- the ethylenically unsaturated compound such as a hydrophilic monomer or a silicone containing monomer, acts as the crosslinker, for instance by virtue of being bifunctional or multifunctional, the addition of a separate crosslinker to the reaction composition is optional. In this case, the ethylenically unsaturated compound is also considered a crosslinker.
- An example of a silicone containing monomer which can act as a crosslinking agent and, when present, does not require the addition of a crosslinking monomer to the reaction composition includes ⁇ , ⁇ -bismethacryloypropyl polydimethylsiloxane.
- any of the above disclosed multifunctional silicone-containing components may be used as cross- linking agents.
- Either or both of the reactive composition and the grafting composition may contain additional components such as, but not limited to, UV absorbers, photochromic compounds, pharmaceutical and nutraceutical compounds, antimicrobial compounds, reactive tints, pigments, copolymerizable and non-polymerizable dyes, release agents and combinations thereof.
- additional components such as, but not limited to, UV absorbers, photochromic compounds, pharmaceutical and nutraceutical compounds, antimicrobial compounds, reactive tints, pigments, copolymerizable and non-polymerizable dyes, release agents and combinations thereof.
- Other components that can be present in the first and/or grafting compositions include wetting agents, such as those disclosed in US 6,367,929, WO03/22321, WO03/22322, compatibilizing components, such as those disclosed in US2003/162862 and US2003/125498.
- a preferred UV absorber is 2-(2 ⁇ -hydroxy-5-methacrylyloxyethylphenyl)-2H-benzotriazole, commonly known
- the sum of additional components may be up to about 20 wt%.
- the reactive compositions may comprise up to about 18 wt% wetting agent, or from about 5 and about 18 wt% wetting agent.
- wetting agents are hydrophilic polymers having a weight average molecular weight greater than about 5,000 Daltons, between about 150,000 Daltons to about 2,000,000 Daltons; between about 300,000 Daltons to about 1,800,000 Daltons; or between about 500,000 Daltons to about 1,500,000 Daltons.
- the amount of optional wetting agent which may be added to the reactive composition and/or the grafting composition of the present invention may be varied depending on the other Attorney Docket No.: VTN6149WOPCT1 components used and the desired properties of the resulting product.
- the internal wetting agents in reactive compositions may be included in amounts from about 1 weight percent to about 20 weight percent; from about 2 weight percent to about 15 percent, or from about 2 to about 12 percent, all based upon the total weight of all of the reactive components.
- a wetting agent when used, is present in the reactive composition.
- Wetting agents include but are not limited to homopolymers, statistically random copolymers, diblock copolymers, triblock copolymers, segmented block copolymers, graft copolymers, and mixtures thereof.
- Non-limiting examples of internal wetting agents are polyamides, polyesters, polylactones, polyimides, polylactams, polyethers, polyacids homopolymers and copolymers prepared by the free radical polymerization of suitable monomers including acrylates, methacrylates, styrenes, vinyl ethers, acrylamides, methacrylamides, N-vinyllactams, N-vinylamides, O-vinylcarbamates, O-vinylcarbonates, and other vinyl compounds.
- the wetting agents may be made from any hydrophilic monomer, including those listed herein.
- the wetting agents may include acyclic polyamides that comprise pendant acyclic amide groups and are capable of association with hydroxyl groups.
- Cyclic polyamides comprise cyclic amide groups and are also capable of association with hydroxyl groups.
- suitable acyclic polyamides include polymers and copolymers comprising repeating units of Formula XXIX or Formula XXX: R 26 R 27 R d Formula XIX Formula XXX wherein X is a direct bond, -(CO)-, or –(CO)-NHR e -, wherein R 26 and R 27 are H or methyl groups; wherein R e is a C1 to C3 alkyl group; R a is selected from H, straight or branched, substituted or unsubstituted C 1 to C 4 alkyl groups; R b is selected from H, straight or branched, substituted or unsubstituted C1 to C4 alkyl groups, amino groups having up to two carbon atoms, amide groups having up to four carbon atoms, and alkoxy groups having up to two carbon Attorney Docket No.: VTN6149WOP
- substituted alkyl groups include alkyl groups substituted with an amine, amide, ether, hydroxyl, carbonyl, carboxy groups or combinations thereof.
- R a and R b can be independently selected from H, substituted or unsubstituted C1 to C2 alkyl groups.
- X may be a direct bond, and R a and R b may be independently selected from H, substituted or unsubstituted C 1 to C 2 alkyl groups.
- R c and R d can be independently selected from H, substituted or unsubstituted C1 to C2 alkyl groups, methyl, ethoxy, hydroxyethyl, and hydroxymethyl.
- the acyclic polyamides of the present invention may comprise a majority of the repeating unit of Formula XXIX or Formula XXX, or the acyclic polyamides can comprise at least about 50 mole % of the repeating unit of Formula XXIX or Formula XXX, including at least about 70 mole %, and at least 80 mole %.
- repeating units of Formula XXIX or Formula XXX include repeating units derived from N-vinyl-N-methylacetamide, N-vinylacetamide, N-vinyl-N- methylpropionamide, N-vinyl-N-methyl-2-methylpropionamide, N-vinyl-2-methyl- propionamide, N-vinyl-N,N’-dimethylurea, N, N-dimethylacrylamide, methacrylamide and acyclic amides of Formulae XXXI and XXXII: Attorney Docket No.: VTN6149WOPCT1
- suitable cyclic amides that can be used to form the cyclic polyamides include ⁇ -lactam, ⁇ -lactam, ⁇ -lactam, ⁇ -lactam, and ⁇ -lactam.
- Suitable cyclic polyamides include polymers and copolymers comprising repeating units of Formula XXXIII: R O wherein f is a number from 1 to 10, X is a direct bond, -(CO)-, or –(CO)-NH-R e -, wherein R e is a C1 to C3 alkyl group and R 28 is a hydrogen atom or methyl group.
- f may be 8 or less, including 7, 6, 5, 4, 3, 2, or 1.
- f may be 6 or less, including 5, 4, 3, 2, or 1, or may be from 2 to 8, including 2, 3, 4, 5, 6, 7, or 8, or may be 2 or 3.
- X is a direct bond
- f may be 2.
- the cyclic polyamide may be polyvinylpyrrolidone (PVP).
- the cyclic polyamides may comprise 50 mole% or more of the repeating unit of Formula XXXIII, or the cyclic polyamides can comprise at least about 50 mole % of the repeating unit of Formula XXXIII, including at least about 70 mole %, and at least about 80 mole %.
- Specific examples of repeating units of Formula XXXIII include repeating units derived from N-vinylpyrrolidone, which forms PVP homopolymers and vinylpyrrolidone copolymers or N-vinylpyrrolidone substituted with hydrophilic substituents such as phosphoryl choline.
- the polyamides may also be copolymers comprising cyclic amide, acyclic amide repeating units or copolymers comprising both cyclic and acyclic amide repeating units.
- Additional repeating units may be formed from monomers selected from hydroxyalkyl(meth)acrylates, alkyl(meth)acrylates or other hydrophilic monomers and siloxane substituted acrylates or methacrylates. Any of the monomers listed as suitable hydrophilic monomers may be used as comonomers to form the additional repeating units.
- additional monomers which may be used to form polyamides include 2- hydroxyethylmethacrylate, vinyl acetate, acrylonitrile, hydroxypropyl methacrylate, 2- hydroxyethyl acrylate, methyl methacrylate and hydroxybutyl methacrylate, GMMA, PEGS, and Attorney Docket No.: VTN6149WOPCT1 the like and mixtures thereof. Ionic monomers may also be included.
- ionic monomers include acrylic acid, methacrylic acid, 2-methacryloyloxyethyl phosphorylcholine, 3- (dimethyl(4-vinylbenzyl)ammonio)propane-1-sulfonate (DMVBAPS), 3-((3- acrylamidopropyl)dimethylammonio)propane-1-sulfonate (AMPDAPS), 3-((3- methacrylamidopropyl)dimethylammonio)propane-1-sulfonate (MAMPDAPS), 3-((3- (acryloyloxy)propyl)dimethylammonio)propane-1-sulfonate (APDAPS), methacryloyloxy)propyl)dimethylammonio)propane-1-sulfonate (MAPDAPS).
- DMVBAPS 3-(dimethyl(4-vinylbenzyl)ammonio)propane-1-sulfonate
- AMPDAPS
- the reactive composition may comprise both an acyclic polyamide and a cyclic polyamide or copolymers thereof.
- the acyclic polyamide can be any of those acyclic polyamides described herein or copolymers thereof, and the cyclic polyamide can be any of those cyclic polyamides described herein or copolymers thereof.
- the polyamide may be selected from the group polyvinylpyrrolidone (PVP), polyvinylmethyacetamide (PVMA), polydimethylacrylamide (PDMA), polyvinylacetamide (PNVA), poly(hydroxyethyl(meth)acrylamide), polyacrylamide, and copolymers and mixtures thereof.
- the wetting agents may be made from DMA, NVP, HEMA, VMA, NVA, and combinations thereof.
- the wetting agents may also be reactive components, as defined herein, by having polymerizable groups, for example, made by the acylation reaction between pendant hydroxyl groups on HEMA repeating units of an internal wetting agent and methacryloyl chloride or methacryloyl anhydride. Other methods of functionalization will be apparent to one skilled in the art.
- Such internal wetting agents are disclosed in patents US6367929, US6822016, 7,052,131, US7666921, US7691916, US7786185, US8022158, and US8450387.
- the reactive components within a reactive composition may be dispersed or dissolved in a diluent.
- Suitable diluents are known in the art or can be easily determined by a person of ordinary skill in the art.
- suitable diluents are disclosed in WO 03/022321 and US6,020,445 the disclosures of which are incorporated herein by reference.
- Classes of suitable diluents for silicone hydrogel reaction mixtures include alcohols having 2 to 20 carbons, amides having 10 to 20 carbon atoms derived from primary amines and carboxylic acids having 8 to 20 carbon atoms. Primary and tertiary alcohols are preferred.
- VTN6149WOPCT1 Preferred classes include alcohols having 5 to 20 carbons and carboxylic acids having 10 to 20 carbon atoms.
- Specific diluents which may be used include 1-ethoxy-2-propanol, diisopropylaminoethanol, isopropanol, 3,7-dimethyl-3-octanol, 1-decanol, 1-dodecanol, 1- octanol, 1-pentanol, 2-pentanol, 1-hexanol, 2-hexanol, 2-octanol, 3-methyl-3-pentanol, tert-amyl alcohol, tert-butanol, 2-butanol, 1-butanol, 2-methyl-2-pentanol, 2-propanol, 1-propanol, ethanol, 2-ethyl-1-butanol, (3-acetoxy-2-hydroxypropyloxy)propylbis(trimethylsiloxy
- Preferred diluents include 3,7-dimethyl-3-octanol, 1-dodecanol, 1-decanol, 1-octanol, 1- pentanol, 1-hexanol, 2-hexanol, 2-octanol, 3-methyl-3-pentanol, 2-pentanol, t-amyl alcohol, tert- butanol, 2-butanol, 1-butanol, 2-methyl-2-pentanol, 2-ethyl-1-butanol, ethanol, 3,3-dimethyl-2- butanol, 2-octyl-1-dodecanol, decanoic acid, octanoic acid, dodecanoic acid, mixtures thereof and the like.
- More preferred diluents include 3,7-dimethyl-3-octanol, 1-dodecanol, 1-decanol, 1- octanol, 1-pentanol, 1-hexanol, 2-hexanol, 2-octanol, 1-dodecanol, 3-methyl-3-pentanol, 1- pentanol, 2-pentanol, t-amyl alcohol, tert-butanol, 2-butanol, 1-butanol, 2-methyl-2-pentanol, 2- ethyl-1-butanol, 3,3-dimethyl-2-butanol, 2-octyl-1-dodecanol, mixtures thereof and the like.
- Suitable diluents for non-silicone containing reaction compositions include glycerin, ethylene glycol, ethanol, methanol, ethyl acetate, methylene chloride, polyethylene glycol, polypropylene glycol, low number average molecular weight polyvinylpyrrolidone (PVP), such as disclosed in US 4,018,853, US 4,680,336 and US 5,039,459, including, but not limited to boric acid esters of dihydric alcohols, combinations thereof and the like. Mixtures of diluents may be used. The diluents may be used in amounts up to about 55% by weight of the total of all components in the reactive composition.
- the crosslinked substrate network of the invention may be a silicone hydrogel (containing covalently bound activatable free radical initiators such as MAPO groups) and the grafting composition may provide, following polymerization, a hydrophilic grafted Attorney Docket No.: VTN6149WOPCT1 material (which may optionally be charged), for instance comprising poly(N,N- dimethylacrylamide) (PDMA), polymerized polyethylene glycol mono-methacrylate (e.g., having number average molecular weight from about 300 to about 1000) (poly(mPEG)), a copolymer of 2-hydroxyethyl methacrylate and methacrylic acid, 2-(methacryloyloxy)ethyl (2- (trimethylammonio)ethyl) phosphate (MPC).
- PDMA poly(N,N- dimethylacrylamide)
- polyethylene glycol mono-methacrylate e.g., having number average molecular weight from about 300 to about 1000
- Such grafted polymer networks may exhibit improved biocompatibility and biometrics when used in ophthalmic devices.
- the crosslinked substrate network may be a silicone hydrogel (containing covalently bound activatable free radical initiators such as MAPO groups) and the grafting composition provides, following polymerization, a hydrophobic siloxane containing material.
- Such grafted polymeric networks may display modified physical, mechanical, and surface properties, such as oxygen gas permeability (Dk), modulus, and coefficient of friction, respectively, as well as improved handling such as insertion and removal of a contact lens in an eye.
- the crosslinked substrate network may be a conventional hydrogel (e.g., comprising a copolymer of 2-hydroxyethyl methacrylate and methacrylic acid and containing MAPO groups) and the grafting composition provides, following polymerization, a hydrophilic grafted material (which may optionally be charged), such as a polyamide.
- a hydrophilic grafted material which may optionally be charged
- examples include PDMA, polyvinylpyrrolidone (PVP), poly(N-vinyl N-methyl acetamide) (PVMA), and copolymers thereof.
- Such grafted polymer networks may exhibit improved biocompatibility and biometrics, for instance when used in ophthalmic devices.
- the crosslinked substrate network may be a conventional hydrogel (e.g., a copolymer of 2-hydroxyethyl methacrylate and methacrylic acid and containing MAPO groups) and the grafting composition provides, following polymerization, a hydrophobic siloxane containing material.
- grafted polymeric networks may exhibit desirable physical and mechanical properties, such as oxygen gas permeability (Dk) and modulus, as well as improved biocompatibility and handling.
- the silicone-containing component(s) may preferably be present in amounts up to about 95 weight %, or from about 10 to about 80, or from about 20 to about 70 weight %, based upon all reactive components present, including in the reactive composition and the reactive second composition.
- Suitable hydrophilic components may preferably be present in amounts from about 10 to about 60 weight %, or from about 15 to about 50 weight %, or from Attorney Docket No.: VTN6149WOPCT1 about 20 to about 40 weight %, based upon all reactive components present, including in the reactive composition and the grafting composition. It should be noted that additional, optional, steps may be included in the process for making the polymer compositions of the invention.
- the crosslinked substrate network is preferably a silicone hydrogel with a balance of properties that makes them desirable. These properties include water content, haze, contact angle, modulus, oxygen permeability, lipid uptake, lysozyme uptake and PQ1 uptake. Examples of preferred properties are as follows.
- ophthalmic devices may have any combination of the listed properties: Water content: at least 20 %, or at least 25 % Haze: 30 % or less, or 10 % or less Dynamic contact angle (DCA (°)): 100° or less, or 50° or less Modulus (psi): 120 or less, or 80 to 120 Oxygen permeability (Dk (barrers)): at least 80, or at least 100, or at least 150, or at least 200 Elongation to Break: at least 100
- DCA °
- Modulus psi
- Dk barrers
- Elongation to Break at least 100
- Lysozyme uptake ⁇ g/lens
- PQ1 Polyquaternium-1
- Finished ophthalmic devices may be manufactured by various techniques.
- the reactive composition described above may be cured in a mold, or formed via spincasting or static casting.
- Spincasting methods are disclosed in U.S. Patents Nos.3,408,429 and 3,660,545, and static casting methods are disclosed in U.S. Patents Nos.4,113,224 and 4,197,266.
- the contact lenses of this invention are formed by the direct molding of the hydrogels, which is economical, and enables precise control over the final shape of the hydrated contact lens.
- the reactive composition is Attorney Docket No.: VTN6149WOPCT1 placed in a mold having the desired shape and the reactive composition is subjected to conditions as described above whereby the reactive components polymerize to produce the crosslinked substrate network in the approximate shape of the final desired product.
- the crosslinked substrate network formed after such curing may be subjected to extraction to remove unreacted components and release the crosslinked substrate network from the contact lens mold.
- the crosslinked substrate network may then be immersed in the grafting composition (which may optionally contain a diluent), and sufficient time is allowed to permit at the reactive composition to diffuse into the crosslinked substrate network to the desired level.
- Extractions of the crosslinked substrate network and the contact lens may be done using conventional extraction fluids, such organic solvents, such as alcohols or may be extracted using aqueous solutions.
- Aqueous solutions are solutions which comprise water.
- the aqueous solutions may comprise at least about 30 weight % water, or at least about 50 weight % water, or at least about 70% water or at least about 90 weight% water. Extraction may be accomplished, for example, via immersion of the crosslinked substrate network or the contact lens in an aqueous solution or exposing the material to a flow of an aqueous solution.
- Extraction may also include, for example, one or more of: heating the aqueous solution; stirring the aqueous solution; increasing the level of release aid in the aqueous solution to a level sufficient to cause release of the crosslinked substrate network from the mold; mechanical or ultrasonic agitation; and incorporating at least one leach aid in the aqueous solution to a level sufficient to facilitate adequate removal of unreacted components from the crosslinked substrate network or the contact lens.
- the foregoing may be conducted in batch or continuous processes, with or without the addition of heat, agitation or both. Some embodiments may also include the application of physical agitation to facilitate leach and release.
- the crosslinked substrate network mold part to which the crosslinked substrate network is adhered may be vibrated or caused to move back and forth within an aqueous solution.
- Other embodiments may include ultrasonic waves through the aqueous solution.
- Contact lenses may be sterilized by known means such as, but not limited to, autoclaving.
- Attorney Docket No.: VTN6149WOPCT1 CLAUSES For reasons of completeness, various aspects of the disclosure are set forth in the following numbered clauses. Clause 1.
- An ophthalmic device formed by a process comprising: a.
- a reactive composition containing: (i) a polymerization initiator that is capable, upon a first activation, of forming two or more free radical groups, at least one of which is further activatable by subsequent activation; (ii) one or more ethylenically unsaturated compounds; and (iii) a crosslinker; b. subjecting the reactive composition to a first activation step such that the reactive composition polymerizes therein to form a crosslinked substrate network containing a covalently bound activatable free radical initiator; c.
- the ophthalmic device of clause 6 wherein the grafting step (e) is performed using ultraviolet light having a wavelength between 300 nanometers and 400 nanometers.
- Clause 8. The ophthalmic device of clause 4 or clause 7 wherein the ultraviolet light has a wavelength between 350 nanometer and 400 nanometers.
- Clause 9. The ophthalmic device of clause 5 or clause 6 wherein the visible light has a wavelength between 400 nanometers and 450 nanometers.
- the ophthalmic device of clause 1 wherein the grafting composition of step (d) contains a crosslinker.
- Clause 11 The ophthalmic device of clause 1 wherein the grafting composition of step (d) is free of a crosslinker.
- the one or more ethylenically unsaturated compounds of step (a) comprise one or more polymerizable groups independently selected from: (meth)acrylate, (meth)acrylamide, styryl, vinyl, N-vinyl lactam, N- vinylamide, O-vinylether, O-vinylcarbonate, O-vinylcarbamate, C2-12 alkenyl, C2-12 alkenylphenyl, C 2-12 alkenylnaphthyl, and C 2-6 alkenylphenyl-C 1-6 alkyl.
- the one or more ethylenically unsaturated compounds of step (a) comprise one or more polymerizable groups independently selected from: (meth)acrylate, (meth)acrylamide, styryl, vinyl, N-vinyl lactam, N- vinylamide, O-vinylether, O-vinylcarbonate, O-vinylcarbamate, C2-12 alkenyl, C2-12 alken
- the one or more ethylenically unsaturated compounds of step (d) comprise one or more polymerizable groups independently selected from: (meth)acrylate, (meth)acrylamide, styryl, vinyl, N-vinyl lactam, N- vinylamide, O-vinylether, O-vinylcarbonate, O-vinylcarbamate, C 2-12 alkenyl, C 2-12 alkenylphenyl, C2-12 alkenylnaphthyl, and C2-6 alkenylphenyl-C1-6 alkyl.
- the one or more ethylenically unsaturated compounds of step (d) comprise one or more polymerizable groups independently selected from: (meth)acrylate, (meth)acrylamide, styryl, vinyl, N-vinyl lactam, N- vinylamide, O-vinylether, O-vinylcarbonate, O-vinylcarbamate, C 2-12 alkenyl, C 2-12 alkeny
- VTN6149WOPCT1 initiator is a bisacylphosphine oxide, a bisacylphosphane oxide, a di-azo compound, a di- peroxide compound, an azo-bis(monoacylphosphine oxide), an azo-bis(monoacylphosphane oxide), a peroxy-bis(monoacylphosphine oxide), a peroxy-bis(monoacylphosphane oxide), an azo-bis(alpha-hydroxy ketone), a peroxy-bis(alpha-hydroxy ketone), an azo-bis(1,2-diketone), a peroxy-bis(1,2-diketone), a germanium based compound, tert-butyl 7-methyl-7-(tert- butylazo)peroxyoctanoate, or combinations thereof.
- Clause 15 The ophthalmic device of any one of clauses 1 to 14 wherein the polymerization initiator is a bisacylphosphine oxide or a bis(acyl)phosphane oxide.
- Clause 16 The ophthalmic device of any one of clauses 1 to 15 that is in the form of a hydrogel and wherein the reactive composition contains one or more silicone-containing components, and the grafting composition contains one or more hydrophilic reactive components.
- Clause 17. The ophthalmic device of any one of clauses 1 to 15 that is in the form of a hydrogel and wherein the reactive composition contains one or more hydrophilic reactive components, and the grafting composition contains one or more silicone-containing components.
- the UV absorber is 2-(2 ⁇ -hydroxy-5- methacrylyloxyethylphenyl)-2H-benzotriazole.
- the ophthalmic device of any one of clauses 1 to 21 wherein the process steps (a) and (b) are performed in a mold assembly comprised of a front mold and a back mold, the front mold and a back mold defining and enclosing a cavity in the shape of the ophthalmic device therebetween, and process steps (c), (d), and (e) are performed in the mold assembly after the back mold has been removed.
- Clause 23 The ophthalmic device of any one of clauses 1 to 22 wherein the source of actinic irradiation in steps (c) and (e) includes a plurality of selectively controllable beams of actinic radiation controlled by a digital micro-mirror device according to a predetermined script.
- the ophthalmic device of clause 23 wherein the plurality of selectively controllable beams of actinic radiation controlled by the digital micro-mirror devices according to predetermined scripts are directed to one or more surfaces of the ophthalmic device.
- Clause 25 The ophthalmic device of any one of clauses 23 to 24 wherein the digital micro- mirror device includes an illumination source containing at least one light emitting diode.
- Clause 26 The ophthalmic device of any one of clauses 1 to 25 wherein the ophthalmic device is selected from the group consisting of a contact lens, an intraocular lens, a punctal plug, and an ocular insert.
- An ophthalmic device comprised of a reaction product of a composition comprising: a. a crosslinked substrate network, wherein at least a portion of the covalently bound activatable free radical initiators are deactivated in one or more selective regions of the crosslinked substrate network such that the crosslinked substrate network contains retained covalently bound activatable free radical initiators outside of the one or more selective regions and optionally within the one or more selective regions; and Attorney Docket No.: VTN6149WOPCT1 b.
- Clause 29. The ophthalmic device of clause 28 wherein the concentration of the retained covalently bound activatable free radical initiators varies spatially within crosslinked substrate network.
- the crosslinked substrate network is the reaction product of a reactive composition comprising: (i) a polymerization initiator that is capable, upon a first activation, of forming two or more free radical groups, at least one of which is further activatable by subsequent activation; (ii) one or more ethylenically unsaturated compounds; and (iii) a crosslinker.
- the polymerization initiator is a bisacylphosphine oxide, a bisacylphosphane oxide, a di-azo compound, a di-peroxide compound, an azo-bis(monoacylphosphine oxide), an azo-bis(monoacylphosphane oxide), a peroxy- bis(monoacylphosphine oxide), a peroxy-bis(monoacylphosphane oxide), an azo-bis(alpha- hydroxy ketone), a peroxy-bis(alpha-hydroxy ketone), an azo-bis(1,2-diketone), a peroxy- bis(1,2-diketone), a germanium based compound, tert-butyl 7-methyl-7-(tert- butylazo)peroxyoctanoate, or combinations thereof.
- Clause 32 The ophthalmic device of clause 31 wherein the polymerization initiator is a bisacylphosphine oxide or a bis(acyl)phosphane oxide.
- Clause 33 The ophthalmic device of clause 28 wherein the covalently bound activatable free radical initiators are selected from the group consisting of monoacylphosphine oxides, bisacylphosphine oxides, and combinations thereof.
- Clause 34 The ophthalmic device of clause 28 wherein the crosslinked substrate network is formed by the thermal free radical polymerization of a reactive monomer mixture comprising at least one reactive component having at least one pendant group selected from the group consisting of monoacylphosphine oxide, bisacylphosphine oxide, and combinations thereof.
- the ophthalmic device of clause 34 further comprising a monoacylphosphine Attorney Docket No.: VTN6149WOPCT1 oxide compound having a refractive index moiety, a bisacylphosphine oxide compound having a refractive index moiety, or combinations thereof.
- a monoacylphosphine Attorney Docket No.: VTN6149WOPCT1 oxide compound having a refractive index moiety, a bisacylphosphine oxide compound having a refractive index moiety, or combinations thereof.
- Clause 36 The ophthalmic device of clause 35 wherein the refractive index moiety is a polyamide.
- the polyamide comprises polyvinylpyrrolidone (PVP), polyvinylmethyacetamide (PVMA), polydimethylacrylamide (PDMA), polyvinylacetamide (PNVA), poly(hydroxyethyl(meth)acrylamide), polyacrylamide, a copolymer of two or more thereof, or a combination of two or more thereof.
- the light absorbing moiety comprises a static dye, a photochromic dye, a thermochromic dye, a leuco dye, or a combination of two or more thereof.
- the crosslinked substrate network is formed by a combination of thermal polymerization and photopolymerization having the following steps: a. thermally polymerizing the reactive composition, comprising at least one ethylenically unsaturated compound, at least one reactive component selected from the group consisting of a monoacylphosphine oxide monomer (MAPO-M), a bisacylphosphine oxide monomer (MAPO-M), or combinations thereof; and a thermal crosslinker, to form a precursor crosslinked substrate network, wherein the monoacylphosphine oxide compounds having refractive index or light absorbing moieties and bisacylphosphine oxide compounds having refractive index or light absorbing moieties are spatially dispersed within a precursor crosslinked substrate network and wherein the reactive composition has not been fully polymerized; b.
- the reactive composition comprising at least one ethylenically unsaturated compound, at least one reactive component selected from the group consisting of a monoacylphosphine oxide monomer (MAPO-M
- steps (a) through (d) are conducted under conditions that preserve the reactivity of the repeating units derived from the reactive components having at least one pendant group selected from the group consisting of monoacylphosphine oxide, bisacylphosphine oxide, and combinations thereof in the precursor crosslinked substrate network and the crosslinked substrate network.
- steps (a) through (d) are conducted under conditions that preserve the reactivity of the repeating units derived from the reactive components having at least one pendant group selected from the group consisting of monoacylphosphine oxide, bisacylphosphine oxide, and combinations thereof in the precursor crosslinked substrate network and the crosslinked substrate network.
- the digital micro-mirror device includes an illumination source containing at least one light emitting diode.
- Clause 45. The ophthalmic device of any one of clauses 28 to 44 wherein the one or more ethylenically unsaturated compounds in the grafting composition and the reactive composition comprise polymerizable groups independently selected from: (meth)acrylate, (meth)acrylamide, styryl, vinyl, N-vinyl lactam, N-vinylamide, O-vinylether, O-vinylcarbonate, O-vinylcarbamate, C2-12 alkenyl, C2-12 alkenylphenyl, C2-12 alkenylnaphthyl, and C2-6 alkenylphenyl-C1-6 alkyl.
- Clause 52. The ophthalmic device of any one of clauses 28 to 51 wherein the ophthalmic device is selected from the group consisting of a contact lens, an intraocular lens, a punctal plug, and an ocular insert.
- Clause 53. The ophthalmic device of clause 52 wherein the ophthalmic device is a contact lens or an intraocular lens.
- a process for making an ophthalmic device comprising: a.
- a reactive composition containing: (i) a polymerization initiator that is capable, upon a first activation, of forming two or more free radical groups, at least one of which is further activatable by subsequent activation; (ii) one or more Attorney Docket No.: VTN6149WOPCT1 ethylenically unsaturated compounds; and (iii) a crosslinker; b. subjecting the reactive composition to a first activation step such that the reactive composition polymerizes therein to form a crosslinked substrate network containing a covalently bound activatable free radical initiator; c.
- Clause 58 The ophthalmic device of clause 57 wherein the grafting step (e) is performed using visible light having a wavelength between 400 nanometers and 450 nanometers.
- Clause 59 The ophthalmic device of any one of clauses 54 to 56 wherein the deactivating Attorney Docket No.: VTN6149WOPCT1 step (c) is preformed using visible light having a wavelength between 400 nanometers and 500 nanometers.
- Clause 60. The ophthalmic device of clause 59 wherein the grafting step (e) is performed using ultraviolet light having a wavelength between 300 nanometers and 400 nanometers.
- Clause 63. The process of clause 54 wherein the grafting composition of step (e) contains a crosslinker.
- the process of clause 54 wherein the grafting composition of step (e) is free of a crosslinker.
- step (a) comprise one or more polymerizable groups independently selected from: (meth)acrylate, (meth)acrylamide, styryl, vinyl, N-vinyl lactam, N-vinylamide, O- vinylether, O-vinylcarbonate, O-vinylcarbamate, C 2-12 alkenyl, C 2-12 alkenylphenyl, C 2-12 alkenylnaphthyl, and C 2-6 alkenylphenyl-C 1-6 alkyl.
- the one or more ethylenically unsaturated compounds of step (a) comprise one or more polymerizable groups independently selected from: (meth)acrylate, (meth)acrylamide, styryl, vinyl, N-vinyl lactam, N-vinylamide, O- vinylether, O-vinylcarbonate, O-vinylcarbamate, C 2-12 alkenyl, C 2-12 alkenylphenyl, C 2-12 alkenylnap
- step (e) comprise one or more polymerizable groups independently selected from: (meth)acrylate, (meth)acrylamide, styryl, vinyl, N-vinyl lactam, N-vinylamide, O- vinylether, O-vinylcarbonate, O-vinylcarbamate, C2-12 alkenyl, C2-12 alkenylphenyl, C2-12 alkenylnaphthyl, and C 2-6 alkenylphenyl-C 1-6 alkyl. Clause 67.
- the polymerization initiator is a bisacylphosphine oxide, a bisacylphosphane oxide, a di-azo compound, a di-peroxide compound, an azo-bis(monoacylphosphine oxide), an azo-bis(monoacylphosphane oxide), a peroxy-bis(monoacylphosphine oxide), a peroxy-bis(monoacylphosphane oxide), an azo- bis(alpha-hydroxy ketone), a peroxy-bis(alpha-hydroxy ketone), an azo-bis(1,2-diketone), a peroxy-bis(1,2-diketone), a germanium based compound, tert-butyl 7-methyl-7-(tert- butylazo)peroxyoctanoate, or combinations thereof.
- the UV absorber is 2-(2 ⁇ -hydroxy-5- methacrylyloxyethylphenyl)-2H-benzotriazole.
- any one of clauses 54 to 72 wherein the process further comprises: following step (e), contacting the crosslinked substrate network with a second grafting composition containing one or more ethylenically unsaturated compounds and activating retained covalently bound activatable free radical initiator such that the second grafting composition polymerizes with the crosslinked substrate network outside of the selective regions and optionally partially within the selective regions.
- step (e) contacting the crosslinked substrate network with a second grafting composition containing one or more ethylenically unsaturated compounds and activating retained covalently bound activatable free radical initiator such that the second grafting composition polymerizes with the crosslinked substrate network outside of the selective regions and optionally partially within the selective regions.
- a reactive composition containing: (i) a thermal initiator; (ii) one or Attorney Docket No.: VTN6149WOPCT1 more ethylenically unsaturated compounds; (iii) a crosslinker; (iv) at least one reactive component having at least one pendant group selected from the group consisting of monoacylphosphine oxide, bisacylphosphine oxide, and combinations thereof; (v) at least one reactive component selected from the group consisting of monoacylphosphine oxide compounds having refractive index or light absorbing moieties, bisacylphosphine oxide compounds having refractive index or light absorbing moieties, and combinations thereof; b.
- the reactive composition subjecting the reactive composition to a thermal polymerization to form a precursor crosslinked substrate network, wherein the monoacylphosphine oxide compounds having refractive index or light absorbing moieties and bisacylphosphine oxide compounds having refractive index or light absorbing moieties are spatially dispersed within the precursor crosslinked substrate network and wherein the reactive composition has not been fully polymerized; c.
- a grafting composition containing one or more ethylenically unsaturated compounds wherein the contacting is conducted under conditions such that the grafting composition penetrates into the crosslinked substrate network; and h. activating the retained covalently bound monoacylphosphine oxide or bisacylphosphine oxide groups such that the grafting composition polymerizes with the crosslinked substrate network, thereby forming grafted polymeric networks, outside of the selective regions and optionally partially within the selective regions.
- steps (a) through (h) are conducted under conditions that preserve the reactivity of the covalently bound monoacylphosphine oxide or bisacylphosphine oxide groups in the precursor crosslinked substrate network and the crosslinked substrate network until said covalently bound monoacylphosphine oxide or bisacylphosphine oxide groups are intentionally irradiated or activated.
- Clause 76 The ophthalmic device of clause 75 wherein the process step (b) is performed at a temperature between 60°C and 100°C.
- Clause 77 The ophthalmic device of any one of clauses 75 to 76 the process step (b) is performed using azobisisobutyronitrile as the thermal initiator.
- the digital micro-mirror device includes an illumination source containing at least one light emitting diode.
- Attorney Docket No.: VTN6149WOPCT1 Clause 80.
- the process of clause 79 wherein the light emitting diode emits radiation having one or more wavelengths in the range of 365 nanometers to 450 nanometers. Clause 81.
- the one or more ethylenically unsaturated compounds of step (g) comprise one or more polymerizable groups independently selected from: (meth)acrylate, (meth)acrylamide, styryl, vinyl, N-vinyl lactam, N-vinylamide, O- vinylether, O-vinylcarbonate, O-vinylcarbamate, C2-12 alkenyl, C2-12 alkenylphenyl, C2-12 alkenylnaphthyl, and C2-6 alkenylphenyl-C1-6 alkyl. Clause 93.
- the UV absorber is 2-(2 ⁇ -hydroxy-5- methacrylyloxyethylphenyl)-2H-benzotriazole.
- An ophthalmic device formed by a process comprising: (a) providing a first reactive composition containing: (i) a polymerization initiator that is capable, upon a first activation, of forming two or more free radical groups, at least one of which is further activatable by subsequent activation; (ii) one or more ethylenically unsaturated compounds; and (iii) a crosslinker; (b) subjecting the first reactive composition to a first activation step such that the first reactive composition polymerizes therein to form a crosslinked substrate network containing a covalently bound activatable free radical initiator; (c) contacting the crosslinked substrate network with a grafting composition containing one or more ethylenically unsaturated compounds, wherein the contacting is conducted under conditions such that the grafting composition penetrates into the crosslinked substrate network; and (d) activating the covalently bound activa
- a process for making an ophthalmic device comprising: (a) providing a first reactive composition containing: (i) a polymerization Attorney Docket No.: VTN6149WOPCT1 initiator that is capable, upon a first activation, of forming two or more free radical groups, at least one of which is further activatable by subsequent activation; (ii) one or more ethylenically unsaturated compounds; and (iii) a crosslinker; (b) subjecting the first reactive composition to a first activation step such that the first reactive composition polymerizes therein to form a crosslinked substrate network containing a covalently bound activatable free radical initiator; (c) contacting the crosslinked substrate network with a grafting composition containing one or more ethylenically unsaturated compounds, wherein the contacting is conducted under conditions such that the grafting composition penetrates into the crosslinked substrate network; and (d) activating the covalently bound activatable free radical initiator of
- Clause 104 The ophthalmic device of clause 102 or the process of clause 103 wherein the grafting composition of step (c) contains a crosslinker.
- Clause 105 The ophthalmic device of clause 102 or the process of clause 103 wherein the grafting composition of step (c) is free of a crosslinker.
- Clause 106 The ophthalmic device of clause 102 or the process of clause 103 wherein the grafting composition of step (c) is free of a crosslinker.
- the one or more ethylenically unsaturated compounds of step (a) comprise one or more polymerizable groups independently selected from: (meth)acrylate, (meth)acrylamide, styryl, vinyl, N-vinyl lactam, N-vinylamide, O-vinylether, O-vinylcarbonate, O-vinylcarbamate, C2-12 alkenyl, C2-12 alkenylphenyl, C 2-12 alkenylnaphthyl, and C 2-6 alkenylphenyl-C 1-6 alkyl. Clause 107.
- the one or more ethylenically unsaturated compounds of step (c) comprise one or more polymerizable groups independently selected from: (meth)acrylate, (meth)acrylamide, styryl, vinyl, N-vinyl lactam, N- Attorney Docket No.: VTN6149WOPCT1 vinylamide, O-vinylether, O-vinylcarbonate, O-vinylcarbamate, C2-12 alkenyl, C2-12 alkenylphenyl, C2-12 alkenylnaphthyl, and C2-6 alkenylphenyl-C1-6 alkyl. Clause 108.
- the polymerization initiator is a bisacylphosphine oxide, a bisacylphosphane oxide, a di-azo compound, a di- peroxide compound, an azo-bis(monoacylphosphine oxide), an azo-bis(monoacylphosphane oxide), a peroxy-bis(monoacylphosphine oxide), a peroxy-bis(monoacylphosphane oxide), an azo-bis(alpha-hydroxy ketone), a peroxy-bis(alpha-hydroxy ketone), an azo-bis(1,2-diketone), a peroxy-bis(1,2-diketone), a germanium based compound, tert-butyl 7-methyl-7-(tert- butylazo)peroxyoctanoate, or combinations thereof.
- Clause 109 The ophthalmic device of clause 102 or clause 103 wherein the polymerization initiator is a bisacylphosphine oxide or a bis(acyl)phosphane oxide.
- Clause 110 The ophthalmic device of clause 102 or clause 103 that is in the form of a hydrogel and wherein the first reactive composition contains one or more silicone-containing components and the grafting composition contains one or more hydrophilic reactive components.
- Clause 111. The ophthalmic device of clause 102 or clause 103 that is in the form of a hydrogel and wherein the first reactive composition contains one or more hydrophilic reactive components and the grafting composition contains one or more silicone-containing components.
- one or more additives selected from UV absorbers, photochromic compounds, pharmaceutical compounds, nutraceutical compounds, antimicrobial compounds, reactive tints, pigments, copolymerizable dyes, non-polymerizable dyes, release agents, wetting agents, and release agents.
- An ophthalmic device formed by a process comprising: (a) providing a crosslinked substrate network having pendant groups selected from bisacylphosphine oxide groups, monoacylphosphine oxide groups, and combinations Attorney Docket No.: VTN6149WOPCT1 thereof and having light absorbers selected from ultraviolet light absorbers, visible light absorbers, and combinations thereof (b) deactivating the pendant groups with light having a wavelength that is partially absorbed by the light absorber; (c) contacting the crosslinked substrate network with a grafting composition containing one or more ethylenically unsaturated compounds; (d) activating the pendant groups with light having a wavelength that is not substantially absorbed by the light absorber; wherein steps (a), and (b) are optionally performed in a mold assembly comprised of a front mold and a back mold, the front mold and the back mold defining and enclosing a cavity in the shape of the ophthalmic device therebetween; steps (c) and (d) are optionally performed in the mold assembly after the
- An ophthalmic device formed by a process comprising: (a) providing a thermally cured crosslinked substrate network having pendant bisacylphosphine oxide groups; (b) converting the bisacylphosphine oxide groups into monoacylphosphine oxide groups in first selected regions of the thermally cured crosslinked substrate network; (c) deactivating both bisacylphosphine oxide groups and monoacylphosphine oxide groups in second selected regions of the thermally cured crosslinked substrate network; (d) contacting the thermally cured crosslinked substrate network with a first grafting composition containing one or more ethylenically unsaturated compounds; (e) activating the bisacylphosphine oxide groups such that the first grafting composition polymerizes with the thermally cured crosslinked substrate network; (f) optionally extracting the first grafting composition from the thermally cured crosslinked substrate network; (g) contacting the thermally cured crosslinked substrate network with a second grafting composition containing one or more
- the contact lens diameter (DM) was measured on a calibrated Van Keuren micro optical comparator equipment equipped with Mitutoyo digimatic micrometer heads.
- the contact lens was placed concave side down into a crystal cell completely filled with borate buffered packing solution. A cap was placed onto the cell ensuring that no air is trapped underneath.
- the cell was then placed on the comparator stage and the lens image brought into focus and aligned so that one edge of the lens touched the center line on the screen. The first edge was marked, the lens moved along its diameter until the second edge is touching the center line on the screen, and then, the second edge is marked by pushing the data button again.
- two diameter measurements are made, and the average reported in the data tables.
- Water content (WC) was measured gravimetrically.
- Lenses were equilibrated in packing solution for 24 hours. Each of three test lens is removed from packing solution using a sponge tipped swab and placed on blotting wipes which have been dampened with packing solution. Both sides of the lens are contacted with the wipe. Using tweezers, the test lens is placed in a tared weighing pan and weighed. The two more sets of samples are prepared and weighed. All weight measurements were done in triplicate, and the average of those values used in the calculations. The wet weight is defined as the combined weight of the pan and wet lenses minus the weight of the weighing pan alone. The dry weight was measured by placing the sample pans in a vacuum oven which has been preheated to 60 ⁇ C for 30 minutes.
- Vacuum was applied until the pressure reaches at least 1 inch of Hg is attained; lower pressures are allowed.
- the vacuum valve and pump are turned off and the lenses are dried for at least 12 hours, typically overnight.
- the purge valve is opened allowing dry air or dry nitrogen gas to enter.
- the oven is allowed reach atmospheric pressure.
- the pans are removed and weighed.
- the dry weight is defined as the combined weight of the pan and dry lenses minus the weight of the weighing pan alone.
- the Attorney Docket No.: VTN6149WOPCT1 average and standard deviation of the water content were calculated, and the average value reported as the percent water content of the test lens.
- the grafted lens weight gain was calculated from the average dry weight of the grafted lens minus the average dry weight of the substrate lens and expressed as a percentage. Both the grafted lens and the substrate lens were equilibrated in deionized water for several hours to remove any residual salts. Typically, at least three lenses are weighed and averaged for each sample.
- the refractive index (RI) of a contact lens was measured by a Leica ARIAS 500 Abbe refractometer in manual mode or by a Reichert ARIAS 500 Abbe refractometer in automatic mode with a prism gap distance of 100 microns. The instrument was calibrated using deionized water at 20°C (+/- 0.2 °C).
- the prism assembly was opened and the test lens placed on the lower prism between the magnetic dots closest to the light source. If the prism is dry, a few drops of saline were applied to the bottom prism. The front curve of the lens was against the bottom prism. The prism assembly was then closed. After adjusting the controls so that the shadow line appeared in the reticle field, the refractive index was measured. The RI measurement was made on five test lenses. The average RI calculated from the five measurements was recorded as the refractive index as well as its standard deviation. Oxygen permeability (Dk) was determined by the polarographic method generally described in ISO 9913-1:1996 and ISO 18369-4:2006, but with the following modifications.
- Dk Oxygen permeability
- the measurement was conducted at an environment containing 2.1% oxygen created by equipping the test chamber with nitrogen and air inputs set at the appropriate ratio, for example, 1800 mL/min of nitrogen and 200 mL/min of air.
- the t/Dk is calculated using the adjusted oxygen concentration. Borate buffered saline was used.
- the dark current was measured by using a pure humidified nitrogen environment instead of applying MMA lenses. The lenses were not blotted before measuring. Four lenses were stacked instead of using lenses of various thickness (t) measured in centimeters.
- a curved sensor was used in place of a flat sensor; radius was 7.8 mm.
- t/Dk (edge corrected) [1 + (5.88 x t)] X (t/Dk)
- t/Dk [1 + (5.88 x t)] X (t/Dk)
- t/Dk [1 + (3.56 x t)] X (t/Dk)
- t/Dk [1 + (3.16 x t)] X (t/Dk)
- Non-edge corrected Dk was calculated from the reciprocal of the slope obtained from the linear regression analysis of the data wherein the x variable was the center thickness in centimeters and the y variable was the t/Dk value.
- edge corrected Dk (EC Dk) was calculated from the reciprocal of the slope obtained from the linear regression analysis of the data wherein the x variable was the center thickness in centimeters and the y variable was the edge corrected t/Dk value. The resulting Dk value was reported in barrers. Wettability of lenses was determined by a modified Wilhelmy plate method using a calibrated Kruss K100 tensiometer at room temperature (23 ⁇ 4°C) and using surfactant free borate buffered saline as the probe solution. All equipment must be clean and dry; vibrations must be minimal around the instrument during testing. Wettability is usually reported as the advancing contact angle (Kruss DCA).
- the tensiometer was equipped with a humidity generator, and a temperature and humidity gage was placed in the tensiometer chamber. The relative humidity was maintained at 70 ⁇ 5%.
- the experiment was performed by dipping the lens specimen of known perimeter into the packing solution of known surface tension while measuring the force exerted on the sample due to wetting by a sensitive balance. The advancing contact angle of the packing solution on the lens is determined from the force data collected during sample dipping. The receding contact angle is determined from force data while withdrawing the sample from the liquid.
- Each strip was approximately 5 mm in width and 14 mm in length, attached to a metallic clip using plastic tweezers, pierced with a metallic wire hook, and equilibrated in packing solution for at least 3 hours. Then, each sample was cycled four times, and the results were averaged to obtain the advancing and receding contact angles of the lens. Typical measuring speed was 12 mm/min. Samples were kept Attorney Docket No.: VTN6149WOPCT1 completely immersed in packing solution during the data acquisition and analysis without touching the metal clip. Values from five individual lenses were averaged to obtain the reported advancing and receding contact angles of the experimental lens.
- Wettability of lenses was determined using a sessile drop technique using KRUSS DSA- 100 TM instrument at room temperature and using deionized water as probe solution (Sessile Drop).
- the lenses to be tested were rinsed in deionized water to remove carry over from packing solution.
- Each test lens was placed on blotting lint free wipes which were dampened with packing solution. Both sides of the lens were contacted with the wipe to remove surface water without drying the lens.
- lenses were placed “bowl side down” on the convex surface of contact lens plastic molds. The plastic mold and the lens were placed in the sessile drop instrument holder, ensuring proper central syringe alignment.
- a 3 to 4 microliter drop of deionized water was formed on the syringe tip using DSA 100-Drop Shape Analysis software ensuring the liquid drop was hanging away from the lens. The drop was released smoothly on the lens surface by moving the needle down. The needle was withdrawn away immediately after dispensing the drop. The liquid drop was allowed to equilibrate on the lens for 5 to 10 seconds, and the contact angle was measured between the drop image and the lens surface. Typically, three to five lenses were evaluated, and the average contact angle reported. The mechanical properties of the contact lenses were measured by using a tensile testing machine such as an Instron model 1122 or 5542 equipped with a load cell and pneumatic grip controls. Minus one diopter lens is the preferred lens geometry because of its central uniform thickness profile.
- a dog-bone shaped sample cut from a -1.00 diopter power lens having a 0.522 inch length, 0.276 inch “ear” width and 0.213 inch “neck” width was loaded into the grips and elongated at a constant rate of strain of 2 inches per minute until it breaks.
- the center thickness of the dog-bone sample was measured using an electronic thickness gauge prior to testing.
- the tensile modulus (M) was calculated as the slope of the initial linear portion of the stress-strain curve; the units of modulus are pounds per square inch or psi.
- the elongation to break (ETB) was also recorded as the percent strain at break.
- BC base or back curve plastic mold made of PP, TT, Z, or blends thereof
- FC front curve plastic mold made of PP, TT, Z, or blends thereof
- PP polypropylene which is the homopolymer of propylene TT: Tuftec which is a hydrogenated styrene butadiene block copolymer (Asahi Kasei Chemicals)
- Z Zeonor which is a polycycloolefin thermoplastic polymer (Nippon Zeon Co Ltd)
- RMM reactive monomer mixture
- LED light emitting diode
- DMA N, N-dimethylacrylamide (Jarchem)
- HEMA 2-hydroxyethyl methacrylate (Bimax)
- DPPM (diphenylphosphoryl)-(4-vinylphenyl)-methanone [CAS 9003-39-8]
- mPDMS mono-n-butyl terminated monome
- WC water content (weight %)
- EC Dk edge-corrected oxygen gas permeability (barrers)
- M modulus (psi)
- TS tensile strength (psi)
- ETB elongation to break (%)
- RI refractive index Sessile Drop: advancing contact angle (degrees) mm: millimeter(s) cm: centimeter(s) ⁇ m: micrometer(s) nm: nanometer(s)
- L liter(s) mL: milliliter(s) ⁇ L: microliter(s) mW: milliwatt(s)
- g gram mol: mole g/mol: grams/mole mg: milligram(s)
- the RMM was then filtered through a 3 ⁇ m filter using a stainless-steel syringe under pressure and degassed by applying vacuum (about 40 mm Hg). Under a nitrogen gas atmosphere and about 0.5 percent oxygen gas, about 75 ⁇ L of the reactive monomer mixture were dosed into the FC made of Zeonor.
- the BC made of Zeonor was then placed onto the FC, thereby forming a minus one diopter lens mold assembly. Pallets, each containing eight lens mold assemblies, were conveyed through a curing tunnel during which the pallets were irradiated for a total of about 10 minutes at 65°C using 435 nm LED lights having intensity of about 4.5 mW/cm 2 at the pallet’s surface.
- the light source of the apparatus was a 405 nanometer LED having an intensity of 53 mW/cm 2 .
- the lens 1A on the in-mold jig was equilibrated under ambient conditions in air and then irradiated with Image 3A as shown in Figure 3 for about 30 seconds.
- Another lens 1B on another in-mold jig was equilibrated under ambient conditions in air and then irradiated with Image 3A as shown in Figure 3 for about 60 seconds.
- the imaged lenses and in-mold jigs were then placed in a glove box containing a nitrogen gas atmosphere to equilibrate under those inert conditions.
- Example Lenses 1A and 1B are shown in Figure 4 which demonstrate that deactivation of selective regions (Image 3A) was successful in both lenses, but the resolution Image 3A depends on the amount of deactivation energy applied and increased with increasing energy. Furthermore, the micrographs show that partially deactivated regions or greyscale regions can be created by modulating amount of deactivation energy within selective regions or across different selective regions.
- Example 2 Apodised Lens with Markings (Prophetic) Example 1 is repeated except the RMM is composed of the formulation components listed in Table 2 without a diluent, that Image 3A comprising the numbers 123 is projected into Attorney Docket No.: VTN6149WOPCT1 the peripheral ring surrounding the optical zone of the lens, and that Image 3B is a spot image having an intensity gradient which increases linearly from the lens center to the lens edge. Table 2.
Landscapes
- Physics & Mathematics (AREA)
- General Physics & Mathematics (AREA)
- Optics & Photonics (AREA)
- Prostheses (AREA)
- Graft Or Block Polymers (AREA)
Abstract
Description
Claims
Priority Applications (1)
| Application Number | Priority Date | Filing Date | Title |
|---|---|---|---|
| EP24707937.9A EP4689737A1 (en) | 2023-03-28 | 2024-02-21 | Grafted opthalmic devices containing deactivated regions and processes for their preparation and use |
Applications Claiming Priority (4)
| Application Number | Priority Date | Filing Date | Title |
|---|---|---|---|
| US202363492499P | 2023-03-28 | 2023-03-28 | |
| US63/492,499 | 2023-03-28 | ||
| US18/426,780 US20240325597A1 (en) | 2023-03-28 | 2024-01-30 | Grafted ophthalmic devices containing deactivated regions and processes for their preparation and use |
| US18/426,780 | 2024-01-30 |
Publications (2)
| Publication Number | Publication Date |
|---|---|
| WO2024201156A1 true WO2024201156A1 (en) | 2024-10-03 |
| WO2024201156A8 WO2024201156A8 (en) | 2024-11-28 |
Family
ID=90059199
Family Applications (1)
| Application Number | Title | Priority Date | Filing Date |
|---|---|---|---|
| PCT/IB2024/051680 Ceased WO2024201156A1 (en) | 2023-03-28 | 2024-02-21 | Grafted opthalmic devices containing deactivated regions and processes for their preparation and use |
Country Status (3)
| Country | Link |
|---|---|
| EP (1) | EP4689737A1 (en) |
| TW (1) | TW202506209A (en) |
| WO (1) | WO2024201156A1 (en) |
Citations (66)
| Publication number | Priority date | Publication date | Assignee | Title |
|---|---|---|---|---|
| US3408429A (en) | 1963-09-11 | 1968-10-29 | Ceskoslovenska Akademie Ved | Method for centrifugal casting a contact lens |
| US3660545A (en) | 1961-12-27 | 1972-05-02 | Ceskoslovenska Akademie Ved | Method of centrifugally casting thin edged corneal contact lenses |
| US3808178A (en) | 1972-06-16 | 1974-04-30 | Polycon Laboratories | Oxygen-permeable contact lens composition,methods and article of manufacture |
| US4018853A (en) | 1974-11-21 | 1977-04-19 | Warner-Lambert Company | Crosslinked, hydrophilic rods of pyrrolidone-methacrylate graft copolymers |
| US4113224A (en) | 1975-04-08 | 1978-09-12 | Bausch & Lomb Incorporated | Apparatus for forming optical lenses |
| US4120570A (en) | 1976-06-22 | 1978-10-17 | Syntex (U.S.A.) Inc. | Method for correcting visual defects, compositions and articles of manufacture useful therein |
| US4136250A (en) | 1977-07-20 | 1979-01-23 | Ciba-Geigy Corporation | Polysiloxane hydrogels |
| US4153641A (en) | 1977-07-25 | 1979-05-08 | Bausch & Lomb Incorporated | Polysiloxane composition and contact lens |
| US4190277A (en) | 1978-08-30 | 1980-02-26 | England Robert C | Device for insertion, manipulation and removal of soft contact lenses |
| US4197266A (en) | 1974-05-06 | 1980-04-08 | Bausch & Lomb Incorporated | Method for forming optical lenses |
| EP0080539A1 (en) | 1981-11-27 | 1983-06-08 | Tsuetaki, George F. | Polymers primarily for contact lenses, and contact lenses made from them |
| US4680336A (en) | 1984-11-21 | 1987-07-14 | Vistakon, Inc. | Method of forming shaped hydrogel articles |
| US4740533A (en) | 1987-07-28 | 1988-04-26 | Ciba-Geigy Corporation | Wettable, flexible, oxygen permeable, substantially non-swellable contact lens containing block copolymer polysiloxane-polyoxyalkylene backbone units, and use thereof |
| US4910277A (en) | 1988-02-09 | 1990-03-20 | Bambury Ronald E | Hydrophilic oxygen permeable polymers |
| US5034461A (en) | 1989-06-07 | 1991-07-23 | Bausch & Lomb Incorporated | Novel prepolymers useful in biomedical devices |
| US5039459A (en) | 1988-11-25 | 1991-08-13 | Johnson & Johnson Vision Products, Inc. | Method of forming shaped hydrogel articles including contact lenses |
| US5070215A (en) | 1989-05-02 | 1991-12-03 | Bausch & Lomb Incorporated | Novel vinyl carbonate and vinyl carbamate contact lens material monomers |
| US5244981A (en) | 1990-04-10 | 1993-09-14 | Permeable Technologies, Inc. | Silicone-containing contact lens polymers, oxygen permeable contact lenses and methods for making these lenses and treating patients with visual impairment |
| US5314960A (en) | 1990-04-10 | 1994-05-24 | Permeable Technologies, Inc. | Silicone-containing polymers, oxygen permeable hydrophilic contact lenses and methods for making these lenses and treating patients with visual impairment |
| US5371147A (en) | 1990-10-11 | 1994-12-06 | Permeable Technologies, Inc. | Silicone-containing acrylic star polymers, block copolymers and macromonomers |
| US5760100A (en) | 1994-09-06 | 1998-06-02 | Ciba Vision Corporation | Extended wear ophthalmic lens |
| US5962548A (en) | 1998-03-02 | 1999-10-05 | Johnson & Johnson Vision Products, Inc. | Silicone hydrogel polymers |
| US5998498A (en) | 1998-03-02 | 1999-12-07 | Johnson & Johnson Vision Products, Inc. | Soft contact lenses |
| US6020445A (en) | 1997-10-09 | 2000-02-01 | Johnson & Johnson Vision Products, Inc. | Silicone hydrogel polymers |
| US6367929B1 (en) | 1998-03-02 | 2002-04-09 | Johnson & Johnson Vision Care, Inc. | Hydrogel with internal wetting agent |
| WO2003022321A2 (en) | 2001-09-10 | 2003-03-20 | Johnson & Johnson Vision Care, Inc. | Biomedical devices containing internal wetting agents |
| US20030162862A1 (en) | 2001-09-10 | 2003-08-28 | Mccabe Kevin P. | Biomedical devices containing internal wetting agents |
| US6943203B2 (en) | 1998-03-02 | 2005-09-13 | Johnson & Johnson Vision Care, Inc. | Soft contact lenses |
| US7247692B2 (en) | 2004-09-30 | 2007-07-24 | Johnson & Johnson Vision Care, Inc. | Biomedical devices containing amphiphilic block copolymers |
| US7396890B2 (en) | 2004-02-11 | 2008-07-08 | Johnson & Johnson Vision Care, Inc. | (Meth)acrylamide monomers containing hydroxy and silicone functionalities |
| US7461937B2 (en) | 2001-09-10 | 2008-12-09 | Johnson & Johnson Vision Care, Inc. | Soft contact lenses displaying superior on-eye comfort |
| US7468398B2 (en) | 1994-09-06 | 2008-12-23 | Ciba Vision Corporation | Extended wear ophthalmic lens |
| US7572841B2 (en) | 2006-06-15 | 2009-08-11 | Coopervision International Holding Company, Lp | Wettable silicone hydrogel contact lenses and related compositions and methods |
| US7786185B2 (en) | 2004-03-05 | 2010-08-31 | Johnson & Johnson Vision Care, Inc. | Wettable hydrogels comprising acyclic polyamides |
| US7825170B2 (en) | 1998-03-02 | 2010-11-02 | Johnson & Johnson Vision Care, Inc. | Contact lenses |
| US7905594B2 (en) | 2007-08-21 | 2011-03-15 | Johnson & Johnson Vision Care, Inc. | Free form ophthalmic lens |
| US7915323B2 (en) | 2009-07-09 | 2011-03-29 | Bausch & Lamb Incorporated | Mono ethylenically unsaturated polycarbosiloxane monomers |
| US7994356B2 (en) | 2009-07-09 | 2011-08-09 | Bausch & Lomb Incorporated | Mono ethylenically unsaturated polycarbosiloxane monomers |
| US8163206B2 (en) | 2008-12-18 | 2012-04-24 | Novartis Ag | Method for making silicone hydrogel contact lenses |
| US8240849B2 (en) | 2009-03-31 | 2012-08-14 | Johnson & Johnson Vision Care, Inc. | Free form lens with refractive index variations |
| US8273802B2 (en) | 2004-09-30 | 2012-09-25 | Johnson & Johnson Vision Care, Inc. | Wettable hydrogels comprising reactive, hydrophilic, polymeric internal wetting agents |
| US8313828B2 (en) | 2008-08-20 | 2012-11-20 | Johnson & Johnson Vision Care, Inc. | Ophthalmic lens precursor and lens |
| US8318055B2 (en) | 2007-08-21 | 2012-11-27 | Johnson & Johnson Vision Care, Inc. | Methods for formation of an ophthalmic lens precursor and lens |
| US8317505B2 (en) | 2007-08-21 | 2012-11-27 | Johnson & Johnson Vision Care, Inc. | Apparatus for formation of an ophthalmic lens precursor and lens |
| US8420711B2 (en) | 2009-07-09 | 2013-04-16 | Bausch & Lomb Incorporated | Mono ethylenically unsaturated polymerizable group containing polycarbosiloxane monomers |
| US8487058B2 (en) | 2011-02-28 | 2013-07-16 | Coopervision International Holding Company, Lp | Wettable silicone hydrogel contact lenses |
| US8883872B2 (en) | 2009-07-06 | 2014-11-11 | Basf Se | Polymer-bound bisacylphosphine oxides |
| US8937111B2 (en) | 2011-12-23 | 2015-01-20 | Johnson & Johnson Vision Care, Inc. | Silicone hydrogels comprising desirable water content and oxygen permeability |
| US8937110B2 (en) | 2011-12-23 | 2015-01-20 | Johnson & Johnson Vision Care, Inc. | Silicone hydrogels having a structure formed via controlled reaction kinetics |
| US8940812B2 (en) | 2012-01-17 | 2015-01-27 | Johnson & Johnson Vision Care, Inc. | Silicone polymers comprising sulfonic acid groups |
| US8980972B2 (en) | 2011-11-10 | 2015-03-17 | Vertellus Specialties Inc. | Polymerisable material |
| US20150146159A1 (en) | 2013-11-22 | 2015-05-28 | Johnson & Johnson Vision Care, Inc. | Methods for formation of an ophthalmic lens with an insert utilizing voxel-based lithography |
| US9056878B2 (en) | 2006-09-29 | 2015-06-16 | Johnson & Johnson Vision Care, Inc. | Hydrolysis-resistant silicone compounds |
| US9125808B2 (en) | 2011-12-23 | 2015-09-08 | Johnson & Johnson Vision Care, Inc. | Ionic silicone hydrogels |
| US9140825B2 (en) | 2011-12-23 | 2015-09-22 | Johnson & Johnson Vision Care, Inc. | Ionic silicone hydrogels |
| US9156934B2 (en) | 2011-12-23 | 2015-10-13 | Johnson & Johnson Vision Care, Inc. | Silicone hydrogels comprising n-vinyl amides and hydroxyalkyl (meth)acrylates or (meth)acrylamides |
| US9170349B2 (en) | 2011-05-04 | 2015-10-27 | Johnson & Johnson Vision Care, Inc. | Medical devices having homogeneous charge density and methods for making same |
| US9217813B2 (en) | 2011-02-28 | 2015-12-22 | Coopervision International Holding Company, Lp | Silicone hydrogel contact lenses |
| US9244196B2 (en) | 2012-05-25 | 2016-01-26 | Johnson & Johnson Vision Care, Inc. | Polymers and nanogel materials and methods for making and using the same |
| US9260544B2 (en) | 2008-09-30 | 2016-02-16 | Johnson & Johnson Vision Care, Inc. | Ionic silicone hydrogels having improved hydrolytic stability |
| US9297929B2 (en) | 2012-05-25 | 2016-03-29 | Johnson & Johnson Vision Care, Inc. | Contact lenses comprising water soluble N-(2 hydroxyalkyl) (meth)acrylamide polymers or copolymers |
| US9297928B2 (en) | 2004-11-22 | 2016-03-29 | Johnson & Johnson Vision Care, Inc. | Ophthalmic compositions comprising polyether substituted polymers |
| US9417464B2 (en) | 2008-08-20 | 2016-08-16 | Johnson & Johnson Vision Care, Inc. | Method and apparatus of forming a translating multifocal contact lens having a lower-lid contact surface |
| US10961341B2 (en) | 2018-01-30 | 2021-03-30 | Johnson & Johnson Vision Care, Inc. | Ophthalmic devices derived from grafted polymeric networks and processes for their preparation and use |
| US11021558B2 (en) | 2016-08-05 | 2021-06-01 | Johnson & Johnson Vision Care, Inc. | Polymer compositions containing grafted polymeric networks and processes for their preparation and use |
| US11034789B2 (en) | 2018-01-30 | 2021-06-15 | Johnson & Johnson Vision Care, Inc. | Ophthalmic devices containing localized grafted networks and processes for their preparation and use |
-
2024
- 2024-02-21 EP EP24707937.9A patent/EP4689737A1/en active Pending
- 2024-02-21 WO PCT/IB2024/051680 patent/WO2024201156A1/en not_active Ceased
- 2024-03-27 TW TW113111381A patent/TW202506209A/en unknown
Patent Citations (94)
| Publication number | Priority date | Publication date | Assignee | Title |
|---|---|---|---|---|
| US3660545A (en) | 1961-12-27 | 1972-05-02 | Ceskoslovenska Akademie Ved | Method of centrifugally casting thin edged corneal contact lenses |
| US3408429A (en) | 1963-09-11 | 1968-10-29 | Ceskoslovenska Akademie Ved | Method for centrifugal casting a contact lens |
| US3808178A (en) | 1972-06-16 | 1974-04-30 | Polycon Laboratories | Oxygen-permeable contact lens composition,methods and article of manufacture |
| US4197266A (en) | 1974-05-06 | 1980-04-08 | Bausch & Lomb Incorporated | Method for forming optical lenses |
| US4018853A (en) | 1974-11-21 | 1977-04-19 | Warner-Lambert Company | Crosslinked, hydrophilic rods of pyrrolidone-methacrylate graft copolymers |
| US4113224A (en) | 1975-04-08 | 1978-09-12 | Bausch & Lomb Incorporated | Apparatus for forming optical lenses |
| US4120570A (en) | 1976-06-22 | 1978-10-17 | Syntex (U.S.A.) Inc. | Method for correcting visual defects, compositions and articles of manufacture useful therein |
| US4136250A (en) | 1977-07-20 | 1979-01-23 | Ciba-Geigy Corporation | Polysiloxane hydrogels |
| US4153641A (en) | 1977-07-25 | 1979-05-08 | Bausch & Lomb Incorporated | Polysiloxane composition and contact lens |
| US4190277A (en) | 1978-08-30 | 1980-02-26 | England Robert C | Device for insertion, manipulation and removal of soft contact lenses |
| EP0080539A1 (en) | 1981-11-27 | 1983-06-08 | Tsuetaki, George F. | Polymers primarily for contact lenses, and contact lenses made from them |
| US4680336A (en) | 1984-11-21 | 1987-07-14 | Vistakon, Inc. | Method of forming shaped hydrogel articles |
| US4740533A (en) | 1987-07-28 | 1988-04-26 | Ciba-Geigy Corporation | Wettable, flexible, oxygen permeable, substantially non-swellable contact lens containing block copolymer polysiloxane-polyoxyalkylene backbone units, and use thereof |
| US4910277A (en) | 1988-02-09 | 1990-03-20 | Bambury Ronald E | Hydrophilic oxygen permeable polymers |
| US5039459A (en) | 1988-11-25 | 1991-08-13 | Johnson & Johnson Vision Products, Inc. | Method of forming shaped hydrogel articles including contact lenses |
| US5070215A (en) | 1989-05-02 | 1991-12-03 | Bausch & Lomb Incorporated | Novel vinyl carbonate and vinyl carbamate contact lens material monomers |
| US5034461A (en) | 1989-06-07 | 1991-07-23 | Bausch & Lomb Incorporated | Novel prepolymers useful in biomedical devices |
| US5314960A (en) | 1990-04-10 | 1994-05-24 | Permeable Technologies, Inc. | Silicone-containing polymers, oxygen permeable hydrophilic contact lenses and methods for making these lenses and treating patients with visual impairment |
| US5244981A (en) | 1990-04-10 | 1993-09-14 | Permeable Technologies, Inc. | Silicone-containing contact lens polymers, oxygen permeable contact lenses and methods for making these lenses and treating patients with visual impairment |
| US5331067A (en) | 1990-04-10 | 1994-07-19 | Permeable Technologies, Inc. | Silicone-containing contact lens polymers, oxygen permeable contact lenses and methods for making these lenses and treating patients with visual impairment |
| US5371147A (en) | 1990-10-11 | 1994-12-06 | Permeable Technologies, Inc. | Silicone-containing acrylic star polymers, block copolymers and macromonomers |
| US5965631A (en) | 1994-09-06 | 1999-10-12 | Ciba Vision Corporation | Extended wear ophthalmic lens |
| US5849811A (en) | 1994-09-06 | 1998-12-15 | Ciba Vision Corporation | Extended wear ophthalmic lens |
| US7468398B2 (en) | 1994-09-06 | 2008-12-23 | Ciba Vision Corporation | Extended wear ophthalmic lens |
| US5760100A (en) | 1994-09-06 | 1998-06-02 | Ciba Vision Corporation | Extended wear ophthalmic lens |
| US7538146B2 (en) | 1994-09-06 | 2009-05-26 | Ciba Vision Corporation | Extended wear ophthalmic lens |
| US5849811B1 (en) | 1994-09-06 | 2000-11-14 | Ciba Vision Corporatin | Extended wear ophthalmic lens |
| US5760100B1 (en) | 1994-09-06 | 2000-11-14 | Ciba Vision Corp | Extended wear ophthalmic lens |
| US7553880B2 (en) | 1994-09-06 | 2009-06-30 | Ciba Vision Corporation | Extended wear ophthalmic lens |
| US8568626B2 (en) | 1994-09-06 | 2013-10-29 | Ciba Vision Corporation | Extended wear ophthalmic lens |
| US8415404B2 (en) | 1994-09-06 | 2013-04-09 | Ciba Vision Corporation | Extended wear ophthalmic lens |
| US6951894B1 (en) | 1994-09-06 | 2005-10-04 | Ciba Vision Corporation | Extended wear ophthalmic lens |
| US6020445A (en) | 1997-10-09 | 2000-02-01 | Johnson & Johnson Vision Products, Inc. | Silicone hydrogel polymers |
| US5962548A (en) | 1998-03-02 | 1999-10-05 | Johnson & Johnson Vision Products, Inc. | Silicone hydrogel polymers |
| US7825170B2 (en) | 1998-03-02 | 2010-11-02 | Johnson & Johnson Vision Care, Inc. | Contact lenses |
| US6943203B2 (en) | 1998-03-02 | 2005-09-13 | Johnson & Johnson Vision Care, Inc. | Soft contact lenses |
| US8399538B2 (en) | 1998-03-02 | 2013-03-19 | Johnson & Johnson Vision Care, Inc. | Contact lenses |
| US6367929B1 (en) | 1998-03-02 | 2002-04-09 | Johnson & Johnson Vision Care, Inc. | Hydrogel with internal wetting agent |
| US5998498A (en) | 1998-03-02 | 1999-12-07 | Johnson & Johnson Vision Products, Inc. | Soft contact lenses |
| US7691916B2 (en) | 2001-09-10 | 2010-04-06 | Johnson & Johnson Vision Care, Inc. | Biomedical devices containing internal wetting agents |
| US7461937B2 (en) | 2001-09-10 | 2008-12-09 | Johnson & Johnson Vision Care, Inc. | Soft contact lenses displaying superior on-eye comfort |
| WO2003022322A2 (en) | 2001-09-10 | 2003-03-20 | Johnson & Johnson Vision Care, Inc. | Biomedical devices containing internal wetting agents |
| US7052131B2 (en) | 2001-09-10 | 2006-05-30 | J&J Vision Care, Inc. | Biomedical devices containing internal wetting agents |
| US8450387B2 (en) | 2001-09-10 | 2013-05-28 | Johnson & Johnson Vision Care, Inc. | Biomedical devices containing internal wetting agents |
| US7666921B2 (en) | 2001-09-10 | 2010-02-23 | Johnson & Johnson Vision Care, Inc. | Biomedical devices containing internal wetting agents |
| US6822016B2 (en) | 2001-09-10 | 2004-11-23 | Johnson & Johnson Vision Care, Inc. | Biomedical devices containing internal wetting agents |
| WO2003022321A2 (en) | 2001-09-10 | 2003-03-20 | Johnson & Johnson Vision Care, Inc. | Biomedical devices containing internal wetting agents |
| US20030162862A1 (en) | 2001-09-10 | 2003-08-28 | Mccabe Kevin P. | Biomedical devices containing internal wetting agents |
| US20030125498A1 (en) | 2001-09-10 | 2003-07-03 | Mccabe Kevin P. | Biomedical devices containing internal wetting agents |
| US7396890B2 (en) | 2004-02-11 | 2008-07-08 | Johnson & Johnson Vision Care, Inc. | (Meth)acrylamide monomers containing hydroxy and silicone functionalities |
| US8022158B2 (en) | 2004-03-05 | 2011-09-20 | Johnson & Johnson Vision Care, Inc. | Wettable hydrogels comprising acyclic polyamides |
| US7786185B2 (en) | 2004-03-05 | 2010-08-31 | Johnson & Johnson Vision Care, Inc. | Wettable hydrogels comprising acyclic polyamides |
| US7247692B2 (en) | 2004-09-30 | 2007-07-24 | Johnson & Johnson Vision Care, Inc. | Biomedical devices containing amphiphilic block copolymers |
| US8273802B2 (en) | 2004-09-30 | 2012-09-25 | Johnson & Johnson Vision Care, Inc. | Wettable hydrogels comprising reactive, hydrophilic, polymeric internal wetting agents |
| US9297928B2 (en) | 2004-11-22 | 2016-03-29 | Johnson & Johnson Vision Care, Inc. | Ophthalmic compositions comprising polyether substituted polymers |
| US7572841B2 (en) | 2006-06-15 | 2009-08-11 | Coopervision International Holding Company, Lp | Wettable silicone hydrogel contact lenses and related compositions and methods |
| US9056878B2 (en) | 2006-09-29 | 2015-06-16 | Johnson & Johnson Vision Care, Inc. | Hydrolysis-resistant silicone compounds |
| US9180633B2 (en) | 2007-08-21 | 2015-11-10 | Johnson & Johnson Vision Care, Inc. | Methods for formation of an ophthalmic lens precursor and lens |
| US9857607B2 (en) | 2007-08-21 | 2018-01-02 | Johnson & Johnson Vision Care, Inc. | Apparatus for formation of an ophthalmic lens precursor and lens |
| US8317505B2 (en) | 2007-08-21 | 2012-11-27 | Johnson & Johnson Vision Care, Inc. | Apparatus for formation of an ophthalmic lens precursor and lens |
| US9180634B2 (en) | 2007-08-21 | 2015-11-10 | Johnson & Johnson Vision Care, Inc. | Methods for formation of an ophthalmic lens precursor and lens |
| US8318055B2 (en) | 2007-08-21 | 2012-11-27 | Johnson & Johnson Vision Care, Inc. | Methods for formation of an ophthalmic lens precursor and lens |
| US7905594B2 (en) | 2007-08-21 | 2011-03-15 | Johnson & Johnson Vision Care, Inc. | Free form ophthalmic lens |
| US8795558B2 (en) | 2007-08-21 | 2014-08-05 | Johnson & Johnson Vision Care, Inc. | Methods for formation of an ophthalmic lens precursor and lens |
| US9610742B2 (en) | 2007-08-21 | 2017-04-04 | Johnson & Johnson Vision Care, Inc. | Apparatus for formation of an ophthalmic lens precursor and lens |
| US8313828B2 (en) | 2008-08-20 | 2012-11-20 | Johnson & Johnson Vision Care, Inc. | Ophthalmic lens precursor and lens |
| US9417464B2 (en) | 2008-08-20 | 2016-08-16 | Johnson & Johnson Vision Care, Inc. | Method and apparatus of forming a translating multifocal contact lens having a lower-lid contact surface |
| US9260544B2 (en) | 2008-09-30 | 2016-02-16 | Johnson & Johnson Vision Care, Inc. | Ionic silicone hydrogels having improved hydrolytic stability |
| US8163206B2 (en) | 2008-12-18 | 2012-04-24 | Novartis Ag | Method for making silicone hydrogel contact lenses |
| US8157373B2 (en) | 2009-03-02 | 2012-04-17 | Johnson & Johnson Vision Care, Inc. | Free form ophthalmic lens |
| US9075186B2 (en) | 2009-03-31 | 2015-07-07 | Johnson & Johnson Vision Care, Inc. | Free form lens with refractive index variations |
| US8240849B2 (en) | 2009-03-31 | 2012-08-14 | Johnson & Johnson Vision Care, Inc. | Free form lens with refractive index variations |
| US8883872B2 (en) | 2009-07-06 | 2014-11-11 | Basf Se | Polymer-bound bisacylphosphine oxides |
| US7994356B2 (en) | 2009-07-09 | 2011-08-09 | Bausch & Lomb Incorporated | Mono ethylenically unsaturated polycarbosiloxane monomers |
| US7915323B2 (en) | 2009-07-09 | 2011-03-29 | Bausch & Lamb Incorporated | Mono ethylenically unsaturated polycarbosiloxane monomers |
| US8420711B2 (en) | 2009-07-09 | 2013-04-16 | Bausch & Lomb Incorporated | Mono ethylenically unsaturated polymerizable group containing polycarbosiloxane monomers |
| US8487058B2 (en) | 2011-02-28 | 2013-07-16 | Coopervision International Holding Company, Lp | Wettable silicone hydrogel contact lenses |
| US9217813B2 (en) | 2011-02-28 | 2015-12-22 | Coopervision International Holding Company, Lp | Silicone hydrogel contact lenses |
| US9170349B2 (en) | 2011-05-04 | 2015-10-27 | Johnson & Johnson Vision Care, Inc. | Medical devices having homogeneous charge density and methods for making same |
| US8980972B2 (en) | 2011-11-10 | 2015-03-17 | Vertellus Specialties Inc. | Polymerisable material |
| US9140825B2 (en) | 2011-12-23 | 2015-09-22 | Johnson & Johnson Vision Care, Inc. | Ionic silicone hydrogels |
| US9156934B2 (en) | 2011-12-23 | 2015-10-13 | Johnson & Johnson Vision Care, Inc. | Silicone hydrogels comprising n-vinyl amides and hydroxyalkyl (meth)acrylates or (meth)acrylamides |
| US8937111B2 (en) | 2011-12-23 | 2015-01-20 | Johnson & Johnson Vision Care, Inc. | Silicone hydrogels comprising desirable water content and oxygen permeability |
| US9244197B2 (en) | 2011-12-23 | 2016-01-26 | Johnson & Johnson Vision Care, Inc. | Silicone hydrogels comprising desirable water content and oxygen permeability |
| US9125808B2 (en) | 2011-12-23 | 2015-09-08 | Johnson & Johnson Vision Care, Inc. | Ionic silicone hydrogels |
| US8937110B2 (en) | 2011-12-23 | 2015-01-20 | Johnson & Johnson Vision Care, Inc. | Silicone hydrogels having a structure formed via controlled reaction kinetics |
| US8940812B2 (en) | 2012-01-17 | 2015-01-27 | Johnson & Johnson Vision Care, Inc. | Silicone polymers comprising sulfonic acid groups |
| US9297929B2 (en) | 2012-05-25 | 2016-03-29 | Johnson & Johnson Vision Care, Inc. | Contact lenses comprising water soluble N-(2 hydroxyalkyl) (meth)acrylamide polymers or copolymers |
| US9244196B2 (en) | 2012-05-25 | 2016-01-26 | Johnson & Johnson Vision Care, Inc. | Polymers and nanogel materials and methods for making and using the same |
| US20150146159A1 (en) | 2013-11-22 | 2015-05-28 | Johnson & Johnson Vision Care, Inc. | Methods for formation of an ophthalmic lens with an insert utilizing voxel-based lithography |
| US11021558B2 (en) | 2016-08-05 | 2021-06-01 | Johnson & Johnson Vision Care, Inc. | Polymer compositions containing grafted polymeric networks and processes for their preparation and use |
| US10961341B2 (en) | 2018-01-30 | 2021-03-30 | Johnson & Johnson Vision Care, Inc. | Ophthalmic devices derived from grafted polymeric networks and processes for their preparation and use |
| US11034789B2 (en) | 2018-01-30 | 2021-06-15 | Johnson & Johnson Vision Care, Inc. | Ophthalmic devices containing localized grafted networks and processes for their preparation and use |
| US20210277170A1 (en) * | 2018-01-30 | 2021-09-09 | Johnson & Johnson Vision Care, Inc. | Ophthalmic devices containing localized grafted networks and processes for their preparation and use |
Also Published As
| Publication number | Publication date |
|---|---|
| EP4689737A1 (en) | 2026-02-11 |
| WO2024201156A8 (en) | 2024-11-28 |
| TW202506209A (en) | 2025-02-16 |
Similar Documents
| Publication | Publication Date | Title |
|---|---|---|
| US12391789B2 (en) | Ophthalmic devices containing localized grafted networks and processes for their preparation and use | |
| US11834547B2 (en) | Ophthalmic devices derived from grafted polymeric networks and processes for their preparation and use | |
| US11021558B2 (en) | Polymer compositions containing grafted polymeric networks and processes for their preparation and use | |
| US20240325597A1 (en) | Grafted ophthalmic devices containing deactivated regions and processes for their preparation and use | |
| US20230023885A1 (en) | Ophthalmic devices derived from grafted polymeric networks and processes for their preparation and use | |
| US20230176251A1 (en) | Ophthalmic lenses and their manufacture by in-mold modification | |
| US20230105465A1 (en) | Anthraquinone-functionalized polymerization initiators and their use in the manufacture of ophthalmic lenses | |
| WO2024201156A1 (en) | Grafted opthalmic devices containing deactivated regions and processes for their preparation and use | |
| US11912800B2 (en) | Amide-functionalized polymerization initiators and their use in the manufacture of ophthalmic lenses | |
| US20230278300A1 (en) | Ophthalmic lenses and their manufacture by in-mold modification | |
| RU2776463C2 (en) | Ophthalmic devices obtained from grafted polymer meshes and their production and application methods | |
| KR20250164620A (en) | Ophthalmic lenses and their manufacture by in-mold modification | |
| WO2023052889A1 (en) | Amide-functionalized polymerization initiators and their use in the manufacture of ophthalmic lenses |
Legal Events
| Date | Code | Title | Description |
|---|---|---|---|
| WWE | Wipo information: entry into national phase |
Ref document number: 2024564557 Country of ref document: JP |
|
| 121 | Ep: the epo has been informed by wipo that ep was designated in this application |
Ref document number: 24707937 Country of ref document: EP Kind code of ref document: A1 |
|
| WWE | Wipo information: entry into national phase |
Ref document number: 2024707937 Country of ref document: EP |
|
| NENP | Non-entry into the national phase |
Ref country code: DE |
|
| ENP | Entry into the national phase |
Ref document number: 2024707937 Country of ref document: EP Effective date: 20251028 |
|
| ENP | Entry into the national phase |
Ref document number: 2024707937 Country of ref document: EP Effective date: 20251028 |
|
| ENP | Entry into the national phase |
Ref document number: 2024707937 Country of ref document: EP Effective date: 20251028 |
|
| ENP | Entry into the national phase |
Ref document number: 2024707937 Country of ref document: EP Effective date: 20251028 |
|
| ENP | Entry into the national phase |
Ref document number: 2024707937 Country of ref document: EP Effective date: 20251028 |
















