WO2024115213A1 - Detergent compartment pouch comprising biosurfactants - Google Patents
Detergent compartment pouch comprising biosurfactants Download PDFInfo
- Publication number
- WO2024115213A1 WO2024115213A1 PCT/EP2023/082639 EP2023082639W WO2024115213A1 WO 2024115213 A1 WO2024115213 A1 WO 2024115213A1 EP 2023082639 W EP2023082639 W EP 2023082639W WO 2024115213 A1 WO2024115213 A1 WO 2024115213A1
- Authority
- WO
- WIPO (PCT)
- Prior art keywords
- liquid composition
- weight
- mol
- rhamnolipids
- pouch according
- Prior art date
- Legal status (The legal status is an assumption and is not a legal conclusion. Google has not performed a legal analysis and makes no representation as to the accuracy of the status listed.)
- Ceased
Links
Classifications
-
- C—CHEMISTRY; METALLURGY
- C11—ANIMAL OR VEGETABLE OILS, FATS, FATTY SUBSTANCES OR WAXES; FATTY ACIDS THEREFROM; DETERGENTS; CANDLES
- C11D—DETERGENT COMPOSITIONS; USE OF SINGLE SUBSTANCES AS DETERGENTS; SOAP OR SOAP-MAKING; RESIN SOAPS; RECOVERY OF GLYCEROL
- C11D1/00—Detergent compositions based essentially on surface-active compounds; Use of these compounds as a detergent
- C11D1/66—Non-ionic compounds
- C11D1/662—Carbohydrates or derivatives
-
- C—CHEMISTRY; METALLURGY
- C11—ANIMAL OR VEGETABLE OILS, FATS, FATTY SUBSTANCES OR WAXES; FATTY ACIDS THEREFROM; DETERGENTS; CANDLES
- C11D—DETERGENT COMPOSITIONS; USE OF SINGLE SUBSTANCES AS DETERGENTS; SOAP OR SOAP-MAKING; RESIN SOAPS; RECOVERY OF GLYCEROL
- C11D1/00—Detergent compositions based essentially on surface-active compounds; Use of these compounds as a detergent
- C11D1/02—Anionic compounds
- C11D1/04—Carboxylic acids or salts thereof
- C11D1/06—Ether- or thioether carboxylic acids
-
- C—CHEMISTRY; METALLURGY
- C11—ANIMAL OR VEGETABLE OILS, FATS, FATTY SUBSTANCES OR WAXES; FATTY ACIDS THEREFROM; DETERGENTS; CANDLES
- C11D—DETERGENT COMPOSITIONS; USE OF SINGLE SUBSTANCES AS DETERGENTS; SOAP OR SOAP-MAKING; RESIN SOAPS; RECOVERY OF GLYCEROL
- C11D17/00—Detergent materials or soaps characterised by their shape or physical properties
- C11D17/04—Detergent materials or soaps characterised by their shape or physical properties combined with or containing other objects
- C11D17/041—Compositions releasably affixed on a substrate or incorporated into a dispensing means
- C11D17/042—Water soluble or water disintegrable containers or substrates containing cleaning compositions or additives for cleaning compositions
-
- C—CHEMISTRY; METALLURGY
- C11—ANIMAL OR VEGETABLE OILS, FATS, FATTY SUBSTANCES OR WAXES; FATTY ACIDS THEREFROM; DETERGENTS; CANDLES
- C11D—DETERGENT COMPOSITIONS; USE OF SINGLE SUBSTANCES AS DETERGENTS; SOAP OR SOAP-MAKING; RESIN SOAPS; RECOVERY OF GLYCEROL
- C11D17/00—Detergent materials or soaps characterised by their shape or physical properties
- C11D17/04—Detergent materials or soaps characterised by their shape or physical properties combined with or containing other objects
- C11D17/041—Compositions releasably affixed on a substrate or incorporated into a dispensing means
- C11D17/042—Water soluble or water disintegrable containers or substrates containing cleaning compositions or additives for cleaning compositions
- C11D17/043—Liquid or thixotropic (gel) compositions
-
- C—CHEMISTRY; METALLURGY
- C11—ANIMAL OR VEGETABLE OILS, FATS, FATTY SUBSTANCES OR WAXES; FATTY ACIDS THEREFROM; DETERGENTS; CANDLES
- C11D—DETERGENT COMPOSITIONS; USE OF SINGLE SUBSTANCES AS DETERGENTS; SOAP OR SOAP-MAKING; RESIN SOAPS; RECOVERY OF GLYCEROL
- C11D2111/00—Cleaning compositions characterised by the objects to be cleaned; Cleaning compositions characterised by non-standard cleaning or washing processes
- C11D2111/10—Objects to be cleaned
- C11D2111/12—Soft surfaces, e.g. textile
Definitions
- Detergent compartment pouch comprising biosurfactants
- the invention relates to detergent compartment pouches comprising biosurfactants and a water- soluble film comprising polyvinyl alcohol.
- Detergent products in unit dose form have become one of the preferred forms for the user due to the easiness of use, in particular water-soluble pouches which present the added advantage of no need to unwrap.
- the water-soluble pouches are filled with liquid detergent solutions, which limits the variety of suited detergent compositions to be filled into the pouches.
- liquids may diffuse through the water-soluble film into a second compartment filled with powder compositions, which consequently agglutinate and thus do not dissolve fast and easily in the suds while washing.
- the water content of the contained liquid detergent usually is reduced to a minimum and/or non-aqueous solvents are used as liquefiers limiting the amount of suited detergent compositions even further.
- the thickness of the water-soluble film often is increased in order to have a more stable pouch, which, however, consumes more resources, which do not contribute to the washing efficiency of the product.
- unit dose detergents that do not dissolve in water too fast, to avoid swallowing of the detergent content when small kids are tempted to put the pouch into their mouths by the often-colourful product.
- the object of the present invention is to design a detergent product which obviates the above challenges. Description of the invention
- the present invention therefore provides a detergent compartment pouch having at least one water-soluble film forming at least one compartment, wherein the at least one compartment contains a liquid composition, said liquid composition comprises at least one biosurfactant, characterized in that said water-soluble film comprises polyvinyl alcohol.
- the invention further provides the use of a pouch according to the instant invention for cleaning a surface of an article
- One advantage of the present invention is that the detergent compartment pouch of the instant invention exhibits improved integrity and resistance to water.
- An advantage of the present invention is a better storage stability of the detergent compartment pouch of the instant invention.
- a further advantage of the detergent compartment pouch of the instant invention is that the pouches can make use of a thinner water-soluble film, thereby saving packaging material.
- Another advantage of the detergent compartment pouch of the instant invention is, that the contained liquid composition may be formulated without addition of ethanolamine while still preserving its pourable liquid character.
- a further advantage of the instant invention is, that dyes comprised in the detergent compartment pouch according to the instant invention exhibit an enhanced colour stability.
- Another advantage of the detergent compartment pouch of the instant invention is, that dyes comprised in the detergent compartment pouch according to the instant invention do not transfer to textiles during washing processes.
- a further advantage of the instant invention is, that dyes comprised in the detergent compartment pouch according to the instant invention prevent children to taste the detergent pouch.
- a further advantage of the instant invention is, that less dye can be incorporated in the detergent compartment pouch according to the instant invention without significant loss of brilliance of the dye.
- the present invention therefore provides a detergent compartment pouch having at least one water-soluble film forming at least one compartment, wherein the at least one compartment contains a liquid composition, said liquid composition comprises at least one biosurfactant, characterized in that said water-soluble film comprises polyvinyl alcohol.
- biosurfactants are understood as meaning all glycolipids produced by fermentation.
- biosurfactant also covers glycolipids that are chemically or enzymatically modified after fermentation, as long as structurally a glycolipid remains.
- Raw materials for producing the biosurfactants that can be used are carbohydrates, in particular sugars such as e.g. glucose and/or lipophilic carbon sources such as fats, oils, partial glycerides, fatty acids, fatty alcohols, long-chain saturated or unsaturated hydrocarbons.
- surfactant is understood to mean organic substances having interface-active properties that have the ability to reduce the surface tension of water at 20°C and at a concentration of 0.5% by weight based on the overall composition to below 45 mN/m. Surface tension is determined by the Du Noliy ring method at 20°C.
- liquid is understood to be liquid at a temperature of 25°C and a pressure of 1013 mbar.
- the pouch according to the instant invention preferably is characterized in that said biosurfactant is selected from rhamnolipids, sophorolipids, glucolipids, cellulose lipids, mannosylerythritol lipids and trehalose lipids, preferably rhamnolipids, sophorolipids and glucolipids, most preferably rhamnolipids.
- biosurfactants can be produced e.g. as in EP 0 499 434, US 7,985,722, WO 03/006146, JP 60 183032, DE 19648439, DE 19600743, JP 01 304034, CN 1337439, JP 2006 274233,
- Suitable biosurfactants can be acquired e.g. from Soliance, France.
- the pouch according to the instant invention has as biosurfactant at least one selected from rhamnolipids, in particular mono-, di- or polyrhamnolipids, glucolipids, in particular mono-, di- or polyglucolipids, and sophorolipids, in particular mono-, di- or polysophorolipids, preferably selected from rhamnolipids and glucolipids, most preferably rhamnolipids.
- rhamnolipids in particular mono-, di- or polyrhamnolipids
- glucolipids in particular mono-, di- or polyglucolipids
- sophorolipids in particular mono-, di- or polysophorolipids, preferably selected from rhamnolipids and glucolipids, most preferably rhamnolipids.
- optically active carbon atoms of the fatty acids are preferably present as R-enantiomers (e.g. (R)-3- ⁇ (R)-3-[2-0-(a-L-rhamnopyranosyl)-a-L-rhamnopyranosyl]oxydecanoyl ⁇ oxydecanoate).
- R-enantiomers e.g. (R)-3- ⁇ (R)-3-[2-0-(a-L-rhamnopyranosyl)-a-L-rhamnopyranosyl]oxydecanoyl ⁇ oxydecanoate.
- Rhamnolipids applicable in the context of the instant invention can also be produced by fermentation of Pseudomonas, especially Pseudomonas aeruginosa, which are preferably non genetically modified cells, a technology already disclosed in the eighties, as documented e.g. in EP0282942 and DE4127908.
- Pseudomonas especially Pseudomonas aeruginosa
- Rhamnolipids produced in Pseudomonas aeruginosa cells which have been improved for higher rhamnolipid titres by genetical modification can also be used in the context of the instant invention; such cells have for example been disclosed by Lei et al. in Biotechnol Lett. 2020 Jun;42(6):997-1002.
- Rhamnolipids produced by Pseudomonas aeruginosa are commercially available from Jeneil Biotech Inc., e.g. under the tradename Zonix.from Logos Technologies (technology acquired by Stepan), e.g. under the tradename NatSurFact, from Biotensidion GmbH, e.g. under the tradename Rhapynal, from AGAE technologies, e.g. under the name R90, R95, R95Md, R95Dd, from Locus Bio-Energy Solutions and from Shanghai Yusheng Industry Co. Ltd., e.g. under the tradename Bio- 201 Glycolipids.
- the present invention provides a pouch preferably comprising in said liquid composition as said biosurfactant rhamnolipids, characterized in that the rhamnolipids comprise
- the present invention further provides a pouch preferably comprising in said liquid composition as said biosurfactant rhamnolipids, characterized in that the rhamnolipids comprise
- a preferred pouch according to the invention is characterized in that the pouch comprises in said liquid composition as said biosurfactant rhamnolipids as described above with a content of 0.5% by weight to 15% by weight, preferably 3% by weight to 12% by weight, particularly preferably 5% by weight to 10% by weight, of diRL-C10C12:1 , where the percentages by weight refer to the sum of all of the rhamnolipids comprised in the liquid composition.
- a further preferred pouch according to the invention is characterized in that the pouch comprises in said liquid composition as said biosurfactant rhamnolipids as described above with a content of 0.5 to 25% by weight, preferably 3% by weight to 15% by weight, particularly preferably 5% by weight to 12% by weight, of diRL-C10C12, where the percentages by weight refer to the sum of all of the rhamnolipids comprised in the liquid composition.
- a preferred pouch according to the invention is characterized in that the pouch comprises in said liquid composition as said biosurfactant rhamnolipids as described above with a content of 0.1 % by weight to 25% by weight, preferably 2% by weight to 10% by weight, particularly preferably 4% by weight to 8% by weight, of diRL-C8C10, where the percentages by weight refer to the sum of all of the rhamnolipids comprised in the liquid composition.
- the present invention provides a pouch alternatively preferably comprising in said liquid composition as said biosurfactant rhamnolipids, characterized in that the rhamnolipids comprise
- the alternatively preferred pouch according to the invention is preferably characterized in that the pouch comprises in said liquid composition as said biosurfactant rhamnolipids as described above with a content of 10 % by weight to 30 % by weight, preferably 12% by weight to 25 % by weight, particularly preferably 15% by weight to 20% by weight, of diRL-C10C10, where the percentages by weight refer to the sum of all of the rhamnolipids comprised in the liquid composition.
- Rhamnolipids applicable in the context of the instant invention can also be produced by fermentation of Pseudomonas, especially Pseudomonas aeruginosa, which are preferably non genetically modified cells, a technology already disclosed in the eighties, as documented e.g. in EP0282942 and DE4127908.
- Pseudomonas especially Pseudomonas aeruginosa
- Rhamnolipids produced in Pseudomonas aeruginosa cells which have been improved for higher rhamnolipid titres by genetical modification can also be used in the context of the instant invention; such cells have for example been disclosed by Lei et al. in Biotechnol Lett. 2020 Jun;42(6):997-1002.
- Rhamnolipids produced by Pseudomonas aeruginosa are commercially available from Jeneil Biotech Inc., e.g. under the tradename Zonix.from Logos Technologies (technology acquired by Stepan), e.g. under the tradename NatSurFact, from Biotensidion GmbH, e.g. under the tradename Rhapynal, from AGAE technologies, e.g. under the name R90, R95, R95Md, R95Dd, from Locus Bio-Energy Solutions and from Shanghai Yusheng Industry Co. Ltd., e.g. under the tradename Bio- 201 Glycolipids.
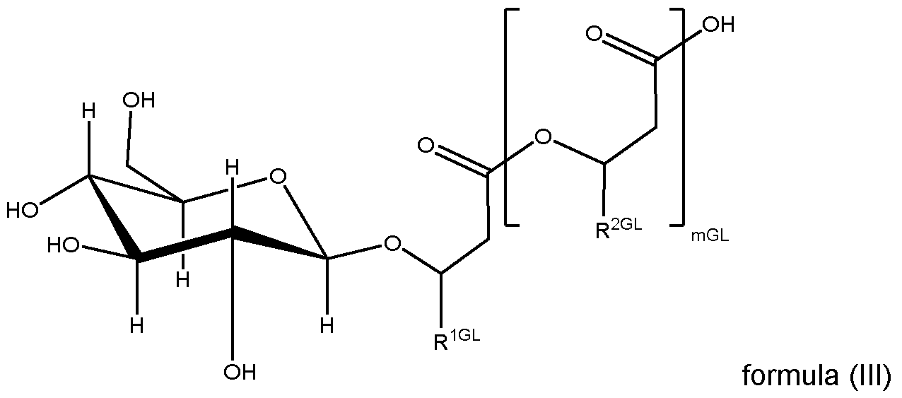
- R 2SL H or CO-CH 3
- R 3 SI_ a di va
- R4SI_
- 3 or a monovalent organic radical which comprises 2 to 10 carbon atoms and which is unsubstituted or substituted by hydroxyl functions, which is unbranched and which optionally comprises one to three double or triple bonds, and nSL 1 or 0.
- Sophorolipids may be used in accordance with the invention in their acid form or their lactone form.
- Preferred compositions according to the instant invention comprise a sophorolipid in which the ratio by weight of lactone form to acid form is in the range of 20:80 to 80:20, especially preferably in the ranges of 30:70 to 40:60.
- a preferred pouch according to the instant invention is characterized in that the biosurfactant is comprised in said liquid composition in an amount of 0.1 wt.-% to 50 wt.-%, preferably 1 .0 wt.-% to 20 wt.-%, more preferably 5.0 wt.-% to 15 wt.-%, where the percentages by weight refer to the total liquid composition.
- the mass of the non-salt form is taken into account; thus, the weight of the corresponding cation is disregarded.
- a preferred pouch according to the instant invention is characterized in that it comprises in said liquid composition at least one non-biosurfactant, preferably selected from the group of anionic, cationic, non-ionic, semi-polar, amphoteric and zwitterionic surfactants.
- a preferred pouch according to the instant invention is characterized in that the biosurfactant is comprised in said liquid composition in an amount of 50 wt.-% to 100 wt.-%, preferably 60 wt.-% to 98 wt.-%, more preferably 80 wt.-% to 95 wt.-%, where the percentages by weight refer to the sum of all surfactants comprised in the liquid composition.
- the non-biosurfactant is selected from the group of fatty alcohol alkoxylates. These can be advantageously used for cleaning a surface of a textile or a fabric containing polyamines.
- Non-limiting examples of anionic surfactants include sulfates and sulfonates, in particular, linear alkylbenzenesulfonates (LAS), isomers of LAS, branched alkylbenzenesulfonates (BABS), phenylalkanesulfonates, alpha-olefinsulfonates (AOS), olefin sulfonates, alkene sulfonates, alkane- 2,3-diylbis(sulfates), hydroxyalkanesulfonates and disulfonates, alkyl sulfates (AS) such as sodium dodecyl sulfate (SDS), fatty alcohol sulfates (FAS), primary alcohol sulfates (PAS), alcohol ethersulfates (AES or AEOS or FES, also known as alcohol ethoxysulfates or fatty alcohol ether sulfates), secondary alkanesulfonates (
- Non-limiting examples of cationic surfactants include alklydimethylethanolamine quat (ADMEAQ), cetyltrimethylammonium bromide (CTAB), dimethyldistearylammonium chloride (DSDMAC), and alkylbenzyldimethylammonium, alkyl quaternary ammonium compounds, alkoxylated quaternary ammonium (AQA) compounds, and combinations thereof.
- ADMEAQ alklydimethylethanolamine quat
- CAB cetyltrimethylammonium bromide
- DMDMAC dimethyldistearylammonium chloride
- AQA alkoxylated quaternary ammonium
- Non-limiting examples of non-ionic surfactants include alcohol ethoxylates (AE or AEO), which are preferably comprised in the composition according to the instant invention, alcohol propoxylates, propoxylated fatty alcohols (PFA), alkoxylated fatty acid alkyl esters, such as ethoxylated and/or propoxylated fatty acid alkyl esters, alkylphenol ethoxylates (APE), nonylphenol ethoxylates (NPE), alkylpolyglycosides (APG), alkoxylated amines, fatty acid monoethanolamides (FAM), fatty acid diethanolamides (FADA), ethoxylated fatty acid monoethanolamides (EFAM), polyglycerol esters, glycerol esters, propoxylated fatty acid monoethanolamides (PFAM), polyhydroxy alkyl fatty acid amides, or N-acyl N-alkyl derivatives of glucosamine (glucamides, GA
- Non-limiting examples of semipolar surfactants include amine oxides (AO) such as alkyldimethylamineoxide, N-(coco alkyl)-N,N-dimethylamine oxide and N-(tallow-alkyl)-N,N-bis(2- hydroxyethyl)amine oxide, fatty acid alkanolamides and ethoxylated fatty acid alkanolamides, and combinations thereof.
- AO amine oxides
- Non-limiting examples of amphoteric and zwitterionic surfactants include betaine, alkyldimethylbetaine, sulfobetaine, hydroxysultaine and combinations thereof.
- bio-based surfactants can be included in the composition according to the instant invention, which are not based on glycolipids, for example lipopeptides like surfactins or phospholipids like lecithins.
- a preferred pouch according to the instant invention is characterized in that said liquid composition comprises at least one water soluble dye.
- water soluble in the context of the instant invention means, that the substance is soluble in water at a concentration of at least 10 mg/l at 25 °c and 1 bar.
- a preferred pouch according to the instant invention is characterized in that said water soluble dye is selected from the group comprising, preferably consisting of, acid blue 1 (also known as Cl 42045, hydrogen [4-[4-(diethylamino)-2',4'- disulphonatobenzhydrylidene]cyclohexa-2,5-dien-1-ylidene]diethylammonium), acid blue 3, (also known as patent blue V, Cl 42051 , exemplary salt is (bis[hydrogen [4-[4- (diethylamino)-5'-hydroxy-2',4'-disulphonatobenzhydrylidene]cyclohexa-2,5-dien-1- ylidene]diethylammonium], calcium salt), acid blue 7 (also known as Cl 42080, exemplary salt is hydrogen (benzyl)[4-[[4-[[4-
- C.l. acid blue 9 (also known as Cl 42090, exemplary salt is dihydrogen(ethyl)[[4-[4-[ethyl(3- sulfonatobenzyl)]amino]-2'-sulfonatobenzhydryliden]cyclohexa-2,5-dien-1-yliden]-(3- sulfonatobenzyl)ammonium, sodium salt),
- C.l. pigment blue 29 also known as Cl 77007, exemplary salt is silicic acid, aluminum sodium salt, sulfurized
- C.l. reactive blue 116 preferably acid blue 1 (also known as Cl 42045, hydrogen [4-[4-(diethylamino)-2',4'- disulphonatobenzhydrylidene]cyclohexa-2,5-dien-1-ylidene]diethylammonium), acid blue 3, (also known as patent blue V, Cl 42051 , exemplary salt is (bis[hydrogen [4-[4- (diethylamino)-5'-hydroxy-2',4'-disulphonatobenzhydrylidene]cyclohexa-2,5-dien-1- ylidene]diethylammonium], calcium salt), acid blue 145 (also known as C.l.
- acid blue 1 also known as Cl 42045, hydrogen [4-[4-(diethylamino)-2',4'- disulphonatobenzhydrylidene]cyclohexa-2,5-dien-1-ylidene]diethyl
- C.l. pigment blue 29 also known as Cl 77007, exemplary salt is silicic acid, aluminum sodium salt, sulfurized
- C.l. solvent blue 3 (4-[ ⁇ 4-(anilino) phenyl]-(4-phenyliminocyclohexa-2,5-dien-1-ylidene)methyl]- 2-Methylaniline ⁇ ), most preferably; acid blue 1 (also known as Cl 42045, hydrogen [4-[4-(diethylamino)-2',4'- disulphonatobenzhydrylidene]cyclohexa-2,5-dien-1-ylidene]diethylammonium), acid blue 3, (also known as patent blue V, Cl 42051 , exemplary salt is (bis[hydrogen [4-[4- (diethylamino)-5'-hydroxy-2',4'-disulphonatobenzhydrylidene]cyclohexa-2,5-dien-1- ylidene]diethylammonium], calcium salt), acid blue 145 (also known as C.l.
- C.l. pigment blue 29 (also known as Cl 77007, exemplary salt is silicic acid, aluminum sodium salt, sulfurized).
- the dye preferably is comprised in an amount of 0.001 wt.-% to 1.0 wt.-%, preferably 0.01 wt.-% to 0.5 wt.-%, more preferably 0.1 wt.-% to 0.25 wt.-%, where the percentages by weight refer to the total liquid composition.
- a preferred pouch according to the instant invention is characterized in that said liquid composition comprises water in an amount of 0.1 wt.-% to 25 wt.-%, preferably 8.0 wt.-% to 20 wt.-%, more preferably 16 wt.-% to 19 wt.-%, where the percentages by weight refer to the total liquid composition.
- a preferred pouch according to the instant invention is characterized in that said liquid composition comprises monoethanolamine (MEA) in an amount of less than 15 wt.-%, preferably less than 10 wt.-%, more preferably 0.01 wt.-% to 4.0 wt.-%, where the percentages by weight refer to the total liquid composition.
- MEA monoethanolamine
- Preferably said liquid composition comprises no detectable amount of MEA.
- the pouch according to the instant invention has a water-soluble film comprising polyvinyl alcohol.
- the polyvinyl alcohol can be partially acetalized or be present in the form of polyvinyl alcohol copolymers.
- Polyvinyl alcohols suited to be comprised in the water-soluble film are commercially available, for example under the trade name Solublon® (AICELLO-HARKE), Mowiol® (Clariant); water-soluble films comprising polyvinyl alcohol are commercially available, for example under the trade name WatersolTM and MonoSol (Kuraray).
- Polyvinyl alcohols which are particularly suitable in the context of the present invention are, for example, Solublon® GS, Solublon® GA, Solublon® PT, Solublon® KC, Solublon® KL, Mowiol® 3-83, Mowiol® 4-88, Mowiol® 5-88, Mowiol® 8-88 and Clariant L648.
- a polyvinyl alcohol preferably comprised in the water-soluble film of the pouch of the instant invention has a degree of hydrolysis of 70 mol %to 100 mol %, preferably 80 mol % to 90 mol %, particularly preferably 81 mol %to 89 mol %, and in particular 82 mol % to 88 mol %.
- a polyvinyl alcohol preferably comprised in the water-soluble film of the pouch of the instant invention has a molecular weight in the range from 10,000 g/mol to 100,000 g/mol, preferably from 1 ,000 g/mol to 90,000 g/mol, particularly preferably from 12,000 g/mol to 80,000 g/mol and in particular from 14,000 g/mol to 68,000 g/mol.
- the water-soluble film of the pouch of the instant invention may optionally comprise additional polymers selected from the group comprising acrylic acid-containing polymers, polyacrylamides, oxazoline polymers, polystyrenesulfonates, polyurethanes, polyesters, polyethers and/or mixtures of the above.
- a water-soluble film of the pouch of the instant invention preferably comprises said polyvinyl alcohol in an amount of at least 50 wt.-%, preferably of at least 70 wt.-%, particularly preferably of at least 80 wt.-% and in particular of at least 92 wt.-%, where the percentages by weight refer to the total weight of the water-soluble film.
- the pouch according to the instant invention can be detergent multi-compartment pouch having more than just one compartment.
- the different compartments can be filled with different compositions, as long as at least one of the compartments contains a liquid composition, said liquid composition comprising at least one biosurfactant as described above.
- At least one of the compartments in the detergent multi-compartment pouch according to the instant invention contains a solid composition and whereas at least on other compartment contains said liquid composition.
- the compositions are preferably in a solid to liquid weight ratio of from about 20:1 to about 1 :20, more preferably from about 18:1 to about 2:1 and even more preferably from about 15:1 to about 5:1 .
- the detergent multi-compartment pouch according to the instant invention is very versatile because it can accommodate compositions having a broad spectrum of values of solickliquid ratio. Particularly preferred have been found to be detergent multi-compartment pouches having a high solid: liquid ratio because many of the detergent ingredients are most suitable for use in solid form, preferably in powder form.
- the ratio solid:liquid defined herein refers to the relationship between the weight of all the solid compositions and the weight of all the liquid compositions in the pouch.
- the solid: liquid weight ratio is from about 1 :2 to about 1 :18, more preferably from about 1 :5 to about 1 :15. These weight ratios are suitable in cases in which most of the ingredients of the detergent are in liquid form.
- Enzymes are useful additives in washing compositions, like for example dish washing or laundry compositions.
- the detergent compartment pouch according to the instant invention preferably comprises at least one enzyme.
- said enzyme is comprised in the liquid composition comprising the at least one biosurfactant.
- the enzymes preferably comprised in the pouch according to the instant invention are selected from the group consisting of protease, amylase, lipase, pectinase, cellulase, phosphodiesterase, mannanase, cutinase, pectate lyase, peroxidase, oxidase and laccase with protease, amylase, lipase, pectinase, cellulase, phosphodiesterase and mannanase being especially preferred.
- the enzymes to be used in the context of the present invention can, for example, originally originate from microorganisms, for example of the genera Bacillus, Streptomyces, Humicola, or Pseudomonas, and I or be produced by suitable microorganisms according to known biotechnological processes, for example by transgenic expression hosts, for example of the genera Escherichia, Bacillus, or filamentous fungi.
- Suitable proteases include those of bacterial, fungal, plant, viral or animal origin e.g. vegetable or microbial origin. Microbial origin is preferred. Chemically modified or protein engineered mutants are included. It may be an alkaline protease, such as a serine protease or a metalloprotease. A serine protease may for example be of the S1 family, such as trypsin, or the S8 family such as subtilisin. A metalloproteases protease may for example be a thermolysin from e.g. family M4 or other metalloprotease such as those from M5, M7 or M8 families.
- proteases are the subtilisins BPN from Bacillus amyloliquefaciens and Carlsberg from Bacillus licheniformis, the protease PB92, the subtilisins 147 and 309, the protease from Bacillus lentus, subtilisin DY and the subtilases, but no longer assigned to the subtilisins in the narrower sense Thermitase, Proteinase K and the proteases TW3 and TW7.
- Subtilisin Carlsberg is in a further developed form under the trade name Alcalase® from the Novozymes A / S, Bagsvasrd, Denmark.
- the subtilisins 147 and 309 are sold by the Novozymes company under the trade names Esperase® and Savinase®, respectively.
- the protease variants under the name BLAP® are derived from the protease from Bacillus lentus DSM 5483.
- proteases are, for example, those under the trade names Durazym®, Relase®, Everlase®, Nafizym®, Natalase®, Kannase® and Ovozyme® from Novozymes, which are among trade names, Purafect®, Purafect® OxP, Purafect® Prime, Excellase® and Properase® from the company Danisco I Genencor, which operates under the trade name Protosol® from Company Advanced Biochemicals Ltd., Thane, India, which operates under the trade name Wuxi® from the company Wuxi Snyder Bioproducts Ltd., China, which operates under the trade name Proleather® and Protease P® from Amano Pharmaceuticals Ltd., Nagoya, Japan, and the enzyme available under the name Proteinase K-16 from Kao Corp., Tokyo, Japan.
- proteases from Bacillus gibsonii and Bacillus pumilus which are disclosed in the international patent applications WO 08/086916 and WO 07/131656, are also particularly preferably used. Further advantageously usable proteases are disclosed in the patent applications WO 91/02792, WO 08/007319, WO 93/18140, WO 01/44452, GB 1243784, WO 96/34946, WO 02/029024 and WO 03/057246.
- proteases that can be used are those found in the microorganisms Stenotrophomonas maltophilia, in particular Stenotrophomonas maltophilia K279a, Bacillus intermedius and Bacillus sphaericus are naturally present.
- proteases are: Liquanase® EC 3.5 L, Liquanase® Evity® EC 3.5 L, Liquanase® 3.5 L, Liquanase® Evity® 3.5 L, Preferenz P100, Preferenz P200, Preferenz P300, Biotouch ROC, BIOPROTEASA L 800 ST, Bioproteasa 800 P, Bioproteasa L 800, Lavergy® Pro 114 LS, Progress Uno EC 100 L, Progress Uno 100 L, Progress Uno 101 L, EFFECTENZTM P 100 (A01339), EFFECTENZTM P 150, Savinase® Evity® EC 16 L, Savinase® Evity® EC 24 T, Savinase® Evity® 16 L, Savinase® Evity® 24 T, Excellenz P 1250, Blaze® Evity® EC 150 T, Blaze® Evity® 150
- a protease preferably comprised in the pouch according to the instant invention is Liquanase® 2.5 L.
- amylases which can be used herein may be an alpha-amylase or a glucoamylase and may be of bacterial or fungal origin. Chemically modified or protein engineered mutants are included. Amylases include, for example, alpha-amylases obtained from Bacillus , e.g., a special strain of Bacillus licheniformis , described in more detail in GB 1 ,296,839.
- amylases are the a-amylases from Bacillus licheniformis, from Bacillus amyloliquefaciens or from Bacillus stearothermophilus and, in particular, their improved further developments for use in detergents or cleaning agents.
- the enzyme from Bacillus licheniformis is available from the Novozymes company under the name Termamyl® and from the Danisco / Genencor company under the name Purastar®ST. Further development products of this a-amylase are available from Novozymes under the trade names Duramyl® and Termamyl®ultra, from Danisco I Genencor under the name Purastar®OxAm and from Daiwa Seiko Inc., Tokyo, Japan, as Keistase®.
- the a-amylase from Bacillus amyloliquefaciens is sold by the Novozymes company under the name BAN®, and variants derived from the a-amylase from Bacillus stearothermophilus under the names BSG® and Novamyl®, also from the Novozymes company.
- a 7-7 (DSM 12368) and the cyclodextrin glucanotransferase (CGTase) from Bacillus agaradherens (DSM 9948) should be emphasized.
- amylolytic enzymes disclosed in the international patent applications WO 03/002711 , WO 03/054177 and WO071079938 can also be used.
- amylases are: Amplify Prime EC 110 L, Amplify Prime 100 L, PREFERENZ S 110, Bioamyl P, Stainzyme Plus Evity, Stainzyme® Plus Evity® EC 12 T, Stainzyme® Plus Evity® EC 24 T, Stainzyme® Plus Evity® 24 T, EFFECTENZTM S 100, EFFECTENZTM S210, Bialfa T, Achieve Alpha EC 110 L, Achieve Alpha 100 L, Achieve® Advance 150 T, Stainzyme, Amplify, Duramyl, Novamyl,
- AmplifyTM Prime 100 L is preferably comprised in the pouch according to the instant invention
- Suitable cellulases include those of bacterial or fungal origin. Chemically modified or protein engineered mutants are included. Suitable cellulases include cellulases from the genera Bacillus, Pseudomonas, Humicola, Fusarium, Thielavia, Acremonium , e.g., the fungal cellulases produced from Humicola insolens, Myceliophthora thermophila and Fusarium oxysporum disclosed in U.S. Pat. Nos. 4,435,307, 5,648,263, 5,691 ,178, 5,776,757 and WO 89/09259.
- cellulases examples include doglucanases, EG
- EG fungal, endoglucanase
- Celluzyme® the trade name of Novozymes company.
- Endolase® and Carezyme® are based on the 50 kD-EG, or the 43 kD-EG from Humicola insolens DSM 1800.
- Other commercial products from this company that can be used are Cellusoft®, Renozyme® and Celluclean®.
- Cellulases for example, which are available from the company AB Enzymes, Finland, under the trade names Ecostone® and Biotouch®, and which are at least partly based on the 20 kD EG from Melanocarpus, can also be used.
- Other cellulases from AB Enzymes are Econase® and Ecopulp®. Further suitable cellulases are from Bacillus sp.
- CBS 670.93 and CBS 669.93 the ones from Bacillus sp. CBS 670.93 from the company Danisco / Genencor is available under the trade name Puradax®.
- Other commercial products from Danisco / Genencor that can be used are “Genencor detergent cellulase L” and IndiAgeONeutra.
- glycosidases E.C. 3.2.1.X
- these include in particular arabinases, fucosidases, Galactosidases, galactanases, arabico-galactan-galactosidases, mannanases (also referred to as mannosidases or mannases), glucuronosidases, agarase, carrageenases, pullulanases, B- glucosidases, xyloglucanases (xylanases), xanthanases and pectin-degrading enzymes.
- arabinases fucosidases
- Galactosidases galactanases
- arabico-galactan-galactosidases mannanases
- mannanases also referred to as mannosidases or mannases
- glucuronosidases agarase
- carrageenases pullulan
- Preferred glycosidases are also summarized under the term hemicellulases.
- Hemicellulases include in particular mannanases, xyloglucanases (xylanases), B-glucosidases and carrageenases and also pectinases, pullulanases and B-glucanases.
- Pectinases are pectin-degrading enzymes, the hydrolytic pectin-degrading enzymes in particular belonging to the enzyme classes EC 3.1 .1 .1 1 , EC 3.2.1 .15, EC 3.2.1 .67 and EC 3.2.1 .82.
- the pectinases also include enzymes with the designations pectin lyase, pectin esterase, pectin demethoxylase, pectin methoxylase, pectin methylesterase, pectin methylesterase, pectin methylesterase, pectin methylesterase, pectinoesterase, pectin-galle-lactase, pectin-gal-galase, pectin-gal-galase, pectin-gal-galase, pectin-gal-galase, pectin-gal-galase, pectin-gal-galase, pectin-gal-galase, pectin-gal-galonase, pectin-galactolase, endopoly-nolase, pectin-poly-galase, pectin-polyhydrolase, pectin-
- enzymes suitable in this regard are, for example, under the names Gamanase®, Pektinex AR® or Pectaway® from Novozymes, under the name Rohapec® B1 L from AB Enzymes and under the name Pyrolase® from Diversa Corp., San Diego, CA, USA.
- the B-glucanase obtained from Bacillus subtilis is available under the name Cereflo® from the Novozymes company.
- Glycosidases or hemicellulases which are particularly preferred according to the invention are mannanases, which for example, under the trade name Mannaway® by the Novozymes company or Purabrite® by the Danisco I Genencor company.
- mannanases examples include: Mannaway® EC 200 L, Mannaway® EC 108 L, Mannaway® 200 L, Mannaway® 100 L, PREFERENZ M100, Biotouch M, Biomananasa 2XL.
- a mannanase preferably comprised in the pouch according to the instant invention is Mannaway®
- pectate lyases examples include: Xpect® EC 1000 L, Xpect® EC 1000 T, Xpect® 1000 L, Xpect® 1000 T, PREVERENZ F 1000, Pectex Pure, Lavergy® Pro 106 L, Lavergy® Pro 106 LS.
- Examples of commercially available licheninases are: Lift INTENT 100 L, Lift INTENT 100 T.
- Suitable lipases and cutinases include those of bacterial or fungal origin. Chemically modified or protein engineered mutant enzymes are included. Examples of lipases or cutinases are those originally from Humicola lanuginose (Thermomyces lanuginosus) obtainable or further developed therefrom, in particular those with the amino acid substitution D96L. They are sold, for example, by the company Novozymes under the trade names Lipolase®, Lipolase®Ultra, LipoPrime®, Lipozyme® and Lipex®.
- Another lipase which can be used advantageously is available from the Novozymes company under the trade name Lipoclean®.
- the cutinases that were originally isolated from Fusarium solani pisi and Humicola insolens can be used.
- Lipases that can also be used are available from Amano under the names Lipase CE®, Lipase P®, Lipase B®, or Lipase CES®, Lipase AKG®, Bacillis sp.
- Lipase®, Lipase AP®, Lipase M-AP® and Lipase AML® available.
- the lipases or cutinases from the Danisco I Genencor company can be used whose starting enzymes were originally isolated from Pseudomonas mendocina and Fusarium solanii.
- Lipase® and Lipomax® originally sold by the company Gist- Brocades (now Danisco I Genencor) and those from the company Meito Sangyo KK, Japan, under the name Lipase MY-30®, Lipase OF® and Lipase PL®, as well as the product Lumafast® from Danisco I Genencor.
- Lipex® Evity® EC 100 L Lipex® Evity® EC 100 T, Lipex® Evity® EC 200 L, Lipex® Evity® 100 L, Lipex® Evity® 100 T, Lipex® Evity® 200 L, PREFERENZ L 100, Biolipasa 2XL, Biolipasa L, Biolipasa P, Lipoclean, Lipolase, Lipolase Ultra.
- a lipase preferably comprised in the pouch according to the instant invention is LipexTM 100 L Evity.
- Phosphodiesterase examples include: Pristine from Novozyme
- Suitable peroxidases/oxidases include those of plant, bacterial or fungal origin. Chemically modified or protein engineered mutants are included. Examples of useful peroxidases include peroxidases from Coprinus , e.g., from C. cinereus , and variants thereof as those described in WO 93/24618, WO 95/10602, and WO 98/15257.
- the pouch according to the instant invention can further comprise one or more auxiliary agents selected from the group consisting of bleaching systems, hydrotropes, polymers, which may be synthetic, biopolymers, anti-redeposition aids, fiber protection agents, soil release agents, dye transfer inhibitors, fabric hueing agents, opacifiers, blueing dyes, enzyme stabilizing agents, solvents, viscosity modifiers, preservatives, pH-regulators and salts like NaCI and Na2SC>4.
- auxiliary agent is comprised in the liquid composition comprising the at least one biosurfactant.
- the instant invention further provides the use of a pouch according to the instant invention for cleaning a surface of an article, for example in automatic dish washing or laundry applications, preferably a textile or a fabric.
- the use according to the instant invention is characterized in that the surface of the article is cleaned from fat and/or oil, preferably from solid fatty stains.
- the use according to the instant invention preferably uses the preferred biosurfactants and polyvinyl alcohols as described above to be preferably used in the pouches of the instant invention.
- Example 1 Integrity and solution time measured upon contact with water.
- Exemplary formulations described below were prepared according to the following protocol: Initially, a measured amount of water was introduced into a glass beaker of a suitable size. Subsequently, ingredients 1 - 5 were added at room temperature and under vigorous stirring. All formulations contained ingredients 2 - 5, while ingredients 1a, 1 b, and 1 c, were added only to test formulation 1 , Benchmark formulation 1 , and Benchmark formulation 2, respectively. The ingredients were added in no specific or uniform sequence as the order of addition to the solution was not critical. Subsequently, any remaining amount of water was introduced to ensure desired concentration of ingredients. Finally, ingredient 6 (monoethanolamine) was added in the solution and the mixture was stirred vigorously for 1 h at temperature between 60 and 65°C.
- the mixture was cooled down to 35°C and Ingredient 7 (citric acid) was added under continuous stirring until pH of formulation was adjusted to 8.0. Subsequently, ingredient 8 (Enzymes) were introduced in the formulation and the mixture was stirred for 5 minutes to ensure a homogenous solution.
- the exemplary compositions were easily pourable and stable at room temperature for extended period.
- Test formulation 1 Three formulation, Test formulation 1 , Benchmark formulation 1 and Benchmark formulation 2. All of them are composed of analogous ingredients at the same concentration and differ with the type of anionic surfactant used, so Dirhamnolipid, sodium salt, Linear alkylbenzene sulfonate, sodium salt, and Sodium laureth sulfate in Test formulation 1 , Benchmark formulation 1 and Benchmark formulation 2, respectively. It is worth noting that Linear alkylbenzene sulfonate, sodium salt, and Sodium laureth sulfate are standard surfactants routinely used in detergent formulations of water-soluble pouches.
- Rhamnolipids used were prepared as described in example 1 of EP3061442 and resemble dirhamnolipids; mono-rhamnolipids were prepared as in example 2 of EP3061442.
- Compositions of Benchmark formulation 1 , Test formulation 1 , and Test formulation 2 evaluated for their compatibility with water-soluble films:
- Detergent pouches were prepared using water-soluble PVOH foil. Initially, two pieces of film were heat-sealed from three sides using a manual-sealing device to form a pouch of 6 cm x 10 cm in size. Created pouch was subsequently filled with 25 g of liquid detergent solution (Test formulation 1 , Benchmark formulation 1 or Benchmark formulation 2) and closed with a heat-sealing device. External edges outside the sealing were removed by cutting to form the final pouch.
- Exemplary formulations described below were prepared according to the following protocol: Initially, a measured amount of water was introduced into a glass beaker of a suitable size. Subsequently, ingredients 1 - 5 were added at room temperature and under vigorous stirring. All formulations contained ingredients 2 - 5, while ingredients 1a, 1 b, and 1 c, were added only to test formulation 2, Benchmark formulation 3, and Benchmark formulation 4, respectively. The ingredients were added in no specific or uniform sequence as the order of addition to the solution was not critical. Subsequently, any remaining amount of water was introduced to ensure desired concentration of ingredients. Finally, ingredient 6 (sodium hydroxide) was added in the solution and the mixture was stirred vigorously for 1 h at temperature between 60 and 65°C.
- compositions of Benchmark formulation 2, Test formulation 3, and Test formulation 4 evaluated for their properties:
- Test formulation 2 can be processed at room temperature and maintains its liquid character after being placed inside the water-soluble pouch, Benchmark formulation 3 and Benchmark formulation 4 solidify at room temperature therefore hindering their usage as liquid detergent for water-soluble pouches. Therefore, it was surprisingly discovered that biosurfactants allow for formulating concentrated liquid detergents for water-soluble pouches without any addition of monoethanolamine.
- the formulations are packed into pouches according to the method in example 1 .
- the pouches are stored without covering on the lab bench over a period of 3 months.
- Pouches containing Benchmark formulation 5 and Benchmark formulation 6 apparently bear a paler colour compared to the pouches containing Test formulation 3.
- the rhamnolipid and the colorant, acid blue 3, comprising pouches exhibit a better brilliance of the color compared to the others.
- liquid detergent compositions containing rhamnolipids were prepared according to the formulations described in the table below. All exemplary formulations were subsequently used to obtain water-soluble detergent pouches. For this reason, two pieces of water-soluble PVOH film were heat-sealed from three sides using a manual-sealing device to form a pouch of 6 cm x 10 cm in size. The created pouch was subsequently filled with 25 g of liquid detergent solution (Formulation 1 - 26) and closed with a heat-sealing device. External edges outside the sealing were removed by cutting to form the final pouch. Sophorolipid used is a sophorolipid REWOFERM SL ONE from Evonik, which has a lactone to acid ratio of 40:60.
- Glucolipids were produced according to example 2 of WO2019154970 via fermentation
Landscapes
- Chemical & Material Sciences (AREA)
- Life Sciences & Earth Sciences (AREA)
- Engineering & Computer Science (AREA)
- Chemical Kinetics & Catalysis (AREA)
- Oil, Petroleum & Natural Gas (AREA)
- Wood Science & Technology (AREA)
- Organic Chemistry (AREA)
- Health & Medical Sciences (AREA)
- Molecular Biology (AREA)
- Dispersion Chemistry (AREA)
- Detergent Compositions (AREA)
Abstract
Description
Claims
Priority Applications (4)
| Application Number | Priority Date | Filing Date | Title |
|---|---|---|---|
| CN202380081804.6A CN120283035A (en) | 2022-11-30 | 2023-11-22 | Detergent compartment pouch containing biosurfactant |
| KR1020257017532A KR20250116650A (en) | 2022-11-30 | 2023-11-22 | Detergent compartment pouch containing biosurfactant |
| JP2025531873A JP2025538885A (en) | 2022-11-30 | 2023-11-22 | Detergent compartment pouch containing biosurfactants |
| EP23809604.4A EP4627027A1 (en) | 2022-11-30 | 2023-11-22 | Detergent compartment pouch comprising biosurfactants |
Applications Claiming Priority (2)
| Application Number | Priority Date | Filing Date | Title |
|---|---|---|---|
| EP22210494 | 2022-11-30 | ||
| EP22210494.5 | 2022-11-30 |
Publications (1)
| Publication Number | Publication Date |
|---|---|
| WO2024115213A1 true WO2024115213A1 (en) | 2024-06-06 |
Family
ID=84367201
Family Applications (1)
| Application Number | Title | Priority Date | Filing Date |
|---|---|---|---|
| PCT/EP2023/082639 Ceased WO2024115213A1 (en) | 2022-11-30 | 2023-11-22 | Detergent compartment pouch comprising biosurfactants |
Country Status (5)
| Country | Link |
|---|---|
| EP (1) | EP4627027A1 (en) |
| JP (1) | JP2025538885A (en) |
| KR (1) | KR20250116650A (en) |
| CN (1) | CN120283035A (en) |
| WO (1) | WO2024115213A1 (en) |
Citations (51)
| Publication number | Priority date | Publication date | Assignee | Title |
|---|---|---|---|---|
| GB1243784A (en) | 1967-10-03 | 1971-08-25 | Novo Terapeutisk Labor As | Proteolytic enzymes, their production and use |
| GB1296839A (en) | 1969-05-29 | 1972-11-22 | ||
| DE2939519A1 (en) | 1978-09-28 | 1980-04-10 | Kao Corp | COSMETIC PREPARATION |
| US4435307A (en) | 1980-04-30 | 1984-03-06 | Novo Industri A/S | Detergent cellulase |
| JPS60183032A (en) | 1984-03-02 | 1985-09-18 | Shiseido Co Ltd | Emulsified composition |
| EP0282942A2 (en) | 1987-03-17 | 1988-09-21 | University Of Iowa Research Foundation | Method for producing rhamnose |
| WO1989009259A1 (en) | 1988-03-24 | 1989-10-05 | Novo-Nordisk A/S | A cellulase preparation |
| JPH01304034A (en) | 1988-05-30 | 1989-12-07 | Agency Of Ind Science & Technol | Metal soap |
| WO1991002792A1 (en) | 1989-08-25 | 1991-03-07 | Henkel Research Corporation | Alkaline proteolytic enzyme and method of production |
| EP0499434A1 (en) | 1991-02-12 | 1992-08-19 | Unilever Plc | Detergent compositions |
| DE4127908A1 (en) | 1991-08-23 | 1993-02-25 | Hoechst Ag | Inducing rhamno:lipid synthesis in Pseudomonas aeruginosa - with glyceric acid ether lipid, to form intermediate for rhamnose which is used in synthesis of chiral cpds. |
| WO1993018140A1 (en) | 1992-03-04 | 1993-09-16 | Novo Nordisk A/S | Novel proteases |
| WO1993024618A1 (en) | 1992-06-01 | 1993-12-09 | Novo Nordisk A/S | Peroxidase variants with improved hydrogen peroxide stability |
| WO1995010602A1 (en) | 1993-10-13 | 1995-04-20 | Novo Nordisk A/S | H2o2-stable peroxidase variants |
| WO1996034946A1 (en) | 1995-05-05 | 1996-11-07 | Novo Nordisk A/S | Protease variants and compositions |
| FR2740779A1 (en) | 1995-11-08 | 1997-05-09 | Rhone Poulenc Chimie | New detergent composition comprising enzyme |
| US5648263A (en) | 1988-03-24 | 1997-07-15 | Novo Nordisk A/S | Methods for reducing the harshness of a cotton-containing fabric |
| DE19600743A1 (en) | 1996-01-11 | 1997-07-24 | Henkel Kgaa | Use of mixture of glyco-lipid and surfactant in hand dish-washing detergent |
| WO1998015257A1 (en) | 1996-10-08 | 1998-04-16 | Novo Nordisk A/S | Diaminobenzoic acid derivatives as dye precursors |
| DE19648439A1 (en) | 1996-11-22 | 1998-05-28 | Henkel Kgaa | Skin-friendly washing=up liquid with good cleaning performance |
| WO2001044452A1 (en) | 1999-12-15 | 2001-06-21 | Novozymes A/S | Subtilase variants having an improved wash performance on egg stains |
| CN1337439A (en) | 2000-08-09 | 2002-02-27 | 大庆油田有限责任公司勘探开发研究院 | Oil-displacing agent and its application |
| WO2002029024A1 (en) | 2000-10-02 | 2002-04-11 | Novozymes A/S | Nucleic acids encoding polypeptides having proteolytic activity |
| WO2003002711A2 (en) | 2001-06-29 | 2003-01-09 | Henkel Kommanditgesellschaft Auf Aktien | A NOVEL GROUP OF α-AMYLASES AND A METHOD FOR IDENTIFICATION AND PRODUCTION OF NOVEL α-AMYLASES |
| WO2003002700A1 (en) | 2001-06-27 | 2003-01-09 | Saraya Co., Ltd. | Low-foaming detergent compositions |
| WO2003006146A1 (en) | 2001-07-13 | 2003-01-23 | Cognis France S.A. | Aqueous preparations |
| WO2003054177A2 (en) | 2001-12-21 | 2003-07-03 | Henkel Kommanditgesellschaft Auf Aktien | New glycosyl hydrolases |
| WO2003057246A1 (en) | 2001-12-31 | 2003-07-17 | Genencor International, Inc. | Proteases producing an altered immunological response and methods of making and using the same |
| KR20040033376A (en) | 2002-10-14 | 2004-04-28 | 주식회사 엘지생활건강 | Cosmetics composition comprising sophorolipids |
| EP1445302A1 (en) | 2003-01-28 | 2004-08-11 | Ecover Belgium | Detergent compositions |
| FR2855752A1 (en) | 2003-06-03 | 2004-12-10 | Lvmh Rech | COSMETIC USE OF SOPHOROLIPIDS AS REGULATORY AGENTS OF SUB-CUTANEOUS ADIPOSE MASS AND APPLICATION TO SLURRY |
| JP2006070231A (en) | 2004-09-06 | 2006-03-16 | Saraya Kk | Biodegradable liquid detergent composition |
| JP2006083238A (en) | 2004-09-14 | 2006-03-30 | Saraya Kk | Cleanser composition |
| JP2006274233A (en) | 2005-03-29 | 2006-10-12 | Saraya Kk | Bleaching agent composition |
| JP2007181789A (en) | 2006-01-10 | 2007-07-19 | National Institute Of Advanced Industrial & Technology | Emulsifier or solubilizer |
| WO2007079938A2 (en) | 2005-12-28 | 2007-07-19 | Henkel Ag & Co. Kgaa | Detergents or cleaning agents comprising a special amylase |
| WO2007131656A1 (en) | 2006-05-11 | 2007-11-22 | Henkel Ag & Co. Kgaa | Subtilisin from bacillus pumilus and washing and cleaning agents containing said novel subtilisin |
| WO2008007319A2 (en) | 2006-07-07 | 2008-01-17 | The Procter & Gamble Company | A composition comprising a cellulase and a bleach catalyst |
| JP2008062179A (en) | 2006-09-07 | 2008-03-21 | National Institute Of Advanced Industrial & Technology | W / O type microemulsion |
| WO2008086916A1 (en) | 2007-01-16 | 2008-07-24 | Henkel Ag & Co. Kgaa | Novel alkaline protease from bacillus gibsonii and washing and cleaning agents containing said novel alkaline protease |
| US7556654B1 (en) | 2004-10-15 | 2009-07-07 | Naturell | Methods for cleaning materials |
| US7985722B2 (en) | 2006-07-27 | 2011-07-26 | Aurora Advanced Beauty Labs | Rhamnolipid-based formulations |
| EP2410039A1 (en) * | 2010-07-22 | 2012-01-25 | Unilever PLC | Rhamnolipids with improved cleaning |
| EP2786743A1 (en) | 2013-04-02 | 2014-10-08 | Evonik Industries AG | Mixture composition containing rhamnolipids |
| EP2787065A1 (en) | 2013-04-02 | 2014-10-08 | Evonik Industries AG | Detergent composition for textiles comprising rhamnolipids having a predominant share of di-rhamnolipids |
| EP3061442A1 (en) | 2015-02-27 | 2016-08-31 | Evonik Degussa GmbH | Composition comprising rhamnolipid and siloxane |
| WO2019034490A1 (en) * | 2017-08-16 | 2019-02-21 | Henkel Ag & Co. Kgaa | RHAMNOLIPIDE-BASED WASHING AND CLEANING AGENTS |
| WO2019154970A1 (en) | 2018-02-09 | 2019-08-15 | Evonik Degussa Gmbh | Mixture composition comprising glucolipids |
| EP3786272A1 (en) * | 2019-09-02 | 2021-03-03 | BlueSun Consumer Brands, S.L. | Unit dose liquid laundry detergent composition |
| WO2022090320A1 (en) * | 2020-10-28 | 2022-05-05 | Novozymes A/S | Use of lipoxygenase |
| WO2023025884A1 (en) * | 2021-08-26 | 2023-03-02 | Unilever Ip Holdings B.V. | A concentrated cleaning composition |
-
2023
- 2023-11-22 WO PCT/EP2023/082639 patent/WO2024115213A1/en not_active Ceased
- 2023-11-22 EP EP23809604.4A patent/EP4627027A1/en active Pending
- 2023-11-22 KR KR1020257017532A patent/KR20250116650A/en active Pending
- 2023-11-22 CN CN202380081804.6A patent/CN120283035A/en active Pending
- 2023-11-22 JP JP2025531873A patent/JP2025538885A/en active Pending
Patent Citations (55)
| Publication number | Priority date | Publication date | Assignee | Title |
|---|---|---|---|---|
| GB1243784A (en) | 1967-10-03 | 1971-08-25 | Novo Terapeutisk Labor As | Proteolytic enzymes, their production and use |
| GB1296839A (en) | 1969-05-29 | 1972-11-22 | ||
| DE2939519A1 (en) | 1978-09-28 | 1980-04-10 | Kao Corp | COSMETIC PREPARATION |
| US4435307A (en) | 1980-04-30 | 1984-03-06 | Novo Industri A/S | Detergent cellulase |
| JPS60183032A (en) | 1984-03-02 | 1985-09-18 | Shiseido Co Ltd | Emulsified composition |
| EP0282942A2 (en) | 1987-03-17 | 1988-09-21 | University Of Iowa Research Foundation | Method for producing rhamnose |
| US5691178A (en) | 1988-03-22 | 1997-11-25 | Novo Nordisk A/S | Fungal cellulase composition containing alkaline CMC-endoglucanase and essentially no cellobiohydrolase |
| WO1989009259A1 (en) | 1988-03-24 | 1989-10-05 | Novo-Nordisk A/S | A cellulase preparation |
| US5648263A (en) | 1988-03-24 | 1997-07-15 | Novo Nordisk A/S | Methods for reducing the harshness of a cotton-containing fabric |
| US5776757A (en) | 1988-03-24 | 1998-07-07 | Novo Nordisk A/S | Fungal cellulase composition containing alkaline CMC-endoglucanase and essentially no cellobiohydrolase and method of making thereof |
| JPH01304034A (en) | 1988-05-30 | 1989-12-07 | Agency Of Ind Science & Technol | Metal soap |
| WO1991002792A1 (en) | 1989-08-25 | 1991-03-07 | Henkel Research Corporation | Alkaline proteolytic enzyme and method of production |
| EP0499434A1 (en) | 1991-02-12 | 1992-08-19 | Unilever Plc | Detergent compositions |
| DE4127908A1 (en) | 1991-08-23 | 1993-02-25 | Hoechst Ag | Inducing rhamno:lipid synthesis in Pseudomonas aeruginosa - with glyceric acid ether lipid, to form intermediate for rhamnose which is used in synthesis of chiral cpds. |
| WO1993018140A1 (en) | 1992-03-04 | 1993-09-16 | Novo Nordisk A/S | Novel proteases |
| WO1993024618A1 (en) | 1992-06-01 | 1993-12-09 | Novo Nordisk A/S | Peroxidase variants with improved hydrogen peroxide stability |
| WO1995010602A1 (en) | 1993-10-13 | 1995-04-20 | Novo Nordisk A/S | H2o2-stable peroxidase variants |
| WO1996034946A1 (en) | 1995-05-05 | 1996-11-07 | Novo Nordisk A/S | Protease variants and compositions |
| FR2740779A1 (en) | 1995-11-08 | 1997-05-09 | Rhone Poulenc Chimie | New detergent composition comprising enzyme |
| DE19600743A1 (en) | 1996-01-11 | 1997-07-24 | Henkel Kgaa | Use of mixture of glyco-lipid and surfactant in hand dish-washing detergent |
| WO1998015257A1 (en) | 1996-10-08 | 1998-04-16 | Novo Nordisk A/S | Diaminobenzoic acid derivatives as dye precursors |
| DE19648439A1 (en) | 1996-11-22 | 1998-05-28 | Henkel Kgaa | Skin-friendly washing=up liquid with good cleaning performance |
| WO2001044452A1 (en) | 1999-12-15 | 2001-06-21 | Novozymes A/S | Subtilase variants having an improved wash performance on egg stains |
| CN1337439A (en) | 2000-08-09 | 2002-02-27 | 大庆油田有限责任公司勘探开发研究院 | Oil-displacing agent and its application |
| WO2002029024A1 (en) | 2000-10-02 | 2002-04-11 | Novozymes A/S | Nucleic acids encoding polypeptides having proteolytic activity |
| EP1411111B1 (en) | 2001-06-27 | 2008-09-10 | Saraya Co., Ltd. | Low foaming detergent compositions |
| WO2003002700A1 (en) | 2001-06-27 | 2003-01-09 | Saraya Co., Ltd. | Low-foaming detergent compositions |
| WO2003002711A2 (en) | 2001-06-29 | 2003-01-09 | Henkel Kommanditgesellschaft Auf Aktien | A NOVEL GROUP OF α-AMYLASES AND A METHOD FOR IDENTIFICATION AND PRODUCTION OF NOVEL α-AMYLASES |
| WO2003006146A1 (en) | 2001-07-13 | 2003-01-23 | Cognis France S.A. | Aqueous preparations |
| WO2003054177A2 (en) | 2001-12-21 | 2003-07-03 | Henkel Kommanditgesellschaft Auf Aktien | New glycosyl hydrolases |
| WO2003057246A1 (en) | 2001-12-31 | 2003-07-17 | Genencor International, Inc. | Proteases producing an altered immunological response and methods of making and using the same |
| KR20040033376A (en) | 2002-10-14 | 2004-04-28 | 주식회사 엘지생활건강 | Cosmetics composition comprising sophorolipids |
| EP1445302A1 (en) | 2003-01-28 | 2004-08-11 | Ecover Belgium | Detergent compositions |
| FR2855752A1 (en) | 2003-06-03 | 2004-12-10 | Lvmh Rech | COSMETIC USE OF SOPHOROLIPIDS AS REGULATORY AGENTS OF SUB-CUTANEOUS ADIPOSE MASS AND APPLICATION TO SLURRY |
| JP2006070231A (en) | 2004-09-06 | 2006-03-16 | Saraya Kk | Biodegradable liquid detergent composition |
| JP2006083238A (en) | 2004-09-14 | 2006-03-30 | Saraya Kk | Cleanser composition |
| US7556654B1 (en) | 2004-10-15 | 2009-07-07 | Naturell | Methods for cleaning materials |
| JP2006274233A (en) | 2005-03-29 | 2006-10-12 | Saraya Kk | Bleaching agent composition |
| WO2007079938A2 (en) | 2005-12-28 | 2007-07-19 | Henkel Ag & Co. Kgaa | Detergents or cleaning agents comprising a special amylase |
| JP2007181789A (en) | 2006-01-10 | 2007-07-19 | National Institute Of Advanced Industrial & Technology | Emulsifier or solubilizer |
| WO2007131656A1 (en) | 2006-05-11 | 2007-11-22 | Henkel Ag & Co. Kgaa | Subtilisin from bacillus pumilus and washing and cleaning agents containing said novel subtilisin |
| WO2008007319A2 (en) | 2006-07-07 | 2008-01-17 | The Procter & Gamble Company | A composition comprising a cellulase and a bleach catalyst |
| US7985722B2 (en) | 2006-07-27 | 2011-07-26 | Aurora Advanced Beauty Labs | Rhamnolipid-based formulations |
| JP2008062179A (en) | 2006-09-07 | 2008-03-21 | National Institute Of Advanced Industrial & Technology | W / O type microemulsion |
| WO2008086916A1 (en) | 2007-01-16 | 2008-07-24 | Henkel Ag & Co. Kgaa | Novel alkaline protease from bacillus gibsonii and washing and cleaning agents containing said novel alkaline protease |
| EP2410039A1 (en) * | 2010-07-22 | 2012-01-25 | Unilever PLC | Rhamnolipids with improved cleaning |
| EP2786743A1 (en) | 2013-04-02 | 2014-10-08 | Evonik Industries AG | Mixture composition containing rhamnolipids |
| EP2787065A1 (en) | 2013-04-02 | 2014-10-08 | Evonik Industries AG | Detergent composition for textiles comprising rhamnolipids having a predominant share of di-rhamnolipids |
| EP2787065B1 (en) * | 2013-04-02 | 2017-07-19 | Evonik Degussa GmbH | Detergent composition for textiles comprising rhamnolipids having a predominant share of di-rhamnolipids |
| EP3061442A1 (en) | 2015-02-27 | 2016-08-31 | Evonik Degussa GmbH | Composition comprising rhamnolipid and siloxane |
| WO2019034490A1 (en) * | 2017-08-16 | 2019-02-21 | Henkel Ag & Co. Kgaa | RHAMNOLIPIDE-BASED WASHING AND CLEANING AGENTS |
| WO2019154970A1 (en) | 2018-02-09 | 2019-08-15 | Evonik Degussa Gmbh | Mixture composition comprising glucolipids |
| EP3786272A1 (en) * | 2019-09-02 | 2021-03-03 | BlueSun Consumer Brands, S.L. | Unit dose liquid laundry detergent composition |
| WO2022090320A1 (en) * | 2020-10-28 | 2022-05-05 | Novozymes A/S | Use of lipoxygenase |
| WO2023025884A1 (en) * | 2021-08-26 | 2023-03-02 | Unilever Ip Holdings B.V. | A concentrated cleaning composition |
Non-Patent Citations (1)
| Title |
|---|
| LEI ET AL., BIOTECHNOL LETT., vol. 42, no. 6, June 2020 (2020-06-01), pages 997 - 1002 |
Also Published As
| Publication number | Publication date |
|---|---|
| CN120283035A (en) | 2025-07-08 |
| EP4627027A1 (en) | 2025-10-08 |
| KR20250116650A (en) | 2025-08-01 |
| JP2025538885A (en) | 2025-12-02 |
Similar Documents
| Publication | Publication Date | Title |
|---|---|---|
| US10662400B2 (en) | Microencapulation using small amines | |
| EP2970830B1 (en) | Enzyme and inhibitor contained in water-soluble films | |
| US20160075976A1 (en) | Microencapsulation of Detergent Enzymes | |
| WO2014152547A2 (en) | Detergent pouch with enzymatic water-soluble film | |
| US20170121646A1 (en) | Improved Stabilization of Non-Protease Enzyme | |
| US20250129307A1 (en) | Microencapsulation Using Amino Sugar Oligomers | |
| US20200087597A1 (en) | Encapsulated Solid Enzyme Product | |
| US10308902B2 (en) | Microencapsulation of detergent components | |
| US12448588B2 (en) | Composition comprising biosurfactant and persicomycin (3-(3′hydroxy)hydroxy fatty acid) | |
| US20250171719A1 (en) | Bio based composition | |
| WO2024115213A1 (en) | Detergent compartment pouch comprising biosurfactants | |
| EP3864120B1 (en) | Liquid detergent with catechol compound | |
| EP2799533A1 (en) | Protease and inhibitor containing water-soluble films | |
| WO2026017636A1 (en) | Compositions comprising combination of enzymes |
Legal Events
| Date | Code | Title | Description |
|---|---|---|---|
| 121 | Ep: the epo has been informed by wipo that ep was designated in this application |
Ref document number: 23809604 Country of ref document: EP Kind code of ref document: A1 |
|
| WWE | Wipo information: entry into national phase |
Ref document number: 202380081804.6 Country of ref document: CN |
|
| WWE | Wipo information: entry into national phase |
Ref document number: 2501003548 Country of ref document: TH |
|
| ENP | Entry into the national phase |
Ref document number: 2025531873 Country of ref document: JP Kind code of ref document: A |
|
| WWE | Wipo information: entry into national phase |
Ref document number: 2025531873 Country of ref document: JP |
|
| REG | Reference to national code |
Ref country code: BR Ref legal event code: B01A Ref document number: 112025010545 Country of ref document: BR |
|
| WWE | Wipo information: entry into national phase |
Ref document number: 2023809604 Country of ref document: EP |
|
| NENP | Non-entry into the national phase |
Ref country code: DE |
|
| ENP | Entry into the national phase |
Ref document number: 2023809604 Country of ref document: EP Effective date: 20250630 |
|
| WWP | Wipo information: published in national office |
Ref document number: 202380081804.6 Country of ref document: CN |
|
| WWP | Wipo information: published in national office |
Ref document number: 1020257017532 Country of ref document: KR |
|
| WWP | Wipo information: published in national office |
Ref document number: 2023809604 Country of ref document: EP |
|
| REG | Reference to national code |
Ref country code: BR Ref legal event code: B01E Ref document number: 112025010545 Country of ref document: BR Free format text: APRESENTAR NOVAS FOLHAS REFERENTES AO RELATORIO DESCRITIVO TRADUZIDO, ADAPTADAS AO ART. 20 DA PORTARIA/INPI/NO 14/2024, UMA VEZ QUE AS TABELAS INSERIDAS NO TEXTO DEVEM SER IDENTIFICADAS DE FORMA SEQUENCIAL. A EXIGENCIA DEVE SER RESPONDIDA EM ATE 60 (SESSENTA) DIAS DE SUA PUBLICACAO, POR MEIO DA PETICAO GRU CODIGO DE SERVICO 207. |














