WO2024056517A1 - Use of an alkylether sulfate for improving the efficacy of herbicides - Google Patents
Use of an alkylether sulfate for improving the efficacy of herbicides Download PDFInfo
- Publication number
- WO2024056517A1 WO2024056517A1 PCT/EP2023/074592 EP2023074592W WO2024056517A1 WO 2024056517 A1 WO2024056517 A1 WO 2024056517A1 EP 2023074592 W EP2023074592 W EP 2023074592W WO 2024056517 A1 WO2024056517 A1 WO 2024056517A1
- Authority
- WO
- WIPO (PCT)
- Prior art keywords
- herbicide
- group
- gene
- inhibitors
- event code
- Prior art date
- Legal status (The legal status is an assumption and is not a legal conclusion. Google has not performed a legal analysis and makes no representation as to the accuracy of the status listed.)
- Ceased
Links
Classifications
-
- A—HUMAN NECESSITIES
- A01—AGRICULTURE; FORESTRY; ANIMAL HUSBANDRY; HUNTING; TRAPPING; FISHING
- A01N—PRESERVATION OF BODIES OF HUMANS OR ANIMALS OR PLANTS OR PARTS THEREOF; BIOCIDES, e.g. AS DISINFECTANTS, AS PESTICIDES OR AS HERBICIDES; PEST REPELLANTS OR ATTRACTANTS; PLANT GROWTH REGULATORS
- A01N25/00—Biocides, pest repellants or attractants, or plant growth regulators, characterised by their forms, or by their non-active ingredients or by their methods of application, e.g. seed treatment or sequential application; Substances for reducing the noxious effect of the active ingredients to organisms other than pests
- A01N25/30—Biocides, pest repellants or attractants, or plant growth regulators, characterised by their forms, or by their non-active ingredients or by their methods of application, e.g. seed treatment or sequential application; Substances for reducing the noxious effect of the active ingredients to organisms other than pests characterised by the surfactants
-
- A—HUMAN NECESSITIES
- A01—AGRICULTURE; FORESTRY; ANIMAL HUSBANDRY; HUNTING; TRAPPING; FISHING
- A01G—HORTICULTURE; CULTIVATION OF VEGETABLES, FLOWERS, RICE, FRUIT, VINES, HOPS OR SEAWEED; FORESTRY; WATERING
- A01G7/00—Botany in general
- A01G7/06—Treatment of growing trees or plants, e.g. for preventing decay of wood, for tingeing flowers or wood, for prolonging the life of plants
-
- A—HUMAN NECESSITIES
- A01—AGRICULTURE; FORESTRY; ANIMAL HUSBANDRY; HUNTING; TRAPPING; FISHING
- A01N—PRESERVATION OF BODIES OF HUMANS OR ANIMALS OR PLANTS OR PARTS THEREOF; BIOCIDES, e.g. AS DISINFECTANTS, AS PESTICIDES OR AS HERBICIDES; PEST REPELLANTS OR ATTRACTANTS; PLANT GROWTH REGULATORS
- A01N57/00—Biocides, pest repellants or attractants, or plant growth regulators containing organic phosphorus compounds
- A01N57/18—Biocides, pest repellants or attractants, or plant growth regulators containing organic phosphorus compounds having phosphorus-to-carbon bonds
- A01N57/20—Biocides, pest repellants or attractants, or plant growth regulators containing organic phosphorus compounds having phosphorus-to-carbon bonds containing acyclic or cycloaliphatic radicals
-
- A—HUMAN NECESSITIES
- A01—AGRICULTURE; FORESTRY; ANIMAL HUSBANDRY; HUNTING; TRAPPING; FISHING
- A01P—BIOCIDAL, PEST REPELLANT, PEST ATTRACTANT OR PLANT GROWTH REGULATORY ACTIVITY OF CHEMICAL COMPOUNDS OR PREPARATIONS
- A01P13/00—Herbicides; Algicides
Definitions
- the present invention relates to use of an alkylether sulfate of the formula (I) as defined hereinafter for improving the herbicidal effect of one or more herbicide compounds, and to a method for controlling undesired plants, in which at least one alkylether sulfate of the formula (I) and at least one herbicide compound, as defined hereinafter, are applied to the undesired plant or its habitat.
- the present invention also relates to an herbicidal formulation comprising at least one alkylether sulfate of the formula (I) and at least one herbicide compound, as defined hereinafter.
- the present invention relates to an aqueous spray liquor comprising at least one alkylether sulfate of the formula (I) and at least one herbicide compound, as defined hereinafter.
- herbicides are widely applied in order to control growth of undesirable plants, such as weeds, because the undesired plants compete with crop plants for water, nutrition and sunlight and therefore reduce crop yields and crop quality.
- Herbicides may be applied to clear cropland from undesirable plants before sowing or planting crop plants. However, depending on the crops and their compatibility with the herbicide, the herbicide may also be applied to fields where the crop plants grow.
- herbicides In order to be effective, herbicides must overcome a variety of barriers (morphological, biological, and environmental) to their entry into target plants. For example, trichomes on the leaf surface can reduce herbicide efficacy by intercepting spray droplets before they contact the epidermal surface.
- Environmental stress e.g., hot, dry weather
- an adjuvant is an ingredient that aids or modifies the action of the principal active ingredient.
- Adjuvants can be roughly classified into 3 groups: activators, spray modifiers and utility modifiers. Activators will mainly increase the efficacy of the herbicides by various modes of action.
- Activators are typically surfactants, in particular non-ionic surfactants (NIS), including silicone surfactants, oils, such as high surfactant oils, crop oil concentrates, vegetable oil concentrates and modified vegetable oil concentrates, and wetting agents.
- NIS non-ionic surfactants
- Spray modifiers will alter the properties of the aqueous spray liquor and thus facilitate aiming the herbicide spray, reduce herbicide drift in the air or may cause the spray to more readily adhere to the plant by various mechanisms.
- Utility modifiers help minimize handling and application problems. They widen the conditions when an herbicide can be used or maintain the integrity of the spray solution. For example, utility modifiers reduce foaming, increase solubility, modify pH, or reduce spray drift.
- herbicide adjuvants In contrast to activators, spray modifiers and utility modifiers usually do not improve the biological efficacy of the pesticide but facilitate the application of the aqueous pesticide spray liquor.
- a review about adjuvant technology is given by Z. Pacanosky, Herbicide Adjuvants (2015), DOI: 10.5772/60842.
- Water-soluble herbicides such as glufosinate
- Formulations containing water-soluble herbicides are commonly used in the form of liquid or solid concentrated preparations that facilitate user handling or provide increased effectiveness of the active ingredient.
- the formulations are typically diluted with water prior to use and then applied by spray application.
- Water-soluble concentrates (Soluble Liquids, SL) are a particularly important form of herbicide formulations, wherein the active ingredient is often used as a water-soluble salt obtained by neutralizing the acid form of the herbicide with suitable bases.
- Aqueous formulations of glufosinate ammonium are known, for example, from EP-A-0048436, EP-A-0336151, EP-A-1093722, WO 2007/147500 A1 or WO 2007/092351 A2, wherein alkyl ether sulfates are used as adjuvants.
- alkyl ether sulfates having a C12-C16 alkyl chain and 1 to 10 alkylene oxide unit(s), such as sodium lauryl ether sulfate (SLES) or sodium myristyl ether sulfate, have been used as adjuvant in commercially available formulations of glufosinate.
- SLES sodium lauryl ether sulfate
- sodium myristyl ether sulfate sodium myristyl ether sulfate
- alkylether sulfates of formula (I) as described herein increase the effectiveness of herbicide compoundsto a greater extent than the above-mentioned alkyl ether sulfates, such as sodium lauryl ether sulfate or sodium myristyl ether sulfate which are frequently used as an adjuvant for herbicides, such as glufosinate.
- the present invention relates to the use of at least one alkylether sulfate of the formula (I) [R-O-(A-O) n -SO 3 ]- M + (I) in which M + is a cation;
- A is C 2 -C 3 alkandiyl, such as CH 2 CH 2 , CH 2 CH(CH 3 ) or a combination thereof;
- R is branched C10-alkyl, in particular 2-propylheptyl or isodecyl; and
- n is an integer in the range of 1 to 10, preferably in the range of 1 to 8, in particular in the range of 1 to 7, especially in the range of 1 to 5; for increasing the herbicidal effect of one or more herbicide compounds.
- the present invention also relates to a method for controlling undesired plants, wherein at least one alkylether sulfate of the formula (I), as defined herein, and at least one herbicide compound are applied to the undesired plants or their habitat.
- the alkylether sulfates of the formula (I) can be easily incorporated in conventional herbicide formulations of one or more herbicide compounds, in particular into liquid herbicide formulations. Therefore, a further aspect of the present invention is a herbicidal formulation comprising i. at least one alkylether sulfate of the formula (I) as defined herein; and ii. at least one herbicide compound.
- the at least one alkylether sulfate of the formula (I), as defined herein, and at least one herbicide compound are usually applied as an aqueous spray liquor. Therefore, the present invention relates to an aqueous spray liquor comprising i. at least one alkylether sulfate of the formula (I) as defined herein; and ii. at least one herbicide compound.
- the alkylether sulfate of the formula (I) of the present invention has several advantages. First of all, it improves the herbicidal effect of herbicide compounds. In particular, it improves the effectiveness of various herbicide compounds, e. g.
- alkylether sulfate formula (I) can be co-formulated with the herbicide compound in aqueous as well as in a non-aqueous herbicide formulations. It may also be mixed with a conventional formulation of the herbicide compound in an aqueous spray liquor (tank-mix).
- herbicide refers to one or more agents, compounds and/or compositions having herbistatic and/or herbicidal activity.
- herbicide compound refers to a single chemical compound, in particular an organic compound, which has herbistatic and/or herbicidal activity.
- the terms “the herbicidal effect”, “the effectiveness of the herbicide” and “the efficacy of herbicide” are used synonymously.
- the terms “improving the herbicidal effect” and “increasing the herbicidal effect”, refer to an increase or enhancement of the herbicidal activity of the respective herbicide compound against a certain undesired plant.
- the combined use of the herbicide compound and the alkylether sulfate of the formula (I) provides greater herbicidal activity against a target plant at a given application rate of the herbicide compound compared to the activity of the herbicide compound at the same application rate in the absence of the alkylether sulfate of formula (I).
- controlling and combating are synonyms, referring to inhibition of growth, control of growth, reduction of growth or complete destruction of undesired plants.
- the terms “undesirable plants”, “undesirable vegetation”, “undesirable species”, “harmful plants”, “weeds”, “undesirable weeds”, “volunteer plants” or “harmful weeds” are used synonymously.
- the terms “action improver”, “action improver system”, “booster” and “adjuvant” are used synonymously.
- wt% weight percent
- % by weight are used synonymously.
- the term “more herbicide compounds” is to be understood by “more than one herbicide compounds” and therefore includes a “mixture of herbicide compounds”.
- mixture of herbicide compounds refers to a physical and/or chemical mixture comprising at least one herbicide compound.
- herbicide compound(s) refers to one or more herbicide compounds.
- generic names of radicals have the following meanings.
- alkyl refers to linear or branched saturated alkyl radicals having usually from 1 to 20 carbon atoms (C 1 -C 20 alkyl), in particular 1 to 10 carbon atoms (C 1 -C 10 alkyl), especially 1 to 6 carbon atoms (C1-C6 alkyl) or 1 to 6 carbon atoms (C1-C4 alkyl), including methyl, ethyl, n-propyl, 2-propyl, 2-methylpropyl (isopropyl), n-butyl, 2-butyl, isobutyl, tert.-butyl, pentyl, 1-methylbutyl, 2-methylbutyl, 3-methylbutyl, 2,2-dimethylpropyl, 1-ethylpropyl, hexyl, 1,1-dimethylpropyl, 1,2-dimethylpropyl, 1-methylpentyl, 2-methylpentyl, 3-methylpentyl, 4-methylpentyl, 1,1
- the alkylether sulfate of formula (I) is an alkylether sulfate salt having branched C10-alkyl, in particular 2-propylheptyl or isodecyl as alkyl rest, a linker -(A-O) n - formed by 1 to 10 C 2 -C 3 -alkylene oxide unit(s) A-O between branched C10-alkyl and sulfate group, and a cation as counterion for sulfate group.
- alkylether sulfates of the formula (I) are also referred to as branched C10-alkylether sulfates, in particular 2-propylheptylether sulfates or isodecylether sulfates.
- 2-propylheptyl refers to a branched C 10 -alkyl radical consisting of a heptyl and a propyl radical, wherein the heptyl rest has the propyl rest at 2 position as the sole substituent.
- the propyl substituent is a linear propyl (n-propyl) and likewise the heptyl is linear, except for the propyl radical in the 2-position.
- isodecyl refers to a branched decyl radical which has at least one methyl group, in particular 1, 2, 3 or 4 methyl groups which are bound to a tertiary carbon atoms, i. e. CH groups of R of the formula (I).
- isodecyl include e. g.2- methyl-1-nonyl, 8-methyl-1-nonyl, 3,5-dimethyloctyl, 5,7-dimethyloctyl, 2,4,6- trimethylheptyl and mixtures thereof.
- R is 2-propylheptyl.
- R is isodecyl having at least one methyl group bound to a tertiary carbon atom of R of the formula (I).
- the cation M + may bear a single cationic charge, i.e. it is a monovalent cation or it may bear more than one cationic charge, e. g.2, or 3 cationic charges, and thus it is multivalent. It is apparent to a skilled person that in case of multivalent cations, the cation M + in formula (I) refers to a cation equivalent of the cation for reasons of electroneutrality. Preferably, the cation M + is monovalent.
- the cation M + may be any cation suitable for agricultural purposes.
- the cation may be monovalent, i.e. it bears a single cationic charge, or polyvalent, i.e. it bears more than one cationic charge.
- M + refers to the cation equivalent of the cation.
- Suitable cations include alkali metal cations, such as sodium or potassium ions, alkaline earth metal cations, such as calcium ion, ammonium (NH 4 + ), and cations based on organic amines.
- M + refers to monovalent cation.
- the monovalent cation M + of the alkylether sulfate of the formula (I) is preferably selected from the group consisting of alkali metal cations, such as sodium or potassium cations, ammonium (NH 4 + ) and H 4-m NR 1 m + , where R 1 is selected from the group consisting of alkyl, in particular C 1 -C 4 -alkyl, optionally substituted by hydroxyl, methoxy, amino, alkylamino or dialkylamino, cycloalkyl, (Alk-NR’)BN(R’’)2, (CH2CH2O)kCH2CH2OH and (CH2CH(CH3)O)nCH2CH(CH3)OH, where n is 0, 1 or 2, k is 0, 1 or 2, Alk is alkylene, in particular C 2 -C 4 -alkylene, B is alkylene, in particular C 2 -C 4 -alkylene, R’ is hydrogen or alkyl, in particular hydrogen or C 1
- R 1 is C2-C4-alkyl, substituted by 1 hydroxyl group or 1 methoxy group.
- Particularly preferred substituted ammonium cations H 4-m NR 1 m + are those, where m is 1, 2 or 3 and R 1 is is C 1 -C 4 -alkyl, substituted by one hydroxyl group or one methoxy group, such as 2-hydroxyethyl or 2-hydroxypropyl.
- Suitable examples of the cation M + are, but not limited to alkali metal cations such as sodium, potassium and lithium cations, and substituted or unsubstituted ammonium cations, for example NH4 + (ammonium), hydroxyethylammonium, di(hydroxyethyl)ammonium, tri(hydroxyethyl)ammonium cations, 2- hydroxypropylammonium, di(2-hydroxypropyl)ammonium and tri(2- hydroxypropyl)ammonium cations.
- alkali metal cations such as sodium, potassium and lithium cations
- substituted or unsubstituted ammonium cations for example NH4 + (ammonium), hydroxyethylammonium, di(hydroxyethyl)ammonium, tri(hydroxyethyl)ammonium cations, 2- hydroxypropylammonium, di(2-hydroxypropyl)ammonium and tri(2- hydroxypropyl)ammoni
- the cation M + is sodium or a substituted or unsubstituted ammonium cation, more preferably a substituted or unsubstituted ammonium cation of the formula H4- m NR 1 m + as described herein.
- M + is sodium or a substituted or unsubstituted ammonium cation, more preferably a substituted or unsubstituted ammonium cation of the formula H 4-m NR 1 m + as described herein, where where m is 1, 2 or 3 and R 1 is is C 1 - C 4 -alkyl, substituted by 1 hydroxyl group or 1 methoxy group, such as hydroxyethyl or 2-hydroxypropyl.
- variable n in the formula (I) is an integer in the range of 1 to 10, preferably in the range of 1 to 8, particularly in the range of 1 to 7, especially in the range of 1 to 5, e. g. n is 1, 2, 3, 4 or 5.
- the alkylether sulfate of formula (I) is typically a mixture of compounds with different n.
- the average of n is typically in the range of 1 to 10, preferably in the range of 1.1 to 7.0, in particular in the range of 1.5 to 6.0, more preferably in the range of 1.7 to 5.0. Any reference to average of n refer to the number average of the repeating units A-O per molecule, i. e. to the relative molar amounts of repeating units A-O with respect to R.
- the repeating units A-O of the moiety may be identical or different.
- A is CH 2 CH 2 or a combination of CH2CH2 and CH2CH(CH3).
- ethylene oxide is also referred to as EO and propylene oxide is referred to as PO.
- the moiety -(A-O)n- in formula (I) is EOn, where n is on average in the range of 1 to 10, preferably in the range of 1.1 to 5.0, in particular in the range of 1.5 to 4.5, more preferably in the range of 1.7 to 3.5.
- Alkylether sulfates of the formula (I) of embodiment (i) can be described by the following formula (I-i): [R-O-EOn-SO3]- M + (I-i) where R, EO, M + and n are as defined herein.
- alkylether sulfates of formula (I-i) are the alkylether sulfates of formula (I-i), where n is on average about 2, i. e. in the range of 1.8 to 2.2.
- Alkylether sulfates of the formula (I) of embodiment (ii) can be described by the following formula (I-ii): [R-O-POpEOq-SO3]- M + (I-ii) where R, EO, PO, M + , p and q are as defined herein and where the EO and PO repeating units may be distributed randomly or blockwise in the moiety POpEOq.
- Particular preferred examples of alkylether sulfates of formula (I-ii) are the alkylether sulfates of formula (I-ii), where p is on average in the range of 0.7 to 1.9.
- the alkylether sulfates of formula (I) are a mixture of the alkylether sulfates of the group (i) and the group (ii) of embodiments.
- the average of p is preferably in the range of 0.2 to 4.0, in particular in the range of 0.5 to 2.0 and the average of q is preferably in the range of 0.5 to 4.8 and in particular in the range of 1.0 to 3.6, where the average of p+q is preferably in the range of 1.1 to 5.0, in particular in the range of 1.5 to 4.5, more preferably in the range of 1.7 to 3.5.
- Suitable examples of the particularly preferred alkylether sulfates of the formulae (I), (I- i) and (I-ii) include, but are not limited to - sodium 2-propylheptyl ether sulfate, ammonium 2-propylheptyl ether sulfate, hydroxyethylammonium 2-propylheptyl ether sulfate, di(hydroxyethyl)ammonium 2-propylheptyl ether sulfate, tri(hydroxyethyl)ammonium 2-propylheptyl ether sulfate, 2- hydroxypropylammonium 2-propylheptyl ether sulfate, di(2- hydroxypropyl)ammonium 2-propylheptyl ether sulfate, tri(2- hydroxypropyl)ammonium 2-propylheptyl ether sulfate, - sodium isodecyl ether s
- the number average of the variable n is preferably in the range of range of 1.1 to 7, particularly in the range of 1 to 4, especially n is 1, 2 or 3 and where the average of n is preferably in the range of 1.1 to 5.0, in particular in the range of 1.5 to 4.5, more preferably in the range of 1.7 to 3.5.
- the alkylether sulfate salt of the formula (I) is an ammonium salt of 2- propylheptyl ether sulfate, where M + is H 4-m NR 1 m + , where R 1 is as defined above and in particular selected from the group consisting of unbranched or branched alkyl radicals having preferably 1 to 4 carbon atoms, OH substituted alkyl radicals having preferably 2 to 4 carbon atoms, such as CH2CH2OH and CH2CH(OH)CH3, and m is an integer in the range of 1 to 4, in particular 1, 2 or 3, where the variable n is preferably in the range of 1 to 5, particularly in the range of 1 to 3, especially n is 2 and where the average of n is preferably in the range of 1.1 to 5.0, in in particular in the range of 1.5 to 4.5 and especially in the range of 1.7 to 3.5.
- M + is H 4-m NR 1 m + , where R 1 is as defined above and in particular selected from the group consisting of OH substituted alkyl radicals having preferably 2 to 4 carbon atoms, such as CH2CH2OH and CH2CH(OH)CH3, and m is 1, 2 or 3.
- the inventive alkylether sulfates of the formula (I) can be prepared by sulfation of a C2- C 3 -alkoxylated 2-propylheptan-1-ol of the formula (II) R-O-(A-O) n -H (II) by sulfating them in a manner known per se using sulfuric acid or sulfuric acid derivatives, such as chlorosulfonic acid followed by neutralization to give the alkylether sulfates of the formula (I).
- the methods can be carried out by analogy to the alkylether sulfates described in WO2005/077893 and the references cited therein.
- R, A and n are as defined for formula (I).
- R in formula (I) is 2- propylheptyl or comprises at least 90% by weight of 2-propylheptyl, based on the total weight of the radical R in formula (I).
- These compounds are prepared by sulfation of a C 2 -C 3 -alkoxylated 2-propylheptan-1-ol of the formula (II).
- the C 2 -C 3 -alkoxylated 2- propylheptan-1-ol of the formula (II) itself is based on 2-propylheptanol.
- 2-Propylheptanol is a Guerbet alcohol, which can be obtained for example by dimerization of corresponding primary alcohols at elevated temperature, for example 180 to 300 °C, in the presence of an alkaline condensing agent such as potassium hydroxide.
- R in formula (I) is isodecyl as defined herein, or comprises at least 90% by weight of isodecyl as defined herein, based on the total weight of the radical R in formula (I).
- Isodecyl refers to a branched decyl radical which has at least one methyl group, in particular 1, 2, 3 or 4 methyl groups which are bound to a tertiary carbon atoms, i.
- R is in particular derived from a C10-oxo alcohol.
- a C10-oxo alcohol represents hereinafter C 10 -alcohol mixture whose main component is characterized by having at least one methyl group bound to the tertiary carbon atom of R, in particular in the 2-position with respect to the OH group.
- the C10-oxo alcohol is typically obtained by hydroformylation of 1-nonene or 1-isononene.
- the isononene is typically obtained by oligomerization of propene followed by fractional distillation of the oligomer mixture to obtain a fraction, where the portion of isonene is at least 90% by weight, based on thotal weight of hydrocarbons in the fraction.
- R in formula (I) comprises - 0.1 to 99% by weight, particularly 1 to 70% by weight, especially 10 to 50% by weight, based on the total weight of the radical R in formula (I), of 2- propylheptyl; and - 1 to 99.9% by weight, particularly 30 to 99% by weight, especially 50 to 90% by weight, based on the total weight of the radical R in formula (I), of isodecyl, wherein the total weight of 2-propylheptyl and isodecyl is at least 90% by weight, preferably at least 95% by weight, especially at least 99% by weight, based on the total weight of the radical R in formula (I).
- the alkylether sulfate of the formula (I) is used in such an amount that the weight ratio of the alkylether sulfate of the formula (I) to the herbicide compound is in the range of 1:10 to 10:1, in particular in the range of 1:5 to 7:1, especially in the range of 1:1 to 6:1.
- the alkylether sulfate salt of the formula (I) improves the herbicidal effect of one or more herbicide compounds compared to the single use of one or more herbicide compounds.
- the alkylether sulfate salt of the formula (I) is capable of increasing the herbicidal effect of herbicide compounds of the groups (a) to (o): (a) herbicide compounds of the group of the glutamine synthetase inhibitors;; (b) herbicide compounds of the group of the enolpyruvyl shikimate 3- phosphate synthase inhibitors (EPSP inhibitors); (c) herbicide compounds of the group of acetolactate synthase inhibitors (ALS inhibitors), (d) herbicide compounds of the group of protoporphyrinogen-IX oxidase inhibitors; (e) herbicide compounds of the group of auxinic herbicides and auxin transport inhibitors;, (f) herbicide compounds of the group of photosynthesis inhibitors; (g) herbicide compounds of the group of lipid biosynthesis inhibitors (acetyl- CoA carboxylase inhibitors, ACCase inhibitors); (h) lipid biosynthesis inhibitors other than ACCase-
- the herbicide compound is selected from at least one herbicide compound of the groups (a) to (o), as defined above.
- the herbicide compound comprises a herbicide compound of the group (a), which is in particular selected from the group consisting of glufosinate, glufosinate salts and combinations thereof.
- Examples of herbicide compounds of the group (a) include but are not limited to bilanaphos (bialaphos), bilanaphos-sodium, glufosinate, glufosinate-P and glufosinate salts, e.g. glufosinate-ammonium.
- Glufosinate CAS Reg.
- Glufosinate is represented by the following structure (IV): O O H 3 C P CH 2 CH 2 CH C OH (IV) OH NH 2
- the compound of formula (IV) is a racemate.
- Glufosinate is a racemate of two enantiomers, out of which only one shows sufficient herbicidal activity (see e.g. US 4265654 and JP92448/83). Even though various methods to prepare L-glufosinate (and respective salts) are known, the mixtures known in the art do not point at the stereochemistry, meaning that the racemate is present (e.g.
- glufosinate typically comprises, in one embodiment of the invention, about 50% by weight of the L-enantiomer and about 50% by weight of the D-enantiomer; and in another embodiment of the invention, more than 70% by weight of the L-enantiomer; preferably more than 80% by weight of the L- enantiomer; more preferably more than 90% of the L-enantiomer, most preferably more than 95% of the L-enantiomer.
- the L-enantiomer of glufosinate is also referred to as glufosinate-P.
- Glufosinate in the form of its racemate, and its salts as well as formulations thereof, are commercially available, e.g. under the trade-names BastaTM and LibertyTM.
- the herbicide compound is selected from racemic glufosinate mixtures as described above, wherein the glufosinate comprises about 50% by weight of the L-enantiomer and about 50% by weight of the D-enantiomer.
- the herbicide compound is glufosinate, wherein at least 70% by weight of the glufosinate is L-glufosinate or a salt thereof.
- L-glufosinate with IUPAC-Name (2S)-2-amino-4-[hydroxy(methyl)phosphinoyl]butyric acid (CAS Reg. No.35597-44-5) and also called glufosinate-P, can be obtained commercially or may be pre-pared for example as described in WO2006/104120, US5530142, EP0248357A2, EP0249188A2, EP0344683A2, EP0367145A2, EP0477902A2, EP0127429 and J. Chem. Soc. Perkin Trans.1, 1992, 1525-1529.
- the salts of glufosinate or (L)-glufosinate are the sodium, potassium or ammonium (NH 4 + ) salts of glufosinate or L-glufosinate, in particular glufosinate-P- ammonium (IUPAC-Name: ammonium (2S)-2-amino-4-(methylphosphinato)butyric acid, CAS Reg. No.73777-50-1), glufosinate-P-sodium (IUPAC-Name: sodium (2S)-2- amino-4-(methylphosphinato)butyric acid; CAS Reg.
- glufosinate-P- ammonium IUPAC-Name: ammonium (2S)-2-amino-4-(methylphosphinato)butyric acid, CAS Reg. No.73777-50-1
- glufosinate-P-sodium IUPAC-Name: sodium (2S)-2- amino-4-(methylphosphinato)butyric acid
- the herbicide compound comprises a glufosinate salt, which is selected from the group consisting of the sodium, potassium or ammonium (NH 4 + ) salts of glufosinate.
- the herbicide compound preferably comprises or is (L)-glufosinate-ammonium or (L)-glufosinate-sodium or (L)-glufosinate-potassium and (L)-glufosinate as free acid.
- the herbicide compound of the group (a) is a L- glufosinate salt, which is in particular selected from the group consisting of the sodium, potassium and ammonium (NH4 + ) salts of L-glufosinate.
- the herbicide compound of the group (a) is a L-glufosinate salt, which is selected from the group consisting of glufosinate-P-ammonium, glufosinate-P-sodium and glufosinate-P- potassium.
- the herbicide compound is an ammonium salt of L-glufosinate.
- the herbicide compound of group (a), in particular the aforementioned glufosinate or a salt thereof as described herein may be sole herbicide compound which is used in combination with the compound of formula (I).
- the compound of the formula (I) may also be used with a combination of at least two herbicide compounds.
- the herbicide compound which is used in combination with compound of the formula (I) comprises in particular a herbicide compound of group (a), in particular the aforementioned glufosinate or a salt thereof as described herein, and at least one further herbicide compound which is selected from groups (b) to (o): (b) herbicide compounds of the group of the enolpyruvyl shikimate 3- phosphate synthase inhibitors (EPSP inhibitors); (c) herbicide compounds of the group of acetolactate synthase inhibitors (ALS inhibitors), (d) herbicide compounds of the group of protoporphyrinogen-IX oxidase inhibitors; (e) herbicide compounds of the group of auxinic herbicides and auxin transport inhibitors; (f) herbicide compounds of the group of photosynthesis inhibitors; (g) herbicide compounds of the group of lipid biosynthesis inhibitors (acetyl- CoA carboxylase inhibitors, ACCase inhibitors) (h) lipid biosynthesis inhibitors
- Suitable examples of herbicide compounds of the group (b) of the enolpyruvyl shikimate 3-phosphate synthase inhibitors include, but are not limited to glyphosate, glyphosate-isopropylammonium salt, glyphosate-trimesium salt, glyphosate-ammonium salt, glyphosate-diammonium salt, glyphosate- dimethylammonium salt, glyphosate-monoethanolamine salt, glyphosate-sodium salt, glyphosate-potassium salt, glyphosate-guanidine salt, agricultural salts and derivatives thereof.
- Suitable salts of glyphosate are, for example, but not limited to glyphosate-ammonium, glyphosate-diammonium, glyphosate-dimethylammonium, glyphosate- isopropylammonium, glyphosate-potassium, glyphosate-sodium, glyphosate-trimesium as well as the ethanolamine and diethanolamine salts, preferably glyphosate- diammonium, glyphosate-isopropylammonium and glyphosate-trimesium (sulfosate).
- Acetolactate synthase inhibitors of the group (c) of herbicicde compounds, also termed AHAS inhibitors or inhibitors of acetohydroxy acid synthase, are compounds, which have a mode of action comprising the inhibition of a step of the branched chain amino acids biosynthesis in plants and which belong to the group B of the HRAC classification system (see HRAC, Classification of Herbicides According to Mode of Action, ).
- Suitable examples of herbicide compounds of the group (c) of ALS inhibitors are include but are not limited to: ⁇ imidazolinone herbicides such as imazapic, imazamethabenz, imazamethabenz-methyl, imazamox, imazapyr, imazaquin, and imazethapyr and the salts thereof; ⁇ sulfonylurea herbicides such as amidosulfuron, azimsulfuron, bensulfuron, bensulfuron-methyl, chlorimuron, chlorimuron-ethyl, chlorsulfuron, cinosulfuron, cyclosulfamuron, ethametsulfuron, ethametsulfuron-methyl, ethoxysulfuron, flazasulfuron, flucetosulfuron, flupyrsulfuron, flupyrsulfuron-methyl-sodium, foramsulfuron, halosulfuron, halosulfuron-methyl
- the herbicide of group (c) is selected from the group consisting of imidazolinone herbicides and salts thereof, in particular from the group consisting of imazapic, imazamox, imazapyr, imazaquin, imazethapyr, a combination thereof, salts thereof and combination of salts thereof.
- Suitable salts of the imidazolinone herbicides are imazapic salts, imazamox salts, imazapyr salts, imazaquin salts, imazethapyr salts.
- a suitable salt of imazamox is for example imazamox-ammonium.
- Suitable salts of imazapic are for example imazapic- ammonium and imazapic-isopropylammonium.
- Suitable salts of imazapyr are for example imazapyr-ammonium and imazapyr-isopropylammonium.
- a suitable salt of imazaquin is for example imazaquin-ammonium.
- Suitable salts of imazethapyr are for example imazethapyr-ammonium and imazethapyr-isopropylammonium.
- Inhibitors of protoporphyrinogen-IX-oxidase (PPO inhibitor) of the group (d) of herbicicde compounds are compounds, which have a mode of action comprising the inhibition of a step of the chlorophyll biosynthesis in plants and which belong to the group E of the HRAC classification system (see HRAC, Classification of Herbicides According to Mode of Action, http://www.plantprotection.org/hrac/MOA.html).
- Suitable examples of herbicide compounds of the group (d) of protoporphyrinogen-IX oxidase inhibitors (PPO inhibitors) include but are not limited to: ⁇ pyrimidinedione herbicides e.g.
- azafenidin, bencarbazone, carfentrazone, carfentrazone-ethyl, ipfencarbazone and sulfentrazone and their salts in particular the sodium salts, potassium salts, ammonium salts or substituted ammonium salts as defined above, in particular mono-, di- and tri-C 1 -C 8 - alkylammonium salts such as methylammonium, dimethylammonium and isopropylammonium, and their esters, in particular the C1-C8-alkyl esters, such as methyl ester, ethyl ester or isopropyl ester; ⁇ diphenyl ether herbicides e.g.
- fluthiacet fluthiacet, fluthiacet-methyl,cinidon, cinidon-ethyl, flumioxazin, pentoxazone, flumiclorac, flumiclorac-pentyl, flumipropyn and 2-(2,2,7-trifluoro-3-oxo-4-prop-2-ynyl-3,4-dihydro-2H- benzo[1,4]oxazin-6-yl)-4,5,6,7-tetrahydro-isoindole-1,3-dione (CAS 1300118- 96-0).
- salts of cinidon and flumiclorac in particular their sodium salts, potassium salts, ammonium salts or substituted ammonium salts as defined above, in particular mono-, di and tri-C1-C8-alkylammonium salts such as isopropylammonium salts, and the esters of cinidon and flumiclorac, in particular their C 1 -C 8 -alkyl esters, such as methylesters, ethylesters, isopropyl esters; ⁇ N-Phenyl-oxadiazolone herbicides e.g. oxadiazon, oxadiargyl; ⁇ phenylpyrazole herbicides e.g.
- pyraflufen pyraflufen-ethyl, fluazolate
- ⁇ pyridazinone herbicides e.g. flufenpyr, flufenpyr-ethyl
- ⁇ other herbicides e.g.
- auxinic herbicides and auxin transport inhibitors of the group (e) of herbicicde compounds are compounds which act like the phytohormones auxins such as indole-3-acetic acid. Synthetic auxins belong to the group O of the HRAC classification system (see HRAC, Classification of Herbicides According to Mode of Action, http://www.plantprotection.org/hrac/MOA.html). Suitable examples of herbicide compounds of the group (e) of auxinic herbicides and auxin transport inhibitors include e.g.
- ⁇ benzoic acid herbicides such as dicamba, tricamba, chloramben and 2,3,6-TBA (2,3,6-trichlorobenzoic acid), and the salts and esters thereof, e. g. dicamba diethalonamine salt, dicamba ethanolamine salt, dicamba N,N-bis-(3- aminopropyl)methylamine salt (dicamba BAPMA salt) and dicamba potassium salt; ⁇ quinolinecarboxylic acid herbicides such as quinclorac and quinmerac, and their salts and esters, such as quinclorac-dimethylammonium; ⁇ pyridine carboxylic acid herbicides such as aminopyralid and its salts (potassium salt, tris(2-hydroxypropyl)ammonium salt, and choline salt), clopyralid and its salts (olamine salt, potassium salt, triethylammonium salt, and choline salt), halauxifen, halauxifen-methyl,
- Herbicides of group (f) of herbicide compounds are inhibitors of electron transfer in photosynthesis in plants have a mode of action comprising the inhibition of the electron transfer in photosystem II of the photosynthesis in plants. They are also termed PS II inhibitors.
- Photosynthesis inhibitors are known e.g. from K.-W. Münks and K.-H. Müller “Photosynthesis Inhibitors” in "Modern Crop Protection Compounds” Vol.1, Wiley-VHC 2007, pp 359-400; C.D.S. Tomlin, “The Pesticide Manual”, 13th Edition, BCPC (2003) and also from The Compendium of Pesticide Common Names, http://www.alanwood.net/pesticides/.
- photosynthesis inhibitors PS II inhibitor
- Suitable salts are e.g. salts of alkaline or earth alkaline metals or ammonium or organoammonium salts, for instance, sodium, pottasium, ammonium, isopropyl ammonium etc.
- Suitable isomers are e.g. stereo isomers such as the enantiomers.
- Suitable esters are e.g. C1- C 8 -(branched or non-branched) alkyl esters, such as methyl esters, ethyl esters and isopropyl esters.
- Suitable examples of herbicide compounds of the group (f) of photosynthesis inhibitors include e.g.: ⁇ arylurea herbicides, e.g. chlorbromuron, chlorotoluron, chloroxuron, dimefuron, diuron, ethidimuron, fenuron, fluometuron, isoproturon, isouron, linuron, benzthiazuron, methabenzthiazuron, metobenzuron, metobromuron, metoxuron, monolinuron, neburon, siduron, tetrafluron, tebuthiuron, thiadiazuron and their salts and esters; ⁇ triazin(di)one herbicides, e.g.
- ⁇ triazine herbicides e.g. chlorotriazine, triazinones, triazindiones, methylthiotriazines, chloridazone, terbuthylazin, trietazin, ametryn, atrazine, aziprotryne, chlorazine, cyanatryn, cyanazine, cyprazine, desmetryn, dimethametryn, eglinazine, ipazine, mesoprazine, methoprotryne, prometryn, procyazine, proglinazine, prometon, propazine, sebuthylazine, simazine, simetryn, terbumeton, terbuthylazine, terbutryn, trietazine and
- a preferred pyridazinone herbicide is chloridazon; ⁇ phenylcarbamate herbicides e.g. desmedipham, karbutilate, phenisopham, phenmedipham and their salts and esters, such as phenmedipham-ethyl; ⁇ nitrile herbicides, e.g.
- a preferred nitrile herbicide is bromoxynil; ⁇ benzothiadiazinone herbicides, e.g. bentazone and its salts, in particular its alkalimetal salts, such as bentazone-sodium; ⁇ uracil herbicides, e.g.
- amicarbazone, propanil, ⁇ other herbicides e.g.1-(6-tert-butylpyrimidin-4-yl)-2-hydroxy-4-methoxy-3- methyl-2H-pyrrol-5-one (CAS 1654744-66-7), 1-(5-tert-butylisoxazol-3-yl)-2- hydroxy-4-methoxy-3-methyl-2H-pyrrol-5-one (CAS 1637455-12-9), 1-(5-tert- butylisoxazol-3-yl)-4-chloro-2-hydroxy-3-methyl-2H-pyrrol-5-one (CAS 1637453- 94-1), 1-(5-tert-butyl-1-methyl-pyrazol-3-yl)-4-chloro-2-hydroxy-3-methyl-2H- pyrrol-5-one (CAS 1654057-29-0), 1-(5-tert-butyl-1-methyl-pyrazol-3-yl)-3- chloro-2-hydroxy-4-methyl-2H-pyr
- Herbicides of group (g) of herbicide compounds are inhibitors of the lipid biosynthesis (acetyl-CoA carboxylase inhibitors, ACCase inhibitors). They are compounds which have a mode of action comprising the inhibition of the lipid biosynthesis in plants and which belong to the group A of the HRAC classification system (see HRAC, Classification of Herbicides According to Mode of Action, http://www.plantprotection.org/hrac/MOA.html). Suitable ACCase inhibitors are known from e.g. C.D.S.
- ACCase inhibitor is meant herein to also include the respective salts, isomers and esters of the above mentioned compounds.
- Suitable salts are e.g. salts of alkaline or earth alkaline metals or ammonium or organoammonium salts, for instance, sodium, pottasium, ammonium, isopropyl ammonium etc.
- Suitable isomers are e.g. stereo isomers such as the enantiomers.
- Suitable esters are e.g.
- Suitable ACCase inhibitors of group (g) of herbicide compounds include e.g.
- aryloxyphenoxy-propionate herbicides such as chlorazifop, clodinafop, clofop, cyhalofop, diclofop, fenoxaprop, fenthiaprop, fluazifop, haloxyfop, isoxapyrifop, kuicaoxi, metamifop, propaquizafop, quizalofop, trifop and their enantiomers, salts and esters, such as fenoxaprop-P, fluazifop-P, haloxyfop-P, quizalofop-P, haloxyfop-sodium, chlorazifop-propargyl, clodinafop-propargyl, clofop-isobutyl, cyhalofop-butyl, diclofop-methyl, fenoxaprop-ethyl, fenoxaprop
- Suitable non-ACCase inhibitors of group (h) of herbicide compounds include e.g. benfuresate, butylate, cycloate, dalapon, dimepiperate, EPTC, esprocarb, ethofumesate, flupropanate, molinate, orbencarb, pebulate, prosulfocarb, TCA, thiobencarb, tiocarbazil, triallate, vernolate.
- Suitable herbicide compounds of group (i) include e.g.
- PDS inhibitors beflubutamid, diflufenican, fluridone, flurochloridone, flurtamone, norflurazon, picolinafen, 4-(3- trifluoromethyl ⁇ phenoxy)-2-(4-trifluoromethylphenyl) ⁇ pyrimidine (CAS 180608-33-7), rimisoxafen, HPPD inhibitors: benzobicyclon, benzofenap, bicyclopyrone, clomazone, fenquinotrione, isoxaflutole, mesotrione, oxotrione (CAS 1486617-21-3), pyrasulfotole, pyrazolynate, pyrazoxyfen, sulcotrione, tefuryltrione, tembotrione, tolpyralate, topramezone, bipyrazone, fenpyrazone, cypyrafluone, tripyrasulfone, benquitrione, dioxopyr
- Suitable herbicide compounds of group (j) include e.g. DHP synthase inhibitors: asulam.
- Suitable herbicide compounds of group (k) include e.g. compounds of group K1: dinitroanilines such as benfluralin, butralin, dinitramine, ethalfluralin, fluchloralin, oryzalin, pendimethalin, prodiamine and trifluralin, phosphoramidates such as amiprophos, amiprophos-methyl, and butamiphos, benzoic acid herbicides such as chlorthal, chlorthal-dimethyl, pyridines such as dithiopyr and thiazopyr, benzamides such as propyzamide and tebutam; compounds of group K2: carbetamide, chlorpropham, flamprop, flamprop-isopropyl, flamprop-methyl, flamprop-M-isopropyl, flamprop-M-methyl and propham ; among these, compounds of group K1,
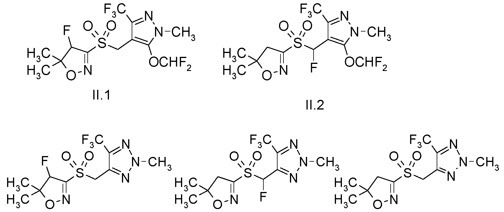
- Suitable herbicide compounds of group (l) include e.g. chloroacetamides such as acetochlor, alachlor, amidochlor, butachlor, dimethachlor, dimethenamid, dimethenamid-P, metazachlor, metolachlor, S-metolachlor, pethoxamid, pretilachlor, propachlor, propisochlor and thenylchlor, oxyacetanilides such as flufenacet and mefenacet, acetanilides such as diphenamid, naproanilide, napropamide and napropamide-M, tetrazolinones such fentrazamide, and other herbicides such as anilofos, cafenstrole, fenoxasulfone, ipfencarbazone, piperophos, pyroxasulfone, dimesulfazet and isoxazoline compounds of the formulae II.1, II.2, II.3,
- Suitable herbicide compounds of group (m) include e.g. chlorthiamid, dichlobenil, flupoxam, indaziflam, isoxaben, triaziflam and 1-cyclohexyl-5-pentafluorphenyloxy-14- [1,2,4,6]thiatriazin-3-ylamine (CAS 175899-01-1).
- Suitable herbicide compounds of group (n) include e.g. dinoseb, dinoterb and DNOC and its salts.
- Suitable herbicides of other herbicides of group (o) selected from the group consisting of bromobutide, chlorflurenol, chlorflurenol-methyl, cinmethylin, cumyluron, cyclopyrimorate and its salts and esters, dazomet, difenzoquat, difenzoquat- metilsulfate, dimethipin, DSMA, dymron, endothal and its salts, etobenzanid, flamprop, flamprop-isopropyl, flamprop-methyl, flamprop-M-isopropyl, flamprop-M-methyl, flurenol, flurenol-butyl, flurprimidol, fosamine, fosamine-ammonium, indanofan, maleic hydrazide, mefluidide, metam, methiozolin, methyl azide, methyl bromide, methyl- dymron, methyl io
- the herbicide compound is selected from the herbicide compound of the group (a), which is in particular selected from the group consisting of glufosinate, glufosinate salts and combination thereof.
- the herbicide of group (a) is the sole herbicide.
- the herbicide compound is selected from racemic glufosinate mixtures as described above, wherein the glufosinate comprises about 50% by weight of the L-enantiomer and about 50% by weight of the D-enantiomer.
- the herbicide compound the herbicide compound is glufosinate, wherein at least 70% by weight of the glufosinate is L-glufosinate or a salt thereof, in particular L-glufosinate ammonium.
- the herbicide compound is selected from a combination of the herbicide compound of the group (a) and at least on further herbicide compound, which is selected from the herbicide compounds of one of the groups (b) to (o) with particular preference given to the herbicides of groups (b), (c), (d), (e), (f), (g), (i), (l), (m) and (o).
- the herbicide compound is selected from a combination of the herbicide compound of the group (a) and at least on further herbicide compound, which is selected from the herbicide compounds group (b).
- the herbicide (b) is in particular glyphosate or a salt thereof.
- the herbicide compound is selected from a combination of the herbicide compound of the group (a) and at least on further herbicide compound, which is selected from the herbicide compounds group (c).
- the herbicide (c) is in particular selected from imidazolinones.
- herbicides (c) are imazamox, imazapyr, imazethapyr and imazapic and their salts.
- the herbicide compound is selected from a combination of the herbicide compound of the group (a) and at least on further herbicide compound, which is selected from the herbicide compounds group (d).
- the herbicide (d) is in particular selected from the group consisting of saflufenacil, trifludimoxazin, tiafenacil, sulfentrazone, flumioxazin, epyrifenacil, 2-[2-[[3-chloro-6-[3,6-dihydro-3-methyl-2,6-dioxo-4-(trifluoromethyl)-1(2H)- pyrimidinyl]-5-fluoro-2-pyridinyl]oxy]phenoxy]-acetic acid methyl ester (CAS 2158274- 96-3), 2-[2-[[3-chloro-6-[3,6-dihydro-3-methyl-2,6-dioxo-4-(trifluoromethyl)-1(2H)- pyrimidinyl]-5-fluoro-2-pyridinyl]oxy]phenoxy] acetic acid ethyl ester (CAS 2158274-50-
- the herbicide compound is selected from a combination of the herbicide compound of the group (a) and at least on further herbicide compound, which is selected from the herbicide compounds group (e).
- the herbicide (e) is in particular selected from the group consisting of dicamba and its salts, e. g.
- dicamba diethalonamine salt dicamba ethanolamine salt, dicamba N,N-bis-(3-aminopropyl)methylamine salt (dicamba BAPMA salt) and dicamba potassium salt, quinclorac and its salts, such as quinclorac- dimethylammonium, halauxifen, halauxifen-methyl, florpyrauxifen, florpyrauxifen-benzyl (CAS 1390661-72-9), 2,4-D and its salts or esters, such as the choline salt; and mixtures thereof.
- quinclorac and its salts such as quinclorac- dimethylammonium, halauxifen, halauxifen-methyl, florpyrauxifen, florpyrauxifen-benzyl (CAS 1390661-72-9), 2,4-D and its salts or esters, such as the choline salt; and mixtures thereof.
- the herbicide compound is selected from a combination of the herbicide compound of the group (a) and at least on further herbicide compound, which is selected from the herbicide compounds group (f).
- the herbicide (f) is in particular selected from the group consisting of diuron, fluometuron, thidiazuron, metribuzin, atrazine, prometryn and mixtures thereof.
- the herbicide compound is selected from a combination of the herbicide compound of the group (a) and at least on further herbicide compound, which is selected from the herbicide compounds group (g).
- the herbicide (g) is in particular clethodim.
- the herbicide compound is selected from a combination of the herbicide compound of the group (a) and at least on further herbicide compound, which is selected from the herbicide compounds group (i).
- the herbicide (i) is in particular selected from diflufenican, picolinafen, bicyclopyrone, clomazone, isoxaflutole, mesotrione, tembotrione, tolpyralate, topramezone, bixlozone and mixtures thereof.
- the herbicide compound is selected from a combination of the herbicide compound of the group (a) and at least on further herbicide compound, which is selected from the herbicide compounds group (l).
- the herbicide (l) is in particular selected from acetochlor, dimethenamid, dimethenamid-P, metazachlor, metolachlor, S-metolachlor, pethoxamid, pyroxasulfone and mixtures thereof.
- the herbicide compound is selected from a combination of the herbicide compound of the group (a) and at least on further herbicide compound, which is selected from the herbicide compounds group (m).
- the herbicide (m) is in particular selected from indaziflam and triaziflam and mixtures thereof.
- the herbicide compound is selected from a combination of the herbicide compound of the group (a) and at least on further herbicide compound, which is selected from the herbicide compounds group (o).
- the herbicide (o) is in particular selected from cinmethylin and tetflupyrolimet and mixtures thereof.
- the herbicide of group (a) is in particular selected from the group consisting of glufosinate, glufosinate salts and combinations thereof.
- the herbicide compound is more in particular selected from racemic glufosinate mixtures as described above, wherein the glufosinate comprises about 50% by weight of the L-enantiomer and about 50% by weight of the D-enantiomer.
- the herbicide compound the herbicide compound is glufosinate, wherein at least 70% by weight of the glufosinate is L-glufosinate or a salt thereof, in particular L-glufosinate ammonium.
- the herbicide compound (a) is in particular selected from the group consisting of the sodium, potassium or ammonium (NH4 + ) salts of glufosinate and L-glufosinate, in particular glufosinate ammonium and L-glufosinate ammonium.
- the relative weight ratio of the herbicide compound (a) to the further herbicide is preferably in the range from 1:10 to 1000:1, in particular in the range from 1:5 to 500:1 and more preferably from 1:1 to 1:250.
- the alkylether sulfate of the formula (I) and the one or more herbicide compounds may be formulated in a single formulation or they may be used in separate formulations.
- Herbicidal formulations comprising at least one alkylether sulfate of the formula (I) and at least one herbicide compound as defined herein, in particular a herbicide compound of the group (a) to (o) of herbicides are novel and therefore, they are a further aspect of the present invention.
- any statements regarding preferred meanings of the variables M + and n in formula (I) and their combinations apply in the same way as given above.
- the preferences given above also apply to the formulations.
- the formulations of the invention comprise at least one alkylether sulfate of the formula (I) and at least one herbicide compound according to the groups (1) or (2) of embodiments.
- the formulations of the invention comprise at least one herbicide compound of group (a), which is in particular selected from glufosinate and the salts thereof, and optionally at least one further herbicide, which is selected from the herbicide of groups (b) to (o) as defined above.
- the herbicide compound of the group (a) of the herbicidal formulations of the invention comprises a glufosinate salt, which is selected from the group consisting of the sodium, potassium and ammonium (NH4 + ) salts of glufosinate.
- the herbicide compound of the group (a) of the herbicidal formulation of the invention is a L-glufosinate salt, which is in particular selected from the group consisting of the sodium, potassium and ammonium (NH4 + ) salts of L-glufosinate.
- the herbicide compound of group (a) which is in particular selected from glufosinate and the salts thereof, is the sole herbicide contained in the formulation.
- the formulation contains a herbicide compound of group (a), which is in particular selected from glufosinate and the salts thereof, and at least one further herbicide compound, which is selected from groups (b) to (o) of herbicide compounds as defined above.
- the inventive herbicidal formulation or the inventive aqueous spray liquor may comprise water and organic solvent, as described above.
- suitable organic solvent are as described above.
- the concentration of water and the organic solvent is also as described above.
- the weight ratio of the alkylether sulfate of the formula (I) to the herbicide compound is preferably in the range of 1:10 to 10:1, in particular in the range of 1:5 to 7:1 and especially in the range of 1:1 to 6:1.
- the concentration of the alkylether sulfate of the formula (I) is usually in the range of 5 to 60% by weight, in particular in the range of 10 to 50% by weight, based on the total weight of the formulation.
- the concentration of the herbicide compound is usually in the range of 1 to 60% by weight, in particular in the range of 5 to 50% by weight, based on the total weight of the formulation.
- the formulation of the present invention may contain conventional formulation auxiliaries, including solvents, liquid carriers, solid carriers or fillers, surfactants, dispersants, emulsifiers, wetters, adjuvants, solubilizers, penetration enhancers, protective colloids, adhesion agents, thickeners, humectants, anti-freezing agents, anti-foaming agents, colorants, crystal growth inhibitors, tackifiers and binders.
- Suitable surfactants include but are not limited to the alkali metal salts, alkaline earth metal salts, ammonium salts of aromatic sulfonic acids, e.g. lignin-, phenol-, naphthalene- and dibutylnaphthalenesulfonic acid, and also of fatty acids, alkyl- and alkylarylsulfonates, alkyl-, lauryl ethers and fatty alcohol sulfates, and also salts of sulfated hexa-, hepta- and octadecanols and of fatty alcohol glycol ethers, condensation products of sulfonated naphthalene and its derivatives with formaldehyde, condensation products of naphthalene and of naphthalenesulfonic acids with phenol and formaldehyde, polyoxyethylene octyl phenol ether, ethoxylated isooctyl, oc
- Suitable liquid carriers include water and organic solvents.
- Suitable organic solvents are aliphatic hydrocarbons, preferably an aliphatic C 5 -C 16 -hydrocarbon, more preferably a C 5 -C 16 -alkane, or C 5 -C 16 -cycloalkane, such as pentane, hexane, cyclohexane, or petrol ether; aromatic hydrocarbons, preferably an aromatic C6-C10-hydrocarbons, such as benzene, toluene, o-, m-, and p-xylene; halogenated hydrocarbons, preferably halogenated aliphatic C 1 -C 6 -alkanes, or halogenated aromatic C 6 -C 10 -hydrocarbons, such as CH2Cl2, CHCl3, CCl4, CH2ClCH2Cl, CCl3CH3, CHCl2CH2Cl, CCl2CCl2, or chlorobenzen
- Preferred solvents are propylene glycol, dipropylene glycol and propyleneglycol monomethyl ether, more preferred propylene glycol and dipropylene glycol.
- Solid carriers are mineral earths such as silicas, silica gels, silicates, talc, kaolin, limestone, lime, chalk, bolus, loess, clay, dolomite, diatomaceous earth, calcium sulfate and magnesium sulfate, magnesium oxide, ground plastics, fertilizers, such as ammonium sulfate, ammonium phosphate, ammonium nitrate, ureas and vegetable products such as corn meal, tree bark, wood flour and nut shell flour, cellulose powder or other solid carriers.
- Suitable surfactants are surface-active compounds, such as anionic, cationic, nonionic and amphoteric surfactants, block polymers, polyelectrolytes, and mixtures thereof, wherein such surfactants are other than alkylether sulfate salts of the formula (I).
- Such surfactants can be used as emulsifier, dispersant, solubilizer, wetter, penetration enhancer, protective colloid, or adjuvant. Examples of surfactants are listed in McCutcheon’s, Vol.1: Emulsifiers & Detergents, McCutcheon’s Directories, Glen Rock, USA, 2008 (International Ed. or North American Ed.).
- Suitable anionic surfactants are alkali, alkaline earth or ammonium salts of sulfonates, sulfates, phosphates, carboxylates, and mixtures thereof.
- sulfonates are alkylarylsulfonates, diphenylsulfonates, alpha-olefin sulfonates, lignine sulfonates, sulfonates of fatty acids and oils, sulfonates of ethoxylated alkylphenols, sulfonates of alkoxylated arylphenols, sulfonates of condensed naphthalenes, sulfonates of dodecyl- and tridecylbenzenes, sulfonates of naphthalenes and alkylnaphthalenes, sulfosuccinates or sulfosuccinamates.
- Examples of sulfates are sulfates of fatty acids and oils, of ethoxylated alkylphenols, of alcohols, of ethoxylated alcohols other than those of the formula (I), or of fatty acid esters.
- Examples of phosphates are phosphate esters.
- Examples of carboxylates are alkyl carboxylates, and carboxylated alcohol or alkylphenol ethoxylates.
- Suitable nonionic surfactants are alkoxylates, N-substituted fatty acid amides, amine oxides, esters, sugar-based surfactants, polymeric surfactants, and mixtures thereof.
- alkoxylates are compounds such as alcohols, alkylphenols, amines, amides, arylphenols, fatty acids or fatty acid esters which have been alkoxylated with 1 to 50 equivalents.
- Ethylene oxide and/or propylene oxide may be employed for the alkoxylation, preferably ethylene oxide.
- N-substituted fatty acid amides are fatty acid glucamides or fatty acid alkanolamides.
- esters are fatty acid esters, glycerol esters or monoglycerides.
- sugar-based surfactants are sorbitans, ethoxylated sorbitans, sucrose and glucose esters or alkylpolyglucosides.
- polymeric surfactants are home- or copolymers of vinylpyrrolidone, vinylalcohols, or vinylacetate.
- Suitable cationic surfactants are quaternary surfactants, for example quaternary ammonium compounds with one or two hydrophobic groups, or salts of long-chain primary amines.
- Suitable amphoteric surfactants are alkylbetains and imidazolines.
- Suitable block polymers are block polymers of the A-B or A-B-A type comprising blocks of polyethylene oxide and polypropylene oxide, or of the A-B-C type comprising alkanol, polyethylene oxide and polypropylene oxide.
- Suitable polyelectrolytes are polyacids or polybases.
- polyacids are alkali salts of polyacrylic acid or polyacid comb polymers.
- polybases are polyvinylamines or polyethyleneamines.
- Suitable thickeners are polysaccharides (e.g., xanthan gum, carboxymethylcellulose), anorganic clays (organically modified or unmodified), polycarboxylates, and silicates.
- Suitable bactericides are bronopol and isothiazolinone derivatives such as alkylisothiazolinones and benzisothiazolinones.
- Suitable anti-freezing agents are ethylene glycol, propylene glycol, urea and glycerin.
- Suitable anti-foaming agents are silicones, long chain alcohols, and salts of fatty acids.
- Suitable colorants e.g., in red, blue, or green
- Suitable colorants are pigments of low water solubility and water-soluble dyes. Examples are inorganic colorants (e.g., iron oxide, titan oxide, iron hexacyanoferrate) and organic colorants (e.g., alizarin-, azo- and phthalocyanine colorants).
- Suitable tackifiers or binders are polyvinylpyrrolidons, polyvinylacetates, polyvinyl alcohols, polyacrylates, biological or synthetic waxes, and cellulose ethers.
- the inventive formulation is prepared in a known manner, such as described by Mollet and Grubemann, Formulation technology, Wiley VCH, Weinheim, 2001; or Knowles, New developments in crop protection product formulation, Agrow Reports DS243, T&F Informa, London, 2005.
- the formulation type of the inventive formulation is of minor importance and will depend from the herbicide compound in a known way. Basically, the formulation containing the herbicide compound and the alkylether sulfate of the formula (I) can be easily diluted with water.
- Suitable formulations of herbicide active ingredients include, but are not limited to water-soluble concentrates (SL or LS formulations), dispersible concentrates (DC formulations), emulsifiable concentrates (EC formulations), emulsions (EW, EO or ES formulations), suspension concentrates which may be water- based or oil-based (SC, OD or FS formulations), microemulsions (ME formulations), microcapsule formulations (CS formulations), wettable powders or dusts (e.g., WP, SP, WS, DP, DS), wettable granules (e.g., WG, SG, GR, FG, GG, MG) and the like.
- SL or LS formulations water-soluble concentrates
- DC formulations dispersible concentrates
- EC formulations emulsifiable concentrates
- EW emulsions
- ME microemulsions
- CS formulations microcapsule formulations
- the inventive herbicidal formulation is a liquid formulation, especially a soluble liquid (SL) formulation.
- SL soluble liquid
- the inventive formulation contains a herbicide of group (a) it is in particular an aqueous solution or soluble liquid of the respective herbicide (a) and the alkylether sulfate of the formula (I).
- the alkylether sulfate salt of the formula (I) contained in the formulation of the present invention is an ammonium salt of 2-propylheptyl ether sulfate or of isodecylether sulfate, where M + is H 4-m NR 1 m + , where R 1 is as defined above and in particular selected from the group consisting of unbranched or branched alkyl radicals having preferably 1 to 4 carbon atoms, OH substituted alkyl radicals having preferably 2 to 4 carbon atoms, such as CH2CH2OH and CH 2 CH(OH)CH 3 , and m is an integer in the range of 1 to 4, in particular 1, 2 or 3, where the variable n is preferably in the range of 1 to 5, particularly in the range of 1 to 3, especially n is 2 and where the average of n is preferably in the range of 1.1 to 5.0, in in particular in the range of 1.5 to 4.5 and especially in the range of 1.7 to 3.5.
- the inventive herbicidal formulation may also be an aqueous suspension concentrate (SC).
- SC aqueous suspension concentrate
- the active substance is present in a finely divided particulate form, i. e. in a form where the active substance is present as particles which are suspended in an aqueous phase.
- the diameter of the active substance particles will generally not exceeded 50 ⁇ m.
- at least 90% by weight of the active substance particles will have a diameter of below 30 ⁇ m, in particular below 20 ⁇ m.
- at least 40% by weight and in particular at least 60% by weight of the particles in the SCs according to the invention have diameters of below 5 ⁇ m.
- the SC formulation, hereinafter SC, of the present invention comprises the alkylether sulfate salt of the formula (I) and the one or more herbicide compounds, in particular glufosinate or a salt thereof.
- the alkylether sulfate salt of the formula (I) contained in the SC is an ammonium salt of 2-propylheptyl ether sulfate or of isodecylether sulfate, where M + is H4-mNR 1 m + , where R 1 is as defined above and in particular selected from the group consisting of unbranched or branched alkyl radicals having preferably 1 to 4 carbon atoms, OH substituted alkyl radicals having preferably 2 to 4 carbon atoms, such as CH2CH2OH and CH2CH(OH)CH3, and m is an integer in the range of 1 to 4, in particular 1, 2 or 3, where the variable n is preferably in the range of 1 to 5, particularly in the range of 1 to 3, especially n is 2 and
- the amount of the active substance i.e. the total amount of one or more herbicide compound(s), in particular at least one herbicide compound of the groups (a) to (o), preferably a herbicide compound of the group (a), which is in particular selected from glufosinate and the salts thereof, if appropriate, further active substance(s), which is selected from the groups (b) to (o) of the herbicide compounds as defined above, in such SCs is usually in the range of from 5 to 60% by weight, in particular in the range of from 10 to 50% by weight, based on the total weight of the suspension concentrate.
- aqueous suspension concentrates may comprise surface-active substances other than those of the formula (I) and, if appropriate, one or more auxiliaries, such as antifoam agents, thickeners, antifreeze agents, stabilizers (biocides), pH regulators and anticaking agents.
- auxiliaries such as antifoam agents, thickeners, antifreeze agents, stabilizers (biocides), pH regulators and anticaking agents.
- Suitable surface-active substances other than those of the formula (I) are, preferably, anionic and nonionic surfactants.
- Suitable surface-active substances other than those of the formula (I) are protective colloids.
- the amount of surface-active substances other than those of the formula (I) will amount to from 0 to 30% by weight, in particular 0 to 20% by weight, based on the total weight of the aqueous SCs according to the invention.
- the surface-active substances other than those of the formula (I) comprise at least one anionic surface-active substance other than those of the formula (I) and at least one nonionic surface-active substance, the weight ratio of the anionic to the nonionic surface-active substance being typically in the range of from 10:1 to 1:10.
- anionic surface-active substances examples include alkylarylsulfonates, phenylsulfonates, alkyl sulfates, alkylsulfonates, alkyl ether sulfates other than those of the formula (I), alkylaryl ether sulfates, alkyl polyglycol ether phosphates, polyarylphenyl ether phosphates, alkyl sulfosuccinates, olefin sulfonates, paraffin sulfonates, petroleum sulfonates, taurides, sarcosides, fatty acids, alkylnaphthalenesulfonic acids, naphthalenesulfonic acids, lignosulfonic acids, condensates of sulfonated naphthalenes with formaldehyde or with formaldehyde and phenol and, if appropriate, urea, and
- Preferred anionic surface-active substances other than those of the formula (I) are those which contain at least one sulfonate group and in particular their alkali metal salts and their ammonium salts.
- nonionic surface-active substances comprise alkylphenol alkoxylates, alcohol alkoxylates, fatty amine alkoxylates, polyoxyethylene glycerol fatty acid esters, castor oil alkoxylates, fatty acid alkoxylates, fatty acid amide alkoxylates, fatty acid polydiethanolamides, lanolin ethoxylates, fatty acid polyglycol esters, isotridecyl alcohol, fatty acid amides, methylcellulose, fatty acid esters, alkyl polyglycosides, glycerol fatty acid esters, polyethylene glycol, polypropylene glycol, polyethylene glycol/polypropylene glycol block copolymers, polyethylene glycol alkyl ethers, polypropylene glycol al
- Preferred nonionic surface-active substances are fatty alcohol ethoxylates, alkyl polyglycosides, glycerol fatty acid esters, castor oil alkoxylates, fatty acid alkoxylates, fatty acid amide alkoxylates, lanolin ethoxylates, fatty acid polyglycol esters and ethylene oxide/propylene oxide block copolymers, and mixtures of these.
- Protective colloids are, typically, water-soluble amphiphilic polymers.
- proteins and denatured proteins such as casein, polysaccharides such as water- soluble starch derivatives and cellulose derivatives, in particular hydrophobically modified starches and celluloses, furthermore polycarboxylates such as polyacrylic acid and acrylic acid copolymers, polyvinyl alcohol, polyvinyl pyrrolidone, vinylpyrrolidone copolymers, polyvinylamines, polyethyleneimines, and polyalkylene ethers.
- Viscosity-modifying additives (thickeners) which are suitable for the aqueous SCs according to the invention are, in particular, compounds which impart a modified flowing behavior to the formulation, for example a high viscosity in the static state and low viscosity in the state of motion.
- Suitable compounds are, in principle, all those employed in suspension concentrates for this purpose.
- Substances to be mentioned are, for example, inorganic substances, for example layer silicates and organic modified layer silicates such as bentonites or attapulgites (for example Attaclay ⁇ from Engelhardt), and organic substances such as polysaccharides and heteropolysaccharides such as Xanthan Gum ⁇ (Kelzan ⁇ from Kelco), Rhodopol ⁇ 23 (Rhone Poulenc) or Veegum ⁇ (from R.T. Vanderbilt), with Xanthan-Gum ⁇ being used by preference.
- the amount of the viscosity-modifying additives is frequently 0 to 7% by weight, based on the total weight of the SCs.
- Antifoam agents which are suitable for the aqueous SCs according to the invention are, for example, silicone emulsions which are known for this purpose (Silikon ⁇ SRE, from Wacker or Rhodorsil ⁇ from Rhodia), long-chain alcohols, fatty acids and their salts, antifoams of the aqueous wax dispersion type, solid antifoams (known as Compounds), organofluorine compounds and mixtures of these.
- the amount of antifoam agents is typically 0 to 1.5% by weight, based on the total weight of the SCs. Preservatives may also be added to the suspension concentrates according to the invention for the purposes of stabilizing them.
- Suitable preservatives are those based on isothiazolones, for example Proxel ⁇ from ICI or Acticide ⁇ RS from Thor Chemie or Kathon ⁇ MK from Rohm & Haas.
- the amount of preservative is typically 0 to 0.5% by weight, based on the total weight of the SCs.
- Suitable antifreeze agents are liquid polyols, for example ethylene glycol, propylene glycol or glycerol, and also urea.
- the amount of antifreeze agents is, as a rule, 0 to 20% by weight, in particular 5 to 10% by weight, based on the total weight of the aqueous suspension concentrate.
- the aqueous SCs according to the invention may comprise buffers to regulate the pH.
- buffers are alkali metal salts of weak inorganic or organic acids such as, for example, phosphoric acid, boric acid, acetic acid, propionic acid, citric acid, fumaric acid, tartaric acid, oxalic acid and succinic acid.
- the inventive herbicidal formulation may also be an oil dispersion (OD).
- OD oil dispersion
- the active substance is present in a finely divided particulate form, i. e. in a form where the active substance is present as particles, which are dispersed in an oil phase.
- the diameter of the active substance particles will generally not exceeded 50 ⁇ m. In particular at least 90% by weight of the active substance particles will have a diameter of below 30 ⁇ m, in particular below 20 ⁇ m.
- the alkylether sulfate salt of the formula (I) contained in the OD is an ammonium salt of 2-propylheptyl ether sulfate or of isodecylether sulfate, where M + is H4-mNR 1 m + , where R 1 is as defined above and in particular selected from the group consisting of unbranched or branched alkyl radicals having preferably 1 to 4 carbon atoms, OH substituted alkyl radicals having preferably 2 to 4 carbon atoms, such as CH 2 CH 2 OH and CH 2 CH(OH)CH 3 , and m is an integer in the range of 1 to 4, in particular 1, 2 or 3, where the variable n is preferably in the range of 1 to 5, particularly in the range of 1 to 3, especially n is 2 and where the average of n is preferably in the range of 1.1 to 5.0, in in particular in the range of 1.5 to 4.5 and especially in the range of 1.7 to 3.5.
- the amount of the active substance i.e. the total amount of one or more herbicide compound(s), in particular at least one herbicide compound of the groups (a) to (o), preferably a herbicide compound of the group (a), which is in particular selected from glufosinate and the salts thereof, if appropriate, further active substance(s), which is selected from the groups (b) to (o) of the herbicide compounds as defined above, in such ODs is usually in the range of from 5 to 60% by weight, in particular in the range of from 10 to 50% by weight, based on the total weight of the oil dispersion.
- the amount of the alkylether sulfate salt of the formula (I) in such OD is usually in the range of from 1 to 45% by weight, in particular in the range of from 5 to 40% by weight, based on the total weight of the oil dispersion.
- oil dispersions may comprise surface-active substances other than those of the formula (I) and, if appropriate, one or more auxiliaries, such as antifoam agents, thickeners, stabilizers (biocides), pH regulators and anticaking agents.
- auxiliaries such as antifoam agents, thickeners, stabilizers (biocides), pH regulators and anticaking agents.
- Suitable surface-active substances other than those of the formula (I) are, preferably, the abovementioned anionic and nonionic surfactants.
- the amount of surface-active substances other than those of the formula (I) will amount to from 0 to 30% by weight, in particular 0 to 20% by weight, based on the total weight of the OD according to the invention.
- the surface-active substances other than those of the formula (I) comprise comprise at least one anionic surface-active substance other than those of the formula (I) and at least one nonionic surface-active substance, the weight ratio of the anionic to the nonionic surface-active substance being typically in the range of from 10:1 to 1:10.
- the herbicidal formulation according to the invention may be a physical mixture of at least one alkylether sulfate of the formula (I) with at least one herbicide compound, as defined herein.
- the formulation can, however, also be any desired combination of the alkylether sulfate of the formula (I) with at least one herbicide compound, where the alkylether sulfate of the formula (I) and the herbicide compound must not be formulated together.
- One example of the herbicidal formulation according to the invention, in which at least one alkylether sulfate of the formula (I) and at least one herbicide compound are not formulated together, is a two-component kit.
- the present invention also provides a two-component kit comprising a first component which comprises the alkylether sulfate of the formula (I), and a second component which comprises at least one herbicide compound, a liquid or solid carrier and optionally at least one surfactant and/or at least one customary auxiliary.
- the alkylether sulfates of the formula (I) and at least one herbicide compound are applied to the undesired plants or their habitat.
- the order, in which the alkylether sulfate of the formula (I), the herbicide compound(s) and if present, the further herbicide are applied, is of minor importance.
- the alkylether sulfate of the formula (I) and the herbicide compound(s) are present at the site of action at the same time, i.e. at the same time have contact with the plant to be controlled or are absorbed by this.
- the alkylether sulfate of the formula (I) and the at least one herbicide may be co-formulated or separately formulated. In the latter case, the alkylether sulfates of the formula (I) and the at least one herbicide are typically applied as an aqueous spray liquor.
- the invention also relates to an aqueous spray liquor comprising i. at least one alkylether sulfate of the formula (I), as defined herein; and ii.
- the alkylether sulfate of the formula (I) and the herbicide or suitable formulations thereof are typically mixed with the application water (make-up water) prior to application of the combination, i. e. the herbicide and the alkylether sulfate of the formula (I) are tank mixed.
- the concentration of the herbicide compound in the aqueous spray liquor depends of its application rate, which is typically in the range from 10 g/ha to 1.2 kg/ha, in particular in the range of 20 g/ha to 1.0 kg/ha, especially in the range of 25 g/ha to 0.8 kg/ha, calculated as active herbicide compound.
- the amount of application water per hectare is generally in the range of 50 to 1000 l/ha.
- the aqueous spray liquor may have any pH value which is acceptable for agricultural purposes.
- the aqueous spray liquor has a pH value in the range of 4 to 9, particularly in the range of 5 to 8, especially in the range of 5.5 to 7.5 as determined at 25 °C.
- the alkylether sulfate of the formula (I) and the herbicide including the herbicide active ingredient and optionally formulation auxiliaries
- the aqueous spray liquor may contain one or more further agriculturally active ingredients.
- Further agriculturally active ingredients may be selected from fungicides, insecticides, nematicides, safeners, fertilizers, micronutrients, biopesticides, nitrification inhibitors, urease inhibitors, and/or growth regulators. Combinations of herbicides and safeners may be particularly useful.
- Suitable safeners include (quinolin-8-oxy)acetic acids, 1- phenyl-5-haloalkyl-1H-1,2,4-triazol-3-carboxylic acids, 1-phenyl-4,5-dihydro-5-alkyl-1H- pyrazol-3,5-dicarboxylic acids, 4,5-dihydro-5,5-diaryl-3-isoxazol carboxylic acids, dichloroacetamides, alpha-oximinophenylacetonitriles, acetophenonoximes, 4,6-dihalo- 2-phenylpyrimidines, N-[[4-(aminocarbonyl)phenyl]sulfonyl]-2-benzoic amides, 1,8- naphthalic anhydride, 2-halo-4-(haloalkyl)-5-thiazol carboxylic acids, phosphorthiolates and N-alkyl-O-phenylcarbamates and their agriculturally acceptable salts and
- the aqueous spray liquor containing the herbicide and the alkylether sulfate of the formula (I) is used for controlling undesired vegetation on crop area and on non-crop areas.
- the aqueous spray liquor allows for very efficiently control undesired vegetation on non-crop area and in crops. On non-crop area very efficient control is achieved at high application rates.
- application of the spray liquor allows for efficient control of broad-leafed weeds and grass weeds in crops such as wheat, rice, corn, soybeans and cotton without causing any significant damage to the crop plants. This effect is mainly observed at low rates of application.
- the spray liquor is generally applied to the undesired plants mainly by spraying the leaves.
- the application can be carried out by customary spraying techniques using spray liquor amounts of from about 10 to 1000 l/ha.
- Application of the spray liquor can be done before, during and/or after the emergence of the undesirable plants.
- the weight ratio of the alkylether sulfate of the formula (I) to the herbicide compound is preferably in the range of 1:10 to 10:1, in particular in the range of 1:5 to 7:1 and especially in the range of 1:1 to 6:1.
- the herbicide compound of the herbicidal formulation or the aqueous spray liquor according to the invention is selected from at least one herbicide compound of the groups (a) to (o): (a) herbicide compounds of the group of the glutamine synthetase inhibitors; (b) herbicide compounds of the group of the enolpyruvyl shikimate 3- phosphate synthase inhibitors (EPSP inhibitors); (c) herbicide compounds of the group of acetolactate synthase inhibitors (ALS inhibitors), (d) herbicide compounds of the group of protoporphyrinogen-IX oxidase inhibitors; (e) herbicide compounds of the group of auxinic herbicides and auxin transport inhibitors; (f) herbicide compounds of the group of photosynthesis inhibitors; (g) herbicide compounds of the group of lipid biosynthesis inhibitors (acetyl- CoA carboxylase inhibitors, ACCase inhibitors); (h) lipid biosynthesis inhibitors other than ACCase-
- the herbicide compound of the herbicidal formulation or the aqueous spray liquor according to the invention comprises a herbicide compound of the group (a), which is in particular selected from the group consisting of glufosinate, glufosinate salts and combinations thereof.
- the herbicide compound of the group (a) of the herbicidal formulation or the aqueous spray liquor according to the invention comprises a glufosinate salt, which is selected from the group consisting of the sodium, potassium and ammonium (NH 4 + ) salts of glufosinate.
- the herbicide compound of the group (a) of the herbicidal formulation or the aqueous spray liquor according to the invention is a L-glufosinate salt, which is in particular selected from the group consisting of the sodium, potassium and ammonium (NH4 + ) salts of L-glufosinate.
- the herbicidal formulation or the aqueous spray liquor comprises at least one further herbicide.
- suitable further herbicide are as described above.
- the concentration of the further herbicide, the weight ratio of the alkylether sulfate of the formula (I) to the further herbicide, the weight ratio of the herbicide compound to the further herbicide are also as described above.
- the weight ratio refers to the total weight of the herbicidal formulation or the total weight of the aqueous spray liquor.
- the herbicide compound of the herbicidal formulation or the aqueous spray liquor according to the present invention comprises at least one further herbicide compound which is selected from groups (b) to (o):herbicide compounds of the group of the enolpyruvyl shikimate 3-phosphate synthase inhibitors (EPSP inhibitors); (c) herbicide compounds of the group of acetolactate synthase inhibitors (ALS inhibitors), (d) herbicide compounds of the group of protoporphyrinogen-IX oxidase inhibitors; (e) herbicide compounds of the group of auxinic herbicides and auxin transport inhibitors;, (f) herbicide compounds of the group of photosynthesis inhibitors; (g) herbicide compounds of the group of lipid biosynthesis inhibitors (acetyl- CoA carboxylase inhibitors, ACCase inhibitors); (h) lipid biosynthesis inhibitors other than ACCase-inhibitors; (i) bleacher herbicides; (j) 7,8
- the herbicidal formulation or the aqueous spray liquor according to the invention can be used for controlling undesired vegetation on crop area and on non-crop areas.
- the herbicidal formulation or the aqueous spray liquor according to the invention controls undesired plant growth on uncultivated surfaces very well, particularly at high application rates. In cultures such as wheat, rice, corn, soya and cotton, it is effective against weeds and harmful grasses without notably damaging the cultivated plants. This effect arises primarily at low application rates.
- the herbicidal formulation or the aqueous spray liquor allows for very efficiently control undesired vegetation on non-crop area and in crops. On non-crop area very efficient control is achieved at high application rates.
- spray liquor allows for efficient control of broad-leafed weeds and grass weeds in crops such as wheat, rice, corn, soybeans and cotton without causing any significant damage to the crop plants. This effect is mainly observed at low rates of application.
- the spray liquor is generally applied to the undesired plants mainly by spraying the leaves.
- the application can be carried out by customary spraying techniques using spray liquor amounts of from about 10 to 1000 l/ha.
- Application of the spray liquor can be done before, during and/or after, preferably during and/or after, the emergence of the undesirable plants.
- the amounts of glufosinate or salt thereof without formulation auxiliaries are, depending on the kind of effect desired, from 10 g/ha to 2 kg/ha, in particular from 20 g/ha to 1.5 kg/ha, especially from 25 g/ha to 1.0 kg/ha, calculated as active herbicide compound.
- the herbicidal formulation or the aqueous spray liquor according to the invention can also be used in a further number of cultivated plants for eliminating undesired plants.
- the following cultures, for example, are contemplated: Allium cepa, Ananas comosus, Arachis hypogaea, Asparagus officinalis, Beta vulgaris spec. altissima, Beta vulgaris spec.
- rapa Brassica napus var. napus, Brassica napus var. napobrassica, Brassica rapa var. silvestris, Camellia sinensis, Carthamus tinctorius, Caryailli Boinensis, Citrus limon, Citrus sinensis, Coffea arabica (Coffea canephora, Coffea liberica), Cucumis sativus, Cynodon dactylon, Daucus carota, Elaeis guineensis, Fragaria vesca, Glycine max, Gossypium hirsutum, (Gossypium arboreum, Gossypium herbaceum, Gossypium vitifolium), Helianthusannuus, Hevea brasiliensis, Hordeum vulgare, Humulus lupulus, Ipomoea batatas, Juglans regia, Lens culinaris, Linum
- the herbicidal formulation or the aqueous spray liquor can also be used in cultures which are tolerant to the effect of herbicides through cultivation including genetic methods.
- the herbicidal formulation or the aqueous spray liquor according to the invention can also be used in cultures which are tolerant to insects or fungal attack through cultivation including genetic methods.
- the term "crops" as used herein includes also (crop) plants which have been modified by mutagenesis or genetic engineering in order to provide a new trait to a plant or to modify an already present trait. Mutagenesis includes techniques of random mutagenesis using X-rays or mutagenic chemicals, but also techniques of targeted mutagenesis, in order to create mutations at a specific locus of a plant genome.
- Targeted mutagenesis techniques frequently use oligonucleotides or proteins like CRISPR/Cas, zinc-finger nucleases, TALENs or meganucleases to achieve the targeting effect.
- Genetic engineering usually uses recombinant DNA techniques to create modifications in a plant genome which under natural circumstances cannot readily be obtained by cross breeding, mutagenesis or natural recombination.
- one or more genes are integrated into the genome of a plant in order to add a trait or improve a trait. These integrated genes are also referred to as transgenes in the art, while plant comprising such transgenes are referred to as transgenic plants.
- the process of plant transformation usually produces several transformation events, which differ in the genomic locus in which a transgene has been integrated.
- Plants comprising a specific transgene on a specific genomic locus are usually described as comprising a specific “event”, which is referred to by a specific event name.
- Traits which have been introduced in plants or have been modified include in particular herbicide tolerance, insect resistance, increased yield and tolerance to abiotic conditions, like drought.
- Herbicide tolerance has been created by using mutagenesis as well as using genetic engineering. Plants which have been rendered tolerant to acetolactate synthase (ALS) inhibitor herbicides by conventional methods of mutagenesis and breeding comprise plant varieties commercially available under the name Clearfield ® . However, most of the herbicide tolerance traits have been created via the use of transgenes.
- ALS acetolactate synthase
- Herbicide tolerance has been created to glyphosate, glufosinate, 2,4-D, dicamba, oxynil herbicides, like bromoxynil and ioxynil, sulfonylurea herbicides, ALS inhibitor herbicides and 4-hydroxyphenylpyruvate dioxygenase (HPPD) inhibitors, like isoxaflutole and mesotrione.
- HPPD 4-hydroxyphenylpyruvate dioxygenase
- Transgenes which have been used to provide herbicide tolerance traits comprise: for tolerance to glyphosate: cp4 epsps, epsps grg23ace5, mepsps, 2mepsps, gat4601, gat4621 and goxv247, for tolerance to glufosinate: pat and bar, for tolerance to 2,4-D: aad-1 and aad-12, for tolerance to dicamba: dmo, for tolerance to oxynil herbicies: bxn, for tolerance to sulfonylurea herbicides: zm-hra, csr1-2, gm-hra, S4-HrA, for tolerance to ALS inhibitor herbicides: csr1-2, for tolerance to HPPD inhibitor herbicides: hppdPF, W336 and avhppd-03.
- Transgenic corn events comprising herbicide tolerance genes are for example, but not excluding others, DAS40278, MON801, MON802, MON809, MON810, MON832, MON87411, MON87419, MON87427, MON88017, MON89034, NK603, GA21, MZHG0JG, HCEM485, VCO- ⁇ 1981-5, 676, 678, 680, 33121, 4114, 59122, 98140, Bt10, Bt176, CBH-351, DBT418, DLL25, MS3, MS6, MZIR098, T25, TC1507 and TC6275.
- Transgenic soybean events comprising herbicide tolerance genes are for example, but not excluding others, GTS 40-3-2, MON87705, MON87708, MON87712, MON87769, MON89788, A2704-12, A2704-21, A5547-127, A5547-35, DP356043, DAS44406-6, DAS68416-4, DAS-81419-2, GU262, SYHT ⁇ H2, W62, W98, FG72 and CV127.
- Transgenic cotton events comprising herbicide tolerance genes are for example, but not excluding others, 19-51a, 31707, 42317, 81910, 281-24-236, 3006-210-23, BXN10211, BXN10215, BXN10222, BXN10224, MON1445, MON1698, MON88701, MON88913, GHB119, GHB614, LLCotton25, T303-3 and T304-40.
- Transgenic canola events comprising herbicide tolerance genes are for example, but not excluding others, MON88302, HCR-1, HCN10, HCN28, HCN92, MS1, MS8, PHY14, PHY23, PHY35, PHY36, RF1, RF2 and RF3.
- Insect resistance has mainly been created by transferring bacterial genes for insecticidal proteins to plants.
- Transgenes which have most frequently been used are toxin genes of Bacillus spec. and synthetic variants thereof, like cry1A, cry1Ab, cry1Ab- Ac, cry1Ac, cry1A.105, cry1F, cry1Fa2, cry2Ab2, cry2Ae, mcry3A, ecry3.1Ab, cry3Bb1, cry34Ab1, cry35Ab1, cry9C, vip3A(a), vip3Aa20.
- genes of plant origin have been transferred to other plants.
- genes coding for protease inhibitors like CpTI and pinII.
- a further approach uses transgenes in order to produce double stranded RNA in plants to target and downregulate insect genes.
- An example for such a transgene is dvsnf7.
- Transgenic corn events comprising genes for insecticidal proteins or double stranded RNA are for example, but not excluding others, Bt10, Bt11, Bt176, MON801, MON802, MON809, MON810, MON863, MON87411, MON88017, MON89034, 33121, 4114, 5307, 59122, TC1507, TC6275, CBH-351, MIR162, DBT418 and MZIR098.
- Transgenic soybean events comprising genes for insecticidal proteins are for example, but not excluding others, MON87701, MON87751 and DAS-81419.
- Transgenic cotton events comprising genes for insecticidal proteins are for example, but not excluding others, SGK321, MON531, MON757, MON1076, MON15985, 31707, 31803, 31807, 31808, 42317, BNLA-601, Event1, COT67B, COT102, T303-3, T304- 40, GFM Cry1A, GK12, MLS 9124, 281-24-236, 3006-210-23, GHB119 and SGK321.
- Increased yield has been created by increasing ear biomass using the transgene athb17, being present in corn event MON87403, or by enhancing photosynthesis using the transgene bbx32, being present in the soybean event MON87712.
- Crops comprising a modified oil content have been created by using the transgenes: gm-fad2-1, Pj.D6D, Nc.Fad3, fad2-1A and fatb1-A. Soybean events comprising at least one of these genes are: 260-05, MON87705 and MON87769.
- Tolerance to abiotic conditions has been created by using the transgene cspB, comprised by the corn event MON87460 and by using the transgene Hahb-4, comprised by soybean event IND- ⁇ 41 ⁇ -5. Traits are frequently combined by combining genes in a transformation event or by combining different events during the breeding process.
- Preferred combination of traits are herbicide tolerance to different groups of herbicides, insect tolerance to different kind of insects, in particular tolerance to lepidopteran and coleopteran insects, herbicide tolerance with one or several types of insect resistance, herbicide tolerance with increased yield as well as a combination of herbicide tolerance and tolerance to abiotic conditions.
- Plants comprising singular or stacked traits as well as the genes and events providing these traits are well known in the art.
- detailed information as to the mutagenized or integrated genes and the respective events are available from websites of the organizations “International Service for the Acquisition of Agri-biotech Applications (ISAAA)” (http://www.isaaa.org/gmapprovaldatabase) and the “Center for Environmental Risk Assessment (CERA)” (http://cera-gmc.org/GMCropDatabase), as well as in patent applications, like EP3028573 and WO2017/011288.
- ISAAA International Service for the Acquisition of Agri-biotech Applications
- CERA Center for Environmental Risk Assessment
- the use the spray liquors according to the invention on crops may result in effects which are specific to a crop comprising a certain gene or event.
- effects might involve changes in growth behavior or changed resistance to biotic or abiotic stress factors.
- Such effects may in particular comprise enhanced yield, enhanced resistance or tolerance to insects, nematodes, fungal, bacterial, mycoplasma, viral or viroid pathogens as well as early vigour, early or delayed ripening, cold or heat tolerance as well as changed amino acid or fatty acid spectrum or content.
- plants are also covered that contain by the use of recombinant DNA techniques a modified amount of ingredients or new ingredients, specifically to improve raw material production, e.g., potatoes that produce increased amounts of amylopectin (e.g. Amflora® potato, BASF SE, Germany).
- the combination of the alkylether sulfate of formula (I) and the herbicide may also be suitable for the defoliation and/or desiccation of plant parts, for which crop plants such as cotton, potato, oilseed rape, sunflower, soybean or field beans, in particular cotton, are suitable.
- herbicidal compositions have been found for the desiccation and/or defoliation of plants, processes for preparing these compositions, and methods for desiccating and/or defoliating plants using the herbicidal compositions according to the invention.
- herbicidal compositions according to the invention are suitable in particular for desiccating the above-ground parts of crop plants such as potato, oilseed rape, sunflower and soybean, but also cereals. This makes possible the fully mechanical harvesting of these important crop plants. Also of economic interest is the facilitation of harvesting, which is made possible by concentrating within a certain period of time the dehiscence, or reduction of adhesion to the tree, in citrus fruit, olives and other species and varieties of pomaceous fruit, stone fruit and nuts. The same mechanism, i.e. the promotion of the development of abscission tissue between fruit part or leaf part and shoot part of the plants is also essential for the controlled defoliation of useful plants, in particular cotton.
- the combination of the alkylether sulfate of the formula (I) and the herbicide may be applied in or on permanent cropland, or on permanent crops.
- a permanent crop is one produced from plants which last for many seasons, rather than being re-planted after each harvest. Permanent crops are grown on permanent crop land in the form of agricultural land that includes grasslands and shrublands, e.g. used to grow grape vines or coffee; orchards used to grow fruit or olives; and forested plantations, e.g. used to grow nuts or rubber. It does not include, however, tree farms intended to be used for wood or timber.
- Preferred permanent croplands in the context of the present invention are plantations, grasslands and shrublands.
- the permanent crops in the context of the present invention are plantation crops, and preferably are selected from the group consisting fruit crops and orchard crops (preferably fruit trees, citrus trees, mango trees, olive trees, grape vines, coffee, cocoa, tea, and berries (such as strawberries, raspberries, blueberries and currants)), Musaceae sp. crops (for example banana or plantain crops), nut trees (preferably almond trees, walnut trees, pistachio trees, pecan trees, hazelnut trees), oil palm trees, rubber trees, sugarcane and cotton.
- the permanent crops are fruit trees (preferably pome fruit trees and stone fruit trees; preferred fruit trees are apple trees, pear trees, apricot trees, plum trees, cherry trees, peach trees), olive trees, grape vines, coffee, tea), Musaceae sp. crops (preferably banana crops or plantain crops), nut trees (preferably almond trees, walnut trees, pistachio trees, pecan trees, hazelnut trees), oil palm trees, rubber trees, and citrus crops (preferably lemon, orange or grapefruit crops).
- fruit trees preferably pome fruit trees and stone fruit trees
- preferred fruit trees are apple trees, pear trees, apricot trees, plum trees, cherry trees, peach trees), olive trees, grape vines, coffee, tea
- Musaceae sp. crops preferably banana crops or plantain crops
- nut trees preferably almond trees, walnut trees, pistachio trees, pecan trees, hazelnut trees
- oil palm trees preferably lemon, orange or grapefruit crops.
- the permanent crops are selected from the group consisting of apple trees, pear trees, apricot trees, plum trees, cherry trees, peach trees, olive trees, grape vines, coffee, tea, banana crops, nut trees (preferably almond trees, walnut trees, pistachio trees), oil palm trees, rubber trees, and citrus crops (preferably lemon, orange or grapefruit crops).
- the permanent crops are selected from the group consisting of apple trees, pear trees, apricot trees, plum trees, cherry trees, peach trees, olive trees, grape vines, coffee, tea, banana crops, almond trees, walnut trees, oil palm trees, rubber trees, lemon crops, orange crops and grapefruit crops.
- the combination of the alkylether sulfate of the formula (I) and the herbicide may also be applied on row crops and as well on specialty crops.
- Row crops can be planted in rows wide enough to allow it to be tilled or otherwise cultivated by agricultural machinery, machinery tailored for the seasonal activities of row crops.
- the particularity of row crops is that they are planted and cultivated on a seasonal or yearly basis. Therefore, such crops yield products and profit relatively quickly and predictably.
- a row crop is one produced from plants which last for many seasons, rather than being re-planted after each harvest. Examples of row crops include soybeans, corn, canola, cotton, cereals or rice, but as well sunflower, potato, dry bean, field pea, flax, safflower, buckwheat and sugar beets.
- Specialty crops are to be understood as fruits, vegetables or other speciality or plantation permanent crops such as trees, nuts, vines, (dried) fruits, ornamentals, oil palm, banana, rubber and the like, Horticulture and nursery crops, including floriculture, may also fall under the definition of speciality crops.
- Vegetable crops includes for example aubergine, beans, bell pepper, cabbage, chili, cucumber, eggplant, lettuce, melon, onion, potato, sweet potato, spinach and tomato. Plants being considered specialty crops are in general intensively cultivated. For weed control in vegetable crops, it may be desirable to shield the crops from contact with the spray solution that contains the herbicidal mixture according to the present invention.
- the crops which may be treated with the combination of the alkylether sulfate of the formula (I) and the herbicide may be of conventional origin or may be herbicide tolerant crops, preferably crops, which are tolerant at least against one of glufosinate, glyphosate and/or dicamba.
- the combination of the alkylether sulfate of the formula (I) and the herbicide shows high herbicidal effects also against select crop plants, such as barley and soybean. This effect can be used to control crop plants in crop rotation methods of previously grown crop cultures. Typically, residual crop plants from previous rotation cycles remain after harvest and continue to grow within the subsequently grown crop variety. This reduces the yield since the crop plants of two different crop rotation cycles compete on the same locus of growth.
- the combination of the alkylether sulfate of the formula (I) and the herbicide may thus be applied to control residual crop plants from previous crop rotation cycles to allow for a homogeneous coverage with the subsequent crop plant.
- the combination of the alkylether sulfateof the formula (I) and the herbicide is applied once, twice or three times per Gregorian calendar year, i.e. in one application, in two applications or in three applications per year according to the Gregorian calendar.
- the herbicidal composition is applied twice per Gregorian calendar year, i.e. in two applications per year according to the Gregorian calendar.
- the combination of the alkylether sulfate of the formula (I) and the herbicide is applied one time per Gregorian calendar year, i.e. in one application per year according to the Gregorian calendar.
- the herbicidal composition is applied one time in about 12 months, i.e. in one application in about 12 months.
- the combination of the alkylether sulfate of the formula (I) and the herbicide is applied between one and ten times per Gregorian calendar year, i.e. in up to ten applications per year according to the Gregorian calendar.
- This alternative preferred method is of particular usefulness in permanent crops, in particular those grown under tropical conditions; in which case weeds grow vigorously at any time of the year, and herbicide applications are to be repeated as soon as the previous treatment loses its effectiveness and weeds start to regrow.
- the invention includes the use and methods of application of the combination of the alkylether sulfate of the formula (I) and the herbicide for controlling undesirable vegetation in crops in a burndown program, wherein the crop is produced by genetic engineering or by breeding, are tolerant to one or more herbicides and/or resistant to pathogens such as plant-pathogenous fungi, and/or to attack by insects; preferably tolerant to glufosinate.
- glufosinate tolerant crop plant is preferably selected from the group consisting of rice, canola, soybean, corn and cotton plants.
- Transgenic corn events comprising glufosinate tolerance genes are for example, but not excluding others, 5307 x MIR604 x Bt11 x TC1507 x GA21 x MIR162 (event code: SYN- ⁇ 53 ⁇ 7-1 x SYN-IR6 ⁇ 4-5 x SYN-BT ⁇ 11-1 x DAS- ⁇ 15 ⁇ 7-1 x MON- ⁇ 21-9 x SYN-IR162-4, gene: pat, e.g.
- Agrisure® DuracadeTM 5222 commercially available as Agrisure® DuracadeTM 5222
- 59122 event code: DAS-59122-7, gene: pat, e.g. commercially available as HerculexTM RW
- 5307 x MIR604 x Bt11 x TC1507 x GA21 event code: SYN- ⁇ 53 ⁇ 7-1 x SYN-IR6 ⁇ 4-5 x SYN-BT ⁇ 11-1 x DAS- ⁇ 15 ⁇ 7-1 x MON- ⁇ 21-9, gene: pat, e.g. commercially available as Agrisure® DuracadeTM 5122
- 59122 x NK603 event code: DAS-59122-7 x MON- ⁇ 6 ⁇ 3-6, gene: pat, e.g.
- Bt11 x GA21 (event code: SYN-BT ⁇ 11-1 x MON- ⁇ 21-9, gene: pat, e.g. commercially available as AgrisureTM GT/CB/LL), Bt11 x MIR162 (event code: SYN-BT ⁇ 11-1 x SYN-IR162-4, gene: pat, e.g. commercially available as Agrisure® VipteraTM 2100), Bt11 x MIR162 x GA21 (event code: SYN-BT ⁇ 11-1 x SYN-IR162-4 x MON- ⁇ 21-9, gene: pat, e.g.
- BT11 x MIR162 x MIR604 (event code: SYN-BT ⁇ 11-1 x SYN-IR162-4 x SYN-IR6 ⁇ 4-5, gene: pat, e.g. commercially available as Agrisure® VipteraTM 3100), Bt11 x MIR162 x MIR604 x GA21 (event code: SYN-BT ⁇ 11-1 x SYN-IR162-4 x SYN-IR6 ⁇ 4-5 x MON- ⁇ 21-9, gene: pat, e.g.
- Agrisure® VipteraTM 3111, Agrisure® VipteraTM 4 Bt11 x MIR162 x TC1507 x GA21 (event code: SYN-BT ⁇ 11-1 x SYN-IR162-4 x DAS- ⁇ 15 ⁇ 7- 1 x MON- ⁇ 21-9, gene: pat, e.g. commercially available as AgrisureTM Viptera 3220), Bt11 x MIR604 (event code: SYN-BT ⁇ 11-1 x SYN-IR6 ⁇ 4-5, gene: pat, e.g.
- MON89034 x TC1507 x MON88017 x 59122 (event code: MON-89 ⁇ 34- 3 x DAS- ⁇ 15 ⁇ 7-1 x MON-88 ⁇ 17-3 x DAS-59122-7, gene: pat, e.g. commercially available as Genuity® SmartStaxTM), MON89034 x TC1507 x NK603 (event code: MON-89 ⁇ 34-3 x DAS- ⁇ 15 ⁇ 7-1 x MON- ⁇ 6 ⁇ 3-6, gene: pat, e.g.
- TC1507 x 59122 (event code: DAS- ⁇ 15 ⁇ 7-1 x DAS-59122-7, gene: pat, e.g. commercially available as Herculex XTRATM), TC1507 x 59122 x MON810 x NK603 (event code: DAS- ⁇ 15 ⁇ 7-1 x DAS-59122-7 x MON- ⁇ 81 ⁇ -6 x MON- ⁇ 6 ⁇ 3-6, gene: pat, e.g.
- OptimumTM Intrasect XTRA TC1507 x 59122 x NK603 (event code: DAS- ⁇ 15 ⁇ 7-1 x DAS-59122-7 x MON- ⁇ 6 ⁇ 3-6, gene: pat, e.g. commercially available as Herculex XTRATM RR), TC1507 x MIR604 x NK603 (event code: DAS- ⁇ 15 ⁇ 7-1 x SYN-IR6 ⁇ 4-5 x MON- ⁇ 6 ⁇ 3-6, gene: pat, e.g.
- TC1507 x MON810 x NK603 (event code: DAS- ⁇ 15 ⁇ 7-1 x MON- ⁇ 81 ⁇ -6 x MON- ⁇ 6 ⁇ 3-6, gene: pat, e.g. commercially available as OptimumTM Intrasect), TC1507 x NK603 (event code: DAS- ⁇ 15 ⁇ 7-1 x MON- ⁇ 6 ⁇ 3-6, gene: pat, e.g.
- Transgenic soybean events comprising glufosinate tolerance genes are for example, but not excluding others, A2704-12 (event code: ACS-GM ⁇ 5-3, gene: pat , e.g. commercially available as Liberty LinkTM soybean), A2704-21 (event code: ACS- GM ⁇ 4-2, gene: pat, e.g. commercially available as Liberty LinkTM soybean), A5547- 127 (event code: ACS-GM ⁇ 6-4, gene: pat, e.g. commercially available as Liberty LinkTM soybean), A5547-35 (event code: ACS-GM ⁇ 8-6, gene: pat, e.g.
- DAS44406-6 event code: DAS-444 ⁇ 6-6, gene: pat
- DAS68416-4 x MON89788 event code: DAS-68416-4 x MON-89788-1, gene: pat
- SYHT ⁇ H2 event code: SYN- ⁇ H2-5, gene: pat
- DAS81419 x DAS44406-6 event code: DAS-81419-2 x DAS-444 ⁇ 6-6, gene: pat
- FG72 x A5547-127 event code: MST-FG ⁇ 72-3 x ACS-GM ⁇ 6-4, gene: pat
- Transgenic cotton events comprising glufosinate tolerance genes are for example, but not excluding others, 3006-210-23 x 281-24-236 x MON1445 (event code: DAS- 21 ⁇ 23-5 x DAS-24236-5 x MON- ⁇ 1445-2, gene: bar, e.g. commercially available as WideStrikeTM Roundup ReadyTM Cotton), 3006-210-23 x 281-24-236 x MON88913 (event code: DAS-21 ⁇ 23-5 x DAS-24236-5 x MON-88913-8, gene: bar, e.g.
- GHB614 x T304-40 x GHB119 (event code: BCS-GH ⁇ 2-5 x BCS- GH ⁇ 4-7 x BCS-GH ⁇ 5-8, gene: bar, e.g. commercially available as GlytolTM x TwinlinkTM), LLCotton25 (event code: ACS-GH ⁇ 1-3, gene: bar, e.g. commercially available as ACS-GH ⁇ 1-3), GHB614 x T304-40 x GHB119 x COT102 (event code: BCS-GH ⁇ 2-5 x BCS-GH ⁇ 4-7 x BCS-GH ⁇ 5-8 x SYN-IR1 ⁇ 2-7, gene: bar, e.g.
- Transgenic canola events comprising glufosinate tolerance genes are for example, but not excluding others, HCN10 (Topas 19/2) (event code: , gene: bar, e.g. commercially available as Liberty LinkTM IndependenceTM), HCN28 (T45) (event code: ACS-BN ⁇ 8- 2, gene: pat, e.g. commercially available as InVigorTM Canola), HCN92 (Topas 19/2 (event code: ACS-BN ⁇ 7-1, gene: bar, e.g. commercially available as Liberty LinkTM InnovatorTM), MS1 (B91-4) (event code: ACS-BN ⁇ 4-7, gene: bar, e.g.
- MS1 x RF1 (event code: ACS-BN ⁇ 4-7 x ACS-BN ⁇ 1-4, gene: bar, e.g. commercially available as InVigorTM Canola), MS1 x RF2 (PGS2) (event code: ACS-BN ⁇ 4-7 x ACS-BN ⁇ 2-5, gene: bar, e.g. commercially available as InVigorTM Canola), MS1 x RF3 (event code: ACS-BN ⁇ 4-7 x ACS-BN ⁇ 3-6, gene: bar, e.g.
- InVigorTM Canola commercially available as InVigorTM Canola
- RF3 event code: ACS-BN ⁇ 3-6, gene: bar, e.g. commercially available as InVigorTM Canola
- MS1 x MON88302 event code: ACS-BN ⁇ 4-7 x MON-883 ⁇ 2-9, gene: bar, e.g. commercially available as InVigorTM x TruFlexTM Roundup ReadyTM Canola
- MS8 x MON88302 event code: ACS-BN ⁇ 5-8 x MON-883 ⁇ 2-9, gene: bar, e.g.
- Transgenic rice events comprising glufosinate tolerance genes are for example, but not excluding others, LLRICE06 (event code: ACS-OS ⁇ 1-4, e.g. commercially available as Liberty LinkTM rice), LLRICE601 (event code: BCS-OS ⁇ 3-7, e.g. commercially available as Liberty LinkTM rice) and LLRICE62 (event code: ACS-OS ⁇ 2-5, e.g. commercially available as Liberty LinkTM rice).
- LLRICE06 event code: ACS-OS ⁇ 1-4, e.g. commercially available as Liberty LinkTM rice
- LLRICE601 event code: BCS-OS ⁇ 3-7, e.g. commercially available as Liberty LinkTM rice
- LLRICE62 event code: ACS-OS ⁇ 2-5, e.g. commercially available as Liberty LinkTM rice.
- the application of the herbicidal formulation or the aqueous spray liquor can take place in the pre-emergence or in the post-emergence method.
- the herbicidal formulation is not very compatible for certain cultivated plants, then application techniques can be employed in which the herbicidal formulation is sprayed using the spraying device such that the leaves of the sensitive cultivated plants are where possible not affected, whereas the herbicidal formulation reaches the leaves of undesired plants growing underneath or the uncovered soil surface (post-directed, lay-by).
- the application of the combination of the herbicide and the copolymer CP provides an outstanding herbicidal activity against a broad spectrum of economically important harmful monocotyledonous and dicotyledonous harmful plants. Also here, post- emergence application is preferred.
- examples may be mentioned of some representatives of the monocotyledonous and dicotyledonous weed flora, which can be controlled by the combinations according to the invention, without the enumeration being a restriction to certain species.
- reference may be made to growth stages according to the BBCH monograph “Growth stages of mono-and dicotyledonous plants”, 2nd edition, 2001, ed. Uwe Meier, Federal Biological Research Centre for Agriculture and Forestry (Biologische Bundesweg für Land und Forstelle).
- Examples of monocotyledonous harmful plants on which the glufosinate combinations act efficiently are from amongst the genera Hordeum spp., Echinochloa spp., Poa spp., Bromus spp., Digitaria spp., Eriochloa spp., Setaria spp., Pennisetum spp., Eleusine spp., Eragrostis spp., Panicum spp., Lolium spp., Brachiaria spp., Leptochloa spp., Avena spp., Cyperus spp., Axonopris spp., Sorghum spp., and Melinus spp..
- Particular examples of monocotyledonous harmful plants species on which the herbicidal compositions act efficiently are selected from amongst the species Hordeum murinum, Echinochloa crus-galli, Poa annua, Bromus rubens L., Bromus rigidus, Bromus secalinus L., Digitaria sanguinalis, Digitaria insularis, Eriochloa gracilis, Setaria faberi, Setaria viridis, Pennisetum glaucum, Eleusine indica, Eragrostis pectinacea, Panicum miliaceum, Lolium multiflorum, Brachiaria platyphylla, Leptochloa fusca, Avena fatua, Cyperus compressus, Cyperus esculentes, Axonopris offinis, Sorghum halapense, and Melinus repens.
- the herbicidal compositions are used to control monocotyledonous harmful plant species, more preferably monocoty-ledonous plants of the species Echinochloa spp., Digitaria spp., Setaria spp., Eleusine spp. and Bra- Corpium spp.
- Examples of dicotyledonous harmful plants on which the herbicidal compositions act efficiently are from amongst the genera Amaranthus spp., Erigeron spp., Conyza spp., Polygonum spp., Medicago spp., Mollugo spp., Cyclospermum spp., Stellaria spp., Gnaphalium spp., Taraxacum spp., Oenothera spp., Amsinckia spp., Erodium spp., Erigeron spp., Senecio spp., Lamium spp., Kochia spp., Chenopodium spp., Lactuca spp., Malva spp., Ipomoea spp., Brassica spp., Sinapis spp., Urtica spp., Sida spp, Portulaca spp., Richardia spp.
- Bidens spp. Veronica spp., and Hypochaeris spp..
- dicotyledonous harmful plants species on which the herbicidal compositions act efficiently are selected from amongst the species Amaranthus spinosus, Polygonum convolvulus, Medicago polymorpha, Mollugo verticillata, Cyclospermum leptophyllum, Stellaria media, Gnaphalium purpureum, Taraxacum offi cinale, Oenothera laciniata, Amsinckia intermedia, Erodium cicutarium, Erodium moschatum, Erigeron bonariensis (Conyza bonariensis), Senecio vulgaris, Lamium amplexicaule, Erigeron canadensis, Polygonum aviculare, Kochia scoparia, Chenopodium album, Lactuca serriola, Malva parviflora, Malva neglecta, Ipomoea hederacea,
- the herbicidal compositions are used to control dicotyledonous harmful plant species, more preferably dicotyledonous plants of the species Amaranthus spp., Erigeron spp., Conyza spp., Kochia spp. and Abutilon spp.
- Cyperus species such as purple nutsedge (Cyperus rotundus L.), yellow nutsedge (Cyperus esculentus L.), hime-kugu (Cyperus brevifolius H.), sedge weed (Cyperus microiria Steud), rice flatsedge (Cyperus iria L.), Cyperus difformis, Cyperus difformis L., Cyperus esculentus, Cyperus ferax, Cyperus flavus, Cyperus iria, Cyperus lanceolatus, Cyperus odoratus, Cyperus rotundus, Cyperus serotinus Rottb., Eleocharis acicularis, Eleocharis kuroguwai, Fimbristylis dichotoma, Fimbristylis miliacea, Scirpus grossus, Scir
- the herbicidal compositions can be employed for controlling harmful plants in genetically modified crops or crops obtained by mutation/selection. These crops are distinguished as a rule by particular, advantageous properties, such as resistances to herbicidal compositions or resistances to plant diseases or causative agents of plant diseases such as particular insects or microorganisms such as fungi, bacteria or viruses.
- Other particular properties relate, for example, to the harvested material with regard to quantity, quality, storability, composition and specific constituents.
- transgenic plants are known whose starch content is increased or whose starch quality is altered, or those where the harvested material has a different fatty acid composition.
- a particular aspect of the present invention also relates to a method of controlling undesired vegetation (e.g. harmful plants), which comprises applying the herbicidal compositions, preferably by the post-emergence method, to harmful or undesired plants, parts of said harmful or undesired plants, or the area where the harmful or undesired plants grow, for example the area under cultivation.
- undesired vegetation e.g. harmful plants
- controlling denotes a significant reduction of the growth of the harmful plant(s) in comparison to the untreated harmful plants.
- the growth of the harmful plant(s) is essentially diminished (60-79%), more preferably the growth of the harmful plant(s) is largely or fully suppressed (80-100%), and in particular the growth of the harmful plant(s) is almost fully or fully suppressed (90-100%).
- the present invention relates to a method for controlling undesired plant growth, and/or controlling harmful plants, comprising the step of applying the aqueous spray liquor containing a combination of the herbicide and the copolymer CP, preferably in one of the preferred embodiments defined herein, onto the undesired plants or the harmful plants, on parts of the undesired plants or the harmful plants, or on the area where the undesired plants or the harmful plants grow.
- the aqueous spray liquor containing the combination of the herbicide and the copolymer CP may be used for controlling undesirable vegetation in burndown programs, in industrial vegetation management and forestry, in vegetable and perennial crops and in turf and lawn, wherein the herbicidal composition(s) can be applied pre- or post-emergence, i.e. before, during and/or after emergence of the undesirable plants. Preferred is the application as post-emergence treatment, i.e. during and/or after emergence of the undesirable plants.
- the herbicidal composition(s) are applied to a locus where crops will be planted before planting or emergence of the crop. In industrial weed management and forestry, it is desirable to control a broad range of weeds for an extended period of time.
- the control of large weeds, or taller species such as bushes or trees may also be desirable.
- Industrial weed management includes for example railway and right-of-way management, fence lines and non-crop land such as industrial and building sites, gravel areas, roads or sidewalks.
- Forestry includes for example the clearing of existing forest or bushland, the removal of regrowth after mechanical forest cutting, or the management of weeds under forestry plantations. In the latter case, it may be desirable to shield desirable trees from contact with the spray solution that contains the herbicidal mixture according to the present invention.
- the aqueous spray liquor containing the combination of the herbicide and the copolymer CP can also be used for weed control in turf and lawn provided the desirable grass species are tolerant to herbicidal composition.
- Such herbicidal compositions can be used in desirable grass that has been rendered tolerant to the respective agrochemical active ingredient, e.g. glufosinate or its salts, by mutagenesis or genetic engineering.
- Glufosinate and its salts are non-selective systemic herbicides having a good post- emergence activity against numerous weeds and thus can be used in burndown programs, in industrial vegetation management and forestry, in vegetable and perennial crops and in turf and lawn.
- the present invention also relates to a method for burndown treatment of undesirable vegetation in crops, comprising applying the aqueous spray liquor containing the combination of the herbicide and the copolymer CP to a locus where crops will be planted before planting (or seeding) or emergence of the crop.
- the herbicidal composition is applied undesirable vegetation or the locus thereof.
- the present invention also relates to a method for controlling undesirable vegetation, which method comprises applying the aqueous spray liquor containing the combination of the herbicide and the copolymer CP to a locus where undesirable vegetation is present or is expected to be present.
- the application may be done before, during and/or after, preferably during and/or after, the emergence of the undesirable vegetation.
- the application is carried out before emergence of the crop, which is cultivated at the locus where the undesirable vegetation is present or is expected to be present. In another embodiment, the application is carried out before planting the crop.
- the spray liquors can be applied prior to seeding (planting) or after seeding (or planting) of the crop plants but before the emergence of the crop plants, in particular prior to seeding.
- the spray liquors are preferably applied prior to seeding of the crop plants.
- the spray liquors will generally be applied a date up to 9 months, frequently up to 6 months, preferably up to 4 months prior to planting the crop.
- the burndown application can be done at a date up to 1 day prior to emergence of the crop plant and is preferably done at a date prior to seeding/planting of the crop plant, preferably at a date of at least one day, preferably at least 2 days and in particular at least one 4 days prior to planting or from 6 months to 1 day prior emergence, in particular from 4 months to 2 days prior emergence and more preferably from 4 months to 4 days prior emergence. It is, of course, possible to repeat the burndown application once or more, e.g. once, twice, three times, four times or five times within that time frame.
- the spray liquor containing the herbicide and the copolymer CP provides for a very good post-emergence herbicide activity, i.e. they show a good herbicidal activity against emerged undesirable plants.
- the spray liquors are applied post-emergence, i.e. during and/or after, the emergence of the undesirable plants. It is particularly advantageous to apply the spray liquors post emergent when the undesirable plant starts with leaf development up to flowering.
- the herbicidal compositions are particularly useful for controlling undesirable vegetation, which has already developed to a state, which is difficult to control with conventional burndown mixtures, i.e.
- the herbicidal compositions are preferably applied by foliar application.
- the spray liquors can be applied in conventional manner by using techniques as skilled person is familiar with. Suitable techniques include spraying, atomizing, dusting, spreading or watering. The type of application depends on the intended purpose in a well-known manner; in any case, they should ensure the finest possible distribution of the active ingredients according to the invention.
- the spray liquors are applied to locus mainly by spraying, in particular foliar spraying of an aqueous dilution of the active ingredients of the mixture.
- Application can be carried out by customary spraying techniques using spray liquor rates of from about 10 to 2000 l/ha or 50 to 1000 l/ha (for example from 100 to 500 l/ha).
- the required application rate of the herbicide active compound via the spray liquor depends on the density of the undesired vegetation, on the development stage of the plants, on the climatic conditions of the location where the mixture is used and on the application method.
- the rate of application of L-glufosinate or its salt is usually from 50 g/ha to 3000 g/ha and preferably in the range from 100 g/ha to 2000 g/ha or from 200 g/ha to 1500 g/ha of active substance (a.i.).
- the spray liquor containing the copolymer CP and the herbicide provide for a persistent herbicidal activity, even under difficult weathering conditions, which allows a more flexible application in burndown applications and minimizes the risk of weeds escaping.
- the spray liquor containing the copolymer CP and the herbicide provide for superior crop compatibility with certain conventional crop plants and with herbicide tolerant crop plants, i.e. their use in these crops leads to a reduced damage of the crop plants and/or does not result in increased damage of the crop plants.
- the spray liquor containing the copolymer CP can also be applied after the emergence of the crop plants.
- the spray liquor containing the copolymer CP may also show an accelerated action on harmful plants, i.e.
- the spray liquors containing the copolymer CP are also suitable for controlling weeds that are resistant to commonly used herbicides such as, for example, weeds that are resistant to glyphosate, weeds that are resistant to auxin inhibitor herbicides such as e. g.2,4-D or dicamba, weeds that are resistant to photosynthesis inhibitors such as e. g. atrazine, weeds that are resistant to ALS inhibitors such as e. g. sulfonylureas, imidazolinones or triazolopyrimidines, weeds that are resistant to ACCase inhibitors such as e. g.
- clodinafop clethodim or pinoxaden or weeds that are resistant to protoporphyrinogen-IX-oxidase inhibitors
- protoporphyrinogen-IX-oxidase inhibitors such as e. g. sulfentrazone, flumioxazine, fomesafen or acifluorfen, for example the weeds that are listed in the International Survey of Resistant Weeds (http://www.weedscience.org/Summary/SpeciesbySOATable.aspx).
- weeds that are resistant to glufosinate or its salts, such as listed in the International Survey of Resistant Weeds, for example ACCase resistant Echinochloa crus-galli, Avena fatua, Alopecurus myosuroides, Echinochloa colona, Alopecurus japonicus, Bromus tectorum, Hordeum murinum, Ischaemum rugosum, Setaria viridis, Sorghum halepense, Alopecurus aequalis, Apera spica-venti, Avena sterilis, Beckmannia szygachne, Bromus diandrus, Digitaria sanguinalis, Echinocloa oryzoides, Echinochloa phyllopogon, Phalaris minor, Phalaris paradoxa, Setaria faberi, Setaria viridis, Brachypodium distachyon, Bro
- mice Micranthos, Cirsium arvense, Commelina diffusa, Echinochloa crus-pavonis, Soliva sessilis and Sphenoclea zeylanica, HPPD inhibitor resistant Amaranthus palmeri and Amaranthus rudis, PPO inhibitor resistant Acalypha australis, Amaranthus hybridus, Amaranthus palmeri, Amaranthus retroflexus, Amaranthus rudis, Ambrosia artemisifolia, Avena fatua, Conyza sumatrensis, Descurainia sophia, Euphorbia heterophylla and Senecio vernalis, carotenoid biosynthesis inhibitor resistant Hydrilla verticillata, Raphanus raphanistrum, Senecio vernalis and Sisymbrium orientale, VLCFA inhibitor resistant Alopecurus myosuroides, Avena fatua and Echinochloa crus-galli.
- Racemate of D- and L-glufosinates SL Aqueous soluble concentrate formulation Sodium 2-ethylhexyl sulfate was used as an 25% by weight aqueous solution.
- the alkylether sulfate of the formula (I) (ammonium salt of 2-propyl heptyl ether sulfate, 2-PH-2EO-SO3) and the other adjuvants (Ammonium salts of 2-EH-2EO-SO3 and PH- SO3) were used as aqueous concentrates.
- the herbicide compound (racemate of glufosinate and L-glufosinate, respectively) were used as aqueous solution of the respective glufosinate salt (TC) at the given concentration.
- the herbicide compound was applied with ammonium salt of 2-propyl heptyl sulfate (2-PH-SO3), 2- ethyl hexyl ether sulfate (2-EH-2EO-SO3), sodium 2-ethly hexyl sulfate (commercially available as Texapon EHS) and sodium lauryl ether sulfate (SLES), respectively, which are used as an adjuvant, but not according to the formula (I). All details related to the applied alkylether sulfate of the formula (I), the herbicide compound and the comparative adjuvants are summarized in the following.
- the herbicide formulation and the respective adjuvant were introduced into tap water to obtain the spray liquor. All mixtures resulted in stable, clear spray solutions.
- the spray liquor was then applied to the plant a spray volume of 200 l/ha using a sprayer (XR Teejet 110015).
- the test period extended over 21 days. During this time, the plants were tended, and their response to the treatments with active compound was evaluated.
- the evaluation for the damage caused by the chemical compositions was carried out using a scale from 0 to 100%, compared to the untreated control plants. Here, 0 means no damage and 100 means complete destruction of the plants.
- the plants used in the greenhouse experiments belonged to the following species: ⁇ gras Average value of AVEFA, ECHCG, DIGSA and SETVI ⁇ BLV Average value of KCHSC, CHEAL, AMAPA, AMATA and ABUTH
- Table 1 to 15 show the applied doses of the individual actives as gram of active ingredient per hectare (g ai/ha), the herbicidal activity of the individual actives and of their combinations in post-emergence application assessed 14 and 28 day after treatment (DAT), respectively.
- Table 2 Combined application of glufosinate rac. and 2-Ph-2EO-SO3 (IE1-A) – according to invention
Landscapes
- Life Sciences & Earth Sciences (AREA)
- Wood Science & Technology (AREA)
- Engineering & Computer Science (AREA)
- Environmental Sciences (AREA)
- Plant Pathology (AREA)
- Zoology (AREA)
- General Health & Medical Sciences (AREA)
- Health & Medical Sciences (AREA)
- Pest Control & Pesticides (AREA)
- Agronomy & Crop Science (AREA)
- Dentistry (AREA)
- Biodiversity & Conservation Biology (AREA)
- Ecology (AREA)
- Forests & Forestry (AREA)
- Chemical & Material Sciences (AREA)
- Chemical Kinetics & Catalysis (AREA)
- General Chemical & Material Sciences (AREA)
- Toxicology (AREA)
- Botany (AREA)
- Agricultural Chemicals And Associated Chemicals (AREA)
Abstract
Description
Claims
Priority Applications (4)
| Application Number | Priority Date | Filing Date | Title |
|---|---|---|---|
| KR1020257011626A KR20250059530A (en) | 2022-09-14 | 2023-09-07 | Use of alkyl ether sulfates to improve the efficacy of herbicides |
| CN202380066020.6A CN119894374A (en) | 2022-09-14 | 2023-09-07 | Use of alkyl ether sulphates for improving the efficacy of herbicides |
| CA3266992A CA3266992A1 (en) | 2022-09-14 | 2023-09-07 | Use of an alkylether sulfate for improving the efficacy of herbicides |
| JP2025514728A JP2025530295A (en) | 2022-09-14 | 2023-09-07 | Use of alkyl ether sulfates to improve herbicide efficacy. |
Applications Claiming Priority (4)
| Application Number | Priority Date | Filing Date | Title |
|---|---|---|---|
| US202263406551P | 2022-09-14 | 2022-09-14 | |
| US63/406,551 | 2022-09-14 | ||
| EP22198428 | 2022-09-28 | ||
| EP22198428.9 | 2022-09-28 |
Publications (1)
| Publication Number | Publication Date |
|---|---|
| WO2024056517A1 true WO2024056517A1 (en) | 2024-03-21 |
Family
ID=87971795
Family Applications (1)
| Application Number | Title | Priority Date | Filing Date |
|---|---|---|---|
| PCT/EP2023/074592 Ceased WO2024056517A1 (en) | 2022-09-14 | 2023-09-07 | Use of an alkylether sulfate for improving the efficacy of herbicides |
Country Status (5)
| Country | Link |
|---|---|
| JP (1) | JP2025530295A (en) |
| KR (1) | KR20250059530A (en) |
| CN (1) | CN119894374A (en) |
| CA (1) | CA3266992A1 (en) |
| WO (1) | WO2024056517A1 (en) |
Citations (29)
| Publication number | Priority date | Publication date | Assignee | Title |
|---|---|---|---|---|
| US4168963A (en) | 1976-05-17 | 1979-09-25 | Hoechst Aktiengesellschaft | Herbicidal agents |
| US4265654A (en) | 1977-12-28 | 1981-05-05 | Meiji Seika Kaisha Ltd. | Herbicidal compositions |
| EP0048436A1 (en) | 1980-09-20 | 1982-03-31 | Hoechst Aktiengesellschaft | Herbicidal agents |
| JPS5892448A (en) | 1981-11-27 | 1983-06-01 | Asahi Glass Co Ltd | Gas selective permeation element |
| EP0127429A2 (en) | 1983-05-27 | 1984-12-05 | Meiji Seika Kaisha Ltd. | Process for preparing optically active ((3-amino-3-carboxy)propyl-1) phosphinic acid derivatives |
| EP0248357A2 (en) | 1986-06-04 | 1987-12-09 | Hoechst Aktiengesellschaft | Process for the preparation of L-phosphinothricine by transamination |
| EP0249188A2 (en) | 1986-06-09 | 1987-12-16 | Meiji Seika Kaisha Ltd. | Process for the production of L-2-amino-4-(hydroxymethyl-phosphinyl)-butyric acid |
| EP0336151A2 (en) | 1988-03-18 | 1989-10-11 | Hoechst Aktiengesellschaft | Liquid herbicidal agent |
| EP0344683A2 (en) | 1988-06-03 | 1989-12-06 | Hoechst Aktiengesellschaft | Transaminase, preparation and use thereof |
| EP0367145A2 (en) | 1988-10-27 | 1990-05-09 | Meiji Seika Kaisha Ltd. | New process for the production of L-2-amino-4(hydroxymethyl-phospinyl)-butyric acid |
| EP0477902A2 (en) | 1990-09-27 | 1992-04-01 | Hoechst Schering AgrEvo GmbH | Process for the preparation of L-Phosphinothricine by a coupled enzymatic reaction |
| US5530142A (en) | 1988-05-27 | 1996-06-25 | Hoechst Aktiengesellschaft | Process for the preparation of phosphorus-containing L-amino acids and their esters and N-derivatives |
| WO2003024221A1 (en) | 2001-09-14 | 2003-03-27 | Basf Aktiengesellschaft | Herbicidal mixtures based on 3-phenyluracils |
| WO2005077893A1 (en) | 2004-02-12 | 2005-08-25 | Basf Aktiengesellschaft | Alkyl ether sulfates |
| WO2006024820A1 (en) | 2004-09-03 | 2006-03-09 | Syngenta Limited | Isoxazoline derivatives and their use as herbicides |
| WO2006037945A1 (en) | 2004-10-05 | 2006-04-13 | Syngenta Limited | Isoxazoline derivatives and their use as herbicides |
| WO2006104120A1 (en) | 2005-03-29 | 2006-10-05 | Meiji Seika Kaisha Ltd. | Method for producing l-2-amino-4-(hydroxymethylphosphinyl)- butanoic acid |
| WO2007071900A1 (en) | 2005-12-21 | 2007-06-28 | Syngenta Limited | Novel herbicides |
| WO2007092351A2 (en) | 2006-02-03 | 2007-08-16 | Bayer Cropscience Lp | Stable, concentrated herbicidal compositions |
| WO2007096576A1 (en) | 2006-02-27 | 2007-08-30 | Syngenta Limited | Herbicidal isoxazoline compounds |
| WO2007147500A1 (en) | 2006-06-21 | 2007-12-27 | Bayer Cropscience Ag | Low-foaming preparations for crop protection |
| WO2009141367A2 (en) | 2008-05-21 | 2009-11-26 | Basf Se | Herbicidal composition comprising glyphosate, glufosinate or their salts |
| WO2010136431A1 (en) | 2009-05-29 | 2010-12-02 | Syngenta Limited | Spiro epoxides as intermediates |
| WO2011073616A2 (en) | 2009-12-17 | 2011-06-23 | Syngenta Limited | Herbicidal compositions comprising, and methods of use of, herbicidally active pyrandiones |
| WO2011073615A2 (en) | 2009-12-17 | 2011-06-23 | Syngenta Limited | Herbicidal composition comprising a pyrandione herbicide and a co-herbicide |
| WO2011104213A2 (en) | 2010-02-26 | 2011-09-01 | Bayer Cropscience Ag | Herbicide compositions containing the hydrates of saflufenacil and glyphosates or glufosinates |
| EP3028573A1 (en) | 2014-12-05 | 2016-06-08 | Basf Se | Use of a triazole fungicide on transgenic plants |
| WO2016113334A1 (en) | 2015-01-15 | 2016-07-21 | Basf Se | Herbicidal combination comprising saflufenacil and glufosinate |
| WO2017011288A1 (en) | 2015-07-13 | 2017-01-19 | E I Du Pont De Nemours And Company | Aryloxypyrimidinyl ethers as herbicides |
-
2023
- 2023-09-07 CA CA3266992A patent/CA3266992A1/en active Pending
- 2023-09-07 WO PCT/EP2023/074592 patent/WO2024056517A1/en not_active Ceased
- 2023-09-07 KR KR1020257011626A patent/KR20250059530A/en active Pending
- 2023-09-07 JP JP2025514728A patent/JP2025530295A/en active Pending
- 2023-09-07 CN CN202380066020.6A patent/CN119894374A/en active Pending
Patent Citations (31)
| Publication number | Priority date | Publication date | Assignee | Title |
|---|---|---|---|---|
| US4168963A (en) | 1976-05-17 | 1979-09-25 | Hoechst Aktiengesellschaft | Herbicidal agents |
| US4265654A (en) | 1977-12-28 | 1981-05-05 | Meiji Seika Kaisha Ltd. | Herbicidal compositions |
| EP0048436A1 (en) | 1980-09-20 | 1982-03-31 | Hoechst Aktiengesellschaft | Herbicidal agents |
| JPS5892448A (en) | 1981-11-27 | 1983-06-01 | Asahi Glass Co Ltd | Gas selective permeation element |
| EP0127429A2 (en) | 1983-05-27 | 1984-12-05 | Meiji Seika Kaisha Ltd. | Process for preparing optically active ((3-amino-3-carboxy)propyl-1) phosphinic acid derivatives |
| EP0248357A2 (en) | 1986-06-04 | 1987-12-09 | Hoechst Aktiengesellschaft | Process for the preparation of L-phosphinothricine by transamination |
| EP0249188A2 (en) | 1986-06-09 | 1987-12-16 | Meiji Seika Kaisha Ltd. | Process for the production of L-2-amino-4-(hydroxymethyl-phosphinyl)-butyric acid |
| EP0336151A2 (en) | 1988-03-18 | 1989-10-11 | Hoechst Aktiengesellschaft | Liquid herbicidal agent |
| EP1093722A2 (en) | 1988-03-18 | 2001-04-25 | Aventis CropScience GmbH | Liquid herbicidal agent |
| US5530142A (en) | 1988-05-27 | 1996-06-25 | Hoechst Aktiengesellschaft | Process for the preparation of phosphorus-containing L-amino acids and their esters and N-derivatives |
| EP0344683A2 (en) | 1988-06-03 | 1989-12-06 | Hoechst Aktiengesellschaft | Transaminase, preparation and use thereof |
| EP0367145A2 (en) | 1988-10-27 | 1990-05-09 | Meiji Seika Kaisha Ltd. | New process for the production of L-2-amino-4(hydroxymethyl-phospinyl)-butyric acid |
| EP0477902A2 (en) | 1990-09-27 | 1992-04-01 | Hoechst Schering AgrEvo GmbH | Process for the preparation of L-Phosphinothricine by a coupled enzymatic reaction |
| WO2003024221A1 (en) | 2001-09-14 | 2003-03-27 | Basf Aktiengesellschaft | Herbicidal mixtures based on 3-phenyluracils |
| WO2005077893A1 (en) | 2004-02-12 | 2005-08-25 | Basf Aktiengesellschaft | Alkyl ether sulfates |
| WO2006024820A1 (en) | 2004-09-03 | 2006-03-09 | Syngenta Limited | Isoxazoline derivatives and their use as herbicides |
| WO2006037945A1 (en) | 2004-10-05 | 2006-04-13 | Syngenta Limited | Isoxazoline derivatives and their use as herbicides |
| WO2006104120A1 (en) | 2005-03-29 | 2006-10-05 | Meiji Seika Kaisha Ltd. | Method for producing l-2-amino-4-(hydroxymethylphosphinyl)- butanoic acid |
| WO2007071900A1 (en) | 2005-12-21 | 2007-06-28 | Syngenta Limited | Novel herbicides |
| WO2007092351A2 (en) | 2006-02-03 | 2007-08-16 | Bayer Cropscience Lp | Stable, concentrated herbicidal compositions |
| WO2007096576A1 (en) | 2006-02-27 | 2007-08-30 | Syngenta Limited | Herbicidal isoxazoline compounds |
| WO2007147500A1 (en) | 2006-06-21 | 2007-12-27 | Bayer Cropscience Ag | Low-foaming preparations for crop protection |
| CA2655790A1 (en) * | 2006-06-21 | 2007-12-27 | Bayer Cropscience Ag | Low-foaming preparations for crop protection |
| WO2009141367A2 (en) | 2008-05-21 | 2009-11-26 | Basf Se | Herbicidal composition comprising glyphosate, glufosinate or their salts |
| WO2010136431A1 (en) | 2009-05-29 | 2010-12-02 | Syngenta Limited | Spiro epoxides as intermediates |
| WO2011073616A2 (en) | 2009-12-17 | 2011-06-23 | Syngenta Limited | Herbicidal compositions comprising, and methods of use of, herbicidally active pyrandiones |
| WO2011073615A2 (en) | 2009-12-17 | 2011-06-23 | Syngenta Limited | Herbicidal composition comprising a pyrandione herbicide and a co-herbicide |
| WO2011104213A2 (en) | 2010-02-26 | 2011-09-01 | Bayer Cropscience Ag | Herbicide compositions containing the hydrates of saflufenacil and glyphosates or glufosinates |
| EP3028573A1 (en) | 2014-12-05 | 2016-06-08 | Basf Se | Use of a triazole fungicide on transgenic plants |
| WO2016113334A1 (en) | 2015-01-15 | 2016-07-21 | Basf Se | Herbicidal combination comprising saflufenacil and glufosinate |
| WO2017011288A1 (en) | 2015-07-13 | 2017-01-19 | E I Du Pont De Nemours And Company | Aryloxypyrimidinyl ethers as herbicides |
Non-Patent Citations (11)
| Title |
|---|
| "Compendium of Herbicide Adjuvants", 2016 |
| "Technical Monograph", May 2008, CROPLIFE INTERNATIONAL, article "Catalogue of pesticide formulation types and international coding system" |
| C.D.S. TOMLIN: "The Pesticide Manual", 2003 |
| CAS , no. 70033-13-5 |
| F. SCHWERDTLE ET AL., Z. PFLANZENKR. PFLANZENSCHUTZ, vol. IX, 1981, pages 431 - 440 |
| GRUBEMANN: "Federal Biological Research Centre for Agriculture and Forestry", 2001, WILEY VCH, article "Growth stages of mono-and dicotyledonous plants" |
| J. CHEM. SOC. PERKIN TRANS., vol. 1, 1992, pages 1525 - 1529 |
| K.-W. MUNKSK.-H. MULLER: "Modern Crop Protection Compounds", vol. 1, 2007, WILEY-VHC, article "Photosynthesis Inhibitors", pages: 359 - 400 |
| KNOWLES: "New developments in crop protection product formulation", 2005, T&F INFORMA |
| MCCUTCHEON'S: "Emulsifiers & Detergents, McCutcheon's Directories", vol. 1, 2008, GLEN ROCK |
| Z. PACANOSKY, HERBICIDE ADJUVANTS, 2015 |
Also Published As
| Publication number | Publication date |
|---|---|
| CN119894374A (en) | 2025-04-25 |
| KR20250059530A (en) | 2025-05-02 |
| CA3266992A1 (en) | 2024-03-21 |
| JP2025530295A (en) | 2025-09-11 |
Similar Documents
| Publication | Publication Date | Title |
|---|---|---|
| JP6954889B2 (en) | How to control herbicide resistant or resistant weeds | |
| JP7682187B2 (en) | Novel additives for pesticide formulations | |
| AU2019290961B2 (en) | Herbicidal combination | |
| AU2019289932B2 (en) | Method for controlling herbicide resistant or tolerant weeds | |
| JP2022003068A (en) | How to control herbicide-resistant or resistant weeds | |
| WO2019243101A1 (en) | Method for controlling herbicide resistant or tolerant weeds | |
| CA3165150A1 (en) | Novel additives for agrochemical formulations | |
| WO2024056517A1 (en) | Use of an alkylether sulfate for improving the efficacy of herbicides | |
| CA3196217A1 (en) | Pesticide microemulsion compositions | |
| EP4338592A1 (en) | Use of compound for improving the efficacy of herbicides | |
| JP2026021326A (en) | Glufosinate formulations containing amines or ammonium salts | |
| US20250064062A1 (en) | Method for increasing the efficacy of a herbicide | |
| EA049711B1 (en) | AGROCHEMICAL COMPOSITION, ADJUVANT SOLUTION AND METHOD OF CONTROLLING UNWANTED VEGETATION |
Legal Events
| Date | Code | Title | Description |
|---|---|---|---|
| 121 | Ep: the epo has been informed by wipo that ep was designated in this application |
Ref document number: 23765523 Country of ref document: EP Kind code of ref document: A1 |
|
| ENP | Entry into the national phase |
Ref document number: 2025514728 Country of ref document: JP Kind code of ref document: A |
|
| WWE | Wipo information: entry into national phase |
Ref document number: 2025514728 Country of ref document: JP |
|
| WWE | Wipo information: entry into national phase |
Ref document number: 202380066020.6 Country of ref document: CN |
|
| REG | Reference to national code |
Ref country code: BR Ref legal event code: B01A Ref document number: 112025004881 Country of ref document: BR |
|
| WWE | Wipo information: entry into national phase |
Ref document number: 202517034028 Country of ref document: IN |
|
| ENP | Entry into the national phase |
Ref document number: 20257011626 Country of ref document: KR Kind code of ref document: A |
|
| WWE | Wipo information: entry into national phase |
Ref document number: 1020257011626 Country of ref document: KR |
|
| NENP | Non-entry into the national phase |
Ref country code: DE |
|
| WWP | Wipo information: published in national office |
Ref document number: 202517034028 Country of ref document: IN Ref document number: 202380066020.6 Country of ref document: CN |
|
| ENP | Entry into the national phase |
Ref document number: 112025004881 Country of ref document: BR Kind code of ref document: A2 Effective date: 20250313 |
|
| 122 | Ep: pct application non-entry in european phase |
Ref document number: 23765523 Country of ref document: EP Kind code of ref document: A1 |




























