WO2024104934A1 - Materialien für organische elektrolumineszenzvorrichtungen - Google Patents
Materialien für organische elektrolumineszenzvorrichtungen Download PDFInfo
- Publication number
- WO2024104934A1 WO2024104934A1 PCT/EP2023/081552 EP2023081552W WO2024104934A1 WO 2024104934 A1 WO2024104934 A1 WO 2024104934A1 EP 2023081552 W EP2023081552 W EP 2023081552W WO 2024104934 A1 WO2024104934 A1 WO 2024104934A1
- Authority
- WO
- WIPO (PCT)
- Prior art keywords
- atoms
- occurrence
- radicals
- substituted
- formulas
- Prior art date
- Legal status (The legal status is an assumption and is not a legal conclusion. Google has not performed a legal analysis and makes no representation as to the accuracy of the status listed.)
- Ceased
Links
Classifications
-
- C—CHEMISTRY; METALLURGY
- C07—ORGANIC CHEMISTRY
- C07D—HETEROCYCLIC COMPOUNDS
- C07D403/00—Heterocyclic compounds containing two or more hetero rings, having nitrogen atoms as the only ring hetero atoms, not provided for by group C07D401/00
- C07D403/02—Heterocyclic compounds containing two or more hetero rings, having nitrogen atoms as the only ring hetero atoms, not provided for by group C07D401/00 containing two hetero rings
- C07D403/04—Heterocyclic compounds containing two or more hetero rings, having nitrogen atoms as the only ring hetero atoms, not provided for by group C07D401/00 containing two hetero rings directly linked by a ring-member-to-ring-member bond
-
- C—CHEMISTRY; METALLURGY
- C07—ORGANIC CHEMISTRY
- C07D—HETEROCYCLIC COMPOUNDS
- C07D403/00—Heterocyclic compounds containing two or more hetero rings, having nitrogen atoms as the only ring hetero atoms, not provided for by group C07D401/00
- C07D403/02—Heterocyclic compounds containing two or more hetero rings, having nitrogen atoms as the only ring hetero atoms, not provided for by group C07D401/00 containing two hetero rings
- C07D403/10—Heterocyclic compounds containing two or more hetero rings, having nitrogen atoms as the only ring hetero atoms, not provided for by group C07D401/00 containing two hetero rings linked by a carbon chain containing aromatic rings
-
- C—CHEMISTRY; METALLURGY
- C07—ORGANIC CHEMISTRY
- C07D—HETEROCYCLIC COMPOUNDS
- C07D403/00—Heterocyclic compounds containing two or more hetero rings, having nitrogen atoms as the only ring hetero atoms, not provided for by group C07D401/00
- C07D403/14—Heterocyclic compounds containing two or more hetero rings, having nitrogen atoms as the only ring hetero atoms, not provided for by group C07D401/00 containing three or more hetero rings
-
- C—CHEMISTRY; METALLURGY
- C07—ORGANIC CHEMISTRY
- C07D—HETEROCYCLIC COMPOUNDS
- C07D405/00—Heterocyclic compounds containing both one or more hetero rings having oxygen atoms as the only ring hetero atoms, and one or more rings having nitrogen as the only ring hetero atom
- C07D405/14—Heterocyclic compounds containing both one or more hetero rings having oxygen atoms as the only ring hetero atoms, and one or more rings having nitrogen as the only ring hetero atom containing three or more hetero rings
-
- C—CHEMISTRY; METALLURGY
- C07—ORGANIC CHEMISTRY
- C07D—HETEROCYCLIC COMPOUNDS
- C07D491/00—Heterocyclic compounds containing in the condensed ring system both one or more rings having oxygen atoms as the only ring hetero atoms and one or more rings having nitrogen atoms as the only ring hetero atoms, not provided for by groups C07D451/00 - C07D459/00, C07D463/00, C07D477/00 or C07D489/00
- C07D491/02—Heterocyclic compounds containing in the condensed ring system both one or more rings having oxygen atoms as the only ring hetero atoms and one or more rings having nitrogen atoms as the only ring hetero atoms, not provided for by groups C07D451/00 - C07D459/00, C07D463/00, C07D477/00 or C07D489/00 in which the condensed system contains two hetero rings
- C07D491/04—Ortho-condensed systems
- C07D491/044—Ortho-condensed systems with only one oxygen atom as ring hetero atom in the oxygen-containing ring
- C07D491/048—Ortho-condensed systems with only one oxygen atom as ring hetero atom in the oxygen-containing ring the oxygen-containing ring being five-membered
-
- C—CHEMISTRY; METALLURGY
- C09—DYES; PAINTS; POLISHES; NATURAL RESINS; ADHESIVES; COMPOSITIONS NOT OTHERWISE PROVIDED FOR; APPLICATIONS OF MATERIALS NOT OTHERWISE PROVIDED FOR
- C09K—MATERIALS FOR MISCELLANEOUS APPLICATIONS, NOT PROVIDED FOR ELSEWHERE
- C09K11/00—Luminescent, e.g. electroluminescent, chemiluminescent materials
- C09K11/06—Luminescent, e.g. electroluminescent, chemiluminescent materials containing organic luminescent materials
-
- H—ELECTRICITY
- H10—SEMICONDUCTOR DEVICES; ELECTRIC SOLID-STATE DEVICES NOT OTHERWISE PROVIDED FOR
- H10K—ORGANIC ELECTRIC SOLID-STATE DEVICES
- H10K50/00—Organic light-emitting devices
- H10K50/10—OLEDs or polymer light-emitting diodes [PLED]
- H10K50/11—OLEDs or polymer light-emitting diodes [PLED] characterised by the electroluminescent [EL] layers
- H10K50/12—OLEDs or polymer light-emitting diodes [PLED] characterised by the electroluminescent [EL] layers comprising dopants
-
- H—ELECTRICITY
- H10—SEMICONDUCTOR DEVICES; ELECTRIC SOLID-STATE DEVICES NOT OTHERWISE PROVIDED FOR
- H10K—ORGANIC ELECTRIC SOLID-STATE DEVICES
- H10K50/00—Organic light-emitting devices
- H10K50/10—OLEDs or polymer light-emitting diodes [PLED]
- H10K50/14—Carrier transporting layers
- H10K50/16—Electron transporting layers
-
- H—ELECTRICITY
- H10—SEMICONDUCTOR DEVICES; ELECTRIC SOLID-STATE DEVICES NOT OTHERWISE PROVIDED FOR
- H10K—ORGANIC ELECTRIC SOLID-STATE DEVICES
- H10K50/00—Organic light-emitting devices
- H10K50/10—OLEDs or polymer light-emitting diodes [PLED]
- H10K50/18—Carrier blocking layers
-
- H—ELECTRICITY
- H10—SEMICONDUCTOR DEVICES; ELECTRIC SOLID-STATE DEVICES NOT OTHERWISE PROVIDED FOR
- H10K—ORGANIC ELECTRIC SOLID-STATE DEVICES
- H10K85/00—Organic materials used in the body or electrodes of devices covered by this subclass
- H10K85/60—Organic compounds having low molecular weight
- H10K85/649—Aromatic compounds comprising a hetero atom
- H10K85/654—Aromatic compounds comprising a hetero atom comprising only nitrogen as heteroatom
-
- H—ELECTRICITY
- H10—SEMICONDUCTOR DEVICES; ELECTRIC SOLID-STATE DEVICES NOT OTHERWISE PROVIDED FOR
- H10K—ORGANIC ELECTRIC SOLID-STATE DEVICES
- H10K85/00—Organic materials used in the body or electrodes of devices covered by this subclass
- H10K85/60—Organic compounds having low molecular weight
- H10K85/649—Aromatic compounds comprising a hetero atom
- H10K85/657—Polycyclic condensed heteroaromatic hydrocarbons
- H10K85/6572—Polycyclic condensed heteroaromatic hydrocarbons comprising only nitrogen in the heteroaromatic polycondensed ring system, e.g. phenanthroline or carbazole
-
- H—ELECTRICITY
- H10—SEMICONDUCTOR DEVICES; ELECTRIC SOLID-STATE DEVICES NOT OTHERWISE PROVIDED FOR
- H10K—ORGANIC ELECTRIC SOLID-STATE DEVICES
- H10K85/00—Organic materials used in the body or electrodes of devices covered by this subclass
- H10K85/60—Organic compounds having low molecular weight
- H10K85/649—Aromatic compounds comprising a hetero atom
- H10K85/657—Polycyclic condensed heteroaromatic hydrocarbons
- H10K85/6574—Polycyclic condensed heteroaromatic hydrocarbons comprising only oxygen in the heteroaromatic polycondensed ring system, e.g. cumarine dyes
-
- H—ELECTRICITY
- H10—SEMICONDUCTOR DEVICES; ELECTRIC SOLID-STATE DEVICES NOT OTHERWISE PROVIDED FOR
- H10K—ORGANIC ELECTRIC SOLID-STATE DEVICES
- H10K2101/00—Properties of the organic materials covered by group H10K85/00
- H10K2101/10—Triplet emission
-
- H—ELECTRICITY
- H10—SEMICONDUCTOR DEVICES; ELECTRIC SOLID-STATE DEVICES NOT OTHERWISE PROVIDED FOR
- H10K—ORGANIC ELECTRIC SOLID-STATE DEVICES
- H10K50/00—Organic light-emitting devices
- H10K50/10—OLEDs or polymer light-emitting diodes [PLED]
- H10K50/11—OLEDs or polymer light-emitting diodes [PLED] characterised by the electroluminescent [EL] layers
Definitions
- the present invention relates to 4/7-naphtho[1,2,3,4-ctef]carbazoles, mixtures and formulations containing them and electronic devices containing these compounds, in particular organic electroluminescent devices containing these compounds as matrix materials, electron transport materials or hole blocking materials.
- Phosphorescent organometallic complexes are often used in organic electroluminescent devices (OLEDs). In general, there is still room for improvement in OLEDs, for example in terms of efficiency, operating voltage and service life.
- OLEDs organic electroluminescent devices
- the properties of phosphorescent OLEDs are not only determined by the triplet emitters used.
- the other materials used, such as matrix materials, are also of particular importance here. Improvements to these materials can therefore also lead to significant improvements in the OLED properties.
- carbazole derivatives dibenzofuran derivatives, indenocarbazole derivatives, indolocarbazole derivatives, benzofurocarbazole derivatives and benzothienocarbazole derivatives are used as matrix materials for phosphorescent emitters.
- the object of the present invention is to provide compounds which are particularly suitable for use as Matrix material, electron transport material or hole blocking material in a phosphorescent OLED.
- the object of the present invention is to provide matrix materials that lead to an improved lifetime. This applies in particular to the use of a low to medium emitter concentration, ie emitter concentrations in the order of 3 to 20%, in particular 3 to 15%, since the device lifetime is limited in particular here.
- electroluminescent devices containing compounds according to the following formula (1) exhibit improvements over the prior art, in particular when using the compounds as matrix material for phosphorescent dopants.
- the combination of at least one compound of the formula (1) as a first host material and at least one hole-transporting compound for example in combination with one or more compounds of the formulas (6), (7), (8), (9), (10) or (11), as a further host material/further host materials in a light-emitting layer of an organic electronic device, in particular an organic electroluminescent device, solves this problem and eliminates the disadvantages of the prior art.
- a first subject of the present invention is a material for an organic electronic device comprising at least one compound according to formula (1), Formula (1), where the symbols and indices used are:
- Rx corresponds to one of the formulas (1-2) to (1-16)
- Ra, Rb and Rc represent a monosubstitution, a disubstitution, a trisubstitution, the maximum allowable substitution or no substitution
- Ra, Rb and Rc are D at each occurrence independently;
- V is O, S or N-Au
- R 1 is at each occurrence independently H, D, CN, F or non-deuterated or partially or fully deuterated phenyl, 1,4-biphenyl, 1,3-biphenyl or 1,2-biphenyl;
- Ar is, identically or differently at each occurrence, an aromatic or heteroaromatic ring system having 5 to 40 ring atoms which may be substituted by one or more radicals R;
- Aryl is, on each occurrence, identically or differently, an aromatic or heteroaromatic ring system having 5 to 40 ring atoms, which may be replaced by one or more substituents selected from D, F, CN, a straight-chain alkyl group having 1 to 20 C atoms or a branched or cyclic alkyl group having 3 to 20 C atoms, where one or more non-adjacent CH2 groups of the alkyl group are replaced by O or S and wherein one or more H atoms of the alkyl group may be replaced by D, F, or CN;
- An is an aromatic or heteroaromatic ring system with 5 to 40 ring atoms, which may be substituted by one or more radicals R,
- Ar2 Ars are, identically or differently at each occurrence, H, D, CN, F, a non-deuterated or partially or fully deuterated alkyl group having 1 to 10 C atoms, an aromatic or heteroaromatic ring system having 5 to 40 ring atoms, which may be substituted by one or more radicals R; and
- R is, at each occurrence, identically or differently selected from the group consisting of D, F, CN, Si(aryl)s, a straight-chain alkyl group having 1 to 20 C atoms or a branched or cyclic alkyl group having 3 to 20 C atoms, where one or more non-adjacent CH2 groups may be replaced by O or S and where one or more H atoms may be replaced by D, F or CN, where the compound of formula (1) is partially or fully deuterated.
- the invention further relates to a mixture comprising at least one compound of formula (1) as described above or preferably described later and at least one further compound selected from the group of matrix materials, phosphorescent emitters, fluorescent emitters and/or emitters which exhibit TADF (thermally activated delayed fluorescence).
- TADF thermalally activated delayed fluorescence
- the invention further relates to a formulation comprising at least one compound of formula (1) as described above or preferably described later, or a mixture as described above, and at least one solvent.
- Another object of the invention is an organic electronic, preferably electroluminescent, device comprising an anode, a cathode and at least one organic layer containing at least one compound of formula (1) as described above or preferably described later.
- D or “D atom” refers to deuterium.
- An aryl group in the sense of this invention contains 6 to 40 ring atoms, preferably C atoms.
- a heteroaryl group in the sense of this invention contains 5 to 40 ring atoms, where the ring atoms comprise C atoms and at least one heteroatom, with the proviso that the sum of C atoms and heteroatoms is at least 5.
- the heteroatoms are preferably selected from N, O and/or S.
- An aryl group or heteroaryl group is understood to be either a simple aromatic cycle, i.e.
- phenyl derived from benzene, or a simple heteroaromatic cycle, for example derived from pyridine, pyrimidine or thiophene, or a condensed aryl or heteroaryl group, for example derived from naphthalene, anthracene, phenanthrene, quinoline or isoquinoline.
- An aryl group with 6 to 18 carbon atoms is therefore preferably phenyl, naphthyl, phenanthryl or triphenylenyl, whereby the attachment of the aryl group as a substituent is not restricted.
- the aryl or heteroaryl group in the sense of this invention can carry one or more radicals, whereby the suitable radical is described below. If no such radical is described, the aryl group or heteroaryl group is not substituted.
- An aromatic ring system in the sense of this invention contains 6 to 40 C atoms in the ring system.
- the aromatic ring system also includes aryl groups, as previously described.
- An aromatic ring system with 6 to 18 C atoms is preferably selected from phenyl, fully deuterated phenyl, biphenyl, naphthyl, phenanthryl and triphenylenyl.
- a heteroaromatic ring system in the sense of this invention contains 5 to 40 ring atoms and at least one heteroatom.
- a preferred heteroaromatic ring system has 9 to 40 ring atoms and at least one heteroatom.
- the heteroaromatic ring system also includes heteroaryl groups, as described above.
- the heteroatoms in the heteroaromatic ring system are preferably selected from N, O and/or S.
- An aromatic or heteroaromatic ring system in the sense of this invention is understood to mean a system which does not necessarily contain only aryl or heteroaryl groups, but in which several aryl or heteroaryl groups can also be replaced by a non-aromatic unit (preferably less than 10% of the H different atoms), such as a C or O atom or a carbonyl group.
- a non-aromatic unit preferably less than 10% of the H different atoms
- systems such as 9,9'-spirobifluorene, 9,9-dialkylfluorene, 9,9-diarylfluorene, diaryl ethers, stilbene, etc.
- aromatic or heteroaromatic ring systems within the meaning of this invention, as are systems in which two or more aryl groups are interrupted, for example by a linear or cyclic alkyl group or by a silyl group.
- systems in which two or more aryl or heteroaryl groups are directly bonded to one another such as biphenyl, terphenyl, quaterphenyl or bipyridine, are also included in the definition of aromatic or heteroaromatic ring systems.
- An aromatic or heteroaromatic ring system with 5 to 40 ring atoms, which can be linked to the aromatic or heteroaromatic via any position, is understood to mean, for example, groups derived from benzene, naphthalene, anthracene, benzanthracene, phenanthrene, benzophenanthrene, pyrene, chrysene, perylene, fluoranthene, benzfluoranthene, naphthacene, pentacene, benzopyrene, biphenyl, biphenylene, terphenyl, terphenylene, fluorene, spirobifluorene, dihydrophenanthrene, dihydropyrene, tetrahydropyrene, cis- or trans-indenofluorene, cis- or trans-monobenzoindenofluorene, cis- or trans-dibenzoindenofluorene, truxen
- Ar, An and Au mean, identically or differently, an aromatic or heteroaromatic ring system with 5 to 40 Ring atoms, which may be substituted by one or more radicals R, where the radical R or the substituents R have a meaning as described above or below.
- R radicals
- Ar and An and An is described below.
- aryl means, identically or differently at each occurrence, an aromatic or heteroaromatic ring system having 5 to 40 ring atoms which may be replaced by one or more substituents selected from D, F, CN, a straight-chain alkyl group having 1 to 20 C atoms or a branched or cyclic alkyl group having 3 to 20 C atoms, where one or more non-adjacent CH2 groups of the alkyl group may be replaced by O or S and where one or more H atoms of the alkyl group may be replaced by D, F or CN.
- Ar2 and Ars mean, identically or differently, on each occurrence H, D, CN, F, a non-deuterated or partially or fully deuterated alkyl group having 1 to 10 C atoms, an aromatic ring system having 6 to 40 ring atoms or a heteroaromatic ring system having 5 to 40 ring atoms, which may be substituted by one or more radicals R, where the radical R or the substituents
- R has/have a meaning as described above or below.
- a preferred meaning of Ar2 and Ars is described below.
- Ars stands, identically or differently on each occurrence, for an aromatic or heteroaromatic ring system having 5 to 40 ring atoms, which may be substituted by one or more radicals R 7 , where the radical R 7 or the substituents R 7 have a meaning as described above or below.
- a cyclic alkyl, alkoxy or thioalkyl group within the meaning of this invention is understood to mean a monocyclic, a bicyclic or a polycyclic group.
- Ci- to C2o-alkyl group is understood to mean, for example, the radicals methyl, ethyl, n-Propyl, i-Propyl, Cyclopropyl, n-Butyl, i-Butyl, s-Butyl, t-Butyl, Cyclobutyl, 2-Methyl- butyl, n-Pentyl, s-Pentyl, t-Pentyl, 2-Pentyl, neo-Pentyl, Cyclopentyl, n-Hexyl, s-Hexyl, t-Hexyl, 2-Hexyl, 3-Hexyl, neo-Hexyl, Cyclhexyl, 1-Methylcyclopentyl, 2-Methylpentyl, n-Heptyl, 2-Heptyl, 3-
- the material for an organic electronic device comprising one or more compounds of the formula (1) and preferred embodiments of the compounds of the formula (1) are described below.
- the preferred embodiments also apply to the mixture according to the invention, the formulation according to the invention and the organic electronic or electroluminescent device according to the invention.
- Preferred compounds of formula (1) are compounds of formulas (1a) to (1j),
- Formula (1i) Formula (1j), where Rx, L, Ra, Rb, Rc and An have a meaning mentioned above or mentioned below as preferred and where the compounds of the formulas (1a), (1b), (1c), (1d), (1e), (1f), (1g), (1h), (1i) and (1j) are partially or completely deuterated.
- the compounds of formulae (1), (1a), (1b), (1c), (1d), (1e), (1f), (1g), (1h), (1i) and (1j) are deuterated compounds, it is possible during their preparation, if the preparation is chosen by reacting a non-deuterated compound of one of formulae (1), (1a), (1b), (1c), (1d), (1e), (1f), (1g), (1h), (1i) and (1j) with a deuteration source or if deuterated starting compounds are chosen during the preparation which are a mixture of deuterated starting compounds, that a mixture of deuterated products of the same basic chemical structure is formed which only differ in the degree of deuteration and/or the deuteration patterns.
- the present invention is directed to a material for an organic electronic device comprising at least one compound according to formula (1), wherein the at least one compound according to formula (1) can comprise a mixture of deuterated products of the same basic chemical structure, wherein the deuterated compounds differ only in the degree of deuteration and/or the deuteration pattern.
- the present invention is preferably directed to a material for an organic electronic device consisting of a compound of formula (1) with a specific deuteration pattern or consisting of two or more compounds of formula (1) with the same basic chemical structure of formula (1), which differ only in the degree of deuteration and/or the deuteration pattern.
- the average degree of deuteration is 20 mol% to 100 mol%, preferably 30 mol% to 90 mol%, particularly preferably 40 mol% to 80 mol%, very particularly preferably 50 mol% to 70 mol%.
- Particularly preferred compounds of the formula (1) are the compounds of the formulae (1a) and (1b), where Rx, L, Ra, Rb, Rc and An have a meaning mentioned above or mentioned below as preferred, which are partially or completely deuterated.
- the linker L in compounds of the formulas (1), (1a), (1b), (1c), (1d), (1e), (1f), (1g), (1h), (1i) and (1j) is an aromatic or heteroaromatic ring system of the formulas L-1 to L-41, which may be substituted by one or more radicals R°, where R° D is:
- Vi and V2 are each independently O, S, Se or N-Au;
- Ar4 is, identically or differently on each occurrence, an aromatic or heteroaromatic ring system having 5 to 40 ring atoms which may be substituted by one or more radicals R, where the radical R or the substituents R have a meaning as described above or below.
- L in compounds of formulas (1), (1a), (1b), (1c), (1d), (1e), (1f), (1g), (1h), (1i) and (1j) is a single bond.
- the linker L in compounds of the formulas (1), (1a), (1b), (1c), (1d), (1e), (1f), (1g), (1h), (1i) and (1j) is selected from the group of linkers L-1 to L-7 and L-14 to L-41, which may be substituted by one or more R° radicals, where R° is D.
- Vi is preferably O
- S or N-Au and Au is preferably an aromatic ring system having 6 to 20 ring atoms, which may be substituted by one or more R radicals.
- R in N-Au is preferably D, F or CN, particularly preferably D.
- Au when occurring, is particularly preferably selected from non-deuterated, partially deuterated or fully deuterated phenyl, 1,4-biphenyl, 1,3-biphenyl or 1,2-biphenyl.
- Au when occurring, is most preferably selected from partially deuterated or fully deuterated phenyl, 1,4-biphenyl, 1,3-biphenyl or 1,2-biphenyl.
- Vi is particularly preferably O or S. In the linkers L-18 to L-30 and L-35 to L-41, Vi is most preferably O.
- V2 is preferably O or S, particularly preferably O.
- the substituent R° when identical or different, is preferably selected from the group consisting of
- Ar in Si(Ar)3 is preferably the same and is an aromatic ring system having 6 to 20 ring atoms, which can be substituted by one or more radicals R.
- R in Ar is preferably D, F or CN, particularly preferably D.
- Ar is particularly preferably selected from non-deuterated, partially deuterated or fully deuterated phenyl, 1,4-biphenyl, 1,3-biphenyl or 1,2-biphenyl.
- the linker L in compounds of formulas (1), (1a), (1b), (1c), (1d), (1e), (1f), (1g), (1h), (1i) and (1j) is selected from the linkers L-1 to L-3, which may be substituted by one or more radicals R°, where R° is D.
- the linker L in compounds of formulas (1), (1a), (1b), (1c), (1d), (1e), (1f), (1g), (1h), (1i) and (1j) is selected from the linkers L-1 to L-3 which are substituted with one or more radicals R°, where R° is D.
- the linker L in compounds of formulas (1), (1a), (1b), (1c), (1d), (1e), (1f), (1g), (1h), (1i) and (1j) is selected from the linkers L-4 to L-7, which may be substituted by one or more radicals R°, where R° is D.
- the linker L in compounds of formulas (1), (1a), (1b), (1c), (1d), (1e), (1f), (1g), (1h), (1i) and (1j) is selected from the linkers L-4 to L-7 which are substituted with one or more radicals R°, where R° is D.
- the linker L in compounds of formulas (1), (1a), (1b), (1c), (1d), (1e), (1f), (1g), (1h), (1i) and (1j) is selected from the linkers L-14 to L-17, which may be substituted by one or more radicals R°, where R° is D.
- the linker L in compounds of formulas (1), (1a), (1b), (1c), (1d), (1e), (1f), (1g), (1h), (1i) and (1j) is selected from the linkers L-14 to L-17 which are substituted with one or more radicals R°, where R° is D.
- the linker L in compounds of formulas (1), (1a), (1b), (1c), (1d), (1e), (1f), (1g), (1h), (1i) and (1j) is selected from the linkers L-18 to L-30, which may be substituted by one or more radicals R°, where R° is D and Vi has a meaning given above or given as a preferred meaning.
- the linker L in compounds of formulas (1), (1a), (1b), (1c), (1d), (1e), (1f), (1g), (1h), (1i) and (1j) is selected from the linkers L-18 to L-30 which are substituted with one or more radicals R°, where R° is D and Vi has a meaning given above or given as a preferred meaning.
- the linker L in compounds of formulas (1), (1a), (1b), (1c), (1d), (1e), (1f), (1g), (1h), (1i) and (1j) is selected from the linkers L-31 to L-34, which may be substituted by one or more radicals R°, where R° is D.
- the linker L in compounds of formulas (1), (1a), (1b), (1c), (1d), (1e), (1f), (1g), (1h), (1i) and (1j) is selected from the linkers L-31 to L-34 which are substituted with one or more radicals R°, where R° is D.
- the linker L in compounds of formulas (1), (1a), (1b), (1c), (1d), (1e), (1f), (1g), (1h), (1i) and (1j) is selected from the linkers L-35 to L-38, which may be substituted by one or more radicals R°, where R° means D and Vi and V2 have a previously specified or preferred meaning.
- the linker L in compounds of formulas (1), (1a), (1b), (1c), (1d), (1e), (1f), (1g), (1h), (1i) and (1j) is selected from the linkers L-35 to L-38 which are substituted with one or more radicals R°, where R° is D and V1 and V2 have a meaning given above or preferably given.
- the linker L in compounds of formulas (1), (1a), (1b), (1c), (1d), (1e), (1f), (1g), (1h), (1i) and (1j) is selected from the linkers L-39 to L-41, which may be substituted by one or more radicals R°, where R° is D and V1 has a meaning given above or given as a preferred meaning.
- the linker L in compounds of formulas (1), (1a), (1b), (1c), (1d), (1e), (1f), (1g), (1h), (1i) and (1j) is selected from the linkers L-39 to L-41 which are substituted with one or more radicals R°, where R° is D and V1 has a meaning given above or given as a preferred meaning.
- Rx in compounds of the formulas (1), (1a), (1b), (1c), (1d), (1e), (1f), (1g), (1h), (1i) and (1j) is of the formula (1-2) and the linker L has a meaning given above or given as a preferred meaning. This is a particularly preferred embodiment.
- Rx in compounds of the formulas (1), (1a), (1b), (1c), (1d), (1e), (1f), (1g), (1h), (1i) and (1j) is one of the formulas (1-3), (1-4) or (1-5) and the linker L has a meaning given above or given as a preferred meaning.
- R 1 is preferably H, D, CN or F, particularly preferably H or D.
- Rx in compounds of formulas (1), (1a), (1b), (1c), (1d), (1e), (1f), (1g), (1h), (1i) and (1j) represents one of formulas (1-6), (1-7), (1-8), (1-9), (1-10) or (1-11) and the linker L has a meaning given above or given as a preferred meaning.
- Rx in compounds of formulas (1), (1a), (1b), (1c), (1d), (1e), (1f), (1g), (1h), (1i) and (1j) is one of formulas (1-6), (1-7), (1-8) or (1-9) and the linker L has a meaning given above or given as a preferred meaning. This is a preferred embodiment.
- Rx in compounds of formulas (1), (1a), (1b), (1c), (1d), (1e), (1f), (1g), (1h), (1i) and (1j) represents one of formulas (1-12), (1-13), (1-14), (1-15) or (1-16) and the linker L has a meaning given above or given as a preferred meaning.
- Rx in compounds of the formulas (1), (1a), (1b), (1c), (1d), (1e), (1f), (1g), (1h), (1i) and (1j) is one of the formulas (1-2), (1-6), (1-7), (1-8) or (1-9) and the linker L has a meaning given above or given as a preferred meaning. This is a preferred embodiment.
- V in the formulas (1-6) to (1-11) means O, S or N-Au, where Au preferably means an aromatic ring system having 6 to 20 ring atoms, which may be substituted by one or more radicals R.
- R in N-Au is preferably D, F or CN, particularly preferably D.
- Au when it occurs, is particularly preferably selected from non-deuterated, partially deuterated or fully deuterated phenyl, 1,4-biphenyl, 1,3-biphenyl or 1,2-biphenyl.
- Au when occurring, is most preferably selected from phenyl, 1,4-biphenyl, 1,3-biphenyl or 1,2-biphenyl, which are partially deuterated or fully deuterated.
- V in the formulas (1-6) to (1-11) preferably represents O or S, particularly preferably O.
- Ra, Rb and Rc represent a monosubstitution, a disubstitution, a trisubstitution, the maximum permissible substitution or no substitution and Ra, Rb and Rc are independently D at each occurrence.
- Ra, Rb and Rc are each independently of one another in compounds of the formulas (1), (1a), (1b), (1c), (1d), (1e), (1f), (1g), (1h), (1i) and (1j) or preferred compounds of the formulas (1), (1a), (1b), (1c), (1d), (1e), (1f), (1g), (1h), (1i) and (1j) for D, ie the compounds each carry three substituents Ra, Rb and Rc.
- one substituent Ra, Rb or Rc does not represent a substitution and two substituents Ra, Rb or Rc represent D.
- Ra, Rb and Rc in formulas (1-6), (1-7), (1-8), (1-9), (1-10), (1-11), (1-12), (1-13), (1-14), (1-15) and (1-16) represent D.
- Ra, Rb and Rc represent maximum substitution or no substitution.
- the compounds of the formulas (1), (1a), (1b), (1c), (1d), (1e), (1f), (1g), (1h), (1i) and (1j) or preferred compounds of the formulas (1), (1a), (1b), (1c), (1d), (1e), (1f), (1g), (1h), (1i) and (1j) are partially deuterated and in one embodiment the substituents Ra, Rb and Rc stand for D and each independently represent monosubstitution, disubstitution or trisubstitution.
- Ar2 and Ars are, identically or differently, on each occurrence, H, D, CN, F, a non-deuterated or partially or fully deuterated alkyl group having 1 to 10 C atoms, an aromatic or heteroaromatic ring system having 5 to 40 ring atoms which is linked to one or 2 2 can be substituted by several radicals R; where R has a meaning mentioned above.
- R in Ar2 and Ars is preferably D, F or CN, particularly preferably D.
- Rx corresponds to one of the formulas (1-2), (1-3), (1-4) or (1-5), Ar2 and Ars on each occurrence, identically or differently, preferably represent an aromatic or heteroaromatic ring system having 5 to 40 ring atoms, which may be substituted by one or more radicals R; where R has a meaning mentioned above or particularly preferred.
- the aromatic or heteroaromatic ring system with 5 to 40 ring atoms in Ar2 and Ars of the compounds of the formulas (1), (1a), (1b), (1c), (1d), (1e), (1f), (1g), (1h), (1i) and (1j), which may be substituted by one or more radicals R, is preferably selected independently from the group Ar-1 to Ar-24:
- Ar-23 Ar-24 where Y 3 is the same or different at each occurrence and is O, S, NAu or C(R # )2, o 2 where R is H, R or an aromatic or heteroaromatic ring system with 5 to
- the radical R # is on each occurrence, identically or differently, H, D, a straight-chain alkyl, alkoxy or thioalkyl group having 1 to 20 C atoms or a branched or cyclic alkyl, alkoxy or thioalkyl group having 3 to 20 C atoms or an alkenyl group having 2 to 20 C atoms, each of which may be substituted by one or more radicals R 2 , where one or more H atoms are replaced by D, F or CN.
- an aromatic or heteroaromatic ring system having 5 to 40 ring atoms, each of which may be substituted by one or more radicals R 2 , an aryloxy or heteroaryloxy group having 5 to 40 ring atoms, which may be substituted by one or more radicals R 2 , or an aralkyl or heteroaralkyl group having 5 to 40 ring atoms, which may be substituted by one or more radicals R 2 .
- Y 3 is preferably O, S, NAu or C(CHs) 2.
- Y 3 is very particularly preferably O.
- Y 3 is very particularly preferably NAu, where Au has a meaning mentioned above or mentioned with preference.
- the substituent R is preferably selected at each occurrence, identically or differently, from the group consisting of H, D, F, CN or an aromatic ring system having 6 to 30 ring atoms, which may each be substituted by one or more radicals R 2.
- the substituent R is preferably selected at each occurrence, identically or differently, from the group consisting of H, D, F, CN or an aromatic ring system having 6 to 30 ring atoms, which may each be substituted by one or more radicals R 2.
- Substituent R is particularly preferably selected, identically or differently at each occurrence, from the group consisting of H, D, non-deuterated or partially or fully deuterated phenyl, 1,4-biphenyl, 1-3-biphenyl or 1,2-biphenyl.
- the substituent R is particularly preferably selected on each occurrence, identically or differently, from the group consisting of H, D or phenyl, 1,4-biphenyl, 1,3-biphenyl or 1,2-biphenyl, which are partially deuterated or fully deuterated. R particularly preferably denotes D. o In the structures Ar-1 to Ar-24, it is preferred if at least one substituent R denotes D.
- Ar2 or Ars in compounds of the formulae (1), (1a), (1b), (1c), (1d), (1e), (1f), (1g), (1h), (1i) and (1j) each independently represent Ar-1, Ar-2, Ar-3, Ar-12 to Ar-15, where R has a meaning given above or given as a preferred meaning.
- R in An preferably denotes D, F, CN or Si(aryl)s, where aryl on each occurrence, identically or differently, denotes an aromatic or heteroaromatic ring system having 5 to 40 ring atoms, which may be replaced by one or more substituents selected from D, F, CN, a straight-chain alkyl group having 1 to 20 C atoms or a branched or cyclic alkyl group having 3 to 20 C atoms, where one or more non-adjacent CH2 groups of the alkyl group may be replaced by O or S and where one or more H atoms of the alkyl group may be replaced by D, F or CN.
- R in An particularly preferably represents D, F, or CN, most preferably D.
- Particularly suitable compounds of the formulas (1), (1a), (1b), (1c), (1d), (1e), (1f), (1g), (1h), (1i) and (1j), as described above or preferably described, are the compounds E1 to E39 of Table 2.
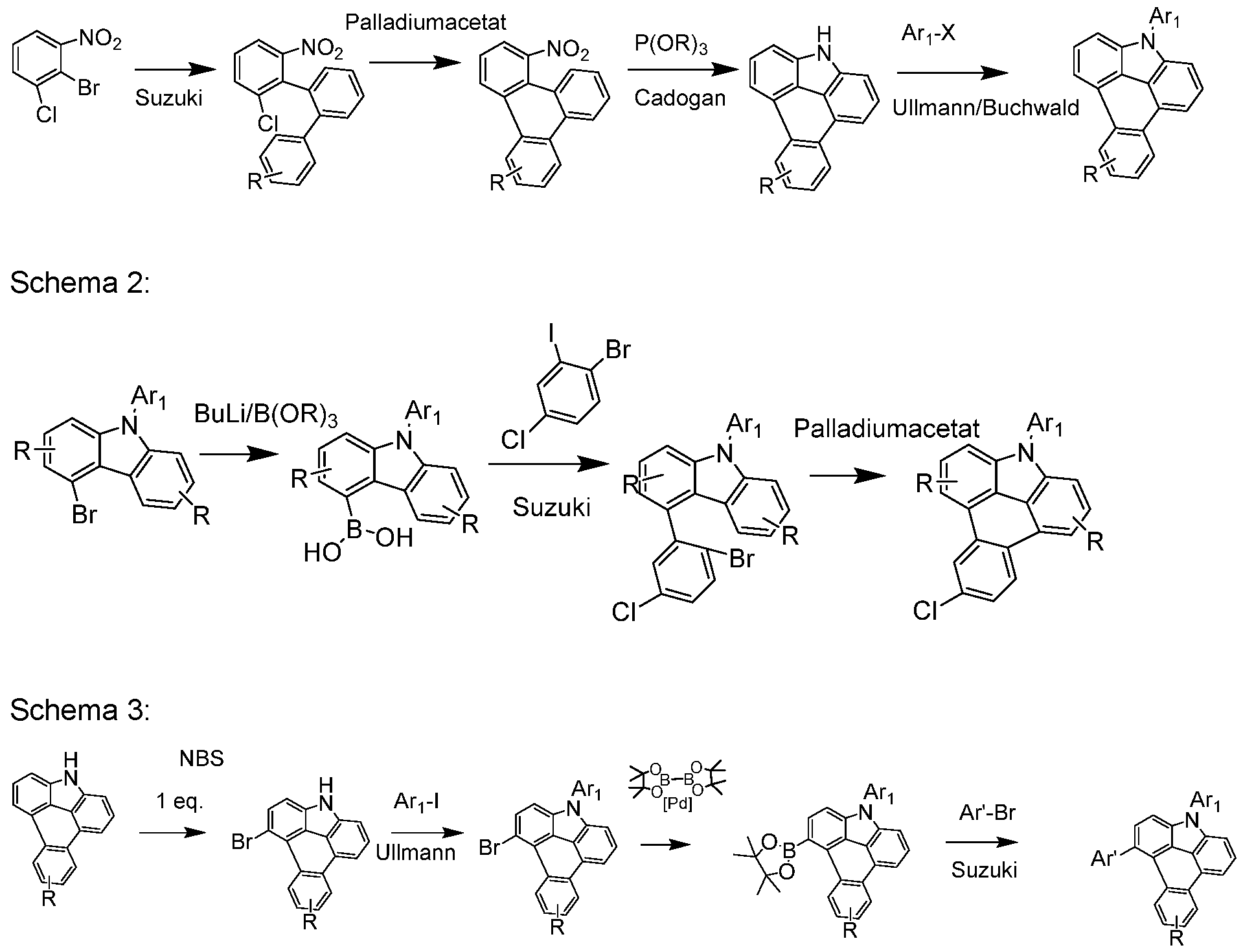
- the compounds according to the invention can be prepared by synthesis steps known to the person skilled in the art, such as bromination, Suzuki coupling, Ullmann coupling, Hartwig-Buchwald coupling, etc.
- the compounds of formula (1) can be obtained as described above or preferably described in high purity, preferably more than 99% (determined by 1 H-NMR and/or HPLC). If partially or completely deuterated starting compounds are used, partially deuterated or completely deuterated products are formed, as described above. It is also possible to To prepare compounds of formula (1) according to Schemes 1 to 4 and subsequently deuterate them as described above and below.
- formulations containing at least one compound of one of the formulas (1), (1a), (1b), (1c), (1d), (1e), (1f), (1g), (1h), (1i) and (1j) or mixtures with further functional materials, such as matrix materials, fluorescent emitters, phosphorescent emitters and/or emitters which exhibit TADF, are required.
- these formulations can be, for example, solutions, dispersions or emulsions. It may be preferred to use mixtures of two or more solvents for this purpose.
- Suitable and preferred solvents are, for example, toluene, anisole, o-, m- or p-xylene, methyl benzoate, mesitylene, tetralin, veratrole, THF, methyl-THF, THP, chlorobenzene, dioxane, phenoxytoluene, in particular 3-phenoxytoluene, (-)-fenchone, 1,2,3,5-tetramethylbenzene, 1,2,4,5-tetramethylbenzene, 1-methylnaphthalene, 2-methylbenzothiazole, 2-phenoxyethanol, 2-pyrrolidinone, 3-methylanisole, 4-methylanisole, 3,4-dimethylanisole, 3,5-dimethylanisole, acetophenone, a-terpineol, benzothiazole, butyl benzoate, cumene, cyclohexanol, cyclohexanone, cyclohexylbenzene, decalin,
- the compounds of the formulas (1), (1a), (1b), (1c), (1d), (1e), (1f), (1g), (1h), (1i) and (1j) according to the invention, as described above or preferably described, are suitable for use in an organic electroluminescent device, in particular as an electron transport material, as a hole blocking material or as a matrix material.
- the compound according to the invention of one of the formulas (1), (1a), (1b), (1c), (1d), (1e), (1f), (1g), (1h), (1i) or (1j) is used as matrix material or synonymously host material in a emitting layer, it is preferably used in combination with another compound.
- the invention therefore further relates to a mixture comprising at least one compound of the formulas (1), (1a), (1b), (1c), (1d), (1e), (1f), (1g), (1h), (1i) or (1j) or at least one preferred compound of one of the formulas (1), (1a), (1b), (1c), (1d), (1e), (1f), (1g), (1h), (1i) or (1j) or at least one compound of Table 1 or at least one of the compounds E1 to E39 and at least one further compound selected from the group of matrix materials, phosphorescent emitters, fluorescent emitters and/or emitters which exhibit TADF (thermally activated delayed fluorescence). Suitable matrix materials and emitters which can be used in this mixture according to the invention are described below.
- the present invention also further provides a formulation comprising at least one compound according to the invention, as described above, or a mixture according to the invention, as described above, and at least one solvent.
- the solvent can be a solvent mentioned above or a mixture of these solvents.
- the present invention further provides an organic electronic device comprising an anode, a cathode and at least one organic layer containing at least one compound of the formulas (1), (1a), (1b), (1c), (1d), (1e), (1f), (1g), (1h), (1i) or (1j) or at least one preferred compound of one of the formulas (1), (1a), (1b), (1c), (1d), (1e), (1f), (1g), (1h), (1i) or (1j) or at least one compound of Table 1 or at least one of the compounds E1 to E39.
- the statements on deuterated materials apply accordingly.
- the organic electronic device can be selected from, for example, organic integrated circuits (OLCs), organic field effect transistors (OFETs), organic thin film transistors (OTFTs), organic electroluminescent devices, organic solar cells (OSCs), organic optical detectors, organic photoreceptors.
- OLCs organic integrated circuits
- OFETs organic field effect transistors
- OTFTs organic thin film transistors
- O electroluminescent devices organic solar cells (OSCs), organic optical detectors, organic photoreceptors.
- the organic electronic device is an organic electroluminescent device.
- the organic electroluminescent device according to the invention is, for example, an organic light-emitting transistor ( ⁇ LET), an organic field quench device (OFQD), an organic light-emitting electrochemical cell (OLEC, LEG, LEEC), an organic laser diode (O-laser) or an organic light-emitting diode (OLED).
- ⁇ LET organic light-emitting transistor
- OFQD organic field quench device
- OLED organic light-emitting electrochemical cell
- O-laser organic laser diode
- OLED organic light-emitting diode
- the organic electroluminescent device according to the invention is in particular an organic light-emitting diode or an organic light-emitting electrochemical cell.
- the device according to the invention is particularly preferably an OLED.
- the organic layer of the device according to the invention preferably contains, in addition to a light-emitting layer (EML), a hole injection layer (HIL), a hole transport layer (HTL), a hole blocking layer (HBL), an electron transport layer (ETL), an electron injection layer (EIL), an exciton blocking layer, an electron blocking layer and/or charge generation layers.
- EML light-emitting layer
- HIL hole injection layer
- HTL hole transport layer
- HBL hole blocking layer
- ETL electron transport layer
- EIL electron injection layer
- EIL electron injection layer
- exciton blocking layer an electron blocking layer and/or charge generation layers.
- the device according to the invention can also contain several layers from this group, preferably selected from EML, HIL, HTL, ETL, EIL and HBL. Interlayers which, for example, have an exciton blocking function can also be introduced between two emitting layers.
- emission layers are present, these preferably have a total of several emission maxima between 380 nm and 750 nm, so that overall white emission results, i.e. different emitting compounds that can fluoresce or phosphoresce are used in the emitting layers.
- Several fluorescent and/or phosphorescent compounds can also be contained in an emitting layer. Systems with three emitting layers are particularly preferred, with the three layers showing blue, green and orange or red emission. As an alternative to the combination as described above, an emitting layer can also show yellow emission. Such combinations are known to the person skilled in the art.
- the organic electroluminescent device according to the invention can also be a tandem electroluminescent device, in particular for white-emitting OLEDs.
- the device may also contain inorganic materials or layers made entirely of inorganic materials.
- the compound according to the invention of the formulas (1), (1a), (1b), (1c), (1d), (1e), (1f), (1g), (1h), (1i) or (1j), as described above or preferably described, can be used in different layers.
- an organic electroluminescent device comprising at least one compound according to formula (1), (1a), (1b), (1c), (1d), (1e), (1f), (1g), (1h), (1i) or (1j) or the preferred embodiments set out above in a light-emitting layer as matrix material for fluorescent emitters, phosphorescent emitters or for emitters which exhibit TADF (thermally activated delayed fluorescence), in particular for phosphorescent emitters.
- TADF thermalally activated delayed fluorescence
- the at least one compound of the formulas (1), (1a), (1b), (1c), (1d), (1e), (1f), (1g), (1h), (1i) or (1j) can also be used in an electron-transporting layer or in a hole-blocking layer.
- the compound according to the invention of the formulas (1), (1a), (1b), (1c), (1d), (1e), (1f), (1g), (1h), (1i) or (1j) is particularly preferably used as a matrix material in a light-emitting layer.
- the present invention further provides an organic electronic device as described above, wherein the organic layer contains at least one light-emitting layer which contains at least one compound of the formulas (1), (1a), (1b), (1c), (1d), (1e), (1f), (1g), (1h), (1i) or (1j) or which contains at least one preferred compound of one of the formulas (1), (1a), (1b), (1c), (1d), (1e), (1f), (1g), (1h), (1i) or (1j) or at least one compound of Table 1 or at least one of the compounds E1 to E39.
- the organic layer contains at least one light-emitting layer which contains at least one compound of the formulas (1), (1a), (1b), (1c), (1d), (1e), (1f), (1g), (1h), (1i) or (1j) or which contains at least one preferred compound of one of the formulas (1), (1a), (1b), (1c), (1d), (1e), (1f), (1g), (1h), (1i) or (1j) or at least one compound of Table 1 or at
- At least one further matrix material is selected for the device according to the invention in the light-emitting layer, which is used with compounds of the formulas (1), (1a), (1b), (1c), (1d), (1e), (1f), (1g), (1h), (1i) or (1j), as described above or preferably described, or with the compounds of Table 1 or the compounds E1 to E39.
- a further subject matter of the present invention is therefore an organic electronic device as described above, wherein the organic layer contains at least one light-emitting layer which contains at least one compound of the formulas (1), (1a), (1b), (1c), (1d), (1e), (1f), (1g), (1h), (1i) or (1j) or which contains at least one preferred compound of one of the formulas (1), (1a), (1b), (1c), (1d), (1e), (1f), (1g), (1h), (1i) or (1j) or at least one compound of Table 1 or at least one of the compounds E1 to E39 and at least one further matrix material.
- the organic layer contains at least one light-emitting layer which contains at least one compound of the formulas (1), (1a), (1b), (1c), (1d), (1e), (1f), (1g), (1h), (1i) or (1j) or which contains at least one preferred compound of one of the formulas (1), (1a), (1b), (1c), (1d), (1e), (1f), (1g), (1h), (1i) or (1
- Suitable matrix materials which can be used in combination with the compounds according to the invention are aromatic ketones, aromatic phosphine oxides or aromatic sulfoxides or sulfones, triarylamines, carbazole derivatives, biscarbazoles, indolocarbazole derivatives, indenocarbazole derivatives, azacarbazole derivatives, bipolar matrix materials, azaboroles or boronic esters, triazine derivatives, zinc complexes, diazasilole or tetraazasilole derivatives, diazaphosphole derivatives, bridged carbazole derivatives, triphenylene derivatives or dibenzofuran derivatives.
- another phosphorescent emitter which emits at a shorter wavelength than the actual emitter can be present in the mixture as a co-host or a compound which does not participate or does not participate to a significant extent in the charge transport, such as a wide band-gap compound.
- a wide-band-gap material is understood here to mean a material in the sense of the disclosure of US 7,294,849, which is characterized by a band gap of at least 3.5 eV, where the band gap is understood to be the distance between the HOMO and LUMO energy of a material.
- Particularly suitable matrix materials which are advantageously combined with compounds of formulas (1), (1a), (1b), (1c), (1d), (1e), (1f), (1g), (1h), (1i) or (1j), as previously described or preferably described, in a mixed matrix system can be selected from the compounds of formulas (6), (7), (8), (9), (10) or (11), as described below.
- a further subject matter of the invention is therefore an organic electronic device comprising an anode, a cathode and at least one organic layer containing at least one light-emitting layer, wherein the at least one light-emitting layer contains at least one compound of the formulas (1), (1a), (1b), (1c), (1d), (1e), (1f), (1g), (1h), (1i) or (1j) as matrix material 1, as described above or described as preferred, and contains at least one compound of formulas (6), (7), (8), (9), (10) or (11) as matrix material 2,
- a 1 is C(R 7 ) 2 , NR 7 , O or S;
- Li is a bond, O, S, C(R 7 )2 or NR 7 ;
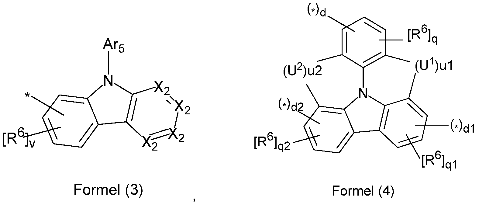
- A is at each occurrence independently a group of formula (3) or (4),
- X2 is the same or different at each occurrence and is CH, CR 6 or N, where a maximum of 2 symbols X2 N can be used;
- U 1 , U 2 are, when occurring, a bond, O, S, C(R 7 )2 or NR 7 ;
- Ars identical or different at each occurrence, independently represents an aromatic or heteroaromatic ring system having 5 to 40 ring atoms, which may be substituted by one or more radicals R 7 ;
- s is preferably 0 or 1 when the radical R 6 is different from D, or particularly preferably 0.
- t is preferably 0 or 1 if the radical R 6 is different from D, or particularly preferably 0.
- u is preferably 0 or 1 when the radical R 6 is different from D, or particularly preferably 0.
- the sum of the indices s, t and u in compounds of the formulas (6), (7), (8), (10) or (11) is preferably at most 6, particularly preferably at most 4 and particularly preferably at most 2. This preferably applies when R 6 is different from D.
- c, c1, c2 each independently represent 0 or 1 at each occurrence, where the sum of the indices c+c1+c2 represents 1 at each occurrence.
- c2 represents 1.
- Li is preferably a single bond or C(R 7 )2, where R 7 has a meaning as previously mentioned, particularly preferably Li is a single bond.
- U or U when occurring is preferably a single bond or C(R 7 ) 2, where R 7 has a meaning mentioned above, particularly preferably U 1 or U 2 when occurring is a single bond.
- R 6 is the same or different on each occurrence and is selected from the group consisting of D, F, CN, a straight-chain alkyl group having 1 to 20 C atoms or a branched or cyclic alkyl group having 3 to 20 C atoms, where the alkyl group can be substituted in each case by one or more radicals R 7 , or an aromatic or heteroaromatic ring system having 5 to 60 ring atoms, preferably having 5 to 40 ring atoms, which can be substituted in each case by one or more radicals R 7 .
- R 6 is the same or different on each occurrence and is selected from the group consisting of D or an aromatic or heteroaromatic ring system having 6 to 30 ring atoms, which may be substituted by one or more radicals R 7 .
- Ars in compounds of the formulas (6), (7), (8), (10) or (11) is selected from phenyl, biphenyl, in particular ortho-, meta- or para-biphenyl, terphenyl, in particular ortho-, meta-, para- or branched terphenyl, quaterphenyl, in particular ortho-, meta-, para- or branched quaterphenyl, fluorenyl, which can be linked via the 1-, 2-, 3- or 4-position, spirobifluorenyl, which can be linked via the 1-, 2-, 3- or 4-position, naphthyl, in particular 1- or 2-linked naphthyl, or radicals derived from indole, benzofuran, benzothiophene, carbazole, which can be linked via the 1-, 2-, 3- or 4-position, dibenzofuran, which can be linked via the 1-, 2-, 3- or 4-position, dibenzothiophene, which can be linked via the 1-, 2-, 3-
- the substituent R 7 which is bonded to the nitrogen atom preferably represents an aromatic or heteroaromatic ring system having 5 to 24 aromatic ring atoms, which may also be substituted by one or more radicals R 8 .
- this substituent R 7 is the same or different on each occurrence and represents an aromatic or heteroaromatic ring system having 6 to 24 aromatic ring atoms, in particular having 6 to 18 aromatic ring atoms.
- R 7 Preferred embodiments for R 7 are phenyl, biphenyl, terphenyl and quaterphenyl, which are preferably unsubstituted, and radicals derived from triazine, pyrimidine and quinazoline, which may be substituted by one or more radicals R 8 .
- a 1 in formula (7) or (8) or (11) is C(R 7 ) 2
- the substituents R 7 which are bonded to this carbon atom are preferably identical or different on each occurrence and are a linear alkyl group having 1 to 10 C atoms or a branched or cyclic alkyl group having 3 to 10 C atoms or an aromatic or heteroaromatic ring system having 5 to 24 aromatic ring atoms, which can also be substituted by one or more radicals R 8 .
- R 7 is very particularly preferably a methyl group or a phenyl group.
- the radicals R 7 can also form a ring system with one another, resulting in a spiro system.
- these compounds are partially or fully deuterated, particularly preferably fully deuterated.
- the additional matrix material is a deuterated compound
- the additional matrix material is a mixture of deuterated compounds with the same basic chemical structure, which differ only in the degree of deuteration and/or the deuteration pattern.
- this is a mixture of deuterated compounds of the formulas (6), (7), (8), (9), (10) or (11), as described above, the average degree of deuteration of these compounds being at least 50% to 90%, preferably 70% to 100%.
- Corresponding deuteration methods are known to the person skilled in the art and are described, for example, in KR2016041014, WO2017/122988, KR202005282, KR101978651 and W02018/110887 or in Bulletin of the Chemical Society of Japan, 2021 , 94(2), 600-605 or Asian Journal of Organic Chemistry, 2017, 6(8), 1063-1071.
- a suitable method for deuterating a compound by exchanging one or more H atoms for D atoms is a treatment of the compound to be deuterated Compound in the presence of a platinum catalyst or palladium catalyst and a deuterium source.
- deuterium source means any compound containing one or more D atoms and capable of releasing them under appropriate conditions.
- the platinum catalyst is preferably dry platinum on carbon, preferably 5% dry platinum on carbon.
- the palladium catalyst is preferably dry palladium on carbon, preferably 5% dry palladium on carbon.
- a suitable deuterium source is D2O, benzene-d6, chloroform-d, acetonitrile-d3, acetone-d6, acetic acid-d4, methanol-d4 or toluene-d8.
- a preferred deuterium source is D2O or a combination of D2O and a fully deuterated organic solvent.
- a particularly preferred deuterium source is the combination of D2O with a fully deuterated organic solvent, the fully deuterated solvent being not limited here.
- Particularly suitable fully deuterated solvents are benzene-d6 and toluene-d8.
- a particularly preferred deuterium source is a combination of D2O and toluene-d8.
- the reaction is preferably carried out with heating, more preferably with heating to temperatures between 100 °C and 200 °C. Furthermore, the reaction is preferably carried out under pressure.
- Examples of suitable further matrix materials for combination with compounds of the formulas (1), (1a), (1b), (1c), (1d), (1e), (1f), (1g), (1h), (1i) or (1j), as previously described or preferably described, are the compounds described in W02019/229011 , Table 3, pages 137 to 203, which may also be partially or fully deuterated.
- Examples of suitable further matrix materials for a combination with compounds of the formulas (1), (1a), (1b), (1c), (1d), (1e), (1f), (1g), (1h), (1i) or (1j), as previously described or preferably described, are the compounds described in WO2011/088877, table page 30, compounds 1 to 166, which may also be partially or completely deuterated.
- Examples of suitable further matrix materials for a combination with compounds of the formulas (1), (1a), (1b), (1c), (1d), (1e), (1f), (1g), (1h), (1i) or (1j), as previously described or preferably described, are the compounds described in WO2011/128017, table page 23, compounds 1 to 151, which may also be partially or completely deuterated.
- compounds of the formula (6) and/or the formula (9) and/or the formula (10) are particularly suitable, as described above or preferably described.
- particularly suitable compounds of the formula (6) are those in which at least one group Ars is a heteroaromatic ring system having 5 to 40 ring atoms, which may be substituted by one or more radicals R 7 and/or compounds of the formula (9) and/or compounds of the formula (10).
- compounds of the formula (9) or (10) are very particularly preferably suitable.
- compounds of the formula (10) are very particularly preferably suitable.
- Particularly suitable compounds of the formulas (6), (7), (8), (9), (10) or (11), which are selected according to the invention and are preferably used in combination with at least one compound of the formulas (1), (1a), (1b), (1c), (1d), (1e), (1f), (1g), (1h), (1i) or (1j) in the electroluminescent device according to the invention, are the compounds of Table 4.
- the above-mentioned host materials of the formulas (1), (1a), (1b), (1c), (1d), (1e), (1f), (1g), (1h), (1i) or (1j) and their preferred embodiments or the compounds of Table 1 or the compounds E1 to E39 can be combined in the device according to the invention as desired with the above-mentioned matrix materials/host materials, the matrix materials/host materials of the formulas (6), (7), (8), (9), (10) or (11) and their preferred described
- Very particularly preferred mixtures of the compounds of the formulas (1), (1a), (1b), (1c), (1d), (1e), (1f), (1g), (1h), (1i) or (1j) with the host materials of the formulas (6), (7), (8), (9), (10) or (11) for the device according to the invention are obtained by combining the compounds E1 to E39 with the compounds H1 to H33 as shown in Table 5 below.
- the first mixture M1 for example, is a combination of the compound E1 with H1.
- the concentration of the sum of all host materials of the formulas (1), (1a), (1b), (1c), (1d), (1e), (1f), (1g), (1h), (1i) or (1j), as previously described or preferably described, in the mixture according to the invention or in the light-emitting layer of the device according to the invention is usually in the range from 5 wt.% to 90 wt.%, preferably in the range from 10 wt.% to 85 wt.%, more preferably in the range from 20 wt.% to 85 wt.%, even more preferably in the range from 30 wt.% to 80 wt.%, very particularly preferably in the range from 20 wt.% to 60 wt.% and most preferably in the range from 30 wt.% to 50 wt.%, based on the entire mixture or based on the entire composition of the light-emitting layer.
- the concentration of the sum of all host materials of the formulas (6), (7), (8), (9), (10) or (11), as described above or described as preferred, in the mixture according to the invention or in the light-emitting layer of the device according to the invention is usually in the range from 10 wt.% to 95 wt.%, preferably in the range from 15 wt.% to 90 wt.%, more preferably in the range from 15 wt.% to 80 wt.%, even more preferably in the range from 20 wt.% to 70 wt.%, very particularly preferably in the range from 40 wt.% to 80 wt.% and most preferably in the range from 50 wt.% to 70 wt.%, based on the entire mixture or based on the entire composition of the light-emitting layer.
- the present invention also relates to a mixture which, in addition to the above-mentioned host materials of the formulas (1), (1a), (1b), (1c), (1d), (1e), (1f), (1g), (1h), (1i) or (1j), hereinafter referred to as host material 1, and the host material, contains at least one of the formulas (6), (7), (8), (9), (10) or (11), hereinafter referred to as host material 2, as previously described or preferably described, contains at least one phosphorescent emitter.
- the present invention also relates to a mixture selected from M1 to M1287, which contains at least one phosphorescent emitter.
- phosphorescent emitter typically includes compounds in which the light emission occurs through a spin-forbidden transition from an excited state with a higher spin multiplicity, i.e. a spin state > 1, for example through a transition from a triplet state or a state with an even higher spin quantum number, for example a quintet state.
- a transition from a triplet state is understood here.
- Particularly suitable phosphorescent emitters are compounds which, when suitably excited, emit light, preferably in the visible range, and also contain at least one atom with an atomic number greater than 20, preferably greater than 38 and less than 84, particularly preferably greater than 56 and less than 80, in particular a metal with this atomic number.
- compounds containing copper, molybdenum, tungsten, rhenium, ruthenium, osmium, rhodium, iridium, palladium, platinum, silver, gold or europium are used as phosphorescent emitters, in particular compounds containing iridium or platinum.
- all luminescent compounds containing the above-mentioned metals are regarded as phosphorescent emitters.
- Preferred phosphorescent emitters according to the present invention correspond to the formula (IIIa),
- X is the same or different at each occurrence, N or CR,
- R is, identically or differently at each occurrence, H, D, F, CN or a branched or linear alkyl group having 1 to 10 C atoms or a partially or fully deuterated branched or linear alkyl group having 1 to 10 C atoms or a cycloalkyl group having 4 to 7 C atoms which may be partially or fully substituted with deuterium or an aromatic or heteroaromatic ring system having 5 to 60 ring atoms which may be partially or fully substituted with deuterium.
- a further subject matter of the invention is therefore an organic electroluminescent device as described above or preferably described, characterized in that the light-emitting layer contains, in addition to the host materials 1 and 2, at least one phosphorescent emitter which corresponds to the formula (IIIa), as described above.
- n is preferably 1 and m is preferably 2.
- one X is preferably selected from N and the other Xs are CR or all Xs, identical or different on each occurrence, are CR.
- at least one R is preferably different from H.
- two Rs are preferably different from H and have one of the meanings otherwise previously given for the emitters of the formula (IIIa).
- Preferred phosphorescent emitters according to the present invention correspond to the formulas (I), (II), (III), (IV) or (V),
- Ri is H or D
- R2 is H, D, F, CN or a branched or linear alkyl group having 1 to 10 C atoms or a partially or fully deuterated branched or linear alkyl group having 1 to 10 C atoms or a cycloalkyl group having 4 to 10 C atoms which may be partially or fully substituted with deuterium.
- Preferred phosphorescent emitters according to the present invention correspond to the formulas (VI), (VII) or (VIII),
- Ri is H or D
- R2 is H, D, F, CN or a branched or linear alkyl group having 1 to 10 C atoms or a partially or fully deuterated branched or linear alkyl group having 1 to 10 C atoms or a cycloalkyl group having 4 to 10 C atoms which may be partially or fully substituted with deuterium.
- Preferred examples of phosphorescent emitters are described in WO2019/007867 on pages 120 to 126 in Table 5 and on pages 127 to 129 in Table 6. The emitters are incorporated into the description by this reference.
- each mixture selected from the sum of the mixtures M1 to M1287 is preferably combined with a compound of the formula (IIIa) or a compound of the formulas (I) to (VIII) or a compound from Table 6.
- the light-emitting layer in the organic electroluminescent device according to the invention containing at least one phosphorescent emitter is preferably an infrared-emitting, yellow, orange, red, green, blue or ultraviolet-emitting layer, particularly preferably a yellow or green emitting layer, and most preferably a green emitting layer.
- a yellow-emitting layer is understood to be a layer whose photoluminescence maximum is in the range from 540 to 570 nm.
- An orange-emitting layer is understood to be a layer whose photoluminescence maximum is in the range from 570 to 600 nm.
- a red-emitting layer is understood to be a layer whose photoluminescence maximum is in the range from 600 to 750 nm.
- a green-emitting layer is understood to be a layer whose photoluminescence maximum is in the range from 490 to 540 nm.
- a blue-emitting layer is understood to be a layer whose photoluminescence maximum is in the range from 440 to 490 nm.
- the photoluminescence maximum of the layer is determined by measuring the photoluminescence spectrum of the layer with a layer thickness of 50 nm at room temperature, wherein the layer contains the inventive combination of the host material 1 of the formulas (1), (1a), (1b), (1c), (1d), (1e), (1f), (1g), (1h), (1i) or (1j) and the host material 2 of at least one of the formulas (6), (7), (8), (9), (10) or (11) and the corresponding emitter.
- the photoluminescence spectrum of the layer is recorded, for example, using a commercially available photoluminescence spectrometer.
- the photoluminescence spectrum of the selected emitter is usually measured in an oxygen-free solution, 10' 5 molar, with the measurement being carried out at room temperature and any solvent in which the selected emitter dissolves in the stated concentration being suitable. Particularly suitable solvents are usually toluene or 2-methyl-THF, but also dichloromethane.
- the measurement is carried out using a commercially available photoluminescence spectrometer.
- Preferred phosphorescent emitters are therefore yellow emitters, preferably of the formula (IIIa), the formulas (I) to (VIII) or from Table 6, whose triplet energy T 1 is preferably ⁇ 2.3 eV to ⁇ 2.1 eV.
- Preferred phosphorescent emitters are therefore green emitters, preferably of formula (IIIa), formulas (I) to (VIII) or from Table 6, whose triplet energy T is preferably between ⁇ 2.5 eV and ⁇ 2.3 eV.
- Particularly preferred phosphorescent emitters are therefore green emitters, preferably of the formula (IIIa), the formulas (I) to (VIII) or from Table 6, as described above, whose triplet energy T-
- Fluorescent emitters can also be present in the light-emitting layer of the device according to the invention or in the mixture according to the invention.
- Preferred fluorescent emitting compounds are selected from the class of arylamines, wherein preferably at least one of the aromatic or heteroaromatic ring systems of the arylamine is a condensed ring system, particularly preferably with at least 14 ring atoms.
- Preferred examples of these are aromatic anthraceneamines, aromatic anthracenediamines, aromatic pyreneamines, aromatic pyrenediamines, aromatic chrysenamines or aromatic chrysenediamines.
- aromatic anthraceneamine is understood to mean a compound in which a diarylamino group is bonded directly to an anthracene group, preferably in the 9-position.
- aromatic anthracenediamine is understood to mean a compound in which two diarylamino groups are bonded directly to an anthracene group, preferably in the 9,10-position.
- Aromatic pyrenamines, pyrenediamines, chrysenamines and chrysenediamines are defined analogously, with the diarylamino groups on the pyrene preferably being bonded in the 1-position or in the 1,6-position.
- Indenofluorenamines or diamines are indenofluorenamines or diamines, benzoindenofluorenamines or diamines, and dibenzoindenofluorenamines or diamines, as well as indenofluorene derivatives with condensed aryl groups. Pyrene-arylamines are also preferred. Also preferred are benzoindenofluorene amines, benzofluorene amines, extended benzoindenofluorenes, phenoxazines and fluorene derivatives which are linked to furan units or to thiophene units.
- the light-emitting device or the mixture according to the invention can also contain materials which exhibit TADF (thermally activated delayed fluorescence).
- the at least one light-emitting layer of the organic electroluminescent device can contain three or four different matrix materials, preferably three different matrix materials.
- These corresponding mixed matrix systems can consist of the matrix materials described for the host material 1 and the host material 2, but they can also contain, as a third or fourth matrix material, for example in addition to a host material 1 or host material 2, wide-band-gap materials, bipolar host materials, electron transport materials (ETM) or hole transport materials (HTM).
- the mixed matrix system is optimized to an emitter of formula (IIIa), formulas (I) to (VIII) or from Table 5.
- the mixture contains no further components, i.e. functional materials, in addition to the constituents of the host material of the formulas (1), (1a), (1b), (1c), (1d), (1e), (1f), (1g), (1h), (1i) or (1j) as host material 1 and the host material 2, selected from one or more of the compounds of the formulas (6), (7), (8), (9), (10) or (11), as described above.
- These are material mixtures that are used as such to produce the light-emitting layer.
- These mixtures are also referred to as premix systems, which are used as the only material source when vaporizing the host materials for the light-emitting layer and which have a constant mixing ratio when vaporizing. This makes it possible to vaporize a layer with a uniform distribution of the components in a simple and quick manner, without the need for precise control of a large number of material sources.
- the mixture as a premix system contains, in addition to the components of the host material 1 and 2, as described above, a phosphorescent emitter, as described above. With a suitable mixing ratio during vapor deposition, this mixture can also be used as the sole material source, as described above.
- Premix systems consisting of two matrix materials are preferred, namely a compound of the formulas (1), (1a), (1b), (1c), (1d), (1e), (1f), (1g), (1h), (1i) or (1j) and a compound of one of the formulas (6), (7), (8), (9), (10) or (11).
- premix systems consisting of three matrix materials, namely a compound of the formulas (1), (1a), (1b), (1c), (1d), (1e), (1f), (1g), (1h), (1i) or (1j) and two compounds of one of the formulas (6), (7), (8), (9), (10) or (11).
- the components or constituents of the light-emitting layer of the device according to the invention can be processed by vapor deposition or from solution.
- the material combination of the host materials 1 and 2, as described above or preferably described, optionally with the phosphorescent emitter, as described above or preferably described, can be provided for this purpose in a formulation which contains at least one solvent. Suitable formulations have been described above.
- the light-emitting layer in the device according to the invention according to the preferred embodiments and the emitting compound preferably contains between 99.9 and 1 vol. %, more preferably between 99 and 10 vol. %, particularly preferably between 98 and 60 vol. %, most preferably between 97 and 80 vol. % of matrix material made of at least one compound of the formulas (1), (1a), (1b), (1c), (1d), (1e), (1f), (1g), (1h), (1i) or (1j) and at least one compound of the formulas (6), (7), (8), (9), (10) or (11) according to the preferred embodiments, based on the total composition of emitter and matrix material.
- the light-emitting layer in the device according to the invention preferably contains between 0.1 and 99 vol. %, more preferably between 1 and 90 vol. %, particularly preferably between 2 and 40 vol. %, very particularly preferably between 3 and 20 vol. % of the emitter based on the total composition of the light-emitting layer consisting of emitter and matrix material. If the compounds are processed from solution, the corresponding amounts in wt. % are preferably used instead of the amounts in vol. % given above.
- the present invention also relates to an organic electroluminescent device as described above or preferably described, wherein the organic layer contains a hole injection layer (HIL) and/or a hole transport layer (HTL), the hole injecting material and hole transporting material of which belong to the class of arylamines.
- HIL hole injection layer
- HTL hole transport layer
- the sequence of layers in the organic electroluminescent device according to the invention is preferably as follows: Anode I hole injection layer I hole transport layer I emitting layer / hole blocking layer / electron transport layer / electron injection layer / cathode.
- This sequence of layers is a preferred sequence.
- All materials that can be used as electron transport materials in the electron transport layer according to the prior art can be used as materials for the electron transport layer.
- Particularly suitable are aluminum complexes, for example Alqß, zirconium complexes, for example Zrq4, benzimidazole derivatives, triazine derivatives, pyrimidine derivatives, pyridine derivatives, pyrazine derivatives, quinoxaline derivatives, quinoline derivatives, oxadiazole derivatives, aromatic ketones, lactams, boranes, diazaphosphole derivatives and phosphine oxide derivatives.
- Alqß aluminum complexes
- zirconium complexes for example Zrq4
- benzimidazole derivatives triazine derivatives
- pyrimidine derivatives pyridine derivatives
- pyrazine derivatives quinoxaline derivatives
- quinoline derivatives quinoline derivatives
- oxadiazole derivatives aromatic ketones
- lactams boranes
- Metals with a low work function metal alloys or multilayer structures made of different metals, such as alkaline earth metals, alkali metals, main group metals or lanthanides (e.g. Ca, Ba, Mg, Al, In, Mg, Yb, Sm, etc.) are suitable as the cathode of the device according to the invention. Alloys made of an alkali or alkaline earth metal and silver are also suitable, for example an alloy of magnesium and silver.
- other metals can be used which have a relatively high work function, such as Ag or Al, in which case combinations of the metals, such as Ca/Ag, Mg/Ag or Ba/Ag, are generally used.
- a thin intermediate layer of a material with a high dielectric constant between a metallic cathode and the organic semiconductor may also be preferable to introduce a thin intermediate layer of a material with a high dielectric constant between a metallic cathode and the organic semiconductor.
- a material with a high dielectric constant between a metallic cathode and the organic semiconductor.
- alkali metal or alkaline earth metal fluorides but also the corresponding oxides or carbonates (e.g. LiF, Ü2O, BaF2, MgO, NaF, CsF, CS2CO3, etc.) can be used for this purpose.
- Lithium quinolinate (LiQ) can also be used for this purpose.
- the layer thickness of this layer is preferably between 0.5 and 5 nm.
- anodes Materials with a high work function are preferred as anodes.
- the anode preferably has a work function greater than 4.5 eV vs. vacuum.
- Metals with a high redox potential are suitable for this, such as Ag, Pt or Au.
- metal/metal oxide electrodes e.g. Al/Ni/NiO x , Al/PtO x
- at least one of the electrodes must be transparent or partially transparent in order to enable either the irradiation of the organic material (organic solar cell) or the coupling out of light (OLED, O-LASER).
- Preferred anode materials here are conductive mixed metal oxides.
- ITO Indium tin oxide
- IZO indium zinc oxide
- conductive, doped organic materials in particular conductive doped polymers.
- the anode can also consist of several layers, for example an inner layer made of ITO and an outer layer made of a metal oxide, preferably tungsten oxide, molybdenum oxide or vanadium oxide.
- the organic electroluminescent device according to the invention is structured, contacted and finally sealed accordingly (depending on the application) during production, since the lifetime of the devices according to the invention is shortened in the presence of water and/or air.
- the manufacture of the device according to the invention is not restricted here. It is possible for one or more organic layers, including the light-emitting layer, to be coated using a sublimation process.
- the materials are vapor-deposited in vacuum sublimation systems at an initial pressure of less than 10'5 mbar, preferably less than 10'6 mbar. However, it is also possible for the initial pressure to be even lower, for example less than 10'7 mbar.
- the organic electroluminescent device according to the invention is preferably characterized in that one or more layers are coated using the OVPD (Organic Vapour Phase Deposition) method or with the aid of carrier gas sublimation.
- the materials are applied at a pressure between 10'$ mbar and 1 bar.
- OVPD Organic Vapour Phase Deposition
- a special case of this method is the OVJP (Organic Vapour Jet Printing) method, in which the materials are applied directly through a nozzle and thus structured (e.g. M. S. Arnold et al., Appl. Phys. Lett. 2008, 92, 053301).
- the organic electroluminescent device according to the invention is preferably characterized in that one or more organic layers containing the composition according to the invention from Solution, such as by spin coating, or with any printing process, such as screen printing, flexographic printing, nozzle printing or offset printing, but particularly preferably LITI (Light Induced Thermal Imaging, thermal transfer printing) or ink-jet printing. Soluble host materials 1 and 2 and phosphorescent emitters are required for this. Processing from solution has the advantage that, for example, the light-emitting layer can be applied very easily and inexpensively. This technique is particularly suitable for the mass production of organic electroluminescent devices.
- any printing process such as screen printing, flexographic printing, nozzle printing or offset printing, but particularly preferably LITI (Light Induced Thermal Imaging, thermal transfer printing) or ink-jet printing.
- Soluble host materials 1 and 2 and phosphorescent emitters are required for this.
- Processing from solution has the advantage that, for example, the light-emitting layer can be applied very easily and inexpensively. This technique
- hybrid processes are possible in which, for example, one or more layers are applied from solution and one or more further layers are vapor deposited.
- the organic layer according to the invention preferably the light-emitting layer
- the materials used can each be placed in a material source and then evaporated from the various material sources (“co-evaporation”).
- the various materials can be premixed (“premix systems”) and the mixture placed in a single material source from which it is then evaporated (“premix evaporation”). This makes it possible to vaporize the light-emitting layer with a uniform distribution of the components in a simple and quick manner, without the need for precise control of a large number of material sources.
- a method for producing the organic electroluminescent device according to the invention characterized in that the organic layer, preferably the light-emitting layer, the electron transport layer and/or hole blocking layer, is deposited by gas phase deposition, in particular with a sublimation process and/or with an OVPD (Organic Vapour Phase Deposition) process and/or with by means of carrier gas sublimation, or from solution, in particular by spin coating or by a printing process.
- gas phase deposition in particular with a sublimation process and/or with an OVPD (Organic Vapour Phase Deposition) process and/or with by means of carrier gas sublimation, or from solution, in particular by spin coating or by a printing process.
- OVPD Organic Vapour Phase Deposition
- a method for producing the device according to the invention characterized in that the light-emitting layer of the organic layer is applied by gas phase deposition, wherein the at least one compound of the formulas (1), (1a), (1b), (1c), (1d), (1e), (1f), (1g), (1h), (1i) or (1j) together with the further materials which form the light-emitting layer are deposited successively or simultaneously from at least two material sources from the gas phase.
- a method for producing the device according to the invention characterized in that the light-emitting layer of the organic layer is applied by gas phase deposition, wherein the at least one compound of the formulas (1), (1a), (1b), (1c), (1d), (1e), (1f), (1g), (1h), (1i) or (1j) together with at least one further matrix material as a premix, are deposited from the gas phase one after the other or simultaneously with the light-emitting materials selected from the group of phosphorescent emitters, fluorescent emitters and/or emitters which exhibit TADF (thermally activated delayed fluorescence).
- TADF thermalally activated delayed fluorescence
- the electronic devices according to the invention are characterized by one or more of the following surprising advantages over the prior art:
- Electronic devices in particular organic electroluminescent devices containing compounds according to formulas (1), (1a), (1b), (1c), (1d), (1e), (1f), (1g), (1h), (1i) or (1j) or the preferred embodiments set out above and below, in particular as matrix material, have a very good service life. In this case, these compounds in particular cause a low roll-off, i.e. a small drop in the power efficiency of the device at high luminance levels.
- the compounds according to formulas (1), (1a), (1b), (1c), (1d), (1e), (1f), (1g), (1h), (1i) or (1j) or the preferred embodiments set out above and below have a deep triplet level Ti, which can be in the range of 2.50 eV - 2.90 eV, for example.
- the Gaussian16 (Rev. B.01) program package is used in all quantum chemical calculations.
- the neutral singlet ground state is optimized at the B3LYP/6-31G(d) level.
- HOMO and LUMO values are determined at the B3LYP/6-31G(d) level for the ground state energy optimized with B3LYP/6-31G(d).
- TD-DFT singlet and triplet excitations are calculated using the same method (B3LYP/6-31G(d)) and the optimized ground state geometry.
- the default settings for SCF and gradient convergence are used.
- the HOMO is obtained as the last orbital occupied by two electrons (alpha occ. eigenvalues) and LIIMO as the first unoccupied orbital (alpha virt. eigenvalues) in Hartree units, where HEh and LEh stand for the HOMO energy in Hartree units and the LUMO energy in Hartree units, respectively. From this, the HOMO and LUMO value in electron volts, calibrated using cyclic voltammetry measurements, is determined as follows:
- the triplet level T1 of a material is defined as the relative excitation energy (in eV) of the triplet state with the lowest energy resulting from the quantum chemical energy calculation.
- the singlet level S1 of a material is defined as the relative excitation energy (in eV) of the singlet state with the second lowest energy resulting from the quantum chemical energy calculation.
- the lowest energy singlet state is called SO.
- the method described here is independent of the software package used and always delivers the same results. Examples of frequently used programs for this purpose are “Gaussian09” (Gaussian Inc.) and Q-Chem 4.1 (Q-Chem, Inc.). In this case, the program package "Gaussian16 (Rev. B.01)" is used to calculate the energies.
- the yield is 75 g (105 mmol), corresponding to 67% of theory.
- Examples B1 to B15 show data from OLEDs according to the invention. Glass plates coated with structured ITO (indium tin oxide) with a thickness of 50 nm are used as the substrate for the OLEDs in Table 7.
- structured ITO indium tin oxide
- the emission layer always consists of at least one matrix material (also known as host material) and an emitting dopant (dopant, emitter), which is mixed into the matrix material or materials by co-evaporation in a certain volume proportion.
- a specification such as EE1:H1:TEG2 (32%:60%:8%) 40nm means that the material EE1 is present in a volume proportion of 32% as host material 1, the compound H1 as host material 2 in a proportion of 60% and TEG2 in a proportion of 8% in a 40nm thick layer.
- the electron transport layer can also consist of a mixture of two materials.
- the OLEDs are characterized as standard.
- the electroluminescence spectra and current-voltage-luminance characteristics are measured, from which the EQE is calculated.
- the calculation is carried out assuming a Lambertian radiation characteristic.
- the electroluminescence spectra are determined at a luminance of 1000 cd/m 2 and the CIE 1931 x and y color coordinates are calculated from this.
- the U1000 in Table 8 refers to the voltage required for a luminance of 1000 cd/m 2 .
- EQE1000 refers to the external quantum efficiency at an operating luminance of 1000 cd/m 2 .
- the service life LT is defined as the time after which the luminance drops from a starting luminance L0 (in cd/m 2 ) to a certain proportion L1 (in cd/m 2 ) when operated with a constant current density jo in mA/ cm 2 .
- Examples V1 to V4, V5 to V10, V12, V13 and V15 are comparative examples, examples B1 to B4 and B6 to B15 show data from OLEDs according to the invention.
- the examples according to the invention show a clear advantage in the service life of the device.
Landscapes
- Chemical & Material Sciences (AREA)
- Organic Chemistry (AREA)
- Physics & Mathematics (AREA)
- Engineering & Computer Science (AREA)
- Materials Engineering (AREA)
- Spectroscopy & Molecular Physics (AREA)
- Optics & Photonics (AREA)
- Electroluminescent Light Sources (AREA)
- Crystallography & Structural Chemistry (AREA)
- Inorganic Chemistry (AREA)
Abstract
Description
Claims
Priority Applications (4)
| Application Number | Priority Date | Filing Date | Title |
|---|---|---|---|
| EP23805574.3A EP4619383A1 (de) | 2022-11-16 | 2023-11-13 | Materialien für organische elektrolumineszenzvorrichtungen |
| KR1020257019583A KR20250109221A (ko) | 2022-11-16 | 2023-11-13 | 유기 전계발광 디바이스용 재료 |
| CN202380079250.6A CN120202187A (zh) | 2022-11-16 | 2023-11-13 | 用于有机电致发光器件的材料 |
| US19/208,391 US20250275354A1 (en) | 2022-11-16 | 2025-05-14 | Materials for organic electroluminescent devices |
Applications Claiming Priority (2)
| Application Number | Priority Date | Filing Date | Title |
|---|---|---|---|
| EP22207901.4 | 2022-11-16 | ||
| EP22207901 | 2022-11-16 |
Related Child Applications (1)
| Application Number | Title | Priority Date | Filing Date |
|---|---|---|---|
| US19/208,391 Continuation US20250275354A1 (en) | 2022-11-16 | 2025-05-14 | Materials for organic electroluminescent devices |
Publications (1)
| Publication Number | Publication Date |
|---|---|
| WO2024104934A1 true WO2024104934A1 (de) | 2024-05-23 |
Family
ID=84359277
Family Applications (1)
| Application Number | Title | Priority Date | Filing Date |
|---|---|---|---|
| PCT/EP2023/081552 Ceased WO2024104934A1 (de) | 2022-11-16 | 2023-11-13 | Materialien für organische elektrolumineszenzvorrichtungen |
Country Status (5)
| Country | Link |
|---|---|
| US (1) | US20250275354A1 (de) |
| EP (1) | EP4619383A1 (de) |
| KR (1) | KR20250109221A (de) |
| CN (1) | CN120202187A (de) |
| WO (1) | WO2024104934A1 (de) |
Citations (20)
| Publication number | Priority date | Publication date | Assignee | Title |
|---|---|---|---|---|
| US7294849B2 (en) | 2001-03-14 | 2007-11-13 | The Trustees Of Princeton University | Materials and devices for blue phosphorescence based organic light emitting diodes |
| WO2011088877A1 (de) | 2010-01-25 | 2011-07-28 | Merck Patent Gmbh | Verbindungen für elektronische vorrichtungen |
| WO2011128017A1 (de) | 2010-04-14 | 2011-10-20 | Merck Patent Gmbh | Überbrückte triarylamine und -phosphine als materialien für elektronische vorrichtungen |
| WO2012048781A1 (de) | 2010-10-15 | 2012-04-19 | Merck Patent Gmbh | Materialien auf basis von triphenylen für organische elektrolumineszenzvorrichtungen |
| KR20160041014A (ko) | 2014-10-06 | 2016-04-15 | 유니버셜 디스플레이 코포레이션 | 유기 전계발광 물질 및 소자 |
| WO2017122988A1 (ko) | 2016-01-13 | 2017-07-20 | 덕산네오룩스 주식회사 | 유기전기소자용 화합물, 이를 이용한 유기전기소자 및 그 전자 장치 |
| WO2018110887A1 (ko) | 2016-12-14 | 2018-06-21 | 주식회사 엘지화학 | 헤테로 고리 화합물 및 이를 포함하는 유기 발광 소자 |
| WO2019007867A1 (de) | 2017-07-05 | 2019-01-10 | Merck Patent Gmbh | Zusammensetzung für organische elektronische vorrichtungen |
| US20190051844A1 (en) | 2017-08-09 | 2019-02-14 | Universal Display Corporation | Organic electroluminescent materials and devices |
| KR101978651B1 (ko) | 2018-10-30 | 2019-05-15 | 머티어리얼사이언스 주식회사 | 중수소화 유기 화합물의 제조 방법 및 이의 제조 방법에 의해 제조된 중수소화 유기 화합물 |
| US20190315759A1 (en) | 2018-04-13 | 2019-10-17 | Universal Display Corporation | Host materials for electroluminescent devices |
| WO2019229011A1 (de) | 2018-05-30 | 2019-12-05 | Merck Patent Gmbh | Zusammensetzung für organische elektronische vorrichtungen |
| CN111978355A (zh) | 2020-09-09 | 2020-11-24 | 浙江华显光电科技有限公司 | 有机化合物和使用该化合物的有机电致发光器件 |
| US20210119134A1 (en) | 2019-10-18 | 2021-04-22 | Rohm And Haas Electronic Materials Korea Ltd. | Plurality of light-emitting material and organic electroluminescent device comprising the same |
| CN113248477A (zh) | 2021-05-14 | 2021-08-13 | 北京八亿时空液晶科技股份有限公司 | 一种有机化合物、有机电致发光材料及有机电致发光元件 |
| WO2021180614A1 (de) | 2020-03-11 | 2021-09-16 | Merck Patent Gmbh | Organische elektrolumineszierende vorrichtung |
| WO2022038065A1 (de) | 2020-08-18 | 2022-02-24 | Merck Patent Gmbh | Materialien für organische elektrolumineszenzvorrichtungen |
| US20220263031A1 (en) | 2021-02-02 | 2022-08-18 | Rohm And Haas Electronic Materials Korea Ltd. | Organic electroluminescent compound, a plurality of host materials, and organic electroluminescent device comprising the same |
| WO2022229126A1 (de) * | 2021-04-29 | 2022-11-03 | Merck Patent Gmbh | Materialien für organische elektrolumineszenzvorrichtungen |
| CN115626914A (zh) | 2022-11-04 | 2023-01-20 | 冠能光电材料(深圳)有限责任公司 | 一种咔唑类化合物及其应用 |
-
2023
- 2023-11-13 EP EP23805574.3A patent/EP4619383A1/de active Pending
- 2023-11-13 KR KR1020257019583A patent/KR20250109221A/ko active Pending
- 2023-11-13 WO PCT/EP2023/081552 patent/WO2024104934A1/de not_active Ceased
- 2023-11-13 CN CN202380079250.6A patent/CN120202187A/zh active Pending
-
2025
- 2025-05-14 US US19/208,391 patent/US20250275354A1/en active Pending
Patent Citations (21)
| Publication number | Priority date | Publication date | Assignee | Title |
|---|---|---|---|---|
| US7294849B2 (en) | 2001-03-14 | 2007-11-13 | The Trustees Of Princeton University | Materials and devices for blue phosphorescence based organic light emitting diodes |
| WO2011088877A1 (de) | 2010-01-25 | 2011-07-28 | Merck Patent Gmbh | Verbindungen für elektronische vorrichtungen |
| WO2011128017A1 (de) | 2010-04-14 | 2011-10-20 | Merck Patent Gmbh | Überbrückte triarylamine und -phosphine als materialien für elektronische vorrichtungen |
| WO2012048781A1 (de) | 2010-10-15 | 2012-04-19 | Merck Patent Gmbh | Materialien auf basis von triphenylen für organische elektrolumineszenzvorrichtungen |
| DE102010048608A1 (de) * | 2010-10-15 | 2012-04-19 | Merck Patent Gmbh | Materialien für organische Elektrolumineszenzvorrichtungen |
| KR20160041014A (ko) | 2014-10-06 | 2016-04-15 | 유니버셜 디스플레이 코포레이션 | 유기 전계발광 물질 및 소자 |
| WO2017122988A1 (ko) | 2016-01-13 | 2017-07-20 | 덕산네오룩스 주식회사 | 유기전기소자용 화합물, 이를 이용한 유기전기소자 및 그 전자 장치 |
| WO2018110887A1 (ko) | 2016-12-14 | 2018-06-21 | 주식회사 엘지화학 | 헤테로 고리 화합물 및 이를 포함하는 유기 발광 소자 |
| WO2019007867A1 (de) | 2017-07-05 | 2019-01-10 | Merck Patent Gmbh | Zusammensetzung für organische elektronische vorrichtungen |
| US20190051844A1 (en) | 2017-08-09 | 2019-02-14 | Universal Display Corporation | Organic electroluminescent materials and devices |
| US20190315759A1 (en) | 2018-04-13 | 2019-10-17 | Universal Display Corporation | Host materials for electroluminescent devices |
| WO2019229011A1 (de) | 2018-05-30 | 2019-12-05 | Merck Patent Gmbh | Zusammensetzung für organische elektronische vorrichtungen |
| KR101978651B1 (ko) | 2018-10-30 | 2019-05-15 | 머티어리얼사이언스 주식회사 | 중수소화 유기 화합물의 제조 방법 및 이의 제조 방법에 의해 제조된 중수소화 유기 화합물 |
| US20210119134A1 (en) | 2019-10-18 | 2021-04-22 | Rohm And Haas Electronic Materials Korea Ltd. | Plurality of light-emitting material and organic electroluminescent device comprising the same |
| WO2021180614A1 (de) | 2020-03-11 | 2021-09-16 | Merck Patent Gmbh | Organische elektrolumineszierende vorrichtung |
| WO2022038065A1 (de) | 2020-08-18 | 2022-02-24 | Merck Patent Gmbh | Materialien für organische elektrolumineszenzvorrichtungen |
| CN111978355A (zh) | 2020-09-09 | 2020-11-24 | 浙江华显光电科技有限公司 | 有机化合物和使用该化合物的有机电致发光器件 |
| US20220263031A1 (en) | 2021-02-02 | 2022-08-18 | Rohm And Haas Electronic Materials Korea Ltd. | Organic electroluminescent compound, a plurality of host materials, and organic electroluminescent device comprising the same |
| WO2022229126A1 (de) * | 2021-04-29 | 2022-11-03 | Merck Patent Gmbh | Materialien für organische elektrolumineszenzvorrichtungen |
| CN113248477A (zh) | 2021-05-14 | 2021-08-13 | 北京八亿时空液晶科技股份有限公司 | 一种有机化合物、有机电致发光材料及有机电致发光元件 |
| CN115626914A (zh) | 2022-11-04 | 2023-01-20 | 冠能光电材料(深圳)有限责任公司 | 一种咔唑类化合物及其应用 |
Non-Patent Citations (4)
| Title |
|---|
| ASIAN JOURNAL OF ORGANIC CHEMISTRY, vol. 6, no. 8, 2017, pages 1063 - 1071 |
| B. M. S. ARNOLD ET AL., APPL. PHYS. LETT, vol. 92, 2008, pages 053301 |
| BULLETIN OF THE CHEMICAL SOCIETY OF JAPAN, vol. 94, no. 2, 2021, pages 600 - 605 |
| CAS, no. 2037-26-5 |
Also Published As
| Publication number | Publication date |
|---|---|
| CN120202187A (zh) | 2025-06-24 |
| US20250275354A1 (en) | 2025-08-28 |
| KR20250109221A (ko) | 2025-07-16 |
| EP4619383A1 (de) | 2025-09-24 |
Similar Documents
| Publication | Publication Date | Title |
|---|---|---|
| EP3371274B1 (de) | Materialien für organische elektrolumineszenzvorrichtungen | |
| WO2022207678A1 (de) | Organische elektrolumineszierende vorrichtung | |
| WO2022090108A1 (de) | Organische elektrolumineszierende vorrichtung | |
| EP3928360A1 (de) | Zusammensetzung für organische elektronische vorrichtungen | |
| WO2017148565A1 (de) | Materialien für organische elektrolumineszenzvorrichtungen | |
| EP4416155A1 (de) | Materialien für organische elektrolumineszenzvorrichtungen | |
| WO2018166932A1 (de) | Verbindungen mit arylamin-strukturen | |
| WO2017041874A1 (de) | Materialien für organische elektrolumineszenzvorrichtungen | |
| EP3538521A1 (de) | Materialien für organische elektrolumineszenzvorrichtungen | |
| EP4426701A1 (de) | Benzofuro[3,2-d]pyrimidin-2,4-dicarbonitril-derivate und ähnliche verbindungen für organische elektrolumineszenzvorrichtungen | |
| WO2025132524A1 (de) | Neue materialien für organische elektrolumineszenzvorrichtungen | |
| EP4631325A1 (de) | Organische elektronische vorrichtung und spezielle materialien für organische elektronische vorrichtungen | |
| WO2024104934A1 (de) | Materialien für organische elektrolumineszenzvorrichtungen | |
| WO2024251699A1 (de) | Materialien für organische elektrolumineszenzvorrichtungen | |
| WO2025125167A1 (de) | Materialien für organische elektrolumineszenzvorrichtungen | |
| EP4573099A1 (de) | Materialien für organische elektrolumineszenzvorrichtungen | |
| EP4573098A1 (de) | Materialien für organische elektrolumineszenzvorrichtungen | |
| WO2025021785A1 (de) | Organische elektronische vorrichtung | |
| WO2024133211A1 (de) | Neue materialien für organische elektrolumineszenzvorrichtungen | |
| WO2025125168A1 (de) | Materialien für organische elektrolumineszenzvorrichtungen | |
| WO2025051664A1 (de) | Materialien für organische lichtemittierende vorrichtungen | |
| WO2025021841A1 (de) | Organische elektronische vorrichtung | |
| WO2025168515A1 (de) | Materialien für organische elektronische vorrichtungen | |
| WO2025104058A1 (de) | Materialien für organische elektronische vorrichtungen | |
| WO2025087892A1 (de) | Neue materialien für organische elektrolumineszenzvorrichtungen |
Legal Events
| Date | Code | Title | Description |
|---|---|---|---|
| 121 | Ep: the epo has been informed by wipo that ep was designated in this application |
Ref document number: 23805574 Country of ref document: EP Kind code of ref document: A1 |
|
| WWE | Wipo information: entry into national phase |
Ref document number: 202380079250.6 Country of ref document: CN |
|
| WWE | Wipo information: entry into national phase |
Ref document number: 1020257019583 Country of ref document: KR |
|
| WWE | Wipo information: entry into national phase |
Ref document number: 2023805574 Country of ref document: EP |
|
| NENP | Non-entry into the national phase |
Ref country code: DE |
|
| ENP | Entry into the national phase |
Ref document number: 2023805574 Country of ref document: EP Effective date: 20250616 |
|
| WWP | Wipo information: published in national office |
Ref document number: 202380079250.6 Country of ref document: CN |
|
| WWP | Wipo information: published in national office |
Ref document number: 1020257019583 Country of ref document: KR |
|
| WWP | Wipo information: published in national office |
Ref document number: 2023805574 Country of ref document: EP |




















































































































